JP2004088746A - ストリーミング・メディアの輻輳制御メカニズム - Google Patents
ストリーミング・メディアの輻輳制御メカニズム Download PDFInfo
- Publication number
- JP2004088746A JP2004088746A JP2003180215A JP2003180215A JP2004088746A JP 2004088746 A JP2004088746 A JP 2004088746A JP 2003180215 A JP2003180215 A JP 2003180215A JP 2003180215 A JP2003180215 A JP 2003180215A JP 2004088746 A JP2004088746 A JP 2004088746A
- Authority
- JP
- Japan
- Prior art keywords
- network connection
- computer
- logarithmic function
- packet loss
- tcp
- Prior art date
- Legal status (The legal status is an assumption and is not a legal conclusion. Google has not performed a legal analysis and makes no representation as to the accuracy of the status listed.)
- Granted
Links
- 230000007246 mechanism Effects 0.000 title abstract description 25
- 230000005540 biological transmission Effects 0.000 claims abstract description 31
- 238000000034 method Methods 0.000 claims abstract description 30
- 230000008859 change Effects 0.000 claims description 14
- 238000012545 processing Methods 0.000 claims description 5
- 230000000750 progressive effect Effects 0.000 claims description 4
- 238000004422 calculation algorithm Methods 0.000 abstract description 22
- 238000010586 diagram Methods 0.000 abstract description 4
- 230000007423 decrease Effects 0.000 abstract description 3
- 239000000654 additive Substances 0.000 abstract description 2
- 230000000996 additive effect Effects 0.000 abstract description 2
- 238000009499 grossing Methods 0.000 abstract description 2
- 230000003287 optical effect Effects 0.000 description 9
- 238000004088 simulation Methods 0.000 description 7
- 230000006870 function Effects 0.000 description 6
- 238000004891 communication Methods 0.000 description 5
- 230000000694 effects Effects 0.000 description 5
- 230000006855 networking Effects 0.000 description 5
- 238000013459 approach Methods 0.000 description 4
- 230000000737 periodic effect Effects 0.000 description 4
- 230000002093 peripheral effect Effects 0.000 description 4
- 230000016571 aggressive behavior Effects 0.000 description 3
- 235000003642 hunger Nutrition 0.000 description 3
- 230000008569 process Effects 0.000 description 3
- 230000004043 responsiveness Effects 0.000 description 3
- 230000037351 starvation Effects 0.000 description 3
- 238000012360 testing method Methods 0.000 description 3
- 230000000007 visual effect Effects 0.000 description 3
- 230000008901 benefit Effects 0.000 description 2
- 230000007774 longterm Effects 0.000 description 2
- 230000005055 memory storage Effects 0.000 description 2
- 230000004044 response Effects 0.000 description 2
- 239000000523 sample Substances 0.000 description 2
- 230000006978 adaptation Effects 0.000 description 1
- 230000006399 behavior Effects 0.000 description 1
- 238000004364 calculation method Methods 0.000 description 1
- 230000015556 catabolic process Effects 0.000 description 1
- 238000006731 degradation reaction Methods 0.000 description 1
- 238000002474 experimental method Methods 0.000 description 1
- 230000002650 habitual effect Effects 0.000 description 1
- 230000006872 improvement Effects 0.000 description 1
- 238000011835 investigation Methods 0.000 description 1
- 230000009257 reactivity Effects 0.000 description 1
- 238000011084 recovery Methods 0.000 description 1
- 238000011160 research Methods 0.000 description 1
- 238000007493 shaping process Methods 0.000 description 1
Images
Classifications
-
- H—ELECTRICITY
- H04—ELECTRIC COMMUNICATION TECHNIQUE
- H04L—TRANSMISSION OF DIGITAL INFORMATION, e.g. TELEGRAPHIC COMMUNICATION
- H04L47/00—Traffic control in data switching networks
- H04L47/10—Flow control; Congestion control
- H04L47/28—Flow control; Congestion control in relation to timing considerations
- H04L47/283—Flow control; Congestion control in relation to timing considerations in response to processing delays, e.g. caused by jitter or round trip time [RTT]
-
- H—ELECTRICITY
- H04—ELECTRIC COMMUNICATION TECHNIQUE
- H04L—TRANSMISSION OF DIGITAL INFORMATION, e.g. TELEGRAPHIC COMMUNICATION
- H04L47/00—Traffic control in data switching networks
- H04L47/10—Flow control; Congestion control
-
- H—ELECTRICITY
- H04—ELECTRIC COMMUNICATION TECHNIQUE
- H04L—TRANSMISSION OF DIGITAL INFORMATION, e.g. TELEGRAPHIC COMMUNICATION
- H04L47/00—Traffic control in data switching networks
- H04L47/10—Flow control; Congestion control
- H04L47/19—Flow control; Congestion control at layers above the network layer
- H04L47/193—Flow control; Congestion control at layers above the network layer at the transport layer, e.g. TCP related
-
- H—ELECTRICITY
- H04—ELECTRIC COMMUNICATION TECHNIQUE
- H04L—TRANSMISSION OF DIGITAL INFORMATION, e.g. TELEGRAPHIC COMMUNICATION
- H04L47/00—Traffic control in data switching networks
