WO2017189613A1 - Methods of using fasn inhibitors - Google Patents
Methods of using fasn inhibitors Download PDFInfo
- Publication number
- WO2017189613A1 WO2017189613A1 PCT/US2017/029469 US2017029469W WO2017189613A1 WO 2017189613 A1 WO2017189613 A1 WO 2017189613A1 US 2017029469 W US2017029469 W US 2017029469W WO 2017189613 A1 WO2017189613 A1 WO 2017189613A1
- Authority
- WO
- WIPO (PCT)
- Prior art keywords
- alkyl
- disease
- cycloalkyl
- aryl
- compound
- Prior art date
- Legal status (The legal status is an assumption and is not a legal conclusion. Google has not performed a legal analysis and makes no representation as to the accuracy of the status listed.)
- Ceased
Links
- 0 CCC=C(c1ccccc1)N=C(C)* Chemical compound CCC=C(c1ccccc1)N=C(C)* 0.000 description 9
- RZVJTWXDUDZUBG-BVBWJYQCSA-N CCCCC(C)C1(C(CC2)CCC2C(N(CC2)C[C@H](COC3(CC3)C(N(CC3)[C@@H](C)CN3C(c(cc3)ccc3-c3ccc4[n](C)cnc4c3)=O)=O)N2C(C2(CC2)O)=O)=O)OC(CC(CC2)Cl)C2N1 Chemical compound CCCCC(C)C1(C(CC2)CCC2C(N(CC2)C[C@H](COC3(CC3)C(N(CC3)[C@@H](C)CN3C(c(cc3)ccc3-c3ccc4[n](C)cnc4c3)=O)=O)N2C(C2(CC2)O)=O)=O)OC(CC(CC2)Cl)C2N1 RZVJTWXDUDZUBG-BVBWJYQCSA-N 0.000 description 1
- SZEFPGMHCYAUSD-UHFFFAOYSA-N OC1(CC1)C(N(CC1)CCN1C(c(cc1)ccc1-c([o]c1c2)nc1ccc2Cl)=O)=O Chemical compound OC1(CC1)C(N(CC1)CCN1C(c(cc1)ccc1-c([o]c1c2)nc1ccc2Cl)=O)=O SZEFPGMHCYAUSD-UHFFFAOYSA-N 0.000 description 1
- DSTWHRGOCUOKDE-UHFFFAOYSA-N OC1(CC1)C(N(CC1)CCN1C(c(cc1)ccc1-c([o]c1c2)nc1ccc2F)=O)=O Chemical compound OC1(CC1)C(N(CC1)CCN1C(c(cc1)ccc1-c([o]c1c2)nc1ccc2F)=O)=O DSTWHRGOCUOKDE-UHFFFAOYSA-N 0.000 description 1
Classifications
-
- A—HUMAN NECESSITIES
- A61—MEDICAL OR VETERINARY SCIENCE; HYGIENE
- A61K—PREPARATIONS FOR MEDICAL, DENTAL OR TOILETRY PURPOSES
- A61K31/00—Medicinal preparations containing organic active ingredients
- A61K31/33—Heterocyclic compounds
- A61K31/395—Heterocyclic compounds having nitrogen as a ring hetero atom, e.g. guanethidine or rifamycins
- A61K31/495—Heterocyclic compounds having nitrogen as a ring hetero atom, e.g. guanethidine or rifamycins having six-membered rings with two or more nitrogen atoms as the only ring heteroatoms, e.g. piperazine or tetrazines
- A61K31/496—Non-condensed piperazines containing further heterocyclic rings, e.g. rifampin, thiothixene or sparfloxacin
-
- A—HUMAN NECESSITIES
- A61—MEDICAL OR VETERINARY SCIENCE; HYGIENE
- A61K—PREPARATIONS FOR MEDICAL, DENTAL OR TOILETRY PURPOSES
- A61K31/00—Medicinal preparations containing organic active ingredients
- A61K31/33—Heterocyclic compounds
- A61K31/395—Heterocyclic compounds having nitrogen as a ring hetero atom, e.g. guanethidine or rifamycins
- A61K31/495—Heterocyclic compounds having nitrogen as a ring hetero atom, e.g. guanethidine or rifamycins having six-membered rings with two or more nitrogen atoms as the only ring heteroatoms, e.g. piperazine or tetrazines
-
- A—HUMAN NECESSITIES
- A61—MEDICAL OR VETERINARY SCIENCE; HYGIENE
- A61P—SPECIFIC THERAPEUTIC ACTIVITY OF CHEMICAL COMPOUNDS OR MEDICINAL PREPARATIONS
- A61P1/00—Drugs for disorders of the alimentary tract or the digestive system
- A61P1/16—Drugs for disorders of the alimentary tract or the digestive system for liver or gallbladder disorders, e.g. hepatoprotective agents, cholagogues, litholytics
-
- Y—GENERAL TAGGING OF NEW TECHNOLOGICAL DEVELOPMENTS; GENERAL TAGGING OF CROSS-SECTIONAL TECHNOLOGIES SPANNING OVER SEVERAL SECTIONS OF THE IPC; TECHNICAL SUBJECTS COVERED BY FORMER USPC CROSS-REFERENCE ART COLLECTIONS [XRACs] AND DIGESTS
- Y02—TECHNOLOGIES OR APPLICATIONS FOR MITIGATION OR ADAPTATION AGAINST CLIMATE CHANGE
- Y02A—TECHNOLOGIES FOR ADAPTATION TO CLIMATE CHANGE
- Y02A50/00—TECHNOLOGIES FOR ADAPTATION TO CLIMATE CHANGE in human health protection, e.g. against extreme weather
- Y02A50/30—Against vector-borne diseases, e.g. mosquito-borne, fly-borne, tick-borne or waterborne diseases whose impact is exacerbated by climate change
Definitions
- IL-17 receptor activation induces secretion of proinflammatory cytokines and IL-17 induces type I collagen production in hepatic stellate cells (Tan, Z., et al., J Immunol. 2013; 191(4): 1835-44).
- inhibition or neutralization of IL-17 is expected to impact IL-17-mediated inflammation and fibrosis (Tan, Z., J Immunol. 1835-44).
- M2-like macrophages differentiated with CSF-1 can acquire pro-fibrogenic and immunosuppressive properties.
- M2-like macrophages and CSF-1 signal transduction are implicated in fibrosis and in evasion of anti-tumor response in the tumor microenvironment.
- a first aspect of the disclosure relates to a method of treating a condition or disease associated with T H 17 mediated inflammation.
- the method comprises administering to a patient in need of a treatment for condition or a disease associated with T H 1 mediated inflammation an effective amount of a FASN inhibitor.
- Another aspect of the present disclosure relates to a method of treating a condition or disease associated with IL-17 receptor activation.
- the method comprises administering to a patient in need of a treatment for condition or a disease associated with IL-17 receptor activation an effective amount of a FASN inhibitor.
- Another aspect of the present disclosure relates to a method of treating a patient of organ transplantation to reduce organ rejection.
- the method comprises administering to a patient in need of a treatment for reducing organ rejection an effective amount of a FASN inhibitor.
- Another aspect of the present disclosure relates to a method of inhibiting CSF- 1 dependent macrophage differentiation.
- the method comprises contacting a cell with an effective amount of a FASN inhibitor.
- Another aspect of the present disclosure relates to a method of treating a condition or disease associated with CSF-1 dependent macrophage differentiation.
- the method comprises administering to a patient in need a treatment for condition or a disease associated with CSF-1 dependent macrophage differentiation an effective amount of a FASN inhibitor.
- Figure 1 Compound A reduced steatosis score of liver from FIFD rat model.
- A The hematoxylin and eosin stained liver slides were evaluated for steatosis store by Kleiner scoring system (Kleiner, D.E., Brunt, E.M., Van Natta, M., Behling, C, Contos, M.J., Cummings, O.W., Ferrell, L.D., Liu, Y.-C, Torbenson, M.S., Unalp-Arida, A., et al. (2005). Design and validation of a histological scoring system for nonalcoholic fatty liver disease. Hepatol. Baltim.
- Steatosis scores were assessed by medium-power evaluation of parenchymal involvement by steatosis. Severity of steatosis was defined as follows: SO, no steatosis, ⁇ 5% parenchymal involvement; SI, mild steatosis, 5-33% (bottom section of bar); S2, moderate steatosis, >33-66% (middle section of bar); S3, severe steatosis, >66% (top section of bar). (B): The group severity score was calculated to assist in the evaluation of the steatosis severity in each group. This was calculated by multiplying steatosis score by number of animals with that score and then adding them for the total score.
- the group severity score contribution from steatosis score 1, 2, 3 is marked in the bottom, middle, and top sections of each bar, respectively.
- Figure 2 Effect of compound A on the improvement of disease severity in EAE mouse model from BID (A) or QD (B) administration.
- the data were presented as Mean ⁇ SEM.
- the clinical score criteria are listed in Table 6.1.
- Figure 3 Compound A reduced gene expression level of mRORc in splenic cells from EAE model. The data are presented as Mean ⁇ SD. Compound A inhibited splenic mRORc by 45%, 62% and 81% for 1, 3, and 10 mg/kg BID groups as compared to the vehicle treated group.
- Figure 4 Compound A reduced the population of IL17+ CD4+ cells in lymph node (A) and spinal cord and brain tissue samples in the second EAE study (B). The data were presented as Mean ⁇ SD. * P ⁇ 0.05 ** P ⁇ 0.01 as compared to vehicle control.
- administration typically refers to the administration of a composition or compound to a subject or system.
- routes that may, in appropriate circumstances, be utilized for administration to a subject, for example a human.
- administration may be ocular, oral, parenteral, topical, etc..
- administration may be bronchial (e.g., by bronchial instillation), buccal, dermal (which may be or comprise, for example, one or more of topical to the dermis, intradermal, interdermal, transdermal, etc.), enteral, intra-arterial, intradermal, intragastric, intramedullary, intramuscular, intranasal, intraperitoneal, intrathecal, intravenous, intraventricular, within a specific organ (e. g. intrahepatic), mucosal, nasal, oral, rectal, subcutaneous, sublingual, topical, tracheal (e.g., by intratracheal instillation), vaginal, vitreal, etc.
- administration may involve dosing that is intermittent (e.g., a plurality of doses separated in time) and/or periodic (e.g., individual doses separated by a common period of time) dosing.
- intermittent e.g., a plurality of doses separated in time
- administration may involve continuous dosing (e.g., perfusion) for at least a selected period of time.
- administration of a particular compound may be achieved by administration of a composition that includes or otherwise delivers the compound to the subject or system (or to a relevant part thereof or site therein).
- administration of a compound may be achieved by administration of a composition comprising the compound.
- administration of a compound may be achieved by administration of a composition that achieves delivery of the compound (e.g., of a composition that includes a prodrug or other variant of the compound that is metabolized to the compound upon administration of the composition).
- the term "patient” or “subject” refers to any organism to which provided compound or compounds described herein are administered in accordance with the present invention e.g., for experimental, diagnostic, prophylactic, and/or therapeutic purposes, and includes mammals and non-mammals.
- mammals include, but are not limited to, any member of the mammalian class: humans, non-human primates such as chimpanzees, and other apes and monkey species; farm animals such as cattle, horses, sheep, goats, swine; domestic animals such as rabbits, dogs, and cats; laboratory animals including rodents, such as rats, mice and guinea pigs, and the like.
- non-mammals include, but are not limited to, birds, fish and the like.
- the mammal is a human.
- a subject may be suffering from, and/or susceptible to a disease, disorder, and/or condition.
- FASN refers all classes, types, subtypes, isotypes, segments, variants, and mutant forms of fatty acid synthase.
- an inhibitor refers to an agent, condition, or event whose presence, level, degree, type, or form correlates with decreased level or activity of another agent (i.e., the inhibited agent, or target).
- an inhibitor may be or include an agent of any chemical class including, for example, small molecules, polypeptides, nucleic acids, carbohydrates, lipids, metals, and/or any other entity, condition or event that shows the relevant inhibitory activity.
- an inhibitor may be direct (in which case it exerts its influence directly upon its target, for example by binding to the target); in some embodiments, an inhibitor may be indirect (in which case it exerts its influence by interacting with and/or otherwise altering a regulator of the target, so that level and/or activity of the target is reduced).
- an “effective amount” or “therapeutically effective amount” refer to a sufficient amount of the agent to provide the desired biological result. That result can be reduction and/or alleviation of the signs, symptoms, or causes of a disease, or any other desired alteration of a biological system.
- an “effective amount” for therapeutic use is the amount of the composition comprising a compound as disclosed herein required to provide a clinically significant decrease in a disease, disorder, and/or condition.
- An appropriate “effective” amount in any individual case may be determined by one of ordinary skill in the art using routine experimentation.
- the expression “effective amount” generally refers to the quantity for which the active substance has therapeutic effects.
- “Mammal” means humans and other mammalian animals.
- prevention when used in connection with the occurrence of a disease, disorder, and/or condition, refers to reducing the risk of developing the disease, disorder, and/or condition and/or to delaying onset of one or more characteristics or symptoms of the disease, disorder, or condition. Prevention may be considered complete when onset of a disease, disorder, or condition has been delayed for a predefined period of time.
- the terms “treat” or “treatment” are synonymous with the term “prevent” and are meant to indicate a postponement of development of diseases, preventing the development of diseases, and/or reducing severity of such symptoms that will or are expected to develop.
- these terms include ameliorating existing disease symptoms, preventing additional symptoms, ameliorating or preventing the underlying metabolic causes of symptoms, inhibiting the disorder or disease, e.g., arresting the development of the disorder or disease, relieving the disorder or disease, causing regression of the disorder or disease, relieving a condition caused by the disease or disorder, or stopping or alleviating the symptoms of the disease or disorder.
- pharmaceutically acceptable is meant a material which is not biologically or otherwise undesirable—the material may be administered to an individual without causing any undesirable biological effects or interacting in a deleterious manner with any of the components of the composition in which it is contained.
- Carrier materials or what are also referred to as “excipients” include any commonly used excipients in pharmaceutics and should be selected on the basis of compatibility and the release profile properties of the desired dosage form.
- exemplary carrier materials include, e.g., binders, suspending agents, disintegration agents, filling agents, surfactants, solubilizers, stabilizers, lubricants, wetting agents, diluents, and the like.
- “Pharmaceutically compatible carrier materials” may comprise, e.g., acacia, gelatin, colloidal silicon dioxide, calcium glycerophosphate, calcium lactate, maltodextrin, glycerine, magnesium silicate, sodium caseinate, soy lecithin, sodium chloride, tricalcium phosphate, dipotassium phosphate, sodium stearoyl lactylate, carrageenan,
- aliphatic or "aliphatic group”, as used herein, means a straight- chain (i.e., unbranched) or branched, substituted or unsubstituted hydrocarbon chain that is completely saturated or that contains one or more units of unsaturation, or a monocyclic hydrocarbon or bicyclic hydrocarbon that is completely saturated or that contains one or more units of unsaturation, but which is not aromatic (also referred to herein as "carbocyclyl,” “cycloaliphatic” or “cycloalkyl”), that has a single point of attachment to the rest of the molecule.
- aliphatic groups contain 1-6 aliphatic carbon atoms.
- aliphatic groups contain 1-5 aliphatic carbon atoms. In some embodiments, aliphatic groups contain 1-4 aliphatic carbon atoms. In some embodiments, aliphatic groups contain 1-3 aliphatic carbon atoms, and in yet other embodiments, aliphatic groups contain 1-2 aliphatic carbon atoms.
- heteroatom means one or more of oxygen, sulfur, nitrogen, phosphorus, or silicon (including, any oxidized form of nitrogen, sulfur, phosphorus, or silicon; the quaternized form of any basic nitrogen or; a substitutable nitrogen of a heterocyclic ring, for example N (as in 3,4-dihydro-2H-pyrrolyl), H (as in pyrrolidinyl) or R + (as in N-substituted pyrrolidinyl)).
- unsaturated as used herein, means that a moiety has one or more units of unsaturation.
- alkyl means a straight chain or branched saturated chain having from 1 to 10 carbon atoms.
- Representative saturated alkyl groups include, but are not limited to, methyl, ethyl, n-propyl, isopropyl, 2-methyl-l -propyl, 2-methyl-2-propyl, 2-methyl-l -butyl, 3 -methyl- 1 -butyl, 2-methyl-3 -butyl, 2,2-dimethyl-l -propyl, 2-methyl- 1-pentyl, 3 -methyl- 1-pentyl, 4-methyl-l-pentyl, 2-methyl-2-pentyl, 3-methyl-2-pentyl, 4- methyl-2-pentyl, 2,2-dimethyl-l -butyl, 3,3-dimethyl-l-butyl, 2-ethyl-l -butyl, butyl, isobutyl, t-butyl, n-pentyl,
- alkyl group can be unsubstituted or substituted.
- Alkyl groups containing three or more carbon atoms may be straight, branched or cyclized.
- lower alkyl means an alkyl having from 1 to 6 carbon atoms.
- an "alkenyl” includes an unbranched or branched hydrocarbon chain having one or more double bonds therein.
- the double bond of an alkenyl group can be unconjugated or conjugated to another unsaturated group.
- Illustrative alkenyl groups include, but are not limited to, (C 2 -C 8 ) alkenyl groups, such as ethylenyl, vinyl, allyl, butenyl, pentenyl, hexenyl, butadienyl, pentadienyl, hexadienyl, 2-ethylhexenyl, 2- propyl-2-butenyl, 4-(2-methyl-3-butene)-pentenyl and the like.
- An alkenyl group can be unsubstituted or substituted.
- alkynyl includes an unbranched or branched hydrocarbon chain having one or more triple bonds therein.
- the triple bond of an alkynyl group can be unconjugated or conjugated to another unsaturated group.
- Suitable alkynyl groups include, but are not limited to, (C 2 -C 6 ) alkynyl groups, such as ethynyl, propynyl, butynyl, pentynyl, hexynyl, methylpropynyl, 4-methyl-l-butynyl, 4-propyl-2-pentynyl, 4- butyl-2-hexynyl and the like.
- An alkynyl group can be unsubstituted or substituted.
- trifluoromethyl include CF 3 , S0 2 , and C0 2 H, respectively.
- hydroxyl means an OH group.
- alkyl hydroxyl or hydroxyalkyl means an alkyl group as defined above, where the alkyl group has an OH group disposed thereon.
- alkoxy as used herein includes— O-(alkyl), wherein alkyl is defined above.
- aminoalkyl as used herein means a group having one or more nitrogen atoms and one or more alkyl groups as defined above on the nitrogen.
- Aralkyl or "arylalkyl” means an aryl-alkyl-group in which the aryl and alkyl are as previously described. Preferred aralkyls comprise a lower alkyl group. Non- limiting examples of suitable aralkyl groups include benzyl, 2-phenethyl and
- naphthalenylmethyl The bond to the parent moiety is through the alkyl.
- Heteroarylalkyl means a heteroaryl moiety as defined herein linked via an alkyl moiety (defined above) to a parent core.
- suitable heteroaryls include 2-pyridinylmethyl, quinolinylmethyl, and the like.
- Heterocyclylalkyl means a heterocyclyl moiety as defined herein linked via an alkyl moiety (defined above) to a parent core.
- suitable heterocyclylalkyls include piperidinylmethyl, piperazinylmethyl and the like.
- any variable e.g., aryl, heterocycle, R 2 , etc.
- its definition on each occurrence is independent of its definition at every other occurrence.
- composition is intended to encompass a product comprising the specified ingredients in the specified amounts, as well as any product which results, directly or indirectly, from combination of the specified ingredients in the specified amounts.
- deuterium as used herein means a stable isotope of hydrogen having odd numbers of protons and neutrons.
- halo as used herein means a substituent having at least one halogen selected from fluorine, chlorine, bromine, and iodine.
- cyano as used herein means a substituent having a carbon atom joined to a nitrogen atom by a triple bond.
- amino as used herein means a substituent containing at least one nitrogen atom.
- (amino)alkoxy as used herein means a substituent having at least one amino group and at least one alkoxy group.
- aryloxy as used herein means a substituent of the form Ar-O- where Ar is an aryl group as defined herein.
- methylenedioxy as used herein means a functional group with the structural formula -0-CH 2 -0- which is connected to the molecule by two chemical bonds via the oxygens.
- alkoxyalkyl means -(alkyl)-O-(alkyl), wherein each "alkyl” is independently an alkyl group defined above.
- (alkoxyalkyl)amino as used herein means a substituent having at least one alkoxyalkyl group as defined above and at least one amino group as defined above.
- aryl used alone or as part of a larger moiety as in “aralkyl,” “aralkoxy,” or “aryloxyalkyl,” refers to a monocyclic or fused polycyclic, aromatic carbocycle (ring structure having ring atoms that are all carbon) having from 6 to 24 ring atoms, and which includes monocyclic and bicyclic ring systems having a total of five to 10 ring members, wherein at least one ring in the system is aromatic and wherein each ring in the system contains three to seven ring members.
- aryl may be used interchangeably with the term “aryl ring”.
- an 8-10 membered bicyclic aryl group is an optionally substituted naphthyl ring.
- aryl refers to an aromatic ring system which includes, but not limited to, phenyl, biphenyl, naphthyl, anthracyl and the like, which may bear one or more substituents. Also included within the scope of the term "aryl,” as it is used herein, is a group in which an aromatic ring is fused to one or more non- aromatic rings, such as indanyl, phthalimidyl, naphthimidyl, phenanthridinyl, or tetrahydronaphthyl, and the like.
- Illustrative examples of aryl groups include, but limited to, the following moieties:
- Illustrative substituted aryls include:
- heteroaryl and “heteroar-,” used alone or as part of a larger moiety refer to groups having from 5 to 24 ring atoms, and includes those having 5 to 10 ring atoms, preferably 5, 6, or 9 ring atoms; having 6, 10, or 14 ⁇ electrons shared in a cyclic array; and having, in addition to carbon atoms, from one to five heteroatoms.
- Heteroaryl groups include, without limitation, thienyl, furanyl, pyrrolyl, imidazolyl, pyrazolyl, triazolyl, tetrazolyl, oxazolyl, isoxazolyl, oxadiazolyl, thiazolyl, isothiazolyl, thiadiazolyl, pyridyl, pyridazinyl, pyrimidinyl, pyrazinyl, indolizinyl, punnyl, naphthyridinyl, and pteridinyl.
