RU2795503C2 - Пути применения ингибиторов фосфодиэстеразы - Google Patents
Пути применения ингибиторов фосфодиэстеразы Download PDFInfo
- Publication number
- RU2795503C2 RU2795503C2 RU2021129263A RU2021129263A RU2795503C2 RU 2795503 C2 RU2795503 C2 RU 2795503C2 RU 2021129263 A RU2021129263 A RU 2021129263A RU 2021129263 A RU2021129263 A RU 2021129263A RU 2795503 C2 RU2795503 C2 RU 2795503C2
- Authority
- RU
- Russia
- Prior art keywords
- heart failure
- alkyl
- compound
- mmol
- alkoxy
- Prior art date
Links
- 229940082638 cardiac stimulant phosphodiesterase inhibitors Drugs 0.000 title 1
- 239000002571 phosphodiesterase inhibitor Substances 0.000 title 1
- 150000001875 compounds Chemical class 0.000 claims abstract description 174
- 206010019280 Heart failures Diseases 0.000 claims abstract description 140
- 101001117256 Drosophila melanogaster High affinity cGMP-specific 3',5'-cyclic phosphodiesterase 9A Proteins 0.000 claims abstract description 64
- 229910052739 hydrogen Inorganic materials 0.000 claims abstract description 50
- 239000001257 hydrogen Substances 0.000 claims abstract description 50
- 238000011282 treatment Methods 0.000 claims abstract description 47
- 125000002887 hydroxy group Chemical group [H]O* 0.000 claims abstract description 43
- 150000003839 salts Chemical class 0.000 claims abstract description 43
- 208000037265 diseases, disorders, signs and symptoms Diseases 0.000 claims abstract description 42
- 201000010099 disease Diseases 0.000 claims abstract description 41
- 150000002431 hydrogen Chemical class 0.000 claims abstract description 39
- 241000124008 Mammalia Species 0.000 claims abstract description 35
- YZCKVEUIGOORGS-OUBTZVSYSA-N Deuterium Chemical compound [2H] YZCKVEUIGOORGS-OUBTZVSYSA-N 0.000 claims abstract description 33
- 229910052805 deuterium Inorganic materials 0.000 claims abstract description 33
- 239000003112 inhibitor Substances 0.000 claims abstract description 26
- 239000003814 drug Substances 0.000 claims abstract description 25
- 125000004916 (C1-C6) alkylcarbonyl group Chemical group 0.000 claims abstract description 12
- 238000004519 manufacturing process Methods 0.000 claims abstract description 10
- 125000000217 alkyl group Chemical group 0.000 claims description 198
- 125000003545 alkoxy group Chemical group 0.000 claims description 104
- 230000002829 reductive effect Effects 0.000 claims description 45
- 230000002861 ventricular Effects 0.000 claims description 27
- 210000002216 heart Anatomy 0.000 claims description 21
- 241001465754 Metazoa Species 0.000 claims description 15
- UFHFLCQGNIYNRP-UHFFFAOYSA-N Hydrogen Chemical compound [H][H] UFHFLCQGNIYNRP-UHFFFAOYSA-N 0.000 claims description 10
- 210000005240 left ventricle Anatomy 0.000 claims description 9
- 239000008194 pharmaceutical composition Substances 0.000 claims description 9
- 208000024891 symptom Diseases 0.000 claims description 8
- 208000038003 heart failure with preserved ejection fraction Diseases 0.000 claims description 7
- 230000002159 abnormal effect Effects 0.000 claims description 6
- 206010007556 Cardiac failure acute Diseases 0.000 claims description 5
- 206010007559 Cardiac failure congestive Diseases 0.000 claims description 5
- 208000003037 Diastolic Heart Failure Diseases 0.000 claims description 5
- 208000008253 Systolic Heart Failure Diseases 0.000 claims description 5
- 239000003937 drug carrier Substances 0.000 claims description 5
- 206010007558 Cardiac failure chronic Diseases 0.000 claims description 4
- 206010003119 arrhythmia Diseases 0.000 claims description 4
- 230000006793 arrhythmia Effects 0.000 claims description 4
- 230000006378 damage Effects 0.000 claims description 4
- 239000002552 dosage form Substances 0.000 claims description 4
- 230000001404 mediated effect Effects 0.000 claims description 4
- 230000002685 pulmonary effect Effects 0.000 claims description 4
- 230000002068 genetic effect Effects 0.000 claims description 3
- 238000002513 implantation Methods 0.000 claims description 3
- 208000030159 metabolic disease Diseases 0.000 claims description 3
- 206010024119 Left ventricular failure Diseases 0.000 claims description 2
- 206010039163 Right ventricular failure Diseases 0.000 claims description 2
- 230000005856 abnormality Effects 0.000 claims description 2
- 230000006749 inflammatory damage Effects 0.000 claims description 2
- 208000031225 myocardial ischemia Diseases 0.000 claims description 2
- 229940124597 therapeutic agent Drugs 0.000 claims description 2
- 238000011200 topical administration Methods 0.000 claims description 2
- 231100000331 toxic Toxicity 0.000 claims description 2
- 230000002588 toxic effect Effects 0.000 claims description 2
- 229940126601 medicinal product Drugs 0.000 claims 1
- 230000000694 effects Effects 0.000 abstract description 24
- 125000004435 hydrogen atom Chemical group [H]* 0.000 abstract description 7
- 229940076380 PDE9 inhibitor Drugs 0.000 abstract description 5
- 239000000126 substance Substances 0.000 abstract description 5
- RVEJWGYZBXCGGM-DNVCBOLYSA-N chembl2179094 Chemical compound C([C@H]([C@@H](C1)C=2NC(=O)C=3C=NN(C=3N=2)C2CCOCC2)C)N1CC1=CC=CC=C1 RVEJWGYZBXCGGM-DNVCBOLYSA-N 0.000 abstract description 4
- 125000004169 (C1-C6) alkyl group Chemical group 0.000 abstract 3
- 125000004191 (C1-C6) alkoxy group Chemical group 0.000 abstract 1
- 238000006243 chemical reaction Methods 0.000 description 127
- YMWUJEATGCHHMB-UHFFFAOYSA-N Dichloromethane Chemical compound ClCCl YMWUJEATGCHHMB-UHFFFAOYSA-N 0.000 description 101
- -1 amino, carboxyl Chemical group 0.000 description 93
- 239000000243 solution Substances 0.000 description 87
- 125000000623 heterocyclic group Chemical group 0.000 description 84
- 230000015572 biosynthetic process Effects 0.000 description 69
- 238000003786 synthesis reaction Methods 0.000 description 69
- OKKJLVBELUTLKV-UHFFFAOYSA-N Methanol Chemical compound OC OKKJLVBELUTLKV-UHFFFAOYSA-N 0.000 description 60
- 239000000047 product Substances 0.000 description 55
- GOJUJUVQIVIZAV-UHFFFAOYSA-N 2-amino-4,6-dichloropyrimidine-5-carbaldehyde Chemical group NC1=NC(Cl)=C(C=O)C(Cl)=N1 GOJUJUVQIVIZAV-UHFFFAOYSA-N 0.000 description 53
- 238000004895 liquid chromatography mass spectrometry Methods 0.000 description 53
- XLYOFNOQVPJJNP-UHFFFAOYSA-N water Substances O XLYOFNOQVPJJNP-UHFFFAOYSA-N 0.000 description 52
- 229910052736 halogen Inorganic materials 0.000 description 51
- 150000002367 halogens Chemical class 0.000 description 51
- 238000001514 detection method Methods 0.000 description 46
- XEKOWRVHYACXOJ-UHFFFAOYSA-N Ethyl acetate Chemical compound CCOC(C)=O XEKOWRVHYACXOJ-UHFFFAOYSA-N 0.000 description 45
- 125000003917 carbamoyl group Chemical group [H]N([H])C(*)=O 0.000 description 41
- IAZDPXIOMUYVGZ-UHFFFAOYSA-N Dimethylsulphoxide Chemical compound CS(C)=O IAZDPXIOMUYVGZ-UHFFFAOYSA-N 0.000 description 38
- 241000700159 Rattus Species 0.000 description 38
- ZOOGRGPOEVQQDX-UUOKFMHZSA-N 3',5'-cyclic GMP Chemical compound C([C@H]1O2)OP(O)(=O)O[C@H]1[C@@H](O)[C@@H]2N1C(N=C(NC2=O)N)=C2N=C1 ZOOGRGPOEVQQDX-UUOKFMHZSA-N 0.000 description 36
- 239000012043 crude product Substances 0.000 description 36
- 210000004027 cell Anatomy 0.000 description 34
- 125000004457 alkyl amino carbonyl group Chemical group 0.000 description 33
- WYURNTSHIVDZCO-UHFFFAOYSA-N Tetrahydrofuran Chemical compound C1CCOC1 WYURNTSHIVDZCO-UHFFFAOYSA-N 0.000 description 32
- 125000004093 cyano group Chemical group *C#N 0.000 description 32
- LFQSCWFLJHTTHZ-UHFFFAOYSA-N Ethanol Chemical compound CCO LFQSCWFLJHTTHZ-UHFFFAOYSA-N 0.000 description 29
- JGFZNNIVVJXRND-UHFFFAOYSA-N N,N-Diisopropylethylamine (DIPEA) Chemical compound CCN(C(C)C)C(C)C JGFZNNIVVJXRND-UHFFFAOYSA-N 0.000 description 28
- 125000003282 alkyl amino group Chemical group 0.000 description 28
- 239000007787 solid Substances 0.000 description 27
- 125000000304 alkynyl group Chemical group 0.000 description 26
- 239000012074 organic phase Substances 0.000 description 26
- 125000004890 (C1-C6) alkylamino group Chemical group 0.000 description 25
- 125000003342 alkenyl group Chemical group 0.000 description 25
- 125000000882 C2-C6 alkenyl group Chemical group 0.000 description 24
- 125000004448 alkyl carbonyl group Chemical group 0.000 description 24
- 125000001559 cyclopropyl group Chemical group [H]C1([H])C([H])([H])C1([H])* 0.000 description 24
- 229910052757 nitrogen Inorganic materials 0.000 description 23
- WEVYAHXRMPXWCK-UHFFFAOYSA-N Acetonitrile Chemical compound CC#N WEVYAHXRMPXWCK-UHFFFAOYSA-N 0.000 description 21
- PMZURENOXWZQFD-UHFFFAOYSA-L Sodium Sulfate Chemical compound [Na+].[Na+].[O-]S([O-])(=O)=O PMZURENOXWZQFD-UHFFFAOYSA-L 0.000 description 21
- 125000001424 substituent group Chemical group 0.000 description 21
- 238000004809 thin layer chromatography Methods 0.000 description 21
- 125000005842 heteroatom Chemical group 0.000 description 20
- 125000000449 nitro group Chemical group [O-][N+](*)=O 0.000 description 20
- 125000003118 aryl group Chemical group 0.000 description 19
- 210000004413 cardiac myocyte Anatomy 0.000 description 19
- 239000012065 filter cake Substances 0.000 description 19
- 238000010898 silica gel chromatography Methods 0.000 description 19
- VEXZGXHMUGYJMC-UHFFFAOYSA-N Hydrochloric acid Chemical compound Cl VEXZGXHMUGYJMC-UHFFFAOYSA-N 0.000 description 18
- BZLVMXJERCGZMT-UHFFFAOYSA-N Methyl tert-butyl ether Chemical compound COC(C)(C)C BZLVMXJERCGZMT-UHFFFAOYSA-N 0.000 description 18
- ZMXDDKWLCZADIW-UHFFFAOYSA-N N,N-Dimethylformamide Chemical compound CN(C)C=O ZMXDDKWLCZADIW-UHFFFAOYSA-N 0.000 description 18
- 125000004739 (C1-C6) alkylsulfonyl group Chemical group 0.000 description 17
- 125000006700 (C1-C6) alkylthio group Chemical group 0.000 description 17
- 125000002393 azetidinyl group Chemical group 0.000 description 17
- 125000001072 heteroaryl group Chemical group 0.000 description 17
- 125000002757 morpholinyl group Chemical group 0.000 description 17
- 125000004193 piperazinyl group Chemical group 0.000 description 17
- 125000004769 (C1-C4) alkylsulfonyl group Chemical group 0.000 description 16
- 125000003601 C2-C6 alkynyl group Chemical group 0.000 description 16
- ZMANZCXQSJIPKH-UHFFFAOYSA-N Triethylamine Chemical compound CCN(CC)CC ZMANZCXQSJIPKH-UHFFFAOYSA-N 0.000 description 16
- 125000004414 alkyl thio group Chemical group 0.000 description 16
- 125000004122 cyclic group Chemical group 0.000 description 16
- 125000002924 primary amino group Chemical group [H]N([H])* 0.000 description 16
- 229910052717 sulfur Inorganic materials 0.000 description 16
- QTBSBXVTEAMEQO-UHFFFAOYSA-N Acetic acid Chemical compound CC(O)=O QTBSBXVTEAMEQO-UHFFFAOYSA-N 0.000 description 15
- 238000000605 extraction Methods 0.000 description 15
- 229910052760 oxygen Inorganic materials 0.000 description 15
- 239000002609 medium Substances 0.000 description 14
- 239000000203 mixture Substances 0.000 description 14
- 239000007858 starting material Substances 0.000 description 14
- 238000001890 transfection Methods 0.000 description 14
- 125000006652 (C3-C12) cycloalkyl group Chemical group 0.000 description 13
- IJGRMHOSHXDMSA-UHFFFAOYSA-N Atomic nitrogen Chemical compound N#N IJGRMHOSHXDMSA-UHFFFAOYSA-N 0.000 description 13
- 125000001313 C5-C10 heteroaryl group Chemical group 0.000 description 13
- 239000000706 filtrate Substances 0.000 description 13
- 230000002107 myocardial effect Effects 0.000 description 13
- 239000000523 sample Substances 0.000 description 13
- 125000005913 (C3-C6) cycloalkyl group Chemical group 0.000 description 12
- 125000005196 alkyl carbonyloxy group Chemical group 0.000 description 12
- XHXFXVLFKHQFAL-UHFFFAOYSA-N phosphoryl trichloride Chemical compound ClP(Cl)(Cl)=O XHXFXVLFKHQFAL-UHFFFAOYSA-N 0.000 description 12
- 238000012360 testing method Methods 0.000 description 12
- YLQBMQCUIZJEEH-UHFFFAOYSA-N tetrahydrofuran Natural products C=1C=COC=1 YLQBMQCUIZJEEH-UHFFFAOYSA-N 0.000 description 12
- 230000004217 heart function Effects 0.000 description 11
- 239000005457 ice water Substances 0.000 description 11
- 125000004434 sulfur atom Chemical group 0.000 description 11
- 239000007821 HATU Substances 0.000 description 10
- 125000004432 carbon atom Chemical group C* 0.000 description 10
- 125000000392 cycloalkenyl group Chemical group 0.000 description 10
- 125000000753 cycloalkyl group Chemical group 0.000 description 10
- 239000007788 liquid Substances 0.000 description 10
- 125000004845 (C1-C6) alkylsulfonylamino group Chemical group 0.000 description 9
- 125000006570 (C5-C6) heteroaryl group Chemical group 0.000 description 9
- NEDWWGJSJAIVKA-UHFFFAOYSA-N 3-cyano-4-(4-methoxy-4-methylpiperidin-1-yl)-2-oxo-1H-1,7-naphthyridine-6-carboxylic acid Chemical compound C1CN(CCC1(OC)C)C=1C2=C(C=NC(C(=O)O)=C2)NC(=O)C=1C#N NEDWWGJSJAIVKA-UHFFFAOYSA-N 0.000 description 9
- KDLHZDBZIXYQEI-UHFFFAOYSA-N Palladium Chemical compound [Pd] KDLHZDBZIXYQEI-UHFFFAOYSA-N 0.000 description 9
- 239000004698 Polyethylene Substances 0.000 description 9
- 125000003806 alkyl carbonyl amino group Chemical group 0.000 description 9
- 125000003178 carboxy group Chemical group [H]OC(*)=O 0.000 description 9
- 229940079593 drug Drugs 0.000 description 9
- 238000007634 remodeling Methods 0.000 description 9
- 229920006395 saturated elastomer Polymers 0.000 description 9
- 239000006144 Dulbecco’s modified Eagle's medium Substances 0.000 description 8
- 238000002965 ELISA Methods 0.000 description 8
- DTQVDTLACAAQTR-UHFFFAOYSA-N Trifluoroacetic acid Chemical compound OC(=O)C(F)(F)F DTQVDTLACAAQTR-UHFFFAOYSA-N 0.000 description 8
- 229910052799 carbon Inorganic materials 0.000 description 8
- 125000005553 heteroaryloxy group Chemical group 0.000 description 8
- 125000006517 heterocyclyl carbonyl group Chemical group 0.000 description 8
- 238000000034 method Methods 0.000 description 8
- 239000000825 pharmaceutical preparation Substances 0.000 description 8
- 239000011541 reaction mixture Substances 0.000 description 8
- 238000001262 western blot Methods 0.000 description 8
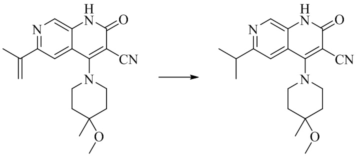
- PELGRUUCXUGKFT-UHFFFAOYSA-N 6-ethyl-4-(4-methoxy-4-methylpiperidin-1-yl)-2-oxo-1H-1,7-naphthyridine-3-carbonitrile Chemical compound C1(CCN(CC1)C=1C2=CC(CC)=NC=C2NC(=O)C=1C#N)(OC)C PELGRUUCXUGKFT-UHFFFAOYSA-N 0.000 description 7
- 102000008186 Collagen Human genes 0.000 description 7
- 108010035532 Collagen Proteins 0.000 description 7
- 206010061216 Infarction Diseases 0.000 description 7
- HEMHJVSKTPXQMS-UHFFFAOYSA-M Sodium hydroxide Chemical class [OH-].[Na+] HEMHJVSKTPXQMS-UHFFFAOYSA-M 0.000 description 7
- 239000008346 aqueous phase Substances 0.000 description 7
- 229920001436 collagen Polymers 0.000 description 7
- 230000008021 deposition Effects 0.000 description 7
- QFZKDKDZGYBSLH-UHFFFAOYSA-N 6-chloro-4-(4-methoxy-4-methylpiperidin-1-yl)-2-oxo-1H-1,7-naphthyridine-3-carbonitrile Chemical compound CC1(CCN(CC1)C=1C2=CC(Cl)=NC=C2NC(=O)C=1C#N)OC QFZKDKDZGYBSLH-UHFFFAOYSA-N 0.000 description 6
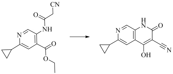
- IFJIDTBQLXWGHR-UHFFFAOYSA-N 6-chloro-4-hydroxy-2-oxo-1H-1,7-naphthyridine-3-carbonitrile Chemical compound Oc1c(C#N)c(=O)[nH]c2cnc(Cl)cc12 IFJIDTBQLXWGHR-UHFFFAOYSA-N 0.000 description 6
- 108010010803 Gelatin Proteins 0.000 description 6
- FXHOOIRPVKKKFG-UHFFFAOYSA-N N,N-Dimethylacetamide Chemical compound CN(C)C(C)=O FXHOOIRPVKKKFG-UHFFFAOYSA-N 0.000 description 6
- PCLIMKBDDGJMGD-UHFFFAOYSA-N N-bromosuccinimide Chemical compound BrN1C(=O)CCC1=O PCLIMKBDDGJMGD-UHFFFAOYSA-N 0.000 description 6
- 239000003153 chemical reaction reagent Substances 0.000 description 6
- MLIREBYILWEBDM-UHFFFAOYSA-N cyanoacetic acid Chemical compound OC(=O)CC#N MLIREBYILWEBDM-UHFFFAOYSA-N 0.000 description 6
- 239000008273 gelatin Substances 0.000 description 6
- 229920000159 gelatin Polymers 0.000 description 6
- 235000019322 gelatine Nutrition 0.000 description 6
- 235000011852 gelatine desserts Nutrition 0.000 description 6
- 239000000463 material Substances 0.000 description 6
- 125000002496 methyl group Chemical group [H]C([H])([H])* 0.000 description 6
- 238000010992 reflux Methods 0.000 description 6
- 239000012224 working solution Substances 0.000 description 6
- FPQQSJJWHUJYPU-UHFFFAOYSA-N 3-(dimethylamino)propyliminomethylidene-ethylazanium;chloride Chemical compound Cl.CCN=C=NCCCN(C)C FPQQSJJWHUJYPU-UHFFFAOYSA-N 0.000 description 5
- QBWNERNMYMMXTO-UHFFFAOYSA-N 4,6-dichloro-2-oxo-1H-1,7-naphthyridine-3-carbonitrile Chemical compound C1=2C(=C(C(=O)NC=2C=NC(=C1)Cl)C#N)Cl QBWNERNMYMMXTO-UHFFFAOYSA-N 0.000 description 5
- NYNVAGMDJHOHFJ-UHFFFAOYSA-N 4-(4-methoxy-4-methylpiperidin-1-yl)-2-oxo-6-propan-2-yl-1H-1,7-naphthyridine-3-carbonitrile Chemical compound COC1(C)CCN(CC1)c1c(C#N)c(=O)[nH]c2cnc(cc12)C(C)C NYNVAGMDJHOHFJ-UHFFFAOYSA-N 0.000 description 5
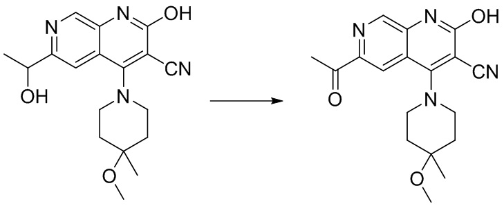
- XBMGBIJTHWLTPW-UHFFFAOYSA-N 6-(1-hydroxyethyl)-4-(4-methoxy-4-methylpiperidin-1-yl)-2-oxo-1H-1,7-naphthyridine-3-carbonitrile Chemical compound C1N(CCC(C1)(OC)C)C=1C2=CC(C(O)C)=NC=C2NC(=O)C=1C#N XBMGBIJTHWLTPW-UHFFFAOYSA-N 0.000 description 5
- BNWLYWWTUQFSNY-UHFFFAOYSA-N 6-acetyl-4-(4-methoxy-4-methylpiperidin-1-yl)-2-oxo-1H-1,7-naphthyridine-3-carbonitrile Chemical compound CC1(CCN(CC1)C=1C2=CC(C(=O)C)=NC=C2NC(=O)C=1C#N)OC BNWLYWWTUQFSNY-UHFFFAOYSA-N 0.000 description 5
- 102000004654 Cyclic GMP-Dependent Protein Kinases Human genes 0.000 description 5
- 108010003591 Cyclic GMP-Dependent Protein Kinases Proteins 0.000 description 5
- 102000004190 Enzymes Human genes 0.000 description 5
- 108090000790 Enzymes Proteins 0.000 description 5
- 239000012298 atmosphere Substances 0.000 description 5
- 125000004429 atom Chemical group 0.000 description 5
- 230000027455 binding Effects 0.000 description 5
- 239000000872 buffer Substances 0.000 description 5
- 229940088598 enzyme Drugs 0.000 description 5
- 239000012091 fetal bovine serum Substances 0.000 description 5
- 230000002401 inhibitory effect Effects 0.000 description 5
- CCERQOYLJJULMD-UHFFFAOYSA-M magnesium;carbanide;chloride Chemical compound [CH3-].[Mg+2].[Cl-] CCERQOYLJJULMD-UHFFFAOYSA-M 0.000 description 5
- 125000002950 monocyclic group Chemical group 0.000 description 5
- 239000012299 nitrogen atmosphere Substances 0.000 description 5
- RYHBNJHYFVUHQT-UHFFFAOYSA-N 1,4-Dioxane Chemical compound C1COCCO1 RYHBNJHYFVUHQT-UHFFFAOYSA-N 0.000 description 4
- RMMIETYLFYGXGT-UHFFFAOYSA-N 2,4-dichloro-6-ethyl-1,7-naphthyridine-3-carbonitrile Chemical compound ClC1=NC2=CN=C(C=C2C(=C1C#N)Cl)CC RMMIETYLFYGXGT-UHFFFAOYSA-N 0.000 description 4
- AVDYNUIZNAFQIZ-UHFFFAOYSA-N 3-cyano-N-(2,3-dihydroxypropyl)-4-(4-methoxy-4-methylpiperidin-1-yl)-2-oxo-1H-1,7-naphthyridine-6-carboxamide Chemical compound N1(CCC(CC1)(OC)C)C=1C2=CC(C(=O)NCC(O)CO)=NC=C2NC(=O)C=1C#N AVDYNUIZNAFQIZ-UHFFFAOYSA-N 0.000 description 4
- ZPFCIKCUXHVUPD-UHFFFAOYSA-N 3-cyano-N-[2-(dimethylamino)ethyl]-4-(4-methoxy-4-methylpiperidin-1-yl)-2-oxo-1H-1,7-naphthyridine-6-carboxamide Chemical compound CC1(CCN(CC1)C=1C2=C(C=NC(C(=O)NCCN(C)C)=C2)NC(=O)C=1C#N)OC ZPFCIKCUXHVUPD-UHFFFAOYSA-N 0.000 description 4
- IDXSYCFKIVRZNG-UHFFFAOYSA-N 4-chloro-6-ethyl-2-oxo-1H-1,7-naphthyridine-3-carbonitrile Chemical compound CCC1=CC2=C(C=N1)NC(=O)C(=C2Cl)C#N IDXSYCFKIVRZNG-UHFFFAOYSA-N 0.000 description 4
- NYORVFNAZITDJE-UHFFFAOYSA-N 6-ethenyl-4-(4-methoxy-4-methylpiperidin-1-yl)-2-oxo-1H-1,7-naphthyridine-3-carbonitrile Chemical compound C1CN(CCC1(OC)C)C=1C2=CC(C=C)=NC=C2NC(=O)C=1C#N NYORVFNAZITDJE-UHFFFAOYSA-N 0.000 description 4
- RTUPPRMARZGWHW-UHFFFAOYSA-N 6-formyl-4-(4-methoxy-4-methylpiperidin-1-yl)-2-oxo-1H-1,7-naphthyridine-3-carbonitrile Chemical compound C1CN(CCC1(OC)C)C=1C2=C(C=NC(C=O)=C2)NC(=O)C=1C#N RTUPPRMARZGWHW-UHFFFAOYSA-N 0.000 description 4
- 102100039339 Atrial natriuretic peptide receptor 1 Human genes 0.000 description 4
- RTZKZFJDLAIYFH-UHFFFAOYSA-N Diethyl ether Chemical compound CCOCC RTZKZFJDLAIYFH-UHFFFAOYSA-N 0.000 description 4
- 238000008157 ELISA kit Methods 0.000 description 4
- 101000961044 Homo sapiens Atrial natriuretic peptide receptor 1 Proteins 0.000 description 4
- MHAJPDPJQMAIIY-UHFFFAOYSA-N Hydrogen peroxide Chemical compound OO MHAJPDPJQMAIIY-UHFFFAOYSA-N 0.000 description 4
- ZDXPYRJPNDTMRX-VKHMYHEASA-N L-glutamine Chemical compound OC(=O)[C@@H](N)CCC(N)=O ZDXPYRJPNDTMRX-VKHMYHEASA-N 0.000 description 4
- 229930182816 L-glutamine Natural products 0.000 description 4
- QOVYHDHLFPKQQG-NDEPHWFRSA-N N[C@@H](CCC(=O)N1CCC(CC1)NC1=C2C=CC=CC2=NC(NCC2=CN(CCCNCCCNC3CCCCC3)N=N2)=N1)C(O)=O Chemical compound N[C@@H](CCC(=O)N1CCC(CC1)NC1=C2C=CC=CC2=NC(NCC2=CN(CCCNCCCNC3CCCCC3)N=N2)=N1)C(O)=O QOVYHDHLFPKQQG-NDEPHWFRSA-N 0.000 description 4
- 108020001621 Natriuretic Peptide Proteins 0.000 description 4
- 102000004571 Natriuretic peptide Human genes 0.000 description 4
- MHABMANUFPZXEB-UHFFFAOYSA-N O-demethyl-aloesaponarin I Natural products O=C1C2=CC=CC(O)=C2C(=O)C2=C1C=C(O)C(C(O)=O)=C2C MHABMANUFPZXEB-UHFFFAOYSA-N 0.000 description 4
- UIIMBOGNXHQVGW-UHFFFAOYSA-M Sodium bicarbonate Chemical compound [Na+].OC([O-])=O UIIMBOGNXHQVGW-UHFFFAOYSA-M 0.000 description 4
- 238000010171 animal model Methods 0.000 description 4
- FJDQFPXHSGXQBY-UHFFFAOYSA-L caesium carbonate Chemical compound [Cs+].[Cs+].[O-]C([O-])=O FJDQFPXHSGXQBY-UHFFFAOYSA-L 0.000 description 4
- 229910000024 caesium carbonate Inorganic materials 0.000 description 4
- 150000001721 carbon Chemical group 0.000 description 4
- PFKFTWBEEFSNDU-UHFFFAOYSA-N carbonyldiimidazole Chemical compound C1=CN=CN1C(=O)N1C=CN=C1 PFKFTWBEEFSNDU-UHFFFAOYSA-N 0.000 description 4
- 238000004113 cell culture Methods 0.000 description 4
- 238000005119 centrifugation Methods 0.000 description 4
- 238000002474 experimental method Methods 0.000 description 4
- 230000006870 function Effects 0.000 description 4
- 238000011534 incubation Methods 0.000 description 4
- 239000007924 injection Substances 0.000 description 4
- 238000002347 injection Methods 0.000 description 4
- 239000007928 intraperitoneal injection Substances 0.000 description 4
- BDAGIHXWWSANSR-UHFFFAOYSA-N methanoic acid Natural products OC=O BDAGIHXWWSANSR-UHFFFAOYSA-N 0.000 description 4
- 239000000692 natriuretic peptide Substances 0.000 description 4
- JRZJOMJEPLMPRA-UHFFFAOYSA-N olefin Natural products CCCCCCCC=C JRZJOMJEPLMPRA-UHFFFAOYSA-N 0.000 description 4
- VLTRZXGMWDSKGL-UHFFFAOYSA-N perchloric acid Chemical compound OCl(=O)(=O)=O VLTRZXGMWDSKGL-UHFFFAOYSA-N 0.000 description 4
- 108090000623 proteins and genes Proteins 0.000 description 4
- 230000002441 reversible effect Effects 0.000 description 4
- 238000004088 simulation Methods 0.000 description 4
- 125000003003 spiro group Chemical group 0.000 description 4
- 238000001356 surgical procedure Methods 0.000 description 4
- 239000000725 suspension Substances 0.000 description 4
- OOKAZRDERJMRCJ-KOUAFAAESA-N (3r)-7-[(1s,2s,4ar,6s,8s)-2,6-dimethyl-8-[(2s)-2-methylbutanoyl]oxy-1,2,4a,5,6,7,8,8a-octahydronaphthalen-1-yl]-3-hydroxy-5-oxoheptanoic acid Chemical compound C1=C[C@H](C)[C@H](CCC(=O)C[C@@H](O)CC(O)=O)C2[C@@H](OC(=O)[C@@H](C)CC)C[C@@H](C)C[C@@H]21 OOKAZRDERJMRCJ-KOUAFAAESA-N 0.000 description 3
- SRKGZXIJDGWVAI-GVAVTCRGSA-M (e,3r)-7-[6-tert-butyl-4-(4-fluorophenyl)-2-propan-2-ylpyridin-3-yl]-3,5-dihydroxyhept-6-enoate Chemical compound CC(C)C1=NC(C(C)(C)C)=CC(C=2C=CC(F)=CC=2)=C1\C=C\C(O)C[C@@H](O)CC([O-])=O SRKGZXIJDGWVAI-GVAVTCRGSA-M 0.000 description 3
- DEVSOMFAQLZNKR-RJRFIUFISA-N (z)-3-[3-[3,5-bis(trifluoromethyl)phenyl]-1,2,4-triazol-1-yl]-n'-pyrazin-2-ylprop-2-enehydrazide Chemical compound FC(F)(F)C1=CC(C(F)(F)F)=CC(C2=NN(\C=C/C(=O)NNC=3N=CC=NC=3)C=N2)=C1 DEVSOMFAQLZNKR-RJRFIUFISA-N 0.000 description 3
- YUCBLVFHJWOYDN-HVLQGHBFSA-N 1,4-bis[(s)-[(2r,4s,5r)-5-ethyl-1-azabicyclo[2.2.2]octan-2-yl]-(6-methoxyquinolin-4-yl)methoxy]phthalazine Chemical compound C1=C(OC)C=C2C([C@H](OC=3C4=CC=CC=C4C(O[C@H]([C@@H]4N5CC[C@H]([C@H](C5)CC)C4)C=4C5=CC(OC)=CC=C5N=CC=4)=NN=3)[C@H]3C[C@@H]4CCN3C[C@@H]4CC)=CC=NC2=C1 YUCBLVFHJWOYDN-HVLQGHBFSA-N 0.000 description 3
- LMDZBCPBFSXMTL-UHFFFAOYSA-N 1-Ethyl-3-(3-dimethylaminopropyl)carbodiimide Substances CCN=C=NCCCN(C)C LMDZBCPBFSXMTL-UHFFFAOYSA-N 0.000 description 3
- VCUXVXLUOHDHKK-UHFFFAOYSA-N 2-(2-aminopyrimidin-4-yl)-4-(2-chloro-4-methoxyphenyl)-1,3-thiazole-5-carboxamide Chemical compound ClC1=CC(OC)=CC=C1C1=C(C(N)=O)SC(C=2N=C(N)N=CC=2)=N1 VCUXVXLUOHDHKK-UHFFFAOYSA-N 0.000 description 3
- QEBYEVQKHRUYPE-UHFFFAOYSA-N 2-(2-chlorophenyl)-5-[(1-methylpyrazol-3-yl)methyl]-4-[[methyl(pyridin-3-ylmethyl)amino]methyl]-1h-pyrazolo[4,3-c]pyridine-3,6-dione Chemical compound C1=CN(C)N=C1CN1C(=O)C=C2NN(C=3C(=CC=CC=3)Cl)C(=O)C2=C1CN(C)CC1=CC=CN=C1 QEBYEVQKHRUYPE-UHFFFAOYSA-N 0.000 description 3
- OZAIFHULBGXAKX-UHFFFAOYSA-N 2-(2-cyanopropan-2-yldiazenyl)-2-methylpropanenitrile Chemical compound N#CC(C)(C)N=NC(C)(C)C#N OZAIFHULBGXAKX-UHFFFAOYSA-N 0.000 description 3
- GTZAKTXCTNSMCF-UHFFFAOYSA-N 6-(1-bromoethyl)-2,4-dichloro-1,7-naphthyridine-3-carbonitrile Chemical compound BrC(C)C=1C=C2C(=C(C(=NC2=CN1)Cl)C#N)Cl GTZAKTXCTNSMCF-UHFFFAOYSA-N 0.000 description 3
- UINGBOVAEFHSIZ-UHFFFAOYSA-N 6-(1-bromoethyl)-2-chloro-4-(4-methoxy-4-methylpiperidin-1-yl)-1,7-naphthyridine-3-carbonitrile Chemical compound BrC(C)C=1C=C2C(=C(C(=NC2=CN1)Cl)C#N)N1CCC(CC1)(C)OC UINGBOVAEFHSIZ-UHFFFAOYSA-N 0.000 description 3
- PELGRUUCXUGKFT-HPRDVNIFSA-N 6-ethyl-4-[4-methyl-4-(trideuteriomethoxy)piperidin-1-yl]-2-oxo-1H-1,7-naphthyridine-3-carbonitrile Chemical compound C(C)C=1C=C2C(=C(C(=NC2=CN1)O)C#N)N1CCC(CC1)(C)OC([2H])([2H])[2H] PELGRUUCXUGKFT-HPRDVNIFSA-N 0.000 description 3
- HBAQYPYDRFILMT-UHFFFAOYSA-N 8-[3-(1-cyclopropylpyrazol-4-yl)-1H-pyrazolo[4,3-d]pyrimidin-5-yl]-3-methyl-3,8-diazabicyclo[3.2.1]octan-2-one Chemical class C1(CC1)N1N=CC(=C1)C1=NNC2=C1N=C(N=C2)N1C2C(N(CC1CC2)C)=O HBAQYPYDRFILMT-UHFFFAOYSA-N 0.000 description 3
- 102000002723 Atrial Natriuretic Factor Human genes 0.000 description 3
- 101800001288 Atrial natriuretic factor Proteins 0.000 description 3
- 101800001890 Atrial natriuretic peptide Proteins 0.000 description 3
- IYHHRZBKXXKDDY-UHFFFAOYSA-N BI-605906 Chemical compound N=1C=2SC(C(N)=O)=C(N)C=2C(C(F)(F)CC)=CC=1N1CCC(S(C)(=O)=O)CC1 IYHHRZBKXXKDDY-UHFFFAOYSA-N 0.000 description 3
- 108091003079 Bovine Serum Albumin Proteins 0.000 description 3
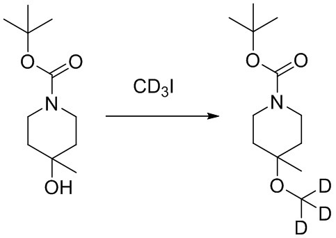
- ILUDJLPAOKJSHK-VPYROQPTSA-N C(C)(C)(C)OC(=O)N1CCC(CC1)(C)OC([2H])([2H])[2H] Chemical compound C(C)(C)(C)OC(=O)N1CCC(CC1)(C)OC([2H])([2H])[2H] ILUDJLPAOKJSHK-VPYROQPTSA-N 0.000 description 3
- JQUCWIWWWKZNCS-LESHARBVSA-N C(C1=CC=CC=C1)(=O)NC=1SC[C@H]2[C@@](N1)(CO[C@H](C2)C)C=2SC=C(N2)NC(=O)C2=NC=C(C=C2)OC(F)F Chemical compound C(C1=CC=CC=C1)(=O)NC=1SC[C@H]2[C@@](N1)(CO[C@H](C2)C)C=2SC=C(N2)NC(=O)C2=NC=C(C=C2)OC(F)F JQUCWIWWWKZNCS-LESHARBVSA-N 0.000 description 3
- 208000031229 Cardiomyopathies Diseases 0.000 description 3
- 229940126062 Compound A Drugs 0.000 description 3
- IVOMOUWHDPKRLL-KQYNXXCUSA-N Cyclic adenosine monophosphate Chemical compound C([C@H]1O2)OP(O)(=O)O[C@H]1[C@@H](O)[C@@H]2N1C(N=CN=C2N)=C2N=C1 IVOMOUWHDPKRLL-KQYNXXCUSA-N 0.000 description 3
- NLDMNSXOCDLTTB-UHFFFAOYSA-N Heterophylliin A Natural products O1C2COC(=O)C3=CC(O)=C(O)C(O)=C3C3=C(O)C(O)=C(O)C=C3C(=O)OC2C(OC(=O)C=2C=C(O)C(O)=C(O)C=2)C(O)C1OC(=O)C1=CC(O)=C(O)C(O)=C1 NLDMNSXOCDLTTB-UHFFFAOYSA-N 0.000 description 3
- 241000282412 Homo Species 0.000 description 3
- CSNNHWWHGAXBCP-UHFFFAOYSA-L Magnesium sulfate Chemical compound [Mg+2].[O-][S+2]([O-])([O-])[O-] CSNNHWWHGAXBCP-UHFFFAOYSA-L 0.000 description 3
- LRHPLDYGYMQRHN-UHFFFAOYSA-N N-Butanol Chemical compound CCCCO LRHPLDYGYMQRHN-UHFFFAOYSA-N 0.000 description 3
- IMNFDUFMRHMDMM-UHFFFAOYSA-N N-Heptane Chemical compound CCCCCCC IMNFDUFMRHMDMM-UHFFFAOYSA-N 0.000 description 3
- AVYVHIKSFXVDBG-UHFFFAOYSA-N N-benzyl-N-hydroxy-2,2-dimethylbutanamide Chemical compound C(C1=CC=CC=C1)N(C(C(CC)(C)C)=O)O AVYVHIKSFXVDBG-UHFFFAOYSA-N 0.000 description 3
- KYRVNWMVYQXFEU-UHFFFAOYSA-N Nocodazole Chemical compound C1=C2NC(NC(=O)OC)=NC2=CC=C1C(=O)C1=CC=CS1 KYRVNWMVYQXFEU-UHFFFAOYSA-N 0.000 description 3
- 241000283973 Oryctolagus cuniculus Species 0.000 description 3
- ZLMJMSJWJFRBEC-UHFFFAOYSA-N Potassium Chemical compound [K] ZLMJMSJWJFRBEC-UHFFFAOYSA-N 0.000 description 3
- KEAYESYHFKHZAL-UHFFFAOYSA-N Sodium Chemical compound [Na] KEAYESYHFKHZAL-UHFFFAOYSA-N 0.000 description 3
- YXFVVABEGXRONW-UHFFFAOYSA-N Toluene Chemical compound CC1=CC=CC=C1 YXFVVABEGXRONW-UHFFFAOYSA-N 0.000 description 3
- 239000002253 acid Substances 0.000 description 3
- 239000004480 active ingredient Substances 0.000 description 3
- 238000004458 analytical method Methods 0.000 description 3
