WO2019034697A1 - Novel sulfonamide carboxamide compounds - Google Patents
Novel sulfonamide carboxamide compounds Download PDFInfo
- Publication number
- WO2019034697A1 WO2019034697A1 PCT/EP2018/072134 EP2018072134W WO2019034697A1 WO 2019034697 A1 WO2019034697 A1 WO 2019034697A1 EP 2018072134 W EP2018072134 W EP 2018072134W WO 2019034697 A1 WO2019034697 A1 WO 2019034697A1
- Authority
- WO
- WIPO (PCT)
- Prior art keywords
- group
- substituted
- optionally
- disease
- independently selected
- Prior art date
- Legal status (The legal status is an assumption and is not a legal conclusion. Google has not performed a legal analysis and makes no representation as to the accuracy of the status listed.)
- Ceased
Links
- RXTJLDXSGNEJIT-UHFFFAOYSA-N Nc1c(CCC2)c2ccc1 Chemical compound Nc1c(CCC2)c2ccc1 RXTJLDXSGNEJIT-UHFFFAOYSA-N 0.000 description 2
- BWJNFCYSZJCLEX-UHFFFAOYSA-N C=CCS(NC(Nc1cccc2ccccc12)=O)(=O)=O Chemical compound C=CCS(NC(Nc1cccc2ccccc12)=O)(=O)=O BWJNFCYSZJCLEX-UHFFFAOYSA-N 0.000 description 1
- BAOFJDWBXSDEGN-UHFFFAOYSA-N CC(C)S(NC(Nc(c1ccccc11)ccc1Cl)=O)(=O)=O Chemical compound CC(C)S(NC(Nc(c1ccccc11)ccc1Cl)=O)(=O)=O BAOFJDWBXSDEGN-UHFFFAOYSA-N 0.000 description 1
- KMLOQRGNRNJCKC-UHFFFAOYSA-N CC(Nc(c(CCC1)c1cc1)c1Br)=O Chemical compound CC(Nc(c(CCC1)c1cc1)c1Br)=O KMLOQRGNRNJCKC-UHFFFAOYSA-N 0.000 description 1
- LVVKZNOWQZDHEA-UHFFFAOYSA-N CC(Nc1c(CCC2)c2ccc1)=O Chemical compound CC(Nc1c(CCC2)c2ccc1)=O LVVKZNOWQZDHEA-UHFFFAOYSA-N 0.000 description 1
- QABQCAJCUDHXTD-UHFFFAOYSA-N COc1cc(-c(ccc2c3CCC2)c3NC(NS(Cc2ccccc2)(=O)=O)=O)ccn1 Chemical compound COc1cc(-c(ccc2c3CCC2)c3NC(NS(Cc2ccccc2)(=O)=O)=O)ccn1 QABQCAJCUDHXTD-UHFFFAOYSA-N 0.000 description 1
- ZWGRUOCPBDVYMS-UHFFFAOYSA-N COc1nccc(-c(ccc2c3CCC2)c3N=C=O)c1 Chemical compound COc1nccc(-c(ccc2c3CCC2)c3N=C=O)c1 ZWGRUOCPBDVYMS-UHFFFAOYSA-N 0.000 description 1
- 0 Cc1c(*)cc(*)cc1*#I Chemical compound Cc1c(*)cc(*)cc1*#I 0.000 description 1
- UKKQISHRHXSEGI-UHFFFAOYSA-N N#Cc1ccc(CS(Cl)(=O)=O)cc1 Chemical compound N#Cc1ccc(CS(Cl)(=O)=O)cc1 UKKQISHRHXSEGI-UHFFFAOYSA-N 0.000 description 1
- YNYJBQZERWRZPB-UHFFFAOYSA-N N#Cc1ccc(CS(NC(Nc2c(CCC3)c3cc3c2CCC3)=O)(=O)=O)cc1 Chemical compound N#Cc1ccc(CS(NC(Nc2c(CCC3)c3cc3c2CCC3)=O)(=O)=O)cc1 YNYJBQZERWRZPB-UHFFFAOYSA-N 0.000 description 1
- ROZCUVMFXOURIS-UHFFFAOYSA-N NS(CCc1ccccc1)(=O)=O Chemical compound NS(CCc1ccccc1)(=O)=O ROZCUVMFXOURIS-UHFFFAOYSA-N 0.000 description 1
- SZJRAEXJNGIIDT-UHFFFAOYSA-N NS(Cc(cc1)ccc1C#N)(=O)=O Chemical compound NS(Cc(cc1)ccc1C#N)(=O)=O SZJRAEXJNGIIDT-UHFFFAOYSA-N 0.000 description 1
- ABOYDMHGKWRPFD-UHFFFAOYSA-N NS(Cc1ccccc1)(=O)=O Chemical compound NS(Cc1ccccc1)(=O)=O ABOYDMHGKWRPFD-UHFFFAOYSA-N 0.000 description 1
- BBRLENAFIALZOZ-UHFFFAOYSA-N Nc(c(CCC1)c1c(F)c1)c1-c1ccncc1 Chemical compound Nc(c(CCC1)c1c(F)c1)c1-c1ccncc1 BBRLENAFIALZOZ-UHFFFAOYSA-N 0.000 description 1
- YHFZTOXEPVEYKV-UHFFFAOYSA-N Nc1c(CCC2)c2ccc1Br Chemical compound Nc1c(CCC2)c2ccc1Br YHFZTOXEPVEYKV-UHFFFAOYSA-N 0.000 description 1
- UPJICHUGRUBBBT-UHFFFAOYSA-N O=C=Nc(c(CCC1)c1c(F)c1)c1-c1ccncc1 Chemical compound O=C=Nc(c(CCC1)c1c(F)c1)c1-c1ccncc1 UPJICHUGRUBBBT-UHFFFAOYSA-N 0.000 description 1
- UYBZBDIWTYRSAW-UHFFFAOYSA-N O=C=Nc1c(CCC2)c2cc2c1CCC2 Chemical compound O=C=Nc1c(CCC2)c2cc2c1CCC2 UYBZBDIWTYRSAW-UHFFFAOYSA-N 0.000 description 1
- JIDLJOOMHRLOPM-UHFFFAOYSA-N O=CC(S(C(F)(F)F)NC(Nc1cccc2ccccc12)=O)=O Chemical compound O=CC(S(C(F)(F)F)NC(Nc1cccc2ccccc12)=O)=O JIDLJOOMHRLOPM-UHFFFAOYSA-N 0.000 description 1
- LKFNLHZZPHHFEC-UHFFFAOYSA-N O=S(CCc1ccccc1)(Cl)=O Chemical compound O=S(CCc1ccccc1)(Cl)=O LKFNLHZZPHHFEC-UHFFFAOYSA-N 0.000 description 1
- JTAIKGLZSDKJRJ-UHFFFAOYSA-N [O-][N+](c(c(CC1)c2C1O)ccc2F)=O Chemical compound [O-][N+](c(c(CC1)c2C1O)ccc2F)=O JTAIKGLZSDKJRJ-UHFFFAOYSA-N 0.000 description 1
- HWDZJDCEMKOOKL-UHFFFAOYSA-N [O-][N+](c(cc1)c(CCC2)c2c1F)=O Chemical compound [O-][N+](c(cc1)c(CCC2)c2c1F)=O HWDZJDCEMKOOKL-UHFFFAOYSA-N 0.000 description 1
- ZQABKMBXKCJTPM-UHFFFAOYSA-N [O-][N+](c1c(CCC2)c2ccc1)=O Chemical compound [O-][N+](c1c(CCC2)c2ccc1)=O ZQABKMBXKCJTPM-UHFFFAOYSA-N 0.000 description 1
Classifications
-
- C—CHEMISTRY; METALLURGY
- C07—ORGANIC CHEMISTRY
- C07D—HETEROCYCLIC COMPOUNDS
- C07D213/00—Heterocyclic compounds containing six-membered rings, not condensed with other rings, with one nitrogen atom as the only ring hetero atom and three or more double bonds between ring members or between ring members and non-ring members
- C07D213/02—Heterocyclic compounds containing six-membered rings, not condensed with other rings, with one nitrogen atom as the only ring hetero atom and three or more double bonds between ring members or between ring members and non-ring members having three double bonds between ring members or between ring members and non-ring members
- C07D213/04—Heterocyclic compounds containing six-membered rings, not condensed with other rings, with one nitrogen atom as the only ring hetero atom and three or more double bonds between ring members or between ring members and non-ring members having three double bonds between ring members or between ring members and non-ring members having no bond between the ring nitrogen atom and a non-ring member or having only hydrogen or carbon atoms directly attached to the ring nitrogen atom
- C07D213/60—Heterocyclic compounds containing six-membered rings, not condensed with other rings, with one nitrogen atom as the only ring hetero atom and three or more double bonds between ring members or between ring members and non-ring members having three double bonds between ring members or between ring members and non-ring members having no bond between the ring nitrogen atom and a non-ring member or having only hydrogen or carbon atoms directly attached to the ring nitrogen atom with hetero atoms or with carbon atoms having three bonds to hetero atoms with at the most one bond to halogen, e.g. ester or nitrile radicals, directly attached to ring carbon atoms
- C07D213/78—Carbon atoms having three bonds to hetero atoms, with at the most one bond to halogen, e.g. ester or nitrile radicals
- C07D213/84—Nitriles
-
- C—CHEMISTRY; METALLURGY
- C07—ORGANIC CHEMISTRY
- C07C—ACYCLIC OR CARBOCYCLIC COMPOUNDS
- C07C311/00—Amides of sulfonic acids, i.e. compounds having singly-bound oxygen atoms of sulfo groups replaced by nitrogen atoms, not being part of nitro or nitroso groups
- C07C311/50—Compounds containing any of the groups, X being a hetero atom, Y being any atom
- C07C311/52—Y being a hetero atom
- C07C311/54—Y being a hetero atom either X or Y, but not both, being nitrogen atoms, e.g. N-sulfonylurea
- C07C311/55—Y being a hetero atom either X or Y, but not both, being nitrogen atoms, e.g. N-sulfonylurea having sulfur atoms of the sulfonylurea groups bound to acyclic carbon atoms
-
- C—CHEMISTRY; METALLURGY
- C07—ORGANIC CHEMISTRY
- C07D—HETEROCYCLIC COMPOUNDS
- C07D213/00—Heterocyclic compounds containing six-membered rings, not condensed with other rings, with one nitrogen atom as the only ring hetero atom and three or more double bonds between ring members or between ring members and non-ring members
- C07D213/02—Heterocyclic compounds containing six-membered rings, not condensed with other rings, with one nitrogen atom as the only ring hetero atom and three or more double bonds between ring members or between ring members and non-ring members having three double bonds between ring members or between ring members and non-ring members
- C07D213/04—Heterocyclic compounds containing six-membered rings, not condensed with other rings, with one nitrogen atom as the only ring hetero atom and three or more double bonds between ring members or between ring members and non-ring members having three double bonds between ring members or between ring members and non-ring members having no bond between the ring nitrogen atom and a non-ring member or having only hydrogen or carbon atoms directly attached to the ring nitrogen atom
- C07D213/24—Heterocyclic compounds containing six-membered rings, not condensed with other rings, with one nitrogen atom as the only ring hetero atom and three or more double bonds between ring members or between ring members and non-ring members having three double bonds between ring members or between ring members and non-ring members having no bond between the ring nitrogen atom and a non-ring member or having only hydrogen or carbon atoms directly attached to the ring nitrogen atom with substituted hydrocarbon radicals attached to ring carbon atoms
- C07D213/36—Radicals substituted by singly-bound nitrogen atoms
- C07D213/40—Acylated substituent nitrogen atom
-
- C—CHEMISTRY; METALLURGY
- C07—ORGANIC CHEMISTRY
- C07D—HETEROCYCLIC COMPOUNDS
- C07D213/00—Heterocyclic compounds containing six-membered rings, not condensed with other rings, with one nitrogen atom as the only ring hetero atom and three or more double bonds between ring members or between ring members and non-ring members
- C07D213/02—Heterocyclic compounds containing six-membered rings, not condensed with other rings, with one nitrogen atom as the only ring hetero atom and three or more double bonds between ring members or between ring members and non-ring members having three double bonds between ring members or between ring members and non-ring members
- C07D213/04—Heterocyclic compounds containing six-membered rings, not condensed with other rings, with one nitrogen atom as the only ring hetero atom and three or more double bonds between ring members or between ring members and non-ring members having three double bonds between ring members or between ring members and non-ring members having no bond between the ring nitrogen atom and a non-ring member or having only hydrogen or carbon atoms directly attached to the ring nitrogen atom
- C07D213/24—Heterocyclic compounds containing six-membered rings, not condensed with other rings, with one nitrogen atom as the only ring hetero atom and three or more double bonds between ring members or between ring members and non-ring members having three double bonds between ring members or between ring members and non-ring members having no bond between the ring nitrogen atom and a non-ring member or having only hydrogen or carbon atoms directly attached to the ring nitrogen atom with substituted hydrocarbon radicals attached to ring carbon atoms
- C07D213/44—Radicals substituted by doubly-bound oxygen, sulfur, or nitrogen atoms, or by two such atoms singly-bound to the same carbon atom
- C07D213/46—Oxygen atoms
-
- C—CHEMISTRY; METALLURGY
- C07—ORGANIC CHEMISTRY
- C07D—HETEROCYCLIC COMPOUNDS
- C07D213/00—Heterocyclic compounds containing six-membered rings, not condensed with other rings, with one nitrogen atom as the only ring hetero atom and three or more double bonds between ring members or between ring members and non-ring members
- C07D213/02—Heterocyclic compounds containing six-membered rings, not condensed with other rings, with one nitrogen atom as the only ring hetero atom and three or more double bonds between ring members or between ring members and non-ring members having three double bonds between ring members or between ring members and non-ring members
- C07D213/04—Heterocyclic compounds containing six-membered rings, not condensed with other rings, with one nitrogen atom as the only ring hetero atom and three or more double bonds between ring members or between ring members and non-ring members having three double bonds between ring members or between ring members and non-ring members having no bond between the ring nitrogen atom and a non-ring member or having only hydrogen or carbon atoms directly attached to the ring nitrogen atom
- C07D213/24—Heterocyclic compounds containing six-membered rings, not condensed with other rings, with one nitrogen atom as the only ring hetero atom and three or more double bonds between ring members or between ring members and non-ring members having three double bonds between ring members or between ring members and non-ring members having no bond between the ring nitrogen atom and a non-ring member or having only hydrogen or carbon atoms directly attached to the ring nitrogen atom with substituted hydrocarbon radicals attached to ring carbon atoms
- C07D213/44—Radicals substituted by doubly-bound oxygen, sulfur, or nitrogen atoms, or by two such atoms singly-bound to the same carbon atom
- C07D213/52—Sulfur atoms
-
- C—CHEMISTRY; METALLURGY
- C07—ORGANIC CHEMISTRY
- C07D—HETEROCYCLIC COMPOUNDS
- C07D213/00—Heterocyclic compounds containing six-membered rings, not condensed with other rings, with one nitrogen atom as the only ring hetero atom and three or more double bonds between ring members or between ring members and non-ring members
- C07D213/02—Heterocyclic compounds containing six-membered rings, not condensed with other rings, with one nitrogen atom as the only ring hetero atom and three or more double bonds between ring members or between ring members and non-ring members having three double bonds between ring members or between ring members and non-ring members
- C07D213/04—Heterocyclic compounds containing six-membered rings, not condensed with other rings, with one nitrogen atom as the only ring hetero atom and three or more double bonds between ring members or between ring members and non-ring members having three double bonds between ring members or between ring members and non-ring members having no bond between the ring nitrogen atom and a non-ring member or having only hydrogen or carbon atoms directly attached to the ring nitrogen atom
- C07D213/60—Heterocyclic compounds containing six-membered rings, not condensed with other rings, with one nitrogen atom as the only ring hetero atom and three or more double bonds between ring members or between ring members and non-ring members having three double bonds between ring members or between ring members and non-ring members having no bond between the ring nitrogen atom and a non-ring member or having only hydrogen or carbon atoms directly attached to the ring nitrogen atom with hetero atoms or with carbon atoms having three bonds to hetero atoms with at the most one bond to halogen, e.g. ester or nitrile radicals, directly attached to ring carbon atoms
- C07D213/62—Oxygen or sulfur atoms
- C07D213/63—One oxygen atom
- C07D213/64—One oxygen atom attached in position 2 or 6
-
- C—CHEMISTRY; METALLURGY
- C07—ORGANIC CHEMISTRY
- C07C—ACYCLIC OR CARBOCYCLIC COMPOUNDS
- C07C2603/00—Systems containing at least three condensed rings
- C07C2603/02—Ortho- or ortho- and peri-condensed systems
- C07C2603/04—Ortho- or ortho- and peri-condensed systems containing three rings
- C07C2603/06—Ortho- or ortho- and peri-condensed systems containing three rings containing at least one ring with less than six ring members
- C07C2603/10—Ortho- or ortho- and peri-condensed systems containing three rings containing at least one ring with less than six ring members containing five-membered rings
Definitions
- the present invention relates to sulfonylureas and sulfonylthioureas comprising a Ci- Ci 5 hydrocarbyl group attached to the sulfur atom of the sulfonylurea group and an a- substituted cyclic group attached to the nitrogen atom of the urea group, and to associated salts, solvates, prodrugs and pharmaceutical compositions.
- the present invention further relates to the use of such compounds in the treatment and prevention of medical disorders and diseases, most especially by NLRP3 inhibition.
- NLR NOD-like receptor
- NLRP3 pyrin domain-containing protein 3
- NLRP3 is an intracellular signalling molecule that senses many pathogen-derived, environmental and host-derived factors. Upon activation, NLRP3 binds to apoptosis- associated speck-like protein containing a caspase activation and recruitment domain (ASC). ASC then polymerises to form a large aggregate known as an ASC speck.
- ASC caspase activation and recruitment domain
- Polymerised ASC in turn interacts with the cysteine protease caspase-i to form a complex termed the inflammasome.
- caspase-i which cleaves the precursor forms of the proinflammatory cytokines IL- ⁇ and IL-18 (termed pro-IL- ⁇ and pro-IL-18 respectively) to thereby activate these cytokines.
- Caspase-i also mediates a type of inflammatory cell death known as pyroptosis.
- the ASC speck can also recruit and activate caspase-8, which can process pro-IL- ⁇ and pro-IL-18 and trigger apoptotic cell death.
- Caspase-i cleaves pro-IL- ⁇ and pro-IL-18 to their active forms, which are secreted from the cell. Active caspase-i also cleaves gasdermin-D to trigger pyroptosis. Through its control of the pyroptotic cell death pathway, caspase-i also mediates the release of alarmin molecules such as IL-33 and high mobility group box 1 protein (HMGBi). Caspase-i also cleaves intracellular IL-1R2 resulting in its degradation and allowing the release of IL-ioc. In human cells caspase-i may also control the processing and secretion of IL-37. A number of other caspase-i substrates such as components of the
- cytoskeleton and glycolysis pathway may contribute to caspase-i-dependent inflammation.
- NLRP3-dependent ASC specks are released into the extracellular environment where they can activate caspase-i, induce processing of caspase-i substrates and propagate inflammation.
- cytokines derived from NLRP3 inflammasome activation are important drivers of inflammation and interact with other cytokine pathways to shape the immune response to infection and injury.
- IL- ⁇ signalling induces the secretion of the pro-inflammatory cytokines IL-6 and TNF.
- IL- ⁇ and IL-18 synergise with IL-23 to induce IL-17 production by memory CD4 TI117 cells and by ⁇ T cells in the absence of T cell receptor engagement.
- IL-18 and IL-12 also synergise to induce IFN- ⁇ production from memory T cells and NK cells driving a Thi response.
- MFS Muckle-Wells syndrome
- NLRP3 autoinflammatory syndrome
- NOMID neonatal-onset multisystem inflammatory disease
- NLRP3 A role for NLRP3 in diseases of the central nervous system is emerging, and lung diseases have also been shown to be influenced by NLRP3. Furthermore, NLRP3 has a role in the development of liver disease, kidney disease and aging. Many of these associations were defined using Nlrp3 ⁇ / ⁇ mice, but there have also been insights into the specific activation of NLRP3 in these diseases. In type 2 diabetes mellitus (T2D), the deposition of islet amyloid polypeptide in the pancreas activates NLRP3 and IL- ⁇ signaling, resulting in cell death and inflammation.
- T2D type 2 diabetes mellitus
- Glyburide inhibits IL- ⁇ production at micromolar concentrations in response to the activation of NLRP3 but not NLRC4 or NLRPi.
- Other previously characterised weak NLRP3 inhibitors include parthenolide, 3,4-methylenedioxy ⁇ -nitrostyrene and dimethyl sulfoxide (DMSO), although these agents have limited potency and are nonspecific.
- NLRP3-related diseases include biologic agents that target IL-i. These are the recombinant IL-i receptor antagonist anakinra, the neutralizing IL- ⁇ antibody canakinumab and the soluble decoy IL-i receptor rilonacept. These approaches have proven successful in the treatment of CAPS, and these biologic agents have been used in clinical trials for other IL-i -associated diseases.
- Some diarylsulfonylurea-containing compounds have been identified as cytokine release inhibitory drugs (CRIDs) (Perregaux et ah; J. Pharmacol. Exp. Ther. 299, 187- 197, 2001).
- CRIDs are a class of diarylsulfonylurea-containing compounds that inhibit the post-translational processing of IL- ⁇ . Post-translational processing of IL- ⁇ is accompanied by activation of caspase-i and cell death. CRIDs arrest activated monocytes so that caspase-i remains inactive and plasma membrane latency is preserved.
- Certain sulfonylurea-containing compounds are also disclosed as inhibitors of NLRP3 (see for example, Baldwin et ah, J. Med. Chem., 59(5), 1691-1710, 2016; and WO 2016/131098 Ai, WO 2017/129897 Ai, WO 2017/140778 Ai, WO 2017/184604 Ai, WO 2017/184623 Ai, WO 2017/184624 Ai, WO 2018/015445 Ai and WO 2018/136890 Ai).
- a first aspect of the invention provides a compound of formula (I):
- R 1 is a saturated or unsaturated C1-C15 hydrocarbyl group, wherein the hydrocarbyl group may be straight-chained or branched, or be or include cyclic groups, wherein the hydrocarbyl group may optionally be substituted, and wherein the atom of R 1 which is attached to the sulfur atom of the sulfonylurea group is not a ring atom of a cyclic group; and
- R 2 is a cyclic group substituted at the a-position, wherein R 2 may optionally be further substituted.
- hydrocarbyl substituent group or a hydrocarbyl moiety in a substituent group only includes carbon and hydrogen atoms but, unless stated otherwise, does not include any heteroatoms, such as N, O or S, in its carbon skeleton.
- a hydrocarbyl group/ moiety may be saturated or unsaturated
- hydrocarbyl groups include alkyl, alkenyl, alkynyl, cycloalkyl, cycloalkenyl and aryl groups/moieties and combinations of all of these groups/moieties.
- a hydrocarbyl group is a C1-C12 hydrocarbyl group. More typically a hydrocarbyl group is a Ci-Cio hydrocarbyl group.
- a "hydrocarbylene" group is similarly defined as a divalent hydrocarbyl group.
- alkyl substituent group or an alkyl moiety in a substituent group may be straight- chained or branched.
- alkyl groups/moieties include methyl, ethyl, n- propyl, z ' -propyl, n-butyl, z-butyl, f-butyl and n-pentyl groups/moieties.
- alkyl does not include "cycloalkyl”.
- an alkyl group is a C1-C12 alkyl group. More typically an alkyl group is a Ci-Ce alkyl group.
- An "alkylene” group is similarly defined as a divalent alkyl group.
- alkenyl substituent group or an alkenyl moiety in a substituent group refers to an unsaturated alkyl group or moiety having one or more carbon-carbon double bonds.
- alkenyl groups/moieties include ethenyl, propenyl, l-butenyl, 2-butenyl, 1- pentenyl, l-hexenyl, 1,3-butadienyl, 1,3-pentadienyl, 1,4-pentadienyl and 1,4- hexadienyl groups/moieties. Unless stated otherwise, the term “alkenyl” does not include “cycloalkenyl".
- alkenyl group is a C2-C12 alkenyl group. More typically an alkenyl group is a C 2 -Ce alkenyl group.
- alkenylene is similarly defined as a divalent alkenyl group.
- alkynyl substituent group or an alkynyl moiety in a substituent group refers to an unsaturated alkyl group or moiety having one or more carbon-carbon triple bonds.
- alkynyl groups/moieties include ethynyl, propargyl, but-i-ynyl and but-2- ynyl.
- an alkynyl group is a C 2 -Ci 2 alkynyl group. More typically an alkynyl group is a C 2 -Ce alkynyl group.
- An "alkynylene” group is similarly defined as a divalent alkynyl group.
- a "cyclic" substituent group or a cyclic moiety in a substituent group refers to any hydrocarbyl ring, wherein the hydrocarbyl ring may be saturated or unsaturated
- cyclic groups include cycloalkyl, cycloalkenyl,
- a cyclic group may be monocyclic, bicyclic (e.g. bridged, fused or spiro), or polycyclic.
- a cyclic group is a 3- to 12-membered cyclic group, which means it contains from 3 to 12 ring atoms. More typically, a cyclic group is a 3- to 7-membered monocyclic group, which means it contains from 3 to 7 ring atoms.
- heterocyclic substituent group or a heterocyclic moiety in a substituent group refers to a cyclic group or moiety including one or more carbon atoms and one or more (such as one, two, three or four) heteroatoms, e.g. N, O or S, in the ring structure.
- heterocyclic groups include heteroaryl groups as discussed below and non-aromatic heterocyclic groups such as azetinyl, azetidinyl, oxetanyl, thietanyl, pyrrolidinyl, tetrahydrofuranyl, tetrahydrothiophenyl, pyrazolidinyl, imidazolidinyl, dioxolanyl, oxathiolanyl, piperidinyl, tetrahydropyranyl, thianyl, piperazinyl, dioxanyl,
- morpholinyl and thiomorpholinyl groups typically such as azetidinyl, azetinyl, tetrahydrofuranyl, pyrrolidinyl, tetrahydrothiophenyl, tetrahydropyranyl, piperidinyl, piperazinyl, morpholinyl and thiomorpholinyl groups.
- a "cycloalkyl" substituent group or a cycloalkyl moiety in a substituent group refers to a saturated hydrocarbyl ring containing, for example, from 3 to 7 carbon atoms, examples of which include cyclopropyl, cyclobutyl, cyclopentyl and cyclohexyl. Unless stated otherwise, a cycloalkyl substituent group or moiety may include monocyclic, bicyclic or polycyclic hydrocarbyl rings.
- a "cycloalkenyl" substituent group or a cycloalkenyl moiety in a substituent group refers to a non-aromatic unsaturated hydrocarbyl ring having one or more carbon- carbon double bonds and containing, for example, from 3 to 7 carbon atoms, examples of which include cyclopent-i-en-i-yl, cyclohex-i-en-i-yl and cyclohex-i,3-dien-i-yl.
- a cycloalkenyl substituent group or moiety may include monocyclic, bicyclic or polycyclic hydrocarbyl rings.
- aryl substituent group or an aryl moiety in a substituent group refers to an aromatic hydrocarbyl ring.
- aryl includes monocyclic aromatic hydrocarbons and polycyclic fused ring aromatic hydrocarbons wherein all of the fused ring systems (excluding any ring systems which are part of or formed by optional substituents) are aromatic. Examples of aryl groups/moieties include phenyl, naphthyl, anthracenyl and phenanthrenyl. Unless stated otherwise, the term “aryl” does not include “heteroaryl”.
- heteroaryl substituent group or a heteroaryl moiety in a substituent group refers to an aromatic heterocyclic group or moiety.
- heteroaryl includes monocyclic aromatic heterocycles and polycyclic fused ring aromatic heterocycles wherein all of the fused ring systems (excluding any ring systems which are part of or formed by optional substituents) are aromatic. Examples of heteroaryl groups/moieties include the following:
- G O, S or NH.
- arylalkyl arylalkenyl, arylalkynyl, alkylaryl, alkenylaryl or alkynylaryl
- the last mentioned moiety contains the atom by which the group is attached to the rest of the molecule.
- An example of an arylalkyl group is benzyl.
- each hydrogen atom may optionally be replaced by a group independently selected from halo; -CN; -N0 2 ; -N 3 ; -RP; -OH; -ORP; -R « -halo; -R a -CN; -R a -N0 2 ; -R a -N 3 ;
- each -R a - is independently selected from an alkylene, alkenylene or alkynylene group, wherein the alkylene, alkenylene or alkynylene group contains from l to 6 atoms in its backbone, wherein one or more carbon atoms in the backbone of the alkylene, alkenylene or alkynylene group may optionally be replaced by one or more heteroatoms N, O or S, wherein one or more -CH 2 - groups in the backbone of the alkylene, alkenylene or alkynylene group may optionally be replaced by one or more -N(0)(RP)- or -N + (RP) 2 - groups, and wherein the alkylene, alkenylene or alkynylene group may optionally be substituted with one or more halo and/or -RP groups; and wherein each -RP is independently selected from a Ci-Ce alkyl, C 2 -Ce alkenyl, C 2 -Ce alkyn
- each hydrogen atom may optionally be replaced by a group independently selected from halo; -CN; -N0 2 ; -N 3 ; -RP; -OH; -ORP; -SH; -SRP; -SORP; -S0 2 H; -S0 2 RP; -S0 2 NH 2 ; -S0 2 NHRP; -S0 2 N(RP) 2 ; -R a -SH; -R a -SRP; -R a -SORP; -R a -S0 2 H; -R a -S0 2 RP; -R a -S0 2 NH 2 ; -R a -S0 2 NHRP; -R a -S0 2 N(RP) 2 ; -NH 2 ; -NHRP; -NHRP; -N(RP) 2 ; -R a -NH 2 ;
- any two hydrogen atoms attached to the same or different atoms, within the same optionally substituted group or moiety, may optionally be replaced by a bridging substituent independently selected from -0-, -S-, -NH-, -N(RP)- or -R a -;
- each -R a - is independently selected from an alkylene, alkenylene or alkynylene group, wherein the alkylene, alkenylene or alkynylene group contains from l to 6 atoms in its backbone, wherein one or more carbon atoms in the backbone of the alkylene, alkenylene or alkynylene group may optionally be replaced by one or more heteroatoms N, O or S, and wherein the alkylene, alkenylene or alkynylene group may optionally be substituted with one or more halo and/or -RP groups; and
- each hydrogen atom may optionally be replaced by a group independently selected from halo; -CN; -N0 2 ; -N 3 ; -RP; -OH; -ORP; -SH; -SRP; -SORP; -S0 2 H; -S0 2 RP; -S0 2 NH 2 ; -S0 2 NHRP; -S0 2 N(RP) 2 ; -R°-SH; -R°-SRP; -R°-SORP; -R a -S0 2 H; -R°-S0 2 RP; -R°-S0 2 NH 2 ; -R°-S0 2 NHRP; -R°-S0 2 N(RP) 2 ; -NH 2 ; -NHRP; -N(RP) 2 ; -R°-NH 2 ;
- any two hydrogen atoms attached to the same or different atoms, within the same optionally substituted group or moiety, may optionally be replaced by a bridging substituent independently selected from -0-, -S-, -NH-, -N(RP)- or -R a -;
- each -R a - is independently selected from an alkylene, alkenylene or alkynylene group, wherein the alkylene, alkenylene or alkynylene group contains from l to 6 atoms in its backbone, wherein one or more carbon atoms in the backbone of the alkylene, alkenylene or alkynylene group may optionally be replaced by one or more heteroatoms N, O or S, and wherein the alkylene, alkenylene or alkynylene group may optionally be substituted with one or more halo and/or -RP groups; and
- each -RP is independently selected from a Ci-Ce alkyl, C 2 -Ce alkenyl,
- each hydrogen atom may optionally be replaced by a group independently selected from halo; -CN; -N0 2 ; -N 3 ; -RP; -OH; -ORP; -SH; -SRP; -SORP; -S0 2 H; -S0 2 RP; -S0 2 NH 2 ; -S0 2 NHRP; -S0 2 N(RP) 2 ; -R a -SH; -R a -SRP; -R a -SORP; -R a -S0 2 H; -R a -S0 2 RP; -R a -S0 2 NH 2 ; -R a -S0 2 NHRP; -R a -S0 2 N(RP) 2 ; -NH 2 ; -NHRP; -NHRP; -N(RP) 2 ; -R a -NH 2 ;
- any two hydrogen atoms attached to the same or different atoms, within the same optionally substituted group or moiety, may optionally be replaced by a bridging substituent independently selected from -0-, -S-, -NH-, -N(RP)- or -R a -;
- each -R a - is independently selected from an alkylene, alkenylene or alkynylene group, wherein the alkylene, alkenylene or alkynylene group contains from l to 6 atoms in its backbone, wherein one or more carbon atoms in the backbone of the alkylene, alkenylene or alkynylene group may optionally be replaced by one or more heteroatoms N, O or S, and wherein the alkylene, alkenylene or alkynylene group may optionally be substituted with one or more halo and/or -RP groups; and
- each -RP is independently selected from a Ci-Ce alkyl, C 2 -Ce alkenyl, C 2 -Ce alkynyl or C 2 -Ce cyclic group, and wherein any -RP may optionally be substituted with one or more Ci-C 4 alkyl or halo groups.
- a substituted group comprises l, 2, 3 or 4 substituents, more typically 1, 2 or 3 substituents, more typically 1 or 2 substituents, and more typically 1 substituent.
- any divalent bridging substituent e.g. -0-, -S-, -NH-, -N(RP)-, -N(0)(RP)-, -N + (RP) 2 - or -R a -
- an optionally substituted group or moiety e.g. R 1
- R 2 a second group or moiety
- halo includes fluoro, chloro, bromo and iodo.
- halo such as a haloalkyl or halomethyl group
- the group in question is substituted with one or more halo groups independently selected from fluoro, chloro, bromo and iodo.
- the maximum number of halo substituents is limited only by the number of hydrogen atoms available for substitution on the corresponding group without the halo prefix.
- a halomethyl group may contain one, two or three halo substituents.
- a haloethyl or halophenyl group may contain one, two, three, four or five halo substituents.
- fluoromethyl refers to a methyl group substituted with one, two or three fluoro groups.
- halo-substituted Unless stated otherwise, where a group is said to be "halo-substituted", it is to be understood that the group in question is substituted with one or more halo groups independently selected from fluoro, chloro, bromo and iodo. Typically, the maximum number of halo substituents is limited only by the number of hydrogen atoms available for substitution on the group said to be halo-substituted. For example, a halo- substituted methyl group may contain one, two or three halo substituents. A halo- substituted ethyl or halo-substituted phenyl group may contain one, two, three, four or five halo substituents.
- any reference to an element is to be considered a reference to all isotopes of that element.
- any reference to hydrogen is considered to encompass all isotopes of hydrogen including deuterium and tritium.
- -CH 2 - is replaced by -NH-, -O- or -S-;
- -CH 3 is replaced by -NH 2 , -OH or -SH;
- the resultant group comprises at least one carbon atom.
- methoxy, dimethylamino and aminoethyl groups are considered to be hydrocarbyl groups including one or more heteroatoms N, O or S in their carbon skeleton.
- a C x -C y group is defined as a group containing from x to y carbon atoms.
- a C1-C4 alkyl group is defined as an alkyl group containing from 1 to 4 carbon atoms.
- Optional substituents and moieties are not taken into account when calculating the total number of carbon atoms in the parent group substituted with the optional substituents and/or containing the optional moieties.
- replacement heteroatoms e.g. N, O or S, are counted as carbon atoms when calculating the number of carbon atoms in a C x -C y group.
- a morpholinyl group is to be considered a Ce heterocyclic group, not a C 4 heterocyclic group.
- first atom or group is "directly attached" to a second atom or group it is to be understood that the first atom or group is covalently bonded to the second atom or group with no intervening atom(s) or groups being present. So, for example, for the group
- R 1 is a saturated or unsaturated C1-C15 hydrocarbyl group.
- the atom of R 1 which is attached to the sulfur atom of the sulfonylurea group is a carbon atom.
- R 1 is a saturated or unsaturated C1-C15 hydrocarbyl group, wherein the hydrocarbyl group may optionally be substituted.
- R 1 is a saturated or unsaturated C1-C12 hydrocarbyl group, wherein the hydrocarbyl group may optionally be substituted.
- R 1 is a saturated or unsaturated C1-C10 hydrocarbyl group, wherein the hydrocarbyl group may optionally be substituted.
- R 1 is a saturated or unsaturated C1-C9 hydrocarbyl group, wherein the hydrocarbyl group may optionally be substituted.
- R 1 is a saturated or unsaturated Ci-Cs hydrocarbyl group, wherein the hydrocarbyl group may optionally be substituted.
- R 1 is a saturated or unsaturated d-C 7 hydrocarbyl group, wherein the hydrocarbyl group may optionally be substituted.
- R 1 is a branched C 3 -Ci 5 alkyl group, wherein the alkyl group may optionally be substituted. In one embodiment, R 1 is a branched C3-C12 alkyl group, wherein the alkyl group may optionally be substituted. In another embodiment, R 1 is a branched C3-C10 alkyl group, wherein the alkyl group may optionally be substituted. In another embodiment, R 1 is a branched C 3 -C 9 alkyl group, wherein the alkyl group may optionally be substituted. In another embodiment, R 1 is a branched C 3 -Cs alkyl group, wherein the alkyl group may optionally be substituted.
- R 1 is a branched C 3 -C 7 alkyl group, wherein the alkyl group may optionally be substituted.
- R 1 may be an isopropyl, sec-butyl, isobutyl or ferf -butyl group, all of which may be unsubstituted or optionally substituted.
- R 1 is a straight-chained C 2 -Ci 5 alkenyl group, wherein any hydrogen atom directly attached to a sp 3 hybridised carbon atom of the alkenyl group may optionally be substituted.
- R 1 is a straight-chained C2-C12 alkenyl group, wherein any hydrogen atom directly attached to a sp 3 hybridised carbon atom of the alkenyl group may optionally be substituted.
- R 1 is a straight-chained C 2 -Cio alkenyl group, wherein any hydrogen atom directly attached to a sp 3 hybridised carbon atom of the alkenyl group may optionally be substituted.
- R 1 is a straight-chained C 2 -C 9 alkenyl group, wherein any hydrogen atom directly attached to a sp 3 hybridised carbon atom of the alkenyl group may optionally be substituted.
- R 1 is a straight-chained C 2 -Cs alkenyl group, wherein any hydrogen atom directly attached to a sp 3 hybridised carbon atom of the alkenyl group may optionally be substituted.
- R 1 is a straight-chained C 2 -C 7 alkenyl group, wherein any hydrogen atom directly attached to a sp 3 hybridised carbon atom of the alkenyl group may optionally be substituted.
- R 1 may be a straight-chained ethenyl, propenyl, l-butenyl, 2-butenyl, 1- pentenyl, l-hexenyl, 1,3-butadienyl, 1,3-pentadienyl, 1,4-pentadienyl or 1,4-hexadienyl group, all of which may be unsubstituted or, where possible, optionally substituted at a sps carbon atom.
- -R 1 is -(CH 2 ) n R 3 , wherein n is 1, 2 or 3, and R 3 is a branched or cyclic Ci-C(i 5 -n) hydrocarbyl group, wherein the hydrocarbyl group may optionally be substituted.
- R 3 is a branched or cyclic Ci-C(i 2 n ) hydrocarbyl group, wherein the hydrocarbyl group may optionally be substituted.
- R 3 is a branched or cyclic Ci-Qio-n) hydrocarbyl group, wherein the hydrocarbyl group may optionally be substituted.
- R 3 is a branched or cyclic Ci-C( 9-n ) hydrocarbyl group, wherein the hydrocarbyl group may optionally be substituted. In one embodiment, R 3 is a branched or cyclic Ci- s-n) hydrocarbyl group, wherein the hydrocarbyl group may optionally be substituted. In one embodiment, R 3 is a branched or cyclic Ci-C( 7-n ) hydrocarbyl group, wherein the hydrocarbyl group may optionally be substituted.
- -R 1 is -(CHR 4 ) n R 3 ; wherein n is 1, 2 or 3; R 4 is independently selected from hydrogen, methyl or ethyl; and R 3 is a branched or cyclic Ci-C(i 2 n ) hydrocarbyl group, wherein the hydrocarbyl group may optionally be substituted with one, two or three substituents independently selected from halo, C1-C4 haloalkyl, -CN, -N 3 , -NO2, -OH, -SR 8 , -SOR 8 , -S0 2 R 8 , -S0 2 N(R 8 ) 2 , -NH 2 , -COR 8 , -COOR 8 or -OCOR 8 , wherein each -R 8 is independently selected from hydrogen or a C 1 -C4 alkyl, C 2 -C 4 alkenyl, C 2 -C 4 alkynyl, C 1 -C4
- -R 1 is -(CHR 4 ) n R 3 ; wherein n is 1, 2 or 3; R 4 is
- R 3 is a branched or cyclic Ci-C(io-n) hydrocarbyl group, wherein the hydrocarbyl group may optionally be substituted with one, two or three substituents independently selected from halo, C1-C4 haloalkyl, -CN, -N 3 , -SR 8 , -SOR 8 , -S0 2 R 8 or -S0 2 N(R 8 ) 2 , wherein each -R 8 is
- -R 1 is -(CHR 4 ) n R 3 ; wherein n is 1, 2 or 3; R 4 is independently selected from hydrogen, methyl or ethyl; and R 3 is phenyl optionally substituted with one, two or three substituents independently selected from halo, C1-C4 alkyl, C1-C4 haloalkyl, -CN, -N 3 , -N0 2 , -OR 8 , -SR 8 , -SOR 8 , -S0 2 R 8 , -S0 2 N(R 8 ) 2 , -NH 2 , -COR 8 , -COOR 8 or -OCOR 8 , wherein each -R 8 is independently selected from hydrogen or a C1-C4 alkyl, C 2 -C 4 alkenyl, C 2 -C 4 alkynyl, C1-C4 haloalkyl or C 3 -C 7 cycloal
- -R 1 is -(C(R 4 ) 2 ) n R 3 ; wherein n is 1, 2 or 3; each R 4 is independently selected from hydrogen, halo, methyl, halomethyl, ethyl or haloethyl; and R 3 is a cyclic C3-C 1 4 hydrocarbyl group, wherein the cyclic hydrocarbyl group may optionally be halo substituted and/or may optionally be substituted with one, two or three substituents independently selected from &-C 4 alkyl, &-C 4 haloalkyl, -CN, -N 3 , -N0 2 , -OR 8 , -SR 8 , -SOR 8 , -S0 2 R 8 , -S0 2 N(R 8 ) 2 , -N(R 8 ) 2 , -COR 8 , -COOR 8 or -OCOR 8 , wherein each -R 8 is independently selected
- -R 1 is -(C(R 4 ) 2 ) n R 3 ; wherein n is 1, 2 or 3; each R 4 is independently selected from hydrogen, halo, methyl, halomethyl, ethyl or haloethyl; and R 3 is a monocyclic C 3 -C 7 hydrocarbyl group, wherein the monocyclic hydrocarbyl group may optionally be halo substituted and/or may optionally be substituted with one, two or three substituents independently selected from C1-C4 alkyl, C1-C4 haloalkyl, -CN, -N 3 , -NO2, -OR 8 , -N(R 8 ) 2 , -COR 8 , -COOR 8 or -OCOR 8 , wherein each -R 8 is independently selected from hydrogen or a C 1 -C4 alkyl, C 1 -C4 haloalkyl, C 3 -C 7 cycl
- -R 1 is -(C(R 4 ) 2 ) n R 3 ; wherein n is 1, 2 or 3; each R 4 is independently selected from hydrogen, halo, methyl, halomethyl, ethyl or haloethyl; and R 3 is a phenyl group, wherein the phenyl group may optionally be halo substituted and/or may optionally be substituted with one, two or three substituents independently selected from C1-C4 alkyl, C1-C4 haloalkyl, -CN, -N0 2 , -OR 8 , -N(R 8 ) 2 , -COR 8 , -COOR 8 or -OCOR 8 , wherein each -R 8 is independently selected from hydrogen or a C 1 -C4 alkyl, C 1 -C4 haloalkyl, C 3 -C 7 cycloalkyl or C 3 -C 7 halocycloalkyl
- -R 1 is -(C(R 4 ) 2 ) n R 3 ; wherein n is 1 or 2; each R 4 is independently selected from hydrogen, halo, methyl or halomethyl; and R 3 is a phenyl group, wherein the phenyl group may optionally be halo substituted and/or may optionally be substituted with one or two substituents independently selected from C1-C3 alkyl, d-C 3 haloalkyl, -CN, -OR 8 , -COR 8 , or -COOR 8 , wherein each -R 8 is independently selected from hydrogen or a C1-C3 alkyl, C1-C3 haloalkyl, cyclopropyl or halocyclopropyl group, and wherein the group -R 1 including any optional substituents contains from 7 to 12 carbon atoms.
- R 1 is substituted with one or more substituents independently selected from halo, d-C 4 haloalkyl, -CN, -N 3 , -N0 2 , -OH, -SR 8 , -SOR 8 , -S0 2 R 8 , -S0 2 N(R 8 ) 2 , -NH 2 , -COR 8 , -COOR 8 or -OCOR 8 ; wherein each -R 8 is independently selected from hydrogen or a C1-C4 alkyl, C 2 -C 4 alkenyl, C 2 -C 4 alkynyl, C1-C4 haloalkyl or C 3 -C 7 cycloalkyl group.
- R 1 may be a saturated or unsaturated C1-C12 or C1-C10 or C1-C9 or Ci-Ce or Ci-C 7 or Ci-Ce or C1-C5 or C1-C4 hydrocarbyl group.
- R 1 is substituted with one or more substituents independently selected from halo, -CN, -N0 2 , -OH, -SR 8 , -SOR 8 , -S0 2 R 8 , -S0 2 N(R 8 ) 2 , -NH 2 , -COR 8 , -COOR 8 or -OCOR 8 ; wherein each -R 8 is independently selected from hydrogen or a C 1 -C4 alkyl, C 2 -C 4 alkenyl, C 2 -C 4 alkynyl, C 1 -C4 haloalkyl or C 3 -C 7 cycloalkyl group.
- R 1 may be a saturated or unsaturated C1-C12 or C1-C10 or C1-C9 or Ci-Ce or Ci-C 7 or Ci-Ce or C1-C5 or C1-C4 hydrocarbyl group.
- R 1 is substituted with one or more substituents independently selected from halo, d-C 4 haloalkyl, -CN, -N 3 , -SR 8 , -SOR 8 , -S0 2 R 8 or -S0 2 N(R 8 ) 2 ;
- each -R 8 is independently selected from hydrogen or a C 1 -C4 alkyl, C 2 -C 4 alkenyl, C 2 -C 4 alkynyl, C 1 -C4 haloalkyl or C 3 -C 7 cycloalkyl group.
- R 1 may be a saturated or unsaturated C1-C12 or C1-C10 or C1-C9 or Ci-Cs or Ci-C 7 or Ci-Ce or C1-C5 or C1-C4 hydrocarbyl group.
- R 1 is substituted with one or more substituents independently selected from halo, -CN, -SR 8 , -SOR 8 , -S0 2 R 8 or -S0 2 N(R 8 ) 2 ; wherein each -R 8 is independently selected from hydrogen or a C 1 -C4 alkyl, C 2 -C 4 alkenyl, C 2 -C 4 alkynyl, C1-C4 haloalkyl or C 3 -C 7 cycloalkyl group.
- R 1 may be a saturated or unsaturated C1-C12 or C1-C10 or C1-C9 or Ci-Ce or Ci-C 7 or Ci-Ce or C1-C5 or C1-C4 hydrocarbyl group.
- R 1 is substituted with one or more substituents independently selected from -CN, -N 3 , -SR 8 , -SOR 8 , -S0 2 R 8 or -S0 2 N(R 8 ) 2 ; wherein each -R 8 is independently selected from hydrogen or a C 1 -C4 alkyl, C 2 -C 4 alkenyl, C 2 -C 4 alkynyl, C1-C4 haloalkyl or C 3 -C 7 cycloalkyl group.
- R 1 may be a saturated or unsaturated C1-C12 or C1-C10 or C1-C9 or Ci-Ce or Ci-C 7 or Ci-Ce or C1-C5 or C1-C4 hydrocarbyl group.
- R 1 is substituted with one or more substituents independently selected from -CN, -SR 8 , -SOR 8 , -S0 2 R 8 or -S0 2 N(R 8 ) 2 ; wherein each -R 8 is
- R 1 independently selected from hydrogen or a C 1 -C4 alkyl, C 2 -C 4 alkenyl, C 2 -C 4 alkynyl, C1-C4 haloalkyl or C 3 -C 7 cycloalkyl group.
- R 1 may be a saturated or unsaturated C1-C12 or C1-C10 or C1-C9 or Ci-Ce or Ci-C 7 or Ci-Ce or C1-C5 or C1-C4 hydrocarbyl group.
- R 1 is substituted with one or more substituents independently selected from halo, C1-C4 haloalkyl, -CN or -N 3 .
- R 1 may be a saturated or unsaturated C1-C12 or C1-C10 or C1-C9 or Ci-Cs or Ci-C 7 or Ci-Ce or C1-C5 or C1-C4 hydrocarbyl group.
- R 1 is substituted with one or more substituents independently selected from halo or -CN. With such substituents, R 1 may be a saturated or
- R 1 is a C1-C15 hydrocarbyl group, wherein the hydrocarbyl group is substituted with one or more substituents independently selected from halo, -CN, -N 3 , -NO2, -OR 8 , -SR 8 , -SOR 8 , -S0 2 R 8 , -S0 2 N(R 8 ) 2 , -N(R 8 ) 2 , -COR 8 , -COOR 8 or -OCOR 8 ; wherein each -R 8 is independently selected from hydrogen or a C 1 -C4 alkyl, C 2 -C 4 alkenyl, C 2 -C 4 alkynyl, or C 3 -C 7 cycloalkyl group, all of which may optionally be halo substituted.
- R 1 is a straight-chained or branched Ci- C12 hydrocarbyl group, wherein the hydrocarbyl group is substituted with one or more substituents independently selected from halo, -CN, -N 3 , -N0 2 , -OR 8 , -N(R 8 ) 2 , -COR 8 , -COOR 8 or -OCOR 8 ; wherein each -R 8 is independently selected from hydrogen or a C1-C4 alkyl, C 2 -C 4 alkenyl, C 2 -C 4 alkynyl, or C 3 -C 7 cycloalkyl group, all of which may optionally be halo substituted.
- R 1 is a Ci-Ce alkyl or C 2 -Ce alkenyl group, wherein the alkyl or alkenyl group is halo substituted and/or is substituted with one, two or three substituents independently selected from -CN, -N 3 , -NO2, -OR 8 , -N(R 8 ) 2 , -COR 8 or -COOR 8 , wherein each -R 8 is independently selected from hydrogen or a C 1 -C4 alkyl, C 1 -C4 haloalkyl, C 3 -C 7 cycloalkyl or C 3 -C 7 halocycloalkyl group.
- R 1 is a Ci-Ce alkyl group, wherein the alkyl group is halo substituted and/or is substituted with one, two or three substituents independently selected from -CN, -N 3 or -OR 8 , wherein each -R 8 is independently selected from hydrogen or a C1-C3 alkyl, C1-C3 haloalkyl, cyclopropyl or halocyclopropyl group.
- R 1 contains from 1 to 25 atoms other than hydrogen. More typically, R 1 contains from 1 to 20 atoms other than hydrogen. More typically, R 1 contains from 1 to 15 atoms other than hydrogen. More typically, R 1 contains from 1 to 12 atoms other than hydrogen. More typically, R 1 contains from 1 to 10 atoms other than hydrogen. More typically, R 1 contains from 1 to 7 atoms other than hydrogen.
- R 2 is a cyclic group substituted at the a-position, wherein R 2 may optionally be further substituted. For the avoidance of doubt, it is noted that it is a ring atom of the cyclic group of R 2 that is directly attached to the nitrogen atom of the urea or thiourea group, not any substituent.
- ⁇ , ⁇ , ⁇ ', ⁇ ' refers to the position of the atoms of a cyclic group, such as -R 2 , relative to the point of attachment of the cyclic group to the remainder of the molecule.
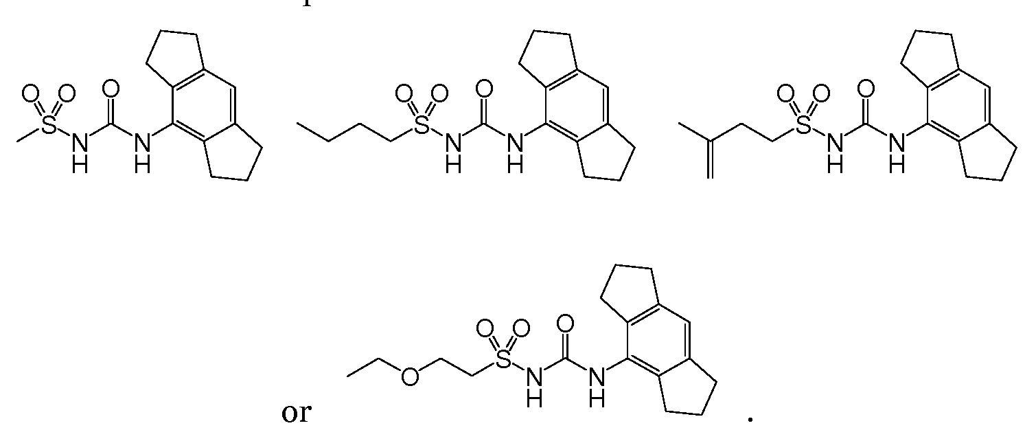
- -R 2 is a 1,2,3,5,6,7-hexahydro-s- indacen-4-yl moiety
- ⁇ , ⁇ , a' and ⁇ ' positions are as follows:
- a cyclic group such as an aryl or a heteroaryl group
- one or more hydrogen atoms at the a and/or a' positions respectively are replaced by one or more substituents, such as any optional substituent as defined above.
- substituents such as any optional substituent as defined above.
- the term 'substituted' does not include the replacement of one or more ring carbon atoms by one or more ring heteroatoms.
- R 2 is an aryl or a heteroaryl group, wherein the aryl or the heteroaryl group is substituted at the ⁇ -position, and wherein R 2 may optionally be further substituted.
- R 2 is a phenyl or a 5- or 6- membered heteroaryl group, wherein the phenyl or the heteroaryl group is substituted at the ⁇ -position, and wherein R 2 may optionally be further substituted.
- R 2 is an aryl or a heteroaryl group, wherein the aryl or the heteroaryl group is substituted at the a and a' positions, and wherein R 2 may optionally be further substituted.
- R 2 is a phenyl or a 5- or 6-membered heteroaryl group, wherein the phenyl or the heteroaryl group is substituted at the a and a' positions, and wherein R 2 may optionally be further substituted.
- R 2 may be a phenyl group substituted at the 2- and 6-positions or a phenyl group substituted at the 2-, 4- and 6-positions.
- the parent phenyl or 5- or 6-membered heteroaryl group of R 2 may be selected from phenyl, pyridinyl (such as pyridin-3-yl or pyridin-4-yl), pyridazinyl, pyrimidinyl (such as pyrimidin-2-yl or pyrimidin-5-yl), pyrazinyl, pyrrolyl, furanyl, thiophenyl, pyrazolyl (such as pyrazol-i-yl, pyrazol-3-yl or pyrazol-4-yl), imidazolyl, oxazolyl, isoxazolyl, thiazolyl, isothiazolyl, triazolyl or oxadiazolyl.
- pyridinyl such as pyridin-3-yl or pyridin-4-yl
- pyridazinyl such as pyrimidin-2-yl or pyrimidin-5-yl
- the parent phenyl or 5- or 6-membered heteroaryl group of R 2 may be selected from phenyl, pyridinyl (such as pyridin-3-yl or pyridin-4-yl), pyridazinyl, pyrimidinyl (such as pyrimidin-2-yl or pyrimidin-5-yl), pyrrolyl, pyrazolyl (such as pyrazol-i-yl, pyrazol-3-yl or pyrazol-4-yl), imidazolyl or triazolyl.
- pyridinyl such as pyridin-3-yl or pyridin-4-yl
- pyridazinyl such as pyrimidin-2-yl or pyrimidin-5-yl
- pyrrolyl such as pyrazolyl (such as pyrazol-i-yl, pyrazol-3-yl or pyrazol-4-yl), imidazolyl or triazo
- the parent phenyl or 5- or 6- membered heteroaryl group of R 2 may be selected from phenyl, pyridinyl (such as pyridin-3-yl or pyridin-4-yl), pyridazinyl or pyrimidinyl (such as pyrimidin-2-yl or pyrimidin-5-yl).
- R 2 is a cyclic group substituted at the a and a' positions, wherein R 2 may optionally be further substituted.
- R 2 may be a cycloalkyl, cycloalkenyl or non-aromatic heterocyclic group substituted at the a and a' positions.
- typical substituents at the a and/or a' positions of the parent cyclic group of R 2 comprise a carbon atom.
- typical substituents at the a and/or a' positions of the parent cyclic group of R 2 may be independently selected from -RY, -ORY or -CORY groups, wherein each RY is independently selected from a Ci-Ce alkyl, C 2 -Ce alkenyl, C 2 -Ce alkynyl or C 2 -Ce cyclic group and wherein each RY is optionally further substituted with one or more halo groups.
- the substituents at the a and/or a' positions are independently selected from alkyl or cycloalkyl groups, such as C 3 -Ce branched alkyl and C 3 -Ce cycloalkyl groups, e.g.
- each substituent at the a and a' positions comprises a carbon atom.
- Other typical substituents at the a and/or a' positions of the parent cyclic group of R 2 may include cycloalkyl, cycloalkenyl, non-aromatic heterocyclic, aryl or heteroaryl rings which are fused to the parent cyclic group across the ⁇ , ⁇ and/or ⁇ ', ⁇ ' positions respectively. Such fused cyclic groups are described in greater detail below.
- R 2 is a fused aryl or a fused heteroaryl group, wherein the aryl or heteroaryl group is fused to one or more cycloalkyl, cycloalkenyl, non-aromatic heterocyclic, aryl or heteroaryl rings, wherein R 2 may optionally be further substituted.
- a cycloalkyl, cycloalkenyl, non-aromatic heterocyclic, aryl or heteroaryl ring is fused to the aryl or heteroaryl group across the ⁇ , ⁇ positions.
- the aryl or heteroaryl group is also substituted at the a' position, for example with a substituent selected from -R 9 , -OR 9 and -COR 9 , wherein each R 9 is independently selected from a Ci-Ce alkyl, C 2 -Ce alkenyl, C 2 -Ce alkynyl or C 2 -Ce cyclic group and wherein each R 9 is optionally further substituted with one or more halo groups.
- R 2 is bicyclic or tricyclic.
- R 2 is a fused phenyl or a fused 5- or 6-membered heteroaryl group, wherein the phenyl or the 5- or 6-membered heteroaryl group is fused to one or more cycloalkyl, cycloalkenyl, non-aromatic heterocyclic, aryl or heteroaryl rings, wherein R 2 may optionally be further substituted.
- a cycloalkyl, cycloalkenyl, non- aromatic heterocyclic, aryl or heteroaryl ring is fused to the phenyl or the 5- or 6- membered heteroaryl group across the ⁇ , ⁇ positions so as to form a 4- to 6-membered fused ring structure.
- the phenyl or the 5- or 6-membered heteroaryl group is also substituted at the a' position, for example with a substituent selected from -R 9 , -OR 9 and -COR 9 , wherein each R 9 is independently selected from a Ci-Ce alkyl, C 2 -Ce alkenyl, C 2 -Ce alkynyl or C 2 -Ce cyclic group and wherein each R 9 is optionally further substituted with one or more halo groups.
- R 2 is bicyclic or tricyclic.
- R 2 is a fused aryl or a fused heteroaryl group, wherein the aryl or heteroaryl group is fused to two or more independently selected cycloalkyl, cycloalkenyl, non-aromatic heterocyclic, aryl or heteroaryl rings, wherein R 2 may optionally be further substituted.
- the two or more cycloalkyl, cycloalkenyl, non-aromatic heterocyclic, aryl or heteroaryl rings are each ortho-fused to the aryl or heteroaryl group, i.e.
- each fused cycloalkyl, cycloalkenyl, non-aromatic heterocyclic, aryl or heteroaryl ring has only two atoms and one bond in common with the aryl or heteroaryl group.
- R 2 is tricyclic.
- R 2 is a fused aryl or a fused heteroaryl group, wherein a first cycloalkyl, cycloalkenyl, non-aromatic heterocyclic, aryl or heteroaryl ring is fused to the aryl or heteroaryl group across the ⁇ , ⁇ positions and a second cycloalkyl, cycloalkenyl, non-aromatic heterocyclic, aryl or heteroaryl ring is fused to the aryl or heteroaryl group across the ⁇ ', ⁇ ' positions, wherein R 2 may optionally be further substituted.
- R 2 is tricyclic.
- R 2 is a fused phenyl or a fused 5- or 6-membered heteroaryl group, wherein a first cycloalkyl, cycloalkenyl, non-aromatic heterocyclic, aryl or heteroaryl ring is fused to the phenyl or the 5- or 6-membered heteroaryl group across the ⁇ , ⁇ positions so as to form a first 4- to 6-membered fused ring structure, and a second cycloalkyl, cycloalkenyl, non-aromatic heterocyclic, aryl or heteroaryl ring is fused to the phenyl or the 5- or 6-membered heteroaryl group across the ⁇ ', ⁇ ' positions so as to form a second 4- to 6-membered fused ring structure, wherein R 2 may optionally be further substituted.
- R 2 is tricyclic.
- -R 2 has a formula selected from:
- a 1 and A 2 are each independently selected from an optionally substituted alkylene or alkenylene group, wherein one or more carbon atoms in the backbone of the alkylene or alkenylene group may optionally be replaced by one or more heteroatoms N, O or S;
- each R a is independently selected from -R aa , -OR aa or -COR aa ;
- each R b is independently selected from hydrogen, halo, -N0 2 , -CN, -R aa , -OR aa or -COR aa ;
- any R a or R b that is directly attached to a ring nitrogen atom is not halo, -NO2, -CN or -OR aa ;
- each R c is independently selected from hydrogen, halo, -OH, -N0 2 , -CN, -R ffi , -OR cc , -COR ⁇ , -COOR ⁇ , -C0NH 2 , -CONHR cc or -C0N(R cc ) 2 ;
- each R aa is independently selected from a Ci-Ce alkyl, C 2 -Ce alkenyl, C 2 -Ce alkynyl or a 3- to 7-membered cyclic group, wherein each R aa is optionally substituted; and each R cc is independently selected from a Ci-Ce alkyl, C 2 -Ce alkenyl, C 2 -Ce alkynyl or a 3- to 7-membered cyclic group, or any two R 00 attached to the same nitrogen atom may, together with the nitrogen atom to which they are attached, form a 3- to 7-membered heterocyclic group, wherein each R cc is optionally substituted.
- any ring containing A 1 or A 2 is a 5- or 6-membered ring.
