WO2019034693A1 - Sulfonylureas and sulfonylthioureas as nlrp3 inhibitors - Google Patents
Sulfonylureas and sulfonylthioureas as nlrp3 inhibitors Download PDFInfo
- Publication number
- WO2019034693A1 WO2019034693A1 PCT/EP2018/072125 EP2018072125W WO2019034693A1 WO 2019034693 A1 WO2019034693 A1 WO 2019034693A1 EP 2018072125 W EP2018072125 W EP 2018072125W WO 2019034693 A1 WO2019034693 A1 WO 2019034693A1
- Authority
- WO
- WIPO (PCT)
- Prior art keywords
- group
- disease
- substituted
- optionally
- compound
- Prior art date
- Legal status (The legal status is an assumption and is not a legal conclusion. Google has not performed a legal analysis and makes no representation as to the accuracy of the status listed.)
- Ceased
Links
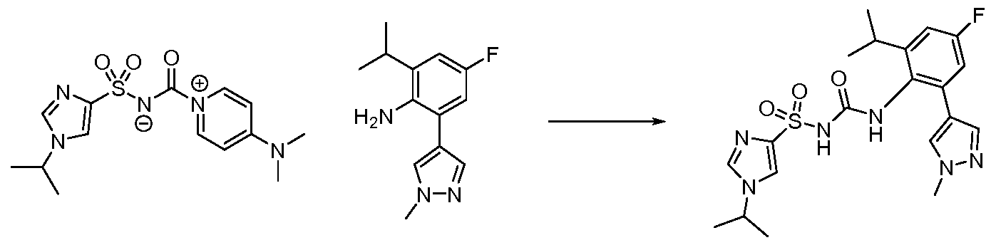
- 0 *NC(NS(c1c[n]cn1)(=O)=O)=O Chemical compound *NC(NS(c1c[n]cn1)(=O)=O)=O 0.000 description 5
- OYRRNQKYBBXYSK-UHFFFAOYSA-N CC(C)[n]1c(C)nc(S(N)(=O)=O)c1 Chemical compound CC(C)[n]1c(C)nc(S(N)(=O)=O)c1 OYRRNQKYBBXYSK-UHFFFAOYSA-N 0.000 description 1
- DEJLCHRMKBBNPV-UHFFFAOYSA-N CC(C)[n]1cnc(S(N)(=O)=O)c1 Chemical compound CC(C)[n]1cnc(S(N)(=O)=O)c1 DEJLCHRMKBBNPV-UHFFFAOYSA-N 0.000 description 1
- XRCMHPNDZIFLTC-UHFFFAOYSA-N CC(C)c1cc(F)cc(-c2cc(C#N)ncc2)c1N Chemical compound CC(C)c1cc(F)cc(-c2cc(C#N)ncc2)c1N XRCMHPNDZIFLTC-UHFFFAOYSA-N 0.000 description 1
- UAILJBZOXFWIJE-UHFFFAOYSA-N CC(C)c1cc(F)cc(-c2ccnc(C#N)c2)c1NC(NS(c1c[n](C(C)C)cn1)(=O)=O)=O Chemical compound CC(C)c1cc(F)cc(-c2ccnc(C#N)c2)c1NC(NS(c1c[n](C(C)C)cn1)(=O)=O)=O UAILJBZOXFWIJE-UHFFFAOYSA-N 0.000 description 1
- ZLLFSDAAWDEART-UHFFFAOYSA-N CC(C)c1cc(F)cc(Br)c1N Chemical compound CC(C)c1cc(F)cc(Br)c1N ZLLFSDAAWDEART-UHFFFAOYSA-N 0.000 description 1
- FMMUTMKYMXTICX-UHFFFAOYSA-N CC(C)c1cc(F)ccc1N Chemical compound CC(C)c1cc(F)ccc1N FMMUTMKYMXTICX-UHFFFAOYSA-N 0.000 description 1
- AAFKPIOGNHDFJM-UHFFFAOYSA-N CC(C)c1cccc(C(C)C)c1NC(NS(c1c[n](C(C)C)cn1)(=O)=O)=O Chemical compound CC(C)c1cccc(C(C)C)c1NC(NS(c1c[n](C(C)C)cn1)(=O)=O)=O AAFKPIOGNHDFJM-UHFFFAOYSA-N 0.000 description 1
- YFIXEAFAGVOPQT-UHFFFAOYSA-N CC[n]1c(C)nc(S(N)(=O)=O)c1 Chemical compound CC[n]1c(C)nc(S(N)(=O)=O)c1 YFIXEAFAGVOPQT-UHFFFAOYSA-N 0.000 description 1
Classifications
-
- C—CHEMISTRY; METALLURGY
- C07—ORGANIC CHEMISTRY
- C07D—HETEROCYCLIC COMPOUNDS
- C07D233/00—Heterocyclic compounds containing 1,3-diazole or hydrogenated 1,3-diazole rings, not condensed with other rings
- C07D233/54—Heterocyclic compounds containing 1,3-diazole or hydrogenated 1,3-diazole rings, not condensed with other rings having two double bonds between ring members or between ring members and non-ring members
- C07D233/66—Heterocyclic compounds containing 1,3-diazole or hydrogenated 1,3-diazole rings, not condensed with other rings having two double bonds between ring members or between ring members and non-ring members with hetero atoms or with carbon atoms having three bonds to hetero atoms with at the most one bond to halogen, e.g. ester or nitrile radicals, directly attached to ring carbon atoms
- C07D233/84—Sulfur atoms
-
- A—HUMAN NECESSITIES
- A61—MEDICAL OR VETERINARY SCIENCE; HYGIENE
- A61P—SPECIFIC THERAPEUTIC ACTIVITY OF CHEMICAL COMPOUNDS OR MEDICINAL PREPARATIONS
- A61P25/00—Drugs for disorders of the nervous system
- A61P25/28—Drugs for disorders of the nervous system for treating neurodegenerative disorders of the central nervous system, e.g. nootropic agents, cognition enhancers, drugs for treating Alzheimer's disease or other forms of dementia
-
- A—HUMAN NECESSITIES
- A61—MEDICAL OR VETERINARY SCIENCE; HYGIENE
- A61P—SPECIFIC THERAPEUTIC ACTIVITY OF CHEMICAL COMPOUNDS OR MEDICINAL PREPARATIONS
- A61P29/00—Non-central analgesic, antipyretic or antiinflammatory agents, e.g. antirheumatic agents; Non-steroidal antiinflammatory drugs [NSAID]
-
- A—HUMAN NECESSITIES
- A61—MEDICAL OR VETERINARY SCIENCE; HYGIENE
- A61P—SPECIFIC THERAPEUTIC ACTIVITY OF CHEMICAL COMPOUNDS OR MEDICINAL PREPARATIONS
- A61P3/00—Drugs for disorders of the metabolism
- A61P3/08—Drugs for disorders of the metabolism for glucose homeostasis
- A61P3/10—Drugs for disorders of the metabolism for glucose homeostasis for hyperglycaemia, e.g. antidiabetics
-
- A—HUMAN NECESSITIES
- A61—MEDICAL OR VETERINARY SCIENCE; HYGIENE
- A61P—SPECIFIC THERAPEUTIC ACTIVITY OF CHEMICAL COMPOUNDS OR MEDICINAL PREPARATIONS
- A61P31/00—Antiinfectives, i.e. antibiotics, antiseptics, chemotherapeutics
-
- A—HUMAN NECESSITIES
- A61—MEDICAL OR VETERINARY SCIENCE; HYGIENE
- A61P—SPECIFIC THERAPEUTIC ACTIVITY OF CHEMICAL COMPOUNDS OR MEDICINAL PREPARATIONS
- A61P35/00—Antineoplastic agents
-
- C—CHEMISTRY; METALLURGY
- C07—ORGANIC CHEMISTRY
- C07D—HETEROCYCLIC COMPOUNDS
- C07D401/00—Heterocyclic compounds containing two or more hetero rings, having nitrogen atoms as the only ring hetero atoms, at least one ring being a six-membered ring with only one nitrogen atom
- C07D401/02—Heterocyclic compounds containing two or more hetero rings, having nitrogen atoms as the only ring hetero atoms, at least one ring being a six-membered ring with only one nitrogen atom containing two hetero rings
- C07D401/12—Heterocyclic compounds containing two or more hetero rings, having nitrogen atoms as the only ring hetero atoms, at least one ring being a six-membered ring with only one nitrogen atom containing two hetero rings linked by a chain containing hetero atoms as chain links
-
- C—CHEMISTRY; METALLURGY
- C07—ORGANIC CHEMISTRY
- C07D—HETEROCYCLIC COMPOUNDS
- C07D403/00—Heterocyclic compounds containing two or more hetero rings, having nitrogen atoms as the only ring hetero atoms, not provided for by group C07D401/00
- C07D403/02—Heterocyclic compounds containing two or more hetero rings, having nitrogen atoms as the only ring hetero atoms, not provided for by group C07D401/00 containing two hetero rings
- C07D403/12—Heterocyclic compounds containing two or more hetero rings, having nitrogen atoms as the only ring hetero atoms, not provided for by group C07D401/00 containing two hetero rings linked by a chain containing hetero atoms as chain links
-
- C—CHEMISTRY; METALLURGY
- C07—ORGANIC CHEMISTRY
- C07D—HETEROCYCLIC COMPOUNDS
- C07D405/00—Heterocyclic compounds containing both one or more hetero rings having oxygen atoms as the only ring hetero atoms, and one or more rings having nitrogen as the only ring hetero atom
- C07D405/02—Heterocyclic compounds containing both one or more hetero rings having oxygen atoms as the only ring hetero atoms, and one or more rings having nitrogen as the only ring hetero atom containing two hetero rings
- C07D405/06—Heterocyclic compounds containing both one or more hetero rings having oxygen atoms as the only ring hetero atoms, and one or more rings having nitrogen as the only ring hetero atom containing two hetero rings linked by a carbon chain containing only aliphatic carbon atoms
Definitions
- the present invention relates to sulfonylureas and sulfonylthioureas comprising a monocyclic imidazolyl group, and to associated salts, solvates, prodrugs and pharmaceutical compositions.
- the present invention further relates to the use of such compounds in the treatment and prevention of medical disorders and diseases, most especially by NLRP3 inhibition. Background
- NLR NOD-like receptor
- NLRP3 pyrin domain-containing protein 3
- NLRP3 is an intracellular signalling molecule that senses many pathogen-derived, environmental and host-derived factors. Upon activation, NLRP3 binds to apoptosis- associated speck-like protein containing a caspase activation and recruitment domain (ASC). ASC then polymerises to form a large aggregate known as an ASC speck.
- ASC caspase activation and recruitment domain
- Polymerised ASC in turn interacts with the cysteine protease caspase-i to form a complex termed the inflammasome.
- caspase-i which cleaves the precursor forms of the proinflammatory cytokines IL- ⁇ and IL-18 (termed pro-IL- ⁇ and pro-IL-18 respectively) to thereby activate these cytokines.
- Caspase-i also mediates a type of inflammatory cell death known as pyroptosis.
- the ASC speck can also recruit and activate caspase-8, which can process pro-IL- ⁇ and pro-IL-18 and trigger apoptotic cell death.
- Caspase-i cleaves pro-IL- ⁇ and pro-IL-18 to their active forms, which are secreted from the cell. Active caspase-i also cleaves gasdermin-D to trigger pyroptosis. Through its control of the pyroptotic cell death pathway, caspase-i also mediates the release of alarmin molecules such as IL-33 and high mobility group box 1 protein (HMGBi). Caspase-i also cleaves intracellular IL-1R2 resulting in its degradation and allowing the release of IL-ioc. In human cells caspase-i may also control the processing and secretion of IL-37. A number of other caspase-i substrates such as components of the cytoskeleton and glycolysis pathway may contribute to caspase-i-dependent inflammation.
- NLRP3-dependent ASC specks are released into the extracellular environment where they can activate caspase-i, induce processing of caspase-i substrates and propagate inflammation.
- cytokines derived from NLRP3 inflammasome activation are important drivers of inflammation and interact with other cytokine pathways to shape the immune response to infection and injury.
- IL- ⁇ signalling induces the secretion of the pro-inflammatory cytokines IL-6 and TNF.
- IL- ⁇ and IL-18 synergise with IL-23 to induce IL-17 production by memory CD4 TI117 cells and by ⁇ T cells in the absence of T cell receptor engagement.
- IL-18 and IL-12 also synergise to induce IFN- ⁇ production from memory T cells and NK cells driving a Thi response.
- MFS Muckle-Wells syndrome
- NLRP3 autoinflammatory syndrome
- NOMID neonatal-onset multisystem inflammatory disease
- NLRP3 A role for NLRP3 in diseases of the central nervous system is emerging, and lung diseases have also been shown to be influenced by NLRP3. Furthermore, NLRP3 has a role in the development of liver disease, kidney disease and aging. Many of these associations were defined using Nlrp3 ⁇ / ⁇ mice, but there have also been insights into the specific activation of NLRP3 in these diseases. In type 2 diabetes mellitus (T2D), the deposition of islet amyloid polypeptide in the pancreas activates NLRP3 and IL- ⁇ signaling, resulting in cell death and inflammation.
- T2D type 2 diabetes mellitus
- Glyburide inhibits IL- ⁇ production at micromolar concentrations in response to the activation of NLRP3 but not NLRC4 or NLRPi.
- Other previously characterised weak NLRP3 inhibitors include parthenolide, 3,4-methylenedioxy ⁇ -nitrostyrene and dimethyl sulfoxide (DMSO), although these agents have limited potency and are nonspecific.
- Current treatments for NLRP3-related diseases include biologic agents that target IL-i. These are the recombinant IL-i receptor antagonist anakinra, the neutralizing IL- ⁇ antibody canakinumab and the soluble decoy IL-i receptor rilonacept. These approaches have proven successful in the treatment of CAPS, and these biologic agents have been used in clinical trials for other IL-i -associated diseases.
- diarylsulfonylurea-containing compounds have been identified as cytokine release inhibitory drugs (CRIDs) (Perregaux et ah; J. Pharmacol. Exp. Ther. 299, 187- 197, 2001).
- CRIDs are a class of diarylsulfonylurea-containing compounds that inhibit the post-translational processing of IL- ⁇ . Post-translational processing of IL- ⁇ is accompanied by activation of caspase-i and cell death. CRIDs arrest activated monocytes so that caspase-i remains inactive and plasma membrane latency is preserved.
- Certain sulfonylurea-containing compounds are also disclosed as inhibitors of NLRP3 (see for example, Baldwin et ah, J. Med. Chem., 59(5), 1691-1710, 2016; and WO 2016/131098 Ai, WO 2017/129897 Ai, WO 2017/140778 Ai, WO 2017/184604 Ai, WO 2017/184623 Ai, WO 2017/184624 Ai, WO 2018/136890 Ai and WO 2018/015445 Ai).
- a first aspect of the invention provides a compound of formula (I):
- Q is selected from O or S
- R 1 is an imidazolyl group, wherein the imidazolyl group is unsubstituted or substituted with one or more monovalent substituents; and R 2 is a cyclic group substituted at the a-position, wherein R 2 may optionally be further substituted.
- hydrocarbyl substituent group or a hydrocarbyl moiety in a substituent group only includes carbon and hydrogen atoms but, unless stated otherwise, does not include any heteroatoms, such as N, O or S, in its carbon skeleton.
- a hydrocarbyl group/ moiety may be saturated or unsaturated
- hydrocarbyl groups include alkyl, alkenyl, alkynyl, cycloalkyl, cycloalkenyl and aryl groups/moieties and combinations of all of these groups/moieties.
- a hydrocarbyl group is a Ci-C 20 hydrocarbyl group. More typically a hydrocarbyl group is a Ci-Ci 5 hydrocarbyl group. More typically a hydrocarbyl group is a Ci-Cio hydrocarbyl group.
- a "hydrocarbylene” group is similarly defined as a divalent hydrocarbyl group.
- alkyl substituent group or an alkyl moiety in a substituent group may be linear (i.e. straight-chained) or branched.
- alkyl groups/moieties include methyl, ethyl, n-propyl, z ' -propyl, n-butyl, z-butyl, f-butyl and n-pentyl groups/moieties.
- alkyl does not include "cycloalkyl”.
- an alkyl group IS a Lyl-Lyl2 alkyl group. More typically an alkyl group is a Ci-Ce alkyl group.
- alkylene is similarly defined as a divalent alkyl group.
- alkenyl substituent group or an alkenyl moiety in a substituent group refers to an unsaturated alkyl group or moiety having one or more carbon-carbon double bonds.
- alkenyl groups/moieties examples include ethenyl, propenyl, l-butenyl, 2-butenyl, l- pentenyl, l-hexenyl, 1,3-butadienyl, 1,3-pentadienyl, 1,4-pentadienyl and 1,4- hexadienyl groups/moieties.
- alkenyl does not include "cycloalkenyl”.
- an alkenyl group is a C2-C12 alkenyl group. More typically an alkenyl group is a C 2 -Ce alkenyl group.
- An "alkenylene” group is similarly defined as a divalent alkenyl group.
- alkynyl substituent group or an alkynyl moiety in a substituent group refers to an unsaturated alkyl group or moiety having one or more carbon-carbon triple bonds.
- alkynyl groups/moieties include ethynyl, propargyl, but-i-ynyl and but-2- ynyl groups/moieties.
- an alkynyl group is a C2-C12 alkynyl group. More typically an alkynyl group is a C 2 -Ce alkynyl group.
- An "alkynylene” group is similarly defined as a divalent alkynyl group.
- a "cyclic" substituent group or a cyclic moiety in a substituent group refers to any hydrocarbyl ring, wherein the hydrocarbyl ring may be saturated or unsaturated (including aromatic) and may include one or more heteroatoms, e.g. N, O or S, in its carbon skeleton.
- Examples of cyclic groups include cycloalkyl, cycloalkenyl,
- a cyclic group may be monocyclic, bicyclic (e.g. bridged, fused or spiro), or polycyclic.
- a cyclic group is a 3- to 12-membered cyclic group, which means it contains from 3 to 12 ring atoms. More typically, a cyclic group is a 3- to 7-membered monocyclic group, which means it contains from 3 to 7 ring atoms.
- heterocyclic substituent group or a heterocyclic moiety in a substituent group refers to a cyclic group or moiety including one or more carbon atoms and one or more (such as one, two, three or four) heteroatoms, e.g. N, O or S, in the ring structure.
- heterocyclic groups include heteroaryl groups as discussed below and non-aromatic heterocyclic groups such as azetinyl, azetidinyl, oxetanyl, thietanyl, pyrrolidinyl, tetrahydrofuranyl, tetrahydrothiophenyl, pyrazolidinyl, imidazolidinyl, dioxolanyl, oxathiolanyl, piperidinyl, tetrahydropyranyl, thianyl, piperazinyl, dioxanyl,
- a "cycloalkyl" substituent group or a cycloalkyl moiety in a substituent group refers to a saturated hydrocarbyl ring containing, for example, from 3 to 7 carbon atoms, examples of which include cyclopropyl, cyclobutyl, cyclopentyl and cyclohexyl. Unless stated otherwise, a cycloalkyl substituent group or moiety may include monocyclic, bicyclic or polycyclic hydrocarbyl rings.
- a "cycloalkenyl" substituent group or a cycloalkenyl moiety in a substituent group refers to a non-aromatic unsaturated hydrocarbyl ring having one or more carbon- carbon double bonds and containing, for example, from 3 to 7 carbon atoms, examples of which include cyclopent-i-en-i-yl, cyclohex-i-en-i-yl and cyclohex-i,3-dien-i-yl.
- a cycloalkenyl substituent group or moiety may include monocyclic, bicyclic or polycyclic hydrocarbyl rings.
- aryl substituent group or an aryl moiety in a substituent group refers to an aromatic hydrocarbyl ring.
- aryl includes monocyclic aromatic hydrocarbons and polycyclic fused ring aromatic hydrocarbons wherein all of the fused ring systems (excluding any ring systems which are part of or formed by optional substituents) are aromatic. Examples of aryl groups/moieties include phenyl, naphthyl, anthracenyl and phenanthrenyl. Unless stated otherwise, the term “aryl” does not include “heteroaryl”.
- heteroaryl substituent group or a heteroaryl moiety in a substituent group refers to an aromatic heterocyclic group or moiety.
- heteroaryl includes monocyclic aromatic heterocycles and polycyclic fused ring aromatic heterocycles wherein all of the fused ring systems (excluding any ring systems which are part of or formed by optional substituents) are aromatic. Examples of heteroaryl groups/moieties include the following:
- G O, S or NH.
- arylalkyl arylalkenyl, arylalkynyl, alkylaryl, alkenylaryl or alkynylaryl
- the last mentioned moiety contains the atom by which the group is attached to the rest of the molecule.
- An example of an arylalkyl group is benzyl.
- each hydrogen atom may optionally be replaced by a group independently selected from halo; -CN; -N0 2 ; -N 3 ; -RP; -OH; -ORP; -R a -halo; -R°-CN; -R"-N0 2 ; -R a -N 3 ; -R a -RP; -R°-OH; -R a -ORP; -SH; -SRP; -SORP; -S0 2 H; -S0 2 RP; -S0 2 NH 2 ; -S0 2 NHRP; -S0 2 N(RP) 2 ; -R°-SH; -R a -SRP; -R a -SORP; -R a -S0 2 H; -R a -S0 2 RP; -R a -S0 2 NH 2 ;
- each -R a - is independently selected from an alkylene, alkenylene or alkynylene group, wherein the alkylene, alkenylene or alkynylene group contains from l to 6 atoms in its backbone, wherein one or more carbon atoms in the backbone of the alkylene, alkenylene or alkynylene group may optionally be replaced by one or more heteroatoms N, O or S, wherein one or more -CH 2 - groups in the backbone of the alkylene, alkenylene or alkynylene group may optionally be replaced by one or more -N(0)(RP)- or -N + (RP) 2 - groups, and wherein the alkylene, alkenylene or alkynylene group may optionally be substituted with one or more halo and/ or -RP groups; and wherein each -RP is independently selected from a Ci-Ce alkyl, C 2 -Ce alkenyl, C 2 -Ce alkyn
- the compounds of the present invention comprise at most one quaternary ammonium group such as -N + (RP) 3 or -N + (RP) 2 -.
- each hydrogen atom may optionally be replaced by a group independently selected from halo; -CN; -N0 2 ; -N 3 ; -RP; -OH; -ORP; -R a -halo; -R°-CN; -R°-N0 2 ; -R a -N 3 ; -R a -RP; -R°-OH; -R a -ORP; -SH; -SRP; -SORP; -S0 2 H; -S0 2 RP; -S0 2 NH 2 ; -S0 2 NHRP; -S0 2 N(RP) 2 ; -R a -SH; -R a -SRP; -R a -SORP; -R a -S0 2 H; -R a -S0 2 RP; -R a -SORP; -R a -S0 2 H; -R
- any two hydrogen atoms attached to the same or different atoms, within the same optionally substituted group or moiety, may optionally be replaced by a bridging substituent independently selected from -0-, -S-, -NH-, -N(RP)- or -R a -;
- each -R a - is independently selected from an alkylene, alkenylene or alkynylene group, wherein the alkylene, alkenylene or alkynylene group contains from 1 to 6 atoms in its backbone, wherein one or more carbon atoms in the backbone of the alkylene, alkenylene or alkynylene group may optionally be replaced by one or more heteroatoms N, O or S, and wherein the alkylene, alkenylene or alkynylene group may optionally be substituted with one or more halo and/or -RP groups; and
- each -RP may be independently selected from a Ci-Ce alkyl, C 2 -Ce alkenyl, C 2 -Ce alkynyl or C 2 -Ce cyclic group, or any two -RP attached to the same nitrogen atom may, together with the nitrogen atom to which they are attached, form a C 2 -C 7 cyclic group, wherein any -RP may optionally be substituted with one or more Ci-C 4 alkyl, Ci-C 4 haloalkyl, C 3 -C 7 cycloalkyl, C 3 -C 7 halocycloalkyl, -0(d-C 4 alkyl), -0(d-C 4 haloalkyl), -0(C 3 -C 7 cycloalkyl), -0(C 3 -C 7 halocycloalkyl), halo, -OH, -NH 2 , -
- each hydrogen atom may optionally be replaced by a group independently selected from halo; -CN; -N0 2 ; -N 3 ; -RP; -OH; -ORP; -R « -halo; -R a -CN; -R a -N0 2 ; -R a -N 3 ;
- any two hydrogen atoms attached to the same or different atoms, within the same optionally substituted group or moiety, may optionally be replaced by a bridging substituent independently selected from -0-, -S-, -NH-, -N(RP)- or -R a -;
- each -R a - is independently selected from an alkylene, alkenylene or alkynylene group, wherein the alkylene, alkenylene or alkynylene group contains from 1 to 6 atoms in its backbone, wherein one or more carbon atoms in the backbone of the alkylene, alkenylene or alkynylene group may optionally be replaced by one or more heteroatoms N, O or S, and wherein the alkylene, alkenylene or alkynylene group may optionally be substituted with one or more halo and/or -RP groups; and
- each -RP may be independently selected from a Ci-Ce alkyl, C 2 -Ce alkenyl, C 2 -Ce alkynyl or C 2 -Ce cyclic group, or any two -RP attached to the same nitrogen atom may, together with the nitrogen atom to which they are attached, form a C 2 -C 7 cyclic group, wherein any -RP may optionally be substituted with one or more Ci-C 4 alkyl, Ci-C 4 haloalkyl, C 3 -C 7 cycloalkyl, C 3 -C 7 halocycloalkyl, -0(d-C 4 alkyl), -0(d-C 4 haloalkyl), -0(C 3 -C 7 cycloalkyl), -0(C 3 -C 7 halocycloalkyl), halo, -OH, -NH 2 , -
- each hydrogen atom may optionally be replaced by a group independently selected from halo; -CN; -RP; -OH; -ORP; -R « -halo; -R a -CN; -R a -RP; -R a -OH; -R a -ORP;
- any two hydrogen atoms attached to the same or different atoms, within the same optionally substituted group or moiety, may optionally be replaced by a bridging substituent independently selected from -0-, -S-, -NH-, -N(RP)- or -R a -;
- each -R a - is independently selected from an alkylene, alkenylene or alkynylene group, wherein the alkylene, alkenylene or alkynylene group contains from 1 to 6 atoms in its backbone, wherein one or more carbon atoms in the backbone of the alkylene, alkenylene or alkynylene group may optionally be replaced by one or more heteroatoms N, O or S, and wherein the alkylene, alkenylene or alkynylene group may optionally be substituted with one or more halo and/or -RP groups; and wherein each -RP is independently selected from a Ci-Ce alkyl, C 2 -Ce alkenyl, C 2 -Ce alkynyl or C 2 -Ce cyclic group, and wherein any -RP may optionally be substituted with one or more C1-C4 alkyl, halo, -OH, or 4- to 6-membered heterocyclic group.
- each -RP may be independently selected from a Ci-Ce alkyl, C 2 -Ce alkenyl, C 2 -Ce alkynyl or C 2 -Ce cyclic group, or any two -RP attached to the same nitrogen atom may, together with the nitrogen atom to which they are attached, form a C 2 -C 7 cyclic group, wherein any -RP may optionally be substituted with one or more Ci-C 4 alkyl, Ci-C 4 haloalkyl, halo, -OH, or 4- to 6-membered heterocyclic group.
- a substituted group comprises 1, 2, 3 or 4 substituents, more typically 1, 2 or 3 substituents, more typically 1 or 2 substituents, and more typically 1 substituent.
- any divalent bridging substituent e.g. -0-, -S-, -NH-, -N(RP)-, -N(0)(RP)-, -N + (RP) 2 - or -R a -
- an optionally substituted group or moiety e.g. R 1
- R 2 a second group or moiety
- halo includes fluoro, chloro, bromo and iodo.
- halo such as a haloalkyl or halomethyl group
- the group in question is substituted with one or more halo groups independently selected from fluoro, chloro, bromo and iodo.
- the maximum number of halo substituents is limited only by the number of hydrogen atoms available for substitution on the corresponding group without the halo prefix.
- a halomethyl group may contain one, two or three halo substituents.
- Ahaloethyl or halophenyl group may contain one, two, three, four or five halo substituents.
- fluoromethyl refers to a methyl group substituted with one, two or three fluoro groups.
- halo-substituted Unless stated otherwise, where a group is said to be "halo-substituted", it is to be understood that the group in question is substituted with one or more halo groups independently selected from fluoro, chloro, bromo and iodo. Typically, the maximum number of halo substituents is limited only by the number of hydrogen atoms available for substitution on the group said to be halo-substituted. For example, a halo- substituted methyl group may contain one, two or three halo substituents. A halo- substituted ethyl or halo-substituted phenyl group may contain one, two, three, four or five halo substituents.
- any reference to an element is to be considered a reference to all isotopes of that element.
- any reference to hydrogen is considered to encompass all isotopes of hydrogen including deuterium and tritium.
- -CH 2 - is replaced by -NH-, -O- or -S-;
- -CH 3 is replaced by -NH 2 , -OH or -SH;
- the resultant group comprises at least one carbon atom.
- methoxy, dimethylamino and aminoethyl groups are considered to be hydrocarbyl groups including one or more heteroatoms N, O or S in their carbon skeleton.
- a C x -C y group is defined as a group containing from x to y carbon atoms.
- a C1-C4 alkyl group is defined as an alkyl group containing from 1 to 4 carbon atoms.
- Optional substituents and moieties are not taken into account when calculating the total number of carbon atoms in the parent group substituted with the optional substituents and/or containing the optional moieties.
- replacement heteroatoms e.g. N, O or S, are not to be counted as carbon atoms when calculating the number of carbon atoms in a C x -C y group.
- a morpholinyl group is to be considered a C 4 heterocyclic group, not a Ce heterocyclic group.
- first atom or group is "directly attached" to a second atom or group it is to be understood that the first atom or group is covalently bonded to the second atom or group with no intervening atom(s) or groups being present. So, for example, for the group
- R 1 is an imidazolyl group, wherein the imidazolyl group is unsubstituted or substituted with one or more monovalent substituents.
- R 1 is an imidazolyl group
- a ring atom of the 5- membered ring of the imidazolyl group is directly attached to the sulfur atom of the sulfonyl group, with no intervening atom(s) or groups being present.
- R 2 is a cyclic group
- a ring atom of the cyclic group is directly attached to the nitrogen atom of the (thio)urea group, with no intervening atom(s) or groups being present.
- R 1 is not attached to the sulfur atom of the sulfonyl group via any optional substituent.
- the imidazolyl group of R 1 is unsubstituted or substituted with one or more monovalent substituents, it will be understood that the imidazolyl group is monocyclic.
- the imidazolyl group of R 1 does not form part of a bicyclic fused ring structure.
- the monocyclic imidazole group of R 1 may however be substituted with one or more monovalent substituents, where said monovalent substituents may be or may include cyclic groups.
- R 1 is an imidazol-4-yl group.
- the compound may be a compound of formula (la):
- R 2 is as described herein;
- R3 is any optional monovalent substituent as described herein;
- m is o, 1, 2 or 3.
- R 1 is an imidazol-5-yl group.
- the compound may be a compound of formula (lb):
- R 2 is as described herein;
- R3 is any optional monovalent substituent as described herein;
- m is o, 1, 2 or 3.
- R 1 is an imidazol-2-yl group.
- the compound may be a compound of formula (Ic):
- R 2 is as described herein;
- R 3 is any optional monovalent substituent as described herein;
- m is o, 1, 2 or 3.
- the imidazolyl group of R 1 is substituted with one or more monovalent substituents. More typically, the imidazolyl group of R 1 is substituted with one or two monovalent substituents. For example, where the compound is a compound of formula (la), (lb) or (Ic), m is typically 1 or 2.
- the imidazolyl group of R 1 is substituted, typically it is substituted at least at the l-position.
- the compound is a compound of formula (la), (lb) or (Ic)
- typically the NH of the imidazolyl ring is N-R 3 .
- the imidazolyl group of R 1 is substituted with one (i.e. a single) monovalent substituent.
- R 1 may be for example a i-substituted-imidazol-4-yl group, a i-substituted-imidazol-5-yl group or a i-substituted-imidazol-2-yl group. Most typically, R 1 is a i-substituted-imidazol-4-yl group.
- the imidazolyl group of R 1 is substituted with two or three monovalent substituents. Typically in such an embodiment, the imidazolyl group of R 1 is substituted with two monovalent substituents.
- R 1 may be for example a 1,2- disubstituted-imidazol-4-yl group, a i,5-disubstituted-imidazol-4-yl group, a 1,2- disubstituted-imidazol-5-yl group, a i,4-disubstituted-imidazol-5-yl group, a 1,4- disubstituted-imidazol-2-yl group or a i,5-disubstituted-imidazol-2-yl group.
- R 1 is a i,2-disubstituted-imidazol-4-yl group, a i,5-disubstituted-imidazol-4- yl group or a i,2-disubstituted-imidazol-5-yl group. Most typically, R 1 is a 1,2- disubstituted-imidazol-4-yl group.
- the one or more monovalent substituents e.g. R 3
- the one or more monovalent substituents may be independently selected from halo; -CN; -N0 2 ; -N 3 ; -RP; -OH; -ORP; -R a -halo;
- -N(0)RP-R a -ORP -N(0)RP-R a -NH 2 ; -N(0)RP-R a -NHRP; -N(0)RP-R a -N(RP) 2 ;
- each -R a - is independently selected from an alkylene, alkenylene or alkynylene group, wherein the alkylene, alkenylene or alkynylene group contains from 1 to 6 atoms in its backbone, wherein one or more carbon atoms in the backbone of the alkylene, alkenylene or alkynylene group may optionally be replaced by one or more heteroatoms N, O or S, wherein one or more -CH 2 - groups in the backbone of the alkylene, alkenylene or alkynylene group may optionally be replaced by one or more -N(0)(RP)- or -N + (RP) 2 - groups
- C 1 -C4 alkyl, d-C 4 haloalkyl, C 3 -C 7 cycloalkyl, C 3 -C 7 halocycloalkyl, -OfC ⁇ alkyl), -0(Ci-C 4 haloalkyl), -0(C 3 -C 7 cycloalkyl), -0(C 3 -C 7 halocycloalkyl), -CO(d-C 4 alkyl), -CO(Ci-C 4 haloalkyl), -COO(Ci-C 4 alkyl), -COO(Ci-C 4 haloalkyl), halo, -OH, -NH 2 , -CN, -C ⁇ CH, oxo ( 0), or 4- to 6-membered heterocyclic group.
- the one or more monovalent substituents may be independently selected from halo; -CN; -N0 2 ; -N 3 ; -RP; -OH; -ORP; -R a -halo; -R°-CN; -R"-N0 2 ; -R a -N 3 ; -R a -RP; -R a -OH; -R a -ORP; -SH; -SRP; -SORP; -S0 2 H; -S0 2 RP;
- each -R a - is independently selected from an alkylene, alkenylene or alkynylene group, wherein the alkylene, alkenylene or alkynylene group contains from 1 to 6 atoms in its backbone, wherein one or more carbon atoms in the backbone of the alkylene, alkenylene or alkynylene group may optionally be replaced by one or more heteroatoms N, O or S, and wherein the alkylene, alkenylene or alkynylene group may optionally be substituted with one or more halo and/or -RP groups; and
- the imidazolyl group of R 1 is substituted with one, two or three substituents independently selected from halo; -CN; -N0 2 ; -N 3 ; -RP; -OH; -ORP;
- each -R a - is independently selected from an alkylene, alkenylene or alkynylene group, wherein the alkylene, alkenylene or alkynylene group contains from 1 to 6 atoms in its backbone, wherein one or more carbon atoms in the backbone of the alkylene, alkenylene or alkynylene group may optionally be replaced by one or more heteroatoms N, O or S, and wherein the alkylene, alkenylene or alkynylene group may optionally be substituted with one or more
- R 1 may be substituted with one or more substituents independently selected from halo; -CN; -RP; -OH; -ORP; -R « -halo; -R a -CN; -R a -RP; -R a -OH; -R a -ORP; -SRP; -SORP; -S0 2 H; -S0 2 RP; -S0 2 NH 2 ; -S0 2 NHRP; -S0 2 N(RP) 2 ; -R a -SRP; -R a -SORP; -R a -S0 2 H; -R a -S0 2 RP; -R a -S0 2 NH 2 ; -R a -S0 2 RP; -R a -S0 2 NH 2 ; -R a -S0 2 NHRP; -R a -S0 2 N(RP
- each -R a - is independently selected from an alkylene, alkenylene or alkynylene group, wherein the alkylene, alkenylene or alkynylene group contains from 1 to 6 atoms in its backbone, wherein one or more carbon atoms in the backbone of the alkylene, alkenylene or alkynylene group may optionally be replaced by one or more heteroatoms N, O or S, and wherein the alkylene, alkenylene or alkynylene group may optionally be substituted with one or more halo and/or -RP groups; and
- each -RP is independently selected from a Ci-Ce alkyl, C 2 -Ce alkenyl,
- any -RP may optionally be substituted with one or more C1-C4 alkyl, halo, -OH, or 4- to 6-membered heterocyclic group.
- each monovalent substituent (e.g. R 3 ) of the imidazolyl group of R 1 is independently selected from a saturated or unsaturated hydrocarbyl group, wherein the hydrocarbyl group may be straight-chained or branched, or be or include cyclic groups, wherein the hydrocarbyl group may optionally be substituted, and wherein the hydrocarbyl group may optionally include one or more heteroatoms N, O or S in its carbon skeleton.
- each monovalent substituent e.g.
- R 3 ) of the imidazolyl group of R 1 is independently selected from a saturated hydrocarbyl group, wherein the saturated hydrocarbyl group may be straight-chained or branched, or be or include cyclic groups, wherein the saturated hydrocarbyl group may optionally be substituted with one or more fluoro and/or chloro groups, and wherein the saturated hydrocarbyl group may optionally include a single heteroatom N or O in its carbon skeleton.
- each monovalent substituent (e.g. R 3 ) of the imidazolyl group of R 1 is acyclic.
- R 3 ) of the imidazolyl group of R 1 is independently selected from a saturated hydrocarbyl group, wherein the saturated hydrocarbyl group is straight-chained or branched, wherein the saturated hydrocarbyl group may optionally be substituted with one or more fluoro and/or chloro groups, and wherein the saturated hydrocarbyl group may optionally include a single heteroatom N or O in its carbon skeleton.
- each monovalent substituent (e.g. each R 3 ) of the imidazolyl group of R 1 contains from 1 to 12 atoms other than hydrogen or halogen. More typically, each monovalent substituent of the imidazolyl group contains from 1 to 8 atoms other than hydrogen or halogen. Most typically, each monovalent substituent of the imidazolyl group contains from 1 to 6 atoms other than hydrogen or halogen. In one embodiment, each monovalent substituent (e.g. R 3 ) of the imidazolyl group of R 1 is inde endently selected from the group consisting of: methyl, ethyl, isopropyl,
- R 1 contains from 5 to 30 atoms other than hydrogen. More typically, R 1 contains from 6 to 25 atoms other than hydrogen. More typically, R 1 contains from 6 to 20 atoms other than hydrogen. More typically, R 1 contains from 6 to 17 atoms other than hydrogen.
- R 1 contains from 5 to 25 atoms other than hydrogen or halogen. More typically, R 1 contains from 6 to 20 atoms other than hydrogen or halogen. More typically still, R 1 contains from 6 to 15 atoms other than hydrogen or halogen. Most typically, R 1 contains from 6 to 12 atoms other than hydrogen or halogen.
- R 2 is a cyclic group substituted at the a-position, wherein R 2 may optionally be further substituted. For the avoidance of doubt, it is noted that it is a ring atom of the cyclic group of R 2 that is directly attached to the nitrogen atom of the urea or thiourea group, not any substituent.
- R 2 is an aryl or a heteroaryl group, wherein the aryl or the heteroaryl group is substituted at the ⁇ -position, and wherein R 2 may optionally be further substituted.
- R 2 is a phenyl or a 5- or 6- membered heteroaryl group, wherein the phenyl or the heteroaryl group is substituted at the ⁇ -position, and wherein R 2 may optionally be further substituted.
- R 2 is an aryl or a heteroaryl group, wherein the aryl or the heteroaryl group is substituted at the a and a' positions, and wherein R 2 may optionally be further substituted.
- R 2 is a phenyl or a 5- or 6-membered heteroaryl group, wherein the phenyl or the heteroaryl group is substituted at the a and a' positions, and wherein R 2 may optionally be further substituted.
- R 2 may be a phenyl group substituted at the 2- and 6-positions or a phenyl group substituted at the 2-, 4- and 6-positions.
- the parent phenyl or 5- or 6-membered heteroaryl group of R 2 may be selected from phenyl, pyridinyl, pyridazinyl, pyrimidinyl, pyrazinyl, pyrrolyl, furanyl, thiophenyl, pyrazolyl, imidazolyl, oxazolyl, isoxazolyl, thiazolyl, isothiazolyl, triazolyl or oxadiazolyl.
- the parent phenyl or 5- or 6-membered heteroaryl group of R 2 may be selected from phenyl, pyridinyl, pyridazinyl, pyrimidinyl, pyrrolyl, pyrazolyl, imidazolyl or triazolyl.
- the parent phenyl or 5- or 6-membered heteroaryl group of R 2 may be selected from phenyl, pyridinyl, pyridazinyl, pyrimidinyl or pyrazolyl.
- ⁇ , ⁇ , ⁇ ', ⁇ ' refers to the position of the atoms of a cyclic group, such as -R 2 , relative to the point of attachment of the cyclic group to the remainder of the molecule.
- -R 2 is a 1,2,3,5,6,7-hexahydro-s- indacen-4-yl moiety
- ⁇ , ⁇ , a' and ' positions are as follows:
- a cyclic group such as an aryl or a heteroaryl group
- one or more hydrogen atoms at the a and/or a' positions respectively are replaced by one or more substituents, such as any optional substituent as defined above.
- substituents such as any optional substituent as defined above.
- substituted does not include the replacement of one or more ring carbon atoms by one or more ring heteroatoms.
- R 2 is a cyclic group substituted at the a and a' positions, wherein R 2 may optionally be further substituted.
- R 2 may be a cycloalkyl, cycloalkenyl or non-aromatic heterocyclic group substituted at the a and a' positions.
- typical substituents at the a and/ or a' positions of the parent cyclic group of R 2 comprise a carbon atom.
- typical substituents at the a and/or a' positions may be independently selected from -R 4 , -OR 4 and -COR 4 groups, wherein each R 4 is independently selected from a Ci-Ce alkyl, C 2 -Ce alkenyl, C 2 -Ce alkynyl or C 2 -Ce cyclic group and wherein each R 4 is optionally further
- each substituent at the a and/or a' positions comprises a carbon atom.
- substituents at the a and/or a' positions of the parent cyclic group of R 2 may include cycloalkyl, cycloalkenyl, non-aromatic heterocyclic, aryl or heteroaryl rings which are fused to the parent cyclic group across the ⁇ , ⁇ and/or ⁇ ', ⁇ ' positions respectively. Such fused cyclic groups are described in greater detail below.
- R 2 is a fused aryl or a fused heteroaryl group, wherein the aryl or heteroaryl group is fused to one or more cycloalkyl, cycloalkenyl, non-aromatic heterocyclic, aryl or heteroaryl rings, wherein R 2 may optionally be further substituted.
- a cycloalkyl, cycloalkenyl, non-aromatic heterocyclic, aryl or heteroaryl ring is fused to the aryl or heteroaryl group across the ⁇ , ⁇ positions.
- the aryl or heteroaryl group is also substituted at the a' position, for example with a substituent selected from -R 4 , -OR 4 and -COR 4 , wherein each R 4 is independently selected from a Ci-Ce alkyl, C 2 -Ce alkenyl, C 2 -Ce alkynyl or C 2 -Ce cyclic group and wherein each R 4 is optionally further substituted with one or more halo groups.
- R 2 is bicyclic or tricyclic.
- R 2 is a fused phenyl or a fused 5- or 6-membered heteroaryl group, wherein the phenyl or the 5- or 6-membered heteroaryl group is fused to one or more cycloalkyl, cycloalkenyl, non-aromatic heterocyclic, aryl or heteroaryl rings, wherein R 2 may optionally be further substituted.
- a cycloalkyl, cycloalkenyl, non- aromatic heterocyclic, aryl or heteroaryl ring is fused to the phenyl or the 5- or 6- membered heteroaryl group across the ⁇ , ⁇ positions so as to form a 4- to 6-membered fused ring structure.
- the phenyl or the 5- or 6-membered heteroaryl group is also substituted at the a' position, for example with a substituent selected from -R 4 , -OR4 and -COR4, wherein each R4 is independently selected from a Ci-Ce alkyl, C 2 -Ce alkenyl, C 2 -Ce alkynyl or C 2 -Ce cyclic group and wherein each R4 is optionally further substituted with one or more halo groups.
- R 2 is bicyclic or tricyclic.
- R 2 is a fused aryl or a fused heteroaryl group, wherein the aryl or heteroaryl group is fused to two or more independently selected cycloalkyl, cycloalkenyl, non-aromatic heterocyclic, aryl or heteroaryl rings, wherein R 2 may optionally be further substituted.
- the two or more cycloalkyl, cycloalkenyl, non-aromatic heterocyclic, aryl or heteroaryl rings are each ortho-fused to the aryl or heteroaryl group, i.e.
- each fused cycloalkyl, cycloalkenyl, non-aromatic heterocyclic, aryl or heteroaryl ring has only two atoms and one bond in common with the aryl or heteroaryl group.
- R 2 is tricyclic.
- R 2 is a fused aryl or a fused heteroaryl group, wherein a first cycloalkyl, cycloalkenyl, non-aromatic heterocyclic, aryl or heteroaryl ring is fused to the aryl or heteroaryl group across the ⁇ , ⁇ positions and a second cycloalkyl, cycloalkenyl, non-aromatic heterocyclic, aryl or heteroaryl ring is fused to the aryl or heteroaryl group across the ⁇ ', ⁇ ' positions, wherein R 2 may optionally be further substituted.
- R 2 is tricyclic.
- R 2 is a fused phenyl or a fused 5- or 6-membered heteroaryl group, wherein a first cycloalkyl, cycloalkenyl, non-aromatic heterocyclic, aryl or heteroaryl ring is fused to the phenyl or the 5- or 6-membered heteroaryl group across the ⁇ , ⁇ positions so as to form a first 4- to 6-membered fused ring structure, and a second cycloalkyl, cycloalkenyl, non-aromatic heterocyclic, aryl or heteroaryl ring is fused to the phenyl or the 5- or 6-membered heteroaryl group across the ⁇ ', ⁇ ' positions so as to form a second 4- to 6-membered fused ring structure, wherein R 2 may optionally be further substituted.
- R 2 is tricyclic.
- -R 2 has a formula selected from:
- a 1 and A 2 are each independently selected from an optionally substituted alkylene or alkenylene group, wherein one or more carbon atoms in the backbone of the alkylene or alkenylene group may optionally be replaced by one or more heteroatoms N, O or S;
- each R a is independently selected from -R aa , -OR aa or -COR aa ; each R b is independently selected from hydrogen, halo, -N0 2 , -CN, -R aa , -OR aa or -COR aa ;
- any R a or R b that is directly attached to a ring nitrogen atom is not halo, -NO2, -CN, or -OR aa ;
- each R c is independently selected from hydrogen, halo, -OH, -N0 2 , -CN, -R 00 ,
- each R aa is independently selected from a Ci-Ce alkyl, C 2 -Ce alkenyl, C 2 -Ce alkynyl or a 3- to 7-membered cyclic group, wherein each R aa is optionally substituted;
- each R cc is independently selected from a Ci-Ce alkyl, C 2 -Ce alkenyl, C 2 -Ce alkynyl or a 3- to 7-membered cyclic group, or any two R 00 attached to the same nitrogen atom may, together with the nitrogen atom to which they are attached, form a 3- to 7-membered heterocyclic group, wherein each R cc is optionally substituted.
- any ring containing A 1 or A 2 is a 5- or 6-membered ring.
- a 1 and A 2 are each independently selected from an optionally substituted straight-chained alkylene group or an optionally substituted straight-chained alkenylene group, wherein one or two carbon atoms in the backbone of the alkylene or alkenylene group may optionally be replaced by one or two heteroatoms independently selected from nitrogen and oxygen. More typically, A 1 and A 2 are each independently selected from an optionally substituted straight-chained alkylene group, wherein one carbon atom in the backbone of the alkylene group may optionally be replaced by an oxygen atom.
- a 1 and A 2 are unsubstituted or substituted with one or more substituents independently selected from halo, -OH, -CN, -N0 2 , C1-C4 alkyl, C1-C4 haloalkyl,
- a 1 and A 2 are unsubstituted or substituted with one or more fluoro and/or chloro groups.
- R 2 contains both A 1 and A 2 groups, A 1 and A 2 may be the same or different.
- a 1 and A 2 are the same.
- R aa is a substituted Ci-Ce alkyl, C 2 -Ce alkenyl or C 2 -Ce alkynyl group, typically the Ci-Ce alkyl, C 2 -Ce alkenyl or C 2 -Ce alkynyl group is substituted with one or more (e.g. one or two) substituents independently selected from halo, -OH, -CN, -N0 2 ,
- R aa is a substituted 3- to 7-membered cyclic group, typically the 3- to 7- membered cyclic group is substituted with one or more (e.g. one or two) substituents independently selected from halo, -OH, -NH 2 , -CN, -N0 2 , -B 1 , -OB 1 , -NHB 1 , -N(B 1 ) 2 , -C0NH 2 , -CONHB 1 , -CONfB 1 ),, -NHCOB 1 , -NB ⁇ OB 1 , or -B 11 -;
- each B 1 is independently selected from a C1-C4 alkyl, C 2 -C 4 alkenyl, C 2 -C 4 alkynyl, C 3 -Ce cycloalkyl or phenyl group, or a 4- to 6-membered heterocyclic group containing one or two ring heteroatoms N and/or O, or two B 1 together with the nitrogen atom to which they are attached may form a 4- to 6-membered heterocyclic group containing one or two ring heteroatoms N and/or O, wherein any B 1 may optionally be halo-substituted and/or substituted with one or two substituents independently selected from -OH, -NH 2 , -OB 12 , -NHB 12 or -N(B 12 ) 2 ;
- each B 11 is independently selected from a Ci-Cs alkylene or C 2 -Cs alkenylene group, wherein one or two carbon atoms in the backbone of the alkylene or alkenylene group may optionally be replaced by one or two heteroatoms N and/or O, and wherein the alkylene or alkenylene group may optionally be halo-substituted and/or substituted with one or two substituents independently selected from -OH, -NH 2 , -OB 12 , -NHB 12 or -N(B 12 ) 2 ; and
- each B 12 is independently selected from a C1-C3 alkyl or C1-C3 haloalkyl group.
- any divalent group -B 11 - forms a 4- to 6-membered fused ring.
- each R a is -R aa . More typically, each R a is independently selected from a Ci-Ce alkyl (in particular C 3 -Ce branched alkyl) or C 3 -Ce cycloalkyl group, wherein each R a is optionally further substituted with one or more halo groups. More typically, each R a is independently selected from a C1-C4 alkyl, C1-C4 haloalkyl, C 3 -C 4 cycloalkyl or C 3 -C 4 halocycloalkyl group. Where a group R a is present at both the a- and a'-positions, each R a may be the same or different. Typically, each R a is the same.
- each R b is independently selected from hydrogen or halo. More typically, each R b is hydrogen.
- each R c is independently selected from hydrogen, halo, -OH, -N0 2 , -CN, -R 00 or -OR cc . More typically, each R c is independently selected from hydrogen, halo, -CN, Ci-C 3 alkyl, Ci-C 3 haloalkyl, cyclopropyl or halocyclopropyl. Most typically, each R c is independently selected from hydrogen or halo.
- each is independently selected from a C1-C4 alkyl or C 3 -Ce cycloalkyl group, or any two R ⁇ attached to the same nitrogen atom may, together with the nitrogen atom to which they are attached, form a 3- to 6-membered saturated heterocyclic group, wherein each R ⁇ is optionally substituted.
- R cc is substituted, typically R cc is substituted with one or more halo, -OH, -CN, -N0 2 , -0(d-C 4 alkyl) or -0(Ci-C 4 haloalkyl) groups.
- each R 00 is independently selected from a C1-C4 alkyl, C1-C4 haloalkyl, C 3 -C 4 cycloalkyl or C 3 -C 4 halocycloalkyl group.
- -R 2 has a formula selected from:
- R 6 are independently selected from C1-C4 alkyl, C1-C4 haloalkyl, C 3 -C 4 cycloalkyl and C 3 -C 4 halocycloalkyl
- R d is hydrogen, halo, -OH, -N0 2 , -CN, -R dd , -OR dd , -COR dd , -COOR dd , -C0NH 2 , -CONHR dd or -C0N(R dd ) 2 , wherein each -R dd is independently selected from C1-C4 alkyl, C1-C4 haloalkyl, C 3 -C 4 cycloalkyl and C 3 -C 4 halocycloalkyl.
- R 5 and R 6 are independently selected from C1-C4 alkyl, and R d is hydrogen, halo, -CN, Ci-C 3 alkyl, Ci-C 3 haloalkyl, cyclopropyl or halocyclopropyl. More typically, R 5 and R 6 are independently selected from C1-C4 alkyl, and R d is hydrogen or halo. In one aspect of such an embodiment ⁇ and R 6 are independently selected from C1-C4 alkyl, and R d is halo.
- -R 2 has a formula selected from:
- -R 2 has a formula selected from:
- a 1 and A 2 are each independently selected from an optionally substituted alkylene or alkenylene group, wherein one or more carbon atoms in the backbone of the alkylene or alkenylene group may optionally be replaced by one or more heteroatoms N, O or S, and wherein R e is hydrogen or any optional substituent.
- R e and any optional substituent attached to A 1 or A 2 may together with the atoms to which they are attached form a further fused cycloalkyl, cycloalkenyl, non-aromatic heterocyclic, aryl or heteroaryl ring which may itself be optionally substituted.
- any optional substituent attached to A 1 and any optional substituent attached to A 2 may also together with the atoms to which they are attached form a further fused cycloalkyl, cycloalkenyl, non-aromatic heterocyclic, aryl or heteroaryl ring which may itself be optionally substituted.
- R e is hydrogen, halo, -OH, -N0 2 , -CN, -R ee , -OR ee , -COR ee ,
- R e is hydrogen or a halo, hydroxyl, -CN, -N0 2 , -R ee or -OR ee group, wherein R ee is a C1-C4 alkyl group which may optionally be halo-substituted.
- R e is hydrogen or a halo, hydroxyl, -CN, -R ee or -OR ee group, wherein R ee is a C1-C4 alkyl group which may optionally be halo-substituted. More typically, R e is hydrogen or halo.
- any ring containing A 1 or A 2 is a 5- or 6-membered ring.
- a 1 and A 2 are each independently selected from an optionally substituted straight-chained alkylene group or an optionally substituted straight-chained alkenylene group, wherein one or two carbon atoms in the backbone of the alkylene or alkenylene group may optionally be replaced by one or two heteroatoms independently selected from nitrogen and oxygen. More typically, A 1 and A 2 are each independently selected from an optionally substituted straight-chained alkylene group, wherein one carbon atom in the backbone of the alkylene group may optionally be replaced by an oxygen atom. Typically, no heteroatom in A 1 or A 2 is directly attached to another ring heteroatom.
