RU2678503C1 - Molecular electronic hydrophone - Google Patents
Molecular electronic hydrophone Download PDFInfo
- Publication number
- RU2678503C1 RU2678503C1 RU2017146249A RU2017146249A RU2678503C1 RU 2678503 C1 RU2678503 C1 RU 2678503C1 RU 2017146249 A RU2017146249 A RU 2017146249A RU 2017146249 A RU2017146249 A RU 2017146249A RU 2678503 C1 RU2678503 C1 RU 2678503C1
- Authority
- RU
- Russia
- Prior art keywords
- hydrophone
- pressure
- molecular
- noise
- electronic
- Prior art date
Links
Images
Classifications
-
- G—PHYSICS
- G01—MEASURING; TESTING
- G01V—GEOPHYSICS; GRAVITATIONAL MEASUREMENTS; DETECTING MASSES OR OBJECTS; TAGS
- G01V1/00—Seismology; Seismic or acoustic prospecting or detecting
- G01V1/16—Receiving elements for seismic signals; Arrangements or adaptations of receiving elements
Landscapes
- Physics & Mathematics (AREA)
- Life Sciences & Earth Sciences (AREA)
- Engineering & Computer Science (AREA)
- Acoustics & Sound (AREA)
- Environmental & Geological Engineering (AREA)
- Geology (AREA)
- Remote Sensing (AREA)
- General Life Sciences & Earth Sciences (AREA)
- General Physics & Mathematics (AREA)
- Geophysics (AREA)
- Measurement Of Velocity Or Position Using Acoustic Or Ultrasonic Waves (AREA)
Abstract
Description
В условиях истощения залежей легкодоступных углеводородов перспективными направлениями поиска и добычи нефти является Арктический шельф и переходные от суши к морю зоны на всем побережье и в зонах широких рек. Для поиска нефти в таких условиях используются специальные датчики: гидрофоны, двойные датчики типа гидрофон/геофон, а также векторные акустические приемники. Большинство датчиков, используемых в настоящее время для морской сейсморазведки производятся по устаревшим технологиям. В то же время, большинство мест, где было просто добывать нефть - истощены, сырьевые компании начинают добывать нефть в трудно доступных местах, что в свою очередь приводит к возрастанию требований к идентичности датчиков, динамическому и частотному диапазонам измерений, ведет к применению самых современных технологий. Технологии предыдущего поколения, такие как пьезоэлектрические, в которых с помощью специального предусилителя измеряется индуцированный заряд или напряжение от пьезоэлектрического чувствительного элемента в ответ на акустическое давление, электрострикционные, магнитострикционные и электростатические датчики оказываются неэффективными, малопригодными и не всегда дают возможность добиваться желаемых результатов в полосе низких частот от долей герца до нескольких сотен герц, традиционной для сейсморазведки. В указанных обстоятельствах встает вопрос разработки датчиков давления на новых технологических принципах, способных удовлетворить возрастающим требованиям инженерных и научных задач.With the depletion of easily accessible hydrocarbon deposits, the promising areas for oil exploration and production are the Arctic shelf and land-to-sea transition zones along the coast and in wide river zones. To search for oil in such conditions, special sensors are used: hydrophones, dual hydrophone / geophone sensors, and also vector acoustic receivers. Most of the sensors currently used for marine seismic are produced using outdated technologies. At the same time, most places where it was easy to extract oil were depleted, commodity companies begin to extract oil in hard-to-reach places, which in turn leads to an increase in requirements for the identity of sensors, dynamic and frequency ranges of measurements, and leads to the use of the latest technologies . Technologies of the previous generation, such as piezoelectric, in which, using a special preamplifier, the induced charge or voltage from the piezoelectric sensitive element is measured in response to acoustic pressure, electrostrictive, magnetostrictive and electrostatic sensors are ineffective, unsuitable and do not always make it possible to achieve the desired results in a low band frequencies from fractions of a hertz to several hundred hertz, traditional for seismic exploration. In these circumstances, the question arises of developing pressure sensors based on new technological principles that can satisfy the growing requirements of engineering and scientific tasks.
В тоже время область применения гидрофонов не исчерпывается разведкой полезных ископаемых, а сами датчики являются первичным источником информации о процессах, происходящих в мировом океане. Гидрофоны являются в прямом смысле «ушами» человека под водой, обеспечивающие навигацию и локацию судов, промысловые технологии рыбодобывающей отрасли, научные исследования подводной биосферы, работу подводных акустических коммуникаций и многое другое.At the same time, the scope of hydrophones is not limited to mineral exploration, and the sensors themselves are the primary source of information about the processes occurring in the oceans. Hydrophones are literally the “ears” of a person underwater, providing navigation and location of vessels, fishing technologies of the fishing industry, scientific research of the underwater biosphere, the work of underwater acoustic communications and much more.
В мире существует и разрабатывается немало разнообразных технологий для регистрации вариаций давления и распространения акустических волн в жидких средах. Так, например, скорость и давление звуковой волны могут быть измерены электромагнитным гидрофоном, состоящим из катушки тонкой проволоки и обычного магнита [1], или высокочувствительным гидрофоном на основе волоконно-оптического лазера с биполяризованными модами [2]. Иной класс акустических сенсоров основан на оптическом отражении на конце волокна [3] или дифракционной решетке Брега-Вульфа [4], а также на основе интерферометра Фабри-Перо [5]. Волоконно-оптические гидрофоны в свою очередь дают высоких линейный отклик вплоть до 100 кПа с чувствительностью на уровне 13,2 мВ/кПа. Другим направлением является разработка датчиков давления на основе MEMS технологии [6]. Чувствительность таких приборов может достигать 3,8 мВ/кПа, а рабочий диапазон частот от 20 Гц до 1 кГц. В тоже время многие ведущие производителя изготавливают гидрофоны на основе традиционного пьезоэлектрического эффекта.Many different technologies exist and are being developed in the world for recording pressure variations and the propagation of acoustic waves in liquid media. For example, the speed and pressure of a sound wave can be measured by an electromagnetic hydrophone, consisting of a coil of thin wire and a conventional magnet [1], or a highly sensitive hydrophone based on a fiber-optic laser with bipolarized modes [2]. Another class of acoustic sensors is based on optical reflection at the fiber end [3] or the Bragg – Wolfe diffraction grating [4], as well as on the basis of the Fabry – Perot interferometer [5]. Fiber optic hydrophones in turn give a high linear response up to 100 kPa with a sensitivity of 13.2 mV / kPa. Another area is the development of pressure sensors based on MEMS technology [6]. The sensitivity of such devices can reach 3.8 mV / kPa, and the operating frequency range from 20 Hz to 1 kHz. At the same time, many leading manufacturers produce hydrophones based on the traditional piezoelectric effect.
