CN103335276A - 一种led路灯透镜及led路灯系统 - Google Patents
一种led路灯透镜及led路灯系统 Download PDFInfo
- Publication number
- CN103335276A CN103335276A CN2013103196283A CN201310319628A CN103335276A CN 103335276 A CN103335276 A CN 103335276A CN 2013103196283 A CN2013103196283 A CN 2013103196283A CN 201310319628 A CN201310319628 A CN 201310319628A CN 103335276 A CN103335276 A CN 103335276A
- Authority
- CN
- China
- Prior art keywords
- lens
- camber
- led
- street lamp
- road
- Prior art date
- Legal status (The legal status is an assumption and is not a legal conclusion. Google has not performed a legal analysis and makes no representation as to the accuracy of the status listed.)
- Granted
Links
- 238000005452 bending Methods 0.000 claims abstract description 16
- 230000007704 transition Effects 0.000 claims description 22
- 230000002708 enhancing effect Effects 0.000 claims description 4
- 230000002902 bimodal effect Effects 0.000 claims description 2
- 238000009826 distribution Methods 0.000 abstract description 27
- 230000004313 glare Effects 0.000 abstract description 3
- 238000009434 installation Methods 0.000 abstract 4
- 238000005286 illumination Methods 0.000 description 26
- 230000000694 effects Effects 0.000 description 8
- 238000004088 simulation Methods 0.000 description 8
- 230000004907 flux Effects 0.000 description 6
- 238000000034 method Methods 0.000 description 6
- 235000017060 Arachis glabrata Nutrition 0.000 description 5
- 241001553178 Arachis glabrata Species 0.000 description 5
- 235000010777 Arachis hypogaea Nutrition 0.000 description 5
- 235000018262 Arachis monticola Nutrition 0.000 description 5
- 239000010426 asphalt Substances 0.000 description 5
- 235000020232 peanut Nutrition 0.000 description 5
- 238000010586 diagram Methods 0.000 description 4
- 230000008569 process Effects 0.000 description 4
- 230000003760 hair shine Effects 0.000 description 3
- QSHDDOUJBYECFT-UHFFFAOYSA-N mercury Chemical compound [Hg] QSHDDOUJBYECFT-UHFFFAOYSA-N 0.000 description 3
- 229910052753 mercury Inorganic materials 0.000 description 3
- 229920003229 poly(methyl methacrylate) Polymers 0.000 description 3
- 239000004926 polymethyl methacrylate Substances 0.000 description 3
- 230000008901 benefit Effects 0.000 description 2
- 238000004134 energy conservation Methods 0.000 description 2
- 238000005516 engineering process Methods 0.000 description 2
- 230000007613 environmental effect Effects 0.000 description 2
- 230000001788 irregular Effects 0.000 description 2
- 238000004519 manufacturing process Methods 0.000 description 2
- 239000000463 material Substances 0.000 description 2
- 229910001507 metal halide Inorganic materials 0.000 description 2
- 150000005309 metal halides Chemical class 0.000 description 2
