CN116166340A - V2X task unloading matching method and system integrating collaborative filtering and feedback - Google Patents
V2X task unloading matching method and system integrating collaborative filtering and feedback Download PDFInfo
- Publication number
- CN116166340A CN116166340A CN202310211527.8A CN202310211527A CN116166340A CN 116166340 A CN116166340 A CN 116166340A CN 202310211527 A CN202310211527 A CN 202310211527A CN 116166340 A CN116166340 A CN 116166340A
- Authority
- CN
- China
- Prior art keywords
- user
- task
- recommended
- model
- request
- Prior art date
- Legal status (The legal status is an assumption and is not a legal conclusion. Google has not performed a legal analysis and makes no representation as to the accuracy of the status listed.)
- Pending
Links
Images
Landscapes
- Information Retrieval, Db Structures And Fs Structures Therefor (AREA)
Abstract
The invention discloses a V2X task unloading matching method and system integrating collaborative filtering and feedback, wherein the method comprises the following steps: receiving a user task request; inquiring a history request list according to the user task request; judging whether a history request record exists in the current communication area range of the user: if the user does not have a history request record, a matching cold start model is unloaded through a V2X task to generate a recommended matching result for the user; if the history request record exists in the user, generating a recommended matching result for the user by fusing a collaborative filtering algorithm and an unloading matching recommendation model fed back by the user; and outputting the recommended matching result, acquiring feedback information of the user on the current matching result, and updating the history request list. By integrating collaborative filtering and feedback, the matching problem between the user and the service node is processed, and the problem that the personalized requirements of different users cannot be met in the matching process of unloading decisions is solved, so that the service quality of the user is improved as a whole.
Description
Technical Field
The invention relates to the field of intelligent traffic, in particular to a V2X task unloading matching method and system integrating collaborative filtering and feedback.
Background
With the high-speed development of the intelligent traffic field, the intelligent network-connected automobile can collect information of surrounding environment and resources through a large number of intelligent sensors, and perform a series of calculation processing and sharing on the collected information, so that services such as automatic driving and vehicle-mounted entertainment are provided for users. However, in a practical scenario, the computing power and resources of the vehicle itself are limited, and with the advent of vehicle-mounted applications, the vehicle with limited resources is presented with a great challenge.
Mobile edge computing may provide a high bandwidth, low latency computing environment by providing computing resources and computing power at the mobile network edge. Therefore, the rapid development of mobile edge computing enables vehicles to communicate with X (i.e., vehicles, base stations, roadside units, etc.), and in V2X scenarios, vehicles can offload their own computationally intensive, time-delay sensitive tasks to service nodes with computing resources and computing power, thereby expanding the vehicle's processing capabilities for onboard applications.
In V2X, there are a large number of edge service nodes available for vehicle selection. However, the task demands of the users are different, and the characteristics such as the computing power are different among the service nodes. If the matched service nodes in the unloading process cannot meet the requirements of different users, the service quality of the users is seriously reduced. Chinese patent CN113518330a discloses a multi-user computing offload resource optimization decision method based on D2D communication, which uses task execution time and energy as a computing overhead model, establishes a bilateral preference sequence with computing overhead sequencing, and obtains a task offload decision scheme with minimal overhead by using a stable matching algorithm based on the preference sequence. According to the method, although a preference list is established and is further matched according to the preference list to obtain an unloading decision scheme, the preference list is set only by taking the task execution time delay and the energy consumption into consideration as targets for solving, the preference list only can reflect comprehensive preference of the time delay and the energy consumption, the time delay and the energy consumption weight are fixed, and different requirements of different users on the time delay and the energy consumption weight cannot be reflected. Chinese patent CN113342409a discloses a method and a system for offloading decision of a delay-sensitive task of a multi-access edge computing system, by acquiring user information and service node information, according to the current states of the user task and the service node, with the goal of minimizing the average delay of the system, the offloading decision is optimized by using a task offloading optimization method of an integrated ant colony and analytic hierarchy process, so as to obtain a final offloading decision result. In the method, although the unloading decision is calculated and optimized through an algorithm, only one characteristic of system delay is considered as an optimization target, different optimization targets are not adapted to different task demands (such as time delay, energy consumption and cost), the adaptability is poor, and optimally matched service nodes cannot be provided for different tasks.
In the prior art, the requirements are fixed or single, different scene requirements cannot be adapted, and the service quality of users is seriously affected when different types of tasks are served. Therefore, in an actual V2X scenario, how to establish an optimal request task-recommendation match between a vehicle task and a service node is in need of solution.