- heteroaryl and “heteroar-”, as used herein, also include groups in which a heteroaromatic ring is fused to one or more aryl, cycloaliphatic, or heterocyclyl rings, where the radical or point of attachment is on the heteroaromatic ring.
- Nonlimiting examples include indolyl, isoindolyl, benzothienyl, benzofuranyl, dibenzofuranyl, indazolyl, benzimidazolyl, benzthiazolyl, quinolyl, isoquinolyl, cinnolinyl, phthalazinyl, quinazolinyl, quinoxalinyl, 4H-quinolizinyl, carbazolyl, acridinyl, phenazinyl, phenothiazinyl, phenoxazinyl, tetrahydroquinolinyl, tetrahydroisoquinolinyl, and pyrido[2,3-b]-l,4-oxazin-3(4H)-one.
- a heteroaryl group may be mono- or bicyclic.
- the term “heteroaryl” may be used interchangeably with the terms “heteroaryl ring,” “heteroaryl group,” or
- heteroaryl any of which terms include rings that are optionally substituted.
- heteroaryl refers to an alkyl group substituted by a heteroaryl, wherein the alkyl and heteroaryl portions independently are optionally substituted.
- alkyl and heteroaryl portions independently are optionally substituted.
- alkyl and heteroaryl portions independently are optionally substituted.
- alkyl and heteroaryl portions independently are optionally substituted.
- alkyl and substituted heteroaryl groups include, but are not limited to the following moieties:
- cycloalkyl refers to a saturated or partially saturated, monocyclic or fused or spiro polycyclic, carbocycle having from 3 to 24 ring atoms.
- cycloaliphatic or “carbocyclyl” or “cycloalkyl” refers to a monocyclic C3-C7 hydrocarbon that is completely saturated or that contains one or more units of unsaturation, but which is not aromatic, that has a single point of attachment to the rest of the molecule.
- Illustrative examples of cycloalkyl groups include, but are not limited to, the following moieties:
- heterocycloalkyl refers to a monocyclic, or fused or spiro, polycyclic, ring structure that is saturated or partially saturated and has from 3 to 24 ring atoms selected from C atoms and N, O, and S heteroatoms.
- heterocycle refers to a stable 5- to 7-membered monocyclic or 7-10-membered bicyclic heterocyclic moiety that is either saturated or partially unsaturated, and having, in addition to carbon atoms, one or more, preferably one to four, heteroatoms, as defined above.
- nitrogen includes a substituted nitrogen.
- heterocycloalkyl and substituted heterocycloalkyl groups include, but are not limited to:
- partially unsaturated refers to a ring moiety that includes at least one double or triple bond.
- partially unsaturated is intended to encompass rings having multiple sites of unsaturation, but is not intended to include aryl or heteroaryl moieties, as herein defined.
- the term "pharmaceutically acceptable salt” refers to those salts which are, within the scope of sound medical judgment, suitable for use in contact with the tissues of humans and lower animals without undue toxicity, irritation, allergic response and the like, and are commensurate with a reasonable benefit/risk ratio.
- substituted means that the specified group or moiety bears one or more suitable substituents wherein the substituents may connect to the specified group or moiety at one or more positions.
- an aryl substituted with a cycloalkyl may indicate that the cycloalkyl connects to one atom of the aryl with a bond or by fusing with the aryl and sharing two or more common atoms.
- the point of attachment to the core may be identified by a line.
- (cycloalkyloxy)alkyl- refers to alkyl being the point of attachment to the core while cycloalkyl is attached to alkyl via the oxy group. In the absence of a line, attachment at any position may be assumed.
- the inhibitors of the FASN (FASN) described herein may be administered with one or more physiologically acceptable excipients.
- a physiologically acceptable carrier or excipient is a formulation to which the compound can be added to dissolve it or otherwise facilitate its administration.
- the dosage forms of the present invention may contain a mixture of one or more compounds of this invention, and may include additional materials known to those skilled in the art as pharmaceutical excipients.
- Stabilizing additives may be incorporated into the delivery agent solution. With some drugs, the presence of such additives promotes the stability and dispersibility of the agent in solution.
- the stabilizing additives may be employed at a concentration ranging from about 0.1 and 5% (W/V), preferably about 0.5% (W/V).
- Suitable, but non-limiting, examples of stabilizing additives include gum acacia, gelatin, methyl cellulose, polyethylene glycol, carboxylic acids and salts thereof, and polylysine.
- the preferred stabilizing additives are gum acacia, gelatin and methyl cellulose.
- Acidifying agents acetic acid, glacial acetic acid, citric acid, fumaric acid, hydrochloric acid, diluted hydrochloric acid, malic acid, nitric acid, phosphoric acid, diluted phosphoric acid, sulfuric acid, tartaric acid
- Aerosol propellants butane, dichlorodifluoro-methane, dichlorotetrafluoroethane, isobutane, propane,
- Air displacements carbon dioxide, nitrogen
- Alcohol denaturants denatonium benzoate, methyl isobutyl ketone, sucrose octacetate
- Alkalizing agents strong ammonia solution, ammonium carbonate, diethanolamine, diisopropanolamine, potassium hydroxide, sodium bicarbonate, sodium borate, sodium carbonate, sodium hydroxide, trolamine
- Anticaking agents see glidant
- Antifoaming agents diimethicone, simethicone
- Antimicrobial preservatives benzalkonium chloride, benzalkonium chloride solution, benzelthonium chloride, benzoic acid, benzyl alcohol, butylparaben, cetylpyridinium chloride, chlorobutanol, chlorocresol, cresol,
- dehydroacetic acid ethylparaben, methylparaben, methylparaben sodium, phenol, phenylethyl alcohol, phenylmercuric acetate, phenylmercuric nitrate, potassium benzoate, potassium sorbate, propylparaben, propylparaben sodium, sodium benzoate, sodium dehydroacetate, sodium propionate, sorbic acid, thimerosal, thymol); Antioxidants (ascorbic acid, acorbyl palmitate, butylated hydroxyanisole, butylated hydroxytoluene, hypophosphorous acid, monothioglycerol, propyl gallate, sodium formaldehyde sulfoxylate, sodium metabi sulfite, sodium thiosulfate, sulfur dioxide, tocopherol, tocopherols excipient); Buffering agents (acetic acid, ammonium carbonate, ammonium phosphate, boric acid, cit
- phosphate phosphate
- Capsule lubricants see tablet and capsule lubricant
- Chelating agents edetate disodium, ethylenediaminetetraacetic acid and salts, edetic acid
- Coating agents sodium carboxymethylcellulose, cellulose acetate, cellulose acetate phthalate, ethylcellulose, gelatin, pharmaceutical glaze, hydroxypropyl cellulose, hydroxypropyl methylcellulose, hydroxypropyl methylcellulose phthalate, methacrylic acid copolymer, methylcellulose, polyethylene glycol, polyvinyl acetate phthalate, shellac, sucrose, titanium dioxide, carnauba wax, microcystalline wax, zein); Colorants (caramel, red, yellow, black or blends, ferric oxide); Complexing agents (ethylenediaminetetraacetic acid and salts (EDTA), edetic acid, gentisic acid ethanolmaide, oxyquinoline sulfate); Desiccants
- hydroxyalkylcelloloses, acrylic polymers and copolymers Solvents (acetone, alcohol, diluted alcohol, amylene hydrate, benzyl benzoate, butyl alcohol, carbon tetrachloride, chloroform, corn oil, cottonseed oil, ethyl acetate, glycerin, hexylene glycol, isopropyl alcohol, methyl alcohol, methylene chloride, methyl isobutyl ketone, mineral oil, peanut oil, polyethylene glycol, propylene carbonate, propylene glycol, sesame oil, water for injection, sterile water for injection, sterile water for irrigation, purified water); Sorbents (powdered cellulose, charcoal, purified siliceous earth); Carbon dioxide sorbents (barium hydroxide lime, soda lime); Stiffening agents (hydrogenated castor oil, cetostearyl alcohol, cetyl alcohol, cetyl esters wax, hard fat, paraffin, polyethylene excipient
- Vehicle solid carrier (sugar spheres); Vehicle: sterile (bacteriostatic water for injection, bacteriostatic sodium chloride injection); Viscosity-increasing (see suspending agent); Water repelling agent (cyclomethicone, dimethicone, simethicone); and Wetting and/or solubilizing agent (benzalkonium chloride, benzethonium chloride, cetylpyridinium chloride, docusate sodium, nonoxynol 9, nonoxynol 10, octoxynol 9, poloxamer, polyoxyl 35 castor oil, polyoxyl 40, hydrogenated castor oil, polyoxyl 50 stearate, polyoxyl 10 oleyl ether, polyoxyl 20, cetostearyl ether, polyoxyl 40 stearate, polysorbate 20, polysorbate 40, polysorbate 60, polysorbate 80, sodium lauryl sulfate, sorbitan monolaureate, sorbitan monooleate, sorbitan mono
- salts when a compound of the formulae contains both a basic moiety, such as, but not limited to a pyridine or imidazole, and an acidic moiety, such as, but not limited to a carboxylic acid, zwitterions ("inner salts") may be formed and are included within the term "salt(s)" as used herein.
- Pharmaceutically acceptable (i.e., nontoxic, physiologically acceptable) salts are preferred, although other salts are also useful. Salts of the compounds of the a formula may be formed, for example, by reacting a compound of a formula with an amount of acid or base, such as an equivalent amount, in a medium such as one in which the salt precipitates or in an aqueous medium followed by lyophilization.
- Exemplary acid addition salts include acetates, ascorbates, benzoates, benzenesulfonates, bisulfates, borates, butyrates, citrates, camphorates,
- camphorsulfonates fumarates, hydrochlorides, hydrobromides, hydroiodides, lactates, maleates, methanesulfonates, naphthalenesulfonates, nitrates, oxalates, phosphates, propionates, salicylates, succinates, sulfates, tartarates, thiocyanates, toluenesulfonates (also known as tosylates,) and the like.
- acids which are generally considered suitable for the formation of pharmaceutically useful salts from basic pharmaceutical compounds are discussed, for example, by P. Stahl et al, Camille G. (eds.) Handbook of Pharmaceutical Salts. Properties, Selection and Use.
- Exemplary basic salts include ammonium salts, alkali metal salts such as sodium, lithium, and potassium salts, alkaline earth metal salts such as calcium and magnesium salts, salts with organic bases (for example, organic amines) such as dicyclohexylamines, t-butyl amines, and salts with amino acids such as arginine, lysine and the like.
- Basic nitrogen-containing groups may be quarternized with agents such as lower alkyl halides (e.g. methyl, ethyl, and butyl chlorides, bromides and iodides), dialkyl sulfates (e.g.
- dimethyl, diethyl, and dibutyl sulfates dimethyl, diethyl, and dibutyl sulfates
- long chain halides e.g. decyl, lauryl, and stearyl chlorides, bromides and iodides
- aralkyl halides e.g. benzyl and phenethyl bromides
- structures depicted herein are also meant to include all isomeric (e.g., enantiomeric, diastereomeric, and geometric (or conformational)) forms of the structure; for example, the R and S configurations for each asymmetric center, Z and E double bond isomers, and Z and E conformational isomers. Therefore, single stereochemical isomers as well as enantiomeric, diastereomeric, and geometric (or conformational) mixtures of the present compounds are within the scope of the invention. Unless otherwise stated, all tautomeric forms of the compounds of the invention are within the scope of the invention.
- structures depicted herein are also meant to include compounds that differ only in the presence of one or more isotopically enriched atoms.
- compounds having the present structures including the replacement of hydrogen by deuterium or tritium, or the replacement of a carbon by a 13 C- or 14 C-enriched carbon are within the scope of this invention.
- Such compounds are useful, for example, as analytical tools, as probes in biological assays, or as therapeutic agents in accordance with the present invention.
- the present disclosure relates to, inter alia, methods of treating, preventing or ameliorating a T H 17- or CSFl-mediated disease or disorder by administering to a patient in need thereof a therapeutically effective amount of a FASN inhibitor, or a pharmaceutically acceptable salt, hydrate, solvate, prodrug, stereoisomer, or tautomer thereof.
- methods of the present disclosure can be used in the treatment of a variety of T H 17 or CSFl dependent diseases and disorders.
- Inhibition of FASN for the treatment of T H 17- or CSFl-mediated diseases or disorders provides a novel approach to the treatment, prevention, or amelioration of diseases including, but not limited to, cancer, immunological disorders, and obesity.
- the present invention provides methods of inhibiting the secretion of IL-17, comprising contacting cells capable of secreting IL-17 with a FASN inhibitor. While not wishing to be bound by any particular theory, the present disclosure encompasses the recognition that FASN inhibitors may act on IL-17 production through blockage of T H 17 differentiation. The present disclosure also encompasses the recognition that FASN inhibitors that act to block T H 17 differentiation and/or secretion of IL-17 are particularly useful in the treatment of diseases, disorder, or conditions associated with such pathways, for example, NASH.
- the present disclosure also encompasses the recognition that FASN inhibition is useful for reducing the rate of de novo lipogenesis (DNL), which, without wishing to be bound by any particular theory, affects lipid accumulation in the liver causing cellular damage, inflammation, and fibrosis associated with NASH.
- DNL de novo lipogenesis
- the present invention provides a method for treating a condition or disease associated with reducing the rate of DNL.
- the method comprises administering to a patient in need of a treatment for a condition or disease associated with reducing the rate of DNL an effective amount of a FASN inhibitor.
- the present invention provides methods of treating conditions and diseases associated with IL-17 comprising administering to a patient in need thereof a FASN inhibitor.
- FASN inhibitors useful in such methods are those which, when incubated with activated CD4+ T cells, cultured under T H 17 polarizing conditions, inhibit the production of IL-17 in the presence of cytokines.
- the disclosure relates to a method of treating a condition or disease associated with T H 17 mediated inflammation.
- the method comprises administering to a patient in need of a treatment for a condition or a disease associated with T H 17 mediated inflammation an effective amount of a FASN inhibitor.
- Another aspect of the present disclosure relates to a method of treating a condition or disease associated with IL-17 receptor activation.
- the method comprises administering to a patient in need of a treatment for a condition or a disease associated with IL-17 receptor activation an effective amount of a FASN inhibitor.
- Another aspect of the present disclosure relates to a method of treating a condition or disease associated with T H 17 differentiation.
- the method comprises administering to a patient in need of a treatment for a condition or a disease associated with IL-17 receptor activation an effective amount of a FASN inhibitor.
- IL-17 secretion is inhibited by at least 1%. In some embodiments, IL-17 secretion is inhibited by at least 5%. In some embodiments, IL-17 secretion is inhibited by at least 10%. In some embodiments, IL-17 secretion is inhibited by at least 25%. In some embodiments, IL-17 secretion is inhibited by at least 30%.
- IL-17 secretion is inhibited by at least 35%. In some embodiments, IL-17 secretion is inhibited by at least 40%. In some embodiments, IL-17 secretion is inhibited by at least 45%. In some embodiments, IL-17 secretion is inhibited by at least 50%). In some embodiments, IL-17 secretion is inhibited by at least 55%. In some embodiments, IL-17 secretion is inhibited by at least 60%. In some embodiments, IL-17 secretion is inhibited by at least 65%. In some embodiments, IL-17 secretion is inhibited by at least 70%. In some embodiments, IL-17 secretion is inhibited by at least 75%.
- IL-17 secretion is inhibited by at least 80%. In some embodiments, IL-17 secretion is inhibited by at least 85%. In some embodiments, IL-17 secretion is inhibited by at least 90%. In some embodiments, IL-17 secretion is inhibited by at least 95%). In some embodiments, IL-17 secretion is inhibited by at least 99%.
- FASN inhibitors are those disclosed in WO 2014/164749.
- FASN inhibitors comprise a compound of formula I:
- Ri is a C 1 -C3 hydroxyl-alkyl either unsubstituted or substituted with -CH 3 or-CH z F 3-Z;
- L is a 5-10 membered monocyclic or bicyclic alkyl or heteroalkyl wherein (i) the
- heteroatom ring members of the 5-10 membered monocyclic or bicyclic heteroalkyl are independently selected from O, S, or N, and (ii) each of the 5-10 membered monocyclic or bicyclic alkyl or heteroalkyl is either unsubstituted or optionally substituted with substituents selected from the group consisting of deuterium and -R ;
- a and B are independently O or S;
- Ar 1 is a 4-10 membered monocyclic or bicyclic aryl, heteroaryl or heterocycloalkyl, wherein (i) the 4-10 membered monocyclic or bicyclic heteroaryl or
- heterocycloalkyl has 1, 2, 3, or 4 heteroatoms which are independently selected from N, S or O, and (ii) each of said 4-10 membered monocyclic or bicyclic aryl, heteroaryl, or heterocycloalkyl is either unsubstituted or optionally independently substituted with 1 or more substituents which can be the same or different and are independently selected from the group consisting of deuterium and -R q ;
- R 2 is H or a 4-15 membered monocyclic, bicyclic, or tricyclic aryl, heteroaryl, cycloalkyl, or heterocycloalkyl, wherein (i) the 4-15 membered monocyclic, bicyclic, or tricyclic heteroaryl or heterocycloalkyl has 1, 2, 3, 4, 5, 6, 7, or 8 heteroatoms which are independently selected from N, S or O, and (ii) the aryl, heteroaryl, cycloalkyl, or heterocycloalkyl is optionally substituted with r instances of R e ; each R p and R p i is independently H, C 1 -C 4 alkyl, or C 3 -C 4 cycloalkyl;
- each R a and R a i is independently H, C 1 -C 4 alkyl, or C 3 -C 4 cycloalkyl;
- each R b is independently halo, C 1 -C 4 alkyl, C 1 -C 3 hydroxyl-alkyl, or C 3 -C 4 cycloalkyl; each R e is independently halo, cyano, nitro, hydroxyl, hydroxyl-alkyl,
- each R q is independently halo, alkyl, -CH Z F 3-Z , cyano, nitro, hydroxyl, hydroxylalkyl, amino, aminoalkyl, (amino)alkoxy, -CO H 2 , -C(0) H(alkyl), -C(0)N(alkyl) 2 , - C(0) H(aryl), -C(0)N(aryl) 2 , -OCH z F 3-z , alkyl, alkenyl, alkynyl, alkoxy, (alkoxyalkyl)amino, -N(Rc)-C(0)-alkyl, -N(R c )-C(0)-aryl, cycloalkyl,
- heterocycloalkyl aryl, or heteroaryl
- each R c is independently H, halo, C 1 -C4 alkyl, or C 3 -C 4 cycloalkyl;
- each R d is independently H, halo, C 1 -C4 alkyl, or C 3 -C 4 cycloalkyl;
- n 1, 2, 3, or 4;
- n 1, 2, 3, or 4;
- r is 1, 2, 3, or 4
- FASN inhibitors comprise a compound of formula I-A:
- Ari, Ri, R 2 , R a , R a i, Rd, Re, Rp, Rpi, Rq, m, r, and z are defined above and described in classes and subclasses herein, both singly and in combination;
- FASN inhibitors comprise a compound of formula I-B:
- FASN inhibitors comprise a compound of formula I-C:
- Ri, R-2, R a , R a i, Rc, Rd, Re, Rp, Rpi, Rq, r, and z are defined above and described in classes and subclasses herein, both singly and in combination;
- Rq is H, halo, C 1 -C4 alkyl, or C3-C4 cycloalkyl;
- FASN inhibitors comprise a compound of formula I-
- Ri, R a , R a i, Rc, Rd, Re, Rp, Rpi, Rq, in, r, and z are defined above and described in classes and subclasses herein, both singly and in combination;
- FASN inhibitors comprise a compound of formula I- C" :
- Ri, R a , R a i, Rc, Rd, Re, Rp, Rpi, Rq, m, r, and z are defined above and described in classes and subclasses herein, both singly and in combination;
- FASN inhibitors comprise a compound of formula I-D:
- Ri' is OH or NH 2 ;
- FASN inhibitors comprise a compound of formula I-E:
- Ri, R 2 , R a , R a i, Rc, Rd, Re, Rp, Rpi, Rq, in, r, and z are defined above and described in classes and subclasses herein, both singly and in combination; or solvates, esters, prodrugs or isomers thereof.
- FASN inhibitors comprise a compound of formula I-F:
- Ri, R 2 , R p , Rpi, R a , R a i, Rb, Rc, Rd, Re, Rq, n, m, r, and z are defined above and described in classes and subclasses herein, both singly and in combination;
- FASN inhibitors comprise a compound of formula I-
- Ri, R p , Rpi, R a , R a i, Rc, R d , Re, Rq, n, m, r, and z are defined above and described in
- FASN inhibitors comprise a compound of formula I-
- Ri, R p , Rpi, R a , R a i, Rc, R d , Re, Rq, n, m, r, and z are defined above and described in
- Ri is C 1 -C3 hydroxyl-alkyl either unsubstituted or substituted with -CH 3 or-CH z F 3-z
- A, B, L, Ari, R 2 , R p , R p i, R a , R a i, R b , Rc, R d , Rq and z are as defined above and described in classes and subclasses herein, both singly and in combination.
- Ri is a 5 membered cycloalkyl either unsubstituted or substituted with hydroxyl
- A, B, L, Ari, R 2 , R p , R pl , R a , R a i, R b , Rc, R d , Rq and z are as defined above and described in classes and subclasses herein, both singly and in combination.
- Ri is a 3 or 4 membered cycloalkyl
- A, B, L, Ari, R 2 , R p , Rpi, R a , R a i, R b , Rc, R d , Rq and z are as defined above and described in classes and subclasses herein, both singly and in combination.
- Ri is a 3 or 4 membered heterocycloalkyl, and A, B, L, Ari, R 2 , R P , Rpi, R 3 ⁇ 4 Rai, Rb, Rc, Rd, Rq and z are as defined above and described in classes and subclasses herein, both singly and in combination. [00105] In some embodiments, Ri is
- A, B, L, Ar b R 2 , R a , R a i, Rb, Rc, Rd, Re, R P , Rpi, Rq, n, m, r, and z are as defined above and described in classes and subclasses herein, both singly and in combination.
- Ri is N-(1] n-[00106] n-[00106] n-[00106] n-[00106] n-[00106] n-[00106] n-[00106] n-[00106] n-[00106] n-[00106] n-[00106] n-[00106] n-[00106] n-[00106] n-[00106]
- R 2 , R a , R a i, Rb, Rc, Rd, Re, R P , Rpi, Rq, n, m, r, and z are as defined above and described in classes and subclasses herein, both singly and in combination.
