CN110866552B - Hyperspectral Image Classification Method Based on Fully Convolutional Spatial Propagation Network - Google Patents

Hyperspectral Image Classification Method Based on Fully Convolutional Spatial Propagation Network Download PDF

Info

Publication number
CN110866552B
CN110866552B CN201911078729.XA CN201911078729A CN110866552B CN 110866552 B CN110866552 B CN 110866552B CN 201911078729 A CN201911078729 A CN 201911078729A CN 110866552 B CN110866552 B CN 110866552B
Authority
CN
China
Prior art keywords
data
hyperspectral image
convolution
network
training
Prior art date
Legal status (The legal status is an assumption and is not a legal conclusion. Google has not performed a legal analysis and makes no representation as to the accuracy of the status listed.)
Active
Application number
CN201911078729.XA
Other languages
Chinese (zh)
Other versions
CN110866552A (en
Inventor
李映
姜晔楠
邹姗蓉
张号逵
Current Assignee (The listed assignees may be inaccurate. Google has not performed a legal analysis and makes no representation or warranty as to the accuracy of the list.)
Northwestern Polytechnical University
Original Assignee
Northwestern Polytechnical University
Priority date (The priority date is an assumption and is not a legal conclusion. Google has not performed a legal analysis and makes no representation as to the accuracy of the date listed.)
Filing date
Publication date
Application filed by Northwestern Polytechnical University filed Critical Northwestern Polytechnical University
Priority to CN201911078729.XA priority Critical patent/CN110866552B/en
Publication of CN110866552A publication Critical patent/CN110866552A/en
Application granted granted Critical
Publication of CN110866552B publication Critical patent/CN110866552B/en
Active legal-status Critical Current
Anticipated expiration legal-status Critical

Links

Images

Classifications

    • GPHYSICS
    • G06COMPUTING OR CALCULATING; COUNTING
    • G06FELECTRIC DIGITAL DATA PROCESSING
    • G06F18/00Pattern recognition
    • G06F18/20Analysing
    • G06F18/24Classification techniques
    • GPHYSICS
    • G06COMPUTING OR CALCULATING; COUNTING
    • G06NCOMPUTING ARRANGEMENTS BASED ON SPECIFIC COMPUTATIONAL MODELS
    • G06N3/00Computing arrangements based on biological models
    • G06N3/02Neural networks
    • G06N3/04Architecture, e.g. interconnection topology
    • G06N3/045Combinations of networks
    • GPHYSICS
    • G06COMPUTING OR CALCULATING; COUNTING
    • G06NCOMPUTING ARRANGEMENTS BASED ON SPECIFIC COMPUTATIONAL MODELS
    • G06N3/00Computing arrangements based on biological models
    • G06N3/02Neural networks
    • G06N3/08Learning methods
    • YGENERAL TAGGING OF NEW TECHNOLOGICAL DEVELOPMENTS; GENERAL TAGGING OF CROSS-SECTIONAL TECHNOLOGIES SPANNING OVER SEVERAL SECTIONS OF THE IPC; TECHNICAL SUBJECTS COVERED BY FORMER USPC CROSS-REFERENCE ART COLLECTIONS [XRACs] AND DIGESTS
    • Y02TECHNOLOGIES OR APPLICATIONS FOR MITIGATION OR ADAPTATION AGAINST CLIMATE CHANGE
    • Y02ATECHNOLOGIES FOR ADAPTATION TO CLIMATE CHANGE
    • Y02A40/00Adaptation technologies in agriculture, forestry, livestock or agroalimentary production
    • Y02A40/10Adaptation technologies in agriculture, forestry, livestock or agroalimentary production in agriculture

