CN111516552B - Method for optimizing driving path according to energy consumption of pure electric vehicle - Google Patents

Method for optimizing driving path according to energy consumption of pure electric vehicle Download PDF

Info

Publication number
CN111516552B
CN111516552B CN202010319426.9A CN202010319426A CN111516552B CN 111516552 B CN111516552 B CN 111516552B CN 202010319426 A CN202010319426 A CN 202010319426A CN 111516552 B CN111516552 B CN 111516552B
Authority
CN
China
Prior art keywords
energy consumption
driving
vehicle
resistance
road
Prior art date
Legal status (The legal status is an assumption and is not a legal conclusion. Google has not performed a legal analysis and makes no representation as to the accuracy of the status listed.)
Active
Application number
CN202010319426.9A
Other languages
Chinese (zh)
Other versions
CN111516552A (en
Inventor
刘荣昌
石琳
郑盈
罗未锋
廖云霞
Current Assignee (The listed assignees may be inaccurate. Google has not performed a legal analysis and makes no representation or warranty as to the accuracy of the list.)
Dongfeng Motor Corp
Original Assignee
Dongfeng Motor Corp
Priority date (The priority date is an assumption and is not a legal conclusion. Google has not performed a legal analysis and makes no representation as to the accuracy of the date listed.)
Filing date
Publication date
Application filed by Dongfeng Motor Corp filed Critical Dongfeng Motor Corp
Priority to CN202010319426.9A priority Critical patent/CN111516552B/en
Publication of CN111516552A publication Critical patent/CN111516552A/en
Application granted granted Critical
Publication of CN111516552B publication Critical patent/CN111516552B/en
Active legal-status Critical Current
Anticipated expiration legal-status Critical

Links

Images

Classifications

    • BPERFORMING OPERATIONS; TRANSPORTING
    • B60VEHICLES IN GENERAL
    • B60LPROPULSION OF ELECTRICALLY-PROPELLED VEHICLES; SUPPLYING ELECTRIC POWER FOR AUXILIARY EQUIPMENT OF ELECTRICALLY-PROPELLED VEHICLES; ELECTRODYNAMIC BRAKE SYSTEMS FOR VEHICLES IN GENERAL; MAGNETIC SUSPENSION OR LEVITATION FOR VEHICLES; MONITORING OPERATING VARIABLES OF ELECTRICALLY-PROPELLED VEHICLES; ELECTRIC SAFETY DEVICES FOR ELECTRICALLY-PROPELLED VEHICLES
    • B60L58/00Methods or circuit arrangements for monitoring or controlling batteries or fuel cells, specially adapted for electric vehicles
    • B60L58/10Methods or circuit arrangements for monitoring or controlling batteries or fuel cells, specially adapted for electric vehicles for monitoring or controlling batteries
    • B60L58/12Methods or circuit arrangements for monitoring or controlling batteries or fuel cells, specially adapted for electric vehicles for monitoring or controlling batteries responding to state of charge [SoC]
    • BPERFORMING OPERATIONS; TRANSPORTING
    • B60VEHICLES IN GENERAL
    • B60LPROPULSION OF ELECTRICALLY-PROPELLED VEHICLES; SUPPLYING ELECTRIC POWER FOR AUXILIARY EQUIPMENT OF ELECTRICALLY-PROPELLED VEHICLES; ELECTRODYNAMIC BRAKE SYSTEMS FOR VEHICLES IN GENERAL; MAGNETIC SUSPENSION OR LEVITATION FOR VEHICLES; MONITORING OPERATING VARIABLES OF ELECTRICALLY-PROPELLED VEHICLES; ELECTRIC SAFETY DEVICES FOR ELECTRICALLY-PROPELLED VEHICLES
    • B60L2260/00Operating Modes
    • B60L2260/40Control modes
    • B60L2260/50Control modes by future state prediction
    • B60L2260/52Control modes by future state prediction drive range estimation, e.g. of estimation of available travel distance
    • BPERFORMING OPERATIONS; TRANSPORTING
    • B60VEHICLES IN GENERAL
    • B60LPROPULSION OF ELECTRICALLY-PROPELLED VEHICLES; SUPPLYING ELECTRIC POWER FOR AUXILIARY EQUIPMENT OF ELECTRICALLY-PROPELLED VEHICLES; ELECTRODYNAMIC BRAKE SYSTEMS FOR VEHICLES IN GENERAL; MAGNETIC SUSPENSION OR LEVITATION FOR VEHICLES; MONITORING OPERATING VARIABLES OF ELECTRICALLY-PROPELLED VEHICLES; ELECTRIC SAFETY DEVICES FOR ELECTRICALLY-PROPELLED VEHICLES
    • B60L2260/00Operating Modes
    • B60L2260/40Control modes
    • B60L2260/50Control modes by future state prediction
    • B60L2260/54Energy consumption estimation
    • YGENERAL TAGGING OF NEW TECHNOLOGICAL DEVELOPMENTS; GENERAL TAGGING OF CROSS-SECTIONAL TECHNOLOGIES SPANNING OVER SEVERAL SECTIONS OF THE IPC; TECHNICAL SUBJECTS COVERED BY FORMER USPC CROSS-REFERENCE ART COLLECTIONS [XRACs] AND DIGESTS
    • Y02TECHNOLOGIES OR APPLICATIONS FOR MITIGATION OR ADAPTATION AGAINST CLIMATE CHANGE
    • Y02TCLIMATE CHANGE MITIGATION TECHNOLOGIES RELATED TO TRANSPORTATION
    • Y02T10/00Road transport of goods or passengers
    • Y02T10/60Other road transportation technologies with climate change mitigation effect
    • Y02T10/70Energy storage systems for electromobility, e.g. batteries

Landscapes

  • Engineering & Computer Science (AREA)
  • Life Sciences & Earth Sciences (AREA)
  • Sustainable Development (AREA)
  • Sustainable Energy (AREA)
  • Power Engineering (AREA)
  • Transportation (AREA)
  • Mechanical Engineering (AREA)
  • Electric Propulsion And Braking For Vehicles (AREA)

Abstract

本发明公开了一种根据纯电动汽车能量消耗量优化驾驶路径的方法,其通过每个路段上车辆的运行速度、路段长度、路段坡度获取每个路段上车辆克服行驶阻力所消耗的行驶耗能;通过在不同环境下的续驶里程试验,获取空调百公里耗能、低压附件百公里耗能、能量回收系统百公里回收能量,并根据推荐路径的总里程计算得到车辆耗能;总耗能=行驶耗能+车辆耗能,通过比较电池能够发出的能量和总耗能,合理规划行驶路径。本发明通过对纯电动汽车能量行驶耗量和车辆耗能的综合考量合理规划了驾驶路径。

Figure 202010319426

The invention discloses a method for optimizing a driving path according to the energy consumption of a pure electric vehicle, which obtains the driving energy consumption consumed by the vehicle on each road section to overcome the driving resistance through the running speed of the vehicle on each road section, the road section length and the road section gradient ; Through the driving mileage test in different environments, the energy consumption of air conditioners per 100 kilometers, the energy consumption of low-voltage accessories per 100 kilometers, and the energy recovered by the energy recovery system per 100 kilometers are obtained, and the vehicle energy consumption is calculated according to the total mileage of the recommended route; total energy consumption; = Driving energy consumption + vehicle energy consumption. By comparing the energy that can be emitted by the battery and the total energy consumption, the driving path can be reasonably planned. The invention reasonably plans the driving path by comprehensively considering the energy consumption of the pure electric vehicle and the energy consumption of the vehicle.

