JP2015075813A - Image processing apparatus and program - Google Patents

Image processing apparatus and program Download PDF

Info

Publication number
JP2015075813A
JP2015075813A JP2013209992A JP2013209992A JP2015075813A JP 2015075813 A JP2015075813 A JP 2015075813A JP 2013209992 A JP2013209992 A JP 2013209992A JP 2013209992 A JP2013209992 A JP 2013209992A JP 2015075813 A JP2015075813 A JP 2015075813A
Authority
JP
Japan
Prior art keywords
image
image quality
enhancement
reproduced
reproduction
Prior art date
Legal status (The legal status is an assumption and is not a legal conclusion. Google has not performed a legal analysis and makes no representation as to the accuracy of the status listed.)
Granted
Application number
JP2013209992A
Other languages
Japanese (ja)
Other versions
JP6164024B2 (en
Inventor
佐々木 信
Makoto Sasaki
信 佐々木
Current Assignee (The listed assignees may be inaccurate. Google has not performed a legal analysis and makes no representation or warranty as to the accuracy of the list.)
Fujifilm Business Innovation Corp
Original Assignee
Fuji Xerox Co Ltd
Priority date (The priority date is an assumption and is not a legal conclusion. Google has not performed a legal analysis and makes no representation as to the accuracy of the date listed.)
Filing date
Publication date
Application filed by Fuji Xerox Co Ltd filed Critical Fuji Xerox Co Ltd
Priority to JP2013209992A priority Critical patent/JP6164024B2/en
Publication of JP2015075813A publication Critical patent/JP2015075813A/en
Application granted granted Critical
Publication of JP6164024B2 publication Critical patent/JP6164024B2/en
Expired - Fee Related legal-status Critical Current
Anticipated expiration legal-status Critical

Links

Images

Landscapes

  • Facsimile Image Signal Circuits (AREA)
  • Image Processing (AREA)

Abstract

【課題】画像の画質に影響を与える特定の成分を強調する際に、画像の画質を指定された画質に近付ける。【解決手段】画像処理装置10では、予測再現部11が、画質予測パラメータ値が設定された再現パラメータに基づいて、原画像から画像強調が施された予測再現画像を生成し、画質量算出部12aが、予測再現画像の画質量を算出し、画質量算出部12bが、原画像の画質量を算出し、画質特性予測部13が、これらの画質量と画質予測パラメータ値とに基づいて、再現パラメータと画質量とを対応付けた画質特性を予測し、画質制御パラメータ値算出部14が、画質特性に基づいて、再現画像の画質量が指定画質量となるために再現パラメータに設定すべき画質制御パラメータ値を算出し、画像再現部15が、画質制御パラメータ値が設定された再現パラメータに基づいて、原画像から画像強調が施された再現画像を生成する。【選択図】図1When emphasizing a specific component that affects the image quality of an image, the image quality of the image is brought close to a designated image quality. In an image processing apparatus 10, a prediction reproduction unit 11 generates a predicted reproduction image in which image enhancement is performed from an original image based on a reproduction parameter for which an image quality prediction parameter value is set, and an image quality amount calculation unit. 12a calculates the image quality amount of the predicted reproduction image, the image quality amount calculation unit 12b calculates the image quality amount of the original image, and the image quality characteristic prediction unit 13 based on the image quality amount and the image quality prediction parameter value, An image quality characteristic in which the reproduction parameter and the image quality amount are associated is predicted, and the image quality control parameter value calculation unit 14 should set the reproduction parameter based on the image quality characteristic so that the image quality amount of the reproduced image becomes the designated image quality amount. The image quality control parameter value is calculated, and the image reproduction unit 15 generates a reproduction image in which image enhancement is performed from the original image based on the reproduction parameter for which the image quality control parameter value is set. [Selection] Figure 1

Description

本発明は、画像処理装置、プログラムに関する。   The present invention relates to an image processing apparatus and a program.

対象画像の被写体領域の画質(鮮鋭度)を評価し、対象画像の高周波成分を取得し、画質の評価結果に基づいて高周波成分を変換し、変換後の高周波成分に基づいて対象画像の処理後画像を取得する画像処理装置は知られている(例えば、特許文献1参照)。   After evaluating the image quality (sharpness) of the subject area of the target image, obtaining the high frequency component of the target image, converting the high frequency component based on the evaluation result of the image quality, and processing the target image based on the converted high frequency component An image processing apparatus that acquires an image is known (see, for example, Patent Document 1).

入力画像の輝度信号に対して階調補正を行い、入力画像の輝度信号と階調補正後の輝度信号とから輝度信号変化率を算出し、輝度信号変化率を用いて入力画像の色差信号を補正する際に、先行する入力画像に対して行なった補正結果を所定の基準にしたがって評価した評価結果に応じて、階調補正の量を制御し、輝度信号変化率を修正して色差信号の補正に用いる画像処理装置も知られている(例えば、特許文献2参照)。   Tone correction is performed on the luminance signal of the input image, the luminance signal change rate is calculated from the luminance signal of the input image and the luminance signal after gradation correction, and the color difference signal of the input image is calculated using the luminance signal change rate. At the time of correction, the amount of gradation correction is controlled according to the evaluation result obtained by evaluating the correction result performed on the preceding input image according to a predetermined standard, the luminance signal change rate is corrected, and the color difference signal is corrected. An image processing apparatus used for correction is also known (see, for example, Patent Document 2).

最小のコントラスト・明度積と、別個の存在として最小のコントラスト及び明度との制約の結合が「視覚的に良好」という範囲を規定し、更に、「視覚的に理想的」と考えられる、より高いコントラスト・明度積の輪郭が存在し得ることも知られている(例えば、非特許文献1参照)。   The combination of the minimum contrast / brightness product and the minimum contrast / brightness constraint as a separate entity defines the range of “visually good” and higher, which is considered “visually ideal” It is also known that a contrast / brightness product contour may exist (see, for example, Non-Patent Document 1).

特開2002−359780号公報JP 2002-359780 A 特開2012−10227号公報JP 2012-10227 A

Daniel J. Jobson, Zia-ur Rahman and Glenn A. Woodell, 「The Statistics of Visual Representation」, Visual Information Processing XI, Proc. SPIE, vol.4736,pp.25-35,July 2002Daniel J. Jobson, Zia-ur Rahman and Glenn A. Woodell, "The Statistics of Visual Representation", Visual Information Processing XI, Proc.SPIE, vol.4736, pp.25-35, July 2002

本発明の目的は、画像の画質に影響を与える特定の成分を強調する際に、画像の画質を指定された画質に近付けることにある。   An object of the present invention is to bring an image quality close to a designated image quality when emphasizing a specific component that affects the image quality.

