WO2022010537A1 - Gas41 inhibitors and methods of use thereof - Google Patents
Gas41 inhibitors and methods of use thereof Download PDFInfo
- Publication number
- WO2022010537A1 WO2022010537A1 PCT/US2021/015263 US2021015263W WO2022010537A1 WO 2022010537 A1 WO2022010537 A1 WO 2022010537A1 US 2021015263 W US2021015263 W US 2021015263W WO 2022010537 A1 WO2022010537 A1 WO 2022010537A1
- Authority
- WO
- WIPO (PCT)
- Prior art keywords
- alkyl
- compound
- heteroaryl
- pharmaceutically acceptable
- aryl
- Prior art date
- Legal status (The legal status is an assumption and is not a legal conclusion. Google has not performed a legal analysis and makes no representation as to the accuracy of the status listed.)
- Ceased
Links
- 0 CC(C)N1CC(*)CC1 Chemical compound CC(C)N1CC(*)CC1 0.000 description 17
- PTJRZEFRMSJRIJ-ZWPWDKLBSA-N NC(/C1=C/C=C\C=C/C=C\C1)=O Chemical compound NC(/C1=C/C=C\C=C/C=C\C1)=O PTJRZEFRMSJRIJ-ZWPWDKLBSA-N 0.000 description 1
- ULTTYWJLMOUBNI-KRWDZBQOSA-N NCc(cc1)ccc1-c1cnc(C(C2)CN2C(c2ccc(NC([C@H]3NCCC3)=O)[s]2)=O)[s]1 Chemical compound NCc(cc1)ccc1-c1cnc(C(C2)CN2C(c2ccc(NC([C@H]3NCCC3)=O)[s]2)=O)[s]1 ULTTYWJLMOUBNI-KRWDZBQOSA-N 0.000 description 1
Classifications
-
- C—CHEMISTRY; METALLURGY
- C07—ORGANIC CHEMISTRY
- C07D—HETEROCYCLIC COMPOUNDS
- C07D417/00—Heterocyclic compounds containing two or more hetero rings, at least one ring having nitrogen and sulfur atoms as the only ring hetero atoms, not provided for by group C07D415/00
- C07D417/14—Heterocyclic compounds containing two or more hetero rings, at least one ring having nitrogen and sulfur atoms as the only ring hetero atoms, not provided for by group C07D415/00 containing three or more hetero rings
-
- C—CHEMISTRY; METALLURGY
- C07—ORGANIC CHEMISTRY
- C07D—HETEROCYCLIC COMPOUNDS
- C07D409/00—Heterocyclic compounds containing two or more hetero rings, at least one ring having sulfur atoms as the only ring hetero atoms
- C07D409/02—Heterocyclic compounds containing two or more hetero rings, at least one ring having sulfur atoms as the only ring hetero atoms containing two hetero rings
- C07D409/12—Heterocyclic compounds containing two or more hetero rings, at least one ring having sulfur atoms as the only ring hetero atoms containing two hetero rings linked by a chain containing hetero atoms as chain links
-
- A—HUMAN NECESSITIES
- A61—MEDICAL OR VETERINARY SCIENCE; HYGIENE
- A61K—PREPARATIONS FOR MEDICAL, DENTAL OR TOILETRY PURPOSES
- A61K47/00—Medicinal preparations characterised by the non-active ingredients used, e.g. carriers or inert additives; Targeting or modifying agents chemically bound to the active ingredient
- A61K47/50—Medicinal preparations characterised by the non-active ingredients used, e.g. carriers or inert additives; Targeting or modifying agents chemically bound to the active ingredient the non-active ingredient being chemically bound to the active ingredient, e.g. polymer-drug conjugates
- A61K47/51—Medicinal preparations characterised by the non-active ingredients used, e.g. carriers or inert additives; Targeting or modifying agents chemically bound to the active ingredient the non-active ingredient being chemically bound to the active ingredient, e.g. polymer-drug conjugates the non-active ingredient being a modifying agent
- A61K47/54—Medicinal preparations characterised by the non-active ingredients used, e.g. carriers or inert additives; Targeting or modifying agents chemically bound to the active ingredient the non-active ingredient being chemically bound to the active ingredient, e.g. polymer-drug conjugates the non-active ingredient being a modifying agent the modifying agent being an organic compound
- A61K47/55—Medicinal preparations characterised by the non-active ingredients used, e.g. carriers or inert additives; Targeting or modifying agents chemically bound to the active ingredient the non-active ingredient being chemically bound to the active ingredient, e.g. polymer-drug conjugates the non-active ingredient being a modifying agent the modifying agent being an organic compound the modifying agent being also a pharmacologically or therapeutically active agent, i.e. the entire conjugate being a codrug, i.e. a dimer, oligomer or polymer of pharmacologically or therapeutically active compounds
-
- A—HUMAN NECESSITIES
- A61—MEDICAL OR VETERINARY SCIENCE; HYGIENE
- A61P—SPECIFIC THERAPEUTIC ACTIVITY OF CHEMICAL COMPOUNDS OR MEDICINAL PREPARATIONS
- A61P35/00—Antineoplastic agents
-
- C—CHEMISTRY; METALLURGY
- C07—ORGANIC CHEMISTRY
- C07D—HETEROCYCLIC COMPOUNDS
- C07D333/00—Heterocyclic compounds containing five-membered rings having one sulfur atom as the only ring hetero atom
- C07D333/02—Heterocyclic compounds containing five-membered rings having one sulfur atom as the only ring hetero atom not condensed with other rings
- C07D333/04—Heterocyclic compounds containing five-membered rings having one sulfur atom as the only ring hetero atom not condensed with other rings not substituted on the ring sulphur atom
- C07D333/26—Heterocyclic compounds containing five-membered rings having one sulfur atom as the only ring hetero atom not condensed with other rings not substituted on the ring sulphur atom with hetero atoms or with carbon atoms having three bonds to hetero atoms with at the most one bond to halogen, e.g. ester or nitrile radicals, directly attached to ring carbon atoms
- C07D333/38—Carbon atoms having three bonds to hetero atoms with at the most one bond to halogen, e.g. ester or nitrile radicals
-
- C—CHEMISTRY; METALLURGY
- C07—ORGANIC CHEMISTRY
- C07D—HETEROCYCLIC COMPOUNDS
- C07D409/00—Heterocyclic compounds containing two or more hetero rings, at least one ring having sulfur atoms as the only ring hetero atoms
- C07D409/02—Heterocyclic compounds containing two or more hetero rings, at least one ring having sulfur atoms as the only ring hetero atoms containing two hetero rings
- C07D409/06—Heterocyclic compounds containing two or more hetero rings, at least one ring having sulfur atoms as the only ring hetero atoms containing two hetero rings linked by a carbon chain containing only aliphatic carbon atoms
-
- C—CHEMISTRY; METALLURGY
- C07—ORGANIC CHEMISTRY
- C07D—HETEROCYCLIC COMPOUNDS
- C07D409/00—Heterocyclic compounds containing two or more hetero rings, at least one ring having sulfur atoms as the only ring hetero atoms
- C07D409/14—Heterocyclic compounds containing two or more hetero rings, at least one ring having sulfur atoms as the only ring hetero atoms containing three or more hetero rings
-
- C—CHEMISTRY; METALLURGY
- C07—ORGANIC CHEMISTRY
- C07D—HETEROCYCLIC COMPOUNDS
- C07D487/00—Heterocyclic compounds containing nitrogen atoms as the only ring hetero atoms in the condensed system, not provided for by groups C07D451/00 - C07D477/00
- C07D487/02—Heterocyclic compounds containing nitrogen atoms as the only ring hetero atoms in the condensed system, not provided for by groups C07D451/00 - C07D477/00 in which the condensed system contains two hetero rings
- C07D487/10—Spiro-condensed systems
-
- C—CHEMISTRY; METALLURGY
- C07—ORGANIC CHEMISTRY
- C07D—HETEROCYCLIC COMPOUNDS
- C07D495/00—Heterocyclic compounds containing in the condensed system at least one hetero ring having sulfur atoms as the only ring hetero atoms
- C07D495/02—Heterocyclic compounds containing in the condensed system at least one hetero ring having sulfur atoms as the only ring hetero atoms in which the condensed system contains two hetero rings
- C07D495/04—Ortho-condensed systems
Definitions
- small molecules that bind to GAS41 and inhibit GAS41 activity, and methods of use thereof for the treatment of cancer.
- YEATS domain containing proteins belong to a relatively newly-discovered family of epigenetic reader proteins and include four human paralogs: ENL, YEATS2, AF9 and GAS41. Biochemical studies have revealed that YEATS domains bind to chromatin by recognizing histones with acetylated or crotonylated lysine side chains.
- GAS41 (Glioma amplified sequence 41) is an emerging oncogene that is overexpressed and implicated in multiple cancers. Amplifications of GAS41 have been identified in brain cancer patients, including 23% of glioblastomas and 80% of astrocytomas (Fischer etal., Hum. Genet. 98, 625-628 (1996); Fischer et al. Hum. Mol. Genet. 6, 1817- 1822 (1997)). GAS41 is also frequently amplified in sarcomas (Italiano et al. Int. J. Cancer 122, 2233-2241 (2008); Barretina et al. Nat. Genet. 42, 715-721 (2010)), colorectal (Tao et al. Am.
- GAS41 Knockdown of GAS41 in a panel ofNSCLC cell lines with GAS41 amplification strongly impaired cell growth and formation of colonies (Pikor 2013; Hsu 2018). Furthermore, GAS41 binds to promoter regions of actively transcribed genes enriched in H3K27ac, suggesting that recognition of acetylated H3 is necessary for chromatin binding and its oncogenic activity (Hsu et al. Genes Dev 32, 58-69 (2018)).
- small molecules that bind to GAS41 and inhibit GAS41 activity, and methods of use thereof for the treatment of cancer.
- the disclosure provides a compound of formula (I): or a pharmaceutically acceptable salt thereof, wherein:
- R 1 is selected from heterocyclyl, heterocyclylalkyl, heteroaryl, heteroarylalkyl, aryl, arylalkyl, cycloalkyl, cycloalkylalkyl, alkyl, alkenyl, alkynyl, hydroxy, alkoxy, thioalkyl, halogen, haloalkyl, carboxy, acyl, amido, cyano, sulfonyl, and hydrogen;
- X is -C(O)-, -C(S)-, -CH 2 -, or -SO2-, or is absent;
- Y is -NR a - or -O-;
- R a is selected from hydrogen, alkyl, haloalkyl, heteroalkyl, cycloalkyl, hydroxyalkyl, and aminoalkyl, or R a is taken together with the nitrogen atom to which it is attached to form a fused ring with A, or R a and R 1 together with the atoms to which they are attached together form an optionally substituted heterocyclic ring;
- Z is absent or is -CR b R c -;
- R b and R c are each independently selected from hydrogen and alkyl
- A is a five-membered heteroaryl
- Q is a four-, five-, or six-membered heterocyclyl
- R 2 is selected from hydrogen, halo, alkyl, amino, and hydroxy
- R 3 is selected from hydrogen, halo, -OR d , -NR e R f , aryl, arylalkyl, heteroaryl, heteroarylalkyl, heterocyclyl, heterocyclylalkyl, and a group of formula: wherein B is aryl or heteroaryl; J is absent or is -CH 2 -, -O-, -S-, or -NH-; C is selected from aryl, heteroaryl, and heterocyclyl; m is 0, 1, 2, 3, or 4; n is 0, 1, 2, 3, 4, or 5; and R g and R h are each independently selected from alkyl, alkenyl, alkynyl, halo, haloalkyl, amino, alkylamino, dialkylamino, aminoalkyl, alkylaminoalkyl, dialkylaminoalkyl, amido, amidoalkyl, sulfonamido, sulfonamidoalkyl
- R d , R e , and R f are each independently selected from hydrogen, alkyl, haloalkyl, hydroxyalkyl, aminoalkyl, carboxyalkyl, heteroalkyl, aryl, arylalkyl, heteroaryl, heteroarylalkyl; wherein each alkyl, alkenyl, alkynyl, aryl, arylalkyl, heteroalkyl, heteroaryl, heteroarylalkyl, cycloalkyl, heterocyclyl, and heterocyclylalkyl is independently optionally substituted with 1, 2, 3, 4, or 5 substituents, with the proviso that when Z is -CR b R c -, R 1 is not cycloalkyl.
- R 1 is selected from heterocyclyl, alkyl, and aryl. In some embodiments, R 1 is a monocyclic heterocyclyl having 1 or 2 heteroatoms independently selected fromN, O, and S. In some embodiments, R 1 is pyrrolidinyl.
- X is -C(O)-.
- Y is -NR a -, and R a is hydrogen.
- Z is absent.
- A is a five-membered heteroaryl having 1, 2, or 3 heteroatoms independently selected fromN, O, and S. In some embodiments, A is selected from thiophene and thiazole. In some embodiments, A is thiophene.
- Q is selected from azetidine, pyrrolidine, and piperidine. In some embodiments, Q is azetidine.
- R 2 is hydrogen
- R 3 is a group of formula
- B is a 5-membered monocyclic heteroaryl having 1 or 2 heteroatoms independently selected from N and S; J is absent; C is selected from aryl, heteroaryl, and heterocyclyl; m is 0 or 1; n is 0, 1, 2, or 3; R g is C 1 -C 6 alkyl; and each R h is independently selected from alkyl, halo, haloalkyl, amino, aminoalkyl, amido, amidoalkyl, sulfonamido, sulfonamidoalkyl, acyl, aryl, arylalkyl, heteroaryl, heteroarylalkyl, heterocyclyl, heterocyclylalkyl, cycloalkyl, and cycloalkylalkyl.
- the group a formula selected from: wherein R x , R y , and R z are substituents that are each independently selected from -OR v , aryl, and heteroaryl, wherein R v is selected from C 1 -C 6 alkyl, aryl and heteroaryl.
- compound has formula (la):
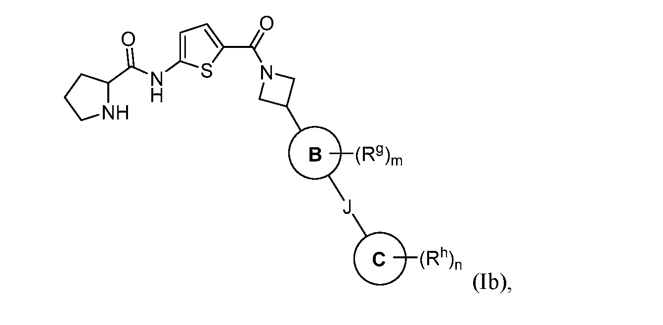
- the compound has formula (lb):
- the compound has formula (Ic):
- n is 0, 1, 2 or 3; and each R h is independently selected from C 1 -C 6 alkyl, halo, halo-C 1 -C 6 -alkyl, amino, amino-C 1 -C 6 -alkyl, hydroxy, hydroxy-C 1 -C 6 -alkyl, C 1 -C 6 alkoxy, amido, amido-C 1 -C 6 -alkyl, acyl, aryl, aryl-C 1 -C 6 -alkyl, heteroaryl, heteroaryl-C 1 -C 6 -alkyl, heterocyclyl, heterocyclyl-Ci- C 6 -alkyl, cycloalkyl, and cycloalkyl-C 1 -C 6 -alkyl.
- At least one R h has formula - (CH 2 ) r C(O)NR 1 R i or - (CH 2 ) s NR k C(O)R m , wherein: r and s are each independently selected from 0, 1, and 2;
- R i and R k are each independently selected from hydrogen and C 1 -C 6 alkyl
- R j is selected from C 1 -C 6 -alkyl, aryl, aryl-C 1 -C 6 -alkyl, heteroaryl, heteroaryl-C 1 -C 6 - alkyl, heterocyclyl, heterocyclyl-C 1 -C 6 -alkyl, cycloalkyl, and cycloalkyl-C 1 -C 6 -alkyl;
- R m is selected from C 1 -C 6 -alkyl, aryl, aryl-C 1 -C 6 -alkyl, heteroaryl, heteroaryl-C 1 -C 6 - alkyl, heterocyclyl, heterocyclyl-C 1 -C 6 -alkyl, cycloalkyl, and cycloalkyl- C 1 -C 6 -alkyl, amino, C 1 -C 6 -alkylamino, arylamino, and aryl-C 1 -C 6 -alkylamino; wherein each alkyl, aryl, heteroaryl, heterocyclyl, and cycloalkyl is independently unsubstituted or substituted with 1 or 2 substituents independently selected from halo, C 1 -C 6 - alkyl, C 1 -C 6 -alkoxy, hydroxy, amino and oxo.
- the compound is selected from the group consisting of compounds shown in Table 1, or a pharmaceutically acceptable salt thereof.
- the disclosure provides a compound of formula (Ila): or a pharmaceutically acceptable salt thereof, wherein: R 1 and R 1 are each independently selected from heterocyclyl, heterocyclylalkyl, heteroaryl, heteroarylalkyl, aryl, arylalkyl, cycloalkyl, cycloalkylalkyl, alkyl, alkenyl, alkynyl, hydroxy, alkoxy, thioalkyl, halogen, haloalkyl, carboxy, acyl, amido, cyano, sulfonyl, and hydrogen;
- X and X’ are each independently absent or selected from -C(O)-, -C(S)-, -CH 2 -, and -
- Y and Y’ are each independently -NR a - or -O-;
- R a is selected from hydrogen, alkyl, haloalkyl, heteroalkyl, cycloalkyl, hydroxyalkyl, and aminoalkyl, or R a is taken together with the nitrogen atom to which it is attached to form a fused ring with A, or R a and R 1 together with the atoms to which they are attached together form an optionally substituted heterocyclic ring;
- Z and Z’ are each independently absent or -CR b R c -;
- R b and R c are each independently selected from hydrogen and alkyl
- a and A’ are each independently a five-membered heteroaryl ring
- Q and Q’ are each independently a four-, five-, or six-membered heterocycle
- R 2 and R 2 ’ are each independently selected from hydrogen, halo, alkyl, amino, and hydroxy;
- R 3 and R 3 ’ are each independently selected from aryl, heteroaryl, cycloalkyl, heterocyclyl, and a group of formula: wherein B is aryl or heteroaryl; J is absent or is -CH 2 -, -O-, -S-, or -NH-; C is selected from aryl, heteroaryl, and heterocyclyl; m is 0, 1, 2, 3, or 4; n is 0, 1, 2, 3, or 4; and R g and R h are each independently selected from alkyl, alkenyl, alkynyl, halo, haloalkyl, amino, alkylamino, dialkylamino, aminoalkyl, alkylaminoalkyl, dialkylaminoalkyl, amido, amidoalkyl, sulfonamido, sulfonamidoalkyl, urea, ureaalkyl, thiourea, thioureaalkyl, hydroxy, hydroxy
- R 1 and R 1 ’ are the same, R 2 and R 2 ’ are the same, R 3 and R 3 ’ are the same, X and X’ are the same, Y and Y’ are the same, Z and Z’ are the same, A and A’ are the same, and Q and Q’ are the same.
- R 1 and R 1 ’ are each a 4- or 5- membered monocyclic heterocyclyl.
- R 1 and R 1 ’ are pyrrolidine.
- X and X’ are -C(O)-.
- Y and Y’ are -NR a - , and R a is hydrogen.
- Z and Z’ are each absent.
- a and A’ are thiophene or thiazole.
- Q and Q’ are selected from azetidine and pyrrolidine.
- R 2 and R 2 ’ are hydrogen.
- R 3 and R 3 are selected from aryl, heteroaryl, and a group of formula:
- R 3 and R 3 are each a group of formula: wherein B is a 5-membered monocyclic heteroaryl having 1 or 2 heteroatoms independently selected from N, S or O; J is absent; C is selected from aryl, heteroaryl, and heterocyclyl; m is 0 or 1; R g is C 1 -C 6 alkyl; n is 0, 1, or 2; and each R h is independently selected from C 1 -C 6 alkyl, halo, C 1 -C 6 haloalkyl, amino, amino-C 1 -C 6 -alkyl, amido-C 1 -C 6 -alkyl, and heterocyclyl.
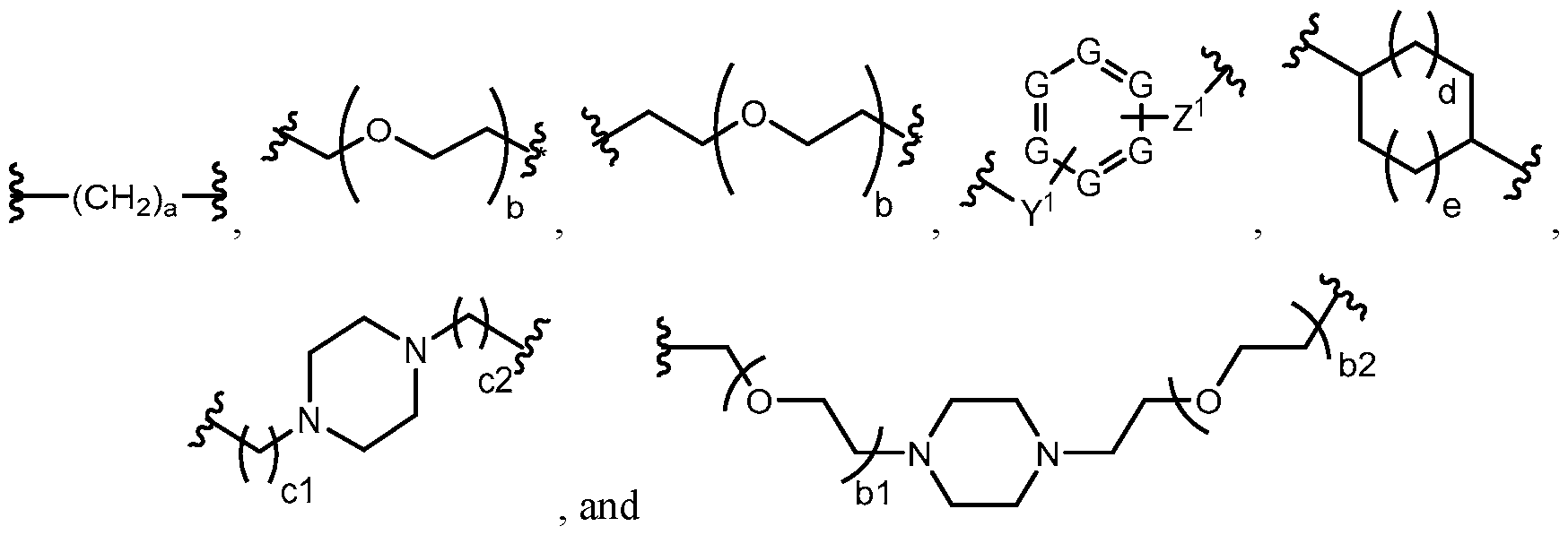
- L is selected from:
- a, al, and a2 are each independently selected from 1, 2, 3, 4, 5, 6, 7, 8, 9, 10, 11, and 12; b, bl, and b2 are each independently selected from 0, 1, 2, 3, 4, 5, and 6; c, cl, and c2 are each independently selected from 0, 1, 2, 3, 4, 5, 6, 7, 8, 9, 10, 11, and 12; d and e are each independently selected form 0, 1, and 2; each G is independently selected from CH and N; X 1 and X 2 are each independently O or -NR X , wherein R x is hydrogen or optionally substituted alkyl; and Y 1 and Z 1 are each independently selected from -CH 2 -, -NH-, and -O-.
- the compound is selected from the group consisting of compounds shown in Table 2, or a pharmaceutically acceptable salt thereof.
- the disclosure provides a compound of formula (IIb): or a pharmaceutically acceptable salt thereof, wherein:
- R 1 and R 1 are each independently selected from heterocyclyl, heterocyclylalkyl, heteroaryl, heteroarylalkyl, aryl, arylalkyl, cycloalkyl, cycloalkylalkyl, alkyl, alkenyl, and alkynyl;
- X and X’ are each independently absent or selected from -C(O)-, -C(S)-, -CH 2 -, and -
- Y and Y’ are each independently selected from -NR a - or -O-;
- R a is selected from hydrogen, alkyl, haloalkyl, heteroalkyl, cycloalkyl, hydroxyalkyl, and aminoalkyl, or R a is taken together with the nitrogen atom to which it is attached to form a fused ring with A;
- Z and Z’ are each independently absent or -CR b R c -;
- R b and R c are each independently selected from hydrogen and alkyl
- a and A’ are each independently a five-membered heteroaryl ring;
- Q and Q’ are each independently a four-, five-, or six-membered heterocyclyl;
- R 2 and R 2 ’ are each independently selected from hydrogen, halo, alkyl, amino, and hydroxy;
- R 3 and R 3 ’ are each independently selected from hydrogen, halo, -OR d , -NR e R f , aryl, arylalkyl, heteroaryl, heteroarylalkyl, heterocyclyl, and heterocyclylalkyl, and a group of formula: wherein B is aryl or heteroaryl; J is absent or is -CH 2 -, -O-, -S-, or -NH-; C is selected from aryl, heteroaryl, and heterocyclyl; m is 0, 1, 2, 3, or 4; n is 0, 1, 2, 3, or 4; and R g and R h are each independently selected from alkyl, alkenyl, alkynyl, halo, haloalkyl, amino, alkylamino, dialkylamino, aminoalkyl, alkylaminoalkyl, dialkylaminoalkyl, amido, amidoalkyl, sulfonamido, sulf
- R d , R e , and R f are each independently selected from hydrogen, alkyl, haloalkyl, hydroxyalkyl, aminoalkyl, carboxyalkyl, heteroalkyl, aryl, arylalkyl, and heteroaryl; and
- L is a linker; wherein each alkyl, alkenyl, alkynyl, aryl, arylalkyl, heteroalkyl, heteroaryl, heteroarylalkyl, cycloalkyl, heterocyclyl, and heterocyclylalkyl is independently optionally substituted with 1, 2, 3, 4, or 5 substituents.
- R 1 and R 1 ’ are the same, R 2 and R 2 ’ are the same, R 3 and R 3 ’ are the same, X and X’ are the same, Y and Y’ are the same, Z and Z’ are the same, A and A’ are the same, and Q and Q’ are the same.
- R 1 and R 1 ’ are each a 4- or 5- membered monocyclic heterocyclyl.
- R 1 and R 1 ’ are pyrrolidine.
- X and X’ are -C(O)-.
- Y and Y’ are -NR a - , and R a is hydrogen.
- Z and Z’ are each absent.
- a and A’ are thiophene or thiazole.
- Q and Q’ are selected from azetidine and pyrrolidine.
- R 2 and R 2 ’ are hydrogen.
- R 3 and R 3 are selected from hydrogen, aryl, heteroaryl, and a group of formula:
- R 3 and R 3 are selected from a monocyclic and bicyclic heteroaryl having 1, 2, or 3 heteroatoms independently selected from N and S.
- R 3 and R 3 are each a group of formula: wherein B is a 5-membered monocyclic heteroaryl having 1 or 2 heteroatoms independently selected from N and S; J is absent; C is selected from aryl, heteroaryl, and heterocyclyl; m is 0 or 1; R g is C 1 -C 6 alkyl; n is 0, 1, or 2; and each R h is independently selected from C 1 -C 6 alkyl, halo, C 1 -C 6 haloalkyl, amino, amino-C 1 -C 6 -alkyl, amido-C 1 -C 6 -alkyl, and heterocyclyl.
- L is selected from:
- a, a1, and a2 are each independently selected from 1, 2, 3, 4, 5, 6, 7, 8, 9, 10, 11, and 12; b, b1, and b2 are each independently selected from 0, 1, 2, 3, 4, 5, and 6; c, c1, and c2 are each independently selected from 0, 1, 2, 3, 4, 5, 6, 7, 8, 9, 10, 11, and 12; d and e are each independently selected form 0, 1, and 2; each G is independently selected from CH and N; X 1 and X 2 are each independently O or -NR X , wherein R x is hydrogen or optionally substituted alkyl; and Y 1 and Z 1 are each independently selected from -CH 2 -, -NH-, and -O-.
- the compound is selected from the group consisting of compounds shown in Table 2, or a pharmaceutically acceptable salt thereof.
- the disclosure provides a compound of formula (IIc): or a pharmaceutically acceptable salt thereof, wherein:
- R 1 is selected from heterocyclyl, heterocyclylalkyl, heteroaryl, heteroarylalkyl, aryl, arylalkyl, cycloalkyl, cycloalkylalkyl, alkyl, alkenyl, alkynyl, hydroxy, alkoxy, thioalkyl, halogen, haloalkyl, carboxy, acyl, amido, cyano, sulfonyl, and hydrogen;
- R 1 is selected from heterocyclyl, heterocyclylalkyl, heteroaryl, heteroarylalkyl, aryl, arylalkyl, cycloalkyl, cycloalkylalkyl, alkyl, alkenyl, and alkynyl;
- X and X’ are each independently absent or selected from -C(O)-, -C(S)-, -CH 2 -, and -
- Y and Y’ are each independently selected from -NR a - or -O-;
- R a is selected from hydrogen, alkyl, haloalkyl, heteroalkyl, cycloalkyl, hydroxyalkyl, and aminoalkyl, or R a is taken together with the nitrogen atom to which it is attached to form a fused ring with A, or R a and R 1 together with the atoms to which they are attached together form an optionally substituted heterocyclic ring;
- Z and Z’ are each independently absent or -CR b R c -;
- R b and R c are each independently selected from hydrogen and alkyl
- a and A’ are each independently a five-membered heteroaryl ring
- Q and Q’ are each independently a four-, five-, or six-membered heterocycle
- R 2 and R 2 ’ are each independently selected from hydrogen, halo, alkyl, amino, and hydroxy;
- R 3 is selected from aryl, heteroaryl, heterocyclyl, and a group of formula: wherein B is aryl or heteroaryl; J is absent or is -CH 2 -, -O-, -S-, or -NH-; C is selected from aryl, heteroaryl, and heterocyclyl; m is 0, 1, 2, 3, or 4; n is 0, 1, 2, 3, or 4; and R g and R h are each independently selected from alkyl, alkenyl, alkynyl, halo, haloalkyl, amino, alkylamino, dialkylamino, aminoalkyl, alkylaminoalkyl, dialkylaminoalkyl, amido, amidoalkyl, sulfonamido, sulfonamidoalkyl, urea, ureaalkyl, thiourea, thioureaalkyl, hydroxy, hydroxyalkyl, alkoxy, alkoxyalkyl
- R 3 ’ is selected from hydrogen, halo, -OR d , -NR e R f , aryl, arylalkyl, heteroaryl, heteroarylalkyl, heterocyclyl, and heterocyclylalkyl, and a group of formula: wherein B’ is aryl or heteroaryl; J’ is absent or is -CH 2 -, -O-, -S-, or -NH-; C’ is selected from aryl, heteroaryl, and heterocyclyl; m’ is 0, 1, 2, 3, or 4; n’ is 0, 1, 2, 3, or 4; and R g and R h are each independently selected from alkyl, alkenyl, alkynyl, halo, haloalkyl, amino, alkylamino, dialkylamino, aminoalkyl, alkylaminoalkyl, dialkylaminoalkyl, amido, amidoalkyl, sulfonamido, sulf
- R d , R e , and R f are each independently selected from hydrogen, alkyl, haloalkyl, hydroxyalkyl, aminoalkyl, carboxyalkyl, heteroalkyl, aryl, arylalkyl, and heteroaryl; and
- L is a linker; wherein each alkyl, alkenyl, alkynyl, aryl, arylalkyl, heteroalkyl, heteroaryl, heteroarylalkyl, cycloalkyl, heterocyclyl, and heterocyclylalkyl is independently optionally substituted with 1, 2, 3, 4, or 5 substituents.