- 229960004853 betadex Drugs 0.000 description 3
- 230000000747 cardiac effect Effects 0.000 description 3
- 230000009787 cardiac fibrosis Effects 0.000 description 3
- NSQLIUXCMFBZME-MPVJKSABSA-N carperitide Chemical compound C([C@H]1C(=O)NCC(=O)NCC(=O)N[C@@H](CCCNC(N)=N)C(=O)N[C@@H](CCSC)C(=O)N[C@@H](CC(O)=O)C(=O)N[C@@H](CCCNC(N)=N)C(=O)N[C@H](C(NCC(=O)N[C@@H](C)C(=O)N[C@@H](CCC(N)=O)C(=O)N[C@@H](CO)C(=O)NCC(=O)N[C@@H](CC(C)C)C(=O)NCC(=O)N[C@@H](CSSC[C@@H](C(=O)N1)NC(=O)[C@H](CO)NC(=O)[C@H](CO)NC(=O)[C@H](CCCNC(N)=N)NC(=O)[C@H](CCCNC(N)=N)NC(=O)[C@H](CC(C)C)NC(=O)[C@@H](N)CO)C(=O)N[C@@H](CC(N)=O)C(=O)N[C@@H](CO)C(=O)N[C@@H](CC=1C=CC=CC=1)C(=O)N[C@@H](CCCNC(N)=N)C(=O)N[C@@H](CC=1C=CC(O)=CC=1)C(O)=O)=O)[C@@H](C)CC)C1=CC=CC=C1 NSQLIUXCMFBZME-MPVJKSABSA-N 0.000 description 3
- 239000000460 chlorine Substances 0.000 description 3
- KRKNYBCHXYNGOX-UHFFFAOYSA-N citric acid Chemical compound OC(=O)CC(O)(C(O)=O)CC(O)=O KRKNYBCHXYNGOX-UHFFFAOYSA-N 0.000 description 3
- NXQGGXCHGDYOHB-UHFFFAOYSA-L cyclopenta-1,4-dien-1-yl(diphenyl)phosphane;dichloropalladium;iron(2+) Chemical compound [Fe+2].Cl[Pd]Cl.[CH-]1C=CC(P(C=2C=CC=CC=2)C=2C=CC=CC=2)=C1.[CH-]1C=CC(P(C=2C=CC=CC=2)C=2C=CC=CC=2)=C1 NXQGGXCHGDYOHB-UHFFFAOYSA-L 0.000 description 3
- 230000003247 decreasing effect Effects 0.000 description 3
- 239000008367 deionised water Substances 0.000 description 3
- 229910021641 deionized water Inorganic materials 0.000 description 3
- 230000003205 diastolic effect Effects 0.000 description 3
- 229940126534 drug product Drugs 0.000 description 3
- GWNFQAKCJYEJEW-UHFFFAOYSA-N ethyl 3-[8-[[4-methyl-5-[(3-methyl-4-oxophthalazin-1-yl)methyl]-1,2,4-triazol-3-yl]sulfanyl]octanoylamino]benzoate Chemical compound CCOC(=O)C1=CC(NC(=O)CCCCCCCSC2=NN=C(CC3=NN(C)C(=O)C4=CC=CC=C34)N2C)=CC=C1 GWNFQAKCJYEJEW-UHFFFAOYSA-N 0.000 description 3
- 238000001914 filtration Methods 0.000 description 3
- 208000010125 myocardial infarction Diseases 0.000 description 3
- QJGQUHMNIGDVPM-UHFFFAOYSA-N nitrogen group Chemical group [N] QJGQUHMNIGDVPM-UHFFFAOYSA-N 0.000 description 3
- 229950006344 nocodazole Drugs 0.000 description 3
- 230000009871 nonspecific binding Effects 0.000 description 3
- 125000001997 phenyl group Chemical group [H]C1=C([H])C([H])=C(*)C([H])=C1[H] 0.000 description 3
- 239000013612 plasmid Substances 0.000 description 3
- 239000011591 potassium Substances 0.000 description 3
- 229910052700 potassium Inorganic materials 0.000 description 3
- 239000000843 powder Substances 0.000 description 3
- 238000002360 preparation method Methods 0.000 description 3
- 238000002953 preparative HPLC Methods 0.000 description 3
- 238000012545 processing Methods 0.000 description 3
- 230000001681 protective effect Effects 0.000 description 3
- 102000004169 proteins and genes Human genes 0.000 description 3
- 125000000168 pyrrolyl group Chemical group 0.000 description 3
- 238000011160 research Methods 0.000 description 3
- 125000006413 ring segment Chemical group 0.000 description 3
- 238000004904 shortening Methods 0.000 description 3
- QDRKDTQENPPHOJ-UHFFFAOYSA-N sodium ethoxide Chemical compound [Na+].CC[O-] QDRKDTQENPPHOJ-UHFFFAOYSA-N 0.000 description 3
- 239000012312 sodium hydride Substances 0.000 description 3
- 229910000104 sodium hydride Inorganic materials 0.000 description 3
- 239000002904 solvent Substances 0.000 description 3
- AGTPSAZJSOQXHJ-UHFFFAOYSA-N (1-methylpiperidin-4-yl)methanamine Chemical compound CN1CCC(CN)CC1 AGTPSAZJSOQXHJ-UHFFFAOYSA-N 0.000 description 2
- GBBSAMQTQCPOBF-UHFFFAOYSA-N 2,4,6-trimethyl-1,3,5,2,4,6-trioxatriborinane Chemical compound CB1OB(C)OB(C)O1 GBBSAMQTQCPOBF-UHFFFAOYSA-N 0.000 description 2
- KDZATQNTYFFIIL-UHFFFAOYSA-N 2,4-dichloro-6-cyclopropyl-1,7-naphthyridine-3-carbonitrile Chemical compound ClC1=NC2=CN=C(C=C2C(=C1C#N)Cl)C1CC1 KDZATQNTYFFIIL-UHFFFAOYSA-N 0.000 description 2
- KIUMMUBSPKGMOY-UHFFFAOYSA-N 3,3'-Dithiobis(6-nitrobenzoic acid) Chemical compound C1=C([N+]([O-])=O)C(C(=O)O)=CC(SSC=2C=C(C(=CC=2)[N+]([O-])=O)C(O)=O)=C1 KIUMMUBSPKGMOY-UHFFFAOYSA-N 0.000 description 2
- DFRAKBCRUYUFNT-UHFFFAOYSA-N 3,8-dicyclohexyl-2,4,7,9-tetrahydro-[1,3]oxazino[5,6-h][1,3]benzoxazine Chemical compound C1CCCCC1N1CC(C=CC2=C3OCN(C2)C2CCCCC2)=C3OC1 DFRAKBCRUYUFNT-UHFFFAOYSA-N 0.000 description 2
- YPWIJSNKQBQICA-UHFFFAOYSA-N 3-cyano-4-(4-methoxy-4-methylpiperidin-1-yl)-N-methyl-2-oxo-1H-1,7-naphthyridine-6-carboxamide Chemical compound CC1(CCN(CC1)C=1C2=C(C=NC(C(=O)NC)=C2)NC(=O)C=1C#N)OC YPWIJSNKQBQICA-UHFFFAOYSA-N 0.000 description 2
- OSWFIVFLDKOXQC-UHFFFAOYSA-N 4-(3-methoxyphenyl)aniline Chemical compound COC1=CC=CC(C=2C=CC(N)=CC=2)=C1 OSWFIVFLDKOXQC-UHFFFAOYSA-N 0.000 description 2
- MLKCMVGCSYJMAU-UHFFFAOYSA-N 4-(4-methoxy-4-methylpiperidin-1-yl)-2-oxo-6-prop-1-en-2-yl-1H-1,7-naphthyridine-3-carbonitrile Chemical compound COC1(CCN(CC1)C1=C(C(NC2=CN=C(C=C12)C(=C)C)=O)C#N)C MLKCMVGCSYJMAU-UHFFFAOYSA-N 0.000 description 2
- VUEDGFZQSKZNOV-UHFFFAOYSA-N 4-chloro-6-(2-methoxyethoxy)-2-oxo-1H-1,7-naphthyridine-3-carbonitrile Chemical compound C1=2C(=C(C(=O)NC=2C=NC(OCCOC)=C1)C#N)Cl VUEDGFZQSKZNOV-UHFFFAOYSA-N 0.000 description 2
- QSDVGNSQSRQOBW-UHFFFAOYSA-N 4-chloro-6-cyclopropyl-2-oxo-1H-1,7-naphthyridine-3-carbonitrile Chemical compound ClC1=C(C(NC2=CN=C(C=C12)C1CC1)=O)C#N QSDVGNSQSRQOBW-UHFFFAOYSA-N 0.000 description 2
- DQAZPZIYEOGZAF-UHFFFAOYSA-N 4-ethyl-n-[4-(3-ethynylanilino)-7-methoxyquinazolin-6-yl]piperazine-1-carboxamide Chemical compound C1CN(CC)CCN1C(=O)NC(C(=CC1=NC=N2)OC)=CC1=C2NC1=CC=CC(C#C)=C1 DQAZPZIYEOGZAF-UHFFFAOYSA-N 0.000 description 2
- JLPNTUXABOWHDM-UHFFFAOYSA-N 4-hydroxy-6-(2-methoxyethoxy)-2-oxo-1H-1,7-naphthyridine-3-carbonitrile Chemical compound C1=2C(=C(C(=O)NC=2C=NC(=C1)OCCOC)C#N)O JLPNTUXABOWHDM-UHFFFAOYSA-N 0.000 description 2
- BYASHZHUHCVZDS-UHFFFAOYSA-N 4-methoxy-4-methylpiperidine;2,2,2-trifluoroacetic acid Chemical compound OC(=O)C(F)(F)F.COC1(C)CCNCC1 BYASHZHUHCVZDS-UHFFFAOYSA-N 0.000 description 2
- FOFDBMMYPIJSCN-UHFFFAOYSA-N 4-methoxy-4-methylpiperidine;hydrochloride Chemical compound Cl.COC1(C)CCNCC1 FOFDBMMYPIJSCN-UHFFFAOYSA-N 0.000 description 2
- WCZUTMZMEAPPIX-UHFFFAOYSA-N 5-amino-2-chloropyridine-4-carboxylic acid Chemical compound NC1=CN=C(Cl)C=C1C(O)=O WCZUTMZMEAPPIX-UHFFFAOYSA-N 0.000 description 2
- DGXGNWWPBJLCGL-UHFFFAOYSA-N 6-(1,2-dihydroxyethyl)-4-(4-methoxy-4-methylpiperidin-1-yl)-2-oxo-1H-1,7-naphthyridine-3-carbonitrile Chemical compound C1CN(CCC1(C)OC)C=1C2=C(C=NC(C(CO)O)=C2)NC(=O)C=1C#N DGXGNWWPBJLCGL-UHFFFAOYSA-N 0.000 description 2
- RRVBTZBMTWTIBV-UHFFFAOYSA-N 6-(2-hydroxypropan-2-yl)-4-(4-methoxy-4-methylpiperidin-1-yl)-2-oxo-1H-1,7-naphthyridine-3-carbonitrile Chemical compound C1CN(CCC1(OC)C)C=1C2=CC(C(O)(C)C)=NC=C2NC(=O)C=1C#N RRVBTZBMTWTIBV-UHFFFAOYSA-N 0.000 description 2
- WBCCCYHSQKKJIO-UHFFFAOYSA-N 6-(2-methoxyethoxy)-4-(4-methoxy-4-methylpiperidin-1-yl)-2-oxo-1H-1,7-naphthyridine-3-carbonitrile Chemical compound O(C)C1(C)CCN(CC1)C=1C2=CC(OCCOC)=NC=C2NC(=O)C=1C#N WBCCCYHSQKKJIO-UHFFFAOYSA-N 0.000 description 2
- VFIKMKGHOQROFU-UHFFFAOYSA-N 6-chloro-1H-pyrido[3,4-d][1,3]oxazine-2,4-dione Chemical compound C1=C2C(=CN=C1Cl)NC(=O)OC2=O VFIKMKGHOQROFU-UHFFFAOYSA-N 0.000 description 2
- LMEBYFZSTTVMKS-UHFFFAOYSA-N 6-cyclopropyl-4-hydroxy-2-oxo-1H-1,7-naphthyridine-3-carbonitrile Chemical compound C1(CC1)C=1C=C2C(=C(C(NC2=CN1)=O)C#N)O LMEBYFZSTTVMKS-UHFFFAOYSA-N 0.000 description 2
- TYSSGTCGEAHQES-UHFFFAOYSA-N 6-ethyl-4-hydroxy-2-oxo-1H-1,7-naphthyridine-3-carbonitrile Chemical compound C(C)C=1C=C2C(=C(C(NC2=CN1)=O)C#N)O TYSSGTCGEAHQES-UHFFFAOYSA-N 0.000 description 2
- OZAIFHULBGXAKX-VAWYXSNFSA-N AIBN Substances N#CC(C)(C)\N=N\C(C)(C)C#N OZAIFHULBGXAKX-VAWYXSNFSA-N 0.000 description 2
- OBMZMSLWNNWEJA-XNCRXQDQSA-N C1=CC=2C(C[C@@H]3NC(=O)[C@@H](NC(=O)[C@H](NC(=O)N(CC#CCN(CCCC[C@H](NC(=O)[C@@H](CC4=CC=CC=C4)NC3=O)C(=O)N)CC=C)NC(=O)[C@@H](N)C)CC3=CNC4=C3C=CC=C4)C)=CNC=2C=C1 Chemical compound C1=CC=2C(C[C@@H]3NC(=O)[C@@H](NC(=O)[C@H](NC(=O)N(CC#CCN(CCCC[C@H](NC(=O)[C@@H](CC4=CC=CC=C4)NC3=O)C(=O)N)CC=C)NC(=O)[C@@H](N)C)CC3=CNC4=C3C=CC=C4)C)=CNC=2C=C1 OBMZMSLWNNWEJA-XNCRXQDQSA-N 0.000 description 2
- 241000282421 Canidae Species 0.000 description 2
- 206010007572 Cardiac hypertrophy Diseases 0.000 description 2
- 208000006029 Cardiomegaly Diseases 0.000 description 2
- ZAMOUSCENKQFHK-UHFFFAOYSA-N Chlorine atom Chemical compound [Cl] ZAMOUSCENKQFHK-UHFFFAOYSA-N 0.000 description 2
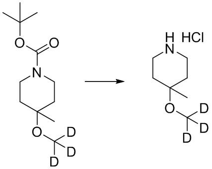
- FOFDBMMYPIJSCN-MUTAZJQDSA-N Cl.C(OC1(CCNCC1)C)([2H])([2H])[2H] Chemical compound Cl.C(OC1(CCNCC1)C)([2H])([2H])[2H] FOFDBMMYPIJSCN-MUTAZJQDSA-N 0.000 description 2
- 102000029816 Collagenase Human genes 0.000 description 2
- 108060005980 Collagenase Proteins 0.000 description 2
- 238000006646 Dess-Martin oxidation reaction Methods 0.000 description 2
- 241000282326 Felis catus Species 0.000 description 2
- 206010016654 Fibrosis Diseases 0.000 description 2
- 206010016803 Fluid overload Diseases 0.000 description 2
- PXGOKWXKJXAPGV-UHFFFAOYSA-N Fluorine Chemical compound FF PXGOKWXKJXAPGV-UHFFFAOYSA-N 0.000 description 2
- 102100031181 Glyceraldehyde-3-phosphate dehydrogenase Human genes 0.000 description 2
- 101710088172 HTH-type transcriptional regulator RipA Proteins 0.000 description 2
- AFVFQIVMOAPDHO-UHFFFAOYSA-N Methanesulfonic acid Chemical compound CS(O)(=O)=O AFVFQIVMOAPDHO-UHFFFAOYSA-N 0.000 description 2
- UFWIBTONFRDIAS-UHFFFAOYSA-N Naphthalene Chemical compound C1=CC=CC2=CC=CC=C21 UFWIBTONFRDIAS-UHFFFAOYSA-N 0.000 description 2
- 206010030124 Oedema peripheral Diseases 0.000 description 2
- 241000282373 Panthera pardus Species 0.000 description 2
- QGMRQYFBGABWDR-UHFFFAOYSA-M Pentobarbital sodium Chemical compound [Na+].CCCC(C)C1(CC)C(=O)NC(=O)[N-]C1=O QGMRQYFBGABWDR-UHFFFAOYSA-M 0.000 description 2
- 229940122907 Phosphatase inhibitor Drugs 0.000 description 2
- 102000004861 Phosphoric Diester Hydrolases Human genes 0.000 description 2
- 108090001050 Phosphoric Diester Hydrolases Proteins 0.000 description 2
- NBIIXXVUZAFLBC-UHFFFAOYSA-N Phosphoric acid Chemical compound OP(O)(O)=O NBIIXXVUZAFLBC-UHFFFAOYSA-N 0.000 description 2
- 229920002565 Polyethylene Glycol 400 Polymers 0.000 description 2
- 229940124158 Protease/peptidase inhibitor Drugs 0.000 description 2
- CDBYLPFSWZWCQE-UHFFFAOYSA-L Sodium Carbonate Chemical compound [Na+].[Na+].[O-]C([O-])=O CDBYLPFSWZWCQE-UHFFFAOYSA-L 0.000 description 2
- FAPWRFPIFSIZLT-UHFFFAOYSA-M Sodium chloride Chemical compound [Na+].[Cl-] FAPWRFPIFSIZLT-UHFFFAOYSA-M 0.000 description 2
- 238000000692 Student's t-test Methods 0.000 description 2
- QAOWNCQODCNURD-UHFFFAOYSA-N Sulfuric acid Chemical compound OS(O)(=O)=O QAOWNCQODCNURD-UHFFFAOYSA-N 0.000 description 2
- 241000282458 Ursus sp. Species 0.000 description 2
- 238000002835 absorbance Methods 0.000 description 2
- 150000007513 acids Chemical class 0.000 description 2
- 150000001336 alkenes Chemical class 0.000 description 2
- 239000003242 anti bacterial agent Substances 0.000 description 2
- 229940088710 antibiotic agent Drugs 0.000 description 2
- 239000007864 aqueous solution Substances 0.000 description 2
- 239000003125 aqueous solvent Substances 0.000 description 2
- 239000002585 base Substances 0.000 description 2
- WPYMKLBDIGXBTP-UHFFFAOYSA-N benzoic acid Chemical compound OC(=O)C1=CC=CC=C1 WPYMKLBDIGXBTP-UHFFFAOYSA-N 0.000 description 2
- WHGYBXFWUBPSRW-FOUAGVGXSA-N beta-cyclodextrin Chemical compound OC[C@H]([C@H]([C@@H]([C@H]1O)O)O[C@H]2O[C@@H]([C@@H](O[C@H]3O[C@H](CO)[C@H]([C@@H]([C@H]3O)O)O[C@H]3O[C@H](CO)[C@H]([C@@H]([C@H]3O)O)O[C@H]3O[C@H](CO)[C@H]([C@@H]([C@H]3O)O)O[C@H]3O[C@H](CO)[C@H]([C@@H]([C@H]3O)O)O3)[C@H](O)[C@H]2O)CO)O[C@@H]1O[C@H]1[C@H](O)[C@@H](O)[C@@H]3O[C@@H]1CO WHGYBXFWUBPSRW-FOUAGVGXSA-N 0.000 description 2
- 210000004556 brain Anatomy 0.000 description 2
- 239000011449 brick Substances 0.000 description 2
- 239000002775 capsule Substances 0.000 description 2
- 239000011203 carbon fibre reinforced carbon Substances 0.000 description 2
- 230000003293 cardioprotective effect Effects 0.000 description 2
- 230000008859 change Effects 0.000 description 2
- 229910052801 chlorine Inorganic materials 0.000 description 2
- 229960002424 collagenase Drugs 0.000 description 2
- 208000029078 coronary artery disease Diseases 0.000 description 2
- 210000004351 coronary vessel Anatomy 0.000 description 2
- ZOOGRGPOEVQQDX-UHFFFAOYSA-N cyclic GMP Natural products O1C2COP(O)(=O)OC2C(O)C1N1C=NC2=C1NC(N)=NC2=O ZOOGRGPOEVQQDX-UHFFFAOYSA-N 0.000 description 2
- NKLCNNUWBJBICK-UHFFFAOYSA-N dess–martin periodinane Chemical compound C1=CC=C2I(OC(=O)C)(OC(C)=O)(OC(C)=O)OC(=O)C2=C1 NKLCNNUWBJBICK-UHFFFAOYSA-N 0.000 description 2
- 238000011161 development Methods 0.000 description 2
- 238000003745 diagnosis Methods 0.000 description 2
- 238000010790 dilution Methods 0.000 description 2
- 239000012895 dilution Substances 0.000 description 2
- VXTKSUGJWMHWKD-UHFFFAOYSA-N ethyl 2-chloro-5-nitropyridine-4-carboxylate Chemical compound CCOC(=O)C1=CC(Cl)=NC=C1[N+]([O-])=O VXTKSUGJWMHWKD-UHFFFAOYSA-N 0.000 description 2
- ZIUSEGSNTOUIPT-UHFFFAOYSA-N ethyl 2-cyanoacetate Chemical compound CCOC(=O)CC#N ZIUSEGSNTOUIPT-UHFFFAOYSA-N 0.000 description 2
- DGSUKGRXQWEABA-UHFFFAOYSA-N ethyl 2-cyclopropyl-5-nitropyridine-4-carboxylate Chemical compound C(C)OC(C1=CC(=NC=C1[N+](=O)[O-])C1CC1)=O DGSUKGRXQWEABA-UHFFFAOYSA-N 0.000 description 2
- KYAPHTVDCRAZJP-UHFFFAOYSA-N ethyl 5-[(2-cyanoacetyl)amino]-2-cyclopropylpyridine-4-carboxylate Chemical compound C(C)OC(C1=CC(=NC=C1NC(CC#N)=O)C1CC1)=O KYAPHTVDCRAZJP-UHFFFAOYSA-N 0.000 description 2
- NRSRZYITDVKPLE-UHFFFAOYSA-N ethyl 5-amino-2-cyclopropylpyridine-4-carboxylate Chemical compound C(C)OC(C1=CC(=NC=C1N)C1CC1)=O NRSRZYITDVKPLE-UHFFFAOYSA-N 0.000 description 2
- 238000011156 evaluation Methods 0.000 description 2
- 230000004761 fibrosis Effects 0.000 description 2
- 239000011737 fluorine Substances 0.000 description 2
- 229910052731 fluorine Inorganic materials 0.000 description 2
- 235000019253 formic acid Nutrition 0.000 description 2
- 125000000524 functional group Chemical group 0.000 description 2
- 108020004445 glyceraldehyde-3-phosphate dehydrogenase Proteins 0.000 description 2
- 208000038002 heart failure with reduced ejection fraction Diseases 0.000 description 2
- 238000010438 heat treatment Methods 0.000 description 2
- IXCSERBJSXMMFS-UHFFFAOYSA-N hydrogen chloride Substances Cl.Cl IXCSERBJSXMMFS-UHFFFAOYSA-N 0.000 description 2
- 229910000041 hydrogen chloride Inorganic materials 0.000 description 2
- 208000015181 infectious disease Diseases 0.000 description 2
- 230000005764 inhibitory process Effects 0.000 description 2
- 125000004491 isohexyl group Chemical group C(CCC(C)C)* 0.000 description 2
- TWBYWOBDOCUKOW-UHFFFAOYSA-M isonicotinate Chemical compound [O-]C(=O)C1=CC=NC=C1 TWBYWOBDOCUKOW-UHFFFAOYSA-M 0.000 description 2
- 238000005304 joining Methods 0.000 description 2
- 238000012417 linear regression Methods 0.000 description 2
- 210000004072 lung Anatomy 0.000 description 2
- 239000012139 lysis buffer Substances 0.000 description 2
- VFZXMEQGIIWBFJ-UHFFFAOYSA-M magnesium;cyclopropane;bromide Chemical compound [Mg+2].[Br-].C1C[CH-]1 VFZXMEQGIIWBFJ-UHFFFAOYSA-M 0.000 description 2
- CQINIRCAAUQNDQ-UHFFFAOYSA-N methyl 2-(2-methoxyethoxy)-5-nitropyridine-4-carboxylate Chemical compound C1(=CC(=C(C=N1)N(=O)=O)C(=O)OC)OCCOC CQINIRCAAUQNDQ-UHFFFAOYSA-N 0.000 description 2
- QRWUMECSDFSPOV-UHFFFAOYSA-N methyl 5-amino-2-(2-methoxyethoxy)pyridine-4-carboxylate Chemical compound COCCOc1cc(C(=O)OC)c(N)cn1 QRWUMECSDFSPOV-UHFFFAOYSA-N 0.000 description 2
- 230000011278 mitosis Effects 0.000 description 2
- 239000012046 mixed solvent Substances 0.000 description 2
- 238000002156 mixing Methods 0.000 description 2
- 230000010016 myocardial function Effects 0.000 description 2
- 230000007935 neutral effect Effects 0.000 description 2
- 238000010899 nucleation Methods 0.000 description 2
- 125000001715 oxadiazolyl group Chemical group 0.000 description 2
- 229910052763 palladium Inorganic materials 0.000 description 2
- JLFNLZLINWHATN-UHFFFAOYSA-N pentaethylene glycol Chemical compound OCCOCCOCCOCCOCCO JLFNLZLINWHATN-UHFFFAOYSA-N 0.000 description 2
- 229960001412 pentobarbital Drugs 0.000 description 2
- 239000000137 peptide hydrolase inhibitor Substances 0.000 description 2
- 239000003208 petroleum Substances 0.000 description 2
- YNPNZTXNASCQKK-UHFFFAOYSA-N phenanthrene Chemical compound C1=CC=C2C3=CC=CC=C3C=CC2=C1 YNPNZTXNASCQKK-UHFFFAOYSA-N 0.000 description 2
- BWHMMNNQKKPAPP-UHFFFAOYSA-L potassium carbonate Chemical compound [K+].[K+].[O-]C([O-])=O BWHMMNNQKKPAPP-UHFFFAOYSA-L 0.000 description 2
- 125000004076 pyridyl group Chemical group 0.000 description 2
- 238000010814 radioimmunoprecipitation assay Methods 0.000 description 2
- QGFSVPWZEPKNDV-BRTFOEFASA-N ranp Chemical compound C([C@H]1C(=O)NCC(=O)NCC(=O)N[C@@H](CCCNC(N)=N)C(=O)N[C@H](C(=O)N[C@@H](CC(O)=O)C(=O)N[C@@H](CCCNC(N)=N)C(=O)N[C@H](C(NCC(=O)N[C@@H](C)C(=O)N[C@@H](CCC(N)=O)C(=O)N[C@@H](CO)C(=O)NCC(=O)N[C@@H](CC(C)C)C(=O)NCC(=O)N[C@@H](CSSC[C@@H](C(=O)N1)NC(=O)[C@H](CO)NC(=O)[C@H](CO)NC(=O)[C@H](CCCNC(N)=N)NC(=O)[C@H](CCCNC(N)=N)NC(=O)[C@H](CC(C)C)NC(=O)[C@@H](N)CO)C(=O)N[C@@H](CC(N)=O)C(=O)N[C@@H](CO)C(=O)N[C@@H](CC=1C=CC=CC=1)C(=O)N[C@@H](CCCNC(N)=N)C(=O)N[C@@H](CC=1C=CC(O)=CC=1)C(O)=O)=O)[C@@H](C)CC)[C@@H](C)CC)C1=CC=CC=C1 QGFSVPWZEPKNDV-BRTFOEFASA-N 0.000 description 2
- 108020003175 receptors Proteins 0.000 description 2
- 238000011084 recovery Methods 0.000 description 2
- 230000009467 reduction Effects 0.000 description 2
- 230000029058 respiratory gaseous exchange Effects 0.000 description 2
- 238000000926 separation method Methods 0.000 description 2
- 210000002966 serum Anatomy 0.000 description 2
- 229910000030 sodium bicarbonate Inorganic materials 0.000 description 2
- 235000017557 sodium bicarbonate Nutrition 0.000 description 2
- JQWHASGSAFIOCM-UHFFFAOYSA-M sodium periodate Chemical compound [Na+].[O-]I(=O)(=O)=O JQWHASGSAFIOCM-UHFFFAOYSA-M 0.000 description 2
- 238000012453 sprague-dawley rat model Methods 0.000 description 2
- 239000013595 supernatant sample Substances 0.000 description 2
- 238000012353 t test Methods 0.000 description 2
- SWUCHJAQBNXPBO-UHFFFAOYSA-N tert-butyl 4-hydroxy-4-methylpiperidine-1-carboxylate Chemical compound CC(C)(C)OC(=O)N1CCC(C)(O)CC1 SWUCHJAQBNXPBO-UHFFFAOYSA-N 0.000 description 2
- VZGDMQKNWNREIO-UHFFFAOYSA-N tetrachloromethane Chemical compound ClC(Cl)(Cl)Cl VZGDMQKNWNREIO-UHFFFAOYSA-N 0.000 description 2
- 239000012096 transfection reagent Substances 0.000 description 2
- RIOQSEWOXXDEQQ-UHFFFAOYSA-N triphenylphosphine Chemical compound C1=CC=CC=C1P(C=1C=CC=CC=1)C1=CC=CC=C1 RIOQSEWOXXDEQQ-UHFFFAOYSA-N 0.000 description 2
- LWIHDJKSTIGBAC-UHFFFAOYSA-K tripotassium phosphate Chemical compound [K+].[K+].[K+].[O-]P([O-])([O-])=O LWIHDJKSTIGBAC-UHFFFAOYSA-K 0.000 description 2
- 238000012285 ultrasound imaging Methods 0.000 description 2
- 125000000391 vinyl group Chemical group [H]C([*])=C([H])[H] 0.000 description 2
- 229920002554 vinyl polymer Polymers 0.000 description 2
- 238000003260 vortexing Methods 0.000 description 2
- RDEIXVOBVLKYNT-VQBXQJRRSA-N (2r,3r,4r,5r)-2-[(1s,2s,3r,4s,6r)-4,6-diamino-3-[(2r,3r,6s)-3-amino-6-(1-aminoethyl)oxan-2-yl]oxy-2-hydroxycyclohexyl]oxy-5-methyl-4-(methylamino)oxane-3,5-diol;(2r,3r,4r,5r)-2-[(1s,2s,3r,4s,6r)-4,6-diamino-3-[(2r,3r,6s)-3-amino-6-(aminomethyl)oxan-2-yl]o Chemical compound OS(O)(=O)=O.O1C[C@@](O)(C)[C@H](NC)[C@@H](O)[C@H]1O[C@@H]1[C@@H](O)[C@H](O[C@@H]2[C@@H](CC[C@@H](CN)O2)N)[C@@H](N)C[C@H]1N.O1C[C@@](O)(C)[C@H](NC)[C@@H](O)[C@H]1O[C@@H]1[C@@H](O)[C@H](O[C@@H]2[C@@H](CC[C@H](O2)C(C)N)N)[C@@H](N)C[C@H]1N.O1[C@H](C(C)NC)CC[C@@H](N)[C@H]1O[C@H]1[C@H](O)[C@@H](O[C@@H]2[C@@H]([C@@H](NC)[C@@](C)(O)CO2)O)[C@H](N)C[C@@H]1N RDEIXVOBVLKYNT-VQBXQJRRSA-N 0.000 description 1
- OZQQOYLNTKMPDR-UHFFFAOYSA-N (5-amino-2-methylpentan-2-yl) carbamate Chemical compound NC(=O)OC(C)(C)CCCN OZQQOYLNTKMPDR-UHFFFAOYSA-N 0.000 description 1
- 125000004454 (C1-C6) alkoxycarbonyl group Chemical group 0.000 description 1
- KZPYGQFFRCFCPP-UHFFFAOYSA-N 1,1'-bis(diphenylphosphino)ferrocene Chemical compound [Fe+2].C1=CC=C[C-]1P(C=1C=CC=CC=1)C1=CC=CC=C1.C1=CC=C[C-]1P(C=1C=CC=CC=1)C1=CC=CC=C1 KZPYGQFFRCFCPP-UHFFFAOYSA-N 0.000 description 1
- 125000005918 1,2-dimethylbutyl group Chemical group 0.000 description 1
- 125000005940 1,4-dioxanyl group Chemical group 0.000 description 1
- 125000000196 1,4-pentadienyl group Chemical group [H]C([*])=C([H])C([H])([H])C([H])=C([H])[H] 0.000 description 1
- 125000004973 1-butenyl group Chemical group C(=CCC)* 0.000 description 1
- 125000006039 1-hexenyl group Chemical group 0.000 description 1
- BIWZYRJXBPPLLA-UHFFFAOYSA-N 1-methylazetidin-3-amine Chemical compound CN1CC(N)C1 BIWZYRJXBPPLLA-UHFFFAOYSA-N 0.000 description 1
- 125000006023 1-pentenyl group Chemical group 0.000 description 1
- 125000006017 1-propenyl group Chemical group 0.000 description 1
- 125000004564 2,3-dihydrobenzofuran-2-yl group Chemical group O1C(CC2=C1C=CC=C2)* 0.000 description 1
- XNWFRZJHXBZDAG-UHFFFAOYSA-N 2-METHOXYETHANOL Chemical compound COCCO XNWFRZJHXBZDAG-UHFFFAOYSA-N 0.000 description 1
- LBLYYCQCTBFVLH-UHFFFAOYSA-N 2-Methylbenzenesulfonic acid Chemical compound CC1=CC=CC=C1S(O)(=O)=O LBLYYCQCTBFVLH-UHFFFAOYSA-N 0.000 description 1
- JKMHFZQWWAIEOD-UHFFFAOYSA-N 2-[4-(2-hydroxyethyl)piperazin-1-yl]ethanesulfonic acid Chemical compound OCC[NH+]1CCN(CCS([O-])(=O)=O)CC1 JKMHFZQWWAIEOD-UHFFFAOYSA-N 0.000 description 1
- 125000004974 2-butenyl group Chemical group C(C=CC)* 0.000 description 1
- 125000000069 2-butynyl group Chemical group [H]C([H])([H])C#CC([H])([H])* 0.000 description 1
- YIKBSICAFIIUER-UHFFFAOYSA-N 2-chloro-5-nitropyridine-4-carboxylic acid Chemical compound OC(=O)C1=CC(Cl)=NC=C1[N+]([O-])=O YIKBSICAFIIUER-UHFFFAOYSA-N 0.000 description 1
- MYJZQVPKCZYECQ-UHFFFAOYSA-N 2-chloro-6-cyclopropyl-4-(4-methoxy-4-methylpiperidin-1-yl)-1,7-naphthyridine-3-carbonitrile Chemical compound ClC1=NC2=CN=C(C=C2C(=C1C#N)N1CCC(CC1)(C)OC)C1CC1 MYJZQVPKCZYECQ-UHFFFAOYSA-N 0.000 description 1
- 125000006176 2-ethylbutyl group Chemical group [H]C([H])([H])C([H])([H])C([H])(C([H])([H])*)C([H])([H])C([H])([H])[H] 0.000 description 1
- 125000004493 2-methylbut-1-yl group Chemical group CC(C*)CC 0.000 description 1
- 125000005916 2-methylpentyl group Chemical group 0.000 description 1
- 125000006024 2-pentenyl group Chemical group 0.000 description 1
- 125000003903 2-propenyl group Chemical group [H]C([*])([H])C([H])=C([H])[H] 0.000 description 1
- WRXNJTBODVGDRY-UHFFFAOYSA-N 2-pyrrolidin-1-ylethanamine Chemical compound NCCN1CCCC1 WRXNJTBODVGDRY-UHFFFAOYSA-N 0.000 description 1
- 125000001698 2H-pyranyl group Chemical group O1C(C=CC=C1)* 0.000 description 1
- KQIGMPWTAHJUMN-VKHMYHEASA-N 3-aminopropane-1,2-diol Chemical compound NC[C@H](O)CO KQIGMPWTAHJUMN-VKHMYHEASA-N 0.000 description 1
- BMYNFMYTOJXKLE-UHFFFAOYSA-N 3-azaniumyl-2-hydroxypropanoate Chemical compound NCC(O)C(O)=O BMYNFMYTOJXKLE-UHFFFAOYSA-N 0.000 description 1
- UVXZPQPDHOIADD-UHFFFAOYSA-N 3-cyano-4-(4-methoxy-4-methylpiperidin-1-yl)-2-oxo-N-(2-pyrrolidin-1-ylethyl)-1H-1,7-naphthyridine-6-carboxamide Chemical compound N1(CCC(CC1)(OC)C)C=1C2=CC(C(=O)NCCN3CCCC3)=NC=C2NC(=O)C=1C#N UVXZPQPDHOIADD-UHFFFAOYSA-N 0.000 description 1
- MPDMCAKRXVXXSL-UHFFFAOYSA-N 3-cyano-4-(4-methoxy-4-methylpiperidin-1-yl)-N,N-dimethyl-2-oxo-1H-1,7-naphthyridine-6-carboxamide Chemical compound C1(CCN(CC1)C=1C2=CC(C(=O)N(C)C)=NC=C2NC(=O)C=1C#N)(OC)C MPDMCAKRXVXXSL-UHFFFAOYSA-N 0.000 description 1
- 125000005917 3-methylpentyl group Chemical group 0.000 description 1
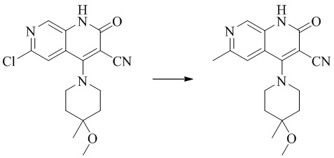
- UNEKXSMKACSFHR-UHFFFAOYSA-N 4-(4-methoxy-4-methylpiperidin-1-yl)-6-methyl-2-oxo-1H-1,7-naphthyridine-3-carbonitrile Chemical compound CC1(CCN(CC1)C=1C2=CC(C)=NC=C2NC(=O)C=1C#N)OC UNEKXSMKACSFHR-UHFFFAOYSA-N 0.000 description 1
- NHVNKCKANZAOOC-UHFFFAOYSA-N 4-methoxy-4-methylpiperidine Chemical compound COC1(C)CCNCC1 NHVNKCKANZAOOC-UHFFFAOYSA-N 0.000 description 1
- 125000001826 4H-pyranyl group Chemical group O1C(=CCC=C1)* 0.000 description 1
- UWMBLCKBUHPQDW-UHFFFAOYSA-N 6-[cyclopropyl(hydroxy)methyl]-4-(4-methoxy-4-methylpiperidin-1-yl)-2-oxo-1H-1,7-naphthyridine-3-carbonitrile Chemical compound CC1(CCN(CC1)C=1C2=CC(C(C3CC3)O)=NC=C2NC(=O)C=1C#N)OC UWMBLCKBUHPQDW-UHFFFAOYSA-N 0.000 description 1
- WIAVZDCGTDRUIJ-UHFFFAOYSA-N 6-cyclopropyl-4-(4-methoxy-4-methylpiperidin-1-yl)-2-oxo-1H-1,7-naphthyridine-3-carbonitrile Chemical compound C1(CC1)C=1C=C2C(=C(C(NC2=CN1)=O)C#N)N1CCC(CC1)(C)OC WIAVZDCGTDRUIJ-UHFFFAOYSA-N 0.000 description 1
- 241000282455 Ailurus fulgens Species 0.000 description 1
- 201000004384 Alopecia Diseases 0.000 description 1
- 208000024827 Alzheimer disease Diseases 0.000 description 1
- 206010003445 Ascites Diseases 0.000 description 1
- 229930003347 Atropine Natural products 0.000 description 1
- 239000005711 Benzoic acid Substances 0.000 description 1
- BTBUEUYNUDRHOZ-UHFFFAOYSA-N Borate Chemical compound [O-]B([O-])[O-] BTBUEUYNUDRHOZ-UHFFFAOYSA-N 0.000 description 1
- 241000283690 Bos taurus Species 0.000 description 1
- 241000282817 Bovidae Species 0.000 description 1
- WKBOTKDWSSQWDR-UHFFFAOYSA-N Bromine atom Chemical compound [Br] WKBOTKDWSSQWDR-UHFFFAOYSA-N 0.000 description 1
- 241000282472 Canis lupus familiaris Species 0.000 description 1
- 206010007560 Cardiac failure high output Diseases 0.000 description 1
- 241000282693 Cercopithecidae Species 0.000 description 1
- 241000282994 Cervidae Species 0.000 description 1
- 241000283153 Cetacea Species 0.000 description 1
- 208000028698 Cognitive impairment Diseases 0.000 description 1
- 241001125840 Coryphaenidae Species 0.000 description 1
- 206010011703 Cyanosis Diseases 0.000 description 1
- 229920000858 Cyclodextrin Polymers 0.000 description 1
- 206010012374 Depressed mood Diseases 0.000 description 1
- FEWJPZIEWOKRBE-JCYAYHJZSA-N Dextrotartaric acid Chemical compound OC(=O)[C@H](O)[C@@H](O)C(O)=O FEWJPZIEWOKRBE-JCYAYHJZSA-N 0.000 description 1
- 208000000059 Dyspnea Diseases 0.000 description 1
- 206010013975 Dyspnoeas Diseases 0.000 description 1
- 208000017701 Endocrine disease Diseases 0.000 description 1
- 241000283086 Equidae Species 0.000 description 1
- 241000283074 Equus asinus Species 0.000 description 1
- 241001331845 Equus asinus x caballus Species 0.000 description 1
- 241000289659 Erinaceidae Species 0.000 description 1
- IAYPIBMASNFSPL-UHFFFAOYSA-N Ethylene oxide Chemical group C1CO1 IAYPIBMASNFSPL-UHFFFAOYSA-N 0.000 description 1
- 239000001116 FEMA 4028 Substances 0.000 description 1
- 241000282818 Giraffidae Species 0.000 description 1
- WQZGKKKJIJFFOK-GASJEMHNSA-N Glucose Natural products OC[C@H]1OC(O)[C@H](O)[C@@H](O)[C@@H]1O WQZGKKKJIJFFOK-GASJEMHNSA-N 0.000 description 1
- 241000288140 Gruiformes Species 0.000 description 1
- 239000007995 HEPES buffer Substances 0.000 description 1
- 206010018852 Haematoma Diseases 0.000 description 1
- 101001117259 Homo sapiens High affinity cGMP-specific 3',5'-cyclic phosphodiesterase 9A Proteins 0.000 description 1
- RKUNBYITZUJHSG-UHFFFAOYSA-N Hyosciamin-hydrochlorid Natural products CN1C(C2)CCC1CC2OC(=O)C(CO)C1=CC=CC=C1 RKUNBYITZUJHSG-UHFFFAOYSA-N 0.000 description 1
- 206010020772 Hypertension Diseases 0.000 description 1
- XEEYBQQBJWHFJM-UHFFFAOYSA-N Iron Chemical compound [Fe] XEEYBQQBJWHFJM-UHFFFAOYSA-N 0.000 description 1
- PIWKPBJCKXDKJR-UHFFFAOYSA-N Isoflurane Chemical compound FC(F)OC(Cl)C(F)(F)F PIWKPBJCKXDKJR-UHFFFAOYSA-N 0.000 description 1
- 229930194542 Keto Natural products 0.000 description 1
- NNJVILVZKWQKPM-UHFFFAOYSA-N Lidocaine Chemical compound CCN(CC)CC(=O)NC1=C(C)C=CC=C1C NNJVILVZKWQKPM-UHFFFAOYSA-N 0.000 description 1
- 208000019693 Lung disease Diseases 0.000 description 1
- 241000428198 Lutrinae Species 0.000 description 1
- 241000721701 Lynx Species 0.000 description 1
- 241000289619 Macropodidae Species 0.000 description 1
- 241000282346 Meles meles Species 0.000 description 1
- ZRVUJXDFFKFLMG-UHFFFAOYSA-N Meloxicam Chemical compound OC=1C2=CC=CC=C2S(=O)(=O)N(C)C=1C(=O)NC1=NC=C(C)S1 ZRVUJXDFFKFLMG-UHFFFAOYSA-N 0.000 description 1
- 241000699670 Mus sp. Species 0.000 description 1
- 241000282339 Mustela Species 0.000 description 1
- 241000428199 Mustelinae Species 0.000 description 1
- 206010028594 Myocardial fibrosis Diseases 0.000 description 1
- 241000289692 Myrmecophagidae Species 0.000 description 1
- GRYLNZFGIOXLOG-UHFFFAOYSA-N Nitric acid Chemical compound O[N+]([O-])=O GRYLNZFGIOXLOG-UHFFFAOYSA-N 0.000 description 1
- 241000283201 Odobenidae Species 0.000 description 1