請求項1に記載の発明は、原画像と、当該原画像の画質に影響を与える特定の成分の強調度合いを表す強調度合い情報であって第1の強調度合いが設定された強調度合い情報とに基づいて、当該原画像の当該特定の成分が当該第1の強調度合いで強調されるように再現された第1の再現画像を生成する第1の再現画像生成手段と、前記第1の再現画像の画質を表す第1の画質量を取得する第1の画質量取得手段と、前記原画像の画質を表す第2の画質量を取得する第2の画質量取得手段と、前記第1の画質量と、前記第2の画質量と、前記第1の強調度合いとに基づいて、前記強調度合い情報に設定された強調度合いと、前記原画像の前記特定の成分が当該強調度合いで強調されるように再現された再現画像の画質を表す画質量とを対応付けた当該原画像の画質特性を取得する画質特性取得手段と、前記画質特性と、指定された画質を表す指定画質量とに基づいて、前記再現画像の画質を表す画質量が当該指定画質量となるために前記強調度合い情報に設定すべき第2の強調度合いを取得する強調度合い取得手段と、前記原画像と、前記第2の強調度合いが設定された前記強調度合い情報とに基づいて、当該原画像の前記特定の成分が当該第2の強調度合いで強調されるように再現された第2の再現画像を生成する第2の再現画像生成手段とを備えることを特徴とする画像処理装置である。
請求項2に記載の発明は、前記画質特性取得手段は、前記強調度合いと前記画質量とを線形関数で対応付けた前記画質特性を取得することを特徴とする請求項1に記載の画像処理装置である。
請求項3に記載の発明は、前記第1の再現画像生成手段は、他の第1の強調度合いが設定された前記強調度合い情報に基づいて、前記原画像の前記特定の成分が当該他の第1の強調度合いで強調されるように再現された他の第1の再現画像を更に生成し、前記第1の画質量取得手段は、前記他の第1の再現画像の画質を表す他の第1の画質量を更に取得し、前記画質特性取得手段は、前記他の第1の画質量と、前記他の第1の強調度合いとに更に基づいて、前記画質特性を取得することを特徴とする請求項1に記載の画像処理装置である。
請求項4に記載の発明は、前記画質特性取得手段は、前記強調度合いと前記画質量とを非線形関数で対応付けた前記画質特性を取得することを特徴とする請求項3に記載の画像処理装置である。
請求項5に記載の発明は、前記画質特性取得手段は、前記強調度合いと前記画質量とを単調増加関数及び単調減少関数の何れかで対応付けた前記画質特性を取得することを特徴とする請求項1乃至請求項4の何れかに記載の画像処理装置である。
請求項6に記載の発明は、前記第1の再現画像生成手段及び前記第2の再現画像生成手段は、それぞれ、前記原画像の輝度、色度、明暗差及び周波数の少なくとも1つに関係する強調が行われた前記第1の再現画像及び前記第2の再現画像を生成することを特徴とする請求項1乃至請求項4の何れかに記載の画像処理装置である。
請求項7に記載の発明は、コンピュータに、原画像と、当該原画像の画質に影響を与える特定の成分の強調度合いを表す強調度合い情報であって第1の強調度合いが設定された強調度合い情報とに基づいて、当該原画像の当該特定の成分が当該第1の強調度合いで強調されるように再現された第1の再現画像を生成する機能と、前記第1の再現画像の画質を表す第1の画質量を取得する機能と、前記原画像の画質を表す第2の画質量を取得する機能と、前記第1の画質量と、前記第2の画質量と、前記第1の強調度合いとに基づいて、前記強調度合い情報に設定された強調度合いと、前記原画像の前記特定の成分が当該強調度合いで強調されるように再現された再現画像の画質を表す画質量とを対応付けた当該原画像の画質特性を取得する機能と、前記画質特性と、指定された画質を表す指定画質量とに基づいて、前記再現画像の画質を表す画質量が当該指定画質量となるために前記強調度合い情報に設定すべき第2の強調度合いを取得する機能と、前記原画像と、前記第2の強調度合いが設定された前記強調度合い情報とに基づいて、当該原画像の前記特定の成分が当該第2の強調度合いで強調されるように再現された第2の再現画像を生成する機能とを実現させるためのプログラムである。
According to the first aspect of the present invention, the original image and the enhancement degree information indicating the enhancement degree of a specific component that affects the image quality of the original image, the enhancement degree information having the first enhancement degree set. A first reproduction image generating unit configured to generate a first reproduction image reproduced so that the specific component of the original image is emphasized at the first enhancement degree; and the first reproduction image. First image quality amount acquisition means for acquiring a first image quality amount representing the image quality of the original image, second image quality amount acquisition means for acquiring a second image quality amount representing the image quality of the original image, and the first image quality Based on the amount, the second image quality amount, and the first enhancement level, the enhancement level set in the enhancement level information and the specific component of the original image are enhanced with the enhancement level. The amount of image quality that represents the image quality of the reproduced image Based on the image quality characteristic acquisition means for acquiring the image quality characteristic of the original image, the image quality characteristic, and the designated image quality amount representing the designated image quality, the image quality amount representing the image quality of the reproduced image becomes the designated image quality amount. Therefore, based on the enhancement degree acquisition means for acquiring the second enhancement degree to be set in the enhancement degree information, the original image, and the enhancement degree information in which the second enhancement degree is set, An image processing apparatus comprising: a second reproduction image generation unit configured to generate a second reproduction image that is reproduced so that the specific component of the image is emphasized at the second enhancement degree. .
The image processing according to claim 2, wherein the image quality characteristic acquisition unit acquires the image quality characteristic in which the enhancement degree and the image quality amount are associated with each other by a linear function. Device.
According to a third aspect of the present invention, the first reproduction image generating means is configured to determine whether the specific component of the original image is the other one based on the enhancement degree information in which another first enhancement degree is set. Further, another first reproduction image reproduced so as to be emphasized at the first enhancement degree is further generated, and the first image quality amount acquisition unit is configured to generate another image representing the image quality of the other first reproduction image. A first image quality amount is further acquired, and the image quality characteristic acquisition unit acquires the image quality characteristic further based on the other first image quality amount and the other first enhancement degree. The image processing apparatus according to claim 1.
According to a fourth aspect of the present invention, in the image processing according to the third aspect, the image quality characteristic acquisition unit acquires the image quality characteristic in which the enhancement degree and the image quality amount are associated by a non-linear function. Device.
According to a fifth aspect of the present invention, the image quality characteristic acquisition unit acquires the image quality characteristic in which the enhancement degree and the image quality amount are associated with each other by a monotonically increasing function or a monotonically decreasing function. An image processing apparatus according to any one of claims 1 to 4.
According to a sixth aspect of the present invention, each of the first reproduction image generation unit and the second reproduction image generation unit relates to at least one of luminance, chromaticity, brightness difference, and frequency of the original image. 5. The image processing apparatus according to claim 1, wherein the first reproduction image and the second reproduction image that have been emphasized are generated. 6.
According to the seventh aspect of the present invention, the degree of emphasis in which the first emphasis degree is set, which is emphasis degree information indicating the emphasis degree of the original image and a specific component that affects the image quality of the original image. Based on the information, the function of generating a first reproduction image that is reproduced so that the specific component of the original image is emphasized at the first enhancement degree, and the image quality of the first reproduction image A function for obtaining a first image quality amount, a function for obtaining a second image quality amount representing the image quality of the original image, the first image quality amount, the second image quality amount, and the first image quality amount. Based on the degree of enhancement, the degree of enhancement set in the degree-of-emphasis information, and an image quality amount representing the image quality of the reproduced image reproduced so that the specific component of the original image is enhanced with the degree of enhancement. A device for acquiring image quality characteristics of the associated original image And the image quality characteristic and the designated image quality amount representing the designated image quality, the image quality amount representing the image quality of the reproduced image becomes the designated image quality amount. The specific component of the original image is emphasized with the second enhancement degree based on the function of acquiring the enhancement degree, the original image, and the enhancement degree information in which the second enhancement degree is set. This is a program for realizing a function of generating a second reproduced image reproduced in such a manner.

請求項1の発明によれば、画像の画質に影響を与える特定の成分を強調する際に、画像の画質を指定された画質に近付けることができる。
請求項2の発明によれば、本構成を有していない場合に比較して、画像の画質を指定された画質に近付けるための強調度合いを簡単に求めることができる。
請求項3の発明によれば、画像の画質に影響を与える特定の成分を強調する際に、画像の画質を指定された画質により一層近付けることができる。
請求項4の発明によれば、本構成を有していない場合に比較して、画像の画質を指定された画質に近付けるための強調度合いを正確に求めることができる。
請求項5の発明によれば、本構成を有していない場合に比較して、画像の画質を指定された画質に近付けるために用いる強調度合いを容易に1つに決定することができる。
請求項6の発明によれば、画像の輝度、色度、明暗差及び周波数の少なくとも1つに関係する強調を行う際に、画像の画質を指定された画質に近付けることができる。
請求項7の発明によれば、画像の画質に影響を与える特定の成分を強調する際に、画像の画質を指定された画質に近付けることができる。
According to the invention of claim 1, when emphasizing a specific component that affects the image quality of the image, the image quality of the image can be brought close to the designated image quality.
According to the second aspect of the present invention, it is possible to easily obtain the degree of emphasis for bringing the image quality of the image closer to the designated image quality as compared with the case where the present configuration is not provided.
According to the invention of claim 3, when emphasizing a specific component that affects the image quality of the image, the image quality of the image can be made closer to the designated image quality.
According to the fourth aspect of the present invention, it is possible to accurately obtain the degree of emphasis for bringing the image quality of the image closer to the designated image quality as compared with the case where the present configuration is not provided.
According to the fifth aspect of the present invention, it is possible to easily determine the degree of emphasis used to bring the image quality of the image close to the designated image quality as compared with the case where the present configuration is not provided.
According to the sixth aspect of the present invention, the image quality of the image can be brought close to the designated image quality when performing enhancement related to at least one of the brightness, chromaticity, contrast difference and frequency of the image.
According to the invention of claim 7, when emphasizing a specific component that affects the image quality of the image, the image quality of the image can be brought close to the designated image quality.

