JP6090236B2 - 中子造型装置におけるスライドコアの引抜方法、スライドコアの引抜制御装置及び中子造型装置 - Google Patents

中子造型装置におけるスライドコアの引抜方法、スライドコアの引抜制御装置及び中子造型装置 Download PDF

Info

Publication number
JP6090236B2
JP6090236B2 JP2014110371A JP2014110371A JP6090236B2 JP 6090236 B2 JP6090236 B2 JP 6090236B2 JP 2014110371 A JP2014110371 A JP 2014110371A JP 2014110371 A JP2014110371 A JP 2014110371A JP 6090236 B2 JP6090236 B2 JP 6090236B2
Authority
JP
Japan
Prior art keywords
slide core
core
movement
slide
pulling
Prior art date
Legal status (The legal status is an assumption and is not a legal conclusion. Google has not performed a legal analysis and makes no representation as to the accuracy of the status listed.)
Active
Application number
JP2014110371A
Other languages
English (en)
Other versions
JP2015223611A (ja
Inventor
祐也 福田
祐也 福田
Current Assignee (The listed assignees may be inaccurate. Google has not performed a legal analysis and makes no representation or warranty as to the accuracy of the list.)
Mazda Motor Corp
Original Assignee
Mazda Motor Corp
Priority date (The priority date is an assumption and is not a legal conclusion. Google has not performed a legal analysis and makes no representation as to the accuracy of the date listed.)
Filing date
Publication date
Application filed by Mazda Motor Corp filed Critical Mazda Motor Corp
Priority to JP2014110371A priority Critical patent/JP6090236B2/ja
Publication of JP2015223611A publication Critical patent/JP2015223611A/ja
Application granted granted Critical
Publication of JP6090236B2 publication Critical patent/JP6090236B2/ja
Active legal-status Critical Current
Anticipated expiration legal-status Critical

Links

Images

Landscapes

  • Casting Devices For Molds (AREA)
  • Molds, Cores, And Manufacturing Methods Thereof (AREA)