- a 1 and A 2 are unsubstituted or substituted with one or more halo, hydroxyl, -CN, -N0 2 , -Bs or -OB 3 groups, wherein B 3 is a C1-C4 alkyl group which may optionally be halo-substituted. More typically, A 1 and A 2 are unsubstituted or substituted with one or more halo, hydroxyl, -CN, -Bs or -OBs groups, wherein Bs is a C1-C4 alkyl group which may optionally be halo-substituted. More typically, A 1 and A 2 are unsubstituted or substituted with one or more fluoro and/or chloro groups. Where R 2 contains both A 1 and A 2 groups, A 1 and A 2 may be the same or different. Typically, A 1 and A 2 are the same.
- -R 2 has a formula selected from:
- R 6 is C1-C4 alkyl, Ci-C 4 haloalkyl, C 3 -C 4 cycloalkyl or C 3 -C 4 halocycloalkyl
- R f is hydrogen, halo, -OH, -N0 2 , -CN, -R ff , -OR ff , -COR ff , -COOR ff , -C0NH 2 , -CONHR ff or -C0N(R ff ) 2 , wherein each -R ff is independently selected from Ci-C 4 alkyl, Ci-C 4 haloalkyl, C 3 -C 4 cycloalkyl and C 3 -C 4 halocycloalkyl.
- R 6 is Ci-C 4 alkyl
- R f is hydrogen, halo, -CN, Ci-C 3 alkyl, Ci-C 3 haloalkyl, cyclopropyl or halocyclopropyl.
- R 6 is Ci-C 4 alkyl
- R f is hydrogen or halo.
- -R 2 has the formula:
- -R 2 has the formula:
- substituents at the a-position of the parent cyclic group of R 2 may include monovalent heterocyclic groups and monovalent aromatic groups, wherein a ring atom of the heterocyclic or aromatic group is directly attached via a single bond to the a-ring atom of the parent cyclic group, wherein the heterocyclic or aromatic group may optionally be substituted, and wherein the parent cyclic group may optionally be further substituted.
- R 2 groups are described in greater detail below.
- the a-substituted parent cyclic group of R 2 is a 5- or 6-membered cyclic group, wherein the cyclic group may optionally be further substituted.
- the ⁇ -substituted parent cyclic group of R 2 is an aryl or a heteroaryl group, all of which may optionally be further substituted.
- the a- substituted parent cyclic group of R 2 is a phenyl or a 5- or 6-membered heteroaryl group, all of which may optionally be further substituted.
- the a- substituted parent cyclic group of R 2 is a phenyl, pyridinyl, pyridazinyl, pyrimidinyl, pyrazinyl, pyrrolyl, furanyl, thiophenyl, pyrazolyl, imidazolyl, oxazolyl, isoxazolyl, thiazolyl, isothiazolyl, triazolyl or oxadiazolyl group, all of which may optionally be further substituted.
- the ⁇ -substituted parent cyclic group of R 2 is a phenyl or pyrazolyl group, both of which may optionally be further substituted.
- the ⁇ -substituted parent cyclic group of R 2 is a phenyl group, which may optionally be further substituted. In one embodiment, the ⁇ -substituted parent cyclic group of R 2 is substituted at the a and a' positions, and may optionally be further substituted.
- the a- substituted parent cyclic group of R 2 may be a phenyl group substituted at the 2- and 6- positions or a phenyl group substituted at the 2-, 4- and 6-positions.
- R 2 is a parent cyclic group substituted at the a-position with a monovalent heterocyclic group or a monovalent aromatic group, wherein the heterocyclic or aromatic group may optionally be substituted, and wherein the parent cyclic group may optionally be further substituted.
- the monovalent heterocyclic or aromatic group at the a-position is a phenyl or a 5- or 6-membered heterocyclic group, all of which may optionally be substituted.
- the monovalent heterocyclic or aromatic group at the a-position is a phenyl, pyridinyl, pyridazinyl, pyrimidinyl, pyrazinyl, pyrrolyl, furanyl, thiophenyl, pyrazolyl, imidazolyl, oxazolyl, isoxazolyl, thiazolyl, isothiazolyl, triazolyl, oxadiazolyl, azetinyl, azetidinyl, oxetanyl, thietanyl, pyrrolidinyl, tetrahydrofuranyl, tetrahydrothiophenyl,
- pyrazolidinyl imidazolidinyl, 1,3-dioxolanyl, 1,2-oxathiolanyl, 1,3-oxathiolanyl, piperidinyl, tetrahydropyranyl, piperazinyl, 1,4-dioxanyl, thianyl, morpholinyl, thiomorpholinyl or i-methyl-2-oxo-i,2-dihydropyridinyl group, all of which may optionally be substituted.
- the monovalent heterocyclic or aromatic group at the ⁇ -position is a phenyl, pyridinyl, pyridazinyl, pyrimidinyl, pyrazinyl, pyrrolyl, furanyl, thiophenyl, pyrazolyl, imidazolyl, oxazolyl, isoxazolyl, thiazolyl, isothiazolyl, triazolyl, oxadiazolyl, azetinyl, azetidinyl, oxetanyl, thietanyl, pyrrolidinyl, tetrahydrofuranyl, tetrahydrothiophenyl, pyrazolidinyl, imidazolidinyl, 1,3-dioxolanyl, 1,2-oxathiolanyl, 1,3-oxathiolanyl, piperidinyl, tetrahydropyranyl,
- the monovalent heterocyclic or aromatic group at the ⁇ -position is a phenyl, pyridinyl, pyridazinyl, pyrimidinyl, pyrazinyl, pyrrolyl, furanyl, thiophenyl, pyrazolyl, imidazolyl, oxazolyl, isoxazolyl, thiazolyl, isothiazolyl, piperidinyl or tetrahydropyranyl group, all of which may optionally be substituted.
- the monovalent heterocyclic or aromatic group at the ⁇ -position is a phenyl, pyridinyl, pyridazinyl, pyrimidinyl, pyrazolyl, imidazolyl, isoxazolyl, thiazolyl, tetrahydropyranyl or i-methyl-2-oxo-i,2-dihydropyridinyl group, all of which may optionally be substituted.
- the monovalent heterocyclic or aromatic group at the ⁇ -position is a phenyl, pyridinyl, pyrimidinyl, pyrazolyl, imidazolyl, isoxazolyl, thiazolyl or tetrahydropyranyl group, all of which may optionally be substituted.
- the monovalent heterocyclic or aromatic group at the ⁇ -position is a phenyl, pyridinyl, pyrimidinyl or pyrazolyl group, all of which may optionally be substituted.
- the monovalent heterocyclic or aromatic group at the ⁇ -position is an unsubstituted phenyl, pyridinyl, pyrimidinyl or pyrazolyl group.
- the monovalent heterocyclic group at the ⁇ -position is a pyridin-2-yl, pyridin-3-yl or pyridin-4-yl group, all of which may optionally be substituted.
- the monovalent heterocyclic group at the ⁇ -position is an unsubstituted pyridin-3-yl group or an optionally substituted pyridin-4-yl group.
- the monovalent heterocyclic or aromatic group may optionally be substituted with one or two substituents
- each B4 is independently selected from a C 1 -C4 alkyl, C 2 -C 4 alkenyl, C 2 -C 4 alkynyl, C 3 -Ce cycloalkyl or phenyl group, or a 4- to 6-membered heterocyclic group containing one or two ring heteroatoms N and/or O, or two B4 together with the nitrogen atom to which they are attached may form a 4- to 6-membered heterocyclic group containing one or two ring heteroatoms N and/ or O, wherein any B4 may optionally be halo-substituted and/or substituted with one or two substituents independently selected from -OH, -NH 2 , -OB45, -NHB45 or -N(B45) 2 ;
- each B44 is independently selected from a Ci-Cs alkylene or C 2 -Cs alkenylene group, wherein one or two carbon atoms in the backbone of the alkylene or alkenylene group may optionally be replaced by one or two heteroatoms N and/ or O, and wherein the alkylene or alkenylene group may optionally be halo-substituted and/or substituted with one or two substituents independently selected from -OH, -NH 2 , -OB45, -NHB45 or -N(B45) 2 ; and
- each B45 is independently selected from a C 1 -C3 alkyl or C 1 -C3 haloalkyl group.
- any divalent group -B 4 4- forms a 4- to 6-membered fused ring.
- the monovalent heterocyclic or aromatic group at the ⁇ -position is a phenyl, pyridinyl, pyrimidinyl or pyrazolyl group, all of which may optionally be substituted with one or two substituents independently selected from halo, -OH, -NH 2 , -CN, -B4, -OB4, -NHB4 or -N(B4) 2 , wherein each B4 is independently selected from a C1-C4 alkyl, C 2 -C 4 alkenyl or C 2 -C 4 alkynyl group all of which may optionally be halo- substituted.
- the monovalent heterocyclic group at the ⁇ -position is a pyridin-2-yl, pyridin-3-yl or pyridin-4-yl group, all of which may optionally be substituted with one or two substituents independently selected from halo, -OH, -NH 2 , -CN, -B4, -OB4, -NHB4 or -N(B4) 2 , wherein each B4 is independently selected from a C1-C4 alkyl, C 2 -C 4 alkenyl or C 2 -C 4 alkynyl group all of which may optionally be halo- substituted.
- the monovalent heterocyclic group at the ⁇ -position is an unsubstituted pyridin-3-yl group or a pyridin-4-yl group optionally substituted with one or two substituents independently selected from halo, -OH, -NH 2 , -CN, -B4, -OB4, -NHB4 or -N(B4) 2 , wherein each B4 is independently selected from a C 1 -C4 alkyl, C 2 -C 4 alkenyl or C 2 -C 4 alkynyl group all of which may optionally be halo-substituted.
- R 2 is a parent cyclic group substituted at the a-position with a monovalent heterocyclic group or a monovalent aromatic group, wherein the heterocyclic or aromatic group may optionally be substituted, and wherein the parent cyclic group may optionally be further substituted.
- such further substituents are in the a' position of the a-substituted parent cyclic group of R 2 .
- Such further substituents may be independently selected from halo, -R 8 , -OR 8 or -COR 8 groups, wherein each R 8 is independently selected from a Ci-Ce alkyl, C 2 -Ce alkenyl,
- each R 8 is optionally further substituted with one or more halo groups.
- substituents on the a-substituted parent cyclic group of R 2 are independently selected from halo, Ci-Ce alkyl (in particular C 3 -Ce branched alkyl) or C 3 -Ce cycloalkyl groups, e.g. fluoro, chloro, isopropyl, cyclopropyl, cyclohexyl or t-butyl groups, wherein the alkyl and cycloalkyl groups are optionally further substituted with one or more fluoro and/or chloro groups.
- -R 2 has a formula selected from:
- R? is C 1 -C4 alkyl, C 1 -C4 haloalkyl, C 3 -Ce cycloalkyl or C 3 -Ce halocycloalkyl
- R 8 is a 5- or 6-membered, optionally substituted heterocyclic or aromatic group
- R ⁇ is hydrogen, halo, -OH, -N0 2 , -CN, -RBB, -ORSS, -CORSS, -COORSS, -C0NH 2 , -CONHRS?
- each -Rs ⁇ is independently selected from C 1 -C4 alkyl, C 1 -C4 haloalkyl, C 3 -C 4 cycloalkyl and C 3 -C 4 halocycloalkyl.
- the optional substituents on the heterocyclic or aromatic group are independently selected from halo, -OH, -NH 2 , -CN, -N0 2 , -Bs, -OBs, -NHBs, -N(Bs) 2 , -C0NH 2 , -CONHBs, -C0N(Bs) 2 -NHCOB5, -NB5COB5, or -Bss-;
- each Bs is independently selected from a C 1 -C4 alkyl, C 2 -C 4 alkenyl, C 2 -C 4 alkynyl, C 3 -Ce cycloalkyl or phenyl group, or a 4- to 6-membered heterocyclic group containing one or two ring heteroatoms N and/ or O, or two B 5 together with the nitrogen atom to which they are attached may form a 4- to 6-membered heterocyclic group containing one or two ring heteroatoms N and/or O, wherein any B 5 may optionally be halo-substituted and/or substituted with one or two substituents independently selected from -OH, -NH 2 , -OBs 6 , -NHBs 6 or -N(Bs 6 ) 2 ;
- each Bss is independently selected from a Ci-Ce alkylene or C 2 -Cs alkenylene group, wherein one or two carbon atoms in the backbone of the alkylene or alkenylene group may optionally be replaced by one or two heteroatoms N and/ or O, and wherein the alkylene or alkenylene group may optionally be halo-substituted and/or substituted with one or two substituents independently selected from -OH, -NH 2 , -OB5 6 , - HB5 6 or -N(Bs 6 ) 2 ; and
- each Bs 6 is independently selected from a Ci-C 3 alkyl or C1-C3 haloalkyl group.
- any divalent group - ⁇ - forms a 4- to 6-membered fused ring.
- R7 is C1-C4 alkyl
- R 8 is a 5- or 6-membered, optionally substituted heterocyclic or aromatic group
- Rs is hydrogen, halo, -CN, C1-C3 alkyl, C1-C3 haloalkyl, cyclopropyl or halocyclopropyl.
- R 7 is C1-C4 alkyl
- R 8 is a 5- or 6-membered, optionally substituted heterocyclic or aromatic group
- Rs is hydrogen or halo.
- the optional substituents on the heterocyclic or aromatic group are independently selected from halo, -OH, -NH 2 , -CN, -Bs, -OBs, -NHBs or -N(Bs) 2 , wherein each Bs is independently selected from a C1-C4 alkyl, C 2 -C 4 alkenyl or C 2 -C 4 alkynyl group all of which may optionally be halo-substituted.
- -R 2 has a formula selected from:
- R 8 is a 5- or 6-membered, optionally substituted heterocyclic or aromatic group.
- the optional substituents on the heterocyclic or aromatic group are independently selected from halo, -OH, -NH 2 , -CN, -N0 2 , -B 6 , -OB 6 , -NHB 6 , -N(B 6 ) 2 , -C0NH 2 , -CONHB 6 , -CON(B 6 ) 2 , -NHCOB 6 , -NB 6 COB 6 , or -B 66 -;
- each B 6 is independently selected from a C1-C4 alkyl, C 2 -C 4 alkenyl, C 2 -C 4 alkynyl, C 3 -Ce cycloalkyl or phenyl group, or a 4- to 6-membered heterocyclic group containing one or two ring heteroatoms N and/ or O, or two B 6 together with the nitrogen atom to which they are attached may form a 4- to 6-membered heterocyclic group containing one or two ring heteroatoms N and/or O, wherein any B 6 may optionally be halo-substituted and/or substituted with one or two substituents independently selected from -OH, -NH 2 , -OB 6 ?, -NHB 6 ? or -N(B 6 7) 2 ;
- each B 66 is independently selected from a Ci-Ce alkylene or C 2 -Cs alkenylene group, wherein one or two carbon atoms in the backbone of the alkylene or alkenylene group may optionally be replaced by one or two heteroatoms N and/or O, and wherein the alkylene or alkenylene group may optionally be halo-substituted and/or substituted with one or two substituents independently selected from -OH, -NH 2 , -OB 6 ?, -NHB 6 7 or -N(B 6 7) 2 ; and
- each B 6 ? is independently selected from a C 1 -C3 alkyl or C 1 -C3 haloalkyl group.
- any divalent group -B 66 - forms a 4- to 6-membered fused ring.
- the optional substituents on the heterocyclic or aromatic group are independently selected from halo, -OH, -NH 2 , -CN, -B 6 , -OB 6 , -NHB 6 or -N(B 6 ) 2 , wherein each B 6 is
- C1-C4 alkyl independently selected from a C1-C4 alkyl, C 2 -C 4 alkenyl or C 2 -C 4 alkynyl group all of which may optionally be halo-substituted.
- R 2 is a parent cyclic group substituted at the a-position with a monovalent heterocyclic group or a monovalent aromatic group, wherein the heterocyclic or aromatic group may optionally be substituted, and wherein the parent cyclic group may optionally be further substituted.
- the further substituents on the a- substituted parent cyclic group of R 2 also include cycloalkyl, cycloalkenyl, non-aromatic heterocyclic, aryl or heteroaryl rings which are fused to the a-substituted parent cyclic group of R 2 .
- the cycloalkyl, cycloalkenyl, non-aromatic heterocyclic, aryl or heteroaryl rings are ortho-fused to the ⁇ -substituted parent cyclic group of R 2 , i.e. each fused cycloalkyl, cycloalkenyl, non-aromatic heterocyclic, aryl or heteroaryl ring has only two atoms and one bond in common with the ⁇ -substituted parent cyclic group of R 2 .
- the cycloalkyl, cycloalkenyl, non-aromatic heterocyclic, aryl or heteroaryl rings are ortho-fused to the ⁇ -substituted parent cyclic group of R 2 across the ⁇ ', ⁇ ' positions.
- -R 2 has a formula selected from:
- R 8 is a 5- or 6-membered, optionally substituted heterocyclic or aromatic group
- R h is hydrogen, halo, -OH, -N0 2 , -CN, -R hh , -OR hh , -COR hh , -COOR hh ,
- each -R hh is independently selected from C 1 -C4 alkyl, C 1 -C4 haloalkyl, C 3 -C 4 cycloalkyl and C 3 -C 4 halocycloalkyl.
- the optional substituents on the heterocyclic or aromatic group are independently selected from halo, -OH, -NH 2 , -CN, -N0 2 , -B 7 , -OB?, -NHB 7 , -N(B 7 ) 2 , -C0NH 2 , -CONHB 7 , -CON(B 7 ) 2 , -NHCOB 7 , -NB 7 COB 7 , or -B 77 -;
- each B 7 is independently selected from a C 1 -C4 alkyl, C 2 -C 4 alkenyl, C 2 -C 4 alkynyl, C 3 -Ce cycloalkyl or phenyl group, or a 4- to 6-membered heterocyclic group containing one or two ring heteroatoms N and/or O, or two B 7 together with the nitrogen atom to which they are attached may form a 4- to 6-membered heterocyclic group containing one or two ring heteroatoms N and/ or O, wherein any B 7 may optionally be halo-substituted and/or substituted with one or two substituents independently selected from -OH, -NH 2 , -OB 78 , -NHB 78 or -N(B 78 ) 2 ;
- each B 77 is independently selected from a Ci-Ce alkylene or C 2 -Cs alkenylene group, wherein one or two carbon atoms in the backbone of the alkylene or alkenylene group may optionally be replaced by one or two heteroatoms N and/ or O, and wherein the alkylene or alkenylene group may optionally be halo-substituted and/or substituted with one or two substituents independently selected from -OH, -NH 2 , -OB 78 , -NHB 78 or -N(B 78 ) 2 ; and
- each B 78 is independently selected from a C 1 -C3 alkyl or C 1 -C3 haloalkyl group.
- any divalent group - ⁇ - forms a 4- to 6-membered fused ring.
- R h is hydrogen, halo, -CN, C1-C3 alkyl, C1-C3 haloalkyl, cyclopropyl or halocyclopropyl. More typically, R h is hydrogen or halo.
- the optional substituents on the heterocyclic or aromatic group are independently selected from halo, -OH, -NH 2 , -CN, -B ? , -OB ?
- each B? is independently selected from a C1-C4 alkyl, C 2 -C 4 alkenyl or C 2 -C 4 alkynyl group all of which may optionally be halo-substituted.
- -R 2 has a formula selected from:
- R 8 is a 5- or 6-membered, optionally substituted heterocyclic or aromatic group.
- the optional substituents on the heterocyclic or aromatic group are independently selected from halo, -OH, -NH 2 , -CN, -N0 2 , -B 8 , -OB 8 , -NHB 8 , -N(B 8 ) 2 , -C0NH 2 , -CONHB 8 , -CON(B 8 ) 2 , -NHCOB 8 , -NB 8 COB 8 , or -B 88 -;
- each B 8 is independently selected from a C1-C4 alkyl, C 2 -C 4 alkenyl, C 2 -C 4 alkynyl, C 3 -Ce cycloalkyl or phenyl group, or a 4- to 6-membered heterocyclic group containing one or two ring heteroatoms N and/or O, or two B 8 together with the nitrogen atom to which they are attached may form a 4- to 6-membered heterocyclic group containing one or two ring heteroatoms N and/or O, wherein any B 8 may optionally be halo-substituted and/or substituted with one or two substituents independently selected from -OH, -NH 2 , -OB 8 ?, -NHB 8 ? or -N(B 8 ?) 2 ;
- each B 88 is independently selected from a Ci-Ce alkylene or C 2 -Cs alkenylene group, wherein one or two carbon atoms in the backbone of the alkylene or alkenyl ene group may optionally be replaced by one or two heteroatoms N and/or O, and wherein the alkylene or alkenylene group may optionally be halo-substituted and/or substituted with one or two substituents independently selected from -OH, -NH 2 , -OB 8 ?, -NHB 8 ? or -N(B 8 o) 2 ; and
- each B 89 is independently selected from a Ci-C 3 alkyl or C1-C3 haloalkyl group.
- any divalent group -B 88 - forms a 4- to 6-membered fused ring.
- the optional substituents on the heterocyclic or aromatic group are independently selected from halo, -OH, -NH 2 , -CN, -B 8 , -OB 8 , -NHB 8 or -N(B 8 ) 2 , wherein each B 8 is independently selected from a C1-C4 alkyl, C 2 -C 4 alkenyl or C 2 -C 4 alkynyl group all of which may optionally be halo-substituted.
- -R 2 has a formula selected from:
- R 8 is a 5- or 6-membered, optionally substituted heterocyclic or aromatic group
- R' is hydrogen, halo, -OH, -N0 2 , -CN, -R", -OR", -COR", -COOR", -C0NH 2 , -CONHR” or -C0N(R") 2 , wherein each -R" is independently selected from C1-C4 alkyl, C1-C4 haloalkyl, C 3 -C 4 cycloalkyl and C 3 -C 4 halocycloalkyl.
- the optional substituents on the heterocyclic or aromatic group are independently selected from halo, -OH, -NH 2 , -CN, -N0 2 , -B?, -OB?, -NHB?, -N(B?) 2 , -C0NH 2 , -CONHB?, -CON(B9) 2 , -NHCOB9, -NB ⁇ COB?, or -B ⁇ -;
- each B? is independently selected from a C1-C4 alkyl, C 2 -C 4 alkenyl, C 2 -C 4 alkynyl, C 3 -Ce cycloalkyl or phenyl group, or a 4- to 6-membered heterocyclic group containing one or two ring heteroatoms N and/ or O, or two B 9 together with the nitrogen atom to which they are attached may form a 4- to 6-membered heterocyclic group containing one or two ring heteroatoms N and/or O, wherein any B? may optionally be halo-substituted and/or substituted with one or two substituents independently selected from -OH, -NH 2 , -OB? 8 , -NHB? 8 or -N(B? 8 ) 2 ;
- each B ⁇ is independently selected from a Ci-Ce alkylene or C 2 -Cs alkenylene group, wherein one or two carbon atoms in the backbone of the alkylene or alkenylene group may optionally be replaced by one or two heteroatoms N and/or O, and wherein the alkylene or alkenylene group may optionally be halo-substituted and/or substituted with one or two substituents independently selected from -OH, -NH 2 , -OB? 8 , -NHB? 8 or -N(B? 8 ) 2 ; and
- each B? 8 is independently selected from a C1-C 3 alkyl or C1-C 3 haloalkyl group.
- any divalent group -B ⁇ - forms a 4- to 6-membered fused ring.
- R' is hydrogen, halo, -CN, C1-C 3 alkyl, C1-C 3 haloalkyl, cyclopropyl or halocyclopropyl. More typically, R' is hydrogen or halo.
- the optional substituents on the heterocyclic or aromatic group are independently selected from halo, -OH, -NH 2 , -CN, -B?, -OB?, -NHB9 or -N(B9) 2 , wherein each B? is independently selected from a C1-C4 alkyl, C 2 -C 4 alkenyl or C 2 -C 4 alkynyl group all of which may optionally be halo-substituted.
- R 2 is phenyl or a 5- or 6-membered heteroaryl group (such as phenyl, pyridinyl, pyridazinyl, pyrimidinyl or pyrazinyl); wherein
- the phenyl or 5- or 6-membered heteroaryl group is substituted at the a position with a substituent selected from -R 4 , -OR 4 and -COR 4 , wherein R 4 is selected from a Ci-Ce alkyl, C 2 -Ce alkenyl, C 2 -Ce alkynyl or C 2 -Ce cyclic group and wherein R 4 is optionally substituted with one or more halo groups; and
- phenyl or 5- or 6-membered heteroaryl group is further substituted at the a' position with a substituent selected from -R 14 , -OR 14 and -COR 14 , wherein R 14 is selected from a Ci-Ce alkyl, C 2 -Ce alkenyl, C 2 -Ce alkynyl or C 2 -Ce cyclic group and wherein R 14 is optionally substituted with one or more halo groups; and optionally the phenyl or 5- or 6-membered heteroaryl group is further substituted (typically with one, two or three substituents independently selected from halo, -NO2, -CN, -COOR ⁇ , -C0NH 2 , -CONHR ⁇ or -C0N(R 1 s) 2 , wherein each -R* is independently selected from a C1-C4 alkyl or C1-C4 haloalkyl group); or
- the phenyl or 5- or 6-membered heteroaryl group is substituted with a cycloalkyl, cycloalkenyl, non-aromatic heterocyclic, aryl or heteroaryl ring which is fused to the parent phenyl or 5- or 6-membered heteroaryl group across the ⁇ , ⁇ positions and which is optionally substituted with one or more halo groups;
- the phenyl or 5- or 6-membered heteroaryl group is further substituted at the a' position with a substituent selected from -R 4 , -OR 4 and -COR 4 , wherein R 4 is selected from a Ci-Ce alkyl, C 2 -Ce alkenyl, C 2 -Ce alkynyl or C 2 -Ce cyclic group and wherein R 4 is optionally substituted with one or more halo groups; and
- the phenyl or 5- or 6-membered heteroaryl group is further substituted (typically with one or two substituents independently selected from halo, -N0 2 , -CN, -COOR ⁇ , -C0NH 2 , -CONHR ⁇ or -C0N(R 1 s) 2 , wherein each -R « is independently selected from a C1-C4 alkyl or C1-C4 haloalkyl group); or
- the phenyl or 5- or 6-membered heteroaryl group is substituted with a first cycloalkyl, cycloalkenyl, non-aromatic heterocyclic, aryl or heteroaryl ring which is fused to the parent phenyl or 5- or 6-membered heteroaryl group across the ⁇ , ⁇ positions and which is optionally substituted with one or more halo groups;
- the phenyl or 5- or 6-membered heteroaryl group is substituted with a second cycloalkyl, cycloalkenyl, non-aromatic heterocyclic, aryl or heteroaryl ring which is fused to the parent phenyl or 5- or 6-membered heteroaryl group across the ⁇ ', ⁇ ' positions and which is optionally substituted with one or more halo groups; and
- the phenyl group is further substituted (typically with a substituent selected from halo, -N0 2 , -CN, -COOR ⁇ , -C0NH 2 , -CONHR ⁇ or -C0N(R 1 s) 2 , wherein each -R J 5 is independently selected from a C1-C4 alkyl or C1-C4 haloalkyl group); or
- the phenyl or 5- or 6-membered heteroaryl group is substituted at the a- position with a monovalent heterocyclic group or a monovalent aromatic group selected from phenyl, pyridinyl, pyrimidinyl, pyrazolyl, imidazolyl, triazolyl or
- the monovalent heterocyclic or aromatic group may optionally be substituted with one or two substituents independently selected from halo, C 1 -C 3 alkyl, d-C 3 haloalkyl, -R ⁇ -OR ⁇ , -R 12 -N(R 1 3) 2 , -R ⁇ -CN or -R ⁇ -OCR ⁇ , and wherein a ring atom of the monovalent heterocyclic or aromatic group is directly attached to the a-ring atom of the parent phenyl or 5- or 6-membered heteroaryl group; wherein R 12 is independently selected from a bond or a C1-C 3 alkylene group; and R 13 is independently selected from hydrogen or a C1-C 3 alkyl or C1-C 3 haloalkyl group; and optionally the phenyl or 5- or 6-membered heteroaryl group is further substituted at the a' position with a substituent selected from -R 4 , -OR 4 and
- the phenyl or 5- or 6-membered heteroaryl group is substituted at the a- position with a monovalent heterocyclic group or a monovalent aromatic group selected from phenyl, pyridinyl, pyrimidinyl, pyrazolyl, imidazolyl, triazolyl or
- the monovalent heterocyclic or aromatic group may optionally be substituted with one or two substituents independently selected from halo, C 1 -C3 alkyl, d-C 3 haloalkyl, -R ⁇ -OR ⁇ , -R ⁇ -NfR 13 ),, -R ⁇ -CN or -R ⁇ -OCR 13 , and wherein a ring atom of the monovalent heterocyclic or aromatic group is directly attached to the a-ring atom of the parent phenyl or 5- or 6-membered heteroaryl group; wherein R 12 is independently selected from a bond or a C1-C3 alkylene group; and R 13 is independently selected from hydrogen or a C1-C3 alkyl or C1-C3 haloalkyl group; and optionally the phenyl or 5- or 6-membered heteroaryl group is further substituted with a cycloalkyl, cycloalkenyl, non-aromatic heterocyclic
- the phenyl or 5- or 6-membered heteroaryl group is further substituted (typically with one or two substituents independently selected from halo, -NO 2 , -CN, -COOR ! s, -C0NH 2 , -CONHR ⁇ or -C0N(R 1 s) 2 , wherein each -R « is independently selected from a C1-C4 alkyl or C1-C4 haloalkyl group).
- a group or moiety is optionally substituted with one or more halo groups, it may be substituted for example with one, two, three, four, five or six halo groups.
- R 2 contains from 10 to 50 atoms other than hydrogen. More typically, R 2 contains from 10 to 40 atoms other than hydrogen. More typically, R 2 contains from 10 to 35 atoms other than hydrogen. Most typically, R 2 contains from 12 to 30 atoms other than hydrogen.
- R 2 contains from 5 to 30 atoms other than hydrogen or halogen. More typically, R 2 contains from 7 to 25 atoms other than hydrogen or halogen. More typically, R 2 contains from 9 to 20 atoms other than hydrogen or halogen. Most typically, R 2 contains from 12 to 18 atoms other than hydrogen or halogen.
- Q is selected from O or S. In one embodiment of the first aspect of the invention, Q is O.
- the compound of formula (I) has a molecular weight of from 250 to 2000 Da. Typically, the compound of formula (I) has a molecular weight of from 300 to 900 Da. More typically, the compound of formula (I) has a molecular weight of from 330 to 550 Da.
- a second aspect of the invention provides a compound selected from the group consisting of:
- a third aspect of the invention provides a pharmaceutically acceptable salt, solvate or prodrug of any compound of the first or second aspect of the invention.
- a "salt" of a compound of the present invention includes an acid addition salt.
- Acid addition salts are preferably pharmaceutically acceptable, non-toxic addition salts with suitable acids, including but not limited to inorganic acids such as hydrohalogenic acids (for example, hydrofluoric, hydrochloric, hydrobromic or hydroiodic acid) or other inorganic acids (for example, nitric, perchloric, sulfuric or phosphoric acid); or organic acids such as organic carboxylic acids (for example, propionic, butyric, glycolic, lactic, mandelic, citric, acetic, benzoic, salicylic, succinic, malic or hydroxysuccinic, tartaric, fumaric, maleic, hydroxymaleic, mucic or galactaric, gluconic, pantothenic or pamoic acid), organic sulfonic acids (for example, methanesulfonic
- a compound of the invention typically includes a quaternary ammonium group, typically the compound is used in its salt form.
- the counter ion to the quaternary ammonium group may be any pharmaceutically acceptable, non-toxic counter ion. Examples of suitable counter ions include the conjugate bases of the protic acids discussed above in relation to acid-addition salts.
- a "salt" of a compound of the present invention includes one formed between a protic acid functionality (such as a carboxylic acid group) of a compound of the present invention and a suitable cation.
- Suitable cations include, but are not limited to lithium, sodium, potassium,
- the salt may be a mono-, di-, tri- or multi-salt.
- the salt is a mono- or di-lithium, sodium, potassium, magnesium, calcium or ammonium salt. More preferably the salt is a mono- or di-sodium salt or a mono- or di- potassium salt.
- any salt is a pharmaceutically acceptable non-toxic salt.
- other salts are included in the present invention, since they have potential to serve as intermediates in the purification or preparation of other, for example, pharmaceutically acceptable salts, or are useful for identification, characterisation or purification of the free acid or base.
- the compounds and/or salts of the present invention may be anhydrous or in the form of a hydrate (e.g. a hemihydrate, monohydrate, dihydrate or trihydrate) or other solvate.
- solvates may be formed with common organic solvents, including but not limited to, alcoholic solvents e.g. methanol, ethanol or isopropanol.
- therapeutically inactive prodrugs are provided.
- Prodrugs are compounds which, when administered to a subject such as a human, are converted in whole or in part to a compound of the invention.
- the prodrugs are pharmacologically inert chemical derivatives that can be converted in vivo to the active drug molecules to exert a therapeutic effect.
- prodrugs include compounds that have biologically labile protecting groups on a functional moiety of the active compound.
- Prodrugs include, but are not limited to, compounds that can be oxidized, reduced, aminated, deaminated, hydroxylated, dehydroxylated, hydrolyzed, dehydrolyzed, alkylated, dealkylated, acylated, deacylated, phosphorylated, and/or dephosphorylated to produce the active compound.
- the present invention also encompasses salts and solvates of such prodrugs as described above.
- the compounds, salts, solvates and prodrugs of the present invention may contain at least one chiral centre.
- the compounds, salts, solvates and prodrugs may therefore exist in at least two isomeric forms.
- the present invention encompasses racemic mixtures of the compounds, salts, solvates and prodrugs of the present invention as well as enantiomerically enriched and substantially enantiomerically pure isomers.
- a "substantially enantiomerically pure" isomer of a compound comprises less than 5% of other isomers of the same compound, more typically less than 2%, and most typically less than 0.5% by weight.
- the compounds, salts, solvates and prodrugs of the present invention may contain any stable isotope including, but not limited to 12 C, ⁇ C, ⁇ , 2 H (D), ⁇ N, ⁇ N, l6 0, ⁇ O, l8 0, ⁇ F and 12 ?I, and any radioisotope including, but not limited to n C, ⁇ C, 3H (T), ⁇ N, ⁇ O, l8 F,
- the compounds, salts, solvates and prodrugs of the present invention may be in any polymorphic or amorphous form.
- a fourth aspect of the invention provides a pharmaceutical composition
- a pharmaceutical composition comprising a compound of the first or second aspect of the invention, or a pharmaceutically acceptable salt, solvate or prodrug of the third aspect of the invention, and a
- compositions of the invention are those
- sugars conventionally employed in the field of pharmaceutical formulation, and include, but are not limited to, sugars, sugar alcohols, starches, ion exchangers, alumina, aluminium stearate, lecithin, serum proteins such as human serum albumin, buffer substances such as phosphates, glycerine, sorbic acid, potassium sorbate, partial glyceride mixtures of saturated vegetable fatty acids, water, salts or electrolytes such as protamine sulfate, disodium hydrogen phosphate, potassium hydrogen phosphate, sodium chloride, zinc salts, colloidal silica, magnesium trisilicate, polyvinylpyrrolidone, cellulose-based substances, polyethylene glycol, sodium carboxymethylcellulose, polyacrylates, waxes, polyethylene-polyoxypropylene-block polymers, polyethylene glycol and wool fat.
- buffer substances such as phosphates, glycerine, sorbic acid, potassium sorbate, partial glyceride mixtures of saturated vegetable fatty acids
- the pharmaceutical composition of the fourth aspect of the invention additionally comprises one or more further active agents.
- the pharmaceutical composition of the fourth aspect of the invention may be provided as a part of a kit of parts, wherein the kit of parts comprises the pharmaceutical composition of the fourth aspect of the invention and one or more further pharmaceutical compositions, wherein the one or more further pharmaceutical compositions each comprise a pharmaceutically acceptable excipient and one or more further active agents.
- a fifth aspect of the invention provides a compound of the first or second aspect of the invention, or a pharmaceutically acceptable salt, solvate or prodrug of the third aspect of the invention, or a pharmaceutical composition of the fourth aspect of the invention, for use in medicine, and/or for use in the treatment or prevention of a disease, disorder or condition.
- the use comprises the administration of the compound, salt, solvate, prodrug or pharmaceutical composition to a subject.
- the use comprises the co-administration of one or more further active agents.
- treatment refers equally to curative therapy, and
- beneficial or desired physiological results include, but are not limited to, the alleviation of symptoms, the prevention of symptoms, the diminishment of extent of disease, the stabilisation (i.e., not worsening) of a condition, the delay or slowing of progression/worsening of a condition/ symptoms, the amelioration or palliation of the condition/ symptoms, and remission (whether partial or total), whether detectable or undetectable.
- prevention means that the extent and/or undesirable manifestations of a physiological condition or symptom are lessened and/or time course of the progression is slowed or lengthened, as compared to not administering a compound, salt, solvate, prodrug or pharmaceutical composition of the present invention.
- prevention as used herein in relation to a disease, disorder or condition, relates to prophylactic or preventative therapy, as well as therapy to reduce the risk of developing the disease, disorder or condition.
- prevention includes both the avoidance of occurrence of the disease, disorder or condition, and the delay in onset of the disease, disorder or condition. Any statistically significant (p ⁇ 0.05) avoidance of occurrence, delay in onset or reduction in risk as measured by a controlled clinical trial may be deemed a prevention of the disease, disorder or condition.
- Subjects amenable to prevention include those at heightened risk of a disease, disorder or condition as identified by genetic or biochemical markers.
- the genetic or biochemical markers are appropriate to the disease, disorder or condition under consideration and may include for example, inflammatory biomarkers such as C-reactive protein (CRP) and monocyte chemoattractant protein 1 (MCP-i) in the case of inflammation; total cholesterol, triglycerides, insulin resistance and C-peptide in the case of NAFLD and NASH; and more generally ILi and IL18 in the case of a disease, disorder or condition responsive to NLRP3 inhibition.
- CRP C-reactive protein
- MCP-i monocyte chemoattractant protein 1
- a sixth aspect of the invention provides the use of a compound of the first or second aspect, or a pharmaceutically effective salt, solvate or prodrug of the third aspect, in the manufacture of a medicament for the treatment or prevention of a disease, disorder or condition.
- the treatment or prevention comprises the administration of the compound, salt, solvate, prodrug or medicament to a subject.
- the treatment or prevention comprises the co-administration of one or more further active agents.
- a seventh aspect of the invention provides a method of treatment or prevention of a disease, disorder or condition, the method comprising the step of administering an effective amount of a compound of the first or second aspect, or a pharmaceutically acceptable salt, solvate or prodrug of the third aspect, or a pharmaceutical composition of the fourth aspect, to thereby treat or prevent the disease, disorder or condition.
- the method further comprises the step of co-administering an effective amount of one or more further active agents.
- the administration is to a subject in need thereof.
- An eighth aspect of the invention provides a compound of the first or second aspect of the invention, or a pharmaceutically acceptable salt, solvate or prodrug of the third aspect of the invention, or a pharmaceutical composition of the fourth aspect of the invention, for use in the treatment or prevention of a disease, disorder or condition in an individual, wherein the individual has a germline or somatic non-silent mutation in NLRP3.
- the mutation may be, for example, a gain-of-function or other mutation resulting in increased NLRP3 activity.
- the use comprises the administration of the compound, salt, solvate, prodrug or pharmaceutical composition to the individual.
- the use comprises the co-administration of one or more further active agents.
- the use may also comprise the diagnosis of an individual having a germline or somatic non-silent mutation in NLRP3, wherein the compound, salt, solvate, prodrug or pharmaceutical composition is administered to an individual on the basis of a positive diagnosis for the mutation.
- identification of the mutation in NLRP3 in the individual may be by any suitable genetic or biochemical means.
- a ninth aspect of the invention provides the use of a compound of the first or second aspect, or a pharmaceutically effective salt, solvate or prodrug of the third aspect, in the manufacture of a medicament for the treatment or prevention of a disease, disorder or condition in an individual, wherein the individual has a germline or somatic non-silent mutation in NLRP3.
- the mutation may be, for example, a gain-of-function or other mutation resulting in increased NLRP3 activity.
- the treatment or prevention comprises the administration of the compound, salt, solvate, prodrug or medicament to the individual.
- the treatment or prevention comprises the coadministration of one or more further active agents.
- the treatment or prevention may also comprise the diagnosis of an individual having a germline or somatic non-silent mutation in NLRP3, wherein the compound, salt, solvate, prodrug or medicament is administered to an individual on the basis of a positive diagnosis for the mutation.
- identification of the mutation in NLRP3 in the individual may be by any suitable genetic or biochemical means.
- a tenth aspect of the invention provides a method of treatment or prevention of a disease, disorder or condition, the method comprising the steps of diagnosing of an individual having a germline or somatic non-silent mutation in NLRP3, and
- the method further comprises the step of co-administering an effective amount of one or more further active agents.
- the administration is to a subject in need thereof.
- the disease, disorder or condition may be a disease, disorder or condition of the immune system, the cardiovascular system, the endocrine system, the gastrointestinal tract, the renal system, the hepatic system, the metabolic system, the respiratory system, the central nervous system, may be a cancer or other
- malignancy and/or may be caused by or associated with a pathogen.
- any particular disease, disorder or condition may be categorized according to more than one of the above general embodiments.
- a non-limiting example is type I diabetes which is an autoimmune disease and a disease of the endocrine system.
- the disease, disorder or condition is responsive to NLRP3 inhibition.
- NLRP3 inhibition refers to the complete or partial reduction in the level of activity of NLRP3 and includes, for example, the inhibition of active NLRP3 and/or the inhibition of activation of NLRP3.
- NLRP3 has been implicated in a number of autoinflammatory diseases, including Familial Mediterranean fever (FMF), TNF receptor associated periodic syndrome
- TRAPS hyperimmunoglobulinemia D and periodic fever syndrome
- HIDS hyperimmunoglobulinemia D and periodic fever syndrome
- PAPA pyogenic arthritis
- PAPA pyoderma gangrenosum and acne
- CNO chronic nonbacterial osteomyelitis
- NLRP3 mutations have been found to be responsible for a set of rare autoinflammatory diseases known as CAPS (Ozaki et al, J. Inflammation Research, 8:15-27, 2015; Schroder et al, Cell, 140: 821-832, 2010; and Menu et al, Clinical and Experimental Immunology, 166: 1-15, 2011).
- CAPS are heritable diseases characterized by recurrent fever and inflammation and are comprised of three autoinflammatory disorders that form a clinical continuum. These diseases, in order of increasing severity, are familial cold autoinflammatory syndrome (FCAS), Muckle- Wells syndrome (MWS), and chronic infantile cutaneous neurological articular syndrome (CINCA; also called neonatal-onset multisystem inflammatory disease, NOMID), and all have been shown to result from gain-of-function mutations in the NLRP3 gene, which leads to increased secretion of IL- ⁇ .
- FCAS familial cold autoinflammatory syndrome
- MWS Muckle- Wells syndrome
- CINCA chronic infantile cutaneous neurological articular syndrome
- NOMID neonatal-onset multisystem inflammatory disease
- autoimmune diseases have been shown to involve NLRP3 including, in particular, multiple sclerosis, type-i diabetes (TiD), psoriasis, rheumatoid arthritis (RA), Behcet's disease, Schnitzler syndrome, macrophage activation syndrome (Masters Clin. Immunol. 2013; Braddock et al. Nat. Rev. Drug Disc. 2004 3: 1-10; Inoue et al., Immunology 139: 11-18, Coll et al. Nat. Med. 2015 2i(3):248-55; and Scott et al. Clin. Exp. Rheumatol 2016 34(1): 88-93), systemic lupus erythematosus (Lu et al. J
- NLRP3 has also been shown to play a role in a number of lung diseases including chronic obstructive pulmonary disorder (COPD), asthma (including steroid-resistant asthma), asbestosis, and silicosis (De Nardo et al., Am. J. Pathol., 184: 42-54, 2014 and Kim et al. Am J Respir Crit Care Med. 2017 196(3): 283-97). NLRP3 has also been suggested to have a role in a number of central nervous system
- Parkinson's disease PD
- AD Alzheimer's disease
- AD Alzheimer's disease
- Huntington's disease cerebral malaria
- brain injury from pneumococcal meningitis Walsh et al, Nature Reviews, 15: 84-97, 2014, and Dempsey et al. Brain. Behav.
- NRLP3 activity has also been shown to be involved in various metabolic diseases including type 2 diabetes (T2D), atherosclerosis, obesity, gout, pseudo-gout, metabolic syndrome (Wen et al., Nature Immunology, 13: 352-357, 2012; Duewell et al, Nature, 464: 1357-1361, 2010; Strowig et al, Nature, 481: 278- 286, 2012), and non-alcoholic steatohepatitis (Mridha et al. J Hepatol. 201766(5): 1037-46).
- T2D type 2 diabetes
- atherosclerosis obesity
- gout pseudo-gout
- metabolic syndrome Wang et al., Nature Immunology, 13: 352-357, 2012
- Duewell et al Nature, 464: 1357-1361, 2010
- Strowig et al Nature, 481: 278- 286, 2012
- non-alcoholic steatohepatitis Mridha et al. J Hepatol. 2017
- NLRP3 inflammasome has been found to be activated in response to oxidative stress, and UVB irradiation (Schroder et al., Science, 327: 296-300, 2010). NLRP3 has also been shown to be involved in inflammatory hyperalgesia (Dolunay et al., Inflammation, 40: 366-386, 2017).
- NLRP3 has also been proposed as a target for modulation by various pathogens including viruses such as DNA viruses (Amsler et al., Future Virol. (2013) 8(4), 357-370). NLRP3 has also been implicated in the pathogenesis of many cancers (Menu et ah, Clinical and Experimental Immunology 166: 1-15, 2011; and Masters Clin. Immunol. 2013). For example, several previous studies have suggested a role for IL- ⁇ in cancer invasiveness, growth and metastasis, and inhibition of IL- ⁇ with canakinumab has been shown to reduce the incidence of lung cancer and total cancer mortality in a randomised, double-blind, placebo-controlled trial (Ridker et al. Lancet, S0140-
- NLRP3 inflammasome Activation of the NLRP3 inflammasome has also been shown to mediate chemoresistance of tumour cells to 5-Fluorouracil (Feng et al. J Exp Clin Cancer Res. 201721; 36(1): 81), and activation of NLRP3 inflammasome in peripheral nerve contributes to chemotherapy-induced neuropathic pain (Jia et al. Mol Pain. 2017; 13: 1-11).
- NLRP3 has also been shown to be required for the efficient control of viral, bacterial, fungal, and helminth pathogen infections (Strowig et al., Nature, 481:278-286, 2012).
- examples of diseases, disorders or conditions which may be responsive to NLRP3 inhibition and which may be treated or prevented in accordance with the fifth, sixth, seventh, eighth, ninth or tenth aspect of the present invention include:
- inflammation including inflammation occurring as a result of an inflammatory disorder, e.g. an autoinflammatory disease, inflammation occurring as a symptom of a non-inflammatory disorder, inflammation occurring as a result of infection, or inflammation secondary to trauma, injury or autoimmunity;
- auto-immune diseases such as acute disseminated encephalitis, Addison's disease, ankylosing spondylitis, antiphospholipid antibody syndrome (APS), anti- synthetase syndrome, aplastic anemia, autoimmune adrenalitis, autoimmune hepatitis, autoimmune oophoritis, autoimmune polyglandular failure, autoimmune thyroiditis, Coeliac disease, Crohn's disease, type ⁇ diabetes (TiD), Goodpasture's syndrome, Graves' disease, Guillain-Barre syndrome (GBS), Hashimoto's disease, idiopathic thrombocytopenic purpura, Kawasaki's disease, lupus erythematosus including systemic
- infections including viral infections (e.g. from influenza virus, human immunodeficiency virus (HIV), alphavirus (such as Chikungunya and Ross River virus), flaviviruses (such as Dengue virus and Zika virus), herpes viruses (such as Epstein Barr Virus, cytomegalovirus, Varicella-zoster virus, and KSHV), poxviruses (such as vaccinia virus (Modified vaccinia virus Ankara) and Myxoma virus), adenoviruses (such as Adenovirus 5), or papillomavirus), bacterial infections (e.g.
- viral infections e.g. from influenza virus, human immunodeficiency virus (HIV), alphavirus (such as Chikungunya and Ross River virus), flaviviruses (such as Dengue virus and Zika virus), herpes viruses (such as Epstein Barr Virus, cytomegalovirus, Varicella-zoster virus, and KSHV), poxviruses (
- Yersinia pestis e.g. from Candida or Aspergillus species
- fungal infections e.g. from Candida or Aspergillus species
- protozoan infections e.g. from Plasmodium, Babesia, Giardia, Entamoeba, Leishmania or Trypanosomes
- helminth infections e.g. from schistosoma, roundworms, tapeworms or flukes
- prion infections e.g. from schistosoma, roundworms, tapeworms or flukes
- central nervous system diseases such as Parkinson's disease, Alzheimer's disease, dementia, motor neuron disease, Huntington's disease, cerebral malaria, brain injury from pneumococcal meningitis, intracranial aneurysms, traumatic brain injury, and amyotrophic lateral sclerosis;
- metabolic diseases such as type 2 diabetes (T2D), atherosclerosis, obesity, gout, and pseudo-gout;
- cardiovascular diseases such as hypertension, ischaemia, reperfusion injury including post-MI ischemic reperfusion injury, stroke including ischemic stroke, transient ischemic attack, myocardial infarction including recurrent myocardial infarction, heart failure including congestive heart failure and heart failure with preserved ejection fraction, embolism, aneurysms including abdominal aortic aneurysm, and pericarditis including Dressler's syndrome;
- respiratory diseases including chronic obstructive pulmonary disorder (COPD), asthma such as allergic asthma and steroid-resistant asthma, asbestosis, silicosis, nanoparticle induced inflammation, cystic fibrosis and idiopathic pulmonary fibrosis;
- COPD chronic obstructive pulmonary disorder
- asthma such as allergic asthma and steroid-resistant asthma
- asbestosis silicosis
- nanoparticle induced inflammation cystic fibrosis and idiopathic pulmonary fibrosis
- liver diseases including non-alcoholic fatty liver disease (NAFLD), and nonalcoholic steatohepatitis (NASH) including advanced fibrosis stages F3 and F4;
- NAFLD non-alcoholic fatty liver disease
- NASH nonalcoholic steatohepatitis
- AFLD alcoholic fatty liver disease
- ASH alcoholic steatohepatitis
- renal diseases including chronic kidney disease, oxalate nephropathy, nephrocalcinosis, glomerulonephritis, and diabetic nephropathy;
- ocular diseases including those of the ocular epithelium, age-related macular degeneration (AMD) (dry and wet), uveitis, corneal infection, diabetic retinopathy, optic nerve damage, dry eye, and glaucoma;
- AMD age-related macular degeneration
- dermatitis such as contact dermatitis and atopic dermatitis, contact hypersensitivity, sunburn, skin lesions, hidradenitis suppurativa (HS), other cyst-causing skin diseases, and acne conglobata;
- lymphatic conditions such as lymphangitis and Castleman's disease
- the disease, disorder or condition is selected from:
- the disease, disorder or condition is selected from:
- the disease, disorder or condition is selected from:
- the disease, disorder or condition is selected from:
- the disease, disorder or condition is selected from:
- NASH non-alcoholic steatohepatitis
- the disease, disorder or condition is inflammation.
- inflammation examples of inflammation that may be treated or prevented in accordance with the fifth, sixth, seventh, eighth, ninth or tenth aspect of the present invention include inflammatory responses occurring in connection with, or as a result of: (i) a skin condition such as contact hypersensitivity, bullous pemphigoid, sunburn, psoriasis, atopical dermatitis, contact dermatitis, allergic contact dermatitis, seborrhoetic dermatitis, lichen planus, scleroderma, pemphigus, epidermolysis bullosa, urticaria, erythemas, or alopecia;
- a skin condition such as contact hypersensitivity, bullous pemphigoid, sunburn, psoriasis, atopical dermatitis, contact dermatitis, allergic contact dermatitis, seborrhoetic dermatitis, lichen planus, scleroderma, pemphigus, epi
- a joint condition such as osteoarthritis, systemic juvenile idiopathic arthritis, adult-onset Still's disease, relapsing polychondritis, rheumatoid arthritis, juvenile chronic arthritis, gout, or a seronegative spondyloarthropathy (e.g. ankylosing spondylitis, psoriatic arthritis or Reiter's disease);
- a muscular condition such as polymyositis or myasthenia gravis
- a gastrointestinal tract condition such as inflammatory bowel disease (including Crohn's disease and ulcerative colitis), gastric ulcer, coeliac disease, proctitis, pancreatitis, eosinopilic gastro-enteritis, mastocytosis, antiphospholipid syndrome, or a food-related allergy which may have effects remote from the gut (e.g., migraine, rhinitis or eczema);
- a respiratory system condition such as chronic obstructive pulmonary disease (COPD), asthma (including bronchial, allergic, intrinsic, extrinsic or dust asthma, and particularly chronic or inveterate asthma, such as late asthma and airways hyper- responsiveness), bronchitis, rhinitis (including acute rhinitis, allergic rhinitis, atrophic rhinitis, chronic rhinitis, rhinitis caseosa, hypertrophic rhinitis, rhinitis pumlenta, rhinitis sicca, rhinitis medicamentosa, membranous rhinitis, seasonal rhinitis e.g.
- COPD chronic obstructive pulmonary disease
- asthma including bronchial, allergic, intrinsic, extrinsic or dust asthma, and particularly chronic or inveterate asthma, such as late asthma and airways hyper- responsiveness
- bronchitis including acute rhinitis, allergic rhinitis,
- hay fever, and vasomotor rhinitis sinusitis, idiopathic pulmonary fibrosis (IPF), sarcoidosis, farmer's lung, silicosis, asbestosis, adult respiratory distress syndrome, hypersensitivity pneumonitis, or idiopathic interstitial pneumonia;
- IPF idiopathic pulmonary fibrosis
- sarcoidosis farmer's lung, silicosis, asbestosis, adult respiratory distress syndrome, hypersensitivity pneumonitis, or idiopathic interstitial pneumonia
- vascular condition such as atherosclerosis, Behcet's disease, vasculitides, or Wegener's granulomatosis;
- an autoimmune condition such as systemic lupus erythematosus, Sjogren's syndrome, systemic sclerosis, Hashimoto's thyroiditis, type I diabetes, idiopathic thrombocytopenia purpura, or Graves disease;
- an ocular condition such as uveitis, allergic conjunctivitis, or vernal
- a nervous condition such as multiple sclerosis or encephalomyelitis
- x an infection or infection-related condition, such as Acquired Immunodeficiency Syndrome (AIDS), acute or chronic bacterial infection, acute or chronic parasitic infection, acute or chronic viral infection, acute or chronic fungal infection, meningitis, hepatitis (A, B or C, or other viral hepatitis), peritonitis, pneumonia, epiglottitis, malaria, dengue hemorrhagic fever, leishmaniasis, streptococcal myositis, - 6 ⁇ - mycobacterium tuberculosis, mycobacterium avium intracellulare, Pneumocystis carinii pneumonia, orchitis/epidydimitis, legionella, Lyme disease, influenza A, epstein-barr virus, viral encephalitis/aseptic meningitis, or pelvic inflammatory disease;
- AIDS Acquired Immunodeficiency Syndrome
- acute or chronic bacterial infection such as acute or chronic parasitic infection
- a renal condition such as mesangial proliferative glomerulonephritis, nephrotic syndrome, nephritis, glomerular nephritis, acute renal failure, uremia, or nephritic syndrome;
- xiii a condition of, or involving, the immune system, such as hyper IgE syndrome, lepromatous leprosy, familial hemophagocytic lymphohistiocytosis, or graft versus host disease;
- NASH steatohepatitis
- NASH non-alcoholic fatty liver disease
- NAFLD non-alcoholic fatty liver disease
- AFLD alcoholic fatty liver disease
- ASH alcoholic steatohepatitis
- primary biliary cirrhosis NASH
- NASH non-alcoholic fatty liver disease
- NAFLD non-alcoholic fatty liver disease
- AFLD alcoholic fatty liver disease
- ASH alcoholic steatohepatitis
- primary biliary cirrhosis primary biliary cirrhosis
- (xix) pain such as inflammatory hyperalgesia.