本発明の実施の形態における画像処理装置の機能構成例を示したブロック図である。It is the block diagram which showed the function structural example of the image processing apparatus in embodiment of this invention. 再現パラメータαが最大値に近付くにつれて画質量Qが収束する場合のαとQとの関係を示した図である。It is the figure which showed the relationship between (alpha) and Q in case the image quality amount Q converges as the reproduction parameter (alpha) approaches the maximum value. 再現パラメータαが最大値に近付くにつれて画質量Qが低下する場合のαとQとの関係を示した図である。It is the figure which showed the relationship between (alpha) and Q in case the image quality amount Q falls as the reproduction parameter (alpha) approaches the maximum value. 画質予測パラメータ値として1つの値が用いられた場合の原画像画質量及び予測画質量を示した図である。FIG. 5 is a diagram illustrating an original image quality amount and a predicted image quality amount when one value is used as an image quality prediction parameter value. 画質予測パラメータ値として1つの値が用いられた場合の線形の予測特性を示した図である。It is the figure which showed the linear prediction characteristic when one value is used as an image quality prediction parameter value. 画質予測パラメータ値として複数の値が用いられた場合の線形の予測特性を示した図である。It is the figure which showed the linear prediction characteristic in case a some value is used as an image quality prediction parameter value. 画質予測パラメータ値として複数の値が用いられた場合の非線形の予測特性を示した図である。It is the figure which showed the nonlinear prediction characteristic when a some value is used as an image quality prediction parameter value. 予測特性を用いて指定画質量から画質制御パラメータ値を予測する方法を示した図である。It is the figure which showed the method of estimating an image quality control parameter value from the designated image quality amount using the prediction characteristic. 再現パラメータαが最大値に近付くにつれて予測特性と真の特性との間にズレが生ずる場合に予測特性を用いて指定画質量から画質制御パラメータ値を予測する方法を示した図である。FIG. 6 is a diagram illustrating a method for predicting an image quality control parameter value from a designated image quality amount using a prediction characteristic when a deviation occurs between a prediction characteristic and a true characteristic as the reproduction parameter α approaches a maximum value. 再現パラメータαが最大値に近付くにつれて予測特性と真の特性との間にズレが生ずる場合におけるズレを吸収した予測特性を示した図である。It is the figure which showed the prediction characteristic which absorbed the gap | deviation in case a gap arises between a prediction characteristic and a true characteristic as the reproduction parameter (alpha) approaches the maximum value. 本発明の実施の形態における画像処理装置の動作例を示したフローチャートである。5 is a flowchart illustrating an operation example of the image processing apparatus according to the embodiment of the present invention. 本発明の実施の形態における画像処理装置のハードウェア構成例を示したブロック図である。It is the block diagram which showed the hardware structural example of the image processing apparatus in embodiment of this invention.

以下、添付図面を参照して、本発明の実施の形態について詳細に説明する。   Embodiments of the present invention will be described below in detail with reference to the accompanying drawings.

[発明の背景]
画像強調は、輝度又は色度に関する補正又は強調を行うことを基本とし、原画像の特性を強調することで、好ましい再現画像に仕上げるものである。画像強調には、ガンマ補正、彩度強調、帯域強調、コントラスト強調、ダイナミックレンジ補正、視認性の向上等がある。
[Background of the invention]
Image enhancement is based on correcting or enhancing luminance or chromaticity, and enhances the characteristics of the original image to produce a preferable reproduced image. Image enhancement includes gamma correction, saturation enhancement, band enhancement, contrast enhancement, dynamic range correction, and visibility improvement.

このような画像強調における再現上の制御パラメータ(以下、「再現パラメータ」という)をソフトウェア内部で機械的に決定することはある。その場合、再現上の基準となる値が必要であり、例えば画質に関する値がこれに含まれると考えられる。但し、画像から算出可能な画質に関する値は、画像のコントラストに基づく値等、あくまで物理量である。従って、画質がどのようになれば好ましく思えるかの心理実験も行われており、心理量と物理量との対応関係から、好ましい物理量の範囲が提示されている。   Such control parameters for reproduction in image enhancement (hereinafter referred to as “reproduction parameters”) may be mechanically determined within the software. In that case, a value serving as a reference for reproduction is necessary, and for example, it is considered that this includes values relating to image quality. However, the value relating to image quality that can be calculated from the image is a physical quantity such as a value based on the contrast of the image. Accordingly, a psychological experiment has been conducted to determine what the image quality should look like, and a preferable range of physical quantities is presented from the correspondence between psychological quantities and physical quantities.

しかしながら、このように好ましい物理量の範囲が提示されたとしても、様々な画像に合わせて再現パラメータを決定することは考えられていない。   However, even if a preferable range of physical quantities is presented in this way, it is not considered to determine a reproduction parameter in accordance with various images.

そこで、本実施の形態では、画像に合わせて、所望の画質を再現するための再現パラメータを予測する。   Therefore, in the present embodiment, a reproduction parameter for reproducing a desired image quality is predicted according to the image.

[実施の形態の構成]
図1は、本発明の実施の形態における画像処理装置10の機能構成例を表すブロック図である。図示するように、本実施の形態における画像処理装置10は、予測再現部11と、画質量算出部12a,12bと、画質特性予測部13と、画質制御パラメータ値算出部14と、画像再現部15とを備える。尚、図中、原画像は、RGB画像、L*a*b**画像、HSV画像等の如何なる画像でもよい。
[Configuration of the embodiment]
FIG. 1 is a block diagram illustrating a functional configuration example of an image processing apparatus 10 according to an embodiment of the present invention. As illustrated, the image processing apparatus 10 according to the present embodiment includes a prediction reproduction unit 11, image quality amount calculation units 12a and 12b, an image quality characteristic prediction unit 13, an image quality control parameter value calculation unit 14, and an image reproduction unit. 15. In the figure, the original image may be any image such as an RGB image, an L * a * b ** image, or an HSV image.

予測再現部11は、原画像に対して画質予測用の画像再現を行うことにより、画質を予測するための再現画像(以下、「予測再現画像」という)を生成する。具体的には、後述する再現パラメータに画質予測用のパラメータ値(以下、「画質予測パラメータ値」という)を設定して、予測再現画像を生成する。尚、予測再現部11は、後述する画像再現部15と同等のものである。以下では、予測再現部11と画像再現部15とは同じ処理を行うものとして説明を行う。   The prediction reproduction unit 11 generates a reproduction image (hereinafter referred to as “prediction reproduction image”) for predicting the image quality by performing image reproduction for image quality prediction on the original image. Specifically, a parameter value for image quality prediction (hereinafter referred to as “image quality prediction parameter value”) is set to a reproduction parameter described later, and a predicted reproduction image is generated. Note that the prediction reproduction unit 11 is equivalent to an image reproduction unit 15 described later. In the following description, it is assumed that the prediction reproduction unit 11 and the image reproduction unit 15 perform the same processing.

予測再現部11が行う処理は画像強調とする。画像強調としては、帯域強調、コントラスト強調、輝度強調、視認性向上等の強調が考えられる。このうち、帯域強調は、周波数に関係する強調の一例であり、コントラスト強調は、明暗差に関係する強調の一例である。また、上記画像強調は、一般化して、画像の画質に影響を与える特定の成分の強調ということができる。本実施の形態では、このような画像強調を以下の再現式で行うものとしてまとめて説明を行う。   The processing performed by the prediction reproduction unit 11 is image enhancement. As image enhancement, enhancement such as band enhancement, contrast enhancement, luminance enhancement, and visibility improvement can be considered. Of these, band enhancement is an example of enhancement related to frequency, and contrast enhancement is an example of enhancement related to contrast. Further, the image enhancement can be generally called enhancement of a specific component that affects the image quality of the image. In the present embodiment, such image enhancement is collectively described as being performed by the following reproduction formula.