- 206010030113 Oedema Diseases 0.000 description 1
- 241000289371 Ornithorhynchus anatinus Species 0.000 description 1
- 241001502413 Ovibos Species 0.000 description 1
- 208000025174 PANDAS Diseases 0.000 description 1
- 208000021155 Paediatric autoimmune neuropsychiatric disorders associated with streptococcal infection Diseases 0.000 description 1
- 240000004718 Panda Species 0.000 description 1
- 235000016496 Panda oleosa Nutrition 0.000 description 1
- 241000282320 Panthera leo Species 0.000 description 1
- 241000282376 Panthera tigris Species 0.000 description 1
- 241001494479 Pecora Species 0.000 description 1
- 108091005804 Peptidases Proteins 0.000 description 1
- 241000132158 Phacochoerus Species 0.000 description 1
- 241001520316 Phascolarctidae Species 0.000 description 1
- 241000283216 Phocidae Species 0.000 description 1
- 241000283966 Pholidota <mammal> Species 0.000 description 1
- 241000282405 Pongo abelii Species 0.000 description 1
- 241000283080 Proboscidea <mammal> Species 0.000 description 1
- 206010036790 Productive cough Diseases 0.000 description 1
- OFOBLEOULBTSOW-UHFFFAOYSA-N Propanedioic acid Natural products OC(=O)CC(O)=O OFOBLEOULBTSOW-UHFFFAOYSA-N 0.000 description 1
- 239000004365 Protease Substances 0.000 description 1
- 208000010378 Pulmonary Embolism Diseases 0.000 description 1
- 208000037656 Respiratory Sounds Diseases 0.000 description 1
- 102100037486 Reverse transcriptase/ribonuclease H Human genes 0.000 description 1
- 208000032023 Signs and Symptoms Diseases 0.000 description 1
- 241000283083 Sirenia Species 0.000 description 1
- LSNNMFCWUKXFEE-UHFFFAOYSA-N Sulfurous acid Chemical compound OS(O)=O LSNNMFCWUKXFEE-UHFFFAOYSA-N 0.000 description 1
- 208000001871 Tachycardia Diseases 0.000 description 1
- 241000283068 Tapiridae Species 0.000 description 1
- FEWJPZIEWOKRBE-UHFFFAOYSA-N Tartaric acid Natural products [H+].[H+].[O-]C(=O)C(O)C(O)C([O-])=O FEWJPZIEWOKRBE-UHFFFAOYSA-N 0.000 description 1
- DKGAVHZHDRPRBM-UHFFFAOYSA-N Tert-Butanol Chemical compound CC(C)(C)O DKGAVHZHDRPRBM-UHFFFAOYSA-N 0.000 description 1
- 231100000644 Toxic injury Toxicity 0.000 description 1
- DTQVDTLACAAQTR-UHFFFAOYSA-M Trifluoroacetate Chemical compound [O-]C(=O)C(F)(F)F DTQVDTLACAAQTR-UHFFFAOYSA-M 0.000 description 1
- GLNADSQYFUSGOU-GPTZEZBUSA-J Trypan blue Chemical compound [Na+].[Na+].[Na+].[Na+].C1=C(S([O-])(=O)=O)C=C2C=C(S([O-])(=O)=O)C(/N=N/C3=CC=C(C=C3C)C=3C=C(C(=CC=3)\N=N\C=3C(=CC4=CC(=CC(N)=C4C=3O)S([O-])(=O)=O)S([O-])(=O)=O)C)=C(O)C2=C1N GLNADSQYFUSGOU-GPTZEZBUSA-J 0.000 description 1
- 241001147416 Ursus maritimus Species 0.000 description 1
- 241000251539 Vertebrata <Metazoa> Species 0.000 description 1
- 208000027418 Wounds and injury Diseases 0.000 description 1
- 230000004913 activation Effects 0.000 description 1
- HSFWRNGVRCDJHI-UHFFFAOYSA-N alpha-acetylene Natural products C#C HSFWRNGVRCDJHI-UHFFFAOYSA-N 0.000 description 1
- 229910000147 aluminium phosphate Inorganic materials 0.000 description 1
- 150000003863 ammonium salts Chemical class 0.000 description 1
- 239000003708 ampul Substances 0.000 description 1
- 208000007502 anemia Diseases 0.000 description 1
- 230000036528 appetite Effects 0.000 description 1
- 235000019789 appetite Nutrition 0.000 description 1
- QVGXLLKOCUKJST-UHFFFAOYSA-N atomic oxygen Chemical compound [O] QVGXLLKOCUKJST-UHFFFAOYSA-N 0.000 description 1
- 108010038640 atrial natriuretic factor receptor A Proteins 0.000 description 1
- RKUNBYITZUJHSG-SPUOUPEWSA-N atropine Chemical compound O([C@H]1C[C@H]2CC[C@@H](C1)N2C)C(=O)C(CO)C1=CC=CC=C1 RKUNBYITZUJHSG-SPUOUPEWSA-N 0.000 description 1
- 229960000396 atropine Drugs 0.000 description 1
- 125000004069 aziridinyl group Chemical group 0.000 description 1
- 238000010009 beating Methods 0.000 description 1
- 125000003785 benzimidazolyl group Chemical group N1=C(NC2=C1C=CC=C2)* 0.000 description 1
- 125000000499 benzofuranyl group Chemical group O1C(=CC2=C1C=CC=C2)* 0.000 description 1
- 235000010233 benzoic acid Nutrition 0.000 description 1
- 125000005874 benzothiadiazolyl group Chemical group 0.000 description 1
- 125000001164 benzothiazolyl group Chemical group S1C(=NC2=C1C=CC=C2)* 0.000 description 1
- 125000004196 benzothienyl group Chemical group S1C(=CC2=C1C=CC=C2)* 0.000 description 1
- 125000002619 bicyclic group Chemical group 0.000 description 1
- 125000002618 bicyclic heterocycle group Chemical group 0.000 description 1
- GPRLTFBKWDERLU-UHFFFAOYSA-N bicyclo[2.2.2]octane Chemical compound C1CC2CCC1CC2 GPRLTFBKWDERLU-UHFFFAOYSA-N 0.000 description 1
- SHOMMGQAMRXRRK-UHFFFAOYSA-N bicyclo[3.1.1]heptane Chemical compound C1C2CC1CCC2 SHOMMGQAMRXRRK-UHFFFAOYSA-N 0.000 description 1
- GNTFBMAGLFYMMZ-UHFFFAOYSA-N bicyclo[3.2.2]nonane Chemical compound C1CC2CCC1CCC2 GNTFBMAGLFYMMZ-UHFFFAOYSA-N 0.000 description 1
- WNTGVOIBBXFMLR-UHFFFAOYSA-N bicyclo[3.3.1]nonane Chemical compound C1CCC2CCCC1C2 WNTGVOIBBXFMLR-UHFFFAOYSA-N 0.000 description 1
- KVLCIHRZDOKRLK-UHFFFAOYSA-N bicyclo[4.2.1]nonane Chemical compound C1C2CCC1CCCC2 KVLCIHRZDOKRLK-UHFFFAOYSA-N 0.000 description 1
- 239000011230 binding agent Substances 0.000 description 1
- 230000008827 biological function Effects 0.000 description 1
- 238000001574 biopsy Methods 0.000 description 1
- 210000004204 blood vessel Anatomy 0.000 description 1
- 230000037396 body weight Effects 0.000 description 1
- 230000036471 bradycardia Effects 0.000 description 1
- 208000006218 bradycardia Diseases 0.000 description 1
- GDTBXPJZTBHREO-UHFFFAOYSA-N bromine Substances BrBr GDTBXPJZTBHREO-UHFFFAOYSA-N 0.000 description 1
- 229910052794 bromium Inorganic materials 0.000 description 1
- 230000003222 cGMP degradation Effects 0.000 description 1
- 159000000007 calcium salts Chemical class 0.000 description 1
- 238000004364 calculation method Methods 0.000 description 1
- 150000001728 carbonyl compounds Chemical class 0.000 description 1
- 230000010261 cell growth Effects 0.000 description 1
- 230000001413 cellular effect Effects 0.000 description 1
- 210000003169 central nervous system Anatomy 0.000 description 1
- 230000035606 childbirth Effects 0.000 description 1
- 125000000259 cinnolinyl group Chemical group N1=NC(=CC2=CC=CC=C12)* 0.000 description 1
- 235000015165 citric acid Nutrition 0.000 description 1
- 208000035850 clinical syndrome Diseases 0.000 description 1
- 208000010877 cognitive disease Diseases 0.000 description 1
- 238000004440 column chromatography Methods 0.000 description 1
- 238000009833 condensation Methods 0.000 description 1
- 230000005494 condensation Effects 0.000 description 1
- 238000012790 confirmation Methods 0.000 description 1
- 230000008828 contractile function Effects 0.000 description 1
- 238000012258 culturing Methods 0.000 description 1
- 125000001995 cyclobutyl group Chemical group [H]C1([H])C([H])([H])C([H])(*)C1([H])[H] 0.000 description 1
- 125000000582 cycloheptyl group Chemical group [H]C1([H])C([H])([H])C([H])([H])C([H])([H])C([H])(*)C([H])([H])C1([H])[H] 0.000 description 1
- 125000000113 cyclohexyl group Chemical group [H]C1([H])C([H])([H])C([H])([H])C([H])(*)C([H])([H])C1([H])[H] 0.000 description 1
- 125000000640 cyclooctyl group Chemical group [H]C1([H])C([H])([H])C([H])([H])C([H])([H])C([H])(*)C([H])([H])C([H])([H])C1([H])[H] 0.000 description 1
- 125000001511 cyclopentyl group Chemical group [H]C1([H])C([H])([H])C([H])([H])C([H])(*)C1([H])[H] 0.000 description 1
- WLVKDFJTYKELLQ-UHFFFAOYSA-N cyclopropylboronic acid Chemical compound OB(O)C1CC1 WLVKDFJTYKELLQ-UHFFFAOYSA-N 0.000 description 1
- 230000007547 defect Effects 0.000 description 1
- 125000004431 deuterium atom Chemical group 0.000 description 1
- 206010012601 diabetes mellitus Diseases 0.000 description 1
- 238000010586 diagram Methods 0.000 description 1
- 230000035487 diastolic blood pressure Effects 0.000 description 1
- 150000005690 diesters Chemical class 0.000 description 1
- 230000004069 differentiation Effects 0.000 description 1
- 230000029087 digestion Effects 0.000 description 1
- XHFGWHUWQXTGAT-UHFFFAOYSA-N dimethylamine hydrochloride Natural products CNC(C)C XHFGWHUWQXTGAT-UHFFFAOYSA-N 0.000 description 1
- IQDGSYLLQPDQDV-UHFFFAOYSA-N dimethylazanium;chloride Chemical compound Cl.CNC IQDGSYLLQPDQDV-UHFFFAOYSA-N 0.000 description 1
- DGODWNOPHMXOTR-UHFFFAOYSA-N dipotassium;dioxido(dioxo)osmium;dihydrate Chemical compound O.O.[K+].[K+].[O-][Os]([O-])(=O)=O DGODWNOPHMXOTR-UHFFFAOYSA-N 0.000 description 1
- 208000016097 disease of metabolism Diseases 0.000 description 1
- 239000007884 disintegrant Substances 0.000 description 1
- 208000035475 disorder Diseases 0.000 description 1
- 239000002270 dispersing agent Substances 0.000 description 1
- 230000009977 dual effect Effects 0.000 description 1
- 239000000839 emulsion Substances 0.000 description 1
- 230000002124 endocrine Effects 0.000 description 1
- 208000030172 endocrine system disease Diseases 0.000 description 1
- 238000006911 enzymatic reaction Methods 0.000 description 1
- 125000001495 ethyl group Chemical group [H]C([H])([H])C([H])([H])* 0.000 description 1
- 125000002534 ethynyl group Chemical group [H]C#C* 0.000 description 1
- 206010016256 fatigue Diseases 0.000 description 1
- KTWOOEGAPBSYNW-UHFFFAOYSA-N ferrocene Chemical compound [Fe+2].C=1C=C[CH-]C=1.C=1C=C[CH-]C=1 KTWOOEGAPBSYNW-UHFFFAOYSA-N 0.000 description 1
- 239000000945 filler Substances 0.000 description 1
- 238000009472 formulation Methods 0.000 description 1
- 125000002541 furyl group Chemical group 0.000 description 1
- 230000002496 gastric effect Effects 0.000 description 1
- 239000000499 gel Substances 0.000 description 1
- 239000008103 glucose Substances 0.000 description 1
- 239000008187 granular material Substances 0.000 description 1
- 239000001963 growth medium Substances 0.000 description 1
- 208000024963 hair loss Diseases 0.000 description 1
- 230000003676 hair loss Effects 0.000 description 1
- 125000005843 halogen group Chemical group 0.000 description 1
- 230000036541 health Effects 0.000 description 1
- 210000002837 heart atrium Anatomy 0.000 description 1
- 210000005003 heart tissue Anatomy 0.000 description 1
- 230000000004 hemodynamic effect Effects 0.000 description 1
- 102000053871 human PDE9A Human genes 0.000 description 1
- 150000002430 hydrocarbons Chemical group 0.000 description 1
- XMBWDFGMSWQBCA-UHFFFAOYSA-N hydrogen iodide Chemical compound I XMBWDFGMSWQBCA-UHFFFAOYSA-N 0.000 description 1
- 229940071870 hydroiodic acid Drugs 0.000 description 1
- 206010020871 hypertrophic cardiomyopathy Diseases 0.000 description 1
- 125000002632 imidazolidinyl group Chemical group 0.000 description 1
- 125000002883 imidazolyl group Chemical group 0.000 description 1
- 238000000338 in vitro Methods 0.000 description 1
- 125000003453 indazolyl group Chemical group N1N=C(C2=C1C=CC=C2)* 0.000 description 1
- 125000001041 indolyl group Chemical group 0.000 description 1
- 230000002757 inflammatory effect Effects 0.000 description 1
- 208000014674 injury Diseases 0.000 description 1
- 230000003993 interaction Effects 0.000 description 1
- 230000003834 intracellular effect Effects 0.000 description 1
- 239000007927 intramuscular injection Substances 0.000 description 1
- 238000010255 intramuscular injection Methods 0.000 description 1
- PNDPGZBMCMUPRI-UHFFFAOYSA-N iodine Chemical compound II PNDPGZBMCMUPRI-UHFFFAOYSA-N 0.000 description 1
- 125000000959 isobutyl group Chemical group [H]C([H])([H])C([H])(C([H])([H])[H])C([H])([H])* 0.000 description 1
- 229960002725 isoflurane Drugs 0.000 description 1
- 125000000904 isoindolyl group Chemical group C=1(NC=C2C=CC=CC12)* 0.000 description 1
- 238000002955 isolation Methods 0.000 description 1
- 125000001972 isopentyl group Chemical group [H]C([H])([H])C([H])(C([H])([H])[H])C([H])([H])C([H])([H])* 0.000 description 1
- 125000001449 isopropyl group Chemical group [H]C([H])([H])C([H])(*)C([H])([H])[H] 0.000 description 1
- 125000002183 isoquinolinyl group Chemical group C1(=NC=CC2=CC=CC=C12)* 0.000 description 1
- 125000001786 isothiazolyl group Chemical group 0.000 description 1
- 125000000842 isoxazolyl group Chemical group 0.000 description 1
- 125000000468 ketone group Chemical group 0.000 description 1
- 210000003292 kidney cell Anatomy 0.000 description 1
- 150000003951 lactams Chemical group 0.000 description 1
- 229960004194 lidocaine Drugs 0.000 description 1
- 239000007791 liquid phase Substances 0.000 description 1
- 210000004185 liver Anatomy 0.000 description 1
- 230000007774 longterm Effects 0.000 description 1
- 231100000053 low toxicity Toxicity 0.000 description 1
- 210000003141 lower extremity Anatomy 0.000 description 1
- 239000000314 lubricant Substances 0.000 description 1
- VZCYOOQTPOCHFL-UPHRSURJSA-N maleic acid Chemical compound OC(=O)\C=C/C(O)=O VZCYOOQTPOCHFL-UPHRSURJSA-N 0.000 description 1
- 239000011976 maleic acid Substances 0.000 description 1
- 210000005075 mammary gland Anatomy 0.000 description 1
- 238000013507 mapping Methods 0.000 description 1
- 238000005259 measurement Methods 0.000 description 1
- 229960001929 meloxicam Drugs 0.000 description 1
- 230000004060 metabolic process Effects 0.000 description 1
- 229940098779 methanesulfonic acid Drugs 0.000 description 1
- HNQIVZYLYMDVSB-UHFFFAOYSA-N methanesulfonimidic acid Chemical compound CS(N)(=O)=O HNQIVZYLYMDVSB-UHFFFAOYSA-N 0.000 description 1
- WSFSSNUMVMOOMR-NJFSPNSNSA-N methanone Chemical compound O=[14CH2] WSFSSNUMVMOOMR-NJFSPNSNSA-N 0.000 description 1
- SBGNWCJYDUUYTN-UHFFFAOYSA-N methyl 2-chloro-5-nitropyridine-4-carboxylate Chemical compound COC(=O)C1=CC(Cl)=NC=C1[N+]([O-])=O SBGNWCJYDUUYTN-UHFFFAOYSA-N 0.000 description 1
- 229920000609 methyl cellulose Polymers 0.000 description 1
- NQMRYBIKMRVZLB-UHFFFAOYSA-N methylamine hydrochloride Chemical compound [Cl-].[NH3+]C NQMRYBIKMRVZLB-UHFFFAOYSA-N 0.000 description 1
- 239000001923 methylcellulose Substances 0.000 description 1
- 230000005012 migration Effects 0.000 description 1
- 238000013508 migration Methods 0.000 description 1
- 239000008267 milk Substances 0.000 description 1
- 235000013336 milk Nutrition 0.000 description 1
- 210000004080 milk Anatomy 0.000 description 1
- 208000037891 myocardial injury Diseases 0.000 description 1
- DILRJUIACXKSQE-UHFFFAOYSA-N n',n'-dimethylethane-1,2-diamine Chemical compound CN(C)CCN DILRJUIACXKSQE-UHFFFAOYSA-N 0.000 description 1
- 125000001298 n-hexoxy group Chemical group [H]C([H])([H])C([H])([H])C([H])([H])C([H])([H])C([H])([H])C([H])([H])O* 0.000 description 1
- 125000001280 n-hexyl group Chemical group C(CCCCC)* 0.000 description 1
- 125000000740 n-pentyl group Chemical group [H]C([H])([H])C([H])([H])C([H])([H])C([H])([H])C([H])([H])* 0.000 description 1
- 125000004123 n-propyl group Chemical group [H]C([H])([H])C([H])([H])C([H])([H])* 0.000 description 1
- 125000004593 naphthyridinyl group Chemical group N1=C(C=CC2=CC=CN=C12)* 0.000 description 1
- 125000001971 neopentyl group Chemical group [H]C([*])([H])C(C([H])([H])[H])(C([H])([H])[H])C([H])([H])[H] 0.000 description 1
- 230000004770 neurodegeneration Effects 0.000 description 1
- 208000015122 neurodegenerative disease Diseases 0.000 description 1
- 210000000607 neurosecretory system Anatomy 0.000 description 1
- 238000006386 neutralization reaction Methods 0.000 description 1
- 229910017604 nitric acid Inorganic materials 0.000 description 1
- 125000004433 nitrogen atom Chemical group N* 0.000 description 1
- 231100000252 nontoxic Toxicity 0.000 description 1
- 230000003000 nontoxic effect Effects 0.000 description 1
- UMRZSTCPUPJPOJ-KNVOCYPGSA-N norbornane Chemical compound C1C[C@H]2CC[C@@H]1C2 UMRZSTCPUPJPOJ-KNVOCYPGSA-N 0.000 description 1
- 125000002971 oxazolyl group Chemical group 0.000 description 1
- 125000003566 oxetanyl group Chemical group 0.000 description 1
- 239000001301 oxygen Substances 0.000 description 1
- 125000004430 oxygen atom Chemical group O* 0.000 description 1
- YJVFFLUZDVXJQI-UHFFFAOYSA-L palladium(ii) acetate Chemical compound [Pd+2].CC([O-])=O.CC([O-])=O YJVFFLUZDVXJQI-UHFFFAOYSA-L 0.000 description 1
- 210000000496 pancreas Anatomy 0.000 description 1
- 239000012188 paraffin wax Substances 0.000 description 1
- 238000007911 parenteral administration Methods 0.000 description 1
- 238000010827 pathological analysis Methods 0.000 description 1
- 230000001575 pathological effect Effects 0.000 description 1
- 230000037361 pathway Effects 0.000 description 1
- 125000003538 pentan-3-yl group Chemical group [H]C([H])([H])C([H])([H])C([H])(*)C([H])([H])C([H])([H])[H] 0.000 description 1
- 239000000546 pharmaceutical excipient Substances 0.000 description 1
- 230000004962 physiological condition Effects 0.000 description 1
- 230000035790 physiological processes and functions Effects 0.000 description 1
- 239000006187 pill Substances 0.000 description 1
- 125000003386 piperidinyl group Chemical group 0.000 description 1
- 125000003367 polycyclic group Chemical group 0.000 description 1
- 229940068918 polyethylene glycol 400 Drugs 0.000 description 1
- XAEFZNCEHLXOMS-UHFFFAOYSA-M potassium benzoate Chemical compound [K+].[O-]C(=O)C1=CC=CC=C1 XAEFZNCEHLXOMS-UHFFFAOYSA-M 0.000 description 1
- 229910000027 potassium carbonate Inorganic materials 0.000 description 1
- 229910000160 potassium phosphate Inorganic materials 0.000 description 1
- 235000011009 potassium phosphates Nutrition 0.000 description 1
- 230000035935 pregnancy Effects 0.000 description 1
- 238000012746 preparative thin layer chromatography Methods 0.000 description 1
- 238000004393 prognosis Methods 0.000 description 1
- 125000002568 propynyl group Chemical group [*]C#CC([H])([H])[H] 0.000 description 1
- 208000002815 pulmonary hypertension Diseases 0.000 description 1
- 125000000561 purinyl group Chemical group N1=C(N=C2N=CNC2=C1)* 0.000 description 1
- 125000003373 pyrazinyl group Chemical group 0.000 description 1
- 125000003072 pyrazolidinyl group Chemical group 0.000 description 1
- 125000003226 pyrazolyl group Chemical group 0.000 description 1
- 125000002098 pyridazinyl group Chemical group 0.000 description 1
- 125000000714 pyrimidinyl group Chemical group 0.000 description 1
- 125000000719 pyrrolidinyl group Chemical group 0.000 description 1
- 125000002943 quinolinyl group Chemical group N1=C(C=CC2=CC=CC=C12)* 0.000 description 1
- 206010037833 rales Diseases 0.000 description 1
- 230000001020 rhythmical effect Effects 0.000 description 1
- 238000002390 rotary evaporation Methods 0.000 description 1
- 201000000980 schizophrenia Diseases 0.000 description 1
- 125000002914 sec-butyl group Chemical group [H]C([H])([H])C([H])([H])C([H])(*)C([H])([H])[H] 0.000 description 1
- 230000019491 signal transduction Effects 0.000 description 1
- 238000013424 sirius red staining Methods 0.000 description 1
- 210000002027 skeletal muscle Anatomy 0.000 description 1
- 210000000813 small intestine Anatomy 0.000 description 1
- 239000011734 sodium Substances 0.000 description 1
- 229910000029 sodium carbonate Inorganic materials 0.000 description 1
- 239000011780 sodium chloride Substances 0.000 description 1
- 159000000000 sodium salts Chemical class 0.000 description 1
- AKHNMLFCWUSKQB-UHFFFAOYSA-L sodium thiosulfate Chemical class [Na+].[Na+].[O-]S([O-])(=O)=S AKHNMLFCWUSKQB-UHFFFAOYSA-L 0.000 description 1
- 239000012453 solvate Substances 0.000 description 1
- 210000003802 sputum Anatomy 0.000 description 1
- 208000024794 sputum Diseases 0.000 description 1
- 238000010186 staining Methods 0.000 description 1
- 238000007447 staining method Methods 0.000 description 1
- 238000007619 statistical method Methods 0.000 description 1
- 230000000638 stimulation Effects 0.000 description 1
- 239000011550 stock solution Substances 0.000 description 1
- 239000012089 stop solution Substances 0.000 description 1
- 238000003860 storage Methods 0.000 description 1
- 239000000758 substrate Substances 0.000 description 1
- 239000006228 supernatant Substances 0.000 description 1
- 239000000829 suppository Substances 0.000 description 1
- 230000005062 synaptic transmission Effects 0.000 description 1
- 230000035488 systolic blood pressure Effects 0.000 description 1
- 239000003826 tablet Substances 0.000 description 1
- 230000006794 tachycardia Effects 0.000 description 1
- 239000011975 tartaric acid Substances 0.000 description 1
- 235000002906 tartaric acid Nutrition 0.000 description 1
- ROUYFJUVMYHXFJ-UHFFFAOYSA-N tert-butyl 4-oxopiperidine-1-carboxylate Chemical compound CC(C)(C)OC(=O)N1CCC(=O)CC1 ROUYFJUVMYHXFJ-UHFFFAOYSA-N 0.000 description 1
- 125000000999 tert-butyl group Chemical group [H]C([H])([H])C(*)(C([H])([H])[H])C([H])([H])[H] 0.000 description 1
- 210000001550 testis Anatomy 0.000 description 1
- 125000003718 tetrahydrofuranyl group Chemical group 0.000 description 1
- 125000005958 tetrahydrothienyl group Chemical group 0.000 description 1
- 125000003831 tetrazolyl group Chemical group 0.000 description 1
- 229940126585 therapeutic drug Drugs 0.000 description 1
- 125000001113 thiadiazolyl group Chemical group 0.000 description 1
- 125000000335 thiazolyl group Chemical group 0.000 description 1
- 230000008719 thickening Effects 0.000 description 1
- 125000004588 thienopyridyl group Chemical group S1C(=CC2=C1C=CC=N2)* 0.000 description 1
- 125000001544 thienyl group Chemical group 0.000 description 1
- XSROQCDVUIHRSI-UHFFFAOYSA-N thietane Chemical group C1CSC1 XSROQCDVUIHRSI-UHFFFAOYSA-N 0.000 description 1
- VOVUARRWDCVURC-UHFFFAOYSA-N thiirane Chemical group C1CS1 VOVUARRWDCVURC-UHFFFAOYSA-N 0.000 description 1
- 210000001541 thymus gland Anatomy 0.000 description 1
- 210000001519 tissue Anatomy 0.000 description 1
- VZCYOOQTPOCHFL-UHFFFAOYSA-N trans-butenedioic acid Natural products OC(=O)C=CC(O)=O VZCYOOQTPOCHFL-UHFFFAOYSA-N 0.000 description 1
- 125000004306 triazinyl group Chemical group 0.000 description 1
- 125000001425 triazolyl group Chemical group 0.000 description 1
- GKASDNZWUGIAMG-UHFFFAOYSA-N triethyl orthoformate Chemical compound CCOC(OCC)OCC GKASDNZWUGIAMG-UHFFFAOYSA-N 0.000 description 1
- PBIMIGNDTBRRPI-UHFFFAOYSA-N trifluoro borate Chemical compound FOB(OF)OF PBIMIGNDTBRRPI-UHFFFAOYSA-N 0.000 description 1
- HJOAXCLZLHDZDX-UHFFFAOYSA-N tris(1,2,2-trifluoroethenyl) borate Chemical compound FC(F)=C(F)OB(OC(F)=C(F)F)OC(F)=C(F)F HJOAXCLZLHDZDX-UHFFFAOYSA-N 0.000 description 1
- 239000003981 vehicle Substances 0.000 description 1
- 208000003663 ventricular fibrillation Diseases 0.000 description 1
- 238000005303 weighing Methods 0.000 description 1
Images
Abstract
Изобретение относится к области медицины. Предложено применение соединения, представляющего собой ингибитор фосфодиэстеразы 9 (PDE9), представленного общей формулой (I), и его фармацевтически приемлемых солей, таутомеров и дейтерированных соединений в изготовлении лекарственного препарата для лечения заболеваний, связанных с сердечной недостаточностью, у млекопитающих, где каждый из X1 и X4 представляет собой СН; X2 представляет собой N, и X3 представляет собой СR3; R3 в каждом случае независимо выбран из водорода, C1-6алкила, C1-6алкилкарбонила, где C1-6алкил является незамещенным или замещен одним или несколькими гидроксилами; L представляет собой связь; кольцо A представляет собой ; каждый R1 независимо выбран из водорода, дейтерия, C1-6алкила, C1-6алкокси; m равняется 1, 2 или 3; и R2 представляет собой водород. Также раскрывается применение конкретных соединений в изготовлении лекарственного препарата для лечения заболеваний, связанных с сердечной недостаточностью, у млекопитающих, и набор, содержащий соединение, представленное общей формулой (I), и инструкцию по применению соединения в лечении заболеваний, связанных с сердечной недостаточностью, у млекопитающих. Технический результат заключается в обеспечении нового применения ингибитора PDE9 в лечении сердечной недостаточности. 3 н. и 7 з.п. ф-лы, 8 ил., 9 табл., 25 пр.
Description
Область техники
Настоящее изобретение относится к области медицины и конкретно относится к путям применения соединения, представляющего собой ингибитор фосфодиэстеразы 9 (PDE9), представленного общей формулой (I), и его фармацевтически приемлемых солей, изомеров и дейтерированных соединений в изготовлении лекарственного препарата для лечения заболеваний, связанных с сердечной недостаточностью, у млекопитающих.
Предпосылки создания изобретения
Сердечная недостаточность представляет собой клинический синдром, который характеризуется одышкой, отеком голеностопного сустава, утомляемостью и другими патологическими и физиологическими состояниями, которые также могут сопровождаться признаками, такими как повышенное давление в яремной вене, хрипы в легких и периферический отек, которые вызваны снижением сердечного выброса и/или повышением внутрисердечного давления в покое или при стрессе за счет аномальной структуры сердца и/или сердечной функции. В соответствии с показателями, такими как измерение фракции выброса левого желудочка (LVEF), уровень натрийуретического пептида и аномальная сердечная функция, сердечная недостаточность делится на сердечную недостаточность с сохраненной фракцией выброса (HFpEF, LVEF > 50%), сердечную недостаточность со средней фракцией выброса (HFmrEF, LVEF составляет 40%-49%) и сердечную недостаточность со сниженной фракцией выброса (HFrEF, LVEF < 40%). В зависимости от времени или тяжести сердечной недостаточности сердечная недостаточность дополнительно делится на острую сердечную недостаточность, хроническую сердечную недостаточность, декомпенсированную сердечную недостаточность, предрасположенность к сердечной недостаточности, сердечную недостаточность без клинических симптомов, сердечную недостаточность с клиническими симптомами и рефрактерную сердечную недостаточность в терминальной стадии; и по сердечной функции она классифицируется на сердечную недостаточность I степени, II степени, III степени и IV степени согласно Нью-Йоркской кардиологической ассоциации (NYHA). Начало сердечной недостаточности связано с аномальной нагрузкой (гипертензией, дефектами клапанов и структуры миокарда, перикардиальной и эндокардиальной кардиомиопатией, состоянием высокого сердечного выброса, объемной перегрузкой, легочным заболеванием), кардиомиопатией (ишемической болезнью сердца, токсическим повреждением, иммунноопосредованным и воспалительным повреждением, инфильтративным поражением миокарда, эндокринным и метаболическим заболеванием, генетической или вызванной стрессом кардиомиопатией и т.д.) и аритмией (тахикардией, брадикардией), и при этом инфекция, анемия, беременность, роды, аритмия, тромбоэмболия легочной артерии, диабет и прием лекарственных средств, подавляющих сердечную функцию, могут усиливать сердечную недостаточность. В развитых странах частота встречаемости сердечной недостаточности составляет приблизительно 1%-2% у взрослого населения и возрастает до более 10% у людей старше 70 лет. Пожизненный риск возникновения сердечной недостаточности в возрасте 55 лет составляет 33% для мужчин и 28% для женщин.
В соответствии с исследованиями ремоделирование миокарда (такое как, гипертрофия миокарда, увеличение сердца, истончение сердечной стенки и т.д.), вызванное активацией нейроэндокринной системы, является ключевым фактором, который вызывает возникновение и развитие сердечной недостаточности. Изначально ремоделирование миокарда может частично компенсировать сердечную функцию, однако с увеличением ремоделирования миокарда сердечная функция постепенно переходит от компенсации к декомпенсации, что приводит к появлению более очевидных симптомов и признаков. Следовательно, то, как предупредить или обеспечивать обратное ремоделирование сердца стало одной из основных задач для лечения хронической сердечной недостаточности. (Heart Failure Group of Chinese Society of Cardiology, Editorial Board of Chinese Journal of Cardiology, Heart Failure Professional Committee of Chinese Medical Doctor Association. Chinese Heart Failure Diagnosis and Treatment Guidelines 2018 [J]. Chinese Journal of Cardiology, 2018, 46 (10): 760-789. DOI: 10.3760/cma.j.issn.0253-3758.2018.10.004)
В настоящее время лекарственные препараты используются в большинстве видов лечения сердечной недостаточности для облегчения симптомов заболевания, но они не могут значительно улучшать сердечную функцию. В то же время, большинство существующих лекарственных препаратов для лечения имеют определенные побочные эффекты. В то же время, множество существующих видов лечения не обеспечивает улучшение прогноза для пациентов с HFpEF, при этом также не обеспечивает снижение уровня смертности. Сердечная недостаточность типа HFpEF составляет приблизительно 50% от всех случаев общей сердечной недостаточности.