Таким образом, для обнаружения гидроакустических сигналов существует большое количество технических средств, в основном гидрофоны различной конструкции [7-10]. Независимо от технологии, использованной при создании гидрофонов, возможности измерения слабых сигналов с помощью гидрофонов ограничены уровнем регистрируемых помех, не относящихся к полезному сигналу и представляющих с точки зрения процессов измерения шум.Thus, for the detection of sonar signals there are a large number of technical means, mainly hydrophones of various designs [7-10]. Regardless of the technology used to create the hydrophones, the ability to measure weak signals using hydrophones is limited by the level of recorded noise that is not related to the useful signal and represents noise in terms of measurement processes.
Сравнительно новая и успешно зарекомендовавшая себя технология на принципах молекулярно-электронного переноса заряда (МЭП) в области сейсмологии и геофизических исследований, навигации и управления движением, сейсмостойком строительстве итд, может быть применена и для разработки датчиков давления отличных от традиционных пьезокерамических, микромеханических и оптоволоконных технологий. Отличительными особенностями датчиков на основе МЭП являются исключительно высокая чувствительность и низкий уровень собственных шумов в области инфранизких частот.A relatively new and successfully proven technology based on the principles of molecular-electronic charge transfer (MEP) in the field of seismology and geophysical research, navigation and motion control, earthquake-resistant construction, etc., can also be used to develop pressure sensors other than traditional piezoceramic, micromechanical and fiber-optic technologies. . Distinctive features of the sensors based on the MEP are extremely high sensitivity and low level of intrinsic noise in the field of infra-low frequencies.
Аналогами предлагаемого изобретения являются технические решения, описанные в работах [11, 12], а также патентах [13] и [14], в которых изложены как основные принципы применения отрицательной обратной связи для стабилизации параметров молекулярно-электронных сенсоров линейного ускорения, так и сами технические особенности построения молекулярно-электронного измерителя линейных ускорений. В том числе, следует отметить патент об устройстве датчиков градиента давления на основе электрохимических преобразователей [15].Analogs of the present invention are the technical solutions described in [11, 12], as well as patents [13] and [14], which set out the basic principles for using negative feedback to stabilize the parameters of molecular-electron linear acceleration sensors, as well as technical features of the construction of a molecular-electronic linear acceleration meter. In particular, a patent should be noted on the device of pressure gradient sensors based on electrochemical transducers [15].
Таким образом, основные недостатки известных технических решений на основе пьезоэлектрических, волоконно-оптических и других технологий, используемых при создании гидрофонов, состоят в крайне низкой чувствительности в области инфранизких частот и высоком уровне собственного шума в указанной области частот. В качестве прототипа к заявляемому техническому решению по совокупности признаков является малогабаритный молекулярно-электронный сейсмодатчик с отрицательной обратной связью, подробно описанный в [11]. В прототипе регистрируется не давление в приходящем сейсмическом или акустическом сигнале, а ускорение (или скорость) движения среды по выделенному направлению. Для определения ускорений в прототипе используется молекулярно-электронных датчик линейных перемещений, состоящий из преобразующих элементов на основе электродного узла, выполненного на базе микрокерамических технологий. При изготовлении сейсмического датчика чувствительный электродный узел, содержащий микроканалы для перетока жидкости, помещается поперек диэлектрического канала, ограниченного с обеих сторон гибкими мембранами, и заполненного рабочей жидкостью (концентрированным раствором электролита).Thus, the main disadvantages of the known technical solutions based on piezoelectric, fiber optic and other technologies used to create hydrophones are the extremely low sensitivity in the field of infra-low frequencies and a high level of intrinsic noise in the indicated frequency range. As a prototype of the claimed technical solution for the totality of features is a small-sized molecular-electronic seismic sensor with negative feedback, described in detail in [11]. In the prototype, it is not the pressure recorded in the incoming seismic or acoustic signal, but the acceleration (or speed) of the medium in the selected direction. To determine the acceleration in the prototype, a molecular-electronic linear displacement sensor is used, consisting of converting elements based on an electrode assembly made on the basis of microceramic technologies. In the manufacture of a seismic sensor, a sensitive electrode assembly containing microchannels for fluid flow is placed across the dielectric channel, limited on both sides by flexible membranes, and filled with a working fluid (concentrated electrolyte solution).
Недостатком прототипа является отсутствие возможности непосредственной регистрации акустических давлений, тогда как измерение акустического поля производится по ускорению обтекающих приемник слоев жидкости без прямого измерения акустического давления.The disadvantage of the prototype is the inability to directly register acoustic pressures, while the measurement of the acoustic field is performed by accelerating the fluid layers flowing around the receiver without directly measuring the acoustic pressure.
Задачей изобретения является усовершенствование конструкции известного устройства, обеспечивающее реализацию принципа работы для прямого измерения вариаций давления в среде, в которой распространяется акустическая волна.The objective of the invention is to improve the design of the known device, ensuring the implementation of the principle of operation for direct measurement of pressure variations in the medium in which the acoustic wave propagates.