Figure 2015075813
Figure 2015075813

ここで、I(x,y)は原画像の画素値を表し、輝度成分であるものとする(HSVであればV、YCbCrであればY、L*a*b*であればL*)。I(x,y)は画像強調を最大限に行った場合の画素値を表す。I^(x,y)は再現画像の画素値を表し、予測再現部11が画像再現を行う際には、予測再現画像の画素値に相当する。また、αは再現上の強調度合いを表す再現パラメータ(強調度合い情報)であり、予測再現部11が画像再現を行う際には、図1の画質予測パラメータ値(第1の強調度合い)が設定される。I^(x,y)は、α=1の場合、最大限の画像強調が行われた場合の画素値となり、α=0の場合、原画像の画素値となる。本実施の形態において、αは0から1までの如何なる値でもよいものとする。尚、本明細書では、ハット記号を、数式中では文字の真上に付すが、文中では文字の後ろに付すものとする。 Here, I (x, y) represents the pixel value of the original image and is a luminance component (V for HSV, Y for YCbCr, L * for L * a * b *). . I R (x, y) represents a pixel value when image enhancement is performed to the maximum. I ^ (x, y) represents the pixel value of the reproduced image, and corresponds to the pixel value of the predicted reproduced image when the predicted reproduction unit 11 performs image reproduction. Further, α is a reproduction parameter (enhancement degree information) representing the degree of enhancement in reproduction. When the prediction reproduction unit 11 performs image reproduction, the image quality prediction parameter value (first enhancement degree) in FIG. 1 is set. Is done. I ^ (x, y) is a pixel value when maximum image enhancement is performed when α = 1, and is a pixel value of the original image when α = 0. In the present embodiment, α may be any value from 0 to 1. In the present specification, a hat symbol is added immediately above a character in a mathematical expression, but is added after a character in a sentence.

I(x,y)からI(x,y)への変換として考えられる処理及びその組み合わせとしては、例えば、以下のような処理が挙げられる。ここでは、後述する画質特性の予測が似ているのでこれら6つの処理を示すが、本実施の形態は、これら6つの処理の本質を損なわないものであれば、如何なる処理にも適用可能である。
(1)ガンマカーブ強調
(2)帯域強調
(3)レティネックス原理による視認性向上
(4)ガンマカーブ強調と帯域強調との組み合わせ
(5)ガンマカーブ強調とレティネックス原理による視認性向上との組み合わせ
(6)帯域強調とレティネックス原理による視認性向上との組み合わせ
Examples of the processing considered as conversion from I (x, y) to I R (x, y) and the combination thereof include the following processing. Here, these six processes are shown because prediction of image quality characteristics to be described later is similar, but the present embodiment can be applied to any process as long as it does not impair the essence of these six processes. .
(1) Gamma curve enhancement (2) Band enhancement (3) Visibility improvement by Retinex principle (4) Combination of gamma curve enhancement and band enhancement (5) Combination of gamma curve enhancement and visibility enhancement by Retinex principle (6) Combination of bandwidth enhancement and visibility improvement by Retinex principle

本実施の形態では、原画像の特定の成分が第1の強調度合いで強調されるように再現された第1の再現画像の一例として、予測再現画像を用いており、第1の再現画像を生成する第1の再現画像生成手段の一例として、予測再現部11を設けている。   In the present embodiment, a predicted reproduction image is used as an example of a first reproduction image that is reproduced so that a specific component of the original image is emphasized at the first enhancement degree. The prediction reproduction unit 11 is provided as an example of the first reproduction image generation unit to be generated.

画質量算出部12aは、予測再現画像の画質量(以下、「予測画質量」という)を算出し、画質量算出部12bは、原画像の画質量(以下、「原画像画質量」という)を算出する。本実施の形態では、例として、画質量を以下のように定義するものとする。   The image quality amount calculation unit 12a calculates the image quality amount of the predicted reproduction image (hereinafter referred to as “predicted image quality amount”), and the image quality amount calculation unit 12b determines the image quality amount of the original image (hereinafter referred to as “original image image quality amount”). Is calculated. In the present embodiment, as an example, the amount of image quality is defined as follows.

Figure 2015075813
Figure 2015075813

ここで、Qは画像に関する物理量である画質量を表す。また、Iの上にバーが付された記号は、全画素の画素値の平均値を表す。更に、σの上にバーが付された記号は、画像の局所領域ごとの画素値の分散を画像の全領域で平均して得られた値を表す。例えば、画像を複数のブロックに分割し、各ブロックにおける画素値の分散を画像の全領域で平均して得られた値を用いればよい。この値は、コントラストの指標にもなる。   Here, Q represents an image quality amount that is a physical quantity related to an image. A symbol with a bar on I represents an average value of pixel values of all pixels. Furthermore, a symbol with a bar on σ represents a value obtained by averaging the dispersion of pixel values for each local region of the image over the entire region of the image. For example, a value obtained by dividing an image into a plurality of blocks and averaging the dispersion of pixel values in each block over the entire area of the image may be used. This value is also an index of contrast.

本実施の形態では、第1の再現画像の画質を表す第1の画質量の一例として、予測画質量を用いており、第1の画質量を取得する第1の画質量取得手段の一例として、画質量算出部12aを設けている。また、原画像の画質を表す第2の画質量の一例として、原画像画質量を用いており、第2の画質量を取得する第2の画質量取得手段の一例として、画質量算出部12bを設けている。   In the present embodiment, the predicted image quality amount is used as an example of the first image quality amount representing the image quality of the first reproduced image, and an example of the first image quality amount acquisition unit that acquires the first image quality amount is used. The image quality amount calculation unit 12a is provided. Further, the original image quality amount is used as an example of the second image quality amount that represents the image quality of the original image, and the image quality amount calculation unit 12b is an example of a second image quality amount acquisition unit that acquires the second image quality amount. Is provided.

画質特性予測部13は、画質量算出部12aが算出した予測画質量(予測再現画像のQ)と、画質量算出部12bが算出した原画像画質量(原画像のQ)と、予測再現部11が使用した画質予測パラメータ値とに基づいて、αとQとの関係を画質特性として予測する。   The image quality characteristic prediction unit 13 includes a predicted image quality amount (Q of the predicted reproduction image) calculated by the image quality amount calculation unit 12a, an original image image quality amount (Q of the original image) calculated by the image quality amount calculation unit 12b, and a prediction reproduction unit. 11 predicts the relationship between α and Q as the image quality characteristic based on the image quality prediction parameter value used by 11.

例えば、実験的に、再現パラメータαの多くの値について数式2で画質量を算出した場合、前述した(1)〜(6)の例では、αとQとの関係は図2のようになることが多い。即ち、(1)〜(6)のような処理は、コントラスト又は輝度平均を高める要素を含んでおり、αが最大値に近付くにつれて、変換後の画素値も最大値に近づくため、Qは収束していく。   For example, when the amount of image quality is calculated experimentally with Formula 2 for many values of the reproduction parameter α, the relationship between α and Q is as shown in FIG. 2 in the above-described examples (1) to (6). There are many cases. That is, the processes (1) to (6) include elements that increase the contrast or the luminance average, and as α approaches the maximum value, the pixel value after conversion approaches the maximum value, so Q converges. I will do it.

また、処理によっては、αが大きくなると、輝度平均は高まるがコントラストが低下することがあり、αとQとの関係は図3のようになることもある。即ち、αが最大値に近付くにつれて、Qは低下することもある。   Further, depending on the processing, when α increases, the luminance average increases, but the contrast may decrease, and the relationship between α and Q may be as shown in FIG. That is, Q may decrease as α approaches the maximum value.

画質特性予測部13は、図2又は図3のような画質特性を予測する(以下、ここで予測された画質特性を「予測特性」ともいう)。予測再現部11が画質予測パラメータ値として1つの値を用いた場合は、図4のような原画像画質量及び予測画質量が得られる。原画像画質量はα=0の場合のQである。また、予測画質量は、図4では、α=0.2の場合のQとしている。   The image quality characteristic prediction unit 13 predicts the image quality characteristic as shown in FIG. 2 or 3 (hereinafter, the image quality characteristic predicted here is also referred to as “prediction characteristic”). When the prediction reproduction unit 11 uses one value as the image quality prediction parameter value, an original image quality amount and a predicted image quality amount as shown in FIG. 4 are obtained. The original image quality amount is Q when α = 0. Further, the predicted image quality amount is Q in the case of α = 0.2 in FIG.

