WO2024263781A1 - Targeted degraders of hiv-1 nef for the treatment of hiv disease - Google Patents
Targeted degraders of hiv-1 nef for the treatment of hiv disease Download PDFInfo
- Publication number
- WO2024263781A1 WO2024263781A1 PCT/US2024/034821 US2024034821W WO2024263781A1 WO 2024263781 A1 WO2024263781 A1 WO 2024263781A1 US 2024034821 W US2024034821 W US 2024034821W WO 2024263781 A1 WO2024263781 A1 WO 2024263781A1
- Authority
- WO
- WIPO (PCT)
- Prior art keywords
- compound
- ethoxy
- linker
- phenyl
- ethyl
- Prior art date
- Legal status (The legal status is an assumption and is not a legal conclusion. Google has not performed a legal analysis and makes no representation as to the accuracy of the status listed.)
- Pending
Links
Classifications
-
- C—CHEMISTRY; METALLURGY
- C07—ORGANIC CHEMISTRY
- C07D—HETEROCYCLIC COMPOUNDS
- C07D401/00—Heterocyclic compounds containing two or more hetero rings, having nitrogen atoms as the only ring hetero atoms, at least one ring being a six-membered ring with only one nitrogen atom
- C07D401/14—Heterocyclic compounds containing two or more hetero rings, having nitrogen atoms as the only ring hetero atoms, at least one ring being a six-membered ring with only one nitrogen atom containing three or more hetero rings
-
- A—HUMAN NECESSITIES
- A61—MEDICAL OR VETERINARY SCIENCE; HYGIENE
- A61K—PREPARATIONS FOR MEDICAL, DENTAL OR TOILETRY PURPOSES
- A61K45/00—Medicinal preparations containing active ingredients not provided for in groups A61K31/00 - A61K41/00
- A61K45/06—Mixtures of active ingredients without chemical characterisation, e.g. antiphlogistics and cardiaca
-
- A—HUMAN NECESSITIES
- A61—MEDICAL OR VETERINARY SCIENCE; HYGIENE
- A61K—PREPARATIONS FOR MEDICAL, DENTAL OR TOILETRY PURPOSES
- A61K47/00—Medicinal preparations characterised by the non-active ingredients used, e.g. carriers or inert additives; Targeting or modifying agents chemically bound to the active ingredient
- A61K47/50—Medicinal preparations characterised by the non-active ingredients used, e.g. carriers or inert additives; Targeting or modifying agents chemically bound to the active ingredient the non-active ingredient being chemically bound to the active ingredient, e.g. polymer-drug conjugates
- A61K47/51—Medicinal preparations characterised by the non-active ingredients used, e.g. carriers or inert additives; Targeting or modifying agents chemically bound to the active ingredient the non-active ingredient being chemically bound to the active ingredient, e.g. polymer-drug conjugates the non-active ingredient being a modifying agent
- A61K47/54—Medicinal preparations characterised by the non-active ingredients used, e.g. carriers or inert additives; Targeting or modifying agents chemically bound to the active ingredient the non-active ingredient being chemically bound to the active ingredient, e.g. polymer-drug conjugates the non-active ingredient being a modifying agent the modifying agent being an organic compound
- A61K47/55—Medicinal preparations characterised by the non-active ingredients used, e.g. carriers or inert additives; Targeting or modifying agents chemically bound to the active ingredient the non-active ingredient being chemically bound to the active ingredient, e.g. polymer-drug conjugates the non-active ingredient being a modifying agent the modifying agent being an organic compound the modifying agent being also a pharmacologically or therapeutically active agent, i.e. the entire conjugate being a codrug, i.e. a dimer, oligomer or polymer of pharmacologically or therapeutically active compounds
-
- C—CHEMISTRY; METALLURGY
- C07—ORGANIC CHEMISTRY
- C07D—HETEROCYCLIC COMPOUNDS
- C07D471/00—Heterocyclic compounds containing nitrogen atoms as the only ring hetero atoms in the condensed system, at least one ring being a six-membered ring with one nitrogen atom, not provided for by groups C07D451/00 - C07D463/00
- C07D471/02—Heterocyclic compounds containing nitrogen atoms as the only ring hetero atoms in the condensed system, at least one ring being a six-membered ring with one nitrogen atom, not provided for by groups C07D451/00 - C07D463/00 in which the condensed system contains two hetero rings
- C07D471/04—Ortho-condensed systems
Definitions
- the HIV- 1 Nef accessory factor is particularly attractive in this regard because it is critical to the HIV-1 life cycle in vivo and promotes immune escape of HIV-infected cells in part via MHC-I downregulation.
- Nef lacks enzymatic activity and an active site, which has complicated traditional medicinal chemistry optimization of existing occupancy-based inhibitors due to the lack of correlation between inhibitor analog binding affinity for Nef in vitro and antiretroviral activity in cellular assays.
- Nef functions in both monomeric and dimeric forms.
- Nef degraders by reducing levels of Nef protein or entirely eliminating it, will antagonize all undesirable effects of Nef.
- Nef degraders represent an innovative approach to antiretroviral therapy that may provide a path to eradication of viral reservoirs.
- NB Nef protein
- L linker
- the compounds may be used for treating an HIV-related condition in a subject, inhibiting a biological function of Nef, or inhibiting an activity of a Nef-dependent kinase or any other cellular function influenced by Nef.
- FIG.1 Targeted degradation of HIV-1 Nef by a CRBN-based PROTAC.
- the Cereblon (CRBN) ubiquitin E3 ligase complex (left) is a large multiprotein structure composed of RING-box protein 1 (RBX1), Cullin4 (CUL4), DDB1, CRBN and an E2 subunit conjugated to ubiquitin (Ub).
- Nef PROTACs promote formation of a ternary complex between the HIV-1 Nef protein using existing hydroxypyrazole Nef-binding compounds (red) and the CRBN E3 complex via a CRBN ligand (exemplified by thalidomide, green). Ternary complex formation induces polyubiquitination of Nef and subsequent proteasomal degradation.
- Nef PROTAC shown is Example 14; favored positions for linker attachment on the Nef-binding moiety are indicated by the arrows.
- FIG.2. NanoBRET assay for PROTAC-mediated ubiquitination of HIV-1 Nef. A) Assay principle.
- Nef is fused to nano-Luciferase (Nef-nLuc) and co-expressed with a ubiquitin-Halo tag fusion protein (Ub- Halo) in 293T cells.
- PROTACs promote ligation of Ub-Halo to Nef-nLuc, which is detected by bioluminescence energy transfer (BRET) to the Halo Tag.
- BRET bioluminescence energy transfer
- Example 31 PROTACs with z-scores ⁇ 1.5 (numbered red points) along with analog Example 31 were advanced to orthogonal assays for Nef degradation and inhibition of Nef function.
- Nef PROTAC treatment restores cell surface CD4 and MHC-I expression in T cells.
- the human T cell line CEM-T4 was engineered to express a Nef-GFP fusion protein under the control of a doxycycline (Dox) inducible promoter.
- Dox doxycycline
- Example 2 Each protein was immobilized on one channel of a carboxymethyl dextran biosensor chip, and the two Nef PROTAC analogs Example 2 and Example 14 (structures at top; Nef-binding moiety in red, CRBN-binding ligands thalidomide and lenalidomide are shown in green and blue, respectively) were injected over the range of concentrations shown in the upper left sensorgram. Protein-ligand interaction was followed for 90 s, followed by a 180 s dissociation phase. The resulting data were fit to a 1:1 Langmuir binding model, and KD values were calculated from the resulting association and dissociation rate constants (KD values are summarized in Table 1).
- FIG.6 Active PROTACs stabilize Nef-CRBN protein complexes in vitro.
- Donor PBMCs were infected with wild-type HIV-1NL4-3 (DMSO control), a Nef-defective mutant ( ⁇ Nef), or wild-type virus in the presence of each Nef PROTAC at a final concentration of 1 ⁇ M.
- Input virus was 2,500 pg HIV p24 Gag per well.
- Replication was assayed by p24 Gag AlphaLISA 48 h later.
- Six independent determinations were assayed for each condition, and the high and low p24 values were removed. Each bar indicates the mean ⁇ SE of the remaining values with the individual data points shown.
- the dotted line indicates the mean value for the ⁇ Nef control.
- “Acyl” refers to a group having the structure –C(O)R, where R may be, for example, optionally substituted alkyl, optionally substituted aryl, or optionally substituted heteroaryl. “Lower acyl” groups are those that contain one to six carbon atoms. “Acyloxy” refers to a group having the structure –OC(O)R-, where R may be, for example, optionally substituted alkyl, optionally substituted aryl, or optionally substituted heteroaryl. “Lower acyloxy” groups contain one to six carbon atoms. “Administration” as used herein is inclusive of administration by another person to the subject or self-administration by the subject.
- aliphatic is defined as including alkyl, alkenyl, alkynyl, halogenated alkyl and cycloalkyl groups.
- a "lower aliphatic” group is a branched or unbranched aliphatic group having from 1 to 10 carbon atoms.
- Alkanediyl “cycloalkanediyl,” “aryldiyl,” “alkanearyldiyl” refers to a divalent radical derived from aliphatic, cycloaliphatic, aryl, and alkanearyl hydrocarbons.
- Alkenyl refers to a cyclic, branched or straight chain group containing only carbon and hydrogen, and contains one or more double bonds that may or may not be conjugated. Alkenyl groups may be unsubstituted or substituted. “Lower alkenyl” groups contain one to six carbon atoms.
- alkoxy refers to a straight, branched or cyclic hydrocarbon configuration and combinations thereof, including from 1 to 20 carbon atoms, preferably from 1 to 8 carbon atoms (referred to as a “lower alkoxy”), more preferably from 1 to 4 carbon atoms, that include an oxygen atom at the point of attachment.
- alkoxy group is represented by the formula –OR, where R can be an alkyl group, optionally substituted with an alkenyl, alkynyl, aryl, aralkyl, cycloalkyl, halogenated alkyl, alkoxy or heterocycloalkyl group.
- Suitable alkoxy groups include methoxy, ethoxy, n-propoxy, i-propoxy, n-butoxy, i-butoxy, sec-butoxy, tert-butoxy cyclopropoxy, cyclohexyloxy, and the like.
- Alkoxycarbonyl refers to an alkoxy substituted carbonyl radical, –C(O)OR, wherein R represents an optionally substituted alkyl, aryl, aralkyl, cycloalkyl, cycloalkylalkyl or similar moiety.
- alkyl refers to a branched or unbranched saturated hydrocarbon group of 1 to 24 carbon atoms, such as methyl, ethyl, n-propyl, isopropyl, n-butyl, isobutyl, t-butyl, pentyl, hexyl, heptyl, octyl, decyl, tetradecyl, hexadecyl, eicosyl, tetracosyl and the like.
- a “lower alkyl” group is a saturated branched or unbranched hydrocarbon having from 1 to 6 carbon atoms. Preferred alkyl groups have 1 to 4 carbon atoms.
- Alkyl groups may be “substituted alkyls” wherein one or more hydrogen atoms are substituted with a substituent such as halogen, cycloalkyl, alkoxy, amino, hydroxyl, aryl, alkenyl, or carboxyl.
- a lower alkyl or (C 1 -C 6 )alkyl can be methyl, ethyl, propyl, isopropyl, butyl, iso-butyl, sec-butyl, pentyl, 3- pentyl, or hexyl;
- (C 3 -C 6 )cycloalkyl can be cyclopropyl, cyclobutyl, cyclopentyl, or cyclohexyl;
- (C 3 - C 6 )cycloalkyl(C 1 -C 6 )alkyl can be cyclopropylmethyl, cyclobutylmethyl, cyclopentylmethyl, cyclohexylmethyl, 2-cyclopropylethyl, 2-cyclobutylethyl, 2-cyclopentylethyl, or 2-cyclohexylethyl;
- Alkynyl refers to a cyclic, branched or straight chain group containing only carbon and hydrogen, and unless otherwise mentioned typically contains one to twelve carbon atoms, and contains one or more triple bonds. Alkynyl groups may be unsubstituted or substituted. “Lower alkynyl” groups are those that contain one to six carbon atoms.
- amine or “amino” refers to a group of the formula –NRR', where R and R' can be, independently, hydrogen or an alkyl, alkenyl, alkynyl, acyl, aryl, arylalkyl, cycloalkyl, halogenated alkyl, or heterocycloalkyl group.
- an “alkylamino” or “alkylated amino” refers to –NRR', wherein at least one of R or R' is an alkyl.
- a suitable amine or amino group is acetamido.
- aminoalkyl refers to alkyl groups as defined above where at least one hydrogen atom is replaced with an amino group (e.g, -CH 2 -NH 2 ).
- an aminocarbonyl may be represented by the formula –C(O)NRR', where R and R' independently can be, for example, a hydrogen, alkyl, alkenyl, alkynyl, acyl, aryl, aralkyl, cycloalkyl, halogenated alkyl, or heterocycloalkyl group.
- R and R' independently can be, for example, a hydrogen, alkyl, alkenyl, alkynyl, acyl, aryl, aralkyl, cycloalkyl, halogenated alkyl, or heterocycloalkyl group.
- An “animal” refers to living multi-cellular vertebrate organisms, a category that includes, for example, mammals and birds. The term mammal includes both human and non-human mammals.
- arylalkyl refers to an alkyl group wherein an aryl group is substituted for a hydrogen of the alkyl group.
- An example of an arylalkyl group is a benzyl group.
- Aryl refers to a monovalent unsaturated or aromatic (including pseudoaromatic). carbocyclic group having a single ring (e.g., phenyl) or multiple condensed rings (e.g., naphthyl or anthryl), which can optionally be unsubstituted or substituted.
- Heteroaryl includes, but is not limited to, pyridinyl, pyrazinyl, pyrimidinyl, pyrrolyl, pyrazolyl, imidazolyl, thiazolyl, oxazolyl, isooxazolyl, thiadiazolyl, oxadiazolyl, thiophenyl, furanyl, quinolinyl, isoquinolinyl, benzimidazolyl, benzooxazolyl, quinoxalinyl, and the like.
- Aryloxy or “heteroaryloxy” refers to a group of the formula –OAr, wherein Ar is an aryl group or a heteroaryl group, respectively.
- a “carbonylamino” group may be –N(R)-C(O)-R (wherein each R is independently a substitution group such as, for example, alkyl, alkenyl, alkynyl, acyl, aryl, arylalkyl, cycloalkyl, halogenated alkyl, or heterocycloalkyl group, or H).
- a suitable carbonylamino group is acetamido.
- the term “carboxylate” or “carboxyl” refers to the group -COO- or -COOH.
- the carboxyl group can form a carboxylic acid.
- “Substituted carboxyl” refers to -COOR where R is alkyl, alkenyl, alkynyl, aryl, arylalkyl, cycloalkyl, halogenated alkyl, or heterocycloalkyl group.
- a substituted carboxyl group could be a carboxylic acid ester or a salt thereof (e.g., a carboxylate).
- co-administration refers to administration of a compound disclosed herein with at least one other therapeutic or diagnostic agent within the same general time period, and does not require administration at the same exact moment in time (although co-administration is inclusive of administering at the same exact moment in time). Thus, co-administration may be on the same day or on different days, or in the same week or in different weeks.
- cycloalkyl refers to a non-aromatic carbon-based ring composed of at least three carbon atoms. A cycloalkyl may be a mono or bicyclic ring or ring system.
- cycloalkyl groups include, but are not limited to, cyclopropyl, cyclobutyl, cyclopentyl, cyclohexyl, and the like.
- heterocycloalkyl group is a cycloalkyl group as defined above where at least one of the carbon atoms of WR/wr 8123-109882-02 06/20/24 06285 FILED VIA EFS ON June 20, 2024 the ring is substituted with a heteroatom such as, but not limited to, nitrogen, oxygen, sulfur, or phosphorous.
- a heterocycloalkyl may be mono or bicyclic ring or ring system.
- esters refers to a carboxyl group-containing moiety having the hydrogen replaced with, for example, a C 1-6 alkyl group (“carboxylC 1-6 alkyl” or “alkylester”), an aryl or aralkyl group (“arylester” or “aralkylester”) and so on.
- CO 2 C 1-3 alkyl groups are preferred, such as for example, methylester (CO 2 Me), ethylester (CO 2 Et) and propylester (CO 2 Pr) and includes reverse esters thereof (e.g. –OCOMe, -OCOEt and –OCOPr).
- N-heterocyclic refers to mono or bicyclic rings or ring systems that include at least one nitrogen heteroatom.
- the rings or ring systems generally include 1 to 9 carbon atoms in addition to the heteroatom(s) and may be saturated, unsaturated or aromatic (including pseudoaromatic).
- the term "pseudoaromatic” refers to a ring system which is not strictly aromatic, but which is stabilized by means of delocalization of electrons and behaves in a similar manner to aromatic rings.
- Aromatic includes pseudoaromatic ring systems, such as pyrrolyl rings.
- 6-membered monocyclic N-heterocycles include pyridyl, pyrimidinyl, pyridazinyl, pyrazinyl, piperidinyl, morpholinyl, thiomorpholinyl, piperazinyl, and triazinyl.
- the heterocycles may be optionally substituted with a broad range of substituents, and preferably with C 1-6 alkyl, C 1-6 alkoxy, C 2-6 alkenyl, C 2-6 alkynyl, halo, hydroxy, mercapto, trifluoromethyl, amino, cyano or mono or di(C 1-6 alkyl)amino.
- substituted sulfinyl or “sulfoxide” refers to a sulfinyl group having the hydrogen replaced with, for example a C 1-6 alkyl group (“C 1-6 alkylsulfinyl” or “C 1-6 alkylsulfoxide”), an aryl (“arylsulfinyl”), an arylalkyl (“arylalkyl sulfinyl”) and so on.
- C1-3alkylsulfinyl groups are preferred, such as for example, -SOmethyl, -SOethyl and -SOpropyl.
- sulfonyl refers to the group -SO2H.
- the sulfonyl group can be further substituted with a variety of groups to form, for example, sulfonic acids, sulfonamides, sulfonate esters and sulfones.
- substituted sulfonyl refers to a sulfonyl group having the hydrogen replaced with, for example a C 1-6 alkyl group (“sulfonylC 1-6 alkyl”), an aryl (“arylsulfonyl”), an arylalkyl (“arylalkylsulfonyl”) and so on.
- SulfonylC1-3alkyl groups are preferred, such as for example, -SO2Me, -SO2Et and -SO2Pr.
- the term “sulfonylamido” or “sulfonamide” refers to the group -SO2NH2.
- the term “tautomer” refers to constitutional isomers of organic compounds that readily interconvert by migration of a proton, for example, the three tautomers of 3-hydroxypyrazole: WR/wr 8123-109882-02 06/20/24 06285 FILED VIA EFS ON June 20, 2024
- a "therapeutically effective amount” refers to a quantity of a specified agent sufficient to achieve a desired effect in a subject being treated with that agent.
- esters thus include carboxylic acid esters in which the non-carbonyl moiety of the carboxylic acid portion of the ester grouping is selected from straight or branched chain alkyl (for example, methyl, n-propyl, t-butyl, or n-butyl), cycloalkyl, alkoxyalkyl (for example, methoxymethyl), aralkyl (for example benzyl), aryloxyalkyl (for example, phenoxymethyl), aryl (for example, phenyl, optionally substituted by, for example, halogen, C.sub.1-4 alkyl, or C.sub.1-4 alkoxy) or amino); sulphonate esters, such as alkyl- or aralkylsulphonyl (for example, methanesulphonyl); or amino acid esters (for example, L-valyl or L-isoleucyl).
- alkyl for example, methyl, n-propyl, t
- salts of acids and bases which are non-pharmaceutically acceptable may also find use, for example, in the preparation or purification of a pharmaceutically acceptable compound.
- the pharmaceutically acceptable acid and base addition salts as mentioned hereinabove are meant to comprise the therapeutically active non-toxic acid and base addition salt forms which the compounds are able to form.
- the pharmaceutically acceptable acid addition salts can conveniently be obtained by treating the base form with such appropriate acid.
- Appropriate acids comprise, for example, inorganic acids such as hydrohalic acids, e.g.
- salt forms can be converted by treatment with an appropriate base into the free base form.
- the compounds containing an acidic proton may also be converted into their non-toxic metal or amine addition salt forms by treatment with appropriate organic and inorganic bases.
- Appropriate base salt forms comprise, for example, the ammonium salts, the alkali and earth alkaline metal salts, e.g.
- a prodrug is an active or inactive compound that is modified chemically through in vivo physiological action, such as hydrolysis, metabolism and the like, into an active compound following administration of the prodrug to a subject.
- Step 2 A solution of tert-butyl N-(2- ⁇ [2-(2,6-dioxopiperidin-3-yl)-1,3-dioxo-2,3-dihydro-1H-isoindol-4- yl]amino ⁇ ethyl)carbamate (850 mg, 2.0 mmol) in 2:1 CH2Cl2/TFA (30 mL) was stirred at rt for 0.5 h. The mixture was concentrated, and the residue was lyophilized from MeCN/5% aq HCl to give the title compound (745 mg, quant) as its HCl salt.
- Step 2 A solution of tert-butyl N-(2- ⁇ [2-(2,6-dioxopiperidin-3-yl)-1,3-dioxo-2,3-dihydro-1H-isoindol-4- yl](methyl)amino ⁇ ethyl)carbamate (480 mg, 1.1 mmol) in 2:1 CH2Cl2/TFA (30 mL) was stirred at rt for 0.5 h and concentrated. The residue was lyophilized from a mixture of MeCN and 5% aq HCl to give the HCl salt of the title compound (419 mg, quant) as a yellow solid.
- Step 2 To a stirred solution of tert-butyl 4-[2-(2,6-dioxopiperidin-3-yl)-1,3-dioxo-2,3-dihydro-1H-isoindol- 5-yl]piperazine-1-carboxylate (410 mg, 0.93 mmol) in CH2Cl2 (6 mL) was added TFA (2 mL). The mixture was stirred at rt for 1 h and concentrated.
- the flask was evacuated/refilled with N2 (3x) and dry dioxane (100 mL) was introduced by syringe.
- the flask was evacuated/refilled with N2 (3x) and the mixture was stirred at 100 °C for 1 d.
- the mixture was allowed to cool to rt and filtered through Celite.
- the filtrate was concentrated.
- the residue was taken up in EtOAc (175 mL), washed with water (50 mL), 5% aq N-acetylcysteine (50 mL), satd aq NaHCO 3 (50 mL) and brine (50 mL), and dried over Na 2 SO 4 .
- Step 2 To a stirred mixture of tert-butyl 4-(1-oxo-1,3-dihydro-2-benzofuran-5-yl)piperazine-1-carboxylate (3.62 g, 11.4 mmol), MeOH (30 mL) and THF (15 mL) was added a solution of NaOH (1.82 g, 45.5 mmol) in water (15 mL). The mixture was stirred overnight at rt and concentrated to remove the organic solvents. The aqueous residue was diluted with 5% aq HCl (100 mL) and extracted with EtOAc (2 x 150 mL).
- Step 4 To a stirred solution of tert-butyl 4-[3-(hydroxymethyl)-4-(methoxycarbonyl)phenyl]piperazine-1- carboxylate (1.24 g, 3.5 mmol) and PPh 3 (1.39 g, 5.3 mmol) in dry THF (20 mL) was added CBr 4 (1.76 g, 5.3 mmol). After stirring at rt for 18 h, additional PPh 3 (1.39 g, 5.3 mmol) and CBr 4 (1.76 g, 5.3 mmol) were added. The mixture was stirred for 2 h and concentrated.
- Step 2 A solution of tert-butyl N-(2- ⁇ [2-(2,6-dioxopiperidin-3-yl)-1,3-dioxo-2,3-dihydro-1H-isoindol-5- yl]amino ⁇ ethyl)carbamate (100 mg, mmol) in CH 2 Cl 2 (3 mL) and TFA (2 mL) was stirred at rt for 1 h and concentrated. The residue was lyophilized from MeCN/5% aq HCl to give the HCl salt of the title compound (76 mg, 89%) as a dark green solid.
- LC-MS tR 2.20 min, m/z 317.
- the vial was closed with a septum and evacuated/refilled with N2 (3x). Dry DMF (2 mL) and Et3N (2 mL) were introduced by syringe. The vial was evacuated/refilled with N2 (3x) and stirred at 80 °C for 6 h. The mixture was cooled to rt, diluted WR/wr 8123-109882-02 06/20/24 06285 FILED VIA EFS ON June 20, 2024 with EtOAc (90 mL), washed with 5% aq HCl (2 x 25 mL) and brine (25 mL), and dried over Na2SO4.
- Step 2 A solution of tert-butyl N-[2-( ⁇ 3-[2-(2,6-dioxopiperidin-3-yl)-1-oxo-2,3-dihydro-1H-isoindol-5- yl]prop-2-yn-1-yl ⁇ oxy)ethyl]carbamate (170 mg, 0.39 mmol) in 3:1 CH 2 Cl 2 /TFA (6 mL) was stirred at rt for 1 h. The mixture was concentrated and the residue was lyophilized from MecN/5% aq HCl to give the HCl salt of the title compound (105 mg, 72%) as a yellow solid.
- LC-MS t R 2.32 min, m/z 342.
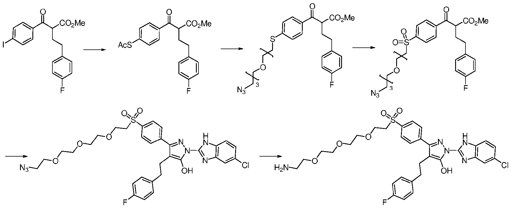
- Step 2 A solution of methyl 4-(4- ⁇ 2-[2-(2-azidoethoxy)ethoxy]ethoxy ⁇ phenyl)butanoate (1.68 g, 4.8 mmol) and methyl 4-(trifluoromethyl)benzoate (3.90 g, 19.1 mmol) in toluene (50 mL) was concentrated under reduced pressure to leave an oil to which 60% NaH in oil (0.96 g, 23.9 mmol) and dry THF (40 mL) were added.
- Step 4 A solution of methyl 4-(4- ⁇ 2-[2-(2- ⁇ [(tert-butoxy)carbonyl]amino ⁇ ethoxy)ethoxy]ethoxy ⁇ phenyl)- 2-[4-(trifluoromethyl)benzoyl]butanoate (102 mg, 0.17 mmol) and 5-chloro-2-hydrazinyl-1H-1,3- benzodiazole (33 mg, 0.18 mmol) in 4:1 MeOH/HOAc (2.5 mL) was stirred at 50 °C for 1 d and at 70 °C for 6 d.
- Step 2 To a mixture of methyl 4-[4-(2- ⁇ 2-[2-(2-azidoethoxy)ethoxy]ethoxy ⁇ ethoxy)phenyl]butanoate (675 mg, 1.7 mmol) and methyl 4-(trifluoromethyl)butanoate (1.40 g, 6.8 mmol) was added 60% NaH in oil (350 WR/wr 8123-109882-02 06/20/24 06285 FILED VIA EFS ON June 20, 2024 mg, 8.6 mmol), followed by dry THF (8 mL). The mixture was heated at reflux under N2 for 6 h and allowed to cool to rt.
- 60% NaH in oil 350 WR/wr 8123-109882-02 06/20/24 06285 FILED VIA EFS ON June 20, 2024 mg, 8.6 mmol
- Step 3 A mixture of methyl 4-(4- ⁇ 2-[2-(2-azidoethoxy)ethoxy]ethoxy ⁇ phenyl)-2-[4- (trifluoromethyl)benzoyl]butanoate (305 mg, 0.54 mmol), 5-chloro-2-hydrazinyl-1H-1,3-benzodiazole (105 mg, 0.56 mmol), TsOH.H 2 O (20 mg, 0.11 mmol) and MeOH (3 mL) was heated in the microwave at 130 °C for 3 h.
- Step 4 To a stirred solution of 4-[2-(4- ⁇ 2-[2-(2-azidoethoxy)ethoxy]ethoxy ⁇ phenyl)ethyl]-1-(5-chloro-1H- 1,3-benzodiazol-2-yl)-3-[4-(trifluoromethyl)phenyl]-1H-pyrazol-5-ol (150 mg, 0.21 mmol) in dry THF (5 mL) was added 1 M Me 3 P in THF (0.65 mL, 0.65 mmol). The mixture was stirred at rt for 1.5 h and water (0.5 mL) was added.
- Step 3 - 5 Steps 3 - 5 were carried out using procedures analogous to those described in Steps 2 - 4 of the synthesis of NB1c to give the title compound.
- LC-MS t R 4.65 min, m/z 614.
- Step 2 WR/wr 8123-109882-02 06/20/24 06285 FILED VIA EFS ON June 20, 2024
- methyl 4- ⁇ 4-[2-(2-hydroxyethoxy)ethoxy]phenyl ⁇ butanoate (640 mg, 2.3 mmol) and i-Pr2NEt (0.81 mL, 4.5 mmol) in CH2Cl2 (15 mL) was added MeSO2Cl (0.26 mL, 3.4 mmol).
- the ice bath was allowed to melt and the mixture was stirred overnight at rt. The mixture was concentrated.
- Step 3 A mixture of methyl 4-(4- ⁇ 2-[2-(methanesulfonyloxy)ethoxy]ethoxy ⁇ phenyl)butanoate (720 mg, 2.0 mmol), mono-Boc piperazine (460 mg, 4.0 mmol), i-Pr 2 NEt (0.74 mL, 4.1 mmol) and DMF (20 mL) was stirred at 40 °C for 1 d. The mixture was diluted with EtOAc (100 mL), washed with water (10 mL) and brine (10 mL), and dried over Na 2 SO 4 .
- Steps 4 and 5 Steps 4 and 5 were carried out using procedures analogous to those described in Steps 4 and 5 of the synthesis of NB1a.
- NB1g F F C l
- Step 2 To a stirred, ice-cold solution of tert-butyl 2-[4-(2-hydroxyethyl)phenoxy]acetate (7.28 g, 28.9 mmol) and i-Pr 2 NEt (15.5 mL, 86.6 mmol) in CH 2 Cl 2 (150 mL) was added methanesulfonyl chloride (5.6 mL, 72.2 mmol). The ice bath was allowed to melt, and the mixture was stirred overnight at rt. The mixture was concentrated, and the residue was taken up in EtOAc (150 mL), washed with 5% aq HCl (2 x 50 mL) and brine (50 mL).
- Step 3 A mixture of methyl 3-oxo-3-[4-(trifluoromethyl)phenyl]propanoate (5.00 g, 20.3 mmol), tert-butyl 2- ⁇ 4-[2-(methanesulfonyloxy)ethyl]phenoxy ⁇ acetate (6.84 g, 20.7 mmol), K2CO3 (2.81 g, 20.3 mmol), KI (3.37 g, 20.3 mmol) and DMF (50 mL) was stirred at 70 °C for 6 h.
- Step 4 A mixture of ⁇ 3:1 mixture of methyl 4- ⁇ 4-[2-(tert-butoxy)-2-oxoethoxy]phenyl ⁇ -2-[4- (trifluoromethyl)benzoyl]butanoate and methyl (2)-3-(2- ⁇ 4-[2-(tert-butoxy)-2-oxoethoxy]phenyl ⁇ ethoxy)-3- [4-(trifluoromethyl)phenyl]prop-2-enoate (1.50 g, 3.1 mmol), 5-chloro-2-hydrazinyl-1H-1,3-benzodiazole (685 mg, 3.8 mmol), HOAc (3 mL) and EtOH (12 mL) was heated in the microwave at 130 °C for 3 h.
- Step 2 A solution of tert-butyl 2-[2-(benzyloxy)ethoxy]acetate (3.00 g, 11.3 mmol) in MeOH (100 mL) was shaken under H 2 (60 psi, Parr) in the presence of wet 10% Pd on C (1.00 g) for 4 h. The mixture was filtered through Celite, and the filtrate was concentrated to leave tert-butyl 2-(2-hydroxyethoxy)acetate (2.06 g, quant) as an oil.
- 1 H NMR (300MHz, CDCl3) Shift 4.01 (s, 2H), 3.78 - 3.60 (m, 4H), 3.11 - 2.97 (m, 1H), 1.47 (s, 9H).
- Step 3 To a solution of tert-butyl 2-(2-hydroxyethoxy)acetate (2.06 g, 11.7 mmol) and i-Pr 2 NEt (4.2 mL, 23.4 mmol) in CH 2 Cl 2 (40 mL) was added methanesulfonyl chloride (1.4 mL, 17.3 mmol). The ice bath was allowed to melt, and the mixture was stirred at rt for 6 h. Additional i-Pr 2 NEt (4.2 mL, 23.4 mmol) and methanesulfonyl chloride (1.4 mL, 17.3 mmol) were added and the mixture was stirred at rt for 18 h. The mixture was concentrated.
- Step 4 A mixture of 4-(2-hydroxyethyl)phenol (1.80 g, 13.0 mmol), Cs2CO3 (4.67 g, 14.3 mmol) and DMF (30 mL) was stirred at rt for 15 min and a solution of tert-butyl 2-[2-(methanesulfonyloxy)ethoxy]acetate (3.33 g, 13.0 mmol) in DMF (5 mL) was added.
- Step 6 A mixture of methyl 3-oxo-3-[4-(trifluoromethyl)phenyl]propanoate (750 mg, 3.0 mmol), tert-butyl 2-(2- ⁇ 4-[2-(methanesulfonyloxy)ethyl]phenoxy ⁇ ethoxy)acetate (1.14 g, 3.0 mmol), powdered K 2 CO 3 (420 mg, 3.0 mmol), KI (500 mg, 3.0 mmol) and dry DMF (12 mL) was stirred in a 70 °C oil bath under N2 for 8 h.
- Step 7 A mixture of methyl 4-(4- ⁇ 2-[2-(tert-butoxy)-2-oxoethoxy]ethoxy ⁇ phenyl)-2-[4- (trifluoromethyl)benzoyl]butanoate (730 mg, 1.4 mmol), 5-chloro-2-hydrazinyl-1H-1,3-benzodiazole (178 mg, 0.97 mmol), HOAc (1 mL) and MeOH (3 mL) was heated in the microwave at 130 °C for 3 h.
- Step 8 To a stirred solution of tert-butyl 2-[2-(4- ⁇ 2-[1-(5-chloro-1H-1,3-benzodiazol-2-yl)-5-hydroxy-3-[4- (trifluoromethyl)phenyl]-1H-pyrazol-4-yl]ethyl ⁇ phenoxy)ethoxy]acetate (128 mg, 0.19 mmol) in CH 2 Cl 2 (3 mL) was added CF 3 CO 2 H (3 mL). The mixture was stirred at rt for 0.5 h and concentrated.
- tR 2-(4- ⁇ 2-[1-(1H-1,3-benzodiazol-2-yl)-5-hydroxy-3-(4-methanesulfonylphenyl)-1H-pyrazol-4- yl]ethyl ⁇ phenoxy)acetic acid (NB1k) O O O O O Bu H H
- NB1k 2-(4- ⁇ 2-[1-(1H-1,3-benzodiazol-2-yl)-5-hydroxy-3-(4-methanesulfonylphenyl)-1H-pyrazol-4- yl]ethyl ⁇ phenoxy)acetic acid (NB1k) O O O O O O Bu H H
- Step 2 A mixture of ethyl 3-[4-(methylsulfanyl)phenyl]-3-oxopropanoate (1.66 g, 7.0 mmol), tert-butyl 2- ⁇ 4-[2-(methanesulfonyloxy)ethyl]phenoxy ⁇ acetate (2.31 g, 7.0 mmol), K2CO3 (1.06 g, 7.7 mmol), KI (1.27 g, 7.7 mmol) and DMF (15 mL) was stirred under N2 at 70 °C for 8 h.
- Step 3 To a stirred, ice-cold solution of ethyl 4- ⁇ 4-[2-(tert-butoxy)-2-oxoethoxy]phenyl ⁇ -2-[4- (methylsulfanyl)benzoyl]butanoate (1.31 g, 2.8 mmol) in CH 2 Cl 2 (30 mL) was added 77% m-CPBA (1.27 g, 5.7 mmol). The cooling bath was allowed to melt, and the mixture was stirred for 3 h.
- Step 2 A 100-mL RBF, equipped with a stir bar, was charged with methyl 4-(4-iodophenyl)-2-[4- (trifluoromethyl)benzoyl]butanoate (1.10 g, 2.3 mmol), propargyl alcohol (0.2 mL, 3.5 mmol), PdCl2(PPh3)2 (162 mg, 0.23 mmol) and CuI (22 mg, 0.12 mmol) and sealed with a septum. The flask was evacuated/refilled with N2 (3x) and dry THF (9 mL) and Et3N (3 mL) were added. The flask was evacuated/refilled with N 2 (3x), and stirred at rt for 16 h.
- Step 3 A mixture of methyl 4-[4-(3-hydroxyprop-1-yn-1-yl)phenyl]-2-[4- (trifluoromethyl)benzoyl]butanoate (850 mg, 2.1 mmol), wet 10% Pd on C (500 mg) and MeOH (40 mL) was stirred under H 2 (1 atm, balloon) at rt for 3 h. The mixture was filtered though Celite.
- Step 4 To a stirred solution of methyl 4-[4-(3-hydroxypropyl)phenyl]-2-[4- (trifluoromethyl)benzoyl]butanoate (280 mg, 0.69 mmol) in 9:1 MeCN/H 2 O (4 mL) was added Bobbitt’s salt (309 mg, 1.0 mmol). The mixture was stirred at rt for 1 d and additional Bobbitt’s salt (103 mg, 0.33 mmol) was added. After a stirring for a further 4 h, the mixture was concentrated. The residue was taken up in EtOAc (100 mL), washed with 5% aq HCl (15 mL) and brine (15 mL), and dried over Na2SO4.
- Step 3 A mixture of 4-(4- ⁇ 3-[2-(tert-butoxy)-2-oxoethoxy]propyl ⁇ phenyl)-2-[4- (trifluoromethyl)benzoyl]butanoate (1.21 g, 2.3 mmol), 5-chloro-2-hydrazinyl-1H-1,3-benzodiazole (470 mg, 2.6 mmol), HOAc (1 mL) and MeOH (3 mL) was heated in the microwave at 130 C for 3 h.
- Step 4 A solution of tert-butyl 2-[3-(4- ⁇ 2-[1-(5-chloro-1H-1,3-benzodiazol-2-yl)-5-hydroxy-3-[4- (trifluoromethyl)phenyl]-1H-pyrazol-4-yl]ethyl ⁇ phenyl)propoxy]acetate (550 mg, 0.84 mmol) in 1:1 CH2Cl2/TFA (6 mL) was stirred overnight at rt and concentrated. The residue was lyophilized from 5% aq HCl/MeCN to give the title compound (474 mg, quant.) as a tan solid.
- LC-MS tR 5.60 min, m/z 599.
- Step 2 WR/wr 8123-109882-02 06/20/24 06285 FILED VIA EFS ON June 20, 2024
- methyl 4-(bromomethyl)benzoate (1.57 g, 6.9 mmol)
- 2- ⁇ 2-[2- azidoethoxy]ethoxy ⁇ ethan-1-ol (1.26 g, 7.2 mmol)
- 60% NaH in oil 330 mg, 8.3 mmol
- Step 3 To a mixture of methyl 4-(4-fluorophenyl)butanoate (280 mg, 1.4 mmol) and methyl 4-(6,9,12- trioxa-1,2 ⁇ 4,3-triazatrideca-1,2-dien-13-yl)benzoate (810 mg, 2.5 mmol) was added 60% NaH in oil (285 mg, 7.1 mmol), followed by dry THF (5 mL) and MeOH (1 drop). The mixture was heated at reflux under N2 for 5 h, diluted with EtOAc (90 mL), washed with 5% aq HCl (15 mL) and brine (15 mL), and dried over Na2SO4.
- Step 4 A mixture of methyl 2-[4-( ⁇ 2-[2-(2-azidoethoxy)ethoxy]ethoxy ⁇ methyl)benzoyl]-4-(4- fluorophenyl)butanoate (170 mg, 0.35 mmol), 5-chloro-2-hydrazinyl-1H-1,3-benzodiazole (67 mg, 0.37 mmol), TsOH.H 2 O (14 mg, 0.07 mmol) and MeOH (4 mL) was stirred at 70 °C under N 2 for 3 d.
- Step 5 To a stirred solution of 3-[4-( ⁇ 2-[2-(2-azidoethoxy)ethoxy]ethoxy ⁇ methyl)phenyl]-1-(5-chloro-1H- 1,3-benzodiazol-2-yl)-4-[2-(4-fluorophenyl)ethyl]-1H-pyrazol-5-ol (86 mg, 0.14 mmol) in dry THF (3 mL) was added 1 M Me3P in THF (0.42 mL, 0.42 mmol). The mixture was stirred at rt under N2 for 2 h and water (0.3 mL) was added.
- the flask was sealed with a septum and evacuated/refilled with N2 (3x). Dry toluene (40 mL) was introduced by syringe and the flask was evacuated/refilled with N2 (3x). The mixture was stirred in a 100 °C oil bath for 16 h, cooled to rt, diluted with EtOAc (50 mL), washed with 5% aq HCl (2 x 20 mL) and brine (20 mL), and dried over Na2SO4.
- Step 2 To a stirred solution of methyl 2-[4-(acetylsulfanyl)benzoyl]-4-(4-fluorophenyl)butanoate (820 mg, 2.2 mmol) in THF (8 mL) under N2 was added 1 N aq NaOH (2.2 mL, 2.2 mmol). The mixture was stirred WR/wr 8123-109882-02 06/20/24 06285 FILED VIA EFS ON June 20, 2024 under N2 at rt for 6 h.
- the flask was sealed with a septum and evacuated/refilled with N2 (3x). Dry CH2Cl2 (16 mL), Et3N (4 mL) and t-butyl propiolate (1.1 mL, 8.1 mmol) were introduced by syringe. The flask was evacuated/refilled with N 2 (3x) and stirred at rt for 3 d. The mixture was concentrated. The residue was taken up in 5% aq HCl (40 mL) and extracted with EtOAc (2 x 50 mL). The combined organic layer was washed with brine and dried over Na 2 SO 4 .
- Step 3 A mixture of methyl 2- ⁇ 4-[3-(tert-butoxy)-3-oxopropyl]benzoyl ⁇ -4-(4-fluorophenyl)butanoate (380 mg, 0.89 mmol), 5-chloro-2-hydrazinyl-1H-1,3-benzodiazole (205 mg, 1.12 mmol), HOAc (0.75 mL) and MeOH (2.75 mL) was heated in the microwave at 130 °C for 3 h.
- Step 4 A solution of tert-butyl 3- ⁇ 4-[1-(5-chloro-1H-1,3-benzodiazol-2-yl)-4-[2-(4-fluorophenyl)ethyl]-5- hydroxy-1H-pyrazol-3-yl]phenyl ⁇ propanoate (140 mg, 0.25 mmol) in 1:1 CH 2 Cl 2 /TFA (6 mL) was stirred at rt for 16 h and concentrated. The residue was lyophilized from MeCN/5% aq HCl to give the title compound (94 mg, 74%) as an off-white solid.
- LC-MS t R 5.02 min, m/z 505.
- Step 2 An oven-dried flask, equipped with a stir bar was charged with methyl 4-iodobenzoate (4.77 g, 18.2 mmol), methyl 4-(4-fluorophenyl)butanoate (2.98 g, 15.2 mmol) and 60% NaH in oil (1.30 g, 31.9 mmol). The flask was sealed with a septum and dry THF (30 mL) was introduced by syringe., followed by MeOH (2 WR/wr 8123-109882-02 06/20/24 06285 FILED VIA EFS ON June 20, 2024 drops).
- the flask was evacuated/refilled with N 2 (3x) and dry CH 2 Cl 2 (10 mL) and Et 3 N (2.5 mL) were added via syringe.
- the flask was evacuated/refilled with N2 (3x), stirred at rt for 2 d and concentrated.
- the residue was taken up in EtOAc (100 mL), washed with 5% aq HCl (2 x 10 mL) and brine (10 mL), and dried over Na2SO4.
- Step 4 A solution of methyl 2- ⁇ 4-[3-(2- ⁇ 2-[2-(tert-butoxy)-2-oxoethoxy]ethoxy ⁇ ethoxy)prop-1-yn-1- yl]benzoyl ⁇ -4-(4-fluorophenyl)butanoate (760 mg, 1.4 mmol) in MeOH (20 mL) was stirred with 10% Pd on C (cat. qty.) under H 2 (1 atm, balloon) at rt for 4 h. The flask was flushed with N 2 and the mixture was filtered through Celite.
- Step 2 A mixture of tert-butyl 4- ⁇ 3-ethoxy-2-[2-(4-fluorophenyl)ethyl]-3-oxopropanoyl ⁇ piperidine-1- carboxylate (1.70 g, 4.0 mmol), 5-chloro-2-hydrazinyl-1H-1,3-benzodiazole (920 mg, 5.0 mmol), HOAc (3 mL) and EtOH (12 mL) was heated in the microwave at 130 0C for 3 h.
- Step 2 To a stirred, ice-cold suspension of 4- ⁇ 2-[4-(2- ⁇ 2-[2-(2- azidoethoxy)ethoxy]ethoxy ⁇ ethoxy)phenyl]ethyl ⁇ -1- ⁇ 1H-imidazo[4,5-b]pyridin-2-yl ⁇ -3-[4- (trifluoromethyl)phenyl]-1H-pyrazol-5-ol (65 mg, 98 ⁇ mol) in dry THF (3 mL) was added 1 M Me 3 P in THF (0.3 mL, 0.3 mmol). The mixture was stirred in the ice bath for 15 min and at rt for 2 h.
- Step 2 To a stirred, ice-cold solution of 2-[4-(2- ⁇ 2-[2-(2-azidoethoxy)ethoxy]ethoxy ⁇ ethoxy)phenyl]ethan- 1-ol (930 mg, 2.7 mmol) and i-Pr 2 NEt (1.0 mL, 5.6 mmol) in CH 2 Cl 2 (20 mL) was added MeSO 2 Cl (0.32 mL, 4.1 mmol). The mixture was stirred for 4 h and concentrated. The residue was taken up in EtOAc (90 mL), washed with 5% aq HCl (20 mL) and brine (20 mL), and dried over Na 2 SO 4 .
- Step 3 A mixture of tert-butyl 4-(3-ethoxy-3-oxopropanoyl)piperidine-1-carboxylate (730 mg, 2.4 mmol), 2-[4-(2- ⁇ 2-[2-(2-azidoethoxy)ethoxy]ethoxy ⁇ ethoxy)phenyl]ethyl methanesulfonate (1.18 g, 2.8 mmol), K 2 CO 3 (370 mg, 2.6 mmol), KI (445 mg, 2.7 mmol) and DMF (15 mL) was stirred at 70 °C for 6 h. The mixture was diluted with water (50 mL) and extracted with EtOAc (2 x 50 mL).
- Step 5 To a stirred solution of tert-butyl 4-(4- ⁇ 2-[4-(2- ⁇ 2-[2-(2- azidoethoxy)ethoxy]ethoxy ⁇ ethoxy)phenyl]ethyl ⁇ -1-(5-chloro-1H-1,3-benzodiazol-2-yl)-5-hydroxy-1H- pyrazol-3-yl)piperidine-1-carboxylate (230 mg, 0.31 mmol) in dry THF (10 mL) was added 1 M Me3P in THF (1 mL, 1.0 mmol). The mixture was stirred at rt for 2 h and 1 M aq NaOH (1 mL, 1.0 mmol) was added.
- Step 2 A procedure analogous to that in Step 3 of the preparation of NB2g was employed using tert-butyl 2- (prop-2-yn-1-yloxy)acetate. Step 3 A procedure analogous to that in Step 4 of the preparation of NB2g was employed. Step 4 A procedure analogous to that in Step 4 of the preparation of NB5a was employed.
- Step 5 To a stirred solution of tert-butyl 4-[1-(1H-1,3-benzodiazol-2-yl)-4-[2-(4- ⁇ 3-[2-(tert-butoxy)-2- oxoethoxy]propyl ⁇ phenyl)ethyl]-5-hydroxy-1H-pyrazol-3-yl]piperidine-1-carboxylate (129 mg, 0.20 mmol) in MeOH (3 mL) was added 4 M HCl in dioxane (1 mL).
- Step 6 To a stirred mixture of the HCl salt of methyl 2-[3-(4- ⁇ 2-[1-(1H-1,3-benzodiazol-2-yl)-5-hydroxy-3- (piperidin-4-yl)-1H-pyrazol-4-yl]ethyl ⁇ phenyl)propoxy]acetate (125 mg, 0.24 mmol), 105 aq K 2 CO 3 (2.5 mL) and dioxane (2.5 mL) was added Boc2O (80 mg, 0.37 mmol). The mixture was stirred at rt for 18 h. MeOH (4 mL) and 1 M aq NaOH (2 mL, 2.0 mmol) were added and stirring was continued for 1 d.