Description

本発明は、中子造型装置におけるスライドコアを、造型された中子から引抜く方法、その制御装置、及びその制御装置を備えた中子造型装置に関するものである。
従来、エンジンのシリンダヘッドは、冷却水通路(W/J)を内部に形成させるために砂中子を型内にセットした状態で鋳造されている。この中子は、中子造型用金型内に樹脂でその表面を被覆された砂を吹き込み、加圧して作られる。
このようなエンジンのシリンダヘッド用中子は複雑な形状をなしているため、単に金型をセットするだけでなく、側方からキャビティ内に進退可能に動くスライドコアが設けられる場合がある。
例えば特許文献1には、スライドコアを金型の上方から進退可能かつ自動操作可能に設置し、中子成形の効率化を図る技術が提案されている。
特開2008−238231号公報
ところで、スライドコア周囲に充填される中子は部分的に厚みが異なっていたり、スライドコアの抜き勾配が小さい部分があったりする等、造型が難しいとされ、とりわけ、複数箇所のスライドコアを同時に一気に抜こうとすると、スライドコア表面が樹脂と接着状態となっていることや、抜型抵抗が大きく抜型動作中に金型が傾いてしまうこと等の原因により、中子の折れや傷等が発生するという問題があった。
しかしながら、上記特許文献1のものでは、中子成形の効率化は図られるものの、スライドコアの引抜き時に中子の損傷を抑える機構については何等考慮されていない。
本発明は斯かる点に鑑みてなされたものであり、その目的とするところは、抜き勾配の小さい形状部分からスライドコアを後退させて引抜く際の動作に工夫を加えることにより、中子の折れや傷の発生を抑え、中子の歩留まりを向上させることにある。
上記の目的を達成するために、この発明では、スライドコアを後退させて引抜く際に、前記プレートにおけるスライドコアの引抜方向に直交する方向の離れた2つの部位間の移動量の差が所定量を超えないように両部位の移動量を調整しながら引抜くようにした。
具体的には、第1発明に係るスライドコアの引抜方法は、中子造型装置におけるスライドコアを、造型された中子から引抜く方法であって、前記スライドコアはプレート上に固定されており、前記プレートにおけるスライドコア引抜方向と直交する方向に離れた2つの部位を一対のアクチュエータで当該引抜方向に移動させるものであり、前記両部位の移動量を、両者間に所定量以上の差が生じないように調整しながら、前記プレートが引抜方向に対して傾くことを許容しつつ、前記両アクチュエータにより前記スライドコアを引抜くことを特徴とする。
本発明によれば、スライドコアの引抜き時に前記プレートの両部位の移動量の調整を行うことにより、抜き勾配が小さく、抜き抵抗が大きいスライドコアであっても、引抜方向に対するスライドコアの傾きを最小限に抑えて引抜くことができる。また、このような両部位の移動量の調整を行うことにより、スライドコアの過度な傾きを抑制して中子とスライドコアとの接着面にかかる負荷を最小限に抑えることができ、中子を傷つけることなくスライドコアを引抜くことができる。
また、第2発明に係るスライドコアの引抜方法は、第1発明において、前記両部位の移動量の調整は、前記移動量の差が前記所定量に達したところで、前記移動量が大きい側の部位の移動を規制しつつ、前記スライドコアの引抜きを継続するものである構成とする。
本発明によれば、前記両部位の移動量の調整を行うことにより、前記プレートの両部位間が最小限の傾きを持ってほぼ交互に引抜方向に移動される。このため、中子とスライドコアとの接着面を、プレートの両部位側に位置するスライドコアの端部側から交互に徐々に剥がすことができ、中子を傷つけることなくスライドコアを引抜くことができる。
また、第3発明に係るスライドコアの引抜方法は、第1又は第2発明において、前記両部位の移動量の調整は、前記スライドコアの全体の引抜工程の初期に行われる構成とする。
本発明によれば、造型直後において中子とスライドコアとの接着力が最も大きいため、スライドコアの引抜工程の初期において、前記両部位の移動量の調整を行うことにより、スライドコアの脱離に伴う中子の損傷を効果的に抑えることができる。また、前記両部位の移動量の調整を前記引抜工程の初期のみに行うことによって、中子とスライドコアとの接着面が剥離した後は、速い動作によりスライドコアを引抜くことができ、作業効率を向上させることができる。
また、第4発明に係るスライドコアの引抜方法は、第1〜第3発明において、前記アクチュエータとして、電動シリンダを用いる構成とする。
本発明によれば、電動シリンダのモータ回転数を制御することにより、前記プレートの位置を精度良く且つ確実に制御することができるため、前記両部位の移動量の調整をより正確に行うことができる。
また、第5発明に係るスライドコアの引抜制御装置は、中子造型装置におけるスライドコアを、造型された中子から引抜くための引抜制御装置であって、前記スライドコアが固定されたプレートと、前記プレートに備えられ、前記プレートにおけるスライドコア引抜方向と直交する方向に離れた2つの部位を当該引抜方向に移動させるための一対のアクチュエータと、前記両アクチュエータの動作を制御する制御手段と、前記プレートの両部位の引抜方向の移動量を検出するための位置検出手段とを備え、前記制御手段は、前記位置検出手段により検出された前記両部位の移動量に基づき、前記両部位の移動量を、両者間に所定量以上の差が生じないように調整しながら、前記プレートが引抜方向に対して傾くことを許容しつつ、前記スライドコアが引抜かれるように、前記アクチュエータの動作を制御することを特徴とする。