Disclosure of Invention
In order to solve the problems, the invention provides a V2X task unloading matching method and system integrating collaborative filtering and feedback, wherein the method processes the matching problem between a user and a service node by integrating collaborative filtering algorithm and user feedback, and solves the problem that the personalized requirements of different users cannot be met in the unloading decision matching process, thereby improving the service quality of the user as a whole.
In a first aspect, the present invention provides a V2X task offload matching method that fuses collaborative filtering and feedback, including:
receiving a user task request;
inquiring a history request list according to the user task request;
judging whether a history request record exists in the current communication area range of the user: if the user does not have a history request record, a matching cold start model is unloaded through a V2X task to generate a recommended matching result for the user; if the history request record exists in the user, generating a recommended matching result for the user by fusing a collaborative filtering algorithm and an unloading matching recommendation model fed back by the user;
and outputting the recommended matching result, updating the history request list, and acquiring feedback information of the user on the current matching result.
Further, before the receiving the user task request, the method further comprises: under the construction of a V2X scene, the intelligent network-connected automobile and service node task unloading matching system model comprises the following specific construction processes:
constructing an area model and each service node model in the communication range of the user vehicle; the regional model comprises a macro base station, roadside units and vehicles; the macro base station, the roadside units and vehicles except for the vehicle initiating the user task request provide service nodes for users, and service indexes for processing the user task request are selected to represent a service node model;
constructing a task model; selecting an attribute representation task model of a user request task;
acquiring an offline data set; the offline data set refers to historical user request task-recommendation service node data within the user vehicle communication area.
Further, the specific process of the V2X task unloading matching cold start model generating a recommended matching result for the user is as follows:
calculating the similarity between the user task request and the user task request in the offline data set, and generating a recommended matching result through a collaborative filtering algorithm when the similarity is greater than a preset similarity threshold; and when the similarity is smaller than a preset similarity threshold, generating a recommended matching result based on the popularity.
Further, the specific process of generating the recommended matching result through the collaborative filtering algorithm is as follows:
calculating the similarity of each user task request in the offline data set, and selecting A users with highest similarity in the offline data set as similar users in the collaborative filtering algorithm, wherein service nodes matched with the similar users are used as a recommended service node list;
according to the attribute of the user in the task model, filtering service nodes which cannot meet the preset task demand condition in the recommended service node list;
and selecting the service node with the highest similarity as the recommended service node for outputting the filtered recommended service node list.
Further, the specific process of generating the recommended matching result based on popularity is as follows:
acquiring a service node popularity list according to the matching times of the user task requests in the offline data set, and selecting the first B service nodes with highest popularity as a recommended service node list;
according to the attribute of the user in the task model, filtering service nodes which cannot meet the preset task demand condition in the recommended service node list;
and selecting the service node with the highest popularity as the recommended service node for outputting the filtered recommended service node list.
Further, the specific process of generating a recommended matching result for the user by fusing the collaborative filtering algorithm and the user feedback unloading matching recommendation model is as follows:
acquiring user feedback information, and acquiring an original weight coefficient set and an ideal weight coefficient set by fusing a feedback dynamic weight coefficient set model;
according to the weight coefficient change proportion, corresponding task parameters in the task model are adjusted to obtain a preference task model;
based on the preference task model, a recommended matching result is generated for the user through a collaborative filtering algorithm.
Further, the specific process of obtaining the original weight coefficient set and the ideal weight coefficient set by fusing the feedback dynamic weight coefficient set model is as follows:
selecting attributes of a user request task, and taking a weighted sum of the attributes as a comprehensive performance model;
according to the degree of the user's demand for each attribute in the task, calculating and generating a weight coefficient which accords with the attribute of the task, namely an original weight coefficient group;
and combining the demand degree of the user on each attribute in the feedback information of the user, and further recalculating to obtain an ideal weight coefficient set.
Further, based on the preference task model, the specific process of generating the recommended matching result for the user through the collaborative filtering algorithm is as follows:
calculating the similarity between the user task request and each user task request in the offline data set in the preference task model;
c users with highest similarity are selected as similarity users, and service nodes matched with the similarity users are selected as a recommended service node list;
according to the attribute of the user in the task model, filtering service nodes which cannot meet the preset task demand condition in the recommended service node list;
and selecting the service node with the highest similarity as the recommended service node for outputting the filtered recommended service node list.
In a second aspect, the present invention provides a V2X task offload matching system that fuses collaborative filtering and feedback, comprising:
a user task request receiving module: for receiving a user task request;
and a query module: the history request list is used for inquiring according to the user task request;
and a matching result generation module: judging whether a history request record exists in the current range of the user: if the user does not have a history request record, a matching cold start model is unloaded through a V2X task to generate a recommended matching result for the user; if the history request record exists in the user, generating a recommended matching result for the user by fusing a collaborative filtering algorithm and an unloading matching recommendation model fed back by the user;
and an output result and receiving feedback module: and outputting the recommended matching result, updating the history request list, and acquiring feedback information of the user on the current matching result.