Также задачей изобретения является повышение чувствительности при прямом измерении вариаций давления относительно классических гидрофонов и снижение собственных шумов в области инфранизких частот.Another objective of the invention is to increase the sensitivity in the direct measurement of pressure variations relative to classical hydrophones and reduce their own noise in the field of infra-low frequencies.
Поставленная задача реализуется тем, что в предлагаемом техническом решении используются чувствительные элементы на основе молекулярно- электронной технологии, а также сигнал обратной связи улучшающий динамические, температурные и иные характеристики гидрофона.The task is realized in that the proposed technical solution uses sensitive elements based on molecular-electronic technology, as well as a feedback signal that improves the dynamic, temperature and other characteristics of the hydrophone.
Технический результат достигается тем, что гидрофон, предназначенный для измерения вариаций давления в жидкой и газообразных средах, состоящий из молекулярно-электронной ячейки, помещенной в цилиндрический корпус, внутри которого находится сквозной канал, заполненный концентрированным раствором электролита, ограниченный двумя упругими мембранами, отличающийся тем, что одна упругая мембрана имеет непосредственный контакт со средой, в которой распространяются акустические волны, а вторая упругая мембрана ограничивает определенный замкнутый объем воздуха при заданном давлении. Для стабилизации параметров введена отрицательная обратная связь в виде электродинамической системы из взаимодействующих между собой проводника с током и магнита, соединенная с одной из упругих мембран гидрофона. При этом гидрофон имеет разные площади ограничивающих канал с электролитом упругих мембран. При этом корпус гидрофона выполнен герметичным.The technical result is achieved in that the hydrophone, designed to measure pressure variations in liquid and gaseous media, consisting of a molecular-electronic cell placed in a cylindrical body, inside which there is a through channel filled with a concentrated electrolyte solution, bounded by two elastic membranes, characterized in that one elastic membrane has direct contact with the medium in which acoustic waves propagate, and the second elastic membrane limits a certain mknuty volume of air at a predetermined pressure. To stabilize the parameters, negative feedback was introduced in the form of an electrodynamic system of a conductor interacting with each other with a current and a magnet connected to one of the elastic membranes of the hydrophone. At the same time, the hydrophone has different areas of elastic membranes limiting the channel with the electrolyte. In this case, the hydrophone housing is sealed.
Принципиальная конструкция гидрофона позволяет использовать датчик для измерения внешнего давления.The basic design of the hydrophone allows the use of a sensor to measure external pressure.
Конструкция и основные принципы работы молекулярно-электронного гидрофона с отрицательной обратной связью показаны на фиг. 1. Электропакет - 6, состоящий из набора сетчатых электродов (два анода и два катода), помещают в раствор электролита - 7 между упругими резиновыми мембранами - 4 внутрь внешнего корпуса 1 гидрофона. К одной из двух мембран - 4 приклеен неодимовый магнит - 3, который свободно может перемещаться внутри катушки - 2. Катушка - 2 жестко приклеена к верхней крышке -8, так что магнит может перемещаться внутри нее, благодаря силе электромагнитной индукции. Благодаря наличию активных носителей в растворе электролита и падению потенциала между анодами и катодами, определяющему градиент концентрации этих активных носителей, а также электрохимических реакций на электродах, генерируется электрический ток. Таким образом, главным отличием от традиционного датчика вертикального движения является то, что одна мембрана разделяет внешнюю среду, давление которой измеряется, и сосуд с электролитом, а вторая - сосуд с электролитом и сосуд с воздухом. Последнее позволяет измерять давление, так как в сосуде с воздухом при деформации второй мембраны меняется давление. Рассмотрим упрощенную модель идеального газа, заключенного между второй мембраной и крышкой - 8. Из уравнения состояния идеального газа, при постоянной температуре и количестве газа, получим следующее соотношение, которое в дальнейшем будем называть параметром сосуда с воздухом:The design and basic principles of the negative feedback molecular electronic hydrophone are shown in FIG. 1. Electrical package - 6, consisting of a set of mesh electrodes (two anodes and two cathodes), is placed in a solution of electrolyte - 7 between elastic rubber membranes - 4 inside the
где sм - площадь мембран (обе мембраны имеют одинаковую площадь, х - смещение мембран (из условия несжимаемости жидкости следует, что обе мембраны должны колебаться одинаково). Рассмотрим поведение система при подаче на первую мембрану гармонически изменяющегося давления малой амплитуды. Запишем уравнение для расхода жидкости через преобразующий элемент из закона Пуазейля:where s m is the area of the membranes (both membranes have the same area, x is the displacement of the membranes (from the condition of incompressibility of the liquid it follows that both membranes must oscillate identically). We consider the behavior of the system when a harmonically varying pressure of small amplitude is applied to the first membrane. We write the equation for the flow fluid through the transforming element from the Poiseuille law:
где слагаемое учитывает инерционность жидкости в сосуде и представляет собой среднюю силу, действующую на единицу площади поперечного сечения жидкости в сосуде. q - объемный расход жидкости через МЭП, х - смещение мембран, р1 - внешнее давление, р2 - давление в сосуде с воздухом, sм ~ 100 мм2 - площадь мембран, sэф ~ 70 мм2 - эффективная площадь сечения сосуда с электролитом, принятая равной средней площади сечения сосуда, р0 - внешнее давление в отсутствии возмущения, m - коэффициент модуляции давления, V0 ~ 1 см3 - объем воздушного пузыря в отсутствии возмущения, М - масса электролита в сосуде, - коэффициент сопротивления течению жидкости через МЭП, ω - циклическая частота колебания внешнего давления. Считая sмx малым по сравнению с V0, получим:where is the term takes into account the inertia of the liquid in the vessel and represents the average force acting per unit cross-sectional area of the liquid in the vessel. q is the volumetric flow rate of the liquid through the MEP, x is the displacement of the membranes, p 1 is the external pressure, p 2 is the pressure in the vessel with air, s m ~ 100 mm 2 is the membrane area, s eff ~ 70 mm 2 is the effective cross-sectional area of the vessel with an electrolyte taken equal to the average cross-sectional area of the vessel, p 0 is the external pressure in the absence of disturbance, m is the pressure modulation coefficient, V 0 ~ 1 cm 3 is the volume of the air bubble in the absence of disturbance, M is the mass of the electrolyte in the vessel, is the coefficient of resistance to fluid flow through the MEP, ω is the cyclic frequency of the external pressure. Assuming s m x small compared to V 0 , we obtain:
Подставляя в уравнение для расхода жидкости, получим:Substituting in the equation for fluid flow, we obtain:
Собственные колебания системы будут со временем затухать, поэтому поведение системы будет определяться внешним воздействием:The natural oscillations of the system will fade over time, so the behavior of the system will be determined by external influence:
Выделив действительную часть, получим:Selecting the real part, we get:
Таким образом получаем зависимость расхода жидкости от времени:Thus, we obtain the dependence of fluid flow on time:
Амплитуда расхода жидкости через пористую перегородку равна:The amplitude of fluid flow through the porous septum is equal to:
Отсюда коэффициент передачи Wmech между амплитудой расхода и амплитудой внешнего давления имеет вид: Hence, the transfer coefficient W mech between the flow amplitude and the amplitude of the external pressure is:
Построим график зависимости коэффициента передачи Wmech от частоты колебания давления для датчиков с размерами электродного узла 3×3 мм и 6×6 мм при различных внешнем давлении и параметре сосуда с воздухом (pV=1; 4 атм ⋅ см3, р=1; 3 атм), фиг 2.Let us plot the dependence of the transmission coefficient W mech on the pressure oscillation frequency for sensors with electrode assembly sizes of 3 × 3 mm and 6 × 6 mm at various external pressures and the parameters of the vessel with air (pV = 1; 4 atm ⋅ cm 3 , p = 1; 3 atm), Fig. 2.
Поскольку технология МЭП достаточно хорошо изучена смоделируем собственные шумы молекулярно-электронного гидрофона на основе знания существующих механизмов шумов в МЭП. На низких частотах спектральная плотность гидродинамического шума, выраженная в единицах эквивалентного давления, не зависит от частоты и выражается формулой:Since the MEP technology is fairly well understood, we model the intrinsic noises of the molecular-electronic hydrophone based on knowledge of the existing noise mechanisms in the MEP. At low frequencies, the spectral density of hydrodynamic noise, expressed in units of equivalent pressure, does not depend on the frequency and is expressed by the formula:
Этот шум обусловлен гидродинамическими флуктуациями электролита через преобразующую ячейку. Существует еще один вид шума, связанный с возникновением в электродном узле замкнутых микропотоков. Этот шум носит название геометрический и выражается формулой:This noise is due to hydrodynamic fluctuations of the electrolyte through the conversion cell. There is another type of noise associated with the occurrence of closed microflows in the electrode assembly. This noise is called geometric and is expressed by the formula:
где α - безразмерный коэффициент, характеризующий разброс коэффициента преобразования для различных микроканалов молекулярно-электронной ячейки. Численное значение α ~ 0,31. Кроме того, имеет место шум, обусловленный конвекцией, он задается выражением:where α is the dimensionless coefficient characterizing the spread of the conversion coefficient for various microchannels of the molecular-electron cell. The numerical value of α is ~ 0.31. In addition, there is noise due to convection, it is given by the expression:
где Wel-ch - коэффициент передачи МЭП, Rfb - сопротивление обратной связи первого каскада электроники, е - заряд электрона, n - концентрация активной компоненты электролита, D - коэффициент диффузии, d - межэлектродный зазор. Коэффициент K(ω, sэл) характеризует конвекцию. Численное значение K(ω, sэл) для sэл=15,7 мм2 и электродного узла 6×6 мм:where W el-ch is the transmission coefficient of the MEP, R fb is the feedback resistance of the first stage of the electronics, e is the electron charge, n is the concentration of the active component of the electrolyte, D is the diffusion coefficient, d is the interelectrode gap. Coefficient K (ω, s el ) characterizes convection. The numerical value of K (ω, s el ) for s el = 15.7 mm 2 and the
На фиг. 3 представлены результаты моделирования известных механизмов шумов в МЭП применительно к разрабатываемому молекулярно-электронному гидрофону, а также прогноз влияния на общий ожидаемый шум гидрофона вариаций давления и объема воздушного пространства под колпаком.In FIG. Figure 3 presents the results of modeling the known noise mechanisms in the MEP as applied to the molecular-electronic hydrophone being developed, as well as the forecast of the effect on the total expected noise of the hydrophone of variations in pressure and air volume under the hood.
Таким образом, техническим результатом изобретения является возможность прямого измерения вариаций акустического давления в жидких и газообразных средах, повышение чувствительности относительно классических (пьезоэлектрических, волоконно-оптических, микромеханических и иных) гидрофонов в области инфранизких частот, а также снижение собственных шумов гидрофона в низкочастотной области.Thus, the technical result of the invention is the ability to directly measure acoustic pressure variations in liquid and gaseous media, increasing the sensitivity of relatively classical (piezoelectric, fiber optic, micromechanical and other) hydrophones in the low-frequency range, as well as reducing the inherent noise of the hydrophone in the low-frequency region.
Краткое описание графических материалов, поясняющих сущность изобретения.A brief description of the graphic materials explaining the invention.
