RU2481237C1 - Method of making curved cellular structure spoke from composite materials and curved cellular structure spoke from composite materials - Google Patents
Method of making curved cellular structure spoke from composite materials and curved cellular structure spoke from composite materials Download PDFInfo
- Publication number
- RU2481237C1 RU2481237C1 RU2011150669/05A RU2011150669A RU2481237C1 RU 2481237 C1 RU2481237 C1 RU 2481237C1 RU 2011150669/05 A RU2011150669/05 A RU 2011150669/05A RU 2011150669 A RU2011150669 A RU 2011150669A RU 2481237 C1 RU2481237 C1 RU 2481237C1
- Authority
- RU
- Russia
- Prior art keywords
- curved
- torus
- ribs
- spoke
- plane
- Prior art date
Links
Images
Abstract
Description
Изобретения относятся к авиакосмической промышленности и могут быть использованы для создания каркасов рефлекторов, стрел манипуляторов, а также каркасов куполов минимальной массы и повышенными требованиями по жесткости.The invention relates to the aerospace industry and can be used to create skeletons of reflectors, boom manipulators, as well as skeletons of domes of minimum weight and increased requirements for rigidity.
Известны сетчатые оболочки круглого сечения по патенту US 3940891 A от 02.03.1976, МКП7 B64G 1/22, патенту RU 2189907 от 26.06.2000, МКП7 B32B 3/12, патенту RU 2392122 от 05.11.2008, МКП7 B32B 1/08, заявке WO 9307412 A1 от 15.04.1993, МКП7 B32B 1/08, патенту RU 2153419 от 10.03.1999, МКП7 B32B 1/08, патенту RU 2149761 от 03.06.1999, МКП7 B32B 1/00, патенту US 4137354A от 30.01.1979, МКП7 B32B 1/00. Известны длинномерные сетчатые оболочки прямоугольного сечения по полезной модели RU 89070 от 03.09.2009, МКП7 B64C 1/08, полезной модели RU 89069 от 03.09.2009, МКП7 B64C 1/08.Known mesh shells of circular cross section according to patent US 3940891 A from 03/02/1976, MCP 7 B64G 1/22, patent RU 2189907 from 06/26/2000, MCP 7 B32B 3/12, patent RU 2392122 from 05.11.2008, MCP 7 B32B 1 / 08, application WO 9307412 A1 of 04/15/1993, MCP 7 B32B 1/08, patent RU 2153419 of 03/10/1999, MCP 7 B32B 1/08, patent RU 2149761 of 03/03/1999, MCP 7 B32B 1/00, US patent 4137354A dated 1/30/1979, INC 7 B32B 1/00. Known long mesh shells of rectangular cross section according to utility model RU 89070 from 09/03/2009, MKP 7 B64C 1/08, utility model RU 89069 from 09/03/2009, MKP 7 B64C 1/08.
Перечисленные сетчатые оболочки образованы системой продольных, кольцевых и спиральных обоих направлений ребер кругового и прямоугольного профилей и выполнены из однонаправленных жгутов высокомодульных волокон, пропитанных синтетическим связующим. Основной особенностью всех упомянутых способов и конструкций является то, что линия центров поперечного сечения оболочек является прямой линией, а спиральные ребра намотаны с постоянным углом намотки ±φ. Оболочки прямоугольного профиля образованы пересечением четырех плоскостей.The listed mesh shells are formed by a system of longitudinal, annular and spiral both directions of the ribs of circular and rectangular profiles and are made of unidirectional bundles of high modulus fibers impregnated with a synthetic binder. The main feature of all the mentioned methods and designs is that the line of centers of the cross section of the shells is a straight line, and the spiral ribs are wound with a constant winding angle ± φ. Shell rectangular profile formed by the intersection of four planes.
Известные технические решения, определяющие достигнутый уровень техники в простом классе оболочек, не могут быть распространены на конструкции с криволинейной линией центров и не являются особо релевантными. Поэтому предлагаемыми решениями устраняются недостатки общего известного уровня техники.Known technical solutions that determine the achieved level of technology in a simple class of shells cannot be extended to structures with a curved line of centers and are not particularly relevant. Therefore, the proposed solutions eliminate the disadvantages of the General prior art.
Недостатком известного уровня техники для способа является следующее.The disadvantage of the prior art for the method is as follows.
При намотке спиральных ребер криволинейной спицы прямоугольного профиля, наружная поверхность которой образована пересечением двух боковых плоскостей и двух цилиндрических поверхностей, с постоянным углом намотки (см. фиг.6), равным начальному φ0 (для цилиндрических поверхностей φ - угол между касательной к наматываемому спиралью жгуту и касательной к образующей этой цилиндрической поверхности, для плоскостей φ - угол между наматываемым прямолинейным жгутом и нормалью к направляющей окружности цилиндрической поверхности), спиральная намотка вырождается в кольцевую и намотка спиральных ребер становится невозможной. Это происходит потому, что при намотке на боковой плоскости вектор нормали меняет свое положение с каждым шагом намотки.When winding spiral ribs of a curved spoke of a rectangular profile, the outer surface of which is formed by the intersection of two side planes and two cylindrical surfaces, with a constant winding angle (see Fig. 6) equal to the initial φ 0 (for cylindrical surfaces φ is the angle between the tangent to the winding spiral rope and tangent to the generatrix of this cylindrical surface, for planes φ is the angle between the winding straight-line tourniquet and the normal to the guiding circle of the cylindrical surface), spiral amotka degenerates into an annular and spiral fins winding becomes impossible. This is because when winding on the lateral plane, the normal vector changes its position with each step of the winding.
С точки зрения спиральной намотки вогнутой цилиндрической поверхности она имеет отрицательную кривизну, и траектория жгута при его натяжении является прямой линией над вогнутой поверхностью оправки, т.е. намотка этих отрезков спиральных ребер происходит с отсутствием контакта с поверхностью оправки (см. фиг.3), то есть без контактного давления, и структура ребер получается рыхлой, что снижает несущую способность конструкции.From the point of view of spiral winding of a concave cylindrical surface, it has a negative curvature, and the trajectory of the bundle when it is tensioned is a straight line over the concave surface of the mandrel, i.e. the winding of these segments of spiral ribs occurs with no contact with the surface of the mandrel (see figure 3), that is, without contact pressure, and the structure of the ribs is loose, which reduces the bearing capacity of the structure.
При использовании криволинейной спицы в качестве элемента каркаса зеркального рефлектора с рабочей поверхностью, образованной напылением зеркального материала на тонколистовой материал (гибкую пленку), известные способы не могут обеспечить (из-за естественного разброса модуля упругости материала, толщин и т.д.) совпадение упругих линий спиц комплекта из нескольких спиц, то есть одинаковую деформацию консоли каждой спицы каркаса под заданной изгибающей нагрузкой (заданную изгибную жесткость в очень узких пределах), что приводит к недопустимому искажению зеркала при эксплуатационных нагрузках.When using a curved needle as an element of the mirror reflector frame with a working surface formed by spraying a mirror material onto a sheet material (flexible film), the known methods cannot provide (due to the natural spread of the elastic modulus of the material, thicknesses, etc.) the elastic the lines of the spokes of a set of several spokes, that is, the same deformation of the console of each spoke of the frame under a given bending load (a given bending stiffness in very narrow limits), which leads to perceptible distortion of the mirror under operational loads.