In a third aspect, the present invention provides a readable storage medium: a computer program is stored which, when called by a processor, performs the steps of the method as described above.
Advantageous effects
The invention provides a V2X task unloading matching method and system integrating collaborative filtering and feedback, wherein the method has the following advantages:
(1) A dynamic weight coefficient group fused with feedback is designed and constructed, and the weighted sum of the coefficient group to the multiple attributes of the user is used as a comprehensive performance index to reflect the preference degree of different users to each requirement, and the feedback is combined to continuously adjust and optimize; the initial weight coefficient is determined according to the task characteristic parameters, the weight coefficient is continuously adjusted according to user feedback, the matching result is optimized, and the matching preference of different users is comprehensively embodied.
(2) For unsolicited users, obtaining recommended matching results by utilizing a collaborative filtering algorithm and an offline data set, and obtaining matching results which accord with user task preference; and for the task unloading request initiated by the requested user again, optimizing the weight coefficient and collaborative filtering recommendation process by fusing collaborative filtering and historical feedback information of the user, so as to obtain a final recommended matching result, and obtaining a task unloading matching scheme which is more in line with user preference and higher satisfaction while effectively meeting the user unloading requirement.
Drawings
In order to more clearly illustrate the embodiments of the invention or the technical solutions in the prior art, the drawings that are required in the embodiments or the description of the prior art will be briefly described, it being obvious that the drawings in the following description are only some embodiments of the invention, and that other drawings may be obtained according to these drawings without inventive effort for a person skilled in the art.
FIG. 1 is a flow chart of a V2X task offloading matching method for fusing collaborative filtering and feedback provided by an embodiment of the present invention;
fig. 2 is a schematic diagram of a V2X task offload matching scenario provided by an embodiment of the present invention.
Detailed Description
In order to make the objects, technical solutions and advantages of the present invention more apparent, the technical solutions of the present invention will be described in detail below. It will be apparent that the described embodiments are only some, but not all, embodiments of the invention. All other embodiments, based on the examples herein, which are within the scope of the invention as defined by the claims, will be within the scope of the invention as defined by the claims.
Example 1
As shown in fig. 1-2, the present embodiment provides a V2X task offloading matching method that fuses collaborative filtering and feedback, including:
s1, receiving a user task request; the method further comprises the following steps before receiving the user task request: under the V2X scene, an intelligent network-connected automobile and service node task unloading matching system model is constructed; the user task request is a user task request that is within a user vehicle communication area.
Specifically, in the V2X scenario, the intelligent network-connected automobile and service node task offloading matching system model includes a region model, each service node model, a task model, and an offline data set, and the specific construction process includes:
s1.1: constructing an area model and each service node model in the communication range of the user vehicle; the regional model comprises a macro base station, roadside units and vehicles; the macro base station, the roadside units and the vehicles except for the vehicle initiating the user task request all provide service nodes for the user, and each service node forms a setTotal v= { V 1 ,2 2 ,…,V n },V n Representing the nth serving node. Each service node model is characterized by the node parameters.
The service indexes for processing the user request task include network broadband, calculation resource quantity, calculation frequency and resource unit price, storage resource quantity and the service node model can be expressed by combining attributes according to actual conditions when the service indexes are embodied. In this embodiment, a service node model is selected from the calculation resource amount, calculation frequency and resource unit price, and the expression is V j =(q j ,f j ,p j ). Wherein q j For serving node V j The amount of computing resources f j For serving node V j Is calculated by the frequency, p j For serving node V j Is a resource unit price of (a).
S1.2: constructing a task model; the task model is formed based on attributes of a user request task to be processed, which is initiated by a vehicle, in the range of a user vehicle communication area. In the communication area, there are K vehicles initiating task unloading requests, each vehicle has a pending vehicle-mounted task, and the composition task set is expressed as T= { T 1 ,T 2 ,…,T K -a }; wherein T is K And representing the vehicle-mounted task to be processed initiated by the Kth vehicle.
Attributes of the user-requested task are the broadband required by the task, the size of the data in the task, the amount of computing resources required and the maximum latency allowed, the amount of storage resources required by the task. In the implementation, the attribute can be combined to represent the task model according to the actual situation. In this embodiment, the task model is represented by selecting the data size, the required computing resource size and the allowable maximum time delay in the user request task, where the expression isWherein Z is i For task T i Data size of D i For task T i The amount of computational resources required, +.>For task T i Maximum allowableTime delay. The amount of data, the amount of computing resources required for a task, and the maximum allowable delay vary from task to task.
