EP0948591B1 - Laundry detergent compositions with cellulosic polymers to provide appearance and integrity benefits to fabrics laundered therewith - Google Patents

Laundry detergent compositions with cellulosic polymers to provide appearance and integrity benefits to fabrics laundered therewith Download PDF

Info

Publication number
EP0948591B1
EP0948591B1 EP97953405A EP97953405A EP0948591B1 EP 0948591 B1 EP0948591 B1 EP 0948591B1 EP 97953405 A EP97953405 A EP 97953405A EP 97953405 A EP97953405 A EP 97953405A EP 0948591 B1 EP0948591 B1 EP 0948591B1
Authority
EP
European Patent Office
Prior art keywords
weight
alkyl
sodium
compositions
modified
Prior art date
Legal status (The legal status is an assumption and is not a legal conclusion. Google has not performed a legal analysis and makes no representation as to the accuracy of the status listed.)
Expired - Lifetime
Application number
EP97953405A
Other languages
German (de)
French (fr)
Other versions
EP0948591A2 (en
Inventor
Jiping Wang
Nodie Monroe Washington
Kathleen Brenner Hunter
Stanton Lane Boyer
Current Assignee (The listed assignees may be inaccurate. Google has not performed a legal analysis and makes no representation or warranty as to the accuracy of the list.)
Procter and Gamble Co
Original Assignee
Procter and Gamble Co
Priority date (The priority date is an assumption and is not a legal conclusion. Google has not performed a legal analysis and makes no representation as to the accuracy of the date listed.)
Filing date
Publication date
Application filed by Procter and Gamble Co filed Critical Procter and Gamble Co
Publication of EP0948591A2 publication Critical patent/EP0948591A2/en
Application granted granted Critical
Publication of EP0948591B1 publication Critical patent/EP0948591B1/en
Anticipated expiration legal-status Critical
Expired - Lifetime legal-status Critical Current

Links

Classifications

    • CCHEMISTRY; METALLURGY
    • C11ANIMAL OR VEGETABLE OILS, FATS, FATTY SUBSTANCES OR WAXES; FATTY ACIDS THEREFROM; DETERGENTS; CANDLES
    • C11DDETERGENT COMPOSITIONS; USE OF SINGLE SUBSTANCES AS DETERGENTS; SOAP OR SOAP-MAKING; RESIN SOAPS; RECOVERY OF GLYCEROL
    • C11D3/00Other compounding ingredients of detergent compositions covered in group C11D1/00
    • C11D3/16Organic compounds
    • C11D3/20Organic compounds containing oxygen
    • C11D3/22Carbohydrates or derivatives thereof
    • C11D3/222Natural or synthetic polysaccharides, e.g. cellulose, starch, gum, alginic acid or cyclodextrin
    • C11D3/227Natural or synthetic polysaccharides, e.g. cellulose, starch, gum, alginic acid or cyclodextrin with nitrogen-containing groups
    • CCHEMISTRY; METALLURGY
    • C11ANIMAL OR VEGETABLE OILS, FATS, FATTY SUBSTANCES OR WAXES; FATTY ACIDS THEREFROM; DETERGENTS; CANDLES
    • C11DDETERGENT COMPOSITIONS; USE OF SINGLE SUBSTANCES AS DETERGENTS; SOAP OR SOAP-MAKING; RESIN SOAPS; RECOVERY OF GLYCEROL
    • C11D1/00Detergent compositions based essentially on surface-active compounds; Use of these compounds as a detergent
    • C11D1/86Mixtures of anionic, cationic, and non-ionic compounds
    • CCHEMISTRY; METALLURGY
    • C11ANIMAL OR VEGETABLE OILS, FATS, FATTY SUBSTANCES OR WAXES; FATTY ACIDS THEREFROM; DETERGENTS; CANDLES
    • C11DDETERGENT COMPOSITIONS; USE OF SINGLE SUBSTANCES AS DETERGENTS; SOAP OR SOAP-MAKING; RESIN SOAPS; RECOVERY OF GLYCEROL
    • C11D3/00Other compounding ingredients of detergent compositions covered in group C11D1/00
    • C11D3/16Organic compounds
    • C11D3/20Organic compounds containing oxygen
    • C11D3/22Carbohydrates or derivatives thereof
    • C11D3/222Natural or synthetic polysaccharides, e.g. cellulose, starch, gum, alginic acid or cyclodextrin
    • C11D3/223Natural or synthetic polysaccharides, e.g. cellulose, starch, gum, alginic acid or cyclodextrin oxidised
    • CCHEMISTRY; METALLURGY
    • C11ANIMAL OR VEGETABLE OILS, FATS, FATTY SUBSTANCES OR WAXES; FATTY ACIDS THEREFROM; DETERGENTS; CANDLES
    • C11DDETERGENT COMPOSITIONS; USE OF SINGLE SUBSTANCES AS DETERGENTS; SOAP OR SOAP-MAKING; RESIN SOAPS; RECOVERY OF GLYCEROL
    • C11D3/00Other compounding ingredients of detergent compositions covered in group C11D1/00
    • C11D3/16Organic compounds
    • C11D3/20Organic compounds containing oxygen
    • C11D3/22Carbohydrates or derivatives thereof
    • C11D3/222Natural or synthetic polysaccharides, e.g. cellulose, starch, gum, alginic acid or cyclodextrin
    • C11D3/225Natural or synthetic polysaccharides, e.g. cellulose, starch, gum, alginic acid or cyclodextrin etherified, e.g. CMC
    • CCHEMISTRY; METALLURGY
    • C11ANIMAL OR VEGETABLE OILS, FATS, FATTY SUBSTANCES OR WAXES; FATTY ACIDS THEREFROM; DETERGENTS; CANDLES
    • C11DDETERGENT COMPOSITIONS; USE OF SINGLE SUBSTANCES AS DETERGENTS; SOAP OR SOAP-MAKING; RESIN SOAPS; RECOVERY OF GLYCEROL
    • C11D1/00Detergent compositions based essentially on surface-active compounds; Use of these compounds as a detergent
    • C11D1/02Anionic compounds
    • C11D1/12Sulfonic acids or sulfuric acid esters; Salts thereof
    • C11D1/14Sulfonic acids or sulfuric acid esters; Salts thereof derived from aliphatic hydrocarbons or mono-alcohols
    • C11D1/146Sulfuric acid esters
    • CCHEMISTRY; METALLURGY
    • C11ANIMAL OR VEGETABLE OILS, FATS, FATTY SUBSTANCES OR WAXES; FATTY ACIDS THEREFROM; DETERGENTS; CANDLES
    • C11DDETERGENT COMPOSITIONS; USE OF SINGLE SUBSTANCES AS DETERGENTS; SOAP OR SOAP-MAKING; RESIN SOAPS; RECOVERY OF GLYCEROL
    • C11D1/00Detergent compositions based essentially on surface-active compounds; Use of these compounds as a detergent
    • C11D1/02Anionic compounds
    • C11D1/12Sulfonic acids or sulfuric acid esters; Salts thereof
    • C11D1/22Sulfonic acids or sulfuric acid esters; Salts thereof derived from aromatic compounds
    • CCHEMISTRY; METALLURGY
    • C11ANIMAL OR VEGETABLE OILS, FATS, FATTY SUBSTANCES OR WAXES; FATTY ACIDS THEREFROM; DETERGENTS; CANDLES
    • C11DDETERGENT COMPOSITIONS; USE OF SINGLE SUBSTANCES AS DETERGENTS; SOAP OR SOAP-MAKING; RESIN SOAPS; RECOVERY OF GLYCEROL
    • C11D1/00Detergent compositions based essentially on surface-active compounds; Use of these compounds as a detergent
    • C11D1/02Anionic compounds
    • C11D1/12Sulfonic acids or sulfuric acid esters; Salts thereof
    • C11D1/29Sulfates of polyoxyalkylene ethers
    • CCHEMISTRY; METALLURGY
    • C11ANIMAL OR VEGETABLE OILS, FATS, FATTY SUBSTANCES OR WAXES; FATTY ACIDS THEREFROM; DETERGENTS; CANDLES
    • C11DDETERGENT COMPOSITIONS; USE OF SINGLE SUBSTANCES AS DETERGENTS; SOAP OR SOAP-MAKING; RESIN SOAPS; RECOVERY OF GLYCEROL
    • C11D1/00Detergent compositions based essentially on surface-active compounds; Use of these compounds as a detergent
    • C11D1/38Cationic compounds
    • C11D1/52Carboxylic amides, alkylolamides or imides or their condensation products with alkylene oxides
    • C11D1/525Carboxylic amides (R1-CO-NR2R3), where R1, R2 or R3 contain two or more hydroxy groups per alkyl group, e.g. R3 being a reducing sugar rest
    • CCHEMISTRY; METALLURGY
    • C11ANIMAL OR VEGETABLE OILS, FATS, FATTY SUBSTANCES OR WAXES; FATTY ACIDS THEREFROM; DETERGENTS; CANDLES
    • C11DDETERGENT COMPOSITIONS; USE OF SINGLE SUBSTANCES AS DETERGENTS; SOAP OR SOAP-MAKING; RESIN SOAPS; RECOVERY OF GLYCEROL
    • C11D1/00Detergent compositions based essentially on surface-active compounds; Use of these compounds as a detergent
    • C11D1/66Non-ionic compounds
    • C11D1/72Ethers of polyoxyalkylene glycols

