US20030191406A1 - Method and apparatus utilizing computational intelligence to diagnose neurological disorders - Google Patents
Method and apparatus utilizing computational intelligence to diagnose neurological disorders Download PDFInfo
- Publication number
- US20030191406A1 US20030191406A1 US10/436,843 US43684303A US2003191406A1 US 20030191406 A1 US20030191406 A1 US 20030191406A1 US 43684303 A US43684303 A US 43684303A US 2003191406 A1 US2003191406 A1 US 2003191406A1
- Authority
- US
- United States
- Prior art keywords
- movement
- data
- network
- patient
- input pattern
- Prior art date
- Legal status (The legal status is an assumption and is not a legal conclusion. Google has not performed a legal analysis and makes no representation as to the accuracy of the status listed.)
- Abandoned
Links
Images
Classifications
-
- A—HUMAN NECESSITIES
- A61—MEDICAL OR VETERINARY SCIENCE; HYGIENE
- A61B—DIAGNOSIS; SURGERY; IDENTIFICATION
- A61B5/00—Measuring for diagnostic purposes; Identification of persons
- A61B5/103—Measuring devices for testing the shape, pattern, colour, size or movement of the body or parts thereof, for diagnostic purposes
- A61B5/11—Measuring movement of the entire body or parts thereof, e.g. head or hand tremor or mobility of a limb
- A61B5/1101—Detecting tremor
-
- A—HUMAN NECESSITIES
- A61—MEDICAL OR VETERINARY SCIENCE; HYGIENE
- A61B—DIAGNOSIS; SURGERY; IDENTIFICATION
- A61B5/00—Measuring for diagnostic purposes; Identification of persons
- A61B5/40—Detecting, measuring or recording for evaluating the nervous system
- A61B5/4076—Diagnosing or monitoring particular conditions of the nervous system
- A61B5/4082—Diagnosing or monitoring movement diseases, e.g. Parkinson, Huntington or Tourette
-
- A—HUMAN NECESSITIES
- A61—MEDICAL OR VETERINARY SCIENCE; HYGIENE
- A61B—DIAGNOSIS; SURGERY; IDENTIFICATION
- A61B5/00—Measuring for diagnostic purposes; Identification of persons
- A61B5/68—Arrangements of detecting, measuring or recording means, e.g. sensors, in relation to patient
- A61B5/6801—Arrangements of detecting, measuring or recording means, e.g. sensors, in relation to patient specially adapted to be attached to or worn on the body surface
- A61B5/6802—Sensor mounted on worn items
- A61B5/681—Wristwatch-type devices
-
- A—HUMAN NECESSITIES
- A61—MEDICAL OR VETERINARY SCIENCE; HYGIENE
- A61B—DIAGNOSIS; SURGERY; IDENTIFICATION
- A61B5/00—Measuring for diagnostic purposes; Identification of persons
- A61B5/72—Signal processing specially adapted for physiological signals or for diagnostic purposes
- A61B5/7235—Details of waveform analysis
- A61B5/7264—Classification of physiological signals or data, e.g. using neural networks, statistical classifiers, expert systems or fuzzy systems
- A61B5/7267—Classification of physiological signals or data, e.g. using neural networks, statistical classifiers, expert systems or fuzzy systems involving training the classification device
-
- G—PHYSICS
- G16—INFORMATION AND COMMUNICATION TECHNOLOGY [ICT] SPECIALLY ADAPTED FOR SPECIFIC APPLICATION FIELDS
- G16H—HEALTHCARE INFORMATICS, i.e. INFORMATION AND COMMUNICATION TECHNOLOGY [ICT] SPECIALLY ADAPTED FOR THE HANDLING OR PROCESSING OF MEDICAL OR HEALTHCARE DATA
- G16H50/00—ICT specially adapted for medical diagnosis, medical simulation or medical data mining; ICT specially adapted for detecting, monitoring or modelling epidemics or pandemics
- G16H50/20—ICT specially adapted for medical diagnosis, medical simulation or medical data mining; ICT specially adapted for detecting, monitoring or modelling epidemics or pandemics for computer-aided diagnosis, e.g. based on medical expert systems
-
- A—HUMAN NECESSITIES
- A61—MEDICAL OR VETERINARY SCIENCE; HYGIENE
- A61B—DIAGNOSIS; SURGERY; IDENTIFICATION
- A61B2560/00—Constructional details of operational features of apparatus; Accessories for medical measuring apparatus
- A61B2560/04—Constructional details of apparatus
- A61B2560/0456—Apparatus provided with a docking unit
-
- Y—GENERAL TAGGING OF NEW TECHNOLOGICAL DEVELOPMENTS; GENERAL TAGGING OF CROSS-SECTIONAL TECHNOLOGIES SPANNING OVER SEVERAL SECTIONS OF THE IPC; TECHNICAL SUBJECTS COVERED BY FORMER USPC CROSS-REFERENCE ART COLLECTIONS [XRACs] AND DIGESTS
- Y10—TECHNICAL SUBJECTS COVERED BY FORMER USPC
- Y10S—TECHNICAL SUBJECTS COVERED BY FORMER USPC CROSS-REFERENCE ART COLLECTIONS [XRACs] AND DIGESTS
- Y10S706/00—Data processing: artificial intelligence
- Y10S706/902—Application using ai with detail of the ai system
- Y10S706/924—Medical
Definitions
- the present invention relates generally to diagnosing neurological disorders, and more particularly to a method and apparatus which utilize a trained computational intelligence system to classify movement of a patient based upon neurological disorder classifications.
- PD Parkinson's disease
- E essential tremor
- the diagnosis of more than 20% of patients in an early phase of a neurological disorder is false.
- the diagnosis for a great number of patients is typically uncertain in the first 2-3 years of the neurological disorder. This 2-3 years of uncertainty results in a more expensive and less effective treatment of the patient when compared with appropriate treatment started in an earlier phase of the disorder.
- Computational intelligence refers to a methodology involving computing (usually with a computer) that exhibits an ability to learn and/or to deal with new situations, such that the system is perceived to possess one or more attributes of reason, such as generalization, discovery, association, and abstraction.
- Computational intelligence systems usually comprise hybrids of paradigms such as artificial neural networks, fuzzy systems, and evolutionary computation systems, augmented with knowledge elements.
- Computational intelligence systems are often designed to mimic one or more aspects of biological intelligence.
- a paradigm as used herein refers to a particular choice of computational intelligence attributes—in the case of a neural network, the architecture, activation and learning rules, update procedure, and so on—that exhibits a certain type of behavior.
- a paradigm is a specific example of a computational intelligence system.
- An artificial neural network is used herein to refer to an analysis paradigm that is roughly modeled after the massively parallel structure of a biological neural network such as the human brain.
- An ANN is typically implemented with many relatively simple processing elements (PEs) that are interconnected by many weighted connections in order to obtain a computational structure that simulates the highly interconnected, parallel computational structure of biological neural networks.
- PEs processing elements
- network and neural network are used interchangeably with the term artificial neural network.
- evolutionary computation is used herein to refer to machine learning optimization and classification paradigms that are roughly based on evolutionary mechanisms such as biological genetics and natural selection.
- the evolutionary computational field includes genetic algorithms, evolutionary programming, genetic programming, evolution strategies, and particle swarm optimization.
- Genetic algorithms are search algorithms that incorporate natural evolution mechanisms including crossover, mutation, and survival of the fittest. Genetic algorithm paradigms work on populations of individuals, rather than on single data points or vectors. Genetic algorithms are more often used for optimization, but may also be used for classification.
- Evolutionary programming algorithms are similar to genetic algorithms, but do not incorporate crossover. Rather, evolutionary programming algorithms rely on survival of the fittest and mutation.
- a particle swarm is similar to a genetic algorithm (GA) in that the system is initialized with a population of randomized positions in hyperspace that represent potential solutions to an optimization problem. However, each particle of a particle swarm, unlike a GA, is also assigned a randomized velocity. The particles (i.e. potential solutions) are then “flown” through hyperspace based upon their respective velocities in search of an optimum solution to a global objective.
- GA genetic algorithm
- Fuzzy sets model the properties of imprecision, approximation, or vagueness.
- an element either is or is not a member of the set.
- each element has a membership value of either 1 or 0 in the set.
- each fuzzy membership value reflects the membership extents (or grades) of an element in the set which is often represented with values ranging between and including 0 and 1.
- Fuzzy logic is the logic of “approximate reasoning.” Fuzzy logic comprises operations on fuzzy sets including equality, containment, complementation, intersection, and union.
- a fuzzy expert system as used herein is a decision support rule-based expert system that uses fuzzy rules and fuzzy sets.
- a fuzzy expert system is more compact (i.e. has fewer roles) than traditional expert systems, and the rules are more consistent with the way knowledge is expressed in natural language.
- the system can represent multiple cooperating, and even conflicting experts.
- the present invention is directed toward fulfilling the need for a method and apparatus that are operable to accurately diagnose neurological disorders.
- a method of diagnosing patients suspected of having a neurological disorder includes monitoring movement of a patient in order to obtain movement data that is representative of the movement of the patient.
- Another step of the method includes processing the movement data in order to obtain an input pattern that is representative of the movement data.
- the method also includes the step of processing the input pattern with a computational intelligence system that has been trained to classify movement based upon a predetermined group of neurological disorder classifications.
- the method includes generating with the computational intelligence system an output that is indicative of an appropriate neurological disorder classification for the patient.
- an analysis system for diagnosing patients suspected of having a neurological disorder.
- the analysis system includes a movement monitoring device, a preprocessor, and computational intelligence.
- the movement monitoring device of the analysis system is operable to monitor movement of a patient over a collection period in order to obtain movement data that is representative of the movement of the patient over the collection period.
- the preprocessor of the analysis system is operable to generate an input pattern that is representative of the movement data collected by the movement monitoring device over the collection period.
- the computational intelligence system includes a neural network that has been trained to classify movement based upon a predetermined group of neurological disorder classifications. In particular, the neural network is operable to (i) process the input pattern generated by the preprocessor, and (ii) generate an output that is indicative of an appropriate neurological disorder classification for the patient.
- a computer readable medium that configures an analysis system for diagnosing patients suspected of having a neurological disorder.
- the computer readable medium includes instructions which when executed by the analysis system cause the analysis system to generate an input pattern from movement data representative of movement of a patient over a collection period.
- the instructions of the computer readable medium which when executed by the analysis system further cause the analysis system to implement a neural network trained to classify the movement of the patient based upon a predetermined group of neurological disorder classifications.
- the instructions when executed by the analysis system cause the analysis system to process the input pattern with the neural network to obtain an appropriate neurological disorder classification for the patient.
- the instructions of the computer readable medium when executed by the analysis system also cause the analysis system to display output providing an indication of the appropriate neurological disorder classification for the patient.
- FIG. 1 shows a block diagram of an exemplary analysis system which incorporates features of the present invention therein;
- FIG. 2 shows a wrist-mounted actigraph suitable for implementing the movement monitoring device of FIG. 1;
- FIG. 3 shows a computer, interface unit, and a belt-worn unit used in conjunction with the wrist-mounted actigraph of FIG. 2;
- FIG. 4 shows a flowchart which illustrates the general operation of the analysis system of FIG. 1;
- FIG. 5 shows an exemplary neural network suitable for implementing the computational intelligence system of FIG. 1;
- FIG. 6 shows a flowchart of an exemplary method of obtaining a training pattern set and a test pattern set suitable for training and testing the computational intelligence system of FIG. 1;
- FIG. 7 shows a block diagram of an exemplary training mechanism suitable for training and testing the computational analysis system of FIG. 1;
- FIGS. 8 A- 8 B show a flowchart of a network evolution method implemented by the exemplary training mechanism of FIG. 7;
- FIG. 9 shows a flowchart of a network simplification method implemented by the exemplary training mechanism of FIG. 7;
- FIG. 10 illustrates the manner by which the network simplification method of FIG. 9 removes a processing element from the exemplary neural network of FIG. 5;
- FIG. 11 shows a block diagram of a general purpose computer system which is suitable for implementing various functional blocks of the analysis system of FIG. 1.
- the exemplary analysis system 10 is operable to (i) monitor movement of a patient, and (ii) classify the monitored movement as being characteristic of a certain neurological disorder. More specifically, the exemplary analysis system 10 is operable to (i) collect movement data that is representative of movement of a patient over a collection period, (ii) process the collected movement data, and (iii) generate output that indicates whether the movement of the patient during the collection period is indicative of a person who has Parkinson's disease (PD) or essential tremor (ET). To this end, the exemplary analysis system 10 includes a movement monitoring device 20 , a preprocessor 30 , a multiplexor 40 , and a computational intelligence system 50 .
- PD Parkinson's disease
- E essential tremor
- the movement monitoring device 20 is generally operable to monitor movement of a patient, and produce movement data that generally represents the movement of the patient. More specifically, the movement monitoring device 20 in an exemplary embodiment is operable to produce an analog movement signal having an amplitude that varies with respect to time based upon movement of the patient being monitored. In particular, in an exemplary embodiment, the movement monitoring device 20 is operable to vary the amplitude of the analog movement signal such that the analog movement signal has a resolution of about 10 milliG's (i.e. ten one thousandths of Earth's gravitational force) and a temporal resolution of at least 25 samples per second.
- milliG's i.e. ten one thousandths of Earth's gravitational force
- the preprocessor 30 is operable to receive movement data from the movement monitoring device 20 , and process the movement data to obtain preprocessed movement data having a form suitable for processing by the computational intelligence system 50 . More specifically, the preprocessor 30 in an exemplary embodiment is operable to receive the movement data from the movement monitoring device 20 , extract characteristics of the movement from the movement data, generate data patterns from the extracted characteristics of the movement data, and provide the computational intelligence system 50 with the generated data patterns via the multiplexor 40 .
- the multiplexor 40 is operable to receive data patterns from the preprocessor 30 and a training mechanism 60 , and provide the computational intelligence system 50 with the data patterns originating from either the preprocessor 30 or the training mechanism 60 based upon the state of an analysis control signal.
- the computational intelligence system 50 is operable to receive preprocessed movement data from the preprocessor 30 , and analyze the preprocessed movement data. More specifically, the computational intelligence system 50 in an exemplary embodiment is trained to classify movement based upon a data pattern received from the preprocessor 30 and a predetermined group of neurological disorder classification. In particular, the computational intelligence system 50 of an exemplary embodiment is operable to generate an output that is indicative of an appropriate neurological disorder classification based upon the received data pattern and a predetermined group of neurological disorder classifications that include a normal classification, a Parkinson's disease classification, and an essential tremor classification.
- the computational intelligence system 50 is operable to generate an output that is indicative of an appropriate neurological disorder classification based upon the received data pattern and a predetermined group of neurological disorder classifications that include a normal tremor classification, and a non-normal tremor classification (e.g. a classification encompassing both PD and ET).
- a normal tremor classification e.g. a classification encompassing both PD and ET.
- a non-normal tremor classification e.g. a classification encompassing both PD and ET.
- the movement monitoring device 20 essentially monitors the movement of a patient and generates movement data that is representative of the monitored movement.
- the movement monitoring device 20 in an exemplary embodiment is implemented with a TeleActigraph (TAG) produced by Precision Control Design, Inc. (PCD) of Fort Walton Beach, Fla.
- the PCD TAG includes a wrist-mounted actigraph 80 that samples an analog movement signal at a rate of about 27 Hz with about a 12-bit resolution, and transmits the resulting 12-bit digital samples via a 300 MHz wireless link to a belt-worn unit that is operable to store up to about 5 Megabytes of data or roughly 5 hours and 20 minutes of data.
- a wrist-mounted actigraph similar to Precision Control Design's model number BMA-32 but lacking a belt-worn unit is described in detail in U.S. Pat. No. 5,197,489, the disclosure of which is hereby incorporated by reference.
- the exemplary PCD TAG system includes a wrist-mounted actigraph 80 and a belt-worn unit 100 .
- the wrist-mounted actigraph 80 is constructed to have a shape and size similar to a wrist-watch
- the belt-worn unit 100 is constructed to have a shape and size similar to a belt with a large belt buckle.
- the belt-worn unit 100 includes a flexible band 101 which secures a generally rectangular housing 102 to the waist of a person.
- the actigraph 80 includes a flexible band 81 which secures a generally rectangular housing 82 against the skin surface of a patient being monitored.
- the actigraph 80 is mounted on the non-dominant wrist of the patient which has been found to correlate well with body activity.
- the actigraph 80 and the belt-worn unit 100 are worn by the patient for a predetermined collection period such as a few minutes or several hours.
- a sensor circuit of the actigraph 80 generates an analog movement signal having a voltage amplitude that is modulated based upon activity of a person wearing the wrist-mounted actigraph 80 .
- an A/D converter of the actigraph 80 samples the analog movement signal at a sampling rate such as 27 Hz in order to obtain 12-bit digital samples of the analog movement signal generated by the sensor circuit.
- the actigraph 80 includes a transmitter which is operable to transfer the generate 12-bit digital samples to the belt-worn unit 100 .
- Data collected by the belt-worn unit 100 during the collection period is later downloaded to a computer 83 for further processing and analysis. More specifically, communication between the belt-worn unit 100 and the computer 83 is facilitated by an interface unit 84 , which is connected to a data port of the computer 83 via a conventional RS-232 cable 85 or the like.
- the interface unit 84 preferably includes a receptacle 86 on its top surface dimensioned to receive the rectangular housing 102 of the belt-worn unit 100 .
- An electrical connector located along one side of receptacle 86 engages a connector on housing 102 when the belt-worn unit 100 is seated within the receptacle 86 . With this arrangement the belt-worn unit 100 can be quickly and conveniently installed and removed from interface unit 84 .
- the interface unit 84 enables data to be exchanged between the personal computer 83 and the PCD TAG system in both directions.
- the bi-directional nature of the data exchange enables (i) collected data to be downloaded from the PCD TAG system to the computer 83 , and (ii) operating instructions to be uploaded from the computer 83 to the PCD TAG system which control the operation of the actigraph 80 in subsequent data collection assignments.
- a plurality of controls 90 on the top surface of interface unit 84 assist the operator in accomplishing the downloading and uploading functions.
- FIG. 4 Shown in FIG. 4, there is illustrated a flowchart that depicts the general operation of the exemplary analysis system 10 . More specifically, the general operation of the analysis system 10 will be described in a manner which assumes the computational intelligence system 50 of the analysis system 10 has been properly trained to classify movement data based upon a group of predetermined neurological classifications that includes a normal classification, a PD classification, and an ET classification.
- the normal classification corresponds to persons who exhibit movement indicative of normal physiologic tremor
- the PD classification corresponds to persons who exhibit movement indicative of Parkinson's disease
- the ET classification corresponds to persons who exhibit movement indicative of essential tremor. Training of an exemplary embodiment of the computational intelligence system 50 to classify movement data based upon a group of predetermined neurological classifications is described in detail with reference to FIGS. 6, 7, 8 A, 8 B, 9 , and 10 .
- the analysis system 10 begins in step 402 with the movement monitoring device 20 monitoring movement of a patient suspected of having a neurological disorder, and collecting movement data from the patient that is representative of the movement of the patient over a collection period.
- collection of the movement data is accomplished by providing the PCD TAG system with operating instructions via the interface unit 84 and the computer 83 , and then mounting the actigraph 80 of the PCD TAG system to the non-dominant wrist of the patient. More specifically, in an exemplary embodiment using the PCD TAG system, the system is set to mode 9 which results in configuring the actigraph 80 for low gain and a bandwidth of about 0.1 to about 14 Hz. In mode 9 , the actigraph 80 has been found to generate digital samples between the ranges of about 1230 ( ⁇ 400) to about 2230 (+600) with a zero level of about 1630.
- the patient in an exemplary embodiment is asked to perform a series of postural movements with the non-dominant wrist so that the PCD TAG system may obtain movement data for different postural tremor types (e.g. postural tremor, rest tremor, and kinetic tremor).
- postural tremor e.g. postural tremor, rest tremor, and kinetic tremor
- the patient in an exemplary embodiment of the analysis system 10 is requested to sit in a chair in front of a table and hold their non-dominant arm in a stationary horizontal position for a period of 1 minute in order to obtain postural tremor data from the patient.
- the patient is requested to rest their non-dominant hand their thigh for a period of 1 minute in order to obtain rest tremor data.
- the patient is requested to alternately touch his or her nose and the finger of a person sitting directly in front of them for a period of 1 minute in order to obtain kinetic tremor data.
- the actigraph 80 generates an analog movement signal that is representative of the movement of the patient over the collection period, digitizes the analog movement signal by sampling the analog movement signal at a predetermined sampling rate (e.g. 27 Hz), and stores the digital samples in a memory of the belt-worn unit 100 . Accordingly, after the collection period is completed, the belt-worn unit 100 may be placed in the interface unit 84 so that the computer 83 may download the 12-bit digital samples that are representative of the movement of the patient during the collection period.
- a predetermined sampling rate e.g. 27 Hz
- the preprocessor 30 processes the movement data collected by the movement monitoring device 20 in order to extract characteristics of the movement which the computational intelligence system 50 is trained to analyze. To this end, the preprocessor 30 essentially discards obtained movement data that is likely not representative of movement of the patient, and extracts characteristics of the movement data from the retained movement data. More specifically, the actigraph 80 used to implement the exemplary movement monitoring device 20 requires some time to settle (warm up) once data collection is started. As a result, the first few digital samples produced by the actigraph 80 do not accurately represent activity of the patient. Moreover, the last few digital samples produced by the actigraph 80 also may not accurately represent activity of the patient due to the action required to stop the actigraph 80 from collecting movement data. Furthermore, samples associated with a transition between collecting different postural tremor data are also discarded to better ensure the associated samples are reflective of the desired postural tremor type.
- the preprocessor 30 in an exemplary embodiment discards the first 5 seconds and last 5 seconds worth of samples for each postural tremor type.
- the preprocessor after discarding the first 5 seconds and last 5 seconds of digital sample obtains 50 seconds worth of digital samples for each postural tremor type.
- the actigraph 80 generates digital samples at a rate of approximately 27 Hz. Accordingly, the preprocessor 30 in the exemplary embodiment essentially retains about 1350 digital samples for each postural tremor type.
