WO2017192820A1 - Glp-1 receptor ligand moiety conjugated oligonucleotides and uses thereof - Google Patents
Glp-1 receptor ligand moiety conjugated oligonucleotides and uses thereof Download PDFInfo
- Publication number
- WO2017192820A1 WO2017192820A1 PCT/US2017/031010 US2017031010W WO2017192820A1 WO 2017192820 A1 WO2017192820 A1 WO 2017192820A1 US 2017031010 W US2017031010 W US 2017031010W WO 2017192820 A1 WO2017192820 A1 WO 2017192820A1
- Authority
- WO
- WIPO (PCT)
- Prior art keywords
- compound
- glp
- ser
- oligonucleotide
- ala
- Prior art date
- Legal status (The legal status is an assumption and is not a legal conclusion. Google has not performed a legal analysis and makes no representation as to the accuracy of the status listed.)
- Ceased
Links
- 0 CC1[C@@]2(CN(CC(C)=*)C=I)C1C2 Chemical compound CC1[C@@]2(CN(CC(C)=*)C=I)C1C2 0.000 description 11
Classifications
-
- A—HUMAN NECESSITIES
- A61—MEDICAL OR VETERINARY SCIENCE; HYGIENE
- A61K—PREPARATIONS FOR MEDICAL, DENTAL OR TOILETRY PURPOSES
- A61K47/00—Medicinal preparations characterised by the non-active ingredients used, e.g. carriers or inert additives; Targeting or modifying agents chemically bound to the active ingredient
- A61K47/50—Medicinal preparations characterised by the non-active ingredients used, e.g. carriers or inert additives; Targeting or modifying agents chemically bound to the active ingredient the non-active ingredient being chemically bound to the active ingredient, e.g. polymer-drug conjugates
- A61K47/51—Medicinal preparations characterised by the non-active ingredients used, e.g. carriers or inert additives; Targeting or modifying agents chemically bound to the active ingredient the non-active ingredient being chemically bound to the active ingredient, e.g. polymer-drug conjugates the non-active ingredient being a modifying agent
- A61K47/62—Medicinal preparations characterised by the non-active ingredients used, e.g. carriers or inert additives; Targeting or modifying agents chemically bound to the active ingredient the non-active ingredient being chemically bound to the active ingredient, e.g. polymer-drug conjugates the non-active ingredient being a modifying agent the modifying agent being a protein, peptide or polyamino acid
- A61K47/64—Drug-peptide, drug-protein or drug-polyamino acid conjugates, i.e. the modifying agent being a peptide, protein or polyamino acid which is covalently bonded or complexed to a therapeutically active agent
- A61K47/6425—Drug-peptide, drug-protein or drug-polyamino acid conjugates, i.e. the modifying agent being a peptide, protein or polyamino acid which is covalently bonded or complexed to a therapeutically active agent the peptide or protein in the drug conjugate being a receptor, e.g. CD4, a cell surface antigen, i.e. not a peptide ligand targeting the antigen, or a cell surface determinant, i.e. a part of the surface of a cell
-
- C—CHEMISTRY; METALLURGY
- C12—BIOCHEMISTRY; BEER; SPIRITS; WINE; VINEGAR; MICROBIOLOGY; ENZYMOLOGY; MUTATION OR GENETIC ENGINEERING
- C12N—MICROORGANISMS OR ENZYMES; COMPOSITIONS THEREOF; PROPAGATING, PRESERVING, OR MAINTAINING MICROORGANISMS; MUTATION OR GENETIC ENGINEERING; CULTURE MEDIA
- C12N15/00—Mutation or genetic engineering; DNA or RNA concerning genetic engineering, vectors, e.g. plasmids, or their isolation, preparation or purification; Use of hosts therefor
- C12N15/09—Recombinant DNA-technology
- C12N15/11—DNA or RNA fragments; Modified forms thereof; Non-coding nucleic acids having a biological activity
- C12N15/113—Non-coding nucleic acids modulating the expression of genes, e.g. antisense oligonucleotides; Antisense DNA or RNA; Triplex- forming oligonucleotides; Catalytic nucleic acids, e.g. ribozymes; Nucleic acids used in co-suppression or gene silencing
-
- A—HUMAN NECESSITIES
- A61—MEDICAL OR VETERINARY SCIENCE; HYGIENE
- A61K—PREPARATIONS FOR MEDICAL, DENTAL OR TOILETRY PURPOSES
- A61K31/00—Medicinal preparations containing organic active ingredients
- A61K31/70—Carbohydrates; Sugars; Derivatives thereof
- A61K31/7088—Compounds having three or more nucleosides or nucleotides
- A61K31/7125—Nucleic acids or oligonucleotides having modified internucleoside linkage, i.e. other than 3'-5' phosphodiesters
-
- A—HUMAN NECESSITIES
- A61—MEDICAL OR VETERINARY SCIENCE; HYGIENE
- A61K—PREPARATIONS FOR MEDICAL, DENTAL OR TOILETRY PURPOSES
- A61K31/00—Medicinal preparations containing organic active ingredients
- A61K31/70—Carbohydrates; Sugars; Derivatives thereof
- A61K31/7088—Compounds having three or more nucleosides or nucleotides
- A61K31/713—Double-stranded nucleic acids or oligonucleotides
-
- A—HUMAN NECESSITIES
- A61—MEDICAL OR VETERINARY SCIENCE; HYGIENE
- A61K—PREPARATIONS FOR MEDICAL, DENTAL OR TOILETRY PURPOSES
- A61K38/00—Medicinal preparations containing peptides
- A61K38/16—Peptides having more than 20 amino acids; Gastrins; Somatostatins; Melanotropins; Derivatives thereof
- A61K38/17—Peptides having more than 20 amino acids; Gastrins; Somatostatins; Melanotropins; Derivatives thereof from animals; from humans
- A61K38/177—Receptors; Cell surface antigens; Cell surface determinants
- A61K38/1796—Receptors; Cell surface antigens; Cell surface determinants for hormones
-
- A—HUMAN NECESSITIES
- A61—MEDICAL OR VETERINARY SCIENCE; HYGIENE
- A61K—PREPARATIONS FOR MEDICAL, DENTAL OR TOILETRY PURPOSES
- A61K47/00—Medicinal preparations characterised by the non-active ingredients used, e.g. carriers or inert additives; Targeting or modifying agents chemically bound to the active ingredient
- A61K47/50—Medicinal preparations characterised by the non-active ingredients used, e.g. carriers or inert additives; Targeting or modifying agents chemically bound to the active ingredient the non-active ingredient being chemically bound to the active ingredient, e.g. polymer-drug conjugates
- A61K47/51—Medicinal preparations characterised by the non-active ingredients used, e.g. carriers or inert additives; Targeting or modifying agents chemically bound to the active ingredient the non-active ingredient being chemically bound to the active ingredient, e.g. polymer-drug conjugates the non-active ingredient being a modifying agent
- A61K47/54—Medicinal preparations characterised by the non-active ingredients used, e.g. carriers or inert additives; Targeting or modifying agents chemically bound to the active ingredient the non-active ingredient being chemically bound to the active ingredient, e.g. polymer-drug conjugates the non-active ingredient being a modifying agent the modifying agent being an organic compound
- A61K47/549—Sugars, nucleosides, nucleotides or nucleic acids
-
- A—HUMAN NECESSITIES
- A61—MEDICAL OR VETERINARY SCIENCE; HYGIENE
- A61K—PREPARATIONS FOR MEDICAL, DENTAL OR TOILETRY PURPOSES
- A61K47/00—Medicinal preparations characterised by the non-active ingredients used, e.g. carriers or inert additives; Targeting or modifying agents chemically bound to the active ingredient
- A61K47/50—Medicinal preparations characterised by the non-active ingredients used, e.g. carriers or inert additives; Targeting or modifying agents chemically bound to the active ingredient the non-active ingredient being chemically bound to the active ingredient, e.g. polymer-drug conjugates
- A61K47/51—Medicinal preparations characterised by the non-active ingredients used, e.g. carriers or inert additives; Targeting or modifying agents chemically bound to the active ingredient the non-active ingredient being chemically bound to the active ingredient, e.g. polymer-drug conjugates the non-active ingredient being a modifying agent
- A61K47/62—Medicinal preparations characterised by the non-active ingredients used, e.g. carriers or inert additives; Targeting or modifying agents chemically bound to the active ingredient the non-active ingredient being chemically bound to the active ingredient, e.g. polymer-drug conjugates the non-active ingredient being a modifying agent the modifying agent being a protein, peptide or polyamino acid
- A61K47/65—Peptidic linkers, binders or spacers, e.g. peptidic enzyme-labile linkers
-
- A—HUMAN NECESSITIES
- A61—MEDICAL OR VETERINARY SCIENCE; HYGIENE
- A61P—SPECIFIC THERAPEUTIC ACTIVITY OF CHEMICAL COMPOUNDS OR MEDICINAL PREPARATIONS
- A61P3/00—Drugs for disorders of the metabolism
- A61P3/08—Drugs for disorders of the metabolism for glucose homeostasis
-
- A—HUMAN NECESSITIES
- A61—MEDICAL OR VETERINARY SCIENCE; HYGIENE
- A61P—SPECIFIC THERAPEUTIC ACTIVITY OF CHEMICAL COMPOUNDS OR MEDICINAL PREPARATIONS
- A61P35/00—Antineoplastic agents
-
- A—HUMAN NECESSITIES
- A61—MEDICAL OR VETERINARY SCIENCE; HYGIENE
- A61P—SPECIFIC THERAPEUTIC ACTIVITY OF CHEMICAL COMPOUNDS OR MEDICINAL PREPARATIONS
- A61P43/00—Drugs for specific purposes, not provided for in groups A61P1/00-A61P41/00
-
- C—CHEMISTRY; METALLURGY
- C07—ORGANIC CHEMISTRY
- C07K—PEPTIDES
- C07K14/00—Peptides having more than 20 amino acids; Gastrins; Somatostatins; Melanotropins; Derivatives thereof
- C07K14/435—Peptides having more than 20 amino acids; Gastrins; Somatostatins; Melanotropins; Derivatives thereof from animals; from humans
- C07K14/575—Hormones
- C07K14/605—Glucagons
-
- C—CHEMISTRY; METALLURGY
- C07—ORGANIC CHEMISTRY
- C07K—PEPTIDES
- C07K19/00—Hybrid peptides, i.e. peptides covalently bound to nucleic acids, or non-covalently bound protein-protein complexes
-
- C—CHEMISTRY; METALLURGY
- C12—BIOCHEMISTRY; BEER; SPIRITS; WINE; VINEGAR; MICROBIOLOGY; ENZYMOLOGY; MUTATION OR GENETIC ENGINEERING
- C12N—MICROORGANISMS OR ENZYMES; COMPOSITIONS THEREOF; PROPAGATING, PRESERVING, OR MAINTAINING MICROORGANISMS; MUTATION OR GENETIC ENGINEERING; CULTURE MEDIA
- C12N15/00—Mutation or genetic engineering; DNA or RNA concerning genetic engineering, vectors, e.g. plasmids, or their isolation, preparation or purification; Use of hosts therefor
- C12N15/09—Recombinant DNA-technology
- C12N15/11—DNA or RNA fragments; Modified forms thereof; Non-coding nucleic acids having a biological activity
- C12N15/111—General methods applicable to biologically active non-coding nucleic acids
-
- C—CHEMISTRY; METALLURGY
- C12—BIOCHEMISTRY; BEER; SPIRITS; WINE; VINEGAR; MICROBIOLOGY; ENZYMOLOGY; MUTATION OR GENETIC ENGINEERING
- C12N—MICROORGANISMS OR ENZYMES; COMPOSITIONS THEREOF; PROPAGATING, PRESERVING, OR MAINTAINING MICROORGANISMS; MUTATION OR GENETIC ENGINEERING; CULTURE MEDIA
- C12N2310/00—Structure or type of the nucleic acid
- C12N2310/10—Type of nucleic acid
- C12N2310/11—Antisense
-
- C—CHEMISTRY; METALLURGY
- C12—BIOCHEMISTRY; BEER; SPIRITS; WINE; VINEGAR; MICROBIOLOGY; ENZYMOLOGY; MUTATION OR GENETIC ENGINEERING
- C12N—MICROORGANISMS OR ENZYMES; COMPOSITIONS THEREOF; PROPAGATING, PRESERVING, OR MAINTAINING MICROORGANISMS; MUTATION OR GENETIC ENGINEERING; CULTURE MEDIA
- C12N2310/00—Structure or type of the nucleic acid
- C12N2310/30—Chemical structure
- C12N2310/31—Chemical structure of the backbone
- C12N2310/315—Phosphorothioates
-
- C—CHEMISTRY; METALLURGY
- C12—BIOCHEMISTRY; BEER; SPIRITS; WINE; VINEGAR; MICROBIOLOGY; ENZYMOLOGY; MUTATION OR GENETIC ENGINEERING
- C12N—MICROORGANISMS OR ENZYMES; COMPOSITIONS THEREOF; PROPAGATING, PRESERVING, OR MAINTAINING MICROORGANISMS; MUTATION OR GENETIC ENGINEERING; CULTURE MEDIA
- C12N2310/00—Structure or type of the nucleic acid
- C12N2310/30—Chemical structure
- C12N2310/32—Chemical structure of the sugar
- C12N2310/321—2'-O-R Modification
-
- C—CHEMISTRY; METALLURGY
- C12—BIOCHEMISTRY; BEER; SPIRITS; WINE; VINEGAR; MICROBIOLOGY; ENZYMOLOGY; MUTATION OR GENETIC ENGINEERING
- C12N—MICROORGANISMS OR ENZYMES; COMPOSITIONS THEREOF; PROPAGATING, PRESERVING, OR MAINTAINING MICROORGANISMS; MUTATION OR GENETIC ENGINEERING; CULTURE MEDIA
- C12N2310/00—Structure or type of the nucleic acid
- C12N2310/30—Chemical structure
- C12N2310/32—Chemical structure of the sugar
- C12N2310/322—2'-R Modification
-
- C—CHEMISTRY; METALLURGY
- C12—BIOCHEMISTRY; BEER; SPIRITS; WINE; VINEGAR; MICROBIOLOGY; ENZYMOLOGY; MUTATION OR GENETIC ENGINEERING
- C12N—MICROORGANISMS OR ENZYMES; COMPOSITIONS THEREOF; PROPAGATING, PRESERVING, OR MAINTAINING MICROORGANISMS; MUTATION OR GENETIC ENGINEERING; CULTURE MEDIA
- C12N2310/00—Structure or type of the nucleic acid
- C12N2310/30—Chemical structure
- C12N2310/32—Chemical structure of the sugar
- C12N2310/323—Chemical structure of the sugar modified ring structure
- C12N2310/3231—Chemical structure of the sugar modified ring structure having an additional ring, e.g. LNA, ENA
-
- C—CHEMISTRY; METALLURGY
- C12—BIOCHEMISTRY; BEER; SPIRITS; WINE; VINEGAR; MICROBIOLOGY; ENZYMOLOGY; MUTATION OR GENETIC ENGINEERING
- C12N—MICROORGANISMS OR ENZYMES; COMPOSITIONS THEREOF; PROPAGATING, PRESERVING, OR MAINTAINING MICROORGANISMS; MUTATION OR GENETIC ENGINEERING; CULTURE MEDIA
- C12N2310/00—Structure or type of the nucleic acid
- C12N2310/30—Chemical structure
- C12N2310/33—Chemical structure of the base
- C12N2310/334—Modified C
- C12N2310/3341—5-Methylcytosine
-
- C—CHEMISTRY; METALLURGY
- C12—BIOCHEMISTRY; BEER; SPIRITS; WINE; VINEGAR; MICROBIOLOGY; ENZYMOLOGY; MUTATION OR GENETIC ENGINEERING
- C12N—MICROORGANISMS OR ENZYMES; COMPOSITIONS THEREOF; PROPAGATING, PRESERVING, OR MAINTAINING MICROORGANISMS; MUTATION OR GENETIC ENGINEERING; CULTURE MEDIA
- C12N2310/00—Structure or type of the nucleic acid
- C12N2310/30—Chemical structure
- C12N2310/35—Nature of the modification
- C12N2310/351—Conjugate
- C12N2310/3513—Protein; Peptide
-
- C—CHEMISTRY; METALLURGY
- C12—BIOCHEMISTRY; BEER; SPIRITS; WINE; VINEGAR; MICROBIOLOGY; ENZYMOLOGY; MUTATION OR GENETIC ENGINEERING
- C12N—MICROORGANISMS OR ENZYMES; COMPOSITIONS THEREOF; PROPAGATING, PRESERVING, OR MAINTAINING MICROORGANISMS; MUTATION OR GENETIC ENGINEERING; CULTURE MEDIA
- C12N2310/00—Structure or type of the nucleic acid
- C12N2310/30—Chemical structure
- C12N2310/35—Nature of the modification
- C12N2310/352—Nature of the modification linked to the nucleic acid via a carbon atom
- C12N2310/3521—Methyl
-
- C—CHEMISTRY; METALLURGY
- C12—BIOCHEMISTRY; BEER; SPIRITS; WINE; VINEGAR; MICROBIOLOGY; ENZYMOLOGY; MUTATION OR GENETIC ENGINEERING
- C12N—MICROORGANISMS OR ENZYMES; COMPOSITIONS THEREOF; PROPAGATING, PRESERVING, OR MAINTAINING MICROORGANISMS; MUTATION OR GENETIC ENGINEERING; CULTURE MEDIA
- C12N2310/00—Structure or type of the nucleic acid
- C12N2310/30—Chemical structure
- C12N2310/35—Nature of the modification
- C12N2310/352—Nature of the modification linked to the nucleic acid via a carbon atom
- C12N2310/3525—MOE, methoxyethoxy
-
- C—CHEMISTRY; METALLURGY
- C12—BIOCHEMISTRY; BEER; SPIRITS; WINE; VINEGAR; MICROBIOLOGY; ENZYMOLOGY; MUTATION OR GENETIC ENGINEERING
- C12N—MICROORGANISMS OR ENZYMES; COMPOSITIONS THEREOF; PROPAGATING, PRESERVING, OR MAINTAINING MICROORGANISMS; MUTATION OR GENETIC ENGINEERING; CULTURE MEDIA
- C12N2310/00—Structure or type of the nucleic acid
- C12N2310/30—Chemical structure
- C12N2310/35—Nature of the modification
- C12N2310/353—Nature of the modification linked to the nucleic acid via an atom other than carbon
- C12N2310/3533—Halogen
-
- C—CHEMISTRY; METALLURGY
- C12—BIOCHEMISTRY; BEER; SPIRITS; WINE; VINEGAR; MICROBIOLOGY; ENZYMOLOGY; MUTATION OR GENETIC ENGINEERING
- C12N—MICROORGANISMS OR ENZYMES; COMPOSITIONS THEREOF; PROPAGATING, PRESERVING, OR MAINTAINING MICROORGANISMS; MUTATION OR GENETIC ENGINEERING; CULTURE MEDIA
- C12N2320/00—Applications; Uses
- C12N2320/30—Special therapeutic applications
- C12N2320/32—Special delivery means, e.g. tissue-specific
Definitions
- the present embodiments provide compounds and methods for targeting cells expressing GLP-1 receptor. Background
- the GLP-1 receptor is a class 2, G protein-coupled receptor that couples to adenylate cyclase via a stimulatory G protein receptor. Intestinal nutrient stimulation leads to release of glucagon like peptide-1 into the circulation. Circulating GLP-1 binds to the GLP-1 receptor on the beta islet cells of the pancreas. This activates the GLP-1 receptor which induces signaling events that result in insulin exocytosis from beta islet cells. Binding between GLP-1 and GLP-1 receptor leads to internalization of the receptor into the cytoplasm and eventual sorting into lysosomes (Kuna et al., 2013 Am J Physiol Endo Metab 305:E161– E170).
- a compound comprises an oligonucleotide and GLP-1 receptor ligand conjugate moiety.
- a compound comprises an oligonucleotide, conjugate linker, and GLP-1 receptor ligand conjugate moiety.
- contacting a cell expressing GLP-1 receptor, such as a pancreatic beta islet cell, with a compound provided herein modulates expression of a nucleic acid target in the cell.
- a compound comprising a GLP-1 receptor ligand conjugate moiety selectively or preferentially targets a cell expressing GLP-1 receptor compared to a cell not expressing GLP-1 receptor. In certain embodiments, a compound comprising a GLP-1 receptor ligand conjugate moiety selectively or preferentially targets a cell expressing GLP-1 receptor compared to a compound not comprising a GLP-1 receptor ligand conjugate moiety.
- Figure 1 is a graph showing the percent FOXO1 mRNA (Fig. 1A) and MALAT1 mRNA (Fig.1B) relative to antisense oligonucleotide (ASO) concentration in HEK293 cells treated with unconjugated parent ASO (ISIS 776102 or ISIS 556089) or GLP1-conjugated ASO (ISIS 913193 or ISIS 816385).
- ASO antisense oligonucleotide
- FIG 2 is a graph showing MALAT1 mRNA levels relative to antisense oligonucleotide (ASO) concentration in GLP1 receptor overexpressing HEK293 cells (Fig.2A), wild type HEK293 cells (Fig.2B), or GRP40 overexpressing HEK293 cells (Fig. 2C) treated with unconjugated parent MALAT1 ASO (ISIS 556089) or GLP1-conjugated MALAT1 ASO (ISIS 816385).
- ASO antisense oligonucleotide
- Figure 3 is a graph showing MALAT1 mRNA levels in dispersed mouse islets treated with no ASO, unconjugated parent MALAT1 ASO (ISIS 556089), or GLP1-conjugated MALAT1 ASO (ISIS 816385) (Fig.
- MALAT1 mRNA levels in intact mouse islets treated with no ASO, unconjugated parent MALAT1 ASO (ISIS 556089), or GLP1-conjugated MALAT1 ASO (ISIS 816385) (Fig.3B); and FOXO1 mRNA levels in intact mouse islets treated with no ASO, unconjugated parent FOXO1 ASO (ISIS 776102), GLP1-conjugated scrambled FOXO1 ASO (ION 913195), or GLP1-conjugated FOXO1 ASO (ION 913193) (Fig.3C).
- each SEQ ID NO of an oligonucleotide in the examples contained herein is independent of any modification to a sugar moiety, an internucleoside linkage, or a nucleobase.
- oligonucleotides defined by a SEQ ID NO may comprise, independently, one or more modifications to a sugar moiety, an internucleoside linkage, or a nucleobase.
- Oligonucleotides described by ISIS or ION number indicate a combination of nucleobase sequence, chemical modification, and motif.
- the first letter in a peptide sequence is the first amino acid of the peptide at the N-terminus and the last letter in a peptide sequence is the last amino acid of the peptide at the C-terminus unless indicated otherwise.
- 2’-deoxynucleoside means a nucleoside comprising 2’-H(H) furanosyl sugar moiety, as found in naturally occurring deoxyribonucleic acids (DNA).
- a 2’-deoxynucleoside may comprise a modified nucleobase or may comprise an RNA nucleobase (uracil).
- “2’-O-methoxyethyl” refers to an O-methoxy-ethyl modification at the 2’ position of a furanosyl ring.
- a 2’-O-methoxyethyl modified sugar is a modified sugar.
- “2’-MOE nucleoside” (also 2’-O-methoxyethyl nucleoside) means a nucleoside comprising a 2’- MOE modified sugar moiety.
- “2’-substituted nucleoside” or“2-modified nucleoside” means a nucleoside comprising a 2’- substituted or 2’-modified sugar moiety.
- “2’-substituted” or“2-modified” in reference to a sugar moiety means a sugar moiety comprising at least one 2'-substituent group other than H or OH.
- 5-methylcytosine means a cytosine with a methyl group attached to the 5 position.
- “About” means within ⁇ 10% of a value. For example, if it is stated,“the compounds affected about 70% inhibition of a target nucleic acid”, it is implied that target nucleic acid levels are inhibited within a range of 60% and 80%.
- administering refers to routes of introducing a compound or composition provided herein to an individual to perform its intended function.
- An example of a route of administration that can be used includes, but is not limited to parenteral administration, such as subcutaneous, intravenous, or intramuscular injection or infusion.
- “Aminoisobutyric acid” or“Aib” means 2-aminoisobutryic acid having the formula: , unless stated otherwise.
- “Animal” refers to a human or non-human animal, including, but not limited to, mice, rats, rabbits, dogs, cats, pigs, and non-human primates, including, but not limited to, monkeys and chimpanzees.
- Antisense activity means any detectable and/or measurable activity attributable to the hybridization of an antisense compound to its target nucleic acid.
- antisense activity is a decrease in the amount or expression of a target nucleic acid or protein encoded by such target nucleic acid compared to target nucleic acid levels or target protein levels in the absence of the antisense compound to the target.
- Antisense compound means a compound comprising an oligonucleotide and optionally one or more additional features, such as a conjugate group or terminal group.
- antisense compounds include single-stranded and double-stranded compounds, such as, oligonucleotides, ribozymes, siRNAs, shRNAs, ssRNAs, and occupancy-based compounds.
- Antisense inhibition means reduction of target nucleic acid levels in the presence of an antisense compound complementary to a target nucleic acid compared to target nucleic acid levels in the absence of the antisense compound.
- Antisense mechanisms are all those mechanisms involving hybridization of a compound with target nucleic acid, wherein the outcome or effect of the hybridization is either target degradation or target occupancy with concomitant stalling of the cellular machinery involving, for example, transcription or splicing.
- Antisense oligonucleotide means an oligonucleotide having a nucleobase sequence that is complementary to a target nucleic acid or region or segment thereof. In certain embodiments, an antisense oligonucleotide is specifically hybridizable to a target nucleic acid or region or segment thereof.
- “Bicyclic nucleoside” or“BNA” means a nucleoside comprising a bicyclic sugar moiety.
- “Bicyclic sugar” or“bicyclic sugar moiety” means a modified sugar moiety comprising two rings, wherein the second ring is formed via a bridge connecting two of the atoms in the first ring thereby forming a bicyclic structure.
- the first ring of the bicyclic sugar moiety is a furanosyl moiety.
- the bicyclic sugar moiety does not comprise a furanosyl moiety.
- “Branching group” means a group of atoms having at least 3 positions that are capable of forming covalent linkages to at least 3 groups.
- a branching group provides a plurality of reactive sites for connecting tethered ligands to an oligonucleotide via a conjugate linker and/or a cleavable moiety.
- Cell-targeting moiety means a conjugate group or portion of a conjugate group that is capable of binding to a particular cell type or particular cell types.
- cEt or“constrained ethyl” means a bicyclic furanosyl sugar moiety comprising a bridge connecting the 4’-carbon and the 2’-carbon, wherein the bridge has the formula: 4’-CH(CH 3 )-O-2’.
- “Chemical modification” in a compound describes the substitutions or changes through chemical reaction, of any of the units in the compound.
- “Modified nucleoside” means a nucleoside having, independently, a modified sugar moiety and/or modified nucleobase.
- “Modified oligonucleotide” means an oligonucleotide comprising at least one modified internucleoside linkage, a modified sugar, and/or a modified nucleobase.
- “Chemically distinct region” refers to a region of a compound that is in some way chemically different than another region of the same compound. For example, a region having 2’-O-methoxyethyl nucleotides is chemically distinct from a region having nucleotides without 2’-O-methoxyethyl modifications.
- Chimeric antisense compounds means antisense compounds that have at least 2 chemically distinct regions, each position having a plurality of subunits.
- cleavable bond means any chemical bond capable of being split.
- a cleavable bond is selected from among: an amide, a polyamide, an ester, an ether, one or both esters of a phosphodiester, a phosphate ester, a carbamate, a di-sulfide, or a peptide.
- “Cleavable moiety” means a bond or group of atoms that is cleaved under physiological conditions, for example, inside a cell, an animal, or a human. “Complementary” in reference to an oligonucleotide means the nucleobase sequence of such oligonucleotide or one or more regions thereof matches the nucleobase sequence of another oligonucleotide or nucleic acid or one or more regions thereof when the two nucleobase sequences are aligned in opposing directions.
- Nucleobase matches or complementary nucleobases are limited to the following pairs: adenine (A) and thymine (T), adenine (A) and uracil (U), cytosine (C) and guanine (G), and 5-methyl cytosine ( m C) and guanine (G) unless otherwise specified.
- Complementary oligonucleotides and/or nucleic acids need not have nucleobase complementarity at each nucleoside and may include one or more nucleobase mismatches.
- “fully complementary” or“100% complementary” in reference to oligonucleotides means that such oligonucleotides have nucleobase matches at each nucleoside without any nucleobase mismatches.
- Conjugate group means a group of atoms that is attached to an oligonucleotide. Conjugate groups include a conjugate moiety and a conjugate linker that attaches the conjugate moiety to the oligonucleotide. “Conjugate linker” means a group of atoms comprising at least one bond that connects a conjugate moiety to an oligonucleotide. “Conjugate moiety” means a group of atoms that is attached to an oligonucleotide via a conjugate linker.
- Designing or“Designed to” refer to the process of designing a compound that specifically hybridizes with a selected nucleic acid molecule.
- “Differently modified” means chemical modifications or chemical substituents that are different from one another, including absence of modifications.
- a MOE nucleoside and an unmodified DNA nucleoside are“differently modified,” even though the DNA nucleoside is unmodified.
- DNA and RNA are“differently modified,” even though both are naturally-occurring unmodified nucleosides. Nucleosides that are the same but for comprising different nucleobases are not differently modified.
- nucleoside comprising a 2’-OMe modified sugar and an unmodified adenine nucleobase and a nucleoside comprising a 2’-OMe modified sugar and an unmodified thymine nucleobase are not differently modified.
- Double-stranded antisense compound means an antisense compound comprising two oligomeric compounds that are complementary to each other and form a duplex, and wherein one of the two said oligomeric compounds comprises an oligonucleotide.
- “Expression” includes all the functions by which a gene’s coded information is converted into structures present and operating in a cell. Such structures include, but are not limited to, the products of transcription and translation.
- “Gapmer” means an oligonucleotide comprising an internal region having a plurality of nucleosides that support RNase H cleavage positioned between external regions having one or more nucleosides, wherein the nucleosides comprising the internal region are chemically distinct from the nucleoside or nucleosides comprising the external regions.
- the internal region may be referred to as the“gap” and the external regions may be referred to as the“wings.”
- Hybridization means the annealing of oligonucleotides and/or nucleic acids. While not limited to a particular mechanism, the most common mechanism of hybridization involves hydrogen bonding, which may be Watson-Crick, Hoogsteen or reversed Hoogsteen hydrogen bonding, between complementary nucleobases.
- complementary nucleic acid molecules include, but are not limited to, an antisense compound and a nucleic acid target. In certain embodiments, complementary nucleic acid molecules include, but are not limited to, an oligonucleotide and a nucleic acid target.
- Internucleoside linkage means a group or bond that forms a covalent linkage between adjacent nucleosides in an oligonucleotide.
- Modified internucleoside linkage means any internucleoside linkage other than a naturally occurring, phosphate internucleoside linkage. Non-phosphate linkages are referred to herein as modified internucleoside linkages.
- Linker-nucleoside means a nucleoside that links an oligonucleotide to a conjugate moiety. Linker- nucleosides are located within the conjugate linker of a compound. Linker-nucleosides are not considered part of the oligonucleotide portion of a compound even if they are contiguous with the oligonucleotide.
- mismatch or“non-complementary” means a nucleobase of a first oligonucleotide that is not complementary to the corresponding nucleobase of a second oligonucleotide or target nucleic acid when the first and second oligonucleotides are aligned.
- nucleobases including but not limited to a universal nucleobase, inosine, and hypoxanthine, are capable of hybridizing with at least one nucleobase but are still mismatched or non-complementary with respect to nucleobase to which it hybridized.
- a nucleobase of a first oligonucleotide that is not capable of hybridizing to the corresponding nucleobase of a second oligonucleotide or target nucleic acid when the first and second oligonucleotides are aligned is a mismatch or non-complementary nucleobase.
- Modulating refers to changing or adjusting a feature in a cell, tissue, organ or organism.
- modulating target nucleic acid can mean to increase or decrease the level of target nucleic acid in a cell, tissue, organ or organism.
- A“modulator” effects the change in the cell, tissue, organ or organism.
- a compound can be a modulator that decreases the amount of target nucleic acid in a cell, tissue, organ or organism.
- “Monomer” refers to a single unit of an oligomer. Monomers include, but are not limited to, nucleosides and nucleotides.
- Motif means the pattern of unmodified and/or modified sugar moieties, nucleobases, and/or internucleoside linkages, in an oligonucleotide.
- Non-bicyclic modified sugar or“non-bicyclic modified sugar moiety” means a modified sugar moiety that comprises a modification, such as a substituent, that does not form a bridge between two atoms of the sugar to form a second ring.
- “Nucleic acid” refers to molecules composed of monomeric nucleotides.
- a nucleic acid includes, but is not limited to, ribonucleic acids (RNA), deoxyribonucleic acids (DNA), single-stranded nucleic acids, and double-stranded nucleic acids.
- Nucleobase means a heterocyclic moiety capable of pairing with a base of another nucleic acid.
- a“naturally occurring nucleobase” is adenine (A), thymine (T), cytosine (C), uracil (U), and guanine (G).
- A“modified nucleobase” is a naturally occurring nucleobase that is chemically modified.
- a “universal base” or“universal nucleobase” is a nucleobase other than a naturally occurring nucleobase and modified nucleobase, and is capable of pairing with any nucleobase.
- Nucleobase sequence means the order of contiguous nucleobases in a nucleic acid or oligonucleotide independent of any sugar or internucleoside linkage.
- Nucleoside means a compound comprising a nucleobase and a sugar moiety.
- the nucleobase and sugar moiety are each, independently, unmodified or modified.
- “Modified nucleoside” means a nucleoside comprising a modified nucleobase and/or a modified sugar moiety. Modified nucleosides include abasic nucleosides, which lack a nucleobase.
- Oligonucleotide means a compound comprising a single oligonucleotide and optionally one or more additional features, such as a conjugate group or terminal group.
- Oligonucleotide means a polymer of linked nucleosides each of which can be modified or unmodified, independent one from another. Unless otherwise indicated, oligonucleotides consist of 8-80 linked nucleosides.“Modified oligonucleotide” means an oligonucleotide, wherein at least one sugar, nucleobase, or internucleoside linkage is modified.“Unmodified oligonucleotide” means an oligonucleotide that does not comprise any sugar, nucleobase, or internucleoside modification.
- Parent oligonucleotide means an oligonucleotide whose sequence is used as the basis of design for more oligonucleotides of similar sequence but with different lengths, motifs, and/or chemistries. The newly designed oligonucleotides may have the same or overlapping sequence as the parent oligonucleotide.
- Phosphorothioate linkage means a modified phosphate linkage in which one of the non-bridging oxygen atoms is replaced with a sulfur atom.
- a phosphorothioate internucleoside linkage is a modified internucleoside linkage.
- Phosphorus moiety means a group of atoms comprising a phosphorus atom.
- a phosphorus moiety comprises a mono-, di-, or tri-phosphate, or phosphorothioate.
- RNAi compound means an antisense compound that acts, at least in part, through RISC or Ago2, but not through RNase H, to modulate a target nucleic acid and/or protein encoded by a target nucleic acid. RNAi compounds include, but are not limited to double-stranded siRNA, single-stranded RNA (ssRNA), and microRNA, including microRNA mimics.
- “Segments” are defined as smaller or sub-portions of regions within a nucleic acid.
- “Selective” with respect to an effect refers to a greater effect on one thing over another by any quantitative extent or fold-difference.
- a compound comprising a GLP-1 receptor conjugate ligand moiety that is“selective” for cells expressing GLP-1 receptor or“selectively” targets cells expressing GLP-1 receptor, targets cells expressing GLP-1 receptor to a greater extent than a compound not comprising a GLP-1 receptor conjugate ligand moiety.
- a compound comprising a GLP-1 receptor conjugate ligand moiety that is“selective” for cells expressing GLP-1 receptor or“selectively” targets cells expressing GLP-1 receptor, targets cells expressing GLP-1 receptor to a greater extent than cells that do not express or express relatively lower levels of GLP-1 receptor. It will be understood that the term“selective” does not require absolute all-or-none selectivity.
- Single-stranded in reference to a compound means the compound has only one oligonucleotide.
- Self-complementary means an oligonucleotide that at least partially hybridizes to itself.
- a compound consisting of one oligonucleotide, wherein the oligonucleotide of the compound is self-complementary, is a single-stranded compound.
