CN202940631U - Management and control device of solar photovoltaic power generation system - Google Patents
Management and control device of solar photovoltaic power generation system Download PDFInfo
- Publication number
- CN202940631U CN202940631U CN2012206474686U CN201220647468U CN202940631U CN 202940631 U CN202940631 U CN 202940631U CN 2012206474686 U CN2012206474686 U CN 2012206474686U CN 201220647468 U CN201220647468 U CN 201220647468U CN 202940631 U CN202940631 U CN 202940631U
- Authority
- CN
- China
- Prior art keywords
- electrically connected
- load
- module
- battery
- voltage
- Prior art date
- Legal status (The legal status is an assumption and is not a legal conclusion. Google has not performed a legal analysis and makes no representation as to the accuracy of the status listed.)
- Expired - Fee Related
Links
- 238000010248 power generation Methods 0.000 title claims abstract description 14
- 238000001514 detection method Methods 0.000 claims abstract description 23
- 238000012544 monitoring process Methods 0.000 claims abstract description 16
- 238000003860 storage Methods 0.000 claims abstract description 10
- 239000013589 supplement Substances 0.000 abstract description 4
- 230000007423 decrease Effects 0.000 abstract description 2
- 230000009286 beneficial effect Effects 0.000 description 2
- 238000007599 discharging Methods 0.000 description 2
- 238000009826 distribution Methods 0.000 description 2
- 238000004519 manufacturing process Methods 0.000 description 2
- 238000000034 method Methods 0.000 description 2
- 230000033228 biological regulation Effects 0.000 description 1
- 238000010586 diagram Methods 0.000 description 1
- 230000005611 electricity Effects 0.000 description 1
Images
Classifications
-
- Y—GENERAL TAGGING OF NEW TECHNOLOGICAL DEVELOPMENTS; GENERAL TAGGING OF CROSS-SECTIONAL TECHNOLOGIES SPANNING OVER SEVERAL SECTIONS OF THE IPC; TECHNICAL SUBJECTS COVERED BY FORMER USPC CROSS-REFERENCE ART COLLECTIONS [XRACs] AND DIGESTS
- Y02—TECHNOLOGIES OR APPLICATIONS FOR MITIGATION OR ADAPTATION AGAINST CLIMATE CHANGE
- Y02E—REDUCTION OF GREENHOUSE GAS [GHG] EMISSIONS, RELATED TO ENERGY GENERATION, TRANSMISSION OR DISTRIBUTION
- Y02E10/00—Energy generation through renewable energy sources
- Y02E10/50—Photovoltaic [PV] energy
- Y02E10/56—Power conversion systems, e.g. maximum power point trackers
Landscapes
- Charge And Discharge Circuits For Batteries Or The Like (AREA)
Abstract
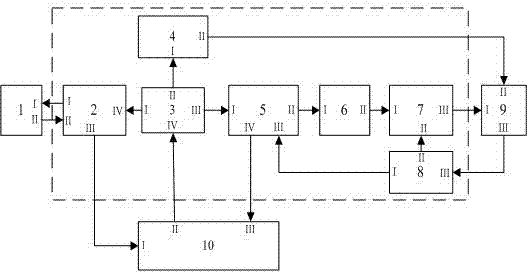
本实用新型公开了一种太阳能光伏发电系统的管控装置,它包括光伏组件1,光伏组件1与充电控制器2电连接,充电控制器2与电压检测模块3和蓄电池10电连接,电压检测模块3与低压预警模块4和放电控制器5电连接,低压预警模块4与负载9电连接,放电控制器5与逆变器6电连接,逆变器6与交流并网柜7电连接,交流并网柜7与负载9连接,负载9与监测模块8电连接,监测模块8与放电控制器5和交流并网柜7电连接,蓄电池10与电压检测模块3和放电控制器5电连接;解决了天气影响光伏组件无法有效地对蓄电池进行电能补充时,负载一直连通消耗蓄电池电能,导致输出电压将逐渐下降,严重时甚至导致负载因电源不足而被迫停运等问题。
The utility model discloses a control device for a solar photovoltaic power generation system, which comprises a photovoltaic module 1, the photovoltaic module 1 is electrically connected to a charge controller 2, the charge controller 2 is electrically connected to a voltage detection module 3 and a storage battery 10, and the voltage detection module 3 is electrically connected to the low-voltage early warning module 4 and the discharge controller 5, the low-voltage early warning module 4 is electrically connected to the load 9, the discharge controller 5 is electrically connected to the inverter 6, and the inverter 6 is electrically connected to the AC grid-connected cabinet 7. The grid-connected cabinet 7 is connected to the load 9, the load 9 is electrically connected to the monitoring module 8, the monitoring module 8 is electrically connected to the discharge controller 5 and the AC grid-connected cabinet 7, and the battery 10 is electrically connected to the voltage detection module 3 and the discharge controller 5; It solves the problem that when the weather affects the photovoltaic modules and cannot effectively supplement the battery's electric energy, the load will be connected to consume the battery's electric energy, resulting in a gradual decline in the output voltage, and in severe cases, the load will even be forced to stop due to insufficient power supply.
