RU2622243C1 - Акустооптическая электронно-управляемая мягкая лазерная диафрагма (варианты) - Google Patents
Акустооптическая электронно-управляемая мягкая лазерная диафрагма (варианты) Download PDFInfo
- Publication number
- RU2622243C1 RU2622243C1 RU2015154797A RU2015154797A RU2622243C1 RU 2622243 C1 RU2622243 C1 RU 2622243C1 RU 2015154797 A RU2015154797 A RU 2015154797A RU 2015154797 A RU2015154797 A RU 2015154797A RU 2622243 C1 RU2622243 C1 RU 2622243C1
- Authority
- RU
- Russia
- Prior art keywords
- acousto
- piezoelectric transducer
- optical
- optic
- acoustic
- Prior art date
Links
Images
Classifications
-
- G—PHYSICS
- G02—OPTICS
- G02B—OPTICAL ELEMENTS, SYSTEMS OR APPARATUS
- G02B27/00—Optical systems or apparatus not provided for by any of the groups G02B1/00 - G02B26/00, G02B30/00
- G02B27/58—Optics for apodization or superresolution; Optical synthetic aperture systems
-
- G—PHYSICS
- G02—OPTICS
- G02F—OPTICAL DEVICES OR ARRANGEMENTS FOR THE CONTROL OF LIGHT BY MODIFICATION OF THE OPTICAL PROPERTIES OF THE MEDIA OF THE ELEMENTS INVOLVED THEREIN; NON-LINEAR OPTICS; FREQUENCY-CHANGING OF LIGHT; OPTICAL LOGIC ELEMENTS; OPTICAL ANALOGUE/DIGITAL CONVERTERS
- G02F1/00—Devices or arrangements for the control of the intensity, colour, phase, polarisation or direction of light arriving from an independent light source, e.g. switching, gating or modulating; Non-linear optics
- G02F1/01—Devices or arrangements for the control of the intensity, colour, phase, polarisation or direction of light arriving from an independent light source, e.g. switching, gating or modulating; Non-linear optics for the control of the intensity, phase, polarisation or colour
- G02F1/11—Devices or arrangements for the control of the intensity, colour, phase, polarisation or direction of light arriving from an independent light source, e.g. switching, gating or modulating; Non-linear optics for the control of the intensity, phase, polarisation or colour based on acousto-optical elements, e.g. using variable diffraction by sound or like mechanical waves
-
- H—ELECTRICITY
- H01—ELECTRIC ELEMENTS
- H01S—DEVICES USING THE PROCESS OF LIGHT AMPLIFICATION BY STIMULATED EMISSION OF RADIATION [LASER] TO AMPLIFY OR GENERATE LIGHT; DEVICES USING STIMULATED EMISSION OF ELECTROMAGNETIC RADIATION IN WAVE RANGES OTHER THAN OPTICAL
- H01S3/00—Lasers, i.e. devices using stimulated emission of electromagnetic radiation in the infrared, visible or ultraviolet wave range
- H01S3/10—Controlling the intensity, frequency, phase, polarisation or direction of the emitted radiation, e.g. switching, gating, modulating or demodulating
- H01S3/10007—Controlling the intensity, frequency, phase, polarisation or direction of the emitted radiation, e.g. switching, gating, modulating or demodulating in optical amplifiers
- H01S3/10023—Controlling the intensity, frequency, phase, polarisation or direction of the emitted radiation, e.g. switching, gating, modulating or demodulating in optical amplifiers by functional association of additional optical elements, e.g. filters, gratings, reflectors
- H01S3/1003—Controlling the intensity, frequency, phase, polarisation or direction of the emitted radiation, e.g. switching, gating, modulating or demodulating in optical amplifiers by functional association of additional optical elements, e.g. filters, gratings, reflectors tunable optical elements, e.g. acousto-optic filters, tunable gratings
Landscapes
- Optical Modulation, Optical Deflection, Nonlinear Optics, Optical Demodulation, Optical Logic Elements (AREA)
Abstract
Изобретение относится к области лазерной техники и касается акустооптического устройства трансформации профиля лазерного пучка. Устройство включает в себя два снабженных пьезопреобразователям акустооптических элемента. Плоскости дифракции акустооптических элементов ортогональны. Первый пьезопреобразователь соединен с первым генератором посредством первой согласующей системы, а второй презопреобразователь соединен со вторым генератором посредством второй согласующей системы. Лазерное излучение последовательно проходит через первый и второй акустооптические элементы, причем в качестве входного пучка для второго акустооптического элемента используется дифрагированный пучок, вышедший из первого акустооптического элемента. Вышедший из второго акустооптического элемента дифрагированный пучок проходит через диафрагму. Вместо двух акустооптических элементов может быть использован один двухкоординатный акустооптический элемент с двумя ортогонально расположенными пьезопреобразователями. Технический результат заключается в обеспечении возможности адаптивного управления устройством и возможности преобразования пространственного профиля пучка с аксиальной симметрией в выходной пучок с прямоугольным профилем. 2 н.п. ф-лы, 5 ил.
