WO2018022282A1 - Novel therapeutic agents for the treatment of hbv infection - Google Patents

Novel therapeutic agents for the treatment of hbv infection Download PDF

Info

Publication number
WO2018022282A1
WO2018022282A1 PCT/US2017/041350 US2017041350W WO2018022282A1 WO 2018022282 A1 WO2018022282 A1 WO 2018022282A1 US 2017041350 W US2017041350 W US 2017041350W WO 2018022282 A1 WO2018022282 A1 WO 2018022282A1
Authority
WO
WIPO (PCT)
Prior art keywords
alkyl
methoxypropoxy
mmol
oxo
cycloalkyl
Prior art date
Legal status (The legal status is an assumption and is not a legal conclusion. Google has not performed a legal analysis and makes no representation as to the accuracy of the status listed.)
Ceased
Application number
PCT/US2017/041350
Other languages
French (fr)
Inventor
Yi Chen
Current Assignee (The listed assignees may be inaccurate. Google has not performed a legal analysis and makes no representation or warranty as to the accuracy of the list.)
Newave Pharmaceutical Inc
Original Assignee
Newave Pharmaceutical Inc
Priority date (The priority date is an assumption and is not a legal conclusion. Google has not performed a legal analysis and makes no representation as to the accuracy of the date listed.)
Filing date
Publication date
Application filed by Newave Pharmaceutical Inc filed Critical Newave Pharmaceutical Inc
Priority to CN201780056904.8A priority Critical patent/CN109715624B/en
Priority to CA3031063A priority patent/CA3031063A1/en
Priority to EP17834944.5A priority patent/EP3490987B1/en
Priority to JP2019526187A priority patent/JP6991213B2/en
Publication of WO2018022282A1 publication Critical patent/WO2018022282A1/en
Priority to US15/896,285 priority patent/US10239872B2/en
Anticipated expiration legal-status Critical
Priority to US16/269,824 priority patent/US10501456B2/en
Priority to US16/705,472 priority patent/US20200223841A1/en
Ceased legal-status Critical Current

Links

Classifications

    • CCHEMISTRY; METALLURGY
    • C07ORGANIC CHEMISTRY
    • C07DHETEROCYCLIC COMPOUNDS
    • C07D455/00Heterocyclic compounds containing quinolizine ring systems, e.g. emetine alkaloids, protoberberine; Alkylenedioxy derivatives of dibenzo [a, g] quinolizines, e.g. berberine
    • C07D455/03Heterocyclic compounds containing quinolizine ring systems, e.g. emetine alkaloids, protoberberine; Alkylenedioxy derivatives of dibenzo [a, g] quinolizines, e.g. berberine containing quinolizine ring systems directly condensed with at least one six-membered carbocyclic ring, e.g. protoberberine; Alkylenedioxy derivatives of dibenzo [a, g] quinolizines, e.g. berberine
    • C07D455/04Heterocyclic compounds containing quinolizine ring systems, e.g. emetine alkaloids, protoberberine; Alkylenedioxy derivatives of dibenzo [a, g] quinolizines, e.g. berberine containing quinolizine ring systems directly condensed with at least one six-membered carbocyclic ring, e.g. protoberberine; Alkylenedioxy derivatives of dibenzo [a, g] quinolizines, e.g. berberine containing a quinolizine ring system condensed with only one six-membered carbocyclic ring, e.g. julolidine
    • C07D455/06Heterocyclic compounds containing quinolizine ring systems, e.g. emetine alkaloids, protoberberine; Alkylenedioxy derivatives of dibenzo [a, g] quinolizines, e.g. berberine containing quinolizine ring systems directly condensed with at least one six-membered carbocyclic ring, e.g. protoberberine; Alkylenedioxy derivatives of dibenzo [a, g] quinolizines, e.g. berberine containing a quinolizine ring system condensed with only one six-membered carbocyclic ring, e.g. julolidine containing benzo [a] quinolizine ring systems
    • AHUMAN NECESSITIES
    • A61MEDICAL OR VETERINARY SCIENCE; HYGIENE
    • A61PSPECIFIC THERAPEUTIC ACTIVITY OF CHEMICAL COMPOUNDS OR MEDICINAL PREPARATIONS
    • A61P31/00Antiinfectives, i.e. antibiotics, antiseptics, chemotherapeutics
    • A61P31/12Antivirals
    • A61P31/20Antivirals for DNA viruses
    • CCHEMISTRY; METALLURGY
    • C07ORGANIC CHEMISTRY
    • C07DHETEROCYCLIC COMPOUNDS
    • C07D455/00Heterocyclic compounds containing quinolizine ring systems, e.g. emetine alkaloids, protoberberine; Alkylenedioxy derivatives of dibenzo [a, g] quinolizines, e.g. berberine
    • CCHEMISTRY; METALLURGY
    • C07ORGANIC CHEMISTRY
    • C07DHETEROCYCLIC COMPOUNDS
    • C07D471/00Heterocyclic compounds containing nitrogen atoms as the only ring hetero atoms in the condensed system, at least one ring being a six-membered ring with one nitrogen atom, not provided for by groups C07D451/00 - C07D463/00
    • C07D471/02Heterocyclic compounds containing nitrogen atoms as the only ring hetero atoms in the condensed system, at least one ring being a six-membered ring with one nitrogen atom, not provided for by groups C07D451/00 - C07D463/00 in which the condensed system contains two hetero rings
    • C07D471/04Ortho-condensed systems
    • CCHEMISTRY; METALLURGY
    • C07ORGANIC CHEMISTRY
    • C07DHETEROCYCLIC COMPOUNDS
    • C07D498/00Heterocyclic compounds containing in the condensed system at least one hetero ring having nitrogen and oxygen atoms as the only ring hetero atoms
    • C07D498/02Heterocyclic compounds containing in the condensed system at least one hetero ring having nitrogen and oxygen atoms as the only ring hetero atoms in which the condensed system contains two hetero rings
    • C07D498/04Ortho-condensed systems