Недостатком известного уровня техники для устройства является следующее.A disadvantage of the prior art for the device is as follows.
Криволинейная спица прямоугольного профиля, выполненная с применением известных признаков известных устройств, например, для спицы с постоянным (см. фиг.6) углом φ (здесь - угол между спиральным прямолинейным ребром боковой плоскости и нормалью к угловому ребру), частота расположения спиральных ребер на боковых плоскостях спицы возрастает, угол (β) (см. фиг.5, 6) между спиральными ребрами обоих направлений боковых плоскостей возрастает (оптимальное значение β≈90°), и надежность работы консольной спицы, нагруженной преимущественно изгибающими усилиями, значительно снижается, кроме того, возрастает масса конструкции преимущественно в направлении свободного конца консоли, что также крайне негативно.A curved rectangular-shaped spoke made using well-known features of known devices, for example, for a spoke with a constant angle (see Fig. 6) φ (here is the angle between the spiral rectilinear edge of the side plane and the normal to the corner edge), the frequency of arrangement of the spiral ribs on the lateral planes of the spoke increases, the angle (β) (see Figs. 5, 6) between the spiral ribs of both directions of the lateral planes increases (the optimum value is β≈90 °), and the reliability of the cantilever spoke, which is loaded mainly by bending effort is greatly reduced, in addition, increased design weight predominantly in the direction of the free end of the console, which also negatively.
Спиральные ребра внутренней цилиндрической поверхности имеют рыхлую структуру из-за отсутствия контактного давления при изготовлении (намотке и термообработке), что снижает надежность работы спицы из-за снижения ее несущей способности.The spiral ribs of the inner cylindrical surface have a loose structure due to the lack of contact pressure during manufacture (winding and heat treatment), which reduces the reliability of the spoke due to a decrease in its bearing capacity.
При использовании криволинейной спицы в качестве элемента каркаса зеркального рефлектора с рабочей поверхностью, образованной напылением зеркального материала на тонколистовой материал (гибкую пленку), известные устройства (из-за естественного разброса модуля упругости материала, толщин и т.д.) не могут обеспечить совпадение упругих линий консолей каждой спицы каркаса под заданной изгибающей нагрузкой (заданную изгибную жесткость в очень узких пределах), что приводит к недопустимому искажению зеркала при эксплуатационных нагрузках.When using a curved needle as an element of the mirror reflector frame with a working surface formed by spraying the mirror material onto a sheet material (flexible film), known devices (due to the natural spread of the elastic modulus of the material, thicknesses, etc.) cannot ensure the elastic lines of consoles of each spoke of the frame under a given bending load (a given bending stiffness in very narrow limits), which leads to unacceptable distortion of the mirror under operational loads.
Технической задачей, на решение которой направлены заявляемые изобретения, является разработка конструкции и технологии изготовления спицы, исключающая указанные недостатки.The technical problem to which the claimed invention is directed is the development of the design and manufacturing technology of knitting needles, eliminating these disadvantages.
Технический результат для способа, который может быть получен при решении технической задачи, заключается в повышении его технологичности и качества спицы за счет намотки спиральных ребер на боковых плоскостях криволинейной спицы с пошаговой корректировкой (см. фиг.6) угла намотки φ, за счет намотки спиральных ребер на внутренней криволинейной поверхности спицы с обеспечением контактного давления при исключении вогнутости оправки под наматываемыми жгутами ребра, а также за счет возможности оптимизации изгибной жесткости спицы по ее длине.The technical result for the method, which can be obtained by solving the technical problem, consists in increasing its manufacturability and the quality of the spoke by winding spiral ribs on the lateral planes of a curved needle with stepwise adjustment (see Fig. 6) of the winding angle φ, due to winding of spiral ribs on the inner curved surface of the needle with contact pressure while eliminating the concavity of the mandrel under the wound harnesses of the ribs, and also due to the possibility of optimizing the bending stiffness of the spoke no.
Технический результат для устройства, который может быть получен при решении технической задачи, заключается в повышении надежности его работы за счет расположения спиральных ребер на боковых плоскостях с пошаговым изменением (см. фиг.6) угла (φ) между спиральным прямолинейным ребром боковой плоскости и нормалью к угловому ребру, за счет обеспечения приближения угла (β) (см. фиг.5, 6) между спиральными ребрами обоих направлений боковых плоскостей к прямому, а также за счет исключения рыхлости спиральных ребер на вогнутой криволинейной поверхности спицы. Кроме того, техническим результатом является оптимизация изгибной жесткости спицы по ее длине, а также снижение массы, преимущественно в направлении свободного конца консоли.The technical result for the device, which can be obtained by solving the technical problem, is to increase the reliability of its operation due to the location of the spiral ribs on the lateral planes with a stepwise change (see Fig.6) of the angle (φ) between the spiral rectilinear edge of the lateral plane and the normal to the angular rib, by ensuring the approximation of the angle (β) (see Figs. 5, 6) between the spiral ribs of both directions of the lateral planes to the straight line, and also by eliminating the looseness of the spiral ribs on a concave curvilinear rotation Nost spokes. In addition, the technical result is the optimization of the bending stiffness of the spokes along its length, as well as weight reduction, mainly in the direction of the free end of the console.