- the exemplary preprocessor 30 then extracts characteristics of the movement of the patient from the movement data. For example, depending upon the type of information the computational intelligence system 50 was trained to analyze, the preprocessor 30 may extract frequency characteristics of the movement from the movement data by obtaining the power spectral density, the fast Fourier transform, or other frequency transform of the movement data. Moreover, the preprocessor 30 may extract statistical data such as the number of zero crossings during a time window or epoch, the maximum during an epoch, the minimum during an epoch, the average during an epoch, and the average power during an epoch.
- the preprocessor 30 in an exemplary embodiment calculates power spectral density data from the remaining digital samples for each postural tremor type. More specifically, the exemplary preprocessor 30 for each tremor type performs a one hundred twenty-eight (128) point frequency transformation upon a sliding window of greater than two hundred and fifty-six (256) digital samples thus resulting in sixty-four (64) power spectral density data points for each window or epoch. For example, in an exemplary embodiment, the preprocessor 30 calculates sixty-four (64) power spectral density data points for each fifty seconds of digital samples.
- the exemplary preprocessor 30 discards the first two (2) data points and the last two (2) data points thus resulting in sixty (60) data points for each epoch which span a frequency range between roughly 0.5 Hz and 13 Hz. Assuming three (3) postural tremor types, and sixty (60) power spectral density points per postural tremor type, the exemplary preprocessor 30 obtains a total of 180 power spectral density points per patient.
- the preprocessor 30 After obtaining power spectral density points that are representative of the movement of a single patient during the collection period, the preprocessor 30 takes the square root of each of the power spectral density points in order to obtain amplitude data points that are proportional to the amplitude of the movement. Furthermore, the preprocessor 30 further divides each of the amplitude data points by the largest amplitude data point in order to normalize the amplitude data points to a range between 0 and 1.
- the preprocessor 30 in step 406 After extracting characteristics of the movement of the patient from the movement data, the preprocessor 30 in step 406 generates an input pattern A k for the computational intelligence system 50 from the extracted characteristics of the movement.
- the preprocessor 30 in an exemplary embodiment generates an input pattern A k having 180 input signal a k1 , a k2 , . . . a k180 where each input signal a kx is representative of one of the 180 extracted amplitude data points.
- the preprocessor 30 may further include other extracted characteristics of the movement in the input pattern A k such as the number of zero crossings per epoch, and the average power of the movement per epoch if the computational intelligence system 50 is trained to process the additional characteristics.
- the computational intelligence system 50 analyzes the preprocessed movement data collected from the patient.
- the multiplexor 40 receives the input pattern A k from the preprocessor 30 and applies the input pattern A k to inputs of the computational intelligence system 50 .
- the inputs signal a 1k , a 2k , . . . a 180k of the input pattern A k are applied to the input layer F x of the trained neural network 100 .
- the trained neural network 100 generates an output pattern Z k that is indicative of an appropriate classification for the movement.
- the trained neural network 100 of the computational intelligence system 50 is configured to generate an output pattern Z k having three output signals z 1k , z 2k , and z 3k each having a value between 0 and 1.
- the closer the second output signal z 2k is to 1 the more likely the person has essential tremor and the closer the second output signal z 2k is to 0 the more likely the person does not have essential tremor.
- the closer the third output signal z 3k is to 1 the more likely the person exhibits normal physiologic tremor characteristics and the closer the third output signal z 3k is to 0 the more likely the person does exhibit normal tremor characteristics.
- the analysis system 10 provides analysis output results such as an appropriate neurological disorder classification for the movement. More specifically, the analysis system 10 in an exemplary embodiment displays upon a monitor of the computer 83 a graphical plot of the 60 amplitude points for each postural tremor type (180 total), and the output pattern Z k generated by the computational intelligence system 50 . Moreover, the analysis system 10 in an exemplary embodiment includes fuzzy logic that receives the output pattern Z k and generates an indication of whether the movement is indicative of (i) people who have Parkinson's disease, (ii) people who have essential tremor, (iii) people who exhibit normal tremor characteristics, or (iv) people with whom the analysis system 10 is unable to reach a conclusive result.
- the neurological disorder classification information determined in step 410 may include one or more levels of severity for one or more previously identified neurological disorders.
- neurological disorder classification information relating to disorder severity can be used in the quantitative evaluation of the efficacy of a treatment.
- computational intelligence system 50 will be described in detail with reference to a neural network implementation that is trained and simplified with particle swarm optimization, it should be appreciated by those skilled in the art that the computational intelligence system 50 may be implemented with other computational intelligence paradigms.
- the computational intelligence system 50 may be implemented with or include other neural network paradigms such as error back-propagation, and learning vector quantization (LVQ).
- the computational intelligence system 50 may be implemented with or include other computational intelligence paradigms such as genetic algorithms, evolutionary algorithms, and fuzzy logic.
- the computational intelligence system 50 may also be implemented with or include hybrids of the basic computational intelligence paradigms.
- the computational intelligence system 50 may include a fuzzy expert system whose rules and membership functions are automatically evolved from training data patterns via an LVQ neural network, genetic algorithms, and particle swarm optimization.
- a fuzzy expert system whose rules and membership functions are automatically evolved from training data patterns via an LVQ neural network, genetic algorithms, and particle swarm optimization.
- a method of evolving a fuzzy expert system from training patterns sets is described in detail in Yuhui Shi, et al., Implementation of Evolutionary Fuzzy Systems, IEEE Transactions on Fuzzy Systems , Vol. 7, No. 2, April 1999 at 109, the disclosure of which is hereby incorporated by reference.
- the neural network 100 includes an input layer F x of processing elements PEx 0 , PEx 1 , . . . PEx n , a hidden layer F y of processing elements PEy 0 , PEy 1 , . . . PEy q , and an output layer F z of processing elements PEz 1 , PEz 2 , . . . PEz p .
- each processing element PEx h of the input layer F x is coupled to each processing element PEy i of the hidden layer F y via a matrix of weighted connections W.
- each processing element PEy i of the hidden layer F y is coupled to each processing element PEz j of the output layer F z via a matrix of weighted connections U.
- the exemplary neural network 100 of FIG. 5 is commonly referred to as a fully connected feed-forward neural network since a weighted connection exists between each processing element of adjacent layers and no signal path of the neural network 100 passes through a processing element more than once. While the exemplary neural network 100 is a fully connected feed-forward neural network, it should be appreciated by those skilled in the art that the neural network 100 could alternatively be implemented with sparsely connected neural network topologies, randomly connected neural network topologies, and/or feed-back neural network topologies.
- the input layer F x of the neural network 100 includes a biasing processing element PEx 0 and input processing elements PEx 1 , PEx 2 , . . . PEx n .
- the biasing processing element PEx 0 essentially provides an internal bias for each of the hidden processing elements PEy 1 , PEy 2 , . . . PEy q .
- the biasing processing element PEx 0 of the input layer F x is operable to generate a constant output signal x 0 (e.g. a signal having a value of 1) which is propagated to the hidden processing elements PEy 1 , PEy 2 , . . . PEy q via weighted connections w 10 , w 20 , . . . w q0 of the weighted connections matrix W.
- the input processing elements PEx 1 , PEx 2 , . . . PEx n essentially distribute input signals a 1k , a 2k , . . . a nk of an input pattern A k to the hidden processing elements PEy 1 , PEy 2 , . . . PEy q .
- each input processing element PEx h is operable to (i) receive a single input signal a hk of the input pattern A k , and (ii) generate a corresponding output signal x h which is propagated to the hidden processing elements PEy 1 , PEy 2 , . . . PEy q via the weighted connections matrix W.
- each input processing element PEx h of the exemplary neural network 100 is operable to generate an output signal x h that is equal to its respective input signal a hk .
- the weighted connections w 1h , w 2h , . . . w qh associated with each input processing element PEx h are operable to propagate the generated output signal x h to each of the hidden layer processing elements PEy 1 , PEy 2 , . . . PEy q .
- the hidden layer F y of the neural network 100 includes a biasing processing element PEy 0 and the hidden processing elements PEy 1 , PEy 2 , PEy q .
- the biasing processing element PEy 0 essentially provides an internal bias for each of the output processing elements PEz 1 , PEz 2 , . . . PEz p .
- the biasing processing element PEy 0 of the hidden layer F y is operable to generate a constant output signal y 0 (e.g. a signal having a value of 1) which is propagated to the output processing elements PEz 1 , PEz 2 , . . . PEz p via weighted connections u 01 , u 02 , . . . u 0p of the weighted connections matrix U.
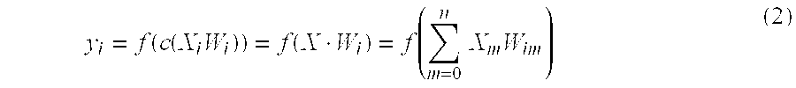
- the hidden processing elements PEy 1 , PEy 2 , . . . PEy q essentially generate output signals y 1 , y 2 , . . . y q that are a function of the received output signals x 0 , x 1 , . . . x n and weighted connections W. More specifically, each hidden processing element PEy I generates an output signal y i that is a function of the received output vector X (i.e. output signals x 0 , x 1 , . . . n ) and associated weighted connections vector W i (i.e weighted connections w i0 , w i1 , . . . W in . Accordingly, each output signal y i of the hidden processing elements PEy 1 , PEy 2 , . . . PEy q may be represented mathematically as follows:
- F represents the processing element function which is also commonly referred to as the activation function of the processing element.
- each hidden processing element PEy i of the exemplary neural network 100 performs a combinatory function c( ) of its corresponding inputs X and W i and passes the resulting combinatory value c through a threshold function f( ). More specifically, each hidden processing element PEy i of the exemplary neural network 100 performs a linear combination (i.e. dot product) of its corresponding inputs X and W i and passes the resulting dot product value c through a sigmoid threshold function.
- ⁇ represents a slope factor of the sigmoid function that in essence scales the inputs X and W i of the hidden processing element PEy i .
- the output layer F z of the neural network 100 includes the output processing elements PEz 1 , PEz 2 , . . . PEz p .
- the output processing elements PEz 1 , PEz 2 , . . . PEz p essentially generate output signals z 1 , z 2 , . . . z p that are a function of the received hidden layer output signals y 0 , y 1 , . . . y q and the weighted connections matrix U. More specifically, each output processing element PEz j generates an output signal z j that is a function of a received output vector Y (i.e. output signals y 0 , y 1 , . . .
- each output signal z j of the output processing elements PEz 1 , PEz 2 , . . . PEz p may be represented mathematically as follows:
- each output processing element PEz j of the exemplary neural network 100 performs a combinatory function c( ) of its corresponding inputs Y and U j and passes the resulting combinatory value c through a threshold function f( ). More specifically, each output processing element PEz j of the exemplary neural network 100 performs a linear combination (i.e. dot product) of its corresponding inputs Y and U j and passes the resulting dot product value c through a sigmoid threshold function.
- the neural network 100 essentially receives an input pattern A k and generates a respective output pattern Z k based upon the processing element activation functions F and weighted connections matrices W and U. More specifically, the input layer F x receives an input pattern A k of input signals a 1k , a 2k , . . . a nk , and generates a corresponding input layer signals x 1 , X 2 , . . . X n that are propagated to the hidden layer F y via the weighted connections matrix W. Moreover, the input layer F x generates a biasing signal x 0 that is also propagated to the hidden layer F y via the weighted connections matrix W.
- the hidden layer F y then generates hidden layer signals y 1 , y 2 , . . . y q that are based upon the received biasing signal x 0 , the input layer signals x 1 , x 2 , . . . x n , the weighted connections matrix W, and the activation functions F of the hidden processing elements PEy 1 , PEy 2 , . . . PEy q .
- hidden layer F y generates a biasing signal y 0 which is propagated along with the hidden layer signals y 1 , y 2 , . . . y q to the output layer F z via the weighted connections matrix U.
- the output layer F z then generates output signals z 1 , Z 2 , . . . z p based upon the received biasing signal y 0 , the hidden layer signals y 1 , y 2 , . . . y n , weighted connections matrix U, and the activation functions F of the output processing elements PEz 1 , PEz 2 , . . . PEz p .
- the input processing elements PEx 1 , PEx 2 , . . . PEx n of the exemplary neural network 100 essentially implement an identity activation function F( ) that generates an output signal that is equal to a received input signal
- the input processing elements PEx 1 , PEx 2 , . . . PEx n may also be implemented in a manner similar to the processing elements of the hidden layer F y and the output layer F z .
- the processing elements of the hidden layer F y and the output layer F z utilize a linear combination function and a sigmoid threshold function, it should be appreciated by those skilled in the art that the activation functions F( ) of the processing elements may be implemented in several other known manners.
- the activation function F( ) may use a different combinatory function c( ) and pass the combinatory result c through a different threshold function f( ).
- TABLE 1 discussed below lists several alternatives for the threshold function f( ).
- the activation function F( ) may be implemented in such a manner as to generate an output signal directly from the received signals without first performing a combinatory function of the received inputs.
- FIG. 6 Shown in FIG. 6, there is illustrated a flowchart that depicts the general operation of obtaining a training pattern set TRAIN SET and a test pattern set TEST SET for training and testing the computational intelligence system 50 of the analysis system 10 . More specifically, the general operation of obtaining a training pattern set TRAIN SET and a test pattern set TEST SET will be described in a manner which assumes the computational intelligence system 50 of the analysis system 10 will be trained to distinguish movement associated with a normal classification, a PD classification, and a ET classification. Training a neural network 100 of the computational intelligence system 50 with the training pattern set TRAIN SET to distinguish between movement associated with a normal classification, a PD classification, and an ET classification is described in detail below with reference to FIGS. 7, 8A, 8 B, 9 , and 10 .
- the analysis system 10 begins in step 602 with the movement monitoring device 20 collecting movement data from a group of people who are known to have Parkinson's disease, a group of people who are known to have essential tremor, and a group of people who are known to exhibit normal physiologic tremor characteristics.
- collection of the movement data is accomplished by providing the PCD TAG system with operating instructions via the interface unit 84 and the computer 83 , and then mounting the actigraph 80 to the non-dominant wrist of each person for a separate collection period. More specifically, in an exemplary embodiment, the PCD TAG system is set to mode 9 which results in configuring the actigraph 80 for low gain and a bandwidth of about 0.1 to about 14 Hz.
- the person After mounting the actigraph 80 to the non-dominant wrist of a person from one of the target groups, the person is requested to perform a series of postural movements with the non-dominant wrist so that the actigraph 80 may obtain movement data representative of different postural tremor types.
- the person in an exemplary embodiment of the analysis system 10 is requested to sit in a chair in front of a table and hold their non-dominant hand elevated in a stationary horizontal position for a period of 1 minute in order to obtain postural tremor data from the person. Afterwards, the person is requested to rest their non-dominant hand on their thigh for a period of 1 minute in order to obtain rest tremor data.
- the actigraph 80 After obtaining the rest tremor data, the person is requested to alternately touch his or her nose and the fingertip of a person located directly in front of them for a period of 1 minute in order to obtain kinetic tremor data.
- the actigraph 80 generates an analog movement signal that is representative of the movement of the patient over the collection period, digitizes the analog movement signal by sampling the analog signal at a predetermined sampling rate (e.g. 27 Hz), and stores the digital samples in a memory of the belt-worn unit 100 .
- a predetermined sampling rate e.g. 27 Hz
- the belt-worn unit 100 may be placed in the interface unit 84 so that the computer 83 may download the 12-bit digital samples that are representative of movement of the patient.
- the computer 83 stores the downloaded digital samples for each person in a separate file. Accordingly, as a result of repeating the above data collection process for each person, the computer 83 obtains a first set of data files corresponding to people known to have Parkinson's disease, a second set of data files corresponding to people known to have essential tremor, and a third set of data files corresponding to people known to exhibit normal tremor characteristics.
- the computer 83 generates a training pattern set TRAIN SET and a test pattern set TEST SET from the obtained movement data obtained from the groups of people having known characteristics.
- the computer 83 in an exemplary embodiment utilizes a subset of the data files in order to generate the training pattern set TRAIN SET and the remaining data files in order to generate the test pattern set TEST SET .
- fewer files are delegated to the creation of the test pattern set than the training pattern set; however, there is no requirement that this be the case.
- the computer 83 fro each group of data files may delegate 7 data files out of every 10 data files to the creation of the training pattern set TRAIN SET and use the remaining data files for the creation of the test pattern set TEST SET .
- the computer 83 then creates the training pattern set TRAIN SET by generating a separate input pattern A k and expected output pattern B K for each of the data files delegated to the training pattern set TRAIN SET .
- the computer 83 creates the test pattern set TEST SET by generating a separate input pattern A k and expected output pattern B K for each of the data files delegated to the test pattern set TEST SET .
- the computer 83 extracts characteristics from each data file in the same manner as the preprocessor 30 extracted characteristics from the collected movement data in step 404 of FIG. 4, and creates an input pattern A k from the extracted characteristics in the same manner as the preprocessor 30 created an input pattern in step 406 of FIG. 4.
- the computer 83 then finishes the creation of the training pattern set TRAIN SET and the test pattern set TEST SET by associating an expected output pattern B k to each generated input pattern A k . More specifically, if the input pattern A k was generated from a data file corresponding to a person known to have Parkinson's disease, then the computer 83 associates an expected output pattern B k to the input pattern A k which indicates that the person has Parkinson's disease. Similarly, if the input pattern A k was generated from a data file corresponding to a person known to have essential tremor, then the computer 83 associates an expected output pattern B k to the input pattern A k which indicates that the person has essential tremor.
- the computer 83 associates an expected output pattern B k to the input pattern A k which indicates that the person exhibits normal tremor characteristics.
- the computer 83 associates a first output pattern B k of 100 to Parkinson's disease, a second output B K of 010 to essential tremor, and a third output B K of 001 to normal tremor characteristics.
- the computer 83 in step 606 then stores the input patterns A k and associated expected output pattern B k for each data file in either a training pattern file or a test pattern file. Accordingly, the computer 83 obtains a training pattern file that includes the training pattern set TRAIN SET and a test pattern file that includes the test pattern set TEST SET which may be used to train and test the computational intelligence system 50 of the analysis system 10 .
- the training mechanism 60 is operable to train the computational intelligence system 50 to classify movement based upon a predetermined group of neurological disorder classifications and test that the trained computational intelligence system 50 satisfies a threshold level of accuracy.
- the training mechanism 60 during a training phase essentially evolves parameters of the computational intelligence system 50 based upon the input patterns A k and expected output patterns B k of the training pattern set 70 .
- the training mechanism 60 during a testing phase essentially computes a fitness value for the trained computational intelligence system 50 based upon (i) output patterns Z k generated in response to the trained computational intelligence system 50 processing input patterns A k of the test pattern set 75 , and (ii) expected output patterns B k of the test pattern set 75 .
- An exemplary training mechanism 60 for training a neural network implementation of the computational intelligence system 50 with particle swarm optimization is described in detail below. However, it should be appreciated that other training mechanisms such as error back-propagation, genetic algorithms, and evolutionary algorithms may be used to train the computational intelligence system 50 based upon the training patterns set 70 .
- FIG. 7 Shown in greater detail in FIG. 7 is an exemplary training mechanism 60 of the analysis system 10 which defines and/or evolves weighted connection matrices W and U, activation functions F, and processing element layers F x , F y , and F z of the exemplary neural network 100 in order to obtain a computational intelligence system 50 trained to classify movement based upon input patterns A k and a group of predetermined neurological classifications.
- the exemplary training mechanism 60 includes a network evolver 702 , a network simplifier 704 , and a network verifier 706 .
- the network evolver 702 is operable to (i) define an initial neural network architecture for the neural network 100 , and (ii) continually adjust the architecture of the neural network 100 until the network evolver 702 obtains a definition for the neural network 100 that meets predefined criteria. More specifically, the network evolver 702 in an exemplary embodiment is operable to (i) apply input patterns A k of a training pattern set TRAIN SET to the input layer F x of the neural network 100 , and (ii) adjust parameters of the neural network 100 based upon output patterns Z k generated by the neural network 100 in response to the input patterns A k . As will be explained in more detail in reference to FIGS.
- the network evolver 702 in an exemplary embodiment includes a particle swarm optimizer which is operable to adjust parameters of the neural network 100 in such a manner so as to achieve a trained neural network 100 that generates appropriate output patterns Z k in response to processing input patterns A k .
- the network simplifier 704 of the exemplary training mechanism 60 is generally operable to simplify the configuration of the neural network 100 .
- the network simplifier 704 in an exemplary embodiment is operable to (i) receive a definition for the neural network 100 from the network evolver 702 , (ii) redefine certain processing elements of the neural network 100 such that the processing element implements a simpler activation function, and (iii) remove unnecessary processing elements from the definition of the neural network 100 .
- the network verifier 706 of the exemplary training mechanism 60 is generally operable to verify the accuracy of the obtained simplified network definition for the neural network 100 . More specifically, the network verifier 706 in an exemplary embodiment is operable to (i) apply input patterns A k of a test pattern set TEST SET to the input layer F x of the simplified definition of the neural network 100 , and (ii) generate a fitness value that is indicative of how well the trained neural network 100 as defined by obtained simplified definition is able to produce appropriate output patterns Z k in response to processing input patterns A k .
- the network verifier 706 generates the fitness value for the trained neural network by calculating an average sum-squared error between the generated output patterns Z k and expected patterns B k of the test pattern set TEST SET (See, below equation (8) for details on performing an average sum-squared error calculation.)
- the exemplary training mechanism 60 is operable to determine whether the neural network 100 has been successfully trained.
- the exemplary training mechanism 60 determines that the neural network 100 has been successfully trained if the fitness value (e.g. average sum-squared error) for the simplified definition has a predetermined relationship to (e.g. less than) a fitness threshold value FIT THR (e.g. 0.01).
- the fitness value e.g. average sum-squared error
- FIT THR e.g. 0.01
- FIGS. 8 A- 8 B show a flowchart of a network evolution method 800 that illustrates in detail the operation of the network evolver 702 of the exemplary training mechanism 60 .
- the network evolver 702 begins in step 802 by initializing an iteration counter ITER and determining various parameters to be used in evolving the neural network 100 . More specifically, the network evolver 702 in an exemplary embodiment initializes the iteration counter ITER by setting the iteration counter to a value of 1.