- H04L47/10—Flow control; Congestion control
- H04L47/36—Flow control; Congestion control by determining packet size, e.g. maximum transfer unit [MTU]
Landscapes
- Engineering & Computer Science (AREA)
- Computer Networks & Wireless Communication (AREA)
- Signal Processing (AREA)
- Data Exchanges In Wide-Area Networks (AREA)
- Two-Way Televisions, Distribution Of Moving Picture Or The Like (AREA)
- Maintenance And Management Of Digital Transmission (AREA)
- Computer And Data Communications (AREA)
- Telephonic Communication Services (AREA)
- Mechanical Control Devices (AREA)
- One-Way And Automatic Clutches, And Combinations Of Different Clutches (AREA)
Abstract
【解決手段】例えばTCPを使用してインターネット上で送信されるストリーミング・メディア・アプリケーションは、TCPのAdditive Increase Multiplicative Decrease(AIMD)輻輳制御メカニズムに起因するさまざまな揺らぎの影響を受け、稼働率が低下することがある。Logarithm−based Rate Controlアルゴリズムを使用して利用可能な帯域の稼働率を高め、かつ/またはストリーミング・メディアの送信レートを制御し滑らかにする改善された方法と装置を提示する。
【選択図】 図1
Description
【発明の属する技術分野】
本発明は、データ・ビットストリームに関するものであり、より具体的には、ストリーミング・メディア用の改善された輻輳制御メカニズムを提供する方法と装置に関するものである。
【0002】
【従来の技術】
アクセス帯域幅が着実に拡大するにつれて、ストリーミングによる音声および映像コンテンツの利用を始めるインターネット・アプリケーションがますます増えてきている。現在のインターネットは本質的に異機種接続の動的ベスト・エフォート方式ネットワークであるため、チャネル帯域は通常、64kbps未満のビット・レートから1Mbpsを優に超えるビット・レートまで広い範囲にわたり揺らいでいる。このことは、滑らかな再生体験と最高の利用可能映像品質を提供するうえで、映像符号化とストリーミングの技術に対してやりがいのある大きな問題をもたらしている。
【0003】
例えば、従来のストリーミング映像は、インターネットを介した場合、TFRC付きのTCPまたはUDPを使用して送信される。これの問題点は、パケット損失が発生すると、送信レートが、例えば半分にまで、急激に低下することがありうるという点である。これは、通常、今のところインターネットを致命的な輻輳破綻から守っているレート制御メカニズムのせいである。しかし、このような急激な送信レート低下は、ストリーミング映像にはきわめて望ましくない品質の大幅な低下をもたらすことがある。
【0004】
さまざまな、よくある、常習的な帯域幅揺らぎに加えて、現在のインターネットのストリーミング・アプリケーションは、利用可能なネットワーク/チャネル帯域幅の正確な推定を欠く傾向にある。そのため、そのアプリケーションは利用可能なネットワーク資源をフルに使用できなかったり、かつ/またはネットワークが輻輳状態にはいったときに、積極的に送信レートを調整することができなかったりすることがよくある。
【0005】
【発明が解決しようとする課題】
したがって、インターネットおよびその他の同様のネットワークで、ストリーミング・メディア・アプリケーションとともに使用する改善された方法と装置が必要となる。
【0006】
【課題を解決するための手段】
本発明の例示的実装例では、少なくとも1つのネットワーク接続でのスループットを推定する方法が示されている。この方法は、ネットワーク接続に関連付けられたパケット・サイズ情報、往復時間情報、およびパケット損失情報を決定すること、このネットワーク接続のスループットを、この決定された情報を考慮する対数関数を使用して、推定すること、を含んでいる。
【0007】
他の例示的実装例では、少なくとも1つのネットワーク接続の確立に使用するように構成可能な少なくとも1つのネットワーク・インターフェースを備える装置が提示される。論理回路は、ネットワーク・インターフェースに動作可能なように結合され、ネットワーク接続で送信するデータのパケット・サイズ情報、ネットワーク接続に関連する往復時間情報、およびネットワーク接続に関連するパケット損失情報を決定するように構成される。この論理回路は、パケット・サイズ情報、往復時間情報、およびパケット損失情報を考慮する対数関数を使用してネットワーク接続のスループットを推定する。
【0008】
本発明は、例を用いて説明されているが、付属の図面の図の制限を受けることはない。類似のコンポーネントおよび/または条項を参照するため図全体を通して同じ番号を使用する。
【0009】
【発明の実施の形態】
transmission control protocol(TCP)は、インターネット、イントラネット、およびその他の類似のネットワークの圧倒的な成功における重要な要因となっている。例えば、現在のインターネットの安定性は、エンド・ツー・エンドの輻輳制御メカニズム(congestion control mechanisms)に、大いに依存している。現在の輻輳メカニズムは、Additive Increase Multiplicative Decrease(AIMD;加法的増加と乗法的減少)アルゴリズムを使う傾向にある。しかし、AIMDアルゴリズムについての本質的に控えめな動作特性と急激に変化する動作特性は、頻繁なレートの揺らぎ(rate fluctuations)をもたらし、それが到来すると、メディア・ストリーミング・アプリケーションをユーザが体験する上での品質、例えばその結果得られるストリーミング映像アプリケーションの視覚的な品質に、急激な低下を生じさせる。現在のインターネットのベスト・エフォート方式の伝送能力では、多くストリーミング・メディア・アプリケーションに対して、十分なquality of service(QoS)が保証されないのが普通である。
【0010】
このようなかつ/または同様のやりがいのある問題に対処するため、広範な研究が実施されている。例えば、映像符号化の分野では、レート・スケーラビリティ(rate scalability)およびエラー・リカバリに、かなりの大きな注目が集まっている。これらの例の1つに、MPEG−4のFine Granularity Scalability(FGS)プロファイルがあり、これは、DCT残差(DCT residues)のビットプレーン符号化(bit−plane coding)によって、広いレート範囲にわたってビットストリームをデコード可能とすることを可能としている。帯域幅に柔軟性があるにもかかわらず、FGSは、符号化効率において、悪化する傾向を有している。拡張版として、Progressive FGS(PFGS)は、より高い品質基準(quality references)を使用して、符号化効率を改善する方式を提供する。
【0011】
この説明のために、映像ストリーミングの例は、基本的な映像符号化フレームワークとしてみなされるPFGSを使用して提供される。しかしながら、当業者であれば、本明細書で取りあげている方法および装置は、他のメディア符号化フレームワーク、アプリケーション、および/または環境にも適応/適用できることを理解するであろう。
【0012】
映像伝送およびネットワーキングの分野では、現在のTCPの流れに対して公平性(fairness)を保持しながら送信レートを滑らかにすることを目指す、多くのTCP−like and TCP−friendly輻輳制御メカニズムが開発されている。これらの提案メカニズムのうち、TCP−Friendly Rate Control(TFRC)は、その公平性と相対的滑らかさのために、最も成熟しているもののひとつである。
【0013】
本発明のいくつかの実装ではLogarithm−based TCP−friendly Rate Control(L−TFRC)アルゴリズムが提示されている。L−TFRCアルゴリズムに基づく輻輳制御メカニズム群を方法、装置、および/またはシステムの形で開発することができる。
【0014】
他のTCP−like or TCP−friendlyメカニズムとは異なり、TCP上のL−TFRCアルゴリズムの公平性のレベルは簡単に制御できる。これは、一般にストリーミング・メディア・アプリケーションに対して望ましい機能である。それと同時に、L−TFRCアルゴリズムでは、滑らかさと輻輳回避特性はそのまま温存される。
【0015】
いくつかの実装例によれば、L−TFRCアルゴリズムでは、ネットワーク接続で利用可能な帯域幅を積極的に推定し、ストリーミング・メディアの送信レートを円滑化する。このようなアルゴリズムを使用すると、例えば、FGS/PFGSなどのスケーラブルな映像コーデックなどを含む論理回路は、その推定に応じて送信レートを調整し、そのネットワークなどの効率を高めるといったことが可能になる。
【0016】
動作環境の例:
図面では類似の参照番号は類似の要素を指しており、本発明は適当なコンピューティング環境で実装されているものとして説明されている。必要というわけではないが、本発明について、パーソナル・コンピュータによって実行されるプログラム・モジュールなどのコンピュータ実行可能命令の一般的文脈において説明する。
【0017】
一般に、プログラム・モジュールには、特定のタスクを実行する、あるいは特定の抽象データ型を実装するルーチン、プログラム、オブジェクト、コンポーネント、データ構造などが含まれる。当業者には、本発明が、携帯型デバイス、マルチ・プロセッサ・システム、マイクロ・プロセッサ・ベースのまたはプログラム可能な家電製品、ネットワークPC、ミニ・コンピュータ、メインフレーム・コンピュータ、携帯通信機器などの他のコンピュータ・システム構成でも実施できることは明白であろう。
【0018】
本発明はさらに、通信ネットワークを介してリンクされているリモート処理デバイスによりタスクが実行される分散コンピューティング環境で実施することも可能である。分散コンピューティング環境では、プログラム・モジュールをローカルとリモートの両方のメモリ記憶デバイスに配置できる。