Definitions

  • hepatitis B is still a major global health problem, with one-third of all people on the planet having been at some time infected with the hepatitis B virus (HBV).
  • HBV hepatitis B virus
  • the therapeutic options for the patients with chronic hepatitis B include two forms of interferon-a (IFN-a) as immune system modulators and nucleos(t)ide analogues.
  • IFN-a therapy is effective for up to 60% of patients but results in complete cures in only 7% and also is associated with a high rate of adverse side effects.
  • the hepatitis B virus is an enveloped, partially double-stranded DNA virus.
  • the virus particle is composed of a lipid enveloped studded with surface protein (HBsAg) that surrounds the viral core.
  • the core is composed of a protein shell, or capsid, built of 120 core protein (Cp) dimers, which in turn contains the relaxed circular DNA (rcDNA) viral genome as well as viral and host proteins.
  • rcDNA relaxed circular DNA
  • the genome is found as a covalently closed circular DNA (cccDNA) in the host cell nucleus.
  • the cccDNA is the template for viral RNAs and thus viral proteins.
  • Cp In the cytoplasm, Cp assembles around a complex of full-length viral RNA (the so-called pregenomic RNA or pgRNA and viral polymerase (P). After assembly, P reverse transcribes the pgRNA to rcDNA within the confines of the capsid to generate the DNA-filled viral core.
  • pregenomic RNA the so-called pregenomic RNA or pgRNA and viral polymerase (P).
  • P reverse transcribes the pgRNA to rcDNA within the confines of the capsid to generate the DNA-filled viral core.
  • hepatitis B virus surface antigen HBsAg
  • the antigenemia resulting from production of subviral particles is thought to play an important role in suppressing the HBV-specific immune response.
  • HBsAg acts directly on dendritic cells to limit cytokine production and adaptive immunity. Reduction of antigenemia with the experimental antiviral clevudine resulted in a partial restoration of virus-specific immune response.
  • inhibitors of HBsAg secretion could potentially enable the therapeutic use of the HBV vaccine or be used as combination therapy with nucleos(t)ide drugs for the treatment of HBV infection.
  • WO/2015/113990 and WO/2017/107832 reported a class of HBsAg inhibitors for the treatment and prophylaxis of hepatitis b virus infection.
  • the paper in J Med Chem. 2011, 54(16): 5660-5670 reported novel agents triazolo-pyrimidine derivatives as novel inhibitors of HBsAg secretion. Although those agents have made a significant contribution to the art, there is a continuing search in this field of art for improved pharmaceuticals.
  • This invention provides compounds of the Formula (I) or an N-oxide thereof, or a pharmaceutically acceptable salt, solvate, polymorph or tautomer of said compound of formula (I) or N-oxide thereof:
  • R 7 is halo, low alkyl, CF 3 , CN, nitro, OH, OR a , or NH 2 ;
  • Zi is absent, O, N(R a ), or C(R b R c );
  • X is C(Ro) or N, in which R 0 is H, D, or CF 3 ;
  • each of Z 2 , and Z 3 is absent, O, (CH 2 ) P 0, 0(CH 2 ) p O, N(H), (CH 2 ) P , S, C(O), S0 2 , OC(O), C(0)0, OS0 2 , S(0) 2 0, C(0)S, SC(O), C(0)C(0), C(0)N(H), N(H)C(0), S(0) 2 N(H), N(H)S(0) 2 , OC(0)0, OC(0)S, OC(0)N(H), N(H)C(0)0, N(H)C(0)S,
  • each of Ri, R 2 , R 3 , R 4 , R 5 , and R 6 is H, alkyl, alkenyl, alkynyl, cycloalkyl, cycloalkenyl, heterocycloalkyl, heterocycloalkenyl, aryl, heteroaryl, halo, nitro, oxo, cyano, -(CH 2 ) p R a , -OR a , -SR a , -NH(CH 2 ) p R a , -C(0)R a , -S(0)R a , -S0 2 R a , -C(0)OR a , - OC(0)R a , -NRbRc, -P(0)R b R c , -C(0)N(R b )R c , -N(R b )C(0)R c , -S0 2 N(R b )R c
  • each of p, and q, independently, is 0, 1, 2, 3, 4, 5, 6, 7, or 8;
  • R a , Rb, R c and Rd independently, is H, D, CD 3 , alkyl, alkenyl, alkynyl, halo, cyano, amine, nitro, hydroxy, C(0)NHOH, alkoxy, alkoxyalkyl, haloalkyl, hydroxyalkyl, aminoalkyl, alkylcarbonyl, alkoxycarbonyl, alkylcarbonylamino, alkylamino, oxo, halo- alkylamino, cycloalkyl, cycloalkenyl, heterocycloalkyl, heterocycloalkenyl, aryl, or heteroaryl;
  • R 4 and R5 together with the atoms to which they are attached form an optionally substituted cycloalkyl or heterocycloalkyl
  • Ri and R 6 together with the atoms to which they are attached form an optionally substituted cycloalkyl or heterocycloalkyl.
  • the compound is represented by Formula (II):
  • Ri is H, alkyl, alkenyl, alkynyl, cycloalkyl, cycloalkenyl, heterocycloalkyl, heterocycloalkenyl, aryl, or heteroaryl, in which said alkyl, alkenyl, alkynyl, cycloalkyl, cycloalkenyl, heterocycloalkyl, heterocycloalkenyl, aryl, heteroaryl is optionally subsitiuted with one or more Rd.
  • Ro is H, or D; Ri is alkyl, cycloalkyl, aryl, or heteroaryl, in which said alkyl, cycloalkyl, aryl, or heteroaryl is optionally subsitiuted with one or more R d ; Z 2 is absent, or O; R 4 is H, halo, alkyl optionally subsitiuted with one or more R d ; Z 3 is absent, O, or 0(CH 2 ) p O; R5 is H, alkyl optionally subsitiuted with one or more Rd; and R 7 is halo.
  • Ri is alkyl, or cycloalkyl, in which said alkyl, or cycloalkyl is optionally subsitiuted with one or more R d ;
  • R 4 is H, halo, alkyl optionally subsitiuted with one or more D;
  • R 5 is H, alkyl optionally subsitiuted with one or more D; and
  • R 7 is F.
  • the compound is represented by Formula (III):
  • Ri is H, alkyl, alkenyl, alkynyl, cycloalkyl, cycloalkenyl, heterocycloalkyl, heterocycloalkenyl, aryl, or heteroaryl, in which said alkyl, alkenyl, alkynyl, cycloalkyl, cycloalkenyl, heterocycloalkyl, heterocycloalkenyl, aryl, heteroaryl is optionally subsitiuted with one or more R d .
  • Ri is alkyl, cycloalkyl, aryl, or heteroaryl, in which said alkyl, cycloalkyl, aryl, or heteroaryl is optionally subsitiuted with one or more R d ;
  • Z 2 is absent, or O;
  • R 4 is H, halo, alkyl optionally subsitiuted with one or more R d ;
  • Z 3 is absent, O, or 0(CH 2 ) p O;
  • R5 is H, alkyl optionally subsitiuted with one or more R d ; and
  • R 7 is halo.
  • Ri is alkyl, or cycloalkyl, in which said alkyl, or cycloalkyl is optionally subsitiuted with one or more R d ;
  • R 4 is H, halo, alkyl optionally subsitiuted with one or more D;
  • R5 is H, alkyl optionally subsitiuted with one or more D; and
  • R 7 is F.
  • the compound is represented by Formula (A):
  • X is C(Ro) or N, in which R 0 is H, D, or CF 3 ;
  • Zi is O, N(R a ), or C(R b R c ), provided that if Zi is C(R b R c ) then X is N;
  • each of Z 2 , and Z 3 is absent, O, (CH 2 ) p O, 0(CH 2 ) p O, N(H), (CH 2 ) P , S, C(O), S0 2 , OC(O), C(0)0, OS0 2 , S(0) 2 0, C(0)S, SC(O), C(0)C(0), C(0)N(H), N(H)C(0), S(0) 2 N(H), N(H)S(0) 2 , OC(0)0, OC(0)S, OC(0)N(H), N(H)C(0)0, N(H)C(0)S,
  • each of Ri, R 2 , R 3 , R 4 , R5, and R 6 is H, alkyl, alkenyl, alkynyl, cycloalkyl, cycloalkenyl, heterocycloalkyl, heterocycloalkenyl, aryl, heteroaryl, halo, nitro, oxo, cyano, -(CH 2 ) p R a , -OR a , -SR a , -NH(CH 2 ) p R a , -C(0)R a , -S(0)R a , -S0 2 R a , -C(0)OR a , - OC(0)R a , -NR b R c , -P(0)R b R c , -C(0)N(R b )R c , -N(R b )C(0)R c , -S0 2 N(R b )R
  • each of p, and q, independently, is 0, 1, 2, 3, 4, 5, 6, 7, or 8;
  • R a , R b , R c and Rd independently, is H, D, alkyl, alkenyl, alkynyl, halo, cyano, amine, nitro, hydroxy, C(0)NHOH, alkoxy, alkoxyalkyl, haloalkyl, hydroxyalkyl, aminoalkyl, alkylcarbonyl, alkoxycarbonyl, alkylcarbonylamino, alkylamino, oxo, halo-alkylamino, cycloalkyl, cycloalkenyl, heterocycloalkyl, heterocycloalkenyl, aryl, or heteroaryl;
  • R 4 and R5 together with the atoms to which they are attached form an optionally substituted cycloalkyl or heterocycloalkyl
  • Ri and R 6 together with the atoms to which they are attached form an optionally substituted cycloalkyl or heterocycloalkyl.
  • the compound is represented by Formula (B):
  • Ri is fluoroalkyl, fluorocycloalkyl, aryl, or heteroaryl, in which said fluoroalkyl, fluorocycloalkyl, aryl, or heteroaryl is optionally subsitiuted with one or more Rd;
  • each of Z 2 , and Z 3 is absent, O, (CH 2 ) p O, 0(CH 2 ) p O, N(H), (CH 2 ) P , S, C(O), S0 2 , OC(O), C(0)0, OS0 2 , S(0) 2 0, C(0)S, SC(O), C(0)C(0), C(0)N(H), N(H)C(0), S(0) 2 N(H), N(H)S(0) 2 , OC(0)0, OC(0)S, OC(0)N(H), N(H)C(0)0, N(H)C(0)S,
  • each of Ri, R 2 , R 3 , R 4 , and R 5 is H, alkyl, alkenyl, alkynyl, cycloalkyl, cycloalkenyl, heterocycloalkyl, heterocycloalkenyl, aryl, heteroaryl, halo, nitro, oxo, cyano, - (CH 2 ) p R a , -OR a , -SR a , -NH(CH 2 ) p R a , -C(0)R a , -S(0)R a , -S0 2 R a , -C(0)OR a , -OC(0)R a , - NRbRc, -P(0)R b Rc, -C(0)N(R b )Rc, -N(R b )C(0)R c , -S0 2 N(R b )Rc, or -N(R b
  • each of p and q, independently, is 0, 1, 2, 3, 4, 5, 6, 7, or 8;
  • R a , R b , R c and R d independently, is H, D, alkyl, alkenyl, alkynyl, halo, cyano, amine, nitro, hydroxy, C(0)NHOH, alkoxy, alkoxyalkyl, haloalkyl, hydroxyalkyl, aminoalkyl, alkylcarbonyl, alkoxycarbonyl, alkylcarbonylamino, alkylamino, oxo, halo-alkylamino, cycloalkyl, cycloalkenyl, heterocycloalkyl, heterocycloalkenyl, aryl, or heteroaryl; and
  • R 4 and R5 together with the atoms to which they are attached form an optionally substituted cycloalkyl or heterocycloalkyl.
  • Ri is 1 , aryl, or heteroaryl.
  • Compounds of the invention may contain one or more asymmetric carbon atoms. Accordingly, the compounds may exist as diastereomers, enantiomers, or mixtures thereof. Each of the asymmetric carbon atoms may be in the R or S configuration, and both of these configurations are within the scope of the invention.
  • a modified compound of any one of such compounds including a modification having an improved (e.g. , enhanced, greater) pharmaceutical solubility, stability, bioavailability, and/or therapeutic index as compared to the unmodified compound is also contemplated.
  • exemplary modifications include (but are not limited to) applicable prodrug derivatives, and deuterium-enriched compounds.
  • the compounds of the present invention may be present and optionally administered in the form of salts or solvates.
  • the invention encompasses any pharmaceutically acceptable salts and solvates of any one of the above-described compounds and modifications thereof.
  • compositions containing one or more of the compounds, modifications, and/or salts and thereof described above for use in treating a disease, therapeutic uses thereof, and use of the compounds for the manufacture of a medicament for treating the disease / disorder.
  • the compounds of the invention can inhibit HBsAg or secretion and inhibit HBV gene expression. Accordingly, the compounds of the invention are useful for the treatment or prophylaxis of HBV infection.
  • the invention relates to the use of a compound of Formula (I) for the inhibition of HBsAg production or secretion.
  • the invention relates to the use of a compound of Formula (I) for the inhibition of HBV DNA production.
  • the invention relates to the use of a compound of Formula (I) for the inhibition of HBV gene expression.
  • the invention relates to the use of a compound of Formula (I) for the treatment or prophylaxis of HBV infection.
  • the invention relates in particular to the use of a compound of Formula (I) for the preparation of a medicament for the treatment or prophylaxis of HBV infection.
  • This invention also relates to a method of treatment or prophylaxis of HBV infection, by administering to a subject in need thereof an effective amount of one or more of the compounds, modifications, and/or salts, and compositions thereof described above.
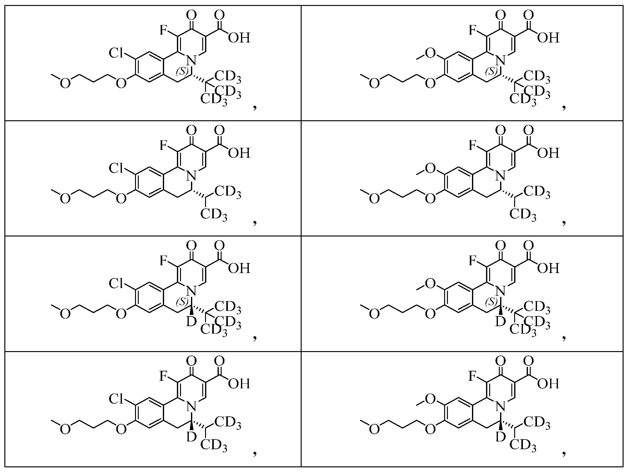
  • Exemplary compounds described herein include, but are not limited to, the following:
  • Compounds of the invention may contain one or more asymmetric carbon atoms. Accordingly, the compounds may exist as diastereomers, enantiomers or mixtures thereof.
  • the syntheses of the compounds may employ racemates, diastereomers or enantiomers as starting materials or as intermediates. Diastereomeric compounds may be separated by chromatographic or crystallization methods. Similarly, enantiomeric mixtures may be separated using the same techniques or others known in the art.
  • Each of the asymmetric carbon atoms may be in the R or S configuration and both of these configurations are within the scope of the invention.
  • a modified compound of any one of such compounds including a modification having an improved (e.g., enhanced, greater) pharmaceutical solubility, stability, bioavailability and/or therapeutic index as compared to the unmodified compound is also contemplated.
  • the examples of modifications include but not limited to the prodrug derivatives, and the deuterium-enriched compounds. For example:
  • Prodrug derivatives prodrugs, upon administration to a subject, will converted in vivo into active compounds of the present invention [Nature Reviews of Drug Discovery, 2008, Volume 7, p255]. It is noted that in many instances, the prodrugs themselves also fall within the scope of the range of compounds according to the present invention.
  • the prodrugs of the compounds of the present invention can be prepared by standard organic reaction, for example, by reacting with a carbamylating agent (e.g., 1,1-acyloxyalkylcarbonochloridate, para-nitrophenyl carbonate, or the like) or an acylating agent. Further examples of methods and strategies of making prodrugs are described in Bioorganic and Medicinal Chemistry Letters, 1994, Vol. 4, p. 1985.
  • Deuterium-enriched compounds deuterium (D or H) is a stable, non-radioactive isotope of hydrogen and has an atomic weight of 2.0144. Hydrogen naturally occurs as a mixture of the isotopes H (hydrogen or protium), D ( H or deuterium), and T
  • H or tritium The natural abundance of deuterium is 0.015%.
  • the H atom actually represents a mixture of H and D, with about 0.015% being D.
  • compounds with a level of deuterium that has been enriched to be greater than its natural abundance of 0.015% should be considered unnatural and, as a result, novel over their nonenriched counterparts.
  • the compounds of the present invention may be present and optionally administered in the form of salts, and solvates.
  • the compounds of the present invention possess a free base form
  • the compounds can be prepared as a pharmaceutically acceptable acid addition salt by reacting the free base form of the compound with a pharmaceutically acceptable inorganic or organic acid, e.g., hydrohalides such as hydrochloride, hydrobromide, hydroiodide; other mineral acids such as sulfate, nitrate, phosphate, etc.; and alkyl and monoarylsulfonates such as ethanesulfonate, toluenesulfonate and benzenesulfonate; and other organic acids and their corresponding salts such as acetate, tartrate, maleate, succinate, citrate, benzoate, salicylate and ascorbate.
  • a pharmaceutically acceptable inorganic or organic acid e.g., hydrohalides such as hydrochloride, hydrobromide, hydroiodide
  • other mineral acids such as sulfate, nitrate, phosphate, etc.
  • Further acid addition salts of the present invention include, but are not limited to: adipate, alginate, arginate, aspartate, bisulfate, bisulfite, bromide, butyrate, camphorate, camphorsulfonate, caprylate, chloride, chlorobenzoate, cyclopentanepropionate, digluconate, dihydrogenphosphate, dinitrobenzoate, dodecylsulfate, fumarate, galacterate (from mucic acid), galacturonate, glucoheptaoate, gluconate, glutamate, glycerophosphate, hemisuccinate, hemisulfate, heptanoate, hexanoate, hippurate, 2-hydroxyethanesulfonate, iodide, isethionate, iso-butyrate, lactate, lactobionate, malonate, mandelate, metaphosphate, methanesulfonate, methylbenz
  • pharmaceutically acceptable base addition salt can be prepared by reacting the free acid form of the compound with a pharmaceutically acceptable inorganic or organic base.
  • bases include alkali metal hydroxides including potassium, sodium and lithium hydroxides; alkaline earth metal hydroxides such as barium and calcium hydroxides; alkali metal alkoxides, e.g., potassium ethanolate and sodium propanolate; and various organic bases such as ammonium hydroxide, piperidine, diethanolamine and N-methylglutamine.
  • aluminum salts of the compounds of the present invention include, but are not limited to: copper, ferric, ferrous, lithium, magnesium, manganic, manganous, potassium, sodium and zinc salts.
  • Organic base salts include, but are not limited to, salts of primary, secondary and tertiary amines, substituted amines including naturally occurring substituted amines, cyclic amines and basic ion exchange resins, e.g., arginine, betaine, caffeine, chloroprocaine, choline, N,N'-dibenzylethylenediamine
  • a pharmaceutically acceptable salt is a hydrochloride salt
  • hydrobromide salt methanesulfonate, toluenesulfonate, acetate, fumarate, sulfate, bisulfate, succinate, citrate, phosphate, maleate, nitrate, tartrate, benzoate, biocarbonate, carbonate, sodium hydroxide salt, calcium hydroxide salt, potassium hydroxide salt, tromethamine salt, or mixtures thereof.
  • Compounds of the present invention that comprise tertiary nitrogen-containing groups may be quaternized with such agents as (C 1-4 ) alkyl halides, e.g., methyl, ethyl, iso-propyl and tert-butyl chlorides, bromides and iodides; di-(Ci_ 4 ) alkyl sulfates, e.g., dimethyl, diethyl and diamyl sulfates; alkyl halides, e.g., decyl, dodecyl, lauryl, myristyl and stearyl chlorides, bromides and iodides; and aryl (C 1-4 ) alkyl halides, e.g., benzyl chloride and phenethyl bromide.
  • Such salts permit the preparation of both water- and oil-soluble compounds of the invention.
  • Amine oxides also known as amine-N-oxide and N-oxide, of anti-cancer agents with tertiary nitrogen atoms have been developed as prodrugs [Mol Cancer Therapy. 2004 Mar; 3(3):233-44].
  • Compounds of the present invention that comprise tertiary nitrogen atoms may be oxidized by such agents as hydrogen peroxide (H 2 O 2 ), Caro's acid or peracids like meta- Chloroperoxybenzoic acid (mCPBA) to from amine oxide.
  • H 2 O 2 hydrogen peroxide
  • Caro's acid or peracids like meta- Chloroperoxybenzoic acid (mCPBA)
  • the invention encompasses pharmaceutical compositions comprising the compound of the present invention and pharmaceutical excipients, as well as other conventional pharmaceutically inactive agents.
  • Any inert excipient that is commonly used as a carrier or diluent may be used in compositions of the present invention, such as sugars, polyalcohols, soluble polymers, salts and lipids.
  • Sugars and polyalcohols which may be employed include, without limitation, lactose, sucrose, mannitol, and sorbitol.
  • Illustrative of the soluble polymers which may be employed are polyoxyethylene, poloxamers, polyvinylpyrrolidone, and dextran.
  • Useful salts include, without limitation, sodium chloride, magnesium chloride, and calcium chloride.
  • Lipids which may be employed include, without limitation, fatty acids, glycerol fatty acid esters, glycolipids, and phospholipids.
  • compositions may further comprise binders ⁇ e.g., acacia, cornstarch, gelatin, carbomer, ethyl cellulose, guar gum, hydroxypropyl cellulose, hydroxypropyl methyl cellulose, povidone), disintegrating agents ⁇ e.g., cornstarch, potato starch, alginic acid, silicon dioxide, croscarmellose sodium, crospovidone, guar gum, sodium starch glycolate, Primogel), buffers (e.g. , tris-HCL, acetate, phosphate) of various pH and ionic strength, additives such as albumin or gelatin to prevent absorption to surfaces, detergents (e.g.
  • bile acid salts include Tween 20, Tween 80, Pluronic F68, bile acid salts, protease inhibitors, surfactants (e.g. , sodium lauryl sulfate), permeation enhancers, solubilizing agents (e.g. , glycerol, polyethylene glycerol, cyclodextrins), a glidant (e.g. , colloidal silicon dioxide), antioxidants (e.g. , ascorbic acid, sodium metabisulfite, butylated hydroxyanisole), stabilizers (e.g. , hydroxypropyl cellulose, hydroxypropylmethyl cellulose), viscosity increasing agents (e.g.
  • carbomer colloidal silicon dioxide, ethyl cellulose, guar gum
  • sweeteners e.g. , sucrose, aspartame, citric acid
  • flavoring agents e.g. , peppermint, methyl salicylate, or orange flavoring
  • preservatives e.g. , Thimerosal, benzyl alcohol, parabens
  • lubricants e.g. , stearic acid, magnesium stearate, polyethylene glycol, sodium lauryl sulfate
  • flow-aids e.g. , colloidal silicon dioxide
  • plasticizers e.g. , diethyl phthalate, triethyl citrate
  • emulsifiers e.g. , carbomer, hydroxypropyl cellulose, sodium lauryl sulfate, methyl cellulose,
  • hydroxyethyl cellulose, carboxymethylcellulose sodium hydroxyethyl cellulose, carboxymethylcellulose sodium
  • polymer coatings e.g. , poloxamers or poloxamines
  • coating and film forming agents e.g. , ethyl cellulose, acrylates
  • polymethacrylates and/or adjuvants.
  • the pharmaceutical compositions are prepared with carriers that will protect the compound against rapid elimination from the body, such as a controlled release formulation, including implants and microencapsulated delivery systems.
  • Biodegradable, biocompatible polymers can be used, such as ethylene vinyl acetate, polyanhydrides, polyglycolic acid, collagen, polyorthoesters, and polylactic acid. Methods for preparation of such formulations will be apparent to those skilled in the art. The materials can also be obtained commercially from Alza Corporation and Nova Pharmaceuticals, Inc. Liposomal suspensions (including liposomes targeted to infected cells with monoclonal antibodies to viral antigens) can also be used as pharmaceutically acceptable carriers. These can be prepared according to methods known to those skilled in the art, for example, as described in U.S. Pat. No. 4,522,811.
  • the invention encompasses pharmaceutical compositions comprising any solid or liquid physical form of the compound of the invention.
  • the compounds can be in a crystalline form, in amorphous form, and have any particle size.
  • the particles may be micronized, or may be agglomerated, particulate granules, powders, oils, oily suspensions or any other form of solid or liquid physical form.
  • methods for solubilizing the compounds may be used.
  • Such methods include, but are not limited to, pH adjustment and salt formation, using co-solvents, such as ethanol, propylene glycol, polyethylene glycol (PEG) 300, PEG 400, DMA (10-30%), DMSO (10-20%), NMP (10-20%), using surfactants, such as polysorbate 80, polysorbate 20 (1- 10%), cremophor EL, Cremophor RH40, Cremophor RH60 (5- 10%), Pluronic F68/Poloxamer 188 (20-50%), Solutol HS 15 (20-50%), Vitamin E TPGS, and d-a- tocopheryl PEG 1000 succinate (20-50%), using complexation such as HPpCD and SBEpCD (10-40%), and using advanced approaches such as micelle, addition of a polymer, nanoparticle suspensions, and liposome formation.
  • co-solvents such as ethanol, propylene glycol, polyethylene glycol (PEG) 300, PEG 400, DMA (10-30%), DMSO (10-20
  • Compounds of the present invention may be administered or coadministered orally, parenterally, intraperitoneally, intravenously, intraarterially, transdermally, sublingually, intramuscularly, rectally, transbuccally, intranasally, liposomally, via inhalation, vaginally, intraoccularly, via local delivery (for example by catheter or stent), subcutaneously, intraadiposally, intraarticularly, or
  • the compounds according to the invention may also be administered or coadministered in slow release dosage forms.
  • Compounds may be in gaseous, liquid, semi- liquid or solid form, formulated in a manner suitable for the route of administration to be used.
  • suitable solid oral formulations include tablets, capsules, pills, granules, pellets, sachets and effervescent, powders, and the like.
  • suitable liquid oral formulations include solutions, suspensions, dispersions, emulsions, oils and the like.
  • reconstitution of a lyophilized powder is typically used.
  • acyl means a carbonyl containing substituent represented by the formula -C(0)-R in which R is H, alkyl, a carbocycle, a heterocycle, carbocycle-substituted alkyl or heterocycle-substituted alkyl wherein the alkyl, alkoxy, carbocycle and heterocycle are as defined herein.
  • Acyl groups include alkanoyl (e.g. acetyl), aroyl (e.g. benzoyl), and heteroaroyl.
  • Aliphatic means a moiety characterized by a straight or branched chain
  • constituent carbon atoms may be saturated or partially unsaturated with one or more double or triple bonds.
  • alkyl refers to a straight or branched hydrocarbon containing 1-20 carbon atoms (e.g. , Ci-Cio).
  • alkyl include, but are not limited to, methyl, methylene, ethyl, ethylene, n-propyl, i-propyl, n-butyl, i-butyl, and t-butyl.
  • the alkyl group has one to ten carbon atoms. More preferably, the alkyl group has one to four carbon atoms.
  • alkenyl refers to a straight or branched hydrocarbon containing 2-20 carbon atoms (e.g. , C 2 -C 10 ) and one or more double bonds. Examples of alkenyl include, but are not limited to, ethenyl, propenyl, and allyl.
  • the alkylene group has two to ten carbon atoms. More preferably, the alkylene group has two to four carbon atoms.
  • alkynyl refers to a straight or branched hydrocarbon containing 2-20 carbon atoms (e.g. , C 2 -C 10 ) and one or more triple bonds.
  • alkynyl include, but are not limited to, ethynyl, 1-propynyl, 1- and 2-butynyl, and l-methyl-2-butynyl.
  • the alkynyl group has two to ten carbon atoms. More preferably, the alkynyl group has two to four carbon atoms.
  • alkylamino refers to an -N(R)-alkyl in which R can be H, alkyl, alkenyl, alkynyl, cycloalkyl, cycloalkenyl, heterocycloalkyl, heterocycloalkenyl, aryl, or heteroaryl.
  • Alkoxy means an oxygen moiety having a further alkyl substituent.
  • Alkoxycarbonyl means an alkoxy group attached to a carbonyl group.
  • Oxoalkyl means an alkyl, further substituted with a carbonyl group.
  • the carbonyl group may be an aldehyde, ketone, ester, amide, acid or acid chloride.
  • cycloalkyl refers to a saturated hydrocarbon ring system having 3 to 30 carbon atoms (e.g. , C 3 -C 12, C 3 -C8, C 3 -C6). Examples of cycloalkyl include, but are not limited to, cyclopropyl, cyclobutyl, cyclopentyl, cyclohexyl, cycloheptyl, and cyclooctyl.
  • cycloalkenyl refers to a non-aromatic hydrocarbon ring system having 3 to 30 carbons (e.g. , C3-C 12 ) and one or more double bonds. Examples include cyclopentenyl, cyclohexenyl, and cycloheptenyl.
  • heterocycloalkyl refers to a nonaromatic 5-8 membered monocyclic, 8- 12 membered bicyclic, or 11-14 membered tricyclic ring system having one or more
  • heteroatoms such as O, N, S, P, or Se.
  • heterocycloalkyl groups include, but are not limited to, piperazinyl, pyrrolidinyl, dioxanyl, morpholinyl, and tetrahydrofuranyl.
  • heterocycloalkenyl refers to a nonaromatic 5-8 membered monocyclic, 8- 12 membered bicyclic, or 11- 14 membered tricyclic ring system having one or more heteroatoms (such as O, N, S, P, or Se) and one or more double bonds.
  • aryl refers to a 6-carbon monocyclic, 10-carbon bicyclic, 14-carbon tricyclic aromatic ring system.
  • aryl groups include, but are not limited to, phenyl, naphthyl, and anthracenyl.
  • heteroaryl refers to an aromatic 5-8 membered monocyclic, 8-12 membered bicyclic, or 11-14 membered tricyclic ring system having one or more heteroatoms (such as O, N, S, P, or Se).
  • heteroaryl groups include pyridyl, furyl, imidazolyl, benzimidazolyl, pyrimidinyl, thienyl, quinolinyl, indolyl, and thiazolyl.
  • Alkyl alkenyl, alkynyl, cycloalkyl, heterocycloalkyl, cycloalkenyl,
  • heterocycloalkenyl, alkylamino, aryl, and heteroaryl mentioned above include both substituted and unsubstituted moieties.
  • alkyl, alkenyl, or alkynyl include all of the above-recited substituents except Ci-Cio alkyl.
  • Cycloalkyl, cycloalkenyl, heterocycloalkyl, heterocycloalkenyl, aryl, and heteroaryl can also be fused with each other.
  • amino means a nitrogen moiety having two further substituents where each substituent has a hydrogen or carbon atom alpha bonded to the nitrogen.
  • the compounds of the invention containing amino moieties may include protected derivatives thereof. Suitable protecting groups for amino moieties include acetyl, tert- butoxycarbonyl, benzyloxycarbonyl, and the like.
  • Aromatic means a moiety wherein the constituent atoms make up an unsaturated ring system, all atoms in the ring system are sp2 hybridized and the total number of pi electrons is equal to 4n+2.
  • An aromatic ring may be such that the ring atoms are only carbon atoms or may include carbon and non-carbon atoms (see Heteroaryl).
  • Carbamoyl means the radical -OC(0)NR a Rb where R a and Rb are each
  • carbamoyl moieties may include protected derivatives thereof.
  • suitable protecting groups for carbamoyl moieties include acetyl, tert- butoxycarbonyl, benzyloxycarbonyl, and the like. It is noted that both the unprotected and protected derivatives fall within the scope of the invention.
  • Carbonyl means the radical -C(O)-. It is noted that the carbonyl radical may be further substituted with a variety of substituents to form different carbonyl groups including acids, acid halides, amides, esters, and ketones.
  • Carboxy means the radical -C(0)0-. It is noted that compounds of the invention containing carboxy moieties may include protected derivatives thereof, i.e., where the oxygen is substituted with a protecting group. Suitable protecting groups for carboxy moieties include benzyl, tert-butyl, and the like.
  • Cyano means the radical -CN.
  • Halo means fluoro, chloro, bromo or iodo.
  • Halo-substituted alkyl as an isolated group or part of a larger group, means “alkyl” substituted by one or more "halo" atoms, as such terms are defined in this Application.
  • Halo- substituted alkyl includes haloalkyl, dihaloalkyl, trihaloalkyl, perhaloalkyl and the like.
  • Haldroxy means the radical -OH.
  • “Isomers” mean any compound having identical molecular formulae but differing in the nature or sequence of bonding of their atoms or in the arrangement of their atoms in space. Isomers that differ in the arrangement of their atoms in space are termed
  • stereoisomers Stereoisomers that are not mirror images of one another are termed
  • enantiomers and stereoisomers that are nonsuperimposable mirror images are termed "enantiomers” or sometimes "optical isomers.”
  • a carbon atom bonded to four nonidentical substituents is termed a “chiral center.”
  • a compound with one chiral center has two enantiomeric forms of opposite chirality.
  • a mixture of the two enantiomeric forms is termed a “racemic mixture.”
  • Niro means the radical -N0 2 .
  • Protected derivatives means derivatives of compounds in which a reactive site are blocked with protecting groups. Protected derivatives are useful in the preparation of pharmaceuticals or in themselves may be active as inhibitors. A comprehensive list of suitable protecting groups can be found in T.W.Greene, Protecting Groups in Organic Synthesis, 3rd edition, Wiley & Sons, 1999.
  • substituted means that an atom or group of atoms has replaced hydrogen as the substituent attached to another group.
  • substituted refers to any level of substitution, namely mono-, di-, tri-, tetra-, or penta- substitution, where such substitution is permitted.
  • the substituents are independently selected, and substitution may be at any chemically accessible position.
  • unsubstituted means that a given moiety may consist of only hydrogen substituents through available valencies (unsubstituted).
  • a functional group is described as being “optionally substituted,” the function group may be either (1) not substituted, or (2) substituted. If a carbon of a functional group is described as being optionally substituted with one or more of a list of substituents, one or more of the hydrogen atoms on the carbon (to the extent there are any) may separately and/or together be replaced with an independently selected optional substituent.
  • Sulfide means -S-R wherein R is H, alkyl, carbocycle, heterocycle, carbocycloalkyl or heterocycloalkyl. Particular sulfide groups are mercapto, alkylsulfide, for example methylsulfide (-S-Me); arylsulfide, e.g. , phenylsulfide; aralkylsulfide, e.g. , benzylsulfide.
  • Sulfinyl means the radical -S(O)-. It is noted that the sulfinyl radical may be further substituted with a variety of substituents to form different sulfinyl groups including sulfinic acids, sulfinamides, sulfinyl esters, and sulfoxides.
  • Sulfonyl means the radical -S(0)(0)-. It is noted that the sulfonyl radical may be further substituted with a variety of substituents to form different sulfonyl groups including sulfonic acids, sulfonamides, sulfonate esters, and sulfones.
  • Thiocarbonyl means the radical -C(S)-. It is noted that the thiocarbonyl radical may be further substituted with a variety of substituents to form different thiocarbonyl groups including thioacids, thioamides, thioesters, and thioketones.
  • Animal includes humans, non-human mammals (e.g. , non-human primates, rodents, mice, rats, hamsters, dogs, cats, rabbits, cattle, horses, sheep, goats, swine, deer, and the like) and non-mammals (e.g. , birds, and the like).
  • non-human mammals e.g. , non-human primates, rodents, mice, rats, hamsters, dogs, cats, rabbits, cattle, horses, sheep, goats, swine, deer, and the like
  • non-mammals e.g. , birds, and the like.
  • Bioavailability is the fraction or percentage of an administered dose of a drug or pharmaceutical composition that reaches the systemic circulation intact. In general, when a medication is administered intravenously, its bioavailability is 100%.
  • a medication when administered via other routes (e.g. , orally), its bioavailability decreases (e.g. , due to incomplete absorption and first-pass metabolism).
  • Methods to improve the bioavailability include prodrug approach, salt synthesis, particle size reduction, complexation, change in physical form, solid dispersions, spray drying, and hot-melt extrusion.
  • Disease specifically includes any unhealthy condition of an animal or part thereof and includes an unhealthy condition that may be caused by, or incident to, medical or veterinary therapy applied to that animal, i.e. , the "side effects" of such therapy.
  • “Pharmaceutically acceptable” means that which is useful in preparing a
  • composition that is generally safe, non-toxic and neither biologically nor otherwise undesirable and includes that which is acceptable for veterinary use as well as human pharmaceutical use.
  • “Pharmaceutically acceptable salts” means organic or inorganic salts of compounds of the present invention which are pharmaceutically acceptable, as defined above, and which possess the desired pharmacological activity. Such salts include acid addition salts formed with inorganic acids, or with organic acids. Pharmaceutically acceptable salts also include base addition salts which may be formed when acidic protons present are capable of reacting with inorganic or organic bases.
  • Exemplary salts include, but are not limited, to sulfate, citrate, acetate, oxalate, chloride, bromide, iodide, nitrate, bisulfate, phosphate, acid phosphate, isonicotinate, lactate, salicylate, acid citrate, tartrate, oleate, tannate, pantothenate, bitartrate, ascorbate, succinate, maleate, gentisinate, fumarate, gluconate, glucuronate, saccharate, formate, benzoate, glutamate, methane sulfonate "mesylate,” ethanesulfonate, benzenesulfonate, p-toluenesulfonate, pamoate (i.e.
  • a pharmaceutically acceptable salt may involve the inclusion of another molecule such as an acetate ion, a succinate ion or other counter ion.
  • the counter ion may be any organic or inorganic moiety that stabilizes the charge on the parent compound.
  • a pharmaceutically acceptable salt may have more than one charged atom in its structure. Instances where multiple charged atoms are part of the pharmaceutically acceptable salt can have multiple counter ions. Hence, a pharmaceutically acceptable salt can have one or more charged atoms and/or one or more counter ion.
  • “Pharmaceutically acceptable carrier” means a non-toxic solvent, dispersant, excipient, adjuvant, or other material which is mixed with the compounds of the present invention in order to form a pharmaceutical composition, i.e. , a dose form capable of administration to the patient.
  • suitable polyethylene glycol e.g. , PEG400
  • surfactant e.g. , Cremophor
  • cyclopolysaccharide e.g. , hydroxypropyl-P-cyclodextrin or sulfobutyl ether ⁇ -cyclodextrins
  • polymer e.g. , hydroxypropyl-P-cyclodextrin or sulfobutyl ether ⁇ -cyclodextrins
  • liposome e.g., hydroxypropyl-P-cyclodextrin or sulfobutyl ether ⁇ -cyclodextrins
  • Camptothecin is the pharmacophore of the well known drug topotecan and irinotecan.
  • Mechlorethamine is the pharmacophore of a list of widely used nitrogen mustard drugs like Melphalan, Cyclophosphamide, Bendamustine, and so on.
  • Prodrug means a compound that is convertible in vivo metabolically into an active pharmaceutical according to the present invention.
  • an inhibitor comprising a hydroxyl group may be administered as an ester that is converted by hydrolysis in vivo to the hydroxyl compound.
  • Stability in general refers to the length of time a drug retains its properties without loss of potency. Sometimes this is referred to as shelf life. Factors affecting drug stability include, among other things, the chemical structure of the drug, impurity in the formulation, pH, moisture content, as well as environmental factors such as temperature, oxidization, light, and relative humidity. Stability can be improved by providing suitable chemical and/or crystal modifications (e.g., surface modifications that can change hydration kinetics; different crystals that can have different properties), excipients (e.g., anything other than the active substance in the dosage form), packaging conditions, storage conditions, etc.
  • suitable chemical and/or crystal modifications e.g., surface modifications that can change hydration kinetics; different crystals that can have different properties
  • excipients e.g., anything other than the active substance in the dosage form
  • “Therapeutically effective amount” of a composition described herein is meant an amount of the composition which confers a therapeutic effect on the treated subject, at a reasonable benefit/risk ratio applicable to any medical treatment.
  • the therapeutic effect may be objective (i.e., measurable by some test or marker) or subjective (i.e., subject gives an indication of or feels an effect).
  • An effective amount of the composition described above may range from about 0.1 mg/kg to about 500 mg/kg, preferably from about 0.2 to about 50 mg/kg. Effective doses will also vary depending on route of administration, as well as the possibility of co-usage with other agents. It will be understood, however, that the total daily usage of the compositions of the present invention will be decided by the attending physician within the scope of sound medical judgment.
  • the specific therapeutically effective dose level for any particular patient will depend upon a variety of factors including the disorder being treated and the severity of the disorder; the activity of the specific compound employed; the specific composition employed; the age, body weight, general health, sex and diet of the patient; the time of administration, route of administration, and rate of excretion of the specific compound employed; the duration of the treatment; drugs used in combination or contemporaneously with the specific compound employed; and like factors well known in the medical arts.
  • treating refers to administering a compound to a subject that has a HBV infection, or has a symptom of or a predisposition toward it, with the purpose to cure, heal, alleviate, relieve, alter, remedy, ameliorate, improve, or affect the disorder, the symptoms of or the predisposition toward the disorder.
  • an effective amount refers to the amount of the active agent that is required to confer the intended therapeutic effect in the subject. Effective amounts may vary, as recognized by those skilled in the art, depending on route of administration, excipient usage, and the possibility of co-usage with other agents.
  • a “subject” refers to a human and a non-human animal.
  • a non-human animal include all vertebrates, e.g. , mammals, such as non-human primates (particularly higher primates), dog, rodent (e.g. , mouse or rat), guinea pig, cat, and non-mammals, such as birds, amphibians, reptiles, etc.
  • the subject is a human.
  • the subject is an experimental animal or animal suitable as a disease model.
  • Combination therapy includes the administration of the subject compounds of the present invention in further combination with other biologically active ingredients (such as, but not limited to, a second and different antin-HBV infection agent).
  • the compounds of the invention can be combined with other anti HBV agents such as interferon alpha-2b, interferon alpha-2a, and interferon alphacon-1 (pegylated and unpegylated), ribavirin, lamivudine (3TC), entecavir, tenofovir, telbivudine (LdT), adefovir, or other emerging anti HBV agents such as HBV RNA replication inhibitor, HBsAg secretion inhibitors, HBV core protein allosteric modifiers, HBV capsid inhibitors, antisense oligomer, siRNA, HBV therapeutic vaccine, HBV prophylactic vaccine, HBV antibody therapy (monoclonal or polyclonal) and TLR 2, 3, 7, 8 and 9 agonists for the treatment or prophy
  • the invention further provides methods for the prevention or treatment of a HBV infection disease.
  • the invention relates to a method of treating a HBV infection, in a subject in need of treatment comprising administering to said subject a therapeutically effective amount of a compound of the invention.
  • the invention further provides for the use of a compound of the invention in the manufacture of a medicament for halting or decreasing the HBV infection.
  • the compounds according to the present invention may be synthesized according to a variety of schemes. Necessary starting materials may be obtained by standard procedures of organic chemistry.
  • the compounds and processes of the present invention will be better understood in connection with the following representative synthetic schemes and examples, which are intended as an illustration only and not limiting of the scope of the invention.
  • Various changes and modifications to the disclosed embodiments will be apparent to those skilled in the art and such changes and modifications including, without limitation, those relating to the chemical structures, substituents, derivatives, and/or methods of the invention may be made without departing from the spirit of the invention and the scope of the appended claims.
  • the appropriate starting material 1-1 can react with appropriate alcohol to to give intermediate 1-2, which can undergo a de-Boc process to yield the amine intermediate 1-3.
  • 1-3 is heated with ethyl formate or formic acid in a solvent such as ethanol or dioxane affords intermediate 1-4, which can undergo a cyclization reaction to form the imine intermediate IM-1.
  • a typical approach to synthesize of the intermediate is described in
  • the appropriate starting material 2-1 can react with vinylboronic acid to give intermediate 2-2, which can undergo an olefin metathesis reaction to give intermediate 2-3.
  • 2-5 is heated with ethyl formate or formic acid in a solvent such as ethanol or dioxane affords intermediate 2-6, which can undergo a cyclization reaction to form the imine intermediate IM-2.
  • the appropriate starting material 3-1 can react with appropriate amine to give intermediate 3-2, which can undergo a de-Boc process to yield the amine intermediate 3- 3.
  • 3-3 is heated with ethyl formate or formic acid in a solvent such as ethanol or dioxane affords intermediate 3-4, which can undergo a cyclization reaction to form the imine intermediate IM-3.
  • the appropriate starting material 4-1 can react with appropriate amine to give intermediate 4-2, which can undergo a de-Boc process to yield the amine intermediate 4- 3.
  • 4-3 is heated with ethyl formate or formic acid in a solvent such as ethanol or dioxane affords intermediate 4-4, which can undergo a cyclization reaction to form the imine intermediate IM-4.
  • the coupling reaction of 6-1 and 6-2 affords 6-3.
  • the reaction can be carried out in the presence of Pd catalyst such as Pd 2 (dba) 3 , Pd(PPh 3 ) 4 or PdCh(PPh 3 ) 2 , a ligand such as Xantphos, and a suitable base such as t-BuONa, Na 2 C0 3 or Cs 2 C0 3 , in a suitable solvent such as THF, toluene or 1,4-dioxane at room temperature to 130°C.
  • Pd catalyst such as Pd 2 (dba) 3 , Pd(PPh 3 ) 4 or PdCh(PPh 3 ) 2
  • a ligand such as Xantphos
  • a suitable base such as t-BuONa, Na 2 C0 3 or Cs 2 C0 3
  • intermediate 6-4 Reductive amination of 6-3 affords intermediate 6-4, which can be heated with ethyl formate or formic acid in a solvent such as ethanol or dioxane affords intermediate 6-5.
  • intermediate 6-5 is treated with oxalyl chloride followed by FeCl 3 at -10 °C to room temperature, and then after separation, the intermediate is heated with a solution of concentrated H 2 S0 4 in methanol to give intermediate IM-6.
  • IM-1 reacts with alkyl 2-(dimethylaminomethylene)-3-oxo-butanoate in a solvent such as DMSO, DMF, ethanol, or reacts with alkyl 3-(ethoxymethylene)-4- trimethylsilyloxy-pent-4-enoate, BF3-Et20 and TFA in DCM to give intermediate A-2.
  • A-3 is obtained.
  • Hydrolyzation of A-3 by lithium hydroxide or sodium hydroxide in a suitable solvent such as THF/H20, EtOH/H20 or MeOH/H20 affords Formula (I) compound, which can be further separated by preparative HPLC and chiral HPLC to give isomers.
  • the formula (I) compound can be one-step fluorized by a Selectfluor agent to afford the target compounds.
  • intermediate 1-5 is treated with oxalyl chloride followed by FeCl 3 at -10 °C to room temperature, and then after separation, the intermediate is heated with a solution of concentrated H 2 S0 4 in methanol to give intermediate 1-6.
  • 1-6 reacts with alkyl 2-(dimethylaminomethylene)-3-oxo-butanoate in a solvent such as DMSO, DMF, ethanol, or reacts with alkyl 3-(ethoxymethylene)-4-trimethylsilyloxy-pent-4-enoate, BF3- Et20 and TFA in DCM to give intermediate 1-7. After dehydrogenation by p-chloranil, 1-8 is obtained.
  • the coupling reaction of appropriate staring material II- 1 and II-2 affords II-3.
  • the reaction can be carried out in the presence of Pd catalyst such as Pd 2 (dba)3, Pd(PPh 3 ) 4 or PdCh(PPh 3 ) 2 , a ligand such as Xantphos, and a suitable base such as t-BuONa, Na 2 C0 3 or Cs 2 C0 3 , in a suitable solvent such as THF, toluene or 1,4-dioxane at room temperature to 130°C.
  • Pd catalyst such as Pd 2 (dba)3, Pd(PPh 3 ) 4 or PdCh(PPh 3 ) 2
  • a ligand such as Xantphos
  • a suitable base such as t-BuONa, Na 2 C0 3 or Cs 2 C0 3
  • Reductive amination of 3 affords intermediate 1-4, which can selectively form the enantiomeric salt II-5 with a suitable organic acid such as L-( + )-tartaric acid, L-(-)-DTTA, L-(-)-DBTA and (R)-mandelic acid in a suitable organic solvent such as MeOH, EtOH, IPA, IPAc, MIBK, EA, MTBE, DIPE, CPME and toluene.
  • a suitable organic acid such as L-( + )-tartaric acid, L-(-)-DTTA, L-(-)-DBTA and (R)-mandelic acid in a suitable organic solvent such as MeOH, EtOH, IPA, IPAc, MIBK, EA, MTBE, DIPE, CPME and toluene.
  • a suitable organic acid such as L-( + )-tartaric acid, L-(-)-DTTA, L-(-)-DBTA and (R)-man
  • enantiomeric salt II-5 leads to enantiomeric intermediate II-6, by reacting desired enantiomeric salt of II-5 with a suitable amount of base such as TEA, DIPEA, NaOH, Na 2 C0 3 , NaHC0 3 and a mixture thereof in a suitable solven t such as DCM, IPAc or MeTHF.
  • II-6 can be heated with ethyl formate or formic acid in a solvent such as ethanol or dioxane affords intermediate II-7, which can be treated with oxalyl chloride followed by FeCl 3 at -10 °C to room temperature, and then after separation, the intermediate is heated with a solution of concentrated H 2 S0 4 in methanol to give intermediate II-8.
  • II-8 reacts with alkyl 2-(dimethylaminomethylene)- 3-oxo-butanoate in a solvent such as DMSO, DMF, ethanol, or reacts with alkyl 3- (ethoxymethylene)-4-trimethylsilyloxy-pent-4-enoate, BF3-Et20 and TFA in DCM to give intermediate II-9.
  • a solvent such as DMSO, DMF, ethanol
  • alkyl 3- (ethoxymethylene)-4-trimethylsilyloxy-pent-4-enoate BF3-Et20 and TFA in DCM
  • 11-10 is obtained.
  • Hydrolyzation of 10 by lithium hydroxide or sodium hydroxide in a suitable solvent such as THF/H20, EtOH/H20 or MeOH/H20 affords intermediate II- 11, which can be one-step fluorized by a Selectfluor agent to afford the target compound 11- 12.
  • the coupling reaction of appropriate staring material III-l and III-2 affords III-3.
  • the reaction can be carried out in the presence of Pd catalyst such as Pd 2 (dba) 3 , Pd(PPh 3 ) 4 or PdCh(PPh 3 ) 2 , a ligand such as Xantphos, and a suitable base such as t-BuONa, Na 2 C0 3 or Cs 2 C0 3 , in a suitable solvent such as THF, toluene or 1,4-dioxane at room temperature to 130°C.
  • Pd catalyst such as Pd 2 (dba) 3 , Pd(PPh 3 ) 4 or PdCh(PPh 3 ) 2
  • a ligand such as Xantphos
  • a suitable base such as t-BuONa, Na 2 C0 3 or Cs 2 C0 3
  • Reductive amination of 3 with appropriate Deuterium agent NaBD 3 CN affords intermediate 1-4, which can selectively form the enantiomeric salt III-5 with a suitable organic acid such as L-( + )-tartaric acid, L-(-)-DTTA, L-(-)-DBTA and (R)-mandelic acid in a suitable organic solvent such as MeOH, EtOH, IPA, IP Ac, MIBK, EA, MTBE, DIPE, CPME and toluene.
  • a suitable organic acid such as L-( + )-tartaric acid, L-(-)-DTTA, L-(-)-DBTA and (R)-mandelic acid in a suitable organic solvent such as MeOH, EtOH, IPA, IP Ac, MIBK, EA, MTBE, DIPE, CPME and toluene.
  • a suitable organic acid such as L-( + )-tartaric acid, L-(-)-DTTA, L-(-)
  • enantiomeric salt III-5 leads to enantiomeric intermediate III-6, by reacting desired enantiomeric salt of III-5 with a suitable amount of base such as TEA, DIPEA, NaOH, Na 2 C0 3 , NaHC0 3 and a mixture thereof in a suitable solven tsuch as DCM, IP Ac or MeTHF.
  • III-6 can be heated with ethyl formate or formic acid in a solvent such as ethanol or dioxane affords intermediate III-7, which can be treated with oxalyl chloride followed by FeCl 3 at -10 °C to room temperature, and then after separation, the intermediate is heated with a solution of concentrated H 2 S0 4 in methanol to give intermediate III-8.
  • III-8 reacts with alkyl 2-(dimethylaminomethylene)-3-oxo-butanoate in a solvent such as DMSO, DMF, ethanol, or reacts with alkyl 3-(ethoxymethylene)-4-trimethylsilyloxy-pent-4-enoate, BF3-Et20 and TFA in DCM to give intermediate III-9.
  • III- 10 is obtained. Hydro lyzation of 10 by lithium hydroxide or sodium hydroxide in a suitable solvent such as THF/H20, EtOH/H20 or MeOH/H20 affords intermediate III- 11, which can be one-step fluorized by a Selectfluor agent to afford the target compound III- 12.
  • the intermeidate 11- 10 from Scheme II or III- 10 from Shcheme III can react with halogenation agents such as NCS or NBS to yield the compound IV-C1 or IV-Br (in which R 7 is CI or Br); the compound IV-Br can be further one-step converted to IV-CN, IV-CF3, or IV-CH3 by standard organic reactions; in addition, the intermediate 11-10 or III- 10 can undergo a nitrosation reaction to yield the compound IV-N0 2 ( in which R 7 is N0 2 ), which can be further reduced to yield IV-NH 2 (in which R 7 is NH 2 ).
  • halogenation agents such as NCS or NBS
  • the compound IV-Br can be further one-step converted to IV-CN, IV-CF3, or IV-CH3 by standard organic reactions
  • the intermediate 11-10 or III- 10 can undergo a nitrosation reaction to yield the compound IV-N0 2 ( in which R 7 is N0 2 ), which can be further reduced to yield IV-NH 2 (in which R
  • V-1 (in which R 4 -Z 2 - is CI) can be prepared by the methods similar to the Scheme I-III. After that, V-1 can react with the appropriate NaBiOR ⁇ to afford the target compounds.
  • the staring material i-1 can undergo hydrolysis to yield carboxylic acid intermediate i-2, which is subsequently converted to lactone intermediate i-3. Lactone i-3 is hydrolyzed and protected to give carboxylic acid intermediate i-4, which is transformed into acid chloride intermediate i-5. Condensation with vinylic amine gives 4-pyranone
  • fluorocycloalkyl, aryl, or heteroaryl can be synthesized by a method similar to Shcheme (i).
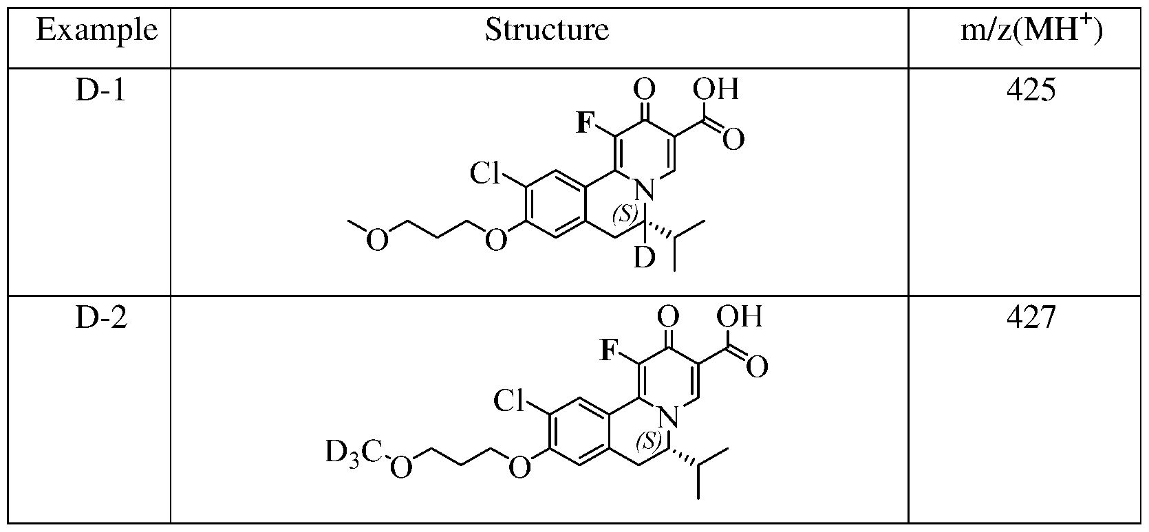
  • Example 2A and 2B (+)-6-(tert-butyl)- 10-chloro-l-fluoro-9-(3-methoxypropoxy)-2-oxo- 6,7-dihydro-2H-pyrido[2, l-a]isoquinoline-3-carboxylic acid, and (-)-6-(tert-butyl)- 10-chloro- l-fluoro-9-(3-methoxypropoxy)-2-oxo-6,7-dihydro-2H-pyrido[2,l-a]isoquinoline-3- carboxylic acid
  • Example 7 6-isopropyl-10-methoxy-9-(3-methoxypropoxy)-l-nitro-2-oxo-6,7-dihydro-2H- pyrido [2, 1 -a] isoquinoline-3 -carboxylic acid
  • Example 11 l-hydroxy-6-isopropyl-10-methoxy-9-(3-methoxypropoxy)-2-oxo-6,7-dihydro- 2H-pyrido [2, 1 -a] isoquinoline-3 -carboxylic acid
  • Example 12 (S)- 10-chloro-l-fluoro-6-isopropyl-9-(3-methoxypropoxy)-2-oxo-6,7-dihydro- 2H-pyrido[2,l-a]isoquinoline-3-carboxylic acid, and (R)-10-chloro-l-fluoro-6-isopropyl-9- (3-methoxypro oxy)-2-oxo-6,7-dihydro-2H-pyrido[2, l-a]isoquinoline-3-carboxylic acid
  • Prep-HPLC-007 Column, SunFire Prep C18 OBD Column, 19* 150mm 5um lOnm; mobile phase, Water (0.1% FA) and ACN (48.0% ACN up to 53.0% in 7 min, hold 95.0% in 1 min, down to 48.0% in 1 min, hold 48.0% in 1 min); Detector, UV 220nm.
  • Prep-HPLC-007 Column, SunFire Prep C 18 OBD Column, 19* 150mm 5um lOnm; mobile phase, Water (0.1 % FA) and ACN (48.0% ACN up to 53.0% in 7 min, hold 95.0% in 1 min, down to 48.0% in 1 min, hold 48.0% in 1 min); Detector, UV 220nm.
  • Example 13 (S)-6-(tert-butyl)- l-fluoro-10-methoxy-9-(3-methoxypropoxy)-2-oxo-6,7- dihydro-2H-pyrido[2,l-a]isoquinoline-3-carboxylic acid, and (R)-6-(tert-butyl)-l-fluoro- 10- methoxy-9-(3-methoxypropoxy)-2-oxo-6,7-dihydro-2H-pyrido[2,l-a]isoquinoline-3- carboxylic acid
  • the resulting solution was stirred for 1 h at 80 °C in an oil bath.
  • the resulting solution was diluted with 50 mL of H 2 0.
  • the resulting solution was extracted with 3x15 mL of ethyl acetate and the organic layers combined.
  • the resulting mixture was washed with 1x10 mL of water and 1x10 mL of brine.
  • the resulting mixture was dried by Na 2 S0 4 and filtrated, filtrate concentrated under vacuum. The residue was applied onto a silica gel column with
  • Acetonitrile linear gradient from 5 % acetonitrile to 100 % acetonitrile in 2.6 minutes; Oven temperature 40 °C; flow: 1.5 mL/min.:
  • the resulting solution was stirred for 5 h at 110°C in an oil bath.
  • the reaction mixture was cooled to room temperature.
  • the resulting solution was diluted with 50 mL of H 2 0.
  • the resulting solution was extracted with 3x15 mL of ethyl acetate and the organic layers combined.
  • the resulting mixture was washed with 1x15 mL of water and 1x15 mL of brine. Combined organic phase and dried by Na 2 S0 4 , filtrated, concentrated.
  • the resulting solution was stirred for 1 h at 100 °C in an oil bath.
  • the reaction mixture was cooled to room temperature.
  • the resulting solution was diluted with 15 mL of H 2 0.
  • the resulting solution was extracted with 3x10 mL of ethyl acetate and the organic layers combined.
  • the resulting mixture was washed with 1x10 mL of water and 1x10 mL of brine.
  • the residue was purified by Prep-TLC with dichloromethane/methanol (10: 1) twice. This resulted in a mixture (25
  • the resulting crude product was purified by Prep-HPLC with the following conditions (Prep-HPLC-013): Column, SunFire Prep C 18 OBD Column, 19 X 150 mm 5um lOnm; mobile phase, Water(0.05%TFA ) and ACN (41.0% ACN up to 46.0% in 6 min); Detector, UV 220nm. (6S)- l, 10-bis( H 3 )methoxy-9-(3-methoxypropoxy)-2-oxo-6-(propan-2-yl)-
  • Example A The compounds below are prepared by methods substantially identical, similar, or analogous to those disclosed in Scheme A-E, Scheme I-V, and above examples
  • Example B The compounds below are prepared by methods substantially identical, similar, or analogous to those disclosed in Scheme A-E, Scheme I-V, and above examples
  • Example C The compounds below are prepared by methods substantially identical, similar, or analogous to those disclosed in Scheme A-E, Scheme I-V, and above examples
  • Example D The compounds below are prepared by methods substantially identical, similar, or analogous to those disclosed in Scheme A-E, Scheme I-V, and above examples
  • Example E The compounds below are prepared by methods substantially identical, similar, or analogous to those disclosed in Scheme A-E, Scheme I-V, and above examples
  • HepG2.2.15 cells (Acs et al. Proc Natl Acad Sci US A, 84, (1987), 4641-4), a constitutively HBV-expressing cell line were cultured in DMEM+Glutamax-I medium (Invitrogen, Carlsbad, CA, USA), supplemented with 10% fetal bovine serum (Invitrogen) and G418 (Invitrogen) at a final concentration of 200 mg/L and maintained in 5% C02 at 37°C.
  • HepG2.2. 1 5 cells were seeded in duplicate into white, 96-well plates at 1.5 x 104 cells/well. The cells were treated with a three-fold serial dilution series of the compounds in DMSO. The final DMSO concentration in all wells was 1 % and DMSO was used as no drug control.
  • the HBsAg chemiluminescence immunoassay (CLIA) kit (Autobio Diagnostics Co., Zhengzhou, China, Catalog number: CL03 1 0-2) was used to measure the levels of secreted HBV antigens semi-quantitatively. For the detection 50 ⁇ / ⁇ culture supernatant was used and HBsAg was quantified using HBsAg chemiluminescence immunoassay (CLIA) kit (Autobio Diagnostics Co., Zhengzhou, China, Catalog number: CL0310-2), 50 ⁇ ⁇ of the supernatant was
  • IC50 was defined as the compound concentration (or conditioned media log dilution) at which HBsAg secretion was reduced by 50% compared to the no drug control.
  • the compounds of the present invention were tested for their capacity to inhibit HBsAg as described herein.
  • the assay employs real-time qPCR (TaqMan) to directly measure extracellular HBV DNA copy number.
  • HepG2.2.15 cells were plated in 96-well microtiter plates. Only the interior wells were utilized to reduce "edge effects" observed during cell culture, the exterior wells were filled with complete medium to help minimize sample evaporation.
  • the HepG2.2.15 cells were washed and the medium was replaced with complete medium containing various concentrations of a test compound in triplicate. 3TC was used as the positive control, while media alone was added to cells as a negative control (virus control, VC). Three days later, the culture medium was replaced with fresh medium containing the appropriately diluted drug.
  • Example 2A are highly potent anti-HBV agent.
  • top cone of test compound is 30mM.
  • the final top cone is 150 ⁇ after cell addition.
  • the human ether-a-go-go related gene encodes the inward rectifying voltage gated potassium channel in the heart ( ⁇ & ) which is involved in cardiac repolarization.
  • the degree of inhibition (%) was obtained by measuring the tail current amplitude, which is induced by a one second test pulse to -40 mV after a two second pulse to + 20 mV, before and after drug incubation (the difference current was normalized to control and multiplied by 100 to obtain the percent of inhibition).
  • Concentration (log) response curves were fitted to a logistic equation (three parameters assuming complete block of the current at very high test compound concentrations) to generate estimates of the 10 % inhibitory concentration (IC 10 ).
  • the concentration-response relationship of each compound was constructed from the percentage reductions of current amplitude by sequential
  • the pharmacokinetics of compounds were evaluated in female Sprague-Dawley rats via Intravenous and Oral Administration.
  • the iv dose was administered as a slow bolus in the Jugular vein, and oral doses were administered by gavage.
  • the fomulaltion for IV dosing is 20% DMSO and 60%PEG 400 in water, and the PO formulation (suspension) is 1 % MC, 0.4%Kolliphor EL in water.
  • the PK time point for the IV arm is 5, 15, 30 min, 1, 2, 4, 6, 8, 12, 24 hours post dose, and for PO arm is 15, 30 min, 1, 2, 4, 6, 8, 12, 24 hours post dose. Approximately 0.2 mL blood will be collected at each time point.
  • Plasma samples will be stored in polypropylene tubes. The samples will be stored in a freezer at -75+15°C prior to analysis. Concentrations of compounds in the plasma samples will be analyzed using a LC-MS/MS method. WinNonlin (PhoenixTM, version 6.1) or other similar software will be used for pharmacokinetic calculations. The following pharmacokinetic parameters will be calculated, whenever possible from the plasma concentration versus time data: IV
  • pharmacokinetic data Co, CL, V d , Tm, AU n f , AUCi ast , MRT, Number of Points for Regression; PO administration: C max , T max , Ti /2 , AUQn f , AUCi ast , F%, Number of Points for Regression.
  • the pharmacokinetic data will be described using descriptive statistics such as mean, standard deviation. Additional pharmacokinetic or statistical analysis may be performed at the discretion of the contributing scientist, and will be documented in the data summary.
  • Example 2A has better oral PK profile than Compound 203 repored in WO2015113990.
  • Example 2A Compound 203 in
  • Example 14 has much better oral PK profile than Example 13.
  • the possible reason of improved PK is that the deuterium-carbon bonds are stronger than hydrogen-carbon bonds, thus the isotope would help the compounds better withstand drug- metabolizing enzymes such as the cytochrome P450s.