Фиг. 1. Основные элементы конструкции молекулярно-электронного гидрофона с обратной связью. 1 - внешний корпус гидрофона; 2 - катушка; 3 - магнит; 4 - мембраны; 5 - керамический элемент с электропакетом - 6; 7 - электролит, 8 - крышка.FIG. 1. The main structural elements of the molecular-electronic hydrophone with feedback. 1 - external housing of the hydrophone; 2 - coil; 3 - magnet; 4 - membranes; 5 - ceramic element with power accessories - 6; 7 - electrolyte, 8 - cover.
Фиг. 2. График зависимости коэффициента передачи Wmech от частоты колебания давления. , размер электродного узла 3×3 мм (сплошные линии), , размер электродного узла 6×6 мм (пунктирные линии), , где Sэл - площадь электродной сетки, Sкан - площадь электродного узла, Sэл~Sкан при одинаковых типах электродных сеток.FIG. 2. A graph of the dependence of the transmission coefficient W mech on the frequency of pressure fluctuations. , the size of the
Фиг. 3. Математическая модель шумов молекулярно-электронного гидрофона. Для разных значений параметров воздушной камеры PV и Р=1 в сравнении с традиционной моделью Венца минимальных шумов мирового океана и некоторыми современные пьезоэлектрическими низко шумящими гидрофонами.FIG. 3. A mathematical model of the noise of a molecular-electronic hydrophone. For different values of the parameters of the air chamber, PV and P = 1 in comparison with the traditional Wenz model of minimum world ocean noise and some modern piezoelectric low-noise hydrophones.
Фиг. 4. Сравнение амплитудно-частотных характеристик МЭ гидрофона при калибровке при помощи вибрационного стенда и само калибровки при помощи цепи электродинамической-обратной связи. По оси абсцисс - частота в Гц, по оси ординат относительные единицы.FIG. 4. Comparison of the amplitude-frequency characteristics of the ME hydrophone during calibration using a vibration stand and the calibration itself using the electrodynamic-feedback circuit. The abscissa is the frequency in Hz, the ordinate is relative units.
Фиг. 5. Передаточная функция молекулярно-электронного гидрофона с замкнутой петлей обратной связи (относительные единицы измерения по оси ординат, частота по оси абсцисс).FIG. 5. Transfer function of a molecular-electronic hydrophone with a closed feedback loop (relative units of measurement along the ordinate axis, frequency on the abscissa axis).
Фиг. 6. Спектральная плотность мощности шумового сигнала в децибелах по отношению к мкПа2/Гц. Графики 1 и 2 - соосные молекулярно-электронные гидрофоны, 3 - собственный шум цифрователя, 4 - некоррелированная часть сигнала двух гидрофонов - имеющая смысл собственного шума сенсоров. По оси абсцисс частота в Гц.FIG. 6. The spectral power density of the noise signal in decibels with respect to μPa 2 / Hz.
В соответствии с изобретением предлагаемый гидрофон состоит из молекулярно-электронной ячейки - двух преобразующих пар анод-катод, помещенных в отлитый из пластика цилиндрический корпус, внутри которого находится сквозной канал, заполненный концентрированным 4 моль/литр раствором электролита на основе йода лития с добавкой молекулярного йода в концентрации 0,03 моль/литр. Электронная плата обеспечивает преобразование выходных токов молекулярно-электронного преобразователя в напряжение, частотную коррекцию, замыкание обратной связи и фильтрацию выходного сигнала. Измерение амплитудно-частотных характеристик практической реализации изобретения выполнено с помощью прецизионного наклонно поступательного вибростенда, создающего перепады давления в барокамере в диапазоне частот 0,01-200 Гц. При помощи цепи обратной связи была проведена самокалибровка молекулярно-электронного гидрофона в барокамере, когда перепад давления на внешней мембране гидрофона имитировался силой электромагнитной индукции, толкающей прикрепленный к мембране магнит, тем самым вызывая течение электролита через преобразующий элемент. Было показано, Фиг. 4, что калибровочные кривые имеют одинаковую частотную зависимость и отличаются только безразмерным, частотно независимым коэффициентом глубины обратной связи. С помощью каскадов усиления и фильтрации была настроена плоская передаточная характеристика в максимально широкой полосе частот и замкнута силовая отрицательная обратная связь. На Фиг. 5 выполнена калибровка внешним сигналом давления МЭ гидрофона с замкнутой петлей обратной связи. Чувствительность получившегося прибора составила 1,5 мВ/Па, а достигнутая полоса частотного диапазона практических образцов 0,02-200 Гц по уровню 3 дБ.In accordance with the invention, the proposed hydrophone consists of a molecular electron cell — two converting anode-cathode pairs placed in a plastic molded cylindrical body, inside of which there is a through channel filled with a concentrated 4 mol / liter solution of an electrolyte based on lithium iodine with the addition of molecular iodine at a concentration of 0.03 mol / liter. The electronic board converts the output currents of the molecular-electronic converter into voltage, frequency correction, feedback closure, and filtering the output signal. Measurement of the amplitude-frequency characteristics of the practical implementation of the invention is carried out using a precision oblique translational vibration stand, creating pressure differences in the pressure chamber in the frequency range 0.01-200 Hz. Using the feedback circuit, the molecular-electronic hydrophone was self-calibrated in the pressure chamber, when the pressure drop across the outer membrane of the hydrophone was simulated by electromagnetic induction, pushing the magnet attached to the membrane, thereby causing the electrolyte to flow through the conversion element. FIG. 4 that the calibration curves have the same frequency dependence and differ only in the dimensionless, frequency-independent feedback depth coefficient. Using cascades of amplification and filtering, a flat transfer characteristic was tuned in the widest possible frequency band and power negative feedback was closed. In FIG. 5, calibration was performed by an external pressure signal of the ME hydrophone with a closed feedback loop. The sensitivity of the resulting device was 1.5 mV / Pa, and the achieved bandwidth of the frequency range of practical samples was 0.02-200 Hz at a level of 3 dB.
