CN113268552B - Generator equipment hidden danger early warning method based on locality sensitive hashing - Google Patents
Generator equipment hidden danger early warning method based on locality sensitive hashing Download PDFInfo
- Publication number
- CN113268552B CN113268552B CN202110590832.3A CN202110590832A CN113268552B CN 113268552 B CN113268552 B CN 113268552B CN 202110590832 A CN202110590832 A CN 202110590832A CN 113268552 B CN113268552 B CN 113268552B
- Authority
- CN
- China
- Prior art keywords
- data
- generator
- sample
- early warning
- hidden danger
- Prior art date
- Legal status (The legal status is an assumption and is not a legal conclusion. Google has not performed a legal analysis and makes no representation as to the accuracy of the status listed.)
- Active
Links
Images
Classifications
-
- G—PHYSICS
- G06—COMPUTING OR CALCULATING; COUNTING
- G06F—ELECTRIC DIGITAL DATA PROCESSING
- G06F16/00—Information retrieval; Database structures therefor; File system structures therefor
- G06F16/20—Information retrieval; Database structures therefor; File system structures therefor of structured data, e.g. relational data
- G06F16/28—Databases characterised by their database models, e.g. relational or object models
- G06F16/284—Relational databases
- G06F16/285—Clustering or classification
-
- G—PHYSICS
- G06—COMPUTING OR CALCULATING; COUNTING
- G06F—ELECTRIC DIGITAL DATA PROCESSING
- G06F16/00—Information retrieval; Database structures therefor; File system structures therefor
- G06F16/20—Information retrieval; Database structures therefor; File system structures therefor of structured data, e.g. relational data
- G06F16/24—Querying
- G06F16/245—Query processing
- G06F16/2458—Special types of queries, e.g. statistical queries, fuzzy queries or distributed queries
- G06F16/2465—Query processing support for facilitating data mining operations in structured databases
-
- G—PHYSICS
- G06—COMPUTING OR CALCULATING; COUNTING
- G06F—ELECTRIC DIGITAL DATA PROCESSING
- G06F18/00—Pattern recognition
- G06F18/20—Analysing
- G06F18/21—Design or setup of recognition systems or techniques; Extraction of features in feature space; Blind source separation
- G06F18/214—Generating training patterns; Bootstrap methods, e.g. bagging or boosting
-
- G—PHYSICS
- G06—COMPUTING OR CALCULATING; COUNTING
- G06F—ELECTRIC DIGITAL DATA PROCESSING
- G06F30/00—Computer-aided design [CAD]
- G06F30/20—Design optimisation, verification or simulation
- G06F30/27—Design optimisation, verification or simulation using machine learning, e.g. artificial intelligence, neural networks, support vector machines [SVM] or training a model
-
- G—PHYSICS
- G08—SIGNALLING
- G08B—SIGNALLING OR CALLING SYSTEMS; ORDER TELEGRAPHS; ALARM SYSTEMS
- G08B21/00—Alarms responsive to a single specified undesired or abnormal condition and not otherwise provided for
- G08B21/18—Status alarms
- G08B21/182—Level alarms, e.g. alarms responsive to variables exceeding a threshold
Landscapes
- Engineering & Computer Science (AREA)
- Theoretical Computer Science (AREA)
- Physics & Mathematics (AREA)
- Databases & Information Systems (AREA)
- General Physics & Mathematics (AREA)
- Data Mining & Analysis (AREA)
- General Engineering & Computer Science (AREA)
- Evolutionary Computation (AREA)
- Computer Vision & Pattern Recognition (AREA)
- Artificial Intelligence (AREA)
- Software Systems (AREA)
- Computer Hardware Design (AREA)
- Geometry (AREA)
- Business, Economics & Management (AREA)
- Emergency Management (AREA)
- Medical Informatics (AREA)
- Bioinformatics & Computational Biology (AREA)
- Evolutionary Biology (AREA)
- Bioinformatics & Cheminformatics (AREA)
- Life Sciences & Earth Sciences (AREA)
- Fuzzy Systems (AREA)
- Mathematical Physics (AREA)
- Probability & Statistics with Applications (AREA)
- Computational Linguistics (AREA)
- Testing And Monitoring For Control Systems (AREA)
- Management, Administration, Business Operations System, And Electronic Commerce (AREA)
Abstract
The invention provides a generator equipment hidden danger early warning method based on locality sensitive hashing. The method comprises the following steps: acquiring training data to construct a multi-dimensional sample space; constructing a hash function family; randomly selecting a hash function from the data to process the sample point data to obtain a mapping vector of the data; dividing sample points with the same mapping vector into a data class; merging the data classes with the same sample point; recording the characteristic information of each merged data class and storing the characteristic information into a database; for newly received real-time data, traversing all data classes and trying to divide the data into a certain class; if the new sample data does not belong to any of the classes, the data is considered to represent some potential sign of failure. The system comprises: a training data acquisition module; a data processing and working condition identification module; a database; a real-time data receiving module; a real-time data analysis module; hidden danger early warning output module.