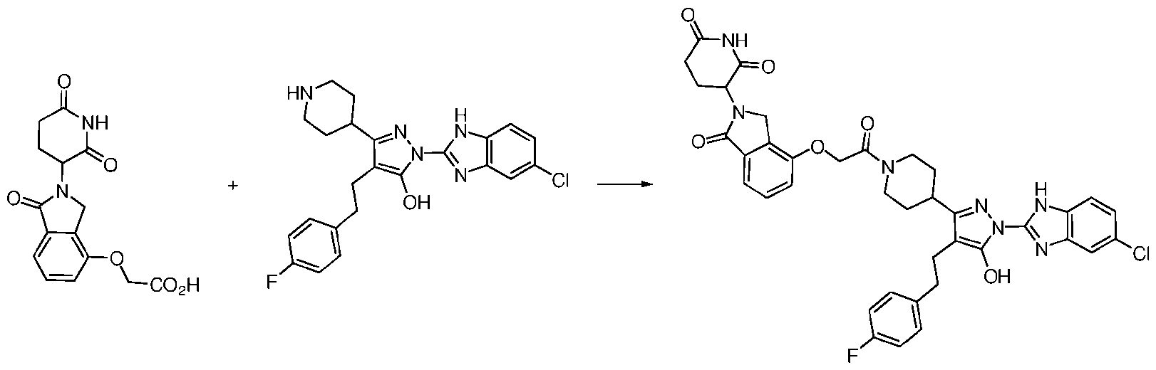
- Example 17 15- ⁇ 4-[1-(5-chloro-1H-1,3-benzodiazol-2-yl)-4-[2-(4-fluorophenyl)ethyl]-5-hydroxy-1H-pyrazol-3- yl]phenyl ⁇ -N-(2- ⁇ [2-(2,6-dioxopiperidin-3-yl)-1,3-dioxo-2,3-dihydro-1H-isoindol-4-yl]amino ⁇ ethyl)- 3,6,9,12-tetraoxapentadecanamide O NH Cl 4-[2-(4- fluorophenyl)ethyl]-5-hydroxy-1H-pyrazol-3-yl]phenyl ⁇ -3,6,9,12-tetraoxapentadecanoic acid (NB2h) and 4- [(2-aminoethyl)amino]-2-(2,6-dioxopiperidin-3-yl)-2,
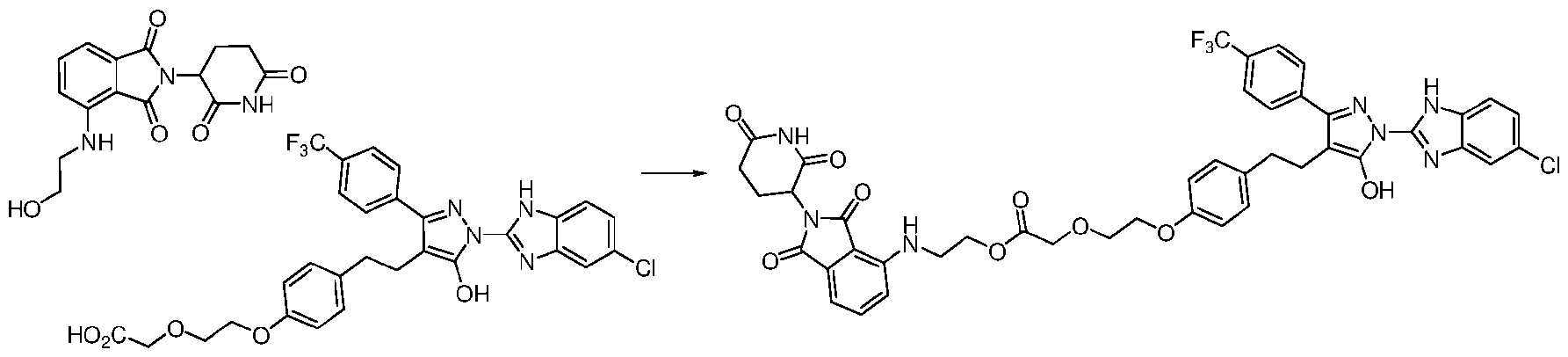
- Example 32 2-[2-(4- ⁇ 2-[1-(5-chloro-1H-1,3-benzodiazol-2-yl)-5-hydroxy-3-[4-(trifluoromethyl)phenyl]-1H-pyrazol-4- yl]ethyl ⁇ phenoxy)ethoxy]-N-(2- ⁇ [2-(2,6-dioxopiperidin-3-yl)-1,3-dioxo-2,3-dihydro-1H-isoindol-4- yl]amino ⁇ ethyl)-N-methylacetamide
- compositions and Methods of Use Also disclosed herein is a pharmaceutical formulation comprising a compound as disclosed herein, or a pharmaceutically acceptable salt thereof, and at least one pharmaceutically acceptable carrier, excipient, or combination thereof.
- the pharmaceutical formulation may further comprise an additional pharmacologically active agent other than the compound.
- the pharmacologically active agent is an antiretroviral drug.
- the antiretroviral drug may be selected from an entry inhibitor, a CCR5 receptor antagonist, a nucleoside reverse transcriptase inhibitor, a non-nucleoside reverse transcriptase inhibitor, a protease inhibitor, an integrase inhibitor, a maturation inhibitor, a capsid inhibitor, or combinations thereof.
- the antiretroviral drug is selected from maraviroc, enfuvirtide, aplaviroc, vicriviroc, zidovudine, didanosine, zalcitabine, stavudine, lamivudine, abacavir, emtricitabine, entecavir, apricitabine, tenofovir, adefovir, efavirenz, nevirapine, delavirdine, etravirine, rilpivirine, saquinavir, ritonavir, indinavir, nelfinavir, amprenavir, lopinavir, atazanavir, fosamprenavir, tipranavir, darunavir, MK-2048, elvitegravir, bevirimat, MPC-9055, lenacapavir, cabotegravir, fostemsavir or a combination thereof.
- Nef a biological function of Nef
- the biological function of Nef may be selected from HIV infectivity, HIV replication, HIV-1 latency and its reversal, Nef-mediated downregulation of infected cell surface MHC-1/HIV antigen complexes, Nef-mediated impacts on other cellular receptors and proteins related to HIV-1 pathogenesis (e.g. CD4, SERINC5, PD-1, Src and Tec family kinases), and AIDS progression.
- a method of treating a Nef-mediated disease comprising administering to a subject an effective amount of a compound disclosed herein.
- HIV-related condition may be selected from HIV replication, HIV-associated CD4+ T-cell loss and immunodeficiency, HIV- induced infection, Kaposi’s sarcoma, HIV-associated nephropathy, AIDS dementia complex, and combinations thereof.
- the subject may be suffering from the HIV-related condition.
- the subject may be administered the compound prophylactically.
- the subject may be administered the compound post-exposure prophylactically.
- the compound may also be administered as a formulation.
- the formulation may comprise the compound and a pharmaceutically acceptable carrier.
- the formulation also may further comprise at least one WR/wr 8123-109882-02 06/20/24 06285 FILED VIA EFS ON June 20, 2024 antiretroviral drug, as disclosed herein.
- the subject may be an animal or human, and any one of the disclosed embodiments of the method may be performed in vitro or in vivo.
- Embodiments of the disclosed method may be used when the subject is suffering from the HIV- related condition, or the method may be practiced prophylactically or post-exposure prophylactically.
- the HIV-related condition may be selected from HIV replication, HIV-associated CD4+ T-cell loss and immunodeficiency, HIV-induced infection, Kaposi’s sarcoma, HIV-associated nephropathy, AIDS dementia complex, and combinations thereof.
- the effective amount used in the disclosed method may be that which is best suited for treating the subject.
- the effective amount may range from greater than zero to about 1000 mg/kg/day. In particular disclosed embodiments, the effective amount ranges from 1 mg/kg/day to about 100 mg/kg/day.
- the subject of the disclosed method may be human or an animal and the method may be performed in vitro or in vivo.
- the compound disclosed herein may be used in therapy for a Nef-dependent disorder.
- the compound may be used to treat and/or inhibit a biological pathway that is activated by Nef.
- Such pathways include, but are not limited to, pathways involving a Src-family kinase, such as Hck, as well as Tec-family kinases including Itk and Btk.
- the compound may be used to treat or inhibit Nef-dependent HIV-1 replication both in vitro and in vivo.
- the disclosed compound also may be used to treat or inhibit Nef-dependent HIV-1 infectivity.
- the compound may be used to treat or inhibit SIV infectivity or replication.
- the compound disclosed herein are potent and selective inhibitors of Nef-dependent Hck activity and therefore may be used in in vitro, in vivo, and ex vivo contexts to regulate or inhibit this activity, prevent any Nef-dependent HIV-1 replication, and downregulate MHC-1, as well as the biological responses that result from such activity.
- the compound may be used to inhibit HIV-1 infectivity and replication in cell types selected from, but not limited to, U87MG astroglioma cells, CEM-T4 lymphoblasts, TZM-bl reporter cell line, and CEM-174, as well as primary host cells isolated from donors including peripheral blood mononuclear cells (PBMCs) and CD4+ T lymphocytes derived from them.
- PBMCs peripheral blood mononuclear cells
- Particular disclosed embodiments of the compound disclosed herein may be used to inhibit Nef-dependent HIV replication in the submicromolar range.
- Embodiments of the disclosed compound may exhibit IC 50 values for Nef-induced Hck activation, as well as Nef-induced Itk activation, in vitro of less than about 3.0 ⁇ M; more typically less that about 2.5 ⁇ M; even more typically less than about 2.0 ⁇ M.
- the compound is capable of preventing and/or inhibiting Nef- dependent enhancement of HIV-1 infectivity and replication.
- the compound is not limited to being active against any particular Nef allele.
- embodiments of the disclosed compound are active against a variety of Nef alleles, particularly those that comprise the HIV-1 M-group clades.
- Exemplary embodiments of the compound may inhibit the replication of HIV-1 in donor PBMCs with an IC 50 value of 10 nM to about WR/wr 8123-109882-02 06/20/24 06285 FILED VIA EFS ON June 20, 2024 100 nM; more typically from about 50 nM to about 200 nM; even more typically from about 100nM to about 300 nM.
- the compound may be used to block Nef-dependent HIV replication and infectivity. Nef is well-known to prevent cell-surface display of MHC-I in complex with HIV-1 antigenic peptides on infected cells, promoting escape from detection by cytotoxic T lymphocytes.
- Nef prevents clearance of the virus from the infected host, and may contribute to establishment and maintenance of the persistent viral reservoir.
- compounds disclosed herein restore MHC-I to the surface of HIV-infected CD4+ T cells (see FIGS.5A and 5B).
- the CD8 T cells were activated and displayed CTL responses against the infected target cells despite the presence of Nef.
- Nef inhibitors including those described herein, have the potential to enhance CTL-mediated responses against HIV+ cells in vivo as part of a strategy to clear the latent viral reservoir.
- the compounds may be administered orally, parenterally (including subcutaneous injections (SC or depo-SC), intravenous (IV), intramuscular (IM or depo-IM), intrasternal injection or infusion techniques), sublingually, intranasally (inhalation), intrathecally, topically, ophthalmically, or rectally.
- the pharmaceutical composition may be administered in dosage unit formulations containing conventional non- toxic pharmaceutically acceptable carriers, adjuvants, and/or vehicles.
- the compounds are preferably formulated into suitable pharmaceutical preparations such as tablets, capsules, or elixirs for oral administration or in sterile solutions or suspensions for parenteral administration.
- the compounds described above are formulated into pharmaceutical compositions using techniques and procedures well known in the art.
- one or more of the disclosed compounds are mixed or combined with a suitable pharmaceutically acceptable carrier to prepare a pharmaceutical composition.
- Pharmaceutical carriers or vehicles suitable for administration of the compounds provided herein include any such carriers known to be suitable for the particular mode of administration. Remington: The Science and Practice of Pharmacy, The University of the Sciences in Philadelphia, Editor, Lippincott, Williams, & Wilkins, Philadelphia, PA, 21 st Edition (2005), describes exemplary compositions and formulations suitable for pharmaceutical delivery of the compounds disclosed herein.
- the compounds may be formulated as the sole pharmaceutically active ingredient in the composition or may be combined with other active ingredients.
- the resulting mixture may be a solution, suspension, emulsion, or the like.
- Liposomal suspensions may also be suitable as pharmaceutically acceptable carriers. These may be prepared according to methods known to those skilled in the art. The form of the resulting mixture depends upon a number of factors, including the intended mode of administration and the solubility of the compound in the selected carrier or vehicle. Where the WR/wr 8123-109882-02 06/20/24 06285 FILED VIA EFS ON June 20, 2024 compounds exhibit insufficient solubility, methods for solubilizing may be used.
- Such methods include, but are not limited to, using cosolvents such as dimethylsulfoxide (DMSO), using surfactants such as Tween®, and dissolution in aqueous sodium bicarbonate.
- Derivatives of the compounds, such as salts or prodrugs may also be used in formulating effective pharmaceutical compositions.
- the disclosed compounds may also be prepared with carriers that protect them against rapid elimination from the body, such as time-release formulations or coatings.
- Such carriers include controlled release formulations, such as, but not limited to, microencapsulated delivery systems.
- the disclosed compounds and/or compositions can be enclosed in multiple or single dose containers.
- the compounds and/or compositions can also be provided in kits, for example, including component parts that can be assembled for use.
- kits may include a disclosed compound and a second therapeutic agent (such as an anti-retroviral agent) for co-administration.
- the compound and second therapeutic agent may be provided as separate component parts.
- a kit may include a plurality of containers, each container holding one or more unit dose of the compound.
- the containers are preferably adapted for the desired mode of administration, including, but not limited to tablets, gel capsules, sustained-release capsules, and the like for oral administration; depot products, pre-filled syringes, ampoules, vials, and the like for parenteral administration; and patches, medipads, creams, and the like for topical administration.
- the active compound is included in the pharmaceutically acceptable carrier in an amount sufficient to exert a therapeutically useful effect in the absence of undesirable side effects on the subject treated.
- a therapeutically effective concentration may be determined empirically by testing the compounds in known in vitro and in vivo model systems for the treated disorder.
- a therapeutically effective amount of the compound is an amount that lessens or ameliorates at least one symptom of the disorder for which the compound is administered.
- the compositions are formulated for single dosage administration.
- concentration of active compound in the drug composition will depend on absorption, inactivation, and excretion rates of the active compound, the dosage schedule, and amount administered as well as other factors known to those of skill in the art.
- about 0.1 mg to 1000 mg of a disclosed compound, a mixture of such compounds, or a physiologically acceptable salt or ester thereof, is compounded with a physiologically acceptable vehicle, carrier, excipient, binder, preservative, stabilizer, flavor, etc., in a unit dosage form.
- the amount of active substance in those compositions or preparations is such that a suitable dosage in the range indicated is obtained.
- unit dosage form refers to physically discrete units suitable as unitary dosages for human subjects and other mammals, each unit containing a predetermined quantity of active material calculated to produce the desired therapeutic effect, in association with a suitable pharmaceutical excipient.
- the compositions are formulated in a unit dosage form, each dosage containing from about 1 mg to about 1000 mg (for example, about 2 mg to about 500 mg, about 5 mg to 50 mg, about 10 mg to 100 mg, or about 25 mg to 75 mg) of the one or more compounds.
- the unit WR/wr 8123-109882-02 06/20/24 06285 FILED VIA EFS ON June 20, 2024 dosage form includes about 0.1 mg, about 1 mg, about 5 mg, about 10 mg, about 20 mg, about 30 mg, about 40 mg, about 50 mg, about 60 mg, about 70 mg, about 80 mg, about 90 mg, about 100 mg, about 150 mg, about 200 mg, about 250 mg, about 300 mg, about 400 mg, about 500 mg, about 600 mg, about 700 mg, about 800 mg, about 900 mg, about 1000 mg, or more of the disclosed compound(s).
- the disclosed compounds or compositions may be administered as a single dose, or may be divided into a number of smaller doses to be administered at intervals of time.
- the therapeutic compositions can be administered in a single dose delivery, by continuous delivery over an extended time period, in a repeated administration protocol (for example, by a multi-daily, daily, weekly, or monthly repeated administration protocol). It is understood that the precise dosage, timing, and duration of treatment is a function of the disease being treated and may be determined empirically using known testing protocols or by extrapolation from in vivo or in vitro test data (such as testing in an animal model of HIV infection). It is to be noted that concentrations and dosage values may also vary with the severity of the condition to be alleviated.
- compositions When administered orally as a suspension, these compositions are prepared according to techniques well known in the art of pharmaceutical formulation and may contain microcrystalline cellulose for imparting bulk, alginic acid or sodium alginate as a suspending agent, methylcellulose as a viscosity enhancer, and sweeteners/flavoring agents.
- these compositions may contain microcrystalline cellulose, dicalcium phosphate, starch, magnesium stearate and lactose and/or other excipients, binders, extenders, disintegrants, diluents and lubricants.
- the compound is typically provided in a composition that protects it from the acidic environment of the stomach.
- the composition can be formulated in an enteric coating that maintains its integrity in the stomach and releases the active compound in the intestine.
- the composition may also be formulated in combination with an antacid or other such ingredient.
- Oral compositions will generally include an inert diluent or an edible carrier and may be compressed into tablets or enclosed in gelatin capsules.
- the active compound or compounds can be incorporated with excipients and used in the form of tablets, capsules, or troches.
- Pharmaceutically compatible binding agents and adjuvant materials can be included as part of the composition.
- the tablets, pills, capsules, troches, and the like can contain any of the following ingredients or compounds of a similar nature: a binder such as, but not limited to, gum tragacanth, acacia, corn starch, or gelatin; an excipient such as microcrystalline cellulose, starch, or lactose; a disintegrating agent such as, but not limited to, alginic acid and corn starch; a lubricant such as, but not limited to, magnesium stearate; a gildant, such as, but not limited to, colloidal silicon dioxide; a sweetening agent such as sucrose or saccharin; and a flavoring agent such as peppermint, methyl salicylate, or fruit flavoring.
- a binder such as, but not limited to, gum tragacan
- the dosage unit form When the dosage unit form is a capsule, it can contain, in addition to material of the above type, a liquid carrier such as a fatty oil.
- dosage unit forms can contain various other materials, which WR/wr 8123-109882-02 06/20/24 06285 FILED VIA EFS ON June 20, 2024 modify the physical form of the dosage unit, for example, coatings of sugar and other enteric agents.
- the compounds can also be administered as a component of an elixir, suspension, syrup, wafer, chewing gum or the like.
- a syrup may contain, in addition to the active compounds, sucrose as a sweetening agent and certain preservatives, dyes and colorings, and flavors.
- the compounds When administered orally, the compounds can be administered in usual dosage forms for oral administration.
- dosage forms include the usual solid unit dosage forms of tablets and capsules as well as liquid dosage forms such as solutions, suspensions, and elixirs.
- solid dosage forms When the solid dosage forms are used, it is preferred that they be of the sustained release type so that the compounds need to be administered only once or twice daily.
- an oral dosage form is administered to the subject 1, 2, 3, 4, or more times daily.
- the compounds can be administered orally to humans in a dosage range of 1 to 1000 mg/kg body weight in single or divided doses.
- One illustrative dosage range is 0.1 to 200 mg/kg body weight orally (such as 0.5 to 100 mg/kg body weight orally) in single or divided doses.
- compositions may be provided in the form of tablets containing about 1 to 1000 milligrams of the active ingredient, particularly 1, 5, 10, 15, 20, 25, 50, 75, 100, 150, 200, 250, 300, 400, 500, 600, 750, 800, 900, or 1000 milligrams of the active ingredient.
- the specific dose level and frequency of dosage for any particular patient may be varied and will depend upon a variety of factors including the activity of the specific compound employed, the metabolic stability and length of action of that compound, the age, body weight, general health, sex, diet, mode and time of administration, rate of excretion, drug combination, the severity of the particular condition, and the host undergoing therapy.
- Injectable solutions or suspensions may also be formulated, using suitable non-toxic, parenterally- acceptable diluents or solvents, such as mannitol, 1,3-butanediol, water, Ringer’s solution or isotonic sodium chloride solution, or suitable dispersing or wetting and suspending agents, such as sterile, bland, fixed oils, including synthetic mono- or diglycerides, and fatty acids, including oleic acid.
- suitable non-toxic, parenterally- acceptable diluents or solvents such as mannitol, 1,3-butanediol, water, Ringer’s solution or isotonic sodium chloride solution, or suitable dispersing or wetting and suspending agents, such as sterile, bland, fixed oils, including synthetic mono- or diglycerides, and fatty acids, including oleic acid.
- Solutions or suspensions used for parenteral, intradermal, subcutaneous, or topical application can include any of the following components: a sterile diluent such as water for injection, saline solution, fixed oil, a naturally occurring vegetable oil such as sesame oil, coconut oil, peanut oil, cottonseed oil, and the like, or a synthetic fatty vehicle such as ethyl oleate, and the like, polyethylene glycol, glycerine, propylene glycol, or other synthetic solvent; antimicrobial agents such as benzyl alcohol and methyl parabens; antioxidants such as ascorbic acid and sodium bisulfite; chelating agents such as ethylenediaminetetraacetic acid (EDTA); buffers such as acetates, citrates, and phosphates; and agents for the adjustment of tonicity such as sodium chloride and dextrose.
- a sterile diluent such as water for injection, saline solution, fixed oil, a naturally occurring vegetable oil
- parenteral preparations can be enclosed in ampoules, disposable syringes, or multiple dose vials made of glass, plastic, or other suitable material. Buffers, preservatives, antioxidants, and the like can be incorporated as required.
- suitable carriers include physiological saline, phosphate buffered saline (PBS), and solutions containing thickening and solubilizing agents such as glucose, polyethylene WR/wr 8123-109882-02 06/20/24 06285 FILED VIA EFS ON June 20, 2024 glycol, polypropyleneglycol, and mixtures thereof.
- Liposomal suspensions including tissue-targeted liposomes may also be suitable as pharmaceutically acceptable carriers.
- the compounds can be administered parenterally, for example, by IV, IM, depo-IM, SC, or depo- SC.
- a therapeutically effective amount of about 0.1 to about 500 mg/day (such as about 1 mg/day to about 100 mg/day, or about 5 mg/day to about 50 mg/day) may be delivered.
- the dose may be about 0.1 mg/day to about 100 mg/day, or a monthly dose of from about 3 mg to about 3000 mg.
- the compounds can also be administered sublingually. When given sublingually, the compounds should be given one to four times daily in the amounts described above for IM administration.
- the compounds can also be administered intranasally.
- the appropriate dosage forms are a nasal spray or dry powder.
- the dosage of the compounds for intranasal administration is the amount described above for IM administration.
- these compositions may be prepared according to techniques well known in the art of pharmaceutical formulation and may be prepared as solutions in saline, employing benzyl alcohol or other suitable preservatives, absorption promoters to enhance bioavailability, fluorocarbons, and/or other solubilizing or dispersing agents.
- the compounds can be administered intrathecally.
- the appropriate dosage form can be a parenteral dosage form.
- the dosage of the compounds for intrathecal administration is the amount described above for IM administration.
- the compounds can be administered topically.
- the appropriate dosage form is a cream, ointment, or patch.
- an illustrative dosage is from about 0.5 mg/day to about 200 mg/day. Because the amount that can be delivered by a patch is limited, two or more patches may be used.
- the compounds can be administered rectally by suppository. When administered by suppository, an illustrative therapeutically effective amount may range from about 0.5 mg to about 500 mg.
- these compositions When rectally administered in the form of suppositories, these compositions may be prepared by mixing the drug with a suitable non-irritating excipient, such as cocoa butter, synthetic glyceride esters of polyethylene glycols, which are solid at ordinary temperatures, but liquefy and/or dissolve in the rectal cavity to release the drug.
- a suitable non-irritating excipient such as cocoa butter, synthetic glyceride esters of polyethylene glycols, which are solid at ordinary temperatures, but liquefy and/or dissolve in the rectal cavity to release the drug.
- Nef-directed PROTACs were first screened for induction of Nef ubiquitylation in a cell- based NanoBRET assay (Promega; FIG.2A). This assay consists of two key components: 1) HIV-1 Nef fused via its C-terminus to the small luciferase protein, nano-Luc (Nef-nLuc); and 2) Ubiquitin fused to the self-labeling fluorescent protein known as the Halo-Tag16 (Ub-Halo).
- the Halo-Tag is a modified bacterial haloalkane dehalogenase that forms a covalent adduct in the presence of a chloroalkane coupled to a fluorogenic acceptor (NanoBRET 618 in this case).
- Nef-nLuc and Ub-Halo were co-expressed in 293T cells, followed by addition of each PROTAC analog (10 ⁇ M final or 0.1% DMSO as plate control) plus the Ub- Halo ligand. Twenty-four hours later, the nano-Luc substrate was added, and the donor (nLuc; 480 nm) and acceptor (HaloTag; 618 nm) signals were recorded.
- T cell-based assay for PROTAC-induced Nef degradation and cell surface receptor downregulation For these experiments, the T cell line CEM-T4 was stably transduced with a doxycycline (Dox)- inducible expression vector for a Nef-GFP fusion protein. In the presence of Dox, Nef-GFP is expressed leading to downregulation of CD4 and MHC-I from the cell surface which are quantified by flow cytometry (FIG.3A). CEM/Nef-GFP cells were incubated with each of the active PROTACs from the Nef-Ub NanoBRET screen at a final concentration of 3 ⁇ M or DMSO as control, and Nef expression was induced by the addition of Dox.
- Dox doxycycline
- Example 2 Representative SPR sensorgrams for active Nef PROTACs Example 2 and Example 14 are shown in FIG.6 and illustrate differences in the binding kinetics. While both PROTACs bound to the CRBN thalidomide-binding domain to a similar extent, Example 2 associated more slowly than Example 14 and showed a comparatively slow dissociation phase.
- Example 2 showed more rapid association and release compared to Example 14. These kinetic differences may in part reflect the alternative points of linker attachment on the Nef-binding moiety.
- the shape of the PROTAC sensorgrams with HIV-1 Nef closely resemble those reported previously for structurally related Nef-binding components alone. However, the extent of binding was higher at each PROTAC concentration, which likely reflects the higher formula weight of the PROTACs. Regardless, both compounds were very effective in inducing Nef degradation and restoring CD4 and MHC-I expression to the surface of T cells.
- Nef CRBN B NL4-3) B (SF2) A1 C (T/F) F1 G J K 0 0 0 0 0 0 0 0 0 0 Table 1.
- Nef proteins include the well-characterized B- subtype variants SF2 and NL4-3 and the C-clade transmitter/founder (T/F) variant, C/z3618m, as well as SIV Nef mac239.
- Active Nef PROTACs stabilize ternary Nef-CRBN complexes in vitro
- Targeted protein degradation requires PROTAC-mediated formation of a ternary complex between the protein target, the bivalent PROTAC ligand, and the E3 ligase.
- Nef NL4-3 variant
- CRBN thalidomide-binding domain
- Example 2 we incubated recombinant Nef (NL4-3 variant) and the CRBN thalidomide-binding domain in the presence and absence of the active Nef PROTAC analog, Example 2.
- Nef and CRBN co- eluted from a size-exclusion column (FIG.6A); note that the retention volumes of the individual proteins are the same, so the mixture elutes as a single peak.
- Nef HIV-1
- Nef HIV-1
- HIV-1 Nef is well known to enhance viral replication in donor PBMCs in vitro and is essential for high viral loads in vivo.
- Example 20 which reduced viability by 20%; this observation may explain why this analog reduced HIV-1 replication below the level of ⁇ Nef. Together with the receptor rescue data, these results suggest that targeted degradation of Nef via selective PROTACs has the potential combat all Nef functions in HIV infected cells.
- KD values K D Nef (NL43 Example KD Nef (SF2 variant) KD CRBN WR/wr 8123-109882-02 06/20/24 06285 FILED VIA EFS ON June 20, 2024 11 7.58E-08 8.80E-07 9.96E-07 12 1.05E-06 4.88E-07 5.76E-07 WR/wr 8123-109882-02 06/20/24 06285 FILED VIA EFS ON June 20, 2024 42 1.28E-06 4.52E-07 4.25E-07 43 6.40E-07 8.12E-08 1.16E-08 WR/wr 8123-109882-02 06/20/24 06285 FILED VIA EFS ON June 20, 2024 73 6.85E-07 5.97E-07 74 1.37E-07 1.19E-07 1.22E-07 ts NL4-3 and SF2) and the thalidomide-binding domain of the E3 ligase component, Cereblon (CRBN).
- KD values are derived from SPR with the Nef and CRBN proteins immobilized on the biosensor and each analog as analyte.
- No values are present in the CRBN column for analogs based on VHL E3 ligands. Not all analogs were tested against Nef-SF2.
Landscapes
- Chemical & Material Sciences (AREA)
- Organic Chemistry (AREA)
- Health & Medical Sciences (AREA)
- Epidemiology (AREA)
- Medicinal Chemistry (AREA)
- Pharmacology & Pharmacy (AREA)
- Engineering & Computer Science (AREA)
- Life Sciences & Earth Sciences (AREA)
- Animal Behavior & Ethology (AREA)
- General Health & Medical Sciences (AREA)
- Public Health (AREA)
- Veterinary Medicine (AREA)
- Bioinformatics & Cheminformatics (AREA)
- Pharmaceuticals Containing Other Organic And Inorganic Compounds (AREA)
Abstract
A compound of formula I, or a stereoisomer, isotopomer, tautomer, or pharmaceutically acceptable salt thereof: wherein a ligand that binds to a Nef protein (NB) is covalently attached via a linker (L) to a ligand that binds to a E3 ligase cereblon (CB).
Description
WR/wr 8123-109882-02 06/20/24 06285 FILED VIA EFS ON June 20, 2024 TARGETED DEGRADERS OF HIV-1 NEF FOR THE TREATMENT OF HIV DISEASE This application claims the benefit of U.S. Provisional Application No.63/522,932, filed June 23, 2023, which is incorporated herein by reference. ACKNOWLEDGMENT OF GOVERNMENT SUPPORT This invention was made with government support under grant #AI155054 awarded by the National Institutes of Health. The government has certain rights in the invention. BACKGROUND Existing antiretroviral drugs do not clear HIV-1 from infected individuals and require life-long administration to prevent relapse, underscoring the critical need for alternative therapeutic targets. The HIV- 1 Nef accessory factor is particularly attractive in this regard because it is critical to the HIV-1 life cycle in vivo and promotes immune escape of HIV-infected cells in part via MHC-I downregulation. However, Nef lacks enzymatic activity and an active site, which has complicated traditional medicinal chemistry optimization of existing occupancy-based inhibitors due to the lack of correlation between inhibitor analog binding affinity for Nef in vitro and antiretroviral activity in cellular assays. Furthermore, Nef functions in both monomeric and dimeric forms. Nef degraders, by reducing levels of Nef protein or entirely eliminating it, will antagonize all undesirable effects of Nef. Nef degraders represent an innovative approach to antiretroviral therapy that may provide a path to eradication of viral reservoirs. SUMMARY Disclosed herein are compounds of formula I, or a stereoisomer, isotopomer, tautomer, or pharmaceutically acceptable salt thereof:
wherein a ligand that binds to a Nef protein (NB) is covalently attached via a linker (L) to a ligand that binds to a E3 ligase cereblon (CB).
WR/wr 8123-109882-02 06/20/24 06285 FILED VIA EFS ON June 20, 2024 The compounds may be used for treating an HIV-related condition in a subject, inhibiting a biological function of Nef, or inhibiting an activity of a Nef-dependent kinase or any other cellular function influenced by Nef. The foregoing will become more apparent from the following detailed description, which proceeds with reference to the accompanying figures. BRIEF DESCRIPTION OF THE DRAWINGS FIG.1. Targeted degradation of HIV-1 Nef by a CRBN-based PROTAC. The Cereblon (CRBN) ubiquitin E3 ligase complex (left) is a large multiprotein structure composed of RING-box protein 1 (RBX1), Cullin4 (CUL4), DDB1, CRBN and an E2 subunit conjugated to ubiquitin (Ub). Heterobifunctional Nef PROTACs promote formation of a ternary complex between the HIV-1 Nef protein using existing hydroxypyrazole Nef-binding compounds (red) and the CRBN E3 complex via a CRBN ligand (exemplified by thalidomide, green). Ternary complex formation induces polyubiquitination of Nef and subsequent proteasomal degradation. Nef PROTAC shown is Example 14; favored positions for linker attachment on the Nef-binding moiety are indicated by the arrows. FIG.2. NanoBRET assay for PROTAC-mediated ubiquitination of HIV-1 Nef. A) Assay principle. Nef is fused to nano-Luciferase (Nef-nLuc) and co-expressed with a ubiquitin-Halo tag fusion protein (Ub- Halo) in 293T cells. PROTACs promote ligation of Ub-Halo to Nef-nLuc, which is detected by bioluminescence energy transfer (BRET) to the Halo Tag. B) Assessment of candidate Nef PROTACs in the NanoBRET assay. Each compound was assayed in quadruplicate and the average 618 nm to 460 nm fluorescence ratios (BRET signal for Ub incorporation normalized Nef-nLuc levels) are presented as z- scores ± SD (error bars smaller than data points). PROTACs with z-scores ≥ 1.5 (numbered red points) along with analog Example 31 were advanced to orthogonal assays for Nef degradation and inhibition of Nef function. z-score = (x - μ)/σ, where x = each individual value, μ = mean value, and σ = the standard deviation. FIG.3. Nef PROTAC treatment restores cell surface CD4 and MHC-I expression in T cells. The human T cell line CEM-T4 was engineered to express a Nef-GFP fusion protein under the control of a doxycycline (Dox) inducible promoter. In the absence of Dox, these cells express endogenous CD4 and MHC-I on their surface; addition of Dox induces Nef-GFP expression and receptor downregulation. A) Representative flow cytometry result with Nef PROTAC Example 29 and cell surface CD4 staining. B) Active Nef PROTACs from the NanoBRET ubiquitination assay were screened for cell surface receptor rescue in triplicate. Bar height indicates the mean value ± SE; individual data points also shown. FIG.4. Assessment of PROTAC-mediated Nef protein loss. A) Flow cytometry of Nef-GFP protein loss. CEM-T4 cells were treated with doxycycline to induce expression of Nef-GFP under conditions that result in 60-70% positive cells by flow cytometry (see Figure 4). Triplicate cultures of cells were treated
WR/wr 8123-109882-02 06/20/24 06285 FILED VIA EFS ON June 20, 2024 with the Nef PROTAC analogs indicated at a final concentration of 3 μM, and 24 h later the percent of cells showing loss of Nef-GFP protein expression were calculated relative to the DMSO controls and are presented as the mean value ± SE; individual data points are also shown. B) Immunoblot analysis. Cells expressing Nef-GFP were treated as in part A with the eight active PROTACs, and lysates were prepared 48 h later for immunoblot analysis with Nef and Actin antibodies. A representative blot is shown. C) Immunoblot analysis was performed in duplicate, and band intensities were quantified by LICOR infrared imaging and used to calculate Nef to Actin protein expression ratios. The bar graph shows mean value for each ratio along with the individual values. FIG.5. Representative SPR sensorgrams for Nef PROTACs. The thalidomide-binding domain of Cereblon (CRBN-TBD) and full-length Nef (NL4-3 variant) were expressed in E. coli and purified to homogeneity. Each protein was immobilized on one channel of a carboxymethyl dextran biosensor chip, and the two Nef PROTAC analogs Example 2 and Example 14 (structures at top; Nef-binding moiety in red, CRBN-binding ligands thalidomide and lenalidomide are shown in green and blue, respectively) were injected over the range of concentrations shown in the upper left sensorgram. Protein-ligand interaction was followed for 90 s, followed by a 180 s dissociation phase. The resulting data were fit to a 1:1 Langmuir binding model, and KD values were calculated from the resulting association and dissociation rate constants (KD values are summarized in Table 1). Each concentration was tested in duplicate, and individual traces are shown with the data shown in color and the fitted curves superimposed in black. FIG.6. Active PROTACs stabilize Nef-CRBN protein complexes in vitro. A) Recombinant purified HIV-1 Nef and the CRBN ligand-binding domain were mixed in equimolar proportions and analyzed by size exclusion chromatography (Superdex 75). The mixture elutes as a single peak as the individual proteins have similar retention volumes. B) Protein mixture from part A was incubated with Nef PROTAC Example 2 in the molar ratios shown at 4 °C for 20 min prior to SEC. FIG.7. PROTACs inhibit Nef-dependent enhancement of HIV-1 replication in primary cells. A) Donor PBMCs were infected with wild-type HIV-1NL4-3 (DMSO control), a Nef-defective mutant (ΔNef), or wild-type virus in the presence of each Nef PROTAC at a final concentration of 1 μM. Input virus was 2,500 pg HIV p24 Gag per well. Replication was assayed by p24 Gag AlphaLISA 48 h later. Six independent determinations were assayed for each condition, and the high and low p24 values were removed. Each bar indicates the mean ± SE of the remaining values with the individual data points shown. The dotted line indicates the mean value for the ΔNef control. B) Viability of uninfected PBMCs was determined with each PROTAC at 1 μM using the Cell Titer Blue assay. DETAILED DESCRIPTION Terminology The following explanations of terms and methods are provided to better describe the present compounds, compositions and methods, and to guide those of ordinary skill in the art in the practice of the
WR/wr 8123-109882-02 06/20/24 06285 FILED VIA EFS ON June 20, 2024 present disclosure. It is also to be understood that the terminology used in the disclosure is for the purpose of describing particular embodiments and examples only and is not intended to be limiting. “Acyl” refers to a group having the structure –C(O)R, where R may be, for example, optionally substituted alkyl, optionally substituted aryl, or optionally substituted heteroaryl. “Lower acyl” groups are those that contain one to six carbon atoms. “Acyloxy” refers to a group having the structure –OC(O)R-, where R may be, for example, optionally substituted alkyl, optionally substituted aryl, or optionally substituted heteroaryl. “Lower acyloxy” groups contain one to six carbon atoms. “Administration” as used herein is inclusive of administration by another person to the subject or self-administration by the subject. The term "aliphatic" is defined as including alkyl, alkenyl, alkynyl, halogenated alkyl and cycloalkyl groups. A "lower aliphatic" group is a branched or unbranched aliphatic group having from 1 to 10 carbon atoms. “Alkanediyl,” “cycloalkanediyl,” “aryldiyl,” “alkanearyldiyl” refers to a divalent radical derived from aliphatic, cycloaliphatic, aryl, and alkanearyl hydrocarbons. “Alkenyl” refers to a cyclic, branched or straight chain group containing only carbon and hydrogen, and contains one or more double bonds that may or may not be conjugated. Alkenyl groups may be unsubstituted or substituted. “Lower alkenyl” groups contain one to six carbon atoms. The term “alkoxy” refers to a straight, branched or cyclic hydrocarbon configuration and combinations thereof, including from 1 to 20 carbon atoms, preferably from 1 to 8 carbon atoms (referred to as a “lower alkoxy”), more preferably from 1 to 4 carbon atoms, that include an oxygen atom at the point of attachment. An example of an “alkoxy group” is represented by the formula –OR, where R can be an alkyl group, optionally substituted with an alkenyl, alkynyl, aryl, aralkyl, cycloalkyl, halogenated alkyl, alkoxy or heterocycloalkyl group. Suitable alkoxy groups include methoxy, ethoxy, n-propoxy, i-propoxy, n-butoxy, i-butoxy, sec-butoxy, tert-butoxy cyclopropoxy, cyclohexyloxy, and the like. “Alkoxycarbonyl” refers to an alkoxy substituted carbonyl radical, –C(O)OR, wherein R represents an optionally substituted alkyl, aryl, aralkyl, cycloalkyl, cycloalkylalkyl or similar moiety. The term “alkyl” refers to a branched or unbranched saturated hydrocarbon group of 1 to 24 carbon atoms, such as methyl, ethyl, n-propyl, isopropyl, n-butyl, isobutyl, t-butyl, pentyl, hexyl, heptyl, octyl, decyl, tetradecyl, hexadecyl, eicosyl, tetracosyl and the like. A “lower alkyl” group is a saturated branched or unbranched hydrocarbon having from 1 to 6 carbon atoms. Preferred alkyl groups have 1 to 4 carbon atoms. Alkyl groups may be “substituted alkyls” wherein one or more hydrogen atoms are substituted with a substituent such as halogen, cycloalkyl, alkoxy, amino, hydroxyl, aryl, alkenyl, or carboxyl. For example, a lower alkyl or (C1-C6)alkyl can be methyl, ethyl, propyl, isopropyl, butyl, iso-butyl, sec-butyl, pentyl, 3- pentyl, or hexyl; (C3-C6)cycloalkyl can be cyclopropyl, cyclobutyl, cyclopentyl, or cyclohexyl; (C3- C6)cycloalkyl(C1-C6)alkyl can be cyclopropylmethyl, cyclobutylmethyl, cyclopentylmethyl, cyclohexylmethyl, 2-cyclopropylethyl, 2-cyclobutylethyl, 2-cyclopentylethyl, or 2-cyclohexylethyl; (C1-
WR/wr 8123-109882-02 06/20/24 06285 FILED VIA EFS ON June 20, 2024 C6)alkoxy can be methoxy, ethoxy, propoxy, isopropoxy, butoxy, iso-butoxy, sec-butoxy, pentoxy, 3- pentoxy, or hexyloxy; (C2-C6)alkenyl can be vinyl, allyl, 1-propenyl, 2-propenyl, 1-butenyl, 2-butenyl, 3- butenyl, 1,-pentenyl, 2-pentenyl, 3-pentenyl, 4-pentenyl, 1- hexenyl, 2-hexenyl, 3-hexenyl, 4-hexenyl, or 5- hexenyl; (C2-C6)alkynyl can be ethynyl, 1-propynyl, 2-propynyl, 1-butynyl, 2-butynyl, 3-butynyl, 1- pentynyl, 2-pentynyl, 3-pentynyl, 4-pentynyl, 1-hexynyl, 2-hexynyl, 3-hexynyl, 4-hexynyl, or 5-hexynyl; (C1-C6)alkanoyl can be acetyl, propanoyl or butanoyl; halo(C1-C6)alkyl can be iodomethyl, bromomethyl, chloromethyl, fluoromethyl, trifluoromethyl, 2-chloroethyl, 2-fluoroethyl, 2,2,2-trifluoroethyl, or pentafluoroethyl; hydroxy(C1-C6)alkyl can be hydroxymethyl, 1-hydroxyethyl, 2-hydroxyethyl, 1- hydroxypropyl, 2-hydroxypropyl, 3-hydroxypropyl, 1-hydroxybutyl, 4-hydroxybutyl, 1-hydroxypentyl, 5- hydroxypentyl, 1-hydroxyhexyl, or 6-hydroxyhexyl; (C1-C6)alkoxycarbonyl can be methoxycarbonyl, ethoxycarbonyl, propoxycarbonyl, isopropoxycarbonyl, butoxycarbonyl, pentoxycarbonyl, or hexyloxycarbonyl; (C1-C6)alkylthio can be methylthio, ethylthio, propylthio, isopropylthio, butylthio, isobutylthio, pentylthio, or hexylthio; (C2-C6)alkanoyloxy can be acetoxy, propanoyloxy, butanoyloxy, isobutanoyloxy, pentanoyloxy, or hexanoyloxy. “Alkynyl” refers to a cyclic, branched or straight chain group containing only carbon and hydrogen, and unless otherwise mentioned typically contains one to twelve carbon atoms, and contains one or more triple bonds. Alkynyl groups may be unsubstituted or substituted. “Lower alkynyl” groups are those that contain one to six carbon atoms. The term “amine” or “amino” refers to a group of the formula –NRR', where R and R' can be, independently, hydrogen or an alkyl, alkenyl, alkynyl, acyl, aryl, arylalkyl, cycloalkyl, halogenated alkyl, or heterocycloalkyl group. For example, an “alkylamino” or “alkylated amino” refers to –NRR', wherein at least one of R or R' is an alkyl. A suitable amine or amino group is acetamido. The term "aminoalkyl" refers to alkyl groups as defined above where at least one hydrogen atom is replaced with an amino group (e.g, -CH2-NH2). “Aminocarbonyl” alone or in combination, means an amino substituted carbonyl (carbamoyl) radical, wherein the amino radical may optionally be mono- or di-substituted, such as, for example, with alkyl, aryl, acyl, aralkyl, cycloalkyl, cycloalkylalkyl, alkanoyl, alkoxycarbonyl, aralkoxycarbonyl and the like. For example, an aminocarbonyl may be represented by the formula –C(O)NRR', where R and R' independently can be, for example, a hydrogen, alkyl, alkenyl, alkynyl, acyl, aryl, aralkyl, cycloalkyl, halogenated alkyl, or heterocycloalkyl group. An “animal” refers to living multi-cellular vertebrate organisms, a category that includes, for example, mammals and birds. The term mammal includes both human and non-human mammals. Similarly, the term “subject” includes both human and non-human subjects, including birds and non-human mammals, such as non-human primates, companion animals (such as dogs and cats), livestock (such as pigs, sheep, cows), as well as non-domesticated animals, such as the big cats. The term subject applies regardless of the stage in the organism’s life-cycle. Thus, the term subject applies to an organism in utero or in ovo,
WR/wr 8123-109882-02 06/20/24 06285 FILED VIA EFS ON June 20, 2024 depending on the organism (that is, whether the organism is a mammal or a bird, such as a domesticated or wild fowl). The term "arylalkyl" refers to an alkyl group wherein an aryl group is substituted for a hydrogen of the alkyl group. An example of an arylalkyl group is a benzyl group. “Aryl” refers to a monovalent unsaturated or aromatic (including pseudoaromatic). carbocyclic group having a single ring (e.g., phenyl) or multiple condensed rings (e.g., naphthyl or anthryl), which can optionally be unsubstituted or substituted. The term "pseudoaromatic" refers to a ring system which is not strictly aromatic, but which is stabilized by means of delocalization of electrons and behaves in a similar manner to aromatic rings. A “heteroaryl group,” is defined as an unsaturated or aromatic (including pseudoaromatic) group that has at least one heteroatom incorporated within the ring of the aromatic group. Examples of heteroatoms include, but are not limited to, nitrogen, oxygen, sulfur, and phosphorous. Heteroaryl includes, but is not limited to, pyridinyl, pyrazinyl, pyrimidinyl, pyrrolyl, pyrazolyl, imidazolyl, thiazolyl, oxazolyl, isooxazolyl, thiadiazolyl, oxadiazolyl, thiophenyl, furanyl, quinolinyl, isoquinolinyl, benzimidazolyl, benzooxazolyl, quinoxalinyl, and the like. The aryl or heteroaryl group can be substituted with one or more groups including, but not limited to, alkyl, alkynyl, alkenyl, aryl, halide, nitro, amino, ester, ketone, aldehyde, hydroxy, carboxylic acid, or alkoxy, or the aryl or heteroaryl group can be unsubstituted. The term heteroaryl includes hydroxy-substituted heteroaryls that may exist in tautomeric keto forms, such as 2-hydroxypyridine and pyridine-2-one, and their N-substituted derivatives that necessarily exist in the keto form, such as N-methylpyridin-2-one. “Aryloxy” or “heteroaryloxy” refers to a group of the formula –OAr, wherein Ar is an aryl group or a heteroaryl group, respectively. A “carbonylamino” group may be –N(R)-C(O)-R (wherein each R is independently a substitution group such as, for example, alkyl, alkenyl, alkynyl, acyl, aryl, arylalkyl, cycloalkyl, halogenated alkyl, or heterocycloalkyl group, or H). A suitable carbonylamino group is acetamido. The term “carboxylate” or “carboxyl” refers to the group -COO- or -COOH. The carboxyl group can form a carboxylic acid. “Substituted carboxyl” refers to -COOR where R is alkyl, alkenyl, alkynyl, aryl, arylalkyl, cycloalkyl, halogenated alkyl, or heterocycloalkyl group. For example, a substituted carboxyl group could be a carboxylic acid ester or a salt thereof (e.g., a carboxylate). The term “co-administration” or “co-administering” refers to administration of a compound disclosed herein with at least one other therapeutic or diagnostic agent within the same general time period, and does not require administration at the same exact moment in time (although co-administration is inclusive of administering at the same exact moment in time). Thus, co-administration may be on the same day or on different days, or in the same week or in different weeks. The term “cycloalkyl” refers to a non-aromatic carbon-based ring composed of at least three carbon atoms. A cycloalkyl may be a mono or bicyclic ring or ring system. Examples of cycloalkyl groups include, but are not limited to, cyclopropyl, cyclobutyl, cyclopentyl, cyclohexyl, and the like. The term “heterocycloalkyl group” is a cycloalkyl group as defined above where at least one of the carbon atoms of
