RU2016106932A - Способ управления рисками в области безопасности движения поездов и устройство для его реализации - Google Patents
Способ управления рисками в области безопасности движения поездов и устройство для его реализации Download PDFInfo
- Publication number
- RU2016106932A RU2016106932A RU2016106932A RU2016106932A RU2016106932A RU 2016106932 A RU2016106932 A RU 2016106932A RU 2016106932 A RU2016106932 A RU 2016106932A RU 2016106932 A RU2016106932 A RU 2016106932A RU 2016106932 A RU2016106932 A RU 2016106932A
- Authority
- RU
- Russia
- Prior art keywords
- risk
- traffic safety
- output
- input
- type
- Prior art date
Links
Classifications
-
- G—PHYSICS
- G06—COMPUTING OR CALCULATING; COUNTING
- G06Q—INFORMATION AND COMMUNICATION TECHNOLOGY [ICT] SPECIALLY ADAPTED FOR ADMINISTRATIVE, COMMERCIAL, FINANCIAL, MANAGERIAL OR SUPERVISORY PURPOSES; SYSTEMS OR METHODS SPECIALLY ADAPTED FOR ADMINISTRATIVE, COMMERCIAL, FINANCIAL, MANAGERIAL OR SUPERVISORY PURPOSES, NOT OTHERWISE PROVIDED FOR
- G06Q90/00—Systems or methods specially adapted for administrative, commercial, financial, managerial or supervisory purposes, not involving significant data processing
-
- B—PERFORMING OPERATIONS; TRANSPORTING
- B61—RAILWAYS
- B61L—GUIDING RAILWAY TRAFFIC; ENSURING THE SAFETY OF RAILWAY TRAFFIC
- B61L23/00—Control, warning or like safety means along the route or between vehicles or trains
-
- B—PERFORMING OPERATIONS; TRANSPORTING
- B61—RAILWAYS
- B61L—GUIDING RAILWAY TRAFFIC; ENSURING THE SAFETY OF RAILWAY TRAFFIC
- B61L23/00—Control, warning or like safety means along the route or between vehicles or trains
- B61L23/002—Control or safety means for heart-points and crossings of aerial railways, funicular rack-railway
- B61L23/005—Automatic control or safety means for points for operator-less railway, e.g. transportation systems
-
- G—PHYSICS
- G06—COMPUTING OR CALCULATING; COUNTING
- G06F—ELECTRIC DIGITAL DATA PROCESSING
- G06F17/00—Digital computing or data processing equipment or methods, specially adapted for specific functions
Landscapes
- Engineering & Computer Science (AREA)
- Theoretical Computer Science (AREA)
- Physics & Mathematics (AREA)
- Mechanical Engineering (AREA)
- General Physics & Mathematics (AREA)
- Business, Economics & Management (AREA)
- Databases & Information Systems (AREA)
- Heart & Thoracic Surgery (AREA)
- Mathematical Physics (AREA)
- Software Systems (AREA)
- General Engineering & Computer Science (AREA)
- Data Mining & Analysis (AREA)
- Transportation (AREA)
- Health & Medical Sciences (AREA)
- Economics (AREA)
- General Business, Economics & Management (AREA)
- Train Traffic Observation, Control, And Security (AREA)
Claims (18)
1. Способ управления рисками в области безопасности движения поездов, заключающийся в том, что за m интервалов времени наблюдения регистрируют события нарушения безопасности движения поездов, анализируют каждое событие для определения его вида и факторов, обусловивших его возникновение, оценивают ущерб, возникший в результате его наступления, при этом каждому виду события нарушения безопасности движения соотносят связанный с ним риск вида p, p=1…n, для риска каждого вида p определяют значения вероятности Pjp перехода в нарушение безопасности движения проявлений каждого j-го (j=1…lp) фактора, влияющего на возникновение нарушений безопасности движения этого вида, кроме того регистрируют данные по выполненным мероприятиям, направленным на предотвращение события этого вида, а также затраты на их выполнение и для каждого k-го, k=1…Kp мероприятия определяют коэффициент Dkp снижения риска вида p, достигнутый в результате его выполнения, на каждом i-м, i=1…m, интервале времени наблюдения анализируют статистику нарушений безопасности движения для риска каждого вида p, при этом сначала определяют количество n1i, видов риска, для которых объем выборки