RU2591870C1 - Способ адаптивного автоматического управления газовыми и газоконденсатными скважинами - Google Patents
Способ адаптивного автоматического управления газовыми и газоконденсатными скважинами Download PDFInfo
- Publication number
- RU2591870C1 RU2591870C1 RU2015114219/03A RU2015114219A RU2591870C1 RU 2591870 C1 RU2591870 C1 RU 2591870C1 RU 2015114219/03 A RU2015114219/03 A RU 2015114219/03A RU 2015114219 A RU2015114219 A RU 2015114219A RU 2591870 C1 RU2591870 C1 RU 2591870C1
- Authority
- RU
- Russia
- Prior art keywords
- gas
- control
- adaptive
- time
- well
- Prior art date
Links
- 230000003044 adaptive effect Effects 0.000 title claims abstract description 42
- 238000000034 method Methods 0.000 title claims description 31
- 238000001914 filtration Methods 0.000 claims abstract description 8
- 230000033228 biological regulation Effects 0.000 claims abstract description 7
- 230000005540 biological transmission Effects 0.000 claims abstract description 6
- 230000009471 action Effects 0.000 claims abstract description 4
- 238000004519 manufacturing process Methods 0.000 claims description 8
- 238000000605 extraction Methods 0.000 claims description 3
- 230000001276 controlling effect Effects 0.000 abstract description 8
- 230000001105 regulatory effect Effects 0.000 abstract description 2
- 230000000694 effects Effects 0.000 abstract 1
- 239000000126 substance Substances 0.000 abstract 1
- 230000008569 process Effects 0.000 description 22
- 230000008859 change Effects 0.000 description 15
- 230000001052 transient effect Effects 0.000 description 13
- 230000007704 transition Effects 0.000 description 10
- 230000006978 adaptation Effects 0.000 description 9
- 238000005070 sampling Methods 0.000 description 7
- 238000010586 diagram Methods 0.000 description 6
- 238000004364 calculation method Methods 0.000 description 4
- 238000009499 grossing Methods 0.000 description 3
- 230000007423 decrease Effects 0.000 description 2
- 238000011156 evaluation Methods 0.000 description 2
- 238000005457 optimization Methods 0.000 description 2
- 238000012546 transfer Methods 0.000 description 2
- 230000008901 benefit Effects 0.000 description 1
- 238000005259 measurement Methods 0.000 description 1
- 238000005065 mining Methods 0.000 description 1
- 238000011112 process operation Methods 0.000 description 1
- 238000013139 quantization Methods 0.000 description 1
- 230000006641 stabilisation Effects 0.000 description 1
- 238000011105 stabilization Methods 0.000 description 1
- 238000012360 testing method Methods 0.000 description 1
Images
Landscapes
- Feedback Control In General (AREA)
Abstract
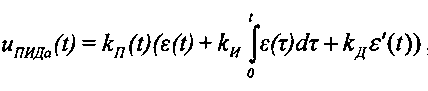
Изобретение относится к области добычи газа и может быть применено для управления режимами работы газодобывающей скважины. Управление режимами работы газодобывающей скважины формируют на основе адаптивного импульсного регулятора, воздействующего на временной квантователь, в котором происходит фиксация величины управляющего сигнала uимi(t) в течение заданного периода (кванта) времени с последующим воздействием на исполнительный механизм, управляющим регулирующим клапаном, меняющим количество газа, поступающего в коллектор, следя за квантованным сигналом uкв. При этом адаптивный регулятор имеет закон регулирования
где kИ, kД - коэффициенты соответственно интегральной и пропорциональной составляющих ПИД закона регулирования, kП(t) - общий коэффициент передачи, который изменяется в соответствии с уравнениями:
kП(t)=kн+γy(t),
Tay′(t)+y(t)=uПИДа,кв(t),
где время фильтрации Та рассчитывается в условных единицах, а kн>0 и γ>0 - настраиваемые параметры адаптивного регулятора. Технический результат заключается в повышении ресурса технических средств элементов автоматики. 11 ил.