Фосфодиэстеразы (PDE) представляют собой тип протеазы, которая может избирательно разрушать важные вторичные посредники, представляющие собой cGMP (циклический гуанозинмонофосфат) и cAMP (циклический аденозинмонофосфат), в организме, тем самым участвуя в физиологических процессах, таких как метаболизм, нейротрансмиссия, рост клеток и их дифференциация. В соответствии с гомологией последовательностей генов и селективностью в отношении cGMP или cAMP PDE можно поделить на 11 членов (PDE1-PDE11). PDE9 является важным членом семейства PDE и широко экспрессируется в яичках, головном мозге, тонком кишечнике, скелетных мышцах, сердце, легких, тимусе и поджелудочной железе. Вследствие прогресса в исследовательской работе в последние годы, многие литературные отчеты и клинические данные доказали, что ингибиторы PDE9 могут использоваться для лечения заболеваний, связанных с когнитивными нарушениями, вызванными нарушениями центральной нервной системы, такими как болезнь Альцгеймера и шизофрения, и нейродегенеративными заболеваниями головного мозга.
В соответствии с литературными исследованиями увеличение cGMP в клетках миокарда может активировать протеинкиназу G (PKG), и этот белок может играть роль в защите миокарда. Следовательно, данный путь является важным сигнальным путем при лечении сердечной недостаточности. PDE9 может селективно гидролизовать cGMP с уменьшением тем самым кардиозащитных эффектов PKG. В то же время, экспрессия PDE9 значительно увеличивается при сердечной недостаточности, в частности при HFpEF, поэтому кардиозащитная способность значительно ослабляется. Следовательно, ингибирование PDE9 у пациентов с сердечной недостаточностью может защитить сердце. Авторы настоящего изобретения провели дополнительное исследование биологических функций PDE9 с целью изучить пути его применения в лечении сердечной недостаточности.
Краткое описание изобретения
В настоящем изобретении изучается применение ингибитора PDE9 в области сердечной недостаточности, и в ходе исследования было обнаружено, что соединения, представляющие собой ингибитор PDE9, по настоящему изобретению и их фармацевтически приемлемые соли, изомеры и дейтерированные соединения оказывают значительное влияние на лечение сердечной недостаточности. Следовательно, объектом настоящего изобретения является обеспечение нового применения ингибитора PDE9 в лечении сердечной недостаточности.
Технические решения, применяемые в настоящем изобретении, являются следующими.
Применение соединения, представляющего собой ингибитор фосфодиэстеразы 9 (PDE9), представленного общей формулой (I), и его фармацевтически приемлемых солей, изомеров и дейтерированных соединений в изготовлении лекарственного препарата для лечения заболеваний, связанных с сердечной недостаточностью, у млекопитающих,
где каждый из X1, X2, X3 и X4 независимо выбран из CR3 или N, и гетероатом N может быть необязательно окислен до ;
R3 в каждом случае независимо выбран из водорода, дейтерия, гидроксила, амино, карбоксила, циано, нитро, галогена, C1-6алкила, C1-6алкокси, C1-6алкиламино, (C1-6алкил)2амино, галоген-C1-6алкила, галоген-C1-6алкокси, C2-8алкенила, C2-8алкинила, C1-6алкилсульфонила, C1-6алкилтио, C3-6циклоалкила, 4-6-членного гетероциклила, C1-6алкилкарбонила, аминокарбонила, C1-6алкиламинокарбонила, (C1-6алкил)2аминокарбонила, 4-6-членного гетероциклилкарбонила и 5-6-членного гетероарилокси, где C1-6алкил, C1-6алкокси, C1-6алкиламино, (C1-6алкил)2амино, галоген-C1-6алкокси, C2-8алкенил, C2-8алкинил, C1-6алкилсульфонил, C1-6алкилтио, C3-6циклоалкил, 4-6-членный гетероциклил, C1-6алкилкарбонил, аминокарбонил, C1-6алкиламинокарбонил, (C1-6алкил)2аминокарбонил, 4-6-членный гетероциклилкарбонил и 5-6-членный гетероарилокси являются незамещенными или необязательно замещенными с помощью одной или нескольких групп, независимо выбранных из гидроксила, амино, карбоксила, циано, нитро, галогена, C1-6алкила, C1-6алкокси, C1-6алкокси-C1-6алкокси, C1-6алкиламино, (C1-6алкил)2амино, C1-6алкилкарбониламино, C1-6алкилсульфониламино, C1-6алкилкарбонилокси, C3-6циклоалкила, C2-8алкинила, галоген-C1-6алкила, C2-8алкенила, галоген-C1-6алкокси, 4-6-членного гетероциклила, незамещенного или необязательно замещенного заместителем, и гетероарила, незамещенного или необязательно замещенного заместителем;
заместители вышеуказанного 4-6-членного гетероциклила, необязательно замещенного заместителем, и гетероарила, необязательно замещенного заместителем, выбраны из гидроксила, амино, карбоксила, циано, нитро, галогена, C1-6алкила и C1-6алкокси;
L представляет собой связь и -NH-(CH2)t-, и t равняется 0, 1, 2 или 3;
кольцо A представляет собой 3-12-членный гетероциклил, арил, 5-10-членный гетероарил, 3-12-членный циклоалкил и 3-12-членный циклоалкенил, где гетероатом 3-12-членного гетероциклила выбран из одного из O, S и N или любой их комбинации, атом S может быть необязательно окислен до S(O) или S(O)2, атом C может быть необязательно окислен до C(O), гетероатом N может быть необязательно окислен до , и гетероатом 5-10-членного гетероарила выбран из одного из O, S и N или любой их комбинации;
каждый R1 независимо выбран из водорода, дейтерия, гидроксила, амино, карбоксила, циано, нитро, галогена, C1-6алкила, C1-6алкокси, C1-6алкиламино, (C1-6алкил)2амино, галоген-C1-6алкила, галоген-C1-6алкокси, C2-8алкенила, C2-8алкинила, C1-6алкилсульфонила, C1-6алкилтио, 3-12-членного циклоалкила, 3-12-членного циклоалкенила, 3-12-членного гетероциклила, арила и 5-10-членного гетероарила, где C1-6алкил, C1-6алкокси, C1-6алкиламино, (C1-6алкил)2амино, галоген-C1-6алкил, галоген-C1-6алкокси, C2-8алкенил, C2-8алкинил, C1-6алкилсульфонил, C1-6алкилтио, 3-12-членный циклоалкил, 3-12-членный циклоалкенил, 3-12-членный гетероциклил, арил и 5-10-членный гетероарил являются незамещенными или необязательно замещенными группами, выбранными из гидроксила, амино, карбоксила, циано, нитро, галогена, C1-6алкила, C1-6алкокси, C1-6алкокси-C1-6алкокси, C1-6алкиламино, (C1-6алкил)2амино, C1-6алкилкарбониламино и C1-6алкилсульфониламино;
m равняется 0, 1, 2 или 3;
и R2 выбран из водорода, C1-6алкила, C2-8алкенила, C2-8алкинила и галоген-C1-6алкила.
В одном варианте осуществления каждый из X1, X2 и X4 независимо представляет собой CH, и X3 представляет собой CR3.
В одном варианте осуществления каждый из X1 и X4 независимо представляет собой CH, X2 представляет собой N, и X3 представляет собой CR3.
В одном варианте осуществления каждый из X1 и X2 независимо представляет собой CH, X3 представляет собой CR3, и X4 представляет собой N.
В одном варианте осуществления X1, X2, X3 и X4 одновременно не представляют собой CR3.
В другом варианте осуществления предусмотрено применение соединения, представляющего собой ингибитор фосфодиэстеразы 9 (PDE9), представленного общей формулой (I), и его фармацевтически приемлемых солей, изомеров и дейтерированных соединений в изготовлении лекарственного препарата для лечения заболеваний, связанных с сердечной недостаточностью, у млекопитающих,
где каждый из X1, X2, X3 и X4 независимо выбран из CR3 или N, и X1, X2, X3 и X4 одновременно не представляют собой CR3;
где
R3 в каждом случае независимо выбран из водорода, дейтерия, амино, циано, галогена, карбоксила, C1-4алкила, C1-4алкокси, C1-4алкиламино, (C1-4алкил)2амино, C2-6алкенила, C2-6алкинила, C1-4алкилкарбонила, C1-4алкиламинокарбонила, (C1-6алкил)2аминокарбонила, C1-4алкилсульфонила, C1-4алкилтио, аминокарбонила, циклопропила, азетидинила, морфолинила и пиперазинила, где C1-4алкил, C1-4алкокси, C1-4алкиламино, (C1-4алкил)2амино, C2-6алкенил, C2-6алкинил, C1-4алкилкарбонил, C1-4алкиламинокарбонил, (C1-6алкил)2аминокарбонил, C1-4алкилсульфонил, C1-4алкилтио, аминокарбонил, циклопропил, азетидинил, морфолинил и пиперазинил являются незамещенными или необязательно замещенными с помощью одной или нескольких групп, независимо выбранных из гидроксила, амино, циано, галогена, C1-4алкила, C1-4алкокси, C1-4алкиламино, (C1-4алкил)2амино, циклопропила, C1-4алкилкарбонилокси и 4-6-членного гетероциклила, незамещенного или замещенного C1-4алкилом;
кольцо A представляет собой 3-12-членный гетероциклил, и гетероатом 3-12-членного гетероциклила выбран из одного из O, S и N или любой их комбинации, и атом S может быть необязательно окислен до S(O) или S(O)2;
каждый R1 независимо выбран из водорода, дейтерия, гидроксила, циано, галогена, C1-4алкила, C1-4алкокси и 5-6-членного гетероарила, где C1-4алкил, C1-4алкокси и 5-6-членный гетероарил являются незамещенными или замещенными гидроксилом;
m равняется 0, 1 или 2;
R2 выбран из водорода или C1-6алкила.
В одном варианте осуществления каждый из X1 и X4 независимо представляет собой CH, X2 представляет собой N, и X3 представляет собой CR3.
В одном варианте осуществления каждый из X1 и X2 независимо представляет собой CH, X3 представляет собой CR3, и X4 представляет собой N.
В одном варианте осуществления A представляет собой 3-12-членный гетероциклил, предпочтительно 4-7-членный гетероциклил.
В одном варианте осуществления A представляет собой 3-12-членный гетероциклил, предпочтительно 7-12-членный спирогетероциклил.
В другом варианте осуществления предусмотрено применение соединения, представляющего собой ингибитор фосфодиэстеразы 9 (PDE9), представленного общей формулой (I), и его фармацевтически приемлемых солей, изомеров и дейтерированных соединений в изготовлении лекарственного препарата для лечения заболеваний, связанных с сердечной недостаточностью, у млекопитающих,
где каждый из X1, X2, X3 и X4 независимо выбран из CR3 или N, и X1, X2, X3 и X4 одновременно не представляют собой CR3;
R3 в каждом случае независимо выбран из водорода, дейтерия, галогена, C1-4алкила, C1-4алкокси, C2-6алкенила, C1-4алкилкарбонила, циклопропила, C1-4алкиламинокарбонила и аминокарбонила, где C1-4алкил, C1-4алкокси, C2-6алкенил, C1-4алкилкарбонил, C1-4алкиламинокарбонил и аминокарбонил являются незамещенными или необязательно замещенными с помощью одной или нескольких групп, независимо выбранных из гидроксила, амино, C1-4алкила, C1-4алкокси, циклопропила, C1-4алкиламино, (C1-4алкил)2амино и 4-6-членного гетероциклила, незамещенного или замещенного C1-4алкилом;
L представляет собой связь;
каждый R1 независимо выбран из водорода, дейтерия, C1-4алкила и C1-4алкокси;
и m равняется 0, 1 или 2.
В одном варианте осуществления каждый из X1 и X4 независимо представляет собой CH, X2 представляет собой N, и X3 представляет собой CR3.
В одном варианте осуществления каждый из X1 и X2 независимо представляет собой CH, X3 представляет собой CR3, и X4 представляет собой N.
В другом варианте осуществления предусмотрено применение соединения, представляющего собой ингибитор фосфодиэстеразы 9 (PDE9), представленного общей формулой (I), и его фармацевтически приемлемых солей, изомеров, дейтерированных соединений в изготовлении лекарственного препарата для лечения заболеваний, связанных с сердечной недостаточностью, у млекопитающих,
где каждый из X1, X2, X3 и X4 независимо выбран из CR3 или N, и X1, X2, X3 и X4 одновременно не представляют собой CR3;
R3 в каждом случае независимо выбран из водорода, дейтерия, циано, амино, галогена, карбоксила, C1-4алкила, C1-4алкокси, C2-6алкенила, C1-4алкилкарбонила, C2-6алкинила, C1-4алкиламино, (C1-4алкил)2амино, C1-4алкиламинокарбонила, C1-4алкилтио, C1-4алкилсульфонила, циклопропила, азетидинила, морфолинила и пиперазинила, где C1-4алкил, C1-4алкокси, C2-6алкенил, C1-4алкилкарбонил, C2-6алкинил, C1-4алкиламино, (C1-4алкил)2амино, C1-4алкиламинокарбонил, C1-4алкилтио, C1-4алкилсульфонил, циклопропил, азетидинил, морфолинил, пиперазинил являются незамещенными или необязательно замещенными с помощью одной или нескольких групп, независимо выбранных из гидроксила, амино, галогена, C1-4алкила, C1-4алкиламино, (C1-4алкил)2амино, циклопропила и C1-4алкилкарбонилокси;
L представляет собой связь;
и m равняется 0.
В одном варианте осуществления каждый из X1 и X4 независимо представляет собой CH, X2 представляет собой N, и X3 представляет собой CR3.
В одном варианте осуществления каждый из X1 и X2 независимо представляет собой CH, X3 представляет собой CR3, и X4 представляет собой N.
Соединение, представляющее собой ингибитор фосфодиэстеразы 9 (PDE9), представленное общей формулой (I), и его фармацевтически приемлемые соли, изомеры и дейтерированные соединения для применения в лечении заболеваний, связанных с сердечной недостаточностью, у млекопитающих,
где каждый из X1, X2, X3 и X4 независимо выбран из CR3 или N, и гетероатом N может быть необязательно окислен до ;
R3 в каждом случае независимо выбран из водорода, дейтерия, гидроксила, амино, карбоксила, циано, нитро, галогена, C1-6алкила, C1-6алкокси, C1-6алкиламино, (C1-6алкил)2амино, галоген-C1-6алкила, галоген-C1-6алкокси, C2-8алкенила, C2-8алкинила, C1-6алкилсульфонила, C1-6алкилтио, C3-6циклоалкила, 4-6-членного гетероциклила, C1-6алкилкарбонила, аминокарбонила, C1-6алкиламинокарбонила, (C1-6алкил)2аминокарбонила, 4-6-членного гетероциклилкарбонила и 5-6-членного гетероарилокси, где C1-6алкил, C1-6алкокси, C1-6алкиламино, (C1-6алкил)2амино, галоген-C1-6алкокси, C2-8алкенил, C2-8алкинил, C1-6алкилсульфонил, C1-6алкилтио, C3-6циклоалкил, 4-6-членный гетероциклил, C1-6алкилкарбонил, аминокарбонил, C1-6алкиламинокарбонил, (C1-6алкил)2аминокарбонил, 4-6-членный гетероциклилкарбонил и 5-6-членный гетероарилокси являются незамещенными или необязательно замещенными с помощью одной или нескольких групп, независимо выбранных из гидроксила, амино, карбоксила, циано, нитро, галогена, C1-6алкила, C1-6алкокси, C1-6алкокси-C1-6алкокси, C1-6алкиламино, (C1-6алкил)2амино, C1-6алкилкарбониламино, C1-6алкилсульфониламино, C1-6алкилкарбонилокси, C3-6циклоалкила, C2-8алкинила, галоген-C1-6алкила, C2-8алкенила, галоген-C1-6алкокси, 4-6-членного гетероциклила, незамещенного или необязательно замещенного заместителем, и гетероарила, незамещенного или необязательно замещенного заместителем;
заместители вышеуказанного 4-6-членного гетероциклила, необязательно замещенного заместителем, и гетероарила, необязательно замещенного заместителем, выбраны из гидроксила, амино, карбоксила, циано, нитро, галогена, C1-6алкила и C1-6алкокси;
L представляет собой связь и -NH-(CH2)t-, и t равняется 0, 1, 2 или 3;
кольцо A представляет собой 3-12-членный гетероциклил, арил, 5-10-членный гетероарил, 3-12-членный циклоалкил и 3-12-членный циклоалкенил, где гетероатом 3-12-членного гетероциклила выбран из одного из O, S и N или любой их комбинации, атом S может быть необязательно окислен до S(O) или S(O)2, атом C может быть необязательно окислен до C(O), гетероатом N может быть необязательно окислен до , и гетероатом 5-10-членного гетероарила выбран из одного из O, S и N или любой их комбинации;
каждый R1 независимо выбран из водорода, дейтерия, гидроксила, амино, карбоксила, циано, нитро, галогена, C1-6алкила, C1-6алкокси, C1-6алкиламино, (C1-6алкил)2амино, галоген-C1-6алкила, галоген-C1-6алкокси, C2-8алкенила, C2-8алкинила, C1-6алкилсульфонила, C1-6алкилтио, 3-12-членного циклоалкила, 3-12-членного циклоалкенила, 3-12-членного гетероциклила, арила и 5-10-членного гетероарила, где C1-6алкил, C1-6алкокси, C1-6алкиламино, (C1-6алкил)2амино, галоген-C1-6алкил, галоген-C1-6алкокси, C2-8алкенил, C2-8алкинил, C1-6алкилсульфонил, C1-6алкилтио, 3-12-членный циклоалкил, 3-12-членный циклоалкенил, 3-12-членный гетероциклил, арил и 5-10-членный гетероарил являются незамещенными или необязательно замещенными группами, выбранными из гидроксила, амино, карбоксила, циано, нитро, галогена, C1-6алкила, C1-6алкокси, C1-6алкокси-C1-6алкокси, C1-6алкиламино, (C1-6алкил)2амино, C1-6алкилкарбониламино и C1-6алкилсульфониламино;
m равняется 0, 1, 2 или 3;
и R2 выбран из водорода, C1-6алкила, C2-8алкенила, C2-8алкинила и галоген-C1-6алкила.
В одном варианте осуществления каждый из X1, X2 и X4 независимо представляет собой CH, и X3 представляет собой CR3.
В одном варианте осуществления каждый из X1 и X4 независимо представляет собой CH, X2 представляет собой N, и X3 представляет собой CR3.
В одном варианте осуществления каждый из X1 и X2 независимо представляет собой CH, X3 представляет собой CR3, и X4 представляет собой N.
В одном варианте осуществления X1, X2, X3 и X4 одновременно не представляют собой CR3.
В другом варианте осуществления предусмотрено соединение, представляющее собой ингибитор фосфодиэстеразы 9 (PDE9), представленное общей формулой (I), и его фармацевтически приемлемые соли, изомеры и дейтерированные соединения для применения в лечении заболеваний, связанных с сердечной недостаточностью, у млекопитающих,
где каждый из X1, X2, X3 и X4 независимо выбран из CR3 или N, и X1, X2, X3 и X4 одновременно не представляют собой CR3;
где
R3 в каждом случае независимо выбран из водорода, дейтерия, амино, циано, галогена, карбоксила, C1-4алкила, C1-4алкокси, C1-4алкиламино, (C1-4алкил)2амино, C2-6алкенила, C2-6алкинила, C1-4алкилкарбонила, C1-4алкиламинокарбонила, (C1-6алкил)2аминокарбонила, C1-4алкилсульфонила, C1-4алкилтио, аминокарбонила, циклопропила, азетидинила, морфолинила и пиперазинила, где C1-4алкил, C1-4алкокси, C1-4алкиламино, (C1-4алкил)2амино, C2-6алкенил, C2-6алкинил, C1-4алкилкарбонил, C1-4алкиламинокарбонил, (C1-6алкил)2аминокарбонил, C1-4алкилсульфонил, C1-4алкилтио, аминокарбонил, циклопропил, азетидинил, морфолинил и пиперазинил являются незамещенными или необязательно замещенными с помощью одной или нескольких групп, независимо выбранных из гидроксила, амино, циано, галогена, C1-4алкила, C1-4алкокси, C1-4алкиламино, (C1-4алкил)2амино, циклопропила, C1-4алкилкарбонилокси и 4-6-членного гетероциклила, незамещенного или замещенного C1-4алкилом;
кольцо A представляет собой 3-12-членный гетероциклил, и гетероатом 3-12-членного гетероциклила выбран из одного из O, S и N или любой их комбинации, и атом S может быть необязательно окислен до S(O) или S(O)2;
каждый R1 независимо выбран из водорода, дейтерия, гидроксила, циано, галогена, C1-4алкила, C1-4алкокси и 5-6-членного гетероарила, где C1-4алкил, C1-4алкокси и 5-6-членный гетероарил являются незамещенными или замещенными гидроксилом;
m равняется 0, 1 или 2;
R2 выбран из водорода или C1-6алкила.
В одном варианте осуществления каждый из X1 и X4 независимо представляет собой CH, X2 представляет собой N, и X3 представляет собой CR3.
В одном варианте осуществления каждый из X1 и X2 независимо представляет собой CH, X3 представляет собой CR3, и X4 представляет собой N.
В одном варианте осуществления A представляет собой 3-12-членный гетероциклил, предпочтительно 4-7-членный гетероциклил.
В одном варианте осуществления A представляет собой 3-12-членный гетероциклил, предпочтительно 7-12-членный спирогетероциклил.
В другом варианте осуществления предусмотрено соединение, представляющее собой ингибитор фосфодиэстеразы 9 (PDE9), представленное общей формулой (I), и его фармацевтически приемлемые соли, изомеры и дейтерированные соединения для применения в лечении заболеваний, связанных с сердечной недостаточностью, у млекопитающих,
где каждый из X1, X2, X3 и X4 независимо выбран из CR3 или N, и X1, X2, X3 и X4 одновременно не представляют собой CR3;
R3 в каждом случае независимо выбран из водорода, дейтерия, галогена, C1-4алкила, C1-4алкокси, C2-6алкенила, C1-4алкилкарбонила, циклопропила, C1-4алкиламинокарбонила и аминокарбонила, где C1-4алкил, C1-4алкокси, C2-6алкенил, C1-4алкилкарбонил, C1-4алкиламинокарбонил и аминокарбонил являются незамещенными или необязательно замещенными с помощью одной или нескольких групп, независимо выбранных из гидроксила, амино, C1-4алкила, C1-4алкокси, циклопропила, C1-4алкиламино, (C1-4алкил)2амино и 4-6-членного гетероциклила, незамещенного или замещенного C1-4алкилом;
L представляет собой связь;
каждый R1 независимо выбран из водорода, дейтерия, C1-4алкила и C1-4алкокси;
и m равняется 0, 1 или 2.
В одном варианте осуществления каждый из X1 и X4 независимо представляет собой CH, X2 представляет собой N, и X3 представляет собой CR3.
В одном варианте осуществления каждый из X1 и X2 независимо представляет собой CH, X3 представляет собой CR3, и X4 представляет собой N.
В другом варианте осуществления предусмотрено соединение, представляющее собой ингибитор фосфодиэстеразы 9 (PDE9), представленное общей формулой (I), и его фармацевтически приемлемые соли, изомеры и дейтерированные соединения для применения в лечении заболеваний, связанных с сердечной недостаточностью, у млекопитающих,
где каждый из X1, X2, X3 и X4 независимо выбран из CR3 или N, и X1, X2, X3 и X4 одновременно не представляют собой CR3;
R3 в каждом случае независимо выбран из водорода, дейтерия, циано, амино, галогена, карбоксила, C1-4алкила, C1-4алкокси, C2-6алкенила, C1-4алкилкарбонила, C2-6алкинила, C1-4алкиламино, (C1-4алкил)2амино, C1-4алкиламинокарбонила, C1-4алкилтио, C1-4алкилсульфонила, циклопропила, азетидинила, морфолинила и пиперазинила, где C1-4алкил, C1-4алкокси, C2-6алкенил, C1-4алкилкарбонил, C2-6алкинил, C1-4алкиламино, (C1-4алкил)2амино, C1-4алкиламинокарбонил, C1-4алкилтио, C1-4алкилсульфонил, циклопропил, азетидинил, морфолинил, пиперазинил являются незамещенными или необязательно замещенными с помощью одной или нескольких групп, независимо выбранных из гидроксила, амино, галогена, C1-4алкила, C1-4алкиламино, (C1-4алкил)2амино, циклопропила и C1-4алкилкарбонилокси;
L представляет собой связь;
и m равняется 0.
В одном варианте осуществления каждый из X1 и X4 независимо представляет собой CH, X2 представляет собой N, и X3 представляет собой CR3.
В одном варианте осуществления каждый из X1 и X2 независимо представляет собой CH, X3 представляет собой CR3, и X4 представляет собой N.
Способ лечения заболеваний, связанных с сердечной недостаточностью, у млекопитающих, предусматривающий введение соединения, представляющего собой ингибитор фосфодиэстеразы 9 (PDE9), представленного общей формулой (I), и его фармацевтически приемлемых солей, изомеров и дейтерированных соединений пациентам или субъектам,
где каждый из X1, X2, X3 и X4 независимо выбран из CR3 или N, и гетероатом N может быть необязательно окислен до ;
R3 в каждом случае независимо выбран из водорода, дейтерия, гидроксила, амино, карбоксила, циано, нитро, галогена, C1-6алкила, C1-6алкокси, C1-6алкиламино, (C1-6алкил)2амино, галоген-C1-6алкила, галоген-C1-6алкокси, C2-8алкенила, C2-8алкинила, C1-6алкилсульфонила, C1-6алкилтио, C3-6циклоалкила, 4-6-членного гетероциклила, C1-6алкилкарбонила, аминокарбонила, C1-6алкиламинокарбонила, (C1-6алкил)2аминокарбонила, 4-6-членного гетероциклилкарбонила и 5-6-членного гетероарилокси, где C1-6алкил, C1-6алкокси, C1-6алкиламино, (C1-6алкил)2амино, галоген-C1-6алкокси, C2-8алкенил, C2-8алкинил, C1-6алкилсульфонил, C1-6алкилтио, C3-6циклоалкил, 4-6-членный гетероциклил, C1-6алкилкарбонил, аминокарбонил, C1-6алкиламинокарбонил, (C1-6алкил)2аминокарбонил, 4-6-членный гетероциклилкарбонил и 5-6-членный гетероарилокси являются незамещенными или необязательно замещенными с помощью одной или нескольких групп, независимо выбранных из гидроксила, амино, карбоксила, циано, нитро, галогена, C1-6алкила, C1-6алкокси, C1-6алкокси-C1-6алкокси, C1-6алкиламино, (C1-6алкил)2амино, C1-6алкилкарбониламино, C1-6алкилсульфониламино, C1-6алкилкарбонилокси, C3-6циклоалкила, C2-8алкинила, галоген-C1-6алкила, C2-8алкенила, галоген-C1-6алкокси, 4-6-членного гетероциклила, незамещенного или необязательно замещенного заместителем, и гетероарила, незамещенного или необязательно замещенного заместителем;
заместители вышеуказанного 4-6-членного гетероциклила, необязательно замещенного заместителем, и гетероарила, необязательно замещенного заместителем, выбраны из гидроксила, амино, карбоксила, циано, нитро, галогена, C1-6алкила и C1-6алкокси;
L представляет собой связь и -NH-(CH2)t-, и t равняется 0, 1, 2 или 3;
кольцо A представляет собой 3-12-членный гетероциклил, арил, 5-10-членный гетероарил, 3-12-членный циклоалкил и 3-12-членный циклоалкенил, где гетероатом 3-12-членного гетероциклила выбран из одного из O, S и N или любой их комбинации, атом S может быть необязательно окислен до S(O) или S(O)2, атом C может быть необязательно окислен до C(O), гетероатом N может быть необязательно окислен до , и гетероатом 5-10-членного гетероарила выбран из одного из O, S и N или любой их комбинации;
каждый R1 независимо выбран из водорода, дейтерия, гидроксила, амино, карбоксила, циано, нитро, галогена, C1-6алкила, C1-6алкокси, C1-6алкиламино, (C1-6алкил)2амино, галоген-C1-6алкила, галоген-C1-6алкокси, C2-8алкенила, C2-8алкинила, C1-6алкилсульфонила, C1-6алкилтио, 3-12-членного циклоалкила, 3-12-членного циклоалкенила, 3-12-членного гетероциклила, арила и 5-10-членного гетероарила, где C1-6алкил, C1-6алкокси, C1-6алкиламино, (C1-6алкил)2амино, галоген-C1-6алкил, галоген-C1-6алкокси, C2-8алкенил, C2-8алкинил, C1-6алкилсульфонил, C1-6алкилтио, 3-12-членный циклоалкил, 3-12-членный циклоалкенил, 3-12-членный гетероциклил, арил и 5-10-членный гетероарил являются незамещенными или необязательно замещенными группами, выбранными из гидроксила, амино, карбоксила, циано, нитро, галогена, C1-6алкила, C1-6алкокси, C1-6алкокси-C1-6алкокси, C1-6алкиламино, (C1-6алкил)2амино, C1-6алкилкарбониламино и C1-6алкилсульфониламино;
m равняется 0, 1, 2 или 3;
и R2 выбран из водорода, C1-6алкила, C2-8алкенила, C2-8алкинила и галоген-C1-6алкила.
В одном варианте осуществления каждый из X1, X2 и X4 независимо представляет собой CH, и X3 представляет собой CR3.
В одном варианте осуществления каждый из X1 и X4 независимо представляет собой CH, X2 представляет собой N, и X3 представляет собой CR3.
В одном варианте осуществления каждый из X1 и X2 независимо представляет собой CH, X3 представляет собой CR3, и X4 представляет собой N.
В одном варианте осуществления X1, X2, X3 и X4 одновременно не представляют собой CR3.
В другом варианте осуществления предусмотрен способ лечения заболеваний, связанных с сердечной недостаточностью, у млекопитающих, предусматривающий введение соединения, представляющего собой ингибитор фосфодиэстеразы 9 (PDE9), представленного общей формулой (I), и его фармацевтически приемлемых солей, изомеров и дейтерированных соединений пациентам или субъектам,
где каждый из X1, X2, X3 и X4 независимо выбран из CR3 или N, и X1, X2, X3 и X4 одновременно не представляют собой CR3;
где
R3 в каждом случае независимо выбран из водорода, дейтерия, амино, циано, галогена, карбоксила, C1-4алкила, C1-4алкокси, C1-4алкиламино, (C1-4алкил)2амино, C2-6алкенила, C2-6алкинила, C1-4алкилкарбонила, C1-4алкиламинокарбонила, (C1-6алкил)2аминокарбонила, C1-4алкилсульфонила, C1-4алкилтио, аминокарбонила, циклопропила, азетидинила, морфолинила и пиперазинила, где C1-4алкил, C1-4алкокси, C1-4алкиламино, (C1-4алкил)2амино, C2-6алкенил, C2-6алкинил, C1-4алкилкарбонил, C1-4алкиламинокарбонил, (C1-6алкил)2аминокарбонил, C1-4алкилсульфонил, C1-4алкилтио, аминокарбонил, циклопропил, азетидинил, морфолинил и пиперазинил являются незамещенными или необязательно замещенными с помощью одной или нескольких групп, независимо выбранных из гидроксила, амино, циано, галогена, C1-4алкила, C1-4алкокси, C1-4алкиламино, (C1-4алкил)2амино, циклопропила, C1-4алкилкарбонилокси и 4-6-членного гетероциклила, незамещенного или замещенного C1-4алкилом;
кольцо A представляет собой 3-12-членный гетероциклил, и гетероатом 3-12-членного гетероциклила выбран из одного из O, S и N или любой их комбинации, и атом S может быть необязательно окислен до S(O) или S(O)2;
каждый R1 независимо выбран из водорода, дейтерия, гидроксила, циано, галогена, C1-4алкила, C1-4алкокси и 5-6-членного гетероарила, где C1-4алкил, C1-4алкокси и 5-6-членный гетероарил являются незамещенными или замещенными гидроксилом;
m равняется 0, 1 или 2;
R2 выбран из водорода или C1-6алкила.
В одном варианте осуществления каждый из X1 и X4 независимо представляет собой CH, X2 представляет собой N, и X3 представляет собой CR3.
В одном варианте осуществления каждый из X1 и X2 независимо представляет собой CH, X3 представляет собой CR3, и X4 представляет собой N.
В одном варианте осуществления A представляет собой 3-12-членный гетероциклил, предпочтительно 4-7-членный гетероциклил.
В одном варианте осуществления A представляет собой 3-12-членный гетероциклил, предпочтительно 7-12-членный спирогетероциклил.
В другом варианте осуществления предусмотрен способ лечения заболеваний, связанных с сердечной недостаточностью, у млекопитающих, предусматривающий введение соединения, представляющего собой ингибитор фосфодиэстеразы 9 (PDE9), представленного общей формулой (I), и его фармацевтически приемлемых солей, изомеров и дейтерированных соединений пациентам или субъектам,
где каждый из X1, X2, X3 и X4 независимо выбран из CR3 или N, и X1, X2, X3 и X4 одновременно не представляют собой CR3;
R3 в каждом случае независимо выбран из водорода, дейтерия, галогена, C1-4алкила, C1-4алкокси, C2-6алкенила, C1-4алкилкарбонила, циклопропила, C1-4алкиламинокарбонила и аминокарбонила, где C1-4алкил, C1-4алкокси, C2-6алкенил, C1-4алкилкарбонил, C1-4алкиламинокарбонил и аминокарбонил являются незамещенными или необязательно замещенными с помощью одной или нескольких групп, независимо выбранных из гидроксила, амино, C1-4алкила, C1-4алкокси, циклопропила, C1-4алкиламино, (C1-4алкил)2амино и 4-6-членного гетероциклила, незамещенного или замещенного C1-4алкилом;
L представляет собой связь;
каждый R1 независимо выбран из водорода, дейтерия, C1-4алкила и C1-4алкокси;
и m равняется 0, 1 или 2.
В одном варианте осуществления каждый из X1 и X4 независимо представляет собой CH, X2 представляет собой N, и X3 представляет собой CR3.
В одном варианте осуществления каждый из X1 и X2 независимо представляет собой CH, X3 представляет собой CR3, и X4 представляет собой N.
В другом варианте осуществления предусмотрен способ лечения заболеваний, связанных с сердечной недостаточностью, у млекопитающих, предусматривающий введение соединения, представляющего собой ингибитор фосфодиэстеразы 9 (PDE9), представленного общей формулой (I), и его фармацевтически приемлемых солей, изомеров и дейтерированных соединений пациентам или субъектам,
где каждый из X1, X2, X3 и X4 независимо выбран из CR3 или N, и X1, X2, X3 и X4 одновременно не представляют собой CR3;
R3 в каждом случае независимо выбран из водорода, дейтерия, циано, амино, галогена, карбоксила, C1-4алкила, C1-4алкокси, C2-6алкенила, C1-4алкилкарбонила, C2-6алкинила, C1-4алкиламино, (C1-4алкил)2амино, C1-4алкиламинокарбонила, C1-4алкилтио, C1-4алкилсульфонила, циклопропила, азетидинила, морфолинила и пиперазинила, где C1-4алкил, C1-4алкокси, C2-6алкенил, C1-4алкилкарбонил, C2-6алкинил, C1-4алкиламино, (C1-4алкил)2амино, C1-4алкиламинокарбонил, C1-4алкилтио, C1-4алкилсульфонил, циклопропил, азетидинил, морфолинил, пиперазинил являются незамещенными или необязательно замещенными с помощью одной или нескольких групп, независимо выбранных из гидроксила, амино, галогена, C1-4алкила, C1-4алкиламино, (C1-4алкил)2амино, циклопропила и C1-4алкилкарбонилокси;
L представляет собой связь;
и m равняется 0.
В одном варианте осуществления каждый из X1 и X4 независимо представляет собой CH, X2 представляет собой N, и X3 представляет собой CR3.
В одном варианте осуществления каждый из X1 и X2 независимо представляет собой CH, X3 представляет собой CR3, и X4 представляет собой N.
Фармацевтическая композиция, содержащая (a) соединение, представляющее собой ингибитор фосфодиэстеразы 9 (PDE9), представленное общей формулой (I), и его фармацевтически приемлемые соли, изомеры и дейтерированные соединения для применения в лечении заболеваний, связанных с сердечной недостаточностью, у млекопитающих.
Набор, содержащий (a) соединение, представляющее собой ингибитор фосфодиэстеразы 9 (PDE9), представленное общей формулой (I), и его фармацевтически приемлемые соли, изомеры и дейтерированные соединения и (b) инструкцию по применению лекарственного препарата для применения соединения и его фармацевтически приемлемых солей, или изомеров, или дейтерированных соединений в лечении заболеваний, связанных с сердечной недостаточностью, у млекопитающих.
В одном варианте осуществления, включающем фармацевтическую композицию и набор, представлена общая формула (I):
где каждый из X1, X2, X3 и X4 независимо выбран из CR3 или N, и гетероатом N может быть необязательно окислен до ;
R3 в каждом случае независимо выбран из водорода, дейтерия, гидроксила, амино, карбоксила, циано, нитро, галогена, C1-6алкила, C1-6алкокси, C1-6алкиламино, (C1-6алкил)2амино, галоген-C1-6алкила, галоген-C1-6алкокси, C2-8алкенила, C2-8алкинила, C1-6алкилсульфонила, C1-6алкилтио, C3-6циклоалкила, 4-6-членного гетероциклила, C1-6алкилкарбонила, аминокарбонила, C1-6алкиламинокарбонила, (C1-6алкил)2аминокарбонила, 4-6-членного гетероциклилкарбонила и 5-6-членного гетероарилокси, где C1-6алкил, C1-6алкокси, C1-6алкиламино, (C1-6алкил)2амино, галоген-C1-6алкокси, C2-8алкенил, C2-8алкинил, C1-6алкилсульфонил, C1-6алкилтио, C3-6циклоалкил, 4-6-членный гетероциклил, C1-6алкилкарбонил, аминокарбонил, C1-6алкиламинокарбонил, (C1-6алкил)2аминокарбонил, 4-6-членный гетероциклилкарбонил и 5-6-членный гетероарилокси являются незамещенными или необязательно замещенными с помощью одной или нескольких групп, независимо выбранных из гидроксила, амино, карбоксила, циано, нитро, галогена, C1-6алкила, C1-6алкокси, C1-6алкокси-C1-6алкокси, C1-6алкиламино, (C1-6алкил)2амино, C1-6алкилкарбониламино, C1-6алкилсульфониламино, C1-6алкилкарбонилокси, C3-6циклоалкила, C2-8алкинила, галоген-C1-6алкила, C2-8алкенила, галоген-C1-6алкокси, 4-6-членного гетероциклила, незамещенного или необязательно замещенного заместителем, и гетероарила, незамещенного или необязательно замещенного заместителем;
заместители вышеуказанного 4-6-членного гетероциклила, необязательно замещенного заместителем, и гетероарила, необязательно замещенного заместителем, выбраны из гидроксила, амино, карбоксила, циано, нитро, галогена, C1-6алкила и C1-6алкокси;
L представляет собой связь и -NH-(CH2)t-, и t равняется 0, 1, 2 или 3;
кольцо A представляет собой 3-12-членный гетероциклил, арил, 5-10-членный гетероарил, 3-12-членный циклоалкил и 3-12-членный циклоалкенил, где гетероатом 3-12-членного гетероциклила выбран из одного из O, S и N или любой их комбинации, атом S может быть необязательно окислен до S(O) или S(O)2, атом C может быть необязательно окислен до C(O), гетероатом N может быть необязательно окислен до , и гетероатом 5-10-членного гетероарила выбран из одного из O, S и N или любой их комбинации;
каждый R1 независимо выбран из водорода, дейтерия, гидроксила, амино, карбоксила, циано, нитро, галогена, C1-6алкила, C1-6алкокси, C1-6алкиламино, (C1-6алкил)2амино, галоген-C1-6алкила, галоген-C1-6алкокси, C2-8алкенила, C2-8алкинила, C1-6алкилсульфонила, C1-6алкилтио, 3-12-членного циклоалкила, 3-12-членного циклоалкенила, 3-12-членного гетероциклила, арила и 5-10-членного гетероарила, где C1-6алкил, C1-6алкокси, C1-6алкиламино, (C1-6алкил)2амино, галоген-C1-6алкил, галоген-C1-6алкокси, C2-8алкенил, C2-8алкинил, C1-6алкилсульфонил, C1-6алкилтио, 3-12-членный циклоалкил, 3-12-членный циклоалкенил, 3-12-членный гетероциклил, арил и 5-10-членный гетероарил являются незамещенными или необязательно замещенными группами, выбранными из гидроксила, амино, карбоксила, циано, нитро, галогена, C1-6алкила, C1-6алкокси, C1-6алкокси-C1-6алкокси, C1-6алкиламино, (C1-6алкил)2амино, C1-6алкилкарбониламино и C1-6алкилсульфониламино;
m равняется 0, 1, 2 или 3;
и R2 выбран из водорода, C1-6алкила, C2-8алкенила, C2-8алкинила и галоген-C1-6алкила.