- a single-stranded compound may be capable of binding to a complementary compound to form a duplex.
- Sites are defined as unique nucleobase positions within a target nucleic acid.
- Specifically hybridizable refers to an oligonucleotide having a sufficient degree of complementarity between the oligonucleotide and a target nucleic acid to induce a desired effect, while exhibiting minimal or no effects on non-target nucleic acids. In certain embodiments, specific hybridization occurs under physiological conditions.
- Specifically inhibit with reference to a target nucleic acid means to reduce or block expression of the target nucleic acid while exhibiting fewer, minimal, or no effects on non-target nucleic acids. Reduction does not necessarily indicate a total elimination of the target nucleic acid’s expression.
- Standard cell assay means assay(s) described in the Examples and reasonable variations thereof.
- Standard in vivo experiment means the procedure(s) described in the Example(s) and reasonable variations thereof.
- “Sugar moiety” means an unmodified sugar moiety or a modified sugar moiety.“Unmodified sugar moiety” or“unmodified sugar” means a 2’-OH(H) furanosyl moiety, as found in RNA (an“unmodified RNA sugar moiety”), or a 2’-H(H) moiety, as found in DNA (an“unmodified DNA sugar moiety”).
- Unmodified sugar moieties have one hydrogen at each of the 1’, 3’, and 4’ positions, an oxygen at the 3’ position, and two hydrogens at the 5’ position.
- “Modified sugar moiety” or“modified sugar” means a modified furanosyl sugar moiety or a sugar surrogate.
- “Modified furanosyl sugar moiety” means a furanosyl sugar comprising a non-hydrogen substituent in place of at least one hydrogen of an unmodified sugar moiety.
- a modified furanosyl sugar moiety is a 2’-substituted sugar moiety.
- Such modified furanosyl sugar moieties include bicyclic sugars and non-bicyclic sugars.
- “Sugar surrogate” means a modified sugar moiety having other than a furanosyl moiety that can link a nucleobase to another group, such as an internucleoside linkage, conjugate group, or terminal group in an oligonucleotide. Modified nucleosides comprising sugar surrogates can be incorporated into one or more positions within an oligonucleotide and such oligonucleotides are capable of hybridizing to complementary compounds or nucleic acids.
- Target gene refers to a gene encoding a target.
- Targeting with respect to a target nucleic acid means the specific hybridization of an oligonucleotide to said target nucleic acid in order to induce a desired effect.“Targeting” with respect to a GLP-1 receptor means binding of a GLP-1 receptor ligand conjugate moiety to GLP-1 receptor.
- Target nucleic acid “Target nucleic acid,”“target RNA,”“target RNA transcript” and“nucleic acid target” all mean a nucleic acid capable of being targeted by compounds described herein.
- Target region means a portion of a target nucleic acid to which one or more compounds is targeted.
- Target segment means the sequence of nucleotides of a target nucleic acid to which a compound is targeted.“5’ target site” refers to the 5’-most nucleotide of a target segment.“3’ target site” refers to the 3’-most nucleotide of a target segment. “Terminal group” means a chemical group or group of atoms that is covalently linked to a terminus of an oligonucleotide.
- a compound comprises an oligonucleotide and GLP-1 receptor ligand conjugate moiety.
- the oligonucleotide is a modified oligonucleotide.
- the compound further comprises a conjugate linker.
- the conjugate linker links the oligonucleotide to the GLP-1 receptor ligand conjugate moiety.
- the oligonucleotide is 8 to 80 linked nucleosides in length, 10 to 30 linked nucleosides in length, 12 to 30 linked nucleosides in length, or 15 to 30 linked nucleosides in length.
- the oligonucleotide is a modified oligonucleotide comprising at least one modified internucleoside linkage, at least one modified sugar, or at least one modified nucleobase.
- the modified internucleoside linkage is a phosphorothioate internucleoside linkage.
- each modified internucleoside linkage of the modified oligonucleotide is a phosphorothioate internucleoside linkage.
- the modified sugar is a bicyclic sugar, such as 4'-(CH2)-O-2' (LNA); 4'- (CH2)2-O-2' (ENA); or 4'-CH(CH3)-O-2' (cEt).
- the modified sugar is 2’-O- methoxyethyl, 2’-F, or 2’-OMe.
- the modified nucleobase is a 5-methylcytosine.
- the modified oligonucleotide comprises:
- a 5’ wing segment consisting of linked nucleosides
- a 3’ wing segment consisting of linked nucleosides
- each nucleoside of each wing segment comprises a modified sugar
- the oligonucleotide is single-stranded.
- the oligonucleotide is an antisense oligonucleotide, miRNA antagonist or miRNA mimic.
- the compound comprises a double-stranded duplex.
- the double-stranded duplex comprises a first strand comprising the modified oligonucleotide and a second strand complementary to the first strand.
- the first strand comprising the modified oligonucleotide is complementary to a RNA transcript.
- the second strand is complementary to a RNA transcript.
- a compound comprises a double- stranded duplex comprising (i) a first strand comprising the modified oligonucleotide, optionally a conjugate linker, and the GLP-1 receptor ligand conjugate moiety and (ii) a second strand complementary to the first strand.
- a compound comprises a double-stranded duplex comprising (i) a first strand comprising the modified oligonucleotide, optionally a conjugate linker, and the GLP-1 receptor ligand conjugate moiety and (ii) a second strand complementary to the first strand; wherein the first strand is complementary to a RNA transcript.
- a compound comprises a double-stranded duplex comprising (i) a first strand comprising the modified oligonucleotide, optionally a conjugate linker, and the GLP-1 receptor ligand conjugate moiety and (ii) a second strand complementary to the first strand; wherein the second strand is complementary to a RNA transcript.
- the compound is a miRNA mimic.
- the compound comprises ribonucleotides. In certain embodiments, the compound comprises deoxyribonucleotides.
- the oligonucleotide is complementary to a RNA transcript in a cell, such as a pancreatic cell or a pancreatic beta-islet cell.
- the RNA transcript is pre-mRNA, mRNA, non-coding RNA, or miRNA.
- the GLP-1 receptor ligand conjugate moiety is a peptide conjugate moiety, small molecule conjugate moiety, aptamer conjugate moiety, or antibody conjugate moiety targeted to GLP- 1 receptor.
- the peptide conjugate moiety is a GLP-1 peptide conjugate moiety.
- the GLP-1 peptide conjugate moiety comprises an at least 8, 9, 10, 11, 12, 13, 14, 15, 16, 17, 18, 19, 20, 21, 22, 23, 24, 25, 26, 27, 28, 29, 30, or 31 contiguous amino acid portion at least 60%, at least 65%, at least 70%, at least 75%, at least 80%, at least 85%, at least 90%, at least 95%, at least 96%, at least 97%, at least 98%, at least 99%, or 100% homologous to an equal length portion of the amino acid sequence of any of SEQ ID NOs: 1-57.
- the GLP-1 peptide conjugate moiety comprises an at least 8, 9, 10, 11, 12, 13, 14, 15, 16, 17, 18, 19, 20, 21, 22, 23, 24, 25, 26, 27, 28, 29, 30, or 31 contiguous amino acid portion at least 60%, at least 65%, at least 70%, at least 75%, at least 80%, at least 85%, at least 90%, at least 95%, at least 96%, at least 97%, at least 98%, at least 99%, or 100% identical to an equal length portion of the amino acid sequence of any of SEQ ID NOs: 1-57.
- the GLP-1 peptide conjugate moiety is 8 to 50 amino acids in length and is at least 60%, at least 65%, at least 70%, at least 75%, at least 80%, at least 85%, at least 90%, at least 95%, at least 96%, at least 97%, at least 98%, at least 99%, or 100% homologous over its entire length to the amino acid sequence of any of SEQ ID NOs: 1-57.
- the GLP-1 peptide conjugate moiety is at least 60%, at least 65%, at least 70%, at least 75%, at least 80%, at least 85%, at least 90%, at least 95%, at least 96%, at least 97%, at least 98%, at least 99%, or 100% identical over its entire length to the amino acid sequence of any of SEQ ID NOs: 1-57.
- the GLP-1 peptide conjugate moiety comprises an at least 8, 9, 10, 11, 12, 13, 14, 15, 16, 17, 18, 19, 20, 21, 22, 23, 24, 25, 26, 27, 28, 29, 30, or 31 contiguous amino acid portion at least 60%, at least 65%, at least 70%, at least 75%, at least 80%, at least 85%, at least 90%, at least 95%, at least 96%, at least 97%, at least 98%, at least 99%, or 100% homologous to an equal length portion of the amino acid sequence of GLP-1(7-37): HAEGTFTSDVSSYLEGQAAKEFIAWLVKGRG, which in conventional three-letter code is: His-Ala-Glu-Gly-Thr-Phe-Thr-Ser-Asp-Val-Ser-Ser-Tyr-Leu-Glu-Gly- Gln-Ala-Ala-Lys-Glu-Phe-Ile-Ala-Trp-Leu-Val-Lys-Gly-Arg-Gly (SEQ ID NO:
- the GLP-1 peptide conjugate moiety comprises an at least 8, 9, 10, 11, 12, 13, 14, 15, 16, 17, 18, 19, 20, 21, 22, 23, 24, 25, 26, 27, 28, 29, 30, or 31 contiguous amino acid portion at least 60%, at least 65%, at least 70%, at least 75%, at least 80%, at least 85%, at least 90%, at least 95%, at least 96%, at least 97%, at least 98%, at least 99%, or 100% identical to an equal length portion of the amino acid sequence of GLP-1(7-37).
- the GLP-1 peptide conjugate moiety is 8 to 50 amino acids in length and is at least 60%, at least 65%, at least 70%, at least 75%, at least 80%, at least 85%, at least 90%, at least 95%, at least 96%, at least 97%, at least 98%, at least 99%, or 100% homologous over its entire length to the amino acid sequence of GLP-1(7-37) (SEQ ID NO: 1).
- the GLP-1 peptide conjugate moiety comprises a conservative amino acid substitution, an amino acid analog, or an amino acid derivative.
- the GLP-1 peptide conjugate moiety is at least 60%, at least 65%, at least 70%, at least 75%, at least 80%, at least 85%, at least 90%, at least 95%, at least 96%, at least 97%, at least 98%, at least 99%, or 100% identical over its entire length to the amino acid sequence of GLP-1(7-37) (SEQ ID NO: 1).
- the GLP-1 peptide conjugate moiety comprises the amino acid sequence of GLP-1(7-37) (SEQ ID NO: 1).
- the GLP-1 peptide conjugate moiety consists of the amino acid sequence of GLP-1(7-37) (SEQ ID NO: 1).
- the GLP-1 peptide conjugate moiety comprises the amino acid sequence of GLP-1(7-36)amide: HAEGTFTSDVSSYLEGQAAKEFIAWLVKGR-NH 2 , which in conventional three- letter code is: His-Ala-Glu-Gly-Thr-Phe-Thr-Ser-Asp-Val-Ser-Ser-Tyr-Leu-Glu-Gly-Gln-Ala-Ala-Lys- Glu-Phe-Ile-Ala-Trp-Leu-Val-Lys-Gly-Arg-NH 2 (SEQ ID NO: 2).
- the GLP-1 peptide conjugate moiety consists of the amino acid sequence of GLP-1(7-36)amide: which in conventional three-letter code is: His-Ala-Glu-Gly-Thr-Phe-Thr-Ser-Asp- Val-Ser-Ser-Tyr-Leu-Glu-Gly-Gln-Ala-Ala-Lys-Glu-Phe-Ile-Ala-Trp-Leu-Val-Lys-Gly-Arg-NH 2 (SEQ ID NO: 2).
- the GLP-1 peptide conjugate moiety comprises or consists of the amino acid sequence of GLP-1(7-36): HAEGTFTSDVSSYLEGQAAKEFIAWLVKGR, which in conventional three-letter code is: His-Ala-Glu-Gly-Thr-Phe-Thr-Ser-Asp-Val-Ser-Ser-Tyr-Leu-Glu-Gly-Gln-Ala-Ala- Lys-Glu-Phe-Ile-Ala-Trp-Leu-Val-Lys-Gly-Arg (SEQ ID NO: 2).
- the GLP-1 peptide conjugate moiety comprises the amino acid sequence: EGTFTSDVSSYLEGQAAKEFIAWLVKG, which in conventional three-letter code is: Glu-Gly-Thr-Phe- Thr-Ser-Asp-Val-Ser-Ser-Tyr-Leu-Glu-Gly-Gln-Ala-Ala-Lys-Glu-Phe-Ile-Ala-Trp-Leu-Val-Lys-Gly (SEQ ID NO: 3).
- the GLP-1 peptide conjugate moiety consists of the amino acid sequence: EGTFTSDVSSYLEGQAAKEFIAWLVKG, which in conventional three-letter code is: Glu-Gly-Thr-Phe- Thr-Ser-Asp-Val-Ser-Ser-Tyr-Leu-Glu-Gly-Gln-Ala-Ala-Lys-Glu-Phe-Ile-Ala-Trp-Leu-Val-Lys-Gly (SEQ ID NO: 3).
- the GLP-1 peptide conjugate moiety comprises the amino acid sequence: EGTFTSDVSSYLEEQAAKEFIAWLVKG, which in conventional three-letter code is: Glu-Gly-Thr-Phe- Thr-Ser-Asp-Val-Ser-Ser-Tyr-Leu-Glu-Glu-Gln-Ala-Ala-Lys-Glu-Phe-Ile-Ala-Trp-Leu-Val-Lys-Gly (SEQ ID NO: 4)
- the GLP-1 peptide conjugate moiety consists of the amino acid sequence: EGTFTSDVSSYLEEQAAKEFIAWLVKG, which in conventional three-letter code is: Glu-Gly-Thr-Phe- Thr-Ser-Asp-Val-Ser-Ser-Tyr-Leu-Glu-Glu-Gln-Ala-Ala-Lys-Glu-Phe-Ile-Ala-Trp-Leu-Val-Lys-Gly (SEQ ID NO: 4).
- the GLP-1 peptide conjugate moiety comprises the amino acid sequence of any of SEQ ID NOs: 1-57.
- the GLP-1 peptide conjugate moiety consists of the amino acid sequence of any of SEQ ID NOs: 1-57.
- the GLP-1 peptide conjugate moiety can be a C-terminal amide or acid of any of SEQ ID NOs: 1-57.
- the GLP-1 peptide conjugate moiety comprises the amino acid sequence: His-Aib-Glu-Gly-Thr-Phe-Thr-Ser-Asp-Val-Ser-Ser-Tyr-Leu-Glu-Glu-Gln-Ala-Ala-Lys-Glu-Phe-Ile-Ala- Trp-Leu-Val-Lys-Gly-Gly-Pro-Ser-Ser-Gly-Ala-Pro-Pro-Pro-Ser-Cys (SEQ ID NO: 22), wherein Aib is aminoisobutyric acid.
- the GLP-1 peptide conjugate moiety consists of the amino acid sequence: His-Aib-Glu-Gly-Thr-Phe-Thr-Ser-Asp-Val-Ser-Ser-Tyr-Leu-Glu-Glu-Gln-Ala-Ala-Lys-Glu-Phe-Ile-Ala- Trp-Leu-Val-Lys-Gly-Gly-Pro-Ser-Ser-Gly-Ala-Pro-Pro-Pro-Ser-Cys (SEQ ID NO: 22), wherein Aib is aminoisobutyric acid.
- the GLP-1 peptide conjugate moiety comprises the amino acid sequence: His-Aib-Glu-Gly-Thr-Phe-Thr-Ser-Asp-Val-Ser-Ser-Tyr-Leu-Glu-Glu-Gln-Ala-Ala-Lys-Glu-Phe-Ile-Ala- Trp-Leu-Val-Lys-Gly-Gly-Pro-Ser-Ser-Gly-Ala-Pro-Pro-Pro-Ser-Pen (SEQ ID NO: 23), wherein Aib is aminoisobutyric acid and Pen is penicillamine.
- the GLP-1 peptide conjugate moiety consists of the amino acid sequence: His-Aib-Glu-Gly-Thr-Phe-Thr-Ser-Asp-Val-Ser-Ser-Tyr-Leu-Glu-Glu-Gln-Ala-Ala-Lys-Glu-Phe-Ile-Ala- Trp-Leu-Val-Lys-Gly-Gly-Pro-Ser-Ser-Gly-Ala-Pro-Pro-Pro-Ser-Pen (SEQ ID NO: 23), wherein Aib is aminoisobutyric acid and Pen is penicillamine.
- the GLP-1 peptide conjugate moiety is capable of binding to GLP-1 receptor.
- the GLP-1 receptor is expressed on the surface of a cell.
- the cell is a pancreatic cell, such as a beta-islet cell.
- the cell is in an animal.
- the compound comprises at least one, at least two, at least three, at least four, or at least five GLP-1 receptor ligand conjugate moieties.
- the conjugate linker links the GLP-1 receptor ligand conjugate moiety to the 5’ end of the oligonucleotide.
- the conjugate linker links the GLP-1 receptor ligand conjugate moiety to the 3’ end of the oligonucleotide.
- the conjugate linker is cleavable.
- the conjugate linker comprises a disulfide linkage.
- the disulfide linkage links the GLP-1 peptide conjugate moiety to the oligonucleotide.
- the disulfide linkage links the C-terminus of the GLP-1 peptide conjugate moiety to the 5’end of the oligonucleotide.
- the conjugate linker comprises 1-5 linker-nucleosides. In certain embodiments, the conjugate linker comprises 3 linker-nucleosides.
- the 3 linker-nucleosides have a TCA motif.
- 1-5 linker-nucleosides do not comprise a TCA motif.
- the conjugate linker comprises a hexylamino group.
- the conjugate linker comprises a polyethylene glycol group.
- the conjugate linker comprises a triethylene glycol group.
- the conjugate linker comprises a phosphate group.
- the conjugate linker comprises: ;
- Y directly or indirectly attaches to the modified oligonucleotide.
- X comprises O.
- Y comprises a phosphate group.
- X attaches to the GLP- 1 receptor ligand conjugate moiety by a disulfide linkage.
- the conjugate linker comprises:
- T 1 comprises the modified oligonucleotide
- Bx is a modified or unmodified nucleobase.
- X comprises a disulfide linkage.
- the conjugate linker comprises:
- the phosphate group is connected to the modified oligonucleotide and Y is connected to the conjugate group;
- Y is a phosphodiester or amino (-NH-) group
- Z is a pyrrolidinyl group having the formula:
- j 0 or 1
- n is from about 1 to about 10;
- p is from 1 to about 10;
- n is 0 or from 1 to 4.
- Y is amino (-NH-) or phosphodiester group.
- n is 3 and p is 3.
- n is 6 and p is 6.
- n is from 2 to 10 and p is from 2 to 10.
- n and p are different.
- n and p are the same.
- m is 0 or 1.
- j is 0.
- j is 1 and Z has the formula:
- n is 2 and p is 3. In certain embodiments, n is 5 and p is 6.
- the conjugate linker comprises: .
- the conjugate linker comprises: .
- the compound comprising a conjugate linker comprises:
- Y directly or indirectly attaches to the oligonucleotide.
- the compound comprising a conjugate linker comprises:
- Y directly or indirectly attaches to the oligonucleotide.
- the compound comprising a conjugate linker comprises:
- a composition comprises at least one compound described herein.
- a pharmaceutical composition comprises at least one compound described herein and a pharmaceutically acceptable excipient.
- a method of modulating the expression of a nucleic acid target in a cell comprises contacting the cell with the compound of any of the aforementioned embodiments, thereby modulating expression of the nucleic acid target in the cell.
- the cell expresses GLP- 1 receptor on the surface of the cell.
- the cell is a pancreatic cell, such as a beta-islet cell.
- the cell is a pituitary cell, leptomeninges cell, central nervous system (CNS) cell, stomach cell, intestinal cell, duodenum cell, ileum cell, colon cell, breast cell, lung cell, heart cell, thyroid cell, or kidney cell.
- the cell expressing GLP-1 receptor on its surface is a cancer cell.
- the cancer is an endocrine cancer including, but not limited to, pheochromocytoma, paraganglioma, medullary thyroid carcinoma, adrenal cortical adenoma, parathyroid carcinoma, and pituitary adenoma.
- the cancer is a nervous system cancer including, but not limited to, meningioma, astrocytoma, glioblastoma, ependymoma, and schwannoma.
- the cancer is an embroyic cancer including, but not limited to, medulloblastoma, nephroblastoma, and neuroblastoma.
- the cancer includes, but is not limited to, ovarian cancer, prostate cancer, breast cancer, colorectal cancer, gastric cancer, pancreatic cancer, cholangiocellular cancer, liver cancer, lung cancer, and lymphoma.
- contacting the cell with the compound of any of the aforementioned embodiments inhibits expression of the nucleic acid target.
- the nucleic acid target is pre-mRNA, mRNA, non-coding RNA, or miRNA.
- the cell is in an animal.
- a method of modulating the expression of a nucleic acid target in an animal comprises administering to the animal the compound of any of the aforementioned embodiments, thereby modulating expression of the nucleic acid target in the animal.
- the expression of the nucleic acid target is modulated in a cell of the animal that expresses GLP-1 receptor on the surface of the cell.
- the expression of the nucleic acid target is modulated in a pancreatic cell, such as a beta-islet cell, of the animal.
- the cell is a pancreatic cell, such as a beta- islet cell.
- the cell is a pituitary cell, leptomeninges cell, duodenum cell, ileum cell, colon cell, breast cell, lung cell, or kidney cell.
- the cell expressing GLP-1 receptor on its surface is a cancer cell.
- the cancer is an endocrine cancer including, but not limited to, pheochromocytoma, paraganglioma, medullary thyroid carcinoma, adrenal cortical adenoma, parathyroid carcinoma, and pituitary adenoma.
- the cancer is a nervous system cancer including, but not limited to, meningioma, astrocytoma, glioblastoma, ependymoma, and schwannoma.
- the cancer is an embroyic cancer including, but not limited to, medulloblastoma, nephroblastoma, and neuroblastoma.
- the cancer includes, but is not limited to, ovarian cancer, prostate cancer, breast cancer, colorectal cancer, gastric cancer, pancreatic cancer, cholangiocellular cancer, liver cancer, lung cancer, and lymphoma.
- administering the compound inhibits expression of the nucleic acid target in the animal.
- the nucleic acid target is pre-mRNA, mRNA, non-coding RNA, or miRNA.
- Also provided herewith is the use of a compound as described herein for the manufacture of a medicament in the treatment of cancer. Also provided herewith is a compound as described herein for use in the treatment of cancer.
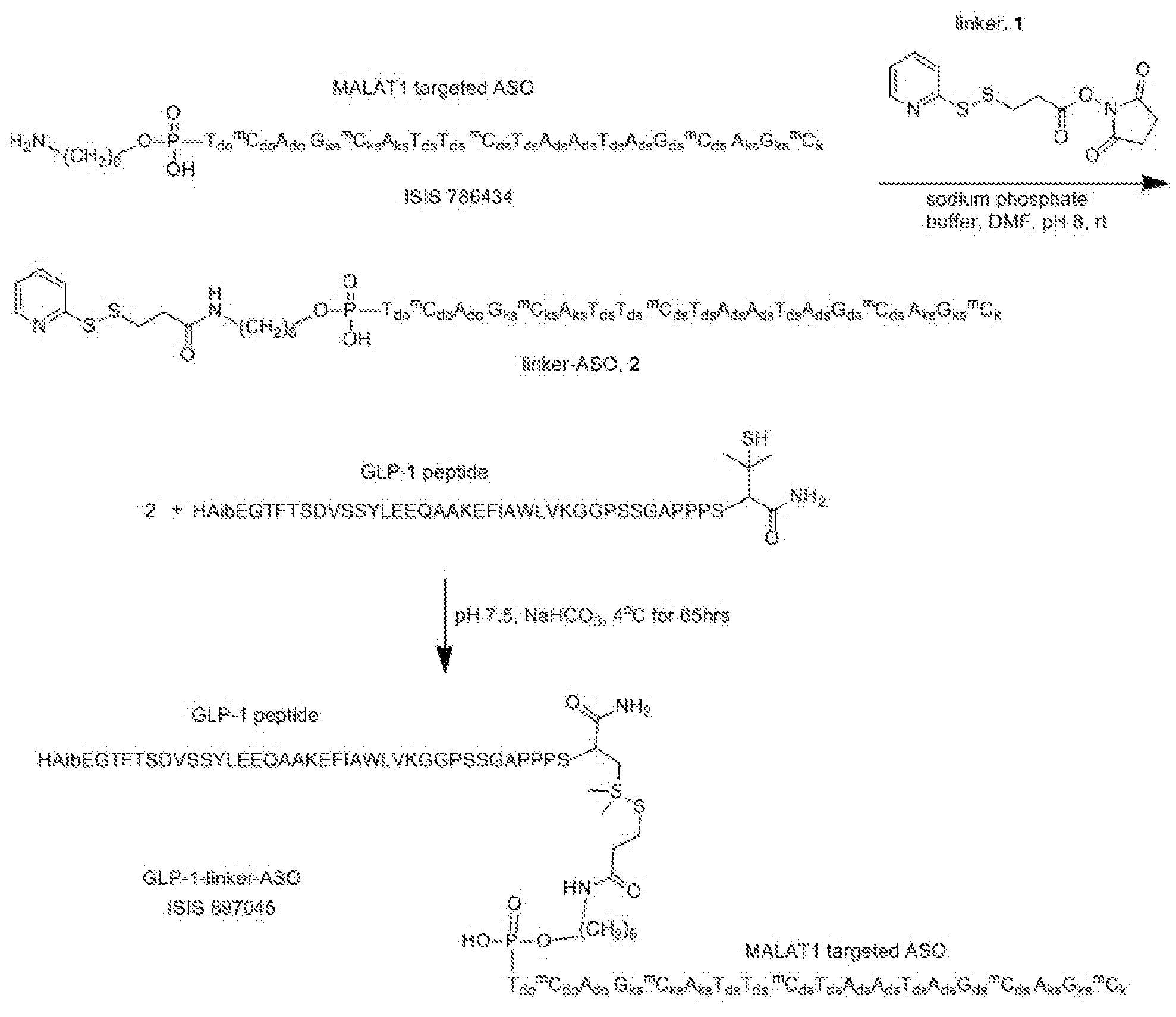
- a method of preparing a compound comprises reacting:
- X 1 is an oligonucleotide and the compound is a GLP-1 peptide conjugated oligonucleotide.
- a method of preparing a compound comprises:
- X 1 is the oligonucleotide
- X 1 is the oligonucleotide and X 2 is the GLP-1 peptide.
- a method of preparing a GLP-1 peptide conjugated oligonucleotide comprises:
- X 1 is the oligonucleotide
- X 1 is the oligonucleotide and X 2 is the GLP-1 peptide.
- the solution comprising the oligonucleotide comprises sodium phosphate buffer and the solution comprising 3-(2-Pyridyldithio propionic acid N-hydroxysuccinimide ester) comprises dimethylformamide.
- the solutions are mixed at room temperature.
- the solution comprising Compound 2 further comprises acetonitrile and NaHCO 3 and has a pH of about 8.0.
- the solution comprising GLP-1 peptide further comprises dimethylformamide.
- the GLP-1 peptide can comprise an at least 8, 9, 10, 11, 12, 13, 14, 15, 16, 17, 18, 19, 20, 21, 22, 23, 24, 25, 26, 27, 28, 29, 30, or 31 contiguous amino acid portion at least 60%, at least 65%, at least 70%, at least 75%, at least 80%, at least 85%, at least 90%, at least 95%, or 100% homologous to an equal length portion of the amino acid sequence of any of SEQ ID NOs: 1-57.
- the GLP-1 peptide can comprise an at least 8, 9, 10, 11, 12, 13, 14, 15, 16, 17, 18, 19, 20, 21, 22, 23, 24, 25, 26, 27, 28, 29, 30, or 31 contiguous amino acid portion at least 60%, at least 65%, at least 70%, at least 75%, at least 80%, at least 85%, at least 90%, at least 95%, or 100% identical to an equal length portion of the amino acid sequence of any of SEQ ID NOs: 1-57.
- the GLP-1 peptide can be 8 to 50 amino acids in length and is at least 60%, at least 65%, at least 70%, at least 75%, at least 80%, at least 85%, at least 90%, at least 95%, or 100% homologous over its entire length to the amino acid sequence of any of SEQ ID NOs: 1-57.
- the GLP-1 peptide can be at least 60%, at least 65%, at least 70%, at least 75%, at least 80%, at least 85%, at least 90%, at least 95%, or 100% identical over its entire length to the amino acid sequence of any of SEQ ID NOs: 1-57.
- the GLP-1 peptide can comprise an at least 8, 9, 10, 11, 12, 13, 14, 15, 16, 17, 18, 19, 20, 21, 22, 23, 24, 25, 26, 27, 28, 29, 30, or 31 contiguous amino acid portion at least 60%, at least 65%, at least 70%, at least 75%, at least 80%, at least 85%, at least 90%, at least 95%, or 100% homologous to an equal length portion of the amino acid sequence of GLP-1(7-37): HAEGTFTSDVSSYLEGQAAKEFIAWLVKGRG, which in conventional three-letter code is: His-Ala- Glu-Gly-Thr-Phe-Thr-Ser-Asp-Val-Ser-Ser-Tyr-Leu-Glu-Gly-Gln-Ala-Ala-Lys-Glu-Phe-Ile-Ala-Trp-Leu- Val-Lys-Gly-Arg-Gly (
- the GLP-1 peptide can comprise an at least 8, 9, 10, 11, 12, 13, 14, 15, 16, 17, 18, 19, 20, 21, 22, 23, 24, 25, 26, 27, 28, 29, 30, or 31 contiguous amino acid portion at least 60%, at least 65%, at least 70%, at least 75%, at least 80%, at least 85%, at least 90%, at least 95%, or 100% identical to an equal length portion of the amino acid sequence of GLP-1(7-37).
- the GLP-1 peptide can be 8 to 50 amino acids in length and is at least 60%, at least 65%, at least 70%, at least 75%, at least 80%, at least 85%, at least 90%, at least 95%, or 100% homologous over its entire length to the amino acid sequence of GLP-1(7-37) (SEQ ID NO: 1).
- the GLP-1 peptide can be at least 60%, at least 65%, at least 70%, at least 75%, at least 80%, at least 85%, at least 90%, at least 95%, or 100% identical over its entire length to the amino acid sequence of GLP-1(7-37) (SEQ ID NO: 1).
- the GLP-1 peptide can comprise the amino acid sequence of GLP-1(7-37) (SEQ ID NO: 1).
- the GLP-1 peptide can consist of the amino acid sequence of GLP-1(7-37) (SEQ ID NO: 1).
- the GLP-1 peptide can comprise the amino acid sequence of GLP-1(7-36)amide: HAEGTFTSDVSSYLEGQAAKEFIAWLVKGR-NH 2 , which in conventional three-letter code is: His-Ala- Glu-Gly-Thr-Phe-Thr-Ser-Asp-Val-Ser-Ser-Tyr-Leu-Glu-Gly-Gln-Ala-Ala-Lys-Glu-Phe-Ile-Ala-Trp-Leu- Val-Lys-Gly-Arg-NH 2 (SEQ ID NO: 2).
- the GLP-1 peptide can consist of the amino acid sequence of GLP-1(7-36)amide (SEQ ID NO: 2).
- the GLP-1 peptide can comprise the amino acid sequence of GLP-1(7-36): HAEGTFTSDVSSYLEGQAAKEFIAWLVKGR, which in conventional three-letter code is: His-Ala-Glu- Gly-Thr-Phe-Thr-Ser-Asp-Val-Ser-Ser-Tyr-Leu-Glu-Gly-Gln-Ala-Ala-Lys-Glu-Phe-Ile-Ala-Trp-Leu-Val- Lys-Gly-Arg (SEQ ID NO: 2).
- the GLP-1 peptide can comprise the amino acid sequence: EGTFTSDVSSYLEGQAAKEFIAWLVKG, which in conventional three-letter code is: Glu-Gly-Thr-Phe- Thr-Ser-Asp-Val-Ser-Ser-Tyr-Leu-Glu-Gly-Gln-Ala-Ala-Lys-Glu-Phe-Ile-Ala-Trp-Leu-Val-Lys-Gly (SEQ ID NO: 3).
- the GLP-1 peptide can consist of the amino acid sequence: EGTFTSDVSSYLEGQAAKEFIAWLVKG, which in conventional three-letter code is: Glu-Gly-Thr-Phe- Thr-Ser-Asp-Val-Ser-Ser-Tyr-Leu-Glu-Gly-Gln-Ala-Ala-Lys-Glu-Phe-Ile-Ala-Trp-Leu-Val-Lys-Gly (SEQ ID NO: 3).
- the GLP-1 peptide can comprise the amino acid sequence: EGTFTSDVSSYLEEQAAKEFIAWLVKG, Glu-Gly-Thr-Phe-Thr-Ser-Asp-Val-Ser-Ser-Tyr-Leu-Glu- Glu-Gln-Ala-Ala-Lys-Glu-Phe-Ile-Ala-Trp-Leu-Val-Lys-Gly (SEQ ID NO: 4).
- the GLP-1 peptide can consist of the amino acid sequence: EGTFTSDVSSYLEEQAAKEFIAWLVKG, Glu-Gly-Thr-Phe-Thr-Ser-Asp-Val-Ser-Ser-Tyr-Leu-Glu- Glu-Gln-Ala-Ala-Lys-Glu-Phe-Ile-Ala-Trp-Leu-Val-Lys-Gly (SEQ ID NO: 4).
- the GLP-1 peptide can comprise the amino acid sequence of any of SEQ ID NOs: 1-57.
- the GLP-1 peptide can consist of the amino acid sequence of any of SEQ ID NOs: 1-57.
- the GLP-1 peptide can comprise the amino acid sequence: His-Aib-Glu-Gly-Thr-Phe-Thr- Ser-Asp-Val-Ser-Ser-Tyr-Leu-Glu-Glu-Gln-Ala-Ala-Lys-Glu-Phe-Ile-Ala-Trp-Leu-Val-Lys-Gly-Gly-Pro- Ser-Ser-Gly-Ala-Pro-Pro-Ser-Cys (SEQ ID NO: 22), wherein Aib is aminoisobutyric acid.
- the GLP-1 peptide can consist of the amino acid sequence: His-Aib-Glu-Gly-Thr-Phe- Thr-Ser-Asp-Val-Ser-Ser-Tyr-Leu-Glu-Glu-Gln-Ala-Ala-Lys-Glu-Phe-Ile-Ala-Trp-Leu-Val-Lys-Gly-Gly- Pro-Ser-Ser-Gly-Ala-Pro-Pro-Pro-Ser-Cys (SEQ ID NO: 22), wherein Aib is aminoisobutyric acid.
- the GLP-1 peptide can comprise the amino acid sequence: His-Aib-Glu-Gly-Thr-Phe-Thr- Ser-Asp-Val-Ser-Ser-Tyr-Leu-Glu-Glu-Gln-Ala-Ala-Lys-Glu-Phe-Ile-Ala-Trp-Leu-Val-Lys-Gly-Gly-Pro- Ser-Ser-Gly-Ala-Pro-Pro-Ser-Pen (SEQ ID NO: 23), wherein Aib is aminoisobutyric acid and Pen is penicillamine.
- the GLP-1 peptide can consist of the amino acid sequence: His-Aib-Glu-Gly-Thr-Phe- Thr-Ser-Asp-Val-Ser-Ser-Tyr-Leu-Glu-Glu-Gln-Ala-Ala-Lys-Glu-Phe-Ile-Ala-Trp-Leu-Val-Lys-Gly-Gly- Pro-Ser-Ser-Gly-Ala-Pro-Pro-Pro-Ser-Pen (SEQ ID NO: 23), wherein Aib is aminoisobutyric acid and Pen is penicillamine.
- the GLP-1 peptide can comprise a reactive sulfur moiety.
- the GLP-1 peptide can comprise penicillamine.
- the penicillamine can be linked to the C-terminus of the GLP-1 peptide.
- compounds described herein can be antisense compounds.
- the antisense compound comprises or consists of an oligomeric compound.
- the oligomeric compound comprises a oligonucleotide, such as a modified oligonucleotide.
- the modified oligonucleotide has a nucleobase sequence complementary to that of a target nucleic acid.
- a compound described herein comprises or consists of a modified oligonucleotide.
- the modified oligonucleotide has a nucleobase sequence complementary to that of a target nucleic acid.
- a compound or antisense compound is single-stranded.
- Such a single- stranded compound or antisense compound comprises or consists of an oligomeric compound.