Definitions

  • the present invention relates to heavy duty laundry detergent compositions, in either liquid or granular form, which contain certain types of modified cellulose ether materials to impart appearance and integrity benefits to fabrics and textiles laundered in washing solutions formed from such compositions.
  • Short fibers are dislodged from woven and knit fabric/textile structures by the mechanical action of laundering. These dislodged fibers may form lint, fuzz or "pills" which are visible on the surface of fabrics and diminish the appearance of newness of the fabric. Further, repeated laundering of fabrics and textiles, especially with bleach-containing laundry products, can remove dye from fabrics and textiles and impart a faded, worn out appearance as a result of diminished color intensity, and in many cases, as a result of changes in hues or shades of color.
  • WO96/17917 relates to liquid personal care compositions comprising hydrophobically modified non-ionic celluloses.
  • WO95/00614 relates to rinse added liquid fabric-softening compositions comprising cationic celluloses.
  • US4329237 relates to detergent fabric-softening compositions comprising carboxymethyl cellulose.
  • US5540850 relates to detergent fabric-softening compositions comprising cellulose polymers.
  • the laundry detergent compositions herein comprise from about 1% to 80% by weight of a detersive surfactant, from about 1% to 80% by weight of an organic or inorganic detergency builder and from about 0.1% to 8% by weight of certain types of modified cellulose ether fabric treatment agents.
  • the detersive surfactant and detergency builder materials can be any of those useful in conventional laundry detergent products.
  • the modified cellulose ether materials are those which have a molecular weight of from about 10,000 to 2,000,000 and are comprised of repeating substituted anhydroglucose units corresponding to the general Structural Formula No. I, set forth hereinafter in the "Detailed Description of the Invention" section.
  • the useful type of cellulose ethers comprises hydrophobically-modified, nonionic materials with anhydroglucose ring alkyl substitution ranging from about 0.1% to 5% by weight of the cellulose ether.
  • Ring substituents are alkoxylated in amounts ranging from about 1 to 20 moles.
  • the present invention relates to the laundering or treating of fabrics and textiles in aqueous washing or treating solutions formed from effective amounts of the detergent compositions described herein, or formed from the individual components of such compositions.
  • Laundering of fabrics and textiles in such washing solutions, followed by rinsing and drying, imparts fabric appearance benefits to the fabric and textile articles so treated.
  • Such benefits can include improved overall appearance, pill/fuzz reduction, antifading, improved abrasion resistance, and/or enhanced softness.
  • the laundry detergent compositions of the present invention essentially contain detersive surfactant, detergent builder and certain modified cellulose ether fabric treatment agents which serve to enhance fabric appearance and integrity upon use of the detergent compositions to launder fabrics and textiles.
  • detersive surfactant e.g., sodium EDTA
  • detergent builder e.g., sodium EDTA
  • modified cellulose ether fabric treatment agents e.g., sodium EDTA
  • All percentages and ratios given are by weight unless other specified.
  • the detergent compositions herein essentially comprise from about 1% to 80% by weight of a detersive surfactant. Preferably such compositions comprise from about 5% to 50% by weight of this surfactant.
  • Detersive surfactants utilized can be of the anionic, nonionic, zwitterionic, ampholytic or cationic type or can comprise compatible mixtures of these types.
  • Detergent surfactants useful herein are described in U.S. Patent 3,664,961, Norris, issued May 23, 1972, U.S. Patent 3,919,678, Laughlin et al., issued December 30, 1975, U.S. Patent 4,222,905, Cockrell, issued September 16, 1980, and in U.S. Patent 4,239,659, Murphy, issued December 16, 1980. Of all the surfactants, anionics and nonionics are preferred.
  • Useful anionic surfactants can themselves be of several different types.
  • water-soluble salts of the higher fatty acids i.e., "soaps"
  • Soaps can be made by direct saponification of fats and oils or by the neutralization of free fatty acids.
  • Particularly useful are the sodium and potassium salts of the mixtures of fatty acids derived from coconut oil and tallow, i.e., sodium or potassium tallow and coconut soap.
  • non-soap anionic surfactants which are suitable for use herein include the water-soluble salts, preferably the alkali metal, and ammonium salts, of organic sulfuric reaction products having in their molecular structure an alkyl group containing from about 10 to about 20 carbon atoms and a sulfonic acid or sulfuric acid ester group.
  • alkyl is the alkyl portion of acyl groups.
  • this group of synthetic surfactants are a) the sodium, potassium and ammonium alkyl sulfates, especially those obtained by sulfating the higher alcohols (C 8 -C 18 carbon atoms) such as those produced by reducing the glycerides of tallow or coconut oil; b) the sodium, potassium and ammonium alkyl polyethoxylate sulfates, particularly those in which the alkyl group contains from 10 to 22, preferably from 12 to 18 carbon atoms, and wherein the polyethoxylate chain contains from 1 to 15, preferably I to 6 ethoxylate moieties; and c) the sodium and potassium alkylbenzene sulfonates in which the alkyl group contains from about 9 to about 15 carbon atoms, in straight chain or branched chain configuration, e.g., those of the type described in U.S.
  • Especially valuable are linear straight chain alkylbenzene sulfonates in which the average number of carbon atoms in the alkyl group is from about 11 to 13, abbreviated as C 11-13 LAS.
  • Preferred nonionic surfactants are those of the formula R 1 (OC 2 H 4 ) n OH, wherein R 1 is a C 10 -C 16 alkyl group or a C 8 -C 12 alkyl phenyl group, and n is from 3 to about 80.
  • Particularly preferred are condensation products of C 12 -C 15 alcohols with from about 5 to about 20 moles of ethylene oxide per mole of alcohol, e.g., C 12 -C 13 alcohol condensed with about 6.5 moles of ethylene oxide per mole of alcohol.
  • Additional suitable nonionic surfactants include polyhydroxy fatty acid amides of the formula: wherein R is a C 9-17 alkyl or alkenyl, R 1 is a methyl group and Z is glycityl derived from a reduced sugar or alkoxylated derivative thereof Examples are N-methyl N-1-deoxyglucityl cocoamide and N-methyl N-1-deoxyglucityl oleamide. Processes for making polyhydroxy fatty acid amides are known and can be found in Wilson, U.S. Patent 2,965,576 and Schwartz, U.S. Patent 2,703,798.
  • the detergent compositions herein also essentially comprise from 1% to 80% by weight of a detergent builder.
  • a detergent builder Preferably such compositions in liquid form will comprise from 1% to 10% by weight of the builder component.
  • compositions in granular form will comprise from 1% to 50% or even from 10% to 50% by weight of the builder component.
  • Detergent builders are well known in the art and can comprise, for example, phosphate salts as well as various organic and inorganic nonphosphorus builders.
  • Water-soluble, nonphosphorus organic builders useful herein include the various alkali metal, ammonium and substituted ammonium polyacetates, carboxylates, polycarboxylates and polyhydroxy sulfonates.
  • polyacetate and polycarboxylate builders are the sodium, potassium, lithium, ammonium and substituted ammonium salts of ethylene diamine tetraacetic acid, nitrilotriacetic acid, oxydisuccinic acid, mellitic acid, benzene polycarboxylic acids, and citric acid.
  • Other suitable polycarboxylates for use herein are the polyacetal carboxylates described in U.S.
  • Particularly preferred polycarboxylate builders are the oxydisuccinates and the ether carboxylate builder compositions comprising a combination of tartrate monosuccinate and tartrate disuccinate described in U.S. Patent 4,663,071, Bush et al., issued May 5, 1987. .
  • nonphosphorus, inorganic builders include the silicates, aluminosilicates, borates and carbonates. Particularly preferred are sodium and potassium carbonate, bicarbonate, sesquicarbonate, tetraborate decahydrate, and silicates having a weight ratio of SiO 2 to alkali metal oxide of from about 0.5 to about 4.0, preferably from about 1.0 to about 2.4. Also preferred are aluminosilicates including zeolites. Such materials and their use as detergent builders are more fully discussed in Corkill et al, U. S. Patent No. 4,605,509 . Also, crystalline layered silicates such as those discussed in Corkill et al, U. S. Patent No. 4,605,509 , are suitable for use in the detergent compositions of this invention.
  • the third essential component of the detergent compositions herein comprises one or more modified cellulosic polymers.
  • modified cellulosic polymers have been found to impart a number of appearance benefits to fabrics and textiles laundered in aqueous washing solutions formed from detergent compositions which contain such modified cellulosic materials.
  • Such fabric appearance benefits can include, for example, improved overall appearance of the laundered fabrics, reduction of the formation of pills and fuzz, protection against color fading, improved abrasion resistance, etc..
  • the modified cellulosic polymers used in the compositions and methods herein can provide such fabric appearance benefits with acceptably little or no loss in cleaning performance provided by the laundry detergent compositions into which such materials are incorporated.
  • modified cellulosic polymers useful herein are of the nonionic type, the modified cellulosic polymeric component of the compositions herein may comprise combinations of these cellulosic polymers.
  • the modified cellulosic polymer component of the compositions herein will comprise from about 0.1% to 8% by the weight of the composition. More preferably, such modified cellulosic materials will comprise from about 0.5% to 4% by weight of the compositions, most preferably from about 1% to 3%.
  • modified cellulosic polymer for use herein comprises hydrophobically-modified, nonionic cellulose ethers having a molecular weight of from about 10,000 to 2,000,000, preferably from about 50,000 to 1,000,000.
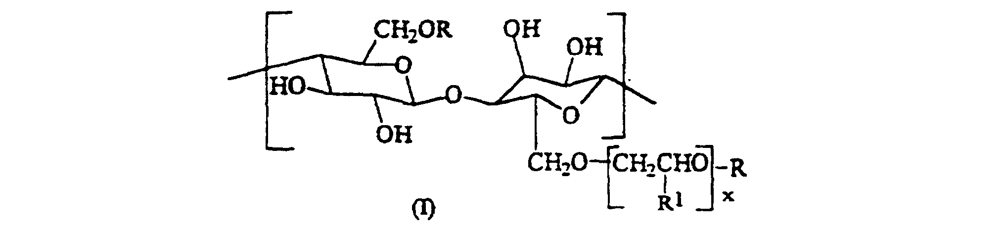
  • the hydrophobically-modified nonionic materials have repeating, substituted anhydroglucose units which correspond to the general Structural Formula No. I as follows:
  • R is a combination of H and C 8 -C 24 alkyl, preferably Cg - C16 alkyl. Alkyl substitution on the anhydroglucose rings of the polymer ranges from about 0.1% to 5% by weight, more preferably from about 0.2% to 2% by weight, of the polymer material. Also, in Structural Formula No. I, R 1 is H or methyl, and x ranges from about 1 to 20, preferably from about 1 to 10.
  • the modified cellulose ether fabric treatment agent is optionally a hydrophobically-modified, nonionic material corresponding to structural formula No.
  • R is a combination of H and C 8 to C 16 alkyl; b) R substitution of the anhydroglucose rings ranges from 0.2% to 2% by weight of the cellulose ether; c) as is H; and x d) x ranger from 1 to 10.
  • the hydrophobically-modified nonionic cellulose ethers of Structural Formula No. I include those which are commercially available and also include materials which can be prepared by conventional chemical modification of commercially available materials.
  • Commercially available cellulose ethers of the Structural Formula No. I type include Polysurf 67TM, Natrosol Plus 430TM and Natrosol Plus 330TM, all marketed by Hercules, Inc.
  • the commercially available cellulose ether materials useful herein are themselves derived from suitable natural sources of cellulose. Such sources include, for example, cotton linters and other vegetable tissues.
  • the modified cellulose ethers used in this invention are generally all water-soluble materials. They can therefore be utilized for detergent composition preparation in the form of aqueous solutions of the such cellulosic polymers if desired.
  • the detergent composition of the present invention can also include any number of additional optional ingredients.
  • additional optional ingredients include conventional detergent composition components such as bleaches and bleach activators, enzymes and enzyme stabilizing agents, suds boosters or suds suppressers, anti-tarnish and anticorrosion agents, soil suspending agents, soil release agents, germicides, pH adjusting agents, non-builder alkalinity sources, chelating agents, organic and inorganic fillers, solvents, hydrotropes, optical brighteners, dyes and perfumes.
  • a preferred optional ingredients for incorporation into the detergent compositions herein comprises a bleaching agent, e.g., a peroxygen bleach.
  • a bleaching agent e.g., a peroxygen bleach.
  • peroxygen bleaching agents may be organic or inorganic in nature. Inorganic peroxygen bleaching agents are frequently utilized in combination with a bleach activator.
  • Useful organic peroxygen bleaching agents include percarboxylic acid bleaching agents and salts thereof. Suitable examples of this class of agents include magnesium monoperoxyphthalate hexahydrate, the magnesium salt of metachloro perbenzoic acid, 4-nonylamino-4-oxoperoxybutyric acid and diperoxydodecanedioic acid.
  • Such bleaching agents are disclosed in U.S. Patent 4,483,781, Hartman, Issued November 20, 1984; European Patent Application EP-A-133,354, Banks et al., Published February 20, 1985; and U.S. Patent 4,412,934, Chung et al., Issued November 1, 1983.
  • Highly preferred bleaching agents also include 6-nonylamino-6-oxoperoxycaproic acid (NAPAA) as described in U.S. Patent 4,634,551, Issued January 6, 1987 to Burns et al.
  • NAPAA 6-nonylamino-6-oxoperoxycaproic acid
  • Inorganic peroxygen bleaching agents may also be used, generally in particulate form, in the detergent compositions herein.
  • Inorganic bleaching agents are in fact preferred.
  • Such inorganic peroxygen compounds include alkali metal perborate and percarbonate materials.
  • sodium perborate e.g. mono- or tetra-hydrate
  • Suitable inorganic bleaching agents can also include sodium or potassium carbonate peroxyhydrate and equivalent "percarbonate" bleaches, sodium pyrophosphate peroxyhydrate, urea peroxyhydrate, and sodium peroxide.
  • Persulfate bleach e.g., OXONETM, manufactured commercially by DuPont