Description
Изобретение относится к области добычи газа, а именно к способам управления режимами работы газодобывающей скважины.
Известен способ управления режимами работы газовой скважины, в котором добычу газа осуществляют с ограничением отбора газа, поступающего из межтрубного пространства, путем дросселирования с поддержанием постоянного перепада давления с помощью автоматического управляющего комплекса, в котором анализируют полученные данные и подают команду на автоматический регулирующий клапан расхода газа, оптимизируя суммарный дебет скважины в соответствии с определенной зависимостью с учетом фильтрационных сопротивлений скважины (см., например, патент RU №345266, A1 01.01.1972).
Недостатком известного способа эксплуатации газовых скважин является то, что он не обеспечивает оптимальный уровень управления режимами работы и имеет невысокий ресурс технических средств элементов автоматики.
В качестве прототипа выбран способ для управления потоками в скважине, описанный в патенте RU №2513942 С2, 27.01.2014.
В известном способе для управления режимами работы газовой скважины с ограничением отбора газа, поступающего из межтрубного пространства, путем дросселирования с поддержанием постоянного перепада давления с помощью автоматического управляющего комплекса, анализируют полученные данные и подают команды на автоматический регулирующий клапан расхода газа, оптимизируя суммарный дебет скважины в соответствии с определенной зависимостью и с учетом фильтрационных сопротивлений скважины.
Достоинством прототипа является более высокая точность поддержания постоянства выходных потоков.
Недостатком прототипа, так же, как и аналога, является невысокий ресурс технических средств элементов автоматики. Кроме того, в процессе эксплуатации газовой скважины меняются физические характеристики добываемого из скважины газа, меняется давление газа и расход (дебет) скважины. Это требует перенастройки системы управления добычей газа. В аналоге и прототипе это не предусмотрено.
Задачей изобретения является повышение ресурса технических средств элементов автоматики.
Техническим результатом изобретения является оптимизация адаптивной системы автоматического управления газодобывающей скважины с поддержанием требуемой высокой точности давления выходного газа в условиях изменяющегося расхода газа и изменяющихся параметров самой газодобывающей скважины и обеспечение высокого ресурса технических средств элементов автоматики.
Технический результат достигается за счет того, что в способе управления режимами работы газовой скважины с ограничением отбора газа, поступающего из межтрубного пространства, путем дросселирования с поддержанием постоянства перепада давления с помощью автоматического управляющего комплекса, в котором анализируют полученные данные и подают команды на автоматический регулирующий клапан расхода газа, оптимизируя суммарный дебет скважины в соответствии с определенной зависимостью с учетом фильтрационных сопротивлений скважины, согласно изобретению управление режимами работы газодобывающей скважины формируют на основе адаптивного импульсного регулятора, воздействующего на временной квантователь, в котором происходит фиксация величины управляющего сигнала uимi(t) в течение заданного периода (кванта) времени с последующим воздействием на исполнительный механизм, управляющий регулирующим клапаном, меняющим количество газа, поступающего в коллектор, следя за квантованным сигналом uкв, при этом адаптивный регулятор имеет закон регулирования
где kИ, kД - коэффициенты соответственно интегральной и пропорциональной составляющих ПИД закона регулирования, kП(t) - общий коэффициент передачи, который изменяется в соответствии с уравнениями:
kП(t)=kн+γy(t),
Tay′(t)+y(t)=uПИДа,кв(t),
где время фильтрации Та рассчитывается в условных единицах, а kн>0 и γ>0 - настраиваемые параметры адаптивного регулятора.