В одном варианте осуществления каждый из X1, X2 и X4 независимо представляет собой CH, и X3 представляет собой CR3.
В одном варианте осуществления каждый из X1 и X4 независимо представляет собой CH, X2 представляет собой N, и X3 представляет собой CR3.
В одном варианте осуществления каждый из X1 и X2 независимо представляет собой CH, X3 представляет собой CR3, и X4 представляет собой N.
В одном варианте осуществления X1, X2, X3 и X4 одновременно не представляют собой CR3.
В другом варианте осуществления настоящее изобретение относится к фармацевтической композиции, содержащей (a) соединение, представляющее собой ингибитор фосфодиэстеразы 9 (PDE9), представленное общей формулой (I), и его фармацевтически приемлемые соли, изомеры и дейтерированные соединения для применения в лечении заболеваний, связанных с сердечной недостаточностью, у млекопитающих.
В другом варианте осуществления предусмотрен набор, содержащий (a) соединение, представляющее собой ингибитор фосфодиэстеразы 9 (PDE9), представленное общей формулой (I), и его фармацевтически приемлемые соли, изомеры и дейтерированные соединения и (b) инструкцию по применению лекарственного препарата для применения соединения и его фармацевтически приемлемых солей, или изомеров, или дейтерированных соединений в лечении заболеваний, связанных с сердечной недостаточностью, у млекопитающих.
В одном варианте осуществления, включающем фармацевтическую композицию и набор, представлена общая формула (I):
где каждый из X1, X2, X3 и X4 независимо выбран из CR3 или N, и X1, X2, X3 и X4 одновременно не представляют собой CR3;
где
R3 в каждом случае независимо выбран из водорода, дейтерия, амино, циано, галогена, карбоксила, C1-4алкила, C1-4алкокси, C1-4алкиламино, (C1-4алкил)2амино, C2-6алкенила, C2-6алкинила, C1-4алкилкарбонила, C1-4алкиламинокарбонила, (C1-6алкил)2аминокарбонила, C1-4алкилсульфонила, C1-4алкилтио, аминокарбонила, циклопропила, азетидинила, морфолинила и пиперазинила, где C1-4алкил, C1-4алкокси, C1-4алкиламино, (C1-4алкил)2амино, C2-6алкенил, C2-6алкинил, C1-4алкилкарбонил, C1-4алкиламинокарбонил, (C1-6алкил)2аминокарбонил, C1-4алкилсульфонил, C1-4алкилтио, аминокарбонил, циклопропил, азетидинил, морфолинил и пиперазинил являются незамещенными или необязательно замещенными с помощью одной или нескольких групп, независимо выбранных из гидроксила, амино, циано, галогена, C1-4алкила, C1-4алкокси, C1-4алкиламино, (C1-4алкил)2амино, циклопропила, C1-4алкилкарбонилокси и 4-6-членного гетероциклила, незамещенного или замещенного C1-4алкилом;
кольцо A представляет собой 3-12-членный гетероциклил, и гетероатом 3-12-членного гетероциклила выбран из одного из O, S и N или любой их комбинации, и атом S может быть необязательно окислен до S(O) или S(O)2;
каждый R1 независимо выбран из водорода, дейтерия, гидроксила, циано, галогена, C1-4алкила, C1-4алкокси и 5-6-членного гетероарила, где C1-4алкил, C1-4алкокси и 5-6-членный гетероарил являются незамещенными или замещенными гидроксилом;
m равняется 0, 1 или 2;
R2 выбран из водорода или C1-6алкила.
В одном варианте осуществления каждый из X1 и X4 независимо представляет собой CH, X2 представляет собой N, и X3 представляет собой CR3.
В одном варианте осуществления каждый из X1 и X2 независимо представляет собой CH, X3 представляет собой CR3, и X4 представляет собой N.
В одном варианте осуществления A представляет собой 3-12-членный гетероциклил, предпочтительно 4-7-членный гетероциклил.
В одном варианте осуществления A представляет собой 3-12-членный гетероциклил, предпочтительно 7-12-членный спирогетероциклил.
В другом варианте осуществления настоящее изобретение относится к фармацевтической композиции, содержащей (a) соединение, представляющее собой ингибитор фосфодиэстеразы 9 (PDE9), представленное общей формулой (I), и его фармацевтически приемлемые соли, изомеры и дейтерированные соединения для применения в лечении заболеваний, связанных с сердечной недостаточностью, у млекопитающих.
В другом варианте осуществления предусмотрен набор, содержащий (a) соединение, представляющее собой ингибитор фосфодиэстеразы 9 (PDE9), представленное общей формулой (I), и его фармацевтически приемлемые соли, изомеры и дейтерированные соединения и (b) инструкцию по применению лекарственного препарата для применения соединения и его фармацевтически приемлемых солей, или изомеров, или дейтерированных соединений в лечении заболеваний, связанных с сердечной недостаточностью, у млекопитающих.
В одном варианте осуществления, включающем фармацевтическую композицию и набор, представлена общая формула (I):
где каждый из X1, X2, X3 и X4 независимо выбран из CR3 или N, и X1, X2, X3 и X4 одновременно не представляют собой CR3;
R3 в каждом случае независимо выбран из водорода, дейтерия, галогена, C1-4алкила, C1-4алкокси, C2-6алкенила, C1-4алкилкарбонила, циклопропила, C1-4алкиламинокарбонила и аминокарбонила, где C1-4алкил, C1-4алкокси, C2-6алкенил, C1-4алкилкарбонил, C1-4алкиламинокарбонил и аминокарбонил являются незамещенными или необязательно замещенными с помощью одной или нескольких групп, независимо выбранных из гидроксила, амино, C1-4алкила, C1-4алкокси, циклопропила, C1-4алкиламино, (C1-4алкил)2амино и 4-6-членного гетероциклила, незамещенного или замещенного C1-4алкилом;
L представляет собой связь;
каждый R1 независимо выбран из водорода, дейтерия, C1-4алкила и C1-4алкокси;
и m равняется 0, 1 или 2.
В одном варианте осуществления каждый из X1 и X4 независимо представляет собой CH, X2 представляет собой N, и X3 представляет собой CR3.
В одном варианте осуществления каждый из X1 и X2 независимо представляет собой CH, X3 представляет собой CR3, и X4 представляет собой N.
В другом варианте осуществления настоящее изобретение относится к фармацевтической композиции, содержащей (a) соединение, представляющее собой ингибитор фосфодиэстеразы 9 (PDE9), представленное общей формулой (I), и его фармацевтически приемлемые соли, изомеры и дейтерированные соединения для применения в лечении заболеваний, связанных с сердечной недостаточностью, у млекопитающих.
В другом варианте осуществления предусмотрен набор, содержащий (a) соединение, представляющее собой ингибитор фосфодиэстеразы 9 (PDE9), представленное общей формулой (I), и его фармацевтически приемлемые соли, изомеры и дейтерированные соединения и (b) инструкцию по применению лекарственного препарата для применения соединения и его фармацевтически приемлемых солей, или изомеров, или дейтерированных соединений в лечении заболеваний, связанных с сердечной недостаточностью, у млекопитающих.
В одном варианте осуществления, включающем фармацевтическую композицию и набор, представлена общая формула (I):
где каждый из X1, X2, X3 и X4 независимо выбран из CR3 или N, и X1, X2, X3 и X4 одновременно не представляют собой CR3;
R3 в каждом случае независимо выбран из водорода, дейтерия, циано, амино, галогена, карбоксила, C1-4алкила, C1-4алкокси, C2-6алкенила, C1-4алкилкарбонила, C2-6алкинила, C1-4алкиламино, (C1-4алкил)2амино, C1-4алкиламинокарбонила, C1-4алкилтио, C1-4алкилсульфонила, циклопропила, азетидинила, морфолинила и пиперазинила, где C1-4алкил, C1-4алкокси, C2-6алкенил, C1-4алкилкарбонил, C2-6алкинил, C1-4алкиламино, (C1-4алкил)2амино, C1-4алкиламинокарбонил, C1-4алкилтио, C1-4алкилсульфонил, циклопропил, азетидинил, морфолинил, пиперазинил являются незамещенными или необязательно замещенными с помощью одной или нескольких групп, независимо выбранных из гидроксила, амино, галогена, C1-4алкила, C1-4алкиламино, (C1-4алкил)2амино, циклопропила и C1-4алкилкарбонилокси;
L представляет собой связь;
и m равняется 0.
В одном варианте осуществления каждый из X1 и X4 независимо представляет собой CH, X2 представляет собой N, и X3 представляет собой CR3.
В одном варианте осуществления каждый из X1 и X2 независимо представляет собой CH, X3 представляет собой CR3, и X4 представляет собой N.
В другом варианте осуществления изомеры относится к стереоизомерам и таутомерам.
В одном варианте осуществления настоящего изобретения, если R2 в общей формуле (I) представляет собой водород, то изомеры представляют собой таутомеры, показанные в формуле (I').
В одном варианте осуществления настоящего изобретения атом водорода в структуре дейтерированного соединения, представляющего собой соединение, представленное общей формулой (I), может быть заменен на дейтерий с помощью от одного до нескольких атомов дейтерия произвольным образом.
В другом варианте осуществления млекопитающие представляют собой людей и животных.
В одном варианте осуществления настоящего изобретения соединение, представленное общей формулой (I), по настоящему изобретению и его фармацевтически приемлемые соли, изомеры и дейтерированные соединения выбраны из структур, показанных в таблице 1.
Таблица 1
| Серийный номер | Структура | Серийный номер | Структура |
| 1 | 2 | ||
| 3 | 4 | ||
| 5 | 6 | ||
| 7 | 8 | ||
| 9 | 10 | ||
| 11 | 12 | ||
| 13 | 14 | ||
| 15 | 16 | ||
| 17 | 18 | ||
| 19 | 20 | ||
| 21 | 22 | ||
| 23 | 24 | ||
| 25 | 26 | ||
| 27 | 28 | ||
| 29 | 30 | ||
| 31 | 32 | ||
| 33 | 34 | ||
| 35 | 36 | ||
| 37 | 38 | ||
| 39 | 40 | ||
| 41 | 42 | ||
| 43 | 44 | ||
| 45 | 46 | ||
| 47 | 48 | ||
| 49 | 50 | ||
| 51 | 52 | ||
| 53 | 54 | ||
| 55 | 56 | ||
| 57 | 58 | ||
| 59 | 60 | ||
| 61 | 123 | 62 | |
| 63 | 64 | ||
| 65 | 66 | ||
| 67 | 68 | ||
| 69 | 70 | ||
| 71 | 72 | ||
| 73 | 74 | ||
| 75 | 76 | ||
| 77 | 78 | ||
| 79 | 80 | ||
| 81 | 82 | ||
| 83 | 84 | ||
| 85 | 86 | ||
| 87 | 88 | ||
| 89 | 90 | ||
| 91 | 92 | ||
| 93 | 94 | ||
| 95 | 96 | ||
| 97 | 98 | ||
| 99 | 100 | ||
| 101 | 102 | ||
| 103 | 104 | ||
| 105 | 106 | ||
| 107 | 108 | ||
| 109 | 110 | ||
| 111 | 112 | ||
| 113 | 114 | ||
| 115 | 116 | ||
| 117 | 118 | ||
| 119 | 120 | ||
| 121 | 122 | ||
| 123 | 124 |
В одном варианте осуществления настоящего изобретения соединение, представленное общей формулой (I), по настоящему изобретению и его фармацевтически приемлемые соли, изомеры и дейтерированные соединения выбраны из следующих структур:
В одном варианте осуществления настоящего изобретения соединение, представленное общей формулой (I), по настоящему изобретению и его фармацевтически приемлемые соли, изомеры и дейтерированные соединения выбраны из следующих структур:
Млекопитающее с сердечной недостаточностью означает, что млекопитающее испытывает или страдает от сердечной недостаточности или млекопитающее является млекопитающим, подверженным сердечной недостаточности. Типы и этиология сердечной недостаточности связаны с одним или несколькими из упомянутых в настоящем изобретении.
В другом варианте осуществления настоящего изобретения заболевания, связанные с сердечной недостаточностью, представляют собой различные виды сердечной недостаточности на основании различной классификации, включающие без ограничения левожелудочковую недостаточность, правожелудочковую недостаточность и полную сердечную недостаточность; острую сердечную недостаточность, хроническую сердечную недостаточность и декомпенсированную сердечную недостаточность; систолическую и диастолическую сердечную недостаточность; предрасположенность к сердечной недостаточности, сердечную недостаточность без клинических симптомов, сердечную недостаточность с клиническими симптомами и рефрактерную сердечную недостаточность в терминальной стадии; сердечную недостаточность I степени, II степени, III степени и IV степени по сердечной функции согласно Нью-Йоркской кардиологической ассоциации (NYHA) и сердечную недостаточность со сниженной фракцией выброса левого желудочка, сердечную недостаточность со средней фракцией выброса левого желудочка и сердечную недостаточность с сохраненной фракцией выброса левого желудочка.
В другом варианте осуществления настоящего изобретения заболевания, связанные с сердечной недостаточностью, выбраны из без ограничения сердечной недостаточности, вызванной ишемической болезнью сердца, сердечной недостаточности, вызванной токсическим повреждением, иммунноопосредованной сердечной недостаточности и сердечной недостаточности, вызванной воспалительным повреждением, сердечной недостаточности, вызванной инфильтративным поражением, сердечной недостаточности, вызванной нарушением обмена веществ, сердечной недостаточности, вызванной генетической аномалией, сердечной недостаточности, вызванной аномальной нагрузкой, и сердечной недостаточности, вызванной аритмией.
В другом варианте осуществления настоящего изобретения заболевание, связанное с сердечной недостаточностью, представляет собой сердечную недостаточность, вызванную ишемической болезнью сердца.
В другом варианте осуществления настоящего изобретения заболевание, связанное с сердечной недостаточностью, выбрано из систолической сердечной недостаточности и диастолической сердечной недостаточности.
Систолическая сердечная недостаточность включает без ограничения таковую, имеющую по меньшей мере одну из следующих характеристик: сниженная систолическая функция миокарда; сниженная фракция выброса левого желудочка; увеличенный систолический и/или конечно-диастолический объем желудочка или сердца; фиброз миокарда, показанный с помощью теста; утолщение стенки желудочка с последующим истончением таковой (например, дилатационная гипертрофическая кардиомиопатия) и другие характеристики.
Диастолическая сердечная недостаточность включает без ограничения таковую, имеющую по меньшей мере одну из следующих характеристик: сниженная диастолическая функция миокарда; сниженная фракция выброса левого желудочка; сохраненная фракция выброса левого желудочка; средняя фракция выброса левого желудочка; увеличенная масса сердца или гипертрофия сердца; неупорядоченные или неупорядоченно расположенные кардиомиоциты и другие характеристики.
В другом варианте осуществления настоящего изобретения соединение, представленное общей формулой (I), и его фармацевтически приемлемые соли, изомеры и дейтерированные соединения оказывают воздействие при лечении сердечной недостаточности путем ингибирования активности PDE9 и увеличения уровня циклического гуанозинмонофосфата.
В другом варианте осуществления настоящего изобретения соединение, представленное общей формулой (I), и его фармацевтически приемлемые соли, изомеры и дейтерированные соединения оказывают воздействие при лечении сердечной недостаточности с помощью улучшения сердечной функции пациентов или субъектов с сердечной недостаточностью и обеспечения обратного ремоделирования миокарда у пациентов или субъектов с сердечной недостаточностью.
В другом варианте осуществления настоящего изобретения лекарственный препарат для лечения заболеваний, связанных с сердечной недостаточностью, дополнительно включает второе или несколько терапевтических средств.
В другом варианте осуществления настоящего изобретения лекарственный препарат для лечения заболеваний, связанных с сердечной недостаточностью, может быть получен в виде любого фармацевтически приемлемого фармацевтического препарата с фармацевтическим носителем. Фармацевтический носитель по настоящему изобретению может предусматривать одно или несколько твердых или жидких вспомогательных веществ, подходящих для людей. Фармацевтический носитель предпочтительно имеет достаточную чистоту и достаточно низкую токсичность и совместим с активным ингредиентом по настоящему изобретению без значительного снижения эффективности активного ингредиента. Например, фармацевтический носитель может представлять собой наполнитель, связующее, разрыхлитель, смазывающее вещество, водный растворитель или неводный растворитель и т.д.
Фармацевтический препарат по настоящему изобретению может быть получен в любой фармацевтически приемлемой лекарственной форме, и его вводят пациентам или субъектам, нуждающимся в таком лечении, любым подходящим способом введения, таким как посредством перорального, парентерального, трансдермального, ректального, назального, легочного введения, имплантации и местного введения. При применении для перорального введения фармацевтический препарат может быть получен в виде таблетки, капсулы, пилюли, гранулы, эмульсии, суспензии и т.д. При применении для парентерального введения фармацевтический препарат может быть получен в виде инъекции, стерильного порошка для инъекции, геля, суппозитория и т.д.
В другом варианте осуществления настоящего изобретения фармацевтический препарат предпочтительно находится в стандартной лекарственной форме. В данной форме препарат разделен на стандартные дозы, содержащие соответствующие количества активных ингредиентов. Стандартная лекарственная форма может быть упакована в упакованную форму, содержащую отдельное количество препарата, например, представлять собой упакованную таблетку, упакованную капсулу или порошок во флаконе или ампуле.
Введение дозы лекарственного препарата зависит от различных факторов, в том числе возраста, веса и состояния пациента и пути введения. Точные вводимые дозы определяются на основе заключения лечащего врача. Обычно доза для введения активного соединения может составлять, например, от приблизительно 1 мг до приблизительно 1000 мг, от приблизительно 5 мг до приблизительно 1000 мг в сутки. Требуемая доза также зависит от конкретного применяемого соединения, тяжести заболевания, пути введения, веса и состояния здоровья пациента и заключения лечащего врача. Возможно, в некоторых случаях доза превышает заданный диапазон доз, если есть данные, подтверждающие выбор дозы.
В другом варианте осуществления настоящего изобретения лекарственный препарат вводят пациентам или субъектам, нуждающимся в лечении, посредством перорального, парентерального, трансдермального, ректального, назального, легочного введения, имплантации и местного введения.
Краткое описание графических материалов
Фиг. 1. Эффект соединения 102 в отношении увеличения содержания cGMP в клетках HEK293T, дважды трансфицированных с помощью PDE9A2 человека и белкового рецептора натрийуретического пептида 1 (NPR1).
Фиг. 2. Эффект соединения 102 в отношении cGMP в первичных кардиомиоцитах новорожденных крыс, стимулированный предсердным натрийуретическим фактором.
Фиг. 3. Эффект соединения на фракцию выброса левого желудочка у крыс с сердечной недостаточностью.
Фиг. 4. Эффект соединения на фракцию укорочения у крыс с сердечной недостаточностью.
Фиг. 5. Эффект соединения на систолический объем левого желудочка у крыс с сердечной недостаточностью.
Фиг. 6. Эффект соединения на диастолический объем левого желудочка у крыс с сердечной недостаточностью.
Фиг. 7. Эффект соединения в отношении HR у крыс с сердечной недостаточностью.
Фиг. 8. Окрашивание фиброза периинфарктной зоны сердца у крыс различных групп.
Подробное описание изобретения
"Галоген" согласно настоящему изобретению относится к фтору, хлору, брому, йоду и т.д., предпочтительно фтору и хлору.
"Галоген" согласно настоящему изобретению означает, что любой атом водорода в заместителе может быть замещен одним или несколькими одинаковыми или различными атомами галогена. "Галоген" является таким, как определено выше.
"C1-6алкил" согласно настоящему изобретению относится к прямому или разветвленному алкилу, полученному из углеводородного фрагмента, содержащего 1-6 атомов углерода, путем удаления из него одного атома водорода, такому как метил, этил, н-пропил, изопропил, н-бутил, изобутил, втор-бутил, трет-бутил, н-пентил, изопентил, 2-метилбутил, неопентил, 1-этилпропил, н-гексил, изогексил, 4-метилпентил, 3-метилпентил, 2-метилпентил, 1-метилпентил, 3,3-диметилбутил, 2,2-диметилбутил, 1,1-диметилбутил, 1,2-диметилбутил, 1,3-диметилбутил, 2,3-диметилбутил, 2-этилбутил и 1-метил-2-метилпропил. "C1-4алкил" относится к вышеуказанным примерам, содержащим от 1 до 4 атомов углерода.
"C2-8алкенил" согласно настоящему изобретению относится к прямому, или разветвленному, или циклическому алкилену, полученному из алкенового фрагмента из 2-8 атомов углерода, содержащему углерод-углеродную двойную связь, путем удаления из него одного атома водорода, такому как винил, 1-пропенил, 2-пропенил, 1-бутенил, 2-бутенил, 1,3-бутадиенил, 1-пентенил, 2-пентенил, 3-пентенил, 1,3-пентадиенил, 1,4-пентадиенил, 1-гексенил и 1,4-гексадиенил.
"C2-8алкинил" согласно настоящему изобретению относится к прямому или разветвленному алкинилу, полученному из алкинового фрагмента из 2-8 атомов углерода, содержащему углерод-углеродную тройную связь, путем удаления из него одного атома водорода, такому как этинил, пропинил, 2-бутинил, 2-пентинил, 3-пентинил, 4-метил-2-пентинил, 2-гексинил и 3-гексинил.
"C1-6алкокси" согласно настоящему изобретению относится к группе, образованной путем соединения "C1-6алкила", определенного выше, с исходной молекулой посредством атома кислорода, т.е. группе "C1-6алкил-O-", такой как метокси, этокси, н-пропокси, изопропокси, н-бутокси, трет-бутокси, н-пентокси, неопентилокси и н-гексилокси. "C1-4алкокси" относится к вышеуказанным примерам, содержащим 1-4 атома углерода, т.е. группе "C1-4алкил-O-".
"C1-6алкиламино", "(C1-6алкил)2амино", "C1-6алкилкарбониламино", "C1-6алкилсульфониламино", "C1-6алкиламинокарбонил", "(C1-6алкил)2аминокарбонил", "C1-6алкоксикарбонил", "C1-6алкилсульфонил", "C1-6алкилтио" и "C1-6алкилкарбонил" согласно настоящему изобретению относятся к C1-6алкил-NH-, (C1-6алкил)(C1-6алкил)N-, C1-6алкил-C(O)-NH-, C1-6алкил-S(O)2-NH2-, C1-6алкил-NH-C(O)-, (C1-6алкил)(C1-6алкил)N-C(O)-, C1-6алкил-O-C(O)-, C1-6алкил-S(O)2-, C1-6алкил-S- и C1-6алкил-C(O)- соответственно. "C1-6алкил" является таким, как определено выше, и представляет собой предпочтительно "C1-4алкил".
"Конденсированное кольцо" согласно настоящему изобретению относится к полициклической структуре, образованной путем соединения двух или более кольцевых структур в орто-конденсированные системы или с помощью спиро- или мостиковой связи. Орто-конденсированное кольцо относится к конденсированной кольцевой структуре, образованной двумя или более кольцевыми структурами, имеющими два общих смежных атома кольца (т.е. имеющими общую связь). Мостиковое кольцо относится к конденсированной кольцевой структуре, образованной двумя или более кольцевыми структурами, имеющими два общих несмежных атома кольца. Спирокольцо относится к конденсированной кольцевой структуре, образованной двумя или более кольцевыми структурами, имеющими один общий атом кольца друг с другом.
"3-12-членный циклоалкенил" согласно настоящему изобретению, если не указано иное, включает все возможные примеры моноциклических и конденсированных колец (в том числе конденсированных в орто-конденсированные системы или с помощью спиро- или мостиковой связи), таких как 3-8-членный моноциклический олефин, 7-11-членный спироциклический олефин, 7-11-членный олефин с орто-конденсированным кольцом и 6-11-членный мостиковый циклический олефин.
Циклоалкил согласно настоящему изобретению включает все возможные примеры моноциклических и конденсированных колец (в том числе конденсированных в орто-конденсированные системы или с помощью спиро- или мостиковой связи); например, "3-12-членный циклоалкил" может представлять собой моноциклическую, бициклическую или полициклическую циклоалкильную систему (также называемую конденсированной кольцевой системой). Если не указано иное, моноциклическая кольцевая система представляет собой циклоалкильную группу, содержащую 3-8 атомов углерода. Примеры 3-8-членного циклоалкила включают без ограничения: циклопропанил, циклобутил, циклопентил, циклогексил, циклогептил, циклооктил и т.д. Циклоалкил с конденсированным кольцом включает циклоалкил с орто-конденсированным кольцом, мостиковый циклоалкил и спироциклоалкил. Циклоалкил с орто-конденсированным кольцом может представлять собой 6-11-членный циклоалкил с орто-конденсированным кольцом и 7-10-членный циклоалкил с орто-конденсированным кольцом, и их иллюстративные примеры включают без ограничения бицикло[3.1.1]гептан, бицикло[2.2.1]гептан, бицикло[2.2.2]октан, бицикло[3.2.2]нонан, бицикло[3.3.1]нонан и бицикло[4.2.1]нонан. Спироциклил может представлять собой 7-12-членный спироциклил или 7-11-членный спироциклил, и примеры спироциклила включают без ограничения: , , , , , и . Мостиковый циклил может представлять собой 6-11-членный мостиковый циклил и 7-10-членный мостиковый циклил, при этом примеры мостикового циклила включают без ограничения: , , , , и .
"Гетероциклил" согласно настоящему изобретению относится к 3-12-членной неароматической циклической группе, в которой по меньшей мере один атом углерода в кольце заменен гетероатомом, выбранным из O, S и N, предпочтительно 1-3 гетероатомами, дополнительно предусматривающими атомы углерода, атомы азота и атомы серы, которые могут быть окислены.
"3-12-членный гетероциклил" относится к моноциклической гетероциклильной системе, бициклической гетероциклильной системе или полициклической гетероциклильной системе (также называемой конденсированной кольцевой системой), включающим насыщенный и частично насыщенный гетероциклил, но не включающим ароматическое кольцо. Если не указано иное, "3-12-членный гетероциклил" включает все возможные примеры моноциклического кольца, конденсированного кольца (в том числе конденсированного в орто-конденсированную систему или с помощью спиро- или мостиковой связи), насыщенных и частично насыщенных колец.
Моногетероциклил может представлять собой 3-8-членный гетероциклил, 3-8-членный насыщенный гетероциклил, 3-6-членный гетероциклил, 4-7-членный гетероциклил, 5-7-членный гетероциклил, 5-6-членный гетероциклил, 5-6-членный кислородсодержащий гетероциклил, 3-8-членный азотсодержащий гетероциклил, 5-6-членный азотсодержащий гетероциклил, 5-6-членный насыщенный гетероциклил и т.д. Примеры "3-8"-членного насыщенного гетероциклила включают без ограничения азиридиновую группу, оксациклопропановую группу, тиациклопропановую группу, азетидинил, оксетанил, тиациклобутановую группу, тетрагидрофуранил, пирролидинил, тетрагидротиенил, имидазолидинил, пиразолидинил, 1,2-оксазолидинил, 1,3-оксазолидинил, 1,2-тиазолидинил, 1,3-тиазолидинил, тетрагидро-2H-пиранил, тетрагидро-2H-тиопиранил, пиперидинил, пиперазинил, морфолинил, 1,4-диоксанил и 1,4-оксатиановую группу. Примеры "3-8"-членного частично насыщенного гетероциклила включают без ограничения 4,5-дигидроизоксазолил, 4,5-дигидрооксазолил, 2,5-дигидрооксазолил, 2,3-дигидрооксазолил, 3,4-дигидро-2H-пирролил, 2,3-дигидро-1H-пирролил, 2,5-дигидро-1H-имидазолил, 4,5-дигидро-1H-имидазолил, 4,5-дигидро-1H-пиразолил, 4,5-дигидро-3H-пиразолил, 4,5-дигидротиазолил, 2,5-дигидротиазолил, 2H-пиранил, 4H-пиранил, 2H-тиопиранил, 4H-тиопиранил, 2,3,4,5-тетрагидропиридил, 1,2-изооксазинил, 1,4-изооксазинил или 6H-1,3-оксазинил и т.д. Конденсированное гетероциклическое кольцо включает орто-конденсированный гетероциклил, спирогетероциклил и мостиковый гетероциклил, который может быть насыщенным, частично насыщенным или ненасыщенным, но не ароматическим. Конденсированный гетероциклил представляет собой 5-6-членное моноциклическое гетероциклильное кольцо, конденсированное с бензольным кольцом, 5-6-членный моноциклический циклоалкил, 5-6-членный моноциклический циклоалкенил, 5-6-членный моноциклический гетероциклил или 5-6-членный моноциклический гетероарил. Орто-конденсированный гетероциклил может представлять собой 6-12-членный орто-конденсированный циклил, 7-10-членный орто-конденсированный циклил, 6-10-членный орто-конденсированный циклил, 6-12-членный насыщенный орто-конденсированный циклил и иллюстративные примеры включают без ограничения: 3-азабицикло[3.1.0]гексил, 3,6-диазабицикло[3.2.0]гептанил, 3,8-диазабицикло[4.2.0]октил, 3,7-диазабицикло[4.2.0]октил, октагидропирроло[3,4-c]пирролил, октагидропирроло[3,4-b]пирролил, октагидропирроло[3,4-b][1,4]оксазинил, октагидро-1H-пирроло[3,4-c]пиридил, 2,3-дигидробензoфуран-2-ил, 2,3-дигидробензoфуран-3-ил, дигидроиндолин-1-ил, дигидроиндолин-2-ил, дигидроиндолин-3-ил, 2,3-дигидробензoтиофен-2-ил, октагидро-1H-индолил и октагидробензoфуранил. Спирогетероциклил может представлять собой 6-12-членный спирогетероциклил, 7-11-членный спирогетероциклил и 6-12-членный насыщенный спироциклил, и примеры спирогетероциклила включают без ограничения: , , , , , , , , , , , , , , , , , и .
Мостиковый гетероциклил может представлять собой 6-12-членный мостиковый гетероциклил, 7-11-членный мостиковый гетероциклил и 6-12-членный насыщенный мостиковый циклил, и примеры мостикового гетероциклила включают без ограничения: , , , , , , , , , , и .
"Арил" согласно настоящему изобретению относится к циклической ароматической группе, содержащей 6-14 атомов углерода, включающей фенил, нафталин, фенантрен и т.д.
Гетероарил согласно настоящему изобретению включает все возможные моноциклические кольца, конденсированные кольца, все ароматические и частично ароматические примеры соединений, которые могут быть образованы. Например, "5-10-членный гетероарил" относится к ароматической циклической группе, в которой по меньшей мере один атом углерода в кольце заменен гетероатомом, выбранным из O, S и N, предпочтительно 1-3 гетероатомами, включая случаи, где атом углерода и атом серы одновременно окислены, например, атом углерода заменен на C(O), атом серы заменен на S(O) и S(O)2, и атом азота () может быть заменен на . Гетероарил включает моногетероарил и конденсированный гетероарил; если не указано иное, моногетероарил может представлять собой 5-7-членный гетероарил и 5-6-членный гетероарил; примеры моногетероарила включают без ограничения фурил, имидазолил, изоксазолил, тиазолил, изотиазолил, оксадиазолил, оксазолил, пиридил, пиридазинил, пиримидинил, пиразинил, пиразолил, пирролил, тетразолил, тиадиазолил, тиенил, триазолил и триазинил. В определенных вариантах осуществления конденсированный гетероарил относится к группе, образованной путем конденсации моноциклического гетероарильного кольца с фенилом, циклоалкенилом, гетероарилом, циклоалкилом и гетероциклилом, и конденсированный гетероарил может представлять собой 8-12-членный орто-конденсированный гетероарил и 9-10-членный орто-конденсированный гетероарил, примеры включают без ограничения бензимидазолил, бензофуранил, бензотиенил, бензоксадиазолил, бензoтиадиазолил, бензотиазолил, циннолинил, 5,6-дигидрохинолин-2-ил, 5,6-дигидроизохинолин-1-ил, фуропиридил, индазолил, индолил, изоиндолил, изохинолинил, нафтиридинил, пуринил, хинолинил, 5,6,7,8-тетрагидрохинолин-2-ил, 5,6,7,8-тетрагидрохинолил, 5,6,7,8-тетрагидрохинолин-4-ил, 5,6,7,8-тетрагидроизохинолин-1-ил, тиенопиридил, 4,5,6,7-тетрагидро[c][1,2,5]оксадиазолил и 6,7-дигидро[c][1,2,5]оксадиазол-4(5H)кето.
"Фармацевтически приемлемая соль" согласно настоящему изобретению относится к солям присоединения фармацевтически приемлемых кислот и оснований или их сольватов. Такие фармацевтически приемлемые соли включают соли кислот, таких как хлористоводородная кислота, фосфорная кислота, бромистоводородная кислота, серная кислота, сернистая кислота, муравьиная кислота, толуолсульфоновая кислота, метансульфоновая кислота, азотная кислота, бензойная кислота, лимонная кислота, винная кислота, малеиновая кислота, йодистоводородная кислота и алкановая кислота (такая как уксусная кислота и HOOC-(CH2)n-COOH (где n равняется от 0 до 4)). Такие фармацевтически приемлемые соли включают соли оснований, такие как натриевая соль, калиевая соль, кальциевая соль и аммониевая соль. Специалисту в данной области техники известно множество нетоксичных фармацевтически приемлемых солей присоединения.
"Изомер" согласно настоящему изобретению относится к стереоизомеру и таутомеру.
Стереоизомер означает, что энантиомер может быть образован, если соединение содержит асимметричный атом; цис-транс-изомер может быть образован, если соединение содержит двойную связь или циклическую структуру; все энантиомеры, диастереомеры, рацемические изомеры, цис-транс-изомеры, геометрические изомеры, эпимеры и их смеси для соединения формулы (I) включены в объем настоящего изобретения.
"Таутомер" относится к функциональной группе изомера, полученного путем быстрого перемещения атома в двух положениях в молекуле, и таутомер представляет собой изомер с особой функциональной группой. Например, таутомер карбонильного соединения, содержащий α-H, в частности, является следующим: и . Существуют и другие таутомеры, обусловленные миграцией протонов, такие как обусловленный кето-енольной таутомерией таутомер, обусловленный нитрозо-оксимной таутомерией таутомер и обусловленный имин-енаминной таутомерией таутомер.
Каждый из T, T1 и T2 независимо представляет собой любую группу, которая соответствует принципам связывания для соединения.
Соединение согласно настоящему изобретению содержит лактамную структуру и характеризуется таутомером . Когда речь идет о соединении по настоящему изобретению, это означает, что одновременно упоминается также таутомер соединения. Вариант осуществления синтеза согласно настоящему изобретению обеспечивает синтез таутомера любого типа, что означает, что в то же время получают другую конфигурацию таутомера, обе из которых могут быстро превращаться друг в друга и находятся в динамическом равновесии.
"Атом C" согласно настоящему изобретению может быть заменен на C(O); и "атом S" может быть заменен на S(O) и S(O)2.
Термин "дейтерированный" согласно настоящему изобретению относится к замене одного или нескольких атомов водорода в соединении или группе дейтерием.
"Млекопитающее" согласно настоящему изобретению относится к виду теплокровных позвоночных класса позвоночных млекопитающих, которые дышат воздухом через легкие, и выделяют молоко из молочных желез для кормления своих детенышей, и могут быть разделены на людей и животных. Примеры млекопитающих животных включают без ограничения тигров, леопардов, волков, оленей, жирафов, норок, обезьян, орангутангов, тапиров, лисиц, ленивцев, медведей, сумчатых медведей, белых медведей, слонов, овцебыков, носорогов, ламантинов, львов, красных панд, панд, бородавочников, антилоп, коал, рысей, панголинов, муравьедов, выдр, дельфинов, моржей, тюленей, китов, утконосов, ежей, кенгуру, бегемотов, куниц, барсук, леопардовых кошек, лошадей, коров, овец, мулов, ослов, собак, крыс, кошек и кроликов.
Превосходный эффект настоящего изобретения
Посредством ингибирования активности фермента PDE9, соединение, представляющее собой ингибитор PDE9, по настоящему изобретению эффективно подавляет разрушение cGMP, повышает уровень cGMP и затем активирует протеинкиназу G (PKG), тем самым оказывая воздействие при лечении сердечной недостаточности. Исследования показали, что соединение по настоящему изобретению может эффективно воздействовать на фермент PDE9, увеличивать содержание cGMP в кардиомиоцитах, эффективно улучшать сердечную функцию в животных моделях, обеспечивать обратное ремоделирование миокарда, тем самым оказывая воздействие при лечении сердечной недостаточности.
С клинической точки зрения для пациентов с подозрением на не острую сердечную недостаточность это главным образом основано на истории болезни пациента, симптомах, медицинском обследовании, результатах электрокардиограммы, уровне натрийуретического пептида и эхокардиограмме для исключения или диагностики сердечной недостаточности. В частности, эхокардиограмма может представить текущую информацию об объеме желудочка, диастолической функции, толщине стенки желудочка, функции клапана и легочной гипертензии, и поэтому она широко используется для выявления пациентов с подозрением на сердечную недостаточность. С клинической точки зрения для первичного диагноза для пациентов с острой сердечной недостаточностью эхокардиограмма также будет использоваться для дополнительного подтверждения состояния.
