EP2716632A1 - Inhibitors of viral replication, their process of preparation and their therapeutical uses - Google Patents
Inhibitors of viral replication, their process of preparation and their therapeutical uses Download PDFInfo
- Publication number
- EP2716632A1 EP2716632A1 EP12306222.6A EP12306222A EP2716632A1 EP 2716632 A1 EP2716632 A1 EP 2716632A1 EP 12306222 A EP12306222 A EP 12306222A EP 2716632 A1 EP2716632 A1 EP 2716632A1
- Authority
- EP
- European Patent Office
- Prior art keywords
- partially
- methyl
- aromatic
- totally unsaturated
- saturated
- Prior art date
- Legal status (The legal status is an assumption and is not a legal conclusion. Google has not performed a legal analysis and makes no representation as to the accuracy of the status listed.)
- Withdrawn
Links
- 238000002360 preparation method Methods 0.000 title description 50
- 238000000034 method Methods 0.000 title description 30
- 239000003112 inhibitor Substances 0.000 title description 9
- 230000001225 therapeutic effect Effects 0.000 title description 2
- 230000029812 viral genome replication Effects 0.000 title 1
- 150000001875 compounds Chemical class 0.000 claims abstract description 96
- 230000002265 prevention Effects 0.000 claims abstract description 13
- 125000000623 heterocyclic group Chemical group 0.000 claims description 52
- 125000003118 aryl group Chemical group 0.000 claims description 49
- 229920006395 saturated elastomer Polymers 0.000 claims description 49
- 229910052717 sulfur Inorganic materials 0.000 claims description 41
- 229910052760 oxygen Inorganic materials 0.000 claims description 27
- 229910052757 nitrogen Inorganic materials 0.000 claims description 25
- 125000004432 carbon atom Chemical group C* 0.000 claims description 22
- 125000005843 halogen group Chemical group 0.000 claims description 21
- 239000003814 drug Substances 0.000 claims description 20
- 125000004435 hydrogen atom Chemical group [H]* 0.000 claims description 19
- 125000004169 (C1-C6) alkyl group Chemical group 0.000 claims description 18
- 125000004008 6 membered carbocyclic group Chemical group 0.000 claims description 18
- 125000001960 7 membered carbocyclic group Chemical group 0.000 claims description 18
- 125000002496 methyl group Chemical group [H]C([H])([H])* 0.000 claims description 15
- 125000005913 (C3-C6) cycloalkyl group Chemical group 0.000 claims description 12
- 239000001257 hydrogen Substances 0.000 claims description 12
- 229910052739 hydrogen Inorganic materials 0.000 claims description 12
- 125000000876 trifluoromethoxy group Chemical group FC(F)(F)O* 0.000 claims description 12
- -1 NR10 Inorganic materials 0.000 claims description 11
- 125000000753 cycloalkyl group Chemical group 0.000 claims description 11
- 125000000956 methoxy group Chemical group [H]C([H])([H])O* 0.000 claims description 11
- 125000001559 cyclopropyl group Chemical group [H]C1([H])C([H])([H])C1([H])* 0.000 claims description 8
- 125000003709 fluoroalkyl group Chemical group 0.000 claims description 8
- 239000008194 pharmaceutical composition Substances 0.000 claims description 8
- 208000036142 Viral infection Diseases 0.000 claims description 7
- 150000003839 salts Chemical class 0.000 claims description 7
- 230000009385 viral infection Effects 0.000 claims description 7
- 125000006273 (C1-C3) alkyl group Chemical group 0.000 claims description 6
- 125000001054 5 membered carbocyclic group Chemical group 0.000 claims description 6
- UFHFLCQGNIYNRP-UHFFFAOYSA-N Hydrogen Chemical compound [H][H] UFHFLCQGNIYNRP-UHFFFAOYSA-N 0.000 claims description 6
- 229910052799 carbon Inorganic materials 0.000 claims description 6
- 125000001072 heteroaryl group Chemical group 0.000 claims description 6
- 208000031886 HIV Infections Diseases 0.000 claims description 5
- 241000124008 Mammalia Species 0.000 claims description 5
- 206010038997 Retroviral infections Diseases 0.000 claims description 5
- 239000003443 antiviral agent Substances 0.000 claims description 5
- 208000037357 HIV infectious disease Diseases 0.000 claims description 4
- NINIDFKCEFEMDL-UHFFFAOYSA-N Sulfur Chemical group [S] NINIDFKCEFEMDL-UHFFFAOYSA-N 0.000 claims description 4
- 208000033519 human immunodeficiency virus infectious disease Diseases 0.000 claims description 4
- 125000004433 nitrogen atom Chemical group N* 0.000 claims description 4
- 125000004430 oxygen atom Chemical group O* 0.000 claims description 4
- 125000000217 alkyl group Chemical group 0.000 claims description 3
- 229910052731 fluorine Inorganic materials 0.000 claims description 3
- 125000001153 fluoro group Chemical group F* 0.000 claims description 3
- 125000002733 (C1-C6) fluoroalkyl group Chemical group 0.000 claims description 2
- 125000000392 cycloalkenyl group Chemical group 0.000 claims description 2
- 125000001495 ethyl group Chemical group [H]C([H])([H])C([H])([H])* 0.000 claims description 2
- 238000004519 manufacturing process Methods 0.000 claims description 2
- 239000004480 active ingredient Substances 0.000 claims 1
- 239000003937 drug carrier Substances 0.000 claims 1
- 230000003612 virological effect Effects 0.000 abstract description 5
- XEKOWRVHYACXOJ-UHFFFAOYSA-N Ethyl acetate Chemical compound CCOC(C)=O XEKOWRVHYACXOJ-UHFFFAOYSA-N 0.000 description 135
- YMWUJEATGCHHMB-UHFFFAOYSA-N Dichloromethane Chemical compound ClCCl YMWUJEATGCHHMB-UHFFFAOYSA-N 0.000 description 57
- HEDRZPFGACZZDS-MICDWDOJSA-N Trichloro(2H)methane Chemical compound [2H]C(Cl)(Cl)Cl HEDRZPFGACZZDS-MICDWDOJSA-N 0.000 description 56
- 238000005160 1H NMR spectroscopy Methods 0.000 description 44
- 239000000543 intermediate Substances 0.000 description 44
- OKKJLVBELUTLKV-UHFFFAOYSA-N Methanol Chemical compound OC OKKJLVBELUTLKV-UHFFFAOYSA-N 0.000 description 36
- 239000000243 solution Substances 0.000 description 32
- 239000000203 mixture Substances 0.000 description 31
- 239000010410 layer Substances 0.000 description 25
- XDTMQSROBMDMFD-UHFFFAOYSA-N Cyclohexane Chemical compound C1CCCCC1 XDTMQSROBMDMFD-UHFFFAOYSA-N 0.000 description 24
- 241000725303 Human immunodeficiency virus Species 0.000 description 24
- PMZURENOXWZQFD-UHFFFAOYSA-L Sodium Sulfate Chemical compound [Na+].[Na+].[O-]S([O-])(=O)=O PMZURENOXWZQFD-UHFFFAOYSA-L 0.000 description 22
- 239000012044 organic layer Substances 0.000 description 22
- 238000000746 purification Methods 0.000 description 22
- 229910052938 sodium sulfate Inorganic materials 0.000 description 22
- 235000011152 sodium sulphate Nutrition 0.000 description 22
- 238000012746 preparative thin layer chromatography Methods 0.000 description 21
- RTZKZFJDLAIYFH-UHFFFAOYSA-N Diethyl ether Chemical compound CCOCC RTZKZFJDLAIYFH-UHFFFAOYSA-N 0.000 description 18
- 239000011541 reaction mixture Substances 0.000 description 16
- IAZDPXIOMUYVGZ-UHFFFAOYSA-N Dimethylsulphoxide Chemical compound CS(C)=O IAZDPXIOMUYVGZ-UHFFFAOYSA-N 0.000 description 14
- XLYOFNOQVPJJNP-UHFFFAOYSA-N water Substances O XLYOFNOQVPJJNP-UHFFFAOYSA-N 0.000 description 14
- WYURNTSHIVDZCO-UHFFFAOYSA-N Tetrahydrofuran Chemical compound C1CCOC1 WYURNTSHIVDZCO-UHFFFAOYSA-N 0.000 description 13
- 239000012047 saturated solution Substances 0.000 description 13
- WEVYAHXRMPXWCK-UHFFFAOYSA-N Acetonitrile Chemical compound CC#N WEVYAHXRMPXWCK-UHFFFAOYSA-N 0.000 description 12
- 0 CC(C)(C)OC(C(O)=O)c1c(*)c(-c2c(*)nc(*)c(S)c2*)n[n]1* Chemical compound CC(C)(C)OC(C(O)=O)c1c(*)c(-c2c(*)nc(*)c(S)c2*)n[n]1* 0.000 description 12
- LFQSCWFLJHTTHZ-UHFFFAOYSA-N Ethanol Chemical compound CCO LFQSCWFLJHTTHZ-UHFFFAOYSA-N 0.000 description 12
- 241000700605 Viruses Species 0.000 description 12
- WPYMKLBDIGXBTP-UHFFFAOYSA-N benzoic acid Chemical compound OC(=O)C1=CC=CC=C1 WPYMKLBDIGXBTP-UHFFFAOYSA-N 0.000 description 12
- BVKZGUZCCUSVTD-UHFFFAOYSA-M Bicarbonate Chemical compound OC([O-])=O BVKZGUZCCUSVTD-UHFFFAOYSA-M 0.000 description 11
- DGAQECJNVWCQMB-PUAWFVPOSA-M Ilexoside XXIX Chemical compound C[C@@H]1CC[C@@]2(CC[C@@]3(C(=CC[C@H]4[C@]3(CC[C@@H]5[C@@]4(CC[C@@H](C5(C)C)OS(=O)(=O)[O-])C)C)[C@@H]2[C@]1(C)O)C)C(=O)O[C@H]6[C@@H]([C@H]([C@@H]([C@H](O6)CO)O)O)O.[Na+] DGAQECJNVWCQMB-PUAWFVPOSA-M 0.000 description 11
- 229910052708 sodium Inorganic materials 0.000 description 11
- 239000011734 sodium Substances 0.000 description 11
- YZAIBFDSPXVUMD-UHFFFAOYSA-N 4-bromo-2-methyl-5-thiophen-2-ylpyrazole-3-carbaldehyde Chemical compound BrC1=C(C=O)N(C)N=C1C1=CC=CS1 YZAIBFDSPXVUMD-UHFFFAOYSA-N 0.000 description 10
- VYPSYNLAJGMNEJ-UHFFFAOYSA-N Silicium dioxide Chemical compound O=[Si]=O VYPSYNLAJGMNEJ-UHFFFAOYSA-N 0.000 description 10
- 208000037265 diseases, disorders, signs and symptoms Diseases 0.000 description 10
- 239000012299 nitrogen atmosphere Substances 0.000 description 10
- YXFVVABEGXRONW-UHFFFAOYSA-N Toluene Chemical compound CC1=CC=CC=C1 YXFVVABEGXRONW-UHFFFAOYSA-N 0.000 description 9
- 229940079593 drug Drugs 0.000 description 9
- JSHVGJZDTVYFJB-UHFFFAOYSA-N 4-bromo-2-methyl-5-phenylpyrazole-3-carbaldehyde Chemical compound BrC1=C(C=O)N(C)N=C1C1=CC=CC=C1 JSHVGJZDTVYFJB-UHFFFAOYSA-N 0.000 description 8
- MBLFFYFAOCPLRL-UHFFFAOYSA-N 4-bromo-2-methyl-5-thiophen-3-ylpyrazole-3-carbaldehyde Chemical compound BrC1=C(C=O)N(C)N=C1C1=CSC=C1 MBLFFYFAOCPLRL-UHFFFAOYSA-N 0.000 description 8
- 238000003818 flash chromatography Methods 0.000 description 8
- UAYWVJHJZHQCIE-UHFFFAOYSA-L zinc iodide Chemical compound I[Zn]I UAYWVJHJZHQCIE-UHFFFAOYSA-L 0.000 description 8
- QDCQQOQTZBQAOG-UHFFFAOYSA-N 2-[2-methyl-4-(5-methyl-3,4-dihydro-2h-chromen-6-yl)-5-thiophen-2-ylpyrazol-3-yl]-2-[(2-methylpropan-2-yl)oxy]acetic acid Chemical compound CC1=C2CCCOC2=CC=C1C(=C(N(C)N=1)C(OC(C)(C)C)C(O)=O)C=1C1=CC=CS1 QDCQQOQTZBQAOG-UHFFFAOYSA-N 0.000 description 7
- 230000015572 biosynthetic process Effects 0.000 description 7
- 230000010076 replication Effects 0.000 description 7
- 239000000741 silica gel Substances 0.000 description 7
- 229910002027 silica gel Inorganic materials 0.000 description 7
- 238000003786 synthesis reaction Methods 0.000 description 7
- GRHZYDGKXPVLEH-UHFFFAOYSA-N (2-methyl-5-phenylpyrazol-3-yl)methanol Chemical compound C1=C(CO)N(C)N=C1C1=CC=CC=C1 GRHZYDGKXPVLEH-UHFFFAOYSA-N 0.000 description 6
- CHKYTDUITSTBNJ-UHFFFAOYSA-N (2-methyl-5-thiophen-2-ylpyrazol-3-yl)methanol Chemical compound C1=C(CO)N(C)N=C1C1=CC=CS1 CHKYTDUITSTBNJ-UHFFFAOYSA-N 0.000 description 6
- QITPEFJENDUBAV-UHFFFAOYSA-N (2-methyl-5-thiophen-3-ylpyrazol-3-yl)methanol Chemical compound C1=C(CO)N(C)N=C1C1=CSC=C1 QITPEFJENDUBAV-UHFFFAOYSA-N 0.000 description 6
- TWTSLGGBKNGMOR-UHFFFAOYSA-N (4-oxo-4-phenylbut-2-ynyl) benzoate Chemical compound C=1C=CC=CC=1C(=O)OCC#CC(=O)C1=CC=CC=C1 TWTSLGGBKNGMOR-UHFFFAOYSA-N 0.000 description 6
- RMBCPXFCRHOVLS-UHFFFAOYSA-N 2-(8-chloro-5-methyl-3,4-dihydro-2h-chromen-6-yl)-4,4,5,5-tetramethyl-1,3,2-dioxaborolane Chemical compound CC1=C2CCCOC2=C(Cl)C=C1B1OC(C)(C)C(C)(C)O1 RMBCPXFCRHOVLS-UHFFFAOYSA-N 0.000 description 6
- GPHZBWMOBSCEMV-UHFFFAOYSA-N 2-[4-(3,4-dihydro-2h-chromen-6-yl)-2-methyl-5-phenylpyrazol-3-yl]-2-[(2-methylpropan-2-yl)oxy]acetic acid Chemical compound C=1C=C2OCCCC2=CC=1C1=C(C(OC(C)(C)C)C(O)=O)N(C)N=C1C1=CC=CC=C1 GPHZBWMOBSCEMV-UHFFFAOYSA-N 0.000 description 6
- QCKJLIUARFNHRS-UHFFFAOYSA-N 2-[4-(3,4-dihydro-2h-chromen-6-yl)-2-methyl-5-thiophen-3-ylpyrazol-3-yl]-2-[(2-methylpropan-2-yl)oxy]acetic acid Chemical compound C=1C=C2OCCCC2=CC=1C1=C(C(OC(C)(C)C)C(O)=O)N(C)N=C1C=1C=CSC=1 QCKJLIUARFNHRS-UHFFFAOYSA-N 0.000 description 6
- LZHPBUIICRQBFE-UHFFFAOYSA-N 2-[4-(4,4-dimethylcyclohexen-1-yl)-2-methyl-5-phenylpyrazol-3-yl]-2-[(2-methylpropan-2-yl)oxy]acetic acid Chemical compound CC(C)(C)OC(C(O)=O)C=1N(C)N=C(C=2C=CC=CC=2)C=1C1=CCC(C)(C)CC1 LZHPBUIICRQBFE-UHFFFAOYSA-N 0.000 description 6
- QSQVNBUGLWDDPV-UHFFFAOYSA-N 2-[4-(4,4-dimethylcyclohexen-1-yl)-2-methyl-5-thiophen-2-ylpyrazol-3-yl]-2-[(2-methylpropan-2-yl)oxy]acetic acid Chemical compound C=1CC(C)(C)CCC=1C1=C(C(OC(C)(C)C)C(O)=O)N(C)N=C1C1=CC=CS1 QSQVNBUGLWDDPV-UHFFFAOYSA-N 0.000 description 6
- JDETVOKIBWBFGY-UHFFFAOYSA-N 2-[4-(4,4-dimethylcyclohexen-1-yl)-2-methyl-5-thiophen-3-ylpyrazol-3-yl]-2-[(2-methylpropan-2-yl)oxy]acetic acid Chemical compound C=1CC(C)(C)CCC=1C1=C(C(OC(C)(C)C)C(O)=O)N(C)N=C1C=1C=CSC=1 JDETVOKIBWBFGY-UHFFFAOYSA-N 0.000 description 6
- NRJKKJTTWUDFHY-UHFFFAOYSA-N 2-methyl-4-(5-methyl-3,4-dihydro-2h-chromen-6-yl)-5-thiophen-2-ylpyrazole-3-carbaldehyde Chemical compound CC1=C2CCCOC2=CC=C1C1=C(C=O)N(C)N=C1C1=CC=CS1 NRJKKJTTWUDFHY-UHFFFAOYSA-N 0.000 description 6
- WUXDERVJFGOWNG-UHFFFAOYSA-N 4,4,5,5-tetramethyl-2-(5-methyl-3,4-dihydro-2h-chromen-6-yl)-1,3,2-dioxaborolane Chemical compound CC1=C2CCCOC2=CC=C1B1OC(C)(C)C(C)(C)O1 WUXDERVJFGOWNG-UHFFFAOYSA-N 0.000 description 6
- SEJQEUMSEZTNJM-UHFFFAOYSA-N 4-(3,4-dihydro-2h-chromen-6-yl)-2-methyl-5-phenylpyrazole-3-carbaldehyde Chemical compound C=1C=C2OCCCC2=CC=1C1=C(C=O)N(C)N=C1C1=CC=CC=C1 SEJQEUMSEZTNJM-UHFFFAOYSA-N 0.000 description 6
- BBMPLILJYABJJQ-UHFFFAOYSA-N 4-(3,4-dihydro-2h-chromen-6-yl)-2-methyl-5-thiophen-2-ylpyrazole-3-carbaldehyde Chemical compound C=1C=C2OCCCC2=CC=1C1=C(C=O)N(C)N=C1C1=CC=CS1 BBMPLILJYABJJQ-UHFFFAOYSA-N 0.000 description 6
- KBFPHBOXNDKDMZ-UHFFFAOYSA-N 4-(3,4-dihydro-2h-chromen-6-yl)-2-methyl-5-thiophen-3-ylpyrazole-3-carbaldehyde Chemical compound C=1C=C2OCCCC2=CC=1C1=C(C=O)N(C)N=C1C=1C=CSC=1 KBFPHBOXNDKDMZ-UHFFFAOYSA-N 0.000 description 6
- OPTHODODTPHWEK-UHFFFAOYSA-N 4-(4,4-dimethylcyclohexen-1-yl)-2-methyl-5-phenylpyrazole-3-carbaldehyde Chemical compound O=CC=1N(C)N=C(C=2C=CC=CC=2)C=1C1=CCC(C)(C)CC1 OPTHODODTPHWEK-UHFFFAOYSA-N 0.000 description 6
- TXORGIWMTLCAMQ-UHFFFAOYSA-N 4-(4,4-dimethylcyclohexen-1-yl)-2-methyl-5-thiophen-2-ylpyrazole-3-carbaldehyde Chemical compound C=1CC(C)(C)CCC=1C1=C(C=O)N(C)N=C1C1=CC=CS1 TXORGIWMTLCAMQ-UHFFFAOYSA-N 0.000 description 6
- OMUUPENUWWVJJG-UHFFFAOYSA-N 4-(4,4-dimethylcyclohexen-1-yl)-2-methyl-5-thiophen-3-ylpyrazole-3-carbaldehyde Chemical compound C=1CC(C)(C)CCC=1C1=C(C=O)N(C)N=C1C=1C=CSC=1 OMUUPENUWWVJJG-UHFFFAOYSA-N 0.000 description 6
- KKJNHRQPNNMJIO-UHFFFAOYSA-N 6-bromo-8-chloro-5-methyl-3,4-dihydro-2h-chromene Chemical compound O1CCCC2=C1C(Cl)=CC(Br)=C2C KKJNHRQPNNMJIO-UHFFFAOYSA-N 0.000 description 6
- OXWHWVZEOIXMOC-UHFFFAOYSA-N 6-chloro-2-(3-hydroxypropyl)-3-methylphenol Chemical compound CC1=CC=C(Cl)C(O)=C1CCCO OXWHWVZEOIXMOC-UHFFFAOYSA-N 0.000 description 6
- VTTFYBYYQZKMOM-UHFFFAOYSA-N 6-chloro-3-methyl-2-prop-2-enylphenol Chemical compound CC1=CC=C(Cl)C(O)=C1CC=C VTTFYBYYQZKMOM-UHFFFAOYSA-N 0.000 description 6
- NKRRQXQYWIGTCF-UHFFFAOYSA-N 8-chloro-5-methyl-3,4-dihydro-2h-chromene Chemical compound O1CCCC2=C1C(Cl)=CC=C2C NKRRQXQYWIGTCF-UHFFFAOYSA-N 0.000 description 6
- WRXNPYCHYHLPCP-UHFFFAOYSA-N COC(=O)C(OC(C)(C)C)c1c(c(nn1C)-c1ccccc1)-c1ccc2OCCCc2c1 Chemical compound COC(=O)C(OC(C)(C)C)c1c(c(nn1C)-c1ccccc1)-c1ccc2OCCCc2c1 WRXNPYCHYHLPCP-UHFFFAOYSA-N 0.000 description 6
- VUFRYQHPHBQRGT-UHFFFAOYSA-N COC(=O)C(OC(C)(C)C)c1c(c(nn1C)-c1cccs1)-c1ccc2OCCCc2c1 Chemical compound COC(=O)C(OC(C)(C)C)c1c(c(nn1C)-c1cccs1)-c1ccc2OCCCc2c1 VUFRYQHPHBQRGT-UHFFFAOYSA-N 0.000 description 6
- ITPKCBPTOLBOFU-UHFFFAOYSA-N COC(=O)C(OC(C)(C)C)c1c(c(nn1C)-c1cccs1)C1=CCC(C)(C)CC1 Chemical compound COC(=O)C(OC(C)(C)C)c1c(c(nn1C)-c1cccs1)C1=CCC(C)(C)CC1 ITPKCBPTOLBOFU-UHFFFAOYSA-N 0.000 description 6
- HUCKTDZTNUDOJJ-UHFFFAOYSA-N COC(=O)C(OC(C)(C)C)c1c(c(nn1C)-c1ccsc1)-c1ccc2OCCCc2c1 Chemical compound COC(=O)C(OC(C)(C)C)c1c(c(nn1C)-c1ccsc1)-c1ccc2OCCCc2c1 HUCKTDZTNUDOJJ-UHFFFAOYSA-N 0.000 description 6
- JNQHRUPLQHEJAK-UHFFFAOYSA-N COC(=O)C(OC(C)(C)C)c1c(c(nn1C)-c1ccsc1)C1=CCC(C)(C)CC1 Chemical compound COC(=O)C(OC(C)(C)C)c1c(c(nn1C)-c1ccsc1)C1=CCC(C)(C)CC1 JNQHRUPLQHEJAK-UHFFFAOYSA-N 0.000 description 6
- VEXZGXHMUGYJMC-UHFFFAOYSA-N Hydrochloric acid Chemical compound Cl VEXZGXHMUGYJMC-UHFFFAOYSA-N 0.000 description 6
- WMFOQBRAJBCJND-UHFFFAOYSA-M Lithium hydroxide Chemical compound [Li+].[OH-] WMFOQBRAJBCJND-UHFFFAOYSA-M 0.000 description 6
- HEMHJVSKTPXQMS-UHFFFAOYSA-M Sodium hydroxide Chemical compound [OH-].[Na+] HEMHJVSKTPXQMS-UHFFFAOYSA-M 0.000 description 6
- ZMANZCXQSJIPKH-UHFFFAOYSA-N Triethylamine Chemical compound CCN(CC)CC ZMANZCXQSJIPKH-UHFFFAOYSA-N 0.000 description 6
- 230000000840 anti-viral effect Effects 0.000 description 6
- 201000010099 disease Diseases 0.000 description 6
- 239000000706 filtrate Substances 0.000 description 6
- 208000015181 infectious disease Diseases 0.000 description 6
- QCIHYDKNTVAQLC-UHFFFAOYSA-N methyl 2-[2-methyl-4-(5-methyl-3,4-dihydro-2h-chromen-6-yl)-5-thiophen-2-ylpyrazol-3-yl]-2-[(2-methylpropan-2-yl)oxy]acetate Chemical compound N=1N(C)C(C(OC(C)(C)C)C(=O)OC)=C(C=2C(=C3CCCOC3=CC=2)C)C=1C1=CC=CS1 QCIHYDKNTVAQLC-UHFFFAOYSA-N 0.000 description 6
- ZSYLCRXPWWTCKS-UHFFFAOYSA-N methyl 2-[4-(3,4-dihydro-2h-chromen-6-yl)-2-methyl-5-phenylpyrazol-3-yl]-2-hydroxyacetate Chemical compound N=1N(C)C(C(O)C(=O)OC)=C(C=2C=C3CCCOC3=CC=2)C=1C1=CC=CC=C1 ZSYLCRXPWWTCKS-UHFFFAOYSA-N 0.000 description 6
- IPIJXGUOIWRFDW-UHFFFAOYSA-N methyl 2-[4-(3,4-dihydro-2h-chromen-6-yl)-2-methyl-5-thiophen-2-ylpyrazol-3-yl]-2-hydroxyacetate Chemical compound N=1N(C)C(C(O)C(=O)OC)=C(C=2C=C3CCCOC3=CC=2)C=1C1=CC=CS1 IPIJXGUOIWRFDW-UHFFFAOYSA-N 0.000 description 6
- FGQFETMOMQAKCC-UHFFFAOYSA-N methyl 2-[4-(3,4-dihydro-2h-chromen-6-yl)-2-methyl-5-thiophen-3-ylpyrazol-3-yl]-2-hydroxyacetate Chemical compound N=1N(C)C(C(O)C(=O)OC)=C(C=2C=C3CCCOC3=CC=2)C=1C=1C=CSC=1 FGQFETMOMQAKCC-UHFFFAOYSA-N 0.000 description 6
- JKSRFZFINMZEAH-UHFFFAOYSA-N methyl 2-[4-(4,4-dimethylcyclohexen-1-yl)-2-methyl-5-phenylpyrazol-3-yl]-2-[(2-methylpropan-2-yl)oxy]acetate Chemical compound N=1N(C)C(C(OC(C)(C)C)C(=O)OC)=C(C=2CCC(C)(C)CC=2)C=1C1=CC=CC=C1 JKSRFZFINMZEAH-UHFFFAOYSA-N 0.000 description 6
- PSJBBRNICFHEGK-UHFFFAOYSA-N methyl 2-[4-(4,4-dimethylcyclohexen-1-yl)-2-methyl-5-phenylpyrazol-3-yl]-2-hydroxyacetate Chemical compound N=1N(C)C(C(O)C(=O)OC)=C(C=2CCC(C)(C)CC=2)C=1C1=CC=CC=C1 PSJBBRNICFHEGK-UHFFFAOYSA-N 0.000 description 6
- CAYYMLJFPLULHN-UHFFFAOYSA-N methyl 2-[4-(4,4-dimethylcyclohexen-1-yl)-2-methyl-5-thiophen-2-ylpyrazol-3-yl]-2-hydroxyacetate Chemical compound N=1N(C)C(C(O)C(=O)OC)=C(C=2CCC(C)(C)CC=2)C=1C1=CC=CS1 CAYYMLJFPLULHN-UHFFFAOYSA-N 0.000 description 6
- OKYHLCUDCYNWHV-UHFFFAOYSA-N methyl 2-[4-(4,4-dimethylcyclohexen-1-yl)-2-methyl-5-thiophen-3-ylpyrazol-3-yl]-2-hydroxyacetate Chemical compound N=1N(C)C(C(O)C(=O)OC)=C(C=2CCC(C)(C)CC=2)C=1C=1C=CSC=1 OKYHLCUDCYNWHV-UHFFFAOYSA-N 0.000 description 6
- NRDGXNCBLSHKCH-UHFFFAOYSA-N methyl 2-hydroxy-2-[2-methyl-4-(5-methyl-3,4-dihydro-2h-chromen-6-yl)-5-thiophen-2-ylpyrazol-3-yl]acetate Chemical compound N=1N(C)C(C(O)C(=O)OC)=C(C=2C(=C3CCCOC3=CC=2)C)C=1C1=CC=CS1 NRDGXNCBLSHKCH-UHFFFAOYSA-N 0.000 description 6
- YLQBMQCUIZJEEH-UHFFFAOYSA-N tetrahydrofuran Natural products C=1C=COC=1 YLQBMQCUIZJEEH-UHFFFAOYSA-N 0.000 description 6
- QTBSBXVTEAMEQO-UHFFFAOYSA-N Acetic acid Chemical compound CC(O)=O QTBSBXVTEAMEQO-UHFFFAOYSA-N 0.000 description 5
- 241000282412 Homo Species 0.000 description 5
- 241000713772 Human immunodeficiency virus 1 Species 0.000 description 5
- 102100034343 Integrase Human genes 0.000 description 5
- 108010092799 RNA-directed DNA polymerase Proteins 0.000 description 5
- 239000002259 anti human immunodeficiency virus agent Substances 0.000 description 5
- 150000003254 radicals Chemical class 0.000 description 5
- 208000030507 AIDS Diseases 0.000 description 4
- XKRFYHLGVUSROY-UHFFFAOYSA-N Argon Chemical compound [Ar] XKRFYHLGVUSROY-UHFFFAOYSA-N 0.000 description 4
- RIDIHJOKCQINRE-UHFFFAOYSA-N CC(C(=O)O)(C1=C(C(=NN1C)C=1SC=CC1)C=1C=CC2=C(CCCO2)C1)OC(C)(C)C Chemical compound CC(C(=O)O)(C1=C(C(=NN1C)C=1SC=CC1)C=1C=CC2=C(CCCO2)C1)OC(C)(C)C RIDIHJOKCQINRE-UHFFFAOYSA-N 0.000 description 4
- 241001465754 Metazoa Species 0.000 description 4
- PCLIMKBDDGJMGD-UHFFFAOYSA-N N-bromosuccinimide Chemical compound BrN1C(=O)CCC1=O PCLIMKBDDGJMGD-UHFFFAOYSA-N 0.000 description 4
- WETWJCDKMRHUPV-UHFFFAOYSA-N acetyl chloride Chemical compound CC(Cl)=O WETWJCDKMRHUPV-UHFFFAOYSA-N 0.000 description 4
- 239000012346 acetyl chloride Substances 0.000 description 4
- 125000004429 atom Chemical group 0.000 description 4
- NUJOXMJBOLGQSY-UHFFFAOYSA-N manganese dioxide Chemical compound O=[Mn]=O NUJOXMJBOLGQSY-UHFFFAOYSA-N 0.000 description 4
- BWHMMNNQKKPAPP-UHFFFAOYSA-L potassium carbonate Chemical compound [K+].[K+].[O-]C([O-])=O BWHMMNNQKKPAPP-UHFFFAOYSA-L 0.000 description 4
- 239000007787 solid Substances 0.000 description 4
- LEIMLDGFXIOXMT-UHFFFAOYSA-N trimethylsilyl cyanide Chemical compound C[Si](C)(C)C#N LEIMLDGFXIOXMT-UHFFFAOYSA-N 0.000 description 4
- 241000282414 Homo sapiens Species 0.000 description 3
- ZMXDDKWLCZADIW-UHFFFAOYSA-N N,N-Dimethylformamide Chemical compound CN(C)C=O ZMXDDKWLCZADIW-UHFFFAOYSA-N 0.000 description 3
- KDLHZDBZIXYQEI-UHFFFAOYSA-N Palladium Chemical compound [Pd] KDLHZDBZIXYQEI-UHFFFAOYSA-N 0.000 description 3
- 108091005804 Peptidases Proteins 0.000 description 3
- KWYUFKZDYYNOTN-UHFFFAOYSA-M Potassium hydroxide Chemical compound [OH-].[K+] KWYUFKZDYYNOTN-UHFFFAOYSA-M 0.000 description 3
- 239000004365 Protease Substances 0.000 description 3
- 102100037486 Reverse transcriptase/ribonuclease H Human genes 0.000 description 3
- 125000002877 alkyl aryl group Chemical group 0.000 description 3
- 230000036436 anti-hiv Effects 0.000 description 3
- 229940124411 anti-hiv antiviral agent Drugs 0.000 description 3
- 238000003556 assay Methods 0.000 description 3
- 239000012267 brine Substances 0.000 description 3
- HPALAKNZSZLMCH-UHFFFAOYSA-M sodium;chloride;hydrate Chemical compound O.[Na+].[Cl-] HPALAKNZSZLMCH-UHFFFAOYSA-M 0.000 description 3
- 125000001424 substituent group Chemical group 0.000 description 3
- 208000024891 symptom Diseases 0.000 description 3
- 238000004809 thin layer chromatography Methods 0.000 description 3
- NOKHRTKGVDFHDD-UHFFFAOYSA-N 2-[4-(3,4-dihydro-2h-chromen-6-yl)-2-methyl-5-thiophen-2-ylpyrazol-3-yl]-2-[(2-methylpropan-2-yl)oxy]acetic acid Chemical compound C=1C=C2OCCCC2=CC=1C1=C(C(OC(C)(C)C)C(O)=O)N(C)N=C1C1=CC=CS1 NOKHRTKGVDFHDD-UHFFFAOYSA-N 0.000 description 2
- QGZKDVFQNNGYKY-UHFFFAOYSA-N Ammonia Chemical compound N QGZKDVFQNNGYKY-UHFFFAOYSA-N 0.000 description 2
- IJGRMHOSHXDMSA-UHFFFAOYSA-N Atomic nitrogen Chemical compound N#N IJGRMHOSHXDMSA-UHFFFAOYSA-N 0.000 description 2
- OKTJSMMVPCPJKN-UHFFFAOYSA-N Carbon Chemical compound [C] OKTJSMMVPCPJKN-UHFFFAOYSA-N 0.000 description 2
- 238000005481 NMR spectroscopy Methods 0.000 description 2
- 239000006146 Roswell Park Memorial Institute medium Substances 0.000 description 2
- CDBYLPFSWZWCQE-UHFFFAOYSA-L Sodium Carbonate Chemical compound [Na+].[Na+].[O-]C([O-])=O CDBYLPFSWZWCQE-UHFFFAOYSA-L 0.000 description 2
- 239000002253 acid Substances 0.000 description 2
- 230000002378 acidificating effect Effects 0.000 description 2
- 239000000427 antigen Substances 0.000 description 2
- 102000036639 antigens Human genes 0.000 description 2
- 108091007433 antigens Proteins 0.000 description 2