Landscapes

  • Organic Chemistry (AREA)
  • Chemical & Material Sciences (AREA)
  • Health & Medical Sciences (AREA)
  • Life Sciences & Earth Sciences (AREA)
  • Virology (AREA)
  • Chemical Kinetics & Catalysis (AREA)
  • Pharmacology & Pharmacy (AREA)
  • Biotechnology (AREA)
  • Communicable Diseases (AREA)
  • Oncology (AREA)
  • Engineering & Computer Science (AREA)
  • General Chemical & Material Sciences (AREA)
  • Medicinal Chemistry (AREA)
  • Nuclear Medicine, Radiotherapy & Molecular Imaging (AREA)
  • Molecular Biology (AREA)
  • Animal Behavior & Ethology (AREA)
  • General Health & Medical Sciences (AREA)
  • Public Health (AREA)
  • Veterinary Medicine (AREA)
  • Pharmaceuticals Containing Other Organic And Inorganic Compounds (AREA)
  • Nitrogen Condensed Heterocyclic Rings (AREA)
  • Nitrogen And Oxygen Or Sulfur-Condensed Heterocyclic Ring Systems (AREA)

Abstract

The disclosure includes compounds of Formula (I), wherein Z1, Z2, Z3, X, R1, R2, R3, R4, R5, R6, and R7 are defined herein. Also disclosed is a method for treating HBV infection.