- a 1 and A 2 are each independently selected from an optionally substituted straight-chained alkylene group or an optionally substituted straight-chained alkenylene group, wherein one or two carbon atoms in the backbone of the alkylene or alkenylene group may optionally be replaced by one or two heteroatoms independently selected from nitrogen and oxygen. More typically, A 1 and A 2 are each independently selected from an optionally substituted straight-chained alkylene group, wherein one carbon atom in the backbone of the alkylene group may optionally be replaced by an oxygen atom.
- a 1 and A 2 are unsubstituted or substituted with one or more substituents independently selected from halo, -OH, -CN, -N0 2 , C1-C4 alkyl, C1-C4 haloalkyl, -0(Ci-C 4 alkyl) or -0(d-C 4 haloalkyl). More typically, A 1 and A 2 are unsubstituted or substituted with one or more fluoro and/or chloro groups. Where R 2 contains both A 1 and A 2 groups, A 1 and A 2 may be the same or different. Typically, A 1 and A 2 are the same.
- R aa is a substituted Ci-Ce alkyl, C 2 -Ce alkenyl or C 2 -Ce alkynyl group, typically the Ci-Ce alkyl, C 2 -Ce alkenyl or C 2 -Ce alkynyl group is substituted with one or more (e.g. one or two) substituents independently selected from halo, -OH, -CN, -N0 2 ,
- R aa is a substituted 3- to 7-membered cyclic group
- typically the 3- to 7- membered cyclic group is substituted with one or more (e.g. one or two) substituents independently selected from halo, -OH, -NH 2 , -CN, -N0 2 , -B 1 , -OB 1 , -NHB 1 , -N(B 1 ) 2 , -C0NH 2 , -CONHB 1 , -CONfB 1 )., -NHCOB 1 , -NB ⁇ OB 1 , or -B 11 -;
- each B 1 is independently selected from a C1-C4 alkyl, C 2 -C 4 alkenyl, C 2 -C 4 alkynyl, C 3 -Ce cycloalkyl or phenyl group, or a 4- to 6-membered heterocyclic group containing one or two ring heteroatoms N and/or O, or two B 1 together with the nitrogen atom to which they are attached may form a 4- to 6-membered heterocyclic group containing one or two ring heteroatoms N and/ or O, wherein any B 1 may optionally be halo-substituted and/or substituted with one or two substituents independently selected from -OH, -NH 2 , -OB 12 , -NHB 12 or -N(B 12 ) 2 ;
- each B 11 is independently selected from a Ci-Ce alkylene or C 2 -Cs alkenylene group, wherein one or two carbon atoms in the backbone of the alkylene or alkenylene group may optionally be replaced by one or two heteroatoms N and/ or O, and wherein the alkylene or alkenylene group may optionally be halo-substituted and/or substituted with one or two substituents independently selected from -OH, -NH 2 , -OB 12 , -NHB 12 or -N(B 12 ) 2 ; and
- each B 12 is independently selected from a C1-C3 alkyl or C1-C3 haloalkyl group.
- any divalent group -B 11 - forms a 4- to 6-membered fused ring.
- each R a is -R aa . More typically, each R a is independently selected from a Ci-Ce alkyl (in particular C 3 -Ce branched alkyl) or C 3 -Ce cycloalkyl group, wherein each R a is optionally further substituted with one or more halo groups. More typically, each R a is independently selected from a C1-C4 alkyl, C1-C4 haloalkyl, C 3 -C 4 cycloalkyl or C 3 -C 4 halocycloalkyl group. Where a group R a is present at both the a- and a'-positions, each R a may be the same or different. Typically, each R a is the same.
- each R b is independently selected from hydrogen or halo. More typically, each R b is hydrogen.
- each R c is independently selected from hydrogen, halo, -OH, -N0 2 , -CN, -R 00 or -OR cc . More typically, each R c is independently selected from hydrogen, halo, -CN, C1-C3 alkyl, C1-C3 haloalkyl, cyclopropyl or halocyclopropyl. Most typically, each R c is independently selected from hydrogen or halo.
- each R ⁇ is independently selected from a C1-C4 alkyl or C 3 -Ce cycloalkyl group, or any two R ⁇ attached to the same nitrogen atom may, together with the nitrogen atom to which they are attached, form a 3- to 6-membered saturated heterocyclic group, wherein each R ⁇ is optionally substituted.
- R cc is substituted, typically R cc is substituted with one or more halo, -OH, -CN, -N0 2 , -0(d-C 4 alkyl) or -0(Ci-C 4 haloalkyl) groups.
- each R 00 is independently selected from a C1-C4 alkyl, C1-C4 haloalkyl, C 3 -C 4 cycloalkyl or C 3 -C 4 halocycloalkyl group.
- -R 2 has a formula selected from:
- R 6 are independently selected from C1-C4 alkyl, C1-C4 haloalkyl, C 3 -C 4 cycloalkyl and C 3 -C 4 halocycloalkyl
- R d is hydrogen, halo, -OH, -N0 2 , -CN, -R dd , -OR dd , -COR dd , -COOR dd , -C0NH 2 , -CONHR dd or -C0N(R dd ) 2 , wherein each -R dd is independently selected from C1-C4 alkyl, C1-C4 haloalkyl, C 3 -C 4 cycloalkyl and C 3 -C 4 halocycloalkyl.
- R 5 and R 6 are independently selected from C1-C4 alkyl, and R d is hydrogen, halo, -CN, C1-C 3 alkyl, C1-C 3 haloalkyl, cyclopropyl or halocyclopropyl. More typically, R 5 and R 6 are independently selected from C1-C4 alkyl, and R d is hydrogen or halo.
- -R 2 has a formula selected from:
- -R 2 has a formula selected from:
- a 1 and A 2 are each independently selected from an optionally substituted alkylene or alkenylene group, wherein one or more carbon atoms in the backbone of the alkylene or alkenylene group may optionally be replaced by one or more heteroatoms N, O or S, and wherein R e is hydrogen or any optional substituent.
- R e and any optional substituent attached to A 1 or A 2 may together with the atoms to which they are attached form a further fused cycloalkyl, cycloalkenyl, non-aromatic heterocyclic, aryl or heteroaryl ring which may itself be optionally substituted.
- any optional substituent attached to A 1 and any optional substituent attached to A 2 may also together with the atoms to which they are attached form a further fused cycloalkyl, cycloalkenyl, non-aromatic heterocyclic, aryl or heteroaryl ring which may itself be optionally substituted.
- R e is hydrogen, halo, -OH, -N0 2 , -CN, -R ee , -OR ee , -COR ee ,
- R e is hydrogen or a halo, hydroxyl, -CN, -N0 2 , -R ee or -OR ee group, wherein R ee is a C1-C4 alkyl group which may optionally be halo-substituted. More typically, R e is hydrogen or halo.
- any ring containing A 1 or A 2 is a 5- or 6-membered ring.
- a 1 and A 2 are each independently selected from an optionally substituted straight-chained alkylene group or an optionally substituted straight-chained alkenylene group, wherein one or two carbon atoms in the backbone of the alkylene or alkenylene group may optionally be replaced by one or two heteroatoms independently selected from nitrogen and oxygen. More typically, A 1 and A 2 are each independently selected from an optionally substituted straight-chained alkylene group, wherein one carbon atom in the backbone of the alkylene group may optionally be replaced by an oxygen atom.
- a 1 and A 2 are unsubstituted or substituted with one or more halo, hydroxyl, -CN, -N0 2 , -B3 or -OBs groups, wherein Bs is a C 1 -C4 alkyl group which may optionally be halo-substituted. More typically, A 1 and A 2 are unsubstituted or substituted with one or more fluoro and/or chloro groups. Where R 2 contains both A 1 and A 2 groups, A 1 and A 2 may be the same or different. Typically, A 1 and A 2 are the same.
- -R 2 has a formula selected from: -28-
- R 6 is C 1 -C4 alkyl, C 1 -C4 haloalkyl, C 3 -C 4 cycloalkyl or C 3 -C 4 halocycloalkyl
- R f is hydrogen, halo, -OH, -N0 2 , -CN, -R ff , -OR ff , -COR ff , -COOR ff , -C0NH 2 , -CONHR ff or -C0N(R ff ) 2 , wherein each -R ff is independently selected from C1-C4 alkyl, C1-C4 haloalkyl, C 3 -C 4 cycloalkyl and C 3 -C 4 halocycloalkyl.
- R 6 is C1-C4 alkyl
- R f is hydrogen, halo, -CN, C1-C 3 alkyl, C1-C 3 haloalkyl, cyclopropyl or halocyclopropyl.
- R 6 is C1-C4 alkyl
- R f is hydrogen or halo.
- -R 2 has the formula:
- -R 2 has the formula:
- substituents at the a-position of the parent cyclic group of R 2 may include monovalent heterocyclic groups and monovalent aromatic groups, wherein a ring atom of the heterocyclic or aromatic group is directly attached via a single bond to the a-ring atom of the parent cyclic group, wherein the heterocyclic or aromatic group may optionally be substituted, and wherein the parent cyclic group may optionally be further substituted.
- R 2 groups are described in greater detail below.
- the a-substituted parent cyclic group of R 2 is a 5- or 6-membered cyclic group, wherein the cyclic group may optionally be further substituted.
- the a-substituted parent cyclic group of R 2 is an aryl or a heteroaryl group, all of which may optionally be further substituted. In one embodiment, the a- substituted parent cyclic group of R 2 is a phenyl or a 5- or 6-membered heteroaryl group, all of which may optionally be further substituted.
- the a- substituted parent cyclic group of R 2 is a phenyl, pyridinyl, pyridazinyl, pyrimidinyl, pyrazinyl, pyrrolyl, furanyl, thiophenyl, pyrazolyl, imidazolyl, oxazolyl, isoxazolyl, thiazolyl or isothiazolyl group, all of which may optionally be further substituted.
- the ⁇ -substituted parent cyclic group of R 2 is a phenyl or pyrazolyl group, both of which may optionally be further substituted.
- the a- substituted parent cyclic group of R 2 is a phenyl group, which may optionally be further substituted.
- the ⁇ -substituted parent cyclic group of R 2 is substituted at the a and a' positions, and may optionally be further substituted.
- the a- substituted parent cyclic group of R 2 may be a phenyl group substituted at the 2- and 6- positions, or a phenyl group substituted at the 2-, 4- and 6-positions.
- R 2 is a parent cyclic group substituted at the a-position with a monovalent heterocyclic group or a monovalent aromatic group, wherein the heterocyclic or aromatic group may optionally be substituted, and wherein the parent cyclic group may optionally be further substituted.
- the monovalent heterocyclic or aromatic group at the a-position is a phenyl or a 5- or 6-membered heterocyclic group, all of which may optionally be substituted.
- the monovalent heterocyclic or aromatic group at the ⁇ -position is a phenyl, pyridinyl, pyridazinyl, pyrimidinyl, pyrazinyl, pyrrolyl, furanyl, thiophenyl, pyrazolyl, imidazolyl, oxazolyl, isoxazolyl, thiazolyl, isothiazolyl, triazolyl, oxadiazolyl, azetinyl, azetidinyl, oxetanyl, thietanyl, pyrrolidinyl, tetrahydrofuranyl, tetrahydrothiophenyl,
- pyrazolidinyl imidazolidinyl, 1,3-dioxolanyl, 1,2-oxathiolanyl, 1,3-oxathiolanyl, piperidinyl, tetrahydropyranyl, piperazinyl, 1,4-dioxanyl, thianyl, morpholinyl, thiomorpholinyl or i-methyl-2-oxo-i,2-dihydropyridinyl group, all of which may optionally be substituted.
- the monovalent heterocyclic or aromatic group at the ⁇ -position is a phenyl, pyridinyl, pyridazinyl, pyrimidinyl, pyrazinyl, pyrrolyl, furanyl, thiophenyl, pyrazolyl, imidazolyl, oxazolyl, isoxazolyl, thiazolyl, isothiazolyl, azetinyl, azetidinyl, oxetanyl, thietanyl, pyrrolidinyl, tetrahydrofuranyl, tetrahydrothiophenyl, pyrazolidinyl, imidazolidinyl, 1,3-dioxolanyl, 1,2-oxathiolanyl, 1,3-oxathiolanyl, piperidinyl, tetrahydropyranyl, thianyl, piperazinyl, 1,4
- the monovalent heterocyclic or aromatic group at the a-position is a phenyl, pyridinyl, pyridazinyl, pyrimidinyl, pyrazinyl, pyrrolyl, furanyl, thiophenyl, pyrazolyl, imidazolyl, oxazolyl, isoxazolyl, thiazolyl, isothiazolyl, piperidinyl or tetrahydropyranyl group, all of which may optionally be substituted.
- a phenyl pyridinyl, pyridazinyl, pyrimidinyl, pyrazinyl, pyrrolyl, furanyl, thiophenyl, pyrazolyl, imidazolyl, oxazolyl, isoxazolyl, thiazolyl, isothiazolyl, piperidinyl or tetrahydropyranyl group, all of which may optionally be
- the monovalent heterocyclic or aromatic group at the ⁇ -position is a phenyl, pyridinyl, pyridazinyl, pyrimidinyl, pyrazolyl, imidazolyl, isoxazolyl, thiazolyl, tetrahydropyranyl or i-methyl-2-oxo-i,2-dihydropyridinyl group, all of which may optionally be substituted.
- the monovalent heterocyclic or aromatic group at the ⁇ -position is a phenyl, pyridinyl, pyrimidinyl, pyrazolyl, imidazolyl, isoxazolyl, thiazolyl or tetrahydropyranyl group, all of which may optionally be substituted.
- the monovalent heterocyclic or aromatic group at the ⁇ -position is a phenyl, pyridinyl, pyrimidinyl or pyrazolyl group, all of which may optionally be substituted.
- the monovalent heterocyclic or aromatic group at the ⁇ -position is an unsubstituted phenyl, pyridinyl, pyrimidinyl or pyrazolyl group.
- the monovalent heterocyclic group at the ⁇ -position is a pyridin-2-yl, pyridin-3-yl or pyridin-4-yl group, all of which may optionally be substituted.
- the monovalent heterocyclic group at the ⁇ -position is an unsubstituted pyridin-3-yl group or an optionally substituted pyridin-4-yl group.
- the monovalent heterocyclic or aromatic group may optionally be substituted with one or two substituents
- each B4 is independently selected from a -C4 alkyl, C 2 -C 4 alkenyl, C 2 -C 4 alkynyl, C 3 -Ce cycloalkyl or phenyl group, or a 4- to 6-membered heterocyclic group containing one or two ring heteroatoms N and/ or O, or two B 4 together with the nitrogen atom to which they are attached may form a 4- to 6-membered heterocyclic group containing one or two ring heteroatoms N and/or O, wherein any B 4 may optionally be halo-substituted and/or substituted with one or two substituents independently selected from -OH, -NH 2 , -OB45, -NHB45 or -N(B4s) 2 ;
- each B44 is independently selected from a Ci-Cs alkylene or C 2 -Cs alkenylene group, wherein one or two carbon atoms in the backbone of the alkylene or alkenylene group may optionally be replaced by one or two heteroatoms N and/or O, and wherein the alkylene or alkenylene group may optionally be halo-substituted and/or substituted with one or two substituents independently selected from -OH, -NH 2 , -OB45, -NHB45 or -N(B45) 2 ; and
- each B4 5 is independently selected from a C 1 -C 3 alkyl or C 1 -C 3 haloalkyl group.
- any divalent group -B44- forms a 4- to 6-membered fused ring.
- the monovalent heterocyclic or aromatic group at the ⁇ -position is a phenyl, pyridinyl, pyrimidinyl or pyrazolyl group, all of which may optionally be substituted with one or two substituents independently selected from halo, -OH, -NH 2 , -CN, C 1 -C4 alkyl, C 2 -C 4 alkenyl, C 2 -C 4 alkynyl, d-C 4 haloalkyl, -OB4 or -N(B4) 2 , wherein B 4 is independently selected from C1-C4 alkyl which may optionally be halo-substituted.
- the monovalent heterocyclic group at the ⁇ -position is a pyridin-2- yl, pyridin-3-yl or pyridin-4-yl group, all of which may optionally be substituted with one or two substituents independently selected from halo, -OH, -NH 2 , -CN, C1-C4 alkyl, C 2 -C 4 alkenyl, C 2 -C 4 alkynyl, &-C 4 haloalkyl, -OB4 or -N(B4) 2 , wherein B4 is
- the monovalent heterocyclic group at the ⁇ -position is an
- any of these monovalent phenyl or heterocyclic groups at the a-position may optionally be substituted with one or two substituents independently selected from halo, -OH, -NH 2 , -CN, -N0 2 , -B4, -OB4, -NHB4 or -N(B4) 2 , wherein each B4 is independently selected from a C1-C4 alkyl, C 2 -C 4 alkenyl or C 2 -C 4 alkynyl group all of which may optionally be halo-substituted.
- R 2 is a parent cyclic group substituted at the ⁇ -position with a monovalent heterocyclic group or a monovalent aromatic group, wherein the heterocyclic or aromatic group may optionally be substituted, and wherein the parent cyclic group may optionally be further substituted. In one embodiment, such further substituents are in the a' position of the a-substituted parent cyclic group of R 2 .
- Such further substituents may be independently selected from halo, -R e , -OR e or -COR e groups, wherein each R E is independently selected from a Ci-Ce alkyl, C 2 -Ce alkenyl, C 2 -Ce alkynyl or C 2 -Ce cyclic group and wherein each R E is optionally further substituted with one or more halo groups.
- R E is independently selected from halo, Ci-Ce alkyl (in particular C 3 -Ce branched alkyl) or C 3 -Ce cycloalkyl groups, e.g.
- -R 2 has a formula selected from:
- R? is C1-C4 alkyl, C1-C4 haloalkyl, C 3 -Ce cycloalkyl or C 3 -Ce halocycloalkyl
- R 8 is a 5- or 6-membered, optionally substituted heterocyclic or aromatic group
- R ⁇ is hydrogen, halo, -OH, -N0 2 , -CN, -RBB, -ORSS, -CORSS, -COORSS, -C0NH 2 , -CONHRS?
- each -Rs ⁇ is independently selected from C1-C4 alkyl, C1-C4 haloalkyl, C 3 -C 4 cycloalkyl and C 3 -C 4 halocycloalkyl.
- the optional substituents on the heterocyclic or aromatic group are independently selected from halo, -OH, -NH 2 , -CN, -N0 2 , -Bs, -OBs, -NHBs, -N(Bs) 2 , -C0NH 2 , -CONHBs, -C0N(Bs) 2 -NHCOB5, -NB5COB5, or -Bss-;
- each Bs is independently selected from a C1-C4 alkyl, C 2 -C 4 alkenyl, C 2 -C 4 alkynyl, C 3 -Ce cycloalkyl or phenyl group, or a 4- to 6-membered heterocyclic group containing one or two ring heteroatoms N and/or O, or two Bs together with the nitrogen atom to which they are attached may form a 4- to 6-membered heterocyclic group containing one or two ring heteroatoms N and/or O, wherein any B 5 may optionally be halo-substituted and/or substituted with one or two substituents independently selected from -OH, -NH 2 , -OBs 6 , -NHBs 6 or -N(Bs 6 ) 2 ;
- each Bss is independently selected from a Ci-Ce alkylene or C 2 -Cs alkenylene group, wherein one or two carbon atoms in the backbone of the alkylene or alkenyl ene group may optionally be replaced by one or two heteroatoms N and/or O, and wherein the alkylene or alkenylene group may optionally be halo-substituted and/ or substituted with one or two substituents independently selected from -OH, -NH 2 , -OB5 6 , -NHB5 6 or -N(Bs 6 ) 2 ; and
- each B 56 is independently selected from a C1-C3 alkyl or C1-C3 haloalkyl group.
- any divalent group -Bss- forms a 4- to 6-membered fused ring.
- R7 is C1-C4 alkyl
- R 8 is a 5- or 6-membered, optionally substituted heterocyclic or aromatic group
- Rs is hydrogen, halo, -CN, C1-C3 alkyl, C1-C3 haloalkyl, cyclopropyl or halocyclopropyl.
- R 7 is C1-C4 alkyl
- R 8 is a 5- or 6-membered, optionally substituted heterocyclic or aromatic group
- R g is hydrogen or halo.
- the optional substituents on the heterocyclic or aromatic group are independently selected from halo, -OH, -NH 2 , -CN, -N0 2 , -Bs, -OBs, -NHBs or -N(Bs) 2 , wherein each Bs is independently selected from a C1-C4 alkyl, C 2 -C 4 alkenyl or C 2 -C 4 alkynyl group all of which may optionally be halo-substituted.
- the optional substituents on the heterocyclic or aromatic group are independently selected from halo, -OH, -NH 2 , -CN, G-C 4 alkyl, C 2 -C 4 alkenyl, C 2 -C 4 alkynyl, G-C 4 haloalkyl, -OBs or -N(B 5 ) 2 , wherein B 5 is independently selected from C1-C4 alkyl which may optionally be halo-substituted.
- -R 2 has a formula selected from:
- R 8 is a 5- or 6-membered, optionally substituted heterocyclic or aromatic group.
- the optional substituents on the heterocyclic or aromatic group are independently selected from halo, -OH, -NH 2 , -CN, -N0 2 , -B 6 , -OB 6 , -NHB 6 , -N(B 6 ) 2 , -C0NH 2 , -CONHB 6 , -CON(B 6 ) 2 , -NHCOB 6 , -NB 6 COB 6 , or -B 66 -;
- each B 6 is independently selected from a C1-C4 alkyl, C 2 -C 4 alkenyl, C 2 -C 4 alkynyl, C 3 -Ce cycloalkyl or phenyl group, or a 4- to 6-membered heterocyclic group containing one or two ring heteroatoms N and/or O, or two B 6 together with the nitrogen atom to which they are attached may form a 4- to 6-membered heterocyclic group containing one or two ring heteroatoms N and/or O, wherein any B 6 may optionally be halo-substituted and/or substituted with one or two substituents independently selected from -OH, -NH 2 , -OB 67 , -NHB 67 or -N(B 67 ) 2 ;
- each B 66 is independently selected from a Ci-Cs alkylene or C 2 -Cs alkenylene group, wherein one or two carbon atoms in the backbone of the alkylene or alkenylene group may optionally be replaced by one or two heteroatoms N and/or O, and wherein the alkylene or alkenylene group may optionally be halo-substituted and/or substituted with one or two substituents independently selected from -OH, -NH 2 , -OB 6 ?, -NHB 6 7 or -N(B 6 7) 2 ; and
- each B 67 is independently selected from a Ci-C 3 alkyl or C 1 -C3 haloalkyl group.
- any divalent group -B 66 - forms a 4- to 6-membered fused ring.
- the optional substituents on the heterocyclic or aromatic group are independently selected from halo, -OH, -NH 2 , -CN, -N0 2 , -B 6 , -OB 6 , -NHB 6 or -N(B 6 ) 2 , wherein each B 6 is independently selected from a C1-C4 alkyl, C 2 -C 4 alkenyl or C 2 -C 4 alkynyl group all of which may optionally be halo-substituted.
- the optional substituents on the heterocyclic or aromatic group are independently selected from halo, -OH, -NH 2 , -CN, C 1 -C4 alkyl, C 2 -C 4 alkenyl, C 2 -C 4 alkynyl, d-C 4 haloalkyl, -OB 6 or -N(B 6 ) 2 , wherein B 6 is independently selected from C1-C4 alkyl which may optionally be halo-substituted.
- R 2 is a parent cyclic group substituted at the a-position with a monovalent heterocyclic group or a monovalent aromatic group, wherein the heterocyclic or aromatic group may optionally be substituted, and wherein the parent cyclic group may optionally be further substituted.
- the further substituents on the a- substituted parent cyclic group of R 2 also include cycloalkyl, cycloalkenyl, non-aromatic heterocyclic, aryl or heteroaryl rings which are fused to the a-substituted parent cyclic group of R 2 .
- the cycloalkyl, cycloalkenyl, non-aromatic heterocyclic, aryl or heteroaryl rings are ortho-fused to the ⁇ -substituted parent cyclic group of R 2 , i.e. each fused cycloalkyl, cycloalkenyl, non-aromatic heterocyclic, aryl or heteroaryl ring has only two atoms and one bond in common with the ⁇ -substituted parent cyclic group of R 2 .
- the cycloalkyl, cycloalkenyl, non-aromatic heterocyclic, aryl or heteroaryl rings are ortho-fused to the ⁇ -substituted parent cyclic group of R 2 across the ⁇ ', ⁇ ' positions.
- -R 2 has a formula selected from:
- R 8 is a 5- or 6-membered, optionally substituted heterocyclic or aromatic group
- R h is hydrogen, halo, -OH, -N0 2 , -CN, -R hh , -OR hh , -COR hh , -COOR hh ,
- each -R hh is independently selected from C 1 -C4 alkyl, C 1 -C4 haloalkyl, C 3 -C 4 cycloalkyl and C 3 -C 4 halocycloalkyl.
- the optional substituents on the heterocyclic or aromatic group are independently selected from halo, -OH, -NH 2 , -CN, -N0 2 , -B 7 , -OB?, -NHB 7 , -N(B 7 ) 2 , -C0NH 2 , -CONHB 7 , -CON(B 7 ) 2 , -NHCOB 7 , -NB 7 COB 7 , or -B 77 -;
- each B 7 is independently selected from a C 1 -C4 alkyl, C 2 -C 4 alkenyl, C 2 -C 4 alkynyl, C 3 -Ce cycloalkyl or phenyl group, or a 4- to 6-membered heterocyclic group containing one or two ring heteroatoms N and/or O, or two B 7 together with the nitrogen atom to which they are attached may form a 4- to 6-membered heterocyclic group containing one or two ring heteroatoms N and/ or O, wherein any B 7 may optionally be halo-substituted and/or substituted with one or two substituents independently selected from -OH, -NH 2 , -OB 78 , -NHB 78 or -N(B 78 ) 2 ;
- each B 77 is independently selected from a Ci-Cs alkylene or C 2 -Cs alkenylene group, wherein one or two carbon atoms in the backbone of the alkylene or alkenylene group may optionally be replaced by one or two heteroatoms N and/ or O, and wherein the alkylene or alkenylene group may optionally be halo-substituted and/or substituted with one or two substituents independently selected from -OH, -NH 2 , -OB 78 , -NHB 78 or -N(B 78 ) 2 ; and
- each B 78 is independently selected from a C 1 -C3 alkyl or C 1 -C3 haloalkyl group.
- any divalent group - ⁇ - forms a 4- to 6-membered fused ring.
- R h is hydrogen, halo, -CN, C1-C3 alkyl, C1-C3 haloalkyl, cyclopropyl or halocyclopropyl. More typically, R h is hydrogen or halo.
- the optional substituents on the heterocyclic or aromatic group are independently selected from halo, -OH, -NH 2 , -CN, -N0 2 , -B ?
- each B7 is independently selected from a C1-C4 alkyl, C2-C4 alkenyl or C 2 -C 4 alkynyl group all of which may optionally be halo-substituted.
- the optional substituents on the heterocyclic or aromatic group are selected from halo, -OH, -NH 2 , -CN, G-C 4 alkyl, C 2 -C 4 alkenyl, C 2 -C 4 alkynyl, G-C 4 haloalkyl, -OB7 or -N(B7) 2 , wherein B7 is independently selected from C1-C4 alkyl which may optionally be halo-substituted.
- -R 2 has a formula selected from:
- R 8 is a 5- or 6-membered, optionally substituted heterocyclic or aromatic group.
- the optional substituents on the heterocyclic or aromatic group are independently selected from halo, -OH, -NH 2 , -CN, -N0 2 , -B 8 , -OB 8 , -NHB 8 , -N(B 8 ) 2 , -C0NH 2 , -CONHB 8 , -CON(B 8 ) 2 , -NHCOB 8 , -NB 8 COB 8 , or -B 88 -;
- each B 8 is independently selected from a C1-C4 alkyl, C 2 -C 4 alkenyl, C 2 -C 4 alkynyl, C 3 -Ce cycloalkyl or phenyl group, or a 4- to 6-membered heterocyclic group containing one or two ring heteroatoms N and/or O, or two B 8 together with the nitrogen atom to which they are attached may form a 4- to 6-membered heterocyclic group containing one or two ring heteroatoms N and/or O, wherein any B 8 may optionally be halo-substituted and/or substituted with one or two substituents independently selected from -OH, -NH 2 , -OB 8 ?, -NHB 8 ?
- each B 88 is independently selected from a Ci-Ce alkylene or C 2 -Cs alkenylene group, wherein one or two carbon atoms in the backbone of the alkylene or alkenylene group may optionally be replaced by one or two heteroatoms N and/or O, and wherein the alkylene or alkenylene group may optionally be halo-substituted and/or substituted with one or two substituents independently selected from -OH, -NH 2 , -OB 8 ?, -NHB 8 ? or -N(B 8 9) 2 ; and
- each B 89 is independently selected from a C 1 -C3 alkyl or C 1 -C3 haloalkyl group.
- any divalent group -B 88 - forms a 4- to 6-membered fused ring.
- the optional substituents on the heterocyclic or aromatic group are independently selected from halo, -OH, -NH 2 , -CN, -N0 2 , -B 8 , -OB 8 , -NHB 8 or -N(B 8 ) 2 , wherein each B 8 is independently selected from a C1-C4 alkyl, C 2 -C 4 alkenyl or C 2 -C 4 alkynyl group all of which may optionally be halo-substituted.
- the optional substituents on the heterocyclic or aromatic group are selected from halo, -OH, -NH 2 , -CN, C1-C4 alkyl, C 2 -C 4 alkenyl, C 2 -C 4 alkynyl, d-C 4 haloalkyl, -OB 8 or -N(B 8 ) 2 , wherein B 8 is
- -R 2 has a formula selected from:
- R 8 is a 5- or 6-membered, optionally substituted heterocyclic or aromatic group
- R' is hydrogen, halo, -OH, -N0 2 , -CN, -R", -OR", -COR", -COOR", -C0NH 2 -CONHR” or -C0N(R") 2 , wherein each -R" is independently selected from C 1 -C4 alkyl, C1-C4 haloalkyl, C 3 -C 4 cycloalkyl and C 3 -C 4 halocycloalkyl.
- the optional substituents on the heterocyclic or aromatic group are independently selected from halo, -OH, -NH 2 , -CN, -N0 2 , -B 9 , -OB", -NHB 9 , -N(B 9 ) 2 , -C0NH 2 , -CONHB 9 , -CON(B 9 ) 2 , -NHCOB 9 , -NB 9 COB 9 , or -B"-;
- each B 9 is independently selected from a C1-C4 alkyl, C 2 -C 4 alkenyl,
- any B 9 may optionally be halo-substituted and/or substituted with one or two substituents independently selected from -OH, -NH 2 , -OB? 8 , -NHB 98 or -N(B 98 ) 2 ;
- each B" is independently selected from a Ci-Cs alkylene or C 2 -Cs alkenylene group, wherein one or two carbon atoms in the backbone of the alkylene or alkenyl ene group may optionally be replaced by one or two heteroatoms N and/or O, and wherein the alkylene or alkenylene group may optionally be halo-substituted and/or substituted with one or two substituents independently selected from -OH, -NH 2 , -OB? 8 , -NHB 98 or -N(B 98 ) 2 ; and
- each B 98 is independently selected from a C1-C3 alkyl or C1-C3 haloalkyl group.
- any divalent group -B"- forms a 4- to 6-membered fused ring.
- R' is hydrogen, halo, -CN, C1-C3 alkyl, C1-C3 haloalkyl, cyclopropyl or halocyclopropyl. More typically, R' is hydrogen or halo.
- the optional substituents on the heterocyclic or aromatic group are independently selected from halo, -OH, -NH 2 , -CN, -N0 2 , -B 9 , -OB 9 , -NHB 9 or -N(B 9 ) 2 , wherein each B 9 is independently selected from a C1-C4 alkyl, C 2 -C 4 alkenyl or C 2 -C 4 alkynyl group all of which may optionally be halo-substituted.
- the optional substituents on the heterocyclic or aromatic group are selected from halo, -OH, -NH 2 , -CN, d-C 4 alkyl, C 2 -C 4 alkenyl, C 2 -C 4 alkynyl, d-C 4 haloalkyl, -OB 9 or -N(B 9 ) 2 , wherein B 9 is independently selected from Ci-C 4 alkyl which may optionally be halo-substituted.
- R 2 is phenyl or a 5- or 6-membered heteroaryl group (such as phenyl, pyridinyl, pyridazinyl, pyrimidinyl or pyrazinyl); wherein
- the phenyl or 5- or 6-membered heteroaryl group is substituted at the a position with a substituent selected from -R 9 , -OR 9 and -COR 9 , wherein R 9 is selected from a Ci-Ce alkyl, C 2 -Ce alkenyl, C 2 -Ce alkynyl or C 2 -Ce cyclic group and wherein R? is optionally substituted with one or more halo groups; and
- phenyl or 5- or 6-membered heteroaryl group is further substituted at the a' position with a substituent selected from -R 14 , -OR 14 and -COR 14 , wherein R 14 is selected from a Ci-Ce alkyl, C 2 -Ce alkenyl, C 2 -Ce alkynyl or C 2 -Ce cyclic group and wherein R 14 is optionally substituted with one or more halo groups; and optionally the phenyl or 5- or 6-membered heteroaryl group is further substituted (typically with one, two or three substituents independently selected from halo, -N0 2 , -CN, -COOR ⁇ , -C0NH 2 , -CONHR ⁇ or -C0N(R 1 s) 2 , wherein each -R « is independently selected from a C1-C4 alkyl or C1-C4 haloalkyl group); or
- the phenyl or 5- or 6-membered heteroaryl group is substituted with a cycloalkyl, cycloalkenyl, non-aromatic heterocyclic, aryl or heteroaryl ring which is fused to the parent phenyl or 5- or 6-membered heteroaryl group across the ⁇ , ⁇ positions and which is optionally substituted with one or more halo groups;
- the phenyl or 5- or 6-membered heteroaryl group is further substituted at the a' position with a substituent selected from -R?, -OR 9 and -COR 9 , wherein R? is selected from a Ci-Ce alkyl, C 2 -Ce alkenyl, C 2 -Ce alkynyl or C 2 -Ce cyclic group and wherein R? is optionally substituted with one or more halo groups; and
- the phenyl or 5- or 6-membered heteroaryl group is further substituted (typically with one or two substituents independently selected from halo, -NO 2 , -CN, -COOR ! s, -C0NH 2 , -CONHR ⁇ or -C0N(R 1 s) 2 , wherein each -R « is independently selected from a C1-C4 alkyl or C1-C4 haloalkyl group); or
- the phenyl or 5- or 6-membered heteroaryl group is substituted with a first cycloalkyl, cycloalkenyl, non-aromatic heterocyclic, aryl or heteroaryl ring which is fused to the parent phenyl or 5- or 6-membered heteroaryl group across the ⁇ , ⁇ positions and which is optionally substituted with one or more halo groups;
- the phenyl or 5- or 6-membered heteroaryl group is substituted with a second cycloalkyl, cycloalkenyl, non-aromatic heterocyclic, aryl or heteroaryl ring which is fused to the parent phenyl or 5- or 6-membered heteroaryl group across the ⁇ ', ⁇ ' positions and which is optionally substituted with one or more halo groups; and
- the phenyl group is further substituted (typically with a substituent selected from halo, -N0 2 , -CN, -COOR ⁇ , -C0NH 2 , -CONHR ⁇ or -C0N(R 1 s) 2 , wherein each -R J 5 is independently selected from a C1-C 4 alkyl or C1-C4 haloalkyl group); or
- the phenyl or 5- or 6-membered heteroaryl group is substituted at the a- position with a monovalent heterocyclic group or a monovalent aromatic group selected from phenyl, pyridinyl, pyrimidinyl, pyrazolyl, imidazolyl, triazolyl or tetrahydropyranyl, wherein the monovalent heterocyclic or aromatic group may optionally be substituted with one or two substituents independently selected from halo, C1-C3 alkyl, d-C 3 haloalkyl, -R 12 -OR 13 , -R i2 -N(R 13 ) 2 , -R 12 -CN or -R 12 -C ⁇ CR 13 , and wherein a ring atom of the monovalent heterocyclic or aromatic group is directly attached to the a-ring atom of the parent phenyl or 5- or 6-membered heteroaryl group; wherein R 12 is independently selected from a bond or a
- R ? is selected from a Ci-Ce alkyl, C 2 -Ce alkenyl, C 2 -Ce alkynyl or C 2 -Ce cyclic group and wherein R 9 is optionally substituted with one or more halo groups;
- the phenyl or 5- or 6-membered heteroaryl group is further substituted (typically with one, two or three substituents independently selected from halo, -N0 2 , -CN, -COOR ⁇ , -C0NH 2 , -CONHR ⁇ or -C0N(R 1 s) 2 , wherein each -R « is independently selected from a C1-C4 alkyl or C1-C4 haloalkyl group); or
- the phenyl or 5- or 6-membered heteroaryl group is substituted at the a- position with a monovalent heterocyclic group or a monovalent aromatic group selected from phenyl, pyridinyl, pyrimidinyl, pyrazolyl, imidazolyl, triazolyl or
- the monovalent heterocyclic or aromatic group may optionally be substituted with one or two substituents independently selected from halo, C1-C3 alkyl, d-C 3 haloalkyl, -R 12 -OR 13 , -R ⁇ -N(R 13 ) 2 , -R 12 -CN or -R 12 -C ⁇ CR 13 , and wherein a ring atom of the monovalent heterocyclic or aromatic group is directly attached to the a-ring atom of the parent phenyl or 5- or 6-membered heteroaryl group; wherein R 12 is independently selected from a bond or a C1-C3 alkylene group; and R 13 is independently selected from hydrogen or a C1-C3 alkyl or C1-C3 haloalkyl group; and optionally the phenyl or 5- or 6-membered heteroaryl group is further substituted with a cycloalkyl, cycloalkenyl, non-
- the phenyl or 5- or 6-membered heteroaryl group is further substituted (typically with one or two substituents independently selected from halo, -NO 2 , -CN, -COOR ! s, -C0NH 2 , -CONHR ⁇ or -C0N(R 1 s) 2 , wherein each -R « is independently selected from a C1-C4 alkyl or C1-C4 haloalkyl group).
- R 2 contains from 15 to 50 atoms. More typically, R 2 contains from 20 to 40 atoms. Most typically, R 2 contains from 25 to 35 atoms.
- R 2 contains from 10 to 50 atoms other than hydrogen. More typically, R 2 contains from 10 to 40 atoms other than hydrogen. More typically, R 2 contains from 10 to 35 atoms other than hydrogen. Most typically, R 2 contains from 12 to 30 atoms other than hydrogen.
- R 1 is a saturated or unsaturated hydrocarbyl group, wherein the hydrocarbyl group may be straight-chained or branched, or be or include cyclic groups, wherein the hydrocarbyl group may optionally be substituted, and wherein the atom of R 1 which is attached to the sulfur atom of the sulfonylurea group is not a ring atom of a cyclic group; and R 2 is a cyclic group substituted at the a and a' positions, wherein R 2 may optionally be further substituted.
- R 2 is a fused cyclic group, wherein a cycloalkyl, cycloalkenyl, non-aromatic heterocyclic, aryl or heteroaryl ring is fused to the cyclic group across the ⁇ , ⁇ positions, wherein R 2 is further substituted at the a' position, and wherein R 2 may optionally be further substituted.
- R 2 is a fused cyclic group, wherein a first cycloalkyl, cycloalkenyl, non-aromatic heterocyclic, aryl or heteroaryl ring is fused to the cyclic group across the ⁇ , ⁇ positions and a second cycloalkyl, cycloalkenyl, non-aromatic heterocyclic, aryl or heteroaryl ring is fused to the cyclic group across the ⁇ ', ⁇ ' positions, and wherein R 2 may optionally be further substituted.
- Q is selected from O or S. In one embodiment of the first aspect of the invention, Q is O.
- the invention provides a compound of formula (I), wherein:
- R 1 is a saturated or unsaturated C1-C12 hydrocarbyl group, wherein the hydrocarbyl group may be straight-chained or branched, or be or include cyclic groups, wherein the hydrocarbyl group may optionally be substituted with one, two or three substituents independently selected from halo, C1-C4 haloalkyl, -CN, -N 3 , -N0 2 , -OH, -SR 8 , -SOR 8 , -S0 2 R 8 , -S0 2 N(R 8 ) 2 , -NH 2 , -COR 8 , -COOR 8 or -OCOR 8 , wherein each -R 8 is independently selected from hydrogen or a C 1 -C4 alkyl, C 2 -C 4 alkenyl, C 2 -C 4 alkynyl, C 1 -C4 haloalkyl or C 3 -C 7 cycloalkyl group, and
- R 2 is a cyclic group substituted at the a-position, wherein R 2 may optionally be further substituted. In one embodiment, R 2 is a cyclic group substituted at the a and a' positions.
- the invention provides a compound of formula (I), wherein:
- R 1 is a saturated or unsaturated Ci-Cs hydrocarbyl group, wherein the hydrocarbyl group may be straight-chained or branched, but may not be or include cyclic groups, wherein the hydrocarbyl group may optionally be substituted with one, two or three substituents independently selected from halo, C1-C4 haloalkyl, -CN, -N 3 , -SR 8 , -SOR 8 , -S0 2 R 8 or -S0 2 N(R 8 ) 2 , wherein each -R 8 is independently selected from hydrogen or a C1-C4 alkyl, C 2 -C 4 alkenyl, C 2 -C 4 alkynyl, C1-C4 haloalkyl or C 3 -C 7 cycloalkyl group, and wherein the atom of R 1 which is attached to the sulfur atom of the sulfonylurea group is not a ring atom of a cyclic
- R 2 is a cyclic group substituted at the a position, wherein R 2 may optionally be further substituted. In one embodiment, R 2 is a cyclic group substituted at the a and a' positions.
- the invention provides a compound of formula (I), wherein:
- -R 1 is -(CHR 4 ) n R 3 ; wherein n is 1, 2 or 3; R 4 is independently selected from hydrogen, methyl or ethyl; and R 3 is a branched or cyclic Ci-C(i 2 - n ) hydrocarbyl group, wherein the hydrocarbyl group may optionally be substituted with one, two or three substituents independently selected from halo, C1-C4 haloalkyl, -CN, -N 3 , -N0 2 , -OH, -SR 8 , -SOR 8 , -S0 2 R 8 , -S0 2 N(R 8 ) 2 , -NH 2 , -COR 8 , -COOR 8 or -OCOR 8 , wherein each -R 8 is independently selected from hydrogen or a C 1 -C4 alkyl, C 2 -C 4 alkenyl, C 2 -C 4 alkynyl, C1-C
- -R 1 is -(CHR 4 ) n R 3 ; wherein n is l, 2 or 3; R 4 is independently selected from hydrogen, methyl or ethyl; and R3 is a branched or cyclic Ci- io-n) hydrocarbyl group, wherein the hydrocarbyl group may optionally be substituted with one, two or three substituents independently selected from halo, C1-C4 haloalkyl, -CN, -N 3 , -SR 8 , -SOR 8 , -SO2R 8 or -S0 2 N(R 8 ) 2 , wherein each -R 8 is independently selected from hydrogen or a C1-C4 alkyl, C 2 -C 4 alkenyl, C 2 -C 4 alkynyl, C1-C4 haloalkyl or C 3 -C 7 cycloalkyl group; and R 2 is a cyclic group substituted at the a position, wherein
- the invention provides a compound of formula (I), wherein:
- -R 1 is -(CHR 4 ) n R 3 ; wherein n is 1, 2 or 3; R 4 is independently selected from hydrogen, methyl or ethyl; and R 3 is phenyl optionally substituted with one, two or three substituents independently selected from halo, C1-C4 alkyl, C1-C4 haloalkyl, -CN, -N 3 , -NO2, -OR 8 , -SR 8 , -SOR 8 , -S0 2 R 8 , -S0 2 N(R 8 ) 2 , -NH 2 , -COR 8 , -COOR 8 or -OCOR 8 , wherein each -R 8 is independently selected from hydrogen or a C 1 -C 4 alkyl, C 2 -C 4 alkenyl, C 2 -C 4 alkynyl, C 1 -C 4 haloalkyl or C 3 -C 7 cycloalkyl group; and
- R 2 is a cyclic group substituted at the a position, wherein R 2 may optionally be further substituted.
- R 4 is hydrogen.
- R 2 is a cyclic group substituted at the a and a' positions.
- the invention provides a compound of formula (I), wherein:
- R 1 is selected from:
- Ci-Ce alkyl preferably C 2 -Ce alkyl or C 3 -Ce alkyl
- C 2 -Ce alkenyl group wherein the alkyl or alkenyl group is halo substituted and/or is substituted with one, two or three substituents independently selected from -CN, -N 3 , -N0 2 , -OR 8 ,
- each -R 8 is independently selected from hydrogen or a C 1 -C4 alkyl, C 1 -C4 haloalkyl, C 3 -C 7 cycloalkyl or C 3 -C 7 halocycloalkyl group;
- R 2 is phenyl or a 5- or 6-membered heteroaryl group
- the phenyl or 5- or 6-membered heteroaryl group is substituted at the a position with a substituent selected from -R 9 , -OR 9 and -COR 9 , wherein R 9 is selected from a Ci-Ce alkyl, C 2 -Ce alkenyl, C 2 -Ce alkynyl or C 2 -Ce cyclic group and wherein R 9 is optionally substituted with one or more halo groups; and
- phenyl or 5- or 6-membered heteroaryl group is further substituted at the a' position with a substituent selected from -R 14 , -OR 14 and -COR 14 , wherein R 14 is selected from a Ci-Ce alkyl, C 2 -Ce alkenyl, C 2 -Ce alkynyl or C 2 -Ce cyclic group and wherein R 14 is optionally substituted with one or more halo groups; and optionally the phenyl or 5- or 6-membered heteroaryl group is further substituted (typically with one, two or three substituents independently selected from halo, -NO 2 , -CN, -COOR ⁇ , -C0NH 2 , -CONHR ⁇ or -C0N(R 1 s) 2 , wherein each -R* is independently selected from a C1-C4 alkyl or C1-C4 haloalkyl group); or
- the phenyl or 5- or 6-membered heteroaryl group is substituted with a cycloalkyl, cycloalkenyl, non-aromatic heterocyclic, aryl or heteroaryl ring which is fused to the parent phenyl or 5- or 6-membered heteroaryl group across the ⁇ , ⁇ positions and which is optionally substituted with one or more halo groups;
- phenyl or 5- or 6-membered heteroaryl group is further substituted at the a' position with a substituent selected from -R 9 , -OR 9 and -COR 9 , wherein R 9 is selected from a Ci-Ce alkyl, C 2 -Ce alkenyl, C 2 -Ce alkynyl or C 2 -Ce cyclic group and wherein R 9 is optionally substituted with one or more halo groups; and optionally the phenyl or 5- or 6-membered heteroaryl group is further substituted (typically with one or two substituents independently selected from halo, -NO 2 , -CN, -COOR !
- each -R ⁇ is independently selected from a C1-C4 alkyl or C1-C4 haloalkyl group);
- the phenyl or 5- or 6-membered heteroaryl group is substituted with a first cycloalkyl, cycloalkenyl, non-aromatic heterocyclic, aryl or heteroaryl ring which is fused to the parent phenyl or 5- or 6-membered heteroaryl group across the ⁇ , ⁇ positions and which is optionally substituted with one or more halo groups;
- the phenyl or 5- or 6-membered heteroaryl group is substituted with a second cycloalkyl, cycloalkenyl, non-aromatic heterocyclic, aryl or heteroaryl ring which is fused to the parent phenyl or 5- or 6-membered heteroaryl group across the ⁇ ', ⁇ ' positions and which is optionally substituted with one or more halo groups; and
- the phenyl group is further substituted (typically with a substituent selected from halo, -N0 2 , -CN, -COOR ⁇ , -C0NH 2 , -CONHR ⁇ or -C0N(R 1 s) 2 , wherein each -R J 5 is independently selected from a C1-C4 alkyl or C1-C4 haloalkyl group); or
- the phenyl or 5- or 6-membered heteroaryl group is substituted at the a- position with a monovalent heterocyclic group or a monovalent aromatic group selected from phenyl, pyridinyl, pyrimidinyl, pyrazolyl, imidazolyl, triazolyl or
- the monovalent heterocyclic or aromatic group may optionally be substituted with one or two substituents independently selected from halo, C 1 -C3 alkyl, d-C 3 haloalkyl, -R ⁇ -OR ⁇ , -R 12 -N(R 1 3) 2 , -R ⁇ -CN or -R ⁇ -OCR ⁇ , and wherein a ring atom of the monovalent heterocyclic or aromatic group is directly attached to the a-ring atom of the parent phenyl or 5- or 6-membered heteroaryl group; wherein R 12 is independently selected from a bond or a C1-C 3 alkylene group; and R 13 is independently selected from hydrogen or a C1-C 3 alkyl or C1-C 3 haloalkyl group; and optionally the phenyl or 5- or 6-membered heteroaryl group is further substituted at the a' position with a substituent selected from -R?, -OR 9 and
- Ci-Ce alkyl is selected from a Ci-Ce alkyl, C 2 -Ce alkenyl, C 2 -Ce alkynyl or C 2 -Ce cyclic group and wherein R? is optionally substituted with one or more halo groups;
- the phenyl or 5- or 6-membered heteroaryl group is further substituted (typically with one, two or three substituents independently selected from halo, -NO 2 , -CN, -COOR ! s, -C0NH 2 , -CONHR ⁇ or -C0N(R 1 s) 2 , wherein each -R* is independently selected from a C1-C 4 alkyl or C1-C4 haloalkyl group); or
- the phenyl or 5- or 6-membered heteroaryl group is substituted at the a- position with a monovalent heterocyclic group or a monovalent aromatic group selected from phenyl, pyridinyl, pyrimidinyl, pyrazolyl, imidazolyl, triazolyl or
- the monovalent heterocyclic or aromatic group may optionally be substituted with one or two substituents independently selected from halo, C 1 -C3 alkyl, d-C 3 haloalkyl, -R ⁇ -OR ⁇ , - ⁇ 2 - ⁇ ( ⁇ 3 ) 2 , -R"-CN or -R ⁇ -OCR ⁇ , and wherein a ring atom of the monovalent heterocyclic or aromatic group is directly attached to the a-ring atom of the parent phenyl or 5- or 6-membered heteroaryl group; wherein R 12 is independently selected from a bond or a C1-C 3 alkylene group; and R 13 is independently selected from hydrogen or a C1-C 3 alkyl or C1-C 3 haloalkyl group; and optionally the phenyl or 5- or 6-membered heteroaryl group is further substituted with a cycloalkyl, cycloalkenyl, non-aromatic hetero
- the phenyl or 5- or 6-membered heteroaryl group is further substituted (typically with one or two substituents independently selected from halo, -NO 2 , -CN, -COOR ! s, -C0NH 2 , -CONHR ⁇ or -CONCR ⁇ , wherein each -R « is independently selected from a C1-C 4 alkyl or C1-C 4 haloalkyl group).
- the parent phenyl or 5- or 6-membered heteroaryl group of R 2 may be selected from phenyl, pyridinyl (such as pyridin-3-yl or pyridin-4- yl), pyridazinyl, pyrimidinyl (such as pyrimidin-2-yl or pyrimidin-5-yl), pyrazinyl, pyrrolyl, furanyl, thiophenyl, pyrazolyl (such as pyrazol-i-yl, pyrazol-3-yl or pyrazol-4- yl), imidazolyl, oxazolyl, isoxazolyl, thiazolyl, isothiazolyl, triazolyl or oxadiazolyl.
- pyridinyl such as pyridin-3-yl or pyridin-4- yl
- pyridazinyl such as pyrimidin-2-yl or pyrimidin-5
- the parent phenyl or 5- or 6-membered heteroaryl group of R 2 may be selected from phenyl, pyridinyl (such as pyridin-3-yl or pyridin-4-yl), pyridazinyl, pyrimidinyl (such as pyrimidin-2-yl or pyrimidin-5-yl) or pyrazinyl.
- the parent phenyl or 5- or 6-membered heteroaryl group of R 2 may be phenyl.
- a group or moiety is optionally substituted with one or more halo groups, it may be substituted for example with one, two, three, four, five or six halo groups.
- the compound is not:
- the invention provides a compound of formula (I), wherein:
- R 1 is selected from:
- each -R 8 is independently selected from hydrogen or a C 1 -C4 alkyl, C 1 -C4 haloalkyl, C 3 -C 7 cycloalkyl or C 3 -C 7 halocycloalkyl group;
- R 2 is phenyl or a 5- or 6-membered heteroaryl group
- the phenyl or 5- or 6-membered heteroaryl group is substituted at the a- position with a monovalent heterocyclic group or a monovalent aromatic group selected from phenyl, pyridinyl, pyrimidinyl, pyrazolyl, imidazolyl, triazolyl or
- the monovalent heterocyclic or aromatic group may optionally be substituted with one or two substituents independently selected from halo, C 1 -C3 alkyl, d-C 3 haloalkyl, and wherein a ring atom of the monovalent heterocyclic or aromatic group is directly attached to the a-ring atom of the parent phenyl or 5- or 6-membered heteroaryl group; wherein R 12 is independently selected from a bond or a Ci-C 3 alkylene group; and R 13 is independently selected from hydrogen or a Ci-C 3 alkyl or Ci-C 3 haloalkyl group; and optionally the phenyl or 5- or 6-membered heteroaryl group is further substituted at the a' position with a substituent selected from -R 9 , -OR 9 and -COR 9 , wherein R 9 is selected from a Ci-Ce alkyl, C 2 -Ce alkenyl, C 2 -Ce al
- the phenyl or 5- or 6-membered heteroaryl group is further substituted (typically with one, two or three substituents independently selected from halo, -N0 2 , -CN, -COOR ⁇ , -C0NH 2 , -CONHR ⁇ or -C0N(R 1 s) 2 , wherein each -R « is independently selected from a C1-C4 alkyl or C1-C4 haloalkyl group); or (ii) the phenyl or 5- or 6-membered heteroaryl group is substituted at the a- position with a monovalent heterocyclic group or a monovalent aromatic group selected from phenyl, pyridinyl, pyrimidinyl, pyrazolyl, imidazolyl, triazolyl or
- the monovalent heterocyclic or aromatic group may optionally be substituted with one or two substituents independently selected from halo, C 1 -C3 alkyl, d-C 3 haloalkyl, and wherein a ring atom of the monovalent heterocyclic or aromatic group is directly attached to the a-ring atom of the parent phenyl or 5- or 6-membered heteroaryl group; wherein R 12 is independently selected from a bond or a C1-C3 alkylene group; and R 13 is independently selected from hydrogen or a C 1 -C3 alkyl or C 1 -C3 haloalkyl group; and optionally the phenyl or 5- or 6-membered heteroaryl group is further substituted with a cycloalkyl, cycloalkenyl, non-aromatic heterocyclic, aryl or heteroaryl ring which is fused to the parent phenyl or 5- or 6-membered heteroaryl group across the
- the phenyl or 5- or 6-membered heteroaryl group is further substituted (typically with one or two substituents independently selected from halo, -N0 2 , -CN, -COOR ! s, -C0NH 2 , wherein each -R « is independently selected from a C1-C 4 alkyl or C1-C 4 haloalkyl group).
- the parent phenyl or 5- or 6-membered heteroaryl group of R 2 may be selected from phenyl, pyridinyl (such as pyridin-3-yl or pyridin-4- yl), pyridazinyl, pyrimidinyl (such as pyrimidin-2-yl or pyrimidin-5-yl), pyrazinyl, pyrrolyl, furanyl, thiophenyl, pyrazolyl (such as pyrazol-i-yl, pyrazol-3-yl or pyrazol-4- yl), imidazolyl, oxazolyl, isoxazolyl, thiazolyl, isothiazolyl, triazolyl or oxadiazolyl.
- pyridinyl such as pyridin-3-yl or pyridin-4- yl
- pyridazinyl such as pyrimidin-2-yl or pyrimidin-5
- the parent phenyl or 5- or 6-membered heteroaryl group of R 2 may be selected from phenyl, pyridinyl (such as pyridin-3-yl or pyridin-4-yl), pyridazinyl, pyrimidinyl (such as pyrimidin-2-yl or pyrimidin-5-yl) or pyrazinyl.
- the parent phenyl or 5- or 6-membered heteroaryl group of R 2 may be phenyl.
- the compound of formula (I) has a molecular weight of from 200 to 2,000 Da. Typically, the compound of formula (I) has a molecular weight of from 230 to 900 Da. Typically, the compound of formula (I) has a molecular weight of from 260 to 600 Da. More typically, the compound of formula (I) has a molecular weight of from 280 to 480 Da.
- a second aspect of the invention provides a compound selected from the group consisting of:
- a third aspect of the invention provides a pharmaceutically acceptable salt, solvate or prodrug of any compound of the first or second aspect of the invention.
- a "salt" of a compound of the present invention includes an acid addition salt.
- Acid addition salts are preferably pharmaceutically acceptable, non-toxic addition salts with suitable acids, including but not limited to inorganic acids such as hydrohalogenic acids (for example, hydrofluoric, hydrochloric, hydrobromic or hydroiodic acid) or other inorganic acids (for example, nitric, perchloric, sulfuric or phosphoric acid); or organic acids such as organic carboxylic acids (for example, propionic, butyric, glycolic, lactic, mandelic, citric, acetic, benzoic, salicylic, succinic, malic or hydroxysuccinic, tartaric, fumaric, maleic, hydroxymaleic, mucic or galactaric, gluconic, pantothenic or pamoic acid), organic sulfonic acids (for example, methanesulfonic
- a compound of the invention typically includes a quaternary ammonium group, typically the compound is used in its salt form.
- the counter ion to the quaternary ammonium group may be any pharmaceutically acceptable, non-toxic counter ion. Examples of suitable counter ions include the conjugate bases of the protic acids discussed above in relation to acid-addition salts.
- a "salt" of a compound of the present invention includes one formed between a protic acid functionality (such as a carboxylic acid group) of a compound of the present invention and a suitable cation. Suitable cations include, but are not limited to lithium, sodium, potassium, magnesium, calcium and ammonium.
- the salt may be a mono-, di-, tri- or multi-salt.
- the salt is a mono- or di-lithium, sodium, potassium, magnesium, calcium or ammonium salt. More preferably the salt is a mono- or di-sodium salt or a mono- or di- potassium salt.
- any salt is a pharmaceutically acceptable non-toxic salt.
- other salts are included in the present invention, since they have potential to serve as intermediates in the purification or preparation of other, for example, pharmaceutically acceptable salts, or are useful for identification, characterisation or purification of the free acid or base.
- the compounds and/or salts of the present invention may be anhydrous or in the form of a hydrate (e.g. a hemihydrate, monohydrate, dihydrate or trihydrate) or other solvate.
- a hydrate e.g. a hemihydrate, monohydrate, dihydrate or trihydrate
- Such solvates may be formed with common organic solvents, including but not limited to, alcoholic solvents e.g. methanol, ethanol or isopropanol.
- prodrugs are compounds which, when administered to a subject such as a human, are converted in whole or in part to a compound of the invention.
- the prodrugs are pharmacologically inert chemical derivatives that can be converted in vivo to the active drug molecules to exert a therapeutic effect. Any of the compounds described herein can be administered as a prodrug to increase the activity, bioavailability, or stability of the compound or to otherwise alter the properties of the compound.
- Typical examples of prodrugs include compounds that have biologically labile protecting groups on a functional moiety of the active compound.
- Prodrugs include, but are not limited to, compounds that can be oxidized, reduced, aminated, deaminated, hydroxylated, dehydroxylated, hydrolyzed, dehydrolyzed, alkylated, dealkylated, acylated, deacylated, phosphorylated, and/or dephosphorylated to produce the active compound.
- the present invention also encompasses salts and solvates of such prodrugs as described above.
- the compounds, salts, solvates and prodrugs of the present invention may contain at least one chiral centre.
- the compounds, salts, solvates and prodrugs may therefore exist in at least two isomeric forms.
- the present invention encompasses racemic mixtures of the compounds, salts, solvates and prodrugs of the present invention as well as enantiomerically enriched and substantially enantiomerically pure isomers.
- a "substantially enantiomerically pure" isomer of a compound comprises less than 5% of other isomers of the same compound, more typically less than 2%, and most typically less than 0.5% by weight.
- the compounds, salts, solvates and prodrugs of the present invention may contain any stable isotope including, but not limited to 12 C, ⁇ C, ⁇ , 2 H (D), ⁇ N, ⁇ N, l6 0, ⁇ O, l8 0, and 12? I, and any radioisotope including, but not limited to n C, ⁇ C, 3H (T), ⁇ N, ⁇ O, l8 F,
- the compounds, salts, solvates and prodrugs of the present invention may be in any polymorphic or amorphous form.
- a fourth aspect of the invention provides a pharmaceutical composition
- a pharmaceutical composition comprising a compound of the first or second aspect of the invention, or a pharmaceutically acceptable salt, solvate or prodrug of the third aspect of the invention, and a
- compositions of the invention are those
- the pharmaceutical composition of the fourth aspect of the invention is a topical pharmaceutical composition.
- the topical pharmaceutical composition may be a dermal pharmaceutical composition or an ocular pharmaceutical
- the pharmaceutical composition of the fourth aspect of the invention additionally comprises one or more further active agents.
- the pharmaceutical composition of the fourth aspect of the invention may be provided as a part of a kit of parts, wherein the kit of parts comprises the pharmaceutical composition of the fourth aspect of the invention and one or more further pharmaceutical compositions, wherein the one or more further pharmaceutical compositions each comprise a pharmaceutically acceptable excipient and one or more further active agents.
- a fifth aspect of the invention provides a compound of the first or second aspect of the invention, or a pharmaceutically acceptable salt, solvate or prodrug of the third aspect of the invention, or a pharmaceutical composition of the fourth aspect of the invention, for use in medicine, and/or for use in the treatment or prevention of a disease, disorder or condition.
- the use comprises the administration of the compound, salt, solvate, prodrug or pharmaceutical composition to a subject.
- the use comprises the co-administration of one or more further active agents.
- treatment refers equally to curative therapy, and
- beneficial or desired physiological results include, but are not limited to, the alleviation of symptoms, the prevention of symptoms, the diminishment of extent of disease, the stabilisation (i.e., not worsening) of a condition, the delay or slowing of progression/worsening of a condition/ symptoms, the amelioration or palliation of the condition/ symptoms, and remission (whether partial or total), whether detectable or undetectable.
- prevention means that the extent and/or undesirable manifestations of a physiological condition or symptom are lessened and/or time course of the progression is slowed or lengthened, as compared to not administering a compound, salt, solvate, prodrug or pharmaceutical composition of the present invention.
- prevention as used herein in relation to a disease, disorder or condition, relates to prophylactic or preventative therapy, as well as therapy to reduce the risk of developing the disease, disorder or condition.
- prevention includes both the avoidance of occurrence of the disease, disorder or condition, and the delay in onset of the disease, disorder or condition. Any statistically significant (p ⁇ 0.05) avoidance of occurrence, delay in onset or reduction in risk as measured by a controlled clinical trial may be deemed a prevention of the disease, disorder or condition.
- Subjects amenable to prevention include those at heightened risk of a disease, disorder or condition as identified by genetic or biochemical markers.
- the genetic or biochemical markers are appropriate to the disease, disorder or condition under consideration and may include for example, inflammatory biomarkers such as C-reactive protein (CRP) and monocyte chemoattractant protein 1 (MCP-i) in the case of inflammation; total cholesterol, triglycerides, insulin resistance and C-peptide in the case of NAFLD and NASH; and more generally ILi and IL18 in the case of a disease, disorder or condition responsive to NLRP3 inhibition.