- such an oligomeric compound comprises or consists of an oligonucleotide and optionally a conjugate group.
- the oligonucleotide is an antisense oligonucleotide.
- the oligonucleotide is modified.
- the oligonucleotide of a single- stranded antisense compound or oligomeric compound comprises a self-complementary nucleobase sequence.
- compounds are double-stranded.
- Such double-stranded compounds comprise a first modified oligonucleotide having a region complementary to a target nucleic acid and a second modified oligonucleotide having a region complementary to the first modified oligonucleotide.
- the modified oligonucleotide is an RNA oligonucleotide.
- the thymine nucleobase in the modified oligonucleotide is replaced by a uracil nucleobase.
- compound comprises a conjugate group.
- one of the modified oligonucleotides is conjugated.
- both the modified oligonucleotides are conjugated.
- the first modified oligonucleotide is conjugated.
- the second modified oligonucleotide is conjugated.
- the first modified oligonucleotide is 12-30 linked nucleosides in length and the second modified oligonucleotide is 12-30 linked nucleosides in length.
- antisense compounds are double-stranded. Such double-stranded antisense compounds comprise a first oligomeric compound having a region complementary to a target nucleic acid and a second oligomeric compound having a region complementary to the first oligomeric compound.
- the first oligomeric compound of such double stranded antisense compounds typically comprises or consists of a modified oligonucleotide and optionally a conjugate group.
- the oligonucleotide of the second oligomeric compound of such double-stranded antisense compound may be modified or unmodified.
- Either or both oligomeric compounds of a double-stranded antisense compound may comprise a conjugate group.
- the oligomeric compounds of double-stranded antisense compounds may include non-complementary overhanging nucleosides.
- a compound comprises a double-stranded duplex comprising (i) a first strand comprising a modified oligonucleotide, optionally a conjugate linker, and a GLP-1 receptor ligand conjugate moiety, and (ii) a second strand complementary to the first strand.
- a compound comprises a double-stranded duplex comprising (i) a first strand comprising the modified oligonucleotide, optionally a conjugate linker, and a GLP-1 receptor ligand conjugate moiety, and (ii) a second strand complementary to the first strand; wherein the first strand is complementary to a RNA transcript.
- a compound comprises a double-stranded duplex comprising (i) a first strand comprising a modified oligonucleotide, optionally a conjugate linker, and a GLP-1 receptor ligand conjugate moiety, and (ii) a second strand complementary to the first strand; wherein the second strand is complementary to a RNA transcript.
- single-stranded and double-stranded compounds include but are not limited to oligonucleotides, siRNAs, microRNA targeting oligonucleotides, and single-stranded RNAi compounds, such as small hairpin RNAs (shRNAs), single-stranded siRNAs (ssRNAs), and microRNA mimics.
- shRNAs small hairpin RNAs
- ssRNAs single-stranded siRNAs
- microRNA mimics microRNA mimics.
- a compound described herein has a nucleobase sequence that, when written in the 5’ to 3’ direction, comprises the reverse complement of the target segment of a target nucleic acid to which it is targeted.
- a compound described herein comprises an oligonucleotide 10 to 30 linked subunits in length. In certain embodiments, a compound described herein comprises an oligonucleotide 12 to 30 linked subunits in length. In certain embodiments, a compound described herein comprises an oligonucleotide 12 to 22 linked subunits in length. In certain embodiments, compound described herein comprises an oligonucleotide 14 to 30 linked subunits in length. In certain embodiments, compound described herein comprises an oligonucleotide 14 to 20 linked subunits in length. In certain embodiments, a compound described herein comprises an oligonucleotide 15 to 30 linked subunits in length.
- a compound described herein comprises an oligonucleotide 15 to 20 linked subunits in length. In certain embodiments, a compound described herein comprises an oligonucleotide 16 to 30 linked subunits in length. In certain embodiments, a compound described herein comprises an oligonucleotide 16 to 20 linked subunits in length. In certain embodiments, a compound described herein comprises an oligonucleotide 17 to 30 linked subunits in length. In certain embodiments, a compound described herein comprises an oligonucleotide 17 to 20 linked subunits in length. In certain embodiments, a compound described herein comprises an oligonucleotide 18 to 30 linked subunits in length.
- a compound described herein comprises an oligonucleotide 18 to 21 linked subunits in length. In certain embodiments, a compound described herein comprises an oligonucleotide 18 to 20 linked subunits in length. In certain embodiments, a compound described herein comprises an oligonucleotide 20 to 30 linked subunits in length.
- oligonucleotides are 12 to 30 linked subunits, 14 to 30 linked subunits, 14 to 20 subunits, 15 to 30 subunits, 15 to 20 subunits, 16 to 30 subunits, 16 to 20 subunits, 17 to 30 subunits, 17 to 20 subunits, 18 to 30 subunits, 18 to 20 subunits, 18 to 21 subunits, 20 to 30 subunits, or 12 to 22 linked subunits in length, respectively.
- a compound described herein comprises an oligonucleotide 14 linked subunits in length.
- a compound described herein comprises an oligonucleotide 16 linked subunits in length.
- a compound described herein comprises an oligonucleotide 17 linked subunits in length. In certain embodiments, compound described herein comprises an oligonucleotide 18 linked subunits in length. In certain embodiments, a compound described herein comprises an oligonucleotide 19 linked subunits in length. In certain embodiments, a compound described herein comprises an oligonucleotide 20 linked subunits in length.
- a compound described herein comprises an oligonucleotide 8 to 80, 12 to 50, 13 to 30, 13 to 50, 14 to 30, 14 to 50, 15 to 30, 15 to 50, 16 to 30, 16 to 50, 17 to 30, 17 to 50, 18 to 22, 18 to 24, 18 to 30, 18 to 50, 19 to 22, 19 to 30, 19 to 50, or 20 to 30 linked subunits.
- the compound described herein comprises an oligonucleotide 8, 9, 10, 11, 12, 13, 14, 15, 16, 17, 18, 19, 20, 21, 22, 23, 24, 25, 26, 27, 28, 29, 30, 31, 32, 33, 34, 35, 36, 37, 38, 39, 40, 41, 42, 43, 44, 45, 46, 47, 48, 49, 50, 51, 52, 53, 54, 55, 56, 57, 58, 59, 60, 61, 62, 63, 64, 65, 66, 67, 68, 69, 70, 71, 72, 73, 74, 75, 76, 77, 78, 79, or 80 linked subunits in length, or a range defined by any two of the above values.
- the linked subunits are nucleotides, nucleosides, or nucleobases.
- the compound may further comprise additional features or elements, such as a conjugate group, that are attached to the oligonucleotide.
- a conjugate group comprises a nucleoside (i.e. a nucleoside that links the conjugate group to the oligonucleotide)
- the nucleoside of the conjugate group is not counted in the length of the oligonucleotide.
- compounds may be shortened or truncated.
- a single subunit may be deleted from the 5’ end (5’ truncation), or alternatively from the 3’ end (3’ truncation).
- a shortened or truncated compound targeted to a nucleic acid may have two subunits deleted from the 5’ end, or alternatively may have two subunits deleted from the 3’ end, of the compound.
- the deleted nucleosides may be dispersed throughout the compound.
- the additional subunit When a single additional subunit is present in a lengthened compound, the additional subunit may be located at the 5’ or 3’ end of the compound. When two or more additional subunits are present, the added subunits may be adjacent to each other, for example, in a compound having two subunits added to the 5’ end (5’ addition), or alternatively to the 3’ end (3’ addition), of the compound. Alternatively, the added subunits may be dispersed throughout the compound. It is possible to increase or decrease the length of a compound, such as an oligonucleotide, and/or introduce mismatch bases without eliminating activity (Woolf et al. (Proc. Natl. Acad. Sci.
- RNAi interfering RNA compounds
- siRNA double-stranded RNA compounds
- ssRNA single-stranded RNAi compounds
- siRNA is meant to be equivalent to other terms used to describe nucleic acid molecules that are capable of mediating sequence specific RNAi, for example short interfering RNA (siRNA), double-stranded RNA (dsRNA), micro-RNA (miRNA), short hairpin RNA (shRNA), short interfering oligonucleotide, short interfering nucleic acid, short interfering modified oligonucleotide, chemically modified siRNA, post-transcriptional gene silencing RNA (ptgsRNA), and others.
- siRNA short interfering RNA
- dsRNA double-stranded RNA
- miRNA micro-RNA
- shRNA short hairpin RNA
- siRNAi short interfering oligonucleotide
- short interfering nucleic acid short interfering modified oligonucleotide
- ptgsRNA post-transcriptional gene silencing RNA
- ptgsRNA post-transcriptional gene silencing RNA
- the first strand of the compound is an siRNA guide strand and the second strand of the compound is an siRNA passenger strand.
- the second strand of the compound is complementary to the first strand.
- each strand of the compound is 16, 17, 18, 19, 20, 21, 22, or 23 linked nucleosides in length.
- the first or second strand of the compound can comprise a conjugate group.
- compounds described herein comprise modified oligonucleotides.
- Certain modified oligonucleotides have one or more asymmetric center and thus give rise to enantiomers, diastereomers, and other stereoisomeric configurations that may be defined, in terms of absolute stereochemistry, as (R) or (S), as ⁇ or ⁇ such as for sugar anomers, or as (D) or (L) such as for amino acids etc.
- Included in the modified oligonucleotides provided herein are all such possible isomers, including their racemic and optically pure forms, unless specified otherwise. Likewise, all cis- and trans-isomers and tautomeric forms are also included.
- the compounds described herein include variations in which one or more atoms are replaced with a non-radioactive isotope or radioactive isotope of the indicated element.
- compounds herein that comprise hydrogen atoms encompass all possible deuterium substitutions for each of the 1 H hydrogen atoms.
- Isotopic substitutions encompassed by the compounds herein include but are not limited to: 2 H or 3 H in place of 1 H, 13 C or 14 C in place of 12 C, 15 N in place of 14 N, 17 O or 18 O in place of 16 O, and 33 S, 34 S, 35 S, or 36 S in place of 32 S.
- non-radioactive isotopic substitutions may impart new properties on the compound that are beneficial for use as a therapeutic or research tool.
- radioactive isotopic substitutions may make the compound suitable for research or diagnostic purposes, such as an imaging assay.
- compounds described herein comprise or consist of modified oligonucleotides. In certain embodiments, compounds described herein are antisense compounds. In certain embodiments, compounds comprise oligomeric compounds. In certain embodiments, compounds described herein are capable of hybridizing to a target nucleic acid, resulting in at least one antisense activity. In certain embodiments, compounds described herein selectively affect one or more target nucleic acid.
- Such compounds comprise a nucleobase sequence that hybridizes to one or more target nucleic acid, resulting in one or more desired antisense activity and does not hybridize to one or more non-target nucleic acid or does not hybridize to one or more non-target nucleic acid in such a way that results in a significant undesired antisense activity.
- hybridization of a compound described herein to a target nucleic acid results in recruitment of a protein that cleaves the target nucleic acid.
- certain compounds described herein result in RNase H mediated cleavage of the target nucleic acid.
- RNase H is a cellular endonuclease that cleaves the RNA strand of an RNA:DNA duplex.
- the DNA in such an RNA:DNA duplex need not be unmodified DNA.
- compounds described herein are sufficiently“DNA- like” to elicit RNase H activity. Further, in certain embodiments, one or more non-DNA-like nucleoside in the gap of a gapmer is tolerated.
- RNA-induced silencing complex RISC
- compounds described herein or a portion of the compound is loaded into an RNA-induced silencing complex (RISC), ultimately resulting in cleavage of the target nucleic acid.
- RISC RNA-induced silencing complex
- certain compounds described herein result in cleavage of the target nucleic acid by Argonaute.
- Compounds that are loaded into RISC are RNAi compounds.
- RNAi compounds may be double-stranded (siRNA) or single-stranded (ssRNA).
- hybridization of compounds described herein to a target nucleic acid does not result in recruitment of a protein that cleaves that target nucleic acid. In certain such embodiments, hybridization of the compound to the target nucleic acid results in alteration of splicing of the target nucleic acid. In certain embodiments, hybridization of the compound to a target nucleic acid results in inhibition of a binding interaction between the target nucleic acid and a protein or other nucleic acid. In certain such embodiments, hybridization of the compound to a target nucleic acid results in alteration of translation of the target nucleic acid.
- Antisense activities may be observed directly or indirectly.
- observation or detection of an antisense activity involves observation or detection of a change in an amount of a target nucleic acid or protein encoded by such target nucleic acid, a change in the ratio of splice variants of a nucleic acid or protein, and/or a phenotypic change in a cell or animal.
- compounds described herein comprise or consist of an oligonucleotide comprising a region that is complementary to a target nucleic acid.
- the target nucleic acid is an endogenous RNA molecule.
- the target nucleic acid is a non-coding RNA.
- the target nucleic acid encodes a protein.
- the target nucleic acid is selected from: an mRNA and a pre-mRNA, including intronic, exonic and untranslated regions.
- the target RNA is an mRNA.
- the target nucleic acid is a pre-mRNA.
- the target region is entirely within an intron.
- the target region spans an intron/exon junction. In certain embodiments, the target region is at least 50% within an intron. In certain embodiments, the target nucleic acid is in a cell expressing GLP-1 receptor. In certain embodiments, the GLP-1 receptor expressing cell is a pancreatic cell, such as a beta islet cell.
- hybridization occurs between a compound disclosed herein and a target nucleic acid.
- the most common mechanism of hybridization involves hydrogen bonding (e.g., Watson- Crick, Hoogsteen or reversed Hoogsteen hydrogen bonding) between complementary nucleobases of the nucleic acid molecules.
- Hybridization can occur under varying conditions. Hybridization conditions are sequence- dependent and are determined by the nature and composition of the nucleic acid molecules to be hybridized.
- An oligonucleotide is said to be complementary to another nucleic acid when the nucleobase sequence of such oligonucleotide or one or more regions thereof matches the nucleobase sequence of another oligonucleotide or nucleic acid or one or more regions thereof when the two nucleobase sequences are aligned in opposing directions.
- Nucleobase matches or complementary nucleobases, as described herein, are limited to the following pairs: adenine (A) and thymine (T), adenine (A) and uracil (U), cytosine (C) and guanine (G), and 5-methyl cytosine (mC) and guanine (G) unless otherwise specified.
- Complementary oligonucleotides and/or nucleic acids need not have nucleobase complementarity at each nucleoside and may include one or more nucleobase mismatches.
- An oligonucleotide is fully complementary or 100% complementary when such oligonucleotides have nucleobase matches at each nucleoside without any nucleobase mismatches.
- compounds described herein comprise or consist of modified oligonucleotides. In certain embodiments, compounds described herein are antisense compounds. In certain embodiments, compounds comprise oligomeric compounds. Non-complementary nucleobases between a compound and a target nucleic acid may be tolerated provided that the compound remains able to specifically hybridize to a target nucleic acid. Moreover, a compound may hybridize over one or more segments of a target nucleic acid such that intervening or adjacent segments are not involved in the hybridization event (e.g., a loop structure, mismatch or hairpin structure).
- the compounds provided herein, or a specified portion thereof are, are at least, or are up to 70%, 80%, 85%, 86%, 87%, 88%, 89%, 90%, 91%, 92%, 93%, 94%, 95%, 96%, 97%, 98%, 99%, or 100% complementary to a target nucleic acid, a target region, target segment, or specified portion thereof.
- the compounds provided herein, or a specified portion thereof are 70% to 75%, 75% to 80%, 80% to 85%, 85% to 90%, 90% to 95%, 95% to 100%, or any number in between these ranges, complementary to a target nucleic acid, a target region, target segment, or specified portion thereof. Percent complementarity of a compound with a target nucleic acid can be determined using routine methods.
- a compound in which 18 of 20 nucleobases of the compound are complementary to a target region, and would therefore specifically hybridize would represent 90 percent complementarity.
- the remaining non-complementary nucleobases may be clustered or interspersed with complementary nucleobases and need not be contiguous to each other or to complementary nucleobases.
- a compound which is 18 nucleobases in length having four non-complementary nucleobases which are flanked by two regions of complete complementarity with the target nucleic acid would have 77.8% overall complementarity with the target nucleic acid.
- Percent complementarity of a compound with a region of a target nucleic acid can be determined routinely using BLAST programs (basic local alignment search tools) and PowerBLAST programs known in the art (Altschul et al., J. Mol. Biol., 1990, 215, 403410; Zhang and Madden, Genome Res., 1997, 7, 649656). Percent homology, sequence identity or complementarity, can be determined by, for example, the Gap program (Wisconsin Sequence Analysis Package, Version 8 for Unix, Genetics Computer Group, University Research Park, Madison Wis.), using default settings, which uses the algorithm of Smith and Waterman (Adv. Appl. Math., 1981, 2, 482489).
- compounds described herein, or specified portions thereof are fully complementary (i.e. 100% complementary) to a target nucleic acid, or specified portion thereof.
- a compound may be fully complementary to a target nucleic acid, or a target region, or a target segment or target sequence thereof.
- “fully complementary” means each nucleobase of a compound is complementary to the corresponding nucleobase of a target nucleic acid.
- a 20 nucleobase compound is fully complementary to a target sequence that is 400 nucleobases long, so long as there is a corresponding 20 nucleobase portion of the target nucleic acid that is fully complementary to the compound.
- Fully complementary can also be used in reference to a specified portion of the first and /or the second nucleic acid.
- a 20 nucleobase portion of a 30 nucleobase compound can be“fully complementary” to a target sequence that is 400 nucleobases long.
- the 20 nucleobase portion of the 30 nucleobase compound is fully complementary to the target sequence if the target sequence has a corresponding 20 nucleobase portion wherein each nucleobase is complementary to the 20 nucleobase portion of the compound.
- the entire 30 nucleobase compound may or may not be fully complementary to the target sequence, depending on whether the remaining 10 nucleobases of the compound are also complementary to the target sequence.
- compounds described herein comprise one or more mismatched nucleobases relative to the target nucleic acid.
- antisense activity against the target is reduced by such mismatch, but activity against a non-target is reduced by a greater amount.
- selectivity of the compound is improved.
- the mismatch is specifically positioned within an oligonucleotide having a gapmer motif. In certain such embodiments, the mismatch is at position 1, 2, 3, 4, 5, 6, 7, or 8 from the 5’-end of the gap region. In certain such embodiments, the mismatch is at position 9, 8, 7, 6, 5, 4, 3, 2, 1 from the 3’-end of the gap region.
- the mismatch is at position 1, 2, 3, or 4 from the 5’-end of the wing region. In certain such embodiments, the mismatch is at position 4, 3, 2, or 1 from the 3’-end of the wing region. In certain embodiments, the mismatch is specifically positioned within an oligonucleotide not having a gapmer motif. In certain such embodiments, the mismatch is at position 1, 2, 3, 4, 5, 6, 7, 8, 9, 10, 11, or 12 from the 5’- end of the oligonucleotide. In certain such embodiments, the mismatch is at position 1, 2, 3, 4, 5, 6, 7, 8, 9, 10, 11, or 12 from the 3’-end of the oligonucleotide.
- non-complementary nucleobase may be at the 5’ end or 3’ end of the compound.
- the non-complementary nucleobase or nucleobases may be at an internal position of the compound.
- two or more non-complementary nucleobases are present, they may be contiguous (i.e. linked) or non-contiguous.
- a non-complementary nucleobase is located in the wing segment of a gapmer oligonucleotide.
- compounds described herein that are, or are up to 11, 12, 13, 14, 15, 16, 17, 18, 19, or 20 nucleobases in length comprise no more than 4, no more than 3, no more than 2, or no more than 1 non-complementary nucleobase(s) relative to a target nucleic acid, such as a target nucleic acid, or specified portion thereof.
- compounds described herein that are, or are up to 11, 12, 13, 14, 15, 16, 17, 18, 19, 20, 21, 22, 23, 24, 25, 26, 27, 28, 29, or 30 nucleobases in length comprise no more than 6, no more than 5, no more than 4, no more than 3, no more than 2, or no more than 1 non-complementary nucleobase(s) relative to a target nucleic acid, such as a target nucleic acid, or specified portion thereof.
- compounds described herein also include those which are complementary to a portion of a target nucleic acid.
- “portion” refers to a defined number of contiguous (i.e. linked) nucleobases within a region or segment of a target nucleic acid.
- A“portion” can also refer to a defined number of contiguous nucleobases of a compound.
- the compounds are complementary to at least an 8 nucleobase portion of a target segment.
- the compounds are complementary to at least a 9 nucleobase portion of a target segment.
- the compounds are complementary to at least a 10 nucleobase portion of a target segment.
- the compounds are complementary to at least an 11 nucleobase portion of a target segment. In certain embodiments, the compounds are complementary to at least a 12 nucleobase portion of a target segment. In certain embodiments, the compounds are complementary to at least a 13 nucleobase portion of a target segment. In certain embodiments, the compounds are complementary to at least a 14 nucleobase portion of a target segment. In certain embodiments, the compounds are complementary to at least a 15 nucleobase portion of a target segment. In certain embodiments, the compounds are complementary to at least a 16 nucleobase portion of a target segment. Also contemplated are compounds that are complementary to at least a 9, 10, 11, 12, 13, 14, 15, 16, 17, 18, 19, 20, or more nucleobase portion of a target segment, or a range defined by any two of these values. Identity
- the compounds provided herein may also have a defined percent identity to a particular nucleotide sequence, SEQ ID NO, or compound represented by a specific ISIS or ION number, or portion thereof.
- compounds described herein are antisense compounds or oligomeric compounds.
- compounds described herein are modified oligonucleotides.
- a compound is identical to the sequence disclosed herein if it has the same nucleobase pairing ability. For example, a RNA which contains uracil in place of thymidine in a disclosed DNA sequence would be considered identical to the DNA sequence since both uracil and thymidine pair with adenine.
- Non-identical bases may be adjacent to each other or dispersed throughout the compound. Percent identity of an compound is calculated according to the number of bases that have identical base pairing relative to the sequence to which it is being compared.
- compounds described herein, or portions thereof are, are at least, or are up to 70%, 75%, 80%, 85%, 90%, 91%, 92%, 93%, 94%, 95%, 96%, 97%, 98%, 99% or 100% identical to one or more of the compounds or SEQ ID NOs, or a portion thereof, disclosed herein.
- compounds described herein are about 70%, 75%, 80%, 85%, 90%, 91%, 92%, 93%, 94%, 95%, 96%, 97%, 98%, or 99% identical, or any percentage between such values, to a particular nucleotide sequence, SEQ ID NO, or compound represented by a specific ISIS or ION number, or portion thereof, in which the compounds comprise an oligonucleotide having one or more mismatched nucleobases.
- the mismatch is at position 1, 2, 3, 4, 5, 6, 7, 8, 9, 10, 11, or 12 from the 5’-end of the oligonucleotide.
- the mismatch is at position 1, 2, 3, 4, 5, 6, 7, 8, 9, 10, 11, or 12 from the 3’-end of the oligonucleotide.
- compounds described herein comprise or consist of antisense compounds.
- a portion of the antisense compound is compared to an equal length portion of the target nucleic acid.
- an 8, 9, 10, 11, 12, 13, 14, 15, 16, 17, 18, 19, 20, 21, 22, 23, 24, or 25 nucleobase portion is compared to an equal length portion of the target nucleic acid.
- compounds described herein comprise or consist of oligonucleotides.
- a portion of the oligonucleotide is compared to an equal length portion of the target nucleic acid.
- an 8, 9, 10, 11, 12, 13, 14, 15, 16, 17, 18, 19, 20, 21, 22, 23, 24, or 25 nucleobase portion is compared to an equal length portion of the target nucleic acid.
- compounds described herein comprise or consist of oligonucleotides consisting of linked nucleosides.
- Oligonucleotides may be unmodified oligonucleotides (RNA or DNA) or may be modified oligonucleotides.
- Modified oligonucleotides comprise at least one modification relative to unmodified RNA or DNA (i.e., comprise at least one modified nucleoside (comprising a modified sugar moiety and/or a modified nucleobase) and/or at least one modified internucleoside linkage).
- Modified nucleosides comprise a modified sugar moiety or a modified nucleobase or both a modifed sugar moiety and a modified nucleobase.
- sugar moieties are non-bicyclic modified sugar moieties.
- modified sugar moieties are bicyclic or tricyclic sugar moieties.
- modified sugar moieties are sugar surrogates. Such sugar surrogates may comprise one or more substitutions corresponding to those of other types of modified sugar moieties.
- modified sugar moieties are non-bicyclic modified sugar moieties comprising a furanosyl ring with one or more acyclic substituent, including but not limited to substituents at the 2’, 4’, and/or 5’ positions.
- one or more acyclic substituent of non-bicyclic modified sugar moieties is branched.
- 2’-substituent groups suitable for non-bicyclic modified sugar moieties include but are not limited to: 2’-F, 2'-OCH 3 (“OMe” or“O-methyl”), and 2'-O(CH 2 ) 2 OCH 3 (“MOE”).
- 2’-substituent groups are selected from among: halo, allyl, amino, azido, SH, CN, OCN, CF 3 , OCF 3 , O-C 1 -C 10 alkoxy, O-C 1 -C 10 substituted alkoxy, O-C 1 -C 10 alkyl, O-C 1 -C 10 substituted alkyl, S-alkyl, N(R m )-alkyl, O-alkenyl, S-alkenyl, N(R m )-alkenyl, O-alkynyl, S-alkynyl, N(R m )- alkynyl, O-alkylenyl-O-alkyl, alkynyl, alkaryl, aralkyl, O-alkaryl, O-aralkyl, O(CH 2 ) 2 SCH 3 , O(CH 2 ) 2 ON(R m )(R n ) or
- these 2'-substituent groups can be further substituted with one or more substituent groups independently selected from among: hydroxyl, amino, alkoxy, carboxy, benzyl, phenyl, nitro (NO 2 ), thiol, thioalkoxy, thioalkyl, halogen, alkyl, aryl, alkenyl and alkynyl.
- Examples of 4’-substituent groups suitable for linearlynon-bicyclic modified sugar moieties include but are not limited to alkoxy (e.g., methoxy), alkyl, and those described in Manoharan et al., WO 2015/106128.
- Examples of 5’-substituent groups suitable for non-bicyclic modified sugar moieties include but are not limited to: 5’-methyl (R or S), 5'-vinyl, and 5’- methoxy.
- non-bicyclic modified sugars comprise more than one non-bridging sugar substituent, for example, 2'-F-5'-methyl sugar moieties and the modified sugar moieties and modified nucleosides described in Migawa et al., WO 2008/101157 and Rajeev et al., US2013/0203836.
- a 2’-substituted nucleoside or 2’- non-bicyclic modified nucleoside comprises a sugar moiety comprising a linear 2’-substituent group selected from: F, OCH 3 , and OCH 2 CH 2 OCH 3 .
- Nucleosides comprising modified sugar moieties are referred to by the position(s) of the substitution(s) on the sugar moiety of the nucleoside.
- nucleosides comprising 2’-substituted or 2-modified sugar moieties are referred to as 2’-substituted nucleosides or 2-modified nucleosides.
- Certain modifed sugar moieties comprise a bridging sugar substituent that forms a second ring resulting in a bicyclic sugar moiety.
- the bicyclic sugar moiety comprises a bridge between the 4' and the 2' furanose ring atoms.
- Examples of such 4’ to 2’ bridging sugar substituents include but are not limited to: 4'-CH 2 -2', 4'-(CH 2 ) 2 -2', 4'-(CH 2 ) 3 -2', 4'-CH 2 -O-2' (“LNA”), 4'-CH 2 -S-2', 4'- (CH 2 ) 2 -O-2' (“ENA”), 4'-CH(CH 3 )-O-2' (referred to as“constrained ethyl” or“cEt” when in the S configuration), 4’-CH 2 -O-CH 2 -2’, 4’-CH 2 -N(R)-2’, 4'-CH(CH 2 OCH 3 )-O-2' (“constrained MOE” or “cMOE”) and analogs thereof (see, e.g., Seth et al., U.S.
- each R, R a , and R b is, independently, H, a protecting group, or C 1 -C 12 alkyl (see, e.g. Imanishi et al., U.S.7,427,672).
- x 0, 1, or 2;
- n 1, 2, 3, or 4;
- bicyclic sugar moieties and nucleosides incorporating such bicyclic sugar moieties are further defined by isomeric configuration.
- an LNA nucleoside (described herein) may be in the ⁇ -L configuration or in the ⁇ -D configuration.
- bicyclic nucleosides include both isomeric configurations.
- positions of specific bicyclic nucleosides e.g., LNA or cEt
- they are in the ⁇ -D configuration, unless otherwise specified.
- modified sugar moieties comprise one or more non-bridging sugar substituent and one or more bridging sugar substituent (e.g., 5’-substituted and 4’-2’ bridged sugars).
- modified sugar moieties are sugar surrogates.
- the oxygen atom of the sugar moiety is replaced, e.g., with a sulfur, carbon or nitrogen atom.
- such modified sugar moieties also comprise bridging and/or non-bridging substituents as described herein.
- certain sugar surrogates comprise a 4’-sulfur atom and a substitution at the 2'-position (see, e.g., Bhat et al., U.S.7,875,733 and Bhat et al., U.S.7,939,677) and/or the 5’ position.
- sugar surrogates comprise rings having other than 5 atoms.
- a sugar surrogate comprises a six-membered tetrahydropyran (“THP”).
- TTP tetrahydropyrans
- Such tetrahydropyrans may be further modified or substituted.
- Nucleosides comprising such modified tetrahydropyrans include but are not limited to hexitol nucleic acid (“HNA”), anitol nucleic acid (“ANA”), manitol nucleic acid (“MNA”) (see e.g., Leumann, CJ. Bioorg. & Med. Chem. 2002, 10, 841-854), fluoro HNA:
- F-HNA see e.g., Swayze et al., U.S. 8,088,904; Swayze et al., U.S.8,440,803; Swayze et al., U.S. ; and Swayze et al., U.S.9,005,906,
- F-HNA can also be referred to as a F-THP or 3'-fluoro tetrahydropyran), and nucleosides comprising additional modified THP compounds having the formula:
- Bx is a nucleobase moiety
- modified THP nucleosides are provided wherein q 1 , q 2 , q 3 , q 4 , q 5 , q 6 and q 7 are each H. In certain embodiments, at least one of q 1 , q 2 , q 3 , q 4 , q 5 , q 6 and q 7 is other than H. In certain embodiments, at least one of q 1 , q 2 , q 3 , q 4 , q 5 , q 6 and q 7 is methyl. In certain embodiments, modified THP nucleosides are provided wherein one of R 1 and R 2 is F. In certain embodiments, R 1 is F and R 2 is H, in certain embodiments, R 1 is methoxy and R 2 is H, and in certain embodiments, R 1 is methoxyethoxy and R 2 is H.
- sugar surrogates comprise rings having more than 5 atoms and more than one heteroatom.
- nucleosides comprising morpholino sugar moieties and their use in oligonucleotides have been reported (see, e.g., Braasch et al., Biochemistry, 2002, 41, 4503-4510 and Summerton et al., U.S.5,698,685; Summerton et al., U.S.5,166,315; Summerton et al., U.S.5,185,444; and Summerton et al., U.S. 5,034,506).
- the term“morpholino” means a sugar surrogate having the following structure:
- morpholinos may be modified, for example by adding or altering various substituent groups from the above morpholino structure.
- sugar surrogates are refered to herein as“modifed morpholinos.”
- sugar surrogates comprise acyclic moieites.
- nucleosides and oligonucleotides comprising such acyclic sugar surrogates include but are not limited to: peptide nucleic acid (“PNA”), acyclic butyl nucleic acid (see, e.g., Kumar et al., Org. Biomol. Chem., 2013, 11, 5853-5865), and nucleosides and oligonucleotides described in Manoharan et al., WO2011/133876.
- Nucleobase (or base) modifications or substitutions are structurally distinguishable from, yet functionally interchangeable with, naturally occurring or synthetic unmodified nucleobases. Both natural and modified nucleobases are capable of participating in hydrogen bonding. Such nucleobase modifications can impart nuclease stability, binding affinity or some other beneficial biological property to antisense compounds.
- compounds described herein comprise modified oligonucleotides.
- modified oligonucleotides comprise one or more nucleoside comprising an unmodified nucleobase.
- modified oligonucleotides comprise one or more nucleoside comprising a modified nucleobase.
- modified oligonucleotides comprise one or more nucleoside that does not comprise a nucleobase, referred to as an abasic nucleoside.
- modified nucleobases are selected from: 5-substituted pyrimidines, 6- azapyrimi ⁇ dines, alkyl or alkynyl substituted pyrimidines, alkyl substituted purines, and N-2, N-6 and O-6 substituted purines.
- modified nucleobases are selected from: 2- aminopropyladenine, 5-hydroxymethyl cytosine, 5-methylcytosine, xanthine, hypoxanthine, 2- aminoadenine, 6-N-methylguanine, 6-N-methyladenine, 2-propyladenine , 2-thiouracil, 2-thiothymine and 2-thiocytosine, 5-propynyl (C ⁇ C-CH3) uracil, 5-propynylcytosine, 6-azouracil, 6-azocytosine, 6- azothymine, 5-ribosyluracil (pseudouracil), 4-thiouracil, 8-halo, 8-amino, 8-thiol, 8-thioalkyl, 8-hydroxyl, 8-aza and other 8-substituted purines, 5-halo, particularly 5-bromo, 5-trifluoromethyl, 5-halouracil, and 5- halocytosine, 7-methylguanine, 7
- nucleobases include tricyclic pyrimidines, such as 1,3-diazaphenoxazine-2-one, 1,3-diazaphenothiazine-2- one and 9-(2-aminoethoxy)-1,3-diazaphenoxazine-2-one (G-clamp).
- Modified nucleobases may also include those in which the purine or pyrimidine base is replaced with other heterocycles, for example 7- deaza-adenine, 7-deazaguanosine, 2-aminopyridine and 2-pyridone.
- Further nucleobases include those disclosed in Merigan et al., U.S.
- compounds targeted to a target nucleic acid comprise one or more modified nucleobases.
- the modified nucleobase is 5-methylcytosine.
- each cytosine is a 5-methylcytosine.
- RNA and DNA are a 3' to 5' phosphodiester linkage
- compounds described herein having one or more modified, i.e. non- naturally occurring, internucleoside linkages are often selected over compounds having naturally occurring internucleoside linkages because of desirable properties such as, for example, enhanced cellular uptake, enhanced affinity for target nucleic acids, and increased stability in the presence of nucleases.
- compounds targeted to a target nucleic acid comprise one or more modified internucleoside linkages.
- the modified internucleoside linkages are phosphorothioate linkages.
- each internucleoside linkage of an antisense compound is a phosphorothioate internucleoside linkage.
- compounds described herein comprise oligonucleotides.
- Oligonucleotides having modified internucleoside linkages include internucleoside linkages that retain a phosphorus atom as well as internucleoside linkages that do not have a phosphorus atom.
- Representative phosphorus containing internucleoside linkages include, but are not limited to, phosphodiesters, phosphotriesters, methylphosphonates, phosphoramidate, and phosphorothioates. Methods of preparation of phosphorous- containing and non-phosphorous-containing linkages are well known.
- nucleosides of modified oligonucleotides may be linked together using any internucleoside linkage.
- the two main classes of internucleoside linking groups are defined by the presence or absence of a phosphorus atom.
- Modified internucleoside linkages compared to naturally occurring phosphate linkages, can be used to alter, typically increase, nuclease resistance of the oligonucleotide.
- internucleoside linkages having a chiral atom can be prepared as a racemic mixture, or as separate enantiomers.
- Representative chiral internucleoside linkages include but are not limited to alkylphosphonates and phosphorothioates. Methods of preparation of phosphorous-containing and non-phosphorous-containing internucleoside linkages are well known to those skilled in the art.
- Further neutral internucleoside linkages include nonionic linkages comprising siloxane (dialkylsiloxane), carboxylate ester, carboxamide, sulfide, sulfonate ester and amides (See for example: Carbohydrate Modifications in Antisense Research; Y.S. Sanghvi and P.D. Cook, Eds., ACS Symposium Series 580; Chapters 3 and 4, 40-65). Further neutral internucleoside linkages include nonionic linkages comprising mixed N, O, S and CH2 component parts.
- oligonucleotides comprise modified internucleoside linkages arranged along the oligonucleotide or region thereof in a defined pattern or modified internucleoside linkage motif.
- internucleoside linkages are arranged in a gapped motif.
- the internucleoside linkages in each of two wing regions are different from the internucleoside linkages in the gap region.