S1.3: acquiring an offline data set; the offline data set refers to historical user request task-recommendation service node data within the user vehicle communication area.
S2, inquiring a historical request list according to the user task request.
S3, judging whether a history request record exists in the current communication area range of the user: if the user does not have a history request record, a matching cold start model is unloaded through a V2X task to generate a recommended matching result for the user; if the user has a history request record, generating a recommended matching result for the user by fusing a collaborative filtering algorithm and an unloading matching recommendation model fed back by the user.
S3.1: the user does not have a history request record, and the process of unloading the matching cold start model for the V2X task to generate a recommended matching result for the user is as follows:
s3.11, presetting a similarity threshold lambda, and calculating the similarity between the user request task and the user request task in the offline data set. And calculating the similarity according to the attribute in the current user task model and the attribute of other task models in the offline data set, so that the similarity of the user and other users when the user initiates the task can be obtained.
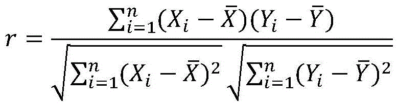
The similarity can be obtained by using cosine correlation, euclidean distance, pearson correlation coefficient and other methods, and can be adjusted according to actual conditions when the method is implemented. In this embodiment, the pearson correlation coefficient is selected as the similarity calculation, the user attribute is taken as the vector X, the other user task attributes are taken as the vector Y, and the correlation coefficient of the current user request task and the other user request task can be obtained by combining pearson correlation coefficient formula calculation, and the larger the correlation coefficient is, the more similar the two are indicated. Wherein, the pearson correlation coefficient formula is defined as follows:
wherein r represents the user request task andsimilarity of other user-requested tasks, n representing the number of parameters in the task model parameter set, X i A user task model vector is represented and,representing vector X i Average value of Y i Representing other user task model vectors,/->Representing vector Y i Average value of (2).
S3.12: when the similarity is larger than a preset similarity threshold lambda, generating a recommended matching result through a collaborative filtering algorithm; and when the similarity is smaller than a preset similarity threshold, generating a recommended matching result based on the popularity.
S3.121: the specific process for generating the recommended matching result through the collaborative filtering algorithm is as follows:
s3.1211: calculating the similarity of each user request task in the offline data set, and selecting A users with highest similarity in the offline data set as similar users in the collaborative filtering algorithm, wherein service nodes matched with the similar users are used as a recommended service node list;
s3.1212: according to the taskThe data size, the required computing resources and the allowable maximum time delay of the service node list are filtered, and service nodes which cannot meet the requirement conditions of the preset task in the recommended service node list are filtered, wherein the requirement conditions of the preset task are as follows:
wherein q v The amount of computational resources that can be provided for a service node, t i,v The time delay required for task i to offload to serving node v. t is t i,v The calculation process of (2) is as follows:
wherein,,for transmission delay, K is a scaling factor, < ->To calculate the time delay, f v The frequency is calculated for the serving node.
S3.1213: and selecting the service node with the highest similarity as the recommended service node for outputting the filtered recommended service node list.
S3.122, the specific process of generating the recommended matching result based on popularity is as follows:
s3.1221, acquiring a service node popularity list according to the matching times of user request tasks in an offline data set, and selecting the first B service nodes with highest popularity as a recommended service node list;
s3.1222, filtering service nodes which cannot meet the requirement of a preset task in a recommended service node list according to the data size of the task, the required computing resources and the allowable maximum time delay; the filtered preset task requirement conditions are the same as above, and thus, a detailed description is omitted.
S3.1223 selects, as the recommended service node, the service node with the highest popularity from the filtered recommended service node list, and outputs the selected service node.
S3.2: the process for generating a recommended matching result for the user by fusing a collaborative filtering algorithm and an unloading matching recommendation model fed back by the user is as follows:
s3.21: acquiring user feedback information, and acquiring an original weight coefficient set by fusing a feedback dynamic weight coefficient set model<r c ,r t ,r E >And ideal weight coefficient groupWherein r is t Weight coefficient r for time delay c Weighting coefficient r for cost E Weight coefficient for energy consumption, +.>Ideal weight coefficient for time delay, +.>Ideal weighting coefficient for cost and +.>Is an ideal weight coefficient of energy consumption.