- the disease, disorder or condition is an autoinflammatory disease such as cryopyrin-associated periodic syndromes (CAPS), Muckle-Wells syndrome (MWS), familial cold autoinflammatory syndrome (FCAS), familial Mediterranean fever (FMF), neonatal onset multisystem inflammatory disease (NOMID), Tumour Necrosis Factor (TNF) Receptor- Associated Periodic Syndrome (TRAPS),
- CAPS cryopyrin-associated periodic syndromes
- MFS Muckle-Wells syndrome
- FCAS familial cold autoinflammatory syndrome
- FMF familial Mediterranean fever
- NOMID neonatal onset multisystem inflammatory disease
- TNF Tumour Necrosis Factor
- TRAPS Tumour Necrosis Factor
- hyperimmunoglobulinemia D and periodic fever syndrome HIDS
- deficiency of interleukin 1 receptor antagonist DIRA
- Majeed syndrome pyogenic arthritis
- pyoderma gangrenosum and acne syndrome PAPA
- AOSD haploinsufficiency of A20
- PGA pediatric granulomatous arthritis
- PLCG2-associated antibody deficiency and immune dysregulation PLAID
- PLCG2-associated autoinflammatory antibody deficiency and immune dysregulation
- APLAID or sideroblastic anaemia with B-cell immunodeficiency, periodic fevers and developmental delay (SIFD).
- diseases, disorders or conditions which may be responsive to NLRP3 inhibition and which may be treated or prevented in accordance with the fifth, sixth, seventh, eighth, ninth or tenth aspect of the present invention are listed above. Some of these diseases, disorders or conditions are substantially or entirely mediated by NLRP3 inflammasome activity, and NLRP3-induced IL- ⁇ and/or IL-18. As a result, such diseases, disorders or conditions may be particularly responsive to NLRP3 inhibition and may be particularly suitable for treatment or prevention in accordance with the fifth, sixth, seventh, eighth, ninth or tenth aspect of the present invention. Examples of such diseases, disorders or conditions include cryopyrin-associated periodic syndromes (CAPS), Muckle-Wells syndrome (MWS), familial cold autoinflammatory syndrome (FCAS), neonatal onset multisystem inflammatory disease (NOMID), familial
- FMF Mediterranean fever
- PAPA pyogenic arthritis
- HIDS hyperimmunoglobulinemia D and periodic fever syndrome
- TNF Tumour Necrosis Factor
- TRAPS Tumour Necrosis Factor
- AOSD AOSD
- TRAPS Tumour Necrosis Factor
- AOSD AOSD
- TRAPS Tumour Necrosis Factor
- AOSD AOSD
- relapsing polychondritis Schnitzler's syndrome
- Sweet's syndrome Sweet's syndrome
- Behcet's disease anti- synthetase syndrome
- DIRA interleukin 1 receptor antagonist
- HA20 haploinsufficiency of A20
- diseases, disorders or conditions mentioned above arise due to mutations in NLRP3, in particular, resulting in increased NLRP3 activity.
- diseases, disorders or conditions may be particularly responsive to NLRP3 inhibition and may be particularly suitable for treatment or prevention in accordance with the fifth, sixth, seventh, eighth, ninth or tenth aspect of the present invention.
- diseases, disorders or conditions include cryopyrin-associated periodic syndromes (CAPS), Muckle-Wells syndrome (MWS), familial cold
- FCAS neonatal onset multisystem inflammatory disease
- NOMID neonatal onset multisystem inflammatory disease
- An eleventh aspect of the invention provides a method of inhibiting NLRP3, the method comprising the use of a compound of the first or second aspect of the invention, or a pharmaceutically acceptable salt, solvate or prodrug of the third aspect of the invention, or a pharmaceutical composition of the fourth aspect of the invention, to inhibit NLRP3.
- the method comprises the use of a compound of the first or second aspect of the invention, or a pharmaceutically acceptable salt, solvate or prodrug of the third aspect of the invention, or a pharmaceutical composition of the fourth aspect of the invention, in combination with one or more further active agents.
- the method is performed ex vivo or in vitro, for example in order to analyse the effect on cells of NLRP3 inhibition.
- the method is performed in vivo.
- the method may comprise the step of administering an effective amount of a compound of the first or second aspect, or a pharmaceutically acceptable salt, solvate or prodrug of the third aspect, or a pharmaceutical composition of the fourth aspect, to thereby inhibit NLRP3.
- the method further comprises the step of co-administering an effective amount of one or more further active agents.
- the administration is to a subject in need thereof.
- the method of the eleventh aspect of the invention may be a method of inhibiting NLRP3 in a non-human animal subject, the method comprising the steps of administering the compound, salt, solvate, prodrug or pharmaceutical composition to the non-human animal subject and optionally subsequently mutilating or sacrificing the non-human animal subject.
- a method further comprises the step of analysing one or more tissue or fluid samples from the optionally mutilated or sacrificed non-human animal subject.
- the method further comprises the step of co-administering an effective amount of one or more further active agents.
- a twelfth aspect of the invention provides a compound of the first or second aspect of the invention, or a pharmaceutically acceptable salt, solvate or prodrug of the third aspect of the invention, or a pharmaceutical composition of the fourth aspect of the invention, for use in the inhibition of NLRP3.
- the use comprises the administration of the compound, salt, solvate, prodrug or pharmaceutical composition to a subject.
- a thirteenth aspect of the invention provides the use of a compound of the first or second aspect of the invention, or a pharmaceutically effective salt, solvate or prodrug of the third aspect of the invention, in the manufacture of a medicament for the inhibition of NLRP3.
- the inhibition comprises the administration of the compound, salt, solvate, prodrug or medicament to a subject.
- the compound, salt, solvate, prodrug or medicament is co-administered with one or more further active agents.
- the one or more further active agents may comprise for example one, two or three different further active agents.
- the one or more further active agents may be used or administered prior to, simultaneously with, sequentially with or subsequent to each other and/ or to the compound of the first or second aspect of the invention, the pharmaceutically acceptable salt, solvate or prodrug of the third aspect of the invention, or the pharmaceutical composition of the fourth aspect of the invention.
- a pharmaceutical composition of the fourth aspect of the invention may be administered wherein the pharmaceutical composition additionally comprises the one or more further active agents.
- the one or more further active agents are selected from:
- any particular active agent may be categorized according to more than one of the above general embodiments.
- a non-limiting example is urelumab which is an antibody that is an immunomodulatory agent for the treatment of cancer.
- the one or more chemotherapeutic agents are selected from abiraterone acetate, altretamine, amsacrine, anhydrovinblastine, auristatin,
- the one or more chemotherapeutic agents may be selected from CD59 complement fragment, fibronectin fragment, gro-beta (CXCL2),
- heparinases heparin hexasaccharide fragment, human chorionic gonadotropin (hCG), interferon alpha, interferon beta, interferon gamma, interferon inducible protein (IP- 10), interleukin-12, kringle 5 (plasminogen fragment), metalloproteinase inhibitors (TIMPs), 2-methoxyestradiol, placental ribonuclease inhibitor, plasminogen activator inhibitor, platelet factor-4 (PF4), prolactin 16 kD fragment, proliferin-related protein (PRP), various retinoids, tetrahydrocortisol-S, thrombospondin-i (TSP-i),
- the one or more antibodies may comprise one or more monoclonal antibodies.
- the one or more antibodies are selected from abciximab, adalimumab, alemtuzumab, atlizumab, basiliximab, belimumab, bevacizumab, bretuximab vedotin, canakinumab, cetuximab, ceertolizumab pegol, daclizumab, denosumab, eculizumab, efalizumab, gemtuzumab, golimumab, ibritumomab tiuxetan, infliximab, ipilimumab, muromonab-CD3, natalizumab, ofatumumab, omalizumab, palivizumab, panitumuab, ranibizumab, rituximab, tocilizumab, tositumomab, and/or trastuzumab.
- the one or more alkylating agents may comprise an agent capable of alkylating nucleophilic functional groups under conditions present in cells, including, for example, cancer cells.
- the one or more alkylating agents are selected from cisplatin, carboplatin, mechlorethamine, cyclophosphamide, chlorambucil, ifosfamide and/or oxaliplatin.
- the alkylating agent may function by impairing cell function by forming covalent bonds with amino, carboxyl, sulfhydryl, and/or phosphate groups in biologically important molecules.
- the alkylating agent may function by modifying a cell's DNA.
- the one or more anti-metabolites may comprise an agent capable of affecting or preventing RNA or DNA synthesis. In some embodiments, the one or more anti-metabolites are selected from azathioprine and/or mercaptopurine.
- the one or more anti-angiogenic agents are selected from endostatin, angiogenin inhibitors, angiostatin, angioarrestin, angiostatin (plasminogen fragment), basement-membrane collagen-derived anti-angiogenic factors (tumstatin, canstatin, or arrestin), anti-angiogenic antithrombin III, and/or cartilage-derived inhibitor (CDI).
- the one or more plant alkaloids and/or terpenoids may prevent microtubule function.
- the one or more plant alkaloids and/or terpenoids are selected from a vinca alkaloid, a podophyllotoxin and/or a taxane.
- the one or more vinca alkaloids may be derived from the
- the one or more taxanes are selected from taxol, paclitaxel, docetaxel and/or ortataxel.
- the one or more podophyllotoxins are selected from an etoposide and/or teniposide.
- the one or more topoisomerase inhibitors are selected from a type I topoisomerase inhibitor and/or a type II topoisomerase inhibitor, and may interfere with transcription and/or replication of DNA by interfering with DNA supercoiling.
- the one or more type I topoisomerase inhibitors may comprise a camptothecin, which may be selected from exatecan, irinotecan, lurtotecan, topotecan, BNP 1350, CKD 602, DB 67 (AR67) and/or ST 1481.
- the one or more type II topoisomerase inhibitors may comprise an epipodophyllotoxin, which may be selected from an amsacrine, etoposid, etoposide phosphate and/or teniposide.
- the one or more mTOR (mammalian target of rapamycin, also known as the mechanistic target of rapamycin) inhibitors are selected from rapamycin, everolimus, temsirolimus and/or deforolimus.
- the one or more stilbenoids are selected from resveratrol, piceatannol, pinosylvin, pterostilbene, alpha-viniferin, ampelopsin A, ampelopsin E, diptoindonesin C, diptoindonesin F, epsilon-vinferin, flexuosol A, gnetin H, hemsleyanol D, hopeaphenol, trans-diptoindonesin B, astringin, piceid and/or diptoindonesin A.
- the one or more STING (Stimulator of interferon genes, also known as transmembrane protein (TMEM) 173) agonists may comprise cyclic di- nucleotides, such as cAMP, cGMP, and cGAMP, and/or modified cyclic di -nucleotides that may include one or more of the following modification features: 2'-0/3'-0 linkage, phosphorothioate linkage, adenine and/or guanine analogue, and/or 2'-0H modification (e.g. protection of the 2'-0H with a methyl group or replacement of the 2'-0H by -F or -N 3 ).
- TMEM transmembrane protein
- the one or more cancer vaccines are selected from an HPV vaccine, a hepatitis B vaccine, Oncophage, and/or Provenge.
- the one or more immunomodulatory agents may comprise an immune checkpoint inhibitor.
- the immune checkpoint inhibitor may target an immune checkpoint receptor, or combination of receptors comprising, for example, CTLA-4, PD-i, PD-Li, PD-L2, T cell immunoglobulin and mucin 3 (TIM3 or HAVCR2), galectin 9, phosphatidylserine, lymphocyte activation gene 3 protein (LAG3), MHC class I, MHC class II, 4-1BB, 4-1BBL, OX40, OX40L, GITR, GITRL, CD27, CD70, TNFRSF25, TLiA, CD40, CD40L, HVEM, LIGHT, BTLA, CD160, CD80, CD244, CD48, ICOS, ICOSL, B7- H3, B7-H4, VISTA, TMIGD2, HHLA2, TMIGD2, a butyrophilin (including BTNL2), a Siglec family member, TIGIT, P
- the immune checkpoint inhibitor is selected from urelumab, PF-05082566, MEDI6469, TRX518, varlilumab, CP-870893, pembrolizumab (PDi), nivolumab (PDi), atezolizumab (formerly MPDL3280A) (PD-Li), MEDI4736 (PD-Li), avelumab (PD-Li), PDR001 (PDi), BMS-986016, MGA271, lirilumab, IPH2201, emactuzumab, INCB024360, galunisertib, ulocuplumab, BKT140, bavituximab, CC- 90002, bevacizumab, and/or MNRP1685A.
- the one or more antibiotics are selected from amikacin, gentamicin, kanamycin, neomycin, netilmicin, tobramycin, paromomycin,
- streptomycin spectinomycin, geldanamycin, herbimycin, rifaximin, loracarbef, ertapenem, doripenem, imipenem, cilastatin, meropenem, cefadroxil, cefazolin, cefalotin, cefalothin, cefalexin, cefaclor, cefamandole, cefoxitin, cefprozil, cefuroxime, cefixime, cefdinir, cefditoren, cefoperazone, cefotaxime, cefpodoxime, ceftazidime, ceftibuten, ceftizoxime, ceftriaxone, cefepime, ceftaroline fosamil, ceftobiprole, teicoplanin, vancomycin, telavancin, dalbavancin, oritavancin, clindamycin, lincomycin, dap
- the one or more antibiotics may comprise one or more cytotoxic antibiotics.
- the one or more cytotoxic antibiotics are selected from an actinomycin, an anthracenedione, an anthracycline, thalidomide,
- the one or more actinomycins are selected from actinomycin D, bacitracin, colistin (polymyxin E) and/or polymyxin B.
- the one or more antracenediones are selected from mitoxantrone and/or pixantrone.
- the one or more anthracyclines are selected from bleomycin,
- doxorubicin Adriamycin
- daunorubicin daunomycin
- epirubicin idarubicin
- mitomycin plicamycin
- valrubicin doxorubicin
- the one or more anti-fungal agents are selected from bifonazole, butoconazole, clotrimazole, econazole, ketoconazole, Miconazole, miconazole, omoconazole, oxiconazole, sertaconazole, sulconazole, tioconazole, albaconazole, efinaconazole, epoziconazole, fluconazole, isavuconazole, itraconazole, posaconazole, propiconazole, ravusconazole, terconazole, voriconazole, abafungin, amorolfin, butenafine, naftifine, terbinafine, anidulafungin, caspofungin, micafungin, benzoic acid, ciclopirox, flucytosine, 5-fluorocytosine, griseofulvin, haloprogin, tolnaflate, unde
- the one or more anti-helminthic agents are selected from benzimidazoles (including albendazole, mebendazole, thiabendazole, fenbendazole, triclabendazole, and flubendazole), abamectin, diethylcarbamazine, ivermectin, suramin, pyrantel pamoate, levamisole, salicylanilides (including niclosamide and oxyclozanide), and/or nitazoxanide.
- benzimidazoles including albendazole, mebendazole, thiabendazole, fenbendazole, triclabendazole, and flubendazole
- abamectin including albendazole, mebendazole, thiabendazole, fenbendazole, triclabendazole, and flubendazole
- abamectin including albendazole, mebendazole, thiabendazole, f
- other active agents are selected from growth inhibitory agents, anti-inflammatory agents (including nonsteroidal anti-inflammatory agents), anti- psoriatic agents (including anthralin and its derivatives), vitamins and vitamin- derivatives (including retinoinds, and VDR receptor ligands), corticosteroids, ion channel blockers (including potassium channel blockers), immune system regulators (including cyclosporin, FK 506, and glucocorticoids), lutenizing hormone releasing hormone agonists (such as leuprolidine, goserelin, triptorelin, histrelin, bicalutamide, flutamide and/or nilutamide), and/or hormones (including estrogen).
- anti-inflammatory agents including nonsteroidal anti-inflammatory agents
- anti- psoriatic agents including anthralin and its derivatives
- vitamins and vitamin- derivatives including retinoinds, and VDR receptor ligands
- corticosteroids including ion channel blockers (including potassium channel blockers)
- the subject may be any human or other animal.
- the subject is a mammal, more typically a human or a domesticated mammal such as a cow, pig, lamb, sheep, goat, horse, cat, dog, rabbit, mouse etc. Most typically, the subject is a human.
- any of the medicaments employed in the present invention can be administered by oral, parenteral (including intravenous, subcutaneous, intramuscular, intradermal, intratracheal, intraperitoneal, intraarticular, intracranial and epidural), airway (aerosol), rectal, vaginal, ocular or topical (including transdermal, buccal, mucosal, sublingual and topical ocular) administration.
- the mode of administration selected is that most appropriate to the disorder, disease or condition to be treated or prevented.
- the mode of administration may be the same as or different to the mode of administration of the compound, salt, solvate, prodrug or pharmaceutical composition of the invention.
- the compounds, salts, solvates or prodrugs of the present invention will generally be provided in the form of tablets, capsules, hard or soft gelatine capsules, caplets, troches or lozenges, as a powder or granules, or as an aqueous solution, suspension or dispersion.
- Tablets for oral use may include the active ingredient mixed with pharmaceutically acceptable excipients such as inert diluents, disintegrating agents, binding agents, lubricating agents, sweetening agents, flavouring agents, colouring agents and preservatives.
- suitable inert diluents include sodium and calcium carbonate, sodium and calcium phosphate, and lactose. Corn starch and alginic acid are suitable disintegrating agents.
- Binding agents may include starch and gelatine.
- the lubricating agent if present, may be magnesium stearate, stearic acid or talc.
- the tablets may be coated with a material, such as glyceryl monostearate or glyceryl distearate, to delay absorption in the gastrointestinal tract. Tablets may also be effervescent and/or dissolving tablets.
- Capsules for oral use include hard gelatine capsules in which the active ingredient is mixed with a solid diluent, and soft gelatine capsules wherein the active ingredient is mixed with water or an oil such as peanut oil, liquid paraffin or olive oil.
- Powders or granules for oral use may be provided in sachets or tubs.
- Aqueous solutions, suspensions or dispersions may be prepared by the addition of water to powders, granules or tablets.
- Any form suitable for oral administration may optionally include sweetening agents such as sugar, flavouring agents, colouring agents and/or preservatives.
- Formulations for rectal administration may be presented as a suppository with a suitable base comprising, for example, cocoa butter or a salicylate.
- Formulations suitable for vaginal administration may be presented as pessaries, tampons, creams, gels, pastes, foams or spray formulations containing in addition to the active ingredient such carriers as are known in the art to be appropriate.
- the compounds, salts, solvates or prodrugs of the present invention will generally be provided in a sterile aqueous solution or suspension, buffered to an appropriate pH and isotonicity.
- Suitable aqueous vehicles include Ringer's solution and isotonic sodium chloride or glucose.
- Aqueous suspensions according to the invention may include suspending agents such as cellulose derivatives, sodium alginate, polyvinylpyrrolidone and gum tragacanth, and a wetting agent such as lecithin.
- suspending agents such as cellulose derivatives, sodium alginate, polyvinylpyrrolidone and gum tragacanth
- a wetting agent such as lecithin.
- Suitable preservatives for aqueous suspensions include ethyl and n-propyl p-hydroxybenzoate.
- the compounds of the invention may also be presented as liposome formulations.
- the compounds, salts, solvates or prodrugs of the invention will generally be provided in a form suitable for topical administration, e.g. as eye drops. Suitable forms may include ophthalmic solutions, gel-forming solutions, sterile powders for reconstitution, ophthalmic suspensions, ophthalmic ointments, ophthalmic emulsions, ophthalmic gels and ocular inserts. Alternatively, the compounds, salts, solvates or prodrugs of the invention may be provided in a form suitable for other types of ocular administration, for example as intraocular
- preparations including as irrigating solutions, as intraocular, intravitreal or juxtascleral injection formulations, or as intravitreal implants), as packs or corneal shields, as intracameral, subconjunctival or retrobulbar injection formulations, or as iontophoresis formulations.
- the compounds, salts, solvates or prodrugs of the invention will generally be provided in the form of ointments, cataplasms (poultices), pastes, powders, dressings, creams, plasters or patches. Suitable suspensions and solutions can be used in inhalers for airway (aerosol) administration.
- the dose of the compounds, salts, solvates or prodrugs of the present invention will, of course, vary with the disorder, disease or condition to be treated or prevented.
- a suitable dose will be in the range of 0.01 to 500 mg per kilogram body weight of the recipient per day.
- the desired dose may be presented at an appropriate interval such as once every other day, once a day, twice a day, three times a day or four times a day.
- the desired dose may be administered in unit dosage form, for example, containing 1 mg to 50 g of active ingredient per unit dosage form.
- any embodiment of a given aspect of the present invention may occur in combination with any other embodiment of the same aspect of the present invention.
- any preferred, typical or optional embodiment of any aspect of the present invention should also be considered as a preferred, typical or optional embodiment of any other aspect of the present invention.
- combinations of aspects and embodiments that are typical of the present invention include the following.
- a compound of the first aspect of the invention is provided wherein R 2 is a cyclic group substituted at the a and a' positions, wherein R 2 may optionally be further substituted.
- the imidazolyl group of R 1 is substituted with one or more monovalent substituents.
- a compound of the first aspect of the invention wherein R 1 is an imidazol-2-yl group, an imidazol-4-yl group or an imidazol-5-yl group, wherein the imidazolyl group is unsubstituted or substituted with one or more monovalent substituents, and R 2 is a cyclic group substituted at the a and a' positions, wherein R 2 may optionally be further substituted.
- the imidazolyl group of R 1 is substituted with one or more monovalent substituents.
- R 1 is an imidazol-4-yl group or an imidazol-5-yl group, wherein the imidazolyl group is substituted with one or more acyclic monovalent substituents.
- a fifth combination provides a compound of the first or second aspect of the invention, or a pharmaceutically acceptable salt, solvate or prodrug of the third aspect of the invention, or a pharmaceutical composition of the fourth aspect of the invention, wherein R 1 is an imidazol-4-yl group or an imidazol-5-yl group, wherein the imidazolyl group is unsubstituted or substituted with one or more monovalent substituents, for use in medicine. Typically in such a combination, the imidazolyl group of R 1 is substituted with one or more monovalent substituents.
- a sixth combination provides a compound of the first or second aspect of the invention, or a pharmaceutically acceptable salt, solvate or prodrug of the third aspect of the invention, or a pharmaceutical composition of the fourth aspect of the invention, wherein the imidazolyl group of R 1 is substituted with two or three monovalent substituents, for use in medicine.
- a sixth combination provides a compound of the first or second aspect of the invention, or a pharmaceutically acceptable salt, solvate or prodrug of the third aspect of the invention, or a pharmaceutical composition of the fourth aspect of the invention, for use in the treatment or prevention of a disease, disorder or condition, wherein the disease, disorder or condition is selected from:
- the imidazolyl group of R 1 is substituted with one more monovalent substituents.
- a seventh combination provides a compound of the first or second aspect of the invention, or a pharmaceutically acceptable salt, solvate or prodrug of the third aspect of the invention, or a pharmaceutical composition of the fourth aspect of the invention, wherein R 1 is an imidazol-2-yl group, an imidazol-4-yl group or an imidazol-5-yl group, wherein the imidazolyl group is unsubstituted or substituted with one or more monovalent substituents, for use in the treatment or prevention of a disease, disorder or condition, wherein the disease, disorder or condition is selected from:
- R 1 contains from 6 to 20 atoms other than hydrogen or halogen.
- R 2 is an aryl or a heteroaryl group, wherein the aryl or the heteroaryl group is substituted at the a and a' positions, and wherein R 2 may optionally be further substituted.
- each substituent at the a and a' positions comprises a carbon atom.
- R 2 contains from 9 to 20 atoms other than hydrogen or halogen.
- DIPEA ⁇ , ⁇ -diisopropylethylamine also called Hunig's base
- Ms mesyl also called methanesulfonyl
- MsCl mesyl chloride also called methanesulfonyl chloride
- NCS i-chloropyrrolidine-2,5-dione also called iV-chlorosuccinimide NMP N-methylpyrrolidine
- TBME ferf-butyl methyl ether also called methyl ferf-butyl ether TEA triethylamine
- NMR spectra were recorded at 300, 400 or 500 MHz. Spectra were measured at 298 K, unless indicated otherwise, and were referenced relative to the solvent resonance. The chemical shifts are reported in parts per million. Spectra were recorded using one of the following machines:
- Methods la and lb Waters Xselect CSH C18 XP column (4.6 x 30 mm, 2.5 ⁇ ) at 40°C; flow rate 2.5-4.5 m L min 1 eluted with a H 2 0-MeCN gradient containing either 0.1% v/v formic acid (Method la) or 10 mM NH 4 HC0 3 in water (Method lb) over 4 min employing UV detection at 254 nm.
- Method lc Agilent 1290 series with UV detector and HP 6130 MSD mass detector using Waters XBridge BEH C18 XP column (2.1 x 50 mm, 2.5 ⁇ ) at 35°C; flow rate 0.6 mL/min; mobile phase A: ammonium acetate (10 mM); water/MeOH/acetonitrile (900:60:40); mobile phase B: ammonium acetate (10 mM); water/MeOH/acetonitrile (100:540:360); over 4 min employing UV detection at 215 and 238 nm. Gradient information: 0-0.5 min, held at 80 % A-20 % B; 0.5-2.0 min, ramped from 80 % A-20 % B to 100 % B.
- Methods 2a and 2b Waters BEH C18 (2.1 x 30 mm, 1.7 ⁇ ) at 40°C; flow rate 0.77 mL min 1 eluted with a H 2 0-MeCN gradient containing either 0.1% v/v formic acid (Method 2a) or 10 mM NH 4 HC0 3 in water (Method 2b) over 3 min employing UV detection at 254 nm.
- Method 1 (acidic preparation): Waters X-Select CSH column C18, 5 ⁇ (19 x 50 mm), flow rate 28 mL min 1 eluting with a H 2 0-MeCN gradient containing 0.1% v/v formic acid over 6.5 min using UV detection at 254 nm. Gradient information: 0.0-0.2 min, 20% MeCN; 0.2-5.5 min, ramped from 20% MeCN to 40% MeCN; 5.5-5.6 min, ramped from 40% MeCN to 95% MeCN; 5.6-6.5 min, held at 95% MeCN.
- Method 2 (basic preparation): Waters X-Bridge Prep column C18, 5 ⁇ (19 x 50 mm), flow rate 28 mL min 1 eluting with a 10 mM NH 4 HC0 3 -MeCN gradient over 6.5 min using UV detection at 254 nm. Gradient information: 0.0-0.2 min, 10% MeCN; 0.2-5.5 min, ramped from 10% MeCN to 40% MeCN; 5.5-5.6 min, ramped from 40% MeCN to 95% MeCN; 5.6-6.5 min, held at 95% MeCN.
- Step A N,N-Bis -methoxybenzyl)-iH-imidazole- -sulfonamide
- Step A (S)-i-(2-Hydroxypropyl)-N,N-bis(4-methoxybenzyl)-iH-imidazole- 4-sulfonamide
- Step A N,N-Bis(4-methoxybenzyl)-iH-imidazole-4-sulfonamide
- Step B i-(2-Hydroxyethyl)-N,N-bis(4-methoxybenzyl)-iH-imidazole-4- sulfonamide
- Step C i-(2-(Dimethylamino)ethyl)-N,N-bis(4-methoxybenzyl)-iH- imidazole-4-sulfonamide
- Step A N,N-Bis(4-methoxybenzyl)-i-methyl-iH-imidazole-4-sulfonamide
- i-Methyl-iH-imidazole-4-sulfonyl chloride (4 g, 22.15 mmol) was added portionwise to a solution of bis(4-methoxybenzyl) amine (5.98 g, 23.25 mmol) and triethylamine (6.17 ml, 44.3 mmol) in DCM (100 mL) cooled in an ice bath. The mixture was stirred for 30 minutes, warmed to room temperature and stirred for 16 hours.
- Step B 2-((Dimethylamino)methyl)-N,N-bis(4-methoxybenzyl)-i-methyl- iH-imidazole-4-sulfonamide and 5-((dimethylamino)methyl)-N,N-bis(4- methoxybenzyl)-i-methyl-iH-imidazole-4-sulfonamide
- Step C 2-((Dimethylamino)methyl)-i-methyl-iH-imidazole-4-sulfonamide -((dimethylamino)methyl)-i-methyl-iH-imidazole-4-sulfonamide
- Step A 2-Isopropyl-i-methyl-iH-imidazole-5-sulfonyl chloride and 2- isopropyl-i-methyl-iH-imidazole-4-sulfonyl chloride
- Step Bi 2-Isopropyl-i-methyl-iH-imidazole-5- ilfonamide
- Step B i-Isopropyl-N,N-bis(4-methoxybenzyl)-2-methyl-iH-imidazole-4- sulfonamide N,N-Bis(4-methoxybenzyl)-2-methyl-iH-imidazole-4-sulfonamide (250 mg, 0.63 mmol) was dissolved in DMF (10 mL). Potassium carbonate (500 mg, 3.6 mmol), followed by 2-iodopropane (0.42 g, 2.5 mmol) were added. The reaction mixture was stirred for 48 hours at room temperature and then diluted with DCM and washed with water and brine. The organic layer was dried (Na 2 S0 4 ), filtered and evaporated. The residue was purified over silica (using a gradient of methanol in DCM 0-5% as eluent) to afford the title compound (283 mg, 100 %).
- Step C i-Isopropyl-2-methyl-iH-imidazole-4-sulfonamide
- Step A i-Ethyl-N,N-bis(4-methoxybenzyl)-2-methyl-iH-imidazole-4- sulfonamid
- Step B i-Ethyl-2-methyl-iH-imidazole-4-sulfonamide
- Step A N,N-Bis(4-methoxybenzyl)-2-methyl-i-((tetrahydrofuran-2- yl)methyl)-iH-imidazole-4-sulfonamide
- Step A i-(2-((tert-Butyldimethylsilyl)oxy)ethyl)-N,N-bis(4- methoxybenzyl)-2-methyl-iH-imidazole-4-sulfonamide
- Step B i-(2-Hydroxyethyl)-N,N-bis(4-methoxybenzyl)-2-methyl-iH- imidazole-4-sulfonamide
- Tetrabutylammonium fluoride (0.60 g, 1.90 mmol) was added and the mixture was stirred overnight at room temperature. The DCM layer was washed with brine, dried, filtered and evaporated to afford the title compound, which was used as such for the next step.
- Step C i-(2-Hydroxyethyl)-2-methyl-iH-imidazole-4-sulfonamide
- 2,6-Diisopropylaniline (3.07 g, 17.14 mmol) was dissolved in dry THF (40 mL) and Et 3 N (3 mL, 21.52 mmol) was added.
- the reaction mixture was stirred at room temperature overnight.
- the THF was removed in vacuo and toluene (50 mL) was added.
- the mixture was filtered through a short silica plug eluting with toluene (150 mL).
- iV-Bromosuccinimide (5.64 g, 31.7 mmol) was added portionwise to 4-fluoro-2- isopropylaniline (4.62 g, 30.2 mmol) in DCM (72 mL) at o °C. The resulting mixture was stirred at o °C for 1 hour and then left to warm to room temperature over 21 hours. The reaction mixture was washed with a solution of aqueous sodium hydroxide (2 M, 2 x 50 mL), dried (MgS0 4 ), filtered and concentrated in vacuo to give a brown residue.
- Step B -Fluoro-2-isopropyl-6-(2-methoxypyridin-4-yl)aniline
- Example 3 ⁇ 4 i-(2-(Dimethylamino)ethyl)-N-((i,2,3,5,6,7-hexahydro-s- indacen-4-yl)carbamoyl)-iH-imidazole-4-sulfonamid
- Example 10 N-((4-Fluoro-2-isopropyl-6-(i-methyl-iH-pyrazol-4-yl) phenyl)carbamoyl)-i-isopropyl-iH-imidazole-4-sulfonamide
- Example 12 N-((i,2,3 ⁇ 4, g ;,6,7-Hexahydro-s-indacen-4-yl)carbamoyl)-i- methyl-iH-imidazole-4-sulfonamide
- Example i3 ⁇ 4 N-(d.2.3 ⁇ 4.. ⁇ .6.7-Hexahydro-s-indacen--l-yl)carbamoyl)-2- isopropyl-i-methyl-iH-imidazole-4-sulfonamide, potassium salt
- Example 15 N-((i,2,3 ⁇ 4, g ;,6,7-Hexahydro-s-indacen-4-yl)carbamoyl)- isopropy -iH-imidazole-4-sulfonamide, sodium salt
- i-Isopropyl-iH-imidazole-4-sulfonamide (35.5 mg, 0.188 mmol) was dissolved in THF (5 mL) and 2 M sodium tert-butoxide in THF (0.098 ml, 0.197 mmol) added. After the mixture had been stirred at room temperature for 1 hour, 4-isocyanato-i,2,3,5,6,7- hexahydro-s-indacene (Intermediate Ai) (37.4 mg, 0.188 mmol) was added and the mixture stirred at room temperature for 15 hours. Ethyl acetate (5 mL) was added to the mixture and the suspension filtered and washed with ethyl acetate (1 mL). The collected solid was dried under reduced pressure to afford the title compound (32 mg, 40 %) as a white solid.
- Example 17 N- d ⁇ ⁇ ⁇ ⁇ ⁇ e ⁇ -Hexahydro-s-indacen- -yDcarbamoyD-i- - hydroxyethyl)-2-methyl-iH-imidazole-4-sulfonamide, potassium salt
- Example IQ . ⁇ -((Dimethylamino)methyl)-N-(( ' i.2.3 ⁇ 4.. ⁇ .6.7-hexahydro-s- indacen-4-yl)carbamoyl)-i-methyl-iH-imidazole-4-sulfonamide
- THP-i cells (ATCC # TIB-202) were grown in RPMI containing L-glutamine (Gibco #11835) supplemented with imM sodium pyruvate (Sigma # S8636) and penicillin (loounits/ml) / streptomycin (o.img/ml) (Sigma # P4333) in 10% Fetal Bovine Serum (FBS) (Sigma # F0804). The cells were routinely passaged and grown to confluency ( ⁇ io 6 cells/ml). On the day of the experiment, THP-i cells were harvested and resuspended into RPMI medium (without FBS). The cells were then counted and viability (>90%) checked by Trypan blue (Sigma # T8154).
- IL- ⁇ was measured according to the manufacturer protocol (Perkin Elmer- AlphaLisa IL-i Kit AL220F-5000)
- the compounds of the invention show high levels of NLRP3 inhibitory activity in the pyroptosis assay and in the human whole blood assay.
- the compounds of the invention show advantageous pharmacokinetic properties, for example half-life T1 ⁇ 2, area under the curve AUC, clearance CI and/or bioavailability, compared to the prior art compounds.
Landscapes
- Chemical & Material Sciences (AREA)
- Organic Chemistry (AREA)
- Health & Medical Sciences (AREA)
- Life Sciences & Earth Sciences (AREA)
- General Health & Medical Sciences (AREA)
- Medicinal Chemistry (AREA)
- Nuclear Medicine, Radiotherapy & Molecular Imaging (AREA)
- Pharmacology & Pharmacy (AREA)
- Chemical Kinetics & Catalysis (AREA)
- Animal Behavior & Ethology (AREA)
- General Chemical & Material Sciences (AREA)
- Public Health (AREA)
- Veterinary Medicine (AREA)
- Diabetes (AREA)
- Engineering & Computer Science (AREA)
- Bioinformatics & Cheminformatics (AREA)
- Neurology (AREA)
- Biomedical Technology (AREA)
- Neurosurgery (AREA)
- Oncology (AREA)
- Hospice & Palliative Care (AREA)
- Psychiatry (AREA)
- Pain & Pain Management (AREA)
- Rheumatology (AREA)
- Communicable Diseases (AREA)
- Emergency Medicine (AREA)
- Endocrinology (AREA)
- Hematology (AREA)
- Obesity (AREA)
- Pharmaceuticals Containing Other Organic And Inorganic Compounds (AREA)
- Plural Heterocyclic Compounds (AREA)
Abstract
The present invention relates to sulfonylureas and sulfonylthioureas comprising a monocyclic imidazolyl group. The present invention further relates to salts, solvates and prodrugs of such compounds, to pharmaceutical compositions comprising such compounds, and to the use of such compounds in the treatment and prevention of medical disorders and diseases, most especially by the inhibition of NLRP3.
Description
SULFONYLUREAS AND SULFONYLTHIOUREAS AS NLRP3 INHIBITORS
Field of the Invention
The present invention relates to sulfonylureas and sulfonylthioureas comprising a monocyclic imidazolyl group, and to associated salts, solvates, prodrugs and pharmaceutical compositions. The present invention further relates to the use of such compounds in the treatment and prevention of medical disorders and diseases, most especially by NLRP3 inhibition. Background
The NOD-like receptor (NLR) family, pyrin domain-containing protein 3 (NLRP3) inflammasome is a component of the inflammatory process, and its aberrant activity is pathogenic in inherited disorders such as cryopyrin-associated periodic syndromes (CAPS) and complex diseases such as multiple sclerosis, type 2 diabetes, Alzheimer's disease and atherosclerosis.
NLRP3 is an intracellular signalling molecule that senses many pathogen-derived, environmental and host-derived factors. Upon activation, NLRP3 binds to apoptosis- associated speck-like protein containing a caspase activation and recruitment domain (ASC). ASC then polymerises to form a large aggregate known as an ASC speck.
Polymerised ASC in turn interacts with the cysteine protease caspase-i to form a complex termed the inflammasome. This results in the activation of caspase-i, which cleaves the precursor forms of the proinflammatory cytokines IL-ιβ and IL-18 (termed pro-IL-ιβ and pro-IL-18 respectively) to thereby activate these cytokines. Caspase-i also mediates a type of inflammatory cell death known as pyroptosis. The ASC speck can also recruit and activate caspase-8, which can process pro-IL-ιβ and pro-IL-18 and trigger apoptotic cell death.
Caspase-i cleaves pro-IL-ιβ and pro-IL-18 to their active forms, which are secreted from the cell. Active caspase-i also cleaves gasdermin-D to trigger pyroptosis. Through its control of the pyroptotic cell death pathway, caspase-i also mediates the release of alarmin molecules such as IL-33 and high mobility group box 1 protein (HMGBi). Caspase-i also cleaves intracellular IL-1R2 resulting in its degradation and allowing the release of IL-ioc. In human cells caspase-i may also control the processing and secretion of IL-37. A number of other caspase-i substrates such as components of the
cytoskeleton and glycolysis pathway may contribute to caspase-i-dependent inflammation.
NLRP3-dependent ASC specks are released into the extracellular environment where they can activate caspase-i, induce processing of caspase-i substrates and propagate inflammation.
Active cytokines derived from NLRP3 inflammasome activation are important drivers of inflammation and interact with other cytokine pathways to shape the immune response to infection and injury. For example, IL-ιβ signalling induces the secretion of the pro-inflammatory cytokines IL-6 and TNF. IL-ιβ and IL-18 synergise with IL-23 to induce IL-17 production by memory CD4 TI117 cells and by γδ T cells in the absence of T cell receptor engagement. IL-18 and IL-12 also synergise to induce IFN-γ production from memory T cells and NK cells driving a Thi response.
The inherited CAPS diseases Muckle-Wells syndrome (MWS), familial cold
autoinflammatory syndrome (FCAS) and neonatal-onset multisystem inflammatory disease (NOMID) are caused by gain-of-function mutations in NLRP3, thus defining NLRP3 as a critical component of the inflammatory process. NLRP3 has also been implicated in the pathogenesis of a number of complex diseases, notably including metabolic disorders such as type 2 diabetes, atherosclerosis, obesity and gout.
A role for NLRP3 in diseases of the central nervous system is emerging, and lung diseases have also been shown to be influenced by NLRP3. Furthermore, NLRP3 has a role in the development of liver disease, kidney disease and aging. Many of these associations were defined using Nlrp3~/~ mice, but there have also been insights into the specific activation of NLRP3 in these diseases. In type 2 diabetes mellitus (T2D), the deposition of islet amyloid polypeptide in the pancreas activates NLRP3 and IL-ιβ signaling, resulting in cell death and inflammation.
Several small molecules have been shown to inhibit the NLRP3 inflammasome.
Glyburide inhibits IL-ιβ production at micromolar concentrations in response to the activation of NLRP3 but not NLRC4 or NLRPi. Other previously characterised weak NLRP3 inhibitors include parthenolide, 3,4-methylenedioxy^-nitrostyrene and dimethyl sulfoxide (DMSO), although these agents have limited potency and are nonspecific.
Current treatments for NLRP3-related diseases include biologic agents that target IL-i. These are the recombinant IL-i receptor antagonist anakinra, the neutralizing IL-ιβ antibody canakinumab and the soluble decoy IL-i receptor rilonacept. These approaches have proven successful in the treatment of CAPS, and these biologic agents have been used in clinical trials for other IL-i -associated diseases.
Some diarylsulfonylurea-containing compounds have been identified as cytokine release inhibitory drugs (CRIDs) (Perregaux et ah; J. Pharmacol. Exp. Ther. 299, 187- 197, 2001). CRIDs are a class of diarylsulfonylurea-containing compounds that inhibit the post-translational processing of IL-ιβ. Post-translational processing of IL-ιβ is accompanied by activation of caspase-i and cell death. CRIDs arrest activated monocytes so that caspase-i remains inactive and plasma membrane latency is preserved.
Certain sulfonylurea-containing compounds are also disclosed as inhibitors of NLRP3 (see for example, Baldwin et ah, J. Med. Chem., 59(5), 1691-1710, 2016; and WO 2016/131098 Ai, WO 2017/129897 Ai, WO 2017/140778 Ai, WO 2017/184604 Ai, WO 2017/184623 Ai, WO 2017/184624 Ai, WO 2018/136890 Ai and WO 2018/015445 Ai).
There is a need to provide compounds with improved pharmacological and/or physiological and/or physicochemical properties and/or those that provide a useful alternative to known compounds.
Summary of the Invention
Formula (I)
wherein:
Q is selected from O or S;
R1 is an imidazolyl group, wherein the imidazolyl group is unsubstituted or substituted with one or more monovalent substituents; and
R2 is a cyclic group substituted at the a-position, wherein R2 may optionally be further substituted.
In the context of the present specification, a "hydrocarbyl" substituent group or a hydrocarbyl moiety in a substituent group only includes carbon and hydrogen atoms but, unless stated otherwise, does not include any heteroatoms, such as N, O or S, in its carbon skeleton. A hydrocarbyl group/ moiety may be saturated or unsaturated
(including aromatic), and may be straight-chained or branched, or be or include cyclic groups wherein, unless stated otherwise, the cyclic group does not include any heteroatoms, such as N, O or S, in its carbon skeleton. Examples of hydrocarbyl groups include alkyl, alkenyl, alkynyl, cycloalkyl, cycloalkenyl and aryl groups/moieties and combinations of all of these groups/moieties. Typically a hydrocarbyl group is a Ci-C20 hydrocarbyl group. More typically a hydrocarbyl group is a Ci-Ci5 hydrocarbyl group. More typically a hydrocarbyl group is a Ci-Cio hydrocarbyl group. A "hydrocarbylene" group is similarly defined as a divalent hydrocarbyl group.
An "alkyl" substituent group or an alkyl moiety in a substituent group may be linear (i.e. straight-chained) or branched. Examples of alkyl groups/moieties include methyl, ethyl, n-propyl, z'-propyl, n-butyl, z-butyl, f-butyl and n-pentyl groups/moieties. Unless stated otherwise, the term "alkyl" does not include "cycloalkyl". Typically an alkyl group IS a Lyl-Lyl2 alkyl group. More typically an alkyl group is a Ci-Ce alkyl group. An
"alkylene" group is similarly defined as a divalent alkyl group.
An "alkenyl" substituent group or an alkenyl moiety in a substituent group refers to an unsaturated alkyl group or moiety having one or more carbon-carbon double bonds.
Examples of alkenyl groups/moieties include ethenyl, propenyl, l-butenyl, 2-butenyl, l- pentenyl, l-hexenyl, 1,3-butadienyl, 1,3-pentadienyl, 1,4-pentadienyl and 1,4- hexadienyl groups/moieties. Unless stated otherwise, the term "alkenyl" does not include "cycloalkenyl". Typically an alkenyl group is a C2-C12 alkenyl group. More typically an alkenyl group is a C2-Ce alkenyl group. An "alkenylene" group is similarly defined as a divalent alkenyl group.
An "alkynyl" substituent group or an alkynyl moiety in a substituent group refers to an unsaturated alkyl group or moiety having one or more carbon-carbon triple bonds. Examples of alkynyl groups/moieties include ethynyl, propargyl, but-i-ynyl and but-2- ynyl groups/moieties. Typically an alkynyl group is a C2-C12 alkynyl group. More
typically an alkynyl group is a C2-Ce alkynyl group. An "alkynylene" group is similarly defined as a divalent alkynyl group.
A "cyclic" substituent group or a cyclic moiety in a substituent group refers to any hydrocarbyl ring, wherein the hydrocarbyl ring may be saturated or unsaturated (including aromatic) and may include one or more heteroatoms, e.g. N, O or S, in its carbon skeleton. Examples of cyclic groups include cycloalkyl, cycloalkenyl,
heterocyclic, aryl and heteroaryl groups as discussed below. A cyclic group may be monocyclic, bicyclic (e.g. bridged, fused or spiro), or polycyclic. Typically, a cyclic group is a 3- to 12-membered cyclic group, which means it contains from 3 to 12 ring atoms. More typically, a cyclic group is a 3- to 7-membered monocyclic group, which means it contains from 3 to 7 ring atoms.
A "heterocyclic" substituent group or a heterocyclic moiety in a substituent group refers to a cyclic group or moiety including one or more carbon atoms and one or more (such as one, two, three or four) heteroatoms, e.g. N, O or S, in the ring structure. Examples of heterocyclic groups include heteroaryl groups as discussed below and non-aromatic heterocyclic groups such as azetinyl, azetidinyl, oxetanyl, thietanyl, pyrrolidinyl, tetrahydrofuranyl, tetrahydrothiophenyl, pyrazolidinyl, imidazolidinyl, dioxolanyl, oxathiolanyl, piperidinyl, tetrahydropyranyl, thianyl, piperazinyl, dioxanyl,
morpholinyl and thiomorpholinyl groups.
A "cycloalkyl" substituent group or a cycloalkyl moiety in a substituent group refers to a saturated hydrocarbyl ring containing, for example, from 3 to 7 carbon atoms, examples of which include cyclopropyl, cyclobutyl, cyclopentyl and cyclohexyl. Unless stated otherwise, a cycloalkyl substituent group or moiety may include monocyclic, bicyclic or polycyclic hydrocarbyl rings.
A "cycloalkenyl" substituent group or a cycloalkenyl moiety in a substituent group refers to a non-aromatic unsaturated hydrocarbyl ring having one or more carbon- carbon double bonds and containing, for example, from 3 to 7 carbon atoms, examples of which include cyclopent-i-en-i-yl, cyclohex-i-en-i-yl and cyclohex-i,3-dien-i-yl. Unless stated otherwise, a cycloalkenyl substituent group or moiety may include monocyclic, bicyclic or polycyclic hydrocarbyl rings.
An "aryl" substituent group or an aryl moiety in a substituent group refers to an aromatic hydrocarbyl ring. The term "aryl" includes monocyclic aromatic hydrocarbons and polycyclic fused ring aromatic hydrocarbons wherein all of the fused ring systems (excluding any ring systems which are part of or formed by optional substituents) are aromatic. Examples of aryl groups/moieties include phenyl, naphthyl, anthracenyl and phenanthrenyl. Unless stated otherwise, the term "aryl" does not include "heteroaryl".
A "heteroaryl" substituent group or a heteroaryl moiety in a substituent group refers to an aromatic heterocyclic group or moiety. The term "heteroaryl" includes monocyclic aromatic heterocycles and polycyclic fused ring aromatic heterocycles wherein all of the fused ring systems (excluding any ring systems which are part of or formed by optional substituents) are aromatic. Examples of heteroaryl groups/moieties include the following:
wherein G = O, S or NH.
For the purposes of the present specification, where a combination of moieties is referred to as one group, for example, arylalkyl, arylalkenyl, arylalkynyl, alkylaryl, alkenylaryl or alkynylaryl, the last mentioned moiety contains the atom by which the group is attached to the rest of the molecule. An example of an arylalkyl group is benzyl.
For the purposes of the present specification, in an optionally substituted group or moiety:
(i) each hydrogen atom may optionally be replaced by a group independently selected from halo; -CN; -N02; -N3; -RP; -OH; -ORP; -Ra-halo; -R°-CN; -R"-N02; -Ra-N3; -Ra-RP; -R°-OH; -Ra-ORP; -SH; -SRP; -SORP; -S02H; -S02RP; -S02NH2; -S02NHRP; -S02N(RP)2; -R°-SH; -Ra-SRP; -Ra-SORP; -Ra-S02H; -Ra-S02RP; -Ra-S02NH2;
-R°-S02NHRP; -R°-S02N(RP)2; -Si(RP)3; -0-Si(RP)3; -Ra-Si(RP)3; -Ra-0-Si(RP)3; -NH2; -NHRP; -N(RP)2; -N(0)(RP)2; -N+(RP)3; -Ra-NH2; -Ra-NHRP; -Ra-N(RP)2; -Ra-N(0)(RP)2;
-R"-N+(RP)3; -CHO; -CORP; -COOH; -COORP; -OCORP; -R"-CHO; -R"-CORP;
-R"-COOH; -R°-COORP; -R"-OCORP; -C(=NH)RP; -C(=NH)NH2; -C(=NH)NHRP;
-C(=NH)N(RP)2; -C(=NRP)RP; -C(=NRP)NHRP; -C(=NRP)N(RP)2; -C(=NOH)RP;
-C(N2)RP; -Ra-C(=NH)RP; -Ra-C(=NH)NH2; -Ra-C(=NH)NHRP; -Ra-C(=NH)N(RP)2; -Ra-C(=NRP)RP; -Ra-C(=NRP)NHRP; -Ra-C(=NRP)N(RP)2; -Ra-C(=NOH)RP;
-Ra-C(N2)RP; -NH-CHO; -NRP-CHO; -NH-CORP; -NRP-CORP; -C0NH2; -CONHRP;
-C0N(RP)2; -Ra-NH-CHO; -Ra-NRP-CHO; -Ra-NH-CORP; -Ra-NRP-CORP; -Ra-C0NH2;
-R°-CONHRP; -Ra-C0N(RP)2; -0-Ra-OH; -0-Ra-ORP; -0-Ra-NH2; -0-Ra-NHRP;
-0-Ra-N(RP)2; -0-Ra-N(0)(RP)2; -0-Ra-N+(RP)3; -NH-Ra-OH; -NH-Ra-ORP;
-NH-Ra-NH2; -NH-Ra-NHRP; -NH-Ra-N(RP)2; -NH-Ra-N(0)(RP)2; -NH-Ra-N+(RP)3;
-NRP-R°-OH; -NRP-Ra-ORP; -NRP-Ra-NH2; -NRP-Ra-NHRP; -NRP-Ra-N(RP)2;
-NRP-Ra-N(0)(RP)2; -NRP-Ra-N+(RP)3; -N(0)RP-Ra-OH; -N(0)RP-Ra-ORP;
-N(0)RP-Ra-NH2; -N(0)RP-Ra-NHRP; -N(0)RP-Ra-N(RP)2; -N(0)RP-Ra-N(0)(RP)2;
-N(0)RP-Ra-N+(RP)3; -N+(RP)2-Ra-0H; -N+(RP)2-Ra-0RP; -N+(RP)2-Ra-NH2;
-N+(RP)2-Ra-NHRP; -N+(RP)2-Ra-N(RP)2; or -N+(RP)2-Ra-N(0)(RP)2; and/or
(ii) any two hydrogen atoms attached to the same atom may optionally be replaced by a π-bonded substituent independently selected from oxo (=0), =S, =NH or =NRP; and/or
(iii) any two hydrogen atoms attached to the same or different atoms, within the same optionally substituted group or moiety, may optionally be replaced by a bridging substituent independently selected from -0-, -S-, -NH-, -N=N-, -N(RP)-, -N(0)(RP)-, -N+(RP)2- or -Ra-;
wherein each -Ra- is independently selected from an alkylene, alkenylene or alkynylene group, wherein the alkylene, alkenylene or alkynylene group contains from l to 6 atoms in its backbone, wherein one or more carbon atoms in the backbone of the alkylene, alkenylene or alkynylene group may optionally be replaced by one or more heteroatoms N, O or S, wherein one or more -CH2- groups in the backbone of the alkylene, alkenylene or alkynylene group may optionally be replaced by one or more -N(0)(RP)- or -N+(RP)2- groups, and wherein the alkylene, alkenylene or alkynylene group may optionally be substituted with one or more halo and/ or -RP groups; and wherein each -RP is independently selected from a Ci-Ce alkyl, C2-Ce alkenyl, C2-Ce alkynyl or C2-Ce cyclic group, or wherein any two or three -RP attached to the same nitrogen atom may, together with the nitrogen atom to which they are attached, form a C2-C7 cyclic group, and wherein any -RP may optionally be substituted with one or more C1-C4 alkyl, C1-C4 haloalkyl, C3-C7 cycloalkyl, C3-C7 halocycloalkyl, -0(d-C4 alkyl), -OfC^ haloalkyl), -0(C3-C7 cycloalkyl), -0(C3-C7 halocycloalkyl), -COfC^
alkyl), -COfC^ haloalkyl), -COO(a-C4 alkyl), -COO(a-C4 haloalkyl), halo, -OH, -NH2, -CN, -C≡CH, oxo (=0), or 4- to 6-membered heterocyclic group.
Typically, the compounds of the present invention comprise at most one quaternary ammonium group such as -N+(RP)3 or -N+(RP)2-.