Description
技术领域 technical field
本实用新型属于高压电器技术领域,尤其涉及一种太阳能光伏发电系统的管控装置。 The utility model belongs to the technical field of high-voltage electrical appliances, in particular to a control device for a solar photovoltaic power generation system.
背景技术 Background technique
太阳能作为一种绿色清洁能源,近年来其应用得到了飞速发展,可用作设备、仪器的电源,亦可用于生产生活用电。太阳能电源一般采用光储一体的电源设计,即由蓄电池给负载供电,再利用太阳能给蓄电池充电,其具有结构简单、移动性能好的突出优点,为负载的灵活布置提供了供电支撑,作为分布式发电的电源点,尤其适用于分散的广大农村地区;然而太阳能光伏发电系统也常常会受到天气影响:若遇到连续的阴雨天气,光伏组件无法有效地对蓄电池进行电能补充,因蓄电池本身容量有限,而负载对电能的消耗却无法间断,此情况一旦持续较长时间,输出电压将逐渐下降,严重时甚至导致负载因电源不足而被迫停运的情况发生。 As a green and clean energy, solar energy has been rapidly developed in recent years. It can be used as a power source for equipment and instruments, and can also be used for production and domestic electricity. Solar power generally adopts a power supply design integrating light and storage, that is, the battery supplies power to the load, and then uses solar energy to charge the battery. It has the outstanding advantages of simple structure and good mobility, and provides power supply support for the flexible arrangement of loads. As a distributed The power point of power generation is especially suitable for scattered vast rural areas; however, solar photovoltaic power generation systems are often affected by the weather: in case of continuous rainy weather, photovoltaic modules cannot effectively supplement the battery because of the limited capacity of the battery itself , but the load's consumption of electric energy cannot be interrupted. Once this situation lasts for a long time, the output voltage will gradually drop, and in severe cases, the load may even be forced to stop due to insufficient power supply.
为此,实施太阳能光伏发电系统的管控就显得尤为重要,研究开发一种太阳能光伏发电系统的管控装置迫在眉睫。 For this reason, it is particularly important to implement the management and control of solar photovoltaic power generation systems, and it is imminent to research and develop a control device for solar photovoltaic power generation systems.
发明内容 Contents of the invention
本实用新型要解决的技术问题:提供一种太阳能光伏发电系统的管控装置,以解决太阳能光伏发电系统受到天气影响光伏组件无法有效地对蓄电池进行电能补充时,负载一直连通消耗蓄电池电能,导致输出电压将逐渐下降,严重时甚至导致负载因电源不足而被迫停运等问题。 The technical problem to be solved by the utility model is to provide a management and control device for a solar photovoltaic power generation system to solve the problem that when the solar photovoltaic power generation system is affected by the weather and the photovoltaic module cannot effectively supplement the power of the battery, the load is always connected to consume the power of the battery, resulting in output The voltage will drop gradually, and in severe cases, it may even cause the load to be forced to stop due to insufficient power supply.