Description
Technical Field
The invention is suitable for the field of early warning of hidden dangers of generator equipment, and particularly relates to a method for early warning of hidden dangers of generator equipment based on Local Sensitive Hashing (LSH).
Background
Generators are the core equipment of hydroelectric power plants. During the long-time operation of the generator, various faults are inevitably caused under the influence of various factors. Most of which are a blind and slow process. When a sharp fault is finally presented, the equipment is damaged, and a large amount of manpower and material resources are consumed for maintenance. Therefore, how to continuously monitor the equipment in the running process, find potential fault symptoms in advance, and perform manual intervention in time to avoid faults is a subject of constant research of the hydroelectric power plant.
At present, most hydroelectric power plants adopt a digital control system, and various types of data of equipment can be collected at a fixed frequency in the operation process of the equipment, so that the state of the equipment is monitored in real time. However, in the aspect of early warning of hidden troubles of equipment, a fixed threshold judgment method is mostly adopted, and the method has the following defects:
1) the method has certain limitation, can only realize single-parameter threshold judgment, and cannot realize multi-parameter combined judgment.
2) The threshold value is set depending on the experience of field personnel, a large amount of invalid early warnings are generated if the threshold value is set too severely, and equipment is damaged when the early warnings are generated if the threshold value is set too loosely.
Disclosure of Invention
Aiming at the defects of hidden danger early warning in the generator in the prior art, the invention provides a generator equipment hidden danger early warning method based on locality sensitive hashing. And constructing an early warning model through training of a large amount of historical sample data, and early warning potential fault symptoms of the equipment in advance.
The technical scheme adopted by the invention is as follows:
a generator equipment hidden danger early warning method based on locality sensitive hashing comprises the following steps:
(1) analyzing and extracting relevant characteristics and influence factors of the generator set influencing the fault of the generator equipment to form a historical generator characteristic vector to obtain a sample set [ x [ ]1,x2,x3,x4,...x20]Wherein x is1,x2,x3,x4,…,x20Historical data values of relevant characteristics of the generator;
(2) for sample set [ x1,x2,x3,x4,...x20]Performing data preprocessing to remove [ x1,x2,x3,x4,...x20]Keeping the normal state value of the unit according to the data value of the abnormal state of the middle unit;
(3) constructing a series of hash function families with uniform mapping rules, wherein the hash function families are used for mapping multidimensional sample set data points into an integer vector, namely a mapping vector;
(4) randomly selecting M groups of hash functions from the hash function family constructed in the step (3), wherein each group consists of N hash functions, and processing all sample points in the sample space by using the hash functions to obtain a mapping vector of each sample;
(5) in the M groups of hash functions, dividing sample points with the same mapping vector in each group into a data class; traversing all the data classes, and merging the data classes with the same sample point; each data class obtained after combination represents a working condition in the normal operation process of the equipment;
(6) recording the feature information of all the merged data classes, and storing the feature information in a database;
(7) for the newly received real-time data value, traversing all the data classes according to the steps (2) to (5), and trying to divide the data classes into a certain data class; and if the new real-time data value cannot be classified into any data class, the data value is considered to be not in accordance with the normal operation condition, and the data value is judged to represent a potential fault sign.
Further, in the step (1), the historical data values of the relevant characteristics of the generator include historical time values of unit active power, unit oil temperature, unit oil sump oil level, unit rotation speed, stator tile temperature, pressure and flow.
Further, in the step (1), x1,x2,x3,x4,…,x20For generating power for the previous whole yearAnd (4) relevant characteristic historical data values.