Landscapes

  • Engineering & Computer Science (AREA)
  • Theoretical Computer Science (AREA)
  • Physics & Mathematics (AREA)
  • Data Mining & Analysis (AREA)
  • Evolutionary Computation (AREA)
  • Life Sciences & Earth Sciences (AREA)
  • Artificial Intelligence (AREA)
  • General Physics & Mathematics (AREA)
  • General Engineering & Computer Science (AREA)
  • General Health & Medical Sciences (AREA)
  • Software Systems (AREA)
  • Molecular Biology (AREA)
  • Computing Systems (AREA)
  • Biophysics (AREA)
  • Biomedical Technology (AREA)
  • Mathematical Physics (AREA)
  • Computational Linguistics (AREA)
  • Health & Medical Sciences (AREA)
  • Bioinformatics & Cheminformatics (AREA)
  • Bioinformatics & Computational Biology (AREA)
  • Computer Vision & Pattern Recognition (AREA)
  • Evolutionary Biology (AREA)
  • Image Analysis (AREA)

Abstract

本发明涉及一种基于全卷积空间传播网络的高光谱图像分类方法,针对高光谱图像分类问题,结合深度学习相关技术,首次将基于全卷积空间传播网络应用于高光谱图像分类中。传统的基于卷积神经网络的高光谱图像分类方法都是对图像进行逐像素分类,存在着大量的重复运算,且输入图像的大小对于分类结果有着很大的影响。而全卷积空间传播网络减少了重复运算的同时还可以接受任何尺寸的输入图像,并且充分利用了高光谱图像的空间信息,从而实现一定条件下高光谱图像的高精度分类。

Figure 201911078729

The invention relates to a hyperspectral image classification method based on a fully convolutional spatial propagation network. Aiming at the problem of hyperspectral image classification, combined with deep learning related technologies, the full convolutional spatial propagation network is applied to hyperspectral image classification for the first time. The traditional hyperspectral image classification method based on convolutional neural network is to classify the image pixel by pixel, there are a lot of repeated operations, and the size of the input image has a great impact on the classification results. The fully convolutional spatial propagation network can accept input images of any size while reducing repeated operations, and makes full use of the spatial information of hyperspectral images, so as to achieve high-precision classification of hyperspectral images under certain conditions.