Description
Область техники
Изобретение относится к области лазерной техники
Уровень техники
В технике мощных лазерных машин повышение пространственной однородности профиля лазерных пучков или так называемый пространственный шейпинг имеет первостепенное значение, так как позволяет оптимизировать работу мощных оптических усилителей и транспортировать большую энергию к мишени. При этом обычно применяют механические и оптические устройства, конструкция которых обеспечивает плавное уменьшение пропускания от центра к краям, что препятствует рассеянию лазерного излучения в дифракционные порядки. Такие устройства принято называть мягкими диафрагмами. Наиболее распространено преобразование гауссова профиля лазерного пучка в супергауссов.
Известен способ осуществления мягкого лазерного диафрагмирования "Способ формирования мягкой диафрагмы" Патент на изобретение №: 2140695 Авторы: Зубарев И.Г., Пятахин М.В., Сенатский Ю.В. Дата публикации: Октябрь 27, 1999. Упомянутый способ на основе прозрачной диэлектрической пластины заключается в том, что в апертуре диэлектрической пластины создают рассеивающую, отражающую или поглощающую излучение зону, расположенную на поверхности или в объеме пластины в соответствии с заданным профилем диафрагмы.
Известна система для трансформации оптических пучков в коллимированные пучки с плоской вершиной "System for converting optical beams to collimated flat-top beams" Патент на изобретение US 6654183 В2, 27.07.2001, авторы Hans J. Coufal, John A. Hoffhagle, Carl M. Jefferson. Предложена оптическая линзовая система, которая преобразует гауссов пучок в пучок с распределением интенсивности близким к распределению Ферми-Дирака.
Известно устройство - мягкая лазерная диафрагма, описанная в работе Butcher, Т., Mason, P., Banerjee, S. et al. "Front End Design for a Temporally and Spatially Shaped 100 J Diode-Pumped Solid-State Laser," Proc. OSA ASSL 2014, (2014). В работе представлено пассивное механическое устройство для трансформации распределения лазерного поля с целью придания лазерному пучку квадратного однородного распределения интенсивности для оптимизации работы последующих усилительных каскадов. Одновременно в упомянутом устройстве применена специальная форма краев механической конструкции, которая препятствует возникновению нежелательных дифракционных порядков, и тем самым выполняет функцию мягкой диафрагмы.
Недостатком известных технических решений является реализация преобразования пространственного профиля лазерного пучка механическими мягкими диафрагмами, конструкция которых исключает гибкое управление формой профиля лазерного пучка.
Наиболее близким техническим решением (прототипом) является оптическая система для трансформации профиля лазерных пучков. Laskin, A., "Achromatic Optical System for Beam Shaping," US Patent 8023206, 20.09.2011. Оптическая система преобразует распределение интенсивности входного гауссова пучка в пучок с однородной интенсивностью. Система состоит, по меньшей мере, из двух групп линз. Группа линз состоит, по меньшей мере, из двух линз имеющих различные характеристики спектральной дисперсии. При различных параметрах линз группы системы могут быть реализованы как телескоп Галилея, или как телескоп Кеплера, или как коллиматор, или как объектив. Оптическая система имеет механическую юстировку, чтобы обеспечивать подстройку линз в группах. Разновидность системы имеет две группы линз, каждая из которых является трехлинзовой системой.
Недостатками прототипа является механическая перестройка оптической системы, посредством перемещения оптических элементов для подстройки распределения интенсивности выходного лазерного пучка, что исключает адаптивное управление устройством.
Недостатком прототипа является также преобразование входного лазерного пучка с аксиальной симметрией в выходной пучок также с аксиальной симмерией, что не является оптимальным для последующих мощных оптических усилителей, работающих, как правило, с лазерными пучками квадратного сечения.
Техническим результатом предлагаемого изобретения является устранение недостатков, присущих механической перестройке в оптико-механических системах трансформации пространственного профиля лазерного пучка, посредством применения электронно перестраиваемой акустооптической системы без движущихся механических частей.
Техническим результатом предлагаемого изобретения является также устранение ограничения прототипа, связанного с сохранением трансформации аксиальной симметрии пучка, а именно, акустооптическое преобразование входного пучка с аксиальной симметрией в выходной пучок с квадратным или прямоугольным пространственным профилем.