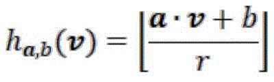
Further, in the step (4), a hash function family is constructed by P stable distribution, and when P is 2, the defined hash function family is:
wherein, the vector v is the sample data value, the vector a is the random vector with the same dimension as v generated by p stable distribution, b is the random number in (0, r), and r is the segment length of the straight line; and selecting different a and b to form a plurality of hash functions so as to form a hash function family.
Further, in step (4), the M groups of hash functions may be denoted as { F1(·), F2(·), …, FM (·) }, where Fi (·) is (h1(·), h2(·), …, hN (·)), so that the sample set data points are mapped to an integer vector (X1, X2, …, XN) through Fi (·), and this vector is the identifier of this sample set data point.
Further, in the step (3), the hash function family needs to be constructed to satisfy the following two constraints:
1) the sample set data points can be efficiently mapped into an integer vector;
2) all functions in the hash function family can set different parameters, but must comply with a uniform mapping principle.
Further, in the step (6), the feature information includes: the number of the data class, the number of sample points and the time stamp contained, and the maximum value and the minimum value of each data dimension, wherein each data dimension is an original data dimension and is not mapped data.
A generator hidden danger early warning system established according to the generator equipment hidden danger early warning method based on locality sensitive hashing comprises the following modules:
the training data acquisition module is used for acquiring sample data for training;
the data processing and working condition recognition module is used for processing the sample data acquired by the training data acquisition module by using the generator equipment hidden danger early warning method based on the locality sensitive hash to acquire a series of data classes and characteristic information thereof;
the database is used for storing the data and the characteristic information of the data obtained by the data processing and working condition identification module;
the real-time data receiving module is used for receiving a real-time data value of the running of the generator equipment;
the real-time data analysis module is used for judging whether each batch of newly received real-time data values accord with a certain normal operation condition;
and the hidden danger early warning output module outputs hidden danger early warning for the data value which is not in accordance with the normal operation condition.
An electronic device comprises a processor and a memory, wherein the memory is used for storing a computer program, and the processor is used for executing the computer program stored in the memory to realize the generator device hidden danger early warning method based on locality sensitive hashing.
A storage medium having stored thereon a computer program which, when executed by a processor, implements the locality sensitive hash-based generator device potential risk early warning method.
The invention achieves the following technical effects:
compared with the prior art, the method has the advantages that the dimension of the data can be reduced again by using the local sensitive hash method, and meanwhile, the local searching matching capability is realized, so that the model is more exquisite in the aspect of processing the data, and the accuracy of hidden danger early warning is improved. The specific effective gains are as follows:
1. according to the invention, relevant characteristics and influencing factors of the generator set, such as the active power of the generator set, the oil temperature of the generator set, the oil level of an oil groove of the generator set, the rotating speed of the generator set, the temperature of a stator tile, the pressure, the flow and other historical time values, of the generator set are analyzed and extracted, a generator fault characteristic parameter system is formed, a specific fault model of the generator is constructed, the early warning of the hidden danger of the generator is realized, and the hidden danger early warning model of the generator is more reliable;
2. in the invention, in M groups of hash functions, sample points with the same mapping vector in each group are divided into a data class, and for newly received real-time data, all the data classes are traversed and tried to be divided into a certain class. If the new real-time data can not be classified into any one class, the artificial data is not in accordance with the normal operation condition, namely the data is judged to represent some potential fault symptom. The early warning information of the samples under each type of working condition is calculated in detail, so that the early warning result of the hidden danger of the generator is more accurate;
in addition, the invention mainly solves the following technical problems:
1) and the limitation of single parameter judgment is solved by adopting multi-parameter joint judgment.
2) Historical data training is adopted, an early warning model is built, and dependence on human experience is reduced.
3) And a data driving mode is adopted, and potential fault signs are accurately found at the initial stage of fault formation.
Drawings
Fig. 1 is a schematic flow chart of a preferred embodiment of a generator equipment hidden danger early warning method based on Locality Sensitive Hashing (LSH) according to the present invention;
fig. 2 is a schematic structural diagram of a preferred embodiment of a power generator equipment potential risk early warning system based on a Locality Sensitive Hashing (LSH) algorithm in the present invention.
Detailed Description
In order to make the objects, technical solutions and advantages of the present invention more apparent, the present invention is described in further detail below with reference to the accompanying drawings and embodiments. It should be understood that the specific embodiments described herein are merely illustrative of the invention and are not intended to limit the invention.