Where reference is made to a -Ra-C(N2)RP group, what is intended is:
Typically, in an optionally substituted group or moiety:
(i) each hydrogen atom may optionally be replaced by a group independently selected from halo; -CN; -N02; -N3; -RP; -OH; -ORP; -Ra-halo; -R°-CN; -R°-N02; -Ra-N3; -Ra-RP; -R°-OH; -Ra-ORP; -SH; -SRP; -SORP; -S02H; -S02RP; -S02NH2; -S02NHRP; -S02N(RP)2; -Ra-SH; -Ra-SRP; -Ra-SORP; -Ra-S02H; -Ra-S02RP; -Ra-S02NH2;
-Ra-S02NHRP; -Ra-S02N(RP)2; -NH2; -NHRP; -N(RP)2; -Ra-NH2; -Ra-NHRP; -Ra-N(RP)2;
-CHO; -CORP; -COOH; -COORP; -OCORP; -Ra-CHO; -Ra-CORP; -Ra-COOH;
-Ra-COORP; -Ra-OCORP; -NH-CHO; -NRP-CHO; -NH-CORP; -NRP-CORP; -C0NH2;
-CONHRP; -C0N(RP)2; -Ra-NH-CHO; -Ra-NRP-CHO; -Ra-NH-CORP; -Ra-NRP-CORP;
-Ra-C0NH2; -R°-CONHRP; -Ra-C0N(RP)2; -0-Ra-OH; -0-Ra-ORP; -0-Ra-NH2;
-0-Ra-NHRP; -0-Ra-N(RP)2; -NH-Ra-OH; -NH-Ra-ORP; -NH-Ra-NH2; -NH-Ra-NHRP;
-NH-R°-N(RP)2; -NRP-Ra-OH; -NRP-Ra-ORP; -NRP-Ra-NH2; -NRP-Ra-NHRP; or
-NRP-R°-N(RP)2; and/or
(ii) any two hydrogen atoms attached to the same carbon atom may optionally be replaced by a π-bonded substituent independently selected from oxo (=0), =S, =NH or =NRP; and/or
(iii) any two hydrogen atoms attached to the same or different atoms, within the same optionally substituted group or moiety, may optionally be replaced by a bridging substituent independently selected from -0-, -S-, -NH-, -N(RP)- or -Ra-;
wherein each -Ra- is independently selected from an alkylene, alkenylene or alkynylene group, wherein the alkylene, alkenylene or alkynylene group contains from 1 to 6 atoms in its backbone, wherein one or more carbon atoms in the backbone of the alkylene, alkenylene or alkynylene group may optionally be replaced by one or more
heteroatoms N, O or S, and wherein the alkylene, alkenylene or alkynylene group may optionally be substituted with one or more halo and/or -RP groups; and
wherein each -RP is independently selected from a Ci-Ce alkyl, C2-Ce alkenyl, C2-Ce alkynyl or C2-Ce cyclic group, and wherein any -RP may optionally be substituted with one or more Ci-C4 alkyl, Ci-C4 haloalkyl, C3-C7 cycloalkyl, -0(d-C4 alkyl), -0(d-C4 haloalkyl), -0(C3-C7 cycloalkyl), halo, -OH, -NH2, -CN, -C≡CH, oxo (=0), or 4- to 6- membered heterocyclic group.
Alternately in the optionally substituted groups or moieties defined immediately above, each -RP may be independently selected from a Ci-Ce alkyl, C2-Ce alkenyl, C2-Ce alkynyl or C2-Ce cyclic group, or any two -RP attached to the same nitrogen atom may, together with the nitrogen atom to which they are attached, form a C2-C7 cyclic group, wherein any -RP may optionally be substituted with one or more Ci-C4 alkyl, Ci-C4 haloalkyl, C3-C7 cycloalkyl, C3-C7 halocycloalkyl, -0(d-C4 alkyl), -0(d-C4 haloalkyl), -0(C3-C7 cycloalkyl), -0(C3-C7 halocycloalkyl), halo, -OH, -NH2, -CN, -OCH, oxo (=0), or 4- to 6-membered heterocyclic group.
More typically, in an optionally substituted group or moiety:
(i) each hydrogen atom may optionally be replaced by a group independently selected from halo; -CN; -N02; -N3; -RP; -OH; -ORP; -R«-halo; -Ra-CN; -Ra-N02; -Ra-N3;
-Ra-RP; -Ra-OH; -Ra-ORP; -SH; -SRP; -SORP; -S02H; -S02RP; -S02NH2; -S02NHRP;
-S02N(RP)2; -Ra-SH; -Ra-SRP; -Ra-SORP; -Ra-S02H; -Ra-S02RP; -Ra-S02NH2;
-Ra-S02NHRP; -Ra-S02N(RP)2; -NH2; -NHRP; -N(RP)2; -Ra-NH2; -Ra-NHRP; -Ra-N(RP)2;
-CHO; -CORP; -COOH; -COORP; -OCORP; -Ra-CHO; -Ra-CORP; -Ra-COOH;
-Ra-COORP; or -Ra-OCORP; and/or
(ii) any two hydrogen atoms attached to the same carbon atom may optionally be replaced by a π-bonded substituent independently selected from oxo (=0), =S, =NH or =NRP; and/or
(iii) any two hydrogen atoms attached to the same or different atoms, within the same optionally substituted group or moiety, may optionally be replaced by a bridging substituent independently selected from -0-, -S-, -NH-, -N(RP)- or -Ra-;
wherein each -Ra- is independently selected from an alkylene, alkenylene or alkynylene group, wherein the alkylene, alkenylene or alkynylene group contains from 1 to 6 atoms in its backbone, wherein one or more carbon atoms in the backbone of the alkylene, alkenylene or alkynylene group may optionally be replaced by one or more
heteroatoms N, O or S, and wherein the alkylene, alkenylene or alkynylene group may optionally be substituted with one or more halo and/or -RP groups; and
wherein each -RP is independently selected from a Ci-Ce alkyl, C2-Ce alkenyl, C2-Ce alkynyl or C2-Ce cyclic group, and wherein any -RP may optionally be substituted with one or more Ci-C4 alkyl, Ci-C4 haloalkyl, C3-C7 cycloalkyl, -0(d-C4 alkyl), -0(d-C4 haloalkyl), -0(C3-C7 cycloalkyl), halo, -OH, -NH2, -CN, -C≡CH, oxo (=0), or 4- to 6- membered heterocyclic group.
Alternately in the optionally substituted groups or moieties defined immediately above, each -RP may be independently selected from a Ci-Ce alkyl, C2-Ce alkenyl, C2-Ce alkynyl or C2-Ce cyclic group, or any two -RP attached to the same nitrogen atom may, together with the nitrogen atom to which they are attached, form a C2-C7 cyclic group, wherein any -RP may optionally be substituted with one or more Ci-C4 alkyl, Ci-C4 haloalkyl, C3-C7 cycloalkyl, C3-C7 halocycloalkyl, -0(d-C4 alkyl), -0(d-C4 haloalkyl), -0(C3-C7 cycloalkyl), -0(C3-C7 halocycloalkyl), halo, -OH, -NH2, -CN, -OCH, oxo (=0), or 4- to 6-membered heterocyclic group.
More typically, in an optionally substituted group or moiety:
(i) each hydrogen atom may optionally be replaced by a group independently selected from halo; -CN; -RP; -OH; -ORP; -R«-halo; -Ra-CN; -Ra-RP; -Ra-OH; -Ra-ORP;
-SRP; -SORP; -S02H; -S02RP; -S02NH2; -S02NHRP; -S02N(RP)2; -Ra-SRP; -Ra-SORP;
-Ra-S02H; -Ra-S02RP; -Ra-S02NH2; -Ra-S02NHRP; -Ra-S02N(RP)2; -NH2; -NHRP;
-N(RP)2; -Ra-NH2; -Ra-NHRP; -Ra-N(RP)2; -CHO; -CORP; -COOH; -COORP; -OCORP;
-R°-CHO; -R°-CORP; -Ra-COOH; -Ra-COORP; or -Ra-OCORP; and/or
(ii) any two hydrogen atoms attached to the same carbon atom may optionally be replaced by a π-bonded substituent independently selected from oxo (=0), =S, =NH or
=NRP; and/or
(iii) any two hydrogen atoms attached to the same or different atoms, within the same optionally substituted group or moiety, may optionally be replaced by a bridging substituent independently selected from -0-, -S-, -NH-, -N(RP)- or -Ra-;
wherein each -Ra- is independently selected from an alkylene, alkenylene or alkynylene group, wherein the alkylene, alkenylene or alkynylene group contains from 1 to 6 atoms in its backbone, wherein one or more carbon atoms in the backbone of the alkylene, alkenylene or alkynylene group may optionally be replaced by one or more heteroatoms N, O or S, and wherein the alkylene, alkenylene or alkynylene group may optionally be substituted with one or more halo and/or -RP groups; and
wherein each -RP is independently selected from a Ci-Ce alkyl, C2-Ce alkenyl, C2-Ce alkynyl or C2-Ce cyclic group, and wherein any -RP may optionally be substituted with one or more C1-C4 alkyl, halo, -OH, or 4- to 6-membered heterocyclic group.
Alternately in the optionally substituted groups or moieties defined immediately above, each -RP may be independently selected from a Ci-Ce alkyl, C2-Ce alkenyl, C2-Ce alkynyl or C2-Ce cyclic group, or any two -RP attached to the same nitrogen atom may, together with the nitrogen atom to which they are attached, form a C2-C7 cyclic group, wherein any -RP may optionally be substituted with one or more Ci-C4 alkyl, Ci-C4 haloalkyl, halo, -OH, or 4- to 6-membered heterocyclic group.
Typically a substituted group comprises 1, 2, 3 or 4 substituents, more typically 1, 2 or 3 substituents, more typically 1 or 2 substituents, and more typically 1 substituent.
Unless stated otherwise, any divalent bridging substituent (e.g. -0-, -S-, -NH-, -N(RP)-, -N(0)(RP)-, -N+(RP)2- or -Ra-) of an optionally substituted group or moiety (e.g. R1) must only be attached to the specified group or moiety and may not be attached to a second group or moiety (e.g. R2), even if the second group or moiety can itself be optionally substituted.
The term "halo" includes fluoro, chloro, bromo and iodo.
Unless stated otherwise, where a group is prefixed by the term "halo", such as a haloalkyl or halomethyl group, it is to be understood that the group in question is substituted with one or more halo groups independently selected from fluoro, chloro, bromo and iodo. Typically, the maximum number of halo substituents is limited only by the number of hydrogen atoms available for substitution on the corresponding group without the halo prefix. For example, a halomethyl group may contain one, two or three halo substituents. Ahaloethyl or halophenyl group may contain one, two, three, four or five halo substituents. Similarly, unless stated otherwise, where a group is prefixed by a specific halo group, it is to be understood that the group in question is substituted with one or more of the specific halo groups. For example, the term "fluoromethyl" refers to a methyl group substituted with one, two or three fluoro groups.
Unless stated otherwise, where a group is said to be "halo-substituted", it is to be understood that the group in question is substituted with one or more halo groups
independently selected from fluoro, chloro, bromo and iodo. Typically, the maximum number of halo substituents is limited only by the number of hydrogen atoms available for substitution on the group said to be halo-substituted. For example, a halo- substituted methyl group may contain one, two or three halo substituents. A halo- substituted ethyl or halo-substituted phenyl group may contain one, two, three, four or five halo substituents.
Unless stated otherwise, any reference to an element is to be considered a reference to all isotopes of that element. Thus, for example, unless stated otherwise any reference to hydrogen is considered to encompass all isotopes of hydrogen including deuterium and tritium.
Where reference is made to a hydrocarbyl or other group including one or more heteroatoms N, O or S in its carbon skeleton, or where reference is made to a carbon atom of a hydrocarbyl or other group being replaced by an N, O or S atom, what is intended is that:
— CH— — N—
is replaced by
-CH2- is replaced by -NH-, -O- or -S-;
-CH3 is replaced by -NH2, -OH or -SH;
-CH= is replaced by -N=;
CH2= is replaced by NH=, 0= or S=; or
CH≡ is replaced by N≡;
provided that the resultant group comprises at least one carbon atom. For example, methoxy, dimethylamino and aminoethyl groups are considered to be hydrocarbyl groups including one or more heteroatoms N, O or S in their carbon skeleton.
Where reference is made to a -CH2- group in the backbone of a hydrocarbyl or other group being replaced by a -N(0)(RP)- or -N+(RP)2- group, what is intended is that:
-CH2- is replaced by ; or
-CH2- is replaced by
In the context of the present specification, unless otherwise stated, a Cx-Cy group is defined as a group containing from x to y carbon atoms. For example, a C1-C4 alkyl group is defined as an alkyl group containing from 1 to 4 carbon atoms. Optional substituents and moieties are not taken into account when calculating the total number of carbon atoms in the parent group substituted with the optional substituents and/or containing the optional moieties. For the avoidance of doubt, replacement heteroatoms, e.g. N, O or S, are not to be counted as carbon atoms when calculating the number of carbon atoms in a Cx-Cy group. For example, a morpholinyl group is to be considered a C4 heterocyclic group, not a Ce heterocyclic group.
For the purposes of the present specification, where it is stated that a first atom or group is "directly attached" to a second atom or group it is to be understood that the first atom or group is covalently bonded to the second atom or group with no intervening atom(s) or groups being present. So, for example, for the group
-(C=0)N(CH3)2, the carbon atom of each methyl group is directly attached to the nitrogen atom and the carbon atom of the carbonyl group is directly attached to the nitrogen atom, but the carbon atom of the carbonyl group is not directly attached to the carbon atom of either methyl group.
As stated, R1 is an imidazolyl group, wherein the imidazolyl group is unsubstituted or substituted with one or more monovalent substituents.
For the purposes of the present specification, where it is stated that a substituent, group or moiety "is a" specific group, it is to be understood that the specific group is directly attached to the remainder of the molecule, i.e. via a covalent bond with no intervening atom(s) or groups being present. Thus, in the first aspect of the invention, where it is stated that "R1 is an imidazolyl group" it is to be understood that a ring atom of the 5- membered ring of the imidazolyl group is directly attached to the sulfur atom of the sulfonyl group, with no intervening atom(s) or groups being present. Similarly, where it is stated that "R2 is a cyclic group", it is to be understood that a ring atom of the cyclic group is directly attached to the nitrogen atom of the (thio)urea group, with no intervening atom(s) or groups being present. For the avoidance of doubt, R1 is not attached to the sulfur atom of the sulfonyl group via any optional substituent.
Since the imidazolyl group of R1 is unsubstituted or substituted with one or more monovalent substituents, it will be understood that the imidazolyl group is monocyclic. Thus, for example, the imidazolyl group of R1 does not form part of a bicyclic fused ring structure. The monocyclic imidazole group of R1 may however be substituted with one or more monovalent substituents, where said monovalent substituents may be or may include cyclic groups.
In one embodiment, R1 is an imidazol-4-yl group. In such an embodiment, the compound may be a compound of formula (la):
Formula (la)
wherein:
R2 is as described herein;
R3 is any optional monovalent substituent as described herein; and
m is o, 1, 2 or 3.
In another embodiment, R1 is an imidazol-5-yl group. In such an embodiment, the compound may be a compound of formula (lb):
Formula (lb)
wherein:
R2 is as described herein;
R3 is any optional monovalent substituent as described herein; and
m is o, 1, 2 or 3.
In yet another embodiment, R1 is an imidazol-2-yl group. In such an embodiment, the compound may be a compound of formula (Ic):
Formula (Ic)
wherein:
R2 is as described herein;
R3 is any optional monovalent substituent as described herein; and
m is o, 1, 2 or 3.
Typically, the imidazolyl group of R1 is substituted with one or more monovalent substituents. More typically, the imidazolyl group of R1 is substituted with one or two monovalent substituents. For example, where the compound is a compound of formula (la), (lb) or (Ic), m is typically 1 or 2.
Where the imidazolyl group of R1 is substituted, typically it is substituted at least at the l-position. For example, where the compound is a compound of formula (la), (lb) or (Ic), typically the NH of the imidazolyl ring is N-R3.
In one embodiment, the imidazolyl group of R1 is substituted with one (i.e. a single) monovalent substituent. Where the imidazolyl group of R1 is substituted with one monovalent substituent, R1 may be for example a i-substituted-imidazol-4-yl group, a i-substituted-imidazol-5-yl group or a i-substituted-imidazol-2-yl group. Most typically, R1 is a i-substituted-imidazol-4-yl group.
In another embodiment, the imidazolyl group of R1 is substituted with two or three monovalent substituents. Typically in such an embodiment, the imidazolyl group of R1 is substituted with two monovalent substituents. Where the imidazolyl group of R1 is substituted with two monovalent substituents, R1 may be for example a 1,2- disubstituted-imidazol-4-yl group, a i,5-disubstituted-imidazol-4-yl group, a 1,2- disubstituted-imidazol-5-yl group, a i,4-disubstituted-imidazol-5-yl group, a 1,4- disubstituted-imidazol-2-yl group or a i,5-disubstituted-imidazol-2-yl group. More typically, R1 is a i,2-disubstituted-imidazol-4-yl group, a i,5-disubstituted-imidazol-4- yl group or a i,2-disubstituted-imidazol-5-yl group. Most typically, R1 is a 1,2- disubstituted-imidazol-4-yl group.
In the above embodiments, where the imidazolyl group of R1 is substituted with one or more monovalent substituents, the one or more monovalent substituents (e.g. R3) may be independently selected from halo; -CN; -N02; -N3; -RP; -OH; -ORP; -Ra-halo;
-R«-CN; -Ra-N02; -Ra-N3; -Ra-RP; -Ra-OH; -Ra-ORP; -SH; -SRP; -SORP; -S02H; -S02RP;
-S02NH2; -S02NHRP; -S02N(RP)2; -Ra-SH; -Ra-SRP; -Ra-SORP; -Ra-S02H; -Ra-S02RP;
-Ra-S02NH2; -Ra-S02NHRP; -Ra-S02N(RP)2; -Si(RP)3; -0-Si(RP)3; -Ra-Si(RP)3;
-Ra-0-Si(RP)3; -NH2; -NHRP; -N(RP)2; -N(0)(RP)2; -N+(RP)3; -Ra-NH2; -Ra-NHRP;
-R°-N(RP)2; -Ra-N(0)(RP)2; -Ra-N+(RP)3; -CHO; -CORP; -COOH; -COORP; -OCORP; -R°-CHO; -R°-CORP; -Ra-COOH; -Ra-COORP; -Ra-OCORP; -C(=NH)RP; -C(=NH)NH2;
-C(=NH)NHRP; -C(=NH)N(RP)2; -C(=NRP)RP; -C(=NRP)NHRP; -C(=NRP)N(RP)2;
-C(=NOH)RP; -C(N2)RP; -Ra-C(=NH)RP; -Ra-C(=NH)NH2; -Ra-C(=NH)NHRP;
-Ra-C(=NH)N(RP)2; -Ra-C(=NRP)RP; -Ra-C(=NRP)NHRP; -Ra-C(=NRP)N(RP)2;
-Ra-C(=NOH)RP; -Ra-C(N2)RP; -NH-CHO; -NRP-CHO; -NH-CORP; -NRP-CORP;
-C0NH2; -CONHRP; -C0N(RP)2; -Ra-NH-CHO; -Ra-NRP-CHO; -Ra-NH-CORP;
-R°-NRP-CORP; -Ra-C0NH2; -Ra-CONHRP; -Ra-C0N(RP)2; -0-Ra-OH; -0-Ra-ORP;
-0-Ra-NH2; -0-Ra-NHRP; -0-Ra-N(RP)2; -0-Ra-N(0)(RP)2; -0-Ra-N+(RP)3; -NH-Ra-OH;
-NH-R°-ORP; -NH-Ra-NH2; -NH-Ra-NHRP; -NH-Ra-N(RP)2; -NH-Ra-N(0)(RP)2;
-NH-R°-N+(RP)3; -NRP-Ra-OH; -NRP-Ra-ORP; -NRP-Ra-NH2; -NRP-Ra-NHRP;
-NRP-R°-N(RP)2; -NRP-Ra-N(0)(RP)2; -NRP-Ra-N+( RP)3; -N(0)RP-Ra-OH;
-N(0)RP-Ra-ORP; -N(0)RP-Ra-NH2; -N(0)RP-Ra-NHRP; -N(0)RP-Ra-N(RP)2;
-N(0)RP-Ra-N(0)(RP)2; -N(0)RP-Ra-N+(RP)3; -N+(RP)2-Ra-0H; -N+(RP)2-Ra-0RP;
-N+(RP)2-Ra-NH2; -N+(RP)2-Ra-NHRP; -N+(RP)2-Ra-N(RP)2; or -N+(RP)2-Ra-N(0)(RP)2; wherein each -Ra- is independently selected from an alkylene, alkenylene or alkynylene group, wherein the alkylene, alkenylene or alkynylene group contains from 1 to 6 atoms in its backbone, wherein one or more carbon atoms in the backbone of the alkylene, alkenylene or alkynylene group may optionally be replaced by one or more heteroatoms N, O or S, wherein one or more -CH2- groups in the backbone of the alkylene, alkenylene or alkynylene group may optionally be replaced by one or more -N(0)(RP)- or -N+(RP)2- groups, and wherein the alkylene, alkenylene or alkynylene group may optionally be substituted with one or more halo and/or -RP groups; and wherein each -RP is independently selected from a Ci-Ce alkyl, C2-Ce alkenyl, C2-Ce alkynyl or C2-Ce cyclic group, or wherein any two or three -RP attached to the same nitrogen atom may, together with the nitrogen atom to which they are attached, form a C2-C7 cyclic group, and wherein any -RP may optionally be substituted with one or more
C1-C4 alkyl, d-C4 haloalkyl, C3-C7 cycloalkyl, C3-C7 halocycloalkyl, -OfC^ alkyl),
-0(Ci-C4 haloalkyl), -0(C3-C7 cycloalkyl), -0(C3-C7 halocycloalkyl), -CO(d-C4 alkyl), -CO(Ci-C4 haloalkyl), -COO(Ci-C4 alkyl), -COO(Ci-C4 haloalkyl), halo, -OH, -NH2, -CN, -C≡CH, oxo (=0), or 4- to 6-membered heterocyclic group.
In one embodiment, where the imidazolyl group of R1 is substituted with one or more monovalent substituents, the one or more monovalent substituents (e.g. R3) may be independently selected from halo; -CN; -N02; -N3; -RP; -OH; -ORP; -Ra-halo; -R°-CN; -R"-N02; -Ra-N3; -Ra-RP; -Ra-OH; -Ra-ORP; -SH; -SRP; -SORP; -S02H; -S02RP;
-S02NH2; -S02NHRP; -S02N(RP)2; -Ra-SH; -Ra-SRP; -Ra-SORP; -Ra-S02H; -Ra-S02RP; -Ra-S02NH2; -Ra-S02NHRP; -Ra-S02N(RP)2; -NH2; -NHRP; -N(RP)2; -Ra-NH2;
-Ra-NHRP; -Ra-N(RP)2; -CHO; -CORP; -COOH; -COORP; -OCORP; -Ra-CHO; -Ra-CORP; -Ra-COOH; -Ra-COORP; -Ra-OCORP; -NH-CHO; -NRP-CHO; -NH-CORP; -NRP-CORP; -C0NH2; -CONHRP; -C0N(RP)2; -Ra-NH-CHO; -Ra-NRP-CHO; -Ra-NH-CORP;
-Ra-NRP-CORP; -Ra-C0NH2; -Ra-CONHRP; -Ra-C0N(RP)2; -0-Ra-OH; -0-Ra-ORP; -0-Ra-NH2; -0-Ra-NHRP; -0-Ra-N(RP)2; -NH-Ra-OH; -NH-Ra-ORP; -NH-Ra-NH2; -NH-Ra-NHRP; -NH-Ra-N(RP)2; -NRP-Ra-OH; -NRP-Ra-ORP; -NRP-Ra-NH2;
-NRP-Ra-NHRP; or -NRP-Ra-N(RP)2;
wherein each -Ra- is independently selected from an alkylene, alkenylene or alkynylene group, wherein the alkylene, alkenylene or alkynylene group contains from 1 to 6 atoms in its backbone, wherein one or more carbon atoms in the backbone of the alkylene, alkenylene or alkynylene group may optionally be replaced by one or more heteroatoms N, O or S, and wherein the alkylene, alkenylene or alkynylene group may optionally be substituted with one or more halo and/or -RP groups; and
wherein each -RP is independently selected from a Ci-Ce alkyl, C2-Ce alkenyl, C2-Ce alkynyl or C2-Ce cyclic group, and wherein any -RP may optionally be substituted with one or more Ci-C4 alkyl, Ci-C4 haloalkyl, C3-C7 cycloalkyl, -0(d-C4 alkyl), -0(d-C4 haloalkyl), -0(C3-C7 cycloalkyl), halo, -OH, -NH2, -CN, -C≡CH, oxo (=0), or 4- to 6- membered heterocyclic group.
In one embodiment, the imidazolyl group of R1 is substituted with one, two or three substituents independently selected from halo; -CN; -N02; -N3; -RP; -OH; -ORP;
-R°-halo; -R°-CN; -R°-N02; -Ra-N3; -Ra-RP; -Ra-OH; -Ra-ORP; -SH; -SRP; -SORP;
-S02H; -S02RP; -S02NH2; -S02NHRP; -S02N(RP)2; -Ra-SH; -Ra-SRP; -Ra-SORP;
-Ra-S02H; -Ra-S02RP; -Ra-S02NH2; -Ra-S02NHRP; -Ra-S02N(RP)2; -NH2; -NHRP;
-N(RP)2; -R°-NH2; -Ra-NHRP; -Ra-N(RP)2; -CHO; -CORP; -COOH; -COORP; -OCORP; -R°-CHO; -R°-CORP; -Ra-COOH; -Ra-COORP; or -Ra-OCORP;
wherein each -Ra- is independently selected from an alkylene, alkenylene or alkynylene group, wherein the alkylene, alkenylene or alkynylene group contains from 1 to 6 atoms in its backbone, wherein one or more carbon atoms in the backbone of the alkylene, alkenylene or alkynylene group may optionally be replaced by one or more heteroatoms N, O or S, and wherein the alkylene, alkenylene or alkynylene group may optionally be substituted with one or more halo and/or -RP groups; and
wherein each -RP is independently selected from a Ci-Ce alkyl, C2-Ce alkenyl, C2-Ce alkynyl or C2-Ce cyclic group, and wherein any -RP may optionally be substituted with one or more C1-C4 alkyl, C1-C4 haloalkyl, C3-C7 cycloalkyl, -0(d-C4 alkyl), -0(d-C4 haloalkyl), -0(C3-C7 cycloalkyl), halo, -OH, -NH2, -CN, -C≡CH, oxo (=0), or 4- to 6- membered heterocyclic group.
Alternatively, R1 may be substituted with one or more substituents independently selected from halo; -CN; -RP; -OH; -ORP; -R«-halo; -Ra-CN; -Ra-RP; -Ra-OH; -Ra-ORP; -SRP; -SORP; -S02H; -S02RP; -S02NH2; -S02NHRP; -S02N(RP)2; -Ra-SRP; -Ra-SORP; -Ra-S02H; -Ra-S02RP; -Ra-S02NH2; -Ra-S02NHRP; -Ra-S02N(RP)2; -NH2; -NHRP;
-N(RP)2; -R°-NH2; -Ra-NHRP; -Ra-N(RP)2; -CHO; -CORP; -COOH; -COORP; -OCORP; -R°-CHO; -R°-CORP; -Ra-COOH; -Ra-COORP; or -Ra-OCORP;
wherein each -Ra- is independently selected from an alkylene, alkenylene or alkynylene group, wherein the alkylene, alkenylene or alkynylene group contains from 1 to 6 atoms in its backbone, wherein one or more carbon atoms in the backbone of the alkylene, alkenylene or alkynylene group may optionally be replaced by one or more heteroatoms N, O or S, and wherein the alkylene, alkenylene or alkynylene group may optionally be substituted with one or more halo and/or -RP groups; and
wherein each -RP is independently selected from a Ci-Ce alkyl, C2-Ce alkenyl,
C2-Ce alkynyl or C2-Ce cyclic group, and wherein any -RP may optionally be substituted with one or more C1-C4 alkyl, halo, -OH, or 4- to 6-membered heterocyclic group.
In one embodiment, each monovalent substituent (e.g. R3) of the imidazolyl group of R1 is independently selected from a saturated or unsaturated hydrocarbyl group, wherein the hydrocarbyl group may be straight-chained or branched, or be or include cyclic groups, wherein the hydrocarbyl group may optionally be substituted, and wherein the hydrocarbyl group may optionally include one or more heteroatoms N, O or S in its carbon skeleton. Where the hydrocarbyl group is optionally substituted, typically it is substituted with one or more groups selected from halo, -CN, -OH, -NH2, oxo (=0) and =NH.
Typically, each monovalent substituent (e.g. R3) of the imidazolyl group of R1 is independently selected from a saturated hydrocarbyl group, wherein the saturated hydrocarbyl group may be straight-chained or branched, or be or include cyclic groups, wherein the saturated hydrocarbyl group may optionally be substituted with one or more groups selected from halo, -CN, -OH, -NH2 and oxo (=0), and wherein the saturated hydrocarbyl group may optionally include one or two heteroatoms N or O in its carbon skeleton. More typically, each monovalent substituent (e.g. R3) of the imidazolyl group of R1 is independently selected from a saturated hydrocarbyl group, wherein the saturated hydrocarbyl group may be straight-chained or branched, or be or include cyclic groups, wherein the saturated hydrocarbyl group may optionally be substituted with one or more fluoro and/or chloro groups, and wherein the saturated hydrocarbyl group may optionally include a single heteroatom N or O in its carbon skeleton.
In one embodiment, each monovalent substituent (e.g. R3) of the imidazolyl group of R1 is acyclic. For example, each monovalent substituent (e.g. R3) of the imidazolyl group of R1 may be independently selected from a saturated hydrocarbyl group, wherein the saturated hydrocarbyl group is straight-chained or branched, wherein the saturated hydrocarbyl group may optionally be substituted with one or more groups selected from halo, -CN, -OH, -NH2 and oxo (=0), and wherein the saturated hydrocarbyl group may optionally include one or two heteroatoms N or O in its carbon skeleton. More typically in such an embodiment, each monovalent substituent (e.g. R3) of the imidazolyl group of R1 is independently selected from a saturated hydrocarbyl group, wherein the saturated hydrocarbyl group is straight-chained or branched, wherein the saturated hydrocarbyl group may optionally be substituted with one or more fluoro and/or chloro groups, and wherein the saturated hydrocarbyl group may optionally include a single heteroatom N or O in its carbon skeleton.
In one aspect of any of the above embodiments, each monovalent substituent (e.g. each R3) of the imidazolyl group of R1 contains from 1 to 12 atoms other than hydrogen or halogen. More typically, each monovalent substituent of the imidazolyl group contains from 1 to 8 atoms other than hydrogen or halogen. Most typically, each monovalent substituent of the imidazolyl group contains from 1 to 6 atoms other than hydrogen or halogen.
In one embodiment, each monovalent substituent (e.g. R3) of the imidazolyl group of R1 is inde endently selected from the group consisting of: methyl, ethyl, isopropyl,
and
In one aspect of any of the above embodiments, R1 contains from 5 to 30 atoms other than hydrogen. More typically, R1 contains from 6 to 25 atoms other than hydrogen. More typically, R1 contains from 6 to 20 atoms other than hydrogen. More typically, R1 contains from 6 to 17 atoms other than hydrogen.
In one aspect of any of the above embodiments, R1 contains from 5 to 25 atoms other than hydrogen or halogen. More typically, R1 contains from 6 to 20 atoms other than hydrogen or halogen. More typically still, R1 contains from 6 to 15 atoms other than hydrogen or halogen. Most typically, R1 contains from 6 to 12 atoms other than hydrogen or halogen.
R2 is a cyclic group substituted at the a-position, wherein R2 may optionally be further substituted. For the avoidance of doubt, it is noted that it is a ring atom of the cyclic group of R2 that is directly attached to the nitrogen atom of the urea or thiourea group, not any substituent.
In one embodiment of the first aspect of the invention, R2 is an aryl or a heteroaryl group, wherein the aryl or the heteroaryl group is substituted at the α-position, and wherein R2 may optionally be further substituted. Typically, R2 is a phenyl or a 5- or 6- membered heteroaryl group, wherein the phenyl or the heteroaryl group is substituted at the α-position, and wherein R2 may optionally be further substituted. Typically, R2 is an aryl or a heteroaryl group, wherein the aryl or the heteroaryl group is substituted at the a and a' positions, and wherein R2 may optionally be further substituted. Typically, R2 is a phenyl or a 5- or 6-membered heteroaryl group, wherein the phenyl or the heteroaryl group is substituted at the a and a' positions, and wherein R2 may optionally
be further substituted. For example, R2 may be a phenyl group substituted at the 2- and 6-positions or a phenyl group substituted at the 2-, 4- and 6-positions.
In one embodiment, the parent phenyl or 5- or 6-membered heteroaryl group of R2 may be selected from phenyl, pyridinyl, pyridazinyl, pyrimidinyl, pyrazinyl, pyrrolyl, furanyl, thiophenyl, pyrazolyl, imidazolyl, oxazolyl, isoxazolyl, thiazolyl, isothiazolyl, triazolyl or oxadiazolyl. Typically, the parent phenyl or 5- or 6-membered heteroaryl group of R2 may be selected from phenyl, pyridinyl, pyridazinyl, pyrimidinyl, pyrrolyl, pyrazolyl, imidazolyl or triazolyl. Typically, the parent phenyl or 5- or 6-membered heteroaryl group of R2 may be selected from phenyl, pyridinyl, pyridazinyl, pyrimidinyl or pyrazolyl.
As used herein, the nomenclature α, β, α', β' refers to the position of the atoms of a cyclic group, such as -R2, relative to the point of attachment of the cyclic group to the remainder of the molecule. For example, where -R2 is a 1,2,3,5,6,7-hexahydro-s- indacen-4-yl moiety, the α, β, a' and ' positions are as follows:
For the avoidance of doubt, where it is stated that a cyclic group, such as an aryl or a heteroaryl group, is substituted at the a and/or a' positions, it is to be understood that one or more hydrogen atoms at the a and/or a' positions respectively are replaced by one or more substituents, such as any optional substituent as defined above. Unless stated otherwise, the term "substituted" does not include the replacement of one or more ring carbon atoms by one or more ring heteroatoms.
In another embodiment, R2 is a cyclic group substituted at the a and a' positions, wherein R2 may optionally be further substituted. For example, R2 may be a cycloalkyl, cycloalkenyl or non-aromatic heterocyclic group substituted at the a and a' positions. In any of the above embodiments, typical substituents at the a and/ or a' positions of the parent cyclic group of R2 comprise a carbon atom. For example, typical substituents
at the a and/or a' positions may be independently selected from -R4, -OR4 and -COR4 groups, wherein each R4 is independently selected from a Ci-Ce alkyl, C2-Ce alkenyl, C2-Ce alkynyl or C2-Ce cyclic group and wherein each R4 is optionally further
substituted with one or more halo groups. More typically, the substituents at the a and/or a' positions are independently selected from alkyl and cycloalkyl groups, such as C3-Ce branched alkyl and C3-Ce cycloalkyl groups, e.g. isopropyl, cyclopropyl, cyclohexyl or t-butyl groups, wherein the alkyl and cycloalkyl groups are optionally further substituted with one or more fluoro and/or chloro groups. In one aspect of any of the above embodiments, each substituent at the a and a' positions comprises a carbon atom.
Other typical substituents at the a and/or a' positions of the parent cyclic group of R2 may include cycloalkyl, cycloalkenyl, non-aromatic heterocyclic, aryl or heteroaryl rings which are fused to the parent cyclic group across the α,β and/or α',β' positions respectively. Such fused cyclic groups are described in greater detail below.
In one embodiment, R2 is a fused aryl or a fused heteroaryl group, wherein the aryl or heteroaryl group is fused to one or more cycloalkyl, cycloalkenyl, non-aromatic heterocyclic, aryl or heteroaryl rings, wherein R2 may optionally be further substituted. Typically, a cycloalkyl, cycloalkenyl, non-aromatic heterocyclic, aryl or heteroaryl ring is fused to the aryl or heteroaryl group across the α,β positions. Typically, the aryl or heteroaryl group is also substituted at the a' position, for example with a substituent selected from -R4, -OR4 and -COR4, wherein each R4 is independently selected from a Ci-Ce alkyl, C2-Ce alkenyl, C2-Ce alkynyl or C2-Ce cyclic group and wherein each R4 is optionally further substituted with one or more halo groups. Typically in such an embodiment, R2 is bicyclic or tricyclic.
More typically, R2 is a fused phenyl or a fused 5- or 6-membered heteroaryl group, wherein the phenyl or the 5- or 6-membered heteroaryl group is fused to one or more cycloalkyl, cycloalkenyl, non-aromatic heterocyclic, aryl or heteroaryl rings, wherein R2 may optionally be further substituted. Typically, a cycloalkyl, cycloalkenyl, non- aromatic heterocyclic, aryl or heteroaryl ring is fused to the phenyl or the 5- or 6- membered heteroaryl group across the α,β positions so as to form a 4- to 6-membered fused ring structure. Typically, the phenyl or the 5- or 6-membered heteroaryl group is also substituted at the a' position, for example with a substituent selected from -R4,
-OR4 and -COR4, wherein each R4 is independently selected from a Ci-Ce alkyl, C2-Ce alkenyl, C2-Ce alkynyl or C2-Ce cyclic group and wherein each R4 is optionally further substituted with one or more halo groups. Typically in such an embodiment, R2 is bicyclic or tricyclic.
In another embodiment, R2 is a fused aryl or a fused heteroaryl group, wherein the aryl or heteroaryl group is fused to two or more independently selected cycloalkyl, cycloalkenyl, non-aromatic heterocyclic, aryl or heteroaryl rings, wherein R2 may optionally be further substituted. Typically, the two or more cycloalkyl, cycloalkenyl, non-aromatic heterocyclic, aryl or heteroaryl rings are each ortho-fused to the aryl or heteroaryl group, i.e. each fused cycloalkyl, cycloalkenyl, non-aromatic heterocyclic, aryl or heteroaryl ring has only two atoms and one bond in common with the aryl or heteroaryl group. Typically, R2 is tricyclic. In yet another embodiment, R2 is a fused aryl or a fused heteroaryl group, wherein a first cycloalkyl, cycloalkenyl, non-aromatic heterocyclic, aryl or heteroaryl ring is fused to the aryl or heteroaryl group across the α,β positions and a second cycloalkyl, cycloalkenyl, non-aromatic heterocyclic, aryl or heteroaryl ring is fused to the aryl or heteroaryl group across the α',β' positions, wherein R2 may optionally be further substituted. Typically in such an embodiment, R2 is tricyclic.
More typically, R2 is a fused phenyl or a fused 5- or 6-membered heteroaryl group, wherein a first cycloalkyl, cycloalkenyl, non-aromatic heterocyclic, aryl or heteroaryl ring is fused to the phenyl or the 5- or 6-membered heteroaryl group across the α,β positions so as to form a first 4- to 6-membered fused ring structure, and a second cycloalkyl, cycloalkenyl, non-aromatic heterocyclic, aryl or heteroaryl ring is fused to the phenyl or the 5- or 6-membered heteroaryl group across the α',β' positions so as to form a second 4- to 6-membered fused ring structure, wherein R2 may optionally be further substituted. Typically in such an embodiment, R2 is tricyclic.
In one embodiment, -R2 has a formula selected from:
wherein:
A1 and A2 are each independently selected from an optionally substituted alkylene or alkenylene group, wherein one or more carbon atoms in the backbone of the alkylene or alkenylene group may optionally be replaced by one or more heteroatoms N, O or S;
each Ra is independently selected from -Raa, -ORaa or -CORaa;
each Rb is independently selected from hydrogen, halo, -N02, -CN, -Raa, -ORaa or -CORaa;
provided that any Ra or Rb that is directly attached to a ring nitrogen atom is not halo, -NO2, -CN, or -ORaa;
each Rc is independently selected from hydrogen, halo, -OH, -N02, -CN, -R00,
-ORcc, -COR^, -COOR^, -C0NH2, -CONHRcc or -C0N(Rcc)2;
each Raa is independently selected from a Ci-Ce alkyl, C2-Ce alkenyl, C2-Ce alkynyl or a 3- to 7-membered cyclic group, wherein each Raa is optionally substituted; and
each Rcc is independently selected from a Ci-Ce alkyl, C2-Ce alkenyl, C2-Ce alkynyl or a 3- to 7-membered cyclic group, or any two R00 attached to the same nitrogen atom may, together with the nitrogen atom to which they are attached, form a 3- to 7-membered heterocyclic group, wherein each Rcc is optionally substituted. Typically, any ring containing A1 or A2 is a 5- or 6-membered ring. Typically, A1 and A2 are each independently selected from an optionally substituted straight-chained alkylene group or an optionally substituted straight-chained alkenylene group, wherein one or two carbon atoms in the backbone of the alkylene or alkenylene group may optionally be replaced by one or two heteroatoms independently selected from nitrogen and oxygen. More typically, A1 and A2 are each independently selected from an optionally substituted straight-chained alkylene group, wherein one carbon atom in the backbone of the alkylene group may optionally be replaced by an oxygen atom.
Typically, no heteroatom in A1 or A2 is directly attached to another ring heteroatom. Typically, A1 and A2 are unsubstituted or substituted with one or more substituents independently selected from halo, -OH, -CN, -N02, C1-C4 alkyl, C1-C4 haloalkyl,
-0(Ci-C4 alkyl) or -0(d-C4 haloalkyl). More typically, A1 and A2 are unsubstituted or substituted with one or more fluoro and/or chloro groups. Where R2 contains both A1 and A2 groups, A1 and A2 may be the same or different. Typically, A1 and A2 are the same.
Where Raa is a substituted Ci-Ce alkyl, C2-Ce alkenyl or C2-Ce alkynyl group, typically the Ci-Ce alkyl, C2-Ce alkenyl or C2-Ce alkynyl group is substituted with one or more (e.g. one or two) substituents independently selected from halo, -OH, -CN, -N02,
-0(Ci-C4 alkyl) or -0(d-C4 haloalkyl).
Where Raa is a substituted 3- to 7-membered cyclic group, typically the 3- to 7- membered cyclic group is substituted with one or more (e.g. one or two) substituents independently selected from halo, -OH, -NH2, -CN, -N02, -B1, -OB1, -NHB1, -N(B1)2, -C0NH2, -CONHB1, -CONfB1),, -NHCOB1, -NB^OB1, or -B11-;
wherein each B1 is independently selected from a C1-C4 alkyl, C2-C4 alkenyl, C2-C4 alkynyl, C3-Ce cycloalkyl or phenyl group, or a 4- to 6-membered heterocyclic group containing one or two ring heteroatoms N and/or O, or two B1 together with the nitrogen atom to which they are attached may form a 4- to 6-membered heterocyclic group containing one or two ring heteroatoms N and/or O, wherein any B1 may optionally be halo-substituted and/or substituted with one or two substituents independently selected from -OH, -NH2, -OB12, -NHB12 or -N(B12)2;
wherein each B11 is independently selected from a Ci-Cs alkylene or C2-Cs alkenylene group, wherein one or two carbon atoms in the backbone of the alkylene or alkenylene group may optionally be replaced by one or two heteroatoms N and/or O, and wherein the alkylene or alkenylene group may optionally be halo-substituted and/or substituted with one or two substituents independently selected from -OH, -NH2, -OB12, -NHB12 or -N(B12)2; and
wherein each B12 is independently selected from a C1-C3 alkyl or C1-C3 haloalkyl group. Typically, any divalent group -B11- forms a 4- to 6-membered fused ring.
Typically, each Ra is -Raa. More typically, each Ra is independently selected from a Ci-Ce alkyl (in particular C3-Ce branched alkyl) or C3-Ce cycloalkyl group, wherein each Ra is optionally further substituted with one or more halo groups. More typically, each Rais independently selected from a C1-C4 alkyl, C1-C4 haloalkyl, C3-C4 cycloalkyl or C3-C4 halocycloalkyl group. Where a group Ra is present at both the a- and a'-positions, each Ra may be the same or different. Typically, each Ra is the same.
Typically, each Rb is independently selected from hydrogen or halo. More typically, each Rb is hydrogen.
Typically, each Rc is independently selected from hydrogen, halo, -OH, -N02, -CN, -R00 or -ORcc. More typically, each Rc is independently selected from hydrogen, halo, -CN, Ci-C3 alkyl, Ci-C3 haloalkyl, cyclopropyl or halocyclopropyl. Most typically, each Rc is independently selected from hydrogen or halo.
Typically, each is independently selected from a C1-C4 alkyl or C3-Ce cycloalkyl group, or any two R^ attached to the same nitrogen atom may, together with the nitrogen atom to which they are attached, form a 3- to 6-membered saturated heterocyclic group, wherein each R^ is optionally substituted. Where Rcc is substituted, typically Rcc is substituted with one or more halo, -OH, -CN, -N02, -0(d-C4 alkyl) or -0(Ci-C4 haloalkyl) groups. More typically, each R00 is independently selected from a C1-C4 alkyl, C1-C4 haloalkyl, C3-C4 cycloalkyl or C3-C4 halocycloalkyl group.
In one embodiment, -R2 has a formula selected from:
wherein Rs and R6 are independently selected from C1-C4 alkyl, C1-C4 haloalkyl, C3-C4 cycloalkyl and C3-C4 halocycloalkyl, and Rd is hydrogen, halo, -OH, -N02, -CN, -Rdd, -ORdd, -CORdd, -COORdd, -C0NH2, -CONHRdd or -C0N(Rdd)2, wherein each -Rdd is independently selected from C1-C4 alkyl, C1-C4 haloalkyl, C3-C4 cycloalkyl and C3-C4 halocycloalkyl. Typically, R5 and R6 are independently selected from C1-C4 alkyl, and Rd is hydrogen, halo, -CN, Ci-C3 alkyl, Ci-C3 haloalkyl, cyclopropyl or halocyclopropyl. More typically, R5 and R6 are independently selected from C1-C4 alkyl, and Rd is hydrogen or halo. In one aspect of such an embodiment^ and R6 are independently selected from C1-C4 alkyl, and Rd is halo.
Typically, -R2 has a formula selected from:
In one embodiment, -R2 has a formula selected from:
wherein A1 and A2 are each independently selected from an optionally substituted alkylene or alkenylene group, wherein one or more carbon atoms in the backbone of the alkylene or alkenylene group may optionally be replaced by one or more heteroatoms N, O or S, and wherein Re is hydrogen or any optional substituent. Re and any optional substituent attached to A1 or A2 may together with the atoms to which they are attached form a further fused cycloalkyl, cycloalkenyl, non-aromatic heterocyclic, aryl or heteroaryl ring which may itself be optionally substituted. Similarly, any optional substituent attached to A1 and any optional substituent attached to A2 may also together with the atoms to which they are attached form a further fused cycloalkyl, cycloalkenyl, non-aromatic heterocyclic, aryl or heteroaryl ring which may itself be optionally substituted. In one embodiment, Re is hydrogen, halo, -OH, -N02, -CN, -Ree, -ORee, -CORee,
-COORee, -C0NH2, -CONHRee or -C0N(Ree)2, wherein each -Ree is independently selected from C1-C4 alkyl, C1-C4 haloalkyl, C3-C4 cycloalkyl and C3-C4 halocycloalkyl. Typically, Re is hydrogen or a halo, hydroxyl, -CN, -N02, -Ree or -ORee group, wherein Ree is a C1-C4 alkyl group which may optionally be halo-substituted. More typically, Re is hydrogen or a halo, hydroxyl, -CN, -Ree or -ORee group, wherein Ree is a C1-C4 alkyl group which may optionally be halo-substituted. More typically, Re is hydrogen or halo.
Typically, any ring containing A1 or A2 is a 5- or 6-membered ring.
Typically, A1 and A2 are each independently selected from an optionally substituted straight-chained alkylene group or an optionally substituted straight-chained alkenylene group, wherein one or two carbon atoms in the backbone of the alkylene or
alkenylene group may optionally be replaced by one or two heteroatoms independently selected from nitrogen and oxygen. More typically, A1 and A2 are each independently selected from an optionally substituted straight-chained alkylene group, wherein one carbon atom in the backbone of the alkylene group may optionally be replaced by an oxygen atom. Typically, no heteroatom in A1 or A2 is directly attached to another ring heteroatom. Typically, A1 and A2 are unsubstituted or substituted with one or more halo, hydroxyl, -CN, -N02, -Bs or -OB3 groups, wherein B3 is a C1-C4 alkyl group which may optionally be halo-substituted. More typically, A1 and A2 are unsubstituted or substituted with one or more halo, hydroxyl, -CN, -Bs or -OBs groups, wherein Bs is a C1-C4 alkyl group which may optionally be halo-substituted. More typically, A1 and A2 are unsubstituted or substituted with one or more fluoro and/or chloro groups. Where R2 contains both A1 and A2 groups, A1 and A2 may be the same or different. Typically, A1 and A2 are the same.
In a further embodiment, -R2 has a formula selected from:
wherein R6 is C1-C4 alkyl, Ci-C4 haloalkyl, C3-C4 cycloalkyl or C3-C4 halocycloalkyl, and Rf is hydrogen, halo, -OH, -N02, -CN, -Rff, -ORff, -CORff, -COORff, -C0NH2, -CONHRff or -C0N(Rff)2, wherein each -Rff is independently selected from Ci-C4 alkyl, Ci-C4 haloalkyl, C3-C4 cycloalkyl and C3-C4 halocycloalkyl. Typically, R6 is Ci-C4 alkyl, and Rf is hydrogen, halo, -CN, Ci-C3 alkyl, Ci-C3 haloalkyl, cyclopropyl or halocyclopropyl. Typically, R6 is Ci-C4 alkyl, and Rf is hydrogen or halo.
Typically, -R2 has the formula:
Yet other typical substituents at the a-position of the parent cyclic group of R2 may include monovalent heterocyclic groups and monovalent aromatic groups, wherein a ring atom of the heterocyclic or aromatic group is directly attached via a single bond to the a-ring atom of the parent cyclic group, wherein the heterocyclic or aromatic group may optionally be substituted, and wherein the parent cyclic group may optionally be further substituted. Such R2 groups are described in greater detail below.
In one embodiment, the a-substituted parent cyclic group of R2 is a 5- or 6-membered cyclic group, wherein the cyclic group may optionally be further substituted. In one embodiment, the α-substituted parent cyclic group of R2 is an aryl or a heteroaryl group, all of which may optionally be further substituted. In one embodiment, the a- substituted parent cyclic group of R2 is a phenyl or a 5- or 6-membered heteroaryl group, all of which may optionally be further substituted. In one embodiment, the a- substituted parent cyclic group of R2 is a phenyl, pyridinyl, pyridazinyl, pyrimidinyl, pyrazinyl, pyrrolyl, furanyl, thiophenyl, pyrazolyl, imidazolyl, oxazolyl, isoxazolyl, thiazolyl, isothiazolyl, triazolyl or oxadiazolyl group, all of which may optionally be further substituted. In one embodiment, the α-substituted parent cyclic group of R2 is a phenyl or pyrazolyl group, both of which may optionally be further substituted. In a further embodiment, the α-substituted parent cyclic group of R2 is a phenyl group, which may optionally be further substituted. In one embodiment, the α-substituted parent cyclic group of R2 is substituted at the a and a' positions, and may optionally be further substituted. For example, the a- substituted parent cyclic group of R2 may be a phenyl group substituted at the 2- and 6- positions or a phenyl group substituted at the 2-, 4- and 6-positions. In one embodiment, R2 is a parent cyclic group substituted at the a-position with a monovalent heterocyclic group or a monovalent aromatic group, wherein the heterocyclic or aromatic group may optionally be substituted, and wherein the parent
cyclic group may optionally be further substituted. In one embodiment, the monovalent heterocyclic or aromatic group at the a-position is a phenyl or a 5- or 6-membered heterocyclic group, all of which may optionally be substituted. In one embodiment, the monovalent heterocyclic or aromatic group at the a-position is a phenyl, pyridinyl, pyridazinyl, pyrimidinyl, pyrazinyl, pyrrolyl, furanyl, thiophenyl, pyrazolyl, imidazolyl, oxazolyl, isoxazolyl, thiazolyl, isothiazolyl, triazolyl, oxadiazolyl, azetinyl, azetidinyl, oxetanyl, thietanyl, pyrrolidinyl, tetrahydrofuranyl, tetrahydrothiophenyl,
pyrazolidinyl, imidazolidinyl, 1,3-dioxolanyl, 1,2-oxathiolanyl, 1,3-oxathiolanyl, piperidinyl, tetrahydropyranyl, piperazinyl, 1,4-dioxanyl, thianyl, morpholinyl, thiomorpholinyl or i-methyl-2-oxo-i,2-dihydropyridinyl group, all of which may optionally be substituted. In one embodiment, the monovalent heterocyclic or aromatic group at the α-position is a phenyl, pyridinyl, pyridazinyl, pyrimidinyl, pyrazinyl, pyrrolyl, furanyl, thiophenyl, pyrazolyl, imidazolyl, oxazolyl, isoxazolyl, thiazolyl, isothiazolyl, triazolyl, oxadiazolyl, azetinyl, azetidinyl, oxetanyl, thietanyl, pyrrolidinyl, tetrahydrofuranyl, tetrahydrothiophenyl, pyrazolidinyl, imidazolidinyl, 1,3-dioxolanyl, 1,2-oxathiolanyl, 1,3-oxathiolanyl, piperidinyl, tetrahydropyranyl, thianyl, piperazinyl, 1,4-dioxanyl, morpholinyl or thiomorpholinyl group, all of which may optionally be substituted. In one embodiment, the monovalent heterocyclic or aromatic group at the α-position is a phenyl, pyridinyl, pyridazinyl, pyrimidinyl, pyrazinyl, pyrrolyl, furanyl, thiophenyl, pyrazolyl, imidazolyl, oxazolyl, isoxazolyl, thiazolyl, isothiazolyl, piperidinyl or tetrahydropyranyl group, all of which may optionally be substituted. In one embodiment, the monovalent heterocyclic or aromatic group at the α-position is a phenyl, pyridinyl, pyridazinyl, pyrimidinyl, pyrazolyl, imidazolyl, isoxazolyl, thiazolyl, tetrahydropyranyl or i-methyl-2-oxo-i,2-dihydropyridinyl group, all of which may optionally be substituted. In one embodiment, the monovalent heterocyclic or aromatic group at the α-position is a phenyl, pyridinyl, pyrimidinyl, pyrazolyl, imidazolyl, isoxazolyl, thiazolyl or tetrahydropyranyl group, all of which may optionally be substituted. In one embodiment, the monovalent heterocyclic or aromatic group at the α-position is a phenyl, pyridinyl, pyrimidinyl or pyrazolyl group, all of which may optionally be substituted. In one embodiment, the monovalent heterocyclic or aromatic group at the α-position is an unsubstituted phenyl, pyridinyl, pyrimidinyl or pyrazolyl group. In one embodiment, the monovalent heterocyclic group at the α-position is a pyridin-2-yl, pyridin-3-yl or pyridin-4-yl group, all of which may optionally be substituted. In one embodiment, the monovalent heterocyclic group at the α-position is an unsubstituted pyridin-3-yl group or an optionally substituted pyridin-4-yl group.