Управление режимами работы газодобывающей скважины на основе адаптивного импульсного регулятора, воздействующего на временной квантователь, в котором происходит фиксация величины управляющего сигнала uимi(t) в течение заданного периода (кванта) времени с последующим воздействием на исполнительный механизм, управляющим регулирующим клапаном, меняющим количество газа, поступающего в коллектор, следя за квантованным сигналом икв, при котором адаптивный регулятор имеет закон регулирования ,
где kИ, kД - коэффициенты соответственно интегральной и пропорциональной составляющих ПИД закона регулирования, kП(t) - общий коэффициент передачи, который изменяется в соответствии с уравнениями:
kП(t)=kн+γy(t),
Tay′(t)+y(t)= uПИДа,кв(t),
где время фильтрации Та рассчитывается в условных единицах, а kн>0 и γ>0 - настраиваемые параметры адаптивного регулятора, позволяет поддерживать требуемую высокую точность давления выходного газа в условиях изменяющегося расхода газа и изменяющихся параметров самой газодобывающей скважины и обеспечивает высокий ресурс технических средств элементов автоматики.
Изобретение иллюстрируется 11 фигурами.
На фиг. 1 изображена структурная схема газодобывающей скважины.
Фиг. 2 демонстрирует принципиальную структурную схему управляющих звеньев.
На фиг. 3 представлено: (график а) изменение uим - сигнала управления исполнительным механизмом регулирующего клапана при воздействии обычного адаптивного ПИД-регулятора; переходной процесс изменения давления Рк (график b) с дискретизацией 0,01 с в реальном времени t, с.
На фиг. 4 имеется график, аналогичный фиг. 3, переходного процесса при использовании обычного адаптивного ПИД-регулятора с дискретизацией 5 с в реальном времени t, с.
На фиг. 5 виден переходной процесс при измененных параметрах: uим - сигнала управления исполнительным механизмом (график а); обычного адаптивного ПИД-регулятора и переходной процесс изменения давления Рк (график b) с дискретизацией 0,01 с в реальном времени t, с.
На фиг. 6 имеется переходной процесс изменения давления рЗПА до заданного значения давления ркз=10 (график b) при начальном uим=0 график (а). Настройки ПИД-регулятора те же, что и на фиг. 5. Временной квантователь работал с дискретизацией 5 с.
На фиг. 7 - переходные процессы в реальном времени: (а) для uим при отработке давления (b) рЗПА с измененными параметрами обычного ПИД-регулятора.
На фиг. 8 имеется структурная схема устройства адаптивного управления с ПИД-регулятором, с предлагаемым в данной заявке законом управления.
На фиг. 9 дается представление о переходном процессе изменения давления в коллекторе скважины до заданного значения в системе, в которой обычный адаптивный ПИД-регулятор заменен предлагаемым адаптивным регулятором: а) uим - сигнал управления исполнительным механизмом регулирующего клапана; b) Рпд - призабойное давление uим - сигнал управления исполнительным механизмом регулирующего клапана; с) общий коэффициент передачи kп. Процесс показан в реальном времени t, с.
На фиг. 10 показан переходной процесс в реальном времени t, с, аналогичный фиг. 9, при отработке давления рк(b) в коллекторе с другими значениями uим(а), kп(с).
На фиг. 11 представлен переходные процессы изменения давления рк(b) в коллекторе аналогичный фиг. 9 и 10 при измененных начальных значениях uим(а), kп(с).
Оптимальная система адаптивного автоматического управления газовых и газоконденсатных скважин устроена следующим образом. Поток газа 1 (фиг. 1) из скважины проходит через регулирующий клапан 2, который связан с исполнительным механизмом 3. Последний находится под воздействием реле времени с задержкой включения (РВЗВ) 4 адаптивного регулятора 5 и сглаживающего фильтра 6. В свою очередь, сглаживающий фильтр 6 сочленен с блоком сравнения 7, реагирующего на сигнал с датчика давления 8, находящегося в потоке газа в (коллекторе) 9 после регулирующего клапана и задатчика давления 10. После регулирующего клапана 2 газ поступает в блок переключающей аппаратуры 11. Регулирующий клапан 2 может изменять проходное сечение и, тем самым, изменять количество газа, проходящего по коллектору.
