RU2492074C1 - Тяговая сеть электрифицированных железных дорог переменного тока - Google Patents
Тяговая сеть электрифицированных железных дорог переменного тока Download PDFInfo
- Publication number
- RU2492074C1 RU2492074C1 RU2012106369/11A RU2012106369A RU2492074C1 RU 2492074 C1 RU2492074 C1 RU 2492074C1 RU 2012106369/11 A RU2012106369/11 A RU 2012106369/11A RU 2012106369 A RU2012106369 A RU 2012106369A RU 2492074 C1 RU2492074 C1 RU 2492074C1
- Authority
- RU
- Russia
- Prior art keywords
- network
- traction
- electrified
- railways
- contact system
- Prior art date
Links
- 239000004020 conductor Substances 0.000 claims abstract description 18
- 239000012212 insulator Substances 0.000 claims description 3
- 230000005672 electromagnetic field Effects 0.000 abstract description 10
- 238000004804 winding Methods 0.000 abstract description 6
- 230000000694 effects Effects 0.000 abstract description 5
- 230000001939 inductive effect Effects 0.000 abstract description 5
- 238000004891 communication Methods 0.000 abstract description 4
- 230000003247 decreasing effect Effects 0.000 abstract 1
- 239000000126 substance Substances 0.000 abstract 1
- 230000006698 induction Effects 0.000 description 4
- 230000005611 electricity Effects 0.000 description 3
- 238000002224 dissection Methods 0.000 description 2
- 238000012423 maintenance Methods 0.000 description 2
- 238000005096 rolling process Methods 0.000 description 2
- 238000013461 design Methods 0.000 description 1
- 238000004870 electrical engineering Methods 0.000 description 1
- 238000010438 heat treatment Methods 0.000 description 1
- 238000009434 installation Methods 0.000 description 1
- 230000003137 locomotive effect Effects 0.000 description 1
- 238000000034 method Methods 0.000 description 1
- 230000003449 preventive effect Effects 0.000 description 1
- 230000001681 protective effect Effects 0.000 description 1
- 238000012216 screening Methods 0.000 description 1
- 238000000926 separation method Methods 0.000 description 1
- 230000009466 transformation Effects 0.000 description 1
Images
Landscapes
- Train Traffic Observation, Control, And Security (AREA)
Abstract
Изобретение относится к электрифицированным железным дорогам переменного тока и направлено на увеличение пропускной способности участка железной дороги. Тяговая сеть состоит из контактной сети и рельсовой цепи, которые являются проводниками электрического тока и разнесены в пространстве. На опорах контактной сети с полевой стороны на уровне контактной сети с использованием изоляторов подвешивается дополнительный провод и подключается параллельно рельсовой цепи путем заземления дополнительного провода к средним точкам дроссель трансформаторов рельсовых цепей. Технический результат заключается в том, что введение дополнительного проводника позволит снизить индуктивное сопротивление тяговой сети за счет сближения проводников «обратного» тока тяговой сети с проводниками «прямого» тока, усилить экранирующий эффект рельсов, снизить напряженность электромагнитного поля создаваемого контактной сетью, и уменьшить влияние электромагнитного поля контактной сети на близлежащие линии связи. 1 ил.
Description
Изобретение относится к электрифицированным железным дорогам и может использоваться в системах электроснабжения тяги переменного тока, для увеличения пропускной способности участка железной дороги переменного, увеличения уровня напряжения в контактной сети в центре межподстанционной зоны, снижения потерь электрической энергии в тяговой сети и снижения влияния электромагнитного поля создаваемого контактной сетью на близ лежащие линии связи и обслуживающий персонал.
Известна система тяговой сети переменного тока с активным обратным проводом и отсасывающими трансформаторами. В данной системе с полевой стороны опор контактной сети подвешивается дополнительный проводник подключенный параллельно к рельсовому пути. В рассечку контактной сети включают первичную обмотку отсасывающего трансформатора, а в рассечку рельсов - вторичную обмотку отсасывающего трансформатора. Данный трансформатора имеет коэффициент трансформации, равный 1; во вторичной обмотке принудительно поддерживается ток, равный току первичной обмотки, поэтому в землю уходит меньший ток и экранирующий эффект увеличивается. Для повышения эффективности действия отсасывающих трансформатора,, на опорах контактной сети подвешивают присоединяемый параллельно к рельсам дополнительный (обратный) провод, в рассечку которого включают вторичную обмотку отсасывающего трансформатора, что позволяет повысить защитный эффект в 2 раза по сравнению с первой схемой включения. Отсасывающие трансформаторы устанавливают на расстоянии, обычно равном 1,5-3 км (при включении в рельс) и 3-6 км (при включении в дополнительный провод) [1].