- DGAQECJNVWCQMB-PUAWFVPOSA-M Ilexoside XXIX Chemical compound C[C@@H]1CC[C@@]2(CC[C@@]3(C(=CC[C@H]4[C@]3(CC[C@@H]5[C@@]4(CC[C@@H](C5(C)C)OS(=O)(=O)[O-])C)C)[C@@H]2[C@]1(C)O)C)C(=O)O[C@H]6[C@@H]([C@H]([C@@H]([C@H](O6)CO)O)O)O.[Na+] DGAQECJNVWCQMB-PUAWFVPOSA-M 0.000 description 1
- 201000009310 astigmatism Diseases 0.000 description 1
- 230000015572 biosynthetic process Effects 0.000 description 1
- 239000004568 cement Substances 0.000 description 1
- 230000008859 change Effects 0.000 description 1
- 238000005520 cutting process Methods 0.000 description 1
- 230000002950 deficient Effects 0.000 description 1
- 238000011161 development Methods 0.000 description 1
- 238000005538 encapsulation Methods 0.000 description 1
- 230000004438 eyesight Effects 0.000 description 1
- 239000011521 glass Substances 0.000 description 1
- 238000005304 joining Methods 0.000 description 1
- 238000012423 maintenance Methods 0.000 description 1
- 238000005259 measurement Methods 0.000 description 1
- 238000012986 modification Methods 0.000 description 1
- 230000004048 modification Effects 0.000 description 1
- 230000010287 polarization Effects 0.000 description 1
- 239000000843 powder Substances 0.000 description 1
- 238000012545 processing Methods 0.000 description 1
- 230000001105 regulatory effect Effects 0.000 description 1
- 238000009877 rendering Methods 0.000 description 1
- 238000005204 segregation Methods 0.000 description 1
- 229910052708 sodium Inorganic materials 0.000 description 1
- 239000011734 sodium Substances 0.000 description 1
- 239000012780 transparent material Substances 0.000 description 1
Images
Classifications
-
- Y—GENERAL TAGGING OF NEW TECHNOLOGICAL DEVELOPMENTS; GENERAL TAGGING OF CROSS-SECTIONAL TECHNOLOGIES SPANNING OVER SEVERAL SECTIONS OF THE IPC; TECHNICAL SUBJECTS COVERED BY FORMER USPC CROSS-REFERENCE ART COLLECTIONS [XRACs] AND DIGESTS
- Y02—TECHNOLOGIES OR APPLICATIONS FOR MITIGATION OR ADAPTATION AGAINST CLIMATE CHANGE
- Y02B—CLIMATE CHANGE MITIGATION TECHNOLOGIES RELATED TO BUILDINGS, e.g. HOUSING, HOUSE APPLIANCES OR RELATED END-USER APPLICATIONS
- Y02B20/00—Energy efficient lighting technologies, e.g. halogen lamps or gas discharge lamps
- Y02B20/72—Energy efficient lighting technologies, e.g. halogen lamps or gas discharge lamps in street lighting
Landscapes
- Non-Portable Lighting Devices Or Systems Thereof (AREA)
Abstract
本发明提供一种LED路灯透镜及包含该透镜的LED路灯系统,所述LED透镜安装在道路路灯的光源安装板上,安装后所述透镜关于垂直于道路顺延方向的面对称,透镜包括安装面、内曲面和外曲面,安装面连接内曲面和外曲面;内曲面形成用于放置LED芯片的内腔;在透镜的对称面剖面图上,沿内曲面弧线的曲率变大的方向,外曲面弧线的曲率逐渐变小;透镜的内曲面与透镜的安装面之间为过渡弧面连接,且过渡弧面的弯曲方向与内曲面上除过渡弧面外的其他部分的弧面的弯曲方向相反。本发明提供的透镜能够更合理的分配光能量,使光亮度分布更加均匀,减小眩光产生概率,提高道路利用率,并且对COB封装的大功率LED路灯配光更合理,适用范围更广。
Description
技术领域
本发明涉及道路照明领域,更具体地说,涉及一种LED路灯透镜及LED路灯系统。
背景技术
路灯是城市照明的重要组成部分,传统的市政照明灯具主要采用钠灯、汞灯或金属卤化物灯,而这些灯的耗电量大、寿命短、维护费用高,且不利于环保。因此,开发新型高效节能、寿命长、显色指数高、环保的路灯对城市照明节能具有十分重要的意义。