WR/wr 8123-109882-02 06/20/24 06285 FILED VIA EFS ON June 20, 2024 the ring is substituted with a heteroatom such as, but not limited to, nitrogen, oxygen, sulfur, or phosphorous. A heterocycloalkyl may be mono or bicyclic ring or ring system. The term “ester” refers to a carboxyl group-containing moiety having the hydrogen replaced with, for example, a C1-6alkyl group (“carboxylC1-6alkyl” or “alkylester”), an aryl or aralkyl group (“arylester” or “aralkylester”) and so on. CO2C1-3alkyl groups are preferred, such as for example, methylester (CO 2Me), ethylester (CO2Et) and propylester (CO2Pr) and includes reverse esters thereof (e.g. –OCOMe, -OCOEt and –OCOPr). The terms "halogenated alkyl" or "haloalkyl group" refer to an alkyl group with one or more hydrogen atoms present on these groups substituted with a halogen (F, Cl, Br, I). The term “hydroxyl” is represented by the formula –OH. The term "hydroxyalkyl" refers to an alkyl group that has at least one hydrogen atom substituted with a hydroxyl group. The term "alkoxyalkyl group" is defined as an alkyl group that has at least one hydrogen atom substituted with an alkoxy group described above. “Inhibiting” refers to inhibiting the full development of a disease or condition. “Inhibiting” also refers to any quantitative or qualitative reduction in biological activity or binding, relative to a control. “N-heterocyclic” refers to mono or bicyclic rings or ring systems that include at least one nitrogen heteroatom. The rings or ring systems generally include 1 to 9 carbon atoms in addition to the heteroatom(s) and may be saturated, unsaturated or aromatic (including pseudoaromatic). The term "pseudoaromatic" refers to a ring system which is not strictly aromatic, but which is stabilized by means of delocalization of electrons and behaves in a similar manner to aromatic rings. Aromatic includes pseudoaromatic ring systems, such as pyrrolyl rings. Examples of 5-membered monocyclic N-heterocycles include pyrrolyl, H-pyrrolyl, pyrrolinyl, pyrrolidinyl, oxazolyl, oxadiazolyl, (including 1,2,3 and 1,2,4 oxadiazolyls) isoxazolyl, furazanyl, thiazolyl, isothiazolyl, pyrazolyl, pyrazolinyl, pyrazolidinyl, imidazolyl, imidazolinyl, triazolyl (including 1,2,3 and 1,3,4 triazolyls), tetrazolyl, thiadiazolyl (including 1,2,3 and 1,3,4 thiadiazolyls), and dithiazolyl. Examples of 6-membered monocyclic N-heterocycles include pyridyl, pyrimidinyl, pyridazinyl, pyrazinyl, piperidinyl, morpholinyl, thiomorpholinyl, piperazinyl, and triazinyl. The heterocycles may be optionally substituted with a broad range of substituents, and preferably with C1-6 alkyl, C1-6 alkoxy, C2-6 alkenyl, C2-6 alkynyl, halo, hydroxy, mercapto, trifluoromethyl, amino, cyano or mono or di(C1-6alkyl)amino. The N-heterocyclic group may be fused to a carbocyclic ring such as phenyl, naphthyl, indenyl, azulenyl, fluorenyl, and anthracenyl. Examples of 8, 9 and 10-membered bicyclic heterocycles include 1H thieno[2,3-c]pyrazolyl, indolyl, isoindolyl, benzoxazolyl, benzothiazolyl, benzisoxazolyl, benzisothiazolyl, benzimidazolyl, indazolyl, isoquinolinyl, quinolinyl, quinoxalinyl, purinyl, cinnolinyl, phthalazinyl, quinazolinyl, quinoxalinyl, benzotriazinyl, and the like. These heterocycles may be optionally substituted, for example with C1-6 alkyl, C1-6 alkoxy, C2-6 alkenyl, C2-6 alkynyl, halo, hydroxy, mercapto, trifluoromethyl, amino,
WR/wr 8123-109882-02 06/20/24 06285 FILED VIA EFS ON June 20, 2024 cyano or mono or di(C1-6alkyl)amino. Unless otherwise defined optionally substituted N-heterocyclics includes pyridinium salts and the N-oxide form of suitable ring nitrogens. The term “subject” includes both human and non-human subjects, including birds and non-human mammals, such as non-human primates, companion animals (such as dogs and cats), livestock (such as pigs, sheep, cows), as well as non-domesticated animals, such as the big cats. The term subject applies regardless of the stage in the organism’s life-cycle. Thus, the term subject applies to an organism in utero or in ovo, depending on the organism (that is, whether the organism is a mammal or a bird, such as a domesticated or wild fowl). “Substituted” or “substitution” refers to replacement of a hydrogen atom of a molecule or an R- group with one or more additional R-groups. Unless otherwise defined, the term “optionally-substituted” or “optional substituent” as used herein refers to a group which may or may not be further substituted with 1, 2, 3, 4 or more groups, preferably 1, 2 or 3, more preferably 1 or 2 groups. The substituents may be selected, for example, from C1-6alkyl, C2-6alkenyl, C2-6alkynyl, C3-8cycloalkyl, hydroxyl, oxo, C1-6alkoxy, aryloxy, C1- 6alkoxyaryl, halo, C1-6alkylhalo (such as CF3 and CHF2), C1-6alkoxyhalo (such as OCF3 and OCHF2), carboxyl, esters, cyano, nitro, amino, substituted amino, disubstituted amino, acyl, ketones, amides, aminoacyl, substituted amides, disubstituted amides, thiol, alkylthio, thioxo, sulfates, sulfonates, sulfinyl, substituted sulfinyl, sulfonyl, substituted sulfonyl, sulfonylamides, substituted sulfonamides, disubstituted sulfonamides, aryl, arylC1-6alkyl, heterocyclyl and heteroaryl wherein each alkyl, alkenyl, alkynyl, cycloalkyl, aryl and heterocyclyl and groups containing them may be further optionally substituted. Optional substituents in the case N-heterocycles may also include but are not limited to C1-6alkyl i.e. N-C1- 3alkyl, more preferably methyl particularly N-methyl. “Sulfinyl” refers to the group -S(=O)H. The term “substituted sulfinyl” or “sulfoxide” refers to a sulfinyl group having the hydrogen replaced with, for example a C1-6alkyl group (“C1-6alkylsulfinyl” or “C1-6alkylsulfoxide”), an aryl (“arylsulfinyl”), an arylalkyl (“arylalkyl sulfinyl”) and so on. C1-3alkylsulfinyl groups are preferred, such as for example, -SOmethyl, -SOethyl and -SOpropyl. The term “sulfonyl” refers to the group -SO2H. The sulfonyl group can be further substituted with a variety of groups to form, for example, sulfonic acids, sulfonamides, sulfonate esters and sulfones. The term “substituted sulfonyl” refers to a sulfonyl group having the hydrogen replaced with, for example a C1-6alkyl group (“sulfonylC1-6alkyl”), an aryl (“arylsulfonyl”), an arylalkyl (“arylalkylsulfonyl”) and so on. SulfonylC1-3alkyl groups are preferred, such as for example, -SO2Me, -SO2Et and -SO2Pr. The term “sulfonylamido” or “sulfonamide” refers to the group -SO2NH2. The term “tautomer” refers to constitutional isomers of organic compounds that readily interconvert by migration of a proton, for example, the three tautomers of 3-hydroxypyrazole:
WR/wr 8123-109882-02 06/20/24 06285 FILED VIA EFS ON June 20, 2024 A "therapeutically effective amount" refers to a quantity of a specified agent sufficient to achieve a desired effect in a subject being treated with that agent. Ideally, a therapeutically effective amount of an agent is an amount sufficient to inhibit or treat the disease or condition without causing a substantial cytotoxic effect in the subject. The therapeutically effective amount of an agent will be dependent on the subject being treated, the severity of the affliction, and the manner of administration of the therapeutic composition. “Treatment” refers to a therapeutic intervention that ameliorates a sign or symptom of a disease or pathological condition after it has begun to develop, or administering a compound or composition to a subject who does not exhibit signs of a disease or exhibits only early signs for the purpose of decreasing the risk of developing a pathology or condition, or diminishing the severity of a pathology or condition. As used herein, the term “ameliorating,” with reference to a disease or pathological condition, refers to any observable beneficial effect of the treatment. The beneficial effect can be evidenced, for example, by a delayed onset of clinical symptoms of the disease in a susceptible subject, a reduction in severity of some or all clinical symptoms of the disease, a slower progression of the disease, an improvement in the overall health or well-being of the subject, or by other parameters well known in the art that are specific to the particular disease. The phrase “treating a disease” refers to inhibiting the full development of a disease, for example, in a subject who is at risk for a disease. “Preventing” a disease or condition refers to prophylactic administering a composition to a subject who does not exhibit signs of a disease or exhibits only early signs for the purpose of decreasing the risk of developing a pathology or condition, or diminishing the severity of a pathology or condition. “Pharmaceutical compositions” are compositions that include an amount (for example, a unit dosage) of one or more of the disclosed compounds together with one or more non-toxic pharmaceutically acceptable additives, including carriers, diluents, and/or adjuvants, and optionally other biologically active ingredients. Such pharmaceutical compositions can be prepared by standard pharmaceutical formulation techniques such as those disclosed in Remington's Pharmaceutical Sciences, Mack Publishing Co., Easton, PA (19th Edition). The terms “pharmaceutically acceptable salt or ester” refers to salts or esters prepared by conventional means that include salts, e.g., of inorganic and organic acids, including but not limited to hydrochloric acid, hydrobromic acid, sulfuric acid, phosphoric acid, methanesulfonic acid, ethanesulfonic acid, malic acid, acetic acid, oxalic acid, tartaric acid, citric acid, lactic acid, fumaric acid, succinic acid, maleic acid, salicylic acid, benzoic acid, phenylacetic acid, mandelic acid and the like. “Pharmaceutically acceptable salts” of the presently disclosed compounds also include those formed from cations such as sodium, potassium, aluminum, calcium, lithium, magnesium, zinc, and from bases such as ammonia, ethylenediamine, N-methyl-glutamine, lysine, arginine, ornithine, choline, N,N'-dibenzylethylenediamine, chloroprocaine, diethanolamine, procaine, N-benzylphenethylamine, diethylamine, piperazine, tris(hydroxymethyl)aminomethane, and tetramethylammonium hydroxide. These salts may be prepared by standard procedures, for example by reacting the free acid with a suitable organic or inorganic base. Any
WR/wr 8123-109882-02 06/20/24 06285 FILED VIA EFS ON June 20, 2024 chemical compound recited in this specification may alternatively be administered as a pharmaceutically acceptable salt thereof. “Pharmaceutically acceptable salts” are also inclusive of the free acid, base, and zwitterionic forms. Descriptions of suitable pharmaceutically acceptable salts can be found in Handbook of Pharmaceutical Salts, Properties, Selection and Use, Wiley VCH (2002). When compounds disclosed herein include an acidic function such as a carboxy group, then suitable pharmaceutically acceptable cation pairs for the carboxy group are well known to those skilled in the art and include alkaline, alkaline earth, ammonium, quaternary ammonium cations and the like. Such salts are known to those of skill in the art. For additional examples of “pharmacologically acceptable salts,” see Berge et al., J. Pharm. Sci.66:1 (1977). “Pharmaceutically acceptable esters” includes those derived from compounds described herein that are modified to include a carboxyl group. An in vivo hydrolysable ester is an ester, which is hydrolysed in the human or animal body to produce the parent acid or alcohol. Representative esters thus include carboxylic acid esters in which the non-carbonyl moiety of the carboxylic acid portion of the ester grouping is selected from straight or branched chain alkyl (for example, methyl, n-propyl, t-butyl, or n-butyl), cycloalkyl, alkoxyalkyl (for example, methoxymethyl), aralkyl (for example benzyl), aryloxyalkyl (for example, phenoxymethyl), aryl (for example, phenyl, optionally substituted by, for example, halogen, C.sub.1-4 alkyl, or C.sub.1-4 alkoxy) or amino); sulphonate esters, such as alkyl- or aralkylsulphonyl (for example, methanesulphonyl); or amino acid esters (for example, L-valyl or L-isoleucyl). A “pharmaceutically acceptable ester” also includes inorganic esters such as mono-, di-, or tri-phosphate esters. In such esters, unless otherwise specified, any alkyl moiety present advantageously contains from 1 to 18 carbon atoms, particularly from 1 to 6 carbon atoms, more particularly from 1 to 4 carbon atoms. Any cycloalkyl moiety present in such esters advantageously contains from 3 to 6 carbon atoms. Any aryl moiety present in such esters advantageously comprises a phenyl group, optionally substituted as shown in the definition of carbocycylyl above. Pharmaceutically acceptable esters thus include C1-C22 fatty acid esters, such as acetyl, t-butyl or long chain straight or branched unsaturated or omega-6 monounsaturated fatty acids such as palmoyl, stearoyl and the like. Alternative aryl or heteroaryl esters include benzoyl, pyridylmethyloyl and the like any of which may be substituted, as defined in carbocyclyl above. Additional pharmaceutically acceptable esters include aliphatic L-amino acid esters such as leucyl, isoleucyl and especially valyl. For therapeutic use, salts of the compounds are those wherein the counter-ion is pharmaceutically acceptable. However, salts of acids and bases which are non-pharmaceutically acceptable may also find use, for example, in the preparation or purification of a pharmaceutically acceptable compound. The pharmaceutically acceptable acid and base addition salts as mentioned hereinabove are meant to comprise the therapeutically active non-toxic acid and base addition salt forms which the compounds are able to form. The pharmaceutically acceptable acid addition salts can conveniently be obtained by treating the base form with such appropriate acid. Appropriate acids comprise, for example, inorganic acids such as hydrohalic acids, e.g. hydrochloric or hydrobromic acid, sulfuric, nitric, phosphoric and the like acids; or
WR/wr 8123-109882-02 06/20/24 06285 FILED VIA EFS ON June 20, 2024 organic acids such as, for example, acetic, propanoic, hydroxyacetic, lactic, pyruvic, oxalic (i.e. ethanedioic), malonic, succinic (i.e. butanedioic acid), maleic, fumaric, malic (i.e. hydroxybutanedioic acid), tartaric, citric, methanesulfonic, ethanesulfonic, benzenesulfonic, p-toluenesulfonic, cyclamic, salicylic, p- aminosalicylic, pamoic and the like acids. Conversely said salt forms can be converted by treatment with an appropriate base into the free base form. The compounds containing an acidic proton may also be converted into their non-toxic metal or amine addition salt forms by treatment with appropriate organic and inorganic bases. Appropriate base salt forms comprise, for example, the ammonium salts, the alkali and earth alkaline metal salts, e.g. the lithium, sodium, potassium, magnesium, calcium salts and the like, salts with organic bases, e.g. the benzathine, N- methyl-D-glucamine, hydrabamine salts, and salts with amino acids such as, for example, arginine, lysine and the like. Prodrugs of the disclosed compounds also are contemplated herein. A prodrug is an active or inactive compound that is modified chemically through in vivo physiological action, such as hydrolysis, metabolism and the like, into an active compound following administration of the prodrug to a subject. The term “prodrug” as used throughout this text means the pharmacologically acceptable derivatives such as esters, amides and phosphates, such that the resulting in vivo biotransformation product of the derivative is the active drug as defined in the compounds described herein. Prodrugs preferably have excellent aqueous solubility, increased bioavailability and are readily metabolized into the active inhibitors in vivo. Prodrugs of a compounds described herein may be prepared by modifying functional groups present in the compound in such a way that the modifications are cleaved, either by routine manipulation or in vivo, to the parent compound. The suitability and techniques involved in making and using prodrugs are well known by those skilled in the art. F or a general discussion of prodrugs involving esters see Svensson and Tunek, Drug Metabolism Reviews 165 (1988) and Bundgaard, Design of Prodrugs, Elsevier (1985). The term “prodrug” also is intended to include any covalently bonded carriers that release an active parent drug of the present invention in vivo when the prodrug is administered to a subject. Since prodrugs often have enhanced properties relative to the active agent pharmaceutical, such as, solubility and bioavailability, the compounds disclosed herein can be delivered in prodrug form. Thus, also contemplated are prodrugs of the presently disclosed compounds, methods of delivering prodrugs and compositions containing such prodrugs. Prodrugs of the disclosed compounds typically are prepared by modifying one or more functional groups present in the compound in such a way that the modifications are cleaved, either in routine manipulation or in vivo, to yield the parent compound. Prodrugs include compounds having a phosphonate and/or amino group functionalized with any group that is cleaved in vivo to yield the corresponding amino and/or phosphonate group, respectively. Examples of prodrugs include, without limitation, compounds having an acylated amino group and/or a phosphonate ester or phosphonate amide group. In particular examples, a prodrug is a lower alkyl phosphonate ester, such as an isopropyl phosphonate ester.
WR/wr 8123-109882-02 06/20/24 06285 FILED VIA EFS ON June 20, 2024 Protected derivatives of the disclosed compounds also are contemplated. A variety of suitable protecting groups for use with the disclosed compounds are disclosed in Greene and Wuts, Protective Groups in Organic Synthesis; 3rd Ed.; John Wiley & Sons, New York, 1999. In general, protecting groups are removed under conditions that will not affect the remaining portion of the molecule. These methods are well known in the art and include acid hydrolysis, hydrogenolysis and the like. One preferred method involves the removal of an ester, such as cleavage of a phosphonate ester using Lewis acidic conditions, such as in TMS-Br mediated ester cleavage to yield the free phosphonate. A second preferred method involves removal of a protecting group, such as removal of a benzyl group by hydrogenolysis utilizing palladium on carbon in a suitable solvent system such as an alcohol, acetic acid, and the like or mixtures thereof. A t-butoxy-based group, including t-butoxy carbonyl protecting groups can be removed utilizing an inorganic or organic acid, such as HCl or trifluoroacetic acid, in a suitable solvent system, such as water, dioxane and/or methylene chloride. Another exemplary protecting group, suitable for protecting amino and hydroxy functions amino is trityl. Other conventional protecting groups are known and suitable protecting groups can be selected by those of skill in the art in consultation with Greene and Wuts, Protective Groups in Organic Synthesis; 3rd Ed.; John Wiley & Sons, New York, 1999. When an amine is deprotected, the resulting salt can readily be neutralized to yield the free amine. Similarly, when an acid moiety, such as a phosphonic acid moiety is unveiled, the compound may be isolated as the acid compound or as a salt thereof. Particular examples of the presently disclosed compounds may include one or more asymmetric centers; thus these compounds can exist in different stereoisomeric forms. Accordingly, compounds and compositions may be provided as individual pure enantiomers or as stereoisomeric mixtures, including racemic mixtures. In certain embodiments the compounds disclosed herein are synthesized in or are purified to be in substantially enantiopure form, such as in a 90% enantiomeric excess, a 95% enantiomeric excess, a 97% enantiomeric excess or even in greater than a 99% enantiomeric excess, such as in enantiopure form. The presently disclosed compounds can have at least one asymmetric center or geometric center, cis-trans center(C=C, C=N). All chiral, diasteromeric, racemic, meso, rotational and geometric isomers of the structures are intended unless otherwise specified. The compounds can be isolated as a single isomer or as mixture of isomers. All tautomers of the compounds are also considered part of the disclosure. The presently disclosed compounds also include all isotopes of atoms present in the compounds, which can include, but are not limited to, deuterium, tritium, 18F, etc The following abbreviations have the indicated meanings: Abbreviation Meaning AIBN Azobisisobutyronitrile aq aqueous Bn benzyl Boc tert-butoxy carbonyl or t-butoxy carbonyl
WR/wr 8123-109882-02 06/20/24 06285 FILED VIA EFS ON June 20, 2024 (Boc)2O di-tert-butyl dicarbonate cat. qty. catalytic quantity Cbz Benzyloxycarbonyl CbzCl Benzyl chloroformate c-Bu cyclobutyl c-Pr cyclopropyl DIAD diisopropyl azodicarboxylate DMAP 4-(dimethylamino)pyridine DMF N,N-dimethylformamide EDC.HCl, EDCI 1-[3-(dimethylamino)propyl]-3-ethylcarbodiimide hydrochloride Equiv equivalents EtOAc ethyl acetate h, hr hour(s) HOAc Acetic acid HOBt 1-hydroxybenzotriazole 2-(7-Aza-1H-benzotriazole-1-yl)-1,1,3,3-tetramethyluronium HATU hexafluorophosphate LC-MS liquid chromatography-mass spectroscopy m-CPBA meta-chloroperoxybenzoic acid min minute MS mass spectrum NBS N-bromosuccinimide Preparative HPLC on a Gilson 215 system using a C18 reverse phase Prep HPLC column, eluted with an acetonitrile/water gradient buffered with 0.1% TFA. quant quantitative yield RBF round bottom flask rt room temperature Satd, sat’d saturated Tf trifluoromethanesulfonate TFA trifluoroacetic acid tR retention time TsOH p-toluenesulfonic acid Compounds Disclosed herein are Proteolysis Targeting Chimeras (PROTACs) for the targeted destruction of Nef. Nef-binding compounds were coupled to ligands for ubiquitin E3 ligases via flexible linkers. The
WR/wr 8123-109882-02 06/20/24 06285 FILED VIA EFS ON June 20, 2024 resulting bivalent PROTACs induce formation of a ternary complex between Nef and the Cereblon E3 ubiquitin ligase, resulting in polyubiquitylation of Nef and proteolytic degradation. As a result, Nef-directed PROTACs potently rescue Nef-mediated MHC-I and CD4 downregulation in T cells and inhibit HIV-1 replication in donor PBMCs. This targeted degradation may reverse all Nef effects in HIV-infected cells, providing a robust antiviral response not attainable with previous occupancy-based inhibitors. In particular, disclosed herein is a compound of formula I, or a stereoisomer, isotopomer, tautomer, or pharmaceutically acceptable salt thereof:
wherein a ligand that binds to a Nef (NB) is covalently attached via a linker (L) to a ligand that binds to a E3 ligase cereblon (CB). In certain embodiments the ligand CB that binds to cereblon is selected from CB1 – CB22:
WR/wr 8123-109882-02 06/20/24 06285 FILED VIA EFS ON June 20, 2024 O O O O Ra Ra N O N O 6 N O N N O
wherein: the linker is attached to the position marked with ; A is C(=O) or CH2; Ra is H, halo, cyano, lower alkyl, lower haloalkyl, lower alkoxy or lower haloalkoxy; Rb is H or lower alkyl. In certain embodiments the linker L comprises 0-30 divalent moieties selected from CH2, C≡C, C(=O), NH, NMe, O, S, S(=O), SO2, piperazinyl, piperidinyl, pyrrolidinyl and azetidinyl, connected such that no O-O or N-O bonds are formed. In certain embodiments the ligand for Nef is a compound of Formula NB:
WR/wr 8123-109882-02 06/20/24 06285 FILED VIA EFS ON June 20, 2024 R H N N N
the linker is attached to any position bearing a hydrogen atom; G is CH or N; R is phenyl, pyridinyl, piperidinyl, pyrrolidinyl or azetidinyl, optionally substituted with 0-3 groups independently selected from Y; X, Y and Z are each independently halo, cyano, lower alkyl, lower haloalkyl, lower alkoxy, lower haloalkoxy, lower alkylcarbonyl, lower alkoxycarbonyl, or lower alkylsulfonyl; m and n are independently 0, 1, 2 or 3; and o is 1 or 2. In one embodiment of CB1, CB2, CB3 and CB5-CB22, Ra is hydrogen. In another embodiment of CB1, CB2, CB3 and CB5-CB22, Ra is fluorine. In one embodiment of CB5-CB10 and CB17, Rb is hydrogen. In another embodiment CB5-CB10 and CB17, Rb is methyl. In another embodiment of CB, the cereblon binder is selected from CB1 or CB2. In another embodiment A in CB1 and CB2 is C(=O). In another embodiment A in CB1 and CB2 is CH2. In one embodiment the linker includes an amide of formula -C(=O)NH-. In one embodiment the linker includes an ethylene glycol moiety of formula -OCH2CH2O-. In one embodiment the linker includes a piperazine moiety of formula .
the linker includes a piperidine moiety of formula .
WR/wr 8123-109882-02 06/20/24 06285 FILED VIA EFS ON June 20, 2024 In an embodiment the linker is attached to CB1-CB22 by a piperazine moiety of formula N N that is included in the linker;
In one embodiment the linker is attached to CB1-CB22 by a piperidine moiety of formula N that is included in the linker;
one embodiment the linker is attached to CB1-CB22 by an alkyne moiety of formula -C≡C- that is included the linker. In one embodiment the linker is attached to CB1-CB22 by an ether oxygen. In one embodiment the linker is attached to CB1-CB22 by a -CH2- group. In one embodiment the linker is attached to CB1-CB22 by an -NH- group. In one embodiment the linker is attached to CB1 by a -NHCH2CH2NH- moiety. In one embodiment the linker is attached to CB1 by a -NMeCH2CH2NH- moiety. In one embodiment the linker is attached to CB1 by a -OCH2C(=O)NH- moiety. In one embodiment the linker is attached to CB2 by a 1,4-piperazinyl moiety. In one embodiment the linker is attached to NB by a -CH2- moiety. In one embodiment the linker is attached to NB by a -C(=O)- moiety; In one embodiment the linker is attached to NB by an -O- atom; In another embodiment the linker L is of Formula II, Formula III or Formula IV: O O O LC LN
wherein LC is composed of 0-10 divalent moieties selected from CH2, C≡C, C(=O), NH, NMe, O, S, S(=O), SO2, piperazinyl, piperidinyl, pyrrolidinyl and azetidinyl, connected such that no O-O or N-O bonds are formed; LN is composed of 0-10 divalent moieties selected from CH2, C≡C, C(=O), NH, NMe, O, S, S(=O), SO2, piperazinyl, piperidinyl, pyrrolidinyl and azetidinyl, connected such that no O-O or N-O bonds are formed; LC is attached to the cereblon binding moiety; and LN is attached to the Nef binding moiety; In another embodiment the linker L is of Formula II, Formula III or Formula IV wherein:: LC is composed of 0-10 divalent moieties selected from CH2, NH, NMe, O, S, SO2, piperazinyl, piperidinyl, pyrrolidinyl and azetidinyl, connected such that no O-O or N-O bonds are formed;
WR/wr 8123-109882-02 06/20/24 06285 FILED VIA EFS ON June 20, 2024 LN is composed of 0-10 divalent moieties selected from CH2, NH, NMe, O, S, SO2, piperazinyl, piperidinyl, pyrrolidinyl and azetidinyl, connected such that no O-O or N-O bonds are formed; LC is attached to the cereblon binding moiety; and LN is attached to the Nef binding moiety; In another embodiment of L, the linker is selected from L1-L26:
WR/wr 8123-109882-02 06/20/24 06285 FILED VIA EFS ON June 20, 2024 wherein p and p’ are independently 0 to 7 and p’’ is 1 to 7, provided that p + p’ is < 10 and p + p’’ is <10, any NH may be substituted methyl to give NMe. In other embodiments, the linker is selected from:
In one first embodiment of NB, R is phenyl. In one embodiment of NB, R is 4-piperidinyl. In one embodiment of NB, X is hydrogen, fluorine or chlorine. In one embodiment of NB, X is chlorine. In one embodiment of NB, Z is F or is absent. In one embodiment of NB, Y is CF3 or is absent. In one embodiment of NB, the linker is attached to the phenyl ring bearing substituent Z.
WR/wr 8123-109882-02 06/20/24 06285 FILED VIA EFS ON June 20, 2024 In one embodiment of NB, the linker is attached to the para position of the phenyl ring bearing substituent Z. In one embodiment of NB, the linker is attached to the R; In one embodiment of NB, R is phenyl and the linker is attached to the para position; In one embodiment of NB, R is 4-piperidinyl and the linker is attached to the piperidine nitrogen atom; In one embodiment, NB is NB1, NB2, NB3, NB4 or NB5: Y H N H X
wherein: the linker is attached at the position marked with ; X is H or halogen; Y is halo, lower alkylsulfonyl or lower haloalkyl; Y’ is lower alkoxycarbonyl; and Z is fluorine. In one embodiment X in NB1-NB3 and NB5 is chlorine. In one embodiment NB1 is attached via a linker L to CB1. In one embodiment NB1 is attached via a linker L to CB2. In one embodiment NB2 is attached via a linker L to CB1. In one embodiment NB2 is attached via a linker L to CB2. In one embodiment NB3 is attached via a linker L to CB1. In one embodiment NB3 is attached via a linker L to CB2.
WR/wr 8123-109882-02 06/20/24 06285 FILED VIA EFS ON June 20, 2024 In another embodiment, in a compound of Formula I: CB is CB1, L is of Formula II, Formula III or Formula IV, wherein LC comprises 0-10 divalent moieties selected from CH2, NH, NMe, O, S, SO2, piperazinyl, piperidinyl, pyrrolidinyl and azetidinyl, connected such that no O-O or N-O bonds are formed; LN comprises 0-10 divalent moieties selected from CH2, NH, NMe, O, S, SO2, piperazinyl, piperidinyl, pyrrolidinyl and azetidinyl, connected such that no O-O or N-O bonds are formed; LC is attached to the cereblon binding moiety; and LN is attached to the Nef binding moiety; and NB is NB1, wherein X is Cl. In another embodiment, in a compound of Formula I: CB is CB2, L is of Formula II, Formula III or Formula IV, wherein LC comprises 0-10 divalent moieties selected from CH2, NH, NMe, O, S, SO2, piperazinyl, piperidinyl, pyrrolidinyl and azetidinyl, connected such that no O-O or N-O bonds are formed; LN comprises 0-10 divalent moieties selected from CH2, NH, NMe, O, S, SO2, piperazinyl, piperidinyl, pyrrolidinyl and azetidinyl, connected such that no O-O or N-O bonds are formed; LC is attached to the cereblon binding moiety and LN is attached to the Nef binding moiety; and NB is NB1, wherein X is Cl. In another embodiment, in a compound of Formula I: CB is CB1, L is of Formula II, Formula III or Formula IV, wherein LC comprises 0-10 divalent moieties selected from CH2, NH, NMe, O, S, SO2, piperazinyl, piperidinyl, pyrrolidinyl and azetidinyl, connected such that no O-O or N-O bonds are formed; LN comprises 0-10 divalent moieties selected from CH2, NH, NMe, O, S, SO2, piperazinyl, piperidinyl, pyrrolidinyl and azetidinyl, connected such that no O-O or N-O bonds are formed; LC is attached to the cereblon binding moiety and LN is attached to the Nef binding moiety; and NB is NB2, wherein X is Cl. In another embodiment, in a compound of Formula I: CB is CB2, L is of Formula II, Formula III or Formula IV,
WR/wr 8123-109882-02 06/20/24 06285 FILED VIA EFS ON June 20, 2024 wherein LC comprises 0-10 divalent moieties selected from CH2, NH, NMe, O, S, SO2, piperazinyl, piperidinyl, pyrrolidinyl and azetidinyl, connected such that no O-O or N-O bonds are formed; LN comprises 0-10 divalent moieties selected from CH2, NH, NMe, O, S, SO2, piperazinyl, piperidinyl, pyrrolidinyl and azetidinyl, connected such that no O-O or N-O bonds are formed; LC is attached to the cereblon binding moiety and LN is attached to the Nef binding moiety; and NB is NB2, wherein X is Cl. In another embodiment, in a compound of Formula I: CB is CB1, L is of Formula IV, wherein LC comprises 0-10 divalent moieties selected from CH2, NH, NMe, O, S, SO2, piperazinyl, piperidinyl, pyrrolidinyl and azetidinyl, connected such that no O-O or N-O bonds are formed; LN comprises 0-10 divalent moieties selected from CH2, NH, NMe, O, S, SO2, piperazinyl, piperidinyl, pyrrolidinyl and azetidinyl, connected such that no O-O or N-O bonds are formed; LC is attached to the cereblon binding moiety and LN is attached to the Nef binding moiety; and NB is NB3, wherein X is Cl. In another embodiment, in a compound of Formula I: CB is CB2, L is of Formula IV, wherein LC comprises 0-10 divalent moieties selected from CH2, NH, NMe, O, S, SO2, piperazinyl, piperidinyl, pyrrolidinyl and azetidinyl, connected such that no O-O or N-O bonds are formed; LN comprises 0-10 divalent moieties selected from CH2, NH, NMe, O, S, SO2, piperazinyl, piperidinyl, pyrrolidinyl and azetidinyl, connected such that no O-O or N-O bonds are formed; LC is attached to the cereblon binding moiety and LN is attached to the Nef binding moiety; and NB is NB3, wherein X is Cl. In another embodiment, a compound of Formula I has structure Ia:
WR/wr 8123-109882-02 06/20/24 06285 FILED VIA EFS ON June 20, 2024 F F F Cl
or Rc H or Me, H or Me, r is 1, 2 or 3 and LN comprises 0-6 divalent moieties selected from CH2, C≡C, C(=O), NH, NMe, O, S, S(=O), SO2, piperazinyl, piperidinyl, pyrrolidinyl and azetidinyl, connected such that no O-O or N-O bonds are formed. In another embodiment, a compound of Formula I has structure Ib, O NH Cl
wherein A is C(=O) or CH2, Rc is H or Me, Rd is H or Me, r is 1, 2 or 3 and LN comprises 4 to 16 divalent moieties selected from CH2, C≡C, C(=O), NH, NMe, O, S, S(=O), SO2, piperazinyl, piperidinyl, pyrrolidinyl and azetidinyl, connected such that no O-O or N-O bonds are formed; In another embodiment, a compound of Formula I has structure Ic,
WR/wr 8123-109882-02 06/20/24 06285 FILED VIA EFS ON June 20, 2024 O NH
wherein A is C(=O) or CH2,, and LN comprises 4 to 16 divalent moieties selected from CH2, C≡C, C(=O), NH, NMe, O, S, S(=O), SO2, piperazinyl, piperidinyl, pyrrolidinyl and azetidinyl, connected such that no O- O or N-O bonds are formed. In another embodiment, a compound of Formula I has structure Id, O
WR/wr 8123-109882-02 06/20/24 06285 FILED VIA EFS ON June 20, 2024 wherein A is C(=O) or CH2, and LC comprises 0-6 divalent moieties selected from CH2, C≡C, C(=O), NH, NMe, O, S, S(=O), SO2, piperazinyl, piperidinyl, pyrrolidinyl and azetidinyl, connected such that no O-O or N-O bonds are formed. Illustrative bifunctional compounds of Formula I include: F F Example F 29 le le
WR/wr 8123-109882-02 06/20/24 06285 FILED VIA EFS ON June 20, 2024 Example O H N N 20
WR/wr 8123-109882-02 06/20/24 06285 FILED VIA EFS ON June 20, 2024 O Example NH 1 O le
General Description of Synthesis In a first process, a compound of Formula I, wherein L contains a -C(=O)NH moiety, is prepared by reaction of a cereblon binder CB functionalized with a partial linker LC that terminates in a carboxylic acid (V) and a Nef binder NB functionalized with a partial linker LN that terminates in an amino group (VI), using a peptide coupling reagent such as HATU or EDCI combined with HOBt in the presence of an amine base such as Et3N or i-Pr2NEt: CB LC CO2H + H2N LN NB CB L NB (1) V VI I In a second process, a compound of Formula I, wherein L contains an -NHC(=O)- moiety is prepared by reaction of a cereblon binder CB functionalized with a partial linker LC that terminates in an amino group (VII) and a Nef binder NB functionalized with a partial linker LN that terminates in a
WR/wr 8123-109882-02 06/20/24 06285 FILED VIA EFS ON June 20, 2024 carboxylic acid (VIII), using a peptide coupling reagent such as HATU or EDCI combined with HOBt in the presence of an amine base such as Et3N or i-Pr2NEt: CB L C NH2 + HO2C L N NB CB L NB (2) VII VIII I In a third process, a compound of Formula I, wherein L is attached to NB by a C(+O) group that forms part of
functionalized with a partial linker LC that terminates in a carboxylic acid (V) and a Nef binder of Formula NB3, using a peptide coupling reagent such as HATU or EDCI combined with HOBt in the presence of an amine base such as Et3N or i- Pr2NEt: O CB HN LC N (3) is
prepared by reaction of a cereblon binder CB functionalized with a partial linker LC that terminates in a piperazine ring (IX) and a Nef binder NB functionalized with a partial linker LN that terminates in a carboxylic acid (VIII), using a peptide coupling reagent such as HATU or EDCI combined with HOBt in the presence of an amine base such as Et3N or i-Pr2NEt: O CB L C N NH + HO2C L N NB CB LC N N (4)
In a fifth process, a compound of Formula I, wherein L incorporates a piperazine moiety, is prepared by reductive amination of a cereblon binder CB functionalized with a partial linker LC that terminates in an aldehyde (X) and a Nef binder NB functionalized with a partial linker LN that terminates in a piperazine (XI), using a hydride reducing agent such as NaCNBH3 or NaBH(OAc)3: N N LN NB (5)
In a sixth process, a compound of Formula I, wherein L incorporates a piperazine moiety, is prepared by reductive amination of a cereblon binder CB functionalized with a partial linker LC that terminates in a piperazine (IX) and a Nef binder NB functionalized with a partial linker LN that terminates in an aldehyde (XII), using a hydride reducing agent such as NaCNBH3 or NaBH(OAc)3:
WR/wr 8123-109882-02 06/20/24 06285 FILED VIA EFS ON June 20, 2024 CB L C N NH + OHC L N NB CB LC N N (6) LN NB
In a seventh process, a functionalized cereblon binder of Formula V, wherein LC is attached to CB by an ether linkage, is prepared by reaction of a hydroxyl bearing cereblon binder (XIII) with a compound of Formula XIV, wherein Q1 is a leaving group such as iodide, bromide or methanesulfonate and Rz is an alkyl group such as tert-butyl, in the presence of an amine base such as i-Pr2NEt in a dipolar aprotic solvent such as DMF to give XV, followed by removal of RZ using an acid such as TFA. CB OH + Q1 LC CO2Rz CB O LC CO2RZ CB O L C CO2H (7) XIII XIV XV V In an eighth process, a functionalized cereblon binder of Formula V, wherein LC is attached to CB by an amino linkage, is prepared by reaction of a cereblon binder functionalized with a leaving group Q1 such as fluoride or chloride (XVI), with an amino compound of Formula XVII, wherein Rz is an alkyl group such as tert-butyl, in the presence of an amine base such as i-Pr2NEt in a dipolar aprotic solvent such as DMF or DMSO to give XVIII, followed by removal of RZ using an acid such as TFA. 1 C H 2 C Z H CB Q + H2N L CO Rz CB N L CO2R CB N L C CO2H (8) XVI XVII XVIII V In a ninth process, a functionalized cereblon binder of Formula V, wherein LC is attached to CB by an alkynyl linkage, is prepared by reaction of a cereblon binder functionalized with a leaving group Q1 such as bromide or iodide (XVI), with an alkyne of Formula XIX, wherein Rz is an alkyl group such as tert-butyl, in the presence of a palladium catalyst such as Pd(PPh3)2Cl2 or Pd(PPh3)4 in the presence of a base such as Et3N and a solvent such as CH2Cl2, THF or DMF to give XX, followed by removal of RZ using an acid such as TFA. CB Q1 + LC CO2Rz CB LC CO2RZ CB LC CO2H (9) XVI XIX XX V In a tenth process, a functionalized cereblon binder of Formula VII, wherein LC is attached to CB by an alkynyl linkage, is prepared by reaction of a cereblon binder functionalized with a leaving group Q1 such as bromide or iodide (XVI), with an alkyne of Formula XXI, wherein RY is an amine protecting group such as Boc, in the presence of a palladium catalyst such as Pd(PPh3)2Cl2 or Pd(PPh3)4 in the presence of a base such as Et3N and a solvent such as CH2Cl2, THF or DMF to give XXII, followed by removal of RY using an acid such as TFA. CB Q1 + LC NHRY CB LC NHRY CB LC NH2 (10) XVI XXI XXII VII
WR/wr 8123-109882-02 06/20/24 06285 FILED VIA EFS ON June 20, 2024 In an eleventh process, a functionalized cereblon binder of Formula VII, wherein LC is attached to CB by an amino linkage, is prepared by reaction of a cereblon binder functionalized with a leaving group Q1 such as fluoride or chloride (XVI), with an amino compound of Formula XXIII, RY is an amine protecting group such as Boc, in the presence of an amine base such as i-Pr2NEt in a dipolar aprotic solvent such as DMF or DMSO to give XVIII, followed by removal of RY using an acid such as TFA. H CB Q1 H2N LC NHRY CB N LC NHRY H + CB N L C NH2 (11) XVI XXIII XXIV VII In a twelfth process, a functionalized Nef binder of Formula VI, is prepared by reduction of an azide of Formula XXV, using trimethylphosphine or Ph3P in a water solvent mixture such as water/THF or by hydrogenation in the presence of palladium on carbon. N3 LN NB H2N L N NB (12) XXV VI In a thirteenth process, a functionalized Nef binder of Formula VI, is prepared by deprotection of a compound Formula XXVI, wherein RY is a nitrogen protecting group such as Boc or Teoc, using TFA or TBAF respectively. RYHN LN NB H2N L N NB (13) XXVI VI In a fourteenth process, a functionalized Nef binder of Formula VIII, is prepared by deprotection of a compound Formula XXVII, wherein RZ is an alkyl group such as methyl or t-butyl, using NaOH or TFA, respectively. RZO2C LN NB HO2C L N NB (14) XXVII VIII In a fifteenth process, a Nef binder of Formula XXV, wherein LN is attached as shown in XXVa and XXVb and terminates in an azide is prepared by reaction of a β-ketoester of Formula XXVIII or XXX, wherein RY is lower alkyl, with a hydrazine of Formula XXIX using an acid catalyst such as HOAc, HCl or TsOH in a suitable solvent such as ethanol, at a temperature between room temperature and 150 ⁰C. Heat is applied by means including an oil bath, heated metal block or microwave oven.
WR/wr 8123-109882-02 06/20/24 06285 FILED VIA EFS ON June 20, 2024 O CO2RZ R H R H N N (15)
an a XXXI or XXXII, wherein RZ is lower alkyl, with a hydrazine of Formula XXIX using an acid catalyst such as HOAc, HCl or TsOH in a suitable solvent such as ethanol, at a temperature between room temperature and 150 ⁰C. Heat is applied by means including an oil bath, heated metal block or microwave oven. O CO RZ R 2 t-BuO2C H (16)
unsubstituted β-ketoester of Formula XXXIII with a compound of Formula XXXIV, wherein Q1 is bromide, iodide or methanesulfonate, using for example K2CO3 in DMF, optionally supplemented with KI: Q1 O
WR/wr 8123-109882-02 06/20/24 06285 FILED VIA EFS ON June 20, 2024 In an eighteenth process, a β-ketoester of Formula XXVIII is prepared by Claisen condensation of esters of Formula XXXV and XXXVI, using for example NaH in THF at reflux temperature. CO2RZ O O CO RZ R 2 17 and
LC-MS Method Column: Phenomenex Luna 3u C18(2) 100 A, 75 x 4.6 mm; Mobil phase: A: 0.1%TFA/water, B: 0.1%TFA/CH3CN; Flow rate: 1.5 mL/min; Gradient 5%B to 95% B. Synthesis of CRBN binding intermediates 2-{[2-(2,6-dioxopiperidin-3-yl)-1-oxo-2,3-dihydro-1H-isoindol-4-yl]oxy}acetic acid (CB1a) O O O O
To a stirred solution of 3-(4-hydroxy-1-oxo-2,3-dihydro-1H-isoindol-2-yl)piperidine-2,6-dione (926 mg, 3.6 mmol) and i-Pr2NEt (0.64 mL, 3.6 mmol) in dry DMF (10 mL) was added t-butyl bromoacetate (0.5 mL, 3.4 mmol). The mixture was stirred at 40 °C for 2 d and purified directly by prep HPLC to give tert-butyl 2-{[2-(2,6-dioxopiperidin-3-yl)-1-oxo-2,3-dihydro-1H-isoindol-4-yl]oxy}acetate (380 mg, 28%) as an oil. LC-MS tR = 3.90 min, m/z 375, 319.1H NMR (300MHz, DMSO-d6) δ = 7.52 - 7.39 (m, 1H), 7.32 (d, J=7.0 Hz, 1H), 7.21 - 7.08 (m, 1H), 5.10 (dd, J=5.1, 13.0 Hz, 1H), 4.82 (s, 2H), 4.48 - 4.13 (m, 2H), 3.03 - 2.75 (m, 1H), 2.63-2.33 (m, 2H), 2.14 - 1.88 (m, 1H), 1.40 (s, 9H). Step 2 A solution of tert-butyl 2-{[2-(2,6-dioxopiperidin-3-yl)-1-oxo-2,3-dihydro-1H-isoindol-4- yl]oxy}acetate (380 mg, 1.0 mmol) in 2:1 CH2Cl2/TFA (9 mL) was stirred at rt for 1 d and concentrated. The residue was lyophilized from aq MeCN to give the title compound (289 mg, 90%) as an off-white solid. 1H NMR (300MHz, DMSO-d6) δ = 7.52 - 7.40 (m, 1H), 7.32 (d, J=7.5 Hz, 1H), 7.14 (d, J=7.9 Hz, 1H), 5.10 (d, J=8.3 Hz, 1H), 4.82 (s, 2H), 4.45 - 4.15 (m, 2H), 3.02 - 2.78 (m, 1H), 2.64-2.20 (m, 2H), 2.10 - 1.86 (m, 1H).
WR/wr 8123-109882-02 06/20/24 06285 FILED VIA EFS ON June 20, 2024 4-[(2-Aminoethyl)amino]-2-(2,6-dioxopiperidin-3-yl)-2,3-dihydro-1H-isoindole-1,3-dione (CB1b) O O N O Step 1 A
- dione (1.75 g, 6.3 mmol), tert-butyl N-(2-aminoethyl)carbamate (1.06 g, 6.6 mmol), i-Pr2NEt (2.3 mL, 12.7 mmol) and dry DMF (30 mL) was stirred in a 90°C oil bath for 2 d. The mixture was diluted with EtOAc (150 mL) and washed with water (2 x 50 mL) and brine (50 mL). The combined aqueous washes were back extracted with EtOAc (50 mL). The combined EtOAc layer was dried over Na2SO4 and concentrated under reduced pressure to leave a black oil (4.11 g). Prep HPLC gave tert-butyl N-(2-{[2-(2,6-dioxopiperidin-3-yl)-1, 3-dioxo-2,3- dihydro-1H-isoindol-4-yl]amino}ethyl)carbamate (850 mg, 32%) as a yellow solid. 1H NMR (300MHz, DMSO-d6) Shift = 7.64 - 7.42 (m, 1H), 7.10 (d, J=8.8 Hz, 1H), 7.04 - 6.93 (m, 2H), 6.68 (br s, 1H), 5.01 (dd, J=5.5, 12.5 Hz, 1H), 3.38-3.21 (m, 2H), 3.14-3.01 (m, 2H), 2.92 - 2.68 (m, 1H), 2.59-2.32 (m, 2H), 2.11 - 1.80 (m, 1H), 1.32 (s, 9H). LC-MS tR 3.98 min, m/z 439, 417, 317. Step 2 A solution of tert-butyl N-(2-{[2-(2,6-dioxopiperidin-3-yl)-1,3-dioxo-2,3-dihydro-1H-isoindol-4- yl]amino}ethyl)carbamate (850 mg, 2.0 mmol) in 2:1 CH2Cl2/TFA (30 mL) was stirred at rt for 0.5 h. The mixture was concentrated, and the residue was lyophilized from MeCN/5% aq HCl to give the title compound (745 mg, quant) as its HCl salt. 1H NMR (300MHz, CD3OD) Shift = 7.62 (t, J=7.7 Hz, 1H), 7.15 (d, J=8.3 Hz, 2H), 5.16 - 5.01 (m, 1H), 3.68 (s, 2H), 3.26 - 3.10 (m, 2H), 2.95 - 2.59 (m, 3H), 2.23 - 2.00 (m, 1H). LC- MS tR 2.25 min, m/z 317. 4-[(2-aminoethyl)(methyl)amino]-2-(2,6-dioxopiperidin-3-yl)-2,3-dihydro-1H-isoindole-1,3-dione (CB1c) O O
A mixture of 2-(2,6-dioxopiperidin-3-yl)-4-fluoro-2,3-dihydro-1H-isoindole-1,3-dione (750 mg, 2.7 mmol), tert-butyl N-[2-(methylamino)ethyl]carbamate (500 mg, 2.9 mmol), i-Pr2NEt (1 mL, 5.5 mmol) and DMF (10 mL) was stirred at 70 °C for 20 h. The mixture was cooled to rt, diluted with EtOAc (90 mL),
WR/wr 8123-109882-02 06/20/24 06285 FILED VIA EFS ON June 20, 2024 washed with water (2 x 20 mL) and brine (20 mL), and dried over Na2SO4. Removal of the solvent left a yellow oil (1.58 g). Prep HPLC gave tert-butyl N-(2-{[2-(2,6-dioxopiperidin-3-yl)-1,3-dioxo-2,3-dihydro- 1H-isoindol-4-yl](methyl)amino}ethyl)carbamate (480 mg, 41%) as a yellow solid. 1H NMR (300MHz, DMSO-d6) δ = 7.82 - 7.67 (m, 1H), 7.46 - 7.30 (m, 2H), 6.94 - 6.79 (m, 1H), 5.32 - 5.17 (m, 1H), 3.81 - 3.57 (m, 2H), 3.35 - 3.22 (m, 2H), 3.12 - 2.93 (m, 1H), 2.81 - 2.60 (m, 2H), 2.24 - 2.02 (m, 1H), 1.42 (s, 9H). Step 2 A solution of tert-butyl N-(2-{[2-(2,6-dioxopiperidin-3-yl)-1,3-dioxo-2,3-dihydro-1H-isoindol-4- yl](methyl)amino}ethyl)carbamate (480 mg, 1.1 mmol) in 2:1 CH2Cl2/TFA (30 mL) was stirred at rt for 0.5 h and concentrated. The residue was lyophilized from a mixture of MeCN and 5% aq HCl to give the HCl salt of the title compound (419 mg, quant) as a yellow solid. 1H NMR (300MHz, CD3OD) δ = 7.80 - 7.66 (m, 1H), 7.53 - 7.35 (m, 2H), 5.20-5.10 (m, 1H), 3.65-3.57 (m, 2H), 3.41 - 3.30 (m, 2H), 2.98 (s, 3H), 2.94 - 2.58 (m, 3H), 2.21 - 2.06 (m, 1H). 2-(2,6-dioxopiperidin-3-yl)-4-{[2-(methylamino)ethyl]amino}-2,3-dihydro-1H-isoindole-1,3-dione (CB1d) O O The title compound was
to those described for CB1c, using tert- butyl N-(2-aminoethyl)-N-methylcarbamate in Step 1. LC-MS tR = 2.33 min, m/z 331. 4-({2-[2-(2-aminoethoxy)ethoxy]ethyl}amino)-2-(2,6-dioxopiperidin-3-yl)-2,3-dihydro-1H-isoindole-1,3- dione (CB1e) O O
A solution of 2-(2,6-dioxopiperidin-3-yl)-4-fluoro-2,3-dihydro-1H-isoindole-1,3-dione (420 mg, 1.5 mmol), tert-butyl N-{2-[2-(2-aminoethoxy)ethoxy]ethyl}carbamate (396 mg, 1.6 mmol) and i-Pr2NEt (0.55 mL, 3.0 mmol) in DMF (10 mL) was stirred at 70 °C for 4 h. The mixture was diluted with EtOAc (90 mL),
WR/wr 8123-109882-02 06/20/24 06285 FILED VIA EFS ON June 20, 2024 washed with 5% aq HCl (2 x 15 mL) and brine (15 mL), and dried over Na2SO4. Removal of the solvent left a green oil (910 mg) which was purified by prep HPLC to give tert-butyl N-{2-[2-(2-{[2-(2,6-dioxopiperidin- 3-yl)-1,3-dioxo-2,3-dihydro-1H-isoindol-4-yl]amino}ethoxy)ethoxy]ethyl}carbamate (230 mg, 30%) as a yellow solid. 1H NMR (300MHz, DMSO-d6) δ = 7.62 - 7.49 (m, 1H), 7.13 (d, J=8.8 Hz, 1H), 7.02 (d, J=7.0 Hz, 1H), 6.81 - 6.67 (m, 1H), 6.65 - 6.55 (m, 1H), 5.10 - 4.98 (m, 1H), 3.67 - 3.41 (m, 10H), 3.39-3.32 (m, 2H), 3.11 - 2.97 (m, 2H), 2.95 - 2.74 (m, 1H), 2.65 - 2.36 (m, 2H), 2.08 - 1.92 (m, 1H), 1.34 (s, 9H). LC-MS tR = 4.13 min, m/z 505, 405. Step 2 A solution of tert-butyl N-{2-[2-(2-{[2-(2,6-dioxopiperidin-3-yl)-1,3-dioxo-2,3-dihydro-1H-isoindol- 4-yl]amino}ethoxy)ethoxy]ethyl}carbamate (230 mg, 0.46 mmol) in 3:2 CH2Cl2/TFA (5 mL) was stirred at rt for 0.5 h and concentrated. The residue was lyophilized from a mixture of MeCN and 5% aq HCl to give the HCl salt of the title compound (114 mg, 57%) as a greenish yellow solid. . 1H NMR (300MHz, DMSO-d6) δ = 8.06 (br s, 2H), 7.65 - 7.50 (m, 1H), 7.14 (d, J=8.8 Hz, 1H), 7.03 (d, J=7.0 Hz, 1H), 6.00 - 5.21 (m, 2H), 5.12-5.00 (m, 1H), 3.70 - 3.52 (m, 8H), 3.50-3.40 (m, 2H), 2.99-2.80 (m, 2H), 2.66 - 2.37 (m, 1H), 2.10 - 1.90 (m, 1H) 4-{[2-(2-aminoethoxy)ethyl]amino}-2-(2,6-dioxopiperidin-3-yl)-2,3-dihydro-1H-isoindole-1,3-dione (CB1f) O O The title compound
analogous to those described for CB1e, using tert-butyl N-[2-(2-aminoethoxy)ethyl]carbamate in Step 1. LC-MS tR = 2.63 min, m/z 361. 2-(2,6-dioxopiperidin-3-yl)-4-{[2-(piperazin-1-yl)ethyl]amino}-2,3-dihydro-1H-isoindole-1,3-dione (CB1g) O O The title compound was
to those described for CB1e, using tert- butyl 4-(2-aminoethyl)piperazine-1-carboxylate in Step 1. LC-MS tR = 2.25 min, m/z 386.
