CN111762057A - 一种区域微网中v2g电动汽车智能充放电管理方法 - Google Patents
一种区域微网中v2g电动汽车智能充放电管理方法 Download PDFInfo
- Publication number
- CN111762057A CN111762057A CN202010641656.7A CN202010641656A CN111762057A CN 111762057 A CN111762057 A CN 111762057A CN 202010641656 A CN202010641656 A CN 202010641656A CN 111762057 A CN111762057 A CN 111762057A
- Authority
- CN
- China
- Prior art keywords
- electric vehicle
- model
- electric
- charging
- formula
- Prior art date
- Legal status (The legal status is an assumption and is not a legal conclusion. Google has not performed a legal analysis and makes no representation as to the accuracy of the status listed.)
- Granted
Links
Images
Classifications
-
- B—PERFORMING OPERATIONS; TRANSPORTING
- B60—VEHICLES IN GENERAL
- B60L—PROPULSION OF ELECTRICALLY-PROPELLED VEHICLES; SUPPLYING ELECTRIC POWER FOR AUXILIARY EQUIPMENT OF ELECTRICALLY-PROPELLED VEHICLES; ELECTRODYNAMIC BRAKE SYSTEMS FOR VEHICLES IN GENERAL; MAGNETIC SUSPENSION OR LEVITATION FOR VEHICLES; MONITORING OPERATING VARIABLES OF ELECTRICALLY-PROPELLED VEHICLES; ELECTRIC SAFETY DEVICES FOR ELECTRICALLY-PROPELLED VEHICLES
- B60L55/00—Arrangements for supplying energy stored within a vehicle to a power network, i.e. vehicle-to-grid [V2G] arrangements
-
- B—PERFORMING OPERATIONS; TRANSPORTING
- B60—VEHICLES IN GENERAL
- B60L—PROPULSION OF ELECTRICALLY-PROPELLED VEHICLES; SUPPLYING ELECTRIC POWER FOR AUXILIARY EQUIPMENT OF ELECTRICALLY-PROPELLED VEHICLES; ELECTRODYNAMIC BRAKE SYSTEMS FOR VEHICLES IN GENERAL; MAGNETIC SUSPENSION OR LEVITATION FOR VEHICLES; MONITORING OPERATING VARIABLES OF ELECTRICALLY-PROPELLED VEHICLES; ELECTRIC SAFETY DEVICES FOR ELECTRICALLY-PROPELLED VEHICLES
- B60L53/00—Methods of charging batteries, specially adapted for electric vehicles; Charging stations or on-board charging equipment therefor; Exchange of energy storage elements in electric vehicles
- B60L53/60—Monitoring or controlling charging stations
- B60L53/63—Monitoring or controlling charging stations in response to network capacity
-
- Y—GENERAL TAGGING OF NEW TECHNOLOGICAL DEVELOPMENTS; GENERAL TAGGING OF CROSS-SECTIONAL TECHNOLOGIES SPANNING OVER SEVERAL SECTIONS OF THE IPC; TECHNICAL SUBJECTS COVERED BY FORMER USPC CROSS-REFERENCE ART COLLECTIONS [XRACs] AND DIGESTS
- Y02—TECHNOLOGIES OR APPLICATIONS FOR MITIGATION OR ADAPTATION AGAINST CLIMATE CHANGE
- Y02T—CLIMATE CHANGE MITIGATION TECHNOLOGIES RELATED TO TRANSPORTATION
- Y02T10/00—Road transport of goods or passengers
- Y02T10/60—Other road transportation technologies with climate change mitigation effect
- Y02T10/70—Energy storage systems for electromobility, e.g. batteries
-
- Y—GENERAL TAGGING OF NEW TECHNOLOGICAL DEVELOPMENTS; GENERAL TAGGING OF CROSS-SECTIONAL TECHNOLOGIES SPANNING OVER SEVERAL SECTIONS OF THE IPC; TECHNICAL SUBJECTS COVERED BY FORMER USPC CROSS-REFERENCE ART COLLECTIONS [XRACs] AND DIGESTS