По первому варианту исполнения акустооптическое устройство трансформации профиля лазерного пучка содержащит первый акустооптический элемент с первым пьезопреобразователем, второй акустооптический элемент со вторым пьезопреообразователем, при этом первый пьезопреобразователь установлен на первом акустооптическом элементе, первый акустооптический элемент выполнен с обеспечением возможности акустооптической дифракции входного лазерного пучка, вошедшего в первый акустооптический элемент на акустическом пучке, излучаемом первым пьезопреобразователем, при этом второй пьезопреобразователь установлен на втором акустооптическом элементе, второй акустооптический элемент выполнен с обеспечением возможности акустооптической дифракции на акустическом пучке, излучаемом вторым пьезопреобразователем, при этом первый и второй акустооптические элементы выполнены так, что их плоскости дифракции ортогональны, при этом первый и второй акустооптические элементы могут быть выполнены из различных материалов, при этом длина первого пьезопреобразователя может не быть равной длине второго пьезопреобразователя, при этом лазерное излучение последовательно проходит сначала через первый акустооптический элемент, затем через второй акустооптический элемент, причем в качестве входного пучка для второго акустооптического элемента использован выходной дифрагированный луч, вышедший из первого акустооптического элемента, при этом первый пьезопреобразователь соединен с первым генератором посредством первой согласующей системы, а второй презопреобразователь соединен со вторым генератором посредством второй согласующей системы, при этом выходной дифрагированный пучок проходит через диафрагму.
По второму варианту исполнения акустооптическое устройство трансформации профиля лазерного пучка содержащит один двухкоординатный акустооптический элемент с первым пьезопреобразователем на первой акустической грани, вторым пьезопреобразователем на второй акустической грани, при этом первый пьезопреобразователь установлен на акустооптическом элементе с обеспечением возможности акустооптической дифракции лазерного пучка, вошедшего во входную оптическую грань на первом акустическом пучке, излучаемом первым пьезопреобразователем и одновременно с обеспечением возможности акустооптической дифракции продифрагированного на первом акустическом пучке излучения на втором акустическом пучке с обеспечением выхода дифрагированных пучков через выходную оптическую грань, при этом второй пьезопреобразователь установлен на акустооптическом элементе на второй акустической грани таким образом, что плоскости первой акустической грани и второй акустической грани ортогональны, с обеспечением возможности акустооптической дифракции лазерного пучка, вошедшего во входную оптическую грань, на втором акустическом пучке, излучаемом вторым пьезопреобразователем, и одновременно с обеспечением возможности акустооптической дифракции продифрагированного на втором акустическом пучке излучением на первом акустическом пучке на втором акустическом пучке, излучаемом вторым пьезопреобразователем с обеспечением выхода дифрагированных пучков через выходную оптическую грань, при этом длина первого пьезопреобразователя может быть не равной длине второго пьезопреобразователя, причем первый преобразователь соединен с первым генератором посредством первой согласующей системы, а второй пьезопреобразователь соединен со вторым генератором посредством второй согласующей системы, при этом выходной дифрагированный пучок проходит через диафрагму.
Краткое описание чертежей
Изобретение поясняется чертежами, где на фиг. 1 показано акустооптическое электронно-управляемое устройство трансформации профиля лазерного пучка по первому варианту, на фиг. 2 показано акустооптическое электронно-управляемое устройство трансформации профиля лазерного пучка по второму варианту, на фиг. 3 показана схема формирования пространственного профиля лазерного пучка по первому варианту (см фиг. 1), на фиг. 4 показана схема формирования пространственного профиля лазерного пучка по второму варианту (см. фиг. 2), на фиг. 5 показано одномерное теоретическое и экспериментальное распределения интенсивности в выходном лазерном пучке по координате X после преобразования акустооптическим электронно-управляемым устройством.
Раскрытие изобретения
Акустооптическая электронно-управляемая лазерная диафрагма трансформации пространственного профиля лазерного пучка имеет два варианта исполнения.
Акустооптическое устройство трансформации пространственного профиля лазерного пучка по первому варианту отличается от устройства трансформации профиля пучка, по второму варианту использованием двух однокоординатных ортогонально сориентированных акустооптических элементов 1 и 2 (фиг. 1). Лазерное излучение 9 последовательно направляется сначала на первую акустооптическую ячейку 1, затем после дифракции на акустическом столбе, излучаемом пьезопреобразователем 3, направляется на вторую акустооптическую ячейку 2. При этом по первому варианту в качестве рабочего входного пучка для второй акустооптической ячейки 2 используется выходной дифрагированный луч 10, вышедший из первой акустооптической ячейки 1.
На фиг. 1 и фиг. 3 обозначены: 1 - первый акустооптический элемент, 2 - второй акустооптический элемент, 3 - первый пьезопреобразователь, 4 - второй пьезопреобразователь, 5 - первая согласующая система, 6 - первый генератор, 7 - вторая согласующая система, 8 - второй генератор, 9 - входной лазерный пучок, 10 - дифрагированный лазерный пучок после первого акустооптического элемента, 11 - выходной лазерный пучок, 12 - выходная диафрагма, 13 - нулевой порядок (остаточный поток после дифракции входного пучка 9), 14 - двухкоординатный акустооптический элемент, 15 - промежуточный дифрагированный пучок от первого пьезопреобразователя 3, 16 - промежуточный дифрагированный пучок от второго пьезопреобразователя 4.