发光二极管(Light-Emitting Diode,简称LED)作为一种新型的光源,以其体积小、发光亮、节能、无污染等优点在新型照明行业得到迅速的发展,采用LED作光源的路灯取代传统的高压钠灯、汞灯和金属卤化物灯是很好的选择。其中,大功率LED路灯应用极为广泛,LED以功率为1W-3W的较多,但是以一盏路灯的功率为100W计算,如果一颗LED的功率为1W,那么一盏路灯就需要100颗这样的LED来组合,数量是非常庞大的,间接的导致了生产工序的复杂、繁琐以及不良率的提高。
板上芯片(即chip on board,简称COB)封装的超大功率LED应运而生,COB封装的LED以功率为10W-30W的居多,这样相对于1W的LED来说工艺以及生产都大大的简化了。
为使LED路灯在道路上呈现的光斑为长方形,目前市场上LED路灯主要采用透镜对LED路灯配光,使LED路灯出射的光照射在马路上光强更加均匀。如图1a所示,为现有技术中的一种类似花生米形状的LED路灯透镜,透镜1安装在LED光源2的上方,透镜1的中心轴线和LED光源2的轴线在同一条直线上,如图1b中的Z轴;所述透镜包含入射面11和出射面12、底面13,所述透镜的入射面11为安装所述LED光源的凹坑的壁,所述凹坑的中部为对称的圆弧线、自由曲线垂直拉伸的长条形曲面,其边缘为斜面;如图1b,所述透镜的出射面为一个沿着X轴方向弧形凹下、沿Y轴方向弧形凸出的花生米形状,所述透镜在穿过透镜中心轴横向截面(即图中的Y-Z截面)的出射面轮廓圆弧凸出,穿过透镜中心轴的纵向截面(即图中的X-Z截面)的出射面轮廓中心区域弧形凹下。
采用上述透镜对普通LED路灯以及现有的小功率的COB封装的LED进行配光时,道路上得到的光能够满足道路照明的光分布和光照度的要求。但是,发明人发现,现有透镜在对大功率的COB封装的LED路灯进行配光时,不再适用且道路上得到的光色均匀性较差、亮度均匀度低且容易引起眩光,从而影响行车安全。
发明内容
有鉴于此,本发明提供一种LED路灯透镜及LED路灯系统,以解决现有技术中LED路灯透镜对大功率的COB封装的LED路灯进行配光时得到的光色均匀性较差、亮度均匀度低、眩光阀值低容易引起眩光且道路利用率较低的问题。
为实现上述目的,本发明提供如下技术方案:
一种LED路灯透镜,所述透镜安装在道路路灯的光源安装板上,安装后所述透镜关于垂直于道路顺延方向的面对称,所述透镜包括朝向所述光源安装板的安装面和内曲面、背离所述LED路灯光源安装板的外曲面,所述安装面连接所述内曲面和所述外曲面;
所述内曲面形成用于放置LED芯片的内腔;
在所述透镜的对称面所在的剖面图上,所述内曲面弧线的曲率和所述外曲面弧线的曲率均是连续变化的,且沿所述内曲面弧线的曲率变大的方向,所述外曲面弧线的曲率逐渐变小;
所述透镜的内曲面与所述透镜的安装面之间为过渡弧面连接,且所述过渡弧面的弯曲方向与所述内曲面上除所述过渡弧面外的其他部分的弧面的弯曲方向相反。
优选地,在所述透镜的垂直于所述透镜的对称面且垂直于所述光源安装板的剖面图上,所述外曲面形成的弧线的弯曲方向均朝向所述LED芯片。
优选地,在所述透镜的垂直于所述透镜的对称面且垂直于所述光源安装板的剖面图上,所述外曲面弧线为中间凹下的双峰弧线形。
优选地,所述安装面包括第一安装面和第二安装面,在所述透镜的对称面所在的剖面图上,所述第二安装面位于所述第一安装面的两侧;所述第一安装面相对于所述第二安装面更靠近所述光源安装板。
优选地,与所述第一安装面相接的内曲面的边缘为弧面,与所述第二安装面相接的内曲面的边缘为斜面。
优选地,所述第一安装面的两端还设置有两个用于固定所述LED路灯透镜的定位孔。
优选地,所述外曲面沿道路方向的最大长为透镜的长S,外曲面与所述安装面之间的最大高为透镜的高H′,外曲面在对称面上最远两端点之间的距离为透镜的宽W,所述内曲面在对称面上最远两端点之间的距离为内曲面的长Y,内曲面与所述安装面之间的最大高为h,内曲面沿道路方向的最大长为内曲面的宽M,LED芯片为边长为L的正方形或直径为L的圆形;上述各个数值之间满足以下关系:2L<S<7L;L/2<H′<2L;L<W<2L;M>h。
优选地,所述LED芯片的边长或直径的范围为10mm-15mm,包括端点值。
优选地,所述透镜的内曲面经过晒纹处理。
一种LED路灯系统,包括上述LED路灯透镜。
经由上面的技术方案可知,与现有技术相比,本发明提供了一种LED路灯透镜,所述透镜安装在道路路灯的光源安装板上,安装后所述透镜关于垂直于道路顺延方向的面对称,所述透镜包括朝向所述光源安装板的安装面和内曲面、背离所述LED路灯光源安装板的外曲面,所述安装面连接所述内曲面和所述外曲面。
一方面,在所述透镜的对称面所在的剖面图上,所述内曲面弧线的曲率和所述外曲面弧线的曲率均是连续变化的,且沿所述内曲面弧线的曲率变大的方向,所述外曲面弧线的曲率逐渐变小;光线在经过透镜的内曲面和外曲面时发生折射形成偏光,从而使光线在道路上分配更加合理,光亮度分布更加均匀。
另一方面,所述透镜的内曲面与所述透镜的安装面之间为过渡弧面连接,且所述过渡弧面的弯曲方向与所述内曲面上除所述过渡弧面外的其他部分的弧面弯曲方向相反,从而使通过所述过渡弧面的光线经过透镜的折射,向远离透镜安装面的方向偏移,从而使从LED芯片出射的与安装面呈30°夹角范围内的光线产生明显的折射,避免了大量光线直接照射到道路上车辆驾驶员的眼睛中形成眩光,影响安全驾驶。
附图说明
为了更清楚地说明本发明实施例或现有技术中的技术方案,下面将对实施例或现有技术描述中所需要使用的附图作简单地介绍,显而易见地,下面描述中的附图仅仅是本发明的一些实施例,对于本领域普通技术人员来讲,在不付出创造性劳动的前提下,还可以根据这些附图获得其他的附图。
图1a为现有技术中LED路灯透镜的X-Z截面剖面示意图;
图1b为现有技术中LED路灯透镜的出射面示意图;
图2为本发明实施例提供的LED路灯透镜立体图示意图;
图3为本发明实施例提供的LED路灯透镜俯视图示意图;
图4为本发明实施例提供的LED路灯透镜对称面示意图;
图5为本发明实施例提供的LED路灯透镜实现偏光的原理示意图;
图6为本发明实施例提供的LED路灯透镜长度方向剖面示意图;
图7为本发明实施例提供的LED路灯透镜模拟曲线图;
图8为本发明实施例提供的模拟LED路灯在道路上的照度图;
图9为本发明实施例提供的模拟LED路灯在道路上的亮度图;
图10a为本发明实施例提供的模拟的LED路灯的配光曲线图;