本实用新型技术方案: Technical scheme of the utility model:
一种太阳能光伏发电系统的管控装置,它包括光伏组件、负载和蓄电池,光伏组件与充电控制器电连接,充电控制器与电压检测模块和蓄电池电连接,电压检测模块与低压预警模块和放电控制器电连接,低压预警模块与负载电连接,放电控制器与逆变器电连接,逆变器与交流并网柜电连接,交流并网柜与负载连接,负载与监测模块电连接,监测模块与放电控制器和交流并网柜电连接,蓄电池与电压检测模块和放电控制器电连接。 A management and control device for a solar photovoltaic power generation system, which includes a photovoltaic module, a load and a battery, the photovoltaic module is electrically connected to a charge controller, the charge controller is electrically connected to a voltage detection module and a battery, the voltage detection module is connected to a low-voltage early warning module and a discharge control electrical connection, the low-voltage early warning module is electrically connected to the load, the discharge controller is electrically connected to the inverter, the inverter is electrically connected to the AC grid-connected cabinet, the AC grid-connected cabinet is connected to the load, the load is electrically connected to the monitoring module, and the monitoring module It is electrically connected with the discharge controller and the AC grid-connected cabinet, and the battery is electrically connected with the voltage detection module and the discharge controller.
本实用新型的有益效果: The beneficial effects of the utility model:
本实用新型均选用低功耗的器件,在能满足负载正常工作的情况下,所选用功耗低的元器件功耗低,可以降低整个负载的功耗,从而相应地延长蓄电池的使用时间,本实用新型与现有技术比较的优点有:本实用新型最大限度地利用太阳能为蓄电池充电,使得蓄电池可以高效率地为负载供电,并且实时响应负载的用电需求,合理为其提供电源,为负载的持续正常运行提供了必要支撑;能做到防过充、防过放、防反充、防过流、失压保护、稳压等作用,有利于延长蓄电池寿命,可靠的为负载提供电源;可实时将蓄电池的运行状况反馈给用户,当蓄电池出现持续无法充电或其它故障时能发出低压预警,以便用户及时对蓄电池进行维护;运行可靠,工艺简单,生产方便,价格低廉,可用于小型太阳能发电系统,可推广程度高。本实用新型通过电压检测模块实时监测蓄电池电量,并结合负载功耗水平,从而准确管控蓄电池充放电状态,有选择性地开断负载相关组件的电源,实现合理的电源分配,优质、高效地为负载供电;解决了太阳能光伏发电系统受到天气影响光伏组件无法有效地对蓄电池进行电能补充时,负载一直连通消耗蓄电池电能,导致输出电压将逐渐下降,严重时甚至导致负载因电源不足而被迫停运等问题。 The utility model all selects devices with low power consumption. Under the condition that the normal operation of the load can be satisfied, the selected components with low power consumption have low power consumption, which can reduce the power consumption of the entire load, thereby prolonging the service time of the storage battery accordingly. Compared with the prior art, the utility model has the following advantages: the utility model maximizes the use of solar energy to charge the storage battery, so that the storage battery can supply power to the load with high efficiency, and responds to the power demand of the load in real time, and provides a reasonable power supply for it. The continuous normal operation of the load provides the necessary support; it can prevent overcharge, overdischarge, reverse charge, overcurrent, voltage loss protection, voltage regulation, etc., which is beneficial to prolong the life of the battery and provide power for the load reliably ;It can feed back the operating status of the battery to the user in real time, and can issue a low-voltage warning when the battery continues to fail to charge or other failures, so that the user can maintain the battery in time; it is reliable in operation, simple in process, convenient in production, and low in price, and can be used in small The solar power generation system can be promoted to a high degree. The utility model monitors the power of the storage battery in real time through the voltage detection module, combined with the power consumption level of the load, thereby accurately controlling the charging and discharging state of the storage battery, selectively disconnecting the power supply of the load-related components, realizing reasonable power supply distribution, and providing high-quality and high-efficiency Load power supply; solves the problem that when the solar photovoltaic power generation system is affected by the weather and the photovoltaic modules cannot effectively supplement the battery's electric energy, the load is always connected to consume the battery's electric energy, resulting in a gradual decline in the output voltage. In severe cases, the load may even be forced to stop due to insufficient power supply. issues such as luck.
附图说明:Description of drawings:
图1 本实用新型器件连接示意图。 Figure 1 is a schematic diagram of the device connection of the utility model.