  • OXONETM manufactured commercially by DuPont
  • inorganic peroxygen bleaches will be coated with silicate, borate, sulfate or water-soluble surfactants.
  • coated percarbonate particles are available from various commercial sources such as FMC, Solvay Interox, Tokai Denka and Degussa.
  • Inorganic peroxygen bleaching agents e.g., the perborates, the percarbonates, etc.
  • bleach activators which lead to the in situ production in aqueous solution (i.e., during use of the compositions herein for fabric laundering/bleaching) of the peroxy acid corresponding to the bleach activator.
  • Various non-limiting examples of activators are disclosed in U.S. Patent 4,915,854, Issued April 10, 1990 to Mao et al.; and U.S. Patent 4,412,934 Issued November 1, 1983 to Chung et al.
  • NOBS nonanoyloxybenzene sulfonate
  • TAED tetraacetyl ethylene diamine
  • R 1 N(R 5 )C(O)R 2 C(O)L or R 1 C(O)N(R 5 )R 2 C(O)L wherein R 1 is an alkyl group containing from about 6 to about 12 carbon atoms, R 2 is an alkylene containing from 1 to about 6 carbon atoms, R 5 is H or alkyl, aryl, or alkaryl containing from about 1 to about 10 carbon atoms, and L is any suitable leaving group.
  • a leaving group is any group that is displaced from the bleach activator as a consequence of the nucleophilic attack on the bleach activator by the perhydrolysis anion.
  • a preferred leaving group is phenol sulfonate.
  • bleach activators of the above formulae include (6-octanamido-caproyl)oxybenzenesulfonate, (6-nonanamidocaproyl) oxybenzenesulfonate, (6-decanamido-caproyl)oxybenzenesulfonate and mixtures thereof as described in the hereinbefore referenced U.S. Patent 4,634,551.
  • Another class of useful bleach activators comprises the benzoxazin-type activators disclosed by Hodge et al. in U.S. Patent 4,966, 723, Issued October 30, 1990.
  • a highly preferred activator of the benzoxazin-type is:
  • Still another class of useful bleach activators includes the acyl lactam activators, especially acyl caprolactams and acyl valerolactams of the formulae: wherein R 6 is H or an alkyl, aryl, alkoxyaryl, or alkaryl group containing from 1 to about 12 carbon atoms.
  • lactam activators include benzoyl caprolactam, octanoyl caprolactam, 3,5,5-trimethylhexanoyl caprolactam, nonanoyl caprolactam, decanoyl caprolactam, undecenoyl caprolactam, benzoyl valerolactam, octanoyl valerolactam, nonanoyl valerolactam, decanoyl valerolactam, undecenoyl valerolactam, 3,5,5-trimethylhexanoyl valerolactam and mixtures thereof. See also U.S. Patent 4,545,784, Issued to Sanderson, October 8, 1985, which discloses acyl caprolactams, including benzoyl caprolactam, adsorbed into sodium perborate.
  • peroxygen bleaching agent will generally comprise from about 2% to 30% by weight of the detergent compositions herein. More preferably, peroxygen bleaching agent will comprise from about 2% to 20% by weight of the compositions. Most preferably, peroxygen bleaching agent will be present to the extent of from about 3% to 15% by weight of the compositions herein.
  • bleach activators can comprise from about 2% to 10% by weight of the detergent compositions herein. Frequently, activators are employed such that the molar ratio of bleaching agent to activator ranges from about 1:1 to 10:1, more preferably from about 1.5:1 to 5:1.
  • a detersive enzymes component Another highly preferred optional ingredient in the detergent compositions herein is a detersive enzymes component.
  • Enzymes can be included in the present detergent compositions for a variety of purposes, including removal of protein-based, carbohydrate-based, or triglyceride-based stains from substrates, for the prevention of refugee dye transfer in fabric laundering, and for fabric restoration.
  • Suitable enzymes include proteases, amylases, lipases, cellulases, peroxidases, and mixtures thereof of any suitable origin, such as vegetable, animal, bacterial, fungal and yeast origin. Preferred selections are influenced by factors such as pH-activity and/or stability optima, thermostability, and stability to active detergents, builders and the like.
  • bacterial or fungal enzymes are preferred, such as bacterial amylases and proteases, and fungal cellulases.
  • Detersive enzyme means any enzyme having a cleaning, stain removing or otherwise beneficial effect in a laundry detergent composition.
  • Preferred enzymes for laundry purposes include, but are not limited to, proteases, cellulases, lipases, amylases and peroxidases.
  • Enzymes are normally incorporated into detergent compositions at levels sufficient to provide a "cleaning-effective amount".
  • cleaning-effective amount refers to any amount capable of producing a cleaning, stain removal, soil removal, whitening, deodorizing, or freshness improving effect on substrates such as fabrics.
  • typical amounts are up to about 5 mg by weight, more typically 0.01 mg to 3 mg, of active enzyme per gram of the detergent composition.
  • the compositions herein will typically comprise from 0.001% to 5%, preferably 0.01%-1% by weight of a commercial enzyme preparation.
  • Protease enzymes are usually present in such commercial preparations at levels sufficient to provide from 0.005 to 0.1 Anson units (AU) of activity per gram of composition. Higher active levels may be desirable in highly concentrated detergent formulations.
  • proteases are the subtilisins which are obtained from particular strains of B. subtilis and B. licheniformis.
  • One suitable protease is obtained from a strain of Bacillus , having maximum activity throughout the pH range of 8-12, developed and sold as ESPERASE® by Novo Industries A/S of Denmark, hereinafter "Novo". The preparation of this enzyme and analogous enzymes is described in GB 1,243,784 to Novo.
  • proteases include ALCALASE® and SAVINASE® from Novo and MAXATASE® from International Bio-Synthetics, Inc., The Netherlands; as well as Protease A as disclosed in EP 130,756 A, January 9, 1985 and Protease B as disclosed in EP 303,761 A, April 28, 1987 and EP 130,756 A, January 9, 1985. See also a high pH protease from Bacillus sp. NCIMB 40338 described in WO 9318140 A to Novo. Enzymatic detergents comprising protease, one or more other enzymes, and a reversible protease inhibitor are described in WO 9203529 A to Novo.
  • proteases include those of WO 9510591 A to Procter & Gamble.
  • a protease having decreased adsorption and increased hydrolysis is available as described in WO 9507791 to Procter & Gamble.
  • a recombinant trypsin-like protease for detergents suitable herein is described in WO 9425583 to Novo.
  • Cellulases usable herein include both bacterial and fungal types, preferably having a pH optimum between 5 and 10.
  • U.S. 4,435,307, Barbesgoard et al, March 6, 1984 discloses suitable fungal cellulases from Humicola insolens or Humicola strain DSM1800 or a cellulase 212-producing fungus belonging to the genus Aeromonas , and cellulase extracted from the hepatopancreas of a marine mollusk, Dolabella Auricula Solander. Suitable cellulases are also disclosed in GB-A-2.075.028; GB-A-2.095.275 and DE-OS-2.247.832. CAREZYME® and CELLUZYME® (Novo) are especially useful. See also WO 9117243 to Novo.
  • Suitable lipase enzymes for detergent usage include those produced by microorganisms of the Pseudomonas group, such as Pseudomonas stutzeri ATCC 19.154, as disclosed in GB 1,372,034. See also lipases in Japanese Patent Application 53,20487, laid open Feb. 24, 1978. This lipase is available from Amano Pharmaceutical Co. Ltd., Nagoya, Japan, under the trade name Lipase P "Amano," or "Amano-P.” Other suitable commercial lipases include Amano-CES, lipases ex Chromobacter viscosum , e.g. Chromobacter viscosum var.
  • lipolyticum NRRLB 3673 from Toyo Jozo Co., Tagata, Japan; Chromobacter viscosum lipases from U.S. Biochemical Corp., U.S.A. and Disoynth Co., The Netherlands, and lipases ex Pseudomonas gladioli.
  • the enzyme-containing compositions herein may optionally also comprise from about 0.001% to about 10%, preferably from about 0.005% to about 8%, most preferably from about 0.01% to about 6%, by weight of an enzyme stabilizing system.
  • the enzyme stabilizing system can be any stabilizing system which is compatible with the detersive enzyme. Such a system may be inherently provided by other formulation actives, or be added separately, e.g., by the formulator or by a manufacturer of detergent-ready enzymes.
  • Such stabilizing systems can, for example, comprise calcium ion, boric acid, propylene glycol, short chain carboxylic acids, boronic acids, and mixtures thereof, and are designed to address different stabilization problems depending on the type and physical form of the detergent composition.
  • the detergent compositions according to the present invention can be in liquid, paste or granular forms. Such compositions can be prepared by combining the essential and optional components in the requisite concentrations in any suitable order and by any conventional means.
  • Granular compositions are generally made by combining base granule ingredients (e.g. surfactants, builders, water, etc.) as a slurry, and spray drying the resulting slurry to a low level of residual moisture (5-12%).
  • base granule ingredients e.g. surfactants, builders, water, etc.
  • the remaining dry ingredients can be admixed in granular powder form with the spray dried granules in a rotary mixing drum and the liquid ingredients (e.g. organic solutions of the essential cellulosic polymers, enzymes, binders and perfumes) can be sprayed onto the resulting granules to form the finished detergent composition.
  • Granular compositions according to the present invention can also be in "compact form", i.e.
  • the granular detergent compositions according to the present invention will contain a lower amount of "inorganic filler salt", compared to conventional granular detergents; typical filler salts are alkaline earth metal salts of sulphates and chlorides, typically sodium sulphate; "compact" detergents typically comprise not more than 10% filler salt.
  • Liquid detergent compositions can be prepared by admixing the essential and optional ingredients thereof in any desired order to provide compositions containing components in the requisite concentrations.
  • Liquid compositions according to the present invention can also be in "compact form", in such case, the liquid detergent compositions according to the present invention will contain a lower amount of water, compared to conventional liquid detergents.
  • Addition of the cellulose ether component to liquid detergent compositions of this invention may be accomplished by simply mixing into the liquid dertergent aqueous solutions of the desired cellulose ethers.
  • Cellulose ethers can alter the viscosity or other rheological characteristics of liquid detergent products. It may therefore be necessary to compensate for any rheological changes in the liquid detergent product brought about by cellulose ether addition by altering the type and amount of hydrotropes and/or solvents that are used.
  • the present invention also provides a method for laundering fabrics in a manner which imparts fabric appearance benefits provided by the cellulosic polymers used herein.
  • Such a method employs contacting these fabrics with an aqueous washing solution formed from an effective amount of the detergent compositions hereinbefore described or formed from the individual components of such compositions. Contacting of fabrics with washing solution will generally occur under conditions of agitation although the compositions of the present invention may also be used to form aqueous unagitated soaking solutions for fabric cleaning and treatment.
  • Agitation is preferably provided in a washing machine for good cleaning. Washing is preferably followed by drying the wet fabric in a conventional clothes dryer.
  • An effective amount of the liquid or granular detergent composition in the aqueous wash solution in the washing machine is preferably from about 500 to about 7000 ppm, more preferably from about 1000 to about 3000 ppm.
  • liquid detergent compositions are prepared containing various modified cellulosic polymers.
  • Such liquid detergent compositions all have the following basic formula: Component Wt. C 12-15 alkyl ether (2.5) sulfate 38 C 12 glucose amide 6.86 Citric Acid 4.75 C 12-14 Fatty Acid 2.00 Enzymes 1.02 MEA 1.0 Propanediol 0.36 Borax 6.58 Dispersant 1.48 Na Toluene Sulfonate 6.25 Modified Cellulosic Polymer (if present) 2.0 Dye, Perfume, Brighteners, Preservatives, Suds Suppressor, Balance Other Minors, Water 100%
  • Test compositions prepared as described in Examples I and II are evaluated for the effects that the various cellulosic polymers of Example III provide when samples of fabrics or garments are washed using the test compositions as described, all under identical conditions.
  • a control sample with no polymer is usually compared to one composition with a test polymer to be evaluated.
  • Testing conditions are also carefully monitored. Examples of controlled conditions include: wash time, wash water temperature and hardness; washer agitation; rinse time, rinse water temperature and hardness; dryer time and temperature; wash load fiber content and weight.
  • fabrics are washed using various test compositions containing either no cellulosic polymers or one of the Example III cellulosic polymers.
  • the fabrics so washed after ten cycles are then comparatively graded by three judges who evaluate the overall appearance of the washed fabrics. It is the decision of the judge as to what is to be evaluated unless specific direction is given to evaluate one attribute such as color, pilling, fuzz, etc.
  • laundering conditions are as follows:
  • Pill Reduction Test Results Liquids Liquid Test Composition ID Polymer Tested Pill/Fuzz Reduction (%) Control None 0 A Polysurf 67 21.5 B LK-400 42.4 C CMC(D72) 26.8 D Modified LK-400 25.9 Pill Reduction Test Results - Granular Granular Test Composition ID Polymer Tested Pill/Fuzz Reduction (%) Control None A Polysurf 67 33.3 B LK-400 51.6 C CMC(D72) 7.6 D Modified LK-400 16.6
  • % Color Protection ⁇ [dE*(control) - dE*(polymers)] / dE*(control) ⁇ x 100%
  • Color Protection Test Results Liquids Liquid Test Composition ID Polymer Tested Color Protection (%) Control None 0 A Polysurf 67 24.2 B LK-400 36.5 C CMC (D72) 26.6 D Modified LK-400 27.2 Color Protection Test Results - Granular Granular Test Composition ID Polymer Tested Color Protection (%) Control None 0 A Polysurf 67 33.9 B LK-400 39.2 C CMC (D72) 15.5 D Modified LK-400 24.7