图10b为本发明实施例提供的实际测得的LED路灯的配光曲线图。
具体实施方式
正如背景技术部分所述,现有技术中的LED路灯透镜在对大功率的COB封装的LED路灯进行配光时,得到的道路亮度均匀性较差、容易引起眩光且道路利用率较低。
发明人发现,出现上述现象的原因是,现有技术中的LED路灯透镜一般用于给小功率的LED路灯配光,在对大功率COB封装的LED路灯进行配光时,仅仅增大透镜的尺寸,不能得到很好的配光效果,要想得到较好的配光效果,必须对配光透镜进行重新设计,使道路上得到的光色和亮度都较均匀,满足道路照明要求;另外,现有技术中的LED路灯透镜的入射面直接与其底面斜面相接,从所述斜面出射的光线没有明显的折射,沿与底面呈较小角度的方向出射,直接照射到道路上驾驶人员的眼睛中,从而产生严重的眩光,给行车安全带来较大负面影响。
基于此,本发明提供一种LED路灯用透镜,所述透镜安装在道路路灯的光源安装板上,安装后所述透镜关于垂直于道路顺延方向的面对称,所述透镜包括朝向所述光源安装板的安装面和内曲面、背离所述LED路灯光源安装板的外曲面,所述安装面连接所述内曲面和所述外曲面;
所述内曲面形成用于放置LED芯片的内腔;
在所述透镜的对称面所在的剖面图上,所述内曲面弧线的曲率和所述外曲面弧线的曲率均是连续变化的,且沿所述内曲面弧线的曲率变大的方向,所述外曲面弧线的曲率逐渐变小;
所述透镜的内曲面与所述透镜的安装面之间为过渡弧面连接,且所述过渡弧面的弯曲方向与所述内曲面上除所述过渡弧面外的其他部分的弧面的弯曲方向相反。
由上述的技术方案可知,本案中的LED路灯透镜适用于大功率COB封装的LED路灯,在所述透镜的对称面所在的剖面图上,所述内曲面和所述外曲面的曲率都是变化的,且沿所述内曲面弧线的曲率变大的方向,所述外曲面弧线的曲率逐渐变小,从而实现出射光线的偏光,使光线在道路上分配更加合理,光亮度分布更加均匀;另外,所述内曲面与所述安装面通过过渡弧面相接,从所述过渡弧面出射的光相对于现有技术中从入射面的斜面出射的光更加向背离安装面的方向偏移,即折射较明显,从而避免了眩光的产生,提高了行车安全。
以上是本申请的核心思想,下面结合本发明实施例中的附图,对本发明实施例中的技术方案进行清楚、完整地描述,显然,所描述的实施例仅仅是本发明的一部分实施例,而不是全部的实施例。基于本发明中的实施例,本领域普通技术人员在没有做出创造性劳动前提下所获得的所有其他实施例,都属于本发明保护的范围。
在下面的描述中阐述了很多具体细节以便于充分理解本发明,但是本发明还可以采用其他不同于在此描述的其它方式来实施,本领域技术人员可以在不违背本发明内涵的情况下做类似推广,因此本发明不受下面公开的具体实施例的限制。
下面通过几个实施例具体描述本发明的技术方案。
本发明的一个实施例中提供一种LED路灯透镜,所述透镜安装在道路路灯的光源安装板上,如图2所示为该LED路灯透镜的立体图,所述透镜包括内曲面21、外曲面22和安装面23,且安装面23连接内曲面21和外曲面22。安装面23和内曲面21均朝向光源安装板,外曲面22背离所述LED路灯光源安装板,内曲面21还形成内腔,所述内腔也朝向所述光源安装板以便于放置LED芯片,本实施例中优选的,所述大功率的COB封装的LED芯片的功率为一颗10W-30W,所述LED芯片的形状为正方形或圆形,正方形的边长L或圆形的直径L的范围为10mm-15mm,包括端点值。
需要说明的是,现有技术中的LED路灯透镜,无论图1b中的X-Z截面还是Y-Z截面均为现有技术中LED路灯透镜的对称面,而本实施例中,适用于所述大功率COB封装的LED路灯透镜仅仅具有一个对称面,参见图2和图3可以看出,其中,图3为该LED路灯透镜的俯视图。由于所述LED路灯透镜安装路灯上后,多个路灯在道路上形成的光斑叠加后还是均匀的,则所述LED路灯透镜在道路顺延方向上必须是对称的,也即所述透镜安装到所述光源安装板上后,所述透镜关于垂直于道路顺延方向的面对称。
而在垂直于道路的顺延方向上,为了得到更好的偏光效果,所述透镜在该方向上并不对称,如图4所示,在所述透镜的对称面所在的剖面图上,内曲面弧线的曲率和外曲面弧线的曲率均是连续变化的,且沿内曲面弧线的曲率变大的方向,外曲面弧线的曲率逐渐变小。
需要说明的是,为了保证道路横截面的照度均匀度以及光通利用率,在道路的横向方向(即垂直于道路顺延的方向)上,从透镜出射的光与竖直方向的夹角需要控制在60°~80°范围内。在垂直于道路顺延的方向上,偏光方向的远场光线截止线与竖直方向的夹角为偏光近场光线截止线与竖直方向的夹角为其中,W1为路面的宽度,W2为灯具朝向道路且与其所在道路边的距离,H为灯具的高度,即满足60°≤α+β≤80°时,道路横截面的照度均匀度更好,光通利用率更高。
为实现所述道路横截面的照度均匀度良好,本实施例中提供的LED路灯透镜在其对称面所在的剖面上是非对称的,内曲面弧线的曲率和外曲面弧线的曲率均是连续变化的,且沿内曲面弧线的曲率变大的方向,外曲面弧线的曲率逐渐变小,从而控制光线的出光方向实现偏光,使其出射光与竖直方向的夹角位于60°~80°范围内。
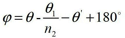
具体的,实现偏光的具体原理为:参见图5,从LED芯片出射的光为竖直方向,即垂直于LED芯片表面入射到透镜的内曲面上,入射点所在的内曲面的切线与LED芯片所在平面的夹角为θ,由于所述透镜的折射率与所述LED芯片所在环境的折射率不同,光线在内曲面上发生折射,在经过外曲面时,由于外曲面的曲率与内曲面的曲率不同,出射点所在外曲面的切线与LED芯片所在平面的夹角为θ',假如入射角为θ1出射角为θ2,根据折射定律,对于竖直向上的光线,则θ=θ1>θ2,则偏光角度即实现偏光,控制偏光角度值,即能够控制道路的横向方向上,LED路灯经过透镜后的出射光与竖直方向的夹角位于60°~80°范围内。
其中,n2为透镜材料的折射率,所述透镜由透明材料制成,可选的为聚碳酸酯(PC)、聚甲基丙烯酸甲酯(PMMA)或玻璃。本实施例中优选的所述透镜的材料为PC或PMMA。
为方便描述,将所述透镜的宽度方向定义为所述透镜的对称面上外曲面最外侧两点所在直线的方向,所述透镜的宽为在所述透镜的对称面所在的剖面图上,外曲面上位于最外侧的两点之间的距离,即外曲面在对称面上最远两端点之间的距离W,如图4中的W,内曲面上位于最外侧两点之间的距离定义为透镜的内曲面的长Y,即图4中内曲面最远两端点之间的距离Y。将所述透镜的长度方向定义为经过所述透镜的宽的中点且垂直于所述透镜的对称面的剖面图(如图6所示)上,外曲面上位于最外侧的两点所在直线的方向。