For any of these monovalent heterocyclic or aromatic groups at the a-position mentioned in the immediately preceding paragraph, the monovalent heterocyclic or aromatic group may optionally be substituted with one or two substituents
independently selected from halo, -OH, -NH2, -CN, -N02, -B4, -OB4, -NHB4, -N(B4)2, -C0NH2, -CONHB4, -CON(B4)2, -NHCOB4, -NB4COB4, or -B44-;
wherein each B4 is independently selected from a C1-C4 alkyl, C2-C4 alkenyl, C2-C4 alkynyl, C3-Ce cycloalkyl or phenyl group, or a 4- to 6-membered heterocyclic group containing one or two ring heteroatoms N and/or O, or two B4 together with the nitrogen atom to which they are attached may form a 4- to 6-membered heterocyclic group containing one or two ring heteroatoms N and/ or O, wherein any B4 may optionally be halo-substituted and/or substituted with one or two substituents independently selected from -OH, -NH2, -OB45, -NHB45 or -N(B45)2;
wherein each B44 is independently selected from a Ci-Cs alkylene or C2-Cs alkenylene group, wherein one or two carbon atoms in the backbone of the alkylene or alkenylene group may optionally be replaced by one or two heteroatoms N and/ or O, and wherein the alkylene or alkenylene group may optionally be halo-substituted and/or substituted with one or two substituents independently selected from -OH, -NH2, -OB45, -NHB45 or -N(B45)2; and
wherein each B45 is independently selected from a C1-C3 alkyl or C1-C3 haloalkyl group.
Typically, any divalent group -B44- forms a 4- to 6-membered fused ring.
In one embodiment, the monovalent heterocyclic or aromatic group at the α-position is a phenyl, pyridinyl, pyrimidinyl or pyrazolyl group, all of which may optionally be substituted with one or two substituents independently selected from halo, -OH, -NH2, -CN, -B4, -OB4, -NHB4 or -N(B4)2, wherein each B4 is independently selected from a C1-C4 alkyl, C2-C4 alkenyl or C2-C4 alkynyl group all of which may optionally be halo- substituted. In one embodiment, the monovalent heterocyclic group at the α-position is a pyridin-2-yl, pyridin-3-yl or pyridin-4-yl group, all of which may optionally be substituted with one or two substituents independently selected from halo, -OH, -NH2, -CN, -B4, -OB4, -NHB4 or -N(B4)2, wherein each B4 is independently selected from a C1-C4 alkyl, C2-C4 alkenyl or C2-C4 alkynyl group all of which may optionally be halo- substituted. In one embodiment, the monovalent heterocyclic group at the α-position is an unsubstituted pyridin-3-yl group or a pyridin-4-yl group optionally substituted with one or two substituents independently selected from halo, -OH, -NH2, -CN, -B4, -OB4,
-NHB4 or -N(B4)2, wherein each B4 is independently selected from a C1-C4 alkyl, C2-C4 alkenyl or C2-C4 alkynyl group all of which may optionally be halo-substituted.
In one embodiment, R2 is a parent cyclic group substituted at the a-position with a monovalent heterocyclic group or a monovalent aromatic group, wherein the heterocyclic or aromatic group may optionally be substituted, and wherein the parent cyclic group may optionally be further substituted. In one embodiment, such further substituents are in the a' position of the a-substituted parent cyclic group of R2. Such further substituents may be independently selected from halo, -R8, -OR8 or -COR8 groups, wherein each R8 is independently selected from a Ci-Ce alkyl, C2-Ce alkenyl,
C2-Ce alkynyl or C2-Ce cyclic group and wherein each R8 is optionally further substituted with one or more halo groups. Typically, such further substituents on the a-substituted parent cyclic group of R2 are independently selected from halo, Ci-Ce alkyl (in particular C3-Ce branched alkyl) or C3-Ce cycloalkyl groups, e.g. fluoro, chloro, isopropyl, cyclopropyl, cyclohexyl or t-butyl groups, wherein the alkyl and cycloalkyl groups are optionally further substituted with one or more fluoro and/or chloro groups.
In one embodiment, -R2 has a formula selected from:
wherein R? is C1-C4 alkyl, C1-C4 haloalkyl, C3-Ce cycloalkyl or C3-Ce halocycloalkyl, R8 is a 5- or 6-membered, optionally substituted heterocyclic or aromatic group, and R§ is hydrogen, halo, -OH, -N02, -CN, -RBB, -ORSS, -CORSS, -COORSS, -C0NH2, -CONHRS? or -C0N(Rss)2, wherein each -Rs§ is independently selected from C1-C4 alkyl, C1-C4 haloalkyl, C3-C4 cycloalkyl and C3-C4 halocycloalkyl. In one embodiment, the optional substituents on the heterocyclic or aromatic group are independently selected from halo, -OH, -NH2, -CN, -N02, -Bs, -OBs, -NHBs, -N(Bs)2, -C0NH2, -CONHBs, -C0N(Bs)2 -NHCOB5, -NB5COB5, or -Bss-;
wherein each Bs is independently selected from a C1-C4 alkyl, C2-C4 alkenyl, C2-C4 alkynyl, C3-Ce cycloalkyl or phenyl group, or a 4- to 6-membered heterocyclic group containing one or two ring heteroatoms N and/ or O, or two B5 together with the nitrogen atom to which they are attached may form a 4- to 6-membered heterocyclic group containing one or two ring heteroatoms N and/or O, wherein any B5 may
optionally be halo-substituted and/or substituted with one or two substituents independently selected from -OH, -NH2, -OBs6, -NHBs6 or -N(Bs6)2;
wherein each Bss is independently selected from a Ci-Ce alkylene or C2-Cs alkenylene group, wherein one or two carbon atoms in the backbone of the alkylene or alkenylene group may optionally be replaced by one or two heteroatoms N and/ or O, and wherein the alkylene or alkenylene group may optionally be halo-substituted and/or substituted with one or two substituents independently selected from -OH, -NH2, -OB56, - HB56 or -N(Bs6)2; and
wherein each Bs6 is independently selected from a Ci-C3 alkyl or C1-C3 haloalkyl group.
Typically, any divalent group - ∞- forms a 4- to 6-membered fused ring. Typically, R7 is C1-C4 alkyl, R8 is a 5- or 6-membered, optionally substituted heterocyclic or aromatic group, and Rs is hydrogen, halo, -CN, C1-C3 alkyl, C1-C3 haloalkyl, cyclopropyl or halocyclopropyl. More typically, R7 is C1-C4 alkyl, R8 is a 5- or 6-membered, optionally substituted heterocyclic or aromatic group, and Rs is hydrogen or halo. In one embodiment, the optional substituents on the heterocyclic or aromatic group are independently selected from halo, -OH, -NH2, -CN, -Bs, -OBs, -NHBs or -N(Bs)2, wherein each Bs is independently selected from a C1-C4 alkyl, C2-C4 alkenyl or C2-C4 alkynyl group all of which may optionally be halo-substituted.
Typically, -R2 has a formula selected from:
wherein R8 is a 5- or 6-membered, optionally substituted heterocyclic or aromatic group. In one embodiment, the optional substituents on the heterocyclic or aromatic group are independently selected from halo, -OH, -NH2, -CN, -N02, -B6, -OB6, -NHB6, -N(B6)2, -C0NH2, -CONHB6, -CON(B6)2, -NHCOB6, -NB6COB6, or -B66-;
wherein each B6 is independently selected from a C1-C4 alkyl, C2-C4 alkenyl, C2-C4 alkynyl, C3-Ce cycloalkyl or phenyl group, or a 4- to 6-membered heterocyclic group containing one or two ring heteroatoms N and/ or O, or two B6 together with the nitrogen atom to which they are attached may form a 4- to 6-membered heterocyclic group containing one or two ring heteroatoms N and/or O, wherein any B6 may
optionally be halo-substituted and/or substituted with one or two substituents independently selected from -OH, -NH2, -OB6?, -NHB6? or -N(B67)2;
wherein each B66 is independently selected from a Ci-Ce alkylene or C2-Cs alkenylene group, wherein one or two carbon atoms in the backbone of the alkylene or alkenylene group may optionally be replaced by one or two heteroatoms N and/or O, and wherein the alkylene or alkenylene group may optionally be halo-substituted and/or substituted with one or two substituents independently selected from -OH, -NH2, -OB6?, -NHB67 or -N(B67)2; and
wherein each B6? is independently selected from a C1-C3 alkyl or C1-C3 haloalkyl group.
Typically, any divalent group -B66- forms a 4- to 6-membered fused ring. Typically, the optional substituents on the heterocyclic or aromatic group are independently selected from halo, -OH, -NH2, -CN, -B6, -OB6, -NHB6 or -N(B6)2, wherein each B6 is
independently selected from a C1-C4 alkyl, C2-C4 alkenyl or C2-C4 alkynyl group all of which may optionally be halo-substituted.
In one embodiment, R2 is a parent cyclic group substituted at the a-position with a monovalent heterocyclic group or a monovalent aromatic group, wherein the heterocyclic or aromatic group may optionally be substituted, and wherein the parent cyclic group may optionally be further substituted. The further substituents on the a- substituted parent cyclic group of R2 also include cycloalkyl, cycloalkenyl, non-aromatic heterocyclic, aryl or heteroaryl rings which are fused to the a-substituted parent cyclic group of R2. Typically, the cycloalkyl, cycloalkenyl, non-aromatic heterocyclic, aryl or heteroaryl rings are ortho-fused to the α-substituted parent cyclic group of R2, i.e. each fused cycloalkyl, cycloalkenyl, non-aromatic heterocyclic, aryl or heteroaryl ring has only two atoms and one bond in common with the α-substituted parent cyclic group of R2. Typically, the cycloalkyl, cycloalkenyl, non-aromatic heterocyclic, aryl or heteroaryl rings are ortho-fused to the α-substituted parent cyclic group of R2 across the α',β' positions.
In one embodiment, -R2 has a formula selected from:
wherein R8 is a 5- or 6-membered, optionally substituted heterocyclic or aromatic group, and Rh is hydrogen, halo, -OH, -N02, -CN, -Rhh, -ORhh, -CORhh, -COORhh,
-CONH2, -CONHRhh or -C0N(Rhh)2, wherein each -Rhh is independently selected from C1-C4 alkyl, C1-C4 haloalkyl, C3-C4 cycloalkyl and C3-C4 halocycloalkyl. In one embodiment, the optional substituents on the heterocyclic or aromatic group are independently selected from halo, -OH, -NH2, -CN, -N02, -B7, -OB?, -NHB7, -N(B7)2, -C0NH2, -CONHB7, -CON(B7)2, -NHCOB7, -NB7COB7, or -B77-;
wherein each B7 is independently selected from a C1-C4 alkyl, C2-C4 alkenyl, C2-C4 alkynyl, C3-Ce cycloalkyl or phenyl group, or a 4- to 6-membered heterocyclic group containing one or two ring heteroatoms N and/or O, or two B7 together with the nitrogen atom to which they are attached may form a 4- to 6-membered heterocyclic group containing one or two ring heteroatoms N and/ or O, wherein any B7 may optionally be halo-substituted and/or substituted with one or two substituents independently selected from -OH, -NH2, -OB78, -NHB78 or -N(B78)2;
wherein each B77 is independently selected from a Ci-Ce alkylene or C2-Cs alkenylene group, wherein one or two carbon atoms in the backbone of the alkylene or alkenylene group may optionally be replaced by one or two heteroatoms N and/ or O, and wherein the alkylene or alkenylene group may optionally be halo-substituted and/or substituted with one or two substituents independently selected from -OH, -NH2, -OB78, -NHB78 or -N(B78)2; and
wherein each B78 is independently selected from a C1-C3 alkyl or C1-C3 haloalkyl group.
Typically, any divalent group -Β - forms a 4- to 6-membered fused ring. Typically, Rh is hydrogen, halo, -CN, C1-C3 alkyl, C1-C3 haloalkyl, cyclopropyl or halocyclopropyl. More typically, Rh is hydrogen or halo. Typically, the optional substituents on the heterocyclic or aromatic group are independently selected from halo, -OH, -NH2, -CN, -B?, -OB?, -NHB7 or -N(B?)2, wherein each B? is independently selected from a C1-C4 alkyl, C2-C4 alkenyl or C2-C4 alkynyl group all of which may optionally be halo-substituted.
In one embodiment, -R2 has a formula selected from:
wherein R8 is a 5- or 6-membered, optionally substituted heterocyclic or aromatic group. In one embodiment, the optional substituents on the heterocyclic or aromatic group are independently selected from halo, -OH, -NH2, -CN, -N02, -B8, -OB8, -NHB8, -N(B8)2, -C0NH2, -CONHB8, -CON(B8)2, -NHCOB8, -NB8COB8, or -B88-;
wherein each B8 is independently selected from a C1-C4 alkyl, C2-C4 alkenyl, C2-C4 alkynyl, C3-Ce cycloalkyl or phenyl group, or a 4- to 6-membered heterocyclic group containing one or two ring heteroatoms N and/or O, or two B8 together with the nitrogen atom to which they are attached may form a 4- to 6-membered heterocyclic group containing one or two ring heteroatoms N and/or O, wherein any B8 may optionally be halo-substituted and/or substituted with one or two substituents independently selected from -OH, -NH2, -OB8?, -NHB8? or -N(B8?)2;
wherein each B88 is independently selected from a Ci-Ce alkylene or C2-Cs alkenylene group, wherein one or two carbon atoms in the backbone of the alkylene or alkenyl ene group may optionally be replaced by one or two heteroatoms N and/or O, and wherein the alkylene or alkenylene group may optionally be halo-substituted
and/or substituted with one or two substituents independently selected from -OH, -NH2, -OB8?, -NHB8? or -N(B8o)2; and
wherein each B89 is independently selected from a Ci-C3 alkyl or C1-C3 haloalkyl group.
Typically, any divalent group -B88- forms a 4- to 6-membered fused ring. Typically, the optional substituents on the heterocyclic or aromatic group are independently selected from halo, -OH, -NH2, -CN, -B8, -OB8, -NHB8 or -N(B8)2, wherein each B8 is independently selected from a C1-C4 alkyl, C2-C4 alkenyl or C2-C4 alkynyl group all of which may optionally be halo-substituted.
Typically, -R2 has a formula selected from:
wherein R8 is a 5- or 6-membered, optionally substituted heterocyclic or aromatic group, and R' is hydrogen, halo, -OH, -N02, -CN, -R", -OR", -COR", -COOR", -C0NH2, -CONHR" or -C0N(R")2, wherein each -R" is independently selected from C1-C4 alkyl, C1-C4 haloalkyl, C3-C4 cycloalkyl and C3-C4 halocycloalkyl. In one embodiment, the optional substituents on the heterocyclic or aromatic group are independently selected from halo, -OH, -NH2, -CN, -N02, -B?, -OB?, -NHB?, -N(B?)2, -C0NH2, -CONHB?, -CON(B9)2, -NHCOB9, -NB^COB?, or -B^-;
wherein each B? is independently selected from a C1-C4 alkyl, C2-C4 alkenyl, C2-C4 alkynyl, C3-Ce cycloalkyl or phenyl group, or a 4- to 6-membered heterocyclic group containing one or two ring heteroatoms N and/ or O, or two B9 together with the
nitrogen atom to which they are attached may form a 4- to 6-membered heterocyclic group containing one or two ring heteroatoms N and/or O, wherein any B? may optionally be halo-substituted and/or substituted with one or two substituents independently selected from -OH, -NH2, -OB?8, -NHB?8 or -N(B?8)2;
wherein each B^ is independently selected from a Ci-Ce alkylene or C2-Cs alkenylene group, wherein one or two carbon atoms in the backbone of the alkylene or alkenylene group may optionally be replaced by one or two heteroatoms N and/or O, and wherein the alkylene or alkenylene group may optionally be halo-substituted and/or substituted with one or two substituents independently selected from -OH, -NH2, -OB?8, -NHB?8 or -N(B?8)2; and
wherein each B?8 is independently selected from a C1-C3 alkyl or C1-C3 haloalkyl group.
Typically, any divalent group -B^- forms a 4- to 6-membered fused ring. Typically, R' is hydrogen, halo, -CN, C1-C3 alkyl, C1-C3 haloalkyl, cyclopropyl or halocyclopropyl. More typically, R' is hydrogen or halo. Typically, the optional substituents on the heterocyclic or aromatic group are independently selected from halo, -OH, -NH2, -CN, -B?, -OB?, -NHB9 or -N(B9)2, wherein each B? is independently selected from a C1-C4 alkyl, C2-C4 alkenyl or C2-C4 alkynyl group all of which may optionally be halo-substituted.
In one embodiment, R2 is phenyl or a 5- or 6-membered heteroaryl group (such as phenyl, pyridinyl, pyridazinyl, pyrimidinyl or pyrazinyl); wherein
(i) the phenyl or 5- or 6-membered heteroaryl group is substituted at the a position with a substituent selected from -R4, -OR4 and -COR4, wherein R4 is selected from a Ci-Ce alkyl, C2-Ce alkenyl, C2-Ce alkynyl or C2-Ce cyclic group and wherein R4 is optionally substituted with one or more halo groups; and
optionally the phenyl or 5- or 6-membered heteroaryl group is further substituted at the a' position with a substituent selected from -R14, -OR14 and -COR14, wherein R14 is selected from a Ci-Ce alkyl, C2-Ce alkenyl, C2-Ce alkynyl or C2-Ce cyclic group and wherein R14 is optionally substituted with one or more halo groups; and optionally the phenyl or 5- or 6-membered heteroaryl group is further substituted (typically with one, two or three substituents independently selected from halo, -NO2, -CN, -COOR^, -C0NH2, -CONHR^ or -C0N(R1s)2, wherein each -R* is independently selected from a C1-C4 alkyl or C1-C4 haloalkyl group); or
(ii) the phenyl or 5- or 6-membered heteroaryl group is substituted with a cycloalkyl, cycloalkenyl, non-aromatic heterocyclic, aryl or heteroaryl ring which is
fused to the parent phenyl or 5- or 6-membered heteroaryl group across the α,β positions and which is optionally substituted with one or more halo groups; and
optionally the phenyl or 5- or 6-membered heteroaryl group is further substituted at the a' position with a substituent selected from -R4, -OR4 and -COR4, wherein R4 is selected from a Ci-Ce alkyl, C2-Ce alkenyl, C2-Ce alkynyl or C2-Ce cyclic group and wherein R4 is optionally substituted with one or more halo groups; and
optionally the phenyl or 5- or 6-membered heteroaryl group is further substituted (typically with one or two substituents independently selected from halo, -N02, -CN, -COOR^, -C0NH2, -CONHR^ or -C0N(R1s)2, wherein each -R« is independently selected from a C1-C4 alkyl or C1-C4 haloalkyl group); or
(iii) the phenyl or 5- or 6-membered heteroaryl group is substituted with a first cycloalkyl, cycloalkenyl, non-aromatic heterocyclic, aryl or heteroaryl ring which is fused to the parent phenyl or 5- or 6-membered heteroaryl group across the α,β positions and which is optionally substituted with one or more halo groups; and
the phenyl or 5- or 6-membered heteroaryl group is substituted with a second cycloalkyl, cycloalkenyl, non-aromatic heterocyclic, aryl or heteroaryl ring which is fused to the parent phenyl or 5- or 6-membered heteroaryl group across the α',β' positions and which is optionally substituted with one or more halo groups; and
optionally the phenyl group is further substituted (typically with a substituent selected from halo, -N02, -CN, -COOR^, -C0NH2, -CONHR^ or -C0N(R1s)2, wherein each -RJ5 is independently selected from a C1-C4 alkyl or C1-C4 haloalkyl group); or
(iv) the phenyl or 5- or 6-membered heteroaryl group is substituted at the a- position with a monovalent heterocyclic group or a monovalent aromatic group selected from phenyl, pyridinyl, pyrimidinyl, pyrazolyl, imidazolyl, triazolyl or
tetrahydropyranyl, wherein the monovalent heterocyclic or aromatic group may optionally be substituted with one or two substituents independently selected from halo, C1-C3 alkyl, d-C3 haloalkyl, -R^-OR^, -R12-N(R13)2, -R^-CN or -R^-OCR^, and wherein a ring atom of the monovalent heterocyclic or aromatic group is directly attached to the a-ring atom of the parent phenyl or 5- or 6-membered heteroaryl group; wherein R12 is independently selected from a bond or a C1-C3 alkylene group; and R13 is independently selected from hydrogen or a C1-C3 alkyl or C1-C3 haloalkyl group; and optionally the phenyl or 5- or 6-membered heteroaryl group is further substituted at the a' position with a substituent selected from -R4, -OR4 and -COR4, wherein R4 is selected from a Ci-Ce alkyl, C2-Ce alkenyl, C2-Ce alkynyl or C2-Ce cyclic group and wherein R4 is optionally substituted with one or more halo groups; and
optionally the phenyl or 5- or 6-membered heteroaryl group is further substituted (typically with one, two or three substituents independently selected from halo, -NO2, -CN, -COOR!s, -C0NH2, -CONHR^ or -C0N(R1s)2, wherein each -R« is independently selected from a C1-C4 alkyl or C1-C4 haloalkyl group); or
(v) the phenyl or 5- or 6-membered heteroaryl group is substituted at the a- position with a monovalent heterocyclic group or a monovalent aromatic group selected from phenyl, pyridinyl, pyrimidinyl, pyrazolyl, imidazolyl, triazolyl or
tetrahydropyranyl, wherein the monovalent heterocyclic or aromatic group may optionally be substituted with one or two substituents independently selected from halo, C1-C3 alkyl, d-C3 haloalkyl, -R^-OR^, -R^-NfR13),, -R^-CN or -R^-OCR13, and wherein a ring atom of the monovalent heterocyclic or aromatic group is directly attached to the a-ring atom of the parent phenyl or 5- or 6-membered heteroaryl group; wherein R12 is independently selected from a bond or a C1-C3 alkylene group; and R13 is independently selected from hydrogen or a C1-C3 alkyl or C1-C3 haloalkyl group; and optionally the phenyl or 5- or 6-membered heteroaryl group is further substituted with a cycloalkyl, cycloalkenyl, non-aromatic heterocyclic, aryl or heteroaryl ring which is fused to the parent phenyl or 5- or 6-membered heteroaryl group across the α',β' positions and which is optionally substituted with one or more halo groups; and
optionally the phenyl or 5- or 6-membered heteroaryl group is further substituted (typically with one or two substituents independently selected from halo, -NO2, -CN, -COOR!s, -C0NH2, -CONHR^ or -C0N(R1s)2, wherein each -R« is independently selected from a C1-C4 alkyl or C1-C4 haloalkyl group). In the embodiment directly above, where a group or moiety is optionally substituted with one or more halo groups, it may be substituted for example with one, two, three, four, five or six halo groups.
In one aspect of any of the above embodiments, R2 contains from 10 to 50 atoms other than hydrogen. More typically, R2 contains from 10 to 40 atoms other than hydrogen. More typically, R2 contains from 10 to 35 atoms other than hydrogen. Most typically, R2 contains from 12 to 30 atoms other than hydrogen.
In one aspect of any of the above embodiments, R2 contains from 5 to 30 atoms other than hydrogen or halogen. More typically, R2 contains from 7 to 25 atoms other than hydrogen or halogen. More typically, R2 contains from 9 to 20 atoms other than
hydrogen or halogen. Most typically, R2 contains from 12 to 18 atoms other than hydrogen or halogen.
Q is selected from O or S. In one embodiment of the first aspect of the invention, Q is O.
In one aspect of any of the above embodiments, the compound of formula (I) has a molecular weight of from 250 to 2000 Da. Typically, the compound of formula (I) has a molecular weight of from 300 to 900 Da. More typically, the compound of formula (I) has a molecular weight of from 330 to 550 Da.
A second aspect of the invention provides a compound selected from the group consisting of:
A third aspect of the invention provides a pharmaceutically acceptable salt, solvate or prodrug of any compound of the first or second aspect of the invention.
The compounds of the present invention can be used both in their free base form and their acid addition salt form. For the purposes of this invention, a "salt" of a compound of the present invention includes an acid addition salt. Acid addition salts are preferably pharmaceutically acceptable, non-toxic addition salts with suitable acids, including but not limited to inorganic acids such as hydrohalogenic acids (for example, hydrofluoric, hydrochloric, hydrobromic or hydroiodic acid) or other inorganic acids (for example, nitric, perchloric, sulfuric or phosphoric acid); or organic acids such as
organic carboxylic acids (for example, propionic, butyric, glycolic, lactic, mandelic, citric, acetic, benzoic, salicylic, succinic, malic or hydroxysuccinic, tartaric, fumaric, maleic, hydroxymaleic, mucic or galactaric, gluconic, pantothenic or pamoic acid), organic sulfonic acids (for example, methanesulfonic, trifluoromethanesulfonic, ethanesulfonic, 2-hydroxyethanesulfonic, benzenesulfonic, toluene-p-sulfonic, naphthalene-2-sulfonic or camphorsulfonic acid) or amino acids (for example, ornithinic, glutamic or aspartic acid). The acid addition salt may be a mono-, di-, tri- or multi-acid addition salt. A preferred salt is a hydrohalogenic, sulfuric, phosphoric or organic acid addition salt. A preferred salt is a hydrochloric acid addition salt.
Where a compound of the invention includes a quaternary ammonium group, typically the compound is used in its salt form. The counter ion to the quaternary ammonium group may be any pharmaceutically acceptable, non-toxic counter ion. Examples of suitable counter ions include the conjugate bases of the protic acids discussed above in relation to acid-addition salts.
The compounds of the present invention can also be used both, in their free acid form and their salt form. For the purposes of this invention, a "salt" of a compound of the present invention includes one formed between a protic acid functionality (such as a carboxylic acid group) of a compound of the present invention and a suitable cation. Suitable cations include, but are not limited to lithium, sodium, potassium,
magnesium, calcium and ammonium. The salt may be a mono-, di-, tri- or multi-salt. Preferably the salt is a mono- or di-lithium, sodium, potassium, magnesium, calcium or ammonium salt. More preferably the salt is a mono- or di-sodium salt or a mono- or di- potassium salt.
Preferably any salt is a pharmaceutically acceptable non-toxic salt. However, in addition to pharmaceutically acceptable salts, other salts are included in the present invention, since they have potential to serve as intermediates in the purification or preparation of other, for example, pharmaceutically acceptable salts, or are useful for identification, characterisation or purification of the free acid or base.
The compounds and/or salts of the present invention may be anhydrous or in the form of a hydrate (e.g. a hemihydrate, monohydrate, dihydrate or trihydrate) or other solvate. Such solvates may be formed with common organic solvents, including but not limited to, alcoholic solvents e.g. methanol, ethanol or isopropanol.
In some embodiments of the present invention, therapeutically inactive prodrugs are provided. Prodrugs are compounds which, when administered to a subject such as a human, are converted in whole or in part to a compound of the invention. In most embodiments, the prodrugs are pharmacologically inert chemical derivatives that can be converted in vivo to the active drug molecules to exert a therapeutic effect. Any of the compounds described herein can be administered as a prodrug to increase the activity, bioavailability, or stability of the compound or to otherwise alter the properties of the compound. Typical examples of prodrugs include compounds that have biologically labile protecting groups on a functional moiety of the active compound. Prodrugs include, but are not limited to, compounds that can be oxidized, reduced, aminated, deaminated, hydroxylated, dehydroxylated, hydrolyzed, dehydrolyzed, alkylated, dealkylated, acylated, deacylated, phosphorylated, and/or dephosphorylated to produce the active compound. The present invention also encompasses salts and solvates of such prodrugs as described above.
The compounds, salts, solvates and prodrugs of the present invention may contain at least one chiral centre. The compounds, salts, solvates and prodrugs may therefore exist in at least two isomeric forms. The present invention encompasses racemic mixtures of the compounds, salts, solvates and prodrugs of the present invention as well as enantiomerically enriched and substantially enantiomerically pure isomers. For the purposes of this invention, a "substantially enantiomerically pure" isomer of a compound comprises less than 5% of other isomers of the same compound, more typically less than 2%, and most typically less than 0.5% by weight.
The compounds, salts, solvates and prodrugs of the present invention may contain any stable isotope including, but not limited to 12C, ^C, Ή, 2H (D), ^N, ^N, l60, ^O, l80, ^F and 12?I, and any radioisotope including, but not limited to nC, ^C, 3H (T), ^N, ^O, l8F,
The compounds, salts, solvates and prodrugs of the present invention may be in any polymorphic or amorphous form.
A fourth aspect of the invention provides a pharmaceutical composition comprising a compound of the first or second aspect of the invention, or a pharmaceutically
acceptable salt, solvate or prodrug of the third aspect of the invention, and a
pharmaceutically acceptable excipient.
Conventional procedures for the selection and preparation of suitable pharmaceutical formulations are described in, for example, "Aulton's Pharmaceutics - The Design and Manufacture of Medicines", M. E. Aulton and K. M. G. Taylor, Churchill Livingstone Elsevier, 4th Ed., 2013.
Pharmaceutically acceptable excipients including adjuvants, diluents or carriers that may be used in the pharmaceutical compositions of the invention are those
conventionally employed in the field of pharmaceutical formulation, and include, but are not limited to, sugars, sugar alcohols, starches, ion exchangers, alumina, aluminium stearate, lecithin, serum proteins such as human serum albumin, buffer substances such as phosphates, glycerine, sorbic acid, potassium sorbate, partial glyceride mixtures of saturated vegetable fatty acids, water, salts or electrolytes such as protamine sulfate, disodium hydrogen phosphate, potassium hydrogen phosphate, sodium chloride, zinc salts, colloidal silica, magnesium trisilicate, polyvinylpyrrolidone, cellulose-based substances, polyethylene glycol, sodium carboxymethylcellulose, polyacrylates, waxes, polyethylene-polyoxypropylene-block polymers, polyethylene glycol and wool fat.
In one embodiment, the pharmaceutical composition of the fourth aspect of the invention additionally comprises one or more further active agents. In a further embodiment, the pharmaceutical composition of the fourth aspect of the invention may be provided as a part of a kit of parts, wherein the kit of parts comprises the pharmaceutical composition of the fourth aspect of the invention and one or more further pharmaceutical compositions, wherein the one or more further pharmaceutical compositions each comprise a pharmaceutically acceptable excipient and one or more further active agents.
A fifth aspect of the invention provides a compound of the first or second aspect of the invention, or a pharmaceutically acceptable salt, solvate or prodrug of the third aspect of the invention, or a pharmaceutical composition of the fourth aspect of the invention, for use in medicine, and/or for use in the treatment or prevention of a disease, disorder or condition. Typically, the use comprises the administration of the compound, salt,
solvate, prodrug or pharmaceutical composition to a subject. In one embodiment, the use comprises the co-administration of one or more further active agents.
The term "treatment" as used herein refers equally to curative therapy, and
ameliorating or palliative therapy. The term includes obtaining beneficial or desired physiological results, which may or may not be established clinically. Beneficial or desired clinical results include, but are not limited to, the alleviation of symptoms, the prevention of symptoms, the diminishment of extent of disease, the stabilisation (i.e., not worsening) of a condition, the delay or slowing of progression/worsening of a condition/ symptoms, the amelioration or palliation of the condition/ symptoms, and remission (whether partial or total), whether detectable or undetectable. The term "palliation", and variations thereof, as used herein, means that the extent and/or undesirable manifestations of a physiological condition or symptom are lessened and/or time course of the progression is slowed or lengthened, as compared to not administering a compound, salt, solvate, prodrug or pharmaceutical composition of the present invention. The term "prevention" as used herein in relation to a disease, disorder or condition, relates to prophylactic or preventative therapy, as well as therapy to reduce the risk of developing the disease, disorder or condition. The term
"prevention" includes both the avoidance of occurrence of the disease, disorder or condition, and the delay in onset of the disease, disorder or condition. Any statistically significant (p < 0.05) avoidance of occurrence, delay in onset or reduction in risk as measured by a controlled clinical trial may be deemed a prevention of the disease, disorder or condition. Subjects amenable to prevention include those at heightened risk of a disease, disorder or condition as identified by genetic or biochemical markers. Typically, the genetic or biochemical markers are appropriate to the disease, disorder or condition under consideration and may include for example, inflammatory biomarkers such as C-reactive protein (CRP) and monocyte chemoattractant protein 1 (MCP-i) in the case of inflammation; total cholesterol, triglycerides, insulin resistance and C-peptide in the case of NAFLD and NASH; and more generally ILi and IL18 in the case of a disease, disorder or condition responsive to NLRP3 inhibition.
A sixth aspect of the invention provides the use of a compound of the first or second aspect, or a pharmaceutically effective salt, solvate or prodrug of the third aspect, in the manufacture of a medicament for the treatment or prevention of a disease, disorder or condition. Typically, the treatment or prevention comprises the administration of the compound, salt, solvate, prodrug or medicament to a subject. In one embodiment, the
treatment or prevention comprises the co-administration of one or more further active agents.
A seventh aspect of the invention provides a method of treatment or prevention of a disease, disorder or condition, the method comprising the step of administering an effective amount of a compound of the first or second aspect, or a pharmaceutically acceptable salt, solvate or prodrug of the third aspect, or a pharmaceutical composition of the fourth aspect, to thereby treat or prevent the disease, disorder or condition. In one embodiment, the method further comprises the step of co-administering an effective amount of one or more further active agents. Typically, the administration is to a subject in need thereof.
An eighth aspect of the invention provides a compound of the first or second aspect of the invention, or a pharmaceutically acceptable salt, solvate or prodrug of the third aspect of the invention, or a pharmaceutical composition of the fourth aspect of the invention, for use in the treatment or prevention of a disease, disorder or condition in an individual, wherein the individual has a germline or somatic non-silent mutation in NLRP3. The mutation may be, for example, a gain-of-function or other mutation resulting in increased NLRP3 activity. Typically, the use comprises the administration of the compound, salt, solvate, prodrug or pharmaceutical composition to the individual. In one embodiment, the use comprises the co-administration of one or more further active agents. The use may also comprise the diagnosis of an individual having a germline or somatic non-silent mutation in NLRP3, wherein the compound, salt, solvate, prodrug or pharmaceutical composition is administered to an individual on the basis of a positive diagnosis for the mutation. Typically, identification of the mutation in NLRP3 in the individual may be by any suitable genetic or biochemical means.
A ninth aspect of the invention provides the use of a compound of the first or second aspect, or a pharmaceutically effective salt, solvate or prodrug of the third aspect, in the manufacture of a medicament for the treatment or prevention of a disease, disorder or condition in an individual, wherein the individual has a germline or somatic non-silent mutation in NLRP3. The mutation may be, for example, a gain-of-function or other mutation resulting in increased NLRP3 activity. Typically, the treatment or prevention comprises the administration of the compound, salt, solvate, prodrug or medicament to the individual. In one embodiment, the treatment or prevention comprises the coadministration of one or more further active agents. The treatment or prevention may
also comprise the diagnosis of an individual having a germline or somatic non-silent mutation in NLRP3, wherein the compound, salt, solvate, prodrug or medicament is administered to an individual on the basis of a positive diagnosis for the mutation. Typically, identification of the mutation in NLRP3 in the individual may be by any suitable genetic or biochemical means.
A tenth aspect of the invention provides a method of treatment or prevention of a disease, disorder or condition, the method comprising the steps of diagnosing of an individual having a germline or somatic non-silent mutation in NLRP3, and
administering an effective amount of a compound of the first or second aspect, or a pharmaceutically acceptable salt, solvate or prodrug of the third aspect, or a
pharmaceutical composition of the fourth aspect, to the positively diagnosed individual, to thereby treat or prevent the disease, disorder or condition. In one embodiment, the method further comprises the step of co-administering an effective amount of one or more further active agents. Typically, the administration is to a subject in need thereof.
In general embodiments, the disease, disorder or condition may be a disease, disorder or condition of the immune system, the cardiovascular system, the endocrine system, the gastrointestinal tract, the renal system, the hepatic system, the metabolic system, the respiratory system, the central nervous system, may be a cancer or other
malignancy, and/or may be caused by or associated with a pathogen.
It will be appreciated that these general embodiments defined according to broad categories of diseases, disorders and conditions are not mutually exclusive. In this regard any particular disease, disorder or condition may be categorized according to more than one of the above general embodiments. A non-limiting example is type I diabetes which is an autoimmune disease and a disease of the endocrine system.
In one embodiment of the fifth, sixth, seventh, eighth, ninth or tenth aspect of the invention, the disease, disorder or condition is responsive to NLRP3 inhibition. As used herein, the term "NLRP3 inhibition" refers to the complete or partial reduction in the level of activity of NLRP3 and includes, for example, the inhibition of active NLRP3 and/or the inhibition of activation of NLRP3. There is evidence for a role of NLRP3-induced IL-i and IL-18 in the inflammatory responses occurring in connection with, or as a result of, a multitude of different
disorders (Menu et al, Clinical and Experimental Immunology, 166: 1-15, 2011;
Strowig et al, Nature, 481:278-286, 2012).
NLRP3 has been implicated in a number of autoinflammatory diseases, including Familial Mediterranean fever (FMF), TNF receptor associated periodic syndrome
(TRAPS), hyperimmunoglobulinemia D and periodic fever syndrome (HIDS), pyogenic arthritis, pyoderma gangrenosum and acne (PAPA), Sweet's syndrome, chronic nonbacterial osteomyelitis (CNO), and acne vulgaris (Cook et al., Eur. J. Immunol., 40: 595-653, 2010). In particular, NLRP3 mutations have been found to be responsible for a set of rare autoinflammatory diseases known as CAPS (Ozaki et al, J. Inflammation Research, 8:15-27, 2015; Schroder et al, Cell, 140: 821-832, 2010; and Menu et al, Clinical and Experimental Immunology, 166: 1-15, 2011). CAPS are heritable diseases characterized by recurrent fever and inflammation and are comprised of three autoinflammatory disorders that form a clinical continuum. These diseases, in order of increasing severity, are familial cold autoinflammatory syndrome (FCAS), Muckle- Wells syndrome (MWS), and chronic infantile cutaneous neurological articular syndrome (CINCA; also called neonatal-onset multisystem inflammatory disease, NOMID), and all have been shown to result from gain-of-function mutations in the NLRP3 gene, which leads to increased secretion of IL-ιβ.
A number of autoimmune diseases have been shown to involve NLRP3 including, in particular, multiple sclerosis, type-i diabetes (TiD), psoriasis, rheumatoid arthritis (RA), Behcet's disease, Schnitzler syndrome, macrophage activation syndrome (Masters Clin. Immunol. 2013; Braddock et al. Nat. Rev. Drug Disc. 2004 3: 1-10; Inoue et al., Immunology 139: 11-18, Coll et al. Nat. Med. 2015 2i(3):248-55; and Scott et al. Clin. Exp. Rheumatol 2016 34(1): 88-93), systemic lupus erythematosus (Lu et al. J
Immunol. 2017 198(3): 1119-29), and systemic sclerosis (Artlett et al. Arthritis Rheum. 2011; 63(11): 3563-74). NLRP3 has also been shown to play a role in a number of lung diseases including chronic obstructive pulmonary disorder (COPD), asthma (including steroid-resistant asthma), asbestosis, and silicosis (De Nardo et al., Am. J. Pathol., 184: 42-54, 2014 and Kim et al. Am J Respir Crit Care Med. 2017 196(3): 283-97). NLRP3 has also been suggested to have a role in a number of central nervous system
conditions, including Parkinson's disease (PD), Alzheimer's disease (AD), dementia, Huntington's disease, cerebral malaria, brain injury from pneumococcal meningitis (Walsh et al, Nature Reviews, 15: 84-97, 2014, and Dempsey et al. Brain. Behav.
Immun. 201761: 306-316), intracranial aneurysms (Zhang et al. J. Stroke &
Cerebrovascular Dis. 2015 24; 5: 972-979), and traumatic brain injury (Ismael et al. J Neurotrauma. 2018 Jan 2). NRLP3 activity has also been shown to be involved in various metabolic diseases including type 2 diabetes (T2D), atherosclerosis, obesity, gout, pseudo-gout, metabolic syndrome (Wen et al., Nature Immunology, 13: 352-357, 2012; Duewell et al, Nature, 464: 1357-1361, 2010; Strowig et al, Nature, 481: 278- 286, 2012), and non-alcoholic steatohepatitis (Mridha et al. J Hepatol. 201766(5): 1037-46). A role for NLRP3 via IL-ιβ has also been suggested in atherosclerosis, myocardial infarction (van Hout et al. Eur. Heart J. 201738(11): 828-36), heart failure (Sano et al. JAM. Coll. Cardiol. 2018 71(8): 875-66), aortic aneurysm and dissection (Wu et al. Arterioscler. Thromb. Vase. Biol. 201737(4): 694-706), and other cardiovascular events (Ridker et al., N Engl J Med., doi: 10.1056/ NEJMoai 707914, 2017). Other diseases in which NLRP3 has been shown to be involved include: ocular diseases such as both wet and dry age-related macular degeneration (Doyle et al.,
Nature Medicine, 18: 791-798, 2012 and Tarallo et al. Cell 2012 149(4): 847-59), diabetic retinopathy (Loukovaara et al. Acta Ophthalmol. 2017; 95(8): 803-808) and optic nerve damage (Puyang et al. Sci Rep. 2016 Feb 19;6:20998); liver diseases including non-alcoholic steatohepatitis (NASH) (Henao-Meija et al, Nature, 482: 179- 185, 2012); inflammatory reactions in the lung and skin (Primiano et al. J Immunol. 2016 197(6): 2421-33) including contact hypersensitivity (such as bullous pemphigoid (Fang et al. J Dermatol Sci. 2016; 83(2): 116-23)), atopic dermatitis (Niebuhr et al.
Allergy 2014 69(8): 1058-67), Hidradenitis suppurativa (Alikhan et al. 2009 J Am Acad Dermatol 60(4): 539-61), acne vulgaris (Qin et al. J Invest. Dermatol. 2014 134(2): 381- 88), and sarcoidosis (Jager et al. Am J Respir Crit Care Med 2015 191: A5816);
inflammatory reactions in the joints (Braddock et al, Nat. Rev. Drug Disc, 3: 1-10, 2004); amyotrophic lateral sclerosis (Gugliandolo et al. Inflammation 201841(1): 93- 103); cystic fibrosis (Iannitti et al. Nat. Commun. 2016 7: 10791); stroke (Walsh et al, Nature Reviews, 15: 84-97, 2014); chronic kidney disease (Granata et al. PLoS One 2015 10(3): eoi22272); and inflammatory bowel diseases including ulcerative colitis and Crohn's disease (Braddock et al., Nat. Rev. Drug Disc, 3: 1-10, 2004, Neudecker et al. J Exp. Med. 2017214(6): 1737-52, and Lazaridis et al. Dig. Dis. Sci. 201762(9): 2348-56). The NLRP3 inflammasome has been found to be activated in response to oxidative stress, and UVB irradiation (Schroder et al., Science, 327: 296-300, 2010). NLRP3 has also been shown to be involved in inflammatory hyperalgesia (Dolunay et al., Inflammation, 40: 366-386, 2017).
The inflammasome, and NLRP3 specifically, has also been proposed as a target for modulation by various pathogens including viruses such as DNA viruses (Amsler et al., Future Virol. (2013) 8(4), 357-370). NLRP3 has also been implicated in the pathogenesis of many cancers (Menu et ah, Clinical and Experimental Immunology 166: 1-15, 2011; and Masters Clin. Immunol. 2013). For example, several previous studies have suggested a role for IL-ιβ in cancer invasiveness, growth and metastasis, and inhibition of IL-ιβ with canakinumab has been shown to reduce the incidence of lung cancer and total cancer mortality in a randomised, double-blind, placebo-controlled trial (Ridker et al. Lancet, S0140-
6736(i7)32247-X, 2017). Inhibition of the NLRP3 inflammasome or IL-ιβ has also been shown to inhibit the proliferation and migration of lung cancer cells in vitro (Wang et al. Oncol Rep. 2016; 35(4): 2053-64). A role for the NLRP3 inflammasome has been suggested in myelodysplastic syndromes (Basiorka et al. Blood. 2016 Dec
22;i28(25):296o-2975) and also in the carcinogenesis of various other cancers including glioma (Li et al. Am J Cancer Res. 2015; 5(1): 442-449), inflammation- induced tumours (Allen et al. J Exp Med. 2010; 207(5): 1045-56 and Hu et al. PNAS. 2010; 107(50): 21635-40), multiple myeloma (Li et al. Hematology 2016 21(3): 144-51), and squamous cell carcinoma of the head and neck (Huang et al. J Exp Clin Cancer Res. 20172; 36(1): 116). Activation of the NLRP3 inflammasome has also been shown to mediate chemoresistance of tumour cells to 5-Fluorouracil (Feng et al. J Exp Clin Cancer Res. 201721; 36(1): 81), and activation of NLRP3 inflammasome in peripheral nerve contributes to chemotherapy-induced neuropathic pain (Jia et al. Mol Pain. 2017; 13: 1-11).
NLRP3 has also been shown to be required for the efficient control of viral, bacterial, fungal, and helminth pathogen infections (Strowig et al., Nature, 481:278-286, 2012).
Accordingly, examples of diseases, disorders or conditions which may be responsive to NLRP3 inhibition and which may be treated or prevented in accordance with the fifth, sixth, seventh, eighth, ninth or tenth aspect of the present invention include:
(i) inflammation, including inflammation occurring as a result of an inflammatory disorder, e.g. an autoinflammatory disease, inflammation occurring as a symptom of a non-inflammatory disorder, inflammation occurring as a result of infection, or inflammation secondary to trauma, injury or autoimmunity;
(ii) auto-immune diseases such as acute disseminated encephalitis, Addison's disease, ankylosing spondylitis, antiphospholipid antibody syndrome (APS), anti- synthetase syndrome, aplastic anemia, autoimmune adrenalitis, autoimmune hepatitis, autoimmune oophoritis, autoimmune polyglandular failure, autoimmune thyroiditis, Coeliac disease, Crohn's disease, type ι diabetes (TiD), Goodpasture's syndrome, Graves' disease, Guillain-Barre syndrome (GBS), Hashimoto's disease, idiopathic thrombocytopenic purpura, Kawasaki's disease, lupus erythematosus including systemic lupus erythematosus (SLE), multiple sclerosis (MS) including primary progressive multiple sclerosis (PPMS), secondary progressive multiple sclerosis (SPMS) and relapsing remitting multiple sclerosis (RRMS), myasthenia gravis, opsoclonus myoclonus syndrome (OMS), optic neuritis, Ord's thyroiditis, pemphigus, pernicious anaemia, polyarthritis, primary biliary cirrhosis, rheumatoid arthritis (RA), psoriatic arthritis, juvenile idiopathic arthritis or Still's disease, refractory gouty arthritis, Reiter's syndrome, Sjogren's syndrome, systemic sclerosis a systemic connective tissue disorder, Takayasu's arteritis, temporal arteritis, warm autoimmune hemolytic anemia, Wegener's granulomatosis, alopecia universalis, Beliefs disease, Chagas' disease, dysautonomia, endometriosis, hidradenitis suppurativa (HS), interstitial cystitis, neuromyotonia, psoriasis, sarcoidosis, scleroderma, ulcerative colitis, Schnitzler syndrome, macrophage activation syndrome, Blau syndrome, vitiligo or vulvodynia; (iii) cancer including lung cancer, pancreatic cancer, gastric cancer, myelodysplastic syndrome, leukaemia including acute lymphocytic leukaemia (ALL) and acute myeloid leukaemia (AML), adrenal cancer, anal cancer, basal and squamous cell skin cancer, bile duct cancer, bladder cancer, bone cancer, brain and spinal cord tumours, breast cancer, cervical cancer, chronic lymphocytic leukaemia (CLL), chronic myeloid leukaemia (CML), chronic myelomonocytic leukaemia (CMML), colorectal cancer, endometrial cancer, oesophagus cancer, Ewing family of tumours, eye cancer, gallbladder cancer, gastrointestinal carcinoid tumours, gastrointestinal stromal tumour (GIST), gestational trophoblastic disease, glioma, Hodgkin lymphoma, Kaposi sarcoma, kidney cancer, laryngeal and hypopharyngeal cancer, liver cancer, lung carcinoid tumour, lymphoma including cutaneous T cell lymphoma, malignant mesothelioma, melanoma skin cancer, Merkel cell skin cancer, multiple myeloma, nasal cavity and paranasal sinuses cancer, nasopharyngeal cancer, neuroblastoma, non- Hodgkin lymphoma, non-small cell lung cancer, oral cavity and oropharyngeal cancer, osteosarcoma, ovarian cancer, penile cancer, pituitary tumours, prostate cancer, retinoblastoma, rhabdomyosarcoma, salivary gland cancer, skin cancer, small cell lung cancer, small intestine cancer, soft tissue sarcoma, stomach cancer, testicular cancer,
thymus cancer, thyroid cancer including anaplastic thyroid cancer, uterine sarcoma, vaginal cancer, vulvar cancer, Waldenstrom macroglobulinemia, and Wilms tumour;
(iv) infections including viral infections (e.g. from influenza virus, human immunodeficiency virus (HIV), alphavirus (such as Chikungunya and Ross River virus), flaviviruses (such as Dengue virus and Zika virus), herpes viruses (such as Epstein Barr Virus, cytomegalovirus, Varicella-zoster virus, and KSHV), poxviruses (such as vaccinia virus (Modified vaccinia virus Ankara) and Myxoma virus), adenoviruses (such as Adenovirus 5), or papillomavirus), bacterial infections (e.g. from Staphylococcus aureus, Helicobacter pylori, Bacillus anthracis, Bordatella pertussis, Burkholderia pseudomallei, Corynebacterium diptheriae, Clostridium tetani, Clostridium
botulinum, Streptococcus pneumoniae, Streptococcus pyogenes, Listeria
monocytogenes, Hemophilus influenzae, Pasteurella multicida, Shigella dysenteriae, Mycobacterium tuberculosis, Mycobacterium leprae, Mycoplasma pneumoniae, Mycoplasma hominis, Neisseria meningitidis, Neisseria gonorrhoeae, Rickettsia rickettsii, Legionella pneumophila, Klebsiella pneumoniae, Pseudomonas aeruginosa, Propionibacterium acnes, Treponema pallidum, Chlamydia trachomatis, Vibrio cholerae, Salmonella typhimurium, Salmonella typhi, Borrelia burgdorferi or
Yersinia pestis), fungal infections (e.g. from Candida or Aspergillus species), protozoan infections (e.g. from Plasmodium, Babesia, Giardia, Entamoeba, Leishmania or Trypanosomes), helminth infections (e.g. from schistosoma, roundworms, tapeworms or flukes) and prion infections;
(v) central nervous system diseases such as Parkinson's disease, Alzheimer's disease, dementia, motor neuron disease, Huntington's disease, cerebral malaria, brain injury from pneumococcal meningitis, intracranial aneurysms, traumatic brain injury, and amyotrophic lateral sclerosis;
(vi) metabolic diseases such as type 2 diabetes (T2D), atherosclerosis, obesity, gout, and pseudo-gout;
(vii) cardiovascular diseases such as hypertension, ischaemia, reperfusion injury including post-MI ischemic reperfusion injury, stroke including ischemic stroke, transient ischemic attack, myocardial infarction including recurrent myocardial infarction, heart failure including congestive heart failure and heart failure with preserved ejection fraction, embolism, aneurysms including abdominal aortic aneurysm, and pericarditis including Dressler's syndrome;
(viii) respiratory diseases including chronic obstructive pulmonary disorder (COPD), asthma such as allergic asthma and steroid-resistant asthma, asbestosis, silicosis, nanoparticle induced inflammation, cystic fibrosis and idiopathic pulmonary fibrosis;
(ix) liver diseases including non-alcoholic fatty liver disease (NAFLD), and nonalcoholic steatohepatitis (NASH) including advanced fibrosis stages F3 and F4;
alcoholic fatty liver disease (AFLD), and alcoholic steatohepatitis (ASH);
(x) renal diseases including chronic kidney disease, oxalate nephropathy, nephrocalcinosis, glomerulonephritis, and diabetic nephropathy;
(xi) ocular diseases including those of the ocular epithelium, age-related macular degeneration (AMD) (dry and wet), uveitis, corneal infection, diabetic retinopathy, optic nerve damage, dry eye, and glaucoma;
(xii) skin diseases including dermatitis such as contact dermatitis and atopic dermatitis, contact hypersensitivity, sunburn, skin lesions, hidradenitis suppurativa (HS), other cyst-causing skin diseases, and acne conglobata;
(xiii) lymphatic conditions such as lymphangitis and Castleman's disease;
(xiv) psychological disorders such as depression and psychological stress;
(xv) graft versus host disease;
(xvi) allodynia including mechanical allodynia; and
(xvii) any disease where an individual has been determined to carry a germline or somatic non-silent mutation in NLRP3.
In one embodiment, the disease, disorder or condition is selected from:
(i) inflammation;
(ii) an auto-immune disease;
(iii) cancer;
(iv) an infection;
(v) a central nervous system disease;
(vi) a metabolic disease;
(vii) a cardiovascular disease;
(viii) a respiratory disease;
(ix) a liver disease;
(x) a renal disease;
(xi) an ocular disease;
(xii) a skin disease;
(xiii) a lymphatic condition;
(xiv) a psychological disorder;
(xv) graft versus host disease; and
(xvi) any disease where an individual has been determined to carry a germline or somatic non-silent mutation in NLRP3.
In another embodiment, the disease, disorder or condition is selected from:
(i) inflammation;
(ii) an auto-immune disease;
(iii) cancer;
(iv) a metabolic disease;
(v) a cardiovascular disease;
(vi) a respiratory disease;
(vii) a non-infectious liver disease;
(viii) a renal disease;
(ix) an ocular disease;
(x) a skin disease;
(xi) a psychological disorder;
(xii) a lymphatic condition; and/or
(xiii) any disease, disorder or condition in which an individual has been determined to carry a germline or somatic non-silent mutation in NLRP3. a further embodiment, the disease, disorder or condition is selected from:
(i) cancer;
(ii) an infection;
(iii) a central nervous system disease;
(iv) a cardiovascular disease;
(v) a liver disease;
(vi) an ocular diseases; or
(vii) a skin disease.
More typically, the disease, disorder or condition is selected from:
(i) cancer;
(ii) an infection;
(iii) a central nervous system disease; or
(iv) a cardiovascular disease.
In one embodiment, the disease, disorder or condition is selected from:
(i) acne conglobata;
(ii) atopic dermatitis;
(iii) Alzheimer's disease;
(iv) amyotrophic lateral sclerosis;
(v) age-related macular degeneration (AMD);
(vi) anaplastic thyroid cancer;
(vii) cryopyrin-associated periodic syndromes (CAPS);
(viii) contact dermatitis;
(ix) cystic fibrosis;
(x) congestive heart failure;
(xi) chronic kidney disease;
(xii) Crohn's disease;
(xiii) familial cold autoinflammatory syndrome (FCAS);
(xiv) Huntington's disease;
(xv) heart failure;
(xvi) heart failure with preserved ejection fraction;
(xvii) ischemic reperfusion injury;
(xviii) juvenile idiopathic arthritis;
(xix) myocardial infarction;
(xx) macrophage activation syndrome;
(xxi) myelodysplastic syndrome;
(xxii) multiple myeloma;
(xxiii) motor neuron disease;
(xxiv) multiple sclerosis;
(xxv) Muckle-Wells syndrome;
(xxvi) non-alcoholic steatohepatitis (NASH);
(xxvii) neonatal-onset multisystem inflammatory disease (NOMID);
(xxviii) Parkinson's disease;
(xxix) systemic juvenile idiopathic arthritis;
(xxx) systemic lupus erythematosus;
(xxxi) traumatic brain injury;
(xxxii) transient ischemic attack; and
(xxxiii) ulcerative colitis.