As shown in fig. 1, the method for early warning of hidden danger of generator equipment based on locality sensitive hashing in this embodiment includes the following steps:
(1) analyzing and extracting relevant characteristics and influence factors of the generator set influencing the fault of the generator equipment to form a historical generator characteristic vector to obtain a sample set [ x [ ]1,x2,x3,x4,...x20]Wherein x is1,x2,x3,x4,…,x20The generator-related characteristic historical data value of the previous whole year. The historical data values of the relevant characteristics of the generator comprise historical time values of unit active power, unit oil temperature, unit oil groove oil level, unit rotating speed, stator tile temperature, pressure and flow.
In the embodiment of the invention, the historical data used for training must be time sequence data generated in the normal operation process of equipment, and data under the condition of equipment failure cannot exist. The historical data should include two or more physical parameters (e.g., temperature, pressure, flow rate, etc.), and there should be a physical correlation between these parameters. When constructing the multi-dimensional sample space, the data at the same time is used as a sample point in the multi-dimensional sample space (each physical parameter is used as a dimension of the sample point).
It should be understood that there are many ways to obtain historical data, including but not limited to reading from a database, reading from a file, reading from a particular data interface, etc. No matter how the data is obtained, no influence on the claims of the present invention should be constructed.
(2) For sample set [ x1,x2,x3,x4,...x20]Performing data preprocessing to remove [ x1,x2,x3,x4,...x20]And keeping the normal state value of the unit according to the data value of the abnormal state of the medium unit.
(3) And constructing a series of hash function families with uniform mapping rules for mapping the multidimensional sample set data points into an integer vector, namely a mapping vector.
The construction of the hash function family requires that the following two constraints are satisfied:
1) the sample set data points can be efficiently mapped to an integer vector.
2) All functions in the hash function family can set different parameters, but must comply with a uniform mapping principle.
It should be appreciated that there are many ways to construct a hash function that satisfies the above constraints. No matter how the hash function is constructed, no influence on the claims of the present invention should be constructed.
(4) And (4) randomly selecting M groups of hash functions from the hash function family constructed in the step (3), wherein each group consists of N hash functions, and processing all sample points in the sample space by using the hash functions to obtain the mapping vector of each sample. The method specifically comprises the following steps:
and constructing a hash function family through P stable distribution, wherein when P is 2, the defined hash function family is as follows:
where vector v is the sample data value, vector a is the random vector with the same dimension as v generated by the p-stable distribution, b is the random number in (0, r), and r is the segment length of the straight line. And selecting different a and b to form a plurality of hash functions so as to form a hash function family.
The M-set hash function can be denoted as F1(·), F2(·), …, FM (·), where Fi (·) is (h1(·), h2(·), …, hN (·)), and the sample set data points are mapped via Fi (·) into an integer vector (X1, X2, …, XN), which is the identity of the sample set data points.
It should be understood that there are many ways to construct the hash function and the data mapping method of the sample point, and no matter what way is adopted, the method should not affect the claims of the present invention.
(5) In the M sets of hash functions, sample points having the same mapping vector in each set are divided into a data class. And traversing all the data classes, and merging the data classes with the same sample point. Each data class obtained after combination represents a working condition in the normal operation process of the equipment.
(6) Recording the characteristic information of all the merged data classes, including: the number of the data class, the number of sample points and the time stamp contained, and the maximum value and the minimum value of each data dimension, wherein each data dimension is an original data dimension and is not mapped data. And stored in a database.
It should be understood that there are many different databases for storing the classification results, and no database whatsoever should be used for influencing the claims of the present invention.
(7) And (3) traversing all the data classes according to the steps (2) to (5) for the newly received real-time data value, and trying to divide the data classes into a certain data class. And if the new real-time data value cannot be classified into any data class, the data value is considered to be not in accordance with the normal operation condition, and the data value is judged to represent a potential fault sign.
In the embodiment of the invention, the accuracy of the real-time data judgment, namely the accuracy of the monitoring model, depends on whether the historical data is complete or not, and whether all normal operation conditions of the equipment can be covered or not. Theoretically, the failure mode of the equipment is inexorable, but the normal operation condition of the equipment can be completely covered by enough historical data.