Данная система обладает высокой стоимостью так как требует установки дополнительного оборудования (отсасывающих трансформаторов) вдоль полотна железной дороги, а так же требует обеспечения дополнительной защиты данного оборудования.
Прототипом выбрана система тяговой сети переменного тока напряжением 25 кВ. Данная система включает в себя контактную сеть находящийся под напряжением в 25 кВ, с которого происходит контактный токосъем при помощи пантографа электроподвижного состава (ЭПС), и рельсовую цепь, состоящую из двух рельсов и предназначенную для движения электроподвижного состава и передачи выходного электрического тока ЭПС к фидеру тяговой подстанции подключенному к рельсовой цепи [2].
К недостаткам прототипа относятся: высокое индуктивное сопротивление тяговой сети, большие потери электроэнергии, низкое напряжение в центре межподстанционной зоны, мощное электромагнитное поле создаваемое контактной сетью.
Большая часть потерь электроэнергии в тяговой сети электрических железных дорог переменного тока вызвана высоким индуктивным сопротивлением последней. Это объясняется самой конструкцией тяговой сети.
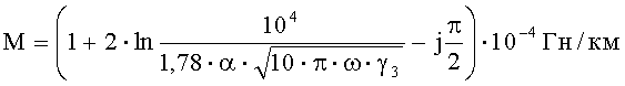
Тяговая сеть состоит из контактной сети и рельсовой цепи которые являются проводниками электрического тока. Два данных элемента конструктивно разнесены в пространстве и расстояние между ними составляет 6-6,5 м. Как известно индуктивность любой двухпроводной линии, чем собственно говоря и является тяговая сеть, можно определить по формуле известной из базового курса теоретических основ электротехники:
где: ХM - сопротивление взаимной индукции, Ом/км;
ω=2πf - угловая частота;
M - коэффициент взаимной индукции двухпроводной линии. В данном выражении коэффициент взаимной индукции рассчитывается по следующей формуле:
где: α - расстояние между осями проводов, м;
γ3 - проводимость земли;
Как видно из приведенной выше формулы величина коэффициента взаимной индукции, который и будет влиять на величину взаимоиндуктивного сопротивления, на прямую зависит от расстояния между проводниками «α».
На практике величина взаимоиндуктивного сопротивления является весьма значительной и приводит к падению напряжения в центре любой межподстанционной зоны. Так как каждый электровоз движущийся в межподстанционной зоне является нагрузкой и нуждается в определенном уровне напряжения, падения в середине межподстанционной зоны которое может составлять до 3 кВ, значительно снижает пропускную способность участка. Так же не стоит забывать про столь не маловажный фактор как электромагнитное поле создаваемое контактной сетью. Как было сказано выше контактная сеть и рельсовая цепь являются по своей сущности проводниками электрического тока «прямого» и «обратного» направления соответственно и при работе они должны компенсировать электромагнитное поле создаваемое друг другом. Однако разнесенность в пространстве данных проводников на существенное расстояние, а так же растекание тока в земле от рельсовой цепи, приводит к тому, что «обратный» ток протекающий в рельсовой цепи будет существенно мал и не может компенсировать действия «прямого» тока. Таким образом в пространстве вокруг контактной сети существует мощное переменное электромагнитное поле сложной конфигурацию. Данное поле оказывает негативное влияние на окружающую среду обслуживающий персонал и близлежащие линии связи.
Изобретением решается задача повышения напряжения в центре межподстанционной зоны участка железной дороги электрифицированной на переменном токе, увеличения пропускной способности участка, снижения индуктивного сопротивления тяговой сети, уменьшения потерь электрической энергии в тяговой сети, снижения влияния электромагнитного поля создаваемого контактной сетью.
В предлагаемой системы тяговой сети электрифицированных железных дорог переменного тока это достигается тем, что в стандартную тяговую сеть содержащую контактную сеть и рельсовую цепь, согласно изобретению вводится дополнительный проводник, подвешиваемый на опорах контактной сети с полевой стороны с использованием изоляторов на уровне контактной сети, при этом проводник подключается параллельно к рельсовой цепи путем заземления данного проводника на средние точки дроссель трансформаторов рельсовых цепей по правилу «через два на третий».
Сущность изобретения поясняется графически.
На рисунке показана общая схема предлагаемой тяговой сети где: 1 - дополнительно введенный проводник; 2 - опора контактной сети; 3 - контактная сеть; 4 - рельсовый путь;
Данная система может быть выполнена на любом существующем участке железной дороги электрифицированной на переменном токе или на вновь электрифицируемых участках.
Дополнительный провод может быть выполнен в виде проводника стандартных сечений, рассчитанного на рабочий ток, равный 60% тока в контактной сети.
Система выполняется следующим образом.