- 229910052786 argon Inorganic materials 0.000 description 2
- 230000008901 benefit Effects 0.000 description 2
- PASDCCFISLVPSO-UHFFFAOYSA-N benzoyl chloride Chemical compound ClC(=O)C1=CC=CC=C1 PASDCCFISLVPSO-UHFFFAOYSA-N 0.000 description 2
- YNHIGQDRGKUECZ-UHFFFAOYSA-L bis(triphenylphosphine)palladium(ii) dichloride Chemical compound [Cl-].[Cl-].[Pd+2].C1=CC=CC=C1P(C=1C=CC=CC=1)C1=CC=CC=C1.C1=CC=CC=C1P(C=1C=CC=CC=1)C1=CC=CC=C1 YNHIGQDRGKUECZ-UHFFFAOYSA-L 0.000 description 2
- 239000008280 blood Substances 0.000 description 2
- 210000004369 blood Anatomy 0.000 description 2
- 238000012054 celltiter-glo Methods 0.000 description 2
- 238000006243 chemical reaction Methods 0.000 description 2
- 239000003795 chemical substances by application Substances 0.000 description 2
- NXQGGXCHGDYOHB-UHFFFAOYSA-L cyclopenta-1,4-dien-1-yl(diphenyl)phosphane;dichloropalladium;iron(2+) Chemical compound [Fe+2].Cl[Pd]Cl.[CH-]1C=CC(P(C=2C=CC=CC=2)C=2C=CC=CC=2)=C1.[CH-]1C=CC(P(C=2C=CC=CC=2)C=2C=CC=CC=2)=C1 NXQGGXCHGDYOHB-UHFFFAOYSA-L 0.000 description 2
- 238000011161 development Methods 0.000 description 2
- 230000002401 inhibitory effect Effects 0.000 description 2
- 239000002777 nucleoside Substances 0.000 description 2
- 150000003833 nucleoside derivatives Chemical class 0.000 description 2
- 229910052763 palladium Inorganic materials 0.000 description 2
- VLTRZXGMWDSKGL-UHFFFAOYSA-N perchloric acid Chemical compound OCl(=O)(=O)=O VLTRZXGMWDSKGL-UHFFFAOYSA-N 0.000 description 2
- SCVFZCLFOSHCOH-UHFFFAOYSA-M potassium acetate Chemical compound [K+].CC([O-])=O SCVFZCLFOSHCOH-UHFFFAOYSA-M 0.000 description 2
- 229910000027 potassium carbonate Inorganic materials 0.000 description 2
- 230000003389 potentiating effect Effects 0.000 description 2
- 239000002244 precipitate Substances 0.000 description 2
- 239000000047 product Substances 0.000 description 2
- GEHJYWRUCIMESM-UHFFFAOYSA-L sodium sulfite Chemical compound [Na+].[Na+].[O-]S([O-])=O GEHJYWRUCIMESM-UHFFFAOYSA-L 0.000 description 2
- 230000001988 toxicity Effects 0.000 description 2
- 231100000419 toxicity Toxicity 0.000 description 2
- RIOQSEWOXXDEQQ-UHFFFAOYSA-N triphenylphosphine Chemical compound C1=CC=CC=C1P(C=1C=CC=CC=1)C1=CC=CC=C1 RIOQSEWOXXDEQQ-UHFFFAOYSA-N 0.000 description 2
- YBJHBAHKTGYVGT-ZKWXMUAHSA-N (+)-Biotin Chemical compound N1C(=O)N[C@@H]2[C@H](CCCCC(=O)O)SC[C@@H]21 YBJHBAHKTGYVGT-ZKWXMUAHSA-N 0.000 description 1
- RYHBNJHYFVUHQT-UHFFFAOYSA-N 1,4-Dioxane Chemical compound C1COCCO1 RYHBNJHYFVUHQT-UHFFFAOYSA-N 0.000 description 1
- NDSHAELUPJMEBM-UHFFFAOYSA-N 2-(3,4-dihydro-2h-chromen-6-yl)-4,4,5,5-tetramethyl-1,3,2-dioxaborolane Chemical compound O1C(C)(C)C(C)(C)OB1C1=CC=C(OCCC2)C2=C1 NDSHAELUPJMEBM-UHFFFAOYSA-N 0.000 description 1
- SMFHPCZZAAMJJO-UHFFFAOYSA-N 2-chloro-5-methylphenol Chemical compound CC1=CC=C(Cl)C(O)=C1 SMFHPCZZAAMJJO-UHFFFAOYSA-N 0.000 description 1
- BMIBJCFFZPYJHF-UHFFFAOYSA-N 2-methoxy-5-methyl-3-(4,4,5,5-tetramethyl-1,3,2-dioxaborolan-2-yl)pyridine Chemical compound COC1=NC=C(C)C=C1B1OC(C)(C)C(C)(C)O1 BMIBJCFFZPYJHF-UHFFFAOYSA-N 0.000 description 1
- 125000004070 6 membered heterocyclic group Chemical group 0.000 description 1
- 241000283690 Bos taurus Species 0.000 description 1
- WKBOTKDWSSQWDR-UHFFFAOYSA-N Bromine atom Chemical compound [Br] WKBOTKDWSSQWDR-UHFFFAOYSA-N 0.000 description 1
- 102100035875 C-C chemokine receptor type 5 Human genes 0.000 description 1
- 101710149870 C-C chemokine receptor type 5 Proteins 0.000 description 1
- 241000282472 Canis lupus familiaris Species 0.000 description 1
- 108010032976 Enfuvirtide Proteins 0.000 description 1
- 102000004190 Enzymes Human genes 0.000 description 1
- 108090000790 Enzymes Proteins 0.000 description 1
- 241000282326 Felis catus Species 0.000 description 1
- 241000713340 Human immunodeficiency virus 2 Species 0.000 description 1
- MHAJPDPJQMAIIY-UHFFFAOYSA-N Hydrogen peroxide Chemical compound OO MHAJPDPJQMAIIY-UHFFFAOYSA-N 0.000 description 1
- 241000713666 Lentivirus Species 0.000 description 1
- 241000699670 Mus sp. Species 0.000 description 1
- 241000283973 Oryctolagus cuniculus Species 0.000 description 1
- 241000288906 Primates Species 0.000 description 1
- 239000012979 RPMI medium Substances 0.000 description 1
- 241000700159 Rattus Species 0.000 description 1
- 241000282887 Suidae Species 0.000 description 1
- 125000002015 acyclic group Chemical group 0.000 description 1
- 239000003513 alkali Substances 0.000 description 1
- 208000026935 allergic disease Diseases 0.000 description 1
- BHELZAPQIKSEDF-UHFFFAOYSA-N allyl bromide Chemical compound BrCC=C BHELZAPQIKSEDF-UHFFFAOYSA-N 0.000 description 1
- 150000001412 amines Chemical class 0.000 description 1
- 229910021529 ammonia Inorganic materials 0.000 description 1
- VZTDIZULWFCMLS-UHFFFAOYSA-N ammonium formate Chemical compound [NH4+].[O-]C=O VZTDIZULWFCMLS-UHFFFAOYSA-N 0.000 description 1
- 238000004458 analytical method Methods 0.000 description 1
- 230000000798 anti-retroviral effect Effects 0.000 description 1
- 239000004599 antimicrobial Substances 0.000 description 1
- 238000011225 antiretroviral therapy Methods 0.000 description 1
- 229940124522 antiretrovirals Drugs 0.000 description 1
- 239000003903 antiretrovirus agent Substances 0.000 description 1
- 230000007416 antiviral immune response Effects 0.000 description 1
- 239000012300 argon atmosphere Substances 0.000 description 1
- 239000002585 base Substances 0.000 description 1
- 230000004071 biological effect Effects 0.000 description 1
- IPWKHHSGDUIRAH-UHFFFAOYSA-N bis(pinacolato)diboron Chemical compound O1C(C)(C)C(C)(C)OB1B1OC(C)(C)C(C)(C)O1 IPWKHHSGDUIRAH-UHFFFAOYSA-N 0.000 description 1
- 230000037396 body weight Effects 0.000 description 1
- UWTDFICHZKXYAC-UHFFFAOYSA-N boron;oxolane Chemical compound [B].C1CCOC1 UWTDFICHZKXYAC-UHFFFAOYSA-N 0.000 description 1
- GDTBXPJZTBHREO-UHFFFAOYSA-N bromine Substances BrBr GDTBXPJZTBHREO-UHFFFAOYSA-N 0.000 description 1
- 229910052794 bromium Inorganic materials 0.000 description 1
- 150000001735 carboxylic acids Chemical class 0.000 description 1
- 230000003197 catalytic effect Effects 0.000 description 1
- 230000006037 cell lysis Effects 0.000 description 1
- 239000003153 chemical reaction reagent Substances 0.000 description 1
- 238000002512 chemotherapy Methods 0.000 description 1
- GBRBMTNGQBKBQE-UHFFFAOYSA-L copper;diiodide Chemical compound I[Cu]I GBRBMTNGQBKBQE-UHFFFAOYSA-L 0.000 description 1
- 238000001514 detection method Methods 0.000 description 1
- 230000037213 diet Effects 0.000 description 1
- 235000005911 diet Nutrition 0.000 description 1
- 208000035475 disorder Diseases 0.000 description 1
- 239000002552 dosage form Substances 0.000 description 1
- 238000002651 drug therapy Methods 0.000 description 1
- 230000000694 effects Effects 0.000 description 1
- PEASPLKKXBYDKL-FXEVSJAOSA-N enfuvirtide Chemical compound C([C@@H](C(=O)N[C@@H](CO)C(=O)N[C@@H](CC(C)C)C(=O)N[C@@H]([C@@H](C)CC)C(=O)N[C@@H](CCC(O)=O)C(=O)N[C@@H](CCC(O)=O)C(=O)N[C@@H](CO)C(=O)N[C@@H](CCC(N)=O)C(=O)N[C@@H](CC(N)=O)C(=O)N[C@@H](CCC(N)=O)C(=O)N[C@@H](CCC(N)=O)C(=O)N[C@@H](CCC(O)=O)C(=O)N[C@@H](CCCCN)C(=O)N[C@@H](CC(N)=O)C(=O)N[C@@H](CCC(O)=O)C(=O)N[C@@H](CCC(N)=O)C(=O)N[C@@H](CCC(O)=O)C(=O)N[C@@H](CC(C)C)C(=O)N[C@@H](CC(C)C)C(=O)N[C@@H](CCC(O)=O)C(=O)N[C@@H](CC(C)C)C(=O)N[C@@H](CC(O)=O)C(=O)N[C@@H](CCCCN)C(=O)N[C@@H](CC=1C2=CC=CC=C2NC=1)C(=O)N[C@@H](C)C(=O)N[C@@H](CO)C(=O)N[C@@H](CC(C)C)C(=O)N[C@@H](CC=1C2=CC=CC=C2NC=1)C(=O)N[C@@H](CC(N)=O)C(=O)N[C@@H](CC=1C2=CC=CC=C2NC=1)C(=O)N[C@@H](CC=1C=CC=CC=1)C(N)=O)NC(=O)[C@@H](NC(=O)[C@H](CC(C)C)NC(=O)[C@H](CO)NC(=O)[C@@H](NC(=O)[C@H](CC=1C=CC(O)=CC=1)NC(C)=O)[C@@H](C)O)[C@@H](C)CC)C1=CN=CN1 PEASPLKKXBYDKL-FXEVSJAOSA-N 0.000 description 1
- 229960002062 enfuvirtide Drugs 0.000 description 1
- 238000011156 evaluation Methods 0.000 description 1
- 230000029142 excretion Effects 0.000 description 1
- 238000002474 experimental method Methods 0.000 description 1
- 229940125777 fusion inhibitor Drugs 0.000 description 1
- 230000036541 health Effects 0.000 description 1
- 150000002460 imidazoles Chemical class 0.000 description 1
- 238000011534 incubation Methods 0.000 description 1
- 230000005764 inhibitory process Effects 0.000 description 1
- 229910052500 inorganic mineral Inorganic materials 0.000 description 1
- 229940124524 integrase inhibitor Drugs 0.000 description 1
- 239000002850 integrase inhibitor Substances 0.000 description 1
- 229940079865 intestinal antiinfectives imidazole derivative Drugs 0.000 description 1
- 229910052740 iodine Inorganic materials 0.000 description 1
- 230000007794 irritation Effects 0.000 description 1
- 238000004020 luminiscence type Methods 0.000 description 1
- 239000006166 lysate Substances 0.000 description 1
- 229960004710 maraviroc Drugs 0.000 description 1
- GSNHKUDZZFZSJB-QYOOZWMWSA-N maraviroc Chemical compound CC(C)C1=NN=C(C)N1[C@@H]1C[C@H](N2CC[C@H](NC(=O)C3CCC(F)(F)CC3)C=3C=CC=CC=3)CC[C@H]2C1 GSNHKUDZZFZSJB-QYOOZWMWSA-N 0.000 description 1
- 238000004949 mass spectrometry Methods 0.000 description 1
- 239000000463 material Substances 0.000 description 1
- 239000002609 medium Substances 0.000 description 1
- 239000011707 mineral Substances 0.000 description 1
- 150000007522 mineralic acids Chemical class 0.000 description 1
- 238000012986 modification Methods 0.000 description 1
- 230000004048 modification Effects 0.000 description 1
- 125000002950 monocyclic group Chemical group 0.000 description 1
- HDZGCSFEDULWCS-UHFFFAOYSA-N monomethylhydrazine Chemical compound CNN HDZGCSFEDULWCS-UHFFFAOYSA-N 0.000 description 1
- 230000035772 mutation Effects 0.000 description 1
- 239000002773 nucleotide Substances 0.000 description 1
- 125000003729 nucleotide group Chemical group 0.000 description 1
- NFHFRUOZVGFOOS-UHFFFAOYSA-N palladium;triphenylphosphane Chemical compound [Pd].C1=CC=CC=C1P(C=1C=CC=CC=1)C1=CC=CC=C1.C1=CC=CC=C1P(C=1C=CC=CC=1)C1=CC=CC=C1.C1=CC=CC=C1P(C=1C=CC=CC=1)C1=CC=CC=C1.C1=CC=CC=C1P(C=1C=CC=CC=1)C1=CC=CC=C1 NFHFRUOZVGFOOS-UHFFFAOYSA-N 0.000 description 1
- 230000032696 parturition Effects 0.000 description 1
- 230000001717 pathogenic effect Effects 0.000 description 1
- 230000005551 perinatal transmission Effects 0.000 description 1
- 230000002688 persistence Effects 0.000 description 1
- 125000003367 polycyclic group Chemical group 0.000 description 1
- 235000011056 potassium acetate Nutrition 0.000 description 1
- 230000001566 pro-viral effect Effects 0.000 description 1
- 230000002035 prolonged effect Effects 0.000 description 1
- TVDSBUOJIPERQY-UHFFFAOYSA-N prop-2-yn-1-ol Chemical compound OCC#C TVDSBUOJIPERQY-UHFFFAOYSA-N 0.000 description 1
- VVWRJUBEIPHGQF-UHFFFAOYSA-N propan-2-yl n-propan-2-yloxycarbonyliminocarbamate Chemical compound CC(C)OC(=O)N=NC(=O)OC(C)C VVWRJUBEIPHGQF-UHFFFAOYSA-N 0.000 description 1
- 229960004742 raltegravir Drugs 0.000 description 1
- CZFFBEXEKNGXKS-UHFFFAOYSA-N raltegravir Chemical compound O1C(C)=NN=C1C(=O)NC(C)(C)C1=NC(C(=O)NCC=2C=CC(F)=CC=2)=C(O)C(=O)N1C CZFFBEXEKNGXKS-UHFFFAOYSA-N 0.000 description 1
- 238000010992 reflux Methods 0.000 description 1
- 238000011160 research Methods 0.000 description 1
- 230000004044 response Effects 0.000 description 1
- 239000003419 rna directed dna polymerase inhibitor Substances 0.000 description 1
- 229930195734 saturated hydrocarbon Natural products 0.000 description 1
- 238000013207 serial dilution Methods 0.000 description 1
- 229910000029 sodium carbonate Inorganic materials 0.000 description 1
- 235000010265 sodium sulphite Nutrition 0.000 description 1
- AKHNMLFCWUSKQB-UHFFFAOYSA-L sodium thiosulfate Chemical compound [Na+].[Na+].[O-]S([O-])(=O)=S AKHNMLFCWUSKQB-UHFFFAOYSA-L 0.000 description 1
- 235000019345 sodium thiosulphate Nutrition 0.000 description 1
- 239000007858 starting material Substances 0.000 description 1
- 239000011550 stock solution Substances 0.000 description 1
- 239000000126 substance Substances 0.000 description 1
- 239000006228 supernatant Substances 0.000 description 1
- 239000000725 suspension Substances 0.000 description 1
- 230000008685 targeting Effects 0.000 description 1
- WMOVHXAZOJBABW-UHFFFAOYSA-N tert-butyl acetate Chemical compound CC(=O)OC(C)(C)C WMOVHXAZOJBABW-UHFFFAOYSA-N 0.000 description 1
- 238000002560 therapeutic procedure Methods 0.000 description 1
- QIQITDHWZYEEPA-UHFFFAOYSA-N thiophene-2-carbonyl chloride Chemical compound ClC(=O)C1=CC=CS1 QIQITDHWZYEEPA-UHFFFAOYSA-N 0.000 description 1
- QTWBEVAYYDZLQL-UHFFFAOYSA-N thiophene-3-carbonyl chloride Chemical compound ClC(=O)C=1C=CSC=1 QTWBEVAYYDZLQL-UHFFFAOYSA-N 0.000 description 1
- 239000012096 transfection reagent Substances 0.000 description 1
- 238000001665 trituration Methods 0.000 description 1
- 241001430294 unidentified retrovirus Species 0.000 description 1
- 231100000747 viability assay Toxicity 0.000 description 1
- 238000003026 viability measurement method Methods 0.000 description 1
- FEPMHVLSLDOMQC-UHFFFAOYSA-N virginiamycin-S1 Natural products CC1OC(=O)C(C=2C=CC=CC=2)NC(=O)C2CC(=O)CCN2C(=O)C(CC=2C=CC=CC=2)N(C)C(=O)C2CCCN2C(=O)C(CC)NC(=O)C1NC(=O)C1=NC=CC=C1O FEPMHVLSLDOMQC-UHFFFAOYSA-N 0.000 description 1
Classifications
-
- C—CHEMISTRY; METALLURGY
- C07—ORGANIC CHEMISTRY
- C07D—HETEROCYCLIC COMPOUNDS
- C07D231/00—Heterocyclic compounds containing 1,2-diazole or hydrogenated 1,2-diazole rings
- C07D231/02—Heterocyclic compounds containing 1,2-diazole or hydrogenated 1,2-diazole rings not condensed with other rings
- C07D231/10—Heterocyclic compounds containing 1,2-diazole or hydrogenated 1,2-diazole rings not condensed with other rings having two or three double bonds between ring members or between ring members and non-ring members
- C07D231/12—Heterocyclic compounds containing 1,2-diazole or hydrogenated 1,2-diazole rings not condensed with other rings having two or three double bonds between ring members or between ring members and non-ring members with only hydrogen atoms, hydrocarbon or substituted hydrocarbon radicals, directly attached to ring carbon atoms
-
- A—HUMAN NECESSITIES
- A61—MEDICAL OR VETERINARY SCIENCE; HYGIENE
- A61K—PREPARATIONS FOR MEDICAL, DENTAL OR TOILETRY PURPOSES
- A61K31/00—Medicinal preparations containing organic active ingredients
- A61K31/33—Heterocyclic compounds
- A61K31/395—Heterocyclic compounds having nitrogen as a ring hetero atom, e.g. guanethidine or rifamycins
- A61K31/41—Heterocyclic compounds having nitrogen as a ring hetero atom, e.g. guanethidine or rifamycins having five-membered rings with two or more ring hetero atoms, at least one of which being nitrogen, e.g. tetrazole
- A61K31/415—1,2-Diazoles
-
- A—HUMAN NECESSITIES
- A61—MEDICAL OR VETERINARY SCIENCE; HYGIENE
- A61K—PREPARATIONS FOR MEDICAL, DENTAL OR TOILETRY PURPOSES
- A61K31/00—Medicinal preparations containing organic active ingredients
- A61K31/33—Heterocyclic compounds
- A61K31/395—Heterocyclic compounds having nitrogen as a ring hetero atom, e.g. guanethidine or rifamycins
- A61K31/41—Heterocyclic compounds having nitrogen as a ring hetero atom, e.g. guanethidine or rifamycins having five-membered rings with two or more ring hetero atoms, at least one of which being nitrogen, e.g. tetrazole
- A61K31/415—1,2-Diazoles
- A61K31/4155—1,2-Diazoles non condensed and containing further heterocyclic rings
-
- A—HUMAN NECESSITIES
- A61—MEDICAL OR VETERINARY SCIENCE; HYGIENE
- A61K—PREPARATIONS FOR MEDICAL, DENTAL OR TOILETRY PURPOSES
- A61K31/00—Medicinal preparations containing organic active ingredients
- A61K31/33—Heterocyclic compounds
- A61K31/395—Heterocyclic compounds having nitrogen as a ring hetero atom, e.g. guanethidine or rifamycins
- A61K31/41—Heterocyclic compounds having nitrogen as a ring hetero atom, e.g. guanethidine or rifamycins having five-membered rings with two or more ring hetero atoms, at least one of which being nitrogen, e.g. tetrazole
- A61K31/425—Thiazoles
- A61K31/427—Thiazoles not condensed and containing further heterocyclic rings
-
- A—HUMAN NECESSITIES
- A61—MEDICAL OR VETERINARY SCIENCE; HYGIENE
- A61K—PREPARATIONS FOR MEDICAL, DENTAL OR TOILETRY PURPOSES
- A61K31/00—Medicinal preparations containing organic active ingredients
- A61K31/33—Heterocyclic compounds
- A61K31/395—Heterocyclic compounds having nitrogen as a ring hetero atom, e.g. guanethidine or rifamycins
- A61K31/435—Heterocyclic compounds having nitrogen as a ring hetero atom, e.g. guanethidine or rifamycins having six-membered rings with one nitrogen as the only ring hetero atom
- A61K31/44—Non condensed pyridines; Hydrogenated derivatives thereof
- A61K31/4427—Non condensed pyridines; Hydrogenated derivatives thereof containing further heterocyclic ring systems
- A61K31/4439—Non condensed pyridines; Hydrogenated derivatives thereof containing further heterocyclic ring systems containing a five-membered ring with nitrogen as a ring hetero atom, e.g. omeprazole
-
- A—HUMAN NECESSITIES
- A61—MEDICAL OR VETERINARY SCIENCE; HYGIENE
- A61K—PREPARATIONS FOR MEDICAL, DENTAL OR TOILETRY PURPOSES
- A61K31/00—Medicinal preparations containing organic active ingredients
- A61K31/33—Heterocyclic compounds
- A61K31/395—Heterocyclic compounds having nitrogen as a ring hetero atom, e.g. guanethidine or rifamycins
- A61K31/435—Heterocyclic compounds having nitrogen as a ring hetero atom, e.g. guanethidine or rifamycins having six-membered rings with one nitrogen as the only ring hetero atom
- A61K31/47—Quinolines; Isoquinolines
- A61K31/4738—Quinolines; Isoquinolines ortho- or peri-condensed with heterocyclic ring systems
- A61K31/4741—Quinolines; Isoquinolines ortho- or peri-condensed with heterocyclic ring systems condensed with ring systems having oxygen as a ring hetero atom, e.g. tubocuraran derivatives, noscapine, bicuculline
-
- A—HUMAN NECESSITIES
- A61—MEDICAL OR VETERINARY SCIENCE; HYGIENE
- A61K—PREPARATIONS FOR MEDICAL, DENTAL OR TOILETRY PURPOSES
- A61K45/00—Medicinal preparations containing active ingredients not provided for in groups A61K31/00 - A61K41/00
- A61K45/06—Mixtures of active ingredients without chemical characterisation, e.g. antiphlogistics and cardiaca
-
- A—HUMAN NECESSITIES
- A61—MEDICAL OR VETERINARY SCIENCE; HYGIENE
- A61P—SPECIFIC THERAPEUTIC ACTIVITY OF CHEMICAL COMPOUNDS OR MEDICINAL PREPARATIONS
- A61P31/00—Antiinfectives, i.e. antibiotics, antiseptics, chemotherapeutics
- A61P31/12—Antivirals
-
- A—HUMAN NECESSITIES
- A61—MEDICAL OR VETERINARY SCIENCE; HYGIENE
- A61P—SPECIFIC THERAPEUTIC ACTIVITY OF CHEMICAL COMPOUNDS OR MEDICINAL PREPARATIONS
- A61P31/00—Antiinfectives, i.e. antibiotics, antiseptics, chemotherapeutics
- A61P31/12—Antivirals
- A61P31/14—Antivirals for RNA viruses
-
- A—HUMAN NECESSITIES
- A61—MEDICAL OR VETERINARY SCIENCE; HYGIENE
- A61P—SPECIFIC THERAPEUTIC ACTIVITY OF CHEMICAL COMPOUNDS OR MEDICINAL PREPARATIONS
- A61P31/00—Antiinfectives, i.e. antibiotics, antiseptics, chemotherapeutics
- A61P31/12—Antivirals
- A61P31/14—Antivirals for RNA viruses
- A61P31/18—Antivirals for RNA viruses for HIV
-
- A—HUMAN NECESSITIES
- A61—MEDICAL OR VETERINARY SCIENCE; HYGIENE
- A61P—SPECIFIC THERAPEUTIC ACTIVITY OF CHEMICAL COMPOUNDS OR MEDICINAL PREPARATIONS
- A61P43/00—Drugs for specific purposes, not provided for in groups A61P1/00-A61P41/00
-
- C—CHEMISTRY; METALLURGY
- C07—ORGANIC CHEMISTRY
- C07D—HETEROCYCLIC COMPOUNDS
- C07D401/00—Heterocyclic compounds containing two or more hetero rings, having nitrogen atoms as the only ring hetero atoms, at least one ring being a six-membered ring with only one nitrogen atom
- C07D401/02—Heterocyclic compounds containing two or more hetero rings, having nitrogen atoms as the only ring hetero atoms, at least one ring being a six-membered ring with only one nitrogen atom containing two hetero rings
- C07D401/04—Heterocyclic compounds containing two or more hetero rings, having nitrogen atoms as the only ring hetero atoms, at least one ring being a six-membered ring with only one nitrogen atom containing two hetero rings directly linked by a ring-member-to-ring-member bond
-
- C—CHEMISTRY; METALLURGY
- C07—ORGANIC CHEMISTRY
- C07D—HETEROCYCLIC COMPOUNDS
- C07D405/00—Heterocyclic compounds containing both one or more hetero rings having oxygen atoms as the only ring hetero atoms, and one or more rings having nitrogen as the only ring hetero atom
- C07D405/02—Heterocyclic compounds containing both one or more hetero rings having oxygen atoms as the only ring hetero atoms, and one or more rings having nitrogen as the only ring hetero atom containing two hetero rings
- C07D405/04—Heterocyclic compounds containing both one or more hetero rings having oxygen atoms as the only ring hetero atoms, and one or more rings having nitrogen as the only ring hetero atom containing two hetero rings directly linked by a ring-member-to-ring-member bond
-
- C—CHEMISTRY; METALLURGY
- C07—ORGANIC CHEMISTRY
- C07D—HETEROCYCLIC COMPOUNDS
- C07D405/00—Heterocyclic compounds containing both one or more hetero rings having oxygen atoms as the only ring hetero atoms, and one or more rings having nitrogen as the only ring hetero atom
- C07D405/14—Heterocyclic compounds containing both one or more hetero rings having oxygen atoms as the only ring hetero atoms, and one or more rings having nitrogen as the only ring hetero atom containing three or more hetero rings
-
- C—CHEMISTRY; METALLURGY
- C07—ORGANIC CHEMISTRY
- C07D—HETEROCYCLIC COMPOUNDS
- C07D409/00—Heterocyclic compounds containing two or more hetero rings, at least one ring having sulfur atoms as the only ring hetero atoms
- C07D409/02—Heterocyclic compounds containing two or more hetero rings, at least one ring having sulfur atoms as the only ring hetero atoms containing two hetero rings
- C07D409/04—Heterocyclic compounds containing two or more hetero rings, at least one ring having sulfur atoms as the only ring hetero atoms containing two hetero rings directly linked by a ring-member-to-ring-member bond
-
- C—CHEMISTRY; METALLURGY
- C07—ORGANIC CHEMISTRY
- C07D—HETEROCYCLIC COMPOUNDS
- C07D409/00—Heterocyclic compounds containing two or more hetero rings, at least one ring having sulfur atoms as the only ring hetero atoms
- C07D409/14—Heterocyclic compounds containing two or more hetero rings, at least one ring having sulfur atoms as the only ring hetero atoms containing three or more hetero rings
-
- C—CHEMISTRY; METALLURGY
- C07—ORGANIC CHEMISTRY
- C07D—HETEROCYCLIC COMPOUNDS
- C07D417/00—Heterocyclic compounds containing two or more hetero rings, at least one ring having nitrogen and sulfur atoms as the only ring hetero atoms, not provided for by group C07D415/00
- C07D417/14—Heterocyclic compounds containing two or more hetero rings, at least one ring having nitrogen and sulfur atoms as the only ring hetero atoms, not provided for by group C07D415/00 containing three or more hetero rings
Definitions
- the present invention relates to compounds, their use in the treatment or the prevention of viral disorders, including HIV.