- R 1 and R 1 ’ are the same, R 2 and R 2 ’ are the same, R 3 and R 3 ’ are the same, X and X’ are the same, Y and Y’ are the same, Z and Z’ are the same, A and A’ are the same, and Q and Q’ are the same.
- R 1 and R 1 ’ are each a 4- or 5- membered monocyclic heterocyclyl.
- R 1 and R 1 ’ are pyrrolidine.
- X and X’ are -C(O)-.
- Y and Y’ are -NR a -
- R a is hydrogen.
- Z and Z’ are each absent.
- a and A’ are thiophene.
- Q and Q’ are selected from azetidine and pyrrolidine.
- R 2 and R 2 ’ are hydrogen.
- R 3 is selected from aryl, heteroaryl, and a group of formula:
- R 3 is a group of formula: wherein B is a 5-membered monocyclic heteroaryl having 1 or 2 heteroatoms independently selected from N and S; J is absent; C is selected from aryl, heteroaryl, and heterocyclyl; m is 0 or 1; R g is C 1 -C 6 alkyl; n is 0, 1, or 2; and each R h is independently selected from C 1 -C 6 alkyl, halo, C 1 -C 6 haloalkyl, amino, amino-C 1 -C 6 -alkyl, amido-C 1 -C 6 -alkyl, and heterocyclyl.
- R 3 is selected from hydrogen, aryl, heteroaryl, and a group of formula:
- R 3 is selected from a monocyclic and bicyclic heteroaryl having 1, 2, or 3 heteroatoms independently selected fromN and S.
- R 3 is a group of formula: wherein B’ is a 5-membered monocyclic heteroaryl having 1 or 2 heteroatoms independently selected from N and S; J’ is absent; C’ is selected from aryl, heteroaryl, and heterocyclyl; m’ is 0 or 1; R g is C 1 -C 6 alkyl; n’ is 0, 1, or 2; and each R h' is independently selected from C 1 -C 6 alkyl, halo, C 1 -C 6 haloalkyl, amino, amino-C 1 -C 6 -alkyl, amido-C 1 -C 6 - alkyl, and heterocyclyl.
- L is selected from:
- a, al, and a2 are each independently selected from 1, 2, 3, 4, 5, 6, 7, 8, 9, 10, 11, and 12; b, bl, and b2 are each independently selected from 0, 1, 2, 3, 4, 5, and 6; c, cl, and c2 are each independently selected from 0, 1, 2, 3, 4, 5, 6, 7, 8, 9, 10, 11, and 12; d and e are each independently selected form 0, 1, and 2; each G is independently selected from CH and N; X 1 and X 2 are each independently O or -NR X , wherein R x is hydrogen or optionally substituted alkyl; and Y 1 and Z 1 are each independently selected from -CH 2 -, -NH-, and -O-.
- the disclosure provides a pharmaceutical composition
- a pharmaceutical composition comprising a compound disclosed herein (e.g., a compound of formula (I), (Ila), (IIb), or (IIc)), or a pharmaceutically acceptable salt thereof, and a pharmaceutically acceptable carrier.
- the pharmaceutical composition is formulated for oral administration.
- the pharmaceutical composition is formulated for parenteral administration.
- the disclosure provides a method of inhibiting GAS41 activity in a sample, comprising contacting the sample with an effective amount of a compound disclosed herein (e.g., a compound of formula (I), (Ila), (IIb), or (IIc)) or a pharmaceutically acceptable salt thereof, or a pharmaceutical composition disclosed herein (e.g., a pharmaceutical composition comprising a compound of formula (I), (Ila), (IIb), or (IIc) or a pharmaceutically acceptable salt thereof).
- a compound disclosed herein e.g., a compound of formula (I), (Ila), (IIb), or (IIc)
- a pharmaceutical composition disclosed herein e.g., a pharmaceutical composition comprising a compound of formula (I), (Ila), (IIb), or (IIc) or a pharmaceutically acceptable salt thereof.
- the disclosure provides a method of reducing proliferation of cancer cells in a sample, comprising contacting the sample with an effective amount of a compound disclosed herein (e.g., a compound of formula (I), (Ila), (IIb), or (IIc)) or a pharmaceutically acceptable salt thereof, or a pharmaceutical composition disclosed herein (e.g., a pharmaceutical composition comprising a compound of formula (I), (Ila), (IIb), or (IIc) or a pharmaceutically acceptable salt thereof).
- a compound disclosed herein e.g., a compound of formula (I), (Ila), (IIb), or (IIc)
- a pharmaceutical composition disclosed herein e.g., a pharmaceutical composition comprising a compound of formula (I), (Ila), (IIb), or (IIc) or a pharmaceutically acceptable salt thereof.
- the cancer cells are selected from brain cancer (e.g., glioblastoma or astrocytoma), sarcoma, colorectal cancer, lung cancer (e.g., non-small cell lung cancer), and gastric cancer cells.
- brain cancer e.g., glioblastoma or astrocytoma
- sarcoma e.g., sarcoma
- colorectal cancer e.g., colorectal cancer
- lung cancer e.g., non-small cell lung cancer
- gastric cancer cells e.g., gastric cancer cells.
- the disclosure provides a method of treating cancer in a subject in need thereof, comprising administering to the subject a therapeutically effective amount of a compound disclosed herein (e.g., a compound of formula (I), (Ila), (IIb), or (IIc)) or a pharmaceutically acceptable salt thereof, or a pharmaceutical composition disclosed herein (e.g., a pharmaceutical composition comprising a compound of formula (I), (Ila), (IIb), or (IIc) or a pharmaceutically acceptable salt thereof).
- a compound disclosed herein e.g., a compound of formula (I), (Ila), (IIb), or (IIc)
- a pharmaceutical composition disclosed herein e.g., a pharmaceutical composition comprising a compound of formula (I), (Ila), (IIb), or (IIc) or a pharmaceutically acceptable salt thereof.
- the cancer is selected from brain cancer (e.g., glioblastoma or astrocytoma), sarcoma, colorectal cancer, lung cancer (e.g., non-small cell lung cancer), and gastric cancer.
- the method further comprises administering an additional chemotherapeutic agent to the subject.
- the subject is a human.
- the disclosure provides a use of compound disclosed herein (e.g., a compound of formula (I), (Ila), (IIb), or (IIc)) or a pharmaceutically acceptable salt thereof, or a pharmaceutical composition disclosed herein (e.g., a pharmaceutical composition comprising a compound of formula (I), (Ila), (IIb), or (IIc) or a pharmaceutically acceptable salt thereof), for the treatment of cancer.
- a pharmaceutical composition disclosed herein e.g., a pharmaceutical composition comprising a compound of formula (I), (Ila), (IIb), or (IIc) or a pharmaceutically acceptable salt thereof
- FIG. 1 shows the crystal structure of a compound disclosed herein (Compound 85) in complex with the GAS41 YEATS domain.
- FIGS. 2A-2C show data for activities of compounds disclosed herein.
- FIG. 3 shows activity of Compound 221 in aNanoBiT assay after 24 h treatment in 293T cells co-transfected with SmBiT-H3.3 and LgBiT-GAS41-WT or W93A mutant, as described in Example 7.
- FIG. 4 shows cellular activity of certain compounds, as described in Example 8.
- the term “comprise” and linguistic variations thereof denote the presence of recited feature(s), element(s), method step(s), etc. without the exclusion of the presence of additional feature(s), element(s), method step(s), etc.
- the term “consisting of’ and linguistic variations thereof denotes the presence of recited feature(s), element(s), method step(s), etc. and excludes any unrecited feature(s), element(s), method step(s), etc., except for ordinarily-associated impurities.
- the phrase “consisting essentially of’ denotes the recited feature(s), element(s), method step(s), etc. and any additional feature(s), element(s), method step(s), etc.
- compositions, system, or method that do not materially affect the basic nature of the composition, system, or method.
- Many embodiments herein are described using open “comprising” language. Such embodiments encompass multiple closed “consisting of’ and/or “consisting essentially of’ embodiments, which may alternatively be claimed or described using such language.
- substituents should be interpreted in light of IUPAC and/or the modified nomenclature and with reference to the chemical structures depicted and/or described herein.
- groups and substituents thereof may be selected in accordance with permitted valence of the atoms and the substituents, and such that the selections and substitutions result in a stable compound, e.g., a compound that does not spontaneously undergo transformation such as by rearrangement, cyclization, elimination, etc.
- the group is used in structural formulae herein to depict the bond that is the point of attachment of the moiety or substituent to the core or backbone structure.
- the term “subject” broadly refers to any animal, including but not limited to, human and non-human animals (e.g., dogs, cats, cows, horses, sheep, poultry, fish, crustaceans, etc.).
- the term “patient” typically refers to a subject that is being treated for a disease or condition.
- the term “subject at risk for cancer” refers to a subject with one or more risk factors for developing cancer.
- Risk factors may include, but are not limited to, gender, age, genetic predisposition, environmental exposures, infections, and previous incidents of diseases, lifestyle, etc.
- an effective amount refers to the amount of a compound or composition sufficient to effect beneficial or desired results.
- An effective amount can be administered in one or more administrations, applications or dosages and is not intended to be limited to a particular formulation or administration route.
- administering refers to the act of giving a drug, prodrug, or other agent, or therapeutic treatment to a subject or in vivo, in vitro, or ex vivo cells, tissues, and organs.
- routes of administration to the human body can be through space under the arachnoid membrane of the brain or spinal cord (intrathecal), the eyes (ophthalmic), mouth (oral), skin (topical or transdermal), nose (nasal), lungs (inhalant), oral mucosa (buccal), ear, rectal, vaginal, by injection (e.g., intravenously, subcutaneously, intratumorally, intraperitoneally, etc.) and the like.
- co-administration refers to the administration of at least two agent(s) (e.g., a GAS41 inhibitor and one or more additional therapeutics) or therapies to a subject.
- the co-administration of two or more agents or therapies is concurrent.
- a first agent/therapy is administered prior to a second agent/therapy.
- the appropriate dosage for co-administration can be readily determined by one skilled in the art.
- when agents or therapies are co-administered the respective agents or therapies are administered at lower dosages than appropriate for their administration alone.
- co-administration is especially desirable in embodiments where the coadministration of the agents or therapies lowers the requisite dosage of a potentially harmful (e.g., toxic) agent(s), and/or when co-administration of two or more agents results in sensitization of a subject to beneficial effects of one of the agents via co-administration of the other agent.
- a potentially harmful agent e.g., toxic
- composition refers to the combination of an active agent with a carrier, inert or active, making the composition especially suitable for therapeutic use in vitro, in vivo or ex vivo.
- compositions that do not substantially produce adverse reactions, e.g., toxic, allergic, or immunological reactions, when administered to a subject.
- the term “pharmaceutically acceptable carrier” refers to any of the standard pharmaceutical carriers including, but not limited to, phosphate buffered saline solution, water, emulsions (e.g., such as an oil/water or water/oil emulsions), and various types of wetting agents, any and all solvents, dispersion media, coatings, sodium lauryl sulfate, isotonic and absorption delaying agents, disintegrants (e.g., potato starch or sodium starch glycolate), and the like.
- the compositions also can include stabilizers and preservatives.
- stabilizers and adjuvants see, e.g., Martin, Remington's Pharmaceutical Sciences, 15th Ed., Mack Publ. Co., Easton, Pa. (1975), incorporated herein by reference in its entirety.
- the term “pharmaceutically acceptable salt” refers to any pharmaceutically acceptable salt (e.g., acid or base) of a compound of the present invention which, upon administration to a subject, is capable of providing a compound of this invention or an active metabolite or residue thereof.
- salts of the compounds of the present invention may be derived from inorganic or organic acids and bases.
- acids include, but are not limited to, hydrochloric, hydrobromic, sulfuric, nitric, perchloric, fumaric, maleic, phosphoric, glycolic, lactic, salicylic, succinic, toluene-p- sulfonic, tartaric, acetic, citric, methanesulfonic, ethanesulfonic, formic, benzoic, malonic, naphthalene-2-sulfonic, benzenesulfonic acid, and the like.
- Other acids such as oxalic, while not in themselves pharmaceutically acceptable, may be employed in the preparation of salts useful as intermediates in obtaining the compounds of the invention and their pharmaceutically acceptable acid addition salts.
- bases include, but are not limited to, alkali metals (e.g., sodium) hydroxides, alkaline earth metals (e.g., magnesium), hydroxides, ammonia, and compounds of formula NR4 + , wherein each R is independently C 1-4 alkyl, and the like.
- salts include, but are not limited to: acetate, adipate, alginate, aspartate, benzoate, benzenesulfonate, bisulfate, butyrate, citrate, camphorate, camphorsulfonate, cyclopentanepropionate, digluconate, dodecylsulfate, ethanesulfonate, fumarate, flucoheptanoate, glycerophosphate, hemisulfate, heptanoate, hexanoate, hydrochloride, hydrobromide, hydroiodide, 2-hydroxyethanesulfonate, lactate, maleate, methanesulfonate, 2- naphthalenesulfonate, nicotinate, oxalate, palmoate, pectinate, persulfate, phenylpropionate, picrate, pivalate, propionate, succinate, tartrate, thiocyanate
- salts of the compounds herein are contemplated as being pharmaceutically acceptable.
- salts of acids and bases that are non- pharmaceutically acceptable may also find use, for example, in the preparation or purification of a pharmaceutically acceptable compound.
- instructions for administering said compound to a subject includes instructions for using the compositions contained in a kit for the treatment of conditions (e.g., providing dosing, route of administration, decision trees for treating physicians for correlating patient-specific characteristics with therapeutic courses of action).
- Amino refers to a -NH 2 moiety.
- Carboxy or “carboxyl” refers to the -CO 2 H moiety.
- Cyano refers to the -CN moiety.
- Niro refers to the -NO2 moiety.
- Alkyl refers to a straight or branched saturated hydrocarbon chain having from 1 to thirty carbon atoms, for example from 1 to 16 carbon atoms (C 1 -C 16 alkyl), 1 to 12 carbon atoms (C 1 -C 12 alkyl), 1 to 8 carbon atoms (C 1 -C 8 alkyl), 1 to 6 carbon atoms (C 1 -C 6 alkyl), or 1 to 4 carbon atoms (C 1 -C 4 alkyl), e.g., methyl, ethyl, n-propyl, iso-propyl, n-butyl, sec-butyl, iso-butyl, tert-butyl, n-pentyl, isopentyl, neopentyl, n-hexyl, 3-methylhexyl, 2,2- dimethylpentyl, 2,3-dimethylpentyl, n-heptyl, n-octyl,
- Alkenyl refers to a straight or branched refers to a straight or branched hydrocarbon chain containing from 2 to 30 carbon atoms, for example from 2 to 16 carbon atoms (C 2 -C 16 alkenyl), 2 to 12 carbon atoms (C 2 -C 12 alkenyl), 2 to 8 carbon atoms (C 2 -C 8 alkenyl), 2 to 6 carbon atoms (C 2 -C 6 alkenyl), or 2 to 4 carbon atoms (C 2 -C 4 alkenyl), and containing at least one carbon-carbon double bond.
- alkenyl include, but are not limited to, ethenyl, 2-propenyl, 2-methyl-2-propenyl, 3-butenyl, 4-pentenyl, 1,4-pentadienyl, 5-hexenyl, 2-heptenyl, 2-methyl- 1-heptenyl, and 3-decenyl. Unless stated otherwise specifically in the specification, an alkenyl group is optionally substituted.
- Alkynyl refers to a straight or branched hydrocarbon chain containing from 2 to 30 carbon atoms, for example from 2 to 16 carbon atoms (C 2 -C 16 alkynyl), 2 to 12 carbon atoms (C 2 -C 12 alkynyl), 2 to 8 carbon atoms (C 2 -C 8 alkynyl), 2 to 6 carbon atoms (C 2 -C 6 alkynyl), or 2 to 4 carbon atoms (C 2 -C4 alkynyl), and containing at least one carbon-carbon triple bond.
- alkynyl include, but are not limited to, ethynyl, propynyl, butynyl, pentynyl, and hexynyl. Unless stated otherwise specifically in the specification, an alkynyl group is optionally substituted.
- Alkylene refers to a divalent group derived from a straight or branched chain hydrocarbon of 1 to 30 carbon atoms (C 1 -C 30 alkylene), for example, of 1 to 6 carbon atoms (C 1 -C 6 alkylene).
- alkylene include, but are not limited to, -CH 2 -, -CH 2 CH 2 -, -CH(CH 3 )-, -CH 2 CH 2 CH 2 -, -CH 2 CH(CH 3 )-, -CH 2 CH 2 CH 2 CH 2 -, - CH 2 CH(CH 3 )CH 2 -, -CH 2 CH 2 CH(CH 3 )-, -CH 2 CH 2 CH 2 CH 2 -, -CH 2 CH(CH 3 )CH 2 CH 2 -, - CH(CH 3 )CH 2 CH 2 CH 2 -, -CH 2 CH 2 CH 2 CH 2 CH 2 -, -CH 2 CH 2 CH(CH 3 )CH 2 CH 2 -, -CH 2 CH 2 CH(CH 3 )CH 2 CH 2 -, - CH 2 CH(CH 3 )CH 2 CH 2 CH 2 -, and -CH(CH 3 )CH 2 CH 2 CH 2 CH 2 -.
- an alkylene group is optionally substituted.
- Alkoxy refers to a moiety of the formula -OR where R is an alkyl group as defined herein, e.g., an alkyl group containing 1 to 12 carbon atoms.
- Representative examples of alkoxy include, but are not limited to, methoxy, ethoxy, propoxy, 2-propoxy, butoxy and tert- butoxy. Unless stated otherwise specifically in the specification, an alkoxy group is optionally substituted.
- Alkenyloxy refers to a moiety of the formula -OR where R is an alkenyl group as defined herein, e.g., an alkenyl group containing 2 to 12 carbon atoms. Unless stated otherwise specifically in the specification, an alkenyloxy group is optionally substituted.
- Alkynyloxy refers to a moiety of the formula -OR where R is an alkynyl group as defined herein, e.g., an alkynyl group containing 2 to 12 carbon atoms. Unless stated otherwise specifically in the specification, an alkynyloxy group is optionally substituted.
- Alkylamino refers to a moiety of the formula -NHR where R is an alkyl group as defined herein. Unless stated otherwise specifically in the specification, an alkylamino or dialkylamino group is optionally substituted.
- Alkylaminoalkyl refers to an alkyl moiety comprising at least one alkylamino substituent. Unless stated otherwise specifically in the specification, an alkylaminoalkyl group is optionally substituted.
- R and R’ are each independently selected from the group consisting of hydrogen, alkyl, aryl, arylalkyl, cycloalkyl, cycloalkylalkyl, heteroaryl (bonded through a ring carbon), heteroarylalkyl, heterocyclyl, and heterocyclylalkyl.
- R and R’ are each independently selected from the group consisting of hydrogen, alkyl, aryl, arylalkyl, cycloalkyl, cycloalkylalkyl, hetero
- “Amidoalkyl” refers to an alkyl moiety, as defined herein, in which at least one hydrogen atom is replaced with an amido group, as defined herein. Unless stated otherwise specifically in the specification, an amidoalkyl group is optionally substituted. “Aminoalkyl” refers to an alkyl moiety, as defined herein, in which at least one hydrogen atom is replaced with an amino group, as defined herein. The amino group can be substituted on a tertiary, secondary or primary carbon. Unless stated otherwise specifically in the specification, an aminoalkyl group is optionally substituted.
- Aryl refers to an aromatic carbocyclic ring system having a single ring (monocyclic) or multiple rings (bicyclic or tricyclic) including fused ring systems, and zero heteroatoms.
- aryl contains 6-20 carbon atoms (C 6 -C 20 aryl), 6 to 14 ring carbon atoms (C 6 -C 14 aryl), 6 to 12 ring carbon atoms (C 6 -C 12 aryl), or 6 to 10 ring carbon atoms (C 6 -C 10 aryl).
- Representative examples of aryl groups include, but are not limited to, phenyl, naphthyl, anthracenyl, and phenanthrenyl. Unless stated otherwise specifically in the specification, the term “aryl” is meant to include aryl groups that are optionally substituted.
- Arylalkyl refers to an alkyl group, as defined herein, wherein at least one hydrogen atom is replaced with an aryl group, as defined herein.
- exemplary arylalkyl groups include, but are not limited to, benzyl and phenethyl. Unless stated otherwise specifically in the specification, the term “arylalkyl” is meant to include groups that are optionally substituted on the aryl moiety and/or on the alkyl moiety.
- Alkylene refers to a divalent aryl group (e.g., phenylene). Unless stated specifically otherwise, an arylene is optionally substituted.
- Aryloxy refers to an -O-aryl moiety. Unless stated otherwise specifically in the specification, an aryloxy is optionally substituted.
- Arylamino refers to a -NRa-aryl moiety, where Ra is H or alkyl. Unless stated otherwise specifically in the specification, an arylamino is optionally substituted.
- Cycloalkyl refers to a saturated carbocyclic ring system containing three to ten carbon atoms per ring.
- the cycloalkyl may be monocyclic, bicyclic, tricyclic, bridged, fused, and/or spirocyclic.
- cycloalkyl include, but are not limited to, cyclopropyl, cyclobutyl, cyclopentyl, cyclohexyl, cycloheptyl, cyclooctyl, cyclononyl, cyclodecyl, adamantyl, bicyclo[2.2.1]heptanyl, bicyclo[3.2.1]octanyl, and bicyclo[5.2.0]nonanyl.
- cycloalkyl is meant to include cycloalkyl groups that are optionally substituted.
- Cycloalkenyl refers to a non-aromatic monocyclic or multicyclic ring system containing at least one carbon-carbon double bond and preferably having from 5-10 carbon atoms per ring. Exemplary monocyclic cycloalkenyl rings include cyclopentenyl, cyclohexenyl, and cycloheptenyl. Unless stated otherwise specifically in the specification, the term “cycloalkenyl” is meant to include cycloalkenyl groups that are optionally substituted. “Cycloalkylalkyl” refers to an alkyl group, as defined herein, wherein at least one hydrogen atom is replaced with a cycloalkyl group, as defined herein. Unless stated otherwise specifically in the specification, the term “cycloalkylalkyl” is meant to include groups that are optionally substituted on the cycloalkyl moiety and/or on the alkyl moiety.
- Cycloalkylalkylamino refers to a cycloalkylalkyl-NRa- moiety, where R a is H or alkyl and where the cycloalkylalkyl moiety is attached via a carbon atom to nitrogen, wherein the nitrogen functions as a linker to attach the moiety to the remainder of the molecule.
- a cycloalkylalkylamino is optionally substituted.
- Cycloalkylalkyloxy refers to a -O-cycloalkylalkyl moiety, where the cycloalkylalkyl moiety is attached via a carbon atom to oxygen, wherein the oxygen functions as a linker to attach the moiety to the remainder of the molecule. Unless stated otherwise specifically in the specification, a cycloalkylalkyloxy is optionally substituted.
- Cycloalkylamino refers to a -NRa-cycloalkyl moiety, where R a is H or alkyl. Unless stated otherwise specifically in the specification, a cycloalkylamino is optionally substituted.
- Cycloalkyloxy refers to an -O-cycloalkyl moiety. Unless stated otherwise specifically in the specification, a cycloalkyloxy is optionally substituted.
- Dialkylamino refers to a moiety of the formula -NRR where R and R’ are each independently an alkyl group as defined herein. Unless stated otherwise specifically in the specification, an alkylamino or dialkylamino group is optionally substituted.
- Dialkylaminoalkyl refers to an alkyl moiety comprising at least one dialkylamino substituent. Unless stated otherwise specifically in the specification, an alkylaminoalkyl group is optionally substituted.
- Halo or “halogen” refers to fluoro, chloro, bromo, or iodo.
- Haloalkyl refers to an alkyl group, as defined herein, that is substituted by one or more halo atoms, as defined herein, e.g., trifluoromethyl, difluoromethyl, fluoromethyl, trichloromethyl, -CH 2 CF 3 , -CH 2 CHF2, -CH 2 CH 2 F, -CHFCF 3 , -CHFCHF 2 , -CHFCH 2 F, - CHFCH 3 , -CF 2 CF3, -CF 2 CHF2, -CF 2 CH 2 F, -CF 2 CH 3 , -CH 2 CF 2 CH 3 , -CH 2 CHFCH 3 , 3-bromo-2-fluoropropyl, 1,2-dibromoethyl, and the like. Unless stated otherwise specifically in the specification, a haloalkyl group is optionally substituted.
- Haloalkoxy refers to an alkoxy group, as defined herein, that is substituted with one or more halo atoms, as defined herein.
- heteroatom or “ring heteroatom” is meant to include any element other than carbon or hydrogen. Suitable heteroatoms are oxygen (O), nitrogen (N), sulfur (S), and phosphorus (P).
- Heteroalkyl means an alkyl group, as defined herein, in which one or more of the carbon atoms (and any associated hydrogen atoms) are each independently replaced with a heteroatom group such as -NR-, -O-, -S-, -S(O)-, -S(O)2-, and the like, where R is H, alkyl, aryl, cycloalkyl, heteroalkyl, heteroaryl or heterocyclyl, each of which may be optionally substituted.
- 1, 2 or 3 carbon atoms may be independently replaced with the same or different heteroatomic group.
- heteroalkyl groups include, but are not limited to, -OCH 3 , -CH 2 OCH 3 , -SCH 3 , -CH 2 SCH 3 , -NRCH 3 , and -CH 2 NRCH 3 , where R is hydrogen, alkyl, aryl, arylalkyl, heteroalkyl, or heteroaryl, each of which may be optionally substituted.
- Heteroalkyl also includes groups in which a carbon atom of the alkyl is oxidized (i.e., is -C(O)-).
- Heteroalkylene refers to an alkylene group, as defined herein, in which one or more of the carbon atoms (and any associated hydrogen atoms) are each independently replaced with a heteroatom group such as -NR-, -O-, -S-, -S(O)-, -S(O)2-, and the like, where R is H, alkyl, aryl, cycloalkyl, heteroalkyl, heteroaryl or heterocyclyl, each of which may be optionally substituted.
- 1, 2 or 3 carbon atoms may be independently replaced with the same or different heteroatomic group.
- Heteroalkylene also includes groups in which a carbon atom of the alkyl is oxidized (i.e., is -C(O)-).
- heteroalkylene groups include, but are not limited to, -CH 2 -O-CH 2 -, -CH 2 -S-CH 2 -, -CH 2 -NR-CH 2 -, -CH 2 - NH-C(O)-CH 2 -, and the like, as well as polyethylene oxide chains, polypropylene oxide chains, and polyethyleneimine chains.
- Heteroaryl refers to an aromatic group having a single ring (monocyclic) or multiple rings (bicyclic or tricyclic), having one or more ring heteroatoms independently selected from O, N, and S.
- the aromatic monocyclic rings are five- or six-membered rings containing at least one heteroatom independently selected from O, N, and S (e.g. 1, 2, 3, or 4 heteroatoms independently selected from O, N, and S).
- the five-membered aromatic monocyclic rings have two double bonds, and the six- membered aromatic monocyclic rings have three double bonds.
- the bicyclic heteroaryl groups are exemplified by a monocyclic heteroaryl ring appended fused to a monocyclic aryl group, as defined herein, or a monocyclic heteroaryl group, as defined herein.
- the tricyclic heteroaryl groups are exemplified by a monocyclic heteroaryl ring fused to two rings independently selected from a monocyclic aryl group, as defined herein, and a monocyclic heteroaryl group as defined herein.
- monocyclic heteroaryl include, but are not limited to, pyridinyl (including pyridin-2-yl, pyridin-3-yl, pyridin-4-yl), pyrimidinyl, pyrazinyl, pyridazinyl, pyrrolyl, benzopyrazolyl, 1,2,3-triazolyl, 1,3,4-thiadiazolyl, 1,2,4-thiadiazolyl, 1,3,4-oxadiazolyl, 1,2,4-oxadiazolyl, imidazolyl, thiazolyl, isothiazolyl, thienyl, furanyl, oxazolyl, isoxazolyl, 1 ,2,4-triazinyl, and 1,3,5-triazinyl.