As shown in fig. 2, the generator hidden danger early warning system established according to the generator equipment hidden danger early warning method based on locality sensitive hashing includes the following modules:
and the training data acquisition module is used for acquiring sample data for training.
And the data processing and working condition recognition module is used for processing the sample data acquired by the training data acquisition module by using the partial sensitive Hash-based generator equipment hidden danger early warning method to acquire a series of data classes and characteristic information thereof.
And the database is used for storing the data and the characteristic information of the data obtained by the data processing and working condition identification module.
And the real-time data receiving module is used for receiving the real-time data value of the operation of the generator equipment.
And the real-time data analysis module is used for judging whether each batch of newly received real-time data values accord with a certain normal operation condition.
And the hidden danger early warning output module outputs hidden danger early warning for the data value which is not in accordance with the normal operation condition.
According to the early warning method, the electronic device can be obtained and comprises a processor and a memory, wherein the memory is used for storing a computer program, and the processor is used for executing the computer program stored in the memory so as to realize the generator device hidden danger early warning method based on locality sensitive hashing.
According to the early warning method, a storage medium can be obtained, a computer program is stored on the storage medium, and when the computer program is executed by a processor, the early warning method for the hidden danger of the generator equipment based on the locality sensitive hashing is realized.
The present invention is not limited to the above preferred embodiments, and any modifications, equivalent substitutions and improvements made within the spirit and principle of the present invention should be included in the protection scope of the present invention.
Claims (4)
1. A generator equipment hidden danger early warning method based on locality sensitive hashing is characterized by comprising the following steps:
(1) analyzing and extracting relevant characteristics and influence factors of the generator set influencing the fault of the generator equipment to form a historical generator characteristic vector to obtain a sample set [ x [ ]1,x2,x3,x4,...x20]Wherein x is1,x2,x3,x4,…,x20Historical data values of relevant characteristics of the generator;
(2) for sample set [ x1,x2,x3,x4,...x20]Performing data preprocessing to remove [ x1,x2,x3,x4,...x20]Keeping the normal state value of the unit according to the data value of the abnormal state of the middle unit;
(3) constructing a series of hash function families with uniform mapping rules, wherein the hash function families are used for mapping multidimensional sample set data points into an integer vector, namely a mapping vector;
(4) randomly selecting M groups of hash functions from the hash function family constructed in the step (3), wherein each group consists of N hash functions, and processing all sample points in the sample space by using the hash functions to obtain a mapping vector of each sample;
(5) in the M groups of hash functions, dividing sample points with the same mapping vector in each group into a data class; traversing all the data classes, and merging the data classes with the same sample point; each data class obtained after combination represents a working condition in the normal operation process of the equipment;
(6) recording the feature information of all the merged data classes, and storing the feature information in a database;
(7) for the newly received real-time data value, traversing all the data classes according to the steps (2) to (5), and trying to divide the data classes into a certain data class; if the new real-time data value cannot be classified into any data class, the data value is considered to be not in accordance with the normal operation condition, and the data value is judged to represent a potential fault symptom;
in the step (1), the historical data values of the relevant characteristics of the generator comprise historical time values of unit active power, unit oil temperature, unit oil tank oil level, unit rotating speed, stator tile temperature, pressure and flow;
in the step (1), x1,x2,x3,x4,…,x20The historical data value of the relevant characteristics of the generator in the previous whole year;
in the step (4), a hash function family is constructed through stable distribution of P, and when P is 2, the defined hash function family is:
ha,b(v) = (= v + b)/r, where vector v is the sample data value, vector a is the random vector with the same dimension as v generated by the p-stable distribution, b is the random number in (0, r), and r is the segment length of the straight line; selecting different a and b to form a plurality of hash functions so as to form a hash function family;
in the step (4), the M groups of hash functions are denoted by { F1(·), F2(·), …, and FM (·), where Fi (·) is (h1(·), h2(·), …, hN (·)), so that the sample set data points are mapped to an integer vector (X1, X2, …, XN) through Fi (·), and the vector is an identifier of the sample set data points;
in the step (3), the hash function family needs to be constructed to satisfy the following two constraints:
1) the sample set data points can be efficiently mapped into an integer vector;
2) all functions in the hash function family are set with different parameters, but the functions must follow a uniform mapping principle;
in the step (6), the feature information includes: the number of the data class, the number of sample points and the time stamp contained, and the maximum value and the minimum value of each data dimension, wherein each data dimension is an original data dimension and is not mapped data.