Адаптивный регулятор 5, в свою очередь, содержит блок адаптации 12 (фиг. 2), блок вычисления ПИД закона управления 13 и фильтр 14. Первым входом блока адаптации 12 является сигнал адаптивного регулятора 5. Выход блока адаптации 12 соединен с входом блока вычисления ПИД - закона управления 13. Выход блока вычисления ПИД - закона управления 13 является выходом адаптивного регулятора 5 и соединен с входом фильтра 14. Выход фильтра 14 подключен ко второму входу блока адаптации 12. Переходные процессы моделировались при различных параметрах обычной системы регулирования с различными параметрами системы управления и при изменении времени дискретизацией дискредитации (фиг. 4, 5, 6, 7).
Управление системой с адаптивным регулятором с законом регулирования
осуществляется на основе структурной схемы, согласно фиг. 8. Общий коэффициент передачи kП(t) изменяется в соответствии с уравнениями:
kП(t)=kн+γy(t),
Tay′(t)+y(t)=uПИДа,кв(t),
где Ta>50 условных единиц,
kн>0 и γ>0 - настраиваемые параметры адаптивного регулятора, a y(t) - оценка положения исполнительного механизма.
Фигуры 9, 10, 11 дают наглядное представление о том, что переходные процессы проходят более гладко, отсутствуют колебания, а число включений становится на несколько порядков меньше при использовании предлагаемого оптимального адаптивного ПИД-регулятора.
В описании изобретения приняты следующие обозначения:
Рпд - призабойное давление;
Ρс - давление газа перед регулирующим клапаном;
Рк - давление газа после регулирующего клапана;
Ρкз - задание на давление газа;
Pзпа - давление газа во входном коллекторе ЗПА;
qc - расход газа из скважины
qк - расход газа после регулирующего клапана;
uим - сигнал управления исполнительным механизмом регулирующего клапана.
Способ адаптивного автоматического управления газовых и газоконденсатных скважин действует следующим образом. Задатчик давления 10 (фиг. 1, 2) вырабатывает требуемое значение давления газа в коллекторе. В блоке сравнения 7 происходит сравнение заданного значения давления с текущим значением, генерируемым в датчике 8, давления в коллекторе, которое поступает с датчика давления 8, измеряющего давление в коллекторе 9. Сигнал рассогласования (ошибки), полученный в блоке сравнения 7, поступает на сглаживающий фильтр 6, в котором сглаживаются шумы измерения датчика давления 8. Отфильтрованный сигнал рассогласования поступает на вход адаптивного регулятора 5, который вырабатывает сигнал управления. Сигнал управления с выхода адаптивного регулятора 5 поступает на временной квантователь 4, в котором происходит фиксация величины управляющего сигнала в течение заданного периода (кванта) времени. Квантованный управляющий сигнал с выхода временного квантователя 4 поступает на исполнительный механизм 3, который, воздействуя на регулирующий клапан 2, меняет количество газа поступающего в коллектор 9.
Оценка эффективности оптимальной системы адаптивного автоматического управления газовых и газоконденсатных скважин проводилась на основе сопоставления с известным автоматическим управляющим комплексом прототипа. Так, на фиг. 3 представлен переходной процесс при отработке давления рк в коллекторе скважины от значения рЗПА, соответствующего uим=0, до заданного значения давления ркз=20. В качестве регулятора использовался ПИД-регулятор с передаточной функцией вида
где kП=0,019, а kИ=0,1, kД=2.
Временной квантователь работал с дискретизацией 0.01 с. При этом число изменений uим, равнялось 110, интегральная ошибка - 3615, время установления давления - 78 с, коэффициент перерегулирование составил - 1,47.