- bicyclic heteroaryl include, but are not limited to, benzimidazolyl, benzodioxolyl, benzofuranyl, benzooxadiazolyl, benzopyrazolyl, benzothiazolyl, benzothienyl, benzotriazolyl, benzoxadiazolyl, benzoxazolyl, chromenyl, imidazopyridine, imidazothiazolyl, indazolyl, indolyl, isobenzofuranyl, isoindolyl, isoquinolinyl, naphthyridinyl, purinyl, pyridoimidazolyl, quinazolinyl, quinolinyl, quinoxalinyl, thiazolopyridinyl, thiazolopyrimidinyl, thienopyrrolyl, and thienothienyl.
- tricyclic heteroaryl include, but are not limited to, dibenzofuranyl and dibenzothienyl.
- the monocyclic, bicyclic, and tricyclic heteroaryls are connected to the parent molecular moiety through any carbon atom or any nitrogen atom contained within the rings. Unless stated otherwise specifically in the specification, a heteroaryl group is optionally substituted.
- Heteroarylalkyl refers to an alkyl group, as defined herein, wherein at least one hydrogen atom is replaced with a heteroaryl group, as defined herein. Unless stated otherwise specifically in the specification, a heteroarylalkyl group is optionally substituted.
- Heteroarylalkylamino refers to a heteroarylalkyl-NRa- moiety, where Ra is H or alkyl. Unless stated otherwise specifically in the specification, an heteroarylalkylamino is optionally substituted.
- Heteroarylalkyloxy refers to an heteroarylalkyl-O- moiety. Unless stated otherwise specifically in the specification, a heteroarylalkyloxy is optionally substituted.
- Heteroarylamino refers to a -NRa-heteroaryl moiety, where R a is H or alkyl. Unless stated otherwise specifically in the specification, a heteroarylamino is optionally substituted.
- Heteroaryloxy refers to an -O-heteroaryl moiety. Unless stated otherwise specifically in the specification, an heteroaryloxy is optionally substituted.
- Heteroarylene refers to a divalent heteroaryl group. Unless stated specifically otherwise, a heteroarylene is optionally substituted.
- Heterocycle or “heterocyclic” refers to a saturated or partially unsaturated nonaromatic cyclic group having one or more ring heteroatoms independently selected from O,
- N, and S means a monocyclic heterocycle, a bicyclic heterocycle, or a tricyclic heterocycle.
- the monocyclic heterocycle is a three-, four-, five-, six-, seven-, or eight-membered ring containing at least one heteroatom independently selected from O, N, and S.
- the three- or four-membered ring contains zero or one double bond, and one heteroatom selected from O, N, and S.
- the five-membered ring contains zero or one double bond and one, two or three heteroatoms selected from O, N and S.
- the six-membered ring contains zero, one, or two double bonds and one, two, or three heteroatoms selected from O, N, and S.
- the seven- and eight-membered rings contains zero, one, two, or three double bonds and one, two, or three heteroatoms selected from O, N, and S.
- monocyclic heterocycles include, but are not limited to, azetidinyl, azepanyl, aziridinyl, diazepanyl, 1,3-dioxanyl, 1,3- dioxolanyl, 1,3-dithiolanyl, 1,3-dithianyl, imidazolinyl, imidazolidinyl, isothiazolinyl, isothiazolidinyl, isoxazolinyl, isoxazolidinyl, morpholinyl, oxadiazolinyl, oxadiazolidinyl, oxazolinyl, oxazolidinyl, oxetanyl, piperazinyl, piperidinyl, pyranyl, pyrazolinyl,
- the bicyclic heterocycle is a monocyclic heterocycle fused to a phenyl group, or a monocyclic heterocycle fused to a monocyclic cycloalkyl, or a monocyclic heterocycle fused to a monocyclic cycloalkenyl, or a monocyclic heterocycle fused to a monocyclic heterocycle, or a spiro heterocycle group, or a bridged monocyclic heterocycle ring system in which two non-adjacent atoms of the ring are linked by an alkylene bridge of 1, 2, 3, or 4 carbon atoms, or an alkenylene bridge of two, three, or four carbon atoms.
- bicyclic heterocycles include, but are not limited to, benzopyranyl, benzothiopyranyl, chromanyl, 2,3-dihydrobenzofuranyl, 2,3- dihydrobenzothienyl, 2,3-dihydroisoquinoline, 2-azaspiro[3.3]heptan-2-yl, azabicyclo[2.2.1]heptyl (including 2-azabicyclo[2.2.1]hept-2-yl), 2,3-dihydro-lH-indolyl, isoindolinyl, octahydrocyclopenta[c]pyrrolyl, octahydropyrrolopyridinyl, and tetrahydroisoquinolinyl.
- Tricyclic heterocycles are exemplified by a bicyclic heterocycle fused to a phenyl group, or a bicyclic heterocycle fused to a monocyclic cycloalkyl, or a bicyclic heterocycle fused to a monocyclic cycloalkenyl, or a bicyclic heterocycle fused to a monocyclic heterocycle, or a bicyclic heterocycle in which two non-adjacent atoms of the bicyclic ring are linked by an alkylene bridge of 1, 2, 3, or 4 carbon atoms, or an alkenylene bridge of two, three, or four carbon atoms.
- tricyclic heterocycles include, but are not limited to, octahydro-2,5-epoxypentalene, hexahydro-2H-2,5-methanocyclopenta[b]furan, hexahydro-lH-l,4-methanocyclopenta[c]furan, aza-adamantane (1- azatricyclo[3.3.1.1 3 ’ 7 ]decane), and oxa-adamantane (2-oxatricyclo[3.3.1.1 3 ’ 7 ]decane).
- the monocyclic, bicyclic, and tricyclic heterocycles are connected to the parent molecular moiety through any carbon atom or any nitrogen atom contained within the rings. Unless stated otherwise specifically in the specification, a heterocyclyl group is optionally substituted.
- Heterocyclylalkyl refers to an alkyl group, as defined herein, wherein at least one hydrogen atom is replaced with a heterocyclyl group, as defined herein. Unless stated otherwise specifically in the specification, a heterocyclylalkyl group is optionally substituted.
- Heterocyclylalkylamino refers to a heterocyclylalkyl-NRa- moiety, where R a is H or alkyl and where the heterocyclylalkyl moiety is attached via a carbon atom to nitrogen, wherein the nitrogen functions as a linker to attach the moiety to the remainder of the molecule. Unless stated otherwise specifically in the specification, a heterocyclylalkylamino is optionally substituted.
- Heterocyclylalkyloxy refers to a -O-heterocycloalkyl moiety, where the heterocyclylalkyl moiety is attached via a carbon atom to oxygen, wherein the oxygen functions as a linker to attach the moiety to the remainder of the molecule. Unless stated otherwise specifically in the specification, a heterocyclylalkyloxy is optionally substituted.
- Heterocyclylamino refers to a -NRa-heterocyclyl moiety, where R a is H or alkyl and where the heterocyclyl moiety is attached via a carbon atom to nitrogen, wherein the nitrogen functions as a linker to attach the moiety to the remainder of the molecule. Unless stated otherwise specifically in the specification, a heterocyclylamino is optionally substituted.
- Heterocyclyloxy refers to an -O-heterocyclyl moiety, where the heterocyclyl moiety is attached via a carbon atom to oxygen, wherein the oxygen functions as a linker to attach the moiety to the remainder of the molecule. Unless stated otherwise specifically in the specification, a heterocyclyloxy is optionally substituted.
- Hydroalkyl refers to an alkyl group comprising at least one hydroxyl substituent.
- the -OH substituent may be on a primary, secondary, or tertiary carbon. Unless stated otherwise specifically in the specification, a hydroxylalkyl group is optionally substituted.
- “Sulfonamido” refers to a moiety of the formula -SO 2 NRR’, wherein where R and R’ are each independently selected from the group consisting of hydrogen, alkyl, alkenyl, alkynyl, aryl, arylalkyl, cycloalkyl, cycloalkylalkyl, heteroaryl, heteroarylalkyl, heterocyclyl, heterocyclylalkyl, and heteroalkyl. R and R’ may optionally be taken together with the nitrogen to which they are attached to form a 4-, 5-, 6-, or 7-membered ring. Unless stated otherwise specifically in the specification, a sulfonamido group is optionally substituted.
- “Sulfonamidoalkyl” refers to an alkyl group, as defined herein, wherein at least one hydrogen atom is replaced with a sulfonamido group, as defined herein. Unless stated otherwise specifically in the specification, a sulfonamidoalkyl group is optionally substituted. “Thioalkyl” refers to a moiety of the formula -SR where R is an alkyl moiety as defined herein containing one to twelve carbon atoms. Unless stated otherwise specifically in the specification, a thioalkyl group is optionally substituted.
- Thiourea refers to a moiety of the formula -NH-C(S)-NHR where R is selected from hydrogen, alkyl, aryl, arylalkyl, heteroaryl, heteroarylalkyl, cycloalkyl, cycloalkylalkyl, heterocyclyl, and heterocyclylalkyl, each of which may be optionally substituted.
- Thioureaalkyl refers to an alkyl group, as defined herein, wherein at least one hydrogen atom is replaced with a thiourea group, as defined herein. Unless stated otherwise specifically in the specification, a thioureaalkyl group is optionally substituted.
- “Urea” refers to a moiety of the formula -NH-C(O)-NHR where R is selected from hydrogen, alkyl, aryl, arylalkyl, heteroaryl, heteroarylalkyl, cycloalkyl, cycloalkylalkyl, heterocyclyl, and heterocyclylalkyl, each of which may be optionally substituted.
- Reaalkyl refers to an alkyl group, as defined herein, wherein at least one hydrogen atom is replaced with a urea group, as defined herein. Unless stated otherwise specifically in the specification, a ureaalkyl group is optionally substituted.
- substituted refers to replacement of at least one hydrogen atom with any of the above groups (e.g amino, carboxy, hydroxy, imino, acyl, alkyl, alkoxy, alkylamino, alkylaminoalkyl, amido, aminoalkyl, aminocarbonyl, aryl, arylalkyl, arylalkylamino, arylalkyloxy, arylamino, aryloxy, carboxyalkyl, cyano, cyanoalkyl, cycloalkyl, cycloalkyl, cycloalkyl, cycloalkylamino, cycloalkylalkyloxy, cycloalkylamino, cycloalkyloxy, halo, haloalkyl, heteroatom, heteroalkyl, heteroaryl, heteroarylalkyl, heteroarylalkylamino, heteroarylalkyloxy, heteroarylamino, heteroaryloxy, heterobicyclo
- “Substituted” also means any of the above groups in which one or more hydrogen atoms are replaced by a higher-order bond (e.g., a double- or triple-bond) to a carbon atom or a heteroatom such as oxygen in oxo, carbonyl, carboxyl, and ester groups; and nitrogen in groups such as imines, oximes, hydrazones, and nitriles.
- a higher-order bond e.g., a double- or triple-bond
- R g and Rh are independently hydrogen, alkyl, alkoxy, alkylamino, thioalkyl, aryl, arylalkyl, cycloalkyl, cycloalkylalkyl, haloalkyl, heteroalkyl, heterocyclyl, N- heterocyclyl, heterocyclylalkyl, heteroaryl, /V-heteroaryl and/or heteroarylalkyl.
- “Substituted” further means any of the above groups in which one or more hydrogen atoms are replaced by a bond to an amino, carbonyl, carboxy, cyano, hydroxyl, imino, nitro, oxo, thioxo, acyl, alkyl, alkoxy, alkylamino, alkylaminoalkyl, amide, aminoalkyl, aminocarbonyl, aryl, arylalkyl, arylalkylamino, arylalkyloxy, arylamino, aryloxy, bicycloalkyl, carboxyalkyl, cyanoalkyl, cycloalkyl, cycloalkylalkyl, cycloalkylamino, cycloalkyloxy, cycloalkylamino, cycloalkyloxy, halo, haloalkyl, heteroatom, heteroalkyl, heteroaryl, heteroarylalkyl, heteroarylalkylamino
- small molecules that bind to GAS41 and inhibit GAS41 activity, and methods of use thereof for the treatment of cancer.
- YEATS domain containing proteins belong to a family of epigenetic reader proteins and include four human paralogs: ENL, YEATS2, AF9 and GAS41. Biochemical studies have revealed that YEATS domains bind to chromatin by recognizing histones with acetylated or crotonylated lysine side chains.
- GAS41 YEATS demonstrates site-specific recognition of acetylated- and crotonylated-histone H3 peptides, albeit with modest mid mM affinities (id).
- Structural analysis revealed that acylated lysine binds in a channel on GAS41 YEATS domain that may constitute a site for targeting with small molecule inhibitors.
- Compounds disclosed herein are shown to be low and sub-mM GAS41 YEATS domain inhibitors.
- GAS41 is dimeric in cells and can recognize di-acylated histone peptides with enhanced affinity via bivalent binding mode. Accordingly, some of the compounds disclosed herein are dimeric GAS41 inhibitors that exhibit enhanced potency and demonstrate activity in non-small cell lung cancer (NSCLC) cells.
- NSCLC non-small cell lung cancer
- the compounds described herein find use in the treatment or prevention of cancer (e.g., brain cancer, sarcoma, colorectal cancer, lung cancer, or gastric cancer) and/or the alleviation of symptoms associated therewith.
- cancer e.g., brain cancer, sarcoma, colorectal cancer, lung cancer, or gastric cancer
- provided herein are pharmaceutical compositions comprising a compound described and/or within the scope herein.
- pharmaceutical compositions comprising a compound described and/or within the scope herein are administered to a subject to treat cancer (e.g., brain cancer, sarcoma, colorectal cancer, lung cancer, or gastric cancer).
- R 1 is selected from heterocyclyl, heterocyclylalkyl, heteroaryl, heteroarylalkyl, aryl, arylalkyl, cycloalkyl, cycloalkylalkyl, alkyl, alkenyl, alkynyl, hydroxy, alkoxy, thioalkyl, halogen, haloalkyl, carboxy, acyl, amido, cyano, sulfonyl, and hydrogen;
- X is -C(O)-, -C(S)-, -CH 2 -, or -SO2-, or is absent;
- Y is -NR a - or -O-;
- R a is selected from hydrogen, alkyl, haloalkyl, heteroalkyl, cycloalkyl, hydroxyalkyl, and aminoalkyl, or R a is taken together with the nitrogen atom to which it is attached to form a fused ring with A, or R a and R 1 together with the atoms to which they are attached together form an optionally substituted heterocyclic ring;
- Z is absent or is -CR b R c -;
- R b and R c are each independently selected from hydrogen and alkyl
- A is a five-membered heteroaryl
- Q is a four-, five-, or six-membered heterocyclyl
- R 2 is selected from hydrogen, halo, alkyl, amino, and hydroxy
- R 3 is selected from hydrogen, halo, -OR d , -NR e R f , aryl, arylalkyl, heteroaryl, heteroarylalkyl, heterocyclyl, heterocyclylalkyl, and a group of formula: wherein B is aryl or heteroaryl; J is absent or is -CH 2 -, -O-, -S-, or -NH-; C is selected from aryl, heteroaryl, and heterocyclyl; m is 0, 1, 2, 3, or 4; n is 0, 1, 2, 3, 4, or 5; and R g and R h are each independently selected from alkyl, alkenyl, alkynyl, halo, haloalkyl, amino, alkylamino, dialkylamino, aminoalkyl, alkylaminoalkyl, dialkylaminoalkyl, amido, amidoalkyl, sulfonamido, sulfonamidoalkyl
- R d , R e , and R f are each independently selected from hydrogen, alkyl, haloalkyl, hydroxyalkyl, aminoalkyl, carboxyalkyl, heteroalkyl, aryl, arylalkyl, heteroaryl, heteroarylalkyl; wherein each alkyl, alkenyl, alkynyl, aryl, arylalkyl, heteroalkyl, heteroaryl, heteroarylalkyl, cycloalkyl, heterocyclyl, and heterocyclylalkyl is independently optionally substituted with 1, 2, 3, 4, or 5 substituents, with the proviso that when Z is -CR b R c -, R 1 is not cycloalkyl.
- R 1 is selected from heterocyclyl, heterocyclylalkyl, heteroaryl, heteroarylalkyl, aryl, arylalkyl, cycloalkyl, cycloalkylalkyl, alkyl, alkenyl, alkynyl, hydroxy, alkoxy, thioalkyl, halogen, haloalkyl, carboxy, acyl, amido, cyano, sulfonyl, and hydrogen;
- X is -C(O)-, -C(S)-, -CH 2 -, or -SO2-, or is absent;
- Y is -NR a - or -O-;
- R a is selected from hydrogen, alkyl, haloalkyl, heteroalkyl, cycloalkyl, hydroxyalkyl, and aminoalkyl, or R a is taken together with the nitrogen atom to which it is attached to form a fused ring with A;
- Z is absent or is -CR b R c -;
- R b and R c are each independently selected from hydrogen and alkyl
- A is a five-membered heteroaryl
- Q is a four-, five-, or six-membered heterocyclyl
- R 2 is selected from hydrogen, halo, alkyl, amino, and hydroxy
- R 3 is selected from hydrogen, halo, -OR d , -NR e R f , aryl, arylalkyl, heteroaryl, heteroarylalkyl, heterocyclyl, heterocyclylalkyl, and a group of formula: wherein B is aryl or heteroaryl; J is absent or is -CH 2 -, -O-, -S-, or -NH-; C is selected from aryl, heteroaryl, and heterocyclyl; m is 0, 1, 2, 3, or 4; n is 0, 1, 2, 3, 4, or 5; and R g and R h are each independently selected from alkyl, alkenyl, alkynyl, halo, haloalkyl, amino, alkylamino, dialkylamino, aminoalkyl, alkylaminoalkyl, dialkylaminoalkyl, amido, amidoalkyl, sulfonamido, sulfonamidoalkyl
- R d , R e , and R f are each independently selected from hydrogen, alkyl, haloalkyl, hydroxyalkyl, aminoalkyl, carboxyalkyl, heteroalkyl, aryl, arylalkyl, heteroaryl, heteroarylalkyl; wherein each alkyl, alkenyl, alkynyl, aryl, arylalkyl, heteroalkyl, heteroaryl, heteroarylalkyl, cycloalkyl, heterocyclyl, and heterocyclylalkyl is independently optionally substituted with 1, 2, 3, 4, or 5 substituents, with the proviso that when Z is -CR b R c -, R 1 is not cycloalkyl.
- R 1 is selected from heterocyclyl, heterocyclylalkyl, heteroaryl, heteroarylalkyl, aryl, arylalkyl, cycloalkyl, cycloalkylalkyl, and alkyl. In some embodiments, R 1 is selected from heterocyclyl, heterocyclylalkyl, heteroaryl, heteroarylalkyl, aryl, arylalkyl, cycloalkyl, cycloalkylalkyl, and C 1 -C 6 alkyl. In some embodiments, R 1 is selected from heterocyclyl, aryl, arylalkyl, heteroarylalkyl, and C 1 -C 6 alkyl.
- R 1 is selected from heterocyclyl (e.g., a monocyclic or bi cyclic heterocyclyl having 1 or 2 heteroatoms independently selected from N, O, and S), aryl (e.g., phenyl), arylalkyl (e.g., phenethyl), heteroarylalkyl (e.g., wherein the heteroaryl is a monocyclic heteroaryl having 1 or 2 nitrogen atoms), and C 1 -C4 alkyl (e.g., methyl, ethyl, or n-propyl).
- R 1 is a monocyclic heterocyclyl having 1 or 2 heteroatoms independently selected from N, O, and S.
- R 1 is a monocyclic heterocyclyl having 1 or 2 nitrogen atoms.
- R 1 is pyrrolidinyl.
- R 1 may be unsubstituted or substituted with 1, 2, 3, 4, or 5 substituents.
- R 1 is unsubstituted or substituted with 1 or 2 substituents independently selected from C 1 -C 6 alkyl, C 1 -C 6 alkoxy, halo, hydroxy, amino, amino-C 1 -C 6 -alkyl, aryloxy, alkynyloxy, and methylidene.
- R 1 is unsubstituted.
- R 1 is unsubstituted pyrrolidinyl.
- R 1 is selected from:
- X is selected from -C(O)-, -CH 2 -, and -SO2-, or is absent. In some embodiments, X is selected from -C(O)-, -CH 2 -, and -SO2-. In some embodiments, X is selected from -C(O)- and -CH 2 -. In some embodiments, X is -C(O)-.
- Y is -NR a -. In some embodiments, Y is -NR a -, and R a is selected from hydrogen and C 1 -C 6 alkyl. In some embodiments, Y is -NR a -, and R a is selected from hydrogen, methyl, and ethyl. In some embodiments, Y is -NR a -, and R a is hydrogen. In some embodiments, Y is O. In some embodiments, Y is -NR a - wherein R a is taken together with the nitrogen atom to which it is attached to form a fused ring with A (e.g., a five- membered or six-membered ring fused with ring A).
- A e.g., a five- membered or six-membered ring fused with ring A
- Y is -NR a - wherein R a is taken together with the nitrogen atom to which it is attached to form a fused ring with R 1 (e.g., a bicyclic ring system, such as a l,7-diazaspiro[4.4]nonane ring system), which ring is optionally substituted (e.g., with an oxo group).
- R 1 e.g., a bicyclic ring system, such as a l,7-diazaspiro[4.4]nonane ring system
- Z is absent, or is selected from -CH 2 -, -CH(CH 3 )-, and - C(CH 3 )2-. In some embodiments, Z is absent or is -CH 2 -. In some embodiments, Z is absent.
- A is a five-membered heteroaryl having 1, 2, or 3 heteroatoms independently selected from N, O, and S. In some embodiments, A is a five-membered heteroaryl having 1 or 2 heteroatoms independently selected from N, O, and S. In some embodiments, A is a five-membered heteroaryl having 1 or 2 heteroatoms independently selected from N and S. In some embodiments, A is selected from thiophene and thiazole. In some embodiments, A is thiophene. In some embodiments, A has formula: wherein E is selected from N and CH. In some embodiments, E is CH. In some embodiments, E is N. In some embodiments, A has formula:
- Q is a four-, five-, or six-membered heterocyclyl having one nitrogen atom (i.e. the nitrogen atom indicated in formula (I)), wherein the heterocyclyl is optionally substituted.
- Q is selected from azetidinyl, pyrrolidinyl, and piperidinyl.
- Q is selected from azetidinyl and pyrrolidinyl.
- Q is azetidinyl.
- Q is pyrrolidinyl.
- R 2 is selected from hydrogen, halo, amino, and hydroxy. In some embodiments, R 2 is selected from hydrogen, halo, and hydroxy. In some embodiments, R 2 is hydrogen.
- R 3 is selected from hydrogen, -OR d , -NR e R f , aryl, arylalkyl, heteroaryl, heteroarylalkyl, heterocyclyl, heterocyclylalkyl, and a group of formula: wherein R d is selected from C 1 -C 6 alkyl, C 1 -C 6 haloalkyl, phenyl, benzyl, and heteroaryl; R e is hydrogen; and R f is selected from hydrogen, C 1 -C 6 alkyl, and heteroaryl; B is a monocyclic heteroaryl; J is absent; C is selected from aryl, heteroaryl, and heterocyclyl; m is 0 or 1; n is 0, 1, 2, or 3; and R g and R h are each independently selected from alkyl, alkenyl, alkynyl, halo, haloalkyl, amino, alkylamino, dialkylamino, aminoalkyl,
- R 3 is selected from hydrogen, -OR d , -NR e R f , phenyl, benzyl, heteroaryl, heteroarylalkyl, and heterocyclyl; wherein R d is selected from C 1 -C 6 alkyl, C 1 -C 6 haloalkyl, phenyl, benzyl, and heteroaryl; R e is hydrogen; and R f is selected from hydrogen, C 1 -C 6 alkyl, and heteroaryl.
- R 3 is selected from hydrogen, -OR d , -NR e R f , phenyl, benzyl, heteroaryl, heteroarylalkyl, and heterocyclyl; wherein R d is selected from C 1 -C 6 alkyl, C 1 -C 6 haloalkyl, phenyl, benzyl, and heteroaryl; R e is hydrogen; and R f is selected from hydrogen, C 1 -C 6 alkyl, and heteroaryl; wherein each heteroaryl is independently a monocyclic or bicyclic heteroaryl having 1 or 2 heteroatoms independently selected from N, S, and O, and wherein each heterocyclyl is independently a monocyclic or bicyclic heterocyclyl having 1 or 2 heteroatoms independently selected from N, S, and O.
- R 3 is a group of formula:
- R 3 is a group of formula: wherein B is a 5-membered monocyclic heteroaryl having 1 or 2 heteroatoms independently selected from N and S; J is absent; C is selected from aryl, heteroaryl, and heterocyclyl; m is 0 or 1; n is 0, 1, 2, or 3; R g is C 1 -C 6 alkyl; and each R h is independently selected from alkyl, alkenyl, alkynyl, halo, haloalkyl, amino, alkylamino, dialkylamino, aminoalkyl, alkylaminoalkyl, dialkylaminoalkyl, amido, amidoalkyl, sulfonamido, sulfonamidoalkyl, urea, ureaalkyl, thiourea, thioureaalkyl, hydroxy, hydroxyalkyl, alkoxy, alkoxyalkyl, haloalkoxy, thio
- B is thiazole or thiophene.
- m is 0.
- J is absent.
- C is selected from phenyl and a monocyclic heteroaryl having 1 or 2 nitrogen atoms. In some embodiments, C is selected from phenyl and pyridyl.
- At least one R h is amido or amidoalkyl having formula - (CH 2 )rC(O)NR i R J or -(CH 2 ) s NR k C(O)R m , wherein: r and s are each independently selected from 0, 1, and 2;
- R 1 and R k are each independently selected from hydrogen and C 1 -C 6 alkyl
- R j is selected from C 1 -C 6 -alkyl, aryl, aryl-C 1 -C 6 -alkyl, heteroaryl, heteroaryl-C 1 -C 6 - alkyl, heterocyclyl, heterocyclyl-C 1 -C 6 -alkyl, cycloalkyl, and cycloalkyl-C 1 -C 6 -alkyl;
- R m is selected from C 1 -C 6 -alkyl, aryl, aryl-C 1 -C 6 -alkyl, heteroaryl, heteroaryl-C 1 -C 6 - alkyl, heterocyclyl, heterocyclyl-C 1 -C 6 -alkyl, cycloalkyl, and cycloalkyl-C 1 -C 6 -alkyl, amino, C 1 -C 6 -alkylamino, arylamino, and aryl-C 1 -C 6 -alkylamino; wherein each alkyl, aryl, heteroaryl, heterocyclyl, and cycloalkyl is independently unsubstituted or substituted with 1 or 2 substituents independently selected from halo, C 1 -C 6 - alkyl, C 1 -C 6 -alkoxy, hydroxy, amino and oxo.
- R 2 and R 3 together with the carbon atom(s) to which they are attached, form a ring selected from aryl, heteroaryl, cycloalkyl, and heterocycle, any of which can be optionally substituted (e.g., with 1, 2, or 3 substituents independently selected from alkyl, halo, amino, alkylamino, dialkylamino, alkoxy, aryl, arylalkyl, heteroaryl, heteroarylalkyl, heterocyclyl, heterocyclylalkyl, aminoalkyl, and amidoalkyl).
- R 2 and R 3 are substituted on adjacent carbon atoms of ring Q, and are taken together with the carbon atoms to which they are attached to form a phenyl ring that is fused to ring Q, wherein the phenyl ring is optionally substituted. In some embodiments, the phenyl ring is unsubstituted.
- R 2 and R 3 are substituted on the same carbon atom of ring Q, and are taken together with the carbon atom to which they are attached to form a spiro ring, which is optionally substituted. In some embodiments, R 2 and R 3 are substituted on the same carbon atom of ring Q, and are taken together with the carbon atom to which they are attached to form a 4-membered spiro ring selected from cyclobutyl and azetidinyl, each of which is optionally substituted with one substituent selected from -OR’ and heteroaryl, wherein R’ is selected from C 1 -C 6 alkyl, aryl and heteroaryl.
- the spiro ring is substituted with one substituent selected from -OR’, wherein R’ is selected from methyl, phenyl, and a monocyclic 5- or 6-membered heteroaryl having 1 or 2 heteroatoms independently selected from N and S (e.g., pyridyl). In some embodiments, the spiro ring is substituted with a monocyclic 5- or 6-membered heteroaryl having 1 or 2 heteroatoms independently selected from N and S (e.g., pyridyl or thiazolyl).
- R 2 and R 3 are substituted on the same carbon atom of ring Q, and are taken together with the carbon atom to which they are attached to form an alkenyl group (e.g., a methylidene group or a substituted version thereof).
- R x , R y , and R z are substituents that are each independently selected from -OR v , aryl, and heteroaryl, wherein R v is selected from C 1 -C 6 alkyl, aryl and heteroaryl.
- R x , R y , and R z are independently selected from -OR v , phenyl, and a monocyclic 5- or 6-membered heteroaryl having 1 or 2 heteroatoms independently selected from N and S (e.g., pyridyl or thiazolyl), wherein R v is selected from C 1 -C 6 alkyl (e.g., methyl), aryl (e.g., phenyl), and a monocyclic 5- or 6-membered heteroaryl having 1 or 2 heteroatoms independently selected fromN and S (e.g., pyridyl or thiazolyl).
- R x is aryl (e.g., phenyl).
- R y is selected from -OR v and a monocyclic 5- or 6-membered heteroaryl having 1 or 2 heteroatoms independently selected from N and S (e.g., pyridyl or thiazolyl), wherein R v is selected from C 1 -C 6 alkyl (e.g., methyl), aryl (e.g., phenyl), and a monocyclic 5- or 6-membered heteroaryl having 1 or 2 heteroatoms independently selected fromN and S (e.g., pyridyl or thiazolyl).
- N and S e.g., pyridyl or thiazolyl
- R v is selected from C 1 -C 6 alkyl (e.g., methyl), aryl (e.g., phenyl), and a monocyclic 5- or 6-membered heteroaryl having 1 or 2 heteroatoms independently selected fromN and S (e.g., pyridyl or thiazolyl
- R z is a monocyclic 5- or 6-membered heteroaryl having 1 or 2 heteroatoms independently selected from N and S, such as a monocyclic 6-membered heteroaryl (e.g., pyridyl).