- Ri is and A, B, L, Ar R 2 , R a , R ai , R b ,
- Rc, R d , Re, R p , R p i, R q , n, m, r, and z are as defined above and described in classes and subclasses herein, both singly and in combination.
- Ri is N-(1] n-[00108] n-[00108] n-[00108] n-[00108] n-[00108] n-[00108] n-[00108] n-[00108] n-[00108] n-[00108] n-[00108] n-[00108] n-[00108] n-[00108] n-[00108] n-[00108] n-[00108] n-[00108] n-[00108] n-[00108] n-[00108] n-[00108] n-[00108] n-[00108] n-[00108] n-[00108] n-[00108] n-[00108] n-[00108] n-[00108] n-[00108] n-[00108] n-[00108] n-[00108] n-[00
- R p , Rpi, Rq, n, m, r, and z are as defined above and described in classes and subclasses herein, both singly and in combination.
- a and B are O, and L, Ari, Ri, R 2 , R a , R a i, Rb, Rc, Rd, Re, R p , R p i, R q , n, m, r, and z are as defined above and described in classes and subclasses herein, both singly and in combination.
- a and B are S, and L, Ari, Ri, R 2 , R 3 ⁇ 4 Rai, Rb, Rc, Rd, Re, R p , Rpi, Rq, n, m, r, and z are as defined above and described in classes and subclasses herein, both singly and in combination.
- either A or B is O, the other is S, and L, Ar Ri, R 2 , R a , R a i, R , Rc, Rd, Re, Rp, Rpi, Rq, n, m, r, and z are as defined above and described in classes and subclasses herein, both singly and in combination.
- L is a 5-10 membered monocyclic alkyl
- A, B, Ari, Ri, R 2 , R a , R a i, R , Rc, Rd, R e , Rp, Rpi, Rq, n, m, r, and z are as defined above and described in classes and subclasses herein, both singly and in combination.
- L is a 5-10 membered bicyclic alkyl
- A, B, Ari, Ri, R 2 , R a , R a i, Rb, Rc, Rd, R e , R P , Rpi, Rq, n, m, r, and z are as defined above and described in classes and subclasses herein, both singly and in combination.
- L is a 5-10 membered monocyclic heteroalkyl
- A, B, Ari, Ri, R 2 , R a , Rai, Rb, Rc, Rd, Re, Rp, Rpi, Rq, n, m, r, and z are as defined above and described in classes and subclasses herein, both singly and in combination.
- L is a 5-10 membered bicyclic hetroalkyl
- A, B, Ari, Ri, R 2 , R a , R a i, Rb, Rc, Rd, Re, Rp, Rpi, Rq, n, ni, r, and z are as defined above and described in classes and subclasses herein, both singly and in combination.
- L is , m is 1, 2,or 3, n is 0,
- A, B, Ari, Ri, R 2 , R a , Rai, Rb, Rc, Rd, Re, R P , Rpi, Rq, n, m, r, and z are as defined above and described in classes and subclasses herein, both singly and in combination.
- L is , and A, B, Ar Ri,
- R 2 , R a , R a i, Rb, Rc, Rd, R e , Rp, Rpi, Rq, n, ni, r, and z are as defined above and described in classes and subclasses herein, both singly and in combination.
- L is , and A, B, Ar Ri,
- R 2 , R a , R a i, R , Rc, Rd, R e , R P , Rpi, Rq, n, m, r, and z are as defined above and described in classes and subclasses herein, both singly and in combination.
- Ari is an aryl
- A, B, L, Ri, R 2 , R a , R a i, R , R c , R d , Re, R p , R p i, R q , n, m, r, and z are as defined above and described in classes and subclasses herein, both singly and in combination.
- Ari is a heteroaryl
- A, B, L, Ri, R 2 , R a , R a i, R b , R c , R d , Re, R p , Rpi, Rq, n, m, r, and z are as defined above and described in classes and subclasses herein, both singly and in combination.
- Ar 1 is a 5-10 membered monocyclic aryl
- A, B, L, Ri, R 2 , R a , R a i, Rb, Rc, Rd, Re, Rp, Rpi, Rq, n, m, r, and z are as defined above and described in classes and subclasses herein, both singly and in combination.
- Ar 1 is a 5-10 membered bicyclic aryl
- A, B, L, Ri, R 2 , R a , R a i, Rb, Rc, Rd, Re, Rp, Rpi, Rq, n, m, r, and z are as defined above and described in classes and subclasses herein, both singly and in combination.
- Ar 1 is a 5-10 membered monocyclic hetroaryl
- A, B, L, Ri, R 2 , R a , R a i, Rb, Rc, Rd, Re, Rp, Rpi, Rq, n, m, r, and z are as defined above and described in classes and subclasses herein, both singly and in combination.
- Ar 1 is a 5-10 membered bicyclic heteroaryl
- A, B, L, Ri, R 2 , R a , R a i, Rb, Rc, Rd, Re, Rp, Rpi, Rq, n, m, r, and z are as defined above and described in classes and subclasses herein, both singly and in combination.
- Ar 1 is a substituted or unsubstituted 5 membered monocyclic aryl or heteroaryl and said heteroaryl has 1 or 2 heteroatoms which are independently S or N, and A, B, L, R R 2 , R a , R a i, Rb, Rc, Rd, Re, Rp, Rpi, Rq, n, m, r, and z are as defined above and described in classes and subclasses herein, both singly and in combination.
- Ar 1 is a substituted or unsubstituted form of
- A, B, L, Ri, R 2 , R a , R a i, Rb, Rc, Rd, Re, Rp, Rpi, Rq, n, m, r, and z are as defined above and described in classes and subclasses herein, both singly and in combination.
- Ar 1 is a substituted or unsubstituted 6 membered monocyclic aryl or heteroaryl and said heteroaryl has 1 or 2 heteroatoms which are N, and A, B, L, Ri, R 2 , R a , R a i, Rb, Rc, Rd, Re, Rp, Rpi, Rq, n, m, r, and z are as defined above and described in classes and subclasses herein, both singly and in combination.
- Ar 1 is a substituted or unsubstituted form of
- Phi is phenyl, pyridinyl, pyrazinyl, or pyrimidinyl
- 3 ⁇ 4 is H, halo, or C1-C3 alkyl
- A, B, L, R b R 2 , R a , R a i, R b , Rc, R d , R P , Rpi, Rq, n, m, r, and z are as defined above and described in classes and subclasses herein, both singly and in combination.
- Ar 1 is a substituted or unsubstituted form of
- L, Ri, R 2 , R a , R a i, Rb, Rc, Rd, Re, Rp, Rpi, Rq, n, m, r, and z are as defined above and described in classes and subclasses herein, both singly and in combination.
- Ar 1 is a substituted or unsubstituted 6 membered monocyclic aryl
- A, B, L, R h R 2 , R a , R a i, Rb, Rc, Rd, Re, R P , Rpi, Rq, n, m, r, and z are as defined above and described in classes and subclasses herein, both singly and in combination.
- Ar 1 is , Re is H, halo, or C 1 -C 3 alkyl, and A, B, L, Ri, R 2 , R a , R a i, R b , Rc, R d , R P , Rpi, Rq, n, m, r, and z are as defined above and described in classes and subclasses herein, both singly and in combination.
- Ar 1 is N-(2-aminoethyl)-2-aminoethyl-N-(2-aminoethyl)-2-aminoethyl-N-(2-aminoethyl)-2-aminoethyl-N-(2-aminoethyl)-2-aminoethyl-N-(2-aminoethyl)-2-aminoethyl
- R p i, R q , n, m, r, and z are as defined above and described in classes and subclasses herein, both singly and in combination.
- Ar 1 is a substituted or unsubstituted 9 membered 6,5- bicyclic heteroaryl and and said heteroaryl has 1, 2, or 3 heteroatoms which are independently O, S or N, and A, B, L, R h R 2 , R a , R ab R b , Rc, R d , R e , R p , R pb R q , n, m, r, and z are as defined above and described in classes and subclasses herein, both singly and in combination.
- Ar 1 is a substituted or unsubstituted form of
- heteroaryl has 1, 2, or 3 heteroatoms which are independently S or N, and A, B, L, Ri, R 2 , R a , R a i, Rb, Rc, Rd, Re, Rp, Rpi, Rq, n, m, ⁇ , and z are as defined above and described in classes and subclasses herein, both singly and in combination.
- R 2 is a substituted or unsubstituted aryl
- A, B, L, Ari, Ri, R a , R a i, Rb, R c , Rd, Re, Rp, Rpi, Rq, n, m, r, and z are as defined above and described in classes and subclasses herein, both singly and in combination.
- R 2 is a substituted or unsubstituted heteroaryl
- A, B, L, Ari, Ri, R a , R a i, Rb, Rc, Rd, Re, Rp, Rpi, Rq, n, m, r, and z are as defined above and described in classes and subclasses herein, both singly and in combination.
- R 2 is a substituted or unsubstituted cycloalkyl
- A, B, L, Ari, Ri, R3 ⁇ 4 Rai, 3 ⁇ 4, Rc, Rd, Re, Rp, Rpi, Rq, n, m, r, and z are as defined above and described in classes and subclasses herein, both singly and in combination.
- R 2 is a substituted or unsubstituted heterocycloalkyl
- A, B, L, Ari, Ri, R3 ⁇ 4 Rai, Rb, Rc, Rd, Re, Rp, Rpi, Rq, n, m, r, and z are as defined above and described in classes and subclasses herein, both singly and in combination.
- R 2 is a substituted or unsubstituted monocyclic or bicyclic 5-10 membered aryl or heteroaryl
- A, B, L, Ari, Ri, R 3 ⁇ 4 Rai, Rb, Rc, Rd, Re, R p , Rpi, Rq, n, m, r, and z are as defined above and described in classes and subclasses herein, both singly and in combination.
- R 2 is a unsubstituted or substituted monocylic 6 membered aryl
- A, B, L, Ari, Ri, R 3 ⁇ 4 Rai, Rb, Rc, Rd, Re, Rp, Rpi, Rq, n, m, r, and z are as defined above and described in classes and subclasses herein, both singly and in combination.
- L, Ari, Ri, R a , R a i, Rb, Rc, Rd, Rp, Rpi, Rq, n, m, and z are as defined above and described in classes and subclasses herein, both singly and in combination.
- R 2 is a substituted or unsubstituted bicyclic 8-10 membered aryl or 8-10 membered heteroaryl
- A, B, L, Ari, Ri, R 3 ⁇ 4 Rai, Rb, Rc, Rd, Re, R p , Rpi, Rq, n, m, r, and z are as defined above and described in classes and subclasses herein, both singly and in combination.
- R 2 is a substituted or unsubstituted 8 membered 5,5 bicyclic heteroaryl and said heteroaryl has 1, 2, 3, or 4 heteroatoms and said hetroatoms are independently O, S, or N, and A, B, L, Ari, Ri, R a , R a i, Rb, Rc, Rd, Re, R P , Rpi, Rq, n, m, r, and z are as defined above and described in classes and subclasses herein, both singly and in combination.
- R 2 is a substituted or unsubstituted form of
- R a i, Rb, Rc, Rd, Re, Rp, Rpi, Rq, n, m, r, and z are as defined above and described in classes and subclasses herein, both singly and in combination.
- R 2 is a substituted or unsubstituted 9 membered 6,5 bicyclic heteroaryl and said heteroaryl has 1, 2, 3, or 4 heteroatoms and said hetroatoms are independently O, S, or N, and A, B, L, Ari, Ri, R 3 ⁇ 4 Rai, Rb, Rc, Rd, Re, R P , Rpi, Rq, n, m, r, and z are as defined above and described in classes and subclasses herein, both singly and in combination.
- R 2 is a substituted or unsubstituted form of
- A, B, L, Ai Ri, R a , R a i, Rb, Rc, Rd, Re, R P , R P i, Rq, n, m, r, and z are as defined above and described in classes and subclasses herein, both singly and in combination.
- R 2 is a substituted or unsubstituted 10 membered 6,6 bicyclic aryl or heteroaryl and said heteroaryl has 1, 2, 3, or 4 heteroatoms and said hetroatoms are O, S, or N, and A, B, L, Ar Ri, R a , R ai , R b , R c , R d , Re, R P; R p i, R q , n, m, r, and z are as defined above and described in classes and subclasses herein, both singly and in combination.
- R 2 is a substituted or unsubstituted form of
- R a , R a i, R b , Rc, R d , Re, Rp, Rpi, Rq, n, m, r, and z are as defined above and described in classes and subclasses herein, both singly and in combination.
- R 2 is optionally substituted benzoxazolyl
- A, B, L, Ari, Ri, R a , R a i, Rb, R c , Rd, Re, Rp, Rpi, Rq, n, m, r, and z are as defined above and described in classes and subclasses herein, both singly and in combination.
- R 2 is optionally substituted benzimidazolyl
- A, B, L, Ari, Ri, R a , R a i, Rb, Rc, Rd, Re, R P , Rpi, Rq, n, m, r, and z are as defined above and described in classes and subclasses herein, both singly and in combination.
- R p is H
- A, B, L, Ari, Ri, R 2 , R 3 ⁇ 4 Rai, Rb, Rc, Rd, Re, R p i, R q , n, m, r, and z as defined above and described in classes and subclasses herein, both singly and in combination.
- R p is halo
- A, B, L, Ari, Ri, R 2 , R 3 ⁇ 4 Rai, R b , Rc, R d , Re, R p i, R q , n, m, r, and z are as defined above and described in classes and subclasses herein, both singly and in combination.
- R p is C1-C4 alkyl
- A, B, L, Ari, Ri, R 2 , R 3 ⁇ 4 Rai, R b , Rc, R d , Re, R p i, R q , n, m, r, and z are as defined above and described in classes and subclasses herein, both singly and in combination.
- R p is C3-C 4 cycloalkyl
- A, B, L, Ar Ri, R 2 , R a , R a i, R b , Rc, R d , Re, R p i, R q , n, m, r, and z are as defined above and described in classes and subclasses herein, both singly and in combination.
- R p i is H
- A, B, L, Ari, Ri, R 2 , R 3 ⁇ 4 Rai, Rb, Rc, Rd, Re, R p , R q , n, m, r, and z are as defined above and described in classes and subclasses herein, both singly and in combination.
- R p i is halo
- A, B, L, Ari, Ri, R 2 , R a , R a i, R b , Rc, R d , Re, R p , R q , n, m, r, and z are as defined above and described in classes and subclasses herein, both singly and in combination.
- R p i is C 1 -C 4 alkyl
- A, B, L, Ari, Ri, R 2 , R a , R a i, R b , Rc, R d , Re, R P , Rq, n, m, r, and z are as defined above and described in classes and subclasses herein, both singly and in combination.
- R p i is C 3 -C 4 cycloalkyl
- a A, B, L, Ari, Ri, R 2 , R a , R a i, R , Rc, R d , Re, Rp, Rq, n, m, r, and z are as defined above and described in classes and subclasses herein, both singly and in combination.
- R a is H
- A, B, L, Ar b R h R 2 , R al , R b , Rc, R d , R e , R p , R p i, R q , n, m, r, and z are as defined above and described in classes and subclasses herein, both singly and in combination.
- R a is halo
- A, B, L, Ari, Ri, R 2 , Rai, 3 ⁇ 4, Rc, Rd, Re, R p , R p i, R q , n, m, r, and z are as defined above and described in classes and subclasses herein, both singly and in combination.
- R a is C1-C4 alkyl
- A, B, L, Ari, Ri, R 2 , Rai, 3 ⁇ 4, Rc, R d , Re, R P , Rpi, Rq, n, m, r, and z are as defined above and described in classes and subclasses herein, both singly and in combination.
- R a is C 3 -C 4 cycloalkyl
- A, B, L, Ar Ri, R 2 , R ai , R b , Rc, R d , Re, Rp, Rpi, Rq, n, m, r, and z are as defined above and described in classes and subclasses herein, both singly and in combination.
- R a i is H
- A, B, L, Ari, Ri, R 2 , R a , R b , Rc, R d , Re, R p , R p i, R q , n, m, r, and z are as defined above and described in classes and subclasses herein, both singly and in combination.
- R a i is halo
- A, B, L, Ari, Ri, R 2 , R a , R b , Rc, R d , Re, R p , R p i, R q , n, m, r, and z are as defined above and described in classes and subclasses herein, both singly and in combination.
- R a i is C1-C4 alkyl
- A, B, L, Ari, Ri, R 2 , R a , R b , Rc, R d , Re, R p , R p i, R q , n, m, r, and z are as defined above and described in classes and subclasses herein, both singly and in combination.
- R a i is C 3 -C 4 cycloalkyl
- A, B, L, Ari, Ri, R 2 , R a , R b , Rc, R d , Re, Rp, Rpi, Rq, n, m, r, and z are as defined above and described in classes and subclasses herein, both singly and in combination.
- R b is H
- A, B, L, Ari, Ri, R 2 , R 3 ⁇ 4 Rai, R c , Rd, Re, R p , R p i, R q , n, m, r, and z are as defined above and described in classes and subclasses herein, both singly and in combination.
- R b is halo
- A, B, L, Ar h K h R 2 , R a , R al , Rc, R d , R e , R p , R p i, R q , n, m, r, and z are as defined above and described in classes and subclasses herein, both singly and in combination.
- R b is C1-C4 alkyl
- A, B, L, Ari, Ri, R 2 , R 3 ⁇ 4 Rai, Rc, R d , Re, R p , R p i, R q , n, m, r, and z are as defined above and described in classes and subclasses herein, both singly and in combination.
- R b is C 1 -C 3 hydroxyl-alkyl
- A, B, L, Ari, Ri, R 2 , R a , R a i, Rc, R d , Re, Rp, Rpi, Rq, n, m, r, and z are as defined above and described in classes and subclasses herein, both singly and in combination.
- R b is C 3 -C 4 cycloalkyl
- A, B, L, Ar Ri, R 2 , R a , Rai, Rc, Rd, Re, Rp, Rpi, Rq, n, m, r, and z are as defined above and described in classes and subclasses herein, both singly and in combination.
- R c is H
- A, B, L, Ari, Ri, R 2 , R 3 ⁇ 4 Rai, Rb, Rd, Re, R p , R p i, R q , n, m, r, and z are as defined above and described in classes and subclasses herein, both singly and in combination.
- R c is halo
- A, B, L, Ari, Ri, R 2 , R 3 ⁇ 4 Rai, Rb, Rd, Re, R p , R p i, R q , n, m, r, and z are as defined above and described in classes and subclasses herein, both singly and in combination.
- R c is C 1 -C 4 alkyl
- A, B, L, Ari, R h R 2 , R a , R a i, R b , R d , Re, R p , R p i, R q , n, m, r, and z are as defined above and described in classes and subclasses herein, both singly and in combination.
- R c is C 3 -C 4 cycloalkyl
- A, B, L, Ari, Ri, R 2 , R a , R a i, Rb, Rd, Re, Rp, Rpi, Rq, n, m, r, and z are as defined above and described in classes and subclasses herein, both singly and in combination.
- R d is H
- A, B, L, Ari, Ri, R 2 , R 3 ⁇ 4 Rai, Rb, R c , Re, R p , R p i, R q , n, m, r, and z are as defined above and described in classes and subclasses herein, both singly and in combination.
- R d is halo
- A, B, L, Ar h K h R 2 , R a , R al , R b , R c , R e , R p , R p i, R q , n, m, r, and z are as defined above and described in classes and subclasses herein, both singly and in combination.
- R d is C1-C4 alkyl
- A, B, L, Ari, Ri, R 2 , R 3 ⁇ 4 Rai, R b , Rc, Re, R p , R p i, R q , n, m, r, and z are as defined above and described in classes and subclasses herein, both singly and in combination.
- R d is C 3 -C 4 cycloalkyl
- A, B, L, Ari, Ri, R 2 , R 3 ⁇ 4 R a i, Rb, Rc, Re, Rp, Rpi, Rq, n, m, r, and z are as defined above and described in classes and subclasses herein, both singly and in combination.
- R q is H
- A, B, L, Ar b R h R 2 , R a , R al , R b , R c , R e , R p , R p i, R d , n, m, r, and z are as defined above and described in classes and subclasses herein, both singly and in combination.
- R q is halo
- A, B, L, Ari, Ri, R 2 , R 3 ⁇ 4 Rai, R b , Rc, Re, Rp, Rpi, R d , n, m, r, and z are as defined above and described in classes and subclasses herein, both singly and in combination.
- R q is C1-C4 alkyl
- A, B, L, Ari, Ri, R 2 , R a , Rai, R b , Rc, Re, R P , Rpi, R d , n, m, r, and z are as defined above and described in classes and subclasses herein, both singly and in combination.
- R q is C3-C4 cycloalkyl
- A, B, L, Ari, Ri, R 2 , R a , R a i, Rb, Rc, Re, Rp, Rpi, Rd, n, m, r, and z are as defined above and described in classes and subclasses herein, both singly and in combination.
- z is 0, and A, B, L, Ari, Ri, R 2 , R 3 ⁇ 4 Rai, Rb, Rc, Re, Rp, Rpi, Rq ; R d , n, m, and r are as defined above and described in classes and subclasses herein, both singly and in combination.
- z is 1 and A, B, L, Ari, Ri, R 2 , R 3 ⁇ 4 Rai, Rb, Rc, Re, Rp, Rpi, Rq ; R d , n, m, and r are as defined above and described in classes and subclasses herein, both singly and in combination.
- z is 2 and A, B, L, Ar b R b R 2 , R a , R ai , R b , Rc, Rg, R p , Rpi, Rq ; R d , n, m, and r are as defined above and described in classes and subclasses herein, both singly and in combination.
- R 2 is not a substituted or unsubstituted form of
- R x does not include alkynyl, alkenyl, aryl, 5- 14 membered heterocyclic, 5-14 membered heteroaromatic, or 4-9 membered carbocyclic.
- FASN inhibitors useful in provided methods are selected from the group consisting of
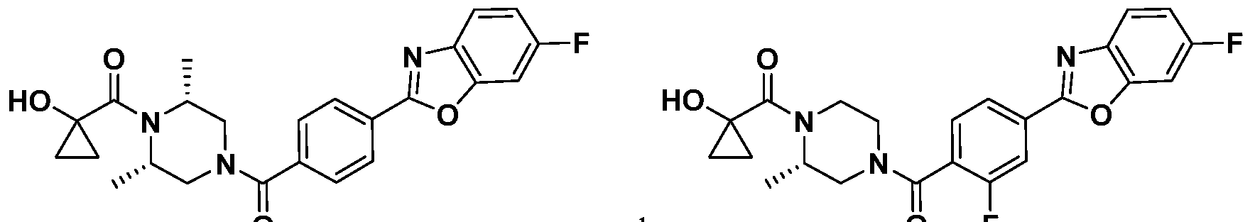
- Compound A which is a compound of Formula I and Formula I-E.