- CRP C-reactive protein
- MCP-i monocyte chemoattractant protein 1
- a sixth aspect of the invention provides the use of a compound of the first or second aspect, or a pharmaceutically effective salt, solvate or prodrug of the third aspect, in the manufacture of a medicament for the treatment or prevention of a disease, disorder or condition.
- the treatment or prevention comprises the administration of the compound, salt, solvate, prodrug or medicament to a subject.
- the treatment or prevention comprises the co-administration of one or more further active agents.
- a seventh aspect of the invention provides a method of treatment or prevention of a disease, disorder or condition, the method comprising the step of administering an effective amount of a compound of the first or second aspect, or a pharmaceutically acceptable salt, solvate or prodrug of the third aspect, or a pharmaceutical composition of the fourth aspect, to thereby treat or prevent the disease, disorder or condition.
- the method further comprises the step of co-administering an effective amount of one or more further active agents.
- the administration is to a subject in need thereof.
- An eighth aspect of the invention provides a compound of the first or second aspect of the invention, or a pharmaceutically acceptable salt, solvate or prodrug of the third aspect of the invention, or a pharmaceutical composition of the fourth aspect of the invention, for use in the treatment or prevention of a disease, disorder or condition in an individual, wherein the individual has a germline or somatic non-silent mutation in NLRP3.
- the mutation may be, for example, a gain-of-function or other mutation resulting in increased NLRP3 activity.
- the use comprises the administration of the compound, salt, solvate, prodrug or pharmaceutical composition to the individual.
- the use comprises the co-administration of one or more further active agents.
- the use may also comprise the diagnosis of an individual having a germline or somatic non-silent mutation in NLRP3, wherein the compound, salt, solvate, prodrug or pharmaceutical composition is administered to an individual on the basis of a positive diagnosis for the mutation.
- identification of the mutation in NLRP3 in the individual may be by any suitable genetic or biochemical means.
- a ninth aspect of the invention provides the use of a compound of the first or second aspect, or a pharmaceutically effective salt, solvate or prodrug of the third aspect, in the manufacture of a medicament for the treatment or prevention of a disease, disorder or condition in an individual, wherein the individual has a germline or somatic non-silent mutation in NLRP3.
- the mutation may be, for example, a gain-of-function or other mutation resulting in increased NLRP3 activity.
- the treatment or prevention comprises the administration of the compound, salt, solvate, prodrug or medicament to the individual.
- the treatment or prevention comprises the co- administration of one or more further active agents.
- the treatment or prevention may also comprise the diagnosis of an individual having a germline or somatic non-silent mutation in NLRP3, wherein the compound, salt, solvate, prodrug or medicament is administered to an individual on the basis of a positive diagnosis for the mutation.
- identification of the mutation in NLRP3 in the individual may be by any suitable genetic or biochemical means.
- a tenth aspect of the invention provides a method of treatment or prevention of a disease, disorder or condition, the method comprising the steps of diagnosing of an individual having a germline or somatic non-silent mutation in NLRP3, and
- the method further comprises the step of co-administering an effective amount of one or more further active agents.
- the administration is to a subject in need thereof.
- the disease, disorder or condition may be a disease, disorder or condition of the immune system, the cardiovascular system, the endocrine system, the gastrointestinal tract, the renal system, the hepatic system, the metabolic system, the respiratory system, the central nervous system, may be a cancer or other malignancy, and/ or may be caused by or associated with a pathogen.
- any particular disease, disorder or condition may be categorized according to more than one of the above general embodiments.
- a non-limiting example is type I diabetes which is an autoimmune disease and a disease of the endocrine system.
- the disease, disorder or condition is responsive to NLRP3 inhibition.
- NLRP3 inhibition refers to the complete or partial reduction in the level of activity of NLRP3 and includes, for example, the inhibition of active NLRP3 and/or the inhibition of activation of NLRP3.
- NLRP3 has been implicated in a number of autoinflammatory diseases, including Familial Mediterranean fever (FMF), TNF receptor associated periodic syndrome
- TRAPS hyperimmunoglobulinemia D and periodic fever syndrome
- HIDS hyperimmunoglobulinemia D and periodic fever syndrome
- PAPA pyogenic arthritis
- PAPA pyoderma gangrenosum and acne
- CNO chronic nonbacterial osteomyelitis
- NLRP3 mutations have been found to be responsible for a set of rare autoinflammatory diseases known as CAPS (Ozaki et ah, J. Inflammation Research, 8:15-27, 2015; Schroder et al, Cell, 140: 821-832, 2010; and Menu et al, Clinical and Experimental Immunology, 166: 1-15, 2011).
- CAPS are heritable diseases characterized by recurrent fever and inflammation and are comprised of three autoinflammatory disorders that form a clinical continuum. These diseases, in order of increasing severity, are familial cold autoinflammatory syndrome (FCAS), Muckle- Wells syndrome (MWS), and chronic infantile cutaneous neurological articular - 6 ⁇ - syndrome (CINCA; also called neonatal-onset multisystem inflammatory disease, NOMID), and all have been shown to result from gain-of-function mutations in the NLRP3 gene, which leads to increased secretion of IL- ⁇ .
- FCAS familial cold autoinflammatory syndrome
- MWS Muckle- Wells syndrome
- CINCA chronic infantile cutaneous neurological articular - 6 ⁇ - syndrome
- NOMID neonatal-onset multisystem inflammatory disease
- autoimmune diseases have been shown to involve NLRP3 including, in particular, multiple sclerosis, type-i diabetes (TiD), psoriasis, rheumatoid arthritis (RA), Behcet's disease, Schnitzler syndrome, macrophage activation syndrome (Masters Clin. Immunol. 2013; Braddock et al, Nat. Rev. Drug Disc. 2004 3: 1-10; Inoue et al, Immunology 139: 11-18, Coll et al. Nat. Med. 2015 21(3)1248-55; and Scott et al. Clin. Exp. Rheumatol 2016 34(1): 88-93), systemic lupus erythematosus (Lu et al. J
- NLRP3 has also been shown to play a role in a number of lung diseases including chronic obstructive pulmonary disorder (COPD), asthma (including steroid-resistant asthma), asbestosis, and silicosis (De Nardo et al., Am. J. Pathol., 184: 42-54, 2014 and Kim et al. Am J Respir Crit Care Med. 2017 196(3): 283-97).
- COPD chronic obstructive pulmonary disorder
- asthma including steroid-resistant asthma
- asbestosis asbestosis
- silicosis De Nardo et al., Am. J. Pathol., 184: 42-54, 2014 and Kim et al. Am J Respir Crit Care Med. 2017 196(3): 283-97.
- NLRP3 has also been suggested to have a role in a number of diseases of the central nervous system, including Parkinson's disease (PD), Alzheimer's disease (AD), dementia, Huntington's disease, cerebral malaria, brain injury from pneumococcal meningitis (Walsh et al., Nature Reviews, 15: 84-97, 2014, and Dempsey et al. Brain. Behav.
- Parkinson's disease PD
- AD Alzheimer's disease
- dementia Huntington's disease
- cerebral malaria brain injury from pneumococcal meningitis
- NRLP3 activity has also been shown to be involved in various metabolic diseases including type 2 diabetes (T2D), atherosclerosis, obesity, gout, pseudo-gout, metabolic syndrome (Wen et al., Nature Immunology, 13: 352-357, 2012; Duewell et ah, Nature, 464: 1357-1361, 2010; Strowig et ah, Nature, 481: 278- 286, 2012), and non-alcoholic steatohepatitis (Mridha et al. J Hepatol. 201766(5): 1037-46).
- NLRP3 via IL- ⁇ has also been suggested in atherosclerosis, myocardial infarction (van Hout et al. Eur. Heart J. 201738(11): 828-36), heart failure (Sano et al. JAM. Coll. Cardiol. 2018 71(8): 875-66), aortic aneurysm and dissection (Wu et al. Arterioscler. Thromb. Vase. Biol. 201737(4): 694-706), and other cardiovascular events (Ridker et al., N Engl J Med., doi: 10.1056/ NEJMoai 707914, 2017).
- Other diseases in which NLRP3 has been shown to be involved include: ocular diseases such as both wet and dry age-related macular degeneration (Doyle et al.,
- NLRP3 inflammasome has been found to be activated in response to oxidative stress, and UVB irradiation (Schroder et al., Science, 327: 296-300, 2010). NLRP3 has also been shown to be involved in inflammatory hyperalgesia (Dolunay et al., Inflammation, 40: 366-386, 2017). The inflammasome, and NLRP3 specifically, has also been proposed as a target for modulation by various pathogens including viruses such as DNA viruses (Amsler et al, Future Virol. (2013) 8(4), 357-370).
- NLRP3 has also been implicated in the pathogenesis of many cancers (Menu et al., Clinical and Experimental Immunology 166: 1-15, 2011; and Masters Clin. Immunol. 2013).
- IL- ⁇ has been implicated in the pathogenesis of many cancers.
- several previous studies have suggested a role for IL- ⁇ in cancer invasiveness, growth and metastasis, and inhibition of IL- ⁇ with canakinumab has been shown to reduce the incidence of lung cancer and total cancer mortality in a randomised, double-blind, placebo-controlled trial (Ridker et al. Lancet, S0140- 6736(i7)32247-X, 2017).
- NLRP3 inflammasome Activation of the NLRP3 inflammasome has also been shown to mediate chemoresistance of tumour cells to 5-Fluorouracil (Feng et al. J Exp Clin Cancer Res. 201721; 36(1): 81), and activation of NLRP3 inflammasome in peripheral nerve contributes to chemotherapy-induced neuropathic pain (Jia et al. Mol Pain. 2017; 13: 1-11).
- NLRP3 has also been shown to be required for the efficient control of viral, bacterial, fungal, and helminth pathogen infections (Strowig et al, Nature, 481:278-286, 2012).
- examples of diseases, disorders or conditions which may be responsive to NLRP3 inhibition and which may be treated or prevented in accordance with the fifth, sixth, seventh, eighth, ninth or tenth aspect of the present invention include:
- inflammation including inflammation occurring as a result of an inflammatory disorder, e.g. an autoinflammatory disease, inflammation occurring as a symptom of a non-inflammatory disorder, inflammation occurring as a result of infection, or inflammation secondary to trauma, injury or autoimmunity;
- an inflammatory disorder e.g. an autoinflammatory disease, inflammation occurring as a symptom of a non-inflammatory disorder, inflammation occurring as a result of infection, or inflammation secondary to trauma, injury or autoimmunity
- auto-immune diseases such as acute disseminated encephalitis, Addison's disease, ankylosing spondylitis, antiphospholipid antibody syndrome (APS), anti- synthetase syndrome, aplastic anemia, autoimmune adrenalitis, autoimmune hepatitis, autoimmune oophoritis, autoimmune polyglandular failure, autoimmune thyroiditis, Coeliac disease, Crohn's disease, type 1 diabetes (TiD), Goodpasture's syndrome, Graves' disease, Guillain-Barre syndrome (GBS), Hashimoto's disease, idiopathic thrombocytopenic purpura, Kawasaki's disease, lupus erythematosus including systemic lupus erythematosus (SLE), multiple sclerosis (MS) including primary progressive multiple sclerosis (PPMS), secondary progressive multiple sclerosis (SPMS) and relapsing remitting multiple sclerosis (RRMS), myasthenia grav
- cancer including lung cancer, pancreatic cancer, gastric cancer, myelodysplastic syndrome, leukaemia including acute lymphocytic leukaemia (ALL) and acute myeloid leukaemia (AML), adrenal cancer, anal cancer, basal and squamous cell skin cancer, bile duct cancer, bladder cancer, bone cancer, brain and spinal cord tumours, breast cancer, cervical cancer, chronic lymphocytic leukaemia (CLL), chronic myeloid leukaemia (CML), chronic myelomonocytic leukaemia (CMML), colorectal cancer, endometrial cancer, oesophagus cancer, Ewing family of tumours, eye cancer, gallbladder cancer, gastrointestinal carcinoid tumours, gastrointestinal stromal tumour (GIST), gestational trophoblastic disease, glioma, Hodgkin lymphoma, Kaposi sarcoma, kidney cancer, laryngeal and hypopharyngeal cancer, liver cancer
- ALL acute
- infections including viral infections (e.g. from influenza virus, human immunodeficiency virus (HIV), alphavirus (such as Chikungunya and Ross River virus), flaviviruses (such as Dengue virus and Zika virus), herpes viruses (such as Epstein Barr Virus, cytomegalovirus, Varicella-zoster virus, and KSHV), poxviruses (such as vaccinia virus (Modified vaccinia virus Ankara) and Myxoma virus), adenoviruses (such as Adenovirus 5), or papillomavirus), bacterial infections (e.g.
- viral infections e.g. from influenza virus, human immunodeficiency virus (HIV), alphavirus (such as Chikungunya and Ross River virus), flaviviruses (such as Dengue virus and Zika virus), herpes viruses (such as Epstein Barr Virus, cytomegalovirus, Varicella-zoster virus, and KSHV), poxviruses (
- Candida or Aspergillus species protozoan infections (e.g. from Plasmodium, Babesia, Giardia, Entamoeba, Leishmania or Trypanosomes), helminth infections (e.g. from schistosoma, roundworms, tapeworms or flukes) and prion infections;
- central nervous system diseases such as Parkinson's disease, Alzheimer's disease, dementia, motor neuron disease, Huntington's disease, cerebral malaria, brain injury from pneumococcal meningitis, intracranial aneurysms, traumatic brain injury, and amyotrophic lateral sclerosis;
- metabolic diseases such as type 2 diabetes (T2D), atherosclerosis, obesity, gout, and pseudo-gout;
- cardiovascular diseases such as hypertension, ischaemia, reperfusion injury including post-MI ischemic reperfusion injury, stroke including ischemic stroke, transient ischemic attack, myocardial infarction including recurrent myocardial infarction, heart failure including congestive heart failure and heart failure with preserved ejection fraction, embolism, aneurysms including abdominal aortic aneurysm, and pericarditis including Dressler's syndrome;
- respiratory diseases including chronic obstructive pulmonary disorder (COPD), asthma such as allergic asthma and steroid-resistant asthma, asbestosis, silicosis, nanoparticle induced inflammation, cystic fibrosis and idiopathic pulmonary fibrosis;
- COPD chronic obstructive pulmonary disorder
- asthma such as allergic asthma and steroid-resistant asthma, asbestosis, silicosis, nanoparticle induced inflammation, cystic fibrosis and idiopathic pulmonary fibrosis
- liver diseases including non-alcoholic fatty liver disease (NAFLD) and nonalcoholic steatohepatitis (NASH) including advanced fibrosis stages F3 and F4, alcoholic fatty liver disease (AFLD), and alcoholic steatohepatitis (ASH);
- NAFLD non-alcoholic fatty liver disease
- NASH nonalcoholic steatohepatitis
- AFLD alcoholic fatty liver disease
- ASH alcoholic steatohepatitis
- renal diseases including chronic kidney disease, oxalate nephropathy, nephrocalcinosis, glomerulonephritis, and diabetic nephropathy;
- ocular diseases including those of the ocular epithelium, age-related macular degeneration (AMD) (dry and wet), uveitis, corneal infection, diabetic retinopathy, optic nerve damage, dry eye, and glaucoma;
- AMD age-related macular degeneration
- dermatitis such as contact dermatitis and atopic dermatitis, contact hypersensitivity, sunburn, skin lesions, hidradenitis suppurativa (HS), other cyst-causing skin diseases, and acne conglobata;
- lymphatic conditions such as lymphangitis and Castleman's disease
- the disease, disorder or condition is selected from:
- the disease, disorder or condition is selected from:
- the disease, disorder or condition is selected from:
- NASH non-alcoholic steatohepatitis
- the disease, disorder or condition is inflammation.
- inflammation examples of inflammation that may be treated or prevented in accordance with the fifth, sixth, seventh, eighth, ninth or tenth aspect of the present invention include inflammatory responses occurring in connection with, or as a result of:
- a skin condition such as contact hypersensitivity, bullous pemphigoid, sunburn, psoriasis, atopical dermatitis, contact dermatitis, allergic contact dermatitis, seborrhoetic dermatitis, lichen planus, scleroderma, pemphigus, epidermolysis bullosa, urticaria, erythemas, or alopecia;
- a joint condition such as osteoarthritis, systemic juvenile idiopathic arthritis, adult-onset Still's disease, relapsing polychondritis, rheumatoid arthritis, juvenile chronic arthritis, gout, or a seronegative spondyloarthropathy (e.g. ankylosing spondylitis, psoriatic arthritis or Reiter's disease);
- a muscular condition such as polymyositis or myasthenia gravis
- a gastrointestinal tract condition such as inflammatory bowel disease (including Crohn's disease and ulcerative colitis), gastric ulcer, coeliac disease, proctitis, pancreatitis, eosinopilic gastro-enteritis, mastocytosis, antiphospholipid syndrome, or a food-related allergy which may have effects remote from the gut (e.g., migraine, rhinitis or eczema);
- a respiratory system condition such as chronic obstructive pulmonary disease (COPD), asthma (including bronchial, allergic, intrinsic, extrinsic or dust asthma, and particularly chronic or inveterate asthma, such as late asthma and airways hyper- responsiveness), bronchitis, rhinitis (including acute rhinitis, allergic rhinitis, atrophic rhinitis, chronic rhinitis, rhinitis caseosa, hypertrophic rhinitis, rhinitis pumlenta, rhinitis sicca, rhinitis medicamentosa, membranous rhinitis, seasonal rhinitis e.g.
- COPD chronic obstructive pulmonary disease
- asthma including bronchial, allergic, intrinsic, extrinsic or dust asthma, and particularly chronic or inveterate asthma, such as late asthma and airways hyper- responsiveness
- bronchitis including acute rhinitis, allergic rhinitis,
- hay fever, and vasomotor rhinitis sinusitis, idiopathic pulmonary fibrosis (IPF), sarcoidosis, farmer's lung, silicosis, asbestosis, adult respiratory distress syndrome, hypersensitivity pneumonitis, or idiopathic interstitial pneumonia;
- IPF idiopathic pulmonary fibrosis
- sarcoidosis farmer's lung, silicosis, asbestosis, adult respiratory distress syndrome, hypersensitivity pneumonitis, or idiopathic interstitial pneumonia
- vascular condition such as atherosclerosis, Behcet's disease, vasculitides, or Wegener's granulomatosis;
- an autoimmune condition such as systemic lupus erythematosus, Sjogren's syndrome, systemic sclerosis, Hashimoto's thyroiditis, type I diabetes, idiopathic thrombocytopenia purpura, or Graves disease;
- an ocular condition such as uveitis, allergic conjunctivitis, or vernal
- a nervous condition such as multiple sclerosis or encephalomyelitis
- x an infection or infection-related condition, such as Acquired Immunodeficiency Syndrome (AIDS), acute or chronic bacterial infection, acute or chronic parasitic infection, acute or chronic viral infection, acute or chronic fungal infection, meningitis, hepatitis (A, B or C, or other viral hepatitis), peritonitis, pneumonia, epiglottitis, malaria, dengue hemorrhagic fever, leishmaniasis, streptococcal myositis,
- AIDS Acquired Immunodeficiency Syndrome
- mycobacterium tuberculosis mycobacterium avium intracellulare, Pneumocystis carinii pneumonia, orchitis/epidydimitis, legionella, Lyme disease, influenza A, epstein-barr virus, viral encephalitis/aseptic meningitis, or pelvic inflammatory disease;
- a renal condition such as mesangial proliferative glomerulonephritis, nephrotic syndrome, nephritis, glomerular nephritis, acute renal failure, uremia, or nephritic syndrome;
- xiii a condition of, or involving, the immune system, such as hyper IgE syndrome, lepromatous leprosy, familial hemophagocytic lymphohistiocytosis, or graft versus host disease;
- NASH steatohepatitis
- NASH non-alcoholic fatty liver disease
- NAFLD non-alcoholic fatty liver disease
- AFLD alcoholic fatty liver disease
- ASH alcoholic steatohepatitis
- primary biliary cirrhosis NASH
- NASH non-alcoholic fatty liver disease
- NAFLD non-alcoholic fatty liver disease
- AFLD alcoholic fatty liver disease
- ASH alcoholic steatohepatitis
- primary biliary cirrhosis primary biliary cirrhosis
- xv a cancer, including those cancers listed above;
- xvi a burn, wound, trauma, haemorrhage or stroke;
- (xix) pain such as inflammatory hyperalgesia.
- the disease, disorder or condition is an autoinflammatory disease such as cryopyrin-associated periodic syndromes (CAPS), Muckle-Wells syndrome (MWS), familial cold autoinflammatory syndrome (FCAS), familial Mediterranean fever (FMF), neonatal onset multisystem inflammatory disease (NOMID), Tumour Necrosis Factor (TNF) Receptor- Associated Periodic Syndrome (TRAPS),
- CAPS cryopyrin-associated periodic syndromes
- MFS Muckle-Wells syndrome
- FCAS familial cold autoinflammatory syndrome
- FMF familial Mediterranean fever
- NOMID neonatal onset multisystem inflammatory disease
- TNF Tumour Necrosis Factor
- TRAPS Tumour Necrosis Factor
- hyperimmunoglobulinemia D and periodic fever syndrome HIDS
- deficiency of interleukin l receptor antagonist DIRA
- Majeed syndrome pyogenic arthritis
- PAPA pyoderma gangrenosum and acne syndrome
- AOSD adult-onset Still's disease
- haploinsufficiency of A20 HA20
- PGA pediatric granulomatous arthritis
- PLCG2-associated antibody deficiency and immune dysregulation PLAID
- APLAID or sideroblastic anaemia with B-cell immunodeficiency, periodic fevers and developmental delay (SIFD).
- diseases, disorders or conditions which may be responsive to NLRP3 inhibition and which may be treated or prevented in accordance with the fifth, sixth, seventh, eighth, ninth or tenth aspect of the present invention are listed above. Some of these diseases, disorders or conditions are substantially or entirely mediated by NLRP3 inflammasome activity, and NLRP3-induced IL- ⁇ and/or IL-18. As a result, such diseases, disorders or conditions may be particularly responsive to NLRP3 inhibition and may be particularly suitable for treatment or prevention in accordance with the fifth, sixth, seventh, eighth, ninth or tenth aspect of the present invention. Examples of such diseases, disorders or conditions include cryopyrin-associated periodic syndromes (CAPS), Muckle-Wells syndrome (MWS), familial cold autoinflammatory syndrome (FCAS), neonatal onset multisystem inflammatory disease (NOMID), familial
- FMF Mediterranean fever
- PAPA pyogenic arthritis
- HIDS hyperimmunoglobulinemia D and periodic fever syndrome
- TNF Tumour Necrosis Factor
- TRAPS Tumour Necrosis Factor
- AOSD AOSD
- TRAPS Tumour Necrosis Factor
- AOSD AOSD
- TRAPS Tumour Necrosis Factor
- AOSD AOSD
- relapsing polychondritis Schnitzler's syndrome
- Sweet's syndrome Sweet's syndrome
- Behcet's disease anti- synthetase syndrome
- DIRA interleukin 1 receptor antagonist
- HA20 haploinsufficiency of A20
- diseases, disorders or conditions mentioned above arise due to mutations in NLRP3, in particular, resulting in increased NLRP3 activity.
- diseases, disorders or conditions may be particularly responsive to NLRP3 inhibition and may be particularly suitable for treatment or prevention in accordance with the fifth, sixth, seventh, eighth, ninth or tenth aspect of the present invention.
- diseases, disorders or conditions include cryopyrin-associated periodic syndromes (CAPS), MucHe-Wells syndrome (MWS), familial cold
- FCAS neonatal onset multisystem inflammatory disease
- NOMID neonatal onset multisystem inflammatory disease
- the disease, disorder or condition is not a disease or disorder mediated by NFKB.
- the disease, disorder or condition is not rheumatoid arthritis, osteoarthritis, an autoimmune disease, psoriasis, asthma, a cardiovascular disease, an acute coronary syndrome, atherosclerosis, myocardial infarction, unstable angina, congestive heart failure, Alzheimer's disease, multiple sclerosis, cancer, type II diabetes, metabolic syndrome X, inflammatory bowel disease, systemic lupus erythematosus, Grave's disease, myasthenia gravis, insulin resistance, autoimmune hemolytic anemia, scleroderma with anticollagen antibodies, pernicious anemia, or diabetes mellitus.
- the disease, disorder or condition is not inflammatory bowel disease. In one embodiment of the fifth, sixth, seventh, eighth, ninth or tenth aspect of the present invention, the disease, disorder or condition is not atherosclerosis. In one embodiment of the fifth, sixth, seventh, eighth, ninth or tenth aspect of the present invention, the disease, disorder or condition is not a disease susceptible to treatment with an inhibitor of acyl-CoA. In one embodiment of the fifth, sixth, seventh, eighth, ninth or tenth aspect of the present invention, the disease, disorder or condition is not HCV infection.
- the treatment or prevention comprises topically administering a compound of the first or second aspect, or a pharmaceutically acceptable salt, solvate or prodrug of the third aspect, or a pharmaceutical composition of the fourth aspect.
- the disease, disorder or condition may be a skin disease or condition, wherein the treatment or prevention comprises topically administering a compound of the first or second aspect, or a pharmaceutically acceptable salt, solvate or prodrug of the third aspect, or a pharmaceutical composition of the fourth aspect to the skin.
- the disease, disorder or condition may be an ocular disease or condition, wherein the treatment or prevention comprises topically administering a compound of the first or second aspect, or a pharmaceutically acceptable salt, solvate or prodrug of the third aspect, or a pharmaceutical composition of the fourth aspect to the eye.
- treatment or prevention comprises topically
- one or more further active agents may be co- administered.
- the one or more further active agents may also be topically
- the pharmaceutical composition of the fourth aspect of the invention is a topical pharmaceutical composition
- the pharmaceutical composition may further comprise one or more further active agents.
- An eleventh aspect of the invention provides a method of inhibiting NLRP3, the method comprising the use of a compound of the first or second aspect of the invention, or a pharmaceutically acceptable salt, solvate or prodrug of the third aspect of the invention, or a pharmaceutical composition of the fourth aspect of the invention, to inhibit NLRP3.
- the method comprises the use of a compound of the first or second aspect of the invention, or a pharmaceutically acceptable salt, solvate or prodrug of the third aspect of the invention, or a pharmaceutical composition of the fourth aspect of the invention, in combination with one or more further active agents.
- the method is performed ex vivo or in vitro, for example in order to analyse the effect on cells of NLRP3 inhibition.
- the method is performed in vivo.
- the method may comprise the step of administering an effective amount of a compound of the first or second aspect, or a pharmaceutically acceptable salt, solvate or prodrug of the third aspect, or a pharmaceutical composition of the fourth aspect, to thereby inhibit NLRP3.
- the method further comprises the step of co-administering an effective amount of one or more further active agents.
- the administration is to a subject in need thereof.
- the method of the eleventh aspect of the invention may be a method of inhibiting NLRP3 in a non-human animal subject, the method comprising the steps of administering the compound, salt, solvate, prodrug or pharmaceutical composition to the non-human animal subject and optionally subsequently mutilating or sacrificing the non-human animal subject.
- a method further comprises the step of analysing one or more tissue or fluid samples from the optionally mutilated or sacrificed non-human animal subject.
- the method further comprises the step of co-administering an effective amount of one or more further active agents.
- a twelfth aspect of the invention provides a compound of the first or second aspect of the invention, or a pharmaceutically acceptable salt, solvate or prodrug of the third aspect of the invention, or a pharmaceutical composition of the fourth aspect of the invention, for use in the inhibition of NLRP3.
- the use comprises the administration of the compound, salt, solvate, prodrug or pharmaceutical composition to a subject.
- composition is co-administered with one or more further active agents.
- a thirteenth aspect of the invention provides the use of a compound of the first or second aspect of the invention, or a pharmaceutically effective salt, solvate or prodrug of the third aspect of the invention, in the manufacture of a medicament for the inhibition of NLRP3.
- the inhibition comprises the administration of the compound, salt, solvate, prodrug or medicament to a subject.
- the compound, salt, solvate, prodrug or medicament is co-administered with one or more further active agents.
- the one or more further active agents may comprise for example one, two or three different further active agents.
- the one or more further active agents may be used or administered prior to, simultaneously with, sequentially with or subsequent to each other and/or to the compound of the first or second aspect of the invention, the pharmaceutically acceptable salt, solvate or prodrug of the third aspect of the invention, or the pharmaceutical composition of the fourth aspect of the invention.
- a pharmaceutical composition of the fourth aspect of the invention may be administered wherein the pharmaceutical composition additionally comprises the one or more further active agents.
- the one or more further active agents are selected from:
- any particular active agent may be categorized according to more than one of the above general embodiments.
- a non-limiting example is urelumab which is an antibody that is an immunomodulatory agent for the treatment of cancer.
- the one or more chemotherapeutic agents are selected from abiraterone acetate, altretamine, amsacrine, anhydrovinblastine, auristatin,
- the one or more chemotherapeutic agents may be selected from CD59 complement fragment, fibronectin fragment, gro-beta (CXCL2),
- heparinases heparin hexasaccharide fragment, human chorionic gonadotropin (hCG), interferon alpha, interferon beta, interferon gamma, interferon inducible protein (IP- 10), interleukin-12, kringle 5 (plasminogen fragment), metalloproteinase inhibitors (TIMPs), 2-methoxyestradiol, placental ribonuclease inhibitor, plasminogen activator inhibitor, platelet factor-4 (PF4), prolactin 16 kD fragment, proliferin-related protein (PRP), various retinoids, tetrahydrocortisol-S, thrombospondin-i (TSP-i),
- the one or more antibodies may comprise one or more monoclonal antibodies.
- the one or more antibodies are selected from abciximab, adalimumab, alemtuzumab, atlizumab, basiliximab, belimumab, bevacizumab, bretuximab vedotin, canakinumab, cetuximab, ceertolizumab pegol, daclizumab, denosumab, eculizumab, efalizumab, gemtuzumab, golimumab, ibritumomab tiuxetan, infliximab, ipilimumab, muromonab-CD3, natalizumab, ofatumumab, omalizumab, palivizumab, panitumuab, ranibizumab, rituximab, tocilizumab, tositumomab, and/or trastuzumab.
- the one or more alkylating agents may comprise an agent capable of alkylating nucleophilic functional groups under conditions present in cells, including, for example, cancer cells.
- the one or more alkylating agents are selected from cisplatin, carboplatin, mechlorethamine, cyclophosphamide, chlorambucil, ifosfamide and/or oxaliplatin.
- the alkylating agent may function by impairing cell function by forming covalent bonds with amino, carboxyl, sulfhydryl, and/or phosphate groups in biologically important molecules.
- the alkylating agent may function by modifying a cell's DNA.
- the one or more anti-metabolites may comprise an agent capable of affecting or preventing RNA or DNA synthesis.
- the one or more anti-metabolites are selected from azathioprine and/or mercaptopurine.
- the one or more anti-angiogenic agents are selected from endostatin, angiogenin inhibitors, angiostatin, angioarrestin, angiostatin (plasminogen fragment), basement-membrane collagen-derived anti-angiogenic factors (tumstatin, canstatin, or arrestin), anti-angiogenic antithrombin III, and/or cartilage-derived inhibitor (CDI).
- the one or more plant alkaloids and/or terpenoids may prevent microtubule function.
- the one or more plant alkaloids and/or terpenoids are selected from a vinca alkaloid, a podophyllotoxin and/or a taxane.
- the one or more vinca alkaloids may be derived from the
- Madagascar periwinkle, Catharanthus roseus (formerly known as Vinca rosea), and may be selected from vincristine, vinblastine, vinorelbine and/or vindesine.
- the one or more taxanes are selected from taxol, paclitaxel, docetaxel and/or ortataxel.
- the one or more podophyllotoxins are selected from an etoposide and/or teniposide.
- the one or more topoisomerase inhibitors are selected from a type I topoisomerase inhibitor and/or a type II topoisomerase inhibitor, and may interfere with transcription and/or replication of DNA by interfering with DNA supercoiling.
- the one or more type I topoisomerase inhibitors may comprise a camptothecin, which may be selected from exatecan, irinotecan, lurtotecan, topotecan, BNP 1350, CKD 602, DB 67 (AR67) and/or ST 1481.
- the one or more type II topoisomerase inhibitors may comprise an epipodophyllotoxin, which may be selected from an amsacrine, etoposid, etoposide phosphate and/or teniposide.
- the one or more mTOR (mammalian target of rapamycin, also known as the mechanistic target of rapamycin) inhibitors are selected from rapamycin, everolimus, temsirolimus and/or deforolimus.
- the one or more stilbenoids are selected from resveratrol, piceatannol, pinosylvin, pterostilbene, alpha-viniferin, ampelopsin A, ampelopsin E, diptoindonesin C, diptoindonesin F, epsilon-vinferin, flexuosol A, gnetin H, hemsleyanol D, hopeaphenol, trans-diptoindonesin B, astringin, piceid and/or diptoindonesin A.
- the one or more STING (Stimulator of interferon genes, also known as transmembrane protein (TMEM) 173) agonists may comprise cyclic di- nucleotides, such as cAMP, cGMP, and cGAMP, and/or modified cyclic di -nucleotides that may include one or more of the following modification features: 2'-0/3'-0 linkage, phosphorothioate linkage, adenine and/or guanine analogue, and/or 2'-0H
- modification e.g. protection of the 2'-0H with a methyl group or replacement of the 2'-0H by -F or -N 3 ).
- the one or more cancer vaccines are selected from an HPV vaccine, a hepatitis B vaccine, Oncophage, and/or Provenge.
- the one or more immunomodulatory agents may comprise an immune checkpoint inhibitor.
- the immune checkpoint inhibitor may target an immune checkpoint receptor, or combination of receptors comprising, for example, CTLA-4, PD-i, PD-Li, PD-L2, T cell immunoglobulin and mucin 3 (TIM3 or HAVCR2), galectin 9, phosphatidylserine, lymphocyte activation gene 3 protein (LAG3), MHC class I, MHC class II, 4-1BB, 4-1BBL, OX40, OX40L, GITR, GITRL, CD27, CD70, TNFRSF25, TLiA, CD40, CD40L, HVEM, LIGHT, BTLA, CD160, CD80, CD244, CD48, ICOS, ICOSL, B7- H3, B7-H4, VISTA, TMIGD2, HHLA2, TMIGD2, a butyrophilin (including BTNL2), a Siglec family member, TIGIT, P
- the immune checkpoint inhibitor is selected from urelumab, PF-05082566, MEDI6469, TRX518, varlilumab, CP-870893, pembrolizumab (PDi), nivolumab (PDi), atezolizumab (formerly MPDL3280A) (PD-Li), MEDI4736 (PD-Li), avelumab (PD-Li), PDR001 (PDi), BMS-986016, MGA271, lirilumab, IPH2201, emactuzumab, INCB024360, galunisertib, ulocuplumab, BKT140, bavituximab, CC- 90002, bevacizumab, and/or MNRP1685A.
- the one or more antibiotics are selected from amikacin, gentamicin, kanamycin, neomycin, netilmicin, tobramycin, paromomycin,
- streptomycin spectinomycin, geldanamycin, herbimycin, rifaximin, loracarbef, ertapenem, doripenem, imipenem, cilastatin, meropenem, cefadroxil, cefazolin, cefalotin, cefalothin, cefalexin, cefaclor, cefamandole, cefoxitin, cefprozil, cefuroxime, cefixime, cefdinir, cefditoren, cefoperazone, cefotaxime, cefpodoxime, ceftazidime, ceftibuten, ceftizoxime, ceftriaxone, cefepime, ceftaroline fosamil, ceftobiprole, teicoplanin, vancomycin, telavancin, dalbavancin, oritavancin, clindamycin, lincomycin, dap
- the one or more antibiotics may comprise one or more cytotoxic antibiotics.
- the one or more cytotoxic antibiotics are selected from an actinomycin, an anthracenedione, an anthracycline, thalidomide,
- the one or more actinomycins are selected from actinomycin D, bacitracin, colistin (polymyxin E) and/or polymyxin B.
- the one or more antracenediones are selected from mitoxantrone and/or pixantrone.
- the one or more anthracyclines are selected from bleomycin,
- doxorubicin Adriamycin
- daunorubicin daunomycin
- epirubicin idarubicin
- mitomycin plicamycin
- valrubicin doxorubicin
- the one or more anti-fungal agents are selected from bifonazole, butoconazole, clotrimazole, econazole, ketoconazole, Miconazole, miconazole, omoconazole, oxiconazole, sertaconazole, sulconazole, tioconazole, albaconazole, efinaconazole, epoziconazole, fluconazole, isavuconazole, itraconazole, posaconazole, propiconazole, ravusconazole, terconazole, voriconazole, abafungin, amorolfin, butenafine, naftifine, terbinafine, anidulafungin, caspofungin, micafungin, benzoic acid, ciclopirox, flucytosine, 5-fluorocytosine, griseofulvin, haloprogin, tolnaflate, unde
- the one or more anti-helminthic agents are selected from benzimidazoles (including albendazole, mebendazole, thiabendazole, fenbendazole, triclabendazole, and flubendazole), abamectin, diethylcarbamazine, ivermectin, suramin, pyrantel pamoate, levamisole, salicylanilides (including niclosamide and oxyclozanide), and/or nitazoxanide.
- benzimidazoles including albendazole, mebendazole, thiabendazole, fenbendazole, triclabendazole, and flubendazole
- abamectin including albendazole, mebendazole, thiabendazole, fenbendazole, triclabendazole, and flubendazole
- abamectin including albendazole, mebendazole, thiabendazole, f
- other active agents are selected from growth inhibitory agents, anti-inflammatory agents (including nonsteroidal anti-inflammatory agents), anti- psoriatic agents (including anthralin and its derivatives), vitamins and vitamin- derivatives (including retinoinds, and VDR receptor ligands), corticosteroids, ion channel blockers (including potassium channel blockers), immune system regulators (including cyclosporin, FK 506, and glucocorticoids), lutenizing hormone releasing hormone agonists (such as leuprolidine, goserelin, triptorelin, histrelin, bicalutamide, flutamide and/or nilutamide), and/or hormones (including estrogen).
- anti-inflammatory agents including nonsteroidal anti-inflammatory agents
- anti- psoriatic agents including anthralin and its derivatives
- vitamins and vitamin- derivatives including retinoinds, and VDR receptor ligands
- corticosteroids including ion channel blockers (including potassium channel blockers)
- the subject may be any human or other animal.
- the subject is a mammal, more typically a human or a domesticated mammal such as a cow, pig, lamb, sheep, goat, horse, cat, dog, rabbit, mouse etc. Most typically, the subject is a human.
- any of the medicaments employed in the present invention can be administered by oral, parenteral (including intravenous, subcutaneous, intramuscular, intradermal, intratracheal, intraperitoneal, intraarticular, intracranial and epidural), airway (aerosol), rectal, vaginal, ocular or topical (including transdermal, buccal, mucosal, sublingual and topical ocular) administration.
- the mode of administration selected is that most appropriate to the disorder, disease or condition to be treated or prevented.
- the mode of administration may be the same as or different to the mode of administration of the compound, salt, solvate, prodrug or pharmaceutical composition of the invention.
- the compounds, salts, solvates or prodrugs of the present invention will generally be provided in the form of tablets, capsules, hard or soft gelatine capsules, caplets, troches or lozenges, as a powder or granules, or as an aqueous solution, suspension or dispersion.
- Tablets for oral use may include the active ingredient mixed with pharmaceutically acceptable excipients such as inert diluents, disintegrating agents, binding agents, lubricating agents, sweetening agents, flavouring agents, colouring agents and preservatives.
- Suitable inert diluents include sodium and calcium carbonate, sodium and calcium phosphate, and lactose.
- Corn starch and alginic acid are suitable disintegrating agents.
- Binding agents may include starch and gelatine.
- the lubricating agent if present, may be magnesium stearate, stearic acid or talc.
- the tablets may be coated with a material, such as glyceryl monostearate or glyceryl distearate, to delay absorption in the gastrointestinal tract. Tablets may also be effervescent and/or dissolving tablets.
- Capsules for oral use include hard gelatine capsules in which the active ingredient is mixed with a solid diluent, and soft gelatine capsules wherein the active ingredient is mixed with water or an oil such as peanut oil, liquid paraffin or olive oil.
- Powders or granules for oral use may be provided in sachets or tubs.
- Aqueous solutions, suspensions or dispersions may be prepared by the addition of water to powders, granules or tablets.
- Any form suitable for oral administration may optionally include sweetening agents such as sugar, flavouring agents, colouring agents and/or preservatives.
- Formulations for rectal administration may be presented as a suppository with a suitable base comprising, for example, cocoa butter or a salicylate.
- Formulations suitable for vaginal administration may be presented as pessaries, tampons, creams, gels, pastes, foams or spray formulations containing in addition to the active ingredient such carriers as are known in the art to be appropriate.
- the compounds, salts, solvates or prodrugs of the present invention will generally be provided in a sterile aqueous solution or suspension, buffered to an appropriate pH and isotonicity.
- Suitable aqueous vehicles include Ringer's solution and isotonic sodium chloride or glucose.
- Aqueous suspensions according to the invention may include suspending agents such as cellulose derivatives, sodium alginate, polyvinylpyrrolidone and gum tragacanth, and a wetting agent such as lecithin.
- Suitable preservatives for aqueous suspensions include ethyl and n-propyl p-hydroxybenzoate.
- the compounds of the invention may also be presented as liposome formulations.
- the compounds, salts, solvates or prodrugs of the invention will generally be provided in a form suitable for topical administration, e.g. as eye drops.
- suitable forms may include ophthalmic solutions, gel-forming solutions, sterile powders for reconstitution, ophthalmic suspensions, ophthalmic ointments, ophthalmic emulsions, ophthalmic gels and ocular inserts.
- the compounds, salts, solvates or prodrugs of the invention will generally be provided in a form suitable for topical administration, e.g. as eye drops.
- Suitable forms may include ophthalmic solutions, gel-forming solutions, sterile powders for reconstitution, ophthalmic suspensions, ophthalmic ointments, ophthalmic emulsions, ophthalmic gels and ocular inserts.
- the compounds, salts, solvates or prodrugs of the invention will generally be provided in a form suitable for topical administration, e.g. as eye drops.
- preparations including as irrigating solutions, as intraocular, intravitreal or juxtascleral injection formulations, or as intravitreal implants), as packs or corneal shields, as intracameral, subconjunctival or retrobulbar injection formulations, or as iontophoresis formulations.
- the compounds, salts, solvates or prodrugs of the invention will generally be provided in the form of ointments, cataplasms (poultices), pastes, powders, dressings, creams, plasters or patches.
- Suitable suspensions and solutions can be used in inhalers for airway (aerosol) administration.
- the dose of the compounds, salts, solvates or prodrugs of the present invention will, of course, vary with the disorder, disease or condition to be treated or prevented.
- a suitable dose will be in the range of 0.01 to 500 mg per kilogram body weight of the recipient per day.
- the desired dose may be presented at an appropriate interval such as once every other day, once a day, twice a day, three times a day or four times a day.
- the desired dose may be administered in unit dosage form, for example, containing 1 mg to 50 g of active ingredient per unit dosage form.
- any embodiment of a given aspect of the present invention may occur in combination with any other embodiment of the same aspect of the present invention.
- any preferred, typical or optional embodiment of any aspect of the present invention should also be considered as a preferred, typical or optional embodiment of any other aspect of the present invention.
- DIPEA ⁇ , ⁇ -diisopropylethylamine also called Hiinig's base
- Ms mesyl also called methanesulfonyl MsCl mesyl chloride, also called methanesulfonyl chloride
- TBME ferf -butyl methyl ether also called methyl ferf -butyl ether
- Methods la and lb Waters Xselect CSH C18 XP column, 2.5 ⁇ (4.6 x 30 mm) at 40 °C; flow rate 2.5-4.5 m L min 1 eluted with a water-acetonitrile gradient containing either 0.1 % v/v formic acid (Method la) or 10 mM ammonium bicarbonate in water (Method lb) over 4 minutes employing UV detection at 254 nm. Gradient
- Methods 2a and 2b Waters BEH C18 (2.1 x 30 mm, 1.7 ⁇ ) at 40°C; flow rate 0.77 mL min 1 eluted with a H 2 0-MeCN gradient containing either 0.1% v/v formic acid (Method 2a) or 10 mM NH 4 HC0 3 in water (Method 2b) over 3 min employing UV detection at 254 nm.
- Method 1 (acidic preparation): Waters X-Select CSH column C18, 5 ⁇ (19 x 50 mm), flow rate 28 mL/min eluting with a water-acetonitrile gradient containing 0.1 % v/v formic acid over 6.5 minutes using UV detection at 254 nm. Gradient information: 0.0-0.2 minutes, 20 % acetonitrile; 0.2-5.5 minutes, ramped from 20 % acetonitrile to 40 % acetonitrile; 5.5-5.6 minutes, ramped from 40 % acetonitrile to 95 % acetonitrile; 5.6-6.5 minutes, held at 95 % acetonitrile.
- Method 2 (basic preparation): Waters X-Bridge Prep column C18, 5 ⁇ (19 x 50 mm), flow rate 28 mL/min eluting with a 10 mM ammonium bicarbonate-acetonitrile gradient over 6.5 minutes using UV detection at 254 nm. Gradient information: 0.0-0.2 minutes, 10 % acetonitrile; 0.2-5.5 minutes, ramped from 10 % acetonitrile to 40 % acetonitrile; 5.5-5.6 minutes, ramped from 40 % acetonitrile to 95 % acetonitrile; 5.6- 6.5 minutes, held at 95 % acetonitrile.
- Method 4 Buchi Sepracore® X50 system driven by a C-605 pump module, C-620 Sepracore control package, C-640 UV photometer detection unit and C-660 fraction collector.
- Detection wavelength 215, 235, 254 and 280 nm. Before each new run, the cartridge was cleaned using the conditioning method.
- Step A 4-Fluoro-2-(prop-i-en-2-yl)aniline
- Step B 4-Fluoro-2-isopropylaniline
- Step D 4-(2-Amino-5-fluoro-3-isopropylphenyl)picolinonitrile
- Step A 4-Fluoro-2-isopropyl-6-(2-methoxypyridin-4-yl)aniline
- Step B 4-(5-Fluoro- -isocyanato-3-isopropylphenyl)-2-methoxypyridine
- Step B 2,3-Dihydro-i -inden-4-amine
- Step D N-(5-Bromo-2 -dih dro-iH-inden- - l acetamide
- N-(2,3-dihydro-iH-inden-4-yl)acetamide (34.6 g, 197.46 mmol, 1 eq), p-toluenesulfonic acid (18.70 g, 108.60 mmol, 0.55 eq) and Pd(0Ac) 2 (2.22 g, 9.87 mmol, 0.05 eq) were suspended in toluene (400 mL) and stirred at 20 °C for 0.5 hour under air atmosphere. NBS (38.66 g, 217.20 mmol, 1.1 eq) was added. Then the reaction mixture was stirred at 20 °C for 2 hours.
- Step F 5-(2-Methox ridin- - l -2 -dih dro-iH-inden- -amine
- the reaction mixture was heated to 80 °C for 12 hours.
- the mixture was poured into water (500 mL) and extracted with ethyl acetate (2 x 500 mL).
- the combined organic phases were washed with brine (2 x 700 mL), dried over anhydrous Na 2 S0 4 , filtered and concentrated in vacuo.
- the residue was purified by silica gel column chromatography (Si0 2 , petroleum ether: ethyl acetate, 1:0 to 10:1) to give the title compound (27.4 g, 79 % yield, 95 % purity on LCMS) as a white solid.
- Step E 5-Bromo-7-fluor -2,3-dihydro-iH-inden-4-amine
- Step F 7-Fluoro-5-(pyridin-4-yl)-2,3-dihydro-iH-inden-4-amine
- Step A N,N-Bis( -methox benz l -i- hen lmethanesulfonamide
- Step B N,N-Bis( -methoxybenzyl)-i-phenylethanesulfonamide
- Example 3 ⁇ 4 iV-((i,2,.3 ⁇ 4,. g ;,6,7-Hexahydro-s-indacen-4-yl)carbamoyl)ethene- sulfonamide
- Ethene sulfonamide (0.2 g, 1.3 mmol) was dissolved in THF (2.5 mL), the mixture cooled to o °C and potassium t-butoxide (0.21 g, 1.9 mmol) added. After stirring at o °C for 45 minutes 4-isocyanato-i,2,3,5,6,7-hexahydro-s-indacene (Intermediate Ai) (0.27 g, 1.4 mmol) in THF (2.5 mL) was added dropwise and the mixture stirred for 20 hours at room temperature.
- Example 7 i-(4-Fluorophenyl)-iV-((i,2,3,5,6,7-hexahydro-s-indacen-4- yl)carbamoyl)methanesulfonamide, sodium salt
- Example 8 i-(4-Cyanophenyl)-iV-((i,2,3,5,6,7-hexahydro-s-indacen-4- yl)carbamoyl)methanesulfonamide, sodium salt
- Example 10 iV-((i.2.3 ⁇ 4. g ;.6.7-Hexahydro-s-indaceii-4-yllcarhamoyD-i-f4- (trifluoromethyl)phenyl)methanesulfonamide, sodium salt
- Example 11 iV-((i.2.3 ⁇ 4. g ;.6.7-Hexahydro-s-indacen-4-yllcarhamoyD-i-f3- methoxypheiiyl)methanesulfonamide, sodium salt
- Example i3 ⁇ 4 i-(4-Chloro-3-fluorophenyl)-iV-((i,2,3,5,6,7-hexahydro-s- iiidacen-4-yl)carbamoyl)methanesulfonamide, sodium salt
- Example 14 jV-((i.2.3 ⁇ 4.c;.6.7-Hexahydro-s-indacen-4-yDcarhamoyl)- tolyl)methanesulfonamide, sodium salt
- Example 16 iV-((i,2,.3 ⁇ 4, g ;,6,7-Hexahydro-s-indacen-4-yl)carbamoyl)-i-(2- (trifluoromethyl)phenyl)methanesulfonamide, sodium salt
- Example 17 i-(2-Bromophenyl)-iV-((i,2,3,5,6,7-hexahydro-s-indacen-4- yl)carbamoyl)methanesulfonamide, sodium salt - 1 ⁇ 6 -
- Example IQ i-(3-Bromophenyl)-iV-((i,2,3,5,6,7-hexahydro-s-indacen-4- yl)carbamoyl)methanesulfonamide, sodium salt - IO7 -
- Example 20 jV-(( ' i.2.3 ⁇ 4.. ⁇ .6.7-Hexahydro-s-indacen--l-yl)carbamoyl)-i-( ' m- tolyl)methanesulfonamide, sodium salt
- Example 33 N-((7-Fluoro- g ;-(pyridin-4-yl)-2,3-dihydro-iH-inden-4-yl) carbamoyl)-2-phenylethanesulfonamide
- the residue was purified by prep-HPLC (column: Xtimate C18, ⁇ 50 ⁇ *25 ⁇ *5 ⁇ ; mobile phase: [A: water (0.05% ammonium hydroxide v/v); B: MeCN]; B%: io%-40%, 12 min) to give the title compound (12.98 mg, 10 % yield, 100 % purity on LCMS) as a white solid.
- step F was dissolved in THF (5 mL). Triethylamine (208 ⁇ , 1.49 mmol) was added, followed by a solution of bis(trichlorom ethyl) carbonate (382 mg, 1.29 mmol) in THF (2 mL). The thick reaction mixture was stirred at room temperature for 1 hour. The solvent was removed in vacuo and the solid formed was dried under high vacuum for 1 hour. The solid, 4-(4-isocyanato-2,3-dihydro-iH-inden-5-yl)-2- methoxypyridine, was suspended in THF (8 mL) of which 2 mL were used later.
- Methanesulfonamide (30 mg, 0.315 mmol) was suspended in THF (2 mL), sodium tert- butoxide (2 M in THF) (175 ⁇ , 0.351 mmol) was added, and the mixture was stirred for 30 minutes at room temperature. Then a solution of 4-(4-isocyanato-2,3-dihydro-iH- inden-5-yl)-2-methoxypyridine (78 mg, 0.292 mmol) in THF (2 mL), prepared earlier, was added and the mixture was stirred overnight at room temperature.
- Example 40 N-(d.2.3 ⁇ 4.. ⁇ .6.7-Hexahydro-s-indacen--l-yl)carbamoyl)-2- phenylethanesulfonamide
- THP-i cells (ATCC # TIB-202) were grown in RPMI containing L-glutamine (Gibco #11835) supplemented with imM sodium pyruvate (Sigma # S8636) and penicillin (loounits/ml) / streptomycin (o.img/ml) (Sigma # P4333) in 10% Fetal Bovine Serum (FBS) (Sigma # F0804). The cells were routinely passaged and grown to confluency ( ⁇ io 6 cells/ml). On the day of the experiment, THP-i cells were harvested and resuspended into RPMI medium (without FBS). The cells were then counted and viability (>go%) checked by Trypan blue (Sigma # T8154).
Landscapes
- Chemical & Material Sciences (AREA)
- Organic Chemistry (AREA)
- Pharmaceuticals Containing Other Organic And Inorganic Compounds (AREA)
Abstract
The present invention relates to compounds of formula (I): wherein Q is selected from O or S; R1 is a saturated or unsaturated, optionally substituted C1-C15 hydrocarbyl group, wherein the atom of R1 which is attached to the sulfur atom of the sulfonylurea group is not a ring atom of a cyclic group; and R2 is a cyclic group substituted at the α-position, wherein R2 may optionally be further substituted. The present invention further relates to salts, solvates and prodrugs of such compounds, to pharmaceutical compositions comprising such compounds, and to the use of such compounds in the treatment and prevention of medical disorders and diseases, most especially by the inhibition of NLRP3.
Description
NOVEL SULFONAMIDE CARBOXAMIDE COMPOUNDS
Field of the Invention
The present invention relates to sulfonylureas and sulfonylthioureas comprising a Ci- Ci5 hydrocarbyl group attached to the sulfur atom of the sulfonylurea group and an a- substituted cyclic group attached to the nitrogen atom of the urea group, and to associated salts, solvates, prodrugs and pharmaceutical compositions. The present invention further relates to the use of such compounds in the treatment and prevention of medical disorders and diseases, most especially by NLRP3 inhibition.
Background
The NOD-like receptor (NLR) family, pyrin domain-containing protein 3 (NLRP3) inflammasome is a component of the inflammatory process, and its aberrant activity is pathogenic in inherited disorders such as cryopyrin-associated periodic syndromes (CAPS) and complex diseases such as multiple sclerosis, type 2 diabetes, Alzheimer's disease and atherosclerosis.
NLRP3 is an intracellular signalling molecule that senses many pathogen-derived, environmental and host-derived factors. Upon activation, NLRP3 binds to apoptosis- associated speck-like protein containing a caspase activation and recruitment domain (ASC). ASC then polymerises to form a large aggregate known as an ASC speck.
Polymerised ASC in turn interacts with the cysteine protease caspase-i to form a complex termed the inflammasome. This results in the activation of caspase-i, which cleaves the precursor forms of the proinflammatory cytokines IL-ιβ and IL-18 (termed pro-IL-ιβ and pro-IL-18 respectively) to thereby activate these cytokines. Caspase-i also mediates a type of inflammatory cell death known as pyroptosis. The ASC speck can also recruit and activate caspase-8, which can process pro-IL-ιβ and pro-IL-18 and trigger apoptotic cell death. Caspase-i cleaves pro-IL-ιβ and pro-IL-18 to their active forms, which are secreted from the cell. Active caspase-i also cleaves gasdermin-D to trigger pyroptosis. Through its control of the pyroptotic cell death pathway, caspase-i also mediates the release of alarmin molecules such as IL-33 and high mobility group box 1 protein (HMGBi). Caspase-i also cleaves intracellular IL-1R2 resulting in its degradation and allowing the release of IL-ioc. In human cells caspase-i may also control the processing and secretion
of IL-37. A number of other caspase-i substrates such as components of the
cytoskeleton and glycolysis pathway may contribute to caspase-i-dependent inflammation. NLRP3-dependent ASC specks are released into the extracellular environment where they can activate caspase-i, induce processing of caspase-i substrates and propagate inflammation.
Active cytokines derived from NLRP3 inflammasome activation are important drivers of inflammation and interact with other cytokine pathways to shape the immune response to infection and injury. For example, IL-ιβ signalling induces the secretion of the pro-inflammatory cytokines IL-6 and TNF. IL-ιβ and IL-18 synergise with IL-23 to induce IL-17 production by memory CD4 TI117 cells and by γδ T cells in the absence of T cell receptor engagement. IL-18 and IL-12 also synergise to induce IFN-γ production from memory T cells and NK cells driving a Thi response.
The inherited CAPS diseases Muckle-Wells syndrome (MWS), familial cold
autoinflammatory syndrome (FCAS) and neonatal-onset multisystem inflammatory disease (NOMID) are caused by gain-of-function mutations in NLRP3, thus defining NLRP3 as a critical component of the inflammatory process. NLRP3 has also been implicated in the pathogenesis of a number of complex diseases, notably including metabolic disorders such as type 2 diabetes, atherosclerosis, obesity and gout.
A role for NLRP3 in diseases of the central nervous system is emerging, and lung diseases have also been shown to be influenced by NLRP3. Furthermore, NLRP3 has a role in the development of liver disease, kidney disease and aging. Many of these associations were defined using Nlrp3~/~ mice, but there have also been insights into the specific activation of NLRP3 in these diseases. In type 2 diabetes mellitus (T2D), the deposition of islet amyloid polypeptide in the pancreas activates NLRP3 and IL-ιβ signaling, resulting in cell death and inflammation.
Several small molecules have been shown to inhibit the NLRP3 inflammasome.
Glyburide inhibits IL-ιβ production at micromolar concentrations in response to the activation of NLRP3 but not NLRC4 or NLRPi. Other previously characterised weak NLRP3 inhibitors include parthenolide, 3,4-methylenedioxy^-nitrostyrene and
dimethyl sulfoxide (DMSO), although these agents have limited potency and are nonspecific.
Current treatments for NLRP3-related diseases include biologic agents that target IL-i. These are the recombinant IL-i receptor antagonist anakinra, the neutralizing IL-ιβ antibody canakinumab and the soluble decoy IL-i receptor rilonacept. These approaches have proven successful in the treatment of CAPS, and these biologic agents have been used in clinical trials for other IL-i -associated diseases. Some diarylsulfonylurea-containing compounds have been identified as cytokine release inhibitory drugs (CRIDs) (Perregaux et ah; J. Pharmacol. Exp. Ther. 299, 187- 197, 2001). CRIDs are a class of diarylsulfonylurea-containing compounds that inhibit the post-translational processing of IL-ιβ. Post-translational processing of IL-ιβ is accompanied by activation of caspase-i and cell death. CRIDs arrest activated monocytes so that caspase-i remains inactive and plasma membrane latency is preserved.
Certain sulfonylurea-containing compounds are also disclosed as inhibitors of NLRP3 (see for example, Baldwin et ah, J. Med. Chem., 59(5), 1691-1710, 2016; and WO 2016/131098 Ai, WO 2017/129897 Ai, WO 2017/140778 Ai, WO 2017/184604 Ai, WO 2017/184623 Ai, WO 2017/184624 Ai, WO 2018/015445 Ai and WO 2018/136890 Ai).
There is a need to provide compounds with improved pharmacological and/or physiological and/or physicochemical properties and/or those that provide a useful alternative to known compounds.
Summary of the Invention
Formula (I)
wherein:
Q is selected from O or S;
R1 is a saturated or unsaturated C1-C15 hydrocarbyl group, wherein the hydrocarbyl group may be straight-chained or branched, or be or include cyclic groups, wherein the hydrocarbyl group may optionally be substituted, and wherein the atom of R1 which is attached to the sulfur atom of the sulfonylurea group is not a ring atom of a cyclic group; and
R2 is a cyclic group substituted at the a-position, wherein R2 may optionally be further substituted.
In one embodiment the compound is not:
In the context of the present specification, a "hydrocarbyl" substituent group or a hydrocarbyl moiety in a substituent group only includes carbon and hydrogen atoms
but, unless stated otherwise, does not include any heteroatoms, such as N, O or S, in its carbon skeleton. A hydrocarbyl group/ moiety may be saturated or unsaturated
(including aromatic), and may be straight-chained or branched, or be or include cyclic groups wherein, unless stated otherwise, the cyclic group does not include any heteroatoms, such as N, O or S, in its carbon skeleton. Examples of hydrocarbyl groups include alkyl, alkenyl, alkynyl, cycloalkyl, cycloalkenyl and aryl groups/moieties and combinations of all of these groups/moieties. Typically a hydrocarbyl group is a C1-C12 hydrocarbyl group. More typically a hydrocarbyl group is a Ci-Cio hydrocarbyl group. A "hydrocarbylene" group is similarly defined as a divalent hydrocarbyl group.
An "alkyl" substituent group or an alkyl moiety in a substituent group may be straight- chained or branched. Examples of alkyl groups/moieties include methyl, ethyl, n- propyl, z'-propyl, n-butyl, z-butyl, f-butyl and n-pentyl groups/moieties. Unless stated otherwise, the term "alkyl" does not include "cycloalkyl". Typically an alkyl group is a C1-C12 alkyl group. More typically an alkyl group is a Ci-Ce alkyl group. An "alkylene" group is similarly defined as a divalent alkyl group.
An "alkenyl" substituent group or an alkenyl moiety in a substituent group refers to an unsaturated alkyl group or moiety having one or more carbon-carbon double bonds. Examples of alkenyl groups/moieties include ethenyl, propenyl, l-butenyl, 2-butenyl, 1- pentenyl, l-hexenyl, 1,3-butadienyl, 1,3-pentadienyl, 1,4-pentadienyl and 1,4- hexadienyl groups/moieties. Unless stated otherwise, the term "alkenyl" does not include "cycloalkenyl". Typically an alkenyl group is a C2-C12 alkenyl group. More typically an alkenyl group is a C2-Ce alkenyl group. An "alkenylene" group is similarly defined as a divalent alkenyl group.
An "alkynyl" substituent group or an alkynyl moiety in a substituent group refers to an unsaturated alkyl group or moiety having one or more carbon-carbon triple bonds. Examples of alkynyl groups/moieties include ethynyl, propargyl, but-i-ynyl and but-2- ynyl. Typically an alkynyl group is a C2-Ci2 alkynyl group. More typically an alkynyl group is a C2-Ce alkynyl group. An "alkynylene" group is similarly defined as a divalent alkynyl group.
A "cyclic" substituent group or a cyclic moiety in a substituent group refers to any hydrocarbyl ring, wherein the hydrocarbyl ring may be saturated or unsaturated
(including aromatic) and may include one or more heteroatoms, e.g. N, O or S, in its
carbon skeleton. Examples of cyclic groups include cycloalkyl, cycloalkenyl,
heterocyclic, aryl and heteroaryl groups as discussed below. A cyclic group may be monocyclic, bicyclic (e.g. bridged, fused or spiro), or polycyclic. Typically, a cyclic group is a 3- to 12-membered cyclic group, which means it contains from 3 to 12 ring atoms. More typically, a cyclic group is a 3- to 7-membered monocyclic group, which means it contains from 3 to 7 ring atoms.