- the network evolver 702 in an exemplary embodiment obtains various parameter values from a configuration file that define (i) a number of particles P# (e.g. 20) for a particle swarm S, (ii) a maximum particle velocity value V MAX (e.g. 10.0), (iii) a maximum position value POS MAX (e.g. 10.0), (iv) a dynamic initial lower limit value LOWER 0 (e.g. ⁇ 0.5), (v) a dynamic initial upper limit value UPPER 0 (e.g. 0.5), (vi) a starting inertia weight wi 0 (e.g. 0.9), (vii) a slope upper limit SLOPE ULIM (e.g.
- an error cutoff E CUT (e.g. 0.025), (vii) a maximum number of iterations ITER MAX (e.g. 1000), a training pattern set TRAIN SET (e.g. a file name of a file which includes training pairs of input patterns A k and corresponding expected output patterns B k ), a number of pattern pairs PAT# in the training pattern set TRAIN SET (e.g. 800), a test pattern set TEST SET (e.g. a file name of a file which includes testing pairs of input patterns A k and corresponding expected output patterns B k ), and a number of pattern pairs TPAT# in the test pattern set TEST SET (e.g. 500).
- a training pattern set TRAIN SET e.g. a file name of a file which includes training pairs of input patterns A k and corresponding expected output patterns B k
- a number of pattern pairs PAT# in the training pattern set TRAIN SET e.g. 800
- the network evolver 702 in step 804 generates an initial topology for the neural network 100 . More specifically, the network evolver 702 in an exemplary embodiment defines an appropriate three layer, fully connected, feed-forward network topology for the neural network 100 . (See FIG. 5.) To this end, the network evolver 702 determines the number p of output signals b jk that each expected output pattern B k includes, and the number n of input signals a hk that each input pattern A k includes.
- the network evolver 702 defines an initial topology for the neural network 100 that includes (i) an input layer F x having a bias processing element PEx 0 and n input processing elements PEx h , (ii) an output layer F z having p output processing elements PEz j , and (iii) a hidden layer F y having a bias processing element PEy 0 and q hidden processing elements PEy i .
- a suitable number q of hidden processing elements can vary widely according to the application and bears a relationship to the number of statistically significant factors that exist in the input data. If there are too few hidden processing elements PEy i , the network evolver 702 will probably fail to train the neural network 100 . If there are just barely enough, the network evolver 702 may successfully train the neural network 100 , but the resulting neural network 100 may fail to generate appropriate output patterns Z k for input patterns A k that were not part of the training pattern set TRAIN SET . Moreover, the resulting neural network 100 will probably not handle noisy data well. Conversely, if there are too many hidden processing elements PEy i , the resulting neural network 100 probably will not generalize very well. In other words, the resulting neural network 100 probably will not generate appropriate output patterns Z k for input patterns A k that were not part of the training pattern set TRAIN SET .
- the neural network may need to be trained several different times with different values of q until a suitable number q of hidden processing elements PEy i is found.
- n represents the number of input processing elements PEx h
- p represents the number of output processing elements PEz j
- ceil( ) represents a ceiling function which rounds a non-integer number up to the next integer number
- o represents a small integer with respect to ceil ⁇ ( n 2 + p 2 ) .
- the values n, q, and p are supplied by a user via a configuration file that contains appropriate values for n, q, and p as well as the above discussed parameters.
- a user may alternatively supply the values n, q, and p as well as the above discussed parameters via an input device such as a mouse or a keyboard.
- the network evolver 702 in step 804 may determine appropriate values for n, q and p based upon (i) the input patterns A k and output pattern B k of the training pattern set TRAIN SET , and/or (ii) user supplied parameters received via an input device and/or configuration file.
- the network evolver 702 in step 806 initializes a swarm S of particles P 0 , P 1 , . . . P P# that represent P# possible definitions for the neural network 100 . More specifically, the network evolver 702 defines for each particle P x of the swarm S, (i) a position POS x in D-dimensional hyperspace, and a velocity vector V x through the D-dimensional hyperspace.
- the network evolver 702 defines the D-dimensional hyperspace for the neural network 100 such that each dimension of the D-dimensional hyperspace represents a weighted connection W hi of the weighted connections matrix W, a weighted connection u ij of the weighted connections matrix U, a slope factor ⁇ i of a slope vector A, or a slope factor ⁇ j of a slope vector B.
- the neural network 100 is initially defined to include an (i) input layer F x having a bias processing element PEx 0 and two input processing elements PEx 1 and PEx 2 , a hidden layer F y having a bias processing element PEy 0 and four hidden processing elements PEy 1 , PEy 2 , . . . and PEy 4 , and an output layer F z having a single output processing element PEz 1 , then the neural network 100 would have a weighted connections matrix W consisting of 12 weighted connections w 10 , w 20 , . . . w 40 , w 11 , w 21 , . . . w 41 , w 12 , w 22 , .
- the network evolver 702 in this example would define a 22-dimensional hyperspace in which each position in the 22-dimensional hyperspace represents a possible solution for the 12 weighted connections of the weighted connections matrix W, the 5 weighted connections of the weighted connection matrix U, the 4 slope factors of the slope vector A, and the 1 slope factor of the slope vector B.
- the network evolver 702 in step 808 randomly assigns each particle P x of the particle swarm S an initial position POS x and velocity vector V x . More specifically, the network evolver 702 randomly assigns the initial positions POS 1 , POS 2 , . . . POS P# of the particles P 1 , P 2 , . . . P P# such that the weight connections W hi and u ij represented by the positions POS 1 , POS 2 , . . . POS P# are between the initial lower limit LOWER 0 and initial upper limit UPPER 0 . Moreover, the network evolver 702 assigns the initial positions POS 1 , POS 2 , . .
- the network evolver randomly assigns the D-dimensional velocity vectors V 1 , V 2 , . . . V P# of the particles P 1 , P 2 , . . . P P# such that each dimensional velocity component v x1 , V x2 , V xD of a velocity vector V x is between the initial lower limit LOWER 0 and the initial upper limit UPPER 0 .
- the network evolver 702 in step 810 determines a personal best value PBEST x , a personal best position PBESTX x , a local best value LBEST x , and a local best position LBESTX x for each particle of the particles P 1 , P 2 , . . . P P# .
- each personal best value PBEST x represents the corresponding best definition obtained by the particle P x for the neural network 100
- each personal best position PBESTX x represents the position in hyperspace where the particle P x obtained its corresponding particle best value PBEST x
- each local best value LBEST x represents the corresponding best definition obtained by a particle group PG x that includes particles P x ⁇ L , . . . P x ⁇ 1 , P x , P x+1 , . . . P x+L
- each local best position LBESTX x represents the position in hyperspace where the particle group PG x obtained its corresponding local best value LBEST x .
- the particle groups PG 1 , PG 2 , . . . PG P# are defined in a circular array fashion based upon a local neighbor parameter L. More specifically, if the local neighbor parameter L is equal to 2 and the number of particles is equal to 20, then the first particle group PG 1 would include particles P 19 , P 20 , P 1 , P 2 , and P 3 and the second particle group PG 2 would include the particles P 20 , P 1 , P 2 , P 3 , and P 4 .
- a single local best value LBEST and corresponding local best position LBESTX may be used since all of the particle groups PG 1 , PG 2 , . . . PG P# would include every particle P 1 , P 2 , . . . P P# of the particle swarm S.
- This special case is referred to as a global version of the particle swarm optimizer implemented by the network evolver 702 .
- the single local best value LBEST and corresponding local best position LBESTX in this special case are referred to as the global best value GBEST and the global best position GBESTX, respectively.
- the network evolver 702 utilizes a local neighbor parameter L of 2 which has been found to cause the particle swarm optimizer to converge on a global optimum as opposed to a local optimum at highly successful rate.
- the network evolver 702 computes a fitness value FV x for each definition of the neural network 100 as defined by the particle positions POS 1 , POS 2 , . . . POS P# . More specifically, the network evolver 702 in an exemplary embodiment calculates a fitness value FV x for each particle P x based upon a fitness function FIT( ) of (i) the output patterns Z 1 , Z 2 , . . . Z PAT# generated in response to propagating the input patterns A 1 , A 2 , . . .
- the network evolver 702 calculates the fitness value FV x of a particle P x based upon the following fitness function FIT( ) which computes the average sum-squared error between the output patterns Z 1 , Z 2 , . . . Z PAT# and the expected output patterns B 1 , B 2 , . . .
- q represents the number of output processing elements of the neural network output layer F z
- Z kj represents the output signal of the output processing element PEz j in response to the input pattern A k being applied to the neural network input layer F x
- b kj represents the corresponding expected output signal of the output processing element PEz j
- PAT# represents the number of patterns of the training pattern set TRAIN SET .
- the network evolver 702 in step 812 initializes a particle index N to a value of 1 in order to cause the particle index N to identify the first particle P 1 of the particle swarm S.
- the network evolver 702 then in step 814 selects the particle P N identified by the particle index N.
- the network evolver 702 in step 816 calculates a fitness value FV N for the particle definition of the neural network 100 via the above fitness function FIT( ).
- the network evolver 702 in an exemplary embodiment generates output patterns Z 1 , Z 2 , . . . Z PAT# in response to applying the input patterns A 1 , A 2 , . . . A PAT# of the training pattern set TRAIN SET to a definition of the neural network 100 as defined by the position POS N of the selected particle P N .
- the network evolver 702 generates the output patterns Z 1 , Z 2 , . . .
- the network evolver 702 in the exemplary embodiment, generates a fitness value FV N for the selected particle P N based upon above equation (8) which causes the network evolver 702 to calculate the average sum-squared error between the generated output patterns Z 1 , Z 2 , . . . Z PAT# and the expected output patterns B 1 , B 2 , . . . B PAT# of the training pattern set TRAIN SET .
- the network evolver 702 in step 818 determines whether the personal best value PBEST N and personal best position PBESTX N for the selected particle P N need to be updated. To this end, the network evolver 702 determines whether the obtained fitness value FV N for the selected particle P N is better than the current personal best value PBEST N for the selected particle P N . If the obtained fitness value FV N for the selected particle P N is better than the current personal best value PBEST N for the selected particle P N , then the network evolver 702 proceeds to step 820 in order to update the personal best value PBEST N and personal best position PBESTX N for the selected particle P N .
- the network evolver 702 proceeds to step 822 in order to determine whether a fitness value FV x has been obtained for each particle P x .
- the network evolver 702 attempts to minimize the fitness value FV x (i.e. average sum-squared error) for the neural network 100 . Accordingly, in the exemplary embodiment, the network evolver 702 determines that an obtained fitness value FV N is better than a personal best value PBEST N if the fitness value FV N is less than the personal best value PBEST N .
- the fitness function FIT( ) may be defined in such a way that the network evolver 702 needs to maximize the fitness values FV x in order to properly train the neural network 100 .
- the network evolver 702 would determine that the a fitness value FV N is better than a personal best value PBEST N if the fitness value FV N is greater than the personal best value PBEST N .
- the fitness function of equation (8) is merely exemplary and that other fitness functions may be used.
- the network evolver 702 in step 820 updates the personal best value PBEST N and the personal best position PBESTX N for the selected particle P N . More specifically, the network evolver 702 sets the personal best value PBEST N equal to the calculated fitness value FV N for the selected particle P N . Moreover, the network evolver 702 sets the personal best position PBEST N equal to the position POS N of the selected particle P N .
- the personal best values PBEST x are initially set to zero so that network evolver 702 during the first iteration through the network evolution method 800 (i.e. iteration counter ITER equal to 1) will update the personal best values PBEST N with the calculated fitness value FV N for the selected particle P N .
- step 822 the network evolver 702 determines whether a fitness value FV x has been obtained for each particle P 1 , P 2 , . . . P P# of the particle swarm S. If the network evolver 702 determines that a fitness value FV x has been obtained for each particle P 1 , P 2 , . . . P P# of the particle swarm S, then the network evolver 702 proceeds to step 826 of the network evolution method 800 . However, if the network evolver 702 determines that a fitness value FV x has not been obtained for each particle P 1 , P 2 , . . .
- the network evolver 702 proceeds to step 824 of the network evolution method 800 .
- the network evolver 702 determines that a fitness value FV x has been obtained for each particle P 1 , P 2 , . . . P P# of the particle swarm S if the particle index N is greater than the number of particles P# included in the particle swarm S.
- the network evolver 702 in step 824 updates the particle index N and returns to step 814 in order to select the particle P N identified by the updated particle index N and obtain a fitness value FV N for the newly selected particle P N .
- the network evolver 702 updates the particle index N by incrementing the particle index N by a value of 1.
- the network evolver 702 After determining that a fitness value FV x has been obtained for each particle P 1 , P 2 , . . . P P# , the network evolver 702 updates the local best value LBEST x and local best position LBESTX x for each particle P 1 , P 2 , . . . P P# . To this end, the network evolver 702 in step 826 initializes a group index M to a value of 1 in order to obtain a group index M that identifies a first particle group PG 1 . Then, the network evolver 702 in step 828 determines whether any particle P M ⁇ L , . . . P M ⁇ 1 , P M , P M+1 , . . .
- P M+L of the identified group PG M has a personal best value PBEST x that is better than the current local best value LBEST M for the identified particle group PG M . If any of the personal best values PBEST M ⁇ L , . . . PBEST M ⁇ 1 , PBEST M , PBEST M+1 , . . . PBEST M+L of the identified group PG M is better than the current local best value LBEST M for the identified particle group PG M , then the network evolver proceeds to step 830 in order to update the local best value LBEST M for the identified particle group PG M . Otherwise, if none of the personal best values PBEST M ⁇ L , . . .
- step 832 the computer system proceeds to step 832 in order to determine whether all particle groups PG 1 , PG 2 , . . . PG P# have been processed.
- the network evolver 702 in step 830 updates the local best value LBEST M and the local best position LBESTX M for the identified particle group PG M . More specifically, the network evolver 702 sets the local best value LBEST M equal to the best, personal best value PBEST B of the identified group PG M . Moreover, the network evolver 702 sets the local best position LBESTX M equal to the personal best position PBESTX B associated with the best, personal best value PBEST B of the identified group PG M .
- the local best values LBEST x are initially set to zero so that the network evolver 702 during the first iteration through the network evolution method 800 (i.e. iteration counter ITER equal to 1) will update the local best values LBEST x with one of the personal best values PBEST M ⁇ L , . . . PBEST M ⁇ 1 , PBEST M , PBEST M+1 , . . . PBEST M+L of its respective particle group PG x .
- the network evolver 702 during the first iteration through the network evolution method 800 sets each LBEST x of a particle P x equal to its respective personal best value PBEST x in step 820 .
- each local best value LBEST x should be equal to the best, personal best value PBEST X ⁇ L , . . . PBEST X ⁇ 1 , PBEST X , PBEST X+1 , . . . PBEST X+L of its respective particle group PG x after the first iteration through the network evolution method 800 .
- step 832 the network evolver 702 determines whether all of the particle groups PG 1 , PG 2 , . . . PG P# have been processed. If all of the particle groups PG 1 , PG 2 , . . . PG P# have been processed, then the network evolver 702 proceeds to step 836 in order to determine whether termination criteria have been satisfied. However, if all of the particle groups PG 1 , PG 2 , . . . PG P# have not been processed, then the network evolver 702 proceeds to step 834 . In an exemplary embodiment, the network evolver 702 determines that all of the particle groups PG 1 , PG 2 , . . . PG P# have been processed if the particle group index M is greater than the number of particles P# of the swarm S.
- step 834 the network evolver 702 updates the particle group index M and returns to step 828 in order to process the next particle group PG M .
- the network evolver 702 updates the particle group index M by incrementing the particle group index M by a value of 1.
- the network evolver 702 in step 836 determines whether defined termination criteria have been satisfied. If the network evolver 702 determines that the defined termination criteria have been satisfied, then the network evolver 702 proceeds to step 844 in order define the weighted connections matrix W, the weighted connections matrix U, the slope vector A, and the slope vector B. However, if the network evolver 702 determines that the defined termination criteria have not been satisfied, then the network evolver 702 proceeds to step 838 in order to update the velocity vectors V 1 , V 2 , . . . V P# associated with the particles P 1 , P 2 , . . . P P# .
- the termination criteria are defined by a maximum number of iterations ITER MAX and an error cutoff E CUT .
- the network evolver 702 determines to terminate the network evolution method 800 in response to (i) the iteration counter ITER having a predetermined relationship to the maximum number of iterations ITER MAX , or (ii) the best of the local best values LBEST 1 , LBEST 2 , . . . LBEST P# having a predetermined relationship to the desired error cutoff E CUT .
- the network evolver 702 may be implemented to terminate the network evolution method 800 if either (i) the iteration counter ITER is equal to the maximum number of iterations ITER MAX , or (ii) the best of the local best values LBEST 1 , LBEST 2 , . . . LBEST P# is less than the desired error cutoff E CUT .
- the network evolver 702 updates the velocity vector V x for each particle P x of the swarm S. More specifically, the network evolver 702 updates the velocity vector V x of a particle P x based upon (i) an inertia weight wi, (ii) the personal best position PBESTX x of the particle P x , and (iii) the local best position LBESTX x for the particle group PG x to which the particle P x belongs. In an exemplary embodiment, the network evolver 702 updates each velocity component V x1 , V x2 , . . . V xD of the velocity vector V x for a particle P x based upon the following velocity equation (9):
- v xd ′ wi* v xd +c 1 *rand( )*(pbestx xd ⁇ pos xd )+ c 2 *Rand( )*(lbestx xd ⁇ pos xd ) (9)
- V xd 40 represents an updated velocity component of the velocity vector V x in the d th dimension
- v xd represents the current velocity component of the velocity vector V x in the d th dimension
- wi represents the inertia weight parameter
- c 1 and c 2 represent acceleration constants.
- rand( ) and Rand( ) represent random functions that each generate a random number in the range between 0 and 1.
- pos xd represents the position of the particle P x in the d th dimension
- pbestx xd represents the position of the personal best value PBEST x in the d th dimension
- lbestx xd represents the position of the local best value LBEST x in the d th dimension.
- the inertia weight parameter wi and the acceleration constants c 1 and c 2 may be used to control the tension in the system.
- Lower values (less than 1) for c 1 and c 2 tend to increase the time it takes for particles P x to arrive in the vicinity of their respective personal best values PBEST x and local best values LBEST x
- higher values (greater than 1) for the acceleration constants c 1 and c 2 tend to allow particles P x to explore larger regions around their respective personal best values PBEST x and local best values LBEST x .
- the network evolver 702 sets the acceleration constants equal to a value of 2. Moreover, the network evolver 702 decreases the inertia weight wi linearly over the defined maximum iterations ITER MAX from the initial inertia weight wi 0 to a final inertia weight such as 0.4.
- the advantage of adjusting the inertia weight wi from a high value of 0.9 to a low value of 0.4 is that the particles P 1 , P 2 , . . . P P# initially perform a more global exploration and move gradually toward a more local exploration.
- the network evolver 702 clips the updated velocity components v x1 ′, v x2 ′, . . . v xD ′ such that no updated velocity component v xd ′ is greater than the maximum velocity parameter V MAX .
- V MAX maximum velocity parameter
- the network evolver 702 in step 840 updates each position POS x of each particle P x .
- the network evolver 702 updates each position component pos x1 , pos x2 , . . . pos xD of each position POS x based upon the updated velocity vector V x for corresponding particle P x .
- the network evolver 702 in an exemplary embodiment updates each position component pos x1 , pos x2 , . . . pox xD of a particle position POS X based upon the following position equation (10).
- pos xd represents the current position component of the particle position POS x in the d th dimension
- pos xd ′ represents the updated position component of the particle position POS x in the d th dimension
- v xd ′ represents the updated velocity component for the particle P x in the d th dimension.
- the network evolver 702 clips the updated position components pos x1 ′, pos x2 ′, . . . pos xD ′ such that no updated position component pos xd ′ is greater than the maximum position parameter POS MAX .
- the network evolver 702 obtains an updated position component pos xd ′ equal to ⁇ 11.3 and the maximum position parameter POS MAX is set to 10.0, then the network evolver 702 would set the updated position component pos xd ′ equal to ⁇ 10.0 instead of ⁇ 11.3.
- the network evolver 702 may also be implemented such that the updated positions components pos x1 ′, pos x2 ′, . . . pos xD ′ are not limited to a specified range.
- step 842 the network evolver 702 updates the iteration counter ITER and returns to step 810 in order to process the updated particles P 1 , P 2 , . . . P P# of the particle swarm S.
- the network evolver 702 in an exemplary embodiment increments the iteration counter ITER by a value of 1 before returning to step 810 .
- the network evolver 702 in step 844 obtains a neural network definition for the neural network 100 from the particle swarm S. More specifically, the network evolver 702 obtains the position in the D-dimensional hyperspace that achieved that best fitness value and uses this position to define the weighted connections matrix W, the weighted connections matrix U, the slope matrix A, and the slope matrix B of the neural network 100 . To this end, the network evolver 702 in an exemplary embodiment (i) obtains the best, personal best position PBESTX B associated with the best of the personal best values PBEST 1 , PBEST 2 , . . .
- PBEST P# (ii) sets each weighted connection w hi of the weighted connections matrix W, each weighted connection u ij of the weighted connections matrix U, each slope factor ⁇ of the slope factor A, and each slope factor ⁇ of the slope vector B equal to a respective position component pbestx B1 , pbestx B2 , . . . pbest BD of the best, personal best position PBESTX B .
- the network evolver 702 obtains the best, local best position LBESTX B associated with the best of the local best values LBEST 1 , LBEST 2 , . . . LBEST P# , (ii) sets each weighted connection w hi of the weighted connections matrix W, each weighted connection u ij of the weighted connection matrix U, each slope factor ⁇ of the slope factor A, and each slope factor ⁇ of the slope vector B equal to a respective position component lbestx B1 , lbestx B2 , . . . lbest BD of the best, local best position PBESTX B . It should be appreciated that either of the two exemplary embodiments should achieve the same results for the weighted connections matrix W, the weighted connections matrix U, the slope vectorA, and the slope vector B.