По второму варианту исполнения акустооптическое устройство трансформации пространственного профиля лазерного пучка отличается от устройства по первому варианту с использованием одного двухкоординатного акустооптического элемента 14 (фиг. 2), причем акустические грани акустооптического элемента 14, на котором установлены пьезопреобразователи 3 и 4 ортогональны. Лазерное излучение 9 направляется на двухкоординатную акустооптический элемент 14 так, что одновременно имеет место дифракция и в акустическом поле, излучаемом пьезопреобразователем 3, и в акустическом поле, излучаемом пьезопреобразователем 4.
Далее приведено описание устройства по первому варианту.
На фиг. 1 обозначены XYZ - декартова система координат, Z - направление распространения входного лазерного пучка 9 и непродифрагированного остаточного потока - пучка 13 (нулевого порядка), 10 - промежуточный лазерный пучок, продифрагированный от акустической волны, излучаемой первым пьезопреобразователем 3 первого акустооптического элемента 1 в плоскости XZ, Zd - направление распространения выходного дифрагированного лазерного пучка 11 после дифракции на акустической волны, излучаемой вторым пьезопреобразователем 4 второго акустооптического элемента 2 в плоскости YZd, входной пучок 9, первый пьезопреобразователь 3, второй пьезопреобразователь 4, первый управляющий генератор 6, первая согласующая система 5, второй управляющий генератор 8, вторая согласующая система 7, первый акустооптический двухкоординатный элемент 1, второй акустооптический элемент 2, выходная диафрагма 12, пропускающая выходной дифрагированный лазерный пучок 11 с трансформированным пространственным профилем и распространяющийся по направлению Zd.
Основными элементами устройства являются: первый акустооптический двухкоординатный элемент 1, первый пьезопреобразователь 3, второй акустооптический двухкоординатный элемент 2, второй пьезопреобразователь 4, первый управляющий генератор 6, первая согласующая система 5, второй управляющий генератор 8, вторая согласующая система 7, выходная диафрагма 12.
Лазерный пучок 9 с линейной поляризацией, плоскость которой направлена под углом 45 градусов в системе координат XY, входит в первый акустооптический элемент 1. Лазерный пучок 9 дифрагирует на частоте ƒ1 акустической волны, излучаемой первым пьезопреобразователем 3 первого акустооптического элемента 1 в промежуточный дифрагированный пучок 10 в плоскости XZ, после чего промежуточный дифрагированный лазерный пучок 10 дифрагирует на частоте ƒ2 акустической волны, излучаемой вторым пьезопреобразователем 4 второго акустооптического элемента 2 в плоскости YZd, в направлении Zd дифрагированного выходного лазерного пучка 11 с трансформированным пространственным профилем. Перетяжка входного лазерного пучка 9 расположена вне акустооптического элемента в плоскости диафрагмы 12. Диафрагма 12 отсекает нулевой порядок 13 и промежуточный дифракционный порядок 10.
Первый акустооптический элемент 1 и второй акустооптический элемент 2 могут быть выполнены на основе материалов, использующихся в акустооптике (плавленого кварца, кристаллического кварца, оптических стекол группы тяжелых флинтов, парателурита, молибдата кальция и т.д.). Первый акустооптический элемент 1 и второй акустооптический элемент 2 могут быть выполнены на основе различных акустооптических материалов. Пьезопреобразователи 1 и 2 могут быть выполнены различной длины L1 и L2 соответственно и могут иметь различные центральные рабочие частоты ƒ1 и ƒ2. Согласующие системы 3 и 5 служат для согласования комплексного импеданса пьезопреобразователей 1 и 2 с 50-Омным трактом управляющих генераторов 4 и 6 в рабочих диапазонах частот порядка октавы с целью обеспечения электронной перестройки частот пьезопреобразователей 1 и 2 в рабочих диапазонах для осуществления электронного управления формой поперечного профиля выходного лазерного пучка 11 в плоскости расположения выходной диафрагмы 12.
Далее приведено описание устройства по второму варианту.
На фиг. 2 обозначены XYZ - декартова система координат, Z - направление распространения входного лазерного луча 9 и непродифрагированного луча 13 (нулевого порядка), 15 - промежуточный лазерный луч, продифрагированный от первого пьезопреобразователя 3 в плоскости XZ, 16 - промежуточный лазерный луч, продифрагированный от второго пьезопреобразователя 4 в плоскости YZ, Zd - направление распространения выходного дифрагированного лазерного луча 11, первый пьезопреобразователь 3, второй пьезопреобразователь 4, первый управляющий генератор 6, первая согласующая система 5, второй управляющий генератор 8, вторая согласующая система 7, акустооптический двухкоординатный элемент 14, выходная диафрагма 12, пропускающая выходной дифрагированный луч 11, распространяющийся по направлению Zd.