本発明によれば、スライドコアの引抜き時に、前記プレートの両部位の引抜方向の移動量が位置検出手段により検出され、この移動量に基づき制御手段によりアクチュエータの動作が制御されてプレートの両部位の移動量の調整が行われる。この両部位の移動量の調整は、抜き勾配が小さく、抜き抵抗が大きいスライドコアであっても、引抜方向に対するスライドコアの傾きを最小限に抑えて引抜く動作であり、このような両部位の移動量の調整により、スライドコアの過度な傾きを抑制して中子とスライドコアとの接着面にかかる負荷を最小限に抑えることができ、中子を傷つけることなくスライドコアを引抜くことができる。
また、第6発明に係るスライドコアの引抜制御装置は、第5発明において、前記制御手段は、前記位置検出手段により検出された前記両部位の移動量についての情報を共有し、前記移動量の差が前記所定量に達したところで、前記移動量が大きい側の部位の移動を規制しつつ、前記スライドコアの引抜きが継続されるように、前記アクチュエータの動作を制御する構成とする。
本発明によれば、前記両アクチュエータによる両部位の移動量の調整により、前記プレートの両部位間が最小限の傾きを持ってほぼ交互に引抜方向に移動される。このため、中子とスライドコアとの接着面を、プレートの両部位側に位置するスライドコアの端部側から交互に徐々に剥がすことができ、中子を傷つけることなくスライドコアを引抜くことができる。
また、第7発明に係るスライドコアの引抜制御装置は、第5又は第6発明において、前記制御手段は、前記アクチュエータの動作制御による前記両部位の移動量の調整を、前記スライドコアの全体の引抜工程の初期に行う構成とする。
本発明によれば、造型直後において中子とスライドコアとの接着力が最も大きいため、スライドコアの引抜工程の初期において、前記両部位の移動量の調整を行うことにより、スライドコアの脱離に伴う中子の損傷を効果的に抑えることができるとともに、中子とスライドコアとの接着面が剥離した後は、速い動作によりスライドコアを引抜くことができ、作業効率を向上させることができる。
また、第8発明に係るスライドコアの引抜制御装置は、第5〜第7発明において、前記アクチュエータは、電動シリンダである構成とする。
本発明によれば、電動シリンダのモータ回転数を制御することにより、前記プレートの位置を精度良く且つ確実に制御することができるため、前記両部位の移動量の調整をより正確に行うことができる。
また、第9発明に係る中子造型装置は、第5〜第8発明に係るスライドコアの引抜制御装置のいずれかを備えたことを特徴とする。
本発明によれば、スライドコアを備えた複雑な構造の中子を造型するための中子造型装置において、本発明に係るスライドコアの引抜制御装置を備えることにより、スライドコアの引抜き時に、中子の折れや傷の発生を効果的に抑えることができ、中子の生産性を向上させることができる。
以上説明したように、本発明によれば、抜き勾配の小さい形状部分からスライドコアを後退させて引抜く際に、前記プレートにおけるスライドコアの引抜方向に直交する方向の離れた2つの部位間の移動量の差が所定量を超えないように両部位の位置を調整しながら引抜くことにより、中子の折れや傷の発生を抑えて、中子の歩留まりを向上させることができる。
図1は、本発明の第1実施形態に係る中子造型装置のスライドコアと下型の平面図である。 図2は、図1に示す中子造型装置により造型された中子を示す図である。図2(a)は、中子の全体斜視図であり、図2(b)は、図2(a)のIIb−IIb線断面図である。 図3は、図1に示す中子造型装置のスライドコア進退制御装置を上側後方から見た拡大斜視図である。 図4は、図1に示すスライドコア進退制御装置をスライドコア側上方から見た拡大斜視図である。 図5は、図1に示す中子造型装置を使用して中子を造型する工程を説明するための図である。 図6は、中子造型方法において、スライドコア引抜き時の電動シリンダ用ヘッドの移動量の変化を示す図である。 図7は、本発明の第2実施形態に係る中子造型装置を示す図1相当図である。 図8は、図7に示す中子造型装置のスライドコア進退制御装置を上側後方から見た拡大斜視図である。 図9は、図7に示すスライドコア進退制御装置を右側後方から見た拡大斜視図である。 図10は、図7に示す中子造型装置を使用して中子を造型する工程を説明するための図である。
以下、本発明の実施形態を図面に基づいて詳細に説明する。以下の好ましい実施形態の説明は、本質的に例示に過ぎず、本発明、その適用物或いはその用途を制限することを意図するものでは全くない。
[第1実施形態]
(中子造型装置)
図1に示すように、本発明の第1実施形態に係る中子造型装置1は、エンジンのシリンダヘッド内にウォータジャケットを区画するW/J用中子2を造形するためのものであって、上型(図示せず)と、下型3と、スライドコア4と、このスライドコア4を上型及び下型3から引抜くためのスライドコアの引抜制御装置としてのスライドコア進退制御装置5とを備えている。
図2(a)に示すように、前記中子造型装置1により造型しようとする中子2は、上型と下型3とにより造形された部分2a,2bと、その間のアンダーカット部2cとにより構成される。図2(b)に示すように、アンダーカット部2cは、造型工程において挿入されたスライドコア4により成形される。スライドコア4は、図2(b)中の矢印方向に沿って進退移動可能に構成されている。図2(b)に示すように、アンダーカット部2cの最大深さは例えば55mm、最小抜き勾配は例えば約1°である。
図1に示すように、下型3は、中子造型装置1の下型プレート6の上に中間プレート7を介して備え付けられている。