Поставленная задача с достижением технического результата решается тем, что способ изготовления криволинейной спицы из композиционных материалов, при котором на жесткую криволинейную оправку наносят разделительный слой из легкоизвлекаемого материала, профиль которого задают пересечением двух боковых плоскостей и двух криволинейных, наружной цилиндрической и внутренней торовой, поверхностей, на пересечениях всех поверхностей выполняют четыре канавки для укладки жгутов основных продольных ребер спицы, на цилиндрической и торовой поверхностях - канавки для дополнительных продольных ребер и на всех поверхностях - спиральные канавки обоих направлений для намотки жгутов спиральных ребер спицы, причем спиральные канавки на криволинейных, цилиндрической и торовой, поверхностях выполняют с обеспечением угла намотки φ0 между касательной к наматываемому спиралью жгуту и касательной к образующей криволинейной поверхности, на боковых плоскостях при переходе с плоскости на криволинейную поверхность - с обеспечением угла намотки между наматываемым жгутом и нормалью к направляющей окружности этой криволинейной поверхности - φ0, а при переходе с криволинейной поверхности на плоскость - (φ0+Δφ), обеспечивая равенство φ0 для всех поверхностей оправки, при этом Δφ определяют по формуле:The problem with the achievement of the technical result is solved by the fact that the method of manufacturing a curved needle from composite materials, in which a dividing layer of easily removable material is applied to a rigid curved mandrel, the profile of which is set by the intersection of two side planes and two curved, outer cylindrical and inner torus surfaces, at the intersections of all surfaces, four grooves are made for laying the bundles of the main longitudinal ribs of the spoke, on a cylindrical and torus surface - of the groove for the additional longitudinal edges and on all the surfaces - the spiral grooves in both directions for filament winding spiral fins spokes, wherein the spiral groove on the curved, cylindrical or torus, surfaces operate with software winding angle φ 0 between the tangent to the take-up coil wiring and the tangent to forming a curved surface, on the lateral planes when switching from a plane to a curved surface - with ensuring the winding angle between the wound bundle and the normal to the defining circumference of this curved surface is φ 0 , and when passing from a curved surface to a plane, it is (φ 0 + Δφ), ensuring equality φ 0 for all surfaces of the mandrel, while Δφ is determined by the formula:
, ,
; , где: ; where:
x0, y0 - координаты центра окружности перехода на плоскости, которой принадлежит наматываемое ребро;x 0 , y 0 - coordinates of the center of the transition circle on the plane to which the wound edge belongs;
xn, yn - координаты точки на плоскости, из которой выходит ребро;x n , y n - coordinates of the point on the plane from which the edge comes out;
xn+1, yn+1 - координаты конца ребра на плоскости,x n + 1 , y n + 1 - coordinates of the end of the edge in the plane,
при этом образующий радиус тора r определяют по формуле:wherein the generatrix of the torus radius r is determined by the formula:
r<Rвн·ctg2φ0, где:r <R int · ctg 2 φ 0 , where:
Rвн - радиус направляющей окружности торовой поверхности;R vn is the radius of the guide circle of the torus surface;
φ0 - угол намотки между наматываемым жгутом ребра и касательной к этой образующей окружности торовой поверхности,φ 0 is the angle of winding between the wound tourniquet of the rib and the tangent to this generatrix of the circumference of the torus surface,
затем в канавки послойно наматывают жгуты из однонаправленных полимерных волокон, пропитанных синтетическим связующим, с обеспечением параметров намотки для получения сетчатой структуры спицы и обеспечения прямолинейности отрезков продольных ребер на торовой внутренней поверхности спицы, отрезков спиральных ребер на боковых плоскостях, криволинейности продольных ребер наружной цилиндрической поверхности и выпуклости отрезков спиральных ребер на цилиндрической и торовой поверхностях, после отверждения связующего спицу с разделительным слоем снимают с оправки и из спицы удаляют разделительный слой.Then, bundles of unidirectional polymer fibers impregnated with a synthetic binder are wound in layers into the grooves with the provision of winding parameters for obtaining a mesh structure of the spoke and ensuring the straightness of the segments of the longitudinal ribs on the torus inner surface of the spokes, the segments of spiral ribs on the lateral planes, the curvature of the longitudinal ribs of the outer cylindrical surface and the convexity of the segments of the spiral ribs on the cylindrical and torus surfaces, after curing the binder, the knitting needle is stripped Yelnia layer is removed from the mandrel and spokes removed from the separation layer.
Заданную изгибную жесткость спицы комплекта экспериментально подбирают методом симметричной вырезки участков дополнительных ребер на каждой спице при ее испытаниях.The specified bending stiffness of the knitting needles of the set is experimentally selected by the method of symmetric cutting of sections of additional ribs on each spoke during its testing.
Площадь сечения основного продольного ребра выполняют не менее чем в 4-5 раз больше, чем спирального и дополнительного продольного.The cross-sectional area of the main longitudinal rib is performed at least 4-5 times more than the spiral and additional longitudinal.
Для устройства поставленная задача с достижением технического результата решается тем, что криволинейная спица из композиционных материалов, профиль которой задан пересечением двух боковых плоскостей и двух криволинейных, наружной цилиндрической и внутренней торовой, поверхностей, включающая выполненные из однонаправленных с образованием ячеистой структуры жгутов из пропитанных синтетическим связующим полимерных волокон четыре основных продольных ребра, расположенных на пересечении всех поверхностей, расположенные на криволинейных поверхностях дополнительные продольные ребра и расположенные на всех поверхностях спиральные ребра обоих направлений, причем спиральные ребра на криволинейных, цилиндрической и торовой, поверхностях расположены под углом φ0 между касательной к ребру и касательной к образующей криволинейной поверхности, на боковых плоскостях при переходе с плоскости на криволинейную поверхность - под углом между ребром и нормалью к направляющей окружности этой криволинейной поверхности - φ0, а при переходе с криволинейной поверхности на плоскость - (φ0+Δφ), с обеспечением равенства φ0 для всех поверхностей спицы, при этом Δφ определен формулой:For the device, the task with the achievement of the technical result is solved by the fact that a curved needle made of composite materials, the profile of which is defined by the intersection of two lateral planes and two curved, outer cylindrical and inner torus surfaces, including wiring harnesses made of unidirectional with the formation of a cellular structure synthetic fiber polymer fibers four main longitudinal ribs located at the intersection of all surfaces located on a curvilinear GOVERNMENTAL surfaces of the additional longitudinal edges and disposed on all surfaces of the spiral ribs in both directions, wherein the helical ribs on the curved, cylindrical or torus, surfaces arranged at an angle φ 0 between the tangent to the rib and tangential to the generatrix of the curved surface on the side planes in the transition from the plane on curved surface - at an angle between the edge and the normal to the guiding circle of this curved surface - φ 0 , and when changing from a curved surface to a plane b - (φ 0 + Δφ), ensuring equality φ 0 for all surfaces of the spokes, while Δφ is defined by the formula:
, ,
; , где: ; where:
x0, y0 - координаты центра окружности перехода на плоскости, которой принадлежит ребро;x 0 , y 0 - coordinates of the center of the transition circle on the plane to which the edge belongs;
xn, yn - координаты точки начала ребра на плоскости;x n , y n - coordinates of the point of origin of the edge in the plane;
xn+1, yn+1 - координаты конца ребра на плоскости,x n + 1 , y n + 1 - coordinates of the end of the edge in the plane,
при этом образующий радиус тора r определен формулой:wherein the generating radius of the torus r is defined by the formula:
r<Rвн·ctg2φ0, где:r <R int · ctg 2 φ 0 , where:
Rвн - радиус направляющей окружности торовой поверхности;R vn is the radius of the guide circle of the torus surface;
φ0 - угол между ребром и касательной к образующей окружности торовой поверхности.φ 0 - the angle between the edge and the tangent to the generatrix of the circumference of the torus surface.
Заданная изгибная жесткость спицы комплекта экспериментально подобрана методом симметричной вырезки участков дополнительных ребер на каждой спице при ее испытаниях.The set bending stiffness of the knitting needle of the set is experimentally selected by the method of symmetric cutting of sections of additional ribs on each spoke during its testing.
Площадь сечения основного продольного ребра выполнена не менее чем в 4-5 раз больше, чем спирального и дополнительного продольного.The cross-sectional area of the main longitudinal rib is made at least 4-5 times larger than the spiral and additional longitudinal.