Specifically, the specific process of acquiring the original weight coefficient set and the ideal weight coefficient set:
s3.212: selecting attributes of a user request task, and taking a weighted sum of the attributes as a comprehensive performance model; in this embodiment, the selected attributes are cost, time delay and energy consumption, and the obtained comprehensive performance model is:
Q=-(r c ×C i,j +r t ×T i,j +r E ×E i,j )
wherein Q is the comprehensive utility, r c As the weight coefficient of the cost, C i,j Cost for when task i is offloaded to service node j; r is (r) t Is the weight coefficient of time delay, T i,j Is the delay used when task i is offloaded to service node j; r is (r) E Weight coefficient of energy consumption, E i,j For the energy consumption used when task i is offloaded to service node j. In an actual scene, the smaller the delay, the cost and the energy consumption, the better the service quality, so the larger the Q, the better the comprehensive utility and the higher the service quality.
S3.212: and calculating and generating a weight coefficient which accords with the task attribute, namely an original weight coefficient group, according to the requirement degree of the user on each attribute in the task. The weight coefficient of each attribute does not adopt a fixed weight distribution mode, but generates the weight coefficient which accords with the attribute of the task according to the different tasks as the requirement degree of the task, and the original weight coefficient group f (r t ,r c ,r E ) The expression is:
wherein f (r t ,r c ,r E ) Representing an original set of weight coefficients; w (w) c The degree of demand of users for cost, w t Representing the demand degree and w of the time delay of the user E The demand degree of the energy consumption of the user is represented and calculated only through a user task model, and the calculation process is independent of the service node characteristics and is as follows:
(1) For a request task i epsilon T, the demand degree w of a user task on the time delay characteristic t The calculation formula is as follows:
wherein t is Exp For requesting the expected delay value of task i, i.e. the maximum delay allowed by the taskt ExpMin Is the minimum value of time delay requirement in time delay interval, t ExpMax Is the maximum value of the time delay requirement in the time delay interval.
(2) For task i e T, the user task's demand level w for cost features c The calculation formula is as follows:
wherein C is Exp Cost expectation for task request i; c (C) ExpMin Minimum value of cost requirement in area, C ExpMax Is the maximum value of the cost requirement in the area. The calculation formula is as follows:
C Exp =(D i +Z i )*p ave
C ExpMin =(D i +Z i )*p min
C ExpMax =(D i +Z i )*p max
wherein D is i The amount of computational resources required for a task, p ave For average resource unit price in a region, p min For the lowest unit price of resources in a region, p max Is the highest unit price of the resources in the area.
(3) For the task i epsilon T, the importance of the user on the energy consumption is determined by the uplink transmission power of the user, and the higher the uplink transmission power is, the higher the energy consumption of the task in the transmission process is. Thus, the degree of demand w for the energy consumption characteristics by the user task during transmission is represented E The calculation formula is as follows:
wherein p is Exp Namely p i And transmitting power for the uplink of the vehicle for sending the task request i. P is p ExpMin Is the minimum value of the transmitting power in the area, p ExpMax Is the maximum value of the transmission power in the inter-region.
S3.22: combining the degree of the user's requirement for various attributes in the user's feedback informationWherein (1)>Expressed as the desired degree of demand for costs by the user, < >>Expressed as the ideal requirement level of the user for time delay,Expressed as the ideal demand level of the user for energy consumption, and further recalculate the ideal weight coefficient set +.>The expression is:
s3.23: according to the change proportion of the weight coefficient, adjusting the task modelObtaining a preferred task model
Wherein (1)>Expressed as a preference task model->Data size of->Expressed as a preference task model->The amount of computational resources required, +.>Expressed as a preference task model->The allowable maximum time delay is calculated as follows:
s3.24: based on the preference task model, generating a recommended matching result for the user through a collaborative filtering algorithm, wherein the specific process is as follows:
s3.241: calculating the similarity between the user request task and each user request task in the offline data set in the preference task model;
s3.242: c users with highest similarity are selected as similarity users, and service nodes matched with the similarity users are selected as a recommended service node list;
s3.243: according to the size of the data packet occupied by the task, the required computing resources and the allowable maximum time delay, filtering service nodes which cannot meet the requirement of the preset task in a recommended service node list;
s3.244: and selecting the service node with the highest similarity as the recommended service node for outputting the filtered recommended service node list.
And S4, outputting a recommended matching result, updating a history request list and acquiring feedback information of a user on the current matching result.
Example 2
The embodiment provides a V2X task unloading matching system integrating collaborative filtering and feedback, which comprises the following steps:
a user task request receiving module: for receiving a user task request;
and a query module: the history request list is used for inquiring according to the user task request;
and a matching result generation module: judging whether a history request record exists in the current range of the user: if the user does not have a history request record, a matching cold start model is unloaded through a V2X task to generate a recommended matching result for the user; if the history request record exists in the user, generating a recommended matching result for the user by fusing a collaborative filtering algorithm and an unloading matching recommendation model fed back by the user;
and an output result and receiving feedback module: and outputting a recommended matching result, updating the history request list and acquiring feedback information of the user.