αとQとの関係を表す予測特性としては、例えば、以下のような線形式で表されるものが考えられる。このような予測特性が最もシンプルであり、後段でも扱い易い。   As the prediction characteristics representing the relationship between α and Q, for example, those represented by the following linear format are conceivable. Such a prediction characteristic is the simplest and is easy to handle even at a later stage.

Figure 2015075813
Figure 2015075813

ここで、m,nは定数である。α=0のときのQと、α=0.2のときのQとが既知なので、m,nは容易に求められる。この数式3を用いることにより、図5のような予測特性が得られる。   Here, m and n are constants. Since Q when α = 0 and Q when α = 0.2 are known, m and n can be easily obtained. By using Equation 3, prediction characteristics as shown in FIG. 5 can be obtained.

一方、予測再現部11は画質予測パラメータ値として複数の値を用いてもよい。即ち、図6のように複数の予測画質量を用いてもよい。図6において、例えば、左側の予測画質量が第1の画質量の一例であり、この予測画質量の元となる予測再現画像が第1の再現画像の一例であり、この予測再現画像を生成するために用いた画質予測パラメータ値が第1の強調度合いの一例であるとすると、右側の予測画質量は他の第1の画質量の一例となり、この予測画質量の元となる予測再現画像は他の第1の再現画像の一例となり、この予測再現画像を生成するために用いた画質予測パラメータ値は他の第1の強調度合いの一例となる。また、この場合、数式3は、図6のように回帰分析により得られる。具体的には、原画像画質量を通り、複数の予測画質量の両方から同程度に近い直線を、予測特性とする。   On the other hand, the prediction reproduction unit 11 may use a plurality of values as the image quality prediction parameter value. That is, a plurality of predicted image quality amounts may be used as shown in FIG. In FIG. 6, for example, the predicted image quality amount on the left is an example of the first image quality amount, and the predicted reproduction image that is the basis of this predicted image quality amount is an example of the first reproduction image. Assuming that the image quality prediction parameter value used for this is an example of the first enhancement degree, the right predicted image quality amount is an example of the other first image quality amount, and the predicted reproduced image that is the basis of this predicted image quality amount Is an example of another first reproduction image, and the image quality prediction parameter value used to generate the prediction reproduction image is an example of another first enhancement degree. In this case, Equation 3 is obtained by regression analysis as shown in FIG. Specifically, a straight line that passes through the original image quality amount and is similar to both of the plurality of predicted image quality amounts is set as the prediction characteristic.

或いは、この場合は、αとQとの関係を以下のように非線形関数Fで近似してもよい。   Alternatively, in this case, the relationship between α and Q may be approximated by a nonlinear function F as follows.

Figure 2015075813
Figure 2015075813

このF(α)の具体例としては、以下のような式が挙げられる。   Specific examples of F (α) include the following formulas.

Figure 2015075813
Figure 2015075813

ここで、m,m,mは二次式の係数である。この場合も、複数の点について回帰分析を行うことにより、係数m,m,mは算出される。但し、数式5を用いる場合は、3つの係数があるので、原画像画質量を含めて、少なくとも3つの画質量が必要である。このようにして算出された非線形関数F(α)の形状を図7に示す。尚、F(α)は、後段でQからαを逆算することを考えると、単調増加関数又は単調減少関数としておくのが望ましい。図7では、F(α)を単調増加関数としている。 Here, m 0 , m 1 , and m 2 are coefficients of a quadratic expression. Also in this case, the coefficients m 0 , m 1 , and m 2 are calculated by performing regression analysis on a plurality of points. However, when using Equation 5, since there are three coefficients, at least three image quality amounts including the original image image quality amount are required. The shape of the nonlinear function F (α) thus calculated is shown in FIG. Note that it is desirable that F (α) be a monotonically increasing function or a monotonically decreasing function, considering that α is calculated backward from Q at a later stage. In FIG. 7, F (α) is a monotonically increasing function.

以上のように、画質特性予測部13が算出する画質特性は、αとQの対応関係を表す直線又は曲線となる。   As described above, the image quality characteristic calculated by the image quality characteristic prediction unit 13 is a straight line or a curve representing the correspondence between α and Q.

本実施の形態では、原画像の画質特性を取得する画質特性取得手段の一例として、画質特性予測部13を設けている。   In the present embodiment, an image quality characteristic prediction unit 13 is provided as an example of an image quality characteristic acquisition unit that acquires image quality characteristics of an original image.

画質制御パラメータ値算出部14は、実際に画質を制御するために再現パラメータに設定されるパラメータ値(以下、「画質制御パラメータ値」という)を予測する。具体的には、指定画質量Qdegが与えられると、画質特性予測部13が算出した画質特性に基づいて、指定画質量Qdegから画質制御パラメータ値αoptを予測する。 The image quality control parameter value calculation unit 14 predicts a parameter value (hereinafter referred to as “image quality control parameter value”) set as a reproduction parameter in order to actually control the image quality. Specifically, when the designated image quality amount Q deg is given, the image quality control parameter value α opt is predicted from the designated image quality amount Q deg based on the image quality characteristic calculated by the image quality characteristic prediction unit 13.

この場合、指定画質量Qdegとしては、任意の値を与えるとよい。例えば、Qと心理量との関係から、望ましいものがあれば、それを与えればよい。尚、本実施の形態において、Qはあくまで物理量であり、Qが最大であれば画質が良いというわけではない。望ましいQの値が存在し、その値を与えた場合のαの値を予測するものとする。 In this case, an arbitrary value may be given as the designated image quality amount Q deg . For example, if there is something desirable from the relationship between Q and psychological quantity, it may be given. In the present embodiment, Q is a physical quantity to the last, and if Q is maximum, the image quality is not good. It is assumed that a desirable Q value exists and the value of α is predicted when that value is given.

例えば、数式3のような線形式で表される予測特性が得られた場合は、最も扱いやすく、αoptは図8のように算出すればよい。ここで、真の特性が、図9に破線で示すように、αがQを最大にする値より大きくなるにつれて、Qが小さくなるような形状をしている場合を考える。このような場合であっても、Qが最大のときに画質が好ましくなるとは考え難い。また、Qが小さくなっていくのはコントラストが低下することを意味するので、αがQを最大にする値よりも大きくなると画質が好ましくなるとも考え難い。従って、Qが最大になるまでの区間に好ましい画質量があると考えられるので、この区間で指定画質量Qdesを与えればよく、線形予測でも対応可能である。 For example, when a prediction characteristic represented by a linear form such as Equation 3 is obtained, it is most easy to handle, and α opt may be calculated as shown in FIG. Here, as shown by a broken line in FIG. 9, a case is considered where the true characteristic has a shape such that Q decreases as α increases from a value that maximizes Q. Even in such a case, it is unlikely that the image quality is favorable when Q is the maximum. Further, since Q means that the contrast is lowered, it is difficult to consider that the image quality is favorable when α is larger than the value that maximizes Q. Therefore, since it is considered that there is a preferable image quality amount in the section until Q becomes the maximum, the designated image quality amount Q des may be given in this section, and linear prediction can be supported.

尚、図9では、αがQを最大にする値より大きい場合に予測特性と真の特性との間にズレが生ずるが、数式4及び数式5のような非線形式で表される予測特性とし、図10のように、ズレを吸収するようにしてもよい。このように非線形式で予測特性が表される場合、画質制御パラメータ値αoptは探索によって求めることになる。例えば、以下の式を、αに適当な初期値を与えて、ニュートン法の枠組みで解くようにするとよい。 In FIG. 9, there is a difference between the prediction characteristic and the true characteristic when α is larger than the value that maximizes Q. However, the prediction characteristic is represented by a nonlinear expression such as Expression 4 and Expression 5. As shown in FIG. 10, the deviation may be absorbed. In this way, when the prediction characteristic is represented by a non-linear expression, the image quality control parameter value α opt is obtained by searching. For example, the following equation may be solved by giving a suitable initial value to α and using the framework of Newton's method.