событий нарушений безопасности движения является достаточным, и каждого из них, на основе данных о фактическом количестве нарушений безопасности движения и связанных с ними ущербов определяют уровень фактического риска, а также количество n2i, видов риска, для которых объем выборки событий нарушений безопасности движения на i-м интервале наблюдения является недостаточным, и для каждого из них сначала определяют уровень гипотетического ущерба на основе данных об ущербах от события данного вида за текущий i-й и предшествующие i-1, i-2 интервалы наблюдения, после чего на основе данных о фактическом количестве проявлений за i-й интервал наблюдения каждого j-го фактора, влияющего на возникновение нарушений безопасности движения этого вида, вероятности перехода проявления j-го фактора в рисковое событие вида p2, p2=1…n2,. и уровня гипотетического ущерба определяют уровень гипотетического риска, затем осуществляют оценку фактического риска каждого вида p1, p1=1…n1, и гипотетического риска каждого вида p2 путем соотношения его уровня с заданным для данного вида риска допустимым уровнем, если уровень фактического или гипотетического риска вида p превышает заданный для данного вида риска допустимый уровень, то уровень остаточного риска вида p определяют с учетом коэффициентов снижения риска от выполнения каждого k-го, k=1…Kip, запланированного для выполнения на i-м интервале времени наблюдения мероприятия по предотвращению событий нарушения безопасности движения данного вида, если уровень фактического или гипотетического риска вида p не превышает заданного для данного вида риска допустимого уровня, то уровень остаточного риска вида p принимается равным соответственно уровню фактического или гипотетического риска этого вида, после чего оценивают остаточный риск путем соотношения его уровня с заданным для данного вида риска допустимым уровнем, по результатам оценки риска каждого вида p принимают решения по управлению рисками, в случае принятия решения о снижения риска формируют данные, включающие перечень мероприятий по предотвращению этого вида события нарушения безопасности движения, кроме того по результатам оценки риска каждого вида p анализируют динамику уровня риска за m интервалов времени наблюдений и прогнозируют его уровень на последующий интервал времени наблюдения, используя метод линейной регрессии с введением весовых коэффициентов q1…qm, учитывающих убывание значимости более ранних по времени оценок риска.
2. Способ по п. 1, отличающийся тем, что для рисков всех видов на каждом i-м интервале времени наблюдения рассчитывают показатель Ei эффективности управления рисками по формуле:
где n - количество видов рисков в области безопасности движения поездов;
ROip - остаточный уровень риска вида p за i-й интервал наблюдения;
RДр - допустимый уровень риска вида p.
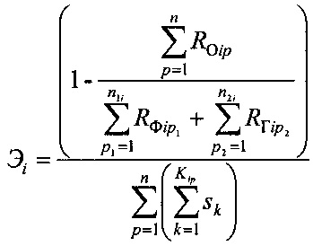
3. Способ по п. 2, отличающийся тем, что для рисков всех видов на каждом i-м интервале времени наблюдения рассчитывают показатель Эi эффективности запланированных мероприятий по предотвращению нарушений безопасности движения по формуле:
где n - количество видов рисков в области безопасности движения поездов;
ROip - остаточный уровень риска вида p за i-й интервал наблюдения;
n1i - количество видов рисков, для которых на i-м интервале наблюдения объем выборки исходных данных является достаточным;
n2i - количество видов рисков, для которых на i-м интервале наблюдения объем выборки исходных данных является недостаточным;
Kip - количество видов мероприятий по предотвращению нарушений безопасности движения, запланированных на i-м интервале наблюдения для снижения риска вида p;
sk - затраты на реализацию мероприятий вида k, тыс. руб.
4. Способ по п. 1, отличающийся тем, что результаты оценок рисков представляют в виде матриц, а динамику и прогнозирование рисков - в виде диаграмм и/или графиков.