Отличительными признаками для способа являются следующие признаки:Distinctive features for the method are the following features:
- профиль разделительного слоя задают пересечением двух боковых плоскостей и двух криволинейных, наружной цилиндрической и внутренней торовой - признаки существенные, предусматривают наличие новых операций и их новое исполнение, направлены на решение поставленной задачи с достижением технического результата, на повышение технологичности способа за счет намотки спиральных ребер на внутренней криволинейной поверхности спицы с исключением отрицательной кривизны траектории намотки;- the separation layer profile is set by the intersection of two lateral planes and two curved, outer cylindrical and inner torus - the signs are significant, they include the presence of new operations and their new execution, aimed at solving the problem with achieving a technical result, to improve the manufacturability of the method by winding spiral ribs on the inner curved surface of the spoke with the exception of the negative curvature of the winding path;
- спиральные канавки на боковых плоскостях при переходе с криволинейной поверхности на плоскость выполняют с обеспечением угла намотки между наматываемым жгутом и нормалью к направляющей окружности этой криволинейной поверхности - (φ0+Δφ), при этом Δφ определяют по формуле:- spiral grooves on the lateral planes during the transition from a curved surface to a plane are performed to ensure the winding angle between the wound bundle and the normal to the guiding circle of this curved surface is (φ 0 + Δφ), while Δφ is determined by the formula:
, ,
; , где: ; where:
x0, y0 - координаты центра окружности перехода на плоскости, которой принадлежит наматываемое ребро;x 0 , y 0 - coordinates of the center of the transition circle on the plane to which the wound edge belongs;
xn, yn - координаты точки на плоскости, из которой выходит ребро;x n , y n - coordinates of the point on the plane from which the edge comes out;
xn+1, yn+1 - координаты конца ребра на плоскости -x n + 1 , y n + 1 - coordinates of the end of the edge in the plane -
- признаки существенные, предусматривают наличие новых параметров операций технологического процесса, направлены на решение поставленной задачи с достижением технического результата, на повышение технологичности способа с обеспечением его параметров и возможности спиральной намотки без вырождения ее в кольцевую за счет намотки спиральных ребер на боковых плоскостях криволинейной спицы с пошаговой корректировкой (см. фиг.6) угла намотки φ;- significant signs, include the availability of new parameters of the process operations, aimed at solving the problem with achieving a technical result, at improving the manufacturability of the method with providing its parameters and the possibility of spiral winding without degeneration into a ring due to winding of spiral ribs on the lateral planes of a curved spoke with stepwise adjustment (see Fig.6) of the winding angle φ;
- образующий радиус тора r определяют по формуле:- forming the radius of the torus r is determined by the formula:
r<Rвн·ctg2φ0, где:r <R int · ctg 2 φ 0 , where:
Rвн - радиус направляющей окружности торовой поверхности;R vn is the radius of the guide circle of the torus surface;
φ0 - угол намотки между наматываемым жгутом ребра и касательной к этой образующей окружности торовой поверхности -φ 0 - the angle of winding between the wound tourniquet of the rib and the tangent to this generatrix of the circumference of the torus surface -
- признак существенный, предусматривает наличие новых параметров операций технологического процесса, направлен на решение поставленной задачи с достижением технического результата, на повышение технологичности способа за счет намотки спиральных ребер на внутренней криволинейной поверхности спицы с контактным давлением, обеспечивающим повышение качества спицы за счет исключения рыхлости спиральных ребер на вогнутой поверхности спицы;- the sign is significant, provides for the availability of new parameters of operations of the technological process, is aimed at solving the problem with achieving a technical result, at increasing the manufacturability of the method by winding spiral ribs on the inner curved surface of the spoke with contact pressure, which improves the quality of the spoke by eliminating the friability of spiral ribs on the concave surface of the knitting needle;
- заданную изгибную жесткость спицы комплекта экспериментально подбирают методом симметричной вырезки участков дополнительных ребер на каждой спице при ее испытаниях - признаки существенные, предусматривают наличие новых операций, новую последовательность их выполнения и их новое исполнение, направлены на решение поставленной задачи с достижением технического результата - повышения технологичности способа за счет возможности оптимизации изгибной жесткости спицы по ее длине и подбора спиц одинаковой жесткости для обеспечения отсутствия искажения зеркала рефлектора;- the specified bending stiffness of the knitting needles of the set is experimentally selected by the method of symmetric cutting of sections of additional ribs on each spoke when it is tested - the signs are significant, they include the presence of new operations, a new sequence of their execution and their new performance, aimed at solving the problem with achieving a technical result - improving manufacturability the method due to the possibility of optimizing the bending stiffness of the knitting needles along its length and selecting spokes of the same stiffness to ensure no tviya distortion reflector mirror;
- площадь сечения основного продольного ребра выполняют не менее чем в 4-5 раз больше, чем спирального и дополнительного продольного - признаки существенные, предусматривают наличие новых операций и их новое исполнение, направлены на решение поставленной задачи с достижением технического результата, на повышение технологичности способа и качества спицы за счет возможности оптимизации ее изгибной жесткости при минимальной массе.- the cross-sectional area of the main longitudinal ribs is performed at least 4-5 times more than the spiral and additional longitudinal ribs - the signs are significant, they include the presence of new operations and their new execution, aimed at solving the problem with achieving a technical result, to improve the manufacturability of the method and the quality of the spoke due to the possibility of optimizing its bending stiffness with minimal weight.
Отличительными признаками для устройства являются следующие признаки:Distinctive features for the device are the following features:
- профиль спицы задан пересечением двух боковых плоскостей и двух криволинейных, наружной цилиндрической и внутренней торовой, поверхностей - признаки существенные, предусматривают новую форму элементов и их новое взаимное расположение, направлены на решение поставленной задачи с достижением технического результата, на повышение надежности работы конструкции за счет исключения рыхлости спиральных ребер на вогнутой поверхности спицы;- the profile of the spokes is given by the intersection of two lateral planes and two curved, outer cylindrical and inner torus surfaces, the signs are significant, they provide a new shape of the elements and their new relative position, aimed at solving the problem with achieving a technical result, to increase the reliability of the structure due to exclusion of friability of spiral ribs on a concave surface of a spoke;
- спиральные ребра на боковых плоскостях при переходе с криволинейной поверхности на плоскость расположены под углом между ребром и нормалью к направляющей окружности этой криволинейной поверхности - (φ0+Δφ), при этом Δφ определен формулой:- spiral ribs on the lateral planes during the transition from a curved surface to a plane are located at an angle between the edge and the normal to the guiding circle of this curved surface - (φ 0 + Δφ), with Δφ defined by the formula:
, ,
; , где: ; where:
x0, y0 - координаты центра окружности перехода на плоскости, которой принадлежит ребро;x 0 , y 0 - coordinates of the center of the transition circle on the plane to which the edge belongs;
xn, yn - координаты точки начала ребра на плоскости;x n , y n - coordinates of the point of origin of the edge in the plane;
xn+1, yn+1 - координаты конца ребра на плоскости -x n + 1 , y n + 1 - coordinates of the end of the edge in the plane -