【0019】
図1は、後述のシステム、装置、および方法を実装できる適当なコンピューティング環境120の一実施例を示している。コンピューティング環境例120は、適当なコンピューティング環境の一例にすぎず、本明細書で説明している改善された方法およびシステムの使用または機能の範囲に関する制限を示唆することは意図していない。またコンピューティング環境120は、コンピューティング環境120に示されているコンポーネントの1つまたは組合せに関係する依存性または要求条件があると解釈されるべきではない。
【0020】
本明細書の改善された方法およびシステムは、さらに、他の多数の汎用または専用コンピューティング・システム環境または構成で動作する。適していると思われるよく知られているコンピューティング・システム、環境、および/または構成の例として、パーソナル・コンピュータ、サーバ・コンピュータ、シン・クライアント(thin client)、シック・クライアント(thick client)、ハンドヘルドまたはラップトップ・デバイス、マルチ・プロセッサ・システム、マイクロ・プロセッサ・ベース・システム、セットトップボックス、プログラム可能家電製品、ネットワークPC、ミニ・コンピュータ、メインフレーム・コンピュータ、上記システムのどれかを含む分散コンピューティング環境などがある。
【0021】
図1に示されているように、コンピューティング環境120は、コンピュータ130の形で汎用コンピューティング・デバイスを備える。コンピュータ130のコンポーネントは、1つまたは複数のプロセッサまたは処理装置132、システム・メモリ134、およびシステム・メモリ134などの各種システム・コンポーネントをプロセッサ132に結合するバス136を備える。
【0022】
バス136は、メモリ・バスまたはメモリ・コントローラ、周辺機器バス、グラフィック専用高速バス、およびさまざまなバス・アーキテクチャを使用するプロセッサまたはローカル・バスを表している。例えば、このようなアーキテクチャとしては、Industry Standard Architecture(ISA)バス、Micro Channel Architecture(MCA)バス、Enhanced ISA(EISA)バス、Video Electronics Standards Association(VESA)ローカル・バス、およびMezzanineバスとも呼ばれるPeripheral Component Interconnect(PCI)バスがある。
【0023】
コンピュータ130は通常、さまざまなコンピュータ読み取り可能メディアを含む。このようなメディアは、コンピュータ130からアクセス可能な有効なメディアであればよく、揮発性および不揮発性メディア、取り外し可能および取り外し不可能メディアの両方を含む。
【0024】
図1では、システム・メモリ134は、ランダム・アクセス・メモリ(RAM)140などの揮発性メモリおよび/または読み取り専用メモリ(ROM)138などの不揮発性メモリの形式のコンピュータ読み取り可能メディアを備える。起動時などにコンピュータ130内の要素間の情報伝送を助ける基本ルーチンを含む基本入出力システム(BIOS)142は通常、ROM138に格納される。通常、RAM140には、プロセッサ132に直接アクセス可能な、かつ/または現在操作されているデータおよび/またはプログラム・モジュールを格納する。
【0025】
コンピュータ130はさらに、その他の取り外し可能/取り外し不可能な揮発性/不揮発性コンピュータ記憶メディアを備えることもできる。例えば、図1は、取り外し不可能な不揮発性磁気メディアの読み書きを行うハード・ディスク・ドライブ144(図には示されておらず、通常「ハード・ドライブ」と呼ばれる)、取り外し可能な不揮発性磁気ディスク148(例えば、「フロッピー(登録商標)ディスク」)の読み書きを行う磁気ディスク・ドライブ146、およびCD−ROM/R/RW、DVD−ROM/R/RW/+R/RAM、またはその他の光メディアなどの取り外し可能な不揮発性光ディスク152の読み書きを行う光ディスク・ドライブ150を示している。ハード・ディスク・ドライブ144、磁気ディスク・ドライブ146、および光ディスク・ドライブ150はそれぞれ、1つまたは複数のインターフェース154によりバス136に接続されている。
【0026】
ドライブおよび関連コンピュータ読み取り可能媒体は、コンピュータ130用のコンピュータ読み取り可能命令、データ構造、プログラム・モジュール、およびその他のデータを格納する不揮発性ストレージを備える。本発明で説明している環境例ではハード・ディスク、取り外し可能磁気ディスク148、および取り外し可能光ディスク152を採用しているが、当業者であれば、磁気カセット、フラッシュ・メモリ・カード、デジタル・ビデオ・ディスク、ランダム・アクセス・メモリ(RAM)、読み取り専用メモリ(ROM)などのコンピュータからアクセス可能なデータを格納できる他のタイプのコンピュータ読み取り可能媒体もオペレーティング環境例で使用できることも理解するであろう。
【0027】
ハード/ディスク、磁気ディスク148、光ディスク152、ROM138、またはRAM140には、オペレーティング・システム158、1つまたは複数のアプリケーション・プログラム160、その他のプログラム・モジュール162、およびプログラム・データ164などのプログラム・モジュールをいくつでも格納できる。
【0028】
本明細書で説明している改善された方法およびシステムは、オペレーティング・システム158、1つまたは複数のアプリケーション・プログラム160、その他のプログラム・モジュール162、および/またはプログラム・データ164で実装することができる。
【0029】
ユーザは、キーボード166およびポインティング・デバイス168(「マウス」など)などの入力デバイスを使用してコンピュータ130にコマンドおよび情報を入力することができる。他の入力デバイス(図に示されていない)としては、マイク、ジョイスティック、ゲーム・パッド、衛星放送受信アンテナ、シリアル/ポート、スキャナ、カメラなどがある。これらの入力デバイスやその他の入力デバイスは、バス136に結合されているユーザ入力インターフェース170を介して処理装置132に接続されるが、パラレル・ポート、ゲーム・ポート、またはユニバーサル・シリアル・バス(USB)などの他のインターフェースおよびバス構造により接続することもできる。
【0030】
モニタ172やその他のタイプの表示デバイスも、ビデオ・アダプタ174などのインターフェースを介してバス136に接続される。モニタ172に加えて、パーソナル・コンピュータは通常、スピーカやプリンタなどの他の周辺出力デバイス(図に示されていない)を備え、これらは、出力周辺インターフェース175を介して接続することができる。
【0031】
コンピュータ130は、リモート・コンピュータ182などの1つまたは複数のリモート・コンピュータへの論理接続を使用してネットワーク環境で動作することができる。リモート・コンピュータ182は、コンピュータ130に関して本明細書で説明している要素および機能の多くまたはすべてを備えることができる。
【0032】
図1に示されている論理接続は、ローカル/エリア・ネットワーク(LAN)177と一般的なワイド/エリア・ネットワーク(WAN)179を含む。このようなネットワーキング環境は、事務所、企業規模のコンピュータネットワーク、イントラネットおよびインターネットではよくある。
【0033】
LANネットワーキング環境で使用する場合は、コンピュータ130はネットワーク・インターフェースまたはアダプタ186を介してLAN177に接続される。WANネットワーキング環境で使用する場合は、コンピュータは通常、モデム178またはWAN179上で通信を確立するためのその他の手段を備える。モデム178は、内蔵でも外付けでもよいが、ユーザ入力インターフェース170またはその他の適切なメカニズムを介してシステム・バス136に接続できる。
【0034】
図1に示されているのは、インターネット経由のWANの具体的実装である。ここでは、コンピュータ130はモデム178を使用して、インターネット180を介して少なくとも1台のリモート・コンピュータ182との通信を確立する。
【0035】
ネットワーク環境では、コンピュータ130またはその一部に関して述べたプログラム・モジュールは、リモート・メモリ・ストレージ・デバイスに格納できる。従って、例えば、図1に示されているように、リモート・アプリケーション・プログラム189はリモート・コンピュータ182のメモリ・デバイスに常駐させることができる。図に示され説明されているネットワーク接続は例であり、コンピュータ間に通信リンクを確立するのにその他手段を使用できることは理解されるであろう。
【0036】
L−TFRCアルゴリズムの例
上述のようにTCPは、1回の輻輳指示に応答して、送信レートを頻繁に半分にするために、インターネットによるリアルタイムのマルチ・メディア・ストリーミング・アプリケーションには、殆ど適していない。送信レートのこのような急激な低下は、受信された視覚的品質に明らかな劣化をもたらすことがある。したがって、長期間の総合的スループットを変えずに、レート制御を滑らかにする(平坦にする)ためのさまざまな努力が行われてきた。
【0037】
現在の輻輳制御メカニズムの大半は、2つのカテゴリ、つまり、Probe−based(診断基準)および/またはEquation−based(平衡基準)メカニズムに分けられる。Equation−basedアプローチは、1回の輻輳表示に応答して送信レートを調整するのがふつうであるProbe−basedアプローチと異なり、例えば、最近損失イベント・レート(recent loss event rate)の関数として送信レートを明示的に推定するTCPスループット方程式(TCP throughput equation)を使用することが多い。
【0038】
例えば、共通TCPスループットモデルは、以下の公式で与えられる。
【0039】
【数7】
【0040】
ここで、λはTCP接続のスループット、MTUはその接続で使用するパケット・サイズ、RTTはその接続の往復時間、pはその接続のパケット損失率を表す。
【0041】
さまざまな既存のEquation−basedアプローチの中でもTCP−friendly Rate Control(TCPフレンドリ;TFRC)は現在、最も利用されている。TFRCでは、TCPスループットについてより正確な推定を与えることで送信レート制御を滑らかにしようとする。例えば、TFRCでは以下のようにタイムアウト(RTO)の影響を考慮することで送信レート制御を滑らかにする。
【0042】
【数8】
【0043】
TFRCではさらに、単一のパケット損失の代わりに損失率イベント(loss rate event)を使用して、送信側および受信側のふるまい(behavior)を変更する。
