WO2019101912A1 - Antifouling composition - Google Patents
Antifouling composition Download PDFInfo
- Publication number
- WO2019101912A1 WO2019101912A1 PCT/EP2018/082352 EP2018082352W WO2019101912A1 WO 2019101912 A1 WO2019101912 A1 WO 2019101912A1 EP 2018082352 W EP2018082352 W EP 2018082352W WO 2019101912 A1 WO2019101912 A1 WO 2019101912A1
- Authority
- WO
- WIPO (PCT)
- Prior art keywords
- alkyl
- copolymer
- composition
- formula
- polysiloxane
- Prior art date
- Legal status (The legal status is an assumption and is not a legal conclusion. Google has not performed a legal analysis and makes no representation as to the accuracy of the status listed.)
- Ceased
Links
Classifications
-
- C—CHEMISTRY; METALLURGY
- C09—DYES; PAINTS; POLISHES; NATURAL RESINS; ADHESIVES; COMPOSITIONS NOT OTHERWISE PROVIDED FOR; APPLICATIONS OF MATERIALS NOT OTHERWISE PROVIDED FOR
- C09D—COATING COMPOSITIONS, e.g. PAINTS, VARNISHES OR LACQUERS; FILLING PASTES; CHEMICAL PAINT OR INK REMOVERS; INKS; CORRECTING FLUIDS; WOODSTAINS; PASTES OR SOLIDS FOR COLOURING OR PRINTING; USE OF MATERIALS THEREFOR
- C09D5/00—Coating compositions, e.g. paints, varnishes or lacquers, characterised by their physical nature or the effects produced; Filling pastes
- C09D5/16—Antifouling paints; Underwater paints
- C09D5/1656—Antifouling paints; Underwater paints characterised by the film-forming substance
- C09D5/1662—Synthetic film-forming substance
- C09D5/1668—Vinyl-type polymers
-
- C—CHEMISTRY; METALLURGY
- C09—DYES; PAINTS; POLISHES; NATURAL RESINS; ADHESIVES; COMPOSITIONS NOT OTHERWISE PROVIDED FOR; APPLICATIONS OF MATERIALS NOT OTHERWISE PROVIDED FOR
- C09D—COATING COMPOSITIONS, e.g. PAINTS, VARNISHES OR LACQUERS; FILLING PASTES; CHEMICAL PAINT OR INK REMOVERS; INKS; CORRECTING FLUIDS; WOODSTAINS; PASTES OR SOLIDS FOR COLOURING OR PRINTING; USE OF MATERIALS THEREFOR
- C09D143/00—Coating compositions based on homopolymers or copolymers of compounds having one or more unsaturated aliphatic radicals, each having only one carbon-to-carbon double bond, and containing boron, silicon, phosphorus, selenium, tellurium, or a metal; Coating compositions based on derivatives of such polymers
- C09D143/04—Homopolymers or copolymers of monomers containing silicon
-
- C—CHEMISTRY; METALLURGY
- C09—DYES; PAINTS; POLISHES; NATURAL RESINS; ADHESIVES; COMPOSITIONS NOT OTHERWISE PROVIDED FOR; APPLICATIONS OF MATERIALS NOT OTHERWISE PROVIDED FOR
- C09D—COATING COMPOSITIONS, e.g. PAINTS, VARNISHES OR LACQUERS; FILLING PASTES; CHEMICAL PAINT OR INK REMOVERS; INKS; CORRECTING FLUIDS; WOODSTAINS; PASTES OR SOLIDS FOR COLOURING OR PRINTING; USE OF MATERIALS THEREFOR
- C09D5/00—Coating compositions, e.g. paints, varnishes or lacquers, characterised by their physical nature or the effects produced; Filling pastes
- C09D5/16—Antifouling paints; Underwater paints
- C09D5/1656—Antifouling paints; Underwater paints characterised by the film-forming substance
- C09D5/1662—Synthetic film-forming substance
- C09D5/1675—Polyorganosiloxane-containing compositions
-
- C—CHEMISTRY; METALLURGY
- C08—ORGANIC MACROMOLECULAR COMPOUNDS; THEIR PREPARATION OR CHEMICAL WORKING-UP; COMPOSITIONS BASED THEREON
- C08F—MACROMOLECULAR COMPOUNDS OBTAINED BY REACTIONS ONLY INVOLVING CARBON-TO-CARBON UNSATURATED BONDS
- C08F230/00—Copolymers of compounds having one or more unsaturated aliphatic radicals, each having only one carbon-to-carbon double bond, and containing phosphorus, selenium, tellurium or a metal
- C08F230/04—Copolymers of compounds having one or more unsaturated aliphatic radicals, each having only one carbon-to-carbon double bond, and containing phosphorus, selenium, tellurium or a metal containing a metal
- C08F230/08—Copolymers of compounds having one or more unsaturated aliphatic radicals, each having only one carbon-to-carbon double bond, and containing phosphorus, selenium, tellurium or a metal containing a metal containing silicon
Definitions
- the present invention relates to a marine antifouling coating composition
- a marine antifouling coating composition comprising a polysiloxane-based binder and/or a siloxane copolymer, a copolymer formed from polysiloxane-modified and poly(alkylene oxide)-modified monomers and optionally a marine antifouling agent, as well as to a method of preparing the composition.
- the copolymer formed from polysiloxane-modified and poly(alkylene oxide)-modified monomers also forms a part of the invention.
- the invention also relates to paint comprising the composition, to a paint container containing the composition and to kits for preparing the composition. Additionally the invention relates to an article (e.g. a ship hull) comprising a coating on at least a part of a surface thereof and to a method of coating an article to prevent marine fouling thereon comprising coating at least a part of a surface of the article with the composition.
- antifouling paints are used. Conventionally two types of antifouling paint are employed, self-polishing antifouling paint and fouling release antifouling paint.
- Self-polishing antifouling paint comprises an antifouling agent and a binder that gradually dissolves and/or hydrolyses in sea water which enables sea water to erode the coating surface, thereby exposing a new surface.
- the most successful self- polishing antifouling paints are based on hydrolysable binders such as (meth)acrylate binders with hydrolysable silyl esters. The gradual hydrolysis in seawater provides a controlled release of the antifouling agent from the coating.
- Fouling release antifouling paints provide coatings that have low surface tension and low modulus of elasticity and work by providing a fouling release surface to which sea organisms do not stick or if they do stick are washed off by the friction of the water against the surface. Such coatings are often based on polysiloxane-based binders.
- the fouling release surface created by the polysiloxane binder is efficient in prohibiting macro fouling from permanently sticking to the surface.
- the polysiloxane surface has not shown good resistance towards soft fouling such as slime and algae over time.
- hydrophilic surfaces can resist protein absorption.
- PEG polyethylene gylcol
- the PEG polymer itself is highly hydrophilic and has poor compatibility with a polysiloxane-based binder matrix.
- Different ways of introducing PEG groups to the surface of fouling release coatings have been reported.
- US 6107381 the use of silicone oils containing poly(alkylene oxide) groups that migrate to the surface of the coating are described.
- the poly(alkylene oxide) modified silicone oils were shown to improve the resistance of the coating against marine fouling.
- WO 2008/132196 introduction of poly(alkylene oxide) groups into the polysiloxane binder is described.
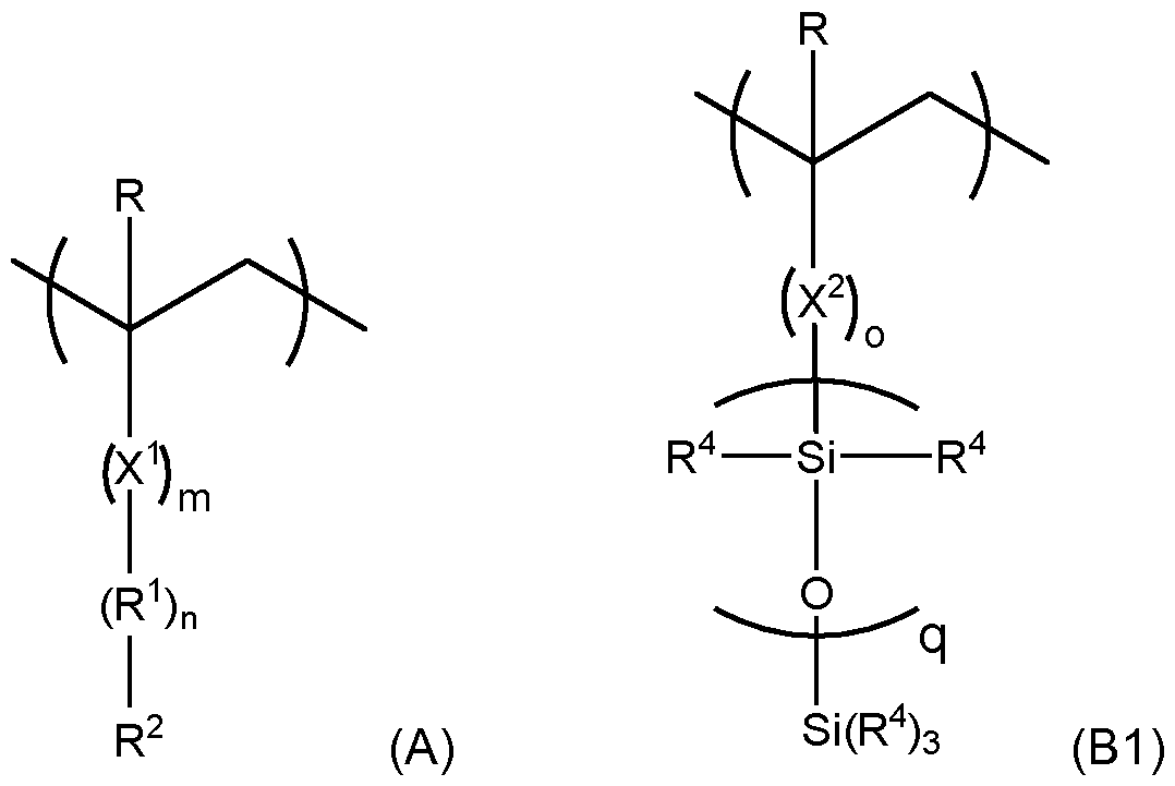
- an antifouling coating composition comprising:
- wt% is based on the dry weight of the composition and wherein formulae (A) and (B1 ) and/or (B2) are:
- R is selected from H and Ci -6 alkyl
- X 1 is selected from COO and OCO;
- n 0 or 1 ;
- R 1 is selected from substituted or unsubstituted, linear or branched, Ci -8 alkylene;
- n 0 or 1 ;
- R 2 is poly(alkylene oxide), in formulae (B1 ) and (B2)
- R is selected from H and Ci -6 alkyl
- X 2 is selected from COOR 3 and OCOR 3 ;
- o 0 or 1 ;
- R 3 is selected from substituted or unsubstituted, linear or branched, Ci -8 alkylene;
- each R 4 is independently selected from CMO alkyl and C 5-i o aryl; and in formula (B1 )
- q is 0 or an integer from 1 to 80;
- R 5 is selected from CMO alkyl, C 5-i o aryl or 0-Si(R 6 ) 3 , wherein R 6 is independently selected from CM O alkyl and C 5-i o aryl.
- the present invention provides a method for preparing a composition as hereinbefore described, comprising mixing:
- wt% is based on the dry weight of the composition.
- the present invention provides a paint comprising a composition as hereinbefore defined.
- the present invention provides a paint container containing a composition as hereinbefore defined.
- kits for the preparation of a composition as hereinbefore defined comprising:
- a second container containing a crosslinking agent and/or a curing agent and optionally a catalyst
- the present invention provides an article comprising (e.g. covered with or coated with) a coating on at least a part of a surface thereof, wherein said coating comprises the composition as hereinbefore defined.
- the present invention provides a method of coating an article to prevent fouling thereon, wherein said method comprises:
- the present invention provides use of a composition as hereinbefore defined for coating at least a part of a surface of an article to prevent fouling thereon.
- the present invention provides a polymer comprising repeat units of formulae (A), (B1 ) and/or (B2) and optionally (C):
- R is selected from H and Ci -6 alkyl
- X 1 is selected from COO and OCO;
- n 0 or 1 ;
- R 1 is selected from substituted or unsubstituted, linear or branched, Ci -8 alkylene; n is 0 or 1 ; and
- R 2 is poly(alkylene oxide), in formulae (B1 ) and (B2)
- R is selected from H and Ci -6 alkyl
- X 2 is selected from COOR 3 and OCOR 3 ;
- o 0 or 1 ;
- R 3 is selected from substituted or unsubstituted, linear or branched, Ci -8 alkylene; each R 4 is independently selected from C MQ alkyl and C 5-i o aryl; in formula (B1 ) q is an integer from 1 to 160; and in formula (B2)
- q is 0 or an integer from 1 to 80
- R 5 is selected from CMO alkyl, C 5-i o aryl or 0-Si(R 6 ) 3 , wherein R 6 is independently selected from C MO alkyl and C 5-i o aryl. in formula (C):
- R is selected from H and Ci -6 alkyl
- X 3 is selected from COOH, COOR 7 , OCOR 7 , OH or OR 7 , wherein R 7 is selected from substituted or unsubstituted, linear or branched, Ci -8 alkyl;
- said copolymer comprises 1-40 wt% of repeat unit (A), a total of 10-90 wt% of repeat unit (B1 ) and/or (B2) and 0 to 70 wt% of repeat unit (C).
- anti-antifouling coating composition refers to a composition that, when applied to a surface, prevents or minimises growth of marine organisms on a surface. This term encompasses both fouling release compositions and self-polishing fouling release compositions.
- fouling release composition refers to a composition which, when applied to a surface, provides a fouling release surface to which it is difficult for sea organisms to permanently stick.
- self-polishing fouling release composition refers to a composition which, when applied to a surface, provides a fouling release surface to which it is difficult for sea organisms to permanently stick and which gradually hydrolyses and/or erodes. The hydrolysis and/or erosion effectively renews the surface (referred to as self-polishing), providing a fresh non-stick surface.
- binder refers to the film forming components of the composition.
- the polysiloxane-based binder and/or siloxane copolymer of the composition is the main binder in the composition, i.e. it forms at least 50 wt% of the binder present.
- binder does not encompass additive oils. Additive oils are not considered herein to be film-forming components.
- the term “paint” refers to a composition comprising the antifouling coating composition as herein described and optionally solvent which is ready for use, e.g. for spraying.
- the antifouling coating composition may itself be a paint or the antifouling coating composition may be a concentrate to which solvent is added to produce a paint.
- polysiloxane refers to a polymer comprising siloxane, i.e. -Si-O- repeat units.
- polysiloxane-based binder refers to a binder that comprises at least 50 wt%, preferably at least 60 wt% and more preferably at least 70 wt% repeat units comprising the motif -Si-O-, based on the total weight of the polymer.
- Polysiloxane-based binders may comprise up to 99.99 wt% repeat units comprising the motif -Si-O-, based on the total weight of the polymer.
- the repeat units, -Si-O- may be connected in a single sequence or alternatively may be interrupted by non-siloxane parts, e.g. organic-based parts.
- non-degradable polysiloxane-based binder refers to a polysiloxane-based binder which does not undergo hydrolytic degradation or erosion in sea water.
- siloxane copolymer refers to a polymer comprising siloxane, i.e. -Si-O- repeat units and at least one other repeat unit.
- Siloxane copolymers comprise 10-99 wt% repeat units comprising the motif -Si-O- and 1-90 wt% of at least one other repeat unit, based on the total weight of the polymer.
- the term“degradable siloxane copolymer” refers to a siloxane copolymer which undergoes hydrolytic degradation or erosion in sea water.
- the degradable siloxane copolymer is a hydrolytically degradable siloxane copolymer.
- the hydrolysis reaction occurs in the polymer backbone for the siloxane copolymer to be considered hydrolytically degradable. It will be understood that the rate of the hydrolysis reaction is highly dependent on both the chemical structure/composition of the hydrolytically degradable siloxane copolymer as well as the surrounding environmental conditions (salinity, pH, temperature, etc.).
- the hydrolytically degradable group should be one which hydrolyses at rate sufficient so as to cause a coating surface polishing effect when said surface is moving through sea water, i.e. undergo hydrolysis in sea water at a temperature, pH and salinity reflective of natural sea water.
- the term hydrolytically degradable siloxane copolymer is different to hydrolysable polysiloxane binder.
- the former comprise hydrolytically degradable groups in the copolymer backbone causing degradation of the binder upon hydrolysis in seawater.
- Hydrolysable polysiloxane binders solely comprise hydrolysable groups in side groups or chains attached to the polymer backdone. Such hydrolysable groups are commonly alkoxy-silane groups attached to the polymer backbone which, upon hydrolysis, undergo subsequent crosslinking and/or curing reactions.
- alkyl refers to saturated, straight chained, branched or cyclic groups. Alkyl groups may be substituted or unsubstituted.
- cycloalkyl refers to a cyclic alkyl group.
- alkylene refers to a bivalent alkyl group.
- alkenyl refers to unsaturated, straight chained, branched or cyclic groups. Alkenyl groups may be substituted or unsubstituted.
- aryl refers to a group comprising at least one aromatic ring.
- the term aryl encompasses heteroaryl as well as fused ring systems wherein one or more aromatic ring is fused to a cycloalkyl ring.
- Aryl groups may be substituted or unsubstituted.
- An example of an aryl group is phenyl, i.e. C 6 H 5 . Phenyl groups may be substituted or unsubstituted.
- substituted refers to a group wherein one or more, for example up to 6, more particularly 1 , 2, 3, 4, 5 or 6, of the hydrogen atoms in the group are replaced independently of each other by the corresponding number of the described substituents.
- optionally substituted as used herein means substituted or unsubstituted.
- arylalkyl group refers to groups wherein the bond to the Si is via the alkyl portion.
- polyether refers to a compound comprising two or more -O- linkages interrupted by alkylene units.
- poly(alkylene oxide) refers to a compound comprising -alkylene-O- repeat units.
- alkylene is ethylene or propylene.
- (meth)acrylate encompasses both methacrylate and acrylate.
- wt% is based on the dry weight of the coating composition, unless otherwise specified
- molecular weight refers to weight average molecular weight (Mw), unless otherwise specified.
- PDI polydispersity index refers to the ratio Mw/Mn, wherein Mn refers to number average molecular weight. PDI is sometimes alternatively referred to as D (dispersity).
- VOC volatile organic compound
- anti-viral agent refers to a biologically active compound or mixture of biologically active compounds that prevents the settlement of marine organisms on a surface, and/or prevents the growth of marine organisms on a surface and/or encourages the dislodgement of marine organisms from a surface.
- the present invention relates to marine antifouling coating compositions comprising:
- wt% is based on the dry weight of the composition and wherein formulae (A) and (B1 ) and/or (B2) are:
- R is selected from H and Ci -6 alkyl
- X 1 is selected from COO and OCO;
- n 0 or 1 ;
- R 1 is selected from substituted or unsubstituted, linear or branched, Ci -8 alkylene; n is 0 or 1 ; and
- R 2 is poly(alkylene oxide), in formulae (B1 ) and (B2)
- R is selected from H and Ci -6 alkyl
- X 2 is selected from COOR 3 and OCOR 3 ;
- o 0 or 1 ;
- R 3 is selected from substituted or unsubstituted, linear or branched, Ci -8 alkylene; each R 4 is independently selected from CMO alkyl and C 5-i o aryl; and in formula (B1 )
- q is 0 or an integer from 1 to 80
- R 5 is selected from CMO alkyl, C 5-i o aryl or 0-Si(R 6 ) 3 , wherein R 6 is independently selected from CM O alkyl and C 5-i o aryl.
- the composition further comprises one or more of: (v) cross linking and/or curing agent; (vi) catalyst; (vii) additive oil; (viii) co-binder; (ix) a pigment; (x) a solvent; (xi) filler; and/or (xii) an additive.
- the marine antifouling coating compositions of the present invention advantageously possess improved antifouling performance, especially against soft fouling, e.g. algae and slime.
- the compositions of the present invention provide fouling release coatings and self-polishing fouling release compositions.
- copolymers of the present invention in antifouling coating compositions represents a new way of introducing poly(alkylene oxide) groups to the surface of a coating comprising polysiloxane-based binder and/or a siloxane copolymer.
- the copolymers of the present invention are made from readily available ethylenically unsaturated monomers containing poly(alkylene oxide) and polysiloxane groups.
- the presence of the polysiloxane groups pendant from the copolymer backbone is thought to improve the compatibility of the copolymer with the polysiloxane-based binder and/or siloxane copolymer facilitating mixing of the copolymer with the polysiloxane-based binder and/or siloxane copolymer to form a homogeneous mixture and homogeneous antifouling coating.
- the copolymer that is not covalently attached to the binder matrix or siloxane copolymer structure will migrate to the surface of the coating and that the flexible carbon backbone in the copolymer will give the poly(alkylene oxide) groups, which are pendant from the copolymer backbone, the opportunity to arrange in the most favourable manner and“face outwards” from the coating to the aqueous environment.
- the poly(alkylene oxide) groups will form a hydrogel or hydrogel-type structure from the interaction with the water molecules that helps prevent the deposition of marine fouling onto the coated surface.
- An advantage of the copolymer of the present invention is that by carefully choosing the monomers and the chain lengths of the monomers, the properties of the copolymer, such as efficiency against marine fouling, surface tension, glass transition temperature (Tg), and compatibility with the polysiloxane-based binder matrix and/or siloxane copolymer, can be adjusted making this a very versatile strategy for introducing poly(alkylene oxide) groups to the surface of coatings comprising polysiloxane-based binder and/or siloxane copolymer.
- Tg glass transition temperature
- the copolymer comprises repeat units of formulae (A) and (B1 ) and/or (B2):
- R is selected from H and Ci -6 alkyl
- X 1 is selected from COO and OCO;
- n 0 or 1 ;
- R 1 is selected from substituted or unsubstituted, linear or branched, Ci -8 alkylene; n is 0 or 1 ; and
- R 2 is poly(alkylene oxide), in formulae (B1 ) and (B2)
- R is selected from H and Ci -6 alkyl
- X 2 is selected from COOR 3 and OCOR 3 ;
- o 0 or 1 ;
- R 3 is selected from substituted or unsubstituted, linear or branched, Ci -8 alkylene; each R 4 is independently selected from C MQ alkyl and C 5-i o aryl; and in formula (B1 )
- q is 0 or an integer from 1 to 80
- R 5 is selected from C MO alkyl, C 5-i o aryl or 0-Si(R 6 ) 3 , wherein R 6 is independently selected from C MO alkyl and C 5-i o aryl.
- the copolymer comprises repeat units of formulae (A) and (B1 ), repeat units of formulae (A) and (B2) or repeat units of formulae (A), (B1 ) and (B2).
- the copolymer comprises repeat units of formulae (A) and (B1 ) or repeat units of formulae (A) and (B2).
- the copolymer comprises repeat units of formulae (A) and (B1 ).
- the copolymer further comprises a third repeat unit of formula (C):
- R is selected from H and Ci -6 alkyl
- X 3 is selected from COOH, COOR 7 , OCOR 7 , OH or OR 7 , wherein R 7 is selected from substituted or unsubstituted, linear or branched, Ci -8 alkyl.
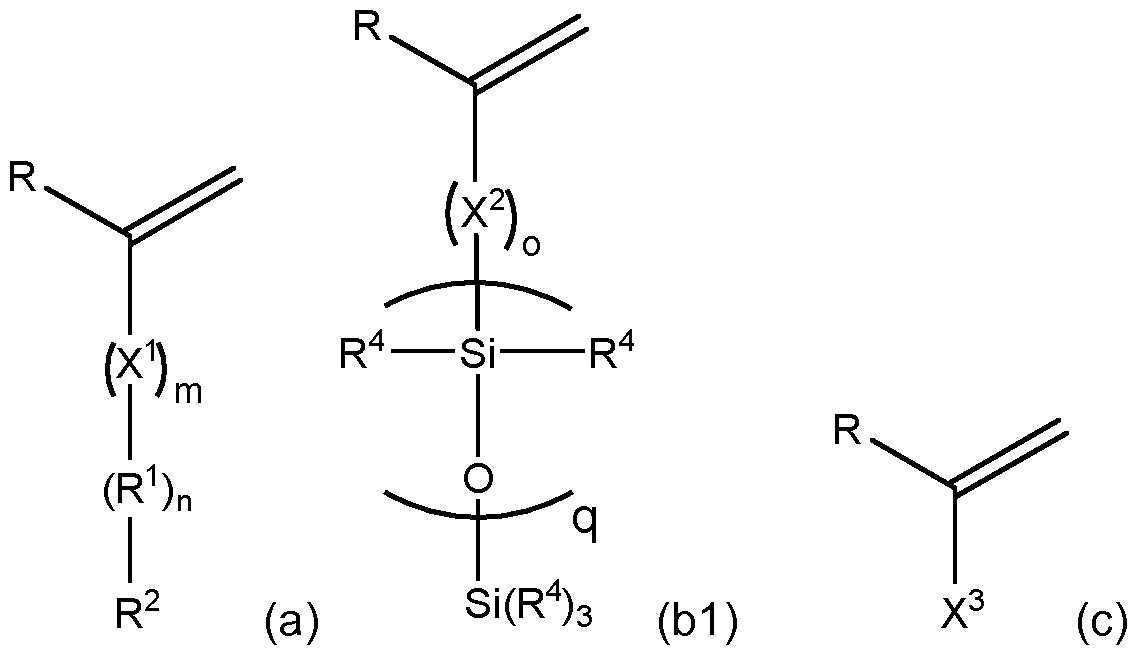
- compositions of the invention comprise a copolymer having a repeat unit derived from of at least one monomer of each of formula (a) and (b1 ) and/or (b2), and optionally formula (c):
- R, X 1 , X 2 , X 3 , R 1 , R 2 , R 3 , R 4 , R 5 , R 6 , R 7 , m, n, o and q are as hereinbefore defined.