- the present invention also relates to methods for the preparation of such compounds.
- the present invention also relates to pharmaceutical compositions comprising such compounds.
- the present invention also relates to the treatment of viral infections by the administration of a therapeutically efficient amount of such compounds.
- HIV Human Immunodeficiency Virus
- HIV-1 HIV-1
- HIV-2 HIV-1 is responsible for the larger part of the AIDS global epidemic in the world, with virtually every country reporting cases.
- Reverse Transcriptase inhibitor S include two different classes, Nucleoside/Nucleotide RT Inhibitor S (NRTI) and Non Nucleoside RT Inhibitor S (NNRTI).
- the inventors have identififed and prepared compounds having an improved antiviral activity, especially against HIV in comparison with prior art compounds.
- the present invention relates to compounds that are able to totally or partially solve the above-mentioned problems and drawbacks.
- the present invention provides new antiviral agents, especially anti-retroviral agents, and more particularly anti-HIV compounds.
- the compounds according the invention are inhibitor S of HIV replication as assessed by HIV-1 replication assay as herein-detailed. These compounds are thus useful agents for treating or preventing virus, such as HIV, or other viral pathogenic diseases or disorders, by inhibiting replication of the virus into the host infected cells.
- the compounds according to the invention constitute a useful class of new potent antiviral compounds that can be used in the treatment and/or prevention of viral infections in animals, mammals and humans, more specifically for the treatment and/or prevention of HIV in humans.
- the present invention further relates to such compounds for their use as a medicament, to the use of such compounds as medicaments, more specifically as antiviral agents, and to their use for the manufacture of medicaments for treating and/or preventing viral infections, in particular retroviral infections such as, but not limited to, HIV in humans.
- the invention also relates to pharmaceutical compositions comprising such compounds in an antiviral effective amount, optionally in combination with at least one further antiviral agent.
- the present invention further relates to such pharmaceutical composition for its use for the treatment of an HIV infection in a mammal being infected or having a risk to be infected by the HIV.
- the present invention also relates to a method of treatment or prevention of viral infections, in particular retroviral infections such as, but not limited to HIV in humans by the administration of one or more such compounds, optionally in combination with one or more other antiviral agents, to a patient in need thereof.
- retroviral infections such as, but not limited to HIV in humans
- the present invention also relates to a method of inhibiting the replication of HIV comprising exposing the virus to an effective amount of one or more such compounds under conditions where replication of HIV is inhibited.
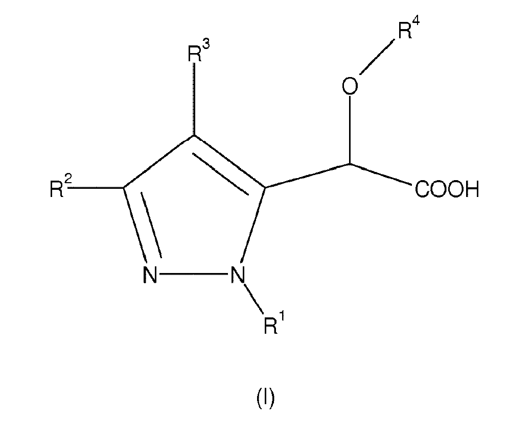
- the invention provides compounds comprising a five membered heterocycle, said compounds having a structure according to formula (I): wherein
- alkyl as used herein, either alone or in combination with another radical, refers to acyclic, linear or branched chain alkyl radicals.
- cycloalkyl refers to a monocyclic or polycyclic saturated hydrocarbon radical.
- aryl refers to a carbocyclic aromatic monocyclic group containing 6 carbon atoms which can be fused with at least another saturated, unsaturated or aromatic carbocycle.
- Carbocycle refers to a 3-to 8 membered saturated, unsaturated or aromatic cyclic radical in which all of the ring members are carbon atoms and which can be fused with at least another carbocycle.
- heterocycle as used herein means a saturated, unsaturated or aromatic ring system of 3 to 18 atoms including at least one N, O or S and which can be fused with at least another carbocycle or heterocycle.
- pharmaceutically acceptable is employed herein to refer to those compounds, materials, compositions, and/or dosage forms which are, within the scope of sound medical judgment, suitable for use in contact with the tissues of human beings and animals without excessive toxicity, irritation, allergic response, or other problem or complication, commensurate with a reasonable benefit/risk ratio.
- pharmaceutically acceptable salts refer to derivatives of the disclosed compounds wherein the parent compound is modified by making acid or base salts thereof.
- examples of pharmaceutically acceptable salts include, but are not limited to, mineral or organic acid salts of basic residues such as amines ; alkali or organic salts of acidic residues such as carboxylic acids ; and the like.
- the pharmaceutically acceptable salts of the present invention can be synthesized from the parent compound which contains a basic or acidic moiety by conventional chemical methods.
- treatment is intended to mean the administration of a compound or composition according to the present invention to alleviate or eliminate symptoms of HIV infection and/or to reduce viral load in a patient.
- treatment also encompasses the administration of a compound or composition according to the present invention post-exposure of the individual to the virus but before the appearance of symptoms of the disease, and/or prior to the detection of the virus in the blood, to prevent the appearance of symptoms of the disease and/or to prevent the virus from reaching detectible levels in the blood, and the administration of a compound or composition according to the present invention to prevent perinatal transmission of HIV from mother to baby, by administration to the mother before giving birth and to the child within the first days of life.
- terapéuticaally effective amount refers to an amount of a compound according to the invention, which when administered to a patient in need thereof, is sufficient to effect treatment for disease-states, conditions, or disorders for which the compounds have utility. Such an amount would be sufficient to elicit the biological or medical response of a tissue system, or patient that is sought by a researcher or clinician.
- the amount of a compound according to the invention which constitutes a therapeutically effective amount will vary depending on such factor S as the compound and its biological activity, the composition used for administration, the time of administration, the route of administration, the rate of excretion of the compound, the duration of the treatment, the type of disease-state or disorder being treated and its severity, drugs used in combination with or coincidentally with the compounds of the invention, and the age, body weight, general health, sex and diet of the patient
- a therapeutically effective amount can be determined routinely by one of ordinary skill in the art having regard to their own knowledge, the state of the art, and this disclosure
- mammal as used herein is intended to encompass humans, as well as non-human mammals which are susceptible to infection by HIV or non human equivalents of HIV.
- Non-human mammals include but are not limited to domestic animals, such as cows, pigs, dogs, cats, rabbits, rats and mice, and non domestic animals.
- the compounds according to the invention are compounds of formula (I) as defined and including the embodiments described in the summary of the invention.
- the compounds according to the invention are compounds of formula (I) wherein R 4 represents tBu.
- the compounds according to the invention are compounds of formula (I) wherein
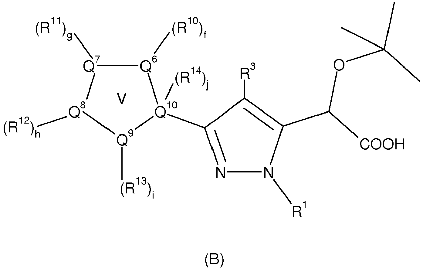
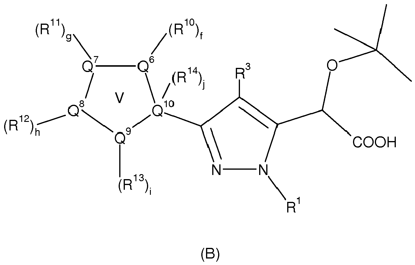
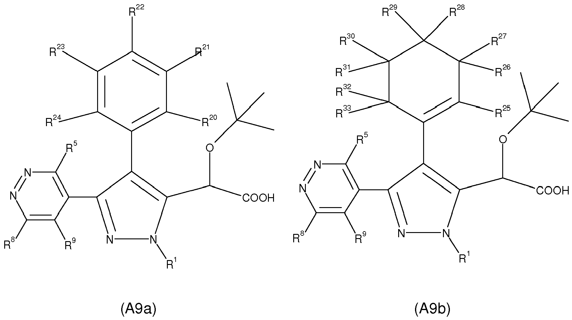
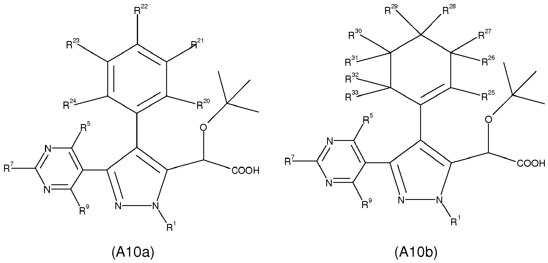
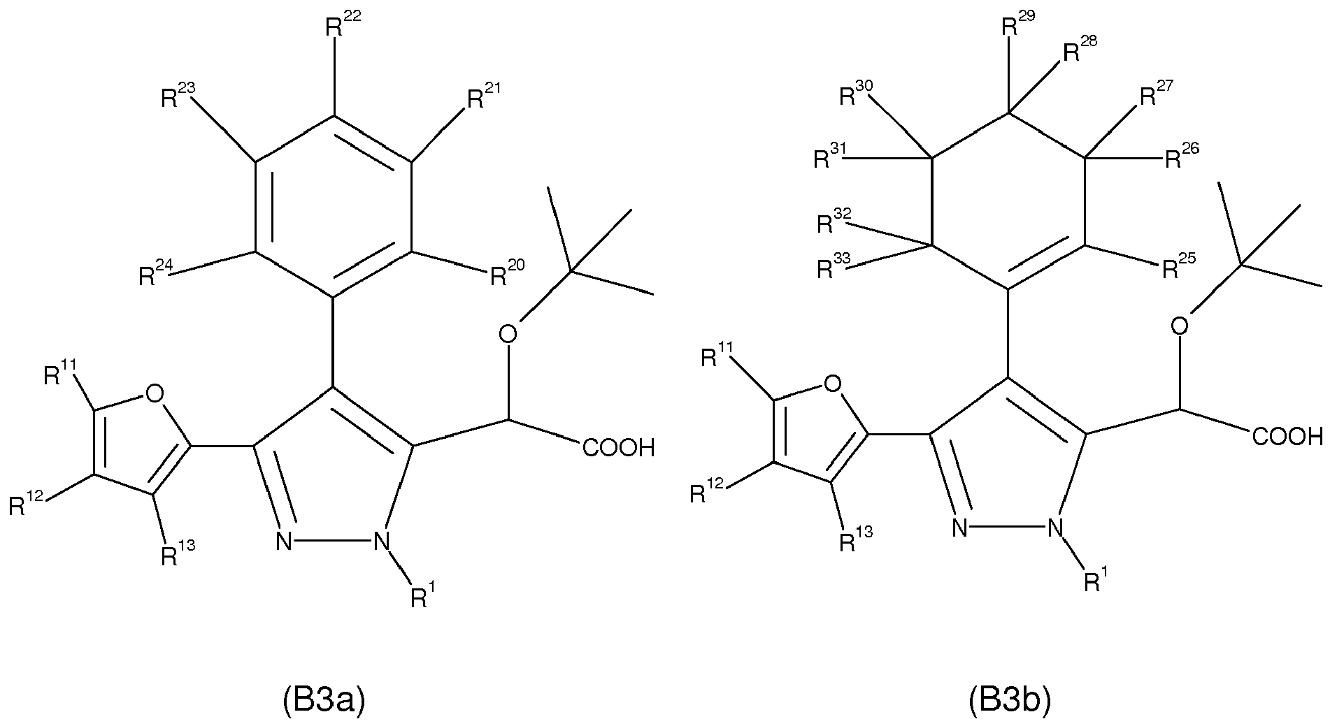
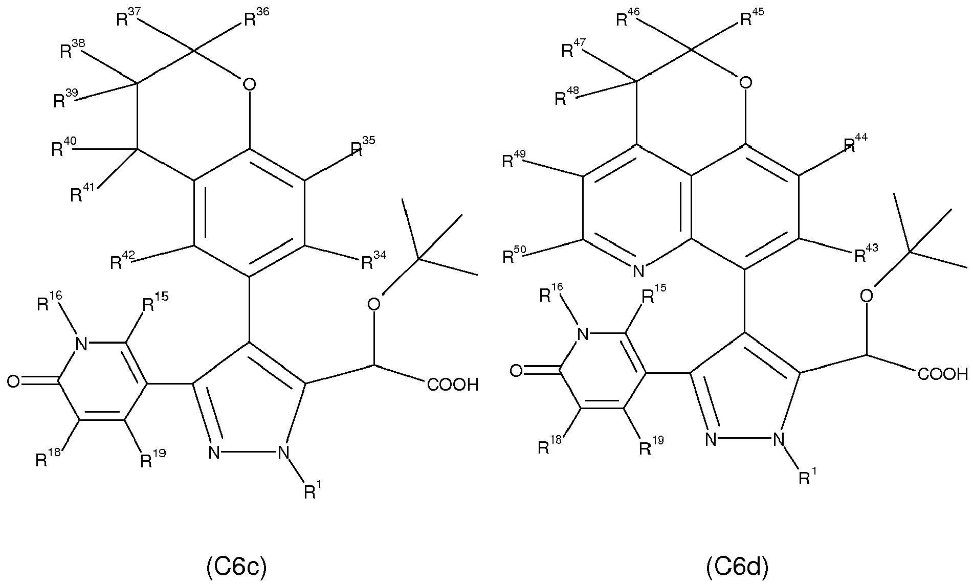
- the invention provides a compound of formulae (A), (B) or (C): wherein
- the invention provides compounds of formulae (A), (B) or (C) wherein R 5 , R 6 , R 7 , R 8 , R 9 , R 10 , R 11 , R 12 , R 13 , R 14 , R 15 , R 16 , R 17 , R 18 , R 19 and R, identical or different, independently represent a hydrogen atom; a halogen atom; a linear or branched C 1 -C 6 alkyl; a linear or branched -O-C 1 -C 6 alkyl; a linear or branched -O-C 1 -C 10 alkylaryl; -C(O)NH 2 or -CH 2 NHC(O)Me; the other substituents, identical or different, independently represent groups of atoms as defined for the compounds of formulae (I), (A), (B) or (C).
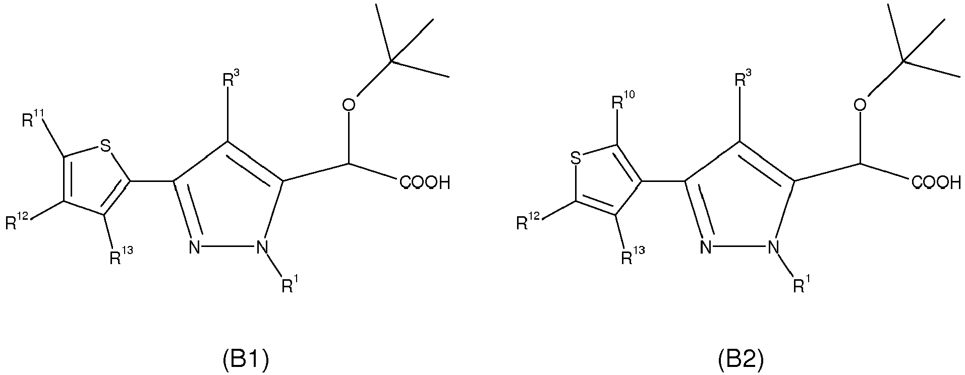
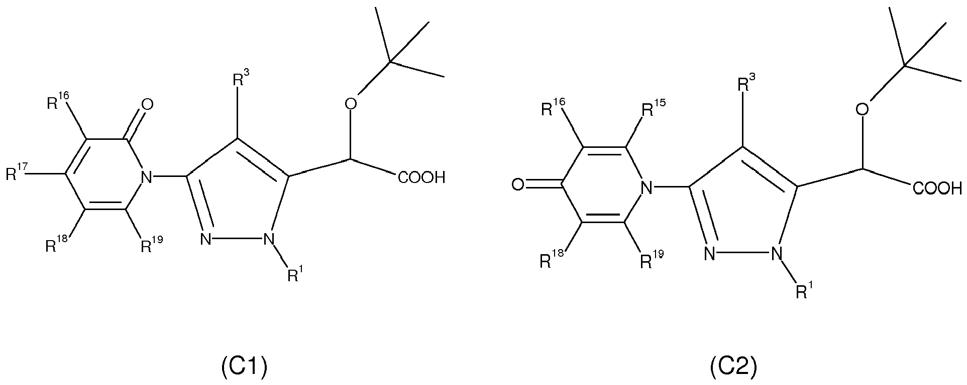
- the invention provides compounds of formulae (A1) to (A10), (B1) to (B4) or (C1) to (C8) wherein:
- the invention provides compounds of formulae (A1) to (A10), (B1) to (B4) or (C1) to (C8) wherein R 5 , R 6 , R 7 , R 8 , R 9 , R 10 , R 11 , R 12 , R 13 , R 14 , R 15 , R 16 , R 17 , R 18 , R 19 and R, identical or different, independently represent a hydrogen atom; a halogen atom; a linear or branched C 1 -C 6 alkyl; a linear or branched -O-C 1 -C 6 alkyl; a linear or branched -O-C 1 -C 10 alkylaryl; -C(O)NH 2 or -CH 2 NHC(O)Me; the other substituents, identical or different, independently represent groups of atoms as defined for the compounds of formulae (I), (A), (B), (C), (A1) to (A10), (B1) to (B4) or (C1) to
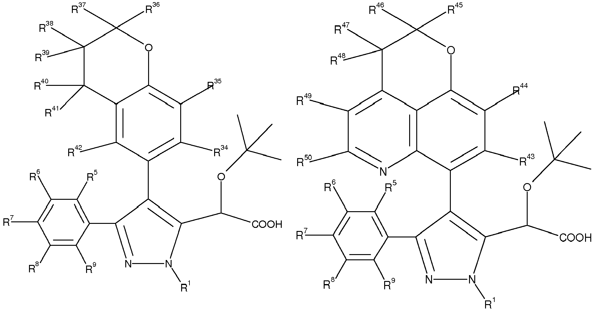
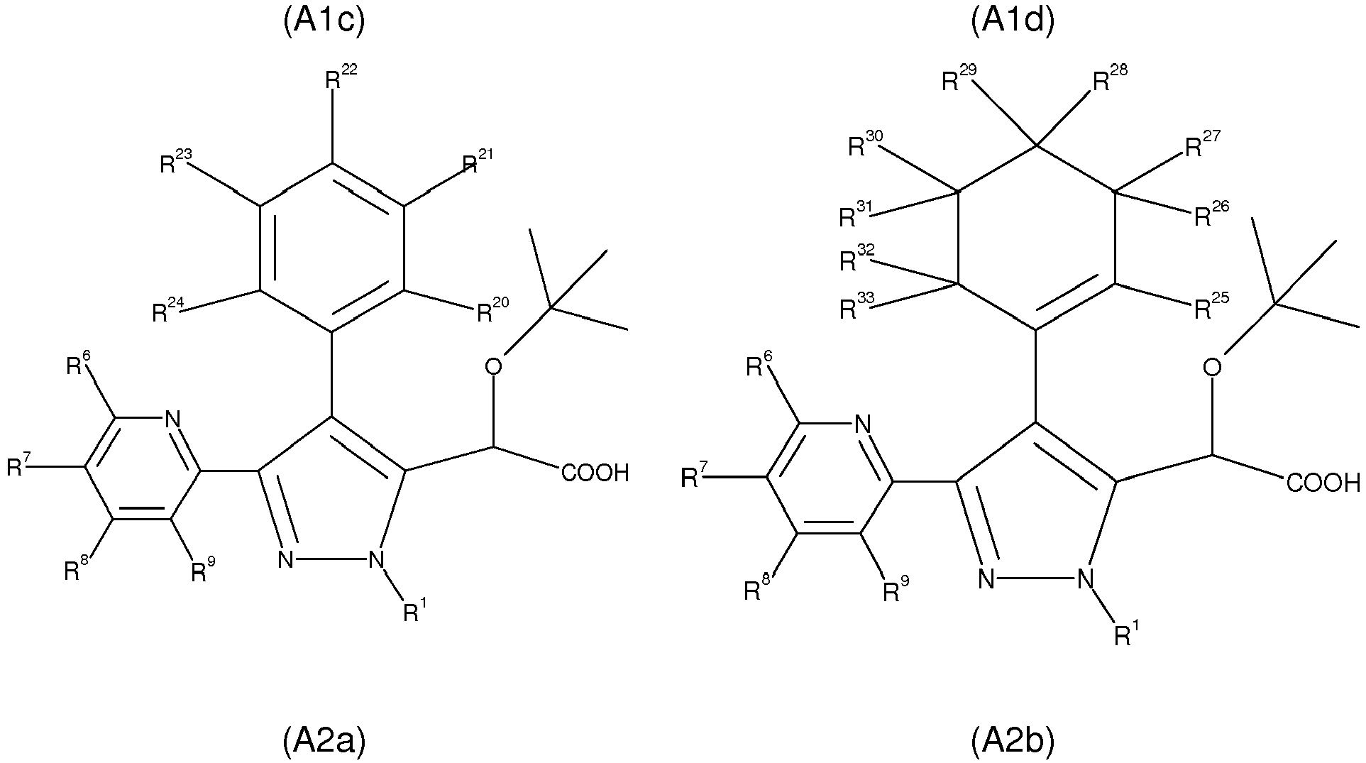
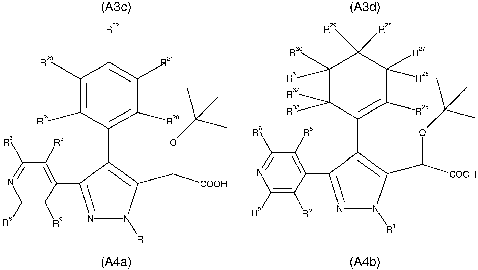
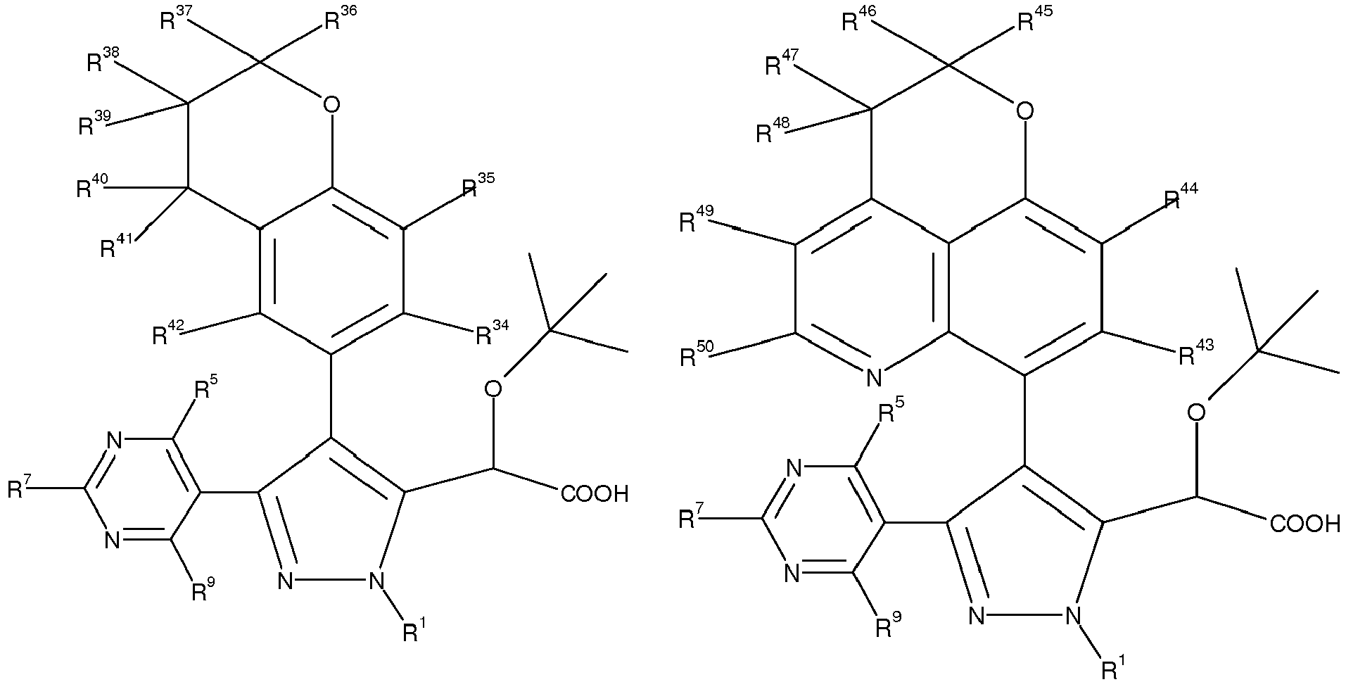
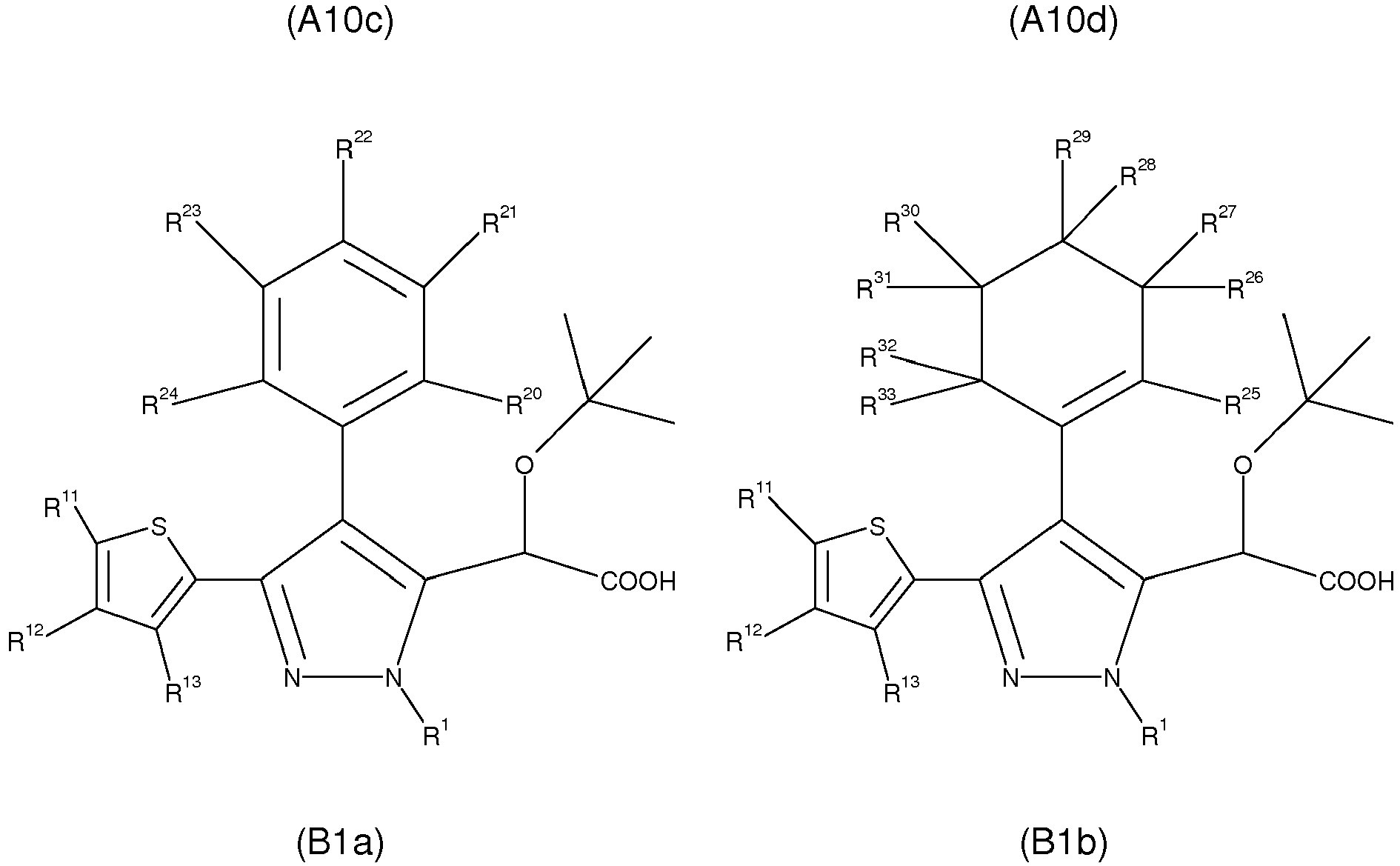
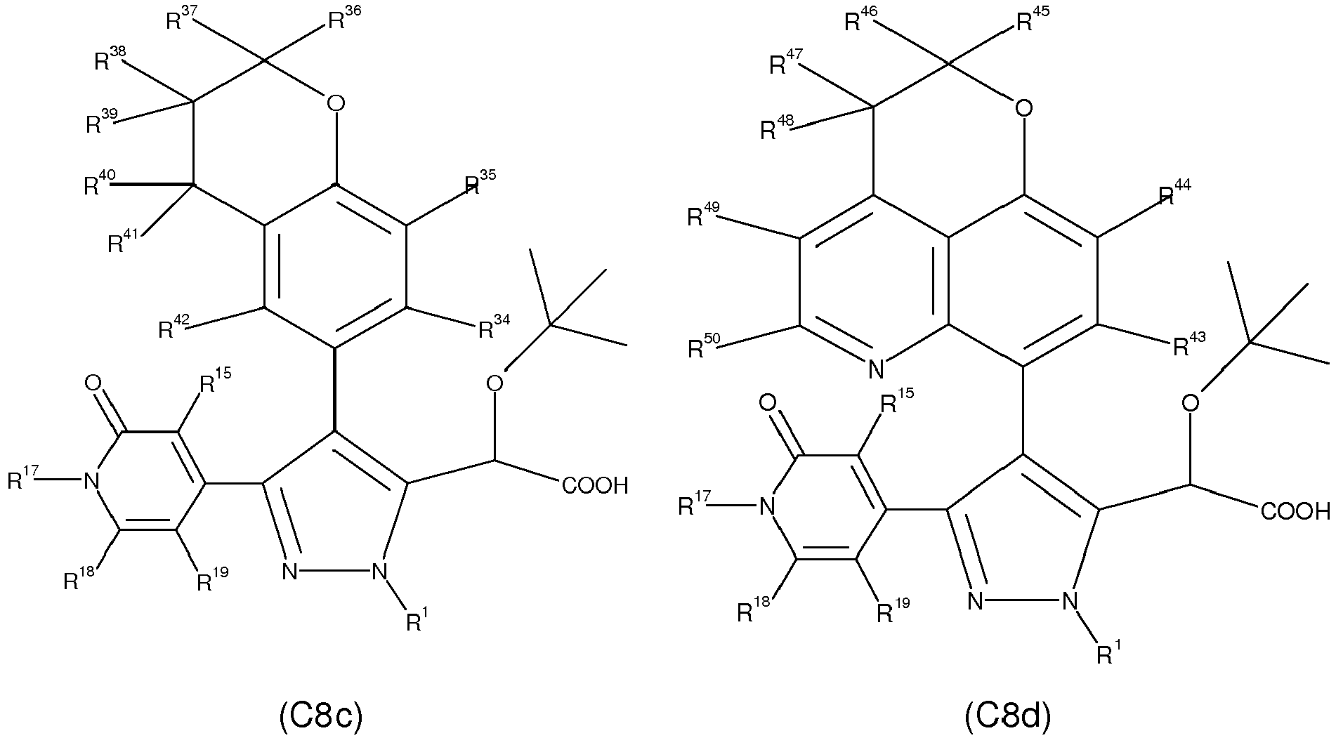
- the invention provides compounds of formulae (A1a) to (A10a), (A1b) to (A10b), (A1c) to (A10c), (A1d) to (A10d), (B1a) to (B4a), (B1b) to (B4b), (B1 c) to (B4c), (B1d) to (B4d), (C1 a) to (C8a), (C1 b) to (C8b), (C1 c) to (C8c) or (C1 d) to (C8d): wherein
- the invention provides compounds of formulae (A1a) to (A10a), (A1b) to (A10b), (A1c) to (A10c), (A1d) to (A10d), (B1a) to (B4a), (B1b) to (B4b), (B1 c) to (B4c), (B1d) to (B4d), (C1 a) to (C8a), (C1 b) to (C8b), (C1 c) to (C8c) or (C1d) to (C8d) wherein R 5 , R 6 , R 7 , R 8 , R 9 , R 10 , R 11 , R 12 , R 13 , R 14 , R 15 , R 16 , R 17 , R 18 , R 19 and R, identical or different, independently represent a hydrogen atom; a halogen atom; a linear or branched C 1 -C 6 alkyl; a linear or branched
- the invention provides compounds wherein R 1 represents:
- R 1 represents:
- the invention provides compounds of formulae (B1c-1) or (B1 c-2):
- the first part represents the preparation of the compounds (intermediates and final compounds) whereas the second part describes the evaluation of antiviral activity of compounds according to the invention.