【0044】
TCPスループットの公平性にもかかわらず、TFRCが変えないものはスループット
【0045】
【数9】
【0046】
の本質的比例性であるが、これは全体的なレート変化、つまりλの導関数が
【0047】
【数10】
【0048】
に比例するということを意味する。このような比例性があることで、レート変更があると輻輳制御メカニズムがパケット損失に過度に敏感になる傾向がある。このことは、パケット損失率が比較的小さいときにもあてはまる。
【0049】
さらに、一部の調査および継続的シミュレーションから、TFRCはパケット損失の控えめな推定による他の現象の影響を受けるようにも見える。例えば、TFRCは、周期的レート揺らぎ(Periodical Rate Fluctuation;PRF)の影響を受けるようにも見える。したがって、チャネル帯域幅が一定であれば(BWと表す)、TFRCは、BWに一様な状態で留まることはできない。その代わりに、BWを越えても、それまでどおりに送信レートを上げようとするが、残念なことに、それは、短時間輻輳をもたらすことになる。TFRCはパケット損失が低い環境では非常に敏感であり、さらなる輻輳発生を回避するために送信レートが大幅に下げられる。このような急激な低下は、頻繁におこるとはいえないが、TCPのレート低下と非常によく似ている。
【0050】
TFRCはさらに、Share Starvation over Small narrow link(狭いリンクを介するシェア欠乏;SSS)の影響を受けるように見える。例えば、狭いボトルネック・リンクを通じて送信するときに、TFRCのシェア(割り当て;share)は、平均的な競合TCPフローに比べて目立って低く、0にまで落ちることもある。
【0051】
本発明のある視点によれば、これらの問題および/または他の問題は、
【0052】
【数11】
【0053】
の代わりに、λの導関数を1/pに本質的に設定する改善されたアルゴリズムにより解決することができる。例えば、あるアルゴリズム例は、ここでは、Logarithm−based TFRC(L−TFRC)アルゴリズムと呼ばれている。
【0054】
したがって、スループット方程式群は、例えば、以下のようにlog(p)の多項式として定義することができる。
【0055】
【数12】
【0056】
例えば、1次のケースだと以下のようになる。
【0057】
【数13】
【0058】
高次のL−TFRCだとより正確にスループットをモデル化できるが、本明細書の説明を簡潔にするため、1次のL−TFRC例について説明する。
【0059】
そこで図2Aを参照すると、これは、例えば図1に示されているような、少なくとも1つのネットワーク接続206でメディア204のストリーミングを行うように構成されたコンピューティング・デバイスなどの少なくとも1つのデバイスを備えるシステム200を示すブロック図である。デバイス202は、輻輳制御メカニズムをサポートするL−TFRCアルゴリズムを実装するL−TFRC論理回路210を備える。
【0060】
図2Bは、例えば、L−TFRC論理回路210に実装することができるプロセス220を表している流れ図である。ここで、動作222で往復時間(RTT)が決定される。動作224で、パケット損失率が決定される。動作226はオプションであるが、ここで、公平性のクラスが例えば、L−TFRCアルゴリズムの少なくとも1つのパラメータを修正することにより選択的に確定される。動作228で、L−TFRCアルゴリズムを使用して送信レート(例えば、スループット)が推定される。その結果、推定された送信レートを使用して、ストリーミング・メディアの送信レートを制御することができる。
【0061】
インターネットによる実際の映像ストリーミング送信に関して、例えば、MTU=1Kバイトと修正し、RTTが標準値100msに設定されているときにp>50%に対して最小送信レート10Kbpsとすることができる。したがって、妥当な(例の)1次のケースは以下のようになる。
【0062】
【数14】
【0063】
kを変えることにより、L−TFRCのレート変更の急激さを制御することができる。
【0064】
図3は、従来のTFRCを使用したとき(例えば、上の式(2)を実装)と1次のL−TFRC例(例えば、上の式(5)を実装)を使用したときのパケット損失率対帯域幅の対比をプロットしたグラフである。ここでは、RTTは100msに、kは8に設定されている。線302はL−TFRCを使用した結果を表し、線304はTFRCを使用した結果を表している。TFRCと比較した場合、L−TFRCについては、送信レートはパケット損失が低いケース(p<=0.05)のときにレート変更が遅く、パケット損失が高いケース(p>0.05)のときに変更が速い。これは、滑らかな輻輳制御では望ましい結果である。
【0065】
公平性に関する限り、異なるクラスの公平性を、例えば、アプリケーションの要求条件に関して異なるkを設定することにより、定義することができる。
【0066】
本発明のある例示的実装によれば、複数のクラスの公平性を1次のL−TFRCで定義することができる。あるクラスの公平性を「TCP−friendly(TCPフレンドリ)」と呼ぶ。ここで、kは比較的小さい(例えば、kはおおよそ6以下である)。そのため、L−TFRCフローは一貫して、TCPフロー以下である可能性の高い帯域幅を保持する。
【0067】
別のクラスの公平性の例を「Bounded−friendly(強制フレンドリ)」と呼ぶ。ここで、例えば、長時間存続する映像ストリームと短時間存続するTCPフローが同じシェアでしかないというのは実際、不公平であると、ストリーミング・アプリケーションは主張するかも知れない。この場合、kを比較的中程度の値に設定する(例えば、kを6程度よりも大きく、10程度よりも小さくする)ことができる。こうすることで、L−TFRCフローで使用するシェアを、平均的TCPフローよりも大きくすることができるが、全体的なL−TFRCのシェアは、c*TCPシェアで制限される。ここで、cはアプリケーションによって設定された重みである。
【0068】
別のクラスの公平性の例を「Streaming−oriented(ストリーミング志向)」と呼ぶ。ここでは、例えば、現在利用可能なネットワーク資源を活用するためストリーミング・アプリケーションをストリーミング・メディアのスループットが最大になるように、構成することができる。したがって、例えば、kを比較的高い値に設定する(例えば、kを10程度以上にする)ことができる。いくつかの実装では、kは15程度に設定できる。Streaming−orientedクラスの公平性では、L−TFRC論理回路は利用可能な帯域幅、つまりボトルネック帯域幅の使用を最大にしようとする。したがって、L−TFRCアルゴリズムを使用して、ボトルネック帯域幅を推定することができる。
【0069】
パフォーマンス例の説明:
上述のようにシミュレーションをいくつか実行して、L−TFRCアルゴリズム例のパフォーマンスを評価した。これらのシミュレーションの目的の1つは、攻撃性、反応性、滑らかさ、公平性など、L−TFRCのネットワーキング特性を評価することであった。以下の比較結果では、TFRCおよびL−TFRCを使用したシミュレーション(kを8とする)を実施している。シミュレーションでは、古典的ダン・ベル・トポロジ(classical dumb bell topology)をモデル化した。
【0070】
攻撃性および反応性は、如何に速く、そのプロトコルが利用可能な帯域幅(ABW)の変化に合わせることができるかを評価するために定義される。ここで、ON−OFFバックグラウンド・トラフィックが使用された。図4のグラフ400は、攻撃性および反応性テストの結果を示している。ここでは、線402はTFRCの結果、線404はABW、線406はL−TFRCの結果を表している。
【0071】
図に示されているように、L−TFRCは、最初の時点ではほとんど同じに実行し、それ以降は少しよくなる。これは、L−TFRCが制御アプローチのほとんどを、低速開始フェーズで、引き続いて使用していることを意味する。
【0072】
滑らかさは、送信レートの変化度(variance)に関して定義される。TFRCでは、滑らかさについて、TCPについて著しく改善するとしているが、図4に示されているように、その固有の1/√pの比例性により小さな変更を頻繁に生じさせている。
【0073】
図5は、定常状態の周期的レート揺らぎ(PRF)効果を示すグラフ500である。線502はTFRCの結果を表し、線504はL−TFRCの結果を表している。これからわかるように、L−TFRCは滑らかさについての明らかな改善を示している。
【0074】
公平性は、長期間にわたる全体的なスループット比に関して定義される。TFRCの特性のうち有用なものとして、TCPフローに関するスループットの長期にわたる収束がある。しかし、TFRCは小さなボトルネック・リンク上で複数のTCPフローと競合する場合に、シェア・スタベーション(割り当て欠乏;share starvation)(SSS)効果の影響を受けるように見える。
【0075】
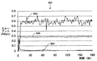
図6のグラフ600では、L−TFRC(線602)、TFRC(線604)のスループットの差を、平均的TCPスループット(線606)とともに、見ることができる。ここで、このシミュレーション・シナリオでは、TFRCとL−TFRCのフローは16個のTCPフローと競合していた。
【0076】
これらの結果から、TFRCは平均的TCPフローと比べてシェアが著しく小さく、ときには0にまで低下することもあることがわかる。他方、L−TFRCはシミュレーション時間全体を通して比較的TCP−friendlyに留まり、またSSS効果も克服している。
【0077】
市販のWANエミュレータを使い、チャネル帯域幅を1Mbpsに整形して別の実験を行った。さらにこれらの結果から、L−TFRCはTCP、TFRC、およびインターネットのようなネットワーク環境での他の輻輳制御メカニズムよりも、パフォーマンスが優れていることがわかる。
【0078】
ここで、L−TFRCを使用して、PFGSで符号化した映像ストリームの送信レートを制御した。PFGSの利点の1つは、帯域幅適応能力にあり、これは、任意のビット・レートでデコードすることができ、受信するビットを増やすほど視覚的品質が向上する。したがって、送信レートの精度の高い滑らかな推定を行うことができ、映像の知覚された品質が大幅に改善することができる。
【0079】
図7のグラフ700は、L−TFRC(線702)とTFRC(線704)の間のスループットの対比を示している。上述のように、またこの例に示されているように、TFRCには周期的な揺らぎと小さな変動がある。
【0080】