- the internucleoside linkages in the wings are phosphodiester and the internucleoside linkages in the gap are phosphorothioate.
- the nucleoside motif is independently selected, so such oligonucleotides having a gapped internucleoside linkage motif may or may not have a gapped nucleoside motif and if it does have a gapped nucleoside motif, the wing and gap lengths may or may not be the same.
- oligonucleotides comprise a region having an alternating internucleoside linkage motif. In certain embodiments, oligonucleotides comprise a region of uniformly modified internucleoside linkages. In certain such embodiments, the oligonucleotide comprises a region that is uniformly linked by phosphorothioate internucleoside linkages. In certain embodiments, the oligonucleotide is uniformly linked by phosphorothioate. In certain embodiments, each internucleoside linkage of the oligonucleotide is selected from phosphodiester and phosphorothioate. In certain embodiments, each internucleoside linkage of the oligonucleotide is selected from phosphodiester and phosphorothioate and at least one internucleoside linkage is phosphorothioate.
- the oligonucleotide comprises at least 6 phosphorothioate internucleoside linkages. In certain embodiments, the oligonucleotide comprises at least 8 phosphorothioate internucleoside linkages. In certain embodiments, the oligonucleotide comprises at least 10 phosphorothioate internucleoside linkages. In certain embodiments, the oligonucleotide comprises at least one block of at least 6 consecutive phosphorothioate internucleoside linkages. In certain embodiments, the oligonucleotide comprises at least one block of at least 8 consecutive phosphorothioate internucleoside linkages.
- the oligonucleotide comprises at least one block of at least 10 consecutive phosphorothioate internucleoside linkages. In certain embodiments, the oligonucleotide comprises at least block of at least one 12 consecutive phosphorothioate internucleoside linkages. In certain such embodiments, at least one such block is located at the 3’ end of the oligonucleotide. In certain such embodiments, at least one such block is located within 3 nucleosides of the 3’ end of the oligonucleotide.
- oligonucleotides comprise one or more methylphosponate linkages.
- oligonucleotides having a gapmer nucleoside motif comprise a linkage motif comprising all phosphorothioate linkages except for one or two methylphosponate linkages.
- one methylphosponate linkage is in the central gap of an oligonucleotide having a gapmer nucleoside motif.
- the number of phosphorothioate internucleoside linkages may be decreased and the number of phosphodiester internucleoside linkages may be increased while still maintaining nuclease resistance. In certain embodiments it is desirable to decrease the number of phosphorothioate internucleoside linkages while retaining nuclease resistance. In certain embodiments it is desirable to increase the number of phosphodiester internucleoside linkages while retaining nuclease resistance. 4. Certain Motifs
- compounds described herein comprise oligonucleotides.
- Oligonucleotides can have a motif, e.g. a pattern of unmodified and/or modified sugar moieties, nucleobases, and/or internucleoside linkages.
- modified oligonucleotides comprise one or more modified nucleoside comprising a modified sugar.
- modified oligonucleotides comprise one or more modified nucleosides comprising a modified nucleobase.
- modified oligonucleotides comprise one or more modified internucleoside linkage.
- the modified, unmodified, and differently modified sugar moieties, nucleobases, and/or internucleoside linkages of a modified oligonucleotide define a pattern or motif.
- the patterns of sugar moieties, nucleobases, and internucleoside linkages are each independent of one another.
- a modified oligonucleotide may be described by its sugar motif, nucleobase motif and/or internucleoside linkage motif (as used herein, nucleobase motif describes the modifications to the nucleobases independent of the sequence of nucleobases).
- compounds described herein comprise oligonucleotides.
- oligonucleotides comprise one or more type of modified sugar and/or unmodified sugar moiety arranged along the oligonucleotide or region thereof in a defined pattern or sugar motif.
- sugar motifs include but are not limited to any of the sugar modifications discussed herein.
- modified oligonucleotides comprise or consist of a region having a gapmer motif, which comprises two external regions or“wings” and a central or internal region or“gap.”
- the three regions of a gapmer motif (the 5’-wing, the gap, and the 3’-wing) form a contiguous sequence of nucleosides wherein at least some of the sugar moieties of the nucleosides of each of the wings differ from at least some of the sugar moieties of the nucleosides of the gap.
- the sugar moieties of the nucleosides of each wing that are closest to the gap differ from the sugar moiety of the neighboring gap nucleosides, thus defining the boundary between the wings and the gap (i.e., the wing/gap junction).
- the sugar moieties within the gap are the same as one another.
- the gap includes one or more nucleoside having a sugar moiety that differs from the sugar moiety of one or more other nucleosides of the gap.
- the sugar motifs of the two wings are the same as one another (symmetric gapmer).
- the sugar motif of the 5'-wing differs from the sugar motif of the 3'-wing (asymmetric gapmer).
- the wings of a gapmer comprise 1-5 nucleosides. In certain embodiments, the wings of a gapmer comprise 2-5 nucleosides. In certain embodiments, the wings of a gapmer comprise 3-5 nucleosides. In certain embodiments, the nucleosides of a gapmer are all modified nucleosides.
- the gap of a gapmer comprises 7-12 nucleosides. In certain embodiments, the gap of a gapmer comprises 7-10 nucleosides. In certain embodiments, the gap of a gapmer comprises 8- 10 nucleosides. In certain embodiments, the gap of a gapmer comprises 10 nucleosides. In certain embodiment, each nucleoside of the gap of a gapmer is an unmodified 2’-deoxy nucleoside.
- the gapmer is a deoxy gapmer.
- the nucleosides on the gap side of each wing/gap junction are unmodified 2’-deoxy nucleosides and the nucleosides on the wing sides of each wing/gap junction are modified nucleosides.
- each nucleoside of the gap is an unmodified 2’-deoxy nucleoside.
- each nucleoside of each wing is a modified nucleoside.
- a modified oligonucleotide has a fully modified sugar motif wherein each nucleoside of the modified oligonucleotide comprises a modified sugar moiety.
- modified oligonucleotides comprise or consist of a region having a fully modified sugar motif wherein each nucleoside of the region comprises a modified sugar moiety.
- modified oligonucleotides comprise or consist of a region having a fully modified sugar motif, wherein each nucleoside within the fully modified region comprises the same modified sugar moiety, referred to herein as a uniformly modified sugar motif.
- a fully modified oligonucleotide is a uniformly modified oligonucleotide.
- each nucleoside of a uniformly modified comprises the same 2’-modification.
- compounds described herein comprise oligonucleotides.
- oligonucleotides comprise modified and/or unmodified nucleobases arranged along the oligonucleotide or region thereof in a defined pattern or motif.
- each nucleobase is modified.
- none of the nucleobases are modified.
- each purine or each pyrimidine is modified.
- each adenine is modified.
- each guanine is modified.
- each thymine is modified.
- each uracil is modified.
- each cytosine is modified.
- some or all of the cytosine nucleobases in a modified oligonucleotide are 5-methylcytosines.
- modified oligonucleotides comprise a block of modified nucleobases.
- the block is at the 3’-end of the oligonucleotide. In certain embodiments the block is within 3 nucleosides of the 3’-end of the oligonucleotide. In certain embodiments, the block is at the 5’-end of the oligonucleotide. In certain embodiments the block is within 3 nucleosides of the 5’-end of the oligonucleotide.
- oligonucleotides having a gapmer motif comprise a nucleoside comprising a modified nucleobase.
- one nucleoside comprising a modified nucleobase is in the central gap of an oligonucleotide having a gapmer motif.
- the sugar moiety of said nucleoside is a 2’-deoxyribosyl moiety.
- the modified nucleobase is selected from: a 2-thiopyrimidine and a 5-propynepyrimidine.
- compounds described herein comprise oligonucleotides.
- oligonucleotides comprise modified and/or unmodified internucleoside linkages arranged along the oligonucleotide or region thereof in a defined pattern or motif.
- each internucleoside linking group of a modified oligonucleotide is independently selected from a phosphorothioate and phosphate internucleoside linkage.
- the sugar motif of a modified oligonucleotide is a gapmer and the internucleoside linkages within the gap are all modified.
- some or all of the internucleoside linkages in the wings are unmodified phosphate linkages.
- the terminal internucleoside linkages are modified. 5.
- modified oligonucleotides are incorporated into a modified oligonucleotide.
- modified oligonucleotides are characterized by their modification, motifs, and overall lengths. In certain embodiments, such parameters are each independent of one another.
- each internucleoside linkage of an oligonucleotide having a gapmer sugar motif may be modified or unmodified and may or may not follow the gapmer modification pattern of the sugar modifications.
- the internucleoside linkages within the wing regions of a sugar gapmer may be the same or different from one another and may be the same or different from the internucleoside linkages of the gap region of the sugar motif.
- such gapmer oligonucleotides may comprise one or more modified nucleobase independent of the gapmer pattern of the sugar modifications.
- an oligonucleotide is described by an overall length or range and by lengths or length ranges of two or more regions (e.g., a regions of nucleosides having specified sugar modifications), in such circumstances it may be possible to select numbers for each range that result in an oligonucleotide having an overall length falling outside the specified range. In such circumstances, both elements must be satisfied.
- a modified oligonucleotide consists of 15-20 linked nucleosides and has a sugar motif consisting of three regions, A, B, and C, wherein region A consists of 2-6 linked nucleosides having a specified sugar motif, region B consists of 6-10 linked nucleosides having a specified sugar motif, and region C consists of 2-6 linked nucleosides having a specified sugar motif.
- Such embodiments do not include modified oligonucleotides where A and C each consist of 6 linked nucleosides and B consists of 10 linked nucleosides (even though those numbers of nucleosides are permitted within the requirements for A, B, and C) because the overall length of such oligonucleotide is 22, which exceeds the upper limit of the overall length of the modified oligonucleotide (20). .
- a description of an oligonucleotide is silent with respect to one or more parameter, such parameter is not limited.
- a modified oligonucleotide described only as having a gapmer sugar motif without further description may have any length, internucleoside linkage motif, and nucleobase motif. Unless otherwise indicated, all modifications are independent of nucleobase sequence.
- the compounds described herein comprise or consist of an oligonucleotide (modified or unmodified) and optionally one or more conjugate groups and/or terminal groups.
- Conjugate groups consist of one or more conjugate moiety and a conjugate linker which links the conjugate moiety to the oligonucleotide. Conjugate groups may be attached to either or both ends of an oligonucleotide and/or at any internal position. In certain embodiments, conjugate groups are attached to the 2'-position of a nucleoside of a modified oligonucleotide. In certain embodiments, conjugate groups that are attached to either or both ends of an oligonucleotide are terminal groups.
- conjugate groups or terminal groups are attached at the 3’ and/or 5’-end of oligonucleotides. In certain such embodiments, conjugate groups (or terminal groups) are attached at the 3’-end of oligonucleotides. In certain embodiments, conjugate groups are attached near the 3’-end of oligonucleotides. In certain embodiments, conjugate groups (or terminal groups) are attached at the 5’-end of oligonucleotides. In certain embodiments, conjugate groups are attached near the 5’-end of oligonucleotides.
- terminal groups include but are not limited to conjugate groups, capping groups, phosphate moieties, protecting groups, modified or unmodified nucleosides, and two or more nucleosides that are independently modified or unmodified.
- GLP-1 Receptor Ligand Conjugate Moieties include but are not limited to conjugate groups, capping groups, phosphate moieties, protecting groups, modified or unmodified nucleosides, and two or more nucleosides that are independently modified or unmodified.
- a compound comprises an oligonucleotide and GLP-1 receptor ligand conjugate moiety.
- a compound comprises an oligonucleotide, conjugate linker, and GLP-1 receptor ligand conjugate moiety.
- the conjugate linker links the GLP-1 receptor ligand conjugate moiety to the oligonucleotide.
- the oligonucleotide is a modified oligonucleotide.
- the GLP-1 receptor ligand conjugate moiety comprises a small molecule, aptamer, antibody, or peptide.
- a compound comprises an oligonucleotide and a small molecule conjugate moiety capable of binding to GLP-1 receptor.
- a compound comprises an oligonucleotide, conjugate linker, and small molecule conjugate moiety capable of binding to GLP-1 receptor.
- the oligonucleotide is a modified oligonucleotide.
- any small molecule conjugate moiety capable of binding to GLP-1 receptor known in the art can be used in several embodiments.
- the small molecule conjugate moiety capable of binding to GLP-1 receptor is a small molecule GLP-1 receptor antagonist described in Willard et al.,“Small Molecule Drug Discovery at the Glucagon-like Peptide-1 Receptor,” Experimental Diabetes Research Vol. 2012 pgs.
- the small molecule conjugate moiety capable of binding to GLP-1 receptor has any of the following formulas:
- a compound comprises an oligonucleotide and an antibody or fragment thereof capable of binding to GLP-1 receptor.
- a compound comprises an oligonucleotide, conjugate linker, and an antibody or fragment thereof capable of binding to GLP-1 receptor.
- the oligonucleotide is a modified oligonucleotide. Any antibody or fragment thereof capable of binding to GLP-1 receptor known in the art can be used in several embodiments.
- a compound comprises an oligonucleotide and an antibody or fragment thereof capable of binding to GLP-1 receptor described in WO 2005018536, US 20060275288, US 8,389,689, or WO2011056644, which are incorporated by reference herein in their entireties.
- a compound comprises an oligonucleotide, a conjugate linker, and an antibody or fragment thereof capable of binding to GLP-1 receptor described in WO 2005018536, US 20060275288, US 8,389,689, or WO2011056644, which are incorporated by reference herein in their entireties.
- a compound comprises an oligonucleotide and a GLP-1 peptide or fragment or mutant thereof.
- a compound comprises an oligonucleotide, conjugate linker, and GLP-1 peptide or fragment or mutant thereof.
- the oligonucleotide is a modified oligonucleotide. Any GLP-1 peptide or fragment or mutant thereof known in the art can be used in several embodiments.
- a compound comprises an oligonucleotide and a GLP-1 peptide described in US 20140206607; US 9,187,522; US 8,329,419; or WO 2007/124461, which are incorporated by reference herein in their entireties.
- a compound comprises an oligonucleotide, conjugate linker, and GLP-1 peptide described in US 20140206607; US 9,187,522; US 8,329,419; or WO 2007/124461, which are incorporated by reference herein in their entireties.
- a compound comprises an oligonucleotide and a GLP-1 peptide conjugate moiety comprising an at least 8, 9, 10, 11, 12, 13, 14, 15, 16, 17, 18, 19, 20, 21, 22, 23, 24, 25, 26, 27, 28, 29, 30, or 31 contiguous amino acid portion at least 60%, at least 65%, at least 70%, at least 75%, at least 80%, at least 85%, at least 90%, at least 95%, or 100% homologous to an equal length portion of the amino acid sequence of GLP-1(7-37): HAEGTFTSDVSSYLEGQAAKEFIAWLVKGRG, which in conventional three-letter code is: His-Ala-Glu-Gly-Thr-Phe-Thr-Ser-Asp-Val-Ser-Ser-Tyr-Leu-Glu-Gly-Gln-Ala-Ala- Lys-Glu-Phe-Ile-Ala-Trp-Leu-Val-Lys-Gly-Arg-Gly (SEQ ID NO: 1).
- a compound comprises an oligonucleotide and a GLP-1 peptide conjugate moiety comprising an at least 8, 9, 10, 11, 12, 13, 14, 15, 16, 17, 18, 19, 20, 21, 22, 23, 24, 25, 26, 27, 28, 29, 30, or 31 contiguous amino acid portion at least 60%, at least 65%, at least 70%, at least 75%, at least 80%, at least 85%, at least 90%, at least 95%, or 100% homologous to an equal length portion of the amino acid sequence of GLP-1(7-37): HAEGTFTSDVSSYLEGQAAKEFIAWLVKGRG-NH 2 (SEQ ID NO: 1), wherein NH 2 indicates the C- terminal amide.
- a compound comprises an oligonucleotide, conjugate linker, and a GLP-1 peptide conjugate moiety comprising an at least 8, 9, 10, 11, 12, 13, 14, 15, 16, 17, 18, 19, 20, 21, 22, 23, 24, 25, 26, 27, 28, 29, 30, or 31 contiguous amino acid portion at least 60%, at least 65%, at least 70%, at least 75%, at least 80%, at least 85%, at least 90%, at least 95%, or 100% homologous to an equal length portion of the amino acid sequence of GLP-1(7-37): HAEGTFTSDVSSYLEGQAAKEFIAWLVKGRG, which in conventional three-letter code is: His-Ala-Glu-Gly-Thr-Phe-Thr-Ser-Asp-Val-Ser-Ser-Tyr-Leu- Glu-Gly-Gln-Ala-Ala-Lys-Glu-Phe-Ile-Ala-Trp-Leu-Val-Lys-Gly-Arg-Gly (SEQ
- a compound comprises an oligonucleotide, conjugate linker, and a GLP-1 peptide conjugate moiety comprising an at least 8, 9, 10, 11, 12, 13, 14, 15, 16, 17, 18, 19, 20, 21, 22, 23, 24, 25, 26, 27, 28, 29, 30, or 31 contiguous amino acid portion at least 60%, at least 65%, at least 70%, at least 75%, at least 80%, at least 85%, at least 90%, at least 95%, or 100% homologous to an equal length portion of the amino acid sequence of GLP-1(7-37): HAEGTFTSDVSSYLEGQAAKEFIAWLVKGRG-NH 2 (SEQ ID NO: 1), wherein NH 2 indicates the C-terminal amide.
- a compound comprises an oligonucleotide and a GLP-1 peptide conjugate moiety comprising an at least 8, 9, 10, 11, 12, 13, 14, 15, 16, 17, 18, 19, 20, 21, 22, 23, 24, 25, 26, 27, 28, 29, 30, or 31 contiguous amino acid portion at least 60%, at least 65%, at least 70%, at least 75%, at least 80%, at least 85%, at least 90%, at least 95%, or 100% identical to an equal length portion of the amino acid sequence of GLP-1(7-37).
- a compound comprises an oligonucleotide, conjugate linker, and a GLP-1 peptide conjugate moiety comprising an at least 8, 9, 10, 11, 12, 13, 14, 15, 16, 17, 18, 19, 20, 21, 22, 23, 24, 25, 26, 27, 28, 29, 30, or 31 contiguous amino acid portion at least 60%, at least 65%, at least 70%, at least 75%, at least 80%, at least 85%, at least 90%, at least 95%, or 100% identical to an equal length portion of the amino acid sequence of GLP-1(7-37).
- a compound comprises an oligonucleotide and a GLP-1 peptide conjugate moiety 8 to 50 amino acids in length that is at least 60%, at least 65%, at least 70%, at least 75%, at least 80%, at least 85%, at least 90%, at least 95%, or 100% homologous over its entire length to the amino acid sequence of GLP-1(7-37) (SEQ ID NO: 1).
- a compound comprises an oligonucleotide, conjugate linker, and a GLP-1 peptide conjugate moiety 8 to 50 amino acids in length that is at least 60%, at least 65%, at least 70%, at least 75%, at least 80%, at least 85%, at least 90%, at least 95%, or 100% homologous over its entire length to the amino acid sequence of GLP-1(7-37) (SEQ ID NO: 1).
- a compound comprises an oligonucleotide and a GLP-1 peptide conjugate moiety 8 to 50 amino acids in length that is at least 60%, at least 65%, at least 70%, at least 75%, at least 80%, at least 85%, at least 90%, at least 95%, or 100% identical over its entire length to the amino acid sequence of GLP-1(7-37) (SEQ ID NO: 1).
- a compound comprises an oligonucleotide, conjugate linker, and a GLP-1 peptide conjugate moiety 8 to 50 amino acids in length that is at least 60%, at least 65%, at least 70%, at least 75%, at least 80%, at least 85%, at least 90%, at least 95%, or 100% identical over its entire length to the amino acid sequence of GLP-1(7-37) (SEQ ID NO: 1).
- a compound comprises an oligonucleotide and a GLP-1 peptide conjugate moiety comprising the amino acid sequence of GLP-1(7-37) (SEQ ID NO: 1). In certain embodiments, a compound comprises an oligonucleotide, conjugate linker, and a GLP-1 peptide conjugate moiety comprising the amino acid sequence of GLP-1(7-37) (SEQ ID NO: 1).
- a compound comprises an oligonucleotide and a GLP-1 peptide conjugate moiety consisting of the amino acid sequence of GLP-1(7-37) (SEQ ID NO: 1). In certain embodiments, a compound comprises an oligonucleotide, conjugate linker, and a GLP-1 peptide conjugate moiety consisting of the amino acid sequence of GLP-1(7-37) (SEQ ID NO: 1).
- a compound comprises an oligonucleotide and a GLP-1 peptide conjugate moiety comprising the amino acid sequence of GLP-1(7-36)amide: HAEGTFTSDV SSYLEGQAAKEFIAWLVKGR-NH 2 , which in conventional three-letter code is: His-Ala-Glu-Gly-Thr- Phe-Thr-Ser-Asp-Val-Ser-Ser-Tyr-Leu-Glu-Gly-Gln-Ala-Ala-Lys-Glu-Phe-Ile-Ala-Trp-Leu-Val-Lys-Gly- Arg-NH 2 (SEQ ID NO: 2).
- a compound comprises an oligonucleotide, conjugate linker, and a GLP-1 peptide conjugate moiety comprising the amino acid sequence of GLP-1(7-36)amide: HAEGTFTSDV SSYLEGQAAKEFIAWLVKGR-NH 2 , which in conventional three-letter code is: His-Ala- Glu-Gly-Thr-Phe-Thr-Ser-Asp-Val-Ser-Ser-Tyr-Leu-Glu-Gly-Gln-Ala-Ala-Lys-Glu-Phe-Ile-Ala-Trp-Leu- Val-Lys-Gly-Arg-NH 2 (SEQ ID NO: 2).
- a compound comprises an oligonucleotide and a GLP-1 peptide conjugate moiety comprising the amino acid sequence of GLP-1(7-36): HAEGTFTSDV SSYLEGQAAKEFIAWLVKGR, which in conventional three-letter code is: His-Ala-Glu- Gly-Thr-Phe-Thr-Ser-Asp-Val-Ser-Ser-Tyr-Leu-Glu-Gly-Gln-Ala-Ala-Lys-Glu-Phe-Ile-Ala-Trp-Leu-Val- Lys-Gly-Arg (SEQ ID NO: 2).
- a compound comprises an oligonucleotide, conjugate linker, and a GLP-1 peptide conjugate moiety comprising the amino acid sequence of GLP-1(7- 36): HAEGTFTSDV SSYLEGQAAKEFIAWLVKGR, which in conventional three-letter code is: His-Ala- Glu-Gly-Thr-Phe-Thr-Ser-Asp-Val-Ser-Ser-Tyr-Leu-Glu-Gly-Gln-Ala-Ala-Lys-Glu-Phe-Ile-Ala-Trp-Leu- Val-Lys-Gly-Arg (SEQ ID NO: 2).
- a compound comprises an oligonucleotide and a GLP-1 peptide conjugate moiety consisting of the amino acid sequence of GLP-1(7-36)amide (SEQ ID NO: 2). In certain embodiments, a compound comprises an oligonucleotide, conjugate linker, and a GLP-1 peptide conjugate moiety consisting of the amino acid sequence of GLP-1(7-36)amide (SEQ ID NO: 2). In certain embodiments, a compound comprises an oligonucleotide and a GLP-1 peptide conjugate moiety consisting of the amino acid sequence of GLP-1(7-36) (SEQ ID NO: 2). In certain embodiments, a compound comprises an oligonucleotide, conjugate linker, and a GLP-1 peptide conjugate moiety consisting of the amino acid sequence of GLP-1(7-36) (SEQ ID NO: 2).
- a compound comprises an oligonucleotide and a GLP-1 peptide conjugate moiety comprising the amino acid sequence: EGTFTSDVSSYLEGQAAKEFIAWLVKG, which in conventional three-letter code is: Glu-Gly-Thr-Phe-Thr-Ser-Asp-Val-Ser-Ser-Tyr-Leu-Glu-Gly-Gln-Ala- Ala-Lys-Glu-Phe-Ile-Ala-Trp-Leu-Val-Lys-Gly (SEQ ID NO: 3).
- a compound comprises an oligonucleotide and a GLP-1 peptide conjugate moiety comprising the amino acid sequence: EGTFTSDVSSYLEGQAAKEFIAWLVKG-NH 2 (SEQ ID NO: 3), wherein NH 2 indicates the C-terminal amide.
- a compound comprises an oligonucleotide, conjugate linker, and a GLP-1 peptide conjugate moiety comprising the amino acid sequence: EGTFTSDVSSYLEGQAAKEFIAWLVKG, which in conventional three-letter code is: Glu-Gly-Thr-Phe- Thr-Ser-Asp-Val-Ser-Ser-Tyr-Leu-Glu-Gly-Gln-Ala-Ala-Lys-Glu-Phe-Ile-Ala-Trp-Leu-Val-Lys-Gly (SEQ ID NO: 3).
- a compound comprises an oligonucleotide, conjugate linker, and a GLP-1 peptide conjugate moiety comprising the amino acid sequence: EGTFTSDVSSYLEGQAAKEFIAWLVKG-NH 2 (SEQ ID NO: 3), wherein NH 2 indicates the C-terminal amide.
- a compound comprises an oligonucleotide and a GLP-1 peptide conjugate moiety consisting of the amino acid sequence: EGTFTSDVSSYLEGQAAKEFIAWLVKG, which in conventional three-letter code is: Glu-Gly-Thr-Phe-Thr-Ser-Asp-Val-Ser-Ser-Tyr-Leu-Glu-Gly-Gln-Ala- Ala-Lys-Glu-Phe-Ile-Ala-Trp-Leu-Val-Lys-Gly (SEQ ID NO: 3).
- a compound comprises an oligonucleotide and a GLP-1 peptide conjugate moiety consisting of the amino acid sequence: EGTFTSDVSSYLEGQAAKEFIAWLVKG-NH 2 (SEQ ID NO: 3), wherein NH 2 indicates the C-terminal amide.
- a compound comprises an oligonucleotide, conjugate linker, and a GLP-1 peptide conjugate moiety consisting of the amino acid sequence: EGTFTSDVSSYLEGQAAKEFIAWLVKG, which in conventional three-letter code is: Glu-Gly-Thr-Phe- Thr-Ser-Asp-Val-Ser-Ser-Tyr-Leu-Glu-Gly-Gln-Ala-Ala-Lys-Glu-Phe-Ile-Ala-Trp-Leu-Val-Lys-Gly (SEQ ID NO: 3).
- a compound comprises an oligonucleotide, conjugate linker, and a GLP-1 peptide conjugate moiety consisting of the amino acid sequence: EGTFTSDVSSYLEGQAAKEFIAWLVKG-NH 2 (SEQ ID NO: 3), wherein NH 2 indicates the C-terminal amide.
- a compound comprises an oligonucleotide and a GLP-1 peptide conjugate moiety comprising the amino acid sequence: EGTFTSDVSSYLEEQAAKEFIAWLVKG, which in conventional three-letter code is: Glu-Gly-Thr-Phe-Thr-Ser-Asp-Val-Ser-Ser-Tyr-Leu-Glu-Glu-Gln-Ala- Ala-Lys-Glu-Phe-Ile-Ala-Trp-Leu-Val-Lys-Gly (SEQ ID NO: 4).
- a compound comprises an oligonucleotide and a GLP-1 peptide conjugate moiety comprising the amino acid sequence: EGTFTSDVSSYLEEQAAKEFIAWLVKG-NH 2 (SEQ ID NO: 4), wherein NH 2 indicates the C-terminal amide.
- a compound comprises an oligonucleotide, conjugate linker, and a GLP-1 peptide conjugate moiety comprising the amino acid sequence: EGTFTSDVSSYLEEQAAKEFIAWLVKG, which in conventional three-letter code is: Glu-Gly-Thr-Phe-Thr-Ser-Asp-Val-Ser-Ser-Tyr-Leu-Glu-Glu- Gln-Ala-Ala-Lys-Glu-Phe-Ile-Ala-Trp-Leu-Val-Lys-Gly (SEQ ID NO: 4).
- a compound comprises an oligonucleotide, conjugate linker, and a GLP-1 peptide conjugate moiety comprising the amino acid sequence: EGTFTSDVSSYLEEQAAKEFIAWLVKG-NH 2 (SEQ ID NO: 4), wherein NH 2 indicates the C-terminal amide.
- a compound comprises an oligonucleotide and a GLP-1 peptide conjugate moiety consisting of the amino acid sequence: EGTFTSDVSSYLEEQAAKEFIAWLVKG, which in conventional three-letter code is: Glu-Gly-Thr-Phe-Thr-Ser-Asp-Val-Ser-Ser-Tyr-Leu-Glu-Glu-Gln-Ala- Ala-Lys-Glu-Phe-Ile-Ala-Trp-Leu-Val-Lys-Gly (SEQ ID NO: 4).
- a compound comprises an oligonucleotide and a GLP-1 peptide conjugate moiety consisting of the amino acid sequence: EGTFTSDVSSYLEEQAAKEFIAWLVKG-NH 2 (SEQ ID NO: 4), wherein NH 2 indicates the C-terminal amide.
- a compound comprises an oligonucleotide, conjugate linker, and a GLP-1 peptide conjugate moiety consisting of the amino acid sequence: EGTFTSDVSSYLEEQAAKEFIAWLVKG, which in conventional three-letter code is: Glu-Gly-Thr-Phe- Thr-Ser-Asp-Val-Ser-Ser-Tyr-Leu-Glu-Glu-Gln-Ala-Ala-Lys-Glu-Phe-Ile-Ala-Trp-Leu-Val-Lys-Gly (SEQ ID NO: 4).
- a compound comprises an oligonucleotide, conjugate linker, and a GLP-1 peptide conjugate moiety consisting of the amino acid sequence: EGTFTSDVSSYLEEQAAKEFIAWLVKG-NH 2 (SEQ ID NO: 4), wherein NH 2 indicates the C-terminal amide.
- a compound comprises an oligonucleotide, optionally a conjugate linker, and an analog of GLP-1 peptide conjugate moiety including, but not limited to, liraglutide (VICTOZA® from Novo Nordisk); albiglutide (SYNCRIA® from GlaxoSmithKline); taspoglutide (Hoffman La-Roche); LY2189265 (Eli Lilly and Company); LY2428757 (Eli Lilly and Company); desamino- His7,Arg26,Lys34- ((n ⁇ ( ⁇ -Glu(N- ⁇ -hexadecanoyl)))-GLP-1(7-37); desamino-His7,Arg26 ,Lys34(n ⁇ -octanoyl)-GLP-1(7-37); Arg26,34,Lys38(N ⁇ -( ⁇ -carboxypentadecanoyl))- GLP-1(7-38);
- a compound comprises an oligonucleotide, optionally a conjugate linker, and an analog of GLP-1 peptide conjugate moiety including, but not limited to, iraglutide, taspoglutide, exenatide, lixisenatide, semaglutide.
- GLP-1 peptide conjugate moiety including, but not limited to, iraglutide, taspoglutide, exenatide, lixisenatide, semaglutide.
- a compound comprises an oligonucleotide, optionally a conjugate linker, and a GLP-1 peptide conjugate moiety comprising or consisting of the amino acid sequence: H- AibEGTFTSDVSSYLEEQAAKEFIAWLVKGGPSSGAPPPSC-NH 2 (SEQ ID NO: 22), wherein Aib is aminoisobutyric acid and NH 2 indicates the C-terminal amide.
- a compound comprises an oligonucleotide, optionally a conjugate linker, and a GLP-1 peptide conjugate moiety comprising or consisting of the amino acid sequence: His-Aib-Glu-Gly-Thr-Phe-Thr-Ser-Asp-Val-Ser-Ser- Tyr-Leu-Glu-Glu-Gln-Ala-Ala-Lys-Glu-Phe-Ile-Ala-Trp-Leu-Val-Lys-Gly-Gly-Pro-Ser-Ser-Gly-Ala-Pro- Pro-Pro-Ser-Cys (SEQ ID NO: 22) wherein Aib is aminoisobutyric acid.
- a compound comprises an oligonucleotide, optionally a conjugate linker, and a GLP-1 peptide conjugate moiety comprising or consisting of the amino acid sequence: H- AibEGTFTSDVSSYLEEQAAKEFIAWLVKGGPSSGAPPPSX-NH 2 (SEQ ID NO: 23), wherein Aib is aminoisobutyric acid,X is penicillamine, and NH 2 indicates the C-terminal amide.
- a compound comprises an oligonucleotide, optionally a conjugate linker, and a GLP-1 peptide conjugate moiety comprising or consisting of the amino acid sequence: His-Aib-Glu-Gly-Thr-Phe-Thr-Ser-Asp-Val- Ser-Ser-Tyr-Leu-Glu-Glu-Gln-Ala-Ala-Lys-Glu-Phe-Ile-Ala-Trp-Leu-Val-Lys-Gly-Gly-Pro-Ser-Ser-Gly- Ala-Pro-Pro-Pro-Ser-Pen (SEQ ID NO: 23), wherein Aib is aminoisobutyric acid and Pen is penicillamine.
- a compound comprises an oligonucleotide, optionally a conjugate linker, and a GLP-1 peptide conjugate moiety comprising or consisting of the amino acid sequence: HAEGTFTSDVSSYLEGQAAKEFIAWLVKGRC, which in conventional three-letter code is: His-Ala- Glu-Gly-Thr-Phe-Thr-Ser-Asp-Val-Ser-Ser-Tyr-Leu-Glu-Gly-Gln-Ala-Ala-Lys-Glu-Phe-Ile-Ala-Trp-Leu- Val-Lys-Gly-Arg-Cys (SEQ ID NO: 24).
- a compound comprises an oligonucleotide, optionally a conjugate linker, and a GLP-1 peptide conjugate moiety comprising or consisting of the amino acid sequence: HAEGTFTSDVSSYLEGQAAKEFIAWLVKGRC-NH 2 (SEQ ID NO: 24), wherein NH 2 indicates the C-terminal amide.
- a compound comprises an oligonucleotide, optionally a conjugate linker, and a GLP-1 peptide conjugate moiety comprising or consisting of the amino acid sequence: HGEGTFTSDLSKQMEEEAVRLFIEWLKNGGPSSGAPPPS (SEQ ID NO: 25).
- a compound comprises an oligonucleotide, optionally a conjugate linker, and a GLP-1 peptide conjugate moiety comprising or consisting of the amino acid sequence: H-His-Gly-Glu-Gly-Thr-Phe-Thr-Ser-Asp- Leu-Ser-Lys-Gln-Met-Glu-Glu-Glu-Ala-Val-Arg-Leu-Phe-Ile-Glu-Trp-Leu-Lys-Asn-Gly-Gly-Pro-Ser- Ser-Gly-Ala-Pro-Pro-Pro-Ser-NH 2 (SEQ ID NO: 25), wherein H indicates the N-terminus and NH 2 indicates the C-terminal amide.
- a compound comprises an oligonucleotide, optionally a conjugate linker, and a GLP-1 peptide conjugate moiety comprising or consisting of the amino acid sequence: AGEGTF TSDVSSYLEGQAAKEAIAWLVKGGPSSGAPPPSC, which in conventional three-letter code is: Ala- Gly-Glu-Gly-Thr-Phe-Thr-Ser-Asp-Val-Ser-Ser-Tyr-Leu-Glu-Gly-Gln-Ala-Ala-Lys-Glu-Ala-Ile-Ala-Trp- Leu-Val-Lys-Gly-Gly-Pro-Ser-Ser-Gly-Ala-Pro-Pro-Ser-Cys (SEQ ID NO: 26).
- a compound comprises an oligonucleotide, optionally a conjugate linker, and a GLP-1 peptide conjugate moiety comprising or consisting of the amino acid sequence: AGEGTF TSDVSSYLEGQAAKEAIAWLVKGGPSSGAPPPSC-NH 2 (SEQ ID NO: 26), wherein NH 2 indicates the C-terminal amide.
- a compound comprises an oligonucleotide, optionally a conjugate linker, and a GLP-1 peptide conjugate moiety comprising or consisting of the amino acid sequence: AGEGTF TSDVSSYLEGQAAKEAIAWLVKGGPSSGAPPPSX, wherein X is penicillamine, which in conventional three-letter code is: Ala-Gly-Glu-Gly-Thr-Phe-Thr-Ser-Asp-Val-Ser-Ser-Tyr-Leu-Glu-Gly-Gln-Ala-Ala- Lys-Glu-Ala-Ile-Ala-Trp-Leu-Val-Lys-Gly-Gly-Pro-Ser-Ser-Gly-Ala-Pro-Pro-Ser-Pen wherein Pen is penacillamine (SEQ ID NO: 27).