A "heterocyclic" substituent group or a heterocyclic moiety in a substituent group refers to a cyclic group or moiety including one or more carbon atoms and one or more (such as one, two, three or four) heteroatoms, e.g. N, O or S, in the ring structure. Examples of heterocyclic groups include heteroaryl groups as discussed below and non-aromatic heterocyclic groups such as azetinyl, azetidinyl, oxetanyl, thietanyl, pyrrolidinyl, tetrahydrofuranyl, tetrahydrothiophenyl, pyrazolidinyl, imidazolidinyl, dioxolanyl, oxathiolanyl, piperidinyl, tetrahydropyranyl, thianyl, piperazinyl, dioxanyl,
morpholinyl and thiomorpholinyl groups, typically such as azetidinyl, azetinyl, tetrahydrofuranyl, pyrrolidinyl, tetrahydrothiophenyl, tetrahydropyranyl, piperidinyl, piperazinyl, morpholinyl and thiomorpholinyl groups.
A "cycloalkyl" substituent group or a cycloalkyl moiety in a substituent group refers to a saturated hydrocarbyl ring containing, for example, from 3 to 7 carbon atoms, examples of which include cyclopropyl, cyclobutyl, cyclopentyl and cyclohexyl. Unless stated otherwise, a cycloalkyl substituent group or moiety may include monocyclic, bicyclic or polycyclic hydrocarbyl rings. A "cycloalkenyl" substituent group or a cycloalkenyl moiety in a substituent group refers to a non-aromatic unsaturated hydrocarbyl ring having one or more carbon- carbon double bonds and containing, for example, from 3 to 7 carbon atoms, examples of which include cyclopent-i-en-i-yl, cyclohex-i-en-i-yl and cyclohex-i,3-dien-i-yl. Unless stated otherwise, a cycloalkenyl substituent group or moiety may include monocyclic, bicyclic or polycyclic hydrocarbyl rings.
An "aryl" substituent group or an aryl moiety in a substituent group refers to an aromatic hydrocarbyl ring. The term "aryl" includes monocyclic aromatic hydrocarbons and polycyclic fused ring aromatic hydrocarbons wherein all of the fused ring systems (excluding any ring systems which are part of or formed by optional substituents) are
aromatic. Examples of aryl groups/moieties include phenyl, naphthyl, anthracenyl and phenanthrenyl. Unless stated otherwise, the term "aryl" does not include "heteroaryl".
A "heteroaryl" substituent group or a heteroaryl moiety in a substituent group refers to an aromatic heterocyclic group or moiety. The term "heteroaryl" includes monocyclic aromatic heterocycles and polycyclic fused ring aromatic heterocycles wherein all of the fused ring systems (excluding any ring systems which are part of or formed by optional substituents) are aromatic. Examples of heteroaryl groups/moieties include the following:
wherein G = O, S or NH. For the purposes of the present specification, where a combination of moieties is referred to as one group, for example, arylalkyl, arylalkenyl, arylalkynyl, alkylaryl, alkenylaryl or alkynylaryl, the last mentioned moiety contains the atom by which the group is attached to the rest of the molecule. An example of an arylalkyl group is benzyl. For the purposes of the present specification, in an optionally substituted group or moiety:
(i) each hydrogen atom may optionally be replaced by a group independently selected from halo; -CN; -N02; -N3; -RP; -OH; -ORP; -R«-halo; -Ra-CN; -Ra-N02; -Ra-N3;
-Ra-RP; -Ra-OH; -Ra-ORP; -SH; -SRP; -SORP; -S02H; -S02RP; -S02NH2; -S02NHRP; -S02N(RP)2; -Ra-SH; -Ra-SRP; -Ra-SORP; -Ra-S02H; -Ra-S02RP; -Ra-S02NH2;
-Ra-S02NHRP; -Ra-S02N(RP)2; -Si(RP)3; -0-Si(RP)3; -Ra-Si(RP)3; -Ra-0-Si(RP)3; -NH2;
-NHRP; -N(RP)2; -N(0)(RP)2; -N+(RP)3; -Ra-NH2; -Ra-NHRP; -Ra-N(RP)2; -Ra-N(0)(RP)2;
-R°-N+(RP)3; -CHO; -CORP; -COOH; -COORP; -OCORP; -Ra-CHO; -Ra-CORP;
-R°-COOH; -R°-COORP; -Ra-OCORP; -C(=NH)RP; -C(=NH)NH2; -C(=NH)NHRP;
-C(=NH)N(RP)2; -C(=NRP)RP; -C(=NRP)NHRP; -C(=NRP)N(RP)2; -C(=NOH)RP;
-C(N2)RP; -Ra-C(=NH)RP; -Ra-C(=NH)NH2; -Ra-C(=NH)NHRP; -Ra-C(=NH)N(RP)2;
-R"-C(=NRP)RP; -R"-C(=NRP)NHRP; -R"-C(=NRP)N(RP)2; -R"-C(=NOH)RP;
-R"-C(N2)RP; -NH-CHO; -NRP-CHO; -NH-CORP; -NRP-CORP; -C0NH2; -CONHRP; -C0N(RP)2; -Ra-NH-CHO; -Ra-NRP-CHO; -Ra-NH-CORP; -Ra-NRP-CORP; -Ra-C0NH2; -Ra-CONHRP; -Ra-C0N(RP)2; -0-Ra-OH; -0-Ra-ORP; -0-Ra-NH2; -0-Ra-NHRP;
-0-Ra-N(RP)2; -0-Ra-N(0)(RP)2; -0-Ra-N+(RP)3; -NH-Ra-OH; -NH-Ra-ORP;
-NH-Ra-NH2; -NH-Ra-NHRP; -NH-Ra-N(RP)2; -NH-Ra-N(0)(RP)2; -NH-Ra-N+(RP)3; -NRP-Ra-OH; -NRP-Ra-ORP; -NRP-Ra-NH2; -NRP-Ra-NHRP; -NRP-Ra-N(RP)2;
-NRP-Ra-N(0)(RP)2; -NRP-Ra-N+(RP)3; -N(0)RP-Ra-OH; -N(0)RP-Ra-ORP;
-N(0)RP-Ra-NH2; -N(0)RP-Ra-NHRP; -N(0)RP-Ra-N(RP)2; -N(0)RP-Ra-N(0)(RP)2; -N(0)RP-Ra-N+(RP)3; -N+(RP)2-Ra-0H; -N+(RP)2-Ra-0RP; -N+(RP)2-R°-NH2;
-N+(RP)2-R°-NHRP; -N+(RP)2-R°-N(RP)2; or -N+(RP)2-Ra-N(0)(RP)2; and/or
(ii) any two hydrogen atoms attached to the same atom may optionally be replaced by a π-bonded substituent independently selected from oxo (=0), =S, =NH or =NRP; and/or
(iii) any two hydrogen atoms attached to the same or different atoms, within the same optionally substituted group or moiety, may optionally be replaced by a bridging substituent independently selected from -0-, -S-, -NH-, -N=N-, -N(RP)-, -N(0)(RP)-, -N+(RP)2- or -R°-;
wherein each -Ra- is independently selected from an alkylene, alkenylene or alkynylene group, wherein the alkylene, alkenylene or alkynylene group contains from l to 6 atoms in its backbone, wherein one or more carbon atoms in the backbone of the alkylene, alkenylene or alkynylene group may optionally be replaced by one or more heteroatoms N, O or S, wherein one or more -CH2- groups in the backbone of the alkylene, alkenylene or alkynylene group may optionally be replaced by one or more -N(0)(RP)- or -N+(RP)2- groups, and wherein the alkylene, alkenylene or alkynylene group may optionally be substituted with one or more halo and/or -RP groups; and wherein each -RP is independently selected from a Ci-Ce alkyl, C2-Ce alkenyl, C2-Ce alkynyl or C2-Ce cyclic group, or wherein any two or three -RP attached to the same nitrogen atom may, together with the nitrogen atom to which they are attached, form a C2-C7 cyclic group, and wherein any -RP may optionally be substituted with one or more C1-C4 alkyl, C1-C4 haloalkyl, C3-C7 cycloalkyl, C3-C7 halocycloalkyl, -0(d-C4 alkyl), -OfC^ haloalkyl), -0(C3-C7 cycloalkyl), -0(C3-C7 halocycloalkyl), -COfC^ alkyl), -COfC^ haloalkyl), -COOfC^ alkyl), -COOfC^ haloalkyl), halo, -OH, -NH2, -CN, -C≡CH, oxo (=0), or 4- to 6-membered heterocyclic group.
Typically, the compounds of the present invention comprise at most one quaternary ammonium group such as -N+(RP)3or -N+(RP)2-.
Typically, in an optionally substituted group or moiety:
(i) each hydrogen atom may optionally be replaced by a group independently selected from halo; -CN; -N02; -N3; -RP; -OH; -ORP; -SH; -SRP; -SORP; -S02H; -S02RP; -S02NH2; -S02NHRP; -S02N(RP)2; -Ra-SH; -Ra-SRP; -Ra-SORP; -Ra-S02H; -Ra-S02RP; -Ra-S02NH2; -Ra-S02NHRP; -Ra-S02N(RP)2; -NH2; -NHRP; -N(RP)2; -Ra-NH2;
-Ra-NHRP; -Ra-N(RP)2; -CHO; -CORP; -COOH; -COORP; -OCORP; -Ra-CHO; -Ra-CORP; -R°-COOH; -R°-COORP; -Ra-OCORP; -NH-CHO; -NRP-CHO; -NH-CORP; -NRP-CORP; -C0NH2; -CONHRP; -C0N(RP)2; -Ra-NH-CHO; -Ra-NRP-CHO; -Ra-NH-CORP;
-Ra-NRP-CORP; -Ra-C0NH2; -Ra-CONHRP; -Ra-C0N(RP)2; -0-Ra-OH; -0-Ra-ORP; -0-Ra-NH2; -0-Ra-NHRP; -0-Ra-N(RP)2; -NH-Ra-OH; -NH-Ra-ORP; -NH-Ra-NH2; -NH-Ra-NHRP; -NH-Ra-N(RP)2; -NRP-Ra-OH; -NRP-Ra-ORP; -NRP-Ra-NH2;
-NRP-Ra-NHRP; or -NRP-Ra-N(RP)2; and/or
(ii) any two hydrogen atoms attached to the same carbon atom may optionally be replaced by a π-bonded substituent independently selected from oxo (=0), =S, =NH or =NRP; and/or
(iii) any two hydrogen atoms attached to the same or different atoms, within the same optionally substituted group or moiety, may optionally be replaced by a bridging substituent independently selected from -0-, -S-, -NH-, -N(RP)- or -Ra-;
wherein each -Ra- is independently selected from an alkylene, alkenylene or alkynylene group, wherein the alkylene, alkenylene or alkynylene group contains from l to 6 atoms in its backbone, wherein one or more carbon atoms in the backbone of the alkylene, alkenylene or alkynylene group may optionally be replaced by one or more heteroatoms N, O or S, and wherein the alkylene, alkenylene or alkynylene group may optionally be substituted with one or more halo and/or -RP groups; and
wherein each -RP is independently selected from a Ci-Ce alkyl, C2-Ce alkenyl, C2-Ce alkynyl or C2-Ce cyclic group, and wherein any -RP may optionally be substituted
with one or more C1-C4 alkyl, Ci-C4 haloalkyl, C3-C7 cycloalkyl, -0(d-C4 alkyl), -0(d-C4 haloalkyl), -0(C3-C7 cycloalkyl), halo, -OH, -NH2, -CN, -C≡CH or oxo (=0) groups.
Typically, in an optionally substituted group or moiety:
(i) each hydrogen atom may optionally be replaced by a group independently selected from halo; -CN; -N02; -N3; -RP; -OH; -ORP; -SH; -SRP; -SORP; -S02H; -S02RP; -S02NH2; -S02NHRP; -S02N(RP)2; -R°-SH; -R°-SRP; -R°-SORP; -Ra-S02H; -R°-S02RP; -R°-S02NH2; -R°-S02NHRP; -R°-S02N(RP)2; -NH2; -NHRP; -N(RP)2; -R°-NH2;
-Ra-NHRP; -Ra-N(RP)2; -CHO; -CORP; -COOH; -COORP; -OCORP; -Ra-CHO; -Ra-CORP; -R°-COOH; -Ra-COORP; or -Ra-OCORP; and/or
(ii) any two hydrogen atoms attached to the same carbon atom may optionally be replaced by a π-bonded substituent independently selected from oxo (=0), =S, =NH or =NRP; and/or
(iii) any two hydrogen atoms attached to the same or different atoms, within the same optionally substituted group or moiety, may optionally be replaced by a bridging substituent independently selected from -0-, -S-, -NH-, -N(RP)- or -Ra-;
wherein each -Ra- is independently selected from an alkylene, alkenylene or alkynylene group, wherein the alkylene, alkenylene or alkynylene group contains from l to 6 atoms in its backbone, wherein one or more carbon atoms in the backbone of the alkylene, alkenylene or alkynylene group may optionally be replaced by one or more heteroatoms N, O or S, and wherein the alkylene, alkenylene or alkynylene group may optionally be substituted with one or more halo and/or -RP groups; and
wherein each -RP is independently selected from a Ci-Ce alkyl, C2-Ce alkenyl,
C2-Ce alkynyl or C2-Ce cyclic group, and wherein any -RP may optionally be substituted with one or more Ci-C4 alkyl, Ci-C4 haloalkyl, C3-C7 cycloalkyl, -0(d-C4 alkyl), -0(d-C4 haloalkyl), -0(C3-C7 cycloalkyl), halo, -OH, -NH2, -CN, -C≡CH or oxo (=0) groups.
Typically, in an optionally substituted group or moiety:
(i) each hydrogen atom may optionally be replaced by a group independently selected from halo; -CN; -N02; -N3; -RP; -OH; -ORP; -SH; -SRP; -SORP; -S02H; -S02RP; -S02NH2; -S02NHRP; -S02N(RP)2; -Ra-SH; -Ra-SRP; -Ra-SORP; -Ra-S02H; -Ra-S02RP; -Ra-S02NH2; -Ra-S02NHRP; -Ra-S02N(RP)2; -NH2; -NHRP; -N(RP)2; -Ra-NH2;
-Ra-NHRP; -Ra-N(RP)2; -CHO; -CORP; -COOH; -COORP; -OCORP; -Ra-CHO; -Ra-CORP; -R°-COOH; -R°-COORP; or -Ra-OCORP; and/or
(ii) any two hydrogen atoms attached to the same carbon atom may optionally be replaced by a π-bonded substituent independently selected from oxo (=0), =S, =NH or =NRP; and/or
(iii) any two hydrogen atoms attached to the same or different atoms, within the same optionally substituted group or moiety, may optionally be replaced by a bridging substituent independently selected from -0-, -S-, -NH-, -N(RP)- or -Ra-;
wherein each -Ra- is independently selected from an alkylene, alkenylene or alkynylene group, wherein the alkylene, alkenylene or alkynylene group contains from l to 6 atoms in its backbone, wherein one or more carbon atoms in the backbone of the alkylene, alkenylene or alkynylene group may optionally be replaced by one or more heteroatoms N, O or S, and wherein the alkylene, alkenylene or alkynylene group may optionally be substituted with one or more halo and/or -RP groups; and
wherein each -RP is independently selected from a Ci-Ce alkyl, C2-Ce alkenyl, C2-Ce alkynyl or C2-Ce cyclic group, and wherein any -RP may optionally be substituted with one or more Ci-C4 alkyl or halo groups.
Typically a substituted group comprises l, 2, 3 or 4 substituents, more typically 1, 2 or 3 substituents, more typically 1 or 2 substituents, and more typically 1 substituent.
Unless stated otherwise, any divalent bridging substituent (e.g. -0-, -S-, -NH-, -N(RP)-, -N(0)(RP)-, -N+(RP)2- or -Ra-) of an optionally substituted group or moiety (e.g. R1) must only be attached to the specified group or moiety and may not be attached to a second group or moiety (e.g. R2), even if the second group or moiety can itself be optionally substituted.
The term "halo" includes fluoro, chloro, bromo and iodo.
Unless stated otherwise, where a group is prefixed by the term "halo", such as a haloalkyl or halomethyl group, it is to be understood that the group in question is substituted with one or more halo groups independently selected from fluoro, chloro, bromo and iodo. Typically, the maximum number of halo substituents is limited only by the number of hydrogen atoms available for substitution on the corresponding group without the halo prefix. For example, a halomethyl group may contain one, two or three halo substituents. A haloethyl or halophenyl group may contain one, two, three, four or five halo substituents. Similarly, unless stated otherwise, where a group is prefixed by a specific halo group, it is to be understood that the group in question is substituted with
one or more of the specific halo groups. For example, the term "fluoromethyl" refers to a methyl group substituted with one, two or three fluoro groups.
Unless stated otherwise, where a group is said to be "halo-substituted", it is to be understood that the group in question is substituted with one or more halo groups independently selected from fluoro, chloro, bromo and iodo. Typically, the maximum number of halo substituents is limited only by the number of hydrogen atoms available for substitution on the group said to be halo-substituted. For example, a halo- substituted methyl group may contain one, two or three halo substituents. A halo- substituted ethyl or halo-substituted phenyl group may contain one, two, three, four or five halo substituents.
Unless stated otherwise, any reference to an element is to be considered a reference to all isotopes of that element. Thus, for example, unless stated otherwise any reference to hydrogen is considered to encompass all isotopes of hydrogen including deuterium and tritium.
Where reference is made to a hydrocarbyl or other group including one or more heteroatoms N, O or S in its carbon skeleton, or where reference is made to a carbon atom of a hydrocarbyl or other group being replaced by an N, O or S atom, what is intended is that:
— CH— — N—
I is replaced by I
-CH2- is replaced by -NH-, -O- or -S-;
-CH3 is replaced by -NH2, -OH or -SH;
-CH= is replaced by -N=;
CH2= is replaced by NH=, 0= or S=; or
CH≡ is replaced by N≡;
provided that the resultant group comprises at least one carbon atom. For example, methoxy, dimethylamino and aminoethyl groups are considered to be hydrocarbyl groups including one or more heteroatoms N, O or S in their carbon skeleton.
Where reference is made to a -CH2- group in the backbone of a hydrocarbyl or other group being replaced by a -N(0)(RP)- or -N+(RP)2- group, what is intended is that:
RP RP
\ /
N
-CH2- is replaced by +
In the context of the present specification, unless otherwise stated, a Cx-Cy group is defined as a group containing from x to y carbon atoms. For example, a C1-C4 alkyl group is defined as an alkyl group containing from 1 to 4 carbon atoms. Optional substituents and moieties are not taken into account when calculating the total number of carbon atoms in the parent group substituted with the optional substituents and/or containing the optional moieties. For the avoidance of doubt, replacement heteroatoms, e.g. N, O or S, are counted as carbon atoms when calculating the number of carbon atoms in a Cx-Cy group. For example, a morpholinyl group is to be considered a Ce heterocyclic group, not a C4 heterocyclic group.
For the purposes of the present specification, where it is stated that a first atom or group is "directly attached" to a second atom or group it is to be understood that the first atom or group is covalently bonded to the second atom or group with no intervening atom(s) or groups being present. So, for example, for the group
(C=0)N(CH3)2, the carbon atom of each methyl group is directly attached to the nitrogen atom and the carbon atom of the carbonyl group is directly attached to the nitrogen atom, but the carbon atom of the carbonyl group is not directly attached to the carbon atom of either methyl group.
R1 is a saturated or unsaturated C1-C15 hydrocarbyl group. For the avoidance of doubt, it is noted that the atom of R1 which is attached to the sulfur atom of the sulfonylurea group is a carbon atom.
R1 is a saturated or unsaturated C1-C15 hydrocarbyl group, wherein the hydrocarbyl group may optionally be substituted. In one embodiment, R1 is a saturated or unsaturated C1-C12 hydrocarbyl group, wherein the hydrocarbyl group may optionally be substituted. In another embodiment, R1 is a saturated or unsaturated C1-C10 hydrocarbyl group, wherein the hydrocarbyl group may optionally be substituted. In another embodiment, R1 is a saturated or unsaturated C1-C9 hydrocarbyl group,
wherein the hydrocarbyl group may optionally be substituted. In another embodiment, R1 is a saturated or unsaturated Ci-Cs hydrocarbyl group, wherein the hydrocarbyl group may optionally be substituted. In another embodiment, R1 is a saturated or unsaturated d-C7 hydrocarbyl group, wherein the hydrocarbyl group may optionally be substituted.
In one embodiment, R1 is a branched C3-Ci5 alkyl group, wherein the alkyl group may optionally be substituted. In one embodiment, R1 is a branched C3-C12 alkyl group, wherein the alkyl group may optionally be substituted. In another embodiment, R1 is a branched C3-C10 alkyl group, wherein the alkyl group may optionally be substituted. In another embodiment, R1 is a branched C3-C9 alkyl group, wherein the alkyl group may optionally be substituted. In another embodiment, R1 is a branched C3-Cs alkyl group, wherein the alkyl group may optionally be substituted. In another embodiment, R1 is a branched C3-C7 alkyl group, wherein the alkyl group may optionally be substituted. For example, R1 may be an isopropyl, sec-butyl, isobutyl or ferf -butyl group, all of which may be unsubstituted or optionally substituted.
In one embodiment, R1 is a straight-chained C2-Ci5 alkenyl group, wherein any hydrogen atom directly attached to a sp3 hybridised carbon atom of the alkenyl group may optionally be substituted. In one embodiment, R1 is a straight-chained C2-C12 alkenyl group, wherein any hydrogen atom directly attached to a sp3 hybridised carbon atom of the alkenyl group may optionally be substituted. In another embodiment, R1 is a straight-chained C2-Cio alkenyl group, wherein any hydrogen atom directly attached to a sp3 hybridised carbon atom of the alkenyl group may optionally be substituted. In another embodiment, R1 is a straight-chained C2-C9 alkenyl group, wherein any hydrogen atom directly attached to a sp3 hybridised carbon atom of the alkenyl group may optionally be substituted. In another embodiment, R1 is a straight-chained C2-Cs alkenyl group, wherein any hydrogen atom directly attached to a sp3 hybridised carbon atom of the alkenyl group may optionally be substituted. In another embodiment, R1 is a straight-chained C2-C7 alkenyl group, wherein any hydrogen atom directly attached to a sp3 hybridised carbon atom of the alkenyl group may optionally be substituted. For example, R1 may be a straight-chained ethenyl, propenyl, l-butenyl, 2-butenyl, 1- pentenyl, l-hexenyl, 1,3-butadienyl, 1,3-pentadienyl, 1,4-pentadienyl or 1,4-hexadienyl group, all of which may be unsubstituted or, where possible, optionally substituted at a sps carbon atom.
In one embodiment, -R1 is -(CH2)nR3, wherein n is 1, 2 or 3, and R3 is a branched or cyclic Ci-C(i5-n) hydrocarbyl group, wherein the hydrocarbyl group may optionally be substituted. In one embodiment, R3 is a branched or cyclic Ci-C(i2 n) hydrocarbyl group, wherein the hydrocarbyl group may optionally be substituted. In one embodiment, R3 is a branched or cyclic Ci-Qio-n) hydrocarbyl group, wherein the hydrocarbyl group may optionally be substituted. In one embodiment, R3 is a branched or cyclic Ci-C(9-n) hydrocarbyl group, wherein the hydrocarbyl group may optionally be substituted. In one embodiment, R3 is a branched or cyclic Ci- s-n) hydrocarbyl group, wherein the hydrocarbyl group may optionally be substituted. In one embodiment, R3 is a branched or cyclic Ci-C(7-n) hydrocarbyl group, wherein the hydrocarbyl group may optionally be substituted.
In another embodiment, -R1 is -(CHR4)nR3; wherein n is 1, 2 or 3; R4 is independently selected from hydrogen, methyl or ethyl; and R3 is a branched or cyclic Ci-C(i2 n) hydrocarbyl group, wherein the hydrocarbyl group may optionally be substituted with one, two or three substituents independently selected from halo, C1-C4 haloalkyl, -CN, -N3, -NO2, -OH, -SR8, -SOR8, -S02R8, -S02N(R8)2, -NH2, -COR8, -COOR8 or -OCOR8, wherein each -R8 is independently selected from hydrogen or a C1-C4 alkyl, C2-C4 alkenyl, C2-C4 alkynyl, C1-C4 haloalkyl or C3-C7 cycloalkyl group.
In yet another embodiment, -R1 is -(CHR4)nR3; wherein n is 1, 2 or 3; R4 is
independently selected from hydrogen, methyl or ethyl; and R3 is a branched or cyclic Ci-C(io-n) hydrocarbyl group, wherein the hydrocarbyl group may optionally be substituted with one, two or three substituents independently selected from halo, C1-C4 haloalkyl, -CN, -N3, -SR8, -SOR8, -S02R8 or -S02N(R8)2, wherein each -R8 is
independently selected from hydrogen or a C1-C4 alkyl, C2-C4 alkenyl, C2-C4 alkynyl, C1-C4 haloalkyl or C3-C7 cycloalkyl group.
In a further embodiment, -R1 is -(CHR4)nR3; wherein n is 1, 2 or 3; R4 is independently selected from hydrogen, methyl or ethyl; and R3 is phenyl optionally substituted with one, two or three substituents independently selected from halo, C1-C4 alkyl, C1-C4 haloalkyl, -CN, -N3, -N02, -OR8, -SR8, -SOR8, -S02R8, -S02N(R8)2, -NH2, -COR8, -COOR8 or -OCOR8, wherein each -R8 is independently selected from hydrogen or a C1-C4 alkyl, C2-C4 alkenyl, C2-C4 alkynyl, C1-C4 haloalkyl or C3-C7 cycloalkyl group.
In one embodiment, -R1 is -(C(R4)2)nR3; wherein n is 1, 2 or 3; each R4 is independently selected from hydrogen, halo, methyl, halomethyl, ethyl or haloethyl; and R3 is a cyclic C3-C14 hydrocarbyl group, wherein the cyclic hydrocarbyl group may optionally be halo substituted and/or may optionally be substituted with one, two or three substituents independently selected from &-C4 alkyl, &-C4 haloalkyl, -CN, -N3, -N02, -OR8, -SR8, -SOR8, -S02R8, -S02N(R8)2, -N(R8)2, -COR8, -COOR8 or -OCOR8, wherein each -R8 is independently selected from hydrogen or a C1-C4 alkyl, C2-C4 alkenyl, C2-C4 alkynyl, or C3-C7 cycloalkyl group, all of which may optionally be halo substituted, and wherein the group -R1 including any optional substituents contains from 4 to 15 carbon atoms. Typically in such an embodiment, -R1 is -(C(R4)2)nR3; wherein n is 1, 2 or 3; each R4 is independently selected from hydrogen, halo, methyl, halomethyl, ethyl or haloethyl; and R3 is a monocyclic C3-C7 hydrocarbyl group, wherein the monocyclic hydrocarbyl group may optionally be halo substituted and/or may optionally be substituted with one, two or three substituents independently selected from C1-C4 alkyl, C1-C4 haloalkyl, -CN, -N3, -NO2, -OR8, -N(R8)2, -COR8, -COOR8 or -OCOR8, wherein each -R8 is independently selected from hydrogen or a C1-C4 alkyl, C1-C4 haloalkyl, C3-C7 cycloalkyl or C3-C7 halocycloalkyl group, and wherein the group -R1 including any optional substituents contains from 4 to 15 carbon atoms. More typically, -R1 is -(C(R4)2)nR3; wherein n is 1, 2 or 3; each R4 is independently selected from hydrogen, halo, methyl, halomethyl, ethyl or haloethyl; and R3 is a phenyl group, wherein the phenyl group may optionally be halo substituted and/or may optionally be substituted with one, two or three substituents independently selected from C1-C4 alkyl, C1-C4 haloalkyl, -CN, -N02, -OR8, -N(R8)2, -COR8, -COOR8 or -OCOR8, wherein each -R8 is independently selected from hydrogen or a C1-C4 alkyl, C1-C4 haloalkyl, C3-C7 cycloalkyl or C3-C7 halocycloalkyl group, and wherein the group -R1 including any optional substituents contains from 7 to 15 carbon atoms. More typically still, -R1 is -(C(R4)2)nR3; wherein n is 1 or 2; each R4 is independently selected from hydrogen, halo, methyl or halomethyl; and R3 is a phenyl group, wherein the phenyl group may optionally be halo substituted and/or may optionally be substituted with one or two substituents independently selected from C1-C3 alkyl, d-C3 haloalkyl, -CN, -OR8, -COR8, or -COOR8, wherein each -R8 is independently selected from hydrogen or a C1-C3 alkyl, C1-C3 haloalkyl, cyclopropyl or halocyclopropyl group, and wherein the group -R1 including any optional substituents contains from 7 to 12 carbon atoms. In one embodiment, R1 is substituted with one or more substituents independently selected from halo, d-C4 haloalkyl, -CN, -N3, -N02, -OH, -SR8, -SOR8, -S02R8,
-S02N(R8)2, -NH2, -COR8, -COOR8 or -OCOR8; wherein each -R8 is independently selected from hydrogen or a C1-C4 alkyl, C2-C4 alkenyl, C2-C4 alkynyl, C1-C4 haloalkyl or C3-C7 cycloalkyl group. With such substituents, R1 may be a saturated or unsaturated C1-C12 or C1-C10 or C1-C9 or Ci-Ce or Ci-C7 or Ci-Ce or C1-C5 or C1-C4 hydrocarbyl group.
In one embodiment, R1 is substituted with one or more substituents independently selected from halo, -CN, -N02, -OH, -SR8, -SOR8, -S02R8, -S02N(R8)2, -NH2, -COR8, -COOR8 or -OCOR8; wherein each -R8 is independently selected from hydrogen or a C1-C4 alkyl, C2-C4 alkenyl, C2-C4 alkynyl, C1-C4 haloalkyl or C3-C7 cycloalkyl group. With such substituents, R1 may be a saturated or unsaturated C1-C12 or C1-C10 or C1-C9 or Ci-Ce or Ci-C7 or Ci-Ce or C1-C5 or C1-C4 hydrocarbyl group.
In another embodiment, R1 is substituted with one or more substituents independently selected from halo, d-C4 haloalkyl, -CN, -N3, -SR8, -SOR8, -S02R8 or -S02N(R8)2;
wherein each -R8 is independently selected from hydrogen or a C1-C4 alkyl, C2-C4 alkenyl, C2-C4 alkynyl, C1-C4 haloalkyl or C3-C7 cycloalkyl group. With such substituents, R1 may be a saturated or unsaturated C1-C12 or C1-C10 or C1-C9 or Ci-Cs or Ci-C7 or Ci-Ce or C1-C5 or C1-C4 hydrocarbyl group. In another embodiment, R1 is substituted with one or more substituents independently selected from halo, -CN, -SR8, -SOR8, -S02R8 or -S02N(R8)2; wherein each -R8 is independently selected from hydrogen or a C1-C4 alkyl, C2-C4 alkenyl, C2-C4 alkynyl, C1-C4 haloalkyl or C3-C7 cycloalkyl group. With such substituents, R1 may be a saturated or unsaturated C1-C12 or C1-C10 or C1-C9 or Ci-Ce or Ci-C7 or Ci-Ce or C1-C5 or C1-C4 hydrocarbyl group.
In another embodiment, R1 is substituted with one or more substituents independently selected from -CN, -N3, -SR8, -SOR8, -S02R8 or -S02N(R8)2; wherein each -R8 is independently selected from hydrogen or a C1-C4 alkyl, C2-C4 alkenyl, C2-C4 alkynyl, C1-C4 haloalkyl or C3-C7 cycloalkyl group. With such substituents, R1 may be a saturated or unsaturated C1-C12 or C1-C10 or C1-C9 or Ci-Ce or Ci-C7 or Ci-Ce or C1-C5 or C1-C4 hydrocarbyl group.
In another embodiment, R1 is substituted with one or more substituents independently selected from -CN, -SR8, -SOR8, -S02R8 or -S02N(R8)2; wherein each -R8 is
independently selected from hydrogen or a C1-C4 alkyl, C2-C4 alkenyl, C2-C4 alkynyl,
C1-C4 haloalkyl or C3-C7 cycloalkyl group. With such substituents, R1 may be a saturated or unsaturated C1-C12 or C1-C10 or C1-C9 or Ci-Ce or Ci-C7 or Ci-Ce or C1-C5 or C1-C4 hydrocarbyl group. In another embodiment, R1 is substituted with one or more substituents independently selected from halo, C1-C4 haloalkyl, -CN or -N3. With such substituents, R1 may be a saturated or unsaturated C1-C12 or C1-C10 or C1-C9 or Ci-Cs or Ci-C7 or Ci-Ce or C1-C5 or C1-C4 hydrocarbyl group. In another embodiment, R1 is substituted with one or more substituents independently selected from halo or -CN. With such substituents, R1 may be a saturated or
unsaturated C1-C12 or C1-C10 or C1-C9 or Ci-Ce or Ci-C7 or Ci-Ce or C1-C5 or C1-C4
hydrocarbyl group. In one embodiment, R1 is a C1-C15 hydrocarbyl group, wherein the hydrocarbyl group is substituted with one or more substituents independently selected from halo, -CN, -N3, -NO2, -OR8, -SR8, -SOR8, -S02R8, -S02N(R8)2, -N(R8)2, -COR8, -COOR8 or -OCOR8; wherein each -R8 is independently selected from hydrogen or a C1-C4 alkyl, C2-C4 alkenyl, C2-C4 alkynyl, or C3-C7 cycloalkyl group, all of which may optionally be halo substituted. Typically in such an embodiment, R1 is a straight-chained or branched Ci- C12 hydrocarbyl group, wherein the hydrocarbyl group is substituted with one or more substituents independently selected from halo, -CN, -N3, -N02, -OR8, -N(R8)2, -COR8, -COOR8 or -OCOR8; wherein each -R8 is independently selected from hydrogen or a C1-C4 alkyl, C2-C4 alkenyl, C2-C4 alkynyl, or C3-C7 cycloalkyl group, all of which may optionally be halo substituted. More typically in such an embodiment, R1 is a Ci-Ce alkyl or C2-Ce alkenyl group, wherein the alkyl or alkenyl group is halo substituted and/or is substituted with one, two or three substituents independently selected from -CN, -N3, -NO2, -OR8, -N(R8)2, -COR8 or -COOR8, wherein each -R8 is independently selected from hydrogen or a C1-C4 alkyl, C1-C4 haloalkyl, C3-C7 cycloalkyl or C3-C7 halocycloalkyl group. More typically still, R1 is a Ci-Ce alkyl group, wherein the alkyl group is halo substituted and/or is substituted with one, two or three substituents independently selected from -CN, -N3 or -OR8, wherein each -R8 is independently selected from hydrogen or a C1-C3 alkyl, C1-C3 haloalkyl, cyclopropyl or halocyclopropyl group. In one aspect of any of the above embodiments, R1 contains from 1 to 25 atoms other than hydrogen. More typically, R1 contains from 1 to 20 atoms other than hydrogen.
More typically, R1 contains from 1 to 15 atoms other than hydrogen. More typically, R1 contains from 1 to 12 atoms other than hydrogen. More typically, R1 contains from 1 to 10 atoms other than hydrogen. More typically, R1 contains from 1 to 7 atoms other than hydrogen.
R2 is a cyclic group substituted at the a-position, wherein R2 may optionally be further substituted. For the avoidance of doubt, it is noted that it is a ring atom of the cyclic group of R2 that is directly attached to the nitrogen atom of the urea or thiourea group, not any substituent.
As used herein, the nomenclature α, β, α', β' refers to the position of the atoms of a cyclic group, such as -R2, relative to the point of attachment of the cyclic group to the remainder of the molecule. For example, where -R2is a 1,2,3,5,6,7-hexahydro-s- indacen-4-yl moiety, the α, β, a' and β' positions are as follows:
For the avoidance of doubt, where it is stated that a cyclic group, such as an aryl or a heteroaryl group, is substituted at the a and/or a' positions, it is to be understood that one or more hydrogen atoms at the a and/or a' positions respectively are replaced by one or more substituents, such as any optional substituent as defined above. Unless stated otherwise, the term 'substituted' does not include the replacement of one or more ring carbon atoms by one or more ring heteroatoms.
In one embodiment of the first aspect of the invention, R2 is an aryl or a heteroaryl group, wherein the aryl or the heteroaryl group is substituted at the α-position, and wherein R2 may optionally be further substituted. Typically, R2 is a phenyl or a 5- or 6- membered heteroaryl group, wherein the phenyl or the heteroaryl group is substituted at the α-position, and wherein R2 may optionally be further substituted. Typically, R2 is an aryl or a heteroaryl group, wherein the aryl or the heteroaryl group is substituted at the a and a' positions, and wherein R2 may optionally be further substituted. Typically, R2 is a phenyl or a 5- or 6-membered heteroaryl group, wherein the phenyl or the
heteroaryl group is substituted at the a and a' positions, and wherein R2 may optionally be further substituted. For example, R2 may be a phenyl group substituted at the 2- and 6-positions or a phenyl group substituted at the 2-, 4- and 6-positions. In one embodiment, the parent phenyl or 5- or 6-membered heteroaryl group of R2 may be selected from phenyl, pyridinyl (such as pyridin-3-yl or pyridin-4-yl), pyridazinyl, pyrimidinyl (such as pyrimidin-2-yl or pyrimidin-5-yl), pyrazinyl, pyrrolyl, furanyl, thiophenyl, pyrazolyl (such as pyrazol-i-yl, pyrazol-3-yl or pyrazol-4-yl), imidazolyl, oxazolyl, isoxazolyl, thiazolyl, isothiazolyl, triazolyl or oxadiazolyl. Typically, the parent phenyl or 5- or 6-membered heteroaryl group of R2 may be selected from phenyl, pyridinyl (such as pyridin-3-yl or pyridin-4-yl), pyridazinyl, pyrimidinyl (such as pyrimidin-2-yl or pyrimidin-5-yl), pyrrolyl, pyrazolyl (such as pyrazol-i-yl, pyrazol-3-yl or pyrazol-4-yl), imidazolyl or triazolyl. Typically, the parent phenyl or 5- or 6- membered heteroaryl group of R2 may be selected from phenyl, pyridinyl (such as pyridin-3-yl or pyridin-4-yl), pyridazinyl or pyrimidinyl (such as pyrimidin-2-yl or pyrimidin-5-yl).
In another embodiment, R2 is a cyclic group substituted at the a and a' positions, wherein R2 may optionally be further substituted. For example, R2 may be a cycloalkyl, cycloalkenyl or non-aromatic heterocyclic group substituted at the a and a' positions.
In any of the above embodiments, typical substituents at the a and/or a' positions of the parent cyclic group of R2 comprise a carbon atom. For example, typical substituents at the a and/or a' positions of the parent cyclic group of R2 may be independently selected from -RY, -ORY or -CORY groups, wherein each RY is independently selected from a Ci-Ce alkyl, C2-Ce alkenyl, C2-Ce alkynyl or C2-Ce cyclic group and wherein each RY is optionally further substituted with one or more halo groups. More typically, the substituents at the a and/or a' positions are independently selected from alkyl or cycloalkyl groups, such as C3-Ce branched alkyl and C3-Ce cycloalkyl groups, e.g.
isopropyl, cyclopropyl, cyclohexyl or t-butyl groups, wherein the alkyl and cycloalkyl groups are optionally further substituted with one or more fluoro and/or chloro groups.
In one aspect of any of the above embodiments, each substituent at the a and a' positions comprises a carbon atom.
Other typical substituents at the a and/or a' positions of the parent cyclic group of R2 may include cycloalkyl, cycloalkenyl, non-aromatic heterocyclic, aryl or heteroaryl rings which are fused to the parent cyclic group across the α,β and/or α',β' positions respectively. Such fused cyclic groups are described in greater detail below.
In one embodiment, R2 is a fused aryl or a fused heteroaryl group, wherein the aryl or heteroaryl group is fused to one or more cycloalkyl, cycloalkenyl, non-aromatic heterocyclic, aryl or heteroaryl rings, wherein R2 may optionally be further substituted. Typically, a cycloalkyl, cycloalkenyl, non-aromatic heterocyclic, aryl or heteroaryl ring is fused to the aryl or heteroaryl group across the α,β positions. Typically, the aryl or heteroaryl group is also substituted at the a' position, for example with a substituent selected from -R9, -OR9 and -COR9, wherein each R9 is independently selected from a Ci-Ce alkyl, C2-Ce alkenyl, C2-Ce alkynyl or C2-Ce cyclic group and wherein each R9 is optionally further substituted with one or more halo groups. Typically in such an embodiment, R2 is bicyclic or tricyclic.
More typically, R2 is a fused phenyl or a fused 5- or 6-membered heteroaryl group, wherein the phenyl or the 5- or 6-membered heteroaryl group is fused to one or more cycloalkyl, cycloalkenyl, non-aromatic heterocyclic, aryl or heteroaryl rings, wherein R2 may optionally be further substituted. Typically, a cycloalkyl, cycloalkenyl, non- aromatic heterocyclic, aryl or heteroaryl ring is fused to the phenyl or the 5- or 6- membered heteroaryl group across the α,β positions so as to form a 4- to 6-membered fused ring structure. Typically, the phenyl or the 5- or 6-membered heteroaryl group is also substituted at the a' position, for example with a substituent selected from -R9, -OR9 and -COR9, wherein each R9 is independently selected from a Ci-Ce alkyl, C2-Ce alkenyl, C2-Ce alkynyl or C2-Ce cyclic group and wherein each R9 is optionally further substituted with one or more halo groups. Typically in such an embodiment, R2 is bicyclic or tricyclic. In another embodiment, R2 is a fused aryl or a fused heteroaryl group, wherein the aryl or heteroaryl group is fused to two or more independently selected cycloalkyl, cycloalkenyl, non-aromatic heterocyclic, aryl or heteroaryl rings, wherein R2 may optionally be further substituted. Typically, the two or more cycloalkyl, cycloalkenyl, non-aromatic heterocyclic, aryl or heteroaryl rings are each ortho-fused to the aryl or heteroaryl group, i.e. each fused cycloalkyl, cycloalkenyl, non-aromatic heterocyclic,
aryl or heteroaryl ring has only two atoms and one bond in common with the aryl or heteroaryl group. Typically, R2 is tricyclic.
In yet another embodiment, R2 is a fused aryl or a fused heteroaryl group, wherein a first cycloalkyl, cycloalkenyl, non-aromatic heterocyclic, aryl or heteroaryl ring is fused to the aryl or heteroaryl group across the α,β positions and a second cycloalkyl, cycloalkenyl, non-aromatic heterocyclic, aryl or heteroaryl ring is fused to the aryl or heteroaryl group across the α',β' positions, wherein R2 may optionally be further substituted. Typically in such an embodiment, R2 is tricyclic.
More typically, R2 is a fused phenyl or a fused 5- or 6-membered heteroaryl group, wherein a first cycloalkyl, cycloalkenyl, non-aromatic heterocyclic, aryl or heteroaryl ring is fused to the phenyl or the 5- or 6-membered heteroaryl group across the α,β positions so as to form a first 4- to 6-membered fused ring structure, and a second cycloalkyl, cycloalkenyl, non-aromatic heterocyclic, aryl or heteroaryl ring is fused to the phenyl or the 5- or 6-membered heteroaryl group across the α',β' positions so as to form a second 4- to 6-membered fused ring structure, wherein R2 may optionally be further substituted. Typically in such an embodiment, R2 is tricyclic. In one embodiment, -R2 has a formula selected from:
wherein:
A1 and A2 are each independently selected from an optionally substituted alkylene or alkenylene group, wherein one or more carbon atoms in the backbone of the alkylene or alkenylene group may optionally be replaced by one or more heteroatoms N, O or S;
each Ra is independently selected from -Raa, -ORaa or -CORaa;
each Rb is independently selected from hydrogen, halo, -N02, -CN, -Raa, -ORaa or -CORaa;
provided that any Ra or Rb that is directly attached to a ring nitrogen atom is not halo, -NO2, -CN or -ORaa;
each Rc is independently selected from hydrogen, halo, -OH, -N02, -CN, -Rffi, -ORcc, -COR^, -COOR^, -C0NH2, -CONHRcc or -C0N(Rcc)2;
each Raa is independently selected from a Ci-Ce alkyl, C2-Ce alkenyl, C2-Ce alkynyl or a 3- to 7-membered cyclic group, wherein each Raa is optionally substituted; and
each Rcc is independently selected from a Ci-Ce alkyl, C2-Ce alkenyl, C2-Ce alkynyl or a 3- to 7-membered cyclic group, or any two R00 attached to the same nitrogen atom may, together with the nitrogen atom to which they are attached, form a 3- to 7-membered heterocyclic group, wherein each Rcc is optionally substituted.
Typically, any ring containing A1 or A2 is a 5- or 6-membered ring. Typically, A1 and A2 are each independently selected from an optionally substituted straight-chained alkylene group or an optionally substituted straight-chained alkenylene group, wherein one or two carbon atoms in the backbone of the alkylene or alkenylene group may optionally be replaced by one or two heteroatoms independently selected from nitrogen and oxygen. More typically, A1 and A2 are each independently selected from an optionally substituted straight-chained alkylene group, wherein one carbon atom in the backbone of the alkylene group may optionally be replaced by an oxygen atom.
Typically, no heteroatom in A1 or A2 is directly attached to another ring heteroatom. Typically, A1 and A2 are unsubstituted or substituted with one or more substituents independently selected from halo, -OH, -CN, -N02, C1-C4 alkyl, C1-C4 haloalkyl, -0(Ci-C4 alkyl) or -0(d-C4 haloalkyl). More typically, A1 and A2 are unsubstituted or substituted with one or more fluoro and/or chloro groups. Where R2 contains both A1 and A2 groups, A1 and A2 may be the same or different. Typically, A1 and A2 are the same.
Where Raa is a substituted Ci-Ce alkyl, C2-Ce alkenyl or C2-Ce alkynyl group, typically the Ci-Ce alkyl, C2-Ce alkenyl or C2-Ce alkynyl group is substituted with one or more (e.g. one or two) substituents independently selected from halo, -OH, -CN, -N02,
-0(C!-C4 alkyl) or -Ο(α-04 haloalkyl).
Where Raa is a substituted 3- to 7-membered cyclic group, typically the 3- to 7- membered cyclic group is substituted with one or more (e.g. one or two) substituents independently selected from halo, -OH, -NH2, -CN, -N02, -B1, -OB1, -NHB1, -N(B1)2, -C0NH2, -CONHB1, -CONfB1)., -NHCOB1, -NB^OB1, or -B11-;
wherein each B1 is independently selected from a C1-C4 alkyl, C2-C4 alkenyl, C2-C4 alkynyl, C3-Ce cycloalkyl or phenyl group, or a 4- to 6-membered heterocyclic group containing one or two ring heteroatoms N and/or O, or two B1 together with the nitrogen atom to which they are attached may form a 4- to 6-membered heterocyclic group containing one or two ring heteroatoms N and/ or O, wherein any B1 may
optionally be halo-substituted and/or substituted with one or two substituents independently selected from -OH, -NH2, -OB12, -NHB12 or -N(B12)2;
wherein each B11 is independently selected from a Ci-Ce alkylene or C2-Cs alkenylene group, wherein one or two carbon atoms in the backbone of the alkylene or alkenylene group may optionally be replaced by one or two heteroatoms N and/ or O, and wherein the alkylene or alkenylene group may optionally be halo-substituted and/or substituted with one or two substituents independently selected from -OH, -NH2, -OB12, -NHB12 or -N(B12)2; and
wherein each B12 is independently selected from a C1-C3 alkyl or C1-C3 haloalkyl group. Typically, any divalent group -B11- forms a 4- to 6-membered fused ring.
Typically, each Ra is -Raa. More typically, each Ra is independently selected from a Ci-Ce alkyl (in particular C3-Ce branched alkyl) or C3-Ce cycloalkyl group, wherein each Ra is optionally further substituted with one or more halo groups. More typically, each Rais independently selected from a C1-C4 alkyl, C1-C4 haloalkyl, C3-C4 cycloalkyl or C3-C4 halocycloalkyl group. Where a group Ra is present at both the a- and a'-positions, each Ra may be the same or different. Typically, each Ra is the same.
Typically, each Rb is independently selected from hydrogen or halo. More typically, each Rb is hydrogen.
Typically, each Rc is independently selected from hydrogen, halo, -OH, -N02, -CN, -R00 or -ORcc. More typically, each Rc is independently selected from hydrogen, halo, -CN, C1-C3 alkyl, C1-C3 haloalkyl, cyclopropyl or halocyclopropyl. Most typically, each Rc is independently selected from hydrogen or halo.
Typically, each R^ is independently selected from a C1-C4 alkyl or C3-Ce cycloalkyl group, or any two R^ attached to the same nitrogen atom may, together with the nitrogen atom to which they are attached, form a 3- to 6-membered saturated heterocyclic group, wherein each R^ is optionally substituted. Where Rcc is substituted, typically Rcc is substituted with one or more halo, -OH, -CN, -N02, -0(d-C4 alkyl) or -0(Ci-C4 haloalkyl) groups. More typically, each R00 is independently selected from a C1-C4 alkyl, C1-C4 haloalkyl, C3-C4 cycloalkyl or C3-C4 halocycloalkyl group.
wherein Rs and R6 are independently selected from C1-C4 alkyl, C1-C4 haloalkyl, C3-C4 cycloalkyl and C3-C4 halocycloalkyl, and Rd is hydrogen, halo, -OH, -N02, -CN, -Rdd, -ORdd, -CORdd, -COORdd, -C0NH2, -CONHRdd or -C0N(Rdd)2, wherein each -Rdd is independently selected from C1-C4 alkyl, C1-C4 haloalkyl, C3-C4 cycloalkyl and C3-C4 halocycloalkyl. Typically, R5 and R6 are independently selected from C1-C4 alkyl, and Rd is hydrogen, halo, -CN, C1-C3 alkyl, C1-C3 haloalkyl, cyclopropyl or halocyclopropyl. More typically, R5 and R6 are independently selected from C1-C4 alkyl, and Rd is hydrogen or halo.
Typically, -R2 has a formula selected from:
In one embodiment, -R2 has a formula selected from:
wherein A1 and A2 are each independently selected from an optionally substituted alkylene or alkenylene group, wherein one or more carbon atoms in the backbone of the alkylene or alkenylene group may optionally be replaced by one or more heteroatoms
N, O or S, and wherein Re is hydrogen or any optional substituent. Re and any optional substituent attached to A1 or A2 may together with the atoms to which they are attached form a further fused cycloalkyl, cycloalkenyl, non-aromatic heterocyclic, aryl or heteroaryl ring which may itself be optionally substituted. Similarly, any optional substituent attached to A1 and any optional substituent attached to A2 may also together with the atoms to which they are attached form a further fused cycloalkyl, cycloalkenyl, non-aromatic heterocyclic, aryl or heteroaryl ring which may itself be optionally substituted. In one embodiment, Re is hydrogen, halo, -OH, -N02, -CN, -Ree, -ORee, -CORee,
-COORee, -C0NH2, -CONHRee or -C0N(Ree)2, wherein each -Ree is independently selected from C1-C4 alkyl, C1-C4 haloalkyl, C3-C4 cycloalkyl and C3-C4 halocycloalkyl. Typically, Re is hydrogen or a halo, hydroxyl, -CN, -N02, -Ree or -ORee group, wherein Ree is a C1-C4 alkyl group which may optionally be halo-substituted. More typically, Re is hydrogen or halo.
Typically, any ring containing A1 or A2 is a 5- or 6-membered ring. Typically, A1 and A2 are each independently selected from an optionally substituted straight-chained alkylene group or an optionally substituted straight-chained alkenylene group, wherein one or two carbon atoms in the backbone of the alkylene or alkenylene group may optionally be replaced by one or two heteroatoms independently selected from nitrogen and oxygen. More typically, A1 and A2 are each independently selected from an optionally substituted straight-chained alkylene group, wherein one carbon atom in the backbone of the alkylene group may optionally be replaced by an oxygen atom.
Typically, no heteroatom in A1 or A2 is directly attached to another ring heteroatom. Typically, A1 and A2 are unsubstituted or substituted with one or more halo, hydroxyl, -CN, -N02, -B3 or -OBs groups, wherein Bs is a C1-C4 alkyl group which may optionally be halo-substituted. More typically, A1 and A2 are unsubstituted or substituted with one or more fluoro and/or chloro groups. Where R2 contains both A1 and A2 groups, A1 and A2 may be the same or different. Typically, A1 and A2 are the same.
In a further embodiment, -R2 has a formula selected from:
-28-
wherein R6 is C1-C4 alkyl, C1-C4 haloalkyl, C3-C4 cycloalkyl or C3-C4 halocycloalkyl, and Rf is hydrogen, halo, -OH, -N02, -CN, -Rff, -ORff, -CORff, -COORff, -C0NH2, -CONHRff or -C0N(Rff)2, wherein each -Rff is independently selected from C1-C4 alkyl, C1-C4 haloalkyl, C3-C4 cycloalkyl and C3-C4 halocycloalkyl. Typically, R6 is C1-C4 alkyl, and Rf is hydrogen, halo, -CN, C1-C3 alkyl, C1-C3 haloalkyl, cyclopropyl or halocyclopropyl. Typically, R6 is C1-C4 alkyl, and Rf is hydrogen or halo.
Typically, -R2 has the formula:
More typically, -R2 has the formula:
Yet other typical substituents at the a-position of the parent cyclic group of R2 may include monovalent heterocyclic groups and monovalent aromatic groups, wherein a ring atom of the heterocyclic or aromatic group is directly attached via a single bond to the a-ring atom of the parent cyclic group, wherein the heterocyclic or aromatic group may optionally be substituted, and wherein the parent cyclic group may optionally be further substituted. Such R2 groups are described in greater detail below.
In one embodiment, the a-substituted parent cyclic group of R2 is a 5- or 6-membered cyclic group, wherein the cyclic group may optionally be further substituted. In one embodiment, the a-substituted parent cyclic group of R2 is an aryl or a heteroaryl group, all of which may optionally be further substituted. In one embodiment, the a- substituted parent cyclic group of R2 is a phenyl or a 5- or 6-membered heteroaryl group, all of which may optionally be further substituted. In one embodiment, the a- substituted parent cyclic group of R2 is a phenyl, pyridinyl, pyridazinyl, pyrimidinyl, pyrazinyl, pyrrolyl, furanyl, thiophenyl, pyrazolyl, imidazolyl, oxazolyl, isoxazolyl, thiazolyl or isothiazolyl group, all of which may optionally be further substituted. In one embodiment, the α-substituted parent cyclic group of R2 is a phenyl or pyrazolyl group, both of which may optionally be further substituted. In one embodiment, the a- substituted parent cyclic group of R2 is a phenyl group, which may optionally be further substituted. In one embodiment, the α-substituted parent cyclic group of R2 is substituted at the a and a' positions, and may optionally be further substituted. For example, the a- substituted parent cyclic group of R2 may be a phenyl group substituted at the 2- and 6- positions, or a phenyl group substituted at the 2-, 4- and 6-positions. In one embodiment, R2 is a parent cyclic group substituted at the a-position with a monovalent heterocyclic group or a monovalent aromatic group, wherein the heterocyclic or aromatic group may optionally be substituted, and wherein the parent cyclic group may optionally be further substituted. In one embodiment, the monovalent heterocyclic or aromatic group at the a-position is a phenyl or a 5- or 6-membered heterocyclic group, all of which may optionally be substituted. In one embodiment, the monovalent heterocyclic or aromatic group at the α-position is a phenyl, pyridinyl, pyridazinyl, pyrimidinyl, pyrazinyl, pyrrolyl, furanyl, thiophenyl, pyrazolyl, imidazolyl, oxazolyl, isoxazolyl, thiazolyl, isothiazolyl, triazolyl, oxadiazolyl, azetinyl, azetidinyl, oxetanyl, thietanyl, pyrrolidinyl, tetrahydrofuranyl, tetrahydrothiophenyl,
pyrazolidinyl, imidazolidinyl, 1,3-dioxolanyl, 1,2-oxathiolanyl, 1,3-oxathiolanyl, piperidinyl, tetrahydropyranyl, piperazinyl, 1,4-dioxanyl, thianyl, morpholinyl, thiomorpholinyl or i-methyl-2-oxo-i,2-dihydropyridinyl group, all of which may optionally be substituted. In one embodiment, the monovalent heterocyclic or aromatic group at the α-position is a phenyl, pyridinyl, pyridazinyl, pyrimidinyl, pyrazinyl, pyrrolyl, furanyl, thiophenyl, pyrazolyl, imidazolyl, oxazolyl, isoxazolyl, thiazolyl, isothiazolyl, azetinyl, azetidinyl, oxetanyl, thietanyl, pyrrolidinyl, tetrahydrofuranyl,
tetrahydrothiophenyl, pyrazolidinyl, imidazolidinyl, 1,3-dioxolanyl, 1,2-oxathiolanyl, 1,3-oxathiolanyl, piperidinyl, tetrahydropyranyl, thianyl, piperazinyl, 1,4-dioxanyl, morpholinyl or thiomorpholinyl group, all of which may optionally be substituted. In one embodiment, the monovalent heterocyclic or aromatic group at the a-position is a phenyl, pyridinyl, pyridazinyl, pyrimidinyl, pyrazinyl, pyrrolyl, furanyl, thiophenyl, pyrazolyl, imidazolyl, oxazolyl, isoxazolyl, thiazolyl, isothiazolyl, piperidinyl or tetrahydropyranyl group, all of which may optionally be substituted. In one
embodiment, the monovalent heterocyclic or aromatic group at the α-position is a phenyl, pyridinyl, pyridazinyl, pyrimidinyl, pyrazolyl, imidazolyl, isoxazolyl, thiazolyl, tetrahydropyranyl or i-methyl-2-oxo-i,2-dihydropyridinyl group, all of which may optionally be substituted. In one embodiment, the monovalent heterocyclic or aromatic group at the α-position is a phenyl, pyridinyl, pyrimidinyl, pyrazolyl, imidazolyl, isoxazolyl, thiazolyl or tetrahydropyranyl group, all of which may optionally be substituted. In one embodiment, the monovalent heterocyclic or aromatic group at the α-position is a phenyl, pyridinyl, pyrimidinyl or pyrazolyl group, all of which may optionally be substituted. In one embodiment, the monovalent heterocyclic or aromatic group at the α-position is an unsubstituted phenyl, pyridinyl, pyrimidinyl or pyrazolyl group. In one embodiment, the monovalent heterocyclic group at the α-position is a pyridin-2-yl, pyridin-3-yl or pyridin-4-yl group, all of which may optionally be substituted. In one embodiment, the monovalent heterocyclic group at the α-position is an unsubstituted pyridin-3-yl group or an optionally substituted pyridin-4-yl group.
For any of these monovalent heterocyclic or aromatic groups at the a-position mentioned in the immediately preceding paragraph, the monovalent heterocyclic or aromatic group may optionally be substituted with one or two substituents
independently selected from halo, -OH, -NH2, -CN, -N02, -B , -OB4, -NHB4, -N(B4)2, -C0NH2, -CONHB4, -CON(B4)2, -NHCOB4, -NB4COB4, or -B44-;
wherein each B4 is independently selected from a -C4 alkyl, C2-C4 alkenyl, C2-C4 alkynyl, C3-Ce cycloalkyl or phenyl group, or a 4- to 6-membered heterocyclic group containing one or two ring heteroatoms N and/ or O, or two B4 together with the nitrogen atom to which they are attached may form a 4- to 6-membered heterocyclic group containing one or two ring heteroatoms N and/or O, wherein any B4 may optionally be halo-substituted and/or substituted with one or two substituents independently selected from -OH, -NH2, -OB45, -NHB45 or -N(B4s)2;
wherein each B44 is independently selected from a Ci-Cs alkylene or C2-Cs alkenylene group, wherein one or two carbon atoms in the backbone of the alkylene or
alkenylene group may optionally be replaced by one or two heteroatoms N and/or O, and wherein the alkylene or alkenylene group may optionally be halo-substituted and/or substituted with one or two substituents independently selected from -OH, -NH2, -OB45, -NHB45 or -N(B45)2; and
wherein each B45 is independently selected from a C1-C3 alkyl or C1-C3 haloalkyl group.
Typically, any divalent group -B44- forms a 4- to 6-membered fused ring. In one embodiment, the monovalent heterocyclic or aromatic group at the α-position is a phenyl, pyridinyl, pyrimidinyl or pyrazolyl group, all of which may optionally be substituted with one or two substituents independently selected from halo, -OH, -NH2, -CN, C1-C4 alkyl, C2-C4 alkenyl, C2-C4 alkynyl, d-C4 haloalkyl, -OB4 or -N(B4)2, wherein B4 is independently selected from C1-C4 alkyl which may optionally be halo-substituted. In one embodiment, the monovalent heterocyclic group at the α-position is a pyridin-2- yl, pyridin-3-yl or pyridin-4-yl group, all of which may optionally be substituted with one or two substituents independently selected from halo, -OH, -NH2, -CN, C1-C4 alkyl, C2-C4 alkenyl, C2-C4 alkynyl, &-C4 haloalkyl, -OB4 or -N(B4)2, wherein B4 is
independently selected from C1-C4 alkyl which may optionally be halo-substituted. In one embodiment, the monovalent heterocyclic group at the α-position is an
unsubstituted pyridin-3-yl group or a pyridin-4-yl group optionally substituted with one or two substituents independently selected from halo, -OH, -NH2, -CN, C1-C4 alkyl, C2-C4 alkenyl, C2-C4 alkynyl, &-C4 haloalkyl, -OB4 or -N(B4)2, wherein B4 is
independently selected from C1-C4 alkyl which may optionally be halo-substituted. Alternatively, any of these monovalent phenyl or heterocyclic groups at the a-position may optionally be substituted with one or two substituents independently selected from halo, -OH, -NH2, -CN, -N02, -B4, -OB4, -NHB4 or -N(B4)2, wherein each B4 is independently selected from a C1-C4 alkyl, C2-C4 alkenyl or C2-C4 alkynyl group all of which may optionally be halo-substituted.
In one embodiment, R2 is a parent cyclic group substituted at the α-position with a monovalent heterocyclic group or a monovalent aromatic group, wherein the heterocyclic or aromatic group may optionally be substituted, and wherein the parent cyclic group may optionally be further substituted. In one embodiment, such further substituents are in the a' position of the a-substituted parent cyclic group of R2. Such further substituents may be independently selected from halo, -Re, -ORe or -CORe
groups, wherein each RE is independently selected from a Ci-Ce alkyl, C2-Ce alkenyl, C2-Ce alkynyl or C2-Ce cyclic group and wherein each RE is optionally further substituted with one or more halo groups. Typically, such further substituents on the a-substituted parent cyclic group of R2 are independently selected from halo, Ci-Ce alkyl (in particular C3-Ce branched alkyl) or C3-Ce cycloalkyl groups, e.g. fluoro, chloro, isopropyl, cyclopropyl, cyclohexyl or t-butyl groups, wherein the alkyl and cycloalkyl groups are optionally further substituted with one or more fluoro and/or chloro groups.