図8のグラフ800に示されているように、TFRCの周期的揺らぎおよび小さな変動は、ストリーミングされた映像品質を低下させる傾向がある。ここでは、例えば、PSNR(dB)を複数の映像フレームのY成分についてプロットする。線802はL−TFRCの結果を表し、線804はTFRCの結果を表している。
【0081】
他のテストでは、上記のL−TFRCの方法および装置の例を使用して、チャネル帯域幅を1Mbpsに整形した。さらにこれらの結果から、L−TFRCはTCP、TFRC、および例えばインターネットなどのネットワーク上の他の輻輳制御メカニズムよりもパフォーマンスが優れていることがわかる。
【0082】
したがって、前述の説明からわかるように、Logarithm−basedTCP−friendly Rate Controlアルゴリズムを使用して、利用可能なネットワーク帯域幅を効率的に推定し、ストリーミング・メディアの送信レートを滑らかにすることができる。L−TFRCアルゴリズム例では、ネットワーク接続のRTTおよびパケット損失率情報を収集して計算し、推計されたスループット、パケット・サイズ、パケット損失、および往復時間情報を計算に取り込んだ対数方程式に基づいてストリーミング・パケットの適当な送信レートを推定する。L−TFRCアルゴリズムは、オリジナルのTCPプロトコル方式およびTFRC方式などの従来の方式に比べて、優れた結果を出している。さらに、L−TFRCアルゴリズムを、例えば、FGS、PFGS、またはその他の類似の手法とともに使用し、滑らかなエンド・ツー・エンドのメディア・ストリーミング・システムを実現することができる。
【0083】
結論:
上の説明では構造的機能および/または方法論的ステップに固有の言語を使用しているが、付属の請求項で定められている発明は、説明した特定の機能またはステップに限られていないことは理解されるであろう。むしろ、特定の機能およびステップは請求されている発明を実施する実施例として開示されている。
【図面の簡単な説明】
【図1】本発明のいくつかの実装とともに使用するのに適しているコンピューティング環境の例を示すブロック図である。
【図2A】本発明のいくつかの実施例による具象的論理回路の形を取る対数ベースのTCP−friendly Rate Control(L−TFRC)メカニズムを備えるデバイスを示すブロック図である。
【図2B】本発明のいくつかの実施例によるスループットを推定するためにL−TFRCメカニズムを使用するプロセスを示す流れ図である。
【図3】本発明のいくつかの実施例によるL−TFRCメカニズムに関するいくつかの結果の比較を示すグラフである。
【図4】本発明のいくつかの実施例によるL−TFRCメカニズムの攻撃性および反応性テスト(aggressiveness and responsiveness test)の結果を示すグラフである。
【図5】本発明のいくつかの実施例によるL−TFRCメカニズムの滑らかさ(smoothness)およびRPF効果(PRF effect)の結果を示すグラフである。
【図6】本発明のいくつかの実施例によるL−TFRCメカニズムの公平性(fairness)およびSSS効果(SSS effect)の結果を示すグラフである。
【図7】本発明のいくつかの実施例によるL−TFRCメカニズムを使用するメディアストリーミングのスループットを示すグラフである。
【図8】本発明のいくつかの実施例によりL−TFRCメカニズムに基づいて送信される映像フレームの結果PSNR(results PSNR)を示すグラフである。
【符号の説明】
120 コンピューティング環境
130 コンピュータ
132 プロセッサまたは処理装置
134 システム・メモリ
136 バス
138 読み取り専用メモリ(ROM)
140 ランダム・アクセス・メモリ(RAM)
142 基本入出力システム(BIOS)
144 ハード・ディスク・ドライブ
146 取り外し可能な不揮発性磁気ディスク
148 磁気ディスク・ドライブ
150 光ディスク・ドライブ
152 不揮発性光ディスク
154 インターフェース
158 オペレーティング・システム
160 アプリケーション・プログラム
162 その他のプログラム・モジュール
164 プログラム・データ
166 キーボード
168 ポインティング・デバイス
170 ユーザ入力インターフェース
172 モニタ
174 ビデオ・アダプタ
175 出力周辺インターフェース
177 ローカルエリア・ネットワーク(LAN)
178 モデム
179 ワイドエリア・ネットワーク(WAN)
180 インターネット
182 リモート・コンピュータ
186 ネットワーク・インターフェースまたはアダプタ
189 リモート・アプリケーション・プログラム
200 システム
202 デバイス
204 メディア
206 ネットワーク接続
210 L−TFRCロジック回路
220 プロセス
Claims (30)
- 少なくとも1つのネットワーク接続でスループットを推定する方法であって、
少なくとも1つのネットワーク接続で送信するデータのパケット・サイズ情報を決定すること、
前記ネットワーク接続に関連付けられた往復時間情報を決定すること、
前記ネットワーク接続に関連付けられたパケット損失情報を決定すること、および
前記パケット・サイズ情報、前記往復時間情報、および前記パケット損失情報を考慮する対数関数を使用して前記ネットワーク接続のスループットを推定すること
を備えることを特徴とする方法。 - 前記pは、パケット損失率を表すことを特徴とする請求項2に記載の方法。
- 前記推定されたスループットに基づき、レート変更を決定することをさらに備えることを特徴とする請求項1に記載の方法。
- 前記レート変更は、pで表される前記推定スループットの導関数で、1/pに比例する導関数に基づくことを特徴とする請求項4に記載の方法。
- 前記対数関数は、前記レート変更の急激さを確定する少なくとも1つの調整可能パラメータを含むことを特徴とする請求項4に記載の方法。
- 前記少なくとも1つの調整可能パラメータは、TCPフレンドリ(TCP−friendly)クラスの公平性、強制フレンドリ(Bounded−friendly)クラスの公平性、およびストリーミング志向(Streaming−oriented)クラスの公平性、を備えるグループから選択した少なくとも1つのクラスの公平性を確定することを特徴とする請求項6に記載の方法。
- 前記ネットワーク接続は、transmission control protocol(TCP)をサポートするように構成されていることを特徴とする請求項1に記載の方法。
- 前記データは、Fine Granularity Scale(FGS)およびProgressive FGS(PFGS)を備えるグループから選択した少なくとも1つの方式を使用して構成されている映像データを含むことを特徴とする請求項1に記載の方法。
- コンピュータ実行可能命令を格納するコンピュータ読み取り可能メディアであって、前記命令は少なくとも1つの処理装置に、
少なくとも1つのネットワーク接続で送信するデータのパケット・サイズ情報を決定する動作と、
前記ネットワーク接続に関連付けられた往復時間情報を決定する動作と、
前記ネットワーク接続に関連付けられたパケット損失情報を決定する動作と、
前記パケット・サイズ情報、前記往復時間情報、および前記パケット損失情報を考慮する対数関数を使用して前記ネットワーク接続のスループットを推定する動作と
を備える動作をさせることを特徴とするコンピュータ読み取り可能メディア。 - 前記pは、パケット損失率を表すことを特徴とする請求項12に記載のコンピュータ読み取りメディア。
- 前記推定されたスループットに基づき、レートの変更を決定することをさらに備えることを特徴とする請求項11に記載のコンピュータ読み取り可能メディア。
- 前記レート変更は、pで表される前記推定スループットの導関数で、1/pに比例する導関数に基づくことを特徴とする請求項14に記載のコンピュータ読み取り可能メディア。
- 前記対数関数は、前記レート変更の急激さを確定する少なくとも1つの調整可能パラメータを含むことを特徴とする請求項14に記載のコンピュータ読み取り可能メディア。
- 前記少なくとも1つの調整可能パラメータは、TCP−friendlyクラスの公平性、Bounded−friendlyクラスの公平性、およびStreaming−orientedクラスの公平性、を備えるグループから選択した少なくとも1つのクラスの公平性を確定することを特徴とする請求項16に記載のコンピュータ読み取り可能メディア。
- 前記ネットワーク接続は、transmission control protocol(TCP)をサポートするように構成されていることを特徴とする請求項11に記載のコンピュータ読み取り可能メディア。
- 前記データは、Fine Granularity Scale(FGS)およびProgressive FGS(PFGS)を備えるグループから選択した少なくとも1つの方式を使用して構成されている映像データを含むことを特徴とする請求項11に記載のコンピュータ読み取り可能メディア。
- 装置であって、
少なくとも1つのネットワーク接続を介して少なくとも1つのネットワーク資源に動作可能に結合されるように構成可能な少なくとも1つのネットワーク・インターフェースと、
前記ネットワーク・インターフェースに動作可能に結合された論理回路であって、前記ネットワーク接続で送信するデータのパケット・サイズ情報を決定し、前記ネットワーク接続に関連付けられた往復時間情報を決定し、前記ネットワーク接続に関連付けられたパケット損失情報を決定し、前記パケット・サイズ情報、前記往復時間情報、前記パケット損失情報を考慮する対数関数を使用して前記ネットワーク接続のスループットを推定するように構成可能な論理回路と
を備えることを特徴とする装置。 - 前記pは、パケット損失率を表すことを特徴とする請求項22に記載の装置。
- 前記論理回路は、前期推定されたスループットに基づきレート変更を決定するようにさらに構成されていることを特徴とする請求項21に記載の装置。
- 前記レート変更は、pで表される前記推定スループットの導関数で、1/pに比例する導関数に基づくことを特徴とする請求項24に記載の装置。
- 前記対数関数は、前記レート変更の急激さを確定する少なくとも1つの調整可能パラメータを含むことを特徴とする請求項24に記載の装置。
- 前記少なくとも1つの調整可能パラメータは、TCP−friendlyクラスの公平性、Bounded−friendlyクラスの公平性、およびStreaming−orientedクラスの公平性、を備えるグループから選択した少なくとも1つのクラスの公平性を確定することを特徴とする請求項26に記載の装置。
- 前記ネットワーク接続は、transmission control protocol(TCP)をサポートするように構成されていることを特徴とする請求項21に記載の装置。