WR/wr 8123-109882-02 06/20/24 06285 FILED VIA EFS ON June 20, 2024 3-{4-[(2-aminoethyl)amino]-1-oxo-2,3-dihydro-1H-isoindol-2-yl}piperidine-2,6-dione (CB1h) O O O N N O
0.49 mmol), tert-butyl N-(2-oxoethyl)carbamate (67 mg, 0.42 mmol), HOAc (28 μL, 0.49 mmol) and dry MeOH (5 mL) was stirred at rt for 2 h and NaCNBH3 (62 mg, 0.98 mmol) was added. The mixture was stirred overnight at rt and concentrated. The residue was diluted with satd aq NaHCO3 (20 mL) and extracted with CH2Cl2 (4 x 25 mL). The combined organic layer was washed with brine (10 mL), dried over Na2SO4 and concentrated to leave a sticky solid (160 mg). Purification by prep HPLC gave tert-butyl N-(2-{[2-(2,6- dioxopiperidin-3-yl)-1-oxo-2,3-dihydro-1H-isoindol-4-yl]amino}ethyl)carbamate (69 mg, 35%). LC-MS tR = 3.55 min, m/z 425, 403, 347, 303. Step 2 A solution of tert-butyl N-(2-{[2-(2,6-dioxopiperidin-3-yl)-1-oxo-2,3-dihydro-1H-isoindol-4- yl]amino}ethyl)carbamate (69 mg, 0.17 mmol) in 3:1 CH2Cl2/TFA (4 mL) was stirred at rt for 1.5 h and concentrated. The residue was lyophilized from MeCN/5% aq HCl to give the HCl salt of the title compound (56 mg, 96%) as an off-white solid. LC-MS tR = 2.00 min, m/z 303. 3-[4-(2-aminoethoxy)-1-oxo-2,3-dihydro-1H-isoindol-2-yl]piperidine-2,6-dione (CB1i) O CO2Me CO2Me CO2Me CONH2 O
To a stirred, ice-cold solution of methyl 3-hydroxy-2-methylbenzoate (13.17 g, 79.3 mmol) and imidazole (13.48 g, 198 mmol) in dry DMF (50 mL) was added t-BuMe2SiCl (16.70 g, 87.2 mmol). The mixture was stirred at rt for 20 h and diluted with ether (300 mL). The mixture was washed with water (2 x 100 mL) and brine (50 mL), and dried over Na2SO4. Removal of the solvent left a colorless oil (27.20 g) which was purified by chromatography on a 120 g silica cartridge, eluted with a 0-20% EtOAc in hexanes
WR/wr 8123-109882-02 06/20/24 06285 FILED VIA EFS ON June 20, 2024 gradient, to give methyl 3-[(tert-butyldimethylsilyl)oxy]-2-methylbenzoate (20.15 g, 90%). LC-MS tR = 6.58 min, m/z 281. Step 2 A flask was charged with methyl 3-[(tert-butyldimethylsilyl)oxy]-2-methylbenzoate (3.34 g, 11.9 mmol), NBS (2.23 g, 12.6 mmol), AIBN (0.29 g, 1.8 mmol) and CCl4 (30 mL). The flask was sealed with a septum and evacuated/refilled with N2 (3x). The mixture was stirred at 80 °C in an oil bath for 7 h and concentrated. The residue was taken up in EtOAc (100 mL), washed with satd aq NaHCO3 (2 x 10 mL) and brine (10 mL), and dried over Na2SO4. Removal of the solvent left crude methyl 2-(bromomethyl)-3-[(tert- butyldimethylsilyl)oxy]benzoate (4.57 g, quant.) as a thick oil. LC-MS tR = 6.60 min, m/z 279. Step 3 To a stirred mixture of crude methyl 2-(bromomethyl)-3-[(tert-butyldimethylsilyl)oxy]benzoate (4.57 g, ≤11.9 mmol), methyl 4-amino-4-carbamoylbutanoate (2.75 g, 14.0 mmol) and MeCN (30 mL) was added i-Pr2NEt (5 mL, 28.0 mmol). The mixture was stirred at rt for 1 h and at 30 °C for 6 h. The mixture was concentrated. The residue was taken up in EtOAc (90 mL), washed with 5% aq HCl (20 mL), satd aq NaHCO3 (20 mL) and 20:1 brine/5% aq HCl (21 mL), and dried over Na2SO4. Removal of the solvent left a viscous oil (4.81 g) which was purified by chromatography on a 40 g silica cartridge, eluted with a 20-100% EtOAc in hexanes gradient, to give methyl 4-{4-[(tert-butyldimethylsilyl)oxy]-1-oxo-2,3-dihydro-1H-isoindol-2-yl}- 4-carbamoylbutanoate (3.10 g, 55%) as a foam. LC-MS tR =4.87 min, m/z 429, 407, 362. Step 4 To a stirred, ice cold solution of methyl 4-{4-[(tert-butyldimethylsilyl)oxy]-1-oxo-2,3-dihydro-1H- isoindol-2-yl}-4-carbamoylbutanoate (3.10 g, 7.6 mmol) in 9:1 DMF/H2O (40 mL) was added solid K2CO3 (0.53 g, 3.8 mmol). The mixture was stirred at rt for 2 h, cooled in an ice bath and treated with conc HCl (0.65 mL, 7.7 mmol). The mixture was concentrated under high vacuum to leave aviscous oil which was taken up in MeCN (100 mL). The mixture was filtered through Celite, washing with MeCN (25 mL). The filtrate was concentrated to leave an oil which was lyophilized from aq MeCN to give crude methyl 4-carbamoyl-4-(4- hydroxy-1-oxo-2,3-dihydro-1H-isoindol-2-yl)butanoate (2.86 g, quant) as a sticky solid. LC-MS tR = 2.52 min, m/z 293, 248. Step 5 To a stirred, ice-cold solution of methyl 4-carbamoyl-4-(4-hydroxy-1-oxo-2,3-dihydro-1H-isoindol- 2-yl)butanoate (506 mg, 1.7 mmol), tert-butyl N-(2-hydroxyethyl)carbamate (420 mg, 2.6 mmol) and Ph3P (1.14 g, 4.3 mmol) in dry THF (10 mL) was added dropwise DIAD (0.85 mL, 4.3 mmol). The mixture was removed from the ice bath and stirred at rt for 20 h. The mixture was concentrated to leave a yellow oil which was purified by chromatography on silica gel (20-100% EtOAc in hexanes gradient, then pure EtOAc), followed by prep HPLC to give methyl 4-[4-(2-{[(tert-butoxy)carbonyl]amino}ethoxy)-1-oxo-2,3-dihydro- 1H-isoindol-2-yl]-4-carbamoylbutanoate (65 mg, 8%) as a white solid. 1H NMR (300MHz, CD3OD) Shift = 7.51 - 7.42 (m, 1H), 7.41 - 7.33 (m, 1H), 7.24 - 7.13 (m, 1H), 4.99-4.92 (m, 1H), 4.69 - 4.40 (m, 2H), 4.20 - 4.09 (m, 2H), 3.57 (s, 3H), 3.52 - 3.42 (m, 2H), 2.44 - 2.29 (m, 4H), 1.43 (s, 9H).
WR/wr 8123-109882-02 06/20/24 06285 FILED VIA EFS ON June 20, 2024 Step 6 To a stirred, ice-cold solution of methyl 4-[4-(2-{[(tert-butoxy)carbonyl]amino}ethoxy)-1-oxo-2,3- dihydro-1H-isoindol-2-yl]-4-carbamoylbutanoate (65 mg, 0.15 mmol) in dry THF (2 mL) was added solid KOt-Bu (35 mg, 0.31 mmol). The mixture was stirred in the ice bath for 3 h and HOAc (0.5 mL) was added. The mixture was purified by prep HPLC to give tert-butyl N-(2-{[2-(2,6-dioxopiperidin-3-yl)-1-oxo-2,3- dihydro-1H-isoindol-4-yl]oxy}ethyl)carbamate (20 mg, 33%). LC-MS tR = 3.59 min, m/z 426, 348. Step 7 A solution of tert-butyl N-(2-{[2-(2,6-dioxopiperidin-3-yl)-1-oxo-2,3-dihydro-1H-isoindol-4- yl]oxy}ethyl)carbamate (20 mg, 0.05 mmol) in 1:1 CH2Cl2/TFA was stirred at rt for 0.5 h and concentrated. The residue was lyophilized from MeCN/5% aq HCl to give the HCl salt of the title compound (18 mg, quant.) as an off-white solid. LC-MS tR =0.87 min, m/z 304. 3-{4-[2-(2-aminoethoxy)ethoxy]-1-oxo-2,3-dihydro-1H-isoindol-2-yl}piperidine-2,6-dione (CB1j) O O The title compound was
to those described for CB1i, using tert- butyl N-[2-(2-hydroxyethoxy)ethyl]carbamate in Step 5. LC-MS tR = 2.30 min, m/z 348. 2-(2,6-dioxopiperidin-3-yl)-4-[(2-hydroxyethyl)amino]-2,3-dihydro-1H-isoindole-1,3-dione (CB1k) O O The title compound was
to that of Step 1 for CB1b, using aminoethanol. LC-MS tR = 2.92 min, m/z 318. 2-(2-{[2-(2,6-dioxopiperidin-3-yl)-1-oxo-2,3-dihydro-1H-isoindol-4-yl]oxy}ethoxy)acetic acid (CB1l)
WR/wr 8123-109882-02 06/20/24 06285 FILED VIA EFS ON June 20, 2024 O N O The title compound was to those described for CB1i, using tert- butyl 2-(2-hydroxyethoxy)acetate
363. 4-[(3-aminopropyl)amino]-2-(2,6-dioxopiperidin-3-yl)-2,3-dihydro-1H-isoindole-1,3-dione (CB1m) O O N O Step 1
A mixture of 2-(2,6-dioxopiperidin-3-yl)-4-fluoro-2,3-dihydro-1H-isoindole-1,3-dione (710 mg, 2.6 mmol), tert-butyl N-(3-aminopropyl)carbamate (470 mg, 2.7 mmol), i-Pr2NEt (1.0 mL, 5.6 mmol) and dry DMF (10 mL) was stirred at 90°C for 1 d. The mixture was diluted with EtOAc (90 mL) and washed with water (2 x 20 mL) and brine (10 mL). The combined aqueous washes were back extracted with EtOAc (20 mL). The combined EtOAc layer was dried over Na2SO4 and concentrated under reduced pressure to leave a dark green oil (2.03 g). Prep HPLC gave tert-butyl N-(3-{[2-(2,6-dioxopiperidin-3-yl)-1, 3-dioxo-2,3- dihydro-1H-isoindol-4-yl]amino}propyl)carbamate (100 mg, 9%) as a light green solid. LC-MS tR min, m/z 453, 375, 331. Step 2 A solution of tert-butyl N-(3-{[2-(2,6-dioxopiperidin-3-yl)-1,3-dioxo-2,3-dihydro-1H-isoindol-4- yl]amino}propyl)carbamate (100 mg, 0.24 mmol) in 3:1 CH2Cl2/TFA (6 mL) was stirred at rt for 0.5 h. The mixture was concentrated, and the residue was lyophilized from MeCN/5% aq HCl to give the title compound (80 mg, 94%) as its HCl salt. LC-MS tR 2.78 min, m/z 331. 2-(2,6-dioxopiperidin-3-yl)-5-{4-[(piperidin-4-yl)methyl]piperazin-1-yl}-2,3-dihydro-1H-isoindole-1,3- dione (CB2a)
WR/wr 8123-109882-02 06/20/24 06285 FILED VIA EFS ON June 20, 2024 O O O N O H N NH
(800 mg, 2.9 mmol) and tert-butyl piperazine-1-carboxylate (560 mg, 3.5 mmol) in DMSO (10 mL) was added i- Pr2NEt (1.1 mL, 6.1 mmol). The mixture was stirred at 90 °C for 3 h, cooled to rt and purified by prep HPLC to give tert-butyl 4-[2-(2,6-dioxopiperidin-3-yl)-1,3-dioxo-2,3-dihydro-1H-isoindol-5-yl]piperazine-1- carboxylate (410 mg, 32%) as a yellow solid. 1H NMR (300MHz, DMSO-d6) Shift = 7.74 - 7.64 (m, 1H), 7.33 (d, J=2.2 Hz, 1H), 7.23 (d, J=8.8 Hz, 1H), 5.06 (dd, J=5.5, 12.5 Hz, 1H), 3.45 (s, 8H), 2.99 - 2.75 (m, 1H), 2.63 - 2.51 (m, 2H), 2.08 - 1.89 (m, 1H), 1.41 (s, 9H). LC-MS tR = 4.28 min, m/z 386, 342. Step 2 To a stirred solution of tert-butyl 4-[2-(2,6-dioxopiperidin-3-yl)-1,3-dioxo-2,3-dihydro-1H-isoindol- 5-yl]piperazine-1-carboxylate (410 mg, 0.93 mmol) in CH2Cl2 (6 mL) was added TFA (2 mL). The mixture was stirred at rt for 1 h and concentrated. The residue was lyophilized from MeCN/5% aq HCl to give the bis HCl salt of 2-(2,6-dioxopiperidin-3-yl)-5-(piperazin-1-yl)-2,3-dihydro-1H-isoindole-1,3-dione (450 mg, quant) as a yellow solid. LC-MS tR = 2.23 min, m/z 342. Step 3 To a stirred mixture of the bis HCl salt of 2-(2,6-dioxopiperidin-3-yl)-5-(piperazin-1-yl)-2,3-dihydro- 1H-isoindole-1,3-dione (450 mg, 1.1 mmol), tert-butyl 4-formylpiperidine-1-carboxylate (460 mg, 2.1 mmol), NaOAc (270 mg, 3.3 mmol) and dry DCE (10 mL) was added MgSO4 (150 mg). The mixture was stirred under N2 for 0.5 h and NaBH(OAc)3 (689 mg, 3.3 mmol) was added. The mixture was stirred overnight at rt, diluted with water (10 mL) and concentrated under reduced pressure to remove DCE. The residue was diluted with satd aq NaHCO3 (20 mL) and extracted with EtOAc (2 x 80 mL). The combined EtOAc layer was concentrated to leave a yellow solid (680 mg) which was purified by prep HPLC to give the TFA salt of tert- butyl 4-({4-[2-(2,6-dioxopiperidin-3-yl)-1,3-dioxo-2,3-dihydro-1H-isoindol-5-yl]piperazin-1- yl}methyl)piperidine-1-carboxylate (320 mg, 45%). 1H NMR (300MHz, DMSO-d6) δ = 7.81 - 7.71 (m, 1H), 7.54 - 7.45 (m, 1H), 7.41 - 7.24 (m, 1H), 5.17 - 4.98 (m, 1H), 4.31 - 4.09 (m, 2H), 4.03 - 3.80 (m, 2H), 3.65- 3.05 (m, 10H), 2.95-2.40 (m, 4H), 2.10 - 1.89 (m, 2H), 1.82 - 1.62 (m, 2H), 1.38 (s, 9H), 1.17 - 0.93 (m, 1H). LC-MS tR = 3.25 min, m/z 540, 484, 440. Step 4 A solution of the TFA salt of tert-butyl 4-({4-[2-(2,6-dioxopiperidin-3-yl)-1,3-dioxo-2,3-dihydro-1H- isoindol-5-yl]piperazin-1-yl}methyl)piperidine-1-carboxylate (320 mg, 0.49 mmol) in3:1 CH2Cl2/TFA (6 mL) was stirred at rt for 1 h and concentrated. The residue was lyophilized from MeCN/5% aq HCl to give the bis HCl salt of the title compound (306 mg, quant) as a solid. LC-MS tR = 2.16 min, m/z 440.
WR/wr 8123-109882-02 06/20/24 06285 FILED VIA EFS ON June 20, 2024 3-[1-oxo-5-(piperazin-1-yl)-2,3-dihydro-1H-isoindol-2-yl]piperidine-2,6-dione (CB2b) O O CO2H CO2Me O N O
, Boc piperazine (4.76 g, 25.6 mmol), xantphos (1.48 g, 2.6 mmol), Pd2(dba)3 (2.34 g, 2.6 mmol) and powdered K3PO4 (10.86 g, 51.2 mmol). The flask was evacuated/refilled with N2 (3x) and dry dioxane (100 mL) was introduced by syringe. The flask was evacuated/refilled with N2 (3x) and the mixture was stirred at 100 °C for 1 d. The mixture was allowed to cool to rt and filtered through Celite. The filtrate was concentrated. The residue was taken up in EtOAc (175 mL), washed with water (50 mL), 5% aq N-acetylcysteine (50 mL), satd aq NaHCO3 (50 mL) and brine (50 mL), and dried over Na2SO4. Removal of the solvent left a red solid (7.84 g) which was purified by chromatography on an 80 g silica cartridge, eluted with a 0-70% EtOAc in hexanes gradient, to give tert-butyl 4-(1-oxo-1,3-dihydro-2-benzofuran-5-yl)piperazine-1-carboxylate (3.62 g, 44%). LC-MS tR = 4.31 min, m/z 319. Step 2 To a stirred mixture of tert-butyl 4-(1-oxo-1,3-dihydro-2-benzofuran-5-yl)piperazine-1-carboxylate (3.62 g, 11.4 mmol), MeOH (30 mL) and THF (15 mL) was added a solution of NaOH (1.82 g, 45.5 mmol) in water (15 mL). The mixture was stirred overnight at rt and concentrated to remove the organic solvents. The aqueous residue was diluted with 5% aq HCl (100 mL) and extracted with EtOAc (2 x 150 mL). The combined EtOAc layer was washed with brine (50 mL), dried over Na2SO4 and concentrated to leave crude 4-{4-[(tert-butoxy)carbonyl]piperazin-1-yl}-2-(hydroxymethyl)benzoic acid (3.71 g, 97%) as an orange solid. 1H NMR (300MHz, CDCl3) Shift = 8.10 - 7.98 (m, 1H), 6.88 (d, J=2.6 Hz, 1H), 6.82 - 6.73 (m, 1H), 4.78 (s, 2H), 3.65 - 3.51 (m, 4H), 3.45 - 3.32 (m, 4H), 1.49 (s, 9H). Step 3 To a stirred, ice cold solution of crude 4-{4-[(tert-butoxy)carbonyl]piperazin-1-yl}-2- (hydroxymethyl)benzoic acid (2.69 g, 8.0 mmol) in 1:1 EtOAc/MeOH (100 mL) was added dropwise over 15 min 0.6M Me3SiCHN2 in hexanes (50 mL, 30 mmol). The mixture was stirred in the ice bath for 1 h and HOAc (5 mL) was added dropwise over 5 min. The mixture was stirred in the ice bath for 15 min and concentrated. The residue was taken up in EtOAc (200 mL), washed with water (3 x 25 mL), brine (25 mL) satd aq NaHCO3 (25 mL) and brine (25 mL), and dried over Na2SO4. Removal of the solvent left a black tar (2.72 g) which was chromatographed on a 40 g silica cartridge, eluted with a 0-50% EtOAc in hexanes
WR/wr 8123-109882-02 06/20/24 06285 FILED VIA EFS ON June 20, 2024 gradient, to give tert-butyl 4-[3-(hydroxymethyl)-4-(methoxycarbonyl)phenyl]piperazine-1-carboxylate (1.24 g, 44%). LC-MS tR = 4.38 min, m/z 351. Step 4 To a stirred solution of tert-butyl 4-[3-(hydroxymethyl)-4-(methoxycarbonyl)phenyl]piperazine-1- carboxylate (1.24 g, 3.5 mmol) and PPh3 (1.39 g, 5.3 mmol) in dry THF (20 mL) was added CBr4 (1.76 g, 5.3 mmol). After stirring at rt for 18 h, additional PPh3 (1.39 g, 5.3 mmol) and CBr4 (1.76 g, 5.3 mmol) were added. The mixture was stirred for 2 h and concentrated. The residue was purified by chromatography on an 80 g silica cartridge, eluted with a 0-60% EtOAc in hexanes gradient, to give tert-butyl 4-[3-(bromomethyl)- 4-(methoxycarbonyl)phenyl]piperazine-1-carboxylate (550 mg, 37%) as a colorless oil. 1H NMR (300MHz, cdcl3) Shift = 7.92 (d, J=8.8 Hz, 1H), 6.87 (d, J=2.6 Hz, 1H), 6.81 - 6.73 (m, 1H), 4.95 (s, 2H), 3.87 (s, 3H), 3.61-3.54 (m, 4H), 3.37 - 3.23 (m, 4H), 1.48 (s, 9H). Step 5 A mixture of tert-butyl 4-[3-(bromomethyl)-4-(methoxycarbonyl)phenyl]piperazine-1-carboxylate (550 mg, 1.3 mmol), 3-aminopiperidine-2,6-dione (256 mg, 2.0 mmol), i-Pr2NEt (0.5 mL, 2.9 mmol) and MeCN (20 mL) was stirred at 80 °C for 7 d and concentrated. The residue was purified by prep HPLC to give tert-butyl 4-[2-(2,6-dioxopiperidin-3-yl)-1-oxo-2,3-dihydro-1H-isoindol-5-yl]piperazine-1-carboxylate (180 mg, 31%) as a grey solid. LC-MS tR = 3.83 min, m/z 429. Step 6 A solution of tert-butyl 4-[2-(2,6-dioxopiperidin-3-yl)-1-oxo-2,3-dihydro-1H-isoindol-5- yl]piperazine-1-carboxylate (180 mg, 0.42 mmol) in CH2Cl2 (10 mL) and 4 M HCl in dioxane (10 mL, 40 mmol) was stirred at rt for 1 d and concentrated to leave the HCl salt of the title compound (150 mg, quant.) as a white solid. LC-MS tR = 2.05 min, m/z 329. 3-(1-oxo-5-{4-[(piperidin-4-yl)methyl]piperazin-1-yl}-2,3-dihydro-1H-isoindol-2-yl)piperidine-2,6-dione (CB2c) O The title compound
1-yl)-2,3-dihydro-1H-isoindol-2- yl]piperidine-2,6-dione (CB2b) following procedures analogous to those in Steps 3 and 4 in the preparation of CB2a. LC-MS tR = 1.97 min, m/z 426. 2-{[2-(2,6-dioxopiperidin-3-yl)-1-oxo-2,3-dihydro-1H-isoindol-5-yl]oxy}acetic acid (CB2d)
WR/wr 8123-109882-02 06/20/24 06285 FILED VIA EFS ON June 20, 2024 O N O The title compound was dihydro-1H-isoindol-2-yl)piperidine- 2,6-dione following procedures
of CB1a. LC-MS tR = 2.38 min, m/z 319. 5-[(2-aminoethyl)amino]-2-(2,6-dioxopiperidin-3-yl)-2,3-dihydro-1H-isoindole-1,3-dione (CB2e) O O O N O
- (550 mg, 2.0 mmol), tert-butyl N-(2-aminoethyl)carbamate (380 mg, 2.4 mmol) and DMSO (7 mL) was treated with i-Pr2NEt (0.75 mL, 4.2 mmol). The mixture was stirred at 90 °C for 20 h. Prep HPLC gave tert-butyl N-(2-{[2-(2,6-dioxopiperidin-3-yl)-1,3-dioxo-2,3-dihydro-1H-isoindol-5-yl]amino}ethyl)carbamate (100 mg, 12%) as a greenish solid. LC-MS tR = 3.80 min, m/z 439, 361, 317. Step 2 A solution of tert-butyl N-(2-{[2-(2,6-dioxopiperidin-3-yl)-1,3-dioxo-2,3-dihydro-1H-isoindol-5- yl]amino}ethyl)carbamate (100 mg, mmol) in CH2Cl2 (3 mL) and TFA (2 mL) was stirred at rt for 1 h and concentrated. The residue was lyophilized from MeCN/5% aq HCl to give the HCl salt of the title compound (76 mg, 89%) as a dark green solid. LC-MS tR = 2.20 min, m/z 317. 3-{5-[3-(2-aminoethoxy)prop-1-yn-1-yl]-1-oxo-2,3-dihydro-1H-isoindol-2-yl}piperidine-2,6-dione (CB2f) O O O
A vial, equipped with a stir bar, was charged with 3-(5-bromo-1-oxo-2,3-dihydro-1H-isoindol-2- yl)piperidine-2,6-dione (351 mg, 1.08 mmol), tert-butyl N-[2-(prop-2-yn-1-yloxy)ethyl]carbamate (214 mg, 1.07 mmol), CuI (41 mg, 0.22 mmol) and PdCl2(PPh3)2 (74 mg, 0.11 mmol). The vial was closed with a septum and evacuated/refilled with N2 (3x). Dry DMF (2 mL) and Et3N (2 mL) were introduced by syringe. The vial was evacuated/refilled with N2 (3x) and stirred at 80 °C for 6 h. The mixture was cooled to rt, diluted
WR/wr 8123-109882-02 06/20/24 06285 FILED VIA EFS ON June 20, 2024 with EtOAc (90 mL), washed with 5% aq HCl (2 x 25 mL) and brine (25 mL), and dried over Na2SO4. Removal of the solvent left a dark oil (790 mg) which was purified by prep HPLC to give tert-butyl N-[2-({3- [2-(2,6-dioxopiperidin-3-yl)-1-oxo-2,3-dihydro-1H-isoindol-5-yl]prop-2-yn-1-yl}oxy)ethyl]carbamate (170 mg, 36%) as a yellow solid. 1H NMR (300MHz, DMSO-d6) Shift = 7.77 - 7.68 (m, 2H), 7.64 - 7.48 (m, 1H), 6.86 (t, J=5.6 Hz, 1H), 5.10 (dd, J=5.0, 13.2 Hz, 1H), 4.52 - 4.26 (m, 2H), 3.57 - 3.41 (m, 2H), 3.57 - 3.41 (m, 2H), 3.11 (q, J=5.9 Hz, 2H), 2.99 - 2.77 (m, 1H), 2.66 - 2.50 (m, 1H), 2.42 - 2.28 (m, 1H), 2.10 - 1.90 (m, 1H), 1.35 (s, 9H). Step 2 A solution of tert-butyl N-[2-({3-[2-(2,6-dioxopiperidin-3-yl)-1-oxo-2,3-dihydro-1H-isoindol-5- yl]prop-2-yn-1-yl}oxy)ethyl]carbamate (170 mg, 0.39 mmol) in 3:1 CH2Cl2/TFA (6 mL) was stirred at rt for 1 h. The mixture was concentrated and the residue was lyophilized from MecN/5% aq HCl to give the HCl salt of the title compound (105 mg, 72%) as a yellow solid. LC-MS tR = 2.32 min, m/z 342. 2-{[2-(2,6-dioxopiperidin-3-yl)-1-oxo-2,3-dihydro-1H-isoindol-5-yl]oxy}acetaldehyde (CB2g) O O O To 2,6-dione (338
mg, 1.30 mmol), Ph3P (852 mg, 3.25 mmol), 2,2-(diethoxy)ethanol (262 mg, 1.95 mmol) and dry THF (10 mL) was added DIAD (0.64 mL, 3.25 mmol). The mixture was stirred at rt for 18 h and 5% aq HCl (2 mL) was added. The mixture was stirred over the weekend and filtered. The filtrate was purified by prep HPLC to give the title compound (250 mg, 63%) as an off-white solid. LC-MS tR = 2.35 min, m/z 303. Synthesis of Nef binding intermediates 4-[2-(4-{2-[2-(2-aminoethoxy)ethoxy]ethoxy}phenyl)ethyl]-1-(5-chloro-1H-1,3-benzodiazol-2-yl)-3-[4- (trifluoromethyl)phenyl]-1H-pyrazol-5-ol (NB1a)
WR/wr 8123-109882-02 06/20/24 06285 FILED VIA EFS ON June 20, 2024 O O MeO2C CO 2 Me CO2Me Cl
g, was to - and DIAD (1.05 mL, 5.4 mmol) was added dropwise over 2 min. The mixture was stirred in the cooling bath for 10 min and a solution of methyl 4-(4-hydroxyphenyl)butanoate (965 mg, 5.4 mmol) and 2-[2-(2- azidoethoxy)ethoxy]ethan-1-ol (1.05 g, 5.9 mmol) in dry THF (6 mL) was added dropwise over 2 min. The mixture was stirred in the cooling bath for 1 h and at rt for 4 h. The mixture was concentrated and the residue was chromatographed on an 80 g silica cartridge, eluted with a 0-70% EtOAc in hexanes gradient, to give methyl 4-(4-{2-[2-(2-azidoethoxy)ethoxy]ethoxy}phenyl)butanoate (1.68 g, 89%). LC-MS tR = 4.86, m/z 374. Step 2 A solution of methyl 4-(4-{2-[2-(2-azidoethoxy)ethoxy]ethoxy}phenyl)butanoate (1.68 g, 4.8 mmol) and methyl 4-(trifluoromethyl)benzoate (3.90 g, 19.1 mmol) in toluene (50 mL) was concentrated under reduced pressure to leave an oil to which 60% NaH in oil (0.96 g, 23.9 mmol) and dry THF (40 mL) were added. The mixture was stirred at 65 °C under N2 for 5 h, cooled to rt, diluted with EtOAc (100 mL), washed with 5% aq HCl (20 mL) and brine (20 mL), and dried over Na2SO4. Removal of the solvent left a pale yellow solid (6.44 g) which was chromatographed on silica gel, eluted an ethyl acetate in hexanes gradient, to give methyl 4-(4-{2-[2-(2-azidoethoxy)ethoxy]ethoxy}phenyl)-2-[4- (trifluoromethyl)benzoyl]butanoate (750 mg, 30%). LC-MS tR = 5.58 min, m/z 546. Step 3 A mixture of 4-(4-{2-[2-(2-azidoethoxy)ethoxy]ethoxy}phenyl)-2-[4- (trifluoromethyl)benzoyl]butanoate (160 mg, 0.31 mmol), Boc2O (133 mg, 0.61 mmol), 10% Pd on C (15 mg) and THF (10 mL) was stirred under H2 (1 atm, balloon) for 2 h. The mixture was filtered and the filtrate was concentrated to leave a waxy solid (245 mg). Chromatography on a 24 g silica cartridge, eluted with a 0-100% EtOAc in hexanes gradient, gave methyl 4-(4-{2-[2-(2-{[(tert-
WR/wr 8123-109882-02 06/20/24 06285 FILED VIA EFS ON June 20, 2024 butoxy)carbonyl]amino}ethoxy)ethoxy]ethoxy}phenyl)-2-[4-(trifluoromethyl)benzoyl]butanoate (102 mg, 55%) as a colorless oil. LC-MS tR = 5.60 min, m/z 620, 498. Step 4 A solution of methyl 4-(4-{2-[2-(2-{[(tert-butoxy)carbonyl]amino}ethoxy)ethoxy]ethoxy}phenyl)- 2-[4-(trifluoromethyl)benzoyl]butanoate (102 mg, 0.17 mmol) and 5-chloro-2-hydrazinyl-1H-1,3- benzodiazole (33 mg, 0.18 mmol) in 4:1 MeOH/HOAc (2.5 mL) was stirred at 50 °C for 1 d and at 70 °C for 6 d. The mixture was diluted with EtOAc (100 mL), washed with 5% aq HCl (15 mL) and 4:1 brine/satd aq NaHCO3 (15 mL), dried over Na2SO4. Removal of the solvent left an oil (120 mg) which was purified by prep HPLC to provide tert-butyl N-(2-{2-[2-(4-{2-[1-(5-chloro-1H-1,3-benzodiazol-2-yl)-5-hydroxy-3-[4- (trifluoromethyl)phenyl]-1H-pyrazol-4-yl]ethyl}phenoxy)ethoxy]ethoxy}ethyl)carbamate (27 mg, 21%). LC-MS tR = 5.96 min, m/z 730, 630. Step 5 To a stirred solution of tert-butyl N-(2-{2-[2-(4-{2-[1-(5-chloro-1H-1,3-benzodiazol-2-yl)-5- hydroxy-3-[4-(trifluoromethyl)phenyl]-1H-pyrazol-4-yl]ethyl}phenoxy)ethoxy]ethoxy}ethyl)carbamate (22 mg, 30 mol) in CH2Cl2 (2 mL) was added 4 M HCl in dioxane (2 mL). The mixture was stirred at rt for 3 h and concentrated to leave the HCl salt of 4-[2-(4-{2-[2-(2-aminoethoxy)ethoxy]ethoxy}phenyl)ethyl]-1-(5- chloro-1H-1,3-benzodiazol-2-yl)-3-[4-(trifluoromethyl)phenyl]-1H-pyrazol-5-ol (28 mg, quant.) as a tan solid. LC-MS tR = 4.45 min, m/z 630. 4-(2-{4-[2-(2-aminoethoxy)ethoxy]phenyl}ethyl)-1-(5-chloro-1H-1,3-benzodiazol-2-yl)-3-[4- (trifluoromethyl)phenyl]-1H-pyrazol-5-ol (NB1b) O 2 O MeO C CO 2 Me CO2Me
To a stirred mixture of methyl 4-(4-hydroxyphenyl)butanoate (1.04 g, 5.3 mmol), 2-(2- azidoethoxy)ethyl methanesulfonate (1.23 g, 5.9 mmol), KI (978 mg, 5.9 mmol) and DMF (10 mL) was added Cs2CO3 (1.92 g, 5.9 mmol). The mixture was stirred at rt for 3 d, diluted with EtOAc (90 mL), washed with
WR/wr 8123-109882-02 06/20/24 06285 FILED VIA EFS ON June 20, 2024 water (2 x 15 mL) and brine (15 mL), and dried over Na2SO4. Removal of the solvent left a red oil which was chromatographed on silica gel, eluted with an EtOAc / hexanes gradient to give methyl 4-{4-[2-(2- azidoethoxy)ethoxy]phenyl}butanoate (420 mg, 25%) as an oil. LC-MS tR = 4.82 min, m/z 330. Steps 2-5 Procedures analogous to those described in Steps 2-5 of the synthesis of NB1a gave the title compound. LC-MS tR = 4.52 min, m/z 586. 4-{2-[4-(2-{2-[2-(2-aminoethoxy)ethoxy]ethoxy}ethoxy)phenyl]ethyl}-1-(5-chloro-1H-1,3-benzodiazol-2- yl)-3-[4-(trifluoromethyl)phenyl]-1H-pyrazol-5-ol (NB1c) OMs O MeO2C CO2Me Cl
A mixture of methyl 4-(4-hydroxyphenyl)butanoate (2.50 g, 12.9 mmol), 2-{2-[2-(2- azidoethoxy)ethoxy]ethoxy}ethyl methanesulfonate (4.20 g, 14.0 mmol), KI (2.35 g, 14.2 mmol), Cs2CO3 (4.61 g, 14.2 mmol) and DMF (40 mL) was stirred at 40 °C for 4 d. The mixture was diluted with EtOAc (60 mL) and washed with water (3 x 20 mL). The combined water layer was back extracted with EtOAc (40 mL). The combined EtOAc layer was washed with brine (15 mL), dried over Na2SO4 and concentrated to leave a mobile oil (8.03 g). Chromatography on an 80 g silica cartridge, eluted with a 0-40% EtOAc in hexanes gradient, gave methyl 4-[4-(2-{2-[2-(2-azidoethoxy)ethoxy]ethoxy}ethoxy)phenyl]butanoate (2.19 g, 43%). Step 2 To a mixture of methyl 4-[4-(2-{2-[2-(2-azidoethoxy)ethoxy]ethoxy}ethoxy)phenyl]butanoate (675 mg, 1.7 mmol) and methyl 4-(trifluoromethyl)butanoate (1.40 g, 6.8 mmol) was added 60% NaH in oil (350
WR/wr 8123-109882-02 06/20/24 06285 FILED VIA EFS ON June 20, 2024 mg, 8.6 mmol), followed by dry THF (8 mL). The mixture was heated at reflux under N2 for 6 h and allowed to cool to rt. The mixture was diluted with EtOAc (90 mL), washed with 5% aq HCl (20 mL) and brine (20 mL), and dried over Na2SO4. Removal of the solvent left an oil (2.36 g) which was purified by chromatography on an 80 g silica cartridge, eluted with a 0-80% EtOAc in hexanes gradient, to give methyl 4-(4-{2-[2-(2-azidoethoxy)ethoxy]ethoxy}phenyl)-2-[4-(trifluoromethyl)benzoyl]butanoate (660 mg, 68%) as a colorless oil. LC-MS tR = 4.81 min, m/z 590. Step 3 A mixture of methyl 4-(4-{2-[2-(2-azidoethoxy)ethoxy]ethoxy}phenyl)-2-[4- (trifluoromethyl)benzoyl]butanoate (305 mg, 0.54 mmol), 5-chloro-2-hydrazinyl-1H-1,3-benzodiazole (105 mg, 0.56 mmol), TsOH.H2O (20 mg, 0.11 mmol) and MeOH (3 mL) was heated in the microwave at 130 °C for 3 h. The mixture was diluted with MeOH (3 mL), filtered and the filtrate purified by prep HPLC to give 4-[2-(4-{2-[2-(2-azidoethoxy)ethoxy]ethoxy}phenyl)ethyl]-1-(5-chloro-1H-1,3-benzodiazol-2-yl)-3-[4- (trifluoromethyl)phenyl]-1H-pyrazol-5-ol (150 mg, 40%). LC-MS tR = 5.15 min, m/z 700. Step 4 To a stirred solution of 4-[2-(4-{2-[2-(2-azidoethoxy)ethoxy]ethoxy}phenyl)ethyl]-1-(5-chloro-1H- 1,3-benzodiazol-2-yl)-3-[4-(trifluoromethyl)phenyl]-1H-pyrazol-5-ol (150 mg, 0.21 mmol) in dry THF (5 mL) was added 1 M Me3P in THF (0.65 mL, 0.65 mmol). The mixture was stirred at rt for 1.5 h and water (0.5 mL) was added. After stirring overnight at rt, 1 M aq NaOH (0.5 mL, 0.5 mmol) was added and stirring was continued for 2 h. HOAc (1 mL) was added and the mixture was purified by prep HPLC to give the TFA salt of 4-{2-[4-(2-{2-[2-(2-aminoethoxy)ethoxy]ethoxy}ethoxy)phenyl]ethyl}-1-(5-chloro-1H-1,3- benzodiazol-2-yl)-3-[4-(trifluoromethyl)phenyl]-1H-pyrazol-5-ol (97 mg, 57%). LC-MS tR = 4.62 min, m/z 674. 4-(2-{4-[3-(3-aminopropoxy)propoxy]phenyl}ethyl)-1-(5-chloro-1H-1,3-benzodiazol-2-yl)-3-[4- (trifluoromethyl)phenyl]-1H-pyrazol-5-ol (NB1d)
WR/wr 8123-109882-02 06/20/24 06285 FILED VIA EFS ON June 20, 2024 MeO2C MeO2C O CO2Me Cl
mg, , mg, mmol) and DMF (5 mL) was stirred at rt for 10 min and 1-chloro-3-(3-chloropropoxy)propane (885 mg, 5.2 mmol) was added. The mixture was stirred at rt for 4 d, diluted with EtOAc (95 mL), washed with 5% aq HCl (20 mL) and brine (20 mL), and dried over Na2SO4. Removal of the solvent left a colorless oil (1.62 g) which was chromatographed on a 40 g silica cartridge, eluted with a 0-40% EtOAc in hexanes gradient to afford methyl 4-{4-[3-(3-chloropropoxy)propoxy]phenyl}butanoate (540 mg, 64%). 1H NMR (300MHz, CDCl3) Shift = 7.14 - 7.02 (m, 2H), 6.87 - 6.76 (m, 2H), 4.03 (t, J=6.2 Hz, 2H), 3.70 - 3.49 (m, 9H), 2.62- 2.55 (m, 2H), 2.40 - 2.25 (m, 2H), 2.09 - 1.83 (m, 6H). Step 2 A mixture of methyl 4-{4-[3-(3-chloropropoxy)propoxy]phenyl}butanoate (540 mg, 1.6 mmol), NaN3 (270 mg, 4.1 mmol) water (10 mL) and DMF (10 mL) was stirred at 80 °C for 6 d. The mixture was cooled to rt, diluted with water (20 mL) and extracted with EtOAc (2 x 50 mL)/. The combined EtOAc layer was washed with brine (10 mL), dried over Na2SO4 and concentrated to give a yellow oil (830 mg) which was purified by chromatography on a 40 g silica cartridge, eluted with a 0-40% EtOAc in hexanes gradient, to give methyl 4-{4-[3-(3-azidopropoxy)propoxy]phenyl}butanoate (470 mg, 85%) as a colorless oil. LC-MS tR = 5.27 min, m/z 358. Step 3 - 5 Steps 3 - 5 were carried out using procedures analogous to those described in Steps 2 - 4 of the synthesis of NB1c to give the title compound. LC-MS tR = 4.65 min, m/z 614. 4-(2-{4-[(14-amino-3,6,9,12-tetraoxatetradecan-1-yl)oxy]phenyl}ethyl)-1-(5-chloro-1H-1,3-benzodiazol-2- yl)-3-[4-(trifluoromethyl)phenyl]-1H-pyrazol-5-ol (NB1e)
WR/wr 8123-109882-02 06/20/24 06285 FILED VIA EFS ON June 20, 2024 F F F Cl The Steps 1-4 of the synthesis of
1. LC-MS tR = 4.62 min, m/z 718. 1-(5-chloro-1H-1,3-benzodiazol-2-yl)-4-[2-(4-{2-[2-(piperazin-1-yl)ethoxy]ethoxy}phenyl)ethyl]-3-[4- (trifluoromethyl)phenyl]-1H-pyrazol-5-ol (NB1f) O MeO2C CO2Me Cl
A mixture of methyl 4-(4-hydroxyphenyl)butanoate (1.98 g, 10.2 mmol), 2-(2-chloroethoxy)ethan- 1-ol (1.27 g, 10.2 mmol), Cs2CO3 (3.65 g, 11.2 mmol), KI (1.86 g, 11.2 mmol) and DMF (20 mL) was stirred at 45 °C for 6 d. The mixture was diluted with water (30 mL) and extracted with EtOAc (3 x 70 mL). The combined EtOAc layer was washed with brine (20 mL), dried over Na2SO4 and concentrated to leave a mobile oil (5.67 g). Chromatography on silica gel, eluted with an EtOAc hexanes gradient, gave methyl 4- {4-[2-(2-hydroxyethoxy)ethoxy]phenyl}butanoate (640 mg, 22%). LC-MS tR = 3.78 min, m/z 305. Step 2
WR/wr 8123-109882-02 06/20/24 06285 FILED VIA EFS ON June 20, 2024 To a stirred, ice-cold solution of methyl 4-{4-[2-(2-hydroxyethoxy)ethoxy]phenyl}butanoate (640 mg, 2.3 mmol) and i-Pr2NEt (0.81 mL, 4.5 mmol) in CH2Cl2 (15 mL) was added MeSO2Cl (0.26 mL, 3.4 mmol). The ice bath was allowed to melt and the mixture was stirred overnight at rt. The mixture was concentrated. The residue was taken up in EtOAc (100 mL), washed with 5% aq HCl (20 mL) and 9:1 brine/satd aq NaHCO3 (10 mL), and dried over Na2SO4. Removal of the solvent left methyl 4-(4-{2-[2- (methanesulfonyloxy)ethoxy]ethoxy}phenyl)butanoate (720 mg, 88%) as an oil. LC-MS tR = 4.30 min, m/z 383. Step 3 A mixture of methyl 4-(4-{2-[2-(methanesulfonyloxy)ethoxy]ethoxy}phenyl)butanoate (720 mg, 2.0 mmol), mono-Boc piperazine (460 mg, 4.0 mmol), i-Pr2NEt (0.74 mL, 4.1 mmol) and DMF (20 mL) was stirred at 40 °C for 1 d. The mixture was diluted with EtOAc (100 mL), washed with water (10 mL) and brine (10 mL), and dried over Na2SO4. Removal of the solvent left a brown oil (1.00 g) which was purified by chromatography on a 40 g silica cartridge, eluted with a 0-10% MeOH in CH2Cl2 gradient, to give tert- butyl 4-(2-{2-[4-(4-methoxy-4-oxobutyl)phenoxy]ethoxy}ethyl)piperazine-1-carboxylate (780 mg, 86%) as an oil. LC-MS tR = 3.85 min, m/z 451. Step 3 Step 3 was carried out using a procedure analogous to that described in Step 2 of the synthesis of NB1a. Steps 4 and 5 Steps 4 and 5 were carried out using procedures analogous to those described in Steps 4 and 5 of the synthesis of NB1a. 1-(5-chloro-1H-1,3-benzodiazol-2-yl)-4-{2-[4-(2-{2-[2-(piperazin-1- yl)ethoxy]ethoxy}ethoxy)phenyl]ethyl}-3-[4-(trifluoromethyl)phenyl]-1H-pyrazol-5-ol (NB1g) F F Cl The title
in Step 1-4 of the synthesis of NB1f using 2-[2-(2-chloroethoxy)ethoxy]ethan-1-ol in Step 1. LC-MS tR = 4.08 min, m/z 699.