- признаки существенные, предусматривают новое взаимное расположение элементов и новое соотношение размеров, направлены на решение поставленной задачи с достижением технического результата, на повышение надежности работы конструкции за счет расположения спиральных ребер на боковых плоскостях с пошаговым изменением (см. фиг.6) угла (φ) между спиральным прямолинейным ребром боковой плоскости и нормалью к угловому ребру, за счет обеспечения приближения угла (β) между спиральными ребрами обоих направлений боковых плоскостей к прямому, кроме того, признак направлен на снижение массы, преимущественно в направлении свободного конца консоли;- the signs are significant, provide for a new mutual arrangement of the elements and a new ratio of sizes, aimed at solving the problem with achieving a technical result, increasing the reliability of the structure by arranging spiral ribs on the lateral planes with a step-by-step change (see Fig. 6) of the angle (φ ) between the spiral rectilinear edge of the lateral plane and the normal to the angular rib, due to the approximation of the angle (β) between the spiral ribs of both directions of the lateral planes to the straight edge Moreover, the sign is aimed at reducing weight, mainly in the direction of the free end of the console;
- образующий радиус тора r определен формулой:- the generating radius of the torus r is defined by the formula:
r<Rвн·ctg2φ0, где:r <R int · ctg 2 φ 0 , where:
Rвн - радиус направляющей окружности торовой поверхности;R vn is the radius of the guide circle of the torus surface;
φ0 - угол между ребром и касательной к образующей окружности торовой поверхности -φ 0 - the angle between the edge and the tangent to the generatrix of the circumference of the torus surface -
- признак существенный, предусматривает новое соотношение размеров, направлен на решение поставленной задачи с достижением технического результата, на повышение надежности работы конструкции за счет исключения рыхлости спиральных ребер на вогнутой поверхности спицы;- the sign is significant, provides a new ratio of sizes, aimed at solving the problem with the achievement of a technical result, to improve the reliability of the structure by eliminating the friability of spiral ribs on the concave surface of the spokes;
- заданная изгибная жесткость спицы комплекта экспериментально подобрана методом симметричной вырезки участков дополнительных ребер на каждой спице при ее испытаниях - признаки существенные, предусматривают новое взаимное расположение элементов и удаление известных элементов направлены на решение поставленной задачи с достижением технического результата, на повышение надежности работы конструкции за счет оптимизации изгибной жесткости спицы по ее длине, а также снижения массы, преимущественно в направлении свободного конца консоли;- the specified bending stiffness of the knitting needle of the set is experimentally selected by the method of symmetric cutting of sections of additional ribs on each spoke during its testing - the signs are significant, provide for a new mutual arrangement of the elements and the removal of known elements aimed at solving the problem with achieving a technical result, increasing the reliability of the structure due to optimization of the bending stiffness of the spokes along its length, as well as weight reduction, mainly in the direction of the free end of the con and;
- площадь сечения основного продольного ребра выполнена не менее чем в 4-5 раз больше, чем спирального и дополнительного продольного - признак существенный, предусматривает новое соотношение размеров, направлен на решение поставленной задачи с достижением технического результата, на повышение надежности работы конструкции за счет оптимизации изгибной жесткости спицы, а также снижения массы.- the cross-sectional area of the main longitudinal rib is made no less than 4-5 times larger than the spiral and additional longitudinal rib - the sign is significant, provides a new ratio of sizes, is aimed at solving the problem with the achievement of a technical result, to improve the reliability of the structure by optimizing the bending knitting stiffness, as well as weight reduction.
Для доказательства существенности признаков изобретений, представленных формулами, приведены математические выводы указанных формул.To prove the materiality of the features of inventions represented by formulas, the mathematical conclusions of these formulas are given.
Для вывода формулы пошаговой корректировки угла спиральной намоткиTo derive the formula for stepwise adjustment of the spiral winding angle
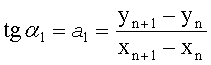
, где ; , where ; ,
рассмотрим намотку спиральных ребер, см. фиг.7.consider winding spiral ribs, see Fig.7.
Прямая, соответствующая спиральному ребру, проходящая через точку с координатами, например, xn, yn, описывается известным уравнением (см. А.Е.Цикунов. Сборник формул по математике, 2008 г., стр.55): y-yn=a1(х-xn), где a1=tg α1. Прямая, проходящая через точку xn, yn в направлении нормали к окружности цилиндрической части, описывается аналогично y-yn=a2(х-xn).A straight line corresponding to a spiral edge passing through a point with coordinates, for example, x n , y n , is described by a well-known equation (see A.E. Tsikunov. Mathematics Collection, 2008, p. 55): yy n = a 1 (x-x n ), where a 1 = tan α 1 . A straight line passing through the point x n , y n in the direction normal to the circumference of the cylindrical part is described in the same way yy n = a 2 (x-x n ).
Угол между двумя прямыми по цитируемому справочнику (стр.55) .The angle between two straight lines according to the cited reference (p. 55) .
Определим a1 и a2 через проекции прямых, фиг.7. Очевидно, ; .Define a 1 and a 2 through the projection of lines, Fig.7. Obviously ; .
Из фиг.7 следует, что α2>90° и tgα2<0, соответственно, и yn-y0<0.From Fig.7 it follows that α 2 > 90 ° and tgα 2 <0, respectively, and y n -y 0 <0.
Проведенные рассуждения доказывают корректность формулы пошаговой коррекции угла спиральной намотки.The above arguments prove the correctness of the formula for stepwise correction of the spiral winding angle.
Для вывода формулы образующего радиуса торовой поверхности r<Rвн·ctg2φ0, сечение которой описывается уравнением:To derive the formula for the generatrix of the torus surface radius r <R int · ctg 2 φ 0 , the cross section of which is described by the equation:
R=r(t+sinυ), где ,R = r (t + sinυ), where ,
рассмотрим намотку спиральных ребер на торовой поверхности, см. фиг.8, 9.consider winding spiral ribs on a torus surface, see Fig. 8, 9.
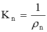
Контактное давление будет обеспечено при намотке, если кривизна нити (жгута), наматываемого с натяжением, будет положительна. Кривизну жгута Kn можно определить по известной формуле Эйлера (см. Погорелов А.В. Дифференциальная геометрия, 1974 г.)Contact pressure will be provided during winding if the curvature of the thread (tow) wound with tension is positive. The curvature of the bundle K n can be determined by the well-known Euler formula (see A.V. Pogorelov, Differential Geometry, 1974)
Тогда:Then:
Kn=K1cos2φ0+K2sin2φ0>0; ;K n = K 1 cos 2 φ 0 + K 2 sin 2 φ 0 >0; ;
Здесь:Here:
ρn - радиус кривизны жгута на оправке;ρ n is the radius of curvature of the tow on the mandrel;
φ0 - угол намотки тора;φ 0 - angle of winding of the torus;
; - главные кривизны для тора. ; are the main curvatures for the torus.
С учетом выражений для K1 и K2 получим:Given the expressions for K 1 and K 2 we get:
t cos2φ0+sin υ>0.t cos 2 φ 0 + sin υ> 0.
Наиболее критичен случай, когда sin υ=-1; (υ=-90°),The most critical case is when sin υ = -1; (υ = -90 °),
этот случай соответствует R=Rmin=R0-r;this case corresponds to R = R min = R 0 -r;
Для торовой поверхности рассматриваемой спицы:For the torus surface of the spoke in question:
Rmin - неизвестен, известен Rвн.R min - unknown, known R ext .
Из фиг.10 следует Rвн=R0-r sinγ;From Figure 10 it follows R ext = R 0 -r sinγ;
; ; ; ;
Так как спица тонкая Н≈30 мм, а Rвн≈3000 мм, то и sinγ≈1, тогда Rвн≈Rmin.Since thin needle N≈30 mm, and R ext ≈3000 mm, then and sinγ≈1, then R ext ≈R min.
Таким образом, ограничение имеет вид:Thus, the restriction has the form:
. .
Откуда получаем требуемую формулу r<Rвн·ctg2φ0.Whence we obtain the required formula r <R int · ctg 2 φ 0 .
В нашем случае, при φ0=45°, ctg45°=1 и r<Rвн.In our case, at φ 0 = 45 °, ctg45 ° = 1 and r <R ext .
Указанные отличительные признаки являются существенными, поскольку каждый в отдельности и все совместно направлены на решение поставленной задачи с достижением технического результата. Использование единой совокупности существенных отличительных признаков в известных решениях не обнаружено, что характеризует соответствие технического решения критерию «новизна».These distinctive features are significant, since each individually and all together are aimed at solving the problem with the achievement of a technical result. The use of a single set of essential distinguishing features in the known solutions was not found, which characterizes the conformity of the technical solution to the criterion of "novelty."