スライドコア4は、前記中間プレート7上において、スライドコア4の先端部4a、すなわちアンダーカット部2cを構成する部分が、下型3に面するように配置されている。そして、スライドコア4の基端部4bは、プレートとしてのシールプレート8上に固定されており、該シールプレート8が下型3に向かう前方向(図1で上方向)及び下型3から離れる後方向(同下方向)に前後移動することにより、スライドコア4全体が下型3に対して進退移動可能に構成されている。
(スライドコア進退制御装置)
図1に示すスライドコア進退制御装置5は、前記シールプレート8の位置を制御することにより、前記スライドコア4を、中子2の造型前は中子2のアンダーカット部2cを形成するために上型と下型3との間に挿入させ、中子2の造型中は前記シールプレート8の位置を保持することにより前記スライドコア4の位置を保持し、中子2の造型後は造型された中子2から前記スライドコア4を引抜く役割を有する。
前記スライドコア進退制御装置5は、前記スライドコア4の基端部4bが固定された前記シールプレート8と、前記シールプレート8における前記スライドコア引抜方向と直交する左右方向に離れた2つの部位、すなわち本実施形態においては前記シールプレート8の両端部8a,8b側を当該引抜方向に移動させるためのアクチュエータとしての左右一対の電動シリンダ14a,14bとを備えている。この電動シリンダ14a,14bには、位置検出手段としての例えばエンコーダ等からなる位置検出部(図示せず)が内蔵され、この位置検出部と前記電動シリンダ14a,14bとは制御装置21(制御手段)に信号授受可能に接続されている。
電動シリンダ14a,14bは、前記スライドコア4の挿入時に、前記シールプレート8を前記下型3に向かう方向へ前進させるとともに、スライドコア4の引抜き時に、シールプレート8の両端部8a,8bの位置を調整しながらシールプレート8を後退させるためのものである。電動シリンダ14a,14bは、そのモータ回転数を制御することにより、前記シールプレート8の後退動作を精度良く且つ確実に制御することができるため、両端部8a,8bの移動量を正確に制御することができる。
図1及び図3(尚、図3では、右側の電動シリンダ14b及び制御装置21を省略している)に示すように、電動シリンダ14a,14bは、そのボディ先端部において電動シリンダ用ステー15a,15bにより中間プレート7に固定支持されている。また、前記シールプレート8の両端部8a,8bには、前記電動シリンダ14a,14bの出力部に連結した電動シリンダ用ヘッド16a,16bの端部が接続されている。そして、この電動シリンダ用ヘッド16a,16bには、シールプレート8の移動を案内するスライドガイド17a,17bが備えられている。
図4に示すように、前記スライドガイド17aは、上プレート17a1と、支柱17a2と、下プレート17a3とを備えている。そして、これら上プレート17a1と下プレート17a3との間に、前記電動シリンダ用ヘッド16aにおいて前記シールプレート8に固定された内端部と反対側の外端部が前後方向に摺動可能に挟持されている。従って、前記シールプレート8及びこれに固定されたスライドコア4の移動は、前記スライドガイド17a,17bにより前後方向の進退移動のみに制限される。
前記電動シリンダ14a,14bに内蔵された位置検出部(位置検出手段)は、前記電動シリンダ用ヘッド16a,16bの移動量(伸縮作動位置)を検出するためのものである。従って、前記位置検出部は、中子2の造型前は、電動シリンダ用ヘッド16a,16bについて前記スライドコア4の挿入方向の移動量を検出する。そして、中子2の造型後は、造型直後の前記電動シリンダ用ヘッド16a,16bの位置からの引抜方向の移動量、すなわち前記シールプレート8の両端部8a,8bの引抜方向の移動量を検出する。
前記制御装置21は、前記位置検出部により検出された前記電動シリンダ用ヘッド16a,16bの移動量に基づいて、前記電動シリンダ14a,14bの動作を制御するためのものである。従って、前記制御装置21は、中子2の造型前は、前記位置検出部により検出された前記電動シリンダ用ヘッド16a,16bの移動量に基づき、造型に際して前記スライドコア4が適切な位置に挿入されるように電動シリンダ14a,14bを作動させる。また、中子2の造型中は、前記制御装置21は、前記スライドコア4が動かないように、電動シリンダ14a,14bの動作を停止させる。そして、中子2の造型後は、前記位置検出部により検出された前記電動シリンダ用ヘッド16a,16bの移動量、すなわち前記シールプレート8の両端部8a,8bの引抜方向の移動量に基づき、前記シールプレート8の引抜方向に対する過度な傾きを抑制しながら、電動シリンダ14a,14bの動作を調整して、前記スライドコア4を引抜くように構成されている。
(中子造型方法)
次に、前記中子造型装置1により中子2を造形する方法について説明する。初期の段階では、図5(a)に示すように、前記電動シリンダ14a,14bは、収縮した原位置(後退位置)に復帰した状態である。このとき、電動シリンダ14a,14bの作動位置を0点とし、設定誤差内まで押し切っていることを確認する。
次に、図5(b)に示すように、電動シリンダ14a,14bを伸張作動させ、スライドコア4を前進させて中子2の造型位置にまで挿入させ、電動シリンダ14a,14bの伸張ストローク端を確認し、その動作を停止させて、スライドコア4を前記造型位置に保持する。そして、電動シリンダ14a,14bの0点をリセットした後、中子2の造型操作を行う。