- compositions of the invention comprise a copolymer of formula (Xb1 ) or (Xb2):
- R, X 1 , X 2 , X 3 , R 1 , R 2 , R 3 , R 4 , R 5 , R 6 , R 7 , m, n, o and q are as herein defined; and said copolymer comprises 1-40 wt%, preferably 8-35 wt% and more preferably 8 to 30 wt% of repeat unit r, 0-70 wt%, preferably 1-50 wt% and more preferably 1-25 wt% of repeat unit s and 10-90 wt%, preferably 30-90 wt% and more preferably 45-90 wt% of repeat unit t.
- the subscripts r, s and t are intended to represent the proportion of the different repeat units present in the polymer and do not necessarily represent the connectivity of the units.
- the copolymer present in the compositions of the invention may be block copolymers or random copolymers.
- the copolymer is a random copolymer.
- R is H or CH 3 .
- the backbone of the copolymer is (meth)acrylic.
- the copolymer present in the antifouling coating composition of the present invention preferably comprises at least 60 wt%, more preferably at least 75 wt% and still more preferably at least 90 wt% (meth)acrylate monomers, based on the dry weight of the polymer.
- Preferred copolymers present in the composition of the present invention comprise 60- 100 wt%, more preferably 75-100 wt% and still more preferably 90-100 wt% (meth)acrylate monomers, based on the dry weight of the polymer.
- Particularly preferred copolymers comprise 100 wt% (meth)acrylate monomers, i.e. they do not comprise any monomers of another type, based on the dry weight of the polymer.
- the copolymer present in the antifouling coating composition of the present invention preferably comprises at least two (e.g. 2, 3 or 4) different (meth)acrylate monomers and more preferably at least three (e.g. 3) different (meth)acrylate monomers.
- n may be 0 or 1.
- R 1 is preferably substituted or unsubstituted, linear or branched Ci -4 alkylene and still more preferably substituted or unsubstituted, linear or branched Ci -2 alkylene.
- R 1 is unsubstituted.
- R 1 is linear. Still more preferably R 1 is unsubstituted, linear Ci -4 alkylene and yet more preferably R 1 is unsubstituted, linear Ci -2 alkylene, e.g. -CH 2 CH 2 -.
- n is 0.
- R 2 is polyethylene oxide), polypropylene oxide) or a mixture thereof.
- R 2 is of formula (I):
- R 8 is selected from H, CH 3 , CH 2 CH 3 and COCH 3 ;
- each u is 0 to 50
- each v is 0 to 50 with the proviso that u+v is 2 to 50, preferably 4 to 40, more preferably 4-20 and still more preferably 4-10.
- R 2 When v is 0, R 2 is a poly(ethylene oxide). When u is 0, R 2 is polypropylene oxide). When both u and v are non-zero, R 2 is a mixture of polypthylene oxide) and polypropylene oxide).
- the different alkylene oxide units may be arranged in blocks or randomly and more preferably randomly. Thus formula (I) does not necessarily represent the connectivity of the alkylene oxide units in R 2 .
- polypthylene oxide covers dimers, trimers and oligomers as well as longer polymers.
- v is 0, for example, u is preferably 2 to 50 and more preferably 4 to 40.
- polypropylene oxide covers dimers, trimers and oligomers as well as longer polymers.
- Examples of monomers of formula p) present in the copolymer present in the antifouling coating composition of the present invention include polypthylene glycol) methyl ether methacrylate, polypropylene glycol) methyl ether methacrylate, dipthylene glycol) methyl ether methacrylate, tripthylene glycol) methyl ether methacrylate, polypthylene glycol) methyl ether acrylate, polypropylene glycol) methyl ether acrylate, dipthylene glycol) methyl ether acrylate, tripthylene glycol) methyl ether acrylate, polypthylene glycol) ethyl ether methacrylate, polypropylene glycol) ethyl ether methacrylate, dipthylene glycol) ethyl ether methacrylate, tripthylene glycol) ethyl ether methacrylate, polypthylene glycol) ethyl ether methacrylate, dip
- poly(alkylene glycol)-containing monomers comprise 4-50 alkylene oxide units and monomers referred to as“di(alkylene glycol)” and“tri(alkylene glycol”- containing monomers comprise 2 and 3 alkylene oxide units respectively.
- Preferred monomers of formula (a) present in the copolymer present in the antifouling coating composition of the present invention include poly(ethylene glycol)methyl ether methacrylate, polypropylene glycol) methyl ether methacrylate, polypthylene glycol) methyl ether acrylate, polypropylene glycol) methyl ether acrylate, polypthylene glycol) ethyl ether methacrylate, polypropylene glycol) ethyl ether methacrylate, polypthylene glycol) ethyl ether acrylate, polypropylene glycol) ethyl ether acrylate, polypthylene glycol) methacrylate, polypropylene glycol) methacrylate, polypthylene glycol) acrylate and polypropylene glycol) acrylate.
- Preferred monomers of formula (a) have a number average molecular weight (Mn) of 100-3500, more preferably 200-2000 and still more preferably 250-1000.
- Representative examples of commercially available monomers include Visiomer MPEG 750 MA W, Visiomer MPEG 1005 MA W, Visiomer MPEG 2005 MA W, Visiomer MPEG 5005 MA W from Evonik, Bisomer PPA6, Bisomer PEA6, Bisomer PEM6, Bisomer PPM5, Bisomer PEM63P, Bisomer MPEG350MA, Bisomer MPEG550MA, Bisomer S10W, BisomerS20W from Geo Speciality Chemicals, SR550 MPEG350MA, SR552 MPEG500MA from Sartomer and RPEG 750 from Ineos Oxide.
- R 3 is substituted or unsubstituted, linear or branched Ci -6 alkylene and still more preferably substituted or unsubstituted, linear or branched Ci -4 alkylene.
- R 3 is unsubstituted.
- R 3 is linear. Still more preferably R 3 is unsubstituted, linear C-i- 6 alkylene and yet more preferably R 3 is unsubstituted, linear Ci -4 alkylene, e.g. - CH2CH2- or -CH2CH2CH2-.
- R 4 is preferably Ci -8 alkyl or C5-10 aryl.
- Preferred alkyl groups are Ci -4 alkyl, e.g. methyl, ethyl, n-propyl, i-propyl, n-butyl, i-butyl and t-butyl.
- a preferred aryl group is phenyl. Still more preferably R 4 is methyl or butyl.
- q is 1-160, preferably 1-65, more preferably 1-30 and more preferably 1-20.
- q is 0- 80, preferably 0-33, more preferably 0-15, more preferably 0-10
- R 5 is preferably Ci -8 alkyl or 0-Si(R 6 ) 3 .
- Preferred alkyl groups include methyl, ethyl, n-propyl and i-propyl. Still more preferably R 5 is methyl. If R 5 is aryl, it is preferably phenyl.
- each R 6 is preferably Ci -8 alkyl or C 5-i o aryl.
- Preferred alkyl groups include methyl, ethyl, n-propyl and i-propyl.
- a preferred aryl group is phenyl. Still more preferably R 6 is methyl.
- Preferred monomers of formula (b1 ) present in the copolymer present in the antifouling coating composition of the present invention include monomethacryloxypropyl terminated polydimethylsiloxane, such as a- methacryloyloxypropyl-co-butyl polydimethylsiloxane, a-methacryloyloxypropyl-w- trimethylsilyl polydimethylsiloxane, a-methacryloyloxyethyl-co-trimethylsilyl polydimethylsiloxane, a-acryloyloxypropyl-co-butyl polydimethylsiloxane, a- acryloyloxypropyl-co-trimethylsilyl polydimethylsiloxane, a-acryloyloxyethyl-co- trimethylsilyl polydimethylsiloxane; monovinyl terminated polydimethylsiloxane, such as a-
- Preferred monomers of formula (b1 ) have a number average molecular weight of 200 to 12000, more preferably a number average molecular weight of 400 to 5000, more preferably 400 to 2500 and most preferably 400 to 1500.
- Representative examples of commercially available monomers of formula (b1 ) include X-22-174ASX, X22-174BX, KF-2012, X-22-2426 and X-22-2404 from Shin- Etsu, Silaplane FM-071 1 , Silaplane FM-0721 , Silaplane FM-0725 from JNC Corporation, PS560 from United Chemical Technologies and MCR-M07, MCR-M11 , MCR-M17, MCR-M22 and MCR-V41 from Gelest.
- Preferred monomers of formula (b2) present in the copolymer present in the antifouling coating composition of the present invention include symmetric monomethacryloxypropyl functional polydimethylsiloxane-, such as a,a’-(methyl methacryloyloxypropyl)-bis(cc-butyl) polydimethylsiloxanes, 3- tris(trimethylsiloxy)silylpropyl methacrylate; symmetric monovinyl functional polydimethylsiloxane, such as a,a’-(methyl vinyl)-bis(ro-butyl) polydimethylsiloxanes.
- Preferred monomers of formula (b2) have a number average molecular weight of 200 to 12000, more preferably a number average molecular weight of 400 to 5000, more preferably 400 to 2500 and most preferably 400 to 1500.
- Preferred copolymers present in the compositions of the present invention comprise a repeat unit of formula (C). These repeat units derive from monomers of formula (c). The presence of such repeat units is preferred to modify properties such as flexibility, hardness, hydrophilicity, hydrophobicity, compatibility, etc.
- X 3 is COOH or COOR 7 , and preferably COOR 7 , wherein R 7 is selected from substituted or unsubstituted, linear or branched, Ci -8 alkyl.
- R 7 is substituted or unsubstituted, linear or branched Ci -4 alkyl and still more preferably substituted or unsubstituted, linear or branched Ci -2 alkyl.
- R 7 is unsubstituted.
- R 7 is linear. Still more preferably R 7 is unsubstituted, linear C-i alkyl and yet more preferably R 7 is unsubstituted, linear Ci -2 alkyl, e.g.-CH 3 or - CH 2 CH 3 .
- Preferred monomers of formula (c) present in the copolymer present in the antifouling coating composition of the present invention include methyl acrylate, ethyl acrylate, tert-butyl acrylate, n-butyl acrylate, isobutyl acrylate, hexyl acrylate, 2- ethylhexyl acrylate, octyl acrylate, isooctyl acrylate, acrylic acid, 2-hydroxyethyl acrylate, 4-hydroxylbutyl acrylate, 2-methoxyethyl acrylate, methyl methacrylate, ethyl methacrylate, tert-butyl methacrylate, n-butyl methacrylate, isobutyl methacrylate, hexyl methacrylate, 2-ethylhexyl methacrylate, octyl methacrylate, isooctyl methacrylate, methacryl
- the monomers present in the copolymer present in the antifouling coating composition of the invention are selected from ethyl acrylate, n-butyl acrylate, 2-ethylhexyl acrylate, methyl methacrylate and n- butyl methacrylate.
- Methyl methacrylate is a particularly preferred monomer.
- the amount and the distribution of polysiloxane and poly(alkylene oxide) modified (meth)acrylate monomers present in the copolymer can be adjusted.
- This provides the ability to fine tune the properties of the copolymer, e.g. flexibility, surface tension and compatibility with the polysiloxane-based binder or siloxane copolymer present in the composition. All of these parameters may have an impact on the antifouling properties of the coating composition of the present invention.
- Preferred copolymers present in the antifouling coating composition of the present invention comprise 1-40 wt% of repeat unit (A), preferably 8-35 wt% of repeat unit (A) and still more preferably 8 to 30 wt% of repeat unit (A).
- Preferred copolymers present in the antifouling coating composition of the present invention comprise a total of 10-90 wt% of repeat unit (B1 ) and/or (B2), preferably a total of 30-90 wt% of repeat unit (B1 ) and/or (B2) and still more preferably a total of 45 to 90 wt% of repeat unit (B1 ) and/or (B2).
- Preferred copolymers present in the antifouling coating composition of the present invention comprise 0 to 70 wt% of repeat unit (C), preferably 1 to 50 wt% of repeat unit (C) and still more preferably 1 to 25 wt% of repeat unit (C).
- Preferred copolymers present in the antifouling coating composition of the present invention have a weight average molecular weight of 5,000 to 50,000, more preferably 15,000 to 40,000 and still more preferably 18,000 to 35,000, preferably measured according to the method described in the examples section.
- the antifouling coating composition may comprise one or more (e.g. 1 , 2, 3, 4 or 5) copolymers as hereinbefore described.
- Preferred antifouling coating compositions of the present invention comprise 1 , 2, 3 or 4 copolymers and still more preferably 1 , 2 or 3 copolymers.
- the total amount of copolymer present in the compositions of the invention is 0.1-30 wt%, more preferably 2-15 wt% and still more preferably 5-10 wt%, based on the total dry weight of the composition.
- copolymer per se forms a further aspect of the invention.
- Such copolymers comprise 1-40 wt% of repeat unit (A), a total of 10-90 wt% of repeat unit (B1 ) and/or (B2) and 0 to 70 wt% of repeat unit (C). More preferably such copolymers comprise 8- 35 wt% of repeat unit (A), 30-90 wt% of repeat unit (B) and 1 to 50 wt% of repeat unit (C).
- preferred R, X 1 , X 2 , X 3 , R 1 , R 2 , R 3 , R 4 , R 5 , R 6 , R 7 , R 8 , m, n, o, q, r, s, t, u and v groups are as set out above.
- the copolymer of the present invention does not contain groups that react with a crosslinker in a curing reaction of the polysiloxane-based binder or siloxane copolymer present in the coating composition.
- the monomers (a), (b1 ) and/or (b2) and (c) forming the copolymer are preferably chosen so that they do not contain groups that can react with the curing reactive groups in the polysiloxane-based binder and/or siloxane copolymer.
- Suitable copolymers may be prepared using polymerization reactions known in the art.
- the (meth)acrylate polymer may, for example, be obtained by polymerizing a monomer mixture in the presence of a polymerization initiator by any of various methods such as solution polymerization, bulk polymerization, emulsion polymerization, and suspension polymerization in a conventional manner and with controlled polymerization techniques.
- a polymerization initiator such as solution polymerization, bulk polymerization, emulsion polymerization, and suspension polymerization in a conventional manner and with controlled polymerization techniques.
- the polymer is preferably diluted with an organic solvent to give a polymer solution having an appropriate viscosity. From this standpoint, it is desirable to employ solution polymerization to prepare the (meth)acrylate polymer.
- Suitable polymerization initiators for free radical polymerization include azo compounds such as dimethyl 2,2’-azobis(2- methylpropionate), 2,2'-azobis(2-methylbutyronitrile), 2,2'-azobis(isobutyronitrile) and 1 ,T-azobis(cyanocyclohexane) and peroxides such as tert-butyl peroxypivalate, tert- butyl peroxy-2-ethylhexanoate, tert-butyl peroxydiethylacetate, tert-butyl peroxyisobutyrate, di-tert-butyl peroxide, tert-butyl peroxybenozate, and tert-butyl peroxyisopropylcarbonate, tert-amyl peroxypivalate, tert-amyl peroxy-2- ethylhexanoate, 1 ,1-di(tert-amyl peroxy)cyclohe
- suitable organic solvent examples include aromatic hydrocarbons such as xylene, toluene, mesitylene; ketones such as methyl ethyl ketone, methyl isobutyl ketone, methyl isoamyl ketone, cyclopentanone, cyclohexanone; esters such as butyl acetate, tert-butyl acetate, amyl acetate, ethylene glycol methyl ether acetate; ethers such as ethylene glycol dimethyl ether, di ethylene glycol dimethyl ether, dibutyl ether, dioxane, tetrahydrofuran, alcohols such as n-butanol, isobutanol, benzyl alcohol; ether alcohols such as butoxyethanol, 1-methoxy-2-propanol; aliphatic hydrocarbons such as white spirit; and optionally a mixture of two or more solvents. These compounds are used alone or as a mixture of two or more thereof.
- suitable (meth)acrylate polymers may be purchased commercially.
- the coating composition of the present invention comprises a polysiloxane- based binder and/or a siloxane copolymer. Some preferred compositions comprise a polysiloxane-based binder. Other preferred compositions comprise a siloxane copolymer. Preferred coating compositions of the present invention comprise 30-95 wt% polysiloxane-based binder and/or siloxane copolymer, more preferably 40-90 wt% polysiloxane-based binder and/or siloxane copolymer and still more preferably 50-90 wt% polysiloxane-based binder and/or siloxane copolymer, based on the dry weight of the composition.
- the weight ratio of copolymer to polysiloxane-based binder/siloxane copolymer is 1 :90 to 1 :2, more preferably 1 :35 to 1 :6 and still more preferably 1 :20 to 1 :8.
- the coating composition of the present invention may comprise a polysiloxane- based binder.
- the polysiloxane-based binder is preferably a non-degradable polysiloxane-based binder.
- the antifouling coating composition of the invention provides a pure fouling release coating.
- the polysiloxane-based binder present in the coating compositions of the present invention comprises more than 50 wt% polysiloxane, preferably more than 60 wt% polysiloxane and still more preferably more than 70 wt% polysiloxane. Up to 99.99 wt% polysiloxane may be present. It is to be understood that the polysiloxane-based binder can consist of a single repeating sequence of siloxane units or be interrupted by non-siloxane parts, e.g. organic parts. The organic parts may comprise, for example, alkyl, aryl, poly(alkylene oxide), amide, thioether or combinations thereof.
- the non-degradable polysiloxane-based binder present in the antifouling coating compositions of the present invention can in principle be any curable polysiloxane-based binder.
- the non-degradable polysiloxane-based binder is preferably an organopolysiloxane with terminal and/or pendant curing-reactive functional groups. A minimum of two curing-reactive functional groups per molecule is preferred. Examples of curing-reactive functional groups are silanol, alkoxy, acetoxy, enoxy, ketoxime, alcohol, amine, epoxy and/or isocyanate.
- the curing-reactive functional groups are selected from silanol, alkoxy or acetoxy groups and the curing reaction is a condensation cure reaction.
- the non-degradable polysiloxane-based binder optionally comprises more than one type of curing-reactive group and may be cured, for example, via both condensation cure and amine/epoxy curing.
- the non-degradable polysiloxane-based binder may consist of only one type of non-degradable polysiloxane or be a mixture of different non-degradable polysiloxanes.
- a preferred non-degradable polysiloxane-based binder present in the antifouling coating compositions of the present invention is represented by formula (D1 ) below:
- each R 9 is independently selected from a hydroxyl group, Ci -6 -alkoxy group, Ci -6 -epoxy containing group, Ci -6 amine group or 0-Si(R 13 ) 3-z (R 14 ) z
- each R 10 is independently selected from CMO alkyl, C 6-i o aryl, C 7-i o alkylaryl or Ci -6 alkyl substituted by poly(alkylene oxide) and/or a group as described for R 9 ;
- each R 11 and R 12 is independently selected from CM O alkyl, C 6-i o aryl, C 7-i o alkylaryl or Ci -6 alkyl substituted by poly(alkylene oxide);
- each R 13 is independently a hydrolysable group such as Ci -6 alkoxy group, an acetoxy group, an enoxy group or ketoxy group;
- z is 0 or an integer from 1 -2;
- x is an integer of at least 2;
- y is an integer of at least 2;
- R 9 is selected from a hydroxyl group and 0-Si(R 13 ) 3-z (R 14 ) z , wherein R 13 is a CrC 6 alkoxy group, R 14 is Ci -6 alkyl and z is 0 or an integer from 1 -2. More preferably R 9 is selected from a hydroxyl group and 0-Si(R 13 ) 3-z (R 14 ) z , wherein R 13 is a Ci-C 3 alkoxy group, R 14 is Ci -3 alkyl and z is 0 or an integer from 1 -2. Still more preferably R 9 is a hydroxyl group.
- R 10 is a CM O alkyl group. More preferably R 10 is a C alkyl group, still more preferably a Ci -2 alkyl group, and yet more preferably a methyl group. Preferably each R 10 is the same.
- R 11 is a CM O alkyl group. More preferably R 11 is a C alkyl group, still more preferably a Ci -2 alkyl group, and yet more preferably a methyl group. Preferably each R 11 is the same.
- R 12 is a C MO alkyl group. More preferably R 12 is a Ci -4 alkyl group, still more preferably a Ci -2 alkyl group, and yet more preferably a methyl group. Preferably each R 12 is the same.
- Another preferred non-degradable polysiloxane-based binder present in the antifouling coating compositions of the present invention is represented by formula (D2) below:
- R 9 , R 10 , R 11 , R 12 and x and y are as defined for (D1 ), R x is C2-3 alkyl, each L1 is 0 to 50, each L2 is 0 to 50 with the proviso that L1 +L2 is 2 to 50, preferably 4 to 40, more preferably 4 - 20, most preferably 4-10 and L3 is 1-200, preferably 2-100, most preferably 5-50.
- the weight average molecular weight of the non-degradable polysiloxane- based binder present in the antifouling coating compositions of the present invention is preferably 400-150,000, more preferably 1000-120,000, and still more preferably 5000-1 10,000.
- Preferred coating compositions of the present invention comprise 30-95 wt% non-degradable polysiloxane-based binder, more preferably 40-90 wt% non- degradable polysiloxane-based binder and still more preferably 50-90 wt% non- degradable polysiloxane-based binder, based on the total dry weight of the composition.
- the weight ratio of copolymer to non-degradable polysiloxane-based binder is 1 :2 to 1 :90, more preferably 1 :6 to 1 :35 and still more preferably 1 :8 to 1 :20.
- Suitable non-degradable polysiloxane-based binders for use in the coating composition of the present invention are commercially available.
- Representative commercially available non-degradable polysiloxane based binders include Xiameter® OHX-0135, Xiameter® OHX-4000, Xiameter® OHX-4010, Xiameter® OHX-4040, Xiameter® OHX-4050, Xiameter® OHX-4060 from Dow Corning, PolymerOH 0.08, PolymerOH 0.75, Polymer OH 1 , PolymerOH 2, PolymerOH 3.5, Polymer OH 5, Polymer OH20, PolymerOH 80 from Evonik and DMS-S15, DMS-S21 , DMS-S27, DMS-S31 , DMS-S32, DMS-S33, DMS-S35, DMS-S42, DMS-S51 from Gelest.
- the hydrolytically degradable siloxane copolymer comprises polysiloxane units E and organic units F forming an EFEF type polysiloxane copolymer.
- the repeating units are introduced via polysiloxane monomer e and organic monomer f respectively or via polysiloxane monomers e additionally having organic terminal groups f.
- the hydrolytically degradable siloxane copolymer comprises multiple ester and/or acetal groups in the backbone of the polymer.
- the ester and/or acetal functional groups are preferably groups that undergo hydrolysis in seawater at a temperature range, pH and salinity reflective of natural sea water.
- the hydrolytically degradable groups are present in the backbone of the degradable siloxane copolymer, i.e. not in a side chain off the main polymer chain.
- the hydrolytically degradable groups preferably repeat in the backbone. Whilst there may additionally be hydrolytically degradable groups in side chains of the siloxane copolymer, hydrolytically degradable groups must be present in the backbone of the polymer. In order to be effective, the hydrolytically degradable groups should preferably be spread throughout the polymer molecule.
- the siloxane copolymer is preferably of structure -[EFEF]-, with at least two repeating units of E and at least two repeating units of F.
- the monomers e and f react together to form polymer repeating units E and F.
- the backbone of the hydrolytically degradable siloxane copolymer preferably contains the hydrolytically degradable linkage -[Si(R 15 ) 2 -(CH 2 ) a -0-C0-]- or -[Si(R 15 ) 2 -(CH 2 ) a -CO- O]- wherein R 15 and a are as defined below.