WR/wr 8123-109882-02 06/20/24 06285 FILED VIA EFS ON June 20, 2024 2-(4-{2-[1-(5-chloro-1H-1,3-benzodiazol-2-yl)-5-hydroxy-3-[4-(trifluoromethyl)phenyl]-1H-pyrazol-4- yl]ethyl}phenoxy)acetic acid (NB1h) O O OMs O O OH OH OMe OMe Bu Cl
a g, , g, and DMF (50 mL) was added t-butyl bromoacetate (5.3 mL, 36.0 mmol). The mixture was stirred at rt for 1 d, diluted with water (150 mL) and extyracted with EtOAc (4 x 50 mL). The combined EtOAc layer was washed with water (25 mL) and brine (25 mL), and dried over Na2SO4. Removal of the solvent left a viscous oil (13.20 g) which was purified by chromatography on an 80 g silica cartridge, eluted with a 0-70% EtOAc in hexanes gradient gave tert-butyl 2-[4-(2-hydroxyethyl)phenoxy]acetate (7.28 g, 80%) as a colorless oil. 1H NMR (300MHz, CDCl3) δ = 7.13 (d, J=8.8 Hz, 2H), 6.84 (d, J=8.4 Hz, 2H), 4.49 (s, 2H), 3.89 - 3.69 (m, 2H), 2.87 - 2.65 (m, 2H), 1.45 (s, 9H). Step 2 To a stirred, ice-cold solution of tert-butyl 2-[4-(2-hydroxyethyl)phenoxy]acetate (7.28 g, 28.9 mmol) and i-Pr2NEt (15.5 mL, 86.6 mmol) in CH2Cl2 (150 mL) was added methanesulfonyl chloride (5.6 mL, 72.2 mmol). The ice bath was allowed to melt, and the mixture was stirred overnight at rt. The mixture was concentrated, and the residue was taken up in EtOAc (150 mL), washed with 5% aq HCl (2 x 50 mL) and brine (50 mL). The EtOAc layer was filtered through Celite. The filtrate was dried over Na2SO4 and concentrated to leave tert-butyl 2-{4-[2-(methanesulfonyloxy)ethyl]phenoxy}acetate (9.72 g, quant) as a dark red oil. 1H NMR (300MHz, CDCl3) δ = 7.11 (m, 2H), 6.88 - 6.76 (m, 2H), 4.47 (s, 2H), 4.40 - 4.28 (m, 2H), 3.02 - 2.91 (m, 2H), 2.81 (s, 3H), 1.46 (s, 9H). Step 3 A mixture of methyl 3-oxo-3-[4-(trifluoromethyl)phenyl]propanoate (5.00 g, 20.3 mmol), tert-butyl 2-{4-[2-(methanesulfonyloxy)ethyl]phenoxy}acetate (6.84 g, 20.7 mmol), K2CO3 (2.81 g, 20.3 mmol), KI (3.37 g, 20.3 mmol) and DMF (50 mL) was stirred at 70 °C for 6 h. The mixture was cooled, diluted with EtOAc (350 mL), washed with 5% aq HCl (50 mL), water (50 mL) and brine (50 mL), and dried over Na2SO4. Removal of the solvent left a dark brown oil (12.06 g) which was chromatographed on a 120 g silica cartridge, eluted with a 0-25% EtOAc in hexanes gradient, to provide a ~3:1 mixture of desired C-alkylation product
WR/wr 8123-109882-02 06/20/24 06285 FILED VIA EFS ON June 20, 2024 methyl 4-{4-[2-(tert-butoxy)-2-oxoethoxy]phenyl}-2-[4-(trifluoromethyl)benzoyl]butanoate and O- alkylation product methyl (2)-3-(2-{4-[2-(tert-butoxy)-2-oxoethoxy]phenyl}ethoxy)-3-[4- (trifluoromethyl)phenyl]prop-2-enoate (4.89 g, 50%) as a pale yellow oil. 1H NMR (300MHz, CDCl3) δ = 7.99 - 7.88 (m, 2H), 7.78 - 7.65 (m, 2H), 7.11 - 7.02 (m, 2H), 6.88 - 6.74 (m, 2H), 4.54 - 4.44 (s, 2H), 3.64 (s, 3H), 3.12 - 2.94 (m, 1H), 2.70 - 2.54 (m, 2H), 2.45 - 2.16 (m, 2H), 1.48 (s, 9H). Resonances assigned to the O-alkylation byproduct are not reported. Step 4 A mixture of ~3:1 mixture of methyl 4-{4-[2-(tert-butoxy)-2-oxoethoxy]phenyl}-2-[4- (trifluoromethyl)benzoyl]butanoate and methyl (2)-3-(2-{4-[2-(tert-butoxy)-2-oxoethoxy]phenyl}ethoxy)-3- [4-(trifluoromethyl)phenyl]prop-2-enoate (1.50 g, 3.1 mmol), 5-chloro-2-hydrazinyl-1H-1,3-benzodiazole (685 mg, 3.8 mmol), HOAc (3 mL) and EtOH (12 mL) was heated in the microwave at 130 °C for 3 h. Prep HPLC gave tert-butyl 2-(4-{2-[1-(5-chloro-1H-1,3-benzodiazol-2-yl)-5-hydroxy-3-[4- (trifluoromethyl)phenyl]-1H-pyrazol-4-yl]ethyl}phenoxy)acetate (260 mg, 13%). 1H NMR (300MHz, CD3OD) δ = 7.86-7.72 (s, 2H), 7.68 - 7.55 (m, 4H), 7.36 - 7.30 (m, 1H), 6.99 - 6.93 (m, 2H), 6.72 - 6.65 (m, 2H), 4.49 (s, 2H), 2.92 - 2.65 (m, 4H), 1.46 (s, 9H) Step 5 A solution of tert-butyl 2-(4-{2-[1-(5-chloro-1H-1,3-benzodiazol-2-yl)-5-hydroxy-3-[4- (trifluoromethyl)phenyl]-1H-pyrazol-4-yl]ethyl}phenoxy)acetate (260 mg, 0.42 mmol) in 1:1 CH2Cl2/TFA (6 mL) was stirred at rt for 1 h and concentrated. The residue was lyophilized from MeCN/5% aq HCl to give the title compound (220 mg, %). LC-MS tR = 5.18 min, m/z 559, 557. 2-[2-(4-{2-[1-(5-chloro-1H-1,3-benzodiazol-2-yl)-5-hydroxy-3-[4-(trifluoromethyl)phenyl]-1H-pyrazol-4- yl]ethyl}phenoxy)ethoxy]acetic acid (NB1i)
To a stirred, ice-cold solution of 2-(benzyloxy)ethanol (3.19 g, 21.0 mmol) in dry DMF (20 mL) and dry THF (40 mL) was added 60% NaH in oil (1.26 g, 31.5 mmol) in several portions. The mixture was stirred in the ice bath for 15 min and t-butyl bromoacetate (6.2 mL, 41.9 mmol) was added over 2 min. The ice bath
WR/wr 8123-109882-02 06/20/24 06285 FILED VIA EFS ON June 20, 2024 was allowed to melt, and the mixture was stirred at rt overnight. The mixture was recooled in an ice bath and brine (40 mL) was added dropwise over 5 min. The mixture was concentrated under reduced pressure to remove the bulk of the THF and the aqueous residue was extracted with EtOAc (2 x 50 mL). The combined EtOAc layer was washed with water (10 mL) and brine (10 mL), and dried over Na2SO4. Removal of the solvent left a mobile oil (8.81 g) which was purified by chromatography on an 80 g silica cartridge, eluted with a 0-50% EtOAc in hexanes gradient, to give tert-butyl 2-[2-(benzyloxy)ethoxy]acetate compound (3.00 g, 54%). 1H NMR (300MHz, CDCl3) Shift = 7.42-7.30 (m, 5H), 4.60 (s, 2H), 4.12 (s, 2H), 3.85 - 3.64 (m, 4H), 1.60 - 1.32 (m, 9H). Step 2 A solution of tert-butyl 2-[2-(benzyloxy)ethoxy]acetate (3.00 g, 11.3 mmol) in MeOH (100 mL) was shaken under H2 (60 psi, Parr) in the presence of wet 10% Pd on C (1.00 g) for 4 h. The mixture was filtered through Celite, and the filtrate was concentrated to leave tert-butyl 2-(2-hydroxyethoxy)acetate (2.06 g, quant) as an oil. 1H NMR (300MHz, CDCl3) Shift = 4.01 (s, 2H), 3.78 - 3.60 (m, 4H), 3.11 - 2.97 (m, 1H), 1.47 (s, 9H). Step 3 To a solution of tert-butyl 2-(2-hydroxyethoxy)acetate (2.06 g, 11.7 mmol) and i-Pr2NEt (4.2 mL, 23.4 mmol) in CH2Cl2 (40 mL) was added methanesulfonyl chloride (1.4 mL, 17.3 mmol). The ice bath was allowed to melt, and the mixture was stirred at rt for 6 h. Additional i-Pr2NEt (4.2 mL, 23.4 mmol) and methanesulfonyl chloride (1.4 mL, 17.3 mmol) were added and the mixture was stirred at rt for 18 h. The mixture was concentrated. The residue was taken up in EtOAc (80 mL) and 5% aq HCl (30 mL). The layers were separated and the EtOAc layer was washed with 5% aq HCl (30 mL) and brine (20 mL). The combined aqueous layer was back extracted with EtOAc (20 mL). The combined EtOAc layer was washed with brine (10 mL), dried over Na2SO4 and concentrated to leave tert-butyl 2-[2-(methanesulfonyloxy)ethoxy]acetate (3.33 g, quant) as a brown oil. 1H NMR (300MHz, CDCl3) Shift = 4.39 - 4.23 (m, 2H), 3.93 (s, 2H), 3.80 - 3.63 (m, 2H), 3.00 (s, 3H), 1.44 (s, 9H). Step 4 A mixture of 4-(2-hydroxyethyl)phenol (1.80 g, 13.0 mmol), Cs2CO3 (4.67 g, 14.3 mmol) and DMF (30 mL) was stirred at rt for 15 min and a solution of tert-butyl 2-[2-(methanesulfonyloxy)ethoxy]acetate (3.33 g, 13.0 mmol) in DMF (5 mL) was added. The mixture was stirred at rt for 1 d. Potassium iodide (2.17 g, 13.1 mmol) was added, and the mixture was stirred at 40 °C for 1 d. The mixture was diluted with EtOAc (175 mL) and washed with water (2 x 30 mL), 1 M aq NaOH (30 mL) and brine (30 mL). The water and aq NaOH washes were combined and back extracted with EtOAc. The combined EtOAc layer was dried over Na2SO4 and concentrated under reduced pressure to leave an oil (4.61 g). Chromatography on an 80 g silica cartridge, eluted with a 0-70% EtOAc in hexanes gradient, afforded tert-butyl 2-{2-[4-(2- hydroxyethyl)phenoxy]ethoxy}acetate (950 mg, 25%) as an oil. 1H NMR (300MHz, CDCl3) Shift = 7.20 - 7.04 (m, 2H), 6.93 - 6.77 (m, 2H), 4.18 - 4.11 (m, 2H), 4.09 (s, 2H), 3.95 - 3.86 (m, 2H), 3.85 - 3.76 (m, 2H), 2.83 - 2.74 (m, 2H), 1.47 (s, 9H).
WR/wr 8123-109882-02 06/20/24 06285 FILED VIA EFS ON June 20, 2024 Step 5 To a solution of tert-butyl 2-{2-[4-(2-hydroxyethyl)phenoxy]ethoxy}acetate (950 mg, 3.2 mmol) and i-Pr2NEt (1.8 mL, 9.7 mmol) in CH2Cl2 (30 mL) was added methanesulfonyl chloride (0.60 mL, 7.7 mmol). The ice bath was allowed to melt, and the mixture was stirred at rt for 6 h and concentrated. The residue was taken up in EtOAc (90 mL), washed with 5% aq HCl (2 x 20 mL) and brine (20 mL), and dried over Na2SO4. Removal of the solvent left tert-butyl 2-(2-{4-[2- (methanesulfonyloxy)ethyl]phenoxy}ethoxy)acetate (1.14 g, 95%) as a brown oil. 1H NMR (300MHz, CDCl3) Shift = 7.18 - 7.08 (m, 2H), 6.92 - 6.81 (m, 2H), 4.37 (t, J=6.7 Hz, 2H), 4.20 - 4.10 (m, 2H), 4.05 (s, 2H), 3.97 - 3.85 (m, 2H), 2.98 (t, J=7.0 Hz, 2H), 2.83 (s, 3H), 1.48 (s, 9H). Step 6 A mixture of methyl 3-oxo-3-[4-(trifluoromethyl)phenyl]propanoate (750 mg, 3.0 mmol), tert-butyl 2-(2-{4-[2-(methanesulfonyloxy)ethyl]phenoxy}ethoxy)acetate (1.14 g, 3.0 mmol), powdered K2CO3 (420 mg, 3.0 mmol), KI (500 mg, 3.0 mmol) and dry DMF (12 mL) was stirred in a 70 °C oil bath under N2 for 8 h. The mixture was diluted with EtOAc (90 mL), washed with 5% aq HCl (2 x 20 mL) and brine (20 mL), and dried over Na2SO4. Removal of the solvent left a mobile oil (1.93 g) which was purified by chromatography on an 80 g silica cartridge, eluted with a 0-30% EtOAc in hexanes gradient, to give a 2:1 mixture of methyl 4-(4-{2-[2-(tert-butoxy)-2-oxoethoxy]ethoxy}phenyl)-2-[4-(trifluoromethyl)benzoyl] butanoate and the O-alkylation product methyl (2Z)-3-[2-(4-{2-[2-(tert-butoxy)-2- oxoethoxy]ethoxy}phenyl)ethoxy]-3-[4-(trifluoromethyl)phenyl]prop-2-enoate (730 mg, 45%) as an oil. 1H NMR (300MHz, CDCl3) Shift = 8.00 - 7.88 (m, 2H), 7.79 - 7.64 (m, 2H), 7.04 (d, J=8.8 Hz, 2H), 6.84 (d, J=8.3 Hz, 2H), 4.22 - 4.11 (m, 2H), 4.08 (s, 2H), 3.94 - 3.87 (m, 2H), 3.68 (s, 3H), 3.07 - 2.95 (m, 1H), 2.67 - 2.54 (m, 2H), 2.39 - 2.18 (m, 2H), 1.46 (s, 9H). Resonances assigned to the O-alkylation byproduct are not reported. Step 7 A mixture of methyl 4-(4-{2-[2-(tert-butoxy)-2-oxoethoxy]ethoxy}phenyl)-2-[4- (trifluoromethyl)benzoyl]butanoate (730 mg, 1.4 mmol), 5-chloro-2-hydrazinyl-1H-1,3-benzodiazole (178 mg, 0.97 mmol), HOAc (1 mL) and MeOH (3 mL) was heated in the microwave at 130 °C for 3 h. Prep HPLC afforded tert-butyl 2-[2-(4-{2-[1-(5-chloro-1H-1,3-benzodiazol-2-yl)-5-hydroxy-3-[4- (trifluoromethyl) phenyl]-1H-pyrazol-4-yl]ethyl}phenoxy)ethoxy]acetate (132 mg, 14%) as a solid. 1H NMR (300MHz, METHANOL-d4) Shift = 7.82 - 7.55 (m, 6H), 7.45 - 7.34 (m, 1H), 6.98 - 6.88 (m, 2H), 6.75 - 6.65 (m, 2H), 4.08 (s, 2H), 4.07 - 3.99 (m, 2H), 3.87 - 3.81 (m, 2H), 2.92 - 2.83 (m, 2H), 2.78 - 2.68 (m, 2H), 1.46 (s, 9H). LC-MS tR 6.33 min, m/z 657, 601. Step 8 To a stirred solution of tert-butyl 2-[2-(4-{2-[1-(5-chloro-1H-1,3-benzodiazol-2-yl)-5-hydroxy-3-[4- (trifluoromethyl)phenyl]-1H-pyrazol-4-yl]ethyl}phenoxy)ethoxy]acetate (128 mg, 0.19 mmol) in CH2Cl2 (3 mL) was added CF3CO2H (3 mL). The mixture was stirred at rt for 0.5 h and concentrated. The residue was lyophilized from MeCN/5% aq HCl to give the HCl salt of 2-[2-(4-{2-[1-(5-chloro-1H-1,3-benzodiazol-2-
WR/wr 8123-109882-02 06/20/24 06285 FILED VIA EFS ON June 20, 2024 yl)-5-hydroxy-3-[4-(trifluoromethyl)phenyl]-1H-pyrazol-4-yl]ethyl}phenoxy)ethoxy]acetic acid (114 mg, 92%) as a tan solid. 1H NMR (300MHz, DMSO-d6) Shift = 7.91 - 7.73 (m, 4H), 7.63 - 7.52 (m, 2H), 7.26 (dd, J=2.2, 8.8 Hz, 1H), 7.03 (d, J=8.8 Hz, 2H), 6.77 (d, J=8.3 Hz, 2H), 4.07 (s, 2H), 4.04 - 3.98 (m, 2H), 3.79 - 3.70 (m, 2H), 2.84 - 2.64 (m, 4H). LC-MS tR 5.28 min, m/z 623, 601. 2-[2-(4-{2-[1-(1H-1,3-benzodiazol-2-yl)-5-hydroxy-3-[4-(trifluoromethyl)phenyl]-1H-pyrazol-4- yl]ethyl}phenoxy)ethoxy]acetic acid (NB1j) F F F The title described for NB1i using
2-hydrazinyl-1H-1,3- 7. tR = 2-(4-{2-[1-(1H-1,3-benzodiazol-2-yl)-5-hydroxy-3-(4-methanesulfonylphenyl)-1H-pyrazol-4- yl]ethyl}phenoxy)acetic acid (NB1k) O O O O Bu
H H
To a stirred solution of 1-[4-(methylsulfanyl)phenyl]ethan-1-one (3.01 g, 18.1 mmol) and diethyl carbonate (4.4 mL, 36.2 mmol) in dry THF (60 mL) was added 60% NaH in oil (870 mg, 36.2 mmol) in several portions. The mixture was stirred at 70 °C in an oil bath under N2 for 4 h. After stirring overnight at rt, the mixture was poured into ice-cold 5% aq HCl (120 mL) and extracted with EtOAc (2 x 60 mL). The combined organic layer was washed with brine (40 mL), dried over Na2SO4 and concentrated to leave a dark
WR/wr 8123-109882-02 06/20/24 06285 FILED VIA EFS ON June 20, 2024 brown oil (4.89 g). Chromatography on an 80 g silica cartridge, eluted with a 0-70% EtOAc in hexanes gradient, gave ethyl 3-[4-(methylsulfanyl)phenyl]-3-oxopropanoate (3.00 g, 69%) as a yellow oil. 1H NMR (CDCl3, major tautomer) δ: 7.79-7.88 (m, 2H), 7.19-7.31 (m, 2H), 4.16-4.23 (m, 2H), 3.93 (s, 2H), 2.51 (s, 3H), 1.24 (t, J=7.1 Hz, 3H). Step 2 A mixture of ethyl 3-[4-(methylsulfanyl)phenyl]-3-oxopropanoate (1.66 g, 7.0 mmol), tert-butyl 2- {4-[2-(methanesulfonyloxy)ethyl]phenoxy}acetate (2.31 g, 7.0 mmol), K2CO3 (1.06 g, 7.7 mmol), KI (1.27 g, 7.7 mmol) and DMF (15 mL) was stirred under N2 at 70 °C for 8 h. The mixture was diluted with EtOAc (80 mL) and washed with 5% aq HCl (2 x 20 mL) and brine (20 mL). The combined aq washes were back extracted with EtOAc (20 mL). The combined EtOAc layer was dried over Na2SO4 and concentrated to give a brown oil (3.86 g). Chromatography on an 80 g silica cartridge, eluted with a 0-30% EtOAc in hexanes gradient, gave ethyl 4-{4-[2-(tert-butoxy)-2-oxoethoxy]phenyl}-2-[4-(methylsulfanyl)benzoyl]butanoate (1.31 g, 40%). 1H NMR (300MHz, cdcl3) Shift = 7.74 - 7.60 (m, 2H), 7.12 (d, J=8.4 Hz, 2H), 6.96 (d, J=8.3 Hz, 2H), 6.70 (d, J=8.3 Hz, 2), 4.42 - 4.31 (m, 2H), 4.16 - 3.90 (m, 3H), 2.58 - 2.45 (m, 2H), 2.40 (s, 3H), 2.25 - 2.04 (m, 2H), 1.37 (s, 9H), 1.13 - 0.95 (m, 3H). LC-MS tR = 5.93 min, m/z 495. Step 3 To a stirred, ice-cold solution of ethyl 4-{4-[2-(tert-butoxy)-2-oxoethoxy]phenyl}-2-[4- (methylsulfanyl)benzoyl]butanoate (1.31 g, 2.8 mmol) in CH2Cl2 (30 mL) was added 77% m-CPBA (1.27 g, 5.7 mmol). The cooling bath was allowed to melt, and the mixture was stirred for 3 h. The mixture was concentrated and the residue was taken up in EtOAc (90 mL), washed with satd aq NaHCO3 (2 x 20 mL), water (10 mL) and brine (10 mL), and dried over Na2SO4. Removal of the solvent left an oil (1.72 g) which was purified by chromatography on a 40 g silica cartridge, eluted with a 0-100% EtOAc in hexanes gradient, to give ethyl 4-{4-[2-(tert-butoxy)-2-oxoethoxy]phenyl}-2-(4-methanesulfonylbenzoyl)butanoate (1.04 g, 74%) as a colorless oil. LC-MS tR = 5.18 min, m/z 527. Steps 4 and 5 The title compound was prepared following procedures analogous to those in Steps 4 and 5 of the preparation of NB1h using 2-hydrazinyl-1H-1,3-benzodiazole in Step 4. LC-MS tR = 3.78 min, m/z 533. 2-[2-(4-{2-[1-(1H-1,3-benzodiazol-2-yl)-5-hydroxy-3-(4-methanesulfonylphenyl)-1H-pyrazol-4- yl]ethyl}phenoxy)ethoxy]acetic acid (NB1l) O O
WR/wr 8123-109882-02 06/20/24 06285 FILED VIA EFS ON June 20, 2024 The title compound was prepared following procedures similar to those described for NB1i using tert- butyl 2-[2-(methanesulfonyloxy)ethoxy]acetate in Step 2. LC-MS tR = 3.82 min, m/z 577. 3-(4-{2-[1-(5-chloro-1H-1,3-benzodiazol-2-yl)-5-hydroxy-3-[4-(trifluoromethyl)phenyl]-1H-pyrazol-4- yl]ethyl}phenyl)propanoic acid (NB1m) O O O CO2Me CO 2 Me CO 2 Me CO 2 Me Cl
A 500-mL RBF was charged with methyl 4-(4-iodophenyl)butanoate (11.24 g, 37.0 mmol), methyl 4-(trifluoromethyl)benzoate (11.30 g, 55.4 mmol) and 60% NaH in oil (3.70 g, 92.4 mmol). The flask was sealed with a septum and dry THF (100 mL) was added by syringe. MeOH (5 drops) was added by syringe. The mixture was stirred under N2 at 70 °C for 7 h. The mixture was cooled to rt and poured into ice-cold brine (150 mL). The mixture was extracted with EtOAc (2 x 100 mL). The combined organic layer was washed with brine (50 mL), dried over Na2SO4 and concentrated to leave a semi-solid (32.59 g). Chromatography on a 120 g silica cartridge, eluted with a 0-15% EtOAc in hexanes gradient, gave methyl 4- (4-iodophenyl)-2-[4-(trifluoromethyl)benzoyl]butanoate (6.45 g, 36%). In addition ~65% pure product was isolated (10.00 g). LC-MS tR = 6.25 min, m/z 499. Step 2 A 100-mL RBF, equipped with a stir bar, was charged with methyl 4-(4-iodophenyl)-2-[4- (trifluoromethyl)benzoyl]butanoate (1.10 g, 2.3 mmol), propargyl alcohol (0.2 mL, 3.5 mmol), PdCl2(PPh3)2 (162 mg, 0.23 mmol) and CuI (22 mg, 0.12 mmol) and sealed with a septum. The flask was evacuated/refilled with N2 (3x) and dry THF (9 mL) and Et3N (3 mL) were added. The flask was evacuated/refilled with N2 (3x), and stirred at rt for 16 h. The mixture was concentrated. The residue was taken up in EtOAc (90 ml), washed with 5% aq HCl (2 x 30 mL) and brine (30 mL), and dried over Na2SO4. Removal of the solvent left a brown oil (1.43 g) which was purified by chromatography on a 40 g silica cartridge, eluted with a 0-80% EtOAc in hexanes gradient, to give methyl 4-[4-(3-hydroxyprop-1-yn-1- yl)phenyl]-2-[4-(trifluoromethyl)benzoyl]butanoate (850 mg, 91%) as a light brown oil. 1H NMR (300MHz,
WR/wr 8123-109882-02 06/20/24 06285 FILED VIA EFS ON June 20, 2024 CDCl3) Shift = 8.05 - 7.91 (m, 2H), 7.76 - 7.65 (m, 2H), 7.35 (d, J=7.9 Hz, 2H), 7.10 (d, J=7.9 Hz, 2H), 4.49 (s, 2H), 4.34 - 4.19 (m, 1H), 3.68 (s, 3H), 2.73-2.62 (m, 2H), 2.42 - 2.21 (m, 2H). Step 3 A mixture of methyl 4-[4-(3-hydroxyprop-1-yn-1-yl)phenyl]-2-[4- (trifluoromethyl)benzoyl]butanoate (850 mg, 2.1 mmol), wet 10% Pd on C (500 mg) and MeOH (40 mL) was stirred under H2 (1 atm, balloon) at rt for 3 h. The mixture was filtered though Celite. The filtrate was concentrated to leave an oil (750 mg) which was purified by chromatography on a 40 g silica cartridge, eluted with a 0-70% EtOAc in hexanes gradient, to give methyl 4-[4-(3-hydroxypropyl)phenyl]-2-[4- (trifluoromethyl)benzoyl]butanoate (280 mg, 32%) as a colorless oil. LC-MS tR = 5.20 min, m/z 431. Step 4 To a stirred solution of methyl 4-[4-(3-hydroxypropyl)phenyl]-2-[4- (trifluoromethyl)benzoyl]butanoate (280 mg, 0.69 mmol) in 9:1 MeCN/H2O (4 mL) was added Bobbitt’s salt (309 mg, 1.0 mmol). The mixture was stirred at rt for 1 d and additional Bobbitt’s salt (103 mg, 0.33 mmol) was added. After a stirring for a further 4 h, the mixture was concentrated. The residue was taken up in EtOAc (100 mL), washed with 5% aq HCl (15 mL) and brine (15 mL), and dried over Na2SO4. Removal of the solvent left methyl 4-[4-(3-hydroxypropyl)phenyl]-2-[4-(trifluoromethyl)benzoyl]butanoate (330 mg, quant) as an oil. LC-MS tR = 5.03 min, m/z 445. Step 5 A mixture of methyl 4-[4-(3-hydroxypropyl)phenyl]-2-[4-(trifluoromethyl)benzoyl]butanoate (330 mg, 0.78 mmol), 5-chloro-2-hydrazinyl-1H-1,3-benzodiazole (157 mg, 0.86 mmol), HOAc (1 mL) and MeOH (3 mL) was heated in the microwave at 130 °C for 3 h. Prep HPLC gave the title compound (55 mg, 12%). LC-MS tR = 5.45 min, m/z 555. 2-[3-(4-{2-[1-(5-chloro-1H-1,3-benzodiazol-2-yl)-5-hydroxy-3-[4-(trifluoromethyl)phenyl]-1H-pyrazol-4- yl]ethyl}phenyl)propoxy]acetic acid (NB1n)
WR/wr 8123-109882-02 06/20/24 06285 FILED VIA EFS ON June 20, 2024 O O CO2Me CO2Me O Cl
g, , tert- yn- acetate g, , mg, and Pd(PPh3)2Cl2 (290 mg, 0.41 mmol). The flask was sealed with a septum and evacuated/refilled with N2 (3x). Dry CH2Cl2 (16 mL) and Et3N (4 mL) were added by syringe. The flask was evacuated/refilled with N2 (3x) and stirred at rt for 3 d. The mixture was concentrated. The residue was taken up in EtOAc (90 mL), washed with 5% aq HCl (2 x 20 mL) and brine (20 mL), and dried over Na2SO4. Removal of the solvent left a brown oil which was chromatographed on a 40 g silica cartridge, eluted with a 0-50% EtOAc in hexanes gradient, to afford methyl 4-(4-{3-[2-(tert-butoxy)-2-oxoethoxy]prop-1-yn-1-yl}phenyl)-2-[4- (trifluoromethyl)benzoyl]butanoate (1.76 g, 82%) as a brown oil. LC-MS tR = 6.22 min, m/z 541. Step 2 A mixture of methyl 4-(4-{3-[2-(tert-butoxy)-2-oxoethoxy]prop-1-yn-1-yl}phenyl)-2-[4- (trifluoromethyl)benzoyl]butanoate (1.76 g, 3.4 mmol), wet 10% Pd on C (130 mg) and MeOH (35 mL) was stirred under H2 (1 atm, balloon) at rt for 5 h. The flask was flushed with N2 and additional wet 10% Pd on C (300 mg) was added. The mixture was stirred under H2 (1 atm, balloon) at rt for 3 h. The flask was flushed with N2 and the mixture was filtered through Celite. The filtrate was concentrated to leave an oil (1.63 g) which was chromatographed on a 40 g silica cartridge, eluted with a 0-30% EtOAc in hexanes gradient, to give methyl 4-(4-{3-[2-(tert-butoxy)-2-oxoethoxy]propyl}phenyl)-2-[4- (trifluoromethyl)benzoyl]butanoate (1.21 g, 68%) as a pale oil. LC-MS tR = 6.35 min, m/z 545. Step 3 A mixture of 4-(4-{3-[2-(tert-butoxy)-2-oxoethoxy]propyl}phenyl)-2-[4- (trifluoromethyl)benzoyl]butanoate (1.21 g, 2.3 mmol), 5-chloro-2-hydrazinyl-1H-1,3-benzodiazole (470 mg, 2.6 mmol), HOAc (1 mL) and MeOH (3 mL) was heated in the microwave at 130 C for 3 h. Prep
WR/wr 8123-109882-02 06/20/24 06285 FILED VIA EFS ON June 20, 2024 HPLC gave tert-butyl 2-[3-(4-{2-[1-(5-chloro-1H-1,3-benzodiazol-2-yl)-5-hydroxy-3-[4- (trifluoromethyl)phenyl]-1H-pyrazol-4-yl]ethyl}phenyl)propoxy]acetate (550 mg, 36%) as a white solid. LC-MS tR = 6.67 min, m/z 655, 599. Step 4 A solution of tert-butyl 2-[3-(4-{2-[1-(5-chloro-1H-1,3-benzodiazol-2-yl)-5-hydroxy-3-[4- (trifluoromethyl)phenyl]-1H-pyrazol-4-yl]ethyl}phenyl)propoxy]acetate (550 mg, 0.84 mmol) in 1:1 CH2Cl2/TFA (6 mL) was stirred overnight at rt and concentrated. The residue was lyophilized from 5% aq HCl/MeCN to give the title compound (474 mg, quant.) as a tan solid. LC-MS tR = 5.60 min, m/z 599. 2-{2-[3-(4-{2-[1-(5-chloro-1H-1,3-benzodiazol-2-yl)-5-hydroxy-3-[4-(trifluoromethyl)phenyl]-1H-pyrazol- 4-yl]ethyl}phenyl)propoxy]ethoxy}acetic acid (NB1o) F F Cl The title for NB1n, using
tert-butyl 2-[2-(prop-2-yn-1-yloxy)ethoxy]acetate in Step 1. LC-MS tR = 5.65 min, m/z 643. 2-(2-{2-[3-(4-{2-[1-(5-chloro-1H-1,3-benzodiazol-2-yl)-5-hydroxy-3-[4-(trifluoromethyl)phenyl]-1H- pyrazol-4-yl]ethyl}phenyl)propoxy]ethoxy}ethoxy)acetic acid (NB1p) F F Cl The title
for NB1n, using tert-butyl 2-{2-[2-(prop-2-yn-1-yloxy)ethoxy]ethoxy}acetate in Step 1. LC-MS tR = 5.75 min, m/z 687. 15-(4-{2-[1-(5-chloro-1H-1,3-benzodiazol-2-yl)-5-hydroxy-3-[4-(trifluoromethyl)phenyl]-1H-pyrazol-4- yl]ethyl}phenyl)-3,6,9,12-tetraoxapentadecanoic acid (NB1q)
WR/wr 8123-109882-02 06/20/24 06285 FILED VIA EFS ON June 20, 2024 F F F Cl The for NB1n, using
tert-butyl 3-[4-({2-[2-(2-aminoethoxy)ethoxy]ethoxy}methyl)phenyl]-1-(5-chloro-1H-1,3-benzodiazol-2-yl)-4-[2-(4- fluorophenyl)ethyl]-1H-pyrazol-5-ol (NB2a) CO2Me O O Cl
Step 1 A mixture of 2-[2-(2-chloroethoxy)ethoxy]ethan-1-ol (3.75 g, 22.2 mmol), NaN3 (3.60 g, 55.5 mmol) and water (15 mL) was stirred at 80 °C for 1 d, cooled to rt, diluted with 1 M aq NaOH (5 mL, 5.0 mmol) and extracted with ether (3 x 35 mL). The combined ether layer was dried over Na2SO4 and concentrated to leave 2-{2-[2-azidoethoxy]ethoxy}ethan-1-ol (2.50 g, 64%) as a colorless oil. 1H NMR (300MHz, CDCl33) δ = 3.75 - 3.63 (m, 8H), 3.62-3.56 (m, 2H), 3.42-3.35 (m, 2H). Step 2
WR/wr 8123-109882-02 06/20/24 06285 FILED VIA EFS ON June 20, 2024 To a stirred solution of methyl 4-(bromomethyl)benzoate (1.57 g, 6.9 mmol) and 2-{2-[2- azidoethoxy]ethoxy}ethan-1-ol (1.26 g, 7.2 mmol) in dry THF (10 mL) was added 60% NaH in oil (330 mg, 8.3 mmol). The mixture was stirred at rt for 5 d, diluted with EtOAc (90 mL), washed with 5% aq HCl (20 mL), satd aq NaHCO3 (20 mL) and brine (20 mL), and dried over Na2SO4. Removal of the solvent left an oil (2.40 g) which was chromatographed on a 40 g silica cartridge, eluted with a 0-80% EtOAc in hexanes gradient, to give methyl 4-({2-[2-(2-azidoethoxy)ethoxy]ethoxy}methyl)benzoate (810 mg, 36%) as a colorless oil. 1H NMR (300MHz, CDCl33) δ = 8.01 (d, J=7.9 Hz, 2H), 7.41 (d, J=7.9 Hz, 2H), 4.62 (s, 2H), 3.72-3.60 (m, 10H), 3.43 - 3.31 (m, 2H). Step 3 To a mixture of methyl 4-(4-fluorophenyl)butanoate (280 mg, 1.4 mmol) and methyl 4-(6,9,12- trioxa-1,2λ⁴,3-triazatrideca-1,2-dien-13-yl)benzoate (810 mg, 2.5 mmol) was added 60% NaH in oil (285 mg, 7.1 mmol), followed by dry THF (5 mL) and MeOH (1 drop). The mixture was heated at reflux under N2 for 5 h, diluted with EtOAc (90 mL), washed with 5% aq HCl (15 mL) and brine (15 mL), and dried over Na2SO4. Removal of the solvent left an oil (1.08 g) which was purified by chromatography on a 40 g silica cartridge, eluted with a 0-100% EtOAc in hexanes gradient, to provide methyl 2-[4-({2-[2-(2- azidoethoxy)ethoxy]ethoxy}methyl)benzoyl]-4-(4-fluorophenyl)butanoate (170 mg, 24%). 1H NMR (300MHz, CDCl3) δ = 7.92 - 7.80 (m, 2H), 7.48 - 7.35 (m, 2H), 7.11 (dd, J=5.5, 8.6 Hz, 2H), 7.03 - 6.85 (m, 2H), 4.63 (s, 2H), 4.34 - 4.21 (m, 1H), 3.78 - 3.61 (m, 13H), 3.47 - 3.29 (m, 2H), 2.68-2.60 (m, 2H), 2.40 - 2.19 (m, 2H). Step 4 A mixture of methyl 2-[4-({2-[2-(2-azidoethoxy)ethoxy]ethoxy}methyl)benzoyl]-4-(4- fluorophenyl)butanoate (170 mg, 0.35 mmol), 5-chloro-2-hydrazinyl-1H-1,3-benzodiazole (67 mg, 0.37 mmol), TsOH.H2O (14 mg, 0.07 mmol) and MeOH (4 mL) was stirred at 70 °C under N2 for 3 d. Prep HPLC gave 3-[4-({2-[2-(2-azidoethoxy)ethoxy]ethoxy}methyl)phenyl]-1-(5-chloro-1H-1,3-benzodiazol-2- yl)-4-[2-(4-fluorophenyl)ethyl]-1H-pyrazol-5-ol (94 mg, 43%) as a tan solid. 1H NMR (300MHz, CD3OD) δ = 7.64 - 7.35 (m, 6H), 7.32 - 7.19 (m, 1H), 7.05 (dd, J=5.5, 8.6 Hz, 2H), 6.94 - 6.79 (m, 2H), 4.58 (s, 2H), 3.77 - 3.56 (m, 10H), 3.43 - 3.20 (m, 2H), 2.78 (s, 4H). LC-MS tR 5.43 min, m/z 622, 620. Step 5 To a stirred solution of 3-[4-({2-[2-(2-azidoethoxy)ethoxy]ethoxy}methyl)phenyl]-1-(5-chloro-1H- 1,3-benzodiazol-2-yl)-4-[2-(4-fluorophenyl)ethyl]-1H-pyrazol-5-ol (86 mg, 0.14 mmol) in dry THF (3 mL) was added 1 M Me3P in THF (0.42 mL, 0.42 mmol). The mixture was stirred at rt under N2 for 2 h and water (0.3 mL) was added. The mixture was stirred at rt for 2 d and 1M aq NaOH (0.5, 0.5 mmol) was added. The mixture was stirred at rt for 3 h, diluted with HOAc (1 mL) and purified by prep HPLC to give the TFA salt of the title compound (76 mg, 77%) as a white solid. 1H NMR (300MHz, CD3OD) δ = 7.65 - 7.38 (m, 6H), 7.35 - 7.23 (m, 1H), 7.14 - 7.00 (m, 2H), 6.95 - 6.77 (m, 2H), 4.61 (s, 2H), 3.80 - 3.59 (m, 12H), 3.18 - 3.06 (m, 2H), 2.81 (s, 4H). LC-MS tR = 4.23 min, m/z 594.
WR/wr 8123-109882-02 06/20/24 06285 FILED VIA EFS ON June 20, 2024 3-(4-{[2-(2-aminoethoxy)ethoxy]methyl}phenyl)-1-(5-chloro-1H-1,3-benzodiazol-2-yl)-4-[2-(4- fluorophenyl)ethyl]-1H-pyrazol-5-ol (NB2b) H2 N O O Cl The title described for NB2a, using
2-(2-chloroethoxy) = 3-[4-(2-{2-[2-(2-aminoethoxy)ethoxy]ethoxy}ethanesulfonyl)phenyl]-1-(5-chloro-1H-1,3-benzodiazol-2- yl)-4-[2-(4-fluorophenyl)ethyl]-1H-pyrazol-5-ol (NB2c) O O O O CO Me CO2Me CO 2 2 Me CO2Me Cl
A 250-mL RBF was charged with methyl 4-(4-fluorophenyl)-2-(4-iodobenzoyl)butanoate (2.13 g, 5.0 mmol), potassium thioacetate (0.86 g, 7.5 mmol), CuI (95 mg, 0.5 mmol) and 1,10-phenathroline (180 mg, 1.0 mmol). The flask was sealed with a septum and evacuated/refilled with N2 (3x). Dry toluene (40 mL) was introduced by syringe and the flask was evacuated/refilled with N2 (3x). The mixture was stirred in a 100 °C oil bath for 16 h, cooled to rt, diluted with EtOAc (50 mL), washed with 5% aq HCl (2 x 20 mL) and brine (20 mL), and dried over Na2SO4. Removal of the solvent left an oil (2.30 g) which was purified by chromatography on a 40 g silica cartridge, eluted with a 0-35% EtOAc in hexanes gradient, to give methyl 2-[4-(acetylsulfanyl)benzoyl]-4-(4-fluorophenyl)butanoate (1.58 g, 84%) as an amber oil. LC-MS tR = 5.22 min, m/z 397. Step 2 To a stirred solution of methyl 2-[4-(acetylsulfanyl)benzoyl]-4-(4-fluorophenyl)butanoate (820 mg, 2.2 mmol) in THF (8 mL) under N2 was added 1 N aq NaOH (2.2 mL, 2.2 mmol). The mixture was stirred
WR/wr 8123-109882-02 06/20/24 06285 FILED VIA EFS ON June 20, 2024 under N2 at rt for 6 h. A solution of 2-{2-[2-(2-azidoethoxy)ethoxy]ethoxy}ethyl methanesulfonate (720 mg, 2.4 mmol)in MeOH (4 mL) was added, followed by 1 N aq NaOH (2.2 mL, 2.2 mmol). The mixture was stirred at rt for 1 d and concentrated to leave an aqueous residue which was extracted with EtOAc (2 x 50 mL). The combined EtOAc layer was washed with brine (15 mL), dried over Na2SO4 and concentrated to leave an oil (1.26 g). Chromatography on a 40 g silica cartridge, eluted with a 0-100% EtOAc in hexanes gradient, gave methyl 2-{4-[(2-{2-[2-(2-azidoethoxy)ethoxy]ethoxy}ethyl)sulfanyl]benzoyl}-4-(4- fluorophenyl)butanoate (710 mg, 60%) as an oil. LC-MS tR = 5.28 min, m/z 556. Step 3 A procedure analogous to that described in Step 3 of the synthesis of NB1k was employed. Step 4 and 5 Procedures analogous to those described in Steps 4 and 5 of the synthesis of NB2a were employed to give the title compound. LC-MS tR = 4.30 min, m/z 672. 3-{4-[1-(5-chloro-1H-1,3-benzodiazol-2-yl)-4-[2-(4-fluorophenyl)ethyl]-5-hydroxy-1H-pyrazol-3- yl]phenyl}propanoic acid (NB2d) O O O CO2Me CO2Me CO2Me
A flask was charged with methyl 4-(4-fluorophenyl)-2-(4-iodobenzoyl)butanoate (2.30 g, 5.4 mmol), CuI (103 mg, 0.54 mmol) and PdCl2(PPh3)2 (379 mg, 0.54 mmol). The flask was sealed with a septum and evacuated/refilled with N2 (3x). Dry CH2Cl2 (16 mL), Et3N (4 mL) and t-butyl propiolate (1.1 mL, 8.1 mmol) were introduced by syringe. The flask was evacuated/refilled with N2 (3x) and stirred at rt for 3 d. The mixture was concentrated. The residue was taken up in 5% aq HCl (40 mL) and extracted with EtOAc (2 x 50 mL). The combined organic layer was washed with brine and dried over Na2SO4. Removal of the solvent left a dark oil (3.93 g) which was purified by chromatography on an 80 g silica cartridge, eluted with a 0-20% EtOAc in hexanes gradient, to give methyl 2-{4-[3-(tert-butoxy)-3-oxoprop-1-yn-1- yl]benzoyl}-4-(4-fluorophenyl)butanoate (700 mg, 30%). LC-MS tR = 6.22 min, m/z 447.