В животных моделях сердечная недостаточность у животных часто характеризуется сниженной активностью, плохим настроением, пониженным аппетитом, учащенным дыханием, выпадением шерсти, цианозом, асцитом, отеком нижних конечностей, застоем в печени и гематомой и т.д. Показатели оценки представляют собой определение конечного объема левого желудочка (EDV/ESV), систолического давления в левом желудочке (LVSP), конечного диастолического давления в левом желудочке (LVEDP), работы левого желудочка при одном сокращении (SW), ударного объема (SV), скорости изменения давления в левом желудочке (± dp/dtmax), сердечного выброса (CO), фракции выброса левого желудочка (LVEF), соотношения массы/объема левого желудочка и т.д. посредством исследований электрокардиограммы, эхокардиограммы и с помощью сердечного катетера, а также с помощью патологического анализа биопсии миокарда и т.д. Обычно применяемые модели представляют собой модель HF с перегрузкой давлением, модель HF с объемной перегрузкой, модель HF с ослабленной сократимостью миокарда, модель HF in vitro и модель HF, полученную с применением генной инженерии. Модель сердечной недостаточности, вызванной инфарктом миокарда, относится к модели сердечной недостаточности с ослабленной сократимостью миокарда. В то же время эта животная модель характеризуется относительно высоким сходством с пациентами с сердечной недостаточностью, вызванной клиническим инфарктом миокарда, и этот тип пациентов является репрезентативным среди группы с сердечной недостаточностью.
Настоящее изобретение будет описано ниже вместе с вариантами осуществления. Однако эти варианты осуществления никоим образом не предназначены для ограничения объема настоящего изобретения.
Подробное описание вариантов осуществления
Сокращения, применяемые в данном документе, являются следующими: "DMF" относится к диметилформамиду; "DIPEA" относится к N,N-диизопропилэтиламину; "EA" относится к этилацетату; "PE" относится к петролейному эфиру; "THF" относится к тетрагидрофурану; "DCM" относится к дихлорметану; "HATU" относится к гексафторфосфату 2-(7-азабензoтриазол-1-ил)-N,N,N',N'-тетраметилурония; "AD-mix-β" относится к смеси, содержащей 0,0016 моль (DHQD)2PHAL (гидрохинидин-1,4-фталазиндиилового диэфира), 0,4988 моль порошка карбоната калия, и 0,4988 моль феррицианида калия, и 0,0007 моль дигидрата осмата калия; "EDCI" относится к гидрохлориду 1-(3-диметиламинопропил)-3-этилкарбодиимида; "NBS" относится к N-бромсукцинимиду; "AIBN" относится к азодиизобутиронитрилу; "TEA" относится к триэтиламину.
Препаративный пример 1. Синтез промежуточного соединения 4,6-дихлор-2-оксо-1,2-дигидро-1,7-диазанафталин-3-карбонитрила
Стадия 1. Синтез 6-хлор-2H-пиридо[3,4-d][1,3]оксазин-2,4(1H)-диона
5-Амино-2-хлоризоникотиновую кислоту (30 г, 0,1738 моль, 1,0 экв.) растворяли в N,N-диметилформамиде (300 мл), порциями добавляли N,N'-карбонилдиимидазол (48 г, 0,2955 моль, 1,7 экв.) при 0°C и реакционный раствор медленно нагревали до комнатной температуры в течение ночи. LC-MS показывала завершение реакции, полученное охлаждали до комнатной температуры и непосредственно применяли на следующей стадии без обработки.
Стадия 2. Синтез 6-хлор-4-гидроксил-2-оксо-1,2-дигидро-1,7-диазанафталин-3-карбонитрила
К вышеуказанному реакционному раствору добавляли триэтиламин (35,182 г, 0,3478 моль, 2 экв.) и этилцианоацетат (19,665 г, 0,1738 моль) для осуществления реакции при 150°C в течение 3 ч. Обнаружение посредством LC-MS продемонстрировало завершение реакции. Реакционный раствор охлаждали до комнатной температуры и концентрировали при пониженном давлении. Добавляли воду (200 мл). Значение pH регулировали до 1 хлористоводородной кислотой (1 моль/л). Реакционный раствор перемешивали в течение 15 минут и фильтровали путем отсасывания. Осадок на фильтре дважды промывали с помощью EA и высушивали при 40°C с получением продукта в виде светло-кирпично-красного твердого вещества (25,655 г, выход: 66%).
Стадия 3. Синтез 4,6-дихлор-2-оксо-1,2-дигидро-1,7-диазанафталин-3-карбонитрила
В реакционную колбу добавляли 6-хлор-4-гидроксил-2-оксо-1,2-дигидро-1,7-диазанафталин-3-карбонитрил (5,0 г, 0,0226 моль, 1 экв.) и оксихлорид фосфора (15 мл). Реакционную колбу помещали на масляную баню, уже нагретую до 100°C, для осуществления реакции в течение приблизительно 6 мин. Твердое вещество начало медленно растворяться и цвет от светло-желтого постепенно становился более насыщенным. Обнаружение посредством TLC продемонстрировало завершение реакции, и полученное охлаждали до комнатной температуры. В колбу добавляли подходящее количество DCM. Реакционный раствор выливали в ледяную воду (100 мл), перемешивали в течение 10 мин. и фильтровали путем отсасывания. Осадок на фильтре промывали метил-трет-бутиловым эфиром, сливали жидкость и высушивали в вакууме при 40°C с получением продукта в виде светло-желтого твердого вещества. Материалы подавали пятью порциями и в общей сложности подавали 25,655 г (0,1157 моль) 6-хлор-4-гидроксил-2-оксо-1,2-дигидро-1,7-диазанафталин-3-карбонитрила с получением 19,486 г продуктов (выход: 70,1%).
Препаративный пример 2. Синтез промежуточного соединения 6-этил-4-хлор-2-оксо-1,2-дигидро-1,7-диазанафталин-3-карбонитрила и 2,4-дихлор-6-этил-1,7-диазанафталин-3-карбонитрила
Стадия 1. Синтез метил-6-этил-3-(цианоацетамидо)-1-пиридин-4-карбоксилата
Промежуточное соединение метил-6-этил-3-амино-1-пиридин-4-карбоксилат (131 г, 727,13 ммоль, 1,0 экв.) растворяли в дихлорметане (1,31 л). Добавляли цианоуксусную кислоту (74,22 г, 872,56 ммоль, 1,2 экв.) в условиях ледяной бани. Порциями добавляли EDCI (209,07 г, 1090,70 ммоль, 1,5 экв.) для осуществления реакции при 25°C в течение 2 часов. Обнаружение посредством LC-MS продемонстрировало завершение реакции. К реакционному раствору добавляли H2O (1,5 л). Жидкость отделяли. Органическую фазу промывали с помощью H2O (2 × 800 мл), высушивали над безводным сульфатом натрия и фильтровали путем отсасывания. Фильтрат концентрировали. Неочищенный продукт суспендировали в метил-трет-бутиловом эфире (500 мл) с получением продукта (165 г, выход: 91,78%).
Стадия 2. Синтез 6-этил-4-гидроксил-2-оксо-1,2-дигидро-1,7-диазанафталин-3-карбонитрила
Промежуточное соединение метил-6-этил-3-(цианоацетамидо)-1-пиридин-4-карбоксилат (165 г, 667,34 ммоль, 1,0 экв.) растворяли в этаноле (1,65 л). Порциями добавляли этоксид натрия (136,24 г, 2002,62 ммоль, 3,0 экв.) в условиях ледяной бани и обеспечивали осуществление реакции при 25°C в течение 2 часов после добавления. Обнаружение посредством LC-MS продемонстрировало завершение реакции. Реакционный раствор концентрировали и добавляли H2O (1,5 л). Значение pH регулировали до 4 или меньше в условиях ледяной бани с помощью концентрированной хлористоводородной кислоты. Осаждали большое количество светло-желтого твердого вещества. Реакционный раствор фильтровали путем отсасывания. Осадок на фильтре высушивали с получением продукта (138 г, выход: 96,09%).
Стадия 3. Синтез 6-этил-4-хлор-2-оксо-1,2-дигидро-1,7-диазанафталин-3-карбонитрила и 2,4-дихлор-6-этил-1,7-диазанафталин-3-карбонитрила
Промежуточное соединение 6-этил-4-гидроксил-2-оксо-1,2-дигидро-1,7-диазанафталин-3-карбонитрила (605 г, 2,81 моль, 1,0 экв.) растворяли в ацетонитриле (3 л), добавляли оксихлорид фосфора (1723 г, 11,24 моль, 4,0 экв.) в условиях ледяной бани и обеспечивали осуществление реакции при 100°C в течение 2 часов. Реакционный раствор охлаждали и концентрировали. Добавляли ацетонитрил (1 л) в качестве диспергирующего средства. Полученную жидкость выливали в ледяную воду. Значение pH регулировали до приблизительно 5-6 насыщенным раствором гидроксида натрия. Осаждали большое количество желтого твердого вещества. Оставшуюся жидкость фильтровали путем отсасывания и высушивали с получением неочищенного продукта. Неочищенный продукт суспендировали с помощью смеси н-гептан/этилацетат (3 л/0,6 л). Смесь фильтровали путем отсасывания с получением 6-этил-4-хлор-2-оксо-1,2-дигидро-1,7-диазанафталин-3-карбонитрила (510 г, выход: 78%).
Фильтрат концентрировали. Неочищенный продукт очищали посредством колоночной хроматографии на силикагеле (PE: EA = 10: 1) с получением 2,4-дихлор-6-этил-1,7-диазанафталин-3-карбонитрила (50 г, выход: 7%).
Пример 1. Синтез 6-изопропил-4-(4-метокси-4-метилпиперидин-1-ил)-2-оксо-1,2-дигидро-1,7-диазанафталин-3-карбонитрила (соединение 91)
Стадия 1. Синтез 6-хлор-2H-пиридо[3,4-d][1,3]оксазин-2,4(1H)-диона
5-Амино-2-хлоризоникотиновую кислоту (30 г, 0,1738 моль, 1,0 экв.) растворяли в N,N-диметилформамиде (300 мл), порциями добавляли N,N'-карбонилдиимидазол (48 г, 0,2955 моль, 1,7 экв.) при 0°C и реакционный раствор медленно нагревали до комнатной температуры в течение ночи. LC-MS показывала завершение реакции, полученное охлаждали до комнатной температуры и непосредственно применяли на следующей стадии без обработки.
Стадия 2. Синтез 6-хлор-4-гидроксил-2-оксо-1,2-дигидро-1,7-диазанафталин-3-карбонитрила
К вышеуказанному реакционному раствору добавляли триэтиламин (35,182 г, 0,3478 моль, 2 экв.) и этилцианоацетат (19,665 г, 0,1738 моль) для осуществления реакции при 150°C в течение 3 ч. Обнаружение посредством LC-MS продемонстрировало завершение реакции. Реакционный раствор охлаждали до комнатной температуры и концентрировали при пониженном давлении. Добавляли воду (200 мл). Значение pH регулировали до 1 хлористоводородной кислотой (1 моль/л). Реакционный раствор перемешивали в течение 15 минут и фильтровали путем отсасывания. Осадок на фильтре дважды промывали с помощью EA и высушивали при 40°C с получением продукта в виде светло-кирпично-красного твердого вещества (25,655 г, выход: 66%).
Стадия 3. Синтез 4,6-дихлор-2-оксо-1,2-дигидро-1,7-диазанафталин-3-карбонитрила
В реакционную колбу добавляли 6-хлор-4-гидроксил-2-оксо-1,2-дигидро-1,7-диазанафталин-3-карбонитрил (5,0 г, 0,0226 моль, 1 экв.) и оксихлорид фосфора (15 мл). Реакционную колбу помещали на масляную баню, уже нагретую до 100°C, для осуществления реакции в течение приблизительно 6 мин. Твердое вещество начало медленно растворяться и цвет от светло-желтого постепенно становился более насыщенным. Обнаружение посредством TLC продемонстрировало завершение реакции, и полученное охлаждали до комнатной температуры. В колбу добавляли подходящее количество DCM. Реакционный раствор выливали в ледяную воду (100 мл), перемешивали в течение 10 мин. и фильтровали путем отсасывания. Осадок на фильтре промывали метил-трет-бутиловым эфиром, сливали жидкость и высушивали в вакууме при 40°C с получением продукта в виде светло-желтого твердого вещества. Материалы подавали пятью порциями и в общей сложности подавали 25,655 г (0,1157 моль) 6-хлор-4-гидроксил-2-оксо-1,2-дигидро-1,7-диазанафталин-3-карбонитрила с получением 19,486 г продуктов (выход: 70,1%).
Стадия 4. Синтез 6-хлор-4-(4-метокси-4-метилпиперидин-1-ил)-2-оксо-1,2-дигидро-1,7-диазанафталин-3-карбонитрила
Промежуточное соединение 4,6-дихлор-2-оксо-1,2-дигидро-1,7-диазанафталин-3-карбонитрил (2,0 г, 8,33 ммоль, 1,0 экв.) растворяли в DMF (10 мл) и добавляли DIPEA (6,45 г, 50 ммоль, 6,0 экв.) и трифторацетат 4-метокси-4-метилпиперидина (2,2 г, 9,16 ммоль, 1,1 экв.) и обеспечивали осуществление реакции при 80°C в течение 2 часов. Обнаружение посредством LC-MS продемонстрировало завершение реакции. Добавляли воду (10 мл) и для экстракции применяли дихлорметан (10 мл × 3). Органическую фазу промывали водой (10 мл × 3), высушивали над безводным сульфатом натрия, фильтровали и концентрировали при пониженном давлении с получением продукта в виде желтого твердого вещества (2,7 г, неочищенное).
Стадия 5. Синтез 4-(4-метокси-4-метилпиперидин-1-ил)-2-оксо-6-(проп-1-ен-2-ил)-1,2-дигидро-1,7-диазанафталин-3-карбонитрила
Промежуточное соединение 6-хлор-4-(4-метокси-4-метилпиперидин-1-ил)-2-оксо-1,2-дигидро-1,7-диазанафталин-3-карбонитрил (500 мг, 1,5 ммоль, 1,0 экв.) растворяли в 1,4-диоксане (5 мл) и H2O (1 мл). Добавляли трифтор(проп-1-ен-2-ил)борат калия (668 мг, 4,5 ммоль, 3,0 экв.) и карбонат цезия (1,466 г, 4,5 ммоль, 3,0 экв.). Добавляли дихлорид [1,1'-бис(дифенилфосфино)ферроцен]палладия (110 мг, 0,15 ммоль, 0,1 экв.) в защитной атмосфере азота и обеспечивали осуществление реакции при 100°C в течение 12 часов. Обнаружение посредством LC-MS продемонстрировало завершение реакции. Добавляли воду (20 мл). Для экстракции применяли этилацетат (20 мл × 3). Органическую фазу высушивали с помощью безводного сульфата натрия и фильтровали. Фильтрат концентрировали при пониженном давлении и неочищенный продукт очищали посредством колоночной хроматографии на силикагеле (DCM: MeOH = 50: 1) с получением продукта (390 мг, выход: 76,9%).
Стадия 6. Синтез 6-изопропил-4-(4-метокси-4-метилпиперидин-1-ил)-2-оксо-1,2-дигидро-1,7-диазанафталин-3-карбонитрила
Промежуточное соединение 4-(4-метокси-4-метилпиперидин-1-ил)-2-оксо-6-(проп-1-ен-2-ил)-1,2-дигидро-1,7-диазанафталин-3-карбонитрил (390 мг, 1,15 ммоль, 1,0 экв.) растворяли в метаноле (10 мл). Добавляли Pd/C (100 мг) и обеспечивали осуществление реакции в течение 12 часов в атмосфере водорода. Обнаружение посредством LC-MS продемонстрировало завершение реакции. Реакционный раствор фильтровали путем отсасывания. Фильтрат концентрировали при пониженном давлении. Неочищенный продукт суспендировали с метил-трет-бутиловым эфиром. Полученный раствор фильтровали путем отсасывания. Неочищенный продукт затем отделяли посредством препаративной тонкослойной хроматографии (DCM: MeOH = 15: 1) с получением продукта (100 мг, выход: 25,6%).
1HЯМР (400 МГц, DMSO-d6) δ (ppm): 11,82 (s, 1H), 8,61 (s, 1H), 7,38 (s, 1H), 3,60-3,61 (m, 4H), 3,19 (s, 3H), 3,06-3,13 (m, 1H), 1,90-1,93 (m, 2H), 1,75-1,82 (d, 2H), 1,26 (s,9H).
Молекулярная формула: C19H24N4O2, молекулярная масса: 340,43, LC-MS (положит., масса/заряд) = 341,19 [M+H]+.
Пример 2. Синтез 4-(4-метокси-4-метилпиперидин-1-ил)-2-оксо-6-винил-1,2-дигидро-1,7-диазанафталин-3-карбонитрила (соединение 70)
Промежуточное соединение 6-хлор-4-(4-метокси-4-метилпиперидин-1-ил)-2-оксо-1,2-дигидро-1,7-диазанафталин-3-карбонитрил (20,1 г, 60,40 ммоль, 1,0 экв.) растворяли в 1,4-диоксане (600 мл) и H2O (150 мл). Добавляли трифтор(винил)борат калия (12,14 г, 90,6 ммоль, 1,5 экв.), карбонат цезия (58 г, 181,2 ммоль, 3,0 экв.) и дихлорид [1,1'-бис(дифенилфосфино)ферроцен]палладия (4,4 г, 6,04 ммоль, 1,0 экв.) и обеспечивали осуществление реакции при 100°C в течение 8 часов в защитной атмосфере азота. Обнаружение посредством LC-MS продемонстрировало завершение реакции. Добавляли воду (20 мл). Для экстракции применяли дихлорметан (30 мл × 3). Органическую фазу промывали водой (10 мл × 3), высушивали над безводным сульфатом натрия, фильтровали и концентрировали при пониженном давлении. Неочищенный продукт очищали посредством колоночной хроматографии на силикагеле (DCM: MeOH = 50: 1) с получением продукта (14,63 г, выход: 74%).
1H ЯМР (400 МГц, DMSO-d6) δ (ppm): 12,03 (s, 1H), 8,64 (s, 1H), 7,56 (s, 1H), 6,89-6,96 (m, 1H), 6,15-6,19 (m, 1H), 5,39-5,42 (m, 1H), 3,61-3,64 (m, 4H), 3,19 (s, 3H), 1,77-1,93 (m, 4H), 1,21 (s, 3H).
Молекулярная формула: C18H20N4O2, молекулярная масса: 324,38, LC-MS (положит., масса/заряд) = 325,16 [M+H]+.
Пример 3. Синтез 6-(1-гидроксиэтил)-4-(4-метокси-4-метилпиперидин-1-ил)-2-оксо-1,2-дигидро-1,7-диазанафталин-3-карбонитрила (соединение 63)
Стадия 1. Синтез 6-(1,2-дигидроксиэтил)-4-(4-метокси-4-метилпиперидин-1-ил)-2-оксо-1,2-дигидро-1,7-диазанафталин-3-карбонитрила
Промежуточное соединение 4-(4-метокси-4-метилпиперидин-1-ил)-2-оксо-6-винил-1,2-дигидро-1,7-диазанафталин-3-карбонитрил (500 мг, 1,542 ммоль, 1,0 экв.) растворяли в третичном бутаноле (10 мл) и воде (10 мл). Добавляли метансульфонамид (147 мг, 1,542 ммоль, 1,0 экв.) и AD-mix-β (6,0 г) и обеспечивали осуществление реакции при нормальной температуре в течение 12 часов. Обнаружение посредством LC-MS продемонстрировало завершение реакции. Добавляли воду (10 мл). Для экстракции применяли дихлорметан (30 мл × 3). Органическую фазу высушивали с помощью безводного сульфата натрия, фильтровали и концентрировали при пониженном давлении с получением продукта (552 мг, выход: 100%).
Стадия 2. Синтез 6-формил-4-(4-метокси-4-метилпиперидин-1-ил)-2-оксо-1,2-дигидро-1,7-диазанафталин-3-карбонитрила
Промежуточное соединение 6-(1,2-дигидроксиэтил)-4-(4-метокси-4-метилпиперидин-1-ил)-2-оксо-1,2-дигидро-1,7-диазанафталин-3-карбонитрил (552 мг, 1,542 ммоль, 1,0 экв.) растворяли в тетрагидрофуране (10 мл) и воде (2 мл). Добавляли перйодат натрия (650 мг, 3,084 ммоль, 2,0 экв.) и обеспечивали осуществление реакции в течение 4 часов. Обнаружение посредством LC-MS продемонстрировало завершение реакции. Добавляли воду (10 мл). Для экстракции применяли этилацетат (20 мл × 3). Органическую фазу высушивали с помощью безводного сульфата натрия, фильтровали и концентрировали при пониженном давлении и неочищенный продукт очищали посредством колоночной хроматографии на силикагеле (DCM: MeOH = 60: 1) с получением продукта в виде желтого твердого вещества (160 г, выход за две стадии: 32%).
Стадия 3. Синтез 6-(1-гидроксиэтил)-4-(4-метокси-4-метилпиперидин-1-ил)-2-оксо-1,2-дигидро-1,7-диазанафталин-3-карбонитрила
Промежуточное соединение 6-формил-4-(4-метокси-4-метилпиперидин-1-ил)-2-оксо-1,2-дигидро-1,7-диазанафталин-3-карбонитрил (160 мг, 0,49 ммоль, 1,0 экв.) растворяли в тетрагидрофуране (5 мл). Добавляли по каплям хлорид метилмагния (1 мл) при 0°C и обеспечивали осуществление реакции в течение 1 часа. Обнаружение посредством LC-MS продемонстрировало завершение реакции. Добавляли воду (10 мл). Для экстракции применяли этилацетат (20 мл × 3). Органическую фазу высушивали с помощью безводного сульфата натрия, фильтровали и концентрировали при пониженном давлении и неочищенный продукт очищали посредством колоночной хроматографии на силикагеле (DCM: MeOH = 40: 1) с получением продукта (108 мг, выход: 64%).
1H ЯМР (400 МГц, DMSO-d6) δ (ppm): 11,93 (s, 1H), 8,58 (s, 1H), 7,72 (s, 1H), 5,48-5,49 (d, 1H), 4,75-4,81 (m, 1H), 3,56-3,65 (m, 4H), 3,20 (s, 3H), 1,91-1,95 (m, 2H), 1,73-1,79 (m, 2H), 1,38-1,40 (d, 3H), 1,23 (s, 3H).
Молекулярная формула: C18H22N4O3, молекулярная масса: 342,40, LC-MS (положит., масса/заряд) = 343,17 [M+H]+.
0,3925 г соединения 63 растворяли в метаноле с образованием раствора с концентрацией 2 мг/мл, и применяли Shimadzu LC-20AD с получением жидкой фазы для разделения энантиомеров. Условия разделения являлись следующими: соединения, полученные из соответствующих компонентов, собирали через 6 минут и 12 минут соответственно. Соединение, полученное из соответствующего компонента через 6 минут, представляло собой соединение A, и соединение, полученное из соответствующего компонента через 12 минут, представляло собой соединение B. Растворитель удаляли посредством ротационного выпаривания с получением 0,1814 г соединения A и 0,1984 г соединения B соответственно. Соединения A и B представляют собой энантиомеры, и их структуры являются следующими, при этом если соединение A представлено одной из структур, то соединение B представлено другой:
Пример 4. Синтез 6-(2-гидроксипропан-2-ил)-4-(4-метокси-4-метилпиперидин-1-ил)-2-оксо-1,2-дигидро-1,7-диазанафталин-3-карбонитрила (соединение 64)
Стадия 1. Синтез 6-ацетил-4-(4-метокси-4-метилпиперидин-1-ил)-2-оксо-1,2-дигидро-1,7-диазанафталин-3-карбонитрила
Промежуточное соединение 6-(1-гидроксиэтил)-4-(4-метокси-4-метилпиперидин-1-ил)-2-оксо-1,2-дигидро-1,7-диазанафталин-3-карбонитрил (187 мг, 0,55 ммоль, 1,0 экв.) растворяли в сухом дихлорметане (5 мл) и охлаждали до 0-5°C. Добавляли перйодинан Десса-Мартина (463,5 мг, 1,10 ммоль, 2,0 экв.) и нагревали в естественных условиях до комнатной температуры и обеспечивали осуществление реакции в течение 2 ч. после добавления. Применяли TLC для контроля завершения реакции. Реакционный раствор концентрировали при пониженном давлении. Неочищенный продукт очищали посредством колоночной хроматографии на силикагеле (MeOH: DCM = 1: 100-1: 50) с получением продукта (185,8 мг, выход: 100%).
Стадия 2. Синтез 6-(2-гидроксипропан-2-ил)-4-(4-метокси-4-метилпиперидин-1-ил)-2-оксо-1,2-дигидро-1,7-диазанафталин-3-карбонитрила
Промежуточное соединение 6-ацетил-4-(4-метокси-4-метилпиперидин-1-ил)-2-оксо-1,2-дигидро-1,7-диазанафталин-3-карбонитрил (185,8 мг, 0,55 ммоль, 1,0 экв.) растворяли в N,N-диметилацетамиде (3 мл) и охлаждали до от -10 до 0°C. Добавляли по каплям 3 моль/л раствор хлорида метилмагния в тетрагидрофуране (0,6 мл, 3,0 экв.) в защитной атмосфере азота и нагревали в естественных условиях до комнатной температуры и перемешивали в течение ночи после добавления. Обнаружение посредством TCL продемонстрировало, что оставалось большое количество исходных материалов. Добавляли дополнительное количество 3 моль/л раствора хлорида метилмагния в тетрагидрофуране (0,6 мл, 3,0 экв.) и обеспечивали осуществление реакции в течение 3 ч. и затем снова добавляли 3 моль/л раствор хлорида метилмагния в тетрагидрофуране (0,6 мл, 3,0 экв.) и обеспечивали осуществление реакции в течение 2 ч. Реакционную смесь охлаждали до 0-10°C. Значение pH регулировали до 5-6 с помощью уксусной кислоты. Реакционную смесь концентрировали. Неочищенный продукт очищали посредством колоночной хроматографии на силикагеле (MeOH: DCM = 1: 100-1: 70) с получением продукта (63,9 мг, выход: 32,8%).
1H ЯМР (400 МГц, DMSO-d6) δ (ppm): 11,91 (s, 1H), 8,59 (s, 1H), 7,89 (s, 1H), 5,35 (s, 1H), 3,62-3,60 (m, 4H), 3,20 (s, 3H), 1,95-1,92 (m, 2H), 1,80-1,73 (m, 2H), 1,45 (s, 6H), 1,23 (s, 3H).
Молекулярная формула: C19H24N4O3, молекулярная масса: 356,43, LC-MS (положит., масса/заряд) = 357,25 [M+H]+.
Пример 5. Синтез 6-(циклопропил(гидроксил)метил)-4-(4-метокси-4-метилпиперидин-1-ил)-2-оксо-1,2-дигидро-1,7-диазанафталин-3-карбонитрила (соединение 68)
Промежуточное соединение 6-формил-4-(4-метокси-4-метилпиперидин-1-ил)-2-оксо-1,2-дигидро-1,7-диазанафталин-3-карбонитрил (500 мг, 1,53 ммоль, 1,0 экв.) растворяли в сухом тетрагидрофуране (20 мл) и охлаждали до -10°C в защитной атмосфере азота. Добавляли по каплям 1 моль/л раствор бромида циклопропилмагния в тетрагидрофуране (4,6 мл, 4,60 ммоль, 3 экв.) и обеспечивали осуществление реакции при 0°C в течение 3 ч. после добавления. Обнаружение посредством LC-MS продемонстрировало, что оставалось 20% исходных материалов. Затем добавляли 1 моль/л раствор бромида циклопропилмагния в тетрагидрофуране (3 мл, 3 ммоль, 2 экв.) и обеспечивали осуществление реакции в течение 2-3 ч. Обнаружение посредством LC-MS продемонстрировало, что оставалось 10% исходных материалов. Добавляли по каплям уксусную кислоту до значения pH, составляющего приблизительно 5-6. Проводили концентрирование при пониженном давлении. Неочищенный продукт очищали посредством колоночной хроматографии на силикагеле (MeOH: DCM = 1: 100-1: 40) с получением продукта (225,7 мг, выход: 40,0%).
1H ЯМР (400 МГц, DMSO-d6) δ (ppm): 11,93 (s, 1H), 8,59 (s, 1H), 7,68 (s, 1H), 5,42-5,40 (d, 1H), 4,24-4,22 (m, 1H), 3,63-3,60 (m, 4H), 3,19 (s, 3H), 1,95-1,91 (m, 2H), 1,79-1,72 (m, 2H), 1,23 (s, 3H), 1,23 (s, 1H), 0,42 (m, 4H).
Молекулярная формула: C20H24N4O3, молекулярная масса: 368,44, LC-MS (положит., масса/заряд) = 369,40 [M+H]+.
Пример 6. Синтез 3-циано-4-(4-метокси-4-метилпиперидин-1-ил)-N-метил-2-оксо-1,2-дигидро-1,7-нафтиридин-6-карбоксамида (соединение 69)
Стадия 1. Синтез 3-циано-4-(4-метокси-4-метилпиперидин-1-ил)-2-оксо-1,2-дигидро-1,7-диазанафталин-6-карбоновой кислоты
Промежуточное соединение 6-формил-4-(4-метокси-4-метилпиперидин-1-ил)-2-оксо-1,2-дигидро-1,7-диазанафталин-3-карбонитрил (681 мг, 2,09 ммоль, 1,0 экв.) растворяли в муравьиной кислоте (5 мл) и охлаждали до от -5 до 0°C. Добавляли 30% пероксид водорода (1,32 мл, 10,44 ммоль, 5 экв.) и обеспечивали осуществление реакции при 0°C в течение 12 ч. после добавления, а затем добавляли дополнительное количество 30% пероксида водорода (1,32 мл, 10,44 ммоль, 5 экв.) и обеспечивали осуществление реакции при комнатной температуре в течение 2-3 ч. Применяли TLC для контроля завершения реакции. Реакционный раствор выливали в раствор метил-трет-бутилового эфира (50 мл). Осаждали светло-желтое твердое вещество и полученный реакционный раствор фильтровали. Осадок на фильтре высушивали с получением продукта (300 мг, выход: 42,0%).
Стадия 2. Синтез 3-циано-4-(4-метокси-4-метилпиперидин-1-ил)-N-метил-2-оксо-1,2-дигидро-1,7-нафтиридин-6-карбоксамида
Промежуточное соединение 3-циано-4-(4-метокси-4-метилпиперидин-1-ил)-2-оксо-1,2-дигидро-1,7-диазанафталин-6-карбоновую кислоту (300 мг, 0,88 ммоль, 1,0 экв.) растворяли в безводном N,N-диметилацетамиде (3 мл). Добавляли DIPEA (565,8 мг, 4,38 ммоль, 5,0 экв.) и охлаждали до 0°C после завершения добавления. Добавляли HATU (499,7 мг, 1,31 ммоль, 1,5 экв.) и перемешивали при комнатной температуре в течение 0,5-1 ч. Затем добавляли гидрохлорид метиламина (118,2 мг, 1,75 ммоль, 2,0 экв.) и обеспечивали осуществление реакции при комнатной температуре в течение 1 ч. Твердые вещества осаждали. Применяли TLC для контроля завершения реакции. Добавляли воду (50 мл) и перемешивали в течение 5 мин. Полученный раствор фильтровали. Осадок на фильтре ополаскивали водой, добавляли к этилацетату (10 мл) и нагревали с обратным холодильником в течение 1 ч. Проводили фильтрацию пока раствор еще был теплым и осадок на фильтре высушивали с получением продукта (199 мг, выход: 63,8%).
1H ЯМР (400 МГц, DMSO-d6) δ (ppm): 12,21 (s, 1H), 8,74-8,73 (s, 1H), 8,64 (s, 1H), 8,27 (s, 1H), 3,64-3,62 (m, 4H), 3,20 (s, 3H), 2,84-2,83 (d, 3H), 1,96 (m, 1H), 1,93 (m, 1H), 1,79-1,77 (m, 2H), 1,24 (s, 3H).
Молекулярная формула: C18H21N5O3, молекулярная масса: 355,40, LC-MS (положит., масса/заряд) = 356,26 [M+H]+.
Пример 7. Синтез гидрохлорида N-(2-аминоэтил)-3-циано-4-(4-метокси-4-метилпиперидин-1-ил)-2-оксо-1,2-дигидро-1,7-диазанафталин-6-карбоксамида (соединение 74)
Стадия 1. Синтез (2-(3-циано-4-(4-метокси-4-метилпиперидин-1-ил)-2-оксо-1,2-дигидро-1,7-диазанафталин-6-карбоксамидо)этил)трет-бутилкарбамата
Промежуточное соединение 3-циано-4-(4-метокси-4-метилпиперидин-1-ил)-2-оксо-1,2-дигидро-1,7-диазанафталин-6-карбоновую кислоту (200 мг, 0,58 ммоль, 1,0 экв.), HATU (333 мг, 0,88 ммоль, 1,5 экв.) и DIPEA (376 мг, 1,76 ммоль, 3,0 экв.) растворяли в DMAC (2 мл) и перемешивали в течение 30 мин. при нормальной температуре. Затем добавляли (2-аминоэтил)трет-бутилкарбамат (281 мг, 1,76 ммоль, 2,0 экв.) и обеспечивали осуществление реакции в течение 1 ч. при нормальной температуре. Обнаружение посредством LC-MS продемонстрировало завершение реакции. Добавляли воду (10 мл). Для экстракции применяли дихлорметан (10 мл × 3). Органическую фазу промывали водой (10 мл × 3), высушивали над безводным сульфатом натрия, фильтровали и концентрировали при пониженном давлении. Неочищенный продукт очищали посредством колоночной хроматографии на силикагеле (DCM: MeOH = 30: 1) с получением продукта (220 мг, выход: 78,3%).
Стадия 2. Синтез гидрохлорида N-(2-аминоэтил)-3-циано-4-(4-метокси-4-метилпиперидин-1-ил)-2-оксо-1,2-дигидро-1,7-диазанафталин-6-карбоксамида
Промежуточное соединение (2-(3-циано-4-(4-метокси-4-метилпиперидин-1-ил)-2-оксо-1,2-дигидро-1,7-диазанафталин-6-карбоксамидо)этил)трет-бутилкарбамат (220 мг, 0,45 ммоль, 1,0 экв.) растворяли в метаноле (3 мл). Добавляли раствор хлороводорода в этаноле (25%, 2 мл) и обеспечивали осуществление реакции в течение 2 ч. при нормальной температуре. Обнаружение посредством TLC продемонстрировало завершение реакции. Осаждалось твердое вещество. Полученный раствор фильтровали. Осадок на фильтре высушивали с получением продукта (150 мг, выход: 79%).
1HЯМР (400 МГц, DMSO-d6) δ (ppm): 12,28 (s, 1H), 9,01-9,03 (m, 1H), 8,68 (s, 1H), 8,29 (s, 1H), 7,91 (s, 3H), 3,55-3,64 (m, 6H), 3,21 (s, 3H), 3,00-3,02 (m, 2H), 1,94-1,97 (d, 2H), 1,73-1,80 (d, 2H), 1,24 (s, 3H).
Молекулярная формула: C19H24N6O3, молекулярная масса: 384,44, LC-MS (положит., масса/заряд) = 385,19 [M+H]+.
Пример 8. Синтез 3-циано-N-(2-(диметиламино)этил)-4-(4-метокси-4-метилпиперидин-1-ил)-2-оксо-1,2-дигидро-1,7-нафтиридин-6-карбоксамида (соединение 75)
Промежуточное соединение 3-циано-4-(4-метокси-4-метилпиперидин-1-ил)-2-оксо-1,2-дигидро-1,7-диазанафталин-6-карбоновую кислоту (200 мг, 0,58 ммоль, 1,0 экв.), HATU (333 мг, 0,88 ммоль, 1,5 экв.) и DIPEA (226 мг, 1,76 ммоль, 3,0 экв.) растворяли в DMAC (2 мл) и перемешивали в течение 30 мин. при нормальной температуре. Затем добавляли N,N-диметилэтилендиамин (103 мг, 1,16 ммоль, 2,0 экв.) и обеспечивали осуществление реакции в течение 1 ч. при нормальной температуре. Обнаружение посредством LC-MS продемонстрировало завершение реакции. Добавляли воду (10 мл). Для экстракции применяли дихлорметан (10 мл × 3). Органическую фазу промывали водой (10 мл × 3), высушивали над безводным сульфатом натрия, фильтровали и концентрировали при пониженном давлении. Неочищенный продукт очищали посредством колоночной хроматографии на силикагеле (DCM: MeOH = 20: 1) с получением продукта (86 мг, выход: 36%).
1HЯМР (400 МГц, DMSO-d6) δ (ppm): 12,20 (s, 1H), 8,79 (s, 1H), 8,66 (s, 1H), 8,28 (s, 1H), 3,62-3,64 (d, 4H), 3,50-3,51 (d, 2H), 3,21 (s, 3H), 2,76 (s, 2H), 2,44 (s, 6H), 1,94-1,97 (d, 2H), 1,74-1,81 (m, 2H), 1,25 (s, 3H).
Молекулярная формула: C21H28N6O3, молекулярная масса: 412,49, LC-MS (положит., масса/заряд) = 413,22 [M+H]+.
Пример 9. Синтез 3-циано-4-(4-метокси-4-метилпиперидин-1-ил)-2-оксо-N-(2-(пирролидин-1-ил)этил)-1,2-дигидро-1,7-диазанафталин-6-карбоксамида (соединение 76)
Промежуточное соединение 3-циано-4-(4-метокси-4-метилпиперидин-1-ил)-2-оксо-1,2-дигидро-1,7-диазанафталин-6-карбоновую кислоту (200 мг, 0,58 ммоль, 1,0 экв.), HATU (333 мг, 0,88 ммоль, 1,5 экв.) и DIPEA (226 мг, 1,76 ммоль, 3,0 экв.) растворяли в DMAC (2 мл) и перемешивали в течение 30 мин. при нормальной температуре. Затем добавляли 2-(пирролидин-1-ил)этан-1-амин (134 мг, 1,16 ммоль, 2,0 экв.) и обеспечивали осуществление реакции в течение 1 ч. при нормальной температуре. Обнаружение посредством LC-MS продемонстрировало завершение реакции. Добавляли воду (10 мл). Для экстракции применяли дихлорметан (10 мл × 3). Органическую фазу промывали водой (10 мл × 3), высушивали над безводным сульфатом натрия, фильтровали и концентрировали при пониженном давлении. Неочищенный продукт очищали посредством колоночной хроматографии на силикагеле (DCM: MeOH = 20: 1) с получением продукта (106 мг, выход: 41%).
1HЯМР (400 МГц, DMSO-d6) δ (ppm): 12,26 (s, 1H), 9,08-9,11 (m, 1H), 8,67 (s, 1H), 8,30 (s, 1H), 3,63-3,64 (d, 8H), 3,06-3,20 (m, 6H), 1,73-1,98 (m, 9H), 1,25 (s, 3H).
Молекулярная формула: C23H30N6O3, молекулярная масса: 438,53, LC-MS (положит., масса/заряд) = 439,24[M+H]+.
Пример 10. Синтез трифторацетата 3-циано-4-(4-метокси-4-метилпиперидин-1-ил)-N-((1-метилпиперидин-4-ил)метил)-2-оксо-1,2-дигидро-1,7-диазанафталин-6-карбоксамида (соединение 77)
Промежуточное соединение 3-циано-4-(4-метокси-4-метилпиперидин-1-ил)-2-оксо-1,2-дигидро-1,7-диазанафталин-6-карбоновую кислоту (200 мг, 0,58 ммоль, 1,0 экв.) растворяли в безводном N,N-диметилацетамиде (2 мл). Добавляли DIPEA (226,3 мг, 1,75 ммоль, 3,0 экв.) и HATU (333,1 мг, 0,88 ммоль, 1,5 экв.) и перемешивали в течение 0,5-1 ч. при комнатной температуре. Добавляли (1-метилпиперидин-4-ил)метиламин (150 мг, 1,17 ммоль, 2,0 экв.) и обеспечивали осуществление реакции в течение 1 ч. при комнатной температуре. Обнаружение посредством LC-MS продемонстрировало, что оставались исходные материалы. Добавляли дополнительное количество (1-метилпиперидин-4-ил)метиламина (150 мг, 1,17 ммоль, 2,0 экв.) и продолжали осуществление реакции в течение 2 ч. Неочищенный продукт очищали посредством препаративной HPLC (0,1% водный раствор трифторуксусной кислоты:ацетонитрил = 70: 30) с получением продукта (68,8 мг, выход: 20,7%).