Figure 2015075813
Figure 2015075813

以上により、画質制御パラメータ値算出部14は、再現画像の画質量が指定画質量Qdesとなる画質制御パラメータ値αoptを算出する。 As described above, the image quality control parameter value calculation unit 14 calculates the image quality control parameter value α opt in which the image quality amount of the reproduced image becomes the designated image quality amount Q des .

本実施の形態では、再現画像の画質を表す画質量が指定画質量となるために強調度合い情報に設定すべき第2の強調度合いの一例として、画質制御パラメータ値を用いており、第2の強調度合いを取得する強調度合い取得手段の一例として、画質制御パラメータ値算出部14を設けている。   In the present embodiment, the image quality control parameter value is used as an example of the second enhancement degree that should be set in the enhancement degree information because the image quality amount representing the image quality of the reproduced image is the designated image quality amount. An image quality control parameter value calculation unit 14 is provided as an example of an enhancement degree acquisition unit that acquires the enhancement degree.

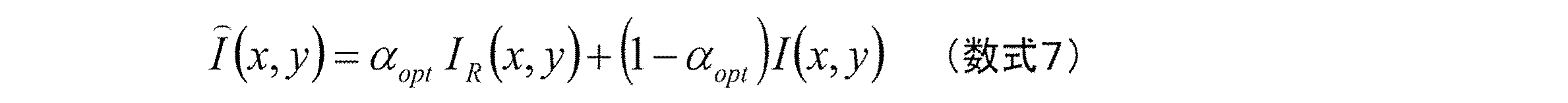
画像再現部15は、この画質制御パラメータ値αoptを用いて、以下の再現式で再現画像を生成する。 The image reproduction unit 15 uses the image quality control parameter value α opt to generate a reproduction image using the following reproduction formula.

Figure 2015075813
Figure 2015075813

ここで、I^(x,y)は数式1の場合と同じく再現画像の画素値を表すが、この数式7では、画像再現部15が生成する再現画像の画素値に相当する。   Here, I ^ (x, y) represents the pixel value of the reproduced image as in the case of Equation 1, but in Equation 7, it corresponds to the pixel value of the reproduced image generated by the image reproduction unit 15.

尚、本実施の形態における再現式は、数式1及び数式7に限ったものではない。画像強調を行う再現式の本質(原画像と最大限の画像強調を行った画像との間で制御する)を損なわなければ、如何なる再現式を採用してもよい。   Note that the reproduction formula in the present embodiment is not limited to Formula 1 and Formula 7. Any reproduction formula may be adopted as long as the essence of the reproduction formula for image enhancement (control between the original image and the image with the maximum image enhancement) is not impaired.

本実施の形態では、原画像の特定の成分が第2の強調度合いで強調されるように再現された第2の再現画像の一例として、再現画像を用いており、第2の再現画像を生成する第2の再現画像生成手段の一例として、画質制御パラメータ値算出部14を設けている。   In the present embodiment, a reproduced image is used as an example of a second reproduced image that is reproduced so that a specific component of the original image is emphasized at the second enhancement degree, and the second reproduced image is generated. An image quality control parameter value calculation unit 14 is provided as an example of the second reproduced image generation means.

また、本実施の形態で算出する画質量としては、少なくとも輝度とコントラストとを含む物理量を採用すれば、上述したような画質特性が得られる。従って、このような本質から外れないものであれば、如何なる物理量を画質量として採用してもよい。   In addition, as the image quality amount calculated in the present embodiment, the above-described image quality characteristics can be obtained if a physical amount including at least luminance and contrast is employed. Therefore, any physical quantity may be adopted as the image quality as long as it does not deviate from this essence.

図11は、本発明の実施の形態における画像処理装置10の動作例を表すフローチャートである。   FIG. 11 is a flowchart showing an operation example of the image processing apparatus 10 according to the embodiment of the present invention.

原画像が入力されると、まず、予測再現部11が、画質予測パラメータ値が設定された再現パラメータを用いて、原画像に対し、画像強調を伴う画像再現を行うことにより、予測再現画像を生成する(ステップ101)。そして、画質量算出部12aが、ステップ101で生成された予測再現画像の画質量である予測画質量を算出する(ステップ102)。また、画質量算出部12bが、原画像の画質量である原画像画質量を算出する(ステップ103)。ここで、ステップ101乃至ステップ103はこの順序で実行されることとしたが、如何なる順序で実行されてもよい。或いは、ステップ101及びステップ102の少なくとも1つのステップと、ステップ103とは、並行に実行されるものであってもよい。   When the original image is input, first, the prediction reproduction unit 11 performs image reproduction with image enhancement on the original image using the reproduction parameter in which the image quality prediction parameter value is set, thereby obtaining the prediction reproduction image. Generate (step 101). Then, the image quality calculation unit 12a calculates a predicted image quality that is the image quality of the predicted reproduction image generated in step 101 (step 102). Further, the image quality amount calculation unit 12b calculates an original image quality amount that is the image quality amount of the original image (step 103). Here, the steps 101 to 103 are executed in this order, but may be executed in any order. Alternatively, at least one of step 101 and step 102 and step 103 may be executed in parallel.

次に、画質特性予測部13が、ステップ102で算出された予測画質量と、ステップ103で算出された原画像画質量と、ステップ101で用いられた再現パラメータに設定されていた画質予測パラメータ値とに基づいて、再現パラメータと画質量との対応関係である画質特性を予測する(ステップ104)。   Next, the image quality characteristic prediction unit 13 uses the predicted image quality amount calculated in step 102, the original image image quality amount calculated in step 103, and the image quality prediction parameter value set in the reproduction parameter used in step 101. Based on the above, an image quality characteristic that is a correspondence relationship between the reproduction parameter and the image quality amount is predicted (step 104).

次いで、画質制御パラメータ値算出部14が、指定画質量を与えられると、ステップ104で予測された画質特性に基づいて、画質量を指定画質量とするために再現パラメータに設定すべき画質制御パラメータ値を算出する(ステップ105)。   Next, when the image quality control parameter value calculation unit 14 is given the designated image quality amount, the image quality control parameter to be set as the reproduction parameter in order to set the image quality amount to the designated image quality amount based on the image quality characteristic predicted in step 104. A value is calculated (step 105).

最後に、画像再現部15が、ステップ105で生成された画質制御パラメータ値が設定された再現パラメータを用いて、原画像に対し、画像強調を伴う画像再現を行うことにより、再現画像を生成する(ステップ105)。   Finally, the image reproduction unit 15 generates a reproduced image by performing image reproduction with image enhancement on the original image using the reproduction parameter in which the image quality control parameter value generated in step 105 is set. (Step 105).

[画像処理装置のハードウェア構成]
本実施の形態における画像処理装置10は、例えばPCにインストールされた画像処理ソフトウェアとしても実現され得るが、典型的には、画像読取り及び画像形成を行う画像処理装置10として実現される。
[Hardware configuration of image processing apparatus]
The image processing apparatus 10 according to the present embodiment can be realized, for example, as image processing software installed in a PC, but is typically realized as an image processing apparatus 10 that performs image reading and image formation.

図12は、このような画像処理装置10のハードウェア構成例を示した図である。図示するように、画像処理装置10は、CPU(Central Processing Unit)21と、RAM(Random Access Memory)22と、ROM(Read Only Memory)23と、HDD(Hard Disk Drive)24と、操作パネル25と、画像読取部26と、画像形成部27と、通信インターフェース(以下、「通信I/F」と表記する)28とを備える。   FIG. 12 is a diagram illustrating a hardware configuration example of such an image processing apparatus 10. As illustrated, the image processing apparatus 10 includes a central processing unit (CPU) 21, a random access memory (RAM) 22, a read only memory (ROM) 23, a hard disk drive (HDD) 24, and an operation panel 25. An image reading unit 26, an image forming unit 27, and a communication interface (hereinafter referred to as “communication I / F”) 28.

CPU21は、ROM23等に記憶された各種プログラムをRAM22にロードして実行することにより、後述する各機能を実現する。   The CPU 21 implements various functions to be described later by loading various programs stored in the ROM 23 and the like into the RAM 22 and executing them.