このようにして中子2の造型が完了した後、電動シリンダ用ヘッド16a,16bの位置を調整しながら、電動シリンダ14a,14bを収縮作動させてスライドコア4を引抜き、図5(a)に示す、電動シリンダ14a,14bを原位置に復帰させた状態で造型工程は終了する。本発明では、前記中子2の造型後にスライドコア4を引抜く際の動作に特徴があり、それについて以下に詳細に説明する。
(スライドコアの引抜方法)
前記スライドコア4の引抜きに際し、前記制御装置21は、前記位置検出部により検出された前記シールプレート8の左右両端部8a,8bの引抜方向の移動量についての情報を共有し、前記電動シリンダ14a,14bの動作を同期させる。そして、前記位置検出部により検出された前記両端部8a,8bの移動量に基づき、前記両端部8a,8bの移動量を、両者間に所定量以上の差が生じないように調整しながら、シールプレート8が引抜方向に対して傾くことを許容しつつ、スライドコア4が引抜かれるように、電動シリンダ14a,14bの動作を制御する。
ここで、前記両端部8a,8bの移動量の調整は、前記シールプレート8の両端部8a,8b間の移動量の差が前記所定量に達したところで、前記移動量が大きい側の端部の動作を規制しつつ、前記スライドコア4の引抜きを継続するものである。
具体的には例えば、前記シールプレート8の左端部8aと右端部8bとのスライドコア4が中子2に接触している位置からの移動量の差が例えば0.5mmに達したところで、左端部8aが右端部8bよりも大きく引き抜かれている場合、左端部8aの引抜動作を、右端部8bの移動量が左端部8aの移動量と同じになるまで停止させて、両者の移動量の差が0.5mmを超えないようにする。
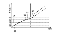
図6は、前記シールプレート8の両端部8a,8bの移動量、すなわち電動シリンダ14a,14bの収縮作動に伴う電動シリンダ用ヘッド16a,16bの移動量の時間的な変化を示している。図中、実線は電動シリンダ用ヘッド16aの変化を、また破線は電動シリンダ用ヘッド16bの移動量の変化をそれぞれ示している。例えば左側の電動シリンダ14aの収縮作動速度を右側の電動シリンダ14bよりも速くし、左側の電動シリンダ14aが収縮作動して電動シリンダ用ヘッド16aが先に0.5mm引抜かれたところで該電動シリンダ14aの収縮作動を一旦停止させ(図中S1)、右側の電動シリンダ14bにより電動シリンダ用ヘッド16bが0.5mm引抜かれて両者の移動量が同じになるまで、前記電動シリンダ用ヘッド16aの動作を停止させる(同S2)。両者の移動量が同じになると、再び左側の電動シリンダ14aを右側の電動シリンダ14bよりも速い速度で収縮作動させ、以後、このような両端部8a,8bの移動量の調整を繰り返す。また、図6に示すように、前記両端部8a,8bの移動量の調整を行う途中で左右の電動シリンダ14a,14bの収縮作動速度を逆転させ、電動シリンダ用ヘッド16bが電動シリンダ用ヘッド16aよりも先に引き抜かれる構成とし(同S3)、両者の移動量が同じになるまで、今度は電動シリンダ用ヘッド16bの動作を停止させ(同S4)、このような両端部8a,8bの移動量の調整を繰り返す。そして、両者の移動量が例えば3mmになったところで(同S5)、前記両端部8a,8bの移動量の調整を終了し、その後は一定の引抜速度により両者を引抜く。
本実施形態によれば、前記シールプレート8の両端部8a,8bの移動量の調整により、前記両端部8a,8b間が最小限の傾きを持ってほぼ交互に引抜方向に移動される。このため、中子2とスライドコア4との接着面を、シールプレート8の両端部8a,8b側に位置するスライドコア4の端部側から交互に徐々に剥がすことができ、中子2を傷つけることなくスライドコア4を引抜くことができる。
また、前記両端部8a,8bの移動量の調整は、前記電動シリンダ用ヘッド16a,16bの移動量の差が例えば0.5mmを超えないように制御するものであるため、前記電動シリンダ用ヘッド16a,16bの収縮作動速度を逆転させず、常にいずれか一方が先に引き抜かれる構成としてもよい。また、先に引き抜かれている方の端部の引抜動作を停止させることなく、収縮作動速度を低下させることにより、前記移動量の差を前記所定量以内に抑えながら、スライドコア4を引抜く構成とすることもできる。
尚、前記シールプレート8の両端部8a,8bの移動量の差における前記所定量は、スライドコア4の前記引抜方向に対する傾きをできる限り抑制可能な値に設定することが好ましい。具体的には例えば、0.001〜0.5mm、より好ましくは、0.01〜0.1mm、さらに好ましくは0.02〜0.08mmである。
また、前記両端部8a,8bの移動量の調整を前記スライドコア4の全体の引抜工程の初期において行うことが好ましい。すなわち、前記制御装置21において、前記両端部8a,8bの移動量の調整によりスライドコア4を一定量引き抜いた後は、前記電動シリンダ14a,14bの動作についての同期を解除し、前記両端部8a,8bの移動量の調整を行わずに前記スライドガイド17a,17bの構造に沿ってシールプレート8を電動シリンダ14a,14bにより引抜く構成とする。
このとき、前記両端部8a,8bの移動量を調整しながら前記スライドコア4を引抜く前記一定量は、具体的には例えば、前記中子2造型直後の前記スライドコア4の位置からその移動量が0mm超10mm以下、より好ましくは2〜8mm、特に好ましくは4〜6mmである。