- Y02—TECHNOLOGIES OR APPLICATIONS FOR MITIGATION OR ADAPTATION AGAINST CLIMATE CHANGE
- Y02T—CLIMATE CHANGE MITIGATION TECHNOLOGIES RELATED TO TRANSPORTATION
- Y02T10/00—Road transport of goods or passengers
- Y02T10/60—Other road transportation technologies with climate change mitigation effect
- Y02T10/7072—Electromobility specific charging systems or methods for batteries, ultracapacitors, supercapacitors or double-layer capacitors
-
- Y—GENERAL TAGGING OF NEW TECHNOLOGICAL DEVELOPMENTS; GENERAL TAGGING OF CROSS-SECTIONAL TECHNOLOGIES SPANNING OVER SEVERAL SECTIONS OF THE IPC; TECHNICAL SUBJECTS COVERED BY FORMER USPC CROSS-REFERENCE ART COLLECTIONS [XRACs] AND DIGESTS
- Y02—TECHNOLOGIES OR APPLICATIONS FOR MITIGATION OR ADAPTATION AGAINST CLIMATE CHANGE
- Y02T—CLIMATE CHANGE MITIGATION TECHNOLOGIES RELATED TO TRANSPORTATION
- Y02T90/00—Enabling technologies or technologies with a potential or indirect contribution to GHG emissions mitigation
- Y02T90/10—Technologies relating to charging of electric vehicles
- Y02T90/12—Electric charging stations
Landscapes
- Engineering & Computer Science (AREA)
- Power Engineering (AREA)
- Transportation (AREA)
- Mechanical Engineering (AREA)
- Charge And Discharge Circuits For Batteries Or The Like (AREA)
- Electric Propulsion And Braking For Vehicles (AREA)
- Supply And Distribution Of Alternating Current (AREA)
Abstract
本发明提供了一种区域微网中V2G电动汽车智能充放电管理方法,属于电动车辆充电领域。本发明包括如下步骤:确定微网系统的基本参数;建立可再生能源模块出力模型来预测可再生能源模块出力,建立储能装置负荷模型来预测储能装置负荷状态;建立电动汽车负荷特性模型并获得所有电动汽车的荷电状态;建立优化模型并求解,使得电动汽车用户的满意度最大为前提,微网系统运行的总成本最低;根据优化模型求解的结果对电动汽车进行调动。本发明不仅能在提升需求侧电动汽车的满意度和用户响应能力,同时还抑制了微网系统的负荷波动、降低了运行成本。
Description
技术领域
本发明涉及一种电动车辆充电领域,具体涉及一种区域微网中V2G电动汽车智能充放电管理方法。
背景技术
能源是人类的生存和发展的重要前提,随着社会科技和经济的不断发展,传统的化石能源日益枯竭,全球变暖和环境污染等问题日益加剧,提高清洁能源利用率成为了当下一项重要的研究课题;由于风光发电系统本身对于气候条件有着很大的依赖性,造成了其发电能力的间歇性和不确定性,若将其直接接入电网会对系统稳定性带来很大的影响。微网能高效地解决可再生能源(Renewable Energy,RE)大规模分散接入地问题,并且其并网和孤网的运行方式增强了微网系统的灵活性。
近年来,电动汽车(Electrical vehicle,EV)得到了飞速发展,人们逐渐意识到了其移动储能特性的价值所在。EV一直被视为一种对清洁能源的合理利用,是解决能源环境问题的有效途径;EV的发展也推动着锂离子电池的发展,使得含有V2G(Vehicle-to-Grid,V2G)功能的电动汽车日益普及。所谓的V2G,是指电动汽车可以作为一种移动储能单元,在峰荷时向电网注入电能,谷荷时从电网补充电能,实现能量的双向流动,减少了备用需求,降低了系统运行成本,提升了系统运行的经济性;因此,大规模V2G电动汽车进入微网,参与微网的联合调度是未来的一个必然发展趋势。
发明内容
本发明是为了解决上述问题而进行的,目的在于提供一种智能绿色环保的区域微网中V2G电动汽车智能充放电管理方法。
本发明提供了一种区域微网中V2G电动汽车智能充放电管理方法,用于管理微网系统,微网系统包括:智能量测模块、微网能量管理中心、电动汽车充放电模块、可再生能源模块以及微网响应主体,微网响应主体包括多辆电动汽车以及储能装置,每辆电动汽车具有动力电池,可再生能源模块包括风机发电单元以及光伏发电单元,具有这样的特征,包括如下步骤:步骤1,确定微网系统的基本参数,基本参数包括:电动汽车的数量、起始的电动汽车用户的满意度、储能装置的容量、储能装置荷电状态的上限以及储能装置荷电状态的下限;步骤2,建立可再生能源模块出力模型来预测可再生能源模块出力,建立储能装置负荷模型来预测储能装置负荷状态;步骤3,建立电动汽车负荷特性模型并获得所有电动汽车的荷电状态;步骤4,建立优化模型并求解,使得电动汽车用户的满意度最大为前提,微网系统运行的总成本最低;步骤5,根据优化模型求解的结果对电动汽车进行调动。
在本发明提供的区域微网中V2G电动汽车智能充放电管理方法中,还可以具有这样的特征:其中,可再生能源模块出力模型包括:风力随机出力模型,用于计算风力发电单元的输出功率;以及日照辐射量随机出力模型,用于计算光伏发电单元的输出功率。