具体实施方式:Detailed ways:
一种太阳能光伏发电系统的管控装置,它包括光伏组件1、负载9和蓄电池10,光伏组件1与充电控制器2电连接,充电控制器2与电压检测模块3和蓄电池10电连接,电压检测模块3与低压预警模块4和放电控制器5电连接,低压预警模块4与负载9电连接,放电控制器5与逆变器6电连接,逆变器6与交流并网柜7电连接,交流并网柜7与负载9连接,负载9与监测模块8电连接,监测模块8与放电控制器5和交流并网柜7电连接,蓄电池10与电压检测模块3和放电控制器5电连接。
A management and control device for a solar photovoltaic power generation system, which includes a
本实用新型的工作原理为: The working principle of the utility model is:
电压检测模块3通过对蓄电池10的电量监测,控制蓄电池10的充放电状态,并配合负载9的工作状态,实时响应负载9的用电需求,合理为其分配电源,从而实现最大效率的利用蓄电池,以保证负载的正常运行。
The
下面结合附图1对本实用新型作详细说明。
Below in conjunction with accompanying
如图1所示,本实用新型包括充电控制器2,电压检测模块3,低压预警模块4,放电控制器5,逆变器6,交流并网柜,7,监测模块8。各部件的连接关系如下:
As shown in FIG. 1 , the utility model includes a
充电控制器2的端口 、端口分别与光伏组件1的端口I、端口连接;充电控制器2的端口与蓄电池10端口连接;充电控制器2的端口与电压检测模块3的端口连接;电压检测模块3的端口与低压预警模块4的端口连接、电压检测模块3的端口与放电控制器5的端口连接、电压检测模块3的端口与蓄电池10的端口连接; 低压预警模块4的端口与负载9的端口连接;放电控制器5的端口与逆变器6的端口连接、放电控制器5的端口与监测模块8的端口连接、放电控制器5的端口与蓄电池10的端口连接;交流并网柜7的的端口与逆变器6的端口连接、交流并网柜7的端口与监测模块8的端口连接、交流并网柜7的的端口与负载9的端口连接;监测模块8的端口与负载9的端口连接。
Port of
充电控制器2依据电压检测模块3所检测的蓄电池10的电压,判断是否利用光伏组件1经充电控制器2对蓄电池10进行充电。充电控制器2中设有过充保护功能,结合电压检测模块3所检测的蓄电池电压,判断是否停止充电,从而有效的防止蓄电池过度充电的情况发生。
The
电压检测模块3检测到蓄电池10的电压低于额定电压的30%时,启动低压预警模块4,并将预警信息传送至负载9,从而可经负载9将蓄电池的预警信息传达给相关运行人员,以便运行人员即时对蓄电池进行维护。
When the
放电控制器5依据电压检测模块3所检测的蓄电池10的电压、结合监测模块8所监测到负载9的电源供应的需求,判断是否对负载9进行供电。当负载9停止工作,不需要电源供应时,本实用新型可自动切换到休眠状态,一旦监测模块8检测到负载9需要启动的信号,便可切换到正常工作状态。放电控制器5内设有过流保护,以防止因负载9发生雷击,短路等产生的大电流对蓄电池造成破坏。
The
逆变器6可以根据蓄电池传送的直流电进行升压并逆变成交流电,确保供给负载9的电压在可允许的工作范围内和频率内,以保证其正常运行。 The inverter 6 can step up the DC power transmitted by the battery and invert it into AC power to ensure that the voltage supplied to the load 9 is within the allowable working range and frequency to ensure its normal operation.