Description

Novel Therapeutic Agents for the Treatment of HB V Infection
REFERENCE TO RELATED APPLICATIONS
This application claims the benefit of the filing date of U.S. Provisional Application No. 62/368,165, filed on July 29, 2016; U.S. Provisional Application No. 62/418,684, filed on November 7, 2016; U.S. Provisional Application No. 62/486,946, filed on April 18, 2017; and U.S. Provisional Application No. 62/516,569, filed on June 7, 2017. The entire contents of each of the aforementioned applications are incorporated herein by reference.
BACKGROUND OF THE INVENTION
Despite the availability of effective vaccines and antiviral therapies, hepatitis B is still a major global health problem, with one-third of all people on the planet having been at some time infected with the hepatitis B virus (HBV). In 2016, there are currently more than 240 million people with chronic hepatitis B, which leads to more than 780,000 deaths per year following development of liver disease, such as cirrhosis, liver cancer, or other
complications. The therapeutic options for the patients with chronic hepatitis B include two forms of interferon-a (IFN-a) as immune system modulators and nucleos(t)ide analogues. IFN-a therapy is effective for up to 60% of patients but results in complete cures in only 7% and also is associated with a high rate of adverse side effects.
The hepatitis B virus (HBV) is an enveloped, partially double-stranded DNA virus. The virus particle is composed of a lipid enveloped studded with surface protein (HBsAg) that surrounds the viral core. The core is composed of a protein shell, or capsid, built of 120 core protein (Cp) dimers, which in turn contains the relaxed circular DNA (rcDNA) viral genome as well as viral and host proteins. In an infected cell, the genome is found as a covalently closed circular DNA (cccDNA) in the host cell nucleus. The cccDNA is the template for viral RNAs and thus viral proteins. In the cytoplasm, Cp assembles around a complex of full-length viral RNA (the so-called pregenomic RNA or pgRNA and viral polymerase (P). After assembly, P reverse transcribes the pgRNA to rcDNA within the confines of the capsid to generate the DNA-filled viral core.
One of the classic hallmarks of chronic hepatitis B is the high levels of hepatitis B virus surface antigen (HBsAg) in the serum of patients, which may reach 400 μg/mL (0.4% of total serum protein). The antigenemia resulting from production of subviral particles is thought to play an important role in suppressing the HBV-specific immune response. In addition, recent reports have suggested that HBsAg acts directly on dendritic cells to limit cytokine production and adaptive immunity. Reduction of antigenemia with the experimental antiviral clevudine resulted in a partial restoration of virus-specific immune response. Thus, inhibitors of HBsAg secretion could potentially enable the therapeutic use of the HBV vaccine or be used as combination therapy with nucleos(t)ide drugs for the treatment of HBV infection.
WO/2015/113990 and WO/2016/107832 reported a class of HBsAg inhibitors for the treatment and prophylaxis of hepatitis b virus infection. The paper in J Med Chem. 2011, 54(16): 5660-5670 reported novel agents triazolo-pyrimidine derivatives as novel inhibitors of HBsAg secretion. Although those agents have made a significant contribution to the art, there is a continuing search in this field of art for improved pharmaceuticals.
SUMMARY OF THE INVENTION
This invention provides compounds of the Formula (I) or an N-oxide thereof, or a pharmaceutically acceptable salt, solvate, polymorph or tautomer of said compound of formula (I) or N-oxide thereof:
Figure imgf000003_0001
wherein
R7 is halo, low alkyl, CF3, CN, nitro, OH, ORa, or NH2;
Zi is absent, O, N(Ra), or C(RbRc);
X is C(Ro) or N, in which R0 is H, D, or CF3;
each of Z2, and Z3, independently, is absent, O, (CH2)P0, 0(CH2)pO, N(H), (CH2)P, S, C(O), S02, OC(O), C(0)0, OS02, S(0)20, C(0)S, SC(O), C(0)C(0), C(0)N(H), N(H)C(0), S(0)2N(H), N(H)S(0)2, OC(0)0, OC(0)S, OC(0)N(H), N(H)C(0)0, N(H)C(0)S,
N(H)C(0)N(H), (CH2)pN(H)(CH2)q, (CH2)pO(CH2)q, (CH2)pN(H)C(0)(CH2)q,
(CH2)pC(0)N(H)(CH2)q, OC(0)N(H)(CH2)p+iN(H)(CH2)q, a bivalent alkenyl group, or a bivalent alkynyl group;
each of Ri, R2, R3, R4, R5, and R6, independently, is H, alkyl, alkenyl, alkynyl, cycloalkyl, cycloalkenyl, heterocycloalkyl, heterocycloalkenyl, aryl, heteroaryl, halo, nitro, oxo, cyano, -(CH2)pRa, -ORa, -SRa, -NH(CH2)pRa, -C(0)Ra, -S(0)Ra, -S02Ra, -C(0)ORa, - OC(0)Ra, -NRbRc, -P(0)RbRc, -C(0)N(Rb)Rc, -N(Rb)C(0)Rc, -S02N(Rb)Rc, or -N(Rb)S02Rc, in which said alkyl, cycloalkyl, cycloalkenyl, heterocycloalkyl, heterocycloalkenyl, aryl, heteroaryl is optionally subsitiuted with one or more Rd;
each of p, and q, independently, is 0, 1, 2, 3, 4, 5, 6, 7, or 8;
Ra, Rb, Rc and Rd, independently, is H, D, CD3, alkyl, alkenyl, alkynyl, halo, cyano, amine, nitro, hydroxy, C(0)NHOH, alkoxy, alkoxyalkyl, haloalkyl, hydroxyalkyl, aminoalkyl, alkylcarbonyl, alkoxycarbonyl, alkylcarbonylamino, alkylamino, oxo, halo- alkylamino, cycloalkyl, cycloalkenyl, heterocycloalkyl, heterocycloalkenyl, aryl, or heteroaryl;
R4 and R5, together with the atoms to which they are attached form an optionally substituted cycloalkyl or heterocycloalkyl; and
Ri and R6, together with the atoms to which they are attached form an optionally substituted cycloalkyl or heterocycloalkyl.
In certain embodiments, the compound is represented by Formula (II):
Figure imgf000004_0001
wherein Ri is H, alkyl, alkenyl, alkynyl, cycloalkyl, cycloalkenyl, heterocycloalkyl, heterocycloalkenyl, aryl, or heteroaryl, in which said alkyl, alkenyl, alkynyl, cycloalkyl, cycloalkenyl, heterocycloalkyl, heterocycloalkenyl, aryl, heteroaryl is optionally subsitiuted with one or more Rd.
In a more preferred embodiment, Ro is H, or D; Ri is alkyl, cycloalkyl, aryl, or heteroaryl, in which said alkyl, cycloalkyl, aryl, or heteroaryl is optionally subsitiuted with one or more Rd; Z2 is absent, or O; R4 is H, halo, alkyl optionally subsitiuted with one or more Rd; Z3 is absent, O, or 0(CH2)pO; R5 is H, alkyl optionally subsitiuted with one or more Rd; and R7 is halo.
In a more preferred embodiment, Ri is alkyl, or cycloalkyl, in which said alkyl, or cycloalkyl is optionally subsitiuted with one or more Rd; R4 is H, halo, alkyl optionally subsitiuted with one or more D; R5 is H, alkyl optionally subsitiuted with one or more D; and R7 is F. In other certain embodiments, the compound is represented by Formula (III):
Figure imgf000005_0001
wherein Ri is H, alkyl, alkenyl, alkynyl, cycloalkyl, cycloalkenyl, heterocycloalkyl, heterocycloalkenyl, aryl, or heteroaryl, in which said alkyl, alkenyl, alkynyl, cycloalkyl, cycloalkenyl, heterocycloalkyl, heterocycloalkenyl, aryl, heteroaryl is optionally subsitiuted with one or more Rd.
In a more preferred embodiment, Ri is alkyl, cycloalkyl, aryl, or heteroaryl, in which said alkyl, cycloalkyl, aryl, or heteroaryl is optionally subsitiuted with one or more Rd; Z2 is absent, or O; R4 is H, halo, alkyl optionally subsitiuted with one or more Rd; Z3 is absent, O, or 0(CH2)pO; R5 is H, alkyl optionally subsitiuted with one or more Rd; and R7 is halo.
In a more preferred embodiment, Ri is alkyl, or cycloalkyl, in which said alkyl, or cycloalkyl is optionally subsitiuted with one or more Rd; R4 is H, halo, alkyl optionally subsitiuted with one or more D; R5 is H, alkyl optionally subsitiuted with one or more D; and R7 is F.
In certain embodiments, the compound is represented by Formula (A):
Figure imgf000005_0002
wherein
X is C(Ro) or N, in which R0 is H, D, or CF3;
Zi is O, N(Ra), or C(RbRc), provided that if Zi is C(RbRc) then X is N;
each of Z2, and Z3, independently, is absent, O, (CH2)pO, 0(CH2)pO, N(H), (CH2)P, S, C(O), S02, OC(O), C(0)0, OS02, S(0)20, C(0)S, SC(O), C(0)C(0), C(0)N(H), N(H)C(0), S(0)2N(H), N(H)S(0)2, OC(0)0, OC(0)S, OC(0)N(H), N(H)C(0)0, N(H)C(0)S,
N(H)C(0)N(H), (CH2)pN(H)(CH2)q, (CH2)pO(CH2)q, (CH2)pN(H)C(0)(CH2)q,
(CH2)pC(0)N(H)(CH2)q, OC(0)N(H)(CH2)p+1N(H)(CH2)q, a bivalent alkenyl group, or a bivalent alkynyl group;
each of Ri, R2, R3, R4, R5, and R6, independently, is H, alkyl, alkenyl, alkynyl, cycloalkyl, cycloalkenyl, heterocycloalkyl, heterocycloalkenyl, aryl, heteroaryl, halo, nitro, oxo, cyano, -(CH2)pRa, -ORa, -SRa, -NH(CH2)pRa, -C(0)Ra, -S(0)Ra, -S02Ra, -C(0)ORa, - OC(0)Ra, -NRbRc, -P(0)RbRc, -C(0)N(Rb)Rc, -N(Rb)C(0)Rc, -S02N(Rb)Rc, or -N(Rb)S02Rc, in which said alkyl, cycloalkyl, cycloalkenyl, heterocycloalkyl, heterocycloalkenyl, aryl, heteroaryl is optionally subsitiuted with one or more Rd;
each of p, and q, independently, is 0, 1, 2, 3, 4, 5, 6, 7, or 8;
Ra, Rb, Rc and Rd, independently, is H, D, alkyl, alkenyl, alkynyl, halo, cyano, amine, nitro, hydroxy, C(0)NHOH, alkoxy, alkoxyalkyl, haloalkyl, hydroxyalkyl, aminoalkyl, alkylcarbonyl, alkoxycarbonyl, alkylcarbonylamino, alkylamino, oxo, halo-alkylamino, cycloalkyl, cycloalkenyl, heterocycloalkyl, heterocycloalkenyl, aryl, or heteroaryl;
R4 and R5, together with the atoms to which they are attached form an optionally substituted cycloalkyl or heterocycloalkyl; and
Ri and R6, together with the atoms to which they are attached form an optionally substituted cycloalkyl or heterocycloalkyl.
In certain embodiments, the compound is represented by Formula (B):
Figure imgf000006_0001
wherein
Ri is fluoroalkyl, fluorocycloalkyl, aryl, or heteroaryl, in which said fluoroalkyl, fluorocycloalkyl, aryl, or heteroaryl is optionally subsitiuted with one or more Rd;
each of Z2, and Z3, independently, is absent, O, (CH2)pO, 0(CH2)pO, N(H), (CH2)P, S, C(O), S02, OC(O), C(0)0, OS02, S(0)20, C(0)S, SC(O), C(0)C(0), C(0)N(H), N(H)C(0), S(0)2N(H), N(H)S(0)2, OC(0)0, OC(0)S, OC(0)N(H), N(H)C(0)0, N(H)C(0)S,
N(H)C(0)N(H), (CH2)pN(H)(CH2)q, (CH2)pO(CH2)q, (CH2)pN(H)C(0)(CH2)q,
(CH2)pC(0)N(H)(CH2)q, OC(0)N(H)(CH2)p+1N(H)(CH2)q, a bivalent alkenyl group, or a bivalent alkynyl group;
each of Ri, R2, R3, R4, and R5, independently, is H, alkyl, alkenyl, alkynyl, cycloalkyl, cycloalkenyl, heterocycloalkyl, heterocycloalkenyl, aryl, heteroaryl, halo, nitro, oxo, cyano, - (CH2)pRa, -ORa, -SRa, -NH(CH2)pRa, -C(0)Ra, -S(0)Ra, -S02Ra, -C(0)ORa, -OC(0)Ra, - NRbRc, -P(0)RbRc, -C(0)N(Rb)Rc, -N(Rb)C(0)Rc, -S02N(Rb)Rc, or -N(Rb)S02Rc, in which said alkyl, cycloalkyl, cycloalkenyl, heterocycloalkyl, heterocycloalkenyl, aryl, heteroaryl is optionally subsitiuted with one or more Rd;
each of p and q, independently, is 0, 1, 2, 3, 4, 5, 6, 7, or 8; Ra, Rb, Rc and Rd, independently, is H, D, alkyl, alkenyl, alkynyl, halo, cyano, amine, nitro, hydroxy, C(0)NHOH, alkoxy, alkoxyalkyl, haloalkyl, hydroxyalkyl, aminoalkyl, alkylcarbonyl, alkoxycarbonyl, alkylcarbonylamino, alkylamino, oxo, halo-alkylamino, cycloalkyl, cycloalkenyl, heterocycloalkyl, heterocycloalkenyl, aryl, or heteroaryl; and
R4 and R5, together with the atoms to which they are attached form an optionally substituted cycloalkyl or heterocycloalkyl.
In a more preferred embodiment, Ri is
Figure imgf000007_0001
1 , aryl, or heteroaryl.
Compounds of the invention may contain one or more asymmetric carbon atoms. Accordingly, the compounds may exist as diastereomers, enantiomers, or mixtures thereof. Each of the asymmetric carbon atoms may be in the R or S configuration, and both of these configurations are within the scope of the invention.
A modified compound of any one of such compounds including a modification having an improved (e.g. , enhanced, greater) pharmaceutical solubility, stability, bioavailability, and/or therapeutic index as compared to the unmodified compound is also contemplated. Exemplary modifications include (but are not limited to) applicable prodrug derivatives, and deuterium-enriched compounds.
It should be recognized that the compounds of the present invention may be present and optionally administered in the form of salts or solvates. The invention encompasses any pharmaceutically acceptable salts and solvates of any one of the above-described compounds and modifications thereof.
Also within the scope of this invention is a pharmaceutical composition containing one or more of the compounds, modifications, and/or salts and thereof described above for use in treating a disease, therapeutic uses thereof, and use of the compounds for the manufacture of a medicament for treating the disease / disorder.
The compounds of the invention can inhibit HBsAg or secretion and inhibit HBV gene expression. Accordingly, the compounds of the invention are useful for the treatment or prophylaxis of HBV infection.
The invention relates to the use of a compound of Formula (I) for the inhibition of HBsAg production or secretion.
The invention relates to the use of a compound of Formula (I) for the inhibition of HBV DNA production.
The invention relates to the use of a compound of Formula (I) for the inhibition of HBV gene expression. The invention relates to the use of a compound of Formula (I) for the treatment or prophylaxis of HBV infection.
The use of a compound of Formula (I) for the preparation of medicaments useful in the treatment or prophylaxis diseases that are related to HBV infection is an object of the invention.
The invention relates in particular to the use of a compound of Formula (I) for the preparation of a medicament for the treatment or prophylaxis of HBV infection.
This invention also relates to a method of treatment or prophylaxis of HBV infection, by administering to a subject in need thereof an effective amount of one or more of the compounds, modifications, and/or salts, and compositions thereof described above.
The details of one or more embodiments of the invention are set forth in the description below. Other features, objects, and advantages of the invention will be apparent from the description and from the claims. It should be understood that all embodiments / features of the invention (compounds, pharmaceutical compositions, methods of make / use, etc.) described herein, including any specific features described in the examples and original claims, can combine with one another unless not applicable or explicitly disclaimed.
DETAILED DESCRIPTION OF THE INVENTION
Exemplary compounds described herein include, but are not limited to, the following:
Figure imgf000008_0001
Figure imgf000009_0001
Figure imgf000010_0001
Figure imgf000011_0001
Figure imgf000011_0002
Figure imgf000012_0001
Figure imgf000013_0001
Figure imgf000013_0002
Compounds of the invention may contain one or more asymmetric carbon atoms. Accordingly, the compounds may exist as diastereomers, enantiomers or mixtures thereof. The syntheses of the compounds may employ racemates, diastereomers or enantiomers as starting materials or as intermediates. Diastereomeric compounds may be separated by chromatographic or crystallization methods. Similarly, enantiomeric mixtures may be separated using the same techniques or others known in the art. Each of the asymmetric carbon atoms may be in the R or S configuration and both of these configurations are within the scope of the invention.
A modified compound of any one of such compounds including a modification having an improved (e.g., enhanced, greater) pharmaceutical solubility, stability, bioavailability and/or therapeutic index as compared to the unmodified compound is also contemplated. The examples of modifications include but not limited to the prodrug derivatives, and the deuterium-enriched compounds. For example:
• Prodrug derivatives: prodrugs, upon administration to a subject, will converted in vivo into active compounds of the present invention [Nature Reviews of Drug Discovery, 2008, Volume 7, p255]. It is noted that in many instances, the prodrugs themselves also fall within the scope of the range of compounds according to the present invention. The prodrugs of the compounds of the present invention can be prepared by standard organic reaction, for example, by reacting with a carbamylating agent (e.g., 1,1-acyloxyalkylcarbonochloridate, para-nitrophenyl carbonate, or the like) or an acylating agent. Further examples of methods and strategies of making prodrugs are described in Bioorganic and Medicinal Chemistry Letters, 1994, Vol. 4, p. 1985.
• Deuterium-enriched compounds: deuterium (D or H) is a stable, non-radioactive isotope of hydrogen and has an atomic weight of 2.0144. Hydrogen naturally occurs as a mixture of the isotopes H (hydrogen or protium), D ( H or deuterium), and T
( H or tritium). The natural abundance of deuterium is 0.015%. One of ordinary skill in the art recognizes that in all chemical compounds with a H atom, the H atom actually represents a mixture of H and D, with about 0.015% being D. Thus, compounds with a level of deuterium that has been enriched to be greater than its natural abundance of 0.015%, should be considered unnatural and, as a result, novel over their nonenriched counterparts.
It should be recognized that the compounds of the present invention may be present and optionally administered in the form of salts, and solvates. For example, it is within the scope of the present invention to convert the compounds of the present invention into and use them in the form of their pharmaceutically acceptable salts derived from various organic and inorganic acids and bases in accordance with procedures well known in the art.
When the compounds of the present invention possess a free base form, the compounds can be prepared as a pharmaceutically acceptable acid addition salt by reacting the free base form of the compound with a pharmaceutically acceptable inorganic or organic acid, e.g., hydrohalides such as hydrochloride, hydrobromide, hydroiodide; other mineral acids such as sulfate, nitrate, phosphate, etc.; and alkyl and monoarylsulfonates such as ethanesulfonate, toluenesulfonate and benzenesulfonate; and other organic acids and their corresponding salts such as acetate, tartrate, maleate, succinate, citrate, benzoate, salicylate and ascorbate. Further acid addition salts of the present invention include, but are not limited to: adipate, alginate, arginate, aspartate, bisulfate, bisulfite, bromide, butyrate, camphorate, camphorsulfonate, caprylate, chloride, chlorobenzoate, cyclopentanepropionate, digluconate, dihydrogenphosphate, dinitrobenzoate, dodecylsulfate, fumarate, galacterate (from mucic acid), galacturonate, glucoheptaoate, gluconate, glutamate, glycerophosphate, hemisuccinate, hemisulfate, heptanoate, hexanoate, hippurate, 2-hydroxyethanesulfonate, iodide, isethionate, iso-butyrate, lactate, lactobionate, malonate, mandelate, metaphosphate, methanesulfonate, methylbenzoate, monohydrogenphosphate, 2-naphthalenesulfonate, nicotinate, oxalate, oleate, pamoate, pectinate, persulfate, phenylacetate, 3-phenylpropionate, phosphonate and phthalate. It should be recognized that the free base forms will typically differ from their respective salt forms somewhat in physical properties such as solubility in polar solvents, but otherwise the salts are equivalent to their respective free base forms for the purposes of the present invention.
When the compounds of the present invention possess a free acid form, a
pharmaceutically acceptable base addition salt can be prepared by reacting the free acid form of the compound with a pharmaceutically acceptable inorganic or organic base. Examples of such bases are alkali metal hydroxides including potassium, sodium and lithium hydroxides; alkaline earth metal hydroxides such as barium and calcium hydroxides; alkali metal alkoxides, e.g., potassium ethanolate and sodium propanolate; and various organic bases such as ammonium hydroxide, piperidine, diethanolamine and N-methylglutamine. Also included are the aluminum salts of the compounds of the present invention. Further base salts of the present invention include, but are not limited to: copper, ferric, ferrous, lithium, magnesium, manganic, manganous, potassium, sodium and zinc salts. Organic base salts include, but are not limited to, salts of primary, secondary and tertiary amines, substituted amines including naturally occurring substituted amines, cyclic amines and basic ion exchange resins, e.g., arginine, betaine, caffeine, chloroprocaine, choline, N,N'-dibenzylethylenediamine
(benzathine), dicyclohexylamine, diethanolamine, 2-diethylaminoethanol, 2- dimethylaminoethanol, ethanolamine, ethylenediamine, N-ethylmorpholine, N- ethylpiperidine, glucamine, glucosamine, histidine, hydrabamine, iso-propylamine, lidocaine, lysine, meglumine, N-methyl-D-glucamine, morpholine, piperazine, piperidine, polyamine resins, procaine, purines, theobromine, triethanolamine, triethylamine, trimethylamine, tripropylamine and tris-(hydroxymethyl)-methylamine (tromethamine). It should be recognized that the free acid forms will typically differ from their respective salt forms somewhat in physical properties such as solubility in polar solvents, but otherwise the salts are equivalent to their respective free acid forms for the purposes of the present invention.
In one aspect, a pharmaceutically acceptable salt is a hydrochloride salt,
hydrobromide salt, methanesulfonate, toluenesulfonate, acetate, fumarate, sulfate, bisulfate, succinate, citrate, phosphate, maleate, nitrate, tartrate, benzoate, biocarbonate, carbonate, sodium hydroxide salt, calcium hydroxide salt, potassium hydroxide salt, tromethamine salt, or mixtures thereof.
Compounds of the present invention that comprise tertiary nitrogen-containing groups may be quaternized with such agents as (C1-4) alkyl halides, e.g., methyl, ethyl, iso-propyl and tert-butyl chlorides, bromides and iodides; di-(Ci_4) alkyl sulfates, e.g., dimethyl, diethyl and diamyl sulfates; alkyl halides, e.g., decyl, dodecyl, lauryl, myristyl and stearyl chlorides, bromides and iodides; and aryl (C1-4) alkyl halides, e.g., benzyl chloride and phenethyl bromide. Such salts permit the preparation of both water- and oil-soluble compounds of the invention.
Amine oxides, also known as amine-N-oxide and N-oxide, of anti-cancer agents with tertiary nitrogen atoms have been developed as prodrugs [Mol Cancer Therapy. 2004 Mar; 3(3):233-44]. Compounds of the present invention that comprise tertiary nitrogen atoms may be oxidized by such agents as hydrogen peroxide (H2O2), Caro's acid or peracids like meta- Chloroperoxybenzoic acid (mCPBA) to from amine oxide.
The invention encompasses pharmaceutical compositions comprising the compound of the present invention and pharmaceutical excipients, as well as other conventional pharmaceutically inactive agents. Any inert excipient that is commonly used as a carrier or diluent may be used in compositions of the present invention, such as sugars, polyalcohols, soluble polymers, salts and lipids. Sugars and polyalcohols which may be employed include, without limitation, lactose, sucrose, mannitol, and sorbitol. Illustrative of the soluble polymers which may be employed are polyoxyethylene, poloxamers, polyvinylpyrrolidone, and dextran. Useful salts include, without limitation, sodium chloride, magnesium chloride, and calcium chloride. Lipids which may be employed include, without limitation, fatty acids, glycerol fatty acid esters, glycolipids, and phospholipids.
In addition, the pharmaceutical compositions may further comprise binders {e.g., acacia, cornstarch, gelatin, carbomer, ethyl cellulose, guar gum, hydroxypropyl cellulose, hydroxypropyl methyl cellulose, povidone), disintegrating agents {e.g., cornstarch, potato starch, alginic acid, silicon dioxide, croscarmellose sodium, crospovidone, guar gum, sodium starch glycolate, Primogel), buffers (e.g. , tris-HCL, acetate, phosphate) of various pH and ionic strength, additives such as albumin or gelatin to prevent absorption to surfaces, detergents (e.g. , Tween 20, Tween 80, Pluronic F68, bile acid salts), protease inhibitors, surfactants (e.g. , sodium lauryl sulfate), permeation enhancers, solubilizing agents (e.g. , glycerol, polyethylene glycerol, cyclodextrins), a glidant (e.g. , colloidal silicon dioxide), antioxidants (e.g. , ascorbic acid, sodium metabisulfite, butylated hydroxyanisole), stabilizers (e.g. , hydroxypropyl cellulose, hydroxypropylmethyl cellulose), viscosity increasing agents (e.g. , carbomer, colloidal silicon dioxide, ethyl cellulose, guar gum), sweeteners (e.g. , sucrose, aspartame, citric acid), flavoring agents (e.g. , peppermint, methyl salicylate, or orange flavoring), preservatives (e.g. , Thimerosal, benzyl alcohol, parabens), lubricants (e.g. , stearic acid, magnesium stearate, polyethylene glycol, sodium lauryl sulfate), flow-aids (e.g. , colloidal silicon dioxide), plasticizers (e.g. , diethyl phthalate, triethyl citrate), emulsifiers (e.g. , carbomer, hydroxypropyl cellulose, sodium lauryl sulfate, methyl cellulose,
hydroxyethyl cellulose, carboxymethylcellulose sodium), polymer coatings (e.g. , poloxamers or poloxamines), coating and film forming agents (e.g. , ethyl cellulose, acrylates,
polymethacrylates) and/or adjuvants.
In one embodiment, the pharmaceutical compositions are prepared with carriers that will protect the compound against rapid elimination from the body, such as a controlled release formulation, including implants and microencapsulated delivery systems.
Biodegradable, biocompatible polymers can be used, such as ethylene vinyl acetate, polyanhydrides, polyglycolic acid, collagen, polyorthoesters, and polylactic acid. Methods for preparation of such formulations will be apparent to those skilled in the art. The materials can also be obtained commercially from Alza Corporation and Nova Pharmaceuticals, Inc. Liposomal suspensions (including liposomes targeted to infected cells with monoclonal antibodies to viral antigens) can also be used as pharmaceutically acceptable carriers. These can be prepared according to methods known to those skilled in the art, for example, as described in U.S. Pat. No. 4,522,811.
Additionally, the invention encompasses pharmaceutical compositions comprising any solid or liquid physical form of the compound of the invention. For example, the compounds can be in a crystalline form, in amorphous form, and have any particle size. The particles may be micronized, or may be agglomerated, particulate granules, powders, oils, oily suspensions or any other form of solid or liquid physical form. When compounds according to the present invention exhibit insufficient solubility, methods for solubilizing the compounds may be used. Such methods are known to those of skill in this art, and include, but are not limited to, pH adjustment and salt formation, using co-solvents, such as ethanol, propylene glycol, polyethylene glycol (PEG) 300, PEG 400, DMA (10-30%), DMSO (10-20%), NMP (10-20%), using surfactants, such as polysorbate 80, polysorbate 20 (1- 10%), cremophor EL, Cremophor RH40, Cremophor RH60 (5- 10%), Pluronic F68/Poloxamer 188 (20-50%), Solutol HS 15 (20-50%), Vitamin E TPGS, and d-a- tocopheryl PEG 1000 succinate (20-50%), using complexation such as HPpCD and SBEpCD (10-40%), and using advanced approaches such as micelle, addition of a polymer, nanoparticle suspensions, and liposome formation.
A wide variety of administration methods may be used in conjunction with the compounds of the present invention. Compounds of the present invention may be administered or coadministered orally, parenterally, intraperitoneally, intravenously, intraarterially, transdermally, sublingually, intramuscularly, rectally, transbuccally, intranasally, liposomally, via inhalation, vaginally, intraoccularly, via local delivery (for example by catheter or stent), subcutaneously, intraadiposally, intraarticularly, or
intrathecally. The compounds according to the invention may also be administered or coadministered in slow release dosage forms. Compounds may be in gaseous, liquid, semi- liquid or solid form, formulated in a manner suitable for the route of administration to be used. For oral administration, suitable solid oral formulations include tablets, capsules, pills, granules, pellets, sachets and effervescent, powders, and the like. Suitable liquid oral formulations include solutions, suspensions, dispersions, emulsions, oils and the like. For parenteral administration, reconstitution of a lyophilized powder is typically used.
As used herein, "acyl" means a carbonyl containing substituent represented by the formula -C(0)-R in which R is H, alkyl, a carbocycle, a heterocycle, carbocycle-substituted alkyl or heterocycle-substituted alkyl wherein the alkyl, alkoxy, carbocycle and heterocycle are as defined herein. Acyl groups include alkanoyl (e.g. acetyl), aroyl (e.g. benzoyl), and heteroaroyl.
"Aliphatic" means a moiety characterized by a straight or branched chain
arrangement of constituent carbon atoms and may be saturated or partially unsaturated with one or more double or triple bonds.
The term "alkyl" refers to a straight or branched hydrocarbon containing 1-20 carbon atoms (e.g. , Ci-Cio). Examples of alkyl include, but are not limited to, methyl, methylene, ethyl, ethylene, n-propyl, i-propyl, n-butyl, i-butyl, and t-butyl. Preferably, the alkyl group has one to ten carbon atoms. More preferably, the alkyl group has one to four carbon atoms.
The term "alkenyl" refers to a straight or branched hydrocarbon containing 2-20 carbon atoms (e.g. , C2-C10) and one or more double bonds. Examples of alkenyl include, but are not limited to, ethenyl, propenyl, and allyl. Preferably, the alkylene group has two to ten carbon atoms. More preferably, the alkylene group has two to four carbon atoms.
The term "alkynyl" refers to a straight or branched hydrocarbon containing 2-20 carbon atoms (e.g. , C2-C10) and one or more triple bonds. Examples of alkynyl include, but are not limited to, ethynyl, 1-propynyl, 1- and 2-butynyl, and l-methyl-2-butynyl.
Preferably, the alkynyl group has two to ten carbon atoms. More preferably, the alkynyl group has two to four carbon atoms.
The term "alkylamino" refers to an -N(R)-alkyl in which R can be H, alkyl, alkenyl, alkynyl, cycloalkyl, cycloalkenyl, heterocycloalkyl, heterocycloalkenyl, aryl, or heteroaryl.
"Alkoxy" means an oxygen moiety having a further alkyl substituent.
"Alkoxycarbonyl" means an alkoxy group attached to a carbonyl group.
"Oxoalkyl" means an alkyl, further substituted with a carbonyl group. The carbonyl group may be an aldehyde, ketone, ester, amide, acid or acid chloride.
The term "cycloalkyl" refers to a saturated hydrocarbon ring system having 3 to 30 carbon atoms (e.g. , C3-C12, C3-C8, C3-C6). Examples of cycloalkyl include, but are not limited to, cyclopropyl, cyclobutyl, cyclopentyl, cyclohexyl, cycloheptyl, and cyclooctyl. The term "cycloalkenyl" refers to a non-aromatic hydrocarbon ring system having 3 to 30 carbons (e.g. , C3-C12) and one or more double bonds. Examples include cyclopentenyl, cyclohexenyl, and cycloheptenyl.
The term "heterocycloalkyl" refers to a nonaromatic 5-8 membered monocyclic, 8- 12 membered bicyclic, or 11-14 membered tricyclic ring system having one or more
heteroatoms (such as O, N, S, P, or Se). Examples of heterocycloalkyl groups include, but are not limited to, piperazinyl, pyrrolidinyl, dioxanyl, morpholinyl, and tetrahydrofuranyl.
The term "heterocycloalkenyl" refers to a nonaromatic 5-8 membered monocyclic, 8- 12 membered bicyclic, or 11- 14 membered tricyclic ring system having one or more heteroatoms (such as O, N, S, P, or Se) and one or more double bonds.
The term "aryl" refers to a 6-carbon monocyclic, 10-carbon bicyclic, 14-carbon tricyclic aromatic ring system. Examples of aryl groups include, but are not limited to, phenyl, naphthyl, and anthracenyl. The term "heteroaryl" refers to an aromatic 5-8 membered monocyclic, 8-12 membered bicyclic, or 11-14 membered tricyclic ring system having one or more heteroatoms (such as O, N, S, P, or Se). Examples of heteroaryl groups include pyridyl, furyl, imidazolyl, benzimidazolyl, pyrimidinyl, thienyl, quinolinyl, indolyl, and thiazolyl.
Alkyl, alkenyl, alkynyl, cycloalkyl, heterocycloalkyl, cycloalkenyl,
heterocycloalkenyl, alkylamino, aryl, and heteroaryl mentioned above include both substituted and unsubstituted moieties. Possible substituents on alkylamino, cycloalkyl, heterocycloalkyl, cycloalkenyl, heterocycloalkenyl, aryl, and heteroaryl include, but are not limited to, Ci-Cio alkyl, C2-Cio alkenyl, C2-Cio alkynyl, C3-C2o cycloalkyl, C3-C2o cycloalkenyl, Ci-C2o heterocycloalkyl, Ci-C2o heterocycloalkenyl, Ci-Cio alkoxy, aryl, aryloxy, heteroaryl, heteroaryloxy, amino, Ci-Cio alkylamino, arylamino, hydroxy, halo, oxo (0=), thioxo (S=), thio, silyl, Ci-Cio alkylthio, arylthio, Ci-Cio alkylsulfonyl, arylsulfonyl, acylamino, aminoacyl, aminothioacyl, amidino, mercapto, amido, thioureido, thiocyanato, sulfonamido, guanidine, ureido, cyano, nitro, acyl, thioacyl, acyloxy, carbamido, carbamyl, carboxyl, and carboxylic ester. On the other hand, possible substituents on alkyl, alkenyl, or alkynyl include all of the above-recited substituents except Ci-Cio alkyl. Cycloalkyl, cycloalkenyl, heterocycloalkyl, heterocycloalkenyl, aryl, and heteroaryl can also be fused with each other.
"Amino" means a nitrogen moiety having two further substituents where each substituent has a hydrogen or carbon atom alpha bonded to the nitrogen. Unless indicated otherwise, the compounds of the invention containing amino moieties may include protected derivatives thereof. Suitable protecting groups for amino moieties include acetyl, tert- butoxycarbonyl, benzyloxycarbonyl, and the like.
"Aromatic" means a moiety wherein the constituent atoms make up an unsaturated ring system, all atoms in the ring system are sp2 hybridized and the total number of pi electrons is equal to 4n+2. An aromatic ring may be such that the ring atoms are only carbon atoms or may include carbon and non-carbon atoms (see Heteroaryl).
"Carbamoyl" means the radical -OC(0)NRaRb where Ra and Rb are each
independently two further substituents where a hydrogen or carbon atom is alpha to the nitrogen. It is noted that carbamoyl moieties may include protected derivatives thereof. Examples of suitable protecting groups for carbamoyl moieties include acetyl, tert- butoxycarbonyl, benzyloxycarbonyl, and the like. It is noted that both the unprotected and protected derivatives fall within the scope of the invention. "Carbonyl" means the radical -C(O)-. It is noted that the carbonyl radical may be further substituted with a variety of substituents to form different carbonyl groups including acids, acid halides, amides, esters, and ketones.
"Carboxy" means the radical -C(0)0-. It is noted that compounds of the invention containing carboxy moieties may include protected derivatives thereof, i.e., where the oxygen is substituted with a protecting group. Suitable protecting groups for carboxy moieties include benzyl, tert-butyl, and the like.
"Cyano" means the radical -CN.
"Formyl" means the radical -CH=0.
"Formimino" means the radical -HC=NH.
"Halo" means fluoro, chloro, bromo or iodo.
"Halo-substituted alkyl", as an isolated group or part of a larger group, means "alkyl" substituted by one or more "halo" atoms, as such terms are defined in this Application. Halo- substituted alkyl includes haloalkyl, dihaloalkyl, trihaloalkyl, perhaloalkyl and the like.
"Hydroxy" means the radical -OH.
"Imine derivative" means a derivative comprising the moiety -C(=NR)-, wherein R comprises a hydrogen or carbon atom alpha to the nitrogen.
"Isomers" mean any compound having identical molecular formulae but differing in the nature or sequence of bonding of their atoms or in the arrangement of their atoms in space. Isomers that differ in the arrangement of their atoms in space are termed
"stereoisomers." Stereoisomers that are not mirror images of one another are termed
"diastereomers" and stereoisomers that are nonsuperimposable mirror images are termed "enantiomers" or sometimes "optical isomers." A carbon atom bonded to four nonidentical substituents is termed a "chiral center." A compound with one chiral center has two enantiomeric forms of opposite chirality. A mixture of the two enantiomeric forms is termed a "racemic mixture."
"Nitro" means the radical -N02.
"Protected derivatives" means derivatives of compounds in which a reactive site are blocked with protecting groups. Protected derivatives are useful in the preparation of pharmaceuticals or in themselves may be active as inhibitors. A comprehensive list of suitable protecting groups can be found in T.W.Greene, Protecting Groups in Organic Synthesis, 3rd edition, Wiley & Sons, 1999.
The term "substituted" means that an atom or group of atoms has replaced hydrogen as the substituent attached to another group. For aryl and heteroaryl groups, the term "substituted" refers to any level of substitution, namely mono-, di-, tri-, tetra-, or penta- substitution, where such substitution is permitted. The substituents are independently selected, and substitution may be at any chemically accessible position. The term
"unsubstituted" means that a given moiety may consist of only hydrogen substituents through available valencies (unsubstituted).
If a functional group is described as being "optionally substituted," the function group may be either (1) not substituted, or (2) substituted. If a carbon of a functional group is described as being optionally substituted with one or more of a list of substituents, one or more of the hydrogen atoms on the carbon (to the extent there are any) may separately and/or together be replaced with an independently selected optional substituent.
"Sulfide" means -S-R wherein R is H, alkyl, carbocycle, heterocycle, carbocycloalkyl or heterocycloalkyl. Particular sulfide groups are mercapto, alkylsulfide, for example methylsulfide (-S-Me); arylsulfide, e.g. , phenylsulfide; aralkylsulfide, e.g. , benzylsulfide.
"Sulfinyl" means the radical -S(O)-. It is noted that the sulfinyl radical may be further substituted with a variety of substituents to form different sulfinyl groups including sulfinic acids, sulfinamides, sulfinyl esters, and sulfoxides.
"Sulfonyl" means the radical -S(0)(0)-. It is noted that the sulfonyl radical may be further substituted with a variety of substituents to form different sulfonyl groups including sulfonic acids, sulfonamides, sulfonate esters, and sulfones.
"Thiocarbonyl" means the radical -C(S)-. It is noted that the thiocarbonyl radical may be further substituted with a variety of substituents to form different thiocarbonyl groups including thioacids, thioamides, thioesters, and thioketones.
"Animal" includes humans, non-human mammals (e.g. , non-human primates, rodents, mice, rats, hamsters, dogs, cats, rabbits, cattle, horses, sheep, goats, swine, deer, and the like) and non-mammals (e.g. , birds, and the like).
"Bioavailability" as used herein is the fraction or percentage of an administered dose of a drug or pharmaceutical composition that reaches the systemic circulation intact. In general, when a medication is administered intravenously, its bioavailability is 100%.
However, when a medication is administered via other routes (e.g. , orally), its bioavailability decreases (e.g. , due to incomplete absorption and first-pass metabolism). Methods to improve the bioavailability include prodrug approach, salt synthesis, particle size reduction, complexation, change in physical form, solid dispersions, spray drying, and hot-melt extrusion. "Disease" specifically includes any unhealthy condition of an animal or part thereof and includes an unhealthy condition that may be caused by, or incident to, medical or veterinary therapy applied to that animal, i.e. , the "side effects" of such therapy.
"Pharmaceutically acceptable" means that which is useful in preparing a
pharmaceutical composition that is generally safe, non-toxic and neither biologically nor otherwise undesirable and includes that which is acceptable for veterinary use as well as human pharmaceutical use.
"Pharmaceutically acceptable salts" means organic or inorganic salts of compounds of the present invention which are pharmaceutically acceptable, as defined above, and which possess the desired pharmacological activity. Such salts include acid addition salts formed with inorganic acids, or with organic acids. Pharmaceutically acceptable salts also include base addition salts which may be formed when acidic protons present are capable of reacting with inorganic or organic bases. Exemplary salts include, but are not limited, to sulfate, citrate, acetate, oxalate, chloride, bromide, iodide, nitrate, bisulfate, phosphate, acid phosphate, isonicotinate, lactate, salicylate, acid citrate, tartrate, oleate, tannate, pantothenate, bitartrate, ascorbate, succinate, maleate, gentisinate, fumarate, gluconate, glucuronate, saccharate, formate, benzoate, glutamate, methane sulfonate "mesylate," ethanesulfonate, benzenesulfonate, p-toluenesulfonate, pamoate (i.e. , l, l'-methylene-bis-(2-hydroxy-3- naphthoate)) salts, alkali metal (e.g. , sodium and potassium) salts, alkaline earth metal (e.g. , magnesium) salts, and ammonium salts. A pharmaceutically acceptable salt may involve the inclusion of another molecule such as an acetate ion, a succinate ion or other counter ion. The counter ion may be any organic or inorganic moiety that stabilizes the charge on the parent compound. Furthermore, a pharmaceutically acceptable salt may have more than one charged atom in its structure. Instances where multiple charged atoms are part of the pharmaceutically acceptable salt can have multiple counter ions. Hence, a pharmaceutically acceptable salt can have one or more charged atoms and/or one or more counter ion.
"Pharmaceutically acceptable carrier" means a non-toxic solvent, dispersant, excipient, adjuvant, or other material which is mixed with the compounds of the present invention in order to form a pharmaceutical composition, i.e. , a dose form capable of administration to the patient. Examples of pharmaceutically acceptable carrier includes suitable polyethylene glycol (e.g. , PEG400), surfactant (e.g. , Cremophor), or
cyclopolysaccharide (e.g. , hydroxypropyl-P-cyclodextrin or sulfobutyl ether β-cyclodextrins), polymer, liposome, micelle, nanosphere, etc. "Pharmacophore," as defined by The International Union of Pure and Applied
Chemistry, is an ensemble of steric and electronic features that is necessary to ensure the optimal supramolecular interactions with a specific biological target and to trigger (or block) its biological response. For example, Camptothecin is the pharmacophore of the well known drug topotecan and irinotecan. Mechlorethamine is the pharmacophore of a list of widely used nitrogen mustard drugs like Melphalan, Cyclophosphamide, Bendamustine, and so on.
"Prodrug" means a compound that is convertible in vivo metabolically into an active pharmaceutical according to the present invention. For example, an inhibitor comprising a hydroxyl group may be administered as an ester that is converted by hydrolysis in vivo to the hydroxyl compound.
"Stability" in general refers to the length of time a drug retains its properties without loss of potency. Sometimes this is referred to as shelf life. Factors affecting drug stability include, among other things, the chemical structure of the drug, impurity in the formulation, pH, moisture content, as well as environmental factors such as temperature, oxidization, light, and relative humidity. Stability can be improved by providing suitable chemical and/or crystal modifications (e.g., surface modifications that can change hydration kinetics; different crystals that can have different properties), excipients (e.g., anything other than the active substance in the dosage form), packaging conditions, storage conditions, etc.
"Therapeutically effective amount" of a composition described herein is meant an amount of the composition which confers a therapeutic effect on the treated subject, at a reasonable benefit/risk ratio applicable to any medical treatment. The therapeutic effect may be objective (i.e., measurable by some test or marker) or subjective (i.e., subject gives an indication of or feels an effect). An effective amount of the composition described above may range from about 0.1 mg/kg to about 500 mg/kg, preferably from about 0.2 to about 50 mg/kg. Effective doses will also vary depending on route of administration, as well as the possibility of co-usage with other agents. It will be understood, however, that the total daily usage of the compositions of the present invention will be decided by the attending physician within the scope of sound medical judgment. The specific therapeutically effective dose level for any particular patient will depend upon a variety of factors including the disorder being treated and the severity of the disorder; the activity of the specific compound employed; the specific composition employed; the age, body weight, general health, sex and diet of the patient; the time of administration, route of administration, and rate of excretion of the specific compound employed; the duration of the treatment; drugs used in combination or contemporaneously with the specific compound employed; and like factors well known in the medical arts.
As used herein, the term "treating" refers to administering a compound to a subject that has a HBV infection, or has a symptom of or a predisposition toward it, with the purpose to cure, heal, alleviate, relieve, alter, remedy, ameliorate, improve, or affect the disorder, the symptoms of or the predisposition toward the disorder. The term "an effective amount" refers to the amount of the active agent that is required to confer the intended therapeutic effect in the subject. Effective amounts may vary, as recognized by those skilled in the art, depending on route of administration, excipient usage, and the possibility of co-usage with other agents.
A "subject" refers to a human and a non-human animal. Examples of a non-human animal include all vertebrates, e.g. , mammals, such as non-human primates (particularly higher primates), dog, rodent (e.g. , mouse or rat), guinea pig, cat, and non-mammals, such as birds, amphibians, reptiles, etc. In a preferred embodiment, the subject is a human. In another embodiment, the subject is an experimental animal or animal suitable as a disease model.