RAM22は、CPU21の作業用メモリ等として用いられるメモリである。   The RAM 22 is a memory used as a working memory for the CPU 21.

ROM23は、CPU21が実行する各種プログラム等を記憶するメモリである。   The ROM 23 is a memory that stores various programs executed by the CPU 21.

HDD24は、画像読取部26が読み取った画像データや画像形成部27における画像形成にて用いる画像データ等を記憶する例えば磁気ディスク装置である。   The HDD 24 is, for example, a magnetic disk device that stores image data read by the image reading unit 26 and image data used for image formation in the image forming unit 27.

操作パネル25は、各種情報の表示やユーザからの操作入力の受付を行うタッチパネルである。ここで、操作パネル25は、各種情報が表示されるディスプレイと、指やスタイラスペン等で指示された位置を検出する位置検出シートとからなる。   The operation panel 25 is a touch panel that displays various types of information and receives operation inputs from the user. Here, the operation panel 25 includes a display on which various types of information are displayed, and a position detection sheet that detects a position designated by a finger, a stylus pen, or the like.

画像読取部26は、紙等の記録媒体に記録された画像を読み取る。ここで、画像読取部26は、例えばスキャナであり、光源から原稿に照射した光に対する反射光をレンズで縮小してCCD(Charge Coupled Devices)で受光するCCD方式や、LED光源から原稿に順に照射した光に対する反射光をCIS(Contact Image Sensor)で受光するCIS方式のものを用いるとよい。   The image reading unit 26 reads an image recorded on a recording medium such as paper. Here, the image reading unit 26 is, for example, a scanner, and a CCD system in which reflected light with respect to light irradiated from a light source to a document is reduced by a lens and received by a CCD (Charge Coupled Devices), or an LED light source is sequentially irradiated to a document It is preferable to use a CIS system in which reflected light with respect to the received light is received by a CIS (Contact Image Sensor).

画像形成部27は、記録媒体に画像を形成する。ここで、画像形成部27は、例えばプリンタであり、感光体に付着させたトナーを記録媒体に転写して像を形成する電子写真方式や、インクを記録媒体上に吐出して像を形成するインクジェット方式のものを用いるとよい。   The image forming unit 27 forms an image on a recording medium. Here, the image forming unit 27 is, for example, a printer, and forms an image by transferring the toner attached to the photosensitive member to a recording medium to form an image, or ejecting ink onto the recording medium. An ink jet type may be used.

通信I/F28は、ネットワークを介して他の装置との間で各種情報の送受信を行う。   The communication I / F 28 transmits / receives various information to / from other devices via the network.

尚、本実施の形態を実現するプログラムは、通信手段により提供することはもちろん、CD−ROM等の記録媒体に格納して提供することも可能である。   The program for realizing the present embodiment can be provided not only by communication means but also by storing it in a recording medium such as a CD-ROM.

10…画像処理装置、11…予測再現部、12a,12b…画質量算出部、13…画質特性予測部、14…画質制御パラメータ値算出部、15…画像再現部 DESCRIPTION OF SYMBOLS 10 ... Image processing apparatus, 11 ... Prediction reproduction part, 12a, 12b ... Image quality amount calculation part, 13 ... Image quality characteristic prediction part, 14 ... Image quality control parameter value calculation part, 15 ... Image reproduction part

Claims (7)

原画像と、当該原画像の画質に影響を与える特定の成分の強調度合いを表す強調度合い情報であって第1の強調度合いが設定された強調度合い情報とに基づいて、当該原画像の当該特定の成分が当該第1の強調度合いで強調されるように再現された第1の再現画像を生成する第1の再現画像生成手段と、
前記第1の再現画像の画質を表す第1の画質量を取得する第1の画質量取得手段と、
前記原画像の画質を表す第2の画質量を取得する第2の画質量取得手段と、
前記第1の画質量と、前記第2の画質量と、前記第1の強調度合いとに基づいて、前記強調度合い情報に設定された強調度合いと、前記原画像の前記特定の成分が当該強調度合いで強調されるように再現された再現画像の画質を表す画質量とを対応付けた当該原画像の画質特性を取得する画質特性取得手段と、
前記画質特性と、指定された画質を表す指定画質量とに基づいて、前記再現画像の画質を表す画質量が当該指定画質量となるために前記強調度合い情報に設定すべき第2の強調度合いを取得する強調度合い取得手段と、
前記原画像と、前記第2の強調度合いが設定された前記強調度合い情報とに基づいて、当該原画像の前記特定の成分が当該第2の強調度合いで強調されるように再現された第2の再現画像を生成する第2の再現画像生成手段と
を備えることを特徴とする画像処理装置。
The identification of the original image based on the original image and the enhancement degree information indicating the enhancement degree of a specific component that affects the image quality of the original image and having the first enhancement degree set. First reproduced image generating means for generating a first reproduced image that is reproduced so that the component is enhanced at the first enhancement degree;
First image quality amount acquisition means for acquiring a first image quality amount representing the image quality of the first reproduced image;
Second image quality amount acquisition means for acquiring a second image quality amount representing the image quality of the original image;
Based on the first image quality amount, the second image quality amount, and the first enhancement level, the enhancement level set in the enhancement level information and the specific component of the original image An image quality characteristic acquisition means for acquiring an image quality characteristic of the original image in association with an image quality amount representing the image quality of the reproduced image reproduced so as to be emphasized at a degree;
Based on the image quality characteristic and the designated image quality amount representing the designated image quality, the second enhancement degree to be set in the enhancement degree information so that the image quality amount representing the image quality of the reproduced image becomes the designated image quality amount Emphasis degree acquisition means for acquiring
Based on the original image and the enhancement degree information in which the second enhancement degree is set, the second component reproduced so that the specific component of the original image is enhanced with the second enhancement degree. An image processing apparatus comprising: a second reproduction image generation unit that generates a reproduction image of the above.
前記画質特性取得手段は、前記強調度合いと前記画質量とを線形関数で対応付けた前記画質特性を取得することを特徴とする請求項1に記載の画像処理装置。   The image processing apparatus according to claim 1, wherein the image quality characteristic acquisition unit acquires the image quality characteristic in which the enhancement degree and the image quality amount are associated with each other by a linear function. 前記第1の再現画像生成手段は、他の第1の強調度合いが設定された前記強調度合い情報に基づいて、前記原画像の前記特定の成分が当該他の第1の強調度合いで強調されるように再現された他の第1の再現画像を更に生成し、
前記第1の画質量取得手段は、前記他の第1の再現画像の画質を表す他の第1の画質量を更に取得し、
前記画質特性取得手段は、前記他の第1の画質量と、前記他の第1の強調度合いとに更に基づいて、前記画質特性を取得することを特徴とする請求項1に記載の画像処理装置。
The first reproduction image generating means emphasizes the specific component of the original image with the other first enhancement degree based on the enhancement degree information in which another first enhancement degree is set. And further generating another first reproduced image reproduced as follows:
The first image quality amount acquisition means further acquires another first image quality amount representing the image quality of the other first reproduction image,
The image processing according to claim 1, wherein the image quality characteristic acquisition unit acquires the image quality characteristic further based on the other first image quality amount and the other first enhancement degree. apparatus.
前記画質特性取得手段は、前記強調度合いと前記画質量とを非線形関数で対応付けた前記画質特性を取得することを特徴とする請求項3に記載の画像処理装置。   The image processing apparatus according to claim 3, wherein the image quality characteristic acquisition unit acquires the image quality characteristic in which the enhancement degree and the image quality amount are associated with each other by a non-linear function. 前記画質特性取得手段は、前記強調度合いと前記画質量とを単調増加関数及び単調減少関数の何れかで対応付けた前記画質特性を取得することを特徴とする請求項1乃至請求項4の何れかに記載の画像処理装置。   5. The image quality characteristic acquisition unit acquires the image quality characteristic in which the degree of enhancement and the image quality amount are associated with each other by a monotone increasing function or a monotone decreasing function. An image processing apparatus according to claim 1. 前記第1の再現画像生成手段及び前記第2の再現画像生成手段は、それぞれ、前記原画像の輝度、色度、明暗差及び周波数の少なくとも1つに関係する強調が行われた前記第1の再現画像及び前記第2の再現画像を生成することを特徴とする請求項1乃至請求項4の何れかに記載の画像処理装置。   Each of the first reproduction image generation unit and the second reproduction image generation unit performs the enhancement related to at least one of the luminance, chromaticity, contrast difference, and frequency of the original image. The image processing apparatus according to claim 1, wherein a reproduced image and the second reproduced image are generated. コンピュータに、
原画像と、当該原画像の画質に影響を与える特定の成分の強調度合いを表す強調度合い情報であって第1の強調度合いが設定された強調度合い情報とに基づいて、当該原画像の当該特定の成分が当該第1の強調度合いで強調されるように再現された第1の再現画像を生成する機能と、
前記第1の再現画像の画質を表す第1の画質量を取得する機能と、
前記原画像の画質を表す第2の画質量を取得する機能と、
前記第1の画質量と、前記第2の画質量と、前記第1の強調度合いとに基づいて、前記強調度合い情報に設定された強調度合いと、前記原画像の前記特定の成分が当該強調度合いで強調されるように再現された再現画像の画質を表す画質量とを対応付けた当該原画像の画質特性を取得する機能と、
前記画質特性と、指定された画質を表す指定画質量とに基づいて、前記再現画像の画質を表す画質量が当該指定画質量となるために前記強調度合い情報に設定すべき第2の強調度合いを取得する機能と、
前記原画像と、前記第2の強調度合いが設定された前記強調度合い情報とに基づいて、当該原画像の前記特定の成分が当該第2の強調度合いで強調されるように再現された第2の再現画像を生成する機能と
を実現させるためのプログラム。
On the computer,
The identification of the original image based on the original image and the enhancement degree information indicating the enhancement degree of a specific component that affects the image quality of the original image and having the first enhancement degree set. A function of generating a first reproduced image that is reproduced so that the component is enhanced at the first enhancement degree;
A function of obtaining a first image quality amount representing an image quality of the first reproduced image;
A function of obtaining a second image quality amount representing the image quality of the original image;
Based on the first image quality amount, the second image quality amount, and the first enhancement level, the enhancement level set in the enhancement level information and the specific component of the original image A function of acquiring image quality characteristics of the original image in association with an image quality amount representing the image quality of the reproduced image reproduced to be emphasized at a degree;
Based on the image quality characteristic and the designated image quality amount representing the designated image quality, the second enhancement degree to be set in the enhancement degree information so that the image quality amount representing the image quality of the reproduced image becomes the designated image quality amount With the ability to get
Based on the original image and the enhancement degree information in which the second enhancement degree is set, the second component reproduced so that the specific component of the original image is enhanced with the second enhancement degree. Program that realizes the function to generate a reproduction image of
JP2013209992A 2013-10-07 2013-10-07 Image processing apparatus and program Expired - Fee Related JP6164024B2 (en)