Figure 201911078729

Description

Hyperspectral image classification method based on full convolution space propagation network
Technical Field
The invention relates to a method for classifying hyperspectral images of a full-convolution space propagation network, and belongs to the field of remote sensing image processing.
Background
The hyperspectral image simultaneously contains spectral information and spatial information, and has important application in military and civil fields. However, the high dimensional nature of hyperspectral images, high correlation between bands, spectral mixing, etc. make hyperspectral image classification a huge challenge. In recent years, with the emergence of new deep learning technology, a hyperspectral image classification method based on deep learning is in breakthrough development. However, deep learning models typically contain a large number of parameters, requiring a large number of training samples. The hyperspectral images have relatively few marked samples, the training of deep learning models is difficult to completely meet, and the overfitting problem is easy to occur.
The hyperspectral image classification problem aims to give an image with part of labeled pixels, and predict specific object classes corresponding to all the pixels in the image through a correlation algorithm. The traditional hyperspectral image classification method generally utilizes artificial preset features, such as SIFT, HOG, PHOG and the like, to extract features from a hyperspectral image, and then classifies the hyperspectral image by means of models, such as a multilayer sensor, a support vector machine and the like. However, the design and selection of these manually preset features depend on professional knowledge, and it is difficult to select a feature with versatility.
In recent years, with the rise of deep learning, a deep neural network which is fully data-driven and does not need prior knowledge has prominent advantages in the fields of image processing, computer vision and the like, and the application range of the deep neural network covers aspects such as high-level image identification, medium-low level image processing and the like, such as target identification, detection, classification and image denoising, dynamic deblurring, reconstruction and the like. The hyperspectral image classification field also introduces a related technology of deep learning, and obtains a classification effect obviously superior to that of the traditional method. However, due to the limitation of the number of hyperspectral image training samples, the deep learning model applied to hyperspectral image classification is relatively shallow, and although a large number of experiments in the aspect of computer vision show that effective depth increase is very beneficial to improving classification performance.
Disclosure of Invention
Technical problem to be solved
In order to avoid the defects of the prior art, the invention provides a highlight spectrogram image classification method based on a full convolution space propagation network.
Technical scheme
A hyperspectral image classification method based on a full convolution space propagation network is characterized by comprising the following steps:
step 1: data pre-processing
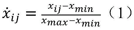
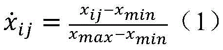
Firstly, performing data expansion on hyperspectral image data to be processed, and performing rotation transformation of up and down, left and right, 90 degrees, 180 degrees and 270 degrees respectively, so that six hyperspectral images can be obtained from one original hyperspectral image; and then carrying out maximum and minimum normalization on the obtained hyperspectral image:
Figure SMS_1
wherein x is ij As raw data, x max 、x min Respectively a maximum value and a minimum value in the original data;
dividing the normalized hyperspectral image according to a certain step length;
and 2, step: data partitioning
Counting the total number of the labeled samples from the preprocessed hyperspectral images, and then selecting 5% of labeled samples from the labeled samples as training data;
and step 3: building a network model
The structure sequentially comprises two parts:
1) A feature extraction part: firstly, input data sequentially passes through an asymmetric three-dimensional convolutional layer, an excitation function and an normalization layer; the asymmetric three-dimensional convolution layer adopts a three-dimensional convolution kernel with an asymmetric structure, the dimension of the spectrum dimension of the convolution kernel is larger than that of the space dimension, the excitation function adopts ReLU, and the normalization adopts BN; after the data is processed by BN, the data is further subjected to down-sampling modules with the widths of 32, 64 and 128 in sequence to further extract depth features, wherein the down-sampling modules comprise: from the input end to the output end, the left trunk part sequentially comprises convolution layers with convolution kernels of 1 multiplied by 3 and 3 multiplied by 1, a ReLU excitation layer and a BN layer are respectively connected after the two convolution layers, and the left trunk part considers spatial direction information in the hyperspectral image and then spectral direction information; correspondingly, the right-side trunk part sequentially comprises convolution layers with convolution kernel sizes of 3 multiplied by 1 and 1 multiplied by 3, a ReLU excitation layer and a BN layer are respectively connected after the two convolution layers, and the right-side trunk part considers spectral direction information in the hyperspectral image and then spatial direction information;