WR/wr 8123-109882-02 06/20/24 06285 FILED VIA EFS ON June 20, 2024 Step 2 A mixture of methyl 2-{4-[3-(tert-butoxy)-3-oxoprop-1-yn-1-yl]benzoyl}-4-(4- fluorophenyl)butanoate (700 mg, 1.6 mmol), 10% Pd on C (cat. qty.) and MeOH (40 mL) was stirred under H2 (1 atm, balloon) at rt for 1 d. The mixture was filtered through Celite and the filtrate was concentrated to leave an oil (700 mg). Chromatography on a 40 g silica cartridge, eluted with a 0-20% EtOAc in hexanes gradient, gave methyl 2-{4-[3-(tert-butoxy)-3-oxopropyl]benzoyl}-4-(4-fluorophenyl)butanoate (380 mg, 54%). LC-MS tR = 6.05 min, m/z 451. Step 3 A mixture of methyl 2-{4-[3-(tert-butoxy)-3-oxopropyl]benzoyl}-4-(4-fluorophenyl)butanoate (380 mg, 0.89 mmol), 5-chloro-2-hydrazinyl-1H-1,3-benzodiazole (205 mg, 1.12 mmol), HOAc (0.75 mL) and MeOH (2.75 mL) was heated in the microwave at 130 °C for 3 h. Prep HPLC gave tert-butyl 3-{4-[1-(5- chloro-1H-1,3-benzodiazol-2-yl)-4-[2-(4-fluorophenyl)ethyl]-5-hydroxy-1H-pyrazol-3- yl]phenyl}propanoate (140 mg, 28%). LC-MS tR = 6.26 min, m/z 561. Step 4 A solution of tert-butyl 3-{4-[1-(5-chloro-1H-1,3-benzodiazol-2-yl)-4-[2-(4-fluorophenyl)ethyl]-5- hydroxy-1H-pyrazol-3-yl]phenyl}propanoate (140 mg, 0.25 mmol) in 1:1 CH2Cl2/TFA (6 mL) was stirred at rt for 16 h and concentrated. The residue was lyophilized from MeCN/5% aq HCl to give the title compound (94 mg, 74%) as an off-white solid. LC-MS tR = 5.02 min, m/z 505. 2-(3-{4-[1-(5-chloro-1H-1,3-benzodiazol-2-yl)-4-[2-(4-fluorophenyl)ethyl]-5-hydroxy-1H-pyrazol-3- yl]phenyl}propoxy)acetic acid (NB2e) HO 2 C O Cl The title
for NB2g, using tert-butyl 2-(prop-2-yn-1-yloxy)acetate in Step 1. LC-MS tR = 5.12 min, m/z 549. 2-[2-(3-{4-[1-(5-chloro-1H-1,3-benzodiazol-2-yl)-4-[2-(4-fluorophenyl)ethyl]-5-hydroxy-1H-pyrazol-3- yl]phenyl}propoxy)ethoxy]acetic acid (NB2f)
WR/wr 8123-109882-02 06/20/24 06285 FILED VIA EFS ON June 20, 2024 O HO O Cl The title described for NB2g, using tert-butyl 2-[2-(prop-
= m/z 593. 2-{2-[2-(3-{4-[1-(5-chloro-1H-1,3-benzodiazol-2-yl)-4-[2-(4-fluorophenyl)ethyl]-5-hydroxy-1H-pyrazol-3- yl]phenyl}propoxy)ethoxy]ethoxy}acetic acid (NB2g)
To a stirred, ice-cold suspension of 60% NaH in oil (700 mg, 17.3 mmol) in dry THF (20 mL) was added dropwise over 5 min a solution of 2-[2-(prop-2-yn-1-yloxy)ethoxy]ethan-1-ol (1.78 g, 12.3 mmol) in dry THF (10 mL). The mixture was stirred at rt for 1 h, recooled in an ice bath and treated with t-butyl bromoacetate (3.65 mL, 24.7 mmol) dropwise over 3 min. The mixture was allowed to warm to rt and stirred for 18 h. The mixture was poured into ice-cold 5% aq HCl (50 mL) and extracted with EtOAc (2 x 40 mL). The combined organic layer was washed with brine (15 mL), dried over Na2SO4 and concentrated to leave a yellow oil (5.30 g). Chromatography on silica gel, eluted with an ethyl acetate hexane gradient, gave tert-butyl 2-{2-[2-(prop-2-yn-1-yloxy)ethoxy]ethoxy}acetate (1.08 g, 86%) as a colorless oil. 1H NMR (300MHz, CDCl3) δ = 4.18 (s, 2H), 3.96 (d, J=0.9 Hz, 1H), 3.65 (br. s., 8H), 2.44 - 2.32 (m, 1H), 1.42 (s, 9H). Step 2 An oven-dried flask, equipped with a stir bar was charged with methyl 4-iodobenzoate (4.77 g, 18.2 mmol), methyl 4-(4-fluorophenyl)butanoate (2.98 g, 15.2 mmol) and 60% NaH in oil (1.30 g, 31.9 mmol). The flask was sealed with a septum and dry THF (30 mL) was introduced by syringe., followed by MeOH (2
WR/wr 8123-109882-02 06/20/24 06285 FILED VIA EFS ON June 20, 2024 drops). The mixture was stirred at 70 °C under N2 for 8 h, cooled to rt and poured into ice-cold 2.5% aq HCl. The mixture was extracted with EtOAc (3 x 35 mL). The combined EtOAc layer was washed with brine (15 mL), dried over Na2SO4 and concentrated to leave a wet solid (7.85 g). Chromatography on an 80 g silica cartridge, eluted with a 0-25% EtOAc in hexanes gradient, afforded methyl 4-(4-fluorophenyl)-2-(4- iodobenzoyl)butanoate (3.77 g, 58%) as a colorless oil. 1H NMR (300MHz, CDCl3) δ = 7.88 - 7.75 (m, 2H), 7.63 - 7.54 (m, 2H), 7.18 - 7.07 (m, 2H), 6.96 (s, 2H), 4.21 (t, J=7.0 Hz, 1H), 3.68 (s, 3H), 2.70 - 2.54 (m, 2H), 2.41 - 2.16 (m, 2H) Step 3 A flask was charged with methyl 4-(4-fluorophenyl)-2-(4-iodobenzoyl)butanoate (900 mg, 2.1 mmol), tert-butyl 2-{2-[2-(prop-2-yn-1-yloxy)ethoxy]ethoxy}acetate (819 mg, 2.2 mmol), CuI (41 mg, 0.21 mmol), Pd(PPh3)2Cl2 (150 mg, 0.21 mmol) and sealed with a septum. The flask was evacuated/refilled with N2 (3x) and dry CH2Cl2 (10 mL) and Et3N (2.5 mL) were added via syringe. The flask was evacuated/refilled with N2 (3x), stirred at rt for 2 d and concentrated. The residue was taken up in EtOAc (100 mL), washed with 5% aq HCl (2 x 10 mL) and brine (10 mL), and dried over Na2SO4. Removal of the solvent left a brown oil (1.84 g) which was chromatographed on a 40 g silica cartridge, eluted with a 0-60% EtOAc in hexanes gradient, gave methyl 2-{4-[3-(2-{2-[2-(tert-butoxy)-2-oxoethoxy]ethoxy}ethoxy)prop-1- yn-1-yl]benzoyl}-4-(4-fluorophenyl)butanoate (760 mg, 64%) as an oil. 1H NMR (300MHz, CDCl3) δ = 7.86-7.78 (m, 2H), 7.55 - 7.46 (m, 2H), 7.15 - 7.05 (m, 2H), 7.03 - 6.87 (m, 2H), 4.45 (s, 2H), 4.31 - 4.20 (m, 1H), 4.03 (s, 2H), 3.80-3.64 (m, 11H), 2.74 - 2.57 (m, 2H), 2.42 - 2.17 (m, 2H), 1.42 (s, 9H). Step 4 A solution of methyl 2-{4-[3-(2-{2-[2-(tert-butoxy)-2-oxoethoxy]ethoxy}ethoxy)prop-1-yn-1- yl]benzoyl}-4-(4-fluorophenyl)butanoate (760 mg, 1.4 mmol) in MeOH (20 mL) was stirred with 10% Pd on C (cat. qty.) under H2 (1 atm, balloon) at rt for 4 h. The flask was flushed with N2 and the mixture was filtered through Celite. The filtrate was concentrated to leave a brown oil (730 mg) which was purified by chromatography on a 24 g silica cartridge, eluted with a 0-70% EtOAc in hexanes gradient, to give methyl 2-{4-[3-(2-{2-[2-(tert-butoxy)-2-oxoethoxy]ethoxy}ethoxy)propyl]benzoyl}-4-(4-fluorophenyl)butanoate (460 mg, 60%) as a brown oil. 1H NMR (300MHz, CDCl3) δ = 7.86 - 7.76 (m, 2H), 7.35-7.24 (m, 2H), 7.18 - 7.07 (m, 2H), 7.01 - 6.89 (m, 2H), 4.33 - 4.20 (m, 1H), 4.02 (s, 2H), 3.77-3.62 (m, 9H), 3.62 - 3.55 (m, 2H), 3.51 - 3.38 (m, 2H), 2.80 - 2.69 (m, 2H), 2.67 - 2.58 (m, 2H), 2.37 - 2.21 (m, 2H), 1.98 - 1.83 (m, 2H), 1.46 (s, 9H) Step 5 A mixture of methyl 2-{4-[3-(2-{2-[2-(tert-butoxy)-2-oxoethoxy]ethoxy}ethoxy)propyl]benzoyl}-4- (4-fluorophenyl)butanoate (460 mg, 0.82 mmol), 5-chloro-2-hydrazinyl-1H-1,3-benzodiazole (188 mg, 1.03 mmol), HOAc (0.5 mL) and MeOH (1.5 mL) was heated in the microwave at 130 °C for 3 h. Prep HPLC gave tert-butyl 2-{2-[2-(3-{4-[1-(5-chloro-1H-1,3-benzodiazol-2-yl)-4-[2-(4-fluorophenyl)ethyl]-5-hydroxy- 1H-pyrazol-3-yl]phenyl}propoxy)ethoxy]ethoxy}acetate (190 mg, 33%) as a solid. 1H NMR (300MHz, CD3OD) δ = 7.62 - 7.47 (m, 2H), 7.47 - 7.39 (m, 2H), 7.34 - 7.22 (m, 3H), 7.10 - 6.98 (m, 2H), 6.91 - 6.78
WR/wr 8123-109882-02 06/20/24 06285 FILED VIA EFS ON June 20, 2024 (m, 2H), 4.0 (s, 2H), 3.71 - 3.61 (m, 6H), 3.60 - 3.53 (m, 2H), 3.49 - 3.41 (m, 2H), 2.81 - 2.64 (m, 6H), 1.95 - 1.77 (m, 2H), 1.44 (s, 9H). LC-MS tR = 6.15 min, m/z 693, 637. Step 6 A solution of tert-butyl 2-{2-[2-(3-{4-[1-(5-chloro-1H-1,3-benzodiazol-2-yl)-4-[2-(4- fluorophenyl)ethyl]-5-hydroxy-1H-pyrazol-3-yl]phenyl}propoxy)ethoxy]ethoxy}acetate (165 mg, 0.24 mmol) in 1:1 CH2Cl2/TFA (6 mL) was stirred at rt for 3 h and concentrated. The residue was lyophilized from MeCN/5% aq HCl to give 2-{2-[2-(3-{4-[1-(5-chloro-1H-1,3-benzodiazol-2-yl)-4-[2-(4- fluorophenyl)ethyl]-5-hydroxy-1H-pyrazol-3-yl]phenyl}propoxy)ethoxy]ethoxy}acetic acid (136 mg, 90%) as a tan solid. 1H NMR (300MHz, CD3OD) δ = 7.64 - 7.53 (m, 3H), 7.50 - 7.43 (m, 1H), 7.37 - 7.29 (m, 3H), 7.13 - 7.03 (m, 2H), 6.94 - 6.83 (m, 2H), 4.14 (s, 2H), 3.78 - 3.56 (m, 8H), 3.55 - 3.45 (m, 2H), 2.93 - 2.67 (m, 6H), 2.02 - 1.82 (m, 2H). 15-{4-[1-(5-chloro-1H-1,3-benzodiazol-2-yl)-4-[2-(4-fluorophenyl)ethyl]-5-hydroxy-1H-pyrazol-3- yl]phenyl}-3,6,9,12-tetraoxapentadecanoic acid (NB2h) O O Cl The
for NB2g, using tert-butyl 3,6,9,12-tetraoxapentadec-14-ynoate in Step 1. 1-(5-chloro-1H-1,3-benzodiazol-2-yl)-4-[2-(4-fluorophenyl)ethyl]-3-(piperidin-4-yl)-1H-pyrazol-5-ol (NB3a) Cl Step
A mixture of tert-butyl 4-(3-ethoxy-3-oxopropanoyl)piperidine-1-carboxylate (3.72 g, 12.4 mmol), 1- (2-bromoethyl)-4-fluorobenzene (2.91 g, 14.3 mmol), K2CO3 (1.89 g, 13.7 mmol), KI (2.27 g, 13.7 mmol) and DMF (30 mL) was stirred at 70 ⁰C for 8 h. The mixture was diluted with EtOAc (175 mL), washed with 5% aq HCl (30 mL), water (2 x 30 mL) and brine (30 mL), and dried over Na2SO4. Removal of the solvent left a brown oil (6.85 g). Chromatography on an 80 g silica cartridge, eluted with a 0-40% EtOAc in hexanes gradient, gave a tert-butyl 4-{3-ethoxy-2-[2-(4-fluorophenyl)ethyl]-3-oxopropanoyl}piperidine-1-carboxylate
WR/wr 8123-109882-02 06/20/24 06285 FILED VIA EFS ON June 20, 2024 (3.59 g, 68%) as a pale yellow oil. 1H NMR (CDCl3) 7.20-7.03 (m, 2H), 7.01-6.85 (m, 2H), 4.25-3.93 (m, 6H), 3.60-3.52 (m, 1H), 2.80-2.45 (m, 6H), 2.20-2.05 (m, 1H), 1.88-1.45 (m, 2H), 1.40 (s, 9H), 1.18-1.27 (m, 3H). LC-MS tR = 5.73 min, m/z 322 [M + Na+]. Step 2 A mixture of tert-butyl 4-{3-ethoxy-2-[2-(4-fluorophenyl)ethyl]-3-oxopropanoyl}piperidine-1- carboxylate (1.70 g, 4.0 mmol), 5-chloro-2-hydrazinyl-1H-1,3-benzodiazole (920 mg, 5.0 mmol), HOAc (3 mL) and EtOH (12 mL) was heated in the microwave at 130 ⁰C for 3 h. Prep HPLC gave tert-butyl 4-[1-(5- chloro-1H-1,3-benzodiazol-2-yl)-4-[2-(4-fluorophenyl)ethyl]-5-hydroxy-1H-pyrazol-3-yl]piperidine-1- carboxylate (1.02 g, 58%) as solid. 1H NMR (CD3OD) δ: 7.52-7.63 (m, 2H), 7.31 (dd, J=8.6, 2.0 Hz, 1H), 7.14-7.23 (m, 2H), 6.93-7.05 (m, 2H), 4.10 (br d, J=13.3 Hz, 2H), 2.62-2.90 (m, 6H), 2.42-2.58 (m, 1H), 1.70- 1.48 (br dd, J=17.5, 4.3 Hz, 4H), 1.46 (s, 9H). 19F NMR (METHANOL-d4) δ: -77.45, -119.47. LC-MS tR 5.72 min, m/z 542, 540, 442, 440. HRMS calc'd for C28H32ClFN5O3540.2172, found 540.217. Step 3 A solution of tert-butyl 4-[1-(5-chloro-1H-1,3-benzodiazol-2-yl)-4-[2-(4-fluorophenyl)ethyl]-5-hydroxy-1H- pyrazol-3-yl]piperidine-1-carboxylate (1.02 g, 1.90 mmol) in 3:1 CH2Cl2/TFA (8 mL) was stirred at rt for 1.5 h and concentrated. The residue was lyophilized from MeCN/5% aq HCl to give the HCl salt of the title compound (829 mg, quant) as a grey solid. LC-MS tR = 3.90 min, m/z 442, 440. 2-(2-{4-[1-(5-chloro-1H-1,3-benzodiazol-2-yl)-4-[2-(4-fluorophenyl)ethyl]-5-hydroxy-1H-pyrazol-3- yl]piperidin-1-yl}-2-oxoethoxy)acetic acid (NB3b) O O HN O HO N Cl
-4-[2-(4- fluorophenyl)ethyl]-3-(piperidin-4-yl)-1H-pyrazol-5-ol (290 mg, 0.57 mmol) and i-Pr2NEt (0.41 mL, 2.3 mmol) in CH2Cl2 (10 mL) was added diglycolic anhydride (66 mg, 0.57 mmol). The mixture was stirred at rt for 1 d. Additional diglycolic anhydride (112 mg, 1.14 mmol) was added and the mixture was stirred at rt for 3 h. The mixture was concentrated and the residue was partitioned between EtOAc (90 mL) and 5% aq HCl (20 mL). The EtOAc layer and the solid floating at the interface were separated and concentrated. The residue was lyophilized from MeCN/5% aq HCl to the title compound (362 mg, quant.) as grey solid. LC-MS tR = 4.42 min, m/z 556. 4-{2-[4-(2-{2-[2-(2-aminoethoxy)ethoxy]ethoxy}ethoxy)phenyl]ethyl}-1-{1H-imidazo[4,5-b]pyridin-2-yl}- 3-[4-(trifluoromethyl)phenyl]-1H-pyrazol-5-ol (NB4a)
WR/wr 8123-109882-02 06/20/24 06285 FILED VIA EFS ON June 20, 2024 O CO Me F C F C H H F C N N N N N N Step
- (trifluoromethyl)benzoyl]butanoate (394 mg, 0.69 mmol), {1H-imidazo[4,5-b]pyridin-2-yl}hydrazine (109 mg, 0.73 mmol), TsOH.H2O (25 mg, 0.13 mmol) and MeOH (2 mL) was heated in the microwave at 130 °C for 2 h. Prep HPLC gave 4-{2-[4-(2-{2-[2-(2-azidoethoxy)ethoxy]ethoxy}ethoxy)phenyl]ethyl}-1-{1H- imidazo[4,5-b]pyridin-2-yl}-3-[4-(trifluoromethyl)phenyl]-1H-pyrazol-5-ol (70 mg, 15%) as a tan solid. LC-MS tR = 4.37 min, m/z 667. Step 2 ` To a stirred, ice-cold suspension of 4-{2-[4-(2-{2-[2-(2- azidoethoxy)ethoxy]ethoxy}ethoxy)phenyl]ethyl}-1-{1H-imidazo[4,5-b]pyridin-2-yl}-3-[4- (trifluoromethyl)phenyl]-1H-pyrazol-5-ol (65 mg, 98 μmol) in dry THF (3 mL) was added 1 M Me3P in THF (0.3 mL, 0.3 mmol). The mixture was stirred in the ice bath for 15 min and at rt for 2 h. Additional 1 M Me3P in THF (0.2 mL, 0.2 mmol) was added and stirring at rt was continued for 2 h. The mixture was treated with 1 M aq NaOH (0.1 mL), stirred for 15 min, diluted with HOAc (1 mL) and purified by prep HPLC to provide the TFA salt of the title compound (53 mg, 72%) as a pale yellow solid. LC-MS tR = 3.47 min, m/z 641. tert-butyl 4-(4-{2-[4-(2-{2-[2-(2-aminoethoxy)ethoxy]ethoxy}ethoxy)phenyl]ethyl}-1-(5-chloro-1H-1,3- benzodiazol-2-yl)-5-hydroxy-1H-pyrazol-3-yl)piperidine-1-carboxylate (NB5a)
WR/wr 8123-109882-02 06/20/24 06285 FILED VIA EFS ON June 20, 2024 O OH OMs CO Et O N Cl Step
A mixture of 4-(2-hydroxyethyl)phenol (750 mg, 5.4 mmol), 2-{2-[2-(2- azidoethoxy)ethoxy]ethoxy}ethyl methanesulfonate (1.60 g, 5.4 mmol), Cs2CO3 (1.95 g, 6.0 mmol), KI (990 mg, 6.0 mmol) and DMF (10 mL) was stirred at 45 °C for 3 d. The mixture was diluted with water (40 mL) and extracted with EtOAc (2 x 50 mL). The combined EtOAc layer was washed with brine (20 mL), dried over Na2SO4 and concentrated to leave an oil (2.08 g). Chromatography on an 80 g silica cartridge, eluted with a 0-100% EtOAc in hexanes gradient, gave 2-[4-(2-{2-[2-(2- azidoethoxy)ethoxy]ethoxy}ethoxy)phenyl]ethan-1-ol (930 mg, 50%) as a colorless oil. LC-MS tR = 3.72 min, m/z 362. Step 2 To a stirred, ice-cold solution of 2-[4-(2-{2-[2-(2-azidoethoxy)ethoxy]ethoxy}ethoxy)phenyl]ethan- 1-ol (930 mg, 2.7 mmol) and i-Pr2NEt (1.0 mL, 5.6 mmol) in CH2Cl2 (20 mL) was added MeSO2Cl (0.32 mL, 4.1 mmol). The mixture was stirred for 4 h and concentrated. The residue was taken up in EtOAc (90 mL), washed with 5% aq HCl (20 mL) and brine (20 mL), and dried over Na2SO4. Removal of the solvent left 2-[4-(2-{2-[2-(2-azidoethoxy)ethoxy]ethoxy}ethoxy)phenyl]ethyl methanesulfonate (1.18 g, quant.) as a colorless oil. LC-MS tR = 4.21 min, m/z 440. Step 3 A mixture of tert-butyl 4-(3-ethoxy-3-oxopropanoyl)piperidine-1-carboxylate (730 mg, 2.4 mmol), 2-[4-(2-{2-[2-(2-azidoethoxy)ethoxy]ethoxy}ethoxy)phenyl]ethyl methanesulfonate (1.18 g, 2.8 mmol), K2CO3 (370 mg, 2.6 mmol), KI (445 mg, 2.7 mmol) and DMF (15 mL) was stirred at 70 °C for 6 h. The mixture was diluted with water (50 mL) and extracted with EtOAc (2 x 50 mL). The combined EtOAc layer was washed with brine (10 mL), dried over Na2SO4 and concentrated to leave an oil (2.40 g) which
WR/wr 8123-109882-02 06/20/24 06285 FILED VIA EFS ON June 20, 2024 was purified by chromatography on an 80 g silica cartridge, eluted with a 0-60% EtOAc in hexanes gradient, to give tert-butyl 4-(2-{2-[4-(2-{2-[2-(2-azidoethoxy)ethoxy]ethoxy}ethoxy)phenyl]ethyl}-3-ethoxy-3- oxopropanoyl)piperidine-1-carboxylate (650 mg, 43%). LC-MS tR = 5.42 min, m/z 643, 521. Step 4 A mixture of tert-butyl 4-(2-{2-[4-(2-{2-[2-(2-azidoethoxy)ethoxy]ethoxy}ethoxy)phenyl]ethyl}-3- ethoxy-3-oxopropanoyl)piperidine-1-carboxylate (650 mg, 1.05 mmol), 5-chloro-2-hydrazinyl-1H-1,3- benzodiazole (210 mg, 1.15 mmol), HOAc (1 mL) and EtOH (3 mL) was stirred at 80 °C for 20 h. The mixture was cooled to rt and purified by prep HPLC to give tert-butyl 4-(4-{2-[4-(2-{2-[2-(2- azidoethoxy)ethoxy]ethoxy}ethoxy)phenyl]ethyl}-1-(5-chloro-1H-1,3-benzodiazol-2-yl)-5-hydroxy-1H- pyrazol-3-yl)piperidine-1-carboxylate (510 mg, 66%) as a viscous oil. LC-MS tR = 5.42 min, m/z 739. Step 5 To a stirred solution of tert-butyl 4-(4-{2-[4-(2-{2-[2-(2- azidoethoxy)ethoxy]ethoxy}ethoxy)phenyl]ethyl}-1-(5-chloro-1H-1,3-benzodiazol-2-yl)-5-hydroxy-1H- pyrazol-3-yl)piperidine-1-carboxylate (230 mg, 0.31 mmol) in dry THF (10 mL) was added 1 M Me3P in THF (1 mL, 1.0 mmol). The mixture was stirred at rt for 2 h and 1 M aq NaOH (1 mL, 1.0 mmol) was added. The mixture was stirred overnight and purified by prep HPLC to give the TFA salt of the title compound (170 mg, 66%) as a white solid. LC-MS tR = 4.33 min, m/z 713. 2-[3-(4-{2-[1-(1H-1,3-benzodiazol-2-yl)-3-{1-[(tert-butoxy)carbonyl]piperidin-4-yl}-5-hydroxy-1H- pyrazol-4-yl]ethyl}phenyl)propoxy]acetic acid (NB5b) O O CO2Et CO2Et Step
WR/wr 8123-109882-02 06/20/24 06285 FILED VIA EFS ON June 20, 2024 A procedure analogous to that in Step 1 of the preparation of NB5a was employed using 2-(4- iodophenyl)ethyl methanesulfonate. Step 2 A procedure analogous to that in Step 3 of the preparation of NB2g was employed using tert-butyl 2- (prop-2-yn-1-yloxy)acetate. Step 3 A procedure analogous to that in Step 4 of the preparation of NB2g was employed. Step 4 A procedure analogous to that in Step 4 of the preparation of NB5a was employed. Step 5 To a stirred solution of tert-butyl 4-[1-(1H-1,3-benzodiazol-2-yl)-4-[2-(4-{3-[2-(tert-butoxy)-2- oxoethoxy]propyl}phenyl)ethyl]-5-hydroxy-1H-pyrazol-3-yl]piperidine-1-carboxylate (129 mg, 0.20 mmol) in MeOH (3 mL) was added 4 M HCl in dioxane (1 mL). The mixture was stirred at rt for 10 d and concentrated to give the HCl salt of methyl 2-[3-(4-{2-[1-(1H-1,3-benzodiazol-2-yl)-5-hydroxy-3-(piperidin- 4-yl)-1H-pyrazol-4-yl]ethyl}phenyl)propoxy]acetate (125 mg, quant.) as an oil. Step 6 To a stirred mixture of the HCl salt of methyl 2-[3-(4-{2-[1-(1H-1,3-benzodiazol-2-yl)-5-hydroxy-3- (piperidin-4-yl)-1H-pyrazol-4-yl]ethyl}phenyl)propoxy]acetate (125 mg, 0.24 mmol), 105 aq K2CO3 (2.5 mL) and dioxane (2.5 mL) was added Boc2O (80 mg, 0.37 mmol). The mixture was stirred at rt for 18 h. MeOH (4 mL) and 1 M aq NaOH (2 mL, 2.0 mmol) were added and stirring was continued for 1 d. The mixture was concentrated and the residue was partitioned between EtOAc (100 mL) and 2.5% aq HCl (20 mL). The organic layer was washed with brine (10 mL), dried over Na2SO4 and concentrated. The residue was lyophilized from aq MeCN to give the title compound (128 mg, 88%) as a grey solid. Synthesis of Compounds Example 1 3-[4-(2-{4-[1-(5-chloro-1H-1,3-benzodiazol-2-yl)-4-[2-(4-fluorophenyl)ethyl]-5-hydroxy-1H-pyrazol-3- yl]piperidin-1-yl}-2-oxoethoxy)-1-oxo-2,3-dihydro-1H-isoindol-2-yl]piperidine-2,6-dione O NH Cl
WR/wr 8123-109882-02 06/20/24 06285 FILED VIA EFS ON June 20, 2024 To a stirred solution of the HCl salt of 1-(5-chloro-1H-1,3-benzodiazol-2-yl)-4-[2-(4- fluorophenyl)ethyl]-3-(piperidin-4-yl)-1H-pyrazol-5-ol (29 mg, 57 μmol), 2-{[2-(2,6-dioxopiperidin-3-yl)-1- oxo-2,3-dihydro-1H-isoindol-4-yl]oxy}acetic acid (19 mg, 60 μmol), HOBt.H2O (9 mg, 60 μmol) and i- Pr2NEt (60 μL, 0.34 mmol) in dry DMF (1.5 mL) was added EDC.HCl (22 mg, 0.11 mmol). The mixture was stirred at rt for 18 h and purified by prep HPLC to give the TFA salt of the title compound (12 mg, 25%) as a white solid. 1H NMR (300MHz, DMSO-d6) Shift = 10.99 (s, 1H), 7.56 - 7.46 (m, 2H), 7.46 - 7.41 (m, 1H), 7.34 - 7.29 (m, 1H), 7.26 - 7.02 (m, 6H), 5.19 - 4.89 (m, 3H), 4.49 - 4.15 (m, 4H), 3.97 - 3.77 (m, 1H), 3.14 - 2.97 (m, 1H), 2.78 (d, J=7.0 Hz, 3H), 2.66 - 2.33 (m, 4H), 2.08 - 1.90 (m, 1H), 1.88 - 1.55 (m, 2H), 1.53 - 1.32 (m, 2H). LC-MS tR = 4.63 min, m/z 740. Example 2 N-(2-{2-[2-({4-[1-(5-chloro-1H-1,3-benzodiazol-2-yl)-4-[2-(4-fluorophenyl)ethyl]-5-hydroxy-1H-pyrazol- 3-yl]phenyl}methoxy)ethoxy]ethoxy}ethyl)-2-{[2-(2,6-dioxopiperidin-3-yl)-1-oxo-2,3-dihydro-1H-isoindol- 4-yl]oxy}acetamide
- 1-(5-chloro-1H-1,3-benzodiazol-2-yl)-4-[2-(4-fluorophenyl)ethyl]-1H-pyrazol-5-ol (55 mg, 82 μmol), 2- {[2-(2,6-dioxopiperidin-3-yl)-1-oxo-2,3-dihydro-1H-isoindol-4-yl]oxy}acetic acid (53 mg, 0.17 mmol), i- Pr2NEt (80 μL, 0.45 mmol), dry CH2Cl2 (1 mL) and dry DMF (1 mL) was added solid HATU (63 mg, 0.17 mmol). The mixture was stirred at rt under N2 for 2 h and concentrated under reduced pressure to remove CH2Cl2. The residue was purified by prep HPLC, followed by lyophilization from MeCN/5% aq HCl to give the HCl salt of the title compound (33 mg, 43%) as an off-white solid. 1H NMR (300MHz, CD3OD) Shift = 7.80 - 7.66 (m, 2H), 7.63 - 7.30 (m, 7H), 7.15 - 6.99 (m, 3H), 6.89 (s, 2H), 5.12 (dd, J=5.1, 13.4 Hz, 1H), 4.63 - 4.61 (m, 2H), 4.59 - 4.57 (m, 2H), 4.47 - 4.43 (m, 2H), 3.69 - 3.66 (m, 4H), 3.63 - 3.56 (m, 6H), 3.50 - 3.43 (m, 2H), 2.96 - 2.82 (m, 3H), 2.80 - 2.65 (m, 3H), 2.51 - 2.29 (m, 1H), 2.19 - 1.99 (m, 1H). LC- MS tR = 4.33 min, m/z 894. Example 3 N-(2-{2-[2-(4-{2-[1-(5-chloro-1H-1,3-benzodiazol-2-yl)-5-hydroxy-3-[4-(trifluoromethyl)phenyl]-1H- pyrazol-4-yl]ethyl}phenoxy)ethoxy]ethoxy}ethyl)-2-{[2-(2,6-dioxopiperidin-3-yl)-1-oxo-2,3-dihydro-1H- isoindol-4-yl]oxy}acetamide
WR/wr 8123-109882-02 06/20/24 06285 FILED VIA EFS ON June 20, 2024 F F O F Cl The ethyl]- 1-(5-chloro-
- - and 2-{[2- (2,6-dioxopiperidin-3-yl)-1-oxo-2,3-dihydro-1H-isoindol-4-yl]oxy}acetic acid (CB1a) following the procedure described in Example 2. LC-MS tR = 4.98 min, m/z 931. Example 4 N-{2-[2-(4-{2-[1-(5-chloro-1H-1,3-benzodiazol-2-yl)-5-hydroxy-3-[4-(trifluoromethyl)phenyl]-1H-pyrazol- 4-yl]ethyl}phenoxy)ethoxy]ethyl}-2-{[2-(2,6-dioxopiperidin-3-yl)-1-oxo-2,3-dihydro-1H-isoindol-4- yl]oxy}acetamide F F Cl The
-1-(5- chloro-1H-1,3-benzodiazol-2-yl)-3-[4-(trifluoromethyl)phenyl]-1H-pyrazol-5-ol (NB1b) and 2-{[2-(2,6- dioxopiperidin-3-yl)-1-oxo-2,3-dihydro-1H-isoindol-4-yl]oxy}acetic acid (CB1a) following the procedure described in Example 2. LC-MS tR = 4.43 min, m/z 886. Example 5 N-{2-[2-({4-[1-(5-chloro-1H-1,3-benzodiazol-2-yl)-4-[2-(4-fluorophenyl)ethyl]-5-hydroxy-1H-pyrazol-3- yl]phenyl}methoxy)ethoxy]ethyl}-2-{[2-(2,6-dioxopiperidin-3-yl)-1-oxo-2,3-dihydro-1H-isoindol-4- yl]oxy}acetamide
WR/wr 8123-109882-02 06/20/24 06285 FILED VIA EFS ON June 20, 2024 O F F F Cl The -1-(5- chloro-1H-
- - dioxopiperidin-3-yl)-1-oxo-2,3-dihydro-1H-isoindol-4-yl]oxy}acetic acid (CB1a) following the procedure described in Example 2. LC-MS tR = 4.77 min, m/z 850. Example 6 N-[2-(2-{2-[2-(4-{2-[1-(5-chloro-1H-1,3-benzodiazol-2-yl)-5-hydroxy-3-[4-(trifluoromethyl)phenyl]-1H- pyrazol-4-yl]ethyl}phenoxy)ethoxy]ethoxy}ethoxy)ethyl]-2-{[2-(2,6-dioxopiperidin-3-yl)-1-oxo-2,3- dihydro-1H-isoindol-4-yl]oxy}acetamide F F O Cl The
aminoethoxy)ethoxy]ethoxy}ethoxy)phenyl]ethyl}-1-(5-chloro-1H-1,3-benzodiazol-2-yl)-3-[4- (trifluoromethyl)phenyl]-1H-pyrazol-5-ol (NB1c) and 2-{[2-(2,6-dioxopiperidin-3-yl)-1-oxo-2,3-dihydro- 1H-isoindol-4-yl]oxy}acetic acid (CB1a) following the procedure described in Example 2. LC-MS tR = 5.07 min, m/z 974. Example 7 N-{3-[3-(4-{2-[1-(5-chloro-1H-1,3-benzodiazol-2-yl)-5-hydroxy-3-[4-(trifluoromethyl)phenyl]-1H-pyrazol- 4-yl]ethyl}phenoxy)propoxy]propyl}-2-{[2-(2,6-dioxopiperidin-3-yl)-1-oxo-2,3-dihydro-1H-isoindol-4- yl]oxy}acetamide
WR/wr 8123-109882-02 06/20/24 06285 FILED VIA EFS ON June 20, 2024 F F O F Cl The -1-(5- chloro-1H-1,3-
- - and 2-{[2-(2,6- dioxopiperidin-3-yl)-1-oxo-2,3-dihydro-1H-isoindol-4-yl]oxy}acetic acid (CB1a) following the procedure described in Example 1. LC-MS tR = 5.23 min, m/z 914. Example 8 3-(4-{2-[4-(2-{2-[2-(4-{2-[1-(5-chloro-1H-1,3-benzodiazol-2-yl)-5-hydroxy-3-[4-(trifluoromethyl)phenyl]- 1H-pyrazol-4-yl]ethyl}phenoxy)ethoxy]ethoxy}ethyl)piperazin-1-yl]-2-oxoethoxy}-1-oxo-2,3-dihydro-1H- isoindol-2-yl)piperidine-2,6-dione F F O Cl The
-4-{2-[4-(2-{2-[2- (piperazin-1-yl)ethoxy]ethoxy}ethoxy)phenyl]ethyl}-3-[4-(trifluoromethyl)phenyl]-1H-pyrazol-5-ol (NB1g) and 2-{[2-(2,6-dioxopiperidin-3-yl)-1-oxo-2,3-dihydro-1H-isoindol-4-yl]oxy}acetic acid (CB1a) following the procedure described in Example 1. LC-MS tR = 4.45 min, m/z 999. Example 9 2-{[2-(2,6-dioxopiperidin-3-yl)-1-oxo-2,3-dihydro-1H-isoindol-4-yl]oxy}-N-(2-{2-[2-(2-{4-[2-(5-hydroxy- 1-{1H-imidazo[4,5-b]pyridin-2-yl}-3-[4-(trifluoromethyl)phenyl]-1H-pyrazol-4- yl)ethyl]phenoxy}ethoxy)ethoxy]ethoxy}ethyl)acetamide
WR/wr 8123-109882-02 06/20/24 06285 FILED VIA EFS ON June 20, 2024 F F F
(trifluoromethyl)phenyl]-1H-pyrazol-5-ol (NB4a) and 2-{[2-(2,6-dioxopiperidin-3-yl)-1-oxo-2,3-dihydro- 1H-isoindol-4-yl]oxy}acetic acid (CB1a) following the procedure described in Example 1. LC-MS tR = 3.9 min, m/z 941. Example 10 tert-butyl 4-[1-(5-chloro-1H-1,3-benzodiazol-2-yl)-4-(2-{4-[2-(2-{2-[2-(2-{[2-(2,6-dioxopiperidin-3-yl)-1- oxo-2,3-dihydro-1H-isoindol-4-yl]oxy}acetamido)ethoxy]ethoxy}ethoxy)ethoxy]phenyl}ethyl)-5-hydroxy- 1H-pyrazol-3-yl]piperidine-1-carboxylate O Cl
[2-(2- aminoethoxy)ethoxy]ethoxy}ethoxy)phenyl]ethyl}-1-(5-chloro-1H-1,3-benzodiazol-2-yl)-5-hydroxy-1H- pyrazol-3-yl)piperidine-1-carboxylate (NB5a) and 2-{[2-(2,6-dioxopiperidin-3-yl)-1-oxo-2,3-dihydro-1H- isoindol-4-yl]oxy}acetic acid (CB1a) following the procedure described in Example 1. LC-MS tR = 4.73 min, m/z 913. Example 11 N-[14-(4-{2-[1-(5-chloro-1H-1,3-benzodiazol-2-yl)-5-hydroxy-3-[4-(trifluoromethyl)phenyl]-1H-pyrazol-4- yl]ethyl}phenoxy)-3,6,9,12-tetraoxatetradecan-1-yl]-2-{[2-(2,6-dioxopiperidin-3-yl)-1-oxo-2,3-dihydro-1H- isoindol-4-yl]oxy}acetamide
WR/wr 8123-109882-02 06/20/24 06285 FILED VIA EFS ON June 20, 2024 F F F Cl 1-
- - - 5-ol (NB1e) and 2-{[2-(2,6-dioxopiperidin-3-yl)-1-oxo-2,3-dihydro-1H-isoindol-4-yl]oxy}acetic acid (CB1a) following the procedure described in Example 1. LC-MS tR = 5.02 min, m/z 1018. Example 12 N-(2-{2-[2-(2-{4-[1-(5-chloro-1H-1,3-benzodiazol-2-yl)-4-[2-(4-fluorophenyl)ethyl]-5-hydroxy-1H- pyrazol-3-yl]benzenesulfonyl}ethoxy)ethoxy]ethoxy}ethyl)-2-{[2-(2,6-dioxopiperidin-3-yl)-1-oxo-2,3- dihydro-1H-isoindol-4-yl]oxy}acetamide O O S Cl
aminoethoxy)ethoxy]ethoxy}ethanesulfonyl)phenyl]-1-(5-chloro-1H-1,3-benzodiazol-2-yl)-4-[2-(4- fluorophenyl)ethyl]-1H-pyrazol-5-ol (NB2c) and 2-{[2-(2,6-dioxopiperidin-3-yl)-1-oxo-2,3-dihydro-1H- isoindol-4-yl]oxy}acetic acid (CB1a) following the procedure described in Example 1. LC-MS tR = 4.8 min, m/z 972.
WR/wr 8123-109882-02 06/20/24 06285 FILED VIA EFS ON June 20, 2024 Example 13 N-[2-(2-{2-[2-(4-{2-[1-(5-chloro-1H-1,3-benzodiazol-2-yl)-5-hydroxy-3-[4-(trifluoromethyl)phenyl]-1H- pyrazol-4-yl]ethyl}phenoxy)ethoxy]ethoxy}ethoxy)ethyl]-2-(2-{[2-(2,6-dioxopiperidin-3-yl)-1-oxo-2,3- dihydro-1H-isoindol-4-yl]oxy}ethoxy)acetamide O NH Cl
- (trifluoromethyl)phenyl]-1H-pyrazol-5-ol (NB1c) and 2-(2-{[2-(2,6-dioxopiperidin-3-yl)-1-oxo-2,3-dihydro- 1H-isoindol-4-yl]oxy}ethoxy)acetic acid (CB1l) following the procedure described in Example 1. LC-MS tR = 5.13 min, m/z 1018. Example 14 2-[2-(4-{2-[1-(5-chloro-1H-1,3-benzodiazol-2-yl)-5-hydroxy-3-[4-(trifluoromethyl)phenyl]-1H-pyrazol-4- yl]ethyl}phenoxy)ethoxy]-N-(2-{[2-(2,6-dioxopiperidin-3-yl)-1,3-dioxo-2,3-dihydro-1H-isoindol-4- yl]amino}ethyl)acetamide F C H N N Cl
(trifluoromethyl)phenyl]-1H-pyrazol-4-yl]ethyl}phenoxy)ethoxy]acetic acid HCl salt (26 mg, 41 μmol), 4- [(2-aminoethyl)amino]-2-(2,6-dioxopiperidin-3-yl)-2,3-dihydro-1H-isoindole-1,3-dione (14.5 mg, 41 μmol), HOBt.H2O (7 mg, 45 μmol) and i-Pr2NEt (40 μL, 0.22 mmol) in dry DMF (1 mL) was added EDC.HCl (16 mg, 84 μmol). The mixture was stirred overnight at rt and purified by prep HPLC to give the TFA salt of the title compound (23 mg, 50%) as a yellow solid. 1H NMR (300MHz, DMSO-d6) Shift = 8.03 – 7.95 (m,
WR/wr 8123-109882-02 06/20/24 06285 FILED VIA EFS ON June 20, 2024 1H), 7.89 – 7.76 (m, 4H), 7.62 – 7.48 (m, 3H), 7.25 (d, J=2.2 Hz, 1H), 7.16 (d, J=8.8 Hz, 1H), 7.06 – 6.96 (m, 3H), 6.82-6.63 (m, 3H), 5.07 – 4.96 (m, 1H), 4.04 (br s, 2H), 3.92 (s, 2H), 3.78 – 3.69 (m, 2H), 3.42 – 3.22 (m, 4H), 2.95 – 2.77 (m, 1H), 2.76-2.63 (m, 4H), 2.61 – 2.54 (m, 1H), 2.44 – 2.39 (m, 1H), 2.04 – 1.91 (m, 1H). LC-MS tR 5.38 min, m/z 901, 899. HRMS Calc’d for: C44H39ClF3N8O8899.2526; found: 899.2529. Example 15 2-[3-(4-{2-[1-(5-chloro-1H-1,3-benzodiazol-2-yl)-5-hydroxy-3-[4-(trifluoromethyl)phenyl]-1H-pyrazol-4- yl]ethyl}phenyl)propoxy]-N-(2-{[2-(2,6-dioxopiperidin-3-yl)-1,3-dioxo-2,3-dihydro-1H-isoindol-4- yl]amino}ethyl)acetamide F F F Cl yl)-5-hydroxy-
3-[4-(trifluoromethyl)phenyl]-1H-pyrazol-4-yl]ethyl}phenyl)propoxy]acetic acid (NB1n) and 4-[(2- aminoethyl)amino]-2-(2,6-dioxopiperidin-3-yl)-2,3-dihydro-1H-isoindole-1,3-dione (CB1b) following the procedure in Example 14. LC-MS tR = 5.52 min, m/z 897. Example 16 2-{2-[3-(4-{2-[1-(5-chloro-1H-1,3-benzodiazol-2-yl)-5-hydroxy-3-[4-(trifluoromethyl)phenyl]-1H-pyrazol- 4-yl]ethyl}phenyl)propoxy]ethoxy}-N-(2-{[2-(2,6-dioxopiperidin-3-yl)-1,3-dioxo-2,3-dihydro-1H-isoindol- 4-yl]amino}ethyl)acetamide
WR/wr 8123-109882-02 06/20/24 06285 FILED VIA EFS ON June 20, 2024 F F F Cl 2-yl)-5-
hydroxy- - acid (NB1o) and 4-[(2-aminoethyl)amino]-2-(2,6-dioxopiperidin-3-yl)-2,3-dihydro-1H-isoindole-1,3-dione (CB1b) following the procedure in Example 14. LC-MS tR = 5.68 min, m/z 941. Example 17 15-{4-[1-(5-chloro-1H-1,3-benzodiazol-2-yl)-4-[2-(4-fluorophenyl)ethyl]-5-hydroxy-1H-pyrazol-3- yl]phenyl}-N-(2-{[2-(2,6-dioxopiperidin-3-yl)-1,3-dioxo-2,3-dihydro-1H-isoindol-4-yl]amino}ethyl)- 3,6,9,12-tetraoxapentadecanamide O NH Cl
4-[2-(4- fluorophenyl)ethyl]-5-hydroxy-1H-pyrazol-3-yl]phenyl}-3,6,9,12-tetraoxapentadecanoic acid (NB2h) and 4- [(2-aminoethyl)amino]-2-(2,6-dioxopiperidin-3-yl)-2,3-dihydro-1H-isoindole-1,3-dione (CB1b) following the procedure in Example 14. LC-MS tR = 5.27 min, m/z 979. Example 18
WR/wr 8123-109882-02 06/20/24 06285 FILED VIA EFS ON June 20, 2024 2-[2-(3-{4-[1-(5-chloro-1H-1,3-benzodiazol-2-yl)-4-[2-(4-fluorophenyl)ethyl]-5-hydroxy-1H-pyrazol-3- yl]phenyl}propoxy)ethoxy]-N-(2-{[2-(2,6-dioxopiperidin-3-yl)-1,3-dioxo-2,3-dihydro-1H-isoindol-4- yl]amino}ethyl)acetamide H O N N O Cl The 2-yl)-4-[2-(4-
fluorophenyl) - and 4-[(2- aminoethyl)amino]-2-(2,6-dioxopiperidin-3-yl)-2,3-dihydro-1H-isoindole-1,3-dione (CB1b) following the procedure in Example 14. LC-MS tR = 5.28 min, m/z 891. Example 19 2-(3-{4-[1-(5-chloro-1H-1,3-benzodiazol-2-yl)-4-[2-(4-fluorophenyl)ethyl]-5-hydroxy-1H-pyrazol-3- yl]phenyl}propoxy)-N-(2-{[2-(2,6-dioxopiperidin-3-yl)-1,3-dioxo-2,3-dihydro-1H-isoindol-4- yl]amino}ethyl)acetamide Cl The
2-yl)-4-[2-(4- fluorophenyl)ethyl]-5-hydroxy-1H-pyrazol-3-yl]phenyl}propoxy)acetic acid (NB2e) and 4-[(2- aminoethyl)amino]-2-(2,6-dioxopiperidin-3-yl)-2,3-dihydro-1H-isoindole-1,3-dione (CB1b) following the procedure in Example 14. LC-MS tR = 5.25 min, m/z 847. Example 20 2-{2-[2-(3-{4-[1-(5-chloro-1H-1,3-benzodiazol-2-yl)-4-[2-(4-fluorophenyl)ethyl]-5-hydroxy-1H-pyrazol-3- yl]phenyl}propoxy)ethoxy]ethoxy}-N-(2-{[2-(2,6-dioxopiperidin-3-yl)-1,3-dioxo-2,3-dihydro-1H-isoindol- 4-yl]amino}ethyl)acetamide
WR/wr 8123-109882-02 06/20/24 06285 FILED VIA EFS ON June 20, 2024 (4-
47 μmol), the HCl salt of 4-[(2-aminoethyl)amino]-2-(2,6-dioxopiperidin-3-yl)-2,3-dihydro-1H-isoindole-1,3- dione (16.5 mg, 46 μmol), HOBt.H2O (7.5 mg, 49 mol) and i-Pr2NEt (45 μL, 0.25 mmol) in dry DMF (1 mL) was added EDC.HCl (18 mg, 94 mol). The mixture was stirred overnight at rt and directly purified prep HPLC to give the bis TFA salt of the title compound (16 mg, 29%) as a yellow solid. 1H NMR (300MHz, DMSO- d6) Shift = 7.96 (t, J=5.5 Hz, 1H), 7.59 - 7.51 (m, 3H), 7.49 - 7.43 (m, 2H), 7.34 - 7.28 (m, 2H), 7.23 - 7.10 (m, 4H), 7.07 - 6.98 (m, 2H), 6.78 - 6.68 (m, 1H), 5.03 (dd, J=5.5, 13.0 Hz, 1H), 3.87 (s, 2H), 3.61 - 3.22 (m, 14H), 2.96 - 2.34 (m, 9H), 2.07 - 1.93 (m, 1H), 1.89 - 1.69 (m, 2H). LC-MS tR = 5.30 min, m/z 935. Example 21 3-{4-[1-(5-chloro-1H-1,3-benzodiazol-2-yl)-4-[2-(4-fluorophenyl)ethyl]-5-hydroxy-1H-pyrazol-3- yl]phenyl}-N-(2-{[2-(2,6-dioxopiperidin-3-yl)-1,3-dioxo-2,3-dihydro-1H-isoindol-4- yl]amino}ethyl)propanamide O NH Cl The title
2-yl)-4-[2-(4- fluorophenyl)ethyl]-5-hydroxy-1H-pyrazol-3-yl]phenyl}propanoic acid (NB2d) and 4-[(2- aminoethyl)amino]-2-(2,6-dioxopiperidin-3-yl)-2,3-dihydro-1H-isoindole-1,3-dione (CB1b) following the procedure in Example 14. LC-MS tR = 4.92 min, m/z 803. Example 22
WR/wr 8123-109882-02 06/20/24 06285 FILED VIA EFS ON June 20, 2024 3-(4-{2-[1-(5-chloro-1H-1,3-benzodiazol-2-yl)-5-hydroxy-3-[4-(trifluoromethyl)phenyl]-1H-pyrazol-4- yl]ethyl}phenyl)-N-(2-{[2-(2,6-dioxopiperidin-3-yl)-1,3-dioxo-2,3-dihydro-1H-isoindol-4- yl]amino}ethyl)propanamide F F F Cl The title 2-yl)-5-hydroxy-3-
[4- - and 4-[(2- aminoethyl)amino]-2-(2,6-dioxopiperidin-3-yl)-2,3-dihydro-1H-isoindole-1,3-dione (CB1b) following the procedure in Example 14. LC-MS tR = 5.35 min, m/z 853. Example 23 2-(2-{2-[3-(4-{2-[1-(5-chloro-1H-1,3-benzodiazol-2-yl)-5-hydroxy-3-[4-(trifluoromethyl)phenyl]-1H- pyrazol-4-yl]ethyl}phenyl)propoxy]ethoxy}ethoxy)-N-(2-{[2-(2,6-dioxopiperidin-3-yl)-1,3-dioxo-2,3- dihydro-1H-isoindol-4-yl]amino}ethyl)acetamide F F Cl
2-yl)-5- hydroxy-3-[4-(trifluoromethyl)phenyl]-1H-pyrazol-4-yl]ethyl}phenyl)propoxy]ethoxy}ethoxy)acetic acid (NB1p) and 4-[(2-aminoethyl)amino]-2-(2,6-dioxopiperidin-3-yl)-2,3-dihydro-1H-isoindole-1,3-dione (CB1b) following the procedure in Example 14. LC-MS tR = 5.77 min, m/z 985.
WR/wr 8123-109882-02 06/20/24 06285 FILED VIA EFS ON June 20, 2024 Example 24 2-[2-(4-{2-[1-(1H-1,3-benzodiazol-2-yl)-5-hydroxy-3-(4-methanesulfonylphenyl)-1H-pyrazol-4- yl]ethyl}phenoxy)ethoxy]-N-(2-{[2-(2,6-dioxopiperidin-3-yl)-1,3-dioxo-2,3-dihydro-1H-isoindol-4- yl]amino}ethyl)acetamide O O The -5-hydroxy-3-(4-
- and 4-[(2- aminoethyl)amino]-2-(2,6-dioxopiperidin-3-yl)-2,3-dihydro-1H-isoindole-1,3-dione (CB1b) following the procedure in Example 14. LC-MS tR = 4.03 min, m/z 875. Example 25 15-(4-{2-[1-(5-chloro-1H-1,3-benzodiazol-2-yl)-5-hydroxy-3-[4-(trifluoromethyl)phenyl]-1H-pyrazol-4- yl]ethyl}phenyl)-N-(2-{[2-(2,6-dioxopiperidin-3-yl)-1,3-dioxo-2,3-dihydro-1H-isoindol-4-yl]amino}ethyl)- 3,6,9,12-tetraoxapentadecanamide Cl
3-[4-(trifluoromethyl)phenyl]-1H-pyrazol-4-yl]ethyl}phenyl)-3,6,9,12-tetraoxapentadecanoic acid (NB1q) and 4-[(2-aminoethyl)amino]-2-(2,6-dioxopiperidin-3-yl)-2,3-dihydro-1H-isoindole-1,3-dione (CB1b) following the procedure in Example 14. LC-MS tR = 5.72 min, m/z 1029.