Figure 202010319426

Description

Method for optimizing driving path according to energy consumption of pure electric vehicle
Technical Field
The invention relates to the technical field of automobiles, in particular to a method for optimizing a driving path according to the energy consumption of a pure electric automobile and an automobile using the method.
Technical Field
The energy consumption rate of the electric vehicle is related to various factors, such as ambient temperature, Driving habits, road congestion rate and the like, the Driving range provided by a vehicle manufacturer is measured under a New European Driving Cycle (New European standard Driving Cycle), and the difference between the New European standard Driving Cycle and the actual use Cycle is large, so that the actual Driving range does not conform to the bulletin value.
When a driver drives the electric automobile to plan a travel path, the driver needs to reasonably select the travel path according to the energy value consumed by the driver to reach a destination. If the energy required to reach the destination is greater than the remaining energy of the vehicle, the route through the charging pile needs to be considered when planning the route.
In the prior art, the current value is calculated according to the historical average energy consumption value, real-time estimation cannot be carried out according to information such as road speed limit, road congestion conditions, external environment and the like, if serious congestion occurs in the traveling process or the vehicle is in a high-speed state for a long time, serious deviation can be generated in energy consumption rate prediction, the speed limit or the anchoring of a sample vehicle due to insufficient electric quantity can be caused, and troubles are caused to the traveling of a driver.
Disclosure of Invention
In order to solve the problems, a method for optimizing a driving path according to the energy consumption of the pure electric vehicle is provided, and the driving path is reasonably planned through comprehensive consideration of the energy driving consumption of the pure electric vehicle and the energy consumption of the vehicle.
The invention discloses a method for optimizing a driving path according to the energy consumption of a pure electric vehicle, which obtains the driving energy consumption of the vehicle on each road section by overcoming the driving resistance through the running speed, the length and the gradient of the vehicle on each road section; acquiring hundred-kilometer energy consumption of an air conditioner, hundred-kilometer energy consumption of a low-voltage accessory and hundred-kilometer energy recovery of an energy recovery system through driving range tests in different environments, and calculating according to the total mileage of a recommended path to obtain vehicle energy consumption; and comparing the energy which can be emitted by the battery with the total energy consumption, and reasonably planning a driving path.
In a preferred embodiment of the present invention,
(1) dispersing the road sections from the starting position to the ending position into n road sections, and calculating the length of each road section (parameters such as road gradient and the like, and accessing the road network information system for obtaining the length);
(2) predicting the driving speed of each road section (accessing a big data system and sequencing the speeds);
(3) predicting the running resistance;
(4) and calculating the work consumed by overcoming the driving resistance of each road section, thereby obtaining the total work done on the recommended path to overcome the driving resistance.
In a preferred embodiment of the present invention,
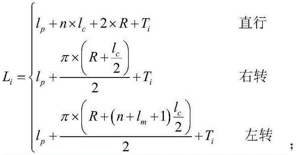
(1) the link numbers are numbered in sequence from the first link of the recommended route, the link numbers are respectively 1,2 and 3 … i … n, n is the last link of the recommended route, and the link length is LiRepresenting the distance traveled from the sidewalk of section i-1 to the sidewalk of section i, each lane width lcWidth of sidewalk lpRadius of curve R, length of straight line section of roadiNumber of lanes n, width of isolation belt lmThe running of the sample vehicle is divided into straight running, left turning and right turning, and the length expression of each road section is as follows:
Figure GDA0003232103410000021
in a preferred embodiment of the present invention,
(2) the speed predicting unit predicts the running speed of the vehicle on each road section in the recommended path, simplifies the whole process into an acceleration stage, a constant speed stage and a deceleration stage, and has the following speed expression,
Figure GDA0003232103410000032
in the curve, the link number i and the length L of the link ii85 th percentile speed V of road section i85i,V85iAverage acceleration a of a road section i as a desired speed of a vehicle traveling on the road sectionaiAverage deceleration a of the link ibiRoad surface gradient alphai
In a preferred embodiment of the present invention,
(3) the total driving resistance equation to be overcome when the automobile is driven on a slope is as follows: fr=Ff+Fw+Fi+Fj
The equation for the total driving resistance to be overcome when the vehicle is driving on a horizontal road is as follows, Fh=Ff+FwWherein: ffTo rolling resistance, FwAs air resistance, FiAs slope resistance, FjIs acceleration resistance;
the method adopts the automobile running resistance under different atmospheric temperatures and standard tire pressures to replace rolling resistance and air resistance, and pre-stores a plurality of sliding curves in an energy consumption prediction unit before the automobile leaves the factory, wherein the sliding curves are quadratic equations F of speedhi=f2hi×Vi 2+f1hi×Vi+f0hiWherein: f. of2hiIs the road load quadratic term coefficient in the temperature interval i; f. of1hiIs a road load first-order coefficient in the temperature interval i; f. of0hiA road load constant item in the temperature interval i; f. of2hi、 f1hi、f0hiFitting by a least square method to obtain;
the ramp resistance calculation formula: fii=m×g×sinαi=(mc+65×n)×g×sinαiWherein m is the total mass of the automobilecPre-storing the automobile quality in an energy consumption prediction unit before the automobile leaves a factory; n is the number of passengers and is calculated according to 65kg of each adult; g is gravity acceleration, and is 9.8m/s2,αiIs the road surface gradient, alphaiMore than or equal to 1 percent of the total weight is considered to be driving on a slope, alphaiLess than 1% is considered as no slope resistance;
an acceleration resistance calculation formula:
Figure GDA0003232103410000041
delta is the conversion coefficient of rotating mass of the automobile, in the pure electric automobile
Figure GDA0003232103410000042
Wherein: m is the vehicle mass, IWIs the rotational inertia of the wheel, r is the radius of the wheel, the wheel is recorded into an energy consumption prediction unit for storage after measurement before delivery,
the running resistance calculation formula is as follows:
Figure GDA0003232103410000043
in a preferred embodiment of the present invention,
(4) in the calculation of the work done on the section i against the driving resistance
Figure GDA0003232103410000044
Total work done to overcome driving resistance on recommended path
Figure GDA0003232103410000045
In a preferred embodiment of the present invention,
(1) defining the environment temperature as a high-temperature working condition when the environment temperature is 23-41 ℃, and testing the air compressor to obtain hundred kilometers of energy consumption;