Landscapes

  • Chemical & Material Sciences (AREA)
  • Life Sciences & Earth Sciences (AREA)
  • Health & Medical Sciences (AREA)
  • Engineering & Computer Science (AREA)
  • Chemical Kinetics & Catalysis (AREA)
  • Oil, Petroleum & Natural Gas (AREA)
  • Wood Science & Technology (AREA)
  • Organic Chemistry (AREA)
  • Molecular Biology (AREA)
  • Emergency Medicine (AREA)
  • Detergent Compositions (AREA)

Description

    TECHNICAL FIELD
  • The present invention relates to heavy duty laundry detergent compositions, in either liquid or granular form, which contain certain types of modified cellulose ether materials to impart appearance and integrity benefits to fabrics and textiles laundered in washing solutions formed from such compositions.
  • BACKGROUND OF THE INVENTION
  • It is, of course, well known that alternating cycles of using and laundering fabrics and textiles, such as articles of worn clothing and apparel, will inevitably adversely affect the appearance and integrity of the fabric and textile items so used and laundered. Fabrics and textiles simply wear out over time and with use. Laundering of fabrics and textiles is necessary to remove soils and stains which accumulate therein and thereon during ordinary use. However, the laundering operation itself, over many cycles, can accentuate and contribute to the deterioration of the integrity and the appearance of such fabrics and textiles.
  • Deterioration of fabric integrity and appearance can manifest itself in several ways. Short fibers are dislodged from woven and knit fabric/textile structures by the mechanical action of laundering. These dislodged fibers may form lint, fuzz or "pills" which are visible on the surface of fabrics and diminish the appearance of newness of the fabric. Further, repeated laundering of fabrics and textiles, especially with bleach-containing laundry products, can remove dye from fabrics and textiles and impart a faded, worn out appearance as a result of diminished color intensity, and in many cases, as a result of changes in hues or shades of color.
  • Given the foregoing, there is clearly an ongoing need to identify materials which could be added to laundry detergent products that would associate themselves with the fibers of the fabrics and textiles laundered using such detergent products and thereby reduce or minimize the tendency of the laundered fabric/textiles to deteriorate in appearance. Any such detergent product additive material should, of course, be able to benefit fabric appearance and integrity without unduly interfering with the ability of the laundry detergent to perform its fabric cleaning function. The present invention is directed to detergent compositions containing certain types of cellulosic materials that perform in this desired manner.
  • WO96/17917 relates to liquid personal care compositions comprising hydrophobically modified non-ionic celluloses. WO95/00614 relates to rinse added liquid fabric-softening compositions comprising cationic celluloses. US4329237 relates to detergent fabric-softening compositions comprising carboxymethyl cellulose. US5540850 relates to detergent fabric-softening compositions comprising cellulose polymers.
  • SUMMARY OF THE INVENTION
  • The laundry detergent compositions herein comprise from about 1% to 80% by weight of a detersive surfactant, from about 1% to 80% by weight of an organic or inorganic detergency builder and from about 0.1% to 8% by weight of certain types of modified cellulose ether fabric treatment agents. The detersive surfactant and detergency builder materials can be any of those useful in conventional laundry detergent products. The modified cellulose ether materials are those which have a molecular weight of from about 10,000 to 2,000,000 and are comprised of repeating substituted anhydroglucose units corresponding to the general Structural Formula No. I, set forth hereinafter in the "Detailed Description of the Invention" section. (In the Structural Formulas hereinafter set forth, substituents are shown in specific positions on the anhydroglucose rings which repeat to form the substituted cellulose ether polymers. It should be understood that this is for illustration purposes only and that such substituents may be found on any of the carbon atoms of the anhydroglucose rings.)
  • The useful type of cellulose ethers comprises hydrophobically-modified, nonionic materials with anhydroglucose ring alkyl substitution ranging from about 0.1% to 5% by weight of the cellulose ether. Ring substituents are alkoxylated in amounts ranging from about 1 to 20 moles.
  • In its method aspect, the present invention relates to the laundering or treating of fabrics and textiles in aqueous washing or treating solutions formed from effective amounts of the detergent compositions described herein, or formed from the individual components of such compositions. Laundering of fabrics and textiles in such washing solutions, followed by rinsing and drying, imparts fabric appearance benefits to the fabric and textile articles so treated. Such benefits can include improved overall appearance, pill/fuzz reduction, antifading, improved abrasion resistance, and/or enhanced softness.
  • DETAILED DESCRIPTION OF THE INVENTION
  • As noted, the laundry detergent compositions of the present invention essentially contain detersive surfactant, detergent builder and certain modified cellulose ether fabric treatment agents which serve to enhance fabric appearance and integrity upon use of the detergent compositions to launder fabrics and textiles. Each of these essential detergent composition components, as well as optional ingredients for such compositions and methods of using such compositions, are described in detail as follows: All percentages and ratios given are by weight unless other specified.
  • A) Detersive Surfactant
  • The detergent compositions herein essentially comprise from about 1% to 80% by weight of a detersive surfactant. Preferably such compositions comprise from about 5% to 50% by weight of this surfactant. Detersive surfactants utilized can be of the anionic, nonionic, zwitterionic, ampholytic or cationic type or can comprise compatible mixtures of these types. Detergent surfactants useful herein are described in U.S. Patent 3,664,961, Norris, issued May 23, 1972, U.S. Patent 3,919,678, Laughlin et al., issued December 30, 1975, U.S. Patent 4,222,905, Cockrell, issued September 16, 1980, and in U.S. Patent 4,239,659, Murphy, issued December 16, 1980. Of all the surfactants, anionics and nonionics are preferred.
  • Useful anionic surfactants can themselves be of several different types. For example, water-soluble salts of the higher fatty acids, i.e., "soaps", are useful anionic surfactants in the compositions herein. This includes alkali metal soaps such as the sodium, potassium, ammonium, and alkylolammonium salts of higher fatty acids containing from about 8 to about 24 carbon atoms, and preferably from about 12 to about 18 carbon atoms. Soaps can be made by direct saponification of fats and oils or by the neutralization of free fatty acids. Particularly useful are the sodium and potassium salts of the mixtures of fatty acids derived from coconut oil and tallow, i.e., sodium or potassium tallow and coconut soap.
  • Additional non-soap anionic surfactants which are suitable for use herein include the water-soluble salts, preferably the alkali metal, and ammonium salts, of organic sulfuric reaction products having in their molecular structure an alkyl group containing from about 10 to about 20 carbon atoms and a sulfonic acid or sulfuric acid ester group. (Included in the term "alkyl" is the alkyl portion of acyl groups.) Examples of this group of synthetic surfactants are a) the sodium, potassium and ammonium alkyl sulfates, especially those obtained by sulfating the higher alcohols (C8-C18 carbon atoms) such as those produced by reducing the glycerides of tallow or coconut oil; b) the sodium, potassium and ammonium alkyl polyethoxylate sulfates, particularly those in which the alkyl group contains from 10 to 22, preferably from 12 to 18 carbon atoms, and wherein the polyethoxylate chain contains from 1 to 15, preferably I to 6 ethoxylate moieties; and c) the sodium and potassium alkylbenzene sulfonates in which the alkyl group contains from about 9 to about 15 carbon atoms, in straight chain or branched chain configuration, e.g., those of the type described in U.S. Patents 2,220,099 and 2,477,383. Especially valuable are linear straight chain alkylbenzene sulfonates in which the average number of carbon atoms in the alkyl group is from about 11 to 13, abbreviated as C11-13 LAS.
  • Preferred nonionic surfactants are those of the formula R1(OC2H4)nOH, wherein R1 is a C10-C16 alkyl group or a C8-C12 alkyl phenyl group, and n is from 3 to about 80. Particularly preferred are condensation products of C12-C15 alcohols with from about 5 to about 20 moles of ethylene oxide per mole of alcohol, e.g., C12-C13 alcohol condensed with about 6.5 moles of ethylene oxide per mole of alcohol.
  • Additional suitable nonionic surfactants include polyhydroxy fatty acid amides of the formula:
    Figure 00050001
    wherein R is a C9-17 alkyl or alkenyl, R1 is a methyl group and Z is glycityl derived from a reduced sugar or alkoxylated derivative thereof Examples are N-methyl N-1-deoxyglucityl cocoamide and N-methyl N-1-deoxyglucityl oleamide. Processes for making polyhydroxy fatty acid amides are known and can be found in Wilson, U.S. Patent 2,965,576 and Schwartz, U.S. Patent 2,703,798.
  • B) Detergent Builder
  • The detergent compositions herein also essentially comprise from 1% to 80% by weight of a detergent builder. Preferably such compositions in liquid form will comprise from 1% to 10% by weight of the builder component. Preferably such compositions in granular form will comprise from 1% to 50% or even from 10% to 50% by weight of the builder component. Detergent builders are well known in the art and can comprise, for example, phosphate salts as well as various organic and inorganic nonphosphorus builders.
  • Water-soluble, nonphosphorus organic builders useful herein include the various alkali metal, ammonium and substituted ammonium polyacetates, carboxylates, polycarboxylates and polyhydroxy sulfonates. Examples of polyacetate and polycarboxylate builders are the sodium, potassium, lithium, ammonium and substituted ammonium salts of ethylene diamine tetraacetic acid, nitrilotriacetic acid, oxydisuccinic acid, mellitic acid, benzene polycarboxylic acids, and citric acid. Other suitable polycarboxylates for use herein are the polyacetal carboxylates described in U.S. Patent 4,144,226, issued March 13, 1979 to Crutchfield et al, and U.S. Patent 4,246,495, issued March 27, 1979 to Crutchfield et al. Particularly preferred polycarboxylate builders are the oxydisuccinates and the ether carboxylate builder compositions comprising a combination of tartrate monosuccinate and tartrate disuccinate described in U.S. Patent 4,663,071, Bush et al., issued May 5, 1987. .
  • Examples of suitable nonphosphorus, inorganic builders include the silicates, aluminosilicates, borates and carbonates. Particularly preferred are sodium and potassium carbonate, bicarbonate, sesquicarbonate, tetraborate decahydrate, and silicates having a weight ratio of SiO2 to alkali metal oxide of from about 0.5 to about 4.0, preferably from about 1.0 to about 2.4. Also preferred are aluminosilicates including zeolites. Such materials and their use as detergent builders are more fully discussed in Corkill et al, U. S. Patent No. 4,605,509 . Also, crystalline layered silicates such as those discussed in Corkill et al, U. S. Patent No. 4,605,509 , are suitable for use in the detergent compositions of this invention.
  • C) Modified Cellulosic Polymers
  • The third essential component of the detergent compositions herein comprises one or more modified cellulosic polymers. Such materials have been found to impart a number of appearance benefits to fabrics and textiles laundered in aqueous washing solutions formed from detergent compositions which contain such modified cellulosic materials. Such fabric appearance benefits can include, for example, improved overall appearance of the laundered fabrics, reduction of the formation of pills and fuzz, protection against color fading, improved abrasion resistance, etc.. The modified cellulosic polymers used in the compositions and methods herein can provide such fabric appearance benefits with acceptably little or no loss in cleaning performance provided by the laundry detergent compositions into which such materials are incorporated.
  • The modified cellulosic polymers useful herein are of the nonionic type, the modified cellulosic polymeric component of the compositions herein may comprise combinations of these cellulosic polymers. The modified cellulosic polymer component of the compositions herein will comprise from about 0.1% to 8% by the weight of the composition. More preferably, such modified cellulosic materials will comprise from about 0.5% to 4% by weight of the compositions, most preferably from about 1% to 3%.
  • One suitable type of modified cellulosic polymer for use herein comprises hydrophobically-modified, nonionic cellulose ethers having a molecular weight of from about 10,000 to 2,000,000, preferably from about 50,000 to 1,000,000. The hydrophobically-modified nonionic materials have repeating, substituted anhydroglucose units which correspond to the general Structural Formula No. I as follows:
    Figure 00070001
  • Structural Formula No. I
  • In Structural Formula No. I, R is a combination of H and C8-C24 alkyl, preferably Cg - C16 alkyl. Alkyl substitution on the anhydroglucose rings of the polymer ranges from about 0.1% to 5% by weight, more preferably from about 0.2% to 2% by weight, of the polymer material. Also, in Structural Formula No. I, R1 is H or methyl, and x ranges from about 1 to 20, preferably from about 1 to 10. The modified cellulose ether fabric treatment agent is optionally a hydrophobically-modified, nonionic material corresponding to structural formula No. I wherein a) R is a combination of H and C8 to C16 alkyl; b) R substitution of the anhydroglucose rings ranges from 0.2% to 2% by weight of the cellulose ether; c) as is H; and x d) x ranger from 1 to 10.
  • The hydrophobically-modified nonionic cellulose ethers of Structural Formula No. I include those which are commercially available and also include materials which can be prepared by conventional chemical modification of commercially available materials. Commercially available cellulose ethers of the Structural Formula No. I type include Polysurf 67™, Natrosol Plus 430™ and Natrosol Plus 330™, all marketed by Hercules, Inc.
  • The commercially available cellulose ether materials useful herein are themselves derived from suitable natural sources of cellulose. Such sources include, for example, cotton linters and other vegetable tissues. The modified cellulose ethers used in this invention are generally all water-soluble materials. They can therefore be utilized for detergent composition preparation in the form of aqueous solutions of the such cellulosic polymers if desired.
  • D) Optional Detergent Ingredients
  • In addition to the essential surfactants, builders and modified cellose ethers hereinbefore described, the detergent composition of the present invention can also include any number of additional optional ingredients. These include conventional detergent composition components such as bleaches and bleach activators, enzymes and enzyme stabilizing agents, suds boosters or suds suppressers, anti-tarnish and anticorrosion agents, soil suspending agents, soil release agents, germicides, pH adjusting agents, non-builder alkalinity sources, chelating agents, organic and inorganic fillers, solvents, hydrotropes, optical brighteners, dyes and perfumes.
  • A preferred optional ingredients for incorporation into the detergent compositions herein comprises a bleaching agent, e.g., a peroxygen bleach. Such peroxygen bleaching agents may be organic or inorganic in nature. Inorganic peroxygen bleaching agents are frequently utilized in combination with a bleach activator.
  • Useful organic peroxygen bleaching agents include percarboxylic acid bleaching agents and salts thereof. Suitable examples of this class of agents include magnesium monoperoxyphthalate hexahydrate, the magnesium salt of metachloro perbenzoic acid, 4-nonylamino-4-oxoperoxybutyric acid and diperoxydodecanedioic acid. Such bleaching agents are disclosed in U.S. Patent 4,483,781, Hartman, Issued November 20, 1984; European Patent Application EP-A-133,354, Banks et al., Published February 20, 1985; and U.S. Patent 4,412,934, Chung et al., Issued November 1, 1983. Highly preferred bleaching agents also include 6-nonylamino-6-oxoperoxycaproic acid (NAPAA) as described in U.S. Patent 4,634,551, Issued January 6, 1987 to Burns et al.
  • Inorganic peroxygen bleaching agents may also be used, generally in particulate form, in the detergent compositions herein. Inorganic bleaching agents are in fact preferred. Such inorganic peroxygen compounds include alkali metal perborate and percarbonate materials. For example, sodium perborate (e.g. mono- or tetra-hydrate) can be used. Suitable inorganic bleaching agents can also include sodium or potassium carbonate peroxyhydrate and equivalent "percarbonate" bleaches, sodium pyrophosphate peroxyhydrate, urea peroxyhydrate, and sodium peroxide. Persulfate bleach (e.g., OXONE™, manufactured commercially by DuPont) can also be used. Frequently inorganic peroxygen bleaches will be coated with silicate, borate, sulfate or water-soluble surfactants. For example, coated percarbonate particles are available from various commercial sources such as FMC, Solvay Interox, Tokai Denka and Degussa.
  • Inorganic peroxygen bleaching agents, e.g., the perborates, the percarbonates, etc., are preferably combined with bleach activators, which lead to the in situ production in aqueous solution (i.e., during use of the compositions herein for fabric laundering/bleaching) of the peroxy acid corresponding to the bleach activator. Various non-limiting examples of activators are disclosed in U.S. Patent 4,915,854, Issued April 10, 1990 to Mao et al.; and U.S. Patent 4,412,934 Issued November 1, 1983 to Chung et al. The nonanoyloxybenzene sulfonate (NOBS) and tetraacetyl ethylene diamine (TAED) activators are typical and preferred. Mixtures thereof can also be used. See also the hereinbefore referenced U.S. 4,634,551 for other typical bleaches and activators useful herein.
  • Other useful amido-derived bleach activators are those of the formulae: R1N(R5)C(O)R2C(O)L   or   R1C(O)N(R5)R2C(O)L wherein R1 is an alkyl group containing from about 6 to about 12 carbon atoms, R2 is an alkylene containing from 1 to about 6 carbon atoms, R5 is H or alkyl, aryl, or alkaryl containing from about 1 to about 10 carbon atoms, and L is any suitable leaving group. A leaving group is any group that is displaced from the bleach activator as a consequence of the nucleophilic attack on the bleach activator by the perhydrolysis anion. A preferred leaving group is phenol sulfonate.