Основными элементами устройства являются: акустооптический двухкоординатный элемент 14, первый пьезопреобразователь 3, второй пьезопреобразователь 4, первый управляющий генератор 6, первая согласующая система 5, второй управляющий генератор 8, вторая согласующая система 7, выходная диафрагма 12.
Лазерный луч 9 с линейной поляризацией, плоскость которой направлена под углом 45 градусов в системе координат XY, входит в двухкоординатный акустооптический элемент 14 так, чтобы удовлетворялся брегговский синхронизм на частоте работы ƒ1 первого пьезопреобразователя 3 и одновременно брегговский синхронизм на частоте работы ƒ2 второго пьезопреобразователя 4. Перетяжка входного лазерного пучка 9 расположена вне акустооптического элемента с правой стороны в плоскости выходной диафрагмы 12. Лазерный пучок 9 дифрагирует на частоте ƒ1 акустической волны, излучаемым первым пьезопреобразователем 3 в промежуточный дифрагированный пучок 15 в плоскости XZ, одновременно лазерный луч 9 дифрагирует на частоте ƒ2 акустической волны, излучаемым вторым пьезопреобразователем 4, в промежуточный дифрагированный пучок 16 в плоскости YZ, одновременно, промежуточный дифрагированный пучок 15 дифрагирует на частоте ƒ2 акустической волны, излучаемой вторым пьезопреобразователем 4, в направлении Zd дифрагированного выходного луча 11, одновременно промежуточный дифрагированный луч 16 дифрагирует на частоте ƒ1 акустической волны, излучаемой первым пьезопреобразователем 3 в направлении Zd дифрагированного выходного луча 11. Диафрагма 12 отсекает нулевой порядок дифракции 13, промежуточный порядок дифракции 15, промежуточный порядок дифракции 16.
Акустооптический элемент 14 может быть выполнен на основе различных материалов, использующихся в акустооптике (плавленого кварца, кристаллического кварца, оптических стекол группы тяжелых флинтов и т.д.). Пьезопреобразователи 3 и 4 могут быть выполнены различной длины L1 и L2 соответственно и могут иметь различные центральные рабочие частоты ƒ1 и ƒ2. Согласующие системы 5 и 7 служат для согласования комплексного импеданса пьезопреобразователей 3 и 4 с 50-Омным трактом управляющих генераторов 6 и 8 в рабочих диапазонах частот порядка октавы с целью обеспечения электронной перестройки частот пьезопреобразователей 3 и 4 в рабочих диапазонах для осуществления электронного управления формой поперечного профиля выходного лазерного пучка 11 в плоскости положения выходной диафрагмы 12.
При дифракции входного лазерного гауссова пучка 9 при определенных соотношениях электрических, оптических и конструктивных параметров акустооптического элемента 14, с одной стороны, и параметров лазерного пучка, с другой стороны, в плоскости положения перетяжки входного лазерного пучка 9 происходит преобразование гауссова поперечного профиля в двумерное распределение в системе координат XY, электронно-управляемое независимо по координате X первым преобразователем 3, а по координате Y вторым пьезопреобразователем 4. Электронное управление трансформированным лазерным профилем осуществляется изменением частоты ƒ1 и выходной мощности Р1 первого генератора 6 и изменением частоты ƒ2 и выходной мощности Р2 второго генератора 8.
Осуществление изобретения
Настоящее техническое решение по первому варианту и по второму варианту исполнения осуществляется следующим образом. В работе: Магдич Л.Н., Молчанов В.Я. К теории акустооптического взаимодействия в сильном поле. Оптика и спектр., 48, 1, с. 159 (1980) получено общее интегральное выражение для распределения поля дифрагированного лазерного пучка в дальней зоне при произвольном распределении поля падающего лазерного пучка и произвольной эффективности дифракции.
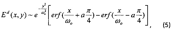
Предположим, что падающий лазерный пучок имеет гауссово распределение
где ωо - радиус перетяжки. Предположим, что падающий гауссов лазерный пучок проходит через акустооптическую систему по первому варианту исполнения или через акустооптическую систему по второму варианту исполнения и испытывает дифракцию по двум координатам X и Y (см. фиг. 1 и фиг. 2). Предположим для определенности также, что перетяжка падающего лазерного пучка расположена после акустооптической системы в плоскости выходной диафрагмы. Предположим также, что эффективность дифракции в каждом акустооптическом элементе (однокоординатном или двухкоординатном) не слишком велика (не более 50%).