- a compound comprises an oligonucleotide, optionally a conjugate linker, and a GLP-1 peptide conjugate moiety comprising or consisting of the amino acid sequence: AGEGTFTSDVSSYLEGQAAKEAIAWLVKGGPSSGAPPPSX-NH 2 (SEQ ID NO: 27), wherein X is penicillamine and NH 2 indicates the C-terminal amide.
- a compound comprises an oligonucleotide, optionally a conjugate linker, and a GLP-1 peptide conjugate moiety comprising or consisting of the amino acid sequence: HAibEGTFTSDVSSYLEEQAAKEFIAWLV, which in conventional three-letter code is: His-Aib-Glu-Gly- Thr-Phe-Thr-Ser-Asp-Val-Ser-Ser-Tyr-Leu-Glu-Glu-Gln-Ala-Ala-Lys-Glu-Phe-Ile-Ala-Trp-Leu-Val (SEQ ID NO: 28), wherein Aib is aminoisobutyric acid.
- a compound comprises an oligonucleotide, optionally a conjugate linker, and a GLP-1 peptide conjugate moiety comprising or consisting of the amino acid sequence: HAibEGTFTSDVSSYLEEQAAKEFIAWLV-NH 2 (SEQ ID NO: 28), wherein Aib is aminoisobutyric acid and NH 2 indicates the C-terminal amide.
- a compound comprises an oligonucleotide, optionally a conjugate linker, and a GLP-1 peptide conjugate moiety comprising or consisting of the amino acid sequence: HAibEGTFTSDVSSYLEEQAAKEFIAWLVK, which in conventional three-letter code is: His-Aib-Glu- Gly-Thr-Phe-Thr-Ser-Asp-Val-Ser-Ser-Tyr-Leu-Glu-Glu-Gln-Ala-Ala-Lys-Glu-Phe-Ile-Ala-Trp-Leu-Val- Lys (SEQ ID NO: 29), wherein Aib is aminoisobutyric acid.
- a compound comprises an oligonucleotide, optionally a conjugate linker, and a GLP-1 peptide conjugate moiety comprising or consisting of the amino acid sequence: HAibEGTFTSDVSSYLEEQAAKEFIAWLVK-NH 2 (SEQ ID NO: 29), wherein Aib is aminoisobutyric acid and NH 2 indicates the C-terminal amide.
- a compound comprises an oligonucleotide, optionally a conjugate linker, and a GLP-1 peptide conjugate moiety comprising or consisting of the amino acid sequence: HAibEGTFTSDVSSYLEEQAAKEFIAWLVKG, which in conventional three-letter code is: His-Aib-Glu- Gly-Thr-Phe-Thr-Ser-Asp-Val-Ser-Ser-Tyr-Leu-Glu-Glu-Gln-Ala-Ala-Lys-Glu-Phe-Ile-Ala-Trp-Leu-Val- Lys-Gly (SEQ ID NO: 30), wherein Aib is aminoisobutyric acid.
- a compound comprises an oligonucleotide, optionally a conjugate linker, and a GLP-1 peptide conjugate moiety comprising or consisting of the amino acid sequence: HAibEGTFTSDVSSYLEEQAAKEFIAWLVKG- NH 2 (SEQ ID NO: 30), wherein Aib is aminoisobutyric acid and NH 2 indicates the C-terminal amide.
- a compound comprises an oligonucleotide, optionally a conjugate linker, and a GLP-1 peptide conjugate moiety comprising or consisting of the amino acid sequence: HAibEGTFTSDVSSYLEEQAAKEFIAWLVKGG, which in conventional three-letter code is: His-Aib- Glu-Gly-Thr-Phe-Thr-Ser-Asp-Val-Ser-Ser-Tyr-Leu-Glu-Glu-Gln-Ala-Ala-Lys-Glu-Phe-Ile-Ala-Trp-Leu- Val-Lys-Gly-Gly (SEQ ID NO: 31), wherein Aib is aminoisobutyric acid.
- a compound comprises an oligonucleotide, optionally a conjugate linker, and a GLP-1 peptide conjugate moiety comprising or consisting of the amino acid sequence: HAibEGTFTSDVSSYLEEQAAKEFIAWLVKGG-NH 2 (SEQ ID NO: 31), wherein Aib is aminoisobutyric acid and NH 2 indicates the C-terminal amide.
- a compound comprises an oligonucleotide, optionally a conjugate linker, and a GLP-1 peptide conjugate moiety comprising or consisting of the amino acid sequence: HAibEGTFTSDVSSYLEEQAAKEFIAWLVKGGP, which in conventional three-letter code is: His-Aib- Glu-Gly-Thr-Phe-Thr-Ser-Asp-Val-Ser-Ser-Tyr-Leu-Glu-Glu-Gln-Ala-Ala-Lys-Glu-Phe-Ile-Ala-Trp-Leu- Val-Lys-Gly-Gly-Pro (SEQ ID NO: 32), wherein Aib is aminoisobutyric acid.
- a compound comprises an oligonucleotide, optionally a conjugate linker, and a GLP-1 peptide conjugate moiety comprising or consisting of the amino acid sequence: HAibEGTFTSDVSSYLEEQAAKEFIAWLVKGGP-NH 2 , (SEQ ID NO: 32), wherein Aib is aminoisobutyric acid and NH 2 indicates the C-terminal amide.
- a compound comprises an oligonucleotide, optionally a conjugate linker, and a GLP-1 peptide conjugate moiety comprising or consisting of the amino acid sequence: HAibEGTFTSDVSSYLEEQAAKEFIAWLVKGGPS, which in conventional three-letter code is: His-Aib- Glu-Gly-Thr-Phe-Thr-Ser-Asp-Val-Ser-Ser-Tyr-Leu-Glu-Glu-Gln-Ala-Ala-Lys-Glu-Phe-Ile-Ala-Trp-Leu- Val-Lys-Gly-Gly-Pro-Ser (SEQ ID NO: 33), wherein Aib is aminoisobutyric acid.
- a compound comprises an oligonucleotide, optionally a conjugate linker, and a GLP-1 peptide conjugate moiety comprising or consisting of the amino acid sequence: HAibEGTFTSDVSSYLEEQAAKEFIAWLVKGGPS-NH 2 (SEQ ID NO: 33), wherein Aib is aminoisobutyric acid and NH 2 indicates the C-terminal amide.
- a compound comprises an oligonucleotide, optionally a conjugate linker, and a GLP-1 peptide conjugate moiety comprising or consisting of the amino acid sequence: HAibEGTFTSDVSSYLEEQAAKEFIAWLVKGGPSS, which in conventional three-letter code is: His- Aib-Glu-Gly-Thr-Phe-Thr-Ser-Asp-Val-Ser-Ser-Tyr-Leu-Glu-Glu-Gln-Ala-Ala-Lys-Glu-Phe-Ile-Ala-Trp- Leu-Val-Lys-Gly-Gly-Pro-Ser-Ser (SEQ ID NO: 34), wherein Aib is aminoisobutyric acid.
- a compound comprises an oligonucleotide, optionally a conjugate linker, and a GLP-1 peptide conjugate moiety comprising or consisting of the amino acid sequence: HAibEGTFTSDVSSYLEEQAAKEFIAWLVKGGPSS-NH 2 (SEQ ID NO: 34), wherein Aib is aminoisobutyric acid and NH 2 indicates the C-terminal amide.
- a compound comprises an oligonucleotide, optionally a conjugate linker, and a GLP-1 peptide conjugate moiety comprising or consisting of the amino acid sequence: HAibEGTFTSDVSSYLEEQAAKEFIAWLVKGGPSSG, which in conventional three-letter code is: His- Aib-Glu-Gly-Thr-Phe-Thr-Ser-Asp-Val-Ser-Ser-Tyr-Leu-Glu-Glu-Gln-Ala-Ala-Lys-Glu-Phe-Ile-Ala-Trp- Leu-Val-Lys-Gly-Gly-Pro-Ser-Ser-Gly (SEQ ID NO: 35), wherein Aib is aminoisobutyric acid.
- a compound comprises an oligonucleotide, optionally a conjugate linker, and a GLP-1 peptide conjugate moiety comprising or consisting of the amino acid sequence: HAibEGTFTSDVSSYLEEQAAKEFIAWLVKGGPSSG-NH 2 (SEQ ID NO: 35), wherein Aib is aminoisobutyric acid and NH 2 indicates the C-terminal amide.
- a compound comprises an oligonucleotide, optionally a conjugate linker, and a GLP-1 peptide conjugate moiety comprising or consisting of the amino acid sequence: HAibEGTFTSDVSSYLEEQAAKEFIAWLVKGGPSSGA, which in conventional three-letter code is: His- Aib-Glu-Gly-Thr-Phe-Thr-Ser-Asp-Val-Ser-Ser-Tyr-Leu-Glu-Glu-Gln-Ala-Ala-Lys-Glu-Phe-Ile-Ala-Trp- Leu-Val-Lys-Gly-Gly-Pro-Ser-Ser-Gly-Ala (SEQ ID NO: 36), wherein Aib is aminoisobutyric acid.
- a compound comprises an oligonucleotide, optionally a conjugate linker, and a GLP- 1 peptide conjugate moiety comprising or consisting of the amino acid sequence: HAibEGTFTSDVSSYLEEQAAKEFIAWLVKGGPSSGA-NH 2 (SEQ ID NO: 36), wherein Aib is aminoisobutyric acid and NH 2 indicates the C-terminal amide.
- a compound comprises an oligonucleotide, optionally a conjugate linker, and a GLP-1 peptide conjugate moiety comprising or consisting of the amino acid sequence: HAibEGTFTSDVSSYLEEQAAKEFIAWLVKGGPSSGAP, which in conventional three-letter code is: His-Aib-Glu-Gly-Thr-Phe-Thr-Ser-Asp-Val-Ser-Ser-Tyr-Leu-Glu-Glu-Gln-Ala-Ala-Lys-Glu-Phe-Ile-Ala- Trp-Leu-Val-Lys-Gly-Gly-Pro-Ser-Ser-Gly-Ala-Pro (SEQ ID NO: 37), wherein Aib is aminoisobutyric acid.
- a compound comprises an oligonucleotide, optionally a conjugate linker, and a GLP-1 peptide conjugate moiety comprising or consisting of the amino acid sequence: HAibEGTFTSDVSSYLEEQAAKEFIAWLVKGGPSSGAP-NH 2 (SEQ ID NO: 37), wherein Aib is aminoisobutyric acid and NH 2 indicates the C-terminal amide.
- a compound comprises an oligonucleotide, optionally a conjugate linker, and a GLP-1 peptide conjugate moiety comprising or consisting of the amino acid sequence: HGEGTFTSDLSKQMEEEAVRLFIEWLKNGGPSSGAPPPSZ, which in conventional three-letter code is: His-Gly-Glu-Gly-Thr-Phe-Thr-Ser-Asp-Leu-Ser-Lys-Gln-Met-Glu-Glu-Glu-Ala-Val-Arg-Leu-Phe-Ile- Glu-Trp-Leu-Lys-Asn-Gly-Gly-Pro-Ser-Ser-Gly-Ala-Pro-Pro-Pro-Ser-Zaa (SEQ ID NO: 38), wherein Z or Zaa is 4-azidonorleucine comprising:
- a compound comprises an oligonucleotide, optionally a conjugate linker, and a GLP-1 peptide conjugate moiety comprising or consisting of the amino acid sequence: HGEGTFTSDLSKQMEEEAVRLFIEWLKNGGPSSGAPPPSZ-NH 2 (SEQ ID NO: 38), wherein NH 2 indicates the C-terminal amide and Z or Zaa is 4-azidonorleucine comprising:
- a compound comprises an oligonucleotide, optionally a conjugate linker, and a GLP-1 peptide conjugate moiety comprising or consisting of the amino acid sequence: HAibEGTFTSDVSSYLEGQAAKEFIAWLVRGRGZ, which in conventional three-letter code is: His-Aib- Glu-Gly-Thr-Phe-Thr-Ser-Asp-Val-Ser-Ser-Tyr-Leu-Glu-Gly-Gln-Ala-Ala-Lys-Glu-Phe-Ile-Ala-Trp-Leu- Val-Arg-Gly-Arg-Gly-Zaa (SEQ ID NO: 39), wherein Aib is aminoisobutyric acid and Z or Zaa is 4- azidonorleucine comprising:
- a compound comprises an oligonucleotide, optionally a conjugate linker, and a GLP-1 peptide conjugate moiety comprising or consisting of the amino acid sequence: HAibEGTFTSDVSSYLEGQAAKEFIAWLVRGRGZ-NH 2 (SEQ ID NO: 39), wherein Aib is aminoisobutyric acid, NH 2 indicates the C-terminal amide, and Z or Zaa is 4-azidonorleucine comprising:
- a compound comprises an oligonucleotide, optionally a conjugate linker, and a GLP-1 peptide conjugate moiety comprising or consisting of the amino acid sequence: HAibEGTFTSDVSSYLEGQAANXEFIAWLVRGRG, which in conventional three-letter code is: His-Aib- Glu-Gly-Thr-Phe-Thr-Ser-Asp-Val-Ser-Ser-Tyr-Leu-Glu-Gly-Gln-Ala-Ala-Asn-Xaa-Glu-Phe-Ile-Ala- Trp-Leu-Val-Arg-Gly-Arg-Gly (SEQ ID NO: 40), wherein Aib is aminoisobutyric acid and X or Xaa is Lysine (5 azido pentanoic acid amide) having the formula:
- a compound comprises an oligonucleotide, optionally a conjugate linker, and a GLP-1 peptide conjugate moiety comprising or consisting of the amino acid sequence: HAibEGTFTSDVSSYLEGQAANXEFIAWLVRGRG-NH 2 (SEQ ID NO: 40), wherein Aib is aminoisobutyric acid, NH 2 indicates the C-terminal amide, and X or Xaa is Lysine (5 azido pentanoic acid amide) having the formula:
- a compound comprises an oligonucleotide, optionally a conjugate linker, and a GLP-1 peptide conjugate moiety comprising or consisting of the amino acid sequence: HAibEGTFTSDVSSYLEGQAAKEFIAWLVK-AibRZ, which in conventional three-letter code is: His- Aib-Glu-Gly-Thr-Phe-Thr-Ser-Asp-Val-Ser-Ser-Tyr-Leu-Glu-Gly-Gln-Ala-Ala-Lys-Glu-Phe-Ile-Ala- Trp-Leu-Val-Lys-Aib-Arg-Zaa (SEQ ID NO: 41), wherein Aib is aminoisobutyric acid and Z or Zaa is 4- azidonorleucine comprising:
- a compound comprises an oligonucleotide, optionally a conjugate linker, and a GLP-1 peptide conjugate moiety comprising or consisting of the amino acid sequence: HAibEGTFTSDVSSYLEGQAAKEFIAWLVK-AibRZ-NH 2 (SEQ ID NO: 41), wherein Aib is aminoisobutyric acid, NH 2 indicates the C-terminal amide, and Z or Zaa is 4-azidonorleucine comprising:
- a compound comprises an oligonucleotide, optionally a conjugate linker, and a GLP-1 peptide conjugate moiety comprising or consisting of the amino acid sequence: HSEGTFTSDVSSYLEGQAAKEFIAWLVKGRZ, which in conventional three-letter code is: His-Ser-Glu- Gly-Thr-Phe-Thr-Ser-Asp-Val-Ser-Ser-Tyr-Leu-Glu-Gly-Gln-Ala-Ala-Lys-Glu-Phe-Ile-Ala-Trp-Leu-Val- Lys-Gly-Arg-Zaa (SEQ ID NO: 42), wherein Z or Zaa is 4-azidonorleucine comprising:
- a compound comprises an oligonucleotide, optionally a conjugate linker, and a GLP-1 peptide conjugate moiety comprising or consisting of the amino acid sequence: HSEGTFTSDVSSYLEGQAAKEFIAWLVKGRZ-NH 2 (SEQ ID NO: 42), wherein NH 2 indicates the C- terminal amide and Z or Zaa is 4-azidonorleucine comprising:
- a compound comprises an oligonucleotide, optionally a conjugate linker, and a GLP-1 peptide conjugate moiety comprising or consisting of the amino acid sequence: HAibEGTFTSDVSSYLEEQAAKEFIAWLVKGGPSSGAPPZ, which in conventional three-letter code is: His-Aib-Glu-Gly-Thr-Phe-Thr-Ser-Asp-Val-Ser-Ser-Tyr-Leu-Glu-Glu-Gln-Ala-Ala-Lys-Glu-Phe-Ile-Ala- Trp-Leu-Val-Lys-Gly-Gly-Pro-Ser-Ser-Gly-Ala-Pro-Pro-Zaa (SEQ ID NO: 43), wherein Aib is aminoisobutyric acid and Z or Zaa is 4-azidonorleucine comprising:
- a compound comprises an oligonucleotide, optionally a conjugate linker, and a GLP-1 peptide conjugate moiety comprising or consisting of the amino acid sequence: HAibEGTFTSDVSSYLEEQAAKEFIAWLVKGGPSSGAPPZ-NH 2 (SEQ ID NO: 43), wherein Aib is aminoisobutyric acid, NH 2 indicates the C-terminal amide, and Z or Zaa is 4-azidonorleucine comprising: .
- a compound comprises an oligonucleotide, optionally a conjugate linker, and a GLP-1 peptide conjugate moiety comprising or consisting of the amino acid sequence: HAibEGTFTSDVSSYLEEQAAKEFIAWLVKGGPSSZ, which in conventional three-letter code is: His- Aib-Glu-Gly-Thr-Phe-Thr-Ser-Asp-Val-Ser-Ser-Tyr-Leu-Glu-Glu-Gln-Ala-Ala-Lys-Glu-Phe-Ile-Ala-Trp- Leu-Val-Lys-Gly-Gly-Pro-Ser-Ser-Zaa (SEQ ID NO: 44), wherein Aib is aminoisobutyric acid and Z or Zaa is 4-azidonorleucine comprising:
- a compound comprises an oligonucleotide, optionally a conjugate linker, and a GLP-1 peptide conjugate moiety comprising or consisting of the amino acid sequence: HAibEGTFTSDVSSYLEEQAAKEFIAWLVKGGPSSZ-NH 2 (SEQ ID NO: 44), wherein Aib is aminoisobutyric acid, NH 2 indicates the C-terminal amide, and Z or Zaa is 4-azidonorleucine comprising:
- a compound comprises an oligonucleotide, optionally a conjugate linker, and a GLP-1 peptide conjugate moiety comprising or consisting of the amino acid sequence: HAibEGTFTSDVSSYLEEQAAKEFIAWLVKZ, which in conventional three-letter code is: His-Aib-Glu- Gly-Thr-Phe-Thr-Ser-Asp-Val-Ser-Ser-Tyr-Leu-Glu-Glu-Gln-Ala-Ala-Lys-Glu-Phe-Ile-Ala-Trp-Leu-Val- Lys-Zaa (SEQ ID NO: 45), wherein Aib is aminoisobutyric acid and Z or Zaa is 4-azidonorleucine comprising: .
- a compound comprises an oligonucleotide, optionally a conjugate linker, and a GLP-1 peptide conjugate moiety comprising or consisting of the amino acid sequence: HAibEGTFTSDVSSYLEEQAAKEFIAWLVKZ-NH 2 (SEQ ID NO: 45), wherein Aib is aminoisobutyric acid, NH 2 indicates the C-terminal amide, and Z or Zaa is 4-azidonorleucine comprising:
- a compound comprises an oligonucleotide, optionally a conjugate linker, and a GLP-1 peptide conjugate moiety comprising or consisting of the amino acid sequence: HAibEGTFTSDVSSYLEEQAAKEFIAWLVZ, which in conventional three-letter code is: His-Aib-Glu- Gly-Thr-Phe-Thr-Ser-Asp-Val-Ser-Ser-Tyr-Leu-Glu-Glu-Gln-Ala-Ala-Lys-Glu-Phe-Ile-Ala-Trp-Leu-Val- Zaa (SEQ ID NO: 46), wherein Aib is aminoisobutyric acid and Z or Zaa is 4-azidonorleucine comprising:
- a compound comprises an oligonucleotide, optionally a conjugate linker, and a GLP-1 peptide conjugate moiety comprising or consisting of the amino acid sequence: HAibEGTFTSDVSSYLEEQAAKEFIAWLVZ-NH 2 (SEQ ID NO: 46), wherein Aib is aminoisobutyric acid, NH 2 indicates the C-terminal amide, and Z or Zaa is 4-azidonorleucine comprising: .
- a compound comprises an oligonucleotide, optionally a conjugate linker, and a GLP-1 peptide conjugate moiety comprising or consisting of the amino acid sequence: HAibEGTFTSDVSSYLEEQAAKEFIAWLVC, which in conventional three-letter code is: His-Aib-Glu- Gly-Thr-Phe-Thr-Ser-Asp-Val-Ser-Ser-Tyr-Leu-Glu-Glu-Gln-Ala-Ala-Lys-Glu-Phe-Ile-Ala-Trp-Leu-Val- Cys (SEQ ID NO: 47), wherein Aib is aminoisobutyric acid.
- a compound comprises an oligonucleotide, optionally a conjugate linker, and a GLP-1 peptide conjugate moiety comprising or consisting of the amino acid sequence: HAibEGTFTSDVSSYLEEQAAKEFIAWLVC-NH 2 (SEQ ID NO: 47), wherein Aib is aminoisobutyric acid and NH 2 indicates the C-terminal amide.
- a compound comprises an oligonucleotide, optionally a conjugate linker, and a GLP-1 peptide conjugate moiety comprising or consisting of the amino acid sequence: HAibEGTFTSDVSSYLEEQAAKEFIAWLZ, which in conventional three-letter code is: His-Aib-Glu-Gly- Thr-Phe-Thr-Ser-Asp-Val-Ser-Ser-Tyr-Leu-Glu-Glu-Gln-Ala-Ala-Lys-Glu-Phe-Ile-Ala-Trp-Leu-Zaa (SEQ ID NO: 48), wherein Aib is aminoisobutyric acid and Z or Zaa is 4-azidonorleucine comprising:
- a compound comprises an oligonucleotide, optionally a conjugate linker, and a GLP-1 peptide conjugate moiety comprising or consisting of the amino acid sequence: HAibEGTFTSDVSSYLEEQAAKEFIAWLZ-NH 2 (SEQ ID NO: 48), wherein Aib is aminoisobutyric acid, NH 2 indicates the C-terminal amide, and Z or Zaa is 4-azidonorleucine comprising: .
- a compound comprises an oligonucleotide, optionally a conjugate linker, and a GLP-1 peptide conjugate moiety comprising or consisting of the amino acid sequence: HAibEGTFTSDVSSYLEEQAAKEFIAWZ, which in conventional three-letter code is: His-Aib-Glu-Gly- Thr-Phe-Thr-Ser-Asp-Val-Ser-Ser-Tyr-Leu-Glu-Glu-Gln-Ala-Ala-Lys-Glu-Phe-Ile-Ala-Trp-Zaa (SEQ ID NO: 49), wherein Aib is aminoisobutyric acid and Z or Zaa is 4-azidonorleucine comprising:
- a compound comprises an oligonucleotide, optionally a conjugate linker, and a GLP-1 peptide conjugate moiety comprising or consisting of the amino acid sequence: HAibEGTFTSDVSSYLEEQAAKEFIAWZ-NH 2 (SEQ ID NO: 49), wherein Aib is aminoisobutyric acid, NH 2 indicates the C-terminal amide, and Z or Zaa is 4-azidonorleucine comprising:
- a compound comprises an oligonucleotide, optionally a conjugate linker, and a GLP-1 peptide conjugate moiety comprising or consisting of the amino acid sequence: HAibEGTFTSDVSSYLEEQAAZ, which in conventional three-letter code is: His-Aib-Glu-Gly-Thr-Phe- Thr-Ser-Asp-Val-Ser-Ser-Tyr-Leu-Glu-Glu-Gln-Ala-Ala-Zaa (SEQ ID NO: 50), wherein Aib is aminoisobutyric acid and Z or Zaa is 4-azidonorleucine comprising: .
- a compound comprises an oligonucleotide, optionally a conjugate linker, and a GLP-1 peptide conjugate moiety comprising or consisting of the amino acid sequence: HAibEGTFTSDVSSYLEEQAAZ-NH 2 (SEQ ID NO: 50), wherein Aib is aminoisobutyric acid, NH 2 indicates the C-terminal amide, and Z or Zaa is 4-azidonorleucine comprising:
- a compound comprises an oligonucleotide, optionally a conjugate linker, and a GLP-1 peptide conjugate moiety comprising or consisting of the amino acid sequence: HGEGTFTSDLSKQMEEEAVRLFIEWLKNGZ, which in conventional three-letter code is: His-Gly-Glu- Gly-Thr-Phe-Thr-Ser-Asp-Leu-Ser-Lys-Gln-Met-Glu-Glu-Glu-Ala-Val-Arg-Leu-Phe-Ile-Glu-Trp-Leu- Lys-Asn-Gly-Zaa (SEQ ID NO: 51), wherein Z or Zaa is 4-azidonorleucine comprising:
- a compound comprises an oligonucleotide, optionally a conjugate linker, and a GLP-1 peptide conjugate moiety comprising or consisting of the amino acid sequence: HGEGTFTSDLSKQMEEEAVRLFIEWLKNGZ-NH 2 (SEQ ID NO: 51), wherein NH 2 indicates the C- terminal amide, and Z or Zaa is 4-azidonorleucine comprising: .
- a compound comprises an oligonucleotide, optionally a conjugate linker, and a GLP-1 peptide conjugate moiety comprising or consisting of the amino acid sequence: HGEGTFTSDLSKQMEEEAVRLFIEWLKNZ, which in conventional three-letter code is: His-Gly-Glu- Gly-Thr-Phe-Thr-Ser-Asp-Leu-Ser-Lys-Gln-Met-Glu-Glu-Glu-Ala-Val-Arg-Leu-Phe-Ile-Glu-Trp-Leu- Lys-Asn-Zaa (SEQ ID NO: 52), wherein Z or Zaa is 4-azidonorleucine comprising:
- a compound comprises an oligonucleotide, optionally a conjugate linker, and a GLP-1 peptide conjugate moiety comprising or consisting of the amino acid sequence: HGEGTFTSDLSKQMEEEAVRLFIEWLKNZ-NH 2 (SEQ ID NO: 52), wherein NH 2 indicates the C- terminal amide and Z or Zaa is 4-azidonorleucine comprising:
- a compound comprises an oligonucleotide, optionally a conjugate linker, and a GLP-1 peptide conjugate moiety comprising or consisting of the amino acid sequence: HGEGTFTSDLSKQMEEEAVRLFIEWLKZ, which in conventional three-letter code is: His-Gly-Glu-Gly- Thr-Phe-Thr-Ser-Asp-Leu-Ser-Lys-Gln-Met-Glu-Glu-Glu-Ala-Val-Arg-Leu-Phe-Ile-Glu-Trp-Leu-Lys- Zaa (SEQ ID NO: 53), wherein Z or Zaa is 4-azidonorleucine comprising: .
- a compound comprises an oligonucleotide, optionally a conjugate linker, and a GLP-1 peptide conjugate moiety comprising or consisting of the amino acid sequence: HGEGTFTSDLSKQMEEEAVRLFIEWLKZ-NH 2 (SEQ ID NO: 53), wherein NH 2 indicates the C-terminal amide and Z or Zaa is 4-azidonorleucine comprising:
- a compound comprises an oligonucleotide, optionally a conjugate linker, and a GLP-1 peptide conjugate moiety comprising or consisting of the amino acid sequence: HGEGTFTSDLSKQMEEEAVRLFIEWLZ, which in conventional three-letter code is: His-Gly-Glu-Gly- Thr-Phe-Thr-Ser-Asp-Leu-Ser-Lys-Gln-Met-Glu-Glu-Glu-Ala-Val-Arg-Leu-Phe-Ile-Glu-Trp-Leu-Zaa (SEQ ID NO: 54), wherein Z or Zaa is 4-azidonorleucine comprising:
- a compound comprises an oligonucleotide, optionally a conjugate linker, and a GLP-1 peptide conjugate moiety comprising or consisting of the amino acid sequence: HGEGTFTSDLSKQMEEEAVRLFIEWLZ-NH 2 (SEQ ID NO: 54), wherein NH 2 indicates the C-terminal amide and Z or Zaa is 4-azidonorleucine comprising: .
- a compound comprises an oligonucleotide and a GLP-1 peptide conjugate moiety comprising or consisting of the amino acid sequence: HGEGTFTSDLSKQMEEEAVRLFIEWZ, which in conventional three-letter code is: His-Gly-Glu-Gly-Thr-Phe-Thr-Ser-Asp-Leu-Ser-Lys-Gln-Met- Glu-Glu-Glu-Ala-Val-Arg-Leu-Phe-Ile-Glu-Trp-Zaa (SEQ ID NO: 55), wherein Z or Zaa is 4- azidonorleucine comprising:
- a compound comprises an oligonucleotide and a GLP-1 peptide conjugate moiety comprising or consisting of the amino acid sequence: HGEGTFTSDLSKQMEEEAVRLFIEWZ- NH 2 (SEQ ID NO: 55), wherein NH 2 indicates the C-terminal amide and Z or Zaa is 4-azidonorleucine comprising:
- a compound comprises an oligonucleotide, optionally a conjugate linker, and a GLP-1 peptide conjugate moiety comprising or consisting of the amino acid sequence: HAibEGTFTSDVSSYLEEQAAKEFIAWLVKGGPSSGAPPPSZ, which in conventional three-letter code is: His-Aib-Glu-Gly-Thr-Phe-Thr-Ser-Asp-Val-Ser-Ser-Tyr-Leu-Glu-Glu-Gln-Ala-Ala-Lys-Glu-Phe-Ile- Ala-Trp-Leu-Val-Lys-Gly-Gly-Pro-Ser-Ser-Gly-Ala-Pro-Pro-Ser-Zaa (SEQ ID NO: 56), wherein Aib is aminoisobutyric acid and Z or Zaa is 4-azidonorleucine comprising: .
- a compound comprises an oligonucleotide, optionally a conjugate linker, and a GLP-1 peptide conjugate moiety comprising or consisting of the amino acid sequence: HAibEGTFTSDVSSYLEEQAAKEFIAWLVKGGPSSGAPPPSZ-NH 2 (SEQ ID NO: 56), wherein Aib is aminoisobutyric acid, NH 2 indicates the C-terminal amide, and Z or Zaa is 4-azidonorleucine comprising:
- a compound comprises an oligonucleotide, optionally a conjugate linker, and a GLP-1 peptide conjugate moiety comprising or consisting of the amino acid sequence: HGEGTFTSDLSKQMEEEAVRLFIEWLKNGGPSSGAPPPSC, which in conventional three-letter code is: His-Gly-Glu-Gly-Thr-Phe-Thr-Ser-Asp-Leu-Ser-Lys-Gln-Met-Glu-Glu-Glu-Ala-Val-Arg-Leu-Phe-Ile- Glu-Trp-Leu-Lys-Asn-Gly-Gly-Pro-Ser-Ser-Gly-Ala-Pro-Pro-Pro-Ser-Cys (SEQ ID NO: 57).
- a compound comprises an oligonucleotide, optionally a conjugate linker, and a GLP-1 peptide conjugate moiety comprising or consisting of the amino acid sequence: HGEGTFTSDLSKQMEEEAVRLFIEWLKNGGPSSGAPPPSC-NH 2 (SEQ ID NO: 57), wherein NH 2 indicates the C-terminal amide.
- a compound comprises an oligonucleotide and a GLP-1 peptide conjugate moiety comprising an at least 8, 9, 10, 11, 12, 13, 14, 15, 16, 17, 18, 19, 20, 21, 22, 23, 24, 25, 26, 27, 28, 29, 30, or 31 contiguous amino acid portion at least 60%, at least 65%, at least 70%, at least 75%, at least 80%, at least 85%, at least 90%, at least 95%, or 100% identical to an equal length portion of the amino acid sequence of any one of SEQ ID NOs: 1-57.
- a compound comprises an oligonucleotide, conjugate linker, and a GLP-1 peptide conjugate moiety comprising an at least 8, 9, 10, 11, 12, 13, 14, 15, 16, 17, 18, 19, 20, 21, 22, 23, 24, 25, 26, 27, 28, 29, 30, or 31 contiguous amino acid portion at least 60%, at least 65%, at least 70%, at least 75%, at least 80%, at least 85%, at least 90%, at least 95%, or 100% identical to an equal length portion of the amino acid sequence of any one of SEQ ID NOs: 1-57.
- a compound comprises an oligonucleotide and a GLP-1 peptide conjugate moiety 8 to 50 amino acids in length that is at least 60%, at least 65%, at least 70%, at least 75%, at least 80%, at least 85%, at least 90%, at least 95%, or 100% homologous over its entire length to the amino acid sequence of any one of SEQ ID NOs: 1-57.
- a compound comprises an oligonucleotide, conjugate linker, and a GLP-1 peptide conjugate moiety 8 to 50 amino acids in length that is at least 60%, at least 65%, at least 70%, at least 75%, at least 80%, at least 85%, at least 90%, at least 95%, or 100% homologous over its entire length to the amino acid sequence of any one of SEQ ID NOs: 1- 57.
- a compound comprises an oligonucleotide and a GLP-1 peptide conjugate moiety 8 to 50 amino acids in length that is at least 60%, at least 65%, at least 70%, at least 75%, at least 80%, at least 85%, at least 90%, at least 95%, or 100% identical over its entire length to the amino acid sequence of any one of SEQ ID NOs: 1-57.
- a compound comprises an oligonucleotide, conjugate linker, and a GLP-1 peptide conjugate moiety 8 to 50 amino acids in length that is at least 60%, at least 65%, at least 70%, at least 75%, at least 80%, at least 85%, at least 90%, at least 95%, or 100% identical over its entire length to the amino acid sequence of any one of SEQ ID NOs: 1-57.
- a compound comprises an oligonucleotide and a GLP-1 peptide conjugate moiety comprising an amino acid sequence with 1, 2, 3, 4, 5, 6, 7 or 8 amino acid substitutions, insertions, deletions, or a combination of two or more thereof, when compared to the amino acid sequence of GLP-1(7- 37) (SEQ ID NO: 1).
- a compound comprises an oligonucleotide, conjugate linker, and a GLP-1 peptide conjugate moiety comprising an amino acid sequence with 1, 2, 3, 4, 5, 6, 7 or 8 amino acid substitutions, insertions, deletions, or a combination of two or more thereof, when compared to the amino acid sequence of GLP-1(7-37) (SEQ ID NO: 1).
- a compound comprises an oligonucleotide, optionally a conjugate linker, and a GLP-1 peptide conjugate moiety comprising or consisting of an amino acid sequence of any of SEQ ID NOs: 1-57.
- a compound comprises an oligonucleotide and a GLP-1 peptide conjugate moiety comprising an amino acid sequence with 1, 2, 3, 4, 5, 6, 7 or 8 amino acid substitutions, insertions, deletions, or a combination of two or more thereof, when compared to the amino acid sequence of any of SEQ ID NOs: 1-57.
- a compound comprises an oligonucleotide, conjugate linker, and a GLP-1 peptide conjugate moiety comprising an amino acid sequence with 1, 2, 3, 4, 5, 6, 7 or 8 amino acid substitutions, insertions, deletions, or a combination of two or more thereof, when compared to the amino acid sequence of any of SEQ ID NOs: 1-57.
- the GLP-1 peptide conjugate moiety may comprise a conservative amino acid substitution, an amino acid analog, or an amino acid derivative.
- the conservative amino acid substitution comprises replacement of an aliphatic amino acid with another aliphatic amino acid; replacement of a serine with a threonine or vice versa; replacement of an acidic residue with another acidic residue; replacement of a residue bearing an amide group with another residue bearing an amide group; exchange of a basic residue with another basic residue; or, replacement of an aromatic residue with another aromatic residue, or a combination thereof
- the aliphatic residue comprises Alanine, Valine, Leucine, Isoleucine or a synthetic equivalent thereof;
- the acidic residue comprises Aspartic acid, Glutamic acid or a synthetic equivalent thereof;
- the residue comprising an amide group comprises Aspartic acid, Glutamic acid or a synthetic equivalent thereof;
- the basic residue comprises Lysine, Arginine or a synthetic equivalent thereof; or, the aromatic residue comprises Phenylalanine, Ty
- GLP-1 peptide conjugate moieties or analogs that may be used in embodiments provided herein are described in US 20140206607; US 9,187,522; WO 2007/124461; WO 2014/096179; WO 2009/030738; WO 2016/055610; and US 8,329,419, which are all incopororated by reference herein in their entireties.