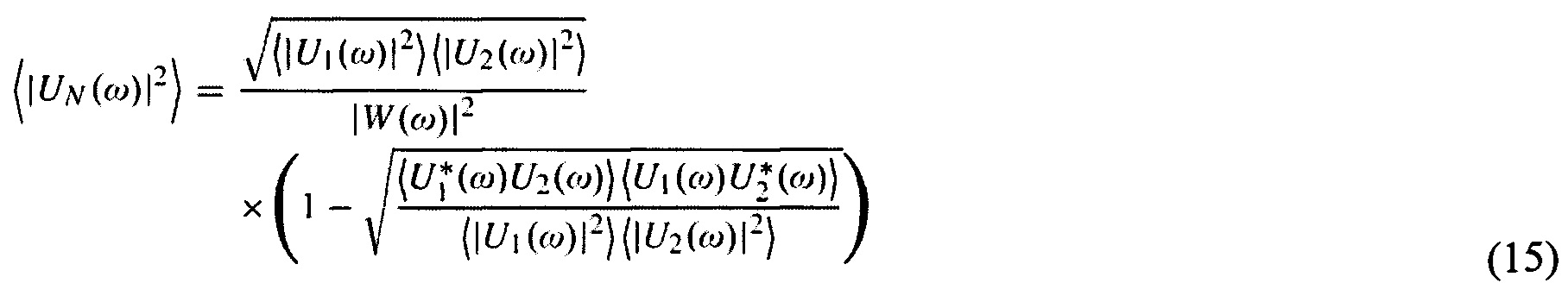
Экспериментальное измерение собственных шумов было выполнено с помощью вычисления некоррелированной части шумового сигнала двух одинаковых и соосно расположенных молекулярно-электронных гидрофонов. Во избежание возбуждения паразитных мод колебания воды в испытательной камере, а также для сглаживания возможных вариаций температуры в течении длительного промежутка записи, гидрофоны помещались в жесткую металлическую емкость с толстыми стенками, а вся конструкция накрывалась специальным пенопластовым термоколпаком. Шумовые сигналы регистрировались высоко разрядным аналогово-цифровым преобразователем типа NDAS (24 bit). При обработке сигналов выбирался синхронный «тихий» участок записи для обоих сенсоров и считалась для каждого спектральная плотность мощности. Затем она приводилась к чувствительности прибора и отображалась на графике в дБ по отношению к 1 мкПа2/Гц. Соответствующие спектральные плотности мощности представлены на Фиг. 6 (1 и 2), там же отображена приведенная к тем же единицам измерения спектральная плотность мощности системы сбора данных - 3. На Фиг. 6 представлена некоррелированная часть сигналов 1 и 2, имеющая смысл собственного шума молекулярно-электронного гидрофона - кривая 4, она была определена в соответствии с [12] по формуле:The experimental measurement of the intrinsic noise was performed by calculating the uncorrelated part of the noise signal of two identical and coaxially located molecular-electronic hydrophones. In order to avoid the generation of stray modes of water oscillations in the test chamber, as well as to smooth out possible temperature variations over a long recording period, hydrophones were placed in a rigid metal container with thick walls, and the entire structure was covered with a special foam thermocap. Noise signals were recorded by a high-bit NDAS (24 bit) analog-to-digital converter. When processing the signals, a synchronous “quiet” recording section was selected for both sensors and the spectral power density was calculated for each. Then it was reduced to the sensitivity of the device and displayed on the graph in dB with respect to 1 μPa 2 / Hz. The corresponding power spectral densities are shown in FIG. 6 (1 and 2), the spectral power density of the data acquisition system reduced to the same units of measurement is also shown. 3. FIG. Figure 6 shows the uncorrelated part of
где U1, U2 - спектральные плотности мощности сигналов образцов молекулярно-электронных гидрофонов; U1*, U2* - комплексно сопряженные им значения, W - передаточная характеристика идентичных гидрофонов.where U1, U2 are the spectral power densities of signals of samples of molecular-electronic hydrophones; U1 *, U2 * - complex conjugate values, W - transfer characteristic of identical hydrophones.
Основные технические характеристики практической реализации молекулярно-электронного гидрофона приведены в таблице 1.The main technical characteristics of the practical implementation of the molecular-electronic hydrophone are shown in table 1.
Источники информации.Information sources.
1. Pol Grasland-Mongrain, Jean-Martial Mari, Bruno Gilles, Jean-Yves Chapelon, and Cyril Lafon Electromagnetic hydrophone with tomographic system for absolute velocity field mapping APPLIED PHYSICS LETTERS 100, 243502 (2012).1.Pol Grasland-Mongrain, Jean-Martial Mari, Bruno Gilles, Jean-Yves Chapelon, and Cyril Lafon Electromagnetic hydrophone with tomographic system for absolute velocity field mapping APPLIED
2. DI LIU, YIZHI LIANG, LONG JYN, HUOJIAO SUN, LINGHAO CHENG, AND BAI-OU GUAN Highly sensitive fiber laser ultrasound hydrophones for sensing and imaging applications Vol. 41, No. 19 / October 1 2016 / Optics Letters.2. DI LIU, YIZHI LIANG, LONG JYN, HUOJIAO SUN, LINGHAO CHENG, AND BAI-OU GUAN Highly sensitive fiber laser ultrasound hydrophones for sensing and imaging applications Vol. 41, No. October 19, 2016 / Optics Letters.
3. B. Shen, Y. Wada, D. Koyama, R. Isago, Y. Mizuno, and K. Nakamura, "Fiber-optic ultrasonic probe based on refractive-index modulation in water," in Proceedings of SPIE7753 21st International Conference on Optical Fiber Sensors, 7753, (2011), pp. 77539W.3. B. Shen, Y. Wada, D. Koyama, R. Isago, Y. Mizuno, and K. Nakamura, "Fiber-optic ultrasonic probe based on refractive-index modulation in water," in Proceedings of SPIE7753 21st International Conference on Optical Fiber Sensors, 7753, (2011), pp. 77539W.