In one embodiment, -R2 has a formula selected from:
wherein R? is C1-C4 alkyl, C1-C4 haloalkyl, C3-Ce cycloalkyl or C3-Ce halocycloalkyl, R8 is a 5- or 6-membered, optionally substituted heterocyclic or aromatic group, and R§ is hydrogen, halo, -OH, -N02, -CN, -RBB, -ORSS, -CORSS, -COORSS, -C0NH2, -CONHRS? or -C0N(Rss)2, wherein each -Rs§ is independently selected from C1-C4 alkyl, C1-C4 haloalkyl, C3-C4 cycloalkyl and C3-C4 halocycloalkyl. In one embodiment, the optional substituents on the heterocyclic or aromatic group are independently selected from halo, -OH, -NH2, -CN, -N02, -Bs, -OBs, -NHBs, -N(Bs)2, -C0NH2, -CONHBs, -C0N(Bs)2 -NHCOB5, -NB5COB5, or -Bss-;
wherein each Bs is independently selected from a C1-C4 alkyl, C2-C4 alkenyl, C2-C4 alkynyl, C3-Ce cycloalkyl or phenyl group, or a 4- to 6-membered heterocyclic group containing one or two ring heteroatoms N and/or O, or two Bs together with the nitrogen atom to which they are attached may form a 4- to 6-membered heterocyclic group containing one or two ring heteroatoms N and/or O, wherein any B5 may optionally be halo-substituted and/or substituted with one or two substituents independently selected from -OH, -NH2, -OBs6, -NHBs6 or -N(Bs6)2;
wherein each Bss is independently selected from a Ci-Ce alkylene or C2-Cs alkenylene group, wherein one or two carbon atoms in the backbone of the alkylene or alkenyl ene group may optionally be replaced by one or two heteroatoms N and/or O, and wherein the alkylene or alkenylene group may optionally be halo-substituted and/ or substituted with one or two substituents independently selected from -OH, -NH2, -OB56, -NHB56 or -N(Bs6)2; and
wherein each B56 is independently selected from a C1-C3 alkyl or C1-C3 haloalkyl group.
Typically, any divalent group -Bss- forms a 4- to 6-membered fused ring. Typically, R7 is C1-C4 alkyl, R8 is a 5- or 6-membered, optionally substituted heterocyclic or aromatic group, and Rs is hydrogen, halo, -CN, C1-C3 alkyl, C1-C3 haloalkyl, cyclopropyl or halocyclopropyl. More typically, R7 is C1-C4 alkyl, R8 is a 5- or 6-membered, optionally substituted heterocyclic or aromatic group, and Rg is hydrogen or halo. In one embodiment, the optional substituents on the heterocyclic or aromatic group are independently selected from halo, -OH, -NH2, -CN, -N02, -Bs, -OBs, -NHBs or -N(Bs)2, wherein each Bs is independently selected from a C1-C4 alkyl, C2-C4 alkenyl or C2-C4 alkynyl group all of which may optionally be halo-substituted. Typically, the optional substituents on the heterocyclic or aromatic group are independently selected from halo, -OH, -NH2, -CN, G-C4 alkyl, C2-C4 alkenyl, C2-C4 alkynyl, G-C4 haloalkyl, -OBs or -N(B5)2, wherein B5 is independently selected from C1-C4 alkyl which may optionally be halo-substituted.
Typically, -R2 has a formula selected from:
wherein R8 is a 5- or 6-membered, optionally substituted heterocyclic or aromatic group. In one embodiment, the optional substituents on the heterocyclic or aromatic group are independently selected from halo, -OH, -NH2, -CN, -N02, -B6, -OB6, -NHB6, -N(B6)2, -C0NH2, -CONHB6, -CON(B6)2, -NHCOB6, -NB6COB6, or -B66-;
wherein each B6 is independently selected from a C1-C4 alkyl, C2-C4 alkenyl, C2-C4 alkynyl, C3-Ce cycloalkyl or phenyl group, or a 4- to 6-membered heterocyclic group containing one or two ring heteroatoms N and/or O, or two B6 together with the nitrogen atom to which they are attached may form a 4- to 6-membered heterocyclic group containing one or two ring heteroatoms N and/or O, wherein any B6 may optionally be halo-substituted and/or substituted with one or two substituents independently selected from -OH, -NH2, -OB67, -NHB67 or -N(B67)2;
wherein each B66 is independently selected from a Ci-Cs alkylene or C2-Cs alkenylene group, wherein one or two carbon atoms in the backbone of the alkylene or alkenylene group may optionally be replaced by one or two heteroatoms N and/or O, and wherein the alkylene or alkenylene group may optionally be halo-substituted
and/or substituted with one or two substituents independently selected from -OH, -NH2, -OB6?, -NHB67 or -N(B67)2; and
wherein each B67 is independently selected from a Ci-C3 alkyl or C1-C3 haloalkyl group.
Typically, any divalent group -B66- forms a 4- to 6-membered fused ring. Typically, the optional substituents on the heterocyclic or aromatic group are independently selected from halo, -OH, -NH2, -CN, -N02, -B6, -OB6, -NHB6 or -N(B6)2, wherein each B6 is independently selected from a C1-C4 alkyl, C2-C4 alkenyl or C2-C4 alkynyl group all of which may optionally be halo-substituted. Typically, the optional substituents on the heterocyclic or aromatic group are independently selected from halo, -OH, -NH2, -CN, C1-C4 alkyl, C2-C4 alkenyl, C2-C4 alkynyl, d-C4 haloalkyl, -OB6 or -N(B6)2, wherein B6 is independently selected from C1-C4 alkyl which may optionally be halo-substituted.
In one embodiment, R2 is a parent cyclic group substituted at the a-position with a monovalent heterocyclic group or a monovalent aromatic group, wherein the heterocyclic or aromatic group may optionally be substituted, and wherein the parent cyclic group may optionally be further substituted. The further substituents on the a- substituted parent cyclic group of R2 also include cycloalkyl, cycloalkenyl, non-aromatic heterocyclic, aryl or heteroaryl rings which are fused to the a-substituted parent cyclic group of R2. Typically, the cycloalkyl, cycloalkenyl, non-aromatic heterocyclic, aryl or heteroaryl rings are ortho-fused to the α-substituted parent cyclic group of R2, i.e. each fused cycloalkyl, cycloalkenyl, non-aromatic heterocyclic, aryl or heteroaryl ring has only two atoms and one bond in common with the α-substituted parent cyclic group of R2. Typically, the cycloalkyl, cycloalkenyl, non-aromatic heterocyclic, aryl or heteroaryl rings are ortho-fused to the α-substituted parent cyclic group of R2 across the α',β' positions.
In one embodiment, -R2 has a formula selected from:
wherein R8 is a 5- or 6-membered, optionally substituted heterocyclic or aromatic group, and Rh is hydrogen, halo, -OH, -N02, -CN, -Rhh, -ORhh, -CORhh, -COORhh,
-CONH2, -CONHRhh or -C0N(Rhh)2, wherein each -Rhh is independently selected from C1-C4 alkyl, C1-C4 haloalkyl, C3-C4 cycloalkyl and C3-C4 halocycloalkyl. In one embodiment, the optional substituents on the heterocyclic or aromatic group are independently selected from halo, -OH, -NH2, -CN, -N02, -B7, -OB?, -NHB7, -N(B7)2, -C0NH2, -CONHB7, -CON(B7)2, -NHCOB7, -NB7COB7, or -B77-;
wherein each B7 is independently selected from a C1-C4 alkyl, C2-C4 alkenyl, C2-C4 alkynyl, C3-Ce cycloalkyl or phenyl group, or a 4- to 6-membered heterocyclic group containing one or two ring heteroatoms N and/or O, or two B7 together with the nitrogen atom to which they are attached may form a 4- to 6-membered heterocyclic group containing one or two ring heteroatoms N and/ or O, wherein any B7 may optionally be halo-substituted and/or substituted with one or two substituents independently selected from -OH, -NH2, -OB78, -NHB78 or -N(B78)2;
wherein each B77 is independently selected from a Ci-Cs alkylene or C2-Cs alkenylene group, wherein one or two carbon atoms in the backbone of the alkylene or alkenylene group may optionally be replaced by one or two heteroatoms N and/ or O, and wherein the alkylene or alkenylene group may optionally be halo-substituted and/or substituted with one or two substituents independently selected from -OH, -NH2, -OB78, -NHB78 or -N(B78)2; and
wherein each B78 is independently selected from a C1-C3 alkyl or C1-C3 haloalkyl group.
Typically, any divalent group -Β - forms a 4- to 6-membered fused ring. Typically, Rh is hydrogen, halo, -CN, C1-C3 alkyl, C1-C3 haloalkyl, cyclopropyl or halocyclopropyl. More typically, Rh is hydrogen or halo. Typically, the optional substituents on the heterocyclic or aromatic group are independently selected from halo, -OH, -NH2, -CN, -N02, -B?, -OB7, -NHB7 or -N(B7)2, wherein each B7 is independently selected from a C1-C4 alkyl, C2-C4 alkenyl or C2-C4 alkynyl group all of which may optionally be halo-substituted. Typically, the optional substituents on the heterocyclic or aromatic group are selected from halo, -OH, -NH2, -CN, G-C4 alkyl, C2-C4 alkenyl, C2-C4 alkynyl, G-C4 haloalkyl, -OB7 or -N(B7)2, wherein B7 is independently selected from C1-C4 alkyl which may optionally be halo-substituted.
In one embodiment, -R2 has a formula selected from:
wherein R8 is a 5- or 6-membered, optionally substituted heterocyclic or aromatic group. In one embodiment, the optional substituents on the heterocyclic or aromatic group are independently selected from halo, -OH, -NH2, -CN, -N02, -B8, -OB8, -NHB8, -N(B8)2, -C0NH2, -CONHB8, -CON(B8)2, -NHCOB8, -NB8COB8, or -B88-;
wherein each B8 is independently selected from a C1-C4 alkyl, C2-C4 alkenyl, C2-C4 alkynyl, C3-Ce cycloalkyl or phenyl group, or a 4- to 6-membered heterocyclic group containing one or two ring heteroatoms N and/or O, or two B8 together with the nitrogen atom to which they are attached may form a 4- to 6-membered heterocyclic group containing one or two ring heteroatoms N and/or O, wherein any B8 may optionally be halo-substituted and/or substituted with one or two substituents independently selected from -OH, -NH2, -OB8?, -NHB8? or -N(B8?)2;
wherein each B88 is independently selected from a Ci-Ce alkylene or C2-Cs alkenylene group, wherein one or two carbon atoms in the backbone of the alkylene or alkenylene group may optionally be replaced by one or two heteroatoms N and/or O, and wherein the alkylene or alkenylene group may optionally be halo-substituted and/or substituted with one or two substituents independently selected from -OH, -NH2, -OB8?, -NHB8? or -N(B89)2; and
wherein each B89 is independently selected from a C1-C3 alkyl or C1-C3 haloalkyl group.
Typically, any divalent group -B88- forms a 4- to 6-membered fused ring. Typically, the optional substituents on the heterocyclic or aromatic group are independently selected from halo, -OH, -NH2, -CN, -N02, -B8, -OB8, -NHB8 or -N(B8)2, wherein each B8 is independently selected from a C1-C4 alkyl, C2-C4 alkenyl or C2-C4 alkynyl group all of which may optionally be halo-substituted. Typically, the optional substituents on the heterocyclic or aromatic group are selected from halo, -OH, -NH2, -CN, C1-C4 alkyl, C2-C4 alkenyl, C2-C4 alkynyl, d-C4 haloalkyl, -OB8 or -N(B8)2, wherein B8 is
independently selected from C1-C4 alkyl which may optionally be halo-substituted.
Typically, -R2 has a formula selected from:
wherein R8 is a 5- or 6-membered, optionally substituted heterocyclic or aromatic group, and R' is hydrogen, halo, -OH, -N02, -CN, -R", -OR", -COR", -COOR", -C0NH2 -CONHR" or -C0N(R")2, wherein each -R" is independently selected from C1-C4 alkyl,
C1-C4 haloalkyl, C3-C4 cycloalkyl and C3-C4 halocycloalkyl. In one embodiment, the optional substituents on the heterocyclic or aromatic group are independently selected from halo, -OH, -NH2, -CN, -N02, -B9, -OB", -NHB9, -N(B9)2, -C0NH2, -CONHB9, -CON(B9)2, -NHCOB9, -NB9COB9, or -B"-;
wherein each B9 is independently selected from a C1-C4 alkyl, C2-C4 alkenyl,
C2-C4 alkynyl, C3-Ce cycloalkyl or phenyl group, or a 4- to 6-membered heterocyclic group containing one or two ring heteroatoms N and/or O, or two B9 together with the nitrogen atom to which they are attached may form a 4- to 6-membered heterocyclic group containing one or two ring heteroatoms N and/or O, wherein any B9 may optionally be halo-substituted and/or substituted with one or two substituents independently selected from -OH, -NH2, -OB?8, -NHB98 or -N(B98)2;
wherein each B" is independently selected from a Ci-Cs alkylene or C2-Cs alkenylene group, wherein one or two carbon atoms in the backbone of the alkylene or alkenyl ene group may optionally be replaced by one or two heteroatoms N and/or O, and wherein the alkylene or alkenylene group may optionally be halo-substituted and/or substituted with one or two substituents independently selected from -OH, -NH2, -OB?8, -NHB98 or -N(B98)2; and
wherein each B98 is independently selected from a C1-C3 alkyl or C1-C3 haloalkyl group.
Typically, any divalent group -B"- forms a 4- to 6-membered fused ring. Typically, R' is hydrogen, halo, -CN, C1-C3 alkyl, C1-C3 haloalkyl, cyclopropyl or halocyclopropyl. More typically, R' is hydrogen or halo. Typically, the optional substituents on the heterocyclic or aromatic group are independently selected from halo, -OH, -NH2, -CN, -N02, -B9, -OB9, -NHB9 or -N(B9)2, wherein each B9 is independently selected from a C1-C4 alkyl, C2-C4 alkenyl or C2-C4 alkynyl group all of which may optionally be halo-substituted. Typically, the optional substituents on the heterocyclic or aromatic group are selected from halo, -OH, -NH2, -CN, d-C4 alkyl, C2-C4 alkenyl, C2-C4 alkynyl, d-C4 haloalkyl, -OB9 or -N(B9)2, wherein B9 is independently selected from Ci-C4 alkyl which may optionally be halo-substituted.
In one embodiment, R2 is phenyl or a 5- or 6-membered heteroaryl group (such as phenyl, pyridinyl, pyridazinyl, pyrimidinyl or pyrazinyl); wherein
(i) the phenyl or 5- or 6-membered heteroaryl group is substituted at the a position with a substituent selected from -R9, -OR9 and -COR9, wherein R9 is selected
from a Ci-Ce alkyl, C2-Ce alkenyl, C2-Ce alkynyl or C2-Ce cyclic group and wherein R? is optionally substituted with one or more halo groups; and
optionally the phenyl or 5- or 6-membered heteroaryl group is further substituted at the a' position with a substituent selected from -R14, -OR14 and -COR14, wherein R14 is selected from a Ci-Ce alkyl, C2-Ce alkenyl, C2-Ce alkynyl or C2-Ce cyclic group and wherein R14 is optionally substituted with one or more halo groups; and optionally the phenyl or 5- or 6-membered heteroaryl group is further substituted (typically with one, two or three substituents independently selected from halo, -N02, -CN, -COOR^, -C0NH2, -CONHR^ or -C0N(R1s)2, wherein each -R« is independently selected from a C1-C4 alkyl or C1-C4 haloalkyl group); or
(ii) the phenyl or 5- or 6-membered heteroaryl group is substituted with a cycloalkyl, cycloalkenyl, non-aromatic heterocyclic, aryl or heteroaryl ring which is fused to the parent phenyl or 5- or 6-membered heteroaryl group across the α,β positions and which is optionally substituted with one or more halo groups; and
optionally the phenyl or 5- or 6-membered heteroaryl group is further substituted at the a' position with a substituent selected from -R?, -OR9 and -COR9, wherein R? is selected from a Ci-Ce alkyl, C2-Ce alkenyl, C2-Ce alkynyl or C2-Ce cyclic group and wherein R? is optionally substituted with one or more halo groups; and
optionally the phenyl or 5- or 6-membered heteroaryl group is further substituted (typically with one or two substituents independently selected from halo, -NO2, -CN, -COOR!s, -C0NH2, -CONHR^ or -C0N(R1s)2, wherein each -R« is independently selected from a C1-C4 alkyl or C1-C4 haloalkyl group); or
(iii) the phenyl or 5- or 6-membered heteroaryl group is substituted with a first cycloalkyl, cycloalkenyl, non-aromatic heterocyclic, aryl or heteroaryl ring which is fused to the parent phenyl or 5- or 6-membered heteroaryl group across the α,β positions and which is optionally substituted with one or more halo groups; and
the phenyl or 5- or 6-membered heteroaryl group is substituted with a second cycloalkyl, cycloalkenyl, non-aromatic heterocyclic, aryl or heteroaryl ring which is fused to the parent phenyl or 5- or 6-membered heteroaryl group across the α',β' positions and which is optionally substituted with one or more halo groups; and
optionally the phenyl group is further substituted (typically with a substituent selected from halo, -N02, -CN, -COOR^, -C0NH2, -CONHR^ or -C0N(R1s)2, wherein each -RJ5 is independently selected from a C1-C4 alkyl or C1-C4 haloalkyl group); or
(iv) the phenyl or 5- or 6-membered heteroaryl group is substituted at the a- position with a monovalent heterocyclic group or a monovalent aromatic group selected from phenyl, pyridinyl, pyrimidinyl, pyrazolyl, imidazolyl, triazolyl or
tetrahydropyranyl, wherein the monovalent heterocyclic or aromatic group may optionally be substituted with one or two substituents independently selected from halo, C1-C3 alkyl, d-C3 haloalkyl, -R12-OR13, -Ri2-N(R13)2, -R12-CN or -R12-C≡CR13, and wherein a ring atom of the monovalent heterocyclic or aromatic group is directly attached to the a-ring atom of the parent phenyl or 5- or 6-membered heteroaryl group; wherein R12 is independently selected from a bond or a C1-C3 alkylene group; and R13 is independently selected from hydrogen or a C1-C3 alkyl or C1-C3 haloalkyl group; and optionally the phenyl or 5- or 6-membered heteroaryl group is further substituted at the a' position with a substituent selected from -R?, -OR9 and -COR9, wherein R? is selected from a Ci-Ce alkyl, C2-Ce alkenyl, C2-Ce alkynyl or C2-Ce cyclic group and wherein R9 is optionally substituted with one or more halo groups; and
optionally the phenyl or 5- or 6-membered heteroaryl group is further substituted (typically with one, two or three substituents independently selected from halo, -N02, -CN, -COOR^, -C0NH2, -CONHR^ or -C0N(R1s)2, wherein each -R« is independently selected from a C1-C4 alkyl or C1-C4 haloalkyl group); or
(v) the phenyl or 5- or 6-membered heteroaryl group is substituted at the a- position with a monovalent heterocyclic group or a monovalent aromatic group selected from phenyl, pyridinyl, pyrimidinyl, pyrazolyl, imidazolyl, triazolyl or
tetrahydropyranyl, wherein the monovalent heterocyclic or aromatic group may optionally be substituted with one or two substituents independently selected from halo, C1-C3 alkyl, d-C3 haloalkyl, -R12-OR13, -R^-N(R13)2, -R12-CN or -R12-C≡CR13, and wherein a ring atom of the monovalent heterocyclic or aromatic group is directly attached to the a-ring atom of the parent phenyl or 5- or 6-membered heteroaryl group; wherein R12 is independently selected from a bond or a C1-C3 alkylene group; and R13 is independently selected from hydrogen or a C1-C3 alkyl or C1-C3 haloalkyl group; and optionally the phenyl or 5- or 6-membered heteroaryl group is further substituted with a cycloalkyl, cycloalkenyl, non-aromatic heterocyclic, aryl or heteroaryl ring which is fused to the parent phenyl or 5- or 6-membered heteroaryl group across the α',β' positions and which is optionally substituted with one or more halo groups; and
optionally the phenyl or 5- or 6-membered heteroaryl group is further substituted (typically with one or two substituents independently selected from halo, -NO2, -CN, -COOR!s, -C0NH2, -CONHR^ or -C0N(R1s)2, wherein each -R« is independently selected from a C1-C4 alkyl or C1-C4 haloalkyl group).
In the embodiment directly above, where a group or moiety is optionally substituted with one or more halo groups, it may be substituted for example with one, two, three, four, five or six halo groups. In one aspect of any of the above embodiments, R2 contains from 15 to 50 atoms. More typically, R2 contains from 20 to 40 atoms. Most typically, R2 contains from 25 to 35 atoms.
In another aspect of any of the above embodiments, R2 contains from 10 to 50 atoms other than hydrogen. More typically, R2 contains from 10 to 40 atoms other than hydrogen. More typically, R2 contains from 10 to 35 atoms other than hydrogen. Most typically, R2 contains from 12 to 30 atoms other than hydrogen.
In one embodiment, R1 is a saturated or unsaturated hydrocarbyl group, wherein the hydrocarbyl group may be straight-chained or branched, or be or include cyclic groups, wherein the hydrocarbyl group may optionally be substituted, and wherein the atom of R1 which is attached to the sulfur atom of the sulfonylurea group is not a ring atom of a cyclic group; and R2 is a cyclic group substituted at the a and a' positions, wherein R2 may optionally be further substituted.
In another embodiment, R2 is a fused cyclic group, wherein a cycloalkyl, cycloalkenyl, non-aromatic heterocyclic, aryl or heteroaryl ring is fused to the cyclic group across the α,β positions, wherein R2 is further substituted at the a' position, and wherein R2may optionally be further substituted.
In another embodiment, R2 is a fused cyclic group, wherein a first cycloalkyl, cycloalkenyl, non-aromatic heterocyclic, aryl or heteroaryl ring is fused to the cyclic group across the α,β positions and a second cycloalkyl, cycloalkenyl, non-aromatic heterocyclic, aryl or heteroaryl ring is fused to the cyclic group across the α',β' positions, and wherein R2 may optionally be further substituted.
Q is selected from O or S. In one embodiment of the first aspect of the invention, Q is O.
In one embodiment, the invention provides a compound of formula (I), wherein:
Q is O;
R1 is a saturated or unsaturated C1-C12 hydrocarbyl group, wherein the hydrocarbyl group may be straight-chained or branched, or be or include cyclic groups, wherein the hydrocarbyl group may optionally be substituted with one, two or three substituents independently selected from halo, C1-C4 haloalkyl, -CN, -N3, -N02, -OH, -SR8, -SOR8, -S02R8, -S02N(R8)2, -NH2, -COR8, -COOR8 or -OCOR8, wherein each -R8 is independently selected from hydrogen or a C1-C4 alkyl, C2-C4 alkenyl, C2-C4 alkynyl, C1-C4 haloalkyl or C3-C7 cycloalkyl group, and wherein the atom of R1 which is attached to the sulfur atom of the sulfonylurea group is not a ring atom of a cyclic group; and
R2 is a cyclic group substituted at the a-position, wherein R2 may optionally be further substituted. In one embodiment, R2 is a cyclic group substituted at the a and a' positions.
In another embodiment, the invention provides a compound of formula (I), wherein:
Q is O;
R1 is a saturated or unsaturated Ci-Cs hydrocarbyl group, wherein the hydrocarbyl group may be straight-chained or branched, but may not be or include cyclic groups, wherein the hydrocarbyl group may optionally be substituted with one, two or three substituents independently selected from halo, C1-C4 haloalkyl, -CN, -N3, -SR8, -SOR8, -S02R8 or -S02N(R8)2, wherein each -R8 is independently selected from hydrogen or a C1-C4 alkyl, C2-C4 alkenyl, C2-C4 alkynyl, C1-C4 haloalkyl or C3-C7 cycloalkyl group, and wherein the atom of R1 which is attached to the sulfur atom of the sulfonylurea group is not a ring atom of a cyclic group; and
R2 is a cyclic group substituted at the a position, wherein R2 may optionally be further substituted. In one embodiment, R2 is a cyclic group substituted at the a and a' positions.
In another embodiment, the invention provides a compound of formula (I), wherein:
Q is O;
-R1 is -(CHR4)nR3; wherein n is 1, 2 or 3; R4 is independently selected from hydrogen, methyl or ethyl; and R3 is a branched or cyclic Ci-C(i2-n) hydrocarbyl group, wherein the hydrocarbyl group may optionally be substituted with one, two or three substituents independently selected from halo, C1-C4 haloalkyl, -CN, -N3, -N02, -OH, -SR8, -SOR8, -S02R8, -S02N(R8)2, -NH2, -COR8, -COOR8 or -OCOR8, wherein each -R8 is independently selected from hydrogen or a C1-C4 alkyl, C2-C4 alkenyl, C2-C4 alkynyl, C1-C4 haloalkyl or C3-C7 cycloalkyl group; and
R2 is a cyclic group substituted at the a-position, wherein R2 may optionally be further substituted. In one embodiment, R4 is hydrogen. In one embodiment, R2 is a cyclic group substituted at the a and a' positions. In another embodiment, the invention provides a compound of formula (I), wherein:
Q is O;
-R1 is -(CHR4)nR3; wherein n is l, 2 or 3; R4 is independently selected from hydrogen, methyl or ethyl; and R3 is a branched or cyclic Ci- io-n) hydrocarbyl group, wherein the hydrocarbyl group may optionally be substituted with one, two or three substituents independently selected from halo, C1-C4 haloalkyl, -CN, -N3, -SR8, -SOR8, -SO2R8 or -S02N(R8)2, wherein each -R8 is independently selected from hydrogen or a C1-C4 alkyl, C2-C4 alkenyl, C2-C4 alkynyl, C1-C4 haloalkyl or C3-C7 cycloalkyl group; and R2 is a cyclic group substituted at the a position, wherein R2 may optionally be further substituted. In one embodiment, R4 is hydrogen. In one embodiment, R2 is a cyclic group substituted at the a and a' positions.
In another embodiment, the invention provides a compound of formula (I), wherein:
Q is O;
-R1 is -(CHR4)nR3; wherein n is 1, 2 or 3; R4 is independently selected from hydrogen, methyl or ethyl; and R3 is phenyl optionally substituted with one, two or three substituents independently selected from halo, C1-C4 alkyl, C1-C4 haloalkyl, -CN, -N3, -NO2, -OR8, -SR8, -SOR8, -S02R8, -S02N(R8)2, -NH2, -COR8, -COOR8 or -OCOR8, wherein each -R8 is independently selected from hydrogen or a C1-C4 alkyl, C2-C4 alkenyl, C2-C4 alkynyl, C1-C4 haloalkyl or C3-C7 cycloalkyl group; and
R2 is a cyclic group substituted at the a position, wherein R2 may optionally be further substituted. In one embodiment, R4 is hydrogen. In one embodiment, R2 is a cyclic group substituted at the a and a' positions.
In a first specific embodiment, the invention provides a compound of formula (I), wherein:
Q is O;
R1 is selected from:
(a) a branched C3-C7 alkyl (preferably C4-C7 alkyl) group, wherein the alkyl group is unsubstituted; or
(b) a straight-chained C2-C7 alkenyl (preferably C2 alkenyl or C4-C7 alkenyl) group, wherein the alkenyl group is unsubstituted; or
(c) -(C(R4)2)nR3; wherein n is l or 2; each R4 is independently selected from hydrogen, halo, methyl or halomethyl; and R3 is a phenyl group, wherein the phenyl group may optionally be halo substituted and/or may optionally be substituted with one or two substituents independently selected from C1-C3 alkyl, C1-C3 haloalkyl, -CN, -OR8, -COR8, or -COOR8, wherein each -R8 is independently selected from hydrogen or a C1-C3 alkyl, C1-C3 haloalkyl, cyclopropyl or halocyclopropyl group, and wherein the group -R1 including any optional substituents contains from 7 to 12 carbon atoms; or
(d) a Ci-Ce alkyl (preferably C2-Ce alkyl or C3-Ce alkyl) or C2-Ce alkenyl group, wherein the alkyl or alkenyl group is halo substituted and/or is substituted with one, two or three substituents independently selected from -CN, -N3, -N02, -OR8,
-N(R8)2, -COR8 or -COOR8, wherein each -R8 is independently selected from hydrogen or a C1-C4 alkyl, C1-C4 haloalkyl, C3-C7 cycloalkyl or C3-C7 halocycloalkyl group;
and wherein:
R2 is phenyl or a 5- or 6-membered heteroaryl group; wherein
(i) the phenyl or 5- or 6-membered heteroaryl group is substituted at the a position with a substituent selected from -R9, -OR9 and -COR9, wherein R9 is selected from a Ci-Ce alkyl, C2-Ce alkenyl, C2-Ce alkynyl or C2-Ce cyclic group and wherein R9 is optionally substituted with one or more halo groups; and
optionally the phenyl or 5- or 6-membered heteroaryl group is further substituted at the a' position with a substituent selected from -R14, -OR14 and -COR14, wherein R14 is selected from a Ci-Ce alkyl, C2-Ce alkenyl, C2-Ce alkynyl or C2-Ce cyclic group and wherein R14 is optionally substituted with one or more halo groups; and optionally the phenyl or 5- or 6-membered heteroaryl group is further substituted (typically with one, two or three substituents independently selected from halo, -NO2, -CN, -COOR^, -C0NH2, -CONHR^ or -C0N(R1s)2, wherein each -R* is independently selected from a C1-C4 alkyl or C1-C4 haloalkyl group); or
(ii) the phenyl or 5- or 6-membered heteroaryl group is substituted with a cycloalkyl, cycloalkenyl, non-aromatic heterocyclic, aryl or heteroaryl ring which is fused to the parent phenyl or 5- or 6-membered heteroaryl group across the α,β positions and which is optionally substituted with one or more halo groups; and
optionally the phenyl or 5- or 6-membered heteroaryl group is further substituted at the a' position with a substituent selected from -R9, -OR9 and -COR9, wherein R9 is selected from a Ci-Ce alkyl, C2-Ce alkenyl, C2-Ce alkynyl or C2-Ce cyclic group and wherein R9 is optionally substituted with one or more halo groups; and optionally the phenyl or 5- or 6-membered heteroaryl group is further substituted (typically with one or two substituents independently selected from halo,
-NO2, -CN, -COOR!s, -C0NH2, -CONHR^ or -C0N(R1s)2, wherein each -R^ is independently selected from a C1-C4 alkyl or C1-C4 haloalkyl group); or
(iii) the phenyl or 5- or 6-membered heteroaryl group is substituted with a first cycloalkyl, cycloalkenyl, non-aromatic heterocyclic, aryl or heteroaryl ring which is fused to the parent phenyl or 5- or 6-membered heteroaryl group across the α,β positions and which is optionally substituted with one or more halo groups; and
the phenyl or 5- or 6-membered heteroaryl group is substituted with a second cycloalkyl, cycloalkenyl, non-aromatic heterocyclic, aryl or heteroaryl ring which is fused to the parent phenyl or 5- or 6-membered heteroaryl group across the α',β' positions and which is optionally substituted with one or more halo groups; and
optionally the phenyl group is further substituted (typically with a substituent selected from halo, -N02, -CN, -COOR^, -C0NH2, -CONHR^ or -C0N(R1s)2, wherein each -RJ5 is independently selected from a C1-C4 alkyl or C1-C4 haloalkyl group); or
(iv) the phenyl or 5- or 6-membered heteroaryl group is substituted at the a- position with a monovalent heterocyclic group or a monovalent aromatic group selected from phenyl, pyridinyl, pyrimidinyl, pyrazolyl, imidazolyl, triazolyl or
tetrahydropyranyl, wherein the monovalent heterocyclic or aromatic group may optionally be substituted with one or two substituents independently selected from halo, C1-C3 alkyl, d-C3 haloalkyl, -R^-OR^, -R12-N(R13)2, -R^-CN or -R^-OCR^, and wherein a ring atom of the monovalent heterocyclic or aromatic group is directly attached to the a-ring atom of the parent phenyl or 5- or 6-membered heteroaryl group; wherein R12 is independently selected from a bond or a C1-C3 alkylene group; and R13 is independently selected from hydrogen or a C1-C3 alkyl or C1-C3 haloalkyl group; and optionally the phenyl or 5- or 6-membered heteroaryl group is further substituted at the a' position with a substituent selected from -R?, -OR9 and -COR9, wherein R? is selected from a Ci-Ce alkyl, C2-Ce alkenyl, C2-Ce alkynyl or C2-Ce cyclic group and wherein R? is optionally substituted with one or more halo groups; and
optionally the phenyl or 5- or 6-membered heteroaryl group is further substituted (typically with one, two or three substituents independently selected from halo, -NO2, -CN, -COOR!s, -C0NH2, -CONHR^ or -C0N(R1s)2, wherein each -R* is independently selected from a C1-C4 alkyl or C1-C4 haloalkyl group); or
(v) the phenyl or 5- or 6-membered heteroaryl group is substituted at the a- position with a monovalent heterocyclic group or a monovalent aromatic group selected from phenyl, pyridinyl, pyrimidinyl, pyrazolyl, imidazolyl, triazolyl or
tetrahydropyranyl, wherein the monovalent heterocyclic or aromatic group may optionally be substituted with one or two substituents independently selected from
halo, C1-C3 alkyl, d-C3 haloalkyl, -R^-OR^, -^2-Ν(^3)2, -R"-CN or -R^-OCR^, and wherein a ring atom of the monovalent heterocyclic or aromatic group is directly attached to the a-ring atom of the parent phenyl or 5- or 6-membered heteroaryl group; wherein R12 is independently selected from a bond or a C1-C3 alkylene group; and R13 is independently selected from hydrogen or a C1-C3 alkyl or C1-C3 haloalkyl group; and optionally the phenyl or 5- or 6-membered heteroaryl group is further substituted with a cycloalkyl, cycloalkenyl, non-aromatic heterocyclic, aryl or heteroaryl ring which is fused to the parent phenyl or 5- or 6-membered heteroaryl group across the α',β' positions and which is optionally substituted with one or more halo groups; and
optionally the phenyl or 5- or 6-membered heteroaryl group is further substituted (typically with one or two substituents independently selected from halo, -NO2, -CN, -COOR!s, -C0NH2, -CONHR^ or -CONCR^, wherein each -R« is independently selected from a C1-C4 alkyl or C1-C4 haloalkyl group).
In this first specific embodiment, the parent phenyl or 5- or 6-membered heteroaryl group of R2 may be selected from phenyl, pyridinyl (such as pyridin-3-yl or pyridin-4- yl), pyridazinyl, pyrimidinyl (such as pyrimidin-2-yl or pyrimidin-5-yl), pyrazinyl, pyrrolyl, furanyl, thiophenyl, pyrazolyl (such as pyrazol-i-yl, pyrazol-3-yl or pyrazol-4- yl), imidazolyl, oxazolyl, isoxazolyl, thiazolyl, isothiazolyl, triazolyl or oxadiazolyl.
Typically, the parent phenyl or 5- or 6-membered heteroaryl group of R2 may be selected from phenyl, pyridinyl (such as pyridin-3-yl or pyridin-4-yl), pyridazinyl, pyrimidinyl (such as pyrimidin-2-yl or pyrimidin-5-yl) or pyrazinyl. Typically, the parent phenyl or 5- or 6-membered heteroaryl group of R2 may be phenyl.
In this first specific embodiment, where a group or moiety is optionally substituted with one or more halo groups, it may be substituted for example with one, two, three, four, five or six halo groups. Typically in this first specific embodiment, the compound is not:
In a second specific embodiment, the invention provides a compound of formula (I), wherein:
Q is O;
R1 is selected from:
(a) a Ci-C7 alkyl or C2-C7 alkenyl group, wherein the alkyl or alkenyl group is unsubstituted; or
(b) a Ci-Ce alkyl or C2-Ce alkenyl group, wherein the alkyl or alkenyl group is halo substituted and/or is substituted with one, two or three substituents
independently selected from -CN, -N3, -N02, -OR8, -N(R8)2, -COR8 or -COOR8, wherein each -R8 is independently selected from hydrogen or a C1-C4 alkyl, C1-C4 haloalkyl, C3-C7 cycloalkyl or C3-C7 halocycloalkyl group;
and wherein:
R2 is phenyl or a 5- or 6-membered heteroaryl group; wherein
(i) the phenyl or 5- or 6-membered heteroaryl group is substituted at the a- position with a monovalent heterocyclic group or a monovalent aromatic group selected from phenyl, pyridinyl, pyrimidinyl, pyrazolyl, imidazolyl, triazolyl or
tetrahydropyranyl, wherein the monovalent heterocyclic or aromatic group may optionally be substituted with one or two substituents independently selected from halo, C1-C3 alkyl, d-C3 haloalkyl,
and wherein a ring atom of the monovalent heterocyclic or aromatic group is directly attached to the a-ring atom of the parent phenyl or 5- or 6-membered heteroaryl group; wherein R12 is independently selected from a bond or a Ci-C3 alkylene group; and R13 is independently selected from hydrogen or a Ci-C3 alkyl or Ci-C3 haloalkyl group; and optionally the phenyl or 5- or 6-membered heteroaryl group is further substituted at the a' position with a substituent selected from -R9, -OR9 and -COR9, wherein R9 is selected from a Ci-Ce alkyl, C2-Ce alkenyl, C2-Ce alkynyl or C2-Ce cyclic group and wherein R9 is optionally substituted with one or more halo groups; and
optionally the phenyl or 5- or 6-membered heteroaryl group is further substituted (typically with one, two or three substituents independently selected from halo, -N02, -CN, -COOR^, -C0NH2, -CONHR^ or -C0N(R1s)2, wherein each -R« is independently selected from a C1-C4 alkyl or C1-C4 haloalkyl group); or
(ii) the phenyl or 5- or 6-membered heteroaryl group is substituted at the a- position with a monovalent heterocyclic group or a monovalent aromatic group selected from phenyl, pyridinyl, pyrimidinyl, pyrazolyl, imidazolyl, triazolyl or
tetrahydropyranyl, wherein the monovalent heterocyclic or aromatic group may optionally be substituted with one or two substituents independently selected from halo, C1-C3 alkyl, d-C3 haloalkyl,
and wherein a ring atom of the monovalent heterocyclic or aromatic group is directly attached to the a-ring atom of the parent phenyl or 5- or 6-membered heteroaryl group; wherein R12 is independently selected from a bond or a C1-C3 alkylene group; and R13 is independently selected from hydrogen or a C1-C3 alkyl or C1-C3 haloalkyl group; and optionally the phenyl or 5- or 6-membered heteroaryl group is further substituted with a cycloalkyl, cycloalkenyl, non-aromatic heterocyclic, aryl or heteroaryl ring which is fused to the parent phenyl or 5- or 6-membered heteroaryl group across the α',β' positions and which is optionally substituted with one or more halo groups; and
optionally the phenyl or 5- or 6-membered heteroaryl group is further substituted (typically with one or two substituents independently selected from halo, -N02, -CN, -COOR!s, -C0NH2,
wherein each -R« is independently selected from a C1-C4 alkyl or C1-C4 haloalkyl group).
In this second specific embodiment, the parent phenyl or 5- or 6-membered heteroaryl group of R2 may be selected from phenyl, pyridinyl (such as pyridin-3-yl or pyridin-4- yl), pyridazinyl, pyrimidinyl (such as pyrimidin-2-yl or pyrimidin-5-yl), pyrazinyl, pyrrolyl, furanyl, thiophenyl, pyrazolyl (such as pyrazol-i-yl, pyrazol-3-yl or pyrazol-4- yl), imidazolyl, oxazolyl, isoxazolyl, thiazolyl, isothiazolyl, triazolyl or oxadiazolyl.
Typically, the parent phenyl or 5- or 6-membered heteroaryl group of R2 may be selected from phenyl, pyridinyl (such as pyridin-3-yl or pyridin-4-yl), pyridazinyl, pyrimidinyl (such as pyrimidin-2-yl or pyrimidin-5-yl) or pyrazinyl. Typically, the parent phenyl or 5- or 6-membered heteroaryl group of R2 may be phenyl.
In this second specific embodiment, where a group or moiety is optionally substituted with one or more halo groups, it may be substituted for example with one, two, three, four, five or six halo groups. In one aspect of any of the above embodiments, the compound of formula (I) has a molecular weight of from 200 to 2,000 Da. Typically, the compound of formula (I) has
a molecular weight of from 230 to 900 Da. Typically, the compound of formula (I) has a molecular weight of from 260 to 600 Da. More typically, the compound of formula (I) has a molecular weight of from 280 to 480 Da. A second aspect of the invention provides a compound selected from the group consisting of:
and
A third aspect of the invention provides a pharmaceutically acceptable salt, solvate or prodrug of any compound of the first or second aspect of the invention.
The compounds of the present invention can be used both in their free base form and their acid addition salt form. For the purposes of this invention, a "salt" of a compound of the present invention includes an acid addition salt. Acid addition salts are preferably pharmaceutically acceptable, non-toxic addition salts with suitable acids, including but not limited to inorganic acids such as hydrohalogenic acids (for example, hydrofluoric, hydrochloric, hydrobromic or hydroiodic acid) or other inorganic acids (for example, nitric, perchloric, sulfuric or phosphoric acid); or organic acids such as organic carboxylic acids (for example, propionic, butyric, glycolic, lactic, mandelic, citric, acetic, benzoic, salicylic, succinic, malic or hydroxysuccinic, tartaric, fumaric, maleic, hydroxymaleic, mucic or galactaric, gluconic, pantothenic or pamoic acid), organic sulfonic acids (for example, methanesulfonic, trifluoromethanesulfonic, ethanesulfonic, 2-hydroxyethanesulfonic, benzenesulfonic, toluene-p-sulfonic, naphthalene-2-sulfonic or camphorsulfonic acid) or amino acids (for example, ornithinic, glutamic or aspartic acid). The acid addition salt may be a mono-, di-, tri- or multi-acid addition salt. A preferred salt is a hydrohalogenic, sulfuric, phosphoric or organic acid addition salt. A preferred salt is a hydrochloric acid addition salt.
Where a compound of the invention includes a quaternary ammonium group, typically the compound is used in its salt form. The counter ion to the quaternary ammonium group may be any pharmaceutically acceptable, non-toxic counter ion. Examples of suitable counter ions include the conjugate bases of the protic acids discussed above in relation to acid-addition salts.
The compounds of the present invention can also be used both, in their free acid form and their salt form. For the purposes of this invention, a "salt" of a compound of the present invention includes one formed between a protic acid functionality (such as a carboxylic acid group) of a compound of the present invention and a suitable cation. Suitable cations include, but are not limited to lithium, sodium, potassium,
magnesium, calcium and ammonium. The salt may be a mono-, di-, tri- or multi-salt. Preferably the salt is a mono- or di-lithium, sodium, potassium, magnesium, calcium or ammonium salt. More preferably the salt is a mono- or di-sodium salt or a mono- or di- potassium salt.
Preferably any salt is a pharmaceutically acceptable non-toxic salt. However, in addition to pharmaceutically acceptable salts, other salts are included in the present invention, since they have potential to serve as intermediates in the purification or preparation of other, for example, pharmaceutically acceptable salts, or are useful for identification, characterisation or purification of the free acid or base.
The compounds and/or salts of the present invention may be anhydrous or in the form of a hydrate (e.g. a hemihydrate, monohydrate, dihydrate or trihydrate) or other solvate. Such solvates may be formed with common organic solvents, including but not limited to, alcoholic solvents e.g. methanol, ethanol or isopropanol.
In some embodiments of the present invention, therapeutically inactive prodrugs are provided. Prodrugs are compounds which, when administered to a subject such as a human, are converted in whole or in part to a compound of the invention. In most embodiments, the prodrugs are pharmacologically inert chemical derivatives that can be converted in vivo to the active drug molecules to exert a therapeutic effect. Any of the compounds described herein can be administered as a prodrug to increase the activity, bioavailability, or stability of the compound or to otherwise alter the properties of the compound. Typical examples of prodrugs include compounds that have biologically labile protecting groups on a functional moiety of the active compound. Prodrugs include, but are not limited to, compounds that can be oxidized, reduced, aminated, deaminated, hydroxylated, dehydroxylated, hydrolyzed, dehydrolyzed, alkylated, dealkylated, acylated, deacylated, phosphorylated, and/or dephosphorylated to produce the active compound. The present invention also encompasses salts and solvates of such prodrugs as described above.
The compounds, salts, solvates and prodrugs of the present invention may contain at least one chiral centre. The compounds, salts, solvates and prodrugs may therefore exist in at least two isomeric forms. The present invention encompasses racemic mixtures of the compounds, salts, solvates and prodrugs of the present invention as well as enantiomerically enriched and substantially enantiomerically pure isomers. For
the purposes of this invention, a "substantially enantiomerically pure" isomer of a compound comprises less than 5% of other isomers of the same compound, more typically less than 2%, and most typically less than 0.5% by weight. The compounds, salts, solvates and prodrugs of the present invention may contain any stable isotope including, but not limited to 12C, ^C, Ή, 2H (D), ^N, ^N, l60, ^O, l80, and 12?I, and any radioisotope including, but not limited to nC, ^C, 3H (T), ^N, ^O, l8F,
The compounds, salts, solvates and prodrugs of the present invention may be in any polymorphic or amorphous form.
A fourth aspect of the invention provides a pharmaceutical composition comprising a compound of the first or second aspect of the invention, or a pharmaceutically acceptable salt, solvate or prodrug of the third aspect of the invention, and a
pharmaceutically acceptable excipient.
Conventional procedures for the selection and preparation of suitable pharmaceutical formulations are described in, for example, "Aulton's Pharmaceutics - The Design and Manufacture of Medicines", M. E. Aulton and K. M. G. Taylor, Churchill Livingstone Elsevier, 4th Ed., 2013.
Pharmaceutically acceptable excipients including adjuvants, diluents or carriers that may be used in the pharmaceutical compositions of the invention are those
conventionally employed in the field of pharmaceutical formulation, and include, but are not limited to, sugars, sugar alcohols, starches, ion exchangers, alumina, aluminium stearate, lecithin, serum proteins such as human serum albumin, buffer substances such as phosphates, glycerine, sorbic acid, potassium sorbate, partial glyceride mixtures of saturated vegetable fatty acids, water, salts or electrolytes such as protamine sulfate, disodium hydrogen phosphate, potassium hydrogen phosphate, sodium chloride, zinc salts, colloidal silica, magnesium trisilicate, polyvinylpyrrolidone, cellulose-based substances, polyethylene glycol, sodium carboxymethylcellulose, polyacrylates, waxes, polyethylene-polyoxypropylene-block polymers, polyethylene glycol and wool fat.
In one embodiment, the pharmaceutical composition of the fourth aspect of the invention is a topical pharmaceutical composition. For example, the topical pharmaceutical composition may be a dermal pharmaceutical composition or an ocular pharmaceutical composition.
In one embodiment, the pharmaceutical composition of the fourth aspect of the invention additionally comprises one or more further active agents.
In a further embodiment, the pharmaceutical composition of the fourth aspect of the invention may be provided as a part of a kit of parts, wherein the kit of parts comprises the pharmaceutical composition of the fourth aspect of the invention and one or more further pharmaceutical compositions, wherein the one or more further pharmaceutical compositions each comprise a pharmaceutically acceptable excipient and one or more further active agents.
A fifth aspect of the invention provides a compound of the first or second aspect of the invention, or a pharmaceutically acceptable salt, solvate or prodrug of the third aspect of the invention, or a pharmaceutical composition of the fourth aspect of the invention, for use in medicine, and/or for use in the treatment or prevention of a disease, disorder or condition. Typically the use comprises the administration of the compound, salt, solvate, prodrug or pharmaceutical composition to a subject. In one embodiment, the use comprises the co-administration of one or more further active agents.
The term "treatment" as used herein refers equally to curative therapy, and
ameliorating or palliative therapy. The term includes obtaining beneficial or desired physiological results, which may or may not be established clinically. Beneficial or desired clinical results include, but are not limited to, the alleviation of symptoms, the prevention of symptoms, the diminishment of extent of disease, the stabilisation (i.e., not worsening) of a condition, the delay or slowing of progression/worsening of a condition/ symptoms, the amelioration or palliation of the condition/ symptoms, and remission (whether partial or total), whether detectable or undetectable. The term "palliation", and variations thereof, as used herein, means that the extent and/or undesirable manifestations of a physiological condition or symptom are lessened and/or time course of the progression is slowed or lengthened, as compared to not administering a compound, salt, solvate, prodrug or pharmaceutical composition of the present invention. The term "prevention" as used herein in relation to a disease,
disorder or condition, relates to prophylactic or preventative therapy, as well as therapy to reduce the risk of developing the disease, disorder or condition. The term
"prevention" includes both the avoidance of occurrence of the disease, disorder or condition, and the delay in onset of the disease, disorder or condition. Any statistically significant (p < 0.05) avoidance of occurrence, delay in onset or reduction in risk as measured by a controlled clinical trial may be deemed a prevention of the disease, disorder or condition. Subjects amenable to prevention include those at heightened risk of a disease, disorder or condition as identified by genetic or biochemical markers. Typically, the genetic or biochemical markers are appropriate to the disease, disorder or condition under consideration and may include for example, inflammatory biomarkers such as C-reactive protein (CRP) and monocyte chemoattractant protein 1 (MCP-i) in the case of inflammation; total cholesterol, triglycerides, insulin resistance and C-peptide in the case of NAFLD and NASH; and more generally ILi and IL18 in the case of a disease, disorder or condition responsive to NLRP3 inhibition.
A sixth aspect of the invention provides the use of a compound of the first or second aspect, or a pharmaceutically effective salt, solvate or prodrug of the third aspect, in the manufacture of a medicament for the treatment or prevention of a disease, disorder or condition. Typically the treatment or prevention comprises the administration of the compound, salt, solvate, prodrug or medicament to a subject. In one embodiment, the treatment or prevention comprises the co-administration of one or more further active agents.
A seventh aspect of the invention provides a method of treatment or prevention of a disease, disorder or condition, the method comprising the step of administering an effective amount of a compound of the first or second aspect, or a pharmaceutically acceptable salt, solvate or prodrug of the third aspect, or a pharmaceutical composition of the fourth aspect, to thereby treat or prevent the disease, disorder or condition. In one embodiment, the method further comprises the step of co-administering an effective amount of one or more further active agents. Typically, the administration is to a subject in need thereof.
An eighth aspect of the invention provides a compound of the first or second aspect of the invention, or a pharmaceutically acceptable salt, solvate or prodrug of the third aspect of the invention, or a pharmaceutical composition of the fourth aspect of the invention, for use in the treatment or prevention of a disease, disorder or condition in
an individual, wherein the individual has a germline or somatic non-silent mutation in NLRP3. The mutation may be, for example, a gain-of-function or other mutation resulting in increased NLRP3 activity. Typically, the use comprises the administration of the compound, salt, solvate, prodrug or pharmaceutical composition to the individual. In one embodiment, the use comprises the co-administration of one or more further active agents. The use may also comprise the diagnosis of an individual having a germline or somatic non-silent mutation in NLRP3, wherein the compound, salt, solvate, prodrug or pharmaceutical composition is administered to an individual on the basis of a positive diagnosis for the mutation. Typically, identification of the mutation in NLRP3 in the individual may be by any suitable genetic or biochemical means.
A ninth aspect of the invention provides the use of a compound of the first or second aspect, or a pharmaceutically effective salt, solvate or prodrug of the third aspect, in the manufacture of a medicament for the treatment or prevention of a disease, disorder or condition in an individual, wherein the individual has a germline or somatic non-silent mutation in NLRP3. The mutation may be, for example, a gain-of-function or other mutation resulting in increased NLRP3 activity. Typically, the treatment or prevention comprises the administration of the compound, salt, solvate, prodrug or medicament to the individual. In one embodiment, the treatment or prevention comprises the co- administration of one or more further active agents. The treatment or prevention may also comprise the diagnosis of an individual having a germline or somatic non-silent mutation in NLRP3, wherein the compound, salt, solvate, prodrug or medicament is administered to an individual on the basis of a positive diagnosis for the mutation. Typically, identification of the mutation in NLRP3 in the individual may be by any suitable genetic or biochemical means.
A tenth aspect of the invention provides a method of treatment or prevention of a disease, disorder or condition, the method comprising the steps of diagnosing of an individual having a germline or somatic non-silent mutation in NLRP3, and
administering an effective amount of a compound of the first or second aspect, or a pharmaceutically acceptable salt, solvate or prodrug of the third aspect, or a
pharmaceutical composition of the fourth aspect, to the positively diagnosed individual, to thereby treat or prevent the disease, disorder or condition. In one embodiment, the method further comprises the step of co-administering an effective amount of one or more further active agents. Typically, the administration is to a subject in need thereof.
In general embodiments, the disease, disorder or condition may be a disease, disorder or condition of the immune system, the cardiovascular system, the endocrine system, the gastrointestinal tract, the renal system, the hepatic system, the metabolic system, the respiratory system, the central nervous system, may be a cancer or other malignancy, and/ or may be caused by or associated with a pathogen.
It will be appreciated that these general embodiments defined according to broad categories of diseases, disorders and conditions are not mutually exclusive. In this regard any particular disease, disorder or condition may be categorized according to more than one of the above general embodiments. A non-limiting example is type I diabetes which is an autoimmune disease and a disease of the endocrine system.
In one embodiment of the fifth, sixth, seventh, eighth, ninth or tenth aspect of the present invention, the disease, disorder or condition is responsive to NLRP3 inhibition. As used herein, the term "NLRP3 inhibition" refers to the complete or partial reduction in the level of activity of NLRP3 and includes, for example, the inhibition of active NLRP3 and/or the inhibition of activation of NLRP3.
There is evidence for a role of NLRP3-induced IL-i and IL-18 in the inflammatory responses occurring in connection with, or as a result of, a multitude of different disorders (Menu et al, Clinical and Experimental Immunology, 166: 1-15, 2011;
Strowig et al, Nature, 481:278-286, 2012).
NLRP3 has been implicated in a number of autoinflammatory diseases, including Familial Mediterranean fever (FMF), TNF receptor associated periodic syndrome
(TRAPS), hyperimmunoglobulinemia D and periodic fever syndrome (HIDS), pyogenic arthritis, pyoderma gangrenosum and acne (PAPA), Sweet's syndrome, chronic nonbacterial osteomyelitis (CNO), and acne vulgaris (Cook et al., Eur. J. Immunol., 40: 595-653, 2010). In particular, NLRP3 mutations have been found to be responsible for a set of rare autoinflammatory diseases known as CAPS (Ozaki et ah, J. Inflammation Research, 8:15-27, 2015; Schroder et al, Cell, 140: 821-832, 2010; and Menu et al, Clinical and Experimental Immunology, 166: 1-15, 2011). CAPS are heritable diseases characterized by recurrent fever and inflammation and are comprised of three autoinflammatory disorders that form a clinical continuum. These diseases, in order of increasing severity, are familial cold autoinflammatory syndrome (FCAS), Muckle- Wells syndrome (MWS), and chronic infantile cutaneous neurological articular
- 6θ - syndrome (CINCA; also called neonatal-onset multisystem inflammatory disease, NOMID), and all have been shown to result from gain-of-function mutations in the NLRP3 gene, which leads to increased secretion of IL-ιβ. A number of autoimmune diseases have been shown to involve NLRP3 including, in particular, multiple sclerosis, type-i diabetes (TiD), psoriasis, rheumatoid arthritis (RA), Behcet's disease, Schnitzler syndrome, macrophage activation syndrome (Masters Clin. Immunol. 2013; Braddock et al, Nat. Rev. Drug Disc. 2004 3: 1-10; Inoue et al, Immunology 139: 11-18, Coll et al. Nat. Med. 2015 21(3)1248-55; and Scott et al. Clin. Exp. Rheumatol 2016 34(1): 88-93), systemic lupus erythematosus (Lu et al. J
Immunol. 2017 198(3): 1119-29), and systemic sclerosis (Artlett et al. Arthritis Rheum. 2011; 63(11): 3563-74). NLRP3 has also been shown to play a role in a number of lung diseases including chronic obstructive pulmonary disorder (COPD), asthma (including steroid-resistant asthma), asbestosis, and silicosis (De Nardo et al., Am. J. Pathol., 184: 42-54, 2014 and Kim et al. Am J Respir Crit Care Med. 2017 196(3): 283-97). NLRP3 has also been suggested to have a role in a number of diseases of the central nervous system, including Parkinson's disease (PD), Alzheimer's disease (AD), dementia, Huntington's disease, cerebral malaria, brain injury from pneumococcal meningitis (Walsh et al., Nature Reviews, 15: 84-97, 2014, and Dempsey et al. Brain. Behav.
Immun. 201761: 306-316), intracranial aneurysms (Zhang et al. J. Stroke &
Cerebrovascular Dis. 2015 24; 5: 972-979), and traumatic brain injury (Ismael et al. J Neurotrauma. 2018 Jan 2). NRLP3 activity has also been shown to be involved in various metabolic diseases including type 2 diabetes (T2D), atherosclerosis, obesity, gout, pseudo-gout, metabolic syndrome (Wen et al., Nature Immunology, 13: 352-357, 2012; Duewell et ah, Nature, 464: 1357-1361, 2010; Strowig et ah, Nature, 481: 278- 286, 2012), and non-alcoholic steatohepatitis (Mridha et al. J Hepatol. 201766(5): 1037-46). A role for NLRP3 via IL-ιβ has also been suggested in atherosclerosis, myocardial infarction (van Hout et al. Eur. Heart J. 201738(11): 828-36), heart failure (Sano et al. JAM. Coll. Cardiol. 2018 71(8): 875-66), aortic aneurysm and dissection (Wu et al. Arterioscler. Thromb. Vase. Biol. 201737(4): 694-706), and other cardiovascular events (Ridker et al., N Engl J Med., doi: 10.1056/ NEJMoai 707914, 2017). Other diseases in which NLRP3 has been shown to be involved include: ocular diseases such as both wet and dry age-related macular degeneration (Doyle et al.,
Nature Medicine, 18: 791-798, 2012 and Tarallo et al. Cell 2012 149(4): 847-59), diabetic retinopathy (Loukovaara et al. Acta Ophthalmol. 2017; 95(8): 803-808) and optic nerve damage (Puyang et al. Sci Rep. 2016 Feb 19;6:20998); liver diseases
- 6l - including non-alcoholic steatohepatitis (NASH) (Henao-Meija et al, Nature, 482: 179- 185, 2012); inflammatory reactions in the lung and skin (Primiano et al. J Immunol. 2016 197(6): 2421-33) including contact hypersensitivity (such as bullous pemphigoid (Fang et al. J Dermatol Sci. 2016; 83(2): 116-23)), atopic dermatitis (Niebuhr et al. Allergy 2014 69(8): 1058-67), Hidradenitis suppurativa (Alikhan et al. 2009 J Am Acad Dermatol 60(4): 539-61), acne vulgaris (Qin et al. J Invest. Dermatol. 2014 134(2): 381- 88), and sarcoidosis (Jager et al. Am J Respir Crit Care Med 2015 191: A5816);
inflammatory reactions in the joints (Braddock et al, Nat. Rev. Drug Disc, 3: 1-10, 2004); amyotrophic lateral sclerosis (Gugliandolo et al. Inflammation 201841(1): 93- 103); cystic fibrosis (Iannitti et al. Nat. Commun. 2016 7: 10791); stroke (Walsh et al, Nature Reviews, 15: 84-97, 2014); chronic kidney disease (Granata et al. PLoS One 2015 10(3): eoi22272); and inflammatory bowel diseases including ulcerative colitis and Crohn's disease (Braddock et al., Nat. Rev. Drug Disc, 3: 1-10, 2004, Neudecker et al. J Exp. Med. 2017214(6): 1737-52, and Lazaridis et al. Dig. Dis. Sci. 201762(9): 2348-56). The NLRP3 inflammasome has been found to be activated in response to oxidative stress, and UVB irradiation (Schroder et al., Science, 327: 296-300, 2010). NLRP3 has also been shown to be involved in inflammatory hyperalgesia (Dolunay et al., Inflammation, 40: 366-386, 2017). The inflammasome, and NLRP3 specifically, has also been proposed as a target for modulation by various pathogens including viruses such as DNA viruses (Amsler et al, Future Virol. (2013) 8(4), 357-370).
NLRP3 has also been implicated in the pathogenesis of many cancers (Menu et al., Clinical and Experimental Immunology 166: 1-15, 2011; and Masters Clin. Immunol. 2013). For example, several previous studies have suggested a role for IL-ιβ in cancer invasiveness, growth and metastasis, and inhibition of IL-ιβ with canakinumab has been shown to reduce the incidence of lung cancer and total cancer mortality in a randomised, double-blind, placebo-controlled trial (Ridker et al. Lancet, S0140- 6736(i7)32247-X, 2017). Inhibition of the NLRP3 inflammasome or IL-ιβ has also been shown to inhibit the proliferation and migration of lung cancer cells in vitro (Wang et al. Oncol Rep. 2016; 35(4): 2053-64). A role for the NLRP3 inflammasome has been suggested in myelodysplastic syndromes (Basiorka et al. Blood. 2016 Dec
22;i28(25):296o-2975) and also in the carcinogenesis of various other cancers including glioma (Li et al. Am J Cancer Res. 2015; 5(1): 442-449), inflammation- induced tumours (Allen et al. J Exp Med. 2010; 207(5): 1045-56 and Hu et al. PNAS.
2010; 107(50): 21635-40), multiple myeloma (Li et al. Hematology 2016 21(3): 144-51), and squamous cell carcinoma of the head and neck (Huang et al. J Exp Clin Cancer Res. 20172; 36(1): 116). Activation of the NLRP3 inflammasome has also been shown to mediate chemoresistance of tumour cells to 5-Fluorouracil (Feng et al. J Exp Clin Cancer Res. 201721; 36(1): 81), and activation of NLRP3 inflammasome in peripheral nerve contributes to chemotherapy-induced neuropathic pain (Jia et al. Mol Pain. 2017; 13: 1-11).
NLRP3 has also been shown to be required for the efficient control of viral, bacterial, fungal, and helminth pathogen infections (Strowig et al, Nature, 481:278-286, 2012).