  • Preferred examples of bleach activators of the above formulae include (6-octanamido-caproyl)oxybenzenesulfonate, (6-nonanamidocaproyl) oxybenzenesulfonate, (6-decanamido-caproyl)oxybenzenesulfonate and mixtures thereof as described in the hereinbefore referenced U.S. Patent 4,634,551.
  • Another class of useful bleach activators comprises the benzoxazin-type activators disclosed by Hodge et al. in U.S. Patent 4,966, 723, Issued October 30, 1990. A highly preferred activator of the benzoxazin-type is:
    Figure 00100001
  • Still another class of useful bleach activators includes the acyl lactam activators, especially acyl caprolactams and acyl valerolactams of the formulae:
    Figure 00100002
    wherein R6 is H or an alkyl, aryl, alkoxyaryl, or alkaryl group containing from 1 to about 12 carbon atoms. Highly preferred lactam activators include benzoyl caprolactam, octanoyl caprolactam, 3,5,5-trimethylhexanoyl caprolactam, nonanoyl caprolactam, decanoyl caprolactam, undecenoyl caprolactam, benzoyl valerolactam, octanoyl valerolactam, nonanoyl valerolactam, decanoyl valerolactam, undecenoyl valerolactam, 3,5,5-trimethylhexanoyl valerolactam and mixtures thereof. See also U.S. Patent 4,545,784, Issued to Sanderson, October 8, 1985, which discloses acyl caprolactams, including benzoyl caprolactam, adsorbed into sodium perborate.
  • If utilized, peroxygen bleaching agent will generally comprise from about 2% to 30% by weight of the detergent compositions herein. More preferably, peroxygen bleaching agent will comprise from about 2% to 20% by weight of the compositions. Most preferably, peroxygen bleaching agent will be present to the extent of from about 3% to 15% by weight of the compositions herein. If utilized, bleach activators can comprise from about 2% to 10% by weight of the detergent compositions herein. Frequently, activators are employed such that the molar ratio of bleaching agent to activator ranges from about 1:1 to 10:1, more preferably from about 1.5:1 to 5:1.
  • Another highly preferred optional ingredient in the detergent compositions herein is a detersive enzymes component. Enzymes can be included in the present detergent compositions for a variety of purposes, including removal of protein-based, carbohydrate-based, or triglyceride-based stains from substrates, for the prevention of refugee dye transfer in fabric laundering, and for fabric restoration. Suitable enzymes include proteases, amylases, lipases, cellulases, peroxidases, and mixtures thereof of any suitable origin, such as vegetable, animal, bacterial, fungal and yeast origin. Preferred selections are influenced by factors such as pH-activity and/or stability optima, thermostability, and stability to active detergents, builders and the like. In this respect bacterial or fungal enzymes are preferred, such as bacterial amylases and proteases, and fungal cellulases.
  • "Detersive enzyme", as used herein, means any enzyme having a cleaning, stain removing or otherwise beneficial effect in a laundry detergent composition. Preferred enzymes for laundry purposes include, but are not limited to, proteases, cellulases, lipases, amylases and peroxidases.
  • Enzymes are normally incorporated into detergent compositions at levels sufficient to provide a "cleaning-effective amount". The term "cleaning-effective amount" refers to any amount capable of producing a cleaning, stain removal, soil removal, whitening, deodorizing, or freshness improving effect on substrates such as fabrics. In practical terms for current commercial preparations, typical amounts are up to about 5 mg by weight, more typically 0.01 mg to 3 mg, of active enzyme per gram of the detergent composition. Stated otherwise, the compositions herein will typically comprise from 0.001% to 5%, preferably 0.01%-1% by weight of a commercial enzyme preparation. Protease enzymes are usually present in such commercial preparations at levels sufficient to provide from 0.005 to 0.1 Anson units (AU) of activity per gram of composition. Higher active levels may be desirable in highly concentrated detergent formulations.
  • Suitable examples of proteases are the subtilisins which are obtained from particular strains of B. subtilis and B. licheniformis. One suitable protease is obtained from a strain of Bacillus, having maximum activity throughout the pH range of 8-12, developed and sold as ESPERASE® by Novo Industries A/S of Denmark, hereinafter "Novo". The preparation of this enzyme and analogous enzymes is described in GB 1,243,784 to Novo. Other suitable proteases include ALCALASE® and SAVINASE® from Novo and MAXATASE® from International Bio-Synthetics, Inc., The Netherlands; as well as Protease A as disclosed in EP 130,756 A, January 9, 1985 and Protease B as disclosed in EP 303,761 A, April 28, 1987 and EP 130,756 A, January 9, 1985. See also a high pH protease from Bacillus sp. NCIMB 40338 described in WO 9318140 A to Novo. Enzymatic detergents comprising protease, one or more other enzymes, and a reversible protease inhibitor are described in WO 9203529 A to Novo. Other preferred proteases include those of WO 9510591 A to Procter & Gamble. When desired, a protease having decreased adsorption and increased hydrolysis is available as described in WO 9507791 to Procter & Gamble. A recombinant trypsin-like protease for detergents suitable herein is described in WO 9425583 to Novo.
  • Cellulases usable herein include both bacterial and fungal types, preferably having a pH optimum between 5 and 10. U.S. 4,435,307, Barbesgoard et al, March 6, 1984, discloses suitable fungal cellulases from Humicola insolens or Humicola strain DSM1800 or a cellulase 212-producing fungus belonging to the genus Aeromonas, and cellulase extracted from the hepatopancreas of a marine mollusk, Dolabella Auricula Solander. Suitable cellulases are also disclosed in GB-A-2.075.028; GB-A-2.095.275 and DE-OS-2.247.832. CAREZYME® and CELLUZYME® (Novo) are especially useful. See also WO 9117243 to Novo.
  • Suitable lipase enzymes for detergent usage include those produced by microorganisms of the Pseudomonas group, such as Pseudomonas stutzeri ATCC 19.154, as disclosed in GB 1,372,034. See also lipases in Japanese Patent Application 53,20487, laid open Feb. 24, 1978. This lipase is available from Amano Pharmaceutical Co. Ltd., Nagoya, Japan, under the trade name Lipase P "Amano," or "Amano-P." Other suitable commercial lipases include Amano-CES, lipases ex Chromobacter viscosum, e.g. Chromobacter viscosum var. lipolyticum NRRLB 3673 from Toyo Jozo Co., Tagata, Japan; Chromobacter viscosum lipases from U.S. Biochemical Corp., U.S.A. and Disoynth Co., The Netherlands, and lipases ex Pseudomonas gladioli. LIPOLASE® enzyme derived from Humicola lanuginosa and commercially available from Novo, see also EP 341,947, is a preferred lipase for use herein.
  • The enzyme-containing compositions herein may optionally also comprise from about 0.001% to about 10%, preferably from about 0.005% to about 8%, most preferably from about 0.01% to about 6%, by weight of an enzyme stabilizing system. The enzyme stabilizing system can be any stabilizing system which is compatible with the detersive enzyme. Such a system may be inherently provided by other formulation actives, or be added separately, e.g., by the formulator or by a manufacturer of detergent-ready enzymes. Such stabilizing systems can, for example, comprise calcium ion, boric acid, propylene glycol, short chain carboxylic acids, boronic acids, and mixtures thereof, and are designed to address different stabilization problems depending on the type and physical form of the detergent composition.
  • E) Detergent Composition Preparation
  • The detergent compositions according to the present invention can be in liquid, paste or granular forms. Such compositions can be prepared by combining the essential and optional components in the requisite concentrations in any suitable order and by any conventional means.
  • Granular compositions, for example, are generally made by combining base granule ingredients (e.g. surfactants, builders, water, etc.) as a slurry, and spray drying the resulting slurry to a low level of residual moisture (5-12%). The remaining dry ingredients can be admixed in granular powder form with the spray dried granules in a rotary mixing drum and the liquid ingredients (e.g. organic solutions of the essential cellulosic polymers, enzymes, binders and perfumes) can be sprayed onto the resulting granules to form the finished detergent composition. Granular compositions according to the present invention can also be in "compact form", i.e. they may have a relatively higher density than conventional granular detergents, i.e. from 550 to 950 g/l. In such case, the granular detergent compositions according to the present invention will contain a lower amount of "inorganic filler salt", compared to conventional granular detergents; typical filler salts are alkaline earth metal salts of sulphates and chlorides, typically sodium sulphate; "compact" detergents typically comprise not more than 10% filler salt.
  • Liquid detergent compositions can be prepared by admixing the essential and optional ingredients thereof in any desired order to provide compositions containing components in the requisite concentrations. Liquid compositions according to the present invention can also be in "compact form", in such case, the liquid detergent compositions according to the present invention will contain a lower amount of water, compared to conventional liquid detergents.
  • Addition of the cellulose ether component to liquid detergent compositions of this invention may be accomplished by simply mixing into the liquid dertergent aqueous solutions of the desired cellulose ethers. Cellulose ethers can alter the viscosity or other rheological characteristics of liquid detergent products. It may therefore be necessary to compensate for any rheological changes in the liquid detergent product brought about by cellulose ether addition by altering the type and amount of hydrotropes and/or solvents that are used.
  • F) Fabric Laundering Method
  • The present invention also provides a method for laundering fabrics in a manner which imparts fabric appearance benefits provided by the cellulosic polymers used herein. Such a method employs contacting these fabrics with an aqueous washing solution formed from an effective amount of the detergent compositions hereinbefore described or formed from the individual components of such compositions. Contacting of fabrics with washing solution will generally occur under conditions of agitation although the compositions of the present invention may also be used to form aqueous unagitated soaking solutions for fabric cleaning and treatment.
  • Agitation is preferably provided in a washing machine for good cleaning. Washing is preferably followed by drying the wet fabric in a conventional clothes dryer. An effective amount of the liquid or granular detergent composition in the aqueous wash solution in the washing machine is preferably from about 500 to about 7000 ppm, more preferably from about 1000 to about 3000 ppm.
  • EXAMPLES
  • The following examples illustrate the compositions and methods of the present invention, but are not necessarily meant to limit or otherwise define the scope of the invention.
  • EXAMPLE I Liquid Detergent Test Composition Preparation
  • Several heavy duty liquid detergent compositions are prepared containing various modified cellulosic polymers. Such liquid detergent compositions all have the following basic formula:
    Component Wt.
    C12-15 alkyl ether (2.5) sulfate 38
    C12 glucose amide 6.86
    Citric Acid 4.75
    C12-14 Fatty Acid 2.00
    Enzymes 1.02
    MEA 1.0
    Propanediol 0.36
    Borax 6.58
    Dispersant 1.48
    Na Toluene Sulfonate 6.25
    Modified Cellulosic Polymer (if present) 2.0
    Dye, Perfume, Brighteners, Preservatives, Suds Suppressor, Balance
    Other Minors, Water
    100%
  • EXAMPLE II Granular Detergent Test Composition Preparation
  • Several heavy duty granular detergent compositions are prepared containing various modified cellulosic polymers. Such granular detergent compositions all have the following basic formula:
    Component Wt. %
    C12 Linear alkyl benzene sulfonate 9.31
    C14-15 alkyl ether (0.35 EO) sulfate 12.74
    Zeolite Builder 27.79
    Sodium Carbonate 27.31
    PEG 4000 1.60
    Dispersant 2.26
    C12-13 Alcohol Ethoxylate (9 EO) 1.5
    Sodium Perborate 1.03
    Soil Release Polymer 0.41
    Enzymes 0.59
    Modified Cellulosic Polymer (if present) 2.5
    Perfume, Brightener, Suds Suppressor, Other Minors, Moisture, Balance
    Sulfate
    100%
  • EXAMPLE III Cellulosic Polymers Used in Test Compositions
  • The representative modified cellulosic polymers used in the liquid and granular detergent compositions described in Examples I and II are characterized in Table C. The various substituents listed are those from Structural Formulas Nos. I, II and III described hereinbefore. Compositions comprising Polymers B, C and D are not in accordance with the present invention.
    Cellulosic Polymers Used in Test Detergent Compositions
    Polymer ID
    Polymer Description A B C D
    Polymer Tradename Polysurf LK-400 CMC Modified LK-400
    67 (D72)
    Polymer Manufacturer Hercules Union Carbide Penn Union Carbide
    Carbose
    Polymer Type Nonionic Cationic Anionic Cationic
    Molecular Weight 700-750M ∼400M ∼300M ∼400M
    Structure No. I II III II
    R Cetyl H CH2COO H
    (C16) A
    Amount of Ring Alkyl Substitution 0.4%- 0 0 0
    0.6%
    Degree of Ring Carboxymethyl Substitution - - 0.5 -
    R1 H - - -
    R2 - -CH2CH(OH)CH2- - -CH2CH(OH)CH2-
    R3 - -CH3 - -CH3
    R4 - -CH3 - -CH3
    R5 - -CH3 - -CH3
    R6 - H - H
    x 1-3 1-3 - 1-3
    y - ∼0.1 - ∼0.006
    Z - Cl- - Cl-
    A - - Na -
  • Test compositions prepared as described in Examples I and II are evaluated for the effects that the various cellulosic polymers of Example III provide when samples of fabrics or garments are washed using the test compositions as described, all under identical conditions. A control sample with no polymer is usually compared to one composition with a test polymer to be evaluated. Testing conditions are also carefully monitored. Examples of controlled conditions include: wash time, wash water temperature and hardness; washer agitation; rinse time, rinse water temperature and hardness; dryer time and temperature; wash load fiber content and weight.
  • EXAMPLE IV Overall Appearance
  • In an Overall Appearance test, fabrics are washed using various test compositions containing either no cellulosic polymers or one of the Example III cellulosic polymers. The fabrics so washed after ten cycles are then comparatively graded by three judges who evaluate the overall appearance of the washed fabrics. It is the decision of the judge as to what is to be evaluated unless specific direction is given to evaluate one attribute such as color, pilling, fuzz, etc.
  • In the Overall Appearance test, the visual preference of the judge is expressed using the Scheff scale.
    That is:
  • 0 = No difference
  • 1 = I think this one is better (unsure).
  • 2 = I know this one is a little better.
  • 3 = I know this one is a lot better.
  • 4 = I known this one is a whole lot better.
  • For the Overall Appearance test, laundering conditions are as follows:
  • Washer Type: Kenmore (17 gallons) 64.4 L
  • Wash Time: 12 min
  • Wash Temperature: 90°F (32.2°C)
  • Wash Water Hardness:(6 grains per gallon) 0.1 g/L
  • Washer Agitation: normal
  • Rinse Time: 2 min
  • Rinse Temperature: 60°F (15.6°C)
  • Rinse Water Hardness: (6 grains per gallon) 0.1g/L
  • Wash Load Fabric Content : various colored and white garments and fabrics
  • Wash Load Weight: 5.5 lbs (2.5 kg)
  • The average overall appearance test results are shown in Tables D and E.
    Overall Appearance Test Results
    Liquid Test Composition ID Polymer Tested Overall Appearance Grade
    Control None 0
    A Polysurf 67 1.5
    B LK-400 1.8
    C CMC (D72) 1.0
    D Modified LK-400 1.2
    Overall Appearance Test Results
    Granular Test Composition
    ID
    Polymer Tested Overall Appearance
    Grade
    Control None 0
    A Polysurf 67 1.4
    B LK-400 1.0
    C CMC (D72) 1.0
    D Modified LK-400 1.1
  • EXAMPLE V Pill Reduction
  • In a Pill Reduction test, fabrics are washed using the various test compositions containing either no cellulosic polymers or one of the Example m cellulosic polymers. The fabrics so washed are then graded for Pill Reduction using a computer-assisted pilling image analysis system which employs image analysis to measure the number of pills on tested garments and fabrics. Pill reduction is calculated as: Pill reduction(%) = {[# pills (control) - # pills (polymers)] / # pills (control) } x 100%
  • For the Pill Reduction test, laundering conditions are the same as used for the Overall Appearance test described hereinbefore in ExampleIV.
  • The average % Pill Reduction test results are shown in Tables F and G.
    Pill Reduction Test Results - Liquids
    Liquid Test Composition ID Polymer Tested Pill/Fuzz Reduction (%)
    Control None 0
    A Polysurf 67 21.5
    B LK-400 42.4
    C CMC(D72) 26.8
    D Modified LK-400 25.9
    Pill Reduction Test Results - Granular
    Granular Test Composition ID Polymer Tested Pill/Fuzz Reduction (%)
    Control None
    A Polysurf 67 33.3
    B LK-400 51.6
    C CMC(D72) 7.6
    D Modified LK-400 16.6
  • EXAMPLE VI Color Protection
  • In a Color Protection test, fabrics are washed using various test compositions containing either no cellulosic polymers or one of the Example III cellulosic polymers. The fabrics so washed are then tested with a Hunter colorimeter in order to determine a Delta E* value for each fabric tested. Delta E* is defined as the color difference (reflectance intensity, hue shift, etc.) between washed fabrics and unwashed fabrics.
  • For the Color Protection test, laundering conditions are the same as used for the Overall Appearance test described hereinbefore in Example IV.
  • The extent of Color Protection provided is based on percent of Delta E* difference compared to an unwashed sample. Color protection is calculated as: % Color Protection = {[dE*(control) - dE*(polymers)] / dE*(control) } x 100%
  • The average color protection test results are shown in Tables H and I.
    Color Protection Test Results - Liquids
    Liquid Test Composition ID Polymer Tested Color Protection (%)
    Control None 0
    A Polysurf 67 24.2
    B LK-400 36.5
    C CMC (D72) 26.6
    D Modified LK-400 27.2
    Color Protection Test Results - Granular
    Granular Test Composition ID Polymer Tested Color Protection (%)
    Control None 0
    A Polysurf 67 33.9
    B LK-400 39.2
    C CMC (D72) 15.5
    D Modified LK-400 24.7