- Example 1 synthesis of 2-( tert -butoxy)-2-[4-(4,4-dimethylcyclohex-1-en-1-yl)-1-methyl-3-phenyl-1 H- pyrazol-5-yl]acetic acid
- Step 4 Preparation of intermediate 4-(4,4-dimethylcyclohex-1-en-1-yl)-1-methyl-3-phenyl-1 H -pyrazole-5-carbaldehyde (1d)
- Step 5 Preparation of intermediate methyl 2-[4-(4,4-dimethylcyclohex-1-en-1-yl)-1-methyl-3-phenyl-1 H -pyrazol-5-yl]-2-hydroxyacetate (1e)
- Step 6 Preparation of intermediate methyl 2-( tert -butoxy)-2-[4-(4,4-dimethylcyclohex-1-en-1-yl)-1-methyl-3-phenyl-1 H -pyrazol-5-yl]acetate (1f)
- Step 7 Preparation of 2-( tert -butoxy)-2-[4-(4,4-dimethylcyclohex-1-en-1-yl)-1-methyl-3-phenyl-1H-pyrazol-5-yl]acetic acid (example 1)
- Step 1 Preparation of intermediate 4-(3,4-dihydro-2 H -1-benzopyran-6-yl)-1-methyl-3-phenyl-1 H -pyrazole-5-carbaldehyde (2a)
- step 4 4-bromo-1-methyl-3-phenyl-1H-pyrazole-5-carbaldehyde (1c) (415 mg, 1.57 mmol) is converted by reaction with 6-(4,4,5,5-tetramethyl-1,3,2-dioxaborolan-2-yl)chroman (488 mg, 1.88 mmol), into 4-(3,4-dihydro-2 H -1-benzopyran-6-yl)-1-methyl-3-phenyl-1 H -pyrazole-5-carbaldehyde (2a) (317 mg, 1.00 mmol, 64%), after purification by flash chromatography (cyclohexane/ethyl acetate 100/0 to 90/10).
- Step 2 Preparation of intermediate methyl 2-[4-(3,4-dihydro-2H 1-benzopyran-6-yl)-1-methyl-3-phenyl-1 H -pyrazol-5-yl]-2-hydroxyacetate (2b)
- step 5 4-(3,4-dihydro-2 H -1-benzopyran-6-yl)-1-methyl-3-phenyl-1 H -pyrazole-5-carbaldehyde (2a) (57 mg, 0.179 mmol) is converted to methyl 2-[4-(3,4-dihydro-2 H- 1-benzopyran-6-yl)-1-methyl-3-phenyl-1 H -pyrazol-5-yl]-2-hydroxyacetate (2b) (50 mg, 0.132 mmol, 74%).
- Step 3 Preparation of intermediate methyl 2-(t ert -butoxy)-2-[4-(3,4-dihydro-2 H -1-benzopyran-6-yl)-1-methyl-3-phenyl-1 H -pyrazol-5-yl]acetate (2c)
- step 6 methyl 2-[4-(3,4-dihydro-2 H -1-benzopyran-6-yl)-1-methyl-3-phenyl-1 H -pyrazol-5-yl]-2-hydroxyacetate (2b) (32 mg, 0.084 mmol) is converted, after purification by preparative TLC (cyclohexane/ethyl acetate 60/40) to methyl -2-( tert -butoxy)-2-[4-(3,4-dihydro-2 H -1-benzopyran-6-yl)-1-methyl-3-phenyl-1 H -pyrazol-5-yl]acetate (2c) (22 mg, 0.051 mmol, 60%).
- Step 4 Preparation of 2-( tert -butoxy)-2-[4-(3,4-dihydro-2 H -1-benzopyran-6-yl)-1-methyl-3-phenyl-1 H -pyrazol-5-yl]acetic acid (example 2)
- aqueous layer was acidified with 1 M hydrochloric acid until pH 5 and extracted with ethyl acetate (3 x 2 mL).
- the organic layer was dried over sodium sulfate and concentrated under reduced pressure to provide 2-( tert -butoxy)-2-[4-(3,4-dihydro-2 H -1-benzopyran-6-yl)-1-methyl-3-phenyl-1 H -pyrazol-5-yl]acetic acid (example 2) (40 mg, 0.095 mmol, 85%) as a white solid.
- Step 1 Preparation of intermediate 4-oxo-4-(thiophen-2-yl) y ut-2-yn-1-yl benzoate (3a)
- step 1 2-thiophenecarbonyl chloride (549 mg, 3.75 mmol) is converted, after flash chromatography on silica gel (cyclohexane/ethyl acetate 100/0 to 95/5) into 4-oxo-4-(thiophen-2-yl) y ut-2-yn-1-yl benzoate (3a) (333 mg, 1.23 mmol, 39%).
- step 2 4-oxo-4-(thiophen-2-yl) y ut-2-yn-1-yl benzoate (3a) (330 mg, 1.22 mmol) is converted, after purification by preparative TLC (cyclohexane/ethyl acetate 30/70) into [1-methyl-3-(thiophen-2-yl)-1 H -pyrazol-5-yl]methanol (3b) (185 mg, 0.95 mmol, 78%).
- step 3 [1-methyl-3-(thiophen-2-yl)-1 H- pyrazol-5-yl]methanol (3b) (185 mg, 0.95 mmol) is converted, after purification by preparative TLC (cyclohexane/ethyl acetate 80/20) into 4-bromo-1-methyl-3-(thiophen-2-yl)-1 H -pyrazole-5-carbaldehyde (3c) (197 mg, 0.73 mmol, 76%).
- Step 4 Preparation of intermediate 4-(3,4-dihydro-2 H -1-benzopyran-6-yl)-1-methyl-3-(thiophen-2-yl)-1 H- pyrazole-5-carbaldehyde (3d)
- step 4 4-bromo-1-methyl-3-(thiophen-2-yl)-1 H -pyrazole-5-carbaldehyde (3c) (195 mg, 0.72 mmol) is converted, after purification by preparative TLC (cyclohexane/ethyl acetate 80/20), into 4-(3,4-dihydro-2 H -1-benzopyran-6-yl)-1-methyl-3-(thiophen-2-yl)-1 H -pyrazole-5-carbaldehyde (3d) (172 mg, 0.53 mmol, 74%).
- Step 5 Preparation of intermediate methyl 2-[4-(3,4-dihydro-2 H -1-benzopyran-6-yl)-1-methyl-3-(thiophen-2-yl)-1 H -pyrazol-5-yl]-2-hydroxyacetate (3e)
- step 5 4-(3,4-dihydro-2 H -1-benzopyran-6-yl)-1-methyl-3-(thiophen-2-yl)-1 H -pyrazole-5-carbaldehyde (3d) (170 mg, 0.52 mmol) is converted, after purification by preparative TLC (cyclohexane/ethyl acetate 50/50), into methyl 2-[4-(3,4-dihydro-2 H -1-benzopyran-6-yl)-1-methyl-3-(thiophen-2-yl)-1 H -pyrazol-5-yl]-2-hydroxyacetate (3e) (141 mg, 0.37 mmol, 70%).
- Step 6 Preparation of intermediate methyl 2-( tert -butoxy)-2-[4-(3,4-dihydro-2 H 1-benzopyran-6-yl)-1-methyl-3-(thiophen-2-yl)-1 H -pyrazol-5-yl]acetate (3f)
- step 6 methyl 2-[4-(3,4-dihydro-2 H 1-benzopyran-6-yl)-1-methyl-3-(thiophen-2-yl)-1 H -pyrazol-5-yl]-2-hydroxyacetate (3e) (140 mg, 0.36 mmol) is converted, after purification by preparative TLC (cyclohexane/ethyl acetate 70/30), into methyl 2-( tert -butoxy)-2-[4-(3,4-dihydro-2 H -1-benzopyran-6-yl)-1-methyl-3-(thiophen-2-yl)-1 H -pyrazol-5-yl]acetate (3f) (113 mg, 0.26 mmol, 70%).
- Step 7 Preparation of 2-( tert -butoxy)-2-[4-(3,4-dihydro-2 H -1-benzopyran-6-yl)-1-methyl-3-(thiophen-2-yl)-1 H -pyrazol-5-yl]acetic acid (example 3)
- step 7 methyl 2-( tert- butoxy)-2-[4-(3,4-dihydro-2 H -1-benzopyran-6-yl)-1-methyl-3-(thiophen-2-yl)-1 H -pyrazol-5-yl]acetate (3f) (110 mg, 0.25 mmol) is converted into methyl 2-( tert -butoxy)-2-[4-(3,4-dihydro-2 H -1-benzopyran-6-yl)-1-methyl-3-(thiophen-2-yl)-1 H -pyrazol-5-yl]acetic acid (example 3) (97 mg, 0.23 mmol, 91 %).
- Step 1 Preparation of intermediate 4-oxo-4-(thiophen-3-yl) y ut-2-yn-1-yl benzoate (4a)
- step 1 thiophene-3-carbonyl chloride (824 mg, 5.62 mmol) is converted, after purification by flash chromatography on silica gel (cyclohexane/ethyl acetate 100/0 to 95/05), into 4-oxo-4-(thiophen-3-yl) y ut-2-yn-1-yl benzoate (4a) (552 mg, 2.04 mmol, 44%).
- step 2 4-oxo-4-(thiophen-3-yl) y ut-2-yn-1-yl benzoate (4a) (552 mg, 2.04 mmol) is converted, after purification by trituration in diethyl ether, into [1-methyl-3-(thiophen-3-yl)-1 H -pyrazol-5-yl]methanol (4b) (271 mg, 1.39 mmol, 68%).
- 1 H NMR 400 MHz, CDCl 3 ) ⁇ 3.90 (s, 3H), 4.67 (s, 2H), 6.36 (s, 1H), 7.30-7.37 (m, 1H), 7.40-7.46 (m, 1H), 7.48-7.54 (m, 1H).
- Step 4 Preparation of intermediate 4-(3,4-dihydro-2 H -1-benzopyran-6-yl)-1-methyl-3-(thiophen-3-yl)-1 H -pyrazole-5-carbaldehyde (4d)
- step 4 4-bromo-1-methyl-3-(thiophen-3-yl)-1 H -pyrazole-5-carbaldehyde (4c) (150 mg, 0.55 mmol) is converted, after purification by preparative TLC (cyclohexane/ethyl acetate 80/20), into 4-(3,4-dihydro-2 H -1-benzopyran-6-yl)-1-methyl-3-(thiophen-3-yl)-1 H -pyrazole-5-carbaldehyde (4d) (150 mg, 0.46 mmol, 83%).
- Step 5 Preparation of intermediate methyl 2-[4-(3,4-dihydro-2 H -1-benzopyran-6-yl)-1-methyl-3-(thiophen-3-yl)-1 H -pyrazol-5-yl]-2-hydroxyacetate (4e)
- Step 6 Preparation of intermediate methyl 2-( tert -butoxy)-2-[4-(3,4-dihydro-2 H -1-benzopyran-6-yl)-1-methyl-3-(thiophen-3-yl)-1 H -pyrazol-5-yl]acetate (4f)
- step 6 the intermediate methyl 2-[4-(3,4-dihydro-2 H -1-benzopyran-6-yl)-1-methyl-3-(thiophen-3-yl)-1 H -pyrazol-5-yl]-2-hydroxyacetate (4e) (117 mg, 0.30 mmol) is converted, after purification by preparative TLC (dichloromethane/ethyl acetate 85/15), into methyl 2-( tert -butoxy)-2-[4-(3,4-dihydro-2 H -1-benzopyran-6-yl)-1-methyl-3-(thiophen-3-yl)-1 H -pyrazol-5-yl]acetate (4f) (74 mg, 0.22 mmol, 74%).
- Step 7 Preparation of 2-( tert -butoxy)-2-[4-(3,4-dihydro-2 H -1-benzopyran-6-yl)-1-methyl-3-(thiophen-3-yl)-1 H -pyrazol-5-yl]acetic acid (example 4)
- step 7 the intermediate methyl 2-( tert- butoxy)-2-[4-(3,4-dihydro-2 H -1-benzopyran-6-yl)-1-methyl-3-(thiophen-3-yl)-1 H- pyrazol-5-yl]acetate (4f) (99 mg, 0.22 mmol) is converted into 2-( tert -butoxy)-2-[4-(3,4-dihydro-2 H -1-benzopyran-6-yl)-1-methyl-3-(thiophen-3-yl)-1 H -pyrazol-5-yl]acetic acid (example 4) (80 mg, 0.19 mmol, 83%).
- Step 1 Preparation of intermediate 4-(4,4-dimethylcyclohex-1-en-1-yl)-1-methyl-3-(thiophen-3-yl)-1 H -pyrazole-5-carbaldehyde (5a)
- step 4 4-bromo-1-methyl-3-(thiophen-3-yl)-1 H -pyrazole-5-carbaldehyde (4c) (147 mg, 0.54 mmol) is converted, after purification by preparative TLC (cyclohexane/ethyl acetate 80/20), into 4-(4,4-dimethylcyclohex-1-en-1-yl)-1-methyl-3-(thiophen-3-yl)-1 H -pyrazole-5-carbaldehyde (5a) (119 mg, 0.40 mmol, 73%).
- Step 2 Preparation of intermediate methyl 2-[4-(4,4-dimethylcyclohex-1-en-1-yl)-1-methyl-3-(thiophen-3-yl)-1 H -pyrazol-5-yl]-2-hydroxyacetate (5b)
- Step 3 Preparation of intermediate methyl 2-( tert -butoxy)-2-[4-(4,4-dimethylcyclohex-1-en-1-yl)-1-methyl-3-(thiophen-3-yl)-1 H -pyrazol-5-yl]acetate (5c)
- step 6 the intermediate methyl 2-[4-(4,4-dimethylcyclohex-1-en-1-yl)-1-methyl-3-(thiophen-3-yl)-1 H -pyrazol-5-yl]-2-hydroxyacetate (5b) (88 mg, 0.24 mmol) is converted, after purification by preparative TLC (dichloromethane/ 7M ammonia in methanol 99/1), into methyl 2-( tert -butoxy)-2-[4-(4,4-dimethylcyclohex-1-en-1-yl)-1-methyl-3-(thiophen-3-yl)-1 H -pyrazol-5-yl]acetate (5c) (79 mg, 0.19 mmol, 78%).
- Step 4 Preparation of 2-( tert -butoxy)-2-[4-(4,4-dimethylcyclohex-1-en-1-yl)-1-methyl-3-(thiophen-3-yl)-1 H -pyrazol-5-yl]acetic acid (example 5)
- step 7 the intermediate methyl 2-( tert- butoxy)-2-[4-(4,4-dimethylcyclohex-1-en-1-yl)-1-methyl-3-(thiophen-3-yl)-1 H -pyrazol-5-yl]acetate (5c) (79 mg, 0.19 mmol) is converted into 2-( tert -butoxy)-2-[4-(4,4-dimethylcyclohex-1-en-1-yl)-1-methyl-3-(thiophen-3-yl)-1 H -pyrazol-5-yl]acetic acid (example 5) (58 mg, 0.14 mmol, 76%).
- Step 1 Preparation of intermediate 4-(4,4-dimethylcyclohex-1-en-1-yl)-1-methyl-3-(thiophen-2-yl)-1 H -pyrazole-5-carbaldehyde (6a)
- step 4 4-bromo-1-methyl-3-(thiophen-2-yl)-1 H -pyrazole-5-carbaldehyde (3c) (200 mg, 0.74 mmol) is converted, after purification by preparative TLC (cyclohexane/ethyl acetate 80/20), into 4-(4,4-dimethylcyclohex-1-en-1-yl)-1-methyl-3-(thiophen-2-yl)-1 H -pyrazole-5-carbaldehyde (6a) (138 mg, 0.46 mmol, 62%).
- Step 2 Preparation of intermediate methyl 2-[4-(4,4-dimethylcyclohex-1-en-1-yl)-1-methyl-3-(thiophen-2-yl)-1 H -pyrazol-5-yl]-2-hydroxyacetate (6b)
- step 5 4-(4,4-dimethylcyclohex-1-en-1-yl)-1-methyl-3-(thiophen-2-yl)-1 H -pyrazole-5-carbaldehyde (6a) (138 mg, 0.46 mmol) is converted, after purification by preparative TLC (dichloromethane/ ethyl acetate: 80/20), to methyl 2-[4-(4,4-dimethylcyclohex-1-en-1-yl)-1-methyl-3-(thiophen-2-yl)-1 H- pyrazol-5-yl]-2-hydroxyacetate (6b) (120 mg, 0.33 mmol, 72%).
- Step 3 Preparation of intermediate methyl 2-( tert -butoxy)-2-[4-(4,4-dimethylcyclohex-1-en-1-yl)-1-methyl-3-(thiophen-2-yl)-1 H -pyrazol-5-yl]acetate (6c)
- step 6 methyl 2-[4-(4,4-dimethylcyclohex-1-en-1-yl)-1-methyl-3-(thiophen-2-yl)-1 H -pyrazol-5-yl]-2-hydroxyacetate (6b) (120 mg, 0.33 mmol) is converted, after purification by preparative TLC (dichloromethane/ethyl acetate 97/03), into methyl 2-( tert -butoxy)-2-[4-(4,4-dimethylcyclohex-1-en-1-yl)-1-methyl-3-(thiophen-2-yl)-1H-pyrazol-5-yl]acetate (6c) (92 mg, 0.22 mmol, 66%).
- Step 4 Preparation of 2-( tert -butoxy)-2-[4-(4,4-dimethylcyclohex-1-en-1-yl)-1-methyl-3-(thiophen-2-yl)-1 H -pyrazol-5-yl]acetic acid (example 6)
- step 7 methyl 2-( tert -butoxy)-2-[4-(4,4-dimethylcyclohex-1-en-1-yl)-1-methyl-3-(thiophen-2-yl)-1 H -pyrazol-5-yl]acetate (6c) (92 mg, 0.22 mmol) is converted to 2-( tert -butoxy)-2-[4-(4,4-dimethylcyclohex-1-en-1-yl)-1-methyl-3-(thiophen-2-yl)-1 H -pyrazol-5-yl]acetic acid (example 6) (88 mg, 0.22 mmol, 99%).
- Example 7 synthesis of 2-( tert -butoxy)-2-[1-methyl-4-(5-methyl-3,4-dihydro-2 H -1-benzopyran-6-yl)-3-(thiophen-2-yl)-1 H -pyrazol-5-yl]acetic acid
- reaction mixture was quenched with a 10% hydrochloric acid solution (163 mL). Layers were separated and the aqueous layer was extract with ethyl acetate (2 x 70 mL). The combined organics layers were washed with brine (3 x 100 mL) then cooled with an ice bath. A saturated solution of sodium sulfite (150 mL) was carefully added and the mixture was stirred for few minutes. The organic layer was separated, dried over sodium sulfate and concentrated in vacuo.
- Step 6 Preparation of intermediate 2-(8-chloro-5-methyl-3,4-dihydro-2 H -1-benzopyran-6-yl)-4,4,5,5-tetramethyl-1,3,2-dioxaborolane (7f)
- Step 7 Preparation of intermediate 4,4,5,5-tetramethyl-2-(5-methyl-3,4-dihydro-2 H -1-benzopyran-6-yl)-1,3,2-dioxaborolane (7g)
- Step 8 Preparation of intermediate 1-methyl-4-(5-methyl-3,4-dihydro-2 H -1-benzopyran-6-yl)-3-(thiophen-2-yl)-1 H -pyrazole-5-carbaldehyde (7h)
- step 4 4-bromo-1-methyl-3-(thiophen-2-yl)-1 H -pyrazole-5-carbaldehyde (3c) (84 mg, 0.31 mmol) is converted by reaction with 4,4,5,5-tetramethyl-2-(5-methyl-3,4-dihydro-2 H -1-benzopyran-6-yl)-1,3,2-dioxaborolane (7g) (102 mg, 0.372 mmol) into 1-methyl-4-(5-methyl-3,4-dihydro-2 H- 1-benzopyran-6-yl)-3-(thiophen-2-yl)-1 H -pyrazole-5-carbaldehyde (7h) (103 mg, 0.30 mmol, 98%), after purification by preparative TLC (cyclohexane/ethyl acetate 70/30).
- Step 9 Preparation of intermediate methyl 2-hydroxy-2-[1-methyl-4-(5-methyl-3,4-dihydro-2 H -1-benzopyran-6-yl)-3-(thiophen-2-yl)-1 H -pyrazol-5-yl]acetate (7i)
- Step 10 Preparation of intermediate methyl 2-( tert -butoxy)-2-[1-methyl-4-(5-methyl-3,4-dihydro-2 H -1-benzopyran-6-yl)-3-(thiophen-2-yl)-1 H -pyrazol-5-yl]acetate (7j)
- step 6 the intermediate methyl 2-hydroxy-2-[1-methyl-4-(5-methyl-3,4-dihydro-2 H -1-benzopyran-6-yl)-3-(thiophen-2-yl)-1 H -pyrazol-5-yl]acetate (7i) (79 mg, 0.20 mmol) is converted, after purification by preparative TLC (dichloromethane/ethyl acetate: 95/5), into methyl 2-( tert -butoxy)-2-[1-methyl-4-(5-methyl-3,4-dihydro-2 H -1-benzopyran-6-yl)-3-(thiophen-2-yl)-1 H- pyrazol-5-yl]acetate (7j) (55 mg, 0.12 mmol, 61 %).
- Step 11 Preparation of 2-( tert -butoxy)-2-[1-methyl-4-(5-methyl-3,4-dihydro-2 H -1-benzopyran-6-yl)-3-(thiophen-2-yl)-1 H -pyrazol-5-yl]acetic acid (example 7)
- step 7 the intermediate methyl 2-( tert- butoxy)-2-[1-methyl-4-(5-methyl-3,4-dihydro-2 H -1-benzopyran-6-yl)-3-(thiophen-2-yl)-1 H -pyrazol-5-yl]acetate (7j) (55 mg, 0.12 mmol) is converted to 2-( tert -butoxy)-2-[1-methyl-4-(5-methyl-3,4-dihydro-2 H -1-benzopyran-6-yl)-3-(thiophen-2-yl)-1 H -pyrazol-5-yl]acetic acid (example 7) (53 mg, 0.12 mmol, 99%).
- the antiviral activity, particularly against HIV, of compounds according to the invention is evaluated by the protocol described below.
- the virus was prepared as described in Lopez et al. ( Lopez et al, Proc Natl Acad Sci U S A., 2006, 103(40):14947-52 , by transfecting 2 x 10 6 293T cells (CRL-1573, ATCC ) with following modifications: 6 ⁇ g of NL4-3 proviral DNA molecular clone were mixed with Fugene 6 transfection reagent from Roche, and used according to manufacturer's instructions. Forty eight hours later, transfected cell supernatants were harvested, filtered through 0.45- ⁇ m-pore-size filters, quantified for HIV-1 p24 antigen by using a Innotest HIV antigen mAb assay (Ingen) according to manufacturer's instructions, and used in infection experiments.