- Other hydrolytically degradable linkages may alternatively or additionally be present such as acetal.
- Hydrolytically degradable links or bonds may be formed during an actual polymerisation reaction or they may be present within the backbone of the polymerising units before polymerisation and hence become part of the copolymer backbone during polymerisation.
- hydrolytically degradable links or bonds are present within the monomers and introduced into the polymer backbone therefrom.
- monomer f contains at least one hydrolytically degradable group within its backbone which will become part of the polymer backbone upon copolymerisation with the polysiloxane monomer e.
- hydrolytically degradable groups relies on the reaction between the monomer e and the second monomer f so as to generate the, e.g. ester, hydrolytically degradable linkage.
- a reaction can be carried out in many ways depending on the end group on the polysiloxane e and the end group on the second monomer f.
- the chemistry involved in coupling the two reactants to form an ester is therefore broadly defined but chemically quite simple.
- the skilled person knows many ways of developing, e.g. an ester linkage.
- the polysiloxane monomer e can act as the nucleophile or may act as the electrophile depending on the functional groups present.
- the polysiloxane monomer e may be easier to use the polysiloxane monomer e as a nucleophile but the invention could easily be adapted to place an electrophilic group at the end of the polysiloxane monomer e and allow attack on the polysiloxane monomer e by the second monomer f.
- the polymerisation is preferably a condensation polymerisation or addition polymerisation but other types of polymerisation familiar to the skilled person can also be used.
- Preferred siloxane copolymers of the invention comprise 10-99 wt% repeat units comprising the motif -Si-O-, more preferably 40-98 wt% repeat units comprising the motif -Si-O- and still more preferably 50-97 wt% repeat units comprising the motif - Si-O-.
- Preferred coating compositions of the invention comprise 30-95 wt% hydrolytically degradable siloxane copolymer, more preferably 40-90 wt% hydrolytically degradable siloxane copolymer and still more preferably 50-90 wt% hydrolytically degradable siloxane copolymer, based on the total dry weight of the composition.
- hydrolytically degradable siloxane copolymer with ester linkages is preferably the reaction product of at least one polysiloxane of general formula ei:
- each R 15 is the same or different and is selected from an unsubstituted or substituted Ci -2 o alkyl, C2-2 0 alkenyl, C 3-2 o cycloalkyl, C 6-2 o aryl, C 7-2 o arylalkyl group, or Ci_ 6 alkyl substituted by poly(alkylene oxide); preferably each R 15 is independently selected from a Ci- 20 alkyl, more preferably C MO alkyl and most preferably each R 15 is a methyl group;
- X and Y can be the same or different and represent (CR 16 2 ) c -OH, (CR 16 2 ) C COOH, (CR 16 2 ) C COOR 17 , or -(CR 16 2 ) c -(OR 18 ) a -(OR 18 ) b -OH; preferably X and Y are (CR 16 2 ) c -OH or -(CR 16 2 ) c -(OR 18 ) a -(OR 18 ) b -OH
- siloxane monomer fi of the same general formula as described above for e-i , with the proviso that the X and Y groups are chosen so that the monomers ei and fi can react to form a hydrolytically degradable ester;
- a monomer f 3 which is a cyclic anhydride which reacts with the X and Y groups in monomer ei to form an ester group;
- f 2 , W and Z are R c OOC- wherein R c is Ci -6 alkyl and Q is aliphatic.
- Class 2 Siloxane copolymer with hydrolytically degradable ester-linkages containing amine or sulphur
- siloxane copolymer with hydrolytically degradable ester-linkages is utilizing amine and/or sulphur chemistry.
- These siloxane copolymers with ester-linkages containing sulphur and/or amine are preferably the reaction product of at least one polysiloxane of general formula e 2 :
- each R 19 is the same or different and is selected from an unsubstituted or substituted Ci -20 alkyl, C 2-20 alkenyl, C3-20 cycloalkyl, C 6- 2o aryl, C7-20 arylalkyl group, or a Ci -6 alkyl substituted by poly(alkylene oxide); preferably each R 19 is independently selected from a C1-20 alkyl, more preferably C MO alkyl and most preferably each R 19 is a methyl group;
- dd is 1 to 50;
- Q3 is selected from C2-2 0 alkyl, C 3-2 o cycloalkyl, phenyl, biphenyl, terphenyl, C 7-2 o alkylaryl group, alkyl-polysiloxane-alkyl, C 4-20 alkylcycloalkyl or polyether;
- said C 2 _2o alkyl, C 3-2 o cycloalkyl, C 7-2 o alkylaryl group, or C 4-20 alkylcycloalkyl optionally comprise one or more, such as 1 to 4, heteroatoms selected from O, N, S or P, preferably O;
- Qi is selected from a covalent bond, Ci -2 o alkyl, C 3-i o cycloalkyl, C 3-i o cycloalkenyl, C 6-i o aryl, C7-12 arylalkyl, a poly(alkylene oxide) chain of formula R 25 - (OR 26 ) ai -(OR 26 ) bi -OR 25 , -Ph-0-Ci -6 alkyl-0Ph-, heterocycyl or C4-10 alkylcycloalkyl; and preferably Q1 is selected from Ci -2 o alkyl and a poly(alkylene oxide) chain of formula R 25 -(OR 26 ) ai -(OR 26 ) bi -OR 25 ,
- Ci -20 alkyl, C 3-i0 cycloalkyl, or C 3-i0 cycloalkenyl groups optionally comprise one or more, such as 1 to 4, heteroatoms selected from O, N, S or P, preferably O;
- L is C-i-20 alkylene optionally comprising one or more, such as 1 to 4, heteroatoms selected from O, N, S or P, preferably O or N, or a poly(alkylene oxide) chain of formula:
- R 24 is H or Me
- Q 2 is selected from a covalent bond, Ci -20 alkyl, C 3-i0 cycloalkyl, C 2-6 aminoglycol, C 2-6 thioglycol, or C 6-i o aryl;
- Ci -20 alkyl, C 3-i0 cycloalkyl, or C 3-i0 cycloalkenyl groups optionally comprise one or more, such as 1 to 4, heteroatoms selected from O, N, S or P, preferably O;
- R 27 is independently selected from Ci -6 alkyl or H, preferably H;
- R 28 independently selected from H and Me
- k is 1 to 10, such as 1 to 5, preferably 2 to 5, more preferably 3 to 5;
- each R 29 is the same or different and selected from an unsubstituted or substituted Ci -2 o alkyl, C 2-20 alkenyl, C 3-2 o cycloalkyl, C 6-2 o aryl, C 7-2 o arylalkyl group, or a Ci -6 alkyl substituted by poly(alkylene oxide), and preferably R 29 is unsubstituted or substituted Ci -20 alkyl, still more preferably unsubstituted Ci -20 alkyl, and particularly preferably methyl;
- each R 30 is independently Ci -6 alkyl or H, preferably H;
- Rd is H or C1-6 alkyl
- ee is 1 to 10, such as 1 to 5, preferably 2 to 5, more preferably 3 to 5; and g1 is 1-500, more preferably 10-300, still more preferably 15-100;
- hi is 1-500, more preferably 10-300, still more preferably 15-100
- Q 3 is selected from a covalent bond, Ci -2 o alkyl, C 3-i o cycloalkyl, C 3-i0 cycloalkenyl, C 6-i o aryl, C 7 -i2arylalkyl, a poly(alkylene oxide) chain of formula R 32 - (OR 33 ) a2 -(OR 33 ) b2 -OR 32 , -Ph-0-Ci -6 alkyl-OPh-, heterocycyl or C 4-10 alkylcycloalkyl and preferably Q3 is selected from Ci -20 alkyl;
- Ci -20 alkyl, C 3-i0 cycloalkyl, or C 3-i0 cycloalkenyl groups optionally comprise one or more, such as 1 to 4, heteroatoms selected from O, N, S or P, preferably O;
- L1 is C-i-20 alkylene optionally comprising one or more, such as 1 to 4, heteroatoms selected from O, N, S or P, preferably O or N, or a poly(alkylene oxide) chain of formula:
- each R 34 is the same or different and selected from an unsubstituted or substituted Ci -2 o alkyl, C2-20 alkenyl, C 3-2 o cycloalkyl, C 6-2 o aryl, C 7-2 o arylalkyl group, or a Ci_ 6 alkyl substituted by poly(alkylene oxide), and preferably each R 34 is independently selected from unsubstituted or substituted Ci -20 alkyl, still more preferably unsubstituted Ci -2 o alkyl, and particularly preferably methyl;
- each R 35 is independently Ci -6 alkyl or H, preferably H;
- g2 is 1 -500, more preferably 10-300, still more preferably 15-100;
- h2 is 1 -500, more preferably 10-300, still more preferably 15-100
- g2 + h2 add to 1 -500, more preferably 10-300, still more preferably 15-100; and at least one second monomer f 8 of the same general formula as described for e 4 with the proviso that the X w and Y w groups monomer of e 3 and the X w and Y w groups of monomer f 8 are chosen so that they react and form a hydrolytically degradable linker like an acetal group; or a second monomer f 9 of the general formula
- Q5 is an aliphatic, cycloalkyl, cycloalkenyl, poly(alkylene oxide), amine ether or aromatic group having up to 20 carbon atoms,
- R 36 is independently selected from Ci -6 alkyl or H, more preferably H;
- R 39 is H or Ci -6 alkyl and R 40 is H, Ci -6 alkyl or two R 40 groups taken together form a ring having 4 to 8 members; or a monomer fn of formula
- gg is 1 to 10, such as 1 to 5, preferably 2 to 5, more preferably 3 to 5;
- Q w is an Ci -20 alkyl, C 2-20 alkenyl, C 6- 2o aryl, C7-20 arylalkyl interrupted by one or more ester groups- O-CO or CO-O-.
- the W and Z groups in monomers f 9- n are selected to react with the X w and Y w groups in monomer e 4 to form a hydrolytically degradable group such as an acetal.
- hydrolytically degradable siloxane copolymers may be prepared according to the methods described in WO2017/009297, WO2017/009301 , EP17152301 .2.
- the polysiloxane-based binder and/or siloxane copolymer of the present invention contains curing-reactive functional groups such as silanol, carbinol, carboxyl, ester, hydride, alkenyl, vinyl ether, allyl ether, alkoxysilane, ketoxime, amine, epoxy, isocyanate and/or alkoxy groups.
- curing-reactive functional groups such as silanol, carbinol, carboxyl, ester, hydride, alkenyl, vinyl ether, allyl ether, alkoxysilane, ketoxime, amine, epoxy, isocyanate and/or alkoxy groups.
- the polysiloxane- based binder and/or siloxane copolymer contains at least two curing-reactive functional groups.
- the polysiloxane-based binder and/or siloxane copolymer comprises more than one type of curing-reactive functional group.
- the polysiloxane- based binder and/or siloxane copolymer comprises a single type of curing-reactive functional group.
- the appropriate crosslinking and/or curing agents are chosen depending on the curing-reactive functional groups present in the polysiloxane-based binder and/or siloxane copolymer.
- the polysiloxane-based binder and/or siloxane copolymer comprises only two curing-reactive functional groups such as silanol groups, it may be necessary to add a crosslinker to obtain the desired crosslinking density.
- a preferred crosslinking agent is an organosilicon compound represented by the general formula shown below, a partial hydrolysis-condensation product thereof, or a mixture of the two:
- each R is independently selected from an unsubstituted or substituted monovalent hydrocarbon group of 1 to 6 carbon atoms, Ci -6 alkyl substituted by poly(alkylene oxide) or a polysiloxane of the structure (0-(CR D 2 ) r ) r r - (0-(CR D 2 ) S' ) s r-(Si (R pp ) 2 -0) t - Si(R pp )3; wherein r’, rT, s’ and sT is an integer from 0-10, each R° is independently selected from H or Ci -4 alkyl, each R pp is independently selected from C MO alkyl, C 6-i o aryl, C 7-i0 alkylaryl and t’ is an integer from 1 to 50.;
- each K is independently selected from a hydrolysable group such as an alkoxy group; and d is 0, 1 or 2, more preferably 0 or 1.
- Preferred crosslinkers of this type include tetraethoxysilane, vinyltris(methylethyloximo)silane, methyltris(methylethyloximo)silane, vinyltrimethoxysilane, methyltrimethoxysilane and vinyltriisopropenoxysilane as well as hydrolysis-condensation products thereof. If the curing-reactive functional groups are di or tri-alkoxy, a separate crosslinking agent is generally not required.
- the crosslinking agent is preferably present in amount of 0-10 wt% of the total dry weight of the coating composition. Suitable crosslinking agents are commercially available.
- polyisocyanates examples include Desmodur N3300, Desmodur 3390 BA/SN, Desmodur N3400, Desmodur N3600 Desmodur N75, Desmodur XP2580, Desmodur Z4470, Desmodur XP2565 and Desmodur VL, supplied by Covestro.
- Polyisocyanates can be made with different NCO-functionality.
- the NCO- functionality is the amount of NCO-groups per polyisocyante molecule or isocyanate prepolymer molecule.
- Polyisocyanates curing agents with different NCO-functionality can be used.
- the curing agents are preferably amine, sulfur or epoxy functional.
- the curing agents can also be dual curing agents containing, for example, both amine/sulphur/epoxy/isocyanate and an alkoxysilane.
- Preferred dual curing agents are represented by the general formula below:
- LL is independently selected from an unsubstituted or substituted monovalent hydrocarbon group of 1 to 6 carbon atoms;
- each M is independently selected from a hydrolysable group such as an alkoxy group; x is 0, 1 or 2, preferably 0 or 1 ;
- y an integer from 1 to 6;
- Fn is an amine, epoxy, glycidyl ether, isocyanate or sulphur group.
- Preferred examples of such dual curing agents include 3- isocyanatopropyltrimethoxysilane, 3- isocyanatopropyltriethoxysilane, 3- aminopropyltrimethoxysilane, 3-aminopropyltriethoxysilane, (3- glycidoxypropyl)trimethoxysilane, 3-mercaptopropyltrimethoxysilane.
- the curing agent/end capping agent is preferably supplied separately to the rest of the coating composition to prevent curing before the coating has been applied to the object.
- the coating composition of the invention can be supplied as a multipack (preferably three pack) formulation discussed in more detail below.
- the coating composition of the invention preferably comprises a catalyst.
- catalysts that can be used include transition metal compounds, metal salts and organometallic complexes of various metals, such as tin, iron, lead, barium, cobalt, zinc, antimony, cadmium, manganese, chromium, nickel, aluminium, gallium, germanium, titanium, boron and zirconium.
- the salts preferably are salts of long-chain carboxylic acids and/or chelates or organometal salts.
- Suitable catalysts include for example, dibutyltin dilaurate, dibutyltin dioctoate, dibutyltin diacetate, dibutyl tin 2-ethylhexanoate, dibutyltin dineodecanoate, dibutyltin dimethoxide, dibutyltin dibenzoate, dibutyltin acetoacetonate, dibutyltin acetylacetonate, dibutyltin alkylacetoacetonate, dioctyltin dilaurate, dioctyltin dioctoate, dioctyltin diacetate, dioctyl tin 2-ethylhexanoate, dioctyltin dineodecanoate, dioctyl tin dimethoxide, dioctyltin dibenzoate, dioctyltin
- suitable catalysts include organobismuth compounds, such as bismuth 2-ethylhexanoate, bismuth octanoate and bismuth neodecanoate.
- organotitanium, organzirconium and organohafnium compounds and titanates and zirconate esters such as, titanium naphthenate, zirconium naphthenate, tetrabutyl titanate, tetrakis(2- ethylhexyl)titanate, triethanolamine titanate, tetra(isopropenyloxy)-titanate, titanium tetrabutanolate, titanium tetrapropanolate, titanium tetraisopropanolate, tetrabutyl zirconate, tetrakis(2- ethylhexyl) zirconate, triethanolamine zirconate, tetra(isopropenyloxy
- Preferred catalysts are dibutyltin dilaurate, dibutyltin dioctoate, dibutyltin diacetate and dioctyltin dilaurate.
- the antifouling coating composition of the present invention optionally comprises an antifouling agent.
- antifouling agent biologically active compounds, antifoulant, biocide, toxicant are used in the industry to describe known compounds that act to prevent marine fouling on a surface.
- the antifouling agent present in the compositions of the invention is preferably a marine antifouling agent.
- the antifouling agent may be inorganic, organometallic or organic.
- the antifouling agent is an organometallic antifouling agent. Suitable antifouling agents are commercially available.
- inorganic antifouling agents include copper and copper compounds such as copper oxides, e.g. cuprous oxide and cupric oxide; copper alloys, e.g. copper-nickel alloys; copper salts, e.g. copper thiocyanate and copper sulphide.
- copper oxides e.g. cuprous oxide and cupric oxide
- copper alloys e.g. copper-nickel alloys
- copper salts e.g. copper thiocyanate and copper sulphide.
- organometallic antifouling agents include zinc pyrithione; organocopper compounds such as copper pyrithione, copper acetate, copper naphthenate, oxine copper, copper nonylphenolsulfonate, copper bis(ethylenediamine)bis(dodecylbenzensulfonate) and copper bis(pentachlorophenolate); dithiocarbamate compounds such as zinc bis(dimethyldithiocarbamate) [ziram], zinc ethylenebis(dithiocarbamate) [zineb], manganese ethylenebis(dithiocarbamate) [maneb] and manganese ethylene bis(dithiocarbamate) complexed with zinc salt [mancozeb].
- organocopper compounds such as copper pyrithione, copper acetate, copper naphthenate, oxine copper, copper nonylphenolsulfonate, copper bis(ethylenediamine)bis(dodecylbenzensul
- antifouling agents include tetraalkylphosphonium halogenides, guanidine derivatives, imidazole containing compounds such as 4-[1-(2,3- dimethylphenyl)ethyl]-1 H-imidazole [medetomidine] and derivatives thereof, macrocyclic lactones including avermectins and derivatives thereof such as ivermectine, spinosyns and derivatives thereof such as spinosad, capsaicins and derivatives thereof such as phenyl capsaicin, and enzymes such as oxidase, proteolytically, hemicellulolytically, cellulolytically, lipolytically and amylolytically active enzymes.
- imidazole containing compounds such as 4-[1-(2,3- dimethylphenyl)ethyl]-1 H-imidazole [medetomidine] and derivatives thereof
- macrocyclic lactones including avermectins and derivative
- Preferred antifouling agents are zinc pyrithione, copper pyrithione, zinc ethylenebis(dithiocarbamate) [zineb], 4,5-dichloro-2-n-octyl-4-isothiazolin-3-one [DCOIT] and encapsulated 4,5-dichloro-2-n-octyl-4-isothiazolin-3-one [DCOIT]
- Particularly preferred antifouling agents are zinc pyrithione and copper pyrithione.
- the biocide is typically present in 0-20 % by dry weight of the total coating composition, preferably 0-15 % by dry weight of the total coating composition.
- antifouling agents are known in antifouling coatings and their use would be familiar to the skilled person.
- the antifouling agent may be encapsulated or adsorbed on an inert carrier or bonded to other materials for controlled release. These percentages refer to the amount of active antifouling agent present and not therefore to any carrier used.
- the coating composition of the present invention optionally comprises an additive oil.
- the coating composition of the present invention comprises 0- 30 wt% and more preferably 5-20 wt% additive oil, based on the solids content of the coating composition.
- Suitable unreactive additive oils are silicone oils such as methylphenyl silicone oil, petroleum oils, polyolefin oils, polyaromatic oils, fluoro resins such as polytetra- fluoroethylene or fluid fluorinated alkyl- or alkoxy-containing polymers, or lanolin and lanolin derivatives and other sterol(s) and/or sterol derivative(s) as disclosed in WO2013024106A1 or combinations thereof.
- a preferred unreactive additive oil is methylphenyl silicone oil.
- the coating composition of the present invention optionally comprises hydrophilic-modified additive oils, such as non-reactive hydrophilic-modified polysiloxane oils.
- hydrophilic-modified additive oils such as non-reactive hydrophilic-modified polysiloxane oils.
- Suitable hydrophilic modified polysiloxane oils are described in US 6107381 or hydrophilic modified sterol (s) and/or sterol derivative (s) as described in WO2016004961.
- hydrophilicity of the hydrophilic-modified additive oil is obtained by modification with poly(alkylene oxide) groups.
- the one or more hydrophilic-modified additive oils are optionally present in the coating composition of the present invention in an amount of 0.01-30 %, e.g. 0.05-10 %, by dry weight. More preferably the one or more hydrophilic-modified additive oils comprises 0.05-7 % by dry weight and still more preferably 0.1-5 % by dry weight of the coating composition.
- pigments include black iron oxide, red iron oxide, yellow iron oxide, titanium dioxide, zinc oxide, carbon black, graphite, red molybdate, yellow molybdate, zinc sulfide, antimony oxide, sodium aluminium sulfosil icates, quinacridones, phthalocyanine blue, phthalocyanine green, indanthrone blue, cobalt aluminium oxide, carbazoledioxazine, isoindoline orange, bis-acetoaceto-tolidiole, benzimidazolone, quinaphthalone yellow, isoindoline yellow, tetrachloroisoindolinone, and quinophthalone yellow, metallic flake materials (e.g. aluminium flakes).
- metallic flake materials e.g. aluminium flakes.
- Preferred pigments are black iron oxide, red iron oxide, yellow iron oxide, phthalocyanine blue and titanium dioxide.
- the amount of pigment present in the coating composition of the present invention is preferably 0 to 25 wt% and more preferably 0.5 to 15 wt% based on the total dry weight of the coating composition.
- the antifouling coating composition of the present invention preferably comprises a solvent.
- Suitable solvents for use in the compositions of the invention are commercially available.
- suitable organic solvents and thinners are aromatic hydrocarbons such as xylene, toluene, mesitylene; ketones such as methyl ethyl ketone, methyl isobutyl ketone, methyl amyl ketone, methyl isoamyl ketone, cyclopentanone, cyclohexanone; esters such as butyl acetate, tert-butyl acetate, amyl acetate, isoamyl acetate, ethylene glycol methyl ether acetate, propylene glycol methyl ether acetate; ethers such as ethylene glycol dimethyl ether, diethylene glycol dimethyl ether, dibutyl ether, dioxane, tetrahydrofuran; alcohols such as n-butanol, isobutanol, benzyl alcohol; ether alcohols such as butoxyethanol, 1-methoxy-2-propanol; aliphatic hydrocarbons such as
- the amount of solvent present in the antifouling coating compositions of the present invention is preferably as low as possible as this minimizes the VOC content.
- solvent is present in the compositions of the invention in an amount of 0-35 wt% and more preferably 1-30 wt% based on the total weight of the composition. The skilled man will appreciate that the solvent content will vary depending on the other components present.
- the coating composition of the present invention optionally comprises fillers.
- fillers examples include zinc oxide, barium sulphate, calcium sulphate, calcium carbonate, silicas or silicates (such as talc, feldspar, and china clay) including fumed silica, bentonite and other clays, and solid silicone resins, which are generally condensed branched polysiloxanes.
- Some fillers such as fumed silica may have a thickening effect on the coating composition.
- Preferred fillers are fumed silica fillers.
- the fumed silica fillers may have an untreated surface or a hydrophobically modified surface.
- Preferably the fumed silica filler has a hydrophobically modified surface.
- Examples of commercially available fumed silica fillers are TS-610, TS-530, EH-5, H-5, and M-5 from Cabot and Aerosil® R972, Aerosil® R974, Aerosil® R976, Aerosil® R104, Aerosil® R202, Aerosil® R208, Aerosil® R805, Aerosil® R812, Aerosil® 816, Aerosil® R7200, Aerosil® R8200, Aerosil® R9200, Aerosil® R71 1 from Evonik.
- the amount of fillers present in the coating composition of the present invention is preferably 0 to 25 wt%, more preferably 0.1 to 10 wt% and still more preferably 0.15 to 5 wt%, based on the total dry weight of the coating composition.
- the coating composition of the present invention optionally comprises one or more additives.
- additives that may be present in the coating composition of the invention include reinforcing agents, thixotropic agents, thickening agents, anti- settling agents, dehydrating agents, dispersing agents, wetting agents, surfactants, binders, plasticizers, and dyes.
- thixotropic agents examples include silicas such as fumed silicas, organo-modified clays, amide waxes, polyamide waxes, amide derivatives, polyethylene waxes, oxidised polyethylene waxes, hydrogenated castor oil wax and mixtures thereof.
- thixotropic agents, thickening agents and anti-settling agents are each present in the composition of the invention in an amount of 0-10 wt%, more preferably 0.1-6 wt% and still more preferably 0.1 -2.0 wt%, based on the total dry weight of the composition.