"Combination therapy" includes the administration of the subject compounds of the present invention in further combination with other biologically active ingredients (such as, but not limited to, a second and different antin-HBV infection agent). For instance, The compounds of the invention can be combined with other anti HBV agents such as interferon alpha-2b, interferon alpha-2a, and interferon alphacon-1 (pegylated and unpegylated), ribavirin, lamivudine (3TC), entecavir, tenofovir, telbivudine (LdT), adefovir, or other emerging anti HBV agents such as HBV RNA replication inhibitor, HBsAg secretion inhibitors, HBV core protein allosteric modifiers, HBV capsid inhibitors, antisense oligomer, siRNA, HBV therapeutic vaccine, HBV prophylactic vaccine, HBV antibody therapy (monoclonal or polyclonal) and TLR 2, 3, 7, 8 and 9 agonists for the treatment or prophylaxis of HBV. The compounds of the invention can be administered simultaneously (as a single preparation or separate preparation) or sequentially to the other therapies. In general, a combination therapy envisions administration of two or more drugs/treatments during a single cycle or course of therapy.
The invention further provides methods for the prevention or treatment of a HBV infection disease. In one embodiment, the invention relates to a method of treating a HBV infection, in a subject in need of treatment comprising administering to said subject a therapeutically effective amount of a compound of the invention. In one embodiment, the invention further provides for the use of a compound of the invention in the manufacture of a medicament for halting or decreasing the HBV infection.
It should be understood that the invention is not limited to the particular embodiments shown and described herein, but that various changes and modifications may be made without departing from the spirit and scope of the invention as defined by the claims.
The compounds according to the present invention may be synthesized according to a variety of schemes. Necessary starting materials may be obtained by standard procedures of organic chemistry. The compounds and processes of the present invention will be better understood in connection with the following representative synthetic schemes and examples, which are intended as an illustration only and not limiting of the scope of the invention. Various changes and modifications to the disclosed embodiments will be apparent to those skilled in the art and such changes and modifications including, without limitation, those relating to the chemical structures, substituents, derivatives, and/or methods of the invention may be made without departing from the spirit of the invention and the scope of the appended claims.
A typical approach to synthesize of the intermediate
Figure imgf000026_0001
is described in
Scheme 1. Ri, R2, R3, R4, and R5 in Scheme 1 are the same as those described in the
Summary section above.
Figure imgf000026_0002
In Scheme 1, the appropriate starting material 1-1 can react with appropriate alcohol to to give intermediate 1-2, which can undergo a de-Boc process to yield the amine intermediate 1-3. After that, 1-3 is heated with ethyl formate or formic acid in a solvent such as ethanol or dioxane affords intermediate 1-4, which can undergo a cyclization reaction to form the imine intermediate IM-1. A typical approach to synthesize of the intermediate
Figure imgf000027_0001
is described in
Scheme 2. Ri, R2, R3, R4, and R5 in Scheme 2 are the same as those described in the
Summary section above.
Figure imgf000027_0002
In Scheme 2, the appropriate starting material 2-1 can react with vinylboronic acid to give intermediate 2-2, which can undergo an olefin metathesis reaction to give intermediate 2-3. The reduction of 2-3 followed by a de-Boc process to yield the amine intermediate 2-5. After that, 2-5 is heated with ethyl formate or formic acid in a solvent such as ethanol or dioxane affords intermediate 2-6, which can undergo a cyclization reaction to form the imine intermediate IM-2.
A typical approach to synthesize of the intermediate
Figure imgf000027_0003
is described in Scheme 3. Ri, R2, R3, R4, and R5 in Scheme 3 are the same as those described in the
Summary section above.
Figure imgf000027_0004
In Scheme 3, the appropriate starting material 3-1 can react with appropriate amine to give intermediate 3-2, which can undergo a de-Boc process to yield the amine intermediate 3- 3. After that, 3-3 is heated with ethyl formate or formic acid in a solvent such as ethanol or dioxane affords intermediate 3-4, which can undergo a cyclization reaction to form the imine intermediate IM-3.
A typical approach to synthesize of the intermediate
Figure imgf000028_0001
is described in
Scheme 4. Ri, R2, R3, R4, and R5 in Scheme 4 are the same as those described
Summary section above.
Figure imgf000028_0002
In Scheme 4, the appropriate starting material 4-1 can react with appropriate amine to give intermediate 4-2, which can undergo a de-Boc process to yield the amine intermediate 4- 3. After that, 4-3 is heated with ethyl formate or formic acid in a solvent such as ethanol or dioxane affords intermediate 4-4, which can undergo a cyclization reaction to form the imine intermediate IM-4.
A typical approach to synthesize of the intermediate
Figure imgf000028_0003
is described in Scheme 5. Ri, R2, R3, R4, and R5 in Scheme 5 are the same as those described
Summary section above.
Figure imgf000028_0004
In Scheme 5, the appropriate starting material 1-1 undergo a reductive animation reaction to give intermediate 5-2, which can undergo a de-Boc process to yield the amine intermediate 5-3. After that, 5-3 is heated with ethyl formate or formic acid in a solvent such as ethanol or dioxane affords intermediate 5-4, which can undergo a cyclization reaction to form the imine intermediate IM-5.
A typical approach to synthesize of the intermediate
Figure imgf000029_0001
is described in
Scheme 6. Ri, R2, R3, R4, and R5 in Scheme 4 are the same as those described
Summary section above.
Figure imgf000029_0002
In Scheme 6, the coupling reaction of 6-1 and 6-2 affords 6-3. The reaction can be carried out in the presence of Pd catalyst such as Pd2(dba)3, Pd(PPh3)4 or PdCh(PPh3)2, a ligand such as Xantphos, and a suitable base such as t-BuONa, Na2C03 or Cs2C03, in a suitable solvent such as THF, toluene or 1,4-dioxane at room temperature to 130°C.
Reductive amination of 6-3 affords intermediate 6-4, which can be heated with ethyl formate or formic acid in a solvent such as ethanol or dioxane affords intermediate 6-5. After that, intermediate 6-5 is treated with oxalyl chloride followed by FeCl3 at -10 °C to room temperature, and then after separation, the intermediate is heated with a solution of concentrated H2S04 in methanol to give intermediate IM-6.
A typical approach to synthesize of the Formula (I) compounds
Figure imgf000029_0003
is described in Scheme A:
A-3 Formula (I)
In Scheme A, IM-1 reacts with alkyl 2-(dimethylaminomethylene)-3-oxo-butanoate in a solvent such as DMSO, DMF, ethanol, or reacts with alkyl 3-(ethoxymethylene)-4- trimethylsilyloxy-pent-4-enoate, BF3-Et20 and TFA in DCM to give intermediate A-2. After dehydrogenation by p-chloranil, A-3 is obtained. Hydrolyzation of A-3 by lithium hydroxide or sodium hydroxide in a suitable solvent such as THF/H20, EtOH/H20 or MeOH/H20 affords Formula (I) compound, which can be further separated by preparative HPLC and chiral HPLC to give isomers.
Similarly, the com ounds as shown below
Figure imgf000030_0001
be prepared by using the following appropriate intermediates, respectively.
Figure imgf000030_0002
A typical approach to synthesiz
Figure imgf000031_0001
e of the fluorized compounds is described in Scheme B:
Figure imgf000031_0002
Scheme B
In Scheme B, the formula (I) compound can be one-step fluorized by a Selectfluor agent to afford the target compounds.
Similarly, the fluorized com ounds as shown below
Figure imgf000031_0003
can be prepared by a fluorization reaction with a Selectfluor agent similar to Scheme B.
A preferred approach to synthesize of the compounds
Figure imgf000031_0004
is described in Scheme I. Z2, Z3, Ri, R4, and R5 in Scheme I are the same as those described in the Summary section above.
In Scheme I, the coupling reaction of appropriate staring material 1-1 and 1-2 affords 1-3. The reaction can be carried out in the presence of Pd catalyst such as Pd2(dba)3,
Pd(PPh3)4 or PdCh(PPh3)2, a ligand such as Xantphos, and a suitable base such as t-BuONa, Na2C03 or Cs2C03, in a suitable solvent such as THF, toluene or 1,4-dioxane at room temperature to 130°C. Reductive amination of 3 affords intermediate 1-4, which can be heated with ethyl formate or formic acid in a solvent such as ethanol or dioxane affords intermediate 1-5. After that, intermediate 1-5 is treated with oxalyl chloride followed by FeCl3 at -10 °C to room temperature, and then after separation, the intermediate is heated with a solution of concentrated H2S04 in methanol to give intermediate 1-6. Next, 1-6 reacts with alkyl 2-(dimethylaminomethylene)-3-oxo-butanoate in a solvent such as DMSO, DMF, ethanol, or reacts with alkyl 3-(ethoxymethylene)-4-trimethylsilyloxy-pent-4-enoate, BF3- Et20 and TFA in DCM to give intermediate 1-7. After dehydrogenation by p-chloranil, 1-8 is obtained. Hydrolyzation of 8 by lithium hydroxide or sodium hydroxide in a suitable solvent such as THF/H20, EtOH/H20 or MeOH/H20 affords intermediate 1-9, which can be one-step fluorized by a Selectfluor agent to afford the target compound I- 10. Finally I- 10 can be further separated by preparative HPLC and chiral HPLC to give isomers.
A preferred approach to synthesize of the chiral compounds
Figure imgf000032_0002
is described in Scheme II. Z2, Z3, Ri, R4, and R5 in Scheme II are the same as those described in the Summary section above.
Figure imgf000033_0001
In Scheme II, the coupling reaction of appropriate staring material II- 1 and II-2 affords II-3. The reaction can be carried out in the presence of Pd catalyst such as Pd2(dba)3, Pd(PPh3)4 or PdCh(PPh3)2, a ligand such as Xantphos, and a suitable base such as t-BuONa, Na2C03 or Cs2C03, in a suitable solvent such as THF, toluene or 1,4-dioxane at room temperature to 130°C. Reductive amination of 3 affords intermediate 1-4, which can selectively form the enantiomeric salt II-5 with a suitable organic acid such as L-( + )-tartaric acid, L-(-)-DTTA, L-(-)-DBTA and (R)-mandelic acid in a suitable organic solvent such as MeOH, EtOH, IPA, IPAc, MIBK, EA, MTBE, DIPE, CPME and toluene. The other enantiomeric salt remains in the mother liquor. The recovery of enantiomeric salt II-5 leads to enantiomeric intermediate II-6, by reacting desired enantiomeric salt of II-5 with a suitable amount of base such as TEA, DIPEA, NaOH, Na2C03, NaHC03 and a mixture thereof in a suitable solven tsuch as DCM, IPAc or MeTHF. After that, II-6 can be heated with ethyl formate or formic acid in a solvent such as ethanol or dioxane affords intermediate II-7, which can be treated with oxalyl chloride followed by FeCl3 at -10 °C to room temperature, and then after separation, the intermediate is heated with a solution of concentrated H2S04 in methanol to give intermediate II-8. Next, II-8 reacts with alkyl 2-(dimethylaminomethylene)- 3-oxo-butanoate in a solvent such as DMSO, DMF, ethanol, or reacts with alkyl 3- (ethoxymethylene)-4-trimethylsilyloxy-pent-4-enoate, BF3-Et20 and TFA in DCM to give intermediate II-9. After dehydrogenation by p-chloranil, 11-10 is obtained. Hydrolyzation of 10 by lithium hydroxide or sodium hydroxide in a suitable solvent such as THF/H20, EtOH/H20 or MeOH/H20 affords intermediate II- 11, which can be one-step fluorized by a Selectfluor agent to afford the target compound 11- 12. A preferred approach to synthesize the chiral Deuterium compounds
Figure imgf000034_0001
is described in Scheme III. Z2, Z3, Ri, R4, and R5 in Scheme III are the same as those described in the Summary section above.
Figure imgf000034_0002
In Scheme III, the coupling reaction of appropriate staring material III-l and III-2 affords III-3. The reaction can be carried out in the presence of Pd catalyst such as Pd2(dba)3, Pd(PPh3)4 or PdCh(PPh3)2, a ligand such as Xantphos, and a suitable base such as t-BuONa, Na2C03 or Cs2C03, in a suitable solvent such as THF, toluene or 1,4-dioxane at room temperature to 130°C. Reductive amination of 3 with appropriate Deuterium agent NaBD3CN affords intermediate 1-4, which can selectively form the enantiomeric salt III-5 with a suitable organic acid such as L-( + )-tartaric acid, L-(-)-DTTA, L-(-)-DBTA and (R)-mandelic acid in a suitable organic solvent such as MeOH, EtOH, IPA, IP Ac, MIBK, EA, MTBE, DIPE, CPME and toluene. The other enantiomeric salt remains in the mother liquor. The recovery of enantiomeric salt III-5 leads to enantiomeric intermediate III-6, by reacting desired enantiomeric salt of III-5 with a suitable amount of base such as TEA, DIPEA, NaOH, Na2C03, NaHC03 and a mixture thereof in a suitable solven tsuch as DCM, IP Ac or MeTHF. After that, III-6 can be heated with ethyl formate or formic acid in a solvent such as ethanol or dioxane affords intermediate III-7, which can be treated with oxalyl chloride followed by FeCl3 at -10 °C to room temperature, and then after separation, the intermediate is heated with a solution of concentrated H2S04 in methanol to give intermediate III-8. Next, III-8 reacts with alkyl 2-(dimethylaminomethylene)-3-oxo-butanoate in a solvent such as DMSO, DMF, ethanol, or reacts with alkyl 3-(ethoxymethylene)-4-trimethylsilyloxy-pent-4-enoate, BF3-Et20 and TFA in DCM to give intermediate III-9. After dehydrogenation by p-chloranil, III- 10 is obtained. Hydro lyzation of 10 by lithium hydroxide or sodium hydroxide in a suitable solvent such as THF/H20, EtOH/H20 or MeOH/H20 affords intermediate III- 11, which can be one-step fluorized by a Selectfluor agent to afford the target compound III- 12.
A preferred approach to synthesize the chiral compounds
Figure imgf000035_0001
in which Ro is H or D; and R7 is halo, low alkyl, CF3, CN, nitro, or NH2, is described in Scheme IV. Z2, Z3, Ri, R4, and R5 in Scheme IV are the same as those described in the Summary section above.
Figure imgf000035_0002
In Scheme IV, the intermeidate 11- 10 from Scheme II or III- 10 from Shcheme III can react with halogenation agents such as NCS or NBS to yield the compound IV-C1 or IV-Br (in which R7 is CI or Br); the compound IV-Br can be further one-step converted to IV-CN, IV-CF3, or IV-CH3 by standard organic reactions; in addition, the intermediate 11-10 or III- 10 can undergo a nitrosation reaction to yield the compound IV-N02( in which R7 is N02), which can be further reduced to yield IV-NH2 (in which R7 is NH2). A preferred approach to synthesize of the chiral compounds
Figure imgf000036_0001
(in which Z2 is O) is described in Scheme V. Z3, Ro, Ri, R4, R5, and R7 in Scheme V are the same as those described in the Summary section above.
Figure imgf000036_0002
V-1 V-2
In Scheme V, V-1 (in which R4-Z2- is CI) can be prepared by the methods similar to the Scheme I-III. After that, V-1 can react with the appropriate NaBiOR^ to afford the target compounds.
A preferred approach to synthesize the compounds
Figure imgf000036_0003
in which R7 is halo, low alkyl, CF3, CN, nitro, or NH2, is described in Scheme (i). Z2, Z3, Ri, R4, and R in Scheme (i) are the same as those described in the Summary section above.
Figure imgf000036_0004
In Scheme (i), the staring material i-1 can undergo hydrolysis to yield carboxylic acid intermediate i-2, which is subsequently converted to lactone intermediate i-3. Lactone i-3 is hydrolyzed and protected to give carboxylic acid intermediate i-4, which is transformed into acid chloride intermediate i-5. Condensation with vinylic amine gives 4-pyranone
intermediate i-6, which reacts with hydrazine to give intermediate i-7. Deprotection of i-7 and subsequent ring closure produces tricyclic intermediate i-9. Hydrolysis of i-9 gives carboxylic acid i- 10, which can be finally functionalized using a method similar to Scheme I- IV wherein R7 is not equal to H.
The compounds of
Figure imgf000037_0001
in which Ri is fluoroalkyl,
fluorocycloalkyl, aryl, or heteroaryl, can be synthesized by a method similar to Shcheme (i).
The compounds and processes of the present invention will be better understood in connection with the following examples, which are intended as an illustration only and not limiting of the scope of the invention. sVarious changes and modifications to the disclosed embodiments will be apparent to those skilled in the art and such changes and modifications including, without limitation, those relating to the chemical structures, substituents, derivatives, formulations and/or methods of the invention may be made without departing from the spirit of the invention and the scope of the appended claims.
Where NMR data are presented, 1H spectra were obtained on XL400 (400 MHz) and are reported as ppm down field from Me4Si with number of protons, multiplicities, and coupling constants in Hertz indicated parenthetically. Where HPLC data are presented, analyses were performed using an Agilent 1100 system. Where LC/MS data are presented, analyses were performed using an Applied Biosystems API- 100 mass spectrometer and Shimadzu SCL-IOA LC column:
Example 1: Synthesis of 6-(tert-butyl)-10-chloro- l-fluoro-9-(3-methoxypropoxy)-2- dihydro-2H-pyrido[2,l-a]isoquinoline-3-carboxylic acid
Figure imgf000037_0002
A mixture of 5-bromo-2-chloro-phenol (5.00 g, 24.10 mmol, 1.00 eq), l-bromo-3- methoxy-propane (5.00 g, 32.68 mmol, 1.36 eq) and K2CO3 (9.99 g, 72.30 mmol, 3.00 eq) in DMF (50.00 mL) was stirred at 50 °C for 15 h. TLC (PE:EA=10: 1) indicated the reaction completed. After filtration, the filtrate was concentrated under reduced pressure. The residue was purified by silica gel chromatography eluted with PE to PE:EA=5: 1 to give 4-bromo-l- chloro-2-(3-methoxypropoxy)benzene (6.20 g, 22.18 mmol, 92.02% yield) as a colorless oil which was used directly in the next step.
A mixture of 4-bromo-l-chloro-2-(3-methoxypropoxy)benzene (4.00 g, 14.31 mmol, 1.00 eq), 3,3-dimethylbutan-2-one (4.30 g, 42.93 mmol, 5.31 mL, 3.00 eq), Pd(dba)2 (411.42 mg, 715.50 umol, 0.05 eq), Xantphos (414.00 mg, 715.50 umol, 0.05 eq) and i-BuONa (4.54 g, 47.22 mmol, 3.30 eq) in THF (30.00 mL) was stirred at 50 °C for 3 h. After cooling to 30 °C, the mixture was filtered. The filtrate was concentrated under reduced pressure to give crude l-[4-chloro-3-(3-methoxypropoxy)phenyl]-3,3-dimethyl-butan-2-one (9.00 g, crude) as a brown oil which was used directly in the next step.
A mixture of crude l-[4-chloro-3-(3-methoxypropoxy)phenyl]-3,3-dimethyl-butan-2- one (24.00 g, 56.22 mmol, 1.00 eq), CH3COONH4 (43.34 g, 562.20 mmol, 10.00 eq) and NaBH3CN (7.07 g, 112.44 mmol, 2.00 eq) in MeOH (300.00 mL) was stirred at 30 °C for 4 days. Sat. K2C03 (100 mL) was added to the mixture, and the mixture was stirred at 30 °C for 20 min. The mixture was extracted with DCM (100 mL*3), and the combined organic layers were concentrated under reduced pressure. The crude product was purified by silica gel chromatography eluted with PE to PE:EA=1 : 1 to give l-[4-chloro-3-(3- methoxypropoxy)phenyl]-3,3-dimethyl-butan-2-amine (13.20 g, 35.22 mmol, 62.64% yield, 80% purity) as a yellow oil which was confirmed by LC-MS and used directly in the next step.
A mixture of l-[4-chloro-3-(3-methoxypropoxy)phenyl]-3,3-dimethyl-butan-2-amine (13.20 g, 30.82 mmol, 1.00 eq) and formic acid (1.70 g, 36.98 mmol, 1.40 mL, 1.20 eq) in HCOOEt (100.00 mL) was stirred at 90 °C for 15 h. After removal of the solvent, the residue was purified by silica gel chromatography eluted with PE to EA. N-[l-[[4-chloro-3-(3- methoxypropoxy)phenyl] methyl]- 2,2-dimethyl-propyl]formamide (13.10 g, 25.97 mmol, 84.27% yield, 65% purity) was obtained as a light yellow solid which was confirmed by LC- MS.
A mixture of N-[l-[[4-chloro-3-(3-methoxypropoxy)phenyl]methyl]-2,2-dimethyl- propyl]formamide (3.10 g, 9.46 mmol, 1.00 eq) and POCl3 (1.74 g, 11.35 mmol, 1.05 mL, 1.20 eq) in CH3CN (50.00 mL) was stirred at 60 °C for 2 h. After cooling to 0 °C by ice bath, the pH was adjusted to 8 by NH4OH. The mixture was extracted with DCM (100 mL*2). The combined organic layers were concentrated under reduced pressure to give 3-tert-butyl-7- chloro-6-(3-methoxypropoxy)-3,4-dihydroisoquinoline (2.30 g, 7.42 mmol, 78.47% yield) as a brown oil which was used directly without further pufirication.
A mixture of 3-tert-butyl-7-chloro-6-(3-methoxypropoxy)-3,4-dihydroisoquinoline (2.30 g, 7.42 mmol, 1.00 eq) and ethyl (2E)-2-(methoxymethylene)-3-oxo-butanoate (5.11 g, 29.69 mmol, 4.00 eq) in EtOH (100.00 mL) was stirred at 100 °C for 22 h. After removal of the solvent, the residue was purified by silica gel chromatography eluted with PE:EA=10: 1 to 1 : 1 to give crude ethyl 6-tert-butyl- 10-chloro-9-(3-methoxypropoxy)-2-oxo- l,6,7,l lb- tetrahydrobenzo[a]quinolizine-3- carboxylate (4.50 g, crude) as a brown oil which will be further purified together with EW5403-102 in EW5403-112 to give ethyl 6-tert-butyl-10- chloro-9-(3-methoxypropoxy)-2-oxo-l,6,7, l lb-tetrahydrobenzo[a]quinolizine-3- carboxylate (4.78 g).
A mixture of ethyl 6-tert-butyl- 10-chloro-9-(3-methoxypropoxy)-2-oxo- 1,6,7, 11b- tetrahydrobenzo[a]quinolizine-3-carboxylate (580.00 mg, 1.29 mmol, 1.00 eq) and 2,3,5,6- tetrachloro-l,4-benzoquinone (317.18 mg, 1.29 mmol, 1.00 eq) in DME (10.00 mL) was stirred at 70 °C for 1.5 h. After cooling to 30 °C, H20 (60 mL) was added to the mixture. The mixture was extracted with DCM (50 mL*3). The combined organic layers were washed with sat. NaHC03 (100 mL), and concentrated under reduced pressure to give ethyl 6-tert-butyl- 10-chloro-9-(3-methoxypropoxy)-2-oxo-6,7-dihydrobenzo[a]quinolizine-3- carboxylate (710.00 mg, crude) as a yellow solid which was used directly in the next step.
A mixture of ethyl 6-tert-butyl- 10-chloro-9-(3-methoxypropoxy)-2-oxo-6,7- dihydrobenzo[a]- quinolizine-3 -carboxylate (710.00 mg, 1.58 mmol, 1.00 eq) and NaOH (253.60 mg, 6.34 mmol, 4.00 eq) in MeOH (16.00 mL) and H20 (4.00 mL) was stirred at 30 °C for 40 min. The mixture was neutralized by aq. HC1 (12 M in H20) to pH = 7. The precipitate was filtered and dried to afford 6-tert-butyl-10-chloro-9-(3-methoxypropoxy)-2- oxo-6,7-dihydrobenzo[a]quinolizine-3-carboxylic acid (338.60 mg, 806.38 umol, 51.04% yield) as a light yellow solid which was confirmed by LC-MS and 1H NMR.
A mixture of 6-tert-butyl- 10-chloro-9-(3-methoxypropoxy)-2-oxo-6,7- dihydrobenzo[a]quinolizine- 3-carboxylic acid (400.00 mg, 952.61 umol, 1.00 eq), 1- (chloromethyl)-4-fluoro- l,4-diazoniabicyclo[2.2.2]octane; ditetrafluoroborate (401.59 mg, 1.13 mmol, 1.19 eq) were dissolved in the mixture of CH3CN (20 mL) and AcOH (2.10 g, 34.97 mmol, 2.00 mL, 36.71 eq). The mixture was stirred at 30 °C for 7 days. After removal of the solvent, the residue was purified by reverse phase column with HCOOH as additive, and then by Prep-HPLC (HC1) to give 6-(tert-butyl)- 10-chloro- l-fluoro-9-(3- methoxypropoxy)-2-oxo-6,7-dihydro-2H- pyrido[2, l-a]isoquinoline-3-carboxylic acid (13.50 mg, 3.24% yield) as an off-white solid. LC-MS: (M+H+ = 438.0) 1H NMR: EW5403-147- P1B 400 MHz CDC13 δ 14.96 (s, 1 H), 8.45 (s, 1 H), 8.14 (s, 1 H), 6.87 (s, 1 H), 4.21-4.24 (m, 2 H), 4.14(s, 1 H), 3.61-3.65(m, 2 H), 3.43-3.48 (m, 1 H), 3.38 (s, 3 H), 3.21-3.27 (m, 1 H), 2.13-2.19 (m, 2 H), 0.82 (s, 9 H).
Example 2A and 2B: (+)-6-(tert-butyl)- 10-chloro-l-fluoro-9-(3-methoxypropoxy)-2-oxo- 6,7-dihydro-2H-pyrido[2, l-a]isoquinoline-3-carboxylic acid, and (-)-6-(tert-butyl)- 10-chloro- l-fluoro-9-(3-methoxypropoxy)-2-oxo-6,7-dihydro-2H-pyrido[2,l-a]isoquinoline-3- carboxylic acid
Figure imgf000040_0001
2A 2B
Separation of 6-(tert-butyl)- 10-chloro-l-fluoro-9-(3-methoxypropoxy)-2-oxo-6,7- dihydro-2H- pyrido[2, l-a]isoquinoline-3-carboxylic acid by chiral HPLC provided (+)-6- (tert-butyl)-10-chloro-l-fluoro-9-(3-methoxypropoxy)-2-oxo-6,7-dihydro-2H-pyrido[2, l- a]isoquinoline-3-carboxylic acid, and (-)-6-(tert-butyl)-10-chloro-l-fluoro-9-(3- methoxypropoxy)-2-oxo-6,7-dihydro-2H-pyrido[2,l-a]isoquinoline-3-carboxylic acid.
2A: LC-MS: (M+H+ = 438.0), [a]D20= +51.23° (0.100%, CH3CN). 2B: LC-MS: (M+H+ = 438.0), [a]D20= -56.347° (0.100%, CH3CN).
Example 3: 6-(tert-butyl)-l, 10-dichloro-9-(3-methoxypropoxy)-2-oxo-6,7-dihydro-2H- pyrido [2, 1 -a] isoquinoline-3 -carboxylic acid
Figure imgf000040_0002
A mixture of 6-(ieri-butyl)- 10-chloro-9-(3-methoxypropoxy)-2-oxo-6,7-dihydro-2H- pyrido[2,l-a]isoquinoline-3-carboxylic acid (100.00 mg, 238.15 μηιοΐ, 1.00 eq) and NCS (95.40 mg, 714.45 /mol, 3.00 eq) in DCM (20.00 mL) was stirred at 15 °C for 3 days. After removal of the solvent, the residue was purified by Prep-HPLC (HCl as additive ) to give 6- (ieri-butyl)-l, 10-dichloro-9-(3-methoxypropoxy)-2-oxo-6,7-dihydro-2H-pyrido[2, l- a]isoquinoline-3-carboxylic acid (4.10 mg, 9.02 μπιοΐ, 3.79% yield) as an off-white solid which was confirmed by LC-MS, 1H NMR and 2D NMRLC-MS: (M+H+=454.1, M+2+H+=456.1), 1HNMR: 400 MHz CDCI3, δ 15.19 (s, 1 H), 8.34 (s, 2 H), 6.88 (s, 1 H), 4.12-4.29 (m, 3 H), 3.65-3.67 (m, 2 H), 3.40 (s, 4 H), 3.22-3.24 (m, 1 H), 2.17-2.20 (m, 2 H), 0.80 (s, 9 H).
Example 4: l-bromo-6-(tert-butyl)- 10-chloro-9-(3-methoxypropoxy)-2-oxo-6,7-dihydro- 2H-pyrido [2, 1 -a] isoquinoline-3 -carboxylic acid
Figure imgf000041_0001
A mixture of 6-(ieri-butyl)-10-chloro-9-(3-methoxypropoxy)-2-oxo-6,7-dihydro-2H- pyrido[2,l-a]isoquinoline-3-carboxylic acid (300.00 mg, 714.46 μπιοΐ, 1.00 eq) and NBS (254.32 mg, 1.43 mmol, 2.00 eq) in EA (10.00 mL) was stirred at 15 °C for 7 h After removal of the solvent, the residue was purified by Prep-HPLC (HC1 as additive) to give l-bromo-6- ieri-butyl-10-chloro-9-(3-methoxypropoxy)-2-oxo-6,7-dihydrobenzo[a]quinolizine-3- carboxylic acid (52.00 mg, 104.25 μπιοΐ, 14.59% yield) as an off-white solid which was confirmed by LC-MS, 1H NMR and 2D NMR. LC-MS: (M+H+=498.0, M+2+H+=500.0), 1HNMR: 400 MHz CDC13, δ 8.61 (s, 1 H), 8.54 (s, 1 H), 6.86 (s, 1 H), 4.28-4.30 (m, 2 H), 4.20 (s, 1 H), 3.63-3.67 (m, 2 H), 3.41 (s, 4 H), 3.22-3.24 (m, 1 H), 2.15-2.21 (m, 2 H), 0.79 (s, 9 H).
Example 5: 6-(tert-butyl)-10-chloro-9-(3-methoxypropoxy)-l-methyl-2-oxo-6,7-dihydro- 2H-pyrido [2, 1 -a] isoquinoline-3 -carboxylic acid
Figure imgf000041_0002
A mixture of l-bromo-6-ieri-butyl-10-chloro-9-(3-methoxypropoxy)-2-oxo-6,7- dihydrobenzo [a] quinolizine-3 -carboxylic acid (55.00 mg, 110.27 μπιοΐ, 1.00 eq), 2,4,6- trimethyl-l,3,5,2,4,6-trioxatriborinane (138.42 mg, 1.10 mmol, 153.80 uL, 10.00 eq), Pd(PPh3)4 (127.42 mg, 110.27 μπιοΐ, 1.00 eq) and K2C03 (76.20 mg, 551.33 μπιοΐ, 5.00 eq) in DMF (10.00 mL) was stirred at 110 °C for 11 h. After removal of the solvent, the residue was purified three times by Prep-TLC (EA) to give 6-(ie/ -butyl)-10-chloro-9-(3- methoxypropoxy)-l-methyl-2-oxo-6,7-dihydro-2H-pyrido[2, l-a]isoquinoline-3-carboxylic acid (2.80 mg, 6.45 umol, 5.85% yield) as a colorless oil which was confirmed by LC-MS and 1H NMR. LC-MS: (M+H+=434.1), 1HNMR: 400 MHz CDC13, δ 8.71 (s, 1 H), 7.84 (s, 1 H), 7.23 (s, 1 H), 4.22-4.31 (m, 2 H), 3.61-3.65 (m, 3 H), 3.37 (s, 3 H), 3.35 (s, 1 H), 2.90 (s, 1 H), 2.44 (s, 3 H), 2.27 (s, 1 H), 2.09-2.13 (m, 2 H), 0.75-0.77 (m, 9 H).
Example 6: 6-(tert-butyl)-10-chloro-l-cyano-9-(3-methoxypropoxy)-2-oxo-6,7-dihydro-2H- pyrido [2, 1 -a] isoquinoline-3 -carboxylic acid
Figure imgf000042_0001
To a solution of ethyl 6-tert-butyl- 10-chloro-9-(3-methoxypropoxy)-2-oxo-6,7- dihydrobenzo [a]quinolizine-3-carboxylate (1.50 g, 3.35 mmol, 1.00 eq) in EtOAc (20.00 mL), was added NBS (715.48 mg, 4.02 mmol, 1.20 eq). The mixture was stirred at 25 °C for 16 h. After removal of the solvent, the residue was purified by column chromatography (PE to PE/EA=0/1) to give ethyl l-bromo-6-(tert-butyl)- 10-chloro-9-(3-methoxypropoxy)-2-oxo- 6,7-dihydro-2H-pyrido[2, l-a]isoq uinoline-3-carboxylate (700.00 mg, 1.33 mmol, 39.70% yield) as a black brown solid which was was confirmed by LC-MS. (M+H+=526.0,
M+2+H+=528.0)
To a solution of ethyl l-bromo-6-tert-butyl-10-chloro-9-(3-methoxypropoxy)-2-oxo- 6,7- dihydrobenzo[a]quinolizine-3-carboxylate (600 mg, 1.14 mmol, 1 eq) in DMF (30 mL), was added CuCN (122.40 mg, 1.37 mmol, 1.2 eq). The mixture was stirred at 170 °C for 3 h under N2 atmosphere. After removal of the solvent, the residue was purified by column chromatography (PE to PE/EA=5/1) to give ethyl 6-(tert-butyl)-10-chloro-l-cyano-9- (3-methoxypropoxy)-2-oxo-6,7-dihydro-2H-pyrido[2, l-a]isoquinoline-3-carboxylate (502 mg, 1.06 mmol, 93.20% yield) as off-white oil which was confirmed by LC-MS. LC-MS: (M+H+- 14=459.1, note: the ethyl ester was exchanged to methyl ester in mass due to the solvent for mass was methanol)
To a solution of ethyl 6-(tert-butyl)-10-chloro-l-cyano-9- (3-methoxypropoxy)-2-oxo- 6,7-dihydro-2H-pyrido[2, l-a]isoquinoline-3-carboxylate (502 mg, 1.06 mmol, 1
eq) in MeOH (30 mL) and H20 (5 mL), was added NaOH (127.36 mg, 3.18 mmol, 3 eq). The mixture was stirred at 25 °C for 12 h. After removal of the solvent, the residue was purified by prep-HPLC (column: PhenomenexSynergi C18 150*25* 10 μπι; mobile phase:
[water(0.05%HCl)-ACN]; B%: 48%-68%, 7.8 min) to give 6-(tert-butyl)-10-chloro-l-cyano- 9-(3-methoxypropoxy)-2-oxo-6,7-dihydro-2H-pyrido[2,l-a]isoquinoline-3-carboxylic acid (58 mg, 130.36 μπιοΐ, 12.28% yield) as a light yellow solid which was confirmed by LC-MS and 1H NMR. (M+H+=445.1). 1HNMR: 400 MHz CDC13, δ 14.42 (s, 1 H), 8.76 (s, 2 H), 6.90 (s, 1 H), 4.05-4.28 (m, 3 H), 3.62-3.63 (m, 2 H), 3.28-3.39 (m, 4 H), 2.17 (s, 1 H), 2.02 (s, 2 H), 0.82 (s, 9 H).
Example 7: 6-isopropyl-10-methoxy-9-(3-methoxypropoxy)-l-nitro-2-oxo-6,7-dihydro-2H- pyrido [2, 1 -a] isoquinoline-3 -carboxylic acid
Figure imgf000043_0001
To a solution of 5-bromo-2-methoxy-phenol (67.00 g, 330.00 mmol, 1.00 eq) and 1- bromo-3-methoxy-propane (100.99 g, 660.00 mmol, 2.00 eq) in DMF (300.00 mL) was added K2C03 (136.83 g, 990.00 mmol, 3.00 eq). The mixture was stirred at 25 °C for 8 h. Desired product was observed on LC-MS. The reaction mixture was concentrated in vacuo and extracted with ethyl acetate (40mL*3). The crude product was purified by flash column (Petroleum ether/Ethyl acetate=5/l) to give 4-bromo-l-methoxy-2-(3- methoxypropoxy)benzene (90.00 g, 327.11 mmol, 99.12 % yield) as a colorless oil. LC-MS: EW6108-59-P1Z (M+H+=274.9, M+2+H+=276.9)
To a solution of 4-bromo-l-methoxy-2-(3-methoxypropoxy)benzene (87.00 g, 316.20 mmol, 1.00 eq) and 3-methylbutan-2-one (27.23 g, 316.20 mmol, 33.62 mL, 1.00 eq) in dioxane (300.00 mL) was added Pd2(dba)3 (28.96 g, 31.62 mmol, 0.10 eq), Xantphos (36.59 g, 63.24 mmol, 0.20 eq) and t-BuONa (91.16 g, 948.61 mmol, 3.00 eq). The mixture was stirred at 100 °C for 4 h under N2 atmosphere. After removal of the solvent, the mixture was added DCM (300 mL) and washed with H20 (200 mL*3), and then concentrated under reduced pressure to give a residue. The crude was purified by flash column (Petroleum ether : Ethyl acetate=5: l) to give l-(4-methoxy-3-(3-methoxypropoxy)phenyl)-3-methylbutan-2-one (34.25 g, 122.16 mmol, 38.64 % yield) as brown oil and confirmed by LC-MS. LC-MS: EW6108-65-P1C1 (M+H+=281.1) To a solution of l-(4-methoxy-3-(3-methoxypropoxy)phenyl)-3-methylbutan-2-one (35.00 g, 124.84 mmol, 1.00 eq) and CH3COONH4 (96.23 g, 1.25 mol, 10.00 eq) in MeOH (100.00 mL), was added NaBH3CN (78.45 g, 1.25 mol, 10.00 eq). The mixture was stirred at 40 °C for 8 h. Desired product was observed on LC-MS. After removal of the solvent, the mixture was added EA (300mL). The mixture was washed with H20 (300 mL*3), and then concentrated under reduced pressure. The residue was purified by flash column (DCM : MeOH=50: l) to give l-(4-methoxy-3-(3-methoxypropoxy)phenyl)-3-methylbutan-2-amine (24.12 g, 85.72 mmol, 68.66 % yield) was obtained as yellow oil. LC-MS: EW6108-73-P1A1 (M+H+=282.1)
A mixture of l-(4-methoxy-3-(3-methoxypropoxy)phenyl)-3-methylbutan-2-amine (24.12 g, 85.72 mmol, 1.00 eq) and FORMIC ACID (39.46 g, 857.17 mmol, 32.34 mL, 10.00 eq) in dioxane (80.00 mL) was stirred at 100 °C for 6 h. Desired product was observed on LC-MS. The reaction mixture was concentrated in vacuo to give crude N-(l-(4-methoxy-3- (3-methoxypropoxy)phenyl)-3-methylbutan-2-yl)formamide (12.70 g, 41.05 mmol, 47.89 % yield) as a yellow oil which was used directly in the next step. LC-MS: EW6108-74-P1Z01 (M+H+=310.1)
To a solution of N-(l-(4-methoxy-3-(3-methoxypropoxy)phenyl)-3-methylbutan-2- yl)formamide (12.70 g, 41.05 mmol, 1.00 eq) in CH3CN (100.00 mL), was added POCl3 (31.47 g, 205.24 mmol, 19.07 mL, 5.00 eq). The mixture was stirred at 60 °C for 12 h. Desired product was observed on LC-MS. The reaction mixture was neutralized to pH=8 by NH4OH and then extracted with DCM (100 mL*3). The organic layers were concentrated in vacuo to give a residue which was purified by reverse phase column with TFA as additive to give 3-isopropyl-7-methoxy-6-(3-methoxypropoxy)-3,4-dihydroisoquinoline (11.25 g, 38.61 mmol, 94.05 % yield) as a yellow oil. LC-MS: EW6108-76-P1Z (M+H+=292.1)
A mixture of 3-isopropyl-7-methoxy-6-(3-methoxypropoxy)-3,4-dihydroisoquinoline (11.25 g, 38.61 mmol, 1.00 eq) and ethyl (2E)-2-(ethoxymethylene)-3-oxo-butanoate (7.19 g, 38.61 mmol, 1.00 eq) in EtOH (30.00 mL) was stirred at 100 °C for 4 days. Desired product was observed on LC-MS. The reaction mixture was concentrated in vacuo to give a residue. The residue was purified by flash column (Ethyl acetate) to give ethyl 6-isopropyl-10- methoxy-9- (3-methoxypropoxy)-2-oxo-2,6,7,l lb-tetrahydro-lH-pyrido[2, l-a]isoquinoline- 3-carboxylate (12.25 g, 28.39 mmol, 73.53 % yield) as a brown oil. LC-MS: EW6108-79- P1B (M+H+=432.1)
To a solution of ethyl 6-isopropyl-10-methoxy-9-(3-methoxypropoxy)-2-oxo- 2,6,7,1 lb-tetrahydro- lH-pyrido[2,l-a]isoquinoline-3-carboxylate (12.25 g, 28.39 mmol, 1.00 eq) in DME (50.00 niL) was added 2,3,5,6-tetrachloro-l,4-benzoquinone (13.96 g, 56.78 mmol, 2.00 eq). The mixture was stirred at 70 °C for 5 h. Desired product was observed on LC-MS. The reaction mixture was concentrated in vacuo to give a residue which was purified by flash column (DCM:MeOH=30: l) to give ethyl 6-isopropyl-10-methoxy-9-(3- methoxypropoxy)-2-oxo-6,7-dihydro-2H-pyrido[2,l-a]isoquinoline-3-carboxylate (8.10 g, 18.86 mmol, 66.43 % yield) as a yellow oil. LC-MS: EW6108-82-P1A (M+H+=430.1)
To a solution of ethyl 6-isopropyl-10-methoxy-9-(3-methoxypropoxy)-2-oxo-6,7- dihydro-2H-pyrido[2,l-a]isoquinoline-3-carboxylate (1.00 g, 2.33 mmol, 1.00 eq) in MeOH (5.00 mL) and H20 (3.00 mL), was added NaOH (372.52 mg, 9.32 mmol, 4.00 eq). The mixture was stirred at 30 °C for 12 h. The reaction mixture was neutralized by HC1 (12 M in H20) to pH=7. The solid was filtered out, and washed with H20 (20 mL). The soild was purified by Prep-TLC (DCM:MeOH=15: l) to give 6-isopropyl-10-methoxy-9-(3- methoxypropoxy)-2-oxo-6,7-dihydro-2H-pyrido[2,l-a]isoquinoline-3-carboxylic acid (409.12 mg, 1.02 mmol, 43.74 % yield) as an off-white solid and confirmed by LC-MS and 1H NMR. LC-MS: EW6108-83-P1M1 (M+H+=402.2), 1HNMR: EW6108-83-P1M 400 MHz CDC13, δ 8.37 (s, 1 H), 7.10 (s, 1 H), 6.98 (s, 1 H), 6.71 (s 1 H), 4.12-4.09 (m, 2 H), 3.86 (s, 3 H), 3.81-3.75 (m, 1 H), 3.56-3.47 (m, 2 H), 3.32-3.23 (m, 4 H), 3.03-2.96 (m, 1 H) 2.12- 2.04 (m,2 H), 1.80-1.70 (m,l H), 0.85-0.9 (m,3 H), 0.80-0.70 (m,3 H).
To a solution of 6-isopropyl-10-methoxy-9-(3-methoxypropoxy)-2-oxo-6,7-dihydro- 2H-pyrido[2,l-a]isoquinoline-3-carboxylic acid (100 mg, 249.10 μπιοΐ, 1 eq) in AcOH (20 mL) was added KN03 (25.18 mg, 249.10 umol, 1 eq) and H2S04 (1.84 g, 18.76 mmol, 1 mL, 75.31 eq). The mixture was stirred at 25 °C for 16 h. The reaction mixture was added to ice- water (300 mL), and extracted with DCM (50 mL*3), the combined organic layers were concentrated under reduced pressure to give a residue. The residue was purified by Prep- HPLC (column: PhenomenexSynergi C18 150*25* 10 μπι; mobile phase: [water(0.05%HCl)- ACN]; B%: 40%-60%, 7.8 min) to give 6- isopropyl-10-methoxy-9-(3-methoxypropoxy)-l- nitro-2-oxo-6,7-dihydro-2H-pyrido[2,l-a]isoquinoline-3-carboxylic acid (3.1 mg, 6.88 μπιοΐ, 2.76% yield) as black brown solid which was confirmed by LC-MS and 1H NMR. LC-MS: (M+H+=447.1), 1HNMR: 400 MHz CDC13, δ 15.67 (s, 1 H), 8.51 (s, 1 H), 6.97 (s, 1 H), 6.80 (s, 1 H), 4.25-4.26 (m, 2 H), 3.63-3.99 (m, 4 H), 3.60-3.61 (m, 2 H), 3.17-3.39 (m, 4 H), 2.02- 2.18 (m, 2 H), 1.77-1.79 (m, 2 H), 0.93-0.95 (m, 6 H) Example 8: 6-(tert-butyl)-10-chloro-9-(3-methoxypropoxy)-2-oxo-6,7-dihydro-2H- pyrido [2, 1 - a] phthalazine- 3 -carboxylic acid
Figure imgf000046_0001
Into a 250-mL 3 -necked round-bottom flask, was placed a solution of methyl 3- chloro-4-hydroxybenzoate (10.0 g, 53.59 mmol, 1.00 equiv) in N,N-dimethylformamide (100 mL), l-bromo-3-methoxypropane (12.3 g, 80.38 mmol, 1.50 equiv), potassium carbonate (22.3 g, 161.35 mmol, 3.00 equiv). The resulting solution was stirred for 3 h at 50 °C. The reaction was then quenched by the addition of 100 mL of water. The resulting solution was extracted with 3x70 mL of ethyl acetate and the organic layers combined. The resulting mixture was washed with 3x100 mL of water and 1x100 mL of sodium chloride. The mixture was dried over anhydrous sodium sulfate. The solids were filtered out. The resulting mixture was concentrated under vacuum. The residue was applied onto a silica gel column with ethyl acetate/petroleum ether (1:2). This resulted in 13.1 g (94%) of methyl 3-chloro-4-(3- methoxypropoxy)benzoate as a orange solid. 1H NMR: PHNW-1-2-1 ( 300 MHz, DMSO ) δ 7.91-7.87 (m, 2H), 7.25 (d, J = 8.4 Hz, 1H), 4.19 (t, = 6.0 Hz, 2H), 3.86 (s, 3H), 3.50 (t, = 6.3 Hz, 2H), 3.25 (s, 3H), 2.04-2.00 (m, 2H).
Into a 250-mL round-bottom flask, was placed a solution of methyl 3-chloro-4-(3- methoxypropoxy)benzoate (13.1 g, 50.64 mmol, 1.00 equiv) in tetrahydrofuran/H20 (120/40 mL), sodium hydroxide (4.06 g, 101.50 mmol, 2.00 equiv). The resulting solution was stirred overnight at 50 °C. The resulting mixture was concentrated under vacuum. The pH value of the solution was adjusted to 5 with hydrogen chloride (3 mol/L). The solids were collected by filtration. This resulted in 11.1 g (90%) of 3-chloro-4-(3-methoxypropoxy)benzoic acid as a white solid. 1H NMR: PHNW- 1-2-2 (300 MHz, DMSO), δ 12.97 (s, 1H), 7.92-7.86 (m, 2H), 7.24 (d, = 8.4 Hz, 1H), 4.19 (t, = 6.3 Hz, 2H), 3.50 (t, = 6.3 Hz, 2H), 3.25 (s, 3H), 2.04- 1.96 (m, 2H).
Into a 250-mL 3 -necked round-bottom flask purged and maintained with an inert atmosphere of nitrogen, was placed a solution of 3-chloro-4-(3-methoxypropoxy)benzoic acid (10.5 g, 42.91 mmol, 1.00 equiv) in CH2Br2 (150 mL), Pd(OAc)2 (963.2 mg, 4.29 mmol, 0.10 equiv), K2HP04 (15.0 g, 86.26 mmol, 2.00 equiv). The resulting solution was stirred overnight at 110 °C. The resulting mixture was concentrated under vacuum. The residue was applied onto a silica gel column with ethyl acetate/petroleum ether (1: 1). This resulted in 3.0 g (27%) of 6-chloro-5-(3-methoxypropoxy)-l,3-dihydro-2-benzofuran-l-one as a white solid. 1H NMR: PHNW-1-2-3 (300 MHz, DMSO), 57.89 (s, 1H), 7.45 (s, 1H), 5.35 (s, 2H), 4.23 (t, 7 = 6.3 Hz, 2H), 3.52 (t, J = 6.3 Hz, 2H), 3.25 (s, 3H), 2.08-1.99 (m, 2 h).
Into a 100-mL round-bottom flask, was placed a solution of 6-chloro-5-(3- methoxypropoxy)-l,3-dihydro-2-benzofuran-l-one (3.0 g, 11.69 mmol, 1.00 equiv) in methanol (30 mL), potassium hydroxide (788 mg, 14.04 mmol, 1.20 equiv). The resulting solution was stirred overnight at 75 °C. The resulting mixture was concentrated under vacuum. To the above was added TBDPS-Cl (6.42 g, 24.81 mmol, 2.00 equiv), IH-imidazole (2.4 g, 35.25 mmol, 3.00 equiv), N,N-dimethylformamide (20 mL). The resultingsolution was stirred 5 h at room temperature. The reaction was then quenched by the addition of 20 mL of water. The resulting solution was extracted with 3x30 mL of ethyl acetate and the organic layers combined. The resulting mixture was washed with 3x20 mL of water and 1x20 mL of sodium chloride. The mixture was dried over anhydrous sodium sulfate. The solids were filtered out. The resulting mixture was concentrated under vacuum. The residue was applied onto a silica gel column with ethyl acetate/petroleum ether (1:2). This resulted in 3.0 g (50%) of 2-[[(tert-butyldiphenylsilyl)oxy]methyl]-5-chloro-4-(3-methoxypropoxy)benzoic acid as a white solid. 1H NMR: PHNW- 1-2-4 (300 MHz, DMSO), δ 12.89 (s, 1H), 7.90 (s, 1H), 7.66- 7.64 (m, 5H), 7.51-7.41 (m, 6H), 5.13 (s, 2H), 4.20 (t, J = 6.3 Hz, 2H), 3.50 (t, = 6.3 Hz, 2H), 3.25 (s, 3H), 2.07-1.99 (m, 2H), 1.08 (s, 9H).
Into a 250-mL round-bottom flask, was placed a solution of 2-[[(tert- butyldiphenylsilyl)oxy]methyl]-5-chloro-4-(3-methoxypropoxy)benzoic acid (5.0 g, 9.74 mmol, 1.00 equiv) in dichloromethane (50 mL), N,N-dimethylformamide (7 mg, 0.10 mmol, 0.01 equiv), oxalic dichloride (1.85 g, 14.58 mmol, 1.50 equiv). The resulting solution was stirred for 1 h at 0 °C. The resulting mixture was concentrated under vacuum. This resulted in 5.0 g (crude) of 2-[[(tert-butyldiphenylsilyl)oxy]methyl]-5-chloro-4-(3- methoxypropoxy)benzoyl chloride as colorless oil.
Into a 250-mL 3 -necked round-bottom flask purged and maintained with an inert atmosphere of nitrogen, was placed a solution of LDA (12.3 mL, 1.50 equiv, 1.2 mol/L) in tetrahydrofuran (50 mL). This was followed by the addition of a solution of tert-butyl (2Z)-2- [(dimethylamino)methylidene]-3-oxobutanoate (2.5 g, 11.72 mmol, 1.20 equiv) in
tetrahydrofuran (20 mL) at -70 °C. To this was added a solution of 2-[[(tert- butyldiphenylsilyl)oxy]methyl]-5-chloro-4-(3-methoxypropoxy)benzoyl chloride (5.2 g, 9.78 mmol, 1.00 equiv) in tetrahydrofuran (30 mL) at -70 °C in 30 min. To the mixture was added AcOH (25 mL), tert-butylhydrazine hydrochloride (2.43 g, 19.50 mmol, 2.00 equiv). The resulting solution was stirred overnight at 60 °C. The resulting mixture was concentrated under vacuum. The residue was applied onto a silica gel column with ethyl acetate/petroleum ether (1: 1). This resulted in 1.1 g (15%) of tert-butyl l-(tert-butylamino)-6-(2-[[(tert- butyldiphenylsilyl)oxy]methyl]-5-chloro-4-(3-methoxypropoxy)phenyl)-4-oxo-l,4- dihydropyridine-3-carboxylate as brown oil. 1H NMR: PHNW-1-2-6 (300 MHz, CDC13) 58.26 (s, 1H), 7.65-7.63 (m, 4H), 7.49-7.37 (m, 7H), 7.24 (s, 1H), 6.50 (s, 1H), 4.78 (s, 2H), 4.14 (t, J = 6.3 Hz, 2H), 3.62 (t, J = 6.3 Hz, 2H), 3.40 (s, 3H), 2.17-2.09 (m, 2H), 1.59 (s, 9H),
1.09 (s, 9H).
Into a 100-mL round-bottom flask, was placed a solution of tert-butyl l-(tert- butylamino)-6-(2-[[(tert-butyldiphenylsilyl)oxy]methyl]-5-chloro-4-(3- methoxypropoxy)phenyl)-4-oxo-l,4-dihydropyridine-3-carboxylate (1.1 g, 1.50 mmol, 1.00 equiv) in tetrahydrofuran (10 mL), TBAF/THF (2.25 mL, 1 mol/L, 1.50 equiv). The resulting solution was stirred for 2 h at room temperature. The resulting mixture was concentrated under vacuum. The residue was applied onto a silica gel column with ethyl acetate/petroleum ether (2: 1). This resulted in 510 mg (69%) of tert-butyl l-(tert-butylamino)-6-[5-chloro-2- (hydroxymethyl)-4-(3-methoxypropoxy)phenyl]-4-oxo-l,4-dihydropyridine-3-carboxylate as colorless oil. 1H NMR: PHNW-1-2-7 (300 MHz, DMSO), δ 8.35 (s, 1H), 7.72 (s, 1H), 7.54 (s, 1H), 5.76 (s, 1H), 5.39 (t, J = 5.1 Hz, 1H), 4.97 (s, 2H), 4.70 (d, J = 5.4 Hz, 2H), 4.23 (t, J = 6.3 Hz, 2H), 3.52 (t, J = 6.3 Hz, 2H), 3.27 (s, 3H), 2.08-1.99 (m, 2H), 1.55 (m, 9H), 1.36 (s, 9H).
Into a 50-mL round-bottom flask, was placed a solution of tert-butyl l-(tert- butylamino)-6-[5-chloro-2-(hydroxymethyl)-4-(3-methoxypropoxy)phenyl]-4-oxo-l,4- dihydropyridine-3-carboxylate (510 mg, 1.03 mmol, 1.00 equiv) in dichloromethane (5 mL), TEA (156.4 mg, 1.55 mmol, 1.50 equiv), methanesulfonyl chloride (129.5 mg, 1.13 mmol,
1.10 equiv). The resulting solution was stirred overnight at 25 °C. The resulting mixture was concentrated under vacuum. The residue was applied onto a silica gel column with ethyl acetate/petroleum ether (1: 1). This resulted in 210 mg (43%) of tert-butyl 6 -tert-butyl- 10- chloro-9-(3-methoxypropoxy)-2-oxo-2H,6H,7H-pyrido[2, l-a]phthalazine-3-carboxylate as a light yellow solid H NMR: PHNW-1-2-8 (300 MHz, DMSO) δ 8.14 (s, 1H), 7.66 (s, 1H), 7.29 (s, 1H), 6.06 (s, 1H), 5.28 (s, 2H), 4.16 (t, J = 6.3 Hz, 2H), 3.53-3.47 (m, 2H), 3.26 (s, 3H), 2.05-1.97 (m, 2H), 1.59 (s, 9H), 1.32 (s, 9H). Into a 50-mL round-bottom flask, was placed a solution of tert-butyl 6-tert-butyl-10- chloro-9-(3-methoxypropoxy)-2-oxo-2H,6H,7H-pyrido[2,l-a]phthalazine-3-carboxylate (100 mg, 0.21 mmol, 1.00 equiv) in dichloromethane (2.5 mL), trifluoro acetic acid (0.5 mL). The resulting solution was stirred overnight at room temperature. The resulting mixture was concentrated under vacuum. The crude product was purified by Prep-HPLC with the following conditions (SHIMADZU(HPLC-IO)): Column, X Bridge Prep C18 OBD
Column 19* 150mm 5umC-0013; mobile phase, A: Water(it contains 0.1 % FA); B: CH3CN; Gradient: 14 min in 80 % B to 95% B (Flow rate: 20mL/min) Detector: 254 nm. This resulted in 20 mg (23%) of 6-tert-butyl-10-chloro-9-(3-methoxypropoxy)-2-oxo-2H,6H,7H- pyrido[2,l-a]phthalazine-3-carboxylic acid as a white solid. 1H NMR: PHNW-1-2-0 (300 MHz, DMSO) 511.78 (br, 1H), 8.14 (s, 1H), 7.69 (s, 1H), 7.26 (s, 1H), 6.06 (s, H), 5.26 (s, 2H), 4.16 (t, J = 6.3 Hz, 2H), 3.51 (t, J = 6.3 Hz, 2H), 3.26 (s, 3H), 2.05-1.97 (m, 2H), 1.59 (s, 9H), 1.55 (s, 1H).
Example 9: (S)-l-fluoro-6-isopropyl-10-methoxy-9-(3-methoxypropoxy)-2-oxo-6,7- dihydro-2H-pyrido[2,l-a]isoquinoline-3-carboxylic acid
Figure imgf000049_0001