由于现有技术中是入射面和底面直接相接,入射面与底面相接的部分为斜面,从该斜面部分出射的光线在经过透镜的折射后,改变方向较小,基本沿与LED芯片中心轴呈90°出射,几乎直接照射到驾驶人员的眼睛中,从而对驾驶人员造成较严重的眩光。
为了在道路的长度方向上得到更好的光分布均匀度且避免对道路上的驾驶人员造成眩光,本实施例中的透镜的长度方向结构如图6所示,所述透镜的内曲面与所述透镜的安装面之间为过渡弧面连接,且所述过渡弧面的弯曲方向与所述内曲面上除所述过渡弧面外的其他部分的弧面弯曲方向相反。由于所述内曲面和所述安装面圆滑相接,相接的部分对光的折射明显,把与LED芯片中心轴呈90°角出射的光折射到更加靠近透镜中心部分,也即靠近LED芯片中心轴的位置出射,从而使光线照射到道路上,再经过漫反射照亮道路,而不是直接照射到驾驶人员的眼睛中,进而避免对驾驶人员造成眩光,即本实施例中提供的透镜能够减少眩光的产生。
本发明的一个实施例中,在所述透镜的长度方向的剖面图上,所述外曲面弧线的弯曲方向可以是均朝向所述LED芯片的,即所述外曲面是一个凸型的自由曲面;所述外曲面弧线的弯曲方向也可以是沿所述透镜的长度方向,先朝向所述LED芯片,再背离所述LED芯片,最后朝向所述LED芯片,即所述外曲面为具有双峰结构的类似花生米形状的自由曲面。
本实施例中对所述透镜的外曲面不做限定,在实际生活中,可以根据道路的实际情况,对所述透镜的外曲面做不同的选择,例如,若道路为水泥路面,则优选的所述透镜的外曲面为类似花生米形状的自由曲面;若道路为柏油路面,所述外曲面优选为凸型的自由曲面。由于所述凸型的自由曲面外曲面相对于类似花生米形状的外曲面,其出射的光线不再偏向两边,从而使出射光更加集中在形成的矩形光线区域内,避免对道路周围产生光污染,因此,本发明的实施例中优选的所述透镜的外曲面为凸型的自由曲面。
需要说明的是,本发明的另一个实施例中提供的透镜,其安装面包括第一安装面和第二安装面,在所述透镜的宽度方向上,所述第二安装面位于所述第一安装面的两侧;且所述透镜的内曲面与所述透镜的第一安装面弧面过渡相接,所述内曲面与所述第二安装面直接相接。且所述第一安装面231相对于所述第二安装面232更加远离所述出光面,如图2中所示,即所述第一安装面231相对于所述透镜比所述第二安装面232更突出,且在第一安装面231的两端还设置有两个用于固定所述LED路灯透镜的定位孔,所述定位孔能够使所述透镜更加便捷地固定在LED路灯的光源承载板上。
以上实施例中提供的LED路灯透镜适用于大功率COB封装的LED路灯,且在所述透镜的对称面上,所述透镜的内曲面和所述透镜的外曲面的曲率均为变化的,且所述透镜的内曲面曲率较大的地方对应的所述透镜的外曲面的曲率较小,而所述透镜的内曲面曲率较小的地方对应的所述透镜的外曲面的曲率较大,从而对在道路的横向截面上出射的光实现偏光,使得道路横向截面上的光分布更加均匀;在所述透镜长度方向上,所述透镜的内曲面与所述透镜的安装面之间通过过渡圆弧相接,该过渡圆弧的对垂直于LED路灯芯片中心轴出射的光线进行折射,使的原本出射后可能对道路驾驶人员产生眩光的光线折射到道路上,从而减少了眩光的产生。
以上实施例中所述透镜形状的确定过程如下:
首先,对所述透镜的要求,在整体上,所述透镜的宽度方向为实现聚光以及偏光的光线控制曲面,所述透镜的长度方向为实现截光、散光以及分配光线能量的光线控制曲面。
其次,为达到上述对光线控制的目的,所述透镜宽度方向要实现角度为的偏光角度,那么需要所述透镜的内曲面曲率与所述透镜的外曲面曲率相配合;而所述透镜的长度方向上,所述内曲面的边缘部分与所述透镜的安装面之间圆滑过渡,即所述内曲面边缘必须存在一个半径R远大于1的圆角结构。
最后,通过应用边缘光线扩展度守恒的原理,结合曲面控制网格的节点法线矢量的匹配法,计算出曲线上各个点的矢量,并根据上一步中求解出的θ和θ',用模拟软件拟合出10条曲线,如图7所示,根据曲线建立出透镜的实体图。
需要说明的是,定义透镜长度方向的剖面图上,所述外曲面上最外侧的两点之间的距离S定义为所述透镜的长,内曲面最外侧两点之间的距离定义为内曲面的宽M,如图6中所示。另外,在该剖面图上,还定义有透镜的高H′和透镜内曲面的高h,其中,所述透镜的高度H′为透镜外曲面上距离安装面最远的点与安装面之间的垂直距离,即外曲面与安装面之间最大的距离;所述透镜内曲面的高h为透镜内曲面上距离安装面最远的点与安装面之间的距离,即内曲面与安装面之间最大的高度值。LED芯片为边长为L的正方形或直径为L的圆形。
为使照射到道路上的光分布更加均匀且没有眩光,即达到很好的配光效果,所述各个数值之间还需要满足以下关系:2L<S<7L;L/2<H′<2L;L<W<2L;M>h。
本发明实施例中提供的LED路灯透镜不仅适用于大功率COB封装的LED路灯,且能够在对较大距高比4:1的LED路灯进行配光后得到均匀的光色,且眩光阀值TI较低。
为了充分说明本发明中透镜相对于现有技术的优点,通过照明设计软件DIAlux模拟道路照明结果,模拟中采用10000lm的光通来模拟道路各项相关参数,得到的照度图如图8所示,其中,所述照度图的网格为12×12点,在从所述照度图中可以计算出,所述LED路灯在35米长、16米宽的范围内,道路上的各照度参数如下表:
表1模拟道路上各照度参数
| 平均照度(lx) | 最小照度(lx) | 最大照度(lx) | 平均均匀度 | 最低均匀度 |
| 25 | 13 | 33 | 0.549 | 0.403 |
其中,平均均匀度为最小照度和平均照度的比值,最低均匀度为最小照度与最大照度的比值,平均均匀度和最低均匀度均是反映道路上光照均匀度的参数。
模拟过程还可以得到道路上光照亮度图,如图9所示,其中,所述亮度图的网格为12×12点,在从所述照度图中可以计算出,所述LED路灯在35米长、16米宽的范围内,道路上的各亮度参数及眩光值如以下两个表格所示:
其中,表2为观察器位置固定在柏油道路亮度图的(-60.000m,6.000m,1.500m)位置时测得道路上的亮度参数值,其中,位置坐标(X,Y,Z)中的X值表示沿道路方向与原点之间的距离,Y值表示沿道路宽度方向与原点的距离,Z值表示观察器与道路路面之间的高度差;UO代表亮度总均匀度,国家标准要求为最低0.4,UL为纵向亮度均匀度,国家标准为最低0.7,TI值表示眩光阀值,国家标准要求为不超过15%。从表中可以看出,用本发明提供的透镜对LED路灯配光得到的模拟结果均已满足国家标准要求。