本構成とすることにより、造型直後において中子2とスライドコア4との接着力が最も大きい場合であっても、スライドコア4の脱離に伴う中子2の損傷を効果的に抑えることができる。また、前記中子2とスライドコア4との接着面を前記両端部8a,8bの移動量の調整を行いながら剥離させた後は、速い動作によりスライドコア4を引抜くことができ、全体としての作業効率を向上させることができる。
従って、本実施形態に係るスライドコア4の引抜方法によれば、前記両端部8a,8bの移動量の調整を行うことにより、抜き勾配が小さく、抜き抵抗が大きいスライドコア4であっても、引抜方向に対するスライドコア4の傾きを最小限に抑えて引抜くことができるとともに、スライドコア4の過度な傾きを抑制して中子2とスライドコア4との接着面にかかる負荷を最小限に抑えることができ、中子2を傷つけることなくスライドコア4を引抜くことができる。
また、スライドコア4を備えた複雑な構造の中子2を造型するための中子造型装置1において、本発明に係るスライドコアの引抜制御装置としてのスライドコア進退制御装置5を備えることにより、スライドコア4の引抜き時に、中子2の折れや傷の発生を効果的に抑えることができ、中子2の生産性を向上させることができる。
[第2実施形態]
図7〜図10は第2実施形態を示す。尚、本実施形態の説明において、第1実施形態と同じ部分については同じ符号を付して詳細な説明を省略する。
図7に示すように、本実施形態に係るスライドコア進退制御装置5は、前記シールプレート8のスライドコア4が固定された面と反対側の後端部中央、すなわち左右一対の前記電動シリンダ14a,14b間の中央に油圧シリンダ29を備えている点で、第1実施形態と異なる。
油圧シリンダ29は、前記中子2の造型工程において、スライドコア4の挿入工程又は保持工程に使用することができる。
図7及び図8(図8では、右側の電動シリンダ14b及び制御装置21を省略している)に示すように、油圧シリンダ29は、そのボディ先端部に設けられた油圧シリンダ用ステー30により中間プレート7に固定支持されている。また、シールプレート8の裏側に左右一対の連結部材33が固定されて、これらの連結部材33により油圧シリンダ用連結プレート31が保持され、この油圧シリンダ用連結プレート31により、油圧シリンダ29の出力部(ピストンロッド)に連結した油圧シリンダ用ヘッド32がシールプレート8の裏側に連結固定されている。
一方、図9に示すように、前記油圧シリンダ用連結プレート31は取り外し可能である(ハッチング部分はスライドコア4、シールプレート8及び連結部材33の断面を示す)。この取り外しの場合、油圧シリンダ用ヘッド32は、シールプレート8に固定されない。
従って、例えば、前記スライドコア4の挿入工程に油圧シリンダ29を使用する際には、前記油圧シリンダ用連結プレート31を使用して、油圧シリンダ用ヘッド32をシールプレート8に連結固定して使用することができる。また、例えば、前記スライドコア4の保持工程に油圧シリンダ29を使用する際には、上述のごとく、油圧シリンダ用連結プレート31を取り外し、油圧シリンダ用ヘッド32をシールプレート8に当接させて使用することができる。尚、本実施形態において、油圧シリンダ29は、スライドコア4の保持工程において使用される。
(中子造型方法)
図10(a)において、電動シリンダ14a,14b及び油圧シリンダ29共に原位置に復帰した状態である。このとき、電動シリンダ14a,14bの作動位置を0点とし、設定誤差内まで押し切っていることを確認する。
そして、図10(b)に示すように、電動シリンダ14a,14bのみ伸張作動させ、スライドコア4を前進させて中子2の造型位置にまで挿入させ、電動シリンダ14a,14bの伸張ストローク端を確認する。このとき、上述のごとく、油圧シリンダ用連結プレート31は取り外されているため、油圧シリンダ29は原位置に復帰したままの状態である。
次に、図10(c)に示すように、油圧シリンダ29を伸張作動させ、油圧シリンダ用ヘッド32をシールプレート8に当接させる。これにより、油圧シリンダ29によりスライドコア4の位置が保持される。そして、油圧シリンダ29のストローク端を確認後、電動シリンダ14a,14bの0点をリセットし、中子2の造型操作を行う。
中子2の造型完了後、油圧シリンダ29を作動させ、シールプレート8に当接させていた油圧シリンダ用ヘッド32を外し、図10(b)に示すように、油圧シリンダ29を原位置に復帰させる。そして、油圧シリンダ29の収縮ストローク端を確認後、電動シリンダ用ヘッド16a,16bの位置を調整しながら、第1実施形態と同様の方法でスライドコア4を引抜き、図10(a)に示す、電動シリンダ14a,14bを原位置に復帰させた状態で造型工程は終了する。
例えば、より多数の前記アンダーカット部2cが連なった形状の中子2を造型するための中子造型装置1においては、スライドコア4の引抜方向と直交する方向の長さが非常に長い形状を有するため、中子2の造型中においてはスライドコア4の位置がずれやすくなる。従って、このような中子造型装置1においては、中子2の造型中に油圧シリンダ29を用いてスライドコア4を保持することにより、造型中のスライドコア4のずれを抑えて、中子2の歩留まりを向上させることができる。
本発明は、抜き勾配の小さい形状部分からスライドコアを後退させて引抜く際に、中子の折れや傷の発生を抑え、中子の歩留まりを向上させることができるので、極めて有用である。
1 中子造型装置
2 中子
4 スライドコア
5 スライドコア進退制御装置(スライドコアの引抜制御装置)
8 シールプレート(プレート)
8a,8b 端部(部位)
14a,14b 電動シリンダ(アクチュエータ)
21 制御装置(制御手段)
29 油圧シリンダ