2. The generator hidden danger early warning system established by the generator equipment hidden danger early warning method based on locality sensitive hashing according to claim 1, wherein the generator hidden danger early warning system comprises the following modules:
the training data acquisition module is used for acquiring sample data for training;
the data processing and working condition recognition module is used for processing the sample data acquired by the training data acquisition module by using the generator equipment hidden danger early warning method based on the locality sensitive hash to acquire a series of data classes and characteristic information thereof;
the database is used for storing the data and the characteristic information of the data obtained by the data processing and working condition identification module;
the real-time data receiving module is used for receiving a real-time data value of the running of the generator equipment;
the real-time data analysis module is used for judging whether each batch of newly received real-time data values accord with a certain normal operation condition;
and the hidden danger early warning output module outputs hidden danger early warning for the data value which is not in accordance with the normal operation condition.
3. An electronic device, comprising a processor and a memory, wherein the memory is used for storing a computer program, and the processor is used for executing the computer program stored in the memory to realize the electric generator equipment hidden danger early warning method based on locality sensitive hashing as claimed in claim 1.
4. A storage medium having a computer program stored thereon, wherein the computer program, when executed by a processor, implements the locality sensitive hash-based generator equipment risk pre-warning method according to claim 1.
Priority Applications (1)
| Application Number | Priority Date | Filing Date | Title |
|---|---|---|---|
| CN202110590832.3A CN113268552B (en) | 2021-05-28 | 2021-05-28 | Generator equipment hidden danger early warning method based on locality sensitive hashing |
Applications Claiming Priority (1)
| Application Number | Priority Date | Filing Date | Title |
|---|---|---|---|
| CN202110590832.3A CN113268552B (en) | 2021-05-28 | 2021-05-28 | Generator equipment hidden danger early warning method based on locality sensitive hashing |
Publications (2)
| Publication Number | Publication Date |
|---|---|
| CN113268552A CN113268552A (en) | 2021-08-17 |
| CN113268552B true CN113268552B (en) | 2022-04-05 |
Family
ID=77233291
Family Applications (1)
| Application Number | Title | Priority Date | Filing Date |
|---|---|---|---|
| CN202110590832.3A Active CN113268552B (en) | 2021-05-28 | 2021-05-28 | Generator equipment hidden danger early warning method based on locality sensitive hashing |
Country Status (1)
| Country | Link |
|---|---|
| CN (1) | CN113268552B (en) |
Families Citing this family (2)
| Publication number | Priority date | Publication date | Assignee | Title |
|---|---|---|---|---|
| CN115514564B (en) * | 2022-09-22 | 2023-06-16 | 成都坐联智城科技有限公司 | Data security processing method and system based on data sharing |
| CN120951222B (en) * | 2025-10-15 | 2026-01-23 | 朋熙半导体科技(北京)有限公司 | Method, apparatus and equipment for identifying anomalies in wafer manufacturing processes based on hash algorithms |
Citations (3)
| Publication number | Priority date | Publication date | Assignee | Title |
|---|---|---|---|---|
| WO2015176565A1 (en) * | 2014-05-22 | 2015-11-26 | 袁志贤 | Method for predicting faults in electrical equipment based on multi-dimension time series |
| CN108460404A (en) * | 2018-01-24 | 2018-08-28 | 河海大学常州校区 | A kind of Method of Motor Fault Diagnosis based on Bloom filter |
| CN111079539A (en) * | 2019-11-19 | 2020-04-28 | 华南理工大学 | A video anomaly behavior detection method based on anomaly tracking |
Family Cites Families (5)
| Publication number | Priority date | Publication date | Assignee | Title |
|---|---|---|---|---|
| US9379951B2 (en) * | 2014-01-10 | 2016-06-28 | Instep Software, Llc | Method and apparatus for detection of anomalies in integrated parameter systems |
| US9626426B2 (en) * | 2014-01-24 | 2017-04-18 | Facebook, Inc. | Clustering using locality-sensitive hashing with improved cost model |
| CN107070867B (en) * | 2017-01-03 | 2020-06-16 | 湖南大学 | Network flow abnormity rapid detection method based on multilayer locality sensitive hash table |