2) And a classification part: the part is composed of four convolutional layers with the widths of 128, 64, 32 and 32 respectively; the first three layers of convolution layers carry out convolution on the feature map to enable the feature map to be restored to the same size as the input image; the last convolution layer is used for linking each pixel by utilizing spatial information of a hyperspectral image, linear propagation operation is carried out on a 2D graph to construct a learnable graph, and a result graph containing probability classification of all categories is finally obtained; the linear propagation formula is as follows:
Figure SMS_2
wherein h is ij Representing surrounding pixels at pixel (i, j),
Figure SMS_3
represents a series of weights at (i, j), K being the adjacent coordinate of (i, j), based on->
Figure SMS_4
Is represented by K Representing adjacent pixels;
and 4, step 4: training network model
Inputting training data into a constructed full convolution space propagation network in batches, and training network parameters by using a gradient descent algorithm by taking the marked type as guide information until the network converges; in the training process, 5% of samples are extracted from a training set randomly and repeatedly every time to be a batch of training data, the data are input into a network, characteristics are extracted, a prediction result is calculated, a partial derivative of a network weight value is calculated by taking cross entropy between the prediction result and an actual result as a loss function, and network parameters are updated by using a gradient descent algorithm; the training process facilitates one round of training for the entire training set at a time; the whole training process is carried out for 80 rounds, the learning rate of the first 70 rounds is set as 0.01, and the learning rate of the last 10 rounds is reduced to 0.001; in the whole training process, the momentum term is set to be 0.9;
and 5: generating classification results
And performing category prediction on the target hyperspectral image data based on the trained network model to obtain a classification result graph.
Advantageous effects
The hyperspectral image classification method based on the full convolution space propagation network provided by the invention aims at the hyperspectral image classification problem, combines a deep learning related technology, and applies the full convolution space propagation network to hyperspectral image classification for the first time. The traditional hyperspectral image classification method based on the convolutional neural network is used for classifying images pixel by pixel, a large amount of repeated operations exist, and the size of an input image has great influence on a classification result. The full convolution space transmission network reduces repeated operation, can receive input images of any size, and fully utilizes the space information of the hyperspectral images, thereby realizing high-precision classification of the hyperspectral images under certain conditions.
Drawings
FIG. 1 is a flow chart of a hyperspectral image classification method based on a full convolution space propagation network
FIG. 2 is a block diagram of a downsampling process
FIG. 3 is a diagram of a full convolution space propagation network
Detailed Description
The invention will now be further described with reference to the following examples and drawings:
the method is a hyperspectral image classification method based on a full convolution space propagation network. The method comprises the steps of extracting a proper amount of labeled samples from hyperspectral images to be classified, training a full-convolution space propagation network provided by the technical scheme, and then classifying the whole hyperspectral images by using a trained network model.
The technical scheme comprises the following specific measures:
step 1: preprocessing data; and performing data expansion and maximum and minimum normalization on the hyperspectral data set to be processed.
And 2, step: dividing data; and counting the total number of the labeling samples from the preprocessed hyperspectral images, and then selecting 5% of the labeling samples as training data.
And 3, step 3: constructing a network model; the network structure constructed by the invention is formed by a space propagation network based on full convolution.
And 4, step 4: training a network model; training the constructed network model by using a training set, and then extracting the characteristics of the trained network model; in the training process, the marked category is used as guide information, and a gradient descent algorithm is used for training the network parameters until the network converges.
And 5: obtaining a test result; and based on the trained network model, performing class prediction on all pixels in the target hyperspectral image data set to obtain a classification result graph.
Example (b):