Claims (5)

  1. A built, heavy duty laundry detergent composition in liquid or granular form which imparts fabric appearance benefits selected from pill/fuzz reduction, antifarting, improved abrasion resistance and/or enhanced softness to fabrics and textiles laundered in aqueous washing solutions formed therefrom, which composition is characterized by:
    A) from 1% to 80% by weight of a detersive surfactant;
    B) from 1% to 80% by weight of an organic or inorganic detergency builder;
    C) from 0.1% to 8% by weight of a modified cellulose ether fabric treatment agent selected from the group consisting of:
    hydrophobically-modified, nonionic cellulose ethers which have a molecular weight of from 10,000 to 2,000,000 and which have repeating substituted anhydroglucose units corresponding to the general formula:
    Figure 00230001
    wherein:
    R is a combination of H and C8-C24 with alkyl substitution of the anhydroglucose rings ranging in an amount of from 0.1% to 5% by weight of the cellulose ether material;
    R1 is H or methyl; and
    x ranges from 1 to 20.
  2. A composition according to Claim 1 wherein
    A) the detersive surfactant comprises from 5% to 50% by weight and is selected from anionic and nonionic surfactant materials
    B) the detergency builder is characterized by from 10% to 50% by weight and is selected from carboxylates, silicates, aluminosilicates, carbonates, borates and combinations thereof; and
    C) the modified cellulose ether fabric treatment agents comprises from 0.5% to 4% by weight and have molecular weights ranging from 10,000 to 1,000,000.
  3. A composition according to Claim 2 wherein the modified cellulose ether fabric treatment agent is a hydrophobically-modified, nonionic material corresponding to Structural Formula No. I wherein
    a) R is a combination of H and C8 to C16 alkyl;
    b) R substitution of the anhydroglucose rings ranges from 0.2% to 2% by weight of the cellulose other;
    c) R1 is H; and
    d) x ranges from 1 to 10.
  4. A composition according to Claim 2 in liquid form which is characterized by:
    a) from 5% to 50% by weight of a detersive surfactant selected from
    i) sodium, potassium and ammonium alkylsulfates wherein the alkyl group contains from 8 to 18 carbon atoms;
    ii) sodium, potassium and ammonium alkylpolyethoxylate sulfates wherein the alkyl group contains from 10 to 22 carbon atoms and the polyethoxylate chain contains from 1 to 15 ethylene oxide moieties;
    iii) polyhydroxy fatty acid amides of the formula
    Figure 00250001
    wherein R is a C9-17 alkyl or alkenyl and Z is glycityl derived from a reduced sugar or alkoxylated derivatives thereof;
    iv) alcohol ethoxylates of the formula R1(OC2H4)nOH wherein R1 is a C10-C16 alkyl group or a C8-C12 alkyl phenyl group and n is from 3 to 80; and
    v) combinations of these surfactants; and
    b) from 1% to 10% by weight of a detergent builder component selected from carboxylate and polycarboxylate builders.
  5. A composition according to Claim 2 in granular form which is characterized by:
    a) from 5% to 50% by weight of a detersive surfactant selected from
    i) sodium and potassium alkylpolyethoxylate sulfates wherein the alkyl group contains from 10 to 22 carbon atoms and the polyethoxylate chain contains from 1 to 15 ethylene oxide moieties;
    ii) sodium and potassium C9 to C15 alkyl benzene sulfonates;
    iii) sodium and potassium C8 to C18 alkyl sulfates;
    iv) polyhydroxy fatty acid amides of the formula
    Figure 00260001
    wherein R is a C9-17 alkyl or alkenyl and Z is glycityl derived from a reduced sugar or alkoxylated derivatives thereof; and
    v) combinations of these surfactants; and
    b) from 1% to 50% by weight of a detergent builder selected from sodium carbonate, silicates, crystalline layered silicates, aluminosilicates, oxydisuccinates and citrates;
EP97953405A 1996-12-26 1997-12-23 Laundry detergent compositions with cellulosic polymers to provide appearance and integrity benefits to fabrics laundered therewith Expired - Lifetime EP0948591B1 (en)