- the group has the formula: wherein R h and n are as defined herein.
- n is 0, 1, 2 or 3; and each R h is independently selected from C 1 -C 6 alkyl, halo, halo-C 1 -C 6 -alkyl, amino, amino-C 1 -C 6 -alkyl, hydroxy, hydroxy-C 1 -C 6 -alkyl, C 1 -C 6 alkoxy, amido, amido-C 1 -C 6 -alkyl, acyl, aryl, aryl-C 1 -C 6 -alkyl, heteroaryl, heteroaryl-C 1 -C 6 -alkyl, heterocyclyl, heterocyclyl-Ci- C 6 -alkyl, cycloalkyl, and cycloalkyl-C 1 -C 6 -alkyl.
- At least one R h has formula -(CH 2 )rC(O)NR 1 R i or -(CH 2 ) s NR k C(O)R m , wherein: r and s are each independently selected from 0, 1, and 2;
- R 1 and R k are each independently selected from hydrogen and C 1 -C 6 alkyl
- R j is selected from C 1 -C 6 -alkyl, aryl, aryl-C 1 -C 6 -alkyl, heteroaryl, heteroaryl-C 1 -C 6 - alkyl, heterocyclyl, heterocyclyl-C 1 -C 6 -alkyl, cycloalkyl, and cycloalkyl-C 1 -C 6 -alkyl;
- R m is selected from C 1 -C 6 -alkyl, aryl, aryl-C 1 -C 6 -alkyl, heteroaryl, heteroaryl-C 1 -C 6 - alkyl, heterocyclyl, heterocyclyl-C 1 -C 6 -alkyl, cycloalkyl, and cycloalkyl-C 1 -C 6 -alkyl, amino, C 1 -C 6 -alkylamino, arylamino, aryl-C 1 -C 6 -alkylamino; wherein each alkyl, aryl, heteroaryl, heterocyclyl, and cycloalkyl is independently unsubstituted or substituted with 1 or 2 substituents independently selected from halo, C 1 -C 6 - alkyl, C 1 -C 6 -alkoxy, hydroxy, amino and oxo.
- the compound of formula (I) is a compound of formula (la): or a pharmaceutically acceptable salt thereof, wherein R 1 and R 3 have any of the meanings disclosed herein.
- the compound of formula (I) is a compound of formula (lb): or a pharmaceutically acceptable salt thereof, wherein B, J, C, R g , R h , m, and n have any of the meanings disclosed herein.
- the compound of formula (I) is a compound of formula (Ic): or a pharmaceutically acceptable salt thereof, wherein R h and c have any of the meanings disclosed herein.
- a compound of formula (I) e.g., to a pharmaceutical composition comprising a compound of formula (I) or a method of treatment using a compound of formula (I)
- such reference also includes compounds of formula (la), (lb), and (Ic).
- the compound is selected from the compounds shown in Table 1 herein, or a pharmaceutically acceptable salt thereof.
- R 1 and R 1 are each independently selected from heterocyclyl, heterocyclylalkyl, heteroaryl, heteroarylalkyl, aryl, arylalkyl, cycloalkyl, cycloalkylalkyl, alkyl, alkenyl, alkynyl, hydroxy, alkoxy, thioalkyl, halogen, haloalkyl, carboxy, acyl, amido, cyano, sulfonyl, and hydrogen;
- X and X’ are each independently absent or selected from -C(O)-, -C(S)-, -CH 2 -, and -
- Y and Y’ are each independently -NR a - or -O-;
- R a is selected from hydrogen, alkyl, haloalkyl, heteroalkyl, cycloalkyl, hydroxyalkyl, and aminoalkyl, or R a is taken together with the nitrogen atom to which it is attached to form a fused ring with A, or R a and R 1 together with the atoms to which they are attached together form an optionally substituted heterocyclic ring;
- Z and Z’ are each independently absent or -CR b R c -;
- R b and R c are each independently selected from hydrogen and alkyl
- a and A’ are each independently a five-membered heteroaryl ring
- Q and Q’ are each independently a four-, five-, or six-membered heterocycle
- R 2 and R 2 ’ are each independently selected from hydrogen, halo, alkyl, amino, and hydroxy;
- R 3 and R 3 ’ are each independently selected from aryl, heteroaryl, cycloalkyl, heterocyclyl, and a group of formula: wherein B is aryl or heteroaryl; J is absent or is -CH 2 -, -O-, -S-, or -NH-; C is selected from aryl, heteroaryl, and heterocyclyl; m is 0, 1, 2, 3, or 4; n is 0, 1, 2, 3, or 4; and R g and R h are each independently selected from alkyl, alkenyl, alkynyl, halo, haloalkyl, amino, alkylamino, dialkylamino, aminoalkyl, alkylaminoalkyl, dialkylaminoalkyl, amido, amidoalkyl, sulfonamido, sulfonamidoalkyl, urea, ureaalkyl, thiourea, thioureaalkyl, hydroxy, hydroxy
- R d , R e , and R f are each independently selected from hydrogen, alkyl, haloalkyl, hydroxyalkyl, aminoalkyl, carboxyalkyl, heteroalkyl, aryl, arylalkyl, and heteroaryl; and
- L is a linker; wherein each alkyl, alkenyl, alkynyl, aryl, arylalkyl, heteroalkyl, heteroaryl, heteroarylalkyl, cycloalkyl, heterocyclyl, and heterocyclylalkyl is independently optionally substituted with 1, 2, 3, 4, or 5 substituents.
- R 1 and R 1 are each independently selected from heterocyclyl, heterocyclylalkyl, heteroaryl, heteroarylalkyl, aryl, arylalkyl, cycloalkyl, cycloalkylalkyl, alkyl, alkenyl, alkynyl, hydroxy, alkoxy, thioalkyl, halogen, haloalkyl, carboxy, acyl, amido, cyano, sulfonyl, and hydrogen;
- X and X’ are each independently absent or selected from -C(O)-, -C(S)-, -CH 2 -, and -
- Y and Y’ are each independently -NR a - or -O-;
- R a is selected from hydrogen, alkyl, haloalkyl, heteroalkyl, cycloalkyl, hydroxyalkyl, and aminoalkyl, or R a is taken together with the nitrogen atom to which it is attached to form a fused ring with A
- Z and Z’ are each independently absent or -CR b R c -;
- R b and R c are each independently selected from hydrogen and alkyl
- a and A’ are each independently a five-membered heteroaryl ring
- Q and Q’ are each independently a four-, five-, or six-membered heterocycle
- R 2 and R 2 ’ are each independently selected from hydrogen, halo, alkyl, amino, and hydroxy;
- R 3 and R 3 ’ are each independently selected from aryl, heteroaryl, cycloalkyl, heterocyclyl, and a group of formula: wherein B is aryl or heteroaryl; J is absent or is -CH 2 -, -O-, -S-, or -NH-; C is selected from aryl, heteroaryl, and heterocyclyl; m is 0, 1, 2, 3, or 4; n is 0, 1, 2, 3, or 4; and R g and R h are each independently selected from alkyl, alkenyl, alkynyl, halo, haloalkyl, amino, alkylamino, dialkylamino, aminoalkyl, alkylaminoalkyl, dialkylaminoalkyl, amido, amidoalkyl, sulfonamido, sulfonamidoalkyl, urea, ureaalkyl, thiourea, thioureaalkyl, hydroxy, hydroxy
- R 1 and R 1 ’ are the same, R 2 and R 2 ’ are the same, R 3 and R 3 ’ are the same, X and X’ are the same, Y and Y’ are the same, Z and Z’ are the same, A and A’ are the same, and Q and Q’ are the same.
- R 1 and R 1 ’ are heterocyclyl, which is optionally substituted.
- R 1 and R 1 ’ are monocyclic 4- to 6-membered heterocyclyl having 1 or 2 nitrogen atoms, which is optionally substituted.
- R 1 and R 1 ’ are each a 4- or 5-membered monocyclic heterocyclyl, such as a 4- or 5-membered heterocyclyl having 1 nitrogen atom, which is optionally substituted.
- R 1 and R 1 ’ are pyrrolidine, which is optionally substituted.
- R 1 and R 1 ’ are unsubstituted pyrrolidine.
- X and X’ are -C(O)-.
- Y and Y’ are -NR a -, and R a is selected from hydrogen and Ci- Ce alkyl. In some embodiments, Y and Y’ are -NR a -, and R a is selected from hydrogen and methyl. In some embodiments, Y and Y’ are -NR a -, and R a is hydrogen.
- Z and Z’ are each absent.
- a and A’ are each a five-membered monocyclic heteroaryl having 1 or 2 heteroatoms independently selected from S and N. In some embodiments, A and A’ are selected from thiophene and thiazole. In some embodiments, A and A’ are thiophene.
- Q and Q’ are each a four-, five-, or six-membered heterocyclyl having one nitrogen atom (i.e. the nitrogen atom indicated in formula (Ha)).
- Q and Q’ are selected from azetidine, pyrrolidine, and piperidine.
- Q and Q’ are selected from azetidine and pyrrolidine.
- Q and Q’ are azetidine.
- Q and Q’ are pyrrolidine.
- R 2 and R 2 ’ are hydrogen.
- R 3 and R 3 are selected from aryl, heteroaryl, and a group of formula:
- R 3 and R 3 are each a group of formula: wherein B is a 5-membered monocyclic heteroaryl having 1 or 2 heteroatoms independently selected from N, S or O; J is absent; C is selected from aryl, heteroaryl, and heterocyclyl; m is 0 or 1; R g is C 1 -C 6 alkyl; n is 0, 1, or 2; and each R h is independently selected from C 1 -C 6 alkyl, halo, C 1 -C 6 haloalkyl, amino, amino-C 1 -C 6 -alkyl, amido-C 1 -C 6 -alkyl, and heterocyclyl.
- B is selected from thiazole and thiophene. In some embodiments, B is thiazole. In some embodiments, C is selected from aryl and monocyclic heteroaryl. In some embodiments, C is selected from phenyl and pyridyl. In some embodiments, at least one R h has formula -(CH 2 )rC(O)NR 1 R> or -(CH 2 ) s NR k C(O)R m , wherein: r and s are each independently selected from 0, 1, and 2;
- R 1 and R k are each independently selected from hydrogen and C 1 -C 6 alkyl
- R j is selected from C 1 -C 6 -alkyl, aryl, aryl-C 1 -C 6 -alkyl, heteroaryl, heteroaryl-C 1 -C 6 - alkyl, heterocyclyl, heterocyclyl-C 1 -C 6 -alkyl, cycloalkyl, and cycloalkyl-C 1 -C 6 -alkyl;
- R m is selected from C 1 -C 6 -alkyl, aryl, aryl-C 1 -C 6 -alkyl, heteroaryl, heteroaryl-C 1 -C 6 - alkyl, heterocyclyl, heterocyclyl-C 1 -C 6 -alkyl, cycloalkyl, and cycloalkyl-C 1 -C 6 -alkyl, amino, C 1 -C 6 -alkylamino, arylamino, aryl-C 1 -C 6 -alkylamino; wherein each alkyl, aryl, heteroaryl, heterocyclyl, and cycloalkyl is independently unsubstituted or substituted with 1 or 2 substituents independently selected from halo, C 1 -C 6 - alkyl, C 1 -C 6 -alkoxy, hydroxy, amino and oxo.
- L is selected from: wherein a, al, and a2 are each independently selected from 1, 2, 3, 4, 5, 6, 7, 8, 9, 10, 11, and 12; b, bl, and b2 are each independently selected from 0, 1, 2, 3, 4, 5, and 6; c, cl, and c2 are each independently selected from 0, 1, 2, 3, 4, 5, 6, 7, 8, 9, 10, 11, and 12; d and e are each independently selected form 0, 1, and 2; each G is independently selected from CH and N; X 1 and X 2 are each independently O or -NR X , wherein R x is hydrogen or optionally substituted alkyl; and Y 1 and Z 1 are each independently selected from -CH 2 -, -NH-, and -O-.
- the compound is selected from the compounds shown in Table 2 herein, or a pharmaceutically acceptable salt thereof.
- R 1 and R 1 are each independently selected from heterocyclyl, heterocyclylalkyl, heteroaryl, heteroarylalkyl, aryl, arylalkyl, cycloalkyl, cycloalkylalkyl, alkyl, alkenyl, and alkynyl;
- X and X’ are each independently absent or selected from -C(O)-, -C(S)-, -CH 2 -, and -
- Y and Y’ are each independently selected from -NR a - or -O-;
- R a is selected from hydrogen, alkyl, haloalkyl, heteroalkyl, cycloalkyl, hydroxyalkyl, and aminoalkyl, or R a is taken together with the nitrogen atom to which it is attached to form a fused ring with A;
- Z and Z’ are each independently absent or -CR b R c -;
- R b and R c are each independently selected from hydrogen and alkyl
- a and A’ are each independently a five-membered heteroaryl ring
- Q and Q’ are each independently a four-, five-, or six-membered heterocyclyl
- R 2 and R 2 ’ are each independently selected from hydrogen, halo, alkyl, amino, and hydroxy;
- R 3 and R 3 ’ are each independently selected from hydrogen, halo, -OR d , -NR e R f , aryl, arylalkyl, heteroaryl, heteroarylalkyl, heterocyclyl, and heterocyclylalkyl, and a group of formula: wherein B is aryl or heteroaryl; J is absent or is -CH 2 -, -O-, -S-, or -NH-; C is selected from aryl, heteroaryl, and heterocyclyl; m is 0, 1, 2, 3, or 4; n is 0, 1, 2, 3, or 4; and R g and R h are each independently selected from alkyl, alkenyl, alkynyl, halo, haloalkyl, amino, alkylamino, dialkylamino, aminoalkyl, alkylaminoalkyl, dialkylaminoalkyl, amido, amidoalkyl, sulfonamido, sulf
- R d , R e , and R f are each independently selected from hydrogen, alkyl, haloalkyl, hydroxyalkyl, aminoalkyl, carboxyalkyl, heteroalkyl, aryl, arylalkyl, and heteroaryl; and
- L is a linker; wherein each alkyl, alkenyl, alkynyl, aryl, arylalkyl, heteroalkyl, heteroaryl, heteroarylalkyl, cycloalkyl, heterocyclyl, and heterocyclylalkyl is independently optionally substituted with 1, 2, 3, 4, or 5 substituents.
- R 1 and R 1 ’ are the same, R 2 and R 2 ’ are the same, R 3 and R 3 ’ are the same, X and X’ are the same, Y and Y’ are the same, Z and Z’ are the same, A and A’ are the same, and Q and Q’ are the same.
- R 1 and R 1 ’ are heterocyclyl, which is optionally substituted.
- R 1 and R 1 ’ are monocyclic 4- to 6-membered heterocyclyl having 1 or 2 nitrogen atoms, which is optionally substituted.
- R 1 and R 1 ’ are each a 4- or 5-membered monocyclic heterocyclyl, such as a 4- or 5-membered heterocyclyl having 1 nitrogen atom, which is optionally substituted.
- R 1 and R 1 ’ are pyrrolidine, which is optionally substituted.
- R 1 and R 1 ’ are unsubstituted pyrrolidine.
- X and X’ are -C(O)-.
- Y and Y’ are -NR a -, and R a is selected from hydrogen and Ci- Ce alkyl. In some embodiments, Y and Y’ are -NR a -, and R a is selected from hydrogen and methyl. In some embodiments, Y and Y’ are -NR a -, and R a is hydrogen. In some embodiments, Z and Z’ are each absent.
- a and A’ are each a five-membered monocyclic heteroaryl having 1 or 2 heteroatoms independently selected from S and N. In some embodiments, A and A’ are selected from thiophene and thiazole. In some embodiments, A and A’ are thiophene.
- Q and Q’ are each a four-, five-, or six-membered heterocyclyl having one nitrogen atom (i.e. the nitrogen atom indicated in formula (Ha)).
- Q and Q’ are selected from azetidine, pyrrolidine, and piperidine.
- Q and Q’ are selected from azetidine and pyrrolidine.
- Q and Q’ are azetidine.
- Q and Q’ are pyrrolidine.
- R 2 and R 2 ’ are hydrogen.
- R 3 and R 3 are selected from aryl, heteroaryl, and a group of formula:
- R 3 and R 3 are selected from monocyclic and bicyclic heteroaryl having 1, 2, or 3 heteroatoms independently selected fromN and S.
- R 3 and R 3 are each a group of formula: wherein B is a 5-membered monocyclic heteroaryl having 1 or 2 heteroatoms independently selected from N, S or O; J is absent; C is selected from aryl, heteroaryl, and heterocyclyl; m is 0 or 1; R g is C 1 -C 6 alkyl; n is 0, 1, or 2; and each R h is independently selected from C 1 -C 6 alkyl, halo, C 1 -C 6 haloalkyl, amino, amino-C 1 -C 6 -alkyl, amido-C 1 -C 6 -alkyl, and heterocyclyl.
- B is selected from thiazole and thiophene. In some embodiments, B is thiazole. In some embodiments, C is selected from aryl and monocyclic heteroaryl. In some embodiments, C is selected from phenyl and pyridyl. In some embodiments, at least one R h has formula -(CH 2 )rC(O)NR 1 R> or -(CH 2 ) s NR k C(O)R m , wherein: r and s are each independently selected from 0, 1, and 2;
- R 1 and R k are each independently selected from hydrogen and C 1 -C 6 alkyl
- R j is selected from C 1 -C 6 -alkyl, aryl, aryl-C 1 -C 6 -alkyl, heteroaryl, heteroaryl-C 1 -C 6 - alkyl, heterocyclyl, heterocyclyl-C 1 -C 6 -alkyl, cycloalkyl, and cycloalkyl-C 1 -C 6 -alkyl;
- R m is selected from C 1 -C 6 -alkyl, aryl, aryl-C 1 -C 6 -alkyl, heteroaryl, heteroaryl-C 1 -C 6 - alkyl, heterocyclyl, heterocyclyl-C 1 -C 6 -alkyl, cycloalkyl, and cycloalkyl-C 1 -C 6 -alkyl, amino, C 1 -C 6 -alkylamino, arylamino, aryl-C 1 -C 6 -alkylamin
- a, al, and a2 are each independently selected from 1, 2, 3, 4, 5, 6, 7, 8, 9, 10, 11, and 12; b, bl, and b2 are each independently selected from 0, 1, 2, 3, 4, 5, and 6; c, cl, and c2 are each independently selected from 0, 1, 2, 3, 4, 5, 6, 7, 8, 9, 10, 11, and 12; d and e are each independently selected form 0, 1, and 2; each G is independently selected from CH and N; X 1 and X 2 are each independently O or -NR X , wherein R x is hydrogen or optionally substituted alkyl; and Y 1 and Z 1 are each independently selected from -CH 2 -, -NH-, and -O-.
- the compound is selected from the compounds shown in Table 2 herein, or a pharmaceutically acceptable salt thereof.
- R 1 is selected from heterocyclyl, heterocyclylalkyl, heteroaryl, heteroarylalkyl, aryl, arylalkyl, cycloalkyl, cycloalkylalkyl, alkyl, alkenyl, alkynyl, hydroxy, alkoxy, thioalkyl, halogen, haloalkyl, carboxy, acyl, amido, cyano, sulfonyl, and hydrogen;
- R 1 is selected from heterocyclyl, heterocyclylalkyl, heteroaryl, heteroarylalkyl, aryl, arylalkyl, cycloalkyl, cycloalkylalkyl, alkyl, alkenyl, and alkynyl;
- X and X’ are each independently absent or selected from -C(O)-, -C(S)-, -CH 2 -, and -
- Y and Y’ are each independently selected from -NR a - or -O-;
- R a is selected from hydrogen, alkyl, haloalkyl, heteroalkyl, cycloalkyl, hydroxyalkyl, and aminoalkyl, or R a is taken together with the nitrogen atom to which it is attached to form a fused ring with A, or R a and R 1 together with the atoms to which they are attached together form an optionally substituted heterocyclic ring;
- Z and Z’ are each independently absent or -CR b R c -;
- R b and R c are each independently selected from hydrogen and alkyl
- a and A’ are each independently a five-membered heteroaryl ring
- Q and Q’ are each independently a four-, five-, or six-membered heterocycle
- R 2 and R 2 ’ are each independently selected from hydrogen, halo, alkyl, amino, and hydroxy;
- R 3 is selected from aryl, heteroaryl, heterocyclyl, and a group of formula: wherein B is aryl or heteroaryl; J is absent or is -CH 2 -, -O-, -S-, or -NH-; C is selected from aryl, heteroaryl, and heterocyclyl; m is 0, 1, 2, 3, or 4; n is 0, 1, 2, 3, or 4; and R g and R h are each independently selected from alkyl, alkenyl, alkynyl, halo, haloalkyl, amino, alkylamino, dialkylamino, aminoalkyl, alkylaminoalkyl, dialkylaminoalkyl, amido, amidoalkyl, sulfonamido, sulfonamidoalkyl, urea, ureaalkyl, thiourea, thioureaalkyl, hydroxy, hydroxyalkyl, alkoxy, alkoxyalkyl
- R 3 ’ is selected from hydrogen, halo, -OR d , -NR e R f , aryl, arylalkyl, heteroaryl, heteroarylalkyl, heterocyclyl, and heterocyclylalkyl, and a group of formula: wherein B’ is aryl or heteroaryl; J’ is absent or is -CH 2 -, -O-, -S-, or -NH-; C’ is selected from aryl, heteroaryl, and heterocyclyl; m’ is 0, 1, 2, 3, or 4; n’ is 0, 1, 2, 3, or 4; and R g' and R h' are each independently selected from alkyl, alkenyl, alkynyl, halo, haloalkyl, amino, alkylamino, dialkylamino, aminoalkyl, alkylaminoalkyl, dialkylaminoalkyl, amido, amidoalkyl, sulfonamido, s
- R d , R e , and R f are each independently selected from hydrogen, alkyl, haloalkyl, hydroxyalkyl, aminoalkyl, carboxyalkyl, heteroalkyl, aryl, arylalkyl, and heteroaryl; and
- L is a linker; wherein each alkyl, alkenyl, alkynyl, aryl, arylalkyl, heteroalkyl, heteroaryl, heteroarylalkyl, cycloalkyl, heterocyclyl, and heterocyclylalkyl is independently optionally substituted with 1, 2, 3, 4, or 5 substituents.
- R 1 is selected from heterocyclyl, heterocyclylalkyl, heteroaryl, heteroarylalkyl, aryl, arylalkyl, cycloalkyl, cycloalkylalkyl, alkyl, alkenyl, alkynyl, hydroxy, alkoxy, thioalkyl, halogen, haloalkyl, carboxy, acyl, amido, cyano, sulfonyl, and hydrogen;
- R 1 is selected from heterocyclyl, heterocyclylalkyl, heteroaryl, heteroarylalkyl, aryl, arylalkyl, cycloalkyl, cycloalkylalkyl, alkyl, alkenyl, and alkynyl;
- X and X’ are each independently absent or selected from -C(O)-, -C(S)-, -CH 2 -, and -
- Y and Y’ are each independently selected from -NR a - or -O-;
- R a is selected from hydrogen, alkyl, haloalkyl, heteroalkyl, cycloalkyl, hydroxyalkyl, and aminoalkyl, or R a is taken together with the nitrogen atom to which it is attached to form a fused ring with A;
- Z and Z’ are each independently absent or -CR b R c -;
- R b and R c are each independently selected from hydrogen and alkyl
- a and A’ are each independently a five-membered heteroaryl ring
- Q and Q’ are each independently a four-, five-, or six-membered heterocycle
- R 2 and R 2 ’ are each independently selected from hydrogen, halo, alkyl, amino, and hydroxy;
- R 3 is selected from aryl, heteroaryl, heterocyclyl, and a group of formula: wherein B is aryl or heteroaryl; J is absent or is -CH 2 -, -O-, -S-, or -NH-; C is selected from aryl, heteroaryl, and heterocyclyl; m is 0, 1, 2, 3, or 4; n is 0, 1, 2, 3, or 4; and R g and R h are each independently selected from alkyl, alkenyl, alkynyl, halo, haloalkyl, amino, alkylamino, dialkylamino, aminoalkyl, alkylaminoalkyl, dialkylaminoalkyl, amido, amidoalkyl, sulfonamido, sulfonamidoalkyl, urea, ureaalkyl, thiourea, thioureaalkyl, hydroxy, hydroxyalkyl, alkoxy, alkoxyalkyl
- R 3 ’ is selected from hydrogen, halo, -OR d , -NR e R f , aryl, arylalkyl, heteroaryl, heteroarylalkyl, heterocyclyl, and heterocyclylalkyl, and a group of formula: wherein B’ is aryl or heteroaryl; J’ is absent or is -CH 2 -, -O-, -S-, or -NH-; C’ is selected from aryl, heteroaryl, and heterocyclyl; m’ is 0, 1, 2, 3, or 4; n’ is 0, 1, 2, 3, or 4; and R g and R h are each independently selected from alkyl, alkenyl, alkynyl, halo, haloalkyl, amino, alkylamino, dialkylamino, aminoalkyl, alkylaminoalkyl, dialkylaminoalkyl, amido, amidoalkyl, sulfonamido, sulf
- R d , R e , and R f are each independently selected from hydrogen, alkyl, haloalkyl, hydroxyalkyl, aminoalkyl, carboxyalkyl, heteroalkyl, aryl, arylalkyl, and heteroaryl; and
- L is a linker; wherein each alkyl, alkenyl, alkynyl, aryl, arylalkyl, heteroalkyl, heteroaryl, heteroarylalkyl, cycloalkyl, heterocyclyl, and heterocyclylalkyl is independently optionally substituted with 1, 2, 3, 4, or 5 substituents.
- R 1 and R 1 ’ are the same, R 2 and R 2 ’ are the same, R 3 and R 3 ’ are the same, X and X’ are the same, Y and Y’ are the same, Z and Z’ are the same, A and A’ are the same, and Q and Q’ are the same.
- R 1 and R 1 ’ are heterocyclyl, which is optionally substituted.
- R 1 and R 1 ’ are monocyclic 4- to 6-membered heterocyclyl having 1 or 2 nitrogen atoms, which is optionally substituted.
- R 1 and R 1 ’ are each a 4- or 5-membered monocyclic heterocyclyl, such as a 4- or 5-membered heterocyclyl having 1 nitrogen atom, which is optionally substituted.
- R 1 and R 1 ’ are pyrrolidine, which is optionally substituted.
- R 1 and R 1 ’ are unsubstituted pyrrolidine.
- X and X’ are -C(O)-.
- Y and Y’ are -NR a -, and R a is selected from hydrogen and Ci- Ce alkyl. In some embodiments, Y and Y’ are -NR a -, and R a is selected from hydrogen and methyl. In some embodiments, Y and Y’ are -NR a -, and R a is hydrogen.
- Z and Z’ are each absent.
- a and A’ are each a five-membered monocyclic heteroaryl having 1 or 2 heteroatoms independently selected from S and N. In some embodiments, A and A’ are selected from thiophene and thiazole. In some embodiments, A and A’ are thiophene.
- Q and Q’ are each a four-, five-, or six-membered heterocyclyl having one nitrogen atom (i.e. the nitrogen atom indicated in formula (Ha)).
- Q and Q’ are selected from azetidine, pyrrolidine, and piperidine.
- Q and Q’ are selected from azetidine and pyrrolidine.
- Q and Q’ are azetidine.
- Q and Q’ are pyrrolidine.
- R 2 and R 2 ’ are hydrogen.
- R 3 is selected from aryl, heteroaryl, and a group of formula:
- R 3 is a group of formula: wherein B is a 5-membered monocyclic heteroaryl having 1 or 2 heteroatoms independently selected from N and S; J is absent; C is selected from aryl, heteroaryl, and heterocyclyl; m is 0 or 1; R g is C 1 -C 6 alkyl; n is 0, 1, or 2; and each R h is independently selected from C 1 -C 6 alkyl, halo, C 1 -C 6 haloalkyl, amino, amino-C 1 -C 6 -alkyl, amido-C 1 -C 6 -alkyl, and heterocyclyl.
- B is selected from thiazole and thiophene.
- B is thiazole.
- C is selected from aryl and monocyclic heteroaryl.
- C is selected from phenyl and pyridyl.
- C is phenyl.
- R 3 is selected from hydrogen, aryl, heteroaryl, and a group of formula:
- R 3 is selected from a monocyclic and bicyclic heteroaryl having 1, 2, or 3 heteroatoms independently selected fromN and S.
- R 3 is a group of formula: wherein B’ is a 5-membered monocyclic heteroaryl having 1 or 2 heteroatoms independently selected from N and S; J’ is absent; C’ is selected from aryl, heteroaryl, and heterocyclyl; m’ is 0 or 1; R g is C 1 -C 6 alkyl; n’ is 0, 1, or 2; and each R h is independently selected from C 1 -C 6 alkyl, halo, C 1 -C 6 haloalkyl, amino, amino-C 1 -C 6 -alkyl, amido-C 1 -C 6 - alkyl, and heterocyclyl.
- B is selected from thiazole and thiophene. In some embodiments, B is thiazole. In some embodiments, C is selected from aryl and monocyclic heteroaryl. In some embodiments, C is selected from phenyl and pyridyl. In some embodiments, C is phenyl. In some embodiments, at least one R h has formula - (CH 2 )rC(O)NR i R J or -(CH 2 ) s NR k C(O)R m , wherein: r and s are each independently selected from 0, 1, and 2; R 1 and R k are each independently selected from hydrogen and C 1 -C 6 alkyl;
- R j is selected from C 1 -C 6 -alkyl, aryl, aryl-C 1 -C 6 -alkyl, heteroaryl, heteroaryl-C 1 -C 6 - alkyl, heterocyclyl, heterocyclyl-C 1 -C 6 -alkyl, cycloalkyl, and cycloalkyl-C 1 -C 6 -alkyl;
- R m is selected from C 1 -C 6 -alkyl, aryl, aryl-C 1 -C 6 -alkyl, heteroaryl, heteroaryl-C 1 -C 6 - alkyl, heterocyclyl, heterocyclyl-C 1 -C 6 -alkyl, cycloalkyl, and cycloalkyl-C 1 -C 6 -alkyl, amino, C 1 -C 6 -alkylamino, arylamino, aryl-C 1 -C 6 -alkylamino; wherein each alkyl, aryl, heteroaryl, heterocyclyl, and cycloalkyl is independently unsubstituted or substituted with 1 or 2 substituents independently selected from halo, C 1 -C 6 - alkyl, C 1 -C 6 -alkoxy, hydroxy, amino and oxo.