(2) testing PTC or other heating equipment to obtain hundred kilometers of energy consumption under the low-temperature working condition;
(3) predicting the energy consumption of low-voltage electric equipment;
(4) calculating system efficiency etatEfficiency η of the motorm(ii) a Efficiency eta of speed reducerg(ii) a DCDC efficiency ηdAll can be obtained by testing parts. Efficiency η of the systemT=ηm×ηg×ηd
In a preferred embodiment of the present invention,
judging the energy of the battery to be compared with the total energy consumption, and acquiring the current state of charge (SOC) of the batterycFrom the battery management system
Figure GDA0003232103410000046
Obtaining depth of discharge from battery technology parameters
Figure GDA0003232103410000047
Residual battery energy Wb = (SOCc-SOCd) × Q ×η T × SoH × CtempWherein Q is the new cell capacity, CtempThe battery temperature correction coefficient is determined by a battery characteristic test; the SoH is the relation between the battery health state and the battery charge-discharge cycle times, the relation between the SoH and the charge-discharge cycle times is determined by a battery test, the SoH of the current battery is obtained from a battery management system, and if W is in a high-temperature environmentb>∑Wr+Wg+WlOr W in a low temperature environmentb>∑Wr+Wd+WlThis can reach the destination without charging in the middle; if W is in high temperature environmentb≤∑Wr+Wg+WlOr W in a low temperature environmentb≤∑Wr+Wd+WlAnd if so, re-planning the path, searching for charging pile resources, and continuing to drive after completing power supplement until the destination is reached.
In a preferred embodiment of the present invention,
and in the running process, the road network information is refreshed every 2 minutes, the predicted speed and the congestion condition of each road section are adjusted in time, and whether charging is needed in the way is predicted.
The invention also discloses a pure electric vehicle which comprises an energy consumption module, a battery residual energy acquisition module, a residual electric quantity and energy consumption prediction comparison module and an instrument board, wherein the energy consumption module comprises a speed prediction unit, a driving resistance prediction unit, a low-voltage energy consumption prediction unit and an air conditioner energy consumption prediction unit, the energy consumption module and the battery residual energy acquisition module are electrically connected with the residual electric quantity and energy consumption prediction comparison module and the instrument board, and the residual electric quantity and energy consumption prediction comparison module and the instrument board are electrically connected with the instrument board.
The invention has the beneficial technical effects that: according to the technical scheme, the energy consumption of the automobile running resistance, the energy consumption of an air conditioner, the energy consumption of low-voltage accessories and the energy recovered by an energy recovery system are considered when the energy consumption rate is predicted. By comparing the energy which can be emitted by the battery with the total energy consumed by the battery, whether the battery needs to be charged in the driving path is judged, the scheme can help a driver to reasonably plan the driving path, and the condition of anchoring or speed limitation caused by energy consumption prediction errors is avoided.
Drawings
FIG. 1 is a flow chart of energy consumption prediction of a method for optimizing a driving path according to energy consumption of a pure electric vehicle according to the invention;
FIG. 2 is a schematic road section length diagram of a method for optimizing a driving path according to energy consumption of a pure electric vehicle;
FIG. 3 is a speed prediction of a method for optimizing a driving path according to energy consumption of a pure electric vehicle according to the present invention;
FIG. 4 shows a driving resistance prediction of a method for optimizing a driving path according to energy consumption of a pure electric vehicle according to the invention;
FIG. 5 is an air conditioner energy consumption and low voltage energy consumption test of the method for optimizing a driving path according to the energy consumption of a pure electric vehicle;
FIG. 6 is a schematic diagram of a control module of a pure electric vehicle according to the present invention.
Detailed Description
The patent is described in further detail below with reference to the drawings and the specific examples, which are not intended to limit the patent, so as to facilitate the understanding of the patent.
The invention discloses a method for optimizing a driving path according to energy consumption of a pure electric vehicle, which is characterized by comprising the following steps of: acquiring the running energy consumed by the vehicle on each road section to overcome the running resistance through the running speed, the length and the gradient of the vehicle on each road section; acquiring hundred-kilometer energy consumption of an air conditioner, hundred-kilometer energy consumption of a low-voltage accessory and hundred-kilometer energy recovery of an energy recovery system through driving range tests in different environments, and calculating according to the total mileage of a recommended path to obtain vehicle energy consumption; and comparing the energy which can be emitted by the battery with the total energy consumption, and reasonably planning a driving path.
According to the technical scheme, the running resistance (including rolling resistance, air resistance, gradient resistance and acceleration resistance) of the automobile is calculated by acquiring the running speed, the road section length and the road section gradient of the automobile on each road section, and then the work done for overcoming the running resistance is calculated.
Through driving range tests in different environments, hundred kilometers of energy consumption of an air conditioner (a compressor enters a PTC), hundred kilometers of energy consumption of low-voltage accessories (light, a wiper, a vehicle machine and other systems) and hundred kilometers of an energy recovery system are obtained, and then the total energy consumption is calculated according to the total mileage of a recommended path.
And reasonably planning a driving path by comparing the energy which can be emitted by the battery with the energy which needs to be consumed.
The method comprises the following specific steps:
step one, a driver sets a navigation destination in a car machine system navigation unit or a mobile phone navigation app in a voice or text mode, and a map supplier automatically retrieves a recommended path through an internal algorithm.
Step two, the road information acquisition unit acquires information of each road section including a road section number i and a road section i length L through a map database and a Global Positioning System (GPS)i(m) 85 th percentile speed V of road section i85i(km/h),V85iAverage acceleration a of a road section i as a desired speed of a vehicle traveling on the road sectionai(m/s2) Average deceleration a of the link ibi(m/s2) Road surface gradient alphai(rad)(αiTravel on a hill is considered > 1%).
And thirdly, numbering the road sections in sequence from the first road section of the recommended route, wherein the road section numbers are respectively 1,2 and 3 … i … n, and n is the last road section of the recommended route. Road section length LiRepresenting the distance traveled from the sidewalk of section i-1 to the sidewalk of section i, e.g. FIG. 2, each lane width lcWidth of sidewalk lpRadius of curve R, length of straight line section of roadiNumber of lanes n, width of isolation belt lmThe running of the sample vehicle is divided into straight running, left turning and right turning, and the length expression of the road section in each case is as follows