- the network simplification method 900 when executed by the network simplifier 704 causes the network simplifier 704 to simplify a definition for the neural network 100 of the computation intelligence 50 in order to obtain a less complex definition of the neural network 100 .
- the network simplifier 704 in implementing the network simplification method 900 generally (i) removes unnecessary processing elements from the neural network 100 , and/or (ii) replaces complex activation functions of certain processing elements with less computationally complex activation functions.
- the network simplifier 704 in step 902 determines based upon the slope vector A and the slope vector B whether any of the activation functions of the hidden processing elements PEy 1 , PEy 2 , . . . PEy q or the output processing elements PEz 1 , PEz 2 , . . . PEz p may be simplified.
- each hidden processing element PEy i is initially implemented with the sigmoid threshold function of equation (3) and each output processing element PEz j is initially implemented with the sigmoid threshold function of equation (6).
- the network simplifier 704 in an exemplary embodiment determines that activation functions of the neural network 100 may be simplified if any of the slope factors ⁇ and ⁇ of the slope vectors A and B has a magnitude greater than a slope upper limit SLOPE ULIM . It has been found that a slope upper limit SLOPE ULIM as small as 10 often results in a simplified neural network 100 with minimal effect on the accuracy of the output patterns Z k generated by the neural network 100 .
- the network simplifier 704 redefines the activation functions for those processing elements PE which may be implemented with a simpler activation function.
- the network simplifier 704 in an exemplary embodiment replaces the sigmoid threshold function of the hidden processing element PEy i with the step threshold function of equation (11).
- the network simplifier 704 replaces the sigmoid threshold function of the hidden processing element PEy i with the step threshold function of equation (12).
- the network simplifier 704 in an exemplary embodiment replaces the sigmoid threshold function of the output processing element PEz j with the step threshold function of equation (11). Moreover, for each output processing element PEz j with a negative slope factor ⁇ j having a magnitude greater than the slope upper limit SLOPE ULIM , the network simplifier 704 replaces the sigmoid threshold function of the output processing element PEz j with the step threshold function of equation (12).
- the network simplifier 704 determines whether any of the hidden processing elements PEy 1 , PEy 2 , . . . PEy q may be removed from the neural network 100 . If the network simplifier 704 determines that at least one of the hidden processing elements PEy 1 , PEy 2 , . . . PEy q may be removed from the neural network 100 , then the network simplifier 704 proceeds to step 908 . However, if the network simplifier 704 determines that none of the hidden processing elements PEy 1 , PEy 2 , . . . PEy q may be removed from the neural network 100 , then the network simplifier proceeds to step 910 .
- each hidden processing elements PEy i of the neural network 100 in an exemplary embodiment is initially implemented with the sigmoid threshold function of equation (3).
- the output of the sigmoid threshold function is roughly equal to a constant value of 0.5 when the magnitude of the slope factor ⁇ is less than a slope lower limit SLOPE LLIM .
- the network simplifier 704 in an exemplary embodiment determines that a hidden processing element PEy i may be removed from the neural network 100 if the slope factor ⁇ i associated with the hidden processing element PEy i is less than the slope lower limit SLOPE LLIM .
- Appropriate values for the slope lower limit SLOPE LLIM are dependent upon the application; however, the network simplifier 704 in an exemplary embodiment uses a lower slope limit SLOPEL LIM of 0.1 which may be sufficient for many different types of applications.
- the network simplifier 704 removes those hidden processing elements PEy i identified in step 906 as being appropriate for removal. To this end, for each hidden processing element PEy i with a slope factor ⁇ i having a magnitude less than the slope lower limit SLOPE LLIM , the network simplifier 704 (i) removes the identified hidden processing element PEy i , (ii) removes the weighted connections vector W i from the weighted connections matrix W associated with the removed hidden processing element PEy i , (iii) updates the biasing weight connections u 10 , u 20 , . . .
- the removed hidden processing element PEy i since the removed hidden processing element PEy i essentially generated a constant output signal y i of 0.5, the removed hidden processing PEy i essentially affected each of the output processing elements PEz 1 , PEz 2 , . . . PEz p by an amount of 0.5 times the respective weighted connections u 1i , U 2i , . . . u pi . Accordingly, the network simplifier 704 in an exemplary embodiment replicates the effect of the removed hidden processing element PEy i by increasing the biasing weighted connections u 10 , u 20 , . . .
- FIG. 10 illustrates a simplified neural network 100 ′ in which the hidden processing element PEy 1 has been removed from the neural network 100 of FIG. 5, and the biasing weighted connections u 10 , u 20 , . . . u p0 have been updated to replicate the effect of the removed hidden processing element PEy 1 .
- the network simplifier 704 transfers the simplified definition of the neural network 100 to the network verifier 706 .
- the network simplifier 704 transfers the obtained weighted connections matrix W, the weighted connections matrix U, the slope vector A, and the slope vector B to the network verifier 706 .
- the network verifier 706 may then test the obtained simplified definition for the neural network 100 by applying test input patterns A k of the test pattern set TEST SET , and calculating a fitness value for the simplified definition based upon generated output patterns Z k and expected output patterns B k of the test pattern set TEST SET .
- the above exemplary training mechanism 60 may be used to train neural networks having processing elements that utilize different activation functions.
- the above exemplary training mechanism 60 may be used to evolve and simplify neural networks that utilize the threshold functions of below TABLE 1. More specifically, the network simplifier 706 may replace a processing element threshold function with the simpler threshold function if the slope factor ⁇ of the processing element meets the criteria of TABLE 1. Moreover, the network simplifier 706 may remove hidden layer processing elements of the neural network 100 if the simplified threshold function generates a constant output.
- the movement monitoring device 20 , the preprocessor 30 , multiplexor 40 , computational intelligence system 50 , and the training mechanism 60 may be implemented with various hardware components such a digital signal processors, digital logic components, and analog components.
- the preprocessor 30 , multiplexor 40 , computational intelligence system 50 , and/or the training mechanism 60 may be implemented with properly programmed general purpose computer systems, multiprocessor computer systems, and distributed clusters of computer systems.
- FIG. 11 illustrates a general processing system 1100 which is suitable for implementing the preprocessor 30 , multiplexor 40 , computational intelligence system 50 , and/or the training mechanism 60 of the analysis system 10 .
- the general processing system 1100 includes a processor 1102 , memory 1104 , mass storage device 1106 , video display 1108 , and input device 1110 .
- the general processing system 1100 includes a mass storage controller 1112 for controlling the mass storage device 1106 , a video controller 1114 for controlling the video display 1108 , an I/O controller 1116 for controlling the input device 1110 , and a system bus 1118 .
- the system bus 1118 operably couples the processor 1102 to the memory 1104 , the mass storage controller 1112 , the video controller 1114 , and the I/O controller 1116 .
- the memory 1104 includes random access memory (RAM) such as SRAM (static RAM), DRAM (dynamic RAM), and SDRAM (synchronous DRAM) which store software routines obtained from computer readable media such as a floppy disk, CD-ROM disc, DVD disc, and hard disks.
- RAM random access memory
- SRAM static RAM
- DRAM dynamic RAM
- SDRAM synchronous DRAM
- the memory 1104 may also include nonvolatile computer readable media such as PROM (programmable read only memory), EPROM (erasable PROM), EEPROM (electrically erasable PROM), and flash memory that store firmware routines.
- PROM programmable read only memory
- EPROM erasable PROM
- EEPROM electrically erasable PROM
- flash memory that store firmware routines.
- the processor 1102 is operable to execute the software and/or firmware routines stored in the memory 1104 , and communicate with the mass storage device 1106 , the video display 1108 , and the input device 1110 via the mass storage controller 1112 , the video controller 1114 , and the I/O controller 1116 respectively. Most importantly, the processor 1102 is operable to execute software and/or firmware routines of the memory 1104 which cause the computer 1100 to implement the analysis system 10 of FIG. 1. Thus, for example, the processor 1102 may be operable to perform the functions of the preprocessor 30 , the multiplex or 40 , the computational intelligence system 50 , the training mechanism 60 or any combination thereof.
- the computer system 1100 in calculating the sigmoid activation function of equations (3) and (6) first test to see if the product of the slope factor ⁇ or ⁇ and the resulting combinatory value c is greater than a threshold number such as 90.
- the computer system 1100 If the product is greater than 90, then the computer system 1100 generates a value of 0 for the result of the sigmoid activation function instead of performing the rest of the sigmoid activation calculation. This threshold test insures that the computer system 1100 will not encounter an overflow or underflow error due to computational limits inherent to digital computations.
Landscapes
- Health & Medical Sciences (AREA)
- Life Sciences & Earth Sciences (AREA)
- Engineering & Computer Science (AREA)
- Public Health (AREA)
- Biomedical Technology (AREA)
- Medical Informatics (AREA)
- General Health & Medical Sciences (AREA)
- Pathology (AREA)
- Physics & Mathematics (AREA)
- Veterinary Medicine (AREA)
- Biophysics (AREA)
- Heart & Thoracic Surgery (AREA)
- Molecular Biology (AREA)
- Surgery (AREA)
- Animal Behavior & Ethology (AREA)
- Neurology (AREA)
- Artificial Intelligence (AREA)
- Physiology (AREA)
- Neurosurgery (AREA)
- Primary Health Care (AREA)
- Evolutionary Computation (AREA)
- Data Mining & Analysis (AREA)
- Databases & Information Systems (AREA)
- Developmental Disabilities (AREA)
- Dentistry (AREA)
- Oral & Maxillofacial Surgery (AREA)
- Epidemiology (AREA)
- Fuzzy Systems (AREA)
- Mathematical Physics (AREA)
- Computer Vision & Pattern Recognition (AREA)
- Psychiatry (AREA)
- Signal Processing (AREA)
- Measurement Of The Respiration, Hearing Ability, Form, And Blood Characteristics Of Living Organisms (AREA)
Abstract
A method of diagnosing patients suspected of having a neurological disorder is disclosed and includes monitoring movement of a patient in order to obtain movement data that is representative of the movement of the patient. Another step of the method includes processing the movement data in order to obtain an input pattern that is representative of the movement data. The method also includes the step of processing the input pattern with a computational intelligence system that has been trained to classify movement based upon a predetermined group of neurological disorder classifications. Furthermore, the method includes generating with the computational intelligence system an output that is indicative of an appropriate neurological disorder classification for the patient. An analysis system for diagnosing patients suspected of having a neurological disorder is also disclosed.
Description
- This application is a continuation of co-pending application Ser. No. 09/655,635, filed on Sep. 5, 2000. The disclosure of the above-identified patent application is hereby totally incorporated by reference in its entirety.
- The present invention relates generally to diagnosing neurological disorders, and more particularly to a method and apparatus which utilize a trained computational intelligence system to classify movement of a patient based upon neurological disorder classifications.
- Several symptoms associated with Parkinson's disease (PD) have been documented such as lack of facial expression, tremor of the distal segments of the limbs at rest, muscular rigidity, bradykenesia, and postural abnormalities. However, the exact diagnosis of PD in an early phase of the disease is complicated because other neurological disorders such as essential tremor (ET) have similar early symptoms. According to international statistics, the diagnosis of more than 20% of patients in an early phase of a neurological disorder is false. Moreover, the diagnosis for a great number of patients is typically uncertain in the first 2-3 years of the neurological disorder. This 2-3 years of uncertainty results in a more expensive and less effective treatment of the patient when compared with appropriate treatment started in an earlier phase of the disorder.
- Therefore a need exists for a method and apparatus that are operable to accurately diagnose neurological disorders in an early phase of the disorder.
- Computational intelligence as used herein refers to a methodology involving computing (usually with a computer) that exhibits an ability to learn and/or to deal with new situations, such that the system is perceived to possess one or more attributes of reason, such as generalization, discovery, association, and abstraction. Computational intelligence systems usually comprise hybrids of paradigms such as artificial neural networks, fuzzy systems, and evolutionary computation systems, augmented with knowledge elements. Computational intelligence systems are often designed to mimic one or more aspects of biological intelligence.
- A paradigm as used herein refers to a particular choice of computational intelligence attributes—in the case of a neural network, the architecture, activation and learning rules, update procedure, and so on—that exhibits a certain type of behavior. In other words, a paradigm is a specific example of a computational intelligence system.
- An artificial neural network (ANN) is used herein to refer to an analysis paradigm that is roughly modeled after the massively parallel structure of a biological neural network such as the human brain. An ANN is typically implemented with many relatively simple processing elements (PEs) that are interconnected by many weighted connections in order to obtain a computational structure that simulates the highly interconnected, parallel computational structure of biological neural networks. Hereinafter, the terms network and neural network are used interchangeably with the term artificial neural network.
- The term evolutionary computation is used herein to refer to machine learning optimization and classification paradigms that are roughly based on evolutionary mechanisms such as biological genetics and natural selection. The evolutionary computational field includes genetic algorithms, evolutionary programming, genetic programming, evolution strategies, and particle swarm optimization.
- Genetic algorithms are search algorithms that incorporate natural evolution mechanisms including crossover, mutation, and survival of the fittest. Genetic algorithm paradigms work on populations of individuals, rather than on single data points or vectors. Genetic algorithms are more often used for optimization, but may also be used for classification.
- Evolutionary programming algorithms are similar to genetic algorithms, but do not incorporate crossover. Rather, evolutionary programming algorithms rely on survival of the fittest and mutation.
- A particle swarm, as used herein, is similar to a genetic algorithm (GA) in that the system is initialized with a population of randomized positions in hyperspace that represent potential solutions to an optimization problem. However, each particle of a particle swarm, unlike a GA, is also assigned a randomized velocity. The particles (i.e. potential solutions) are then “flown” through hyperspace based upon their respective velocities in search of an optimum solution to a global objective.
- Fuzzy sets model the properties of imprecision, approximation, or vagueness. In conventional logic an element either is or is not a member of the set. In other words, in conventional logic each element has a membership value of either 1 or 0 in the set. In a fuzzy set, however, each fuzzy membership value reflects the membership extents (or grades) of an element in the set which is often represented with values ranging between and including 0 and 1.
- Fuzzy logic is the logic of “approximate reasoning.” Fuzzy logic comprises operations on fuzzy sets including equality, containment, complementation, intersection, and union.
- A fuzzy expert system as used herein, is a decision support rule-based expert system that uses fuzzy rules and fuzzy sets. A fuzzy expert system is more compact (i.e. has fewer roles) than traditional expert systems, and the rules are more consistent with the way knowledge is expressed in natural language. The system can represent multiple cooperating, and even conflicting experts.
- The above terms as well as others associated with computational intelligence systems are defined in further detail in Russell C. Eberhart, et al., Computational Intelligence PC Tools (1996), the disclosure of which is hereby incorporated by reference.
- The present invention is directed toward fulfilling the need for a method and apparatus that are operable to accurately diagnose neurological disorders. In accordance with one embodiment of the present invention, there is provided a method of diagnosing patients suspected of having a neurological disorder. One step of the method includes monitoring movement of a patient in order to obtain movement data that is representative of the movement of the patient. Another step of the method includes processing the movement data in order to obtain an input pattern that is representative of the movement data. The method also includes the step of processing the input pattern with a computational intelligence system that has been trained to classify movement based upon a predetermined group of neurological disorder classifications. Furthermore, the method includes generating with the computational intelligence system an output that is indicative of an appropriate neurological disorder classification for the patient.
- Pursuant to another embodiment of the present invention, there is provided an analysis system for diagnosing patients suspected of having a neurological disorder. The analysis system includes a movement monitoring device, a preprocessor, and computational intelligence. The movement monitoring device of the analysis system is operable to monitor movement of a patient over a collection period in order to obtain movement data that is representative of the movement of the patient over the collection period. The preprocessor of the analysis system is operable to generate an input pattern that is representative of the movement data collected by the movement monitoring device over the collection period. The computational intelligence system includes a neural network that has been trained to classify movement based upon a predetermined group of neurological disorder classifications. In particular, the neural network is operable to (i) process the input pattern generated by the preprocessor, and (ii) generate an output that is indicative of an appropriate neurological disorder classification for the patient.
- Pursuant to yet another embodiment of the present invention, there is provided a computer readable medium that configures an analysis system for diagnosing patients suspected of having a neurological disorder. The computer readable medium includes instructions which when executed by the analysis system cause the analysis system to generate an input pattern from movement data representative of movement of a patient over a collection period. The instructions of the computer readable medium which when executed by the analysis system further cause the analysis system to implement a neural network trained to classify the movement of the patient based upon a predetermined group of neurological disorder classifications. Moreover, the instructions when executed by the analysis system cause the analysis system to process the input pattern with the neural network to obtain an appropriate neurological disorder classification for the patient. The instructions of the computer readable medium when executed by the analysis system also cause the analysis system to display output providing an indication of the appropriate neurological disorder classification for the patient.
- It is an object of the present invention to provide a new and useful method and apparatus for diagnosing neurological disorders.
- It is also an object of the present invention to provide an improved method and apparatus for diagnosing neurological disorders.
- It is another object of the present invention to provide a method and apparatus for diagnosing a neurological disorder in an early phase of the neurological disorder.
- It is yet another object of the present invention to provide a method and apparatus which utilize trained computational intelligence to classify movement based upon neurological disorder classifications.
- The above and other objects, features, and advantages of the present invention will become apparent from the following description and the attached drawings.
- FIG. 1 shows a block diagram of an exemplary analysis system which incorporates features of the present invention therein;
- FIG. 2 shows a wrist-mounted actigraph suitable for implementing the movement monitoring device of FIG. 1;
- FIG. 3 shows a computer, interface unit, and a belt-worn unit used in conjunction with the wrist-mounted actigraph of FIG. 2;
- FIG. 4 shows a flowchart which illustrates the general operation of the analysis system of FIG. 1;
- FIG. 5 shows an exemplary neural network suitable for implementing the computational intelligence system of FIG. 1;
- FIG. 6 shows a flowchart of an exemplary method of obtaining a training pattern set and a test pattern set suitable for training and testing the computational intelligence system of FIG. 1;
- FIG. 7 shows a block diagram of an exemplary training mechanism suitable for training and testing the computational analysis system of FIG. 1;
- FIGS. 8A-8B show a flowchart of a network evolution method implemented by the exemplary training mechanism of FIG. 7; and
- FIG. 9 shows a flowchart of a network simplification method implemented by the exemplary training mechanism of FIG. 7;
- FIG. 10 illustrates the manner by which the network simplification method of FIG. 9 removes a processing element from the exemplary neural network of FIG. 5; and
- FIG. 11 shows a block diagram of a general purpose computer system which is suitable for implementing various functional blocks of the analysis system of FIG. 1.
- While the invention is susceptible to various modifications and alternative forms, specific embodiments thereof have been shown by way of example in the drawings and will herein be described in detail. It should be understood, however, that there is no intent to limit the invention to the particular forms disclosed, but on the contrary, the intention is to cover all modifications, equivalents, and alternatives falling within the spirit and scope of the invention as defined by the appended claims.