- 前記データは、Fine Granularity Scale(FGS)およびProgressive FGS(PFGS)を備えるグループから選択した少なくとも1つの方式を使用して構成されている映像データを含むことを特徴とする請求項21に記載の装置。
Applications Claiming Priority (1)
| Application Number | Priority Date | Filing Date | Title |
|---|---|---|---|
| US10/186,230 US7099954B2 (en) | 2002-06-27 | 2002-06-27 | Congestion control mechanism for streaming media |
Publications (3)
| Publication Number | Publication Date |
|---|---|
| JP2004088746A true JP2004088746A (ja) | 2004-03-18 |
| JP2004088746A5 JP2004088746A5 (ja) | 2006-07-06 |
| JP4309185B2 JP4309185B2 (ja) | 2009-08-05 |
Family
ID=29718022
Family Applications (1)
| Application Number | Title | Priority Date | Filing Date |
|---|---|---|---|
| JP2003180215A Expired - Fee Related JP4309185B2 (ja) | 2002-06-27 | 2003-06-24 | ストリーミング・メディアの輻輳制御メカニズム |
Country Status (5)
| Country | Link |
|---|---|
| US (1) | US7099954B2 (ja) |
| EP (1) | EP1376952B1 (ja) |
| JP (1) | JP4309185B2 (ja) |
| AT (1) | ATE395767T1 (ja) |
| DE (1) | DE60320899D1 (ja) |
Cited By (3)
| Publication number | Priority date | Publication date | Assignee | Title |
|---|---|---|---|---|
| US7636310B2 (en) | 2005-03-14 | 2009-12-22 | Fujitsu Limited | Communication control system and communication control method |
| US7746780B2 (en) | 2004-07-23 | 2010-06-29 | Lg Electronics Inc. | Adaptive estimation of multimedia data transmission rate in a data communication system |
| JP2013520119A (ja) * | 2010-02-19 | 2013-05-30 | トムソン ライセンシング | アダプティブ・ストリーミングのマルチパス配信 |
Families Citing this family (40)
| Publication number | Priority date | Publication date | Assignee | Title |
|---|---|---|---|---|
| US7802008B2 (en) * | 2002-08-12 | 2010-09-21 | Matsushita Electric Industrial Co., Ltd. | Quality of service management in network gateways |
| US7542471B2 (en) * | 2002-10-30 | 2009-06-02 | Citrix Systems, Inc. | Method of determining path maximum transmission unit |
| US7630305B2 (en) * | 2003-07-29 | 2009-12-08 | Orbital Data Corporation | TCP selective acknowledgements for communicating delivered and missed data packets |
| US8270423B2 (en) * | 2003-07-29 | 2012-09-18 | Citrix Systems, Inc. | Systems and methods of using packet boundaries for reduction in timeout prevention |
| US8233392B2 (en) * | 2003-07-29 | 2012-07-31 | Citrix Systems, Inc. | Transaction boundary detection for reduction in timeout penalties |
| US7616638B2 (en) | 2003-07-29 | 2009-11-10 | Orbital Data Corporation | Wavefront detection and disambiguation of acknowledgments |
| EP1450514A1 (en) * | 2003-02-18 | 2004-08-25 | Matsushita Electric Industrial Co., Ltd. | Server-based rate control in a multimedia streaming environment |
| EP1614257A1 (en) * | 2003-03-21 | 2006-01-11 | Matsushita Electric Industrial Co., Ltd. | Method and communication system for signalling information for optimising rate control schemes in wireless networks |
| US7359004B2 (en) * | 2003-05-23 | 2008-04-15 | Microsoft Corporation | Bi-level and full-color video combination for video communication |
| US8432800B2 (en) * | 2003-07-29 | 2013-04-30 | Citrix Systems, Inc. | Systems and methods for stochastic-based quality of service |
| US8437284B2 (en) | 2003-07-29 | 2013-05-07 | Citrix Systems, Inc. | Systems and methods for additional retransmissions of dropped packets |
| US8238241B2 (en) * | 2003-07-29 | 2012-08-07 | Citrix Systems, Inc. | Automatic detection and window virtualization for flow control |
| US7656799B2 (en) | 2003-07-29 | 2010-02-02 | Citrix Systems, Inc. | Flow control system architecture |
| US7698453B2 (en) | 2003-07-29 | 2010-04-13 | Oribital Data Corporation | Early generation of acknowledgements for flow control |
| US7860161B2 (en) * | 2003-12-15 | 2010-12-28 | Microsoft Corporation | Enhancement layer transcoding of fine-granular scalable video bitstreams |
| US7477602B2 (en) * | 2004-04-01 | 2009-01-13 | Telcordia Technologies, Inc. | Estimator for end-to-end throughput of wireless networks |
| US8868772B2 (en) | 2004-04-30 | 2014-10-21 | Echostar Technologies L.L.C. | Apparatus, system, and method for adaptive-rate shifting of streaming content |
| US7818444B2 (en) | 2004-04-30 | 2010-10-19 | Move Networks, Inc. | Apparatus, system, and method for multi-bitrate content streaming |
| US8009586B2 (en) * | 2004-06-29 | 2011-08-30 | Damaka, Inc. | System and method for data transfer in a peer-to peer hybrid communication network |
| US7627033B2 (en) * | 2004-11-15 | 2009-12-01 | Microsoft Corporation | Video rate control |
| US8281356B2 (en) * | 2004-11-17 | 2012-10-02 | Sharp Kabushiki Kaisha | Transmitter |
| US8370514B2 (en) | 2005-04-28 | 2013-02-05 | DISH Digital L.L.C. | System and method of minimizing network bandwidth retrieved from an external network |
| US8683066B2 (en) | 2007-08-06 | 2014-03-25 | DISH Digital L.L.C. | Apparatus, system, and method for multi-bitrate content streaming |