step 1: preprocessing data; firstly, data expansion is carried out on hyperspectral image data to be processed, up-down, left-right, 90 degrees, 180 degrees and 270 degrees of rotation transformation are respectively carried out, and six hyperspectral images can be obtained from one original hyperspectral image. And then carrying out maximum and minimum normalization on the obtained hyperspectral image, wherein the normalization formula is shown as a formula (1). And (4) dividing the normalized hyperspectral image according to a certain step length, and generally taking 20.
Figure SMS_5
Step 2: dividing data; and counting the total number of the labeled samples from the preprocessed hyperspectral images, and then selecting 5% of labeled samples from the hyperspectral images as training data.
And step 3: constructing a network model; the network designed by the invention sequentially comprises two parts of structures:
1) A feature extraction section; the input data is first passed through an asymmetric three-dimensional convolutional layer, an excitation function and an normalization layer. The asymmetric three-dimensional convolutional layer adopts a three-dimensional convolutional kernel with an asymmetric structure, and the size of the spectral dimension of the convolutional kernel is larger than that of the spatial dimension of the convolutional kernel, so that the function of paying more attention to the spectral dimension information in the data processing process of the processing module is achieved, for example, the convolutional layer can adopt a convolutional kernel with the spectral dimension of 5 and the spatial dimension of 1 × 1, and the width of the convolutional layer is set to be 32. In the module, a ReLU is adopted as an excitation function, and Batch Normalization (BN) is adopted as normalization; after the data is processed by the BN, the data is further processed by three down-sampling modules with widths of 32, 64 and 128, and the specific structure is shown in fig. 3. As shown in fig. 2, the down-sampling module has a specific structure, and from an input end to an output end, the left trunk portion sequentially includes convolution layers with convolution kernels of 1 × 3 × 3 and 3 × 1 × 1, the convolution layers are respectively followed by a ReLU excitation layer and a BN layer, and the left trunk portion considers spatial direction information in the hyperspectral image and then spectral direction information; correspondingly, the right trunk part sequentially comprises convolution layers with convolution kernel sizes of 3 multiplied by 1 and 1 multiplied by 3, a ReLU excitation layer and a BN layer are respectively connected after the two convolution layers, and the spectral direction information and the spatial direction information in the hyperspectral image are considered in the right trunk part.
2) A classification section; the part is composed of four convolutional layers with the widths of 128, 64, 32 and 32 respectively; the first three convolutional layers convolve the feature map so that it is restored to the same size as the input image. The last convolution layer is used for linking each pixel by utilizing spatial information of the hyperspectral image, linear propagation operation is carried out on a 2D graph to construct a learnable graph, and finally a result graph containing probability classification of all categories is obtained. The linear propagation formula is shown in formula (2), where h ij Representing surrounding pixels at pixel (i, j),
Figure SMS_6
represents a series of weights at (i, j), K being the adjacent coordinate of (i, j), by->
Figure SMS_7
Is represented by h K Representing adjacent pixels.
Figure SMS_8
And 4, step 4: training a network model; inputting training data into a constructed full-convolution space propagation network in batches, and training network parameters by using a gradient descent algorithm with the labeled categories as guide information until the network converges; in the training process, 5% of samples are extracted from a training set randomly and repeatedly at each time to be a batch of training data, the data are input into a network, characteristics are extracted, a prediction result is calculated, a partial derivative of a network weight is calculated by taking cross entropy between the prediction result and an actual result as a loss function, and a network parameter is updated by using a gradient descent algorithm. The training process facilitates one round of training for the entire training set at a time. The whole training process is carried out for 80 rounds, the learning rate of the first 70 rounds is set to be 0.01, and the learning rate of the last 10 rounds is attenuated to be 0.001; in the whole training process, the momentum term is set to 0.9.
And 5: generating a classification result; and performing category prediction on the target hyperspectral image data based on the trained network model to obtain a classification result graph.
According to the method, the depth features of the hyperspectral images are automatically extracted and classified with high precision under the condition of limited training samples by constructing a full-convolution space propagation network according to the characteristics of the hyperspectral images. Compared with the existing hyperspectral image classification method based on convolutional neural network learning, the hyperspectral image classification method based on convolutional neural network learning is higher in classification precision and less in parameter quantity and operand.