Example 3
The present embodiment provides a readable storage medium: a computer program is stored which, when called by a processor, performs the steps of the method as described above.
It should be appreciated that in embodiments of the present invention, the processor may be a central processing unit (Central Processing Unit, CPU), which may also be other general purpose processors, digital signal processors (Digital Signal Processor, DSP), application specific integrated circuits (Application Specific Integrated Circuit, ASIC), off-the-shelf Programmable gate arrays (FPGAs) or other Programmable logic devices, discrete gate or transistor logic devices, discrete hardware components, or the like. A general purpose processor may be a microprocessor or the processor may be any conventional processor or the like. The memory may include read only memory and random access memory and provide instructions and data to the processor. A portion of the memory may also include non-volatile random access memory. For example, the memory may also store information of the device type.
The readable storage medium is a computer readable storage medium, which may be an internal storage unit of the controller according to any one of the foregoing embodiments, for example, a hard disk or a memory of the controller. The readable storage medium may also be an external storage device of the controller, such as a plug-in hard disk, a Smart Media Card (SMC), a Secure Digital (SD) Card, a Flash memory Card (Flash Card) or the like, which are provided on the controller. Further, the readable storage medium may also include both an internal storage unit and an external storage device of the controller. The readable storage medium is used to store the computer program and other programs and data required by the controller. The readable storage medium may also be used to temporarily store data that has been output or is to be output.
Based on such understanding, the technical solution of the present invention is essentially or a part contributing to the prior art, or all or part of the technical solution may be embodied in the form of a software product stored in a storage medium, comprising several instructions for causing a computer device (which may be a personal computer, a server, or a network device, etc.) to perform all or part of the steps of the method according to the embodiments of the present invention. And the aforementioned readable storage medium includes: a U-disk, a removable hard disk, a Read-only Memory (ROM), a random access Memory (RAM, randomAccess Memory), a magnetic disk, an optical disk, or other various media capable of storing program codes.
It is to be understood that the same or similar parts in the above embodiments may be referred to each other, and that in some embodiments, the same or similar parts in other embodiments may be referred to.
While embodiments of the present invention have been shown and described above, it will be understood that the above embodiments are illustrative and not to be construed as limiting the invention, and that variations, modifications, alternatives and variations may be made to the above embodiments by one of ordinary skill in the art within the scope of the invention.
Claims (10)
1. The V2X task unloading matching method integrating collaborative filtering and feedback is characterized by comprising the following steps of:
receiving a user task request;
inquiring a history request list according to the user task request;
judging whether a history request record exists in the current communication area range of the user: if the user does not have a history request record, a matching cold start model is unloaded through a V2X task to generate a recommended matching result for the user; if the history request record exists in the user, generating a recommended matching result for the user by fusing a collaborative filtering algorithm and an unloading matching recommendation model fed back by the user;
and outputting the recommended matching result, updating the history request list, and acquiring feedback information of the user on the current matching result.
2. The V2X task offload matching method of claim 1, further comprising, prior to said receiving a user task request: under the construction of a V2X scene, the intelligent network-connected automobile and service node task unloading matching system model comprises the following specific construction processes:
constructing an area model and each service node model in the communication range of the user vehicle; the regional model comprises a macro base station, roadside units and vehicles; the macro base station, the roadside units and vehicles except for the vehicle initiating the user task request provide service nodes for users, and service indexes for processing the user task request are selected to represent a service node model;
constructing a task model; selecting an attribute representation task model of a user request task;
acquiring an offline data set; the offline data set refers to historical user request task-recommendation service node data within the user vehicle communication area.
3. The V2X task offload matching method with collaborative filtering and feedback according to claim 1, wherein the specific process of generating a recommended matching result for a user by the V2X task offload matching cold start model is as follows:
calculating the similarity between the user request task and the user request task in the offline data set, and generating a recommended matching result through a collaborative filtering algorithm when the similarity is greater than a preset similarity threshold; and when the similarity is smaller than a preset similarity threshold, generating a recommended matching result based on the popularity.