При выполнении этих условий и на основе вышеупомянутой работы сделаем переход от распределения дифрагированного поля в дальней зоне к распределению поля в плоскости перетяжки падающего лазерного пучка. Можно показать, что двумерное распределение поля дифрагированного лазерного пучка после акустооптической системы в плоскости перетяжки падающего гауссова лазерного пучка будет описываться формулой:
где - функция ошибок, а x, а y - соответственно, отношение дифракционных расходимостей падающего гауссова лазерного пучка 9 и акустического поля, излучаемого пьезопреобразователями 3 по первому варианту и по второму варианту исполнения в каскаде дифракции в плоскости XZ и акустического поля, излучаемого пьезопреобразователями 4 по первому варианту и по второму варианту исполнения в каскаде дифракции в плоскости YZ (см. фиг. 1 и фиг. 2). а x, а y определяются формулами:
Здесь λ1 и λ2 - длина волны лазерного излучения в первом акустооптическом элементе и во втором акустооптическом элементе, соответственно, если они выполнены из разных акустооптических материалов (по первому варианту исполнения); V1 и V2 - скорости акустических волн в первом акустооптическом элементе и во втором акустооптическом элементе, соответственно, если они выполнены из разных акустооптических материалов (по первому варианту исполнения).
В частности, после первого промежуточного процесса дифракции, например, в плоскости XZ из падающего пучка 9 в промежуточный порядок 10 (фиг. 1) или из падающего пучка 9 в промежуточный порядок 15 (фиг. 2) распределение дифрагированного поля в промежуточном порядке описывается функцией:
наглядно поясняющей схемы образования дифракционных порядков на фиг. 3 и фиг. 4.
Проведенный теоретический анализ для распределения интенсивности выходного лазерного пучка после акустооптической системы позволяет сделать следующее заключение:
1. Акустооптическая система осуществляет преобразование пространственного профиля входящего лазерного гауссова пучка (1) в двумерное пространственное распределение поля с плоской вершиной (2).
2. Акустооптическая система осуществляет трансформацию пространственного профиля входящего лазерного гауссова пучка с аксиальной симметрией в двумерное пространственное распределение поля (2), описываемое функциями с разделяющимися переменными
3. Пространственное распределение поля выходного лазерного пучка (2) имеет плоскую вершину и плавно спадающие края, не порождающие нежелательных дифракционных максимумов в дальней зоне. Таким образом, акустооптическое устройство трансформации пространственного профиля лазерного пучка работает как мягкая лазерная диафрагма.
4. Выражения (3) и (4) показывают, что при изменении частот управляющих генераторов ƒ1 и ƒ2 изменяется двумерное пространственное распределение поля выходного лазерного пучка согласно формуле (2). Из (2) следует тривиальный вывод: перестройка частоты генератора в диапазоне порядка октавы изменяет характерный размер профиля лазерного пучка вдвое, не влияя на ортогональное сечение профиля. Таким образом теоретически доказана возможность электронного управления двумерным пространственным распределением выходного лазерного пучка.
5. Для последующего усиления сформированное распределение поля выходного лазерного пучка 2 переносится линзовой системой с необходимым коэффициентом масштаба в область активной среды оптического усилителя.
Теоретические выводы подтверждены экспериментом.
Условия эксперимента следующие: однокоординатное акустооптическое устройство на основе плавленого кварца, L=41,5 мм, λ=532 нм, ωо=0,055 мм, ƒ=150 МГц, а=4, система регистрации: Coherent LaserCam HR 6,7 мкм/пикс.
Теоретическое рассчитанное по формуле (5) (пунктирная линия), и экспериментально измеренное распределение (сплошная линия) интенсивности дифрагированного пучка в плоскости дифракции (координата X) и в ортогональной плоскости (координата Y) показано на фиг. 5а. В плоскости, перпендикулярной плоскости дифракции, распределение дифрагированного пучка не изменяется в соответствии с формулой (5) (фиг. 5б). Подстройка профиля лазерного пучка осуществляется подстройкой частоты акустооптического взаимодействия ƒ. Имеет место хорошее совпадение теоретических данных с экспериментальными.