- a conjugate linker links a GLP-1 receptor ligand conjugate moiety to an oligonucleotide.
- a GLP-1 receptor ligand conjugate moiety is attached to an oligonucleotide via a conjugate linker through a single bond.
- the conjugate linker comprises a chain structure, such as a hydrocarbyl chain, or an oligomer of repeating units such as ethylene glycol, nucleosides, or amino acid units.
- a conjugate linker comprises one or more groups selected from alkyl, amino, oxo, amide, disulfide, polyethylene glycol, ether, thioether, and hydroxylamino. In certain such embodiments, the conjugate linker comprises groups selected from alkyl, amino, oxo, amide and ether groups. In certain embodiments, the conjugate linker comprises groups selected from alkyl and amide groups. In certain embodiments, the conjugate linker comprises groups selected from alkyl and ether groups. In certain embodiments, the conjugate linker comprises at least one phosphorus moiety. In certain embodiments, the conjugate linker comprises at least one phosphate group. In certain embodiments, the conjugate linker includes at least one neutral linking group.
- conjugate linkers are bifunctional linking moieties, e.g., those known in the art to be useful for attaching conjugate groups to parent compounds, such as the oligonucleotides provided herein.
- a bifunctional linking moiety comprises at least two functional groups. One of the functional groups is selected to bind to a particular site on a compound and the other is selected to bind to a conjugate group. Examples of functional groups used in a bifunctional linking moiety include but are not limited to electrophiles for reacting with nucleophilic groups and nucleophiles for reacting with electrophilic groups.
- bifunctional linking moieties comprise one or more groups selected from amino, hydroxyl, carboxylic acid, thiol, alkyl, alkenyl, and alkynyl.
- conjugate linkers include but are not limited to pyrrolidine, 8-amino-3,6-dioxaoctanoic acid (ADO), succinimidyl 4-(N-maleimidomethyl) cyclohexane-1-carboxylate (SMCC) and 6- aminohexanoic acid (AHEX or AHA).
- ADO 8-amino-3,6-dioxaoctanoic acid
- SMCC succinimidyl 4-(N-maleimidomethyl) cyclohexane-1-carboxylate
- AHEX or AHA 6- aminohexanoic acid
- conjugate linkers include but are not limited to substituted or unsubstituted C 1 -C 10 alkyl, substituted or unsubstituted C 2 -C 10 alkenyl or substituted or unsubstituted C 2 -C 10 alkynyl, wherein a nonlimiting list of preferred substituent groups includes hydroxyl, amino, alkoxy, carboxy, benzyl, phenyl, nitro, thiol, thioalkoxy, halogen, alkyl, aryl, alkenyl and alkynyl.
- conjugate linkers comprise 1-10 linker-nucleosides. In certain embodiments, such linker-nucleosides are modified nucleosides. In certain embodiments such linker- nucleosides comprise a modified sugar moiety. In certain embodiments, linker-nucleosides are unmodified. In certain embodiments, linker-nucleosides comprise an optionally protected heterocyclic base selected from a purine, substituted purine, pyrimidine or substituted pyrimidine.
- a cleavable moiety is a nucleoside selected from uracil, thymine, cytosine, 4-N-benzoylcytosine, 5-methylcytosine, 4- N-benzoyl-5-methylcytosine, adenine, 6-N-benzoyladenine, guanine and 2-N-isobutyrylguanine. It is typically desirable for linker-nucleosides to be cleaved from the compound after it reaches a target tissue. Accordingly, linker-nucleosides are typically linked to one another and to the remainder of the compound through cleavable bonds. In certain embodiments, such cleavable bonds are phosphodiester bonds.
- linker-nucleosides are not considered to be part of the oligonucleotide. Accordingly, in embodiments in which a compound comprises an oligonucleotide consisting of a specified number or range of linked nucleosides and/or a specified percent complementarity to a reference nucleic acid and the compound also comprises a conjugate group comprising a conjugate linker comprising linker-nucleosides, those linker-nucleosides are not counted toward the length of the oligonucleotide and are not used in determining the percent complementarity of the oligonucleotide for the reference nucleic acid.
- a compound may comprise (1) a modified oligonucleotide consisting of 8-30 nucleosides and (2) a conjugate group comprising 1-10 linker-nucleosides that are contiguous with the nucleosides of the modified oligonucleotide.
- the total number of contiguous linked nucleosides in such a compound is more than 30.
- an compound may comprise a modified oligonucleotide consisting of 8-30 nucleosides and no conjugate group.
- the total number of contiguous linked nucleosides in such a compound is no more than 30.
- conjugate linkers comprise no more than 10 linker-nucleosides.
- conjugate linkers comprise no more than 5 linker-nucleosides. In certain embodiments, conjugate linkers comprise no more than 3 linker-nucleosides. In certain embodiments, conjugate linkers comprise no more than 2 linker-nucleosides. In certain embodiments, conjugate linkers comprise no more than 1 linker-nucleoside.
- a conjugate group it is desirable for a conjugate group to be cleaved from the oligonucleotide. For example, in certain circumstances compounds comprising a particular conjugate moiety are better taken up by a particular cell type, but once the compound has been taken up, it is desirable that the conjugate group be cleaved to release the unconjugated or parent oligonucleotide.
- certain conjugate may comprise one or more cleavable moieties, typically within the conjugate linker.
- a cleavable moiety is a cleavable bond.
- a cleavable moiety is a group of atoms comprising at least one cleavable bond.
- a cleavable moiety comprises a group of atoms having one, two, three, four, or more than four cleavable bonds.
- a cleavable moiety is selectively cleaved inside a cell or subcellular compartment, such as a lysosome.
- a cleavable moiety is selectively cleaved by endogenous enzymes, such as nucleases.
- a cleavable bond is selected from among: an amide, an ester, an ether, one or both esters of a phosphodiester, a phosphate ester, a carbamate, or a disulfide. In certain embodiments, a cleavable bond is one or both of the esters of a phosphodiester. In certain embodiments, a cleavable moiety comprises a phosphate or phosphodiester. In certain embodiments, the cleavable moiety is a phosphate linkage between an oligonucleotide and a conjugate moiety or conjugate group.
- a cleavable moiety comprises or consists of one or more linker-nucleosides.
- one or more linker-nucleosides are linked to one another and/or to the remainder of the compound through cleavable bonds.
- such cleavable bonds are unmodified phosphodiester bonds.
- a cleavable moiety is 2'-deoxy nucleoside that is attached to either the 3' or 5'-terminal nucleoside of an oligonucleotide by a phosphate internucleoside linkage and covalently attached to the remainder of the conjugate linker or conjugate moiety by a phosphate or phosphorothioate linkage.
- the cleavable moiety is 2'-deoxyadenosine.
- a compound comprises an oligonucleotide linked to a GLP-1 receptor ligand conjugate moiety by a conjugate linker selected from the following structures: ;
- n is independently selected from 0, 1, 2, 3, 4, 5, 6, or 7.
- a compound comprises an oligonucleotide linked to a GLP-1 receptor ligand conjugate moiety by a conjugate linker selected from the following structures:
- n is, independently from 1 to 20; and p is from 1 to 6.
- a compound comprises an oligonucleotide linked to a GLP-1 receptor ligand conjugate moiety by a conjugate linker selected from the following structures:
- n is, independently, from 1 to 20.
- a compound comprises an oligonucleotide linked to a GLP-1 receptor ligand conjugate moiety by a conjugate linker selected from the following structures:
- n is, independently, from 1 to 20.
- a compound comprises an oligonucleotide linked to a GLP-1 receptor ligand conjugate moiety by a conjugate linker selected from the following structures:
- a compound comprises an oligonucleotide linked to a GLP-1 receptor ligand conjugate moiety by a conjugate linker selected from the following structures:
- a compound comprises an oligonucleotide linked to a GLP-1 receptor ligand conjugate moiety by a conjugate linker selected from the following structures:
- a compound comprises an oligonucleotide linked to a GLP-1 receptor ligand conjugate moiety by a conjugate linker having the following structure: In certain embodiments, a compound comprises an oligonucleotide linked to a GLP-1 receptor ligand conjugate moiety by a conjugate linker having the following structure: ; wherein
- Y directly or indirectly attaches to the modified oligonucleotide.
- a compound comprises an oligonucleotide linked to a GLP-1 receptor ligand conjugate moiety by any conjugate linker described in WO 2014/179620, which is incorporated by reference herein in its entirety. 2.
- a conjugate linker having the following structure:
- the phosphate group is connected to the modified oligonucleotide and Y is connected to the conjugate group;
- Y is a phosphodiester or amino (-NH-) group
- Z is a having the formula:
- j 0 or 1
- n is 0 or from 1 to 4.
- Y is amino (-NH-). In certain embodiments, Y is a phosphodiester group. In certain embodiments, n is 3 and p is 3. In certain embodiments, n is 6 and p is 6. In certain
- n is from 2 to 10 and p is from 2 to 10. In certain embodiments, n and p are different. In certain embodiments, n and p are the same. In certain embodiments, m is 0. In certain embodiments, m is 1. In certain e . In certain embodiments, j is 1 and Z has the formula:
- n is 2 and p is 3. In certain embodiments, n is 5 and p is 6.
- a compound comprises an oligonucleotide linked to a GLP-1 receptor ligand conjugate moiety by a conjugate linker having the following structure:
- T 1 comprises the modified oligonucleotide
- Bx is a modified or unmodified nucleobase
- a compound comprises an oligonucleotide linked to a GLP-1 receptor ligand conjugate moiety by a conjugate linker, wherein the conjugate linker is prepared using Click chemistry known in the art.
- Compounds have been prepared using Click chemistry wherein alkynyl phosphonate internucleoside linkages on an oligomeric compound attached to a solid support are converted into the 1,2,3-triazolylphosphonate internucleoside linkages and then cleaved from the solid support (Krishna et al., J. Am. Chem. Soc.2012, 134(28), 11618-11631), which is incorporated by reference herein in its entirety.
- Additional linkers suitable for use in several embodiments can be prepared by Click chemistry described in“Click Chemistry for Biotechnology and Materials Science” Ed. Joerg Laham, Wiley 2009, which is incorporated by reference herein in its entirety.
- a Click reaction can be used to link a GLP-1 receptor ligand conjugate reacting:
- oli onucleotide havin a terminal amine including but not limited to the following compound:
- a compound comprises an oligonucleotide linked to a GLP-1 receptor ligand conjugate moiety by a conjugate linker, wherein the conjugate linker is prepared from the following compound: .
- a compound comprises an oligonucleotide linked to a GLP-1 receptor ligand conjugate moiety by a conjugate linker, wherein the conjugate linker comprises: .
- a compound comprises an oligonucleotide linked to a GLP-1 receptor ligand conjugate moiety by a conjugate linker, wherein the conjugate linker comprises:
- a compound comprises an oligonucleotide linked to a GLP-1 receptor ligand conjugate moiety by a conjugate linker, wherein the compound comprises:
- Y directly or indirectly attaches to the oligonucleotide.
- a compound comprises an oligonucleotide linked to a GLP-1 receptor ligand conjugate moiety by a conjugate linker, wherein the compound comprises:
- Y directly or indirectly attaches to the oligonucleotide.
- a compound comprises an oligonucleotide linked to a GLP-1 receptor ligand conjugate moiety by a conjugate linker, wherein the compound comprises:
- a compound comprises an oligonucleotide linked to a GLP-1 receptor ligand conjugate moiety by a conjugate linker, wherein the conjugate linker comprises:
- Y directly or indirectly attaches to the oligonucleotide.
- the above conjugate linker can link a peptide to an oligonucleotide.
- a compound comprises an oligonucleotide linked to a peptide by a conjugate linker, wherein the conjugate linker comprises:
- Y directly or indirectly attaches to the oligonucleotide.
- a compound comprises an oligonucleotide linked to a GLP-1 receptor ligand conjugate moiety by a conjugate linker, wherein the conjugate linker comprises a disulfide linkage.
- oligonucleotides comprise activated disulfides which form a disulfide linkage with a GLP-1 peptide conjugate moiety.
- a compound comprises an oligonucleotide comprising an activated disulfide moiety capable of forming a cleavable or reversible bond with a GLP-1 peptide conjugate moiety.
- a compound comprises an oligonucleotide directly attached to a GLP-1 peptide conjugate moiety by a disulfide bond without a conjugate linker.
- a compound comprises a linker between an oligonucleotide and activated disulfide moiety.
- the activated disulfide moiety has the formula -S-S(O)2- substituted or unsubstituted C1-C12 alkyl or -S-S-C(O)O-substituted or unsubstituted C1-C12 alkyl.
- Preferred activated disulfide moieties are methane thiosulfonate and dithiocarbomethoxy.
- the activated disulfide is substituted or unsubstituted dithiopyridyl, substituted or unsubstituted dithiobenzothiazolyl, or substituted or unsubstituted dithiotetrazolyl.
- Preferred activated disulfides are 2-dithiopyridyl, 2-dithio-3-nitropyridyl, 2-dithio-5-nitropyridyl, 2-dithiobenzothiazolyl, N- (C1-C12 alkyl)-2-dithiopyridyl, 2-dithiopyridyl-N-oxide, or 2-dithio-1-methyl-1H-tetrazolyl.
- the activated disulfide moiety has the formula -S-S(O) n -R 1 , wherein
- n 0, 1, or 2;
- R 1 is selected from substituted or unsubstituted heterocyclic, substituted or unsubstituted aliphatic, or–C(O)O-R 2 , wherein R 2 is substituted or unsubstituted aliphatic.
- the activated disulfide moiety has the formula -S-S(O) 2 -substituted or unsubstituted C 1 -C 12 alkyl or -S-S-C(O)O-substituted or unsubstituted C 1 -C 12 alkyl.
- activated disulfide moieties include methane thiosulfonate and dithiocarbomethoxy.
- the activated disulfide can be substituted or unsubstituted dithiopyridyl, substituted or unsubstituted dithiobenzothiazolyl, or substituted or unsubstituted dithiotetrazolyl.
- activated disulfides include but are not limited to 2-dithiopyridyl, 2-dithio-3-nitropyridyl, 2-dithio-5- nitropyridyl, 2-dithiobenzothiazolyl, N-(C 1 -C 12 alkyl)-2-dithiopyridyl, 2-dithiopyridyl-N-oxide, and 2- dithio-1-methyl-1H-tetrazolyl.
- the bivalent linking group is a bivalent substituted or unsubstituted aliphatic group.
- the bivalent linking group has the formula–Q 1 -G-Q 2 -, wherein
- Q 1 and Q 2 are independently absent or selected from substituted or unsubstituted C 1 -C 12 alkylene, substituted or unsubstituted alkarylene or -(CH 2 ) m -O-(CH 2 ) p -, wherein
- each m and p are, independently, an integer from 1 to about 10;
- G is -NH-C(O)-, -C(O)-NH-, -NH-C(O)-NH-, -NH-C(S)-NH-, -NH-O-, NH-C(O)-O-, or -O-CH 2 - C(O)-NH-.
- bivalent linking groups include but are not limited to:
- a compound comprises an oligonucleotide linked to a GLP-1 peptide conjugate moiety by a disulfide linkage described in US 7,713,944, which is incorporated by reference herein in its entirety.
- a compound comprises an oligonucleotide linked to a GLP-1 peptide conjugate moiety wherein the oligonucleotide comprises an activated disulfide described in US 7,713,944, which is incorporated by reference herein in its entirety.
- any of the above compounds comprising an oligonucleotide linked to a GLP-1 peptide conjugate moiety by a disulfide linkage can comprise a disulfide linkage between a cysteine, penicillamine, homocysteine, mercaptopropionic acid, or ⁇ -Mercapto- ⁇ , ⁇ ,-cyclopentamethylene propionic acid moiety of the GLP-1 peptide conjugate moiety and the oligonucleotide or conjugate linker.
- a compound comprises an oligonucleotide directly linked to a GLP-1 peptide conjugate moiety by a disulfide linkage.
- a compound comprises an oligonucleotide directly linked to a GLP-1 peptide conjugate moiety by a disulfide linkage, wherein the disulfide linkage is between the oligonucleotide and a a cysteine, penicillamine, homocysteine, mercaptopropionic acid, or ⁇ -Mercapto- ⁇ , ⁇ ,-cyclopentamethylene propionic acid moiety of the GLP-1 peptide conjugate moiety.
- a compound comprises an oligonucleotide, conjugate linker, and GLP-1 peptide conjugate moiety wherein a disulfide linkage links the conjugate linker and the GLP-1 peptide conjugate moiety, and the oligonucleotide is attached to the conjugate linker.
- a compound comprises an oligonucleotide, conjugate linker, and GLP-1 peptide conjugate moiety wherein a disulfide linkage links the conjugate linker to a cysteine, penicillamine, homocysteine, mercaptopropionic acid, or ⁇ -Mercapto- ⁇ , ⁇ ,- cyclopentamethylene propionic acid moiety of the GLP-1 peptide conjugate moiety, and the oligonucleotide is attached to the conjugate linker.
- cysteine, penicillamine, homocysteine, mercaptopropionic acid, or ⁇ -Mercapto- ⁇ , ⁇ ,-cyclopentamethylene propionic acid moiety is at the N- terminus, C-terminus, side chain, or internal amino acid position of the GLP-1 peptide conjugate moiety.
- a compound comprises an oligonucleotide linked to a GLP-1 receptor ligand conjugate moiety by a conjugate linker, wherein the conjugate linker comprises an enzyme cleavable moiety.
- the GLP-1 receptor ligand conjugate moiety is a GLP-1 peptide conjugate moiety.
- the enzyme cleavable moiety is a peptide, such as a dipeptide.
- Enzymes known in the art for use in activating prodrugs can be used to cleave an enzyme cleavable moiety provided in certain embodiments.
- an enzyme cleavable moiety can be cleaved by DT diaphorase, plasmin, carboxypeptidase G2, thymidine kinase (viral), cytosine deaminase, glucose oxidase, xanthine oxidase, carboxypeptidase A, ⁇ -galactosidase, ⁇ -glucosidase, azoreductase, ⁇ - glutamyltransferase, ⁇ -glucuronidase, ⁇ -lactamase, alkaline phosphatase, aminopeptidase, penicillin amidase or nitroreductase.
- the enzyme cleavable moiety is cleavable by a protease or peptidase. In certain embodiments, the enzyme cleavable moiety is cleavable by a protease or peptidase selected from: gastricsin, memapsin-2, chymosin, renin, renin-2, cathepsin D, cathepsin E, penicillopepsin, rhizopuspepsin, mucorpepsin, barrierpepsin, aspergillopepsin I, endothiapepsin, saccharopepsin, phytepsin, plasmepsin-1, plasmepsin-2, yapsin-1, yapsin-2, nepenthesin, memapsin-1, napsin A, HIV-1 retropepsin, HIV-2 retropepsin, simian immunodeficiency virus retropep
- compositions and methods for the formulation of pharmaceutical compositions are dependent upon a number of criteria, including, but not limited to, route of administration, extent of disease, or dose to be administered.
- compositions comprising one or more compounds or a salt thereof.
- a pharmaceutical composition comprises a compound described herein and a pharmaceutically acceptable diluent or carrier.
- a pharmaceutical composition comprises a sterile saline solution and one or more compound described herein.
- such pharmaceutical composition consists of a sterile saline solution and one or more compound.
- the sterile saline is pharmaceutical grade saline.
- a pharmaceutical composition comprises one or more compound described herein and sterile water.
- a pharmaceutical composition consists of one compound described herein and sterile water.
- the sterile water is pharmaceutical grade water.
- a pharmaceutical composition comprises one or more compound described herein and phosphate-buffered saline (PBS).
- PBS phosphate-buffered saline
- a pharmaceutical composition consists of one or more compound described herein and sterile PBS.
- the sterile PBS is pharmaceutical grade PBS.
- compositions comprising compounds described herein encompass any pharmaceutically acceptable salts, esters, or salts of such esters, or any other oligonucleotide which, upon administration to an animal, including a human, is capable of providing (directly or indirectly) the biologically active metabolite or residue thereof.
- Certain embodiments are drawn to pharmaceutically acceptable salts of compounds, prodrugs, pharmaceutically acceptable salts of such prodrugs, and other bioequivalents.
- Suitable pharmaceutically acceptable salts include, but are not limited to, sodium and potassium salts.
- RNA nucleoside comprising a 2’-OH sugar moiety and a thymine base
- RNA thymine (methylated uracil) in place of a uracil of RNA
- nucleic acid sequences provided herein are intended to encompass nucleic acids containing any combination of natural or modified RNA and/or DNA, including, but not limited to such nucleic acids having modified nucleobases.
- an oligomeric compound having the nucleobase sequence“ATCGATCG” encompasses any oligomeric compounds having such nucleobase sequence, whether modified or unmodified, including, but not limited to, such compounds comprising RNA bases, such as those having sequence“AUCGAUCG” and those having some DNA bases and some RNA bases such as“AUCGATCG” and oligomeric compounds having other modified nucleobases, such as“ATmCGAUCG,” wherein mC indicates a cytosine base comprising a methyl group at the 5-position.
- Compounds described herein include (R) or (S), as ⁇ or ⁇ such as for sugar anomers, or as (D) or (L) such as for amino acids etc. Included in the compounds provided herein are all such possible isomers, including their racemic and optically pure forms, unless specified otherwise. Likewise, all cis- and trans- isomers and tautomeric forms are also included. Compounds described herein include chirally pure or enriched mixtures as well as racemic mixtures. For example, oligonucleotides having a plurality of phosphorothioate internucleoside linkages include such compounds in which chirality of the phosphorothioate internucleoside linkages is controlled or is random.
- any compound, including oligomeric compounds, described herein includes a pharmaceutically acceptable salt thereof.
- Compounds described herein include variations in which one or more atoms are replaced with a non-radioactive isotope or radioactive isotope of the indicated element.
- compounds herein that comprise hydrogen atoms encompass all possible deuterium substitutions for each of the 1 H hydrogen atoms.
- Isotopic substitutions encompassed by the compounds herein include but are not limited to: 2 H or 3 H in place of 1 H, 13 C or 14 C in place of 12 C, 15 N in place of 14 N, 17 O or 18 O in place of 16 O, and 33 S, 34 S, 35 S, or 36 S in place of 32 S.
- Example 1 Preparation of antisense oligonucleotide (ASO) targeted to MALAT1 conjugated with GLP-1 peptide
- ASO antisense oligonucleotide
- All reagents and solutions used for the synthesis of oligomeric compounds are purchased from commercial sources.
- Standard phosphoramidite building blocks and solid support are used for incorporation of nucleoside residues which include for example T, A, G, and mC residues.
- a 0.1 M solution of phosphoramidite in anhydrous acetonitrile was used for 2'-deoxyribonucleoside, cEt BNA nucleosides, and suitably protected 6-amino-hexanol.
- a 5'-hexylamino modified oligonucleotide (ISIS 786434) (nucleobase sequence: TCAGCATTCTAATAGCAGC (SEQ ID NO: 38) was synthesized and purified using standard solid-phase oligonucleotide procedures.
- the 5’ end of the modified oligonucleotide comprises a hexamethylene linker and a terminal amine.
- Compound 1 (3-(2-Pyridyldithio propionic acid N-hydroxysuccinimide ester) was obtained from Chem-Impex (cat #11566).
- Modified oligonucleotide ( ⁇ 6 ⁇ mol) was dissolved in 125 ⁇ L sodium phosphate buffer, pH 8 and 12 ⁇ mol of compound 1 was dissolved in DMF. The solution of compound 1 was added dropwise to the modified oligonucleotide solution and allowed to react at room temperature. Reaction was complete after 2-3 hours and the product 2 was purified by HPLC on source 30Q resin with buffer A 100mM NH 4 OAc/30%ACN/H 2 O and buffer B 100mM NH 4 OAc/30%ACN/H 2 O + 1.5M NaBr, and deslated by HPLC on a reverse phase column. Product fractions were concentrated and stored at -20° C.
- Compound 2 was used as the starting material for reaction with the GLP-1 peptide HisAibGluGlyThrPheThrSerAspValSerSerTyrLeuGluGluGlnAlaAlaLysGluPheIleAlaTrpLeuValLysGlyG lyProSerSerAlaProProProSerCys-NH 2 (SEQ ID NO: 22), which was synthesized via standard solid phase peptide synthesis.
- Aib is 2-aminoisobutyric acid.
- Compound 2 was dissolved in degassed water and 0.1M NaHCO 3 was added to adjust the pH to ⁇ 8.0.
- GLP-1 peptide was dissolved in 50/50 0.1 M NaHCO 3 (pH 8):DMF (dimethylformamide). Peptide solution was added to compound 2 in small portions (30% of total volume each time) in 5 min intervals. After ⁇ 1hr, the reaction mixture was diluted with water (5 fold of reaction solution volume V/V) and products were purified by HPLC on source 30Q resin with buffer A 100mM NH 4 OAc/30%ACN/H 2 O and buffer B 100mM NH 4 OAc/30%ACN/H 2 O + 1.5M NaBr. Product fractions were deslated by HPLC on a reverse phase column to yield ISIS 816385.
- Example 2 Preparation of antisense oligonucleotide (ASO) targeted to MALAT1 conjugated with GLP-1 peptide Method for the preparation of conjugated modified oligonucleotides comprising GLP-1 at the 5’ position conjugated via a 3-mercaptopropionate linker to C-terminal penicillamine.
- ASO antisense oligonucleotide
- Compound 2 was synthesized as in Example 1 and was used as the starting material for reaction with the GLP-1 peptide: HisAibGluGlyThrPheThrSerAspValSerSerTyrLeuGluGluGlnAlaAlaLysGluPheIleAlaTrpLeuValLysGlyG lyProSerSerAlaProProProSerPen-NH 2 (SEQ ID NO: 23), which was synthesized via standard solid phase peptide synthesis.
- Aib is 2-aminoisobutyric acid and Pen is penicillamine.
- Compound 2 was dissolved in degassed water and 0.1M NaHCO 3 was added to adjust the pH to ⁇ 8.0.
- GLP-1 peptide was dissolved in degassed water. The solution of compound 2 and the peptide solution were mixed with gentle vortexing and pH was checked. 0.1M NaHCO 3 was added to adjust the pH to ⁇ 7.5. After ⁇ 2hr, additional peptide was added and NaHCO 3 was added to adjust the pH up. Reaction was transferred to 4 °C for ⁇ 65 hours and the product was purified by HPLC as described in Example 1.
- Example 3 Preparation of antisense oligonucleotide (ASO) targeted to FOXO1 conjugated with GLP-1 peptide Method for the preparation of conjugated modified oligonucleotides comprising GLP-1 at the 5’ position conjugated via a 3-mercaptopropionate linker.
- ASO antisense oligonucleotide
- Example 4 Preparation of antisense oligonucleotide (ASO) targeted to Insulin conjugated with GLP-1 peptide Method for the preparation of conjugated modified oligonucleotides comprising GLP-1 at the 5’ position conjugated via a mercaptoproprionate linker.
- ASO antisense oligonucleotide
- ASO antisense oligonucleotide
- ISIS 816385 described in Example 1 was hybrized with ION 951976, generating a duplex of the two oligonucleotides.
- Example 6 Specific targeting of pancreatic beta islet cells in vivo by GLP-1 peptide conjugated ASOs Study 1 To determine if conjugation of GLP-1 peptide to ASO increases ASO delivery to the pancreas, male C57BL/6 mice fed a chow diet received 2 intravenous injections of either a 3-10-3 cEt ASO targeting murine MALAT1 (ISIS 556089) (nucleobase sequence: GCATTCTAATAGCAGC) (SEQ ID NO: 63) or a GLP-1 conjugated MALAT1 ASO (ISIS 816385) described in Example 1 at concentrations of 1.8.
- MALAT1 ISIS 556089
- nucleobase sequence: GCATTCTAATAGCAGC SEQ ID NO: 63
- GLP-1 conjugated MALAT1 ASO
- Tissues were collected 72 hours after the final injection to assess delivery and potency of the compounds.
- MALAT1 expression was detected using the QuantiGene ViewRNA tissue assay (Affymetrix, cat.No. QVT0011). Species-specific MALAT1 probes were purchased from Affymetrix (cat. No. VB- 11110-01/mouse; VF1-13963/monkey).
- Affymetrix catalog. No. VB- 11110-01/mouse; VF1-13963/monkey
- mouse tissues were fixed in 10% neutral-buffered formalin and embedded into paraffin and sectioned into 4-mm sections. After deparaffinization, the tissue slides were boiled in Affymetrix pretreatment solution for 10-30 minutes followed by treatment with protease at 40°C for 10 to 40 minutes depending on tissue.
- the MALAT1 RNA probe was used at a 1:40 dilution and was incubated with sample at 40°C for 120 minutes. After washing, the MALAT1 RNA/probe complex was hybridized with preamplifier, amplifier, and AP-oligonucleotides at 40°C for 25, 15, and 15 minutes, respectively. After removal of free AP oligonucleotide by washing in PBS, the slide was incubated with Fast Red substrate at room temperature for 30 minutes. The tissue images were acquired using an Aperio scanner. Hung et al., 2013 Nuc Acid Ther. 369-78.
- mice treated with GLP-1 conjugated MALAT1 ASO (ISIS 816385), but not mice treated with unconjugated MALAT1 ASO (ISIS 556089), exhibited ASO accumulation in pancreatic beta islet cells.
- GLP-1 conjugated MALAT1 ASO (ISIS 816385) accumulated in a dose dependent manner in pancreatic beta islet cells of treated mice. Study 2
- Example 7 Antisense inhibition of MALAT1 and FOXO1 with GLP-1 peptide conjugated antisense oligonucleotides in HEK293 cells overexpressing the human GLP-1 receptor
- Antisense oligonucleotides designed to target MALAT1 and FOXO1 were conjugated to a Glucagon Like Peptide 1 receptor peptide agonist (GLP-1 peptide) and tested for their effect on human target gene expression using a HEK293 cell line with stable constitutive expression of the human GLP-1 receptor (hGLP1R-HEK).
- the hGLP1R-HEK cell line was generated by expressing hGLP1R in Flp-INTM 293cells.
- hGLP1R-HEK cells were seeded at a density 30,000 cells per well in 96 well plates and saline, 100nM or 10 ⁇ M of unconjugated parent antisense oligonucleotide ISIS 556089 targeted to MALAT1 described above or ISIS 776102 (nucleobase sequence: TCTTCTTAAAATACCC) (SEQ ID NO: 64) targeted to FOXO1, or corresponding GLP-1 peptide conjugated antisense oligonucleotides (ISIS 816385 targeted to MALAT1 described above or ION 913193 targeted to FOXO1 described above) for approximately 24hrs.
- ISIS 556089 targeted to MALAT1 described above
- ISIS 776102 nucleobase sequence: TCTTCTTAAAATACCC
- SEQ ID NO: 64 targeted to FOXO1
- GLP-1 peptide conjugated antisense oligonucleotides ISIS 816385 targeted to MALAT1 described above or
- MALAT1 or FOXO1 mRNA levels were measured by quantitative real-time PCR and normalized to the mRNA levels of the house keeping gene (RPLP0) in the same samples.
- Human MALAT1 mRNA levels were measured using gene expression assays HS00273907 and FOXO1 mRNA levels were measured using assay Hs01054576 (Applied Biosystems).
- the mRNA level of the house keeping gene RPLP0 was measured using a primer probe set with forward sequence CCATTCTATCATCAACGGGTACAA (SEQ ID NO: 66), reverse sequence AGCAAGTGGGAAGGTGTAATCC (SEQ ID NO: 67). Data is presented as percent inhibition of MALAT1 or FOXO1 mRNA relative to untreated control cells. Open symbols represent treatment with parent antisense oligonucleotides whereas closed symbols represent treatment with antisense nucleotides conjugated to a GLP-1 peptide.
- antisense oligonucleotides were more potent inhibiting MALAT1 or FOXO1 mRNA when conjugated to GLP-1 peptide compared to parent antisense oligonucleotides.
- Example 8 Dose dependent antisense inhibition of MALAT1 following treatment with unconjugated parent or GLP-1 peptide conjugated antisense oligonucleotides in wild type, and HEK293 cells overexpressing human GPR40 or GLP-1 receptors The MALAT1 antisense oligonucleotides from Example 7 were further tested at various concentrations in wild type, hGPR40 and hGLP1R-HEK cells.
- hGLP1R-HEK wild type HEK293 (WT HEK293) cells or cells expressing hGPR40 receptor were seeded at a density 30,000 cells per well in 96 well plates and treated with 0.001, 0.003, 0.01, 0.03, 0.1, 0.3, 1, 3, 10 or 30 ⁇ M of antisense oligonucleotide, concentrations as indicated in Figure 2, for approximately 24hrs.
- cells were harvested, mRNA isolated and MALAT1 mRNA levels measured by quantitative real-time PCR using the primer probe set as described herein (Example 7). Data is presented as MALAT1 mRNA levels normalized relative to a house keeping gene (RPLP0).
- Open symbols represent treatment with parent antisense oligonucleotide targeting MALAT1 (ISIS 556089) whereas closed symbols represent treatment with the same antisense nucleotide conjugated to a GLP-1 peptide (ISIS 816385).
- the half maximal inhibitory concentration (IC50) of each oligonucleotide is presented in the table below.
- the antisense oligonucleotide was 40 times more potent inhibiting MALAT1 gene expression when conjugated to GLP-1 peptide agonist in the hGLP1R-HEK cell line ( Figure 2A) and not WT HEK293 ( Figure 2B) or hGPR40-HEK cell lines ( Figure 2C).
- Example 9 Antisense inhibition of MALAT1 and FOXO1 in mouse primary islets of Langerhans following treatment with unconjugated parent or GLP-1 peptide conjugated antisense oligonucleotides Antisense oligonucleotides targeting MALAT1 and FOXO1 were further tested in mouse primary islets of Langerhans for ability to reduce gene expression.
- Pancreatic islets were isolated by collagenase digestion from pancreas collected from exsanguinated 12 to 15 weeks old female C57BL/6Crl mice. Islets were maintained in tissue culture until use. Islet were dissociated into single cells by shaking in media containing a low extracellular calcium concentration.10 to 20 intact or dissociated islets were plated on plastic Petri Dishes and treated with 10 ⁇ M of antisense oligonucleotides for approximately 24hrs. After the treatment period cells were harvested, RNA isolated, adjusted to total RNA content, as measured by RIBOGREEN®. MALAT1 or FOXO1 mRNA levels measured by quantitative real-time PCR.
- Mouse Malat1 mRNA levels was measured using gene expression assay Mm01227912_s1 from Applied Biosystems, whereas mouse FOXO1 mRNA levels was measured using a primer probe set with forward sequence CAGTCACATACGGCCAATCC (SEQ ID NO: 68), reverse sequence CGTAACTTGATTTGCTGTCCTGAA (SEQ ID NO: 69) and probe sequence TGAGCCCTTTGCCCCAGATGCCTAT (SEQ ID NO: 70).
- Star symbols represents no treatment, open circles treatment with parent unconjugated antisense oligonucleotides (ISIS 556089 targeted to MALAT1 or ISIS 776102 targeted to FOXO1), open square treatment with scrambled FOXO1 antisense oligonucleotide sequence conjugated to the GLP1 peptide (ION 913195), whereas closed symbols represent treatment with GLP1 peptide conjugated antisense oligonucleotides against MALAT1 (ISIS 816385) or FOXO1 (ISIS 919193).
- Example 10 Antisense inhibition of FOXO1 and reduction in Foxo1 protein in mouse primary islets of Langerhans following treatment with unconjugated parent and GLP-1 peptide conjugated antisense oligonucleotides Antisense oligonucleotides targeting FOXO1 were tested in mouse primary islets of Langerhans for ability to reduce protein levels.
- Pancreatic islets were isolated by collagenase digestion from pancreas collected from euthanized 12 to 15 weeks old female B6.Cg-Lepob/J mice and maintained in tissue culture until use.150 intact islets were placed in plastic Petri Dishes and treated with 1 ⁇ M of antisense oligonucleotides for 3hrs every 24hrs and harvested after approximately 24 hrs, 48 hrs or 96 hrs total treatment time respectively. After the treatment period, islets were harvested, and half of the islets were used to measure FOXO1 mRNA levels as described herein (Example 9).
- the secondary antibody was HRP-conjugated polyclonal goat anti- Rabbit P0448 (DAKO) and for the anti- ⁇ -tubulin antibody, the secondary antibody was HRP-conjugated polyclonal goat anti-mouse P0447 (DAKO).