1H ЯМР (400 МГц, DMSO-d6) δ (ppm): 12,22 (s, 1H), 9,00-8,99 (s, 1H), 8,95-8,94 (s, 1H), 8,65 (s, 1H), 8,28 (s, 1H), 3,63-3,62 (m, 4H), 3,43-3,40 (m, 2H), 3,23 (s, 3H), 2,95-2,83 (m, 2H), 2,75-2,74 (m, 2H), 1,97-1,94 (m, 2H), 1,85-1,80 (m, 2H), 1,78-1,75 (m, 3H), 1,24 (s, 3H).
Молекулярная формула: C24H32N6O3, молекулярная масса: 452,56, LC-MS (положит., масса/заряд) = 453,45 [M+H]+.
Пример 11. Синтез трифторацетата 3-циано-4-(4-метокси-4-метилпиперидин-1-ил)-N-(1-метилазетидин-3-ил)-2-оксо-1,2-дигидро-1,7-диазанафталин-6-карбоксамида (соединение 78)
Промежуточное соединение 3-циано-4-(4-метокси-4-метилпиперидин-1-ил)-2-оксо-1,2-дигидро-1,7-диазанафталин-6-карбоновую кислоту (200 мг, 0,58 ммоль, 1,0 экв.) растворяли в безводном N,N-диметилацетамиде (2 мл). Добавляли DIPEA (226,3 мг, 1,75 ммоль, 3,0 экв.) и HATU (333,1 мг, 0,88 ммоль, 1,5 экв.) и перемешивали в течение 0,5-1 ч. при комнатной температуре. Добавляли 1-метилазетидин-3-амин (100,6 мг, 1,17 ммоль, 2,0 экв.) и обеспечивали осуществление реакции при комнатной температуре в течение 12 ч. Неочищенный продукт очищали посредством препаративной HPLC (0,1% водный раствор трифторуксусной кислоты:ацетонитрил = 70: 30) с получением продукта (113,13 мг, выход: 37,1%).
1H ЯМР (400 МГц, DMSO-d6) δ (ppm): 12,27 (s, 1H), 9,59-9,53 (s, 2H), 8,68 (s, 1H), 8,27 (s, 1H), 4,90-4,86 (m, 1H), 4,45 (m, 2H), 4,16 (m, 2H), 3,63-3,62 (m, 4H), 3,20 (s, 3H), 2,91 (s, 3H), 1,96-1,93 (m, 2H), 1,79-1,72 (m, 2H), 1,24 (s, 3H).
Молекулярная формула: C21H26N6O3, молекулярная масса: 410,48, LC-MS (положит., масса/заряд) = 411,40 [M+H]+.
Пример 12. Синтез 3-циано-N-(2,3-дигидроксипропил)-4-(4-метокси-4-метилпиперидин-1-ил)-2-оксо-1,2-дигидро-1,7-нафтиридин-6-карбоксамида (соединение 80)
Промежуточное соединение 3-циано-4-(4-метокси-4-метилпиперидин-1-ил)-2-оксо-1,2-дигидро-1,7-диазанафталин-6-карбоновую кислоту (200 мг, 0,58 ммоль, 1,0 экв.) растворяли в безводном N,N-диметилацетамиде (2 мл). Добавляли DIPEA (226,3 мг, 1,75 ммоль, 3,0 экв.) и HATU (333,1 мг, 0,88 ммоль, 1,5 экв.) и перемешивали в течение 0,5-1 ч. при комнатной температуре. Добавляли 3-аминопропан-1,2-диол (106,4 мг, 1,17 ммоль, 2,0 экв.) и обеспечивали осуществление реакции в течение 12 ч. при комнатной температуре. Неочищенный продукт очищали посредством препаративной HPLC (0,1% водный раствор трифторуксусной кислоты:ацетонитрил = 70: 30) и лиофилизировали с получением продукта (93,79 мг). Образец растворяли в воде. Значение pH регулировали до 8 водным раствором бикарбоната натрия. Для экстракции применяли н-бутиловый спирт (20 мл × 5) и органическую фазу концентрировали с получением продукта (47,2 мг, выход: 19,4%).
1H ЯМР (400 МГц, DMSO-d6) δ (ppm): 8,42-8,39 (s, 1H), 8,36 (s, 1H), 8,08 (s, 1H), 4,96 (s, 1H), 4,66 (s, 1H), 3,49 (m, 1H), 3,47-3,45 (m, 6H), 3,25-3,23 (m, 2H), 3,19 (s, 3H), 1,91-1,88 (m, 2H), 1,75-1,70 (m, 2H), 1,23 (s, 3H).
Молекулярная формула: C20H25N5O5, молекулярная масса: 415,45, LC-MS (отрицат., масса/заряд) = 414,34 [M-H]-.
Пример 13. Синтез 3-циано-4-(4-метокси-4-метилпиперидин-1-ил)-N,N-диметил-2-оксо-1,2-дигидро-1,7-нафтиридин-6-карбоксамида (соединение 90)
Промежуточное соединение 3-циано-4-(4-метокси-4-метилпиперидин-1-ил)-2-оксо-1,2-дигидро-1,7-диазанафталин-6-карбоновую кислоту (200 мг, 0,58 ммоль, 1,0 экв.), HATU (333 мг, 0,88 ммоль, 1,5 экв.) и DIPEA (376 мг, 1,76 ммоль, 3,0 экв.) растворяли в DMAC (2 мл) и перемешивали в течение 30 мин. при нормальной температуре. Добавляли гидрохлорид диметиламина (95 мг, 1,16 ммоль, 2,0 экв.) и обеспечивали осуществление реакции в течение 1 ч. при нормальной температуре. Обнаружение посредством LC-MS продемонстрировало завершение реакции. Добавляли воду (10 мл). Для экстракции применяли дихлорметан (10 мл × 3). Органическую фазу промывали водой (10 мл × 3), высушивали над безводным сульфатом натрия, фильтровали и концентрировали при пониженном давлении. Неочищенный продукт очищали посредством колоночной хроматографии на силикагеле (DCM: MeOH = 50: 1) с получением продукта (120 мг, выход: 55%).
1HЯМР (400 МГц, DMSO-d6) δ (ppm): 12,16 (s, 1H), 8,61 (s, 1H), 7,83 (s, 1H), 3,61-3,63 (m, 4H), 3,19 (s, 3H), 3,03-3,05 (d, 6H), 1,90-1,93 (d, 2H), 1,71-1,78 (m, 2H), 1,22 (s, 3H).
Молекулярная формула: C19H23N5O3, молекулярная масса: 369,18, LC-MS (положит., масса/заряд) = 370,43 [M+H]+.
Пример 14. Синтез 4-(4-метокси-4-метилпиперидин-1-ил)-6-(2-метоксиэтокси)-2-оксо-1,2-дигидро-1,7-диазанафталин-3-карбонитрила (соединение 81)
Стадия 1. Синтез метил-2-(2-метоксиэтокси)-5-нитроизоникотината
Исходный материал монометиловый эфир этиленгликоля (3,5 г, 46,17 ммоль, 1,0 экв.) растворяли в тетрагидрофуране (50 мл) и охлаждали до 0°C. Добавляли гидрид натрия (3,7 г, 92,34 ммоль, 2,0 экв.) и обеспечивали осуществление реакции в течение 1 часа и затем добавляли метил-2-хлор-5-нитроизоникотинат (10,0 г, 46,17 ммоль, 1,0 экв.). Обнаружение посредством TLC (PE: EA = 5: 1) продемонстрировало завершение реакции. Реакционный раствор выливали в ледяную воду (100 мл) и гасили. Водную фазу экстрагировали этилацетатом (100 мл × 2). Органическую фазу объединяли, высушивали над безводным сульфатом натрия, фильтровали и концентрировали. Неочищенный продукт очищали посредством колоночной хроматографии на силикагеле (PE: EA = 5: 1) с получением продукта в виде светло-желтого масла (1,8 г, выход: 15%).
Стадия 2. Синтез метил-5-амино-2-(2-метоксиэтокси)изоникотината
Промежуточное соединение метил-2-(2-метоксиэтокси)-5-нитроизоникотинат (1,8 г, 7,02 ммоль, 1,0 экв.) растворяли в метаноле (10 мл), добавляли 10% палладий на угле (500 мг) и вводили водород и обеспечивали осуществление реакции при комнатной температуре в течение ночи. Обнаружение посредством TLC (PE: EA = 3: 1) продемонстрировало завершение реакции. Реакционный раствор фильтровали и концентрировали. Неочищенный продукт очищали посредством колоночной хроматографии на силикагеле (PE: EA = 5: 1) с получением продукта в виде светло-желтого твердого вещества (1,2 г, выход: 75%).
Стадия 3. Синтез метил-5-(2-цианоацетамино)-2-(2-метоксиэтокси)изоникотината
Промежуточное соединение метил-5-амино-2-(2-метоксиэтокси)изоникотинат (1,2 г, 5,3 ммоль, 1,0 экв.) и цианоуксусную кислоту (901 мг, 10,6 ммоль, 2,0 экв.) растворяли в дихлорметане (20 мл). Добавляли EDCI (3,04 г, 15,9 ммоль, 3,0 экв.) и обеспечивали осуществление реакции при комнатной температуре в течение 2 часов. Обнаружение посредством LC-MS продемонстрировало завершение реакции. Реакционный раствор выливали в ледяную воду (30 мл) и гасили. Водную фазу экстрагировали дихлорметаном (30 мл × 2). Органическую фазу объединяли, высушивали над безводным сульфатом натрия, фильтровали и концентрировали. Неочищенный продукт суспендировали в метил-трет-бутиловом эфире с получением продукта в виде светло-желтого твердого вещества (1,2 г, выход: 77%).
Стадия 4. Синтез 4-гидроксил-6-(2-метоксиэтокси)-2-оксо-1,2-дигидро-1,7-диазанафталин-3-карбонитрила
Промежуточное соединение метил-5-(2-цианоацетамино)-2-(2-метоксиэтокси)изоникотинат (1,2 г, 4,09 ммоль, 1,0 экв.) растворяли в тетрагидрофуране (20 мл). Добавляли гидрид натрия (327 мг, 8,18 ммоль, 2,0 экв.), нагревали до 80°C и обеспечивали осуществление реакции в течение 4 часов. Обнаружение посредством LC-MS продемонстрировало завершение реакции. Реакционный раствор охлаждали до приблизительно 0°C. Значение pH регулировали до 2 с помощью 2 моль/л водного раствора хлористоводородной кислоты. Осаждалось твердое вещество. Полученный раствор фильтровали. Осадок на фильтре высушивали при давлении окружающей среды при 50°C с получением продукта в виде желтого твердого вещества (800 мг, выход: 75%).
Стадия 5. Синтез 4-хлор-6-(2-метоксиэтокси)-2-оксо-1,2-дигидро-1,7-диазанафталин-3-карбонитрила
Промежуточное соединение 4-гидроксил-6-(2-метоксиэтокси)-2-оксо-1,2-дигидро-1,7-диазанафталин-3-карбонитрил (800 мг, 3,06 ммоль, 1,0 экв.) растворяли в оксихлориде фосфора (8 мл), нагревали до 100°C и обеспечивали осуществление реакции в течение одного часа. Обнаружение посредством LC-MS продемонстрировало завершение реакции. Реакционный раствор выливали в ледяную воду (20 мл) и гасили. Водную фазу экстрагировали дихлорметаном (30 мл × 3). Органическую фазу объединяли, высушивали над безводным сульфатом натрия, фильтровали и концентрировали. Неочищенный продукт суспендировали в метил-трет-бутиловом эфире с получением продукта в виде светло-желтого твердого вещества (180 мг, выход: 21%).
Стадия 6. Синтез 4-(4-метокси-4-метилпиперидин-1-ил)-6-(2-метоксиэтокси)-2-оксо-1,2-дигидро-1,7-диазанафталин-3-карбонитрила
Промежуточное соединение 4-хлор-6-(2-метоксиэтокси)-2-оксо-1,2-дигидро-1,7-диазанафталин-3-карбонитрил (180 мг, 0,64 ммоль, 1,0 экв.) растворяли в N,N-диметилформамиде (2 мл). Добавляли N,N-диизопропилэтиламин (332 мг, 2,58 ммоль, 4,0 экв.) и 4-метокси-4-метилпиперидин (110 мг, 0,97 ммоль, 1,0 экв.), нагревали до 80°C и обеспечивали осуществление реакции в течение двух часов. Обнаружение посредством LC-MS продемонстрировало завершение реакции. Реакционный раствор выливали в ледяную воду (20 мл) и гасили. Водную фазу экстрагировали дихлорметаном (30 мл × 3). Органическую фазу объединяли, высушивали над безводным сульфатом натрия, фильтровали и концентрировали. Неочищенный продукт очищали посредством колоночной хроматографии на силикагеле (DCM: MeOH = 15: 1) с получением продукта в виде светло-желтого масла (60 мг, выход: 25%).
1H ЯМР (400 МГц, DMSO-d6) δ (ppm): 11,78 (s, 1H), 8,28 (s, 1H), 6,94 (s, 1H), 4,37 (m, 2H), 3,67 (m, 2H), 3,56-3,58 (m, 4H), 3,30 (s, 3H), 3,18 (s, 3H), 1,88-1,91 (m, 2H), 1,75-1,80 (m, 2H), 1,21 (s, 3H).
Молекулярная формула: C19H24N4O4, молекулярная масса: 372,43 LC-MS (положит., масса/заряд) = 373,3 [M+H]+.
Пример 15. Синтез 4-(4-метокси-4-метилпиперидин-1-ил)-6-метил-2-оксо-1,2-дигидро-1,7-диазанафталин-3-карбонитрила (соединение 87)
Промежуточное соединение 6-хлор-4-(4-метокси-4-метилпиперидин-1-ил)-2-оксо-1,2-дигидро-1,7-диазанафталин-3-карбонитрил (1,3 г, 3,91 ммоль, 1,0 экв.), карбонат цезия (3,8 г, 11,73 ммоль, 3,0 экв.) и триметилбороксин (50% раствор в THF, 3,9 г, 15,62 ммоль, 4,0 экв.) растворяли в 1,4-диоксане (20 мл). После добавления смесь три раза подвергали замене атмосферы азотом. Затем добавляли дихлорид [1,1'-бис(дифенилфосфино)ферроцен]палладия (286 мг, 0,39 ммоль, 0,1 экв.). После добавления смесь три раза подвергали замене атмосферы азотом и нагревали с обратным холодильником в течение 12 ч. Обнаружение посредством TLC продемонстрировало, что оставались исходные материалы. Затем добавляли триметилбороксин (50% раствор в THF, 3,9 г, 15,62 ммоль, 4,0 экв.) и дихлорид [1,1'-бис(дифенилфосфино)ферроцен]палладия (286 мг, 0,39 ммоль, 0,1 экв.) и продолжали нагревание с обратным холодильником в течение 4 ч. Обнаружение посредством TLC продемонстрировало, что исходный материал отсутствовал. Реакционную смесь охлаждали до комнатной температуры. Добавляли воду (50 мл) и дихлорметан (100 мл) и перемешивали в течение 5 мин. Твердое вещество осаждали и фильтровали. Осадок на фильтре ополаскивали дихлорметаном. Жидкость отделяли. Водную фазу экстрагировали дихлорметаном (100 мл × 3). Органическую фазу объединяли, высушивали с помощью безводного сульфата натрия и фильтровали. Раствор концентрировали при пониженном давлении. Неочищенный продукт очищали посредством колоночной хроматографии на силикагеле (MeOH: DCM = 1: 100-1: 50) сначала с получением продукта (309,9 мг, выход: 25,4%).
1HЯМР (400 МГц, DMSO-d6) δ (ppm): 11,88 (s, 1H), 8,55 (s, 1H), 7,42 (s, 1H), 3,61-3,59 (m, 4H), 3,19 (s, 3H), 2,53 (s, 3H), 1,92-1,89 (m, 2H), 1,82-1,75 (m, 2H), 1,22 (s, 3H).
Молекулярная формула: C17H20N4O2, молекулярная масса: 312,37, LC-MS (положит., масса/заряд) = 313,25 [M+H]+.
Пример 16. Синтез 6-циклопропил-4-(4-метокси-4-метилпиперидин-1-ил)-2-оксо-1,2-дигидро-1,7-диазанафталин-3-карбонитрила (соединение 92)
Стадия 1. Синтез этил-2-хлор-5-нитроизоникотината
2-Хлор-5-нитроизоникотиновую кислоту (20,0 г, 98,74 ммоль, 1,0 экв.) растворяли в триэтилортоформиате (43,9 г, 296,20 ммоль, 3,0 экв.) и обеспечивали осуществление реакции при 120°C в течение 3 ч. Обнаружение посредством TLC продемонстрировало присутствие исходных материалов. Полученный раствор концентрировали при пониженном давлении с получением желтой маслянистой жидкости. Добавляли петролейный эфир (150 мл), перемешивали в течение 12 ч. и фильтровали. Осадок на фильтре высушивали при комнатной температуре с получением продукта (11,0 г, выход: 51,6%).
Стадия 2. Синтез этил-2-циклопропил-5-нитроизоникотината
Этил-2-хлор-5-нитроизоникотинат (11,0 г, 47,70 ммоль, 1,0 экв.), циклопропилбороновую кислоту (10,2 г, 119,25 ммоль, 2,5 экв.) и фосфат калия (35,4 г, 166,95 ммоль, 3,5 экв.) растворяли в смешанном растворителе из воды (27,5 мл) и толуола (275 мл). Добавляли трифенилфосфин (2,5 г, 9,54 ммоль, 0,2 экв.) и ацетат палладия (1,1 г, 4,77 ммоль, 0,1 экв.) в защитной атмосфере азота. Смесь три раза подвергали замене атмосферы азотом и обеспечивали осуществление реакции при нагревании с обратным холодильником в течение 24 ч. Обнаружение посредством TLC продемонстрировало завершение реакции. Реакционный раствор концентрировали при пониженном давлении. Неочищенный продукт очищали посредством колоночной хроматографии на силикагеле (EA: PE = 1: 30) с получением продукта (6,18 г, выход: 55%).
Стадия 3. Синтез этил-5-амино-2-циклопропилизоникотината
Промежуточное соединение этил-2-циклопропил-5-нитроизоникотинат (6,18 г, 26,16 ммоль, 1,0 экв.) растворяли в безводном этаноле (60 мл). Добавляли порошок железа (5,86 г, 104,64 ммоль, 4,0 экв.). Смесь нагревали с обратным холодильником. Добавляли по каплям уксусную кислоту (9,4 г, 156,96 ммоль, 6,0 экв.) и обеспечивали осуществление реакции при нагревании с обратным холодильником в течение 3 ч. Обнаружение посредством TLC продемонстрировало завершение реакции. К реакционному раствору добавляли этилацетат (100 мл). Проводили фильтрацию пока раствор еще был теплым. Осадок на фильтре ополаскивали этилацетатом. Фильтрат концентрировали при пониженном давлении. Добавляли воду (50 мл) и этилацетат (100 мл) и охлаждали на бане с ледяной водой. Добавляли бикарбонат натрия в твердом виде для регулировки значения pH до приблизительно 8. Жидкость отделяли. Водную фазу экстрагировали этилацетатом (50 мл × 3). Органическую фазу объединяли, высушивали с помощью безводного сульфата магния и фильтровали. Фильтрат концентрировали при пониженном давлении с получением продукта (4,77 г, выход: 90%).
Стадия 4. Синтез этил-5-(2-цианоацетамидо)-2-циклопропилизоникотината
Промежуточное соединение этил-5-амино-2-циклопропилизоникотинат (4,77 г, 23,13 ммоль, 1,0 экв.) растворяли в дихлорметане (60 мл). Добавляли гидрохлорид 1-(3-диметиламинопропил)-3-этилкарбодиимида (8,7 г, 46,25 ммоль, 2,0 экв.) и цианоуксусную кислоту (3 г, 34,69 ммоль, 1,5 экв.) и перемешивали в течение 16 ч. при комнатной температуре. Контроль посредством TLC продемонстрировал отсутствие исходных материалов. Добавляли дихлорметан (40 мл), промывали водой (50 мл × 2). Органическую фазу промывали насыщенным водным раствором карбоната натрия (50 мл), высушивали над безводным сульфатом магния и фильтровали. Фильтрат концентрировали при пониженном давлении с получением продукта (5,6 г, выход: 100%), который применяли на следующей стадии в соответствии с теоретическим количеством.
Стадия 4. Синтез 6-циклопропил-4-гидроксил-2-оксо-1,2-дигидро-1,7-диазанафталин-3-карбонитрила
Промежуточное соединение этил-5-(2-цианоацетамидо)-2-циклопропилизоникотинат (5,6 г, 20,51 ммоль, 1,0 экв.) растворяли в безводном этаноле (100 мл) и перемешивали в течение 10 мин. Добавляли этоксид натрия (4,7 г, 69,39 ммоль, 3,0 экв.) и перемешивали в течение 1 ч. при комнатной температуре. Обнаружение посредством TLC продемонстрировало, что оставались исходные материалы. Добавляли этоксид натрия (4,7 г, 69,39 ммоль, 3,0 экв.) и перемешивали при комнатной температуре в течение 2 ч. Обнаружение посредством TLC продемонстрировало, что исходные материалы отсутствовали. Реакционную смесь концентрировали при пониженном давлении. Добавляли воду (200 мл) и экстрагировали метил-трет-бутиловым эфиром (100 мл × 2). Водную фазу охлаждали ледяной водой. Значение pH регулировали до 1-2 концентрированной хлористоводородной кислотой. Осаждалось твердое вещество. Полученный раствор фильтровали. Осадок на фильтре ополаскивали водой и высушивали с получением продукта (3,95 г, выход: 84,84%).
Стадия 5. Синтез 2,4-дихлор-6-циклопропил-1,7-диазанафталин-3-карбонитрила
Промежуточное соединение 6-циклопропил-4-гидроксил-2-оксо-1,2-дигидро-1,7-диазанафталин-3-карбонитрил (1 г, 4,4 ммоль, 1,0 экв.) растворяли в безводном ацетонитриле (15 мл). Добавляли оксихлорид фосфора (1,35 г, 8,8 ммоль, 2,0 экв.), нагревали до 80°C и обеспечивали осуществление реакции в течение 1 ч. Обнаружение посредством TLC продемонстрировало, что оставалась большая часть исходных материалов. Добавляли оксихлорид фосфора (1,35 г, 8,8 ммоль, 2,0 экв.) и нагревали до 90°C. Обнаружение посредством LC-MS продемонстрировало завершение реакции. Реакционную смесь охлаждали до комнатной температуры и концентрировали при пониженном давлении. Добавляли ацетонитрил (10 мл) и охлаждали ледяной водой. Значение pH регулировали до 8-9 раствором гидроксида натрия. Осаждалось желтое твердое вещество. Полученный раствор фильтровали. Осадок на фильтре ополаскивали водой с получением продукта (1,5 г, неочищенный), который применяли на следующей стадии в соответствии с теоретическим количеством.
Стадия 6. Синтез 4-хлор-6-циклопропил-2-оксо-1,2-дигидро-1,7-диазанафталин-3-карбонитрила
Промежуточное соединение 2,4-дихлор-6-циклопропил-1,7-диазанафталин-3-карбонитрил (1,16 г, неочищенный, 4,40 ммоль, 1,0 экв.) растворяли в смешанном растворителе из трифторуксусной кислоты (10 мл) и воды (2,5 мл), нагревали до 60°C и обеспечивали осуществление реакции в течение 18 ч. и охлаждали до 0°C. Добавляли воду (20 мл). Значение pH регулировали до 8-9 гидроксидом натрия в твердом виде. Осаждалось желтое твердое вещество. Полученный раствор фильтровали. Осадок на фильтре ополаскивали водой и высушивали. Добавляли этилацетат (10 мл), нагревали до 60°C и перемешивали в течение 1 ч. Проводили фильтрацию пока раствор еще был теплым. Осадок на фильтре высушивали с получением продукта (660 мг, выход за две стадии: 61%).
Стадия 7. Синтез 2-хлор-6-циклопропил-4-(4-метокси-4-метилпиперидин-1-ил)-1,7-диазанафталин-3-карбонитрила
Промежуточное соединение 4-хлор-6-циклопропил-2-оксо-1,2-дигидро-1,7-диазанафталин-3-карбонитрил (200 мг, 0,81 ммоль, 1,0 экв.) растворяли в N,N-диметилацетамиде (2 мл). Добавляли DIPEA (420,5 мг, 3,26 ммоль, 4,0 экв.) и гидрохлорид 4-метокси-4-метилпиперидина (188,8 мг, 1,14 ммоль, 1,4 экв.), нагревали до 80°C и обеспечивали осуществление реакции в течение 1 ч. Обнаружение посредством TLC продемонстрировало присутствие исходных материалов. Реакционный раствор охлаждали до комнатной температуры, выливали в ледяную воду (20 мл) и экстрагировали этилацетатом (50 мл × 3). Органическую фазу объединяли, промывали водой (50 мл × 2), высушивали над безводным сульфатом магния и фильтровали. Фильтрат концентрировали при пониженном давлении. Неочищенный продукт суспендировали метил-трет-бутиловым эфиром (5 мл) в течение 1 ч. и полученный раствор фильтровали путем отсасывания. Осадок на фильтре высушивали с получением продукта (182 мг, выход: 66%).
1H ЯМР (400 МГц, DMSO-d6) δ (ppm): 11,85 (s, 1H), 8,51 (d, 1H), 7,45 (s, 1H), 3,61-3,60 (d, 4H), 3,19 (s, 3H), 2,27-2,21 (m, 1H), 1,93-1,90 (m, 2H), 1,84-1,80 (m, 2H), 1,22 (s, 3H), 0,95 (m, 2H), 0,85 (m, 2H).
Молекулярная формула: C19H22N4O2, молекулярная масса: 338,17, LC-MS (положит., масса/заряд) = 339,13 [M+H]+.
Пример 17. Синтез 6-этил-4-(4-метокси-4-метилпиперидин-1-ил)-2-оксо-1,2-дигидро-1,7-диазанафталин-3-карбонитрила (соединение 102)
Стадия 1. Синтез 6-хлор-4-(4-метокси-4-метилпиперидин-1-ил)-2-оксо-1,2-дигидро-1,7-диазанафталин-3-карбонитрила
Промежуточное соединение 4,6-дихлор-2-оксо-1,2-дигидро-1,7-диазанафталин-3-карбонитрил (2,0 г, 8,33 ммоль, 1,0 экв.) растворяли в DMF (10 мл) и добавляли DIPEA (6,45 г, 50 ммоль, 6,0 экв.) и трифторацетат 4-метокси-4-метилпиперидина (2,2 г, 9,16 ммоль, 1,1 экв.) и обеспечивали осуществление реакции при 80°C в течение 2 часов. Обнаружение посредством LC-MS продемонстрировало завершение реакции. Добавляли воду (10 мл) и для экстракции применяли дихлорметан (10 мл × 3). Органическую фазу промывали водой (10 мл × 3), высушивали над безводным сульфатом натрия, фильтровали и концентрировали при пониженном давлении с получением продукта в виде желтого твердого вещества (2,7 г, неочищенное).
1H ЯМР (400 МГц, DMSO-d6) δ (ppm): 12,11 (s, 1H), 8,45 (s, 1H), 7,61 (s, 1H), 3,61-3,59 (m, 4H), 3,18 (s, 3H),1,91-1,88 (m, 2H), 1,81-1,76 (m, 2H), 1,21 (s, 3H).
Молекулярная формула: C16H17N4O2Cl, молекулярная масса: 332,79 LC-MS (положит., масса/заряд) = 333,7 [M+H]+.
Стадия 2. Синтез 4-(4-метокси-4-метилпиперидин-1-ил)-2-оксо-6-винил-1,2-дигидро-1,7-диазанафталин-3-карбонитрила
Промежуточное соединение 6-хлор-4-(4-метокси-4-метилпиперидин-1-ил)-2-оксо-1,2-дигидро-1,7-диазанафталин-3-карбонитрил (2,7 г, неочищенный продукт, 8,11 ммоль, 1,0 экв.) растворяли в 1,4-диоксане (20 мл) и H2O (5 мл). Добавляли винилтрифторборат калия (1,63 г, 12,17 ммоль, 1,5 экв.), карбонат цезия (3,965 г, 12,17 ммоль, 1,5 экв.) и дихлорид [1,1'-бис(дифенилфосфино)ферроцен]палладия (297 мг, 0,41 ммоль, 0,05 экв.) и обеспечивали осуществление реакции в течение 8 часов в защитной атмосфере азота при 100°C. Обнаружение посредством LC-MS продемонстрировало завершение реакции. Добавляли воду (20 мл). Для экстракции применяли дихлорметан (30 мл × 3). Органическую фазу высушивали над безводным сульфатом натрия, фильтровали и концентрировали при пониженном давлении. Неочищенный продукт очищали посредством колоночной хроматографии на силикагеле (DCM: MeOH = 70: 1) с получением продукта в виде желтого твердого вещества (1,15 г, выход: 43%).
Стадия 3. Синтез 6-этил-4-(4-метокси-4-метилпиперидин-1-ил)-2-оксо-1,2-дигидро-1,7-диазанафталин-3-карбонитрила
Промежуточное соединение 4-(4-метокси-4-метилпиперидин-1-ил)-2-оксо-6-винил-1,2-дигидро-1,7-диазанафталин-3-карбонитрил (150 мг, 0,46 ммоль, 1,0 экв.) растворяли в метаноле (5 мл). Добавляли Pd/C (100 мг). Смесь три раза подвергали замене атмосферы на водород и обеспечивали осуществление реакции в течение 1 часа в атмосфере водорода. Обнаружение посредством LC-MS продемонстрировало завершение реакции. Полученный раствор фильтровали путем отсасывания. Фильтрат концентрировали при пониженном давлении с получением продукта (120 мг, выход: 80%).
1HЯМР (400 МГц, DMSO-d6) δ (ppm): 11,89 (s, 1H), 8,59 (s, 1H), 7,41 (s, 1H), 3,60-3,62 (m, 4H), 3,19 (s, 3H), 2,79-2,84 (m, 2H), 1,89-1,93 (m, 2H), 1,75-1,82 (m, 2H), 1,22-1,27 (m, 6H).
Молекулярная формула: C18H22N4O2, молекулярная масса: 326,40, LC-MS (положит., масса/заряд) = 327,26 [M+H]+.
Пример 18. Синтез 6-ацетил-2-гидроксил-4-(4-метокси-4-метилпиперидин-1-ил)-1,7-диазанафталин-3-карбонитрила (таутомер соединения 114)
Стадия 1. Синтез 6-(1-бромэтил)-2,4-дихлор-1,7-диазанафталин-3-карбонитрила
В одногорлую колбу объемом 1 л добавляли тетрахлорид углерода (600,00 мл), 2,4-дихлор-6-этил-1,7-диазанафталин-3-карбонитрил (30,00 г, 119,00 ммоль, 1 экв.), NBS (42,36 г, 238,00 ммоль, 2 экв.) и AIBN (15,00 г). Смесь подвергали реакции при 90°C в течение 2 часов. LC-MS продемонстрировала завершение реакции. Реакционный раствор охлаждали до 10-15°C, фильтровали путем отсасывания. Фильтрат концентрировали до сухого состояния, перекристаллизовывали с помощью PE и EA с получением продукта 6-(1-бромэтил)-2,4-дихлор-1,7-диазанафталин-3-карбонитрила (35 г).
Стадия 2. Синтез 6-(1-бромэтил)-2-хлор-4-(4-метокси-4-метилпиперидин-1-ил)-1,7-диазанафталин-3-карбонитрила
В одногорлую колбу объемом 1 л добавляли этанол (400,00 мл), 6-(1-бромэтил)-2,4-дихлор-1,7-диазанафталин-3-карбонитрил (20,00 г, 60,40 ммоль, 1 экв.), гидрохлорид 4-метокси-4-метилпиперидина (11,00 г, 66,44 ммоль, 1,1 экв.) и триэтиламин (13,45 г, 132,88 ммоль, 2,2 экв.). Смесь подвергали реакции при 90°C в течение 2 часов. LC-MS продемонстрировала завершение реакции. Реакционный раствор охлаждали до комнатной температуры и концентрировали до сухого состояния при пониженном давлении. Добавляли 400 мл воды, перемешивали в течение 1 часа и фильтровали путем отсасывания. Осадок на фильтре перекристаллизовывали с помощью этанола с получением продукта 6-(1-бромэтил)-2-хлор-4-(4-метокси-4-метилпиперидин-1-ил)-1,7-диазанафталин-3-карбонитрила (20 г).
Стадия 3. Синтез 2-гидроксил-6-(1-гидроксиэтил)-4-(4-метокси-4-метилпиперидин-1-ил)-1,7-диазанафталин-3-карбонитрила
В одногорлую колбу объемом 250 мл добавляли уксусную кислоту (60,00 мл), воду (30,00 мл) и 6-(1-бромэтил)-2-хлор-4-(4-метокси-4-метилпиперидин-1-ил)-1,7-диазанафталин-3-карбонитрил (15,00 г) и обеспечивали осуществление реакции в течение 6 часов при 100°C. LC-MS продемонстрировала завершение реакции. Реакционную смесь охлаждали до комнатной температуры. Реакционный раствор концентрировали до сухого состояния при пониженном давлении. Добавляли 100 мл воды. Значение pH регулировали до 7-8. Для экстракции применяли этилацетат. Органическую фазу объединяли, высушивали над безводным сульфатом натрия и фильтровали путем отсасывания. Фильтрат концентрировали до сухого состояния при пониженном давлении с получением неочищенного продукта. Неочищенный продукт сначала суспендировали с помощью EA при нагревании и затем перекристаллизовывали с помощью этанола с получением продукта 2-гидроксил-6-(1-гидроксиэтил)-4-(4-метокси-4-метилпиперидин-1-ил)-1,7-диазанафталин-3-карбонитрила (6 г).
Стадия 4. Синтез 6-ацетил-2-гидроксил-4-(4-метокси-4-метилпиперидин-1-ил)-1,7-диазанафталин-3-карбонитрила
В одногорлую колбу объемом 250 мл добавляли DCM (90,00 мл), 2-гидроксил-6-(1-гидроксиэтил)-4-(4-метокси-4-метилпиперидин-1-ил)-1,7-диазанафталин-3-карбонитрил (4,50 г, 13,15 ммоль, 1 экв.) и перйодинан Десса-Мартина (6,14 г, 1,1 экв., 14,47 ммоль) и перемешивали в течение 2 часов при комнатной температуре. LC-MS продемонстрировала завершение реакции. Добавляли 60 мл воды и 30 мл насыщенного раствора тиосульфата натрия и перемешивали в течение 1 часа. Жидкость отделяли. Органическую фазу высушивали с помощью безводного сульфата натрия и фильтровали путем отсасывания. Фильтрат концентрировали до сухого состояния при пониженном давлении с получением неочищенного продукта, который очищали посредством колоночной хроматографии с получением продукта 6-ацетил-2-гидроксил-4-(4-метокси-4-метилпиперидин-1-ил)-1,7-диазанафталин-3-карбонитрила (0,7 г).
1HЯМР (400 МГц, DMSO) δ (ppm): 12,33 (s, 1H), 8,70 (s, 1H), 8,19 (s, 1H), 3,62-3,64 (d, 4H), 3,20 (s, 3H), 2,63 (s, 3H), 1,92-1,96 (m, 2H), 1,76-1,78 (m, 2H), 1,24 (s, 3H).
Молекулярная формула: C18H20N4O3, молекулярная масса: 340,38, LC-MS (положит., масса/заряд) = 341,21 [M+H+].
Пример 19. Синтез 6-этил-2-гидроксил-4-(4-(метокси-d3)-4-метилпиперидин-1-ил)-1,7-диазанафталин-3-карбонитрила (таутомеры соединения 115)
Стадия 1. Синтез трет-бутил-4-гидроксил-4-метилпиперидин-1-карбоксилата
Исходный материал трет-бутил-4-оксопиперидин-1-карбоксилат (5,0 г, 25 ммоль, 1,0 экв.) растворяли в тетрагидрофуране (25 мл). Реагент, представляющий собой хлорид метилмагния (9 мл, 27 ммоль, 1,1 экв.), добавляли в защитной атмосфере азота при 0°C. Через 2 часа после взаимодействия обнаружение посредством TLC продемонстрировало завершение реакции. Добавляли разбавленную хлористоводородную кислоту для регулировки pH до 4. Затем добавляли воду (30 мл). Для экстракции применяли этилацетат (30 мл × 3). Органическую фазу высушивали, фильтровали и концентрировали при пониженном давлении. Неочищенный продукт очищали посредством колоночной хроматографии на силикагеле (PE: EA = 5: 1) с получением продукта (5,2 г, выход: 96%).
Стадия 2. Синтез трет-бутил-4-(метокси-d3)-4-метилпиперидин-1-карбоксилата
В одногорлой колбе объемом 100 мл заменяли атмосферу азотом. Добавляли трет-бутил-4-гидроксил-4-метилпиперидин-1-карбоксилат (2,70 г, 12,55 ммоль, 1 экв.) и THF (27,00 мл). Порциями добавляли гидрид натрия (60%, 0,76 г, 1,5 экв.) и обеспечивали осуществление реакции в течение 0,5 часа при комнатной температуре. Добавляли по каплям CD3I (4,00 г, 27,62 ммоль, 2,2 экв.) и обеспечивали осуществление реакции в течение ночи при 30°C после добавления. TLC продемонстрировала завершение реакции. Реакционный раствор концентрировали до сухого состояния при пониженном давлении. Добавляли 100 мл EA. Жидкость отделяли. Органическую фазу промывали водой, затем высушивали над безводным сульфатом натрия и фильтровали путем отсасывания. Фильтрат концентрировали до сухого состояния при пониженном давлении с получением продукта трет-бутил-4-(метокси-d3)-4-метилпиперидин-1-карбоксилата (4,3 г).
Стадия 3. Синтез гидрохлорида 4-(метокси-d3)-4-метилпиперидина
В одногорлой колбе объемом 500 мл заменяли атмосферу азотом. Добавляли трет-бутил-4-(метокси-d3)-4-метилпиперидин-1-карбоксилат (4,30 г) и добавляли раствор хлороводорода в этаноле (8,60 мл) и этанол (8,60 мл). Реакционную смесь подвергали реакции в течение 2 часов при 30°C. TLC продемонстрировала завершение реакции. Реакционный раствор концентрировали до сухого состояния при пониженном давлении. Добавляли 30 мл EA, перемешивали в течение 0,5 часа и фильтровали путем отсасывания с получением продукта гидрохлорида 4-(метокси-d3)-4-метилпиперидина (1,20 г).
Стадия 4. Синтез 6-этил-2-гидроксил-4-(4-(метокси-d3)-4-метилпиперидин-1-ил)-1,7-диазанафталин-3-карбонитрила
В одногорлую колбу объемом 100 мл добавляли 4-хлор-6-этил-2-гидроксил-1,7-диазанафталин-3-карбонитрил (1,50 г, 6,47 ммоль, 1 экв.), гидрохлорид 4-(метокси-d3)-4-метилпиперидина (1,20 г, 7,12 ммоль, 1,1 экв.), этанол (15,00 мл) и TEA (1,44 г, 14,23 ммоль, 2,2 экв.) и обеспечивали осуществление реакции при 90°C в течение 1 часа. LC-MS продемонстрировала завершение реакции. Реакционную смесь охлаждали. Реакционный раствор концентрировали до сухого состояния при пониженном давлении. Добавляли 50 мл воды, перемешивали в течение 0,5 ч. и фильтровали путем отсасывания с получением неочищенного продукта. Неочищенный продукт перекристаллизовывали с помощью этанола с получением продукта 6-этил-2-гидроксил-4-(4-(метокси-d3)-4-метилпиперидин-1-ил)-1,7-диазанафталин-3-карбонитрила (2,03).