Figure GDA0003232103410000071
If complex roads such as turning around and roundabouts with multiple exits are encountered, the length L of the road section can be calculated by referring to the methodi
Step four, the speed prediction unit predicts the driving speed of the vehicle on each road section in the recommended path, and simplifies the whole process into an acceleration stage, a constant speed stage and a deceleration stage, as shown in fig. 3, for example, when the vehicle starts when the red light is changed into the green light, the vehicle starts to start by average acceleration aaiAccelerating to reach V running speed85iThen running at constant speed, and approaching the end of the road section at average deceleration abiAnd (5) decelerating, and stopping at the end of the road section to wait for a red light. The velocity expression is as follows:
Figure GDA0003232103410000072
step five, predicting the driving resistance, wherein when the automobile runs on a road, the rolling resistance from the ground and the air resistance from the air must be overcome, when the automobile runs on a ramp, the component force of gravity along the ramp needs to be overcome, and when the automobile accelerates, the acceleration resistance also needs to be overcome, so that the total driving resistance equation of the automobile running is as follows: fr=Ff+Fw+Fi+FjWherein: ffIs rolling resistance (N); fwIs the air resistance (N); fiIs the slope resistance (N); fjIs the acceleration resistance (N).
Step six, the road sliding resistance reflects the resistance which needs to be overcome in the process of the uniform speed running of the whole vehicle on a horizontal road, and comprises air resistance, rolling resistance and mechanical resistance Fh=Ff+Fw+Fη,FηFor the mechanical resistance of the drive train (where the drive train comprises the gearbox, the drive shaft, the brake caliper and the bearings), where the mechanical resistance is neglected, Fh=Ff+Fw
Step seven, the invention adopts the automobile running resistance under different atmospheric temperatures and standard tire pressures to replace rolling resistance and air resistance, a plurality of sliding curves are prestored in an energy consumption prediction unit before the automobile leaves a factory, as shown in fig. 4, according to the limit value of emission of light automobile pollutants of GB 18352.6-2017 and the measuring method of the sliding resistance in the sixth stage of China, the sliding resistance curve under the temperature range of-30 ℃ to 40 ℃ is prestored according to the step length of 5 ℃, the sliding resistance curve under the temperature conditions of-30 ℃, 25 ℃, … … 35 ℃ and 40 ℃ is used as the sliding resistance curve under the temperature range of-30 ℃ to 25 ℃, and the like under other temperature conditions.
Step eight, the sliding curve can be expressed as a quadratic equation F of the speedhi=f2hi×Vi 2+f1hi×Vi+f0hiWherein: f. of2hiIs the road load quadratic term coefficient in the temperature interval i; f. of1hiIs a road load first-order coefficient in the temperature interval i; f. of0hiA road load constant item in the temperature interval i; f. of2hi、f1hi、f0hiObtained by least squares fitting.
Step nine, calculating the ramp resistance Fii=m×g×sinαi=(mc+65×n)×g×sinαiWherein m is total mass (kg) of the automobile, mcThe automobile mass (kg) is pre-stored in an energy consumption prediction unit before the automobile leaves a factory; n is the number of passengers and is calculated according to 65kg of each adult; g is gravity acceleration, and is 9.8m/s2,αiIs the road surface gradient, alphaiMore than or equal to 1 percent of the total weight is considered to be driving on a slope, alphaiNo grade resistance was considered < 1%.
Step ten, calculating the acceleration resistance
Figure GDA0003232103410000081
Delta is the conversion coefficient of rotating mass of the automobile, in the pure electric automobile
Figure GDA0003232103410000082
Wherein: m is vehicle mass (kg), IWIs the moment of inertia (kg. m) of the wheel2) And r is the radius (m) of the wheel, and the radius is recorded into an energy consumption prediction unit for storage after measurement before delivery of the automobile.
Step eleven, calculating the running resistance of the automobile
Figure GDA0003232103410000091
Step twelve, calculating the work done on the road section i to overcome the driving resistance
Figure GDA0003232103410000092
Total work done to overcome driving resistance on recommended path
Figure GDA0003232103410000093
Step thirteen, when the environment temperature is 23-41 ℃, the environment temperature is defined as a high-temperature working condition, the air-conditioning compressor is a main energy consumption device, and if the vehicle is provided with an energy recovery system, the system charges the power battery when the vehicle is braked. The power of an air conditioner compressor is related to the temperature in the vehicle, the ambient temperature, the vehicle area and the sunlight radiation intensity, the factors such as the temperature, the humidity and the illumination intensity of a main sales area are simulated in an environmental chamber, a chassis dynamometer is tested by adopting the CLTC-P working condition according to GB/T38146.1-2019 regulations, 3 cycles are carried out according to each working condition, and the current and the voltage of a measuring point 1, a measuring point 2 and a measuring point 3 in the test process are recorded as shown in figure 4.
Fourteen, under the temperature conditions of 26 + -3 ℃, 32 + -3 ℃ and 38 + -3 ℃, 3 cycles of CLTC-P were performed at each temperature, and the energy of the air-conditioning and energy recovery components was recorded using Table 1. For example: the highest temperature of 38 ℃ in summer in the vehicle kingpin area and the illumination intensity of 850 +/-45W/m2Before the vehicle leaves the factory, a high-temperature test is carried out in an environmental chamber under the temperature condition of (38 +/-3) DEG C; before the high-temperature test, the vehicle should be immersed in the normal-temperature environment at (25 +/-5) DEG C for 12-15 hours, then immersed in the high-temperature environment for 0.5-1.0 hour, and the illumination intensity is kept at 850 +/-45W/m during the test process and the immersion period2. When the test cycle begins, the air conditioner is set to an internal circulation blowing mode, so that the average temperature of the test points in the vehicle reaches below 25 ℃ as soon as possible, and then the test points are kept in the range of not higher than 25 ℃ and not lower than 23 ℃ until the test is finished.
Step fifteen, in the testing process, the output voltage and current of the power battery at the measuring point 1 and the input voltage U of the power battery at the measuring point 2 are recorded in the whole processrAnd current IrMeasuring point 3 compressor input voltage UcAnd current Ic(ii) a Calculating the compressor power W by recording the current and voltage values during the whole testci=∫Ici×Ucidt, calculating the energy recovery W by recording the current and voltage values throughout the testri=∫Iri×Uridt where i is 1,2, 3
Hourly power consumption of compressor
Figure GDA0003232103410000094
Wherein T isiThe time (h) of the ith cycle is 0.5h per cycle period.
Energy consumption of high-pressure system in high-temperature driving process
Figure GDA0003232103410000101
Power unit kw h
TABLE 1
Number of cycles Compressor power Power of energy recovery
1 Wc1=∫Ic1×Uc1dt Wr1=∫Ir1×Ur1dt