Claims (3)
1. Акустооптическое устройство трансформации профиля лазерного пучка, содержащее первый акустооптический элемент с первым пьезопреобразователем, второй акустооптичсекий элемент со вторым пьезопреообразователем, при этом первый пьезопреобразователь установлен на первом акустооптическом элементе, первый акустооптический элемент выполнен с обеспечением возможности акустооптической дифракции входного лазерного пучка, вошедшего в первый акустооптический элемент на акустическом пучке, излучаемом первым пьезопреобразователем, при этом второй пьезопреобразователь установлен на втором акустооптическом элементе, второй акустооптический элемент выполнен с обеспечением возможности акустооптической дифракции на акустическом пучке, излучаемом вторым пьезопреобразователем, при этом первый и второй акустооптические элементы выполнены так, что их плоскости дифракции ортогональны, при этом первый и второй акустооптические элементы могут быть выполнены из различных материалов, при этом длина первого пьезопреобразователя может не быть равной длине второго пьезопреобразователя, при этом лазерное излучение последовательно проходит сначала через первый акустооптический элемент, затем через второй акустооптический элемент, причем в качестве входного пучка для второго акустооптического элемента использован выходной дифрагированный луч, вышедший из первого акустооптического элемента, при этом первый пьезопреобразователь соединен с первым генератором посредством первой согласующей системы, а второй презопреобразователь соединен со вторым генератором посредством второй согласующей системы, при этом выходной дифрагированный пучок проходит через диафрагму.
2. Акустооптическое устройство трансформации профиля лазерного пучка содержащее один двухкоординатный акустооптический элемент с первым пьезопреобразователем на первой акустической грани, вторым пьезопреобразователем на второй акустической грани, при этом первый пьезопреобразователь установлен на акустооптическом элементе с обеспечением возможности акустооптической дифракции лазерного пучка, вошедшего во входную оптическую грань на первом акустическом пучке, излучаемом первым пьезопреобразователем и одновременно с обеспечением возможности акустооптической дифракции продифрагированного на первом акустическом пучке излучения на втором акустическом пучке с обеспечением выхода дифрагированных пучков через выходную оптическую грань, при этом второй пьезопреобразователь установлен на акустооптическом элементе на второй акустической грани таким образом, что плоскости первой акустической грани и второй акустической грани ортогональны, с обеспечением
возможности акустооптической дифракции лазерного пучка, вошедшего во входную оптическую грань, на втором акустическом пучке, излучаемом вторым пьезопреобразователем, и одновременно с обеспечением возможности акустооптической дифракции продифрагированного на втором акустическом пучке излучением на первом акустическом пучке на втором акустическом пучке, излучаемом вторым пьезопреобразователем с обеспечением выхода дифрагированных пучков через выходную оптическую грань, при этом длина первого пьезопреобразователя может быть не равной длине второго пьезопреобразователя, причем первый преобразователь соединен с первым генератором посредством первой согласующей системы, а второй пьезопреобразователь соединен со вторым генератором посредством второй согласующей системы, при этом выходной дифрагированный пучок проходит через диафрагму.
Priority Applications (1)
| Application Number | Priority Date | Filing Date | Title |
|---|---|---|---|
| RU2015154797A RU2622243C1 (ru) | 2015-12-21 | 2015-12-21 | Акустооптическая электронно-управляемая мягкая лазерная диафрагма (варианты) |
Applications Claiming Priority (1)
| Application Number | Priority Date | Filing Date | Title |
|---|---|---|---|
| RU2015154797A RU2622243C1 (ru) | 2015-12-21 | 2015-12-21 | Акустооптическая электронно-управляемая мягкая лазерная диафрагма (варианты) |
Publications (1)
| Publication Number | Publication Date |
|---|---|
| RU2622243C1 true RU2622243C1 (ru) | 2017-06-13 |
Family
ID=59068341
Family Applications (1)
| Application Number | Title | Priority Date | Filing Date |
|---|---|---|---|
| RU2015154797A RU2622243C1 (ru) | 2015-12-21 | 2015-12-21 | Акустооптическая электронно-управляемая мягкая лазерная диафрагма (варианты) |
Country Status (1)
| Country | Link |
|---|---|
| RU (1) | RU2622243C1 (ru) |
Cited By (2)
| Publication number | Priority date | Publication date | Assignee | Title |
|---|---|---|---|---|