- Referring now to FIG. 1, an
exemplary analysis system 10 is shown which incorporates various features of the present invention therein. In general, theexemplary analysis system 10 is operable to (i) monitor movement of a patient, and (ii) classify the monitored movement as being characteristic of a certain neurological disorder. More specifically, theexemplary analysis system 10 is operable to (i) collect movement data that is representative of movement of a patient over a collection period, (ii) process the collected movement data, and (iii) generate output that indicates whether the movement of the patient during the collection period is indicative of a person who has Parkinson's disease (PD) or essential tremor (ET). To this end, theexemplary analysis system 10 includes amovement monitoring device 20, apreprocessor 30, amultiplexor 40, and acomputational intelligence system 50. - The
movement monitoring device 20 is generally operable to monitor movement of a patient, and produce movement data that generally represents the movement of the patient. More specifically, themovement monitoring device 20 in an exemplary embodiment is operable to produce an analog movement signal having an amplitude that varies with respect to time based upon movement of the patient being monitored. In particular, in an exemplary embodiment, themovement monitoring device 20 is operable to vary the amplitude of the analog movement signal such that the analog movement signal has a resolution of about 10 milliG's (i.e. ten one thousandths of Earth's gravitational force) and a temporal resolution of at least 25 samples per second. - The
preprocessor 30 is operable to receive movement data from themovement monitoring device 20, and process the movement data to obtain preprocessed movement data having a form suitable for processing by thecomputational intelligence system 50. More specifically, thepreprocessor 30 in an exemplary embodiment is operable to receive the movement data from themovement monitoring device 20, extract characteristics of the movement from the movement data, generate data patterns from the extracted characteristics of the movement data, and provide thecomputational intelligence system 50 with the generated data patterns via themultiplexor 40. - The
multiplexor 40 is operable to receive data patterns from thepreprocessor 30 and atraining mechanism 60, and provide thecomputational intelligence system 50 with the data patterns originating from either thepreprocessor 30 or thetraining mechanism 60 based upon the state of an analysis control signal. - In general, the
computational intelligence system 50 is operable to receive preprocessed movement data from thepreprocessor 30, and analyze the preprocessed movement data. More specifically, thecomputational intelligence system 50 in an exemplary embodiment is trained to classify movement based upon a data pattern received from thepreprocessor 30 and a predetermined group of neurological disorder classification. In particular, thecomputational intelligence system 50 of an exemplary embodiment is operable to generate an output that is indicative of an appropriate neurological disorder classification based upon the received data pattern and a predetermined group of neurological disorder classifications that include a normal classification, a Parkinson's disease classification, and an essential tremor classification. In yet another exemplary embodiment, thecomputational intelligence system 50 is operable to generate an output that is indicative of an appropriate neurological disorder classification based upon the received data pattern and a predetermined group of neurological disorder classifications that include a normal tremor classification, and a non-normal tremor classification (e.g. a classification encompassing both PD and ET). - Implementation of the Movement Monitoring Device
- As stated above, the
movement monitoring device 20 essentially monitors the movement of a patient and generates movement data that is representative of the monitored movement. To this end, themovement monitoring device 20 in an exemplary embodiment is implemented with a TeleActigraph (TAG) produced by Precision Control Design, Inc. (PCD) of Fort Walton Beach, Fla. In particular, the PCD TAG includes a wrist-mountedactigraph 80 that samples an analog movement signal at a rate of about 27 Hz with about a 12-bit resolution, and transmits the resulting 12-bit digital samples via a 300 MHz wireless link to a belt-worn unit that is operable to store up to about 5 Megabytes of data or roughly 5 hours and 20 minutes of data. Alternatively, a wrist-mounted actigraph similar to Precision Control Design's model number BMA-32 but lacking a belt-worn unit is described in detail in U.S. Pat. No. 5,197,489, the disclosure of which is hereby incorporated by reference. - As depicted in FIG. 2 and FIG. 3, the exemplary PCD TAG system includes a wrist-mounted
actigraph 80 and a belt-wornunit 100. The wrist-mountedactigraph 80 is constructed to have a shape and size similar to a wrist-watch, and the belt-wornunit 100 is constructed to have a shape and size similar to a belt with a large belt buckle. More specifically, the belt-wornunit 100 includes aflexible band 101 which secures a generallyrectangular housing 102 to the waist of a person. Similarly, theactigraph 80 includes aflexible band 81 which secures a generallyrectangular housing 82 against the skin surface of a patient being monitored. Typically, theactigraph 80 is mounted on the non-dominant wrist of the patient which has been found to correlate well with body activity. - In use, the
actigraph 80 and the belt-wornunit 100 are worn by the patient for a predetermined collection period such as a few minutes or several hours. During the collection period, a sensor circuit of theactigraph 80 generates an analog movement signal having a voltage amplitude that is modulated based upon activity of a person wearing the wrist-mountedactigraph 80. Moreover, an A/D converter of the actigraph 80 samples the analog movement signal at a sampling rate such as 27 Hz in order to obtain 12-bit digital samples of the analog movement signal generated by the sensor circuit. Furthermore, theactigraph 80 includes a transmitter which is operable to transfer the generate 12-bit digital samples to the belt-wornunit 100. - Data collected by the belt-worn
unit 100 during the collection period is later downloaded to acomputer 83 for further processing and analysis. More specifically, communication between the belt-wornunit 100 and thecomputer 83 is facilitated by aninterface unit 84, which is connected to a data port of thecomputer 83 via a conventional RS-232cable 85 or the like. Theinterface unit 84 preferably includes areceptacle 86 on its top surface dimensioned to receive therectangular housing 102 of the belt-wornunit 100. An electrical connector located along one side ofreceptacle 86 engages a connector onhousing 102 when the belt-wornunit 100 is seated within thereceptacle 86. With this arrangement the belt-wornunit 100 can be quickly and conveniently installed and removed frominterface unit 84. - The
interface unit 84 enables data to be exchanged between thepersonal computer 83 and the PCD TAG system in both directions. The bi-directional nature of the data exchange enables (i) collected data to be downloaded from the PCD TAG system to thecomputer 83, and (ii) operating instructions to be uploaded from thecomputer 83 to the PCD TAG system which control the operation of theactigraph 80 in subsequent data collection assignments. A plurality ofcontrols 90 on the top surface ofinterface unit 84 assist the operator in accomplishing the downloading and uploading functions. - General Operation of an Exemplary Analysis System
- Shown in FIG. 4, there is illustrated a flowchart that depicts the general operation of the
exemplary analysis system 10. More specifically, the general operation of theanalysis system 10 will be described in a manner which assumes thecomputational intelligence system 50 of theanalysis system 10 has been properly trained to classify movement data based upon a group of predetermined neurological classifications that includes a normal classification, a PD classification, and an ET classification. In general, the normal classification corresponds to persons who exhibit movement indicative of normal physiologic tremor, the PD classification corresponds to persons who exhibit movement indicative of Parkinson's disease, and the ET classification corresponds to persons who exhibit movement indicative of essential tremor. Training of an exemplary embodiment of thecomputational intelligence system 50 to classify movement data based upon a group of predetermined neurological classifications is described in detail with reference to FIGS. 6, 7, 8A, 8B, 9, and 10. - As depicted in FIG. 4, the
analysis system 10 begins instep 402 with themovement monitoring device 20 monitoring movement of a patient suspected of having a neurological disorder, and collecting movement data from the patient that is representative of the movement of the patient over a collection period. In an exemplary embodiment, collection of the movement data is accomplished by providing the PCD TAG system with operating instructions via theinterface unit 84 and thecomputer 83, and then mounting theactigraph 80 of the PCD TAG system to the non-dominant wrist of the patient. More specifically, in an exemplary embodiment using the PCD TAG system, the system is set to mode 9 which results in configuring theactigraph 80 for low gain and a bandwidth of about 0.1 to about 14 Hz. In mode 9, theactigraph 80 has been found to generate digital samples between the ranges of about 1230 (−400) to about 2230 (+600) with a zero level of about 1630. - After mounting the
actigraph 80 to the non-dominant wrist of the patient, the patient in an exemplary embodiment is asked to perform a series of postural movements with the non-dominant wrist so that the PCD TAG system may obtain movement data for different postural tremor types (e.g. postural tremor, rest tremor, and kinetic tremor). In particular, the patient in an exemplary embodiment of theanalysis system 10 is requested to sit in a chair in front of a table and hold their non-dominant arm in a stationary horizontal position for a period of 1 minute in order to obtain postural tremor data from the patient. Afterwards, the patient is requested to rest their non-dominant hand their thigh for a period of 1 minute in order to obtain rest tremor data. After obtaining the rest tremor data, the patient is requested to alternately touch his or her nose and the finger of a person sitting directly in front of them for a period of 1 minute in order to obtain kinetic tremor data. - During the above intervals of time, the
actigraph 80 generates an analog movement signal that is representative of the movement of the patient over the collection period, digitizes the analog movement signal by sampling the analog movement signal at a predetermined sampling rate (e.g. 27 Hz), and stores the digital samples in a memory of the belt-wornunit 100. Accordingly, after the collection period is completed, the belt-wornunit 100 may be placed in theinterface unit 84 so that thecomputer 83 may download the 12-bit digital samples that are representative of the movement of the patient during the collection period. - In
step 404, thepreprocessor 30 processes the movement data collected by themovement monitoring device 20 in order to extract characteristics of the movement which thecomputational intelligence system 50 is trained to analyze. To this end, thepreprocessor 30 essentially discards obtained movement data that is likely not representative of movement of the patient, and extracts characteristics of the movement data from the retained movement data. More specifically, theactigraph 80 used to implement the exemplarymovement monitoring device 20 requires some time to settle (warm up) once data collection is started. As a result, the first few digital samples produced by theactigraph 80 do not accurately represent activity of the patient. Moreover, the last few digital samples produced by theactigraph 80 also may not accurately represent activity of the patient due to the action required to stop theactigraph 80 from collecting movement data. Furthermore, samples associated with a transition between collecting different postural tremor data are also discarded to better ensure the associated samples are reflective of the desired postural tremor type. - For example, the
preprocessor 30 in an exemplary embodiment discards the first 5 seconds and last 5 seconds worth of samples for each postural tremor type. In other words, assuming that 1 minutes worth of movement data is collected for each postural tremor type, the preprocessor after discarding the first 5 seconds and last 5 seconds of digital sample obtains 50 seconds worth of digital samples for each postural tremor type. In an exemplary embodiment, theactigraph 80 generates digital samples at a rate of approximately 27 Hz. Accordingly, thepreprocessor 30 in the exemplary embodiment essentially retains about 1350 digital samples for each postural tremor type. - The
exemplary preprocessor 30 then extracts characteristics of the movement of the patient from the movement data. For example, depending upon the type of information thecomputational intelligence system 50 was trained to analyze, thepreprocessor 30 may extract frequency characteristics of the movement from the movement data by obtaining the power spectral density, the fast Fourier transform, or other frequency transform of the movement data. Moreover, thepreprocessor 30 may extract statistical data such as the number of zero crossings during a time window or epoch, the maximum during an epoch, the minimum during an epoch, the average during an epoch, and the average power during an epoch. - In particular, the
preprocessor 30 in an exemplary embodiment calculates power spectral density data from the remaining digital samples for each postural tremor type. More specifically, theexemplary preprocessor 30 for each tremor type performs a one hundred twenty-eight (128) point frequency transformation upon a sliding window of greater than two hundred and fifty-six (256) digital samples thus resulting in sixty-four (64) power spectral density data points for each window or epoch. For example, in an exemplary embodiment, thepreprocessor 30 calculates sixty-four (64) power spectral density data points for each fifty seconds of digital samples. - Of the sixty-four (64) power spectral density data points, the
exemplary preprocessor 30 discards the first two (2) data points and the last two (2) data points thus resulting in sixty (60) data points for each epoch which span a frequency range between roughly 0.5 Hz and 13 Hz. Assuming three (3) postural tremor types, and sixty (60) power spectral density points per postural tremor type, theexemplary preprocessor 30 obtains a total of 180 power spectral density points per patient. After obtaining power spectral density points that are representative of the movement of a single patient during the collection period, thepreprocessor 30 takes the square root of each of the power spectral density points in order to obtain amplitude data points that are proportional to the amplitude of the movement. Furthermore, thepreprocessor 30 further divides each of the amplitude data points by the largest amplitude data point in order to normalize the amplitude data points to a range between 0 and 1. - After extracting characteristics of the movement of the patient from the movement data, the
preprocessor 30 instep 406 generates an input pattern Ak for thecomputational intelligence system 50 from the extracted characteristics of the movement. In particular, thepreprocessor 30 in an exemplary embodiment generates an input pattern Ak having 180 input signal ak1, ak2, . . . ak180 where each input signal akx is representative of one of the 180 extracted amplitude data points. It should be appreciated by those skilled in the art, that thepreprocessor 30 may further include other extracted characteristics of the movement in the input pattern Ak such as the number of zero crossings per epoch, and the average power of the movement per epoch if thecomputational intelligence system 50 is trained to process the additional characteristics. - In
step 408, thecomputational intelligence system 50 analyzes the preprocessed movement data collected from the patient. To this end, themultiplexor 40 receives the input pattern Ak from thepreprocessor 30 and applies the input pattern Ak to inputs of thecomputational intelligence system 50. More specifically, in an exemplary embodiment utilizing a trainedneural network 100 for thecomputation intelligence 60, the inputs signal a1k, a2k, . . . a180k of the input pattern Ak are applied to the input layer Fx of the trainedneural network 100. As a result of the input pattern Ak being applied to the input layer Fx, the trainedneural network 100 generates an output pattern Zk that is indicative of an appropriate classification for the movement. - For example, in an exemplary embodiment, the trained
neural network 100 of thecomputational intelligence system 50 is configured to generate an output pattern Zk having three output signals z1k, z2k, and z3k each having a value between 0 and 1. The closer the first output signal z1k is to 1 the more likely the person has Parkinson's disease and the closer the output signal z1k is to 0 the more likely the person does not have Parkinson's disease. The closer the second output signal z2k is to 1 the more likely the person has essential tremor and the closer the second output signal z2k is to 0 the more likely the person does not have essential tremor. Furthermore, the closer the third output signal z3k is to 1 the more likely the person exhibits normal physiologic tremor characteristics and the closer the third output signal z3k is to 0 the more likely the person does exhibit normal tremor characteristics. - Finally in
step 410, theanalysis system 10 provides analysis output results such as an appropriate neurological disorder classification for the movement. More specifically, theanalysis system 10 in an exemplary embodiment displays upon a monitor of the computer 83 a graphical plot of the 60 amplitude points for each postural tremor type (180 total), and the output pattern Zk generated by thecomputational intelligence system 50. Moreover, theanalysis system 10 in an exemplary embodiment includes fuzzy logic that receives the output pattern Zk and generates an indication of whether the movement is indicative of (i) people who have Parkinson's disease, (ii) people who have essential tremor, (iii) people who exhibit normal tremor characteristics, or (iv) people with whom theanalysis system 10 is unable to reach a conclusive result. - Alternatively, the neurological disorder classification information determined in
step 410 may include one or more levels of severity for one or more previously identified neurological disorders. In such a system, neurological disorder classification information relating to disorder severity can be used in the quantitative evaluation of the efficacy of a treatment. - Implementation of Computational Intelligence System
- While
computational intelligence system 50 will be described in detail with reference to a neural network implementation that is trained and simplified with particle swarm optimization, it should be appreciated by those skilled in the art that thecomputational intelligence system 50 may be implemented with other computational intelligence paradigms. For example, thecomputational intelligence system 50 may be implemented with or include other neural network paradigms such as error back-propagation, and learning vector quantization (LVQ). Moreover, thecomputational intelligence system 50 may be implemented with or include other computational intelligence paradigms such as genetic algorithms, evolutionary algorithms, and fuzzy logic. Thecomputational intelligence system 50 may also be implemented with or include hybrids of the basic computational intelligence paradigms. For example, thecomputational intelligence system 50 may include a fuzzy expert system whose rules and membership functions are automatically evolved from training data patterns via an LVQ neural network, genetic algorithms, and particle swarm optimization. A method of evolving a fuzzy expert system from training patterns sets is described in detail in Yuhui Shi, et al., Implementation of Evolutionary Fuzzy Systems, IEEE Transactions on Fuzzy Systems, Vol. 7, No. 2, April 1999 at 109, the disclosure of which is hereby incorporated by reference. - Referring now to FIG. 5, there is illustrated an exemplary
neural network 100 for implementing thecomputational intelligence system 50 of theexemplary analysis system 10. As depicted, theneural network 100 includes an input layer Fx of processing elements PEx0, PEx1, . . . PExn, a hidden layer Fy of processing elements PEy0, PEy1, . . . PEyq, and an output layer Fz of processing elements PEz1, PEz2, . . . PEzp. In general, each processing element PExh of the input layer Fx is coupled to each processing element PEyi of the hidden layer Fy via a matrix of weighted connections W. Moreover, each processing element PEyi of the hidden layer Fy is coupled to each processing element PEzj of the output layer Fz via a matrix of weighted connections U. - The exemplary
neural network 100 of FIG. 5 is commonly referred to as a fully connected feed-forward neural network since a weighted connection exists between each processing element of adjacent layers and no signal path of theneural network 100 passes through a processing element more than once. While the exemplaryneural network 100 is a fully connected feed-forward neural network, it should be appreciated by those skilled in the art that theneural network 100 could alternatively be implemented with sparsely connected neural network topologies, randomly connected neural network topologies, and/or feed-back neural network topologies. - Referring to FIG. 5 in more detail, the input layer F x of the
neural network 100 includes a biasing processing element PEx0 and input processing elements PEx1, PEx2, . . . PExn. The biasing processing element PEx0 essentially provides an internal bias for each of the hidden processing elements PEy1, PEy2, . . . PEyq. To this end, the biasing processing element PEx0 of the input layer Fx is operable to generate a constant output signal x0 (e.g. a signal having a value of 1) which is propagated to the hidden processing elements PEy1, PEy2, . . . PEyq via weighted connections w10, w20, . . . wq0 of the weighted connections matrix W. - The input processing elements PEx 1, PEx2, . . . PExn essentially distribute input signals a1k, a2k, . . . ank of an input pattern Ak to the hidden processing elements PEy1, PEy2, . . . PEyq. To this end, each input processing element PExh is operable to (i) receive a single input signal ahk of the input pattern Ak, and (ii) generate a corresponding output signal xh which is propagated to the hidden processing elements PEy1, PEy2, . . . PEyq via the weighted connections matrix W. More specifically, each input processing element PExh of the exemplary
neural network 100 is operable to generate an output signal xh that is equal to its respective input signal ahk. Moreover, the weighted connections w1h, w2h, . . . wqh associated with each input processing element PExh are operable to propagate the generated output signal xh to each of the hidden layer processing elements PEy1, PEy2, . . . PEyq. - The hidden layer F y of the
neural network 100 includes a biasing processing element PEy0 and the hidden processing elements PEy1, PEy2, PEyq. The biasing processing element PEy0 essentially provides an internal bias for each of the output processing elements PEz1, PEz2, . . . PEzp. To this end, the biasing processing element PEy0 of the hidden layer Fy is operable to generate a constant output signal y0 (e.g. a signal having a value of 1) which is propagated to the output processing elements PEz1, PEz2, . . . PEzp via weighted connections u01, u02, . . . u0p of the weighted connections matrix U. - The hidden processing elements PEy 1, PEy2, . . . PEyq essentially generate output signals y1, y2, . . . yq that are a function of the received output signals x0, x1, . . . xn and weighted connections W. More specifically, each hidden processing element PEyI generates an output signal yi that is a function of the received output vector X (i.e. output signals x0, x1, . . . xn) and associated weighted connections vector Wi (i.e weighted connections wi0, wi1, . . . Win. Accordingly, each output signal yi of the hidden processing elements PEy1, PEy2, . . . PEyq may be represented mathematically as follows:
- y i =F(X,W i) (1)
- where F represents the processing element function which is also commonly referred to as the activation function of the processing element.
- In implementing the activation function F, each hidden processing element PEy i of the exemplary
neural network 100 performs a combinatory function c( ) of its corresponding inputs X and Wi and passes the resulting combinatory value c through a threshold function f( ). More specifically, each hidden processing element PEyi of the exemplaryneural network 100 performs a linear combination (i.e. dot product) of its corresponding inputs X and Wi and passes the resulting dot product value c through a sigmoid threshold function. The following hidden layer signal equation (2) represents the output signal yi as a threshold function f( ) of the combinatory function c( ) where the combinatory function c( ) is implemented as the linear combination of inputs X and Wi: -
- where α represents a slope factor of the sigmoid function that in essence scales the inputs X and W i of the hidden processing element PEyi.
- The output layer F z of the
neural network 100 includes the output processing elements PEz1, PEz2, . . . PEzp. The output processing elements PEz1, PEz2, . . . PEzp essentially generate output signals z1, z2, . . . zp that are a function of the received hidden layer output signals y0, y1, . . . yq and the weighted connections matrix U. More specifically, each output processing element PEzj generates an output signal zj that is a function of a received output vector Y (i.e. output signals y0, y1, . . . yq) and associated weighted connection vector Uj (i.e. weighted connections uj0, uj1, . . . ujp). Accordingly, each output signal zj of the output processing elements PEz1, PEz2, . . . PEzp may be represented mathematically as follows: - z j =F(Y,U j) (4)
- where F represents the activation function of the processing element function.