In a further typical embodiment of the invention, the disease, disorder or condition is inflammation. Examples of inflammation that may be treated or prevented in accordance with the fifth, sixth, seventh, eighth, ninth or tenth aspect of the present invention include inflammatory responses occurring in connection with, or as a result of:
(i) a skin condition such as contact hypersensitivity, bullous pemphigoid, sunburn, psoriasis, atopical dermatitis, contact dermatitis, allergic contact dermatitis, seborrhoetic dermatitis, lichen planus, scleroderma, pemphigus, epidermolysis bullosa, urticaria, erythemas, or alopecia;
(ii) a joint condition such as osteoarthritis, systemic juvenile idiopathic arthritis, adult-onset Still's disease, relapsing polychondritis, rheumatoid arthritis, juvenile chronic arthritis, gout, or a seronegative spondyloarthropathy (e.g. ankylosing spondylitis, psoriatic arthritis or Reiter's disease);
(iii) a muscular condition such as polymyositis or myasthenia gravis;
(iv) a gastrointestinal tract condition such as inflammatory bowel disease (including Crohn's disease and ulcerative colitis), gastric ulcer, coeliac disease, proctitis, pancreatitis, eosinopilic gastro-enteritis, mastocytosis, antiphospholipid syndrome, or a food-related allergy which may have effects remote from the gut (e.g., migraine, rhinitis or eczema);
(v) a respiratory system condition such as chronic obstructive pulmonary disease (COPD), asthma (including bronchial, allergic, intrinsic, extrinsic or dust asthma, and particularly chronic or inveterate asthma, such as late asthma and airways hyper- responsiveness), bronchitis, rhinitis (including acute rhinitis, allergic rhinitis, atrophic rhinitis, chronic rhinitis, rhinitis caseosa, hypertrophic rhinitis, rhinitis pumlenta, rhinitis sicca, rhinitis medicamentosa, membranous rhinitis, seasonal rhinitis e.g. hay fever, and vasomotor rhinitis), sinusitis, idiopathic pulmonary fibrosis (IPF), sarcoidosis, farmer's lung, silicosis, asbestosis, adult respiratory distress syndrome, hypersensitivity pneumonitis, or idiopathic interstitial pneumonia;
(vi) a vascular condition such as atherosclerosis, Behcet's disease, vasculitides, or Wegener's granulomatosis;
(vii) an autoimmune condition such as systemic lupus erythematosus, Sjogren's syndrome, systemic sclerosis, Hashimoto's thyroiditis, type I diabetes, idiopathic thrombocytopenia purpura, or Graves disease;
(viii) an ocular condition such as uveitis, allergic conjunctivitis, or vernal
conjunctivitis;
(ix) a nervous condition such as multiple sclerosis or encephalomyelitis;
(x) an infection or infection-related condition, such as Acquired Immunodeficiency Syndrome (AIDS), acute or chronic bacterial infection, acute or chronic parasitic infection, acute or chronic viral infection, acute or chronic fungal infection, meningitis, hepatitis (A, B or C, or other viral hepatitis), peritonitis, pneumonia, epiglottitis, malaria, dengue hemorrhagic fever, leishmaniasis, streptococcal myositis,
- 6θ - mycobacterium tuberculosis, mycobacterium avium intracellulare, Pneumocystis carinii pneumonia, orchitis/epidydimitis, legionella, Lyme disease, influenza A, epstein-barr virus, viral encephalitis/aseptic meningitis, or pelvic inflammatory disease;
(xi) a renal condition such as mesangial proliferative glomerulonephritis, nephrotic syndrome, nephritis, glomerular nephritis, acute renal failure, uremia, or nephritic syndrome;
(xii) a lymphatic condition such as Castleman's disease;
(xiii) a condition of, or involving, the immune system, such as hyper IgE syndrome, lepromatous leprosy, familial hemophagocytic lymphohistiocytosis, or graft versus host disease;
(xiv) a hepatic condition such as chronic active hepatitis, non-alcoholic
steatohepatitis (NASH), alcohol-induced hepatitis, non-alcoholic fatty liver disease (NAFLD), alcoholic fatty liver disease (AFLD), alcoholic steatohepatitis (ASH) or primary biliary cirrhosis;
(xv) a cancer, including those cancers listed above;
(xvi) a burn, wound, trauma, haemorrhage or stroke;
(xvii) radiation exposure; and/or
(xviii) obesity; and/or
(xix) pain such as inflammatory hyperalgesia.
In one embodiment of the fifth, sixth, seventh, eighth, ninth or tenth aspect of the present invention, the disease, disorder or condition is an autoinflammatory disease such as cryopyrin-associated periodic syndromes (CAPS), Muckle-Wells syndrome (MWS), familial cold autoinflammatory syndrome (FCAS), familial Mediterranean fever (FMF), neonatal onset multisystem inflammatory disease (NOMID), Tumour Necrosis Factor (TNF) Receptor- Associated Periodic Syndrome (TRAPS),
hyperimmunoglobulinemia D and periodic fever syndrome (HIDS), deficiency of interleukin 1 receptor antagonist (DIRA), Majeed syndrome, pyogenic arthritis, pyoderma gangrenosum and acne syndrome (PAPA), adult-onset Still's disease
(AOSD), haploinsufficiency of A20 (HA20), pediatric granulomatous arthritis (PGA), PLCG2-associated antibody deficiency and immune dysregulation (PLAID), PLCG2- associated autoinflammatory, antibody deficiency and immune dysregulation
(APLAID), or sideroblastic anaemia with B-cell immunodeficiency, periodic fevers and developmental delay (SIFD).
- 6l -
Examples of diseases, disorders or conditions which may be responsive to NLRP3 inhibition and which may be treated or prevented in accordance with the fifth, sixth, seventh, eighth, ninth or tenth aspect of the present invention are listed above. Some of these diseases, disorders or conditions are substantially or entirely mediated by NLRP3 inflammasome activity, and NLRP3-induced IL-ιβ and/or IL-18. As a result, such diseases, disorders or conditions may be particularly responsive to NLRP3 inhibition and may be particularly suitable for treatment or prevention in accordance with the fifth, sixth, seventh, eighth, ninth or tenth aspect of the present invention. Examples of such diseases, disorders or conditions include cryopyrin-associated periodic syndromes (CAPS), Muckle-Wells syndrome (MWS), familial cold autoinflammatory syndrome (FCAS), neonatal onset multisystem inflammatory disease (NOMID), familial
Mediterranean fever (FMF), pyogenic arthritis, pyoderma gangrenosum and acne syndrome (PAPA), hyperimmunoglobulinemia D and periodic fever syndrome (HIDS), Tumour Necrosis Factor (TNF) Receptor-Associated Periodic Syndrome (TRAPS), systemic juvenile idiopathic arthritis, adult-onset Still's disease (AOSD), relapsing polychondritis, Schnitzler's syndrome, Sweet's syndrome, Behcet's disease, anti- synthetase syndrome, deficiency of interleukin 1 receptor antagonist (DIRA), and haploinsufficiency of A20 (HA20).
Moreover, some of the diseases, disorders or conditions mentioned above arise due to mutations in NLRP3, in particular, resulting in increased NLRP3 activity. As a result, such diseases, disorders or conditions may be particularly responsive to NLRP3 inhibition and may be particularly suitable for treatment or prevention in accordance with the fifth, sixth, seventh, eighth, ninth or tenth aspect of the present invention. Examples of such diseases, disorders or conditions include cryopyrin-associated periodic syndromes (CAPS), Muckle-Wells syndrome (MWS), familial cold
autoinflammatory syndrome (FCAS), and neonatal onset multisystem inflammatory disease (NOMID).
An eleventh aspect of the invention provides a method of inhibiting NLRP3, the method comprising the use of a compound of the first or second aspect of the invention, or a pharmaceutically acceptable salt, solvate or prodrug of the third aspect of the invention, or a pharmaceutical composition of the fourth aspect of the invention, to inhibit NLRP3.
In one embodiment of the eleventh aspect of the present invention, the method comprises the use of a compound of the first or second aspect of the invention, or a pharmaceutically acceptable salt, solvate or prodrug of the third aspect of the invention, or a pharmaceutical composition of the fourth aspect of the invention, in combination with one or more further active agents.
In one embodiment of the eleventh aspect of the present invention, the method is performed ex vivo or in vitro, for example in order to analyse the effect on cells of NLRP3 inhibition.
In another embodiment of the eleventh aspect of the present invention, the method is performed in vivo. For example, the method may comprise the step of administering an effective amount of a compound of the first or second aspect, or a pharmaceutically acceptable salt, solvate or prodrug of the third aspect, or a pharmaceutical composition of the fourth aspect, to thereby inhibit NLRP3. In one embodiment, the method further comprises the step of co-administering an effective amount of one or more further active agents. Typically, the administration is to a subject in need thereof.
Alternately, the method of the eleventh aspect of the invention may be a method of inhibiting NLRP3 in a non-human animal subject, the method comprising the steps of administering the compound, salt, solvate, prodrug or pharmaceutical composition to the non-human animal subject and optionally subsequently mutilating or sacrificing the non-human animal subject. Typically, such a method further comprises the step of analysing one or more tissue or fluid samples from the optionally mutilated or sacrificed non-human animal subject. In one embodiment, the method further comprises the step of co-administering an effective amount of one or more further active agents.
A twelfth aspect of the invention provides a compound of the first or second aspect of the invention, or a pharmaceutically acceptable salt, solvate or prodrug of the third aspect of the invention, or a pharmaceutical composition of the fourth aspect of the invention, for use in the inhibition of NLRP3. Typically, the use comprises the administration of the compound, salt, solvate, prodrug or pharmaceutical composition to a subject. In one embodiment, the compound, salt, solvate, prodrug or
pharmaceutical composition is co-administered with one or more further active agents.
A thirteenth aspect of the invention provides the use of a compound of the first or second aspect of the invention, or a pharmaceutically effective salt, solvate or prodrug of the third aspect of the invention, in the manufacture of a medicament for the inhibition of NLRP3. Typically, the inhibition comprises the administration of the compound, salt, solvate, prodrug or medicament to a subject. In one embodiment, the compound, salt, solvate, prodrug or medicament is co-administered with one or more further active agents.
In any embodiment of any of the fifth to thirteenth aspects of the present invention that comprises the use or co-administration of one or more further active agents, the one or more further active agents may comprise for example one, two or three different further active agents.
The one or more further active agents may be used or administered prior to, simultaneously with, sequentially with or subsequent to each other and/ or to the compound of the first or second aspect of the invention, the pharmaceutically acceptable salt, solvate or prodrug of the third aspect of the invention, or the pharmaceutical composition of the fourth aspect of the invention. Where the one or more further active agents are administered simultaneously with the compound of the first or second aspect of the invention, or the pharmaceutically acceptable salt, solvate or prodrug of the third aspect of the invention, a pharmaceutical composition of the fourth aspect of the invention may be administered wherein the pharmaceutical composition additionally comprises the one or more further active agents. In one embodiment of any of the fifth to thirteenth aspects of the present invention that comprises the use or co-administration of one or more further active agents, the one or more further active agents are selected from:
(i) chemotherapeutic agents;
(ii) antibodies;
(iii) alkylating agents;
(iv) anti-metabolites;
(v) anti-angiogenic agents;
(vi) plant alkaloids and/or terpenoids;
(vii) topoisomerase inhibitors;
(viii) mTOR inhibitors;
(ix) stilbenoids;
(x) STING agonists;
(xi) cancer vaccines;
(xii) immunomodulatory agents;
(xiii) antibiotics;
(xiv) anti-fungal agents;
(xv) anti-helminthic agents; and/or
(xvi) other active agents.
It will be appreciated that these general embodiments defined according to broad categories of active agents are not mutually exclusive. In this regard any particular active agent may be categorized according to more than one of the above general embodiments. A non-limiting example is urelumab which is an antibody that is an immunomodulatory agent for the treatment of cancer.
In some embodiments, the one or more chemotherapeutic agents are selected from abiraterone acetate, altretamine, amsacrine, anhydrovinblastine, auristatin,
azathioprine, adriamycin, bexarotene, bicalutamide, BMS 184476, bleomycin, N,N- dimethyl-L-valyl-L-valyl-N-methyl-L-valyl-L-prolyl-L-proline-t-butylamide, cisplatin, carboplatin, carboplatin cyclophosphamide, chlorambucil, cachectin, cemadotin, cyclophosphamide, carmustine, cryptophycin, cytarabine, docetaxel, doxetaxel, doxorubicin, dacarbazine (DTIC), dactinomycin, daunorubicin, decitabine, dolastatin, etoposide, etoposide phosphate, enzalutamide (MDV3100), 5-fluorouracil, fludarabine, flutamide, gemcitabine, hydroxyurea and hydroxyureataxanes, idarubicin, ifosfamide, irinotecan, leucovorin, lonidamine, lomustine (CCNU), larotaxel (RPR109881), mechlorethamine, mercaptopurine, methotrexate, mitomycin C, mitoxantrone, melphalan, mivobulin, 3',4'-didehydro-4'-deoxy-8'-norvin-caleukoblastine, nilutamide, oxaliplatin, onapristone, prednimustine, procarbazine, paclitaxel, platinum-containing anti-cancer agents, 2,3,4,5,6-pentafluoro-N-(3-fluoro-4-methoxyphenyl)benzene sulphonamide, prednimustine, procarbazine, rhizoxin, sertenef, streptozocin, stramustine phosphate, tretinoin, tasonermin, taxol, topotecan, tamoxifen, teniposide, taxane, tegafur/uracil, vincristine, vinblastine, vinorelbine, vindesine, vindesine sulfate, and/ or vinflunine.
Alternatively or in addition, the one or more chemotherapeutic agents may be selected from CD59 complement fragment, fibronectin fragment, gro-beta (CXCL2),
heparinases, heparin hexasaccharide fragment, human chorionic gonadotropin (hCG),
interferon alpha, interferon beta, interferon gamma, interferon inducible protein (IP- 10), interleukin-12, kringle 5 (plasminogen fragment), metalloproteinase inhibitors (TIMPs), 2-methoxyestradiol, placental ribonuclease inhibitor, plasminogen activator inhibitor, platelet factor-4 (PF4), prolactin 16 kD fragment, proliferin-related protein (PRP), various retinoids, tetrahydrocortisol-S, thrombospondin-i (TSP-i),
transforming growth factor-beta (TGF-β), vasculostatin, vasostatin (calreticulin fragment), and/or cytokines (including interleukins, such as interleukin-2 (IL-2), or IL- 10). In some embodiments, the one or more antibodies may comprise one or more monoclonal antibodies. In some embodiments, the one or more antibodies are selected from abciximab, adalimumab, alemtuzumab, atlizumab, basiliximab, belimumab, bevacizumab, bretuximab vedotin, canakinumab, cetuximab, ceertolizumab pegol, daclizumab, denosumab, eculizumab, efalizumab, gemtuzumab, golimumab, ibritumomab tiuxetan, infliximab, ipilimumab, muromonab-CD3, natalizumab, ofatumumab, omalizumab, palivizumab, panitumuab, ranibizumab, rituximab, tocilizumab, tositumomab, and/or trastuzumab.
In some embodiments, the one or more alkylating agents may comprise an agent capable of alkylating nucleophilic functional groups under conditions present in cells, including, for example, cancer cells. In some embodiments, the one or more alkylating agents are selected from cisplatin, carboplatin, mechlorethamine, cyclophosphamide, chlorambucil, ifosfamide and/or oxaliplatin. In some embodiments, the alkylating agent may function by impairing cell function by forming covalent bonds with amino, carboxyl, sulfhydryl, and/or phosphate groups in biologically important molecules. In some embodiments, the alkylating agent may function by modifying a cell's DNA.
In some embodiments, the one or more anti-metabolites may comprise an agent capable of affecting or preventing RNA or DNA synthesis. In some embodiments, the one or more anti-metabolites are selected from azathioprine and/or mercaptopurine.
In some embodiments, the one or more anti-angiogenic agents are selected from endostatin, angiogenin inhibitors, angiostatin, angioarrestin, angiostatin (plasminogen fragment), basement-membrane collagen-derived anti-angiogenic factors (tumstatin, canstatin, or arrestin), anti-angiogenic antithrombin III, and/or cartilage-derived inhibitor (CDI).
In some embodiments, the one or more plant alkaloids and/or terpenoids may prevent microtubule function. In some embodiments, the one or more plant alkaloids and/or terpenoids are selected from a vinca alkaloid, a podophyllotoxin and/or a taxane. In some embodiments, the one or more vinca alkaloids may be derived from the
Madagascar periwinkle, Catharanthus roseus (formerly known as Vinca rosea), and maybe selected from vincristine, vinblastine, vinorelbine and/or vindesine. In some embodiments, the one or more taxanes are selected from taxol, paclitaxel, docetaxel and/or ortataxel. In some embodiments, the one or more podophyllotoxins are selected from an etoposide and/or teniposide.
In some embodiments, the one or more topoisomerase inhibitors are selected from a type I topoisomerase inhibitor and/or a type II topoisomerase inhibitor, and may interfere with transcription and/or replication of DNA by interfering with DNA supercoiling. In some embodiments, the one or more type I topoisomerase inhibitors may comprise a camptothecin, which may be selected from exatecan, irinotecan, lurtotecan, topotecan, BNP 1350, CKD 602, DB 67 (AR67) and/or ST 1481. In some embodiments, the one or more type II topoisomerase inhibitors may comprise an epipodophyllotoxin, which may be selected from an amsacrine, etoposid, etoposide phosphate and/or teniposide.
In some embodiments, the one or more mTOR (mammalian target of rapamycin, also known as the mechanistic target of rapamycin) inhibitors are selected from rapamycin, everolimus, temsirolimus and/or deforolimus.
In some embodiments, the one or more stilbenoids are selected from resveratrol, piceatannol, pinosylvin, pterostilbene, alpha-viniferin, ampelopsin A, ampelopsin E, diptoindonesin C, diptoindonesin F, epsilon-vinferin, flexuosol A, gnetin H, hemsleyanol D, hopeaphenol, trans-diptoindonesin B, astringin, piceid and/or diptoindonesin A.
In some embodiments, the one or more STING (Stimulator of interferon genes, also known as transmembrane protein (TMEM) 173) agonists may comprise cyclic di- nucleotides, such as cAMP, cGMP, and cGAMP, and/or modified cyclic di -nucleotides that may include one or more of the following modification features: 2'-0/3'-0 linkage, phosphorothioate linkage, adenine and/or guanine analogue, and/or 2'-0H
modification (e.g. protection of the 2'-0H with a methyl group or replacement of the 2'-0H by -F or -N3).
In some embodiments, the one or more cancer vaccines are selected from an HPV vaccine, a hepatitis B vaccine, Oncophage, and/or Provenge.
In some embodiments, the one or more immunomodulatory agents may comprise an immune checkpoint inhibitor. The immune checkpoint inhibitor may target an immune checkpoint receptor, or combination of receptors comprising, for example, CTLA-4, PD-i, PD-Li, PD-L2, T cell immunoglobulin and mucin 3 (TIM3 or HAVCR2), galectin 9, phosphatidylserine, lymphocyte activation gene 3 protein (LAG3), MHC class I, MHC class II, 4-1BB, 4-1BBL, OX40, OX40L, GITR, GITRL, CD27, CD70, TNFRSF25, TLiA, CD40, CD40L, HVEM, LIGHT, BTLA, CD160, CD80, CD244, CD48, ICOS, ICOSL, B7- H3, B7-H4, VISTA, TMIGD2, HHLA2, TMIGD2, a butyrophilin (including BTNL2), a Siglec family member, TIGIT, PVR, a killer-cell immunoglobulin-like receptor, an ILT, a leukocyte immunoglobulin-like receptor, NKG2D, NKG2A, MICA, MICB, CD28, CD86, SIRPA, CD47, VEGF, neuropilin, CD30, CD39, CD73, CXCR4, and/or CXCL12.
In some embodiments, the immune checkpoint inhibitor is selected from urelumab, PF-05082566, MEDI6469, TRX518, varlilumab, CP-870893, pembrolizumab (PDi), nivolumab (PDi), atezolizumab (formerly MPDL3280A) (PD-Li), MEDI4736 (PD-Li), avelumab (PD-Li), PDR001 (PDi), BMS-986016, MGA271, lirilumab, IPH2201, emactuzumab, INCB024360, galunisertib, ulocuplumab, BKT140, bavituximab, CC- 90002, bevacizumab, and/or MNRP1685A.
In some embodiments, the one or more antibiotics are selected from amikacin, gentamicin, kanamycin, neomycin, netilmicin, tobramycin, paromomycin,
streptomycin, spectinomycin, geldanamycin, herbimycin, rifaximin, loracarbef, ertapenem, doripenem, imipenem, cilastatin, meropenem, cefadroxil, cefazolin, cefalotin, cefalothin, cefalexin, cefaclor, cefamandole, cefoxitin, cefprozil, cefuroxime, cefixime, cefdinir, cefditoren, cefoperazone, cefotaxime, cefpodoxime, ceftazidime, ceftibuten, ceftizoxime, ceftriaxone, cefepime, ceftaroline fosamil, ceftobiprole, teicoplanin, vancomycin, telavancin, dalbavancin, oritavancin, clindamycin, lincomycin, daptomycin, azithromycin, clarithromycin, dirithromycin, erythromycin, roxithromycin, troleandomycin, telithromycin, spiramycin, aztreonam, furazolidone, nitrofurantoin, linezolid, posizolid, radezolid, torezolid, amoxicillin, ampicillin,
azlocillin, carbenicillin, cloxacillin, dicloxacillin, flucloxacillin, mezlocillin, methicillin, nafcillin, oxacillin, penicillin G, penicillin V, piperacillin, temocillin, ticarcillin, calvulanate, ampicillin, subbactam, tazobactam, ticarcillin, clavulanate, bacitracin, colistin, polymyxin B, ciprofloxacin, enoxacin, gatifloxacin, gemifloxacin, levofloxacin, lomefloxacin, moxifloxacin, nalidixic acid, norfloxacin, ofloxacin, trovafloxacin, grepafloxacin, sparfloxacin, temafloxacin, mafenide, sulfacetamide, sulfadiazine, silver sulfadiazine, sulfadimethoxine, sulfamethoxazole, sulfanamide, sulfasalazine, sulfisoxazole, trimethoprim-sulfamethoxazole, sulfonamideochrysoidine,
demeclocycline, minocycline, oytetracycline, tetracycline, clofazimine, dapsone, dapreomycin, cycloserine, ethambutol, ethionamide, isoniazid, pyrazinamide, rifampicin, rifabutin, rifapentine, streptomycin, arsphenamine, chloramphenicol, fosfomycin, fusidic acid, metronidazole, mupirocin, platensimycin, quinupristin, dalopristin, thiamphenicol, tigecycyline, tinidazole, trimethoprim, and/or teixobactin. In some embodiments, the one or more antibiotics may comprise one or more cytotoxic antibiotics. In some embodiments, the one or more cytotoxic antibiotics are selected from an actinomycin, an anthracenedione, an anthracycline, thalidomide,
dichloroacetic acid, nicotinic acid, 2-deoxyglucose, and/or chlofazimine. In some embodiments, the one or more actinomycins are selected from actinomycin D, bacitracin, colistin (polymyxin E) and/or polymyxin B. In some embodiments, the one or more antracenediones are selected from mitoxantrone and/or pixantrone. In some embodiments, the one or more anthracyclines are selected from bleomycin,
doxorubicin (Adriamycin), daunorubicin (daunomycin), epirubicin, idarubicin, mitomycin, plicamycin and/or valrubicin.
In some embodiments, the one or more anti-fungal agents are selected from bifonazole, butoconazole, clotrimazole, econazole, ketoconazole, Miconazole, miconazole, omoconazole, oxiconazole, sertaconazole, sulconazole, tioconazole, albaconazole, efinaconazole, epoziconazole, fluconazole, isavuconazole, itraconazole, posaconazole, propiconazole, ravusconazole, terconazole, voriconazole, abafungin, amorolfin, butenafine, naftifine, terbinafine, anidulafungin, caspofungin, micafungin, benzoic acid, ciclopirox, flucytosine, 5-fluorocytosine, griseofulvin, haloprogin, tolnaflate, undecylenic acid, and/or balsam of Peru. In some embodiments, the one or more anti-helminthic agents are selected from benzimidazoles (including albendazole, mebendazole, thiabendazole, fenbendazole,
triclabendazole, and flubendazole), abamectin, diethylcarbamazine, ivermectin, suramin, pyrantel pamoate, levamisole, salicylanilides (including niclosamide and oxyclozanide), and/or nitazoxanide.
In some embodiments, other active agents are selected from growth inhibitory agents, anti-inflammatory agents (including nonsteroidal anti-inflammatory agents), anti- psoriatic agents (including anthralin and its derivatives), vitamins and vitamin- derivatives (including retinoinds, and VDR receptor ligands), corticosteroids, ion channel blockers (including potassium channel blockers), immune system regulators (including cyclosporin, FK 506, and glucocorticoids), lutenizing hormone releasing hormone agonists (such as leuprolidine, goserelin, triptorelin, histrelin, bicalutamide, flutamide and/or nilutamide), and/or hormones (including estrogen).
Unless stated otherwise, in any of the fifth to thirteenth aspects of the invention, the subject may be any human or other animal. Typically, the subject is a mammal, more typically a human or a domesticated mammal such as a cow, pig, lamb, sheep, goat, horse, cat, dog, rabbit, mouse etc. Most typically, the subject is a human.
Any of the medicaments employed in the present invention can be administered by oral, parenteral (including intravenous, subcutaneous, intramuscular, intradermal, intratracheal, intraperitoneal, intraarticular, intracranial and epidural), airway (aerosol), rectal, vaginal, ocular or topical (including transdermal, buccal, mucosal, sublingual and topical ocular) administration.
Typically, the mode of administration selected is that most appropriate to the disorder, disease or condition to be treated or prevented. Where one or more further active agents are administered, the mode of administration may be the same as or different to the mode of administration of the compound, salt, solvate, prodrug or pharmaceutical composition of the invention.
For oral administration, the compounds, salts, solvates or prodrugs of the present invention will generally be provided in the form of tablets, capsules, hard or soft gelatine capsules, caplets, troches or lozenges, as a powder or granules, or as an aqueous solution, suspension or dispersion.
Tablets for oral use may include the active ingredient mixed with pharmaceutically acceptable excipients such as inert diluents, disintegrating agents, binding agents, lubricating agents, sweetening agents, flavouring agents, colouring agents and preservatives. Suitable inert diluents include sodium and calcium carbonate, sodium and calcium phosphate, and lactose. Corn starch and alginic acid are suitable disintegrating agents. Binding agents may include starch and gelatine. The lubricating agent, if present, may be magnesium stearate, stearic acid or talc. If desired, the tablets may be coated with a material, such as glyceryl monostearate or glyceryl distearate, to delay absorption in the gastrointestinal tract. Tablets may also be effervescent and/or dissolving tablets.
Capsules for oral use include hard gelatine capsules in which the active ingredient is mixed with a solid diluent, and soft gelatine capsules wherein the active ingredient is mixed with water or an oil such as peanut oil, liquid paraffin or olive oil.
Powders or granules for oral use may be provided in sachets or tubs. Aqueous solutions, suspensions or dispersions may be prepared by the addition of water to powders, granules or tablets. Any form suitable for oral administration may optionally include sweetening agents such as sugar, flavouring agents, colouring agents and/or preservatives.
Formulations for rectal administration may be presented as a suppository with a suitable base comprising, for example, cocoa butter or a salicylate.
Formulations suitable for vaginal administration may be presented as pessaries, tampons, creams, gels, pastes, foams or spray formulations containing in addition to the active ingredient such carriers as are known in the art to be appropriate. For parenteral use, the compounds, salts, solvates or prodrugs of the present invention will generally be provided in a sterile aqueous solution or suspension, buffered to an appropriate pH and isotonicity. Suitable aqueous vehicles include Ringer's solution and isotonic sodium chloride or glucose. Aqueous suspensions according to the invention may include suspending agents such as cellulose derivatives, sodium alginate, polyvinylpyrrolidone and gum tragacanth, and a wetting agent such as lecithin. Suitable
preservatives for aqueous suspensions include ethyl and n-propyl p-hydroxybenzoate. The compounds of the invention may also be presented as liposome formulations.
For ocular administration, the compounds, salts, solvates or prodrugs of the invention will generally be provided in a form suitable for topical administration, e.g. as eye drops. Suitable forms may include ophthalmic solutions, gel-forming solutions, sterile powders for reconstitution, ophthalmic suspensions, ophthalmic ointments, ophthalmic emulsions, ophthalmic gels and ocular inserts. Alternatively, the compounds, salts, solvates or prodrugs of the invention may be provided in a form suitable for other types of ocular administration, for example as intraocular
preparations (including as irrigating solutions, as intraocular, intravitreal or juxtascleral injection formulations, or as intravitreal implants), as packs or corneal shields, as intracameral, subconjunctival or retrobulbar injection formulations, or as iontophoresis formulations.
For transdermal and other topical administration, the compounds, salts, solvates or prodrugs of the invention will generally be provided in the form of ointments, cataplasms (poultices), pastes, powders, dressings, creams, plasters or patches. Suitable suspensions and solutions can be used in inhalers for airway (aerosol) administration.
The dose of the compounds, salts, solvates or prodrugs of the present invention will, of course, vary with the disorder, disease or condition to be treated or prevented. In general, a suitable dose will be in the range of 0.01 to 500 mg per kilogram body weight of the recipient per day. The desired dose may be presented at an appropriate interval such as once every other day, once a day, twice a day, three times a day or four times a day. The desired dose may be administered in unit dosage form, for example, containing 1 mg to 50 g of active ingredient per unit dosage form.
For the avoidance of doubt, insofar as is practicable any embodiment of a given aspect of the present invention may occur in combination with any other embodiment of the same aspect of the present invention. In addition, insofar as is practicable it is to be understood that any preferred, typical or optional embodiment of any aspect of the present invention should also be considered as a preferred, typical or optional embodiment of any other aspect of the present invention.
By way of example, combinations of aspects and embodiments that are typical of the present invention include the following. In a first combination, a compound of the first aspect of the invention is provided wherein R2 is a cyclic group substituted at the a and a' positions, wherein R2 may optionally be further substituted. Typically in such a combination, the imidazolyl group of R1 is substituted with one or more monovalent substituents. In a second combination, a compound of the first aspect of the invention is provided wherein R1 is an imidazol-2-yl group, an imidazol-4-yl group or an imidazol-5-yl group, wherein the imidazolyl group is unsubstituted or substituted with one or more monovalent substituents, and R2 is a cyclic group substituted at the a and a' positions, wherein R2 may optionally be further substituted. Typically in such a combination, the imidazolyl group of R1 is substituted with one or more monovalent substituents.
In a third combination, a compound of the first aspect of the invention is provided wherein R1 is an imidazol-4-yl group or an imidazol-5-yl group, wherein the imidazolyl group is substituted with one or more acyclic monovalent substituents.
In a fourth combination, a compound of the first aspect of the invention is provided wherein R1 is an imidazol-4-yl group or an imidazol-5-yl group, wherein the imidazolyl group is substituted with one or more monovalent substituents, and wherein each monovalent substituent is independently selected from a saturated hydrocarbyl group, wherein the saturated hydrocarbyl group may be straight-chained or branched, or be or include cyclic groups, wherein the saturated hydrocarbyl group may optionally be substituted with one or more groups selected from halo, -CN, -OH, -NH2 and oxo (=0), and wherein the saturated hydrocarbyl group may optionally include one or two heteroatoms N or O in its carbon skeleton.
A fifth combination provides a compound of the first or second aspect of the invention, or a pharmaceutically acceptable salt, solvate or prodrug of the third aspect of the invention, or a pharmaceutical composition of the fourth aspect of the invention, wherein R1 is an imidazol-4-yl group or an imidazol-5-yl group, wherein the imidazolyl group is unsubstituted or substituted with one or more monovalent substituents, for
use in medicine. Typically in such a combination, the imidazolyl group of R1 is substituted with one or more monovalent substituents.
A sixth combination provides a compound of the first or second aspect of the invention, or a pharmaceutically acceptable salt, solvate or prodrug of the third aspect of the invention, or a pharmaceutical composition of the fourth aspect of the invention, wherein the imidazolyl group of R1 is substituted with two or three monovalent substituents, for use in medicine.
A sixth combination provides a compound of the first or second aspect of the invention, or a pharmaceutically acceptable salt, solvate or prodrug of the third aspect of the invention, or a pharmaceutical composition of the fourth aspect of the invention, for use in the treatment or prevention of a disease, disorder or condition, wherein the disease, disorder or condition is selected from:
(i) inflammation;
(ii) an auto-immune disease;
(iii) cancer;
(iv) a metabolic disease;
(v) a cardiovascular disease;
(vi) a respiratory disease;
(vii) a non-infectious liver disease;
(viii) a renal disease;
(ix) an ocular disease;
(x) a skin disease;
(xi) a psychological disorder;
(xii) a lymphatic condition; and/or
(xiii) any disease, disorder or condition in which an individual has been determined to carry a germline or somatic non-silent mutation in NLRP3.
Typically in such a combination, the imidazolyl group of R1 is substituted with one more monovalent substituents.
A seventh combination provides a compound of the first or second aspect of the invention, or a pharmaceutically acceptable salt, solvate or prodrug of the third aspect of the invention, or a pharmaceutical composition of the fourth aspect of the invention, wherein R1 is an imidazol-2-yl group, an imidazol-4-yl group or an imidazol-5-yl group, wherein the imidazolyl group is unsubstituted or substituted with one or more
monovalent substituents, for use in the treatment or prevention of a disease, disorder or condition, wherein the disease, disorder or condition is selected from:
(i) inflammation;
(ii) an auto-immune disease;
(iii) cancer;
(iv) a metabolic disease;
(v) a cardiovascular disease;
(vi) a respiratory disease;
(vii) a non-infectious liver disease;
(viii) a renal disease;
(ix) an ocular disease;
(x) a skin disease;
(xi) a psychological disorder;
(xii) a lymphatic condition; and/or
(xiii) any disease, disorder or condition in which an individual has been determined to carry a germline or somatic non-silent mutation in NLRP3. Typically in such a combination, the imidazolyl group of R1 is substituted with one or more monovalent substituents. Typically, in any of the above exemplary combinations, Q is O.
Typically, in any of the above exemplary combinations, R1 contains from 6 to 20 atoms other than hydrogen or halogen. Typically, in any of the above exemplary combinations, R2 is an aryl or a heteroaryl group, wherein the aryl or the heteroaryl group is substituted at the a and a' positions, and wherein R2 may optionally be further substituted. Typically, each substituent at the a and a' positions comprises a carbon atom. Typically in any of the above exemplary combinations, R2 contains from 9 to 20 atoms other than hydrogen or halogen.
As will be appreciated the above combinations are exemplary only and other combinations of aspects and embodiments, including combinations of the above combinations, may readily be envisaged.
Examples - compound synthesis
All solvents, reagents and compounds were purchased and used without further purification unless stated otherwise. Abbreviations
2-MeTHF 2-methyltetrahydrofuran
Ac20 acetic anhydride
AcOH acetic acid
aq aqueous
Boc ferf-butyloxycarbonyl
br broad
Cbz carboxybenzyl
CDI 1,1-carbonyl-diimidazole
cone concentrated
d doublet
DABCO i,4-diazabicyclo[2.2.2]octane
DCE 1,2-dichloroethane, also called ethylene dichloride
DCM dichloromethane
DIPEA Λ ,Λ -diisopropylethylamine, also called Hunig's base
DMA dimethylacetamide
DMAP 4-dimethylaminopyridine, also called iV,iV-dimethylpyridin-4-amine
DME dimethoxyethane
DMF Λ ,ΛΓ-dimethylformamide
DMSO dimethyl sulfoxide
eq or equiv equivalent
(ES+) electrospray ionization, positive mode
Et ethyl
EtOAc ethyl acetate
EtOH ethanol
h hour(s)
HATU i-[bis(dimethylamino)methylene]-iH-i,2,3-triazolo[4,5-b]pyridinium 3- oxid hexafluorophosphate
HPLC high performance liquid chromatography
LC liquid chromatography
m multiplet
m-CPBA 3-chloroperoxybenzoic acid
Me methyl
MeCN acetonitrile
MeOH methanol
(M+H)+ protonated molecular ion
MHz megahertz
min minute(s)
MS mass spectrometry
Ms mesyl, also called methanesulfonyl
MsCl mesyl chloride, also called methanesulfonyl chloride
MTBE methyl ferf-butyl ether, also called ferf -butyl methyl ether m/z mass-to-charge ratio
NaOlBu sodium ferf-butoxide
NBS i-bromopyrrolidine-2,5-dione, also called iV-bromosuccinimide
NCS i-chloropyrrolidine-2,5-dione, also called iV-chlorosuccinimide NMP N-methylpyrrolidine
NMR nuclear magnetic resonance (spectroscopy)
Pd(dba)3 tris(dibenzylideneacetone) dipalladium(o)
Pd(dppf)Cl2 [i,i'-bis(diphenylphosphino)ferrocene] dichloropalladium(II)
PE petroleum ether
Ph phenyl
PMB p-methoxybenzyl, also called 4-methoxybenzyl
prep-HPLC preparative high performance liquid chromatography prep-TLC preparative thin layer chromatography
PTSA p-toluenesulfonic acid
q quartet
RP reversed phase
RT room temperature
s singlet
Sept septuplet
sat saturated
SCX solid supported cation exchange (resin)
t triplet
T3P propylphosphonic anhydride
TBME ferf-butyl methyl ether, also called methyl ferf-butyl ether TEA triethylamine
TFA 2,2,2-trifluoroacetic acid
THF tetrahydrofuran
TLC thin layer chromatography
wt % weight percent or percent by weight Experimental Methods
Nuclear magnetic resonance
NMR spectra were recorded at 300, 400 or 500 MHz. Spectra were measured at 298 K, unless indicated otherwise, and were referenced relative to the solvent resonance. The chemical shifts are reported in parts per million. Spectra were recorded using one of the following machines:
a Bruker Avance III spectrometer at 400 MHz fitted with a BBO 5mm liquid probe, a Bruker 400 MHz spectrometers using ICON-NMR, under TopSpin program control,
a Bruker Avance III HD spectrometer at 500 MHz, equipped with a Bruker 5mm SmartProbe™,
an Agilent VNMRS 300 instrument fitted with a 7.05 Tesla magnet from Oxford instruments, indirect detection probe and direct drive console including PFG module, or
an Agilent MercuryPlus 300 instrument fitted with a 7.05 Tesla magnet from Oxford instruments, 4 nuclei auto-switchable probe and Mercury plus console.
LC-MS
LC-MS Methods: Using SHIMADZU LCMS-2020, Agilent 1200 LC/G1956A MSD and Agilent i200\G6noA, Agilent 1200 LC & Agilent 6110 MSD. Mobile Phase: A: 0.025% ΝΗ3·Η20 in water (v/v); B: acetonitrile. Column: Kinetex EVO C18 2.1X30 mm, 5μηι. Reversed Phase HPLC Conditions for the LCMS Analytical Methods
Methods la and lb: Waters Xselect CSH C18 XP column (4.6 x 30 mm, 2.5 μηι) at 40°C; flow rate 2.5-4.5 mL min 1 eluted with a H20-MeCN gradient containing either 0.1% v/v formic acid (Method la) or 10 mM NH4HC03 in water (Method lb) over 4 min employing UV detection at 254 nm. Gradient information: 0-3.00 min, ramped from 95 % water-5 % acetonitrile to 5 % water-95 % acetonitrile; 3.00-3.01 min, held at
5 % water-95 % acetonitrile, flow rate increased to 4.5 mL min 1; 3.01-3.50 min, held at 5 % water-95 % acetonitrile; 3.50-3.60 min, returned to 95 % water-5 % acetonitrile, flow rate reduced to 3.50 mL min 1; 3.60-3.90 min, held at 95 % water-5 % acetonitrile; 3.90-4.00 min, held at 95 % water-5 % acetonitrile, flow rate reduced to 2.5 mL min 1.
Method lc: Agilent 1290 series with UV detector and HP 6130 MSD mass detector using Waters XBridge BEH C18 XP column (2.1 x 50 mm, 2.5 μηι) at 35°C; flow rate 0.6 mL/min; mobile phase A: ammonium acetate (10 mM); water/MeOH/acetonitrile (900:60:40); mobile phase B: ammonium acetate (10 mM); water/MeOH/acetonitrile (100:540:360); over 4 min employing UV detection at 215 and 238 nm. Gradient information: 0-0.5 min, held at 80 % A-20 % B; 0.5-2.0 min, ramped from 80 % A-20 % B to 100 % B.
Reversed Phase HPLC Conditions for the UPLC Analytical Methods
Methods 2a and 2b: Waters BEH C18 (2.1 x 30 mm, 1.7 μηι) at 40°C; flow rate 0.77 mL min 1 eluted with a H20-MeCN gradient containing either 0.1% v/v formic acid (Method 2a) or 10 mM NH4HC03 in water (Method 2b) over 3 min employing UV detection at 254 nm. Gradient information: 0-0.11 min, held at 95 % water-5 % acetonitrile, flow rate 0.77 mL min 1; 0.11-2.15 min, ramped from 95 % water-5 % acetonitrile to 5 % water-95 % acetonitrile; 2.15-2.49 min, held at 5 % water-95 % acetonitrile, flow rate 0.77 mL min 1; 2.49-2.56 min, returned to 95 % water-5 % acetonitrile; 2.56-3.00 min, held at 95 % water-5 % acetonitrile, flow rate reduced to 0.77 mL min 1.
Preparative Reversed Phase HPLC General Methods
Method 1 (acidic preparation): Waters X-Select CSH column C18, 5 μηι (19 x 50 mm), flow rate 28 mL min 1 eluting with a H20-MeCN gradient containing 0.1% v/v formic acid over 6.5 min using UV detection at 254 nm. Gradient information: 0.0-0.2 min, 20% MeCN; 0.2-5.5 min, ramped from 20% MeCN to 40% MeCN; 5.5-5.6 min, ramped from 40% MeCN to 95% MeCN; 5.6-6.5 min, held at 95% MeCN.
Method 2 (basic preparation): Waters X-Bridge Prep column C18, 5 μηι (19 x 50 mm), flow rate 28 mL min 1 eluting with a 10 mM NH4HC03-MeCN gradient over 6.5 min using UV detection at 254 nm. Gradient information: 0.0-0.2 min, 10% MeCN;
0.2-5.5 min, ramped from 10% MeCN to 40% MeCN; 5.5-5.6 min, ramped from 40% MeCN to 95% MeCN; 5.6-6.5 min, held at 95% MeCN.
Method 3: Phenomenex Gemini column, ιομηι (150 x 25 mm), flow rate = 25 mL/min eluting with a water-acetonitrile gradient containing 0.04% NH3 at pH 10 over 9 minutes using UV detection at 220 and 254 nm. Gradient information: 0-9 minutes, ramped from 8% to 35% acetonitrile; 9-9.2 minutes, ramped from 35% to 100% acetonitrile; 9.2-15.2 minutes, held at 100% acetonitrile.
Method 4: Revelis C18 reversed-phase 12 g cartridge [carbon loading 18%; surface area 568 m2/g; pore diameter 65 Angstrom; pH (5% slurry) 5.1; average particle size 40 μηι], flow rate = 30 mL/min eluting with a water-methanol gradient over 35 minutes using UV detection at 215, 235, 254 and 280 nm. Gradient information: 0-5 minutes, held at 0% methanol; 5-30 minutes, ramped from 0% to 70% methanol; 30-30.1 minutes, ramped from 70% to 100% methanol; 30.1-35 minutes, held at 100% methanol.
Synthesis of Intermediates
Intermediate Pi; (R)-i-(2-Hydroxypropyl)-iH-imidazole-4-sulfonamide
A solution of iH-imidazole-4-sulfonyl chloride (2.5 g, 15.01 mmol) in DCM (lomL) was added slowly to a solution of bis(4-methoxybenzyl)amine (4 g, 15.54 mmol) and Et3N (4.5 mL, 32.3 mmol) in DCM (somL) cooled in an ice bath. The mixture was stirred for 30 minutes, warmed to room temperature and stirred for 2 hours. The DCM was removed under pressure and replaced with dioxane (50 mL) and the mixture heated under reflux for 48 hours, cooled, and then partitioned between EtOAc (200 mL) and water (200 mL). The organic layer was dried (MgS04), filtered and evaporated to give an oil that was purified by chromatography on silica gel (120 g column, 0-100% EtOAc/isohexane). The product was triturated in TBME/EtOAc, filtered and dried to afford the title compound (2.864 g, 48 %) as a solid.
- 8θ -
Ή NMR (CDCI3) δ 7-92 (d, J=i.3Hz, lH), 7.52 (d, J=i.3Hz, lH), 7.06-7.02 (m, 4H), 6.79-6.75 (m, 4H), 4.30 (s, 4H), 3.77 (s, 6H). Exchangeable proton not visible.
LCMS; m/z 388 (M+H)+ (ES+); 386 (M-H)- (ES ). Step B: (R)-i-(2-Hydroxypropyl)-N,N-bis(4-methoxybenzyl)-iH-imidazole- 4-sulfonamide
A mixture of N,N-bis(4-methoxybenzyl)-iH-imidazole-4-sulfonamide (500 mg, 1.29 mmol), (R)-2-methyloxirane (0.18 ml, 2.57 mmol) and K2C03 (535 mg, 3.87 mmol) in acetonitrile (10 mL) was stirred at 60 °C overnight. Upon cooling to room temperature, the reaction mixture was diluted with H20 (20 mL) and extracted with EtOAc (3 x 50 mL). The combined organic extracts were washed with brine (30 mL), passed through a phase separator, and concentrated in vacuo. The residue was loaded onto silica and purified by chromatography on silica gel (40 g column, 0-100% EtOAc/isohexane) to afford the title compound (468 mg, 68 %) as a clear colourless oil.
Ή NMR (DMSO-de) δ 7-82 (d, J = 1.3 Hz, lH), 7.81 (d, J = 1.3 Hz, lH), 7.03 (d, J = 8.6 Hz, 4H), 6.80 (d, J = 8.6 Hz, 4H), 4.18 (s, 4H), 4-06-4.00 (m, 2H), 3·95"3·86 (m, 2H), 3.71 (s, 6H), 1.04 (d, J = 5-9 Hz, 3H).
LCMS; m/z 446.4 (M+H)+ (ES+).
Step C: (R)-i-(2-Hydroxypropyl)-iH-imidazole-4-sulfonamide
A mixture of (R)-i-(2-hydroxypropyl)-N,N-bis(4-methoxybenzyl)-iH-imidazole-4- sulfonamide (460 mg, 0.857 mmol) and TFA (5.5 mL) was stirred at room temperature for 2 days. The reaction mixture was concentrated in vacuo and the residue loaded onto silica and purified by chromatography on silica gel (12 g column, 0-10% MeOH/DCM) to afford a clear colourless oil, which was further purified by prep-HPLC to afford the title compound (123 mg, 68 %) as a clear colourless oil.
- 8l -
Ή NMR (DMSO-de) δ 7.71 (d, J = 1.3 Hz, lH), 7.59 (d, J = 1.3 Hz, lH), 7.12 (s, 2H), 5.00 (d, J = 4.1 Hz, lH), 4.07-3.96 (m, lH), 3·93"3·79 (m, 2H), 1.03 (d, J = 6.0 Hz, 3H). LCMS; m/z 206.2 (M+H)+ (ES+). Intermediate P2: (S)-i-(2-Hydroxypropyl)-iH-imidazole-4-sulfonamide
Step A: (S)-i-(2-Hydroxypropyl)-N,N-bis(4-methoxybenzyl)-iH-imidazole- 4-sulfonamide
Prepared according to the general procedure of (R)-i-(2-hydroxypropyl)-N,N-bis(4- methoxybenzyl)-iH-imidazole-4-sulfonamide (Intermediate Pi, Step B) from N,N- bis(4-methoxybenzyl)-iH-imidazole-4-sulfonamide (Intermediate Pi, Step A) and (S)-2-methyloxirane to afford the title compound (160 mg, 37 %) as a clear colourless oil.
Ή NMR (DMSO-de) δ 7.81 (d, J = 1.2 Hz, lH), 7.80 (d, J = 1.2 Hz, lH), 7.02 (d, J = 8.7 Hz, 4H), 6.80 (d, J = 8.7 Hz, 4H), 5.04 (d, J = 4-6 Hz, lH), 4.18 (s, 4H), 4.06-3.99 (m, lH), 3·97-3·84 (m, 2H), 3.71 (s, 6H), 1.04 (d, J = 5-9 Hz, 3H).
LCMS; m/z 446.2 (M+H)+ (ES+). Step B: (S)-i-(2-Hydroxypropyl)-iH-imidazole-4-sulfonamide
Prepared according to the general procedure of (R)-i-(2-hydroxypropyl)-iH-imidazole- 4-sulfonamide (Intermediate Pi, Step C) from (S)-i-(2-hydroxypropyl)-N,N-bis(4- methoxybenzyl)-iH-imidazole-4-sulfonamide to afford the title compound (56 mg, 70 %) as a clear colourless oil.
Ή NMR (DMSO-de) δ 7.71 (d, J = 1.3 Hz, lH), 7.59 (d, J = 1.3 Hz, lH), 7.11 (s, 2H), 5.00 (d, J = 4.6 Hz, lH), 4.04-3.95 (m, lH), 3.92-3.80 (m, 2H), 1.03 (d, J = 6.0 Hz, 3H). LCMS; m/z 206.2 (M+H)+ (ES+).
Intermediate P¾: i-(2-(Dimethylamino)ethyl)-iH-imidazole-4-sulfonamide
A solution of iH-imidazole-4-sulfonyl chloride (2.5 g, 15.01 mmol) in DCM (10 mL) was added slowly to a solution of bis(4-methoxybenzyl)amine (4 g, 15.54 mmol) and Et3N (4.5 mL, 32.3 mmol) in DCM (50 mL) cooled in an ice bath. The mixture was stirred for 30 minutes, warmed to room temperature and stirred for 2 hours. The DCM was removed under pressure and replaced with dioxane (50 mL). Then the reaction mixture was heated under reflux for 48 hours, cooled and partitioned between EtOAc (200mL) and water (200mL). The organic layer was dried (MgS04), filtered and evaporated to give an oil that was purified by chromatography on silica gel (120 g column, 0-100% EtOAc/isohexane). The product was triturated in TBME/EtOAc, filtered and dried to afford the title compound (2.864 g, 48 %) as a solid.
Ή NMR (CDCI3) δ 7-92 (d, J=i.3Hz, lH), 7.52 (d, J=i.3Hz, lH), 7.06-7.02 (m, 4H), 6.79-6.75 (m, 4H), 4.30 (s, 4H), 3.77 (s, 6H). Exchangeable proton not visible.
LCMS; m/z 388 (M+H)+ (ES+); 386 (M-H)- (ES ). Step B: i-(2-Hydroxyethyl)-N,N-bis(4-methoxybenzyl)-iH-imidazole-4- sulfonamide
A mixture of N,N-bis(4-methoxybenzyl)-iH-imidazole-4-sulfonamide (1 g, 2.58 mmol), oxirane (2.5 M in THF) (2 mL, 5.00 mmol) and K2C03 (1.07 g, 7.74 mmol) in acetonitrile (20 mL) was stirred at 50 °C for 3 days. Upon cooling to room temperature, the reaction mixture was diluted with H20 (40 mL) and extracted with EtOAc (3 x 80 mL). The combined organic extracts were washed with brine (50 mL), passed through a phase separator and the solvent was removed in vacuo. The residue was loaded onto silica and purified by chromatography on silica gel (40 g column, 0-100%
EtOAc/isohexane, eluting at 100%) to afford the title compound (679 mg, 61 %) as a clear colourless solid.
Ή NMR (DMSO-de) δ 7-85 (d, J = 1.3 Hz, lH), 7.84 (d, J = 1.3 Hz, lH), 7.03 (d, J = 8.7 Hz, 4H), 6.80 (d, J = 8.7 Hz, 4H), 5.04 (t, J = 5-1 Hz, lH), 4.18 (s, 4H), 4.08 (t, J = 5.3 Hz, 2H), 3.71 (s, 6H), 3.70-3.66 (m, 2H).
LCMS; m/z 432.4 (M+H)+ (ES+).
Step C: i-(2-(Dimethylamino)ethyl)-N,N-bis(4-methoxybenzyl)-iH- imidazole-4-sulfonamide
To a solution of i-(2-hydroxyethyl)-N,N-bis(4-methoxybenzyl)-iH-imidazole-4- sulfonamide (675 mg, 1.564 mmol) in DCM (8 mL) at o °C was added DIPEA (0.41 mL, 2.348 mmol) and methanesulfonyl chloride (0.16 mL, 2.053 mmol). The reaction mixture was warmed to room temperature and stirred for 2 hours before being quenched by addition of aqueous NaHC03 (10 mL). The reaction mixture was extracted twice with DCM (15 mL) and the combined organic extracts were passed through a phase separator and concentrated in vacuo. The orange residue was dissolved in THF (8 mL), dimethylamine (2M in THF) (2.4 mL, 4.80 mmol) and potassium iodide (130 mg, 0.782 mmol) were added, and the reaction mixture was heated to 60 °C and stirred overnight. Additional dimethylamine (2M in THF) (2.4 mL, 4.80 mmol) was added and stirring was continued overnight. The reaction mixture was diluted with aqueous NaHC03 (20 mL) and extracted with EtOAc (3 x 40 mL). The combined organic extracts were passed through a phase separator and the solvent was removed in vacuo. The residue was dissolved in MeOH (30 mL), SCX (-12 g) was added and the suspension was stirred at room temperature for 30 minutes. The mixture was transferred into a cartridge, sequentially washed with DCM/MeOH (9:1) and MeOH, and the product was eluted with 0.7 M NH3 in MeOH to afford the title compound (585 mg, 73 %) as a yellow oil.
Ή NMR (DMSO-de) δ 7-87 (s, 2H), 7.02 (d, J = 8.7 Hz, 4H), 6.79 (d, J = 8.7 Hz, 4H), 4·ΐ8 (s, 4H), 4-12 (t, J = 6.2 Hz, 2H), 3.71 (s, 6H), 2.58 (t, J = 6.2 Hz, 2H), 2.18 (s, 6H). LCMS; m/z 459.0 (M+H)+ (ES+).
Step D: i-(2-(Dimethylamino)ethyl)-iH-imidazole-4-sulfonamide
A mixture of i-(2-(dimethylamino)ethyl)-N,N-bis(4-methoxybenzyl)-iH-imidazole-4- sulfonamide (585 mg, 1.135 mmol) and TFA (4 mL, 62.8 mmol) was stirred at room temperature overnight. The mixture was evaporated and the residue was dissolved in MeOH (30 mL) and DCM (10 mL). SCX (~8 g) was added and the mixture was stirred for 30 minutes at room temperature, transferred to a cartridge and the solid washed sequentially with DCM:MeOH (9:1) and MeOH. The product was eluted with 0.7 M NH3 in MeOH to give crude product, which was further purified by chromatography on silica gel (24 g column, 0-10% (0.7 M ammonia/MeOH/DCM) to afford the title compound (180 mg, 72 %) as a pale yellow oil.
Ή NMR (DMSO-de) δ 7-77 (d, J = 1.4 Hz, lH), 7.66 (d, J = 1.3 Hz, lH), 7.11 (s, 2H), 4.09 (t, J = 6.1 Hz, 2H), 2.56 (t, J = 6.1 Hz, 2H), 2.17 (s, 6H).
LCMS; m/z 219.3 (M+H)+ (ES+).