Into a 100-mL round-bottom flask, was placed a solution of ethyl 10-methoxy-9-(3- methoxypropoxy)-2-oxo-6-(propan-2-yl)-2H,6H,7H-pyrido[2,l-a]isoquinoline-3-carboxylate (900 mg, 2.10 mmol, 1.00 equiv) in acetic acid (20 mL). This was followed by the addition of F-TEDA-BF4 (4.5 g, 12.71 mmol, 6.00 equiv), in portions. The resulting solution was stirred for 72 h at 50°C in an oil bath. The resulting mixture was concentrated under vacuum. The crude product was purified by Prep-HPLC with the following conditions (Waters XB ridge): Column, RP18 19* 150mm, 5um; mobile phase, A: 0.05%NH3.H20 B: ACN; Detector, UV254 nm & 220nm. This resulted in 70 mg (7%) of ethyl l-fluoro-6-isopropyl-10-methoxy- 9-(3-methoxypropoxy)-2-oxo-6,7-dihydro-2H-pyrido[2,l-a]isoquinoline-3-carboxylate as a white solid. LC-MS (M+1): 448; RT=1.78 min. The measurements of the retention were done with a reversed phase column (CI 8). Shimadzu LCMS 2020; 50*3.0 Kinetex 2.6u XB-C18 , 2.6 microm; Eluent A: water (0.05 % TFA); Eluent B: Acetonitrile; linear gradient from 5 % acetonitrile to 100 % acetonitrile in 3.5 minutes; Oven temperature 40 °C; flow: 1.5 mL/min. Into a 50-mL round-bottom flask, was placed a solution of ethyl l-fluoro-6-isopropyl- 10-methoxy-9-(3-methoxypropoxy)-2-oxo-6,7-dihydro-2H-pyrido[2, l-a]isoquinoline-3- carboxylate (70 mg, 0.16 mmol, 1.00 equiv) in methanol (5 mL). The resulting solution was purified by Chiral-Prep-HPLC with the following conditions (SHIMADZU LC-20AD):
Column, CHIRALPAK AD-3; Phase A: ethanol; Phase B: Methanol; Detector, SPD-M20A, 190nm-500nm. This resulted in 28 mg (38%) of ethyl (S)- l-fluoro-6-isopropyl- 10-methoxy- 9-(3-methoxypropoxy)-2-oxo-6,7-dihydro-2H-pyrido[2,l-a]isoquinoline-3-carboxylate as a white solid. LC-MS (M+1): 448; RT=1.33 min.The measurements of the retention were done with a reversed phase column (C I 8). Shimadzu LCMS 2020; 50*3.0 Kinetex 2.6u XB-C 18 , 2.6 microm; Eluent A: water (0.05 % TFA); Eluent B: Acetonitrile; linear gradient from 5 % acetonitrile to 100 % acetonitrile in 3.5 minutes; Oven temperature 40 °C; flow: 1.5mL/min.
Into a 50-mL round-bottom flask, was placed a solution of ethyl (S)-l-fluoro-6- isopropyl- 10-methoxy-9-(3-methoxypropoxy)-2-oxo-6,7-dihydro-2H-pyrido[2,l- a]isoquinoline-3-carboxylate (28 mg, 0.07 mmol, 1.00 equiv) in methanol/HiO (2/0.2 mL). This was followed by the addition of sodium hydroxide (10 mg, 0.25 mmol, 4.00 equiv), in portions. The resulting solution was stirred for 2 h at 40 °C in an oil bath. The resulting mixture was concentrated under vacuum. The resulting solution was diluted with 3 mL of water. The pH value of the solution was adjusted to 6-5 with acetic acid (100 %). The resulting solution was extracted with 3x10 mL of ethyl acetate and the organic layers combined. The organic layer was dried over anhydrous sodium sulfate and concentrated under vacuum. This resulted in 18 mg (66%) of (S)- l-fluoro-6-isopropyl-10-methoxy-9-(3- methoxypropoxy)-2-oxo-6,7-dihydro-2H-pyrido[2,l-a]isoquinoline-3-carboxylic acid as a white solid. LC-MS (M+1): 420; RT=1.37 min. The measurements of the retention were done with a reversed phase column (C I 8). Shimadzu LCMS 2020; 50*3.0 Kinetex 2.6u XB-C 18 , 2.6 microm; Eluent A: water (0.05 % TFA); Eluent B: Acetonitrile; linear gradient from 5 % acetonitrile to 100 % acetonitrile in 3.5 minutes; Oven temperature 40 °C; flow: 1.5mL/min. H-NMR: (300 MHz, CDC3, ppm): δ 15.0 (bs, 1 H), 8.46 (s, 1 H), 7.65 (s, 1 H), 6.84 (s, 1 H), 4.26-4.23 (m, 2 H), 3.94-3.90 (m, 4 H), 3.63-3.61 (m, 2 H), 3.39-3.35 (m, 4 H), 3.11-3.06 (m, 1 H), 2.19-2.11 (m, 2 H), 1.86- 1.82 (m, 1 H), 0.96 (d, J = 8.4 Hz, 3 H), 0.86 (d, J = 8.4 Hz, 3 H). Example 10: (R)-l-fluoro-6-isopropyl-10-methoxy-9-(3-methoxypropoxy)-2- dihydro-2H-pyrido[2,l-a]isoquinoline-3-carboxylic acid
Figure imgf000051_0001
Into a 50-mL round-bottom flask, was placed a solution of ethyl l-fluoro-6-isopropyl- 10-methoxy-9-(3-methoxypropoxy)-2-oxo-6,7-dihydro-2H-pyrido[2,l-a]isoquinoline-3- carboxylate (70 mg, 0.16 mmol, 1.00 equiv) in methanol (5 mL). The resulting solution was purified by Chiral-Prep-HPLC with the following conditions (SHIMADZU LC-20AD): Column, CHIRALPAK AD-3; Phase A: ethanol; Phase B: Methanol; Detector, SPD-M20A, 190nm-500nm. This resulted in 28 mg (38%) of ethyl (R)-l-fluoro-6-isopropyl-10-methoxy- 9-(3-methoxypropoxy)-2-oxo-6,7-dihydro-2H-pyrido[2,l-a]isoquinoline-3-carboxylate as a white solid. LC-MS (M+1): 448; RT=1.33 min.The measurements of the retention were done with a reversed phase column (CI 8). Shimadzu LCMS 2020; 50*3.0 Kinetex 2.6u XB-C18 , 2.6 microm; Eluent A: water (0.05 % TFA); Eluent B: Acetonitrile; linear gradient from 5 % acetonitrile to 100 % acetonitrile in 3.5 minutes; Oven temperature 40 °C; flow: 1.5mL/min.
Into a 50-mL round-bottom flask, was placed a solution of ethyl (R)-l-fluoro-6- isopropyl-10-methoxy-9-(3-methoxypropoxy)-2-oxo-6,7-dihydro-2H-pyrido[2,l- a]isoquinoline-3-carboxylate (28 mg, 0.07 mmol, 1.00 equiv) in methanol/HiO (2/0.2 mL). This was followed by the addition of sodium hydroxide (10 mg, 0.25 mmol, 4.00 equiv), in portions. The resulting solution was stirred for 2 h at 40°C in an oil bath. The resulting mixture was concentrated under vacuum. The resulting solution was diluted with 3 mL of water. The pH value of the solution was adjusted to 6-5 with acetic acid (100 %). The resulting solution was extracted with 3x10 mL of ethyl acetate and the organic layers combined. The organic layer was dried over anhydrous sodium sulfate and concentrated under vacuum. This resulted in 18 mg (66%) of (R)-l-fluoro-6-isopropyl-10-methoxy-9-(3- methoxypropoxy)-2-oxo-6,7-dihydro-2H-pyrido[2,l-a]isoquinoline-3-carboxylic acid as a white solid. LC-MS (M+1): 420; RT=1.37 min. The measurements of the retention were done with a reversed phase column (C18). Shimadzu LCMS 2020; 50*3.0 Kinetex 2.6u XB- C18 , 2.6 microm; Eluent A: water (0.05 % TFA); Eluent B: Acetonitrile; linear gradient from 5 % acetonitrile to 100 % acetonitrile in 3.5 minutes; Oven temperature 40 °C;
flow: 1.5mL/min.H-NMR: (300 MHz, CDC13, ppm): δ 15.0 (bs, 1 H), 8.46 (s, 1 H), 7.65 (s, 1 H), 6.84 (s, 1 H), 4.26-4.23 (m, 2 H), 3.94-3.90 (m, 4 H), 3.63-3.61 (m, 2 H), 3.39-3.35 (m, 4 H), 3.11-3.06 (m, 1 H), 2.19-2.11 (m, 2 H), 1.86-1.82 (m, 1 H), 0.96 (d, J = 8.4 Hz, 3 H), 0.86 (d, J = 8.4 Hz, 3 H).
Example 11: l-hydroxy-6-isopropyl-10-methoxy-9-(3-methoxypropoxy)-2-oxo-6,7-dihydro- 2H-pyrido [2, 1 -a] isoquinoline-3 -carboxylic acid
Figure imgf000052_0001
Into a 100-mL round-bottom flask, was placed a solution of ethyl 10-methoxy-9-(3- methoxypropoxy)-2-oxo-6-(propan-2-yl)-2H,6H,7H-pyrido[2,l-a]isoquinoline-3-carboxylate (900 mg, 2.10 mmol, 1.00 equiv) in acetic acid (20 mL). This was followed by the addition of F-TEDA-BF4 (4.5 g, 12.71 mmol, 6.00 equiv), in portions. The resulting solution was stirred for 72 h at 50°C in an oil bath. The resulting mixture was concentrated under vacuum. The crude product was purified by Prep-HPLC with the following conditions (Waters XB ridge): Column, RP18 19* 150mm, 5um; mobile phase, A: 0.05%NH3.H20 B: ACN; Detector, UV254 nm & 220nm. This resulted in 100 mg (10%) of ethyl l-acetoxy-6-isopropyl-10- methoxy-9-(3-methoxypropoxy)-2-oxo-6,7-dihydro-2H-pyrido[2,l-a]isoquinoline-3- carboxylate as a white solid. LC-MS (M+l): 488; RT=1.67 min. The measurements of the retention were done with a reversed phase column (C18). Shimadzu LCMS 2020; 50*3.0 Shim-pack XR-ODS, 2.6 microm; Eluent A: water (0.05 % TFA); Eluent B: Acetonitrile; linear gradient from 5 % acetonitrile to 100 % acetonitrile in 3.5 minutes; Oven temperature 40 °C; flow: 1.5 mL/min.
Into a 50-mL round-bottom flask, was placed a solution of ethyl l-acetoxy-6- isopropyl-10-methoxy-9-(3-methoxypropoxy)-2-oxo-6,7-dihydro-2H-pyrido[2,l- a]isoquinoline-3-carboxylate (100 mg, 0.21mmol, 1.00 equiv) in methanol/H20 (2/0.2 mL). This was followed by the addition of sodium hydroxide (33 mg, 0.84 mmol, 4.00 equiv), in portions. The resulting solution was stirred for 2 h at 40 °C in an oil bath. The resulting mixture was concentrated under vacuum. The resulting solution was diluted with 3 mL of water. The pH value of the solution was adjusted to 6-5 with acetic acid (100 %). The resulting solution was extracted with 3x10 mL of ethyl acetate and the organic layers combined. The organic layer was dried over anhydrous sodium sulfate and concentrated under vacuum. This resulted in 30 mg (33%) of l-hydroxy-6-isopropyl- 10-methoxy-9-(3- methoxypropoxy)-2-oxo-6,7-dihydro-2H-pyrido[2,l-a]isoquinoline-3-carboxylic acid as a white solid. LC-MS [M+l] : 420; RT=1.66 min. The measurements of the retention were done with a reversed phase column (C I 8). Shimadzu LCMS 2020; 50*3.0 Kinetex 2.6u XB-C 18 , 2.6 microm; Eluent A: water (0.05 % TFA); Eluent B: Acetonitrile; linear gradient from 5 % acetonitrile to 100 % acetonitrile in 3.5 minutes; Oven temperature 40 °C; flow: 1.5mL/min. H-NMR-(DMSO, ppm): δ 10.23 (bs, 1 H), 8.72 (s, 1 H), 8.80 (s, 1 H), 6.68 (s, 1 H), 4.37- 4.35 (m, 1 H), 4.13-4.05 (m,2 H), 3.74 (s, 3 H), 3.53-3. 49 (m, 2 H), 3.19 (s, 3 H), 3.11-3.06 (m, 2 H), 2.02-1.98 (m, 2 H), 1.62-1.59 (m, 1 H), 0.88 (d, J = 8.4 Hz, 3 H), 0.71 (d, J = 8.4 Hz, 3 H).
Example 12: (S)- 10-chloro-l-fluoro-6-isopropyl-9-(3-methoxypropoxy)-2-oxo-6,7-dihydro- 2H-pyrido[2,l-a]isoquinoline-3-carboxylic acid, and (R)-10-chloro-l-fluoro-6-isopropyl-9- (3-methoxypro oxy)-2-oxo-6,7-dihydro-2H-pyrido[2, l-a]isoquinoline-3-carboxylic acid
Figure imgf000053_0001
A mixture of 5-bromo-2-chloro-phenol (10.00 g, 48.20 mmol, 1.00 eq), l-bromo-3- methoxy-propane (14.75 g, 96.41 mmol, 2.00 eq) and K2C03 (19.99 g, 144.61 mmol, 3.00 eq) in acetone (100.00 mL) was stirred at 50 °C for 15 h. After filtration, the filtrate was concentrated under reduced pressure. The residue was purified by silica gel chromatography eluted with PE to PE:EA=5: 1. 4-bromo-l-chloro-2-(3-methoxypropoxy)benzene (13.40 g, 47.93 mmol, 99.44% yield) was obtained as a colorless oil which was confirmed by LC-MS and used directly in the next step. LC-MS: EW5403-239-P1Z0 (M+H+=278.9,
M+2+H+=280.9)
A mixture of 4-bromo-l-chloro-2-(3-methoxypropoxy)benzene (5.00 g, 17.89 mmol, 1.00 eq), 3-methylbutan-2-one (3.08 g, 35.77 mmol, 3.80 mL, 2.00 eq), Pd(dba)2 (1.03 g, 1.79 mmol, 0.10 eq), Xantphos (2.07 g, 3.58 mmol, 0.20 eq) and i-BuONa (5.16 g, 53.67 mmol, 3.00 eq) in dioxane (100.00 mL) was stirred at 100 °C for 3 h. After filtration, the filtrate was concentrated under reduced pressure. Crude l-[4-chloro-3-(3- methoxypropoxy)phenyl] -3 -methyl -butan-2-one (7.10 g, crude) was obtained as a brown oil which was confirmed by LC-MS and used directly in the next step. LC-MS: EW5403-247- P1A2 (M+H+=285.2)
A mixture of crude l-[4-chloro-3-(3-methoxypropoxy)phenyl]-3-methyl-butan-2-one (7.10 g, 24.93 mmol, 1.00 eq), CH3COONH4 (19.22 g, 249.32 mmol, 10.00 eq) and
NaBH3CN (15.67 g, 249.32 mmol, 10.00 eq) in MeOH (300.00 mL) was stirred at 15 °C for 56 h. The mixture was extracted with DCM (100 mL*3), and the combined organic layers were concentrated under reduced pressure. The crude product was purified by reverse phase column with TFA as additive to give l-[4-chloro-3-(3-methoxypropoxy)phenyl]-3- methylbutan-2-amine (3.00 g, 10.50 mmol, 42.10% yield) as a yellow oil which was confirmed by LC-MS (EW5403-249-P1A0). LC-MS: EW5403-249-P1A0 (M+H+=286.1)
A mixture of l-[4-chloro-3-(3-methoxypropoxy)phenyl]-3-methylbutan-2-amine (3.00 g, 10.50 mmol, 1.00 eq) and formic acid (3.87 g, 84.00 mmol, 3.17 mL, 8.00 eq) in dioxane (100.00 mL) was stirred at 100 °C for 48 h. After removal of the solvent, the residue was purified by silica gel chromatography eluted with PE to EA to afford N-[l-[[4-chloro-3- (3 -methoxypropoxy)phenyl] methyl] -2-methyl-propyl]formamide (2.10 g, 6.69 mmol, 63.73% yield) as a light yellow solid which was confirmed by LC-MS. LC-MS: EW5403-257-P1A2 (M+H+=314.1)
A mixure of N-(l-(4-chloro-3-(3-methoxypropoxy)phenyl)-3-methylbutan-2- yl)formamide (2.00 g, 6.37 mmol, 1.00 eq) and POCl3 (2.93 g, 19.11 mmol, 1.78 mL, 3.00 eq) in MeCN (50.00 mL) was stirred at 60 °C for 1 h. After removal of the solvent, the crude was purified by silica gel chromatography eluted with PE to PE:EA=1 : 1 to give 7-chloro-3- isopropyl-6-(3-methoxypropoxy)-3,4-dihydroisoquinoline (1.3 g) as a black oil which was confirmed by LC-MS. LC-MS: EW5403-263-P1A3 (M+H+=296.2)
A mixture of 7-chloro-3-isopropyl-6-(3-methoxypropoxy)-3,4-dihydroisoquinoline (510.00 mg, 1.72 mmol, 1.00 eq) and ethyl (2E)-2-(methoxymethylene)-3-oxo-butanoate (1.48 g, 8.62 mmol, 5.00 eq) in EtOH (10.00 mL) was stirred at 100 °C for 4 days. After removal of the solvent, the residue was purified by reverse phase column with NH4OH as additive to give ethyl 10-chloro-6-isopropyl-9-(3-methoxypropoxy)-2-oxo-2,6,7, l lb- tetrahydro-lH-pyrido[2,l-a]isoquinoline-3-carboxylate (140.00 mg, 279.40 mol, 16.24% yield, 87% purity) as a yellow oil which was confirmed by LC-MS. LC-MS: EW5403-267- P1A1 (M+H+=436.0) To a solution of ethyl 10-chloro-6-isopropyl-9-(3-methoxypropoxy)-2-oxo-2,6,7, l lb- tetrahydro - lH-pyrido[2, l-a]isoquinoline-3-carboxylate (150.00 mg, 344.08 /mol, 1.00 eq) in DME (20.00 niL), was added 2,3,5,6-tetrachloro- l,4-benzoquinone (169.21 mg, 688.17 /mol, 2.00 eq). The mixture was stirried at 70 °C for 5 h. The reaction mixture was concentrated in vacuo to give a residue. The residue was purified by flash column
(DCM:MeOH=30: l). Compound ethyl 10-chloro-6-isopropyl-9-(3-methoxypropoxy)-2-oxo- 6,7-dihydro-2H-pyrido[2, l-a]isoquinoline-3-carboxylate (50.24 mg, 115.78 μιηοΐ, 33.65 % yield) was obtained as brown oil and confirmed by LC-MS. LC-MS: EW6108-43-P1A3 (M+H+=434.1).
Into a 100-mL round-bottom flask, was placed a solution of ethyl 10-chloro-9-(3- methoxypropoxy)-2-oxo-6-(propan-2-yl)-2H,6H,7H-pyrido[2, l-a]isoquinoline-3-carboxylate (1.5 g, 3.46 mmol, 1.00 equiv) in methanol (5 mL). The crude product was purified by Chiral-Prep-HPLC with the following conditions: Column, DAICEL CHIRALPAK IC 20*250mm,5um; mobile phase, phase A:n-Hexane/DCM=5/1, phase B:Ethanol,A/B=50/50; Detector,220 nm. This resulted in 580 mg (39%) of ethyl (S)- 10-chloro-6-isopropyl-9-(3- methoxypropoxy)-2-oxo-6,7-dihydro-2H-pyrido[2,l-a]isoquinoline-3-carboxylate as a white solid. And 580 mg (39%) of ethyl (R)-10-chloro-6-isopropyl-9-(3-methoxypropoxy)-2-oxo- 6,7-dihydro-2H-pyrido[2, l-a]isoquinoline-3-carboxylateas a white solid.
Into a 40-mL round-bottom flask, was placed a solution of ethyl (S)-10-chloro-6- isopropyl-9-(3-methoxypropoxy)-2-oxo-6,7-dihydro-2H-pyrido[2,l-a]isoquinoline-3- carboxylate (300 mg, 0.69 mmol, 1.00 equiv) in methanol/H20 (3/1 mL), sodium hydroxide (111 mg, 2.77 mmol, 4.00 equiv). The resulting solution was stirred for overnight at room temperature. The resulting solution was diluted with 40 mL of H20. The pH value of the solution was adjusted to 6 with AcOH. The solids were collected by filtration. This resulted in 200 mg (71%) of (S)- 10-chloro-6-isopropyl-9-(3-methoxypropoxy)-2-oxo-6,7-dihydro-2H- pyrido[2,l-a]isoquinoline-3-carboxylic acid as a white solid. LC-MS-PH-PHNW-1- 12-S-0: (ES, m/z): M+l=406, RT=1.46 min. The measurements of the retention were done with a reversed phase column (C I 8). Shimadzu LCMS 2020; 50*3.0 Kinetex 2.6u XB-C18 , 2.6 microm; Eluent A: water (0.05 % TFA); Eluent B: Acetonitrile; linear gradient from 5 % acetonitrile to 100 % acetonitrile in 3.5 minutes; Oven temperature 40 °C; flow: 1.5 mL/min. H-NMR-PH-PHNW-1- 12-S-0: (CDC13, 300 ppm): 8.48(s, 1H), 7.75(s, 1H), 7.04(s, 1H), 6.83(s, 1H), 4.27-4.20(m, 2H), 3.90-3.88 (m, 1H), 3.63-3.56(m, 2H), 3.48(s, 4H), 3.18- 3.09(m, 1H), 2.18-2.10(m, 2H), 1.93-1.91(m, 1H), 0.96-0.80(m, 6H). Into a 40-mL round-bottom flask, was placed a solution of ethyl (R)-10-chloro-6- isopropyl-9-(3-methoxypropoxy)-2-oxo-6,7-dihydro-2H-pyrido[2,l-a]isoquinoline-3- carboxylate (300 mg, 0.69 mmol, 1.00 equiv) in methanol/HiO (3/1 mL), sodium hydroxide (111 mg, 2.77 mmol, 4.00 equiv). The resulting solution was stirred for 1 overnight at room temperature. The resulting solution was diluted with 40 mL of H20. The pH value of the solution was adjusted to 6 with AcOH. This resulted in 200 mg (71%) of (R)-10-chloro-6- isopropyl-9-(3-methoxypropoxy)-2-oxo-6,7-dihydro-2H-pyrido[2,l-a]isoquinoline-3- carboxylic acidas a white solid (ES, m/z): M+l=406, RT=1.45 min. The measurements of the retention were done with a reversed phase column (CI 8). Shimadzu LCMS 2020; 50*3.0 Kinetex 2.6u XB-C18 , 2.6 microm; Eluent A: water (0.05 % TFA); Eluent B: Acetonitrile; linear gradient. H-NMR (CDC13, 300 ppm): 8.48(s, 1H), 7.75(s, 1H), 7.04(s, 1H), 6.83(s, 1H), 4.27-4.20(m, 2H), 3.90-3.88 (m, 1H), 3.63-3.56(m, 2H), 3.48(s, 4H), 3.18-3.09(m, 1H), 2.18-2.10(m, 2H), 1.93-1.91(m, 1H), 0.96-0.80(m, 6H).
Into a 40-mL round-bottom flask, was placed a solution of (S)-10-chloro-6-isopropyl- 9-(3-methoxypropoxy)-2-oxo-6,7-dihydro-2H-pyrido[2,l-a]isoquinoline-3-carboxylic acid (385 mg, 0.95 mmol, 1.00 equiv) in CH3CN/AcOH (20/2 mL), F-TEDA-BF4 (1 g, 2.83 mmol, 3.00 equiv). The resulting solution was stirred for 48 h at 30°C. The reaction was then quenched by the addition of 100 mL of water. The solid was collected by filtration. This resulted in 400 mg (crude) of (S)-10-chloro-l-fluoro-6-isopropyl-9-(3-methoxypropoxy)-2- oxo-6,7-dihydro-2H-pyrido[2,l-a]isoquinoline-3-carboxylic acid as a white solid.
Into a 25-mL 3-necked round-bottom flask, was placed a solution of (S)-lO-chloro-l- fluoro-6-isopropyl-9-(3-methoxypropoxy)-2-oxo-6,7-dihydro-2H-pyrido[2,l-a]isoquinoline- 3-carboxylic acid (400 mg, 0.94 mmol, 1.00 equiv) in methanol/DCM (4/2 mL). This was followed by the addition of TMS-CHN2 (2M) (2.8 mL, 6.00 equiv) dropwise with stirring. The resulting solution was stirred for 5 h at room temperature. The reaction was then quenched by the addition of 5 mL of water. The resulting solution was extracted with 3 x 20 mL of dichloromethane. The organic layers were combined, dried over anhydrous sodium sulfate and concentrated under vacuum. The crude product was purified by Prep-HPLC with the following conditions (Prep-HPLC-007): Column, SunFire Prep C18 OBD Column, 19* 150mm 5um lOnm; mobile phase, Water (0.1% FA) and ACN (48.0% ACN up to 53.0% in 7 min, hold 95.0% in 1 min, down to 48.0% in 1 min, hold 48.0% in 1 min); Detector, UV 220nm. This resulted in 125 mg (30% for two steps) of methyl (S)-10-chloro-l-fluoro-6- isopropyl-9-(3-methoxypropoxy)-2-oxo-6,7-dihydro-2H-pyrido[2,l-a]isoquinoline-3- carboxylate as a white solid. LC-MS: (ES, m/z): M+l= 438, R, T= 1.03 min. The measurements of the retention were done with a reversed phase column (C I 8). Shimadzu LCMS 2020; 50*3.0 Kinetex 2.6u XB-C 18 , 2.6 microm; Eluent A: water (0.05 % TFA); Eluent B: Acetonitrile; linear gradient from 5 % acetonitrile to 100 % acetonitrile in 2 minutes; Oven temperature 40 °C; flow: 1.5mL/min.
Into a 8-mL round-bottom flask, was placed a solution of methyl (S)- lO-chloro- l- fluoro-6-isopropyl-9-(3-methoxypropoxy)-2-oxo-6,7-dihydro-2H-pyrido[2,l-a]isoquinoline- 3-carboxylate (35 mg, 0.08 mmol, 1.00 equiv) in methanol/H20 (1/0.5 mL), sodium hydroxide (12.8 mg, 0.32 mmol, 4.00 equiv). The resulting solution was stirred for overnight at room temperature. The pH value of the solution was adjusted to 6 with AcOH(lM). The solid was collected by filtration. This resulted in 23.3 mg (68.8%) of (S)- lO-chloro- l-fluoro- 6-isopropyl-9-(3-methoxypropoxy)-2-oxo-6,7-dihydro-2H-pyrido[2, l-a]isoquinoline-3- carboxylic acid as a white solid. LC-MS- (ES, m/z): M+l=424, R,T= 2.58 min. The measurements of the retention were done with a reversed phase column (C I 8). Shimadzu LCMS 2020; 50*3.0 Kinetex 2.6u XB-C 18 , 2.6 microm; Eluent A: water (0.05 % TFA); Eluent B: Acetonitrile; linear gradient from 5 % acetonitrile to 100 % acetonitrile in 3.5 minutes; Oven temperature 40 °C; flow: 1.5mL/min. H-NMR: (300 MHz, CDC13, ppm): 8.48 (s, 1H), 8.15(s, 1H), 6.80 (s, 1H), 4.28-4.21(m, 2H), 3.91-3.84(m, 1H), 3.75-3.62(m, 2H), 3.48-3.37(m, 4H), 3.19-3.09 (m, 1H), 2.15-2.01(m, 2H), 1.51- 1.35(m, 2H), 0.94-0.75(m, 6H).
Into a 40-mL round-bottom flask, was placed a solution of (R)- 10-chloro-6-isopropyl- 9-(3-methoxypropoxy)-2-oxo-6,7-dihydro-2H-pyrido[2,l-a]isoquinoline-3-carboxylic acid (385 mg, 0.95 mmol, 1.00 equiv) in CH3CN/AcOH (20/2 mL), F-TEDA-BF4 (1 g, 2.83 mmol, 3.00 equiv). The resulting solution was stirred for 48 h at 30°C. The reaction was then quenched by the addition of 100 mL of water. The solid was collected by filtration. This resulted in 400 mg (crude) of (R)- 10-chloro- l-fluoro-6-isopropyl-9-(3-methoxypropoxy)-2- oxo-6,7-dihydro-2H-pyrido[2, l-a]isoquinoline-3-carboxylic acid as a white solid.
Into a 25-mL 3-necked round-bottom flask, was placed a solution of (R)- lO-chloro- l- fluoro-6-isopropyl-9-(3-methoxypropoxy)-2-oxo-6,7-dihydro-2H-pyrido[2,l-a]isoquinoline- 3-carboxylic acid (400 mg, 0.94 mmol, 1.00 equiv) in methanol/DCM (4/2 mL). This was followed by the addition of TMS-CHN2 (2M) (2.8 mL, 6.00 equiv) dropwise with stirring. The resulting solution was stirred for 5 h at room temperature. The reaction was then quenched by the addition of 5 mL of water. The resulting solution was extracted with 3 x 20 mL of dichloromethane. The organic layers were combined, dried over anhydrous sodium sulfate and concentrated under vacuum. The crude product was purified by Prep-HPLC with the following conditions (Prep-HPLC-007): Column, SunFire Prep C 18 OBD Column, 19* 150mm 5um lOnm; mobile phase, Water (0.1 % FA) and ACN (48.0% ACN up to 53.0% in 7 min, hold 95.0% in 1 min, down to 48.0% in 1 min, hold 48.0% in 1 min); Detector, UV 220nm. This resulted in 125 mg (30% for two steps) of methyl (R)-10-chloro- l-fluoro-6- isopropyl-9-(3-methoxypropoxy)-2-oxo-6,7-dihydro-2H-pyrido[2,l-a]isoquinoline-3- carboxylate as a white solid. LC-MS: (ES, m/z): M+l= 438, R, T= 1.03 min. The measurements of the retention were done with a reversed phase column (C I 8). Shimadzu LCMS 2020; 50*3.0 Kinetex 2.6u XB-C 18 , 2.6 microm; Eluent A: water (0.05 % TFA); Eluent B: Acetonitrile; linear gradient from 5 % acetonitrile to 100 % acetonitrile in 2 minutes; Oven temperature 40 °C; flow: 1.5mL/min.
Into a 8-mL round-bottom flask, was placed a solution of methyl (R)-lO-chloro-l- fluoro-6-isopropyl-9-(3-methoxypropoxy)-2-oxo-6,7-dihydro-2H-pyrido[2,l-a]isoquinoline- 3-carboxylate (35 mg, 0.08 mmol, 1.00 equiv) in methanol/HiO (1/0.5 mL), sodium hydroxide (12.8 mg, 0.32 mmol, 4.00 equiv). The resulting solution was stirred for overnight at room temperature. The pH value of the solution was adjusted to 6 with AcOH(lM). The solid was collected by filtration. This resulted in 23.3 mg (68.8%) of (R)-lO-chloro-l-fluoro- 6-isopropyl-9-(3-methoxypropoxy)-2-oxo-6,7-dihydro-2H-pyrido[2, l-a]isoquinoline-3- carboxylic acid as a white solid. LC-MS- (ES, m/z): M+l=424, R,T= 2.58 min. The measurements of the retention were done with a reversed phase column (C I 8). Shimadzu LCMS 2020; 50*3.0 Kinetex 2.6u XB-C 18 , 2.6 microm; Eluent A: water (0.05 % TFA); Eluent B: Acetonitrile; linear gradient from 5 % acetonitrile to 100 % acetonitrile in 3.5 minutes; Oven temperature 40 °C; flow: 1.5mL/min. H-NMR: (300 MHz, CDC13, ppm): 8.48 (s, 1H), 8.15(s, 1H), 6.80 (s, 1H), 4.28-4.21(m, 2H), 3.91-3.84(m, 1H), 3.75-3.62(m, 2H), 3.48-3.37(m, 4H), 3.19-3.09 (m, 1H), 2.15-2.01(m, 2H), 1.51- 1.35(m, 2H), 0.94-0.75(m, 6H).
Example 13: (S)-6-(tert-butyl)- l-fluoro-10-methoxy-9-(3-methoxypropoxy)-2-oxo-6,7- dihydro-2H-pyrido[2,l-a]isoquinoline-3-carboxylic acid, and (R)-6-(tert-butyl)-l-fluoro- 10- methoxy-9-(3-methoxypropoxy)-2-oxo-6,7-dihydro-2H-pyrido[2,l-a]isoquinoline-3- carboxylic acid
Figure imgf000059_0001
Into a 50-mL round-bottom flask, was placed methanol (25 mL), borane sodium (1.9 g, 51.60 mmol, 1.00 equiv). The resulting solution was stirred for 14 h at room temperature. The resulting mixture was concentrated under vacuum. The resulting mixture was washed with 2x15 mL of ether. This resulted in 5 g NaB(OCH3)4 (61%) of as a white solid. H-NMR: (300 MHz, CD3OD, ppm): δ.3.34 (s, 12 H).
Into a 50-mL round-bottom flask purged and maintained with an inert atmosphere of nitrogen, was placed methyl 6-tert-butyl-10-chloro-l-fluoro-9-(3-methoxypropoxy)-2-oxo- 2H,6H,7H-pyrido[2,l-a]isoquinoline-3-carboxylate (400 mg, 0.89 mmol, 1.00 equiv), NaB(OCH3)4 (420 mg, 2.66 mmol, 3.00 equiv), Pd2(dba)3 (81.1 mg, 0.09 mmol, 0.10 equiv), t-Buxphos (75 mg, 0.18 mmol, 0.20 equiv), N,N-dimethylformamide (10 mL). The resulting solution was stirred for 1 h at 80 °C in an oil bath. The resulting solution was diluted with 50 mL of H20. The resulting solution was extracted with 3x15 mL of ethyl acetate and the organic layers combined. The resulting mixture was washed with 1x10 mL of water and 1x10 mL of brine. The resulting mixture was dried by Na2S04 and filtrated, filtrate concentrated under vacuum. The residue was applied onto a silica gel column with
dichloromethane/methanol (10: 1). This resulted in 180 mg (45%) of methyl 6-(tert-butyl)- l- fluoro-10-methoxy-9-(3-methoxypropoxy)-2-oxo-6,7-dihydro-2H-pyrido[2,l-a]isoquinoline- 3-carboxylate as a light brown solid. LC-MS (M+l): 448; RT=1.35 min. The measurements of the retention were done with a reversed phase column (C I 8). Shimadzu LCMS 2020; 50*3.0 Kinetex 2.6u XB-C18, 2.6 microm; Eluent A: water (0.05 % TFA); Eluent B:
Acetonitrile; linear gradient from 5 % acetonitrile to 100 % acetonitrile in 2.6 minutes; Oven temperature 40 °C; flow: 1.5 mL/min.:
The methyl 6-(tert-butyl)- 1-fluoro- 10-methoxy-9-(3-methoxypropoxy)-2-oxo-6,7- dihydro-2H-pyrido[2,l-a]isoquinoline-3-carboxylate (100 mg) was purified by Chiral-Prep- HPLC with the following conditions (Chiral-A(IC)001IC00CE-LC020): Column, Chiralpak IC4.6*250mm, 5um; mobile phase, methanol :EtOH=l : l ; Detector, 254 nm. This resulted in 40 mg (40%) of methyl (S)-6-(tert-butyl)- l-fluoro-10-methoxy-9-(3-methoxypropoxy)-2- oxo-6,7-dihydro-2H-pyrido[2, l-a]isoquinoline-3-carboxylate as a white solid, and 50 mg (50%) of methyl (R)-6-(tert-butyl)-l-fluoro- 10-methoxy-9-(3-methoxypropoxy)-2-oxo-6,7- dihydro-2H-pyrido[2,l-a]isoquinoline-3-carboxylate as a white solid.
Into a 8-mL vial, was placed methyl (S)-6-(tert-butyl)-l-fluoro- 10-methoxy-9-(3- methoxypropoxy)-2-oxo-6,7-dihydro-2H-pyrido[2,l-a]isoquinoline-3-carboxylate (40 mg, 0.09 mmol, 1.00 equiv), methanol (1 mL, 2.00 equiv), water(0.2 mL, 3.00 equiv), sodium hydroxide (14 mg, 0.35 mmol, 4.00 equiv). The resulting solution was stirred for 14 h at room temperature. The resulting mixture was concentrated under vacuum. The pH value of the solution was adjusted to 6 with acetic acid. The solids were collected by filtration. This resulted in 16.4 mg (42%) of (S)-6-(tert-butyl)-l-fluoro- 10-methoxy-9-(3-methoxypropoxy)- 2-oxo-6,7-dihydro-2H-pyrido[2, l-a]isoquinoline-3-carboxylic acid as a white solid. LC-MS [M+l] : 434; RT=1.41 min.The measurements of the retention were done with a reversed phase column (C18). Shimadzu LCMS 2020; 50*3.0 Kinetex 2.6u XB-C 18, 2.6 microm; Eluent A: water (0.05 % TFA); Eluent B: Acetonitrile; linear gradient from 5 % acetonitrile to 100 % acetonitrile in 3.0 minutes; Oven temperature 40 °C; flow: 1.5 mL/min.H-NMR-PH- PHNW- l-l l-S-0: (300 MHz, CDCh, ppm): δ 8.43 (s, 1 H), 7.60 (s, 1 H), 6.79 (s, 1 H), 4.30 - 4.12 (m, 2 H), 4.11 - 3.98 (m, 1 H),3.91 (s, 3 H), 3.67 - 3.52 (m, 2 H), 3.50 - 3.30 (m, 4 H), 3.17 (d, J = 16.8 Hz, 1 H), 2.22 - 2.10 (m, 2 H), 081 (s, 9 H).
Into a 8-mL vial, was placed methyl (R)-6-(tert-butyl)- l-fluoro-10-methoxy-9-(3- methoxypropoxy)-2-oxo-6,7-dihydro-2H-pyrido[2,l-a]isoquinoline-3-carboxylate (50 mg, 0.11 mmol, 1.00 equiv), methanol (1 mL), water(0.2 mL), sodium hydroxide (17.8 mg, 0.45 mmol, 4.00 equiv). The resulting solution was stirred for 14 h at room temperature. The resulting mixture was concentrated under vacuum. The pH value of the solution was adjusted to 6 with acetic acid. The solids were collected by filtration. This resulted in 22.2 mg (46%) of (R)-6-(tert-butyl)-l-fluoro-10-methoxy-9-(3-methoxypropoxy)-2-oxo-6,7-dihydro-2H- pyrido[2,l-a]isoquinoline-3-carboxylic acid as a white solid. LC-MS (M+l): 434; RT=2.26 min. The measurements of the retention were done with a reversed phase column (CI 8). Shimadzu LCMS 2020; 50*3.0 Kinetex 2.6u XB-C 18, 2.6 microm; Eluent A: water (0.05 % TFA); Eluent B: Acetonitrile; linear gradient from 5 % acetonitrile to 100 % acetonitrile in 5.0 minutes; Oven temperature 40 °C; flow: 1.5 mL/min.H-NMR: (300 MHz, COCh, ppm): δ 8.43 (s, 1 H), 7.60 (s, 1 H), 6.79 (s, 1 H), 4.30 - 4.12 (m, 2 H), 4.11 - 3.98 (m, 1 H),3.91 (s , 3 H), 3.67 - 3.52 (m, 2 H), 3.50 - 3.30 (m, 4 H), 3.17 (d, = 17.1 Hz, 1 H), 2.22 - 2.10 (m, 2 H), 081 (s, 9 H). Example 14: (S)-6-(tert-butyl)- l-fluoro-10-(methoxy-d3)-9-(3-methoxypropoxy)-2- dihydro-2H-pyrido[2,l-a]isoquinoline-3-carboxylic acid
Figure imgf000061_0001
Into a 50-mL round-bottom flask, was placed borane sodium (1.15 g, 31.23 mmol, 1.00 equiv), CD3OD (15 mL). The resulting solution was stirred for 14 h at room temperature. The resulting mixture was concentrated under vacuum. The resulting solution was diluted with 20 mL of ether. The solids were collected by filtration. This resulted in 3.5 g (66%) of NaB(OCD3)4 as a white solid. B-NMR (300 MHz, CD3OD, ppm): δ.2.99 (s, 1 B ).
Into a 50-mL round-bottom flask purged and maintained with an inert atmosphere of nitrogen, was placed methyl methyl (S)-6-(tert-butyl)-10-chloro- l-fluoro-9-(3- methoxypropoxy)-2-oxo-6,7-dihydro-2H-pyrido[2,l-a]isoquinoline-3-carboxylate (100 mg, 0.22 mmol, 1.00 equiv), NaB(OCD3)4( 150.7 mg, 0.89 mmol, 4.00 equiv), DMA (5 mL), Pd2(dba)3 (20.2 mg, 0.02 mmol, 0.10 equiv), t-Buxphos (18.8 mg, 0.04 mmol, 0.20 equiv). The resulting solution was stirred for 5 h at 110°C in an oil bath. The reaction mixture was cooled to room temperature. The resulting solution was diluted with 50 mL of H20. The resulting solution was extracted with 3x15 mL of ethyl acetate and the organic layers combined. The resulting mixture was washed with 1x15 mL of water and 1x15 mL of brine. Combined organic phase and dried by Na2S04, filtrated, concentrated. The residue was applied onto a silica gel column with dichloromethane/methanol (10: 1) to give crude product, the crude product was purified by Prep-HPLC with the following conditions (Waters 2767): Column, SunFire Prep C18 OBD, 19x150 mm, 5 um; mobile phase, Mobile Phase A:
Water/0.05% TFA, Mobile Phase B :ACN;(34% up to 51% in 6 min, 6 min, 20ml/min;
Detector, 220 nm. This resulted in 20 mg (20%) of methyl-d3 (S)-6-(tert-butyl)-l-fluoro- 10- (methoxy-d3)-9-(3-methoxypropoxy)-2-oxo-6,7-dihydro-2H-pyrido[2,l-a]isoquinoline-3- carboxylate as a light yellow solid. LC-MS-PH-PHNW-1- 14-S-2: (ES, m/z): LC-MS (M+l): 454; RT=1.38 min. The measurements of the retention were done with a reversed phase column (C18). Shimadzu LCMS 2020; 50*3.0 Kinetex 2.6u XB-C18, 2.6 microm; Eluent A: water (0.05 % TFA); Eluent B: Acetonitrile; linear gradient from 5 % acetonitrile to 100 % acetonitrile in 2.6 minutes; Oven temperature 40 °C; flow: 1.5 mL/min. Into a 8-mL round-bottom flask, was placed methyl-d3 (S)-6-(tert-butyl)-l-fluoro- 10- (methoxy-d3)-9-(3-methoxypropoxy)-2-oxo-6,7-dihydro-2H-pyrido[2,l-a]isoquinoline-3- carboxylate (20 mg, 0.04 mmol, 1.00 equiv), methanol (1 mL), water (0.2 mL), sodium hydroxide (7 mg, 0.17 mmol, 4.00 equiv). The resulting solution was stirred for 14 h at room temperature. The resulting mixture was concentrated under vacuum. The pH value of the solution was adjusted to 6 with acetic acid. The solids were collected by filtration. This resulted in 6.4 mg (33%) of (S)-6-(tert-butyl)- l-fluoro- 10-(methoxy-d3)-9-(3- methoxypropoxy)-2-oxo-6,7-dihydro-2H-pyrido[2,l-a]isoquinoline-3-carboxylic acid as a white solid. LC-MS (M+1): 437; RT=3.01 min.The measurements of the retention were done with a reversed phase column (C I 8). Shimadzu LCMS 2020; 50*3.0 Kinetex 2.6u XB-C 18, 2.6 microm; Eluent A: water (0.05 % TFA); Eluent B: Acetonitrile; linear gradient from 5 % acetonitrile to 100 % acetonitrile in 7.0 minutes; Oven temperature 40 °C; flow: 1.5 mL/min. H-NMR: (300 MHz, CDC , ppm): δ 8.3 (s, 1 H), 7.60 (s, 1 H), 6.79 (s, 1 H), 4.28 - 4.11 (m, 2 H), 4.10 - 3.96 (m, 1 H), 3.65 - 3.50 (m, 2 H), 3.50 - 3.28 (m, 4 H), 3.17 (d, J = 13.5 Hz, 1 H), 2.20 - 2.10 (m, 2 H), 081 (s, 9 H).
Example 15: (S)-l-fluoro-6-isopropyl-10-(methoxy-d3)-9-(3-methoxypropoxy)-2-oxo-6,7- dihydro-2H-pyrido[2,l-a]isoquinoline-3-carboxylic acid
Figure imgf000062_0001
Into a 25-mL round-bottom flask purged and maintained with an inert atmosphere of nitrogen, was placed methyl (6S)-10-chloro-l-fluoro-9-(3-methoxypropoxy)-2-oxo-6- (propan-2-yl)-2H,6H,7H-pyrido[2,l-a]isoquinoline-3-carboxylate (100 mg, 0.23 mmol, 1.00 equiv), DMF (3 mL), Pd2(dba)3 (20 mg, 0.02 mmol, 0.10 equiv), t-Buxphos (19 mg, 0.04 mmol, 0.20 equiv), NaB(OCD3)4 (194 mg, 1.14 mmol, 5.00 equiv). The resulting solution was stirred for 1 h at 100 °C in an oil bath. The reaction mixture was cooled to room temperature. The resulting solution was diluted with 15 mL of H20. The resulting solution was extracted with 3x10 mL of ethyl acetate and the organic layers combined. The resulting mixture was washed with 1x10 mL of water and 1x10 mL of brine. The residue was purified by Prep-TLC with dichloromethane/methanol (10: 1) twice. This resulted in a mixture (25
2 2
mg )of ( H3)methyl (6S)- l-fluoro- 10-( H3)methoxy-9-(3-methoxypropoxy)-2-oxo-6-(propan- 2-yl)-2H,6H,7H-pyrido[2,l-a]isoquinoline-3-carboxylate and (2H3)methyl (6S)-1, 10- 2
bis( H3)methoxy-9-(3-methoxypropoxy)-2-oxo-6-(propan-2-yl)-2H,6H,7H-pyrido[2, l- a]isoquinoline-3-carboxylate as a brown solid. LC-MS-PH-PHNW- l-15-S-l : (ES, m/z): LC- MS (M+l): 440; RT=2.26 min. LC-MS-PH-PHNW-1- 15-S- 1BP: (ES, m/z): LC-MS (M+l): 455; RT=2.24 min. The measurements of the retention were done with a reversed phase column (C18). Shimadzu LCMS 2020; 50*3.0 Kinetex 2.6u XR-ODS .6 microm; Eluent A: water (0.05 % TFA); Eluent B: Acetonitrile; linear gradient from 5 % acetonitrile to 100 % acetonitrile in 5.0 minutes; Oven temperature 40 °C; flow: 1.5 mL/min.
Into a 8-mL round-bottom flask, was placed the mixture of ( H3)methyl (6S)- l-fluoro-
2
10-( H3)methoxy-9-(3-methoxypropoxy)-2-oxo-6-(propan-2-yl)-2H,6H,7H-pyrido[2,l-
2 2
a]isoquinoline-3-carboxylate and ( H3)methyl (6S)-l, 10-bis( H3)methoxy-9-(3- methoxypropoxy)-2-oxo-6-(propan-2-yl)-2H,6H,7H-pyrido[2, l-a]isoquinoline-3-carboxylate (25 mg), sodium hydroxide (11 mg), MeOH (1 mL) and water(0.2 mL). The resulting solution was stirred for 3 h at room temperature. The pH value of the solution was adjusted to 6 with acetic acid. The resulting mixture was concentrated under vacuum. The resulting crude product was purified by Prep-HPLC with the following conditions (Prep-HPLC-013):
Column, SunFire Prep C18 OBD Column, 19 X 150 mm 5um lOnm; mobile phase,
Water(0.05%TFA ) and ACN (41.0% ACN up to 46.0% in 6 min); Detector, UV 220nm. This resulted in 4.3 mg of (6S)-l-fluoro- 10-( H3)methoxy-9-(3-methoxypropoxy)-2-oxo-6- (propan-2-yl)-2H,6H,7H-pyrido[2,l-a]isoquinoline-3-carboxylic acid as a brown solid. LC- MS-PH-PHNW-1- 15-S-0: (ES, m/z): LC-MS (M+l): 423; RT=0.97 min. The measurements of the retention were done with a reversed phase column (C I 8). Shimadzu LCMS 2020;
50*3.0 Kinetex 2.6u XR-ODS .6 microm; Eluent A: water (0.05 % ammonia water); Eluent B: Acetonitrile; linear gradient from 5 % acetonitrile to 100 % acetonitrile in 3.5 minutes; Oven temperature 40 °C; flow: 1.0 mL/min. H-NMR: (300 MHz, CD3OD, ppm): δ 8.70 (s, 1H), 7.68 (s, 1H), 7.09 (s, 1H), 4.39 - 4.10 (m, 3H), 3.70 - 3.60 (m, 2H), 3.64 (s, 3H), 3.29 - 3.21 (m, 1H), 2.18 - 2.08 (m, 2H), 1.80 - 1.60 (m, 1H), 1.05 - 0.90 (m, 3H), 0.90 - 0.78(m, 3H).
Example 16: (S)-6-isopropyl-l, 10-bis(methoxy-d3)-9-(3-methoxypropoxy)-2-oxo-6,7- dihydro-2H-pyrido[2,l-a]isoquinoline-3-carboxylic acid
Figure imgf000063_0001
2
Into a 8-mL round-bottom flask, was placed the mixture of ( H3)methyl (6S)-l-fluoro- 10-( H3)methoxy-9-(3-methoxypropoxy)-2-oxo-6-(propan-2-yl)-2H,6H,7H-pyrido[2,l-
2 2
a]isoquinoline-3-carboxylate and ( H3)methyl (6S)- l,10-bis( H3)methoxy-9-(3- methoxypropoxy)-2-oxo-6-(propan-2-yl)-2H,6H,7H-pyrido[2, l-a]isoquinoline-3-carboxylate (25 mg), sodium hydroxide (11 mg, 0.28 mmol), MeOH (1 mL) and water(0.2 mL). The resulting solution was stirred for 3 h at room temperature. The pH value of the solution was adjusted to 6 with acetic acid. The resulting mixture was concentrated under vacuum. The resulting crude product was purified by Prep-HPLC with the following conditions (Prep- HPLC-013): Column, SunFire Prep C 18 OBD Column, 19 X 150 mm 5um lOnm; mobile phase, Water(0.05%TFA ) and ACN (41.0% ACN up to 46.0% in 6 min); Detector, UV 220nm. (6S)- l, 10-bis( H3)methoxy-9-(3-methoxypropoxy)-2-oxo-6-(propan-2-yl)-
2H,6H,7H-pyrido[2,l-a]isoquinoline-3-carboxylic acid as a brown solid. LC-MS-PH- PHNW- 1-15-S-0: (ES, m/z): LC-MS (M+l): 438; RT=1.01 min. The measurements of the retention were done with a reversed phase column (C18). Shimadzu LCMS 2020; 50*3.0 Kinetex 2.6u XR-ODS .6 microm; Eluent A: water (0.05 % ammonia water); Eluent B: Acetonitrile; linear gradient from 5 % acetonitrile to 100 % acetonitrile in 3.5 minutes; Oven temperature 40 °C; flow: 1.0 mL/min. H-NMR: (300 MHz, CD3OD, ppm): δ 8.63 (s, 1H), 8.10 (s, 1H), 7.04 (s, 1H), 4.30 - 4.12 (m, 2H), 3.70 - 3.60 (m, 2H), 3.38 (s, 3H), 3.29 - 3.11 (m, 1H), 2.18 - 2.05 (m, 2H), 1.80 - 1.60 (m, 1H), 1.01 - 0.90 (m, 3H), 0.90 - 0.78(m, 3H).
Example A: The compounds below are prepared by methods substantially identical, similar, or analogous to those disclosed in Scheme A-E, Scheme I-V, and above examples
Figure imgf000064_0001
Figure imgf000065_0001
Example B: The compounds below are prepared by methods substantially identical, similar, or analogous to those disclosed in Scheme A-E, Scheme I-V, and above examples
Figure imgf000065_0002
Figure imgf000066_0001
Example C: The compounds below are prepared by methods substantially identical, similar, or analogous to those disclosed in Scheme A-E, Scheme I-V, and above examples
Figure imgf000066_0002
Figure imgf000067_0001
Example D: The compounds below are prepared by methods substantially identical, similar, or analogous to those disclosed in Scheme A-E, Scheme I-V, and above examples
Figure imgf000067_0002
Figure imgf000068_0001
Example E: The compounds below are prepared by methods substantially identical, similar, or analogous to those disclosed in Scheme A-E, Scheme I-V, and above examples
Figure imgf000068_0002
Biological Example 1: HBsAg Assay
HepG2.2.15 cells (Acs et al. Proc Natl Acad Sci US A, 84, (1987), 4641-4), a constitutively HBV-expressing cell line were cultured in DMEM+Glutamax-I medium (Invitrogen, Carlsbad, CA, USA), supplemented with 10% fetal bovine serum (Invitrogen) and G418 (Invitrogen) at a final concentration of 200 mg/L and maintained in 5% C02 at 37°C. HepG2.2. 1 5 cells were seeded in duplicate into white, 96-well plates at 1.5 x 104 cells/well. The cells were treated with a three-fold serial dilution series of the compounds in DMSO. The final DMSO concentration in all wells was 1 % and DMSO was used as no drug control.
The HBsAg chemiluminescence immunoassay (CLIA) kit (Autobio Diagnostics Co., Zhengzhou, China, Catalog number: CL03 1 0-2) was used to measure the levels of secreted HBV antigens semi-quantitatively. For the detection 50 μΐ/ννεΐΐ culture supernatant was used and HBsAg was quantified using HBsAg chemiluminescence immunoassay (CLIA) kit (Autobio Diagnostics Co., Zhengzhou, China, Catalog number: CL0310-2), 50 μΐ^ of the supernatant was
transferred to the CLIA assay plate and 50 uL of enzyme conjugate reagent was added into each well. The plates were sealed and gently agitated for 1 hour at room temperature. The supematant-enzyme-mixture was discarded and wells were washed 6 times with 300 μΐ^ of PBS. The residual liquid was removed by plating the CLIA plate right side down on absorbent tissue paper. 25 μΐ^ of substrates A and B were added to each well. Luminance was measured using a lmninometer (Mithras LB 940 Multimode Microplate Reader) after 10 minutes incubation. Dose-response urves were generated and the IC50 value was extrapolated by using the E-WorkBook Suite (ID Business Solutions Ltd., Guildford, UK). The IC50 was defined as the compound concentration (or conditioned media log dilution) at which HBsAg secretion was reduced by 50% compared to the no drug control. The compounds of the present invention were tested for their capacity to inhibit HBsAg as described herein.
Biological Example 2: HBV DNA assay
The assay employs real-time qPCR (TaqMan) to directly measure extracellular HBV DNA copy number. HepG2.2.15 cells were plated in 96-well microtiter plates. Only the interior wells were utilized to reduce "edge effects" observed during cell culture, the exterior wells were filled with complete medium to help minimize sample evaporation. On the following day, the HepG2.2.15 cells were washed and the medium was replaced with complete medium containing various concentrations of a test compound in triplicate. 3TC was used as the positive control, while media alone was added to cells as a negative control (virus control, VC). Three days later, the culture medium was replaced with fresh medium containing the appropriately diluted drug. Six days following the initial administration of the test compound, the cell culture supernatant was collected, treated with pronase and then used in a real-time qPCR/TaqMan assay to determine HBV DNA copy numbers. TDF (tenofovir disoproxil fumarate) is used as a positive control reference. Antiviral activity was calculated from the reduction in HBV DNA levels (IC50). The results, as shown in the Table below, show that the Example 2A are highly potent anti-HBV agent.
Figure imgf000070_0001
Biological Example 3: Compound Cytotoxicity Assay
Compounds are diluted with DMSO in 3-fold, 11-point scheme: top cone, of test compound is 30mM. Add 0.25μΕ titrated compounds with Echo 550 to 384-well cytotoxicity assay plates. Add 50μ1 HepG2.2.15 cells to each well (4,000 cells per well). The final top cone, is 150μΜ after cell addition. For solvent control well (0% effect, ZPE), 0.25 μΐ, DMSO is added (final DMSO cone, is 0.5%). Incubate for 4 days in 37 DC, 5% C02 incubator. After
4 day incubation compound cytotoxicity is measured by Promega CellTiter-Glo reagents, briefly:
• Equilibrate the Celltiter-Glo reagent to room temperature
• Equilibrate the cytotoxicity plates to RT for 20 minutes.
• Add 50μ1 of CellTiter-Glo Reagent to each well.
• Shake 2 minutes on a shaker.
• Incubate at room temperature in dark for 10 minutes. • Read plate on Envision Plate reader (0.1 sec integration time/well) Such assays, carried out with a range of doses of test compounds, allow the determination of the cellular IC50 of the compounds of the present invention. The results, as shown in the Table below, show that the Example 2A has less cytotoxicity.
Figure imgf000071_0001
Biological Example 4: hERG assay (automated patch-clamp)
The human ether-a-go-go related gene (hERG) encodes the inward rectifying voltage gated potassium channel in the heart (Ι&) which is involved in cardiac repolarization.
Inhibition of the hERG current causes QT interval prolongation resulting in potentially fatal ventricular tachyarrhythmia called Torsade de Pointes. A number of drugs have been withdrawn from late stage clinical trials due to these cardiotoxic effects, therefore it is important to identify inhibitors early in drug discovery.
The degree of inhibition (%) was obtained by measuring the tail current amplitude, which is induced by a one second test pulse to -40 mV after a two second pulse to + 20 mV, before and after drug incubation (the difference current was normalized to control and multiplied by 100 to obtain the percent of inhibition). Concentration (log) response curves were fitted to a logistic equation (three parameters assuming complete block of the current at very high test compound concentrations) to generate estimates of the 10 % inhibitory concentration (IC10). The concentration-response relationship of each compound was constructed from the percentage reductions of current amplitude by sequential
concentrations. The results, as shown in the Table below, show that the Example 2A has less cardiac toxicity.
Figure imgf000072_0001
Biological Example 5: rat PK study
The pharmacokinetics of compounds were evaluated in female Sprague-Dawley rats via Intravenous and Oral Administration. The iv dose was administered as a slow bolus in the Jugular vein, and oral doses were administered by gavage. The fomulaltion for IV dosing is 20% DMSO and 60%PEG 400 in water, and the PO formulation (suspension) is 1 % MC, 0.4%Kolliphor EL in water. The PK time point for the IV arm is 5, 15, 30 min, 1, 2, 4, 6, 8, 12, 24 hours post dose, and for PO arm is 15, 30 min, 1, 2, 4, 6, 8, 12, 24 hours post dose. Approximately 0.2 mL blood will be collected at each time point. Blood of each sample will be transferred into plastic micro centrifuge tubes containing EDTA-K2 and collect plasma within 15 min by centrifugation at 4000 g for 5 minutes in a 4°C centrifuge. Plasma samples will be stored in polypropylene tubes. The samples will be stored in a freezer at -75+15°C prior to analysis. Concentrations of compounds in the plasma samples will be analyzed using a LC-MS/MS method. WinNonlin (Phoenix™, version 6.1) or other similar software will be used for pharmacokinetic calculations. The following pharmacokinetic parameters will be calculated, whenever possible from the plasma concentration versus time data: IV
administration: Co, CL, Vd, Tm, AU nf, AUCiast, MRT, Number of Points for Regression; PO administration: Cmax, Tmax, Ti/2, AUQnf, AUCiast, F%, Number of Points for Regression. The pharmacokinetic data will be described using descriptive statistics such as mean, standard deviation. Additional pharmacokinetic or statistical analysis may be performed at the discretion of the contributing scientist, and will be documented in the data summary.
The results of oral dosing of 20mg/kg, as shown in the Table below, show that the Example 2A has better oral PK profile than Compound 203 repored in WO2015113990. Example 2A Compound 203 in
20mg/kg, oral dosing WO2015113990, 20mg/kg t ½ (hour) 4.47 3.73
Cmax (ng/niL) 7,547 2,473
AUCiast (h*ng/mL) 39,633 16,680
oral Bioavailability 58.6% 40.0%
The results of oral dosing of lOmg/kg, as shown in the Table below, show that the Deuterium analogue Example 14 has much better oral PK profile than Example 13. The possible reason of improved PK is that the deuterium-carbon bonds are stronger than hydrogen-carbon bonds, thus the isotope would help the compounds better withstand drug- metabolizing enzymes such as the cytochrome P450s.
Figure imgf000073_0001