- orthoesters such as trimethyl orthoformate, triethyl orthoformate, tripropyl orthoformate, triisopropy
- the dehydrating agent is present in the compositions of the invention in an amount of 0-5 wt%, more preferably 0.5-2.5 wt% and still more preferably 1.0-2.0 wt%, based on the total dry weight of the composition.
- the present invention also relates to a method of preparing the composition as hereinbefore described wherein the components present in the composition are mixed. Any conventional production method may be used.
- composition as described herein may be prepared in a suitable concentration for use, e.g. in spray painting.
- the composition is itself a paint.
- the composition may be a concentrate for preparation of paint.
- further solvent is added to the composition described herein to form paint.
- Preferred solvents are as hereinbefore described in relation to the composition.
- the antifouling coating composition or paint is preferably filled into a container.
- suitable containers include cans, drums and tanks.
- the antifouling coating composition may be supplied as a one-pack, as a two- pack or as a three-pack.
- the composition is supplied as a two-pack or as a three-pack and still more preferably as a three-pack.
- the composition When supplied as a one-pack, the composition is preferably supplied in a ready-mixed or ready to use form.
- the one-pack product may be thinned with solvents prior to application.
- the first container When supplied as a two pack, the first container preferably comprises a copolymer comprising repeat units of formulae (A) and (B1 ) and/or (B2) as hereinbefore defined, polysiloxane-based binder and/or siloxane copolymer and optionally antifouling agent; and the second container preferably comprises crosslinking agent, curing agent and/or catalyst. Instructions for mixing the contents of the containers may optionally be provided.
- the antifouling coating composition and paint of the invention has a content of volatile organic compounds (VOC) of 50 to 500 g/L, preferably 50 to 420 g/L, e.g. 50 to 390 g/L.
- VOC content can be calculated (ASTM D5201-01 ) or measured (US EPA method 24 or ISO 1 1890-1 ).
- the coating composition according to the present invention is also possible to apply the coating composition according to the present invention on a substrate containing an aged anti-fouling coating layer or fouling release layer. Before the coating composition according to the present invention is applied to such an aged layer, this old layer is cleaned by high-pressure water washing to remove any fouling.
- the coating composition according to the present invention may be applied in one or two or more layers. Preferably the coating composition according to the present invention is applied in one layer
- the antifouling coating composition and paint of the invention can be applied to a whole or part of any article surface which is subject to marine fouling.
- the surface may be permanently or intermittently underwater (e.g. through tide movement, different cargo loading or swell).
- the article surface will typically be the hull of a vessel or surface of a fixed marine object such as an oil platform or buoy.
- Application of the coating composition and paint can be accomplished by any convenient means, e.g. via painting (e.g. with brush or roller) or more preferably spraying the coating onto the article.
- the surface will need to be separated from the seawater to allow coating.
- the application of the coating can be achieved as conventionally known in the art. After the coating is applied, it is preferably dried and/or cured.
- the crosslinking agent, catalyst, biocide, additive oil, pigment, solvent and additives were all obtained from commercial suppliers.
- the polysiloxane-based binder polymers i.e. binder
- copolymers and siloxane copolymer were prepared as described below.
- the solids content of the polymer solutions was determined in accordance with ISO 3251 :2008. Samples of 0.5 g ⁇ 0.1 g polymer solution were dried in a ventilated oven at 105 °C for 3 hours. The weight of the residual material is considered to be the non-volatile matter (NVM). The non-volatile matter content is expressed in weight percent. The result given in Table 2 is the average of two parallels. Determination of polymer average molecular weights distribution
- the polymers were characterised by Gel Permeation Chromatography (GPC) measurement.
- GPC Gel Permeation Chromatography
- MWD molecular weight distribution
- the analysis conditions were as set out in table 2 below.
- Samples were prepared by dissolving an amount of polymer solution corresponding to 25 mg dry polymer in 5 ml THF. The samples were kept for a minimum of 3 hours at room temperature prior to sampling for the GPC measurements. Before analysis the samples were filtered through 0.45 pm Nylon filters. The weight- average molecular weight (Mw) is reported.
- a,w -hydroxyalkyl siloxane (Tegomer® H-Si 2515, from Evonik) (2500.0 g, 1.16 eq.mol (hydroxyl)), diethyl succinate (98.9 g, 1.13 eq.mol (ester)), and titanium(IV) butoxide (2.6 g, 0.1 wt%) were charged.
- the reaction mixture was stirred at 200 °C for 6 hours under smooth nitrogen atmosphere stripping conditions. Residual alcohol by-product was removed by vacuum distillation (6 hours, 10 mbar).
- the coating compositions were prepared by first mixing the components in part (A) shown in Tables 5 to 8 below using a high-speed dissolver equipped with an impeller disc.
- the copolymers (ii) of the present invention were added to the coating composition after the grinding phase.
- the components in part (B) were mixed with the components in part (A) shortly before application of the coating.
- PVC panels were coated with one coat of Jotun Safeguard Universal ES primer and one coat of Jotun Sealion Tiecoat Plus using airless spray within specified conditions.
- the coating compositions of examples 1-9 and comparative examples 1 and 2 were applied to the pre-coated PVC panels using a film applicator with a 300 pm clearance.
- Comparative examples 1 and 2 are reference examples wherein no copolymer of the present invention is present in the composition.
- the panels were used for static testing on a raft in Florida where the panels were submerged 0.5-1.5 m below the sea surface. The panels were evaluated by visual inspection and rated by the scale shown in table 4 below.
- the fouling performance of the coating compositions in examples 1 - 9 are set out in Table 5 and 6 below.
- Table 5 the coatings compositions are free of any antifouling agents.
- Table 6 the coating compositions contain copper pyrithione as an antifouling agent. All amounts in the tables are given in grams. Table 5
- the antifouling coating composition of the invention comprising the copolymer in combination with a polysiloxane-based binder has significantly improved antifouling performance, especially against soft fouling, compared to compositions lacking the copolymer.
- the copolymer improves the antifouling performance of the coating composition. It is shown in the experiments that the antifouling performance is improved both in coating compositions containing antifouling agents and in coating compositions free of antifouling agents.
- the copolymers of the present invention improve the antifouling properties by migrating to the surface of the coating where the poly (alkylene oxide) groups interact with water forming a hydrogel that prevents fouling. It is also believed that the copolymers of the present invention aid the leaching of the biocides out of the coating film.
- PVC panels were coated with a first coat of Jotun Safeguard Universal ES primer and a second coat of Jotun SeaQuest Tiecoat using airless spray within specified conditions.
- the coating compositions of examples 10 to 12 and comparative example 3 in Table 7 were applied to the PVC panels pre-coated with primer and tiecoat using a film applicator with a 300 pm clearance.
- the panels were used for static testing on a raft in Singapore where the panels were submerged 0.3-1.3 m below the sea surface.
- the panels were evaluated by visual inspection and rated for slime, algae and animals using the scale shown in Table 4B below.
- the panels were mounted on a rotary drum and used for dynamic antifouling testing in Sandefjord at 0.5 - 1.5 meters below the sea surface at a speed of 14 knots (7.2 meters / second).
- the antifouling performance was evaluated by visual inspection and rated using the scale shown in Table 4 above.
- the coating composition and antifouling performance of examples 13 to 16 and comparative examples 4 and 5 are given in Table 8 below.
- the amounts of the ingredients are given in grams.
Landscapes
- Chemical & Material Sciences (AREA)
- Life Sciences & Earth Sciences (AREA)
- Engineering & Computer Science (AREA)
- Materials Engineering (AREA)
- Wood Science & Technology (AREA)
- Organic Chemistry (AREA)
- Paints Or Removers (AREA)
Abstract
The present invention provides an antifouling coating composition comprising: (i) 30-95 wt% polysiloxane-based binder and/or a siloxane copolymer; (ii) 0.1-30 wt% of a copolymer comprising repeat units of formulae (A) and (B1) and/or (B2); and (iii) 0-30 wt% antifouling agent, wherein said repeat units of formulae (A) and (B1) and/or (B2) are: wherein in formula (A) R is selected from H and C1--6 alkyl, and preferably H and methyl; X1 is selected from COO and OCO, preferably COO; m is 0 or 1, preferably 1; R1 is selected from substituted or unsubstituted, linear or branched, C -8 alkylene; n is 0 or 1; and R2 is poly(alkylene oxide), M&C PC928263WO 63 8492444-1-KGORDON in formulae (B1) and (B2) R is selected from H and C1-6 alkyl; X2 is selected from COOR3 and OCOR3 and preferably COOR3; o is 0 or 1, preferably 1; R3 is selected from substituted or unsubstituted, linear or branched, C1-8 alkylene; each R is independently selected from C1-10 alkyl and C5-10 aryl; and in formula (B1) q is an integer from 1-160 and in formula (B2) q is 0 or an integer from 1-80 R5 is selected from C1-10 alkyl, C1-10 aryl or O-Si(R6)3, wherein R6 is independently selected from C1-10 alkyl and C5-10 aryl.
Description
Antifouling Composition
INTRODUCTION
The present invention relates to a marine antifouling coating composition comprising a polysiloxane-based binder and/or a siloxane copolymer, a copolymer formed from polysiloxane-modified and poly(alkylene oxide)-modified monomers and optionally a marine antifouling agent, as well as to a method of preparing the composition. The copolymer formed from polysiloxane-modified and poly(alkylene oxide)-modified monomers also forms a part of the invention. The invention also relates to paint comprising the composition, to a paint container containing the composition and to kits for preparing the composition. Additionally the invention relates to an article (e.g. a ship hull) comprising a coating on at least a part of a surface thereof and to a method of coating an article to prevent marine fouling thereon comprising coating at least a part of a surface of the article with the composition.
BACKGROUND
Surfaces that are submerged in seawater are subjected to fouling by marine organisms such as green and brown algae, slime, barnacles, mussels and tube worms. On marine constructions such as vessels (e.g. ships, tankers), oil platforms and buoys such fouling is undesired and has economic consequences. The fouling may lead to biological degradation of the surface, increased load and accelerated corrosion. On vessels the fouling increases the frictional resistance which will cause reduced speed and/or increased fuel consumption. It can also result in reduced maneuverability.
To prevent settlement and growth of marine organisms antifouling paints are used. Conventionally two types of antifouling paint are employed, self-polishing antifouling paint and fouling release antifouling paint.
Self-polishing antifouling paint comprises an antifouling agent and a binder that gradually dissolves and/or hydrolyses in sea water which enables sea water to erode the coating surface, thereby exposing a new surface. The most successful self- polishing antifouling paints are based on hydrolysable binders such as (meth)acrylate binders with hydrolysable silyl esters. The gradual hydrolysis in seawater provides a controlled release of the antifouling agent from the coating.
Fouling release antifouling paints provide coatings that have low surface tension and low modulus of elasticity and work by providing a fouling release surface to which sea organisms do not stick or if they do stick are washed off by the friction of the water against the surface. Such coatings are often based on polysiloxane-based
binders. The fouling release surface created by the polysiloxane binder is efficient in prohibiting macro fouling from permanently sticking to the surface. However, the polysiloxane surface has not shown good resistance towards soft fouling such as slime and algae over time.
It is well known that hydrophilic surfaces can resist protein absorption. In particular polyethylene gylcol (PEG) coated surfaces are known to prevent protein absorption by creating a surface hydration layer of tightly bound water molecules. However the PEG polymer itself is highly hydrophilic and has poor compatibility with a polysiloxane-based binder matrix. Different ways of introducing PEG groups to the surface of fouling release coatings have been reported. In US 6107381 the use of silicone oils containing poly(alkylene oxide) groups that migrate to the surface of the coating are described. The poly(alkylene oxide) modified silicone oils were shown to improve the resistance of the coating against marine fouling. In WO 2008/132196 introduction of poly(alkylene oxide) groups into the polysiloxane binder is described.
SUMMARY OF INVENTION
Viewed from a first aspect the present invention provides an antifouling coating composition comprising:
(i) 30-95 wt% polysiloxane-based binder and/or a siloxane copolymer;
(ii) 0.1 -30 wt% of a copolymer comprising repeat units of formulae (A) and (B1 ) and/or (B2); and
(iii) 0-30 wt% antifouling agent,
wherein wt% is based on the dry weight of the composition and wherein formulae (A) and (B1 ) and/or (B2) are:
R is selected from H and Ci-6 alkyl;
X1 is selected from COO and OCO;
m is 0 or 1 ;
R1 is selected from substituted or unsubstituted, linear or branched, Ci-8 alkylene;
n is 0 or 1 ; and
R2 is poly(alkylene oxide), in formulae (B1 ) and (B2)
R is selected from H and Ci-6 alkyl;
X2 is selected from COOR3 and OCOR3;
o is 0 or 1 ;
R3 is selected from substituted or unsubstituted, linear or branched, Ci-8 alkylene;
each R4 is independently selected from CMO alkyl and C5-io aryl; and in formula (B1 )
q is an integer from 1 to 160, and in formula (B2)
q is 0 or an integer from 1 to 80;
R5 is selected from CMO alkyl, C5-io aryl or 0-Si(R6)3, wherein R6 is independently selected from CMO alkyl and C5-io aryl.
Viewed from a further aspect the present invention provides a method for preparing a composition as hereinbefore described, comprising mixing:
(i) 30-95 wt% polysiloxane-based binder and/or a siloxane copolymer;
(ii) 0.1-30 wt% of a copolymer comprising repeat units of formulae (A) and (B1 ) and/or (B2) as hereinbefore defined; and
(iii) 0-30 wt% antifouling agent;
wherein wt% is based on the dry weight of the composition.
Viewed from a further aspect the present invention provides a paint comprising a composition as hereinbefore defined.
Viewed from a further aspect the present invention provides a paint container containing a composition as hereinbefore defined.
Viewed from a further aspect the present invention provides a kit for the preparation of a composition as hereinbefore defined comprising:
a first container containing a polysiloxane-based binder and/or a siloxane copolymer, a copolymer comprising repeat units of formulae (A) and (B1 ) and/or (B2) as hereinbefore defined and optionally an antifouling agent;
a second container containing a crosslinking agent and/or a curing agent and optionally a catalyst;
optionally a third container containing a catalyst; and
optionally instructions for combining the contents of said containers.
Viewed from a further aspect the present invention provides an article comprising (e.g. covered with or coated with) a coating on at least a part of a surface thereof, wherein said coating comprises the composition as hereinbefore defined.
Viewed from a further aspect the present invention provides a method of coating an article to prevent fouling thereon, wherein said method comprises:
coating at least a part of a surface of said article with a composition as hereinbefore defined; and
drying and/or curing said coating.
Viewed from a further aspect the present invention provides use of a composition as hereinbefore defined for coating at least a part of a surface of an article to prevent fouling thereon.
Viewed from a further aspect the present invention provides a polymer comprising repeat units of formulae (A), (B1 ) and/or (B2) and optionally (C):
in formula (A)
R is selected from H and Ci-6 alkyl;
X1 is selected from COO and OCO;
m is 0 or 1 ;
R1 is selected from substituted or unsubstituted, linear or branched, Ci-8 alkylene; n is 0 or 1 ; and
R2 is poly(alkylene oxide), in formulae (B1 ) and (B2)
R is selected from H and Ci-6 alkyl;
X2 is selected from COOR3 and OCOR3;
o is 0 or 1 ;
R3 is selected from substituted or unsubstituted, linear or branched, Ci-8 alkylene; each R4 is independently selected from CMQ alkyl and C5-io aryl; in formula (B1 )
q is an integer from 1 to 160; and in formula (B2)
q is 0 or an integer from 1 to 80
R5 is selected from CMO alkyl, C5-io aryl or 0-Si(R6)3, wherein R6 is independently selected from CMO alkyl and C5-io aryl. in formula (C):
R is selected from H and Ci-6 alkyl; and
X3 is selected from COOH, COOR7, OCOR7, OH or OR7, wherein R7 is selected from substituted or unsubstituted, linear or branched, Ci-8 alkyl;
wherein said copolymer comprises 1-40 wt% of repeat unit (A), a total of 10-90 wt% of repeat unit (B1 ) and/or (B2) and 0 to 70 wt% of repeat unit (C).
DEFINITIONS
As used herein the term “antifouling coating composition” refers to a composition that, when applied to a surface, prevents or minimises growth of marine organisms on a surface. This term encompasses both fouling release compositions and self-polishing fouling release compositions.
As used herein the term“fouling release composition” refers to a composition which, when applied to a surface, provides a fouling release surface to which it is difficult for sea organisms to permanently stick.
As used herein the term“self-polishing fouling release composition” refers to a composition which, when applied to a surface, provides a fouling release surface to which it is difficult for sea organisms to permanently stick and which gradually hydrolyses and/or erodes. The hydrolysis and/or erosion effectively renews the surface (referred to as self-polishing), providing a fresh non-stick surface.
As used herein the term“binder” refers to the film forming components of the composition. The polysiloxane-based binder and/or siloxane copolymer of the composition is the main binder in the composition, i.e. it forms at least 50 wt% of the binder present. As used herein, the term“binder” does not encompass additive oils. Additive oils are not considered herein to be film-forming components.
As used herein the term “paint” refers to a composition comprising the antifouling coating composition as herein described and optionally solvent which is ready for use, e.g. for spraying. Thus the antifouling coating composition may itself be
a paint or the antifouling coating composition may be a concentrate to which solvent is added to produce a paint.
As used herein the term“polysiloxane” refers to a polymer comprising siloxane, i.e. -Si-O- repeat units.
As used herein the term“polysiloxane-based binder” refers to a binder that comprises at least 50 wt%, preferably at least 60 wt% and more preferably at least 70 wt% repeat units comprising the motif -Si-O-, based on the total weight of the polymer. Polysiloxane-based binders may comprise up to 99.99 wt% repeat units comprising the motif -Si-O-, based on the total weight of the polymer. The repeat units, -Si-O- may be connected in a single sequence or alternatively may be interrupted by non-siloxane parts, e.g. organic-based parts.
As used herein the term“non-degradable polysiloxane-based binder” refers to a polysiloxane-based binder which does not undergo hydrolytic degradation or erosion in sea water.
As used herein the term“siloxane copolymer” refers to a polymer comprising siloxane, i.e. -Si-O- repeat units and at least one other repeat unit. Siloxane copolymers comprise 10-99 wt% repeat units comprising the motif -Si-O- and 1-90 wt% of at least one other repeat unit, based on the total weight of the polymer.
As used herein the term“degradable siloxane copolymer” refers to a siloxane copolymer which undergoes hydrolytic degradation or erosion in sea water. Preferably the degradable siloxane copolymer is a hydrolytically degradable siloxane copolymer. The hydrolysis reaction occurs in the polymer backbone for the siloxane copolymer to be considered hydrolytically degradable. It will be understood that the rate of the hydrolysis reaction is highly dependent on both the chemical structure/composition of the hydrolytically degradable siloxane copolymer as well as the surrounding environmental conditions (salinity, pH, temperature, etc.). The hydrolytically degradable group should be one which hydrolyses at rate sufficient so as to cause a coating surface polishing effect when said surface is moving through sea water, i.e. undergo hydrolysis in sea water at a temperature, pH and salinity reflective of natural sea water. The term hydrolytically degradable siloxane copolymer is different to hydrolysable polysiloxane binder. The former comprise hydrolytically degradable groups in the copolymer backbone causing degradation of the binder upon hydrolysis in seawater. Hydrolysable polysiloxane binders, on the other hand, solely comprise hydrolysable groups in side groups or chains attached to the polymer backdone. Such hydrolysable
groups are commonly alkoxy-silane groups attached to the polymer backbone which, upon hydrolysis, undergo subsequent crosslinking and/or curing reactions.
As used herein the term“alkyl” refers to saturated, straight chained, branched or cyclic groups. Alkyl groups may be substituted or unsubstituted.
As used herein the term“cycloalkyl” refers to a cyclic alkyl group.
As used herein the term“alkylene” refers to a bivalent alkyl group.
As used herein the term “alkenyl” refers to unsaturated, straight chained, branched or cyclic groups. Alkenyl groups may be substituted or unsubstituted.
As used herein the term “aryl” refers to a group comprising at least one aromatic ring. The term aryl encompasses heteroaryl as well as fused ring systems wherein one or more aromatic ring is fused to a cycloalkyl ring. Aryl groups may be substituted or unsubstituted. An example of an aryl group is phenyl, i.e. C6H5. Phenyl groups may be substituted or unsubstituted.
As used herein the term "substituted" refers to a group wherein one or more, for example up to 6, more particularly 1 , 2, 3, 4, 5 or 6, of the hydrogen atoms in the group are replaced independently of each other by the corresponding number of the described substituents. The term "optionally substituted" as used herein means substituted or unsubstituted.
As used herein the term“arylalkyl” group refers to groups wherein the bond to the Si is via the alkyl portion.
As used herein the term“polyether” refers to a compound comprising two or more -O- linkages interrupted by alkylene units.
As used herein the terms “poly(alkylene oxide)”, “poly(oxyalkylene) and “poly(alkylene glycol)” refer to a compound comprising -alkylene-O- repeat units. Typically the alkylene is ethylene or propylene.
As used herein the term“(meth)acrylate” encompasses both methacrylate and acrylate.
As used herein the term wt% is based on the dry weight of the coating composition, unless otherwise specified
As used herein the term“molecular weight” refers to weight average molecular weight (Mw), unless otherwise specified.
As used herein the term“PDI” or polydispersity index refers to the ratio Mw/Mn, wherein Mn refers to number average molecular weight. PDI is sometimes alternatively referred to as D (dispersity).
As used herein the term “volatile organic compound (VOC)” refers to a compound having a boiling point of 250 °C or less.
As used herein“antifouling agent” refers to a biologically active compound or mixture of biologically active compounds that prevents the settlement of marine organisms on a surface, and/or prevents the growth of marine organisms on a surface and/or encourages the dislodgement of marine organisms from a surface.
DETAILED DESCRIPTION OF THE INVENTION
The present invention relates to marine antifouling coating compositions comprising:
(i) 30-95 wt% polysiloxane-based binder and/or siloxane copolymer;
(ii) 0.1-30 wt% of a copolymer comprising repeat units of formulae (A) and (B1 ) and/or (B2); and
(iii) 0-30 wt% antifouling agent,
wherein wt% is based on the dry weight of the composition and wherein formulae (A) and (B1 ) and/or (B2) are:
R is selected from H and Ci-6 alkyl;
X1 is selected from COO and OCO;
m is 0 or 1 ;
R1 is selected from substituted or unsubstituted, linear or branched, Ci-8 alkylene; n is 0 or 1 ; and
R2 is poly(alkylene oxide), in formulae (B1 ) and (B2)
R is selected from H and Ci-6 alkyl;
X2 is selected from COOR3 and OCOR3;
o is 0 or 1 ;
R3 is selected from substituted or unsubstituted, linear or branched, Ci-8 alkylene; each R4 is independently selected from CMO alkyl and C5-io aryl; and in formula (B1 )
q is an integer from 1 to 160; and in formula (B2)
q is 0 or an integer from 1 to 80,
R5 is selected from CMO alkyl, C5-io aryl or 0-Si(R6)3, wherein R6 is independently selected from CMO alkyl and C5-io aryl.
Optionally the composition further comprises one or more of: (v) cross linking and/or curing agent; (vi) catalyst; (vii) additive oil; (viii) co-binder; (ix) a pigment; (x) a solvent; (xi) filler; and/or (xii) an additive.
The marine antifouling coating compositions of the present invention advantageously possess improved antifouling performance, especially against soft fouling, e.g. algae and slime. The compositions of the present invention provide fouling release coatings and self-polishing fouling release compositions.
The use of the copolymers of the present invention in antifouling coating compositions represents a new way of introducing poly(alkylene oxide) groups to the surface of a coating comprising polysiloxane-based binder and/or a siloxane copolymer. The copolymers of the present invention are made from readily available ethylenically unsaturated monomers containing poly(alkylene oxide) and polysiloxane groups.
The presence of the polysiloxane groups pendant from the copolymer backbone is thought to improve the compatibility of the copolymer with the polysiloxane-based binder and/or siloxane copolymer facilitating mixing of the copolymer with the polysiloxane-based binder and/or siloxane copolymer to form a homogeneous mixture and homogeneous antifouling coating. Without being bound to any theory it is believed that the copolymer that is not covalently attached to the binder matrix or siloxane copolymer structure will migrate to the surface of the coating and that the flexible carbon backbone in the copolymer will give the poly(alkylene oxide) groups, which are pendant from the copolymer backbone, the opportunity to arrange in the most favourable manner and“face outwards” from the coating to the aqueous environment. The poly(alkylene oxide) groups will form a hydrogel or hydrogel-type structure from the interaction with the water molecules that helps prevent the deposition of marine fouling onto the coated surface.