| RU2755255C1 (ru) * | 2020-12-29 | 2021-09-14 | Федеральное государственное автономное образовательное учреждение высшего образования "Национальный исследовательский технологический университет "МИСиС" | Акустооптическое устройство 2D отклонения и сканирования неполяризованного лазерного излучения на одном кристалле |
| RU2825981C1 (ru) * | 2024-02-07 | 2024-09-02 | Федеральное государственное бюджетное учреждение науки Институт электрофизики и электроэнергетики Российской академии наук (ИЭЭ РАН) | Способ двухкоординатного отклонения оптического излучения |
Citations (3)
| Publication number | Priority date | Publication date | Assignee | Title |
|---|---|---|---|---|
| US4164717A (en) * | 1977-11-07 | 1979-08-14 | Eastman Kodak Company | Acoustooptic modulation and deflection |
| RU107868U1 (ru) * | 2011-05-04 | 2011-08-27 | Владимир Яковлевич Молчанов | Двухкаскадная адаптивная дисперсионная оптическая линия задержки (варианты) |
| US8451524B2 (en) * | 2009-09-29 | 2013-05-28 | Amnis Corporation | Modifying the output of a laser to achieve a flat top in the laser's Gaussian beam intensity profile |
-
2015
- 2015-12-21 RU RU2015154797A patent/RU2622243C1/ru not_active IP Right Cessation
Patent Citations (3)
| Publication number | Priority date | Publication date | Assignee | Title |
|---|---|---|---|---|
| US4164717A (en) * | 1977-11-07 | 1979-08-14 | Eastman Kodak Company | Acoustooptic modulation and deflection |
| US8451524B2 (en) * | 2009-09-29 | 2013-05-28 | Amnis Corporation | Modifying the output of a laser to achieve a flat top in the laser's Gaussian beam intensity profile |
| RU107868U1 (ru) * | 2011-05-04 | 2011-08-27 | Владимир Яковлевич Молчанов | Двухкаскадная адаптивная дисперсионная оптическая линия задержки (варианты) |
Non-Patent Citations (1)
| Title |
|---|
| В.Я. МОЛЧАНОВ и др. "Формирование профиля лазерных пучков методами акустооптики", IV МЕЖДУНАРОДНАЯ КОНФЕРЕНЦИЯ ПО ФОТОНИКЕ И ИНФОРМАЦИОННОЙ ОПТИКЕ, СБОРНИК ТРУДОВ, 2014 г, стр.42-43. * |
Cited By (2)
| Publication number | Priority date | Publication date | Assignee | Title |
|---|---|---|---|---|
| RU2755255C1 (ru) * | 2020-12-29 | 2021-09-14 | Федеральное государственное автономное образовательное учреждение высшего образования "Национальный исследовательский технологический университет "МИСиС" | Акустооптическое устройство 2D отклонения и сканирования неполяризованного лазерного излучения на одном кристалле |
| RU2825981C1 (ru) * | 2024-02-07 | 2024-09-02 | Федеральное государственное бюджетное учреждение науки Институт электрофизики и электроэнергетики Российской академии наук (ИЭЭ РАН) | Способ двухкоординатного отклонения оптического излучения |
Similar Documents
| Publication | Publication Date | Title |
|---|---|---|
| CN103746285A (zh) | 一种基于声光调制器的高稳定性激光频率扫描装置 | |
| US10224689B2 (en) | Q-switched CO2-laser material machining system comprising acousto-optic modulators | |
| CN103457142B (zh) | 一种横模-波长相关可调全光纤激光器 | |
| CN103941407A (zh) | 部分相干多模高斯光束的产生系统、产生方法及测量装置 | |
| CN107765361A (zh) | 相移光纤布拉格光栅制备方法、装置和相移光纤布拉格光栅 | |
| US20210391683A1 (en) | Laser device | |
| RU2622243C1 (ru) | Акустооптическая электронно-управляемая мягкая лазерная диафрагма (варианты) | |
| US20030007730A1 (en) | Method and apparatus for fiber Bragg grating production | |
| JP7066073B1 (ja) | レーザ装置およびレーザ加工装置 | |
| CN113725711A (zh) | 一种基于双涡旋波片的光学涡旋光纤激光器 | |
| CN113078536A (zh) | 一种侧向泵浦Nd:MgO:PPLN中红外激光器及其双棱镜波长控制方法 | |
| Antonov et al. | Acousto-optic diffraction in paratellurite by a slow acoustic mode. Increase of diffraction efficiency of divergent light | |
| CN116526280B (zh) | 一种高功率拉曼结构光场的产生装置及方法 | |
| Balakshy et al. | Influence of the divergence of a light beam on the characteristics of collinear diffraction | |
| US3387204A (en) | Harmonic generation and other parametric devices with nonlinear interaction of shortelectromagnetic waves over extended coherence volumes | |
| CN108551078A (zh) | 一种半导体激光器合束装置 | |
| CN111338152B (zh) | 一种匀化倍频光光场分布的装置 | |
| Antonov et al. | Acousto-optic control of the 2D energy profile of laser beam | |
| KR102210160B1 (ko) | 펄스 레이저 장치 | |
| CN112582859A (zh) | 一种可调谐太赫兹波发生装置及方法 | |
| CN109755847B (zh) | 一种超短激光脉冲串的产生方法 | |
| CN119381878B (zh) | 一种光纤激光器结构及激光生成方法 | |
| CN120222132B (zh) | 固气混合激光装置、固气混合激光输出方法及曝光设备 | |
| CN115588893B (zh) | 一种倍频关系双波长太赫兹参量产生器 | |
| CN218275499U (zh) | 高功率纳秒腔外五倍频激光器 |
Legal Events
| Date | Code | Title | Description |
|---|---|---|---|
| MM4A | The patent is invalid due to non-payment of fees |
Effective date: 20201222 |