2 Wc2=∫Ic2×Uc2dt Wr2=∫Ir2×Ur2dt
3 Wci=∫Ici×Ucidt Wr3=∫Ir3×Ur3dt
The ambient temperature of the day is obtained by an ambient temperature sensor, and then the temperature is judged to be matched with which test temperature interval, for example, the energy consumption of the compressor measured in the environment of 38 +/-3 ℃ is adopted when the ambient temperature is 40 DEG C
Sixthly, under the low-temperature working condition, the PTC or other heating equipment is main energy consumption equipment, and meanwhile, if the vehicle is provided with an energy recovery system, the system charges a battery when the vehicle is braked. The PTC or other heating equipment is related to the temperature in the vehicle, the ambient temperature and the recognition of passengers, the factors such as the temperature and the humidity of a main sales area are simulated in the environmental chamber, the CLTC-P cycle is adopted on the chassis dynamometer for testing according to the specified CLTC-P working conditions of GB/T38146.1-2019, 3 cycles are carried out according to each working condition, and the current and the voltage of a measuring point 1, a measuring point 2 and a measuring point 4 in the test process are recorded as shown in figure 4.
Seventhly, performing 3 cycles of CLTC-P at the temperature range of-27 +/-3 ℃, 21 +/-3 ℃, 15 +/-3 ℃, 9 +/-3 ℃, 3 +/-3 ℃, 9 +/-3 ℃ and 15 +/-3, and recording the energy of the air conditioner and the energy recovery part by using the table 1. For example, in the low-temperature driving range test, the low-temperature test is carried out under the temperature condition of minus 9 +/-3 ℃, before the low-temperature test, the vehicle should be immersed in the environment of minus 9 +/-3 ℃ for 12-15 hours, and when the test cycle starts, the air conditioner needs to be set to an outer cycle and foot blowing mode, so that the average temperature of the test points in the vehicle reaches more than 20 ℃ as soon as possible, and then the test temperature is kept in the range of not higher than 22 ℃ and not lower than 20 ℃ as far as possible until the test finishes.
Eighteen, recording the output voltage and current of the power battery at the measuring point 1 and the input voltage U of the power battery at the measuring point 2 in the whole process in the testing processrAnd current IrMeasuring the voltage U of a PTC or other heat sourcehAnd current Ih(ii) a Calculating power of PTC or other heating equipment by recording current and voltage values in the whole test process
Figure GDA0003232103410000103
Generating power by calculating braking energy recovery system
Figure GDA0003232103410000102
PTC hourly power consumption
Figure GDA0003232103410000111
Wherein T isiThe time (h) of the ith cycle is 0.5h per cycle period.
High-pressure accessory energy consumption in low-temperature driving process
Figure GDA0003232103410000112
TABLE 2
Number of cycles PTC power Power of energy recovery
1 Wp1=∫Ip1×Up1dt Wr1=∫Ir1×Ur1dt
2 Wp2=∫Ip2×Up2dt Wr2=∫Ir2×Ur2dt
3 Wp3=∫Ip3×Up3dt Wr3=∫Ir3×Ur3dt
The ambient temperature of the day is obtained through an ambient temperature sensor, and then the temperature is judged to be matched with which test temperature interval, for example, PTC energy consumption measured in an environment of minus 9 +/-3 ℃ is adopted when the ambient temperature is minus 8 ℃.
Nineteen steps are that the energy consumption of the low-voltage electric equipment is predicted, and the electric system can be divided into several load conditions shown in table 3 according to the conditions of the vehicle in the use process. The method can measure the consumption of low-voltage electric equipment according to the following 4 load conditions when measuring the load of a high-voltage system, simulate the conditions of night and rain by starting a wiper, lamplight and the like, test the CLTC-P working condition at the temperature of 25 +/-3 ℃ according to the specified CLTC-P working conditions of GB/T38146.1-2019, perform 3 cycles according to the 4 load conditions respectively, measure the current and the voltage of the DCDC output end of a measuring point 4, and calculate the energy recovery energy Wli=∫Ili×Ulidt, total energy consumption for low voltage load
Figure GDA0003232103410000113
Low voltage load hourly power consumption
Figure GDA0003232103410000114
Wherein T isiThe time (h) of the ith cycle is 0.5h per cycle period.
Energy consumption of low-voltage component in driving process
Figure GDA0003232103410000115
And judging which state the low-voltage load is in by acquiring the current weather and time, and acquiring the total energy consumption of the low-voltage load.
TABLE 3 usage of electric devices under different loads
Figure GDA0003232103410000121
Twenty, calculating the system efficiency etatEfficiency η of the motorm(ii) a Efficiency eta of speed reducerg(ii) a DCDC efficiency ηdAll can be obtained by testing parts. Efficiency η of the systemT=ηm×ηg×ηd
Step (ii) ofTwenty one, judging the comparison between the battery energy and the loss energy, and acquiring the current state of charge (SOC) of the batteryc(State of Charge State, SOC), from the current SOC in the battery management systemcObtaining the discharging depth SOC through the technical parameters of the batterydResidual battery energy Wb=(SOCc-SOCd)×Q×ηT×SoH×CtempWherein Q is the new battery capacity (kw.h), CtempThe battery temperature correction coefficient is determined by a battery characteristic test; SoH is the State of Health (SoH) of the battery and is related to the charge and discharge cycle number of the battery, the relationship between the SoH and the charge and discharge cycle number can be determined by a battery test, the SoH of the current battery is obtained from a battery management system, and if W is in a high-temperature environmentb>∑Wr+Wg+WlOr W in a low temperature environmentb>∑Wr+Wd+WlThis can reach the destination without charging in the middle; if W is in high temperature environmentb≤∑Wr+Wg+WlOr W in a low temperature environmentb≤∑Wr+Wd+WlAnd if so, re-planning the path, searching for charging pile resources, and continuing to drive after completing power supplement until the destination is reached.
And twenty-two, refreshing road network information every 2 minutes in the driving process, adjusting the predicted speed and congestion condition of each road section in time, and predicting whether charging is needed in the way according to the steps from one step to twenty-three.
The invention further discloses a pure electric vehicle which comprises an energy consumption module, a battery residual energy acquisition module, a residual electric quantity and energy consumption prediction and comparison module and an instrument board, wherein the energy consumption module comprises a speed prediction unit, a driving resistance prediction unit, a low-voltage energy consumption prediction unit and an air conditioner energy consumption prediction unit, the energy consumption module and the battery residual energy acquisition module are electrically connected with the residual electric quantity and energy consumption prediction and comparison module and the instrument board, and the residual electric quantity and energy consumption prediction and comparison module and the instrument board are electrically connected with the instrument board.
It will be apparent to those skilled in the art that various changes and modifications may be made in the present invention without departing from the spirit and scope of the invention. Thus, if such modifications and variations of the present invention fall within the scope of the claims of the present invention and their equivalents, the present invention is also intended to include such modifications and variations.