4. The V2X task offload matching method with collaborative filtering and feedback fusion according to claim 3, wherein the specific process of generating the recommended matching result by the collaborative filtering algorithm is:
calculating the similarity of each user request task in the offline data set, and selecting A users with highest similarity in the offline data set as similar users in the collaborative filtering algorithm, wherein service nodes matched with the similar users are used as a recommended service node list;
according to the attribute of the user in the task model, filtering service nodes which cannot meet the preset task demand condition in the recommended service node list;
and selecting the service node with the highest similarity as the recommended service node for outputting the filtered recommended service node list.
5. The V2X task offload matching method with collaborative filtering and feedback fusion according to claim 3, wherein the specific process of generating the recommended matching result based on popularity is:
acquiring a service node popularity list according to the matching times of user request tasks in an offline data set, and selecting the first B service nodes with highest popularity as a recommended service node list;
according to the attribute of the user in the task model, filtering service nodes which cannot meet the preset task demand condition in the recommended service node list;
and selecting the service node with the highest popularity as the recommended service node for outputting the filtered recommended service node list.
6. The V2X task offload matching method with collaborative filtering and feedback fused according to claim 1, wherein the specific process of generating a recommended matching result for a user by fusing an offload matching recommendation model with collaborative filtering algorithm and user feedback is as follows:
acquiring user feedback information, and acquiring an original weight coefficient set and an ideal weight coefficient set by fusing a feedback dynamic weight coefficient set model;
according to the weight coefficient change proportion, corresponding task parameters in the task model are adjusted to obtain a preference task model;
based on the preference task model, a recommended matching result is generated for the user through a collaborative filtering algorithm.
7. The V2X task offload matching method of fused collaborative filtering and feedback according to claim 6, wherein the specific process of obtaining the original weight coefficient set and the ideal weight coefficient set by fusing the dynamic weight coefficient set model of feedback is as follows:
selecting attributes of a user request task, and taking a weighted sum of the attributes as a comprehensive performance model;
according to the degree of the user's demand for each attribute in the task, calculating and generating a weight coefficient which accords with the attribute of the task, namely an original weight coefficient group;
and combining the demand degree of the user on each attribute in the feedback information of the user, and further recalculating to obtain an ideal weight coefficient set.
8. The V2X task offload matching method with collaborative filtering and feedback fused according to claim 6, wherein the specific process of generating a recommended matching result for a user through a collaborative filtering algorithm based on a preference task model is as follows:
calculating the similarity between the user task request and each user task request in the offline data set in the preference task model;
c users with highest similarity are selected as similarity users, and service nodes matched with the similarity users are selected as a recommended service node list;
according to the attribute of the user in the task model, filtering service nodes which cannot meet the preset task demand condition in the recommended service node list;
and selecting the service node with the highest similarity as the recommended service node for outputting the filtered recommended service node list.
9. A V2X task offload matching system that fuses collaborative filtering and feedback, comprising:
a user task request receiving module: for receiving a user task request;
and a query module: the history request list is used for inquiring according to the user task request;
and a matching result generation module: judging whether a history request record exists in the current range of the user: if the user does not have a history request record, a matching cold start model is unloaded through a V2X task to generate a recommended matching result for the user; if the history request record exists in the user, generating a recommended matching result for the user by fusing a collaborative filtering algorithm and an unloading matching recommendation model fed back by the user;
and an output result and receiving feedback module: and outputting a recommended matching result, updating the history request list and acquiring feedback information of the user.
10. A readable storage medium, characterized by: a computer program is stored which, when called by a processor, performs: the method of any one of claims 1-8.