Claims (9)

  1. 中子造型装置におけるスライドコアを、造型された中子から引抜く方法であって、
    前記スライドコアはプレート上に固定されており、
    前記プレートにおけるスライドコア引抜方向と直交する方向に離れた2つの部位を一対のアクチュエータで当該引抜方向に移動させるものであり、
    前記両部位の移動量を、両者間に所定量以上の差が生じないように調整しながら、前記プレートが引抜方向に対して傾くことを許容しつつ、前記両アクチュエータにより前記スライドコアを引抜く
    ことを特徴とするスライドコアの引抜方法。
  2. 前記両部位の移動量の調整は、前記移動量の差が前記所定量に達したところで、前記移動量が大きい側の部位の移動を規制しつつ、前記スライドコアの引抜きを継続するものである
    ことを特徴とする請求項1に記載のスライドコアの引抜方法。
  3. 前記両部位の移動量の調整は、前記スライドコアの全体の引抜工程の初期に行われることを特徴とする請求項1又は2に記載のスライドコアの引抜方法。
  4. 前記アクチュエータとして、電動シリンダを用いることを特徴とする請求項1〜3のいずれか1項に記載のスライドコアの引抜方法。
  5. 中子造型装置におけるスライドコアを、造型された中子から引抜くための引抜制御装置であって、
    前記スライドコアが固定されたプレートと、
    前記プレートに備えられ、前記プレートにおけるスライドコア引抜方向と直交する方向に離れた2つの部位を当該引抜方向に移動させるための一対のアクチュエータと、
    前記両アクチュエータの動作を制御する制御手段と、
    前記プレートの両部位の引抜方向の移動量を検出するための位置検出手段と
    を備え、
    前記制御手段は、前記位置検出手段により検出された前記両部位の移動量に基づき、前記両部位の移動量を、両者間に所定量以上の差が生じないように調整しながら、前記プレートが引抜方向に対して傾くことを許容しつつ、前記スライドコアが引抜かれるように、前記アクチュエータの動作を制御する
    ことを特徴とするスライドコアの引抜制御装置。
  6. 前記制御手段は、前記位置検出手段により検出された前記両部位の移動量についての情報を共有し、前記移動量の差が前記所定量に達したところで、前記移動量が大きい側の部位の移動を規制しつつ、前記スライドコアの引抜きが継続されるように、前記アクチュエータの動作を制御する
    ことを特徴とする請求項5に記載のスライドコアの引抜制御装置。
  7. 前記制御手段は、前記アクチュエータの動作制御による前記両部位の移動量の調整を、前記スライドコアの全体の引抜工程の初期に行うことを特徴とする請求項5又は6に記載のスライドコアの引抜制御装置。
  8. 前記アクチュエータは、電動シリンダであることを特徴とする請求項5〜7のいずれか1項に記載のスライドコアの引抜制御装置。
  9. 請求項5〜8のいずれか1項に記載のスライドコアの引抜制御装置を備えたことを特徴とする中子造型装置。
JP2014110371A 2014-05-28 2014-05-28 中子造型装置におけるスライドコアの引抜方法、スライドコアの引抜制御装置及び中子造型装置 Active JP6090236B2 (ja)