Claims

WHAT IS CLAIMED IS:
1. A compound of Formula (I) or an N-oxide thereof, or a pharmaceutically acceptable salt, solvate, polymorph or tautomer of said compound of Formula (I) or N-oxide thereof:
Figure imgf000074_0001
wherein
R7 is halo, low alkyl, CF3, CN, nitro, OH, ORa, NH2;
Zi is absent, O, N(Ra), or C(RbRc);
X is C(Ro) or N, in which R0 is H, D, or CF3;
each of Z2, and Z3, independently, is absent, O, (CH2)pO, 0(CH2)pO, N(H), (CH2)P, S, C(O), S02, OC(O), C(0)0, OS02, S(0)20, C(0)S, SC(O), C(0)C(0), C(0)N(H), N(H)C(0), S(0)2N(H), N(H)S(0)2, OC(0)0, OC(0)S, OC(0)N(H), N(H)C(0)0, N(H)C(0)S, N(H)C(0)N(H), (CH2)pN(H)(CH2)q, (CH2)pO(CH2)q, (CH2)pN(H)C(0)(CH2)q, (CH2)pC(0)N(H)(CH2)q, OC(0)N(H)(CH2)p+1N(H)(CH2)q, a bivalent alkenyl group, or a bivalent alkynyl group;
each of Ri, R2, R3, R4, R5, and R6, independently, is H, alkyl, alkenyl, alkynyl, cycloalkyl, cycloalkenyl, heterocycloalkyl, heterocycloalkenyl, aryl, heteroaryl, halo, nitro, oxo, cyano, -(CH2)pRa, -ORa, -SRa, -NH(CH2)pRa, -C(0)Ra, -S(0)Ra, -S02Ra, - C(0)ORa, -OC(0)Ra, -NRbRc, -P(0)RbRc, -C(0)N(Rb)Rc, -N(Rb)C(0)Rc, - S02N(Rb)Rc, or -N(Rb)S02Rc, in which said alkyl, cycloalkyl, cycloalkenyl, heterocycloalkyl, heterocycloalkenyl, aryl, heteroaryl is optionally subsitiuted with one or more Rd;
each of p, and q, independently, is 0, 1, 2, 3, 4, 5, 6, 7, or 8;
Ra, Rb, Rc and Rd, independently, is H, D, alkyl, alkenyl, alkynyl, halo, cyano, amine, nitro, hydroxy, C(0)NHOH, alkoxy, alkoxyalkyl, haloalkyl, hydroxyalkyl, aminoalkyl, alkylcarbonyl, alkoxycarbonyl, alkylcarbonylamino, alkylamino, oxo, halo-alkylamino, cycloalkyl, cycloalkenyl, heterocycloalkyl, heterocycloalkenyl, aryl, or heteroaryl;
R4 and R5, together with the atoms to which they are attached form an optionally substituted cycloalkyl or heterocycloalkyl; and Ri and R6, together with the atoms to which they are attached form an optionally substituted cycloalkyl or heterocycloalkyl.
A compound according to claim 1 or an N-oxide thereof, or a pharmaceutically acceptable salt, solvate, polymorph or tautomer thereof, wherein the compound represented by Formula (II)
Figure imgf000075_0001
wherein
Ri is H, alkyl, alkenyl, alkynyl, cycloalkyl, cycloalkenyl, heterocycloalkyl, heterocycloalkenyl, aryl, or heteroaryl, in which said alkyl, alkenyl, alkynyl, cycloalkyl, cycloalkenyl, heterocycloalkyl, heterocycloalkenyl, aryl, heteroaryl is optionally subsitiuted with one or more Rd.
3. A compound according to claim 2 or an N-oxide thereof, or a pharmaceutically
acceptable salt, solvate, polymorph or tautomer thereof, wherein
Ro is H, or D;
Ri is alkyl, cycloalkyl, aryl, or heteroaryl, in which said alkyl, cycloalkyl, aryl, or heteroaryl is optionally subsitiuted with one or more Rd;
Z2 is absent, or O;
R4 is H, halo, alkyl optionally subsitiuted with one or more Rd;
Z3 is absent, O, or 0(CH2)pO;
R5 is H, alkyl optionally subsitiuted with one or more Rd; and
R7 is halo.
4. A compound according to claim 3 or an N-oxide thereof, or a pharmaceutically
acceptable salt, solvate, polymorph or tautomer thereof, wherein
Ri is alkyl, or cycloalkyl, in which said alkyl, or cycloalkyl is optionally subsitiuted with one or more Rd;
R4 is H, halo, alkyl optionally subsitiuted with one or more D;
R5 is H, alkyl optionally subsitiuted with one or more D; and
R7 is F. A compound according to claim 1 or an N-oxide thereof, or a pharmaceutically acceptable salt, solvate, polymorph or tautomer thereof, wherein the compound is represented by Formula (III)
Figure imgf000076_0001
wherein
Ri is H, alkyl, alkenyl, alkynyl, cycloalkyl, cycloalkenyl, heterocycloalkyl, heterocycloalkenyl, aryl, or heteroaryl, in which said alkyl, alkenyl, alkynyl, cycloalkyl, cycloalkenyl, heterocycloalkyl, heterocycloalkenyl, aryl, heteroaryl is optionally subsitiuted with one or more Rd.
A compound according to claim 5 or an N-oxide thereof, or a pharmaceutically acceptable salt, solvate, polymorph or tautomer thereof, wherein
Ri is alkyl, cycloalkyl, aryl, or heteroaryl, in which said alkyl, cycloalkyl, ar or heteroaryl is optionally subsitiuted with one or more Rd;
Z2 is absent, or O;
R4 is H, halo, alkyl optionally subsitiuted with one or more Rd;
Z3 is absent, O, or 0(CH2)pO;
R5 is H, alkyl optionally subsitiuted with one or more Rd; and
R7 is halo.
A compound according to claim 6 or an N-oxide thereof, or a pharmaceutically acceptable salt, solvate, polymorph or tautomer thereof, wherein
Ri is alkyl, or cycloalkyl, in which said alkyl, or cycloalkyl is optionally subsitiuted with one or more Rd;
R4 is H, halo, alkyl optionally subsitiuted with one or more D;
R5 is H, alkyl optionally subsitiuted with one or more D; and
R7 is F.
A compound according to claim 1 or an N-oxide thereof, or a pharmaceutically acceptable salt, solvate, polymorph or tautomer thereof, wherein the compound is
Figure imgf000077_0001
Figure imgf000078_0001
Figure imgf000079_0001
Figure imgf000080_0001
9. A compound according to claim 1 or an N-oxide thereof, or a pharmaceutically
acceptable salt, solvate, polymorph or tautomer thereof, wherein the compound is
Figure imgf000080_0002
10. A pharmaceutical composition comprising a compound of Formula (I) or an N-oxide thereof as defined in claim 1, or a pharmaceutically acceptable salt, solvate, polymorph or tautomer of said compound of Formula (I) or an N-oxide thereof, and a pharmaceutically acceptable diluent or carrier.
11. A method of treatment or prophylaxis of HBV, comprising administering to a subject in need thereof an effective amount of a compound of Formula (I) or an N-oxide thereof as defined in claim 1, or a pharmaceutically acceptable salt, solvate, polymorph or tautomer of said compound of Formula (I) or an N-oxide thereof.
PCT/US2017/041350 2016-07-29 2017-07-10 Novel therapeutic agents for the treatment of hbv infection Ceased WO2018022282A1 (en)

Priority Applications (7)

Application Number Priority Date Filing Date Title
CN201780056904.8A CN109715624B (en) 2016-07-29 2017-07-10 Novel therapeutic agents for the treatment of HBV infection
CA3031063A CA3031063A1 (en) 2016-07-29 2017-07-10 Benzo-quinolizin-2oxo carboxylic acid derivatives for the treatment of hbv infection
EP17834944.5A EP3490987B1 (en) 2016-07-29 2017-07-10 Novel therapeutic agents for the treatment of hbv infection
JP2019526187A JP6991213B2 (en) 2016-07-29 2017-07-10 New therapeutic agents for the treatment of HBV infection
US15/896,285 US10239872B2 (en) 2016-07-29 2018-02-14 Therapeutic agents for the treatment of HBV infection
US16/269,824 US10501456B2 (en) 2016-07-29 2019-02-07 Therapeutic agents for the treatment of HBV infection
US16/705,472 US20200223841A1 (en) 2016-07-29 2019-12-06 Novel therapeutic agents for the treatment of hbv infection

Applications Claiming Priority (8)

Application Number Priority Date Filing Date Title
US201662368165P 2016-07-29 2016-07-29
US62/368,165 2016-07-29
US201662418684P 2016-11-07 2016-11-07
US62/418,684 2016-11-07
US201762486946P 2017-04-18 2017-04-18
US62/486,946 2017-04-18
US201762516569P 2017-06-07 2017-06-07
US62/516,569 2017-06-07

Related Child Applications (1)

Application Number Title Priority Date Filing Date
US15/896,285 Continuation US10239872B2 (en) 2016-07-29 2018-02-14 Therapeutic agents for the treatment of HBV infection

Publications (1)

Publication Number Publication Date
WO2018022282A1 true WO2018022282A1 (en) 2018-02-01

Family

ID=61017323

Family Applications (1)

Application Number Title Priority Date Filing Date
PCT/US2017/041350 Ceased WO2018022282A1 (en) 2016-07-29 2017-07-10 Novel therapeutic agents for the treatment of hbv infection

Country Status (6)

Country Link
US (3) US10239872B2 (en)
EP (1) EP3490987B1 (en)
JP (1) JP6991213B2 (en)
CN (3) CN110156774A (en)
CA (1) CA3031063A1 (en)
WO (1) WO2018022282A1 (en)

Cited By (65)