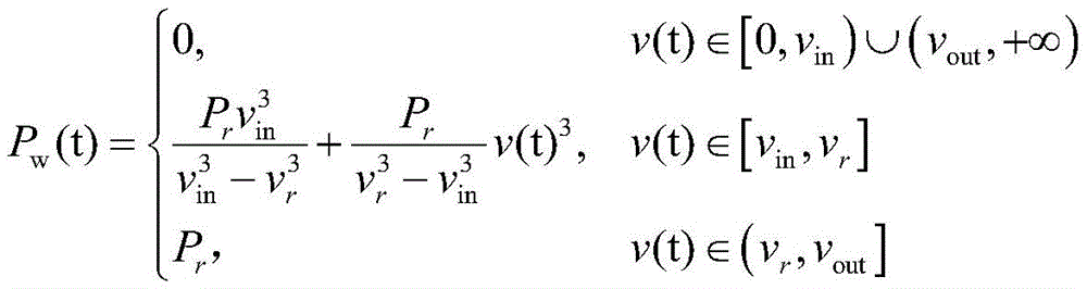
在本发明提供的区域微网中V2G电动汽车智能充放电管理方法中,还可以具有这样的特征:其中,风力随机出力模型为
式中,Pw(t)为风力发电单元输出功率,v(t)表示t时刻的风速,vr为风力发电单元的额定风速,vin为风力发电单元的切入风速,vout为风力发电单元的切出风速,Pr为风力发电单元额定输出功率。
在本发明提供的区域微网中V2G电动汽车智能充放电管理方法中,还可以具有这样的特征:其中,日照辐射量随机出力模型为
PPV(k)=Ppeak×η×D(k)×10-3
式中,PPV(k)为光伏发电单元输出功率,Ppeak为光伏发电单元峰瓦功率,η为光伏发电单元的效率,D(k)为光伏发电单元的峰瓦时数。
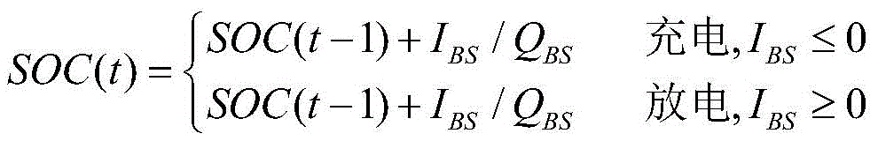
在本发明提供的区域微网中V2G电动汽车智能充放电管理方法中,还可以具有这样的特征:其中,储能装置负荷模型为
式中,SOC(t)为储能装置在t时刻的剩余电量;IBS为从t-1时刻到t时刻储能装置的电量变化量;QBS为蓄电池容量,
储能装置负荷模型的约束条件为
PSB min≤PSB(t)≤PSB max
SOCSB min≤SOCSB(t)≤SOCSB max
式中,PSB min为储能装置充放电的最小功率,PSB max为储能装置充放电的最大功率,SOCSB(t)是储能装置在t时段的荷电状态,SOCSB min为储能装置荷电状态的最小值,SOCSB max为储能装置荷电状态的最大值。
在本发明提供的区域微网中V2G电动汽车智能充放电管理方法中,还可以具有这样的特征:其中,电动汽车负荷特性模型包括电动汽车负荷状态模型、电动汽车充电负荷模型以及电动汽车放电负荷模型,
电动汽车负荷状态模型为
式中,Sl(t)为电动汽车l在t时刻的荷电状态,Pl(t)为电动汽车l在t时刻的充放电功率的值,μl(t)为电动汽车l的充放电状态函数,ηl为电能转换效率,Qs,l为电动汽车l电荷总容量,S0,l为电动汽车l入网时的初始荷电状态,
电动汽车充电负荷模型为
式中,Pc(t)为电动汽车充电负荷,N(t)为t时段内响应的电动汽车总数量,Pc,l(t)为电动汽车l在采样点t内的充电额定功率,
电动汽车放电负荷模型为
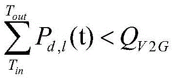
式中,Pd(t)为电动汽车放电负荷,N(t)为t时段内响应的电动汽车总数量,Pd,l(t)为电动汽车l在t时段内的放电额定功率,
电动汽车放电负荷模型的约束条件如下:
式中,Pd,l(t)为电动汽车在t时段内放电功率的值,QV2G为单个电动汽车的可用放电容量,
QV2G=(Qs,l-Qr,l-Qd,l-QLoss)
式中,Qs,l为单个电动汽车的动力电池的总容量,Qr,l为单个电动汽车的动力电池的预留容量,Qd,l为单个电动汽车的动力电池日常使用容量,QLoss为单个电动汽车的动力电池损耗能量,
式中,Pc,l为电动汽车充电的额定功率,Pd,l为电动汽车放电的额定功率,ηl表示电能转化效率,
Smin,l≤Sl(t)≤Smax,l
式中,Smin,l为电动汽车荷电状态最小值,Smax,l为电动汽车荷电状态最大值,
0≤S0,l<1
0≤SE,l<1
式中,SE,l为电动汽车l的用户所期望的荷电状态,
rl≤rmax,l
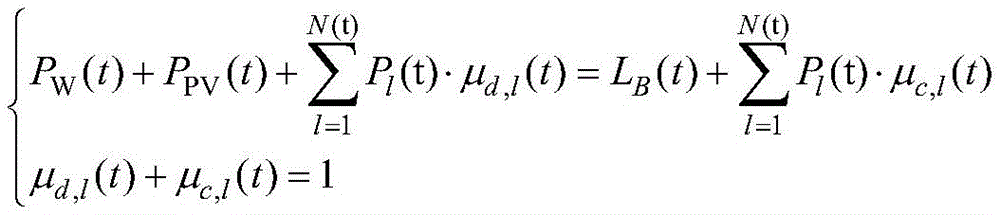
式中,rl动力电池的折损率,rmax,l为电动汽车用户所可接受的动力电池的最大折损率,
式中,LB(t)为微网系统的常规负荷;μc,l(t)、μd,l(t)分别为t时段内电动汽车l的充、放电状态函数,二者对立,其值为0或1。
在本发明提供的区域微网中V2G电动汽车智能充放电管理方法中,还可以具有这样的特征:其中,优化模型为
式中,F1为电动汽车用户的满意度模型,F1max为电动汽车用户的满意度模型最大值,ω1为F1的权重系数,F2为电动汽车参与调度的负荷方差模型,F2max为电动汽车参与调度负荷方程模型的最大值,ω2为F2的权重系数,F3为微网系统的日运行总成本模型,F3max为微网系统日运行总成本模型的最大值,ω3为F3的权重系数。
在本发明提供的区域微网中V2G电动汽车智能充放电管理方法中,还可以具有这样的特征:其中,满意度模型为
出行满意度模型为
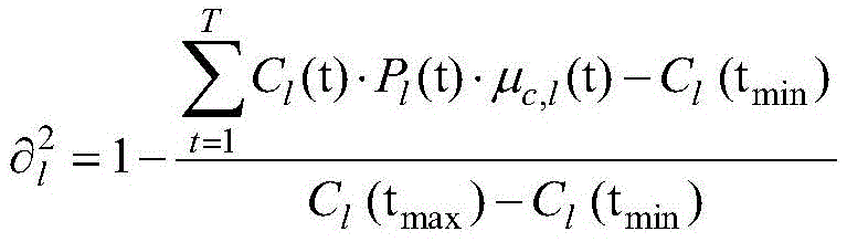
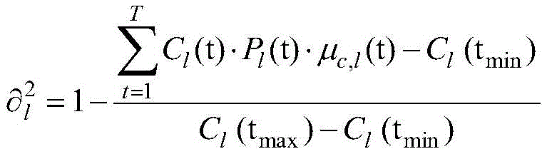
电价满意度模型为
式中,Cl(t)为t时段内电动汽车l充电的电价,Cl(tmin)为电动汽车l充电成本的最低费用,Cl(tmax)分别为电动汽车l充电成本的最高费用,Pl(t)为电动汽车l在t时刻的充放电功率的值,μl(t)为电动汽车l的充放电状态函数
电池损耗满意度模型为
式中,Pl(t)为电动汽车l在t时刻的充放电功率的值,μd,l(t)为t时段内电动汽车l的放电状态函数。
在本发明提供的区域微网中V2G电动汽车智能充放电管理方法中,还可以具有这样的特征:其中,负荷方差模型为
式中,LB(t)为微网系统的常规负荷,Pl(t)为电动汽车l在t时刻的充放电功率的值,μl(t)为电动汽车l的充放电状态函数,μT H为微网系统的平均负荷,Pl EV(t)为电动汽车l的充电负荷。
在本发明提供的区域微网中V2G电动汽车智能充放电管理方法中,还可以具有这样的特征:其中,
日运行总成本模型为
式中,CEV,sub(t)为t时段内电动汽车参与微网辅助服务的得到的奖励费用,CR,op(t)为微网系统运维总费用,CBES,cd(t)为储能装置的充放电损耗成本,CEV,cd(t)为t时段内电动汽车用户的充放电费用,CRES,sub(t)为t时段内可再生能源模块发电补贴,
电动汽车参与微网辅助服务的得到的奖励费用的计算方法为:
式中,N(t)为t时段内响应的电动汽车总数量,Pd,l(t)为电动汽车的l在t时段内的放电额定功率,IEV,sub为t时段内电动汽车参与微网辅助服务奖励费用标准,
微网系统运维总费用的计算方法为:
储能装置的充放电损耗成本的计算方法为:
CBES,cd(t)=PB(t)·ρB(t)·△t
式中,ρB(t)为储能装置损耗折算成的成本费用标准,
t时段内电动汽车的充放电费用的计算方法为:
式中,N(t)为t时段内响应的电动汽车总数量,Pl(t)为电动汽车l在t时刻的充放电功率的值,ρEV(t)为微网系统在t时段内对电动汽车充放电过程中收取的费用,