WR/wr 8123-109882-02 06/20/24 06285 FILED VIA EFS ON June 20, 2024 Example 26 tert-butyl 4-[1-(1H-1,3-benzodiazol-2-yl)-4-{2-[4-(3-{[(2-{[2-(2,6-dioxopiperidin-3-yl)-1,3-dioxo-2,3- dihydro-1H-isoindol-4-yl]amino}ethyl)carbamoyl]methoxy}propyl)phenyl]ethyl}-5-hydroxy-1H-pyrazol-3- yl]piperidine-1-carboxylate O The 2-yl)-3-{1-[(tert-
butoxy) propoxy] acid (NB5b) and 4-[(2-aminoethyl)amino]-2-(2,6-dioxopiperidin-3-yl)-2,3-dihydro-1H-isoindole-1,3-dione (CB1b) following the procedure in Example 14. LC-MS tR = 4.57 min, m/z 902. Example 27 2-[2-(4-{2-[1-(1H-1,3-benzodiazol-2-yl)-5-hydroxy-3-[4-(trifluoromethyl)phenyl]-1H-pyrazol-4- yl]ethyl}phenoxy)ethoxy]-N-(2-{[2-(2,6-dioxopiperidin-3-yl)-1,3-dioxo-2,3-dihydro-1H-isoindol-4- yl]amino}ethyl)acetamide The
-5-hydroxy-3-[4- (trifluoromethyl)phenyl]-1H-pyrazol-4-yl]ethyl}phenoxy)ethoxy]acetic acid (NB1j) and 4-[(2- aminoethyl)amino]-2-(2,6-dioxopiperidin-3-yl)-2,3-dihydro-1H-isoindole-1,3-dione (CB1b) following the procedure in Example 14. LC-MS tR = 4.75 min, m/z 865. Example 28
WR/wr 8123-109882-02 06/20/24 06285 FILED VIA EFS ON June 20, 2024 2-(4-{2-[1-(1H-1,3-benzodiazol-2-yl)-5-hydroxy-3-(4-methanesulfonylphenyl)-1H-pyrazol-4- yl]ethyl}phenoxy)-N-(2-{[2-(2,6-dioxopiperidin-3-yl)-1,3-dioxo-2,3-dihydro-1H-isoindol-4- yl]amino}ethyl)acetamide O O S The title 2-yl)-5-hydroxy-3-(4-
- [ aminoethyl)amino]-2- (2,6-dioxopiperidin-3-yl)-2,3-dihydro-1H-isoindole-1,3-dione (CB1b) following the procedure in Example 14. LC-MS tR = 4.07 min, m/z 831. Example 29 2-(4-{2-[1-(5-chloro-1H-1,3-benzodiazol-2-yl)-5-hydroxy-3-[4-(trifluoromethyl)phenyl]-1H-pyrazol-4- yl]ethyl}phenoxy)-N-(2-{[2-(2,6-dioxopiperidin-3-yl)-1,3-dioxo-2,3-dihydro-1H-isoindol-4- yl]amino}ethyl)acetamide F C H N Cl
To a stirred solution of HCl salt 2-(4-{2-[1-(5-chloro-1H-1,3-benzodiazol-2-yl)-5-hydroxy-3-[4- (trifluoromethyl)phenyl]-1H-pyrazol-4-yl]ethyl}phenoxy)acetic acid (33 mg, 56 μmol), the HCl salt of 4-[(2- aminoethyl)amino]-2-(2,6-dioxopiperidin-3-yl)-2,3-dihydro-1H-isoindole-1,3-dione (21 mg, 60 μmol), HOBt.H2O (8 mg, 53 μmol) and i-Pr2NEt (60 μL, 0.34 mmol) in dry DMF (1.5 mL) was added EDC.HCl (22 mg, 0.11 mmol). The mixture was stirred at rt for 18 h and directly purified by prep HPLC to give the TFA salt of the title compound (29 mg, 54%) as a yellow solid. 1H NMR (300MHz, DMSO-d6) Shift = 8.35 - 8.21 (m, 1H), 7.89 - 7.81 (m, 2H), 7.80-7.77 (m, 2H), 7.61 - 7.50 (m, 2H), 7.28 - 7.21 (m, 1H), 7.20 - 7.15 (m, 1H),
WR/wr 8123-109882-02 06/20/24 06285 FILED VIA EFS ON June 20, 2024 7.08 - 6.96 (m, 2H), 6.84 - 6.69 (m, 3H), 5.04 (dd, J=5.5, 12.5 Hz, 1H), 4.39 (s, 2H), 3.47 - 3.22 (m, 4H), 2.99 - 2.78 (m, 1H), 2.73 (s, 4H), 2.61 - 2.35 (m, 2H), 2.09 - 1.92 (m, 1H). LC-MS tR = 5.28 min, m/z 855. Example 30 2-(2-{4-[1-(5-chloro-1H-1,3-benzodiazol-2-yl)-4-[2-(4-fluorophenyl)ethyl]-5-hydroxy-1H-pyrazol-3- yl]piperidin-1-yl}-2-oxoethoxy)-N-(2-{[2-(2,6-dioxopiperidin-3-yl)-1,3-dioxo-2,3-dihydro-1H-isoindol-4- yl]amino}ethyl)acetamide O NH Cl The 2-yl)-4-[2-(4-
fluorophenyl)ethyl]-5-hydroxy-1H-pyrazol-3-yl]piperidin-1-yl}-2-oxoethoxy)acetic acid (NB3b) and 4-[(2- aminoethyl)amino]-2-(2,6-dioxopiperidin-3-yl)-2,3-dihydro-1H-isoindole-1,3-dione (CB1b) following the procedure in Example 14. LC-MS tR = 4.6 min, m/z 854. Example 31 2-[2-(4-{2-[1-(5-chloro-1H-1,3-benzodiazol-2-yl)-5-hydroxy-3-[4-(trifluoromethyl)phenyl]-1H-pyrazol-4- yl]ethyl}phenoxy)ethoxy]-N-(2-{[2-(2,6-dioxopiperidin-3-yl)-1,3-dioxo-2,3-dihydro-1H-isoindol-4- yl](methyl)amino}ethyl)acetamide O F C NH F C H N N Cl
3-[4-(trifluoromethyl)phenyl]-1H-pyrazol-4-yl]ethyl}phenoxy)ethoxy]acetic acid (18 mg, 28 μmol), the HCl salt of 4-[(2-aminoethyl)(methyl)amino]-2-(2,6-dioxopiperidin-3-yl)-2,3-dihydro-1H-isoindole-1,3-dione (11 mg, 30 μmol), HOBt.H2O (5 mg, 32 μmol) and i-Pr2NEt (30 μL, 0.17 mmol) in dry DMF (1 mL) was added EDC.HCl (11 mg, 57 mol). The mixture was stirred at rt for 1 d and purified by prep HPLC to give the bis TFA salt of the title compound (16 mg, 49%) as a yellow solid. 1H NMR (300MHz, DMSO-d6) Shift = 7.91-
WR/wr 8123-109882-02 06/20/24 06285 FILED VIA EFS ON June 20, 2024 7.79 (m, 4H), 7.72-7.64 (m, 1H), 7.61 - 7.52 (m, 2H), 7.27 - 7.21 (m, 2H), 7.20 - 7.15 (m, 1H), 7.06 - 6.99 (m, 2H), 6.77-6.70 (m, 2H), 5.13 - 5.00 (m, 1H), 3.95 (br. s., 2H), 3.73 (s, 2H), 3.63 - 3.47 (m, 4H), 3.43 - 3.25 (m, 2H), 2.99 (s, 3H), 2.97-2.65 (m, 5H), 2.58-2.38 (m, 2H), 2.01 - 1.80 (m, 1H). LC-MS tR = 5.23 min, m/z 913. Example 32 2-[2-(4-{2-[1-(5-chloro-1H-1,3-benzodiazol-2-yl)-5-hydroxy-3-[4-(trifluoromethyl)phenyl]-1H-pyrazol-4- yl]ethyl}phenoxy)ethoxy]-N-(2-{[2-(2,6-dioxopiperidin-3-yl)-1,3-dioxo-2,3-dihydro-1H-isoindol-4- yl]amino}ethyl)-N-methylacetamide F F F Cl yl)-5-hydroxy-
3-[4-(trifluoromethyl)phenyl]-1H-pyrazol-4-yl]ethyl}phenoxy)ethoxy]acetic acid (NB1i) and 2-(2,6- dioxopiperidin-3-yl)-4-{[2-(methylamino)ethyl]amino}-2,3-dihydro-1H-isoindole-1,3-dione (CB1d) following the procedure of Example 14. LC-MS tR = 5.38 min, m/z 913. Example 33 4-[(2-{4-[2-(4-{2-[1-(5-chloro-1H-1,3-benzodiazol-2-yl)-5-hydroxy-3-[4-(trifluoromethyl)phenyl]-1H- pyrazol-4-yl]ethyl}phenoxy)acetyl]piperazin-1-yl}ethyl)amino]-2-(2,6-dioxopiperidin-3-yl)-2,3-dihydro- 1H-isoindole-1,3-dione F F Cl
-5-hydroxy-3- [4-(trifluoromethyl)phenyl]-1H-pyrazol-4-yl]ethyl}phenoxy)acetic acid(NB1h) and 2-(2,6-dioxopiperidin-3-
WR/wr 8123-109882-02 06/20/24 06285 FILED VIA EFS ON June 20, 2024 yl)-4-{[2-(piperazin-1-yl)ethyl]amino}-2,3-dihydro-1H-isoindole-1,3-dione (CB1g) following the procedure of Example 14. LC-MS tR = 4.55 min, m/z 924. Example 34 4-[(2-{4-[2-(4-{2-[1-(1H-1,3-benzodiazol-2-yl)-5-hydroxy-3-(4-methanesulfonylphenyl)-1H-pyrazol-4- yl]ethyl}phenoxy)acetyl]piperazin-1-yl}ethyl)amino]-2-(2,6-dioxopiperidin-3-yl)-2,3-dihydro-1H-isoindole- 1,3-dione O O S The -5-hydroxy-3-(4-
- 3-yl)- 4-{[2-(piperazin-1-yl)ethyl]amino}-2,3-dihydro-1H-isoindole-1,3-dione (CB1g) following the procedure of Example 14. LC-MS tR = 3.57 min, m/z 900. Example 35 tert-butyl 4-[1-(1H-1,3-benzodiazol-2-yl)-4-{2-[4-(3-{2-[4-(2-{[2-(2,6-dioxopiperidin-3-yl)-1,3-dioxo-2,3- dihydro-1H-isoindol-4-yl]amino}ethyl)piperazin-1-yl]-2-oxoethoxy}propyl)phenyl]ethyl}-5-hydroxy-1H- pyrazol-3-yl]piperidine-1-carboxylate O
WR/wr 8123-109882-02 06/20/24 06285 FILED VIA EFS ON June 20, 2024 The title compound was prepared from 2-[3-(4-{2-[1-(1H-1,3-benzodiazol-2-yl)-3-{1-[(tert- butoxy)carbonyl]piperidin-4-yl}-5-hydroxy-1H-pyrazol-4-yl]ethyl}phenyl)propoxy]acetic acid(NB5b) and 2-(2,6-dioxopiperidin-3-yl)-4-{[2-(piperazin-1-yl)ethyl]amino}-2,3-dihydro-1H-isoindole-1,3-dione (CB1g) following the procedure of Example 14. LC-MS tR = 3.98 min, m/z 971. Example 36 4-{[2-(4-{2-[2-(4-{2-[1-(1H-1,3-benzodiazol-2-yl)-5-hydroxy-3-(4-methanesulfonylphenyl)-1H-pyrazol-4- yl]ethyl}phenoxy)ethoxy]acetyl}piperazin-1-yl)ethyl]amino}-2-(2,6-dioxopiperidin-3-yl)-2,3-dihydro-1H- isoindole-1,3-dione O O S The
-5-hydroxy-3-(4- methanesulfonylphenyl)-1H-pyrazol-4-yl]ethyl}phenoxy)ethoxy]acetic acid(NB1l) and 2-(2,6- dioxopiperidin-3-yl)-4-{[2-(piperazin-1-yl)ethyl]amino}-2,3-dihydro-1H-isoindole-1,3-dione (CB1g) following the procedure of Example 14. LC-MS tR = 3.53 min, m/z 944. Example 37 4-{[2-(4-{2-[2-(4-{2-[1-(5-chloro-1H-1,3-benzodiazol-2-yl)-5-hydroxy-3-[4-(trifluoromethyl)phenyl]-1H- pyrazol-4-yl]ethyl}phenoxy)ethoxy]acetyl}piperazin-1-yl)ethyl]amino}-2-(2,6-dioxopiperidin-3-yl)-2,3- dihydro-1H-isoindole-1,3-dione
WR/wr 8123-109882-02 06/20/24 06285 FILED VIA EFS ON June 20, 2024 F F F Cl yl)-5-hydroxy-
3-[4- - and 2-(2,6- dioxopiperidin-3-yl)-4-{[2-(piperazin-1-yl)ethyl]amino}-2,3-dihydro-1H-isoindole-1,3-dione (CB1g) following the procedure of Example 14. LC-MS tR = 4.52 min, m/z 968. Example 38 2-(2-{2-[3-(4-{2-[1-(5-chloro-1H-1,3-benzodiazol-2-yl)-5-hydroxy-3-[4-(trifluoromethyl)phenyl]-1H- pyrazol-4-yl]ethyl}phenyl)propoxy]ethoxy}ethoxy)-N-{2-[2-(2-{[2-(2,6-dioxopiperidin-3-yl)-1,3-dioxo-2,3- dihydro-1H-isoindol-4-yl]amino}ethoxy)ethoxy]ethyl}acetamide F F Cl
-5- hydroxy-3-[4-(trifluoromethyl)phenyl]-1H-pyrazol-4-yl]ethyl}phenyl)propoxy]ethoxy}ethoxy)acetic acid(NB1p) and 4-({2-[2-(2-aminoethoxy)ethoxy]ethyl}amino)-2-(2,6-dioxopiperidin-3-yl)-2,3-dihydro-1H- isoindole-1,3-dione (CB1e) following the procedure of Example 14. LC-MS tR = 5.78 min, m/z 1073. Example 39
WR/wr 8123-109882-02 06/20/24 06285 FILED VIA EFS ON June 20, 2024 2-(2-{2-[3-(4-{2-[1-(5-chloro-1H-1,3-benzodiazol-2-yl)-5-hydroxy-3-[4-(trifluoromethyl)phenyl]-1H- pyrazol-4-yl]ethyl}phenyl)propoxy]ethoxy}ethoxy)-N-[2-(2-{[2-(2,6-dioxopiperidin-3-yl)-1,3-dioxo-2,3- dihydro-1H-isoindol-4-yl]amino}ethoxy)ethyl]acetamide F F F Cl -5-
hydroxy-3-[4-(trifluoromethyl)phenyl]-1H-pyrazol-4-yl]ethyl}phenyl)propoxy]ethoxy}ethoxy)acetic acid(NB1p) and 4-{[2-(2-aminoethoxy)ethyl]amino}-2-(2,6-dioxopiperidin-3-yl)-2,3-dihydro-1H-isoindole- 1,3-dione (CB1f) following the procedure of Example 14. LC-MS tR = 5.77 min, m/z 1029. Example 40 2-{2-[2-(3-{4-[1-(5-chloro-1H-1,3-benzodiazol-2-yl)-4-[2-(4-fluorophenyl)ethyl]-5-hydroxy-1H-pyrazol-3- yl]phenyl}propoxy)ethoxy]ethoxy}-N-[2-(2-{[2-(2,6-dioxopiperidin-3-yl)-1,3-dioxo-2,3-dihydro-1H- isoindol-4-yl]amino}ethoxy)ethyl]acetamide O NH Cl
[2-(4- fluorophenyl)ethyl]-5-hydroxy-1H-pyrazol-3-yl]phenyl}propoxy)ethoxy]ethoxy}acetic acid (NB2g) and 4-
WR/wr 8123-109882-02 06/20/24 06285 FILED VIA EFS ON June 20, 2024 {[2-(2-aminoethoxy)ethyl]amino}-2-(2,6-dioxopiperidin-3-yl)-2,3-dihydro-1H-isoindole-1,3-dione (CB1f) following the procedure of Example 14. LC-MS tR = 5.37 min, m/z 979. Example 41 tert-butyl 4-[1-(1H-1,3-benzodiazol-2-yl)-4-[2-(4-{3-[({2-[2-(2-{[2-(2,6-dioxopiperidin-3-yl)-1,3-dioxo-2,3- dihydro-1H-isoindol-4-yl]amino}ethoxy)ethoxy]ethyl}carbamoyl)methoxy]propyl}phenyl)ethyl]-5- hydroxy-1H-pyrazol-3-yl]piperidine-1-carboxylate O O N {1-[(tert-
propoxy] and 4-({2-[2-(2-aminoethoxy)ethoxy]ethyl}amino)-2-(2,6-dioxopiperidin-3-yl)-2,3-dihydro-1H-isoindole-1,3- dione (CB1e) following the procedure of Example 14. LC-MS tR = 4.62 min, m/z 990. Example 42 2-[2-(4-{2-[1-(1H-1,3-benzodiazol-2-yl)-5-hydroxy-3-(4-methanesulfonylphenyl)-1H-pyrazol-4- yl]ethyl}phenoxy)ethoxy]-N-{2-[2-(2-{[2-(2,6-dioxopiperidin-3-yl)-1,3-dioxo-2,3-dihydro-1H-isoindol-4- yl]amino}ethoxy)ethoxy]ethyl}acetamide O O S
3-(4- methanesulfonylphenyl)-1H-pyrazol-4-yl]ethyl}phenoxy)ethoxy]acetic acid (NB1l) and 4-({2-[2-(2- aminoethoxy)ethoxy]ethyl}amino)-2-(2,6-dioxopiperidin-3-yl)-2,3-dihydro-1H-isoindole-1,3-dione (CB1e) following the procedure of Example 14. LC-MS tR = 4.1 min, m/z 963.
WR/wr 8123-109882-02 06/20/24 06285 FILED VIA EFS ON June 20, 2024 Example 43 2-[2-(4-{2-[1-(5-chloro-1H-1,3-benzodiazol-2-yl)-5-hydroxy-3-[4-(trifluoromethyl)phenyl]-1H-pyrazol-4- yl]ethyl}phenoxy)ethoxy]-N-(2-{[2-(2,6-dioxopiperidin-3-yl)-1-oxo-2,3-dihydro-1H-isoindol-4- yl]amino}ethyl)acetamide F F F Cl yl)-5-hydroxy-
3-[4- - and 3-{4-[(2- aminoethyl)amino]-1-oxo-2,3-dihydro-1H-isoindol-2-yl}piperidine-2,6-dione (CB1h) following the procedure of Example 14. LC-MS tR = 5.0 min, m/z 885. Example 44 2-{2-[2-(3-{4-[1-(5-chloro-1H-1,3-benzodiazol-2-yl)-4-[2-(4-fluorophenyl)ethyl]-5-hydroxy-1H-pyrazol-3- yl]phenyl}propoxy)ethoxy]ethoxy}-N-{2-[2-(2-{[2-(2,6-dioxopiperidin-3-yl)-1,3-dioxo-2,3-dihydro-1H- isoindol-4-yl]amino}ethoxy)ethoxy]ethyl}acetamide
(4- fluorophenyl)ethyl]-5-hydroxy-1H-pyrazol-3-yl]phenyl}propoxy)ethoxy]ethoxy}acetic acid (23 mg, 36 μmol), the HCl salt of 4-({2-[2-(2-aminoethoxy)ethoxy]ethyl}amino)-2-(2,6-dioxopiperidin-3-yl)-2,3- dihydro-1H-isoindole-1,3-dione (16 mg, 36 μmol), HOBt.H2O (6 mg, 40 μmol) and i-Pr2NEt (35 μL, 0.19 mmol) in dry DMF (1 mL) was stirred at rt for 1 d. The mixture was purified by prep HPLC to give the bis TFA salt of the title compound (7 mg, 15%) as a yellow solid. 1H NMR (300MHz, DMSO-d6) Shift = 7.67 - 7.60 (m, 1H), 7.59 - 7.50 (m, 3H), 7.50 - 7.43 (m, 1H), 7.35 - 7.28 (m, 1H), 7.24 - 6.97 (m, 7H), 6.65 - 6.53 (m, 1H), 5.13 - 4.95 (m, 1H), 3.86 (s, 2H), 3.60-3.30 (m, 20H), 3.30 - 3.15 (m, 2H), 2.95 - 2.35 (m, 9H), 2.09 - 1.91 (m, 1H), 1.89 - 1.69 (m, 2H). LC-MS tR = 5.33 min, m/z 1023. Example 45
WR/wr 8123-109882-02 06/20/24 06285 FILED VIA EFS ON June 20, 2024 2-[2-(4-{2-[1-(5-chloro-1H-1,3-benzodiazol-2-yl)-5-hydroxy-3-[4-(trifluoromethyl)phenyl]-1H-pyrazol-4- yl]ethyl}phenoxy)ethoxy]-N-(2-{[2-(2,6-dioxopiperidin-3-yl)-1-oxo-2,3-dihydro-1H-isoindol-4- yl]oxy}ethyl)acetamide F F F Cl The yl)-5-hydroxy-
3-[4- - and 3-[4-(2- aminoethoxy)-1-oxo-2,3-dihydro-1H-isoindol-2-yl]piperidine-2,6-dione (CB1i) following the procedure of Example 14. LC-MS tR = 5.1 min, m/z 886. Example 46 2-(2-{2-[2-(4-{2-[1-(5-chloro-1H-1,3-benzodiazol-2-yl)-5-hydroxy-3-[4-(trifluoromethyl)phenyl]-1H- pyrazol-4-yl]ethyl}phenoxy)ethoxy]ethoxy}ethoxy)-N-[2-(2-{[2-(2,6-dioxopiperidin-3-yl)-1-oxo-2,3- dihydro-1H-isoindol-4-yl]oxy}ethoxy)ethyl]acetamide F F Cl
aminoethoxy)ethoxy]ethoxy}ethoxy)phenyl]ethyl}-1-(5-chloro-1H-1,3-benzodiazol-2-yl)-3-[4- (trifluoromethyl)phenyl]-1H-pyrazol-5-ol (NB1c) and 3-{4-[2-(2-aminoethoxy)ethoxy]-1-oxo-2,3-dihydro- 1H-isoindol-2-yl}piperidine-2,6-dione (CB1j) following the procedure of Example 14. LC-MS tR = 5.08 min, m/z 1018.
WR/wr 8123-109882-02 06/20/24 06285 FILED VIA EFS ON June 20, 2024 Example 47 N-(2-{2-[2-(2-{4-[1-(5-chloro-1H-1,3-benzodiazol-2-yl)-4-[2-(4-fluorophenyl)ethyl]-5-hydroxy-1H- pyrazol-3-yl]benzenesulfonyl}ethoxy)ethoxy]ethoxy}ethyl)-2-{[2-(2,6-dioxopiperidin-3-yl)-1-oxo-2,3- dihydro-1H-isoindol-5-yl]oxy}acetamide O O S Cl
- - fluorophenyl)ethyl]-1H-pyrazol-5-ol(NB2c) and 2-{[2-(2,6-dioxopiperidin-3-yl)-1-oxo-2,3-dihydro-1H- isoindol-5-yl]oxy}acetic acid (CB2d) following the procedure of Example 1. LC-MS tR = 4.87 min, m/z 972. Example 48 3-{5-[2-(4-{2-[2-(4-{2-[1-(5-chloro-1H-1,3-benzodiazol-2-yl)-5-hydroxy-3-[4-(trifluoromethyl)phenyl]-1H- pyrazol-4-yl]ethyl}phenoxy)ethoxy]ethyl}piperazin-1-yl)-2-oxoethoxy]-1-oxo-2,3-dihydro-1H-isoindol-2- yl}piperidine-2,6-dione F F Cl
-4-[2-(4-{2-[2- (piperazin-1-yl)ethoxy]ethoxy}phenyl)ethyl]-3-[4-(trifluoromethyl)phenyl]-1H-pyrazol-5-ol(NB1f) and 2- {[2-(2,6-dioxopiperidin-3-yl)-1-oxo-2,3-dihydro-1H-isoindol-5-yl]oxy}acetic acid (CB2d) following the procedure of Example 1. LC-MS tR = 4.47 min, m/z 955.
WR/wr 8123-109882-02 06/20/24 06285 FILED VIA EFS ON June 20, 2024 Example 49 N-[14-(4-{2-[1-(5-chloro-1H-1,3-benzodiazol-2-yl)-5-hydroxy-3-[4-(trifluoromethyl)phenyl]-1H-pyrazol-4- yl]ethyl}phenoxy)-3,6,9,12-tetraoxatetradecan-1-yl]-2-{[2-(2,6-dioxopiperidin-3-yl)-1-oxo-2,3-dihydro-1H- isoindol-5-yl]oxy}acetamide F F F Cl 1-
- - - 5-ol (NB1e) and 2-{[2-(2,6-dioxopiperidin-3-yl)-1-oxo-2,3-dihydro-1H-isoindol-5-yl]oxy}acetic acid (CB2d) following the procedure of Example 1. LC-MS tR = 5.0 min, m/z 1018. Example 50 N-[2-(2-{2-[2-(4-{2-[1-(5-chloro-1H-1,3-benzodiazol-2-yl)-5-hydroxy-3-[4-(trifluoromethyl)phenyl]-1H- pyrazol-4-yl]ethyl}phenoxy)ethoxy]ethoxy}ethoxy)ethyl]-2-{[2-(2,6-dioxopiperidin-3-yl)-1-oxo-2,3- dihydro-1H-isoindol-5-yl]oxy}acetamide O F F Cl The
[4-(2-{2-[2-(2- aminoethoxy)ethoxy]ethoxy}ethoxy)phenyl]ethyl}-1-(5-chloro-1H-1,3-benzodiazol-2-yl)-3-[4- (trifluoromethyl)phenyl]-1H-pyrazol-5-ol (NB1c) and 2-{[2-(2,6-dioxopiperidin-3-yl)-1-oxo-2,3-dihydro- 1H-isoindol-5-yl]oxy}acetic acid (CB2d) following the procedure of Example 1. LC-MS tR = 4.97 min, m/z 974.
WR/wr 8123-109882-02 06/20/24 06285 FILED VIA EFS ON June 20, 2024 Example 51 2-[2-(4-{2-[1-(5-chloro-1H-1,3-benzodiazol-2-yl)-5-hydroxy-3-[4-(trifluoromethyl)phenyl]-1H-pyrazol-4- yl]ethyl}phenoxy)ethoxy]-N-(2-{[2-(2,6-dioxopiperidin-3-yl)-1,3-dioxo-2,3-dihydro-1H-isoindol-5- yl]amino}ethyl)acetamide F F F Cl The 2-yl)-5-hydroxy-
3-[4-(trifluoromethyl)phenyl]-1H-pyrazol-4-yl]ethyl}phenoxy)ethoxy]acetic acid (NB1i) and 5-[(2- aminoethyl)amino]-2-(2,6-dioxopiperidin-3-yl)-2,3-dihydro-1H-isoindole-1,3-dione (CB2e) following the procedure of Example 14. LC-MS tR = 5.15 min, m/z 899. Example 52 5-(4-{[1-(2-{2-[2-(3-{4-[1-(5-chloro-1H-1,3-benzodiazol-2-yl)-4-[2-(4-fluorophenyl)ethyl]-5-hydroxy-1H- pyrazol-3-yl]phenyl}propoxy)ethoxy]ethoxy}acetyl)piperidin-4-yl]methyl}piperazin-1-yl)-2-(2,6- dioxopiperidin-3-yl)-2,3-dihydro-1H-isoindole-1,3-dione O NH Cl
(4- fluorophenyl)ethyl]-5-hydroxy-1H-pyrazol-3-yl]phenyl}propoxy)ethoxy]ethoxy}acetic acid (12 mg, 18 μmol), the bis HCl salt of 2-(2,6-dioxopiperidin-3-yl)-5-{4-[(piperidin-4-yl)methyl]piperazin-1-yl}-2,3-
WR/wr 8123-109882-02 06/20/24 06285 FILED VIA EFS ON June 20, 2024 dihydro-1H-isoindole-1,3-dione (11.5 mg, 22 μmol), HOBt.H2O (3 mg, 20 μmol) and i-Pr2NEt (25 μL, 0.14 mmol) in dry DMF (1 mL) was added EDC.HCl (7 mg, 37 mol). The mixture was stirred at rt for 1 d and purified by prep HPLC to give the tris HCl salt of the title compound (3 mg, 12%) as a solid. 1H NMR (300MHz, DMSO-d6) Shift = 7.75 (d, J=8.3 Hz, 1H), 7.59 - 7.51 (m, 2H), 7.50 - 7.44 (m, 3H), 7.36 - 7.30 (m, 3H), 7.23 - 7.12 (m, 3H), 7.08 - 6.98 (m, 2H), 5.08 (dd, J=5.3, 12.7 Hz, 1H), 4.41 - 4.05 (m, 10H), 3.85-3.20 (s, 16H), 3.17 - 2.34 (m, 10H), 2.16 - 1.95 (m, 2H), 1.93 - 1.62 (m, 3H), 1.28 - 0.89 (m, 2H). LC-MS tR = 4.52 min, m/z 1058. Example 53 5-[4-({1-[2-(4-{2-[1-(5-chloro-1H-1,3-benzodiazol-2-yl)-5-hydroxy-3-[4-(trifluoromethyl)phenyl]-1H- pyrazol-4-yl]ethyl}phenoxy)acetyl]piperidin-4-yl}methyl)piperazin-1-yl]-2-(2,6-dioxopiperidin-3-yl)-2,3- dihydro-1H-isoindole-1,3-dione F F Cl The
yl)-5-hydroxy-3- [4-(trifluoromethyl)phenyl]-1H-pyrazol-4-yl]ethyl}phenoxy)acetic acid(NB1h) and 2-(2,6-dioxopiperidin-3- yl)-5-{4-[(piperidin-4-yl)methyl]piperazin-1-yl}-2,3-dihydro-1H-isoindole-1,3-dione (CB2a) following the procedure of Example 14. LC-MS tR = 4.52 min, m/z 973. Example 54 5-[4-({1-[2-(4-{2-[1-(1H-1,3-benzodiazol-2-yl)-5-hydroxy-3-(4-methanesulfonylphenyl)-1H-pyrazol-4- yl]ethyl}phenoxy)acetyl]piperidin-4-yl}methyl)piperazin-1-yl]-2-(2,6-dioxopiperidin-3-yl)-2,3-dihydro-1H- isoindole-1,3-dione
WR/wr 8123-109882-02 06/20/24 06285 FILED VIA EFS ON June 20, 2024 O O S The yl)-5-hydroxy-3-(4-
- 3-yl)- 5-{4-[(piperidin-4-yl)methyl]piperazin-1-yl}-2,3-dihydro-1H-isoindole-1,3-dione (CB2a) following the procedure of Example 14. LC-MS tR = 3.53 min, m/z 954. Example 55 5-[4-({1-[2-(2-{4-[1-(5-chloro-1H-1,3-benzodiazol-2-yl)-4-[2-(4-fluorophenyl)ethyl]-5-hydroxy-1H- pyrazol-3-yl]piperidin-1-yl}-2-oxoethoxy)acetyl]piperidin-4-yl}methyl)piperazin-1-yl]-2-(2,6- dioxopiperidin-3-yl)-2,3-dihydro-1H-isoindole-1,3-dione O NH Cl
2-yl)-4-[2-(4- fluorophenyl)ethyl]-5-hydroxy-1H-pyrazol-3-yl]piperidin-1-yl}-2-oxoethoxy)acetic acid(NB3b) and 2-(2,6- dioxopiperidin-3-yl)-5-{4-[(piperidin-4-yl)methyl]piperazin-1-yl}-2,3-dihydro-1H-isoindole-1,3-dione (CB2a) following the procedure of Example 14. LC-MS tR = 4.03 min, m/z 977.
WR/wr 8123-109882-02 06/20/24 06285 FILED VIA EFS ON June 20, 2024 Example 56 5-{4-[(1-{2-[2-(3-{4-[1-(5-chloro-1H-1,3-benzodiazol-2-yl)-4-[2-(4-fluorophenyl)ethyl]-5-hydroxy-1H- pyrazol-3-yl]phenyl}propoxy)ethoxy]acetyl}piperidin-4-yl)methyl]piperazin-1-yl}-2-(2,6-dioxopiperidin-3- yl)-2,3-dihydro-1H-isoindole-1,3-dione O N O Cl The 2-yl)-4-[2-(4-
fluorophenyl)ethyl]-5-hydroxy-1H-pyrazol-3-yl]phenyl}propoxy)ethoxy]acetic acid (NB2f) and 2-(2,6- dioxopiperidin-3-yl)-5-{4-[(piperidin-4-yl)methyl]piperazin-1-yl}-2,3-dihydro-1H-isoindole-1,3-dione (CB2a) following the procedure of Example 14. LC-MS tR = 4.45 min, m/z 1014. Example 57 5-(4-{[1-(2-{2-[3-(4-{2-[1-(5-chloro-1H-1,3-benzodiazol-2-yl)-5-hydroxy-3-[4-(trifluoromethyl)phenyl]- 1H-pyrazol-4-yl]ethyl}phenyl)propoxy]ethoxy}acetyl)piperidin-4-yl]methyl}piperazin-1-yl)-2-(2,6- dioxopiperidin-3-yl)-2,3-dihydro-1H-isoindole-1,3-dione O Cl The
2-yl)-5- hydroxy-3-[4-(trifluoromethyl)phenyl]-1H-pyrazol-4-yl]ethyl}phenyl)propoxy]ethoxy}acetic acid (NB1o)
WR/wr 8123-109882-02 06/20/24 06285 FILED VIA EFS ON June 20, 2024 and 2-(2,6-dioxopiperidin-3-yl)-5-{4-[(piperidin-4-yl)methyl]piperazin-1-yl}-2,3-dihydro-1H-isoindole-1,3- dione (CB2a) following the procedure of Example 14. LC-MS tR = 4.73 min, m/z 1064. Example 58 5-(4-{[1-(15-{4-[1-(5-chloro-1H-1,3-benzodiazol-2-yl)-4-[2-(4-fluorophenyl)ethyl]-5-hydroxy-1H-pyrazol- 3-yl]phenyl}-3,6,9,12-tetraoxapentadecanoyl)piperidin-4-yl]methyl}piperazin-1-yl)-2-(2,6-dioxopiperidin- 3-yl)-2,3-dihydro-1H-isoindole-1,3-dione O N O O O O Cl 2-yl)-4-[2-(4-
fluorophenyl)ethyl]-5-hydroxy-1H-pyrazol-3-yl]phenyl}-3,6,9,12-tetraoxapentadecanoic acid (NB2h) and 2- (2,6-dioxopiperidin-3-yl)-5-{4-[(piperidin-4-yl)methyl]piperazin-1-yl}-2,3-dihydro-1H-isoindole-1,3-dione (CB2a) following the procedure of Example 14. LC-MS tR = 4.5 min, m/z 1103. Example 59 5-[4-({1-[15-(4-{2-[1-(5-chloro-1H-1,3-benzodiazol-2-yl)-5-hydroxy-3-[4-(trifluoromethyl)phenyl]-1H- pyrazol-4-yl]ethyl}phenyl)-3,6,9,12-tetraoxapentadecanoyl]piperidin-4-yl}methyl)piperazin-1-yl]-2-(2,6- dioxopiperidin-3-yl)-2,3-dihydro-1H-isoindole-1,3-dione
WR/wr 8123-109882-02 06/20/24 06285 FILED VIA EFS ON June 20, 2024 O NH Cl 5-hydroxy-
3-[4- - - (NB1q) and 2-(2,6-dioxopiperidin-3-yl)-5-{4-[(piperidin-4-yl)methyl]piperazin-1-yl}-2,3-dihydro-1H-isoindole-1,3- dione (CB2a) following the procedure of Example 14. LC-MS tR = 4.73 min, m/z 1153. Example 60 3-(5-{4-[(1-{2-[3-(4-{2-[1-(5-chloro-1H-1,3-benzodiazol-2-yl)-5-hydroxy-3-[4-(trifluoromethyl)phenyl]- 1H-pyrazol-4-yl]ethyl}phenyl)propoxy]acetyl}piperidin-4-yl)methyl]piperazin-1-yl}-1-oxo-2,3-dihydro-1H- isoindol-2-yl)piperidine-2,6-dione F F Cl
3-[4-(trifluoromethyl)phenyl]-1H-pyrazol-4-yl]ethyl}phenyl)propoxy]acetic acid (NB1n) and 3-(1-oxo-5-{4- [(piperidin-4-yl)methyl]piperazin-1-yl}-2,3-dihydro-1H-isoindol-2-yl)piperidine-2,6-dione (CB2c) following the procedure of Example 14. LC-MS tR = 4.45 min, m/z 1007. Example 61 3-[5-(4-{[1-(3-{4-[1-(5-chloro-1H-1,3-benzodiazol-2-yl)-4-[2-(4-fluorophenyl)ethyl]-5-hydroxy-1H- pyrazol-3-yl]phenyl}propanoyl)piperidin-4-yl]methyl}piperazin-1-yl)-1-oxo-2,3-dihydro-1H-isoindol-2- yl]piperidine-2,6-dione
WR/wr 8123-109882-02 06/20/24 06285 FILED VIA EFS ON June 20, 2024 O O N Cl 2-yl)-4-[2-(4-
- (1-oxo-5-{4- [(piperidin-4-yl)methyl]piperazin-1-yl}-2,3-dihydro-1H-isoindol-2-yl)piperidine-2,6-dione (CB2c) following the procedure of Example 14. LC-MS tR = 4.18 min, m/z 912. Example 62 3-{5-[4-({1-[2-(2-{2-[2-(4-{2-[1-(5-chloro-1H-1,3-benzodiazol-2-yl)-5-hydroxy-3-[4- (trifluoromethyl)phenyl]-1H-pyrazol-4-yl]ethyl}phenoxy)ethoxy]ethoxy}ethoxy)acetyl]piperidin-4- yl}methyl)piperazin-1-yl]-1-oxo-2,3-dihydro-1H-isoindol-2-yl}piperidine-2,6-dione F F Cl
(2- aminoethoxy)ethoxy]ethoxy}ethoxy)phenyl]ethyl}-1-(5-chloro-1H-1,3-benzodiazol-2-yl)-3-[4- (trifluoromethyl)phenyl]-1H-pyrazol-5-ol (NB1c) and 3-(1-oxo-5-{4-[(piperidin-4-yl)methyl]piperazin-1- yl}-2,3-dihydro-1H-isoindol-2-yl)piperidine-2,6-dione (CB2c) following the procedure of Example 14. LC- MS tR = 4.5 min, m/z 1096. Example 63 15-{4-[1-(5-chloro-1H-1,3-benzodiazol-2-yl)-4-[2-(4-fluorophenyl)ethyl]-5-hydroxy-1H-pyrazol-3- yl]phenyl}-N-[2-({3-[2-(2,6-dioxopiperidin-3-yl)-1-oxo-2,3-dihydro-1H-isoindol-5-yl]prop-2-yn-1- yl}oxy)ethyl]-3,6,9,12-tetraoxapentadecanamide
WR/wr 8123-109882-02 06/20/24 06285 FILED VIA EFS ON June 20, 2024 O NH Cl (4-
- 3- {5-[3-(2-aminoethoxy)prop-1-yn-1-yl]-1-oxo-2,3-dihydro-1H-isoindol-2-yl}piperidine-2,6-dione (CB2f) following the procedure of Example 14. LC-MS tR = 5.1 min, m/z 1004. Example 64 2-(3-{4-[1-(5-chloro-1H-1,3-benzodiazol-2-yl)-4-[2-(4-fluorophenyl)ethyl]-5-hydroxy-1H-pyrazol-3- yl]phenyl}propoxy)-N-[2-({3-[2-(2,6-dioxopiperidin-3-yl)-1-oxo-2,3-dihydro-1H-isoindol-5-yl]prop-2-yn- 1-yl}oxy)ethyl]acetamide H N Cl
yl)-4-[2-(4- fluorophenyl)ethyl]-5-hydroxy-1H-pyrazol-3-yl]phenyl}propoxy)acetic acid (NB2e) and 3-{5-[3-(2- aminoethoxy)prop-1-yn-1-yl]-1-oxo-2,3-dihydro-1H-isoindol-2-yl}piperidine-2,6-dione (CB2f) following the procedure of Example 14. LC-MS tR = 5.02 min, m/z 872.
WR/wr 8123-109882-02 06/20/24 06285 FILED VIA EFS ON June 20, 2024 Example 65 15-(4-{2-[1-(5-chloro-1H-1,3-benzodiazol-2-yl)-5-hydroxy-3-[4-(trifluoromethyl)phenyl]-1H-pyrazol-4- yl]ethyl}phenyl)-N-[2-({3-[2-(2,6-dioxopiperidin-3-yl)-1-oxo-2,3-dihydro-1H-isoindol-5-yl]prop-2-yn-1- yl}oxy)ethyl]-3,6,9,12-tetraoxapentadecanamide F F F Cl
- - and 3-{5-[3-(2-aminoethoxy)prop-1-yn-1-yl]-1-oxo-2,3-dihydro-1H-isoindol-2-yl}piperidine-2,6-dione (CB2f) following the procedure of Example 14. LC-MS tR = 5.48 min, m/z 1054. Example 66 2-[3-(4-{2-[1-(5-chloro-1H-1,3-benzodiazol-2-yl)-5-hydroxy-3-[4-(trifluoromethyl)phenyl]-1H-pyrazol-4- yl]ethyl}phenyl)propoxy]-N-[2-({3-[2-(2,6-dioxopiperidin-3-yl)-1-oxo-2,3-dihydro-1H-isoindol-5-yl]prop- 2-yn-1-yl}oxy)ethyl]acetamide F F Cl
-5-hydroxy- 3-[4-(trifluoromethyl)phenyl]-1H-pyrazol-4-yl]ethyl}phenyl)propoxy]acetic acid (NB1n) and 3-{5-[3-(2- aminoethoxy)prop-1-yn-1-yl]-1-oxo-2,3-dihydro-1H-isoindol-2-yl}piperidine-2,6-dione (CB2f) following the procedure of Example 14. LC-MS tR = 5.47 min, m/z 922.
WR/wr 8123-109882-02 06/20/24 06285 FILED VIA EFS ON June 20, 2024 Example 67 3-[5-(4-{2-[3-(4-{2-[1-(5-chloro-1H-1,3-benzodiazol-2-yl)-5-hydroxy-3-[4-(trifluoromethyl)phenyl]-1H- pyrazol-4-yl]ethyl}phenyl)propoxy]acetyl}piperazin-1-yl)-1-oxo-2,3-dihydro-1H-isoindol-2-yl]piperidine- 2,6-dione F F F Cl yl)-5-hydroxy-
3-[4- - propoxy] 3-[1-oxo-5- (piperazin-1-yl)-2,3-dihydro-1H-isoindol-2-yl]piperidine-2,6-dione (CB2b) following the procedure of Example 14. LC-MS tR = 5.33 min, m/z 909. Example 68 3-[5-(4-{2-[2-(3-{4-[1-(5-chloro-1H-1,3-benzodiazol-2-yl)-4-[2-(4-fluorophenyl)ethyl]-5-hydroxy-1H- pyrazol-3-yl]phenyl}propoxy)ethoxy]acetyl}piperazin-1-yl)-1-oxo-2,3-dihydro-1H-isoindol-2-yl]piperidine- 2,6-dione O Cl
-4-[2-(4- fluorophenyl)ethyl]-5-hydroxy-1H-pyrazol-3-yl]phenyl}propoxy)ethoxy]acetic acid (NB2f) and 3-[1-oxo-5- (piperazin-1-yl)-2,3-dihydro-1H-isoindol-2-yl]piperidine-2,6-dione (CB2b) following the procedure of Example 14. LC-MS tR = 4.93 min, m/z 903.
WR/wr 8123-109882-02 06/20/24 06285 FILED VIA EFS ON June 20, 2024 Example 69 3-{5-[4-(2-{2-[3-(4-{2-[1-(5-chloro-1H-1,3-benzodiazol-2-yl)-5-hydroxy-3-[4-(trifluoromethyl)phenyl]-1H- pyrazol-4-yl]ethyl}phenyl)propoxy]ethoxy}acetyl)piperazin-1-yl]-1-oxo-2,3-dihydro-1H-isoindol-2- yl}piperidine-2,6-dione F F F Cl 2-yl)-5-
- (NB1o) and 3-[1-oxo-5-(piperazin-1-yl)-2,3-dihydro-1H-isoindol-2-yl]piperidine-2,6-dione (CB2b) following the procedure of Example 14. LC-MS tR = 5.3 min, m/z 953. Example 70 3-(5-{4-[2-(3-{4-[1-(5-chloro-1H-1,3-benzodiazol-2-yl)-4-[2-(4-fluorophenyl)ethyl]-5-hydroxy-1H-pyrazol- 3-yl]phenyl}propoxy)acetyl]piperazin-1-yl}-1-oxo-2,3-dihydro-1H-isoindol-2-yl)piperidine-2,6-dione O Cl
2-yl)-4-[2-(4- fluorophenyl)ethyl]-5-hydroxy-1H-pyrazol-3-yl]phenyl}propoxy)acetic acid(NB2e) and 3-[1-oxo-5- (piperazin-1-yl)-2,3-dihydro-1H-isoindol-2-yl]piperidine-2,6-dione (CB2b) following the procedure of Example 14. LC-MS tR = 4.87 min, m/z 859.