Intermediate P4: (4-(Dimethylamino)pyridin-i-ium-i-carbonyl)((i- isopropyl-ili-imidazol-4-yl)suLfonyl)amide
A solution of i-z'so-propyl-iH-imidazole-4-sulfonamide (161 mg, 0.851 mmol) in acetonitrile (1 mL) was treated with iV,iV-dimethylpyridin-4-amine (208 mg, 1.702 mmol) and the reaction mixture was stirred at room temperature until sulfonamide had dissolved. Then diphenyl carbonate (200 mg, 0.936 mmol) was added and the reaction mixture was left for 16 hours at room temperature. The resulting precipitate was separated by filtration, washed with methyl ferf-butylether and dried to afford the title compound (186 mg, 65 %) as a white solid which was used without further purification.
Intermediate P5: 2-((Dimethylamino)methyl)-i-methyl-iH-imidazole-4- sulfonamide, and
Intermediate P6: 5-((Dimethylamino)methyl)-i-methyl-iH-imidazole-4- sulfonamide
Step A: N,N-Bis(4-methoxybenzyl)-i-methyl-iH-imidazole-4-sulfonamide
i-Methyl-iH-imidazole-4-sulfonyl chloride (4 g, 22.15 mmol) was added portionwise to a solution of bis(4-methoxybenzyl) amine (5.98 g, 23.25 mmol) and triethylamine (6.17 ml, 44.3 mmol) in DCM (100 mL) cooled in an ice bath. The mixture was stirred for 30 minutes, warmed to room temperature and stirred for 16 hours. The mixture was washed with water (2 x 50 mL), aq 1 M HCl (50 mL), water (50 mL), and brine (50 mL), then dried over MgS04, filtered and evaporated to dryness to give crude product as a cream coloured solid. The crude product was dissolved in a minimum amount of DCM to load, then purified by column chromatography on silica gel (220 g column, 0-80% EtOAc/isohexane) to afford the title compound (5.1 g, 55 %) as a white solid.
Ή NMR (DMSO-de) δ 7-87 - 7-78 (m, 2H), 7.09 - 6.99 (m, 4H), 6.91 - 6.73 (m, 4H), 4-19 (s, 4H), 3-72 (s, 6H), 3.33 (s, 3H).
LCMS; m/z 402.3 (M+H)+ (ES+).
Step B: 2-((Dimethylamino)methyl)-N,N-bis(4-methoxybenzyl)-i-methyl- iH-imidazole-4-sulfonamide and 5-((dimethylamino)methyl)-N,N-bis(4- methoxybenzyl)-i-methyl-iH-imidazole-4-sulfonamide
A solution of n-BuLi (2.5M in hexanes) (1.046 mL, 2.62 mmol) was added dropwise to a stirred solution of N,N-bis(4-methoxybenzyl)-i-methyl-iH-imidazole-4-sulfonamide (1 g, 2.491 mmol) in THF (14 mL) at -78 °C. The reaction was stirred for 1 hour and then N-methyl-N-methylenemethanaminium iodide (0.922 g, 4.98 mmol) was added. The reaction mixture was left at -78 °C for 1 hour. The reaction was quenched with water (20 mL) and extracted with EtOAc (2 x 20 mL). The combined organic layers were dried over MgS04, filtered and concentrated to dryness. The crude product was purified by chromatography on silica gel (24 g column, 0-5% MeOH/DCM) to afford an
inseparable 85:15 mixture of 2-((dimethylamino)methyl)-N,N-bis(4-methoxybenzyl)-i- methyl-iH-imidazole-4-sulfonamide and 5-((dimethylamino)methyl)-N,N-bis(4- methoxybenzyl)-i-methyl-iH-imidazole-4-sulfonamide (374 mg, 27.8 %) as a yellow oil.
Ή NMR (major product) (DMSO-d6) δ 7.83 (s, lH), 7.05 - 6.98 (m, 4H), 6.83 - 6.74 (m, 4H), 4.24 (s, 4H), 3-71 (s, 6H), 3.70 (s, 3H), 3.68 (s, 2H), 2.16 (s, 6H).
m/z 459.4 (M+H)+ (ES+).
Step C: 2-((Dimethylamino)methyl)-i-methyl-iH-imidazole-4-sulfonamide -((dimethylamino)methyl)-i-methyl-iH-imidazole-4-sulfonamide
A 85:15 mixture of 2-((dimethylamino)methyl)-N,N-bis(4-methoxybenzyl)-i-methyl- iH-imidazole-4-sulfonamide and 5-((dimethylamino)methyl)-N,N-bis(4- methoxybenzyl)-i-methyl-iH-imidazole-4-sulfonamide (552 mg, 1.204 mmol) was dissolved in TFA (5 ml, 1.204 mmol) and stirred overnight. Additional TFA (2 mL) was added and stirred for a further 24 hours at room temperature. The mixture was concentrated in vacuo and the residue was suspended in a mixture of MeOH (50 mL) and DCM (10 mL). SCX (3 eq.) was added and the suspension was stirred at room temperature for 1 hour. The SCX was filtered and washed with MeOH (50 mL) and the product was then eluted with 0.7 % ammonia in MeOH (50 mL). After concentration in vacuo, a 85:15 mixture of 2-((dimethylamino)methyl)-i-methyl-iH-imidazole-4- sulfonamide and 5-((dimethylamino)methyl)-i-methyl-iH-imidazole-4-sulfonamide (222 mg, 84 %) was isolated as a pale yellow oil.
Ή NMR (major product) (DMSO-d6) δ 7.72 (s, lH), 7.10 (s, 2H), 3.66 (s, 3H), 3.65 (s, 2H), 2.15 (s, 6H).
Intermediate P7: 2-Isopropyl-i-methyl-iH-imidazole-5-sulfonamide, and Intermediate P8: 2-Isopropyl-i-methyl-iH-imidazole-4-sulfonamide
Step A: 2-Isopropyl-i-methyl-iH-imidazole-5-sulfonyl chloride and 2- isopropyl-i-methyl-iH-imidazole-4-sulfonyl chloride
To chlorosulfonic acid (1.2 mL, 24.1 mmol) stirred in a microwave vial (20 mL) at room temperature was added i-methyl-2-(propan-2-yl)-iH-imidazole (1.0 g, 8.0 mmol). The microwave vial was sealed and heated in a sand bath at 150 °C for 3 hours. The reaction mixture was cooled to room temperature and then thionyl chloride (0.7 mL, 9.1 mmol) was added. The reaction mixture was heated at 100 °C overnight and then cooled to room temperature and poured into ice. The aqueous mixture was neutralised with sodium bicarbonate to pH 5, and then extracted with DCM. The organic layer was washed brine, dried over Na2S04, filtered and then concentrated in vacuo. The crude product was dissolved in DCM and then submitted for normal phase flash
chromatography on silica using heptane and EtOAc as eluent to afford 2-isopropyl-i- methyl-iH-imidazole-5-sulfonyl (157 mg, 9%) and 2-isopropyl-i-methyl-iH-imidazole- 4-sulfonyl chloride (130 mg, 7%).
NMR for 2-isopropyl-i-methyl-iH-imidazole-5-sulfonyl chloride:
Ή NMR (CDC13) δ 7·55 (s, 1 H), 3.70 (s, 3 H), 3.12 - 2.95 (m, 1 H), 1.37 (d, 6 H).
NMR for 2-isopropyl-i-methyl-iH-imidazole-4-sulfonyl chloride:
Ή NMR (CDCI3) δ 7-78 (s, lH), 3.88 (s, 3H), 3.18 - 2.96 (m, lH), 1.38 (d, 6H).
To a solution of 2-isopropyl-i-methyl-iH-imidazole-5-sulfonyl chloride
(Intermediates P7 & P8, Step A) (130 mg, 0.58 mmol) in DCM (5 mL) was added 7M NH3 in methanol (0.32 mL, 2.32 mmol). The reaction mixture was stirred at room temperature overnight and then concentrated in vacuo. The crude product was dissolved in methanol, coated on hydromatrix and then submitted for normal phase flash chromatography on silica using DCM and a mixture of 3.5 M NH3 in methanol as eluent to afford the title compound (41 mg, 34 %).
Ή NMR (DMSO-de) δ 7-62 (s, 2 H), 7.22 (s, 1 H), 3.71 (s, 3 H), 3-19 - 3-05 (m, 1 H), 1.21 (d, 6 H).
To a solution of 2-isopropyl-i-methyl-iH-imidazole-4-sulfonyl chloride
(Intermediates P7 & P8, Step A) (157 mg, 0.70 mmol) in DCM (7 mL) was added 7M NH3 in methanol (0.4 mL, 2.8 mmol). The reaction mixture was stirred at room temperature for 3 hours and then extra 7M NH3 in methanol (0.4 mL, 2.8 mmol) was added. The mixture was stirred for an additional 4hours and then concentrated in vacuo. The crude product was dissolved in methanol, coated on hydromatrix and then submitted for normal phase flash chromatography on silica using DCM and a mixture of 3.5 M NH3 in methanol as eluent to afford the title compound (85 mg, 59 %).
Ή NMR (DMSO-de) δ 7-50 (s, 1 H), 7.05 (s, 2 H), 3.62 (s, 3 H), 3.09 (p, 1 H), 1.21 (d, 6
H).
Intermediate PQ: i-Isopropyl-2-methyl-iH-imidazole-4-sulfonamide Step A: N,N-Bi -Methoxybenzyl)-2-methyl-iH-imidazole-4-sxilfonamide
2-Methyl-iH-imidazole-4-sulfonylchloride (1 g, 5.5 mmolj was suspended in DCM (30 mL) at room temperature. To this suspension was added bis(4-methoxybenzyl)amine (1.5 g, 6 mmol) and potassium tert-butoxide (0.25 g, 2 mmol). The reaction mixture was stirred for 18 hours at room temperature, washed with water and brine, dried
(Na2S04), filtered and evaporated. The residue was further purified over silica (using a gradient of methanol in DCM 0-5% as eluent) to afford the title compound as a brown oil (2.4 g, 100%).
Ή NMR (CDC13) δ 7-37 (s, lH), 7.07 (d, 4H), 6.76 (d, 4H), 4.30 (s, 4H), 3.80 (s, 6H), 2.43 (s, 3H).
Step B: i-Isopropyl-N,N-bis(4-methoxybenzyl)-2-methyl-iH-imidazole-4- sulfonamide
N,N-Bis(4-methoxybenzyl)-2-methyl-iH-imidazole-4-sulfonamide (250 mg, 0.63 mmol) was dissolved in DMF (10 mL). Potassium carbonate (500 mg, 3.6 mmol), followed by 2-iodopropane (0.42 g, 2.5 mmol) were added. The reaction mixture was stirred for 48 hours at room temperature and then diluted with DCM and washed with water and brine. The organic layer was dried (Na2S04), filtered and evaporated. The residue was purified over silica (using a gradient of methanol in DCM 0-5% as eluent) to afford the title compound (283 mg, 100 %).
Ή NMR (CDC13) δ 7-37 (s, lH), 7.10 (d, 4H), 6.76 (d, 4H), 4-32 (s, 4H), 3.78 (s, 6H), 2.43 (s, 3H)i.42 (d, 6H).
i-Isopropyl-N,N-bis(4-methoxybenzyl)-2-methyl-iH-imidazole-4-sulfonamide (0.28 g, 0.64 mmol) was dissolved in DCM (10 mL). Trifluoroacetic acid (10 mL) was added and the mixture was stirred for 18 hours at room temperature. The solvents were
evaporated and to the residue was added NH3 (7 M) in methanol. The solvents were evaporated and the residue was triturated with water, filtered and lyophilized. The residue was further purified over silica, using DCM and a mixture of 3.5 M NH3 in methanol as the eluent to afford the title compound as a white solid (60 mg, 46 %). Ή NMR (CDC13) δ 7-48 (s, lH), 5.03 (s, br, 2H), 4.32 (m, lH), 2.43 (s, 3H), 1.45 (d, 6H).
Intermediate P10: i-Ethyl-2-methyl-iH-imidazole-4-sulfonamide
Prepared as described for i-isopropyl-N,N-bis(4-methoxybenzyl)-2-methyl-iH- imidazole-4-sulfonamide (Intermediate P9, Step B), using N,N-bis(4- methoxybenzyl)-2-methyl-iH-imidazole-4-sulfonamide (Intermediate P9, Step A) (250 mg, 0.63 mmol) and ethyl iodide (390 mg, 2.5 mmol) to afford the title compound (280 mg, 100 %).
Ή NMR (CDC13) δ 7-32 (s, lH), 7.10 (d, 4H), 6.76 (d, 4H), 4.32 (s, 4H), 3.89 (q, 2H), 3.78 (s, 6H), 2.43 (s, 3H), 1.42 (t, 3H).
Prepared as described for i-isopropyl-2-methyl-iH-imidazole-4-sulfonamide
(Intermediate P9, Step C) using i-ethyl-N,N-bis(4-methoxybenzyl)-2-methyl-iH- imidazole-4-sulfonamide to afford the title compound (0.28 g, 14 %) as a white solid. Ή NMR (CD3OD) δ 7-75 (s, lH), 4.00 (q, 2H), 2.39 (s, 3H), 1.39 (t, 3H).
Intermediate P11: 2-Methyl-i-((tetrahydrofiiran-2-yl)methyl)-iH- imidazole-4-sulfonamide
Step A: N,N-Bis(4-methoxybenzyl)-2-methyl-i-((tetrahydrofuran-2- yl)methyl)-iH-imidazole-4-sulfonamide
Prepared as described for i-isopropyl-N,N-bis(4-methoxybenzyl)-2-methyl-iH- imidazole-4-sulfonamide (Intermediate P9, Step B), using N,N-bis(4- methoxybenzyl)-2-methyl-iH-imidazole-4-sulfonamide (Intermediate P9, Step A) (0.28 g, 0.64 mmol) and 3-bromomethylfuran (400 mg, 2.5 mmol) to afford the title compound (242 mg, 78 %) as a solid.
Ή NMR (CDC13) δ 7-45 (s, lH), 7.10 (d, 4H), 6.76 (d, 4H), 4.32 (s, 4H), 3-97 (dd, lH), 3.82 (m, 2H), 3.78 (s, 6H), 2.44 (s, 3H), 2.07 (m, lH), 1.89 (m, 2H), 1.61 (m, lH). Step B: 2-Methyl-i-((tetrahydrofuran-2-yl)methyl)-iH-imidazole-4- sulfonamide
Prepared as described for i-isopropyl-2-methyl-iH-imidazole-4-sulfonamide
(Intermediate P9, Step C) using N,N-bis(4-methoxybenzyl)-2-methyl-i- ((tetrahydrofuran-2-yl)methyl)-iH-imidazole-4-sulfonamide (0.2 g, 0.42 mmol) to afford the title compound (45 mg, 45 %) as a white solid.
Ή NMR (CD3OD): δ 7-5 (s, lH), 4.11 (m, 2H), 3.96 (dd, lH), 3.80 (m, 2H), 2.40 (s, 3H), 2.07 (m, lH), 1.89 (m, 2H), 1.61 (m, lH).
Intermediate P12: i-(2-Hydroxyethyl)-2-methyl-iH-imidazole-4- sulfonamide
Step A: i-(2-((tert-Butyldimethylsilyl)oxy)ethyl)-N,N-bis(4- methoxybenzyl)-2-methyl-iH-imidazole-4-sulfonamide
Prepared as described for i-isopropyl-N,N-bis(4-methoxybenzyl)-2-methyl-iH- imidazole-4-sulfonamide (Intermediate P9, Step B) using N,N-bis(4- methoxybenzyl)-2-methyl-iH-imidazole-4-sulfonamide (Intermediate P9, Step A) (0.28 g, 0.64 mmol) and (2-bromoethoxy)(tert-butyl)dimethylsilane (600 mg, 2.5 mmol) to afford the title compound (350 mg, 100 %).
Ή NMR (CDC13) δ 7·40 (s, lH), 7.10 (d, 4H), 6.76 (d, 4H), 4.29 (s, 4H), 3-97 (t, 2H), 3.86 (t, 2H), 3.78 (s, 6H), 2.45 (s, 3H), 0.84 (s, 9H), -0.03 (s, 6H).
i-(2-((tert-Butyldimethylsilyl)oxy)ethyl)-N,N-bis(4-methoxybenzyl)-2-methyl-iH- imidazole-4-sulfonamide (350 mg, 0.63 mmol) was dissolved in DCM (10 mL).
Tetrabutylammonium fluoride (0.60 g, 1.90 mmol) was added and the mixture was stirred overnight at room temperature. The DCM layer was washed with brine, dried, filtered and evaporated to afford the title compound, which was used as such for the next step.
Prepared as described for i-isopropyl-2-methyl-iH-imidazole-4-sulfonamide
(Intermediate P9, Step C) using i-(2-hydroxyethyl)-N,N-bis(4-methoxybenzyl)-2-
methyl-iH-imidazole-4-sulfonamide (0.28 g, 0.64 mmol) to afford the title compound
(340 mg, 100 %) as a solid, still containing inorganic salts.
Ή NMR (CD3OD) δ 7-59 (s, lH), 4-07 (t, 2H), 3.81 (t, 2H), 2.42 (s, 3H). Intermediate Ai: 4-Isocyanato-i, 2,3,5,6, 7-hexahydro-s-indacene
To a solution of phosgene (4.45 mL, 20 % weight in toluene, 8.4 mmol) in EtOAc (90 mL) was added dropwise a solution of i,2,3,5,6,7-hexahydro-s-indacen-4-amine (589 mg, 3.4 mmol) in EtOAc (45 mL) at ambient temperature. The resulting reaction mixture was then heated to reflux for 3 hours and upon cooling was filtered and concentrated in vacuo to afford the title compound as a brown oil (756 mg, 100 %). The crude product was used directly in the next step without further purification.
Ή NMR (CDCI3) δ 6.8 (s, 1 H), 2.89 (m, 8 H) and 2.09 (m, 4 H).
Intermediate A2: 2-Isocyanato-i,3-diisopropylbenzene
2,6-Diisopropylaniline (3.07 g, 17.14 mmol) was dissolved in dry THF (40 mL) and Et3N (3 mL, 21.52 mmol) was added. A solution of triphosgene (4.26 g, 14.35 mmol) in dry THF (12 mL) was added over 5 minutes, resulting in the formation of a thick colourless precipitate. The reaction mixture was stirred at room temperature overnight. The THF was removed in vacuo and toluene (50 mL) was added. The mixture was filtered through a short silica plug eluting with toluene (150 mL). The filtrate was concentrated in vacuo to afford the title compound (2.76 g, 92 %) as a colourless oil. Ή NMR (CDCI3) δ 7-20 - 7-10 (m, 3H), 3.22 (hept, J = 6.9 Hz, 2H), 1.26 (d, J = 6.8 Hz, 12H).
Intermediate A¾: 4-Fluoro-2-isopropyl-6-(2-methoxypyridin--l-yl)aniline
iV-Bromosuccinimide (5.64 g, 31.7 mmol) was added portionwise to 4-fluoro-2- isopropylaniline (4.62 g, 30.2 mmol) in DCM (72 mL) at o °C. The resulting mixture was stirred at o °C for 1 hour and then left to warm to room temperature over 21 hours. The reaction mixture was washed with a solution of aqueous sodium hydroxide (2 M, 2 x 50 mL), dried (MgS04), filtered and concentrated in vacuo to give a brown residue. The brown residue was put onto a plug of silica (50 g) and washed through with 50 % DCM in z'so-hexane (500 mL). The red filtrate was concentrated to dryness and the crude product was purified by chromatography on silica gel (120 g column, 0-10% DCM/zso-hexane) to afford the title compound (4.99 g, 70 %) as a red oil.
Ή NMR (CDC13) δ 7-07 (dd, 1 H), 6.86 (dd, 1 H), 4.14 (s, 2 H), 2.93 (sep, 1 H) and 1.25 (d, 6 H).
LCMS m/z 232.2/234.3 (M+H)+ (ES+). Step B: -Fluoro-2-isopropyl-6-(2-methoxypyridin-4-yl)aniline
(2-Methoxypyridin-4-yl)boronic acid (144 mg, 0.938 mmol) was added to a stirred, N2- degassed mixture of 2-bromo-4-fluoro-6-isopropylaniline (200 mg, 0.853 mmol), Pd(dppf)Cl2 (31.2 mg, 0.043 mmol) and potassium carbonate (354 mg, 2.56 mmol) in i,4-dioxane:water (10:1, 6.6 mL). The reaction mixture was then heated to 80 °C under an N2 atmosphere for 22.5 hours. The reaction mixture was left to cool to room temperature and poured onto EtOAc (10 mL) and water (5 mL). The organic layer was collected and the aqueous layer extracted with EtOAc (2 x 10 mL). The combined organic layers were dried (Na2S04), filtered and evaporated to dryness. The crude product was purified by chromatography on silica gel (24g column, 0-50%
EtOAc/isohexane) to afford the title compound (174 mg, 78 %) as a light brown solid. Ή NMR (CDC13) δ 8.25 (d, J = 5-3 Hz, lH), 7.00 (dd, J = 5-3, Hz, lH), 6.93 (dd, J = 9.9, 2.9 Hz, lH), 6.85 (s, lH), 6.71 (dd, J = 8.6, 3.0 Hz, lH), 4.01 (s, 3H), 2.92 (hept, J =
6.9 Hz, lH), 1.28 (d, J = 6.8 Hz, 6H). Exchangeable NH2 signal seen as broad hump from 4.5-0.5 ppm.
LCMS m/z 261.1 (M+H)+ (ES+).
Intermediate Azt: 4-Fluoro-2-isopropyl-6-(i-methyl-iH-pyrazol-.i-yl)aniline
To a sealed vial was added 2-bromo-4-fluoro-6-isopropylaniline (Intermediate A3, Step A) (350 mg, 1.508 mmol) in DMF (15 mL), followed by the addition of (l-methyl- iH-pyrazol-4-yl)boronic acid (190 mg, 1.508 mmol), Pd(PPh3)4 (174 mg, 0.151 mmol) and aqueous 2.0M Na2C03 (3 mL). The reaction mixture is heated under argon at 100 °C overnight. The residue was diluted with EtOAc (20 mL), washed with brine (20 mL), dried over anhydrous Na2S04, filtered and concentrated. The crude product was purified by chromatography on silica gel (40 g column, 0-60% EtOAc/isohexane) to afford the title compound (85 mg, 23 %) as a brown oil.
Ή NMR (CDCI3) δ 7-68 (d, 1 H), 7.58 (d, 1 H), 6.86 (dd, 1 H), 6.78 (dd, 1 H), 3.99 (s, 3 H), 3-74 (br s, 2 H), 2.94 (sept, 1 H, 1.29 (d, 6 H).
Intermediate A : 4-(2-Amino-.^-fluoro-¾-isopropylphenyl)picolinonitrile
4-(4,4,5,5-Tetramethyl-i,3,2-dioxaborolan-2-yl)picolinonitrile (1 g, 4.35 mmol), 2- bromo-4-fluoro-6-isopropylaniline (Intermediate A3, Step A) (1 g, 4.31 mmol) and potassium carbonate (2 g, 14.47 mmol) were suspended in a mixture of dioxane (10 mL) and water (1 mL). After degassing with nitrogen for 15 minutes, Pd(dppf)Cl2.DCM (150 mg, 0.184 mmol) was added and the mixture was heated to 90 °C overnight, after which time complete consumption of starting bromide was seen. The mixture was cooled to room temperature and diluted with EtOAc (10 mL) and water (5 mL). The organic phase was separated, dried (MgS04), filtered and concentrated in vacuo to give a brown oil. The crude product was purified by chromatography (Companion
apparatus, 40 g column, 0-5% MeOH/DCM) to afford the product as a pale brown oil. The bulk material was further purified by SCX. It was dissolved in methanol (10 mL) and SCX (0.84 meq, 8 g, ~ 3 eq) was added. It was stirred overnight, filtered and washed first with MeOH (100 mL) and then 0.7 M NH3 in methanol (100 mL). The ammoniacal fractions were concentrated in vacuo to afford the title compound (0.484 g, 42 %) as a pale yellow oil.
Ή NMR (CDC13) δ 8.79 (dd, J = 5.1, 0.9 Hz, lH), 7.87 (dd, J = 1.7, 0.9 Hz, lH), 7.67 (dd, J = 5.1, 1.7 Hz, lH), 7.01 (dd, J = 9.8, 2.9 Hz, lH), 6.71 (dd, J = 8.4, 2.9 Hz, lH), 3.62 (br s, 2H), 2.95 (sept, J = 6.8 Hz, lH) and 1.32 (d, J = 6.8 Hz, 6H).
m/z 256.4 (M+H)+ (ES+).
Preparation of Examples
Example 1: (R)-N-((i,2,3,5,6,7-Hexahydro-s-indacen-4-yl)carbamoyl)-i-(2- hydroxypropyl)-iH-imidazole-4-sulfonamide
To a solution of (R)-i-(2-hydroxypropyl)-iH-imidazole-4-sulfonamide (Intermediate Pi) (120 mg, 0.573 mmol) in THF (2 mL) was added sodium tert-butoxide (2M in THF) (0.3 mL, 0.600 mmol) and the mixture was stirred at room temperature for 1 hour. 4- Isocyanato-i,2,3,5,6,7-hexahydro-s-indacene (Intermediate Ai) (120 mg, 0.602 mmol) in THF (2 mL) was added and the mixture was stirred at room temperature overnight. The volatiles were evaporated, the residue dissolved in DMSO and purified by prep-HPLC to afford the title compound (29 mg, 12 %) as a white solid.
Ή NMR (DMSO-de) δ 8.02 (s, lH), 7.79 (d, J = 1.3 Hz, lH), 7.76 (d, J = 1.3 Hz, lH), 6.90 (s, lH), 5.01 (d, J = 4.1 Hz, lH), 4-05-3-96 (m, lH), 3.92-3.82 (m, 2H), 2.77 (t, J = 7.4 Hz, 4H), 2.59 (t, J = 7.4 Hz, 4H), 1.93 (p, J = 7.4 Hz, 4H), 1.01 (d, J = 5-8 Hz, 3H). One exchangeable proton not visible.
LCMS; m/z 405.3 (M+H)+ (ES+). Example 2: (S)-N-((i,2,3,5,6,7-Hexahydro-s-indacen-4-yl)carbamoyl)-i-(2- hydroxypropyl)-iH-imidazole-4-sulfonamide
Prepared according to the general procedure of (R)-N-((i,2,3,5,6,7-hexahydro-s- indacen-4-yl)carbamoyl)-i-(2-hydroxypropyl)-iH-imidazole-4-sulfonamide (Example 1) from (S)-i-(2-hydroxypropyl)-iH-imidazole-4-sulfonamide (Intermediate P2) and 4-isocyanato-i,2,3,5,6,7-hexahydro-s-indacene (Intermediate Ai) to afford the title compound (13 mg, 13 %) as a white solid.
Ή NMR (DMSO-de) δ 8.75 (br s, lH), 7.98 (s, lH), 7.73 (s, 2H), 6.88 (s, lH), 5.01 (d, J = 4.1 Hz, lH), 4-08-3-93 (m, lH), 3-92-3-79 (m, 2H), 2.77 (t, J = 7.4 Hz, 4H), 2.60 (t, J = 7.4 Hz, 4H), 1.93 (p, J = 7.4 Hz, 4H), 1.01 (d, J = 5-8 Hz, 3H).
LCMS; m/z 405.3 (M+H)+ (ES+).
Example ¾: i-(2-(Dimethylamino)ethyl)-N-((i,2,3,5,6,7-hexahydro-s- indacen-4-yl)carbamoyl)-iH-imidazole-4-sulfonamid
To a solution of i-(2-(dimethylamino)ethyl)-iH-imidazole-4-sulfonamide
(Intermediate P3) (105 mg, 0.481 mmol) in THF (2.5 mL) was added sodium tert- butoxide (2M in THF) (0.3 mL, 0.600 mmol) and the reaction mixture was stirred at room temperature for 1 hour. 4-Isocyanato-i,2,3,5,6,7-hexahydro-s-indacene
(Intermediate Ai) (105 mg, 0.527 mmol) in THF (2.5 mL) was added and the reaction mixture was stirred at room temperature overnight. The volatiles were removed in vacuo, the residue dissolved in DMSO (2 mL) and purified by prep-HPLC to afford the title compound (44 mg, 22 %) as a white solid.
Ή NMR (DMSO-de) δ 8.06 (s, lH), 7.93 (d, J = 1.3 Hz, lH), 7.86 (d, J = 1.3 Hz, lH), 6.92 (s, lH), 4.11 (t, J = 6.2 Hz, 2H), 2.78 (t, J = 7.4 Hz, 4H), 2.63-2.55 (m, 6H), 2.17 (s, 6H), 1.94 (p, J = 7.4 Hz, 4H). One exchangeable proton not visible.
LCMS; m/z 418.4 (M+H)+ (ES+).
Example 4: N-((2-(2-Cyanopyridin-4-yl)-4-fluoro-6-isopropylphj
carbamoyl)-i-isopropyl-iH-imidazole-4-sulfonamide
4-(2-Amino-5-fluoro-3-isopropylphenyl)picolinonitrile (Intermediate A5) (38 mg, 0.149 mmol) was added to (4-(dimethylamino)pyridin-i-ium-i-carbonyl)((i-isopropyl- iH-imidazol-4-yl)sulfonyl)amide (Intermediate P4) (50 mg, 0.148 mmol) in MeCN (1 mL) and the mixture was stirred at 50 °C for 2 hours. The crude product was purified by reversed phase prep-HPLC (General Methods, basic prep) to afford the title compound (19 mg, 27 %) as a white solid.
Ή NMR (DMSO-de) δ 10.78 (bs, lH), 8.68 (d, J = 5-1 Hz, lH), 8.02 (s, 2H), 7.89 (s, lH), 7.82 (s, lH), 7.63 (d, J = 5-0 Hz, lH), 7.28 (dd, J = 10.1, 3-0 Hz, lH), 7.16 (dd, J = 8.8, 3.0 Hz, lH), 4.46 (sept, J = 6.9 Hz, lH), 3.13 - 3.01 (m, lH), 1.41 (d, J = 6.7 Hz, 6H), 1.10 (d, J = 6.2 Hz, 6H).
LCMS m/z 471.2 (M+H)+ (ES+).
Example 5; N-((4-Fluoro-2-isopropyl-6-(2-methoxypyridin-4-yl)phenyl) carbamoyl -i-isopropyl-iH-imidazole-4-sulfonamide
Prepared according to the general procedure of N-((2-(2-cyanopyridin-4-yl)-4-fluoro- 6-isopropylphenyl)carbamoyl)-i-isopropyl-iH-imidazole-4-sulfonamide (Example 4) from 4-fluoro-2-isopropyl-6-(2-methoxypyridin-4-yl)aniline (Intermediate A3) (39 mg, 0.150 mmol) and (4-(dimethylamino)pyridin-i-ium-i-carbonyl)((i-isopropyl-iH- imidazol-4-yl)sulfonyl)amide (Intermediate P4) (50 mg, 0.148 mmol) to afford the title compound (20 mg, 28 %) as a colourless solid.
Ή NMR (DMSO-de) δ 10.55 (bs, lH), 8.09 (d, J = 5-3 Hz, lH), 7.95 (s, lH), 7.90 (s, lH), 7.80 (s, lH), 7.21 (dd, J = 10.0, 3.0 Hz, lH), 7.03 (dd, J = 8.9, 3.0 Hz, lH), 6.83 (d, J =
5.3 Hz, lH), 6.74 (s, lH), 4.48 (sept, J = 6.1 Hz, lH), 3.88 (s, 3H), 3.02 - 2.93 (m, lH), 1.41 (d, J = 6.7 Hz, 6H), 1.16 - 0.95 (m, 6H).
LCMS m/z 476.6 (M+H)+ (ES+).
Example 6: i-Ethyl-N-((i,2,3,5,6,7-hexahydro-s-indacen-4-yl)carbamoyl)- methyl-iH-imidazole-4-sulfonamide, potassium salt
Prepared as described for iV-((i,2,3,5,6,7-hexahydro-s-indacen-4-yl)carbamoyl)-2- isopropyl-i-methyl-iH-imidazole-4-sulfonamide, potassium salt (Example 13) using 4-isocyanato-i,2,3,5,6,7-hexahydro-s-indacene (Intermediate Ai) and i-ethyl-2- methyl-iH-imidazole-4-sulfonamide (Intermediate P10) to afford the title compound (70 %) as a white solid.
Ή NMR (Methanol-^) δ 7-45 (s, lH), 6.85 (s, lH), 3.96 (q, 2H), 2.76 (m, 8H), 2.36 (s,
3H), 1.99 (m, 4H), 1.37 (t, 3H).
LCMS m/z 389 (M+H)+ (ES+); 387 (M-H)- (ES-).
Example 7: N-((i,2,3,5,6,7-Hexahydro-s-indacen-4-yl)carbamoyl)-i- isopropyl-2-methyl-iH-imidazole-4-sulfonamide, potassium salt
Prepared as described for iV-((i,2,3,5,6,7-hexahydro-s-indacen-4-yl)carbamoyl)-2- isopropyl-i-methyl-iH-imidazole-4-sulfonamide, potassium salt (Example 13) using 4-isocyanato-i,2,3,5,6,7-hexahydro-s-indacene (Intermediate Ai) and i-isopropyl-2- methyl-iH-imidazole-4-sulfonamide (Intermediate P9) to afford the title compound (47 %) as a white solid.
Ή NMR (Methanol-d-f) δ 7.54 (s, lH), 6.84 (s, lH), 4.50 - 4.27 (m, lH), 2.76 (m, 8H), 2.37 (s, 3H), 1.98 (m, 4H), 1.42 (d, 6H).
LCMS m/z 403 (M+H)+ (ES+); 401 (M-H)- (ES-).
Example 8: N-((i,2,¾,g;,6,7-Hexahydro-s-indacen-4-yl)carbamoyl)-2- isopropyl- -methyl-iH-imidazole-5-sxilfonamide, potassium salt
Prepared as described iV-((i,2,3,5,6,7-hexahydro-s-indacen-4-yl)carbamoyl)-2- isopropyl-i-methyl-iH-imidazole-4-sulfonamide, potassium salt (Example 13) using 4-isocyanato-i,2,3,5,6,7-hexahydro-s-indacene (Intermediate Ai) and 2-isopropyl-i- methyl-iH-imidazole-5-sulfonamide (Intermediate P7) to afford the title compound (57 %) as a white solid.
Ή NMR (Methanol-^) δ 7-30 (s, lH), 6.85 (s, lH), 3.86 (s, 3H), 3-19 - 3-04 (m, lH), 2.91 - 2.52 (m, 8H), 2.10 - 1.83 (m, 4H), 1.29 (d, 6H).
LCMS m/z 403 (M+H)+ (ES+); 401 (M-H)- (ES-).
Example Q: N-((i,2,3,5,6,7-Hexahydro-s-indacen-4-yl)carbamoyl)-i-methyl- iH-imidazol -2-sulfonamide, potassium salt
Prepared as described for iV-((i,2,3,5,6,7-hexahydro-s-indacen-4-yl)carbamoyl)-2- isopropyl-i-methyl-iH-imidazole-4-sulfonamide, potassium salt (Example 13) using 4-isocyanato-i,2,3,5,6,7-hexahydro-s-indacene (Intermediate Ai) and l-methyl-iH- imidazole-2-sulfonamide to afford the title compound (62 %) as a white solid.
Ή NMR (Methanol-d-/) δ 7.13 (s, lH), 6.93 (s, lH), 6.85 (s, lH), 3.96 (s, 3H), 2.73 (m, 8H), 1.97 (m, 4H).
LCMS m/z 361 (M+H)+ (ES+); 359 (M-H)- (ES-).
Example 10: N-((4-Fluoro-2-isopropyl-6-(i-methyl-iH-pyrazol-4-yl) phenyl)carbamoyl)-i-isopropyl-iH-imidazole-4-sulfonamide
Prepared according to the general procedure of N-((2-(2-cyanopyridin-4-yl)-4-fluoro- 6-isopropylphenyl)carbamoyl)-i-isopropyl-iH-imidazole-4-sulfonamide (Example 4) from 4-fluoro-2-isopropyl-6-(2-methoxypyridin-4-yl)aniline (Intermediate A4) (34.6 mg, 0.148 mmol) and (4-(dimethylamino)pyridin-i-ium-i-carbonyl)((i-isopropyl-iH- imidazol-4-yl)sulfonyl)amide (Intermediate P4) (50 mg, 0.148 mmol) to afford the title compound (24.9 mg, 37 %) as a colourless solid.
Ή NMR (DMSO-de) δ 7-95 (s, lH), 7-90 (s, lH), 7.81 (s, lH), 7.68 (s, lH), 7.68 - 7.64 (m, lH), 7.14 (dd, J = 9.9, 3.0 Hz, lH), 6.94 (dd, J = 10.0, 3.0 Hz, lH), 4.44 (sept, J = 6.3 Hz, lH), 3.87 (s, 3H), 3-14 - 2.87 (m, lH), 1.38 (d, J = 6.7 Hz, 6H), 1.04 (d, J = 6.8 Hz, 6H). NH not observed.
LCMS m/z 449.4 (M+H)+ (ES+).
Example 11: N-(d.2.¾..^.6.7-Hexahydro-s-indacen--l-yl)carbamoyl)-i.2- dimethyl-iH-imidazole-4-sulfonamide
Prepared according to the general procedure of (R)-N-((i,2,3,5,6,7-hexahydro-s- indacen-4-yl)carbamoyl)-i-(2-hydroxypropyl)-iH-imidazole-4-sulfonamide (Example 1) from i,2-dimethyl-iH-imidazole-4-sulfonamide and 4-isocyanato-i,2,3,5,6,7- hexahydro-s-indacene (Intermediate Ai) to afford the title compound (14 mg, 15 %) as a white solid.
Ή NMR (DMSO-de) δ 10.48 (br s, lH), 8.10 (s, lH), 7.82 (s, lH), 6.94 (s, lH), 3-35 (s, 3H), 2.79 (t, J = 7.4 Hz, 4H), 2.59 (t, J = 7.3 Hz, 4H), 2.32 (s, 3H), 1.99 - 1-92 (m, 4H). LCMS m/z 375 (M+H)+ (ES+). Example 12: N-((i,2,¾,g;,6,7-Hexahydro-s-indacen-4-yl)carbamoyl)-i- methyl-iH-imidazole-4-sulfonamide
Prepared according to the general procedure of (R)-N-((i,2,3,5,6,7-hexahydro-s- indacen-4-yl)carbamoyl)-i-(2-hydroxypropyl)-iH-imidazole-4-sulfonamide (Example l) from i-methyl-iH-imidazole-4-sulfonamide and 4-isocyanato-i,2,3,5,6,7-hexahydro- s-indacene (Intermediate Ai) to afford the title compound (21 mg, 24 %) as a white solid.
Ή NMR (DMSO-de) δ 10.58 (br s, lH), 8.05 (s, lH), 7.89 (s, lH), 7.83 (s, lH), 6.93 (s, lH), 3.70 (s, 3H), 2.78 (t, J = 7.4 Hz, 4H), 2.58 (t, J = 7.4 Hz, 4H), 1.97 - 1.90 (m, 4H). LCMS m/z 361 (M+H)+ (ES+).
Example i¾: N-(d.2.¾..^.6.7-Hexahydro-s-indacen--l-yl)carbamoyl)-2- isopropyl-i-methyl-iH-imidazole-4-sulfonamide, potassium salt
To a solution of 2-isopropyl-i-methyl-iH-imidazole-4-sulfonamide (Intermediate P8) (85 mg, 0.42 mmol) in THF (3 mL) was added potassium ferf-butoxide (47 mg, 0.42 mmol). The mixture was stirred for 40 minutes. A solution of 4-isocyanato- 1,2,3,5,6,7-hexahydro-s-indacene (Intermediate Ai) (83 mg, 0.41 mmol) in THF (1 mL) was added and the mixture was stirred overnight at room temperature. The reaction mixture was concentrated in vacuo and DMSO (1 mL) was added. The solution (suspensions were filtered first over cotton wool) was submitted for purification by reversed phase column chromatography (see "Experimental Methods") to afford the title compound (44 mg, 26 %) as a white solid.
Ή NMR (Methanol-^) δ 7.36 (s, lH), 6.85 (s, lH), 3.64 (s, 3H), 3.17 - 3.01 (m, lH),
2.75 (m, 8H), 1.99 (m, 4H), 1.29 (d, 6H).
LCMS m/z 403 (M+H)+ (ES+); 401 (M-H)- (ES-).
Example 14: N-((2,6-Diisopropylphenyl)carbamoyl)-i-isopropyl-iH- imidazole-4-sulfonamide, sodium salt
Prepared according to the general procedure of (R)-N-((i,2,3,5,6,7-hexahydro-s- indacen-4-yl)carbamoyl)-i-(2-hydroxypropyl)-iH-imidazole-4-sulfonamide (Example 1) from i-isopropyl-iH-imidazole-4-sulfonamide and 2-isocyanato-i,3- diisopropylbenzene (Intermediate A2) to afford the title compound (27 mg, 28 %) as a colourless solid.
Ή NMR (DMSO-de) δ 7-65 (d, J = 1.4 Hz, lH), 7.45 (br s, 2H), 7.13 - 7.05 (m, lH), 7.01 (d, J = 7.6 Hz, 2H), 4.44 - 4.38 (m, lH), 3.15 - 3.07 (m, 2H), 1.38 (d, J = 6.7 Hz, 6H), and 1.03 (d, J = 6.9 Hz, 12H).
LCMS m/z 393 (M+H)+ (ES+).
Example 15: N-((i,2,¾,g;,6,7-Hexahydro-s-indacen-4-yl)carbamoyl)- isopropy -iH-imidazole-4-sulfonamide, sodium salt
i-Isopropyl-iH-imidazole-4-sulfonamide (35.5 mg, 0.188 mmol) was dissolved in THF (5 mL) and 2 M sodium tert-butoxide in THF (0.098 ml, 0.197 mmol) added. After the mixture had been stirred at room temperature for 1 hour, 4-isocyanato-i,2,3,5,6,7- hexahydro-s-indacene (Intermediate Ai) (37.4 mg, 0.188 mmol) was added and the mixture stirred at room temperature for 15 hours. Ethyl acetate (5 mL) was added to the mixture and the suspension filtered and washed with ethyl acetate (1 mL). The collected solid was dried under reduced pressure to afford the title compound (32 mg, 40 %) as a white solid.
Ή NMR (DMSO-de) δ 7.67 (d, J = 1.5 Hz, lH), 7.62 (br s, lH), 7.45 (d, J = 1.5 Hz, lH), 6.77 (s, lH), 4.45 - 4.39 (m, lH), 2.75 (t, J = 7.4 Hz, 4H), 2.64 (t, J = 7-3 Hz, 4H), 1.93 - 1.86 (m, 4H), and 1.39 (d, J = 6.7 Hz, 6H).
LCMS m/z 389 (M+H)+ (ES+).
Example 16: N-((i,2,¾,g;,6,7-Hexahydro-s-indacen-4-yl)carbamoyl)-2- methyl-i-((tetrahydrofuran-2-yl)methyl)-iH-imidazole-4-sulfonamide, potassium salt
Prepared as described for iV-((i,2,3,5,6,7-hexahydro-s-indacen-4-yl)carbamoyl)-2- isopropyl-i-methyl-iH-imidazole-4-sulfonamide, potassium salt (Example 13) using 4-isocyanato-i,2,3,5,6,7-hexahydro-s-indacene (Intermediate Ai) and 2-methyl-i- ((tetrahydrofuran-2-yl)methyl)-iH-imidazole-4-sulfonamide (Intermediate P11) to afford the title compound (53 %) as a white solid.
Ή NMR (Methanol-d-/) δ 7.49 (s, lH), 6.85 (s, lH), 4.18 - 4.01 (m, 2H), 4.01 - 3.86 (m, lH), 3.88 - 3.59 (m, 2H), 2.76 (m, 9H), 2.38 (s, 3H), 2.18 - 1.91 (m, 4H), 1.89 - 1.71 (m, 2H), 1.70 - 1.41 (m, lH).
LCMS m/z 445 (M+H)+ (ES+); 443 (M-H)- (ES-).
Example 17: N- d^^ ^^^e^-Hexahydro-s-indacen- -yDcarbamoyD-i- - hydroxyethyl)-2-methyl-iH-imidazole-4-sulfonamide, potassium salt
Prepared as described for iV-((i,2,3,5,6,7-hexahydro-s-indacen-4-yl)carbamoyl)-2- isopropyl-i-methyl-iH-imidazole-4-sulfonamide, potassium salt (Example 13) using 4-isocyanato-i,2,3,5,6,7-hexahydro-s-indacene (Intermediate Ai) and i-(2- hydroxyethyl)-2-methyl-iH-imidazole-4-sulfonamide (Intermediate P12) and one additional equivalent of KOtBu to afford the title compound (14 %) as a white solid. Ή NMR (Methanol-^) δ 7.60 (s, lH), 6.90 (s, lH), 4.04 (d, 2H), 3.80 (t, 2H), 2.94 - 2.61 (m, 9H), 2.41 (s, 3H), 2.12 - 1.94 (m, 4H).
LCMS m/z 405 (M+H)+ (ES+).
Example 18: 2-((Dimethylamino)methyl)-N-((i,2,3,5, 6,7-hexahydro-s- indacen-4-yl)carbamoyl)-i-methyl-iH-imidazole-4-sulfonamide, and
Example IQ: .^-((Dimethylamino)methyl)-N-(('i.2.¾..^.6.7-hexahydro-s- indacen-4-yl)carbamoyl)-i-methyl-iH-imidazole-4-sulfonamide
Sodium ieri-butoxide, 2 M in THF (0.120 mL, 0.241 mmol) was added to a solution of a mixture of 2-((dimethylamino)methyl)-i-methyl-iH-imidazole-4-sulfonamide and 5- ((dimethylamino)methyl)-i-methyl-iH-imidazole-4-sulfonamide (Intermediates P5 and P6) (50 mg, 0.229 mmol) in THF (1 mL) and stirred at room temperature for 1 hour. Then 4-isocyanato-i,2,3,5,6,7-hexahydro-s-indacene (Intermediate Ai) (47.9 mg, 0.241 mmol) in THF (1 mL) was added and the reaction stirred at room
temperature over the weekend. The reaction mixture was concentrated and the crude product was purified by chromatography (Companion apparatus, RP Flash C18, 12 g column, 5-50% MeCN/10 mM ammonium bicarbonate) to afford 2- ((dimethylamino)methyl)-N-((i,2,3,5,6,7-hexahydro-s-indacen-4-yl)carbamoyl)-i- methyl-iH-imidazole-4-sulfonamide (Example 18) (44 mg, 46 %) and 5- ((dimethylamino)methyl)-N-((i,2,3,5,6,7-hexahydro-s-indacen-4-yl)carbamoyl)-i- methyl-iH-imidazole-4-sulfonamide (Example 19) (3 mg, 3 %), both as colourless solids.
Example 18: Ή NMR (DMSO-d6) δ 7.91 (s, iH), 7.77 (s, iH), 6.83 (s, iH), 4.26 (s, 2H), 3.67 (s, 3H), 2.76 (t, J = 7.4 Hz, 4H), 2.66 - 2.53 (m, 10H), 1.96 - 1.84 (m, 4H) (1 exchangeable NH not observed).
LCMS; m/z 418.3 (M+H)+ (ES+).
Example IQ: Ή NMR (DMSO-d6) δ 10.70 (br s, iH), 7.96 (s, iH), 7.80 (s, iH), 6.90 (s, iH), 3.68 (s, 3H), 346 (s, 2H), 2.78 (t, J = 7.4 Hz, 4H), 2.58 (t, J = 7.4 Hz, 4H), 2.14 (s, 6H), 1.99 - 1.86 (m, 4H).
LCMS; m/z 418.3 (M+H)+ (ES+).
The compounds of examples 20-21 were synthesised by methods analogous to those outlined above.
Ex Structure and Name Ή NMR spectrum MS MW
Ή NMR (DMSO-de) δ 8.65 (dd,
o » ¾ J = 5.1, 0.8 Hz, lH), 8.13 (s,
iH), 7-94 (dd, J = 1.8, 0.8 Hz,
lH), 7.87 (s, iH), 7.77 (s, iH),
7.60 (dd, J = 5.1, 1.8 Hz, iH), m/z
7.23 (d, J = 7-7 Hz, iH), 7.19 (d, 451.2
20
J = 7.7 Hz, iH), 4.46 (sept, J = (M+H)+ 450.5 6.8 Hz, iH), 2.93 (t, J = 7.5 Hz, (ES+)
2H), 2.71 (t, J = 7.5 Hz, 2H),
N-((5-(2-Cyanopyridin-4-yl)-2,3- 2.01 (p, J = 7-5 Hz, 2H), 1.42 (d,
dihydro-iH-inden-4-yl)carbamoyl)- J = 6.7 Hz, 6H). One NH not
i-isopropyl-iii-imidazole-4- observed.
sulfonamide
o » ¾ Ή NMR (DMSO-de) δ 8.ii (d, J
= 5-3 Hz, lH), 7.92 - 7.80 (m,
3H), 7.18 (d, J = 7-7 Hz, lH),
7.10 (d, J = 7.6 Hz, iH), 6.83 (d, m/z
J = 5.3 Hz, iH), 6.70 (s, iH),
21 456.3
4.48 (sept, J = 6.5 Hz, iH), 3.88 (M+H)+ 455-5 (s, 3H), 2.90 (t, J = 7.4 Hz, 2H), (ES+)
2.61 (t, J = 7.4 Hz, 2H), 1.96 (p,
i-Isopropyl-N-((5-(2- J = 7-5 Hz, 2H), 1.42 (d, J = 6.6
methoxypyridin-4-yl)-2,3-dihydro- Hz, 6H). One NH not observed.
iii-inden-4-yl) carbamoyl) - 1H- imidazole-4-sulfonamide
Table 1: lH NMR and MS data
Examples - biological studies
NLRP3 and Pyroptosis
It is well established that the activation of NLRP3 leads to cell pyroptosis and this feature plays an important part in the manifestation of clinical disease (Yan-gang Liu et al., Cell Death & Disease, 2017, 8(2), e2579; Alexander Wree et al., Hepatology, 2014, 59(3)> 898-910; Alex Baldwin et al., Journal of Medicinal Chemistry, 2016, 59(5), 1691- 1710; Ema Ozaki et al., Journal of Inflammation Research, 2015, 8, 15-27; Zhen Xie & Gang Zhao, Neuroimmunology Neuroinflammation, 2014, 1(2), 60-65; Mattia Cocco et al., Journal of Medicinal Chemistry, 2014, 57(24), 10366-10382; T. Satoh et al., Cell Death & Disease, 2013, 4, e644). Therefore, it is anticipated that inhibitors of NLRP3 will block pyroptosis, as well as the release of pro-inflammatory cytokines (e.g. IL-ιβ) from the cell.
- 1θ6 -
THP-i Cells: Culture and Preparation
THP-i cells (ATCC # TIB-202) were grown in RPMI containing L-glutamine (Gibco #11835) supplemented with imM sodium pyruvate (Sigma # S8636) and penicillin (loounits/ml) / streptomycin (o.img/ml) (Sigma # P4333) in 10% Fetal Bovine Serum (FBS) (Sigma # F0804). The cells were routinely passaged and grown to confluency (~io6cells/ml). On the day of the experiment, THP-i cells were harvested and resuspended into RPMI medium (without FBS). The cells were then counted and viability (>90%) checked by Trypan blue (Sigma # T8154). Appropriate dilutions were made to give a concentration of 625,ooocells/ml. To this diluted cell solution was added LPS (Sigma # L4524) to give a
Final Assay Concentration (FAC). 4θμ1 of the final preparation was aliquoted into each well of a 96-well plate. The plate thus prepared was used for compound screening.
THP-i Cells Pyroptosis Assay
The following method step-by-step assay was followed for compound screening.
1. Seed THP-i cells (25,ooocells/well) containing
LPS in 4θμ1 of RPMI medium (without FBS) in 96-well, black walled, clear bottom cell culture plates coated with poly-D-lysine (VWR # 734-0317)
2. Add 5μ1 compound (8 points half-log dilution, with ιομΜ top dose) or vehicle (DMSO 0.1% FAC) to the appropriate wells
3. Incubate for 3hrs at 37°C in 5% C02
4. Add 5μ1 nigericin (Sigma # N7143) (FAC 5μΜ) to all wells
5. Incubate for lhr at 37°C and 5% C02
6. At the end of the incubation period, spin plates at 300xg for 3mins and remove supernatant
7. Then add 5θμ1 of resazurin (Sigma # R7017) (FAC 100 μΜ resazurin in RPMI medium without FBS) and incubate plates for a further 1-2 hrs at 37°C and 5% C02
8. Plates were read in an Envision reader at Ex s6onm and Em 590nm
9. IC50 data is fitted to a non-linear regression equation (log inhibitor vs response- variable slope 4-parameters) 96-well Plate Map
- IO7 -
1 2 3 4 5 6 7 8 9 10 11 12
A High Comp 1 Comp 2 Comp 3 Comp 4 Comp 5 Comp 6 Comp 7 Comp 8 Comp 9 Comp 10 Low
B High Comp 1 Comp 2 Comp 3 Comp 4 Comp 5 Comp 6 Comp 7 Comp 8 Comp 9 Comp 10 Low
C High Comp 1 Comp 2 Comp 3 Comp 4 Comp 5 Comp 6 Comp 7 Comp 8 Comp 9 Comp 10 Low
D High Comp 1 Comp 2 Comp 3 Comp 4 Comp 5 Comp 6 Comp 7 Comp 8 Comp 9 Comp 10 Low
E High Comp 1 Comp 2 Comp 3 Comp 4 Comp 5 Comp 6 Comp 7 Comp 8 Comp 9 Comp 10 Low
F High Comp 1 Comp 2 Comp 3 Comp 4 Comp 5 Comp 6 Comp 7 Comp 8 Comp 9 Comp 10 Low
G High Comp 1 Comp 2 Comp 3 Comp 4 Comp 5 Comp 6 Comp 7 Comp 8 Comp 9 Comp 10 Low
H High Comp 1 Comp 2 Comp 3 Comp 4 Comp 5 Comp 6 Comp 7 Comp 8 Comp 9 Comp 10 Low
High MCC950 (10uM) Compound 8-point half-log dilution
Low Drug free control
The results of the pyroptosis assay performed are summarised in Table 2 below as THP
Human Whole Blood ILiP Release Assay
For systemic delivery, the ability to inhibit NLRP3 when the compounds are present within the bloodstream is of great importance. For this reason, the NLRP3 inhibitory activity of a number of compounds in human whole blood was investigated in accordance with the following protocol.