5. Система для управления рисками в области безопасности движения поездов, содержащая центральный процессор, блок отображения, вход которого подключен к первому выходу процессора, блок ввода/вывода, вход/выход которого подключен к первому выходу/входу процессора, вторым входом/выходом соединенного с входом/выходом интерфейса для сопряжения с аппаратно-программными устройствами интеграционного комплекса систем автоматизации работы ситуационного центра и автоматизированной системы управления безопасностью движения, формирователи баз данных соответственно допустимых уровней рисков, количества фактических нарушений безопасности движения, фактических ущербов от нарушений безопасности движения, параметров факторов, влияющих на возникновение нарушений безопасности движения, и параметров мероприятий по предотвращению нарушений безопасности движения, причем вход/выход формирователя баз данных количества фактических нарушений безопасности движения подключен к третьему выходу/входу процессора, а входы формирователей баз данных допустимых уровней рисков, фактических ущербов от нарушений безопасности движения, параметров факторов, влияющих на возникновение нарушений безопасности движения, и параметров мероприятий по предотвращению нарушений безопасности движения подключены соответственно ко второму, третьему, четвертому и пятому выходам процессора, модуль оценки фактического риска, входы/выходы которого подключены к соответствующим входам/выходам формирователей баз данных допустимых уровней рисков, количества фактических нарушений безопасности движения и фактических ущербов от нарушений безопасности движения, вход - к шестому выходу процессора, а первый выход - к первому входу процессора, модуль оценки гипотетического ущерба, первым входом соединенный с седьмым выходом процессора, а входами/выходами - с соответствующими выходами/входами формирователей баз данных количества фактических нарушений безопасности движения и фактических ущербов от нарушений безопасности движения, модуль оценки гипотетического риска, первый вход которого соединен с выходом модуля оценки гипотетического ущерба, второй вход - с восьмым выходом процессора, входы/выходы - с соответствующими выходами/входами формирователей баз данных допустимых уровней рисков и параметров факторов, влияющих на возникновение нарушений безопасности движения, а первый выход - со вторым входом процессора, модуль оценки остаточного риска, входами подключенный к девятому выходу процессора и ко вторым выходам соответственно модулей оценки фактического риска и гипотетического риска, входами/выходами - к соответствующим выходам/входам формирователей баз данных допустимых уровней рисков и параметров мероприятий по предотвращению нарушений безопасности движения, а первым выходом - к третьему входу процессора, модуль анализа динамики и прогнозирования рисков, входы которого соединены со вторыми выходам соответственно модулей оценки фактического риска, гипотетического риска, остаточного риска и с десятым выходом процессора, а выход - с четвертым входом процессора, вычислитель показателя эффективности управления рисками, входом/выходом подключенный к соответствующему выходу/входу формирователя баз данных допустимых уровней рисков, входом - ко второму выходу модуля оценки остаточного риска, а выходом - к пятому входу процессора, и вычислитель показателя эффективности мероприятий по предотвращению нарушений безопасности движения, входами соединенный со вторыми выходами соответственно модулей оценки фактического риска, гипотетического риска и остаточного риска, входом/выходом - с соответствующим выходом/входом формирователя базы данных параметров мероприятий по предотвращению нарушений безопасности движения, а выходом - с шестым входом процессора.