An advantage of the copolymer of the present invention is that by carefully choosing the monomers and the chain lengths of the monomers, the properties of the copolymer, such as efficiency against marine fouling, surface tension, glass transition temperature (Tg), and compatibility with the polysiloxane-based binder matrix and/or siloxane copolymer, can be adjusted making this a very versatile strategy for introducing poly(alkylene oxide) groups to the surface of coatings comprising polysiloxane-based binder and/or siloxane copolymer.
Copolymer
In preferred compositions of the present invention, the copolymer comprises repeat units of formulae (A) and (B1 ) and/or (B2):
R is selected from H and Ci-6 alkyl;
X1 is selected from COO and OCO;
m is 0 or 1 ;
R1 is selected from substituted or unsubstituted, linear or branched, Ci-8 alkylene; n is 0 or 1 ; and
R2 is poly(alkylene oxide), in formulae (B1 ) and (B2)
R is selected from H and Ci-6 alkyl;
X2 is selected from COOR3 and OCOR3;
o is 0 or 1 ;
R3 is selected from substituted or unsubstituted, linear or branched, Ci-8 alkylene; each R4 is independently selected from CMQ alkyl and C5-io aryl; and in formula (B1 )
q is an integer from 1 to 160,
and in formula (B2)
q is 0 or an integer from 1 to 80,
R5 is selected from CMO alkyl, C5-io aryl or 0-Si(R6)3, wherein R6 is independently selected from CMO alkyl and C5-io aryl.
Thus in the compositions of the invention the copolymer comprises repeat units of formulae (A) and (B1 ), repeat units of formulae (A) and (B2) or repeat units of formulae (A), (B1 ) and (B2). In preferred compositions the copolymer comprises repeat units of formulae (A) and (B1 ) or repeat units of formulae (A) and (B2). In further preferred compositions, the copolymer comprises repeat units of formulae (A) and (B1 ).
In further preferred compositions of the invention the copolymer further comprises a third repeat unit of formula (C):
wherein
R is selected from H and Ci-6 alkyl;
X3 is selected from COOH, COOR7, OCOR7, OH or OR7, wherein R7 is selected from substituted or unsubstituted, linear or branched, Ci-8 alkyl.
Further preferred compositions of the invention comprise a copolymer having a repeat unit derived from of at least one monomer of each of formula (a) and (b1 ) and/or (b2), and optionally formula (c):
R, X1, X2, X3, R1, R2, R3, R4, R5, R6, R7, m, n, o and q are as hereinbefore defined.
When monomers (a), (b1 ), (b2) and (c) are polymerised they produce repeat units (A), (B1 ), (B2) and (C) respectively.
Further preferred compositions of the invention comprise a copolymer of formula (Xb1 ) or (Xb2):
wherein
R, X1, X2, X3, R1, R2, R3, R4, R5, R6, R7, m, n, o and q are as herein defined; and said copolymer comprises 1-40 wt%, preferably 8-35 wt% and more preferably 8 to 30 wt% of repeat unit r, 0-70 wt%, preferably 1-50 wt% and more preferably 1-25 wt% of repeat unit s and 10-90 wt%, preferably 30-90 wt% and more preferably 45-90 wt% of repeat unit t.
In formulae (Xb1 ) and (Xb2), the subscripts r, s and t are intended to represent the proportion of the different repeat units present in the polymer and do not necessarily represent the connectivity of the units. The copolymer present in the compositions of the invention may be block copolymers or random copolymers. Preferably the copolymer is a random copolymer.
In preferred repeat units of formula (A), (B1 ), (B2) and (C), preferred monomers of formula (a), (b1 ), (b2) and (c) and preferred copolymers of formula (Xb1 ) and (Xb2), R is H or CH3.
In further preferred repeat units of formula (A), preferred monomers of formula (a), and preferred copolymers of formula (Xb1 ) and (Xb2), m is 1 and X1 is COO. In further preferred repeat units of formula (B1 ) and (B2), preferred monomers of formula (b1 ) and (b2), and preferred copolymers of formula (Xb1 ) and (Xb2), o is 1 and X2 is COOR3 wherein R3 is selected from substituted or unsubstituted, linear or branched, Ci-8 alkylene.
Thus preferably the backbone of the copolymer is (meth)acrylic. The copolymer present in the antifouling coating composition of the present invention preferably comprises at least 60 wt%, more preferably at least 75 wt% and still more preferably at least 90 wt% (meth)acrylate monomers, based on the dry weight of the polymer. Preferred copolymers present in the composition of the present invention comprise 60- 100 wt%, more preferably 75-100 wt% and still more preferably 90-100 wt% (meth)acrylate monomers, based on the dry weight of the polymer. Particularly preferred copolymers comprise 100 wt% (meth)acrylate monomers, i.e. they do not comprise any monomers of another type, based on the dry weight of the polymer.
The copolymer present in the antifouling coating composition of the present invention preferably comprises at least two (e.g. 2, 3 or 4) different (meth)acrylate monomers and more preferably at least three (e.g. 3) different (meth)acrylate monomers.
In preferred repeat units of formula (A), preferred monomers of formula (a), and preferred copolymers of formula (Xb1 ) and (Xb2), n may be 0 or 1. When n is 1 , R1 is preferably substituted or unsubstituted, linear or branched Ci-4 alkylene and still more
preferably substituted or unsubstituted, linear or branched Ci-2 alkylene. Preferably R1 is unsubstituted. Preferably R1 is linear. Still more preferably R1 is unsubstituted, linear Ci-4 alkylene and yet more preferably R1 is unsubstituted, linear Ci-2 alkylene, e.g. -CH2CH2-. In preferred repeat units of formula (A), preferred monomers of formula (a), and preferred copolymers of formula (X), however, n is 0.
In preferred repeat units of formula (A), preferred monomers of formula (a), and preferred copolymers of formula (Xb1 ) and (Xb2), R2 is polyethylene oxide), polypropylene oxide) or a mixture thereof. Preferably R2 is of formula (I):
-[(CH2CH20)U(CH2CH(CH3)0)V]-R8 (I)
wherein
R8 is selected from H, CH3, CH2CH3 and COCH3; and
each u is 0 to 50, each v is 0 to 50 with the proviso that u+v is 2 to 50, preferably 4 to 40, more preferably 4-20 and still more preferably 4-10.
When v is 0, R2 is a poly(ethylene oxide). When u is 0, R2 is polypropylene oxide). When both u and v are non-zero, R2 is a mixture of polypthylene oxide) and polypropylene oxide). The different alkylene oxide units may be arranged in blocks or randomly and more preferably randomly. Thus formula (I) does not necessarily represent the connectivity of the alkylene oxide units in R2.
As used herein the term polypthylene oxide) covers dimers, trimers and oligomers as well as longer polymers. Thus when v is 0, for example, u is preferably 2 to 50 and more preferably 4 to 40. Similarly the term polypropylene oxide) covers dimers, trimers and oligomers as well as longer polymers.
Examples of monomers of formula p) present in the copolymer present in the antifouling coating composition of the present invention include polypthylene glycol) methyl ether methacrylate, polypropylene glycol) methyl ether methacrylate, dipthylene glycol) methyl ether methacrylate, tripthylene glycol) methyl ether methacrylate, polypthylene glycol) methyl ether acrylate, polypropylene glycol) methyl ether acrylate, dipthylene glycol) methyl ether acrylate, tripthylene glycol) methyl ether acrylate, polypthylene glycol) ethyl ether methacrylate, polypropylene glycol) ethyl ether methacrylate, dipthylene glycol) ethyl ether methacrylate, tripthylene glycol) ethyl ether methacrylate, polypthylene glycol) ethyl ether acrylate, polypropylene glycol) ethyl ether acrylate, dipthylene glycol) ethyl ether acrylate, tripthylene glycol) ethyl ether acrylate, polypthylene glycol) methacrylate, polypropylene glycol) methacrylate, polypthylene glycol) acrylate, polypropylene
glycol) acrylate and polypropylene glycol) monovinyl ether. Generally monomers referred to as “poly(alkylene glycol)-containing” monomers comprise 4-50 alkylene oxide units and monomers referred to as“di(alkylene glycol)” and“tri(alkylene glycol”- containing monomers comprise 2 and 3 alkylene oxide units respectively.
Preferred monomers of formula (a) present in the copolymer present in the antifouling coating composition of the present invention include poly(ethylene glycol)methyl ether methacrylate, polypropylene glycol) methyl ether methacrylate, polypthylene glycol) methyl ether acrylate, polypropylene glycol) methyl ether acrylate, polypthylene glycol) ethyl ether methacrylate, polypropylene glycol) ethyl ether methacrylate, polypthylene glycol) ethyl ether acrylate, polypropylene glycol) ethyl ether acrylate, polypthylene glycol) methacrylate, polypropylene glycol) methacrylate, polypthylene glycol) acrylate and polypropylene glycol) acrylate.
Preferred monomers of formula (a) have a number average molecular weight (Mn) of 100-3500, more preferably 200-2000 and still more preferably 250-1000.
Representative examples of commercially available monomers include Visiomer MPEG 750 MA W, Visiomer MPEG 1005 MA W, Visiomer MPEG 2005 MA W, Visiomer MPEG 5005 MA W from Evonik, Bisomer PPA6, Bisomer PEA6, Bisomer PEM6, Bisomer PPM5, Bisomer PEM63P, Bisomer MPEG350MA, Bisomer MPEG550MA, Bisomer S10W, BisomerS20W from Geo Speciality Chemicals, SR550 MPEG350MA, SR552 MPEG500MA from Sartomer and RPEG 750 from Ineos Oxide.
In preferred repeat units of formula (B1 ) and (B2), preferred monomers of formula (b1 ) and p2), and preferred copolymers of formula (Xb1 ) and (Xb2), R3 is substituted or unsubstituted, linear or branched Ci-6 alkylene and still more preferably substituted or unsubstituted, linear or branched Ci-4 alkylene. Preferably R3 is unsubstituted. Preferably R3 is linear. Still more preferably R3 is unsubstituted, linear C-i-6 alkylene and yet more preferably R3 is unsubstituted, linear Ci-4 alkylene, e.g. - CH2CH2- or -CH2CH2CH2-.
In preferred repeat units of formula (B1 ) and (B2), preferred monomers of formula (b1 ) and p2), and preferred copolymers of formula (Xb1 ) and (Xb2), R4 is preferably Ci-8 alkyl or C5-10 aryl. Preferred alkyl groups are Ci-4 alkyl, e.g. methyl, ethyl, n-propyl, i-propyl, n-butyl, i-butyl and t-butyl. A preferred aryl group is phenyl. Still more preferably R4 is methyl or butyl.
In preferred repeat units of formula (B1 ) and preferred monomers of formula (b1 ), q is 1-160, preferably 1-65, more preferably 1-30 and more preferably 1-20. In
preferred repeat units of formula (B2) and preferred monomers of formula (b2), q is 0- 80, preferably 0-33, more preferably 0-15, more preferably 0-10
In preferred repeat units of formula (B2), preferred monomers of formula (b2) and preferred copolymers of formula (Xb2), R5 is preferably Ci-8 alkyl or 0-Si(R6)3. Preferred alkyl groups include methyl, ethyl, n-propyl and i-propyl. Still more preferably R5 is methyl. If R5 is aryl, it is preferably phenyl.
In further preferred repeat units of formula (B2), preferred monomers of formula (b2) and preferred copolymers of formula (Xb2), each R6 is preferably Ci-8 alkyl or C5-io aryl. Preferred alkyl groups include methyl, ethyl, n-propyl and i-propyl. A preferred aryl group is phenyl. Still more preferably R6 is methyl.
Preferred monomers of formula (b1 ) present in the copolymer present in the antifouling coating composition of the present invention include monomethacryloxypropyl terminated polydimethylsiloxane, such as a- methacryloyloxypropyl-co-butyl polydimethylsiloxane, a-methacryloyloxypropyl-w- trimethylsilyl polydimethylsiloxane, a-methacryloyloxyethyl-co-trimethylsilyl polydimethylsiloxane, a-acryloyloxypropyl-co-butyl polydimethylsiloxane, a- acryloyloxypropyl-co-trimethylsilyl polydimethylsiloxane, a-acryloyloxyethyl-co- trimethylsilyl polydimethylsiloxane; monovinyl terminated polydimethylsiloxane, such as a-vinyl-co-butyl polydimethylsiloxane, a-vinyl-co-trimethylsilyl polydimethylsiloxane.
Preferred monomers of formula (b1 ) have a number average molecular weight of 200 to 12000, more preferably a number average molecular weight of 400 to 5000, more preferably 400 to 2500 and most preferably 400 to 1500.
Representative examples of commercially available monomers of formula (b1 ) include X-22-174ASX, X22-174BX, KF-2012, X-22-2426 and X-22-2404 from Shin- Etsu, Silaplane FM-071 1 , Silaplane FM-0721 , Silaplane FM-0725 from JNC Corporation, PS560 from United Chemical Technologies and MCR-M07, MCR-M11 , MCR-M17, MCR-M22 and MCR-V41 from Gelest.
Preferred monomers of formula (b2) present in the copolymer present in the antifouling coating composition of the present invention include symmetric monomethacryloxypropyl functional polydimethylsiloxane-, such as a,a’-(methyl methacryloyloxypropyl)-bis(cc-butyl) polydimethylsiloxanes, 3- tris(trimethylsiloxy)silylpropyl methacrylate; symmetric monovinyl functional polydimethylsiloxane, such as a,a’-(methyl vinyl)-bis(ro-butyl) polydimethylsiloxanes. Representative examples of commercially available monomers include MCS-M1 1 , MCS-MX11 and MCS-V212 from Gelest.
Preferred monomers of formula (b2) have a number average molecular weight of 200 to 12000, more preferably a number average molecular weight of 400 to 5000, more preferably 400 to 2500 and most preferably 400 to 1500.
Preferred copolymers present in the compositions of the present invention comprise a repeat unit of formula (C). These repeat units derive from monomers of formula (c). The presence of such repeat units is preferred to modify properties such as flexibility, hardness, hydrophilicity, hydrophobicity, compatibility, etc.
In preferred repeat units of formula (C), preferred monomers of formula (c), and preferred copolymers of formula (X), X3 is COOH or COOR7, and preferably COOR7, wherein R7 is selected from substituted or unsubstituted, linear or branched, Ci-8 alkyl. Preferably R7 is substituted or unsubstituted, linear or branched Ci-4 alkyl and still more preferably substituted or unsubstituted, linear or branched Ci-2 alkyl. Preferably R7 is unsubstituted. Preferably R7 is linear. Still more preferably R7 is unsubstituted, linear C-i alkyl and yet more preferably R7 is unsubstituted, linear Ci-2 alkyl, e.g.-CH3 or - CH2CH3.
Preferred monomers of formula (c) present in the copolymer present in the antifouling coating composition of the present invention include methyl acrylate, ethyl acrylate, tert-butyl acrylate, n-butyl acrylate, isobutyl acrylate, hexyl acrylate, 2- ethylhexyl acrylate, octyl acrylate, isooctyl acrylate, acrylic acid, 2-hydroxyethyl acrylate, 4-hydroxylbutyl acrylate, 2-methoxyethyl acrylate, methyl methacrylate, ethyl methacrylate, tert-butyl methacrylate, n-butyl methacrylate, isobutyl methacrylate, hexyl methacrylate, 2-ethylhexyl methacrylate, octyl methacrylate, isooctyl methacrylate, methacrylic acid, 2-hydroxyethyl methacrylate, 4-hydroxylbutyl methacrylate and 2- methoxyethyl methacrylate. Particularly preferably the monomers present in the copolymer present in the antifouling coating composition of the invention are selected from ethyl acrylate, n-butyl acrylate, 2-ethylhexyl acrylate, methyl methacrylate and n- butyl methacrylate. Methyl methacrylate is a particularly preferred monomer.
Advantageously the amount and the distribution of polysiloxane and poly(alkylene oxide) modified (meth)acrylate monomers present in the copolymer can be adjusted. This provides the ability to fine tune the properties of the copolymer, e.g. flexibility, surface tension and compatibility with the polysiloxane-based binder or siloxane copolymer present in the composition. All of these parameters may have an impact on the antifouling properties of the coating composition of the present invention.
Preferred copolymers present in the antifouling coating composition of the present invention comprise 1-40 wt% of repeat unit (A), preferably 8-35 wt% of repeat unit (A) and still more preferably 8 to 30 wt% of repeat unit (A).
Preferred copolymers present in the antifouling coating composition of the present invention comprise a total of 10-90 wt% of repeat unit (B1 ) and/or (B2), preferably a total of 30-90 wt% of repeat unit (B1 ) and/or (B2) and still more preferably a total of 45 to 90 wt% of repeat unit (B1 ) and/or (B2).
Preferred copolymers present in the antifouling coating composition of the present invention comprise 0 to 70 wt% of repeat unit (C), preferably 1 to 50 wt% of repeat unit (C) and still more preferably 1 to 25 wt% of repeat unit (C).
Preferred copolymers present in the antifouling coating composition of the present invention have a weight average molecular weight of 5,000 to 50,000, more preferably 15,000 to 40,000 and still more preferably 18,000 to 35,000, preferably measured according to the method described in the examples section.
The antifouling coating composition may comprise one or more (e.g. 1 , 2, 3, 4 or 5) copolymers as hereinbefore described. Preferred antifouling coating compositions of the present invention comprise 1 , 2, 3 or 4 copolymers and still more preferably 1 , 2 or 3 copolymers.
Preferably the total amount of copolymer present in the compositions of the invention is 0.1-30 wt%, more preferably 2-15 wt% and still more preferably 5-10 wt%, based on the total dry weight of the composition.
The copolymer per se forms a further aspect of the invention. Such copolymers comprise 1-40 wt% of repeat unit (A), a total of 10-90 wt% of repeat unit (B1 ) and/or (B2) and 0 to 70 wt% of repeat unit (C). More preferably such copolymers comprise 8- 35 wt% of repeat unit (A), 30-90 wt% of repeat unit (B) and 1 to 50 wt% of repeat unit (C).
In preferred copolymers per se, preferred R, X1, X2, X3, R1, R2, R3, R4, R5, R6, R7, R8, m, n, o, q, r, s, t, u and v groups are as set out above.
Preferably the copolymer of the present invention does not contain groups that react with a crosslinker in a curing reaction of the polysiloxane-based binder or siloxane copolymer present in the coating composition. Depending on the curing reactive groups present in the polysiloxane-based binder and/or siloxane copolymer the monomers (a), (b1 ) and/or (b2) and (c) forming the copolymer are preferably chosen so that they do not contain groups that can react with the curing reactive groups in the polysiloxane-based binder and/or siloxane copolymer.
Suitable copolymers may be prepared using polymerization reactions known in the art. The (meth)acrylate polymer may, for example, be obtained by polymerizing a monomer mixture in the presence of a polymerization initiator by any of various methods such as solution polymerization, bulk polymerization, emulsion polymerization, and suspension polymerization in a conventional manner and with controlled polymerization techniques. When preparing a coating composition using the (meth)acrylate polymer as hereinbefore described, the polymer is preferably diluted with an organic solvent to give a polymer solution having an appropriate viscosity. From this standpoint, it is desirable to employ solution polymerization to prepare the (meth)acrylate polymer. Examples of suitable polymerization initiators for free radical polymerization include azo compounds such as dimethyl 2,2’-azobis(2- methylpropionate), 2,2'-azobis(2-methylbutyronitrile), 2,2'-azobis(isobutyronitrile) and 1 ,T-azobis(cyanocyclohexane) and peroxides such as tert-butyl peroxypivalate, tert- butyl peroxy-2-ethylhexanoate, tert-butyl peroxydiethylacetate, tert-butyl peroxyisobutyrate, di-tert-butyl peroxide, tert-butyl peroxybenozate, and tert-butyl peroxyisopropylcarbonate, tert-amyl peroxypivalate, tert-amyl peroxy-2- ethylhexanoate, 1 ,1-di(tert-amyl peroxy)cyclohexane and dibenzoyl peroxide. These compounds may be used alone or as a mixture of two or more thereof.
Examples of suitable organic solvent include aromatic hydrocarbons such as xylene, toluene, mesitylene; ketones such as methyl ethyl ketone, methyl isobutyl ketone, methyl isoamyl ketone, cyclopentanone, cyclohexanone; esters such as butyl acetate, tert-butyl acetate, amyl acetate, ethylene glycol methyl ether acetate; ethers such as ethylene glycol dimethyl ether, di ethylene glycol dimethyl ether, dibutyl ether, dioxane, tetrahydrofuran, alcohols such as n-butanol, isobutanol, benzyl alcohol; ether alcohols such as butoxyethanol, 1-methoxy-2-propanol; aliphatic hydrocarbons such as white spirit; and optionally a mixture of two or more solvents. These compounds are used alone or as a mixture of two or more thereof.
Alternatively suitable (meth)acrylate polymers may be purchased commercially.
Polysiloxane-based binder and/or siloxane copolymer
The coating composition of the present invention comprises a polysiloxane- based binder and/or a siloxane copolymer. Some preferred compositions comprise a polysiloxane-based binder. Other preferred compositions comprise a siloxane copolymer.
Preferred coating compositions of the present invention comprise 30-95 wt% polysiloxane-based binder and/or siloxane copolymer, more preferably 40-90 wt% polysiloxane-based binder and/or siloxane copolymer and still more preferably 50-90 wt% polysiloxane-based binder and/or siloxane copolymer, based on the dry weight of the composition. In preferred compositions of the invention the weight ratio of copolymer to polysiloxane-based binder/siloxane copolymer is 1 :90 to 1 :2, more preferably 1 :35 to 1 :6 and still more preferably 1 :20 to 1 :8.
Polysiloxane-based binder
The coating composition of the present invention may comprise a polysiloxane- based binder. The polysiloxane-based binder is preferably a non-degradable polysiloxane-based binder. When the polysiloxane is a non-degradable polysiloxane- based binder, the antifouling coating composition of the invention provides a pure fouling release coating.
The polysiloxane-based binder present in the coating compositions of the present invention comprises more than 50 wt% polysiloxane, preferably more than 60 wt% polysiloxane and still more preferably more than 70 wt% polysiloxane. Up to 99.99 wt% polysiloxane may be present. It is to be understood that the polysiloxane-based binder can consist of a single repeating sequence of siloxane units or be interrupted by non-siloxane parts, e.g. organic parts. The organic parts may comprise, for example, alkyl, aryl, poly(alkylene oxide), amide, thioether or combinations thereof.
The non-degradable polysiloxane-based binder present in the antifouling coating compositions of the present invention can in principle be any curable polysiloxane-based binder. The non-degradable polysiloxane-based binder is preferably an organopolysiloxane with terminal and/or pendant curing-reactive functional groups. A minimum of two curing-reactive functional groups per molecule is preferred. Examples of curing-reactive functional groups are silanol, alkoxy, acetoxy, enoxy, ketoxime, alcohol, amine, epoxy and/or isocyanate. In a preferred non- degradable polysiloxane-based binder the curing-reactive functional groups are selected from silanol, alkoxy or acetoxy groups and the curing reaction is a condensation cure reaction. The non-degradable polysiloxane-based binder optionally comprises more than one type of curing-reactive group and may be cured, for example, via both condensation cure and amine/epoxy curing.
The non-degradable polysiloxane-based binder may consist of only one type of non-degradable polysiloxane or be a mixture of different non-degradable polysiloxanes.
A preferred non-degradable polysiloxane-based binder present in the antifouling coating compositions of the present invention is represented by formula (D1 ) below:
wherein
each R9 is independently selected from a hydroxyl group, Ci-6-alkoxy group, Ci-6-epoxy containing group, Ci-6 amine group or 0-Si(R13)3-z (R14)z
each R10 is independently selected from CMO alkyl, C6-io aryl, C7-io alkylaryl or Ci-6 alkyl substituted by poly(alkylene oxide) and/or a group as described for R9;
each R11 and R12 is independently selected from CMO alkyl, C6-io aryl, C7-io alkylaryl or Ci-6 alkyl substituted by poly(alkylene oxide);
each R13 is independently a hydrolysable group such as Ci-6 alkoxy group, an acetoxy group, an enoxy group or ketoxy group;
each R14 is independently selected from an unsubstituted or substituted Ci-6 alkyl group;
z is 0 or an integer from 1 -2;
x is an integer of at least 2;
y is an integer of at least 2;
Preferably R9 is selected from a hydroxyl group and 0-Si(R13)3-z(R14)z, wherein R13 is a CrC6 alkoxy group, R14 is Ci-6 alkyl and z is 0 or an integer from 1 -2. More preferably R9 is selected from a hydroxyl group and 0-Si(R13)3-z(R14)z, wherein R13 is a Ci-C3 alkoxy group, R14 is Ci-3 alkyl and z is 0 or an integer from 1 -2. Still more preferably R9 is a hydroxyl group.