Фиг. 4 показывает как изменится переходной процесс при отработке давления рк в коллекторе скважины от значения рЗПА при uим=0 до заданного значения давления ркз=20. В качестве регулятора использовался также ПИД-регулятор с настройками kП=0,016, а kИ=0,09, kД=2. Временной квантователь работал с дискретизацией 5 с. При этом число изменений uим равнялось 13, интегральная ошибка - 4463, время установления давления - 88 с, коэффициент перерегулирование - 1,27.
Из сравнения переходных процессов фиг. 3 и фиг. 4 видно, что введение в контур управления временного квантователя позволяет, существенно уменьшив число включений исполнительного органа, практически не ухудшить качественные показатели работы ПИД систем управления.
Моделируется работа системы управления с ПИД-регулятором с постоянными настройками при различных значениях технологических параметров.
На фиг. 5 - переходной процесс при отработке давления рк в коллекторе скважины от значения рЗПА при uим=0 до заданного значения давления ркз=30. Регулятором был ПИД-регулятор с настройками kП=0,018, а kИ=0,08, kД=2,4. Временной квантователь работал с дискретизацией 5 с.
На фиг. 6 - переходной процесс при отработке давления рк в коллекторе скважины от значения рЗПА при uим=0 до заданного значения давления ркз=10. Настройки ПИД-регулятора те же, что и на процессах фиг. 5, т.е. kП=0,018, а kИ=0,08, kД=2,4. Временной квантователь работал с дискретизацией 5 с. Из фиг. 6 следует, что при сохранении настроек регулятора в переходном процессе возникают колебания и качество системы управления становится хуже.
На фиг. 7 переходной процесс отработки давления рк в коллекторе скважины при ркз=10. В этом случае с целью обеспечения устойчивости в контуре управления настроечные параметры регулятора были взяты равными kП=0,005, а kИ=0,09, kД=2,2. Таким образом, для сохранения качества регулирования нужно менять общий коэффициент усиления в регуляторе.
Из графиков фиг. 3-7 можно сделать два вывода:
1) введение квантования по времени практически не ухудшило качественных показателей работы рассмотренной системы управления в сравнении с качественными показателями работы обычного ПИД-регулятора с высокой частотой изменения сигнала управления;
2) при уменьшении давления газа в коллекторе существенным образом меняются параметры технологического объекта управления, которые при постоянстве настроек регулятора приводят к потере устойчивости системы управления.
Из первого вывода следует целесообразность введения в состав системы управления временного квантователя, наличие которого из-за существенного уменьшения числа включений исполнительного механизма, позволит многократно увеличить его ресурс. Из второго вывода следует необходимость использования в контуре управления адаптивного регулятора, который мог бы в процессе эксплуатации технологического процесса оценивать изменяющиеся параметры и по результатам оценок оптимальным образом корректировать настройки регулятора с тем, чтобы во всех возможных режимах работы скважины гарантированно обеспечить устойчивое и качественное регулирование.
Адаптивное управление осуществлялось на основе модели фиг. 8, в которой обычный ПИД-регулятор заменен адаптивным регулятором с законом регулирования
общий коэффициент передачи kП(t), в котором изменяется в соответствии с уравнениями:
Tay′(t)+y(t)=uПИДа,кв(t),
где Та>50 условных единиц,
где kн>0 и γ>0 - настраиваемые параметры адаптивного регулятора, a y(t) - оценка положения исполнительного механизма.
На фиг. 8 изображена блок-схема адаптивного ПИД-регулятора, который входит в качестве регулятора в блок-схему фиг. 1.
Проверка использования блока адаптации проводилась на основе моделирование его работы при различных значениях технологических параметров.
На фиг. 9 изображен переходной процесс при отработке давления рк в коллекторе скважины от значения рЗПА при uим=0 до заданного значения давления ркз=10. Начальное значение kн=0,0024, конечное значение, найденное в режиме адаптации, kП(t)=kн+γuПИДа(t)=0,005125. На верхнем графике фиг. 9 изображен сигнал управления uим, на среднем - давления рк, на нижнем - изменение в переходном процессе общего коэффициента регулятора kП(t). Из графиков фиг. 9 следует, что процесс, который при настройках, соответствующих фиг. 6, был неустойчив, за счет адаптации стал не только устойчивым, но и достаточно качественным.