Applications Claiming Priority (3)

Application Number Priority Date Filing Date Title
US3393096P 1996-12-26 1996-12-26
US33930 1996-12-26
PCT/US1997/023771 WO1998029528A2 (en) 1996-12-26 1997-12-23 Laundry detergent compositions with cellulosic polymers

Publications (2)

Publication Number Publication Date
EP0948591A2 EP0948591A2 (en) 1999-10-13
EP0948591B1 true EP0948591B1 (en) 2003-07-16

Family

ID=21873278

Family Applications (1)

Application Number Title Priority Date Filing Date
EP97953405A Expired - Lifetime EP0948591B1 (en) 1996-12-26 1997-12-23 Laundry detergent compositions with cellulosic polymers to provide appearance and integrity benefits to fabrics laundered therewith

Country Status (10)

Country Link
EP (1) EP0948591B1 (en)
JP (1) JP4267075B2 (en)
CN (1) CN1213137C (en)
AR (1) AR010851A1 (en)
AT (1) ATE245184T1 (en)
BR (1) BR9714097A (en)
CA (1) CA2276188C (en)
DE (1) DE69723575T2 (en)
ES (1) ES2203830T3 (en)
WO (1) WO1998029528A2 (en)

Cited By (7)

* Cited by examiner, † Cited by third party
Publication number Priority date Publication date Assignee Title
DE102004063766A1 (en) * 2004-12-29 2006-07-13 Henkel Kgaa Use of a polysaccharide derivative, obtained by the reaction of polysaccharide with di-, tri- or tetra- functional spacer molecule and an oligomer glycol ether, for reinforcement of the cleaning efficiency of detergents in textiles
US7316995B2 (en) 2003-02-10 2008-01-08 Henkel Kommanditgesellschaft Auf Aktien Detergents or cleaning agents comprising a water-soluble building block system and a cellulose derivative with dirt dissolving properties
US7375072B2 (en) 2003-02-10 2008-05-20 Henkel Kommanditgesellschaft Auf Aktien Bleach-containing laundry detergents or cleaning compositions comprising water-soluble builder system and soil release-capable cellulose derivative
US7431739B2 (en) 2005-06-08 2008-10-07 Henkel Kommanditgesellschaft Auf Aktien Boosting the cleaning performance of laundry detergents by polymer of styrene/methyl methacrylate/methyl polyethylene glycol
DE102007023827A1 (en) 2007-05-21 2008-11-27 Henkel Ag & Co. Kgaa Use of polycarbonate, polyurethane and/or polyurea-polyorganosiloxane compounds or their acid addition compounds and/or salts to improve the cleaning efficiency of laundry detergents during washing textiles
DE102007038456A1 (en) 2007-08-14 2009-02-19 Henkel Ag & Co. Kgaa Use of polycarbonate, polyurethane and/or polyurea-polyorganosiloxane compounds or their acid addition compounds and/or salts to improve the cleaning efficiency of laundry detergents during washing textiles
US8034123B2 (en) 2005-06-08 2011-10-11 Henkel Ag & Co., Kgaa Boosting cleaning power of detergents by means of a polymer

Families Citing this family (60)

* Cited by examiner, † Cited by third party
Publication number Priority date Publication date Assignee Title
US6384011B1 (en) 1997-09-15 2002-05-07 The Procter & Gamble Company Laundry detergent compositions with cellulosic based polymers to provide appearance and integrity benefits to fabrics laundered therewith
JP2001516772A (en) * 1997-09-15 2001-10-02 ザ、プロクター、エンド、ギャンブル、カンパニー Laundry detergent composition having a polymer based on cellulosic material for providing appearance and integrity benefits to a fabric washed therewith
WO1999014299A1 (en) * 1997-09-15 1999-03-25 The Procter & Gamble Company Laundry detergent compositions with anionically modified, cyclic amine based polymers
ATE300597T1 (en) * 1998-09-30 2005-08-15 Unilever Nv TREATMENT OF TISSUES
FR2784391B1 (en) * 1998-10-09 2000-12-01 Rhodia Chimie Sa DETERGENT OR RINSING COMPOSITION PROTECTING TEXTILE FIBERS
GB9821218D0 (en) * 1998-09-30 1998-11-25 Unilever Plc Treatment for fabrics
AU1200800A (en) * 1998-10-13 2000-05-01 Procter & Gamble Company, The Detergent compositions or components
US6835707B1 (en) * 1998-10-13 2004-12-28 The Procter & Gamble Company Laundry detergent compositions with a combination of cyclic amine based polymers and hydrophobically modified carboxy methyl cellulose
ES2238854T3 (en) * 1998-10-13 2005-09-01 THE PROCTER & GAMBLE COMPANY DETERGENT COMPOSITIONS FOR WASHING CLOTHING WITH A COMBINATION OF COPOLYMERS BASED ON CYCLIC AMINES AND HYDROPHOBICALLY MODIFIED CELLULOSE.
CN1168809C (en) * 1998-12-22 2004-09-29 宝洁公司 Process for preparing granular detergent compositions containing modified carboxymethyl cellulose
JP2002534592A (en) 1999-01-13 2002-10-15 ザ、プロクター、エンド、ギャンブル、カンパニー Detergent composition having cellulose polymer
JP2002536535A (en) * 1999-02-10 2002-10-29 ザ、プロクター、エンド、ギャンブル、カンパニー Laundry detergent composition containing a fabric enhancing component
US6803355B1 (en) 1999-02-10 2004-10-12 The Procter & Gamble Company Laundry detergent compositions with fabric enhancing component
GB2351501A (en) * 1999-07-01 2001-01-03 Procter & Gamble Detergent compositions or components
US6458756B1 (en) 1999-07-14 2002-10-01 Unilever Home & Personal Care Usa Division Of Conopco, Inc. Powder detergent process
GB0007654D0 (en) 2000-03-29 2000-05-17 Unilever Plc Laundry treatment for fabrics
GB0007661D0 (en) 2000-03-29 2000-05-17 Unilever Plc Laundry treatment granule and detergent composition containing laundry treatment granule
US6887524B2 (en) 2000-10-13 2005-05-03 The Procter & Gamble Company Method for manufacturing laundry additive article
DE60105845T2 (en) 2000-12-15 2005-02-10 Unilever N.V. TEXTILE WASH
CA2454385C (en) * 2001-07-20 2011-03-29 Unilever Plc Use of graft polymer benefit agents in products for laundry applications
GB0117767D0 (en) 2001-07-20 2001-09-12 Unilever Plc Polymers and their synthesis
GB0117768D0 (en) 2001-07-20 2001-09-12 Unilever Plc Use of polymers in fabrics cleaning
GB0121148D0 (en) 2001-08-31 2001-10-24 Unilever Plc Polymers and their use
CA2450912C (en) 2001-08-31 2010-10-12 Unilever Plc Laundry treatment compositions
GB0127036D0 (en) 2001-11-09 2002-01-02 Unilever Plc Polymers for laundry applications
US7256166B2 (en) 2002-01-18 2007-08-14 The Procter & Gamble Company Laundry articles
US20030226212A1 (en) * 2002-04-16 2003-12-11 Jiping Wang Textile mill applications of cellulosic based polymers to provide appearance and integrity benefits to fabrics during laundering and in-wear
DE10230416A1 (en) * 2002-07-06 2004-02-12 Henkel Kgaa Detergent with a textile care component based on cellulose
GB0227242D0 (en) * 2002-11-21 2002-12-31 Unilever Plc Improvements relating to fabric laundering
DE10301575A1 (en) * 2003-01-16 2004-07-29 Henkel Kgaa Textile care composition, e.g. for fluff or pill reduction or ease of ironing, comprises a copolymer produced by copolymerizing an ethylenically unsaturated carboxylic acid with a carbohydrate
GB0313900D0 (en) 2003-06-16 2003-07-23 Unilever Plc Laundry treatment compositions
WO2005037980A1 (en) 2003-10-22 2005-04-28 Kao Corporation Allergen depressant and depression method
JP4534193B2 (en) * 2004-02-02 2010-09-01 花王株式会社 Powder detergent composition
DE102004020015A1 (en) * 2004-04-21 2005-11-10 Henkel Kgaa Textile Care
DE102004021732A1 (en) 2004-04-30 2005-11-24 Henkel Kgaa Textilplegemittel with amine group-containing cellulose ether
GB0419689D0 (en) 2004-09-04 2004-10-06 Unilever Plc Improvements relating to fabric laundering
US7686892B2 (en) 2004-11-19 2010-03-30 The Procter & Gamble Company Whiteness perception compositions
GB0605512D0 (en) * 2006-03-18 2006-04-26 Unilever Plc Fabric treatment composition and process for preparation thereof
EP1852496B1 (en) 2006-05-03 2009-12-23 The Procter & Gamble Company Liquid detergent
JP5253748B2 (en) * 2007-03-14 2013-07-31 ライオン株式会社 Granular detergent composition
CA2733638A1 (en) 2008-09-19 2010-03-25 The Procter & Gamble Company Dual character biopolymer useful in cleaning products
MX2011003032A (en) 2008-09-19 2011-04-12 Procter & Gamble Modified lignin biopolymer useful in cleaning compositions.
JP2012503081A (en) * 2008-09-19 2012-02-02 ザ プロクター アンド ギャンブル カンパニー Dual property polymer useful in fabric care products
JP2012503082A (en) 2008-09-19 2012-02-02 ザ プロクター アンド ギャンブル カンパニー Detergent composition containing modified biopolymer for foam enhancement and stabilization
US8900328B2 (en) 2009-03-16 2014-12-02 The Procter & Gamble Company Cleaning method
US20100229312A1 (en) 2009-03-16 2010-09-16 De Buzzaccarini Francesco Cleaning method
US8449626B2 (en) 2009-11-11 2013-05-28 The Procter & Gamble Company Cleaning method
US10604723B2 (en) * 2014-11-11 2020-03-31 Rohm And Haas Company Cationic carbohydrate polymers for fabric care
EP3293250A1 (en) * 2016-09-07 2018-03-14 The Procter & Gamble Company A liquid detergent composition comprising cellulosic polymers and cellulase
DE17784205T1 (en) * 2016-09-28 2019-11-28 Cp Kelco Oy DETERGENT COMPOSITIONS WITH POLYSACCHARIDES WITH EXTREMELY LOW MOLECULAR WEIGHT
US10377966B2 (en) * 2017-12-01 2019-08-13 The Procter & Gamble Company Particulate laundry softening wash additive
CN111465733B (en) 2017-12-06 2023-06-06 花王株式会社 stain remover
WO2019111937A1 (en) * 2017-12-06 2019-06-13 花王株式会社 Washing agent composition for textile product
US11359166B2 (en) * 2017-12-06 2022-06-14 Kao Corporation Fabric treatment composition
US11655434B2 (en) 2017-12-06 2023-05-23 Kao Corporation Composition
TWI780273B (en) 2017-12-06 2022-10-11 日商花王股份有限公司 Polysaccharide Derivatives
JP7187343B2 (en) * 2019-02-13 2022-12-12 旭化成株式会社 Method for producing methacrylic resin
CN113249176B (en) * 2021-05-18 2022-03-15 纳爱斯浙江科技有限公司 Quick-drying additive composition for fabrics and fabric detergent containing same
EP4116397A1 (en) 2021-07-06 2023-01-11 The Procter & Gamble Company Whitening additive
US20240384470A1 (en) * 2023-05-19 2024-11-21 Berkley Medical Resources, Inc. Dissolvable nanocellulose sheet

Family Cites Families (7)