交流并网柜7根据监测模块8所监测到的负载9的运行状态,从而确定其电源需求,随之进行合理的切换和电源分配,以保证负载9的正常运行。
The AC grid-connected
Claims (1)
Priority Applications (1)
| Application Number | Priority Date | Filing Date | Title |
|---|---|---|---|
| CN2012206474686U CN202940631U (en) | 2012-11-30 | 2012-11-30 | Management and control device of solar photovoltaic power generation system |
Applications Claiming Priority (1)
| Application Number | Priority Date | Filing Date | Title |
|---|---|---|---|
| CN2012206474686U CN202940631U (en) | 2012-11-30 | 2012-11-30 | Management and control device of solar photovoltaic power generation system |
Publications (1)
| Publication Number | Publication Date |
|---|---|
| CN202940631U true CN202940631U (en) | 2013-05-15 |
Family
ID=48324854
Family Applications (1)
| Application Number | Title | Priority Date | Filing Date |
|---|---|---|---|
| CN2012206474686U Expired - Fee Related CN202940631U (en) | 2012-11-30 | 2012-11-30 | Management and control device of solar photovoltaic power generation system |
Country Status (1)
| Country | Link |
|---|---|
| CN (1) | CN202940631U (en) |
Cited By (2)
| Publication number | Priority date | Publication date | Assignee | Title |
|---|---|---|---|---|
| CN106788214A (en) * | 2016-11-16 | 2017-05-31 | 深圳市金光能太阳能有限公司 | Solar off-grid small system |
| CN113098038A (en) * | 2021-04-06 | 2021-07-09 | 中国电建集团贵州电力设计研究院有限公司 | Photovoltaic hydrogen production energy storage system and energy storage method |
-
2012
- 2012-11-30 CN CN2012206474686U patent/CN202940631U/en not_active Expired - Fee Related
Cited By (2)
| Publication number | Priority date | Publication date | Assignee | Title |
|---|---|---|---|---|
| CN106788214A (en) * | 2016-11-16 | 2017-05-31 | 深圳市金光能太阳能有限公司 | Solar off-grid small system |
| CN113098038A (en) * | 2021-04-06 | 2021-07-09 | 中国电建集团贵州电力设计研究院有限公司 | Photovoltaic hydrogen production energy storage system and energy storage method |
Similar Documents
| Publication | Publication Date | Title |
|---|---|---|
| CN100588077C (en) | A complementary uninterruptible power supply system of solar energy and commercial power | |
| CN103178553B (en) | A kind of family expenses mixed power supply system | |
| KR102234290B1 (en) | Energy storage system and controlling method the same | |
| CN102412594B (en) | Control Method of Microgrid System | |
| KR101147205B1 (en) | Apparatus and method of controlling high current, and power storage apparatus using the same | |
| CN101951014A (en) | Wind-light-diesel commercial power integral power supply system | |
| CN102710005A (en) | Power supply method for grid-connected and off-grid dual-purpose wind and light complement power generation system | |
| CN103051042A (en) | Direct current uninterruptible power supply | |
| CN103633727A (en) | Hybrid electric photovoltaic accumulation system inversion control all-in-one machine | |
| CN110098630A (en) | Energy storage for power supply system and energy storage for power supply case | |
| CN102780419B (en) | Off-grid independent solar power storage/supply system | |
| CN209056972U (en) | Nickel-metal hydride battery UPS control system | |
| CN204497835U (en) | A PoE switch with uninterrupted power supply | |
| CN201113483Y (en) | Inverter backup power supply system | |
| CN203690963U (en) | Portable energy storage power supply | |
| CN102810902B (en) | Household hybrid power supply management system and power supply management method | |
| CN201018313Y (en) | A home solar power supply system | |
| CN209963766U (en) | A microgrid solar energy storage and charging energy control device with a common DC bus | |
| CN201918749U (en) | Microcomputer type AC (alternating current)/DC (direct current) integrated power-supply device | |
| CN201576944U (en) | Vehicular solar energy mobile power supply | |
| CN203312826U (en) | Photovoltaic intelligent whole grid power generation system | |
| CN202940631U (en) | Management and control device of solar photovoltaic power generation system | |
| CN203339768U (en) | Backup energy storage power supply for photovoltaic and mains supply complementary input | |
| CN203859575U (en) | Reverse control integrated machine of hybrid power photovoltaic energy-storage system | |
| CN104242362A (en) | Power generation system and energy storage control device thereof |
Legal Events
| Date | Code | Title | Description |
|---|---|---|---|
| C14 | Grant of patent or utility model | ||
| GR01 | Patent grant | ||
| CF01 | Termination of patent right due to non-payment of annual fee |
Granted publication date: 20130515 Termination date: 20141130 |
|
| EXPY | Termination of patent right or utility model |