4. Y. Tan, Y. Zhang, and B. Guan, "Hydrostatic pressure insensitive dual polarization fiber grating laser hydrophone," IEEE Sens. J. 11(5), 1169-1172 (2011).4. Y. Tan, Y. Zhang, and B. Guan, "Hydrostatic pressure insensitive dual polarization fiber grating laser hydrophone," IEEE Sens. J. 11 (5), 1169-1172 (2011).
5. K.S. Kim, Y. Mizuno, and K. Nakamura, "Fiber-optic ultrasonic hydrophone using short Fabry-Perot cavity with multilayer reflectors deposited on small stub," Ultrasonics 54(4), 1047-1051 (2014).5. K.S. Kim, Y. Mizuno, and K. Nakamura, "Fiber-optic ultrasonic hydrophone using short Fabry-Perot cavity with multilayer reflectors deposited on small stub," Ultrasonics 54 (4), 1047-1051 (2014).
6. Wei Xu, Yuan Liu, Guojun Zhang, Renxin Wang, Chenyang Xue, Wendong Zhang, and Jun Liu, Development of cup-shaped micro-electromechanical systems-based vector Hydrophone, Journal of Applied Physics 120, 124502 (2016); doi: 10.1063/1.496285924.6. Wei Xu, Yuan Liu, Guojun Zhang, Renxin Wang, Chenyang Xue, Wendong Zhang, and Jun Liu, Development of cup-shaped micro-electromechanical systems-based vector Hydrophone, Journal of
7. Патент РФ 2368099.7. RF patent 2368099.
8. Патент РФ 2393643.8. RF patent 2393643.
9. Патент РФ 2392767.9. RF patent 2392767.
10. Патент США 6549488.10. U.S. Patent 6,549,488.
11. V.М. Agafonov, I.V. Egorov, and A.S. Shabalina, "Operating principles and specifications of small-size molecular electronic seismic sensor with negative feedback," Seismic Instrum., vol. 49, no. 1, pp. 5-19, 2013.11. V.M. Agafonov, I.V. Egorov, and A.S. Shabalina, "Operating principles and specifications of small-size molecular electronic seismic sensor with negative feedback," Seismic Instrum., Vol. 49, no. 1, pp. 5-19, 2013.
12. Ivan V. Egorov, Anna S. Shabalina, and Vadim M. Agafonov Design and Self-Noise of MET Closed-Loop Seismic Accelerometers IEEE SENSORS JOURNAL, VOL. 17, NO. 7, APRIL 1, 2017.12. Ivan V. Egorov, Anna S. Shabalina, and Vadim M. Agafonov Design and Self-Noise of MET Closed-Loop Seismic Accelerometers IEEE SENSORS JOURNAL, VOL. 17, NO. 7, APRIL 1, 2017.
13. Патент РФ 2128850.13. RF patent 2128850.
14. Патент РФ на полезную модель №53459.14. RF patent for utility model No. 53459.
15. Патент РФ №2403684.15. RF patent No. 2403684.
Claims (3)
Priority Applications (1)
| Application Number | Priority Date | Filing Date | Title |
|---|---|---|---|
| RU2017146249A RU2678503C1 (en) | 2017-12-27 | 2017-12-27 | Molecular electronic hydrophone |
Applications Claiming Priority (1)
| Application Number | Priority Date | Filing Date | Title |
|---|---|---|---|
| RU2017146249A RU2678503C1 (en) | 2017-12-27 | 2017-12-27 | Molecular electronic hydrophone |
Publications (1)
| Publication Number | Publication Date |
|---|---|
| RU2678503C1 true RU2678503C1 (en) | 2019-01-29 |
Family
ID=65273469
Family Applications (1)
| Application Number | Title | Priority Date | Filing Date |
|---|---|---|---|
| RU2017146249A RU2678503C1 (en) | 2017-12-27 | 2017-12-27 | Molecular electronic hydrophone |
Country Status (1)
| Country | Link |
|---|---|
| RU (1) | RU2678503C1 (en) |
Cited By (5)
| Publication number | Priority date | Publication date | Assignee | Title |
|---|---|---|---|---|
| RU2724296C1 (en) * | 2019-12-10 | 2020-06-22 | федеральное государственное автономное образовательное учреждение высшего образования "Московский физико-технический институт (национальный исследовательский университет)" | Molecular-electronic hydrophone with static pressure compensation |
| RU206397U1 (en) * | 2021-04-15 | 2021-09-08 | Акционерное общество "Морская арктическая геологоразведочная экспедиция" | BOTTOM MODULE OF SEISMIC STATION |
| RU210130U1 (en) * | 2021-12-08 | 2022-03-29 | Акционерное общество "Морская арктическая геологоразведочная экспедиция" | Molecular electronic sensor housing for reduced pressure operation |
| CN115752702A (en) * | 2022-11-29 | 2023-03-07 | 深海技术科学太湖实验室 | Low-noise vector hydrophone |
| CN117516696A (en) * | 2023-11-10 | 2024-02-06 | 中国科学院空天信息创新研究院 | An acoustically transparent electrochemical vector hydrophone |
Citations (4)
| Publication number | Priority date | Publication date | Assignee | Title |
|---|---|---|---|---|
| RU2128850C1 (en) * | 1998-05-14 | 1999-04-10 | Акционерное общество закрытого типа "АНЧАР" | Three-component detector of acoustic vibrations |
| US6003378A (en) * | 1996-09-13 | 1999-12-21 | Siemens Aktiengesellschaft | Pressure sensor using elements operating with acoustic surface waves (saw elements) |
| RU2368099C1 (en) * | 2008-01-09 | 2009-09-20 | ОТКРЫТОЕ АКЦИОНЕРНОЕ ОБЩЕСТВО "Научно-производственное объединение "ЭРКОН" | Hydrophone on surface acoustic waves |
| RU2393643C1 (en) * | 2009-06-19 | 2010-06-27 | Федеральное Государственное Унитарное Предприятие "Всероссийский Научно-Исследовательский Институт Физико-Технических И Радиотехнических Измерений" (Фгуп "Вниифтри") | Hydrophone |