- L is selected from:
- a, al, and a2 are each independently selected from 1, 2, 3, 4, 5, 6, 7, 8, 9, 10, 11, and 12; b, bl, and b2 are each independently selected from 0, 1, 2, 3, 4, 5, and 6; c, cl, and c2 are each independently selected from 0, 1, 2, 3, 4, 5, 6, 7, 8, 9, 10, 11, and 12; d and e are each independently selected form 0, 1, and 2; each G is independently selected from CH and N; X 1 and X 2 are each independently O or -NR X , wherein R x is hydrogen or optionally substituted alkyl; and Y 1 and Z 1 are each independently selected from -CH 2 -, -NH-, and -O-.
- HATU refers to (1-[bis(dimethylamino)methylene]- 1H- 1.2.3-triazolo[4.5-b] pyridinium 3-oxide hexafluorophosphate
- DIPEA is N.N- diisopropylethylamine
- DCM is dichloromethane
- Mt is a metal selected from Li, Na, K, or the like.
- the compounds and intermediates may be isolated and purified by methods well- known to those skilled in the art of organic synthesis.
- Examples of conventional methods for isolating and purifying compounds can include, but are not limited to, chromatography on solid supports such as silica gel, alumina, or silica derivatized with alkylsilane groups, by recrystallization at high or low temperature with an optional pretreatment with activated carbon, thin-layer chromatography, distillation at various pressures, sublimation under vacuum, and trituration, as described for instance in “Vogel's Textbook of Practical Organic Chemistry” 5th edition (1989), by Fumiss, Hannaford, Smith, and Tatchell, pub. Longman Scientific & Technical, Essex CM202JE, England.
- Reaction conditions and reaction times for each individual step can vary depending on the particular reactants employed and substituents present in the reactants used. Specific procedures are provided in the Examples section. Reactions can be worked up in the conventional manner, e.g. by eliminating the solvent from the residue and further purified according to methodologies generally known in the art such as, but not limited to, crystallization, distillation, extraction, trituration and chromatography. Unless otherwise described, the starting materials and reagents are either commercially available or can be prepared by one skilled in the art from commercially available materials using methods described in the chemical literature. Starting materials, if not commercially available, can be prepared by procedures selected from standard organic chemical techniques, techniques that are analogous to the synthesis of known, structurally similar compounds, or techniques that are analogous to the above described schemes or the procedures described in the synthetic examples section.
- the compounds described herein may in some cases exist as diastereomers, enantiomers, or other stereoisomeric forms.
- the compounds presented herein include all diastereomeric, enantiomeric, and stereoisomeric forms as well as the appropriate mixtures thereof. Separation of stereoisomers may be performed by chromatography or by the forming diastereomeric and separation by recrystallization, or chromatography, or any combination thereof. (Jean Jacques, Andre Collet, Samuel H. Wilen, “Enantiomers, Racemates and Resolutions”, John Wiley And Sons, Inc., 1981, herein incorporated by reference for this disclosure). Stereoisomers may also be obtained by stereoselective synthesis.
- compounds may exist as tautomers. All tautomers are included within the formulas described herein.
- divalent variables or groups described herein may be attached in the orientation in which they are depicted or they may be attached in the reverse orientation.
- compositions described herein include the use of amorphous forms as well as crystalline forms (also known as polymorphs).
- the compounds described herein may be in the form of pharmaceutically acceptable salts.
- active metabolites of these compounds having the same type of activity are included in the scope of the present disclosure.
- the compounds described herein can exist in unsolvated as well as solvated forms with pharmaceutically acceptable solvents such as water, ethanol, etc.
- the solvated forms of the compounds presented herein are also considered to be disclosed herein.
- compounds or salts described herein may be prodrugs.
- a “prodrug” refers to an agent that is converted into the parent drug in vivo.
- Prodrugs are often useful because, in some situations, they may be easier to administer than the parent drug. They may, for instance, be bioavailable by oral administration whereas the parent is not.
- the prodrug may also have improved solubility in pharmaceutical compositions over the parent drug.
- An example, without limitation, of a prodrug would be a compound described herein, which is administered as an ester (the “prodrug”) to facilitate transmittal across a cell membrane where water solubility is detrimental to mobility but which then is metabolically hydrolyzed to the carboxylic acid, the active entity, once inside the cell where water-solubility is beneficial.
- a further example of a prodrug might be a short peptide (polyaminoacid) bonded to an acid group where the peptide is metabolized to reveal the active moiety.
- a prodrug upon in vivo administration, is chemically converted to the biologically, pharmaceutically or therapeutically active form of the compound.
- a prodrug is enzymatically metabolized by one or more steps or processes to the biologically, pharmaceutically or therapeutically active form of the compound.
- a pharmaceutically active compound is modified such that the active compound will be regenerated upon in vivo administration.
- the prodrug can be designed to alter the metabolic stability or the transport characteristics of a drug, to mask side effects or toxicity, to improve the flavor of a drug or to alter other characteristics or properties of a drug.
- prodrugs of the compound are designed, (see, for example, Nogrady (1985) Medicinal Chemistry A Biochemical Approach, Oxford University Press, New York, pages 388-392; Silverman (1992), The Organic Chemistry of Drug Design and Drug Action, Academic Press, Inc., San Diego, pages 352-401, Saulnier etal, (1994), Bioorganic and Medicinal Chemistry Letters, Vol. 4, p. 1985; Rooseboom et al, Pharmacological Reviews, 56:53-102, 2004; Miller et al., J. Med. Chem. Vol.46, no. 24, 5097-5116, 2003; Aesop Cho, “Recent Advances in Oral Prodrug Discovery”, Annual Reports in Medicinal Chemistry, Vol. 41, 395-407, 2006).
- the compounds described herein may be labeled isotopically (e.g. with a radioisotope) or by other means, including, but not limited to, the use of chromophores or fluorescent moieties, bioluminescent labels, photoactivatable or chemiluminescent labels, affinity labels (e.g. biotin), etc.
- Compounds and salts described herein include isotopically-labeled compounds. In general, isotopically-labeled compounds are identical to those recited in the various formulae and structures presented herein, but for the fact that one or more atoms are replaced by an atom having an atomic mass or mass number different from the atomic mass or mass number most common in nature.
- isotopes examples include isotopes of hydrogen, carbon, nitrogen, oxygen, fluorine and chlorine, for example, 2 H, 3 H, 13 C, 14 C, 15 N, 18 0, 17 0, 35 S, 18 F, or 36 C1.
- isotopically-labeled compounds described herein, for example those into which radioactive isotopes such as 3 H and 14 C are incorporated, are useful in drug and/or substrate tissue distribution assays.
- substitution with isotopes such as deuterium, i.e., 2 H, can afford certain therapeutic advantages resulting from greater metabolic stability, such as, for example, increased in vivo half-life or reduced dosage requirements.
- the compounds described herein are metabolized upon administration to an organism in need to produce a metabolite that is then used to produce a desired effect, including a desired therapeutic effect.
- compositions described herein may be formed as, and/or used as, pharmaceutically acceptable salts.
- pharmaceutical acceptable salts include, but are not limited to: (1) acid addition salts, formed by reacting the free base form of the compound with a pharmaceutically acceptable: inorganic acid, such as, for example, hydrochloric acid, hydrobromic acid, sulfuric acid, phosphoric acid, metaphosphoric acid, and the like; or with an organic acid, such as, for example, acetic acid, propionic acid, hexanoic acid, cyclopentanepropionic acid, glycolic acid, pyruvic acid, lactic acid, malonic acid, succinic acid, malic acid, maleic acid, fumaric acid, trifluoroacetic acid, tartaric acid, citric acid, benzoic acid, 3-(4-hydroxybenzoyl)benzoic acid, cinnamic acid, mandelic acid, methanesulfonic acid, ethanesulfonic acid, 1,2-ethaned
- compounds described herein may coordinate with an organic base, such as, but not limited to, ethanolamine, diethanolamine, triethanolamine, tromethamine, N-methylglucamine, dicyclohexylamine, tris(hydroxymethyl)methylamine.
- compounds described herein may form salts with amino acids such as, but not limited to, arginine, lysine, and the like.
- Acceptable inorganic bases used to form salts with compounds that include an acidic proton include, but are not limited to, aluminum hydroxide, calcium hydroxide, potassium hydroxide, sodium carbonate, sodium hydroxide, and the like.
- a reference to a pharmaceutically acceptable salt includes the solvent addition forms or crystal forms thereof, particularly solvates or polymorphs.
- Solvates contain either stoichiometric or non-stoichiometric amounts of a solvent, and may be formed during the process of crystallization with pharmaceutically acceptable solvents such as water, ethanol, and the like. Hydrates are formed when the solvent is water, or alcoholates are formed when the solvent is alcohol. Solvates of compounds described herein can be conveniently prepared or formed during the processes described herein.
- the compounds provided herein can exist in unsolvated as well as solvated forms. In general, the solvated forms are considered equivalent to the unsolvated forms for the purposes of the compounds and methods provided herein.
- compounds described herein are in various forms, including but not limited to, amorphous forms, milled forms and nano-particulate forms.
- compounds described herein include crystalline forms, also known as polymorphs.
- Polymorphs include the different crystal packing arrangements of the same elemental composition of a compound. Polymorphs usually have different X-ray diffraction patterns, melting points, density, hardness, crystal shape, optical properties, stability, and solubility. Various factors such as the recrystallization solvent, rate of crystallization, and storage temperature may cause a single crystal form to dominate.
- the screening and characterization of the pharmaceutically acceptable salts, polymorphs and/or solvates may be accomplished using a variety of techniques including, but not limited to, thermal analysis, x-ray diffraction, spectroscopy, vapor sorption, and microscopy.
- Thermal analysis methods address thermo chemical degradation or thermo physical processes including, but not limited to, polymorphic transitions, and such methods are used to analyze the relationships between polymorphic forms, determine weight loss, to find the glass transition temperature, or for excipient compatibility studies.
- Such methods include, but are not limited to, Differential scanning calorimetry (DSC), Modulated Differential Scanning Calorimetry (MDCS), Thermogravimetric analysis (TGA), and Thermogravi-metric and Infrared analysis (TG/IR).
- DSC Differential scanning calorimetry
- MDCS Modulated Differential Scanning Calorimetry
- TGA Thermogravimetric analysis
- TG/IR Thermogravi-metric and Infrared analysis
- X-ray diffraction methods include, but are not limited to, single crystal and powder diffractometers and synchrotron sources.
- the various spectroscopic techniques used include, but are not limited to, Raman, FTIR, UV-VIS, and NMR (liquid and solid state).
- the various microscopy techniques include, but are not limited to, polarized light microscopy, Scanning Electron Microscopy (SEM) with Energy Dispersive X-Ray Analysis (EDX), Environmental Scanning Electron Microscopy with EDX (in gas or water vapor atmosphere), IR microscopy, and Raman microscopy.
- a compound disclosed herein e.g., a compound of formula (I), (Ila), (IIb), or (IIc)
- a pharmaceutically acceptable salt thereof is combined with one or more additional agents to form a pharmaceutical composition.
- Pharmaceutical compositions may be formulated in a conventional manner using one or more physiologically acceptable carriers including excipients and auxiliaries that facilitate processing of the active compound into a preparation, which can be used pharmaceutically. Proper formulation is dependent upon the route of administration chosen.
- a pharmaceutical composition refers to a mixture of a compound disclosed herein (e.g., a compound of formula (I), (IIa), (IIb), or (IIc)), or a pharmaceutically acceptable salt thereof, with other chemical components, such as carriers, stabilizers, diluents, dispersing agents, suspending agents, thickening agents, and/or excipients.
- the pharmaceutical composition facilitates administration of the compound to a subject.
- therapeutically effective amounts of compounds described herein are administered in a pharmaceutical composition to a subject having a disease, disorder, or condition to be treated (e.g., cancer).
- the subject is a human.
- a therapeutically effective amount can vary widely depending on the severity of the disease, the age and relative health of the subject, the potency of the compound used and other factors.
- the compound or pharmaceutically acceptable salt thereof can be used singly or in combination with one or more therapeutic agents as components of mixtures (as in combination therapy).
- compositions described herein can be administered to a subject by multiple administration routes, including but not limited to, oral, parenteral (e.g., intravenous, subcutaneous, intramuscular), intranasal, buccal, topical, rectal, or transdermal administration routes.
- parenteral e.g., intravenous, subcutaneous, intramuscular
- intranasal e.g., buccal
- topical e.g., topical, rectal, or transdermal administration routes.
- compositions described herein which include a compound disclosed herein (e.g., a compound of formula (I), (Ila), (IIb), or (IIc)), or a pharmaceutically acceptable salt thereof, can be formulated into any suitable dosage form, including but not limited to, aqueous oral dispersions, liquids, gels, syrups, elixirs, slurries, suspensions, aerosols, fast melt formulations, effervescent formulations, lyophilized formulations, tablets, powders, pills, dragees, and capsules.
- aqueous oral dispersions liquids, gels, syrups, elixirs, slurries, suspensions, aerosols, fast melt formulations, effervescent formulations, lyophilized formulations, tablets, powders, pills, dragees, and capsules.
- Such long acting formulations may be administered by implantation (for example subcutaneously or intramuscularly) or by intramuscular injection.
- the drug may be provided in the form of a rapid release formulation, in the form of an extended release formulation, or in the form of an intermediate release formulation.
- compositions including a compound described herein may be manufactured in a conventional manner, such as, by way of example only, by means of conventional mixing, dissolving, granulating, dragee-making, levigating, emulsifying, encapsulating, entrapping or compression processes.
- compositions provided herein may also include one or more preservatives to inhibit microbial activity.
- Suitable preservatives include quaternary ammonium compounds such as benzalkonium chloride, cetyltrimethylammonium bromide and cetylpyridinium chloride.
- compositions for oral use can be obtained by mixing one or more solid excipients with one or more of the compounds disclosed herein (e.g., a compound of formula (I), (Ila), (IIb), or (IIc)), or a pharmaceutically acceptable salt thereof, optionally grinding the resulting mixture, and processing the mixture of granules, after adding suitable auxiliaries, if desired, to obtain tablets, pills, or capsules.
- a compound of formula (I), (Ila), (IIb), or (IIc) e.g., a compound of formula (I), (Ila), (IIb), or (IIc)
- Suitable excipients include, for example, fillers such as sugars, including lactose, sucrose, mannitol, or sorbitol; cellulose preparations such as, for example, maize starch, wheat starch, rice starch, potato starch, gelatin, gum tragacanth, methylcellulose, microcrystalline cellulose, hydroxypropylmethylcellulose, sodium carboxymethylcellulose; or others such as: polyvinylpyrrolidone (PVP or povidone) or calcium phosphate.
- disintegrating agents may be added, such as the cross-linked croscarmellose sodium, polyvinylpyrrolidone, agar, or alginic acid or a salt thereof such as sodium alginate.
- Dragee cores are provided with suitable coatings.
- suitable coatings For this purpose, concentrated sugar solutions may be used, which may optionally contain gum arabic, talc, polyvinylpyrrolidone, carbopol gel, polyethylene glycol, and/or titanium dioxide, lacquer solutions, and suitable organic solvents or solvent mixtures.
- Dyestuffs or pigments may be added to the tablets or dragee coatings for identification or to characterize different combinations of active compound doses.
- compositions that can be used orally include push-fit capsules made of gelatin, as well as soft, sealed capsules made of gelatin and a plasticizer, such as glycerol or sorbitol.
- the push-fit capsules can contain the active ingredients in admixture with filler such as lactose, binders such as starches, and/or lubricants such as talc or magnesium stearate and, optionally, stabilizers.
- the active compounds may be dissolved or suspended in suitable liquids, such as fatty oils, liquid paraffin, or liquid polyethylene glycols.
- stabilizers may be added.
- the solid dosage forms disclosed herein may be in the form of a tablet, (including a suspension tablet, a fast-melt tablet, a bite-disintegration tablet, a rapid- disintegration tablet, an effervescent tablet, or a caplet), a pill, a powder (including a sterile packaged powder, a dispensable powder, or an effervescent powder), a capsule (including both soft or hard capsules, e.g., capsules made from animal-derived gelatin or plant-derived HPMC, or “sprinkle capsules”), solid dispersion, solid solution, bioerodible dosage form, multiparticulate dosage forms, pellets, granules, or an aerosol.
- a tablet including a suspension tablet, a fast-melt tablet, a bite-disintegration tablet, a rapid- disintegration tablet, an effervescent tablet, or a caplet
- a pill including a sterile packaged powder, a dispensable powder, or an effer
- the pharmaceutical formulation is in the form of a powder. In still other embodiments, the pharmaceutical formulation is in the form of a tablet, including but not limited to, a fast-melt tablet. Additionally, pharmaceutical formulations of the compounds described herein may be administered as a single capsule or in multiple capsule dosage form. In some embodiments, the pharmaceutical formulation is administered in two, or three, or four, capsules or tablets.
- solid dosage forms e.g., tablets, effervescent tablets, and capsules
- a compound disclosed herein e.g., a compound of formula (I), (Ila), (IIb), or (IIc)
- a pharmaceutically acceptable salt thereof e.g., sodium bicarbonate, sodium bicarbonate, sodium bicarbonate, sodium bicarbonate, sodium bicarbonate, sodium bicarbonate, sodium bicarbonate, sodium bicarbonate, sodium bicarbonate, sodium bicarbonate, sodium bicarbonate, sodium bicarbonate, sodium bicarbonate, sodium bicarbonate, sodium bicarbonate, sodium bicarbonate, sodium bicarbonate, sodium bicarbonate, sodium bicarbonate, sodium bicarbonate, sodium bicarbonate, sodium bicarbonate, sodium bicarbonate, sodium bicarbonate, sodium bicarbonate, sodium bicarbonate, sodium bicarbonate, sodium bicarbonate, sodium bicarbonate, sodium bicarbonate, sodium bicarbonate, sodium bicarbonate, sodium bicarbonate, sodium bicarbonate, sodium bicarbonate, sodium bicarbonate, sodium
- the pharmaceutical solid dosage forms described herein can include a compound disclosed herein (e.g., a compound of formula (I), (Ila), (IIb), or (IIc)), or a pharmaceutically acceptable salt thereof, and one or more pharmaceutically acceptable additives such as a compatible carrier, binder, filling agent, suspending agent, flavoring agent, sweetening agent, disintegrating agent, dispersing agent, surfactant, lubricant, colorant, diluent, solubilizer, moistening agent, plasticizer, stabilizer, penetration enhancer, wetting agent, anti-foaming agent, antioxidant, preservative, or one or more combination thereof.
- a compatible carrier such as a compatible carrier, binder, filling agent, suspending agent, flavoring agent, sweetening agent, disintegrating agent, dispersing agent, surfactant, lubricant, colorant, diluent, solubilizer, moistening agent, plasticizer, stabilizer, penetration enhancer, wetting agent, anti-foaming agent
- a film coating is provided around the formulation of the compound described herein.
- some or all of the particles of the compound described herein are coated.
- some or all of the particles of the compound described herein are microencapsulated.
- the particles of the compound described herein are not microencapsulated and are uncoated.
- Suitable carriers for use in the solid dosage forms described herein include, but are not limited to, acacia, gelatin, colloidal silicon dioxide, calcium glycerophosphate, calcium lactate, maltodextrin, glycerine, magnesium silicate, sodium caseinate, soy lecithin, sodium chloride, tricalcium phosphate, dipotassium phosphate, sodium stearoyl lactylate, carrageenan, monoglyceride, diglyceride, pregelatinized starch, hydroxypropylmethylcellulose, hydroxypropylmethylcellulose acetate stearate, sucrose, microcrystalline cellulose, lactose, mannitol and the like.
- Suitable filling agents for use in the solid dosage forms described herein include, but are not limited to, lactose, calcium carbonate, calcium phosphate, dibasic calcium phosphate, calcium sulfate, microcrystalline cellulose, cellulose powder, dextrose, dextrates, dextran, starches, pregelatinized starch, hydroxypropylmethy cellulose (HPMC), hydroxypropylmethy cellulose phthalate, hydroxypropylmethylcellulose acetate stearate (HPMCAS), sucrose, xylitol, lactitol, mannitol, sorbitol, sodium chloride, polyethylene glycol, and the like.
- disintegrants are often used in the formulation, especially when the dosage forms are compressed with binder. Disintegrants help rupturing the dosage form matrix by swelling or capillary action when moisture is absorbed into the dosage form.
- Suitable disintegrants for use in the solid dosage forms described herein include, but are not limited to, natural starch such as com starch or potato starch, a pregelatinized starch such as National 1551 or Amijel ® , or sodium starch glycolate such as Promogel ® or Explotab ® , a cellulose such as a wood product, methylcrystalline cellulose, e.g., Avicel ® , Avicel ® PH101, Avicel ® PH102, Avicel ® PH105, Elcema ® P100, Emcocel ® , Vivacel ® , Ming Tia ® , and Solka-Floc ® , methylcellulose, croscarmellose, or a cross-linked cellulose, such as cross-linked sodium carboxymethylcellulose (Ac-Di-Sol ® ), cross-linked carboxymethylcellulose, or cross-linked croscarmellose, a cross-linked starch such as sodium starch glycolate, a cross-
- Binders impart cohesiveness to solid oral dosage form formulations: for powder filled capsule formulation, they aid in plug formation that can be filled into soft or hard shell capsules and for tablet formulation, they ensure the tablet remaining intact after compression and help assure blend uniformity prior to a compression or fill step.
- Materials suitable for use as binders in the solid dosage forms described herein include, but are not limited to, carboxymethylcellulose, methylcellulose (e.g., Methocel ® ), hydroxypropylmethylcellulose (e.g.
- binder levels of 20-70% are used in powder-filled gelatin capsule formulations. Binder usage level in tablet formulations varies whether direct compression, wet granulation, roller compaction, or usage of other excipients such as fillers which itself can act as moderate binder. In some embodiments, formulators determine the binder level for the formulations, but binder usage level of up to 70% in tablet formulations is common.
- Suitable lubricants or glidants for use in the solid dosage forms described herein include, but are not limited to, stearic acid, calcium hydroxide, talc, com starch, sodium stearyl fumerate, alkali-metal and alkaline earth metal salts, such as aluminum, calcium, magnesium, zinc, stearic acid, sodium stearates, magnesium stearate, zinc stearate, waxes, Stearowet ® , boric acid, sodium benzoate, sodium acetate, sodium chloride, leucine, a polyethylene glycol or a methoxypolyethylene glycol such as CarbowaxTM, PEG 4000, PEG 5000, PEG 6000, propylene glycol, sodium oleate, glyceryl behenate, glyceryl palmitostearate, glyceryl benzoate, magnesium or sodium lauryl sulfate, and the like.
- stearic acid calcium hydroxide, tal
- Suitable diluents for use in the solid dosage forms described herein include, but are not limited to, sugars (including lactose, sucrose, and dextrose), polysaccharides (including dextrates and maltodextrin), polyols (including mannitol, xylitol, and sorbitol), cyclodextrins and the like.
- Suitable wetting agents for use in the solid dosage forms described herein include, for example, oleic acid, glyceryl monostearate, sorbitan monooleate, sorbitan monolaurate, triethanolamine oleate, polyoxyethylene sorbitan monooleate, polyoxyethylene sorbitan monolaurate, quaternary ammonium compounds (e.g., Polyquat 10 ® ), sodium oleate, sodium lauryl sulfate, magnesium stearate, sodium docusate, triacetin, vitamin E TPGS and the like.
- quaternary ammonium compounds e.g., Polyquat 10 ®
- sodium oleate sodium lauryl sulfate
- magnesium stearate sodium docusate
- triacetin vitamin E TPGS and the like.
- Suitable surfactants for use in the solid dosage forms described herein include, for example, sodium lauryl sulfate, sorbitan monooleate, polyoxyethylene sorbitan monooleate, polysorbates, polaxomers, bile salts, glyceryl monostearate, copolymers of ethylene oxide and propylene oxide, e.g., Pluronic ® (BASF), and the like.
- Suitable suspending agents for use in the solid dosage forms described here include, but are not limited to, polyvinylpyrrolidone, e.g., polyvinylpyrrolidone K12, polyvinylpyrrolidone K17, polyvinylpyrrolidone K25, or polyvinylpyrrolidone K30, polyethylene glycol, e.g., the polyethylene glycol can have a molecular weight of about 300 to about 6000, or about 3350 to about 4000, or about 5400 to about 7000, vinyl pyrrolidone/vinyl acetate copolymer (S630), sodium carboxymethylcellulose, methylcellulose, hydroxy-propylmethylcellulose, polysorbate-80, hydroxyethylcellulose, sodium alginate, gums, such as, e.g., gum tragacanth and gum acacia, guar gum, xanthans, including xanthan gum, sugars, cellulosics, such as,
- Suitable antioxidants for use in the solid dosage forms described herein include, for example, e.g., butylated hydroxytoluene (BHT), sodium ascorbate, and tocopherol.
- BHT butylated hydroxytoluene
- sodium ascorbate sodium ascorbate
- tocopherol sodium ascorbate
- additives used in the solid dosage forms described herein there is considerable overlap between additives used in the solid dosage forms described herein.
- the above-listed additives should be taken as merely exemplary, and not limiting, of the types of additives that can be included in solid dosage forms of the pharmaceutical compositions described herein.
- one or more layers of the pharmaceutical formulation are plasticized.
- a plasticizer is generally a high boiling point solid or liquid. Suitable plasticizers can be added from about 0.01% to about 50% by weight (w/w) of the coating composition.
- Plasticizers include, but are not limited to, diethyl phthalate, citrate esters, polyethylene glycol, glycerol, acetylated glycerides, triacetin, polypropylene glycol, polyethylene glycol, triethyl citrate, dibutyl sebacate, stearic acid, stearol, stearate, and castor oil.
- Compressed tablets are solid dosage forms prepared by compacting the bulk blend of the formulations described above.
- compressed tablets which are designed to dissolve in the mouth will include one or more flavoring agents.
- the compressed tablets will include a film surrounding the final compressed tablet.
- the film coating aids in patient compliance (e.g., Opadry ® coatings or sugar coating). Film coatings including Opadry ® typically range from about 1% to about 3% of the tablet weight.
- the compressed tablets include one or more excipients.
- a capsule may be prepared, for example, by placing the bulk blend of the formulation of the compound described above, inside of a capsule.
- the formulations non-aqueous suspensions and solutions
- the formulations are placed in a soft gelatin capsule.
- the formulations are placed in standard gelatin capsules or non-gelatin capsules such as capsules comprising HPMC.
- the formulation is placed in a sprinkle capsule, wherein the capsule may be swallowed whole or the capsule may be opened and the contents sprinkled on food prior to eating.
- the therapeutic dose is split into multiple (e.g., two, three, or four) capsules.
- the entire dose of the formulation is delivered in a capsule form.
- the particles of the compound disclosed herein e.g., a compound of formula (I), (Ila), (IIb), or (IIc), or a pharmaceutically acceptable salt thereof
- one or more excipients are dry blended and compressed into a mass, such as a tablet, having a hardness sufficient to provide a pharmaceutical composition that substantially disintegrates within less than about 30 minutes, less than about 35 minutes, less than about 40 minutes, less than about 45 minutes, less than about 50 minutes, less than about 55 minutes, or less than about 60 minutes, after oral administration, thereby releasing the formulation into the gastrointestinal fluid.
- dosage forms may include microencapsulated formulations.
- one or more other compatible materials are present in the microencapsulation material.
- Exemplary materials include, but are not limited to, pH modifiers, erosion facilitators, anti-foaming agents, antioxidants, flavoring agents, and carrier materials such as binders, suspending agents, disintegration agents, filling agents, surfactants, solubilizers, stabilizers, lubricants, wetting agents, and diluents.
- Materials useful for the microencapsulation described herein include materials compatible with compounds described herein, which sufficiently isolate the compound from other non-compatible excipients.
- Effervescent powders are also prepared in accordance with the present disclosure.
- Effervescent salts have been used to disperse medicines in water for oral administration.
- Effervescent salts are granules or coarse powders containing a medicinal agent in a dry mixture, usually composed of sodium bicarbonate, citric acid and/or tartaric acid. When such salts are added to water, the acids and the base react to liberate carbon dioxide gas, thereby causing “effervescence.”
- Examples of effervescent salts include, e.g., the following ingredients: sodium bicarbonate or a mixture of sodium bicarbonate and sodium carbonate, citric acid and/or tartaric acid. Any acid-base combination that results in the liberation of carbon dioxide can be used in place of the combination of sodium bicarbonate and citric and tartaric acids, as long as the ingredients were suitable for pharmaceutical use and result in a pH of about 6.0 or higher.
- the formulations described herein are solid dispersions. Methods of producing such solid dispersions include, but are not limited to, for example, U.S. Pat. Nos. 4,343,789, 5,340,591, 5,456,923, 5,700,485, 5,723,269, and U.S. patent publication no. 2004/0013734.
- the formulations described herein are solid solutions. Solid solutions incorporate a substance together with the active agent and other excipients such that heating the mixture results in dissolution of the drug and the resulting composition is then cooled to provide a solid blend which can be further formulated or directly added to a capsule or compressed into a tablet. Methods of producing such solid solutions include, but are not limited to, for example, U.S. Pat. Nos. 4,151,273, 5,281,420, and 6,083,518.