* Cited by examiner, † Cited by third party
Publication number Priority date Publication date Assignee Title
US20170342068A1 (en) 2016-05-27 2017-11-30 Gilead Sciences, Inc. Compounds for the treatment of hepatitis b virus infection
WO2018144605A1 (en) * 2017-02-02 2018-08-09 Gilead Sciences, Inc. Compounds for the treatment of hepatitis b virus infection
CN108884107A (en) * 2017-05-22 2018-11-23 福建广生堂药业股份有限公司 HBsAg Inhibitors
WO2018214875A1 (en) * 2017-05-22 2018-11-29 福建广生堂药业股份有限公司 Hepatitis b virus surface antigen inhibitor
US10189846B2 (en) 2016-06-10 2019-01-29 Enanta Pharmaceuticals, Inc. Hepatitis B antiviral agents
WO2019165374A1 (en) 2018-02-26 2019-08-29 Gilead Sciences, Inc. Substituted pyrrolizine compounds as hbv replication inhibitors
WO2019169539A1 (en) * 2018-03-05 2019-09-12 Pharmaresources (Shanghai) Co., Ltd. Novel oxa-and aza-tricyclic 4-pyridone-3-carboxylic acid for treatment and prophylaxis of hepatitis b virus infection
US10428070B2 (en) 2017-12-06 2019-10-01 Enanta Pharmaceuticals, Inc. Hepatitis B antiviral agents
WO2019193533A1 (en) 2018-04-06 2019-10-10 Institute Of Organic Chemistry And Biochemistry Ascr, V.V.I. 2'2'-cyclic dinucleotides
WO2019195181A1 (en) 2018-04-05 2019-10-10 Gilead Sciences, Inc. Antibodies and fragments thereof that bind hepatitis b virus protein x
WO2019193542A1 (en) 2018-04-06 2019-10-10 Institute Of Organic Chemistry And Biochemistry Ascr, V.V.I. 2'3'-cyclic dinucleotides
WO2019193543A1 (en) 2018-04-06 2019-10-10 Institute Of Organic Chemistry And Biochemistry Ascr, V.V.I. 3'3'-cyclic dinucleotides
WO2019200109A1 (en) * 2018-04-12 2019-10-17 Arbutus Biopharma Corporation Methods for preparing substituted pyridinone-containing tricyclic compounds
WO2019200247A1 (en) 2018-04-12 2019-10-17 Precision Biosciences, Inc. Optimized engineered meganucleases having specificity for a recognition sequence in the hepatitis b virus genome
WO2019211799A1 (en) 2018-05-03 2019-11-07 Institute Of Organic Chemistry And Biochemistry Ascr, V.V.I. 2'3'-cyclic dinucleotide analogue comprising a cyclopentanyl modified nucleotide
WO2020028097A1 (en) 2018-08-01 2020-02-06 Gilead Sciences, Inc. Solid forms of (r)-11-(methoxymethyl)-12-(3-methoxypropoxy)-3,3-dimethyl-8-0x0-2,3,8,13b-tetrahydro-1h-pyrido[2,1-a]pyrrolo[1,2-c] phthalazine-7-c arboxylic acid
WO2020043080A1 (en) * 2018-08-28 2020-03-05 Sunshine Lake Pharma Co., Ltd. Fused tricyclic compounds and uses thereof in medicine
WO2020061435A1 (en) 2018-09-21 2020-03-26 Enanta Pharmaceuticals, Inc. Functionalized heterocycles as antiviral agents
WO2020092621A1 (en) 2018-10-31 2020-05-07 Gilead Sciences, Inc. Substituted 6-azabenzimidazole compounds as hpk1 inhibitors
WO2020092528A1 (en) 2018-10-31 2020-05-07 Gilead Sciences, Inc. Substituted 6-azabenzimidazole compounds having hpk1 inhibitory activity
WO2020051375A3 (en) * 2018-09-05 2020-05-14 Children's Medical Center Corporation Papd5 inhibitors and methods of use thereof
US10662416B2 (en) 2016-10-14 2020-05-26 Precision Biosciences, Inc. Engineered meganucleases specific for recognition sequences in the hepatitis B virus genome
WO2020103924A1 (en) * 2018-11-22 2020-05-28 福建广生堂药业股份有限公司 Crystal form of hepatitis b surface antigen inhibitor
US10702528B2 (en) 2015-07-13 2020-07-07 Enanta Pharmaceuticals, Inc. Hepatitis B antiviral agents
US10723733B2 (en) 2017-12-06 2020-07-28 Enanta Pharmaceuticals, Inc. Hepatitis B antiviral agents
US10729688B2 (en) 2018-03-29 2020-08-04 Enanta Pharmaceuticals, Inc. Hepatitis B antiviral agents
EP3534903A4 (en) * 2016-11-07 2020-08-12 Arbutus Biopharma Corporation TRICYCLIC COMPOUNDS OF SUBSTITUTED PYRIDINONE AND METHOD OF USING THEREOF
WO2020178770A1 (en) 2019-03-07 2020-09-10 Institute Of Organic Chemistry And Biochemistry Ascr, V.V.I. 3'3'-cyclic dinucleotides and prodrugs thereof
WO2020178769A1 (en) 2019-03-07 2020-09-10 Institute Of Organic Chemistry And Biochemistry Ascr, V.V.I. 2'3'-cyclic dinucleotides and prodrugs thereof
WO2020178768A1 (en) 2019-03-07 2020-09-10 Institute Of Organic Chemistry And Biochemistry Ascr, V.V.I. 3'3'-cyclic dinucleotide analogue comprising a cyclopentanyl modified nucleotide as sting modulator
WO2020214652A1 (en) 2019-04-17 2020-10-22 Gilead Sciences, Inc. Solid forms of a toll-like receptor modulator
WO2020214663A1 (en) 2019-04-17 2020-10-22 Gilead Sciences, Inc. Solid forms of a toll-like receptor modulator
WO2020237025A1 (en) 2019-05-23 2020-11-26 Gilead Sciences, Inc. Substituted exo-methylene-oxindoles which are hpk1/map4k1 inhibitors
WO2020239656A1 (en) * 2019-05-29 2020-12-03 Galapagos Nv Novel compounds and pharmaceutical compositions thereof for the treatment of hepatitis b
WO2020263830A1 (en) 2019-06-25 2020-12-30 Gilead Sciences, Inc. Flt3l-fc fusion proteins and methods of use
WO2021034804A1 (en) 2019-08-19 2021-02-25 Gilead Sciences, Inc. Pharmaceutical formulations of tenofovir alafenamide
US10934306B2 (en) 2016-03-07 2021-03-02 Enanta Pharmaceuticals, Inc. Hepatitis B antiviral agents
US10966999B2 (en) 2017-12-20 2021-04-06 Institute Of Organic Chemistry And Biochemistry Ascr, V.V.I. 3′3′ cyclic dinucleotides with phosphonate bond activating the sting adaptor protein
WO2021067181A1 (en) 2019-09-30 2021-04-08 Gilead Sciences, Inc. Hbv vaccines and methods treating hbv
WO2021113765A1 (en) 2019-12-06 2021-06-10 Precision Biosciences, Inc. Optimized engineered meganucleases having specificity for a recognition sequence in the hepatitis b virus genome
US11058678B2 (en) 2018-01-22 2021-07-13 Enanta Pharmaceuticals, Inc. Substituted heterocycles as antiviral agents
WO2021188959A1 (en) 2020-03-20 2021-09-23 Gilead Sciences, Inc. Prodrugs of 4'-c-substituted-2-halo-2'-deoxyadenosine nucleosides and methods of making and using the same
US11198693B2 (en) 2018-11-21 2021-12-14 Enanta Pharmaceuticals, Inc. Functionalized heterocycles as antiviral agents
US11203610B2 (en) 2017-12-20 2021-12-21 Institute Of Organic Chemistry And Biochemistry Ascr, V.V.I. 2′3′ cyclic dinucleotides with phosphonate bond activating the sting adaptor protein
US11236111B2 (en) 2019-06-03 2022-02-01 Enanta Pharmaceuticals, Inc. Hepatitis B antiviral agents
US11236108B2 (en) 2019-09-17 2022-02-01 Enanta Pharmaceuticals, Inc. Functionalized heterocycles as antiviral agents
WO2022031894A1 (en) 2020-08-07 2022-02-10 Gilead Sciences, Inc. Prodrugs of phosphonamide nucleotide analogues and their pharmaceutical use
JP2022516985A (en) * 2019-01-08 2022-03-03 スージョウ アーク バイオファーマシューティカル カンパニー リミテッド Dihydroisoquinoline compounds
WO2022087149A2 (en) 2020-10-22 2022-04-28 Gilead Sciences, Inc. Interleukin-2-fc fusion proteins and methods of use
JP2022544316A (en) * 2019-08-15 2022-10-17 福建▲広▼生中霖生物科技有限公司 Method for preparing oxazepine compound
US11472808B2 (en) 2019-06-04 2022-10-18 Enanta Pharmaceuticals, Inc. Substituted pyrrolo[1,2-c]pyrimidines as hepatitis B antiviral agents
WO2022241134A1 (en) 2021-05-13 2022-11-17 Gilead Sciences, Inc. COMBINATION OF A TLR8 MODULATING COMPOUND AND ANTI-HBV siRNA THERAPEUTICS
WO2022271684A1 (en) 2021-06-23 2022-12-29 Gilead Sciences, Inc. Diacylglyercol kinase modulating compounds
WO2022271677A1 (en) 2021-06-23 2022-12-29 Gilead Sciences, Inc. Diacylglyercol kinase modulating compounds
WO2022271659A1 (en) 2021-06-23 2022-12-29 Gilead Sciences, Inc. Diacylglyercol kinase modulating compounds
WO2022271650A1 (en) 2021-06-23 2022-12-29 Gilead Sciences, Inc. Diacylglyercol kinase modulating compounds
US11596611B2 (en) 2017-08-28 2023-03-07 Enanta Pharmaceuticals, Inc. Hepatitis B antiviral agents
US11702427B2 (en) 2018-03-12 2023-07-18 Arbutus Biopharma Corporation Substituted 2-pyridone tricyclic compounds, analogues thereof, and methods using same
US11738019B2 (en) 2019-07-11 2023-08-29 Enanta Pharmaceuticals, Inc. Substituted heterocycles as antiviral agents
US11760755B2 (en) 2019-06-04 2023-09-19 Enanta Pharmaceuticals, Inc. Hepatitis B antiviral agents
US11802125B2 (en) 2020-03-16 2023-10-31 Enanta Pharmaceuticals, Inc. Functionalized heterocyclic compounds as antiviral agents
WO2025240244A1 (en) 2024-05-13 2025-11-20 Gilead Sciences, Inc. Combination therapies comprising bulevirtide and lonafarnib for use in the treatment of hepatitis d virus infection
WO2025240246A1 (en) 2024-05-13 2025-11-20 Gilead Sciences, Inc. Combination therapies with ribavirin
WO2025240243A1 (en) 2024-05-13 2025-11-20 Gilead Sciences, Inc. Combination therapies with bulevirtide and an inhibitory nucleic acid targeting hepatitis b virus
WO2025240242A1 (en) 2024-05-13 2025-11-20 Gilead Sciences, Inc. Combination therapies with ribavirin

Families Citing this family (4)

* Cited by examiner, † Cited by third party
Publication number Priority date Publication date Assignee Title
EP3490987B1 (en) 2016-07-29 2022-09-21 Guangzhou Lupeng Pharmaceutical Company Ltd. Novel therapeutic agents for the treatment of hbv infection
CN110066278B (en) 2017-06-01 2021-06-08 广东东阳光药业有限公司 Fused tricyclic compound and application thereof in medicines
JP2022511378A (en) 2018-09-30 2022-01-31 サンシャイン・レイク・ファーマ・カンパニー・リミテッド Condensed tetracyclic compounds and their use in pharmaceuticals
US12569500B2 (en) * 2020-05-15 2026-03-10 Fujian Akeylink Biotechnology Co., Ltd. Combination comprising tricycle compound and use thereof in preparation of medicament for treating HBV

Citations (4)

* Cited by examiner, † Cited by third party
Publication number Priority date Publication date Assignee Title
US20040029879A1 (en) * 2000-07-12 2004-02-12 Anderson David John Heterocycle carboxamides as antiviral agents
US20110065687A1 (en) * 2007-04-17 2011-03-17 Michael Schwaebe Hydrazide compounds and uses thereof
WO2015173164A1 (en) * 2014-05-13 2015-11-19 F. Hoffmann-La Roche Ag Novel dihydroquinolizinones for the treatment and prophylaxis of hepatitis b virus infection
US20160122344A1 (en) * 2014-11-03 2016-05-05 Hoffmann-La Roche Inc. Novel 6,7-dihydrobenzo[a]quinolizin-2-one derivatives for the treatment and prophylaxis of hepatitis B virus infection

Family Cites Families (21)

* Cited by examiner, † Cited by third party
Publication number Priority date Publication date Assignee Title
US6334997B1 (en) * 1994-03-25 2002-01-01 Isotechnika, Inc. Method of using deuterated calcium channel blockers
EP3057590B1 (en) * 2013-10-18 2019-11-27 PRISM BioLab Co., Ltd. Treatment of hepatic fibrosis using an inhibitor of cbp/catenin
WO2015113990A1 (en) * 2014-01-30 2015-08-06 F. Hoffmann-La Roche Ag Novel dihydroquinolizinones for the treatment and prophylaxis of hepatitis b virus infection
AU2015226206B2 (en) * 2014-03-07 2017-03-16 F. Hoffmann-La Roche Ag Novel 6-fused heteroaryldihydropyrimidines for the treatment and prophylaxis of Hepatitis B virus infection
EP3240537B1 (en) 2014-12-30 2020-09-09 F. Hoffmann-La Roche AG Novel tetrahydropyridopyrimidines and tetrahydropyridopyridines for the treatment and prophylaxis of hepatitis b virus infection
WO2016128335A1 (en) * 2015-02-11 2016-08-18 F. Hoffmann-La Roche Ag Novel 2-oxo-6,7-dihydrobenzo[a]quinolizine-3-carboxylic acid derivatives for the treatment and prophylaxis of hepatitis b virus infection
CN107849037B (en) 2015-07-21 2020-04-17 豪夫迈·罗氏有限公司 Tricyclic 4-pyridone-3-carboxylic acid derivatives for the treatment and prevention of hepatitis B virus infection
WO2017016960A1 (en) 2015-07-24 2017-02-02 F. Hoffmann-La Roche Ag Process for the preparation of (6s)-6-alkyl-10-alkoxy-9-(substituted alkoxy)-2-oxo-6,7-dihydrobenzo[a]quinolizine-3-carboxylic acid analogues
WO2017016921A1 (en) 2015-07-24 2017-02-02 F. Hoffmann-La Roche Ag New crystalline forms of (6s)-10-methoxy-6-isopropyl-9-(3-methoxypropoxy)-2-oxo-6,7-dihydrobenzo[a]quinolizine-3-carboxylic acid
JP6506880B2 (en) 2015-07-27 2019-04-24 エフ.ホフマン−ラ ロシュ アーゲーF. Hoffmann−La Roche Aktiengesellschaft Novel tetracyclic 4-oxo-pyridine-3-carboxylic acid derivatives for the treatment and prevention of hepatitis B virus infection
EP3328858B1 (en) 2015-07-28 2019-05-15 H. Hoffnabb-La Roche Ag Novel 6,7-dihydropyrido[2,1-a]phthalazin-2-ones for the treatment and prophylaxis of hepatitis b virus infection
WO2017108630A1 (en) 2015-12-21 2017-06-29 F. Hoffmann-La Roche Ag Combination therapy of an hbsag inhibitor and an hbv capsid assembly inhibitor
AU2017219216B2 (en) 2016-02-19 2019-12-19 Novartis Ag Tetracyclic pyridone compounds as antivirals
WO2017216686A1 (en) 2016-06-16 2017-12-21 Novartis Ag 8,9-fused 2-oxo-6,7-dihydropyrido-isoquinoline compounds as antivirals
WO2017216685A1 (en) 2016-06-16 2017-12-21 Novartis Ag Pentacyclic pyridone compounds as antivirals
WO2018019297A1 (en) 2016-07-29 2018-02-01 银杏树药业(苏州)有限公司 Isoquinolinone compound and use thereof in preparation of antiviral drugs
EP3490987B1 (en) 2016-07-29 2022-09-21 Guangzhou Lupeng Pharmaceutical Company Ltd. Novel therapeutic agents for the treatment of hbv infection
CN107759585A (en) 2016-07-29 2018-03-06 银杏树药业(苏州)有限公司 A kind of isoquinoline compound and its Pharmaceutical composition and the application as antiviral drugs
US10434358B2 (en) * 2016-09-27 2019-10-08 Jenkins Asia Tech (Shanghai) Limited Exercise weights and methods of making exercise weights
US10821103B2 (en) * 2016-11-07 2020-11-03 Arbutus Biopharma Corporation Substituted pyridinone-containing trycyclic compounds, and methods using same
CN108884107B (en) * 2017-05-22 2019-08-09 福建广生堂药业股份有限公司 HBsAg Inhibitors

Patent Citations (4)

* Cited by examiner, † Cited by third party
Publication number Priority date Publication date Assignee Title
US20040029879A1 (en) * 2000-07-12 2004-02-12 Anderson David John Heterocycle carboxamides as antiviral agents
US20110065687A1 (en) * 2007-04-17 2011-03-17 Michael Schwaebe Hydrazide compounds and uses thereof
WO2015173164A1 (en) * 2014-05-13 2015-11-19 F. Hoffmann-La Roche Ag Novel dihydroquinolizinones for the treatment and prophylaxis of hepatitis b virus infection
US20160122344A1 (en) * 2014-11-03 2016-05-05 Hoffmann-La Roche Inc. Novel 6,7-dihydrobenzo[a]quinolizin-2-one derivatives for the treatment and prophylaxis of hepatitis B virus infection

Non-Patent Citations (2)

* Cited by examiner, † Cited by third party
Title
DATABASE PUBCHEM 18 December 2015 (2015-12-18), ANONYMOUS, XP055592145, retrieved from Pubchem Compound Database accession no. 101154546 *
See also references of EP3490987A4 *

Cited By (111)

* Cited by examiner, † Cited by third party
Publication number Priority date Publication date Assignee Title
US10702528B2 (en) 2015-07-13 2020-07-07 Enanta Pharmaceuticals, Inc. Hepatitis B antiviral agents
US10934306B2 (en) 2016-03-07 2021-03-02 Enanta Pharmaceuticals, Inc. Hepatitis B antiviral agents
US12054493B2 (en) 2016-03-07 2024-08-06 Enanta Pharmaceuticals, Inc. Hepatitis B antiviral agents
US20170342068A1 (en) 2016-05-27 2017-11-30 Gilead Sciences, Inc. Compounds for the treatment of hepatitis b virus infection
US10640511B2 (en) 2016-06-10 2020-05-05 Enant Pharmaceuticals, Inc. Hepatitis B antiviral agents
US10189846B2 (en) 2016-06-10 2019-01-29 Enanta Pharmaceuticals, Inc. Hepatitis B antiviral agents
US11274285B2 (en) 2016-10-14 2022-03-15 Precision Biosciences, Inc. Engineered meganucleases specific for recognition sequences in the Hepatitis B virus genome
US10662416B2 (en) 2016-10-14 2020-05-26 Precision Biosciences, Inc. Engineered meganucleases specific for recognition sequences in the hepatitis B virus genome
US10821103B2 (en) 2016-11-07 2020-11-03 Arbutus Biopharma Corporation Substituted pyridinone-containing trycyclic compounds, and methods using same
EP3534903A4 (en) * 2016-11-07 2020-08-12 Arbutus Biopharma Corporation TRICYCLIC COMPOUNDS OF SUBSTITUTED PYRIDINONE AND METHOD OF USING THEREOF
AU2017353986B2 (en) * 2016-11-07 2021-08-19 Arbutus Biopharma Corporation Substituted pyridinone-containing tricyclic compounds, and methods using same
US11013726B2 (en) 2016-11-07 2021-05-25 Arbutus Biopharma Corporation Substituted pyridinone-containing trycyclic compounds, and methods using same
US10442804B2 (en) 2017-02-02 2019-10-15 Gilead Sciences, Inc. Compounds for the treatment of hepatitis B virus infection
WO2018144605A1 (en) * 2017-02-02 2018-08-09 Gilead Sciences, Inc. Compounds for the treatment of hepatitis b virus infection
CN110372723B (en) * 2017-05-22 2022-05-31 福建广生中霖生物科技有限公司 Hepatitis B virus surface antigen inhibitors
WO2018214875A1 (en) * 2017-05-22 2018-11-29 福建广生堂药业股份有限公司 Hepatitis b virus surface antigen inhibitor
CN110372723A (en) * 2017-05-22 2019-10-25 福建广生堂药业股份有限公司 Hepatitis b virus s antigen inhibitor
EA039824B1 (en) * 2017-05-22 2022-03-17 Фуцзянь Косантер Фармасьютикал Ко., Лтд. HEPATITIS B SURFACE ANTIGEN INHIBITOR
CN108884107A (en) * 2017-05-22 2018-11-23 福建广生堂药业股份有限公司 HBsAg Inhibitors
AU2018271643B2 (en) * 2017-05-22 2022-06-02 Fujian Akeylink Biotechnology Co., Ltd. Hepatitis B virus surface antigen inhibitor
US11596611B2 (en) 2017-08-28 2023-03-07 Enanta Pharmaceuticals, Inc. Hepatitis B antiviral agents
US12011425B2 (en) 2017-08-28 2024-06-18 Enanta Pharmaceuticals, Inc. Hepatitis B antiviral agents
US12496282B2 (en) 2017-08-28 2025-12-16 Enanta Pharmaceuticals, Inc. Hepatitis B antiviral agents
US10428070B2 (en) 2017-12-06 2019-10-01 Enanta Pharmaceuticals, Inc. Hepatitis B antiviral agents
US10723733B2 (en) 2017-12-06 2020-07-28 Enanta Pharmaceuticals, Inc. Hepatitis B antiviral agents
US10966999B2 (en) 2017-12-20 2021-04-06 Institute Of Organic Chemistry And Biochemistry Ascr, V.V.I. 3′3′ cyclic dinucleotides with phosphonate bond activating the sting adaptor protein
US11203610B2 (en) 2017-12-20 2021-12-21 Institute Of Organic Chemistry And Biochemistry Ascr, V.V.I. 2′3′ cyclic dinucleotides with phosphonate bond activating the sting adaptor protein
US11058678B2 (en) 2018-01-22 2021-07-13 Enanta Pharmaceuticals, Inc. Substituted heterocycles as antiviral agents
WO2019165374A1 (en) 2018-02-26 2019-08-29 Gilead Sciences, Inc. Substituted pyrrolizine compounds as hbv replication inhibitors
WO2019169539A1 (en) * 2018-03-05 2019-09-12 Pharmaresources (Shanghai) Co., Ltd. Novel oxa-and aza-tricyclic 4-pyridone-3-carboxylic acid for treatment and prophylaxis of hepatitis b virus infection
US11702427B2 (en) 2018-03-12 2023-07-18 Arbutus Biopharma Corporation Substituted 2-pyridone tricyclic compounds, analogues thereof, and methods using same
US10729688B2 (en) 2018-03-29 2020-08-04 Enanta Pharmaceuticals, Inc. Hepatitis B antiviral agents
WO2019195181A1 (en) 2018-04-05 2019-10-10 Gilead Sciences, Inc. Antibodies and fragments thereof that bind hepatitis b virus protein x
WO2019193533A1 (en) 2018-04-06 2019-10-10 Institute Of Organic Chemistry And Biochemistry Ascr, V.V.I. 2'2'-cyclic dinucleotides
US11149052B2 (en) 2018-04-06 2021-10-19 Institute Of Organic Chemistry And Biochemistry Ascr, V.V.I. 2′3′-cyclic dinucleotides
WO2019193542A1 (en) 2018-04-06 2019-10-10 Institute Of Organic Chemistry And Biochemistry Ascr, V.V.I. 2'3'-cyclic dinucleotides
WO2019193543A1 (en) 2018-04-06 2019-10-10 Institute Of Organic Chemistry And Biochemistry Ascr, V.V.I. 3'3'-cyclic dinucleotides
US11292812B2 (en) 2018-04-06 2022-04-05 Institute Of Organic Chemistry And Biochemistry Ascr, V.V.I. 3′3′-cyclic dinucleotides
US11142750B2 (en) 2018-04-12 2021-10-12 Precision Biosciences, Inc. Optimized engineered meganucleases having specificity for a recognition sequence in the Hepatitis B virus genome
US11788077B2 (en) 2018-04-12 2023-10-17 Precision Biosciences, Inc. Polynucleotides encoding optimized engineered meganucleases having specificity for a recognition sequence in the Hepatitis B virus genome
JP2021521154A (en) * 2018-04-12 2021-08-26 アービュタス バイオファーマ コーポレイション Methods for Preparing Substituted Pyridinone-Containing Tricyclics
WO2019200109A1 (en) * 2018-04-12 2019-10-17 Arbutus Biopharma Corporation Methods for preparing substituted pyridinone-containing tricyclic compounds
US11505551B2 (en) 2018-04-12 2022-11-22 Arbutus Biopharma Corporation Methods for preparing substituted pyridinone-containing tricyclic compounds
WO2019200247A1 (en) 2018-04-12 2019-10-17 Precision Biosciences, Inc. Optimized engineered meganucleases having specificity for a recognition sequence in the hepatitis b virus genome
WO2019211799A1 (en) 2018-05-03 2019-11-07 Institute Of Organic Chemistry And Biochemistry Ascr, V.V.I. 2'3'-cyclic dinucleotide analogue comprising a cyclopentanyl modified nucleotide
WO2020028097A1 (en) 2018-08-01 2020-02-06 Gilead Sciences, Inc. Solid forms of (r)-11-(methoxymethyl)-12-(3-methoxypropoxy)-3,3-dimethyl-8-0x0-2,3,8,13b-tetrahydro-1h-pyrido[2,1-a]pyrrolo[1,2-c] phthalazine-7-c arboxylic acid
CN110862390B (en) * 2018-08-28 2023-05-09 广东东阳光药业有限公司 Fused tricyclic compounds and application thereof in medicines
WO2020043080A1 (en) * 2018-08-28 2020-03-05 Sunshine Lake Pharma Co., Ltd. Fused tricyclic compounds and uses thereof in medicine
CN110862390A (en) * 2018-08-28 2020-03-06 广东东阳光药业有限公司 Fused tricyclic compound and application thereof in medicines
WO2020051375A3 (en) * 2018-09-05 2020-05-14 Children's Medical Center Corporation Papd5 inhibitors and methods of use thereof
US11377450B2 (en) 2018-09-21 2022-07-05 Enanta Pharmaceuticals, Inc. Functionalized heterocycles as antiviral agents
WO2020061435A1 (en) 2018-09-21 2020-03-26 Enanta Pharmaceuticals, Inc. Functionalized heterocycles as antiviral agents
US10865211B2 (en) 2018-09-21 2020-12-15 Enanta Pharmaceuticals, Inc. Functionalized heterocycles as antiviral agents
EP4671244A1 (en) 2018-10-31 2025-12-31 Gilead Sciences, Inc. SUBSTITUTED 6-AZABENZIMIDAZOLE COMPOUNDS AS HPK1 HIBITORS
EP4371987A1 (en) 2018-10-31 2024-05-22 Gilead Sciences, Inc. Substituted 6-azabenzimidazole compounds as hpk1 inhibitors
WO2020092621A1 (en) 2018-10-31 2020-05-07 Gilead Sciences, Inc. Substituted 6-azabenzimidazole compounds as hpk1 inhibitors
WO2020092528A1 (en) 2018-10-31 2020-05-07 Gilead Sciences, Inc. Substituted 6-azabenzimidazole compounds having hpk1 inhibitory activity
US12264159B2 (en) 2018-11-21 2025-04-01 Enanta Pharmaceuticals, Inc. Functionalized heterocycles as antiviral agents
US11891393B2 (en) 2018-11-21 2024-02-06 Enanta Pharmaceuticals, Inc. Functionalized heterocycles as antiviral agents
US11198693B2 (en) 2018-11-21 2021-12-14 Enanta Pharmaceuticals, Inc. Functionalized heterocycles as antiviral agents
WO2020103924A1 (en) * 2018-11-22 2020-05-28 福建广生堂药业股份有限公司 Crystal form of hepatitis b surface antigen inhibitor
KR102606946B1 (en) 2018-11-22 2023-11-29 푸지엔 에이키링크 바이오테크놀로지 컴퍼니 리미티드 Crystalline form of hepatitis B surface antigen inhibitor
KR20210094002A (en) * 2018-11-22 2021-07-28 푸젠 코선터 파마슈티컬 컴퍼니 리미티드 Crystalline form of hepatitis B surface antigen inhibitor
JP2022513119A (en) * 2018-11-22 2022-02-07 フーチェン コサンテール ファーマスーティカル カンパニー リミテッド Crystal form of hepatitis B surface antigen inhibitor
CN112368288A (en) * 2018-11-22 2021-02-12 福建广生堂药业股份有限公司 A crystal form of hepatitis B surface antigen inhibitor
AU2019382521B2 (en) * 2018-11-22 2023-11-16 Fujian Akeylink Biotechnology Co., Ltd. Crystal form of hepatitis B surface antigen inhibitor
TWI726497B (en) * 2018-11-22 2021-05-01 大陸商福建廣生堂藥業股份有限公司 Crystal form of surface antigen inhibitor of hepatitis b
US12103936B2 (en) 2018-11-22 2024-10-01 Fujian Akeylink Biotechnology Co., Ltd. Crystal form of hepatitis B surface antigen inhibitor
JP7138246B2 (en) 2018-11-22 2022-09-15 福建▲広▼生中霖生物科技有限公司 Crystal form of hepatitis B surface antigen inhibitor
JP2023145644A (en) * 2019-01-08 2023-10-11 スージョウ アーク バイオファーマシューティカル カンパニー リミテッド Dihydroisoquinoline compounds
JP2022516985A (en) * 2019-01-08 2022-03-03 スージョウ アーク バイオファーマシューティカル カンパニー リミテッド Dihydroisoquinoline compounds
US11766447B2 (en) 2019-03-07 2023-09-26 Institute Of Organic Chemistry And Biochemistry Ascr, V.V.I. 3′3′-cyclic dinucleotide analogue comprising a cyclopentanyl modified nucleotide as sting modulator
WO2020178769A1 (en) 2019-03-07 2020-09-10 Institute Of Organic Chemistry And Biochemistry Ascr, V.V.I. 2'3'-cyclic dinucleotides and prodrugs thereof
WO2020178770A1 (en) 2019-03-07 2020-09-10 Institute Of Organic Chemistry And Biochemistry Ascr, V.V.I. 3'3'-cyclic dinucleotides and prodrugs thereof
WO2020178768A1 (en) 2019-03-07 2020-09-10 Institute Of Organic Chemistry And Biochemistry Ascr, V.V.I. 3'3'-cyclic dinucleotide analogue comprising a cyclopentanyl modified nucleotide as sting modulator
US12318403B2 (en) 2019-03-07 2025-06-03 Institute Of Organic Chemistry And Biochemistry Ascr, V.V.I. 2′3′-cyclic dinucleotides and prodrugs thereof
WO2020214663A1 (en) 2019-04-17 2020-10-22 Gilead Sciences, Inc. Solid forms of a toll-like receptor modulator
EP4458416A2 (en) 2019-04-17 2024-11-06 Gilead Sciences, Inc. Solid forms of a toll-like receptor modulator
WO2020214652A1 (en) 2019-04-17 2020-10-22 Gilead Sciences, Inc. Solid forms of a toll-like receptor modulator
WO2020237025A1 (en) 2019-05-23 2020-11-26 Gilead Sciences, Inc. Substituted exo-methylene-oxindoles which are hpk1/map4k1 inhibitors
WO2020239656A1 (en) * 2019-05-29 2020-12-03 Galapagos Nv Novel compounds and pharmaceutical compositions thereof for the treatment of hepatitis b
US11236111B2 (en) 2019-06-03 2022-02-01 Enanta Pharmaceuticals, Inc. Hepatitis B antiviral agents
US11472808B2 (en) 2019-06-04 2022-10-18 Enanta Pharmaceuticals, Inc. Substituted pyrrolo[1,2-c]pyrimidines as hepatitis B antiviral agents
US11760755B2 (en) 2019-06-04 2023-09-19 Enanta Pharmaceuticals, Inc. Hepatitis B antiviral agents
WO2020263830A1 (en) 2019-06-25 2020-12-30 Gilead Sciences, Inc. Flt3l-fc fusion proteins and methods of use
US11738019B2 (en) 2019-07-11 2023-08-29 Enanta Pharmaceuticals, Inc. Substituted heterocycles as antiviral agents
JP7433415B2 (en) 2019-08-15 2024-02-19 福建▲広▼生中霖生物科技有限公司 Method for preparing oxazepine compounds
JP2022544316A (en) * 2019-08-15 2022-10-17 福建▲広▼生中霖生物科技有限公司 Method for preparing oxazepine compound
US12391707B2 (en) 2019-08-15 2025-08-19 Fujian Akeylink Biotechnology Co., Ltd. Preparation method for oxazepine compound
WO2021034804A1 (en) 2019-08-19 2021-02-25 Gilead Sciences, Inc. Pharmaceutical formulations of tenofovir alafenamide
US11236108B2 (en) 2019-09-17 2022-02-01 Enanta Pharmaceuticals, Inc. Functionalized heterocycles as antiviral agents
WO2021067181A1 (en) 2019-09-30 2021-04-08 Gilead Sciences, Inc. Hbv vaccines and methods treating hbv
EP4458975A2 (en) 2019-09-30 2024-11-06 Gilead Sciences, Inc. Hbv vaccines and methods treating hbv
US12410418B2 (en) 2019-12-06 2025-09-09 Precision Biosciences, Inc. Optimized engineered meganucleases having specificity for a recognition sequence in the Hepatitis B virus genome
EP4567109A2 (en) 2019-12-06 2025-06-11 Precision Biosciences, Inc. Optimized engineered meganucleases having specificity for a recognition sequence in the hepatitis b virus genome
WO2021113765A1 (en) 2019-12-06 2021-06-10 Precision Biosciences, Inc. Optimized engineered meganucleases having specificity for a recognition sequence in the hepatitis b virus genome
US11802125B2 (en) 2020-03-16 2023-10-31 Enanta Pharmaceuticals, Inc. Functionalized heterocyclic compounds as antiviral agents
WO2021188959A1 (en) 2020-03-20 2021-09-23 Gilead Sciences, Inc. Prodrugs of 4'-c-substituted-2-halo-2'-deoxyadenosine nucleosides and methods of making and using the same
EP4667477A2 (en) 2020-08-07 2025-12-24 Gilead Sciences, Inc. Prodrugs of phosphonamide nucleotide analogues and their pharmaceutical use
WO2022031894A1 (en) 2020-08-07 2022-02-10 Gilead Sciences, Inc. Prodrugs of phosphonamide nucleotide analogues and their pharmaceutical use
WO2022087149A2 (en) 2020-10-22 2022-04-28 Gilead Sciences, Inc. Interleukin-2-fc fusion proteins and methods of use
EP4667499A2 (en) 2020-10-22 2025-12-24 Gilead Sciences, Inc. Interleukin-2-fc fusion proteins and methods of use
WO2022241134A1 (en) 2021-05-13 2022-11-17 Gilead Sciences, Inc. COMBINATION OF A TLR8 MODULATING COMPOUND AND ANTI-HBV siRNA THERAPEUTICS
WO2022271684A1 (en) 2021-06-23 2022-12-29 Gilead Sciences, Inc. Diacylglyercol kinase modulating compounds
WO2022271677A1 (en) 2021-06-23 2022-12-29 Gilead Sciences, Inc. Diacylglyercol kinase modulating compounds
WO2022271659A1 (en) 2021-06-23 2022-12-29 Gilead Sciences, Inc. Diacylglyercol kinase modulating compounds
WO2022271650A1 (en) 2021-06-23 2022-12-29 Gilead Sciences, Inc. Diacylglyercol kinase modulating compounds
WO2025240246A1 (en) 2024-05-13 2025-11-20 Gilead Sciences, Inc. Combination therapies with ribavirin
WO2025240243A1 (en) 2024-05-13 2025-11-20 Gilead Sciences, Inc. Combination therapies with bulevirtide and an inhibitory nucleic acid targeting hepatitis b virus
WO2025240242A1 (en) 2024-05-13 2025-11-20 Gilead Sciences, Inc. Combination therapies with ribavirin
WO2025240244A1 (en) 2024-05-13 2025-11-20 Gilead Sciences, Inc. Combination therapies comprising bulevirtide and lonafarnib for use in the treatment of hepatitis d virus infection

Also Published As

Publication number Publication date
US10239872B2 (en) 2019-03-26
CN110240596A (en) 2019-09-17
US10501456B2 (en) 2019-12-10
US20200223841A1 (en) 2020-07-16
EP3490987B1 (en) 2022-09-21
CN110240596B (en) 2020-09-11
CN109715624B (en) 2022-08-16
JP2019527731A (en) 2019-10-03
CA3031063A1 (en) 2018-02-01
CN109715624A (en) 2019-05-03
EP3490987A4 (en) 2020-01-15
CN110156774A (en) 2019-08-23
EP3490987A1 (en) 2019-06-05
JP6991213B2 (en) 2022-01-14
US20190169182A1 (en) 2019-06-06
US20180170925A1 (en) 2018-06-21

Similar Documents

Publication Publication Date Title
US10501456B2 (en) Therapeutic agents for the treatment of HBV infection
JP7642098B2 (en) Carboxy-benzimidazole GLP-1R modulating compounds
CN109803972B (en) 1H-imidazole [4,5-H ] quinazoline compound as protein kinase inhibitor
CN107922431B (en) HPK1 inhibitors and methods of use
US11098010B2 (en) Substituted dihydroindene-4-carboxamides and analogs thereof, and methods using same
CN104125957B (en) Substituted benzylpyrazoles
CN106132950B (en) Aminopyridines and methods of use
US20160272635A1 (en) Substituted dihydropyrido[3,4-b]pyrazinones as dual inhibitors of bet proteins and polo-like kinases
TW201639828A (en) 4H-pyrrole [3,2-C]pyridin-4-one derivative
JP2018528192A (en) Composition comprising PI3K inhibitor and HDAC inhibitor
JP2020514377A (en) Pyrimidinyl-pyridyloxy-naphthyl compounds and methods of treating IRE1-related diseases and disorders
TW202421130A (en) Isoquinolones as pi3k inhibitors
TW202322808A (en) Compounds, compositions and methods of treating disorders
CN118201896A (en) PI3K-α inhibitors and methods of use thereof
JP2024534208A (en) PARP7 inhibitors and uses thereof
HK40009256A (en) Novel therapeutic agents for the treatment of hbv infection
HK40009256B (en) Novel therapeutic agents for the treatment of hbv infection
CN121399105A (en) Heteroaromatic DHODH inhibitors
AU2010242394B2 (en) Purine derivative and antitumor agent using same
CN109988171A (en) Octahydropyrrolo[3,4-c]pyrrole derivatives and uses thereof
TW201335150A (en) Substituted benzylpyrazoles

Legal Events

Date Code Title Description
121 Ep: the epo has been informed by wipo that ep was designated in this application

Ref document number: 17834944

Country of ref document: EP

Kind code of ref document: A1

ENP Entry into the national phase

Ref document number: 3031063

Country of ref document: CA

ENP Entry into the national phase

Ref document number: 2019526187

Country of ref document: JP

Kind code of ref document: A

NENP Non-entry into the national phase

Ref country code: DE

ENP Entry into the national phase

Ref document number: 2017834944

Country of ref document: EP

Effective date: 20190228