Accordingly, examples of diseases, disorders or conditions which may be responsive to NLRP3 inhibition and which may be treated or prevented in accordance with the fifth, sixth, seventh, eighth, ninth or tenth aspect of the present invention include:
(i) inflammation, including inflammation occurring as a result of an inflammatory disorder, e.g. an autoinflammatory disease, inflammation occurring as a symptom of a non-inflammatory disorder, inflammation occurring as a result of infection, or inflammation secondary to trauma, injury or autoimmunity;
(ii) auto-immune diseases such as acute disseminated encephalitis, Addison's disease, ankylosing spondylitis, antiphospholipid antibody syndrome (APS), anti- synthetase syndrome, aplastic anemia, autoimmune adrenalitis, autoimmune hepatitis, autoimmune oophoritis, autoimmune polyglandular failure, autoimmune thyroiditis, Coeliac disease, Crohn's disease, type 1 diabetes (TiD), Goodpasture's syndrome, Graves' disease, Guillain-Barre syndrome (GBS), Hashimoto's disease, idiopathic thrombocytopenic purpura, Kawasaki's disease, lupus erythematosus including systemic lupus erythematosus (SLE), multiple sclerosis (MS) including primary progressive multiple sclerosis (PPMS), secondary progressive multiple sclerosis (SPMS) and relapsing remitting multiple sclerosis (RRMS), myasthenia gravis, opsoclonus myoclonus syndrome (OMS), optic neuritis, Ord's thyroiditis, pemphigus, pernicious anaemia, polyarthritis, primary biliary cirrhosis, rheumatoid arthritis (RA), psoriatic arthritis, juvenile idiopathic arthritis or Still's disease, refractory gouty arthritis, Reiter's syndrome, Sjogren's syndrome, systemic sclerosis a systemic connective tissue disorder, Takayasu's arteritis, temporal arteritis, warm autoimmune hemolytic anemia, Wegener's granulomatosis, alopecia universalis, Beliefs disease, Chagas' disease, dysautonomia, endometriosis, hidradenitis suppurativa (HS), interstitial cystitis,
neuromyotonia, psoriasis, sarcoidosis, scleroderma, ulcerative colitis, Schnitzler syndrome, macrophage activation syndrome, Blau syndrome, vitiligo or vulvodynia;
(iii) cancer including lung cancer, pancreatic cancer, gastric cancer, myelodysplastic syndrome, leukaemia including acute lymphocytic leukaemia (ALL) and acute myeloid leukaemia (AML), adrenal cancer, anal cancer, basal and squamous cell skin cancer, bile duct cancer, bladder cancer, bone cancer, brain and spinal cord tumours, breast cancer, cervical cancer, chronic lymphocytic leukaemia (CLL), chronic myeloid leukaemia (CML), chronic myelomonocytic leukaemia (CMML), colorectal cancer, endometrial cancer, oesophagus cancer, Ewing family of tumours, eye cancer, gallbladder cancer, gastrointestinal carcinoid tumours, gastrointestinal stromal tumour (GIST), gestational trophoblastic disease, glioma, Hodgkin lymphoma, Kaposi sarcoma, kidney cancer, laryngeal and hypopharyngeal cancer, liver cancer, lung carcinoid tumour, lymphoma including cutaneous T cell lymphoma, malignant mesothelioma, melanoma skin cancer, Merkel cell skin cancer, multiple myeloma, nasal cavity and paranasal sinuses cancer, nasopharyngeal cancer, neuroblastoma, non-Hodgkin lymphoma, non-small cell lung cancer, oral cavity and oropharyngeal cancer, osteosarcoma, ovarian cancer, penile cancer, pituitary tumours, prostate cancer, retinoblastoma, rhabdomyosarcoma, salivary gland cancer, skin cancer, small cell lung cancer, small intestine cancer, soft tissue sarcoma, stomach cancer, testicular cancer, thymus cancer, thyroid cancer including anaplastic thyroid cancer, uterine sarcoma, vaginal cancer, vulvar cancer, Waldenstrom macroglobulinemia, and Wilms tumour;
(iv) infections including viral infections (e.g. from influenza virus, human immunodeficiency virus (HIV), alphavirus (such as Chikungunya and Ross River virus), flaviviruses (such as Dengue virus and Zika virus), herpes viruses (such as Epstein Barr Virus, cytomegalovirus, Varicella-zoster virus, and KSHV), poxviruses (such as vaccinia virus (Modified vaccinia virus Ankara) and Myxoma virus), adenoviruses (such as Adenovirus 5), or papillomavirus), bacterial infections (e.g. from Staphylococcus aureus, Helicobacter pylori, Bacillus anthracis, Bordatella pertussis, Burkholderia pseudomallei, Corynebacterium diptheriae, Clostridium tetani, Clostridium
botulinum, Streptococcus pneumoniae, Streptococcus pyogenes, Listeria
monocytogenes, Hemophilus influenzae, Pasteurella multicida, Shigella dysenteriae, Mycobacterium tuberculosis, Mycobacterium leprae, Mycoplasma pneumoniae, Mycoplasma hominis, Neisseria meningitidis, Neisseria gonorrhoeae, Rickettsia rickettsii, Legionella pneumophila, Klebsiella pneumoniae, Pseudomonas aeruginosa, Propionibacterium acnes, Treponema pallidum, Chlamydia trachomatis, Vibrio cholerae, Salmonella typhimurium, Salmonella typhi, Borrelia burgdorferi or
Yersinia pestis), fungal infections (e.g. from Candida or Aspergillus species), protozoan infections (e.g. from Plasmodium, Babesia, Giardia, Entamoeba, Leishmania or Trypanosomes), helminth infections (e.g. from schistosoma, roundworms, tapeworms or flukes) and prion infections;
(v) central nervous system diseases such as Parkinson's disease, Alzheimer's disease, dementia, motor neuron disease, Huntington's disease, cerebral malaria, brain injury from pneumococcal meningitis, intracranial aneurysms, traumatic brain injury, and amyotrophic lateral sclerosis;
(vi) metabolic diseases such as type 2 diabetes (T2D), atherosclerosis, obesity, gout, and pseudo-gout;
(vii) cardiovascular diseases such as hypertension, ischaemia, reperfusion injury including post-MI ischemic reperfusion injury, stroke including ischemic stroke, transient ischemic attack, myocardial infarction including recurrent myocardial infarction, heart failure including congestive heart failure and heart failure with preserved ejection fraction, embolism, aneurysms including abdominal aortic aneurysm, and pericarditis including Dressler's syndrome;
(viii) respiratory diseases including chronic obstructive pulmonary disorder (COPD), asthma such as allergic asthma and steroid-resistant asthma, asbestosis, silicosis, nanoparticle induced inflammation, cystic fibrosis and idiopathic pulmonary fibrosis; (ix) liver diseases including non-alcoholic fatty liver disease (NAFLD) and nonalcoholic steatohepatitis (NASH) including advanced fibrosis stages F3 and F4, alcoholic fatty liver disease (AFLD), and alcoholic steatohepatitis (ASH);
(x) renal diseases including chronic kidney disease, oxalate nephropathy, nephrocalcinosis, glomerulonephritis, and diabetic nephropathy;
(xi) ocular diseases including those of the ocular epithelium, age-related macular degeneration (AMD) (dry and wet), uveitis, corneal infection, diabetic retinopathy, optic nerve damage, dry eye, and glaucoma;
(xii) skin diseases including dermatitis such as contact dermatitis and atopic dermatitis, contact hypersensitivity, sunburn, skin lesions, hidradenitis suppurativa (HS), other cyst-causing skin diseases, and acne conglobata;
(xiii) lymphatic conditions such as lymphangitis and Castleman's disease;
(xiv) psychological disorders such as depression and psychological stress;
(xv) graft versus host disease;
(xvi) allodynia including mechanical allodynia; and
(xvii) any disease where an individual has been determined to carry a germline or somatic non-silent mutation in NLRP3.
In one embodiment, the disease, disorder or condition is selected from:
(i) cancer;
(ii) an infection;
(iii) a central nervous system disease;
(iv) a cardiovascular disease;
(v) a liver disease;
(vi) an ocular diseases; or
(vii) a skin disease.
More typically, the disease, disorder or condition is selected from:
(i) cancer;
(ii) an infection;
(iii) a central nervous system disease; or
(iv) a cardiovascular disease.
In one embodiment, the disease, disorder or condition is selected from:
(i) acne conglobata;
(ii) atopic dermatitis;
(iii) Alzheimer's disease;
(iv) amyotrophic lateral sclerosis;
(v) age-related macular degeneration (AMD);
(vi) anaplastic thyroid cancer;
(vii) cryopyrin-associated periodic syndromes (CAPS);
(viii) contact dermatitis;
(ix) cystic fibrosis;
(x) congestive heart failure;
(xi) chronic kidney disease;
(xii) Crohn's disease;
(xiii) familial cold autoinflammatory syndrome (FCAS);
(xiv) Huntington's disease;
(xv) heart failure;
(xvi) heart failure with preserved ejection fraction;
(xvii) ischemic reperfusion injury;
(xviii) juvenile idiopathic arthritis;
(xix) myocardial infarction;
(xx) macrophage activation syndrome;
(xxi) myelodysplastic syndrome;
(xxii) multiple myeloma;
(xxiii) motor neuron disease;
(xxiv) multiple sclerosis;
(xxv) Muckle-Wells syndrome;
(xxvi) non-alcoholic steatohepatitis (NASH);
(xxvii) neonatal-onset multisystem inflammatory disease (NOMID);
(xxviii) Parkinson's disease;
(xxix) systemic juvenile idiopathic arthritis;
(xxx) systemic lupus erythematosus;
(xxxi) traumatic brain injury;
(xxxii) transient ischemic attack; and
(xxxiii) ulcerative colitis.
In a further typical embodiment of the invention, the disease, disorder or condition is inflammation. Examples of inflammation that may be treated or prevented in accordance with the fifth, sixth, seventh, eighth, ninth or tenth aspect of the present invention include inflammatory responses occurring in connection with, or as a result of:
(i) a skin condition such as contact hypersensitivity, bullous pemphigoid, sunburn, psoriasis, atopical dermatitis, contact dermatitis, allergic contact dermatitis, seborrhoetic dermatitis, lichen planus, scleroderma, pemphigus, epidermolysis bullosa, urticaria, erythemas, or alopecia;
(ii) a joint condition such as osteoarthritis, systemic juvenile idiopathic arthritis, adult-onset Still's disease, relapsing polychondritis, rheumatoid arthritis, juvenile chronic arthritis, gout, or a seronegative spondyloarthropathy (e.g. ankylosing spondylitis, psoriatic arthritis or Reiter's disease);
(iii) a muscular condition such as polymyositis or myasthenia gravis;
(iv) a gastrointestinal tract condition such as inflammatory bowel disease (including Crohn's disease and ulcerative colitis), gastric ulcer, coeliac disease, proctitis, pancreatitis, eosinopilic gastro-enteritis, mastocytosis, antiphospholipid syndrome, or a food-related allergy which may have effects remote from the gut (e.g., migraine, rhinitis or eczema);
(v) a respiratory system condition such as chronic obstructive pulmonary disease (COPD), asthma (including bronchial, allergic, intrinsic, extrinsic or dust asthma, and
particularly chronic or inveterate asthma, such as late asthma and airways hyper- responsiveness), bronchitis, rhinitis (including acute rhinitis, allergic rhinitis, atrophic rhinitis, chronic rhinitis, rhinitis caseosa, hypertrophic rhinitis, rhinitis pumlenta, rhinitis sicca, rhinitis medicamentosa, membranous rhinitis, seasonal rhinitis e.g. hay fever, and vasomotor rhinitis), sinusitis, idiopathic pulmonary fibrosis (IPF), sarcoidosis, farmer's lung, silicosis, asbestosis, adult respiratory distress syndrome, hypersensitivity pneumonitis, or idiopathic interstitial pneumonia;
(vi) a vascular condition such as atherosclerosis, Behcet's disease, vasculitides, or Wegener's granulomatosis;
(vii) an autoimmune condition such as systemic lupus erythematosus, Sjogren's syndrome, systemic sclerosis, Hashimoto's thyroiditis, type I diabetes, idiopathic thrombocytopenia purpura, or Graves disease;
(viii) an ocular condition such as uveitis, allergic conjunctivitis, or vernal
conjunctivitis;
(ix) a nervous condition such as multiple sclerosis or encephalomyelitis;
(x) an infection or infection-related condition, such as Acquired Immunodeficiency Syndrome (AIDS), acute or chronic bacterial infection, acute or chronic parasitic infection, acute or chronic viral infection, acute or chronic fungal infection, meningitis, hepatitis (A, B or C, or other viral hepatitis), peritonitis, pneumonia, epiglottitis, malaria, dengue hemorrhagic fever, leishmaniasis, streptococcal myositis,
mycobacterium tuberculosis, mycobacterium avium intracellulare, Pneumocystis carinii pneumonia, orchitis/epidydimitis, legionella, Lyme disease, influenza A, epstein-barr virus, viral encephalitis/aseptic meningitis, or pelvic inflammatory disease;
(xi) a renal condition such as mesangial proliferative glomerulonephritis, nephrotic syndrome, nephritis, glomerular nephritis, acute renal failure, uremia, or nephritic syndrome;
(xii) a lymphatic condition such as Castleman's disease;
(xiii) a condition of, or involving, the immune system, such as hyper IgE syndrome, lepromatous leprosy, familial hemophagocytic lymphohistiocytosis, or graft versus host disease;
(xiv) a hepatic condition such as chronic active hepatitis, non-alcoholic
steatohepatitis (NASH), alcohol-induced hepatitis, non-alcoholic fatty liver disease (NAFLD), alcoholic fatty liver disease (AFLD), alcoholic steatohepatitis (ASH) or primary biliary cirrhosis;
(xv) a cancer, including those cancers listed above;
(xvi) a burn, wound, trauma, haemorrhage or stroke;
(xvii) radiation exposure; and/or
(xviii) obesity; and/or
(xix) pain such as inflammatory hyperalgesia.
In one embodiment of the fifth, sixth, seventh, eighth, ninth or tenth aspect of the present invention, the disease, disorder or condition is an autoinflammatory disease such as cryopyrin-associated periodic syndromes (CAPS), Muckle-Wells syndrome (MWS), familial cold autoinflammatory syndrome (FCAS), familial Mediterranean fever (FMF), neonatal onset multisystem inflammatory disease (NOMID), Tumour Necrosis Factor (TNF) Receptor- Associated Periodic Syndrome (TRAPS),
hyperimmunoglobulinemia D and periodic fever syndrome (HIDS), deficiency of interleukin l receptor antagonist (DIRA), Majeed syndrome, pyogenic arthritis, pyoderma gangrenosum and acne syndrome (PAPA), adult-onset Still's disease (AOSD), haploinsufficiency of A20 (HA20), pediatric granulomatous arthritis (PGA), PLCG2-associated antibody deficiency and immune dysregulation (PLAID), PLCG2- associated autoinflammatory, antibody deficiency and immune dysregulation
(APLAID), or sideroblastic anaemia with B-cell immunodeficiency, periodic fevers and developmental delay (SIFD).
Examples of diseases, disorders or conditions which may be responsive to NLRP3 inhibition and which may be treated or prevented in accordance with the fifth, sixth, seventh, eighth, ninth or tenth aspect of the present invention are listed above. Some of these diseases, disorders or conditions are substantially or entirely mediated by NLRP3 inflammasome activity, and NLRP3-induced IL-ιβ and/or IL-18. As a result, such diseases, disorders or conditions may be particularly responsive to NLRP3 inhibition and may be particularly suitable for treatment or prevention in accordance with the fifth, sixth, seventh, eighth, ninth or tenth aspect of the present invention. Examples of such diseases, disorders or conditions include cryopyrin-associated periodic syndromes (CAPS), Muckle-Wells syndrome (MWS), familial cold autoinflammatory syndrome (FCAS), neonatal onset multisystem inflammatory disease (NOMID), familial
Mediterranean fever (FMF), pyogenic arthritis, pyoderma gangrenosum and acne syndrome (PAPA), hyperimmunoglobulinemia D and periodic fever syndrome (HIDS), Tumour Necrosis Factor (TNF) Receptor-Associated Periodic Syndrome (TRAPS), systemic juvenile idiopathic arthritis, adult-onset Still's disease (AOSD), relapsing polychondritis, Schnitzler's syndrome, Sweet's syndrome, Behcet's disease, anti-
synthetase syndrome, deficiency of interleukin 1 receptor antagonist (DIRA), and haploinsufficiency of A20 (HA20).
Moreover, some of the diseases, disorders or conditions mentioned above arise due to mutations in NLRP3, in particular, resulting in increased NLRP3 activity. As a result, such diseases, disorders or conditions may be particularly responsive to NLRP3 inhibition and may be particularly suitable for treatment or prevention in accordance with the fifth, sixth, seventh, eighth, ninth or tenth aspect of the present invention. Examples of such diseases, disorders or conditions include cryopyrin-associated periodic syndromes (CAPS), MucHe-Wells syndrome (MWS), familial cold
autoinflammatory syndrome (FCAS), and neonatal onset multisystem inflammatory disease (NOMID).
In one embodiment of the fifth, sixth, seventh, eighth, ninth or tenth aspect of the present invention, the disease, disorder or condition is not a disease or disorder mediated by NFKB. In one embodiment of the fifth, sixth, seventh, eighth, ninth or tenth aspect of the present invention, the disease, disorder or condition is not rheumatoid arthritis, osteoarthritis, an autoimmune disease, psoriasis, asthma, a cardiovascular disease, an acute coronary syndrome, atherosclerosis, myocardial infarction, unstable angina, congestive heart failure, Alzheimer's disease, multiple sclerosis, cancer, type II diabetes, metabolic syndrome X, inflammatory bowel disease, systemic lupus erythematosus, Grave's disease, myasthenia gravis, insulin resistance, autoimmune hemolytic anemia, scleroderma with anticollagen antibodies, pernicious anemia, or diabetes mellitus. In one embodiment of the fifth, sixth, seventh, eighth, ninth or tenth aspect of the present invention, the disease, disorder or condition is not inflammatory bowel disease. In one embodiment of the fifth, sixth, seventh, eighth, ninth or tenth aspect of the present invention, the disease, disorder or condition is not atherosclerosis. In one embodiment of the fifth, sixth, seventh, eighth, ninth or tenth aspect of the present invention, the disease, disorder or condition is not a disease susceptible to treatment with an inhibitor of acyl-CoA. In one embodiment of the fifth, sixth, seventh, eighth, ninth or tenth aspect of the present invention, the disease, disorder or condition is not HCV infection.
In one embodiment of the fifth, sixth, seventh, eighth, ninth or tenth aspect of the present invention, the treatment or prevention comprises topically administering a compound of the first or second aspect, or a pharmaceutically acceptable salt, solvate or
prodrug of the third aspect, or a pharmaceutical composition of the fourth aspect. For example, the disease, disorder or condition may be a skin disease or condition, wherein the treatment or prevention comprises topically administering a compound of the first or second aspect, or a pharmaceutically acceptable salt, solvate or prodrug of the third aspect, or a pharmaceutical composition of the fourth aspect to the skin. Alternatively, the disease, disorder or condition may be an ocular disease or condition, wherein the treatment or prevention comprises topically administering a compound of the first or second aspect, or a pharmaceutically acceptable salt, solvate or prodrug of the third aspect, or a pharmaceutical composition of the fourth aspect to the eye.
In one embodiment, where the treatment or prevention comprises topically
administering a compound of the first or second aspect, or a pharmaceutically acceptable salt, solvate or prodrug of the third aspect, or a pharmaceutical composition of the fourth aspect of the invention, one or more further active agents may be co- administered. The one or more further active agents may also be topically
administered, or may be administered via a non-topical route. Typically, the one or more further active agents are also topically administered. For example, where the pharmaceutical composition of the fourth aspect of the invention is a topical pharmaceutical composition, the pharmaceutical composition may further comprise one or more further active agents.
An eleventh aspect of the invention provides a method of inhibiting NLRP3, the method comprising the use of a compound of the first or second aspect of the invention, or a pharmaceutically acceptable salt, solvate or prodrug of the third aspect of the invention, or a pharmaceutical composition of the fourth aspect of the invention, to inhibit NLRP3.
In one embodiment of the eleventh aspect of the present invention, the method comprises the use of a compound of the first or second aspect of the invention, or a pharmaceutically acceptable salt, solvate or prodrug of the third aspect of the invention, or a pharmaceutical composition of the fourth aspect of the invention, in combination with one or more further active agents.
In one embodiment of the eleventh aspect of the present invention, the method is performed ex vivo or in vitro, for example in order to analyse the effect on cells of NLRP3 inhibition.
In another embodiment of the eleventh aspect of the present invention, the method is performed in vivo. For example, the method may comprise the step of administering an effective amount of a compound of the first or second aspect, or a pharmaceutically acceptable salt, solvate or prodrug of the third aspect, or a pharmaceutical composition of the fourth aspect, to thereby inhibit NLRP3. In one embodiment, the method further comprises the step of co-administering an effective amount of one or more further active agents. Typically the administration is to a subject in need thereof. Alternately, the method of the eleventh aspect of the invention may be a method of inhibiting NLRP3 in a non-human animal subject, the method comprising the steps of administering the compound, salt, solvate, prodrug or pharmaceutical composition to the non-human animal subject and optionally subsequently mutilating or sacrificing the non-human animal subject. Typically such a method further comprises the step of analysing one or more tissue or fluid samples from the optionally mutilated or sacrificed non-human animal subject. In one embodiment, the method further comprises the step of co-administering an effective amount of one or more further active agents. A twelfth aspect of the invention provides a compound of the first or second aspect of the invention, or a pharmaceutically acceptable salt, solvate or prodrug of the third aspect of the invention, or a pharmaceutical composition of the fourth aspect of the invention, for use in the inhibition of NLRP3. Typically the use comprises the administration of the compound, salt, solvate, prodrug or pharmaceutical composition to a subject. In one embodiment, the compound, salt, solvate, prodrug or
pharmaceutical composition is co-administered with one or more further active agents.
A thirteenth aspect of the invention provides the use of a compound of the first or second aspect of the invention, or a pharmaceutically effective salt, solvate or prodrug of the third aspect of the invention, in the manufacture of a medicament for the inhibition of NLRP3. Typically the inhibition comprises the administration of the compound, salt, solvate, prodrug or medicament to a subject. In one embodiment, the compound, salt, solvate, prodrug or medicament is co-administered with one or more further active agents.
In any embodiment of any of the fifth to thirteenth aspects of the present invention that comprises the use or co-administration of one or more further active agents, the one or more further active agents may comprise for example one, two or three different further active agents.
The one or more further active agents may be used or administered prior to, simultaneously with, sequentially with or subsequent to each other and/or to the compound of the first or second aspect of the invention, the pharmaceutically acceptable salt, solvate or prodrug of the third aspect of the invention, or the pharmaceutical composition of the fourth aspect of the invention. Where the one or more further active agents are administered simultaneously with the compound of the first or second aspect of the invention, or the pharmaceutically acceptable salt, solvate or prodrug of the third aspect of the invention, a pharmaceutical composition of the fourth aspect of the invention may be administered wherein the pharmaceutical composition additionally comprises the one or more further active agents.
In one embodiment of any of the fifth to thirteenth aspects of the present invention that comprises the use or co-administration of one or more further active agents, the one or more further active agents are selected from:
(i) chemotherapeutic agents;
(ii) antibodies;
(iii) alkylating agents;
(iv) anti-metabolites;
(v) anti-angiogenic agents;
(vi) plant alkaloids and/or terpenoids;
(vii) topoisomerase inhibitors;
(viii) mTOR inhibitors;
(ix) stilbenoids;
(x) STING agonists;
(xi) cancer vaccines;
(xii) immunomodulatory agents;
(xiii) antibiotics;
(xiv) anti-fungal agents;
(xv) anti-helminthic agents; and/or
(xvi) other active agents.
It will be appreciated that these general embodiments defined according to broad categories of active agents are not mutually exclusive. In this regard any particular active agent may be categorized according to more than one of the above general embodiments. A non-limiting example is urelumab which is an antibody that is an immunomodulatory agent for the treatment of cancer.
In some embodiments, the one or more chemotherapeutic agents are selected from abiraterone acetate, altretamine, amsacrine, anhydrovinblastine, auristatin,
azathioprine, adriamycin, bexarotene, bicalutamide, BMS 184476, bleomycin, N,N- dimethyl-L-valyl-L-valyl-N-methyl-L-valyl-L-prolyl-L-proline-t-butylamide, cisplatin, carboplatin, carboplatin cyclophosphamide, chlorambucil, cachectin, cemadotin, cyclophosphamide, carmustine, cryptophycin, cytarabine, docetaxel, doxetaxel, doxorubicin, dacarbazine (DTIC), dactinomycin, daunorubicin, decitabine, dolastatin, etoposide, etoposide phosphate, enzalutamide (MDV3100), 5-fluorouracil, fludarabine, flutamide, gemcitabine, hydroxyurea and hydroxyureataxanes, idarubicin, ifosfamide, irinotecan, leucovorin, lonidamine, lomustine (CCNU), larotaxel (RPR109881), mechlorethamine, mercaptopurine, methotrexate, mitomycin C, mitoxantrone, melphalan, mivobulin, 3',4'-didehydro-4'-deoxy-8'-norvin-caleukoblastine, nilutamide, oxaliplatin, onapristone, prednimustine, procarbazine, paclitaxel, platinum-containing anti-cancer agents, 2,3,4,5,6-pentafluoro-N-(3-fluoro-4-methoxyphenyl)benzene sulphonamide, prednimustine, procarbazine, rhizoxin, sertenef, streptozocin, stramustine phosphate, tretinoin, tasonermin, taxol, topotecan, tamoxifen, teniposide, taxane, tegafur/uracil, vincristine, vinblastine, vinorelbine, vindesine, vindesine sulfate, and/ or vinflunine.
Alternatively or in addition, the one or more chemotherapeutic agents may be selected from CD59 complement fragment, fibronectin fragment, gro-beta (CXCL2),
heparinases, heparin hexasaccharide fragment, human chorionic gonadotropin (hCG), interferon alpha, interferon beta, interferon gamma, interferon inducible protein (IP- 10), interleukin-12, kringle 5 (plasminogen fragment), metalloproteinase inhibitors (TIMPs), 2-methoxyestradiol, placental ribonuclease inhibitor, plasminogen activator inhibitor, platelet factor-4 (PF4), prolactin 16 kD fragment, proliferin-related protein (PRP), various retinoids, tetrahydrocortisol-S, thrombospondin-i (TSP-i),
transforming growth factor-beta (TGF-β), vasculostatin, vasostatin (calreticulin fragment), and/or cytokines (including interleukins, such as interleukin-2 (IL-2), or IL- 10).
In some embodiments, the one or more antibodies may comprise one or more monoclonal antibodies. In some embodiments, the one or more antibodies are selected from abciximab, adalimumab, alemtuzumab, atlizumab, basiliximab, belimumab, bevacizumab, bretuximab vedotin, canakinumab, cetuximab, ceertolizumab pegol, daclizumab, denosumab, eculizumab, efalizumab, gemtuzumab, golimumab, ibritumomab tiuxetan, infliximab, ipilimumab, muromonab-CD3, natalizumab, ofatumumab, omalizumab, palivizumab, panitumuab, ranibizumab, rituximab, tocilizumab, tositumomab, and/or trastuzumab.
In some embodiments, the one or more alkylating agents may comprise an agent capable of alkylating nucleophilic functional groups under conditions present in cells, including, for example, cancer cells. In some embodiments, the one or more alkylating agents are selected from cisplatin, carboplatin, mechlorethamine, cyclophosphamide, chlorambucil, ifosfamide and/or oxaliplatin. In some embodiments, the alkylating agent may function by impairing cell function by forming covalent bonds with amino, carboxyl, sulfhydryl, and/or phosphate groups in biologically important molecules. In some embodiments, the alkylating agent may function by modifying a cell's DNA. In some embodiments, the one or more anti-metabolites may comprise an agent capable of affecting or preventing RNA or DNA synthesis. In some embodiments, the one or more anti-metabolites are selected from azathioprine and/or mercaptopurine.
In some embodiments, the one or more anti-angiogenic agents are selected from endostatin, angiogenin inhibitors, angiostatin, angioarrestin, angiostatin (plasminogen fragment), basement-membrane collagen-derived anti-angiogenic factors (tumstatin, canstatin, or arrestin), anti-angiogenic antithrombin III, and/or cartilage-derived inhibitor (CDI). In some embodiments, the one or more plant alkaloids and/or terpenoids may prevent microtubule function. In some embodiments, the one or more plant alkaloids and/or terpenoids are selected from a vinca alkaloid, a podophyllotoxin and/or a taxane. In some embodiments, the one or more vinca alkaloids may be derived from the
Madagascar periwinkle, Catharanthus roseus (formerly known as Vinca rosea), and may be selected from vincristine, vinblastine, vinorelbine and/or vindesine. In some embodiments, the one or more taxanes are selected from taxol, paclitaxel, docetaxel
and/or ortataxel. In some embodiments, the one or more podophyllotoxins are selected from an etoposide and/or teniposide.
In some embodiments, the one or more topoisomerase inhibitors are selected from a type I topoisomerase inhibitor and/or a type II topoisomerase inhibitor, and may interfere with transcription and/or replication of DNA by interfering with DNA supercoiling. In some embodiments, the one or more type I topoisomerase inhibitors may comprise a camptothecin, which may be selected from exatecan, irinotecan, lurtotecan, topotecan, BNP 1350, CKD 602, DB 67 (AR67) and/or ST 1481. In some embodiments, the one or more type II topoisomerase inhibitors may comprise an epipodophyllotoxin, which may be selected from an amsacrine, etoposid, etoposide phosphate and/or teniposide.
In some embodiments, the one or more mTOR (mammalian target of rapamycin, also known as the mechanistic target of rapamycin) inhibitors are selected from rapamycin, everolimus, temsirolimus and/or deforolimus.
In some embodiments, the one or more stilbenoids are selected from resveratrol, piceatannol, pinosylvin, pterostilbene, alpha-viniferin, ampelopsin A, ampelopsin E, diptoindonesin C, diptoindonesin F, epsilon-vinferin, flexuosol A, gnetin H, hemsleyanol D, hopeaphenol, trans-diptoindonesin B, astringin, piceid and/or diptoindonesin A.
In some embodiments, the one or more STING (Stimulator of interferon genes, also known as transmembrane protein (TMEM) 173) agonists may comprise cyclic di- nucleotides, such as cAMP, cGMP, and cGAMP, and/or modified cyclic di -nucleotides that may include one or more of the following modification features: 2'-0/3'-0 linkage, phosphorothioate linkage, adenine and/or guanine analogue, and/or 2'-0H
modification (e.g. protection of the 2'-0H with a methyl group or replacement of the 2'-0H by -F or -N3).
In some embodiments, the one or more cancer vaccines are selected from an HPV vaccine, a hepatitis B vaccine, Oncophage, and/or Provenge.
In some embodiments, the one or more immunomodulatory agents may comprise an immune checkpoint inhibitor. The immune checkpoint inhibitor may target an immune
checkpoint receptor, or combination of receptors comprising, for example, CTLA-4, PD-i, PD-Li, PD-L2, T cell immunoglobulin and mucin 3 (TIM3 or HAVCR2), galectin 9, phosphatidylserine, lymphocyte activation gene 3 protein (LAG3), MHC class I, MHC class II, 4-1BB, 4-1BBL, OX40, OX40L, GITR, GITRL, CD27, CD70, TNFRSF25, TLiA, CD40, CD40L, HVEM, LIGHT, BTLA, CD160, CD80, CD244, CD48, ICOS, ICOSL, B7- H3, B7-H4, VISTA, TMIGD2, HHLA2, TMIGD2, a butyrophilin (including BTNL2), a Siglec family member, TIGIT, PVR, a killer-cell immunoglobulin-like receptor, an ILT, a leukocyte immunoglobulin-like receptor, NKG2D, NKG2A, MICA, MICB, CD28, CD86, SIRPA, CD47, VEGF, neuropilin, CD30, CD39, CD73, CXCR4, and/or CXCL12.
In some embodiments, the immune checkpoint inhibitor is selected from urelumab, PF-05082566, MEDI6469, TRX518, varlilumab, CP-870893, pembrolizumab (PDi), nivolumab (PDi), atezolizumab (formerly MPDL3280A) (PD-Li), MEDI4736 (PD-Li), avelumab (PD-Li), PDR001 (PDi), BMS-986016, MGA271, lirilumab, IPH2201, emactuzumab, INCB024360, galunisertib, ulocuplumab, BKT140, bavituximab, CC- 90002, bevacizumab, and/or MNRP1685A.
In some embodiments, the one or more antibiotics are selected from amikacin, gentamicin, kanamycin, neomycin, netilmicin, tobramycin, paromomycin,
streptomycin, spectinomycin, geldanamycin, herbimycin, rifaximin, loracarbef, ertapenem, doripenem, imipenem, cilastatin, meropenem, cefadroxil, cefazolin, cefalotin, cefalothin, cefalexin, cefaclor, cefamandole, cefoxitin, cefprozil, cefuroxime, cefixime, cefdinir, cefditoren, cefoperazone, cefotaxime, cefpodoxime, ceftazidime, ceftibuten, ceftizoxime, ceftriaxone, cefepime, ceftaroline fosamil, ceftobiprole, teicoplanin, vancomycin, telavancin, dalbavancin, oritavancin, clindamycin, lincomycin, daptomycin, azithromycin, clarithromycin, dirithromycin, erythromycin, roxithromycin, troleandomycin, telithromycin, spiramycin, aztreonam, furazolidone, nitrofurantoin, linezolid, posizolid, radezolid, torezolid, amoxicillin, ampicillin, azlocillin, carbenicillin, cloxacillin, dicloxacillin, flucloxacillin, mezlocillin, methicillin, nafcillin, oxacillin, penicillin G, penicillin V, piperacillin, temocillin, ticarcillin, calvulanate, ampicillin, subbactam, tazobactam, ticarcillin, clavulanate, bacitracin, colistin, polymyxin B, ciprofloxacin, enoxacin, gatifloxacin, gemifloxacin, levofloxacin, lomefloxacin, moxifloxacin, nalidixic acid, norfloxacin, ofloxacin, trovafloxacin, grepafloxacin, sparfloxacin, temafloxacin, mafenide, sulfacetamide, sulfadiazine, silver sulfadiazine, sulfadimethoxine, sulfamethoxazole, sulfanamide, sulfasalazine, sulfisoxazole, trimethoprim-sulfamethoxazole, sulfonamideochrysoidine,
demeclocycline, minocycline, oytetracycline, tetracycline, clofazimine, dapsone, dapreomycin, cycloserine, ethambutol, ethionamide, isoniazid, pyrazinamide, rifampicin, rifabutin, rifapentine, streptomycin, arsphenamine, chloramphenicol, fosfomycin, fusidic acid, metronidazole, mupirocin, platensimycin, quinupristin, dalopristin, thiamphenicol, tigecycyline, tinidazole, trimethoprim, and/or teixobactin.
In some embodiments, the one or more antibiotics may comprise one or more cytotoxic antibiotics. In some embodiments, the one or more cytotoxic antibiotics are selected from an actinomycin, an anthracenedione, an anthracycline, thalidomide,
dichloroacetic acid, nicotinic acid, 2-deoxyglucose, and/or chlofazimine. In some embodiments, the one or more actinomycins are selected from actinomycin D, bacitracin, colistin (polymyxin E) and/or polymyxin B. In some embodiments, the one or more antracenediones are selected from mitoxantrone and/or pixantrone. In some embodiments, the one or more anthracyclines are selected from bleomycin,
doxorubicin (Adriamycin), daunorubicin (daunomycin), epirubicin, idarubicin, mitomycin, plicamycin and/or valrubicin.
In some embodiments, the one or more anti-fungal agents are selected from bifonazole, butoconazole, clotrimazole, econazole, ketoconazole, Miconazole, miconazole, omoconazole, oxiconazole, sertaconazole, sulconazole, tioconazole, albaconazole, efinaconazole, epoziconazole, fluconazole, isavuconazole, itraconazole, posaconazole, propiconazole, ravusconazole, terconazole, voriconazole, abafungin, amorolfin, butenafine, naftifine, terbinafine, anidulafungin, caspofungin, micafungin, benzoic acid, ciclopirox, flucytosine, 5-fluorocytosine, griseofulvin, haloprogin, tolnaflate, undecylenic acid, and/ or balsam of Peru.
In some embodiments, the one or more anti-helminthic agents are selected from benzimidazoles (including albendazole, mebendazole, thiabendazole, fenbendazole, triclabendazole, and flubendazole), abamectin, diethylcarbamazine, ivermectin, suramin, pyrantel pamoate, levamisole, salicylanilides (including niclosamide and oxyclozanide), and/or nitazoxanide.
In some embodiments, other active agents are selected from growth inhibitory agents, anti-inflammatory agents (including nonsteroidal anti-inflammatory agents), anti- psoriatic agents (including anthralin and its derivatives), vitamins and vitamin- derivatives (including retinoinds, and VDR receptor ligands), corticosteroids, ion
channel blockers (including potassium channel blockers), immune system regulators (including cyclosporin, FK 506, and glucocorticoids), lutenizing hormone releasing hormone agonists (such as leuprolidine, goserelin, triptorelin, histrelin, bicalutamide, flutamide and/or nilutamide), and/or hormones (including estrogen).
Unless stated otherwise, in any of the fifth to thirteenth aspects of the invention, the subject may be any human or other animal. Typically, the subject is a mammal, more typically a human or a domesticated mammal such as a cow, pig, lamb, sheep, goat, horse, cat, dog, rabbit, mouse etc. Most typically, the subject is a human.
Any of the medicaments employed in the present invention can be administered by oral, parenteral (including intravenous, subcutaneous, intramuscular, intradermal, intratracheal, intraperitoneal, intraarticular, intracranial and epidural), airway (aerosol), rectal, vaginal, ocular or topical (including transdermal, buccal, mucosal, sublingual and topical ocular) administration.
Typically, the mode of administration selected is that most appropriate to the disorder, disease or condition to be treated or prevented. Where one or more further active agents are administered, the mode of administration may be the same as or different to the mode of administration of the compound, salt, solvate, prodrug or pharmaceutical composition of the invention.
For oral administration, the compounds, salts, solvates or prodrugs of the present invention will generally be provided in the form of tablets, capsules, hard or soft gelatine capsules, caplets, troches or lozenges, as a powder or granules, or as an aqueous solution, suspension or dispersion.
Tablets for oral use may include the active ingredient mixed with pharmaceutically acceptable excipients such as inert diluents, disintegrating agents, binding agents, lubricating agents, sweetening agents, flavouring agents, colouring agents and preservatives. Suitable inert diluents include sodium and calcium carbonate, sodium and calcium phosphate, and lactose. Corn starch and alginic acid are suitable disintegrating agents. Binding agents may include starch and gelatine. The lubricating agent, if present, may be magnesium stearate, stearic acid or talc. If desired, the tablets may be coated with a material, such as glyceryl monostearate or glyceryl distearate, to
delay absorption in the gastrointestinal tract. Tablets may also be effervescent and/or dissolving tablets.
Capsules for oral use include hard gelatine capsules in which the active ingredient is mixed with a solid diluent, and soft gelatine capsules wherein the active ingredient is mixed with water or an oil such as peanut oil, liquid paraffin or olive oil.
Powders or granules for oral use may be provided in sachets or tubs. Aqueous solutions, suspensions or dispersions may be prepared by the addition of water to powders, granules or tablets.
Any form suitable for oral administration may optionally include sweetening agents such as sugar, flavouring agents, colouring agents and/or preservatives. Formulations for rectal administration may be presented as a suppository with a suitable base comprising, for example, cocoa butter or a salicylate.
Formulations suitable for vaginal administration may be presented as pessaries, tampons, creams, gels, pastes, foams or spray formulations containing in addition to the active ingredient such carriers as are known in the art to be appropriate.
For parenteral use, the compounds, salts, solvates or prodrugs of the present invention will generally be provided in a sterile aqueous solution or suspension, buffered to an appropriate pH and isotonicity. Suitable aqueous vehicles include Ringer's solution and isotonic sodium chloride or glucose. Aqueous suspensions according to the invention may include suspending agents such as cellulose derivatives, sodium alginate, polyvinylpyrrolidone and gum tragacanth, and a wetting agent such as lecithin. Suitable preservatives for aqueous suspensions include ethyl and n-propyl p-hydroxybenzoate. The compounds of the invention may also be presented as liposome formulations.
For ocular administration, the compounds, salts, solvates or prodrugs of the invention will generally be provided in a form suitable for topical administration, e.g. as eye drops. Suitable forms may include ophthalmic solutions, gel-forming solutions, sterile powders for reconstitution, ophthalmic suspensions, ophthalmic ointments, ophthalmic emulsions, ophthalmic gels and ocular inserts. Alternatively, the
compounds, salts, solvates or prodrugs of the invention may be provided in a form
- 8θ - suitable for other types of ocular administration, for example as intraocular
preparations (including as irrigating solutions, as intraocular, intravitreal or juxtascleral injection formulations, or as intravitreal implants), as packs or corneal shields, as intracameral, subconjunctival or retrobulbar injection formulations, or as iontophoresis formulations.
For transdermal and other topical administration, the compounds, salts, solvates or prodrugs of the invention will generally be provided in the form of ointments, cataplasms (poultices), pastes, powders, dressings, creams, plasters or patches.
Suitable suspensions and solutions can be used in inhalers for airway (aerosol) administration.
The dose of the compounds, salts, solvates or prodrugs of the present invention will, of course, vary with the disorder, disease or condition to be treated or prevented. In general, a suitable dose will be in the range of 0.01 to 500 mg per kilogram body weight of the recipient per day. The desired dose may be presented at an appropriate interval such as once every other day, once a day, twice a day, three times a day or four times a day. The desired dose may be administered in unit dosage form, for example, containing 1 mg to 50 g of active ingredient per unit dosage form.
For the avoidance of doubt, insofar as is practicable any embodiment of a given aspect of the present invention may occur in combination with any other embodiment of the same aspect of the present invention. In addition, insofar as is practicable it is to be understood that any preferred, typical or optional embodiment of any aspect of the present invention should also be considered as a preferred, typical or optional embodiment of any other aspect of the present invention.
Examples - compound synthesis
All solvents, reagents and compounds were purchased and used without further purification unless stated otherwise.
Abbreviations
2-MeTHF 2-methyltetrahydrofuran
Ac20 acetic anhydride
AcOH acetic acid
- 8l - aq aqueous
Boc ferf-butyloxycarbonyl
br broad
Cbz carboxybenzyl
CDI 1,1-carbonyl-diimidazole
cone concentrated
d doublet
DABCO i,4-diazabicyclo[2.2.2]octane
DCE 1,2-dichloroethane, also called ethylene dichloride
DCM dichloromethane
DIPEA Λ ,Λ -diisopropylethylamine, also called Hiinig's base
DMA dimethylacetamide
DMAP 4-dimethylaminopyridine, also called iV,iV-dimethylpyridin-4-amine
DME dimethoxyethane
DMF Λ ,Λ -dimethylformamide
DMSO dimethyl sulfoxide
eq or equiv equivalent
(ES+) electrospray ionization, positive mode
Et ethyl
EtOAc ethyl acetate
EtOH ethanol
h hour(s)
HATU i-[bis(dimethylamino)methylene]-iH-i,2,3-triazolo[4,5-b]pyridinium 3- oxid hexafluorophosphate
HPLC high performance liquid chromatography
LC liquid chromatography
m multiplet
m-CPBA 3-chloroperoxybenzoic acid
Me methyl
MeCN acetonitrile
MeOH methanol
(M+H)+ protonated molecular ion
MHz megahertz
min minute(s)
MS mass spectrometry
Ms mesyl, also called methanesulfonyl
MsCl mesyl chloride, also called methanesulfonyl chloride
MTBE methyl ferf -butyl ether, also called ferf -butyl methyl ether m/z mass-to-charge ratio
NaOlBu sodium ferf-butoxide
NBS i-bromopyrrolidine-2,5-dione, also called iV-bromosuccinimide
NCS i-chloropyrrolidine-2,5-dione, also called iV-chlorosuccinimide
NMP N-methylpyrrolidine
NMR nuclear magnetic resonance (spectroscopy)
Pd(dba)3 tris(dibenzylideneacetone) dipalladium(o)
Pd(dppf)Cl2 [i,i'-bis(diphenylphosphino)ferrocene] dichloropalladium(II)
PE petroleum ether
Ph phenyl
PMB p-methoxybenzyl, also called 4-methoxybenzyl
prep-HPLC preparative high performance liquid chromatography prep-TLC preparative thin layer chromatography
PTSA p-toluenesulfonic acid
q quartet
RP reversed phase
RT room temperature
s singlet
Sept septuplet
sat saturated
SCX solid supported cation exchange (resin)
t triplet
T3P propylphosphonic anhydride
TBME ferf -butyl methyl ether, also called methyl ferf -butyl ether
TEA triethylamine
TFA 2,2,2-trifluoroacetic acid
THF tetrahydrofuran
TLC thin layer chromatography
wt % weight percent or percent by weight
Experimental Methods Analytical Methods
NMR spectra were recorded at 300, 400 or 500 MHz (unless stated otherwise) with chemical shifts reported in parts per million. Spectra were measured at 298 K, unless indicated otherwise, and were referenced relative to the solvent resonance. Spectra were recorded using one of the following machines:
- An Agilent VNMRS 300 instrument fitted with a 7.05 Tesla magnet from Oxford instruments, indirect detection probe and direct drive console including PFG module.
An Agilent MercuryPlus 300 instrument fitted with a 7.05 Tesla magnet from Oxford instruments, 4 nuclei auto-switchable probe and Mercury plus console. - A Bruker 400 MHz spectrometer using ICON-NMR, under TopSpin program
control.
A Bruker Avance III spectrometer at 400 MHz fitted with a BBO 5 mm liquid probe. A Bruker Avance III HD spectrometer at 500 MHz, equipped with a Bruker 5 mm SmartProbe™.
LC-MS Methods: Using SHIMADZU LCMS-2020, Agilent 1200 LC/G1956A MSD and Agilent i200\G6noA, Agilent 1200 LC & Agilent 6110 MSD. Mobile Phase: A: 0.025% ΝΗ3·Η20 in water (v/v); B: acetonitrile. Column: Kinetex EVO C18 2.1X30 mm, 5μηι. Reversed Phase HPLC Conditions for the LCMS Analytical Methods:
Methods la and lb: Waters Xselect CSH C18 XP column, 2.5 μηι (4.6 x 30 mm) at 40 °C; flow rate 2.5-4.5 mL min 1 eluted with a water-acetonitrile gradient containing either 0.1 % v/v formic acid (Method la) or 10 mM ammonium bicarbonate in water (Method lb) over 4 minutes employing UV detection at 254 nm. Gradient
information: 0-3.00 min, ramped from 95 % water-5 % acetonitrile to 5 % water-95 % acetonitrile; 3.00-3.01 min, held at 5 % water-95 % acetonitrile, flow rate increased to 4.5 mL min 1; 3.01-3.50 min, held at 5 % water-95 % acetonitrile; 3.50-3.60 min, returned to 95 % water-5 % acetonitrile, flow rate reduced to 3.50 mL min 1; 3.60-3.90 min, held at 95 % water-5 % acetonitrile; 3.90-4.00 min, held at 95 % water-5 % acetonitrile, flow rate reduced to 2.5 mL min 1.
HPLC and LC-MS were recorded on an Agilent 1290 series with UV detector and HP 6130 MSD mass detector. Mobile phase A: ammonium acetate (10 mM);
water/MeOH/acetonitrile (900:60:40); mobile phase B: ammonium acetate (10 mM); water/MeOH/acetonitrile (100:540:360); column, Waters XBridge BEH C18 XP (2.1 x 50 mm, 2.5 μηι).
Pump flow: 0.6 mL/min UV detection: 215, 238 nm
Injection volume: 0.2 μί, Run time: 4.0 min
Column temperature: 35°C Mass detection: API-ES +ve
Pump Program:
Reversed Phase HPLC Conditions for the UPLC Analytical Methods:
Methods 2a and 2b: Waters BEH C18 (2.1 x 30 mm, 1.7 μηι) at 40°C; flow rate 0.77 mL min 1 eluted with a H20-MeCN gradient containing either 0.1% v/v formic acid (Method 2a) or 10 mM NH4HC03 in water (Method 2b) over 3 min employing UV detection at 254 nm. Gradient information: 0-0.11 min, held at 95 % water-5 % acetonitrile, flow rate 0.77 mL min 1; 0.11-2.15 min, ramped from 95 % water-5 % acetonitrile to 5 % water-95 % acetonitrile; 2.15-2.49 min, held at 5 % water-95 % acetonitrile, flow rate 0.77 mL min 1; 2.49-2.56 min, returned to 95 % water-5 % acetonitrile; 2.56-3.00 min, held at 95 % water-5 % acetonitrile, flow rate reduced to 0.77 mL min 1.
Purification Methods Method 1 (acidic preparation): Waters X-Select CSH column C18, 5 μηι (19 x 50 mm), flow rate 28 mL/min eluting with a water-acetonitrile gradient containing 0.1 % v/v formic acid over 6.5 minutes using UV detection at 254 nm. Gradient information: 0.0-0.2 minutes, 20 % acetonitrile; 0.2-5.5 minutes, ramped from 20 % acetonitrile to 40 % acetonitrile; 5.5-5.6 minutes, ramped from 40 % acetonitrile to 95 % acetonitrile; 5.6-6.5 minutes, held at 95 % acetonitrile.
Method 2 (basic preparation): Waters X-Bridge Prep column C18, 5 μηι (19 x 50 mm), flow rate 28 mL/min eluting with a 10 mM ammonium bicarbonate-acetonitrile gradient over 6.5 minutes using UV detection at 254 nm. Gradient information: 0.0-0.2 minutes, 10 % acetonitrile; 0.2-5.5 minutes, ramped from 10 % acetonitrile to 40 % acetonitrile; 5.5-5.6 minutes, ramped from 40 % acetonitrile to 95 % acetonitrile; 5.6- 6.5 minutes, held at 95 % acetonitrile.
Method 3: Phenomenex Gemini column, ιομηι (150 x 25 mm), flow rate = 25 mL/min eluting with a water-acetonitrile gradient containing 0.04% NH3 at pH 10 over 9 minutes using UV detection at 220 and 254 nm. Gradient information: 0-9 minutes, ramped from 8% to 35% acetonitrile; 9-9.2 minutes, ramped from 35% to 100% acetonitrile; 9.2-15.2 minutes, held at 100% acetonitrile.
Method 4: Buchi Sepracore® X50 system driven by a C-605 pump module, C-620 Sepracore control package, C-640 UV photometer detection unit and C-660 fraction collector.
Revelis C18 reversed-phase 12 g cartridge
Carbon loading 18%
Surface area 568 m2/g
Pore diameter 65 Angstrom
pH (5% slurry) 5-1
Average particle size 40 μηι
The column was conditioned before use with MeOH (5 min) then brought to H20 (in 5 min) and kept 5 min at H20. Flow rate = 30 mL/min.
Separation runs:
Detection wavelength: 215, 235, 254 and 280 nm. Before each new run, the cartridge was cleaned using the conditioning method.
Synthesis of Intermediates
To a solution of phosgene (4.45 mL, 20 % weight in toluene, 8.4 mmol) in ethyl acetate (90 mL) was added dropwise a solution of i,2,3,5,6,7-hexahydro-s-indacen-4-amine (589 mg, 3.4 mmol) in ethyl acetate (45 mL) at ambient temperature. The resulting reaction mixture was then heated to reflux for 3 hours and upon cooling was filtered and concentrated in vacuo to afford the title compound as a brown oil (756 mg, 100 %). The crude product was used directly in the next step without further purification.
Ή NMR (300 MHz, CDC13): δ 6.8 (s, 1 H), 2.89 (m, 8 H) and 2.09 (m, 4 H).
Intermediate A2: 4-(5-Fluoro-2-isocyanato-3-isopropylphenyl)picolinonitrile
Step A: 4-Fluoro-2-(prop-i-en-2-yl)aniline
To a mixture of 2-bromo-4-fluoroaniline (39 g, 205.25 mmol, 1 eq), 4,4,5,5- tetramethyl-2-(prop-i-en-2-yl)-i,3,2-dioxaborolane (36.21 g, 215.51 mmol, 1.05 eq) and K2CO3 (70.92 g, 513.12 mmol, 2.5 eq) in dioxane (200 mL) and H20 (40 mL) was added Pd(dppf)Cl2 (7.51 g, 10.26 mmol, 0.05 eq) under a nitrogen atmosphere. Then the reaction mixture was stirred at 80 °C for 5 hours. The reaction mixture was quenched by addition of H20 (600 mL) and extracted with EtOAc (2 x 500 mL). The combined organic layers were washed with brine (2 x 600 mL), dried over anhydrous Na2S04, filtered and concentrated under reduced pressure. The residue was purified by silica gel column chromatography (Si02, petroleum ether: ethyl acetate 1:0 to 100:1) to give the title compound (27 g, 77 % yield, 89 % purity on LCMS) as a yellow oil.
Ή NMR (CDCI3) δ 6.81-6.76 (m, 2 H), 6.66-6.62 (m, 1 H), 5.38 (s, 1 H), 5.08 (s, 1 H), 3-69 (br s, 2 H) and 1.25 (s, 3 H).
LCMS: m/z 152.2 (M+H)+ (ES+).
To a solution of 4-fluoro-2-(prop-i-en-2-yl)aniline (21 g, 138.91 mmol, 1 eq) in MeOH (300 mL) was added Pd/C (2.1 g, 178.59 mmol, 10 wt % loading on activated carbon) under a nitrogen atmosphere. The reaction mixture was degassed in vacuo and purged with hydrogen several times. The reaction mixture was stirred at 25 °C for 12 hours under hydrogen (50 psi). The reaction mixture was filtered and the filtrate was concentrated in vacuo to give the title compound (20 g, crude) as a yellow oil.
Ή NMR (CDCI3) δ 6.86 (dd, 1 H), 6.75-6.72 (m, 1 H), 6.63-6.61 (m, 1 H), 3.50 (br s, 2 H), 2.95-2.84 (m, 1 H) and 1.25 (d, 6 H).
LCMS: m/z 154.2 (M+H)+ (ES+).
Step C: 2-Bromo-4-fluoro-6-iso ropylaniline
To a solution of 4-fluoro-2-isopropylaniline (20 g, 130.55 mmol, 1 eq) in toluene (250 mL) was added NBS (23.24 g, 130.55 mmol, 1 eq) at 25 °C. The reaction mixture was stirred at 25 °C for 10 minutes. The reaction mixture was poured into H20 (300 mL) and extracted with EtOAc (2 x 250 mL). The combined organic phases were washed with brine (2 x 400 mL), dried over anhydrous Na2S04, filtered and concentrated in vacuo. The residue was purified by silica gel column chromatography (Si02, eluting only by using petroleum ether) to give the title compound (30 g, 99 %) as a black brown oil.
Ή NMR (CDCI3) δ 6.99 (dd, 1 H), 6.78 (dd, 1 H), 3.91 (br s, 2 H), 2.88-2.71 (m, 1 H) and 1.17 (d, 6 H).
LCMS: m/z 232.1 (M+H)+ (ES+).
To a solution of 2-bromo-4-fluoro-6-isopropylaniline (3.6 g, 15.51 mmol, 1 eq) and 4- (4,4,5,5-tetramethyl-i,3,2-dioxaborolan-2-yl)picolinonitrile (3.60 g, 15.67 mmol, 1.01 eq) in dioxane (90 mL) and H20 (9 mL) was added Na2C03 (4.11 g, 38.78 mmol, 2.5 eq). Then Pd(dppf)Cl2 (1.13 g, 1.55 mmol, 0.1 eq) was added to the mixture under a nitrogen atmosphere. The resulting mixture was stirred at 80 °C for 2 hours under nitrogen. Then the mixture was concentrated in vacuo. The residue was purified by silica gel column chromatography (Si02, petroleum ether: ethyl acetate, 20:1 to 5:1) and then triturated with petroleum ether (10 mL) to give the title compound (2.65 g, 65 % yield, 97 % purity on LCMS) as a yellow solid.
'HNMR (CDCI3) δ 8.79 (d, 1 H), 7-86 (d, 1 H), 7.65 (dd, 1 H), 6.99 (dd, 1 H), 6.70 (dd, 1 H), 3.63 (br s, 2 H), 2.98-2.87 (m, 1 H) and 1.30 (d, 6 H).
LCMS: m/z 256.2 (M+H)+ (ES+). Step E: 4-(5-Fluor -2-isocyanato-3-isopropylphenyl)picolinonitrile
To a solution of 4-(2-amino-5-fluoro-3-isopropylphenyl)picolinonitrile (1 g, 3.92 mmol, 1 eq) in THF (40 mL) was added TEA (793 mg, 7.83 mmol, 2 eq). To the above mixture was added triphosgene (465 mg, 1.57 mmol, 0.4 eq) in portions at 5 °C. Then the mixture was stirred at 70 °C for 1 hour. The mixture was diluted with EtOAc (200 mL) and then filtered through silica gel. The filtrate was concentrated in vacuo to give the title compound (1.2 g, crude) as a yellow solid, which was used directly in the next step.
Intermediate A¾: 4-i5-Fluoro-2-isocyanato-3-isopropylphenyl)-2-methoxypyridine
To a solution of 2-bromo-4-fluoro-6-isopropylaniline (12 g, 51.70 mmol, 1 eq) in dioxane (240 mL) and H20 (48 mL) was added (2-methoxypyridin-4-yl)boronic acid (9-49 g, 62.04 mmol, 1.2 eq) and Na2C03 (13.70 g, 129.26 mmol, 2.5 eq). The reaction mixture was purged with nitrogen three times. Then Pd(dppf)Cl2 (3.78 g, 5.17 mmol, 0.1 eq) was added to the mixture under a nitrogen atmosphere. The resulting mixture was heated at 80 °C for 2 hours. The reaction mixture was quenched with H20 (800 mL) and extracted with EtOAc (2 x 600 mL). The combined organic layers were washed with brine (2 x 800 mL), dried over anhydrous Na2S04, filtered and concentrated under reduced pressure. The residue was purified by silica gel column chromatography (Si02, petroleum ether: ethyl acetate, 70:1 to 10:1) and then triturated with hexane (100 mL) to give the title compound (10.05 g, 72 % yield, 96 % purity on LCMS).
Ή NMR (CDCI3) δ 8.24 (d, 1 H), 6.97 (d, 1 H), 6.93 (d, 1 H), 6.83 (s, 1 H), 6.73-6.70 (m, 1 H), 3.99 (s, 3 H), 3.66 (br s, 2 H), 2.97-2.89 (m, 1 H) and 1.29 (dd, 6 H).
LCMS: m/z 261.1 (M+H)+ (ES+).
Step B: 4-(5-Fluoro- -isocyanato-3-isopropylphenyl)-2-methoxypyridine
To a solution of 4-fluoro-2-isopropyl-6-(2-methoxypyridin-4-yl)aniline (1 g, 3.84 mmol, 1 eq) in THF (40 mL) was added TEA (777 mg, 7.68 mmol, 2 eq). Then triphosgene (456 mg, 1.54 mmol, 0.4 eq) was added in portions at 5 °C. The mixture was stirred at 70 °C for 1 hour. The mixture was diluted with EtOAc (200 mL) and filtered through silica gel. The filtrate was concentrated in vacuo to give the title compound (1.1 g, crude) as a yellow oil, which was used directly in the next step.
Intermediate A : 4-(4-Isocyanato-2,3-dihydro-iH-inden-5-yl)-2-methoxypyridine
Step A: 4-Nitro-2,3-dih dro-iH-indene
To a mixture of 2,3-dihydro-iH-indene (60 g, 507.72 mmol, 62.50 mL, 1 eq) in concentrated H2S04 (30 mL) was added a mixture of HN03 (50 mL, 69 wt % in water) and concentrated H2S04 (50 mL) dropwise at o °C over a period of 3.5 hours. The reaction mixture was stirred at o °C for 0.5 hour. Then the reaction mixture was poured into ice water (600 mL) and extracted with ethyl acetate (2 x 400 mL). The combined organic layers were washed with water (500 mL), saturated aqueous NaHC03 solution (500 mL) and brine (2 x 500 mL). The organic layer was dried over anhydrous Na2S04, filtered and concentrated in vacuo. The residue was purified by silica gel column chromatography (Si02, petroleum ether: ethyl acetate, 1:0 to 100:1) to give the title compound (55 g, 66 %) as a colourless oil.
Ή NMR (CDC13): δ 7·98 (d, 1 H), 7.51 (d, 1 H), 7.30 (t, 1 H), 3.41 (t, 2 H), 302 (t, 2 H) and 2.22-2.20 (m, 2 H).
To a solution of 4-nitro-2,3-dihydro-iH-indene (55 g, contained another regio-isomer) in MeOH (500 mL) was added Pd/C (5 g, 10 wt % loading on activated carbon) under N2 atmosphere. The suspension was degassed under vacuum and purged with H2 several times. The reaction mixture was stirred under H2 (50 psi) at 20 °C for 12 hours. The reaction mixture was filtered and the filtrate was concentrated in vacuo. The residue was purified by silica gel column chromatography (Si02, petroleum ether: ethyl acetate, 1:0 to 100:4) to give the title compound (19.82 g, 43 % yield, 96.39 % purity on LCMS) as a brown oil.
Ή NMR (CDC13): δ 7·θΐ (t, 1 H), 6.71 (d, 1 H), 6.51 (d, 1 H), 3-57 (br s, 2 H), 2.93 (t, 2 H), 2.75 (t, 2 H) and 2.16-2.08 (m, 2 H).
To a solution of 2,3-dihydro-iH-inden-4-amine (19.8 g, 148.66 mmol, 1 eq) and TEA (19.56 g, 193.26 mmol, 1.3 eq) in DCM (300 mL) was added dropwise Ac20 (17.45 g, 170.96 mmol, 1.15 eq) over 6 minutes at o °C. Then the reaction mixture was warmed to 16 °C and stirred for 1.4 hours. The mixture was poured into water (500 mL) and extracted with DCM (2 x 300 mL). The combined organic phases were washed with brine (2 x 500 mL), dried over anhydrous Na2S04, filtered and concentrated in vacuo to give the title compound (25.74 g, 96 % yield, 96.69 % purity on LCMS) as a white solid.
Ή NMR (CDC13): δ 7·70 (d, 1 H), 7.15 (t, 1 H), 7.02 (d, 1 H), 2.95 (t, 2 H), 2.81 (t, 2 H), 2.18 (s, 3 H) and 2.15-2.08 (m, 2 H).
LCMS: m/z 176.2 (M+H)+ (ES+)
Step D: N-(5-Bromo-2 -dih dro-iH-inden- - l acetamide
N-(2,3-dihydro-iH-inden-4-yl)acetamide (34.6 g, 197.46 mmol, 1 eq), p-toluenesulfonic acid (18.70 g, 108.60 mmol, 0.55 eq) and Pd(0Ac)2 (2.22 g, 9.87 mmol, 0.05 eq) were suspended in toluene (400 mL) and stirred at 20 °C for 0.5 hour under air atmosphere. NBS (38.66 g, 217.20 mmol, 1.1 eq) was added. Then the reaction mixture was stirred at 20 °C for 2 hours. The reaction mixture was poured into water (500 mL) and extracted with ethyl acetate (2 x 500 mL). The combined organic phases were washed with brine (2 x 500 mL), dried over anhydrous Na2S04, filtered and concentrated in vacuo. The residue was purified by silica gel column chromatography (Si02, petroleum ether: ethyl acetate, 10: 1 to 2:1) to give the title compound (13.9 g, 27 % yield, 98.1 % purity on LCMS) as a white solid.
Ή NMR (CDCI3) : δ 7-33 (d, 1 H), 7.16 (s, 1 H), 6.98 (d, 1 H), 2.92-2.83 (m, 4 H), 2.21 (s, 3 H) and 2.10-2.02 (m, 2 H).
LCMS: m/z 254.1 (M+H)+ (ES+).
Step E: 5-Bromo-2, -dihydro-iH-ind -4-amine
A mixture of N-(5-bromo-2,3-dihydro-iH-inden-4-yl)acetamide (45.68 g, 179.76 mmol,
1 eq) in EtOH (200 mL) and concentrated HC1 (300 mL, 36 wt % in water) was stirred at 80 °C for 36 hours. The reaction mixture was cooled to o °C in an ice bath and some solid precipitated. The suspension was filtered. The filter cake was washed with ice water (50 mL) and dried in vacuo to give the title compound (34.1 g, 72 % yield, 94.08 % purity on LCMS, HC1 salt) as a grey solid.
Ή NMR (DMSO-d6): δ 7-67 (br s, 2 H), 7.24 (d, 1 H), 6.69 (d, 1 H), 2.85 (t, 2 H), 2.79 (t,
2 H) and 2.04-1.96 (m, 2 H).
LCMS: m/z 212.0 (M+H)+ (ES+).