WR/wr 8123-109882-02 06/20/24 06285 FILED VIA EFS ON June 20, 2024 Example 71 3-{5-[4-(2-{2-[2-(3-{4-[1-(5-chloro-1H-1,3-benzodiazol-2-yl)-4-[2-(4-fluorophenyl)ethyl]-5-hydroxy-1H- pyrazol-3-yl]phenyl}propoxy)ethoxy]ethoxy}acetyl)piperazin-1-yl]-1-oxo-2,3-dihydro-1H-isoindol-2- yl}piperidine-2,6-dione O NH Cl yl)-4-[2-(4-
fluorophenyl)ethyl]-5-hydroxy-1H-pyrazol-3-yl]phenyl}propoxy)ethoxy]ethoxy}acetic acid(NB2g) and 3- [1-oxo-5-(piperazin-1-yl)-2,3-dihydro-1H-isoindol-2-yl]piperidine-2,6-dione (CB2b) following the procedure of Example 14. LC-MS tR = 4.9 min, m/z 947. Example 72 3-[5-(4-{2-[2-(4-{2-[1-(5-chloro-1H-1,3-benzodiazol-2-yl)-5-hydroxy-3-[4-(trifluoromethyl)phenyl]-1H- pyrazol-4-yl]ethyl}phenoxy)ethoxy]acetyl}piperazin-1-yl)-1-oxo-2,3-dihydro-1H-isoindol-2-yl]piperidine- 2,6-dione F F Cl
-5-hydroxy- 3-[4-(trifluoromethyl)phenyl]-1H-pyrazol-4-yl]ethyl}phenoxy)ethoxy]acetic acid(NB1i) and 3-[1-oxo-5-
WR/wr 8123-109882-02 06/20/24 06285 FILED VIA EFS ON June 20, 2024 (piperazin-1-yl)-2,3-dihydro-1H-isoindol-2-yl]piperidine-2,6-dione (CB2b) following the procedure of Example 14. LC-MS tR = 5.02 min, m/z 911. Example 73 2-{[2-(2,6-dioxopiperidin-3-yl)-1,3-dioxo-2,3-dihydro-1H-isoindol-4-yl]amino}ethyl 2-[2-(4-{2-[1-(5- chloro-1H-1,3-benzodiazol-2-yl)-5-hydroxy-3-[4-(trifluoromethyl)phenyl]-1H-pyrazol-4- yl]ethyl}phenoxy)ethoxy]acetate O F C N O H NH N N Cl 3-[4-
- mg, , (2,6- dioxopiperidin-3-yl)-4-[(2-hydroxyethyl)amino]-2,3-dihydro-1H-isoindole-1,3-dione (CB1k, 9 mg, 28 μmol) and DMAP (7 ,g, 58 μmol) in dry CH2Cl2 (1 mL) was added EDC.HCl (11 mg, 60 µmol). The mixture was stirred at rt for 16 h and concentrated. The residue was purified by prep HPLC to give title compound (6 mg, %) as a yellow solid. LC-MS tR = 5.55 min, m/z 900. Example 74 3-{5-[2-(4-{2-[2-(4-{2-[1-(5-chloro-1H-1,3-benzodiazol-2-yl)-5-hydroxy-3-[4-(trifluoromethyl)phenyl]-1H- pyrazol-4-yl]ethyl}phenoxy)ethoxy]ethyl}piperazin-1-yl)ethoxy]-1-oxo-2,3-dihydro-1H-isoindol-2- yl}piperidine-2,6-dione F3 C H Cl
yl)ethoxy]ethoxy}phenyl)ethyl]-3-[4-(trifluoromethyl)phenyl]-1H-pyrazol-5-ol (NB1f, 17 mg, 21 μmol), 2- {[2-(2,6-dioxopiperidin-3-yl)-1-oxo-2,3-dihydro-1H-isoindol-5-yl]oxy}acetaldehyde (CB2g, 13 mg, 43
WR/wr 8123-109882-02 06/20/24 06285 FILED VIA EFS ON June 20, 2024 μmol), Et3N (12 μL, 85 μmol), MgSO4 (80 mg) and dry CH2Cl2 (2 mL) was stirred at rt under N2 for 0.5 h. The mixture was cooled in an ice bath and solid NaBH(OAc)3 (14 mg, 65 µmol) was added. The mixture was stirred at rt for 2 h, diluted with MeOH (8 mL) and filtered. The filtrate was concentrated and the residue was purified by prep HPLC to give bis TFA salt of the title compound (3.6 mg, 14%) as a white solid. LC-MS tR = 4.77 min, m/z 941. Example 75 3-(5-{2-[4-(2-{2-[2-(4-{2-[1-(5-chloro-1H-1,3-benzodiazol-2-yl)-5-hydroxy-3-[4-(trifluoromethyl)phenyl]- 1H-pyrazol-4-yl]ethyl}phenoxy)ethoxy]ethoxy}ethyl)piperazin-1-yl]ethoxy}-1-oxo-2,3-dihydro-1H- isoindol-2-yl)piperidine-2,6-dione F F F Cl 1-
yl)oxy]phenyl}ethyl)-1-(5-chloro-1H-1,3-benzodiazol-2-yl)-3-[4-(trifluoromethyl)phenyl]-1H-pyrazol-5-ol (NB1e) and 2-{[2-(2,6-dioxopiperidin-3-yl)-1-oxo-2,3-dihydro-1H-isoindol-5-yl]oxy}acetaldehyde (CB2g) following the procedure of Example 74. LC-MS tR = 4.38 min, m/z 985. Example 76 2-(4-{2-[1-(5-chloro-1H-1,3-benzodiazol-2-yl)-5-hydroxy-3-[4-(trifluoromethyl)phenyl]-1Hpyrazol-4- yl]ethyl}phenoxy)-N-(3-{[2-(2,6-dioxopiperidin-3-yl)-1,3-dioxo-2,3-dihydro-1Hisoindol-4- yl]amino}propyl)acetamide F3 C H Cl
3-[4- (trifluoromethyl)phenyl]-1H-pyrazol-4-yl]ethyl}phenoxy)acetic acid (NB1h, 20 mg, 34 μmol), the HCl salt of 4-[(3-aminopropyl)amino]-2-(2,6-dioxopiperidin-3-yl)-2,3-dihydro-1H-isoindole-1,3-dione (CB1m, 14 mg, 38 μmol), HOBt.H2O (5 mg, 37 μmol) and i-Pr2NEt (40 μL, 0.22 mmol) in dry DMF (2.5 mL) was added
WR/wr 8123-109882-02 06/20/24 06285 FILED VIA EFS ON June 20, 2024 EDC.HCl (13 mg, 68 µmol). The mixture was stirred at rt for 18 h and directly purified by prep HPLC to give the TFA salt of the title compound (12 mg, 36%) as a yellow solid. LC-MS tR = 6.18 min, m/z 869. Pharmaceutical Compositions and Methods of Use Also disclosed herein is a pharmaceutical formulation comprising a compound as disclosed herein, or a pharmaceutically acceptable salt thereof, and at least one pharmaceutically acceptable carrier, excipient, or combination thereof. The pharmaceutical formulation may further comprise an additional pharmacologically active agent other than the compound. In particular disclosed embodiments, the pharmacologically active agent is an antiretroviral drug. The antiretroviral drug may be selected from an entry inhibitor, a CCR5 receptor antagonist, a nucleoside reverse transcriptase inhibitor, a non-nucleoside reverse transcriptase inhibitor, a protease inhibitor, an integrase inhibitor, a maturation inhibitor, a capsid inhibitor, or combinations thereof. In particular disclosed embodiments, the antiretroviral drug is selected from maraviroc, enfuvirtide, aplaviroc, vicriviroc, zidovudine, didanosine, zalcitabine, stavudine, lamivudine, abacavir, emtricitabine, entecavir, apricitabine, tenofovir, adefovir, efavirenz, nevirapine, delavirdine, etravirine, rilpivirine, saquinavir, ritonavir, indinavir, nelfinavir, amprenavir, lopinavir, atazanavir, fosamprenavir, tipranavir, darunavir, MK-2048, elvitegravir, bevirimat, MPC-9055, lenacapavir, cabotegravir, fostemsavir or a combination thereof. Also disclosed herein is a method for inhibiting a biological function of Nef, comprising contacting Nef with an effective amount of a compound disclosed herein. The biological function of Nef may be selected from HIV infectivity, HIV replication, HIV-1 latency and its reversal, Nef-mediated downregulation of infected cell surface MHC-1/HIV antigen complexes, Nef-mediated impacts on other cellular receptors and proteins related to HIV-1 pathogenesis (e.g. CD4, SERINC5, PD-1, Src and Tec family kinases), and AIDS progression. Also disclosed is a method of treating a Nef-mediated disease, comprising administering to a subject an effective amount of a compound disclosed herein. Further embodiments concern a method of treating HIV, comprising administering to a subject an effective amount of a compound disclosed herein. Particular disclosed embodiments concern a method of treating an HIV-related condition comprising administering to a subject an effective amount of a compound disclosed herein. The HIV-related condition may be selected from HIV replication, HIV-associated CD4+ T-cell loss and immunodeficiency, HIV- induced infection, Kaposi’s sarcoma, HIV-associated nephropathy, AIDS dementia complex, and combinations thereof. The subject may be suffering from the HIV-related condition. Also, the subject may be administered the compound prophylactically. In other embodiments, the subject may be administered the compound post-exposure prophylactically. The compound may also be administered as a formulation. The formulation may comprise the compound and a pharmaceutically acceptable carrier. The formulation also may further comprise at least one
WR/wr 8123-109882-02 06/20/24 06285 FILED VIA EFS ON June 20, 2024 antiretroviral drug, as disclosed herein. The subject may be an animal or human, and any one of the disclosed embodiments of the method may be performed in vitro or in vivo. Embodiments of the disclosed method may be used when the subject is suffering from the HIV- related condition, or the method may be practiced prophylactically or post-exposure prophylactically. The HIV-related condition may be selected from HIV replication, HIV-associated CD4+ T-cell loss and immunodeficiency, HIV-induced infection, Kaposi’s sarcoma, HIV-associated nephropathy, AIDS dementia complex, and combinations thereof. The effective amount used in the disclosed method may be that which is best suited for treating the subject. The effective amount may range from greater than zero to about 1000 mg/kg/day. In particular disclosed embodiments, the effective amount ranges from 1 mg/kg/day to about 100 mg/kg/day. The subject of the disclosed method may be human or an animal and the method may be performed in vitro or in vivo. The compound disclosed herein may be used in therapy for a Nef-dependent disorder. As disclosed herein, the compound may be used to treat and/or inhibit a biological pathway that is activated by Nef. Such pathways include, but are not limited to, pathways involving a Src-family kinase, such as Hck, as well as Tec-family kinases including Itk and Btk. In particular disclosed embodiments, the compound may be used to treat or inhibit Nef-dependent HIV-1 replication both in vitro and in vivo. The disclosed compound also may be used to treat or inhibit Nef-dependent HIV-1 infectivity. In other disclosed embodiments, the compound may be used to treat or inhibit SIV infectivity or replication. Particular disclosed embodiments of the compound disclosed herein are potent and selective inhibitors of Nef-dependent Hck activity and therefore may be used in in vitro, in vivo, and ex vivo contexts to regulate or inhibit this activity, prevent any Nef-dependent HIV-1 replication, and downregulate MHC-1, as well as the biological responses that result from such activity. In particular disclosed embodiments, the compound may be used to inhibit HIV-1 infectivity and replication in cell types selected from, but not limited to, U87MG astroglioma cells, CEM-T4 lymphoblasts, TZM-bl reporter cell line, and CEM-174, as well as primary host cells isolated from donors including peripheral blood mononuclear cells (PBMCs) and CD4+ T lymphocytes derived from them. Particular disclosed embodiments of the compound disclosed herein may be used to inhibit Nef-dependent HIV replication in the submicromolar range. Embodiments of the disclosed compound may exhibit IC50 values for Nef-induced Hck activation, as well as Nef-induced Itk activation, in vitro of less than about 3.0 µM; more typically less that about 2.5 µM; even more typically less than about 2.0 µM. In particular disclosed embodiments, the compound is capable of preventing and/or inhibiting Nef- dependent enhancement of HIV-1 infectivity and replication. The compound is not limited to being active against any particular Nef allele. For instance, embodiments of the disclosed compound are active against a variety of Nef alleles, particularly those that comprise the HIV-1 M-group clades. Exemplary embodiments of the compound may inhibit the replication of HIV-1 in donor PBMCs with an IC50 value of 10 nM to about
WR/wr 8123-109882-02 06/20/24 06285 FILED VIA EFS ON June 20, 2024 100 nM; more typically from about 50 nM to about 200 nM; even more typically from about 100nM to about 300 nM. In particular disclosed embodiments, the compound may be used to block Nef-dependent HIV replication and infectivity. Nef is well-known to prevent cell-surface display of MHC-I in complex with HIV-1 antigenic peptides on infected cells, promoting escape from detection by cytotoxic T lymphocytes. As a consequence, this effect of Nef prevents clearance of the virus from the infected host, and may contribute to establishment and maintenance of the persistent viral reservoir. However, compounds disclosed herein restore MHC-I to the surface of HIV-infected CD4+ T cells (see FIGS.5A and 5B). Moreover, when inhibitor-treated cells were co-cultured with autologous CD8 T cells expanded in the presence of HIV-1 antigenic peptides, the CD8 T cells were activated and displayed CTL responses against the infected target cells despite the presence of Nef. This result suggests that Nef inhibitors, including those described herein, have the potential to enhance CTL-mediated responses against HIV+ cells in vivo as part of a strategy to clear the latent viral reservoir. The compounds may be administered orally, parenterally (including subcutaneous injections (SC or depo-SC), intravenous (IV), intramuscular (IM or depo-IM), intrasternal injection or infusion techniques), sublingually, intranasally (inhalation), intrathecally, topically, ophthalmically, or rectally. The pharmaceutical composition may be administered in dosage unit formulations containing conventional non- toxic pharmaceutically acceptable carriers, adjuvants, and/or vehicles. The compounds are preferably formulated into suitable pharmaceutical preparations such as tablets, capsules, or elixirs for oral administration or in sterile solutions or suspensions for parenteral administration. Typically, the compounds described above are formulated into pharmaceutical compositions using techniques and procedures well known in the art. In some embodiments, one or more of the disclosed compounds (including compounds linked to a detectable label or cargo moiety) are mixed or combined with a suitable pharmaceutically acceptable carrier to prepare a pharmaceutical composition. Pharmaceutical carriers or vehicles suitable for administration of the compounds provided herein include any such carriers known to be suitable for the particular mode of administration. Remington: The Science and Practice of Pharmacy, The University of the Sciences in Philadelphia, Editor, Lippincott, Williams, & Wilkins, Philadelphia, PA, 21st Edition (2005), describes exemplary compositions and formulations suitable for pharmaceutical delivery of the compounds disclosed herein. In addition, the compounds may be formulated as the sole pharmaceutically active ingredient in the composition or may be combined with other active ingredients. Upon mixing or addition of the compound(s) to a pharmaceutically acceptable carrier, the resulting mixture may be a solution, suspension, emulsion, or the like. Liposomal suspensions may also be suitable as pharmaceutically acceptable carriers. These may be prepared according to methods known to those skilled in the art. The form of the resulting mixture depends upon a number of factors, including the intended mode of administration and the solubility of the compound in the selected carrier or vehicle. Where the
WR/wr 8123-109882-02 06/20/24 06285 FILED VIA EFS ON June 20, 2024 compounds exhibit insufficient solubility, methods for solubilizing may be used. Such methods are known and include, but are not limited to, using cosolvents such as dimethylsulfoxide (DMSO), using surfactants such as Tween®, and dissolution in aqueous sodium bicarbonate. Derivatives of the compounds, such as salts or prodrugs may also be used in formulating effective pharmaceutical compositions. The disclosed compounds may also be prepared with carriers that protect them against rapid elimination from the body, such as time-release formulations or coatings. Such carriers include controlled release formulations, such as, but not limited to, microencapsulated delivery systems. The disclosed compounds and/or compositions can be enclosed in multiple or single dose containers. The compounds and/or compositions can also be provided in kits, for example, including component parts that can be assembled for use. For example, one or more of the disclosed compounds may be provided in a lyophilized form and a suitable diluent may be provided as separated components for combination prior to use. In some examples, a kit may include a disclosed compound and a second therapeutic agent (such as an anti-retroviral agent) for co-administration. The compound and second therapeutic agent may be provided as separate component parts. A kit may include a plurality of containers, each container holding one or more unit dose of the compound. The containers are preferably adapted for the desired mode of administration, including, but not limited to tablets, gel capsules, sustained-release capsules, and the like for oral administration; depot products, pre-filled syringes, ampoules, vials, and the like for parenteral administration; and patches, medipads, creams, and the like for topical administration. The active compound is included in the pharmaceutically acceptable carrier in an amount sufficient to exert a therapeutically useful effect in the absence of undesirable side effects on the subject treated. A therapeutically effective concentration may be determined empirically by testing the compounds in known in vitro and in vivo model systems for the treated disorder. In some examples, a therapeutically effective amount of the compound is an amount that lessens or ameliorates at least one symptom of the disorder for which the compound is administered. Typically, the compositions are formulated for single dosage administration. The concentration of active compound in the drug composition will depend on absorption, inactivation, and excretion rates of the active compound, the dosage schedule, and amount administered as well as other factors known to those of skill in the art. In some examples, about 0.1 mg to 1000 mg of a disclosed compound, a mixture of such compounds, or a physiologically acceptable salt or ester thereof, is compounded with a physiologically acceptable vehicle, carrier, excipient, binder, preservative, stabilizer, flavor, etc., in a unit dosage form. The amount of active substance in those compositions or preparations is such that a suitable dosage in the range indicated is obtained. The term “unit dosage form” refers to physically discrete units suitable as unitary dosages for human subjects and other mammals, each unit containing a predetermined quantity of active material calculated to produce the desired therapeutic effect, in association with a suitable pharmaceutical excipient. In some examples, the compositions are formulated in a unit dosage form, each dosage containing from about 1 mg to about 1000 mg (for example, about 2 mg to about 500 mg, about 5 mg to 50 mg, about 10 mg to 100 mg, or about 25 mg to 75 mg) of the one or more compounds. In other examples, the unit
WR/wr 8123-109882-02 06/20/24 06285 FILED VIA EFS ON June 20, 2024 dosage form includes about 0.1 mg, about 1 mg, about 5 mg, about 10 mg, about 20 mg, about 30 mg, about 40 mg, about 50 mg, about 60 mg, about 70 mg, about 80 mg, about 90 mg, about 100 mg, about 150 mg, about 200 mg, about 250 mg, about 300 mg, about 400 mg, about 500 mg, about 600 mg, about 700 mg, about 800 mg, about 900 mg, about 1000 mg, or more of the disclosed compound(s). The disclosed compounds or compositions may be administered as a single dose, or may be divided into a number of smaller doses to be administered at intervals of time. The therapeutic compositions can be administered in a single dose delivery, by continuous delivery over an extended time period, in a repeated administration protocol (for example, by a multi-daily, daily, weekly, or monthly repeated administration protocol). It is understood that the precise dosage, timing, and duration of treatment is a function of the disease being treated and may be determined empirically using known testing protocols or by extrapolation from in vivo or in vitro test data (such as testing in an animal model of HIV infection). It is to be noted that concentrations and dosage values may also vary with the severity of the condition to be alleviated. In addition, it is understood that for a specific subject, dosage regimens may be adjusted over time according to the individual need and the professional judgment of the person administering or supervising the administration of the compositions, and that the concentration ranges set forth herein are exemplary only. When administered orally as a suspension, these compositions are prepared according to techniques well known in the art of pharmaceutical formulation and may contain microcrystalline cellulose for imparting bulk, alginic acid or sodium alginate as a suspending agent, methylcellulose as a viscosity enhancer, and sweeteners/flavoring agents. As immediate release tablets, these compositions may contain microcrystalline cellulose, dicalcium phosphate, starch, magnesium stearate and lactose and/or other excipients, binders, extenders, disintegrants, diluents and lubricants. If oral administration is desired, the compound is typically provided in a composition that protects it from the acidic environment of the stomach. For example, the composition can be formulated in an enteric coating that maintains its integrity in the stomach and releases the active compound in the intestine. The composition may also be formulated in combination with an antacid or other such ingredient. Oral compositions will generally include an inert diluent or an edible carrier and may be compressed into tablets or enclosed in gelatin capsules. For the purpose of oral therapeutic administration, the active compound or compounds can be incorporated with excipients and used in the form of tablets, capsules, or troches. Pharmaceutically compatible binding agents and adjuvant materials can be included as part of the composition. The tablets, pills, capsules, troches, and the like can contain any of the following ingredients or compounds of a similar nature: a binder such as, but not limited to, gum tragacanth, acacia, corn starch, or gelatin; an excipient such as microcrystalline cellulose, starch, or lactose; a disintegrating agent such as, but not limited to, alginic acid and corn starch; a lubricant such as, but not limited to, magnesium stearate; a gildant, such as, but not limited to, colloidal silicon dioxide; a sweetening agent such as sucrose or saccharin; and a flavoring agent such as peppermint, methyl salicylate, or fruit flavoring. When the dosage unit form is a capsule, it can contain, in addition to material of the above type, a liquid carrier such as a fatty oil. In addition, dosage unit forms can contain various other materials, which
WR/wr 8123-109882-02 06/20/24 06285 FILED VIA EFS ON June 20, 2024 modify the physical form of the dosage unit, for example, coatings of sugar and other enteric agents. The compounds can also be administered as a component of an elixir, suspension, syrup, wafer, chewing gum or the like. A syrup may contain, in addition to the active compounds, sucrose as a sweetening agent and certain preservatives, dyes and colorings, and flavors. When administered orally, the compounds can be administered in usual dosage forms for oral administration. These dosage forms include the usual solid unit dosage forms of tablets and capsules as well as liquid dosage forms such as solutions, suspensions, and elixirs. When the solid dosage forms are used, it is preferred that they be of the sustained release type so that the compounds need to be administered only once or twice daily. In some examples, an oral dosage form is administered to the subject 1, 2, 3, 4, or more times daily. In additional examples, the compounds can be administered orally to humans in a dosage range of 1 to 1000 mg/kg body weight in single or divided doses. One illustrative dosage range is 0.1 to 200 mg/kg body weight orally (such as 0.5 to 100 mg/kg body weight orally) in single or divided doses. For oral administration, the compositions may be provided in the form of tablets containing about 1 to 1000 milligrams of the active ingredient, particularly 1, 5, 10, 15, 20, 25, 50, 75, 100, 150, 200, 250, 300, 400, 500, 600, 750, 800, 900, or 1000 milligrams of the active ingredient. It will be understood, however, that the specific dose level and frequency of dosage for any particular patient may be varied and will depend upon a variety of factors including the activity of the specific compound employed, the metabolic stability and length of action of that compound, the age, body weight, general health, sex, diet, mode and time of administration, rate of excretion, drug combination, the severity of the particular condition, and the host undergoing therapy. Injectable solutions or suspensions may also be formulated, using suitable non-toxic, parenterally- acceptable diluents or solvents, such as mannitol, 1,3-butanediol, water, Ringer’s solution or isotonic sodium chloride solution, or suitable dispersing or wetting and suspending agents, such as sterile, bland, fixed oils, including synthetic mono- or diglycerides, and fatty acids, including oleic acid. Solutions or suspensions used for parenteral, intradermal, subcutaneous, or topical application can include any of the following components: a sterile diluent such as water for injection, saline solution, fixed oil, a naturally occurring vegetable oil such as sesame oil, coconut oil, peanut oil, cottonseed oil, and the like, or a synthetic fatty vehicle such as ethyl oleate, and the like, polyethylene glycol, glycerine, propylene glycol, or other synthetic solvent; antimicrobial agents such as benzyl alcohol and methyl parabens; antioxidants such as ascorbic acid and sodium bisulfite; chelating agents such as ethylenediaminetetraacetic acid (EDTA); buffers such as acetates, citrates, and phosphates; and agents for the adjustment of tonicity such as sodium chloride and dextrose. Parenteral preparations can be enclosed in ampoules, disposable syringes, or multiple dose vials made of glass, plastic, or other suitable material. Buffers, preservatives, antioxidants, and the like can be incorporated as required. Where administered intravenously, suitable carriers include physiological saline, phosphate buffered saline (PBS), and solutions containing thickening and solubilizing agents such as glucose, polyethylene
WR/wr 8123-109882-02 06/20/24 06285 FILED VIA EFS ON June 20, 2024 glycol, polypropyleneglycol, and mixtures thereof. Liposomal suspensions including tissue-targeted liposomes may also be suitable as pharmaceutically acceptable carriers. The compounds can be administered parenterally, for example, by IV, IM, depo-IM, SC, or depo- SC. When administered parenterally, a therapeutically effective amount of about 0.1 to about 500 mg/day (such as about 1 mg/day to about 100 mg/day, or about 5 mg/day to about 50 mg/day) may be delivered. When a depot formulation is used for injection once a month or once every two weeks, the dose may be about 0.1 mg/day to about 100 mg/day, or a monthly dose of from about 3 mg to about 3000 mg. The compounds can also be administered sublingually. When given sublingually, the compounds should be given one to four times daily in the amounts described above for IM administration. The compounds can also be administered intranasally. When given by this route, the appropriate dosage forms are a nasal spray or dry powder. The dosage of the compounds for intranasal administration is the amount described above for IM administration. When administered by nasal aerosol or inhalation, these compositions may be prepared according to techniques well known in the art of pharmaceutical formulation and may be prepared as solutions in saline, employing benzyl alcohol or other suitable preservatives, absorption promoters to enhance bioavailability, fluorocarbons, and/or other solubilizing or dispersing agents. The compounds can be administered intrathecally. When given by this route, the appropriate dosage form can be a parenteral dosage form. The dosage of the compounds for intrathecal administration is the amount described above for IM administration. The compounds can be administered topically. When given by this route, the appropriate dosage form is a cream, ointment, or patch. When administered topically, an illustrative dosage is from about 0.5 mg/day to about 200 mg/day. Because the amount that can be delivered by a patch is limited, two or more patches may be used. The compounds can be administered rectally by suppository. When administered by suppository, an illustrative therapeutically effective amount may range from about 0.5 mg to about 500 mg. When rectally administered in the form of suppositories, these compositions may be prepared by mixing the drug with a suitable non-irritating excipient, such as cocoa butter, synthetic glyceride esters of polyethylene glycols, which are solid at ordinary temperatures, but liquefy and/or dissolve in the rectal cavity to release the drug. It should be apparent to one skilled in the art that the exact dosage and frequency of administration will depend on the particular compounds administered, the particular condition being treated, the severity of the condition being treated, the age, weight, general physical condition of the particular subject, and other medication the individual may be taking as is well known to administering physicians or other clinicians who are skilled in therapy of retroviral infections, diseases, and associated disorders. Examples Results
WR/wr 8123-109882-02 06/20/24 06285 FILED VIA EFS ON June 20, 2024 Screening of certain compounds disclosed herein for Nef binding by surface plasmon resonance (SPR) indicated that the para positions of the two phenyl rings (indicated by arrows in FIG.1) would tolerate linker attachment without substantial loss in binding affinity. Data presented in the following sections demonstrate that a subset of CRBN-based Nef PROTACs induce Nef proteolytic degradation via E3-mediated polyubiquitination and proteasomal targeting (FIG.1). Targeted degradation of Nef resulted in robust recovery of cell-surface MHC-I and CD4 while suppressing HIV-1 replication in primary cells. Assessment of PROTAC induction of Nef ubiquitylation by NanoBRET Assay Candidate Nef-directed PROTACs were first screened for induction of Nef ubiquitylation in a cell- based NanoBRET assay (Promega; FIG.2A). This assay consists of two key components: 1) HIV-1 Nef fused via its C-terminus to the small luciferase protein, nano-Luc (Nef-nLuc); and 2) Ubiquitin fused to the self-labeling fluorescent protein known as the Halo-Tag16 (Ub-Halo). The Halo-Tag is a modified bacterial haloalkane dehalogenase that forms a covalent adduct in the presence of a chloroalkane coupled to a fluorogenic acceptor (NanoBRET 618 in this case). Nef-nLuc and Ub-Halo were co-expressed in 293T cells, followed by addition of each PROTAC analog (10 μM final or 0.1% DMSO as plate control) plus the Ub- Halo ligand. Twenty-four hours later, the nano-Luc substrate was added, and the donor (nLuc; 480 nm) and acceptor (HaloTag; 618 nm) signals were recorded. Proximity of Nef-nLuc and Ub-Halo resulting from successful ubiquitylation of Nef results in a BRET signal. Each PROTAC was assayed in quadruplicate, and the resulting data were corrected for background and expressed as 618 nm to 480 nm fluorescence ratios (BRET signal for Ub incorporation normalized to Nef-nLuc levels). BRET ratios were then normalized to the DMSO control wells and used to calculate z-scores based on the normalized ratios for all analogs tested (FIG.2B). All PROTACs were also assayed in quadruplicate in control assays with the Halo-Tag alone. These controls produced BRET ratios less than 10% of those observed in the presence of Ub-Halo, demonstrating the dependence of the readout on Nef ubiquitination. Overall, this analysis identified eleven PROTACs that increased Nef ubiquitylation by at least 1.5 standard deviations above the mean (z-score > 1.5). These analogs were advanced to orthogonal assays for induction of Nef degradation and inhibition of Nef function. Example 31 was also carried forward due to its potency in the receptor rescue assay described below. T cell-based assay for PROTAC-induced Nef degradation and cell surface receptor downregulation For these experiments, the T cell line CEM-T4 was stably transduced with a doxycycline (Dox)- inducible expression vector for a Nef-GFP fusion protein. In the presence of Dox, Nef-GFP is expressed leading to downregulation of CD4 and MHC-I from the cell surface which are quantified by flow cytometry (FIG.3A). CEM/Nef-GFP cells were incubated with each of the active PROTACs from the Nef-Ub NanoBRET screen at a final concentration of 3 μM or DMSO as control, and Nef expression was induced by the addition of Dox. After 24 h, treated cells were analyzed for reversal of cell-surface CD4 and MHC-I
WR/wr 8123-109882-02 06/20/24 06285 FILED VIA EFS ON June 20, 2024 downregulation. Six of the 12 Nef PROTACs tested restored cell-surface CD4 expression by more than 50% while seven PROTACs restored cell-surface MHC-I by 50% or more as well (FIG.3B). No evidence of cytotoxicity was observed at the screening concentration of 3 μM. These observations represent a substantial improvement over previous occupancy-based Nef inhibitors, which reversed Nef-dependent MHC-I downregulation in the 5-15% range under similar conditions. To determine whether PROTAC-mediated rescue of cell-surface receptor expression was due to degradation of the Nef protein, we also calculated levels of Nef-GFP in each treated cell population by flow cytometry. All seven PROTACs that restored cell surface receptor expression also induced significant loss of the Nef-GFP signal, with values for percent loss ranging from 15% to more than 50% (FIG.4A). As an independent measure of PROTAC-mediated loss of Nef expression, we also performed quantitative immunoblot analysis of PROTAC-treated CEM cell lysates using antibodies specific for Nef as well as Actin as a normalizing control (FIG.4B). This experiment confirmed PROTAC-dependent loss of Nef protein expression, with values decreasing from 65% to more than 95% relative to the DMSO-treated control (FIG.4C). These results provide independent evidence that the PROTACs induce Nef degradation, thereby restoring cell-surface expression of receptors essential for immune system recognition of HIV- infected cells. Assessment of direct PROTAC binding to Nef and CRBN by SPR To confirm interaction of each bivalent PROTAC analog with both Nef and CRBN, we used our established SPR assay for small molecule-protein interactions. Eight recombinant Nef proteins representative of multiple M-group HIV-1 variants, SIV Nef mac239, and the thalidomide-binding domain of CRBN were expressed in bacteria and purified to homogeneity. The recombinant proteins were immobilized on a carboxymethyl dextran hydrogel biosensor chip, and solubilized PROTACs were injected over a range of concentrations in triplicate. Following a dissociation phase, the resulting sensorgrams were fitted with a 1:1 Langmuir model and KD values were calculated from the rate constants and the relationship, KD = kd/ka. Representative SPR sensorgrams for active Nef PROTACs Example 2 and Example 14 are shown in FIG.6 and illustrate differences in the binding kinetics. While both PROTACs bound to the CRBN thalidomide-binding domain to a similar extent, Example 2 associated more slowly than Example 14 and showed a comparatively slow dissociation phase. The reverse was true with HIV-1 Nef (NL4-3 variant), in which Example 2 showed more rapid association and release compared to Example 14. These kinetic differences may in part reflect the alternative points of linker attachment on the Nef-binding moiety. The shape of the PROTAC sensorgrams with HIV-1 Nef closely resemble those reported previously for structurally related Nef-binding components alone. However, the extent of binding was higher at each PROTAC concentration, which likely reflects the higher formula weight of the PROTACs. Regardless, both compounds were very effective in inducing Nef degradation and restoring CD4 and MHC-I expression to the surface of T cells.
WR/wr 8123-109882-02 06/20/24 06285 FILED VIA EFS ON June 20, 2024 The eight active PROTACs bound to all Nef variants tested as well as the CBRN thalidomide- binding domain with nM to low μM affinity in almost every case (Table 1 below), suggesting that Nef PROTACs based on the substituted hydroxypyrazole targeting moiety will be widely active against M-group HIV-1 variants responsible for the pandemic. Control experiments showed that the Nef-targeting ligand alone did not bind to CRBN nor did thalidomide analogs bind to directly to Nef. Representative M-group HIV-1 Nef Subtypes Example SIV Nef CRBN B (NL4-3) B (SF2) A1 C (T/F) F1 G J K 0 0 0 0 0 0 0 0
Table 1. Direct binding of active Nef PROTACs to multiple HIV-1 Nef variants, SIV Nef, and the thalidomide binding domain of Cereblon (CRBN) by SPR. Nef proteins include the well-characterized B- subtype variants SF2 and NL4-3 and the C-clade transmitter/founder (T/F) variant, C/z3618m, as well as SIV Nef mac239. KD values (M) were calculated from the association and dissociation rate constants using the relationship, KD = kd/ka.
Active Nef PROTACs stabilize ternary Nef-CRBN complexes in vitro Targeted protein degradation requires PROTAC-mediated formation of a ternary complex between the protein target, the bivalent PROTAC ligand, and the E3 ligase. To model this mechanism in vitro, we incubated recombinant Nef (NL4-3 variant) and the CRBN thalidomide-binding domain in the presence and absence of the active Nef PROTAC analog, Example 2. In the absence of the PROTAC, Nef and CRBN co- eluted from a size-exclusion column (FIG.6A); note that the retention volumes of the individual proteins are the same, so the mixture elutes as a single peak. When preincubated in the presence of the PROTAC, how- ever, a new peak of smaller retention volume (higher molecular weight) was observed, and the height of this peak increased in proportion to the concentration of the PROTAC added to the mixture (FIG.6B). SDS- PAGE of the new peak revealed the presence of both Nef and CRBN. These results provide evidence that
WR/wr 8123-109882-02 06/20/24 06285 FILED VIA EFS ON June 20, 2024 active Nef PROTACs induce ternary complexes of Nef with CRBN and are consistent with the NanoBRET and CEM-T4 cell results. PROTACs inhibit Nef-mediated enhancement of HIV-1 replication in donor PBMCs HIV-1 Nef is well known to enhance viral replication in donor PBMCs in vitro and is essential for high viral loads in vivo. To determine whether antiretroviral activity is retained by the Nef PROTACs, we tested the most active analogs in HIV-infected PBMCs from normal donors. PBMCs were infected with wild-type and Nef-defective HIV-1 NL4-3 under conditions where the presence of Nef enhanced replication by 3.3-fold consistent with prior work (FIG.8A). Cultures infected with wild-type HIV-1 were incubated with each PROTAC at final concentration of 1 μM, and the extent of replication was assessed using a p24 Gag AlphaLISA assay 48 h later. All eight PROTACs showed antiviral activity, with six of eight analogs completely suppressing Nef-dependent enhancement of viral replication (FIG.7A). To assess cytotoxicity, uninfected PBMCs were incubated with each Nef PROTAC at 1 μM for 48 h, followed by assessment of viability with the CellTiter-Blue Assay. PBMCs treated with seven of the eight PROTACs showed viability of 90% or more compared to the DMSO control (FIG. 7B). The one exception was Example 20, which reduced viability by 20%; this observation may explain why this analog reduced HIV-1 replication below the level of ΔNef. Together with the receptor rescue data, these results suggest that targeted degradation of Nef via selective PROTACs has the potential combat all Nef functions in HIV infected cells. KD values KD Nef (NL43 Example KD Nef (SF2 variant) KD CRBN
WR/wr 8123-109882-02 06/20/24 06285 FILED VIA EFS ON June 20, 2024 11 7.58E-08 8.80E-07 9.96E-07 12 1.05E-06 4.88E-07 5.76E-07
WR/wr 8123-109882-02 06/20/24 06285 FILED VIA EFS ON June 20, 2024 42 1.28E-06 4.52E-07 4.25E-07 43 6.40E-07 8.12E-08 1.16E-08
WR/wr 8123-109882-02 06/20/24 06285 FILED VIA EFS ON June 20, 2024 73 6.85E-07 5.97E-07 74 1.37E-07 1.19E-07 1.22E-07
ts NL4-3 and SF2) and the thalidomide-binding domain of the E3 ligase component, Cereblon (CRBN). All KD values are derived from SPR with the Nef and CRBN proteins immobilized on the biosensor and each analog as analyte. Kinetic constants were obtained from 1:1 Langmuir curve fitting and used to generate the dissociation constants from the relationship KD = kd/ka. No values are present in the CRBN column for analogs based on VHL E3 ligands. Not all analogs were tested against Nef-SF2. In view of the many possible embodiments to which the principles of the disclosed invention may be applied, it should be recognized that the illustrated embodiments are only preferred examples of the invention and should not be taken as limiting the scope of the invention.
Claims
WR/wr 8123-109882-02 06/20/24 06285 FILED VIA EFS ON June 20, 2024 What is claimed is: 1. A compound of formula I, or a stereoisomer, isotopomer, tautomer, or pharmaceutically acceptable salt thereof:
wherein a ligand that binds to a Nef protein (NB) is covalently attached via a linker (L) to a ligand that binds to a E3 ligase cereblon (CB). 2. The compound of claim 1 wherein the ligand CB is selected from CB1 – CB22:
WR/wr 8123-109882-02 06/20/24 06285 FILED VIA EFS ON June 20, 2024 O O O O Ra Ra N O N O 6 N O N N O
wherein: the linker is attached to the position marked with ; A is C(=O) or CH2; Ra is H, halo, cyano, lower alkyl, lower haloalkyl, lower alkoxy or lower haloalkoxy; Rb is H or lower alkyl. 3. The compound of claim 1 or 2, wherein the linker L comprises 0-30 divalent moieties selected from CH2, C≡C, C(=O), NH, NMe, O, S, S(=O), SO2, piperazinyl, piperidinyl, pyrrolidinyl and azetidinyl, connected such that no O-O or N-O bonds are formed. 4. The compound of any one of claims 1 to 3, wherein the ligand for Nef is a compound of Formula NB:
WR/wr 8123-109882-02 06/20/24 06285 FILED VIA EFS ON June 20, 2024 R H N N N Xm
the linker is attached to any position bearing a hydrogen atom; G is CH or N; R is phenyl, pyridinyl, piperidinyl, pyrrolidinyl or azetidinyl, optionally substituted with 0-3 groups independently selected from Y; X, Y and Z are each independently halo, cyano, lower alkyl, lower haloalkyl, lower alkoxy, lower haloalkoxy, lower alkylcarbonyl, lower alkoxycarbonyl, or lower alkylsulfonyl; m and n are independently 0, 1, 2 or 3; and o is 1 or 2. 5. The compound of any one of claims 2 to 4, wherein in CB1, CB2, CB3 and CB5-CB22, Ra is hydrogen of fluorine. 6. The compound of any one of claims 2 to 4, wherein in CB5-CB10 and CB17, Rb is hydrogen or methyl. 7. The compound of any one of claims 2 to 4, wherein the ligand CB is CB1 or CB2. 8. The compound of claim 7, wherein A in CB1 or CB2 is C(=O) or CH2. 9. The compound of any one of claims 1 to 8, wherein the linker includes an amide of formula -C(=O)NH-, an ethylene glycol moiety of formula -OCH2CH2O-, a piperazine moiety of formula , or a piperidine moiety of formula .
WR/wr 8123-109882-02 06/20/24 06285 FILED VIA EFS ON June 20, 2024 10. The compound of any one of claims 2 to 8, wherein the linker is attached to CB1-CB22 by a piperazine moiety of formula that is included in the linker, or is attached to CB1-CB22 by a piperidine moiety of formula
that is included in the linker, or is attached to CB1-CB22 by an alkyne moiety of formula -C≡C- that is included the
linker, or the linker is attached to CB1-CB22 by an ether oxygen, or the linker is attached to CB1-CB22 by a -CH2- group, or the linker is attached to CB1-CB22 by an -NH- group, or the linker is attached to CB1 by a -NHCH2CH2NH- moiety, or the linker is attached to CB1 by a -NMeCH2CH2NH- moiety, or the linker is attached to CB1 by a -OCH2C(=O)NH- moiety, or the linker is attached to CB2 by 1,4-piperazinyl moiety. 11. The compound of any one of claims 2 to 8 or 10, wherein the linker is attached to NB by a - CH2- moiety, or the linker is attached to NB by a -C(=O)- moiety, or the linker is attached to NB by an -O- atom. 12. The compound of claim 1 or 2, wherein the linker L is of Formula II, Formula III or Formula IV: O O O LC
wherein LC comprises 0-10 divalent moieties selected from CH2, C ≡C, C(=O), NH, NMe, O, S, S(=O), SO 2, piperazinyl, piperidinyl, pyrrolidinyl and azetidinyl, connected such that no O-O or N-O bonds are formed; LN comprises 0-10 divalent moieties selected from CH2, C≡C, C(=O), NH, NMe, O, S, S(=O), SO2, piperazinyl, piperidinyl, pyrrolidinyl and azetidinyl, connected such that no O-O or N-O bonds are formed; LC is attached to the cereblon binding moiety; and LN is attached to the Nef binding moiety; or
WR/wr 8123-109882-02 06/20/24 06285 FILED VIA EFS ON June 20, 2024 LC comprises 0-10 divalent moieties selected from CH2, NH, NMe, O, S, SO2, piperazinyl, piperidinyl, pyrrolidinyl and azetidinyl, connected such that no O-O or N-O bonds are formed; LN comprises 0-10 divalent moieties selected from CH2, NH, NMe, O, S, SO2, piperazinyl, piperidinyl, pyrrolidinyl and azetidinyl, connected such that no O-O or N-O bonds are formed; LC is attached to the cereblon binding moiety; and and LN is attached to the Nef binding moiety.
WR/wr 8123-109882-02 06/20/24 06285 FILED VIA EFS ON June 20, 2024 13. The compound of any one of claims 1 to 8, wherein the linker is selected from L1-L26:
wherein p and p’ are independently 0 to 7 and p’’ is 1 to 7, provided that p + p’ is < 10 and p + p’’ is <10, any NH may be substituted methyl to give NMe.
WR/wr 8123-109882-02 06/20/24 06285 FILED VIA EFS ON June 20, 2024 14. The compound of any one of claims 1 to 8, wherein the linker is selected from .
15. The compound of any one of claims 4 to 14, wherein R is phenyl or 4-piperidinyl. 16. The compound of any one of claims 4 to 15, wherein X is hydrogen, fluorine or chlorine. 17. The compound of any one of claims 4 to 16, wherein Z is F or is absent. 18. The compound of any one of claims 4 to 17, wherein Y is CF3 or is absent. 19. The compound of any one of claims 4 to 18, wherein the linker is attached to the phenyl ring bearing substituent Z.
WR/wr 8123-109882-02 06/20/24 06285 FILED VIA EFS ON June 20, 2024 20. The compound of any one of claims 4 to 18, wherein the linker is attached to the para position of the phenyl ring bearing substituent Z. 21. The compound of any one of claims 4 to 18, wherein the linker is attached to the R. 22. The compound of any one of claims 4 to 18, wherein R is phenyl and the linker is attached to the para position. 23. The compound of any one of claims 4 to 18, wherein R is 4-piperidinyl and the linker is attached to the piperidine nitrogen atom. 24. The compound of any one of claims 4 to 14, wherein NB is NB1, NB2 or NB3: Y H N X
wherein: the linker is attached at the position marked with ; X is selected from H or halogen; Y is selected from halo, lower alkylsulfonyl and lower haloalkyl; Y’ is lower alkoxycarbonyl; and Z is fluorine. 25. The compound of claim 24, wherein X in NB1-NB3 and NB5 is chlorine.
WR/wr 8123-109882-02 06/20/24 06285 FILED VIA EFS ON June 20, 2024 26. The compound of claim 24 or 25, wherein NB1 is attached via a linker L to CB1, or NB1 is attached via a linker L to CB2. 27. The compound of claim 24 or 25, wherein NB2 is attached via a linker L to CB1, or NB2 is attached via a linker L to CB2. 28. The compound of claim 24 or 25, wherein NB3 is attached via a linker L to CB1, or NB3 is attached via a linker L to CB2. 29. The compound of claim 1, wherein the compound of Formula I has structure Ia: F F F Cl
wherein A is C(=O) or CH2, Rc is H or Me, Rd is H or Me, r is 1, 2 or 3 and LN comprises 0-6 divalent moieties selected from CH2, C≡C, C(=O), NH, NMe, O, S, S(=O), SO2, piperazinyl, piperidinyl, pyrrolidinyl and azetidinyl, connected such that no O-O or N-O bonds are formed; 30. The compound of claim 1, wherein the compound of Formula I has structure Ib:
WR/wr 8123-109882-02 06/20/24 06285 FILED VIA EFS ON June 20, 2024 O NH Cl
wherein is C(=O) or CH2, Rc is H or Me, Rd is H or Me, r is 1, 2 or 3 and LN comprises 4 to 16 divalent moieties selected from CH2, C≡C, C(=O), NH, NMe, O, S, S(=O), SO2, piperazinyl, piperidinyl, pyrrolidinyl and azetidinyl, connected such that no O-O or N-O bonds are formed. 31. The compound of claim 1, wherein the compound of Formula I has structure Ic: O
WR/wr 8123-109882-02 06/20/24 06285 FILED VIA EFS ON June 20, 2024 wherein is C(=O) or CH2,, and LN comprises 4 to 16 divalent moieties selected from CH2, C≡C, C(=O), NH, NMe, O, S, S(=O), SO2, piperazinyl, piperidinyl, pyrrolidinyl and azetidinyl, connected such that no O-O or N-O bonds are formed. 32. The compound of claim 1, wherein the compound of Formula I has structure Id: O NH
wherein A is C(=O) or CH2, and LC comprises 0-6 divalent moieties selected from CH2, C≡C, C(=O), NH, NMe, O, S, S(=O), SO2, piperazinyl, piperidinyl, pyrrolidinyl and azetidinyl, connected such that no O-O or N-O bonds are formed. 33. The compound of claim 1, wherein the compound is selected from: F F Example
WR/wr 8123-109882-02 06/20/24 06285 FILED VIA EFS ON June 20, 2024 F Example F F 14
WR/wr 8123-109882-02 06/20/24 06285 FILED VIA EFS ON June 20, 2024 O Example NH 52 le
WR/wr 8123-109882-02 06/20/24 06285 FILED VIA EFS ON June 20, 2024 O Example 2 NH
34. A pharmaceutical composition comprising at least one compound of any one of claims 1 to 33 and at least one pharmaceutically acceptable excipient. 35. A pharmaceutical composition comprising at least one compound of any one of claims 1 to 33 and at least one antiretroviral agent. 36. The pharmaceutical composition of claim 35, wherein the at least one antiretroviral agent is selected from an entry inhibitor, a CCR5 receptor antagonist, a nucleoside reverse transcriptase inhibitor, a non-nucleoside reverse transcriptase inhibitor, a protease inhibitor, an integrase inhibitor, a maturation inhibitor, or combinations thereof. 37. The pharmaceutical composition of claim 35, wherein the at least one antiretroviral agent is selected from maraviroc, enfuvirtide, aplaviroc, vicriviroc, zidovudine, didanosine, zalcitabine, stavudine, lamivudine, abacavir, emtricitabine, entecavir, apricitabine, tenofovir, adefovir, efavirenz, nevirapine, delavirdine, etravirine, rilpivirine, saquinavir, ritonavir, indinavir, nelfinavir, amprenavir, lopinavir, atazanavir, fosamprenavir, tipranavir, darunavir, MK-2048, elvitegravir, bevirimat, MPC-9055, lenacapavir, cabotegravir, fostemsavir or a combination thereof. 38. A method comprising administering to a subject having, suspected of having, or at risk of developing, HIV an effective amount of at least one compound selected from any one of claims 1 to 33.
WR/wr 8123-109882-02 06/20/24 06285 FILED VIA EFS ON June 20, 2024 39. A method comprising administering to a subject having, suspected of having, or at risk of developing, HIV an effective amount of a pharmaceutical composition of any one of claims 34 to 37. 40. A method of treating an HIV-related condition in a subject comprising administering to a subject in need thereof an effective amount of at least one compound selected from any one of claims 1 to 33. 41. The method according to claim 40 wherein the HIV-related condition is selected from HIV replication, HIV-associated CD4+ T-cell loss and immunodeficiency, HIV-induced infection, Kaposi’s sarcoma, HIV-associated nephropathy, AIDS dementia complex, or a combination thereof. 42. The method of claim 40 or 41 wherein the subject is administered the compound post-exposure prophylactically. 43. The method of any one of claims 40 to 42, further comprising co-administering to the subject at least one antiretroviral agent. 44. A method for inhibiting a biological function of Nef, comprising contacting Nef with an effective amount of at least one compound of any one of claims 1 to 33. 45. The method of claim 44 wherein the biological function of Nef is selected from HIV infectivity, HIV replication, MHC-I downregulation or AIDS progression. 46. A method of inhibiting an activity of a Nef-dependent kinase comprising contacting the Nef- dependent kinase with an effective amount of at least one compound of any one of claims 1 to 33.
Applications Claiming Priority (2)
| Application Number | Priority Date | Filing Date | Title |
|---|---|---|---|
| US202363522932P | 2023-06-23 | 2023-06-23 | |
| US63/522,932 | 2023-06-23 |
Publications (1)
| Publication Number | Publication Date |
|---|---|
| WO2024263781A1 true WO2024263781A1 (en) | 2024-12-26 |
Family
ID=93936382
Family Applications (1)
| Application Number | Title | Priority Date | Filing Date |
|---|---|---|---|
| PCT/US2024/034821 Pending WO2024263781A1 (en) | 2023-06-23 | 2024-06-20 | Targeted degraders of hiv-1 nef for the treatment of hiv disease |
Country Status (1)
| Country | Link |
|---|---|
| WO (1) | WO2024263781A1 (en) |
Citations (4)
| Publication number | Priority date | Publication date | Assignee | Title |
|---|---|---|---|---|
| US20110190241A1 (en) * | 2008-05-14 | 2011-08-04 | Lori Emert-Sedlak | Targeting an hiv-1 nef-host cell kinase complex |
| US20200385406A1 (en) * | 2017-12-22 | 2020-12-10 | Southern Research Institute | Substituted heterocyclic-pyridinones as hiv-1 nef-hck inhibitors |
| US20230118911A1 (en) * | 2020-03-12 | 2023-04-20 | Julius-Maximilians-Universitaet Wuerzburg | Proteolysis targeting chimera (protac) for degradation of aurora a-kinase |
| US20230183209A1 (en) * | 2017-01-31 | 2023-06-15 | Arvinas Operations, Inc. | Cereblon ligands and bifunctional compounds comprising the same |
-
2024
- 2024-06-20 WO PCT/US2024/034821 patent/WO2024263781A1/en active Pending
Patent Citations (4)
| Publication number | Priority date | Publication date | Assignee | Title |
|---|---|---|---|---|
| US20110190241A1 (en) * | 2008-05-14 | 2011-08-04 | Lori Emert-Sedlak | Targeting an hiv-1 nef-host cell kinase complex |
| US20230183209A1 (en) * | 2017-01-31 | 2023-06-15 | Arvinas Operations, Inc. | Cereblon ligands and bifunctional compounds comprising the same |
| US20200385406A1 (en) * | 2017-12-22 | 2020-12-10 | Southern Research Institute | Substituted heterocyclic-pyridinones as hiv-1 nef-hck inhibitors |
| US20230118911A1 (en) * | 2020-03-12 | 2023-04-20 | Julius-Maximilians-Universitaet Wuerzburg | Proteolysis targeting chimera (protac) for degradation of aurora a-kinase |
Non-Patent Citations (1)
| Title |
|---|
| EMERT-SEDLAK LORI A.; TICE COLIN M.; SHI HAIBIN; ALVARADO JOHN J.; SHU SHERRY T.; REITZ ALLEN B.; SMITHGALL THOMAS E.: "PROTAC-mediated degradation of HIV-1 Nef efficiently restores cell-surface CD4 and MHC-I expression and blocks HIV-1 replication", CELL CHEMICAL BIOLOGY, ELSEVIER, AMSTERDAM, NL, vol. 31, no. 4, 19 March 2024 (2024-03-19), AMSTERDAM, NL , pages 658, XP087512838, ISSN: 2451-9456, DOI: 10.1016/j.chembiol.2024.02.004 * |
Similar Documents
| Publication | Publication Date | Title |
|---|---|---|
| US8420823B2 (en) | Long-chain fatty acyl elongase inhibitor comprising arylsulfonyl derivative as active ingredient | |
| US12221416B2 (en) | Antagonists of human integrin α4β7 | |
| EP1448523B1 (en) | Heterocyclic compounds and methods of use | |
| KR20220004978A (en) | Androgen receptor modulators and methods for use as proteolytic target chimeric ligands | |
| CA3007280A1 (en) | Apelin receptor agonists and methods of use | |
| WO2006030807A1 (en) | Carbamoylpyridone derivative having hiv integrase inhibitory activity | |
| JP2007501263A (en) | N-acyl nitrogen heterocycles as ligands for peroxisome proliferator-activated receptors | |
| AU2013344603A1 (en) | Pyrrolidine GPR40 modulators | |
| CA2856769A1 (en) | Novel 2h-indazoles as ep2 receptor antagonists | |
| JP2022521453A (en) | Heterocyclic derivative | |
| TW202229309A (en) | Compositions and methods for treatment of coronavirus infection | |
| WO2024263781A1 (en) | Targeted degraders of hiv-1 nef for the treatment of hiv disease | |
| US11905273B2 (en) | Inhibitors for the B-catenin/B-cell lymphoma 9 (BCL9) protein-protein interaction | |
| US20220380341A1 (en) | Inhibitors of hiv-1 nef for the treatment of hiv disease | |
| US20060035932A1 (en) | N-aryl piperidine compounds | |
| HK1068874B (en) | Heterocyclic compounds and methods of use |
Legal Events
| Date | Code | Title | Description |
|---|---|---|---|
| 121 | Ep: the epo has been informed by wipo that ep was designated in this application |
Ref document number: 24826644 Country of ref document: EP Kind code of ref document: A1 |
|
| WWE | Wipo information: entry into national phase |
Ref document number: AU2024312123 Country of ref document: AU |







































































































































