Claims (1)

1. A hyperspectral image classification method based on a full convolution space propagation network is characterized by comprising the following steps:
step 1: data pre-processing
Firstly, performing data expansion on hyperspectral image data to be processed, and performing up-down, left-right, 90-degree, 180-degree and 270-degree rotation transformation respectively, so that six hyperspectral images can be obtained from one original hyperspectral image; and then carrying out maximum and minimum normalization on the obtained hyperspectral image:
Figure FDA0004123242210000011
wherein x is ij As the original data, it is the original data, max 、x min respectively a maximum value and a minimum value in the original data;
dividing the normalized hyperspectral image according to a certain step length;
step 2: data partitioning
Counting the total number of the labeled samples from the preprocessed hyperspectral images, and then selecting 5% of labeled samples from the labeled samples as training data;
and step 3: building a network model
The structure sequentially comprises two parts:
1) A feature extraction section: firstly, inputting data to sequentially pass through an asymmetric three-dimensional convolution layer, an excitation function and a normalization layer; the asymmetric three-dimensional convolution layer adopts a three-dimensional convolution kernel with an asymmetric structure, the dimension of the convolution kernel in a spectrum dimension is larger than that of a space dimension, the excitation function adopts ReLU, and the normalization adopts BN; after the data is processed by BN, the data is further extracted by three down-sampling modules with the width of 32, 64 and 128 in sequence, wherein the down-sampling module: from the input end to the output end, the left trunk part sequentially comprises convolution layers with convolution kernels of 1 multiplied by 3 and 3 multiplied by 1, a ReLU excitation layer and a BN layer are respectively connected after the two convolution layers, and the left trunk part considers spatial direction information in the hyperspectral image and then considers spectral direction information; correspondingly, the right trunk part sequentially comprises convolution layers with convolution kernels of 3 multiplied by 1 and 1 multiplied by 3, a ReLU excitation layer and a BN layer are respectively connected after the two convolution layers, and the right trunk part considers the spectral direction information in the hyperspectral image and then the spatial direction information;
2) And a classification part: the part is composed of four convolutional layers with the widths of 128, 64, 32 and 32 respectively; the first three layers of convolution layers carry out convolution on the feature map to enable the feature map to be restored to the same size as the input image; the last convolutional layer is formed by utilizing spatial information of a hyperspectral image to link each pixel, linear propagation operation is carried out on a 2D graph to construct a learnable graph, and a result graph containing probability classification of all categories is finally obtained; the linear propagation formula is as follows:
Figure FDA0004123242210000021
wherein h is ij Representing surrounding pixels at pixel (i, j),
Figure FDA0004123242210000022
represents a series of weights at (i, j), K is the adjacent coordinate of (i, j), and +>
Figure FDA0004123242210000023
Is represented by K Representing adjacent pixels;
and 4, step 4: training network model
Inputting training data into a constructed full-convolution space propagation network in batches, taking the marked category as guide information, and training network parameters by using a gradient descent algorithm until the network converges; in the training process, 5% of samples are extracted from a training set randomly and repeatedly every time to be a batch of training data, the data are input into a network, characteristics are extracted, a prediction result is calculated, a partial derivative of a network weight is calculated by taking cross entropy between the prediction result and an actual result as a loss function, and a network parameter is updated by using a gradient descent algorithm; the training process facilitates one round of training for the entire training set at a time; the whole training process is carried out for 80 rounds, the learning rate of the first 70 rounds is set to be 0.01, and the learning rate of the last 10 rounds is attenuated to be 0.001; in the whole training process, the momentum term is set to be 0.9;
and 5: generating classification results
And performing category prediction on the target hyperspectral image data based on the trained network model to obtain a classification result graph.
CN201911078729.XA 2019-11-06 2019-11-06 Hyperspectral Image Classification Method Based on Fully Convolutional Spatial Propagation Network Active CN110866552B (en)

Priority Applications (1)

Application Number Priority Date Filing Date Title
CN201911078729.XA CN110866552B (en) 2019-11-06 2019-11-06 Hyperspectral Image Classification Method Based on Fully Convolutional Spatial Propagation Network

Applications Claiming Priority (1)

Application Number Priority Date Filing Date Title
CN201911078729.XA CN110866552B (en) 2019-11-06 2019-11-06 Hyperspectral Image Classification Method Based on Fully Convolutional Spatial Propagation Network

Publications (2)

Publication Number Publication Date
CN110866552A CN110866552A (en) 2020-03-06
CN110866552B true CN110866552B (en) 2023-04-14

Family

ID=69654894

Family Applications (1)

Application Number Title Priority Date Filing Date
CN201911078729.XA Active CN110866552B (en) 2019-11-06 2019-11-06 Hyperspectral Image Classification Method Based on Fully Convolutional Spatial Propagation Network

Country Status (1)

Country Link
CN (1) CN110866552B (en)

Families Citing this family (3)

* Cited by examiner, † Cited by third party
Publication number Priority date Publication date Assignee Title
CN112508066A (en) * 2020-11-25 2021-03-16 四川大学 Hyperspectral image classification method based on residual error full convolution segmentation network
CN112633401B (en) * 2020-12-29 2022-11-08 中国科学院长春光学精密机械与物理研究所 Hyperspectral remote sensing image classification method, device, equipment and storage medium
CN116883836B (en) * 2023-06-19 2025-12-12 武汉大学 Automatic Identification Method and System for Agricultural Product Grades Based on Graph Convolutional Neural Networks

Citations (4)