Время переходного процесса фиг. 9 составляет примерно 170 условных единиц, в то время как оптимально настроенный процесс фиг. 7 длился примерно 200 условных единиц.
На фиг. 10 - переходной процесс при отработке давления рк в коллекторе куста скважин от значения рЗПА при uим=0 до заданного значения давления ркз=20. Начальное значение kн=0,0024, конечное значение, найденное в режиме адаптации, kП(t)=kн+γua(t)=0,01115. На верхнем графике фиг. 10 - сигнал управления uим, на среднем - давление рк, на нижнем - изменение в переходном процессе общего коэффициента регулятора kП(t). Процессы адаптивного управления, имеющиеся на фиг. 10, в этом случае несколько уступают по быстродействию процессам фиг. 4, т.к. в случае фиг. 4 общий коэффициент усиления kП в начальный момент переходного процесса выбирался из расчета высокого быстродействия системы управления и равнялся 0,016, в то время как в случае адаптивного управления начальное значение kП(0)=0,0024, которое затем в процессе работы увеличилось примерно в 5 раз.
На фиг. 11 - переходной процесс при отработке давления рк в коллекторе куста скважин от значения рЗПА при uим=0 до заданного значения давления ркз=30. Начальное значение kн=0,0024, конечное значение, найденное в режиме адаптации, kП(t)=kн+γua(t)=0,0185. На верхнем графике фиг. 11 - сигнал управления uим, на среднем - давление рк, на нижнем - изменение в переходном процессе общего коэффициента регулятора kП(t). Процессы адаптивного управления, как и в предыдущем случае, по быстродействию несколько уступают аналогичным процессам фиг. 5 по тем же причинам, о которых говорилось для случая фиг. 10.
Таким образом, введение в состав системы управления газодобывающей скважиной адаптивного регулятора позволило обеспечить высокую эффективность работы этой системы на всех режимах стабилизации давления в коллекторе скважины. Имеет место оптимизация адаптивной системы автоматического управления газодобывающей скважины с поддержанием требуемой высокой точности давления выходного газа в условиях изменяющегося расхода газа и изменяющихся параметров самой газодобывающей скважины и обеспечение высокого ресурса технических средств элементов автоматики.
Claims (1)
- Способ управления режимами работы газовой скважины с ограничением отбора газа, поступающего из межтрубного пространства, путем дросселирования с поддержанием постоянства перепада давления с помощью автоматического управляющего комплекса, в котором анализируют полученные данные и подают команды на автоматический регулирующий клапан расхода газа, оптимизируя суммарный дебит скважины в соответствии с определенной зависимостью с учетом фильтрационных сопротивлений скважины, отличающийся тем, что управление режимами работы газодобывающей скважины формируют на основе адаптивного импульсного регулятора, воздействующего на временной квантователь, в котором происходит фиксация величины управляющего сигнала uимi(t) в течение заданного периода (кванта) времени с последующим воздействием на исполнительный механизм, управляющим регулирующим клапаном, меняющим количество газа, поступающего в коллектор, следя за квантованным сигналом uкв, при этом адаптивный регулятор имеет закон регулирования
где kИ, kД - коэффициенты соответственно интегральной и пропорциональной составляющих ПИД закона регулирования, kП(t) - общий коэффициент передачи, который изменяется в соответствии с уравнениями:
kП(t)=kн+γy(t),
где время фильтрации Та рассчитывается в условных единицах, а kн>0 и γ>0 - настраиваемые параметры адаптивного регулятора.