| CN107895206B (en) * | 2017-11-09 | 2020-12-22 | 华南理工大学 | A Multi-step Wind Energy Forecasting Method Based on Singular Spectrum Analysis and Locality Sensitive Hashing |
| CN109974782B (en) * | 2019-04-10 | 2021-03-02 | 郑州轻工业学院 | Equipment fault early warning method and system based on big data sensitive characteristic optimization selection |
-
2021
- 2021-05-28 CN CN202110590832.3A patent/CN113268552B/en active Active
Patent Citations (3)
| Publication number | Priority date | Publication date | Assignee | Title |
|---|---|---|---|---|
| WO2015176565A1 (en) * | 2014-05-22 | 2015-11-26 | 袁志贤 | Method for predicting faults in electrical equipment based on multi-dimension time series |
| CN108460404A (en) * | 2018-01-24 | 2018-08-28 | 河海大学常州校区 | A kind of Method of Motor Fault Diagnosis based on Bloom filter |
| CN111079539A (en) * | 2019-11-19 | 2020-04-28 | 华南理工大学 | A video anomaly behavior detection method based on anomaly tracking |
Non-Patent Citations (2)
| Title |
|---|
| 基于近邻参考集与E2LSH加速的姿态敏感器故障检测;王婵等;《传感技术学报》;20170915;第1359-1363页 * |
| 王婵等.基于近邻参考集与E2LSH加速的姿态敏感器故障检测.《传感技术学报》.2017,第1359-1363页. * |
Also Published As
| Publication number | Publication date |
|---|---|
| CN113268552A (en) | 2021-08-17 |
Similar Documents
| Publication | Publication Date | Title |
|---|---|---|
| Zheng et al. | Raw wind data preprocessing: A data-mining approach | |
| CN105677791B (en) | Method and system for analyzing operational data of wind turbines | |
| CN113436194B (en) | Abnormity detection method, device and equipment for wind turbine generator | |
| CN113268552B (en) | Generator equipment hidden danger early warning method based on locality sensitive hashing | |
| CN119128776A (en) | Abnormal early warning method and system for wind turbines based on artificial intelligence | |
| CN119228044B (en) | Asset management method and system for power equipment | |
| CN120470257A (en) | Electric vehicle energy consumption analysis system and method | |
| CN115524002A (en) | Running state early warning method and system for power plant rotating equipment and storage medium | |
| CN118312860B (en) | Park energy monitoring method and system based on artificial intelligence | |
| CN108304350B (en) | Fan index prediction and fault early warning method based on big data set neighbor strategy | |
| CN117131425B (en) | A CNC machine tool processing status monitoring method and system based on feedback data | |
| Vásquez-Rodríguez et al. | Anomaly-based fault detection in wind turbines using unsupervised learning: a comparative study. | |
| CN117171678B (en) | Soil microbial flora regulation and control method and system in microbial remediation process | |
| CN116089890B (en) | Fault early warning detection method and system for intelligent wind power plant | |
| CN112855458B (en) | Anemometer fault diagnosis method, system and medium for wind generating set | |
| CN112733931A (en) | Nuclear power plant equipment monitoring data clustering processing method and electronic equipment | |
| CN115952914A (en) | A Big Data-Based Discriminant Planning Method for Power Metering Operation and Maintenance Work | |
| CN117572837B (en) | Intelligent power plant AI active operation and maintenance method and system | |
| CN117150393B (en) | A method and system for identifying weak branches in power systems based on decision trees | |
| CN119224593A (en) | A method and system for detecting current anomaly caused by thermal runaway of lithium battery | |
| CN118036335A (en) | A method for optimizing a large power visual model in power distribution scenarios | |
| CN113255834A (en) | Transformer potential fault prediction method and system based on locality sensitive hashing algorithm | |
| Aurangabadkar et al. | Fault Diagnosis of Gearbox Using Machine Learning Approach | |
| CN119249324B (en) | Wind power plant data quality assessment method based on high-dimensional space anomaly identification | |
| CN117553008A (en) | A method, device, equipment and medium for monitoring operating status of a water supply pump system |
Legal Events
| Date | Code | Title | Description |
|---|---|---|---|
| PB01 | Publication | ||
| PB01 | Publication | ||
| SE01 | Entry into force of request for substantive examination | ||
| SE01 | Entry into force of request for substantive examination | ||
| GR01 | Patent grant | ||
| GR01 | Patent grant |