Human whole blood in Li-heparin tubes was obtained from healthy donors from a volunteer donor panel. 1. Plate out 8θμ1 of whole blood containing ^g/ml of LPS in 96-well, clear bottom cell culture plate (Corning # 3585)
2. Add Ιθμΐ compound (8 points half-log dilution with ιομΜ top dose) or vehicle
(DMSO 0.1% FAC) to the appropriate wells
3. Incubate for 3hrs at 37°C, 5% C02
4. Add Ιθμΐ Nigericin (Sigma # N7143) (ιομΜ FAC) to all wells
5. Incubate for lhr at 37°C, 5% C02
6. At the end of the incubation period, spin plates at 300xg for smins to pellet cells and remove 20μ1 of supernatant and add to 96-well v-bottom plates for IL-ιβ analysis (note: these plates containing the supernatants can be stored at -8o°C to be analysed at a later date)
7. IL-ιβ was measured according to the manufacturer protocol (Perkin Elmer- AlphaLisa IL-i Kit AL220F-5000)
8. IC50 data is fitted to a non-linear regression equation (log inhibitor vs response- variable slope 4-parameters)
The results of the human whole blood assay are summarised in Table 2 below as HWB
Table 2: NLRP3 inhibitory activity [THP IC50 (<0.04 μΜ = +++++, <ο.ι6 μΜ = ++++, <0.64 μΜ = +++, <2.56 μΜ = ++, <ιο μΜ = +, not determined = ND)] [HWB IC50 (<0.4 μΜ = <ο.8 μΜ = <1.6 μΜ = <3·2 μΜ = **, <10 μΜ = *, not determined = ND)] ΡΚ protocol
Pharmacokinetic parameters were determined in male Sprague Dawley rats (Vital River Laboratory Animal Technology Co Ltd, Beijing, China, 7-9 weeks old). Animals were individually housed during the study and maintained under a 12 h light/dark cycle. Animals had free access to food and water.
For intravenous administration, compounds were formulated as a solution in
DMSO:PBS [10:90] in 2 mL/kg dosing volume and administered via tail vein. Serial blood samples (about 200 μί) were taken from each animal at each of 8 time- points post dose (0.083, 0.25, 0.5, 1, 2, 4, 8 and 24 h). Samples were held on ice for no longer than 30 minutes before centrifugation (5,696 rpm (3,ooog) for 15 minutes) for plasma generation. Plasma was frozen on dry ice prior to bioanalysis. PK parameters were generated from LC-MS/MS data using Phoenix WinNonlin 6.3 software.
Example Dose AUC Tl Vdss CI
No (mg/kg) (ng · hr/mL) (hr) (L/kg) (mL/min/kg)
4 1 200 1.6 2-5 85-4
Table 3: PK data (intravenous administration)
As is evident from the results presented in Table 2, surprisingly in spite of the structural differences versus the prior art compounds, the compounds of the invention show high levels of NLRP3 inhibitory activity in the pyroptosis assay and in the human whole blood assay.
As is evident from the results presented in Table 3, the compounds of the invention show advantageous pharmacokinetic properties, for example half-life T½, area under the curve AUC, clearance CI and/or bioavailability, compared to the prior art compounds.
It will be understood that the present invention has been described above by way of example only. The examples are not intended to limit the scope of the invention.
Various modifications and embodiments can be made without departing from the scope and spirit of the invention, which is defined by the following claims only.
Claims
Formula (I)
wherein:
Q is selected from O or S;
R1 is an imidazolyl group, wherein the imidazolyl group is unsubstituted or substituted with one or more monovalent substituents; and
R2 is a cyclic group substituted at the a-position, wherein R2 may optionally be further substituted.
2. A compound as claimed in claim l, wherein R1 is an imidazol-4-yl group.
3. A compound as claimed in claim 1, wherein R1 is an imidazol-5-yl group.
4. A compound as claimed in claim 1, wherein R1 is an imidazol-2-yl group.
5. A compound as claimed in any one of claims 1 to 4, wherein the imidazolyl group of R1 is substituted with one, two or three substituents independently selected from halo; -CN; -N02; -N3; -RP; -OH; -ORP; -R«-halo; -Ra-CN; -Ra-N02; -Ra-N3; -Ra-RP; -Ra-OH; -Ra-ORP; -SH; -SRP; -SORP; -S02H; -S02RP; -S02NH2; -S02NHRP; -S02N(RP)2; -Ra-SH; -Ra-SRP; -Ra-SORP; -Ra-S02H; -Ra-S02RP; -Ra-S02NH2; -Ra-S02NHRP;
-Ra-S02N(RP)2; -NH2; -NHRP; -N(RP)2; -Ra-NH2; -Ra-NHRP; -Ra-N(RP)2; -CHO; -CORP; -COOH; -COORP; -OCORP; -Ra-CHO; -Ra-CORP; -Ra-COOH; -Ra-COORP; or
-R°-OCORP;
wherein each -Ra- is independently selected from an alkylene, alkenylene or alkynylene group, wherein the alkylene, alkenylene or alkynylene group contains from 1 to 6 atoms in its backbone, wherein one or more carbon atoms in the backbone of the alkylene, alkenylene or alkynylene group may optionally be replaced by one or more heteroatoms N, O or S, and wherein the alkylene, alkenylene or alkynylene group may optionally be substituted with one or more halo and/or -RP groups; and
wherein each -RP is independently selected from a Ci-Ce alkyl, C2-Ce alkenyl, C2-Ce alkynyl or C2-Ce cyclic group, and wherein any -RP may optionally be substituted
- Ill - with one or more C1-C4 alkyl, Ci-C4 haloalkyl, C3-C7 cycloalkyl, -0(d-C4 alkyl), -0(d-C4 haloalkyl), -0(C3-C7 cycloalkyl), halo, -OH, -NH2, -CN, -C≡CH, oxo (=0), or 4- to 6- membered heterocyclic group.
6. A compound as claimed in any one of claims 1 to 5, wherein the imidazolyl group of R1 is substituted with one monovalent substituent.
7. A compound as claimed in any one of claims 1 to 5, wherein the imidazolyl group of R1 is substituted with two or three monovalent substituents.
8. A compound as claimed in any one of claims 1 to 7, wherein each monovalent substituent of the imidazolyl group of R1 is independently selected from a saturated hydrocarbyl group, wherein the saturated hydrocarbyl group may be straight-chained or branched, or be or include cyclic groups, wherein the saturated hydrocarbyl group may optionally be substituted with one or more groups selected from halo, -CN, -OH, -NH2 and oxo (=0), and wherein the saturated hydrocarbyl group may optionally include one or two heteroatoms N or O in its carbon skeleton.
9. A compound as claimed in any one of claims 1 to 8, wherein each monovalent substituent of the imidazolyl group of R1 is acyclic.
10. A compound as claimed in any one of claims 1 to 9, wherein R2 is an aryl or a heteroaryl group, wherein the aryl or the heteroaryl group is substituted at the a- position, and wherein R2 may optionally be further substituted.
11. A compound as claimed in claim 10, wherein R2 is an aryl or a heteroaryl group, wherein the aryl or the heteroaryl group is substituted at the a and a' positions, and wherein R2 may optionally be further substituted.
12. A compound as claimed in claim 11, wherein R2 is a fused aryl or a fused heteroaryl group, wherein a first cycloalkyl, cycloalkenyl, non-aromatic heterocyclic, aryl or heteroaryl ring is fused to the aryl or heteroaryl group across the α,β positions and a second cycloalkyl, cycloalkenyl, non-aromatic heterocyclic, aryl or heteroaryl ring is fused to the aryl or heteroaryl group across the α',β' positions, and wherein R2may optionally be further substituted.
13. A compound as claimed in any one of claims 1 to 9, wherein R2 is a cyclic group substituted at the a-position with a monovalent heterocyclic group or a monovalent aromatic group, wherein a ring atom of the heterocyclic or aromatic group is directly attached to the a-ring atom of the cyclic group, wherein the heterocyclic or aromatic group may optionally be substituted, and wherein the cyclic group may optionally be further substituted.
14. A compound as claimed in any one of claims 1 to 9, wherein R2 is a cyclic group substituted at the a and a' positions, wherein R2 may optionally be further substituted.
15. A compound as claimed in any one of claims 1 to 14, wherein Q is O.
A compound selected from the group consisting of:
17. A pharmaceutically acceptable salt, solvate or prodrug of a compound as claimed in any one of claims 1 to 16.
- II4 -
18. A pharmaceutical composition comprising a compound as claimed in any one of claims 1 to 16, or a pharmaceutically acceptable salt, solvate or prodrug as claimed in claim 17, and a pharmaceutically acceptable excipient.
19. A compound as claimed in any one of claims 1 to 16, or a pharmaceutically acceptable salt, solvate or prodrug as claimed in claim 17, or a pharmaceutical composition as claimed in claim 18, for use in medicine.
20. A compound, pharmaceutically acceptable salt, solvate, prodrug or
pharmaceutical composition as claimed in claim 19, for use in the treatment or prevention of a disease, disorder or condition, wherein the disease, disorder or condition is responsive to NLRP3 inhibition.
21. A compound, pharmaceutically acceptable salt, solvate, prodrug or
pharmaceutical composition as claimed in claim 19 or claim 20, for use in the treatment or prevention of a disease, disorder or condition, wherein the disease, disorder or condition is selected from:
(i) inflammation;
(ii) an auto-immune disease;
(iii) cancer;
(iv) an infection;
(v) a central nervous system disease;
(vi) a metabolic disease;
(vii) a cardiovascular disease;
(viii) a respiratory disease;
(ix) a liver disease;
(x) a renal disease;
(xi) an ocular disease;
(xii) a skin disease;
(xiii) a lymphatic condition;
(xiv) a psychological disorder;
(xv) graft versus host disease; and
(xvi) any disease where an individual has been determined to carry a germline or somatic non-silent mutation in NLRP3.
22. A compound, pharmaceutically acceptable salt, solvate, prodrug or
pharmaceutical composition as claimed in claim 21, wherein the disease, disorder or condition is selected from:
(i) inflammation;
(ii) an auto-immune disease;
(iii) cancer;
(iv) a metabolic disease;
(v) a cardiovascular disease;
(vi) a respiratory disease;
(vii) a non-infectious liver disease;
(viii) a renal disease;
(ix) an ocular disease;
(x) a skin disease;
(xi) a psychological disorder;
(xii) a lymphatic condition; and/or
(xiii) any disease, disorder or condition in which an individual has been determined to carry a germline or somatic non-silent mutation in NLRP3.
23. A compound, pharmaceutically acceptable salt, solvate, prodrug or
pharmaceutical composition as claimed in claim 19 or claim 20, for use in the treatment or prevention of a disease, disorder or condition, wherein the disease, disorder or condition is selected from:
(i) cryopyrin-associated periodic syndromes (CAPS);
(ii) Muckle-Wells syndrome (MWS);
(iii) familial cold autoinflammatory syndrome (FCAS);
(iv) neonatal onset multisystem inflammatory disease (NOMID);
(v) familial Mediterranean fever (FMF);
(vi) pyogenic arthritis, pyoderma gangrenosum and acne syndrome (PAPA);
(vii) hyperimmunoglobulinemia D and periodic fever syndrome (HIDS);
(viii) Tumour Necrosis Factor (TNF) Receptor- Associated Periodic Syndrome (TRAPS);
(ix) systemic j uvenile idiopathic arthritis ;
(x) adult-onset Still's disease (AOSD);
(xi) relapsing polychondritis;
(xii) Schnitzler's syndrome;
(xiii) Sweet's syndrome;
(xiv) Behcet's disease;
(xv) anti-synthetase syndrome;
(xvi) deficiency of interleukin 1 receptor antagonist (DIRA); and
(xvii) haploinsufficiency of A20 (HA20) .
24. A method of inhibiting NLRP3, the method comprising the use of a compound as claimed in any one of claims 1 to 16, or a pharmaceutically acceptable salt, solvate or prodrug as claimed in claim 17, or a pharmaceutical composition as claimed in claim 18, to inhibit NLRP3.
Priority Applications (2)
| Application Number | Priority Date | Filing Date | Title |
|---|---|---|---|
| EP18759580.6A EP3668843A1 (en) | 2017-08-15 | 2018-08-15 | Sulfonylureas and sulfonylthioureas as nlrp3 inhibitors |
| US16/638,700 US11926600B2 (en) | 2017-08-15 | 2018-08-15 | Sulfonylureas and sulfonylthioureas as NLRP3 inhibitors |
Applications Claiming Priority (10)
| Application Number | Priority Date | Filing Date | Title |
|---|---|---|---|
| GB1713082.4 | 2017-08-15 | ||
| GBGB1713082.4A GB201713082D0 (en) | 2017-08-15 | 2017-08-15 | Novel compounds |
| GBGB1718563.8A GB201718563D0 (en) | 2017-11-09 | 2017-11-09 | Novel compounds |
| GB1718563.8 | 2017-11-09 | ||
| GB1721735.7 | 2017-12-22 | ||
| GBGB1721735.7A GB201721735D0 (en) | 2017-12-22 | 2017-12-22 | Novel Compounds |
| GB1721726.6 | 2017-12-22 | ||
| GBGB1721726.6A GB201721726D0 (en) | 2017-12-22 | 2017-12-22 | Novel compounds |
| GB1810983.5 | 2018-07-04 | ||
| GBGB1810983.5A GB201810983D0 (en) | 2018-07-04 | 2018-07-04 | Novel compounds |
Publications (1)
| Publication Number | Publication Date |
|---|---|
| WO2019034693A1 true WO2019034693A1 (en) | 2019-02-21 |
Family
ID=63371670
Family Applications (1)
| Application Number | Title | Priority Date | Filing Date |
|---|---|---|---|
| PCT/EP2018/072125 Ceased WO2019034693A1 (en) | 2017-08-15 | 2018-08-15 | Sulfonylureas and sulfonylthioureas as nlrp3 inhibitors |
Country Status (3)
| Country | Link |
|---|---|
| US (1) | US11926600B2 (en) |
| EP (1) | EP3668843A1 (en) |
| WO (1) | WO2019034693A1 (en) |
Cited By (52)
| Publication number | Priority date | Publication date | Assignee | Title |
|---|---|---|---|---|
| WO2019166619A1 (en) * | 2018-03-02 | 2019-09-06 | Inflazome Limited | Novel compounds |
| WO2019211463A1 (en) | 2018-05-04 | 2019-11-07 | Inflazome Limited | Novel compounds |
| WO2020010143A1 (en) | 2018-07-03 | 2020-01-09 | Novartis Inflammasome Research, Inc. | Nlrp modulators |
| WO2020021447A1 (en) * | 2018-07-25 | 2020-01-30 | Novartis Ag | Nlrp3 inflammasome inhibitors |
| WO2020035466A1 (en) | 2018-08-15 | 2020-02-20 | Inflazome Limited | Novel sulfoneurea compounds |
| WO2020035465A1 (en) | 2017-08-15 | 2020-02-20 | Inflazome Limited | Novel sulfoneurea compounds |
| WO2020035464A1 (en) | 2018-08-15 | 2020-02-20 | Inflazome Limited | Novel sulfonamideurea compounds |
| WO2020086732A1 (en) | 2018-10-24 | 2020-04-30 | Novartis Inflammasome Research, Inc. | Compounds and compositions for treating conditions associated with nlrp activity |
| WO2020104657A1 (en) | 2018-11-23 | 2020-05-28 | Inflazome Limited | Nlrp3 inhibitors |
| WO2020208249A1 (en) | 2019-04-12 | 2020-10-15 | Inflazome Limited | Nlrp3 inflammasome inhibition |
| WO2020212484A1 (en) | 2019-04-17 | 2020-10-22 | INSERM (Institut National de la Santé et de la Recherche Médicale) | Methods and compositions for treatment of nlrp3 inflammasome mediated il-1beta dependent disorders |
| WO2020254697A1 (en) | 2019-06-21 | 2020-12-24 | Ac Immune Sa | Fused 1,2 thiazoles and 1,2 thiazines which act as nl3p3 modulators |
| WO2021032591A1 (en) | 2019-08-16 | 2021-02-25 | Inflazome Limited | Macrocyclic sulfonylurea derivatives useful as nlrp3 inhibitors |
| WO2021043966A1 (en) | 2019-09-06 | 2021-03-11 | Inflazome Limited | Nlrp3 inhibitors |
| CN112641768A (en) * | 2019-12-30 | 2021-04-13 | 广州医科大学 | Application of disulfiram in preparation of medicine for preventing and treating NLRP3 inflammation body related diseases |
| US11040985B2 (en) | 2017-01-23 | 2021-06-22 | Genentech, Inc. | Chemical compounds as inhibitors of interleukin-1 activity |
| WO2021165245A1 (en) | 2020-02-18 | 2021-08-26 | Inflazome Limited | Compounds |
| WO2021198511A1 (en) | 2020-04-03 | 2021-10-07 | INSERM (Institut National de la Santé et de la Recherche Médicale) | Methods and compositions for treatment of sars-cov-2 infection |
| WO2021255279A1 (en) | 2020-06-19 | 2021-12-23 | Ac Immune Sa | D i h yd rooxazo le and thiourea derivatives modulating the nlrp3 inflammasome pathway |
| WO2022008597A1 (en) | 2020-07-08 | 2022-01-13 | INSERM (Institut National de la Santé et de la Recherche Médicale) | Methods and pharmaceutical composition for the treatment of infectious diseases |
| WO2022084300A1 (en) | 2020-10-20 | 2022-04-28 | INSERM (Institut National de la Santé et de la Recherche Médicale) | Methods for diagnosis and monitoring form of coronavirus infection |
| US11370776B2 (en) | 2017-07-07 | 2022-06-28 | Inflazome Limited | Sulfonylureas and sulfonylthioureas as NLRP3 inhibitors |
| WO2022171185A1 (en) * | 2021-02-10 | 2022-08-18 | 杭州英创医药科技有限公司 | Compound serving as nlrp3 inhibitor |
| US11518757B2 (en) | 2017-12-18 | 2022-12-06 | NodThera Limited | Sulphonyl urea derivatives as NLRP3 inflammasome modulators |
| US11518739B2 (en) | 2017-08-15 | 2022-12-06 | Inflazome Limited | Sulfonamide carboxamide compounds |
| US11530200B2 (en) | 2018-03-02 | 2022-12-20 | Inflazome Limited | Compounds |
| US11542255B2 (en) | 2017-08-15 | 2023-01-03 | Inflazome Limited | Sulfonylureas and sulfonylthioureas as NLRP3 inhibitors |
| US11560391B2 (en) | 2018-07-20 | 2023-01-24 | Genentech, Inc. | Sulfonylurea compounds as inhibitors of interleukin-1 activity |
| WO2023118521A1 (en) | 2021-12-22 | 2023-06-29 | Ac Immune Sa | Dihydro-oxazol derivative compounds |
| US11773058B2 (en) | 2017-08-15 | 2023-10-03 | Inflazome Limited | Sulfonamide carboxamide compounds |
| CN117083272A (en) * | 2021-03-04 | 2023-11-17 | 詹森药业有限公司 | 4-Alkoxy-6-oxo-pyridazine derivatives that modulate NLRP3 |
| US11834433B2 (en) | 2018-03-02 | 2023-12-05 | Inflazome Limited | Compounds |
| US11840543B2 (en) | 2017-05-24 | 2023-12-12 | The University Of Queensland | Compounds and uses |
| US11858922B2 (en) | 2016-02-16 | 2024-01-02 | The University Of Queensland | Sulfonylureas and related compounds and use of same |
| WO2024013395A1 (en) | 2022-07-14 | 2024-01-18 | Ac Immune Sa | Pyrrolotriazine and imidazotriazine derivatives as modulators of the nlrp3 inflammasome pathway |
| EP4082614A4 (en) * | 2019-12-27 | 2024-01-24 | Japan Tobacco Inc. | ACYLSULFAMIDE COMPOUND AND ITS PHARMACEUTICAL USE |
| US11884645B2 (en) | 2018-03-02 | 2024-01-30 | Inflazome Limited | Sulfonyl acetamides as NLRP3 inhibitors |
| WO2024023266A1 (en) | 2022-07-28 | 2024-02-01 | Ac Immune Sa | Novel compounds |
| US11926600B2 (en) | 2017-08-15 | 2024-03-12 | Inflazome Limited | Sulfonylureas and sulfonylthioureas as NLRP3 inhibitors |
| US12012392B2 (en) | 2017-11-09 | 2024-06-18 | Inflazome Limited | Sulfonamide carboxamide compounds |
| US12030879B2 (en) | 2018-03-02 | 2024-07-09 | Inflazome Limited | Sulfonyl acetamides as NLRP3 inhibitors |
| US12054461B2 (en) | 2019-06-12 | 2024-08-06 | NodThera Limited | Sulfonylurea derivatives and uses thereof |
| WO2024249539A1 (en) | 2023-06-02 | 2024-12-05 | Merck Sharp & Dohme Llc | 5,6 unsaturated bicyclic heterocyles useful as inhibitors of nod-like receptor protein 3 |
| US12168653B2 (en) | 2018-03-02 | 2024-12-17 | Inflazome Limited | Sulfonamide derivates as NLRP3 inhibitors |
| WO2024261302A1 (en) | 2023-06-22 | 2024-12-26 | Institut National de la Santé et de la Recherche Médicale | Nlrp3 inhibitors, pak1/2 inhibitors and/or caspase 1 inhibitors for use in the treatment of rac2 monogenic disorders |
| US12221434B2 (en) | 2017-11-09 | 2025-02-11 | Inflazome Limited | Sulfonamide carboxamide compounds |
| US12234245B2 (en) | 2018-07-20 | 2025-02-25 | Genentech, Inc. | Sulfonimidamide compounds as inhibitors of interleukin-1 activity |
| WO2025133307A1 (en) | 2023-12-22 | 2025-06-26 | Ac Immune Sa | Heterocyclic modulators of the nlrp3 inflammasome pathway |
| WO2025153625A1 (en) | 2024-01-17 | 2025-07-24 | Ac Immune Sa | Imidazo[1,2-d][1,2,4]triazine derivatives for use as inhibitors of the nlrp3 inflammasome pathway |
| WO2025153532A1 (en) | 2024-01-16 | 2025-07-24 | NodThera Limited | Nlrp3 inhibitors and glp-1 agonists combination therapies |
| WO2025153624A1 (en) | 2024-01-17 | 2025-07-24 | Ac Immune Sa | Imidazo[1,2-d][1,2,4]triazine derivatives for use as inhibitors of the nlrp3 inflammasome pathway |
| WO2025163069A1 (en) | 2024-01-31 | 2025-08-07 | Ac Immune Sa | Novel compounds |
Families Citing this family (1)
| Publication number | Priority date | Publication date | Assignee | Title |
|---|---|---|---|---|
| BR112020002948A2 (en) * | 2017-08-15 | 2020-08-11 | Inflazome Limited | new sulfonamide-carboxamide compounds |
Citations (4)
| Publication number | Priority date | Publication date | Assignee | Title |
|---|---|---|---|---|
| WO2006085815A1 (en) * | 2005-02-11 | 2006-08-17 | Astrazeneca Ab | Thiazole derivatives, their process for their preparation and their use in therapy |
| WO2016131098A1 (en) * | 2015-02-16 | 2016-08-25 | The University Of Queensland | Sulfonylureas and related compounds and use of same |
| WO2018015445A1 (en) * | 2016-07-20 | 2018-01-25 | NodThera Limited | Sulfonyl urea derivatives and their use in the control of interleukin-1 activity |
| WO2018136890A1 (en) * | 2017-01-23 | 2018-07-26 | Jecure Therapeutics, Inc. | Chemical compounds as inhibitors of interleukin-1 activity |
Family Cites Families (113)
| Publication number | Priority date | Publication date | Assignee | Title |
|---|---|---|---|---|
| GB797474A (en) | 1955-07-20 | 1958-07-02 | Boehringer & Soehne Gmbh | Sulphonylurea derivatives |
| NL129208C (en) | 1965-07-14 | |||
| BE754588A (en) | 1969-08-07 | 1971-02-08 | Hoechst Ag | THIOPHENE-SULFONYL-UREES AND THE MEDICINAL PRODUCTS CONTAINING THESE SUBSTANCES |
| AU571869B2 (en) | 1983-05-09 | 1988-04-28 | E.I. Du Pont De Nemours And Company | Pyridyl- and pyrimidyl- sulphonamides |
| DE3479213D1 (en) | 1983-05-16 | 1989-09-07 | Ciba Geigy Ag | Herbicidally active and plant growth regulating pyrimidine derivatives, their preparation and use |
| JPS6045573A (en) | 1983-08-22 | 1985-03-12 | Nissan Chem Ind Ltd | Pyrazolesulfonylurea derivative, its preparation and selective herbicide containing said derivative |
| US4723991A (en) | 1984-03-23 | 1988-02-09 | E. I. Du Pont De Nemours And Company | Lower alkyl 2-[[N-(3-cyano-pyridin-2-yl)aminocarbonyl]aminosulphonyl]benzoate derivatives having herbicidal activity |
| US4659369A (en) | 1984-08-27 | 1987-04-21 | E. I. Du Pont De Nemours And Company | Herbicidal acetals and ketals |
| AU578307B2 (en) | 1984-09-17 | 1988-10-20 | E.I. Du Pont De Nemours And Company | Herbicidal pyrazolesulfonamides |
| FI855180A7 (en) | 1985-01-18 | 1986-07-19 | Nissan Chemical Ind Ltd | Pyrazolesulfonamide derivative, method for its preparation and herbicide containing it. |
| JPH0720958B2 (en) | 1985-01-18 | 1995-03-08 | 日産化学工業株式会社 | Pyrazol sulfonamide derivative, process and herbicide |
| CA1231336A (en) | 1985-05-30 | 1988-01-12 | George Levitt | Herbicidal sulfonamides |
| JPH0720957B2 (en) | 1985-11-26 | 1995-03-08 | 日産化学工業株式会社 | Pyrazole sulfonylurea derivative, process and herbicide |
| JP2570686B2 (en) | 1985-12-23 | 1997-01-08 | 日産化学工業株式会社 | Pyrazole derivatives |
| US4830660A (en) | 1986-06-19 | 1989-05-16 | Nissan Chemical Industries, Ltd. | Imidazolesulfonamide derivatives and herbicides |
| EP0262096B1 (en) | 1986-09-26 | 1992-01-02 | Ciba-Geigy Ag | Aminopyrazinones and aminotriazinones |
| US4802908A (en) | 1987-01-22 | 1989-02-07 | E. I. Du Pont De Nemours And Company | Herbicidal 2-(1H)-pyrazinones |
| WO1991010668A1 (en) | 1990-01-22 | 1991-07-25 | E.I. Du Pont De Nemours And Company | Herbicidal sulfonylureas |
| NZ238911A (en) | 1990-07-17 | 1993-10-26 | Lilly Co Eli | Furyl, pyrrolyl and thienyl sulphonyl urea derivatives, pharmaceutical compositions and intermediates therefor |
| DE69123741T2 (en) | 1990-08-29 | 1997-07-10 | Du Pont | PYRROL SULFONYL UREAS AS HERBICIDES |
| DE4039733A1 (en) | 1990-12-13 | 1992-06-17 | Basf Ag | SUBSTITUTED 5-AMINOPYRAZOLE |
| CA2115990A1 (en) | 1991-08-19 | 1993-03-04 | George Albert Boswell | Angiotensin ii receptor blocking imidazolinone derivatives |
| WO1993004045A1 (en) | 1991-08-19 | 1993-03-04 | E.I. Du Pont De Nemours And Company | Angiotensin ii receptor blocking imidazolinone derivatives |
| US5169860A (en) | 1992-03-13 | 1992-12-08 | Eli Lilly And Company | Antitumor compositions and methods of treatment |
| US5219856A (en) | 1992-04-06 | 1993-06-15 | E. I. Du Pont De Nemours And Company | Angiotensin-II receptor blocking, heterocycle substituted imidazoles |
| JPH06199054A (en) | 1992-12-28 | 1994-07-19 | Dainippon Printing Co Ltd | Heat transfer sheet |
| JPH06199053A (en) | 1992-12-28 | 1994-07-19 | Sankyo Kagaku Kk | Color element for heat transfer recording |
| JPH06199047A (en) | 1993-01-08 | 1994-07-19 | New Oji Paper Co Ltd | Heat-sensitive recording substance |
| AU7007696A (en) | 1995-09-22 | 1997-04-09 | E.I. Du Pont De Nemours And Company | Arthropodicidal 1,4-dihydropyridines and 1,4-dihydropyrimidines |
| DE69622148T2 (en) | 1995-09-28 | 2002-10-31 | Suntory Limited, Osaka | CHINAZOZINE DERIVATIVES AND THEIR USE |
| WO1997030978A1 (en) | 1996-02-26 | 1997-08-28 | Sumitomo Pharmaceuticals Company, Limited | Sulfonylureidopyrazole derivatives |
| EP1270565B1 (en) | 1997-01-29 | 2004-06-30 | Pfizer Inc. | 4-Substituted furan-2-sulfonamide and its use in the preparation of sulfonyl urea derivatives |
| AU723895B2 (en) | 1997-01-29 | 2000-09-07 | Pfizer Inc. | Sulfonyl urea derivatives and their use in the control of interleukin-1 activity |
| US6022984A (en) | 1998-07-27 | 2000-02-08 | Pfizer Inc. | Efficient synthesis of furan sulfonamide compounds useful in the synthesis of new IL-1 inhibitors |
| JP2000053649A (en) | 1998-08-11 | 2000-02-22 | Sumitomo Pharmaceut Co Ltd | Sulfonylureidopyrazole derivatives |
| EP0987552A3 (en) | 1998-08-31 | 2000-06-07 | Pfizer Products Inc. | Diarylsulfonylurea binding proteins |
| HRP20010738B1 (en) | 1999-03-15 | 2005-02-28 | Axys Pharmaceuticals | N-cyanomethyl amides as protease inhibitors |
| EP1214087A1 (en) | 1999-09-14 | 2002-06-19 | Pfizer Products Inc. | Combination treatment with il-1ra and compounds that inhibit il-1 processing and release |
| US6906063B2 (en) | 2000-02-04 | 2005-06-14 | Portola Pharmaceuticals, Inc. | Platelet ADP receptor inhibitors |
| JP4574100B2 (en) | 2000-02-04 | 2010-11-04 | ポートラ ファーマシューティカルズ, インコーポレイテッド | Platelet ADP receptor inhibitor |
| GB0017676D0 (en) | 2000-07-19 | 2000-09-06 | Angeletti P Ist Richerche Bio | Inhibitors of viral polymerase |
| CA2369967A1 (en) | 2001-02-12 | 2002-08-12 | Joseph Anthony Cornicelli | Methods of treating nuclear factor-kappa b mediated diseases and disorders |
| MXPA03010341A (en) | 2001-05-18 | 2004-03-10 | Solvay Pharm Gmbh | Use of compounds with combined nep/mp-inhibitory activity in the preparation of medicaments. |
| FI110677B (en) | 2001-10-12 | 2003-03-14 | Jujo Thermal Oy | Heat-sensitive recording material for use in, e.g. stickers, has coating layer comprising chelate-type color forming system and leuco dye with urea-based developer |
| DK1441734T3 (en) | 2001-10-26 | 2007-06-11 | Angeletti P Ist Richerche Bio | Dihydroxypyrimidine carboxamide inhibitors and HIV integrase |
| MXPA04002565A (en) | 2001-11-30 | 2004-05-31 | Pfizer Prod Inc | Combination of an il-1/18 inhibitor with a tnf inhibitor for the treatment of inflammation. |
| US7109354B2 (en) | 2002-05-28 | 2006-09-19 | 3-Dimensional Pharmaceuticals, Inc. | Thiophene amidines, compositions thereof, and methods of treating complement-mediated diseases and conditions |
| US20040092529A1 (en) | 2002-10-30 | 2004-05-13 | Pfizer Inc | Methods of using piperazine derivatives |
| GB0319124D0 (en) | 2003-08-14 | 2003-09-17 | Smithkline Beecham Corp | Chemical compounds |
| AU2004278030C1 (en) | 2003-10-03 | 2010-12-02 | Portola Pharmaceuticals, Inc. | 2,4-Dioxo-3-quinazolinylaryl sulfonylureas |
| US7294635B2 (en) | 2003-10-03 | 2007-11-13 | Portola Pharmaceuticals, Inc. | Substituted isoquinolinones |
| BRPI0516181A (en) | 2004-09-29 | 2008-08-26 | Portola Pharm Inc | pharmaceutically acceptable compound and salts thereof, pharmaceutical composition, and methods for treating thrombosis in an individual and preventing the occurrence of a secondary ischemic event |
| TWI391378B (en) | 2006-03-16 | 2013-04-01 | Astellas Pharma Inc | Quinolone derivative or pharmaceutically acceptable salt thereof |
| GB0701426D0 (en) | 2007-01-25 | 2007-03-07 | Univ Sheffield | Compounds and their use |
| WO2009065096A1 (en) | 2007-11-16 | 2009-05-22 | University Of Medicine And Dentistry Of New Jersey | Mechanism-based small-molecule parasite inhibitors |
| GB2474120B (en) | 2009-10-01 | 2011-12-21 | Amira Pharmaceuticals Inc | Compounds as Lysophosphatidic acid receptor antagonists |
| CN102791712B (en) | 2010-03-05 | 2015-07-01 | 协和发酵麒麟株式会社 | Pyrazolopyrimidine Derivatives |
| EP2781216A4 (en) | 2011-09-02 | 2015-05-27 | Kyowa Hakko Kirin Co Ltd | Chemokine receptor activity regulator |
| PL221813B1 (en) | 2013-02-22 | 2016-05-31 | Univ Medyczny W Lublinie | Derivatives of 1-aryl-6-benzenesulfonylimidazo[1,2-a][1.3.5]triazine and their preparation |
| TW201501713A (en) | 2013-03-01 | 2015-01-16 | Kyowa Hakko Kirin Co Ltd | Agent for preventing and/or treating ocular inflammatory disease |
| MX364834B (en) | 2013-11-05 | 2019-05-08 | Novartis Ag | Compositions and methods for modulating farnesoid x receptors. |
| CN104513239B (en) | 2014-12-10 | 2017-08-22 | 沈阳药科大学 | The ketone compounds of pyrazolo [3,4 c] pyridine 7 and its application |
| TWI698430B (en) | 2015-02-13 | 2020-07-11 | 南北兄弟藥業投資有限公司 | Tricyclic compounds and uses thereof in medicine |
| WO2016138473A1 (en) | 2015-02-26 | 2016-09-01 | H. Lee Moffitt Cancer Center And Research Institute, Inc. | Inflammasome activation in myelodysplastic syndromes |
| ES2954596T3 (en) | 2015-12-23 | 2023-11-23 | Univ British Columbia | Lipid-bound prodrugs |
| FR3046933B1 (en) | 2016-01-25 | 2018-03-02 | Galderma Research & Development | NLRP3 INHIBITORS FOR THE TREATMENT OF INFLAMMATORY SKIN CONDITIONS |
| HK1257569A1 (en) | 2016-02-16 | 2019-10-25 | The University Of Queensland | Sulfonylureas and related compounds and use of same |
| EP3445749B1 (en) | 2016-04-18 | 2022-12-21 | Novartis AG | Compounds and compositions for treating conditions associated with nlrp activity |
| WO2017184623A1 (en) | 2016-04-18 | 2017-10-26 | Ifm Therapeutics, Inc | Compounds and compositions for treating conditions associated with nlrp activity |
| WO2017189652A1 (en) | 2016-04-26 | 2017-11-02 | Enanta Pharmaceuticals, Inc. | Isoxazole derivatives as fxr agonists and methods of use thereof |
| TWI674261B (en) | 2017-02-17 | 2019-10-11 | 美商英能腫瘤免疫股份有限公司 | Nlrp3 modulators |
| BR112019024831A2 (en) | 2017-05-24 | 2020-06-09 | The University Of Queensland | compound, salt, solvate or prodrug, pharmaceutical composition, method of treating or preventing a disease, method of inhibiting nlrp3 |
| EP3649112A1 (en) | 2017-07-07 | 2020-05-13 | Inflazome Limited | Sulfonylureas and sulfonylthioureas as nlrp3 inhibitors |
| PT3661925T (en) | 2017-07-07 | 2022-01-31 | Inflazome Ltd | Novel sulfonamide carboxamide compounds |
| EP3658539B1 (en) | 2017-07-24 | 2024-02-21 | Novartis AG | Compounds and compositions for treating conditions associated with nlrp activity |
| BR112020002948A2 (en) | 2017-08-15 | 2020-08-11 | Inflazome Limited | new sulfonamide-carboxamide compounds |
| WO2019034692A1 (en) | 2017-08-15 | 2019-02-21 | Inflazome Limited | Sulfonylureas and sulfonylthioureas as nlrp3 inhibitors |
| EP3668862A1 (en) | 2017-08-15 | 2020-06-24 | Inflazome Limited | Novel sulfonamide carboxamide compounds |
| EP3668840A1 (en) | 2017-08-15 | 2020-06-24 | Inflazome Limited | Novel sulfonamide carboxamide compounds |
| JP2020531453A (en) | 2017-08-15 | 2020-11-05 | インフレイゾーム リミテッド | Sulfonylurea and Sulfonylurea as NLRP3 Inhibitors |
| WO2019034696A1 (en) | 2017-08-15 | 2019-02-21 | Inflazome Limited | Novel sulfonamide carboxamide compounds |
| WO2019034693A1 (en) | 2017-08-15 | 2019-02-21 | Inflazome Limited | Sulfonylureas and sulfonylthioureas as nlrp3 inhibitors |
| WO2019068772A1 (en) | 2017-10-03 | 2019-04-11 | Inflazome Limited | Novel compounds |
| WO2019092172A1 (en) | 2017-11-09 | 2019-05-16 | Inflazome Limited | Novel sulfonamide carboxamide compounds |
| JP2021502364A (en) | 2017-11-09 | 2021-01-28 | インフレイゾーム リミテッド | New sulfonamide carboxamide compounds |
| US12221434B2 (en) | 2017-11-09 | 2025-02-11 | Inflazome Limited | Sulfonamide carboxamide compounds |
| CN110151749B (en) | 2018-02-13 | 2022-04-19 | 中国科学技术大学 | Application of Rubescensine A in the preparation of drugs for preventing or treating NLRP3 inflammasome-related diseases |
| WO2019166624A1 (en) | 2018-03-02 | 2019-09-06 | Inflazome Limited | Novel compounds |
| US11834433B2 (en) | 2018-03-02 | 2023-12-05 | Inflazome Limited | Compounds |
| GB201803393D0 (en) | 2018-03-02 | 2018-04-18 | Inflazome Ltd | Novel compounds |
| EP3759103A1 (en) | 2018-03-02 | 2021-01-06 | Inflazome Limited | Novel compounds |
| GB201803394D0 (en) | 2018-03-02 | 2018-04-18 | Inflazome Ltd | Novel compounds |
| US11884645B2 (en) | 2018-03-02 | 2024-01-30 | Inflazome Limited | Sulfonyl acetamides as NLRP3 inhibitors |
| WO2019166619A1 (en) | 2018-03-02 | 2019-09-06 | Inflazome Limited | Novel compounds |
| WO2019166629A1 (en) | 2018-03-02 | 2019-09-06 | Inflazome Limited | Novel compounds |
| US12168653B2 (en) | 2018-03-02 | 2024-12-17 | Inflazome Limited | Sulfonamide derivates as NLRP3 inhibitors |
| GB201806578D0 (en) | 2018-04-23 | 2018-06-06 | Inflazome Ltd | Novel compound |
| MA52489A (en) | 2018-05-04 | 2021-03-10 | Inflazome Ltd | NEW COMPOUNDS |
| CN112654350A (en) | 2018-07-03 | 2021-04-13 | 诺华股份有限公司 | Methods of treating a subject resistant to a TNF inhibitor or selecting a treatment for said subject using an NLRP3 antagonist |
| US20220267276A1 (en) | 2018-07-03 | 2022-08-25 | Novartis Ag | Nlrp modulators |
| WO2020018970A1 (en) | 2018-07-20 | 2020-01-23 | Genentech, Inc. | Sulfonylurea compounds as inhibitors of interleukin-1 activity |
| GB201902327D0 (en) | 2019-02-20 | 2019-04-03 | Inflazome Ltd | Novel compounds |
| KR20210053910A (en) | 2018-08-15 | 2021-05-12 | 인플라좀 리미티드 | Novel Sulfonamide Urea Compound |
| GB201817038D0 (en) | 2018-10-19 | 2018-12-05 | Inflazome Ltd | Novel processes |
| US20230011652A1 (en) | 2018-10-24 | 2023-01-12 | Novartis Ag | Compounds and compositions for treating conditions associated with nlrp activity |
| DK3880660T3 (en) | 2018-11-13 | 2025-10-06 | Novartis Ag | COMPOUNDS AND COMPOSITIONS FOR TREATING CONDITIONS ASSOCIATED WITH NLRP ACTIVITY |
| GB201819083D0 (en) | 2018-11-23 | 2019-01-09 | Inflazome Ltd | Novel compounds |
| CN109432078B (en) | 2018-12-04 | 2020-09-01 | 南华大学 | Application of compound in preparation of medicine for preventing or treating cognitive disorder caused by ionizing radiation |
| GB201905265D0 (en) | 2019-04-12 | 2019-05-29 | Inflazome Ltd | Inflammasome inhibition |
| JP2022545407A (en) | 2019-08-16 | 2022-10-27 | インフレイゾーム リミテッド | Macrocyclic Sulfonylamide Derivatives Useful as NLRP3 Inhibitors |
| JP2022545400A (en) | 2019-08-16 | 2022-10-27 | インフレイゾーム リミテッド | Macrocyclic Sulfonylurea Derivatives Useful as NLRP3 Inhibitors |
| WO2021043966A1 (en) | 2019-09-06 | 2021-03-11 | Inflazome Limited | Nlrp3 inhibitors |
| US20230121952A1 (en) | 2020-02-18 | 2023-04-20 | Inflazome Limited | Compounds |
-
2018
- 2018-08-15 WO PCT/EP2018/072125 patent/WO2019034693A1/en not_active Ceased
- 2018-08-15 US US16/638,700 patent/US11926600B2/en active Active
- 2018-08-15 EP EP18759580.6A patent/EP3668843A1/en active Pending
Patent Citations (4)
| Publication number | Priority date | Publication date | Assignee | Title |
|---|---|---|---|---|
| WO2006085815A1 (en) * | 2005-02-11 | 2006-08-17 | Astrazeneca Ab | Thiazole derivatives, their process for their preparation and their use in therapy |
| WO2016131098A1 (en) * | 2015-02-16 | 2016-08-25 | The University Of Queensland | Sulfonylureas and related compounds and use of same |
| WO2018015445A1 (en) * | 2016-07-20 | 2018-01-25 | NodThera Limited | Sulfonyl urea derivatives and their use in the control of interleukin-1 activity |
| WO2018136890A1 (en) * | 2017-01-23 | 2018-07-26 | Jecure Therapeutics, Inc. | Chemical compounds as inhibitors of interleukin-1 activity |
Non-Patent Citations (2)
| Title |
|---|
| DATABASE REGISTRY [online] CHEMICAL ABSTRACTS SERVICE, COLUMBUS, OHIO, US; 21 December 2007 (2007-12-21), XP002785308, accession no. stn Database accession no. 959378-15-5 * |
| LAPORTE M G ET AL: "Tetrahydrobenzothiophene inhibitors of hepatitis C virus NS5B polymerase", BIOORGANIC & MEDICINAL CHEMISTRY LETTERS, PERGAMON, AMSTERDAM, NL, vol. 16, no. 1, 1 January 2006 (2006-01-01), pages 100 - 103, XP027965948, ISSN: 0960-894X, [retrieved on 20060101] * |
Cited By (63)
| Publication number | Priority date | Publication date | Assignee | Title |
|---|---|---|---|---|
| US11858922B2 (en) | 2016-02-16 | 2024-01-02 | The University Of Queensland | Sulfonylureas and related compounds and use of same |
| US11040985B2 (en) | 2017-01-23 | 2021-06-22 | Genentech, Inc. | Chemical compounds as inhibitors of interleukin-1 activity |
| US11702428B2 (en) | 2017-01-23 | 2023-07-18 | Genentech, Inc. | Chemical compounds as inhibitors of interleukin-1 activity |
| US11840543B2 (en) | 2017-05-24 | 2023-12-12 | The University Of Queensland | Compounds and uses |
| US11370776B2 (en) | 2017-07-07 | 2022-06-28 | Inflazome Limited | Sulfonylureas and sulfonylthioureas as NLRP3 inhibitors |
| US11613542B2 (en) | 2017-08-15 | 2023-03-28 | Inflazome Limited | Sulfonylureas and sulfonylthioureas as NLRP3 inhibitors |
| US11518739B2 (en) | 2017-08-15 | 2022-12-06 | Inflazome Limited | Sulfonamide carboxamide compounds |
| US11773058B2 (en) | 2017-08-15 | 2023-10-03 | Inflazome Limited | Sulfonamide carboxamide compounds |
| WO2020035465A1 (en) | 2017-08-15 | 2020-02-20 | Inflazome Limited | Novel sulfoneurea compounds |
| US11542255B2 (en) | 2017-08-15 | 2023-01-03 | Inflazome Limited | Sulfonylureas and sulfonylthioureas as NLRP3 inhibitors |
| US11926600B2 (en) | 2017-08-15 | 2024-03-12 | Inflazome Limited | Sulfonylureas and sulfonylthioureas as NLRP3 inhibitors |
| US12221434B2 (en) | 2017-11-09 | 2025-02-11 | Inflazome Limited | Sulfonamide carboxamide compounds |
| US12012392B2 (en) | 2017-11-09 | 2024-06-18 | Inflazome Limited | Sulfonamide carboxamide compounds |
| US12012397B2 (en) | 2017-12-18 | 2024-06-18 | NodThera Limited | Sulphonyl urea derivatives as NLRP3 inflammasome modulators |
| US11518757B2 (en) | 2017-12-18 | 2022-12-06 | NodThera Limited | Sulphonyl urea derivatives as NLRP3 inflammasome modulators |
| US12459925B2 (en) | 2017-12-18 | 2025-11-04 | NodThera Limited | Sulphonyl urea derivatives as NLRP3 inflammasome modulators |
| US12168653B2 (en) | 2018-03-02 | 2024-12-17 | Inflazome Limited | Sulfonamide derivates as NLRP3 inhibitors |
| US11834433B2 (en) | 2018-03-02 | 2023-12-05 | Inflazome Limited | Compounds |
| US11884645B2 (en) | 2018-03-02 | 2024-01-30 | Inflazome Limited | Sulfonyl acetamides as NLRP3 inhibitors |
| US11905252B2 (en) | 2018-03-02 | 2024-02-20 | Inflazome Limited | Compounds |
| WO2019166619A1 (en) * | 2018-03-02 | 2019-09-06 | Inflazome Limited | Novel compounds |
| US12030879B2 (en) | 2018-03-02 | 2024-07-09 | Inflazome Limited | Sulfonyl acetamides as NLRP3 inhibitors |
| US11530200B2 (en) | 2018-03-02 | 2022-12-20 | Inflazome Limited | Compounds |
| WO2019211463A1 (en) | 2018-05-04 | 2019-11-07 | Inflazome Limited | Novel compounds |
| WO2020010143A1 (en) | 2018-07-03 | 2020-01-09 | Novartis Inflammasome Research, Inc. | Nlrp modulators |
| US11560391B2 (en) | 2018-07-20 | 2023-01-24 | Genentech, Inc. | Sulfonylurea compounds as inhibitors of interleukin-1 activity |
| US12234245B2 (en) | 2018-07-20 | 2025-02-25 | Genentech, Inc. | Sulfonimidamide compounds as inhibitors of interleukin-1 activity |
| US12168012B2 (en) | 2018-07-25 | 2024-12-17 | Novartis Ag | NLRP3 inflammasome inhibitors |
| WO2020021447A1 (en) * | 2018-07-25 | 2020-01-30 | Novartis Ag | Nlrp3 inflammasome inhibitors |
| CN112424207B (en) * | 2018-07-25 | 2024-03-19 | 诺华股份有限公司 | NLRP3 inflammasome inhibitor |
| CN112424207A (en) * | 2018-07-25 | 2021-02-26 | 诺华股份有限公司 | NLRP3 inflammasome inhibitor |
| US12187702B2 (en) | 2018-08-15 | 2025-01-07 | Inflazome Limited | Sulfonamideurea compounds |
| WO2020035464A1 (en) | 2018-08-15 | 2020-02-20 | Inflazome Limited | Novel sulfonamideurea compounds |
| CN112888675A (en) * | 2018-08-15 | 2021-06-01 | 英夫拉索姆有限公司 | Novel sulfonylurea compound |
| WO2020035466A1 (en) | 2018-08-15 | 2020-02-20 | Inflazome Limited | Novel sulfoneurea compounds |
| WO2020086732A1 (en) | 2018-10-24 | 2020-04-30 | Novartis Inflammasome Research, Inc. | Compounds and compositions for treating conditions associated with nlrp activity |
| WO2020104657A1 (en) | 2018-11-23 | 2020-05-28 | Inflazome Limited | Nlrp3 inhibitors |
| WO2020208249A1 (en) | 2019-04-12 | 2020-10-15 | Inflazome Limited | Nlrp3 inflammasome inhibition |
| WO2020212484A1 (en) | 2019-04-17 | 2020-10-22 | INSERM (Institut National de la Santé et de la Recherche Médicale) | Methods and compositions for treatment of nlrp3 inflammasome mediated il-1beta dependent disorders |
| US12054461B2 (en) | 2019-06-12 | 2024-08-06 | NodThera Limited | Sulfonylurea derivatives and uses thereof |
| WO2020254697A1 (en) | 2019-06-21 | 2020-12-24 | Ac Immune Sa | Fused 1,2 thiazoles and 1,2 thiazines which act as nl3p3 modulators |
| WO2021032591A1 (en) | 2019-08-16 | 2021-02-25 | Inflazome Limited | Macrocyclic sulfonylurea derivatives useful as nlrp3 inhibitors |
| WO2021043966A1 (en) | 2019-09-06 | 2021-03-11 | Inflazome Limited | Nlrp3 inhibitors |
| EP4082614A4 (en) * | 2019-12-27 | 2024-01-24 | Japan Tobacco Inc. | ACYLSULFAMIDE COMPOUND AND ITS PHARMACEUTICAL USE |
| CN112641768A (en) * | 2019-12-30 | 2021-04-13 | 广州医科大学 | Application of disulfiram in preparation of medicine for preventing and treating NLRP3 inflammation body related diseases |
| WO2021165245A1 (en) | 2020-02-18 | 2021-08-26 | Inflazome Limited | Compounds |
| WO2021198511A1 (en) | 2020-04-03 | 2021-10-07 | INSERM (Institut National de la Santé et de la Recherche Médicale) | Methods and compositions for treatment of sars-cov-2 infection |
| WO2021255279A1 (en) | 2020-06-19 | 2021-12-23 | Ac Immune Sa | D i h yd rooxazo le and thiourea derivatives modulating the nlrp3 inflammasome pathway |
| WO2022008597A1 (en) | 2020-07-08 | 2022-01-13 | INSERM (Institut National de la Santé et de la Recherche Médicale) | Methods and pharmaceutical composition for the treatment of infectious diseases |
| WO2022084300A1 (en) | 2020-10-20 | 2022-04-28 | INSERM (Institut National de la Santé et de la Recherche Médicale) | Methods for diagnosis and monitoring form of coronavirus infection |
| CN117279903A (en) * | 2021-02-10 | 2023-12-22 | 杭州英创医药科技有限公司 | Compounds that act as NLRP3 inhibitors |
| WO2022171185A1 (en) * | 2021-02-10 | 2022-08-18 | 杭州英创医药科技有限公司 | Compound serving as nlrp3 inhibitor |
| CN117083272A (en) * | 2021-03-04 | 2023-11-17 | 詹森药业有限公司 | 4-Alkoxy-6-oxo-pyridazine derivatives that modulate NLRP3 |
| WO2023118521A1 (en) | 2021-12-22 | 2023-06-29 | Ac Immune Sa | Dihydro-oxazol derivative compounds |
| WO2024013395A1 (en) | 2022-07-14 | 2024-01-18 | Ac Immune Sa | Pyrrolotriazine and imidazotriazine derivatives as modulators of the nlrp3 inflammasome pathway |
| WO2024023266A1 (en) | 2022-07-28 | 2024-02-01 | Ac Immune Sa | Novel compounds |
| WO2024249539A1 (en) | 2023-06-02 | 2024-12-05 | Merck Sharp & Dohme Llc | 5,6 unsaturated bicyclic heterocyles useful as inhibitors of nod-like receptor protein 3 |
| WO2024261302A1 (en) | 2023-06-22 | 2024-12-26 | Institut National de la Santé et de la Recherche Médicale | Nlrp3 inhibitors, pak1/2 inhibitors and/or caspase 1 inhibitors for use in the treatment of rac2 monogenic disorders |
| WO2025133307A1 (en) | 2023-12-22 | 2025-06-26 | Ac Immune Sa | Heterocyclic modulators of the nlrp3 inflammasome pathway |
| WO2025153532A1 (en) | 2024-01-16 | 2025-07-24 | NodThera Limited | Nlrp3 inhibitors and glp-1 agonists combination therapies |
| WO2025153625A1 (en) | 2024-01-17 | 2025-07-24 | Ac Immune Sa | Imidazo[1,2-d][1,2,4]triazine derivatives for use as inhibitors of the nlrp3 inflammasome pathway |
| WO2025153624A1 (en) | 2024-01-17 | 2025-07-24 | Ac Immune Sa | Imidazo[1,2-d][1,2,4]triazine derivatives for use as inhibitors of the nlrp3 inflammasome pathway |
| WO2025163069A1 (en) | 2024-01-31 | 2025-08-07 | Ac Immune Sa | Novel compounds |
Also Published As
| Publication number | Publication date |
|---|---|
| US20210122716A1 (en) | 2021-04-29 |
| EP3668843A1 (en) | 2020-06-24 |
| US11926600B2 (en) | 2024-03-12 |
Similar Documents
| Publication | Publication Date | Title |
|---|---|---|
| US11926600B2 (en) | Sulfonylureas and sulfonylthioureas as NLRP3 inhibitors | |
| US11905252B2 (en) | Compounds | |
| US12221434B2 (en) | Sulfonamide carboxamide compounds | |
| US11884645B2 (en) | Sulfonyl acetamides as NLRP3 inhibitors | |
| US12168653B2 (en) | Sulfonamide derivates as NLRP3 inhibitors | |
| US11834433B2 (en) | Compounds | |
| WO2019092172A1 (en) | Novel sulfonamide carboxamide compounds | |
| EP3668840A1 (en) | Novel sulfonamide carboxamide compounds | |
| WO2019166624A1 (en) | Novel compounds | |
| EP3707134A1 (en) | Novel sulfonamide carboxamide compounds | |
| US20220289692A1 (en) | Nlrp3 inhibitors | |
| WO2019068772A1 (en) | Novel compounds | |
| WO2020035465A1 (en) | Novel sulfoneurea compounds | |
| WO2020035466A1 (en) | Novel sulfoneurea compounds | |
| EP3668862A1 (en) | Novel sulfonamide carboxamide compounds | |
| EP3649112A1 (en) | Sulfonylureas and sulfonylthioureas as nlrp3 inhibitors | |
| EP3668601A1 (en) | Novel sulfonamide carboxamide compounds | |
| WO2019166632A1 (en) | Novel compounds |
Legal Events
| Date | Code | Title | Description |
|---|---|---|---|
| NENP | Non-entry into the national phase |
Ref country code: DE |
|
| ENP | Entry into the national phase |
Ref document number: 2018759580 Country of ref document: EP Effective date: 20200316 |
|
| 121 | Ep: the epo has been informed by wipo that ep was designated in this application |
Ref document number: 18759580 Country of ref document: EP Kind code of ref document: A1 |
|
| WWW | Wipo information: withdrawn in national office |
Ref document number: 2018759580 Country of ref document: EP |















































