t时段内可再生能源模块发电补贴的计算方法为:
CRES,sub(t)=(PWT,valid(t)IWT,sub+PPV,valid(t)IPV,sub)·△t
式中,PWT,valid(t)为t时段被消纳的风力发电单元出力,PPV,valid(t)为t时段被消纳的光伏发电单元出力,IWT,sub为风力发电单元每发一度电补贴费用标准,IPV,sub为光伏发电单元每发一度电补贴费用标准。
发明的作用与效果
根据本发明所涉及的区域微网中V2G电动汽车智能充放电管理方法,因为建立了优化模型,采用了三阶段电动汽车智能充放电方法,所以,本发明能够使微网系统中负荷削峰填谷、降低微网的运行成本,还可以在一个可见的时间区域内,大大提升微网系统中用户的响应能力,使得在微网系统中含有一定规模的V2G电动汽车的前提条件下,其储能属性得到大幅度提升。
附图说明
图1是本发明的实施例1中微网系统的结构示意图;
图2是本发明的实施例2中区域微网中V2G电动汽车智能充放电管理方法的流程图;
图3是本发明的实施例2中区域微网中V2G电动汽车智能充放电管理方法实施前后微网系统总负荷随时间变化的变化图;以及
图4是本发明的实施例2中区域微网中V2G电动汽车智能充放电管理方法实施后电动汽车相应数量随时间的变化图。
具体实施方式
为了使本发明实现的技术手段、创作特征、达成目的与功效易于明白了解,以下结合实施例及说明书附图对本发明作具体阐述。
<实施例1>
图1是本发明的实施例1中微网系统的结构示意图。
如图1所示,本实施例提供了一种微网系统100,包括:智能量测模块10、微网能量管理中心20、电动汽车充放电模块30、可再生能源模块40、微网响应主体50以及常规负荷模块60。
智能量测模块10,即advanced measurement infrastructure,简称AMI。智能量测模块10用于实时监测并采集可再生能源模块40出力及需求侧负荷水平信息,并将采集的信息及时上传至微电网能量管理中心20。
微网能量管理中心20为微网系统优化运行实时控制的主要控制单元,以智能量测模块10上传的负荷需求、可再生能源模块40出力信息及微网响应主体50的功率信息为基础,通过动态优化和实时功率分配两阶段制定微网系统100运行优化实时控制策略。
电动汽车充放电模块30为电动汽车实时功率控制的最终执行单元。在本实施例中具体为电动汽车充放电设施。具体地,电动汽车充放电模块30是集中式双向充电桩。在其他实施例中,也可以是别的电动汽车充放电设施,既可以是集中式的电动汽车充放电设施也可以是分散式的电动汽车充放电设施。
可再生能源模块40包括风机发电单元41以及光伏发电单元42,在别的实施例中,可再生能源模块40也可以根据实际情况包含别的可再生能源发电单元,如生物能发电单元、潮汐能发电单元等。在本实施例中,可再生能源模块40包括600MW的风力发电系统和光伏发电系统。
微网响应主体50包括电动汽车集群51(EV集群)以及储能装置52(battery energystorage,BES)。电动汽车集群51包括多辆电动汽车,每辆电动汽车均具有一个动力电池。储能装置52在本实施例中选用蓄电池,在别的实施例中也可以使用超级电容器等装置。在本实施例中,电动汽车集群51包括480辆具有V2G功能的电动汽车,储能装置52为容量为500kWh的化学储能系统。每辆电动汽车的动力电池的容量为30kWh。
常规负荷模块60为接入微网系统10中常规耗电设备。
<实施例2>
图2是本发明的实施例2中区域微网中V2G电动汽车智能充放电管理方法的流程图。
如图2所示,本实施例提供了一种区域微网中V2G电动汽车智能充放电管理方法,用于对实施例1中的微网系统进行中V2G电动汽车智能充放电管理,包括如下步骤:
S1,确定微网系统的基本参数,基本参数包括:电动汽车的数量、起始的电动汽车用户的满意度、储能装置的容量、储能装置荷电状态的上限以及储能装置荷电状态动汽车的荷电状态的下限;
S2,建立可再生能源模块出力模型来预测可再生能源模块出力,在本实施例中,可再生能源模块出力模型包括:风力随机出力模型以及日照辐射量随机出力模型。
在本实施例中,风力随机出力模型是针对风力发电机建立的。风力发电机是先通过风机叶片将风能转化成机械能,再由发电机将机械能转变为电能。
风速的短期概率特性服从威布尔分布(Weibull distribution)
式中,v为实际风速,k为形状参数,c为尺度参数。
风机出力和风速之间存在一种非线性关系,因此风力随机出力模型为
式中,Pw(t)为风力发电单元输出功率,v(t)表示t时刻的风速,vr为风力发电单元的额定风速,vin为风力发电单元的切入风速,vout为风力发电单元的切出风速,Pr为风力发电单元额定输出功率。
光伏发电和风力发电一样,容易受外界环境的影响,比如季节、地理位置、地貌地势等,也是一个具有非线性特征的随机变量,假设日照辐射量在任一t时刻服从beta分布(Beta distribution),则短期太阳光照强度的概率分布特性可以描述为:
式中,Γ()为伽马函数,r(t)为每一个采样周期的日照辐射量,rmax为最大日照辐射量,α和β分别为beta分布的形状参数。令r(t)=R(t)*rs,R(t)表示日出到采样点t期间的各采样周期的辐射量占一天总辐射量的百分比,r表示一天的总辐射量。
若总辐射量r的值已知,则可用正态分布来描述r(t):
σR=d0+d1SL
式中,d0和d1均为常系数,SL为每日日长。
D(t)=H(t)×0.0116
式中,D(t)为峰瓦时数,0.0116为折算系数,H(k)为每一采样周期内的日照辐射量。
PPV(t)=Ppeak×η×D(t)×10-3
式中,PPV(t)为光伏发电单元输出功率,Ppeak为光伏发电单元峰瓦功率,η为光伏发电单元的效率,D(k)为光伏发电单元的峰瓦时数。
蓄电池作为微电网中常用的储能单元,尽管概率密度没有超级电容器高,但也相对较大,可以作为新能源微电网里相对稳定的储能设备。
蓄电池在t时刻的剩余电量等于其在t-1时刻的剩余电量加上t-1时刻到t时刻蓄电池的充电量或者减去t-1时刻到t时刻蓄电池的放电量。数学模型中主要考虑蓄电池的存储容量与充放电功率之间的关系,所以t时刻时蓄电池的荷电状态模型为:
式中,SOC(t)为蓄电池在t时刻的剩余电量;IBS表示从t-1时刻到t时刻蓄电池的电量变化量;QBS为蓄电池容量。
蓄电池系统应满足的充放电功率和荷电状态(SOC)约束为:
PSB min≤PSB(t)≤PSB max
SOCSB min≤SOCSB(t)≤SOCSB max