- Ingen Innotest HIV antigen mAb assay
- Serial dilutions of compounds to be tested were prepared in complete RPMI medium from 10mM DMSO stock solutions, and I in 96 well Falcon 353072 Microtest distributed in a volume of 20 TM tissue culture plate, in order to get 0.5% DMSO final concentration in each well, after the addition of infected cells. Control wells contained also 0.5% DMSO final concentration but no compound.
- MT4 cells from the NIH AIDS Research and Reference Reagent Program
- RPMI complete medium 10X10 6 cells per well in Falcon 353047 MultiwellTM 24 well
- m multiplicity of infection
- Cells were then centrifuged 3min at 3000rpm, and washed two times in 1 ml PBS to remove viruses that have not entered in cells.
- Infected cells were resuspended in complete RPMI at 1.25x10 6 l of infected cells were distributed in each well containing cells/ml, and 80 compounds to be tested or control wells. The plates were then incubated at 37°for 5 days.
- the EC50 or effective concentration 50, is the concentration of compound leading to 50% of cyto-protection in a Cell-Titer-Glo® viability assay based on MT4 cells infected with NL4-3 virus (table 1).
- Table 1 Example number EC50 ( ⁇ M) 1 0.48 2 0.68 3 0.29 4 0.28 5 0.27 6 0.47 7 0.41
Landscapes
- Chemical & Material Sciences (AREA)
- Organic Chemistry (AREA)
- Health & Medical Sciences (AREA)
- Life Sciences & Earth Sciences (AREA)
- Medicinal Chemistry (AREA)
- Pharmacology & Pharmacy (AREA)
- Animal Behavior & Ethology (AREA)
- General Health & Medical Sciences (AREA)
- Public Health (AREA)
- Veterinary Medicine (AREA)
- Epidemiology (AREA)
- Virology (AREA)
- Chemical Kinetics & Catalysis (AREA)
- General Chemical & Material Sciences (AREA)
- Nuclear Medicine, Radiotherapy & Molecular Imaging (AREA)
- Communicable Diseases (AREA)
- Oncology (AREA)
- Molecular Biology (AREA)
- Engineering & Computer Science (AREA)
- Bioinformatics & Cheminformatics (AREA)
- AIDS & HIV (AREA)
- Tropical Medicine & Parasitology (AREA)
- Pharmaceuticals Containing Other Organic And Inorganic Compounds (AREA)
- Plural Heterocyclic Compounds (AREA)
- Medicines That Contain Protein Lipid Enzymes And Other Medicines (AREA)
Abstract
Description
- The present invention relates to compounds, their use in the treatment or the prevention of viral disorders, including HIV. The present invention also relates to methods for the preparation of such compounds. The present invention also relates to pharmaceutical compositions comprising such compounds. The present invention also relates to the treatment of viral infections by the administration of a therapeutically efficient amount of such compounds.
- The Acquired Immuno Deficiency Syndrome (AIDS) is a disease due to infection by the Human Immunodeficiency Virus (HIV). HIV is a retrovirus, belonging to the subclass of primate lentiviruses. Two types of HIV have been identified, HIV-1 and HIV-2. HIV-1 is responsible for the larger part of the AIDS global epidemic in the world, with virtually every country reporting cases.
- Currently HIV infected patients are treated with Highly Active Anti Retroviral Therapies (HAART) that rely on a combination of several drugs belonging to different classes. Up to 2003, all approved anti-HIV drugs were inhibitor S of the catalytic activity of two viral enzymes, Reverse Transcriptase (RT) inhibitor S and Protease (PR) inhibitor S. Reverse Transcriptase inhibitor S include two different classes, Nucleoside/Nucleotide RT Inhibitor S (NRTI) and Non Nucleoside RT Inhibitor S (NNRTI). In 2003, a new class of Anti-retroviral drug (ARV), Fusion inhibitor (Enfuvirtide) was introduced (Cervia et al., Clin Infect Dis., 2003, 37(8):1102-6). And lately, in 2007, two other classes of ARV were approved, Entry inhibitor S (Maraviroc (Pfizer)) targeting the CCR5 co-receptor, and Integrase inhibitor S (Raltegravir (Merck)) (Hughes et al., J Infect., 2008, 57(1):1-10.). Although these three novel drugs were very useful to treat patients in therapeutic failure due to multiresistance to RT and PR inhibitor S, resistance mutations against these drugs have already been reported.
- Although the development of these potent anti-HIV drugs, has allowed HIV-infected people to live longer and to benefit of a higher quality of life, it is clear that these drugs do not cure the HIV infection. Moreover, their prolonged use often results in significant toxicity and in the emergence of drug-resistant viruses. Importantly, the ability of HIV to establish latent reservoirs early in the course of infection ensures the persistence of the virus even in the face of intensive drug therapy and vigorous antiviral immune response.
- Thus, there is a continuous need for the development of novel anti-HIV therapies or agents to overcome the problems of resistance to the existing drugs and to improve treatment efficiency (Daar ES, Top HIV Med, 2008, 16(4):110-6. ; De Clercq E, Expert Opin Emerg Drugs. 2008, 13(3):393-416.).
- Document of Christ et al. (Christ et al., Nat. Chem. Biol., 2010, 6: 442.) and documents
WO 2007/131350 ,WO 2009/062285 ,WO 2009/062288 ,WO 2009/062289 ,WO 2009/062308 ,WO 2010/130034 ,WO 2010/130842 orWO 2011/015641 describe partially or totally unsaturated 6-membered heterocyclic derivatives as anti-HIV agents. - Document
US 5 910 506 describes imidazole derivatives as anti-HIV agents. - It is also known 5-membered carbo- or heterocyclic derivatives as anti-HIV agents.
- Suprisingly, the inventors have identififed and prepared compounds having an improved antiviral activity, especially against HIV in comparison with prior art compounds.
- The present invention relates to compounds that are able to totally or partially solve the above-mentioned problems and drawbacks.
- The present invention provides new antiviral agents, especially anti-retroviral agents, and more particularly anti-HIV compounds.
- The compounds according the invention are inhibitor S of HIV replication as assessed by HIV-1 replication assay as herein-detailed. These compounds are thus useful agents for treating or preventing virus, such as HIV, or other viral pathogenic diseases or disorders, by inhibiting replication of the virus into the host infected cells.
- Therefore, the compounds according to the invention constitute a useful class of new potent antiviral compounds that can be used in the treatment and/or prevention of viral infections in animals, mammals and humans, more specifically for the treatment and/or prevention of HIV in humans.
- The present invention further relates to such compounds for their use as a medicament, to the use of such compounds as medicaments, more specifically as antiviral agents, and to their use for the manufacture of medicaments for treating and/or preventing viral infections, in particular retroviral infections such as, but not limited to, HIV in humans.
- The invention also relates to pharmaceutical compositions comprising such compounds in an antiviral effective amount, optionally in combination with at least one further antiviral agent.
- The present invention further relates to such pharmaceutical composition for its use for the treatment of an HIV infection in a mammal being infected or having a risk to be infected by the HIV.
- The present invention also relates to a method of treatment or prevention of viral infections, in particular retroviral infections such as, but not limited to HIV in humans by the administration of one or more such compounds, optionally in combination with one or more other antiviral agents, to a patient in need thereof.
- The present invention also relates to a method of inhibiting the replication of HIV comprising exposing the virus to an effective amount of one or more such compounds under conditions where replication of HIV is inhibited.
-
- ● R1 represents a linear or branched C1-C6 alkyl; a linear or branched fluoroalkyl; a C3-C6 cycloalkyl or -CH2OH;
- ● R2, non-substituted or substituted by at least one T1, represents a partially or totally unsaturated or aromatic 5-, 6- or 7-membered carbocycle ; a partially or totally unsaturated or aromatic 5-, 6- or 7-membered heterocycle; a partially or totally unsaturated or aromatic 5-, 6- or 7-membered carbocycle fused with a saturated, partially or totally unsaturated 5-, 6- or 7-membered carbocycle; a partially or totally unsaturated or aromatic 5-, 6- or 7-membered carbocycle fused with a saturated, partially or totally unsaturated 5-, 6- or 7-membered heterocycle; a partially or totally unsaturated or aromatic 5-, 6- or 7-membered heterocycle fused with a saturated, partially or totally unsaturated 5-, 6- or 7-membered carbocycle; a partially or totally unsaturated or aromatic 5-, 6- or 7-membered heterocycle fused with a saturated, partially or totally unsaturated 5-, 6- or 7-membered heterocycle;
- ● R3, non-substituted or substituted by at least one T2, represents an aryl; an aryl fused with a saturated, partially or totally unsaturated or aromatic 5-, 6- or 7-membered carbocycle; an aryl fused with a saturated, partially or totally unsaturated or aromatic 5-, 6- or 7-membered heterocycle; a heteroaryl; a heteroaryl fused with a saturated, partially or totally unsaturated or aromatic 5-, 6- or 7-membered carbocycle; a heteroaryl fused with a saturated, partially or totally unsaturated or aromatic 5-, 6- or 7-membered heterocycle or a C3-C7 cycloalkenyl;
- ● R4 represents a linear or branched C1-C6-alkyl; a linear or branched C1-C6 fluoroalkyl or a C3-C6 cycloalkyl;
- ● T1 represents a hydrogen atom, a halogen atom; an alkyl; -(X)x-C1-C6 alkyl; a linear or branched fluorooalkyl; a linear or branched -O-C1-C3 fluorooalkyl; - (X)x-C3-C6 cycloalkyl; -(X)x-(CT5T6)y-aryl; -(X)x-(CT5T6)yCN; -(X)x-(CT5T6)yOT3; -(X)x-(CT5T6)yST3; -(X)x-(CT5T6)yS(O)T3; -(X)x-(CT5T6)yS(O)2T3; -(X)x-(CT5T6)yNT3T4; -(X)x-(CT5T6)yC(O)T3; -(X)x-(CT5T6)yC(O)OT3; -(X)x-(CT5T6)yC(O)NT3T4; -(X)x-(CT5T6)yNT3C(O)NT3T4; -(X)x-(CT5T6)yNT3C(O)T4; (X)x-(CT5T6)yNT3C(O)OT4; -(X)x-(CT5T6)yOC(O)NT3T4; -(X)x-(CT5T6)y S(O)2NT3T4 or -(X)x-(CT5T6)yNT3S(O)2T4;
- ● T2 represents a hydrogen atom; a halogen atom; a linear or branched -O-C1-C3 alkyl; a linear or branched C1-C3 fluoroalkyl; a linear or branched -O-C1-C3 fluoroalkyl; a linear or branched C1-C3 alkyl; cyclopropyl or -CN;
- ● X represents an oxygen atom; a sulphur atom; NT3; S=O or S(O)2;
- ● T3 and T4, identical or different, independently represent H; a branched or linear C1-C6 alkyl or a C3-C6 cycloalkyl;
- ● T3, T4 and the nitrogen atom to which they are bonded form a C4-C6 cycloalkyl;
- ● T5 and T6, identical or different, independently represent a hydrogen atom, a fluorine atom, a linear or branched C1-C3 alkyl or a C3-C6 cycloalkyl;
- ● T5, T6 and the carbon atom to which they are bonded form a cyclopropyl
- ● x represents 0 or 1;
- ● y represents 0, 1, 2 or 3;
- Even if described in particular or preferred embodiments, the present invention is not to be understood as being limited to such particular or preferred embodiments.
- The term "alkyl" as used herein, either alone or in combination with another radical, refers to acyclic, linear or branched chain alkyl radicals.
- The term "cycloalkyl", as used herein, either alone or in combination with another radical, refers to a monocyclic or polycyclic saturated hydrocarbon radical.
- The term "aryl", as used herein, either alone or in combination with another radical, refers to a carbocyclic aromatic monocyclic group containing 6 carbon atoms which can be fused with at least another saturated, unsaturated or aromatic carbocycle.
- The term "carbocycle", as used herein and unless specified otherwise, either alone or in combination with another radical, refers to a 3-to 8 membered saturated, unsaturated or aromatic cyclic radical in which all of the ring members are carbon atoms and which can be fused with at least another carbocycle.
- The term "heterocycle" as used herein means a saturated, unsaturated or aromatic ring system of 3 to 18 atoms including at least one N, O or S and which can be fused with at least another carbocycle or heterocycle.
- The expression "pharmaceutically acceptable" is employed herein to refer to those compounds, materials, compositions, and/or dosage forms which are, within the scope of sound medical judgment, suitable for use in contact with the tissues of human beings and animals without excessive toxicity, irritation, allergic response, or other problem or complication, commensurate with a reasonable benefit/risk ratio.
- As used herein, "pharmaceutically acceptable salts" refer to derivatives of the disclosed compounds wherein the parent compound is modified by making acid or base salts thereof. Examples of pharmaceutically acceptable salts include, but are not limited to, mineral or organic acid salts of basic residues such as amines ; alkali or organic salts of acidic residues such as carboxylic acids ; and the like.
- The pharmaceutically acceptable salts of the present invention can be synthesized from the parent compound which contains a basic or acidic moiety by conventional chemical methods.
- The term "treatment" as used herein is intended to mean the administration of a compound or composition according to the present invention to alleviate or eliminate symptoms of HIV infection and/or to reduce viral load in a patient. The term "treatment" also encompasses the administration of a compound or composition according to the present invention post-exposure of the individual to the virus but before the appearance of symptoms of the disease, and/or prior to the detection of the virus in the blood, to prevent the appearance of symptoms of the disease and/or to prevent the virus from reaching detectible levels in the blood, and the administration of a compound or composition according to the present invention to prevent perinatal transmission of HIV from mother to baby, by administration to the mother before giving birth and to the child within the first days of life.
- The expression "therapeutically effective amount" refers to an amount of a compound according to the invention, which when administered to a patient in need thereof, is sufficient to effect treatment for disease-states, conditions, or disorders for which the compounds have utility. Such an amount would be sufficient to elicit the biological or medical response of a tissue system, or patient that is sought by a researcher or clinician. The amount of a compound according to the invention which constitutes a therapeutically effective amount will vary depending on such factor S as the compound and its biological activity, the composition used for administration, the time of administration, the route of administration, the rate of excretion of the compound, the duration of the treatment, the type of disease-state or disorder being treated and its severity, drugs used in combination with or coincidentally with the compounds of the invention, and the age, body weight, general health, sex and diet of the patient Such a therapeutically effective amount can be determined routinely by one of ordinary skill in the art having regard to their own knowledge, the state of the art, and this disclosure
- The term "mammal " as used herein is intended to encompass humans, as well as non-human mammals which are susceptible to infection by HIV or non human equivalents of HIV. Non-human mammals include but are not limited to domestic animals, such as cows, pigs, dogs, cats, rabbits, rats and mice, and non domestic animals.
- The compounds according to the invention are compounds of formula (I) as defined and including the embodiments described in the summary of the invention.
- Particularly, the compounds according to the invention are compounds of formula (I) wherein R4 represents tBu.
- More particularly, the compounds according to the invention are compounds of formula (I) wherein
- ● R2 represents a partially or totally unsaturated or aromatic 5-, 6- or 7-membered carbocycle; a partially or totally unsaturated or aromatic 5-, 6- or 7-membered heterocycle; a partially or totally unsaturated or aromatic 5-, 6- or 7-membered heterocycle fused with a saturated, partially or totally unsaturated 5-, 6- or 7-membered carbocycle or a partially or totally unsaturated or aromatic 5-, 6- or 7-membered heterocycle fused with a saturated, partially or totally unsaturated 5-, 6- or 7-membered heterocycle, non-substituted or substituted by at least one T1;
- ● T1 represents a hydrogen artom; a halogen atom; -CH3; -CH2F; -CHF2; -CF3; - OMe; -OCH2F; -OCHF2; -OCF3; -(X)x-C3-C6 cycloalkyl; -(X)x-(CT5T6)y-aryl; - (X)x-(CT5T6)yCN; -(X)x(CT5T6)yOT3; -(X)x(CT5T6)yST3; -(X)x-(CT5T6)yS(O)T3; -(X)x-(CT5T6)yS(O)2T3; -(X)x-(CT5T6)yNT3T4; -(X)x-(CT5T6)yC(O)T3; -(X)x-(CT5T6)yC(O)OT3; -(X)x-(CT5T6)yC(O)NT3T4; -(X)x-(CT5T6)yNT3C(O)NT3T4; - (X)x-(CT5T6)yNT3C(O)T4; -(X)x-(CT5T6)yNT3C(O)OT4; -(X)x-(CT5T6)yOC(O)NT3T4; -(X)x-(CT5T6)y S(O)2NT3T4 or -(X)x-(CT5T6)yNT3S(O)2T4 ;
- ● X represents an oxygen atom; a sulphur atom; NT3; S=O or S(O)2;
- ● T3 and T4, identical or different, independently represent H; a branched or linear C1-C6 alkyl or a C3-C6 cycloalkyl;
- ● T3, T4 and the nitrogen atom to which they are bonded form a C4-C6 cycloalkyl;
- ● T5 and T6, identical or different, independently represent a hydrogen atom, a fluorine atom or methyl;
- ● x represents 0 or 1;
- ● y represents 0, 1, 2 or 3.
-
- ● a, b, c, d, e, f, g, h, i, j, k, I, m, n, o and p independently represent 0 or 1;
- ● V represents a substituted or non substituted partially or totally unsaturated carbocycle or a partially or totally unsaturated or aromatic heterocycle;
- ● W represents a substituted or non-substituted partially unsaturated carbo- or heterocycle;
- ● Q1 represents CR5 or N;
- ● Q2 represents CR6 or N;
- ● Q3 represents CR7 or N;
- ● Q4 represents CR8 or N;
- ● Q5 represents CR9 or N;
- ● Q6 represents CR10, C=O, N, NR10, O, S, S=O or S(O)2;
- ● Q7 represents CR11, C=O, N, NR11, O, S, S=O or S(O)2;
- ● Q8 represents CR12, C=O, N, NR12,O, S, S=O or S(O)2;
- ● Q9 represents CR13, C=O, N, NR'3, O, S, S=O or S(O)2;
- ● Q10 represents C, CR14, N;
- ● Q11 represents C, CR15, C=O, N, NR15, O,S, S=O or S(O)2;
- ● Q12 represents C, CR16, C=O, N, NR16, O,S, S=O or S(O)2;
- ● Q13 represents C, CR17, C=O, N, NR17, O,S, S=O or S(O)2;
- ● Q14 represents C, CR18, C=O, N, NR18, O,S, S=O or S(O)2;
- ● Q15 represents C, CR19, C=O, N, NR19, O,S, S=O or S(O)2;
- ● Q16 represents C, CR, N;
- ● R5, R6, R7, R8, R9, R10, R11, R12, R13,R14, R15, R16, R17,R18, R19 and R, identical or different, independently represent a hydrogen artom; a halogen atom; -CH3; -CH2F; -CHF2; -CF3; -OMe; -OCH2F; -OCHF2; -OCF3; -(X)x-C1-C6 cycloalkyl; -(X)x-(CT5T6)y-aryl; -(X)x-(CT5T6)yCN; -(X)x-(CT5T6)yOT3; -(X)x-(CT5T6)yST3; -(X)x-(CT5T6)yS(O)T3; -(X)x-(CT5T6)yS(O)2T3; -(X)x-(CT5T6)yNT3T4; -(X)x-(CT5T6)yC(O)T3; -(X)x-(CT5T6)yC(O)OT3; -(X)x-(CT5T6)y(O)NT3T4; -(X)x-(CT5T6)yNT3C(O)NT3T4; -(X)x-(CT5T6)yNT3C(O)T4; - (X)x-(CT5T6)yNT3C(O)OT4; -(X)x-(CT5T6)yOC(O)NT3T4; -(X)x-(CT5T6)y S(O)2NT3T4 or -(X)x-(CT5T6)yNT3S(O)2T4;
- ● R5, Q1, Q2 and R6 form a saturated, partially or totally unsaturated or aromatic 6-membered carbo- or heterocycle;
- ● R6, Q2, Q3 and R7 form a saturated, partially or totally unsaturated or aromatic 6-membered carbo- or heterocycle;
- ● R7, Q3, Q4 and R8 form a saturated, partially or totally unsaturated or aromatic 6-membered carbo- or heterocycle;
- ● R8, Q4, Q5 and R9 form a saturated, partially or totally unsaturated or aromatic 6-membered carbo- or heterocycle;
- ● T2 represents a hydrogen artom; a halogen atom; methyl; -CH2F; -CHF2; -CF3; -OMe; -OCH2F; -OCHF2; -OCF3; cyclopropyl or-CN;
- ● R1, R3, X, x, y and T3 to T6 are independtly defined as for the compounds of formulae (I), (A), (B) or (C).
- More advantageously, the invention provides compounds of formulae (A), (B) or (C) wherein R5, R6, R7, R8, R9, R10, R11, R12, R13, R14, R15, R16, R17, R18, R19 and R, identical or different, independently represent a hydrogen atom; a halogen atom; a linear or branched C1-C6 alkyl; a linear or branched -O-C1-C6 alkyl; a linear or branched -O-C1-C10 alkylaryl; -C(O)NH2 or -CH2NHC(O)Me; the other substituents, identical or different, independently represent groups of atoms as defined for the compounds of formulae (I), (A), (B) or (C).
-
- ● R5, R6, R7, R8, R9, R10, R11, R12, R13, R14, R15, R16, R17, R18, R19 and R, identical or different, independently represent a hydrogen artom; a halogen atom; -CH3; -CH2F; -CHF2; -CF3; -OMe; -OCH2F; -OCHF2; -OCF3; -(X)x-C1-C6 cycloalkyl; -(X)x-(CT5T6)y-aryl; -(X)x-(CT5T6)yCN; -(X)x-(CT5T6)yOT3; -(X)x-(CT5T6)yST3; -(X)x-(CT5T6)yS(O)T3; -(X)x-(CT5T6)yS(O)2T3; -(X)x-(CT5T6)yNT3T4; -(X)x-(CT5T6)yC(O)T3; -(X)x-(CT5T6)yC(O)OT3; -(X)x-(CT5T 6)yC(O)NT3T4; -(X)x-(CT5T6)yNT3C(O)NT3T4; -(X)x-(CT5T6)yNT3C(O)T4; - (X)x-(CT5T6)yNT3C(O)OT4; -(X)x-(CT5T6)yOC(O)NT3T4; -(X)x-(CT5T6)y S(O)2NT3T4 or -(X)x-(CT5T6)yNT3S(O)2T4;
- ● R5, R6 and the carbon atoms to which they are bonded form a saturated, partially or totally unsaturated or aromatic 6-membered carbo- or heterocycle;
- ● R6, R7 and the carbon atoms to which they are bonded form a saturated, partially or totally unsaturated or aromatic 6-membered carbo- or heterocycle;
- ● R7, R8 and the carbon atoms to which they are bonded form a saturated, partially or totally unsaturated or aromatic 6-membered carbo- or heterocycle;
- ● R8, R9 and the carbon atoms to which they are bonded form a saturated, partially or totally unsaturated or aromatic 6-membered carbo- or heterocycle;
- ● T2 represents a hydrogen artom; a halogen atom; methyl; -CH2F; -CHF2; -CF3; -OMe; -OCH2F; -OCHF2; -OCF3; cyclopropyl or -CN;
- ● R1, R3, X, x, y and T3 to T6 are independtly defined as for the compounds of formulae (I).
- More advantageously, the invention provides compounds of formulae (A1) to (A10), (B1) to (B4) or (C1) to (C8) wherein R5, R6, R7, R8, R9, R10, R11, R12, R13, R14, R15, R16, R17, R18, R19 and R, identical or different, independently represent a hydrogen atom; a halogen atom; a linear or branched C1-C6 alkyl; a linear or branched -O-C1-C6 alkyl; a linear or branched -O-C1-C10 alkylaryl; -C(O)NH2 or -CH2NHC(O)Me; the other substituents, identical or different, independently represent groups of atoms as defined for the compounds of formulae (I), (A), (B), (C), (A1) to (A10), (B1) to (B4) or (C1) to (C8).
-
- ● R5, R6, R7, R8, R9, R12, R11, R12, R13, R14, R15, R16, R17, R18, R19 and R, identical or different, independently represent a hydrogen artom; a halogen atom; -CH3; -CH2F; -CHF2; -CF3; -OMe; -OCH2F; -OCHF2; -OCF3; -(X)x-C1-C6 cycloalkyl; -(X)x-(CT5T6)y-aryl; -(X)x-(CT5T6)yCN; -(X)x-(CT5T6)yOT3; -(X)x-(CT5T6)yST3; -(X)x-(CT5T6)yS(O)T3; -(X)x-(CT5T6)yS(O)2T3; -(X)x-(CT5T6)yNT3T4; -(X)x-(CT5T6)yC(O)T3; -(X)x-(CT5T6)yC(O)OT3; -(X)x-(CT5T6)yC(O)NT3T4; -(X)x-(CT5T6)yNT3C(O)NT3T4; -(X)x-(CT5T6)yNT3C(O)T4; - (X)x-(CT5T6)yNT3C(O)OT4; -(X)x-(CT5T6)yOC(O)NT3T4; -(X)x-(CT5T6)y S(O)2NT3T4 or -(X)x-(CT5T6)yNT3S(O)2T4;
- ● R5, R6 and the carbon atoms to which they are bonded form a saturated, partially or totally unsaturated or aromatic 6-membered carbo- or heterocycle;
- ● R6, R7 and the carbon atoms to which they are bonded form a saturated, partially or totally unsaturated or aromatic 6-membered carbo- or heterocycle;
- ● R7, R8 and the carbon atoms to which they are bonded form a saturated, partially or totally unsaturated or aromatic 6-membered carbo- or heterocycle;
- ● R8, R9 and the carbon atoms to which they are bonded form a saturated, partially or totally unsaturated or aromatic 6-membered carbo- or heterocycle;
- ● R20, R21, R22, R23, R24, R25, R26, R27, R28, R29, R30, R31, R32, R33, R34, R35, R36, R37, R38, R39, R40, R41, R42, R43, R44, R45, R46, R47, R48, R49 and R50, identical or different, independently represent a hydrogen atom; a halogen atom or a linear or branched C1-C6 alkyl;
- ● R28, R29 and the carbon atom to which they are bounded form a saturated 3, 4, 5 or 6 membered carbocyle;
- ● R1, X, x, y and T3 to T6 are independtly defined as for the compounds of formula (I), (A), (B), (C), (A1) to (A10), (B1) to (B4) or (C1) to (C8).
- More advantageously, the invention provides compounds of formulae (A1a) to (A10a), (A1b) to (A10b), (A1c) to (A10c), (A1d) to (A10d), (B1a) to (B4a), (B1b) to (B4b), (B1 c) to (B4c), (B1d) to (B4d), (C1 a) to (C8a), (C1 b) to (C8b), (C1 c) to (C8c) or (C1d) to (C8d) wherein R5, R6, R7, R8, R9, R10, R11, R12, R13, R14, R15, R16, R17, R18, R19 and R, identical or different, independently represent a hydrogen atom; a halogen atom; a linear or branched C1-C6 alkyl; a linear or branched -O-C1-C6 alkyl; a linear or branched -O-C1-C10 alkylaryl; -C(O)NH2 or -CH2NHC(O)Me; the other substituents, identical or different, independently represent groups of atoms as defined for the compounds of formulae formula (I), (A), (B), (C), (A1) to (A10), (B1) to (B4) or (C1) to (C8), (A1a) to (A10a), (A1b) to (A10b), (A1c) to (A10c), (A1d) to (A10d), (B1a) to (B4a), (B1 b) to (B4b), (B1 c) to (B4c), (B1d) to (B4d), (C1 a) to (C8a), (C1 b) to (C8b), (C1 c) to (C8c) or (C1 d) to (C8d).
- Preferably, the invention provides compounds wherein R1 represents:
- ● a linear or branched C1-C3 alkyl;
- ● a linear or branched fluoroalkyl;
- ● a C3-C6 cycloalkyl;
- ● -CH2OH.
- Advantageously, the invention provides compounds wherein R1 represents:
- ● methyl;
- ● ethyl;
- ● -CH2F;
- ● -CHF2;
- ● -CH2CH2F;
- ● -CH2CHF2;
- ● -CH2CF3;
- ● -CH2OH.
-
-
-
-
-
-
- The following examples are provided for the purpose of illustrating the present invention and by no means should be interpreted to limit the scope of the present invention.
- The first part represents the preparation of the compounds (intermediates and final compounds) whereas the second part describes the evaluation of antiviral activity of compounds according to the invention.
- Abbreviations or symbols used herein include:
- DMSO: dimethylsulfoxide
- MS: Mass Spectrometry
- NMR: Nuclear Magnetic Resonance Spectroscopy
- s: singlet
- bs: broad singlet
- d: doublet
- t: triplet
- q: quadruplet
- dd: doubled doublet
- ddd : doubled doubled doublet
- dt : doubled triplet
- m : massif
- TLC: Thin Layer Chromatography
-
- A solution of propargyl alcohol (0.52 mL, 8.92 mmol) and triethylamine (1.87 mL, 13.38 mmol) in anhydrous tetrahydrofuran (20 mL) was cooled to 0°C and bubbled with argon for 10 minutes. Benzoyl chloride (1.04 mL, 8.92 mmol) was added and the reaction mixture was stirred at room temperature for 60 minutes. Water (6 mL) was added and the mixture was extracted with ethyl acetate (2 × 10mL). The organic layer was washed with a saturated solution of sodium hydrogenocarbonate (15 mL), dried over sodium sulfate and concentrated in vacuo. The residue was dissolved in anhydrous dioxane (45 mL), benzoyl chloride (1.04 mL, 8.92 mmol) was added and the reaction mixture was bubbled with argon for 10 minutes. Bis(triphenylphosphine)palladium(II) dichloride (0.25 g, 0.36 mmol), copper iodide (0.14 g, 0.71 mmol) and triethylamine (3.73 mL, 26.76 mmol) were added, and the reaction mixture was stirred for 3 hours at room temperature, under argon atmosphere. The solution was filtered and water (20 mL) was added to the filtrate. Layers were separated and the aqueous layer was extracted with dichloromethane (2 x 20 mL). The combined organic layers were dried over sodium sulfate and concentrated in vacuo. The residue was purified by flash chromatography on silica gel (cyclohexane/ethyl acetate 100/0 to 95/5) to provide 4-oxo-4-phenylbut-2-yn-1-yl benzoate (1a) (751 mg, 2.84 mmol, 32%).