Дополнительный провод 1 подвешивается на опорах контактной сети 2 с полевой стороны на уровне контактной сети 3 с использованием изоляторов и подключается параллельно рельсовой цепи 4 путем его заземления к средним точкам дроссель трансформаторов рельсовых цепей. Введение дополнительного проводника 1 позволит снизить индуктивное сопротивление тяговой сети за счет сближения проводников «обратного» тока тяговой сети 1, 4 с проводниками «прямого» тока 3 и за счет снижения величины тока утечки в землю. Так же введение дополнительного проводника позволит усилить экранирующий эффект рельсов 4 и снизить напряженность электромагнитного поля создаваемого контактной сетью 3. Данный способ обладает так же возможностью плавки гололеда за счет тока наводимого в дополнительном проводе контактной сетью при профилактическом подогреве контактной сети. Данное решение позволяет снизить приведеное сопротивление тяговой сети на 30-40%, повысить уровень напряжения в центре межподстанционной зоны на 0,8-1 кВ, увеличить пропускную способность участка на 1-2 пары поездов в сутки.
Новыми признаками данной системы является: введение дополнительного провода в тяговую сеть путем его подвеса на опорах контактной сети электрифицированных железных дорог переменного тока с полевой стороны и подключению параллельно рельсовой цепи путем заземления обратного провода на средние точки дроссель трансформаторов рельсовых цепей. Предложенная система тяговой сети, электрифицированных железных дорог переменного тока имеет более низкое сопротивление тяговой сети, позволяет увеличить пропускную способность участка железной дороги электрифицированной на переменном токе, снизить потери электроэнергии в тяговой сети, уменьшить влияние электромагнитного поля контактной сети на близ лежащие линии связи и обслуживающий персонал.
Система может быть реализована как на существующих участках железных дорог электрифицированных на переменном токе, так и на вновь электрифицированных. Выполняется известными техническими средствами.
Список литературы:
1. Павлов И.В., Отсасывающие трансформаторы в тяговых сетях переменного тока, М., 1965.
2. Марквардт К.Г. Электроснабжение электрифицированных железных дорог. Учебник для вузов ж.-д. транспорта, М.: Транспорт, 1965 - 464 с.
Claims (1)
- Тяговая сеть электрифицированных железных дорог переменного тока, содержащая контактную сеть и рельсовую цепь, отличающаяся тем, что тяговая сеть дополнительно содержит проводник, подвешиваемый на опорах контактной сети с полевой стороны с использованием изоляторов на уровне контактной сети, при этом проводник подключается параллельно к рельсовой цепи путем заземления данного проводника на средние точки дроссель-трансформаторов рельсовых цепей по правилу «через два на третий».
Priority Applications (1)
| Application Number | Priority Date | Filing Date | Title |
|---|---|---|---|
| RU2012106369/11A RU2492074C1 (ru) | 2012-02-21 | 2012-02-21 | Тяговая сеть электрифицированных железных дорог переменного тока |
Applications Claiming Priority (1)
| Application Number | Priority Date | Filing Date | Title |
|---|---|---|---|
| RU2012106369/11A RU2492074C1 (ru) | 2012-02-21 | 2012-02-21 | Тяговая сеть электрифицированных железных дорог переменного тока |
Publications (1)
| Publication Number | Publication Date |
|---|---|
| RU2492074C1 true RU2492074C1 (ru) | 2013-09-10 |
Family
ID=49164835
Family Applications (1)
| Application Number | Title | Priority Date | Filing Date |
|---|---|---|---|
| RU2012106369/11A RU2492074C1 (ru) | 2012-02-21 | 2012-02-21 | Тяговая сеть электрифицированных железных дорог переменного тока |
Country Status (1)
| Country | Link |
|---|---|
| RU (1) | RU2492074C1 (ru) |
Cited By (3)
| Publication number | Priority date | Publication date | Assignee | Title |
|---|---|---|---|---|
| RU2623030C2 (ru) * | 2015-11-30 | 2017-06-21 | Федеральное государственное бюджетное образовательное учреждение высшего профессионального образования "Омский государственный университет путей сообщения" | Тяговая сеть переменного тока |
| RU2654279C2 (ru) * | 2016-08-22 | 2018-05-17 | Андрей Андреевич Капкаев | Тяговая сеть электрифицированных железных дорог переменного тока (варианты) |
| RU2654842C2 (ru) * | 2016-08-22 | 2018-05-22 | Андрей Андреевич Капкаев | Тяговая сеть электрифицированных железных дорог переменного тока |
Citations (3)
| Publication number | Priority date | Publication date | Assignee | Title |