Priority Applications (1)
| Application Number | Priority Date | Filing Date | Title |
|---|---|---|---|
| RU2015114219/03A RU2591870C1 (ru) | 2015-04-17 | 2015-04-17 | Способ адаптивного автоматического управления газовыми и газоконденсатными скважинами |
Applications Claiming Priority (1)
| Application Number | Priority Date | Filing Date | Title |
|---|---|---|---|
| RU2015114219/03A RU2591870C1 (ru) | 2015-04-17 | 2015-04-17 | Способ адаптивного автоматического управления газовыми и газоконденсатными скважинами |
Publications (1)
| Publication Number | Publication Date |
|---|---|
| RU2591870C1 true RU2591870C1 (ru) | 2016-07-20 |
Family
ID=56412723
Family Applications (1)
| Application Number | Title | Priority Date | Filing Date |
|---|---|---|---|
| RU2015114219/03A RU2591870C1 (ru) | 2015-04-17 | 2015-04-17 | Способ адаптивного автоматического управления газовыми и газоконденсатными скважинами |
Country Status (1)
| Country | Link |
|---|---|
| RU (1) | RU2591870C1 (ru) |
Cited By (2)
| Publication number | Priority date | Publication date | Assignee | Title |
|---|---|---|---|---|
| CN110094177A (zh) * | 2019-05-25 | 2019-08-06 | 陕西奥斯特安全科技有限公司 | 一种智能的井口采集控制装置 |
| CN113931621A (zh) * | 2020-07-14 | 2022-01-14 | 中国石油天然气股份有限公司 | 气井积液信息的确定方法、装置及存储介质 |
Citations (6)
| Publication number | Priority date | Publication date | Assignee | Title |
|---|---|---|---|---|
| US3993100A (en) * | 1974-04-29 | 1976-11-23 | Stewart & Stevenson Oiltools, Inc. | Hydraulic control system for controlling a plurality of underwater devices |
| SU601393A1 (ru) * | 1976-02-16 | 1978-04-05 | Специальное проектно-конструкторское бюро "Промавтоматика" | Устройство дл автоматического регулировани производительности кустов газовых скважин |
| SU667667A1 (ru) * | 1978-01-11 | 1979-06-15 | Специальное Проектно-Конструкторское Бюро "Промавтоматика" Министерства Приборостроения,Средств Автоматизации И Систем Управления Ссср | Автоматическа система управлени производительностью газовых скважин |
| SU1529004A1 (ru) * | 1987-09-01 | 1989-12-15 | Научно-Производственное Объединение "Промавтоматика" | Автоматическа система управлени дебитом кустов газовых скважин |
| RU2455469C2 (ru) * | 2010-06-07 | 2012-07-10 | Общество с ограниченной ответственностью "Научно-исследовательский институт природных газов и газовых технологий - Газпром ВНИИГАЗ" | Способ автоматического регулирования режима работы газовой скважины |
| RU2513942C2 (ru) * | 2012-07-17 | 2014-04-20 | Общество с ограниченной ответственностью "ТюменНИИгипрогаз" | Способ эксплуатации газовой скважины |
-
2015
- 2015-04-17 RU RU2015114219/03A patent/RU2591870C1/ru not_active IP Right Cessation
Patent Citations (6)
| Publication number | Priority date | Publication date | Assignee | Title |
|---|---|---|---|---|
| US3993100A (en) * | 1974-04-29 | 1976-11-23 | Stewart & Stevenson Oiltools, Inc. | Hydraulic control system for controlling a plurality of underwater devices |
| SU601393A1 (ru) * | 1976-02-16 | 1978-04-05 | Специальное проектно-конструкторское бюро "Промавтоматика" | Устройство дл автоматического регулировани производительности кустов газовых скважин |