Claims (5)

1.一种根据纯电动汽车能量消耗量优化驾驶路径的方法,其特征在于:通过每个路段上车辆的运行速度、路段长度、路段坡度获取每个路段上车辆克服行驶阻力所消耗的行驶耗能;通过在不同环境下的续驶里程试验,获取空调百公里耗能、低压附件百公里耗能、能量回收系统百公里回收能量,并根据推荐路径的总里程计算得到车辆耗能;总耗能=行驶耗能+车辆耗能,通过比较电池能够发出的能量和总耗能,合理规划行驶路径;行驶耗能的计算方法如下:1. a method for optimizing the driving path according to the energy consumption of pure electric vehicles, it is characterized in that: obtain the driving consumption consumed by the vehicle overcoming the driving resistance on each road section by the running speed of the vehicle on each road section, the length of the road section, and the gradient of the road section. energy; through the driving mileage test in different environments, obtain the energy consumption of the air conditioner for 100 kilometers, the energy consumption of the low-voltage accessories for 100 kilometers, and the energy recovery of the energy recovery system for 100 kilometers, and calculate the energy consumption of the vehicle according to the total mileage of the recommended route; Energy = driving energy consumption + vehicle energy consumption. By comparing the energy that can be emitted by the battery and the total energy consumption, the driving path can be reasonably planned; the calculation method of driving energy consumption is as follows: 步骤1,将起始位置至终止位置的路段离散为n个路段,计算每个路段的长度;Step 1: Discrete the road segment from the starting position to the ending position into n road segments, and calculate the length of each road segment; 步骤2,预测每个路段的行驶速度;Step 2, predict the driving speed of each road segment; 步骤3,预测行驶阻力;Step 3, predict the driving resistance; 步骤4,计算每个路段的克服行驶阻力所消耗的功,从而获取推荐路径上克服行驶阻力所做的总功;Step 4: Calculate the work consumed by each road section to overcome the driving resistance, so as to obtain the total work done to overcome the driving resistance on the recommended path; 步骤1中,路段编号从推荐路径第一个路段开始按顺序编号,路段编号分别为1、2、3…i…n,n为推荐路径最后一个路段,路段长度Li表示路段i-1的人行道到路段i的人行道之间的行驶距离,每个车道宽lc,人行道宽度lp,弯道半径为R,路段直线段长度Ti,车道数n,隔离带宽度lm,样车行驶分为直行、左转、右转,每种情况路段长度表达式如下:In step 1, the road segment numbers are sequentially numbered from the first road segment of the recommended route, and the road segment numbers are 1, 2, 3...i...n, respectively, where n is the last road segment of the recommended route, and the road segment length L i represents the length of the road segment i-1. The driving distance from the sidewalk to the sidewalk of road segment i , the width of each lane l c , the width of the sidewalk lp , the radius of the curve R, the length of the straight line segment of the road segment T i , the number of lanes n , the width of the isolation belt lm , the driving of the sample vehicle Divided into straight, left turn, right turn, the length of the road section in each case is expressed as follows:
Figure FDA0003310765410000011
Figure FDA0003310765410000011
步骤2中,速度预测单元预测车辆在推荐路径中的每个路段的行驶速度,将整个过程的简化为加速阶段、匀速阶段和减速阶段,速度表达式如下,In step 2, the speed prediction unit predicts the driving speed of the vehicle on each road section in the recommended path, and simplifies the whole process into an acceleration stage, a constant speed stage and a deceleration stage. The speed expression is as follows:
Figure FDA0003310765410000021
Figure FDA0003310765410000021
曲中,路段编号i、路段i长度Li、路段i第85百分位速度V85i,V85i作为汽车在该路段行驶的期望车速、路段i平均加速度aai、路段i平均减速度abi、路面坡度αiIn the song, the road segment number i, the length of the road segment i , the 85th percentile speed V 85i of the road segment i, and V 85i as the expected speed of the car driving on the road segment, the average acceleration ai of the road segment i, and the average deceleration a bi of the road segment i , road gradient α i ; 步骤3中,当汽车在坡道上行驶时所需克服的总行驶阻力方程如下:Fr=Ff+Fw+Fi+FjIn step 3, the equation of the total driving resistance that the car needs to overcome when driving on the slope is as follows: F r =F f +F w +F i +F j , 当汽车在水平道路上行驶时所需克服的总行驶阻力方程如下,Fh=Ff+Fw,其中:Ff为滚动阻力,Fw为空气阻力,Fi为坡度阻力,Fj为加速阻力;The equation of the total driving resistance that the car needs to overcome when driving on a level road is as follows, F h =F f +F w , where F f is the rolling resistance, F w is the air resistance, F i is the slope resistance, and F j is the acceleration resistance; 采用不同大气温度、标准胎压下的汽车行驶阻力代替滚动阻力和空气阻力,汽车出厂之前,在能量消耗预测单元中预存多条滑行曲线,滑行曲线为速度的二次方程Fhi=f2hi×Vi 2+f1hi×Vi+f0hi,其中:f2hi为i温度区间下道路载荷二次项系数;f1hi为i温度区间下道路载荷一次项系数;f0hi为i温度区间下道路载荷常数项;f2hi、f1hi、f0hi通过最小二乘法拟合得到;The driving resistance of the vehicle under different atmospheric temperatures and standard tire pressures is used to replace the rolling resistance and air resistance. Before the vehicle leaves the factory, multiple coasting curves are pre-stored in the energy consumption prediction unit, and the coasting curve is the quadratic equation of speed F hi = f 2hi × V i 2 +f 1hi ×V i +f 0hi , where: f 2hi is the quadratic term coefficient of road load in the i temperature interval; f 1hi is the first term coefficient of the road load in the i temperature interval; f 0hi is the road load in the i temperature interval Load constant term; f 2hi , f 1hi , f 0hi are obtained by least squares fitting; 坡道阻力计算公式:Fii=m×g×sinαi=(mc+65×n)×g×sinαi,其中,m为汽车总质量,mc为汽车质量,汽车出厂之前,在能量消耗预测单元中预存;n为乘员数量,按成人每人65kg计算;g为重力加速度,取9.8m/s2,αi为路面坡度,αi≥1%认为在坡道行驶,αi<1%认为无坡度阻力;Ramp resistance calculation formula: F ii =m×g×sinα i =(m c +65×n)×g×sinα i , where m is the total mass of the car, m c is the mass of the car, before the car leaves the factory, the energy Pre-stored in the consumption prediction unit; n is the number of passengers, calculated as 65kg per adult; g is the acceleration of gravity, taking 9.8m/s 2 , α i is the road slope, α i ≥ 1% is considered to be driving on the slope, α i < 1% believes that there is no slope resistance; 加速阻力计算公式:
Figure FDA0003310765410000022
δ为汽车旋转质量换算系数,纯电动汽车中
Figure FDA0003310765410000031
其中:m为车辆质量,IW为车轮转动惯量,r为车轮半径,汽车出厂前通过测量后录入能耗预测单元保存,
Acceleration resistance calculation formula:
Figure FDA0003310765410000022
δ is the conversion factor of the rotating mass of the vehicle. In pure electric vehicles,
Figure FDA0003310765410000031
Among them: m is the vehicle mass, I W is the moment of inertia of the wheel, r is the radius of the wheel, the car is stored in the energy consumption prediction unit after being measured before leaving the factory,
行驶阻力计算公式:Driving resistance calculation formula:
Figure FDA0003310765410000032
Figure FDA0003310765410000032
步骤4中,计算克服行驶阻力在路段i做的功
Figure FDA0003310765410000033
在推荐路径上克服行驶阻力所做的总功
Figure FDA0003310765410000034
In step 4, calculate the work done on the road segment i to overcome the driving resistance
Figure FDA0003310765410000033
The total work done to overcome the driving resistance on the recommended path
Figure FDA0003310765410000034
2.根据权利要求1所述的根据纯电动汽车能量消耗量优化驾驶路径的方法,其特征在于:车辆耗能计算方法如下:2. the method for optimizing driving path according to pure electric vehicle energy consumption according to claim 1, is characterized in that: vehicle energy consumption calculation method is as follows: 步骤1,环境温度为23-41℃时定义为高温工况,对空调压缩机进行试验获取百公里耗能;Step 1, when the ambient temperature is 23-41°C, it is defined as a high temperature condition, and the air-conditioning compressor is tested to obtain the energy consumption per 100 kilometers; 步骤2,低温工况下,对PTC或者其他制热设备进行试验获取百公里耗能;Step 2, under low temperature conditions, test the PTC or other heating equipment to obtain the energy consumption per 100 kilometers; 步骤3,低压用电设备耗能预测;Step 3, prediction of energy consumption of low-voltage electrical equipment; 步骤4,计算系统效率ηt,电机效率ηm;减速器效率ηg;DCDC效率ηd均可有零部件试验获取,系统的效率ηT=ηm×ηg×ηdStep 4, calculate the system efficiency η t , the motor efficiency η m , the reducer efficiency η g , and the DCDC efficiency η d can all be obtained from component tests, and the system efficiency η Tm ×η g ×η d . 3.根据权利要求2所述的根据纯电动汽车能量消耗量优化驾驶路径的方法,其特征在于:判断电池能量与总耗能对比,获取电池当前荷电状态SOCc,从电池管理系统中当前SOCc,通过电池技术参数获取放电深度SOCd,电池剩余能量Wb=(SOCc-SOCd)×Q×ηT×SoH×Ctemp,其中Q为新电池电池容量,Ctemp为电池温度修正系数,由电池特性试验确定;SoH为电池健康状态与电池充放电循环次数有关,由电池试验确定SoH与充放电循环次数的关系,并从电池管理系统获取当前电池的SoH,高温环境下如果Wb>∑Wr+Wg+Wl或者低温环境下Wb>∑Wr+Wd+Wl,这可以抵达目的地,中途不需要充电;高温环境下如果Wb≤∑Wr+Wg+Wl或者低温环境下Wb≤∑Wr+Wd+Wl,则需要重新规划路径,寻找充电桩资源,完成补电后继续行驶,直至达到目的地;3. The method for optimizing the driving path according to the energy consumption of pure electric vehicles according to claim 2, characterized in that: judging the comparison of battery energy and total energy consumption, obtaining the current state of charge SOC c of the battery, and obtaining the current state of charge SOC c from the battery management system. SOC c , the depth of discharge SOC d is obtained from the battery technical parameters, and the remaining battery energy W b =(SOC c -SOC d )×Q×η T ×SoH×C temp , where Q is the battery capacity of the new battery, and C temp is the battery temperature The correction factor is determined by the battery characteristic test; SoH is the battery health state related to the number of charge and discharge cycles of the battery, the relationship between SoH and the number of charge and discharge cycles is determined by the battery test, and the current battery SoH is obtained from the battery management system. W b >∑W r +W g +W l or W b >∑W r +W d +W l in a low temperature environment, this can reach the destination without charging; if W b ≤∑W r in a high temperature environment +W g +W l or W b ≤∑W r +W d +W l in a low temperature environment, it is necessary to re-plan the path, search for charging pile resources, and continue driving after completing the charging until the destination is reached; 高温行驶过程中高压系统耗能
Figure FDA0003310765410000041
High pressure system energy consumption during high temperature driving
Figure FDA0003310765410000041
低温行驶过程中高压附件耗能
Figure FDA0003310765410000042
Energy consumption of high-pressure accessories during low temperature driving
Figure FDA0003310765410000042
行驶过程中低压部件耗能
Figure FDA0003310765410000043
Low-voltage components consume energy during driving
Figure FDA0003310765410000043
4.根据权利要求1所述的根据纯电动汽车能量消耗量优化驾驶路径的方法,其特征在于:行驶过程中每2分钟刷新一次路网信息,及时对各路段预测速度和拥堵情况进行调整,预测途中是否需要充电。4. The method for optimizing the driving path according to the energy consumption of pure electric vehicles according to claim 1, wherein the road network information is refreshed every 2 minutes in the driving process, and the predicted speed of each road section and the congestion situation are adjusted in time, Predict if charging is required on the way. 5.一种纯电动汽车,其特征在于:包括能量消耗模块、电池剩余能量获取模块、剩余电量与能耗预测对比模块和仪表板,所述能量消耗模块包括速度预测单元、行驶阻力预测单元、低压能耗预测单元和空调能耗预测单元,所述能量消耗模块和所述电池剩余能量获取模块与所述剩余电量与能耗预测对比模块和仪表板电连接,所述剩余电量与能耗预测对比模块和仪表板与所述仪表板电连接,其使用了如权利要求1-4任一项所述的根据纯电动汽车能量消耗量优化驾驶路径的方法。5. A pure electric vehicle, characterized in that it comprises an energy consumption module, a battery remaining energy acquisition module, a remaining power and energy consumption prediction comparison module and a dashboard, and the energy consumption module comprises a speed prediction unit, a driving resistance prediction unit, A low-voltage energy consumption prediction unit and an air conditioner energy consumption prediction unit, the energy consumption module and the battery remaining energy acquisition module are electrically connected with the remaining power and energy consumption prediction and comparison module and the instrument panel, and the remaining power and energy consumption prediction The comparison module and the instrument panel are electrically connected to the instrument panel, and the method for optimizing the driving route according to the energy consumption of the pure electric vehicle according to any one of claims 1 to 4 is used.
CN202010319426.9A 2020-04-21 2020-04-21 Method for optimizing driving path according to energy consumption of pure electric vehicle Active CN111516552B (en)