1H NMR (300 MHz, CDCl3) δ5.21 (s, 2H), 7.44-7.53 (m, 4H), 7.57-7.67 (m, 2H), 8.07-8.17 (m, 4H).
MS m/z ([M+H]+) 265. - A solution of 4-oxo-4-phenylbut-2-yn-1-yl benzoate (1a) (750 mg, 2.84 mmol) and methylhydrazine (0.30 mL, 5.68 mmol) in ethanol (25 mL) was stirred overnight at room temperature. The reaction mixture was concentrated in vacuo and the residue was taken in a mixture of ethanol (3 mL) and tetrahydrofuran (9 mL). Lithium hydroxide (204 mg, 8.51 mmol), previously dissolved in water (3 mL) was added and the mixture was stirred at room temperature for 2 hours. Ethanol and tetrahydrofuran were removed under reduced pressure and the resulting aqueous layer was extracted with ethyl acetate (2 x 5 mL). The organic layer was successively washed with a saturated solution of sodium hydrogenocarbonate (5 mL) and brine (5 mL) before being dried over sodium sulfate and concentrated in vacuo. The residue was purified by flash chromatography on silica gel (cyclohexane/ethyl acetate 100/0 to 50/50) to provide (1-methyl-3-phenyl-1H-pyrazol-5-yl)methanol (1b) (341 mg, 1.81 mmol, 64%). 1H NMR (400 MHz, CDCI3) δ3.97 (s, 3H), 4.68 (s, 2H), 6.47 (s, 1H), 7.26-7.32 (m, 1 H), 7.35-7.42 (m, 2H), 7.72-7.78 (m, 2H).
MS m/z ([M+H]+) 189. - A solution of (1-methyl-3-phenyl-1H-pyrazol-5-yl)methanol (1b) (340 mg, 1.81 mmol) and N-bromosuccinimide (338 mg, 1.90 mmol) in acetonitrile (30 mL) was stirred at room temperature for 1 hour. The reaction mixture was concentrated in vacuo. Water (10 mL) was added and the aqueous layer was extracted with ethyl acetate (2 × 12 mL). The organic layer was dried over sodium sulfate and concentrated in vacuo. The residue was taken in dichloromethane (5 mL) and manganese dioxide (1.57g, 18.06 mmol) was added. The reaction mixture was stirred at room temperature for 40 hours, filtered over celite®, and the filtrate was concentrated in vacuo. The residue was dissolved in a minimum of dichloromethane and purified thought a pad of silice, (cyclohexane/ethyl acetate 80/20), to provide 4-bromo-1-methyl-3-phenyl-1H-pyrazole-5-carbaldehyde (1c) (304 mg, 1.15 mmol, 63%).
1H NMR (400 MHz, CDCI3) δ4.21 (s, 3H), 7.38-7.49 (m, 3H), 7.84-7.90 (m, 2H), 9.96 (s, 1H).
MS m/z ([M+H]+) 265/267. - A solution of 4-bromo-1-methyl-3-phenyl-1H-pyrazole-5-carbaldehyde (1c) (150 mg, 0.57 mmol), sodium carbonate (240 mg, 2.26 mmol), and 4,4-(dimethylcyclohexene-1-yl)yoronic acid pinacol ester (174 mg, 0.74 mmol) in a mixture of toluene (0.8 mL), ethanol (0.3 mL) and water (0.3 mL) was bubbled with nitrogen for 5 minutes. Palladium tetrakis(triphenylphosphine) (32.7 mg, 0.028 mmol) was added and the reaction mixture was heated at 95°C overnight. The solution was concentrated in vacuo. Water (3 mL) was added to the residue. The aqueous layer was extracted with ethyl acetate (2 x 5 mL) and the organic layer was dried over sodium sulfate and concentrated in vacuo. The crude was purified by preparative TLC (cyclohexane/ethyl acetate 80/20) to provide 4-(4,4-dimethylcyclohex-1-en-1-yl)-1-methyl-3-phenyl-1H-pyrazole-5-carbaldehyde (1d) (135 mg, 0.46 mmol, 81 %).
1H NMR (400 MHz, CDCl3) δ0.99 (s, 6H), 1.43 (t, J= 6.2 Hz, 2H), 2.02-2.11 (m, 4H), 4.20 (s, 3H), 5.81-5.85 (m, 1H), 7.30-7.36 (m, 1H), 7.36-7.42 (m, 2H), 7.67-7.72 (m, 2H), 9.73 (s, 1H).
MS m/z ([M+H]+) 295. - Under nitrogen atmosphere, to a solution of 4-(4,4-dimethylcyclohex-1-en-1-yl)-1-methyl-3-phenyl-1H-pyrazole-5-carbaldehyde (1d) (135 mg, 0.46 mmol) in anhydrous dichloromethane (2 mL) at 0°C were successively added zinc iodide (15 mg, 0.05 mmol) and trimethylsilyl cyanide (69 µL, 0.55 mmol). The mixture was stirred at room temperature for 24 hours. An aqueous saturated solution of sodium hydrogenocarbonate (5 mL) was added. Layers were separated and the aqueous layer was extracted with dichloromethane (2 x 6 mL). The organic layers were dried over sodium sulfate and concentrated in vacuo. The residue, dissolved in anhydrous methanol (3 mL) was added to a solution of acetyl chloride (0.39 mL, 5.50 mmol) in anhydrous methanol (2 mL), previously stirred for 20 minutes at 0°C under nitrogen atmosphere. The mixture was heated at 65°C for 5h and stirred at room temperature overnight. The solution was concentrated in vacuo and a saturated solution of sodium hydrogenocarbonate (5 mL) was added to the residue. The aqueous layer was extracted with ethyl acetate (2 x 6 mL). The organic layer was dried over sodium sulfate and concentrated in vacuo. The residue was purified by preparative TLC (cyclohexane/ethyl acetate 70/30) to provide methyl 2-[4-(4,4-dimethylcyclohex-1-en-1-yl)-1-methyl-3-phenyl-1H-pyrazol-5-yl]-2-hydroxyacetate (1e) (135 mg, 0.38 mmol, 83%).
1H NMR (300 MHz, CDCI3) δ0.97 (s, 6H), 1.33-1.42 (m, 2H), 1.93-2.04 (m, 4H), 3.82 (s, 3H), 3.87 (s, 3H), 5.34 (s, 1H), 5.71-5.77 (m, 1H), 7.27-7.40 (m, 3H), 7.66-7.73 (m, 2H).
MS m/z ([M+H]+) 355. - To a solution of methyl 2-[4-(4,4-dimethylcyclohex-1-en-1-yl)-1-methyl-3-phenyl-1H-pyrazol-5-yl]-2-hydroxyacetate (1e) (135 mg, 0.38 mmol) in tert-butyl acetate (7 mL) at 0°C was added perchloric acid (0.87 mL). The mixture was stirred for 80 minutes at room temperature before being slowly quenched with a saturated solution of potassium carbonate (20 mL). The layers were separated and the aqueous layer was extracted with ethyl acetate (2 x 30 mL). The organic layers were dried over sodium sulfate and concentrated in vacuo. The residue was purified by preparative TLC (cyclohexane/ethyl acetate 80/20) to provide methyl 2-(tert-butoxy)-2-[4-(4,4-dimethylcyclohex-1-en-1-yl)-1-methyl-3-phenyl-1H-pyrazol-5-yl]acetate (1f) (121 mg, 0.29 mmol, 77%) as a clear yellow oil.
1H NMR (400 MHz, CDCI3) δ0.99 (s, 3H), 1.10 (s, 3H), 1.19 (s, 9H), 1.32-1.45 (m, 2H), 1.82-1.95 (m, 1H), 2.01-2.16 (m, 3H), 3.73 (s, 3H), 3.99 (s, 3H), 5.28 (s, 1H), 5.75-5.82 (m, 1H), 7.24-7.31 (m, 1H), 7.31-7.39 (m, 2H), 7.67-7.74 (m, 2H).
MS m/z ([M+H]+) 411. - A mixture of methyl 2-(tert-butoxy)-2-[4-(4,4-dimethylcyclohex-1-en-1-yl)-1-methyl-3-phenyl-1H-pyrazol-5-yl]acetate (1f) (121 mg, 0.29 mmol) and potassium hydroxide (144 mg, 1.18 mmol) in a mixture of ethanol (1.5 mL) and water (1.5 mL) was refluxed for 6 hours. The reaction mixture was concentrated in vacuo. Water (2 mL) was added to the residue and the aqueous layer was washed with diethyl ether (2 x 2 mL), acidified with concentrated hydrochloric acid until pH 2 and extracted with diethyl ether (2 x 3 mL). The organic layer was dried over sodium sulfate and concentrated in vacuo to provide 2-(tert-butoxy)-2-[4-(4,4-dimethylcyclohex-1-en-1-yl)-1-methyl-3-phenyl-1H-pyrazol-5-yl]acetic acid (example 1) (101 mg, 0.25 mmol, 86%).
1H NMR (300 MHz, CDCI3) δ0.97 (s, 3H), 1.00 (s, 3H), 1.22 (s, 9H), 1.30-1.45 (m, 2H), 1.77-1.94 (m, 1H), 1.99-2.20 (m, 3H), 3.94 (s, 3H), 5.33 (s, 1H), 5.86-5.91 (m, 1H), 7.26-7.39 (m, 3H), 7.63-7.71 (m, 2H).
MS m/z ([M-H]-) 395.
MS m/z ([M+H]+) 397. -
- Using the procedure described in example 1, step 4, 4-bromo-1-methyl-3-phenyl-1H-pyrazole-5-carbaldehyde (1c) (415 mg, 1.57 mmol) is converted by reaction with 6-(4,4,5,5-tetramethyl-1,3,2-dioxaborolan-2-yl)chroman (488 mg, 1.88 mmol), into 4-(3,4-dihydro-2H-1-benzopyran-6-yl)-1-methyl-3-phenyl-1H-pyrazole-5-carbaldehyde (2a) (317 mg, 1.00 mmol, 64%), after purification by flash chromatography (cyclohexane/ethyl acetate 100/0 to 90/10).
1H NMR (300 MHz, CDCl3) δ9.60 (s, 1H), 7.42 (m, 2H), 7.23 (m, 3H), 6.96 (m, 2H), 6.75 (d, J = 8.1 Hz, 1H), 4.21 (s, 3H), 4.19 (m, 2H), 2.71 (t, J = 6.5 Hz, 2H), 1.99 (m, 2H).
MS m/z ([M+H]+) 319. - Using the procedure described in example 1, step 5, 4-(3,4-dihydro-2H-1-benzopyran-6-yl)-1-methyl-3-phenyl-1H-pyrazole-5-carbaldehyde (2a) (57 mg, 0.179 mmol) is converted to methyl 2-[4-(3,4-dihydro-2H-1-benzopyran-6-yl)-1-methyl-3-phenyl-1H-pyrazol-5-yl]-2-hydroxyacetate (2b) (50 mg, 0.132 mmol, 74%).
1H NMR (300 MHz, CDCl3) δ7.43 (m, 2H), 7.22 (m, 2H), 6.96-6.91 (m, 2H), 6.75 (d, J = 8.1 Hz, 1H), 5.25 (d, J = 2.5 Hz, 1H), 4.21 (t, J = 5.2 Hz, 2H), 3.91 (s, 3H), 3.75 (s, 3H), 3.40 (d, J = 2.5 Hz, 1H), 2.73 (t, J = 6.5 Hz, 2H), 2.01 (m, 2H).
MS m/z ([M+H]+) 379. - Using the procedure described in example 1, step 6, methyl 2-[4-(3,4-dihydro-2H-1-benzopyran-6-yl)-1-methyl-3-phenyl-1H-pyrazol-5-yl]-2-hydroxyacetate (2b) (32 mg, 0.084 mmol) is converted, after purification by preparative TLC (cyclohexane/ethyl acetate 60/40) to methyl -2-(tert-butoxy)-2-[4-(3,4-dihydro-2H-1-benzopyran-6-yl)-1-methyl-3-phenyl-1H-pyrazol-5-yl]acetate (2c) (22 mg, 0.051 mmol, 60%).
1H NMR (300 MHz, CDCI3) δ7.46(m, 2H), 7.24 (m, 2H), 6.99-6.94 (m, 2H), 6.78 (d, J = 8.1 Hz, 1H), 5.08 (s,1H), 4.23 (t, J= 5.1 Hz, 2H), 4.02(s, 3H), 3.78 (s, 3H), 2.74 (t, J = 6.3 Hz, 2H), 2.03 (m, 2H), 1.04 (s, 9H)
MS m/z ([M+H]+) 435. - To a solution of methyl 2-(tert-butoxy)-2-[4-(3,4-dihydro-2H-1-benzopyran-6-yl)-1-methyl-3-phenyl-1H-pyrazol-5-yl]acetate (2c) (48 mg, 0.11 mmol) in a 1/1 mixture of tetrahydrofurane/methanol (2 mL) was added a solution of lithium hydroxide (11 mg, 0.44 mmol) in water (0.25 mL). The mixture was stirred at 65 °C for 2 hours. TLC analysis showed no more starting material. The mixture was concentrated under reduced pressure. Water (0.5 mL) and ethyl acetate (2 mL) were added to the residue. The aqueous layer was acidified with 1 M hydrochloric acid until pH 5 and extracted with ethyl acetate (3 x 2 mL). The organic layer was dried over sodium sulfate and concentrated under reduced pressure to provide 2-(tert-butoxy)-2-[4-(3,4-dihydro-2H-1-benzopyran-6-yl)-1-methyl-3-phenyl-1H-pyrazol-5-yl]acetic acid (example 2) (40 mg, 0.095 mmol, 85%) as a white solid.
1H NMR (300 MHz, CDCI3) δ7.45 (m, 2H), 7.23 (m, 2H), 7.00-6.97 (m, 2H), 6.77 (d, J = 8.7 Hz, 1H), 5.15 (s, 1H), 4.22 (t, J = 5.1 Hz, 2H), 3.98 (s, 3H), 2.74 (t, J = 6.5 Hz, 2H), 2.02 (m, 2H), 1.05 (s, 9H).
MS m/z ([M+H]+) 421. -
- Using the procedure described in example 1, step 1, 2-thiophenecarbonyl chloride (549 mg, 3.75 mmol) is converted, after flash chromatography on silica gel (cyclohexane/ethyl acetate 100/0 to 95/5) into 4-oxo-4-(thiophen-2-yl)yut-2-yn-1-yl benzoate (3a) (333 mg, 1.23 mmol, 39%).
1H NMR (300 MHz, CDCl3) δ5.17 (s, 2H), 7.16 (dd, J= 3.9 Hz, J= 4.9 Hz, 1H), 7.43-7.53 (m, 2H), 7.57-7.67 (m, 1H), 7.72 (dd, J = 1.2 Hz, J = 4.9 Hz, 1H), 7.94 (dd, J = 1.2 Hz, J = 3.9 Hz, 1H), 8.06-8.13 (m, 2H).
MS m/z ([M+H]+) 271. - Using the procedure described in example 1, step 2, 4-oxo-4-(thiophen-2-yl)yut-2-yn-1-yl benzoate (3a) (330 mg, 1.22 mmol) is converted, after purification by preparative TLC (cyclohexane/ethyl acetate 30/70) into [1-methyl-3-(thiophen-2-yl)-1H-pyrazol-5-yl]methanol (3b) (185 mg, 0.95 mmol, 78%).
1H NMR (300 MHz, CDCI3) δ3.88 (s, 3H), 4.65 (s, 2H), 6.37 (s, 1H), 7.03 (dd, J = 3.6 Hz, J = 5.1 Hz, 1H), 7.22 (dd, J = 1.1 Hz, J = 5.1 Hz, 1H), 7.26 (dd, J = 1.1 Hz, J = 3.6 Hz, 1H).
MS m/z ([M+H]+) 195. - Using the procedure described in example 1, step 3, [1-methyl-3-(thiophen-2-yl)-1H-pyrazol-5-yl]methanol (3b) (185 mg, 0.95 mmol) is converted, after purification by preparative TLC (cyclohexane/ethyl acetate 80/20) into 4-bromo-1-methyl-3-(thiophen-2-yl)-1H-pyrazole-5-carbaldehyde (3c) (197 mg, 0.73 mmol, 76%).
1H NMR (300 MHz, CDCI3) δ4.18 (s, 3H), 7.12 (dd, J = 3.6 Hz, J = 5.1 Hz, 1H), 7.37 (dd, J = 1.1 Hz, J = 5.1 Hz, 1H), 7.75 (dd, J = 1.1 Hz, J = 3.6 Hz, 1H), 9.93 (s, 1H). - Using the procedure described in example 1, step 4, 4-bromo-1-methyl-3-(thiophen-2-yl)-1H-pyrazole-5-carbaldehyde (3c) (195 mg, 0.72 mmol) is converted, after purification by preparative TLC (cyclohexane/ethyl acetate 80/20), into 4-(3,4-dihydro-2H-1-benzopyran-6-yl)-1-methyl-3-(thiophen-2-yl)-1H-pyrazole-5-carbaldehyde (3d) (172 mg, 0.53 mmol, 74%).
1H NMR (400 MHz, CDCI3) δ2.00-2.10 (m, 2H), 2.75-2.84 (m, 2H), 4.22 (s, 3H), 4.22-4.29 (m, 2H), 6.86 (d, J = 8.3 Hz, 1H), 6.89-6.94 (m, 1 H), 6.95-7.00 (m, 1H), 7.02-7.06 (s, 1H), 7.09 (d, J = 8.3 Hz, 1H), 7.20 (d, J = 5.0 Hz, 1H), 9.58 (s, 1H).
MS m/z ([M+H]+) 325. - Using the procedure described in example 1, step 5, 4-(3,4-dihydro-2H-1-benzopyran-6-yl)-1-methyl-3-(thiophen-2-yl)-1H-pyrazole-5-carbaldehyde (3d) (170 mg, 0.52 mmol) is converted, after purification by preparative TLC (cyclohexane/ethyl acetate 50/50), into methyl 2-[4-(3,4-dihydro-2H-1-benzopyran-6-yl)-1-methyl-3-(thiophen-2-yl)-1H-pyrazol-5-yl]-2-hydroxyacetate (3e) (141 mg, 0.37 mmol, 70%).
1H NMR (400 MHz, CDCI3) δ1.96-2.08 (m, 2H), 2.71-2.81 (m, 2H), 3.73 (s, 3H), 3.89 (s, 3H), 4.17-4.26 (m, 2H), 5.19 (s, 1H), 6.81 (d, J = 8,2 Hz, 1H), 6.84-6.89 (m, 2H), 6.94-7.05 (m, 2H), 7.09-7.10 (m, 1H).
MS m/z ([M+H]+) 385. - Using the procedure described in example 1, step 6, methyl 2-[4-(3,4-dihydro-2H1-benzopyran-6-yl)-1-methyl-3-(thiophen-2-yl)-1H-pyrazol-5-yl]-2-hydroxyacetate (3e) (140 mg, 0.36 mmol) is converted, after purification by preparative TLC (cyclohexane/ethyl acetate 70/30), into methyl 2-(tert-butoxy)-2-[4-(3,4-dihydro-2H-1-benzopyran-6-yl)-1-methyl-3-(thiophen-2-yl)-1H-pyrazol-5-yl]acetate (3f) (113 mg, 0.26 mmol, 70%).
1H NMR (400 MHz, CDCI3) δ1.05 (s, 9H), 2.00-2.09 (m, 2H), 2.73-2.85 (m, 2H), 3.75 (s, 3H), 3.99 (s, 3H), 4.21-4.28 (m, 2H), 5.00 (s, 1H), 6.81-6.88 (m, 3H), 6.98-7.07 (m, 2H), 7.09-7.14 (m, 1H).
MS m/z ([M+H]+) 441. - Using the procedure described in example 1, step 7, methyl 2-(tert-butoxy)-2-[4-(3,4-dihydro-2H-1-benzopyran-6-yl)-1-methyl-3-(thiophen-2-yl)-1H-pyrazol-5-yl]acetate (3f) (110 mg, 0.25 mmol) is converted into methyl 2-(tert-butoxy)-2-[4-(3,4-dihydro-2H-1-benzopyran-6-yl)-1-methyl-3-(thiophen-2-yl)-1H-pyrazol-5-yl]acetic acid (example 3) (97 mg, 0.23 mmol, 91 %).
1H NMR (400 MHz, CDCI3) δ1.08 (s, 9H), 2.00-2.09 (m, 2H), 2.75-2.83 (m, 2H), 3.95 (s, 3H), 4.21-4.28 (m, 2H), 5.07 (s, 1H), 6.80-6.90 (m, 3H), 7.05-7.11 (m, 2H), 7.11-7.16 (m, 1H).
MS m/z ([M-H]-) 425.
MS m/z ([M+H]+) 427. -
- Using the procedure described in example 1, step 1, thiophene-3-carbonyl chloride (824 mg, 5.62 mmol) is converted, after purification by flash chromatography on silica gel (cyclohexane/ethyl acetate 100/0 to 95/05), into 4-oxo-4-(thiophen-3-yl)yut-2-yn-1-yl benzoate (4a) (552 mg, 2.04 mmol, 44%).
1H NMR (400 MHz, CDCI3) δ5.17 (s, 2H), 7.33 (dd, J = 2.9 Hz, J = 5.1 Hz, 1H), 7.45-7.52 (m, 2H), 7.58-7.65 (m, 2H), 8.07-8.12 (m, 2H), 8.30 (dd, J = 1.2 Hz, J = 2.9 Hz, 1H).
MS m/z ([M+H]+) 271. - Using the procedure described in example 1, step 2, 4-oxo-4-(thiophen-3-yl)yut-2-yn-1-yl benzoate (4a) (552 mg, 2.04 mmol) is converted, after purification by trituration in diethyl ether, into [1-methyl-3-(thiophen-3-yl)-1H-pyrazol-5-yl]methanol (4b) (271 mg, 1.39 mmol, 68%).
1H NMR (400 MHz, CDCl3) δ 3.90 (s, 3H), 4.67 (s, 2H), 6.36 (s, 1H), 7.30-7.37 (m, 1H), 7.40-7.46 (m, 1H), 7.48-7.54 (m, 1H).
MS m/z ([M+H]+) 195. - A solution of [1-methyl-3-(thiophen-3-yl)-1H-pyrazol-5-yl]methanol (4b) (271 mg, 1.39 mmol) and N-bromosuccinimide (236 mg, 1.32 mmol) in acetonitrile (23 mL) was stirred at room temperature for 1 hour. The reaction mixture was concentrated in vacuo. Water (10 mL) was added and the aqueous layer was extracted with ethyl acetate (2 x 12 mL). The organic layer was dried over sodium sulfate and concentrated in vacuo. The residue was taken in dichloromethane (5 mL) and manganese dioxide (1,21 g, 13.95 mmol) was added. The reaction mixture was stirred at room temperature for 24 hours, filtered over celite®, and the filtrate was concentrated in vacuo. to provide 4-bromo-1-methyl-3-(thiophen-3-yl)-1H-pyrazole-5-carbaldehyde (4c) (297 mg, 1.10 mmol, 78%), which was used without further purification.
1H NMR (300 MHz, CDCI3) δ 4.19 (s, 3H), 7.40 (dd, J = 2.9 Hz, J = 5.1 Hz, 1H), 7.66 (dd, J = 1.2 Hz, J = 5.1 Hz, 1H), 7.96 (dd, J = 1.2 Hz, J = 2.9 Hz, 1H), 9.94 (s, 1H). - Using the procedure described in example 1, step 4, 4-bromo-1-methyl-3-(thiophen-3-yl)-1H-pyrazole-5-carbaldehyde (4c) (150 mg, 0.55 mmol) is converted, after purification by preparative TLC (cyclohexane/ethyl acetate 80/20), into 4-(3,4-dihydro-2H-1-benzopyran-6-yl)-1-methyl-3-(thiophen-3-yl)-1H-pyrazole-5-carbaldehyde (4d) (150 mg, 0.46 mmol, 83%).
1H NMR (400 MHz, CDCI3) δ2.01-2.10 (m, 2H), 2.80 (t, J= 6.5 Hz, 2H), 4.24 (s, 3H), 4.25 (t, J = 5.2 Hz, 2H), 6.85 (d, J = 8.3 Hz, 1H), 7.02 (d, J = 2.1 Hz, 1H), 7.06 (dd, J = 2.1 Hz, J = 8.3 Hz, 1H), 7.23-7.29 (m, 3H), 9.60 (s, 1H). - Under nitrogen atmosphere, to a solution of 4-(3,4-dihydro-2H-1-benzopyran-6-yl)-1-methyl-3-(thiophen-3-yl)-1H-pyrazole-5-carbaldehyde (4d) (150 mg, 0.46 mmol) in anhydrous dichloromethane (2 mL) at 0°C were successively added zinc iodide (15 mg, 0.05 mmol) and trimethylsilyl cyanide (69 µL, 0.55 mmol). The reaction mixture was stirred at room temperature for 2 hours. A saturated solution of sodium hydrogenocarbonate (5 mL) was added. Layers were separated and the aqueous layer was extracted with dichloromethane (2 x 6 mL). The organic layers were dried over sodium sulfate and concentrated in vacuo. The residue, dissolved in anhydrous methanol (3 mL) was added to a solution of acetyl chloride (0,39 mL, 5.55 mmol) in anhydrous methanol (2 mL), previously stirred for 20 minutes at 0°C under nitrogen atmosphere. The mixture was stirred at room temperature for 24 hours. The solution was concentrated in vacuo and saturated solution of sodium hydrogenocarbonate (5 mL) was added to the residue. The aqueous layer was extracted with ethyl acetate (2 x 6 mL). The organic layer was dried over sodium sulfate and concentrated in vacuo. The residue was purified by preparative TLC (cyclohexane/ethyl acetate 45/55) to provide methyl 2-[4-(3,4-dihydro-2H-1-benzopyran-6-yl)-1-methyl-3-(thiophen-3-yl)-1H-pyrazol-5-yl]-2-hydroxyacetate (4e) (117 mg, 0.30 mmol, 66%).
1H NMR (400 MHz, CDCl3) δ 1.98-2.07 (m, 2H), 2.76 (t, J = 6.5 Hz, 2H), 3.42 (bs, 1H), 3.73 (s, 3H), 3.89 (s, 3H), 4.22 (t, J = 5.2 Hz, 2H), 5.21 (s, 1H), 6.79 (d, J = 8.3 Hz, 1 H), 6.95 (d, J = 2.1 Hz, 1H), 6.99 (dd, J = 2.1 Hz, J = 8.3 Hz, 1H), 7.13 (dd, J = 1.2 Hz, J = 2.9 Hz, 1H), 7.19 (dd, J = 2.9 Hz, J = 5.0 Hz, 1H), 7.23 (dd, J = 1.2 Hz, J = 5.0 Hz, 1H). - Using the procedure described in example 1, step 6, the intermediate methyl 2-[4-(3,4-dihydro-2H-1-benzopyran-6-yl)-1-methyl-3-(thiophen-3-yl)-1H-pyrazol-5-yl]-2-hydroxyacetate (4e) (117 mg, 0.30 mmol) is converted, after purification by preparative TLC (dichloromethane/ethyl acetate 85/15), into methyl 2-(tert-butoxy)-2-[4-(3,4-dihydro-2H-1-benzopyran-6-yl)-1-methyl-3-(thiophen-3-yl)-1H-pyrazol-5-yl]acetate (4f) (74 mg, 0.22 mmol, 74%).
1H NMR (400 MHz, CDCl3) δ 1.05 (s, 9H), 2.00-2.10 (m, 2H), 2.74-2.81 (m, 2H), 3.75 (s, 3H), 4.00 (s, 3H), 4.21-4.28 (m, 2H), 5.03 (s, 1H), 6.79-6.85 (m, 1H), 6.95-7.05 (m, 2H), 7.11-7.16 (m, 1H), 7.16-7.21 (m, 1H), 7.23-7.28 (m, 1H).
MS m/z ([M+H]+) 441. - Using the procedure described in example 1, step 7, the intermediate methyl 2-(tert-butoxy)-2-[4-(3,4-dihydro-2H-1-benzopyran-6-yl)-1-methyl-3-(thiophen-3-yl)-1H-pyrazol-5-yl]acetate (4f) (99 mg, 0.22 mmol) is converted into 2-(tert-butoxy)-2-[4-(3,4-dihydro-2H-1-benzopyran-6-yl)-1-methyl-3-(thiophen-3-yl)-1H-pyrazol-5-yl]acetic acid (example 4) (80 mg, 0.19 mmol, 83%).
1H NMR (400 MHz, CDCl3) δ 1.09 (s, 9H), 1.99-2.08 (m, 2H), 2.74-2.81 (m, 2H), 3.96 (s, 3H), 4.21-4.27 (m, 2H), 5.10 (s, 1H), 6.79-6.84 (m, 1H), 7.02-7.08 (m, 2H), 7.15-7.20 (m, 2H), 7.21-7.25 (m, 1H).
MS m/z ([M-H]-) 425.
MS m/z ([M+H]+) 427. -
- Using the procedure described in example 1, step 4, 4-bromo-1-methyl-3-(thiophen-3-yl)-1H-pyrazole-5-carbaldehyde (4c) (147 mg, 0.54 mmol) is converted, after purification by preparative TLC (cyclohexane/ethyl acetate 80/20), into 4-(4,4-dimethylcyclohex-1-en-1-yl)-1-methyl-3-(thiophen-3-yl)-1H-pyrazole-5-carbaldehyde (5a) (119 mg, 0.40 mmol, 73%).