|---|---|---|---|---|
| RU2063344C1 (ru) * | 1993-01-12 | 1996-07-10 | Омский Институт Инженеров Железнодорожного Транспорта | Устройство для электроснабжения тяговой сети переменного тока |
| RU64152U1 (ru) * | 2006-12-22 | 2007-06-27 | Государственное образовательное учреждение высшего профессионального образования "Московский государственный университет путей сообщения" (МИИТ) | Устройство обеспечения электробезопасности работ на отключенных участках воздушных линий, расположенных в зонах электромагнитного влияния |
| RU2406624C1 (ru) * | 2009-12-14 | 2010-12-20 | Государственное образовательное учреждение высшего профессионального образования "Дальневосточный государственный университет путей сообщения" (ДВГУПС) | Система электроснабжения электрифицированных железных дорог переменного тока |
-
2012
- 2012-02-21 RU RU2012106369/11A patent/RU2492074C1/ru not_active IP Right Cessation
Patent Citations (3)
| Publication number | Priority date | Publication date | Assignee | Title |
|---|---|---|---|---|
| RU2063344C1 (ru) * | 1993-01-12 | 1996-07-10 | Омский Институт Инженеров Железнодорожного Транспорта | Устройство для электроснабжения тяговой сети переменного тока |
| RU64152U1 (ru) * | 2006-12-22 | 2007-06-27 | Государственное образовательное учреждение высшего профессионального образования "Московский государственный университет путей сообщения" (МИИТ) | Устройство обеспечения электробезопасности работ на отключенных участках воздушных линий, расположенных в зонах электромагнитного влияния |
| RU2406624C1 (ru) * | 2009-12-14 | 2010-12-20 | Государственное образовательное учреждение высшего профессионального образования "Дальневосточный государственный университет путей сообщения" (ДВГУПС) | Система электроснабжения электрифицированных железных дорог переменного тока |
Cited By (3)
| Publication number | Priority date | Publication date | Assignee | Title |
|---|---|---|---|---|
| RU2623030C2 (ru) * | 2015-11-30 | 2017-06-21 | Федеральное государственное бюджетное образовательное учреждение высшего профессионального образования "Омский государственный университет путей сообщения" | Тяговая сеть переменного тока |
| RU2654279C2 (ru) * | 2016-08-22 | 2018-05-17 | Андрей Андреевич Капкаев | Тяговая сеть электрифицированных железных дорог переменного тока (варианты) |
| RU2654842C2 (ru) * | 2016-08-22 | 2018-05-22 | Андрей Андреевич Капкаев | Тяговая сеть электрифицированных железных дорог переменного тока |
Similar Documents
| Publication | Publication Date | Title |
|---|---|---|
| CN104057842A (zh) | 一种电气化铁路同轴电缆供电系统 | |
| CN108790957B (zh) | 一种应用于交流牵引供电制式的城市轨道交通综合接地系统 | |
| CN107962982B (zh) | 一种三相牵引供电系统和车载供电系统 | |
| CN106218448B (zh) | 一种电气化铁路连通供电构造 | |
| Oancea et al. | On the electromagnetic field in the surrounding area of railway equipment and installations | |
| White | AC 25kV 50 Hz electrification supply design | |
| RU2492074C1 (ru) | Тяговая сеть электрифицированных железных дорог переменного тока | |
| CN207631024U (zh) | 一种三相牵引供电系统 | |
| CN104085317A (zh) | 一种直流电气化铁道牵引网感应电压吸收装置 | |
| CN106208413A (zh) | 一种利用空间共振电场的单导线与无线混合式电力传输系统 | |
| CN106208412A (zh) | 一种利用空间共振电场的单导线电力传输系统 | |
| EP4385810A1 (en) | Method for reducing stray current produced by power supply backflow for subway walking rail | |
| Serdiuk et al. | Propagation of harmonics of return traction current in rail lines | |
| Yang et al. | Modeling of catenary electromagnetic emission with electrified train passing through neutral section | |
| CN212046997U (zh) | 限制城市轨道交通供电系统功率越区传输的回流电路装置 | |
| RU2714276C1 (ru) | Способ защитного заземления контактной сети при замене рельсо-шпальной решетки широким фронтом | |
| CN203920466U (zh) | 一种电气化铁路同轴电缆供电系统 | |
| CN103507661B (zh) | 一种牵引供电系统设置方法 | |
| Courtois | Why the 2* 25 kv alternative?(autotransformer traction supply) | |
| CN105958422A (zh) | 一种输电架空地线新型防雷接地方法 | |
| RU2390438C1 (ru) | Способ снижения индуктивного влияния электротяговых сетей на линии связи | |
| CN213676388U (zh) | 一种列车三相供电构造及系统 | |
| RU2703925C1 (ru) | Способ усиления системы тягового электроснабжения переменного тока | |
| CN208593316U (zh) | 一种应用于交流牵引供电制式的城市轨道交通综合接地系统 | |
| He et al. | Influence of protection wire and positive feeder arrangement of traction network on the return current in high-speed railway |
Legal Events
| Date | Code | Title | Description |
|---|---|---|---|
| MM4A | The patent is invalid due to non-payment of fees |
Effective date: 20140222 |