Preferably R10 is a CMO alkyl group. More preferably R10 is a C alkyl group, still more preferably a Ci-2 alkyl group, and yet more preferably a methyl group. Preferably each R10 is the same.
Preferably R11 is a CMO alkyl group. More preferably R11 is a C alkyl group, still more preferably a Ci-2 alkyl group, and yet more preferably a methyl group. Preferably each R11 is the same.
Preferably R12 is a CMO alkyl group. More preferably R12 is a Ci-4 alkyl group, still more preferably a Ci-2 alkyl group, and yet more preferably a methyl group. Preferably each R12 is the same.
Still more preferably R9 is a hydroxyl group and R10, R11 and R12 are each methyl groups.
Another preferred non-degradable polysiloxane-based binder present in the antifouling coating compositions of the present invention is represented by formula (D2) below:
wherein R9, R10, R11, R12 and x and y are as defined for (D1 ), Rx is C2-3 alkyl, each L1 is 0 to 50, each L2 is 0 to 50 with the proviso that L1 +L2 is 2 to 50, preferably 4 to 40, more preferably 4 - 20, most preferably 4-10 and L3 is 1-200, preferably 2-100, most preferably 5-50.
The weight average molecular weight of the non-degradable polysiloxane- based binder present in the antifouling coating compositions of the present invention is preferably 400-150,000, more preferably 1000-120,000, and still more preferably 5000-1 10,000.
Preferred coating compositions of the present invention comprise 30-95 wt% non-degradable polysiloxane-based binder, more preferably 40-90 wt% non- degradable polysiloxane-based binder and still more preferably 50-90 wt% non- degradable polysiloxane-based binder, based on the total dry weight of the composition. In preferred compositions of the invention the weight ratio of copolymer to non-degradable polysiloxane-based binder is 1 :2 to 1 :90, more preferably 1 :6 to 1 :35 and still more preferably 1 :8 to 1 :20.
Suitable non-degradable polysiloxane-based binders for use in the coating composition of the present invention are commercially available. Representative commercially available non-degradable polysiloxane based binders include Xiameter® OHX-0135, Xiameter® OHX-4000, Xiameter® OHX-4010, Xiameter® OHX-4040, Xiameter® OHX-4050, Xiameter® OHX-4060 from Dow Corning, PolymerOH 0.08, PolymerOH 0.75, Polymer OH 1 , PolymerOH 2, PolymerOH 3.5, Polymer OH 5,
Polymer OH20, PolymerOH 80 from Evonik and DMS-S15, DMS-S21 , DMS-S27, DMS-S31 , DMS-S32, DMS-S33, DMS-S35, DMS-S42, DMS-S51 from Gelest.
Siloxane copolymer
The coating composition of the present invention may comprise a siloxane copolymer. The siloxane copolymer is preferably degradable, e.g. hydrolytically degradable, siloxane copolymer. When the siloxane copolymer is a degradable, e.g. hydrolytically degradable, siloxane copolymer, the antifouling coating composition of the invention provides a self-polishing or renewable fouling release coating. The use of a self-polishing fouling release surface means that slime and algae, and other soft fouling, can physically be removed with or without the need for antifouling agents. Antifouling agents may optionally be included in either type of coating, e.g. for application to surfaces that are subject to high fouling intensity.
Preferably the hydrolytically degradable siloxane copolymer comprises polysiloxane units E and organic units F forming an EFEF type polysiloxane copolymer. Preferably the repeating units are introduced via polysiloxane monomer e and organic monomer f respectively or via polysiloxane monomers e additionally having organic terminal groups f.
Preferably the hydrolytically degradable siloxane copolymer comprises multiple ester and/or acetal groups in the backbone of the polymer. The ester and/or acetal functional groups are preferably groups that undergo hydrolysis in seawater at a temperature range, pH and salinity reflective of natural sea water.
More preferably the degradable siloxane copolymer comprises a plurality of hydrolytically degradable ester groups in the backbone of the polymer, such as 3 or more. Other hydrolytically degradable groups might also be present. Other groups that might be present include acetal, hemiacetal and ketal. For the avoidance of doubt, ethers, thioethers, amides and amines are not considered sufficiently hydrolytically degradable in this respect. The siloxane group is also not considered sufficiently hydrolytically degradable.
The hydrolytically degradable groups are present in the backbone of the degradable siloxane copolymer, i.e. not in a side chain off the main polymer chain. The hydrolytically degradable groups preferably repeat in the backbone. Whilst there may additionally be hydrolytically degradable groups in side chains of the siloxane copolymer, hydrolytically degradable groups must be present in the backbone of the polymer. In order to be effective, the hydrolytically degradable groups should preferably
be spread throughout the polymer molecule. The siloxane copolymer is preferably of structure -[EFEF]-, with at least two repeating units of E and at least two repeating units of F. It will be appreciated that there are many repeating units and the formula -[EFEF]- is intended to encompass copolymers with any number of EF repeating units. It should also be understood that a person skilled in the art understands that there are many ways to create a hydrolytically degradable siloxane copolymer. For example copolymer structures such as FFFFEEEEFFFF triblock copolymers and random copolymers (e.g. EFFFEEFEE) are also feasible.
The monomers e and f react together to form polymer repeating units E and F. The backbone of the hydrolytically degradable siloxane copolymer preferably contains the hydrolytically degradable linkage -[Si(R15)2-(CH2)a-0-C0-]- or -[Si(R15)2-(CH2)a-CO- O]- wherein R15 and a are as defined below. Other hydrolytically degradable linkages may alternatively or additionally be present such as acetal.
Hydrolytically degradable links or bonds may be formed during an actual polymerisation reaction or they may be present within the backbone of the polymerising units before polymerisation and hence become part of the copolymer backbone during polymerisation. In some preferred siloxane copolymers hydrolytically degradable links or bonds are present within the monomers and introduced into the polymer backbone therefrom. Thus in some preferred hydrolytically degradable siloxane copolymers monomer f contains at least one hydrolytically degradable group within its backbone which will become part of the polymer backbone upon copolymerisation with the polysiloxane monomer e.
Alternatively the introduction of hydrolytically degradable groups relies on the reaction between the monomer e and the second monomer f so as to generate the, e.g. ester, hydrolytically degradable linkage. As is evident to the person skilled in the art such a reaction can be carried out in many ways depending on the end group on the polysiloxane e and the end group on the second monomer f. The chemistry involved in coupling the two reactants to form an ester is therefore broadly defined but chemically quite simple. The skilled person knows many ways of developing, e.g. an ester linkage. It will be appreciated that the polysiloxane monomer e can act as the nucleophile or may act as the electrophile depending on the functional groups present. It may be easier to use the polysiloxane monomer e as a nucleophile but the invention could easily be adapted to place an electrophilic group at the end of the polysiloxane monomer e and allow attack on the polysiloxane monomer e by the second monomer f. The polymerisation is preferably a condensation polymerisation or addition
polymerisation but other types of polymerisation familiar to the skilled person can also be used.
Optionally, the second monomer f might contain one or more hydrolytically degradable groups in its backbone that become part of the polymer backbone upon copolymerisation with the polysiloxane monomer. At the same time a hydrolytically degradable link is developed between the monomers e and f on copolymerisation.
Preferred siloxane copolymers of the invention comprise 10-99 wt% repeat units comprising the motif -Si-O-, more preferably 40-98 wt% repeat units comprising the motif -Si-O- and still more preferably 50-97 wt% repeat units comprising the motif - Si-O-. Preferred coating compositions of the invention comprise 30-95 wt% hydrolytically degradable siloxane copolymer, more preferably 40-90 wt% hydrolytically degradable siloxane copolymer and still more preferably 50-90 wt% hydrolytically degradable siloxane copolymer, based on the total dry weight of the composition. In preferred compositions of the invention the weight ratio of copolymer to hydrolytically degradable siloxane copolymer is 1 :2 to 1 :90, more preferably 1 :6 to 1 :35 and still more preferably 1 :8 to 1 :20.
Preferably the hydrolytically degradable siloxane copolymer is one or more of the three classes set out below. Class 1 hydrolytically degradable siloxane copolymers are preferred.
Class 1 : Siloxane copolymer with hydrolytically degradable ester linkages
The hydrolytically degradable siloxane copolymer with ester linkages is preferably the reaction product of at least one polysiloxane of general formula ei:
each R15 is the same or different and is selected from an unsubstituted or substituted Ci-2o alkyl, C2-20 alkenyl, C3-2o cycloalkyl, C6-2o aryl, C7-2o arylalkyl group, or Ci_6 alkyl substituted by poly(alkylene oxide); preferably each R15 is independently
selected from a Ci-20 alkyl, more preferably CMO alkyl and most preferably each R15 is a methyl group;
X and Y can be the same or different and represent (CR16 2)c-OH, (CR16 2)CCOOH, (CR16 2)CCOOR17, or -(CR16 2)c-(OR18)a-(OR18)b-OH; preferably X and Y are (CR16 2)c-OH or -(CR16 2)c-(OR18)a-(OR18)b-OH
each R16 is independently selected from Ci-6 alkyl or H, more preferably H; c is 1 to 10, such as 1 to 5, more preferably 2 to 5, yet more preferably 3 to 5; R17 is selected from Ci-20 alkyl, C2-20 alkenyl, C3-2o cycloalkyl, C6-2o aryl, and C7-2o arylalkyl group;
each R18 is independently selected from C2-6 alkylene;
a= 0-50, b= 0-50 and a+b = 1-50; and
g is 1-500, more preferably 10-300, still more preferably 15-100;
h is 1-500, more preferably 10-300, still more preferably 15-100;
or g + h add to 1-500, more preferably 10-300, still more preferably 15-100; and a second monomer f.
Preferably the second monomer f is:
a siloxane monomer fi of the same general formula as described above for e-i, with the proviso that the X and Y groups are chosen so that the monomers ei and fi can react to form a hydrolytically degradable ester;
a monomer f3 which is a cyclic anhydride which reacts with the X and Y groups in monomer ei to form an ester group; or
a monomer of the general formula f2 as described below.
W-Q-Z f2 wherein
W and Z are each independently selected from RcOOC-, RcOCOO-, RcCOOCO-, -COOH, or OH and preferably W and Z are each independently selected from RcOOC- and RcCOOCO-;
Q is selected from an aliphatic, cycloalkyl, cycloalkenyl, poly(alkylene oxide), amine ether or aromatic group having up to 20 carbon atoms, or Q is -O- or a covalent bond; and
each Rc is the same or different and is selected from H, Ci-20 alkyl, C2-20 alkenyl, C6-2o aryl, C3-20-cycloalkyl or C7-2o arylalkyl group;
with the proviso that the W and Z groups in monomer f2 are selected to react with the X and Y groups in monomer ei to form an ester group.
In preferred monomers f-i, X and Y are selected from (CR16)c-OH, (CR16 2)CCOOR17 wherein R16, R17 and c are as defined above in relation to formula e-i.
In preferred monomers f2, W and Z are RcOOC- wherein Rc is Ci-6 alkyl and Q is aliphatic.
Class 2: Siloxane copolymer with hydrolytically degradable ester-linkages containing amine or sulphur
Another method of making siloxane copolymer with hydrolytically degradable ester-linkages is utilizing amine and/or sulphur chemistry. These siloxane copolymers with ester-linkages containing sulphur and/or amine are preferably the reaction product of at least one polysiloxane of general formula e2:
each R19 is the same or different and is selected from an unsubstituted or substituted Ci-20 alkyl, C2-20 alkenyl, C3-20 cycloalkyl, C6-2o aryl, C7-20 arylalkyl group, or a Ci-6 alkyl substituted by poly(alkylene oxide); preferably each R19 is independently selected from a C1-20 alkyl, more preferably CMO alkyl and most preferably each R19 is a methyl group;
Xx and YY can be the same or different and are selected from -CR21=CH2, - (C R20 2)d-C R21 = C H 2, -(CR20 2)d-CR20 2-OCO-CR21=CH2, -CR20 2-OCO-CR21=CH2, -(CR20 2)d- SH; -(CR20 2)d-O-(CR20 2)d-SH, -(CR20 2)d-[O-(CR20 2)d]dd-OCO-CR21=CH2, -(CR20 2)d-
(O R22)aa-(0 R22)bb-0 R23 S H , -(CR20 2)d-(OR22)aa-(OR22)bb-OR23-CR21=CH2, -CR20 2-Ar- CR202-SH, -(CR20 2)d-CºCH, -(CR20 2)d-O-(CR20 2)d-(CHOH)-(CR20 2)d-OCO-CR21=CH2 or - (CR20 2)d-(OR22)aa-(OR22)bb-OR23CºCH and preferably X and Y are selected from - CR21=CH2, -(CR20 2)d-CR20 2-OCO-CR21=CH2, -(CR20 2)d-SH and -(CR20 2)d-[O-(CR20 2)d]dd-
OCO-CR21=CH2;
each R20 is independently selected from Ci-6 alkyl or H, preferably H;
d is 1 to 10, such as 1 to 5, preferably 2 to 5, more preferably 3 to 5;
each R21 is independently selected from H and Me;
where R22 and R23 are each independently selected from C2-6 alkylene and aa= 0-50, bb= 0-50 and aa+bb = 1 -50;
dd is 1 to 50;
Ar is C6-12 aryl; and
i is 1 -500, more preferably 10-300, still more preferably 15-100;
j is 1 -500, more preferably 10-300, still more preferably 15-100
or i + j add to 1 -500, more preferably 10-300, still more preferably 15-100; and at least one second monomer f4 of formula
HS-Q3-SH (f4) wherein
Q3 is selected from C2-20 alkyl, C3-2o cycloalkyl, phenyl, biphenyl, terphenyl, C7-2o alkylaryl group, alkyl-polysiloxane-alkyl, C4-20 alkylcycloalkyl or polyether;
said C2_2o alkyl, C3-2o cycloalkyl, C7-2o alkylaryl group, or C4-20 alkylcycloalkyl optionally comprise one or more, such as 1 to 4, heteroatoms selected from O, N, S or P, preferably O;
with the proviso that the SH groups in monomer f4 react with the Xx and YY groups in ester containing monomer e2 to form a group C-S-CH2 or S-S group; or at least one second monomer f5 of formula (f5a) or (f5b)
Qi is selected from a covalent bond, Ci-2o alkyl, C3-io cycloalkyl, C3-io cycloalkenyl, C6-io aryl, C7-12 arylalkyl, a poly(alkylene oxide) chain of formula R25- (OR26)ai-(OR26)bi-OR25, -Ph-0-Ci-6alkyl-0Ph-, heterocycyl or C4-10 alkylcycloalkyl; and preferably Q1 is selected from Ci-2o alkyl and a poly(alkylene oxide) chain of formula R25-(OR26)ai-(OR26)bi-OR25,
wherein said Ci-20 alkyl, C3-i0 cycloalkyl, or C3-i0 cycloalkenyl groups optionally comprise one or more, such as 1 to 4, heteroatoms selected from O, N, S or P, preferably O;
L is C-i-20 alkylene optionally comprising one or more, such as 1 to 4, heteroatoms selected from O, N, S or P, preferably O or N, or a poly(alkylene oxide) chain of formula:
-(OR26)ai-(OR26)brOR25- where R25 and R26 are each independently C2-6 alkylene and a1 = 0-50, b1 = 0-50 and a1 +b1 = 1-50;
R24 is H or Me;
Q2 is selected from a covalent bond, Ci-20 alkyl, C3-i0 cycloalkyl, C2-6 aminoglycol, C2-6 thioglycol, or C6-io aryl;
wherein said Ci-20 alkyl, C3-i0 cycloalkyl, or C3-i0 cycloalkenyl groups optionally comprise one or more, such as 1 to 4, heteroatoms selected from O, N, S or P, preferably O;
W1 and Z1 are independently selected from -SH, -(CR27 2)kSH, CH2=CR28-; CH2=CR28-(CR27 2)k-, -CºCH, -NHCH2-CR28=CH2, NHCH2-CR28=CH-NHRa, -NHRa or W1 and Z1 are =CH2 (thus forming a double bond with the C atom to which W1/Z1 is attached) and preferably W1 and Z1 are independently selected from -(CR27 2)kSH and CH2=CR28-(CR27 2)k- or W1 and Z1 are =CH2;
Ra is H or Ci-6 alkyl, wherein said alkyl group optionally comprises one or more, such as 1 to 4, heteroatoms selected from O, N, S or P, preferably O;
R27 is independently selected from Ci-6 alkyl or H, preferably H;
R28 independently selected from H and Me
k is 1 to 10, such as 1 to 5, preferably 2 to 5, more preferably 3 to 5;
with the proviso that the W1 and Z1 groups in monomer f5 react with the Xx and YY groups monomer e2 to form a group C-S-CH2, an amino group or S-S group; or at least one second monomer f6 of formula:
HRbN-Q5-NHRb (f6) wherein
Q5 is selected from C2-20 alkyl, C2-20 alkenyl, C3-2o cycloalkyl, phenyl, biphenyl, terphenyl, Ph-O-Ph, C7-2o alkylaryl group, alkyl-polysiloxane-alkyl, C4-2o alkylcycloalkyl, C3-10 heterocyclic group or polyether (such as a -(CH2)30- (CH2CH20)rr(CH(CH3)CH20)ss(CH2)3- where rr+ss is 1 to 100) and preferably selected from C2-20 alkyl, alkyl-polysiloxane-alkyl and polyether,
wherein said C2-20 alkyl, C3-20 cycloalkyl, C7-2o alkylaryl group, or C4-2o alkylcycloalkyl optionally comprise one or more, such as 1 to 4, heteroatoms selected from O, N, S or P, preferably O;
Rb is H or Ci-6 alkyl;
with the proviso that the NRbH groups in monomer f6 react with Xx and YY groups in ester containing monomer e2 to form a group C-NRb-CH2.
Alternatively the siloxane copolymers with ester-linkages containing amine are the reaction product of at least one polysiloxane of general formula e3:
wherein
each R29 is the same or different and selected from an unsubstituted or substituted Ci-2o alkyl, C2-20 alkenyl, C3-2o cycloalkyl, C6-2o aryl, C7-2o arylalkyl group, or a Ci-6 alkyl substituted by poly(alkylene oxide), and preferably R29 is unsubstituted or substituted Ci-20 alkyl, still more preferably unsubstituted Ci-20 alkyl, and particularly preferably methyl;
Xz and Yz can be the same or different and are selected from -(CR30 2)ee-NRdH - (CR30 2)ee-NH-(CR30 2)ee-NRdH, -(CR30 2)ee-(O-C2-6 alkyl)ee-NRdH, -(CR3°2)ee-O-(CR30 2)ee - NRdH, or -CR30 2-Ar-CR30 2-NRdH;
each R30 is independently Ci-6 alkyl or H, preferably H;
Rd is H or C1-6 alkyl;
ee is 1 to 10, such as 1 to 5, preferably 2 to 5, more preferably 3 to 5; and g1 is 1-500, more preferably 10-300, still more preferably 15-100;
hi is 1-500, more preferably 10-300, still more preferably 15-100
or g1 + hi add to 1-500, more preferably 10-300, still more preferably 15-100; and at least one second monomer f7 of formula (f7a) or (f7b)
Q3 is selected from a covalent bond, Ci-2o alkyl, C3-io cycloalkyl, C3-i0 cycloalkenyl, C6-io aryl, C7-i2arylalkyl, a poly(alkylene oxide) chain of formula R32- (OR33)a2-(OR33)b2-OR32, -Ph-0-Ci-6alkyl-OPh-, heterocycyl or C4-10 alkylcycloalkyl and preferably Q3 is selected from Ci-20 alkyl;
wherein said Ci-20 alkyl, C3-i0 cycloalkyl, or C3-i0 cycloalkenyl groups optionally comprise one or more, such as 1 to 4, heteroatoms selected from O, N, S or P, preferably O;
L1 is C-i-20 alkylene optionally comprising one or more, such as 1 to 4, heteroatoms selected from O, N, S or P, preferably O or N, or a poly(alkylene oxide) chain of formula:
-(OR33)a2-(OR33)b2-OR32- where R32 and R33 are each independently C2-6 alkylene and a2= 0-50, b2= 0-50 and a2+b2 = 1 -50;
R31 is H or Me;
Q4 is selected from a covalent bond, Ci-20 alkyl, C3-i0 cycloalkyl, C2-6 aminoglycol, C2-6 thioglycol, or C6-io aryl;
wherein said Ci-20 alkyl, C3-i0 cycloalkyl, C3-i0 cycloalkenyl, optionally comprise one or more, such as 1 to 4, heteroatoms selected from O, N, S or P, preferably O;
W2 and Z2 are independently selected from CH2=CR31-; CH2=CR31-CH2-, NHCH2-CR31=CH2, -CºCH, or W2 and Z2 are =CH2 (thus forming a double bond with the C atom to which W2/Z2 is attached) and preferably independently selected from CH2=CR31- and CH2=CR31-CH2- or W2 and Z2 are =CH2 ;
with the proviso that the W2 and Z2 groups in monomer e3 react with the amino Xz and Yz groups in monomer f7 to form a group C-NRa-CH2.
Class 3. Siloxane copolymer with hydrolytically degradable acetal linkage
The hydrolytically degradable siloxane copolymer with acetal linkages is preferably the reaction product of at least one polysiloxane of general formula e
wherein
each R34 is the same or different and selected from an unsubstituted or substituted Ci-2o alkyl, C2-20 alkenyl, C3-2o cycloalkyl, C6-2o aryl, C7-2o arylalkyl group, or a Ci_6 alkyl substituted by poly(alkylene oxide), and preferably each R34 is independently selected from unsubstituted or substituted Ci-20 alkyl, still more preferably unsubstituted Ci-2o alkyl, and particularly preferably methyl;
Xw and Yw can be the same or different and are selected from (CR35 2)erOH, (CR35 2)ef-OCH=CH2, -(CR35 2)ef-C=CH2, -C=CH2 or -(CR33 2)er(OR33')a2-(OR33')b2-OH. Preferably X and Y are (CR35 2)erOH, (CR35 2)erOCH=CH2;
each R35 is independently Ci-6 alkyl or H, preferably H;
Re is H or C1 -6 alkyl;
ef is 1 to 10, such as 1 to 5, preferably 2 to 5, more preferably 3 to 5; and where R33 are each independently selected from C2-6 alkylene and a2’ = 0-50, b2’ = 0-50 and a2’+b2’ = 1 -50;
g2 is 1 -500, more preferably 10-300, still more preferably 15-100;
h2 is 1 -500, more preferably 10-300, still more preferably 15-100
or g2 + h2 add to 1 -500, more preferably 10-300, still more preferably 15-100; and at least one second monomer f8 of the same general formula as described for e4 with the proviso that the Xw and Yw groups monomer of e3 and the Xw and Yw groups of monomer f8 are chosen so that they react and form a hydrolytically degradable linker like an acetal group; or a second monomer f9 of the general formula
W3-Q5-Z3 f9 wherein
W3 and Z3 are each independently selected from OH, COR36, (CR37 2)ff-OH, - OCH=CH2, .(CR37 2)ffOCH=CH2, -C=CH2 group or -(CR37 2)fr(OR38)a3-(OR38)b3-OH and
preferably W3 and Z3 are selected from OH, -OCH=CH2, .(CR37 2)ffOCH=CH2 and - C=CH2 group;
Q5 is an aliphatic, cycloalkyl, cycloalkenyl, poly(alkylene oxide), amine ether or aromatic group having up to 20 carbon atoms,
R36 is independently selected from Ci-6 alkyl or H, more preferably H;
R37 is independently selected from Ci-6 alkyl or H, preferably H;
R38 are each independently C2-6 alkylene;
ff is 1 to 10, such as 1 to 5, more preferably 2 to 5, yet more preferably 3 to 5; a3= 0-50, b3= 0-50 and a3+b3 = 1 -50; or a monomer f10 of formula
R390-CH(R40)-0-CH(R40)-OR39 To where R39 is H or Ci-6 alkyl and R40 is H, Ci-6 alkyl or two R40 groups taken together form a ring having 4 to 8 members; or a monomer fn of formula
W4-Qw-Z4 f-11 wherein
W4 and Z4 are each independently OH, COH, CO-Ci-6 alkyl, -OCH=CH2, (CH2)ggOCH=CH2 or -C=CH2;
gg is 1 to 10, such as 1 to 5, preferably 2 to 5, more preferably 3 to 5;
and Qw is an Ci-20 alkyl, C2-20 alkenyl, C6-2o aryl, C7-20 arylalkyl interrupted by one or more ester groups- O-CO or CO-O-.
with the proviso that the W and Z groups in monomers f9-n are selected to react with the Xw and Yw groups in monomer e4 to form a hydrolytically degradable group such as an acetal.