- Compound A is selected from one of Compounds 1-14 shown above.
- FASN inhibitors include, but are not limited to TVB- 2640; GSK2194069; GSK1995010; GSK837149A; JNJ54302833; BI00179; IPI-9119; Orlistat; Cerulenin and C75 (4-Methylene-2-octyl-5-oxotetrahydrofuran-3-carboxylic acid); as well as FASN inhibitors disclosed in WO 2014/146747, which is incorporated by reference in its entirety. [00193] In some embodiments, the FASN inhibitors are those disclosed in WO 2014/164749.
- the conditions and diseases associated with IL-17 are conditions and diseases associated with TH17 mediated inflammation.
- the conditions and diseases associated with IL-17 are conditions and diseases associated with IL-17 receptor activation.
- a disease treated by the provided methods is cancer.
- the cancer is selected from the group consisting of prostate, ovary, pancreas, esophagus, thyroid, bladder, bone, bile duct, testicle, uterus, head, neck, salivary gland, cervix, colon, breast, lung, stomach cancers, hematologic cancer, such as but not limited to leukaemia, lymphoma and multiple myeloma; midline carcinomas, mesenchymal, hepatic, renal and neurological tumors; and melanoma, squamous cell carcinoma and cutaneous T-cell lymphoma; and small and non-small cell lung cancer, castration-resistant prostate cancer, glioblastoma, astrocytoma, mebulloblastoma, neuroblastoma, neurofibromatosis, merkel cell carcinoma, soft tissue sarcoma, osteosarcoma, Ewing's sarcoma
- NASH is a chronic liver disease with varying degrees of inflammation and fibrosis that can progress to cirrhosis and end-stage liver complications.
- the disease affects greater than 16 million people in the US and is the second leading cause of liver transplants in the US.
- NASH is a strong predictor for type 2 diabetes, cardiovascular disease and end-stage kidney disease.
- the pathogenesis of NASH has been associated with obesity or aberrant metabolic syndrome. Strategies that target all three pathological processes (steatosis, inflammation and fibrosis) may most effectively manage this disease.
- FASN is an important enzyme that catalyzes the final step of DNL by utilizing malonyl-CoA as a substrate to synthesize palmitate.
- Liver-specific ablation of the gene encoding FASN in mice results in malonyl-CoA increases and palmitate decreases in liver.
- both hepatic FASN gene expression and hepatic FASN activity increase compared to lean mice controls.
- Further reductions of hepatic lipid accumulation and hepatic DNL occurs following liver-specific inhibition of the lipogenic transcription factor carbohydrate response element binding protein (ChREBP) in ob/ob mice.
- ChoREBP lipogenic transcription factor carbohydrate response element binding protein
- FASN controls the last step of DNL, and its gene expression level is aberrantly elevated in NASH patients as compared to healthy volunteers.
- Uncontrolled DNL is a key contributor for liver steatosis.
- Chronic activation of hepatic DNL and increase in the traffic of free fatty acids within hepatocytes can lead to generation of toxic lipid metabolites.
- These lipotoxic metabolites act as reactive oxygen species (ROS), triggering endoplasmic reticulum (ER) stress, apoptosis and necrosis in the liver resident cells, hepatocytes, Kupffer cells and hepatic stellate cells (HSC). Therefore, elevated FASN activity may be a major contributor to NASH through lipotoxicity mediated tissue injury and cell death.
- ROS reactive oxygen species
- ER endoplasmic reticulum
- HSC hepatic stellate cells
- FASN In addition to FASN's role in steatosis and lipotoxicity, it may contribute to inflammation and the processes of fibrosis. Palmitate, the end product of the fatty acid synthesis pathway, upregulates TLR4, pro-inflammatory cytokines and tumor necrosis factor-a (TNF-a) production in primary hepatocytes and Kupffer cells. Hence, DNL generates fatty acids necessary for TH17 cell differentiation and function. Increased levels of TH17 cells in human liver are associated with the progression from nonalcoholic fatty liver (NAFL) to NASH.
- NAFL nonalcoholic fatty liver
- IL-17 also promotes liver fibrosis in a mouse model of liver disease (carbon tetrachloride (CC14)-induced liver injury model) through hepatic stellate cell activation and subsequent collagen production. Stimulation of HSC activation occurs both by elevation of IL-17 and by palmitate in mice.
- CC14 carbon tetrachloride
- ACC1 is an enzyme directly upstream from FASN that catalyzes the production of malonyl-CoA from acetyl-CoA.
- Small molecule inhibitors of ACCl/2 such as NDI-010976 (Nimbus Therapeutics/Gilead), reduced steatosis and fibrosis in preclinical NASH models, although they may carry a mechanistic risk of undesired fatty acid ⁇ -oxidation.
- FASN represents a potentially powerful multi-modal approach to treat NASH, by reducing steatosis, and TH17-dependent inflammation and fibrosis.
- the present invention provides a method for treating a disease, disorder, or condition selected from a fibrotic disease or fibrosis, an inflammatory diease, disorder, or condition, or an autoimmune disease, disorder, or condition, comprising administering to a patient in need thereof a FASN inhibitor (e.g., a compound of formula I).
- a FASN inhibitor e.g., a compound of formula I
- the present invention provides a method of treating NASH comprising administering to a patient in need thereof a FASN inhibitor (e.g., a compound of formula I).
- a FASN inhibitor e.g., a compound of formula I
- the methods disclosed herein further comprises a step of measuring one or more biomarkers for the purpose of selecting a patient for therapy, monitoring patient therapy, and/or adjusting or terminating patient therapy.
- a biomarker is a 13 C-labelled lipid.
- a biomarker is 13 C palmitate.
- a provided method further comprises the step of administering to a patient 13 C acetate (e.g., 13 C sodium acetate) prior to or simultaneously with administration of a FASN inhibitor.
- patients may be selected for treatments described herein based upon one or more characteristics.
- a patient selected for treatment e.g., for treatment of NASH
- a patient selected for treatment (e.g., for NASH) has, or during treatment is placed on, a eucaloric diet or a high fructose diet.
- the present invention provides a method of treating a disease, disorder, or condition associated with TH17 mediated inflammation the method comprising administering to a patient in need thereof a FASN inhibitor.
- the present invention provides a method of treating a disease, disorder, or condition associated with IL-17 receptor activation, the method comprising administering to a patient in need thereof a FASN inhibitor.
- the disease is NASH.
- the condition or disease is obesity (Berndt, et al., Diabetologia, 2007, 50: 1472-1480; Lodhi, et al., Cell Metabolism, 2012, 16, 189-201.).
- the condition or disease is Type II diabetes.
- the disease is selected from the group consisting of Inflammatory Bowel Disease and Chronic Obstructive Pulmonary Disease.
- the disease is selected from the group consisting of allergic contact dermatitis; and autoimmune myositis.
- the disease is selected from the group consisting of systemic or tissue inflammation, inflammatory responses to infection or hypoxia, cellular activation and proliferation, lipid metabolism, fibrosis and in the prevention and treatment of viral infections.
- the disease is selected from the group consisting of chronic and inflammatory conditions, including but not limited to rheumatoid arthritis, osteoarthritis, periodontitis, acute gout, psoriasis, psoriatic arthritis, ankylosing spondylitis, HIV-associated nephropathy, amyotrophic lateral sclerosis, pulmonary arterial hypertension, acute allograft rejection, chronic organ transplant rejection, systemic lupus erythematosus, lupus nephritis, multiple sclerosis, Crohn's disease, ulcerative colitis, severe celiac/coeliac disease, asthma, chronic obstructive airways disease, pneumonitis, myocarditis, pericarditis, myositis, eczema, dermatitis, alopecia, vitiligo, bullous skin disease, nephrititis, vasculitis, atherosclerosis, Alzheimer'
- the disease is selected from the group consisting of acute inflammatory conditions such as acute gout, giant cell arteritis, nephritis including lupus nephritis, vasculitis with organ involvement such as glomerulonephritis, vasculitis including giant cell arteritis, Wegner's granulomatosis, Polyarteritis nodosa, Becet's disease, Kawasaki disease, Takayasu's arteritis, pyoderma gangrenosum, vasculitis with organ involvement and acute rejection of transplanted organs.
- acute inflammatory conditions such as acute gout, giant cell arteritis, nephritis including lupus nephritis, vasculitis with organ involvement such as glomerulonephritis, vasculitis including giant cell arteritis, Wegner's granulomatosis, Polyarteritis nodosa, Becet's disease, Kawasaki disease,
- the disease is selected from the group consisting of inflammatory responses to infections with bacteria, viruses, fungi, parasites or their toxins, such as but not limited to sepsis, sepsis syndrome, septic shock, endotoxaemia, systemic inflammatory response syndrome, multi organ dysfunction syndrome, toxic shock syndrome, acute lung injury, acute respiratory distress syndrome, acute renal failure, fulmiant hepatitis, burns, acute pancreatitis, post-surgical syndromes, sarcoidosis, Herxheimer reactions, encephalitis, myelitis, meningitis, malaria, systemic inflammatory responses associated with viral infections, such as but not limited to influenza, herpes zoster, herpes simplex and coronavirus.
- inflammatory responses to infections with bacteria, viruses, fungi, parasites or their toxins such as but not limited to sepsis, sepsis syndrome, septic shock, endotoxaemia, systemic inflammatory response syndrome, multi organ dysfunction syndrome, toxic shock syndrome, acute lung injury
- Another embodiment of the present invention relates to a method of treating a disease associated with systemic inflammatory response syndrome, such as but not limited to sepsis, burns, pancreatitis, major trauma, hemorrhage and ischaemia, the method comprising administering a FASN inhibitor.
- a disease associated with systemic inflammatory response syndrome such as but not limited to sepsis, burns, pancreatitis, major trauma, hemorrhage and ischaemia
- Another aspect of the present disclosure relates to a method of treating a patient of organ transplantation to reduce organ rejection.
- the method comprises administering to a patient in need of a treatment for reducing organ rejection an effective amount of a FASN inhibitor.
- Another aspect of the present disclosure relates to a method of inhibiting CSF- 1 dependent macrophage differentiation.
- the method comprises contacting a cell with an effective amount of a FASN inhibitor.
- Another aspect of the present disclosure relates to a method of treating a condition or disease associated with CSF-1 dependent macrophage differentiation.
- the method comprises administering to a patient in need a treatment for condition or a disease associated with CSF-1 dependent macrophage differentiation an effective amount of a FASN inhibitor.
- the conditions and diseases are selected from the group consisting of osteoarthritis and pain.
- the condition or disease is malignant melanoma.
- the condition or disease is an inflammatory disease.
- the condition or disease is inflammatory bowel disease.
- the inflammatory bowel disease is Crohn's disease.
- the inflammatory bowel disease is ulcerative colitis.
- the inflammatory disease is rheumatoid arthritis.
- a FASN inhibitor is selected from compounds shown in Table A, which lists the IUPAC names and the structures of the compounds.
- the present invention comprises treating conditions and diseases which may be associated IL-17 or TH17, or as otherwise described herein, comprising administering a pharmaceutical composition comprising a provided compound optionally in combination with a pharmaceutically acceptable excipient (e.g. carrier).
- a pharmaceutically acceptable excipient e.g. carrier
- Suitable pharmaceutical compositions include optical isomers, diastereomers, or pharmaceutically acceptable salts of the compounds disclosed herein.
- pharmaceutical compositions include a pharmaceutically acceptable salt.
- a compound included in the pharmaceutical composition may be covalently attached to a pharmaceutically acceptable carrier.
- the inventive compound included in the pharmaceutical composition is not covalently linked to a pharmaceutically acceptable carrier.
- a “pharmaceutically acceptable carrier,” as used herein refers to any pharmaceutically acceptable carrier
- Suitable pharmaceutically acceptable carriers include water, salt solutions (such as Ringer's solution), alcohols, oils, gelatins and carbohydrates such as lactose, amylose or starch, fatty acid esters, hydroxymethycellulose, and polyvinyl pyrrolidine.
- Such preparations can be sterilized and, if desired, mixed with auxiliary agents such as lubricants, preservatives, stabilizers, wetting agents, emulsifiers, salts for influencing osmotic pressure, buffers, coloring, and/or aromatic substances and the like which do not deleteriously react with the compounds used in accordance with the provided methods.
- auxiliary agents such as lubricants, preservatives, stabilizers, wetting agents, emulsifiers, salts for influencing osmotic pressure, buffers, coloring, and/or aromatic substances and the like which do not deleteriously react with the compounds used in accordance with the provided methods.
- Compounds can be administered alone or can be coadministered to a patient along with one or more other drugs. Coadministration is meant to include simultaneous or sequential administration of the compounds individually or in combination (more than one compound). In some embodiments, the preparations are combined with other active substances (e.g. to reduce metabolic degradation). Formulations
- the present invention comprises treating conditions and diseases which may be associated IL-17 or TH17, or as otherwise described herein, comprising administering of a formulation of a compound or composition described herein.
- Suitable formulations can be prepared and administered in a wide variety of oral, parenteral, and topical dosage forms.
- provided compounds are administered by injection (e.g. intravenously, intramuscularly, intracutaneously, subcutaneously, intraduodenally, or intraperitoneally).
- compounds described herein are administered by inhalation, for example, intranasally.
- provided compounds are administered transdermally.
- compositions comprising one or more provided compounds and one or more pharmaceutically acceptable carriers or excipients.
- Solid form preparations include powders, tablets, pills, capsules, cachets, suppositories, and dispersible granules.
- a solid carrier is one or more substances, which may also act as diluents, flavoring agents, binders, preservatives, tablet disintegrating agents, or an encapsulating material.
- a carrier when a composition is a powder, is a finely divided solid in a mixture with the finely divided active component.
- an active component when a composition is formulated for a tablet, an active component is mixed with the carrier having the necessary binding properties in suitable proportions and compacted in the shape and size desired.
- powders and tablets contain from 5% to 70% of the active compound.
- Suitable carriers include magnesium carbonate, magnesium stearate, talc, sugar, lactose, pectin, dextrin, starch, gelatin, tragacanth, methylcellulose, sodium carboxymethylcellulose, a low melting wax, cocoa butter, and the like.
- the composition is formulated for a cachet or lozenge.
- tablets, powders, capsules, pills, cachets, and/or lozenges are used as solid dosage forms suitable for oral administration.
- a low melting wax such as a mixture of fatty acid glycerides or cocoa butter
- the active component is dispersed homogeneously therein.
- the molten homogeneous mixture is then poured into convenient sized molds, allowed to cool and solidify.
- Liquid form preparations include solutions, suspensions, and emulsions, for example, water or water/propylene glycol solutions.
- liquid preparations can be formulated in solution in aqueous polyethylene glycol solution.
- suitable admixtures for the compounds of the invention are injectable, sterile solutions, preferably oily or aqueous solutions, as well as suspensions, emulsions, or implants, including suppositories.
- carriers for parenteral administration include aqueous solutions of dextrose, saline, pure water, ethanol, glycerol, propylene glycol, peanut oil, sesame oil, polyoxyethylene-block polymers, and the like.
- Ampules are convenient unit dosages.
- Compounds useful in provided methods can also be incorporated into liposomes or administered via transdermal pumps or patches.
- Pharmaceutical admixtures suitable for use in the present invention include those described, for example, in
- Aqueous solutions suitable for oral use can be prepared by dissolving the active component in water and adding suitable colorants, flavors, stabilizers, and thickening agents as desired.
- Aqueous suspensions suitable for oral use can be made by dispersing the finely divided active component in water with viscous material, such as natural or synthetic gums, resins, methylcellulose, sodium carboxymethylcellulose, and other well-known suspending agents.
- liquid form preparations intended for conversion shortly before use to liquid form preparations for oral administration.
- liquid forms include solutions, suspensions, and emulsions.
- These preparations may contain, in addition to the active component, colorants, flavors, stabilizers, buffers, artificial and natural sweeteners, dispersants, thickeners, solubilizing agents, and the like.
- compositions are in unit dosage form.
- the composition is subdivided into unit doses containing appropriate quantities of the active component.
- the unit dosage form can be a packaged preparation, the package containing discrete quantities of a pharmaceutical composition, such as packeted tablets, capsules, and powders in vials or ampoules.
- the unit dosage form is a capsule, tablet, cachet, or lozenge itself, or it is the appropriate number of any of these in packaged form.
- the quantity of active component in a unit dosage form may be varied or adjusted from 0.1 mg to 10000 mg, more typically 1.0 mg to 1000 mg, most typically 10 mg to 500 mg, according to the particular application and the potency of the active component.
- provided compositions contain other compatible therapeutic agents.
- Some compounds may have limited solubility in water and may require a surfactant or other appropriate co-solvent in the composition.
- co-solvents include: Polysorbate 20, 60 and 80, Pluronic F-68, F-84 and P-103, cyclodextrin, and polyoxyl 35 castor oil.
- Such co-solvents are typically employed at a level between about 0.01 % and about 2% by weight.
- viscosity greater than that of simple aqueous solutions may be desirable to decrease variability in dispensing the formulations, to decrease physical separation of components of a suspension or emulsion of formulation and/or otherwise to improve the formulation.
- viscosity building agents include, for example, polyvinyl alcohol, polyvinyl pyrrolidone, methyl cellulose, hydroxy propyl methylcellulose, hydroxyethyl cellulose, carboxymethyl cellulose, hydroxy propyl cellulose, chondroitin sulfate and salts thereof, hyaluronic acid and salts thereof, and combinations of the foregoing.
- Such agents are typically employed at a level between about 0.01% and about 2% by weight.
- compositions used in provided methods may additionally include components to provide sustained release and/or comfort.
- Such components include high molecular weight, anionic mucomimetic polymers, gelling polysaccharides and finely-divided drug carrier substrates. These components are discussed in greater detail in U.S. Pat. Nos. 4,911,920; 5,403,841; 5,212, 162; and 4,861,760. The entire contents of these patents are incorporated herein by reference in their entirety for all purposes.
- a provided method further comprises administration of an additional therapeutic agent.
- the present invention comprises treating conditions and diseases which may be associated IL-17 or T H 17, or as otherwise described herein, comprising administering a FASN inhibitor in combination with additional therapeutic agents.
- the additional therapeutic agent is a BRAF inhibitor.
- the additional therapeutic agent is a PD1/PDL1 inhibitor.
- a BRAF inhibitor is GDC-0879, SB590885; Encorafenib (LGX818); RAF265 (CHIR-265); Dabrafenib (GSK2118436); TAK-632; PLX-4720; CEP-32496; Sorafenib Tosylate; Sorafenib; Vemurafenib (PLX4032, RG7204); AZ 628; or vemurafenib.
- a PD1/PDL1 inhibitor is selected from the group consisting of PD1 inhibitors Pembrolizumab, and Nivolumab; and PDL1 inhibitors Atezolizumab, MEDI4736, Avelumab, and PDR001.
- the invention thus provides, in a further aspect, a combination comprising a compound described herein or a pharmaceutically acceptable salt thereof together with at least one additional therapeutic agent.
- the additional therapeutic agent is a compound of the invention.
- each compound described herein when used in combination with a second therapeutic agent active against the same disease state, the dose of each compound may differ from that when the compound is used alone. Appropriate doses will be readily appreciated by those skilled in the art. It will be appreciated that the amount of a compound required for use in treatment will vary with the nature of the condition being treated and the age and the condition of the patient and will be ultimately at the discretion of the attendant physician. Effective Dosage
- compositions of the present disclosure include compositions wherein the active ingredient is contained in a therapeutically effective amount, i.e., in an amount effective to achieve its intended purpose.
- a therapeutically effective amount i.e., in an amount effective to achieve its intended purpose.
- the actual amount effective for a particular application will depend, inter alia, on the condition being treated.
- administered can vary depending upon a variety of factors, including route of
- the therapeutically effective amount can be initially determined from cell culture assays.
- Target concentrations will be those concentrations of active compound(s) that are capable of killing parasites and/or controlling their growth or reproduction as measured, for example, using the methods described.
- Therapeutically effective amounts for use in humans may be determined from animal models. For example, a dose for humans can be formulated to achieve a concentration that has been found to be effective in animals. The dosage in humans can be adjusted by monitoring kinase inhibition and adjusting the dosage upwards or downwards, as described above. Therapeutically effective amounts for use in animals (e.g., cattle) may be determined from animal models (e.g., mouse models).
- Dosages may be varied depending upon the requirements of the patient and the compound being employed.
- the dose administered to a patient should be sufficient to effect a beneficial therapeutic response in the patient over time.
- the size of the dose also will be determined by the existence, nature, and extent of any adverse side effects.
- treatment is initiated with smaller dosages, which are less than the optimum dose of the compound. Thereafter, the dosage is increased by small increments until the optimum effect under circumstances is reached.
- the dosage range is 0.001% to 10% w/v. In some embodiments, the dosage range is 0.1% to 5% w/v.
- a dose administered to a human patient ranges from about 0.3 mg/kg to about 9 mg/kg. In some embodiments, a dose administered to a human patient is about 0.3, about 1, about 1.5, about 2, about 3, about 4, about 5, about 6, about 7, about 8, or about 9 mg/kg.
- a dose administered to a human patient is a dosage corresponding to a dose in a mouse from about 1 mg/kg to about 20 mg/kg. In some embodiments, a dose administered to a human patient is a dosage corresponding to a dose in a mouse of about 1, about 2, about 3, about 6, about 10, or about 20 mg/kg. In some embodiments, a dose administered to a human patient is a dosage corresponding to a dose in a rat from about 0.125 mg/kg to about 12 mg/kg.
- a dose administered to a human patient is a dosage corresponding to a dose in a rat of about 0.125, about 0.2, about 0.4, about 0.6, about 1, about 1.2, about 2, about 2.4, about 6, or about 12 mg/kg.
- Dosage amounts and intervals can be adjusted individually to provide levels of the administered compound effective for the particular clinical indication being treated. This will provide a therapeutic regimen that is commensurate with the severity of the individual's disease state.
- a dose is administered once daily, twice daily, or once every two days.