1HЯМР (400 МГц, DMSO) δ (ppm): 11,91 (s, 1H), 8,58 (s, 1H), 7,40 (s, 1H), 3,60-3,61 (d, 4H), 2,78-2,84 (q, 2H), 1,89-1,92 (m, 2H), 1,77-1,82 (m, 2H), 1,26 (s, 6H).
Молекулярная формула: C18H19D3N4O2, молекулярная масса: 329,42, LC-MS (положит., масса/заряд) = 330,21 [M+H+].
В соответствии со следующими экспериментальными примерами настоящее изобретение можно понять лучше. Однако специалист в данной области техники сможет легко понять, что содержание, описанное в экспериментальных примерах, применяется только для иллюстрации настоящего изобретения и не должно и не будет ограничивать настоящее изобретение, подробно описанное в формуле изобретения.
Экспериментальный пример 1. Оценка PDE9 с помощью ферментативного способа
Тестируемые вещества: соединение по настоящему изобретению получали из соответствующих вариантов осуществления настоящего изобретения.
1. Экспериментальные материалы и приборы
Фермент PDE9A2 (BPS, № по кат. 60090)
384-луночные планшеты (Perkin Elmer, № по кат. 6007279)
2. Стадии теста
Получение соединений. Применяли DMSO для составления соединения в 10 мМ исходный раствор соединения для долговременного хранения. Раствор разбавляли в 100 раз с помощью DMSO с получением 100 мкМ рабочего раствора соединения, затем рабочий раствор соединения разбавляли 3 раза с помощью DMSO с получением в общей сложности 8-10 градиентов концентраций разбавленного раствора соединения (100×).
Инкубация с обработкой. Разбавленный раствор соединения отмеряли пипеткой в 384-луночный планшет с применением Echo, системы для отмеривания пипеткой очень небольшого количества жидкости; 200 нл разбавленного раствора соединения и 10 мкл раствора фермента PDE9A2 добавляли в каждую лунку с соединением и инкубировали при комнатной температуре в течение 15 мин. после центрифугирования при 1000 об./мин. в течение 1 мин. Затем добавляли 10 мкл смеси субстратов и инкубировали со встряхиванием при комнатной температуре в течение 30 мин. после центрифугирования при 1000 об./мин. в течение 1 мин. Наконец, добавляли стоп-раствор для завершения реакции в системе и полученное инкубировали со встряхиванием при комнатной температуре в течение 60 мин. В лунке с максимальным считанным значением (Max) соединение было заменено на растворитель; в лунке с минимальным считанным значением (Min) растворы соединения и фермента были заменены на растворитель.
Обнаружение. Применяли микропланшет-ридер для определения показаний флуоресценции (F) при 480 нм/535 нм.
Расчет. Степень ингибирования рассчитывали в соответствии со следующей формулой и использовали GraphPad Prism 5.0 для подбора IC50:
3. Результаты теста показаны в следующей таблице 2.
Таблица 2
| Тестируемые вещества | IC50 PDE9A2 (нМ) |
| Соединение 63 | 4 |
| Соединение 64 | 38 |
| Соединение 68 | 3 |
| Соединение 69 | 11 |
| Соединение 70 | 24 |
| Соединение 74 | 14 |
| Соединение 75 | 69 |
| Соединение 76 | 61 |
| Соединение 77 | 52 |
| Соединение 78 | 85 |
| Соединение 80 | 25 |
| Соединение 81 | 31 |
| Соединение 84 | 38 |
| Соединение 87 | 9 |
| Соединение 90 | 20 |
| Соединение 91 | 50 |
| Соединение 92 | 25 |
| Соединение 102 | 15 |
| Соединение 114 | 48 |
| Соединение 115 | 19 |
| Соединение A | 61 |
| Соединение B | 3 |
Как можно увидеть из таблицы 2, соединение по настоящему изобретению характеризуется очень хорошей ингибирующей активностью в отношении фермента PDE9 и имеет потенциальное значение для клинического применения.
Экспериментальный пример 2. Тестирование эффекта соединения по настоящему изобретению в отношении содержания cGMP во временно трансфицированных клетках HEK293T
Тестируемые вещества: для получения структуры соединения 102 в настоящем изобретении обратитесь к структуре соединения № 102 в таблице 1 в данном документе.
Сокращения
| FBS | Фетальная бычья сыворотка |
| ANF | Предсердный натрийуретический фактор |
| B0 | Максимальное связывание |
| cGMP | Циклический 3,5-гуанозинмонофосфат |
| ELISA | Твердофазный иммуноферментный анализ |
| NPR1 | Рецептор натрийуретического пептида 1 |
| NSB | Неспецифическое связывание |
| PDE9 | Фосфодиэстераза 9 |
| WB | Вестерн-блоттинг |
| TA | Общая активность |
| GAPDH | Глицеральдегид-3-фосфатдегидрогеназа |
Материалы и приборы
Экспериментальные приборы и расходуемые материалы
| Название | Поставщик |
| Набор для определения cGMP с помощью ELISA (набор для определения циклического GMP с помощью ELISA) | Cayman |
| Реагент для трансфекции PolyFect | QIAGEN |
| Предсердный натрийуретический фактор (1-28) (крыса) | TOCRIS |
| DYKDDDK (Flag) (кролик) | CST |
| GAPDH (кролик) | CST |
| Аппарат для воздействия | Tanon |
| Многорежимный микропланшет-ридер | PerkinElmer |
Плазмида
| Название | Виды | Поставщик |
| NPR1 | Человек | Genscript |
| PDE9 | Человек | Genscript |
Клеточная линия
Название клеток: эмбриональная клетка почки человека HEK293T
Экспериментальный способ
1. Посев клеток и трансфекция
1.1 Посев клеток
Клетки HEK293T высевали в 6-луночный планшет в количестве 2 × 106 клеток/лунку и культивировали в течение 6 ч. с обеспечением прикрепления клеток.
1.2 Трансфекция
Среду в каждой лунке заменяли на 1,5 мл полной среды DMEM;
Лунки с трансфекцией. 0,333 мкг NPR1 и 0,333 мкг плазмиды PDE9 добавляли к каждым 100 мкл "голодной" среды DMEM без FBS и равномерно перемешивали с помощью пипетки, затем добавляли 20 мкл реагента для трансфекции PolyFect, и равномерно перемешивали с помощью пипетки, и после отстаивания в течение 10 мин. добавляли 600 мкл полной среды DMEM, и равномерно перемешивали с помощью пипетки. В лунки медленно по каплям добавляли 700 мкл смеси и инкубировали в течение 18 ч. Способ для каждой лунки с трансфекцией является таким же, как описанный выше.
Лунки без трансфекции. В лунки без трансфекции добавляли равный объем полной среды DMEM (700 мкл полной среды DMEM).
2. Введение стимуляции
Брали 50 мМ раствор соединения в DMSO и разбавляли полной средой с получением серии градиентных концентраций растворов соединения, составляющих 3 мМ, 1 мМ, 333 мкМ, 111 мкМ, 37 мкМ и 12 мкМ (100 × рабочий раствор). Среду в планшете с трансфицированной культурой заменяли на 1 мл полной среды DMEM, затем в каждую лунку добавляли 10 мкл вышеуказанного 100 × рабочего раствора с разными концентрациями с получением серии градиентных концентраций растворов соединения, составляющих 30 мкМ, 10 мкМ, 3,33 мкМ, 1,11 мкМ, 0,37 мкМ и 0,12 мкМ (конечная концентрация). После инкубирования в инкубаторе в течение 30 мин. в каждую лунку добавляли 3 мкл 326 мкМ ANF до конечной концентрации 1 мкМ и затем инкубировали совместно с лекарственными препаратами в течение 30 мин.
3. Определение содержания cGMP (обратитесь к инструкциям для набора для обнаружения cGMP с помощью ELISA для работы)
1.1 Сбор клеток
Из каждой лунки аспирировали среду. Клетки один раз промывали с помощью PBS и добавляли 250 мкл 0,5 М перхлорной кислоты.
Клетки собирали с помощью скребка для клеток и переносили в центрифужную пробирку объемом 1,5 мл. После равномерного смешивания посредством перемешивания вихревым способом клетки центрифугировали при 6000 g в течение 20 мин. при 4°C. Отбирали 200 мкл образцов надосадочной жидкости и pH регулировали до нейтрального значения с помощью 4 М KOH.
Дополнительно собирали клетки в лунках без трансфекции и клетки в лунках с трансфекцией. Добавляли буфер для лизиса RIPA, содержащий ингибитор протеазы и ингибитор фосфатазы. Клетки собирали для WB-теста для подтверждения трансфекции.
1.2 Определение содержания cGMP
После составления стандарта cGMP с концентрацией в диапазоне 30-0,23 пмоль/мл (2-кратное градиентное разбавление), образцы добавляли в соответствии с таблицей ниже и инкубировали при 4°C в течение 18 ч.
| Название реагента Название образца |
ELISA Буфер |
Стандарт/образец | Метка | Антисыворотка |
| NSB | 100 мкл | - | 50 мкл | - |
| B0 | 50 мкл | - | 50 мкл | 50 мкл |
| Стандарт/образец | - | 50 мкл | 50 мкл | 50 мкл |
Планшет тщательно промывали 5 раз, затем в каждую лунку добавляли 200 мкл реактива Эллмана. Планшет герметично закрывали, встряхивали в темноте и обеспечивали проявление цвета в течение 60 мин. и затем определяли значение поглощения при 412 нм.
1.3 Определение содержания cGMP
Сначала вычитали неспецифическое связывание (данные считывания в каждой лунке минус данные считывания в лунке с NSB) и затем рассчитывали B/B0, то есть соотношение связывания для образца или стандарта и максимального связывания, и преобразовывали в соответствии со следующей формулой, а затем получали логит (B/B0) и подвергали lg (концентрация соединения) линейному регрессионному анализу с получением стандартной кривой.
Значение B/B0 для образца преобразовывали в значение логит (B/B0) и содержание cGMP в образце рассчитывали в соответствии со стандартной кривой.
2. Подтверждение трансфекции с применением вестерн-блоттинга (WB)
Метод вестерн-блоттинга применяли для определения экспрессии плазмиды белка Flag-метки, и экспрессия означает успешную трансфекцию. Результаты тестирования показаны на фиг. 1.
На фиг. 1 диаграмма в верхней левой части означает определение трансфекции с помощью вестерн-блоттинга. Символ N представляет собой нетрансфицированные клетки HEK293T; и T представляет собой клетки HEK293T, совместно трансфицированные с помощью hNPR и hPDE9A.
Как показано на фиг. 1, в сконструированных клетках HEK293T, совместно трансфицированных с помощью NPR1 и PDE9 человека, ANF может в значительной степени индуцировать экспрессию внутриклеточного cGMP. Соединение по настоящему изобретению может значительно увеличивать уровень опосредованного ANF cGMP путем ингибирования PDE9 на клеточном уровне, и характеризуется относительно хорошим потенциалом применения в лечении сердечной недостаточности.
Экспериментальный пример 3. Тестирование эффекта соединения по настоящему изобретению в отношении содержания cGMP в RNCM
Тестируемые вещества: для получения структуры соединения 102 в настоящем изобретении обратитесь к структуре соединения № 102 в таблице 1 в данном документе.
Сокращения
| ANF | Предсердный натрийуретический фактор |
| cGMP | Циклический 3,5-гуанозинмонофосфат |
| ELISA | Твердофазный иммуноферментный анализ |
| RNCM | Первичные кардиомиоциты новорожденных крыс |
Реагенты и расходные материалы
1. Экспериментальные приборы и реагенты
| Название | Поставщик |
| Набор для определения cGMP с помощью ELISA (набор для определения циклического GMP с помощью ELISA) | Cayman |
| Предсердный натрийуретический фактор (1-28) (крыса) | TOCRIS |
| Многорежимный микропланшет-ридер | PerkinElmer |
| Желатин | Aladdin |
| Нокодазол | Sigma |
| L-глутамин | Aladdin |
| DMEM с низким содержанием сахара | BI |
| Среда M199 | BI |
| Фетальная бычья сыворотка | Gibco |
| Лошадиная сыворотка | Gibco |
| Двойные антибиотики | BI |
| Коллагеназа II типа | Worthington |
| Термостатический шейкер | Changzhou Langyue Co., Ltd. |
2. Получение первичных кардиомиоцитов новорожденных крыс SD
2.1 Получение реагента
2.1.1 1% раствор желатина
1% желатин применяют для покрытия чашек для культивирования при культивировании первичных кардиомиоцитов новорожденных крыс. Взвешивали 1 г желатина, растворяли в 100 мл деионизированной воде и разбавляли до концентрации 0,2% перед применением.
2.1.2 Ингибитор митоза
Брали 10 мМ раствор нокодазола в DMSO и разбавляли с помощью DMSO до 1 мМ с получением 20000× раствора, который разбавляли культуральной средой до конечной концентрации 1× при применении.
2.1.3 L-глутамин
Брали 2,92 г L-глутамина и растворяли в 100 мл деионизированной воды с получением 200 мМ раствора.
2.1.4 Раствор культуры первичных кардиомиоцитов новорожденных крыс
Брали 150 мл среды DMEM с низким содержанием сахара, 50 мл среды M199, 10 мл фетальной бычьей сыворотки от Gibco, 20 мл лошадиной сыворотки, 2 мл L-глутамина, 2,34 мл двойных антибиотиков и фильтровали после составления.
2.1.5 10× буфер ADS
Отвешивали 6,8 г NaCl, 120 мг Na2HPO4·2H2O, 400 мг KCl, 197 мг MgSO4·7H2O, 1 г глюкозы и 4,8 г HEPES и растворяли с помощью 90 мл деионизированной воды. pH регулировали до 7,4 и затем смесь разбавляли до 100 мл для последующего применения и разбавляли до 1× при применении.
2.2 Культивирование и выделение первичных кардиомиоцитов новорожденных крыс
2.2.1 Брали сердца новорожденных (2-5 дней) крыс SD и помещали в предварительно охлажденный 1× буфер ADS.
2.2.2 Сначала отрезали предсердие, затем отделяли ткань кровеносных сосудов снаружи сердца, и наконец осторожно срезали желудочек, и затем несколько раз разрезали.
2.2.3 Брали пробирку EP объемом 1,5 мл и в нее добавляли 900 мкл 1× буфера ADS, затем в пробирку EP добавляли 3-5 желудочков новорожденных крыс и затем добавляли 10 мкл 100× коллагеназы II.
2.2.4 Расщепление проводили в термостатическом шейкере при 37°C и 1100 об./мин. в течение 15 мин., и брали раствор для расщепления, и затем добавляли 1 мл раствора культуры кардиомиоцитов.
2.2.5 После нейтрализации проводили центрифугирование при 1500 g в течение 5 мин., надосадочную жидкость отбрасывали и добавляли 2 мл раствора культуры кардиомиоцитов.
2.2.6 Встряхивание, расщепление и центрифугирование дважды повторяли с получением 6 мл суспензии первичных кардиомиоцитов (в целом подвергали расщеплению три раза).
2.2.7 6 мл суспензии первичных кардиомиоцитов переносили в центрифужную пробирку объемом 50 мл, затем добавляли раствор клеточной культуры и равномерно перемешивали, при этом в среднем каждые 10 сердец новорожденных крыс обеспечивали 10 мл раствора клеточной культуры.
2.2.8 Добавляли 10 мл суспензии первичных кардиомиоцитов в чашку для культивирования и помещали в инкубатор для клеток для нормального культивирования.
2.2.9 Через 45 мин. раствор клеточной культуры осторожно отбирали и добавляли в новую чашку для культивирования для нормального культивирования.
2.2.10 Через 45 мин. раствор клеточной культуры осторожно отбирали и центрифугировали при 1500 g в течение 5 мин. с получением первичных кардиомиоцитов.
2.2.11 Культуральный планшет покрывали 0,2% желатином и помещали в инкубатор на по меньшей мере 30 мин.
2.2.12 После ресуспендирования применяли метод окрашивания трипановым синим для подсчета, 1 × 106 клеток добавляли в каждую лунку 6-луночных планшетов и добавляли нокодазол, представляющий собой ингибитор митоза, в соотношении 1: 20000.
2.2.13 Клетки высевали в культуральный планшет, который был покрыт 0,2% желатином в течение 30 мин., культивировали в течение 3 ч. и затем заменяли нормальным раствором культуры кардиомиоцитов.
2.2.14 И при наблюдении клеток на следующий день можно обнаружить, что первичные кардиомиоциты демонстрировали ритмичное биение, которое сохранялось при последующем обнаружении.
Экспериментальный способ
1. Получение культурального планшета, содержащего соединение
Брали 50 мМ раствор соединения в DMSO, сначала разбавляли с помощью DMSO с получением серии градиентных концентраций растворов соединения, составляющих 30 мМ, 10 мМ, 3,3 мМ, 1,1 мМ и 0,37 мМ, и затем разбавляли средой с получением серии градиентных концентраций растворов соединения, составляющих 3 мМ, 1 мМ, 333 мкМ, 111 мкМ и 37 мкМ (100× рабочий раствор).
2. Экспериментальные стадии
В соответствии с вышеуказанным способом первичные кардиомиоциты новорожденных крыс SD (RNCM) выделяли и высевали в 6-луночный планшет. После прикрепления RNCM к стенкам, вытягивания и биения, RNCM подвергали истощению в течение 24 часов. Среду заменяли на свежую полную среду (1 мл/лунку) перед введением. В каждую лунку добавляли 10 мкл 100× рабочего раствора с разными концентрациями соединения с получением серии градиентных концентраций растворов соединения, составляющих 30 мкМ, 10 мкМ, 3,33 мкМ, 1,11 мкМ и 0,37 мкМ (конечная концентрация). После введения и инкубации в течение 30 мин. добавляли ANF до конечной концентрации 1 мкМ. После дополнительной совместной инкубации в течение 30 мин. клетки в каждой лунке собирали.
3. Определение содержания cGMP (обратитесь к инструкциям для набора для обнаружения cGMP с помощью ELISA для работы)
3.1 Сбор клеток
Из каждой лунки аспирировали среду. Клетки один раз промывали с помощью PBS и добавляли 250 мкл 0,5 М перхлорной кислоты.
Клетки собирали с помощью скребка для клеток и переносили в центрифужную пробирку объемом 1,5 мл. После равномерного смешивания посредством перемешивания вихревым способом клетки центрифугировали при 6000 g в течение 20 мин. при 4°C. Отбирали 200 мкл образцов надосадочной жидкости и pH регулировали до нейтрального значения с помощью 4 М KOH.
Дополнительно собирали клетки в лунках без трансфекции и клетки в лунках с трансфекцией. Добавляли буфер для лизиса RIPA, содержащий ингибитор протеазы и ингибитор фосфатазы. Клетки собирали для WB-теста для подтверждения трансфекции.
3.2 Определение содержания cGMP
После составления стандарта cGMP с концентрацией в диапазоне 30-0,23 пмоль/мл (2-кратное градиентное разбавление), образцы добавляли в соответствии с таблицей ниже и инкубировали при 4°C в течение 18 ч.
| Название реагента Название образца |
ELISA Буфер |
Стандарт/образец | Метка | Антисыворотка |
| NSB | 100 мкл | - | 50 мкл | - |
| B0 | 50 мкл | - | 50 мкл | 50 мкл |
| Стандарт/образец | - | 50 мкл | 50 мкл | 50 мкл |
Планшет тщательно промывали 5 раз, затем в каждую лунку добавляли 200 мкл реактива Эллмана. Планшет герметично закрывали, встряхивали в темноте, обеспечивали проявление цвета в течение 60 мин. и затем определяли значение поглощения при 412 нм.
3.3 Определение содержания cGMP
Сначала вычитали неспецифическое связывание (данные считывания в каждой лунке минус данные считывания в лунке с NSB) и затем рассчитывали B/B0, то есть соотношение связывания для образца или стандарта и максимального связывания, и преобразовывали в соответствии со следующей формулой, а затем получали логит (B/B0) и подвергали lg (концентрация соединения) линейному регрессионному анализу с получением стандартной кривой.
Значение B/B0 для образца преобразовывали в значение логит (B/B0) и содержание cGMP в образце рассчитывали в соответствии со стандартной кривой.
Результаты тестирования показаны на фиг. 2.
Как показано на фиг. 2, ANF может в значительной степени индуцировать экспрессию cGMP в первичных кардиомиоцитах новорожденных крыс, и соединение по настоящему изобретению может увеличивать уровень cGMP путем ингибирования PDE9 в первичных кардиомиоцитах крыс. Это указывает на то, что соединение по настоящему изобретению обладает способностью увеличивать уровень cGMP в сердце и имеет относительно хороший потенциал клинического применения в лечении сердечной недостаточности.
Экспериментальный пример 4. Модели сердечной недостаточности у крыс, индуцированные перевязкой коронарной артерии
В сокращениях, применяемых в данном документе, "bid" относится к введению дозы дважды в сутки; "LVEF" относится к фракции выброса левого желудочка; "EDV" относится к конечно-диастолическому объему левого желудочка; "ESV" относится к конечно-систолическому объему левого желудочка; "DMSO" относится к диметилсульфоксиду; "MC" относится к метилцеллюлозе; "p.o" относится к пероральному введению; "mpk" относится к мг/кг; "SD" относится к крысам линии Спрег-Доули. "S.E.M" относится к стандартной погрешности. "PEG400" относится к полиэтиленгликолю 400; "каптизол" относится к сульфобутил-бета-циклодекстрину. "FS" относится к фракции укорочения левого желудочка; "HR" относится к частоте сердцебиения.
Приборы
Аппарат искусственной вентиляции легких для небольших животных
Система получения и обработки сигналов Powerlab 8/35
Катетер Миллара
Система для ультразвуковой визуализации для небольших животных Vevo
Аналитические весы
Тестируемые лекарственные препараты
Соединение 102, вводимая доза 30 мг/кг, среда-носитель для введения 5% DMSO + 10% PEG400 + 85% (20% каптизола + 0,5% MC в воде)
Экспериментальные животные
Крысы линии Спрег-Доули (крысы SD), самцы весом приблизительно 220 г во время моделирования.
Экспериментальный способ
Перед операцией животных анестизировали путем внутрибрюшинной инъекции пентобарбитала натрия и посредством инъекции внутрибрюшинно вводили атропин для устранения выделения мокроты. После того, как крыс анестезировали и фиксировали в лежачем положении, применяли аппарат для искусственной вентиляции легких для обеспечения вспомогательного дыхания, открывали грудную клетку между третьим и четвертым ребром и перевязывали переднюю нисходящую ветвь левой коронарной артерии с помощью 5-0 хирургической иглы. После завершения перевязывания грудную клетку закрывали, кожу зашивали и крыс помещали на изолирующий коврик для восстановления. Ту же операцию проводили в отношении группы фиктивной операции, за исключением операции с помощью лигатуры шелком. После операции крыс подвергали внутримышечной инъекции мелоксикама для обезболивания, внутрибрюшинной инъекции посредством инъекции сульфата гентамицина для устранения инфекции и внутрибрюшинной инъекции лидокаина для предупреждения мерцания желудочков. Через одну неделю после восстановления животных от хирургического вмешательства модельных крыс разделяли на модельную группу и группу с введением терапевтического лекарственного средства (группа с введением соединения 102), и вводили среду-носитель и соединение 102 через желудочный зонд соответственно, дважды в сутки в течение четырех последовательных недель. Во время эксперимента наблюдали за состоянием животных и записывали аномальные условия для оценки безопасности соединения; и введение проводили в течение 28 дней. Животных анестезировали посредством внутрибрюшинной инъекции пентобарбитала натрия на второй день после последнего введения и проводили эхокардиографическое обследование и гемодинамическое обследование для оценки эффекта соединения на систолическую функцию сердца и объем желудочка. После окончания эксперимента проводили конечную обработку и брали сердце для сбора материала для последующих связанных исследований в отношении экспрессии cGMP и белка.
Через одну неделю после восстановления животных от хирургического вмешательства крыс анестезировали изофлураном и применяли систему для ультразвуковой визуализации для небольших животных Vevo для исследования функции левого желудочка модельных крыс. Модель считалась успешной, если LVEF% снижалась на 30%. За исключением группы фиктивной операции животных произвольным образом разделяли на 2 группы в соответствии с LVEF% и весом тела. Число животных в каждой группе и способ введения являлись следующими.
| Номер группы | Разделение на группы | Число мышей | Вводимая доза | Способ введения | Время введения |
| 1 | Группа фиктивной операции (фиктивная операция) |
10 | - | p.o bid |
Начало через одну неделю после моделирования, и продолжительность составляет четыре недели |
| 2 | Модельная группа (модель) |
12 | - | p.o bid |
Начало через одну неделю после моделирования, и продолжительность составляет четыре недели |
| 3 | Группа с введением соединения 102 | 12 | 30 мг/кг | p.o bid |
Начало через одну неделю после моделирования, и продолжительность составляет четыре недели |
В конце эксперимента крыс умерщвляли и инфарктную сердечную ткань фиксировали с помощью 4% формальдегида, высушивали, заключали в парафин и разделяли на секции. Состояние отложения коллагена наблюдали под микроскопом путем применения окрашивания сириусом красным и применяли цифровую систему сканирования срезов Leica aperio для сканирующего анализа.
Определяемые показатели
Основные показатели представляют собой LVEF% (фракция выброса левого желудочка), FS (фракция укорочения левого желудочка), ESV (конечно-систолический объем левого желудочка), EDV (конечно-диастолический объем левого желудочка) и частоту сердцебиения (HR). В конце эксперимента количественно определяли долю сириуса красного в периинфарктной зоне для оценки состояния отложения коллагена.
Статистика данных
Данные представлены с помощью среднего значения ± S.E.M, и применяли Graphpad Prism 5.0 для статистической карты. Статистический анализ проводили с помощью t-критерия. P < 0,05 указывает на то, что отличие является статистически значимым.
Результаты исследования
После 28 дней непрерывного введения bid в дозе 30 мг/кг крысы находились в хорошем состоянии. По сравнению с группой фиктивной операции отсутствовали аномалии по отношению к весу, что указывает на то, что соединение является относительно безопасным.
Как можно увидеть на фиг. 3-4, LVEF и FS в модельной группе крыс составляли 36,0 ± 1,86% и 18,3 ± 1,03% соответственно, что в значительной степени ниже, чем значения для группы фиктивной операции, которые составляют 72,2 ± 1,40% и 43,0 ± 1,29%, что является статистически значимым (P < 0,001). Как можно увидеть на фигурах 5-6, по сравнению с крысами в группе фиктивной операции EDV и ESV сердца в модельной группе крыс в значительной степени увеличены, что является статистически значимым (P < 0,001). Следовательно, систолическая функция левого желудочка в модельной группе была значительно снижена, и ремоделирование миокарда значительно изменилось, что указывает на то, что модель была успешно установлена. Соединение 102 может улучшать снижение LVEF и FS у крыс с сердечной недостаточностью, что имеет значительное статистическое отличие по сравнению с модельной группой (P < 0,001). В то же время соединение 102 имеет значительный улучшающий эффект на увеличение EDV и ESV сердца, обусловленное сердечной недостаточностью (P < 0,05, P < 0,01). Следовательно, соединение может в значительной степени улучшать сократительную функцию и ремоделирование миокарда у крыс с сердечной недостаточностью.
Как можно увидеть на фиг. 7, по сравнению с крысами в группе фиктивной операции не наблюдали каких-либо изменений в частоте сердцебиения в модельной группе и группе с введением соединения.
Таблица 3. Эффекты соединений в отношении фиброза сердца у крыс с сердечной недостаточностью (среднее значение ± S.E.M)
| Группы | Доза | Количество | Доля в процентах (%) отложения коллагена в периинфарктной зоне |
| С фиктивной операцией | - | 10 | 0,121 ± 0,017 |
| Модельная группа | - | 12 | 28,9 ± 1,35*** |
| Соединение 102 | 30 мг/кг | 12 | 21,5 ± 1,23### |
***P < 0,001 по сравнению с группой с фиктивной операцией, ### P < 0,001 по сравнению с модельной группой, t-критерий
Как показано на фиг. 8 и в таблице 3, доля в процентах отложения коллагена в группе фиктивной операции составляет 0,121 ± 0,017%, тогда как доля в процентах отложения коллагена в периинфарктной зоне левого желудочка для модельной группы крыс составляет 28,9 ± 1,35%, что в значительной степени выше, чем значение в группе фиктивной операции. Статистическая разница является очень значительной (P < 0,001). Можно увидеть, что в модельной группе инфаркт миокарда приводит к отложению коллагена в периинфарктной зоне, тем самым приводя к фиброзу сердца. По сравнению с модельной группой соединение 102 может обеспечивать значительное снижение отложения коллагена в периинфарктной зоне (P < 0,001), что тем самым эффективно ослабляет фиброз сердца, вызванный моделью сердечной недостаточности.
Вывод: вкратце, соединение 102 может улучшить функцию сердца крыс с сердечной недостаточностью, обеспечивать обратное ремоделирование миокарда, вызванное сердечной недостаточностью, и снижать фиброз в периинфарктной зоне, за счет этого оно имеет отличный потенциал клинического применения в лечении сердечной недостаточности.
Claims (29)
1. Применение соединения, представляющего собой ингибитор фосфодиэстеразы 9 (PDE9), представленного общей формулой (I), и его фармацевтически приемлемых солей, таутомеров и дейтерированных соединений в изготовлении лекарственного препарата для лечения заболеваний, связанных с сердечной недостаточностью, у млекопитающих,
где каждый из X1 и X4 представляет собой СН; X2 представляет собой N, и X3 представляет собой СR3;
R3 в каждом случае независимо выбран из водорода, C1-6алкила, C1-6алкилкарбонила, где C1-6алкил является незамещенным или замещен одним или несколькими гидроксилами;
L представляет собой связь;
каждый R1 независимо выбран из водорода, дейтерия, C1-6алкила, C1-6алкокси;
m равняется 1, 2 или 3;
и R2 представляет собой водород.
2. Применение соединений, представленных следующими структурами, и его фармацевтически приемлемые соли, таутомеры и дейтерированные соединения, в изготовлении лекарственного препарата для лечения заболеваний, связанных с сердечной недостаточностью, у млекопитающих:
и
3. Применение по п. 1 или 2, где лекарственный препарат для лечения заболеваний, связанных с сердечной недостаточностью, дополнительно включает второе или более терапевтических средств.
4. Применение по п. 1 или 2, где лекарственный препарат для лечения заболеваний, связанных с сердечной недостаточностью, может быть получен в виде любого фармацевтически приемлемого фармацевтического состава с фармацевтическим носителем.
5. Применение по п. 1 или 2, где лекарственный препарат готовят в виде дозированных форм для перорального, парентерального, трансдермального, ректального, назального, легочного введения, имплантации и местного введения.
6. Применение по п. 1 или 2, где заболевания, связанные с сердечной недостаточностью, представляют собой различные виды сердечной недостаточности на основании различной классификации, включающие левожелудочковую недостаточность, правожелудочковую недостаточность и полную сердечную недостаточность; острую сердечную недостаточность, хроническую сердечную недостаточность и декомпенсированную сердечную недостаточность; систолическую и диастолическую сердечную недостаточность; предрасположенность к сердечной недостаточности, сердечную недостаточность без проявления клинических симптомов, сердечную недостаточность с проявлением клинических симптомов и рефрактерную сердечную недостаточность в терминальной стадии; сердечную недостаточность I степени, II степени, III степени и IV степени по сердечной функции согласно Нью-Йоркской кардиологической ассоциации (NYHA) и сердечную недостаточность со сниженной фракцией выброса левого желудочка, сердечную недостаточность со средней фракцией выброса левого желудочка и сердечную недостаточность с сохраненной фракцией выброса левого желудочка.
7. Применение по п. 1 или 2, где заболевания, связанные с сердечной недостаточностью, выбраны из сердечной недостаточности, вызванной ишемической болезнью сердца, сердечной недостаточности, вызванной токсическим повреждением, иммунноопосредованной сердечной недостаточности и сердечной недостаточности, вызванной воспалительным повреждением, сердечной недостаточности, вызванной инфильтративным поражением, сердечной недостаточности, вызванной нарушением обмена веществ, сердечной недостаточности, вызванной генетической аномалией, сердечной недостаточности, вызванной аномальной нагрузкой, и сердечной недостаточности, вызванной аритмией.
8. Применение по п. 1 или 2, где заболевания, связанные с сердечной недостаточностью, выбраны из систолической сердечной недостаточности и диастолической сердечной недостаточности.
9. Применение по п. 1, где млекопитающие представляют собой людей и животных.
10. Набор, содержащий (a) соединение, представляющее собой ингибитор фосфодиэстеразы 9 (PDE9), представленное общей формулой (I), и его фармацевтически приемлемые соли, таутомеры и дейтерированные соединения, и (b) инструкцию по применению соединения или его фармацевтически приемлемых солей, или таутомеров, или дейтерированных соединений в лечении заболеваний, связанных с сердечной недостаточностью, у млекопитающих:
где каждый из X1 и X4 представляет собой СН; X2 представляет собой N, и X3 представляет собой СR3;
R3 в каждом случае независимо выбран из водорода, C1-6алкила, C1-6алкилкарбонила, где C1-6алкил является незамещенным или замещен одним или несколькими гидроксилами;
L представляет собой связь;
каждый R1 независимо выбран из водорода, дейтерия, C1-6алкила, C1-6алкокси;
m равняется 1, 2 или 3;
и R2 представляет собой водород.
Applications Claiming Priority (2)
| Application Number | Priority Date | Filing Date | Title |
|---|---|---|---|
| CN201910174522.6 | 2019-03-08 | ||
| CN201910235722.8 | 2019-03-27 |
Publications (2)
| Publication Number | Publication Date |
|---|---|
| RU2021129263A RU2021129263A (ru) | 2023-04-10 |
| RU2795503C2 true RU2795503C2 (ru) | 2023-05-04 |
Family
ID=
Citations (5)
| Publication number | Priority date | Publication date | Assignee | Title |
|---|---|---|---|---|
| CN1856470A (zh) * | 2003-09-23 | 2006-11-01 | 默克公司 | 喹啉钾通道抑制剂 |
| US20070203236A1 (en) * | 2006-01-11 | 2007-08-30 | Smith Jeffrey W | Novel antagonists of the human fatty acid synthase thioesterase |
| RU2383539C2 (ru) * | 2005-06-08 | 2010-03-10 | Джапан Тобакко Инк. | Гетероциклические соединения |
| RU2448087C2 (ru) * | 2006-03-17 | 2012-04-20 | Джонс Хопкинс Юниверсити Скул Оф Медсин | Производные n-гидроксилсульфонамида в качестве новых физиологически полезных доноров нитроксила |
| US20180354955A1 (en) * | 2017-06-08 | 2018-12-13 | Merck Sharp & Dohme Corp. | Pyrazolopyrimidine pde9 inhibitors |
Patent Citations (5)
| Publication number | Priority date | Publication date | Assignee | Title |
|---|---|---|---|---|
| CN1856470A (zh) * | 2003-09-23 | 2006-11-01 | 默克公司 | 喹啉钾通道抑制剂 |
| RU2383539C2 (ru) * | 2005-06-08 | 2010-03-10 | Джапан Тобакко Инк. | Гетероциклические соединения |
| US20070203236A1 (en) * | 2006-01-11 | 2007-08-30 | Smith Jeffrey W | Novel antagonists of the human fatty acid synthase thioesterase |
| RU2448087C2 (ru) * | 2006-03-17 | 2012-04-20 | Джонс Хопкинс Юниверсити Скул Оф Медсин | Производные n-гидроксилсульфонамида в качестве новых физиологически полезных доноров нитроксила |
| US20180354955A1 (en) * | 2017-06-08 | 2018-12-13 | Merck Sharp & Dohme Corp. | Pyrazolopyrimidine pde9 inhibitors |
Similar Documents
| Publication | Publication Date | Title |
|---|---|---|
| US12465601B2 (en) | Uses of phosphodiesterase inhibitors | |
| RU2536584C2 (ru) | Гетероарильные соединения и их применение | |
| AU2008226466B2 (en) | Aminopyrimidines useful as inhibitors of protein kinases | |
| RU2569303C2 (ru) | Пиразолопиридиновые производные как ингибиторы надфн-оксидазы | |
| CA2907243C (en) | Substituted dihydropyrimidopyrimidinone compounds and pharmaceutical compositions thereof use fgfr4 inhibitor | |
| RU2628077C2 (ru) | Новое производное 3-(4-(бензилокси)фенил)гекс-4-иновой кислоты, способ его получения и фармацевтическая композиция для профилактики и лечения метаболического заболевания, включающая его в качестве эффективного ингредиента | |
| KR20060005333A (ko) | 특정의 신규한 이미다조피리딘 및 그의 용도 | |
| CN102548986A (zh) | 氨基吡咯烷酮衍生物及其用途 | |
| US10226461B2 (en) | Solid forms of 2-(tert-butylamino)-4-((1R,3R,4R)-3-hydroxy-4-methylcyclohexylamino)-pyrimidine-5-carboxamide, compositions thereof and methods of their use | |
| JP2013519724A (ja) | Nadphオキシダーゼ阻害剤としてのピラゾロピペリジン誘導体 | |
| JP2021529185A (ja) | 心臓サルコメア阻害剤 | |
| US12065448B2 (en) | Heteroaryl plasma kallikrein inhibitors | |
| TW201120042A (en) | N-((1R,2S,5R)-5-(tert-butylamino)-2-((S)-3-(7-tert-butylpyrazolo[1,5-a][1,3,5]triazin-4-ylamino)-2-oxopyrrolidin-1-yl)cyclohexyl)acetamide, a dual modulator of chemokine receptor activity, crystalline forms and processes | |
| WO2022197755A1 (en) | Imidazopyridinyl inhibitors of plasma kallikrein | |
| RU2795503C2 (ru) | Пути применения ингибиторов фосфодиэстеразы | |
| KR101705390B1 (ko) | 이중환 구조를 갖는 신규한 gpcr 효능제 | |
| WO2020063727A1 (zh) | 三并环类ask1抑制剂及其应用 | |
| HK40058929A (en) | Uses of phosphodiesterase inhibitors | |
| Liu et al. | Design and synthesis of 2-phenyl-1 H-benzo [d] imidazole derivatives as 17β-HSD10 inhibitors for the treatment of Alzheimer's disease | |
| US20240199612A1 (en) | Imidazopyridinyl inhibitors of plasma kallikrein | |
| US20250340545A1 (en) | Tetrahydroisoquinoline compound, preparation method therefor, pharmaceutical composition containing said compound, and use thereof | |
| TW202542124A (zh) | 磷酸二酯酶3(pde3)抑制劑 |






































































































































































































