表3为柏油道路路面整体道路亮度参数与国家标准要求的对比表,从表3中也可以看出,用本发明提供的透镜对LED路灯配光得到的模拟结果均已满足国家标准要求。
表2观察器位置固定,测得柏油道路亮度参数值与国家标准要求对比表
表3柏油道路路面整体道路亮度参数与国家标准要求的对比表
另外,根据以上数据还可以计算出道路利用系数,道路利用系数=(灯杆之间的距离×路宽×平均照度)/(总光通量×2),根据照度图中显示的数据可以读出灯杆之间的距离为35米,路面宽度为16米,平均照度为25lx,总光通量为10000lm,计算得出道路利用系数为70%,可见本发明中提供的透镜对LED路灯配光后的道路利用系数已经很高。
再者,如图10a和图10b分别为该透镜配光的大功率COB封装的LED路灯的模拟得出的配光曲线图和产品实测的配光曲线图,从图中可以看出本发明中的LED路灯透镜能够提高大功率COB封装的LED路灯在道路上的光照均匀性。
需要说明的是,为了能够更加优化所述大功率COB封装的LED路灯透镜,在本发明的其他实施例中还可以对所述透镜的内曲面进行漫反射处理,所述漫反射处理包括在所述透镜的内曲面上涂抹扩散粉或经过磨砂、晒纹处理,从而起到混光的作用,使得光线经过透镜不会出现光色分离现象,进而提高照射到道路表面的光色均匀性。
本发明提供的适用于大功率COB封装的LED路灯透镜,为宽度方向上非对称的偏光透镜,仅仅在长度方向上对称的透镜,所述透镜包括内曲面、外曲面和安装面,所述内曲面为不规则的内凹曲面,所述内曲面与所述安装面之间过渡弧面相接,所述外曲面也是一个不规则的连续光滑曲面,所述透镜通过内曲面和外曲面之间的不同曲率来调节出射光线,从而控制整个空间内各个角度上的光强值,使得到达道路路面上的光强值的分配达到道路需求,满足照度、亮度等各方面参数的要求,从而解决了道路视觉不均匀、眩光大、道路利用率不足和大功率COB封装LED路灯形成光斑不均匀的问题,实现了大功率COB封装的LED路灯应用于道路照明达到非常好的效果。
本发明的其他实施例中还公开了一种包含上述各实施例中适用于大功率COB封装的LED路灯透镜的LED路灯系统,所述LED路灯系统还包括灯杆、灯罩、散热器等其他结构,LED路灯系统中除透镜之外的其他设备对LED路灯的配光效果影响较小,本领域技术人员均可以根据实际应用对所述LED路灯系统中的组件进行安装使用,因此,本发明实施例中对此不再展开说明。
对所公开的实施例的上述说明,使本领域专业技术人员能够实现或使用本发明。对这些实施例的多种修改对本领域的专业技术人员来说将是显而易见的,本文中所定义的一般原理可以在不脱离本发明的精神或范围的情况下,在其它实施例中实现。因此,本发明将不会被限制于本文所示的这些实施例,而是要符合与本文所公开的原理和新颖特点相一致的最宽的范围。
Claims (10)
1.一种LED路灯透镜,所述透镜安装在道路路灯的光源安装板上,其特征在于,安装后所述透镜关于垂直于道路顺延方向的面对称,所述透镜包括朝向所述光源安装板的安装面和内曲面、背离所述LED路灯光源安装板的外曲面,所述安装面连接所述内曲面和所述外曲面;
所述内曲面形成用于放置LED芯片的内腔;
在所述透镜的对称面所在的剖面图上,所述内曲面弧线的曲率和所述外曲面弧线的曲率均是连续变化的,且沿所述内曲面弧线的曲率变大的方向,所述外曲面弧线的曲率逐渐变小;
所述透镜的内曲面与所述透镜的安装面之间为过渡弧面连接,且所述过渡弧面的弯曲方向与所述内曲面上除所述过渡弧面外的其他部分的弧面的弯曲方向相反。
2.根据权利要求1所述的LED路灯透镜,其特征在于,在所述透镜的垂直于所述透镜的对称面且垂直于所述光源安装板的剖面图上,所述外曲面形成的弧线的弯曲方向均朝向所述LED芯片。
3.根据权利要求1所述的LED路灯透镜,其特征在于,在所述透镜的垂直于所述透镜的对称面且垂直于所述光源安装板的剖面图上,所述外曲面弧线为中间凹下的双峰弧线形。
4.根据权利要求1所述的LED路灯透镜,其特征在于,所述安装面包括第一安装面和第二安装面,在所述透镜的对称面所在的剖面图上,所述第二安装面位于所述第一安装面的两侧;
所述第一安装面相对于所述第二安装面更靠近所述光源安装板。
5.根据权利要求4所述的LED路灯透镜,其特征在于,与所述第一安装面相接的内曲面的边缘为弧面,与所述第二安装面相接的内曲面的边缘为斜面。
6.根据权利要求5所述的LED路灯透镜,其特征在于,所述第一安装面的两端还设置有两个用于固定所述LED路灯透镜的定位孔。
7.根据权利要求1所述的LED路灯透镜,其特征在于,所述外曲面沿道路方向的最大长为透镜的长S,外曲面与所述安装面之间的最大高为透镜的高H′,外曲面在对称面上最远两端点之间的距离为透镜的宽W,所述内曲面在对称面上最远两端点之间的距离为内曲面的长Y,内曲面与所述安装面之间的最大高为h,内曲面沿道路方向的最大长为内曲面的宽M,LED芯片为边长为L的正方形或直径为L的圆形;上述各个数值之间满足以下关系:
2L<S<7L;L/2<H′<2L;L<W<2L;M>h。
8.根据权利要求7所述的LED路灯透镜,其特征在于,所述LED芯片的边长或直径的范围为10mm-15mm,包括端点值。
9.根据权利要求1所述的LED路灯透镜,其特征在于,所述透镜的内曲面经过晒纹处理。
10.一种LED路灯系统,其特征在于,包括权利要求1-9任意一项所述的LED路灯透镜。
Priority Applications (1)
| Application Number | Priority Date | Filing Date | Title |
|---|---|---|---|
| CN201310319628.3A CN103335276B (zh) | 2013-07-26 | 2013-07-26 | 一种led路灯透镜及led路灯系统 |
Applications Claiming Priority (1)
| Application Number | Priority Date | Filing Date | Title |
|---|---|---|---|
| CN201310319628.3A CN103335276B (zh) | 2013-07-26 | 2013-07-26 | 一种led路灯透镜及led路灯系统 |
Publications (2)
| Publication Number | Publication Date |
|---|---|
| CN103335276A true CN103335276A (zh) | 2013-10-02 |