Единая совокупность новых существенных признаков с общими известными обеспечивает решение поставленной задачи с достижением технического результата и характеризует предложенное техническое решение существенными отличиями по сравнению с известным уровнем техники и аналогами. Данное техническое решение является результатом научно-исследовательской и экспериментальной работы по повышению технологичности спицы сетчатой структуры и надежности ее работы без использования известных проектировочных решений, рекомендаций, материалов и обладает неочевидностью, что свидетельствует о его соответствию критерию «изобретательский уровень».A single set of new essential features with common known provides a solution to the problem with the achievement of the technical result and characterizes the proposed technical solution with significant differences compared with the prior art and analogues. This technical solution is the result of research and experimental work to improve the manufacturability of the knitting needles of the mesh structure and the reliability of its operation without the use of well-known design solutions, recommendations, materials and is non-obvious, which indicates its compliance with the criterion of "inventive step".
Сущность изобретения поясняется чертежами, где на фиг.1 представлен общий вид способа, на фиг.2 - сечения оправки по траектории намотки, на фиг.3 - то же для известного уровня техники, на фиг.4 - сечение оправки по канавкам, на фиг.5 - спица, вид слева, на фиг.6 - траектория намотки жгутов, на фиг.7 - схема для вывода формулы пошаговой корректировки угла намотки, на фиг.8, 9, 10 - схемы для вывода формулы радиуса торовой поверхности.The invention is illustrated by drawings, where in Fig.1 shows a General view of the method, Fig.2 is a section of the mandrel along the path of the winding, Fig.3 is the same for the prior art, Fig.4 is a section of the mandrel along the grooves, Fig .5 is a knitting needle, the left view, in Fig.6 is the trajectory of the winding of the bundles, in Fig.7 is a diagram for deriving the formula for step-by-step adjustment of the winding angle, in Fig.8, 9, 10 are diagrams for deriving the formula of the radius of the torus surface.
Способ изготовления криволинейной спицы 1 из композиционных материалов, при котором на жесткую криволинейную оправку 2 наносят разделительный слой 3 из легкоизвлекаемого материала, профиль которого задают пересечением двух боковых плоскостей 4 и двух криволинейных, наружной цилиндрической 5 и внутренней торовой 6, поверхностей, на пересечениях всех поверхностей выполняют четыре канавки 7 для укладки жгутов 8 основных продольных ребер 9 спицы 1, на цилиндрической 5 и торовой 6 поверхностях - канавки 7 для дополнительных продольных ребер 10 и на всех поверхностях - спиральные канавки 7 обоих направлений для намотки жгутов спиральных ребер 11 спицы 1, причем спиральные канавки 7 на криволинейных, цилиндрической 5 и торовой 6, поверхностях выполняют с обеспечением угла намотки φ0 между касательной 12 к наматываемому спиралью жгуту 8 и касательной 13 к образующей 14 криволинейной поверхности, на боковых плоскостях 4 при переходе с плоскости 4 на криволинейную поверхность 5 и 6 с обеспечением угла намотки между наматываемым жгутом 8 и нормалью 15 к направляющей окружности 16 этой криволинейной поверхности - φ0, а при переходе с криволинейной поверхности 5 и 6 на плоскость 4 - (φ0+Δφ), обеспечивая равенство φ0 для всех поверхностей оправки, при этом Δφ определяют по формуле:A method of manufacturing a
, ,
; , где: ; where:
x0, y0 - координаты центра окружности перехода на плоскости, которой принадлежит наматываемое ребро 11;x 0 , y 0 - coordinates of the center of the transition circle on the plane to which the
xn, yn - координаты точки на плоскости, из которой выходит ребро 11;x n , y n - the coordinates of the point on the plane from which the
xn+1, yn+1 - координаты конца ребра 11 на плоскости.x n + 1 , y n + 1 - coordinates of the end of
Образующий радиус r тора 17 определяют по формуле:The forming radius r of the
r<Rвн·ctg2φ0, где:r <R int · ctg 2 φ 0 , where:
Rвн - радиус направляющей окружности торовой поверхности;R vn is the radius of the guide circle of the torus surface;
φ0 - угол между ребром 11 и касательной 13 к образующей окружности 14 торовой поверхности 6, см. фиг.4, 6.φ 0 - the angle between the
Затем в канавки 7 послойно наматывают жгуты 8 из однонаправленных полимерных волокон, пропитанных синтетическим связующим, с обеспечением параметров намотки для получения сетчатой структуры спицы 1 и обеспечения прямолинейности отрезков продольных ребер 9 и 10 на торовой 6 внутренней поверхности спицы 1, отрезков спиральных ребер 11 на боковых плоскостях 4, криволинейности продольных ребер 9 и 10 наружной цилиндрической поверхности 5 и выпуклости 18 (см. фиг.2) отрезков спиральных ребер 11 на цилиндрической 5 и торовой 6 поверхностях, после отверждения связующего спицу 1 с разделительным слоем 3 снимают с оправки 2 и из спицы 1 удаляют разделительный слой 3.Then, bundles 8 of unidirectional polymer fibers impregnated with a synthetic binder are wound in layers into the
Заданную изгибную жесткость спицы 1 экспериментально подбирают методом симметричной вырезки участков дополнительных ребер 10.The specified bending stiffness of the
Площадь сечения основного 9 продольного ребра выполняют не менее чем в 4-5 раз больше, чем спирального 11 и дополнительного 10 продольного.The cross-sectional area of the main 9 longitudinal ribs is performed at least 4-5 times more than the spiral 11 and an additional 10 longitudinal.