- pharmaceutical formulations include particles of the compound disclosed herein (e.g., a compound of formula (I), (Ila), (IIb), or (IIc)), or a pharmaceutically acceptable salt thereof, and at least one dispersing agent or suspending agent for oral administration to a subject.
- the formulations may be a powder and/or granules for suspension, and upon admixture with water, a substantially uniform suspension is obtained.
- Liquid formulation dosage forms for oral administration can be aqueous suspensions selected from the group including, but not limited to, pharmaceutically acceptable aqueous oral dispersions, emulsions, solutions, elixirs, gels, and syrups. See, e.g., Singh et al, Encyclopedia of Pharmaceutical Technology, 2nd Ed., pp. 754-757 (2002).
- aqueous suspensions and dispersions described herein can remain in a homogenous state, as defined in The USP Pharmacists' Pharmacopeia (2005 edition, chapter 905), for at least 4 hours.
- the homogeneity should be determined by a sampling method consistent with regard to determining homogeneity of the entire composition.
- an aqueous suspension can be re-suspended into a homogenous suspension by physical agitation lasting less than 1 minute.
- an aqueous suspension can be re-suspended into a homogenous suspension by physical agitation lasting less than 45 seconds.
- an aqueous suspension can be re-suspended into a homogenous suspension by physical agitation lasting less than 30 seconds. In still another embodiment, no agitation is necessary to maintain a homogeneous aqueous dispersion.
- compositions described herein may include sweetening agents such as, but not limited to, acacia syrup, acesulfame K, alitame, anise, apple, aspartame, banana, Bavarian cream, berry, black currant, butterscotch, calcium citrate, camphor, caramel, cherry, cherry cream, chocolate, cinnamon, bubble gum, citrus, citrus punch, citrus cream, cotton candy, cocoa, cola, cool cherry, cool citrus, cyclamate, cylamate, dextrose, eucalyptus, eugenol, fructose, fruit punch, ginger, glycyrrhetinate, glycyrrhiza (licorice) syrup, grape, grapefruit, honey, isomalt, lemon, lime, lemon cream, monoammonium glyrrhizinate (MagnaSweet ® ), maltol, mannitol, maple, marshmallow, menthol, mint cream, mixed berry, ne
- the pharmaceutical formulations described herein can be self- emulsifying drug delivery systems (SEDDS).
- SEDDS self- emulsifying drug delivery systems
- Emulsions are dispersions of one immiscible phase in another, usually in the form of droplets.
- emulsions are created by vigorous mechanical dispersion.
- SEDDS as opposed to emulsions or microemulsions, spontaneously form emulsions when added to an excess of water without any external mechanical dispersion or agitation.
- An advantage of SEDDS is that only gentle mixing is required to distribute the droplets throughout the solution. Additionally, water or the aqueous phase can be added just prior to administration, which ensures stability of an unstable or hydrophobic active ingredient.
- the SEDDS provides an effective delivery system for oral and parenteral delivery of hydrophobic active ingredients.
- SEDDS may provide improvements in the bioavailability of hydrophobic active ingredients.
- Methods of producing self-emulsifying dosage forms include, but are not limited to, for example, U.S. Pat. Nos. 5,858,401, 6,667,048, and 6,960,563.
- compositions and formulations are prepared with suitable nontoxic pharmaceutically acceptable ingredients.
- suitable carriers is highly dependent upon the exact nature of the nasal dosage form desired, e.g., solutions, suspensions, ointments, or gels.
- Nasal dosage forms generally contain large amounts of water in addition to the active ingredient. Minor amounts of other ingredients such as pH adjusters, emulsifiers or dispersing agents, preservatives, surfactants, gelling agents, or buffering and other stabilizing and solubilizing agents may also be present.
- the nasal dosage form should be isotonic with nasal secretions.
- the compounds described herein may be in a form as an aerosol, a mist or a powder.
- Pharmaceutical compositions described herein are conveniently delivered in the form of an aerosol spray presentation from pressurized packs or anebuliser, with the use of a suitable propellant, e.g., dichlorodifluoromethane, trichlorofluoromethane, dichlorotetrafluoroethane, carbon dioxide or other suitable gas.
- a suitable propellant e.g., dichlorodifluoromethane, trichlorofluoromethane, dichlorotetrafluoroethane, carbon dioxide or other suitable gas.
- the dosage unit may be determined by providing a valve to deliver a metered amount.
- Capsules and cartridges of, such as, by way of example only, gelatin for use in an inhaler or insufflator may be formulated containing a powder mix of the compound described herein and a suitable powder base such as lactose or starch.
- Buccal formulations that include compounds described herein may be administered using a variety of formulations which include, but are not limited to, U.S. Pat. Nos.
- the buccal dosage forms described herein can further include a bioerodible (hydrolysable) polymeric carrier that also serves to adhere the dosage form to the buccal mucosa.
- the buccal dosage form is fabricated so as to erode gradually over a predetermined time period, wherein the delivery of the compound is provided essentially throughout.
- Buccal drug delivery avoids the disadvantages encountered with oral drug administration, e.g., slow absorption, degradation of the active agent by fluids present in the gastrointestinal tract and/or first-pass inactivation in the liver.
- the polymeric carrier comprises hydrophilic (water-soluble and water-swellable) polymers that adhere to the wet surface of the buccal mucosa.
- examples of polymeric carriers useful herein include acrylic acid polymers and co, e.g., those known as “carbomers” (Carbopol ® , which may be obtained from B.F. Goodrich, is one such polymer).
- compositions may take the form of tablets, lozenges, or gels formulated in a conventional manner.
- Transdermal formulations described herein may be administered using a variety of devices including but not limited to, U.S. Pat. Nos. 3,598,122, 3,598,123, 3,710,795, 3,731,683, 3,742,951, 3,814,097, 3,921,636, 3,972,995, 3,993,072, 3,993,073, 3,996,934, 4,031,894, 4,060,084, 4,069,307, 4,077,407, 4,201,211, 4,230,105, 4,292,299, 4,292,303, 5,336,168, 5,665,378, 5,837,280, 5,869,090, 6,923,983, 6,929,801 and 6,946,144.
- transdermal dosage forms described herein may incorporate certain pharmaceutically acceptable excipients which are conventional in the art.
- the transdermal formulations described herein include at least three components: (1) a formulation of a compound disclosed herein (e.g., a compound of formula (I), (Ila), (IIb), or (IIc)), or a pharmaceutically acceptable salt thereof; (2) a penetration enhancer; and (3) an aqueous adjuvant.
- transdermal formulations can include additional components such as, but not limited to, gelling agents, creams and ointment bases, and the like.
- the transdermal formulation can further include a woven or non-woven backing material to enhance absorption and prevent the removal of the transdermal formulation from the skin.
- the transdermal formulations described herein can maintain a saturated or supersaturated state to promote diffusion into the skin.
- Formulations suitable for transdermal administration of compounds described herein may employ transdermal delivery devices and transdermal delivery patches and can be lipophilic emulsions or buffered, aqueous solutions, dissolved and/or dispersed in a polymer or an adhesive. Such patches may be constructed for continuous, pulsatile, or on demand delivery of pharmaceutical agents. Still further, transdermal delivery of the compounds described herein can be accomplished by means of iontophoretic patches and the like. Additionally, transdermal patches can provide controlled delivery of the compounds described herein. The rate of absorption can be slowed by using rate-controlling membranes or by trapping the compound within a polymer matrix or gel. Conversely, absorption enhancers can be used to increase absorption.
- transdermal devices are in the form of a bandage comprising a backing member, a reservoir containing the compound optionally with carriers, optionally a rate controlling barrier to deliver the compound to the skin of the host at a controlled and predetermined rate over a prolonged period of time, and means to secure the device to the skin.
- Formulations suitable for intramuscular, subcutaneous, or intravenous injection may include physiologically acceptable sterile aqueous or non-aqueous solutions, dispersions, suspensions or emulsions, and sterile powders for reconstitution into sterile injectable solutions or dispersions.
- suitable aqueous and non-aqueous carriers, diluents, solvents, or vehicles including water, ethanol, polyols (propyleneglycol, polyethylene-glycol, glycerol, cremophor and the like), suitable mixtures thereof, vegetable oils (such as olive oil) and injectable organic esters such as ethyl oleate.
- Proper fluidity can be maintained, for example, by the use of a coating such as lecithin, by the maintenance of the required particle size in the case of dispersions, and by the use of surfactants.
- Formulations suitable for subcutaneous injection may also contain additives such as preserving, wetting, emulsifying, and dispensing agents. Prevention of the growth of microorganisms can be ensured by various antibacterial and antifungal agents, such as parabens, chlorobutanol, phenol, sorbic acid, and the like. It may also be desirable to include isotonic agents, such as sugars, sodium chloride, and the like. Prolonged absorption of the injectable pharmaceutical form can be brought about by the use of agents delaying absorption, such as aluminum monostearate and gelatin.
- compounds described herein may be formulated in aqueous solutions, preferably in physiologically compatible buffers such as Hank’s solution, Ringer’s solution, or physiological saline buffer.
- physiologically compatible buffers such as Hank’s solution, Ringer’s solution, or physiological saline buffer.
- penetrants appropriate to the barrier to be permeated are used in the formulation. Such penetrants are generally recognized in the field.
- appropriate formulations may include aqueous or nonaqueous solutions, preferably with physiologically compatible buffers or excipients. Such excipients are generally recognized in the field.
- Parenteral injections may involve bolus injection or continuous infusion.
- Formulations for injection may be presented in unit dosage form, e.g., in ampoules or in multi-dose containers, with an added preservative.
- the pharmaceutical composition described herein may be in a form suitable for parenteral injection as a sterile suspensions, solutions or emulsions in oily or aqueous vehicles, and may contain formulatory agents such as suspending, stabilizing and/or dispersing agents.
- Pharmaceutical formulations for parenteral administration include aqueous solutions of the active compounds in water-soluble form. Additionally, suspensions of the active compounds may be prepared as appropriate oily injection suspensions.
- Suitable lipophilic solvents or vehicles include fatty oils such as sesame oil, or synthetic fatty acid esters, such as ethyl oleate or triglycerides, or liposomes.
- Aqueous injection suspensions may contain substances which increase the viscosity of the suspension, such as sodium carboxymethyl cellulose, sorbitol, or dextran.
- the suspension may also contain suitable stabilizers or agents which increase the solubility of the compounds to allow for the preparation of highly concentrated solutions.
- the active ingredient may be in powder form for constitution with a suitable vehicle, e.g., sterile pyrogen-free water, before use.
- compositions provided herein also include an mucoadhesive polymer, selected from among, for example, carboxymethylcellulose, carbomer (acrylic acid polymer), poly(methylmethacrylate), polyacrylamide, polycarbophil, acrylic acid/butyl acrylate copolymer, sodium alginate and dextran.
- an mucoadhesive polymer selected from among, for example, carboxymethylcellulose, carbomer (acrylic acid polymer), poly(methylmethacrylate), polyacrylamide, polycarbophil, acrylic acid/butyl acrylate copolymer, sodium alginate and dextran.
- the compounds described herein may be administered topically and are formulated into a variety of topically administrable compositions, such as solutions, suspensions, lotions, gels, pastes, medicated sticks, balms, creams or ointments.
- Such pharmaceutical compounds can contain solubilizers, stabilizers, tonicity enhancing agents, buffers and preservatives.
- the compounds described herein may also be formulated in rectal compositions such as enemas, rectal gels, rectal foams, rectal aerosols, suppositories, jelly suppositories, or retention enemas, containing conventional suppository bases such as cocoa butter or other glycerides, as well as synthetic polymers such as polyvinylpyrrolidone, PEG, and the like.
- a low-melting wax such as, but not limited to, a mixture of fatty acid glycerides, optionally in combination with cocoa butter is first melted.
- an agent such as a compound disclosed herein (e.g., a compound of formula (I), (Ila), (IIb), or (IIc) or a pharmaceutically acceptable salt thereof), is administered in an amount effective for amelioration of, or prevention of the development of symptoms of, the disease or disorder (i.e., a therapeutically effective amount).
- a therapeutically effective amount can be an amount that is capable of at least partially preventing or reversing a disease or disorder.
- the dose required to obtain an effective amount may vary depending on the agent, formulation, disease or disorder, and individual to whom the agent is administered.
- Determination of effective amounts may also involve in vitro assays in which varying doses of agent are administered to cells in culture and the concentration of agent effective for ameliorating some or all symptoms is determined in order to calculate the concentration required in vivo. Effective amounts may also be based in in vivo animal studies.
- An agent can be administered prior to, concurrently with and subsequent to the appearance of symptoms of a disease or disorder.
- an agent is administered to a subject with a family history of the disease or disorder, or who has a phenotype that may indicate a predisposition to a disease or disorder, or who has a genotype which predisposes the subject to the disease or disorder.
- the compositions described herein are provided as pharmaceutical and/or therapeutic compositions.
- the pharmaceutical and/or therapeutic compositions of the present invention can be administered in a number of ways depending upon whether local or systemic treatment is desired and upon the area to be treated.
- Administration can be topical (including ophthalmic and to mucous membranes including vaginal and rectal delivery), pulmonary (e.g., by inhalation or insufflation of powders or aerosols, including by nebulizer; intratracheal, intranasal, epidermal and transdermal), oral or parenteral.
- Parenteral administration includes intravenous, intraarterial, subcutaneous, intraperitoneal or intramuscular injection or infusion; or intracranial, e.g., intrathecal or intraventricular, administration.
- Compositions and formulations for topical administration can include transdermal patches, ointments, lotions, creams, gels, drops, suppositories, sprays, liquids and powders.
- compositions and formulations for oral administration include powders or granules, suspensions or solutions in water or non- aqueous media, capsules, sachets or tablets. Thickeners, flavoring agents, diluents, emulsifiers, dispersing aids or binders can be desirable.
- Compositions and formulations for parenteral, intrathecal or intraventricular administration can include sterile aqueous solutions that can also contain buffers, diluents and other suitable additives such as, but not limited to, penetration enhancers, carrier compounds and other pharmaceutically acceptable carriers or excipients.
- compositions of the present invention include, but are not limited to, solutions, emulsions, and liposome containing formulations. These compositions can be generated from a variety of components that include, but are not limited to, preformed liquids, self-emulsifying solids and self-emulsifying semisolids.
- the pharmaceutical and/or therapeutic formulations which can conveniently be presented in unit dosage form, can be prepared according to conventional techniques well known in the pharmaceutical/nutriceutical industries. Such techniques include the step of bringing into association the active ingredients with the pharmaceutical carrier(s) or excipient(s). In general the formulations are prepared by uniformly and intimately bringing into association the active ingredients with liquid carriers or finely divided solid carriers or both, and then, if necessary, shaping the product.
- the compositions of the present invention can be formulated into any of many possible dosage forms such as, but not limited to, tablets, capsules, liquid syrups, soft gels, suppositories, and enemas.
- compositions of the present invention can also be formulated as suspensions in aqueous, non-aqueous, oil-based, or mixed media.
- Suspensions can further contain substances that increase the viscosity of the suspension including, for example, sodium carboxymethylcellulose, sorbitol and/or dextran.
- the suspension can also contain stabilizers.
- the pharmaceutical compositions can be formulated and used as foams.
- Pharmaceutical foams include formulations such as, but not limited to, emulsions, microemulsions, creams, jellies and liposomes. While basically similar in nature these formulations vary in the components and the consistency of the final product.
- the pharmaceutical composition described herein may be in unit dosage forms suitable for single administration of precise dosages.
- the formulation is divided into unit doses containing appropriate quantities of one or more compound.
- the unit dosage may be in the form of a package containing discrete quantities of the formulation.
- Non-limiting examples are packaged tablets or capsules, and powders in vials or ampoules.
- Aqueous suspension compositions can be packaged in single-dose non-reclosable containers.
- multiple-dose reclosable containers can be used, in which case it is typical to include a preservative in the composition.
- formulations for parenteral injection may be presented in unit dosage form, which include, but are not limited to ampoules, or in multi-dose containers, with an added preservative.
- Dosing and administration regimes are tailored by the clinician, or others skilled in the pharmacological arts, based upon well-known pharmacological and therapeutic considerations including, but not limited to, the desired level of therapeutic effect, and the practical level of therapeutic effect obtainable. Generally, it is advisable to follow well- known pharmacological principles for administrating chemotherapeutic agents (e.g., it is generally advisable to not change dosages by more than 50% at time and no more than every 3-4 agent half-lives). For compositions that have relatively little or no dose-related toxicity considerations, and where maximum efficacy is desired, doses in excess of the average required dose are not uncommon. This approach to dosing is commonly referred to as the “maximal dose” strategy.
- the compounds are administered to a subject at a dose of about 0.01 mg/kg to about 200 mg/kg, more preferably at about 0.1 mg/kg to about 100 mg/kg, even more preferably at about 0.5 mg/kg to about 50 mg/kg.
- the effective amount may be less than when the agent is used alone. Dosing may be once per day or multiple times per day for one or more consecutive days.
- the present disclosure provides methods of using the compounds and compositions described herein (e.g., compounds of formula (I), (Ila), (IIb), and (IIc), or pharmaceutically acceptable salts thereol).
- the methods include methods of inhibiting GAS41 and methods of treating diseases such as cancer.
- the disclosure provides a method of inhibiting GAS41 activity in a sample, comprising contacting the sample with an effective amount a compound described herein or a pharmaceutically acceptable salt thereof (e.g., a compound of formula (I), (Ila), (IIb), or (IIc), or a pharmaceutically acceptable salt thereol).
- a compound described herein or a pharmaceutically acceptable salt thereof e.g., a compound of formula (I), (Ila), (IIb), or (IIc), or a pharmaceutically acceptable salt thereol.
- the sample may be an in vitro or ex vivo sample (e.g., a sample comprising cells, tissue, or an organ).
- the disclosure provides a method of inhibiting GAS41 activity by contacting the GAS41 with an effective amount of a compound described herein or a pharmaceutically acceptable salt thereof (e.g., a compound of formula (I), (Ila), (IIb), or (IIc), or a pharmaceutically acceptable salt thereol), e.g., by contacting a cell, tissue, or organ that expresses GAS41 with the compound or the salt thereof.
- a compound described herein or a pharmaceutically acceptable salt thereof e.g., a compound of formula (I), (Ila), (IIb), or (IIc), or a pharmaceutically acceptable salt thereol
- the disclosure provides a method of inhibiting GAS41 activity in subject (including but not limited to rodents and mammals, e.g., humans), by administering into the subject an effective amount of a compound described herein or a pharmaceutically acceptable salt thereof (e.g., a compound of formula (I), (Ila), (IIb), or (IIc), or a pharmaceutically acceptable thereol).
- a compound described herein or a pharmaceutically acceptable salt thereof e.g., a compound of formula (I), (Ila), (IIb), or (IIc), or a pharmaceutically acceptable thereol.
- the percentage inhibition exceeds 25%, 30%, 40%, 50%, 60%, 70%, 80%, or 90%.
- the disclosure provides methods of inhibiting GAS41 activity in a cell, comprising contacting the cell with an amount of a compound described herein (e.g., a compound of formula (I), (Ila), (IIb), or (IIc), or a pharmaceutically acceptable salt thereol) sufficient to inhibit the activity.
- a compound described herein e.g., a compound of formula (I), (Ila), (IIb), or (IIc), or a pharmaceutically acceptable salt thereol
- the disclosure provides methods of inhibiting GAS41 activity in a tissue by contacting the tissue with an amount of a compound described herein or a pharmaceutically acceptable salt thereof (e.g., a compound of formula (I), (Ila), (IIb), or (IIc), or a pharmaceutically acceptable salt thereol), sufficient to inhibit the GAS41 activity in the tissue.
- the disclosure provides methods of inhibiting GAS41 activity in an organism (e.g., mammal, human, etc.) by contacting the organism with an amount of a compound described herein or a pharmaceutically acceptable salt thereof (e.g., a compound of formula (I), (Ila), (IIb), or (IIc), or a pharmaceutically acceptable salt thereol), sufficient to inhibit GAS41 activity in the organism.
- a compound described herein or a pharmaceutically acceptable salt thereof e.g., a compound of formula (I), (Ila), (IIb), or (IIc), or a pharmaceutically acceptable salt thereol
- Inhibition of GAS41 activity may be assessed and demonstrated by a wide variety of ways known in the art. Non-limiting examples include measure (a) a direct decrease in GAS41 activity; (b) a decrease in cell proliferation and/or cell viability; (c) an increase in cell differentiation; (d) a decrease in the levels of downstream targets of GAS41 activity; and (e) decrease in tumor volume and/or tumor volume growth rate. Kits and commercially available assays can be utilized for determining one or more of the above.
- the disclosure also provides methods for treating cancer in a subject in need thereof (e.g., a subject suffering from cancer), comprising administering a compound or pharmaceutical composition described herein (e.g., a compound of formula (I), (Ila) or (IIb) or a pharmaceutically acceptable salt thereof, or a pharmaceutical composition comprising a compound of formula (I), (Ila) or (IIb) or a pharmaceutically acceptable salt thereof) to the subject.
- the cancer is associated with GAS41 expression (e.g., aberrant expression, overexpression, etc.) and/or activity.
- the cancer is brain cancer (e.g., an astrocytoma or glioblastoma), a sarcoma, colorectal cancer, lung cancer (e.g., non-small cell lung cancer), or gastric cancer.
- brain cancer e.g., an astrocytoma or glioblastoma
- a sarcoma e.g., colorectal cancer
- lung cancer e.g., non-small cell lung cancer
- gastric cancer e.g., gastric cancer.
- the disclosure provides a method of treating cancer in a subject, wherein the method comprises determining if the subject has a GAS41 -mediated cancer, and administering to the subject a therapeutically effective amount of a compound described herein or a pharmaceutically acceptable salt thereof (e.g., a compound of formula (I), (Ila), (IIb), or (IIc), or a pharmaceutically acceptable salt thereof).
- a compound described herein or a pharmaceutically acceptable salt thereof e.g., a compound of formula (I), (Ila), (IIb), or (IIc), or a pharmaceutically acceptable salt thereof.
- GAS41 Determining whether a tumor or cancer expresses (e.g., overexpresses, aberrantly expresses, etc.) GAS41 can be undertaken by assessing the nucleotide sequence encoding GAS41 or by assessing the amino acid sequence of GAS41. Methods for detecting a GAS41 nucleotide sequence are known by those of skill in the art.
- PCR-RFLP polymerase chain reaction-restriction fragment length polymorphism
- PCR-SSCP polymerase chain reaction-single strand conformation polymorphism
- MASA mutant allele-specific PCR amplification
- direct sequencing primer extension reactions
- electrophoresis oligonucleotide ligation assays
- hybridization assays TaqMan assays
- SNP genotyping assays high resolution melting assays
- microarray analyses methods for detecting a GAS41 protein are known by those of skill in the art. These methods include, but are not limited to, detection using a binding agent, e.g., an antibody specific for GAS41, protein electrophoresis and Western blotting, and direct peptide sequencing.
- Methods for determining whether a tumor or cancer expresses can use a variety of samples.
- the sample is taken from a subject having a cancer or tumor.
- the sample is a fresh tumor/cancer sample.
- the sample is a frozen tumor/cancer sample.
- the sample is a formalin- fixed paraffin-embedded sample.
- the sample is processed to a cell lysate.
- the sample is processed to DNA or RNA.
- the disclosure also relates to a method of treating a hyperproliferative disorder in a mammal that comprises administering to the mammal a therapeutically effective amount of a compound described herein or a pharmaceutically acceptable salt thereof (e.g., a compound of formula (I), (Ila), (IIb), or (IIc), or a pharmaceutically acceptable salt thereof).
- a compound described herein or a pharmaceutically acceptable salt thereof e.g., a compound of formula (I), (Ila), (IIb), or (IIc), or a pharmaceutically acceptable salt thereof.
- the method relates to the treatment of cancer such as acute myeloid leukemia, cancer in adolescents, adrenocortical carcinoma childhood, AIDS-related cancers, e.g., Lymphoma and Kaposi's Sarcoma, anal cancer, angiosarcoma, appendix cancer, astrocytomas, atypical teratoid rhabdoid tumor, basal cell carcinoma, bile duct cancer, bladder cancer, bone cancer, brain stem glioma, brain tumor, breast cancer, bronchial tumors, Burkitt lymphoma, carcinoid tumor, chondrosarcoma, embryonal tumors, germ cell tumor, primary lymphoma, cervical cancer, childhood cancers, chordoma, cardiac tumors, chronic lymphocytic leukemia (CLL), chronic myelogenous leukemia (CML), chronic myleoproliferative disorders, colon cancer, colorectal cancer, craniopharyngioma, cutaneous T-cell
- cancer such
- the method relates to the treatment of a non- cancerous hyperproliferative disorder such as benign hyperplasia of the skin, e.g., psoriasis, restenosis, or prostate, e.g., benign prostatic hypertrophy (BPH).
- a non- cancerous hyperproliferative disorder such as benign hyperplasia of the skin, e.g., psoriasis, restenosis, or prostate, e.g., benign prostatic hypertrophy (BPH).
- BPH benign prostatic hypertrophy
- the method relates to the treatment of brain cancer (e.g., astrocytoma or glioblastoma), a sarcoma, colorectal cancer, lung cancer (e.g., non-small cell lung cancer), or gastric cancer.
- Subjects that can be treated with compounds of the disclosure according to the methods of this disclosure include, for example, subjects that have been diagnosed as having acute myeloid leukemia, cancer in adolescents, adrenocortical carcinoma childhood, AIDS- related cancers, e.g., Lymphoma and Kaposi's Sarcoma, anal cancer, angiosarcoma, appendix cancer, astrocytomas, atypical teratoid rhabdoid tumor, basal cell carcinoma, bile duct cancer, bladder cancer, bone cancer, brain stem glioma, brain tumor, breast cancer, bronchial tumors, Burkitt lymphoma, carcinoid tumor, chondrosarcoma, embryonal tumors, germ cell tumor, primary lymphoma, cervical cancer, childhood cancers, chordoma, cardiac tumors, chronic lymphocytic leukemia (CLL), chronic myelogenous leukemia (CML), chronic myleoproliferative disorders, colon cancer, colorectal cancer
- the method relates to the treatment of a non- cancerous hyperproliferative disorder such as benign hyperplasia of the skin, e.g., psoriasis, restenosis, or prostate, e.g., benign prostatic hypertrophy (BPH).
- a non- cancerous hyperproliferative disorder such as benign hyperplasia of the skin, e.g., psoriasis, restenosis, or prostate, e.g., benign prostatic hypertrophy (BPH).
- BPH benign prostatic hypertrophy
- the subject has been diagnosed with brain cancer (e.g., astrocytoma or glioblastoma), a sarcoma, colorectal cancer, lung cancer (e.g., non-small cell lung cancer), or gastric cancer
- compositions containing the compounds or salts thereof described herein can be administered for prophylactic and/or therapeutic treatments.
- the compounds or compositions are administered to a patient already suffering from a disease, in an amount sufficient to cure or at least partially arrest the symptoms of the disease. Amounts effective for this use will depend on the severity and course of the disease, previous therapy, the patient's health status, weight, and response to the drugs, and the judgment of the treating clinician.
- compositions containing the compounds or salts thereof described herein are administered to a patient susceptible to or otherwise at risk of a particular disease, disorder or condition.
- a patient susceptible to or otherwise at risk of a particular disease, disorder or condition is defined to be a “prophylactically effective amount or dose.”
- prophylactically effective amount or dose the precise amounts also depend on the patient’s state of health, weight, and the like.
- effective amounts for this use will depend on the severity and course of the disease, disorder or condition, previous therapy, the patient’s health status and response to the drugs, and the judgment of the treating clinician.
- the administration of the compounds may be administered chronically, that is, for an extended period of time, including throughout the duration of the patient’s life in order to ameliorate or otherwise control or limit the symptoms of the patient’s disease.
- the administration of the compounds may be given continuously; alternatively, the dose of drug being administered may be temporarily reduced or temporarily suspended for a certain length of time (i.e., a “drug holiday”).
- the length of the drug holiday can vary between 2 days and 1 year, including by way of example only, 2 days, 3 days, 4 days, 5 days, 6 days, 7 days, 10 days, 12 days, 15 days, 20 days, 28 days, 35 days, 50 days, 70 days, 100 days, 120 days, 150 days, 180 days, 200 days, 250 days, 280 days, 300 days, 320 days, 350 days, or 365 days.
- the dose reduction during a drug holiday may be from about 10% to about 100%, including, by way of example only, about 10%, about 15%, about 20%, about 25%, about 30%, about 35%, about 40%, about 45%, about 50%, about 55%, about 60%, about 65%, about 70%, about 75%, about 80%, about 85%, about 90%, about 95%, or about 100%.
- a maintenance dose is administered if necessary. Subsequently, the dosage or the frequency of administration, or both, can be reduced, as a function of the symptoms, to a level at which the improved disease, disorder or condition is retained. Patients can, however, require intermittent treatment on a long-term basis upon any recurrence of symptoms.
- the amount of a given agent that will correspond to such an amount will vary depending upon factors such as the particular compound, disease and its severity, the identity (e.g., weight) of the subject or host in need of treatment, but can nevertheless be determined in a manner recognized in the field according to the particular circumstances surrounding the case, including, e.g., the specific agent being administered, the route of administration, the condition being treated, and the subject or host being treated.
- doses employed for adult human treatment will typically be in the range of about 0.02 - about 5000 mg per day, in some embodiments, about 1 - about 1500 mg per day.
- the desired dose may conveniently be presented in a single dose or as divided doses administered simultaneously (or over a short period of time) or at appropriate intervals, for example as two, three, four or more sub-doses per day.
- Toxicity and therapeutic efficacy of such therapeutic regimens can be determined by standard pharmaceutical procedures in cell cultures or experimental animals, including, but not limited to, the determination of the LD50 (the dose lethal to 50% of the population) and the ED50 (the dose therapeutically effective in 50% of the population).
- the dose ratio between the toxic and therapeutic effects is the therapeutic index and it can be expressed as the ratio between LD50 and ED50.