| CN103335276B CN103335276B (zh) | 2015-08-12 |
Family
ID=49243484
Family Applications (1)
| Application Number | Title | Priority Date | Filing Date |
|---|---|---|---|
| CN201310319628.3A Expired - Fee Related CN103335276B (zh) | 2013-07-26 | 2013-07-26 | 一种led路灯透镜及led路灯系统 |
Country Status (1)
| Country | Link |
|---|---|
| CN (1) | CN103335276B (zh) |
Cited By (9)
| Publication number | Priority date | Publication date | Assignee | Title |
|---|---|---|---|---|
| CN104763975A (zh) * | 2014-01-07 | 2015-07-08 | Lg伊诺特有限公司 | 透镜以及包括该透镜的照明设备 |
| CN104930460A (zh) * | 2015-06-08 | 2015-09-23 | 佛山冠今光电科技有限公司 | 一种led台灯的发光装置 |
| WO2015192347A1 (zh) * | 2014-06-19 | 2015-12-23 | 苏州东山精密制造股份有限公司 | Led透镜及包括该led透镜的led光源 |
| CN105276521A (zh) * | 2014-05-28 | 2016-01-27 | 惠州Tcl照明电器有限公司 | 偏光透镜的设计方法、偏光透镜以及led路灯 |
| CN105485628A (zh) * | 2014-09-18 | 2016-04-13 | 宁波高新区赛尔富电子有限公司 | 一种透镜、led模组及照明系统 |
| CN108679521A (zh) * | 2018-07-09 | 2018-10-19 | 众普森科技(株洲)有限公司 | 一种壁灯 |
| CN109541848A (zh) * | 2019-01-04 | 2019-03-29 | 惠州市华星光电技术有限公司 | 用于led光源的透镜 |
| CN109578941A (zh) * | 2018-12-25 | 2019-04-05 | 赛尔富电子有限公司 | 一种冰柜照明透镜系统 |
| CN110388616A (zh) * | 2018-04-23 | 2019-10-29 | 斯坦雷电气株式会社 | 车辆用灯具 |
Citations (4)
| Publication number | Priority date | Publication date | Assignee | Title |
|---|---|---|---|---|
| CN101858557A (zh) * | 2010-06-12 | 2010-10-13 | 北京航空航天大学 | 一种led路灯二次光学透镜及其设计方法 |
| CN201652174U (zh) * | 2010-04-23 | 2010-11-24 | 北京朗波尔光电股份有限公司 | 一种二次透镜、灯罩及照明灯具 |
| US20110058380A1 (en) * | 2009-09-04 | 2011-03-10 | Genius Electronic Optical Co., Ltd. | Optic lens assembly |
| TW201200798A (en) * | 2010-06-25 | 2012-01-01 | Alliance Optotek Co Ltd | Optic element of lighting device and design method thereof |
-
2013
- 2013-07-26 CN CN201310319628.3A patent/CN103335276B/zh not_active Expired - Fee Related
Patent Citations (4)
| Publication number | Priority date | Publication date | Assignee | Title |
|---|---|---|---|---|
| US20110058380A1 (en) * | 2009-09-04 | 2011-03-10 | Genius Electronic Optical Co., Ltd. | Optic lens assembly |
| CN201652174U (zh) * | 2010-04-23 | 2010-11-24 | 北京朗波尔光电股份有限公司 | 一种二次透镜、灯罩及照明灯具 |
| CN101858557A (zh) * | 2010-06-12 | 2010-10-13 | 北京航空航天大学 | 一种led路灯二次光学透镜及其设计方法 |
| TW201200798A (en) * | 2010-06-25 | 2012-01-01 | Alliance Optotek Co Ltd | Optic element of lighting device and design method thereof |
Cited By (11)
| Publication number | Priority date | Publication date | Assignee | Title |
|---|---|---|---|---|
| CN104763975A (zh) * | 2014-01-07 | 2015-07-08 | Lg伊诺特有限公司 | 透镜以及包括该透镜的照明设备 |
| CN105276521A (zh) * | 2014-05-28 | 2016-01-27 | 惠州Tcl照明电器有限公司 | 偏光透镜的设计方法、偏光透镜以及led路灯 |
| WO2015192347A1 (zh) * | 2014-06-19 | 2015-12-23 | 苏州东山精密制造股份有限公司 | Led透镜及包括该led透镜的led光源 |
| CN105485628A (zh) * | 2014-09-18 | 2016-04-13 | 宁波高新区赛尔富电子有限公司 | 一种透镜、led模组及照明系统 |