式中,PSB min、PSB max分别为蓄电池充放电的最小功率和最大功率;SOCSB(t)是蓄电池在t时段的荷电状态;SOCSB min、SOCSB max分别是蓄电池荷电状态的最小值和最大值。
S3,通过蒙特卡罗仿真建立电动汽车负荷特性模型从而提取所有电动汽车的荷电状态。在本实施例中,电动汽车负荷特性模型包括电动汽车负荷状态模型、电动汽车充电负荷模型以及电动汽车放电负荷模型,
电动汽车负荷状态模型为
式中,Sl(t)为电动汽车l在t时刻的荷电状态,Pl(t)为电动汽车l在t时刻的充放电功率的值,μl(t)为电动汽车l的充放电状态函数,ηl为电能转换效率,Qs,l为电动汽车l电荷总容量,S0,l为电动汽车l入网时的初始荷电状态。在建立电动汽车负荷特性模型时,满足用户的出行需求是提升用户满意度的一个重要方法。当电池SOC低于充电阈值SL,l(t)时就会产生充电需求。此处的充电阈值实际上是一个会随时间、电价以及用户习惯变化而变化的数值,为了简化模型,将其设为一个恒定值SL,具体地在本实施例中,取SL=0.2。
具体地,在本实施例中,电动汽车l的充放电状态函数如下:
电动汽车充电负荷模型为
式中,Pc(t)为电动汽车充电负荷,N(t)为t时段内响应的电动汽车总数量,Pc,l(t)为电动汽车l在采样点t内的充电额定功率,
电动汽车放电负荷模型为
式中,Pd(t)为电动汽车放电负荷,N(t)为t时段内响应的电动汽车总数量,Pd,l(t)为电动汽车l在t时段内的放电额定功率,
电动汽车放电负荷模型的约束条件如下:
式中,Pd,l(t)为电动汽车在t时段内放电功率的值,QV2G为单个电动汽车的可用放电容量,
QV2G=(Qs,l-Qr,l-Qd,l-QLoss)
式中,Qs,l为单个电动汽车的动力电池的总容量,Qr,l为单个电动汽车的动力电池的预留容量,Qd,l为单个电动汽车的动力电池日常使用容量,QLoss为单个电动汽车的动力电池损耗能量,
式中,Pc,l为电动汽车充电的额定功率,Pd,l为电动汽车放电的额定功率,ηl表示电能转化效率,
Smin,l≤Sl(t)≤Smax,l
式中,Smin,l为电动汽车荷电状态最小值,Smax,l为电动汽车荷电状态最大值,在本实施例中,Smin,l=0.2,Smax,l=0.9。
0≤S0,l<1
0≤SE,l<1
式中,SE,l为电动汽车l的用户预期的荷电状态;
rl≤rmax,l
式中,rl动力电池的折损率,rmax,l为电动汽车用户所可接受的动力电池的最大折损率,
式中,LB(t)为微网系统的常规负荷;μc,l(t)、μd,l(t)分别为t时段内电动汽车l的充、放电状态函数,二者对立,其值为0或1。
S4,建立优化模型并求解,使得在电动汽车用户满意度最大、电动汽车调度负荷方差最小的情况下,微网系统运行总成本最低。
在本实施例中,优化模型为:
式中,F1为电动汽车用户的满意度模型,F1max为电动汽车用户的满意度模型最大值,ω1为F1的权重系数,F2为电动汽车参与调度的负荷方差模型,F2max为电动汽车参与调度负荷方程模型的最大值,ω2为F2的权重系数,F3为微网系统的日运行总成本模型,F3max为微网系统日运行总成本模型的最大值,ω3为F3的权重系数。
具体地,本实施例采用三阶段优化智能充放电方法,包括如下步骤:
S4-1,建立满意度模型,满意度模型为
出行满意度模型为
式中,为电动汽车l离网时刻的荷电状态,Qr,l为电动汽车l的预留容量,Qd,l为电动汽车l日常使用容量,在本实施例中,当值小于用户日常行驶需要的荷电状态,用户对本次出行的满意度会大打折扣,设此时的满意度为0;当其值能够满足用户日常出行需要,却未能满足车主的某些特殊场合下的出行需求,此时的用户出行满意度设为m;当其值达到用户所预期的荷电状态,0即此时用户的出行满意度取得最大值为1。
电价满意度模型为
式中,Cl(t)为t时段内电动汽车l充电的电价,Cl(tmin)为电动汽车l充电成本的最低费用,Cl(tmax)分别为电动汽车l充电成本的最高费用,Pl(t)为电动汽车l在t时刻的充放电功率的值,μl(t)为电动汽车l的充放电状态函数,位于0到1之间,当用户被安排在低电价时段进行充电,的值会增大,最大值为1。
电池损耗满意度模型为
式中,Pl(t)为电动汽车l在t时刻的充放电功率的值,μd,l(t)为t时段内电动汽车l的放电状态函数。由于在电动汽车接入电网的时段内,电动汽车参与微网能量调节向微网反向输送的能量属于对动力电池的额外损耗,当反送的能量值越多,给电动汽车电池所带来的额外损耗越大,加速了电池的老化速率,对电池的功能属性形成一定的负面影响。
对上述满意度模型进行求解,使得电动汽车用户满意度最大;
S4-2,建立电动汽车调度的负荷方差模型,
负荷方差模型为
式中,LB(t)为微网系统的常规负荷,Pl(t)为电动汽车l在t时刻的充放电功率的值,μl(t)为电动汽车l的充放电状态函数,μT H为微网系统的平均负荷,Pl EV(t)为为电动汽车l的充电负荷。
以不低于S4-1中用户满意度作为约束,对上述负荷方差模型进行求解,使得负荷方差最小;
S4-3,建立微网系统日运行总成本模型,
日运行总成本模型为
式中,CEV,sub(t)为t时段内电动汽车参与微网辅助服务的得到的奖励费用,CR,op(t)为微网系统运维总费用,CBES,cd(t)为储能装置的充放电损耗成本,CEV,cd(t)为t时段内电动汽车用户的充放电费用,CRES,sub(t)为t时段内可再生能源模块发电补贴,
电动汽车参与微网辅助服务的得到的奖励费用的计算方法为:
式中,N(t)为t时段内响应的电动汽车总数量,Pd,l(t)为电动汽车的l在t时段内的放电额定功率,IEV,sub为t时段内电动汽车参与微网辅助服务奖励费用标准,
微网系统运维总费用的计算方法为:
储能装置的充放电损耗成本的计算方法为:
CBES,cd(t)=PB(t)·ρB(t)·△t
式中,ρB(t)为储能装置损耗折算成的成本费用标准,
t时段内电动汽车的充放电费用的计算方法为:
式中,N(t)为t时段内响应的电动汽车总数量,Pl(t)为电动汽车l在t时刻的充放电功率的值,ρEV(t)为微网系统在t时段内对电动汽车充放电过程中收取的费用,
t时段内可再生能源模块发电补贴的计算方法为:
CRES,sub(t)=(PWT,valid(t)IWT,sub+PPV,valid(t)IPV,sub)·△t
式中,PWT,valid(t)为t时段被消纳的风力发电单元出力,PPV,valid(t)为t时段被消纳的光伏发电单元出力,IWT,sub为风力发电单元每发一度电补贴费用标准,IPV,sub为光伏发电单元每发一度电补贴费用标准。