Priority Applications (1)
| Application Number | Priority Date | Filing Date | Title |
|---|---|---|---|
| CN202310211527.8A CN116166340A (en) | 2023-03-07 | 2023-03-07 | V2X task unloading matching method and system integrating collaborative filtering and feedback |
Applications Claiming Priority (1)
| Application Number | Priority Date | Filing Date | Title |
|---|---|---|---|
| CN202310211527.8A CN116166340A (en) | 2023-03-07 | 2023-03-07 | V2X task unloading matching method and system integrating collaborative filtering and feedback |
Publications (1)
| Publication Number | Publication Date |
|---|---|
| CN116166340A true CN116166340A (en) | 2023-05-26 |
Family
ID=86419988
Family Applications (1)
| Application Number | Title | Priority Date | Filing Date |
|---|---|---|---|
| CN202310211527.8A Pending CN116166340A (en) | 2023-03-07 | 2023-03-07 | V2X task unloading matching method and system integrating collaborative filtering and feedback |
Country Status (1)
| Country | Link |
|---|---|
| CN (1) | CN116166340A (en) |
Citations (4)
| Publication number | Priority date | Publication date | Assignee | Title |
|---|---|---|---|---|
| CN112069903A (en) * | 2020-08-07 | 2020-12-11 | 之江实验室 | Method and device for achieving face recognition end side unloading calculation based on deep reinforcement learning |
| CN113778556A (en) * | 2021-09-14 | 2021-12-10 | 湖南大学 | Task unloading recommendation method and system based on vehicle-road cooperation |
| WO2022011755A1 (en) * | 2020-07-15 | 2022-01-20 | 南通大学 | Computing unloading method and system for energy efficiency optimization in in-vehicle edge computing network |
| CN115185600A (en) * | 2022-07-01 | 2022-10-14 | 湖南大学 | Personalized vehicle road cloud cooperative task unloading and distributing method and system |
-
2023
- 2023-03-07 CN CN202310211527.8A patent/CN116166340A/en active Pending
Patent Citations (4)
| Publication number | Priority date | Publication date | Assignee | Title |
|---|---|---|---|---|
| WO2022011755A1 (en) * | 2020-07-15 | 2022-01-20 | 南通大学 | Computing unloading method and system for energy efficiency optimization in in-vehicle edge computing network |
| CN112069903A (en) * | 2020-08-07 | 2020-12-11 | 之江实验室 | Method and device for achieving face recognition end side unloading calculation based on deep reinforcement learning |
| CN113778556A (en) * | 2021-09-14 | 2021-12-10 | 湖南大学 | Task unloading recommendation method and system based on vehicle-road cooperation |
| CN115185600A (en) * | 2022-07-01 | 2022-10-14 | 湖南大学 | Personalized vehicle road cloud cooperative task unloading and distributing method and system |
Non-Patent Citations (1)
| Title |
|---|
| XIAOWEI WANG: "Personalized Vehicle Task Offloading Based on the Recommender System", 《CONFERENCE: INTERNATIONAL CONFERENCE ON SMARTRAIL, TRAFFIC AND TRANSPORTATION ENGINEERING (ICSTTE 2023)》, 14 August 2024 (2024-08-14) * |
Similar Documents
| Publication | Publication Date | Title |
|---|---|---|
| Chen et al. | Edge-CoCaCo: Toward joint optimization of computation, caching, and communication on edge cloud | |
| Zhao et al. | Contract-based computing resource management via deep reinforcement learning in vehicular fog computing | |
| CN111835827A (en) | IoT edge computing task offloading method and system | |
| CN111355779B (en) | Service-based task offloading method for Internet of Vehicles and its offloading device | |
| CN115065683B (en) | Vehicle edge network task allocation and unloading method based on vehicle clustering | |
| CN113645273A (en) | Task offloading method for Internet of Vehicles based on business priority | |
| CN111565380A (en) | NOMA-MEC-based hybrid unloading method in Internet of vehicles | |
| CN118245198B (en) | Edge computing unloading method, device, equipment and medium based on simulated annealing | |
| CN118102386A (en) | Joint optimization method and system for service caching and task offloading in D2D-assisted MEC networks | |
| CN114637552A (en) | A fog computing task offloading method based on fuzzy logic strategy | |
| WO2023020502A1 (en) | Data processing method and apparatus | |
| CN113778556A (en) | Task unloading recommendation method and system based on vehicle-road cooperation | |
| CN116166340A (en) | V2X task unloading matching method and system integrating collaborative filtering and feedback | |
| CN111158893B (en) | Task unloading method, system, equipment and medium applied to fog computing network | |
| US20090125474A1 (en) | User preference-based data adaptation service system and method | |
| CN111970717B (en) | Method for content caching and user-base station association in fog-based wireless access network | |
| CN120111530A (en) | A method for task scheduling and cache optimization in storage-computing collaborative edge computing network | |
| CN115348610B (en) | Millimeter wave multilink self-adaptive communication method, electronic equipment and storage medium | |
| CN117880887A (en) | A mobile terminal adaptive service unloading method, system, terminal and base station | |
| CN110545300A (en) | Content caching method and device | |
| CN117750331A (en) | Network selection method of heterogeneous wireless network in vehicle edge calculation | |
| CN117580009A (en) | Communication method, sensing function network element and base station | |
| CN115801820A (en) | Delay-energy consumption perception vehicle networking task unloading method based on reinforcement learning | |
| CN118972388A (en) | Communication method, communication device, medium and program product | |
| Wang et al. | Task offloading optimization based on actor-critic algorithm in vehicle edge computing |
Legal Events
| Date | Code | Title | Description |
|---|---|---|---|
| PB01 | Publication | ||
| PB01 | Publication | ||
| SE01 | Entry into force of request for substantive examination | ||
| SE01 | Entry into force of request for substantive examination |



