- CD4+ T cells were isolated using CD4+ T cell isolation kit (Miltenyi Biotech), activated with CD3/CD28 microbeads and cultured for 7-10 days in the presence of IL- ⁇ , IL-6, IL-21, IL-23 and TGFp and test compounds. Cells cultured with DMSO or without cytokines and/or microbeads were used as negative controls.
- Table 1.1 Inhibition of IL-17 secretion in TH1 cells differentiated in-vitro
- a test compound (compound A) was evaluated in a HFD rat model.
- the FIFD model is widely used in preclinical animal models to induce hepatic steatosis as one key pathological component of NASH (Takahashi, Y., Soejima, Y., and Fukusato, T. (2012). Animal models of nonalcoholic fatty liver disease/nonalcoholic steatohepatitis. World J. Gastroenterol. 18, 2300-2308).
- Steatosis is caused by the accumulation of triglycerides (TG) in the liver, and as such, decreases in TG may represent a potential marker for activity on steatosis.
- TG triglycerides
- the obese phenotype of HFD model is dependent on the incorporation of high dietary fat and DNL-derived fat. Since these animals have large amounts of exogenous fat from the diet, this model represents a high bar for success and activity in this model may demonstrate the potential importance of FASN activity as a key mediator of steatosis.
- the key endpoints of this study were to evaluate the relationship between dose schedule and exposure with changes in liver steatosis score and liver TG.
- the rats were treated orally with compound A or vehicle (9: 1 PEG400:EtOH) for four weeks. Rosiglitazone 5 mg/kg QD was included as a positive control.
- Plasma and serum samples were collected weekly throughout the study. After 28 days of treatment, animals were sacrificed and liver and plasma samples were collected. Livers were fixed in formalin, processed for H&E staining, and evaluated by a pathologist specializing in NASH.
- the first HFD study was designed to demonstrate preliminary activity of compound A treatment on markers of liver steatosis.
- the second HFD study investigated the endpoints of steatosis and liver and plasma markers of lipogenesis (including TG and FFA).
- liver TG were significantly elevated compared to normal diet controls, consistent with accumulation of TG in the liver and the presence of steatosis in this disease model.
- the effect of compound A on steatosis was determined by evaluating liver histology post treatment. An independent pathologist evaluated liver specimens in a blinded manner. Notably, a significant decrease in the degree and severity of liver steatosis was observed for all QD treatment groups, including the 0.125 mg/kg QD dose cohort. While the greatest decrease in steatosis score was observed at 1.2 mg/kg QD, no clear dose-dependency for this endpoint was observed (Figure 1).
- a reduction in liver steatosis was also observed in the 0.6 mg/kg QD treatment group from HFD study 1 (data not shown). Although steatosis is primarily driven by dietary fat in the HFD model, inhibition of DNL by compound A showed clear benefit in improving steatosis and may have therapeutic benefit in NASH. In addition, the lowest dose of compound A tested (0.125 mg/kg; AUC: 3,228 hr*ng/mL) was potentially as effective as doses and exposures up to 10-fold higher. Of note, the 0.125 mg/kg AUClast is 9-fold and 12-fold less than the AUClast of the NOAEL dose determined in the Rat DRF and Rat MTD study, respectively.
- Steatosis is caused by the accumulation of TG in the liver, and as such, decreases in TG may represent a potential marker for steatosis.
- liver TG were significantly elevated in HFD controls compared to normal diet controls, consistent with accumulation of TG in the liver and the presence of steatosis in this disease model. Decreases in liver TG were demonstrated in all QD dosing groups and, consistent with the steatosis scores, no clear dose-dependent effect was observed (Table 3.1).
- liver TG The lack of a dose-dependent response of compound A on liver TG may be due to the variation within the model and the smaller sample size, but also reflects a significant activity of Compound A at low doses and exposures in the livers of HFD animals.
- plasma TG levels were not significantly elevated in this model, when compared to normal diet controls; however, a dose-dependent decrease in plasma TG was demonstrated with daily dosing (Table 3.1).
- a HSD represents an alternative experimental model for obesity and steatosis.
- 60-70% of the caloric intake is from simple carbohydrates, and thus, the primary source of increased TG is through D L.
- Inhibition of FASN and, thus, DNL by compound A would be expected to have a significant impact on TG production and steatosis in this model.
- the goal of the HSD study was to evaluate the in vivo potency of compound A in blocking FA synthesis to reduce fat deposition in liver as monitored by steatosis scores, as well as changes in liver and plasma TG and liver FFA.
- An additional single administration PK/PD study in HSD rats was also used to determine the relationship between the induction of liver and plasma malonyl-carnitine and compound A in this diseased model.
- the HSD vehicle treatment group had significantly lower liver TG levels as compared to HFD vehicle group at the end of the study (14.5 ⁇ 2.0 ⁇ /g in HSD vs. 57.3 ⁇ 7.7 ⁇ /g in HFD).
- Treatment with compound A with doses as low as 0.3 mg/kg resulted in reduction of liver TG to levels near those observed in normal diet animals, consistent with DNL as the primary source of excess TG in this model (Table 4.1).
- plasma TG were reduced following compound A treatment (up to 30%) as compared to vehicle controls in a dose-dependent manner following 28 days of treatment.
- an increased reduction of plasma TG were observed with 28 days of treatment as compared to 14 days.
- Table 4.1 Effect of compound A on plasma and liver triglycerides from HSD rat model. The data are presented as Mean ⁇ SEM.
- HSC hepatic stellate cells
- the EAE model is a validated and mechanistic relevant animal model to assess the anti-inflammatory potential of compound A.
- splenic mRNAs were measured for expression of mRORc, which encodes key transcription factor RAR-related orphan receptor gamma, thymus-specific isoform (RORTT) essential for murine TH17 cell differentiation.
- mRORc which encodes key transcription factor RAR-related orphan receptor gamma, thymus-specific isoform (RORTT) essential for murine TH17 cell differentiation.
- Compound A had a significant and dose-dependent impact on clinical scores as measured by both the onset and severity of the disease compared to the vehicle group.
- BID regimens were significant in improving clinical scores as compared to the vehicle group (p ⁇ 0.05; 2-way RM-ANOVA) ( Figure 2) while QD regimens lowered scores but did not reach statistical significance.
- the impact of treatment on the disease states in the EAE model is characterized by degree of inflammatory cell infiltration into tissues of the CNS.
- demyelination in the spinal cords and CNS inflammation of treated animals were by evaluated.
- the spinal cords of compound A-treated animals showed significantly reduced visible signs of demyelinating lesions or inflammation as judged cellular infiltrates by Luxol fast blue staining and H&E staining (Table 6.2).
- Reductions in brain and spinal cord inflammation corresponded with the clinical scores, and were observed with compound A at doses as low as 1 mg/kg BID, and achieved statistical significance at 3 and 10 mg/kg BID.
- Table 6.2 Effect of compound A on spinal cord demyelination, spinal cord inflammation and brain inflammation in EAE model. Data were presented as Mean ⁇ SD. *P ⁇ 0.05 relative to MOG-vehicle group. The grading scales for each measurement are listed in Table 6.3.
- lymph nodes and spinal cords were collected for flow cytometry analysis of IL-17+ CD4+ cells at the peak of the EAE disease.
- the EAE disease state was induced in animals as described above and animals were sacrificed on Day 15. Mice were treated on a BID schedule with vehicle control or compound A at 0.3, 1, 3, and 10 mg/kg from Day 4 to Day 15.
- Compound A reduced the population of IL-17+ CD4+ T cells in lymph nodes and CNS at doses as low as 0.3 mg/kg BID and achieved statistical significance at 3 and 10 mg/kg BID ( Figure 4).
Landscapes
- Health & Medical Sciences (AREA)
- Animal Behavior & Ethology (AREA)
- Public Health (AREA)
- Veterinary Medicine (AREA)
- Chemical & Material Sciences (AREA)
- Life Sciences & Earth Sciences (AREA)
- General Health & Medical Sciences (AREA)
- Medicinal Chemistry (AREA)
- Pharmacology & Pharmacy (AREA)
- Epidemiology (AREA)
- Engineering & Computer Science (AREA)
- Nuclear Medicine, Radiotherapy & Molecular Imaging (AREA)
- Organic Chemistry (AREA)
- Gastroenterology & Hepatology (AREA)
- General Chemical & Material Sciences (AREA)
- Chemical Kinetics & Catalysis (AREA)
- Bioinformatics & Cheminformatics (AREA)
- Pharmaceuticals Containing Other Organic And Inorganic Compounds (AREA)
Abstract
The present disclosure relates to methods of treating, preventing or ameliorating a TH17- or CSF1 -mediated disease or disorder such as cancer, immunological disorders, and obesity by administering to a patient in need thereof a therapeutically effective amount of a FASN inhibitor, or a pharmaceutically acceptable salt, hydrate, solvate, prodrug, stereoisomer, or tautomer thereof.
Description
METHODS OF USING FASN INHIBITORS
Claim of Priority
[0001] This application claims priority to US Application Serial Number 62/327, 167, filed on April 25, 2016, the contents of which are incorporated by reference in their entirety.
Background
[0002] It has been reported that NAFL to NASH progression in human patients is correlated with a significant increase in frequency of TH17 cells in the liver, Rau, M., et al., J. Immunol. 2016; 196(1):97-105. In a mouse model of NAFL, obesity-driven production of IL-17, which is produced by TH17 cells, has been found to be central to the development and progression of NAFL to steatohepatitis.
[0003] It is known that IL-17 receptor activation induces secretion of proinflammatory cytokines and IL-17 induces type I collagen production in hepatic stellate cells (Tan, Z., et al., J Immunol. 2013; 191(4): 1835-44). Thus, inhibition or neutralization of IL-17 is expected to impact IL-17-mediated inflammation and fibrosis (Tan, Z., J Immunol. 1835-44).
[0004] M2-like macrophages differentiated with CSF-1 can acquire pro-fibrogenic and immunosuppressive properties. M2-like macrophages and CSF-1 signal transduction are implicated in fibrosis and in evasion of anti-tumor response in the tumor microenvironment.
[0005] Thus, there is a need for new inhibitors of TH17 cells and M2 macrophages for the treatment of TH17- and CSF1 -driven disorders.
Summary
[0006] It has been surprisingly and unexpectedly observed that when human CD4+ T cells are cultured under TH17 polarizing conditions in the presence of FASN inhibitors, production of IL-17 is significantly inhibited.
[0007] A first aspect of the disclosure relates to a method of treating a condition or disease associated with TH17 mediated inflammation. The method comprises administering to a patient in need of a treatment for condition or a disease associated with TH1 mediated inflammation an effective amount of a FASN inhibitor.
[0008] Another aspect of the present disclosure relates to a method of treating a condition or disease associated with IL-17 receptor activation. The method comprises administering to a patient in need of a treatment for condition or a disease associated with IL-17 receptor activation an effective amount of a FASN inhibitor.
[0009] Another aspect of the present disclosure relates to a method of treating a patient of organ transplantation to reduce organ rejection. The method comprises administering to a patient in need of a treatment for reducing organ rejection an effective amount of a FASN inhibitor.
[0010] Another aspect of the present disclosure relates to a method of inhibiting CSF- 1 dependent macrophage differentiation. The method comprises contacting a cell with an effective amount of a FASN inhibitor.
[0011] Another aspect of the present disclosure relates to a method of treating a condition or disease associated with CSF-1 dependent macrophage differentiation. The method comprises administering to a patient in need a treatment for condition or a disease associated with CSF-1 dependent macrophage differentiation an effective amount of a FASN inhibitor.
Brief Description of the Drawings
[0012] Figure 1: Compound A reduced steatosis score of liver from FIFD rat model. (A): The hematoxylin and eosin stained liver slides were evaluated for steatosis store by Kleiner scoring system (Kleiner, D.E., Brunt, E.M., Van Natta, M., Behling, C, Contos, M.J., Cummings, O.W., Ferrell, L.D., Liu, Y.-C, Torbenson, M.S., Unalp-Arida, A., et al. (2005). Design and validation of a histological scoring system for nonalcoholic fatty liver disease. Hepatol. Baltim. Md 41, 1313-1321). Steatosis scores were assessed by medium-power evaluation of parenchymal involvement by steatosis. Severity of steatosis was defined as follows: SO, no steatosis, <5% parenchymal involvement; SI, mild
steatosis, 5-33% (bottom section of bar); S2, moderate steatosis, >33-66% (middle section of bar); S3, severe steatosis, >66% (top section of bar). (B): The group severity score was calculated to assist in the evaluation of the steatosis severity in each group. This was calculated by multiplying steatosis score by number of animals with that score and then adding them for the total score. For example, there are 2 of score 1, 4 of score 2 and 2 of score 3 in the vehicle treated group. The group severity score from the vehicle group is 2X1+4X2+2X3=16. The group severity score contribution from steatosis score 1, 2, 3 is marked in the bottom, middle, and top sections of each bar, respectively.
[0013] Figure 2: Effect of compound A on the improvement of disease severity in EAE mouse model from BID (A) or QD (B) administration. The data were presented as Mean ± SEM. The clinical score criteria are listed in Table 6.1.
[0014] Figure 3: Compound A reduced gene expression level of mRORc in splenic cells from EAE model. The data are presented as Mean ± SD. Compound A inhibited splenic mRORc by 45%, 62% and 81% for 1, 3, and 10 mg/kg BID groups as compared to the vehicle treated group.
[0015] Figure 4: Compound A reduced the population of IL17+ CD4+ cells in lymph node (A) and spinal cord and brain tissue samples in the second EAE study (B). The data were presented as Mean ± SD. * P<0.05 ** P<0.01 as compared to vehicle control.
Definitions
[0016] Compounds of this invention include those described generally above, and are further illustrated by the classes, subclasses, and species disclosed herein. As used herein, the following definitions shall apply unless otherwise indicated. For purposes of this invention, the chemical elements are identified in accordance with the Periodic Table of the Elements, CAS version, Handbook of Chemistry and Physics, 75th Ed. Additionally, general principles of organic chemistry are described in "Organic Chemistry", Thomas Sorrell, University Science Books, Sausalito: 1999, and "March's Advanced Organic Chemistry", 5th Ed., Ed. : Smith, M B. and March, J., John Wiley & Sons, New York: 2001, the entire contents of which are hereby incorporated by reference.
[0017] The abbreviations used herein have their conventional meaning within the chemical and biological arts. The chemical structures and formulae set forth herein are constructed according to the standard rules of chemical valency known in the chemical arts.
[0018] As used above, and throughout this disclosure, the following terms, unless otherwise indicated, shall be understood to have the following meanings. If a definition is missing, convention definition as known to one skilled in the art controls.
[0019] The term "about", when used herein in reference to a value, refers to a value that is similar, in context to the referenced value. In general, those skilled in the art, familiar with the context, will appreciate the relevant degree of variance encompassed by "about" in that context. For example, in some embodiments, the term "about" may encompass a range of values that within 25%, 20%, 19%, 18%, 17%, 16%, 15%, 14%, 13%, 12%, 11%, 10%, 9%, 8%, 7%, 6%, 5%, 4%, 3%, 2%, 1%, or less of the referred value.
[0020] As used herein, the term "administration" typically refers to the administration of a composition or compound to a subject or system. Those of ordinary skill in the art will be aware of a variety of routes that may, in appropriate circumstances, be utilized for administration to a subject, for example a human. For example, in some embodiments, administration may be ocular, oral, parenteral, topical, etc.. In some particular embodiments, administration may be bronchial (e.g., by bronchial instillation), buccal, dermal (which may be or comprise, for example, one or more of topical to the dermis, intradermal, interdermal, transdermal, etc.), enteral, intra-arterial, intradermal, intragastric, intramedullary, intramuscular, intranasal, intraperitoneal, intrathecal, intravenous, intraventricular, within a specific organ (e. g. intrahepatic), mucosal, nasal, oral, rectal, subcutaneous, sublingual, topical, tracheal (e.g., by intratracheal instillation), vaginal, vitreal, etc. In some embodiments, administration may involve dosing that is intermittent (e.g., a plurality of doses separated in time) and/or periodic (e.g., individual doses separated by a common period of time) dosing. In some embodiments,
administration may involve continuous dosing (e.g., perfusion) for at least a selected period of time. In some embodiments, administration of a particular compound may be
achieved by administration of a composition that includes or otherwise delivers the compound to the subject or system (or to a relevant part thereof or site therein). Thus, in some embodiments, administration of a compound may be achieved by administration of a composition comprising the compound. Alternatively or additionally, in some embodiments, administration of a compound may be achieved by administration of a composition that achieves delivery of the compound (e.g., of a composition that includes a prodrug or other variant of the compound that is metabolized to the compound upon administration of the composition).
[0021] As used herein, the term "patient" or "subject" refers to any organism to which provided compound or compounds described herein are administered in accordance with the present invention e.g., for experimental, diagnostic, prophylactic, and/or therapeutic purposes, and includes mammals and non-mammals. Examples of mammals include, but are not limited to, any member of the mammalian class: humans, non-human primates such as chimpanzees, and other apes and monkey species; farm animals such as cattle, horses, sheep, goats, swine; domestic animals such as rabbits, dogs, and cats; laboratory animals including rodents, such as rats, mice and guinea pigs, and the like. Examples of non-mammals include, but are not limited to, birds, fish and the like. In one embodiment of the present invention, the mammal is a human. In some embodiments, a subject may be suffering from, and/or susceptible to a disease, disorder, and/or condition.
[0022] The term "FASN" refers all classes, types, subtypes, isotypes, segments, variants, and mutant forms of fatty acid synthase.
[0023] As used herein, the term "inhibitor" refers to an agent, condition, or event whose presence, level, degree, type, or form correlates with decreased level or activity of another agent (i.e., the inhibited agent, or target). In general, an inhibitor may be or include an agent of any chemical class including, for example, small molecules, polypeptides, nucleic acids, carbohydrates, lipids, metals, and/or any other entity, condition or event that shows the relevant inhibitory activity. In some embodiments, an inhibitor may be direct (in which case it exerts its influence directly upon its target, for example by binding to the target); in some embodiments, an inhibitor may be indirect (in
which case it exerts its influence by interacting with and/or otherwise altering a regulator of the target, so that level and/or activity of the target is reduced).
[0024] The terms "effective amount" or "therapeutically effective amount" refer to a sufficient amount of the agent to provide the desired biological result. That result can be reduction and/or alleviation of the signs, symptoms, or causes of a disease, or any other desired alteration of a biological system. For example, an "effective amount" for therapeutic use is the amount of the composition comprising a compound as disclosed herein required to provide a clinically significant decrease in a disease, disorder, and/or condition. An appropriate "effective" amount in any individual case may be determined by one of ordinary skill in the art using routine experimentation. Thus, the expression "effective amount" generally refers to the quantity for which the active substance has therapeutic effects.
[0025] "Mammal" means humans and other mammalian animals.
[0026] As used herein, the term "prevent" or "prevention," when used in connection with the occurrence of a disease, disorder, and/or condition, refers to reducing the risk of developing the disease, disorder, and/or condition and/or to delaying onset of one or more characteristics or symptoms of the disease, disorder, or condition. Prevention may be considered complete when onset of a disease, disorder, or condition has been delayed for a predefined period of time.
[0027] As used herein, the terms "treat" or "treatment" are synonymous with the term "prevent" and are meant to indicate a postponement of development of diseases, preventing the development of diseases, and/or reducing severity of such symptoms that will or are expected to develop. Thus, these terms include ameliorating existing disease symptoms, preventing additional symptoms, ameliorating or preventing the underlying metabolic causes of symptoms, inhibiting the disorder or disease, e.g., arresting the development of the disorder or disease, relieving the disorder or disease, causing regression of the disorder or disease, relieving a condition caused by the disease or disorder, or stopping or alleviating the symptoms of the disease or disorder.
[0028] By "pharmaceutically acceptable is meant a material which is not biologically or otherwise undesirable— the material may be administered to an individual without
causing any undesirable biological effects or interacting in a deleterious manner with any of the components of the composition in which it is contained.
[0029] "Carrier materials" or what are also referred to as "excipients" include any commonly used excipients in pharmaceutics and should be selected on the basis of compatibility and the release profile properties of the desired dosage form. Exemplary carrier materials include, e.g., binders, suspending agents, disintegration agents, filling agents, surfactants, solubilizers, stabilizers, lubricants, wetting agents, diluents, and the like. "Pharmaceutically compatible carrier materials" may comprise, e.g., acacia, gelatin, colloidal silicon dioxide, calcium glycerophosphate, calcium lactate, maltodextrin, glycerine, magnesium silicate, sodium caseinate, soy lecithin, sodium chloride, tricalcium phosphate, dipotassium phosphate, sodium stearoyl lactylate, carrageenan,
monoglyceride, diglyceride, pregelatinized starch, and the like. See, e.g., Hoover, John E., Remington 's Pharmaceutical Sciences, Mack Publishing Co., Easton, Pa. 1975.
[0030] The term "aliphatic" or "aliphatic group", as used herein, means a straight- chain (i.e., unbranched) or branched, substituted or unsubstituted hydrocarbon chain that is completely saturated or that contains one or more units of unsaturation, or a monocyclic hydrocarbon or bicyclic hydrocarbon that is completely saturated or that contains one or more units of unsaturation, but which is not aromatic (also referred to herein as "carbocyclyl," "cycloaliphatic" or "cycloalkyl"), that has a single point of attachment to the rest of the molecule. Unless otherwise specified, aliphatic groups contain 1-6 aliphatic carbon atoms. In some embodiments, aliphatic groups contain 1-5 aliphatic carbon atoms. In some embodiments, aliphatic groups contain 1-4 aliphatic carbon atoms. In some embodiments, aliphatic groups contain 1-3 aliphatic carbon atoms, and in yet other embodiments, aliphatic groups contain 1-2 aliphatic carbon atoms.
[0031] The term "heteroatom" means one or more of oxygen, sulfur, nitrogen, phosphorus, or silicon (including, any oxidized form of nitrogen, sulfur, phosphorus, or silicon; the quaternized form of any basic nitrogen or; a substitutable nitrogen of a heterocyclic ring, for example N (as in 3,4-dihydro-2H-pyrrolyl), H (as in pyrrolidinyl) or R+ (as in N-substituted pyrrolidinyl)).
[0032] The term "unsaturated," as used herein, means that a moiety has one or more units of unsaturation.