Step F: 5-(2-Methox ridin- - l -2 -dih dro-iH-inden- -amine
A solution of (2-methoxypyridin-4-yl)boronic acid (25.11 g, 164.15 mmol, 1.2 eq), 5- bromo-2,3-dihydro-iH-inden-4-amine (34 g, 136.80 mmol, 1 eq, HC1 salt) and K2C03 (60.50 g, 437.74 mmol, 3.2 eq) in dioxane (500 mL) and H20 (100 mL) was degassed with nitrogen for 15 minutes before Pd(dppf)Cl2.CH2Cl2 (6 g, 7.35 mmol, 0.053 eq) was added. The reaction mixture was heated to 80 °C for 12 hours. The mixture was poured into water (500 mL) and extracted with ethyl acetate (2 x 500 mL). The combined organic phases were washed with brine (2 x 700 mL), dried over anhydrous Na2S04, filtered and concentrated in vacuo. The residue was purified by silica gel column chromatography (Si02, petroleum ether: ethyl acetate, 1:0 to 10:1) to give the title compound (27.4 g, 79 % yield, 95 % purity on LCMS) as a white solid.
Ή NMR (CDC13): δ 8.22 (d, 1 H), 7-03-7-00 (m, 1 H), 6.99 (d, 1 H), 6.87 (s, 1 H), 6.77 (d, 1 H), 3.99 (s, 3 H), 3.77 (br s, 2 H), 2.97 (t, 2 H), 2.77 (t, 2 H) and 2.21-2.13 (m, 2 H).
LCMS: m/z 241.2 (M+H)+ (ES+).
Step G: 4-(4-Isocyanato-2,3-dihydro-iH-inden-5-yl)-2-methoxypyridine
To a solution of 5-(2-methoxypyridin-4-yl)-2,3-dihydro-iH-inden-4-amine (11 g, 45.78 mmol, 1 eq) and TEA (5.10 g, 50.35 mmol, 1.1 eq) in THF (275 mL) was added bis(trichloromethyl) carbonate (4.93 g, 16.61 mmol, 0.36 eq) in portions at o °C. Then the reaction mixture was stirred at 16 °C for 0.5 hour. The reaction mixture was filtered and the filter cake was washed with THF (2 L). The filtrate was concentrated in vacuo to give the title compound (9.04 g, 74 %) as a light yellow solid.
Ή NMR (CDC13): δ 8.28 (d, 1 H), 7.20-7.16 (m, 3 H), 7.02 (s, 1 H), 4.16 (s, 3 H), 3.04- 2.99 (m, 4 H) and 2.23-2.15 (m, 2 H).
Intermediate As: 4-i7-Fluoro-4-isocyanato-2..'¾-dihydro-iH-inden-f;-yl)pyridine Step A: 7-Fluoro-4-nit -2,3-dihydro-iH-inden-i-one
To a mixture of 7-fluoro-2,3-dihydro-iH-inden-i-one (9.5 g, 63.27 mmol, 1 eq) in concentrated H2S04 (100 mL) was added dropwise a solution of HN03 (5.37 mL, 82.25 mmol, 69 wt % in water, 1.3 eq) in concentrated H2S04 (20 mL) at -15 °C. Then the reaction mixture was stirred at o °C for 0.5 hour. The mixture was quenched with water (500 mL) at o °C, and then extracted with EtOAc (3 x 300 mL). The combined organic phases were dried over anhydrous Na2S04, filtered and concentrated in vacuo. The residue was purified by silica gel column chromatography (Si02, petroleum ether: ethyl acetate, 10:1 to 3:1) to give the title compound (11.4 g, 92 %) as a yellow solid.
Ή NMR (CDC13) δ 8.51 (dd, 1 H), 7.22 (t, 1 H), 3-69-3-65 (m, 2 H) and 2.88-2.82 (m, 2 H).
Step B: 7-Fluoro-4-nitro-2,3-dihydro-iH-inden-
To a mixture of 7-fluoro-4-nitro-2,3-dihydro-iH-inden-i-one (30 g, 153.73 mmol, 1 eq) in EtOH (450 mL) was added NaBH4 (11.63 g, 307.46 mmol, 2 eq) in portions. The reaction mixture was stirred at 15 °C for 1 hour. Then the mixture was poured into water (500 mL) and extracted with DCM (2 x 200 mL). The combined organic phases were washed with brine (200 mL), dried over anhydrous Na2S04, filtered and concentrated in vacuo to give the title compound (30 g, crude) as brown oil.
Ή NMR (CDC13) δ 8.21 (dd, 1 H), 7.08 (t, 1 H), 5·59"5·56 (m, 1 H), 3·66-3·59 (m , 1 H), 3.44-3.39 (m , 1 H), 2.56-2.51 (m , 1 H) and 2.22-2.17 (m , 2 H).
Step C: 4-Fluoro-7-nitro-2,3-dihydro-iH-indene
To a mixture of 7-fluoro-4-nitro-2,3-dihydro-iH-inden-i-ol (4.5 g, 22.82 mmol, 1 eq) in TFA (20 mL) was added Et3SiH (7.96 g, 68.47 mmol, 3 eq) in one portion. The reaction mixture was stirred at 25 °C for 12 hours. Then the mixture was quenched with water (100 mL) and extracted with EtOAc (3 x 100 mL). The combined organic layers were washed with saturated aqueous NaHC03 solution (2 x 100 mL), dried over anhydrous Na2S04, filtered and concentrated in vacuo to give the title compound (5 g, crude) as brown oil.
Ή NMR (CDC13) δ 8.o6 (dd, 1 H), 7.01 (t, 1 H), 3.46 (t , 2 H), 3.04 (t , 2 H) and 2.25- 2.20 (m , 2 H).
To a mixture of 4-fluoro-7-nitro-2,3-dihydro-iH-indene (5 g, 27.60 mmol, 1 eq) in MeOH (50 mL) was added Pd/C (0.5 g, 10 wt % loading on activated carbon) at 25 °C
under a nitrogen atmosphere. Then the reaction mixture was stirred at 25 °C for 12 hours under hydrogen (15 psi). The mixture was filtered and the filtrate was concentrated in vacuo. The residue was purified by silica gel column chromatography (Si02, petroleum ether: ethyl acetate, 50:1 to 10:1) to give the title compound (1.8 g, 43 %) as a brown solid.
Ή NMR (CDC13) δ 6.69 (t, 1 H), 6.44 (dd, 1 H), 3-47 (br s, 2 H), 2.95 (t , 2 H), 2.75 (t , 2 H) and 2.19-2.11 (m , 2 H).
Step E: 5-Bromo-7-fluor -2,3-dihydro-iH-inden-4-amine
To a solution of 7-fluoro-2,3-dihydro-iH-inden-4-amine (8.3 g, 54.90 mmol, 1 eq) in toluene (100 mL) was added NBS (10.26 g, 57.65 mmol, 1.05 eq) in one portion at 25 °C. The reaction mixture turned dark brown immediately and then the mixture was stirred at 25 °C for 30 minutes. The reaction mixture was quenched with saturated aqueous Na2S03 solution (200 mL) and extracted with EtOAc (2 x 100 mL). The combined organic phases were washed with brine (100 mL), dried over anhydrous Na2S04, filtered and concentrated in vacuo. The residue was purified by silica gel column chromatography (Si02, petroleum ether: ethyl acetate, 1:0 to 20:1) to give the title compound (8.51 g, 67 %) as a brown solid.
Ή NMR (CDCI3) δ 6.99 (d, 1 Η), 3.81 (br s, 2 Η), 2.92 (t , 2 Η), 2.78 (t , 2 Η) and 2.21- 2.13 (m, 2 Η).
Step F: 7-Fluoro-5-(pyridin-4-yl)-2,3-dihydro-iH-inden-4-amine
To a mixture of 5-bromo-7-fluoro-2,3-dihydro-iH-inden-4-amine (3.5 g, 15.21 mmol, 1 eq) and pyridin-4-ylboronic acid (1.96 g, 15.97 mmol, 1.05 eq) in dioxane (50 mL) and H20 (5 mL) was added K2C03 (6.31 g, 45.64 mmol, 3 eq) and Pd(dppf)Cl2 (1.11 g, 1.52 mmol, 0.1 eq) in one portion under a nitrogen atmosphere. Then the reaction mixture
was heated to 80 °C for 12 hours. The reaction mixture was filtered. The filtrate was diluted with water (50 mL) and extracted with EtOAc (3 x 100 mL). The combined organic phases were washed with brine (100 mL), dried over anhydrous Na2S04, filtered and concentrated in vacuo. The residue was purified by silica gel column chromatography (Si02, petroleum ether: ethyl acetate, 10:1 to 2:1) to give the title compound (1.7 g, 45 % yield, 90.98 % purity on HPLC) as a brown solid.
Ή NMR (CDC13) δ 8.68 (dd, 2 H), 7.40 (dd, 2 H), 6.72 (d, 1 H), 3.76 (br s, 2 H), 3.01 (t, 2 H), 2.80 (t, 2 H) and 2.26-2.18 (m, 2 H). Step G: 4-(7-Fluoro-4-isocyanato-2,3-dihydro-iH-inden-5-yl)pyridine
To a solution of 7-fluoro-5-(pyridin-4-yl)-2,3-dihydro-iH-inden-4-amine (400 mg, 1.75 mmol, 1 eq) and TEA (355 mg, 3.50 mmol, 2 eq) in THF (30 mL) was added bis(trichloromethyl) carbonate (208 mg, 700.94 μηιοΐ, 0.4 eq) at o °C. The reaction mixture was stirred at 70 °C for 30 minutes. Then the reaction mixture was filtered through a pad of silica gel and the filter cake was washed with THF (20 mL). The filtrate was concentrated in vacuo to reduce to 10 mL, which was used directly in the next step. Intermediate -Dichlorophenyl)methanesuLfonamide
To a solution of saturated ammonia in THF (5 mL) was added dropwise a solution of (3,5-dichlorophenyl)methanesulfonyl chloride (200 mg, 770.60 μηιοΐ, l eq) in THF (1 mL). The mixture was stirred at 20 °C for 1 hour and then concentrated under reduced pressure. The residue was diluted with water (5 mL) and then the mixture was extracted into ethyl acetate (2 x 5 mL). The combined organic layers were washed with brine (5 mL), dried (anhydrous Na2S04), filtered and concentrated in vacuo to give the title compound (180 mg, 97 %) as a white solid.
Ή NMR (400 MHz, CDC13) δ 7-42 (d, 1 H), 7.35 (d, 2 H), 4.58 (br s, 2 H) and 4.28 (s, 2 H).
A solution of 2-methylpropane-i-sulfonyl chloride (1.5 g, 9.58 mmol, 1 eq) in THF (20 mL) was cooled to o °C. Then NH3 (15 psi) was bubbled into the mixture at o °C for 10 minutes. The mixture was stirred at o °C for another 10 minutes. The reaction mixture was filtered and the filtrate was concentrated in vacuo to give the title compound (1 g, 76 %) as a colourless oil.
Ή NMR (DMSO-d6): δ 6.72 (s, 2 H), 2.86 (d, 2 H), 2.19-2.07 (m, 1 H) and 1.01 (d, 6 H).
NH3 was bubbled into THF (10 mL) at -78 °C for 5 minutes. Then a solution of 2- phenylethanesulfonyl chloride (0.5 g, 2.44 mmol, 1 eq) in THF (10 mL) was added to the NH3/THF solution at 25 °C. The resulting mixture was stirred for 12 minutes. The mixture was filtered and the filtrate was concentrated in vacuo to give the title compound (0.38 g, 84 %) as a white solid.
Ή NMR (CDC13): δ 7-38-7-33 (m, 2 H), 7.29-7.24 (m, 3 H), 4.42 (br s, 2 H), 3-45-3-40 (m, 2 H) and 3.22-3.17 (m, 2 H).
LCMS: m/z 208.1 (M+Na)+ (ES+).
Intermediate P4: l-Phenylethanesulfonamide
To a solution of bis(4-methoxybenzyl)amine (4.05 g, 15.74 mmol, 1 eq) in DCM (40 mL) was added TEA (3.18 g, 31.47 mmol, 2 eq) and phenylmethanesulfonyl chloride (3 g, 15.74 mmol, 1 eq). The mixture was stirred at 20 °C for 12 hours. The reaction mixture
was concentrated in vacuo. The residue was treated with water (50 mL) and extracted with EtOAc (2 x 50 mL). The organic layers were dried over Na2S04, filtered and concentrated in vacuo. The residue was purified by silica gel column chromatography (Si02, petroleum ether: ethyl acetate, 5:1 to 3:1) to give the title compound (4 g, 62 %) as a yellow solid.
Ή NMR (CDC13): δ 7-24-7-20 (m, 3 H), 7.11 (dd, 4 H), 7.00-6.95 (m, 2 H), 6.80 (dd, 4 H), 4.03 (s, 2 H), 3.96 (s, 4 H) and 3-74 (s, 6 H).
To a solution of N,N-bis(4-methoxybenzyl)-i-phenylmethanesulfonamide (1 g, 2.43 mmol, 1 eq) in THF (10 mL) was added LDA (2 M, 1.34 mL, 1.1 eq) at -78 °C under N2 atmosphere. The mixture was stirred at -78 °C for 1 hour. Iodomethane (379 mg, 2.67 mmol, 1.1 eq) was added and the resulting mixture was stirred at 20 °C for 2 hours. The reaction mixture was quenched with saturated aqueous NH4C1 solution (20 mL) and then concentrated in vacuo to remove THF. The mixture was treated with water (10 mL) and extracted with EtOAc (3 x 15 mL). The combined organic layers were dried over Na2S04, filtered and concentrated in vacuo. The residue was purified by silica gel column chromatography (Si02, petroleum ether: ethyl acetate, 1:0 to 5:1) to give the title compound (0.9 g, 87 %) as a white solid.
Ή NMR (CDCI3) : δ 7-33-7-28 (m, 3 H), 7.14 (d, 4 H), 7.10-7.08 (m, 2 H), 6.86 (dd, 4 H), 4.09 (d, 2 H), 4.03-4.01 (m, 1 H), 3.83 (s, 6 H), 3.76 (d, 2 H) and 1.79 (d, 3 H).
To a solution of N,N-bis(4-methoxybenzyl)-i-phenylethanesulfonamide (900 mg, 2.11 mmol, 1 eq) in DCM (30 mL) was added TFA (46.20 g, 405.19 mmol, , 191.58 eq). The mixture was stirred at 20 °C for 12 hours. The reaction mixture was concentrated in vacuo. The residue was treated with MeOH (15 mL). The suspension was filtered and the filtrate was concentrated in vacuo. The residue was triturated with a mixture of petroleum ether and ethyl acetate (v:v = 20:1, 10 mL) to give the title compound (300 mg, 77 %) as a white solid.
Ή NMR (CDC13): δ 7·47"7·39 (m, 5 H), 4.46 (br s, 2 H), 4.29 (q, 1 H) and 1.82 (d, 3 H). LCMS: m/z 208.1 (M+Na)+ (ES+).
Intermediate Ps: 3-Azidopropane-i-sulfonamide
Q' NH2 6' % N H2
To a solution of 3-chloropropane-i-sulfonamide (200 mg, 1.3 mmol) in acetone (10 mL) was added sodium azide (200 mg, 3 mmol) in water (1 mL). The mixture was refluxed for 36 hours. The solvents were evaporated. The residue was triturated with THF. The THF layer was filtered and evaporated to afford the title compound as a yellow oil (200 mg, 96 %).
Ή NMR (CD3OD) δ 3-51 (t, 2 H), 3.17 (t, 2 H), 2.07 (m, 2H).
Preparation of Examples Example 1: iV-((i,2,.¾,.g;,6,7-Hexahydro-s-indacen-4-yl)carbamoyl)-i-phenyl methanesulfonamide, potassium salt
To a cooled (o °C) solution of phenylmethanesulfonamide (40 mg, 0.23 mmol) in THF (2.5 mL) was added potassium ferf-butoxide (26 mg, 0.23 mmol). The ice bath was removed and the reaction mixture was stirred whilst being allowed to warm to room temperature over 40 minutes. A solution of 4-isocyanato-i,2,3,5,6,7-hexahydro-s- indacene (Intermediate Ai; 46 mg, 0.23 mmol) in THF (1 mL) was added and the mixture was stirred overnight at room temperature. The reaction mixture was concentrated in vacuo and DMSO (1 mL) was added. The suspension was filtered over cotton wool and subsequently submitted for purification by reversed phase column chromatography (see "Experimental Methods") to afford the title compound (34 mg; 40 %) as a white solid.
Ή NMR (300 MHz, CD3OD) δ 7-43 (m, 2 H), 7.28 (m, 3 H), 6.86 (s, 1 H), 4.45 (s, 2 H), 2.82 (m, 8 H) and 2.02 (m, 4 H).
LCMS: m/z 371 (M+H)+ (ES+); 369 (M-H)- (ES ).
Example 2: iV-((i,2,.¾,.g;,6,7-Hexahydro-s-indacen-4-yl)carbamoyl)-2- methylpropane-i-sulfonamide, potassium salt
Prepared as described for iV-((i,2,3,5,6,7-hexahydro-s-indacen-4-yl)carbamoyl)-i- phenyl methanesulfonamide, potassium salt (Example 1) using 4-isocyanato- 1,2,3,5,6,7-hexahydro-s-indacene (Intermediate Ai) and 2-methylpropane-i- sulfonamide (Intermediate P2) to afford the title compound (52 %) as a white solid. Ή NMR (300 MHz, CD3OD) δ 6.86 (s, 1 H), 3.11 (d, 2 H), 2.82 (m, 8 H), 2.22 (m, 1 H), 2.02 (m, 4 H) and 1.08 (d, 6 H).
LCMS: m/z 337 (M+H)+ (ES÷); 335 (M-H)- (ES ).
Example ¾: iV-((i,2,.¾,.g;,6,7-Hexahydro-s-indacen-4-yl)carbamoyl)ethene- sulfonamide
Ethene sulfonamide (0.2 g, 1.3 mmol) was dissolved in THF (2.5 mL), the mixture cooled to o °C and potassium t-butoxide (0.21 g, 1.9 mmol) added. After stirring at o °C for 45 minutes 4-isocyanato-i,2,3,5,6,7-hexahydro-s-indacene (Intermediate Ai) (0.27 g, 1.4 mmol) in THF (2.5 mL) was added dropwise and the mixture stirred for 20 hours at room temperature. The resulting mixture was worked-up by evaporation in vacuo, taken up in DMSO (2-3 mL) and purified by column chromatography (RP-ISCO: 40 g RP-Silica column, eluent 0-70% methanol-water). The first and main fraction afforded the title compound (68 mg, 16 %) after freeze-drying in 97% purity.
HPLC-MS: 97% (ELSD), mass 306+1 (ACPI pos.).
Ή NMR (300 MHz, DMSO-d6) δ 7·3ΐ (s, lH), 6.86 (dd, J = 16.9, 10.0 Hz, lH), 6.77 (s, lH), 5.71 (d, J = 17.2 Hz, lH), 5.40 (d, J = 9-9 Hz, lH), 2.73 (dt, J = 17.8, 7 A Hz, 9H), 1.92 (q, J = 7-3 Hz, 4H).
Example 4: i-(3,5-Dichlorophenyl)-iV-((i,2,3,5,6,7-hexahydro-s-indacen-4- yl)carbamoyl)methanesulfonamide, sodium salt
To a solution of (3,5-dichlorophenyl)methanesulfonamide (Intermediate Pi) (180 mg, 749.7 μηιοΐ) in THF (5 mL) was added sodium methoxide (40.5 mg, 749.7 μηιοΐ) at 20 °C. After stirring for 15 minutes, 4-isocyanato-i,2,3,5,6,7-hexahydro-s-indacene (Intermediate Ai) (149.4 mg> 749-67 μηιοΐ) was added to the mixture. The mixture was stirred at 20 °C for 15 hours and then filtered. The collected solid was triturated with ethyl acetate (3 5 mL) and the combined layers were concentrated in vacuo to give the title compound (300 mg, 87 %) as a white solid.
Ή NMR (400 MHz, DMSO-de) δ 7·45"7·44 (m, 1 H), 7-32-7-28 (m, 3 H), 6.79 (s, 1 H), 4.28 (s, 2 H), 2.77-2.73 (m, 8 H) and 1.95-1.91 (m, 4 H).
LCMS: m/z 439 (M+H)+ (ES+).
Example 5; i-(4-Chlorophenyl)-iV-((i,2,3,5,6,7-hexahydro-s-indacen-4- yl)carbamoyl)methanesulfonamide, sodium salt
Prepared as described for i-(3,5-dichlorophenyl)-AT-((i,2,3,5,6,7-hexahydro-s-indacen- 4-yl)carbamoyl)methanesulfonamide, sodium salt (Example 4) to afford the title compound (53 mg, 40 %) as a white solid.
Ή NMR (400 MHz, DMSO-de) δ 7-30-7-29 (m, 4 H), 7-21 (br s, 1 H), 6.78 (s, 1 H), 4.22 (s, 2 H), 2.77-2.70 (m, 8 H) and 1.95-1.92 (m, 4 H).
LCMS: m/z 405 (M+H)+ (ES+).
Example 6: i-(3,4-Dichlorophenyl)-iV-((i,2,3,5,6,7-hexahydro-s-indacen-4- yl)carbamoyl)methanesulfonamide, sodium salt
Prepared as described for i-(3,5-dichlorophenyl)-AT-((i,2,3,5,6,7-hexahydro-s-indacen- 4-yl)carbamoyl)methanesulfonamide, sodium salt (Example 4) to afford the title compound (24 mg, 11 %) as a white solid.
Ή NMR (400 MHz, DMSO-de) δ 7-52-7-50 (m, 2 H), 7.28-7.23 (m, 2 H), 6.78 (s, 1 H), 4.26 (s, 2 H), 2.77-2.72 (m, 8 H) and 1.95-1.91 (m, 4 H).
LCMS: m/z 439 (M+H)+ (ES+).
Example 7: i-(4-Fluorophenyl)-iV-((i,2,3,5,6,7-hexahydro-s-indacen-4- yl)carbamoyl)methanesulfonamide, sodium salt
Prepared as described for i-(3,5-dichlorophenyl)-AT-((i,2,3,5,6,7-hexahydro-s-indacen- 4-yl)carbamoyl)methanesulfonamide, sodium salt (Example 4) to afford the title compound (125 mg, 61 %) as a white solid.
Ή NMR (400 MHz, DMSO-de) δ 7.34-7.30 (m, 3 H), 7.07 (t, 2 H), 6.79 (s, 1 H), 4.20 (s, 2 H), 2.79-2.70 (m, 8 H) and 1.95-1.91 (m, 4 H).
LCMS: m/z 389 (M+H)+ (ES+).
Example 8: i-(4-Cyanophenyl)-iV-((i,2,3,5,6,7-hexahydro-s-indacen-4- yl)carbamoyl)methanesulfonamide, sodium salt
Prepared as described for i-(3,5-dichlorophenyl)-AT-((i,2,3,5,6,7-hexahydro-s-indacen- 4-yl)carbamoyl)methanesulfonamide, sodium salt (Example 4) to afford the title compound (99 mg, 40 %) as a white solid.
Ή NMR (400 MHz, DMSO-de) δ 7-72 (d, 2 H), 7.47 (d, 2 H), 7.24 (br s, 1 H), 6.78 (s, 1 H), 4.34 (s, 2 H), 2.77-2.69 (m, 8 H) and 1.95-1-91 (m, 4 H).
LCMS: m/z 396 (M+H)+ (ES+).
Example Q: Methyl 4-((iV-((i,2,3,5,6,7-hexahydro-s-indacen-4- yl)carbamoyl)sulfamoyl)methyl)benzoate, sodium salt
Prepared as described for i-(3,5-dichlorophenyl)-A (i,2,3,5,6,7-hexahydro-s-indacen- 4-yl)carbamoyl)methanesulfonamide, sodium salt (Example 4) to afford the title compound (125 mg, 72 %) as a white solid.
Ή NMR (400 MHz, DMSO-de) δ 7-84 (d, 2 H), 7.44 (d, 2 H), 7.26 (br s, 1 H), 6.79 (s, 1 H), 4.32 (s, 2 H), 3.84 (s, 3 H), 2.79-2.70 (m, 8 H) and 1.95-1-91 (m, 4 H).
LCMS: m/z 429 (M+H)+ (ES+).
Example 10: iV-((i.2.¾.g;.6.7-Hexahydro-s-indaceii-4-yllcarhamoyD-i-f4- (trifluoromethyl)phenyl)methanesulfonamide, sodium salt
Prepared as described for i-(3,5-dichlorophenyl)- -((i,2,3,5,6,7-hexahydro-s-indacen- 4-yl)carbamoyl)methanesulfonamide, sodium salt (Example 4) to afford the title compound (102 mg, 29 %) as a white solid.
Ή NMR (400 MHz, DMSO-de) δ 7·6θ (d, 2 H), 7.51 (d, 2 H), 7.24 (br s, 1 H), 6.78 (s, 1 H), 4-33 (s, 2 H), 2.77-2.70 (m, 8 H) and 1.95-1.91 (m, 4 H).
LCMS: m/z 439 (M+H)+ (ES+).
Example 11: iV-((i.2.¾.g;.6.7-Hexahydro-s-indacen-4-yllcarhamoyD-i-f3- methoxypheiiyl)methanesulfonamide, sodium salt
Prepared as described for i-(3,5-dichlorophenyl)- -((i,2,3,5,6,7-hexahydro-s-indacen- 4-yl)carbamoyl)methanesulfonamide, sodium salt (Example 4) to afford the title compound (172 mg, 31 %) as a white solid.
Ή NMR (400 MHz, DMSO-de) δ 7-30-7-29 (m, 4 H), 7-25 (br s, 1 H), 6.78 (s, 1 H), 4.21 (s, 2 H), 3.33 (s, 3 H), 2.77-2.72 (m, 8 H) and 1.95-1-91 (m, 4 H).
LCMS: m/z 401 (M+H)+ (ES+).
Example 12: i-(4-Chloro-2-fluorophenyl)-iV-((i,2,3,5,6,7-hexahydro-s- indacen-4-yl)carbamoyl)methanesulfonamide, sodium salt
Prepared as described for i-(3,5-dichlorophenyl)-iV-((i,2,3,5,6,7-hexahydro-s-indacen 4-yl)carbamoyl)methanesulfonamide, sodium salt (Example 4) to afford the title compound (198 mg, 67 %) as a white solid.
Ή NMR (400 MHz, DMSO-c¾ δ 7·43"7·33 (m, 1 H), 7-32-7-30 (m, 2 H), 7.21-7.18 (m, H), 6.79 (s, 1 H), 4.27 (s, 2 H), 2.77-2.72 (m, 8 H) and ΐ·95-ΐ·9ΐ (m, 4 H).
LCMS: m/z 423 (M+H)+ (ES+).
Example i¾: i-(4-Chloro-3-fluorophenyl)-iV-((i,2,3,5,6,7-hexahydro-s- iiidacen-4-yl)carbamoyl)methanesulfonamide, sodium salt
Prepared as described for i-(3,5-dichlorophenyl)-iV-((i,2,3,5,6,7-hexahydro-s-indacen- 4-yl)carbamoyl)methanesulfonamide, sodium salt (Example 4) to afford the title compound (200 mg, 53 %) as a white solid.
Ή NMR (400 MHz, DMSO-de) δ 7-48-7-44 (m, 1 H), 7-31-7-27 (m, 2 H), 7.16-7.14 (m, 1 H), 6.79 (s, 1 H), 4.25 (s, 2 H), 2.78-2.69 (m, 8 H) and 1.95-1.91 (m, 4 H).
LCMS: m/z 423 (M+H)+ (ES+).
Example 14: jV-((i.2.¾.c;.6.7-Hexahydro-s-indacen-4-yDcarhamoyl)- tolyl)methanesulfonamide, sodium salt
Prepared as described for i-(3,5-dichlorophenyl)-JV-((i,2,3,5,6,7-hexahydro-s-indacen- 4-yl)carbamoyl)methanesulfonamide, sodium salt (Example 4) to afford the title compound (234 mg, 60 %) as a white solid.
Ή NMR (400 MHz, DMSO-de) δ 7.20-7.17 (m, 3 H), 7.06-7.04 (m, 2 H), 6.78 (s, 1 H), 4.16 (s, 2 H), 2.79-2.71 (m, 8 H), 2.27 (s, 3 H) and 1.95-1.92 (m, 4 H).
LCMS: m/z 385 (M+H)+ (ES+). Example is; i-(2-Chlorophenyl)-iV-((i,2,3,5,6,7-hexahydro-s-indacen-4- yl)carbamoyl)methanesulfonamide, sodium salt
Prepared as described for i-(3,5-dichlorophenyl)-AT-((i,2,3,5,6,7-hexahydro-s-indacen- 4-yl)carbamoyl)methanesulfonamide, sodium salt (Example 4) to afford the title compound (36 mg, 34 %) as a white solid.
Ή NMR (400 MHz, DMSO-de) δ 7.50-7.39 (m, 1 H), 7.38-7.36 (m, 1 H), 7.29, (br s, 1 H), 7-25-7-22 (m, 2 H), 6.78 (s, 1 H), 4.43 (s, 2 H), 2.77-2.73 (m, 8 H) and 1.95-1-92 (m, 4 H).
LCMS: m/z 405 (M+H)+ (ES+).
Example 16; iV-((i,2,.¾,g;,6,7-Hexahydro-s-indacen-4-yl)carbamoyl)-i-(2- (trifluoromethyl)phenyl)methanesulfonamide, sodium salt
Prepared as described for i-(3,5-dichlorophenyl)-AT-((i,2,3,5,6,7-hexahydro-s-indacen- 4-yl)carbamoyl)methanesulfonamide, sodium salt (Example 4) to afford the title compound (21 mg, 15 %) as a white solid.
Ή NMR (400 MHz, DMSO-d6) δ 7-77 (d, 1 H), 7.65 (d, 1 H), 7-57"7-55 (m, 1 H), 7.45- 7.43 (m, 1 H), 7.36 (m, 1 H), 6.79 (s, 1 H), 4.47 (s, 2 H), 2.80-2.75 (m, 8 H) and 1.95- 1.92 (m, 4 H).
LCMS: m/z 439 (M+H)+ (ES+).
Example 17; i-(2-Bromophenyl)-iV-((i,2,3,5,6,7-hexahydro-s-indacen-4- yl)carbamoyl)methanesulfonamide, sodium salt
- 1θ6 -
Prepared as described for i-(3,5-dichlorophenyl)-AT-((i,2,3,5,6,7-hexahydro-s-indacen- 4-yl)carbamoyl)methanesulfonamide, sodium salt (Example 4) to afford the title compound (85 mg, 87 %) as a white solid.
Ή NMR (400 MHz, DMSO-de) δ 7·57"7·53 (m, 2 H), 7.37 (br s, 1 H), 7.28-7.26 (m, 1 H), 7.18-7.16 (m, 1 H), 6.79 (s, 1 H), 4.44 (s, 2 H), 2.79-2.74 (m, 8 H) and 1.98-1.90 (m, 4 H).
LCMS: m/z 451 (M+H)+ (ES+).
Example 18: Methyl 2-((iV-((i,2,3,5,6,7-hexahydro-s-indacen-4-yl) carbamoyl)sulfamoyl)methyl)benzoate
To a solution of methyl 2-(sulfamoylmethyl)benzoate (100 mg, 436.20 μηιοΐ) in THF (4 mL) was added sodium methoxide (23.56 mg, 436.20 μηιοΐ). The mixture was stirred at 20 °C for 30 minutes before 4-isocyanato-i,2,3,5,6,7-hexahydro-s-indacene
(Intermediate Ai) (104.29 mg, 523.44 μηιοΐ, 1.2 eq) was added. The reaction mixture was stirred at 20 °C for 16 hours and then concentrated in vacuo. The crude product was purified by prep-HPLC (column: Phenomenex Gemini l50mm*25mm*lOμm;
mobile phase: [water (0.04% NH3H20 + lomM NH4HC03) - acetonitrile]; B%: 20%- 50%, 12 min) to give the title compound (46 mg, 25 %) as a white solid.
Ή NMR (400 MHz, DMSO-de) δ 10.17 (br s, 1 H), 7.88-7.86 (m, 2 H), 7·63"7·6ΐ (m, 1 H), 7-57-7-55 (m, 1 H), 7-42-7-40 (m, 1 H), 6.98 (s, 1 H), 5.19 (s, 2 H), 3.79 (s, 3 H), 2.85-2.81 (m, 4 H), 2.74-2.72 (m, 4 H) and 2.05-1.99 (m, 4 H).
LCMS: m/z 451 (M+Na)+ (ES+).
Example IQ: i-(3-Bromophenyl)-iV-((i,2,3,5,6,7-hexahydro-s-indacen-4- yl)carbamoyl)methanesulfonamide, sodium salt
- IO7 -
Prepared as described for i-(3,5-dichlorophenyl)-AT-((i,2,3,5,6,7-hexahydro-s-indacen 4-yl)carbamoyl)methanesulfonamide, sodium salt (Example 4) to afford the title compound (239 mg, 76 %) as a white solid.
Ή NMR (400 MHz, DMSO-de) δ 7.49-7.48 (m, 1 H), 7.43-7.41 (m, 1 H), 7.31-7.29 (m, H), 7.25-7.21 (m, 1 H), 6.79 (s, 1 H), 4.25 (s, 2 H), 2.80-2.74 (m, 8 H) and 1.99-1.92 (m 4 H).
LCMS: m/z 451 (M+H)+ (ES+).
Example 20: jV-(('i.2.¾..^.6.7-Hexahydro-s-indacen--l-yl)carbamoyl)-i-('m- tolyl)methanesulfonamide, sodium salt
Prepared as described for i-(3,5-dichlorophenyl)-AT-((i,2,3,5,6,7-hexahydro-s-indacen- 4-yl)carbamoyl)methanesulfonamide, sodium salt (Example 4) to afford the title compound (323 mg, 96 %) as a white solid.
Ή NMR (400 MHz, DMSO-de) δ 7.26 (s, 1 H), 7.16-7.09 (m, 3 H), 7.04-7.02 (m, 1 H), 6.79 (s, 1 H), 4.18 (s, 2 H), 2.79-2.73 (m, 8 H), 2.27 (s, 3 H) and 1.97-1.90 (m, 4 H). LCMS: m/z 407 (M+Na)+ (ES+). Example 21: 3-Azido-iV-((i,2,3,5,6,7-hexahydro-s-indacen-4-yl)carbamoyl) propa -i-sulfonamide, potassium salt
To a solution of 3-azidopropane-i-sulfonamide (Intermediate P5) (200 mg, 2.1 mmol) in THF (15 mL) was added potassium ferf-butoxide (236 mg, 2.1 mmol). The mixture was stirred at room temperature for 45 minutes. 4-Isocyanato-i,2,3,5,6,7- hexahydro-s-indacene (Intermediate Ai) (419 mg, 2.1 mmol) was added and the mixture was stirred for 2 hours at room temperature. Then the reaction mixture was
concentrated in vacuo and a part of the mixture was dissolved in DMSO (1 mL) and submitted for purification by reversed phase column chromatography (see
"Experimental Methods", "Purification Method") to afford an initial amount of title compound (55 mg) as a white solid. The remainder of the batch was stored.
LCMS: m/z 364 (M+H)+ (ES+); 362 (M-H)- (ES ).
Example 22: N-((2-(2-Cyanopyridin--l-yl)--l-fluoro-6-isopropylphenyl) carbamoyl)-i-phenylmethanesulfonamide
To a solution of phenylmethanesulfonamide (61 mg, 355.51 μηιοΐ, l eq) in THF (2 mL) was added f-BuONa (34 mg, 355.51 μηιοΐ, l eq) and the mixture was stirred at 25 °C for 0.5 hour. Then 4-(5-fluoro-2-isocyanato-3-isopropylphenyl)picolinonitrile
(intermediate A2) (0.1 g, 355.51 μηιοΐ, l eq) was added and the resulting mixture was heated to 70 °C and stirred for 0.1 hour. The mixture was concentrated in vacuo. The residue was purified by prep-HPLC (column: Waters Xbridge C18,
I50mm*50mm*i(^m; mobile phase: [A: water (o.05%NH3.H20); B: MeCN]; B%: 15%- 45%, 11.5 min) to give the title compound (0.038 g, 23 % yield, 99 % purity on LCMS) as a white solid.
Ή NMR (DMSO-d6): δ 10.59 (br s, 1 H), 8.77 (d, 1 H), 8.12 (s, 1 H), 7.80 (dd, 1 H), 7.30- 7.10 (m, 7 H), 4.30 (s, 2 H), 3.24-3.20 (m, 1 H) and 1.20 (d, 6 H).
LCMS: m/z 453.3 (M+H)+ (ES+).
Example 2¾: N-((4-Fluoro-2-isopropyl-6-(2-methoxypyridin-4-yl)phenyl) carbamoyl)-i-phenylmethanesulfonamide
To a solution of phenylmethanesulfonamide (60 mg, 349.28 μηιοΐ, l eq) in THF (2 mL) was added f-BuONa (34 mg, 349.28 μηιοΐ, l eq) and the mixture was stirred at 25 °C for 0.5 hour. Then 4-(5-fluoro-2-isocyanato-3-isopropylphenyl)-2-methoxypyridine
(intermediate A3) (0.1 g, 349.28 μηιοΐ, l eq) was added and the resulting mixture was heated to 70 °C and stirred for 0.1 hour. The mixture was concentrated in vacuo. The residue was purified by prep-HPLC (column: Waters Xbridge C18,
ΐ5θηιηι*5θηιηι*ιομηι; mobile phase: [A: water (0.05% NH3.H20); B: MeCN]; B%: io%-40%, 11.5 min) to give the title compound (0.04 g, 25 % yield, 99 % purity on LCMS) as a white solid.
Ή NMR (DMSO-d6): δ 8.15 (d, 1 H), 7.52 (br s, 1 H), 7-34-7-H (m, 6 H), 7.10-6.95 (m, 2 H), 6.87 (s, 1 H), 4.27 (s, 2 H), 3.85 (s, 3 H), 3-25-3-19 (m, 1 H) and 1.18 (d, 6 H).
LCMS: m/z 458.3 (M+H)+ (ES+).
Example 24: N-((.^-(2-Methoxypyridin--l-yl)-2.¾-dihydro-iH-inden--l-yl) carbamoyl)-i-phenylmethanesulfonamide
To a solution of phenylmethanesulfonamide (64 mg, 375.52 pmol, 1 eq) in THF (2 mL) was added f-BuONa (36 mg, 375.52 pmol, 1 eq) and the mixture was stirred at 25 °C for 0.5 hour. Then 4-(4-isocyanato-2,3-dihydro-iH-inden-5-yl)-2-methoxypyridine
(intermediate A4) (0.1 g, 375.52 pmol, 1 eq) was added and the resulting mixture was heated to 70 °C and stirred for 0.1 hour. The mixture was concentrated in vacuo. The residue was purified by prep-HPLC (column: Waters Xbridge C18,
i50mm*50mm*iopm; mobile phase: [A: water (0.05% NH3.H20); B: MeCN]; B%: 8%- 38%, 11.5 min) to give the title compound (90.80 mg, 55 % yield, 99 % purity on LCMS) as a white solid.
Ή NMR (DMSO-d6): δ 8.14 (d, 1 H), 7.50 (br s, 1 H), 7.32-7.30 (m, 3 H), 7.25-7.24 (m, 2 H), 7.17 (d, 1 H), 7.09 (d, 1 H), 6.97 (dd, 1 H), 6.80 (s, 1 H), 4-37 (s, 2 H), 3.87 (s, 3 H), 2.94 (t, 2 H), 2.85 (t, 2 H) and 2.09-1.97 (m, 2 H).
LCMS: m/z 438.2 (M+H)+ (ES+).
Example 25: N-((7-Fluoro-g;-(pyridin-4-yl)-2,.¾-dihydro-iH-inden-4-yl) carbamoyl)-i-phenylmethanesulfonamide
A mixture of phenylmethanesulfonamide (70 mg, 408.84 μηιοΐ, l eq) and f-BuONa (39 mg, 408.84 μηιοΐ, l eq) in THF (2 mL) was stirred at 25 °C for 10 minutes. Then 4-(7- fluoro-4-isocyanato-2,3-dihydro-iH-inden-5-yl)pyridine (intermediate A5) (104 mg, 408.84 μmol, 1 eq) was added. The mixture was stirred at 70 °C for 10 minutes. The reaction mixture was concentrated in vacuo. The residue was purified by prep-HPLC (column: Xtimate C18, 250mm *5θηιιη*ιομιη; mobile phase: [A: water (0.05% ammonium hydroxide v/v); B: MeCN]; B%: 5%-35%, 10 min) to give the title compound (16.61 mg, 10 % yield, 100 % purity on LCMS) as a white solid.
Ή NMR (DMSO-d6): δ 8.54 (d, 2 H), 7.41 (d, 2 H), 7.26-7.22 (m, 4 H), 7.18-7.02 (m, 2 H), 6.95 (d, 1 H), 4.21 (s, 2 H), 2.96 (t, 2 H), 2.89 (t, 2 H) and 2.12-2.03 (m, 2 H).
LCMS: m/z 426.2 (M+H)+ (ES+).
Example 26: N-((2-(2-Cyanopyridin-4-yl)-4-fluoro-6-isopropylphenyl) carbamoyl)-2-methylpropane-i-sulfonamide
To a solution of 2-methylpropane-i-sulfonamide (49 mg, 355.51 μηιοΐ, l eq)
(intermediate P2) in THF (2 mL) were added f-BuONa (34 mg, 355.51 μηιοΐ, l eq) and 4-(5-fluoro-2-isocyanato-3-isopropylphenyl)picolinonitrile (intermediate A2) (100 mg, 355.51 μηιοΐ, l eq). The reaction mixture was stirred at 20 °C for 20 minutes and then concentrated in vacuo. The residue was purified by prep-HPLC (column: Phenomenex Gemini C18, 150ηιιη*25ΐηιη*5μιη, mobile phase: [A: water (0.05% ammonium hydroxide v/v); B: MeCN], B%: 3%-33%, 12.0 min) to give the title compound (48.16 mg, 32 %) as a white solid.
- Ill -
Ή NMR (DMSO-d6): δ 8.72 (d, 1 H), 8.07 (s, 1 H), 7.77 (s, 1 H), 7.67 (s, 1 H), 7.21 (d, 1 H), 7.11 (d, 1 H), 3.26-3.23 (m, 1 H), 2.67-2.63 (m, 2 H), 1.77-1.66 (m, 1 H), 1.15 (d, 6 H) and 0.84 (d, 6 H).
LCMS: m/z 419.2 (M+H)+ (ES+).
Example 27: N-((4-Fluoro-2-isopropyl-6-(2-methoxypyridin--l-yl)phenyl) carbamoyl)-2-methylpropane-i-sulfonamide
To a solution of 2-methylpropane-i-sulfonamide (intermediate P2) (48 mg, 349.28 μηιοΐ, l eq) in THF (2 mL) were added f-BuONa (34 mg, 349.28 μηιοΐ, l eq) and 4-(5- fluoro-2-isocyanato-3-isopropylphenyl)-2-methoxypyridine (intermediate A3) (100 mg, 349.28 μηιοΐ, l eq). The reaction mixture was stirred at 25 °C for 10 minutes and then was concentrated in vacuo. The residue was purified by prep-HPLC (column: Phenomenex Gemini C18, 150ηιηι*25ηιηι*5μηι, mobile phase: [A: water (0.05% ammonium hydroxide v/v); B: MeCN], B%: is%-45%, 11.5 min) to give the title compound (101.64 mg, 69 % yield, 100 % purity on LCMS) as a white solid.
Ή NMR (DMSO-d6): δ 8.17 (d, 1 H), 7.91 (s, 1 H), 7·27"7·24 (m, 1 H), 7.06 (dd, 1 H), 6.99 (d, 1 H), 6.82 (s, 1 H), 3.87 (s, 3 H), 3.16-3.09 (m, 1 H), 3.00 (d, 2 H), 1.91-1.81 (m, 1 H), 1.16 (d, 6 H) and 0.91 (d, 6 H).
LCMS: m/z 424.2 (M+H)+ (ES+).
Example 28: N-((.^-(2-Methoxypyridin-4-yl)-2,3-dihydro-iH-inden-4-yl) carbamoyl)-2-methylpropane-i-sulfonamide
To a solution of 2-methylpropane-i-sulfonamide (intermediate P2) (55 mg, 401.36 μηιοΐ, l eq) in THF (2 mL) were added f-BuONa (39 mg, 401.36 μηιοΐ, l eq) and 4-(4- isocyanato-2,3-dihydro-iH-inden-5-yl)-2-methoxypyridine (intermediate A4) (167
mg, 401.36 μηιοΐ, l eq). The reaction mixture was stirred at 25 °C for 20 minutes and then concentrated in vacuo. The residue was purified by prep-HPLC (column:
Phenomenex Gemini C18, ΐ5θηιηι*25ηιηι*ιομηι, mobile phase: [A: water (10 mM NH4HC03); B: MeCN], B%: i8%-48%, 10 min) to give the title compound (16.29 mg, 10 %) as a white solid.
Ή NMR (DMSO-d6): δ 8.15 (d, 1 H), 7.93 (br s, 1 H), 7.22 (d, 1 H), 7.12 (d, 1 H), 6.94- 6.91 (m, 1 H), 6.74 (s, 1 H), 3.86 (s, 3 H), 3.10 (d, 2 H), 2.93 (t, 2 H), 2.79 (t, 2 H), 2.05- 1-95 (m, 3 H) and 0.95 (d, 6 H).
LCMS: m/z 404.2 (M+H)+ (ES+).
Example 2Q: N-((7-Fluoro-5-(pyridin-4-yl)-2,3-dihydro-iH-inden-4-yl) carbamoyl)-2-methylpropane-i-sulfonamide
To a solution of 2-methylpropane-i-sulfonamide (intermediate P2) (54 mg, 393.30 μηιοΐ, l eq) in THF (2 mL) was added f-BuONa (38 mg, 393.30 μηιοΐ, l eq). Then the mixture was stirred at 25 °C for 10 minutes. A solution of 4-(7-fluoro-4-isocyanato-2,3- dihydro-iH-inden-5-yl)pyridine (intermediate A5) (100 mg, 393.30 μηιοΐ, l eq) in THF (2.5 mL) was added. The resulting mixture was stirred at 25 °C for 30 minutes and then concentrated in vacuo. The residue was purified by prep-HPLC (Column: Xtimate C18, 250mm *5θηιηι*ιομηι, mobile phase: [A: water (0.05% ammonium hydroxide v/v); B: MeCN], B%: i%-3i%, 10.0 min) to give the title compound (45.33 mg, 29 % yield, 100 % purity on LCMS) as a white solid.
Ή NMR (DMSO-d6): δ 8.54 (d, 2 H), 7.40 (d, 2 H), 6.96 (d, 1 H), 2.95 (t, 2 H), 2.89- 2.83 (m, 4 H), 2.09-2.03 (m, 2 H), 1.96-1.91 (m, 1 H) and 0.93 (d, 6 H).
LCMS: m/z 392.2 (M+H)+ (ES+).
Example ¾o : N-((2-(2-Cyanopyridin-4-yl)-4-fluoro-6-isopropylphenyl) carbamoyl)-2-phenylethanesulfonamide
To a solution of 2-phenylethanesulfonamide (intermediate P3) (66 mg, 355.51 μηιοΐ, l eq) in THF (2 mL) was added f-BuONa (34 mg, 355.51 μηιοΐ, l eq) and the mixture was stirred at 25 °C for 0.5 hour. Then 4-(5-fluoro-2-isocyanato-3- isopropylphenyOpicolinonitrile (intermediate A2) (0.1 g, 355.51 μηιοΐ, l eq) was added and the resulting mixture was heated to 70 °C and stirred for 0.1 hour. The mixture was concentrated in vacuo. The residue was purified by prep-HPLC (column: Waters Xbridge C18, 150mm *5θηιηι*ιομηι; mobile phase: [A: water (o.05%NH3.H20); B: MeCN]; B%: i2%-42%, 11.5 min) to give the title compound (0.07 g, 42 % yield, 99 % purity on LCMS) as a white solid.
Ή NMR (DMSO-d6): δ 10.77 (br s, 1 H), 8.67 (d, 1 H), 8.11 (s, 1 H), 7.92 (br s, 1 H), 7.80 (d, 1 H), 7-31-7-18 (m, 5 H), 7.09 (d, 2 H), 3-25-3-19 (m, 3 H), 2.70-2.51 (m, 2 H) and 1.17 (d, 6 H).
LCMS: m/z 467.3 (M+H)+ (ES+).
Example ¾i; N-((.i-Fluoro-2-isopropyl-6-(2-methoxypyridin--l-yl)phenyl) carbamoyl)-2-phenylethanesulfonamide
To a solution of 2-phenylethanesulfonamide (intermediate P3) (65 mg, 349.28 μηιοΐ, 1 eq) in THF (2 mL) was added f-BuONa (34 mg, 349.28 μηιοΐ, l eq) and the mixture was stirred at 25 °C for 0.5 hour. Then 4-(5-fluoro-2-isocyanato-3-isopropylphenyl)-2- methoxypyridine (intermediate A3) (0.1 g, 349.28 μηιοΐ, l eq) was added and the resulting mixture was heated to 70 °C and stirred for 0.1 hour. The mixture was concentrated in vacuo. The residue was purified by prep-HPLC (column: Phenomenex Gemini C18, ΐ5θηιηι*25ηιηι*ιομηι; mobile phase: [A: water (0.05% NH3.H20); B:
MeCN]; B%: 22%-52%, 11 min) to give the title compound (0.0317 g, 19 % yield, 99 % purity on LCMS) as a white solid.
- II4 -
Ή NMR (DMSO-d6): δ 8.10 (d, 1 H), 8.00 (br s, 1 H), 7·34"7·22 (m, 4 H), 7.16-6.99 (m, 4 H), 6.84 (s, 1 H), 3.73 (s, 3 H), 3.44-3.40 (m, 2 H), 3.18-3.13 (m, 1 H), 2.80-2.76 (m, 2 H) and 1.16 (d, 6 H).
LCMS: m/z 472.2 (M+H)+ (ES+).
Example ¾2: N-((5-(2-Methoxypyridin-4-yl)-2,3-dihydro-iH-inden-4-yl) carbamoyl)-2-phenylethanesulfonamide
To a solution of 2-phenylethanesulfonamide (intermediate P3) (70 mg, 375.52 μηιοΐ, 1 eq) in THF (2 mL) was added f-BuONa (36 mg, 375.52 μηιοΐ, l eq) and the mixture was stirred at 25 °C for 0.5 hour. Then 4-(4-isocyanato-2,3-dihydro-iH-inden-5-yl)-2- methoxypyridine (intermediate A4) (0.1 g, 375.52 μηιοΐ, l eq) was added and the resulting mixture was heated to 70 °C and stirred for 0.1 hour. The mixture was concentrated in vacuo. The residue was purified by prep-HPLC (column: Phenomenex Gemini C18, ΐ5θηιηι*25ηιηι*ιομηι; mobile phase: [A: water(iomM NH4HC03); B: MeCN]; B%: 1796-47%, 11 min) to give the title compound (0.021 g, 12 % yield, 100 % purity on LCMS) as a white solid.
Ή NMR (DMSO-d6): δ 8.07 (d, 1 H), 7.50 (br s, 1 H), 7.33-7.26 (m, 2 H), 7.19-7.13 (m, 4 H), 7.10-7.08 (m, 1 H), 6.99 (d, 1 H), 6.81 (s, 1 H), 3.77 (s, 3 H), 3-30-3-23 (m, 2 H), 2.92 (t, 2 H), 2.86-2.80 (m, 4 H) and 2.07-1.98 (m, 2 H).
LCMS: m/z 452.2 (M+H)+ (ES+).
Example 33: N-((7-Fluoro-g;-(pyridin-4-yl)-2,3-dihydro-iH-inden-4-yl) carbamoyl)-2-phenylethanesulfonamide
A mixture of 2-phenylethanesulfonamide (intermediate P3) (75 mg, 404.87 μηιοΐ, l eq) and f-BuONa (39 mg, 404.87 μηιοΐ, l eq) in THF (2 mL) was stirred at 25 °C for 10 minutes. Then 4-(7-fluoro-4-isocyanato-2,3-dihydro-iH-inden-5-yl)pyridine
(intermediate A5) (103 mg, 404.87 μηιοΐ, l eq) was added. The resulting mixture was stirred at 25 °C for 10 minutes, then warmed to 70 °C and stirred for 10 minutes. The reaction mixture was concentrated in vacuo. The residue was purified by prep-HPLC (column: Xtimate C18, 250mm *5θηιηι*ιομηι; mobile phase: [A: water (0.05% ammonium hydroxide v/v); B: MeCN]; B%: 5%-35%, 10 min) to give the title compound (15.1 mg, 8 % yield, 100 % purity on LCMS) as a white solid.
Ή NMR (DMSO-d6): δ 8.53 (d, 2 H), 7.63 (br s, 1 H), 7.42 (d, 2 H), 7.31 (t, 2 H), 7.23- 7.16 (m, 3 H), 7.00 (d, 1 H), 3-39-3-35 (m, 2 H), 2.99 (t, 2 H), 2.90-2.82 (m, 4 H) and 2.10-2.06 (m, 2 H).
LCMS: m/z 440.2 (M+H)+ (ES+). Example ¾4: N-((2-(2-Cyanopyridin-4-yl)-4-fluoro-6-isopropylphenyl) carbamoyl)-i-phenylethanesulfonamide
To a solution of l-phenylethanesulfonamide (intermediate P4) (50 mg, 269.92 μηιοΐ, l eq) in THF (2 mL) was added f-BuONa (26 mg, 269.92 μηιοΐ, l eq). After stirring at 20 °C for 10 minutes, 4-(5-fluoro-2-isocyanato-3-isopropylphenyl)picolinonitrile
(intermediate A2) (76 mg, 269.92 μηιοΐ, l eq) was added. The reaction mixture was stirred at 20 °C for 20 minutes and then concentrated in vacuo. The residue was purified by prep-HPLC (column: Phenomenex Gemini ci8, l50mm*25mm*lOμm; mobile phase: [A: water (lomM NH4HC03); B: MeCN]; B%: 22%-52%, 12 min) to give the title compound (14.74 mg, 11 % yield, 98 % purity on LCMS) as a white solid.
Ή NMR (DMSO-d6): δ 10.53 (br s, 1 H), 8.77 (d, 1 H), 8.10 (s, 1 H), 7-97-7-93 (m, 1 H), 7-77 (d, 1 H), 7-32-7-24 (m, 4 H), 7-23-7-19 (m, 3 H), 4-57-4-54 (m, 1 H), 3-15-3-12 (m, 1 H), 1.46-1.40 (m, 3 H) and 1.20-1.08 (m, 6 H).
LCMS: m/z 467.2 (M+H)+ (ES+).
Example 35 : N-((4-Fluoro-2-isopropyl-6-(2-methoxypyridin-4-yl)phenyl) carbamoyl)-i-phenylethanesulfonamide
To a solution of i-phenylethanesulfonamide (intermediate P4) (50 mg, 269.92 μmol, 1 eq) in THF (2 mL) was added f-BuONa (26 mg, 269.92 μηιοΐ, l eq). The mixture was stirred at 20 °C for 10 minutes. Then 4-(5-fluoro-2-isocyanato-3-isopropylphenyl)-2- methoxypyridine (intermediate A3) (77 mg, 269.92 μηιοΐ, l eq) was added. The reaction mixture was stirred at 20 °C for 20 minutes and then concentrated in vacuo. The residue was purified by prep-HPLC (column: Xtimate C18, Ι50ηιηι*25ηιηι*5μηι; mobile phase: [A: water (0.05% ammonium hydroxide v/v); B: MeCN]; B%: io%-40%, 12 min) to give the title compound (12.98 mg, 10 % yield, 100 % purity on LCMS) as a white solid.
Ή NMR (DMSO-d6): δ 10.40 (br s, 1 H), 8.15 (d, 1 H), 7.70 (br s, 1 H), 7-32-7-20 (m, 6 H), 7-05-7-00 (m, 2 H), 6.85 (s, 1 H), 4.60-4.56 (m, 1 H), 3.86 (s, 3 H), 3-i -3-H (m, 1 H), 1.45 (d, 3 H) and 1.18 (dd, 6 H).
LCMS: m/z 472.2 (M+H)+ (ES+).
Example 36: N-((5-(2-Methoxypyridin-4-yl)-2,3-dihydro-iH-inden-4-yl) carbamoyl)-i-phenylethanesulfonamide
To a solution of i-phenylethanesulfonamide (intermediate P4) (50 mg, 269.92 μηιοΐ, l eq) in THF (2 mL) was added f-BuONa (26 mg, 269.92 μηιοΐ, l eq). The mixture was stirred at 20 °C for 10 minutes. Then 4-(4-isocyanato-2,3-dihydro-iH-inden-5-yl)-2- methoxypyridine (intermediate A4) (72 mg, 269.92 μηιοΐ, l eq) was added and then the resulting mixture was stirred at 20 °C for 20 minutes. The reaction mixture was concentrated in vacuo. The residue was purified by prep-HPLC (column: Xtimate C18, ΐ5θηιηι*25ηιηι*5μηι; mobile phase: [A: water (0.05% ammonium hydroxide v/v); B:
MeCN]; B%: 5%-35%, 12 min) to give the title compound (34.56 mg, 28 % yield, 99.8 % purity on LCMS) as a white solid.
Ή NMR (DMSO-d6): δ 8.12 (d, 1 H), 7.60 (br s, 1 H), 7-33-7-30 (m, 5 H), 7.19 (d, 1 H), 7.09 (d, 1 H), 6.94-6.92 (m, 1 H), 6.77 (s, 1 H), 4.69-4-66 (m, 1 H), 3.86 (s, 3 H), 2.93 (t, 2 H), 2.81 (t, 2 H), 2.07-2.01 (m, 2 H) and 1.54 (d, 3 H).
LCMS: m/z 452.2 (M+H)+ (ES+).
Example 37: N-((7-Fluoro-g;-(pyridin-4-yl)-2,.¾-dihydro-iH-inden-4-yl) carbamoyl)-i-phenylethanesulfonamide
To a solution of l-phenylethanesulfonamide (intermediate P4) (75 mg, 404.87 μηιοΐ, l eq) in THF (2 mL) was added f-BuONa (39 mg, 404.87 μηιοΐ, l eq). Then the reaction mixture was stirred at 20 °C for 10 minutes. A solution of 4-(7-fluoro-4-isocyanato-2,3- dihydro-iH-inden-5-yl)pyridine (intermediate A5) (103 mg, 404.87 μηιοΐ, l eq) in THF (2 mL) was added. The resulting mixture was stirred at 20 °C for 20 minutes and then concentrated in vacuo. The residue was purified by prep-HPLC (column:
Phenomenex Gemini C18, ΐ5θηιηι*25ηιηι*ιομηι; mobile phase: [A: water (10 mM NH4HC03); B: MeCN]; B%: 1396-43%, 10 min) to give the title compound (63.22 mg, 35 % yield, 99 % purity on LCMS) as a light red solid.
Ή NMR (DMSO-d6): δ 8.57 (d, 2 H), 7.69 (br s, 1 H), 7·37"7·30 (m, 7 H), 7-02 (d, 1 H), 4-75-4-67 (m, 1 H), 2.98 (t, 2 H), 2.84 (t, 2 H), 2.14-2.08 (m, 2 H) and 1.55 (d, 3 H). LCMS: m/z 440.2 (M+H)+ (ES+).
Example ¾8: N-((5-(2-Methoxypyridin-4-yl)-2,3-dihydro-iH-inden-4-yl) carbamoyl)methanesulfonamide
(Intermediate A4, step F) was dissolved in THF (5 mL). Triethylamine (208 μΐ, 1.49 mmol) was added, followed by a solution of bis(trichlorom ethyl) carbonate (382 mg, 1.29 mmol) in THF (2 mL). The thick reaction mixture was stirred at room temperature for 1 hour. The solvent was removed in vacuo and the solid formed was dried under high vacuum for 1 hour. The solid, 4-(4-isocyanato-2,3-dihydro-iH-inden-5-yl)-2- methoxypyridine, was suspended in THF (8 mL) of which 2 mL were used later.
Methanesulfonamide (30 mg, 0.315 mmol) was suspended in THF (2 mL), sodium tert- butoxide (2 M in THF) (175 μΐ, 0.351 mmol) was added, and the mixture was stirred for 30 minutes at room temperature. Then a solution of 4-(4-isocyanato-2,3-dihydro-iH- inden-5-yl)-2-methoxypyridine (78 mg, 0.292 mmol) in THF (2 mL), prepared earlier, was added and the mixture was stirred overnight at room temperature. The THF was removed in vacuo and the residue was dissolved in DMSO (2 mL) and then purified by basic prep HPLC to afford the title compound (23.5 mg, 21 %) as a colourless solid. Ή NMR (DMSO-d6): δ 8.17 (d, J = 5-3 Hz, lH), 7.86 (s, lH), 7.22 (d, J = 7-9 Hz, lH), 7.14 (d, J = 7-7 Hz, lH), 6.95 (dd, J = 5-3, 1-3 Hz, lH), 6.77 (s, lH), 3-88 (s, 3H), 3-01 (s, 3H), 2.94 (t, J = 7.4 Hz, 2H), 2.82 (t, J = 7.4 Hz, 2H), 2.04 (p, J = 7.5 Hz, 2H). NH not observed.
LCMS; m/z 362.2 (M+H)+ (ES+); 360.0 (M-H)- (ES ).
Example ¾Q: N-((i,2,3,5,6,7-Hexahydro-s-indacen-4-yl)carbamoyl)-i- phenylethanesulfonamide
NaCHBu (2 M in THF, 0.16 mL, 0.32 mmol) was added to a solution of 1- phenylethanesulfonamide (Intermediate P4) (60 mg, 0.308 mmol) in THF (3.5 mL) at room temperature. The mixture was stirred for 1 hour, before 4-isocyanato- 1,2,3,5,6,7-hexahydro-s-indacene (Intermediate Ai) (0.067 g, 0.338 mmol) was added in a single portion and the reaction mixture was stirred for 21 hours at room temperature. EtOAc (10 mL) was added, followed by aq 2 M NaOH (~o.2 mL) and water (3 mL). The phases were separated and the organic phase was extracted with water (3 mL). The combined aqueous phases were filtered and purified by
chromatography on RP Flash C18 (12 g column, 0-100% MeCN/10 mM ammonium bicarbonate) to afford the title compound (15 mg, 13 %) as a white solid.
LCMS; m/z 385.3 (M+H)+ (ES+).
Ή NMR (DMSO-d6) δ 10.10 (s, lH), 7.87 (s, lH), 7-40 (m, 5H), 6.97 (s, lH), 4-88 (q, J = 7.1 Hz, lH), 2.82 (t, J = 7.4 Hz, 4H), 2.69 (t, J = 7.4 Hz, 4H), 2.00 (p, J = 7.4 Hz, 4H), 1.69 (d, J = 7.2 Hz, 3H).