1H NMR (400 MHz, CDCl3) δ 1.01 (s, 6H), 1.45-1.52 (m, 2H), 2.01-2.07 (m, 2H), 2.12-2.19 (m, 2H), 4.18 (s, 3H), 5.79-5.84 (m, 1H), 7.32-7.37 (m, 1H), 7.43-7.48 (m, 1H), 7.51-7.56 (m, 1H), 9.70 (s, 1H).
MS m/z ([M+H]+) 301. - Under nitrogen atmosphere, to a solution of 4-(4,4-dimethylcyclohex-1-en-1-yl)-1-methyl-3-(thiophen-3-yl)-1H-pyrazole-5-carbaldehyde (5a) (119 mg, 0.40 mmol) in anhydrous dichloromethane (2 mL) at 0°C were successively added zinc iodide (13 mg, 0.04 mmol) and trimethylsilyl cyanide (59 µL, 0.48 mmol). The mixture was stirred at room temperature for 2 days. A saturated solution of sodium hydrogenocarbonate (5 mL) was added. Layers were separated and the aqueous layer was extracted with dichloromethane (2 x 6 mL). The organic layers were dried over sodium sulfate and concentrated in vacuo. The residue, dissolved in anhydrous methanol (3 mL) was added to a solution of acetyl chloride (0.34 mL, 4.75 mmol) in anhydrous methanol (2 mL), previously stirred for 20 minutes at 0°C under nitrogen atmosphere. The mixture was stirred at room temperature for 24 hours. The solution was concentrated in vacuo and saturated solution of sodium hydrogenocarbonate (5 mL) was added to the residue. The aqueous layer was extracted with ethyl acetate (2 x 6 mL). The organic layer was dried over sodium sulfate and concentrated in vacuo. The residue was purified by preparative TLC (dichloromethane/ethyl acetate 70/30) to provide methyl 2-[4-(4,4-dimethylcyclohex-1-en-1-yl)-1-methyl-3-(thiophen-3-yl)-1H-pyrazol-5-yl]-2-hydroxyacetate (5b) (88 mg, 0.24 mmol, 61 %).
1H NMR (300 MHz, CDCl3) δ 0.99 (s, 6H), 1.39-1.48 (m, 2H), 1.95-2.15 (m, 4H), 3.36 (d, J = 3.0 Hz, 1H), 3.81 (s, 3H), 3.84 (s, 3H), 5.29 (d, J = 3.0 Hz, 1H), 5.69-5.75 (m, 1H), 7.30 (dd, J = 2.9 Hz, J = 5.0 Hz, 1H), 7.44 (dd, J = 1.2 Hz, J = 5.0 Hz, 1H), 7.49 (dd, J = 1.2 Hz, J = 2.9 Hz, 1H). - Using the procedure described in example 1, step 6, the intermediate methyl 2-[4-(4,4-dimethylcyclohex-1-en-1-yl)-1-methyl-3-(thiophen-3-yl)-1H-pyrazol-5-yl]-2-hydroxyacetate (5b) (88 mg, 0.24 mmol) is converted, after purification by preparative TLC (dichloromethane/ 7M ammonia in methanol 99/1), into methyl 2-(tert-butoxy)-2-[4-(4,4-dimethylcyclohex-1-en-1-yl)-1-methyl-3-(thiophen-3-yl)-1H-pyrazol-5-yl]acetate (5c) (79 mg, 0.19 mmol, 78%).
1H NMR (300 MHz, CDCl3) δ 1.01 (s, 3H), 1.03 (s, 3H), 1.19 (s, 9H), 1.38-1.50 (m, 2H), 1.90-2.07 (m, 3H), 2.10-2.20 (m, 1H), 3.71 (s, 3H), 3.97 (s, 3H), 5.23 (s, 1H), 5.72-5.79 (m, 1H), 7.29 (dd, J = 2.9 Hz, J = 5.0 Hz, 1H), 7.45 (dd, J = 1.2 Hz, J = 5.0 Hz, 1H), 7.48 (dd, J = 1.2 Hz, J = 2.9 Hz, 1H).
MS m/z ([M+H]+) 417. - Using the procedure described in example 1, step 7, the intermediate methyl 2-(tert-butoxy)-2-[4-(4,4-dimethylcyclohex-1-en-1-yl)-1-methyl-3-(thiophen-3-yl)-1H-pyrazol-5-yl]acetate (5c) (79 mg, 0.19 mmol) is converted into 2-(tert-butoxy)-2-[4-(4,4-dimethylcyclohex-1-en-1-yl)-1-methyl-3-(thiophen-3-yl)-1H-pyrazol-5-yl]acetic acid (example 5) (58 mg, 0.14 mmol, 76%).
1H NMR (300 MHz, CDCl3) δ 0.99 (s, 3H), 1.01 (s, 3H), 1.22 (s, 9H), 1.34-1.52 (m, 2H), 1.87-2.06 (m, 3H), 2.14-2.29 (m, 1H), 3.92 (s, 3H), 5.27 (s, 1H), 5.81-5.89 (m, 1H), 7.29 (dd, J = 2.9 Hz, J = 5.0 Hz, 1H), 7.41 (dd, J = 1.2 Hz, J = 5.0 Hz, 1H), 7.47 (dd, J = 1.2 Hz, J = 2.9 Hz, 1H).
MS m/z ([M-H]-) 401.
MS m/z ([M+H]+) 403. -
- Using the procedure described in example 1, step 4, 4-bromo-1-methyl-3-(thiophen-2-yl)-1H-pyrazole-5-carbaldehyde (3c) (200 mg, 0.74 mmol) is converted, after purification by preparative TLC (cyclohexane/ethyl acetate 80/20), into 4-(4,4-dimethylcyclohex-1-en-1-yl)-1-methyl-3-(thiophen-2-yl)-1H-pyrazole-5-carbaldehyde (6a) (138 mg, 0.46 mmol, 62%).
1H NMR (400 MHz, CDCl3) δ 1.02 (s, 6H), 1.51 (t, J = 6.3 Hz, 2H), 2.02-2.07 (m, 2H), 2.17-2.24 (m, 2H), 4.17 (s, 3H), 5.80-5.85 (m, 1H), 7.05 (dd, J = 3.6 Hz, J = 5.1 Hz, 1H), 7.28 (dd, J = 1.1 Hz, J = 5.1 Hz, 1H), 7.31 (dd, J = 1.1 Hz, J = 3.6 Hz, 1H), 9.70 (s, 1H).
MS m/z ([M+H]+) 301. - Using the procedure described in example 1, step 5, 4-(4,4-dimethylcyclohex-1-en-1-yl)-1-methyl-3-(thiophen-2-yl)-1H-pyrazole-5-carbaldehyde (6a) (138 mg, 0.46 mmol) is converted, after purification by preparative TLC (dichloromethane/ ethyl acetate: 80/20), to methyl 2-[4-(4,4-dimethylcyclohex-1-en-1-yl)-1-methyl-3-(thiophen-2-yl)-1H-pyrazol-5-yl]-2-hydroxyacetate (6b) (120 mg, 0.33 mmol, 72%).
1H NMR (300 MHz, CDCl3) δ 0.99 (s, 3H), 1.00 (s, 3H), 1.46 (t, J= 6.3 Hz, 2H), 1.95-2.03 (m, 2H), 2.06-2.18 (m, 2H), 3.36 (bs, 1H), 3.81 (s, 3H), 3.84 (s, 3H), 5.27 (s, 1H), 5.68-5.75 (m, 1H), 7.02 (dd, J = 3.6 Hz, J = 5.1 Hz, 1H), 7.23 (dd, J = 1.1 Hz, J = 5.1 Hz, 1H), 7.26 (dd, J = 1.1 Hz, J = 3.6 Hz, 1H).
MS m/z ([M+H]+) 361. - Using the procedure described in example 1, step 6, methyl 2-[4-(4,4-dimethylcyclohex-1-en-1-yl)-1-methyl-3-(thiophen-2-yl)-1H-pyrazol-5-yl]-2-hydroxyacetate (6b) (120 mg, 0.33 mmol) is converted, after purification by preparative TLC (dichloromethane/ethyl acetate 97/03), into methyl 2-(tert-butoxy)-2-[4-(4,4-dimethylcyclohex-1-en-1-yl)-1-methyl-3-(thiophen-2-yl)-1H-pyrazol-5-yl]acetate (6c) (92 mg, 0.22 mmol, 66%).
1H NMR (300 MHz, CDCl3) δ 1.03 (s, 3H), 1.04 (s, 3H), 1.19 (s, 9H), 1.38-1.55 (m, 2H), 1.94-2.31 (m, 4H), 3.71 (s, 3H), 3.97 (s, 3H), 5.20 (s, 1H), 5.71-5.79 (m, 1H), 7.01 (dd, J = 3.6 Hz, J = 5.1 Hz, 1H), 7.21 (dd, J = 1.1 Hz, J = 5.1 Hz, 1H), 7.24 (dd, J = 1.1 Hz, J = 3.6 Hz, 1H). - Using the procedure described in example 1, step 7, methyl 2-(tert-butoxy)-2-[4-(4,4-dimethylcyclohex-1-en-1-yl)-1-methyl-3-(thiophen-2-yl)-1H-pyrazol-5-yl]acetate (6c) (92 mg, 0.22 mmol) is converted to 2-(tert-butoxy)-2-[4-(4,4-dimethylcyclohex-1-en-1-yl)-1-methyl-3-(thiophen-2-yl)-1H-pyrazol-5-yl]acetic acid (example 6) (88 mg, 0.22 mmol, 99%).
1H NMR (300 MHz, CDCl3) δ 1.01 (s, 3H), 1.02 (s, 3H), 1.23 (s, 9H), 1.39-1.54 (m, 2H), 1.92-2.37 (m, 4H), 3.92 (s, 3H), 5.25 (s, 1H), 5.80-5.87 (m, 1H), 7.01 (dd, J = 3.6 Hz, J = 5.1 Hz, 1H), 7.22 (dd, J = 1.1 Hz, J = 5.1 Hz, 1H), 7.24 (dd, J = 1.1 Hz, J = 3.6 Hz, 1H).
MS m/z ([M-H]-) 401.
MS m/z ([M+H]+) 403. -
- To a suspension of 2-chloro-5-methylphenol (10.0 g, 0.07 mol) and potassium carbonate (11.7 g, 0.08 mol) in acetonitrile (200 mL) at 82°C, was dropwise added a solution of allyl bromide (9.6 mL, 0.11 mol) in acetonitrile (50 mL). The mixture was reflux overnight. Once at room temperature, the mixture was filtered and the precipitate rinsed with diethyl ether. The filtrate was then concentrated in vacuo. The residue was dissolved in diethyl ether (250 mL) and washed with a 2N sodium hydroxide solution (150 mL). The organic layer was dried over sodium sulfate and concentrated in vacuo to provide 1-chloro-4-methyl-2-(prop-2-en-1-yloxy)yenzene (7a) (12.72 g, 0.07 mol, 99%) which was used without further purification.
1H NMR (300 MHz, CDCl3) δ2.31 (s, 3H), 4.58-4.61 (m, 2H), 5.28-5.32 (m, 1H), 5.43-5.50 (m, 1H), 6.01-6.14 (m, 1H), 6.69-6.73 (m, 2H), 7.22 (d, J = 8.0 Hz, 1H).
MS m/z ([M+H]+) 183. - 1-chloro-4-methyl-2-(prop-2-en-1-yloxy)yenzene (7a) (12.6 g, 0.07 mol) was irradiated in a microwaves for 20 minutes at 240°C to provide 6-chloro-3-methyl-2-(prop-2-en-1-yl)phenol (7b) (12.6 g, 0.07 mol, 100%) which was used without further purification.
1H NMR (300 MHz, CDCl3) δ2.26 (s, 3H), 3.45 (dt, J= 5.9 Hz, J= 1.6 Hz, 2H), 4.90-5.07 (m, 2H), 5.56 (s, 1H), 5.85-6.01 (m, 1H), 6.69 (d, J= 8.2 Hz, 1H), 7.08 (d, J = 8.2 Hz, 1H). - Under nitrogen atmosphere, a solution of 6-chloro-3-methyl-2-(prop-2-en-1-yl)phenol (7b) (8.70 g, 47.6 mmol) in anhydrous tetrahydrofuran (300 mL) was cooled to 0°C. Borane-tetrahydrofuran complex, 1.0M solution in tetrahydrofuran (100 mL, 0.10 mol) was dropwise added. The reaction mixture was stirred at room temperature for 2 hours then cooled again to 0°C. A 10N sodium hydroxide solution (32.7 mL) was added dropwise, followed by a 30% hydrogen peroxide solution. The resulting mixture was warm to room temperature and stirred for 90 minutes. The reaction mixture was quenched with a 10% hydrochloric acid solution (163 mL). Layers were separated and the aqueous layer was extract with ethyl acetate (2 x 70 mL). The combined organics layers were washed with brine (3 x 100 mL) then cooled with an ice bath. A saturated solution of sodium sulfite (150 mL) was carefully added and the mixture was stirred for few minutes. The organic layer was separated, dried over sodium sulfate and concentrated in vacuo. The residue was purified by flash chromatography on silica gel (cyclohexane/ethyl acetate 100/0 to 75/25), to provide 6-chloro-2-(3-hydroxypropyl)-3-methylphenol (7c) (6.74 g, 33.6 mmol, 70%).
1H NMR (300 MHz, CDCl3) δ1.76-1.88 (m, 2H), 2.28 (s, 3H), 2.81 (t, J= 7.2 Hz, 2H), 3.63 (t, J = 6.0 Hz, 2H), 6.69 (d, J = 8.2 Hz, 1H), 7.08 (d, J = 8.2 Hz, 1H). - Under nitrogen atmosphere, a solution of 6-chloro-2-(3-hydroxypropyl)-3-methylphenol (7c) (6.74 g, 33.6 mmol) in anhydrous tetrahydrofuran (500 mL) was cooled to 0°C. Triphenylphosphine (11.45 g, 43.7 mmol) was added, followed by diisopropyl azodicarboxylate (8.60 mL, 43.7 mmol). The reaction mixture was stirred for 16 hours at room temperature. After concentration in vacuo, the residue was dissolved in diethyl ether and the precipitate was filtered off. The filtrate was concentrated in vacuo and the residue was purified by flash chromatography on silica gel (cyclohexane/ethyl acetate 100/0 to 90/10), to provide 8-chloro-5-methyl-3,4-dihydro-2H-1 -benzopyran (7d) (5.74 g, 31.4 mmol, 94%), as a light yellow oil.
1H NMR (300 MHz, CDCl3) δ2.00-2.11 (m, 2H), 2.18 (s, 3H), 2.65 (t, J= 6.6 Hz, 2H), 4.21-4.28 (m, 2H), 6.65 (d, J = 8.1 Hz, 1H), 7.08 (d, J = 8.1 Hz, 1H). - A mixture of the 8-chloro-5-methyl-3,4-dihydro-2H-1-benzopyran (7d) (5.74 g, 31.4 mmol) and acetic acid (75 mL) is treated with bromine (1.93 mL, 37.7 mmol) in AcOH (35 mL). The mixture was stirred at room temperature for 15 minutes, then diluted with toluene (100 mL). The mixture was concentrated in vacuo. The residue was dissolved in ethyl acetate (70 mL) and successively washed with a 15% sodium thiosulfate solution (50 mL) and a saturated solution of sodium hydrogenocarbonate (50 mL). The organic layer was dried over sodium sulfate and concentrated in vacuo. The product was recrystallized in ethanol, to provide 6-bromo-8-chloro-5-methyl-3,4-dihydro-2H-1-benzopyran (7e) (4.44 g, 17.0 mmol, 54%) as a white solid.
1H NMR (300 MHz, CDCl3) δ1.99-2.11 (m, 2H), 2.27 (s, 3H), 2.71 (t, J = 6.6 Hz, 2H), 4.18-4.26 (m, 2H), 7.41 (s, 1H). - [1,1'-Bis(diphenylphosphino)ferrocene]dichloropalladium(II) (761 mg, 0.93 mmol) was added to a previously degassed solution of 6-bromo-8-chloro-5-methyl-3,4-dihydro-2H-1-benzopyran (7e) (2.44g, 9.33 mmol), bis(pinacolato)diboron (3.55 g, 14.0 mmol) and potassium acetate (3.20 g, 32.6 mmol) in anhydrous N,N-dimethylformamide (100 mL). The reaction mixture was heated at 95°C for 16 hours. Water (50 mL) was added and the reaction mixture was concentrated in vacuo. The residue was taken in water (50 mL) and extracted with ethyl acetate (2 x 50 mL). The organic layer was washed with brine (30 mL) then dried over sodium sulfate, concentrated in vacuo, and co-elutated with toluene. The crude was purified by flash chromatography on silica gel (cyclohexane/ethyl acetate: 100/0 to 98/2). The product was triturated in cyclohexane and filtered to provide 2-(8-chloro-5-methyl-3,4-dihydro-2H-1-benzopyran-6-yl)-4,4,5,5-tetramethyl-1,3,2-dioxaborolane (7f) (1.62 g, 5.24 mmol, 58%) as a white solid.
1H NMR (300 MHz, CDCl3) δ1.33 (s, 12H), 1.99-2.11 (m, 2H), 2.40 (s, 3H), 2.65 (t, J = 6.6 Hz, 2H), 4.19-4.30 (m, 2H), 7.63 (s, 1H). - Palladium on activated charcoal (10% Pd by weight, 120 mg) was added to a solution of 2-(8-chloro-5-methyl-3,4-dihydro-2H-1-benzopyran-6-yl)-4,4,5,5-tetramethyl-1,3,2-dioxaborolane (7f) (1.20 g, 3.89 mmol) and ammonium formate (2.45 g, 38.89 mmol) in methanol (20 mL). The mixture was refluxed for 60 minutes. The mixture was then cooled to room temperature, filtered through a pad of Celite® and rinsed with methanol. The filtrate was concentrated in vacuo. The residue was dissolved in ethyl acetate (20 mL) and washed with water (20 mL). The organic layer was dried over sodium sulfate, concentrated in vacuo to provide 4,4,5,5-tetramethyl-2-(5-methyl-3,4-dihydro-2H-1-benzopyran-6-yl)-1,3,2-dioxaborolane (7g) (1.00 g, 3.66 mmol, 94%) as a white solid, which was used without further purification.
1H NMR (300 MHz, CDCl3) δ1.32 (s, 12H), 1.96-2.10 (m, 2H), 2.43 (s, 3H), 2.65 (t, J = 6.6 Hz, 2H), 4.09-4.17 (m, 2H), 6.66 (d, J = 8.3 Hz, 1H), 7.55 (d, J = 8.3 Hz, 1H). - Using the procedure described in example 1, step 4, 4-bromo-1-methyl-3-(thiophen-2-yl)-1H-pyrazole-5-carbaldehyde (3c) (84 mg, 0.31 mmol) is converted by reaction with 4,4,5,5-tetramethyl-2-(5-methyl-3,4-dihydro-2H-1-benzopyran-6-yl)-1,3,2-dioxaborolane (7g) (102 mg, 0.372 mmol) into 1-methyl-4-(5-methyl-3,4-dihydro-2H-1-benzopyran-6-yl)-3-(thiophen-2-yl)-1H-pyrazole-5-carbaldehyde (7h) (103 mg, 0.30 mmol, 98%), after purification by preparative TLC (cyclohexane/ethyl acetate 70/30).
1H NMR (300 MHz, CDCl3) δ1.95 (s, 3H), 2.04-2.16 (m, 2H), 2.69 (t, J= 6.5 Hz, 2H), 4.18-4.24 (m, 2H), 4.25 (s, 3H), 6.76 (d, J = 8.4 Hz, 1H), 6.80 (dd, J = 1.1 Hz, J = 3.6 Hz, 1H), 6.88 (dd, J = 3.6 Hz, J = 5.0 Hz, 1H), 7.01 (d, J = 8.4 Hz, 1H), 7.17 (dd, J = 1.1 Hz, J = 5.0 Hz, 1H), 9.43 (s, 1H).
MS m/z ([M+H]+) 339. - Under nitrogen atmosphere, to a solution of 1-methyl-4-(5-methyl-3,4-dihydro-2H-1-benzopyran-6-yl)-3-(thiophen-2-yl)-1H-pyrazole-5-carbaldehyde (7h) (103 mg, 0.30 mmol) in anhydrous dichloromethane (2 mL) at 0°C were successively added zinc iodide (10 mg, 0.03 mmol) and trimethylsilyl cyanide (46 µL, 0.37 mmol). The mixture was stirred at room temperature for 88 hours then heated at 40°C for 4 hours. A saturated solution of sodium hydrogenocarbonate (5 mL) was added. Layers were separated and the aqueous layer was extracted with dichloromethane (2 x 6 mL). The organic layers were dried over sodium sulfate and concentrated in vacuo. The residue, dissolved in anhydrous methanol (1 mL), was added to a solution of acetyl chloride (0.26 mL, 3.65 mmol) in anhydrous methanol (2 mL), previously stirred for 20 minutes at 0°C under nitrogen atmosphere. The mixture was stirred at room temperature overnight. The solution was concentrated in vacuo and a saturated solution of sodium hydrogenocarbonate (5 mL) was added to the residue. The aqueous layer was extracted with ethyl acetate (2 x 6 mL). The organic layer was dried over sodium sulfate and concentrated in vacuo. The residue was purified by preparative TLC (dichloromethane/ethyl acetate: 80/20) to provide methyl 2-hydroxy-2-[1-methyl-4-(5-methyl-3,4-dihydro-2H-1-benzopyran-6-yl)-3-(thiophen-2-yl)-1H-pyrazol-5-yl]acetate (7i) (79 mg, 0.20 mmol, 65%).
1H NMR (300 MHz, CDCl3) δ1.93 (s, 3H), 2.05-2.15 (m, 2H), 2.67 (t, J= 6.5 Hz, 2H), 3.69 and 3.71 (s, 3H), 3.91 and 3.92 (s, 3H), 4.14-4.23 (m, 2H), 5.05 and 5.06 (s, 1H), 6.68 and 6.71 (dd, J = 1.1 Hz, J = 3.6 Hz, 1H), 6.72 (d, J = 8.3 Hz, 1H), 6.81-6.87 (m, 1H), 6.92 and 6.97 (d, J = 8.3 Hz, 1H), 7.10 and 7.11 (m, 1H). - Using the procedure described in example 1, step 6, the intermediate methyl 2-hydroxy-2-[1-methyl-4-(5-methyl-3,4-dihydro-2H-1-benzopyran-6-yl)-3-(thiophen-2-yl)-1H-pyrazol-5-yl]acetate (7i) (79 mg, 0.20 mmol) is converted, after purification by preparative TLC (dichloromethane/ethyl acetate: 95/5), into methyl 2-(tert-butoxy)-2-[1-methyl-4-(5-methyl-3,4-dihydro-2H-1-benzopyran-6-yl)-3-(thiophen-2-yl)-1H-pyrazol-5-yl]acetate (7j) (55 mg, 0.12 mmol, 61 %).
1H NMR (300 MHz, CDCl3) δ1.04 and 1.15 (s, 9H), 1.87 and 1.89 (s, 3H), 2.03-2.17 (m, 2H), 2.64 and 2.70 (t, J = 6.6 Hz, 2H), 3.65 and 3.75 (s, 3H), 4.00 and 4.03 (s, 3H), 4.17-4.25 (m, 2H), 4.86 and 4.88 (s, 1H), 6.64 and 6.67 (dd, J = 1.1 Hz, J = 3.6 Hz, 1H), 6.72 and 6.76 (d, J = 8.4 Hz, 1 H), 6.79-6.86 (m, 1H), 6.92 and 7.02 (d, J = 8.4 Hz, 1H), 7.08 and 7.10 (dd, J = 1.1 Hz, J = 5.2 Hz, 1H).
MS m/z ([M+H]+) 455. - Using the procedure described in example 1, step 7, the intermediate methyl 2-(tert-butoxy)-2-[1-methyl-4-(5-methyl-3,4-dihydro-2H-1-benzopyran-6-yl)-3-(thiophen-2-yl)-1H-pyrazol-5-yl]acetate (7j) (55 mg, 0.12 mmol) is converted to 2-(tert-butoxy)-2-[1-methyl-4-(5-methyl-3,4-dihydro-2H-1-benzopyran-6-yl)-3-(thiophen-2-yl)-1H-pyrazol-5-yl]acetic acid (example 7) (53 mg, 0.12 mmol, 99%).
1H NMR (300 MHz, CDCl3) δ1.08 and 1.18 (s, 9H), 1.86 and 1.97 (s, 3H), 2.02-2.14 (m, 2H), 2.63 and 2.69 (t, J = 6.5 Hz, 2H), 3.97 and 3.99 (s, 3H), 4.16-4.23 (m, 2H), 4.91 and 4.99 (s, 1H), 6.67 and 6.70 (dd, J = 1.1 Hz, J = 3.6 Hz, 1H), 6.71 and 6.77 (d, J = 8.4 Hz, 1H), 6.80-6.86 (m, 1H), 6.92 and 7.17 (d, J = 8.4 Hz, 1H), 7.09 and 7.11 (dd, J = 1.1 Hz, J = 5.0 Hz, 1H).
MS m/z ([M-H]-) 439.
MS m/z ([M+H]+) 441. - The antiviral activity, particularly against HIV, of compounds according to the invention is evaluated by the protocol described below.
- Preparation of Virus stock of the NL4-3 strain of HIV-1 (Adachi et al., J Virol, 1986, 59(2):284-91).
- The virus was prepared as described in Lopez et al. (Lopez et al, Proc Natl Acad Sci U S A., 2006, 103(40):14947-52, by transfecting 2 x 106 293T cells (CRL-1573, ATCC ) with following modifications: 6µg of NL4-3 proviral DNA molecular clone were mixed with Fugene 6 transfection reagent from Roche, and used according to manufacturer's instructions. Forty eight hours later, transfected cell supernatants were harvested, filtered through 0.45-µm-pore-size filters, quantified for HIV-1 p24 antigen by using a Innotest HIV antigen mAb assay (Ingen) according to manufacturer's instructions, and used in infection experiments.
- Serial dilutions of compounds to be tested were prepared in complete RPMI medium from 10mM DMSO stock solutions, and I in 96 well Falcon 353072 Microtest distributed in a volume of 20 ™ tissue culture plate, in order to get 0.5% DMSO final concentration in each well, after the addition of infected cells. Control wells contained also 0.5% DMSO final concentration but no compound.
- MT4 cells (from the NIH AIDS Research and Reference Reagent Program) in RPMI complete medium were counted (10X106 cells per well in Falcon 353047 Multiwell™ 24 well) and infected for 2 hours at 37°, at a multiplicity of infection (moi) of 0.0001-0.00001. Cells were then centrifuged 3min at 3000rpm, and washed two times in 1 ml PBS to remove viruses that have not entered in cells. Infected cells were resuspended in complete RPMI at 1.25x106 l of infected cells were distributed in each well containing cells/ml, and 80 compounds to be tested or control wells. The plates were then incubated at 37°for 5 days.
- Gregg S. Jones et al., Antimicrobial Agents and Chemotherapy, 2009, 53 (3): 1194-1203).
- I of After 5 days of incubation, 50 CellTiter-Glo reagent (Promega Biosciences, Inc., Madison WI, USA) were added to each well. Cell lysis was carried out at room temperature during 10min, 150µl of lysates were transferred in Packard Optiplate 96 well, and luminescence was read on a Fluoroskan (Thermo Scientific).
- The EC50, or effective concentration 50, is the concentration of compound leading to 50% of cyto-protection in a Cell-Titer-Glo® viability assay based on MT4 cells infected with NL4-3 virus (table 1).
Table 1 Example number EC50 (µM) 1 0.48 2 0.68 3 0.29 4 0.28 5 0.27 6 0.47 7 0.41 - The results show that the compounds according to the invention can inhibit the HIV replication and thus can be used as anti-HIV compounds.
Claims (22)
- A compound of formula (I) :
wherein● R1 represents a linear or branched C1-C6 alkyl; a linear or branched fluoroalkyl; a C3-C6 cycloalkyl or -CH2OH;● R2, non-substituted or substituted by at least one T1, represents a partially or totally unsaturated or aromatic 5-, 6- or 7-membered carbocycle ; a partially or totally unsaturated or aromatic 5-, 6- or 7-membered heterocycle; a partially or totally unsaturated or aromatic 5-, 6- or 7-membered carbocycle fused with a saturated, partially or totally unsaturated 5-, 6- or 7-membered carbocycle; a partially or totally unsaturated or aromatic 5-, 6- or 7-membered carbocycle fused with a saturated, partially or totally unsaturated 5-, 6- or 7-membered heterocycle; a partially or totally unsaturated or aromatic 5-, 6- or 7-membered heterocycle fused with a saturated, partially or totally unsaturated 5-, 6- or 7-membered carbocycle; a partially or totally unsaturated or aromatic 5-, 6- or 7-membered heterocycle fused with a saturated, partially or totally unsaturated 5-, 6- or 7-membered heterocycle;● R3, non-substituted or substituted by at least one T2, represents an aryl; an aryl fused with a saturated, partially or totally unsaturated or aromatic 5-, 6- or 7-membered carbocycle; an aryl fused with a saturated, partially or totally unsaturated or aromatic 5-, 6- or 7-membered heterocycle; a heteroaryl; a heteroaryl fused with a saturated, partially or totally unsaturated or aromatic 5-, 6- or 7-membered carbocycle; a heteroaryl fused with a saturated, partially or totally unsaturated or aromatic 5-, 6- or 7-membered heterocycle or a C3-C7 cycloalkenyl;● R4 represents a linear or branched C1-C6-alkyl; a linear or branched C1-C6 fluoroalkyl or a C3-C6 cycloalkyl;● T1 represents a hydrogen atom, a halogen atom; an alkyl; -(X)x-C1-C6 alkyl; a linear or branched fluorooalkyl; a linear or branched -O-C1-C3 fluorooalkyl; - (X)x-C3-C6 cycloalkyl; -(X)x-(CT5T6)y-aryl; -(X)x-(CT5T6)yCN; -(X)x-(CT5T6)yOT3; -(X)x-(CT5T6)yST3; -(X)x-(CT5T6)yS(O)T3; -(X)x-(CT5T6)yS(O)2T3; -(X)x-(CT5T6)yNT3T4; -(X)x-(CT5T6)yC(O)T3; -(X)x-(CT5T6)yC(O)OT3; -(X)x-(CT5T6)yC(O)NT3T4; -(X)x-(CT5T6)yNT3C(O)NT3T4; -(X)x-(CT5T6)yNT3C(O)T4; - (X)x-(CT5T6)yNT3C(O)OT4; -(X)x-(CT5T6)yOC(O)NT3T4; -(X)x-(CT5T6)y S(O)2NT3T4 or -(X)x-(CT5T6)yNT3S(O)2T4 ;● T2 represents a hydrogen atom; a halogen atom; a linear or branched -O-C1-C3 alkyl; a linear or branched C1-C3 fluoroalkyl; a linear or branched -O-C1-C3 fluoroalkyl; a linear or branched C1-C3 alkyl; cyclopropyl or -CN;● X represents an oxygen atom; a sulphur atom; NT3; S=O or S(O)2;● T3 and T4, identical or different, independently represent H; a branched or linear C1-C6 alkyl or a C3-C6 cycloalkyl;● T3, T4 and the nitrogen atom to which they are bonded form a C4-C6 cycloalkyl;● T5 and T6, identical or different, independently represent a hydrogen atom, a fluorine atom, a linear or branched C1-C3 alkyl or a C3-C6 cycloalkyl;● T5, T6 and the carbon atom to which they are bonded form a cyclopropyl● x represents 0 or 1;● y represents 0, 1, 2 or 3;and a racemate, enantiomer, isomer, tautomer, atropoisomer or diastereoisomer or a phamaceutically acceptable salt thereof. - Compound according to claim 1 wherein R4 represents tBu.