Priority Applications (1)

Application Number Priority Date Filing Date Title
CN202010319426.9A CN111516552B (en) 2020-04-21 2020-04-21 Method for optimizing driving path according to energy consumption of pure electric vehicle

Applications Claiming Priority (1)

Application Number Priority Date Filing Date Title
CN202010319426.9A CN111516552B (en) 2020-04-21 2020-04-21 Method for optimizing driving path according to energy consumption of pure electric vehicle

Publications (2)

Publication Number Publication Date
CN111516552A CN111516552A (en) 2020-08-11
CN111516552B true CN111516552B (en) 2022-03-18

Family

ID=71904344

Family Applications (1)

Application Number Title Priority Date Filing Date
CN202010319426.9A Active CN111516552B (en) 2020-04-21 2020-04-21 Method for optimizing driving path according to energy consumption of pure electric vehicle

Country Status (1)

Country Link
CN (1) CN111516552B (en)

Families Citing this family (14)

* Cited by examiner, † Cited by third party
Publication number Priority date Publication date Assignee Title
CN112785133A (en) * 2021-01-14 2021-05-11 奇瑞新能源汽车股份有限公司 Cruising ability estimation method and system based on navigation system
US11623650B2 (en) * 2021-02-18 2023-04-11 Hyundai Motor Company Vehicle range prediction
CN113071474B (en) * 2021-04-08 2022-07-15 浙江吉利控股集团有限公司 A vehicle energy management method, system and vehicle
CN113495218B (en) * 2021-08-02 2022-09-13 广东润元能源科技有限公司 Method and device for monitoring effective consumption of electric quantity of new energy battery and computer storage medium
CN114954021B (en) * 2021-08-16 2024-10-29 长城汽车股份有限公司 Method and device for acquiring driving range, electronic equipment and vehicle
CN113753053A (en) * 2021-09-08 2021-12-07 浙江吉利控股集团有限公司 Energy consumption optimal driving route selection method considering meteorological factors
CN119095754A (en) * 2022-04-29 2024-12-06 斯堪尼亚商用车有限公司 Control device and method for estimating remaining driving distance of a vehicle
CN115451984A (en) * 2022-08-12 2022-12-09 阿里巴巴(中国)有限公司 A travel navigation method and device
CN115534750A (en) * 2022-08-31 2022-12-30 珠海市魅族科技有限公司 Method, device, equipment and storage medium for predicting energy consumption of new energy vehicles
CN115655753A (en) * 2022-12-26 2023-01-31 中汽科技(北京)有限公司 Electric automobile endurance mileage testing method, system, device and storage medium
CN116198519A (en) * 2023-01-18 2023-06-02 上海普法芬电子科技有限公司 Electric vehicle energy consumption prediction method and system based on road information and air conditioner thermal management
CN117109621A (en) * 2023-09-11 2023-11-24 东风汽车集团股份有限公司 A vehicle driving route planning method and device
CN117634051B (en) * 2024-01-18 2024-04-09 中汽研汽车检验中心(天津)有限公司 Heat pump air conditioning system simulation prediction method and system based on real road environment
CN118596934B (en) * 2024-06-19 2024-12-13 浙江慧芯微智能技术有限公司 Electric quantity monitoring and controlling system for automobile storage battery

Family Cites Families (6)

* Cited by examiner, † Cited by third party
Publication number Priority date Publication date Assignee Title
CN102069719A (en) * 2010-01-28 2011-05-25 蒋宝泰 Circular power supply equipment during running of alternating/direct current driven vehicle
DE102011088478A1 (en) * 2011-12-14 2013-06-20 Robert Bosch Gmbh Method for recuperation of brake energy in vehicle, involves outputting predetermined activation of brake device based on computed recuperation function to vehicle rider or vehicle driver assistance system
US9561804B2 (en) * 2014-06-19 2017-02-07 Ford Global Technologies, Llc Distance to empty prediction with short term distance compensation
CN104442825B (en) * 2014-11-28 2017-10-17 上海交通大学 A kind of Forecasting Methodology and system of electric automobile remaining driving mileage
CN108106626A (en) * 2017-12-18 2018-06-01 浙江工业大学 A kind of electric vehicle trip route planing method based on driving cycle
CN109747427B (en) * 2019-02-01 2021-02-19 广州小鹏汽车科技有限公司 Method and apparatus for estimating remaining driving ability of electric vehicle when reaching destination

Also Published As

Publication number Publication date
CN111516552A (en) 2020-08-11

Similar Documents

Publication Publication Date Title
CN111516552B (en) Method for optimizing driving path according to energy consumption of pure electric vehicle
CN111497679B (en) Pure electric vehicle energy consumption monitoring optimization method and system
JP4631761B2 (en) Battery life prediction device and battery life warning device for powertrain
CN102189994B (en) For the electronic and system and method for motor vehicle driven by mixed power operation
JP5624333B2 (en) Secondary battery control device and map correction method
US9037327B2 (en) Distance to empty calculation method for electric vehicle
CN102867430B (en) Information terminal and cruise controller for electric-powered vehicle
CN109334511B (en) Prediction method for endurance mileage of electric automobile
JP5656624B2 (en) Road traffic flow simulation apparatus, road traffic flow simulation program, and road traffic flow simulation method
EP3124303A2 (en) Control apparatus for hybrid vehicle, hybrid vehicle and control method for hybrid vehicle
CN113119793B (en) Vehicle driving range calculation method and device
WO2007114410A1 (en) Hybrid vehicle battery information display device
KR102472552B1 (en) Method For Calculating Energy Consumption And Carbon Discharge Of Car By Utilizing Deep Learning
CN109919393B (en) A Charging Load Prediction Method for Electric Taxi
CN114537215B (en) Method, device and storage medium for estimating cruising range
CN110167808A (en) The method that the management configuration point of fuel for managing hybrid moto vehicle and power consumption is calculated
KR20140042281A (en) A navigation apparatus using the weight information related to battery consumption of an electrical auto-mobile and the method thereof
CN104198865A (en) Vehicle power balance test method
Kropiwnicki et al. Estimation of the regenerative braking process efficiency in electric vehicles
CN112193085A (en) Charging Duration Prediction of High Voltage Batteries and Motor Vehicles
Souffran et al. Simulation of real-world vehicle missions using a stochastic Markov model for optimal design purposes
CN110927444A (en) An intelligent unmanned test platform and test method for vehicle energy consumption test of pure electric vehicle
CN110015127A (en) The charging station method for searching of electric vehicle
Yano et al. Estimation of ev power consumption and route planning using probe data
CN114861998A (en) Mobile electricity supplementing vehicle scheduling method and system based on chaotic cat swarm algorithm

Legal Events

Date Code Title Description
PB01 Publication
PB01 Publication
SE01 Entry into force of request for substantive examination
SE01 Entry into force of request for substantive examination
GR01 Patent grant
GR01 Patent grant