- In implementing the activation function F, each output processing element PEz j of the exemplary
neural network 100 performs a combinatory function c( ) of its corresponding inputs Y and Uj and passes the resulting combinatory value c through a threshold function f( ). More specifically, each output processing element PEzj of the exemplaryneural network 100 performs a linear combination (i.e. dot product) of its corresponding inputs Y and Uj and passes the resulting dot product value c through a sigmoid threshold function. The following output layer signal equation (5) represents the output signal zj as a threshold function f( ) of the combinatory function c( ) where the combinatory function c( ) is implemented as the linear combination of inputs Y and Uj: - where f( ) represents the above sigmoid threshold function which is presented again with a slope factor of β instead of α so that the slope factors β 1, β2, . . . βp of the output processing elements PEz1, PEz2, . . . PEzp are easily distinguishable from the slope factors α1, α2: . . . αq of the hidden processing elements PEy1, PEy2, . . . PEyq:
- During operation, the
neural network 100 essentially receives an input pattern Ak and generates a respective output pattern Zk based upon the processing element activation functions F and weighted connections matrices W and U. More specifically, the input layer Fx receives an input pattern Ak of input signals a1k, a2k, . . . ank, and generates a corresponding input layer signals x1, X2, . . . Xn that are propagated to the hidden layer Fy via the weighted connections matrix W. Moreover, the input layer Fx generates a biasing signal x0 that is also propagated to the hidden layer Fy via the weighted connections matrix W. The hidden layer Fy then generates hidden layer signals y1, y2, . . . yq that are based upon the received biasing signal x0, the input layer signals x1, x2, . . . xn, the weighted connections matrix W, and the activation functions F of the hidden processing elements PEy1, PEy2, . . . PEyq. Moreover, hidden layer Fy generates a biasing signal y0 which is propagated along with the hidden layer signals y1, y2, . . . yq to the output layer Fz via the weighted connections matrix U. The output layer Fz then generates output signals z1, Z2, . . . zp based upon the received biasing signal y0, the hidden layer signals y1, y2, . . . yn, weighted connections matrix U, and the activation functions F of the output processing elements PEz1, PEz2, . . . PEzp. - While the input processing elements PEx 1, PEx2, . . . PExn of the exemplary
neural network 100 essentially implement an identity activation function F( ) that generates an output signal that is equal to a received input signal, the input processing elements PEx1, PEx2, . . . PExn may also be implemented in a manner similar to the processing elements of the hidden layer Fy and the output layer Fz. Moreover, while the processing elements of the hidden layer Fy and the output layer Fz utilize a linear combination function and a sigmoid threshold function, it should be appreciated by those skilled in the art that the activation functions F( ) of the processing elements may be implemented in several other known manners. More specifically, the activation function F( ) may use a different combinatory function c( ) and pass the combinatory result c through a different threshold function f( ). For example, TABLE 1 discussed below lists several alternatives for the threshold function f( ). Moreover, it should be appreciated that while the exemplary processing elements combine the received signals and pass the result through a threshold function, the activation function F( ) may be implemented in such a manner as to generate an output signal directly from the received signals without first performing a combinatory function of the received inputs. - General Operation for Obtaining Training and Testing Data Sets
- Shown in FIG. 6, there is illustrated a flowchart that depicts the general operation of obtaining a training pattern set TRAIN SET and a test pattern set TESTSET for training and testing the
computational intelligence system 50 of theanalysis system 10. More specifically, the general operation of obtaining a training pattern set TRAINSET and a test pattern set TESTSET will be described in a manner which assumes thecomputational intelligence system 50 of theanalysis system 10 will be trained to distinguish movement associated with a normal classification, a PD classification, and a ET classification. Training aneural network 100 of thecomputational intelligence system 50 with the training pattern set TRAINSET to distinguish between movement associated with a normal classification, a PD classification, and an ET classification is described in detail below with reference to FIGS. 7, 8A, 8B, 9, and 10. - As depicted in FIG. 6, the
analysis system 10 begins instep 602 with themovement monitoring device 20 collecting movement data from a group of people who are known to have Parkinson's disease, a group of people who are known to have essential tremor, and a group of people who are known to exhibit normal physiologic tremor characteristics. In an exemplary embodiment, collection of the movement data is accomplished by providing the PCD TAG system with operating instructions via theinterface unit 84 and thecomputer 83, and then mounting theactigraph 80 to the non-dominant wrist of each person for a separate collection period. More specifically, in an exemplary embodiment, the PCD TAG system is set to mode 9 which results in configuring theactigraph 80 for low gain and a bandwidth of about 0.1 to about 14 Hz. - After mounting the
actigraph 80 to the non-dominant wrist of a person from one of the target groups, the person is requested to perform a series of postural movements with the non-dominant wrist so that theactigraph 80 may obtain movement data representative of different postural tremor types. In particular, the person in an exemplary embodiment of theanalysis system 10 is requested to sit in a chair in front of a table and hold their non-dominant hand elevated in a stationary horizontal position for a period of 1 minute in order to obtain postural tremor data from the person. Afterwards, the person is requested to rest their non-dominant hand on their thigh for a period of 1 minute in order to obtain rest tremor data. After obtaining the rest tremor data, the person is requested to alternately touch his or her nose and the fingertip of a person located directly in front of them for a period of 1 minute in order to obtain kinetic tremor data. During the above time intervals, theactigraph 80 generates an analog movement signal that is representative of the movement of the patient over the collection period, digitizes the analog movement signal by sampling the analog signal at a predetermined sampling rate (e.g. 27 Hz), and stores the digital samples in a memory of the belt-wornunit 100. Accordingly, after the collection period is completed, the belt-wornunit 100 may be placed in theinterface unit 84 so that thecomputer 83 may download the 12-bit digital samples that are representative of movement of the patient. - The above data collection process is repeated for each person of each group in order to obtain tremor data for each person of each group. In an exemplary embodiment, the
computer 83 stores the downloaded digital samples for each person in a separate file. Accordingly, as a result of repeating the above data collection process for each person, thecomputer 83 obtains a first set of data files corresponding to people known to have Parkinson's disease, a second set of data files corresponding to people known to have essential tremor, and a third set of data files corresponding to people known to exhibit normal tremor characteristics. - In
step 604, thecomputer 83 generates a training pattern set TRAINSET and a test pattern set TESTSET from the obtained movement data obtained from the groups of people having known characteristics. In particular, thecomputer 83 in an exemplary embodiment utilizes a subset of the data files in order to generate the training pattern set TRAINSET and the remaining data files in order to generate the test pattern set TESTSET. Typically, fewer files are delegated to the creation of the test pattern set than the training pattern set; however, there is no requirement that this be the case. For example, thecomputer 83 fro each group of data files may delegate 7 data files out of every 10 data files to the creation of the training pattern set TRAINSET and use the remaining data files for the creation of the test pattern set TESTSET. - The
computer 83 then creates the training pattern set TRAINSET by generating a separate input pattern Ak and expected output pattern BK for each of the data files delegated to the training pattern set TRAINSET. Similarly, thecomputer 83 creates the test pattern set TESTSET by generating a separate input pattern Ak and expected output pattern BK for each of the data files delegated to the test pattern set TESTSET. More specifically, thecomputer 83 extracts characteristics from each data file in the same manner as thepreprocessor 30 extracted characteristics from the collected movement data instep 404 of FIG. 4, and creates an input pattern Ak from the extracted characteristics in the same manner as thepreprocessor 30 created an input pattern instep 406 of FIG. 4. - The
computer 83 then finishes the creation of the training pattern set TRAINSET and the test pattern set TESTSET by associating an expected output pattern Bk to each generated input pattern Ak. More specifically, if the input pattern Ak was generated from a data file corresponding to a person known to have Parkinson's disease, then thecomputer 83 associates an expected output pattern Bk to the input pattern Ak which indicates that the person has Parkinson's disease. Similarly, if the input pattern Ak was generated from a data file corresponding to a person known to have essential tremor, then thecomputer 83 associates an expected output pattern Bk to the input pattern Ak which indicates that the person has essential tremor. Furthermore, if the input pattern Ak was generated from a data file corresponding to a person known to exhibit normal tremor characteristics, then thecomputer 83 associates an expected output pattern Bk to the input pattern Ak which indicates that the person exhibits normal tremor characteristics. In an exemplary embodiment, thecomputer 83 associates a first output pattern Bk of 100 to Parkinson's disease, a second output BK of 010 to essential tremor, and a third output BK of 001 to normal tremor characteristics. - The
computer 83 instep 606 then stores the input patterns Ak and associated expected output pattern Bk for each data file in either a training pattern file or a test pattern file. Accordingly, thecomputer 83 obtains a training pattern file that includes the training pattern set TRAINSET and a test pattern file that includes the test pattern set TESTSET which may be used to train and test thecomputational intelligence system 50 of theanalysis system 10. - Exemplary Training Mechanism
- Referring back to FIG. 1, there is depicted a
training mechanism 60, a training pattern set 70, and a test pattern set 75. In general, thetraining mechanism 60 is operable to train thecomputational intelligence system 50 to classify movement based upon a predetermined group of neurological disorder classifications and test that the trainedcomputational intelligence system 50 satisfies a threshold level of accuracy. To this end, thetraining mechanism 60 during a training phase essentially evolves parameters of thecomputational intelligence system 50 based upon the input patterns Ak and expected output patterns Bk of the training pattern set 70. Moreover, thetraining mechanism 60 during a testing phase essentially computes a fitness value for the trainedcomputational intelligence system 50 based upon (i) output patterns Zk generated in response to the trainedcomputational intelligence system 50 processing input patterns Ak of the test pattern set 75, and (ii) expected output patterns Bk of the test pattern set 75. - An
exemplary training mechanism 60 for training a neural network implementation of thecomputational intelligence system 50 with particle swarm optimization is described in detail below. However, it should be appreciated that other training mechanisms such as error back-propagation, genetic algorithms, and evolutionary algorithms may be used to train thecomputational intelligence system 50 based upon the training patterns set 70. - Shown in greater detail in FIG. 7 is an
exemplary training mechanism 60 of theanalysis system 10 which defines and/or evolves weighted connection matrices W and U, activation functions F, and processing element layers Fx, Fy, and Fz of the exemplaryneural network 100 in order to obtain acomputational intelligence system 50 trained to classify movement based upon input patterns Ak and a group of predetermined neurological classifications. As depicted, theexemplary training mechanism 60 includes anetwork evolver 702, anetwork simplifier 704, and anetwork verifier 706. In general, thenetwork evolver 702 is operable to (i) define an initial neural network architecture for theneural network 100, and (ii) continually adjust the architecture of theneural network 100 until thenetwork evolver 702 obtains a definition for theneural network 100 that meets predefined criteria. More specifically, thenetwork evolver 702 in an exemplary embodiment is operable to (i) apply input patterns Ak of a training pattern set TRAINSET to the input layer Fx of theneural network 100, and (ii) adjust parameters of theneural network 100 based upon output patterns Zk generated by theneural network 100 in response to the input patterns Ak. As will be explained in more detail in reference to FIGS. 8A-8B, thenetwork evolver 702 in an exemplary embodiment includes a particle swarm optimizer which is operable to adjust parameters of theneural network 100 in such a manner so as to achieve a trainedneural network 100 that generates appropriate output patterns Zk in response to processing input patterns Ak. - The
network simplifier 704 of theexemplary training mechanism 60 is generally operable to simplify the configuration of theneural network 100. As will be explained in more detail with reference to thenetwork simplification method 900 of FIG. 9, thenetwork simplifier 704 in an exemplary embodiment is operable to (i) receive a definition for theneural network 100 from thenetwork evolver 702, (ii) redefine certain processing elements of theneural network 100 such that the processing element implements a simpler activation function, and (iii) remove unnecessary processing elements from the definition of theneural network 100. - Finally, the
network verifier 706 of theexemplary training mechanism 60 is generally operable to verify the accuracy of the obtained simplified network definition for theneural network 100. More specifically, thenetwork verifier 706 in an exemplary embodiment is operable to (i) apply input patterns Ak of a test pattern set TESTSET to the input layer Fx of the simplified definition of theneural network 100, and (ii) generate a fitness value that is indicative of how well the trainedneural network 100 as defined by obtained simplified definition is able to produce appropriate output patterns Zk in response to processing input patterns Ak. In an exemplary embodiment, thenetwork verifier 706 generates the fitness value for the trained neural network by calculating an average sum-squared error between the generated output patterns Zk and expected patterns Bk of the test pattern set TESTSET (See, below equation (8) for details on performing an average sum-squared error calculation.) - From the produced fitness value for the simplified network definition, the
exemplary training mechanism 60 is operable to determine whether theneural network 100 has been successfully trained. In particular, theexemplary training mechanism 60 in an exemplary embodiment determines that theneural network 100 has been successfully trained if the fitness value (e.g. average sum-squared error) for the simplified definition has a predetermined relationship to (e.g. less than) a fitness threshold value FITTHR (e.g. 0.01). - FIGS. 8A-8B show a flowchart of a
network evolution method 800 that illustrates in detail the operation of thenetwork evolver 702 of theexemplary training mechanism 60. As illustrated in FIGS. 8A-8B, thenetwork evolver 702 begins instep 802 by initializing an iteration counter ITER and determining various parameters to be used in evolving theneural network 100. More specifically, thenetwork evolver 702 in an exemplary embodiment initializes the iteration counter ITER by setting the iteration counter to a value of 1. - Moreover, the
network evolver 702 in an exemplary embodiment obtains various parameter values from a configuration file that define (i) a number of particles P# (e.g. 20) for a particle swarm S, (ii) a maximum particle velocity value VMAX (e.g. 10.0), (iii) a maximum position value POSMAX (e.g. 10.0), (iv) a dynamic initial lower limit value LOWER0 (e.g. −0.5), (v) a dynamic initial upper limit value UPPER0 (e.g. 0.5), (vi) a starting inertia weight wi0 (e.g. 0.9), (vii) a slope upper limit SLOPEULIM (e.g. 90), an error cutoff ECUT (e.g. 0.025), (vii) a maximum number of iterations ITERMAX (e.g. 1000), a training pattern set TRAINSET (e.g. a file name of a file which includes training pairs of input patterns Ak and corresponding expected output patterns Bk), a number of pattern pairs PAT# in the training pattern set TRAINSET (e.g. 800), a test pattern set TESTSET (e.g. a file name of a file which includes testing pairs of input patterns Ak and corresponding expected output patterns Bk), and a number of pattern pairs TPAT# in the test pattern set TESTSET (e.g. 500). - After obtaining the above parameters, the
network evolver 702 instep 804 generates an initial topology for theneural network 100. More specifically, thenetwork evolver 702 in an exemplary embodiment defines an appropriate three layer, fully connected, feed-forward network topology for theneural network 100. (See FIG. 5.) To this end, thenetwork evolver 702 determines the number p of output signals bjk that each expected output pattern Bk includes, and the number n of input signals ahk that each input pattern Ak includes. From this information, thenetwork evolver 702 defines an initial topology for theneural network 100 that includes (i) an input layer Fx having a bias processing element PEx0 and n input processing elements PExh, (ii) an output layer Fz having p output processing elements PEzj, and (iii) a hidden layer Fy having a bias processing element PEy0 and q hidden processing elements PEyi. - A suitable number q of hidden processing elements can vary widely according to the application and bears a relationship to the number of statistically significant factors that exist in the input data. If there are too few hidden processing elements PEy i, the
network evolver 702 will probably fail to train theneural network 100. If there are just barely enough, thenetwork evolver 702 may successfully train theneural network 100, but the resultingneural network 100 may fail to generate appropriate output patterns Zk for input patterns Ak that were not part of the training pattern set TRAINSET. Moreover, the resultingneural network 100 will probably not handle noisy data well. Conversely, if there are too many hidden processing elements PEyi, the resultingneural network 100 probably will not generalize very well. In other words, the resultingneural network 100 probably will not generate appropriate output patterns Zk for input patterns Ak that were not part of the training pattern set TRAINSET. - Accordingly, the neural network may need to be trained several different times with different values of q until a suitable number q of hidden processing elements PEy i is found. A suitable number q of hidden processing elements PEyi, however, may often be obtained by taking the square root of the number n of input processing elements PExh squared plus the number p of output processing elements squared PEzj plus a few additional processing elements. This relationship for q is represented mathematically by the following equation (7):
-
- In an exemplary embodiment of the present invention, the values n, q, and p are supplied by a user via a configuration file that contains appropriate values for n, q, and p as well as the above discussed parameters. However, it should be appreciated that a user may alternatively supply the values n, q, and p as well as the above discussed parameters via an input device such as a mouse or a keyboard. Accordingly, the
network evolver 702 instep 804 may determine appropriate values for n, q and p based upon (i) the input patterns Ak and output pattern Bk of the training pattern set TRAINSET, and/or (ii) user supplied parameters received via an input device and/or configuration file. - After defining an initial network topology for the
neural network 100, thenetwork evolver 702 instep 806 initializes a swarm S of particles P0, P1, . . . PP# that represent P# possible definitions for theneural network 100. More specifically, thenetwork evolver 702 defines for each particle Px of the swarm S, (i) a position POSx in D-dimensional hyperspace, and a velocity vector Vx through the D-dimensional hyperspace. More specifically, thenetwork evolver 702 defines the D-dimensional hyperspace for theneural network 100 such that each dimension of the D-dimensional hyperspace represents a weighted connection Whi of the weighted connections matrix W, a weighted connection uij of the weighted connections matrix U, a slope factor αi of a slope vector A, or a slope factor βj of a slope vector B. - For example, if the
neural network 100 is initially defined to include an (i) input layer Fx having a bias processing element PEx0 and two input processing elements PEx1 and PEx2, a hidden layer Fy having a bias processing element PEy0 and four hidden processing elements PEy1, PEy2, . . . and PEy4, and an output layer Fz having a single output processing element PEz1, then theneural network 100 would have a weighted connections matrix W consisting of 12 weighted connections w10, w20, . . . w40, w11, w21, . . . w41, w12, w22, . . . w42, a weighted connections matrix U consisting of 5 weighted connections u10, u11, . . . u14, a slope vector A consisting of 4 slope factors α1, α2, . . . α4, and a slope vector B consisting of 1 slope factor β1. Therefore, thenetwork evolver 702 in this example, would define a 22-dimensional hyperspace in which each position in the 22-dimensional hyperspace represents a possible solution for the 12 weighted connections of the weighted connections matrix W, the 5 weighted connections of the weighted connection matrix U, the 4 slope factors of the slope vector A, and the 1 slope factor of the slope vector B. - In an exemplary embodiment, the
network evolver 702 instep 808 randomly assigns each particle Px of the particle swarm S an initial position POSx and velocity vector Vx. More specifically, thenetwork evolver 702 randomly assigns the initial positions POS1, POS2, . . . POSP# of the particles P1, P2, . . . PP# such that the weight connections Whi and uij represented by the positions POS1, POS2, . . . POSP# are between the initial lower limit LOWER0 and initial upper limit UPPER0. Moreover, thenetwork evolver 702 assigns the initial positions POS1, POS2, . . . POSP# of the particles P1, P2, . . . PP# such that the slope factors αi and βj are initially equal to 1. Furthermore, the network evolver randomly assigns the D-dimensional velocity vectors V1, V2, . . . VP# of the particles P1, P2, . . . PP# such that each dimensional velocity component vx1, Vx2, VxD of a velocity vector Vx is between the initial lower limit LOWER0 and the initial upper limit UPPER0. - After initializing the positions POS 1, POS2, . . . POSP# of the particles P1, P2, . . . PP#, the
network evolver 702 instep 810 determines a personal best value PBESTx, a personal best position PBESTXx, a local best value LBESTx, and a local best position LBESTXx for each particle of the particles P1, P2, . . . PP#. More specifically, each personal best value PBESTx represents the corresponding best definition obtained by the particle Px for theneural network 100, and each personal best position PBESTXx represents the position in hyperspace where the particle Px obtained its corresponding particle best value PBESTx. Similarly, each local best value LBESTx represents the corresponding best definition obtained by a particle group PGx that includes particles Px−L, . . . Px−1, Px, Px+1, . . . Px+L, and each local best position LBESTXx represents the position in hyperspace where the particle group PGx obtained its corresponding local best value LBESTx. - In an exemplary embodiment, the particle groups PG 1, PG2, . . . PGP# are defined in a circular array fashion based upon a local neighbor parameter L. More specifically, if the local neighbor parameter L is equal to 2 and the number of particles is equal to 20, then the first particle group PG1 would include particles P19, P20, P1, P2, and P3 and the second particle group PG2 would include the particles P20, P1, P2, P3, and P4. It should be appreciated by those skilled in the art that if the local neighbor parameter L is equal to or greater than one-half the number of particles P#, then a single local best value LBEST and corresponding local best position LBESTX may be used since all of the particle groups PG1, PG2, . . . PGP# would include every particle P1, P2, . . . PP# of the particle swarm S. This special case is referred to as a global version of the particle swarm optimizer implemented by the
network evolver 702. Moreover, the single local best value LBEST and corresponding local best position LBESTX in this special case are referred to as the global best value GBEST and the global best position GBESTX, respectively. - It has been found that the larger the local neighbor parameter L becomes the quicker (i.e. less iterations) on average the particle swarm optimizer of the
network evolver 702 converges to an optimum. However, as the local neighbor parameter L becomes larger, the particle swarm optimizer of thenetwork evolver 702 is more likely to converge on a local optimum instead of a global optimum. In other words, as the local neighbor parameter L becomes larger, the more likely the particle swarm optimizer of thenetwork evolver 702 will fail to obtain a definition for theneural network 100 that achieves a desired level of performance. Accordingly, in an exemplary embodiment, thenetwork evolver 702 utilizes a local neighbor parameter L of 2 which has been found to cause the particle swarm optimizer to converge on a global optimum as opposed to a local optimum at highly successful rate. - In order to determine a particle best value PBEST x and a particle best position PBESTXx for each particle Px of the particle swarm S, the
network evolver 702 computes a fitness value FVx for each definition of theneural network 100 as defined by the particle positions POS1, POS2, . . . POSP#. More specifically, thenetwork evolver 702 in an exemplary embodiment calculates a fitness value FVx for each particle Px based upon a fitness function FIT( ) of (i) the output patterns Z1, Z2, . . . ZPAT# generated in response to propagating the input patterns A1, A2, . . . APAT# of the training pattern set TRAINSET through theneural network 100 as defined by the selected particle Px, and (ii) the corresponding expected output patterns B1, B2, . . . BPAT# of the training pattern set TRAINSET. In an exemplary embodiment of the present invention, thenetwork evolver 702 calculates the fitness value FVx of a particle Px based upon the following fitness function FIT( ) which computes the average sum-squared error between the output patterns Z1, Z2, . . . ZPAT# and the expected output patterns B1, B2, . . . BPAT#: - where q represents the number of output processing elements of the neural network output layer F z, Zkj represents the output signal of the output processing element PEzj in response to the input pattern Ak being applied to the neural network input layer Fx, bkj represents the corresponding expected output signal of the output processing element PEzj, and PAT# represents the number of patterns of the training pattern set TRAINSET.