* Cited by examiner, † Cited by third party
Publication number Priority date Publication date Assignee Title
US3950276A (en) * 1971-09-01 1976-04-13 Colgate-Palmolive Company Sulfonate detergent compositions
US4329237A (en) * 1979-11-21 1982-05-11 Colgate-Palmolive Company Detergent softener compositions
GB8519047D0 (en) * 1985-07-29 1985-09-04 Unilever Plc Detergent composition
DE3702764A1 (en) * 1987-01-30 1988-08-11 Degussa DETERGENT PICTURES
JP3181432B2 (en) * 1993-06-18 2001-07-03 花王株式会社 Liquid softener composition
EP0634481B1 (en) * 1993-07-14 2000-03-22 The Procter & Gamble Company Detergent compositions
WO1997020020A1 (en) * 1995-11-29 1997-06-05 Unilever N.V. Detergent builder granule

Cited By (7)

* Cited by examiner, † Cited by third party
Publication number Priority date Publication date Assignee Title
US7316995B2 (en) 2003-02-10 2008-01-08 Henkel Kommanditgesellschaft Auf Aktien Detergents or cleaning agents comprising a water-soluble building block system and a cellulose derivative with dirt dissolving properties
US7375072B2 (en) 2003-02-10 2008-05-20 Henkel Kommanditgesellschaft Auf Aktien Bleach-containing laundry detergents or cleaning compositions comprising water-soluble builder system and soil release-capable cellulose derivative
DE102004063766A1 (en) * 2004-12-29 2006-07-13 Henkel Kgaa Use of a polysaccharide derivative, obtained by the reaction of polysaccharide with di-, tri- or tetra- functional spacer molecule and an oligomer glycol ether, for reinforcement of the cleaning efficiency of detergents in textiles
US7431739B2 (en) 2005-06-08 2008-10-07 Henkel Kommanditgesellschaft Auf Aktien Boosting the cleaning performance of laundry detergents by polymer of styrene/methyl methacrylate/methyl polyethylene glycol
US8034123B2 (en) 2005-06-08 2011-10-11 Henkel Ag & Co., Kgaa Boosting cleaning power of detergents by means of a polymer
DE102007023827A1 (en) 2007-05-21 2008-11-27 Henkel Ag & Co. Kgaa Use of polycarbonate, polyurethane and/or polyurea-polyorganosiloxane compounds or their acid addition compounds and/or salts to improve the cleaning efficiency of laundry detergents during washing textiles
DE102007038456A1 (en) 2007-08-14 2009-02-19 Henkel Ag & Co. Kgaa Use of polycarbonate, polyurethane and/or polyurea-polyorganosiloxane compounds or their acid addition compounds and/or salts to improve the cleaning efficiency of laundry detergents during washing textiles

Also Published As

Publication number Publication date
BR9714097A (en) 2000-03-21
WO1998029528A2 (en) 1998-07-09
EP0948591A2 (en) 1999-10-13
CN1213137C (en) 2005-08-03
AR010851A1 (en) 2000-07-12
JP4267075B2 (en) 2009-05-27
DE69723575T2 (en) 2004-05-13
CA2276188A1 (en) 1998-07-09
ATE245184T1 (en) 2003-08-15
JP2001507396A (en) 2001-06-05
ES2203830T3 (en) 2004-04-16
WO1998029528A3 (en) 1998-09-17
CN1247558A (en) 2000-03-15
DE69723575D1 (en) 2003-08-21
CA2276188C (en) 2005-11-01

Similar Documents

Publication Publication Date Title
EP0948591B1 (en) Laundry detergent compositions with cellulosic polymers to provide appearance and integrity benefits to fabrics laundered therewith
US6833347B1 (en) Laundry detergent compositions with cellulosic polymers to provide appearance and integrity benefits to fabrics laundered therewith
USRE39557E1 (en) Laundry detergent compositions with cellulosic based polymers to provide appearance and integrity benefits to fabrics laundered therewith
CA2303120C (en) Laundry detergent compositions with cellulosic based polymers to provide appearance and integrity benefits to fabrics laundered therewith
US6140292A (en) Laundry detergent compositions with polyamide-polyamines
US6369024B1 (en) Laundry detergent compositions with linear amine based polymers to provide appearance and integrity benefits to fabrics laundered therewith
US6156722A (en) Laundry detergent compositions comprising dye fixatives
US6384011B1 (en) Laundry detergent compositions with cellulosic based polymers to provide appearance and integrity benefits to fabrics laundered therewith
US6228828B1 (en) Laundry detergent compositions with anionically modified, cyclic amine based polymers
US6803355B1 (en) Laundry detergent compositions with fabric enhancing component
US6835707B1 (en) Laundry detergent compositions with a combination of cyclic amine based polymers and hydrophobically modified carboxy methyl cellulose
MXPA99006226A (en) Laundry detergent compositions comprising dye fixatives
MXPA00002642A (en) Laundry detergent compositions with cellulosic based polymers to provide appearance and integrity benefits to fabrics laundered therewith
MXPA99006067A (en) Laundry detergent compositions with cellulosic polymers to provide appearance and integrity benefits to fabrics laundered therewith
MXPA00002646A (en) Laundry detergent compositions with cellulosic based polymers to provide appearance and integrity benefits to fabrics laundered therewith
MXPA99006225A (en) Laundry detergent compositions with polyamide-polyamines to provide appearance benefits to fabrics laundered therewith

Legal Events

Date Code Title Description
PUAI Public reference made under article 153(3) epc to a published international application that has entered the european phase

Free format text: ORIGINAL CODE: 0009012

17P Request for examination filed

Effective date: 19990701

AK Designated contracting states

Kind code of ref document: A2

Designated state(s): AT BE CH DE DK ES FI FR GB GR IE IT LI LU NL PT SE

17Q First examination report despatched

Effective date: 20011213

GRAH Despatch of communication of intention to grant a patent

Free format text: ORIGINAL CODE: EPIDOS IGRA

GRAH Despatch of communication of intention to grant a patent

Free format text: ORIGINAL CODE: EPIDOS IGRA

GRAA (expected) grant

Free format text: ORIGINAL CODE: 0009210

AK Designated contracting states

Designated state(s): AT BE CH DE DK ES FI FR GB GR IE IT LI LU NL PT SE

PG25 Lapsed in a contracting state [announced via postgrant information from national office to epo]

Ref country code: LI

Free format text: LAPSE BECAUSE OF FAILURE TO SUBMIT A TRANSLATION OF THE DESCRIPTION OR TO PAY THE FEE WITHIN THE PRESCRIBED TIME-LIMIT

Effective date: 20030716

Ref country code: FI

Free format text: LAPSE BECAUSE OF FAILURE TO SUBMIT A TRANSLATION OF THE DESCRIPTION OR TO PAY THE FEE WITHIN THE PRESCRIBED TIME-LIMIT

Effective date: 20030716

Ref country code: CH

Free format text: LAPSE BECAUSE OF FAILURE TO SUBMIT A TRANSLATION OF THE DESCRIPTION OR TO PAY THE FEE WITHIN THE PRESCRIBED TIME-LIMIT

Effective date: 20030716

Ref country code: BE

Free format text: LAPSE BECAUSE OF FAILURE TO SUBMIT A TRANSLATION OF THE DESCRIPTION OR TO PAY THE FEE WITHIN THE PRESCRIBED TIME-LIMIT

Effective date: 20030716

Ref country code: AT

Free format text: LAPSE BECAUSE OF FAILURE TO SUBMIT A TRANSLATION OF THE DESCRIPTION OR TO PAY THE FEE WITHIN THE PRESCRIBED TIME-LIMIT

Effective date: 20030716

REG Reference to a national code

Ref country code: GB

Ref legal event code: FG4D

REG Reference to a national code

Ref country code: CH

Ref legal event code: EP

REG Reference to a national code

Ref country code: IE

Ref legal event code: FG4D

REF Corresponds to:

Ref document number: 69723575

Country of ref document: DE

Date of ref document: 20030821

Kind code of ref document: P

PG25 Lapsed in a contracting state [announced via postgrant information from national office to epo]

Ref country code: SE

Free format text: LAPSE BECAUSE OF FAILURE TO SUBMIT A TRANSLATION OF THE DESCRIPTION OR TO PAY THE FEE WITHIN THE PRESCRIBED TIME-LIMIT

Effective date: 20031016

Ref country code: GR

Free format text: LAPSE BECAUSE OF FAILURE TO SUBMIT A TRANSLATION OF THE DESCRIPTION OR TO PAY THE FEE WITHIN THE PRESCRIBED TIME-LIMIT

Effective date: 20031016

Ref country code: DK

Free format text: LAPSE BECAUSE OF FAILURE TO SUBMIT A TRANSLATION OF THE DESCRIPTION OR TO PAY THE FEE WITHIN THE PRESCRIBED TIME-LIMIT

Effective date: 20031016

PG25 Lapsed in a contracting state [announced via postgrant information from national office to epo]

Ref country code: PT

Free format text: LAPSE BECAUSE OF FAILURE TO SUBMIT A TRANSLATION OF THE DESCRIPTION OR TO PAY THE FEE WITHIN THE PRESCRIBED TIME-LIMIT

Effective date: 20031216

PG25 Lapsed in a contracting state [announced via postgrant information from national office to epo]

Ref country code: LU

Free format text: LAPSE BECAUSE OF NON-PAYMENT OF DUE FEES

Effective date: 20031223

Ref country code: IE

Free format text: LAPSE BECAUSE OF NON-PAYMENT OF DUE FEES

Effective date: 20031223

REG Reference to a national code

Ref country code: CH

Ref legal event code: PL

REG Reference to a national code

Ref country code: ES

Ref legal event code: FG2A

Ref document number: 2203830

Country of ref document: ES

Kind code of ref document: T3

ET Fr: translation filed
PLBE No opposition filed within time limit

Free format text: ORIGINAL CODE: 0009261

STAA Information on the status of an ep patent application or granted ep patent

Free format text: STATUS: NO OPPOSITION FILED WITHIN TIME LIMIT

26N No opposition filed

Effective date: 20040419

REG Reference to a national code

Ref country code: IE

Ref legal event code: MM4A

PGFP Annual fee paid to national office [announced via postgrant information from national office to epo]

Ref country code: NL

Payment date: 20081111

Year of fee payment: 12

REG Reference to a national code

Ref country code: NL

Ref legal event code: V1

Effective date: 20100701

PG25 Lapsed in a contracting state [announced via postgrant information from national office to epo]

Ref country code: NL

Free format text: LAPSE BECAUSE OF NON-PAYMENT OF DUE FEES

Effective date: 20100701

PGFP Annual fee paid to national office [announced via postgrant information from national office to epo]

Ref country code: FR

Payment date: 20101203

Year of fee payment: 14

PGFP Annual fee paid to national office [announced via postgrant information from national office to epo]

Ref country code: IT

Payment date: 20101216

Year of fee payment: 14

PGFP Annual fee paid to national office [announced via postgrant information from national office to epo]

Ref country code: ES

Payment date: 20101220

Year of fee payment: 14

REG Reference to a national code

Ref country code: FR

Ref legal event code: ST

Effective date: 20120831

PG25 Lapsed in a contracting state [announced via postgrant information from national office to epo]

Ref country code: IT

Free format text: LAPSE BECAUSE OF NON-PAYMENT OF DUE FEES

Effective date: 20111223

PG25 Lapsed in a contracting state [announced via postgrant information from national office to epo]

Ref country code: FR

Free format text: LAPSE BECAUSE OF NON-PAYMENT OF DUE FEES

Effective date: 20120102

REG Reference to a national code

Ref country code: ES

Ref legal event code: FD2A

Effective date: 20130703

PG25 Lapsed in a contracting state [announced via postgrant information from national office to epo]

Ref country code: ES

Free format text: LAPSE BECAUSE OF NON-PAYMENT OF DUE FEES

Effective date: 20111224

PGFP Annual fee paid to national office [announced via postgrant information from national office to epo]

Ref country code: GB

Payment date: 20161125

Year of fee payment: 20

PGFP Annual fee paid to national office [announced via postgrant information from national office to epo]

Ref country code: DE

Payment date: 20161220

Year of fee payment: 20

REG Reference to a national code

Ref country code: DE

Ref legal event code: R071

Ref document number: 69723575

Country of ref document: DE

REG Reference to a national code

Ref country code: GB

Ref legal event code: PE20

Expiry date: 20171222

PG25 Lapsed in a contracting state [announced via postgrant information from national office to epo]

Ref country code: GB

Free format text: LAPSE BECAUSE OF EXPIRATION OF PROTECTION

Effective date: 20171222