Криволинейная спица 1 из композиционных материалов, профиль которой задан пересечением двух боковых плоскостей 4 и двух криволинейных, наружной цилиндрической 5 и внутренней торовой 6, поверхностей, включающая выполненные из однонаправленных с образованием ячеистой структуры жгутов 8 из пропитанных синтетическим связующим полимерных волокон четыре основных 9 продольных ребра, расположенных на пересечении всех поверхностей, расположенные на криволинейных поверхностях дополнительные 10 продольные ребра и расположенные на всех поверхностях спиральные 11 ребра обоих направлений, причем спиральные ребра 11 на криволинейных, цилиндрической 5 и торовой 6, поверхностях расположены под углом φ0 между касательной 12 к ребру и касательной 13 к образующей 14 криволинейной поверхности, на боковых плоскостях 4 при переходе с плоскости 4 на криволинейную поверхность 5 и 6 - под углом между ребром и нормалью 15 к направляющей окружности 16 этой криволинейной поверхности - φ0, а при переходе с криволинейной поверхности 5 и 6 на плоскость 4 - (φ0+Δφ), с обеспечением равенства φ0 для всех поверхностей спицы 1, при этом Δφ определен по формуле:
, ,
; , где: ; where:
х0, y0 - координаты центра окружности перехода на плоскость, которой принадлежит ребро 11;x 0 , y 0 - coordinates of the center of the circle of transition to the plane to which the
xn, yn - координаты точки начала ребра 11 на плоскости;x n , y n - coordinates of the point of origin of the
xn+1, yn+1 - координаты конца ребра 11 на плоскости.x n + 1 , y n + 1 - coordinates of the end of
Образующий радиус r тора 17 определен формулой:The generating radius r of the
r<Rвн·ctg2φ0, где:r <R int · ctg 2 φ 0 , where:
Rвн - радиус направляющей окружности торовой поверхности;R vn is the radius of the guide circle of the torus surface;
φ0 - угол между ребром 11 и касательной 13 к образующей окружности 14 торовой поверхности 6, см. фиг.4, 6.φ 0 - the angle between the
Заданная изгибная жесткость спицы 1 экспериментально подобрана методом симметричной вырезки участков дополнительных ребер 10, причем симметричностью (относительно продольной плоскости симметрии спицы 1) вырезки участков обеспечено исключение кручения консоли при ее изгибе.The specified bending stiffness of the
Площадь сечения основного продольного ребра 9 выполнена не менее чем в 4-5 раз больше, чем спирального 11 и дополнительного продольного 10.The cross-sectional area of the main
Пример конкретного исполнения способа заключается в том, что спицу 1 наматывают с обеспечением параметров намотки, в том числе φ0, Δφ, а также радиуса R кривизны 19 спицы 1 (см. фиг.5). Причем кривизна 19 спицы исходя из технических требований конструкторской документации может быть задана более чем одним сопрягаемыми радиусами с соответствующими центрами окружностей (x0, y0). В этом случае определяют в том числе параметры Δφ1, Δφ2, Δφ3 и т.д. для каждого участка намотки исходя из R1, R2, R3 и т.д. и заданных чертежом для использования в представленной формуле, например, координат точки (xn, yn) (см. фиг.7), принадлежащей кривой, например, радиуса R1 (см. фиг.5), из которой выходит жгут под углом к нормали (φ0+Δφ) (см. фиг.7). Координаты точки (xn+1, yn+1) (см. фиг.7) определяют из условия принадлежности точки кривой радиуса R3 (см. фиг.5) и условия прихода жгута в эту точку под углом φ0=const (см. фиг.7) к нормали к этой кривой. Жгуты 8 наматывают по геодезической траектории за исключением случая перехода с криволинейной поверхности 5, 6 на боковую плоскость 4, то есть в момент корректировки φ. В этом случае с целью повышения качества укладки жгутов 8 в канавки 7 (чтобы жгут удерживался не за счет углубления в канавку, а как на гладкой оправке) необходимо выполнение условия |tgΔφ/2|<ктр, где ктр - коэффициент трения при намотке. При необходимости, выполнение этого условия может быть обеспечено, например, корректировкой угла φ0. Кроме того, для обеспечения заданной изгибной жесткости спицы 1 ее нагружают консольно (см. фиг.5) единичным усилием q и для обеспечения соответствия замеренного прогиба и его разброса между отдельными спицами техническим требованиям вырезают участки симметричных продольных дополнительных ребер 10 на поверхности 5 или поверхности 6, регулируя снижение жесткости до требуемой величины. Причем для обеспечения заданной жесткости по длине спицы (совпадения упругой линии 20 для нескольких спиц комплекта) прогиб измеряют в нескольких точках спицы с симметричной вырезкой ребер 10 на соответствующих участках.An example of a specific implementation of the method is that the
Работает криволинейная спица 1 следующим образом. При использовании спицы в качестве элемента каркаса зеркального рефлектора с рабочей поверхностью, образованной напылением зеркального материала на тонколистовой материал (гибкую пленку), к каждой спице 1 каркаса для исключения искажения зеркала предъявляются повышенные требования по совпадению упругих линий 20 под действием изгибающих нагрузок. При изменении положения зеркального рефлектора (поворот, перемещение) на каркас воздействуют инерционные нагрузки, которые сводятся для каждой спицы 1 к воздействию на нее изгибающего усилия. Благодаря предложенной оптимизации изгибной жесткости спицы 1 по ее длине искажения зеркала не происходит.The curved spoke 1 works as follows. When using a spoke as an element of the frame of a mirror reflector with a working surface formed by spraying a mirror material onto a sheet material (flexible film), increased demands are made on the matching of
Использование изобретений позволит создать высокотехнологичную конструкцию криволинейной спицы сетчатой структуры высокого качества и с повышенной надежностью работы, что подтверждает использование по назначению. Осуществимость изобретений подтверждена положительными результатами испытаний макетов и опытных образцов спицы, узлов и макетов рефлектора, разработка и изготовление которых полностью основаны на представленном описании. В связи с этим новое техническое решение соответствует и критерию «промышленная применимость», т.е. уровню изобретения.The use of inventions will allow you to create a high-tech design of a curved mesh needle of high quality and with increased reliability, which confirms the intended use. The feasibility of the inventions is confirmed by the positive test results of the prototypes and prototypes of the knitting needles, knots and prototypes of the reflector, the development and manufacture of which are fully based on the presented description. In this regard, the new technical solution also meets the criterion of "industrial applicability", i.e. level of invention.
Claims (6)
где x0, y0 - координаты центра окружности перехода на плоскости, которой принадлежит наматываемое ребро;
xn, yn - координаты точки на плоскости, из которой выходит ребро;
xn+1, yn+1 - координаты конца ребра на плоскости,
при этом образующий радиус тора r определяют по формуле:
r<Rвн·ctg2φ0,
где Rвн - радиус направляющей окружности торовой поверхности;
φ0 - угол намотки между наматываемым жгутом ребра и касательной к этой образующей окружности торовой поверхности,
затем в канавки послойно наматывают жгуты из однонаправленных полимерных волокон, пропитанных синтетическим связующим с обеспечением параметров намотки для получения сетчатой структуры спицы и обеспечения прямолинейности отрезков продольных ребер на торовой внутренней поверхности спицы, отрезков спиральных ребер на боковых плоскостях, криволинейности продольных ребер наружной цилиндрической поверхности и выпуклости отрезков спиральных ребер на цилиндрической и торовой поверхностях и, после отверждения связующего, спицу с разделительным слоем снимают с оправки и из спицы удаляют разделительный слой.1. A method of manufacturing a curved needle from composite materials, in which a dividing layer of easily removable material is applied to a rigid curved mandrel, the profile of which is defined by the intersection of two lateral planes and two curved, outer cylindrical and inner torus surfaces, four grooves are made at the intersections of all surfaces for laying the bundles of the main longitudinal ribs of the knitting needles, on the cylindrical and torus surfaces - grooves for additional longitudinal ribs, and on all surfaces ostakh - spiral grooves in both directions for winding bundles of spiral ribs of a spoke, and the spiral grooves on curved, cylindrical and torus surfaces are performed to provide a winding angle φ 0 between the tangent to the coiled coil and tangent to the generatrix of the curved surface, on the lateral planes when moving from the plane on the curved surface - with the software of the angle between wound winding wiring and the normal to the curved surface of the guide circle - φ 0, and the transition from a ivolineynoy surface plane - (φ 0 + Δφ), ensuring equality φ 0 for all mandrel surfaces, wherein Δφ is given by:
where x 0 , y 0 are the coordinates of the center of the transition circle on the plane to which the wound edge belongs;
x n , y n - coordinates of the point on the plane from which the edge comes out;
x n + 1 , y n + 1 - coordinates of the end of the edge in the plane,
wherein the generatrix of the torus radius r is determined by the formula:
r <R int · ctg 2 φ 0 ,
where R VN is the radius of the guide circle of the torus surface;
φ 0 is the angle of winding between the wound tourniquet of the rib and the tangent to this generatrix of the circumference of the torus surface,
Then, bundles of unidirectional polymer fibers impregnated with a synthetic binder are wound in layers into the grooves to provide winding parameters for obtaining a mesh structure of the knitting needle and ensuring the straightness of the segments of the longitudinal ribs on the torus inner surface of the spoke, the segments of spiral ribs on the lateral planes, the curvature of the longitudinal ribs of the outer cylindrical surface and the convexity pieces of spiral ribs on a cylindrical and torus surfaces and, after curing the binder, a spoke with a section the integral layer is removed from the mandrel and the separation layer is removed from the spoke.