以不大于S4-2中的负荷方差为约束,对日运行总成本模型进行求解,使得微网系统运行总成本最低。
S5,根据S4中对优化模型的求解结果、可再生能源模块的出力以及现存的微网响应主体,发布电动汽车调度计划,对微网系统中的电动汽车进行调动。例如,在风光出力达到最大值时,电动汽车进行充电,尽可能消纳微网中的风光出力,在风光出力低谷时段,而微网中的常规负荷又恰好处于峰值或次峰值状态,让电动汽车进行放电。
S6,统计微网系统日中负荷曲线的真实值,与采用本方法管理之前的微网系统日总负荷曲线进行对比;
图3是本发明的实施例2中区域微网中V2G电动汽车智能充放电管理方法实施前后微网系统总负荷随时间变化的变化图。
如图3所示,在低谷时段,优化前后的负荷相差不大,但是在峰值时段,优化后的负荷较优化前大幅降低,说明采用本方法可以有效缓解峰值时段负荷压力。
S7,在一段较长的时间(在本实施例中采用1年)后,统计微网系统中响应微网能量管理中心的电动汽车的数量。
图4是本发明的实施例2中区域微网中V2G电动汽车智能充放电管理方法实施后电动汽车相应数量随时间的变化图。
如图4所示,随着时间的增加,系统中响应微网调度计划的电动汽车数量也逐步增加,从最初的100辆左右,到一年后的300多辆。这显示了本发明能够有效提高电动汽车用户的积极性。
实施例的作用与效果
根据本实施例所涉及的区域微网中V2G电动汽车智能充放电管理方法,因为建立了优化模型,采用了三阶段电动汽车智能充放电方法,所以,本实施例能够使微网系统中负荷削峰填谷、降低微网的运行成本,还可以在一个可见的时间区域内,使EV用户的满意度得到提升,即提升了微网系统中用户的响应能力,使得在微网系统中含有一定规模的V2G电动汽车的前提条件下,其储能属性得到体现。
上述实施方式为本发明的优选案例,并不用来限制本发明的保护范围。
Claims (10)
1.一种区域微网中V2G电动汽车智能充放电管理方法,用于管理微网系统,所述微网系统包括:智能量测模块、微网能量管理中心、电动汽车充放电模块、可再生能源模块以及微网响应主体,所述微网响应主体包括多辆电动汽车以及储能装置,每辆所述电动汽车具有动力电池,所述可再生能源模块包括风机发电单元以及光伏发电单元,其特征在于,包括如下步骤:
步骤1,确定微网系统的基本参数,所述基本参数包括:所述电动汽车的数量、起始的电动汽车用户的满意度、所述储能装置的容量、所述储能装置荷电状态的上限以及所述储能装置荷电状态动汽车的荷电状态的下限;
步骤2,建立可再生能源模块出力模型来预测所述可再生能源模块出力,建立储能装置负荷模型来预测所述储能装置负荷状态;
步骤3,建立电动汽车负荷特性模型并获得所有所述电动汽车的荷电状态;
步骤4,建立优化模型并求解,使得电动汽车用户的满意度最大为前提,所述微网系统运行的总成本最低;
步骤5,根据优化模型求解的结果对所述电动汽车进行调动。
2.根据权利要求1所述的区域微网中V2G电动汽车智能充放电管理方法,其特征在于:
其中,所述可再生能源模块出力模型包括:
风力随机出力模型,用于计算所述风力发电单元的输出功率;以及
日照辐射量随机出力模型,用于计算所述光伏发电单元的输出功率。
4.根据权利要求2所述的区域微网中V2G电动汽车智能充放电管理方法,其特征在于:
其中,所述日照辐射量随机出力模型为
PPV(k)=Ppeak×η×D(k)×10-3
式中,PPV(k)为所述光伏发电单元输出功率,Ppeak为所述光伏发电单元峰瓦功率,η为所述光伏发电单元的效率,D(k)为所述光伏发电单元的峰瓦时数。
6.根据权利要求1所述的区域微网中V2G电动汽车智能充放电管理方法,其特征在于,
其中,所述电动汽车负荷特性模型包括电动汽车负荷状态模型、电动汽车充电负荷模型以及电动汽车放电负荷模型,
所述电动汽车负荷状态模型为
式中,Sl(t)为电动汽车l在t时刻的荷电状态,Pl(t)为电动汽车l在t时刻的充放电功率的值,μl(t)为电动汽车l的充放电状态函数,ηl为电能转换效率,Qs,l为电动汽车l电荷总容量,S0,l为电动汽车l入网时的初始荷电状态,
所述电动汽车充电负荷模型为
式中,Pc(t)为电动汽车充电负荷,N(t)为t时段内响应的电动汽车总数量,Pc,l(t)为电动汽车l在采样点t内的充电额定功率,
所述电动汽车放电负荷模型为
式中,Pd(t)为电动汽车放电负荷,N(t)为t时段内响应的电动汽车总数量,Pd,l(t)为电动汽车l在t时段内的放电额定功率,
所述电动汽车放电负荷模型的约束条件如下:
式中,Pd,l(t)为所述电动汽车在t时段内放电功率的值,QV2G为单个电动汽车的可用放电容量,
QV2G=(Qs,l-Qr,l-Qd,l-QLoss)
式中,Qs,l为单个电动汽车的所述动力电池的总容量,Qr,l为单个电动汽车的所述动力电池的预留容量,Qd,l为单个电动汽车的所述动力电池日常使用容量,QLoss为单个电动汽车的所述动力电池损耗能量,
式中,Pc,l为所述电动汽车充电的额定功率,Pd,l为所述电动汽车放电的额定功率,ηl表示电能转化效率,
Smin,l≤Sl(t)≤Smax,l
式中,Smin,l为所述电动汽车荷电状态最小值,Smax,l为所述电动汽车荷电状态最大值,
0≤S0,l<1
0≤SE,l<1
式中,SE,l为电动汽车l的用户所期望的荷电状态,
rl≤rmax,l
式中,rl所述动力电池的折损率,rmax,l为所述电动汽车用户所可接受的动力电池的最大折损率,
式中,LB(t)为所述微网系统的常规负荷;μc,l(t)、μd,l(t)分别为t时段内所述电动汽车l的充、放电状态函数,二者对立,其值为0或1。
8.根据权利要求7所述的区域微网中V2G电动汽车智能充放电管理方法,其特征在于,
其中,所述满意度模型为
所述出行满意度模型为
所述电价满意度模型为
式中,Cl(t)为t时段内所述电动汽车l充电的电价,Cl(tmin)为所述电动汽车l充电成本的最低费用,Cl(tmax)分别为所述电动汽车l充电成本的最高费用,Pl(t)为电动汽车l在t时刻的充放电功率的值,μl(t)为电动汽车l的充放电状态函数
所述电池损耗满意度模型为:
式中,Pl(t)为所述电动汽车l在t时刻的充放电功率的值,μd,l(t)为t时段内所述电动汽车l的放电状态函数。
10.根据权利要求7所述的区域微网中V2G电动汽车智能充放电管理方法,其特征在于,
其中,所述日运行总成本模型为
式中,CEV,sub(t)为t时段内所述电动汽车参与微网辅助服务的得到的奖励费用,CR,op(t)为所述微网系统运维总费用,CBES,cd(t)为所述储能装置的充放电损耗成本,CEV,cd(t)为t时段内所述电动汽车用户的充放电费用,CRES,sub(t)为t时段内可再生能源模块发电补贴,