The hydrolytically degradable siloxane copolymers may be prepared according to the methods described in WO2017/009297, WO2017/009301 , EP17152301 .2.
Cross linking and/or curing agent
As described above, the polysiloxane-based binder and/or siloxane copolymer of the present invention contains curing-reactive functional groups such as silanol,
carbinol, carboxyl, ester, hydride, alkenyl, vinyl ether, allyl ether, alkoxysilane, ketoxime, amine, epoxy, isocyanate and/or alkoxy groups. Preferably the polysiloxane- based binder and/or siloxane copolymer contains at least two curing-reactive functional groups. Optionally the polysiloxane-based binder and/or siloxane copolymer comprises more than one type of curing-reactive functional group. Preferably the polysiloxane- based binder and/or siloxane copolymer comprises a single type of curing-reactive functional group. The appropriate crosslinking and/or curing agents are chosen depending on the curing-reactive functional groups present in the polysiloxane-based binder and/or siloxane copolymer.
In preferred polysiloxane-based binders and siloxane copolymers the curing- reactive functional groups are silanol, carbinol, alkoxysilane, isocyanate, amine and/or epoxy. In still further preferred polysiloxane-based binders and siloxane copolymers the curing-reactive functional groups are silanol, carbinol and/or alkoxysilane.
If the polysiloxane-based binder and/or siloxane copolymer comprises only two curing-reactive functional groups such as silanol groups, it may be necessary to add a crosslinker to obtain the desired crosslinking density. If the curing-reactive functional groups are silanol, a preferred crosslinking agent is an organosilicon compound represented by the general formula shown below, a partial hydrolysis-condensation product thereof, or a mixture of the two:
Rd-Si-K4-d wherein,
each R is independently selected from an unsubstituted or substituted monovalent hydrocarbon group of 1 to 6 carbon atoms, Ci-6 alkyl substituted by poly(alkylene oxide) or a polysiloxane of the structure (0-(CRD 2)r)rr - (0-(CRD 2)S')sr-(Si (Rpp)2-0)t- Si(Rpp)3; wherein r’, rT, s’ and sT is an integer from 0-10, each R° is independently selected from H or Ci-4 alkyl, each Rpp is independently selected from CMO alkyl, C6-io aryl, C7-i0 alkylaryl and t’ is an integer from 1 to 50.;
each K is independently selected from a hydrolysable group such as an alkoxy group; and d is 0, 1 or 2, more preferably 0 or 1.
Preferred crosslinkers of this type include tetraethoxysilane, vinyltris(methylethyloximo)silane, methyltris(methylethyloximo)silane, vinyltrimethoxysilane, methyltrimethoxysilane and vinyltriisopropenoxysilane as well as hydrolysis-condensation products thereof.
If the curing-reactive functional groups are di or tri-alkoxy, a separate crosslinking agent is generally not required.
The crosslinking agent is preferably present in amount of 0-10 wt% of the total dry weight of the coating composition. Suitable crosslinking agents are commercially available.
If the curing-reactive functional groups are carbinol, preferred curing agents are monomeric isocyanates, polymeric isocyanates and isocyanate prepolymers. Polyisocyanates are preferred over monomeric isocyanates because of lower toxicity. Polyisocyanates can for example be based on diphenylmethane diisocyanate (MDI), toluene diisocyanate (TDI), hexamethylene diisocyanate (HDI) and isophorone diisocyanate (IPDI) chemistry. These are, for example, supplied under the tradename Desmodur by Covestro and Tolonate by Vencorex. Examples of polyisocyanates are Desmodur N3300, Desmodur 3390 BA/SN, Desmodur N3400, Desmodur N3600 Desmodur N75, Desmodur XP2580, Desmodur Z4470, Desmodur XP2565 and Desmodur VL, supplied by Covestro.
Polyisocyanates can be made with different NCO-functionality. The NCO- functionality is the amount of NCO-groups per polyisocyante molecule or isocyanate prepolymer molecule. Polyisocyanates curing agents with different NCO-functionality can be used.
The curing agent is preferably present in an amount of 0.8-2.5 equivalents (equiv) NCO groups relative the amount of hydroxyl groups, preferably 0.9-2.0 equiv, more preferably 0.95-1.7 equiv, even more preferably 1-1.5 equiv.
If the curing-reactive functional groups are amine, epoxy or isocyanate, the curing agents are preferably amine, sulfur or epoxy functional.
The curing agents can also be dual curing agents containing, for example, both amine/sulphur/epoxy/isocyanate and an alkoxysilane. Preferred dual curing agents are represented by the general formula below:
LL is independently selected from an unsubstituted or substituted monovalent hydrocarbon group of 1 to 6 carbon atoms;
each M is independently selected from a hydrolysable group such as an alkoxy group;
x is 0, 1 or 2, preferably 0 or 1 ;
y an integer from 1 to 6; and
Fn is an amine, epoxy, glycidyl ether, isocyanate or sulphur group.
Preferred examples of such dual curing agents include 3- isocyanatopropyltrimethoxysilane, 3- isocyanatopropyltriethoxysilane, 3- aminopropyltrimethoxysilane, 3-aminopropyltriethoxysilane, (3- glycidoxypropyl)trimethoxysilane, 3-mercaptopropyltrimethoxysilane.
This type of dual-curing agents can be used as a separate curing agent or be used to end-cap the polysiloxane-based binder and/or siloxane copolymer so that the end-groups of the polysiloxane-based binder and/or siloxane copolymer are modified prior to the curing reaction. For example, the mixing of the polysiloxane-based binder and/or siloxane copolymer and the curing agent can be carried out shortly before application of the coating to an article, e.g. an hour or less before coating or the polysiloxane-based binder and/or siloxane copolymer can be supplied in curable form but kept dry in order to prevent premature curing. In some compositions the curing agent/end capping agent is preferably supplied separately to the rest of the coating composition to prevent curing before the coating has been applied to the object. Hence the coating composition of the invention can be supplied as a multipack (preferably three pack) formulation discussed in more detail below.
Catalyst
In order to assist the curing process, the coating composition of the invention preferably comprises a catalyst. Representative examples of catalysts that can be used include transition metal compounds, metal salts and organometallic complexes of various metals, such as tin, iron, lead, barium, cobalt, zinc, antimony, cadmium, manganese, chromium, nickel, aluminium, gallium, germanium, titanium, boron and zirconium. The salts preferably are salts of long-chain carboxylic acids and/or chelates or organometal salts. Examples of suitable catalysts include for example, dibutyltin dilaurate, dibutyltin dioctoate, dibutyltin diacetate, dibutyl tin 2-ethylhexanoate, dibutyltin dineodecanoate, dibutyltin dimethoxide, dibutyltin dibenzoate, dibutyltin acetoacetonate, dibutyltin acetylacetonate, dibutyltin alkylacetoacetonate, dioctyltin dilaurate, dioctyltin dioctoate, dioctyltin diacetate, dioctyl tin 2-ethylhexanoate, dioctyltin dineodecanoate, dioctyl tin dimethoxide, dioctyltin dibenzoate, dioctyltin acetoacetonate, dioctyltin acetylacetonate, dioctyltin alkylacetoacetonate, dimethyltin dibutyrate, dimethyltin bisneodecanoate, dimethyltin dineodecanoate, tin naphthenate,
tin butyrate, tin oleate, tin caprylate, tin octanoate, tin strearate, tin octoate, iron stearate, iron 2-ethylhexanoate, lead octoate, lead 2-ethyloctoate, cobalt-2- ethylhexanoate, cobalt naphthenate, manganese 2-ethylhexanoate, zinc 2- ethylhexanoate, zinc naphthenate, zinc stearate, metal trifiates, triethyltin tartrate, stannous octoate, carbomethoxyphenyl tin trisuberate, isobutyltin triceroate.
Further examples of suitable catalysts include organobismuth compounds, such as bismuth 2-ethylhexanoate, bismuth octanoate and bismuth neodecanoate. Further examples of suitable catalysts include organotitanium, organzirconium and organohafnium compounds and titanates and zirconate esters such as, titanium naphthenate, zirconium naphthenate, tetrabutyl titanate, tetrakis(2- ethylhexyl)titanate, triethanolamine titanate, tetra(isopropenyloxy)-titanate, titanium tetrabutanolate, titanium tetrapropanolate, titanium tetraisopropanolate, tetrabutyl zirconate, tetrakis(2- ethylhexyl) zirconate, triethanolamine zirconate, tetra(isopropenyloxy)-zirconate, zirconium tetrabutanolate, zirconium tetrapropanolate, zirconium tetraisopropanolate and chelated titanates such as diisopropyl bis(acetylacetonyl)titanate, diisopropyl bis(ethylacetoacetonyl)titanate and diisopropoxytitanium bis(ethylacetoacetate).
Preferred catalysts are dibutyltin dilaurate, dibutyltin dioctoate, dibutyltin diacetate and dioctyltin dilaurate.
Preferably the catalyst is present in the coating composition of the invention in an amount of 0.01 to 5 wt% based on the total dry weight of the coating composition, more preferably 0.05 to 4 wt%.
Antifouling agent
The antifouling coating composition of the present invention optionally comprises an antifouling agent.
The terms antifouling agent, biologically active compounds, antifoulant, biocide, toxicant are used in the industry to describe known compounds that act to prevent marine fouling on a surface. The antifouling agent present in the compositions of the invention is preferably a marine antifouling agent. The antifouling agent may be inorganic, organometallic or organic. Preferably the antifouling agent is an organometallic antifouling agent. Suitable antifouling agents are commercially available.
Examples of inorganic antifouling agents include copper and copper compounds such as copper oxides, e.g. cuprous oxide and cupric oxide; copper alloys, e.g. copper-nickel alloys; copper salts, e.g. copper thiocyanate and copper sulphide.
Examples of organometallic antifouling agents include zinc pyrithione; organocopper compounds such as copper pyrithione, copper acetate, copper naphthenate, oxine copper, copper nonylphenolsulfonate, copper bis(ethylenediamine)bis(dodecylbenzensulfonate) and copper bis(pentachlorophenolate); dithiocarbamate compounds such as zinc bis(dimethyldithiocarbamate) [ziram], zinc ethylenebis(dithiocarbamate) [zineb], manganese ethylenebis(dithiocarbamate) [maneb] and manganese ethylene bis(dithiocarbamate) complexed with zinc salt [mancozeb].
Examples of organic antifouling agents include heterocyclic compounds such as 2-(tert-butylamino)-4-(cyclopropylamino)-6-(methylthio)-1 ,3,5- triazine [cybutryne], 4,5- dichloro-2-n-octyl-4-isothiazolin-3-one [DCOIT], encapsulated 4,5-dichloro-2-n-octyl-4- isothiazolin-3-one [DCOIT], 1 ,2-benzisothiazolin-3-one, 2- (thiocyanatomethylthio)-1 ,3- benzothiazole [benthiazole] and 2,3,5,6-tetrachloro-4- (methylsulphonyl) pyridine; urea derivatives such as 3-(3,4-dichlorophenyl)-1 ,1- dimethylurea [diuron]; amides and imides of carboxylic acids, sulphonic acids and sulphenic acids such as N- (dichlorofluoromethylthio)phthalimide, N-dichlorofluoromethylthio-N',N'-dimethyl-N- phenylsulfamide [dichlofluanid], N-dichlorofluoromethylthio-N',N'-dimethyl-N-p- tolylsulfamide [tolylfluanid] and N-(2,4,6-trichlorophenyl)maleimide; other organic compounds such as pyridine triphenylborane [TPBP], amine triphenylborane, 3-iodo-2- propynyl N-butylcarbamate [iodocarb], 2,4,5,6-tetrachloroisophthalonitrile, p- ((diiodomethyl)sulphonyl) toluene and 4-bromo-2-(4-chlorophenyl)-5 -(trifluoromethyl)- 1 H-pyrrole-3-carbonitrile [tralopyril].
Other examples of antifouling agents include tetraalkylphosphonium halogenides, guanidine derivatives, imidazole containing compounds such as 4-[1-(2,3- dimethylphenyl)ethyl]-1 H-imidazole [medetomidine] and derivatives thereof, macrocyclic lactones including avermectins and derivatives thereof such as ivermectine, spinosyns and derivatives thereof such as spinosad, capsaicins and derivatives thereof such as phenyl capsaicin, and enzymes such as oxidase, proteolytically, hemicellulolytically, cellulolytically, lipolytically and amylolytically active enzymes.
Preferred antifouling agents are zinc pyrithione, copper pyrithione, zinc ethylenebis(dithiocarbamate) [zineb], 4,5-dichloro-2-n-octyl-4-isothiazolin-3-one [DCOIT] and encapsulated 4,5-dichloro-2-n-octyl-4-isothiazolin-3-one [DCOIT] Particularly preferred antifouling agents are zinc pyrithione and copper pyrithione.
The biocide is typically present in 0-20 % by dry weight of the total coating composition, preferably 0-15 % by dry weight of the total coating composition. The use of these antifouling agents is known in antifouling coatings and their use would be familiar to the skilled person. The antifouling agent may be encapsulated or adsorbed on an inert carrier or bonded to other materials for controlled release. These percentages refer to the amount of active antifouling agent present and not therefore to any carrier used.
Additive oil
The coating composition of the present invention optionally comprises an additive oil. Preferably the coating composition of the present invention comprises 0- 30 wt% and more preferably 5-20 wt% additive oil, based on the solids content of the coating composition.
Suitable unreactive additive oils are silicone oils such as methylphenyl silicone oil, petroleum oils, polyolefin oils, polyaromatic oils, fluoro resins such as polytetra- fluoroethylene or fluid fluorinated alkyl- or alkoxy-containing polymers, or lanolin and lanolin derivatives and other sterol(s) and/or sterol derivative(s) as disclosed in WO2013024106A1 or combinations thereof. A preferred unreactive additive oil is methylphenyl silicone oil.
A further additive oil optionally present in the coating compositions of the invention is fluorinated amphiphilic polymers/oligomers as described in WO2014131695.
The coating composition of the present invention optionally comprises hydrophilic-modified additive oils, such as non-reactive hydrophilic-modified polysiloxane oils. Suitable hydrophilic modified polysiloxane oils are described in US 6107381 or hydrophilic modified sterol (s) and/or sterol derivative (s) as described in WO2016004961.
The non-reactive hydrophilic-modified polysiloxane oils are typically modified by the addition of non-ionic oligomeric or polymeric groups which can be polar and/or capable of hydrogen bonding, enhancing their interaction with polar solvents, in particular with water, or with other polar oligomeric or polymeric groups. Examples of these groups include, amides (e.g. poly(vinyl pyrrolidone), poly[N-(2- hydroxypropyl)methacrylamide]), poly(N,N- dimethacrylamide), acids (e.g. poly(acrylic acid)), alcohols (e.g. poly(glycerol), polyHEMA, polysaccharides, poly(vinyl alcohol)), ketones (polyketones), aldehydes (e.g. poly(aldehyde guluronate), amines (e.g.
polyvinylamine), esters (e.g. polycaprolactones, poly(vinyl acetate)), ethers (e.g. poly(alkylene oxide)s like polyethylene glycol), polypropylene glycol)), imides (e.g. poly(2-methyl-2-oxazoline)), etc., including copolymers of the foregoing.
Preferably the hydrophilicity of the hydrophilic-modified additive oil is obtained by modification with poly(alkylene oxide) groups.
The one or more hydrophilic-modified additive oils are optionally present in the coating composition of the present invention in an amount of 0.01-30 %, e.g. 0.05-10 %, by dry weight. More preferably the one or more hydrophilic-modified additive oils comprises 0.05-7 % by dry weight and still more preferably 0.1-5 % by dry weight of the coating composition.
Co-binders
Optionally a co-binder may be present in the coating composition of the present invention in addition to the polysiloxane-based binder and/or siloxane copolymer. Preferably the co-binder contains curing reactive groups that can react with the polysiloxane-based binder and/or siloxane copolymer in the curing reaction. Representative examples of such co-binders include silicone resins, silicone-epoxy resins, silicone-polyester resins, polyurethane-based binders, polyol-based binders such as acrylic-polyol binders, polyester-based binders and acrylic-based binders.
Pigments
The coating compositon of the invention preferably comprises one or more pigments. The pigments may be inorganic pigments, organic pigments or a mixture thereof. Inorganic pigments are preferred.
Representative examples of pigments include black iron oxide, red iron oxide, yellow iron oxide, titanium dioxide, zinc oxide, carbon black, graphite, red molybdate, yellow molybdate, zinc sulfide, antimony oxide, sodium aluminium sulfosil icates, quinacridones, phthalocyanine blue, phthalocyanine green, indanthrone blue, cobalt aluminium oxide, carbazoledioxazine, isoindoline orange, bis-acetoaceto-tolidiole, benzimidazolone, quinaphthalone yellow, isoindoline yellow, tetrachloroisoindolinone, and quinophthalone yellow, metallic flake materials (e.g. aluminium flakes). Preferred pigments are black iron oxide, red iron oxide, yellow iron oxide, phthalocyanine blue and titanium dioxide.
The amount of pigment present in the coating composition of the present invention is preferably 0 to 25 wt% and more preferably 0.5 to 15 wt% based on the total dry weight of the coating composition.
Solvent
The antifouling coating composition of the present invention preferably comprises a solvent. Suitable solvents for use in the compositions of the invention are commercially available.
Examples of suitable organic solvents and thinners are aromatic hydrocarbons such as xylene, toluene, mesitylene; ketones such as methyl ethyl ketone, methyl isobutyl ketone, methyl amyl ketone, methyl isoamyl ketone, cyclopentanone, cyclohexanone; esters such as butyl acetate, tert-butyl acetate, amyl acetate, isoamyl acetate, ethylene glycol methyl ether acetate, propylene glycol methyl ether acetate; ethers such as ethylene glycol dimethyl ether, diethylene glycol dimethyl ether, dibutyl ether, dioxane, tetrahydrofuran; alcohols such as n-butanol, isobutanol, benzyl alcohol; ether alcohols such as butoxyethanol, 1-methoxy-2-propanol; aliphatic hydrocarbons such as white spirit; and optionally a mixture of two or more solvents and thinners.
The amount of solvent present in the antifouling coating compositions of the present invention is preferably as low as possible as this minimizes the VOC content. Preferably solvent is present in the compositions of the invention in an amount of 0-35 wt% and more preferably 1-30 wt% based on the total weight of the composition. The skilled man will appreciate that the solvent content will vary depending on the other components present.
Fillers
The coating composition of the present invention optionally comprises fillers.
Examples of fillers that can be used in the coating composition according to the present invention are zinc oxide, barium sulphate, calcium sulphate, calcium carbonate, silicas or silicates (such as talc, feldspar, and china clay) including fumed silica, bentonite and other clays, and solid silicone resins, which are generally condensed branched polysiloxanes. Some fillers such as fumed silica may have a thickening effect on the coating composition.
Preferred fillers are fumed silica fillers. The fumed silica fillers may have an untreated surface or a hydrophobically modified surface. Preferably the fumed silica filler has a hydrophobically modified surface. Examples of commercially available
fumed silica fillers are TS-610, TS-530, EH-5, H-5, and M-5 from Cabot and Aerosil® R972, Aerosil® R974, Aerosil® R976, Aerosil® R104, Aerosil® R202, Aerosil® R208, Aerosil® R805, Aerosil® R812, Aerosil® 816, Aerosil® R7200, Aerosil® R8200, Aerosil® R9200, Aerosil® R71 1 from Evonik.
The amount of fillers present in the coating composition of the present invention is preferably 0 to 25 wt%, more preferably 0.1 to 10 wt% and still more preferably 0.15 to 5 wt%, based on the total dry weight of the coating composition.
Additives
The coating composition of the present invention optionally comprises one or more additives. Examples of additives that may be present in the coating composition of the invention include reinforcing agents, thixotropic agents, thickening agents, anti- settling agents, dehydrating agents, dispersing agents, wetting agents, surfactants, binders, plasticizers, and dyes.
Examples of thixotropic agents, thickening agents and anti-settling agents are silicas such as fumed silicas, organo-modified clays, amide waxes, polyamide waxes, amide derivatives, polyethylene waxes, oxidised polyethylene waxes, hydrogenated castor oil wax and mixtures thereof. Preferably thixotropic agents, thickening agents and anti-settling agents are each present in the composition of the invention in an amount of 0-10 wt%, more preferably 0.1-6 wt% and still more preferably 0.1 -2.0 wt%, based on the total dry weight of the composition.
The dehydrating agents and desiccants that may be used in the antifouling coating compositions include organic and inorganic compounds. The dehydrating agents can be hygroscopic materials that absorb water or binds water as crystal water, often refered to as desiccants. Examples of desiccants include calcium sulphate hemihydrate, anhydrous calcium sulphate, anhydrous magnesium sulphate, anhydrous sodium sulphate, anhydrous zinc sulphate, molecular sieves and zeolites. The dehydrating agent can be a compound that chemically reacts with water. Examples of dehydrating agents that reacts with water include orthoesters such as trimethyl orthoformate, triethyl orthoformate, tripropyl orthoformate, triisopropyl orthoformate, tributyl orthoformate, trimethyl orthoacetate, triethyl orthoacetate, tributyl orthoacetate and triethyl orthopropionate; ketals; acetals; enolethers; orthoborates such as trimethyl borate, triethyl borate, tripropyl borate, triisopropyl borate, tributyl borate and tri-tert- butyl borate; organosilanes such as trimethoxymethyl silane, vinyltrimethoxysilane, phenyltrimethoxysilane, tetraethoxysilane and ethyl polysilicate.
Preferably the dehydrating agent is present in the compositions of the invention in an amount of 0-5 wt%, more preferably 0.5-2.5 wt% and still more preferably 1.0-2.0 wt%, based on the total dry weight of the composition.
Composition and Paint
The present invention also relates to a method of preparing the composition as hereinbefore described wherein the components present in the composition are mixed. Any conventional production method may be used.
The composition as described herein may be prepared in a suitable concentration for use, e.g. in spray painting. In this case, the composition is itself a paint. Alternatively the composition may be a concentrate for preparation of paint. In this case, further solvent is added to the composition described herein to form paint. Preferred solvents are as hereinbefore described in relation to the composition.
After mixing, and optionally after addition of solvent, the antifouling coating composition or paint is preferably filled into a container. Suitable containers include cans, drums and tanks.
The antifouling coating composition may be supplied as a one-pack, as a two- pack or as a three-pack. Preferably the composition is supplied as a two-pack or as a three-pack and still more preferably as a three-pack.
When supplied as a one-pack, the composition is preferably supplied in a ready-mixed or ready to use form. Optionally the one-pack product may be thinned with solvents prior to application.
When supplied as a two pack, the first container preferably comprises a copolymer comprising repeat units of formulae (A) and (B1 ) and/or (B2) as hereinbefore defined, polysiloxane-based binder and/or siloxane copolymer and optionally antifouling agent; and the second container preferably comprises crosslinking agent, curing agent and/or catalyst. Instructions for mixing the contents of the containers may optionally be provided.
When supplied as a three pack, the first container preferably comprises a polysiloxane-based binder and/or siloxane copolymer, a copolymer comprising repeat units of formulae (A) and (B1 ) and/or (B2) as hereinbefore defined and optionally an antifouling agent; the second container preferably comprises a crosslinking agent and/or a curing agent; and the third container preferably comprises a catalyst. Instructions for mixing the contents of the containers may optionally be provided.
The antifouling coating composition and paint of the invention preferably has a solids content of 35-90 wt%, more preferably 40-85 wt% and still more preferably 60-85 wt%.
Preferably the antifouling coating composition and paint of the invention has a content of volatile organic compounds (VOC) of 50 to 500 g/L, preferably 50 to 420 g/L, e.g. 50 to 390 g/L. VOC content can be calculated (ASTM D5201-01 ) or measured (US EPA method 24 or ISO 1 1890-1 ).
The coating composition of the present invention may be applied to any pre- treated coating layers designed for polysiloxane based fouling release coatings. Examples of such coating layers are epoxy anticorrosive layers and silicone containing tie-layers designed to ensure adhesion between the substrate and the final polysiloxane based fouling release layer. One example of such a tie-layer is described in WO2013/107827. Optionally the tie-layer may contain an antifouling agent.
It is also possible to apply the coating composition according to the present invention on a substrate containing an aged anti-fouling coating layer or fouling release layer. Before the coating composition according to the present invention is applied to such an aged layer, this old layer is cleaned by high-pressure water washing to remove any fouling.