- Compounds exhibiting high therapeutic indices are preferred.
- the data obtained from cell culture assays and animal studies can be used in formulating a range of dosage for use in human.
- the dosage of such compounds lies preferably within a range of circulating concentrations that include the ED50 with minimal toxicity.
- the dosage may vary within this range depending upon the dosage form employed and the route of administration utilized.
- a compound described herein or a pharmaceutically acceptable salt thereof e.g., a compound of formula (I), (Ila), (IIb), or (IIc), or a pharmaceutically acceptable salt thereof.
- such therapy includes but is not limited to the combination of one or more compounds of the disclosure with chemotherapeutic agents, targeted agents, therapeutic antibodies, and/or radiation treatment, to provide a synergistic or additive therapeutic effect.
- the compounds and compositions described herein and, in embodiments where combinational therapy is employed, other agents do not have to be administered in the same pharmaceutical composition, and may, because of different physical and chemical characteristics, have to be administered by different routes.
- the determination of the mode of administration and the advisability of administration, where possible, in the same pharmaceutical composition, is well within the knowledge of the clinician.
- the initial administration can be made according to established protocols recognized in the field, and then, based upon the observed effects, the dosage, modes of administration and times of administration can be modified by the clinician.
- the therapeutic effectiveness of one of the compounds described herein may be enhanced by administration of an adjuvant (i.e., by itself the adjuvant may have minimal therapeutic benefit, but in combination with another therapeutic agent, the overall therapeutic benefit to the patient is enhanced).
- the benefit experienced by a patient may be increased by administering one of the compounds described herein with another therapeutic agent (which also includes a therapeutic regimen) that also has therapeutic benefit.
- another therapeutic agent which also includes a therapeutic regimen
- the overall benefit experienced by the patient may simply be additive of the two therapeutic agents or the patient may experience a synergistic benefit.
- the particular choice of compounds used will depend upon the diagnosis and judgment of the condition of the patient and the appropriate treatment protocol.
- the compounds may be administered concurrently (e.g., simultaneously, essentially simultaneously or within the same treatment protocol) or sequentially, depending upon the nature of the disease, disorder, or condition, the condition of the patient, and the actual choice of compounds used.
- the determination of the order of administration, and the number of repetitions of administration of each therapeutic agent during a treatment protocol, is well within the knowledge of the clinician after evaluation of the disease being treated and the condition of the patient.
- Therapeutically-effective dosages can vary when the drugs are used in treatment combinations. Methods for experimentally determining therapeutically-effective dosages of drugs and other agents for use in combination treatment regimens are described in the literature. For example, the use of metronomic dosing, i.e., providing more frequent, lower doses in order to minimize toxic side effects, has been described extensively in the literature. Combination treatment further includes periodic treatments that start and stop at various times to assist with the clinical management of the patient.
- dosages of the co-administered compounds will of course vary depending on the type of co-drug employed, on the specific drug employed, on the disease being treated and so forth.
- the compound provided herein may be administered either simultaneously with the biologically active agent(s), or sequentially. If administered sequentially, the attending physician will decide on the appropriate sequence of administering protein in combination with the biologically active agent(s).
- the multiple therapeutic agents may be administered in any order or even simultaneously. If simultaneously, the multiple therapeutic agents may be provided in a single, unified form, or in multiple forms (by way of example only, either as a single pill or as two separate pills). One of the therapeutic agents may be given in multiple doses, or both may be given as multiple doses. If not simultaneous, the timing between the multiple doses may vary from more than zero weeks to less than four weeks.
- the combination methods, compositions and formulations are not to be limited to the use of only two agents; the use of multiple therapeutic combinations are also envisioned.
- the dosage regimen to treat, prevent, or ameliorate the condition(s) for which relief is sought can be modified in accordance with a variety of factors. These factors include the disorder or condition from which the subject suffers, as well as the age, weight, sex, diet, and medical condition of the subject. Thus, the dosage regimen actually employed can vary widely and therefore can deviate from the dosage regimens set forth herein.
- the pharmaceutical agents which make up the combination therapy disclosed herein may be a combined dosage form or in separate dosage forms intended for substantially simultaneous administration.
- the pharmaceutical agents that make up the combination therapy may also be administered sequentially, with either therapeutic compound being administered by a regimen calling for two-step administration.
- the two-step administration regimen may call for sequential administration of the active agents or spaced-apart administration of the separate active agents.
- the time period between the multiple administration steps may range from, a few minutes to several hours, depending upon the properties of each pharmaceutical agent, such as potency, solubility, bioavailability, plasma half-life and kinetic profile of the pharmaceutical agent. Circadian variation of the target molecule concentration may also determine the optimal dose interval.
- the compounds described herein also may be used in combination with procedures that may provide additional or synergistic benefit to the patient.
- patients are expected to find therapeutic and/or prophylactic benefit in the methods described herein, wherein pharmaceutical composition of a compound disclosed herein and/or combinations with other therapeutics are combined with genetic testing to determine whether that individual is a carrier of a mutant gene that is known to be correlated with certain diseases or conditions.
- the compounds described herein and combination therapies can be administered before, during or after the occurrence of a disease, and the timing of administering the composition containing a compound can vary.
- the compounds can be used as a prophylactic and can be administered continuously to subjects with a propensity to develop conditions or diseases in order to prevent the occurrence of the disease.
- the compounds and compositions can be administered to a subject during or as soon as possible after the onset of the symptoms.
- the administration of the compounds can be initiated within the first 48 hours of the onset of the symptoms, preferably within the first 48 hours of the onset of the symptoms, more preferably within the first 6 hours of the onset of the symptoms, and most preferably within 3 hours of the onset of the symptoms.
- the initial administration can be via any route practical, such as, for example, an intravenous injection, a bolus injection, infusion over about 5 minutes to about 5 hours, a pill, a capsule, transdermal patch, buccal delivery, and the like, or combination thereof.
- a compound is preferably administered as soon as is practicable after the onset of a disease is detected or suspected, and for a length of time necessary for the treatment of the disease, such as, for example, from 1 day to about 3 months.
- the length of treatment can vary for each subject, and the length can be determined using the known criteria.
- the compound or a formulation containing the compound can be administered for at least 2 weeks, preferably about 1 month to about 5 years.
- chemotherapeutics are presently known in the art and can be used in combination with the compounds herein.
- the chemotherapeutic is selected from the group consisting of mitotic inhibitors, alkylating agents, anti-metabolites, intercalating antibiotics, growth factor inhibitors, cell cycle inhibitors, enzyme inhibitors, topoisomerase inhibitors, protein-protein interaction inhibitors, biological response modifiers, anti-hormones, angiogenesis inhibitors, and anti-androgens.
- Non-limiting examples are chemotherapeutic agents, cytotoxic agents, and nonpeptide small molecules such as Gleevec® (Imatinib Mesylate), Velcade® (bortezomib), Casodex (bicalutamide), Iressa® (gefitinib), and Adriamycin as well as a host of chemotherapeutic agents.
- Non-limiting examples of chemotherapeutic agents include alkylating agents such as thiotepa and cyclosphosphamide (CYTOXANTM); alkyl sulfonates such as busulfan, improsulfan and piposulfan; aziridines such as benzodopa, carboquone, meturedopa, and uredopa; ethylenimines and methylamelamines including altretamine, triethylenemelamine, trietylenephosphoramide, triethylenethiophosphaoramide and trimethylolomelamine; nitrogen mustards such as chlorambucil, chlomaphazine, cholophosphamide, estramustine, ifosfamide, mechlorethamine, mechlorethamine oxide hydrochloride, melphalan, novembichin, phenesterine, prednimustine, trofosfamide, uracil mustard; nitrosureas such as
- anti-hormonal agents that act to regulate or inhibit hormone action on tumors
- anti-estrogens including for example tamoxifen, (NolvadexTM), raloxifene, aromatase inhibiting 4(5)- imidazoles, 4-hydroxytamoxifen, trioxifene, keoxifene, LY 117018, onapristone, and toremifene (Fareston); and anti-androgens such as flutamide, nilutamide, bicalutamide, leuprobde, and goserebn; chlorambucil; gemcitabine; 6-thioguanine; mercaptopurine; methotrexate; platinum analogs such as cisplatin and carboplatin; vinblastine; platinum; etoposide (VP-16); ifosfamide; mitomycin C; mitoxantrone; vincristine; vinorelbine; navelbine
- the compounds or pharmaceutical composition of the present invention can be used in combination with commonly prescribed anti-cancer drugs such as Herceptin®, Avastin®, Erbitux®, Rituxan®, Taxol®, Arimidex®, Taxotere®, ABVD, AVICINE, Abagovomab, Acridine carboxamide, Adecatumumab, 17-N-Allylamino-17- demethoxygeldanamycin, Alpharadin, Alvocidib, 3-Aminopyridine-2-carboxaldehyde thiosemicarbazone, Amonafide, Anthracenedione, Anti-CD22 immunotoxins, Antineoplastic, Antitumorigenic herbs, Apaziquone, Atiprimod, Azathioprine, Belotecan, Bendamustine, BIBW 2992, Biricodar, Brostalbcin, Bryostatin, Buthionine sulfoximine, CBV (chemotherapy), Calycul
- Embodiments herein further relate to methods for using a compound disclosed herein (e.g., a compound of formula (I), (Ila), (IIb), or (IIc), or a pharmaceutically acceptable salt thereol), or a pharmaceutical composition provided herein, in combination with radiation therapy for inhibiting abnormal cell growth or treating the hyperproliferative disorder in the mammal.
- a compound disclosed herein e.g., a compound of formula (I), (Ila), (IIb), or (IIc), or a pharmaceutically acceptable salt thereol
- a pharmaceutical composition provided herein
- Techniques for administering radiation therapy are known in the art, and these techniques can be used in the combination therapy described herein.
- the administration of the compound of the invention in this combination therapy can be determined as described herein.
- Radiation therapy can be administered through one of several methods, or a combination of methods, including without limitation external-beam therapy, internal radiation therapy, implant radiation, stereotactic radiosurgery, systemic radiation therapy, radiotherapy and permanent or temporary interstitial brachy therapy.
- brachy therapy refers to radiation therapy delivered by a spatially confined radioactive material inserted into the body at or near a tumor or other proliferative tissue disease site.
- the term is intended without limitation to include exposure to radioactive isotopes (e.g., At-211, 1-131, 1-125, Y-90, Re-186, Re-188, Sm-153, Bi-212, P-32, and radioactive isotopes of Lu).
- Suitable radiation sources for use as a cell conditioner of the present invention include both solids and liquids.
- the radiation source can be a radionuclide, such as 1-125, 1-131, Yb-169, Ir-192 as a solid source, 1-125 as a solid source, or other radionuclides that emit photons, beta particles, gamma radiation, or other therapeutic rays.
- the radioactive material can also be a fluid made from any solution of radionuclide(s), e.g., a solution of 1-125 or 1-131, or a radioactive fluid can be produced using a slurry of a suitable fluid containing small particles of solid radionuclides, such as Au-198, Y-90.
- the radionuclide(s) can be embodied in a gel or radioactive micro spheres.
- the compounds or pharmaceutical compositions herein are also used in combination with an amount of one or more substances selected from anti-angiogenesis agents, signal transduction inhibitors, antiproliferative agents, glycolysis inhibitors, or autophagy inhibitors.
- Anti-angiogenesis agents such as MMP-2 (matrix-metalloproteinase 2) inhibitors, MMP-9 (matrix-metalloprotienase 9) inhibitors, and COX-11 (cyclooxygenase 11) inhibitors, can be used in conjunction with a compound of the disclosure and pharmaceutical compositions described herein.
- Anti-angiogenesis agents include, for example, rapamycin, temsirolimus (CCI-779), everolimus (RAD001), sorafenib, sunitinib, and bevacizumab.
- Examples of useful COX-II inhibitors include CELEBREXTM (alecoxib), valdecoxib, and rofecoxib.
- MMP-2 and MMP-9 inhibitors are those that have little or no activity inhibiting MMP-1.
- MMP-2 and/or AMP-9 are those that selectively inhibit MMP-2 and/or AMP-9 relative to the other matrix- metalloproteinases (e g., MAP-1, MMP-3, MMP-4, MMP-5, MMP-6, MMP- 7, MMP-8, MMP-10, MMP-11, MMP-12, andMMP-13).
- MMP inhibitors useful in the invention are AG-3340, RO 32-3555, and RS 13-0830.
- Autophagy inhibitors include, but are not limited to chloroquine, 3-methyladenine, hydroxychloroquine (PlaquenilTM), bafilomycin Al, 5-amino-4-imidazole carboxamide riboside (AICAR), okadaic acid, autophagy-suppressive algal toxins which inhibit protein phosphatases of type 2A or type 1, analogues of cAMP, and drugs which elevate cAMP levels such as adenosine, LY204002, N6-mercaptopurine riboside, and vinblastine.
- antisense or siRNA that inhibits expression of proteins including but not limited to ATG5 (which are implicated in autophagy), may also be used.
- the compounds described herein are formulated or administered in conjunction with liquid or solid tissue barriers also known as lubricants.
- tissue barriers include, but are not limited to, polysaccharides, poly gly cans, seprafilm, interceed and hyaluronic acid.
- medicaments which are administered in conjunction with the compounds described herein include any suitable drugs usefully delivered by inhalation for example, analgesics, e.g., codeine, dihydromorphine, ergotamine, fentanyl or morphine; anginal preparations, e.g., diltiazem; antiallergics, e.g., cromoglycate, ketotifen or nedocromil; anti-infectives, e.g., cephalosporins, penicillins, streptomycin, sulphonamides, tetracyclines or pentamidine; antihistamines, e.g., methapyrilene; anti-inflammatories, e.g., beclomethasone, flunisolide, budesonide, tipredane, triamcinolone acetonide or fluticasone; antitussives, e.g., noscapine; broncho
- the medicaments are used in the form of salts (e.g., as alkali metal or amine salts or as acid addition salts) or as esters (e.g., lower alkyl esters) or as solvates (e.g., hydrates) to optimize the activity and/or stability of the medicament.
- salts e.g., as alkali metal or amine salts or as acid addition salts
- esters e.g., lower alkyl esters
- solvates e.g., hydrates
- exemplary therapeutic agents useful for a combination therapy include but are not limited to agents as described above, radiation therapy, hormone antagonists, hormones and their releasing factors, thyroid and antithyroid drugs, estrogens and progestins, androgens, adrenocorticotropic hormone; adrenocortical steroids and their synthetic analogs; inhibitors of the synthesis and actions of adrenocortical hormones, insulin, oral hypoglycemic agents, and the pharmacology of the endocrine pancreas, agents affecting calcification and bone turnover: calcium, phosphate, parathyroid hormone, vitamin D, calcitonin, vitamins such as water-soluble vitamins, vitamin B complex, ascorbic acid, fat-soluble vitamins, vitamins A, K, and E, growth factors, cytokines, chemokines, muscarinic receptor agonists and antagonists; anticholinesterase agents; agents acting at the neuromuscular junction and/or autonomic ganglia; catecholamines, sympathomimetic drugs,
- Suitable therapeutic agents for coadministration with compounds herein also include agents for pain and inflammation such as histamine and histamine antagonists, bradykinin and bradykinin antagonists, 5-hydroxytryptamine (serotonin), lipid substances that are generated by biotransformation of the products of the selective hydrolysis of membrane phospholipids, eicosanoids, prostaglandins, thromboxanes, leukotrienes, aspirin, nonsteroidal anti-inflammatory agents, analgesic-antipyretic agents, agents that inhibit the synthesis of prostaglandins and thromboxanes, selective inhibitors of the inducible cyclooxygenase, selective inhibitors of the inducible cyclooxygenase-2, autacoids, paracrine hormones, somatostatin, gastrin, cytokines that mediate interactions involved in humoral and cellular immune responses, lipid-derived autacoids, eicosanoids, b-adrenergic agonist
- Additional therapeutic agents contemplated for co-administration with compounds and compositions herein include diuretics, vasopressin, agents affecting the renal conservation of water, rennin, angiotensin, agents useful in the treatment of myocardial ischemia, anti-hypertensive agents, angiotensin converting enzyme inhibitors, b-adrenergic receptor antagonists, agents for the treatment of hypercholesterolemia, and agents for the treatment of dyslipidemia.
- therapeutic agents contemplated for co-administration with compounds and compositions herein include drugs used for control of gastric acidity, agents for the treatment of peptic ulcers, agents for the treatment of gastroesophageal reflux disease, prokinetic agents, antiemetics, agents used in irritable bowel syndrome, agents used for diarrhea, agents used for constipation, agents used for inflammatory bowel disease, agents used for biliary disease, agents used for pancreatic disease.
- Therapeutic agents used to treat protozoan infections drugs used to treat Malaria, Amebiasis, Giardiasis, Trichomoniasis, Trypanosomiasis, and/or Leishmaniasis, and/or drugs used in the chemotherapy of helminthiasis.
- therapeutic agents include antimicrobial agents, sulfonamides, trimethoprim-sulfamethoxazole quinolones, and agents for urinary tract infections, penicillins, cephalosporins, and other, b-lactam antibiotics, an agent comprising an aminoglycoside, protein synthesis inhibitors, drugs used in the chemotherapy of tuberculosis, mycobacterium avium complex disease, and leprosy, antifungal agents, antiviral agents including nonretro viral agents and antiretroviral agents.
- therapeutic antibodies that can be combined with a compound herein include but are not limited to anti-receptor tyrosine kinase antibodies (cetuximab, panitumumab, trastuzumab), anti CD20 antibodies (rituximab, tositumomab), and other antibodies such as alemtuzumab, bevacizumab, and gemtuzumab.
- anti-receptor tyrosine kinase antibodies cetuximab, panitumumab, trastuzumab
- anti CD20 antibodies rituximab, tositumomab
- other antibodies such as alemtuzumab, bevacizumab, and gemtuzumab.
- therapeutic agents used for immunomodulation such as immunomodulators, immunosuppressive agents, tolerogens, and immunostimulants are contemplated by the methods herein.
- therapeutic agents acting on the blood and the blood-forming organs hematopoietic agents, growth factors, minerals, and vitamins, anticoagulant, thrombolytic, and antiplatelet drugs.
- a compound described herein is co-administered with another therapeutic agent effective in treating brain cancer, such as glioblastoma or astrocytoma.
- the other therapeutic agent may be bevacizumab, carmustine (e.g., carmustine wafer), cisplatin, everolimus, lomustine, procarbazine, temozolomide, vincristine, or any combination thereof (e.g., a combination of procarbazine hydrochloride, lomustine, and vincristine sulfate).
- a compound described herein is co-administered with one or more therapeutic agents approved for the treatment of a sarcoma, such as adriamycin, bevacizumab, carboplatin, cisplatin, cyclophosphamide, dacarbazine, dactinomycin, docetaxel, doxorubicin (e.g., doxorubicin hydrochloride liposome), epirubicin, eribulin, etoposide, gemcitabine, ifosfamide, imatinib, ixabepilone, methotrexate, paclitaxel, pazopanib, pomalidomide, recombinant interferon alfa-2b, tazemetostat, temozolomide, topotecan, trabectedin, vinblastine, vincristine, vinorelbine, or any combination thereof.
- a sarcoma such as a
- a compound described herein is co-administered with one or more therapeutic agents approved for the treatment of colorectal cancer, such as 5- fluorouracil, bevacizumab, capecitabine, cetuximab, ipilmumab, irinotecan, leucovorin, nivolumab, oxaliplatin, panitumumab, pembrolizumab, ramucirumab, regorafenib, tipiracil, trifluridine, ziv-afibercept, or any combination thereof.
- therapeutic agents approved for the treatment of colorectal cancer such as 5- fluorouracil, bevacizumab, capecitabine, cetuximab, ipilmumab, irinotecan, leucovorin, nivolumab, oxaliplatin, panitumumab, pembrolizumab, ramucirumab, regorafenib, tip
- a compound described herein is co-administered with one or more therapeutic agents approved for the treatment of lung cancer, such as non-small cell lung cancer.
- the other therapeutic agent may be afatinib, alectinib, atezolizumab, bevacizumab, brigatinib, capmatinib, carboplatin, ceritinib, cisplatin, crizotinib, dabrafenib, dacomitinib, docetaxel, doxorubicin, durvalumab, entrectinib, erlotinib, everolimus, gefitinib, gemcitabine, ipilimumab, lorlatinib, mechlorethamine, methotrexate, necitumumab, nivolumab, osimertinib, paclitaxel, pembrolizumab, pemetrexed, ramuciruma
- a compound described herein is co-administered with one or more therapeutic agents approved for the treatment of gastric cancer, such as 5-fluorouracil, capecitabine, carboplatin, cisplatin, docetaxel, epirubicin, irinotecan, oxaliplatin, paclitaxel, trifluridine, tipiracil, trastuzumab, or any combination thereof.
- one or more therapeutic agents approved for the treatment of gastric cancer such as 5-fluorouracil, capecitabine, carboplatin, cisplatin, docetaxel, epirubicin, irinotecan, oxaliplatin, paclitaxel, trifluridine, tipiracil, trastuzumab, or any combination thereof.
- a compound described herein is co-administered with one or more alkylating agents (e.g., for the treatment of cancer) selected from, for example, nitrogen mustard N-oxide, cyclophosphamide, ifosfamide, thiotepa, ranimustine, nimustine, temozolomide, altretamine, apaziquone, brostallicin, bendamustine, carmustine, estramustine, fotemustine, glufosfamide, mafosfamide, bendamustin, mitolactol, cisplatin, carboplatin, eptaplatin, lobaplatin, nedaplatin, oxaliplatin, and satraplatin.
- alkylating agents e.g., for the treatment of cancer
- a compound described herein is co-administered with one or more anti-metabolites (e.g., for the treatment of cancer) selected from, for example, methotrexate, 6-mercaptopurineriboside, mercaptopurine, 5-fluorouracil, tegafur, doxifluridine, carmofur, cytarabine, cytarabine ocfosfate, enocitabine, gemcitabine, fludarabin, 5-azacitidine, capecitabine, cladribine, clofarabine, decitabine, eflomithine, ethynylcytidine, cytosine arabinoside, hydroxyurea, melphalan, nelarabine, nolatrexed, ocfosf[iota]te, disodium premetrexed, pentostatin, pelitrexol, raltitrexed, triapin
- a compound described herein is co-administered with one or more cytotoxic topoisomerase inhibiting agents (e.g., for the treatment of cancer) selected from, for example, aclarubicin, doxorubicin, amonafide, belotecan, camptothecin, 10- hydroxy camptothecin, 9-aminocamptothecin, diflomotecan, irinotecan, topotecan, edotecarin, epimbicin, etoposide, exatecan, gimatecan, lurtotecan, mitoxantrone, pirambicin, pixantrone, rubitecan, sobuzoxane, tafluposide, etc.
- cytotoxic topoisomerase inhibiting agents selected from, for example, aclarubicin, doxorubicin, amonafide, belotecan, camptothecin, 10- hydroxy camptothecin,
- a compound described herein is co-administered with one or more anti-angiogenic compounds (e.g., for the treatment of cancer) selected from, for example, acitretin, aflibercept, angiostatin, aplidine, asentar, axitinib, recentin, bevacizumab, brivanib alaninat, cilengtide, combretastatin, DAST, endostatin, fenretinide, halofuginone, pazopanib, ranibizumab, rebimastat, removab, revlimid, sorafenib, vatalanib, squalamine, sunitinib, telatinib, thalidomide, ukrain, and vitaxin.
- one or more anti-angiogenic compounds selected from, for example, acitretin, aflibercept, angiostatin, aplidine, asentar
- a compound described herein is co-administered with one or more antibodies (e.g., for the treatment of cancer) selected from, for example, trastuzumab, cetuximab, bevacizumab, rituximab, ticilimumab, ipilimumab, lumiliximab, catumaxomab, atacicept, oregovomab, and alemtuzumab.
- antibodies e.g., for the treatment of cancer
- a compound described herein is co-administered with one or more VEGF inhibitors (e.g., for the treatment of cancer) selected from, for example, sorafenib, DAST, bevacizumab, sunitinib, recentin, axitinib, aflibercept, telatinib, brivanib alaninate, vatalanib, pazopanib, and ranibizumab.
- VEGF inhibitors e.g., for the treatment of cancer
- a compound described herein is co-administered with one or more EGFR inhibitors (e.g., for the treatment of cancer) selected from, for example, cetuximab, panitumumab, vectibix, gefitinib, erlotinib, and Zactima.
- one or more EGFR inhibitors selected from, for example, cetuximab, panitumumab, vectibix, gefitinib, erlotinib, and Zactima.
- a compound described herein is co-administered with one or more HER2 inhibitors (e.g., for the treatment of cancer) selected from, for example, lapatinib, tratuzumab, and pertuzumab; CDK inhibitor is selected from roscovitine and flavopiridol; In some embodiments, a compound described herein is co-administered with one or more proteasome inhibitors (e.g., for the treatment of cancer) selected from, for example, bortezomib and carfilzomib.
- HER2 inhibitors e.g., for the treatment of cancer
- CDK inhibitor is selected from roscovitine and flavopiridol
- proteasome inhibitors e.g., for the treatment of cancer
- a compound described herein is co-administered with one or more serine/threonine kinase inhibitors (e.g., for the treatment of cancer), for example, MEK inhibitors and Raf inhibitors such as sorafenib.
- serine/threonine kinase inhibitors e.g., for the treatment of cancer
- MEK inhibitors e.g., MEK inhibitors
- Raf inhibitors such as sorafenib.
- a compound described herein is co-administered with one or more tyrosine kinase inhibitors (e.g., for the treatment of cancer) selected from, for example, dasatinib, nilotibib, DAST, bosutinib, sorafenib, bevacizumab, sunitinib, AZD2171, axitinib, aflibercept, telatinib, imatinib mesylate, brivanib alaninate, pazopanib, ranibizumab, vatalanib, cetuximab, panitumumab, vectibix, gefitinib, erlotinib, lapatinib, tratuzumab and pertuzumab.
- tyrosine kinase inhibitors selected from, for example, dasatinib, nilotibib, DAST, bosutinib, sor
- a compound described herein is co-administered with one or more androgen receptor antagonists (e.g., for the treatment of cancer) selected from, for example, nandrolone decanoate, fluoxymesterone, Android, Prostaid, andromustine, bicalutamide, flutamide, apocyproterone, apoflutamide, chlormadinone acetate, Androcur, Tabi, cyproterone acetate, and nilutamide.
- one or more androgen receptor antagonists e.g., for the treatment of cancer
- one or more androgen receptor antagonists selected from, for example, nandrolone decanoate, fluoxymesterone, Android, Prostaid, andromustine, bicalutamide, flutamide, apocyproterone, apoflutamide, chlormadinone acetate, Androcur, Tabi, cyproterone acetate, and nilutamide.
- a compound described herein is co-administered with one or more aromatase inhibitors (e.g., for the treatment of cancer) selected from, for example, anastrozole, letrozole, testolactone, exemestane, aminoglutethimide, and formestane.
- one or more aromatase inhibitors e.g., for the treatment of cancer
- a compound described herein is co-administered with one or more other anti-cancer agents including, e.g., alitretinoin, ampligen, atrasentan bexarotene, borte-zomib, bosentan, calcitriol, exisulind, fotemustine, ibandronic acid, miltefosine, mitoxantrone, 1 -asparaginase, procarbazine, dacarbazine, hydroxy carbamide, pegaspargase, pentostatin, tazaroten, velcade, gallium nitrate, canfosfamide, compactsin, and tretinoin.
- the compounds of the present disclosure may be used in combination with chemotherapy (e.g., cytotoxic agents), anti-hormones and/or targeted therapies such as other kinase inhibitors, mTOR inhibitors and angiogenesis inhibitors.
- the compounds and pharmaceutical compositions herein are used for the treatment or prevention of non-cancer diseases and/or conditions
- the compounds and pharmaceutical compositions herein may be co-administered with therapeutics and/or therapies known in the field to be appropriate for the treatment of such diseases and/or conditions. Kits
- kits and articles of manufacture are also provided, which include a compound or pharmaceutical composition described herein (e.g., a compound of formula (I), (Ila), (IIb), or (IIc), or a pharmaceutically acceptable salt thereof, or a pharmaceutical comosition comprising a compound of formula (I), (Ila), (IIb), or (IIc), or a pharmaceutically acceptable salt thereof ).
- kits comprise a carrier, package, or container that is compartmentalized to receive one or more containers such as vials, tubes, and the like, each of the container(s) comprising one of the separate elements to be used in a method described herein.
- Suitable containers include, for example, bottles, vials, syringes, and test tubes.
- the containers are formed from a variety of materials such as glass or plastic.
- packaging materials for use in packaging pharmaceutical products include those found in, e.g., U.S. Pat. Nos. 5,323,907, 5,052,558 and 5,033,252.
- Examples of pharmaceutical packaging materials include, but are not limited to, blister packs, bottles, tubes, inhalers, pumps, bags, vials, containers, syringes, bottles, and any packaging material suitable for a selected formulation and intended mode of administration and treatment.
- the container(s) includes a compound of formula (I), (Ila), (IIb), or (IIc), or a pharmaceutically acceptable salt thereof, optionally in a composition or in combination with another agent as disclosed herein.
- the container(s) optionally have a sterile access port (for example the container is an intravenous solution bag or a vial having a stopper pierceable by a hypodermic injection needle).
- a sterile access port for example the container is an intravenous solution bag or a vial having a stopper pierceable by a hypodermic injection needle.
- kits optionally comprising a compound with an identifying description or label or instructions relating to its use in the methods described herein.
- a kit typically includes one or more additional containers, each with one or more of various materials (such as reagents, optionally in concentrated form, and/or devices) desirable from a commercial and user standpoint for use of a compound described herein.
- materials include, but not limited to, buffers, diluents, filters, needles, syringes; carrier, package, container, vial and/or tube labels listing contents and/or instructions for use, and package inserts with instructions for use.
- a set of instructions will also typically be included.
- a label is optionally on or associated with the container.