- To this end of generating fitness values FV 1, FV2, . . . FVP# for the particles P1, P2, . . . PP#, the
network evolver 702 instep 812 initializes a particle index N to a value of 1 in order to cause the particle index N to identify the first particle P1 of the particle swarm S. The network evolver 702 then instep 814 selects the particle PN identified by the particle index N. - After selecting the particle P N identified by the particle index N, the
network evolver 702 instep 816 calculates a fitness value FVN for the particle definition of theneural network 100 via the above fitness function FIT( ). In particular, thenetwork evolver 702 in an exemplary embodiment generates output patterns Z1, Z2, . . . ZPAT# in response to applying the input patterns A1, A2, . . . APAT# of the training pattern set TRAINSET to a definition of theneural network 100 as defined by the position POSN of the selected particle PN. More specifically, thenetwork evolver 702 generates the output patterns Z1, Z2, . . . ZPAT# based upon a definition of theneural network 100 in which theneural network 100 has a weighted connections matrix W, a weighted connections matrix U, a slope vector A, and a slope vector B as defined by the position POSN of the selected particle PN. Moreover, thenetwork evolver 702, in the exemplary embodiment, generates a fitness value FVN for the selected particle PN based upon above equation (8) which causes thenetwork evolver 702 to calculate the average sum-squared error between the generated output patterns Z1, Z2, . . . ZPAT# and the expected output patterns B1, B2, . . . BPAT# of the training pattern set TRAINSET. - After obtaining the fitness value FV N for the selected particle PN, the
network evolver 702 instep 818 determines whether the personal best value PBESTN and personal best position PBESTXN for the selected particle PN need to be updated. To this end, thenetwork evolver 702 determines whether the obtained fitness value FVN for the selected particle PN is better than the current personal best value PBESTN for the selected particle PN. If the obtained fitness value FVN for the selected particle PN is better than the current personal best value PBESTN for the selected particle PN, then thenetwork evolver 702 proceeds to step 820 in order to update the personal best value PBESTN and personal best position PBESTXN for the selected particle PN. Otherwise, if the obtained fitness value FVN for the selected particle PN is not better than the current personal best value PBESTN for the selected particle PN, then thenetwork evolver 702 proceeds to step 822 in order to determine whether a fitness value FVx has been obtained for each particle Px. - In an exemplary embodiment, the
network evolver 702 attempts to minimize the fitness value FVx (i.e. average sum-squared error) for theneural network 100. Accordingly, in the exemplary embodiment, thenetwork evolver 702 determines that an obtained fitness value FVN is better than a personal best value PBESTN if the fitness value FVN is less than the personal best value PBESTN. However, it should be appreciated that the fitness function FIT( ) may be defined in such a way that thenetwork evolver 702 needs to maximize the fitness values FVx in order to properly train theneural network 100. Accordingly, in such a maximization environment, thenetwork evolver 702 would determine that the a fitness value FVN is better than a personal best value PBESTN if the fitness value FVN is greater than the personal best value PBESTN. Moreover, it should be appreciated that the fitness function of equation (8) is merely exemplary and that other fitness functions may be used. - After determining that the fitness value FV N is better than the personal best value PBESTN for the selected particle PN, the
network evolver 702 instep 820 updates the personal best value PBESTN and the personal best position PBESTXN for the selected particle PN. More specifically, thenetwork evolver 702 sets the personal best value PBESTN equal to the calculated fitness value FVN for the selected particle PN. Moreover, thenetwork evolver 702 sets the personal best position PBESTN equal to the position POSN of the selected particle PN. - It should be noted that in an exemplary embodiment, the personal best values PBEST x are initially set to zero so that
network evolver 702 during the first iteration through the network evolution method 800 (i.e. iteration counter ITER equal to 1) will update the personal best values PBESTN with the calculated fitness value FVN for the selected particle PN. - In
step 822, thenetwork evolver 702 determines whether a fitness value FVx has been obtained for each particle P1, P2, . . . PP# of the particle swarm S. If thenetwork evolver 702 determines that a fitness value FVx has been obtained for each particle P1, P2, . . . PP# of the particle swarm S, then thenetwork evolver 702 proceeds to step 826 of thenetwork evolution method 800. However, if thenetwork evolver 702 determines that a fitness value FVx has not been obtained for each particle P1, P2, . . . PP# of the particle swarm S, then thenetwork evolver 702 proceeds to step 824 of thenetwork evolution method 800. In an exemplary embodiment of the present invention, thenetwork evolver 702 determines that a fitness value FVx has been obtained for each particle P1, P2, . . . PP# of the particle swarm S if the particle index N is greater than the number of particles P# included in the particle swarm S. - After determining that a fitness value FV x has not been obtained for each particle P1, P2, . . . PP#, the
network evolver 702 instep 824 updates the particle index N and returns to step 814 in order to select the particle PN identified by the updated particle index N and obtain a fitness value FVN for the newly selected particle PN. In an exemplary embodiment, thenetwork evolver 702 updates the particle index N by incrementing the particle index N by a value of 1. - After determining that a fitness value FV x has been obtained for each particle P1, P2, . . . PP#, the
network evolver 702 updates the local best value LBESTx and local best position LBESTXx for each particle P1, P2, . . . PP#. To this end, thenetwork evolver 702 instep 826 initializes a group index M to a value of 1 in order to obtain a group index M that identifies a first particle group PG1. Then, thenetwork evolver 702 instep 828 determines whether any particle PM−L, . . . PM−1, PM, PM+1, . . . PM+L of the identified group PGM has a personal best value PBESTx that is better than the current local best value LBESTM for the identified particle group PGM. If any of the personal best values PBESTM−L, . . . PBESTM−1, PBESTM, PBESTM+1, . . . PBESTM+L of the identified group PGM is better than the current local best value LBESTM for the identified particle group PGM, then the network evolver proceeds to step 830 in order to update the local best value LBESTM for the identified particle group PGM. Otherwise, if none of the personal best values PBESTM−L, . . . PBESTM−1, PBESTM, PBESTM+1, . . . PBESTM+L of the identified group PGM are better than the current local best value LBESTM for the identified particle group PGM, then the computer system proceeds to step 832 in order to determine whether all particle groups PG1, PG2, . . . PGP# have been processed. - After determining that at least one personal best value PBEST M−L, . . . PBESTM−1, PBESTM, PBESTM+1, . . . PBESTM+L of the identified group PGM is better than the current local best value LBESTM, the
network evolver 702 instep 830 updates the local best value LBESTM and the local best position LBESTXM for the identified particle group PGM. More specifically, thenetwork evolver 702 sets the local best value LBESTM equal to the best, personal best value PBESTB of the identified group PGM. Moreover, thenetwork evolver 702 sets the local best position LBESTXM equal to the personal best position PBESTXB associated with the best, personal best value PBESTB of the identified group PGM. - It should be noted that in an exemplary embodiment, the local best values LBEST x are initially set to zero so that the
network evolver 702 during the first iteration through the network evolution method 800 (i.e. iteration counter ITER equal to 1) will update the local best values LBESTx with one of the personal best values PBESTM−L, . . . PBESTM−1, PBESTM, PBESTM+1, . . . PBESTM+L of its respective particle group PGx. In another exemplary embodiment, thenetwork evolver 702 during the first iteration through thenetwork evolution method 800 sets each LBESTx of a particle Px equal to its respective personal best value PBESTx instep 820. Under either exemplary embodiment, each local best value LBESTx should be equal to the best, personal best value PBESTX−L, . . . PBESTX−1, PBESTX, PBESTX+1, . . . PBESTX+L of its respective particle group PGx after the first iteration through thenetwork evolution method 800. - In
step 832, thenetwork evolver 702 determines whether all of the particle groups PG1, PG2, . . . PGP# have been processed. If all of the particle groups PG1, PG2, . . . PGP# have been processed, then thenetwork evolver 702 proceeds to step 836 in order to determine whether termination criteria have been satisfied. However, if all of the particle groups PG1, PG2, . . . PGP# have not been processed, then thenetwork evolver 702 proceeds to step 834. In an exemplary embodiment, thenetwork evolver 702 determines that all of the particle groups PG1, PG2, . . . PGP# have been processed if the particle group index M is greater than the number of particles P# of the swarm S. - In
step 834, thenetwork evolver 702 updates the particle group index M and returns to step 828 in order to process the next particle group PGM. In an exemplary embodiment, thenetwork evolver 702 updates the particle group index M by incrementing the particle group index M by a value of 1. - After processing all of the particle groups PG 1, PG2, . . . PGP#, the
network evolver 702 instep 836 determines whether defined termination criteria have been satisfied. If thenetwork evolver 702 determines that the defined termination criteria have been satisfied, then thenetwork evolver 702 proceeds to step 844 in order define the weighted connections matrix W, the weighted connections matrix U, the slope vector A, and the slope vector B. However, if thenetwork evolver 702 determines that the defined termination criteria have not been satisfied, then thenetwork evolver 702 proceeds to step 838 in order to update the velocity vectors V1, V2, . . . VP# associated with the particles P1, P2, . . . PP#. - In an exemplary embodiment of the present invention, the termination criteria are defined by a maximum number of iterations ITER MAX and an error cutoff ECUT. More specifically, the
network evolver 702 in an exemplary embodiment determines to terminate thenetwork evolution method 800 in response to (i) the iteration counter ITER having a predetermined relationship to the maximum number of iterations ITERMAX, or (ii) the best of the local best values LBEST1, LBEST2, . . . LBESTP# having a predetermined relationship to the desired error cutoff ECUT. For example, in an exemplary embodiment which attempts to minimize the fitness values FVx, thenetwork evolver 702 may be implemented to terminate thenetwork evolution method 800 if either (i) the iteration counter ITER is equal to the maximum number of iterations ITERMAX, or (ii) the best of the local best values LBEST1, LBEST2, . . . LBESTP# is less than the desired error cutoff ECUT. - In
step 838, thenetwork evolver 702 updates the velocity vector Vx for each particle Px of the swarm S. More specifically, thenetwork evolver 702 updates the velocity vector Vx of a particle Px based upon (i) an inertia weight wi, (ii) the personal best position PBESTXx of the particle Px, and (iii) the local best position LBESTXx for the particle group PGx to which the particle Px belongs. In an exemplary embodiment, thenetwork evolver 702 updates each velocity component Vx1, Vx2, . . . VxD of the velocity vector Vx for a particle Px based upon the following velocity equation (9): - v xd ′=wi* v xd +c 1*rand( )*(pbestxxd−posxd)+c 2*Rand( )*(lbestxxd−posxd) (9)
- In the above velocity equation (9),
V xd 40 represents an updated velocity component of the velocity vector Vx in the dth dimension, vxd represents the current velocity component of the velocity vector Vx in the dth dimension, wi represents the inertia weight parameter, and c1 and c2 represent acceleration constants. Moreover, rand( ) and Rand( ) represent random functions that each generate a random number in the range between 0 and 1. Furthermore, posxd represents the position of the particle Px in the dth dimension, pbestxxd represents the position of the personal best value PBESTx in the dth dimension, and lbestxxd represents the position of the local best value LBESTx in the dth dimension. - The inertia weight parameter wi and the acceleration constants c 1 and c2 may be used to control the tension in the system. Lower values (less than 1) for c1 and c2 tend to increase the time it takes for particles Px to arrive in the vicinity of their respective personal best values PBESTx and local best values LBESTx, whereas higher values (greater than 1) for the acceleration constants c1 and c2 tend to allow particles Px to explore larger regions around their respective personal best values PBESTx and local best values LBESTx. Similarly, high values for the inertia weight parameter wi tend to allow particles Px to roam farther from their respective personal best values PBESTx and local best values LBESTx, whereas low values for the inertia weight parameter wi tend to restrict particles Px to regions nearer their respective personal best values PBESTx and local best values LBESTx.
- In an exemplary embodiment of the present invention, the
network evolver 702 sets the acceleration constants equal to a value of 2. Moreover, thenetwork evolver 702 decreases the inertia weight wi linearly over the defined maximum iterations ITERMAX from the initial inertia weight wi0 to a final inertia weight such as 0.4. The advantage of adjusting the inertia weight wi from a high value of 0.9 to a low value of 0.4 is that the particles P1, P2, . . . PP# initially perform a more global exploration and move gradually toward a more local exploration. - Moreover, in an exemplary embodiment, the
network evolver 702 clips the updated velocity components vx1′, vx2′, . . . vxD′ such that no updated velocity component vxd′ is greater than the maximum velocity parameter VMAX. For example, if thenetwork evolver 702 obtains an updated velocity component vxd′ equal to 11.3 and the maximum velocity parameter VMAX is set to 10.0, then thenetwork evolver 702 would set the updated velocity component vxd′ equal to 10.0 instead of 11.3. - After updating the velocity vector V x for each particle Px of the particle swarm S, the
network evolver 702 instep 840 updates each position POSx of each particle Px. In particular, thenetwork evolver 702 updates each position component posx1, posx2, . . . posxD of each position POSx based upon the updated velocity vector Vx for corresponding particle Px. To this end, thenetwork evolver 702 in an exemplary embodiment updates each position component posx1, posx2, . . . poxxD of a particle position POSX based upon the following position equation (10). - posxd′=posxd +v xd′ (10)
- where pos xd represents the current position component of the particle position POSx in the dth dimension, posxd′ represents the updated position component of the particle position POSx in the dth dimension, and vxd′ represents the updated velocity component for the particle Px in the dth dimension. Moreover, in an exemplary embodiment, the
network evolver 702 clips the updated position components posx1′, posx2′, . . . posxD′ such that no updated position component posxd′ is greater than the maximum position parameter POSMAX. For example, if thenetwork evolver 702 obtains an updated position component posxd′ equal to −11.3 and the maximum position parameter POSMAX is set to 10.0, then thenetwork evolver 702 would set the updated position component posxd′ equal to −10.0 instead of −11.3. However, it should be appreciated that thenetwork evolver 702 may also be implemented such that the updated positions components posx1′, posx2′, . . . posxD′ are not limited to a specified range. - In
step 842, thenetwork evolver 702 updates the iteration counter ITER and returns to step 810 in order to process the updated particles P1, P2, . . . PP# of the particle swarm S. In particular, thenetwork evolver 702 in an exemplary embodiment increments the iteration counter ITER by a value of 1 before returning to step 810. - After the termination criteria are satisfied, the
network evolver 702 instep 844 obtains a neural network definition for theneural network 100 from the particle swarm S. More specifically, thenetwork evolver 702 obtains the position in the D-dimensional hyperspace that achieved that best fitness value and uses this position to define the weighted connections matrix W, the weighted connections matrix U, the slope matrix A, and the slope matrix B of theneural network 100. To this end, thenetwork evolver 702 in an exemplary embodiment (i) obtains the best, personal best position PBESTXB associated with the best of the personal best values PBEST1, PBEST2, . . . PBESTP#, (ii) sets each weighted connection whi of the weighted connections matrix W, each weighted connection uij of the weighted connections matrix U, each slope factor α of the slope factor A, and each slope factor β of the slope vector B equal to a respective position component pbestxB1, pbestxB2, . . . pbestBD of the best, personal best position PBESTXB. - Similarly, in another exemplary embodiment, the network evolver 702 (i) obtains the best, local best position LBESTXB associated with the best of the local best values LBEST1, LBEST2, . . . LBESTP#, (ii) sets each weighted connection whi of the weighted connections matrix W, each weighted connection uij of the weighted connection matrix U, each slope factor α of the slope factor A, and each slope factor β of the slope vector B equal to a respective position component lbestxB1, lbestxB2, . . . lbestBD of the best, local best position PBESTXB. It should be appreciated that either of the two exemplary embodiments should achieve the same results for the weighted connections matrix W, the weighted connections matrix U, the slope vectorA, and the slope vector B.
- Exemplary Network Simplification Method
- Referring now to FIG. 9, there is illustrated a flowchart of an
network simplification method 900. In general, thenetwork simplification method 900 when executed by thenetwork simplifier 704 causes thenetwork simplifier 704 to simplify a definition for theneural network 100 of thecomputation intelligence 50 in order to obtain a less complex definition of theneural network 100. More specifically, thenetwork simplifier 704 in implementing thenetwork simplification method 900 generally (i) removes unnecessary processing elements from theneural network 100, and/or (ii) replaces complex activation functions of certain processing elements with less computationally complex activation functions. - To this end, the
network simplifier 704 instep 902 determines based upon the slope vector A and the slope vector B whether any of the activation functions of the hidden processing elements PEy1, PEy2, . . . PEyq or the output processing elements PEz1, PEz2, . . . PEzp may be simplified. In an exemplary embodiment, each hidden processing element PEyi is initially implemented with the sigmoid threshold function of equation (3) and each output processing element PEzj is initially implemented with the sigmoid threshold function of equation (6). As can be seen from equations (3) and (6), if the slope factors α and β are positive and have a sufficiently large magnitude, the sigmoid activation function essentially becomes the following step threshold function (11): -
- As a result of the above properties of the sigmoid threshold function, the
network simplifier 704 in an exemplary embodiment determines that activation functions of theneural network 100 may be simplified if any of the slope factors α and β of the slope vectors A and B has a magnitude greater than a slope upper limit SLOPEULIM. It has been found that a slope upper limit SLOPEULIM as small as 10 often results in a simplifiedneural network 100 with minimal effect on the accuracy of the output patterns Zk generated by theneural network 100. - In
step 904, thenetwork simplifier 704 redefines the activation functions for those processing elements PE which may be implemented with a simpler activation function. In particular, for each hidden processing element PEyi with a positive slope factor αi having a magnitude greater than the slope upper limit SLOPEULIM, thenetwork simplifier 704 in an exemplary embodiment replaces the sigmoid threshold function of the hidden processing element PEyi with the step threshold function of equation (11). Moreover, for each hidden processing element PEyi with a negative slope factor αi having a magnitude greater than the slope upper limit SLOPEULIM, thenetwork simplifier 704 replaces the sigmoid threshold function of the hidden processing element PEyi with the step threshold function of equation (12). Similarly, for each output processing element PEzj with a positive slope factor βj having a magnitude greater than the slope upper limit SLOPEULIM, thenetwork simplifier 704 in an exemplary embodiment replaces the sigmoid threshold function of the output processing element PEzj with the step threshold function of equation (11). Moreover, for each output processing element PEzj with a negative slope factor βj having a magnitude greater than the slope upper limit SLOPEULIM, thenetwork simplifier 704 replaces the sigmoid threshold function of the output processing element PEzj with the step threshold function of equation (12). - The
network simplifier 704 then instep 906 determines whether any of the hidden processing elements PEy1, PEy2, . . . PEyq may be removed from theneural network 100. If thenetwork simplifier 704 determines that at least one of the hidden processing elements PEy1, PEy2, . . . PEyq may be removed from theneural network 100, then thenetwork simplifier 704 proceeds to step 908. However, if thenetwork simplifier 704 determines that none of the hidden processing elements PEy1, PEy2, . . . PEyq may be removed from theneural network 100, then the network simplifier proceeds to step 910. - As stated above, each hidden processing elements PEy i, of the
neural network 100 in an exemplary embodiment is initially implemented with the sigmoid threshold function of equation (3). As can be seen from the sigmoid threshold function of equation (3), the output of the sigmoid threshold function is roughly equal to a constant value of 0.5 when the magnitude of the slope factor α is less than a slope lower limit SLOPELLIM. Accordingly, thenetwork simplifier 704 in an exemplary embodiment determines that a hidden processing element PEyi may be removed from theneural network 100 if the slope factor αi associated with the hidden processing element PEyi is less than the slope lower limit SLOPELLIM. Appropriate values for the slope lower limit SLOPELLIM are dependent upon the application; however, thenetwork simplifier 704 in an exemplary embodiment uses a lower slope limit SLOPELLIM of 0.1 which may be sufficient for many different types of applications. - In
step 908, thenetwork simplifier 704 removes those hidden processing elements PEyi identified instep 906 as being appropriate for removal. To this end, for each hidden processing element PEyi with a slope factor αi having a magnitude less than the slope lower limit SLOPELLIM, the network simplifier 704 (i) removes the identified hidden processing element PEyi, (ii) removes the weighted connections vector Wi from the weighted connections matrix W associated with the removed hidden processing element PEyi, (iii) updates the biasing weight connections u10, u20, . . . up0 in order to replicate the function of the removed hidden processing element PEyi, and (iv) removes the weighted components u1i, u2i, . . . upi from the weighted connections matrix U associated with the removed hidden processing element PEyi. - More specifically, since the removed hidden processing element PEy i essentially generated a constant output signal yi of 0.5, the removed hidden processing PEyi essentially affected each of the output processing elements PEz1, PEz2, . . . PEzp by an amount of 0.5 times the respective weighted connections u1i, U2i, . . . upi. Accordingly, the
network simplifier 704 in an exemplary embodiment replicates the effect of the removed hidden processing element PEyi by increasing the biasing weighted connections u10, u20, . . . up0 from the biasing processing element PEy0 by 0.5 times the removed weight connections u1i, u2i, . . . upi. The following equation (13) represents this update of the biasing weight connections u10, u20, . . . up0: - u k0 ′=u k0+0.5*u ki (13)
- where u k0′ represents the updated kth weighted connection from the biasing processing element PEy0, uk0 represents the current kth weighted connection from the biasing processing element PEy0, and uki represents the kth weighted connection associated with the removed hidden processing element PEyi. For example, FIG. 10 illustrates a simplified
neural network 100′ in which the hidden processing element PEy1 has been removed from theneural network 100 of FIG. 5, and the biasing weighted connections u10, u20, . . . up0 have been updated to replicate the effect of the removed hidden processing element PEy1. - In
step 910, thenetwork simplifier 704 transfers the simplified definition of theneural network 100 to thenetwork verifier 706. In particular, thenetwork simplifier 704 transfers the obtained weighted connections matrix W, the weighted connections matrix U, the slope vector A, and the slope vector B to thenetwork verifier 706. Thenetwork verifier 706 may then test the obtained simplified definition for theneural network 100 by applying test input patterns Ak of the test pattern set TESTSET, and calculating a fitness value for the simplified definition based upon generated output patterns Zk and expected output patterns Bk of the test pattern set TESTSET. - It should be appreciated by those skilled in the art that the above
exemplary training mechanism 60 may be used to train neural networks having processing elements that utilize different activation functions. For example, the aboveexemplary training mechanism 60 may be used to evolve and simplify neural networks that utilize the threshold functions of below TABLE 1. More specifically, thenetwork simplifier 706 may replace a processing element threshold function with the simpler threshold function if the slope factor α of the processing element meets the criteria of TABLE 1. Moreover, thenetwork simplifier 706 may remove hidden layer processing elements of theneural network 100 if the simplified threshold function generates a constant output.TABLE 1 Function Name Function Simplification Hyperbolic tangent Hyperbolic secant Gaussian Function, or Radial Basis Function Augmented Ratio of Squares - Exemplary Implementations of Neural Networks and Network Evolution Systems
- It should be appreciated by those skilled in the art that the
movement monitoring device 20, thepreprocessor 30,multiplexor 40,computational intelligence system 50, and thetraining mechanism 60 may be implemented with various hardware components such a digital signal processors, digital logic components, and analog components. Moreover, it should be appreciated that thepreprocessor 30,multiplexor 40,computational intelligence system 50, and/or thetraining mechanism 60 may be implemented with properly programmed general purpose computer systems, multiprocessor computer systems, and distributed clusters of computer systems. - For example, FIG. 11 illustrates a
general processing system 1100 which is suitable for implementing thepreprocessor 30,multiplexor 40,computational intelligence system 50, and/or thetraining mechanism 60 of theanalysis system 10. To this end, thegeneral processing system 1100 includes aprocessor 1102,memory 1104,mass storage device 1106,video display 1108, andinput device 1110. Moreover, thegeneral processing system 1100 includes amass storage controller 1112 for controlling themass storage device 1106, avideo controller 1114 for controlling thevideo display 1108, an I/O controller 1116 for controlling theinput device 1110, and asystem bus 1118. Thesystem bus 1118 operably couples theprocessor 1102 to thememory 1104, themass storage controller 1112, thevideo controller 1114, and the I/O controller 1116. - The
memory 1104 includes random access memory (RAM) such as SRAM (static RAM), DRAM (dynamic RAM), and SDRAM (synchronous DRAM) which store software routines obtained from computer readable media such as a floppy disk, CD-ROM disc, DVD disc, and hard disks. Thememory 1104 may also include nonvolatile computer readable media such as PROM (programmable read only memory), EPROM (erasable PROM), EEPROM (electrically erasable PROM), and flash memory that store firmware routines. - The
processor 1102 is operable to execute the software and/or firmware routines stored in thememory 1104, and communicate with themass storage device 1106, thevideo display 1108, and theinput device 1110 via themass storage controller 1112, thevideo controller 1114, and the I/O controller 1116 respectively. Most importantly, theprocessor 1102 is operable to execute software and/or firmware routines of thememory 1104 which cause thecomputer 1100 to implement theanalysis system 10 of FIG. 1. Thus, for example, theprocessor 1102 may be operable to perform the functions of thepreprocessor 30, the multiplex or 40, thecomputational intelligence system 50, thetraining mechanism 60 or any combination thereof. - It should be appreciated by those skilled in the art that, since the slope factors α and β may become arbitrarily large and the input signal a 1k, a2k, and ank may be arbitrarily large, precautions must be taken with a computer system implementation of the
computational intelligence system 50 and theexemplary training mechanism 60 to ensure against overflow and underflow errors. For example, in an exemplary computer system embodiment of the present invention, thecomputer system 1100 in calculating the sigmoid activation function of equations (3) and (6) first test to see if the product of the slope factor α or β and the resulting combinatory value c is greater than a threshold number such as 90. If the product is greater than 90, then thecomputer system 1100 generates a value of 0 for the result of the sigmoid activation function instead of performing the rest of the sigmoid activation calculation. This threshold test insures that thecomputer system 1100 will not encounter an overflow or underflow error due to computational limits inherent to digital computations. - While the invention has been illustrated and described in detail in the drawings and foregoing description, such illustration and description is to be considered as exemplary and not restrictive in character, it being understood that only the exemplary embodiments have been shown and described and that all changes and modifications that come within the spirit of the invention are desired to be protected.