[0033] As used herein, "alkyl" means a straight chain or branched saturated chain having from 1 to 10 carbon atoms. Representative saturated alkyl groups include, but are not limited to, methyl, ethyl, n-propyl, isopropyl, 2-methyl-l -propyl, 2-methyl-2-propyl, 2-methyl-l -butyl, 3 -methyl- 1 -butyl, 2-methyl-3 -butyl, 2,2-dimethyl-l -propyl, 2-methyl- 1-pentyl, 3 -methyl- 1-pentyl, 4-methyl-l-pentyl, 2-methyl-2-pentyl, 3-methyl-2-pentyl, 4- methyl-2-pentyl, 2,2-dimethyl-l -butyl, 3,3-dimethyl-l-butyl, 2-ethyl-l -butyl, butyl, isobutyl, t-butyl, n-pentyl, isopentyl, neopentyl, n-hexyl and the like, and longer alkyl groups, such as heptyl, and octyl and the like. An alkyl group can be unsubstituted or substituted. Alkyl groups containing three or more carbon atoms may be straight, branched or cyclized. As used herein, "lower alkyl" means an alkyl having from 1 to 6 carbon atoms.
[0034] As used herein, an "alkenyl" includes an unbranched or branched hydrocarbon chain having one or more double bonds therein. The double bond of an alkenyl group can be unconjugated or conjugated to another unsaturated group. Illustrative alkenyl groups include, but are not limited to, (C 2 -C 8 ) alkenyl groups, such as ethylenyl, vinyl, allyl, butenyl, pentenyl, hexenyl, butadienyl, pentadienyl, hexadienyl, 2-ethylhexenyl, 2- propyl-2-butenyl, 4-(2-methyl-3-butene)-pentenyl and the like. An alkenyl group can be unsubstituted or substituted.
[0035] As used herein, "alkynyl" includes an unbranched or branched hydrocarbon chain having one or more triple bonds therein. The triple bond of an alkynyl group can be unconjugated or conjugated to another unsaturated group. Suitable alkynyl groups include, but are not limited to, (C 2 -C 6) alkynyl groups, such as ethynyl, propynyl, butynyl, pentynyl, hexynyl, methylpropynyl, 4-methyl-l-butynyl, 4-propyl-2-pentynyl, 4- butyl-2-hexynyl and the like. An alkynyl group can be unsubstituted or substituted.
[0036] The terms "trifluoromethyl," "sulfonyl," and "carboxyl" include CF3 , S02, and C02 H, respectively.
[0037] The term "hydroxyl" means an OH group.
[0038] The term alkyl hydroxyl or hydroxyalkyl means an alkyl group as defined above, where the alkyl group has an OH group disposed thereon.
[0039] The term "alkoxy" as used herein includes— O-(alkyl), wherein alkyl is defined above.
[0040] The term "aminoalkyl" as used herein means a group having one or more nitrogen atoms and one or more alkyl groups as defined above on the nitrogen.
[0041] "Aralkyl" or "arylalkyl" means an aryl-alkyl-group in which the aryl and alkyl are as previously described. Preferred aralkyls comprise a lower alkyl group. Non- limiting examples of suitable aralkyl groups include benzyl, 2-phenethyl and
naphthalenylmethyl. The bond to the parent moiety is through the alkyl.
[0042] "Heteroarylalkyl" means a heteroaryl moiety as defined herein linked via an alkyl moiety (defined above) to a parent core. Non-limiting examples of suitable heteroaryls include 2-pyridinylmethyl, quinolinylmethyl, and the like.
[0043] "Heterocyclylalkyl" means a heterocyclyl moiety as defined herein linked via an alkyl moiety (defined above) to a parent core. Non-limiting examples of suitable heterocyclylalkyls include piperidinylmethyl, piperazinylmethyl and the like.
[0044] It should also be noted that any carbon as well as heteroatom with unsatisfied valences in the text, schemes, examples and Tables herein is assumed to have the sufficient number of hydrogen atom(s) to satisfy the valences.
[0045] When any variable (e.g., aryl, heterocycle, R2, etc.) occurs more than one time in any constituent or in the Formulas, its definition on each occurrence is independent of its definition at every other occurrence.
[0046] As used herein, the term "composition" is intended to encompass a product comprising the specified ingredients in the specified amounts, as well as any product which results, directly or indirectly, from combination of the specified ingredients in the specified amounts.
[0047] The term "deuterium" as used herein means a stable isotope of hydrogen having odd numbers of protons and neutrons.
[0048] The term "halo" as used herein means a substituent having at least one halogen selected from fluorine, chlorine, bromine, and iodine.
[0049] The term "cyano" as used herein means a substituent having a carbon atom joined to a nitrogen atom by a triple bond.
[0050] The term "amino" as used herein means a substituent containing at least one nitrogen atom.
[0051] The term "(amino)alkoxy" as used herein means a substituent having at least one amino group and at least one alkoxy group.
[0052] The term "aryloxy" as used herein means a substituent of the form Ar-O- where Ar is an aryl group as defined herein.
[0053] The term "methylenedioxy" as used herein means a functional group with the structural formula -0-CH2-0- which is connected to the molecule by two chemical bonds via the oxygens.
[0054] As used herein, "alkoxyalkyl" means -(alkyl)-O-(alkyl), wherein each "alkyl" is independently an alkyl group defined above.
[0055] The term "(alkoxyalkyl)amino" as used herein means a substituent having at least one alkoxyalkyl group as defined above and at least one amino group as defined above.
[0056] As used herein, the term "aryl" used alone or as part of a larger moiety as in "aralkyl," "aralkoxy," or "aryloxyalkyl," refers to a monocyclic or fused polycyclic, aromatic carbocycle (ring structure having ring atoms that are all carbon) having from 6 to 24 ring atoms, and which includes monocyclic and bicyclic ring systems having a total of five to 10 ring members, wherein at least one ring in the system is aromatic and wherein each ring in the system contains three to seven ring members. The term "aryl" may be used interchangeably with the term "aryl ring". In some embodiments, an 8-10 membered bicyclic aryl group is an optionally substituted naphthyl ring. In certain embodiments of the present invention, "aryl" refers to an aromatic ring system which includes, but not limited to, phenyl, biphenyl, naphthyl, anthracyl and the like, which may bear one or more substituents. Also included within the scope of the term "aryl," as
it is used herein, is a group in which an aromatic ring is fused to one or more non- aromatic rings, such as indanyl, phthalimidyl, naphthimidyl, phenanthridinyl, or tetrahydronaphthyl, and the like. Illustrative examples of aryl groups include, but limited to, the following moieties:
, and the like. Illustrative substituted aryls include:
20
21
22
[0057] The terms "heteroaryl" and "heteroar-," used alone or as part of a larger moiety, e.g., "heteroaralkyl," or "heteroaralkoxy," refer to groups having from 5 to 24 ring atoms, and includes those having 5 to 10 ring atoms, preferably 5, 6, or 9 ring atoms; having 6, 10, or 14 π electrons shared in a cyclic array; and having, in addition to carbon atoms, from one to five heteroatoms. Heteroaryl groups include, without limitation, thienyl, furanyl, pyrrolyl, imidazolyl, pyrazolyl, triazolyl, tetrazolyl, oxazolyl, isoxazolyl,
oxadiazolyl, thiazolyl, isothiazolyl, thiadiazolyl, pyridyl, pyridazinyl, pyrimidinyl, pyrazinyl, indolizinyl, punnyl, naphthyridinyl, and pteridinyl. The terms "heteroaryl" and "heteroar-", as used herein, also include groups in which a heteroaromatic ring is fused to one or more aryl, cycloaliphatic, or heterocyclyl rings, where the radical or point of attachment is on the heteroaromatic ring. Nonlimiting examples include indolyl, isoindolyl, benzothienyl, benzofuranyl, dibenzofuranyl, indazolyl, benzimidazolyl, benzthiazolyl, quinolyl, isoquinolyl, cinnolinyl, phthalazinyl, quinazolinyl, quinoxalinyl, 4H-quinolizinyl, carbazolyl, acridinyl, phenazinyl, phenothiazinyl, phenoxazinyl, tetrahydroquinolinyl, tetrahydroisoquinolinyl, and pyrido[2,3-b]-l,4-oxazin-3(4H)-one. A heteroaryl group may be mono- or bicyclic. The term "heteroaryl" may be used interchangeably with the terms "heteroaryl ring," "heteroaryl group," or
"heteroaromatic," any of which terms include rings that are optionally substituted. The term "heteroaralkyl" refers to an alkyl group substituted by a heteroaryl, wherein the alkyl and heteroaryl portions independently are optionally substituted. Illustrative examples of heteroaryl and substituted heteroaryl groups include, but are not limited to the following moieties:
31
32
33
, and the like.
[0058] As used herein, the term "cycloalkyl" refers to a saturated or partially saturated, monocyclic or fused or spiro polycyclic, carbocycle having from 3 to 24 ring atoms. In some embodiments, "cycloaliphatic" (or "carbocyclyl" or "cycloalkyl") refers to a monocyclic C3-C7 hydrocarbon that is completely saturated or that contains one or more units of unsaturation, but which is not aromatic, that has a single point of attachment to the rest of the molecule. Illustrative examples of cycloalkyl groups include, but are not limited to, the following moieties:
, and the like.
[0059] As used herein, the term "heterocycloalkyl" refers to a monocyclic, or fused or spiro, polycyclic, ring structure that is saturated or partially saturated and has from 3 to 24 ring atoms selected from C atoms and N, O, and S heteroatoms. In some
embodiments, the terms "heterocycle," "heterocyclyl," "heterocyclic radical," and "heterocyclic ring" are used interchangeably and refer to a stable 5- to 7-membered monocyclic or 7-10-membered bicyclic heterocyclic moiety that is either saturated or partially unsaturated, and having, in addition to carbon atoms, one or more, preferably one to four, heteroatoms, as defined above. When used in reference to a ring atom of a heterocycle, the term "nitrogen" includes a substituted nitrogen. As an example, in a saturated or partially unsaturated ring having 0-3 heteroatoms selected from oxygen, sulfur or nitrogen, the nitrogen may be N (as in 3,4-dihydro-2H-pyrrolyl), H (as in pyrrolidinyl), or + R (as in N-substituted pyrrolidinyl). A heterocyclic ring can be attached to its pendant group at any heteroatom or carbon atom that results in a stable structure and any of the ring atoms can be optionally substituted. Illustrative examples of heterocycloalkyl and substituted heterocycloalkyl groups include, but are not limited to:
41
42
43
and the like.
[0060] As used herein, the term "partially unsaturated" refers to a ring moiety that includes at least one double or triple bond. The term "partially unsaturated" is intended to encompass rings having multiple sites of unsaturation, but is not intended to include aryl or heteroaryl moieties, as herein defined.
[0061] As used herein, the term "pharmaceutically acceptable salt" refers to those salts which are, within the scope of sound medical judgment, suitable for use in contact with the tissues of humans and lower animals without undue toxicity, irritation, allergic response and the like, and are commensurate with a reasonable benefit/risk ratio.
Pharmaceutically acceptable salts are well known in the art. For example, S. M. Berge et al., describe pharmaceutically acceptable salts in detail in J. Pharmaceutical Sciences, 1977, 66, 1-19, incorporated herein by reference.
[0062] Numerical ranges, as used herein, are intended to include sequential integers. For example, a range expressed as "from 0 to 4" would include 0, 1, 2, 3 and 4.
[0063] As used herein, the terms "monocyclic, bicyclic, or tricyclic aryl, heteroaryl, cycloalkyl, or heterocycloalkyl," mean any ring of a bicyclic or tricyclic structure may independently be aryl, heteroaryl, cycloalkyl, or heterocycloalkyl in an ortho or ortho and peri fused system.
[0064] As used herein, the term "substituted" means that the specified group or moiety bears one or more suitable substituents wherein the substituents may connect to the specified group or moiety at one or more positions. For example, an aryl substituted with a cycloalkyl may indicate that the cycloalkyl connects to one atom of the aryl with a bond or by fusing with the aryl and sharing two or more common atoms.
[0065] As used herein, the term "unsubstituted" means that the specified group bears no substituents.
[0066] As used herein, the term "optionally substituted" means that the specified group is unsubstituted or substituted by one or more substituents.
[0067] When a multifunctional moiety is shown, the point of attachment to the core may be identified by a line. For e.g. (cycloalkyloxy)alkyl- refers to alkyl being the point of attachment to the core while cycloalkyl is attached to alkyl via the oxy group. In the absence of a line, attachment at any position may be assumed.
[0068] It must be noted that, as used in the specification and the appended claims, the singular forms "a," "an" and "the" include plural referents unless the context clearly dictates otherwise.
[0069] When used as a therapeutic agent the inhibitors of the FASN (FASN) described herein may be administered with one or more physiologically acceptable excipients. A physiologically acceptable carrier or excipient is a formulation to which the compound can be added to dissolve it or otherwise facilitate its administration.
[0070] The dosage forms of the present invention, may contain a mixture of one or more compounds of this invention, and may include additional materials known to those skilled in the art as pharmaceutical excipients. Stabilizing additives may be incorporated
into the delivery agent solution. With some drugs, the presence of such additives promotes the stability and dispersibility of the agent in solution. The stabilizing additives may be employed at a concentration ranging from about 0.1 and 5% (W/V), preferably about 0.5% (W/V). Suitable, but non-limiting, examples of stabilizing additives include gum acacia, gelatin, methyl cellulose, polyethylene glycol, carboxylic acids and salts thereof, and polylysine. The preferred stabilizing additives are gum acacia, gelatin and methyl cellulose.
[0071] Acidifying agents (acetic acid, glacial acetic acid, citric acid, fumaric acid, hydrochloric acid, diluted hydrochloric acid, malic acid, nitric acid, phosphoric acid, diluted phosphoric acid, sulfuric acid, tartaric acid); Aerosol propellants (butane, dichlorodifluoro-methane, dichlorotetrafluoroethane, isobutane, propane,
trichloromonofluoromethane); Air displacements (carbon dioxide, nitrogen); Alcohol denaturants (denatonium benzoate, methyl isobutyl ketone, sucrose octacetate);
Alkalizing agents (strong ammonia solution, ammonium carbonate, diethanolamine, diisopropanolamine, potassium hydroxide, sodium bicarbonate, sodium borate, sodium carbonate, sodium hydroxide, trolamine); Anticaking agents (see glidant); Antifoaming agents (dimethicone, simethicone); Antimicrobial preservatives (benzalkonium chloride, benzalkonium chloride solution, benzelthonium chloride, benzoic acid, benzyl alcohol, butylparaben, cetylpyridinium chloride, chlorobutanol, chlorocresol, cresol,
dehydroacetic acid, ethylparaben, methylparaben, methylparaben sodium, phenol, phenylethyl alcohol, phenylmercuric acetate, phenylmercuric nitrate, potassium benzoate, potassium sorbate, propylparaben, propylparaben sodium, sodium benzoate, sodium dehydroacetate, sodium propionate, sorbic acid, thimerosal, thymol); Antioxidants (ascorbic acid, acorbyl palmitate, butylated hydroxyanisole, butylated hydroxytoluene, hypophosphorous acid, monothioglycerol, propyl gallate, sodium formaldehyde sulfoxylate, sodium metabi sulfite, sodium thiosulfate, sulfur dioxide, tocopherol, tocopherols excipient); Buffering agents (acetic acid, ammonium carbonate, ammonium phosphate, boric acid, citric acid, lactic acid, phosphoric acid, potassium citrate, potassium metaphosphate, potassium phosphate monobasic, sodium acetate, sodium citrate, sodium lactate solution, dibasic sodium phosphate, monobasic sodium
phosphate); Capsule lubricants (see tablet and capsule lubricant); Chelating agents
(edetate disodium, ethylenediaminetetraacetic acid and salts, edetic acid); Coating agents (sodium carboxymethylcellulose, cellulose acetate, cellulose acetate phthalate, ethylcellulose, gelatin, pharmaceutical glaze, hydroxypropyl cellulose, hydroxypropyl methylcellulose, hydroxypropyl methylcellulose phthalate, methacrylic acid copolymer, methylcellulose, polyethylene glycol, polyvinyl acetate phthalate, shellac, sucrose, titanium dioxide, carnauba wax, microcystalline wax, zein); Colorants (caramel, red, yellow, black or blends, ferric oxide); Complexing agents (ethylenediaminetetraacetic acid and salts (EDTA), edetic acid, gentisic acid ethanolmaide, oxyquinoline sulfate); Desiccants (calcium chloride, calcium sulfate, silicon dioxide); Emulsifying and/or solubilizing agents (acacia, cholesterol, diethanolamine (adjunct), glyceryl monostearate, lanolin alcohols, lecithin, mono- and di-glycerides, monoethanolamine (adjunct), oleic acid (adjunct), oleyl alcohol (stabilizer), poloxamer, polyoxyethylene 50 stearate, polyoxyl 35 caster oil, polyoxyl 40 hydrogenated castor oil, polyoxyl 10 oleyl ether, polyoxyl 20 cetostearyl ether, polyoxyl 40 stearate, polysorbate 20, polysorbate 40, polysorbate 60, polysorbate 80, propylene glycol diacetate, propylene glycol
monostearate, sodium lauryl sulfate, sodium stearate, sorbitan monolaurate, soritan monooleate, sorbitan monopalmitate, sorbitan monostearate, stearic acid, trolamine, emulsifying wax); Filtering aids (powdered cellulose, purified siliceous earth); Flavors and perfumes (anethole, benzaldehyde, ethyl vanillin, menthol, methyl salicylate, monosodium glutamate, orange flower oil, peppermint, peppermint oil, peppermint spirit, rose oil, stronger rose water, thymol, tolu balsam tincture, vanilla, vanilla tincture, vanillin); Glidants and/or anticaking agents (calcium silicate, magnesium silicate, colloidal silicon dioxide, talc); Humectants (glycerin, hexylene glycol, propylene glycol, sorbitol); Plasticizers (castor oil, diacetylated monoglycerides, diethyl phthalate, glycerin, mono- and di-acetylated monoglycerides, polyethylene glycol, propylene glycol, triacetin, tri ethyl citrate); Polymers (e.g., cellulose acetate, alkyl celloloses,
hydroxyalkylcelloloses, acrylic polymers and copolymers); Solvents (acetone, alcohol, diluted alcohol, amylene hydrate, benzyl benzoate, butyl alcohol, carbon tetrachloride, chloroform, corn oil, cottonseed oil, ethyl acetate, glycerin, hexylene glycol, isopropyl alcohol, methyl alcohol, methylene chloride, methyl isobutyl ketone, mineral oil, peanut oil, polyethylene glycol, propylene carbonate, propylene glycol, sesame oil, water for
injection, sterile water for injection, sterile water for irrigation, purified water); Sorbents (powdered cellulose, charcoal, purified siliceous earth); Carbon dioxide sorbents (barium hydroxide lime, soda lime); Stiffening agents (hydrogenated castor oil, cetostearyl alcohol, cetyl alcohol, cetyl esters wax, hard fat, paraffin, polyethylene excipient, stearyl alcohol, emulsifying wax, white wax, yellow wax); Suspending and/or viscosity- increasing agents (acacia, agar, alginic acid, aluminum monostearate, bentonite, purified bentonite, magma bentonite, carbomer 934p, carboxymethylcellulose calcium, carboxymethylcellulose sodium, carboxymethycellulose sodium 12, carrageenan, microcrystalline and carboxymethylcellulose sodium cellulose, dextrin, gelatin, guar gum, hydroxyethyl cellulose, hydroxypropyl cellulose, hydroxypropyl methylcellulose, magnesium aluminum silicate, methylcellulose, pectin, polyethylene oxide, polyvinyl alcohol, povidone, propylene glycol alginate, silicon dioxide, colloidal silicon dioxide, sodium alginate, tragacanth, xanthan gum); Sweetening agents (aspartame, dextrates, dextrose, excipient dextrose, fructose, mannitol, saccharin, calcium saccharin, sodium saccharin, sorbitol, solution sorbitol, sucrose, compressible sugar, confectioner's sugar, syrup); Tablet binders (acacia, alginic acid, sodium carboxymethylcellulose,
microcrystalline cellulose, dextrin, ethylcellulose, gelatin, liquid glucose, guar gum, hydroxypropyl methylcellulose, methycellulose, polyethylene oxide, povidone, pregelatinized starch, syrup); Tablet and/or capsule diluents (calcium carbonate, dibasic calcium phosphate, tribasic calcium phosphate, calcium sulfate, microcrystalline cellulose, powdered cellulose, dextrates, dextrin, dextrose excipient, fructose, kaolin, lactose, mannitol, sorbitol, starch, pregelatinized starch, sucrose, compressible sugar, confectioner's sugar); Tablet disintegrants (alginic acid, microcrystalline cellulose, croscarmellose sodium, corspovidone, polacrilin potassium, sodium starch glycolate, starch, pregelatinized starch); Tablet and/or capsule lubricants (calcium stearate, glyceryl behenate, magnesium stearate, light mineral oil, polyethylene glycol, sodium stearyl fumarate, stearic acid, purified stearic acid, talc, hydrogenated vegetable oil, zinc stearate); Tonicity agent (dextrose, glycerin, mannitol, potassium chloride, sodium chloride); Vehicle: flavored and/or sweetened (aromatic elixir, compound benzaldehyde elixir, iso-alcoholic elixir, peppermint water, sorbitol solution, syrup, tolu balsam syrup); Vehicle: oleaginous (almond oil, corn oil, cottonseed oil, ethyl oleate, isopropyl
myristate, isopropyl palmitate, mineral oil, light mineral oil, myristyl alcohol, octyldodecanol, olive oil, peanut oil, persic oil, seame oil, soybean oil, squalane);
Vehicle: solid carrier (sugar spheres); Vehicle: sterile (bacteriostatic water for injection, bacteriostatic sodium chloride injection); Viscosity-increasing (see suspending agent); Water repelling agent (cyclomethicone, dimethicone, simethicone); and Wetting and/or solubilizing agent (benzalkonium chloride, benzethonium chloride, cetylpyridinium chloride, docusate sodium, nonoxynol 9, nonoxynol 10, octoxynol 9, poloxamer, polyoxyl 35 castor oil, polyoxyl 40, hydrogenated castor oil, polyoxyl 50 stearate, polyoxyl 10 oleyl ether, polyoxyl 20, cetostearyl ether, polyoxyl 40 stearate, polysorbate 20, polysorbate 40, polysorbate 60, polysorbate 80, sodium lauryl sulfate, sorbitan monolaureate, sorbitan monooleate, sorbitan monopalmitate, sorbitan monostearate, tyloxapol) may be used as excipients. This list is not meant to be exclusive, but instead merely representative of the classes of excipients and the particular excipients which may be used in dosage forms of the present invention.