Example 40: N-(d.2.¾..^.6.7-Hexahydro-s-indacen--l-yl)carbamoyl)-2- phenylethanesulfonamide
Prepared according to the general procedure of N-((i,2,3,5,6,7-hexahydro-s-indacen-4- yl)carbamoyl)-i-phenylethanesulfonamide (Example 39) from 2- phenylethanesulfonamide (Intermediate P3) and 4-isocyanato-i,2,3,5,6,7- hexahydro-s-indacene (Intermediate Ai) to afford the title compound (35 mg, 37 %) as a colourless solid.
Ή NMR (DMSO-d6) δ 10.35 (s, lH), 8.18 (s, lH), 7.37 - 7.29 (m, 2H), 7.29 - 7.21 (m, 3H), 6.97 (s, lH), 3.77 - 3.65 (m, 2H), 3.09 - 2.97 (m, 2H), 2.82 (t, J = 7.4 Hz, 4H), 2.70 (t, J = 7.4 Hz, 4H), 2.03 - 1.93 (m, 4H).
LCMS; m/z 385.4 (M+H)+ (ES+).
Examples - biological studies
NLRP3 and Pyroptosis
It is well established that the activation of NLRP3 leads to cell pyroptosis and this feature plays an important part in the manifestation of clinical disease (Yan-gang Liu et al., Cell Death & Disease, 2017, 8(2), e2579; Alexander Wree et al., Hepatology, 2014, 59(3), 898-910; Alex Baldwin et al., Journal of Medicinal Chemistry, 2016, 59(5), 1691- 1710; Ema Ozaki et al., Journal of Inflammation Research, 2015, 8, 15-27; Zhen Xie & Gang Zhao, Neuroimmunology Neuroinflammation, 2014, 1(2), 60-65; Mattia Cocco et al., Journal of Medicinal Chemistry, 2014, 57(24), 10366-10382; T. Satoh et al., Cell Death & Disease, 2013, 4, e644). Therefore, it is anticipated that inhibitors of NLRP3 will block pyroptosis, as well as the release of pro-inflammatory cytokines (e.g. IL-ιβ) from the cell.
THP-i Cells: Culture and Preparation
THP-i cells (ATCC # TIB-202) were grown in RPMI containing L-glutamine (Gibco #11835) supplemented with imM sodium pyruvate (Sigma # S8636) and penicillin (loounits/ml) / streptomycin (o.img/ml) (Sigma # P4333) in 10% Fetal Bovine Serum (FBS) (Sigma # F0804). The cells were routinely passaged and grown to confluency (~io6cells/ml). On the day of the experiment, THP-i cells were harvested and resuspended into RPMI medium (without FBS). The cells were then counted and viability (>go%) checked by Trypan blue (Sigma # T8154). Appropriate dilutions were made to give a concentration of 625,ooocells/ml. To this diluted cell solution was added LPS (Sigma # L4524) to give a ^g/ml Final Assay Concentration (FAC). 4θμ1 of the final preparation was aliquoted into each well of a 96-well plate. The plate thus prepared was used for compound screening.
THP-i Cells Pyroptosis Assay
The following method step-by-step assay was followed for compound screening.
1. Seed THP-i cells (25,ooocells/well) containing
LPS in 4θμ1 of RPMI medium (without FBS) in 96-well, black walled, clear bottom cell culture plates coated with poly-D-lysine (VWR # 734-0317)
2. Add 5μ1 compound (8 points half-log dilution, with ιομΜ top dose) or vehicle (DMSO 0.1% FAC) to the appropriate wells
3. Incubate for 3hrs at 37°C in 5% C02
4. Add 5μ1 nigericin (Sigma # N7143) (FAC 5μΜ) to all wells
5. Incubate for lhr at 37°C and 5% C02
6. At the end of the incubation period, spin plates at 300xg for 3mins and remove supernatant
7. Then add 5θμ1 of resazurin (Sigma # R7017) (FAC 100 μΜ resazurin in RPMI medium without FBS) and incubate plates for a further i-2hrs at 37°C and 5% C02
8. Plates were read in an Envision reader at Ex s6onm and Em 590nm
9. IC50 data is fitted to a non-linear regression equation (log inhibitor vs response- variable slope 4-parameters)
Q6-well Plate Map
1 2 3 4 5 6 7 8 9 10 11 12
A High Comp 1 Comp 2 Comp 3 Comp 4 Comp 5 Comp 6 Comp 7 Comp 8 Comp 9 Comp 10 Low
B High Comp 1 Comp 2 Comp 3 Comp 4 Comp 5 Comp 6 Comp 7 Comp 8 Comp 9 Comp 10 Low
C High Comp 1 Comp 2 Comp 3 Comp 4 Comp 5 Comp 6 Comp 7 Comp 8 Comp 9 Comp 10 Low
D High Comp 1 Comp 2 Comp 3 Comp 4 Comp 5 Comp 6 Comp 7 Comp 8 Comp 9 Comp 10 Low
E High Comp 1 Comp 2 Comp 3 Comp 4 Comp 5 Comp 6 Comp 7 Comp 8 Comp 9 Comp 10 Low
F High Comp 1 Comp 2 Comp 3 Comp 4 Comp 5 Comp 6 Comp 7 Comp 8 Comp 9 Comp 10 Low
G High Comp 1 Comp 2 Comp 3 Comp 4 Comp 5 Comp 6 Comp 7 Comp 8 Comp 9 Comp 10 Low
H High Comp 1 Comp 2 Comp 3 Comp 4 Comp 5 Comp 6 Comp 7 Comp 8 Comp 9 Comp 10 Low
High MCC950 (10uM) Compound 8-point half-log dilution
Low Drug free control
The results of the pyroptosis assay performed are summarised in Table ι below as THP
Human Whole Blood ILiP Release Assay
For systemic delivery, the ability to inhibit NLRP3 when the compounds are present within the bloodstream is of great importance. For this reason, the NLRP3 inhibitory activity of a number of compounds in human whole blood was investigated in
accordance with the following protocol.
Human whole blood in Li-heparin tubes was obtained from healthy donors from a volunteer donor panel. 1. Plate out 8θμ1 of whole blood containing ^g/ml of LPS in 96-well, clear bottom cell culture plate (Corning # 3585)
2. Add Ιθμΐ compound (8 points half-log dilution with ιομΜ top dose) or vehicle
(DMSO 0.1% FAC) to the appropriate wells
3. Incubate for 3hrs at 37°C, 5% C02
4. Add Ιθμΐ nigericin (Sigma # N7143) (ιομΜ FAC) to all wells
5. Incubate for lhr at 37°C, 5% C02
6. At the end of the incubation period, spin plates at 300xg for smins to pellet cells
and remove 20μ1 of supernatant and add to 96-well v-bottom plates for IL-ιβ analysis (note: these plates containing the supernatants can be stored at -8o°C to be analysed at a later date)
7. IL-ιβ was measured according to the manufacturer protocol (Perkin Elmer- AlphaLisa IL-i Kit AL220F-5000)
8. IC50 data is fitted to a non-linear regression equation (log inhibitor vs response- variable slope 4-parameters)
The results of the human whole blood assay are summarised in Table l below as HWB
Table 1: NLRP3 inhibitory activity in THP-i Cells (<io μΜ = '+', <2.o μΜ = '++',≤i.5 μΜ = '+++', <i.o μΜ = '++++', not determined = 'ND'). NLRP3 inhibitory activity in HWB (>10 μΜ = '·', <10 μΜ = '· ·', <7·5 μΜ = '···', <5.o μΜ = '· ···', ND = not determined).
As is evident from the results presented in Table 1, surprisingly in spite of the structural differences versus the prior art compounds, the compounds of the invention show high levels of NLRP3 inhibitory activity. In particular, it is evident from the data that the compounds of the invention are particularly suited to topical routes of administration. It will be understood that the present invention has been described above by way of example only. The examples are not intended to limit the scope of the invention.
Various modifications and embodiments can be made without departing from the scope and spirit of the invention, which is defined by the following claims only.
Claims
Formula (I)
wherein:
Q is selected from O or S;
R1 is a saturated or unsaturated C1-C15 hydrocarbyl group, wherein the hydrocarbyl group may be straight-chained or branched, or be or include cyclic groups, wherein the hydrocarbyl group may optionally be substituted, and wherein the atom of R1 which is attached to the sulfur atom of the sulfonylurea group is not a ring atom of a cyclic group; and
R2 is a cyclic group substituted at the a-position, wherein R2 may optionally be further substituted.
2. A compound as claimed in claim 1, wherein R1 is substituted with one or more substituents independently selected from halo, C1-C4 haloalkyl, -CN, -N3, -N02, -OH, -SR8, -SOR8, -S02R8, -S02N(R8)2, -NH2, -COR8, -COOR8 or -OCOR8; wherein each -R8 is independently selected from hydrogen or a C1-C4 alkyl, C2-C4 alkenyl, C2-C4 alkynyl, C1-C4 haloalkyl or C3-C7 cycloalkyl group.
3. A compound as claimed in claim 2, wherein R1 is substituted with one or more substituents independently selected from halo, C1-C4 haloalkyl, -CN, -N3, -SR8, -SOR8, -S02R8 or -S02N(R8)2; wherein each -R8 is independently selected from hydrogen or a C1-C4 alkyl, C2-C4 alkenyl, C2-C4 alkynyl, C1-C4 haloalkyl or C3-C7 cycloalkyl group.
4. A compound as claimed in any one of claims 1 to 3, wherein R2 is a cyclic group substituted at the a and a' positions, wherein R2 may optionally be further substituted.
5. A compound as claimed in any one of claims 1 to 4, wherein:
R1 is a saturated or unsaturated Ci-C7 hydrocarbyl group, wherein the hydrocarbyl group may be straight-chained or branched, or be or include cyclic groups, wherein the hydrocarbyl group may optionally be substituted, and wherein the atom of
R1 which is attached to the sulfur atom of the sulfonylurea group is not a ring atom of a cyclic group; and
R2 is a cyclic group substituted at the a and a' positions, wherein R2 may optionally be further substituted.
6. A compound as claimed in any one of claims 1 to 4, wherein R2 is a fused cyclic group, wherein a cycloalkyl, cycloalkenyl, non-aromatic heterocyclic, aryl or heteroaryl ring is fused to the cyclic group across the α,β positions, wherein R2 is further substituted at the a' position, and wherein R2 may optionally be further substituted.
7. A compound as claimed in any one of claims 1 to 4, wherein R2 is a fused cyclic group, wherein a first cycloalkyl, cycloalkenyl, non-aromatic heterocyclic, aryl or heteroaryl ring is fused to the cyclic group across the α,β positions and a second cycloalkyl, cycloalkenyl, non-aromatic heterocyclic, aryl or heteroaryl ring is fused to the cyclic group across the α',β' positions, and wherein R2 may optionally be further substituted.
8. A compound as claimed in any one of claims 1 to 3, wherein R2 is an aryl or a heteroaryl group, wherein the aryl or the heteroaryl group is substituted at the a- position, and wherein R2 may optionally be further substituted.
9. A compound as claimed in claim 8, wherein R2 is an aryl or a heteroaryl group, wherein the aryl or the heteroaryl group is substituted at the a and a' positions, and wherein R2 may optionally be further substituted.
10. A compound as claimed in claim 9, wherein R2 is a fused aryl or a fused heteroaryl group, wherein a first cycloalkyl, cycloalkenyl, non-aromatic heterocyclic, aryl or heteroaryl ring is fused to the aryl or heteroaryl group across the α,β positions and a second cycloalkyl, cycloalkenyl, non-aromatic heterocyclic, aryl or heteroaryl ring is fused to the aryl or heteroaryl group across the α',β' positions, and wherein R2 may optionally be further substituted.
11. A compound as claimed in any one of claims 1 to 3, wherein R2 is a cyclic group substituted at the a-position with a monovalent heterocyclic group or a monovalent aromatic group, wherein a ring atom of the heterocyclic or aromatic group is directly attached to the a-ring atom of the cyclic group, wherein the heterocyclic or aromatic
group may optionally be substituted, and wherein the cyclic group may optionally be further substituted.
12. A compound as claimed in any one of claims 1 to 11, wherein Q is O.
13. A compound selected from the group consisting of:
14. A pharmaceutically acceptable salt, solvate or prodrug of a compound as claimed in any one of claims 1 to 13.
15. A pharmaceutical composition comprising a compound as claimed in any one claims 1 to 13, or a pharmaceutically acceptable salt, solvate or prodrug as claimed in claim 14, and a pharmaceutically acceptable excipient.
16. A pharmaceutical composition as claimed in claim 15, wherein the pharmaceutical composition is a topical pharmaceutical composition.
17. A compound as claimed in any one of claims 1 to 13, or a pharmaceutically acceptable salt, solvate or prodrug as claimed in claim 14, or a pharmaceutical composition as claimed in claim 15 or 16, for use in medicine.
18. A compound, pharmaceutically acceptable salt, solvate, prodrug or
pharmaceutical composition as claimed in claim 17, for use in the treatment or prevention of a disease, disorder or condition, wherein the disease, disorder or condition is responsive to NLRP3 inhibition.
19. A compound, pharmaceutically acceptable salt, solvate, prodrug or
pharmaceutical composition as claimed in claim 17 or 18, for use in the treatment or prevention of a disease, disorder or condition, wherein the disease, disorder or condition is selected from:
(i) inflammation;
(ii) an auto-immune disease;
(iii) cancer;
(iv) an infection;
(v) a central nervous system disease;
(vi) a metabolic disease;
(vii) a cardiovascular disease;
(viii) a respiratory disease;
(ix) a liver disease;
(x) a renal disease;
(xi) an ocular disease;
(xii) a skin disease;
(xiii) a lymphatic condition;
(xiv) a psychological disorder;
(xv) graft versus host disease;
(xvi) allodynia; and
(xvii) any disease where an individual has been determined to carry a germline or somatic non-silent mutation in NLRP3.
20. A compound, pharmaceutically acceptable salt, solvate, prodrug or
pharmaceutical composition as claimed in claim 17 or 18, for use in the treatment or prevention of a disease, disorder or condition, wherein the disease, disorder or condition is selected from:
(i) cryopyrin-associated periodic syndromes (CAPS);
(ii) Muckle-Wells syndrome (MWS);
(iii) familial cold autoinflammatory syndrome (FCAS);
(iv) neonatal onset multisystem inflammatory disease (NOMID);
(v) familial Mediterranean fever (FMF);
(vi) pyogenic arthritis, pyoderma gangrenosum and acne syndrome (PAPA);
(vii) hyperimmunoglobulinemia D and periodic fever syndrome (HIDS);
(viii) Tumour Necrosis Factor (TNF) Receptor- Associated Periodic Syndrome (TRAPS);
(ix) systemic j uvenile idiopathic arthritis ;
(x) adult-onset Still's disease (AOSD);
(xi) relapsing polychondritis;
(xii) Schnitzler's syndrome;
(xiii) Sweet's syndrome;
(xiv) Behcet's disease;
(xv) anti-synthetase syndrome;
(xvi) deficiency of interleukin 1 receptor antagonist (DIRA); and
(xvii) haploinsufficiency of A20 (HA20) .
21. A method of inhibiting NLRP3, the method comprising the use of a compound as claimed in any one of claims 1 to 13, or a pharmaceutically acceptable salt, solvate or prodrug as claimed in claim 14, or a pharmaceutical composition as claimed in claim 15 or 16, to inhibit NLRP3.
Priority Applications (2)
| Application Number | Priority Date | Filing Date | Title |
|---|---|---|---|
| US16/638,708 US11518739B2 (en) | 2017-08-15 | 2018-08-15 | Sulfonamide carboxamide compounds |
| EP18759582.2A EP3668840A1 (en) | 2017-08-15 | 2018-08-15 | Novel sulfonamide carboxamide compounds |
Applications Claiming Priority (20)
| Application Number | Priority Date | Filing Date | Title |
|---|---|---|---|
| GBGB1713085.7A GB201713085D0 (en) | 2017-08-15 | 2017-08-15 | Novel compounds |
| GB1713085.7 | 2017-08-15 | ||
| GBGB1713083.2A GB201713083D0 (en) | 2017-08-15 | 2017-08-15 | Novel compounds |
| GB1713083.2 | 2017-08-15 | ||
| GBGB1713082.4A GB201713082D0 (en) | 2017-08-15 | 2017-08-15 | Novel compounds |
| GB1713082.4 | 2017-08-15 | ||
| GBGB1718564.6A GB201718564D0 (en) | 2017-11-09 | 2017-11-09 | Novel compounds |
| GBGB1718563.8A GB201718563D0 (en) | 2017-11-09 | 2017-11-09 | Novel compounds |
| GB1718564.6 | 2017-11-09 | ||
| GB1718563.8 | 2017-11-09 | ||
| GBGB1718565.3A GB201718565D0 (en) | 2017-11-09 | 2017-11-09 | Novel compounds |
| GB1718565.3 | 2017-11-09 | ||
| GB1721726.6 | 2017-12-22 | ||
| GBGB1721726.6A GB201721726D0 (en) | 2017-12-22 | 2017-12-22 | Novel compounds |
| GBGB1810983.5A GB201810983D0 (en) | 2018-07-04 | 2018-07-04 | Novel compounds |
| GB1810983.5 | 2018-07-04 | ||
| GB1812226.7 | 2018-07-26 | ||
| GB1812225.9 | 2018-07-26 | ||
| GBGB1812226.7A GB201812226D0 (en) | 2018-07-26 | 2018-07-26 | Novel compounds |
| GBGB1812225.9A GB201812225D0 (en) | 2018-07-26 | 2018-07-26 | Novel compounds |
Publications (1)
| Publication Number | Publication Date |
|---|---|
| WO2019034697A1 true WO2019034697A1 (en) | 2019-02-21 |
Family
ID=63371672
Family Applications (1)
| Application Number | Title | Priority Date | Filing Date |
|---|---|---|---|
| PCT/EP2018/072134 Ceased WO2019034697A1 (en) | 2017-08-15 | 2018-08-15 | Novel sulfonamide carboxamide compounds |
Country Status (3)
| Country | Link |
|---|---|
| US (1) | US11518739B2 (en) |
| EP (1) | EP3668840A1 (en) |
| WO (1) | WO2019034697A1 (en) |
Cited By (48)
| Publication number | Priority date | Publication date | Assignee | Title |
|---|---|---|---|---|
| WO2019166619A1 (en) * | 2018-03-02 | 2019-09-06 | Inflazome Limited | Novel compounds |
| WO2019211463A1 (en) | 2018-05-04 | 2019-11-07 | Inflazome Limited | Novel compounds |
| WO2020010143A1 (en) | 2018-07-03 | 2020-01-09 | Novartis Inflammasome Research, Inc. | Nlrp modulators |
| WO2020035466A1 (en) | 2018-08-15 | 2020-02-20 | Inflazome Limited | Novel sulfoneurea compounds |
| WO2020035464A1 (en) | 2018-08-15 | 2020-02-20 | Inflazome Limited | Novel sulfonamideurea compounds |
| WO2020035465A1 (en) | 2017-08-15 | 2020-02-20 | Inflazome Limited | Novel sulfoneurea compounds |
| WO2020086732A1 (en) | 2018-10-24 | 2020-04-30 | Novartis Inflammasome Research, Inc. | Compounds and compositions for treating conditions associated with nlrp activity |
| WO2020104657A1 (en) | 2018-11-23 | 2020-05-28 | Inflazome Limited | Nlrp3 inhibitors |
| WO2020208249A1 (en) | 2019-04-12 | 2020-10-15 | Inflazome Limited | Nlrp3 inflammasome inhibition |
| WO2020254697A1 (en) | 2019-06-21 | 2020-12-24 | Ac Immune Sa | Fused 1,2 thiazoles and 1,2 thiazines which act as nl3p3 modulators |
| WO2021032591A1 (en) | 2019-08-16 | 2021-02-25 | Inflazome Limited | Macrocyclic sulfonylurea derivatives useful as nlrp3 inhibitors |
| WO2021043966A1 (en) | 2019-09-06 | 2021-03-11 | Inflazome Limited | Nlrp3 inhibitors |
| WO2021111351A1 (en) * | 2019-12-03 | 2021-06-10 | Cadila Healthcare Limited | Novel substituted sulfonylurea and sulfoximineurea derivatives |
| US11040985B2 (en) | 2017-01-23 | 2021-06-22 | Genentech, Inc. | Chemical compounds as inhibitors of interleukin-1 activity |
| WO2021165245A1 (en) | 2020-02-18 | 2021-08-26 | Inflazome Limited | Compounds |
| WO2021255279A1 (en) | 2020-06-19 | 2021-12-23 | Ac Immune Sa | D i h yd rooxazo le and thiourea derivatives modulating the nlrp3 inflammasome pathway |
| US11370776B2 (en) | 2017-07-07 | 2022-06-28 | Inflazome Limited | Sulfonylureas and sulfonylthioureas as NLRP3 inhibitors |
| CN114746087A (en) * | 2019-09-12 | 2022-07-12 | 载度思生命科学有限公司 | Novel substituted sulfoximine derivatives |
| WO2022171185A1 (en) * | 2021-02-10 | 2022-08-18 | 杭州英创医药科技有限公司 | Compound serving as nlrp3 inhibitor |
| US11518739B2 (en) | 2017-08-15 | 2022-12-06 | Inflazome Limited | Sulfonamide carboxamide compounds |
| US11518757B2 (en) | 2017-12-18 | 2022-12-06 | NodThera Limited | Sulphonyl urea derivatives as NLRP3 inflammasome modulators |
| US11530200B2 (en) | 2018-03-02 | 2022-12-20 | Inflazome Limited | Compounds |
| US11542255B2 (en) | 2017-08-15 | 2023-01-03 | Inflazome Limited | Sulfonylureas and sulfonylthioureas as NLRP3 inhibitors |
| US11560391B2 (en) | 2018-07-20 | 2023-01-24 | Genentech, Inc. | Sulfonylurea compounds as inhibitors of interleukin-1 activity |
| JP2023515209A (en) * | 2020-02-28 | 2023-04-12 | ザイダス・ライフサイエンシーズ・リミテッド | Novel substituted sulfonylurea and sulfoximine urea derivatives |
| WO2023118521A1 (en) | 2021-12-22 | 2023-06-29 | Ac Immune Sa | Dihydro-oxazol derivative compounds |
| US11773058B2 (en) | 2017-08-15 | 2023-10-03 | Inflazome Limited | Sulfonamide carboxamide compounds |
| US11834433B2 (en) | 2018-03-02 | 2023-12-05 | Inflazome Limited | Compounds |
| US11840543B2 (en) | 2017-05-24 | 2023-12-12 | The University Of Queensland | Compounds and uses |
| WO2024013395A1 (en) | 2022-07-14 | 2024-01-18 | Ac Immune Sa | Pyrrolotriazine and imidazotriazine derivatives as modulators of the nlrp3 inflammasome pathway |
| US11884645B2 (en) | 2018-03-02 | 2024-01-30 | Inflazome Limited | Sulfonyl acetamides as NLRP3 inhibitors |
| WO2024023266A1 (en) | 2022-07-28 | 2024-02-01 | Ac Immune Sa | Novel compounds |
| US11926600B2 (en) | 2017-08-15 | 2024-03-12 | Inflazome Limited | Sulfonylureas and sulfonylthioureas as NLRP3 inhibitors |
| US12012392B2 (en) | 2017-11-09 | 2024-06-18 | Inflazome Limited | Sulfonamide carboxamide compounds |
| US12030879B2 (en) | 2018-03-02 | 2024-07-09 | Inflazome Limited | Sulfonyl acetamides as NLRP3 inhibitors |
| US12054461B2 (en) | 2019-06-12 | 2024-08-06 | NodThera Limited | Sulfonylurea derivatives and uses thereof |
| WO2024224297A1 (en) * | 2023-04-25 | 2024-10-31 | 제이더블유중외제약 주식회사 | Method for preparing 4-aminoindan and method for preparing dihydroindenyl-pyrazolo[3,4-b]pyridine-amine |
| WO2024224298A1 (en) * | 2023-04-25 | 2024-10-31 | 제이더블유중외제약 주식회사 | Method of preparing 4-aminoindan and method of preparing dihydroindenyl-pyrazolo[3,4-b]pyridine-amine compound |
| WO2024249539A1 (en) | 2023-06-02 | 2024-12-05 | Merck Sharp & Dohme Llc | 5,6 unsaturated bicyclic heterocyles useful as inhibitors of nod-like receptor protein 3 |
| US12168653B2 (en) | 2018-03-02 | 2024-12-17 | Inflazome Limited | Sulfonamide derivates as NLRP3 inhibitors |
| US12221434B2 (en) | 2017-11-09 | 2025-02-11 | Inflazome Limited | Sulfonamide carboxamide compounds |
| US12234245B2 (en) | 2018-07-20 | 2025-02-25 | Genentech, Inc. | Sulfonimidamide compounds as inhibitors of interleukin-1 activity |
| WO2025113692A1 (en) * | 2023-12-01 | 2025-06-05 | 拜西欧斯(北京)生物技术有限公司 | Sulfonylurea derivative and use thereof |
| WO2025133307A1 (en) | 2023-12-22 | 2025-06-26 | Ac Immune Sa | Heterocyclic modulators of the nlrp3 inflammasome pathway |
| WO2025153532A1 (en) | 2024-01-16 | 2025-07-24 | NodThera Limited | Nlrp3 inhibitors and glp-1 agonists combination therapies |
| WO2025153625A1 (en) | 2024-01-17 | 2025-07-24 | Ac Immune Sa | Imidazo[1,2-d][1,2,4]triazine derivatives for use as inhibitors of the nlrp3 inflammasome pathway |
| WO2025153624A1 (en) | 2024-01-17 | 2025-07-24 | Ac Immune Sa | Imidazo[1,2-d][1,2,4]triazine derivatives for use as inhibitors of the nlrp3 inflammasome pathway |
| WO2025163069A1 (en) | 2024-01-31 | 2025-08-07 | Ac Immune Sa | Novel compounds |
Families Citing this family (5)
| Publication number | Priority date | Publication date | Assignee | Title |
|---|---|---|---|---|
| EP3658539B1 (en) | 2017-07-24 | 2024-02-21 | Novartis AG | Compounds and compositions for treating conditions associated with nlrp activity |
| BR112020002948A2 (en) * | 2017-08-15 | 2020-08-11 | Inflazome Limited | new sulfonamide-carboxamide compounds |
| WO2020102098A1 (en) | 2018-11-13 | 2020-05-22 | Novartis Inflammasome Research, Inc. | Compounds and compositions for treating conditions associated with nlrp activity |
| EP3880666B1 (en) | 2018-11-13 | 2023-06-28 | Novartis AG | Compounds and compositions for treating conditions associated with nlrp activity |
| WO2023211929A1 (en) * | 2022-04-25 | 2023-11-02 | Vanderbilt University | Probes and methods for targeted visualization of nlrp3 inflammasomes |
Citations (24)
| Publication number | Priority date | Publication date | Assignee | Title |
|---|---|---|---|---|
| DE845042C (en) * | 1950-07-14 | 1952-07-28 | Basf Ag | Process for the preparation of sulfonyl urethanes, ureas or carboxylic acid amides |
| US4076809A (en) * | 1975-10-28 | 1978-02-28 | Rohm And Haas Company | Phosphonoureide and phosphonothioureide anthelmintics |
| US4086336A (en) * | 1972-05-26 | 1978-04-25 | Rohm And Haas Company | Phosphonothioureide anthelmintics |
| US4260824A (en) * | 1979-09-21 | 1981-04-07 | Stauffer Chemical Company | Sulfonylurea herbicidal antidotes |
| WO1993004046A1 (en) * | 1991-08-19 | 1993-03-04 | E.I. Du Pont De Nemours And Company | Angiotensin ii receptor blocking imidazolinone derivatives |
| WO1993008161A1 (en) * | 1991-10-15 | 1993-04-29 | Warner-Lambert Company | Sulfonyl urea and carbamate acat inhibitors |
| JPH0695296A (en) * | 1992-09-16 | 1994-04-08 | Fuji Photo Film Co Ltd | Silver halide color photographic sensitive material |
| EP0604832A2 (en) * | 1992-12-18 | 1994-07-06 | New Oji Paper Co., Ltd. | Thermosensitive recording material |
| JPH08324127A (en) * | 1995-05-31 | 1996-12-10 | Nippon Paper Ind Co Ltd | Thermal recording material |
| JPH0986050A (en) * | 1995-09-28 | 1997-03-31 | Nippon Paper Ind Co Ltd | Thermal recording material |
| EP0885890A1 (en) * | 1996-02-26 | 1998-12-23 | Sumitomo Pharmaceuticals Company, Limited | Sulfonylureidopyrazole derivatives |
| EP1167366A1 (en) * | 1999-04-07 | 2002-01-02 | Sankyo Company, Limited | Amine derivatives |
| EP1236468A1 (en) * | 2001-02-12 | 2002-09-04 | Warner-Lambert Company | Sulfonylaminocarbonyl derivatives for the treatment of nuclear factor-kappa B mediated diseases and disorders |
| WO2013037960A1 (en) * | 2011-09-16 | 2013-03-21 | Laboratorios Del Dr. Esteve, S.A. | Ep1 receptor ligands |
| WO2015038503A1 (en) * | 2013-09-13 | 2015-03-19 | E. I. Du Pont De Nemours And Company | Heterocycle-substituted bicyclic azole pesticides |
| WO2016131098A1 (en) * | 2015-02-16 | 2016-08-25 | The University Of Queensland | Sulfonylureas and related compounds and use of same |
| WO2017140778A1 (en) * | 2016-02-16 | 2017-08-24 | The University Of Queensland | Sulfonylureas and related compounds and use of same |
| WO2017189652A1 (en) * | 2016-04-26 | 2017-11-02 | Enanta Pharmaceuticals, Inc. | Isoxazole derivatives as fxr agonists and methods of use thereof |
| WO2017189651A1 (en) * | 2016-04-26 | 2017-11-02 | Enanta Pharmaceuticals, Inc. | Isoxazole derivatives as fxr agonists and methods of use thereof |
| WO2017189663A1 (en) * | 2016-04-26 | 2017-11-02 | Enanta Pharmaceuticals, Inc. | Isoxazole derivatives as fxr agonists and methods of use thereof |
| WO2017201150A1 (en) * | 2016-05-18 | 2017-11-23 | Enanta Pharmaceuticals, Inc. | Isoxazole analogs as fxr agonists and methods of use thereof |
| WO2018093579A1 (en) * | 2016-11-16 | 2018-05-24 | Amgen Inc. | Triazole phenyl compounds as agonists of the apj receptor |
| WO2018097945A1 (en) * | 2016-11-16 | 2018-05-31 | Amgen Inc. | Heteroaryl-substituted triazoles as apj receptor agonists |
| WO2018136890A1 (en) * | 2017-01-23 | 2018-07-26 | Jecure Therapeutics, Inc. | Chemical compounds as inhibitors of interleukin-1 activity |
Family Cites Families (72)
| Publication number | Priority date | Publication date | Assignee | Title |
|---|---|---|---|---|
| GB909318A (en) | 1960-08-22 | 1962-10-31 | Ferrania Spa | Improvements in the preparation of photographic colour images by colour development |
| JPS5334495B2 (en) | 1972-05-10 | 1978-09-21 | ||
| OA04407A (en) | 1972-05-26 | 1980-02-29 | Rohm & Haas | Process for the preparation of substituted arylene anthelmintics. |
| US3845176A (en) | 1972-10-18 | 1974-10-29 | Rohm & Haas | Process for making phosphonothioureides |
| GB1470178A (en) | 1973-03-12 | 1977-04-14 | Konishiroku Photo Ind | Gelating hardening process |
| JPS49135952A (en) | 1973-04-25 | 1974-12-27 | ||
| JPS5035134A (en) | 1973-04-25 | 1975-04-03 | ||
| JPS5050341A (en) | 1973-08-31 | 1975-05-06 | ||
| DE3111451A1 (en) | 1981-03-24 | 1982-10-07 | Hoechst Ag, 6000 Frankfurt | "HETEROCYCLICALLY SUBSTITUTED (HALOGEN) ALKYL AND ALKOXYSULFONYL UREAS, METHODS FOR THEIR PRODUCTION AND THEIR USE IN AGRICULTURE" |
| US4802908A (en) | 1987-01-22 | 1989-02-07 | E. I. Du Pont De Nemours And Company | Herbicidal 2-(1H)-pyrazinones |
| JPS63250652A (en) | 1987-04-08 | 1988-10-18 | Fuji Photo Film Co Ltd | Method for processing color photographic sensitive material |
| JP3089621B2 (en) | 1990-12-17 | 2000-09-18 | 日産化学工業株式会社 | Uracil derivatives |
| WO1993004045A1 (en) | 1991-08-19 | 1993-03-04 | E.I. Du Pont De Nemours And Company | Angiotensin ii receptor blocking imidazolinone derivatives |
| US5219856A (en) | 1992-04-06 | 1993-06-15 | E. I. Du Pont De Nemours And Company | Angiotensin-II receptor blocking, heterocycle substituted imidazoles |
| JPH06199054A (en) | 1992-12-28 | 1994-07-19 | Dainippon Printing Co Ltd | Heat transfer sheet |
| JPH06199053A (en) | 1992-12-28 | 1994-07-19 | Sankyo Kagaku Kk | Color element for heat transfer recording |
| JP3196404B2 (en) | 1993-03-16 | 2001-08-06 | 王子製紙株式会社 | Thermal recording medium |
| JP3063070B2 (en) | 1995-04-21 | 2000-07-12 | 日本製紙株式会社 | Recorded body |
| AU723895B2 (en) | 1997-01-29 | 2000-09-07 | Pfizer Inc. | Sulfonyl urea derivatives and their use in the control of interleukin-1 activity |
| JP2000053649A (en) | 1998-08-11 | 2000-02-22 | Sumitomo Pharmaceut Co Ltd | Sulfonylureidopyrazole derivatives |
| US6531477B1 (en) | 1998-10-13 | 2003-03-11 | Dupont Pharmaceuticals Company | 6-substituted pyrazolo [3,4-d] pyrimidin-4-ones useful as cyclin dependent kinase inhibitors |
| EP1214087A1 (en) | 1999-09-14 | 2002-06-19 | Pfizer Products Inc. | Combination treatment with il-1ra and compounds that inhibit il-1 processing and release |
| AU2001239469A1 (en) | 2000-03-31 | 2001-10-08 | Pfizer Products Inc. | Novel piperazine derivatives |
| GB0017676D0 (en) | 2000-07-19 | 2000-09-06 | Angeletti P Ist Richerche Bio | Inhibitors of viral polymerase |
| OA12670A (en) | 2001-10-22 | 2006-06-20 | Pfizer Prod Inc | Piperazine derivatives with ccr1 receptor antagonist activity. |
| DK1441734T3 (en) | 2001-10-26 | 2007-06-11 | Angeletti P Ist Richerche Bio | Dihydroxypyrimidine carboxamide inhibitors and HIV integrase |
| JP2005522495A (en) | 2002-04-11 | 2005-07-28 | カルボマー インク | New diabetes imaging probe |
| US7109354B2 (en) | 2002-05-28 | 2006-09-19 | 3-Dimensional Pharmaceuticals, Inc. | Thiophene amidines, compositions thereof, and methods of treating complement-mediated diseases and conditions |
| SE0202133D0 (en) | 2002-07-08 | 2002-07-08 | Astrazeneca Ab | Novel compounds |
| US20040092529A1 (en) | 2002-10-30 | 2004-05-13 | Pfizer Inc | Methods of using piperazine derivatives |
| JP2005300575A (en) | 2004-04-06 | 2005-10-27 | Konica Minolta Medical & Graphic Inc | Heat developable photosensitive material |
| WO2006085815A1 (en) | 2005-02-11 | 2006-08-17 | Astrazeneca Ab | Thiazole derivatives, their process for their preparation and their use in therapy |
| BRPI0502016B8 (en) | 2005-06-03 | 2021-05-25 | Univ Federal Do Rio De Janeiro Ufrj | ureid compounds, pharmaceutical compositions containing them and their use in the treatment of inflammatory diseases |
| TWI391378B (en) | 2006-03-16 | 2013-04-01 | Astellas Pharma Inc | Quinolone derivative or pharmaceutically acceptable salt thereof |
| GB0701426D0 (en) | 2007-01-25 | 2007-03-07 | Univ Sheffield | Compounds and their use |
| WO2008102749A1 (en) | 2007-02-20 | 2008-08-28 | Takeda Pharmaceutical Company Limited | Heterocyclic compound |
| WO2009065096A1 (en) | 2007-11-16 | 2009-05-22 | University Of Medicine And Dentistry Of New Jersey | Mechanism-based small-molecule parasite inhibitors |
| US7632632B1 (en) | 2008-06-27 | 2009-12-15 | Eastman Kodak Company | Color photographic materials with magenta minimum density dyes |
| IN2013MU01124A (en) | 2013-03-25 | 2015-07-03 | Krishna Ashokkumar Gajjar | |
| WO2016144351A1 (en) | 2015-03-11 | 2016-09-15 | E. I. Du Pont De Nemours And Company | Heterocycle-substituted bicyclic azole pesticides |
| CN105906535B (en) | 2016-05-16 | 2018-10-16 | 沈阳农业大学 | Protect crops from the safener of herbicide damage, combination agent and application method |
| BR112019024831A2 (en) | 2017-05-24 | 2020-06-09 | The University Of Queensland | compound, salt, solvate or prodrug, pharmaceutical composition, method of treating or preventing a disease, method of inhibiting nlrp3 |
| PT3661925T (en) | 2017-07-07 | 2022-01-31 | Inflazome Ltd | Novel sulfonamide carboxamide compounds |
| EP3649112A1 (en) | 2017-07-07 | 2020-05-13 | Inflazome Limited | Sulfonylureas and sulfonylthioureas as nlrp3 inhibitors |
| EP3668840A1 (en) | 2017-08-15 | 2020-06-24 | Inflazome Limited | Novel sulfonamide carboxamide compounds |
| JP2020531453A (en) | 2017-08-15 | 2020-11-05 | インフレイゾーム リミテッド | Sulfonylurea and Sulfonylurea as NLRP3 Inhibitors |
| BR112020002948A2 (en) | 2017-08-15 | 2020-08-11 | Inflazome Limited | new sulfonamide-carboxamide compounds |
| EP3668862A1 (en) | 2017-08-15 | 2020-06-24 | Inflazome Limited | Novel sulfonamide carboxamide compounds |
| WO2019034696A1 (en) | 2017-08-15 | 2019-02-21 | Inflazome Limited | Novel sulfonamide carboxamide compounds |
| WO2019034693A1 (en) | 2017-08-15 | 2019-02-21 | Inflazome Limited | Sulfonylureas and sulfonylthioureas as nlrp3 inhibitors |
| WO2019034692A1 (en) | 2017-08-15 | 2019-02-21 | Inflazome Limited | Sulfonylureas and sulfonylthioureas as nlrp3 inhibitors |
| WO2019043610A1 (en) | 2017-08-31 | 2019-03-07 | Cadila Healthcare Limited | Novel substituted sulfonylurea derivatives |
| WO2019068772A1 (en) | 2017-10-03 | 2019-04-11 | Inflazome Limited | Novel compounds |
| US12221434B2 (en) | 2017-11-09 | 2025-02-11 | Inflazome Limited | Sulfonamide carboxamide compounds |
| WO2019092172A1 (en) | 2017-11-09 | 2019-05-16 | Inflazome Limited | Novel sulfonamide carboxamide compounds |
| JP2021502364A (en) | 2017-11-09 | 2021-01-28 | インフレイゾーム リミテッド | New sulfonamide carboxamide compounds |
| US11884645B2 (en) | 2018-03-02 | 2024-01-30 | Inflazome Limited | Sulfonyl acetamides as NLRP3 inhibitors |
| EP3759103A1 (en) | 2018-03-02 | 2021-01-06 | Inflazome Limited | Novel compounds |
| US12168653B2 (en) | 2018-03-02 | 2024-12-17 | Inflazome Limited | Sulfonamide derivates as NLRP3 inhibitors |
| WO2019166624A1 (en) | 2018-03-02 | 2019-09-06 | Inflazome Limited | Novel compounds |
| GB201803394D0 (en) | 2018-03-02 | 2018-04-18 | Inflazome Ltd | Novel compounds |
| US11834433B2 (en) | 2018-03-02 | 2023-12-05 | Inflazome Limited | Compounds |
| GB201803393D0 (en) | 2018-03-02 | 2018-04-18 | Inflazome Ltd | Novel compounds |
| WO2019166619A1 (en) | 2018-03-02 | 2019-09-06 | Inflazome Limited | Novel compounds |
| WO2019166629A1 (en) | 2018-03-02 | 2019-09-06 | Inflazome Limited | Novel compounds |
| GB201806578D0 (en) | 2018-04-23 | 2018-06-06 | Inflazome Ltd | Novel compound |
| MA52489A (en) | 2018-05-04 | 2021-03-10 | Inflazome Ltd | NEW COMPOUNDS |
| KR20210053910A (en) | 2018-08-15 | 2021-05-12 | 인플라좀 리미티드 | Novel Sulfonamide Urea Compound |
| GB201902327D0 (en) | 2019-02-20 | 2019-04-03 | Inflazome Ltd | Novel compounds |
| GB201817038D0 (en) | 2018-10-19 | 2018-12-05 | Inflazome Ltd | Novel processes |
| GB201819083D0 (en) | 2018-11-23 | 2019-01-09 | Inflazome Ltd | Novel compounds |
| JP2022545407A (en) | 2019-08-16 | 2022-10-27 | インフレイゾーム リミテッド | Macrocyclic Sulfonylamide Derivatives Useful as NLRP3 Inhibitors |
-
2018
- 2018-08-15 EP EP18759582.2A patent/EP3668840A1/en active Pending
- 2018-08-15 US US16/638,708 patent/US11518739B2/en active Active
- 2018-08-15 WO PCT/EP2018/072134 patent/WO2019034697A1/en not_active Ceased
Patent Citations (24)
| Publication number | Priority date | Publication date | Assignee | Title |
|---|---|---|---|---|
| DE845042C (en) * | 1950-07-14 | 1952-07-28 | Basf Ag | Process for the preparation of sulfonyl urethanes, ureas or carboxylic acid amides |
| US4086336A (en) * | 1972-05-26 | 1978-04-25 | Rohm And Haas Company | Phosphonothioureide anthelmintics |
| US4076809A (en) * | 1975-10-28 | 1978-02-28 | Rohm And Haas Company | Phosphonoureide and phosphonothioureide anthelmintics |
| US4260824A (en) * | 1979-09-21 | 1981-04-07 | Stauffer Chemical Company | Sulfonylurea herbicidal antidotes |
| WO1993004046A1 (en) * | 1991-08-19 | 1993-03-04 | E.I. Du Pont De Nemours And Company | Angiotensin ii receptor blocking imidazolinone derivatives |
| WO1993008161A1 (en) * | 1991-10-15 | 1993-04-29 | Warner-Lambert Company | Sulfonyl urea and carbamate acat inhibitors |
| JPH0695296A (en) * | 1992-09-16 | 1994-04-08 | Fuji Photo Film Co Ltd | Silver halide color photographic sensitive material |
| EP0604832A2 (en) * | 1992-12-18 | 1994-07-06 | New Oji Paper Co., Ltd. | Thermosensitive recording material |
| JPH08324127A (en) * | 1995-05-31 | 1996-12-10 | Nippon Paper Ind Co Ltd | Thermal recording material |
| JPH0986050A (en) * | 1995-09-28 | 1997-03-31 | Nippon Paper Ind Co Ltd | Thermal recording material |
| EP0885890A1 (en) * | 1996-02-26 | 1998-12-23 | Sumitomo Pharmaceuticals Company, Limited | Sulfonylureidopyrazole derivatives |
| EP1167366A1 (en) * | 1999-04-07 | 2002-01-02 | Sankyo Company, Limited | Amine derivatives |
| EP1236468A1 (en) * | 2001-02-12 | 2002-09-04 | Warner-Lambert Company | Sulfonylaminocarbonyl derivatives for the treatment of nuclear factor-kappa B mediated diseases and disorders |
| WO2013037960A1 (en) * | 2011-09-16 | 2013-03-21 | Laboratorios Del Dr. Esteve, S.A. | Ep1 receptor ligands |
| WO2015038503A1 (en) * | 2013-09-13 | 2015-03-19 | E. I. Du Pont De Nemours And Company | Heterocycle-substituted bicyclic azole pesticides |
| WO2016131098A1 (en) * | 2015-02-16 | 2016-08-25 | The University Of Queensland | Sulfonylureas and related compounds and use of same |
| WO2017140778A1 (en) * | 2016-02-16 | 2017-08-24 | The University Of Queensland | Sulfonylureas and related compounds and use of same |
| WO2017189652A1 (en) * | 2016-04-26 | 2017-11-02 | Enanta Pharmaceuticals, Inc. | Isoxazole derivatives as fxr agonists and methods of use thereof |
| WO2017189651A1 (en) * | 2016-04-26 | 2017-11-02 | Enanta Pharmaceuticals, Inc. | Isoxazole derivatives as fxr agonists and methods of use thereof |
| WO2017189663A1 (en) * | 2016-04-26 | 2017-11-02 | Enanta Pharmaceuticals, Inc. | Isoxazole derivatives as fxr agonists and methods of use thereof |
| WO2017201150A1 (en) * | 2016-05-18 | 2017-11-23 | Enanta Pharmaceuticals, Inc. | Isoxazole analogs as fxr agonists and methods of use thereof |
| WO2018093579A1 (en) * | 2016-11-16 | 2018-05-24 | Amgen Inc. | Triazole phenyl compounds as agonists of the apj receptor |
| WO2018097945A1 (en) * | 2016-11-16 | 2018-05-31 | Amgen Inc. | Heteroaryl-substituted triazoles as apj receptor agonists |
| WO2018136890A1 (en) * | 2017-01-23 | 2018-07-26 | Jecure Therapeutics, Inc. | Chemical compounds as inhibitors of interleukin-1 activity |
Non-Patent Citations (14)
| Title |
|---|
| BOUZARD ET AL: "3-Aminopenams and derivatives", EUROPEAN JOURNAL OF MEDICINAL CHEMISTRY, EDITIONS SCIENTIFIQUE ELSEVIER, PARIS, FR, vol. 18, no. 5, 1 January 1983 (1983-01-01), pages 405 - 411, XP009508537, ISSN: 0223-5234 * |
| DATABASE REGISTRY [online] CHEMICAL ABSTRACTS SERVICE, COLUMBUS, OHIO, US; 23 March 2018 (2018-03-23), "1-Butanesulfonamide, N-[(1-naphthalenylamino)carbonyl]-", XP002785596, Database accession no. 2197656-95-2 * |
| DATABASE REGISTRY [online] CHEMICAL ABSTRACTS SERVICE, COLUMBUS, OHIO, US; 27 March 2018 (2018-03-27), "1-Butanesulfonamide, N-[(8-quinolinylamino)carbonyl]-", XP002785597, Database accession no. 2199926-12-8 * |
| DATABASE REGISTRY [online] CHEMICAL ABSTRACTS SERVICE, COLUMBUS, OHIO, US; 7 December 2011 (2011-12-07), "1-hexadecasulfonamide, N-[[(2,4,6-trimethoxyphenyl)amino]carbonyl]-", XP002785594, Database accession no. 1350208-07-9 * |
| DATABASE REGISTRY [online] CHEMICAL ABSTRACTS SERVICE, COLUMBUS, OHIO, US; 9 June 2008 (2008-06-09), "Pentadecanesulfonamide, N-[[2,6-bis(1-methylethyl)phenyl]amino]carbonyl]-", XP002785595, Database accession no. 1026818-73-4 * |
| HAAS ALOIS ET AL: "(Perhalomethylthio)heterocycles, XXII - N-Functionalisation of 2,3,4,5-Tetrakis(trifluoromethylthio)pyrrole = (Perhalogenmethylthio)heterocyclen, XXII. N-Funktionalisierung von 2,3,4,5-Tetrakis(trifluormethylthio)pyrrol", CHEMISCHE BERICHTE, VCH, DE, vol. 118, no. 11, 1 November 1985 (1985-11-01), pages 4588 - 4596, XP009508578, ISSN: 0009-2940, DOI: 10.1002/CBER.19851181129 * |
| LOHRMANN E ET AL: "A NEW CLASS OF INHIBITORS OF CAMP-MEDIATED CL- SECRETION IN RABBIT COLON, ACTING BY THE REDUCTION OF CAMP-ACTIVATED K+ CONDUCTANCE", PFLUEGERS ARCHIV: EUROPEAN JOURNAL OF PHYSIOLOGY, SPRINGER VERLAG, BERLIN, DE, vol. 429, 1 January 1995 (1995-01-01), pages 517 - 530, XP002038768, ISSN: 0031-6768, DOI: 10.1007/BF00704157 * |
| M ZBIROVSKY ET AL: "Synthesis of 5-(Subst.Imino)-1,3,4-dithiazolidine 3,3-dioxides by reaction of isothiocyanates with chloromethanesukfonamide", COLLECTION OF CZECHOSLOVAK CHEMICAL COMMUNICATIONS, vol. 42, no. 9, 1 January 1977 (1977-01-01), pages 2672 - 2679, XP055513839 * |
| MICHAEL R C GERSTENBERGEG ET AL: "48. (Perhalogenmethy1thio)heterocyclen. XII'). Herstellung von Perfluoroalkylsulfonylharnstoff-Derivaten sowie CCl, -.F,X-substituierten Heterocyclen und deren biologische Wirkung", 1 January 1982 (1982-01-01), pages 48, XP055514218, Retrieved from the Internet <URL:https://onlinelibrary.wiley.com/doi/pdf/10.1002/hlca.19820650207> * |
| NEIDLEIN R ET AL: "SYNTHESE VON HETEROCYCLEN MIT N-DICHLORMETHYLENSULFONAMIDEN//SYNTHESES OF HETEROCYCLIC COMPOUNDS FROM N-DICHLOROMETHENESULFONAMIDES", ARCHIV DER PHARMAZIE UND BERICHTE DER DEUTSCHEN PHARMAZEUTISCHEN GESELLSC, VERLAG CHEMIE, WEINHEIM, DE, vol. 304, no. 10, 1 January 1971 (1971-01-01), pages 763 - 773, XP009011622, ISSN: 0376-0367 * |
| NEIL L ALLAN ET AL: "Quantum molecular similarity via momentum-space indices", JOURNAL OF MATHEMATICAL CHEMISTRY, 1 April 1998 (1998-04-01), New York, pages 51 - 60, XP055514334, Retrieved from the Internet <URL:https://link.springer.com/content/pdf/10.1023/A:1019165023444.pdf> DOI: 10.1023/A:1019165023444 * |
| PING LAN ET AL: "3D-QSAR studies and molecular docking on [5-(4-amino-1-benzoimidazol-2-yl)-furan-2-yl]-phosphonic acid derivatives as fructose-1,6-biphophatase inhibitors", JOURNAL OF COMPUTER-AIDED MOLECULAR DESIGN, KLUWER ACADEMIC PUBLISHERS, DO, vol. 24, no. 12, 20 October 2010 (2010-10-20), pages 993 - 1008, XP019863449, ISSN: 1573-4951, DOI: 10.1007/S10822-010-9391-Z * |
| ROTH B D ET AL: "Inhibitors of acyl-CoA: cholesterol acyltransferase (ACAT). 15. sulfonylurea inhibitors with excellent hypocholesterolemic activity in vivo", BIOORGANIC & MEDICINAL CHEMISTRY LETTERS, PERGAMON, AMSTERDAM, NL, vol. 5, no. 20, 19 October 1995 (1995-10-19), pages 2367 - 2370, XP004135266, ISSN: 0960-894X, DOI: 10.1016/0960-894X(95)00408-L * |
| ZHI-JUN ZHANG ET AL: "Design, synthesis and cytotoxic activity of novel sulfonylurea derivatives of podophyllotoxin", BIOORGANIC & MEDICINAL CHEMISTRY, vol. 22, no. 1, 1 January 2014 (2014-01-01), GB, pages 204 - 210, XP055513719, ISSN: 0968-0896, DOI: 10.1016/j.bmc.2013.11.035 * |
Cited By (56)
| Publication number | Priority date | Publication date | Assignee | Title |
|---|---|---|---|---|
| US11040985B2 (en) | 2017-01-23 | 2021-06-22 | Genentech, Inc. | Chemical compounds as inhibitors of interleukin-1 activity |
| US11702428B2 (en) | 2017-01-23 | 2023-07-18 | Genentech, Inc. | Chemical compounds as inhibitors of interleukin-1 activity |
| US11840543B2 (en) | 2017-05-24 | 2023-12-12 | The University Of Queensland | Compounds and uses |
| US11370776B2 (en) | 2017-07-07 | 2022-06-28 | Inflazome Limited | Sulfonylureas and sulfonylthioureas as NLRP3 inhibitors |
| US11926600B2 (en) | 2017-08-15 | 2024-03-12 | Inflazome Limited | Sulfonylureas and sulfonylthioureas as NLRP3 inhibitors |
| WO2020035465A1 (en) | 2017-08-15 | 2020-02-20 | Inflazome Limited | Novel sulfoneurea compounds |
| US11773058B2 (en) | 2017-08-15 | 2023-10-03 | Inflazome Limited | Sulfonamide carboxamide compounds |
| US11518739B2 (en) | 2017-08-15 | 2022-12-06 | Inflazome Limited | Sulfonamide carboxamide compounds |
| US11613542B2 (en) | 2017-08-15 | 2023-03-28 | Inflazome Limited | Sulfonylureas and sulfonylthioureas as NLRP3 inhibitors |
| US11542255B2 (en) | 2017-08-15 | 2023-01-03 | Inflazome Limited | Sulfonylureas and sulfonylthioureas as NLRP3 inhibitors |
| US12221434B2 (en) | 2017-11-09 | 2025-02-11 | Inflazome Limited | Sulfonamide carboxamide compounds |
| US12012392B2 (en) | 2017-11-09 | 2024-06-18 | Inflazome Limited | Sulfonamide carboxamide compounds |
| US12459925B2 (en) | 2017-12-18 | 2025-11-04 | NodThera Limited | Sulphonyl urea derivatives as NLRP3 inflammasome modulators |
| US11518757B2 (en) | 2017-12-18 | 2022-12-06 | NodThera Limited | Sulphonyl urea derivatives as NLRP3 inflammasome modulators |
| US12012397B2 (en) | 2017-12-18 | 2024-06-18 | NodThera Limited | Sulphonyl urea derivatives as NLRP3 inflammasome modulators |
| US12168653B2 (en) | 2018-03-02 | 2024-12-17 | Inflazome Limited | Sulfonamide derivates as NLRP3 inhibitors |
| WO2019166619A1 (en) * | 2018-03-02 | 2019-09-06 | Inflazome Limited | Novel compounds |
| US11905252B2 (en) | 2018-03-02 | 2024-02-20 | Inflazome Limited | Compounds |
| US11884645B2 (en) | 2018-03-02 | 2024-01-30 | Inflazome Limited | Sulfonyl acetamides as NLRP3 inhibitors |
| US11834433B2 (en) | 2018-03-02 | 2023-12-05 | Inflazome Limited | Compounds |
| US12030879B2 (en) | 2018-03-02 | 2024-07-09 | Inflazome Limited | Sulfonyl acetamides as NLRP3 inhibitors |
| US11530200B2 (en) | 2018-03-02 | 2022-12-20 | Inflazome Limited | Compounds |
| WO2019211463A1 (en) | 2018-05-04 | 2019-11-07 | Inflazome Limited | Novel compounds |
| WO2020010143A1 (en) | 2018-07-03 | 2020-01-09 | Novartis Inflammasome Research, Inc. | Nlrp modulators |
| US11560391B2 (en) | 2018-07-20 | 2023-01-24 | Genentech, Inc. | Sulfonylurea compounds as inhibitors of interleukin-1 activity |
| US12234245B2 (en) | 2018-07-20 | 2025-02-25 | Genentech, Inc. | Sulfonimidamide compounds as inhibitors of interleukin-1 activity |
| CN112888675A (en) * | 2018-08-15 | 2021-06-01 | 英夫拉索姆有限公司 | Novel sulfonylurea compound |
| WO2020035464A1 (en) | 2018-08-15 | 2020-02-20 | Inflazome Limited | Novel sulfonamideurea compounds |
| WO2020035466A1 (en) | 2018-08-15 | 2020-02-20 | Inflazome Limited | Novel sulfoneurea compounds |
| WO2020086732A1 (en) | 2018-10-24 | 2020-04-30 | Novartis Inflammasome Research, Inc. | Compounds and compositions for treating conditions associated with nlrp activity |
| WO2020104657A1 (en) | 2018-11-23 | 2020-05-28 | Inflazome Limited | Nlrp3 inhibitors |
| WO2020208249A1 (en) | 2019-04-12 | 2020-10-15 | Inflazome Limited | Nlrp3 inflammasome inhibition |
| US12054461B2 (en) | 2019-06-12 | 2024-08-06 | NodThera Limited | Sulfonylurea derivatives and uses thereof |
| WO2020254697A1 (en) | 2019-06-21 | 2020-12-24 | Ac Immune Sa | Fused 1,2 thiazoles and 1,2 thiazines which act as nl3p3 modulators |
| WO2021032591A1 (en) | 2019-08-16 | 2021-02-25 | Inflazome Limited | Macrocyclic sulfonylurea derivatives useful as nlrp3 inhibitors |
| WO2021043966A1 (en) | 2019-09-06 | 2021-03-11 | Inflazome Limited | Nlrp3 inhibitors |
| CN114746087A (en) * | 2019-09-12 | 2022-07-12 | 载度思生命科学有限公司 | Novel substituted sulfoximine derivatives |
| WO2021111351A1 (en) * | 2019-12-03 | 2021-06-10 | Cadila Healthcare Limited | Novel substituted sulfonylurea and sulfoximineurea derivatives |
| WO2021165245A1 (en) | 2020-02-18 | 2021-08-26 | Inflazome Limited | Compounds |
| JP7637148B2 (en) | 2020-02-28 | 2025-02-27 | ザイダス・ライフサイエンシーズ・リミテッド | Novel substituted sulfonylurea and sulfoximine urea derivatives. |
| JP2023515209A (en) * | 2020-02-28 | 2023-04-12 | ザイダス・ライフサイエンシーズ・リミテッド | Novel substituted sulfonylurea and sulfoximine urea derivatives |
| WO2021255279A1 (en) | 2020-06-19 | 2021-12-23 | Ac Immune Sa | D i h yd rooxazo le and thiourea derivatives modulating the nlrp3 inflammasome pathway |
| CN117279903A (en) * | 2021-02-10 | 2023-12-22 | 杭州英创医药科技有限公司 | Compounds that act as NLRP3 inhibitors |
| WO2022171185A1 (en) * | 2021-02-10 | 2022-08-18 | 杭州英创医药科技有限公司 | Compound serving as nlrp3 inhibitor |
| WO2023118521A1 (en) | 2021-12-22 | 2023-06-29 | Ac Immune Sa | Dihydro-oxazol derivative compounds |
| WO2024013395A1 (en) | 2022-07-14 | 2024-01-18 | Ac Immune Sa | Pyrrolotriazine and imidazotriazine derivatives as modulators of the nlrp3 inflammasome pathway |
| WO2024023266A1 (en) | 2022-07-28 | 2024-02-01 | Ac Immune Sa | Novel compounds |
| WO2024224297A1 (en) * | 2023-04-25 | 2024-10-31 | 제이더블유중외제약 주식회사 | Method for preparing 4-aminoindan and method for preparing dihydroindenyl-pyrazolo[3,4-b]pyridine-amine |
| WO2024224298A1 (en) * | 2023-04-25 | 2024-10-31 | 제이더블유중외제약 주식회사 | Method of preparing 4-aminoindan and method of preparing dihydroindenyl-pyrazolo[3,4-b]pyridine-amine compound |
| WO2024249539A1 (en) | 2023-06-02 | 2024-12-05 | Merck Sharp & Dohme Llc | 5,6 unsaturated bicyclic heterocyles useful as inhibitors of nod-like receptor protein 3 |
| WO2025113692A1 (en) * | 2023-12-01 | 2025-06-05 | 拜西欧斯(北京)生物技术有限公司 | Sulfonylurea derivative and use thereof |
| WO2025133307A1 (en) | 2023-12-22 | 2025-06-26 | Ac Immune Sa | Heterocyclic modulators of the nlrp3 inflammasome pathway |
| WO2025153532A1 (en) | 2024-01-16 | 2025-07-24 | NodThera Limited | Nlrp3 inhibitors and glp-1 agonists combination therapies |
| WO2025153625A1 (en) | 2024-01-17 | 2025-07-24 | Ac Immune Sa | Imidazo[1,2-d][1,2,4]triazine derivatives for use as inhibitors of the nlrp3 inflammasome pathway |
| WO2025153624A1 (en) | 2024-01-17 | 2025-07-24 | Ac Immune Sa | Imidazo[1,2-d][1,2,4]triazine derivatives for use as inhibitors of the nlrp3 inflammasome pathway |
| WO2025163069A1 (en) | 2024-01-31 | 2025-08-07 | Ac Immune Sa | Novel compounds |
Also Published As
| Publication number | Publication date |
|---|---|
| US20200216389A1 (en) | 2020-07-09 |
| EP3668840A1 (en) | 2020-06-24 |
| US11518739B2 (en) | 2022-12-06 |
Similar Documents
| Publication | Publication Date | Title |
|---|---|---|
| US11518739B2 (en) | Sulfonamide carboxamide compounds | |
| US11623922B2 (en) | Compounds | |
| US11905252B2 (en) | Compounds | |
| US12168653B2 (en) | Sulfonamide derivates as NLRP3 inhibitors | |
| WO2019092171A1 (en) | Novel sulfonamide carboxamide compounds | |
| WO2019034693A1 (en) | Sulfonylureas and sulfonylthioureas as nlrp3 inhibitors | |
| WO2019034696A1 (en) | Novel sulfonamide carboxamide compounds | |
| EP3668862A1 (en) | Novel sulfonamide carboxamide compounds | |
| WO2019166624A1 (en) | Novel compounds | |
| WO2019008029A1 (en) | Sulfonylureas and sulfonylthioureas as nlrp3 inhibitors | |
| WO2020035466A1 (en) | Novel sulfoneurea compounds | |
| WO2019092172A1 (en) | Novel sulfonamide carboxamide compounds | |
| WO2019034686A1 (en) | Novel sulfonamide carboxamide compounds | |
| WO2019092170A1 (en) | Novel sulfonamide carboxamide compounds | |
| AU2018297606A1 (en) | Novel sulfonamide carboxamide compounds | |
| WO2019034692A1 (en) | Sulfonylureas and sulfonylthioureas as nlrp3 inhibitors | |
| EP3759078A1 (en) | Novel compounds | |
| WO2019166627A1 (en) | Novel compounds | |
| EP3759103A1 (en) | Novel compounds |
Legal Events
| Date | Code | Title | Description |
|---|---|---|---|
| 121 | Ep: the epo has been informed by wipo that ep was designated in this application |
Ref document number: 18759582 Country of ref document: EP Kind code of ref document: A1 |
|
| NENP | Non-entry into the national phase |
Ref country code: DE |
|
| ENP | Entry into the national phase |
Ref document number: 2018759582 Country of ref document: EP Effective date: 20200316 |









































































