Priority Applications (1)
| Application Number | Priority Date | Filing Date | Title |
|---|---|---|---|
| RU2016106932A RU2675396C2 (ru) | 2016-02-26 | 2016-02-26 | Способ управления рисками в области безопасности движения поездов и устройство для его реализации |
Applications Claiming Priority (1)
| Application Number | Priority Date | Filing Date | Title |
|---|---|---|---|
| RU2016106932A RU2675396C2 (ru) | 2016-02-26 | 2016-02-26 | Способ управления рисками в области безопасности движения поездов и устройство для его реализации |
Publications (2)
| Publication Number | Publication Date |
|---|---|
| RU2016106932A true RU2016106932A (ru) | 2017-08-31 |
| RU2675396C2 RU2675396C2 (ru) | 2018-12-19 |
Family
ID=59798697
Family Applications (1)
| Application Number | Title | Priority Date | Filing Date |
|---|---|---|---|
| RU2016106932A RU2675396C2 (ru) | 2016-02-26 | 2016-02-26 | Способ управления рисками в области безопасности движения поездов и устройство для его реализации |
Country Status (1)
| Country | Link |
|---|---|
| RU (1) | RU2675396C2 (ru) |
Family Cites Families (6)
| Publication number | Priority date | Publication date | Assignee | Title |
|---|---|---|---|---|
| US5867404A (en) * | 1996-04-01 | 1999-02-02 | Cairo Systems, Inc. | Method and apparatus for monitoring railway defects |
| CA2388572A1 (en) * | 1999-10-28 | 2001-05-03 | General Electric Company | Diagnosis and repair system and method |
| DE602004004246T2 (de) * | 2004-04-01 | 2007-11-15 | Heuristics Gmbh | Methode und System zur Erkennung von Defekten und gefährlichen Eigenschaften von passierenden Eisenbahnfahrzeugen |
| RU2397902C1 (ru) * | 2009-05-13 | 2010-08-27 | Открытое акционерное общество "Российские железные дороги" (ОАО "РЖД") | Способ управления многоуровневой системой обеспечения безопасности на железнодорожном транспорте и система для его осуществления |
| RU2467905C1 (ru) * | 2011-03-14 | 2012-11-27 | Открытое акционерное общество "Научно-исследовательский и проектно-конструкторский институт информатизации, автоматизации и связи на железнодорожном транспорте" (ОАО "НИИАС") | Система интервального регулирования движения поездов |
| SE536586C2 (sv) * | 2012-07-02 | 2014-03-11 | Scania Cv Ab | Anordning och förfarande för att bedöma olycksrisk vid framförande av ett fordon |
-
2016
- 2016-02-26 RU RU2016106932A patent/RU2675396C2/ru active
Also Published As
| Publication number | Publication date |
|---|---|
| RU2675396C2 (ru) | 2018-12-19 |
Similar Documents
| Publication | Publication Date | Title |
|---|---|---|
| AU2019100364A4 (en) | A Method of Air Quality Prediction Using Long Short-Term Memory Neural Network | |
| Rodrigues-da-Silva et al. | The project risk management process, a preliminary study | |
| CN114267178B (zh) | 一种车站的智能运营维护方法及装置 | |
| Solomentsev et al. | Data processing in exploitation system of unmanned aerial vehicles radioelectronic equipment | |
| CN105701596A (zh) | 一种基于大数据技术的配网抢修精益化方法以及管理系统 | |
| CN111124852A (zh) | 一种基于bmc健康管理模块的故障预测方法及系统 | |
| WO2017071369A1 (zh) | 一种预测用户离网的方法和设备 | |
| Haghshenas et al. | The role of artificial intelligence in managing emergencies and crises within smart cities | |
| CN106469114A (zh) | 一种面向通信测试的并行计算性能检测系统及其方法 | |
| Iqbal et al. | Power and performance analysis of network traffic prediction techniques | |
| RU2016106932A (ru) | Способ управления рисками в области безопасности движения поездов и устройство для его реализации | |
| JP5200678B2 (ja) | サービシステム、サービスシステム管理方法、及びプログラム | |
| Bai et al. | Assessment of urban rail transit development using DPSIR-entropy-TOPSIS and obstacle degree analysis: A case study of 27 Chinese cities | |
| Crewe et al. | Modeling systematic change in stopover duration does not improve bias in trends estimated from migration counts | |
| CN119476915A (zh) | 一种变电站建设进度监控方法、装置、设备及存储介质 | |
| Montoya et al. | Time-of-failure probability mass function computation using the first-passage-time method applied to particle filter-based prognostics | |
| Łęczycki et al. | Extended sensor reliability evaluation method in multi-sensor control systems | |
| Raghuwanshi et al. | Application of Artificial Intelligence in Wildlife Disease Surveil-lance | |
| RU2625681C2 (ru) | Устройство контроля, учета, планирования и прогноза при совершении действий с ресурсами | |
| Barak et al. | Reliability measures of a standby system with arrival time of the server subject to maximum operation and repair times | |
| Pham et al. | A generalized surveillance model with applications to systems safety | |
| Liu | Modeling and simulation for healthcare operations management using high performance computing and agent-based model | |
| JP2014215715A (ja) | 市場情勢変化分析装置及び方法 | |
| Lališ | Time-series analysis and modelling to predict aviation safety performance index | |
| Rodionov et al. | Demonstration of statistical approaches to identify component's ageing by operational data analysis—A case study for the ageing PSA network |