- Compound according to claim 1 or 2, wherein:● R2 represents a partially or totally unsaturated or aromatic 5-, 6- or 7-membered carbocycle; a partially or totally unsaturated or aromatic 5-, 6- or 7-membered heterocycle; a partially or totally unsaturated or aromatic 5-, 6- or 7-membered heterocycle fused with a saturated, partially or totally unsaturated 5-, 6- or 7-membered carbocycle or a partially or totally unsaturated or aromatic 5-, 6- or 7-membered heterocycle fused with a saturated, partially or totally unsaturated 5-, 6- or 7-membered heterocycle, non-substituted or substituted by at least one T1;● T1 represents a hydrogen artom; a halogen atom; -CH2F; -CHF2; -CF3; -OMe; - OCH2F; -OCHF2; -OCF3; -(X)x-C3-C6 cycloalkyl; -(X)x-(CT5T6)y-aryl; -(X)x-(CT5T6)yCN; -(X)x-(CT5T6)yOT3; -(X)x-(CT5T6)yST3; -(X)x-(CT5T6)yS(O)T3; - (X)x-(CT5T6)yS(O)2T3; -(X)x-(CT5T6)yNT3T4; -(X)x-(CT5T6)yC(O)T3; -(X)x-(CT5T6)yC(O)OT3; -(X)x-(CT5T6)yC(O)NT3T4; -(X)x-(CT5T6)yNT3C(O)NT3T4; - (X)x-(CT5T6)yNT3C(O)T4; -(X)x-(CT5T6)yNT3C(O)OT4; -(X)x-(CT5T6)yOC(O)NT3T4; -(X)x-(CT5T6)y S(O)2NT3T4 or -(X)x-(CT5T6)yNT3S(O)2T4● X represents an oxygen atom; a sulphur atom; NT3; S=O or S(O)2;● T3 and T4, identical or different, independently represent H; a branched or linear C1-C6 alkyl or a C3-C6 cycloalkyl;● T3, T4 and the nitrogen atom to which they are bonded form a C5-C6 cycloalkyl;● T5 and T6, identical or different, independently represent a hydrogen atom or methyl;● x represents 0 or 1;● y represents 0, 1, 2 or 3.
- Compound according to any of the preceding claims of formulae (A), (B) or (C):
wherein● a, b, c, d, e, f, g, h, i, j, k, l, m, n, o and p independently represent 0 or 1;● V represents a substituted or non substituted partially or totally unsaturated carbocycle or a partially or totally unsaturated or aromatic heterocycle;● W represents a substituted or non-substituted partially unsaturated carbo- or heterocycle;● Q1 represents CR5 or N;● Q2 represents CR6 or N;● Q3 represents CR7 or N;● Q4 represents CR8 or N;● Q5 represents CR9 or N;● Q6 represents CR10, C=O, N, NR10, O, S, S=O or S(O)2;● Q7 represents CR11, C=O, N, NR11, O, S, S=O or S(O)2 ;● Q8 represents CR12, C=O, N, NR12, O, S, S=O or S(O)2;● Q9 represents CR13, C=O, N, NR13, O, S, S=O or S(O)2;● Q10 represents C, CR14, N;● Q11 represents C, CR15, C=O, N, NR15, O,S, S=O or S(O)2;● Q12 represents C, CR16, C=O, N, NR16, O,S, S=O or S(O)2;● Q13 represents C, CR17, C=O, N, NR17, O,S, S=O or S(O)2;● Q14 represents C, CR18, C=O, N, NR18, O,S, S=O or S(O)2;● Q15 represents C, CR19, C=O, N, NR19, O,S, S=O or S(O)2;● Q16 represents C, CR, N;● R5, R6, R7, R8, R9, R10, R11, R12, R13, R14, R15, R16, R17, R18, R19 and R, identical or different, independently represent a hydrogen artom; a halogen atom; -CH3; -CH2F; -CHF2; -CF3; -OMe; -OCH2F; -OCHF2; -OCF3; -(X)x-C1-C6 cycloalkyl; -(X)x-(CT5T6)y-aryl; -(X)x-(CT5T6)yCN; -(X)x-(CT5T6)yOT3; -(X)x-(CT5T6)yST3; -(X)x-(CT5T6)yS(O)T3; -(X)x-(CT5T6)yS(O)2T3; -(X)x-(CT5T6)yNT3T4; -(X)x-(CT5T6)yC(O)T3; -(X)x-(CT5T6)yC(O)OT3; -(X)x-(CT5T6)yC(O)NT3T4; -(X)x-(CT5T6)yNT3C(O)NT3T4; -(X)x-(CT5T6)yNT3C(O)T4; - (X)x-(CT5T6)yNT3C(O)OT4; -(X)x-(CT5T6)yOC(O)NT3T4; -(X)x-(CT5T6)y S(O)2NT3T4 or -(X)x-(CT5T6)yNT3S(O)2T4 ;● R5, Q1, Q2 and R6 form a saturated, partially or totally unsaturated or aromatic 6-membered carbo- or heterocycle;● R6, Q2, Q3 and R7 form a saturated, partially or totally unsaturated or aromatic 6-membered carbo- or heterocycle;● R7, Q3, Q4 and R8 form a saturated, partially or totally unsaturated or aromatic 6-membered carbo- or heterocycle;● R8, Q4, Q5 and R9 form a saturated, partially or totally unsaturated or aromatic 6-membered carbo- or heterocycle;● T2 represents a hydrogen artom; a halogen atom; methyl; -CH2F; -CHF2; -CF3; -OMe; -OCH2F; -OCHF2; -OCF3; cyclopropyl or -CN;● R1, R3, X, x, y and T3 to T6 are independtly defined as in claims 1 to 3. - Compound according to any of the preceding claims of formulae (A1) to (A10), (B1) to (B4) or (C1) to (C8)
wherein:● R5, R6, R7, R8, R9, R10, R11, R12, R13, R14, R15, R16, R17, R18, R19 and R, identical or different, independently represent a hydrogen artom; a halogen atom; -CH3; -CH2F; -CHF2; -CF3; -OMe; -OCH2F; -OCHF2; -OCF3; -(X)x-C1-C6 cycloalkyl; -(X)x-(CT5T6)y-aryl; -(X)x-(CT5T6)yCN; -(X)x-(CT5T6)yOT3; -(X)x-(CT5T6)yST3; -(X)x-(CT5T6)yS(O)T3; -(X)x-(CT5T6)yS(O)2T3; -(X)x-(CT5T6)yNT3T4; -(X)x-(CT5T6)yC(O)T3; -(X)x-(CT5T6)yC(O)OT3; -(X)x-(CT5T6)yC(O)NT3T4; -(X)x-(CT5T6)yNT3C(O)NT3T4; -(X)x-(CT5T6)yNT3C(O)T4; - (X)x-(CT5T6)yNT3C(O)OT4; -(X)x-(CT5T6)yOC(O)NT3T4; -(X)x-(CT5T6)y S(O)2NT3T4 or -(X)x-(CT5T6)yNT3S(O)2T4 ;● R5, R6 and the carbon atoms to which they are bonded form a saturated, partially or totally unsaturated or aromatic 6-membered carbo- or heterocycle;● R6, R7 and the carbon atoms to which they are bonded form a saturated, partially or totally unsaturated or aromatic 6-membered carbo- or heterocycle;● R7, R8 and the carbon atoms to which they are bonded form a saturated, partially or totally unsaturated or aromatic 6-membered carbo- or heterocycle;● R8, R9 and the carbon atoms to which they are bonded form a saturated, partially or totally unsaturated or aromatic 6-membered carbo- or heterocycle;● T2 represents a hydrogen artom; a halogen atom; methyl; -CH2F; -CHF2; -CF3; -OMe; -OCH2F; -OCHF2; -OCF3; cyclopropyl or -CN;● R1, R3, X, x, y and T3 to T6 are independtly defined as in claims 1 to 4. - Compound according to any of the preceding claims of formulae (A1a) to (A10a), (A1b) to (A10b), (A1c) to (A10c), (A1d) to (A10d), (B1a) to (B4a), (B1b) to (B4b), (B1 c) to (B4c), (B1d) to (B4d), (C1 a) to (C8a), (C1 b) to (C8b), (C1 c) to (C8c) or (C1 d) to (C8d):
wherein● R5, R6, R7, R8, R9, R10, R11 , R12, R13, R14, R15, R16, R17, R18, R19, and R, identical or different, independently represent a hydrogen artom; a halogen atom; -CH3; -CH2F; -CHF2; -CF3; -OMe; -OCH2F; -OCHF2; -OCF3; -(X)x-C1-C6 cycloalkyl; -(X)x-(CT5T6)y-aryl; -(X)x-(CT5T6)yCN; -(X)x-(CT5T6)yOT3; -(X)x-(CT5T6)yST3; -(X)x-(CT5T6)yS(O)T3; -(X)x-(CT5T6)yS(O)2T3; -(X)x-(CT5T6)yNT3T4; -(X)x-(CT5T6)yC(O)T3; -(X)x-(CT5T6)yC(O)OT3; -(X)x-(CT5T6)yC(O)NT3T4; -(X)x-(CT5T6)yNT3C(O)NT3T4; -(X)x-(CT5T6)yNT3C(O)T4; - (X)x-(CT5T6)yNT3C(O)OT4; -(X)x-(CT5T6)yOC(O)NT3T4; -(X)x-(CT5T6)y S(O)2NT3T4 or -(X)x-(CT5T6)yNT3S(O)2T4;● R5, R6 and the carbon atoms to which they are bonded form a saturated, partially or totally unsaturated or aromatic 6-membered carbo- or heterocycle;● R6, R7 and the carbon atoms to which they are bonded form a saturated, partially or totally unsaturated or aromatic 6-membered carbo- or heterocycle;● R7, R8 and the carbon atoms to which they are bonded form a saturated, partially or totally unsaturated or aromatic 6-membered carbo- or heterocycle;● R8, R9 and the carbon atoms to which they are bonded form a saturated, partially or totally unsaturated or aromatic 6-membered carbo- or heterocycle;● R20, R21, R22, R23, R24, R25, R26, R27, R28, R29, R30, R31, R32, R33, R34, R35, R36, R37, R38, R39, R40, R41, R42, R43, R44, R45, R46, R47, R48, R49 and R50, identical or different, independently represent a hydrogen atom; a halogen atom or a linear or branched C1-C6 alkyl;● R28, R29 and the carbon atom to which they are bounded form a saturated 3-, 4-, 5- or 6-membered carbocyle;● R1, X, x, y and T3 to T6 are independtly defined as in claims 1 to 5. - Compound according to any of the preceding claims wherein R1 represents:● a linear or branched C1-C3 alkyl;● a linear or branched fluoroalkyl;● a C3-C6 cycloalkyl;● -CH2OH.
- Compound according to any of the preceding claims wherein R1 represents:● methyl;● ethyl;● -CH2F;● -CHF2;● -CH2CH2F;● -CH2CHF2;● -CH2CF3;● -CH2OH.
- Compound according to any of the preceding claims selected from the group consisting of:- 2-((tert-butoxy)-2-[4-(4,4-dimethylcyclohex-1-en-1-yl)-1-methyl-3-phenyl-1H-pyrazol-5-yl]acetic acid;- 2-((tert-butoxy)-2-[4-(3,4-dihydro-2H-1-benzopyran-6-yl)-1-methyl-3-phenyl-1H-pyrazol-5-yl]acetic acid;- 2-((tert-butoxy)-2-[4-(3,4-dihydro-2H-1-benzopyran-6-yl)-1-methyl-3-(thiophen-2-yl)-1H-pyrazol-5-yl]acetic acid;- 2-((tert-butoxy)-2-[4-(3,4-dihydro-2H-1-benzopyran-6-yl)-1-methyl-3-(thiophen-3-yl)-1H-pyrazol-5-yl]acetic acid;- 2-((tert-butoxy)-2-[4-(4,4-dimethylcyclohex-1-en-1-yl)-1-methyl-3-(thiophen-3-yl)-1H-pyrazol-5-yl]acetic acid;- 2-((tert-butoxy)-2-[4-(4,4-dimethylcyclohex-1-en-1-yl)-1-methyl-3-(thiophen-2-yl)-1H-pyrazol-5-yl]acetic acid;- 2-((tert-butoxy)-2-[1-methyl-4-(5-methyl-3,4-dihydro-2H-1-benzopyran-6-yl)-3-(thiophen-2-yl)-1H-pyrazol-5-yl]acetic acid.
- Compound according to any of the preceding claims for its use as a medicament.
- Compound according to claim 10 for its use as a medicament for the prevention or treatment of a viral infection.
- Compound according to claim 11 for its use as a medicament for the prevention or treatment of a retroviral infection.
- Compound according to claim 12 for its use as a medicament for the prevention or treatment of HIV.
- Compound according to any of claims 1 to 9 for the manufacture of a medicament.
- Compound according to claim 14 wherein the medicament is for the prevention or treatment of a viral infection.
- Compound according to claim 15 wherein the medicament is for the prevention or treatment of a retroviral infection.
- Compound according to claim 16 wherein the medicament is for the prevention or treatment of HIV.
- A pharmaceutical composition comprising a compound according to any of claims 1 to 9 as an active ingredient and at least a pharmaceutically acceptable carrier.
- Pharmaceutical composition according to claim 18 further comprising a further antiviral agent.
- Pharmaceutical composition according to claim 18 or 19 for its use for the prevention or treatment of a viral infection.
- Pharmaceutical composition according to claim 20 for its use for the prevention or treatment of a retroviral infection.
- Pharmaceutical composition according to claim 21 for its use for the treatment of an HIV infection in a mammal being infected or having a risk to be infected by the HIV.
Priority Applications (7)
| Application Number | Priority Date | Filing Date | Title |
|---|---|---|---|
| EP12306222.6A EP2716632A1 (en) | 2012-10-05 | 2012-10-05 | Inhibitors of viral replication, their process of preparation and their therapeutical uses |
| JP2015535051A JP2015534560A (en) | 2012-10-05 | 2013-10-07 | Inhibitors of viral replication, methods for their preparation and their therapeutic use |
| CA2885120A CA2885120A1 (en) | 2012-10-05 | 2013-10-07 | Inhibitors of viral replication, their process of preparation and their therapeutical uses |
| PCT/EP2013/070861 WO2014053665A1 (en) | 2012-10-05 | 2013-10-07 | Inhibitors of viral replication, their process of preparation and their therapeutical uses |
| AU2013326407A AU2013326407A1 (en) | 2012-10-05 | 2013-10-07 | Inhibitors of Viral Replication, Their Process of Preparation and Their Therapeutical Uses |
| US14/432,671 US9260395B2 (en) | 2012-10-05 | 2013-10-07 | Inhibitors of viral replication, their process of preparation and their therapeutical uses |
| EP13773760.7A EP2903969A1 (en) | 2012-10-05 | 2013-10-07 | Inhibitors of viral replication, their process of preparation and their therapeutical uses |
Applications Claiming Priority (1)
| Application Number | Priority Date | Filing Date | Title |
|---|---|---|---|
| EP12306222.6A EP2716632A1 (en) | 2012-10-05 | 2012-10-05 | Inhibitors of viral replication, their process of preparation and their therapeutical uses |
Publications (1)
| Publication Number | Publication Date |
|---|---|
| EP2716632A1 true EP2716632A1 (en) | 2014-04-09 |
Family
ID=47018936
Family Applications (2)
| Application Number | Title | Priority Date | Filing Date |
|---|---|---|---|
| EP12306222.6A Withdrawn EP2716632A1 (en) | 2012-10-05 | 2012-10-05 | Inhibitors of viral replication, their process of preparation and their therapeutical uses |
| EP13773760.7A Withdrawn EP2903969A1 (en) | 2012-10-05 | 2013-10-07 | Inhibitors of viral replication, their process of preparation and their therapeutical uses |
Family Applications After (1)
| Application Number | Title | Priority Date | Filing Date |
|---|---|---|---|
| EP13773760.7A Withdrawn EP2903969A1 (en) | 2012-10-05 | 2013-10-07 | Inhibitors of viral replication, their process of preparation and their therapeutical uses |
Country Status (6)
| Country | Link |
|---|---|
| US (1) | US9260395B2 (en) |
| EP (2) | EP2716632A1 (en) |
| JP (1) | JP2015534560A (en) |
| AU (1) | AU2013326407A1 (en) |
| CA (1) | CA2885120A1 (en) |
| WO (1) | WO2014053665A1 (en) |
Cited By (1)
| Publication number | Priority date | Publication date | Assignee | Title |
|---|---|---|---|---|
| EP3419612A4 (en) * | 2016-02-26 | 2019-11-06 | The Regents of the University of California | SMALL MOLECULE ION EXCHANGE INHIBITORS BY THE PENDRINE AND PHARMACEUTICAL COMPOSITIONS |
Families Citing this family (3)
| Publication number | Priority date | Publication date | Assignee | Title |
|---|---|---|---|---|
| US9975906B2 (en) | 2014-05-16 | 2018-05-22 | Shionogi & Co., Ltd. | Tricyclic heterocycle derivatives having HIV replication inhibitory effect |
| TWI700284B (en) | 2015-05-29 | 2020-08-01 | 日商塩野義製藥股份有限公司 | Nitrogen-containing tricyclic derivertives having hiv reprication inhibitory activity |
| US20190284136A1 (en) | 2016-07-25 | 2019-09-19 | Viiv Healthcare Uk Limited | Indoline derivatives |
Citations (10)
| Publication number | Priority date | Publication date | Assignee | Title |
|---|---|---|---|---|
| US5910506A (en) | 1994-09-26 | 1999-06-08 | Shionogi & Co., Ltd. | Imidazole derivatives as anti-HIV agents |
| US20030100554A1 (en) * | 2001-04-10 | 2003-05-29 | Jones Lyn Howard | Pyrazole derivatives |
| WO2007131350A1 (en) | 2006-05-16 | 2007-11-22 | Boehringer Ingelheim International Gmbh | Inhibitors of human immunodeficiency virus replication |
| WO2009062285A1 (en) | 2007-11-16 | 2009-05-22 | Boehringer Ingelheim International Gmbh | Inhibitors of human immunodeficiency virus replication |
| WO2009062288A1 (en) | 2007-11-15 | 2009-05-22 | Boehringer Ingelheim International Gmbh | Inhibitors of human immunodeficiency virus replication |
| WO2009062289A1 (en) | 2007-11-15 | 2009-05-22 | Boehringer Ingelheim International Gmbh | Inhibitors of human immunodeficiency virus replication |
| WO2009062308A1 (en) | 2007-11-16 | 2009-05-22 | Boehringer Ingelheim International Gmbh | Inhibitors of human immunodeficiency virus replication |
| WO2010130842A1 (en) | 2009-05-15 | 2010-11-18 | Katholieke Universiteit Leuven | Thieno [2, 3-b] pyridine derivatives as viral replication inhibitors |
| WO2010130034A1 (en) | 2009-05-15 | 2010-11-18 | Boehringer Ingelheim International Gmbh | Inhibitors of human immunodeficiency virus replication |
| WO2011015641A1 (en) | 2009-08-05 | 2011-02-10 | Katholieke Universiteit Leuven | Novel viral replication inhibitors |
Family Cites Families (1)
| Publication number | Priority date | Publication date | Assignee | Title |
|---|---|---|---|---|
| EP2508511A1 (en) * | 2011-04-07 | 2012-10-10 | Laboratoire Biodim | Inhibitors of viral replication, their process of preparation and their therapeutical uses |
-
2012
- 2012-10-05 EP EP12306222.6A patent/EP2716632A1/en not_active Withdrawn
-
2013
- 2013-10-07 EP EP13773760.7A patent/EP2903969A1/en not_active Withdrawn
- 2013-10-07 JP JP2015535051A patent/JP2015534560A/en active Pending
- 2013-10-07 US US14/432,671 patent/US9260395B2/en not_active Expired - Fee Related
- 2013-10-07 AU AU2013326407A patent/AU2013326407A1/en not_active Abandoned
- 2013-10-07 CA CA2885120A patent/CA2885120A1/en not_active Abandoned
- 2013-10-07 WO PCT/EP2013/070861 patent/WO2014053665A1/en not_active Ceased
Patent Citations (10)
| Publication number | Priority date | Publication date | Assignee | Title |
|---|---|---|---|---|
| US5910506A (en) | 1994-09-26 | 1999-06-08 | Shionogi & Co., Ltd. | Imidazole derivatives as anti-HIV agents |
| US20030100554A1 (en) * | 2001-04-10 | 2003-05-29 | Jones Lyn Howard | Pyrazole derivatives |
| WO2007131350A1 (en) | 2006-05-16 | 2007-11-22 | Boehringer Ingelheim International Gmbh | Inhibitors of human immunodeficiency virus replication |
| WO2009062288A1 (en) | 2007-11-15 | 2009-05-22 | Boehringer Ingelheim International Gmbh | Inhibitors of human immunodeficiency virus replication |
| WO2009062289A1 (en) | 2007-11-15 | 2009-05-22 | Boehringer Ingelheim International Gmbh | Inhibitors of human immunodeficiency virus replication |
| WO2009062285A1 (en) | 2007-11-16 | 2009-05-22 | Boehringer Ingelheim International Gmbh | Inhibitors of human immunodeficiency virus replication |
| WO2009062308A1 (en) | 2007-11-16 | 2009-05-22 | Boehringer Ingelheim International Gmbh | Inhibitors of human immunodeficiency virus replication |
| WO2010130842A1 (en) | 2009-05-15 | 2010-11-18 | Katholieke Universiteit Leuven | Thieno [2, 3-b] pyridine derivatives as viral replication inhibitors |
| WO2010130034A1 (en) | 2009-05-15 | 2010-11-18 | Boehringer Ingelheim International Gmbh | Inhibitors of human immunodeficiency virus replication |
| WO2011015641A1 (en) | 2009-08-05 | 2011-02-10 | Katholieke Universiteit Leuven | Novel viral replication inhibitors |
Non-Patent Citations (9)
| Title |
|---|
| CERVIA ET AL., CLIN INFECT DIS., vol. 37, no. 8, 2003, pages 1102 - 6 |
| CHRIST ET AL., NAT. CHEM. BIOL., vol. 6, 2010, pages 442 |
| DAAR ES, TOP HIV MED, vol. 16, no. 4, 2008, pages 110 - 6 |
| DE CLERCQ E, EXPERT OPIN EMERG DRUGS., vol. 13, no. 3, 2008, pages 393 - 416 |
| GENIN M J ET AL: "NOVEL 1,5-DIPHENYLPYRAZOLE NONNUCLEOSIDE HIV-1 REVERSE TRANSCRIPTASE INHIBITORS WITH ENHANCED ACTIVITY VERSUS THE DELAVIRDINE-RESISTANT P236L MUTANT: LEAD IDENTIFICATION AND SAR OF 3- AND 4-SUBSTITUTED DERIVATIVES", JOURNAL OF MEDICINAL CHEMISTRY, AMERICAN CHEMICAL SOCIETY, US, vol. 43, 1 January 2000 (2000-01-01), pages 1034 - 1040, XP002178918, ISSN: 0022-2623, DOI: 10.1021/JM990383F * |
| GREGG S. JONES ET AL., ANTIMICROBIAL AGENTS AND CHEMOTHERAPY, vol. 53, no. 3, 2009, pages 1194 - 1203 |
| HUGHES ET AL., J INFECT., vol. 57, no. 1, 2008, pages 1 - 10 |
| INDER PAL SINGH ET AL: "Small molecule HIV entry inhibitors: Part I. Chemokine receptor antagonists: 2004 -- 2010", EXPERT OPINION ON THERAPEUTIC PATENTS, vol. 21, no. 2, 1 February 2011 (2011-02-01), pages 227 - 269, XP055031094, DOI: 10.1517/13543776.2011.542412 * |
| LOPEZ ET AL., PROC NATL ACAD SCI U S A., vol. 103, no. 40, 2006, pages 14947 - 52 |
Cited By (2)
| Publication number | Priority date | Publication date | Assignee | Title |
|---|---|---|---|---|
| EP3419612A4 (en) * | 2016-02-26 | 2019-11-06 | The Regents of the University of California | SMALL MOLECULE ION EXCHANGE INHIBITORS BY THE PENDRINE AND PHARMACEUTICAL COMPOSITIONS |
| US10702506B2 (en) | 2016-02-26 | 2020-07-07 | The Regents Of The University Of California | Small molecule inhibitors of pendrin ion exchange and pharmaceutical compositions |
Also Published As
| Publication number | Publication date |
|---|---|
| US20150274673A1 (en) | 2015-10-01 |
| EP2903969A1 (en) | 2015-08-12 |
| AU2013326407A1 (en) | 2015-04-09 |
| CA2885120A1 (en) | 2014-04-10 |
| JP2015534560A (en) | 2015-12-03 |
| WO2014053665A1 (en) | 2014-04-10 |
| US9260395B2 (en) | 2016-02-16 |
Similar Documents
| Publication | Publication Date | Title |
|---|---|---|
| EP2511273B1 (en) | Inhibitors of viral replication, their process of preparation and their therapeutical uses | |
| AU2018331172B2 (en) | Influenza virus replication inhibitor and use thereof | |
| EP2508511A1 (en) | Inhibitors of viral replication, their process of preparation and their therapeutical uses | |
| DE102010035744A1 (en) | Imidazolonylchinoline | |
| WO2011113512A1 (en) | Morpholinylquinazolines | |
| WO2015008861A1 (en) | Novel imidazopyridine compound | |
| DE102010025786A1 (en) | Pyrazolochinoline | |
| JP2008505937A (en) | Indoleamine 2,3-dioxygenase (IDO) inhibitor | |
| JP2016094432A (en) | Kinase inhibitors, their prodrug forms and their use in therapy | |
| AU2013328609B2 (en) | Inhibitors of viral replication, their process of preparation and their therapeutical uses | |
| CA3137869A1 (en) | Protein kinase inhibitors and uses thereof for the treatment of diseases and conditions | |
| EP2716632A1 (en) | Inhibitors of viral replication, their process of preparation and their therapeutical uses | |
| EP2351739B1 (en) | 2-(4-substituted phenylamino) polysubstituted pyridine compounds as the inhibitors of non-nucleoside hiv reverse transcriptase, praparation methods and uses thereof | |
| CA2954724A1 (en) | Phenyl and tertbutylacetic acid substituted pyridinones having anti-hiv effects | |
| CN110997681B (en) | Thiazolopyridine derivatives as adenosine receptor antagonists | |
| EP2821104A1 (en) | Inhibitors of viral replication, their process of preparation and their therapeutical uses | |
| US11267824B2 (en) | Inhibitors of indoleamine 2,3-dioxygenase and/or tryptophan 2,3-dioxygenase | |
| EP2716639A1 (en) | Inhibitors of viral replication, their process of preparation and their therapeutical uses | |
| JPWO2009113569A1 (en) | Pharmaceutical composition for preventing or treating protozoan diseases comprising a benzo [a] phenoxatin compound as an active ingredient | |
| US20200055871A1 (en) | Activators of the retinoic acid inducible gene "rig-i" pathway and methods of use thereof | |
| US20220153735A1 (en) | Orai Channel Inhibitors | |
| JP6269942B2 (en) | p38 MAP kinase γ and / or δ inhibitors | |
| RS62656B1 (en) | Ethynyl compounds, their preparation and their therapeutic use for the treatment of malaria |
Legal Events
| Date | Code | Title | Description |
|---|---|---|---|
| PUAI | Public reference made under article 153(3) epc to a published international application that has entered the european phase |
Free format text: ORIGINAL CODE: 0009012 |
|
| AK | Designated contracting states |
Kind code of ref document: A1 Designated state(s): AL AT BE BG CH CY CZ DE DK EE ES FI FR GB GR HR HU IE IS IT LI LT LU LV MC MK MT NL NO PL PT RO RS SE SI SK SM TR |
|
| AX | Request for extension of the european patent |
Extension state: BA ME |
|
| STAA | Information on the status of an ep patent application or granted ep patent |
Free format text: STATUS: THE APPLICATION IS DEEMED TO BE WITHDRAWN |
|
| 18D | Application deemed to be withdrawn |
Effective date: 20141010 |




































































































