| US7782759B2 (en) * | 2006-04-21 | 2010-08-24 | Microsoft Corporation | Enabling network devices to run multiple congestion control algorithms |
| US7729249B2 (en) * | 2007-07-16 | 2010-06-01 | Microsoft Corporation | Systems and methods for improving TCP-friendliness of delay-based congestion control |
| US7948887B2 (en) * | 2008-06-24 | 2011-05-24 | Microsoft Corporation | Network bandwidth measurement |
| FR2935862B1 (fr) * | 2008-09-08 | 2014-09-05 | Canon Kk | Procede de prediction du taux d'erreurs de transmission dans un reseau de communication et serveur mettant en oeuvre un tel procede |
| US8009560B2 (en) * | 2008-12-31 | 2011-08-30 | Microsoft Corporation | Detecting and managing congestion on a shared network link |
| FR2946820B1 (fr) * | 2009-06-16 | 2012-05-11 | Canon Kk | Procede de transmission de donnees et dispositif associe. |
| US9510029B2 (en) | 2010-02-11 | 2016-11-29 | Echostar Advanced Technologies L.L.C. | Systems and methods to provide trick play during streaming playback |
| US9110745B2 (en) | 2011-06-17 | 2015-08-18 | Oracle International Corporation | System and method for flow control in a messaging subsystem based on message-in/out rates |
| US9037742B2 (en) | 2011-11-15 | 2015-05-19 | International Business Machines Corporation | Optimizing streaming of a group of videos |
| CN102497312B (zh) * | 2011-12-07 | 2014-10-29 | 哈尔滨工业大学 | 面向流媒体数字水印传输的速率控制方法 |
| US9755973B2 (en) * | 2013-08-07 | 2017-09-05 | Citrix Systems, Inc. | Performing QoS on unknown bandwidths through rate estimating TCP congestion handlers |
| JP6459645B2 (ja) * | 2015-03-06 | 2019-01-30 | 富士通株式会社 | スループット計測プログラム、スループット計測方法及びスループット計測装置 |
| US10834065B1 (en) | 2015-03-31 | 2020-11-10 | F5 Networks, Inc. | Methods for SSL protected NTLM re-authentication and devices thereof |
| US10164893B2 (en) | 2015-08-19 | 2018-12-25 | Samsung Electronics Co., Ltd. | Data transfer apparatus, data transfer controlling method and data stream |
| US10404698B1 (en) | 2016-01-15 | 2019-09-03 | F5 Networks, Inc. | Methods for adaptive organization of web application access points in webtops and devices thereof |
| CN110875915B (zh) | 2018-09-04 | 2021-08-20 | 华为技术有限公司 | 数据传输方法及装置 |
| US20230318980A1 (en) * | 2022-04-04 | 2023-10-05 | Google Llc | Congestion control for low-latency interactive video streaming |
Family Cites Families (8)
| Publication number | Priority date | Publication date | Assignee | Title |
|---|---|---|---|---|
| US5377327A (en) * | 1988-04-22 | 1994-12-27 | Digital Equipment Corporation | Congestion avoidance scheme for computer networks |
| US5193151A (en) * | 1989-08-30 | 1993-03-09 | Digital Equipment Corporation | Delay-based congestion avoidance in computer networks |
| FR2708168B1 (fr) * | 1993-07-20 | 1995-08-25 | Thomson Consumer Electronics | Procédé et dispositif d'estimation d'un budget de bits pour encodeurs à longueur de mot variable. |
| US6243737B1 (en) * | 1999-04-09 | 2001-06-05 | Translink Software, Inc. | Method and apparatus for providing direct transaction access to information residing on a host system |
| US6999432B2 (en) * | 2000-07-13 | 2006-02-14 | Microsoft Corporation | Channel and quality of service adaptation for multimedia over wireless networks |
| US7065482B2 (en) * | 2001-05-17 | 2006-06-20 | International Business Machines Corporation | Internet traffic analysis tool |
| US20020188728A1 (en) * | 2001-06-07 | 2002-12-12 | Acceleration Softwave International Corporation | Adaptive file transfer acceleration |
| US6909753B2 (en) * | 2001-12-05 | 2005-06-21 | Koninklijke Philips Electronics, N.V. | Combined MPEG-4 FGS and modulation algorithm for wireless video transmission |
-
2002
- 2002-06-27 US US10/186,230 patent/US7099954B2/en not_active Expired - Fee Related
-
2003
- 2003-05-21 EP EP03011549A patent/EP1376952B1/en not_active Expired - Lifetime
- 2003-05-21 AT AT03011549T patent/ATE395767T1/de not_active IP Right Cessation
- 2003-05-21 DE DE60320899T patent/DE60320899D1/de not_active Expired - Lifetime
- 2003-06-24 JP JP2003180215A patent/JP4309185B2/ja not_active Expired - Fee Related
Cited By (4)
| Publication number | Priority date | Publication date | Assignee | Title |
|---|---|---|---|---|
| US7746780B2 (en) | 2004-07-23 | 2010-06-29 | Lg Electronics Inc. | Adaptive estimation of multimedia data transmission rate in a data communication system |
| US7636310B2 (en) | 2005-03-14 | 2009-12-22 | Fujitsu Limited | Communication control system and communication control method |
| JP2013520119A (ja) * | 2010-02-19 | 2013-05-30 | トムソン ライセンシング | アダプティブ・ストリーミングのマルチパス配信 |
| US10034048B2 (en) | 2010-02-19 | 2018-07-24 | Thomson Licensing Dtv | Multipath delivery for adaptive streaming |
Also Published As
| Publication number | Publication date |