- DAKO HRP-conjugated polyclonal goat anti-mouse P0447
- Enhanced chemiluminescence reagents (Pierce) were used for detection.
- FOXO1 mRNA Inhibition of FOXO1 mRNA is presented as FOXO1 mRNA relative to the house keeping gene, expressed as percent of untreated cells in the table below and shows a marginal reduction in mRNA with unconjugated antisense oligonucleotide (ISIS 776102) and more than 70% reduction with GLP-1 conjugated antisense oligonucleotide (ION 913193).
- Table 2 shows a marginal reduction in mRNA with unconjugated antisense oligonucleotide (ISIS 776102) and more than 70% reduction with GLP-1 conjugated antisense oligonucleotide (ION 913193).
- Islet FOXO1 mRNA levels relative to control RPLP0
- the Western Blot showed a reduction in FoxO1 protein levels measured in islets treated with vehicle or antisense oligonucleotide for 96 hours. Protein levels were quantified by measuring the intensity of the bands on the gel normalized to the intensity of ⁇ -tubulin, and expressed as percent of vehicle treated islets. FoxO1 protein levels were set to 100% in vehicle treated islets. By contrast, FoxO1 protein levels were 5% in GLP-1-FOXO1 ASO treated islets.
- Example 11 Uptake of antisense oligonucleotides in islet of Langerhans in situ in pancreas after administration of unconjugated parent or GLP-1 peptide conjugated antisense oligonucleotides targeting MALAT1 to C57BL/6Crl mice Unconjugated parent and GLP-1 peptide conjugated antisense oligonucleotides targeted to MALAT1 were further tested in vivo to evaluate the uptake of antisense oligonucleotides in pancreatic islets after either intravenous or subcutaneous administration of treatments. Female C57BL/6Crl mice were assigned to five treatment groups.
- Antibody blocker was added for reduction of background for 4 minutes, followed by addition of rabbit Anti-ASO 2.5 for 1 hour at 37°C (dilution 1:5000, Ionis Pharmaceuticals).
- OmiMap anti-rabbit HRP was incubated for 16 minutes, followed by chromogenic detection with DISCOVERY ChromoMap DAB Kit (RUO). Slides were counterstained with hematoxylin for 4 minutes followed with bluing for 4 minutes. Stained slides were analyzed under a standard bright-field microscope.
- Antisense oligonucleotide was detected in the pancreatic islet of Langerhans from animals treated with ISIS 816385, dosed by either subcutanous or intravenous administration.
- Example 12 Antisense inhibition of MALAT1 in islet of Langerhans in situ in pancreas after administration of unconjugated parent or GLP-1 peptide conjugated antisense oligonucleotides in C57BL/6Crl mice Unconjugated parent and GLP-1 peptide conjugated antisense oligonucleotides against MALAT1 were further tested in vivo to evaluate the antisense inhibition of MALAT1 in pancreas after intravenous or subcutaneous administration of treatments.
- mice Female C57BL/6Crl mice were assigned to five treatment groups as described herein (Example 11) All animals were sacrificed approximately 72hrs after last dose, and pancreas harvested for ex vivo analysis of MALAT1 expression by in situ hybridization. Tissues were prepared as described herein, Example 11. The in situ mRNA amplification and labelling process was performed on the Ventana Discovery ULTRA, an Automated ISH platform(Ventana Medical System, Inc) using the RNAscope® VS Assay based on Advanced Cell Diagnostics (ACD). Customized probes were obtained from ACD for the detection of MALAT1 mRNA, and various parameters were tested to optimize the novel RNAscope method for ISH.
- ACD Advanced Cell Diagnostics
- MALAT1 expression was reduced in the pancreatic islet of Langerhans but not in the exocrine tissue from animals subcutanously or intravenously treated with GLP-1 peptide conjugated antisense oligonucleotide (ISIS 816385). MALAT1 expression was not reduced in animals treated subcutaneously with unconjugated parent antisense oligonucleotide (ISIS 556089).
- Example 13 Uptake of antisense oligonucleotides in liver 72 after administration of unconjugated parent or GLP-1 peptide conjugated antisense oligonucleotides targeting MALAT1 to C57BL/6Crl mice Unconjugated parent and GLP-1 peptide conjugated antisense oligonucleotides against MALAT1 were further tested in vivo to evaluate the uptake of antisense oligonucleotides in liver by either intravenous or subcutaneous route of administration. Animals were assigned to treatment as described herein, Example 11. All animals were sacrificed approximately 72hrs after last dose, and liver harvested for ex vivo analysis of uptake of antisense oligonucleotides by immunohistochemistry.
- Tissues were prepared and immunohistochemistry performed as described herein, Example 12. Antisense oligonucleotide was detected in hepatocytes and Kupffer cells in the liver from animals treated with both ISIS 816385 and ISIS 556089, dosed by either subcutanous or intravenous administration as indictated.
- Example 14 Antisense inhibition of MALAT1 in liver after administration of unconjugated parent or GLP-1 peptide conjugated antisense oligonucleotides in C57BL/6Crl mice Unconjugated parent (ISIS 556089) and GLP-1 peptide conjugated antisense oligonucleotides against MALAT1 were further tested in vivo to evaluate the antisense inhibition of MALAT1 in liver by intravenous and subcutaneous route of administration. Female C57BL/6Crl mice were assigned to five treatment groups as described herein (Example 13). All animals were sacrificed approximately 72hrs after last, and liver harvested for ex vivo analysis of MALAT1 expression by in situ hybridization.
- liver MALAT1 expression was reduced in hepatocytes of animals treated with ISIS 816385 to a greater extent than in hepatocytes of animals treated with ISIS 556089 dosed by subcutanous administration. Liver MALAT1 was also reduced compared to vehicle control in animals dosed with ISIS 816385 by intravenous administration.
- Example 15 Dose dependent antisense inhibition of MALAT1 in isolated islet of Langerhans and liver 72 hrs after administration of a single dose of unconjugated parent and GLP-1 peptide conjugated antisense oligonucleotides in C57BL/6Crl mice Unconjugated parent and GLP-1 peptide conjugated antisense oligonucleotides were further tested in vivo to evaluate the potency of antisense inhibition of MALAT1 in isolated pancreatic islets of Langerhans relative to liver 72 hours after single subcutaneous administration.
- mice Female C57BL/6Crl mice were assigned to eight treatment groups, receiving a single subcutaneous injection of either vehicle, 0.01 ⁇ mol/kg, 0.03 ⁇ mol/kg, 0.1 ⁇ mol/kg or 1 ⁇ mol/kg ISIS 816385, another three treatment groups received 0.01 ⁇ mol/kg, 0.1 ⁇ mol/kg or 1 ⁇ mol/kg ISIS 556089. All animals were sacrificed 72hrs after last dose. Liver samples were collected and pancreatic islets isolated, as described herein (Example 9), for mRNA analysis. MALAT1 mRNA levels were quantified as described herein (Example 9) and expressed as percentage of vehicle treated animals (control).
- Example 16 Dose dependent antisense inhibition of FOXO1 in isolated islet of Langerhans and liver 72 hrs after administration of a single dose of unconjugated parent and GLP-1 peptide conjugated antisense oligonucleotides in C57BL/6Crl mice Unconjugated parent and GLP-1 peptide conjugated antisense oligonucleotides were further tested in vivo to evaluate the potency of antisense inhibition of FOXO1 in isolated pancreatic islets of Langerhans relative to liver 72 hours after subcutaneous administration of a single dose.
- mice Female C57BL/6Crl mice were assigned to seven treatment groups, receiving a single subcutaneous injection of either vehicle, 0.01 ⁇ mol/kg, 0.03 ⁇ mol/kg, 0.1 ⁇ mol/kg or 1 ⁇ mol/kg ION 913193, with two treatment groups receiving 0.01 ⁇ mol/kg or 1 ⁇ mol/kg ISIS 776102. All animals were sacrificed 72 hrs after last dose. Liver samples were collected and pancreatic islets isolated, as described herein (Example 9), for mRNA analysis. FOXO1 mRNA levels were quantified as described herein (Example 9) and expressed as percentage of vehicle treated animals (control).
- Example 17 Antisense inhibition of FOXO1 in isolated islet of Langerhans and liver after 6 weeks repeated administration of unconjugated parent or GLP-1 peptide conjugated antisense oligonucleotides to ob/ob mice Unconjugated parent and GLP-1 peptide conjugated antisense oligonucleotides were further tested in vivo to evaluate the potency of antisense inhibition of FOXO1 in isolated pancreatic islets of Langerhans relative to liver after 6 weeks of treatment.
- mice Male ob/ob mice (B6.V-Lepob/OlaHsd, Harlan) were assigned to five treatment groups receiving either vehicle, 0.1 ⁇ mol/kg ISIS 776102, 0.1 ⁇ mol/kg ION 913195, 0.03 ION 913193 or 1 ⁇ mol/kg ION 913193. All animals were treated once weekly for 6 weeks. Approximately 120 hrs after last dose all animals were sacrificed, liver samples collected and pancreatic islets isolated, as described herein (Example 9), for mRNA analysis. FOXO1 mRNA levels were quantified as described herein (Example 9) and mRNA levels expressed relative to housekeeping gene in each sample (RPLP0).
- the GLP-1 peptide conjugated antisense oligonucleotide (ION 913193) treated animals had reduced FOXO1 mRNA levels in isolated islets of Langerhans at both dose levels tested (42% average FOXO1 mRNA reduction at 0.03 ⁇ mol/kg and 72% average FOXO1 mRNA reduction at 0.1 ⁇ mol/kg), indicating that GLP-1 peptide conjugation enhances antisense inhibition in pancreatic islets of Langerhans in vivo.
- Example 18 Reduction of FoxO1 protein levels in islets of Langerhans isolated from ob/ob mice treated for 6 weeks with unconjugated parent or GLP-1 peptide conjugated antisense oligonucleotide Unconjugated parent and GLP-1 peptide conjugated antisense oligonucleotides were further tested for the ability to reduce FoxO1 protein levels in pancreatic mouse islets of Langerhans isolated from ob/ob mice treated for 6 weeks. Male ob/ob mice were assigned to five treatment groups as described herein (Example 17) Approximately 120 hrs after last dose all animals were sacrificed and pancreatic islets isolated for FoxO1 protein analysis as described herein (Example 10).
- ISIS 722061 nucleobase sequence: GCATTCTAATAGCAGC (SEQ
- Example 20 Preparation of antisense oligonucleotide targeted to MALAT1 conjugated to GLP-1 peptide via a click linker
- Method for the preparation of conjugated modified oligonucleotides comprising GLP-1 at the 5’ position conjugated via a click linker Preparation of 5’-BCN MALAT-1 targeted oligonucleotide
- ISIS 791173 A 5'-hexylamino modified oligonucleotide (ISIS 786434) (nucleobase sequence: TCAGCATTCTAATAGCAGC (SEQ ID NO: 58) was synthesized and purified using standard solid-phase oligonucleotide procedures.
- the 5’ end of the modified oligonucleotide comprises a hexamethylene linker and a terminal amine.
- BCN-NHS ester Mol. Wt 291.11 g/mol, 7441R,8S,9s
- Bicyclo(6.1.0)non-4-yn-9- ylmethyl N-succinimidyl carbonate was obtained from Aldrich.
- Modified oligonucleotide ( ⁇ 1g) was dissolved in 5 mL sodium tetraborate buffer, pH 8.5.
- 13.4 mg of BCN-NHS ester was dissolved in 10mL DMSO, added to the ASO solution, and stirred at room temperature for 4 hours.
- Reaction mixture was diluted with 1 M NaCl solution and desalted by HPLC on a reverse phase column.
- Preparation of GLP-1 click-conjugated ASO (ION 1071996) 12 mg modified oligonucleotide ISIS 791173 was dissolved in 1 mL of 0.1M sodium tetraborate, pH 8.5 (ASO solution), and 12 mg of N-terminal azido-GLP-1 peptide was dissolved in 400 ⁇ L DMF (peptide solution). The peptide solution was added to the ASO solution and stirred at RT for 18 hr. At 18 hr, a precipitate was observed and 1mL of additional DMF was added. The reaction was allowed to proceed for an additional 5 hr.
- the product was purified by HPLC on a SAX column with buffer A 100mM NH 4 OAc/30%ACN/H 2 O and buffer B 1.5M NaBr/ NH 4 OAc/30%ACN/H 2 O, and desalted by HPLC ona reverse phase column. Product fractions were collected and lypohylized to yield expected conjugated ASO, ION 1071996.
- Example 21 Antisense inhibition of MALAT1 in mouse primary islets of Langerhans following treatment with unconjugated parent or GLP-1 peptide-conjugated ASO with various linkers
- male C57BL/6 mice received an intravenous injection of 0.6 ⁇ mol/kg/week once a week for three weeks of vehicle (saline), ISIS 556089 (parent unconjugated ASO), ISIS 816395 (GLP-1 conjugated ASO with a disulfide linker and 5’ TCA linker), ION 962963 (GLP-1 conjugated ASO with a disulfide linker and no 5’ nucleotide spacer), or ION 1071996 (GLP-1 conjugated ASO conjugated via a click linker).
- MALAT1 expression was detected as in Example 6. In situ hybridization analysis indicated that MALAT1 expression in beta islet cells was reduced in mice treated with GLP-1 conjugated ASOs (ISIS 816385, ION 962963, and ION 1071996) compared to saline control, but not in mice treated with the unconjugated parent ASO (ISIS 556089).
- Example 22 Dose-dependent reduction of MALAT-1 expression in LVX-GLP1R cells HEK cells stably expressing FLAG-tagged GLP1R were generated by infecting HEK 293 cells with FLAG-tagged GLP1R containing lentivirus produced by transfection of 293T cells with pLVX-IRES-Puro (Clontech Laboratories Inc., Mountainview, CA) harboring the FLAG-GLP1R insert. Infected cells were selected with puromycin (2 ⁇ g/ml) and then analyzed for receptor expression by western blot and immunofluorescence.
- RNA in 5 ⁇ l water was mixed with 0.3 ⁇ l primer probe sets containing forward and reverse primers (10 ⁇ M of each) and fluorescently labeled probe (3 ⁇ M), 0.3 ⁇ l RT enzyme mix (Qiagen), 4.4 ⁇ l RNase-free water, and 10 ⁇ l of 2 ⁇ PCR reaction buffer in a 20 ⁇ l reaction.
- Reverse transcription was performed at 48°C for 10 min, 40 cycles of PCR were conducted at 94°C for 20 s, and 60°C for 20 s within each cycle, using StepOne Plus RT-PCR system (Applied Biosystems, Phoenix, AZ, USA).
- mRNA levels were normalized to the amount of total RNA present in each reaction as determined by Ribogreen assay (Life Technologies) and normalized to the saline control (100% expression). Results are shown in the table below and indicate increased dose-dependent inhibition of MALAT-1 with GLP-1 complexed ASOs with (816385) or without (962963) a TCA linker. Table 3: Percent Inhibition of MALAT-1 expression in GLP1R HEK cells
- Example 23 Effect of peptide length and conjugation position on in vitro activity of GLP-1 conjugated ASO targeting MALAT1
- a series of modified oligonucleotides were synthesized via click chemistry with variations in the peptide sequence. All peptides represent the C-terminal amide.
- ION 1083582 was synthesized from ION 791173 via a click reaction with a 5-azidopentanoic acid-modified lysine residue (X), as shown below.
- the other compounds were synthesized from ION 791173 via a click reaction with a C-terminal azidonorleucine (Z) as shown in Example 20 above.
- LVX-GLP1R cells (as described in Example 22) were plated at a density of 10,000 cells/well and incubated with 7 doses of peptide-conjugated ASOs in a 4-fold dilution series. After the treatment period, total RNA was prepared and analyzed as in Example 22 above. IC50s are shown in the table below.
- Example 24 Preparation of a GLP-1 conjugated siRNA targeted to PTEN
- GLP-1 conjugated ION 1055394 was prepared according to the procedure of Example 1 starting with a 5’- hexylamino modified oligonucleotide (ION 1055395) (nucleobase sequence ACCTGATCATTATAGATAA (SEQ ID NO: 78) having the chemical modifications Afs Cms Cfo Umo Gfo Amo Ufo Cmo Afo Umo Ufo Amo Ufo Amo Gfo Amo Ufs Ams Af (as above)) conjugated to a GLP- 1 peptide with the sequence HisAibGluGlyThrPheThrSerAspValSerSerTyrLeuGluGluGlnAlaAlaLysGluPheIleAlaTrpLeuValLysGlyG lyProSerSerGlyAlaProProProSerCys comprising a free N-terminal amine and a C-terminal amide.
- ION 1055395 nu
- ISIS 522247 was hybridized with 790973, generating a duplex of the two oligonucleotides. ISIS 522247 was hybridized with 1055394, generating a duplex of the two oligonucleotides.
- Example 25 Preparation of a GLP-1 antagonist conjugated oligonucleotide Method for the synthesis of GLP-1 antagonist conjugated oligonucleotide, DLSKQMEEEAVRLFIEWLKNGGPSSGAPPPSC-S-S-Propionoyl-HA-o-TdomCdoAdoGksmCksAks TdsTdsmCdsTdsAdsAdsTdsAdsGdsmCdsAksGksmCk (ION 998975).
- linker-ISIS 786434 (compound 2) described in Example 1 was dissolved 1.5mL H 2 O and 0.5mL of 0.1M NaHCO 3 /H 2 O was added to adjust pH to ⁇ 7.5-8.0 (ASO solution).
- 27.7 mg of peptide DLSKQMEEEAVRLFIEWLKNGGPSSGAPPPSC-NH 2 (SEQ ID NO: 79) was dissolved in 2 mL of DMF:0.1M NaHCO 3 (1:1) (peptide solution). The peptide solution was added to the ASO solution slowly and stirred at room temperature for 30 minutes. The reaction was monitored by LCMS and the stirring was continued for an additional 1 hour. The major fraction was found to be the expected product.
- Example 26 Method for the preparation of conjugated modified oligonucleotides comprising GLP-1 at the 5’ position conjugated via a maleimide linker.
- a 5’ hexylamino modified oligonucleotide targeting MALAT1 (ISIS 786434) was synthesized and purified as previously described herein. ISIS 786434 was reacted with 5 eq. of N-Succinimidyl 3- maleimidopropionate (MW 266.21 g/mol) in sodium tetraborate buffer at pH7, RT to yield 5’-(3- Maleimdyl)propionyl-C6 MALAT1 ASO.
- GLP-1 peptide containing a C-terminal cysteine amide (“GLP-1 peptide-cysteinamide”, HAibEGTFTSDVSSYLEEQAAKEFIAWLVKGGPSSGAPPPSC-NH2) was dissolved in 0.1M sodium phosphate, pH 8.5/DMF and added to a solution of 5’-(3-Maleimdyl)propionyl- C6 MALAT1 ASO with stirring at room temperature.
- Product (ION 1086699) was formed.
Landscapes
- Health & Medical Sciences (AREA)
- Life Sciences & Earth Sciences (AREA)
- Chemical & Material Sciences (AREA)
- Engineering & Computer Science (AREA)
- General Health & Medical Sciences (AREA)
- Bioinformatics & Cheminformatics (AREA)
- Medicinal Chemistry (AREA)
- Molecular Biology (AREA)
- Veterinary Medicine (AREA)
- Public Health (AREA)
- Pharmacology & Pharmacy (AREA)
- Animal Behavior & Ethology (AREA)
- Genetics & Genomics (AREA)
- Biomedical Technology (AREA)
- Organic Chemistry (AREA)
- Biochemistry (AREA)
- Epidemiology (AREA)
- Zoology (AREA)
- Proteomics, Peptides & Aminoacids (AREA)
- Biotechnology (AREA)
- Wood Science & Technology (AREA)
- General Engineering & Computer Science (AREA)
- Biophysics (AREA)
- Endocrinology (AREA)
- General Chemical & Material Sciences (AREA)
- Nuclear Medicine, Radiotherapy & Molecular Imaging (AREA)
- Chemical Kinetics & Catalysis (AREA)
- Plant Pathology (AREA)
- Microbiology (AREA)
- Physics & Mathematics (AREA)
- Cell Biology (AREA)
- Immunology (AREA)
- Gastroenterology & Hepatology (AREA)
- Diabetes (AREA)
- Neurology (AREA)
- Hematology (AREA)
- Obesity (AREA)
- Emergency Medicine (AREA)
- Toxicology (AREA)
- Pharmaceuticals Containing Other Organic And Inorganic Compounds (AREA)
Abstract
Description
Claims
Priority Applications (15)
| Application Number | Priority Date | Filing Date | Title |
|---|---|---|---|
| BR112018072362-2A BR112018072362B1 (en) | 2016-05-06 | 2017-05-04 | COMPOUND, USE OF THE COMPOUND AND PHARMACEUTICAL COMPOSITION |
| CA3021994A CA3021994A1 (en) | 2016-05-06 | 2017-05-04 | Glp-1 receptor ligand moiety conjugated oligonucleotides and uses thereof |
| EP17793322.3A EP3452049A4 (en) | 2016-05-06 | 2017-05-04 | OLIGONUCLEOTIDES CONJUGATED TO A LIGAND FRACTION OF THE GLP-1 RECEPTOR AND USES THEREOF |
| KR1020187035090A KR20190003740A (en) | 2016-05-06 | 2017-05-04 | GLP-1 receptor ligand moiety conjugated oligonucleotides and uses thereof |
| US16/098,971 US20190134214A1 (en) | 2016-05-06 | 2017-05-04 | GLP-1 Receptor Ligand Moiety Conjugated Oligonucleotides and Uses Thereof |
| KR1020237020930A KR102706686B1 (en) | 2016-05-06 | 2017-05-04 | Glp-1 receptor ligand moiety conjugated oligonucleotides and uses thereof |
| KR1020227026262A KR102608220B1 (en) | 2016-05-06 | 2017-05-04 | Glp-1 receptor ligand moiety conjugated oligonucleotides and uses thereof |
| AU2017260003A AU2017260003B2 (en) | 2016-05-06 | 2017-05-04 | GLP-1 receptor ligand moiety conjugated oligonucleotides and uses thereof |
| JP2018557878A JP7091255B2 (en) | 2016-05-06 | 2017-05-04 | GLP-1 receptor ligand partially conjugated oligonucleotides and their use |
| CN201780040725.5A CN109475568A (en) | 2016-05-06 | 2017-05-04 | GLP-1 receptor ligand moiety-conjugated oligonucleotides and uses thereof |
| IL299516A IL299516A (en) | 2016-05-06 | 2017-05-04 | Glp-1 receptor ligand moiety conjugated oligonucleotides and uses thereof |
| IL262728A IL262728B2 (en) | 2016-05-06 | 2017-05-04 | Glp-1 receptor ligand moiety conjugated oligonucleotides and uses thereof |
| AU2019264601A AU2019264601B2 (en) | 2016-05-06 | 2019-11-14 | Glp-1 receptor ligand moiety conjugated oligonucleotides and uses thereof |
| US17/231,409 US12115225B2 (en) | 2016-05-06 | 2021-04-15 | GLP-1 receptor ligand moiety conjugated oligonucleotides and uses thereof |
| JP2022062810A JP7498740B2 (en) | 2016-05-06 | 2022-04-05 | GLP-1 RECEPTOR LIGAND MOIETY CONJUGATED OLIGONUCLEOTIDES AND USES THEREOF - Patent application |
Applications Claiming Priority (2)
| Application Number | Priority Date | Filing Date | Title |
|---|---|---|---|
| US201662333080P | 2016-05-06 | 2016-05-06 | |
| US62/333,080 | 2016-05-06 |
Related Child Applications (2)
| Application Number | Title | Priority Date | Filing Date |
|---|---|---|---|
| US16/098,971 A-371-Of-International US20190134214A1 (en) | 2016-05-06 | 2017-05-04 | GLP-1 Receptor Ligand Moiety Conjugated Oligonucleotides and Uses Thereof |
| US17/231,409 Continuation US12115225B2 (en) | 2016-05-06 | 2021-04-15 | GLP-1 receptor ligand moiety conjugated oligonucleotides and uses thereof |
Publications (1)
| Publication Number | Publication Date |
|---|---|
| WO2017192820A1 true WO2017192820A1 (en) | 2017-11-09 |
Family
ID=60203364
Family Applications (1)
| Application Number | Title | Priority Date | Filing Date |
|---|---|---|---|
| PCT/US2017/031010 Ceased WO2017192820A1 (en) | 2016-05-06 | 2017-05-04 | Glp-1 receptor ligand moiety conjugated oligonucleotides and uses thereof |
Country Status (9)
| Country | Link |
|---|---|
| US (2) | US20190134214A1 (en) |
| EP (1) | EP3452049A4 (en) |
| JP (2) | JP7091255B2 (en) |
| KR (3) | KR20190003740A (en) |
| CN (1) | CN109475568A (en) |
| AU (2) | AU2017260003B2 (en) |
| CA (1) | CA3021994A1 (en) |
| IL (2) | IL299516A (en) |
| WO (1) | WO2017192820A1 (en) |
Cited By (7)
| Publication number | Priority date | Publication date | Assignee | Title |
|---|---|---|---|---|
| CN107881187A (en) * | 2017-11-20 | 2018-04-06 | 珠海联邦制药股份有限公司 | The fusion protein of Bacillus coli expression is converted into the preparation method and application of Liraglutide |
| WO2018191153A1 (en) * | 2017-04-09 | 2018-10-18 | The Cleveland Clinic Foundation | Cancer treatment by malat1 inhibition |
| US10815283B2 (en) | 2017-05-04 | 2020-10-27 | Follicum Ab | Peptides for treatment of diabetes |
| EP3707156A4 (en) * | 2017-11-08 | 2021-08-04 | Ionis Pharmaceuticals, Inc. | GLP-1 RECEPTOR LIGAND PARTLY CONJUGATED OLIGONUCLEOTIDES AND USES THEREOF |
| JP2022523214A (en) * | 2019-02-27 | 2022-04-21 | アイオーニス ファーマシューティカルズ, インコーポレーテッド | Modulator of MALAT1 expression |
| EP4065598A4 (en) * | 2019-11-27 | 2023-11-29 | D&D Pharmatech Inc. | Biotin moiety-conjugated polypeptide and pharmaceutical composition for oral administration comprising the same |
| US12115225B2 (en) | 2016-05-06 | 2024-10-15 | Astrazeneca Ab | GLP-1 receptor ligand moiety conjugated oligonucleotides and uses thereof |
Families Citing this family (1)
| Publication number | Priority date | Publication date | Assignee | Title |
|---|---|---|---|---|
| US12122817B2 (en) * | 2020-09-22 | 2024-10-22 | Serpentide Inc. | Long-lasting GLP1 analogue drug for type-2 diabetes |
Citations (76)
| Publication number | Priority date | Publication date | Assignee | Title |
|---|---|---|---|---|
| US3687808A (en) | 1969-08-14 | 1972-08-29 | Univ Leland Stanford Junior | Synthetic polynucleotides |
| US4845205A (en) | 1985-01-08 | 1989-07-04 | Institut Pasteur | 2,N6 -disubstituted and 2,N6 -trisubstituted adenosine-3'-phosphoramidites |
| US5034506A (en) | 1985-03-15 | 1991-07-23 | Anti-Gene Development Group | Uncharged morpholino-based polymers having achiral intersubunit linkages |
| US5130302A (en) | 1989-12-20 | 1992-07-14 | Boron Bilogicals, Inc. | Boronated nucleoside, nucleotide and oligonucleotide compounds, compositions and methods for using same |
| US5134066A (en) | 1989-08-29 | 1992-07-28 | Monsanto Company | Improved probes using nucleosides containing 3-dezauracil analogs |
| US5166315A (en) | 1989-12-20 | 1992-11-24 | Anti-Gene Development Group | Sequence-specific binding polymers for duplex nucleic acids |
| US5175273A (en) | 1988-07-01 | 1992-12-29 | Genentech, Inc. | Nucleic acid intercalating agents |
| US5185444A (en) | 1985-03-15 | 1993-02-09 | Anti-Gene Deveopment Group | Uncharged morpolino-based polymers having phosphorous containing chiral intersubunit linkages |
| US5367066A (en) | 1984-10-16 | 1994-11-22 | Chiron Corporation | Oligonucleotides with selectably cleavable and/or abasic sites |
| US5432272A (en) | 1990-10-09 | 1995-07-11 | Benner; Steven A. | Method for incorporating into a DNA or RNA oligonucleotide using nucleotides bearing heterocyclic bases |
| US5434257A (en) | 1992-06-01 | 1995-07-18 | Gilead Sciences, Inc. | Binding compentent oligomers containing unsaturated 3',5' and 2',5' linkages |
| US5457191A (en) | 1990-01-11 | 1995-10-10 | Isis Pharmaceuticals, Inc. | 3-deazapurines |
| US5457187A (en) | 1993-12-08 | 1995-10-10 | Board Of Regents University Of Nebraska | Oligonucleotides containing 5-fluorouracil |
| US5459255A (en) | 1990-01-11 | 1995-10-17 | Isis Pharmaceuticals, Inc. | N-2 substituted purines |
| US5484908A (en) | 1991-11-26 | 1996-01-16 | Gilead Sciences, Inc. | Oligonucleotides containing 5-propynyl pyrimidines |
| US5502177A (en) | 1993-09-17 | 1996-03-26 | Gilead Sciences, Inc. | Pyrimidine derivatives for labeled binding partners |
| US5525711A (en) | 1994-05-18 | 1996-06-11 | The United States Of America As Represented By The Secretary Of The Department Of Health And Human Services | Pteridine nucleotide analogs as fluorescent DNA probes |
| US5552540A (en) | 1987-06-24 | 1996-09-03 | Howard Florey Institute Of Experimental Physiology And Medicine | Nucleoside derivatives |
| US5587470A (en) | 1990-01-11 | 1996-12-24 | Isis Pharmaceuticals, Inc. | 3-deazapurines |
| US5594121A (en) | 1991-11-07 | 1997-01-14 | Gilead Sciences, Inc. | Enhanced triple-helix and double-helix formation with oligomers containing modified purines |
| US5596091A (en) | 1994-03-18 | 1997-01-21 | The Regents Of The University Of California | Antisense oligonucleotides comprising 5-aminoalkyl pyrimidine nucleotides |
| US5614617A (en) | 1990-07-27 | 1997-03-25 | Isis Pharmaceuticals, Inc. | Nuclease resistant, pyrimidine modified oligonucleotides that detect and modulate gene expression |
| US5645985A (en) | 1991-11-26 | 1997-07-08 | Gilead Sciences, Inc. | Enhanced triple-helix and double-helix formation with oligomers containing modified pyrimidines |
| US5681941A (en) | 1990-01-11 | 1997-10-28 | Isis Pharmaceuticals, Inc. | Substituted purines and oligonucleotide cross-linking |
| US5698685A (en) | 1985-03-15 | 1997-12-16 | Antivirals Inc. | Morpholino-subunit combinatorial library and method |
| US5830653A (en) | 1991-11-26 | 1998-11-03 | Gilead Sciences, Inc. | Methods of using oligomers containing modified pyrimidines |
| US5859221A (en) | 1990-01-11 | 1999-01-12 | Isis Pharmaceuticals, Inc. | 2'-modified oligonucleotides |
| WO1999014226A2 (en) | 1997-09-12 | 1999-03-25 | Exiqon A/S | Bi- and tri-cyclic nucleoside, nucleotide and oligonucleotide analogues |
| US5948903A (en) | 1991-01-11 | 1999-09-07 | Isis Pharmaceuticals, Inc. | Synthesis of 3-deazapurines |
| US6005087A (en) | 1995-06-06 | 1999-12-21 | Isis Pharmaceuticals, Inc. | 2'-modified oligonucleotides |
| US6268490B1 (en) | 1997-03-07 | 2001-07-31 | Takeshi Imanishi | Bicyclonucleoside and oligonucleotide analogues |
| US6525191B1 (en) | 1999-05-11 | 2003-02-25 | Kanda S. Ramasamy | Conformationally constrained L-nucleosides |
| US20030158403A1 (en) | 2001-07-03 | 2003-08-21 | Isis Pharmaceuticals, Inc. | Nuclease resistant chimeric oligonucleotides |
| US20030175906A1 (en) | 2001-07-03 | 2003-09-18 | Muthiah Manoharan | Nuclease resistant chimeric oligonucleotides |
| US6670461B1 (en) | 1997-09-12 | 2003-12-30 | Exiqon A/S | Oligonucleotide analogues |
| US6770748B2 (en) | 1997-03-07 | 2004-08-03 | Takeshi Imanishi | Bicyclonucleoside and oligonucleotide analogue |
| WO2004106356A1 (en) | 2003-05-27 | 2004-12-09 | Syddansk Universitet | Functionalized nucleotide derivatives |
| WO2005018536A2 (en) | 2003-05-23 | 2005-03-03 | Human Genome Sciences, Inc. | Agonist antibodies that specifically bind the glucagon like peptide-1 receptor |
| US7053207B2 (en) | 1999-05-04 | 2006-05-30 | Exiqon A/S | L-ribo-LNA analogues |
| US20060275288A1 (en) | 2005-01-20 | 2006-12-07 | Grihalde Nelson D | GLP-1 receptor agonist and allosteric modulator monoclonal antibodies and uses thereof |
| WO2007124461A2 (en) | 2006-04-20 | 2007-11-01 | Amgen Inc. | Glp-1 compounds |
| WO2007134181A2 (en) | 2006-05-11 | 2007-11-22 | Isis Pharmaceuticals, Inc. | 5'-modified bicyclic nucleic acid analogs |
| US20080039618A1 (en) | 2002-11-05 | 2008-02-14 | Charles Allerson | Polycyclic sugar surrogate-containing oligomeric compounds and compositions for use in gene modulation |
| US7399845B2 (en) | 2006-01-27 | 2008-07-15 | Isis Pharmaceuticals, Inc. | 6-modified bicyclic nucleic acid analogs |
| WO2008101157A1 (en) | 2007-02-15 | 2008-08-21 | Isis Pharmaceuticals, Inc. | 5'-substituted-2'-f modified nucleosides and oligomeric compounds prepared therefrom |