- a label is on a container when letters, numbers or other characters forming the label are attached, molded or etched into the container itself, a label is associated with a container when it is present within a receptacle or carrier that also holds the container, e.g., as a package insert.
- a label is used to indicate that the contents are to be used for a specific therapeutic application.
- the label indicates directions for use of the contents, such as in the methods described herein.
- the pharmaceutical composition is presented in a pack or dispenser device which contains one or more unit dosage forms containing a compound provided herein.
- the pack for example, contains metal or plastic foil, such as a blister pack.
- the pack or dispenser device is accompanied by instructions for administration.
- the pack or dispenser is accompanied with a notice associated with the container in form prescribed by a governmental agency regulating the manufacture, use, or sale of pharmaceuticals, which notice is reflective of approval by the agency of the form of the drug for human or veterinary administration.
- a notice associated with the container in form prescribed by a governmental agency regulating the manufacture, use, or sale of pharmaceuticals which notice is reflective of approval by the agency of the form of the drug for human or veterinary administration.
- Such notice for example, is the labeling approved by the U.S. Food and Drug Administration for prescription drugs, or the approved product insert.
- compositions containing a compound provided herein formulated in a compatible pharmaceutical carrier are prepared, placed in an appropriate container, and labeled for treatment of an indicated condition.
- ACN is acetonitrile
- Boc is tert-butyloxy carbonyl
- DCM dichloromethane
- DIPEA is N.N- diisopropylethylamine
- DMA is dimethylacetamide
- dppf is 1,1'- bis(diphenylphosphino)ferrocene
- EtOAc is ethyl acetate
- HATU is (1- [bis(dimethylamino)methylene]- 1H- 1,2,3-triazolo[4.5-b]pyridinium 3-oxide hexafluorophosphate
- MeOH is methanol
- RPH refers to reversed phase chromatography
- RT room temperature
- TFA trifluoroacetic acid.
- Step 2 (S)-5-(1-(tert-butoxycarbonyl)pyrrolidine-2-carboxamido)thiophene-2- carboxylic acid. Synthesized according to general procedure B, from tert-butyl (S)-2-((5- (methoxycarbonyl)thiophen-2-yl)carbamoyl)pyrrolidine-1-carboxylate. Obtained residue was purified by silica gel column chromatography (0-100% DCM/EtOAc) to afford the titled compound as a semi-solid (120 mg, 93%).
- Step 3 (S)-N-(5-(3-(thiazol-2-yl)azetidine-1-carbonyl)thiophen-2-yl)pyrrolidine- 2-carboxamide (Compound 85). Synthesized according to general procedure A, from (S)-5- (1-(tert-butoxycarbonyl)pyrrolidine-2-carboxamido)thiophene-2-carboxylic acid and 2- (azetidin-3-yl)thiazole dihydrochloride. Obtained residue was used in the next step without further purification. To a solution of the residue from the previous step in the DCM (2 mL) at 0°C TFA (0.5 mL) was added dropwise, and the mixture was stirred at 0°C for 30 min.
- Step 1 tert- Butyl 3-(5-bromothiazol-2-yl)azetidine-1-carboxylate.
- Corresponding Boc-intermediate was synthesized according to general procedure C and was used in the next step without further purification.
- Step 2 tert- butyl (A)-2-((5-(3-(5-bromothiazol-2-yl)azetidine-1-carbonyl)thiophen- 2-yl)carbamoyl)pyrrolidine-1-carboxylate.
- Boc-analog was further re-dissolved in DCM (2 mL) at 0°C and treated with TFA (0.5 mL) the mixture was stirred at 0°C for 30 min.
- the aqueous layer was extracted with ethyl acetate and the combined organic layers were washed with brine, dried over MgSO4 and concentrated under reduced pressure.
- the crude mixture was purified by silica gel chromatography (gradient of EtOAc in hexanes from 10 to 100%) providing the targeted 1-di-tert-butyl 2-dimethyl 4,4'-(hexane-1,6- diylbis(oxy))(2S,2'S,4R,4'R)-bis(pyrrolidine-1,2-dicarboxylate) as a clear oil. Yield 521 mg (20%).
- FAM- H3K23crK27cr 6-Fluorescein (FAM)-labeled di-crotonylated Histone H3 peptide probe H3K23crK27cr was synthesized and used for competition experiments with 1 mM GST- GAS41(1-148) incubated with a competitor (e.g.
- IC 50 values for selected compounds of the disclosure were determined using the fluorescence polarization assay with GAS41-YEATS and FAM-H3K23crK27cr.
- Table 3 shows biological activities (IC 50 values for inhibition of GAS41 YEATS) for selected compounds from Table 1 in a fluorescence polarization assay.
- Compound numbers correspond to the numbers and structures provided in Table 1.
- H3K23crK27cr-biotin was added to a final concentration of 25 nM and incubated for 1 hour.
- Nickel Chelate Acceptor AlphaScreen beads were added to a final concentration of 10 ⁇ g/mL and incubated for 1 hour.
- Streptavidin Donor AlphaScreen beads were added to a final concentration of 10 pg/mL and incubated for 2 hours.
- Alpha signal was measured on a Pherastar plate reader.
- Table 4 shows biological activities (IC 50 values for inhibition of GAS41) for selected compounds from Table 2 in the AlphaScreen assay. Compound numbers correspond to the numbers and structures provided in Table 2.
- Example 5 Crystal Structure The crystal structure of the complex of Compound 85 with GAS41 YEATS at 2.10 A resolution was determined (FIG. 1).
- Compound 85 binds in a channel that constitutes a recognition site for acetyl-lysine (Cho 2018) and is comprised of side chains of H43, H71, S73, Y74, W93, and F96 and backbone of G92, G94 and E95 (FIG. 1).
- Nickel Chelate Acceptor AlphaScreen beads were added to a final concentration of 10 ⁇ g/mL and incubated for 1 hour. Streptavidin Donor AlphaScreen beads were added to a final concentration of 10 pg/mL and incubated for 2 hours. For competition experiments with the dimeric complex, 500 nM his-Gas41(13-158) and 250 nM avi-Gas41- YEATS were incubated in assay buffer with 250 nM dimeric inhibitor for 30 minutes before the addition of monomeric competitor. AlphaScreen beads were added as in previous experiments. Alpha signal was measured on a Pherastar plate reader.
- a NanoBiT assay (Promega Corporation, Madison, WI) was developed to detect inhibition of protein-protein interaction in HEK293T cells by compounds.
- GAS41-WT and GAS41-W93A mutant were cloned into pBiTl.l-C[TK/LgBiT] vector.
- SmBiT-H3.3 was purchased from Promega.
- HEK293T cells (4 x 10E5) were plated into 6-well plates (DMEM with 10 % FBS) and incubated for 5 h.
- the LgBiT-GAS41 and SmBiT-H3.3 plasmids were co-transfected using FuGENE HD for 42 h.
- 5 x 104 cells were transferred into 96-well white plates (DMEM with 10 % FBS and 1% Penicillin and Streptomycin) and treated with compounds for 24 h. After the Nano-Glo Live Cell Reagent was added to each well, the luminescence was measured immediately using PHERAstar FS instrument.
- H1299 cells were treated with monomeric Compound 88 and dimeric Compound 221 for 4 days. Only the dimer Compound 221 induces dose dependent growth inhibition with GEo ⁇ 3 mM (Fig. 4A).
- Fig. 4A To determine whether growth inhibition is dependent on presence of GAS41 we developed A549 GAS41 knocked-out cells using the CRISPR/CAS9 system.
- GAS41-KO were viable but grew more slowly compare with parental A549 cells and had reduced growth by ⁇ 70 % at day 14 (Fig. 4B).
- Treatment with Compound 221 partially inhibited growth of A549 cells by ⁇ 40 % at 12 pM concentration, but had no effect on the GAS41-KO cells (Fig.
Landscapes
- Chemical & Material Sciences (AREA)
- Organic Chemistry (AREA)
- Health & Medical Sciences (AREA)
- General Health & Medical Sciences (AREA)
- Veterinary Medicine (AREA)
- Medicinal Chemistry (AREA)
- Pharmacology & Pharmacy (AREA)
- Public Health (AREA)
- Life Sciences & Earth Sciences (AREA)
- Animal Behavior & Ethology (AREA)
- Engineering & Computer Science (AREA)
- Bioinformatics & Cheminformatics (AREA)
- Chemical Kinetics & Catalysis (AREA)
- General Chemical & Material Sciences (AREA)
- Nuclear Medicine, Radiotherapy & Molecular Imaging (AREA)
- Epidemiology (AREA)
- Pharmaceuticals Containing Other Organic And Inorganic Compounds (AREA)
- Plural Heterocyclic Compounds (AREA)
- Nitrogen Condensed Heterocyclic Rings (AREA)
- Medicines That Contain Protein Lipid Enzymes And Other Medicines (AREA)
- Gas Separation By Absorption (AREA)
- Acyclic And Carbocyclic Compounds In Medicinal Compositions (AREA)
Abstract
Description
Claims
Priority Applications (5)
| Application Number | Priority Date | Filing Date | Title |
|---|---|---|---|
| CN202180062307.2A CN116113406B (en) | 2020-07-10 | 2021-01-27 | GAS41 inhibitors and methods of use |
| EP21837808.1A EP4178571A4 (en) | 2020-07-10 | 2021-01-27 | GAS41 INHIBITORS AND THEIR METHODS OF USE |
| JP2023501137A JP7758369B2 (en) | 2020-07-10 | 2021-01-27 | GAS41 inhibitors and methods of use thereof |
| CA3185209A CA3185209A1 (en) | 2020-07-10 | 2021-01-27 | Gas41 inhibitors and methods of use thereof |
| AU2021304826A AU2021304826A1 (en) | 2020-07-10 | 2021-01-27 | GAS41 inhibitors and methods of use thereof |
Applications Claiming Priority (2)
| Application Number | Priority Date | Filing Date | Title |
|---|---|---|---|
| US202063050303P | 2020-07-10 | 2020-07-10 | |
| US63/050,303 | 2020-07-10 |
Publications (1)
| Publication Number | Publication Date |
|---|---|
| WO2022010537A1 true WO2022010537A1 (en) | 2022-01-13 |
Family
ID=79291969
Family Applications (1)
| Application Number | Title | Priority Date | Filing Date |
|---|---|---|---|
| PCT/US2021/015263 Ceased WO2022010537A1 (en) | 2020-07-10 | 2021-01-27 | Gas41 inhibitors and methods of use thereof |
Country Status (7)
| Country | Link |
|---|---|
| US (1) | US11858925B2 (en) |
| EP (1) | EP4178571A4 (en) |
| JP (1) | JP7758369B2 (en) |
| CN (1) | CN116113406B (en) |
| AU (1) | AU2021304826A1 (en) |
| CA (1) | CA3185209A1 (en) |
| WO (1) | WO2022010537A1 (en) |
Cited By (1)
| Publication number | Priority date | Publication date | Assignee | Title |
|---|---|---|---|---|
| CN115974864A (en) * | 2022-12-29 | 2023-04-18 | 苏州汉德创宏生化科技有限公司 | A kind of synthetic method of 2-(3-azetidinyl)thiazole salt |
Families Citing this family (2)
| Publication number | Priority date | Publication date | Assignee | Title |
|---|---|---|---|---|
| CN116143763B (en) * | 2023-03-01 | 2025-09-23 | 清华大学 | Compounds targeting GAS41, GAS41 inhibitors and pharmaceutical compositions and uses thereof |
| CN119307620A (en) * | 2024-12-19 | 2025-01-14 | 上海交通大学医学院附属上海儿童医学中心 | Application of prognostic marker H4K5la in prognostic assessment of neuroblastoma |
Citations (1)
| Publication number | Priority date | Publication date | Assignee | Title |
|---|---|---|---|---|
| US6136826A (en) * | 1993-04-07 | 2000-10-24 | Otsuka Pharmaceutical Co., Ltd. | Peripheral vasodilating agent containing piperidine derivative as active ingredient |
Family Cites Families (87)
| Publication number | Priority date | Publication date | Assignee | Title |
|---|---|---|---|---|
| US3598122A (en) | 1969-04-01 | 1971-08-10 | Alza Corp | Bandage for administering drugs |
| US3598123A (en) | 1969-04-01 | 1971-08-10 | Alza Corp | Bandage for administering drugs |
| US3993073A (en) | 1969-04-01 | 1976-11-23 | Alza Corporation | Novel drug delivery device |
| US3710795A (en) | 1970-09-29 | 1973-01-16 | Alza Corp | Drug-delivery device with stretched, rate-controlling membrane |
| US4069307A (en) | 1970-10-01 | 1978-01-17 | Alza Corporation | Drug-delivery device comprising certain polymeric materials for controlled release of drug |
| US3731683A (en) | 1971-06-04 | 1973-05-08 | Alza Corp | Bandage for the controlled metering of topical drugs to the skin |
| US3742951A (en) | 1971-08-09 | 1973-07-03 | Alza Corp | Bandage for controlled release of vasodilators |
| US3996934A (en) | 1971-08-09 | 1976-12-14 | Alza Corporation | Medical bandage |
| BE795384A (en) | 1972-02-14 | 1973-08-13 | Ici Ltd | DRESSINGS |
| US3921636A (en) | 1973-01-15 | 1975-11-25 | Alza Corp | Novel drug delivery device |
| US3993072A (en) | 1974-08-28 | 1976-11-23 | Alza Corporation | Microporous drug delivery device |
| US4151273A (en) | 1974-10-31 | 1979-04-24 | The Regents Of The University Of California | Increasing the absorption rate of insoluble drugs |
| US3972995A (en) | 1975-04-14 | 1976-08-03 | American Home Products Corporation | Dosage form |
| US4077407A (en) | 1975-11-24 | 1978-03-07 | Alza Corporation | Osmotic devices having composite walls |
| US4031894A (en) | 1975-12-08 | 1977-06-28 | Alza Corporation | Bandage for transdermally administering scopolamine to prevent nausea |
| US4060084A (en) | 1976-09-07 | 1977-11-29 | Alza Corporation | Method and therapeutic system for providing chemotherapy transdermally |
| US4201211A (en) | 1977-07-12 | 1980-05-06 | Alza Corporation | Therapeutic system for administering clonidine transdermally |
| JPS5562012A (en) | 1978-11-06 | 1980-05-10 | Teijin Ltd | Slow-releasing preparation |
| US4230105A (en) | 1978-11-13 | 1980-10-28 | Merck & Co., Inc. | Transdermal delivery of drugs |
| US4229447A (en) | 1979-06-04 | 1980-10-21 | American Home Products Corporation | Intraoral methods of using benzodiazepines |
| CA1146866A (en) | 1979-07-05 | 1983-05-24 | Yamanouchi Pharmaceutical Co. Ltd. | Process for the production of sustained release pharmaceutical composition of solid medical material |
| US4291015A (en) | 1979-08-14 | 1981-09-22 | Key Pharmaceuticals, Inc. | Polymeric diffusion matrix containing a vasodilator |
| US4476116A (en) | 1982-12-10 | 1984-10-09 | Syntex (U.S.A.) Inc. | Polypeptides/chelating agent nasal compositions having enhanced peptide absorption |
| US5116817A (en) | 1982-12-10 | 1992-05-26 | Syntex (U.S.A.) Inc. | LHRH preparations for intranasal administration |
| US4596795A (en) | 1984-04-25 | 1986-06-24 | The United States Of America As Represented By The Secretary, Dept. Of Health & Human Services | Administration of sex hormones in the form of hydrophilic cyclodextrin derivatives |
| US4755386A (en) | 1986-01-22 | 1988-07-05 | Schering Corporation | Buccal formulation |
| US5312325A (en) | 1987-05-28 | 1994-05-17 | Drug Delivery Systems Inc | Pulsating transdermal drug delivery system |
| US5033252A (en) | 1987-12-23 | 1991-07-23 | Entravision, Inc. | Method of packaging and sterilizing a pharmaceutical product |
| US5052558A (en) | 1987-12-23 | 1991-10-01 | Entravision, Inc. | Packaged pharmaceutical product |
| GB8827305D0 (en) | 1988-11-23 | 1988-12-29 | British Bio Technology | Compounds |
| US5739136A (en) | 1989-10-17 | 1998-04-14 | Ellinwood, Jr.; Everett H. | Intraoral dosing method of administering medicaments |
| US5633009A (en) | 1990-11-28 | 1997-05-27 | Sano Corporation | Transdermal administration of azapirones |
| ATE159426T1 (en) | 1991-04-16 | 1997-11-15 | Nippon Shinyaku Co Ltd | METHOD FOR PRODUCING A SOLID DISPERSION |
| US5340591A (en) | 1992-01-24 | 1994-08-23 | Fujisawa Pharmaceutical Co., Ltd. | Method of producing a solid dispersion of the sparingly water-soluble drug, nilvadipine |
| US5281420A (en) | 1992-05-19 | 1994-01-25 | The Procter & Gamble Company | Solid dispersion compositions of tebufelone |
| US5323907A (en) | 1992-06-23 | 1994-06-28 | Multi-Comp, Inc. | Child resistant package assembly for dispensing pharmaceutical medications |
| AU4198793A (en) | 1992-07-24 | 1994-01-27 | Takeda Chemical Industries Ltd. | Microparticle preparation and production thereof |
| US5700485A (en) | 1992-09-10 | 1997-12-23 | Children's Medical Center Corporation | Prolonged nerve blockade by the combination of local anesthetic and glucocorticoid |
| US5455258A (en) | 1993-01-06 | 1995-10-03 | Ciba-Geigy Corporation | Arylsulfonamido-substituted hydroxamic acids |
| JP2825755B2 (en) * | 1993-04-07 | 1998-11-18 | 大塚製薬株式会社 | Peripheral vasodilator containing piperidine derivative as active ingredient and novel piperidine derivative |
| US5665378A (en) | 1994-09-30 | 1997-09-09 | Davis; Roosevelt | Transdermal therapeutic formulation |
| US5863949A (en) | 1995-03-08 | 1999-01-26 | Pfizer Inc | Arylsulfonylamino hydroxamic acid derivatives |
| EP0821671B1 (en) | 1995-04-20 | 2000-12-27 | Pfizer Inc. | Arylsulfonyl hydroxamic acid derivatives as mmp and tnf inhibitors |
| SE9502244D0 (en) | 1995-06-20 | 1995-06-20 | Bioglan Ab | A composition and a process for the preparation thereof |
| DK0780386T3 (en) | 1995-12-20 | 2003-02-03 | Hoffmann La Roche | matrix metalloprotease |
| US5858401A (en) | 1996-01-22 | 1999-01-12 | Sidmak Laboratories, Inc. | Pharmaceutical composition for cyclosporines |
| US6929801B2 (en) | 1996-02-19 | 2005-08-16 | Acrux Dds Pty Ltd | Transdermal delivery of antiparkinson agents |
| US6923983B2 (en) | 1996-02-19 | 2005-08-02 | Acrux Dds Pty Ltd | Transdermal delivery of hormones |
| EP0818442A3 (en) | 1996-07-12 | 1998-12-30 | Pfizer Inc. | Cyclic sulphone derivatives as inhibitors of metalloproteinases and of the production of tumour necrosis factor |
| ES2175415T3 (en) | 1996-07-18 | 2002-11-16 | Pfizer | PHOSPHINATE-BASED MATRIX METALOPROTEASES INHIBITORS. |
| IL128189A0 (en) | 1996-08-23 | 1999-11-30 | Pfizer | Arylsulfonylamino hydroxamic acid derivatives |
| US6077864A (en) | 1997-01-06 | 2000-06-20 | Pfizer Inc. | Cyclic sulfone derivatives |
| US6458373B1 (en) | 1997-01-07 | 2002-10-01 | Sonus Pharmaceuticals, Inc. | Emulsion vehicle for poorly soluble drugs |
| TR199901849T2 (en) | 1997-02-03 | 2000-02-21 | Pfizer Products Inc. | Arylsulfonylamino hydroxamic acid derivatives. |
| AU5493598A (en) | 1997-02-07 | 1998-08-26 | Pfizer Inc. | N-hydroxy-beta-sulfonyl-propionamide derivatives and their use as inhibitors of matrix metalloproteinases |
| CA2280151C (en) | 1997-02-11 | 2005-12-13 | Pfizer Inc. | Arylsulfonyl hydroxamic acid derivatives |
| US6391452B1 (en) | 1997-07-18 | 2002-05-21 | Bayer Corporation | Compositions for nasal drug delivery, methods of making same, and methods of removing residual solvent from pharmaceutical preparations |
| ES2216293T3 (en) | 1997-08-08 | 2004-10-16 | Pfizer Products Inc. | ARYLOXIARILSULPHONYLAMINE-HYDROXAMIC ACID DERIVATIVES. |
| GB9725782D0 (en) | 1997-12-05 | 1998-02-04 | Pfizer Ltd | Therapeutic agents |
| US5869090A (en) | 1998-01-20 | 1999-02-09 | Rosenbaum; Jerry | Transdermal delivery of dehydroepiandrosterone |
| GB9801690D0 (en) | 1998-01-27 | 1998-03-25 | Pfizer Ltd | Therapeutic agents |
| PA8469501A1 (en) | 1998-04-10 | 2000-09-29 | Pfizer Prod Inc | HYDROXAMIDES OF THE ACID (4-ARILSULFONILAMINO) -TETRAHIDROPIRAN-4-CARBOXILICO |
| PA8469401A1 (en) | 1998-04-10 | 2000-05-24 | Pfizer Prod Inc | BICYCLE DERIVATIVES OF HYDROXAMIC ACID |
| US6946144B1 (en) | 1998-07-08 | 2005-09-20 | Oryxe | Transdermal delivery system |
| EP1004578B1 (en) | 1998-11-05 | 2004-02-25 | Pfizer Products Inc. | 5-oxo-pyrrolidine-2-carboxylic acid hydroxamide derivatives |
| ATE400252T1 (en) | 1999-02-10 | 2008-07-15 | Pfizer Prod Inc | PHARMACEUTICAL SOLID DISPERSIONS |
| US6638980B1 (en) | 1999-05-24 | 2003-10-28 | Millennium Pharmaceuticals, Inc. | Inhibitors of factor Xa |
| GB9912961D0 (en) | 1999-06-03 | 1999-08-04 | Pfizer Ltd | Metalloprotease inhibitors |
| EP1081137A1 (en) | 1999-08-12 | 2001-03-07 | Pfizer Products Inc. | Selective inhibitors of aggrecanase in osteoarthritis treatment |
| IL149701A0 (en) | 2001-05-23 | 2002-11-10 | Pfizer Prod Inc | Use of anti-ctla-4 antibodies |
| US6960563B2 (en) | 2001-08-31 | 2005-11-01 | Morton Grove Pharmaceuticals, Inc. | Spontaneous emulsions containing cyclosporine |
| FR2856685B1 (en) * | 2003-06-25 | 2005-09-23 | Merck Sante Sas | THIAZOLYLPIPERIDINE DERIVATIVES, PROCESSES FOR PREPARING THEM AND PHARMACEUTICAL COMPOSITIONS CONTAINING THEM |
| RS52119B (en) | 2004-05-06 | 2012-08-31 | Warner-Lambert Company Llc | 4-phenylamino-HINAZOLIN-6-IL-STARCHES |
| JP2009502816A (en) * | 2005-07-29 | 2009-01-29 | 4エスツェー アクチェンゲゼルシャフト | Novel heterocyclic NF-κB inhibitor |
| CN101287728A (en) * | 2005-08-17 | 2008-10-15 | 先灵公司 | Novel high-affinity thienyl and furyl kinase ligands |
| US20080312206A1 (en) * | 2005-12-22 | 2008-12-18 | Astrazeneca Ab | Chemical Compounds-149 |
| US8017612B2 (en) * | 2006-04-18 | 2011-09-13 | Japan Tobacco Inc. | Piperazine compound and use thereof as a HCV polymerase inhibitor |
| MX2009013729A (en) * | 2007-06-14 | 2010-01-25 | Schering Corp | Imidazopyrazines as protein kinase inhibitors. |
| JP5236748B2 (en) * | 2008-01-08 | 2013-07-17 | パーデュー、ファーマ、リミテッド、パートナーシップ | Proline analogs as ligands for cannabinoid receptors for the treatment of pain |
| PL3150610T3 (en) | 2010-02-12 | 2020-02-28 | Pfizer Inc. | Salts and polymorphs of 8-fluoro-2- {4 - [(methylamino} methyl] phenyl} -1,3,4,5-tetrahydro-6Hazepino [5,4,3-cd] indol-6-one |
| EP2781521A4 (en) * | 2011-10-19 | 2015-03-04 | Kowa Co | NOVEL COMPOUND OF SPIROINDOLINE AND THERAPEUTIC AGENT CONTAINING THE SAME |
| CN102416183B (en) * | 2011-12-06 | 2013-04-17 | 厦门大学 | Application of micro ribose nucleic acid (RNA) (miR)-297b |
| WO2016179057A1 (en) * | 2015-05-01 | 2016-11-10 | The Regents Of The University Of California | Complement c3d-binding compounds |
| EP3404021A4 (en) * | 2016-01-12 | 2019-09-11 | Nippon Chemiphar Co., Ltd. | CALCIUM CHANNEL INHIBITOR TYPE T TENSION-DEPENDENT |
| EP3652177A1 (en) * | 2017-07-11 | 2020-05-20 | Nerviano Medical Sciences S.r.l. | Pyrazolo-quinazoline derivatives as choline kinase inhibitors |
| US11512111B2 (en) * | 2017-11-27 | 2022-11-29 | The University Of Hong Kong | Yeats inhibitors and methods of use thereof |
| CN112638373A (en) * | 2018-06-29 | 2021-04-09 | 金耐特生物制药公司 | Cyclin-dependent kinase inhibitors |
-
2021
- 2021-01-27 EP EP21837808.1A patent/EP4178571A4/en active Pending
- 2021-01-27 AU AU2021304826A patent/AU2021304826A1/en active Pending
- 2021-01-27 CA CA3185209A patent/CA3185209A1/en active Pending
- 2021-01-27 US US17/159,916 patent/US11858925B2/en active Active
- 2021-01-27 JP JP2023501137A patent/JP7758369B2/en active Active
- 2021-01-27 CN CN202180062307.2A patent/CN116113406B/en active Active
- 2021-01-27 WO PCT/US2021/015263 patent/WO2022010537A1/en not_active Ceased
Patent Citations (1)
| Publication number | Priority date | Publication date | Assignee | Title |
|---|---|---|---|---|
| US6136826A (en) * | 1993-04-07 | 2000-10-24 | Otsuka Pharmaceutical Co., Ltd. | Peripheral vasodilating agent containing piperidine derivative as active ingredient |
Non-Patent Citations (3)
| Title |
|---|
| DATABASE Pubchem substance ANONYMOUS : "AKOS009104582", XP055899251, retrieved from NCBI Database accession no. 145415845 * |
| DATABASE Pubchem substance ANONYMOUS : "MCULE-3971639365 ", XP055899247, retrieved from NCBI Database accession no. 168945146 * |
| See also references of EP4178571A4 * |
Cited By (2)
| Publication number | Priority date | Publication date | Assignee | Title |
|---|---|---|---|---|
| CN115974864A (en) * | 2022-12-29 | 2023-04-18 | 苏州汉德创宏生化科技有限公司 | A kind of synthetic method of 2-(3-azetidinyl)thiazole salt |
| CN115974864B (en) * | 2022-12-29 | 2025-09-16 | 苏州汉德创宏生化科技有限公司 | Synthesis method of 2- (3-azetidinyl) thiazole salt |
Also Published As
| Publication number | Publication date |
|---|---|
| US11858925B2 (en) | 2024-01-02 |
| US20220017509A1 (en) | 2022-01-20 |
| JP2023533982A (en) | 2023-08-07 |
| EP4178571A1 (en) | 2023-05-17 |
| AU2021304826A1 (en) | 2023-02-02 |
| JP7758369B2 (en) | 2025-10-22 |
| CN116113406A (en) | 2023-05-12 |
| CN116113406B (en) | 2025-08-29 |
| EP4178571A4 (en) | 2024-07-17 |
| CA3185209A1 (en) | 2021-01-27 |
Similar Documents
| Publication | Publication Date | Title |
|---|---|---|
| US12521442B2 (en) | ASH1L inhibitors and methods of treatment therewith | |
| EP3454945A1 (en) | Ash1l inhibitors and methods of treatment therewith | |
| EP3720439A1 (en) | Nsd family inhibitors and methods of treatment therewith | |
| US11858925B2 (en) | GAS41 inhibitors and methods of use thereof | |
| US12466813B2 (en) | PRC1 inhibitors and methods of treatment therewith | |
| WO2026020105A1 (en) | Inhibitors of ash1l and methods of use thereof |
Legal Events
| Date | Code | Title | Description |
|---|---|---|---|
| 121 | Ep: the epo has been informed by wipo that ep was designated in this application |
Ref document number: 21837808 Country of ref document: EP Kind code of ref document: A1 |
|
| ENP | Entry into the national phase |
Ref document number: 2023501137 Country of ref document: JP Kind code of ref document: A Ref document number: 3185209 Country of ref document: CA |
|
| ENP | Entry into the national phase |
Ref document number: 2021304826 Country of ref document: AU Date of ref document: 20210127 Kind code of ref document: A |
|
| ENP | Entry into the national phase |
Ref document number: 2021837808 Country of ref document: EP Effective date: 20230210 |
|
| NENP | Non-entry into the national phase |
Ref country code: DE |
|
| WWG | Wipo information: grant in national office |
Ref document number: 202180062307.2 Country of ref document: CN |








































































































































