-
2017
- 2017-12-27 RU RU2017146249A patent/RU2678503C1/en active
Patent Citations (4)
| Publication number | Priority date | Publication date | Assignee | Title |
|---|---|---|---|---|
| US6003378A (en) * | 1996-09-13 | 1999-12-21 | Siemens Aktiengesellschaft | Pressure sensor using elements operating with acoustic surface waves (saw elements) |
| RU2128850C1 (en) * | 1998-05-14 | 1999-04-10 | Акционерное общество закрытого типа "АНЧАР" | Three-component detector of acoustic vibrations |
| RU2368099C1 (en) * | 2008-01-09 | 2009-09-20 | ОТКРЫТОЕ АКЦИОНЕРНОЕ ОБЩЕСТВО "Научно-производственное объединение "ЭРКОН" | Hydrophone on surface acoustic waves |
| RU2393643C1 (en) * | 2009-06-19 | 2010-06-27 | Федеральное Государственное Унитарное Предприятие "Всероссийский Научно-Исследовательский Институт Физико-Технических И Радиотехнических Измерений" (Фгуп "Вниифтри") | Hydrophone |
Non-Patent Citations (1)
| Title |
|---|
| POL GRASLAND-MONGRAIN et al. Electromagnetic hydrophone with tomographic system for absolute velocity field mapping. Cornell University Library. https://arxiv.org/abs/1207.0324, submitted on 02.07.2012. * |
Cited By (5)
| Publication number | Priority date | Publication date | Assignee | Title |
|---|---|---|---|---|
| RU2724296C1 (en) * | 2019-12-10 | 2020-06-22 | федеральное государственное автономное образовательное учреждение высшего образования "Московский физико-технический институт (национальный исследовательский университет)" | Molecular-electronic hydrophone with static pressure compensation |
| RU206397U1 (en) * | 2021-04-15 | 2021-09-08 | Акционерное общество "Морская арктическая геологоразведочная экспедиция" | BOTTOM MODULE OF SEISMIC STATION |
| RU210130U1 (en) * | 2021-12-08 | 2022-03-29 | Акционерное общество "Морская арктическая геологоразведочная экспедиция" | Molecular electronic sensor housing for reduced pressure operation |
| CN115752702A (en) * | 2022-11-29 | 2023-03-07 | 深海技术科学太湖实验室 | Low-noise vector hydrophone |
| CN117516696A (en) * | 2023-11-10 | 2024-02-06 | 中国科学院空天信息创新研究院 | An acoustically transparent electrochemical vector hydrophone |
Similar Documents
| Publication | Publication Date | Title |
|---|---|---|
| RU2678503C1 (en) | Molecular electronic hydrophone | |
| US2615940A (en) | Electrokinetic transducing method and apparatus | |
| Kim et al. | Development of an accelerometer-based underwater acoustic intensity sensor | |
| Zaitsev et al. | Frequency response and self-noise of the MET hydrophone | |
| CN110987157A (en) | Cantilever beam flexoelectric effect vector hydrophone | |
| Harland et al. | Application and assessment of laser Doppler velocimetry for underwater acoustic measurements | |
| Liu et al. | Thin fiber-optic hydrophone towed array for autonomous underwater vehicle | |
| Shi et al. | A high sensitivity and wide frequency band vector hydrophone using PZT-based four spiral beam structure | |
| Nguyen et al. | A hydrophone using liquid to bridge the gap of a piezo-resistive cantilever | |
| RU2708184C1 (en) | Combined vector receiver | |
| Hu et al. | A Very Low Frequency 3D Vector Hydrophone Based on an Electrochemical Vibration Sensor | |
| Hu et al. | A three-axis co-oscillating vector hydrophone based on MEMS electrochemistry | |
| Kumar et al. | Comparative study of PP and PU based acoustic vector sensors for underwater application | |
| RU2624791C1 (en) | Two-component receiver of pressure gradient and method of measuring pressure gradient with its use | |
| US20230176158A1 (en) | Micro-electromechanical Systems (MEMS) Directional Acoustic Sensors for Underwater Operation | |
| RU2724296C1 (en) | Molecular-electronic hydrophone with static pressure compensation | |
| RU2696060C1 (en) | Deep water hydrophone | |
| Mccarty | Neutrally Buoyant Biomimetic Directional MEMS Sensor | |
| RU2687297C1 (en) | Low-frequency two-component bottom seismic cable | |
| Bai et al. | The study of baseline drift in MEMS sonar buoys | |
| Ivancic et al. | MEMS directional underwater acoustic sensor operating in near neutral buoyancy configuration | |
| Zhang et al. | An Electrochemical Velocity-Type Vector Hydrophone for Direct Detection of Underwater Acoustic Particle Velocity | |
| EP4357738B1 (en) | Directional sensor for infrasound measurement, and corresponding infrasound emitter | |
| Barnard et al. | Design and implementation of a shielded underwater vector sensor for laboratory environments | |
| RU2703488C1 (en) | Method for manufacturing of molecular-electronic cell of low-noise wideband hydrophone for bottom investigations |
Legal Events
| Date | Code | Title | Description |
|---|---|---|---|
| PD4A | Correction of name of patent owner | ||
| QB4A | Licence on use of patent |
Free format text: LICENCE FORMERLY AGREED ON 20210115 Effective date: 20210115 |