Priority Applications (1)

Application Number Priority Date Filing Date Title
JP2014110371A JP6090236B2 (ja) 2014-05-28 2014-05-28 中子造型装置におけるスライドコアの引抜方法、スライドコアの引抜制御装置及び中子造型装置

Applications Claiming Priority (1)

Application Number Priority Date Filing Date Title
JP2014110371A JP6090236B2 (ja) 2014-05-28 2014-05-28 中子造型装置におけるスライドコアの引抜方法、スライドコアの引抜制御装置及び中子造型装置

Publications (2)

Publication Number Publication Date
JP2015223611A JP2015223611A (ja) 2015-12-14
JP6090236B2 true JP6090236B2 (ja) 2017-03-08

Family

ID=54840800

Family Applications (1)

Application Number Title Priority Date Filing Date
JP2014110371A Active JP6090236B2 (ja) 2014-05-28 2014-05-28 中子造型装置におけるスライドコアの引抜方法、スライドコアの引抜制御装置及び中子造型装置

Country Status (1)

Country Link
JP (1) JP6090236B2 (ja)

Family Cites Families (5)

* Cited by examiner, † Cited by third party
Publication number Priority date Publication date Assignee Title
JPS5038369B2 (ja) * 1972-02-26 1975-12-09
JP2756305B2 (ja) * 1989-06-09 1998-05-25 旭テック株式会社 鋳造装置
JPH04238644A (ja) * 1991-01-08 1992-08-26 Hitachi Metals Ltd 鋳型の型抜き装置
JP2008238231A (ja) * 2007-03-28 2008-10-09 Techno Kyoei:Kk 砂型中子自動成型機
US8371260B2 (en) * 2010-05-17 2013-02-12 GM Global Technology Operations LLC Cylinder head drain and vent

Also Published As

Publication number Publication date
JP2015223611A (ja) 2015-12-14

Similar Documents

Publication Publication Date Title
CN105479628B (zh) 一种脱模机及脱模方法
KR101576948B1 (ko) 스트레치 벤딩기용 금형유닛
WO2012120601A1 (ja) ダイカスト鋳造装置及び鋳造製品の離型方法
JP4866083B2 (ja) ダイカストマシンにおける離型剤のスプレイ方法及びその装置
JP2019022991A5 (ja)
JP2005053022A (ja) 型締装置および型締方法
EP3210744B1 (en) Injection molding machine
KR101403819B1 (ko) 파이프 벤딩 장치
CN103736966A (zh) 一种集成在压铸机模板内部的高效夹模装置
US20120260784A1 (en) Press working method and press working apparatus
JP6344360B2 (ja) 粉末成形装置の制御方法
JP5778023B2 (ja) 射出成形機
JP6090236B2 (ja) 中子造型装置におけるスライドコアの引抜方法、スライドコアの引抜制御装置及び中子造型装置
CN205021936U (zh) 两板式注塑机
CN104334331A (zh) 射出成型机
JP2013184443A (ja) 射出成形機
CN109500265A (zh) 一种汽车座椅角度调节管端部成型机
ES2420586T3 (es) Prensa para prensar en caliente palanquillas y similares
JP2016022521A (ja) 連続鋳造用鋳型装置
JP5440680B2 (ja) ハイドロフォーム装置
JP2005035171A (ja) コンクリートブロック用型枠装置
JP5976568B2 (ja) 射出成形機
JP2016047634A (ja) 型締装置
CN209363461U (zh) 一种汽车座椅角度调节管端部成型机
CN208006192U (zh) 一种脱模结构

Legal Events

Date Code Title Description
A621 Written request for application examination

Free format text: JAPANESE INTERMEDIATE CODE: A621

Effective date: 20160225

A977 Report on retrieval

Free format text: JAPANESE INTERMEDIATE CODE: A971007

Effective date: 20161226

TRDD Decision of grant or rejection written
A01 Written decision to grant a patent or to grant a registration (utility model)

Free format text: JAPANESE INTERMEDIATE CODE: A01

Effective date: 20170110

A61 First payment of annual fees (during grant procedure)

Free format text: JAPANESE INTERMEDIATE CODE: A61

Effective date: 20170123

R150 Certificate of patent or registration of utility model

Ref document number: 6090236

Country of ref document: JP

Free format text: JAPANESE INTERMEDIATE CODE: R150