The coating composition according to the present invention may be applied in one or two or more layers. Preferably the coating composition according to the present invention is applied in one layer
The dry film thickness of each of the coating layers of the coating composition of the present invention is preferably 50-500 pm, more preferably 100 - 400 pm, most preferably 150 - 300 pm.
The antifouling coating composition and paint of the invention can be applied to a whole or part of any article surface which is subject to marine fouling. The surface may be permanently or intermittently underwater (e.g. through tide movement, different cargo loading or swell). The article surface will typically be the hull of a vessel or surface of a fixed marine object such as an oil platform or buoy. Application of the coating composition and paint can be accomplished by any convenient means, e.g. via painting (e.g. with brush or roller) or more preferably spraying the coating onto the article. Typically the surface will need to be separated from the seawater to allow coating. The application of the coating can be achieved as conventionally known in the art. After the coating is applied, it is preferably dried and/or cured.
The invention will now be described by the following non-limiting examples wherein:
EXAMPLES
Materials
The crosslinking agent, catalyst, biocide, additive oil, pigment, solvent and additives were all obtained from commercial suppliers. The polysiloxane-based binder polymers (i.e. binder) were obtained commercially.
The copolymers and siloxane copolymer were prepared as described below.
The monomers used in the synthesis of the copolymers are described in table 1 below.
Table 1
Monomethacryloxypropyl terminated polydimethylsiloxane, X-22-174ASX (functional group equivalent weight 900 g/mol) from ShinEtsu
Monomethacryloxypropyl terminated polydimethylsiloxane, X-22-2404 (functional group equivalent weight 420 g/mol) from ShinEtsu
3Poly(ethylene glycol) methyl ether methacrylate (average Mn 300 and 500) from Sigma Aldrich.
Determination Methods
Determination of solids content of the polymer solutions
The solids content of the polymer solutions was determined in accordance with ISO 3251 :2008. Samples of 0.5 g ± 0.1 g polymer solution were dried in a ventilated oven at 105 °C for 3 hours. The weight of the residual material is considered to be the non-volatile matter (NVM). The non-volatile matter content is expressed in weight percent. The result given in Table 2 is the average of two parallels. Determination of polymer average molecular weights distribution
The polymers were characterised by Gel Permeation Chromatography (GPC) measurement. The molecular weight distribution (MWD) was determined using a Malvern Omnisec Resolve and Reveal system with two PLgel 5 pm Mixed-D columns from Agilent in series. The columns were calibrated by conventional calibration using narrow polystyrene standards. The analysis conditions were as set out in table 2 below.
Table 2
Samples were prepared by dissolving an amount of polymer solution corresponding to 25 mg dry polymer in 5 ml THF. The samples were kept for a minimum of 3 hours at room temperature prior to sampling for the GPC measurements.
Before analysis the samples were filtered through 0.45 pm Nylon filters. The weight- average molecular weight (Mw) is reported.
General procedure for preparation of copolymer solutions (copolymer (ii))
40 parts by weight of solvent (xylene/1 -methoxy-2-propanol, 50:50), was charged to a temperature-controlled reaction vessel equipped with a stirrer, a condenser, a nitrogen inlet and a feed inlet. The reaction vessel was heated and maintained at the reaction temperature of 95°C. A pre-mix of 50 parts by weight of monomers and initiator (2,2’-azobis(2-methylbutyronitrile) (AMBN), wt% given in Table 3) and 10 parts by weight of solvent (xylene/1 -methoxy-2-propanol, 50:50) was prepared. The pre-mix was charged to the reaction vessel at a constant rate over 2 hours under a nitrogen atmosphere. Further the reaction vessel was maintained at the reaction temperature of 95 °C for an additional 3 hours. The copolymer solution was then cooled to room temperature. The wt% of the monomers and the properties of the copolymer solutions are presented in Table 3 below.
Table 3
1Average Mn 300, 2Average Mn 500, functional group equivalent weight 900 g/mol, functional group equivalent weight 420 g/mol
Preparation of siloxane copolymer (i.e. polv(ester-siloxane) binder)
In a multi-neck flask with nitrogen line, stirring device and internal thermometer, a,w -hydroxyalkyl siloxane (Tegomer® H-Si 2515, from Evonik) (2500.0 g, 1.16 eq.mol (hydroxyl)), diethyl succinate (98.9 g, 1.13 eq.mol (ester)), and titanium(IV) butoxide (2.6 g, 0.1 wt%) were charged. The reaction mixture was stirred at 200 °C for 6 hours under smooth nitrogen atmosphere stripping conditions. Residual alcohol by-product was removed by vacuum distillation (6 hours, 10 mbar).
GPC data: Mn 19 400, Mw 62 900, PDI 3.2 Preparation of coating compositions
The coating compositions were prepared by first mixing the components in part (A) shown in Tables 5 to 8 below using a high-speed dissolver equipped with an impeller disc. The copolymers (ii) of the present invention were added to the coating composition after the grinding phase. The components in part (B) were mixed with the components in part (A) shortly before application of the coating.
Testing of antifoulinq performance in Florida (USA)
PVC panels were coated with one coat of Jotun Safeguard Universal ES primer and one coat of Jotun Sealion Tiecoat Plus using airless spray within specified conditions. The coating compositions of examples 1-9 and comparative examples 1 and 2 were applied to the pre-coated PVC panels using a film applicator with a 300 pm clearance. Comparative examples 1 and 2 are reference examples wherein no copolymer of the present invention is present in the composition. The panels were used for static testing on a raft in Florida where the panels were submerged 0.5-1.5 m below the sea surface. The panels were evaluated by visual inspection and rated by the scale shown in table 4 below.
Table 4
*Slime may also be present on these panels. Algae and hard fouling such as barnacles and mussels are given the highest rating because they have the highest effect on the frictional resistance and fuel consumption.
The fouling performance of the coating compositions in examples 1 - 9 are set out in Table 5 and 6 below. In Table 5 the coatings compositions are free of any antifouling agents. In Table 6 the coating compositions contain copper pyrithione as an antifouling agent. All amounts in the tables are given in grams. Table 5
The results show that the antifouling coating composition of the invention comprising the copolymer in combination with a polysiloxane-based binder has significantly improved antifouling performance, especially against soft fouling, compared to compositions lacking the copolymer. This shows that the copolymer improves the antifouling performance of the coating composition. It is shown in the experiments that the antifouling performance is improved both in coating compositions containing antifouling agents and in coating compositions free of antifouling agents. It is believed that the copolymers of the present invention improve the antifouling properties by migrating to the surface of the coating where the poly (alkylene oxide) groups interact with water forming a hydrogel that prevents fouling. It is also believed that the
copolymers of the present invention aid the leaching of the biocides out of the coating film.
Testing of antifoulinq performance in Singapore
PVC panels were coated with a first coat of Jotun Safeguard Universal ES primer and a second coat of Jotun SeaQuest Tiecoat using airless spray within specified conditions. The coating compositions of examples 10 to 12 and comparative example 3 in Table 7 were applied to the PVC panels pre-coated with primer and tiecoat using a film applicator with a 300 pm clearance.
The panels were used for static testing on a raft in Singapore where the panels were submerged 0.3-1.3 m below the sea surface. The panels were evaluated by visual inspection and rated for slime, algae and animals using the scale shown in Table 4B below.
In this rating, there is considered to be an increasing severity from slime (least severe) to algae (intermediate severity) to animals (most severe) due to the increased effect for each fouling category on frictional resistance and fuel consumption of a moving vessel.
Table 4B
The coating composition and antifouling performance of examples 10 to 12 and comparative example 3 are given in Table 7. The amounts of the ingredients are given in grams.
Table 7
1 Polymer OH3.5 (Evonik), 2Aerosil R972 (Evonik), 3 Wacker® TES 40 WN
The results in Table 7 show that the antifouling coating composition examples 10 to 12 of the invention comprising the copolymer in combination with a polysiloxane- based binder and copper pyrithione as antifouling agent have significantly improved antifouling performance over comparable composition example 3 lacking the copolymer. Testing of antifoulinq performance on rotor in Sandefiord (Norway)
PVC panels were coated with one coat of Jotun Safeguard Universal ES primer using airless spray within specified conditions. Coating compositions 13 to 16 and comparative example compositions 4 and 5 in Table 8, containing a siloxane copolymer, specifically a poly(ester siloxane) binder, were applied directly to the pre-
coated panels with primer using a film applicator with 300 pm clearance. The panels were mounted on a rotary drum and used for dynamic antifouling testing in Sandefjord at 0.5 - 1.5 meters below the sea surface at a speed of 14 knots (7.2 meters / second). The antifouling performance was evaluated by visual inspection and rated using the scale shown in Table 4 above. The coating composition and antifouling performance of examples 13 to 16 and comparative examples 4 and 5 are given in Table 8 below. The amounts of the ingredients are given in grams.
Table 8
2Aerosil R972 (Evonik), 4Desmodur® Z 4470 BA (Covestro)
The results in Table 8 show that the antifouling coating composition examples 13 to 16 of the invention comprising the copolymer in combination with a poly(ester siloxane) copolymer have significantly improved antifouling performance over comparable composition example 4 and 5 lacking the copolymer.
Claims
1. An antifouling coating composition comprising:
(i) 30-95 wt% polysiloxane-based binder and/or siloxane copolymer;
(ii) 0.1-30 wt% of a copolymer; and
(iii) 0-30 wt% antifouling agent,
wherein said copolymer comprises repeat units of formulae (A) and (B1 ) and/or (B2):
R is selected from H and Ci-6 alkyl, and preferably H and methyl;
X1 is selected from COO and OCO, preferably COO;
m is 0 or 1 , preferably 1 ;
R1 is selected from substituted or unsubstituted, linear or branched, Ci-8 alkylene; n is 0 or 1 ; and
R2 is poly(alkylene oxide),
in formulae (B1 ) and (B2)
R is selected from H and Ci-6 alkyl; and preferably H and methyl
X2 is selected from COOR3 and OCOR3 and preferably COOR3;
o is 0 or 1 , preferably 1 ;
R3 is selected from substituted or unsubstituted, linear or branched, Ci-8 alkylene; each R4 is independently selected from CMO alkyl and C5-io aryl; and in formula (B1 )
q is an integer from 1 to 160; and in formula (B2)
q is 0 or an integer from 1 to 80
R5 is selected from CMO alkyl, C5-io aryl or 0-Si(R6)3, wherein R6 is independently selected from CMO alkyl and C5-io aryl.
2. A composition as claimed in claim 1 , wherein said copolymer further comprises a third repeat unit of formula (C), preferably 1 to 50 wt% of repeat unit of formula (C):
wherein
R is selected from H and Ci-6 alkyl and preferably H and methyl;
X3 is selected from COOH, COOR7, OCOR7, OH or OR7, wherein R7 is selected from substituted or unsubstituted, linear or branched, Ci-8 alkyl.
3. A composition as claimed in any preceding claim, wherein n is 0 or n is 1 and R1 is unsubstituted, linear Ci-3 alkylene.
4. A composition as claimed in any preceding claim, wherein R2 is poly(ethylene oxide), polypropylene oxide) or a mixture thereof.
5. A composition as claimed in any preceding claim, wherein each R4 is independently selected from C alkyl.
6. A composition as claimed in any preceding claim, wherein said copolymer comprises 1-40 wt% of repeat unit (A) and preferably 8-35 wt% of repeat unit (A) and/or a total of 10-90 wt% of repeat unit (B1 ) and/or (B2) and preferably a total of 30- 90 wt% of repeat unit (B1 ) and/or (B2) and/or 0 to 70 wt% of repeat unit (C) and preferably 1 to 50 wt% of repeat unit (C) and/or said copolymer has a weight average molecular weight of 15,000 to 40,000, more preferably 18,000 to 35,000.
7. A composition as claimed in any preceding claim, wherein said copolymer is present in an amount of 2-15 wt%, based on the total dry weight of the composition.
8. A method for preparing a composition as claimed in any one of claims 1 to 7, comprising mixing:
(i) 30-95 wt% polysiloxane-based binder and/or siloxane copolymer;
(ii) 0.1-30 wt% of a copolymer as defined in any one of claims 1 to 6; and
(iii) 0-30 wt% antifouling agent.
9. A paint comprising a composition as claimed in any one of claims 1 to 7.
10. A paint container containing a composition as claimed in any one of claims 1 to 7.
1 1. A kit for preparing a composition as claimed in any one of claims 1 to 7, comprising:
a first container comprising a polysiloxane-based binder and/or siloxane copolymer, a copolymer comprising repeat units of formulae (A) and (B1 ) and/or (B2) as hereinbefore defined and optionally an antifouling agent;
a second container comprising a crosslinking agent and/or a curing agent and optionally a catalyst;
optionally a third container comprising a catalyst; and
optionally instructions for combining the contents of said containers.
12. An article comprising (e.g. covered with or coated with) a coating on at least a part of a surface thereof, wherein said coating comprises the composition as claimed in any one of claims 1 to 7.
13. A method of coating an article to prevent fouling thereon, wherein said method comprises:
coating at least a part of a surface of said article with a composition as claimed in any one of claims 1 to 7; and
drying and/or curing said coating.
14. Use of a composition as claimed in any one of claims 1 to 7 for coating at least a part of a surface of an article to prevent fouling thereon.
15. A polymer comprising repeat units of formulae (A), (B1 ) and/or (B2) and optionally (C):
R is selected from H and Ci-6 alkyl;
X1 is selected from COO and OCO;
m is 0 or 1 ;
R1 is selected from substituted or unsubstituted, linear or branched, Ci-8 alkylene;
n is 0 or 1 ; and
R2 is poly(alkylene oxide), in formulae (B1 ) and (B2)
R is selected from H and Ci-6 alkyl;
X2 is selected from COOR3 and OCOR3;
o is 0 or 1 ;
R3 is selected from substituted or unsubstituted, linear or branched, Ci-8 alkylene;
each R4 is independently selected from CMO alkyl and C5-io aryl; and in formula (B1 ) q is an integer from 1-160 and in formula (B2)
q is 0 or an integer from 1-80
R5 is selected from CMO alkyl, C5-io aryl or 0-Si(R6)3, wherein R6 is independently selected from CMO alkyl and C5-io aryl
wherein said copolymer comprises 1-40 wt% of repeat unit (A), a total of 10-90 wt% of repeat unit (B1 ) and/or (B2) and 0 to 70 wt% of repeat unit (C).
Applications Claiming Priority (2)
| Application Number | Priority Date | Filing Date | Title |
|---|---|---|---|
| EP17203618.8A EP3489310A1 (en) | 2017-11-24 | 2017-11-24 | Antifouling composition |
| EP17203618.8 | 2017-11-24 |
Publications (1)
| Publication Number | Publication Date |
|---|---|
| WO2019101912A1 true WO2019101912A1 (en) | 2019-05-31 |
Family
ID=60452547
Family Applications (1)
| Application Number | Title | Priority Date | Filing Date |
|---|---|---|---|
| PCT/EP2018/082352 Ceased WO2019101912A1 (en) | 2017-11-24 | 2018-11-23 | Antifouling composition |
Country Status (2)
| Country | Link |
|---|---|
| EP (1) | EP3489310A1 (en) |
| WO (1) | WO2019101912A1 (en) |
Cited By (10)
| Publication number | Priority date | Publication date | Assignee | Title |
|---|---|---|---|---|
| EP3828240A1 (en) | 2019-11-29 | 2021-06-02 | Jotun A/S | Fouling release coating |
| GB202107159D0 (en) | 2021-03-23 | 2021-06-30 | Jotun As | Monitoring a vessel |
| WO2021180588A2 (en) | 2020-03-09 | 2021-09-16 | Jotun A/S | Hull cleaning robot |
| EP3974481A1 (en) | 2020-09-29 | 2022-03-30 | Jotun A/S | Fouling release coating composition |
| EP3974482A1 (en) | 2020-09-29 | 2022-03-30 | Jotun A/S | Fouling release coating composition |
| KR20220078860A (en) * | 2020-12-04 | 2022-06-13 | (주)노루페인트 | Modified ether-polydialkyl polysiloxane compound, method for manufacturing the same and antifouling paint composition containing the same |
| WO2022200430A1 (en) | 2021-03-23 | 2022-09-29 | Jotun A/S | Monitoring the cleanliness of an underwater surface of a stationary object |
| WO2023275145A1 (en) | 2021-06-30 | 2023-01-05 | Jotun A/S | Novel coatings with low adhesion to ice |
| WO2023111191A1 (en) | 2021-12-15 | 2023-06-22 | Jotun A/S | Fouling release coating composition |
| WO2024115765A1 (en) | 2022-12-02 | 2024-06-06 | Jotun A/S | Process |
Families Citing this family (3)
| Publication number | Priority date | Publication date | Assignee | Title |
|---|---|---|---|---|
| EP4119620B1 (en) * | 2020-03-13 | 2025-11-12 | Chugoku Marine Paints, Ltd. | Antifouling coating composition |
| IT202000026879A1 (en) * | 2020-11-10 | 2022-05-10 | Maflon S P A | COMPOUND, ITS USE AND METHOD OF PREPARATION |
| CN113201170B (en) * | 2021-05-12 | 2022-11-29 | 慕思健康睡眠股份有限公司 | Graphene polyurethane composite sponge material with good anti-fouling performance and application thereof |
Citations (9)
| Publication number | Priority date | Publication date | Assignee | Title |
|---|---|---|---|---|
| JPH05230161A (en) * | 1992-02-18 | 1993-09-07 | Shin Etsu Chem Co Ltd | Graft copolymer and coating composition using the same |
| US6107381A (en) | 1997-06-16 | 2000-08-22 | General Electric Company | Condensation curable silicone foul release coatings and articles coated therewith |
| WO2008132196A1 (en) | 2007-05-01 | 2008-11-06 | Akzo Nobel Coatings International B.V. | Antifouling coating composition based on curable polyorganosiloxane polyoxyalkylene copolymers |
| US20120294825A1 (en) * | 2010-06-23 | 2012-11-22 | Nippon Paint Marine Coatings Co., Ltd. | Method of forming antifouling coating film |
| WO2013024106A1 (en) | 2011-08-18 | 2013-02-21 | Akzo Nobel Coatings International B.V. | Fouling-resistant composition comprising sterols and/or derivatives thereof |
| WO2013107827A1 (en) | 2012-01-19 | 2013-07-25 | Jotun A/S | Fouling release coatings |
| WO2014131695A1 (en) | 2013-02-26 | 2014-09-04 | Akzo Nobel Coatings International B.V. | Anti-fouling compositions with a fluorinated oxyalkylene-containing polymer or oligomer |
| WO2016004961A1 (en) | 2014-07-11 | 2016-01-14 | Hempel A/S | Novel polysiloxane-based fouling-release coats comprising poly(oxyalkylene)-modified alcohols |
| WO2017009297A1 (en) | 2015-07-13 | 2017-01-19 | Jotun A/S | Antifouling composition |
-
2017
- 2017-11-24 EP EP17203618.8A patent/EP3489310A1/en not_active Withdrawn
-
2018
- 2018-11-23 WO PCT/EP2018/082352 patent/WO2019101912A1/en not_active Ceased
Patent Citations (11)
| Publication number | Priority date | Publication date | Assignee | Title |
|---|---|---|---|---|
| JPH05230161A (en) * | 1992-02-18 | 1993-09-07 | Shin Etsu Chem Co Ltd | Graft copolymer and coating composition using the same |
| US6107381A (en) | 1997-06-16 | 2000-08-22 | General Electric Company | Condensation curable silicone foul release coatings and articles coated therewith |
| WO2008132196A1 (en) | 2007-05-01 | 2008-11-06 | Akzo Nobel Coatings International B.V. | Antifouling coating composition based on curable polyorganosiloxane polyoxyalkylene copolymers |
| EP2142607A1 (en) * | 2007-05-01 | 2010-01-13 | Akzo Nobel Coatings International B.V. | Antifouling coating composition based on curable polyorganosiloxane polyoxyalkylene copolymers |
| US20120294825A1 (en) * | 2010-06-23 | 2012-11-22 | Nippon Paint Marine Coatings Co., Ltd. | Method of forming antifouling coating film |
| WO2013024106A1 (en) | 2011-08-18 | 2013-02-21 | Akzo Nobel Coatings International B.V. | Fouling-resistant composition comprising sterols and/or derivatives thereof |
| WO2013107827A1 (en) | 2012-01-19 | 2013-07-25 | Jotun A/S | Fouling release coatings |
| WO2014131695A1 (en) | 2013-02-26 | 2014-09-04 | Akzo Nobel Coatings International B.V. | Anti-fouling compositions with a fluorinated oxyalkylene-containing polymer or oligomer |
| WO2016004961A1 (en) | 2014-07-11 | 2016-01-14 | Hempel A/S | Novel polysiloxane-based fouling-release coats comprising poly(oxyalkylene)-modified alcohols |
| WO2017009297A1 (en) | 2015-07-13 | 2017-01-19 | Jotun A/S | Antifouling composition |
| WO2017009301A1 (en) | 2015-07-13 | 2017-01-19 | Jotun A/S | Antifouling composition |
Cited By (16)
| Publication number | Priority date | Publication date | Assignee | Title |
|---|---|---|---|---|
| EP3828240A1 (en) | 2019-11-29 | 2021-06-02 | Jotun A/S | Fouling release coating |
| WO2021105429A1 (en) | 2019-11-29 | 2021-06-03 | Jotun A/S | Fouling release coating |
| WO2021180588A2 (en) | 2020-03-09 | 2021-09-16 | Jotun A/S | Hull cleaning robot |
| EP4600314A2 (en) | 2020-09-29 | 2025-08-13 | Jotun A/S | Fouling release coating composition |
| EP3974481A1 (en) | 2020-09-29 | 2022-03-30 | Jotun A/S | Fouling release coating composition |
| EP3974482A1 (en) | 2020-09-29 | 2022-03-30 | Jotun A/S | Fouling release coating composition |
| WO2022069482A1 (en) | 2020-09-29 | 2022-04-07 | Jotun A/S | Fouling release coating composition |
| WO2022069487A1 (en) | 2020-09-29 | 2022-04-07 | Jotun A/S | Fouling release coating composition |
| KR20220078860A (en) * | 2020-12-04 | 2022-06-13 | (주)노루페인트 | Modified ether-polydialkyl polysiloxane compound, method for manufacturing the same and antifouling paint composition containing the same |
| KR102560679B1 (en) * | 2020-12-04 | 2023-07-28 | (주)노루페인트 | Modified ether-polydialkyl polysiloxane compound, method for manufacturing the same and antifouling paint composition containing the same |
| WO2022200430A1 (en) | 2021-03-23 | 2022-09-29 | Jotun A/S | Monitoring the cleanliness of an underwater surface of a stationary object |
| WO2022200427A1 (en) | 2021-03-23 | 2022-09-29 | Jotun A/S | Monitoring a vessel |
| GB202107159D0 (en) | 2021-03-23 | 2021-06-30 | Jotun As | Monitoring a vessel |
| WO2023275145A1 (en) | 2021-06-30 | 2023-01-05 | Jotun A/S | Novel coatings with low adhesion to ice |
| WO2023111191A1 (en) | 2021-12-15 | 2023-06-22 | Jotun A/S | Fouling release coating composition |
| WO2024115765A1 (en) | 2022-12-02 | 2024-06-06 | Jotun A/S | Process |
Also Published As
| Publication number | Publication date |
|---|---|
| EP3489310A1 (en) | 2019-05-29 |
Similar Documents
| Publication | Publication Date | Title |
|---|---|---|
| WO2019101912A1 (en) | Antifouling composition | |
| JP7431378B2 (en) | Contaminant releasable coating composition | |
| EP3714007B1 (en) | Antifouling composition | |
| JP7601873B2 (en) | Adhesion release coating | |
| JP2020514482A (en) | Antifouling composition | |
| CN116234882B (en) | Soil release coating compositions | |
| JP2024546975A (en) | Contaminant-Release Coating Composition | |
| KR20230075515A (en) | Fouling release coating composition | |
| KR20260021800A (en) | Antifouling Composition | |
| JP2026500145A (en) | process |
Legal Events
| Date | Code | Title | Description |
|---|---|---|---|
| 121 | Ep: the epo has been informed by wipo that ep was designated in this application |
Ref document number: 18804021 Country of ref document: EP Kind code of ref document: A1 |
|
| NENP | Non-entry into the national phase |
Ref country code: DE |
|
| 122 | Ep: pct application non-entry in european phase |
Ref document number: 18804021 Country of ref document: EP Kind code of ref document: A1 |