所述电动汽车参与微网辅助服务的得到的奖励费用的计算方法为:
式中,N(t)为t时段内响应的电动汽车总数量,Pd,l(t)为电动汽车的l在t时段内的放电额定功率,IEV,sub为t时段内所述电动汽车参与微网辅助服务奖励费用标准,
所述微网系统运维总费用的计算方法为:
式中,为所述风机发电单元运维成本系数、为所述光伏发电单元运维成本系数,为所述储能装置的运维成本系数,Pw(t)为所述风机单元输出功率,PPV(t)为所述光伏发电单元输出功率,PB(t)为所述储能装置输出功率,
所述储能装置的充放电损耗成本的计算方法为:
CBES,cd(t)=PB(t)·ρB(t)·△t
式中,ρB(t)为所述储能装置损耗折算成的成本费用标准,
t时段内所述电动汽车的充放电费用的计算方法为:
式中,N(t)为t时段内响应的电动汽车总数量,Pl(t)为电动汽车l在t时刻的充放电功率的值,ρEV(t)为所述微网系统在t时段内对电动汽车充放电过程中收取的费用,
t时段内可再生能源模块发电补贴的计算方法为:
CRES,sub(t)=(PWT,valid(t)IWT,sub+PPV,valid(t)IPV,sub)·△t
式中,PWT,valid(t)为t时段被消纳的所述风力发电单元出力,PPV,valid(t)为t时段被消纳的所述光伏发电单元出力,IWT,sub为所述风力发电单元每发一度电补贴费用标准,IPV,sub为所述光伏发电单元每发一度电补贴费用标准。
Priority Applications (1)
| Application Number | Priority Date | Filing Date | Title |
|---|---|---|---|
| CN202010641656.7A CN111762057B (zh) | 2020-07-06 | 2020-07-06 | 一种区域微网中v2g电动汽车智能充放电管理方法 |
Applications Claiming Priority (1)
| Application Number | Priority Date | Filing Date | Title |
|---|---|---|---|
| CN202010641656.7A CN111762057B (zh) | 2020-07-06 | 2020-07-06 | 一种区域微网中v2g电动汽车智能充放电管理方法 |
Publications (2)
| Publication Number | Publication Date |
|---|---|
| CN111762057A true CN111762057A (zh) | 2020-10-13 |
| CN111762057B CN111762057B (zh) | 2022-02-22 |
Family
ID=72724001
Family Applications (1)
| Application Number | Title | Priority Date | Filing Date |
|---|---|---|---|
| CN202010641656.7A Active CN111762057B (zh) | 2020-07-06 | 2020-07-06 | 一种区域微网中v2g电动汽车智能充放电管理方法 |
Country Status (1)
| Country | Link |
|---|---|
| CN (1) | CN111762057B (zh) |
Cited By (4)
| Publication number | Priority date | Publication date | Assignee | Title |
|---|---|---|---|---|
| CN112785050A (zh) * | 2021-01-12 | 2021-05-11 | 国网浙江省电力有限公司湖州供电公司 | 一种基于电动汽车充电负荷预测的有序充电调度方法 |
| CN114709852A (zh) * | 2022-03-21 | 2022-07-05 | 国网福建省电力有限公司经济技术研究院 | 一种微能源网能量管理响应特性快速计算分析方法及系统 |
| CN115189384A (zh) * | 2022-06-23 | 2022-10-14 | 深圳市鸿嘉利新能源有限公司 | 一种基于v2g的微网储能充放电管理方法 |
| CN115566762A (zh) * | 2022-09-30 | 2023-01-03 | 北京华电能源互联网研究院有限公司 | 一种局域配电网自平衡的电动汽车智能充放电管理方法 |
Citations (4)
| Publication number | Priority date | Publication date | Assignee | Title |
|---|---|---|---|---|
| CN103679299A (zh) * | 2013-12-30 | 2014-03-26 | 华北电力大学(保定) | 兼顾车主满意度的电动汽车最优峰谷分时电价定价方法 |
| CN109409615A (zh) * | 2018-11-19 | 2019-03-01 | 三峡大学 | 基于非合作博弈的充换储一体化电站微电网优化调度方法 |
| CN110889581A (zh) * | 2019-09-24 | 2020-03-17 | 中国电力科学研究院有限公司 | 一种电动汽车参与的台区优化调度方法和系统 |
| CN111030172A (zh) * | 2019-12-12 | 2020-04-17 | 特变电工西安电气科技有限公司 | 一种并网微电网负荷管理方法、设备及可读存储介质 |
-
2020
- 2020-07-06 CN CN202010641656.7A patent/CN111762057B/zh active Active
Patent Citations (4)
| Publication number | Priority date | Publication date | Assignee | Title |
|---|---|---|---|---|
| CN103679299A (zh) * | 2013-12-30 | 2014-03-26 | 华北电力大学(保定) | 兼顾车主满意度的电动汽车最优峰谷分时电价定价方法 |