| US7427672B2 (en) | 2003-08-28 | 2008-09-23 | Takeshi Imanishi | Artificial nucleic acids of n-o bond crosslinkage type |
| WO2009030738A1 (en) | 2007-09-05 | 2009-03-12 | Novo Nordisk A/S | Glucagon-like peptide-1 derivatives and their pharmaceutical use |
| US7569686B1 (en) | 2006-01-27 | 2009-08-04 | Isis Pharmaceuticals, Inc. | Compounds and methods for synthesis of bicyclic nucleic acid analogs |
| US7572582B2 (en) | 1997-09-12 | 2009-08-11 | Exiqon A/S | Oligonucleotide analogues |
| US7666854B2 (en) | 2006-05-11 | 2010-02-23 | Isis Pharmaceuticals, Inc. | Bis-modified bicyclic nucleic acid analogs |
| US7696345B2 (en) | 2002-11-05 | 2010-04-13 | Isis Pharmaceuticals, Inc. | Polycyclic sugar surrogate-containing oligomeric compounds and compositions for use in gene modulation |
| US7713944B2 (en) | 2004-10-13 | 2010-05-11 | Isis Pharmaceuticals, Inc. | Oligomers comprising activated disulfides which bind to plasma proteins and their use for delivery to cells |
| US7875733B2 (en) | 2003-09-18 | 2011-01-25 | Isis Pharmaceuticals, Inc. | Oligomeric compounds comprising 4′-thionucleosides for use in gene modulation |
| US20110046071A1 (en) * | 2008-03-05 | 2011-02-24 | Tel Hashomer Medical Research Infrastructure And Services Ltd. | GLP-1 Receptor Agonists And Related Active Pharmaceutical Ingredients For Treatment Of Cancer |
| WO2011056644A2 (en) | 2009-10-28 | 2011-05-12 | Centocor Ortho Biotech Inc. | Anti-glp-1r antibodies and their uses |
| WO2011133876A2 (en) | 2010-04-22 | 2011-10-27 | Alnylam Pharmaceuticals, Inc. | Oligonucleotides comprising acyclic and abasic nucleosides and analogs |
| US8088904B2 (en) | 2007-08-15 | 2012-01-03 | Isis Pharmaceuticals, Inc. | Tetrahydropyran nucleic acid analogs |
| US8278426B2 (en) | 2007-06-08 | 2012-10-02 | Isis Pharmaceuticals, Inc. | Carbocyclic bicyclic nucleic acid analogs |
| US8278283B2 (en) | 2007-07-05 | 2012-10-02 | Isis Pharmaceuticals, Inc. | 6-disubstituted or unsaturated bicyclic nucleic acid analogs |
| US8278425B2 (en) | 2007-05-30 | 2012-10-02 | Isis Pharmaceuticals, Inc. | N-substituted-aminomethylene bridged bicyclic nucleic acid analogs |
| US20120295958A1 (en) | 2003-04-28 | 2012-11-22 | Isis Pharmaceuticals, Inc. | Modulation of glucagon receptor expression |
| US8329419B2 (en) | 2008-05-23 | 2012-12-11 | Amylin Pharmaceuticals, Llc | GLP-1 receptor agonist bioassays |
| US20120329708A1 (en) | 2011-06-22 | 2012-12-27 | Indiana University Research And Technology Corporation | Glucagon/glp-1 receptor co-agonists |
| US20130143793A1 (en) * | 2010-04-27 | 2013-06-06 | Zealand Pharma A/S | Peptide conjugates of glp-1 receptor agonists and gastrin and their use |
| US8501805B2 (en) | 2008-09-24 | 2013-08-06 | Isis Pharmaceuticals, Inc. | Substituted alpha-L-bicyclic nucleosides |
| US20130203836A1 (en) | 2010-04-01 | 2013-08-08 | Isis Pharmaceuticals, Inc. | 2' and 5' modified monomers and oligonucleotides |
| US8530640B2 (en) | 2008-02-07 | 2013-09-10 | Isis Pharmaceuticals, Inc. | Bicyclic cyclohexitol nucleic acid analogs |
| US8546556B2 (en) | 2007-11-21 | 2013-10-01 | Isis Pharmaceuticals, Inc | Carbocyclic alpha-L-bicyclic nucleic acid analogs |
| USRE44779E1 (en) | 1997-03-07 | 2014-02-25 | Santaris Pharma A/S | Bicyclonucleoside and oligonucleotide analogues |
| WO2014096179A1 (en) | 2012-12-19 | 2014-06-26 | Novo Nordisk A/S | Novel glp-1 receptor agonists with cholesterol efflux activity |
| US20140206607A1 (en) | 2011-06-22 | 2014-07-24 | Indiana University Research And Technology Corporation | Glucagon/glp-1 receptor co-agonists |
| WO2014179620A1 (en) | 2013-05-01 | 2014-11-06 | Isis Pharmaceuticals, Inc. | Conjugated antisense compounds and their use |
| US9012421B2 (en) | 2009-08-06 | 2015-04-21 | Isis Pharmaceuticals, Inc. | Bicyclic cyclohexose nucleic acid analogs |
| WO2015106128A2 (en) | 2014-01-09 | 2015-07-16 | Alnylam Pharmaceuticals, Inc. | MODIFIED RNAi AGENTS |
| US9187522B2 (en) | 2011-12-12 | 2015-11-17 | Receptos, Inc. | GLP-1 receptor modulators |
| WO2016055610A1 (en) | 2014-10-10 | 2016-04-14 | Novo Nordisk A/S | Stable glp-1 based glp-1/glucagon receptor co-agonists |
Family Cites Families (19)
| Publication number | Priority date | Publication date | Assignee | Title |
|---|---|---|---|---|
| WO1987006941A1 (en) | 1986-05-05 | 1987-11-19 | The General Hospital Corporation | Insulinotropic hormone |
| US7238491B1 (en) | 1998-03-27 | 2007-07-03 | Smithkline Beecham Corporation | Pregnane X receptor method |
| JP2010507387A (en) | 2006-10-25 | 2010-03-11 | クアーク・ファーマスーティカルス、インコーポレイテッド | Novel siRNA and method of using the same |
| WO2009089186A2 (en) | 2008-01-05 | 2009-07-16 | Sloan-Kettering Institute For Cancer Research | Peptide-conjugated oligonucleotide therapeutic and method of making and using same |
| WO2011143209A1 (en) | 2010-05-13 | 2011-11-17 | Indiana University Research And Technology Corporation | Glucagon superfamily peptides exhibiting nuclear hormone receptor activity |
| US20150291958A1 (en) * | 2012-11-15 | 2015-10-15 | Roche Innovation Center Copenhagen A/S | Anti apob antisense conjugate compounds |
| PL2970463T3 (en) | 2013-03-13 | 2018-04-30 | Biocrine Ab | Methods for treating and/or limiting development of diabetes |
| US20150259416A1 (en) | 2014-03-12 | 2015-09-17 | Biocrine Ab | Methods for treating and/or limiting development of diabetes |
| WO2014139885A2 (en) | 2013-03-14 | 2014-09-18 | Galapagos Nv | Molecular targets and compounds, and methods to identify the same, useful in the treatment of diseases associated with epithelial mesenchymal transition |
| CN105324119A (en) | 2013-06-16 | 2016-02-10 | 国立大学法人东京医科齿科大学 | Double-stranded antisense nucleic acid with exon skipping effect |
| TWI702046B (en) | 2013-07-19 | 2020-08-21 | 美商Ionis製藥公司 | Compositions for modulating tau expression |
| EP3065783A4 (en) | 2013-11-06 | 2017-06-21 | Merck Sharp & Dohme Corp. | Dual molecular delivery of oligonucleotides and peptide containing conjugates |
| EP3152307A4 (en) * | 2014-06-06 | 2018-05-02 | Berg LLC | Methods of treating a metabolic syndrome by modulating heat shock protein (hsp) 90-beta |
| EP3169335B8 (en) | 2014-07-16 | 2019-10-09 | ModernaTX, Inc. | Circular polynucleotides |
| EP3169783A4 (en) | 2014-07-17 | 2018-10-03 | Modernatx, Inc. | Terminal modifications of polynucleotides |
| JP2017523790A (en) * | 2014-08-07 | 2017-08-24 | レグルス セラピューティクス インコーポレイテッド | Targeting microRNAs for metabolic disorders |
| WO2017019282A1 (en) * | 2015-07-29 | 2017-02-02 | Dow Global Technologies Llc | Filter assembly including spiral wound membrane module and brine seal |
| WO2017053995A1 (en) | 2015-09-25 | 2017-03-30 | Ionis Pharmaceuticals, Inc. | Conjugated antisense compounds and their use |
| US20190134214A1 (en) | 2016-05-06 | 2019-05-09 | Astrazeneca Ab | GLP-1 Receptor Ligand Moiety Conjugated Oligonucleotides and Uses Thereof |
-
2017
- 2017-05-04 US US16/098,971 patent/US20190134214A1/en not_active Abandoned
- 2017-05-04 AU AU2017260003A patent/AU2017260003B2/en active Active
- 2017-05-04 IL IL299516A patent/IL299516A/en unknown
- 2017-05-04 CA CA3021994A patent/CA3021994A1/en active Pending
- 2017-05-04 CN CN201780040725.5A patent/CN109475568A/en active Pending
- 2017-05-04 WO PCT/US2017/031010 patent/WO2017192820A1/en not_active Ceased
- 2017-05-04 EP EP17793322.3A patent/EP3452049A4/en active Pending
- 2017-05-04 IL IL262728A patent/IL262728B2/en unknown
- 2017-05-04 KR KR1020187035090A patent/KR20190003740A/en not_active Ceased
- 2017-05-04 JP JP2018557878A patent/JP7091255B2/en active Active
- 2017-05-04 KR KR1020227026262A patent/KR102608220B1/en active Active
- 2017-05-04 KR KR1020237020930A patent/KR102706686B1/en active Active
-
2019
- 2019-11-14 AU AU2019264601A patent/AU2019264601B2/en active Active
-
2021
- 2021-04-15 US US17/231,409 patent/US12115225B2/en active Active
-
2022
- 2022-04-05 JP JP2022062810A patent/JP7498740B2/en active Active
Patent Citations (102)
| Publication number | Priority date | Publication date | Assignee | Title |
|---|---|---|---|---|
| US3687808A (en) | 1969-08-14 | 1972-08-29 | Univ Leland Stanford Junior | Synthetic polynucleotides |
| US5367066A (en) | 1984-10-16 | 1994-11-22 | Chiron Corporation | Oligonucleotides with selectably cleavable and/or abasic sites |
| US4845205A (en) | 1985-01-08 | 1989-07-04 | Institut Pasteur | 2,N6 -disubstituted and 2,N6 -trisubstituted adenosine-3'-phosphoramidites |
| US5034506A (en) | 1985-03-15 | 1991-07-23 | Anti-Gene Development Group | Uncharged morpholino-based polymers having achiral intersubunit linkages |
| US5185444A (en) | 1985-03-15 | 1993-02-09 | Anti-Gene Deveopment Group | Uncharged morpolino-based polymers having phosphorous containing chiral intersubunit linkages |
| US5698685A (en) | 1985-03-15 | 1997-12-16 | Antivirals Inc. | Morpholino-subunit combinatorial library and method |
| US5552540A (en) | 1987-06-24 | 1996-09-03 | Howard Florey Institute Of Experimental Physiology And Medicine | Nucleoside derivatives |
| US5175273A (en) | 1988-07-01 | 1992-12-29 | Genentech, Inc. | Nucleic acid intercalating agents |
| US5134066A (en) | 1989-08-29 | 1992-07-28 | Monsanto Company | Improved probes using nucleosides containing 3-dezauracil analogs |
| US5130302A (en) | 1989-12-20 | 1992-07-14 | Boron Bilogicals, Inc. | Boronated nucleoside, nucleotide and oligonucleotide compounds, compositions and methods for using same |
| US5166315A (en) | 1989-12-20 | 1992-11-24 | Anti-Gene Development Group | Sequence-specific binding polymers for duplex nucleic acids |
| US5808027A (en) | 1990-01-11 | 1998-09-15 | Isis Pharmaceuticals, Inc. | N-2 substituted purines in oligonucleotides |
| US5457191A (en) | 1990-01-11 | 1995-10-10 | Isis Pharmaceuticals, Inc. | 3-deazapurines |
| US5459255A (en) | 1990-01-11 | 1995-10-17 | Isis Pharmaceuticals, Inc. | N-2 substituted purines |
| US5859221A (en) | 1990-01-11 | 1999-01-12 | Isis Pharmaceuticals, Inc. | 2'-modified oligonucleotides |
| US6531584B1 (en) | 1990-01-11 | 2003-03-11 | Isis Pharmaceuticals, Inc. | 2'modified oligonucleotides |
| US6166199A (en) | 1990-01-11 | 2000-12-26 | Isis Pharmaceuticals, Inc | N-2 substituted purines |
| US5681941A (en) | 1990-01-11 | 1997-10-28 | Isis Pharmaceuticals, Inc. | Substituted purines and oligonucleotide cross-linking |
| US5587470A (en) | 1990-01-11 | 1996-12-24 | Isis Pharmaceuticals, Inc. | 3-deazapurines |
| US5587469A (en) | 1990-01-11 | 1996-12-24 | Isis Pharmaceuticals, Inc. | Oligonucleotides containing N-2 substituted purines |
| US5750692A (en) | 1990-01-11 | 1998-05-12 | Isis Pharmaceuticals, Inc. | Synthesis of 3-deazapurines |
| US5614617A (en) | 1990-07-27 | 1997-03-25 | Isis Pharmaceuticals, Inc. | Nuclease resistant, pyrimidine modified oligonucleotides that detect and modulate gene expression |
| US5432272A (en) | 1990-10-09 | 1995-07-11 | Benner; Steven A. | Method for incorporating into a DNA or RNA oligonucleotide using nucleotides bearing heterocyclic bases |
| US5948903A (en) | 1991-01-11 | 1999-09-07 | Isis Pharmaceuticals, Inc. | Synthesis of 3-deazapurines |
| US5594121A (en) | 1991-11-07 | 1997-01-14 | Gilead Sciences, Inc. | Enhanced triple-helix and double-helix formation with oligomers containing modified purines |
| US5645985A (en) | 1991-11-26 | 1997-07-08 | Gilead Sciences, Inc. | Enhanced triple-helix and double-helix formation with oligomers containing modified pyrimidines |
| US5830653A (en) | 1991-11-26 | 1998-11-03 | Gilead Sciences, Inc. | Methods of using oligomers containing modified pyrimidines |
| US5484908A (en) | 1991-11-26 | 1996-01-16 | Gilead Sciences, Inc. | Oligonucleotides containing 5-propynyl pyrimidines |
| US5434257A (en) | 1992-06-01 | 1995-07-18 | Gilead Sciences, Inc. | Binding compentent oligomers containing unsaturated 3',5' and 2',5' linkages |
| US5502177A (en) | 1993-09-17 | 1996-03-26 | Gilead Sciences, Inc. | Pyrimidine derivatives for labeled binding partners |
| US5763588A (en) | 1993-09-17 | 1998-06-09 | Gilead Sciences, Inc. | Pyrimidine derivatives for labeled binding partners |
| US6005096A (en) | 1993-09-17 | 1999-12-21 | Gilead Sciences, Inc. | Pyrimidine derivatives |
| US5457187A (en) | 1993-12-08 | 1995-10-10 | Board Of Regents University Of Nebraska | Oligonucleotides containing 5-fluorouracil |
| US5811534A (en) | 1994-02-01 | 1998-09-22 | Isis Pharmaceuticals, Inc. | Substituted purines and oligonucleotide cross-linking |
| US5596091A (en) | 1994-03-18 | 1997-01-21 | The Regents Of The University Of California | Antisense oligonucleotides comprising 5-aminoalkyl pyrimidine nucleotides |
| US5525711A (en) | 1994-05-18 | 1996-06-11 | The United States Of America As Represented By The Secretary Of The Department Of Health And Human Services | Pteridine nucleotide analogs as fluorescent DNA probes |
| US6005087A (en) | 1995-06-06 | 1999-12-21 | Isis Pharmaceuticals, Inc. | 2'-modified oligonucleotides |
| US6770748B2 (en) | 1997-03-07 | 2004-08-03 | Takeshi Imanishi | Bicyclonucleoside and oligonucleotide analogue |
| USRE44779E1 (en) | 1997-03-07 | 2014-02-25 | Santaris Pharma A/S | Bicyclonucleoside and oligonucleotide analogues |
| US6268490B1 (en) | 1997-03-07 | 2001-07-31 | Takeshi Imanishi | Bicyclonucleoside and oligonucleotide analogues |
| US8080644B2 (en) | 1997-09-12 | 2011-12-20 | Exiqon A/S | Oligonucleotide analogues |
| US6670461B1 (en) | 1997-09-12 | 2003-12-30 | Exiqon A/S | Oligonucleotide analogues |
| US6794499B2 (en) | 1997-09-12 | 2004-09-21 | Exiqon A/S | Oligonucleotide analogues |
| US8153365B2 (en) | 1997-09-12 | 2012-04-10 | Exiqon A/S | Oligonucleotide analogues |
| US7572582B2 (en) | 1997-09-12 | 2009-08-11 | Exiqon A/S | Oligonucleotide analogues |
| US7034133B2 (en) | 1997-09-12 | 2006-04-25 | Exiqon A/S | Oligonucleotide analogues |
| US8034909B2 (en) | 1997-09-12 | 2011-10-11 | Exiqon A/S | Oligonucleotide analogues |
| WO1999014226A2 (en) | 1997-09-12 | 1999-03-25 | Exiqon A/S | Bi- and tri-cyclic nucleoside, nucleotide and oligonucleotide analogues |
| US7053207B2 (en) | 1999-05-04 | 2006-05-30 | Exiqon A/S | L-ribo-LNA analogues |
| US6525191B1 (en) | 1999-05-11 | 2003-02-25 | Kanda S. Ramasamy | Conformationally constrained L-nucleosides |
| US20030175906A1 (en) | 2001-07-03 | 2003-09-18 | Muthiah Manoharan | Nuclease resistant chimeric oligonucleotides |
| US20030158403A1 (en) | 2001-07-03 | 2003-08-21 | Isis Pharmaceuticals, Inc. | Nuclease resistant chimeric oligonucleotides |
| US8124745B2 (en) | 2002-11-05 | 2012-02-28 | Isis Pharmaceuticals, Inc | Polycyclic sugar surrogate-containing oligomeric compounds and compositions for use in gene modulation |
| US20080039618A1 (en) | 2002-11-05 | 2008-02-14 | Charles Allerson | Polycyclic sugar surrogate-containing oligomeric compounds and compositions for use in gene modulation |
| US7696345B2 (en) | 2002-11-05 | 2010-04-13 | Isis Pharmaceuticals, Inc. | Polycyclic sugar surrogate-containing oligomeric compounds and compositions for use in gene modulation |
| US20120295958A1 (en) | 2003-04-28 | 2012-11-22 | Isis Pharmaceuticals, Inc. | Modulation of glucagon receptor expression |
| WO2005018536A2 (en) | 2003-05-23 | 2005-03-03 | Human Genome Sciences, Inc. | Agonist antibodies that specifically bind the glucagon like peptide-1 receptor |
| WO2004106356A1 (en) | 2003-05-27 | 2004-12-09 | Syddansk Universitet | Functionalized nucleotide derivatives |
| US7427672B2 (en) | 2003-08-28 | 2008-09-23 | Takeshi Imanishi | Artificial nucleic acids of n-o bond crosslinkage type |
| US7939677B2 (en) | 2003-09-18 | 2011-05-10 | Isis Pharmaceuticals, Inc. | Oligomeric compounds comprising 4′-thionucleosides for use in gene modulation |
| US7875733B2 (en) | 2003-09-18 | 2011-01-25 | Isis Pharmaceuticals, Inc. | Oligomeric compounds comprising 4′-thionucleosides for use in gene modulation |
| US7713944B2 (en) | 2004-10-13 | 2010-05-11 | Isis Pharmaceuticals, Inc. | Oligomers comprising activated disulfides which bind to plasma proteins and their use for delivery to cells |
| US20060275288A1 (en) | 2005-01-20 | 2006-12-07 | Grihalde Nelson D | GLP-1 receptor agonist and allosteric modulator monoclonal antibodies and uses thereof |
| US7569686B1 (en) | 2006-01-27 | 2009-08-04 | Isis Pharmaceuticals, Inc. | Compounds and methods for synthesis of bicyclic nucleic acid analogs |
| US7399845B2 (en) | 2006-01-27 | 2008-07-15 | Isis Pharmaceuticals, Inc. | 6-modified bicyclic nucleic acid analogs |
| US7741457B2 (en) | 2006-01-27 | 2010-06-22 | Isis Pharmaceuticals, Inc. | 6-modified bicyclic nucleic acid analogs |
| US8022193B2 (en) | 2006-01-27 | 2011-09-20 | Isis Pharmaceuticals, Inc. | 6-modified bicyclic nucleic acid analogs |
| WO2007124461A2 (en) | 2006-04-20 | 2007-11-01 | Amgen Inc. | Glp-1 compounds |
| WO2007134181A2 (en) | 2006-05-11 | 2007-11-22 | Isis Pharmaceuticals, Inc. | 5'-modified bicyclic nucleic acid analogs |
| US8030467B2 (en) | 2006-05-11 | 2011-10-04 | Isis Pharmaceuticals, Inc. | 5′-modified bicyclic nucleic acid analogs |
| US7750131B2 (en) | 2006-05-11 | 2010-07-06 | Isis Pharmaceuticals, Inc. | 5′-modified bicyclic nucleic acid analogs |
| US8268980B2 (en) | 2006-05-11 | 2012-09-18 | Isis Pharmaceuticals, Inc. | 5′-modified bicyclic nucleic acid analogs |
| US7666854B2 (en) | 2006-05-11 | 2010-02-23 | Isis Pharmaceuticals, Inc. | Bis-modified bicyclic nucleic acid analogs |
| US8088746B2 (en) | 2006-05-11 | 2012-01-03 | Isis Pharmaceuticals, Inc. | Bis-modified bicyclic nucleic acid analogs |
| US7547684B2 (en) | 2006-05-11 | 2009-06-16 | Isis Pharmaceuticals, Inc. | 5′-modified bicyclic nucleic acid analogs |
| WO2008101157A1 (en) | 2007-02-15 | 2008-08-21 | Isis Pharmaceuticals, Inc. | 5'-substituted-2'-f modified nucleosides and oligomeric compounds prepared therefrom |
| US8278425B2 (en) | 2007-05-30 | 2012-10-02 | Isis Pharmaceuticals, Inc. | N-substituted-aminomethylene bridged bicyclic nucleic acid analogs |
| US8278426B2 (en) | 2007-06-08 | 2012-10-02 | Isis Pharmaceuticals, Inc. | Carbocyclic bicyclic nucleic acid analogs |
| US8278283B2 (en) | 2007-07-05 | 2012-10-02 | Isis Pharmaceuticals, Inc. | 6-disubstituted or unsaturated bicyclic nucleic acid analogs |
| US8440803B2 (en) | 2007-08-15 | 2013-05-14 | Isis Pharmaceuticals, Inc. | Tetrahydropyran nucleic acid analogs |
| US8088904B2 (en) | 2007-08-15 | 2012-01-03 | Isis Pharmaceuticals, Inc. | Tetrahydropyran nucleic acid analogs |
| US9005906B2 (en) | 2007-08-15 | 2015-04-14 | Isis Pharmaceuticals, Inc. | Tetrahydropyran nucleic acid analogs |
| WO2009030738A1 (en) | 2007-09-05 | 2009-03-12 | Novo Nordisk A/S | Glucagon-like peptide-1 derivatives and their pharmaceutical use |
| US8546556B2 (en) | 2007-11-21 | 2013-10-01 | Isis Pharmaceuticals, Inc | Carbocyclic alpha-L-bicyclic nucleic acid analogs |
| US8530640B2 (en) | 2008-02-07 | 2013-09-10 | Isis Pharmaceuticals, Inc. | Bicyclic cyclohexitol nucleic acid analogs |
| US20110046071A1 (en) * | 2008-03-05 | 2011-02-24 | Tel Hashomer Medical Research Infrastructure And Services Ltd. | GLP-1 Receptor Agonists And Related Active Pharmaceutical Ingredients For Treatment Of Cancer |
| US8329419B2 (en) | 2008-05-23 | 2012-12-11 | Amylin Pharmaceuticals, Llc | GLP-1 receptor agonist bioassays |
| US8501805B2 (en) | 2008-09-24 | 2013-08-06 | Isis Pharmaceuticals, Inc. | Substituted alpha-L-bicyclic nucleosides |
| US9012421B2 (en) | 2009-08-06 | 2015-04-21 | Isis Pharmaceuticals, Inc. | Bicyclic cyclohexose nucleic acid analogs |
| US20150191727A1 (en) | 2009-08-06 | 2015-07-09 | Isis Pharmaceuticals, Inc. | Bicyclic cyclohexose nucleic acid analogs |
| US8389689B2 (en) | 2009-10-28 | 2013-03-05 | Janssen Biotech, Inc. | Anti-GLP-1R antibodies and their uses |
| WO2011056644A2 (en) | 2009-10-28 | 2011-05-12 | Centocor Ortho Biotech Inc. | Anti-glp-1r antibodies and their uses |
| US20130203836A1 (en) | 2010-04-01 | 2013-08-08 | Isis Pharmaceuticals, Inc. | 2' and 5' modified monomers and oligonucleotides |
| WO2011133876A2 (en) | 2010-04-22 | 2011-10-27 | Alnylam Pharmaceuticals, Inc. | Oligonucleotides comprising acyclic and abasic nucleosides and analogs |
| US20130143793A1 (en) * | 2010-04-27 | 2013-06-06 | Zealand Pharma A/S | Peptide conjugates of glp-1 receptor agonists and gastrin and their use |
| US20140206607A1 (en) | 2011-06-22 | 2014-07-24 | Indiana University Research And Technology Corporation | Glucagon/glp-1 receptor co-agonists |
| US20120329708A1 (en) | 2011-06-22 | 2012-12-27 | Indiana University Research And Technology Corporation | Glucagon/glp-1 receptor co-agonists |
| US9187522B2 (en) | 2011-12-12 | 2015-11-17 | Receptos, Inc. | GLP-1 receptor modulators |
| WO2014096179A1 (en) | 2012-12-19 | 2014-06-26 | Novo Nordisk A/S | Novel glp-1 receptor agonists with cholesterol efflux activity |
| WO2014179620A1 (en) | 2013-05-01 | 2014-11-06 | Isis Pharmaceuticals, Inc. | Conjugated antisense compounds and their use |
| WO2015106128A2 (en) | 2014-01-09 | 2015-07-16 | Alnylam Pharmaceuticals, Inc. | MODIFIED RNAi AGENTS |
| WO2016055610A1 (en) | 2014-10-10 | 2016-04-14 | Novo Nordisk A/S | Stable glp-1 based glp-1/glucagon receptor co-agonists |
Non-Patent Citations (46)
| Title |
|---|
| "Antisense Drug Technology", 2008, CRC PRESS, pages: 163 - 166 |
| "Click Chemistry for Biotechnology and Materials Science", 2009, WILEY |
| "The Concise Encyclopedia Of Polymer Science And Engineering, Kroschwitz", 1990, JOHN WILEY & SONS, pages: 858 - 859 |
| ALBAEK ET AL., J. ORG. CHEM., vol. 71, 2006, pages 7731 - 7740 |
| ALTSCHUL ET AL., J. MOL. BIOL., vol. 215, 1990, pages 403 410 |
| BRAASCH ET AL., BIOCHEMISTRY, vol. 41, 2002, pages 4503 - 4510 |
| BRAASCH ET AL., CHEM. BIOL., vol. 8, 2001, pages 1 - 7 |
| BROM ET AL., CONTRAST MEDIA MOL. IMAGING, vol. 7, no. 2, 2012, pages 160 - 166 |
| EGLI ET AL., J. AM. CHEM. SOC., vol. 133, 2011, pages 16642 |
| ELAYADI ET AL., CURR. OPINION INVENS. DRUGS,, vol. 2, 2001, pages 558 - 561 |
| ENGLISCH ET AL.: "Angewandte Chemie", vol. 30, 1991, INTERNATIONAL EDITION, pages: 613 |
| FINAN ET AL., NAT. MED., vol. 18, 2012, pages 1847 - 1856 |
| FREIER ET AL., NUCLEIC ACIDS RESEARCH, vol. 25, no. 22, 1997, pages 4429 - 4443 |
| FRIEDEN ET AL., NUCLEIC ACIDS RESEARCH, vol. 21, 2003, pages 6365 - 6372 |
| GAUTSCHI ET AL., J. NATL. CANCER INST, vol. 93, March 2001 (2001-03-01), pages 463 - 471 |
| HUNG ET AL., NUC ACID THER, 2013, pages 369 - 78 |
| HUNG ET AL., NUCLEIC ACID THER, vol. 23, no. 6, 2013, pages 369 - 378 |
| KNUDSEN ET AL.: "Small-molecule agonists for the glucagon-like peptide 1 receptor", PNAS, vol. 104, no. 3, 16 January 2007 (2007-01-16), pages 937 - 42, XP055224447, DOI: 10.1073/pnas.0605701104 |
| KOERNER ET AL.: "GLP-1 Receptor Expression in Human Tumors and Human Normal Tissues: Potential for In Vivo Targeting", THE JOURNAL OF NUCLEAR MEDICINE, vol. 48, no. 5, 1 May 2007 (2007-05-01), pages 736 - 743, XP055436759 * |
| KORNER ET AL., J. NUCL. MED., vol. 48, no. 5, 2007, pages 736 - 743 |
| KOSHKIN ET AL., TETRAHEDRON, vol. 54, 1998, pages 3607 - 3630 |
| KUMAR ET AL., BIOORG. MED. CHEM. LETT., vol. 8, 1998, pages 2219 - 2222 |
| KUMAR ET AL., ORG. BIOMOL. CHEM, vol. 11, 2013, pages 5853 - 5865 |
| KUNA ET AL., AM J PHYSIOL ENDO METAB, vol. 305, 2013, pages 161 - 170 |
| LEUMANN, CJ, BIOORG. & MED. CHEM, vol. 10, 2002, pages 841 - 854 |
| LIANG ET AL., MOL. IMAGING BIOL.,, vol. 18, no. 1, 2015, pages 79 - 89 |
| LORENZ M ET AL.: "Recent progress and future options in the development of GLP-1 receptor agonists for the treatment of diabesity", BIOORG MED CHEM LETT, vol. 23, no. 14, 15 July 2013 (2013-07-15), pages 4011 - 8, XP028573319, DOI: 10.1016/j.bmcl.2013.05.022 |
| MAHERDOLNICK, NUC. ACID. RES, vol. 16, 1988, pages 3341 - 3358 |
| MING ET AL., NUCLEIC ACIDS RES., vol. 38, no. 19, 2010, pages 6567 - 6576 |
| ORUM ET AL., CURR. OPINION MOL. THER., vol. 3, 2001, pages 239 - 243 |
| SAMUEL ET AL., DIABETES, vol. 55, no. 7, 2006, pages 2042 - 2050 |
| SANGHVI, Y.S.: "Antisense Research and Applications", 1993, CRC PRESS, pages: 273 - 288 |
| See also references of EP3452049A4 |
| SETH ET AL., J. MED. CHEM, vol. 52, 2009, pages 10 |
| SINGH ET AL., CHEM. COMMUN., vol. 4, 1998, pages 455 - 456 |
| SINGH ET AL., J. ORG. CHEM., vol. 63, 1998, pages 10035 - 10039 |
| SLOOP ET AL.: "Novel Small Molecule Glucagon-Like Peptide-1 Receptor Agonist Stimulates Insulin Secretion in Rodents and From Human Islets", DIABETES, vol. 2012, 2010, pages 3099 - 3107 |
| SMITHWATERMAN, ADV. APPL. MATH., vol. 2, 1981, pages 482 489 |
| SRIVASTAVA ET AL., J. AM. CHEM. SOC., vol. 20017, no. 129, 2012, pages 11618 - 11631 |
| WAHLESTEDT ET AL., PROC. NATL. ACAD. SCI. U. S. A., vol. 97, 2000, pages 5633 - 5638 |
| WANG ET AL., DIABETES, vol. 63, no. 5, 2014, pages 1465 - 1474 |
| WANG ET AL.: "Non-peptidic glucose-like peptide-1 receptor agonists: aftermath of a serendipitous discovery", ACTA PHARMACOLOGICA SINICA, vol. 31, 2010, pages 1026 - 1030, XP055120925, DOI: 10.1038/aps.2010.107 |
| WILLARD ET AL.: "SmallMolecule Drug Discovery at the Glucagon-Like Peptide-1 Receptor", EXP DIABETES RES., vol. 2012, 23 February 2012 (2012-02-23), pages 1 - 9, XP055118580 * |
| WOOLF ET AL., PROC. NATL. ACAD. SCI. USA, vol. 89, 1992, pages 7305 - 7309 |
| ZHANGMADDEN, GENOME RES., vol. 7, 1997, pages 649 656 |
| ZHOU ET AL., J. ORG. CHEM., vol. 74, 2009, pages 118 - 134 |
Cited By (9)
| Publication number | Priority date | Publication date | Assignee | Title |
|---|---|---|---|---|
| US12115225B2 (en) | 2016-05-06 | 2024-10-15 | Astrazeneca Ab | GLP-1 receptor ligand moiety conjugated oligonucleotides and uses thereof |
| WO2018191153A1 (en) * | 2017-04-09 | 2018-10-18 | The Cleveland Clinic Foundation | Cancer treatment by malat1 inhibition |
| US10815283B2 (en) | 2017-05-04 | 2020-10-27 | Follicum Ab | Peptides for treatment of diabetes |
| EP3707156A4 (en) * | 2017-11-08 | 2021-08-04 | Ionis Pharmaceuticals, Inc. | GLP-1 RECEPTOR LIGAND PARTLY CONJUGATED OLIGONUCLEOTIDES AND USES THEREOF |
| CN107881187A (en) * | 2017-11-20 | 2018-04-06 | 珠海联邦制药股份有限公司 | The fusion protein of Bacillus coli expression is converted into the preparation method and application of Liraglutide |
| JP2022523214A (en) * | 2019-02-27 | 2022-04-21 | アイオーニス ファーマシューティカルズ, インコーポレーテッド | Modulator of MALAT1 expression |
| JP7492526B2 (en) | 2019-02-27 | 2024-05-29 | アイオーニス ファーマシューティカルズ, インコーポレーテッド | Modulators of MALAT1 Expression |
| US12157890B2 (en) | 2019-02-27 | 2024-12-03 | Ionis Pharmaceuticals, Inc. | Modulators of MALAT1 expression |
| EP4065598A4 (en) * | 2019-11-27 | 2023-11-29 | D&D Pharmatech Inc. | Biotin moiety-conjugated polypeptide and pharmaceutical composition for oral administration comprising the same |
Also Published As
| Publication number | Publication date |
|---|---|
| US20210346509A1 (en) | 2021-11-11 |
| IL299516A (en) | 2023-02-01 |
| KR102706686B1 (en) | 2024-09-19 |
| US20190134214A1 (en) | 2019-05-09 |
| EP3452049A1 (en) | 2019-03-13 |
| KR20190003740A (en) | 2019-01-09 |
| KR102608220B1 (en) | 2023-11-29 |
| KR20230095130A (en) | 2023-06-28 |
| AU2017260003B2 (en) | 2019-12-05 |
| AU2017260003A1 (en) | 2018-12-13 |
| US12115225B2 (en) | 2024-10-15 |
| IL262728B2 (en) | 2023-10-01 |
| JP7498740B2 (en) | 2024-06-12 |
| CN109475568A (en) | 2019-03-15 |
| JP2022104988A (en) | 2022-07-12 |
| JP7091255B2 (en) | 2022-06-27 |
| CA3021994A1 (en) | 2017-11-09 |
| EP3452049A4 (en) | 2020-01-08 |
| AU2019264601B2 (en) | 2021-06-24 |
| IL262728A (en) | 2018-12-31 |
| JP2019516686A (en) | 2019-06-20 |
| AU2019264601A1 (en) | 2019-12-05 |
| BR112018072362A2 (en) | 2019-02-19 |
| IL262728B1 (en) | 2023-06-01 |
| KR20220111737A (en) | 2022-08-09 |
Similar Documents
| Publication | Publication Date | Title |
|---|---|---|
| US12115225B2 (en) | GLP-1 receptor ligand moiety conjugated oligonucleotides and uses thereof | |
| US20240293563A1 (en) | Glp-1 receptor ligand moiety conjugated oligonucleotides and uses thereof | |
| EP3313989B1 (en) | Modified crispr rna and modified single crispr rna and uses thereof | |
| CA2884608C (en) | Multimeric oligonucleotide compounds | |
| US20160010086A1 (en) | Oligomeric compounds and excipients | |
| EP2852606B1 (en) | Modulation of enhancer rna mediated gene expression | |
| US20220243210A1 (en) | Angiotensin ii type 1 receptor targeted oligonucleotides and uses thereof | |
| BR112018072362B1 (en) | COMPOUND, USE OF THE COMPOUND AND PHARMACEUTICAL COMPOSITION |
Legal Events
| Date | Code | Title | Description |
|---|---|---|---|
| ENP | Entry into the national phase |
Ref document number: 3021994 Country of ref document: CA |
|
| ENP | Entry into the national phase |
Ref document number: 2018557878 Country of ref document: JP Kind code of ref document: A |
|
| NENP | Non-entry into the national phase |
Ref country code: DE |
|
| REG | Reference to national code |
Ref country code: BR Ref legal event code: B01A Ref document number: 112018072362 Country of ref document: BR |
|
| 121 | Ep: the epo has been informed by wipo that ep was designated in this application |
Ref document number: 17793322 Country of ref document: EP Kind code of ref document: A1 |
|
| ENP | Entry into the national phase |
Ref document number: 20187035090 Country of ref document: KR Kind code of ref document: A |
|
| ENP | Entry into the national phase |
Ref document number: 2017793322 Country of ref document: EP Effective date: 20181206 |
|
| ENP | Entry into the national phase |
Ref document number: 2017260003 Country of ref document: AU Date of ref document: 20170504 Kind code of ref document: A |
|
| ENP | Entry into the national phase |
Ref document number: 112018072362 Country of ref document: BR Kind code of ref document: A2 Effective date: 20181030 |
|
| WWW | Wipo information: withdrawn in national office |
Ref document number: 299516 Country of ref document: IL |


















































































