где x0, y0 - координаты центра окружности перехода на плоскости, которой принадлежит ребро;
xn, yn - координаты точки начала ребра на плоскости;
xn+1, yn+1 - координаты конца ребра на плоскости,
при этом образующий радиус тора r определен формулой:
r<Rвн·ctg2φ0,
где Rвн - радиус направляющей окружности торовой поверхности;
φ0 - угол между ребром и касательной к образующей окружности торовой поверхности.4. A curved needle made of composite materials, the profile of which is defined by the intersection of two lateral planes and two curved, outer cylindrical and inner torus surfaces, including four main longitudinal ribs impregnated with a synthetic binder of polymer fibers made of unidirectional with the formation of a cellular structure polymeric fibers located at the intersection all surfaces located on curved surfaces additional longitudinal ribs and located on all surfaces of the joint oral ribs of both directions, and spiral ribs on curved, cylindrical and torus surfaces are located at an angle φ 0 between the tangent to the rib and tangent to the generatrix of the curved surface, on the lateral planes when changing from a plane to a curved surface - at an angle between the rib and the normal to the guide circumference of the curved surface - φ 0, and the transition from the curved surface onto the plane - (φ 0 + Δφ) with equality φ 0 for all surfaces of the spokes, wherein Δφ is defined pho muloy:
where x 0 , y 0 are the coordinates of the center of the transition circle on the plane to which the edge belongs;
x n , y n - coordinates of the point of origin of the edge in the plane;
x n + 1 , y n + 1 - coordinates of the end of the edge in the plane,
wherein the generating radius of the torus r is defined by the formula:
r <R int · ctg 2 φ 0 ,
where R VN is the radius of the guide circle of the torus surface;
φ 0 - the angle between the edge and the tangent to the generatrix of the circumference of the torus surface.
Publications (1)
| Publication Number | Publication Date |
|---|---|
| RU2481237C1 true RU2481237C1 (en) | 2013-05-10 |
Family
ID=
Citations (4)
| Publication number | Priority date | Publication date | Assignee | Title |
|---|---|---|---|---|
| US4137354A (en) * | 1977-03-07 | 1979-01-30 | Mcdonnell Douglas Corporation | Ribbed composite structure and process and apparatus for producing the same |
| RU2149761C1 (en) * | 1999-06-03 | 2000-05-27 | Акционерное общество "Центр перспективных разработок акционерного общества "Центральный научно-исследовательский институт специального машиностроения" | Reticular sheathing in the form of body of rotation of composite materials and method for its manufacture |
| RU2153419C1 (en) * | 1999-03-10 | 2000-07-27 | Акционерное общество "Центр перспективных разработок акционерного общества "Центральный научно-исследовательский институт специального машиностроения" | Screen shell of revolution (versions) |
| RU89069U1 (en) * | 2009-09-03 | 2009-11-27 | Российская Федерация, от имени которой выступает Министерство промышленности и торговли Российской Федерации (Минпромторг России) | NET STRUCTURE AIRCRAFT FLOOR BEAM FROM POLYMERIC COMPOSITE MATERIALS WITH LONGITUDINAL AND TRANSVERSE RIBS |
Patent Citations (4)
| Publication number | Priority date | Publication date | Assignee | Title |
|---|---|---|---|---|
| US4137354A (en) * | 1977-03-07 | 1979-01-30 | Mcdonnell Douglas Corporation | Ribbed composite structure and process and apparatus for producing the same |
| RU2153419C1 (en) * | 1999-03-10 | 2000-07-27 | Акционерное общество "Центр перспективных разработок акционерного общества "Центральный научно-исследовательский институт специального машиностроения" | Screen shell of revolution (versions) |
| RU2149761C1 (en) * | 1999-06-03 | 2000-05-27 | Акционерное общество "Центр перспективных разработок акционерного общества "Центральный научно-исследовательский институт специального машиностроения" | Reticular sheathing in the form of body of rotation of composite materials and method for its manufacture |
| RU89069U1 (en) * | 2009-09-03 | 2009-11-27 | Российская Федерация, от имени которой выступает Министерство промышленности и торговли Российской Федерации (Минпромторг России) | NET STRUCTURE AIRCRAFT FLOOR BEAM FROM POLYMERIC COMPOSITE MATERIALS WITH LONGITUDINAL AND TRANSVERSE RIBS |
Similar Documents
| Publication | Publication Date | Title |
|---|---|---|
| KR102320603B1 (en) | Display apparatus | |
| KR101961491B1 (en) | A Honeycomb Structure and a Forming Method Thereof | |
| US6553734B1 (en) | Composite structural panel with undulated body | |
| US6454893B1 (en) | Method of shaping continuous fiber lamina to an undulated surface by cutting individual fibers | |
| CN102689444B (en) | Ring structure and its manufacturing method | |
| US8481143B2 (en) | Thick curved honeycomb core with minimal forming | |
| JP7629060B2 (en) | Splicing of composite structures and method thereof | |
| JP2022544424A (en) | fiber optic cable | |
| KR20080031942A (en) | Apparatus and method for manufacturing a composite structural member having curvature | |
| CN109196246B (en) | With tooth V band and the transmission system with tooth V band is used | |
| WO2015083441A1 (en) | Pneumatic tire manufacturing method | |
| KR20110043588A (en) | Inclined stiffeners and apparatus and method for manufacturing same | |
| US20160121558A1 (en) | Method for defining fiber trajectories from a vector field | |
| JP5882151B2 (en) | Extension structure | |
| CN104787625A (en) | Optical fiber winding reel and optical fiber reel disc | |
| RU2481237C1 (en) | Method of making curved cellular structure spoke from composite materials and curved cellular structure spoke from composite materials | |
| RU2084343C1 (en) | Carrying pipe-shell of composite materials, method and mandrel for its manufacture | |
| CN102837433A (en) | Laying-up method for non-planar composite material components | |
| US9481135B2 (en) | Method for defining fiber trajectories from a transfer surface | |
| RU2116934C1 (en) | Rib made from composite materials (versions) and device for manufacture of its flat fin-cellular structure | |
| US20120328819A1 (en) | Method for producing structural member and structural member | |
| Capone et al. | Kerf bending: Ruled double curved surfaces manufacturing | |
| KR20110031454A (en) | Inclined stiffeners and apparatus and method for manufacturing same | |
| RU2312790C1 (en) | Method of manufacture of aircraft airframe components from polymer composite materials and mandrel for realization of this method | |
| US11436390B2 (en) | Fiber path planning to reduce in-plane curvature |
