| CN105485628B (zh) * | 2014-09-18 | 2019-03-05 | 赛尔富电子有限公司 | 一种透镜、led模组及照明系统 |
| CN104930460A (zh) * | 2015-06-08 | 2015-09-23 | 佛山冠今光电科技有限公司 | 一种led台灯的发光装置 |
| CN110388616A (zh) * | 2018-04-23 | 2019-10-29 | 斯坦雷电气株式会社 | 车辆用灯具 |
| CN108679521A (zh) * | 2018-07-09 | 2018-10-19 | 众普森科技(株洲)有限公司 | 一种壁灯 |
| CN109578941A (zh) * | 2018-12-25 | 2019-04-05 | 赛尔富电子有限公司 | 一种冰柜照明透镜系统 |
| CN109541848A (zh) * | 2019-01-04 | 2019-03-29 | 惠州市华星光电技术有限公司 | 用于led光源的透镜 |
| CN109541848B (zh) * | 2019-01-04 | 2021-07-06 | 惠州市华星光电技术有限公司 | 用于led光源的透镜 |
Also Published As
| Publication number | Publication date |
|---|---|
| CN103335276B (zh) | 2015-08-12 |
Similar Documents
| Publication | Publication Date | Title |
|---|---|---|
| CN103335276A (zh) | 一种led路灯透镜及led路灯系统 | |
| WO2015109891A1 (zh) | 能照射到3、5车道的cob模块led路灯透镜的配光方法 | |
| CN202403190U (zh) | 一种led投光灯的非对称配光结构 | |
| CN201531819U (zh) | Led路灯透镜 | |
| CN101975370B (zh) | 用于led光源的二次配光透镜的设计方法 | |
| CN102072460A (zh) | 提高led灯具距高比和照度均匀性的透镜 | |
| CN105276521A (zh) | 偏光透镜的设计方法、偏光透镜以及led路灯 | |
| CN203323002U (zh) | 一种led路灯透镜及led路灯系统 | |
| CN102679265B (zh) | 一种利用自由曲面透镜实现光束匀光控制的方法 | |
| CN103982802A (zh) | 一种led黑板灯 | |
| CN201935119U (zh) | 一种led用广角配光透镜及灯箱 | |
| CN203082719U (zh) | 一种采用反光杯的led洗墙灯光学结构 | |
| CN201715446U (zh) | 一种用于led路灯的光学透镜 | |
| TWM473473U (zh) | 發光二極體路燈透鏡模組 | |
| CN202109399U (zh) | 提高led灯具距高比和照度均匀性的透镜 | |
| CN204986868U (zh) | 电视机直下式迷你型反射式光学透镜 | |
| CN204853333U (zh) | 一种led路灯用的偏光式透镜 | |
| CN203309785U (zh) | 二次光学非对称透镜及非对称透镜式路灯 | |
| CN102980135A (zh) | 一种用于led光源道路照明的配光透镜 | |
| CN102679266A (zh) | 呈矩形光斑均匀分布的led二次配光透镜的实现方法 | |
| CN103528020A (zh) | 一种均匀光学反射方法及圆形led光源设计方法 | |
| CN204740364U (zh) | 一种光学元件及照明装置 | |
| CN204345358U (zh) | 侧入式led灯 | |
| CN203336467U (zh) | 均匀散光之偏光式发光二极管光学透镜 | |
| CN208936082U (zh) | 一种led洗墙灯透镜及洗墙灯 |
Legal Events
| Date | Code | Title | Description |
|---|---|---|---|
| C06 | Publication | ||
| PB01 | Publication | ||
| C10 | Entry into substantive examination | ||
| SE01 | Entry into force of request for substantive examination | ||
| C14 | Grant of patent or utility model | ||
| GR01 | Patent grant | ||
| TR01 | Transfer of patent right | ||
| TR01 | Transfer of patent right |
Effective date of registration: 20180626 Address after: 215100 3 3, Shek Shan Road, Dongshan Town, Wuzhong District, Suzhou, Jiangsu. Patentee after: SUZHOU DONGCAN PHOTOELECTRIC TECHNOLOGY CO.,LTD. Address before: 215107 No. 8 Shek Shan Road, Dongshan Industrial Park, Wuzhong District, Suzhou, Jiangsu. Patentee before: SUZHOU DONGSHAN PRECISION MANUFACTURING Co.,Ltd. |
|
| CF01 | Termination of patent right due to non-payment of annual fee | ||
| CF01 | Termination of patent right due to non-payment of annual fee |
Granted publication date: 20150812 Termination date: 20210726 |