[0072] The compounds of Formulas I, I- A, I-B, I-C, I-D, and I-E, and subgenera thereof can form salts which are also within the scope of this invention. Reference to a compound of the formulae herein is understood to include reference to salts thereof, unless otherwise indicated. The term "salt(s)", as employed herein, denotes acidic salts formed with inorganic and/or organic acids, as well as basic salts formed with inorganic and/or organic bases. In addition, when a compound of the formulae contains both a basic moiety, such as, but not limited to a pyridine or imidazole, and an acidic moiety, such as, but not limited to a carboxylic acid, zwitterions ("inner salts") may be formed and are included within the term "salt(s)" as used herein. Pharmaceutically acceptable (i.e., nontoxic, physiologically acceptable) salts are preferred, although other salts are also useful. Salts of the compounds of the a formula may be formed, for example, by reacting a compound of a formula with an amount of acid or base, such as an equivalent amount, in a medium such as one in which the salt precipitates or in an aqueous medium followed by lyophilization.
[0073] Exemplary acid addition salts include acetates, ascorbates, benzoates, benzenesulfonates, bisulfates, borates, butyrates, citrates, camphorates,
camphorsulfonates, fumarates, hydrochlorides, hydrobromides, hydroiodides, lactates,
maleates, methanesulfonates, naphthalenesulfonates, nitrates, oxalates, phosphates, propionates, salicylates, succinates, sulfates, tartarates, thiocyanates, toluenesulfonates (also known as tosylates,) and the like. Additionally, acids which are generally considered suitable for the formation of pharmaceutically useful salts from basic pharmaceutical compounds are discussed, for example, by P. Stahl et al, Camille G. (eds.) Handbook of Pharmaceutical Salts. Properties, Selection and Use. (2002) Zurich: Wiley-VCH; S. Berge et al, Journal of Pharmaceutical Sciences (1977) 66(1) 1-19; P. Gould, International J. of Pharmaceutics (1986) 33 201-217; Anderson et al, The Practice of Medicinal Chemistry (1996), Academic Press, New York; and in The Orange Book (Food & Drug Administration, Washington, D.C. on their website). These disclosures are incorporated herein by reference thereto.
[0074] Exemplary basic salts include ammonium salts, alkali metal salts such as sodium, lithium, and potassium salts, alkaline earth metal salts such as calcium and magnesium salts, salts with organic bases (for example, organic amines) such as dicyclohexylamines, t-butyl amines, and salts with amino acids such as arginine, lysine and the like. Basic nitrogen-containing groups may be quarternized with agents such as lower alkyl halides (e.g. methyl, ethyl, and butyl chlorides, bromides and iodides), dialkyl sulfates (e.g. dimethyl, diethyl, and dibutyl sulfates), long chain halides (e.g. decyl, lauryl, and stearyl chlorides, bromides and iodides), aralkyl halides (e.g. benzyl and phenethyl bromides), and others.
[0075] All such acid salts and base salts are intended to be pharmaceutically acceptable salts within the scope of the invention and all acid and base salts are considered equivalent to the free forms of the corresponding compounds for purposes of the invention.
[0076] Compounds of the various Formulas, and salts, solvates, esters and prodrugs thereof, may exist in their tautomeric form (for example, as an amide or imino ether). All such tautomeric forms are contemplated herein as part of the present invention.
[0077] Unless otherwise stated, structures depicted herein are also meant to include all isomeric (e.g., enantiomeric, diastereomeric, and geometric (or conformational)) forms of the structure; for example, the R and S configurations for each asymmetric
center, Z and E double bond isomers, and Z and E conformational isomers. Therefore, single stereochemical isomers as well as enantiomeric, diastereomeric, and geometric (or conformational) mixtures of the present compounds are within the scope of the invention. Unless otherwise stated, all tautomeric forms of the compounds of the invention are within the scope of the invention. Additionally, unless otherwise stated, structures depicted herein are also meant to include compounds that differ only in the presence of one or more isotopically enriched atoms. For example, compounds having the present structures including the replacement of hydrogen by deuterium or tritium, or the replacement of a carbon by a 13C- or 14C-enriched carbon are within the scope of this invention. Such compounds are useful, for example, as analytical tools, as probes in biological assays, or as therapeutic agents in accordance with the present invention.
[0078] The symbol "^ y>-y>- "? except when used as a bond to depict unknown or mixed stereochemistry, denotes the point of attachment of a chemical moiety to the remainder of a molecule or chemical formula.
Detailed Description of Certain Embodiments
[0079] The present disclosure relates to, inter alia, methods of treating, preventing or ameliorating a TH17- or CSFl-mediated disease or disorder by administering to a patient in need thereof a therapeutically effective amount of a FASN inhibitor, or a pharmaceutically acceptable salt, hydrate, solvate, prodrug, stereoisomer, or tautomer thereof. In some embodiments, methods of the present disclosure can be used in the treatment of a variety of TH17 or CSFl dependent diseases and disorders. Inhibition of FASN for the treatment of TH17- or CSFl-mediated diseases or disorders provides a novel approach to the treatment, prevention, or amelioration of diseases including, but not limited to, cancer, immunological disorders, and obesity.
[0080] In some embodiments, the present invention provides methods of inhibiting the secretion of IL-17, comprising contacting cells capable of secreting IL-17 with a FASN inhibitor. While not wishing to be bound by any particular theory, the present disclosure encompasses the recognition that FASN inhibitors may act on IL-17 production through blockage of TH17 differentiation. The present disclosure also
encompasses the recognition that FASN inhibitors that act to block TH17 differentiation and/or secretion of IL-17 are particularly useful in the treatment of diseases, disorder, or conditions associated with such pathways, for example, NASH.
[0081] The present disclosure also encompasses the recognition that FASN inhibition is useful for reducing the rate of de novo lipogenesis (DNL), which, without wishing to be bound by any particular theory, affects lipid accumulation in the liver causing cellular damage, inflammation, and fibrosis associated with NASH. In certain embodiments, the present invention provides a method for treating a condition or disease associated with reducing the rate of DNL. In certain embodiments, the method comprises administering to a patient in need of a treatment for a condition or disease associated with reducing the rate of DNL an effective amount of a FASN inhibitor.
[0082] In some embodiments, the present invention provides methods of treating conditions and diseases associated with IL-17 comprising administering to a patient in need thereof a FASN inhibitor. In some embodiments, FASN inhibitors useful in such methods are those which, when incubated with activated CD4+ T cells, cultured under TH17 polarizing conditions, inhibit the production of IL-17 in the presence of cytokines.
[0083] In one aspect, the disclosure relates to a method of treating a condition or disease associated with TH17 mediated inflammation. In some embodiments, the method comprises administering to a patient in need of a treatment for a condition or a disease associated with TH17 mediated inflammation an effective amount of a FASN inhibitor.
[0084] Another aspect of the present disclosure relates to a method of treating a condition or disease associated with IL-17 receptor activation. In some embodiments, the method comprises administering to a patient in need of a treatment for a condition or a disease associated with IL-17 receptor activation an effective amount of a FASN inhibitor.
[0085] Another aspect of the present disclosure relates to a method of treating a condition or disease associated with TH17 differentiation. In some embodiments, the method comprises administering to a patient in need of a treatment for a condition or a disease associated with IL-17 receptor activation an effective amount of a FASN inhibitor.
[0086] In some embodiments, IL-17 secretion is inhibited by at least 1%. In some embodiments, IL-17 secretion is inhibited by at least 5%. In some embodiments, IL-17 secretion is inhibited by at least 10%. In some embodiments, IL-17 secretion is inhibited by at least 25%. In some embodiments, IL-17 secretion is inhibited by at least 30%. In some embodiments, IL-17 secretion is inhibited by at least 35%. In some embodiments, IL-17 secretion is inhibited by at least 40%. In some embodiments, IL-17 secretion is inhibited by at least 45%. In some embodiments, IL-17 secretion is inhibited by at least 50%). In some embodiments, IL-17 secretion is inhibited by at least 55%. In some embodiments, IL-17 secretion is inhibited by at least 60%. In some embodiments, IL-17 secretion is inhibited by at least 65%. In some embodiments, IL-17 secretion is inhibited by at least 70%. In some embodiments, IL-17 secretion is inhibited by at least 75%. In some embodiments, IL-17 secretion is inhibited by at least 80%. In some embodiments, IL-17 secretion is inhibited by at least 85%. In some embodiments, IL-17 secretion is inhibited by at least 90%. In some embodiments, IL-17 secretion is inhibited by at least 95%). In some embodiments, IL-17 secretion is inhibited by at least 99%.
[0087] In some embodiments, FASN inhibitors are those disclosed in WO 2014/164749.
[0088] The compounds disclosed herein can be prepared in a manner similar to the procedures described in US 2016/0002188, the entire contents of which are hereby incorporated by reference.
[0089] In some embodiments, FASN inhibitors comprise a compound of formula I:
I
or a pharmaceutically acceptable salt thereof, wherein
Ri is a C1-C3 hydroxyl-alkyl either unsubstituted or substituted with -CH3 or-CHzF3-Z;
5 membered cycloalkyl either unsubstituted or substituted with substituents
selected from the group consisting of deuterium, -Rp, -ORp, and - RpRpi, or 3 or 4 membered cycloalkyl or heterocycloalkyl wherein (i) the heteroatom ring member of the 3 or 4 membered heterocycloalkyl is independently selected from O, S, or N, and (ii) the 3 or 4 membered cycloalkyl or heterocycloalkyl is either unsubstituted or optionally substituted with substituents selected from the group consisting of deuterium, -Ra, -ORa, and - RaRai;
L is a 5-10 membered monocyclic or bicyclic alkyl or heteroalkyl wherein (i) the
heteroatom ring members of the 5-10 membered monocyclic or bicyclic heteroalkyl are independently selected from O, S, or N, and (ii) each of the 5-10 membered monocyclic or bicyclic alkyl or heteroalkyl is either unsubstituted or optionally substituted with substituents selected from the group consisting of deuterium and -R ;
A and B are independently O or S;
Ar1 is a 4-10 membered monocyclic or bicyclic aryl, heteroaryl or heterocycloalkyl, wherein (i) the 4-10 membered monocyclic or bicyclic heteroaryl or
heterocycloalkyl has 1, 2, 3, or 4 heteroatoms which are independently selected from N, S or O, and (ii) each of said 4-10 membered monocyclic or bicyclic aryl, heteroaryl, or heterocycloalkyl is either unsubstituted or optionally independently substituted with 1 or more substituents which can be the same or different and are independently selected from the group consisting of deuterium and -Rq;
R2 is H or a 4-15 membered monocyclic, bicyclic, or tricyclic aryl, heteroaryl, cycloalkyl, or heterocycloalkyl, wherein (i) the 4-15 membered monocyclic, bicyclic, or tricyclic heteroaryl or heterocycloalkyl has 1, 2, 3, 4, 5, 6, 7, or 8 heteroatoms which are independently selected from N, S or O, and (ii) the aryl, heteroaryl, cycloalkyl, or heterocycloalkyl is optionally substituted with r instances of Re; each Rp and Rpi is independently H, C1-C4 alkyl, or C3-C4 cycloalkyl;
each Ra and Rai is independently H, C1-C4 alkyl, or C3-C4 cycloalkyl;
each Rb is independently halo, C1-C4 alkyl, C1-C3 hydroxyl-alkyl, or C3-C4 cycloalkyl; each Re is independently halo, cyano, nitro, hydroxyl, hydroxyl-alkyl,
hydroxylcycloalkyl, hydroxyl, heterocycloalkyl, hydroxyl-aryl, hydroxyl- heteroaryl, amino, aminoalkyl, (amino)alkoxy, -CONH2, -C(0) H(alkyl), -
C(0)N(alkyl)2, -C(0)NH(aryl), -C(0)N(aryl)2, -CHZF3-Z, -OCHzF3-Z; alkyl, alkoxy, alkenyl, alkynyl, aryloxy, (alkoxyalkyl)amino, cycloalkyl, heterocycloalkyl, (heterocycloalkyl)alkyl, aryl, heteroaryl, -O(alkyl), -O(cycloalkyl), - O(heterocycloalkyl), -O(aiyl), -O(heteroaiyl), -ONH2, -C(0) H(alkyl), - C(0)N(aryl)2, -C(0) H(cycloalkyl), - H(CO)cycloalkyl, - H(S02), - H(S02)alkyl, - H(S02)aryl, - H(S02)heteroaiyl, -N(S02)cycloalkyl, - C(0)N(alkyl)2, (aryl)alkyl, (heteroaryl)alkyl, -S(0)2-alkyl, -S(0)2-aryl, -S(0)2- cycloalkyl, -C(0)N(alkyl)2, -C(0)alkyl, - H-C(0)-alkyl, - H-C(0)-cycloalkyl, - H-C(0)-heterocycloalkyl, -NH-C(0)-heterocycloalkyl-Rd; - H-C(0)-Rd, -NH- C(0)-aryl, - H-C(0)- H-alkyl, - H-C(0)- H-cycloalkyl, - H2(CO)cycloalkyl, - H-C(0)- H-aryl, - H-C(0)-0-alkyl, - H-C(0)- H-cycloalkyl, -NH-C(O)- O-cycloalkyl, -N(Rd)-C(0)-alkyl, -N(Rd)-C(0)-aryl, -N(Rd)-S(02)cycloalkyl, - S(02) H2, -S(02)NH(alkyl), -S(02)N(Rd)cycloalkyl, -S(02)N(alkyl)2, - C(0)N(H)(alkyl), -C(0)N(Rd)(cycloalkyl), methylenedioxy, -CHZF3-Z, or - OCHzF3-z;
each Rq is independently halo, alkyl, -CHZF3-Z, cyano, nitro, hydroxyl, hydroxylalkyl, amino, aminoalkyl, (amino)alkoxy, -CO H2, -C(0) H(alkyl), -C(0)N(alkyl)2, - C(0) H(aryl), -C(0)N(aryl)2, -OCHzF3-z, alkyl, alkenyl, alkynyl, alkoxy, (alkoxyalkyl)amino, -N(Rc)-C(0)-alkyl, -N(Rc)-C(0)-aryl, cycloalkyl,
heterocycloalkyl, aryl, or heteroaryl;
each Rc is independently H, halo, C1-C4 alkyl, or C3-C4 cycloalkyl;
each Rd is independently H, halo, C1-C4 alkyl, or C3-C4 cycloalkyl;
with the proviso that no two adjacent ring heteroatoms are both S or both O;
m is 1, 2, 3, or 4;
n is 1, 2, 3, or 4;
r is 1, 2, 3, or 4
and z is 0, 1, 2, 3, or 4;
or solvates, esters, prodrugs or isomers thereof.
(I-A) wherein:
Ari, Ri, R2, Ra, Rai, Rd, Re, Rp, Rpi, Rq, m, r, and z are defined above and described in classes and subclasses herein, both singly and in combination;
or pharmaceutically acceptable salts, solvates, esters, prodrugs or isomers thereof.
[0091] In some embodiments, FASN inhibitors comprise a compound of formula I-B:
(I-B)
wherein:
Ari, R2, Rc, Rd, Re, Rq, m, r, and z are defined above and described in classes and
subclasses herein, both singly and in combination;
or solvates, esters, prodrugs or isomers thereof.
[0092] In some embodiments, FASN inhibitors comprise a compound of formula I-C:
Ri, R-2, Ra, Rai, Rc, Rd, Re, Rp, Rpi, Rq, r, and z are defined above and described in classes and subclasses herein, both singly and in combination; Rq is H, halo, C1-C4 alkyl, or C3-C4 cycloalkyl;
or solvates, esters, prodrugs or isomers thereof.
[0093] In some embodiments, FASN inhibitors comprise a compound of formula I-
C :
(I-C)
wherein:
Ri, Ra, Rai, Rc, Rd, Re, Rp, Rpi, Rq, in, r, and z are defined above and described in classes and subclasses herein, both singly and in combination;
or solvates, esters, prodrugs or isomers thereof.
[0094] In some embodiments, FASN inhibitors comprise a compound of formula I- C" :
(I-C")
wherein:
Ri, Ra, Rai, Rc, Rd, Re, Rp, Rpi, Rq, m, r, and z are defined above and described in classes and subclasses herein, both singly and in combination;
or solvates, esters, prodrugs or isomers thereof.
[0095] In some embodiments, FASN inhibitors comprise a compound of formula I-D:
(I-D) wherein:
Ri' is OH or NH2;
Ari, R2, Rc, Rd, Re, Rq, m, r, and z are defined above and described in classes and
subclasses herein, both singly and in combination;
or solvates, esters, prodrugs or isomers thereof.
[0096] In some embodiments, FASN inhibitors comprise a compound of formula I-E:
(I-E) wherein:
Ri, R2, Ra, Rai, Rc, Rd, Re, Rp, Rpi, Rq, in, r, and z are defined above and described in classes and subclasses herein, both singly and in combination;
or solvates, esters, prodrugs or isomers thereof.
[0097] In some embodiments, FASN inhibitors comprise a compound of formula I-F:
Ri, R2, Rp, Rpi, Ra, Rai, Rb, Rc, Rd, Re, Rq, n, m, r, and z are defined above and described in classes and subclasses herein, both singly and in combination;
or solvates, esters, prodrugs or isomers thereof.
[0098] In some embodiments, FASN inhibitors comprise a compound of formula I-
F' :
(I-F')
wherein:
Ri, Rp, Rpi, Ra, Rai, Rc, Rd, Re, Rq, n, m, r, and z are defined above and described in
classes and subclasses herein, both singly and in combination;
or solvates, esters, prodrugs or isomers thereof.
[0099] In some embodiments, FASN inhibitors comprise a compound of formula I-
F" :
wherein:
Ri, Rp, Rpi, Ra, Rai, Rc, Rd, Re, Rq, n, m, r, and z are defined above and described in
classes and subclasses herein, both singly and in combination;
or solvates, esters, prodrugs or isomers thereof.
[00100] The following embodiments are directed to any Formulas described herein, as applicable. For any moieties that are not specifically defined, the previous definitions control. Further, the moieties aryl, heteroaryl, and heterocycloalkyl in these embodiments can be independently unsubstituted or optionally substituted or optionally fused as described earlier.
[00101] In some embodiments, Ri is C1-C3 hydroxyl-alkyl either unsubstituted or substituted with -CH3 or-CHzF3-z, and A, B, L, Ari, R2, Rp, Rpi, Ra, Rai, Rb, Rc, Rd, Rq and z are as defined above and described in classes and subclasses herein, both singly and in combination.
[00102] In some embodiments, Ri is a 5 membered cycloalkyl either unsubstituted or substituted with hydroxyl, and A, B, L, Ari, R2, Rp, Rpl, Ra, Rai, Rb, Rc, Rd , Rq and z are as defined above and described in classes and subclasses herein, both singly and in combination.
[00103] In some embodiments, Ri is a 3 or 4 membered cycloalkyl, and A, B, L, Ari, R2, Rp, Rpi, Ra, Rai, Rb, Rc, Rd, Rq and z are as defined above and described in classes and subclasses herein, both singly and in combination.
[00104] In some embodiments, Ri is a 3 or 4 membered heterocycloalkyl, and A, B, L, Ari, R2, RP, Rpi, R¾ Rai, Rb, Rc, Rd, Rq and z are as defined above and described in classes and subclasses herein, both singly and in combination.
[00105] In some embodiments, Ri is
and A, B, L, Arb R2, Ra, Rai, Rb, Rc, Rd, Re, RP, Rpi, Rq, n, m, r, and z are as defined above and described in classes and subclasses herein, both singly and in combination.
and A, B, L, Ari, R2, Ra, Rai, Rb, Rc, Rd, Re, RP, Rpi, Rq, n, m, r, and z are as defined above and described in classes and subclasses herein, both singly and in combination.
Rc, Rd, Re, Rp, Rpi, Rq, n, m, r, and z are as defined above and described in classes and subclasses herein, both singly and in combination.
[00108] In some embodiments, Ri is
Re, Rp, Rpi, Rq, n, m, r, and z are as defined above and described in classes and subclasses herein, both singly and in combination.
[00109] In some embodiments, A and B are O, and L, Ari, Ri, R2, Ra, Rai, Rb, Rc, Rd, Re, Rp, Rpi, Rq, n, m, r, and z are as defined above and described in classes and subclasses herein, both singly and in combination.
[00110] In some embodiments, A and B are S, and L, Ari, Ri, R2, R¾ Rai, Rb, Rc, Rd, Re, Rp, Rpi, Rq, n, m, r, and z are as defined above and described in classes and subclasses herein, both singly and in combination.
[00111] In some embodiments, either A or B is O, the other is S, and L, Ar Ri, R2, Ra, Rai, R , Rc, Rd, Re, Rp, Rpi, Rq, n, m, r, and z are as defined above and described in classes and subclasses herein, both singly and in combination.
[00112] In some embodiments, L is a 5-10 membered monocyclic alkyl, and A, B, Ari, Ri, R2, Ra, Rai, R , Rc, Rd, Re, Rp, Rpi, Rq, n, m, r, and z are as defined above and described in classes and subclasses herein, both singly and in combination.
[00113] In some embodiments, L is a 5-10 membered bicyclic alkyl, and A, B, Ari, Ri, R2, Ra, Rai, Rb, Rc, Rd, Re, RP, Rpi, Rq, n, m, r, and z are as defined above and described in classes and subclasses herein, both singly and in combination.
[00114] In some embodiments, L is a 5-10 membered monocyclic heteroalkyl, and A, B, Ari, Ri, R2, Ra, Rai, Rb, Rc, Rd, Re, Rp, Rpi, Rq, n, m, r, and z are as defined above and described in classes and subclasses herein, both singly and in combination.
[00115] In some embodiments, L is a 5-10 membered bicyclic hetroalkyl, and A, B, Ari, Ri, R2, Ra, Rai, Rb, Rc, Rd, Re, Rp, Rpi, Rq, n, ni, r, and z are as defined above and described in classes and subclasses herein, both singly and in combination.
[00116] In some embodiments, L is , m is 1, 2,or 3, n is 0,
1, 2, or 3, and A, B, Ari, Ri, R2, Ra, Rai, Rb, Rc, Rd, Re, RP, Rpi, Rq, n, m, r, and z are as defined above and described in classes and subclasses herein, both singly and in combination.