* Cited by examiner, † Cited by third party
Publication number Priority date Publication date Assignee Title
CN108171122A (en) * 2017-12-11 2018-06-15 南京理工大学 The sorting technique of high-spectrum remote sensing based on full convolutional network
CN109754017A (en) * 2019-01-09 2019-05-14 西北工业大学 Based on separable three-dimensional residual error network and transfer learning hyperspectral image classification method
CN109784347A (en) * 2018-12-17 2019-05-21 西北工业大学 Image classification method based on multiple dimensioned dense convolutional neural networks and spectrum attention mechanism
CN110298396A (en) * 2019-06-25 2019-10-01 北京工业大学 Hyperspectral image classification method based on deep learning multiple features fusion

Patent Citations (4)

* Cited by examiner, † Cited by third party
Publication number Priority date Publication date Assignee Title
CN108171122A (en) * 2017-12-11 2018-06-15 南京理工大学 The sorting technique of high-spectrum remote sensing based on full convolutional network
CN109784347A (en) * 2018-12-17 2019-05-21 西北工业大学 Image classification method based on multiple dimensioned dense convolutional neural networks and spectrum attention mechanism
CN109754017A (en) * 2019-01-09 2019-05-14 西北工业大学 Based on separable three-dimensional residual error network and transfer learning hyperspectral image classification method
CN110298396A (en) * 2019-06-25 2019-10-01 北京工业大学 Hyperspectral image classification method based on deep learning multiple features fusion

Also Published As

Publication number Publication date
CN110866552A (en) 2020-03-06

Similar Documents

Publication Publication Date Title
CN109754017B (en) A method for hyperspectral image classification based on separable 3D residual networks and transfer learning
CN111738344B (en) A fast target detection method based on multi-scale fusion
CN113469088B (en) SAR image ship target detection method and system under passive interference scene
CN111369487B (en) Hyperspectral and multispectral image fusion method, system and medium
CN116645595B (en) Method, device, equipment and medium for recognizing building roof outlines from remote sensing images
CN106250931A (en) A kind of high-definition picture scene classification method based on random convolutional neural networks
Tripathi et al. Optimized deep learning model for mango grading: Hybridizing lion plus firefly algorithm
CN109753996B (en) Hyperspectral image classification method based on 3D lightweight deep network
CN112801104B (en) Image pixel-level pseudo-label determination method and system based on semantic segmentation
CN110866552B (en) Hyperspectral Image Classification Method Based on Fully Convolutional Spatial Propagation Network
CN114037893A (en) High-resolution remote sensing image building extraction method based on convolutional neural network
CN112560967B (en) A multi-source remote sensing image classification method, storage medium and computing device
CN107784288A (en) A kind of iteration positioning formula method for detecting human face based on deep neural network
CN114299382A (en) Hyperspectral remote sensing image classification method and system
CN106250856A (en) A kind of high-definition picture scene classification method based on non-supervisory feature learning
CN116563683A (en) A remote sensing image scene classification method based on convolutional neural network and multi-layer perceptron
CN112699838A (en) Hyperspectral mixed pixel nonlinear blind decomposition method based on spectral diagnosis characteristic weighting
CN110688966B (en) Semantic guidance pedestrian re-recognition method
Wang et al. SCU‐Net: Semantic Segmentation Network for Learning Channel Information on Remote Sensing Images
Yaman et al. Image processing and machine learning‐based classification method for hyperspectral images
CN116580252B (en) Hyperspectral image classification method based on multiscale dense connection and feature aggregation network
CN118172551A (en) Component-level semantic segmentation method of satellite target ISAR images based on deep learning
CN116612364B (en) SAR image target generation method based on information maximization generation countermeasure network
CN120912859A (en) Multi-scale context characteristic enhanced remote sensing fine granularity ship detection method
CN118015648B (en) Drawing information extraction method, device, equipment and storage medium

Legal Events

Date Code Title Description
PB01 Publication
PB01 Publication
SE01 Entry into force of request for substantive examination
SE01 Entry into force of request for substantive examination
GR01 Patent grant
GR01 Patent grant