Priority Applications (1)

Application Number Priority Date Filing Date Title
JP2013209992A JP6164024B2 (en) 2013-10-07 2013-10-07 Image processing apparatus and program

Applications Claiming Priority (1)

Application Number Priority Date Filing Date Title
JP2013209992A JP6164024B2 (en) 2013-10-07 2013-10-07 Image processing apparatus and program

Publications (2)

Publication Number Publication Date
JP2015075813A true JP2015075813A (en) 2015-04-20
JP6164024B2 JP6164024B2 (en) 2017-07-19

Family

ID=53000654

Family Applications (1)

Application Number Title Priority Date Filing Date
JP2013209992A Expired - Fee Related JP6164024B2 (en) 2013-10-07 2013-10-07 Image processing apparatus and program

Country Status (1)

Country Link
JP (1) JP6164024B2 (en)

Cited By (1)

* Cited by examiner, † Cited by third party
Publication number Priority date Publication date Assignee Title
CN105321175A (en) * 2015-09-23 2016-02-10 宁波大学 Structure texture sparse representation based objective assessment method for stereoscopic image quality

Citations (3)

* Cited by examiner, † Cited by third party
Publication number Priority date Publication date Assignee Title
JPH0668252A (en) * 1992-06-18 1994-03-11 Nec Corp Method and device for sharpening image
JP2002359780A (en) * 2001-06-01 2002-12-13 Canon Inc Image processing apparatus, image processing system, image processing method, storage medium, and program
JP2012141812A (en) * 2010-12-29 2012-07-26 Sony Corp Image processing apparatus, image processing method, and program

Patent Citations (3)

* Cited by examiner, † Cited by third party
Publication number Priority date Publication date Assignee Title
JPH0668252A (en) * 1992-06-18 1994-03-11 Nec Corp Method and device for sharpening image
JP2002359780A (en) * 2001-06-01 2002-12-13 Canon Inc Image processing apparatus, image processing system, image processing method, storage medium, and program
JP2012141812A (en) * 2010-12-29 2012-07-26 Sony Corp Image processing apparatus, image processing method, and program

Cited By (1)

* Cited by examiner, † Cited by third party
Publication number Priority date Publication date Assignee Title
CN105321175A (en) * 2015-09-23 2016-02-10 宁波大学 Structure texture sparse representation based objective assessment method for stereoscopic image quality

Also Published As

Publication number Publication date
JP6164024B2 (en) 2017-07-19

Similar Documents

Publication Publication Date Title
JP4118749B2 (en) Image processing apparatus, image processing program, and storage medium
KR102015926B1 (en) Image processing apparatus, control method of image processing apparatus, and storage medium
JP4350778B2 (en) Image processing apparatus, image processing program, and recording medium
JP6357881B2 (en) Image processing apparatus and program
JP2020074501A (en) Image processing apparatus, image processing method, and program
JP6303816B2 (en) Image processing apparatus and program
JP5426953B2 (en) Image processing apparatus and method
JP6164024B2 (en) Image processing apparatus and program
JP6273750B2 (en) Image processing apparatus and program
JP6564158B2 (en) Image processing apparatus, image processing method, and image processing program
JP4059389B2 (en) Image processing apparatus, image processing program, and storage medium
JP2023020165A (en) IMAGE PROCESSING APPARATUS, IMAGE FORMING APPARATUS, CONTROL METHOD AND PROGRAM FOR THEM
US10026152B2 (en) Image processing apparatus for providing visibility of an image while maintaining color in a natural state
JP6292061B2 (en) Information processing apparatus and program
JP7254621B2 (en) Image processing device, learning device, image processing method, learning method, and program
US11900655B2 (en) Information processing device, information processing method, and recording medium recorded with information processing program
JP2023069216A (en) Image processing device, printer, image processing method, and program
JP2006155572A (en) Image processing apparatus, image forming apparatus, image processing method, and computer program
US10051157B2 (en) Image processing apparatus and image processing method generating soft proof image display with color adjustment for printing apparatus
KR100988431B1 (en) Image feature extraction method, recording medium recording the same and apparatus for performing the same
JP5632937B2 (en) Image processing apparatus and method, and computer program
JP2010226368A (en) Image processing apparatus, image processing method, and program
JP2007184872A (en) Image evaluation device, image processor, and image evaluation method and program
JP2003271953A (en) Image quality prediction device, method and recording medium for recording the same
JP2015109566A (en) Image processing apparatus and image processing method

Legal Events

Date Code Title Description
A621 Written request for application examination

Free format text: JAPANESE INTERMEDIATE CODE: A621

Effective date: 20160524

A977 Report on retrieval

Free format text: JAPANESE INTERMEDIATE CODE: A971007

Effective date: 20170424

TRDD Decision of grant or rejection written
A01 Written decision to grant a patent or to grant a registration (utility model)

Free format text: JAPANESE INTERMEDIATE CODE: A01

Effective date: 20170523

A61 First payment of annual fees (during grant procedure)

Free format text: JAPANESE INTERMEDIATE CODE: A61

Effective date: 20170605

R150 Certificate of patent or registration of utility model

Ref document number: 6164024

Country of ref document: JP

Free format text: JAPANESE INTERMEDIATE CODE: R150

S533 Written request for registration of change of name

Free format text: JAPANESE INTERMEDIATE CODE: R313533

R350 Written notification of registration of transfer

Free format text: JAPANESE INTERMEDIATE CODE: R350

LAPS Cancellation because of no payment of annual fees