| CN109409615A (zh) * | 2018-11-19 | 2019-03-01 | 三峡大学 | 基于非合作博弈的充换储一体化电站微电网优化调度方法 |
| CN110889581A (zh) * | 2019-09-24 | 2020-03-17 | 中国电力科学研究院有限公司 | 一种电动汽车参与的台区优化调度方法和系统 |
| CN111030172A (zh) * | 2019-12-12 | 2020-04-17 | 特变电工西安电气科技有限公司 | 一种并网微电网负荷管理方法、设备及可读存储介质 |
Cited By (6)
| Publication number | Priority date | Publication date | Assignee | Title |
|---|---|---|---|---|
| CN112785050A (zh) * | 2021-01-12 | 2021-05-11 | 国网浙江省电力有限公司湖州供电公司 | 一种基于电动汽车充电负荷预测的有序充电调度方法 |
| CN114709852A (zh) * | 2022-03-21 | 2022-07-05 | 国网福建省电力有限公司经济技术研究院 | 一种微能源网能量管理响应特性快速计算分析方法及系统 |
| CN115189384A (zh) * | 2022-06-23 | 2022-10-14 | 深圳市鸿嘉利新能源有限公司 | 一种基于v2g的微网储能充放电管理方法 |
| CN115189384B (zh) * | 2022-06-23 | 2024-04-30 | 深圳市鸿嘉利新能源有限公司 | 一种基于v2g的微网储能充放电管理方法 |
| CN115566762A (zh) * | 2022-09-30 | 2023-01-03 | 北京华电能源互联网研究院有限公司 | 一种局域配电网自平衡的电动汽车智能充放电管理方法 |
| CN115566762B (zh) * | 2022-09-30 | 2024-01-09 | 北京华电能源互联网研究院有限公司 | 一种局域配电网自平衡的电动汽车智能充放电管理方法 |
Also Published As
| Publication number | Publication date |
|---|---|
| CN111762057B (zh) | 2022-02-22 |
Similar Documents
| Publication | Publication Date | Title |
|---|---|---|
| CN110661246B (zh) | 一种城市轨道交通光伏储能系统的容量优化配置方法 | |
| CN111626527B (zh) | 计及可调度电动汽车快/慢充放电形式的智能电网深度学习调度方法 | |
| CN111762057B (zh) | 一种区域微网中v2g电动汽车智能充放电管理方法 | |
| CN106099965B (zh) | 交流微电网并网状态下复杂混合储能系统的协调控制方法 | |
| CN207753457U (zh) | 智能电网管理系统 | |
| CN106295853B (zh) | 基于储能调度模式的分布式光伏两阶段多目标就地消纳法 | |
| CN109256800A (zh) | 一种区域充换储一体化电站微电网群协调优化调度方法 | |
| CN105205552B (zh) | 一种独立新能源混合发电系统优化规划方法 | |
| CN111244988B (zh) | 考虑分布式电源的电动汽车和储能优化调度方法 | |
| CN112734098A (zh) | 一种基于源-荷-网平衡的配电网电力调度方法及系统 | |
| CN102931683A (zh) | 基于变电站典型日负荷曲线的风光直流微电网并网控制方法 | |
| CN109217290A (zh) | 计及电动汽车充放电的微网能量优化管理方法 | |
| CN108493959A (zh) | 基于Markov模型的电动汽车参与电网调频控制与分析方法 | |
| CN109986989A (zh) | 一种促进新能源消纳的电动汽车有序充电方法 | |
| CN107196586A (zh) | 含电动汽车接入的光柴储微网系统优化运行方法 | |
| CN111313444A (zh) | 一种面向高密度光伏配网台区侧的储能系统优化配置方法 | |
| Jiang et al. | Coordination dispatch of electric vehicles charging/discharging and renewable energy resources power in microgrid | |
| CN110868134A (zh) | 基于分时电价和负荷特性的光伏电站三时段能量管理方法 | |
| CN103904749B (zh) | 一种考虑风电出力波动性的电动汽车有序充电控制方法 | |
| CN114142458A (zh) | 一种离网型风电、光伏和储能一体化供电优化方法及系统 | |
| CN117767445A (zh) | 一种海上风电及储能参与的有功功率协调控制方法及系统 | |
| CN110417002B (zh) | 一种孤岛微电网能量模型的优化方法 | |
| CN110768303A (zh) | 一种海岛型能源系统设备容量的优化配置方法 | |
| CN114884133A (zh) | 一种计及电动汽车的微电网经济调度优化方法及系统 | |
| CN119482588A (zh) | 一种含电动汽车和5g基站的多元储能系统调控方法 |
Legal Events
| Date | Code | Title | Description |
|---|---|---|---|
| PB01 | Publication | ||
| PB01 | Publication | ||
| SE01 | Entry into force of request for substantive examination | ||
| SE01 | Entry into force of request for substantive examination | ||
| GR01 | Patent grant | ||
| GR01 | Patent grant |






















































