|---|---|
| US7099954B2 (en) | 2006-08-29 |
| DE60320899D1 (de) | 2008-06-26 |
| ATE395767T1 (de) | 2008-05-15 |
| EP1376952B1 (en) | 2008-05-14 |
| US20040001691A1 (en) | 2004-01-01 |
| JP4309185B2 (ja) | 2009-08-05 |
| EP1376952A1 (en) | 2004-01-02 |
Similar Documents
| Publication | Publication Date | Title |
|---|---|---|
| JP4309185B2 (ja) | ストリーミング・メディアの輻輳制御メカニズム | |
| Wang et al. | Multimedia streaming via TCP: An analytic performance study | |
| EP2997707B1 (en) | Enhancing performance of rapid channel changes and other playback positioning changes in adaptive streaming | |
| KR101046105B1 (ko) | 컴퓨터 프로그램 제조품, 리소스 요구 조정 방법 및 엔드 시스템 | |
| JP2004538719A (ja) | 非線形高スケーラブル増加−減少輻輳制御機構を提供する方法 | |
| JP2005503722A (ja) | 輻輳制御用に伝送レートを計算するためにバッファサイズの受領を用いるデータ通信方法とシステム | |
| EP1777969A1 (en) | Adaptive video transmission with variable frame rate | |
| Shin et al. | Content-based packet video forwarding mechanism in differentiated service networks | |
| KR101837637B1 (ko) | 클라이언트 측 ack 조정 기반 적응 스트리밍 방법 및 장치 | |
| Rahman et al. | SABA: Segment and buffer aware rate adaptation algorithm for streaming over HTTP | |
| Papadimitriou et al. | SSVP: A congestion control scheme for real-time video streaming | |
| Yanev et al. | Retracted on December 7, 2023: Does TCP new congestion window validation improve HTTP adaptive streaming performance? | |
| Wang et al. | Media-friendliness of a slowly-responsive congestion control protocol | |
| Laine et al. | Network capacity estimators predicting qoe in http adaptive streaming | |
| Bouras et al. | Evaluation of single rate multicast congestion control schemes for MPEG-4 video transmission | |
| Tunali et al. | Robust quality adaptation for internet video streaming | |
| Bouras et al. | Adaptive smooth multicast protocol for multimedia data transmission | |
| Papadimitriou et al. | A receiver-centric rate control scheme for layered video streams in the Internet | |
| Lie et al. | On the use of classical control system based AQM for rate adaptive streaming media | |
| CN112640373B (zh) | 改善的拥塞响应 | |
| Papadimitriou et al. | A quality adaptation scheme for internet video streams | |
| Jammeh et al. | Interval type-2 fuzzy logic congestion control of video streaming | |
| PH12015000269A1 (en) | Data transfer apparatus, method of controlling data transfer, and a data stream | |
| ElAarag et al. | TCP friendly protocols for media streams over heterogeneous wired–wireless networks | |
| Arif et al. | The relationship of TFRC congestion control to video rate control optimization |
Legal Events
| Date | Code | Title | Description |
|---|---|---|---|
| A521 | Request for written amendment filed |
Free format text: JAPANESE INTERMEDIATE CODE: A523 Effective date: 20060523 |
|
| A621 | Written request for application examination |
Free format text: JAPANESE INTERMEDIATE CODE: A621 Effective date: 20060523 |
|
| A977 | Report on retrieval |
Free format text: JAPANESE INTERMEDIATE CODE: A971007 Effective date: 20080711 |
|
| A131 | Notification of reasons for refusal |
Free format text: JAPANESE INTERMEDIATE CODE: A131 Effective date: 20080725 |
|
| A521 | Request for written amendment filed |
Free format text: JAPANESE INTERMEDIATE CODE: A523 Effective date: 20081027 |
|
| TRDD | Decision of grant or rejection written | ||
| A01 | Written decision to grant a patent or to grant a registration (utility model) |
Free format text: JAPANESE INTERMEDIATE CODE: A01 Effective date: 20090403 |
|
| A01 | Written decision to grant a patent or to grant a registration (utility model) |
Free format text: JAPANESE INTERMEDIATE CODE: A01 |
|
| A61 | First payment of annual fees (during grant procedure) |
Free format text: JAPANESE INTERMEDIATE CODE: A61 Effective date: 20090507 |
|
| R150 | Certificate of patent or registration of utility model |
Free format text: JAPANESE INTERMEDIATE CODE: R150 |
|
| FPAY | Renewal fee payment (event date is renewal date of database) |
Free format text: PAYMENT UNTIL: 20120515 Year of fee payment: 3 |
|
| FPAY | Renewal fee payment (event date is renewal date of database) |
Free format text: PAYMENT UNTIL: 20130515 Year of fee payment: 4 |
|
| FPAY | Renewal fee payment (event date is renewal date of database) |
Free format text: PAYMENT UNTIL: 20130515 Year of fee payment: 4 |
|
| R250 | Receipt of annual fees |
Free format text: JAPANESE INTERMEDIATE CODE: R250 |
|
| R250 | Receipt of annual fees |
Free format text: JAPANESE INTERMEDIATE CODE: R250 |
|
| S111 | Request for change of ownership or part of ownership |
Free format text: JAPANESE INTERMEDIATE CODE: R313113 |
|
| R350 | Written notification of registration of transfer |
Free format text: JAPANESE INTERMEDIATE CODE: R350 |
|
| LAPS | Cancellation because of no payment of annual fees |