Claims (20)
1. A method of diagnosing patients suspected of having a neurological disorder, comprising the steps of:
a) monitoring movement of a patient in order to obtain movement data that is representative of said movement of said patient;
b) processing said movement data in order to obtain an input pattern that is representative of said movement data;
c) processing said input pattern with a computational intelligence system that has been trained to classify movement based upon a predetermined group of neurological disorder classifications; and
d) generating with said computational intelligence system an output that is indicative of an appropriate neurological disorder classification for said patient.
2. The method of claim 1 , wherein step a) comprises the steps of:
generating an analog movement signal having an amplitude that varies with respect to time and that is representative of said movement of said patient over said collection period; and
sampling said analog movement signal at a predetermined sampling rate in order to obtain a plurality of digital samples that are representative of said movement of said patient over said collection period.
3. The method of claim 1 , wherein step b) comprises the steps of:
extracting characteristics of said movement from said movement data, and
generating said input pattern based upon said characteristics extracted from said movement data.
4. The method of claim 1 , wherein step b) comprises the steps of:
extracting first characteristics of said movement from first data of said movement data associated with a first time interval;
extracting second characteristics of said movement from second data of said movement data associated with a second time interval; and
generating said input pattern based upon said first characteristics and said second characteristics of said movement.
5. The method of claim 1 , wherein step a) comprises the step of:
collecting said movement data such that said movement data comprises a plurality of postural data sets that are each representative of a different postural tremor type.
6. The method of claim 5 , wherein step b) comprises the steps of:
extracting first characteristics of said movement from a first postural data set of said plurality of postural data sets;
extracting second characteristics of said movement from a second postural data set of said plurality of postural data sets; and
generating said input pattern based upon said first characteristics and said second characteristics.
7. The method of claim 1 , wherein step b) comprises the steps of:
extracting frequency characteristics of said movement from said movement data, and
generating said input pattern based upon said frequency characteristics of said movement data.
8. The method of claim 1 , wherein step b) comprises the steps of:
extracting power spectral density characteristics of said movement from said movement data, and
generating said input pattern based upon said power spectral density characteristics of said movement data.
9. The method of claim 1 , wherein step b) comprises the steps of:
extracting statistical characteristics of said movement from said movement data, and
generating said input pattern based upon said statistical characteristics of said movement.
10. The method of claim 1 , wherein step b) comprises the steps of:
extracting first frequency characteristics of said movement from first data of said movement data associated with a first time interval,
extracting first statistical characteristics of said movement from said first data of said movement data associated with said first time interval,
extracting second frequency characteristics of said movement from second data of said movement data associated with a second time interval,
extracting second statistical characteristics of said movement from said second data of said movement data associated with said second time interval, and
generating said input pattern based upon said first frequency characteristics, said first statistical characteristics, said second frequency characteristics, and said second statistical characteristics of said movement.
11. The method of claim 1 , wherein step c) comprises the step of processing said input pattern with a neural network of said computational intelligence system that is trained to classify movement.
12. The method of claim 1 , wherein step c) comprises the step of:
classifying said movement of said patient with said computational intelligence system based upon said predefined group of neurological disorder classifications which comprises a normal tremor classification and a non-normal tremor classification.
13. The method of claim 1 , wherein step c) comprises the step of:
classifying said movement of said patient with said computational intelligence system based upon said predefined group of neural classification which comprises a normal classification and a Parkinson's disease classification.
14. The method of claim 1 , wherein step c) comprises the step of:
classifying said movement of said patient with said computational intelligence system based upon said predefined group of neurological disorder classifications comprising a normal classification, a Parkinson's disease classification, and an essential tremor classification.
15. An analysis system for diagnosing patients suspected of having a neurological disorder, comprising:
a movement monitoring device operable to monitor movement of a patient over a collection period in order to obtain movement data that is representative of said movement of said patient over said collection period;
a preprocessor operable to generate an input pattern that is representative of said movement data collected by said movement monitoring device over said collection period; and
a computation intelligence system comprising a neural network that has been trained to classify movement based upon a predetermined group of neurological disorder classifications, said neural network operable to (i) process said input pattern generated by said preprocessor, and (ii) generate an output that is indicative of an appropriate neurological disorder classification for said patient.
16. The analysis system of claim 15 , wherein said movement monitoring device comprises an actigraph operable to:
generate an analog movement signal having an amplitude with respect to time that is indicative of said movement of said patient with respect to time, and
sample said analog movement signal at a predetermined sampling rate in order to obtain a plurality of digital samples that are representative of said movement of said patient.
17. The analysis system of claim 15 , wherein said preprocessor is further operable to:
extract characteristics of said movement from said movement data, and
generate said input pattern based upon said characteristics extracted from said movement data.
18. The analysis system of claim 15 , wherein said preprocessor is further operable to:
extract first characteristics of said movement from first data of said movement data associated with a first time interval;
extract second characteristics of said movement from second data of said movement data associated with a second time interval;
generate said input pattern based upon said first characteristics and said second characteristics of said movement.
19. The analysis system of claim 15 , wherein said movement monitoring device is further operable to collect said movement data such that said movement data comprises a plurality of postural data sets that are each representative of a different postural tremor type.
20. The analysis system of claim 15 , wherein said preprocessor is further operable to:
extract first characteristics of said movement from a first postural data set of said plurality of postural data sets;
extract second characteristics of said movement from a second postural data set of said plurality of postural data sets;
generate said input pattern based upon said first characteristics and said second characteristics of said movement.
Priority Applications (1)
| Application Number | Priority Date | Filing Date | Title |
|---|---|---|---|
| US10/436,843 US20030191406A1 (en) | 2000-09-05 | 2003-05-13 | Method and apparatus utilizing computational intelligence to diagnose neurological disorders |
Applications Claiming Priority (2)
| Application Number | Priority Date | Filing Date | Title |
|---|---|---|---|
| US09/655,635 US6561992B1 (en) | 2000-09-05 | 2000-09-05 | Method and apparatus utilizing computational intelligence to diagnose neurological disorders |
| US10/436,843 US20030191406A1 (en) | 2000-09-05 | 2003-05-13 | Method and apparatus utilizing computational intelligence to diagnose neurological disorders |
Related Parent Applications (1)
| Application Number | Title | Priority Date | Filing Date |
|---|---|---|---|
| US09/655,635 Continuation US6561992B1 (en) | 2000-09-05 | 2000-09-05 | Method and apparatus utilizing computational intelligence to diagnose neurological disorders |
Publications (1)
| Publication Number | Publication Date |
|---|---|
| US20030191406A1 true US20030191406A1 (en) | 2003-10-09 |
Family
ID=24629721
Family Applications (2)
| Application Number | Title | Priority Date | Filing Date |
|---|---|---|---|
| US09/655,635 Expired - Fee Related US6561992B1 (en) | 2000-09-05 | 2000-09-05 | Method and apparatus utilizing computational intelligence to diagnose neurological disorders |
| US10/436,843 Abandoned US20030191406A1 (en) | 2000-09-05 | 2003-05-13 | Method and apparatus utilizing computational intelligence to diagnose neurological disorders |
Family Applications Before (1)
| Application Number | Title | Priority Date | Filing Date |
|---|---|---|---|
| US09/655,635 Expired - Fee Related US6561992B1 (en) | 2000-09-05 | 2000-09-05 | Method and apparatus utilizing computational intelligence to diagnose neurological disorders |
Country Status (1)
| Country | Link |
|---|---|
| US (2) | US6561992B1 (en) |
Cited By (5)
| Publication number | Priority date | Publication date | Assignee | Title |
|---|---|---|---|---|
| US20050234839A1 (en) * | 2004-04-14 | 2005-10-20 | The Boeing Company | Neural network for aeroelastic analysis |
| US20110125685A1 (en) * | 2009-11-24 | 2011-05-26 | Rizvi Syed Z | Method for identifying Hammerstein models |
| US7978085B1 (en) | 2008-02-29 | 2011-07-12 | University Of South Florida | Human and physical asset movement pattern analyzer |
| IT201700035240A1 (en) * | 2017-03-30 | 2018-09-30 | Luigi Battista | A DEVICE AND ITS METHOD TO EVALUATE EXTRA-PYRAMID SYMPTOMS, IN PARTICULAR THE MOTOR SYMPTOMS OF PARKINSON'S DISEASE |
| WO2023186415A1 (en) * | 2022-03-29 | 2023-10-05 | Orion Corporation | A method for determining a physical state of a subject, a data processing apparatus and a system |
Families Citing this family (30)
| Publication number | Priority date | Publication date | Assignee | Title |
|---|---|---|---|---|
| US6561992B1 (en) * | 2000-09-05 | 2003-05-13 | Advanced Research And Technology Institute, Inc. | Method and apparatus utilizing computational intelligence to diagnose neurological disorders |
| US7575321B2 (en) | 2003-10-30 | 2009-08-18 | Welch Allyn, Inc. | Apparatus and method of diagnosis of optically identifiable ophthalmic conditions |
| US20050234309A1 (en) * | 2004-01-07 | 2005-10-20 | David Klapper | Method and apparatus for classification of movement states in Parkinson's disease |
| US20060052726A1 (en) * | 2004-09-08 | 2006-03-09 | Weisz Donald J | Key device to measure pronation and supination of the forearm |
| US20060136806A1 (en) * | 2004-12-22 | 2006-06-22 | Pharmacyclics, Inc. | System and method for analysis of neurological condition |
| US8702629B2 (en) | 2005-03-17 | 2014-04-22 | Great Lakes Neuro Technologies Inc. | Movement disorder recovery system and method for continuous monitoring |
| CA2605239A1 (en) * | 2005-05-02 | 2006-11-09 | University Of Virginia Patent Foundation | Systems, devices, and methods for interpreting movement |
| US20070118044A1 (en) * | 2005-07-18 | 2007-05-24 | Mega Elektroniikka Oy | Method and device for identifying; measuring and analyzing abnormal neurological responses |
| WO2008005513A2 (en) * | 2006-07-06 | 2008-01-10 | Regents Of The University Of Minnesota | Analysis of brain patterns using temporal measures |
| US7747551B2 (en) * | 2007-02-21 | 2010-06-29 | Neurovista Corporation | Reduction of classification error rates and monitoring system using an artificial class |
| US20100262045A1 (en) * | 2007-06-09 | 2010-10-14 | Activ4Life Healthcare Technologies Limited | Patient monitoring method and system |
| SE0801267A0 (en) * | 2008-05-29 | 2009-03-12 | Cunctus Ab | Method of a user unit, a user unit and a system comprising said user unit |
| CA2727555C (en) | 2008-06-12 | 2016-10-04 | Global Kinetics Corporation Pty Ltd | Detection of hypokinetic and/or hyperkinetic states |
| WO2010023604A1 (en) * | 2008-08-28 | 2010-03-04 | Koninklijke Philips Electronics N.V. | Fall detection and/or prevention systems |
| US8139822B2 (en) * | 2009-08-28 | 2012-03-20 | Allen Joseph Selner | Designation of a characteristic of a physical capability by motion analysis, systems and methods |
| US8238924B2 (en) | 2010-04-30 | 2012-08-07 | The United States Of America As Represented By The Secretary Of The Navy | Real-time optimization of allocation of resources |
| WO2011149565A1 (en) | 2010-05-28 | 2011-12-01 | Research Triangle Institute, International | Apparatus, system, and method for seizure symptom detection |
| CA2749487C (en) * | 2010-10-21 | 2018-08-21 | Queen's University At Kingston | Method and apparatus for assessing or detecting brain injury and neurological disorders |
| US20140081659A1 (en) | 2012-09-17 | 2014-03-20 | Depuy Orthopaedics, Inc. | Systems and methods for surgical and interventional planning, support, post-operative follow-up, and functional recovery tracking |
| EP2961319A4 (en) | 2013-03-01 | 2016-10-19 | Global Kinetics Corp Pty Ltd | SYSTEM AND METHOD FOR EVALUATING PULSE CONTROL DISORDER |
| EP3113684B1 (en) | 2014-03-03 | 2020-07-01 | Global Kinetics Pty Ltd | System for assessing motion symptoms |
| US10910110B1 (en) | 2014-08-27 | 2021-02-02 | Cerner Innovation, Inc. | Forecasting arterial embolic and bleeding events |
| US10490309B1 (en) * | 2014-08-27 | 2019-11-26 | Cerner Innovation, Inc. | Forecasting clinical events from short physiologic timeseries |
| US10716517B1 (en) | 2014-11-26 | 2020-07-21 | Cerner Innovation, Inc. | Biomechanics abnormality identification |
| US11093826B2 (en) * | 2016-02-05 | 2021-08-17 | International Business Machines Corporation | Efficient determination of optimized learning settings of neural networks |
| US11185256B2 (en) | 2017-05-26 | 2021-11-30 | Indian Institute Of Technology, Gutahati | Point-of-care hand tremor detection system |
| IT202100019793A1 (en) | 2021-07-26 | 2023-01-26 | Aldo Quattrone | DEVICE AND METHOD FOR THE CHARACTERIZATION OF THE TREMORE OF A LIMB |
| AU2022331481A1 (en) * | 2021-08-18 | 2024-01-18 | Advanced Neuromodulation Systems, Inc. | Systems and methods for providing digital health services |
| CN114869272A (en) * | 2021-09-03 | 2022-08-09 | 中国人民解放军总医院 | Postural tremor detection model, posture tremor detection algorithm, and posture tremor detection device |
| CN115452391B (en) * | 2022-09-16 | 2025-06-06 | 哈尔滨工程大学 | Abnormal diagnosis method of diesel engine exhaust temperature based on neural network expert system |
Citations (8)
| Publication number | Priority date | Publication date | Assignee | Title |
|---|---|---|---|---|
| US5197489A (en) * | 1991-06-17 | 1993-03-30 | Precision Control Design, Inc. | Activity monitoring apparatus with configurable filters |
| US5265619A (en) * | 1989-04-10 | 1993-11-30 | Bruno Comby | Process and device for measuring vibrations, in particular nervous trembling in living organisms |
| US5293879A (en) * | 1991-09-23 | 1994-03-15 | Vitatron Medical, B.V. | System an method for detecting tremors such as those which result from parkinson's disease |
| US5439899A (en) * | 1993-03-10 | 1995-08-08 | Purdue Research Foundation | Cosalane and related compounds having activity against aids and aids-related infections |
| US5533519A (en) * | 1993-06-24 | 1996-07-09 | Radke; John C. | Method and apparatus for diagnosing joints |
| US5762072A (en) * | 1995-05-25 | 1998-06-09 | Conlan; Robert W. | Comparator apparatus and system for activity monitors |
| US6306087B1 (en) * | 1994-10-13 | 2001-10-23 | Horus Therapeutics, Inc. | Computer assisted methods for diagnosing diseases |
| US6561992B1 (en) * | 2000-09-05 | 2003-05-13 | Advanced Research And Technology Institute, Inc. | Method and apparatus utilizing computational intelligence to diagnose neurological disorders |
-
2000
- 2000-09-05 US US09/655,635 patent/US6561992B1/en not_active Expired - Fee Related
-
2003
- 2003-05-13 US US10/436,843 patent/US20030191406A1/en not_active Abandoned
Patent Citations (8)
| Publication number | Priority date | Publication date | Assignee | Title |
|---|---|---|---|---|
| US5265619A (en) * | 1989-04-10 | 1993-11-30 | Bruno Comby | Process and device for measuring vibrations, in particular nervous trembling in living organisms |
| US5197489A (en) * | 1991-06-17 | 1993-03-30 | Precision Control Design, Inc. | Activity monitoring apparatus with configurable filters |
| US5293879A (en) * | 1991-09-23 | 1994-03-15 | Vitatron Medical, B.V. | System an method for detecting tremors such as those which result from parkinson's disease |
| US5439899A (en) * | 1993-03-10 | 1995-08-08 | Purdue Research Foundation | Cosalane and related compounds having activity against aids and aids-related infections |
| US5533519A (en) * | 1993-06-24 | 1996-07-09 | Radke; John C. | Method and apparatus for diagnosing joints |
| US6306087B1 (en) * | 1994-10-13 | 2001-10-23 | Horus Therapeutics, Inc. | Computer assisted methods for diagnosing diseases |
| US5762072A (en) * | 1995-05-25 | 1998-06-09 | Conlan; Robert W. | Comparator apparatus and system for activity monitors |
| US6561992B1 (en) * | 2000-09-05 | 2003-05-13 | Advanced Research And Technology Institute, Inc. | Method and apparatus utilizing computational intelligence to diagnose neurological disorders |
Cited By (8)
| Publication number | Priority date | Publication date | Assignee | Title |
|---|---|---|---|---|
| US20050234839A1 (en) * | 2004-04-14 | 2005-10-20 | The Boeing Company | Neural network for aeroelastic analysis |
| US7617166B2 (en) * | 2004-04-14 | 2009-11-10 | The Boeing Company | Neural network for aeroelastic analysis |
| US7978085B1 (en) | 2008-02-29 | 2011-07-12 | University Of South Florida | Human and physical asset movement pattern analyzer |
| US20110125685A1 (en) * | 2009-11-24 | 2011-05-26 | Rizvi Syed Z | Method for identifying Hammerstein models |
| US8346712B2 (en) | 2009-11-24 | 2013-01-01 | King Fahd University Of Petroleum And Minerals | Method for identifying hammerstein models |
| IT201700035240A1 (en) * | 2017-03-30 | 2018-09-30 | Luigi Battista | A DEVICE AND ITS METHOD TO EVALUATE EXTRA-PYRAMID SYMPTOMS, IN PARTICULAR THE MOTOR SYMPTOMS OF PARKINSON'S DISEASE |
| CN110494077A (en) * | 2017-03-30 | 2019-11-22 | 路易吉·巴蒂斯塔 | Device and related method for determining extrapyramidal symptoms, in particular motor symptoms of Parkinson's disease |
| WO2023186415A1 (en) * | 2022-03-29 | 2023-10-05 | Orion Corporation | A method for determining a physical state of a subject, a data processing apparatus and a system |
Also Published As
| Publication number | Publication date |
|---|---|
| US6561992B1 (en) | 2003-05-13 |
Similar Documents
| Publication | Publication Date | Title |
|---|---|---|
| US6561992B1 (en) | Method and apparatus utilizing computational intelligence to diagnose neurological disorders | |
| CN118522438B (en) | Health monitoring method integrating multi-mode biological information | |
| Balaji et al. | Power-accuracy trade-offs for heartbeat classification on neural networks hardware | |
| Felzer et al. | Analyzing EEG signals using the probability estimating guarded neural classifier | |
| Mohdiwale et al. | Statistical wavelets with harmony search-based optimal feature selection of EEG signals for motor imagery classification | |
| JP2020036633A (en) | Abnormality determination program, abnormality determination method, and abnormality determination device | |
| Sikder et al. | Log-sum distance measures and its application to human-activity monitoring and recognition using data from motion sensors | |
| JP2004033673A (en) | Integrated stochastic framework and multi-therapy device for predicting and detecting seizures in the brain | |
| Anderson | Effects of variations in neural network topology and output averaging on the discrimination of mental tasks from spontaneous electroencephalogram | |
| Masic et al. | Neural network based classification of single-trial EEG data | |
| Rizk et al. | Optimizing the automatic selection of spike detection thresholds using a multiple of the noise level | |
| US20250155976A1 (en) | Nonlinear and flexible inference of latent factors and behavior from single-modal and multi-modal brain signals | |
| CN120392030A (en) | A VR motion sickness detection method based on multimodal physiological parameter fusion | |
| US20240156674A1 (en) | System and method for applying vibratory stimulus in a wearable device | |
| Jebakumari et al. | Performance evaluation of various classification algorithms for the diagnosis of Parkinson's disease | |
| Elfadil et al. | Self organizing neural network approach for identification of patients with congestive heart failure | |
| Sharma et al. | Computational models of stress in reading using physiological and physical sensor data | |
| Akhbardeh et al. | BCG data clustering using new method so-called time-frequency moments singular value decomposition (tfm-svd) and artificial neural networks | |
| Alaskar | Dynamic self-organised neural network inspired by the immune algorithm for financial time series prediction and medical data classification | |
| Patyk | Detecting eating episodes from daily patterns of wrist motion using recurrent neural networks | |
| Lin et al. | A novel mechanism to fuse various sub-aspect brain-computer interface (BCI) systems with PSO for motor imagery task | |
| Nandi et al. | Implementation of ensemble algorithm with data pruning on qualcomm snapdragon 820c | |
| Vermander et al. | A Sitting Posture Monitoring System in Wheelchair Users | |
| Akilandeswari et al. | Weight Optimization of Multilayer Perceptron Neural Network using Hybrid PSO for Improved Brain Computer Interface Data Classification | |
| Tanaka et al. | Weight tuning and pattern classification by self organizing map using genetic algorithm |
Legal Events
| Date | Code | Title | Description |
|---|---|---|---|
| AS | Assignment |
Owner name: INDIANA UNIVERSITY RESEARCH & TECHNOLOGY CORPORATI Free format text: CHANGE OF NAME;ASSIGNOR:ADVANCED RESEARCH AND TECHNOLOGY INSTITUTE, INC.;REEL/FRAME:016083/0805 Effective date: 20040929 |
|
| STCB | Information on status: application discontinuation |
Free format text: ABANDONED -- FAILURE TO PAY ISSUE FEE |
