| SU667667A1 (ru) * | 1978-01-11 | 1979-06-15 | Специальное Проектно-Конструкторское Бюро "Промавтоматика" Министерства Приборостроения,Средств Автоматизации И Систем Управления Ссср | Автоматическа система управлени производительностью газовых скважин |
| SU1529004A1 (ru) * | 1987-09-01 | 1989-12-15 | Научно-Производственное Объединение "Промавтоматика" | Автоматическа система управлени дебитом кустов газовых скважин |
| RU2455469C2 (ru) * | 2010-06-07 | 2012-07-10 | Общество с ограниченной ответственностью "Научно-исследовательский институт природных газов и газовых технологий - Газпром ВНИИГАЗ" | Способ автоматического регулирования режима работы газовой скважины |
| RU2513942C2 (ru) * | 2012-07-17 | 2014-04-20 | Общество с ограниченной ответственностью "ТюменНИИгипрогаз" | Способ эксплуатации газовой скважины |
Cited By (3)
| Publication number | Priority date | Publication date | Assignee | Title |
|---|---|---|---|---|
| CN110094177A (zh) * | 2019-05-25 | 2019-08-06 | 陕西奥斯特安全科技有限公司 | 一种智能的井口采集控制装置 |
| CN113931621A (zh) * | 2020-07-14 | 2022-01-14 | 中国石油天然气股份有限公司 | 气井积液信息的确定方法、装置及存储介质 |
| CN113931621B (zh) * | 2020-07-14 | 2023-08-22 | 中国石油天然气股份有限公司 | 气井积液信息的确定方法、装置及存储介质 |
Similar Documents
| Publication | Publication Date | Title |
|---|---|---|
| CN105045233B (zh) | 火电厂热工系统中基于时间量度的pid控制器的优化设计方法 | |
| CN104089762B (zh) | 一种汽轮机调速汽门流量特性测试方法 | |
| EP2975486B2 (de) | Verfahren zum befüllen eines behälters mit einem füllprodukt mittels eines proportionalventils | |
| DE60209474T2 (de) | Verfahren und vorrichtung zur regelung der temperatur des auslasses eines kernreaktors | |
| RU2591870C1 (ru) | Способ адаптивного автоматического управления газовыми и газоконденсатными скважинами | |
| CN112506056B (zh) | 基于闭环阶跃响应串级回路pid控制参数自校正方法 | |
| CN103202526A (zh) | 用于大惯性系统烟片回潮机的加水离散调节方法 | |
| CN107035430A (zh) | 一种基于大数据分析的汽轮机阀门流量特性参数优化方法 | |
| CN105388764A (zh) | 基于动态矩阵前馈预测的电液伺服pid控制方法及系统 | |
| CN102736640A (zh) | 用于除氧器水位控制的系统和方法 | |
| CN103207562A (zh) | 一种针对真空下玻璃加热的改进型pid算法 | |
| RU2643884C1 (ru) | Способ автоматического управления технологическими процессами куста газовых и газоконденсатных скважин | |
| CN202677208U (zh) | 用于除氧器水位控制的系统 | |
| CN105929695B (zh) | 一种基于扰动模型的脱硝控制系统广义预测控制方法 | |
| CN108980438A (zh) | 双阀分程控制方法和控制装置 | |
| JP2015179417A (ja) | 比例ソレノイドバルブの制御方法 | |
| US10379529B2 (en) | Data processing device and data processing method | |
| DE102008031005B3 (de) | Verfahren zum Erzeugen eines Gasstroms und Gasstromerzeugungsvorrichtung | |
| CN112368651A (zh) | 控制装置以及控制方法 | |
| US20210123540A1 (en) | Device for Controlling a Valve | |
| Kurien et al. | ‘Overview Of Different Approaches Of PID Controller Tuning | |
| CN108132597B (zh) | 一种微分超前智能模型集pid控制器设计方法 | |
| CN106054950B (zh) | 一种原油调合的双闭环控制方法 | |
| DE112022007581T5 (de) | Motorsteuer- bzw. -regelvorrichtung | |
| DE102007037922B3 (de) | Anordnung zur Druckregelung in einer von einem Fluid durchströmten Leitung |
Legal Events
| Date | Code | Title | Description |
|---|---|---|---|
| MM4A | The patent is invalid due to non-payment of fees |
Effective date: 20200418 |