[00117] In some embodiments, L is , and A, B, Ar Ri,
R2, Ra, Rai, Rb, Rc, Rd, Re, Rp, Rpi, Rq, n, ni, r, and z are as defined above and described in classes and subclasses herein, both singly and in combination.
[00118] In some embodiments, L is , and A, B, Ar Ri,
R2, Ra, Rai, R , Rc, Rd, Re, RP, Rpi, Rq, n, m, r, and z are as defined above and described in classes and subclasses herein, both singly and in combination.
[00119] In some embodiments, Ari is an aryl, and A, B, L, Ri, R2, Ra, Rai, R , Rc, Rd, Re, Rp, Rpi, Rq, n, m, r, and z are as defined above and described in classes and subclasses herein, both singly and in combination.
[00120] In some embodiments, Ari is a heteroaryl, and A, B, L, Ri, R2, Ra, Rai, Rb, Rc, Rd, Re, Rp, Rpi, Rq, n, m, r, and z are as defined above and described in classes and subclasses herein, both singly and in combination.
[00121] In some embodiments, Ar1 is a 5-10 membered monocyclic aryl, and A, B, L, Ri, R2, Ra, Rai, Rb, Rc, Rd, Re, Rp, Rpi, Rq, n, m, r, and z are as defined above and described in classes and subclasses herein, both singly and in combination.
[00122] In some embodiments, Ar1 is a 5-10 membered bicyclic aryl, and A, B, L, Ri, R2, Ra, Rai, Rb, Rc, Rd, Re, Rp, Rpi, Rq, n, m, r, and z are as defined above and described in classes and subclasses herein, both singly and in combination.
[00123] In some embodiments, Ar1 is a 5-10 membered monocyclic hetroaryl, and A, B, L, Ri, R2, Ra, Rai, Rb, Rc, Rd, Re, Rp, Rpi, Rq, n, m, r, and z are as defined above and described in classes and subclasses herein, both singly and in combination.
[00124] In some embodiments, Ar1 is a 5-10 membered bicyclic heteroaryl, and A, B, L, Ri, R2, Ra, Rai, Rb, Rc, Rd, Re, Rp, Rpi, Rq, n, m, r, and z are as defined above and described in classes and subclasses herein, both singly and in combination.
[00125] In some embodiments, Ar1 is a substituted or unsubstituted 5 membered monocyclic aryl or heteroaryl and said heteroaryl has 1 or 2 heteroatoms which are independently S or N, and A, B, L, R R2, Ra, Rai, Rb, Rc, Rd, Re, Rp, Rpi, Rq, n, m, r, and z are as defined above and described in classes and subclasses herein, both singly and in combination.
[00126] In some embodiments, Ar1 is a substituted or unsubstituted form of
, and A, B, L, Ri, R2, Ra, Rai, Rb, Rc, Rd, Re, Rp, Rpi, Rq, n, m, r, and z are as defined above and described in classes and subclasses herein, both singly and in combination.
[00127] In some embodiments, Ar1 is a substituted or unsubstituted 6 membered monocyclic aryl or heteroaryl and said heteroaryl has 1 or 2 heteroatoms which are N, and A, B, L, Ri, R2, Ra, Rai, Rb, Rc, Rd, Re, Rp, Rpi, Rq, n, m, r, and z are as defined above and described in classes and subclasses herein, both singly and in combination.
[00128] In some embodiments, Ar1 is a substituted or unsubstituted form of
, Phi is phenyl, pyridinyl, pyrazinyl, or pyrimidinyl, ¾ is H, halo, or C1-C3 alkyl, and A, B, L, Rb R2, Ra, Rai, Rb, Rc, Rd, RP, Rpi, Rq, n, m, r, and z are as defined above and described in classes and subclasses herein, both singly and in combination.
[00129] In some embodiments, Ar1 is a substituted or unsubstituted form of
, or , and A, B,
L, Ri, R2, Ra, Rai, Rb, Rc, Rd, Re, Rp, Rpi, Rq, n, m, r, and z are as defined above and described in classes and subclasses herein, both singly and in combination.
[00130] In some embodiments, Ar1 is a substituted or unsubstituted 6 membered monocyclic aryl, and A, B, L, Rh R2, Ra, Rai, Rb, Rc, Rd, Re, RP, Rpi, Rq, n, m, r, and z are as defined above and described in classes and subclasses herein, both singly and in combination.
[00131] In some embodiments, Ar1 is , Re is H, halo, or C1-C3 alkyl, and A, B, L, Ri, R2, Ra, Rai, Rb, Rc, Rd, RP, Rpi, Rq, n, m, r, and z are as defined above and described in classes and subclasses herein, both singly and in combination.
[00132] In some embodiments, Ar1 is
, or , and A, B, L, Ri, R2, Ra, Rai, Rb, Rc, Rd, Re, Rp,
Rpi, Rq, n, m, r, and z are as defined above and described in classes and subclasses herein, both singly and in combination.
[00133] In some embodiments, Ar1 is a substituted or unsubstituted 9 membered 6,5- bicyclic heteroaryl and and said heteroaryl has 1, 2, or 3 heteroatoms which are independently O, S or N, and A, B, L, Rh R2, Ra, Rab Rb, Rc, Rd, Re, Rp, Rpb Rq, n, m, r, and z are as defined above and described in classes and subclasses herein, both singly and in combination.
[00134 In some embodiments, Ar1 is a substituted or unsubstituted form of
, or and said heteroaryl has 1, 2, or 3 heteroatoms which are independently S or N, and A, B, L, Ri, R2,
Ra, Rai, Rb, Rc, Rd, Re, Rp, Rpi, Rq, n, m, Γ, and z are as defined above and described in classes and subclasses herein, both singly and in combination.
[00135] In some embodiments, R2 is a substituted or unsubstituted aryl, and A, B, L, Ari, Ri, Ra, Rai, Rb, Rc, Rd, Re, Rp, Rpi, Rq, n, m, r, and z are as defined above and described in classes and subclasses herein, both singly and in combination.
[00136] In some embodiments, R2 is a substituted or unsubstituted heteroaryl, and A, B, L, Ari, Ri, Ra, Rai, Rb, Rc, Rd, Re, Rp, Rpi, Rq, n, m, r, and z are as defined above and described in classes and subclasses herein, both singly and in combination.
[00137] In some embodiments, R2 is a substituted or unsubstituted cycloalkyl, and A, B, L, Ari, Ri, R¾ Rai, ¾, Rc, Rd, Re, Rp, Rpi, Rq, n, m, r, and z are as defined above and described in classes and subclasses herein, both singly and in combination.
[00138] In some embodiments, R2 is a substituted or unsubstituted heterocycloalkyl, and A, B, L, Ari, Ri, R¾ Rai, Rb, Rc, Rd, Re, Rp, Rpi, Rq, n, m, r, and z are as defined above and described in classes and subclasses herein, both singly and in combination.
[00139] In some embodiments, R2 is a substituted or unsubstituted monocyclic or bicyclic 5-10 membered aryl or heteroaryl, and A, B, L, Ari, Ri, R¾ Rai, Rb, Rc, Rd, Re, Rp, Rpi, Rq, n, m, r, and z are as defined above and described in classes and subclasses herein, both singly and in combination.
[00140] In some embodiments, R2 is a unsubstituted or substituted monocylic 6 membered aryl, and A, B, L, Ari, Ri, R¾ Rai, Rb, Rc, Rd, Re, Rp, Rpi, Rq, n, m, r, and z are as defined above and described in classes and subclasses herein, both singly and in combination.
, or , and A, B,
L, Ari, Ri, Ra, Rai, Rb, Rc, Rd, Rp, Rpi, Rq, n, m, and z are as defined above and described in classes and subclasses herein, both singly and in combination.
[00142] In some embodiments, R2 is a substituted or unsubstituted bicyclic 8-10 membered aryl or 8-10 membered heteroaryl, and A, B, L, Ari, Ri, R¾ Rai, Rb, Rc, Rd, Re, Rp, Rpi, Rq, n, m, r, and z are as defined above and described in classes and subclasses herein, both singly and in combination.
[00143] In some embodiments, R2 is a substituted or unsubstituted 8 membered 5,5 bicyclic heteroaryl and said heteroaryl has 1, 2, 3, or 4 heteroatoms and said hetroatoms
are independently O, S, or N, and A, B, L, Ari, Ri, Ra, Rai, Rb, Rc, Rd, Re, RP, Rpi, Rq, n, m, r, and z are as defined above and described in classes and subclasses herein, both singly and in combination.
[00144] In some embodiments, R2 is a substituted or unsubstituted form of
Rai, Rb, Rc, Rd, Re, Rp, Rpi, Rq, n, m, r, and z are as defined above and described in classes and subclasses herein, both singly and in combination.
[00145] In some embodiments, R2 is a substituted or unsubstituted 9 membered 6,5 bicyclic heteroaryl and said heteroaryl has 1, 2, 3, or 4 heteroatoms and said hetroatoms are independently O, S, or N, and A, B, L, Ari, Ri, R¾ Rai, Rb, Rc, Rd, Re, RP, Rpi, Rq, n, m, r, and z are as defined above and described in classes and subclasses herein, both singly and in combination.
[00146] In some embodiments, R2 is a substituted or unsubstituted form of
73
74
or
, and A, B, L, Ai Ri, Ra, Rai, Rb, Rc, Rd, Re, RP, RPi, Rq, n, m, r, and z are as defined above and described in classes and subclasses herein, both singly and in combination.
[00147] In some embodiments, R2 is a substituted or unsubstituted 10 membered 6,6 bicyclic aryl or heteroaryl and said heteroaryl has 1, 2, 3, or 4 heteroatoms and said hetroatoms are O, S, or N, and A, B, L, Ar Ri, Ra, Rai, Rb, Rc, Rd, Re, RP; Rpi, Rq, n, m, r, and z are as defined above and described in classes and subclasses herein, both singly and in combination.
[00148] In some embodiments, R2 is a substituted or unsubstituted form of
Ra, Rai, Rb, Rc, Rd, Re, Rp, Rpi, Rq, n, m, r, and z are as defined above and described in classes and subclasses herein, both singly and in combination.
[00149] In some embodiments, R2 is optionally substituted benzoxazolyl, and A, B, L, Ari, Ri, Ra, Rai, Rb, Rc, Rd, Re, Rp, Rpi, Rq, n, m, r, and z are as defined above and described in classes and subclasses herein, both singly and in combination.
[00150] In some embodiments, R2 is optionally substituted benzimidazolyl, and A, B, L, Ari, Ri, Ra, Rai, Rb, Rc, Rd, Re, RP, Rpi, Rq, n, m, r, and z are as defined above and described in classes and subclasses herein, both singly and in combination.
[00151] In some embodiments, Rp is H, and A, B, L, Ari, Ri, R2, R¾ Rai, Rb, Rc, Rd, Re, Rpi, Rq, n, m, r, and z as defined above and described in classes and subclasses herein, both singly and in combination.
[00152] In some embodiments, Rp is halo, and A, B, L, Ari, Ri, R2, R¾ Rai, Rb, Rc, Rd, Re, Rpi, Rq, n, m, r, and z are as defined above and described in classes and subclasses herein, both singly and in combination.
[00153] In some embodiments, Rp is C1-C4 alkyl, and A, B, L, Ari, Ri, R2, R¾ Rai, Rb, Rc, Rd, Re, Rpi, Rq, n, m, r, and z are as defined above and described in classes and subclasses herein, both singly and in combination.
[00154] In some embodiments, Rp is C3-C4 cycloalkyl, and A, B, L, Ar Ri, R2, Ra, Rai, Rb, Rc, Rd, Re, Rpi, Rq, n, m, r, and z are as defined above and described in classes and subclasses herein, both singly and in combination.
[00155] In some embodiments, Rpi is H, and A, B, L, Ari, Ri, R2, R¾ Rai, Rb, Rc, Rd, Re, Rp, Rq, n, m, r, and z are as defined above and described in classes and subclasses herein, both singly and in combination.
[00156] In some embodiments, Rpi is halo, and A, B, L, Ari, Ri, R2, Ra, Rai, Rb, Rc, Rd, Re, Rp, Rq, n, m, r, and z are as defined above and described in classes and subclasses herein, both singly and in combination.
[00157] In some embodiments, Rpi is C1-C4 alkyl, and A, B, L, Ari, Ri, R2, Ra, Rai, Rb, Rc, Rd, Re, RP, Rq, n, m, r, and z are as defined above and described in classes and subclasses herein, both singly and in combination.
[00158] In some embodiments, Rpi is C3-C4 cycloalkyl, and A A, B, L, Ari, Ri, R2, Ra, Rai, R , Rc, Rd, Re, Rp, Rq, n, m, r, and z are as defined above and described in classes and subclasses herein, both singly and in combination.
[00159] In some embodiments, Ra is H, and A, B, L, Arb Rh R2, Ral, Rb, Rc, Rd, Re, Rp, Rpi, Rq, n, m, r, and z are as defined above and described in classes and subclasses herein, both singly and in combination.
[00160] In some embodiments, Ra is halo, and A, B, L, Ari, Ri, R2, Rai, ¾, Rc, Rd, Re, Rp, Rpi, Rq, n, m, r, and z are as defined above and described in classes and subclasses herein, both singly and in combination.
[00161] In some embodiments, Ra is C1-C4 alkyl, and A, B, L, Ari, Ri, R2, Rai, ¾, Rc, Rd, Re, RP, Rpi, Rq, n, m, r, and z are as defined above and described in classes and subclasses herein, both singly and in combination.
[00162] In some embodiments, Ra is C3-C4 cycloalkyl, and A, B, L, Ar Ri, R2, Rai, Rb, Rc, Rd, Re, Rp, Rpi, Rq, n, m, r, and z are as defined above and described in classes and subclasses herein, both singly and in combination.
[00163] In some embodiments, Rai is H, and A, B, L, Ari, Ri, R2, Ra, Rb, Rc, Rd, Re, Rp, Rpi, Rq, n, m, r, and z are as defined above and described in classes and subclasses herein, both singly and in combination.
[00164] In some embodiments, Rai is halo, and A, B, L, Ari, Ri, R2, Ra, Rb, Rc, Rd, Re, Rp, Rpi, Rq, n, m, r, and z are as defined above and described in classes and subclasses herein, both singly and in combination.
[00165] In some embodiments, Rai is C1-C4 alkyl, and A, B, L, Ari, Ri, R2, Ra, Rb, Rc, Rd, Re, Rp, Rpi, Rq, n, m, r, and z are as defined above and described in classes and subclasses herein, both singly and in combination.
[00166] In some embodiments, Rai is C3-C4 cycloalkyl, and A, B, L, Ari, Ri, R2, Ra, Rb, Rc, Rd, Re, Rp, Rpi, Rq, n, m, r, and z are as defined above and described in classes and subclasses herein, both singly and in combination.
[00167] In some embodiments, Rb is H, and A, B, L, Ari, Ri, R2, R¾ Rai, Rc, Rd, Re, Rp, Rpi, Rq, n, m, r, and z are as defined above and described in classes and subclasses herein, both singly and in combination.
[00168] In some embodiments, Rb is halo, and A, B, L, Arh Kh R2, Ra, Ral, Rc, Rd, Re, Rp, Rpi, Rq, n, m, r, and z are as defined above and described in classes and subclasses herein, both singly and in combination.
[00169] In some embodiments, Rb is C1-C4 alkyl, and A, B, L, Ari, Ri, R2, R¾ Rai, Rc, Rd, Re, Rp, Rpi, Rq, n, m, r, and z are as defined above and described in classes and subclasses herein, both singly and in combination.
[00170] In some embodiments, Rb is C1-C3 hydroxyl-alkyl, and A, B, L, Ari, Ri, R2, Ra, Rai, Rc, Rd, Re, Rp, Rpi, Rq, n, m, r, and z are as defined above and described in classes and subclasses herein, both singly and in combination.
[00171] In some embodiments, Rb is C3-C4 cycloalkyl, and A, B, L, Ar Ri, R2, Ra, Rai, Rc, Rd, Re, Rp, Rpi, Rq, n, m, r, and z are as defined above and described in classes and subclasses herein, both singly and in combination.
[00172] In some embodiments, Rc is H, and A, B, L, Ari, Ri, R2, R¾ Rai, Rb, Rd, Re, Rp, Rpi, Rq, n, m, r, and z are as defined above and described in classes and subclasses herein, both singly and in combination.
[00173] In some embodiments, Rc is halo, and A, B, L, Ari, Ri, R2, R¾ Rai, Rb, Rd, Re, Rp, Rpi, Rq, n, m, r, and z are as defined above and described in classes and subclasses herein, both singly and in combination.
[00174] In some embodiments, Rc is C1-C4 alkyl, and A, B, L, Ari, Rh R2, Ra, Rai, Rb, Rd, Re, Rp, Rpi, Rq, n, m, r, and z are as defined above and described in classes and subclasses herein, both singly and in combination.
[00175] In some embodiments, Rc is C3-C4 cycloalkyl, and A, B, L, Ari, Ri, R2, Ra, Rai, Rb, Rd, Re, Rp, Rpi, Rq, n, m, r, and z are as defined above and described in classes and subclasses herein, both singly and in combination.
[00176] In some embodiments, Rd is H, and A, B, L, Ari, Ri, R2, R¾ Rai, Rb, Rc, Re, Rp, Rpi, Rq, n, m, r, and z are as defined above and described in classes and subclasses herein, both singly and in combination.
[00177] In some embodiments, Rd is halo, and A, B, L, Arh Kh R2, Ra, Ral, Rb, Rc, Re, Rp, Rpi, Rq, n, m, r, and z are as defined above and described in classes and subclasses herein, both singly and in combination.
[00178] In some embodiments, Rd is C1-C4 alkyl, and A, B, L, Ari, Ri, R2, R¾ Rai, Rb, Rc, Re, Rp, Rpi, Rq, n, m, r, and z are as defined above and described in classes and subclasses herein, both singly and in combination.
[00179] In some embodiments, Rd is C3-C4 cycloalkyl, and A, B, L, Ari, Ri, R2, R¾ Rai, Rb, Rc, Re, Rp, Rpi, Rq, n, m, r, and z are as defined above and described in classes and subclasses herein, both singly and in combination.
[00180] In some embodiments, Rq is H, and A, B, L, Arb Rh R2, Ra, Ral, Rb, Rc, Re, Rp, Rpi, Rd, n, m, r, and z are as defined above and described in classes and subclasses herein, both singly and in combination.
[00181] In some embodiments, Rq is halo, and A, B, L, Ari, Ri, R2, R¾ Rai, Rb, Rc, Re, Rp, Rpi, Rd, n, m, r, and z are as defined above and described in classes and subclasses herein, both singly and in combination.
[00182] In some embodiments, Rq is C1-C4 alkyl, and A, B, L, Ari, Ri, R2, Ra, Rai, Rb, Rc, Re, RP, Rpi, Rd, n, m, r, and z are as defined above and described in classes and subclasses herein, both singly and in combination.
[00183] In some embodiments, Rq is C3-C4 cycloalkyl, and A, B, L, Ari, Ri, R2, Ra, Rai, Rb, Rc, Re, Rp, Rpi, Rd, n, m, r, and z are as defined above and described in classes and subclasses herein, both singly and in combination.
[00184] In some embodiments, z is 0, and A, B, L, Ari, Ri, R2, R¾ Rai, Rb, Rc, Re, Rp, Rpi, Rq; Rd, n, m, and r are as defined above and described in classes and subclasses herein, both singly and in combination.
[00185] In some embodiments, z is 1 and A, B, L, Ari, Ri, R2, R¾ Rai, Rb, Rc, Re, Rp, Rpi, Rq; Rd, n, m, and r are as defined above and described in classes and subclasses herein, both singly and in combination.
[00186] In some embodiments, z is 2 and A, B, L, Arb Rb R2, Ra, Rai, Rb, Rc, Rg, Rp, Rpi, Rq; Rd, n, m, and r are as defined above and described in classes and subclasses herein, both singly and in combination.
[00187] In some embodiments of methods provided herein, for a compound as described in the formulae above, R2 is not a substituted or unsubstituted form of
, where X is N or CH.
[00188] In some embodiments of methods provided herein, for a compound as
described in the formulae above, when Ari is connected to
at position 1, and X1 and X2 are independently N or C- Rz, and Ry and Rz are any substituent, then Rx does not include alkynyl, alkenyl, aryl, 5- 14 membered heterocyclic, 5-14 membered heteroaromatic, or 4-9 membered carbocyclic.
[00189] In some embodiments of methods provided herein, for a compound as
described in the formulae above when R2 is , Ar1 is not a
In some embodiments of methods provided herein, for a compound as described in the formulae above, when Ar1 is a substituted or unsubstituted form of a 5 membered
heteroaryl, Ar1 is
[00190] In some embodiments, FASN inhibitors useful in provided methods are selected from the group consisting of
or pharmaceutically acceptable salts thereof.
[00191] Certain embodiments of the present disclosure refer to Compound A, which is a compound of Formula I and Formula I-E. In some embodiments, Compound A is selected from one of Compounds 1-14 shown above.
[00192] In other embodiments, FASN inhibitors include, but are not limited to TVB- 2640; GSK2194069; GSK1995010; GSK837149A; JNJ54302833; BI00179; IPI-9119; Orlistat; Cerulenin and C75 (4-Methylene-2-octyl-5-oxotetrahydrofuran-3-carboxylic acid); as well as FASN inhibitors disclosed in WO 2014/146747, which is incorporated by reference in its entirety.
[00193] In some embodiments, the FASN inhibitors are those disclosed in WO 2014/164749.
[00194] In some embodiments, the conditions and diseases associated with IL-17 are conditions and diseases associated with TH17 mediated inflammation.
[00195] In some embodiments, the conditions and diseases associated with IL-17 are conditions and diseases associated with IL-17 receptor activation.
[00196] In some embodiments, a disease treated by the provided methods is cancer. In some embodiments, the cancer is selected from the group consisting of prostate, ovary, pancreas, esophagus, thyroid, bladder, bone, bile duct, testicle, uterus, head, neck, salivary gland, cervix, colon, breast, lung, stomach cancers, hematologic cancer, such as but not limited to leukaemia, lymphoma and multiple myeloma; midline carcinomas, mesenchymal, hepatic, renal and neurological tumors; and melanoma, squamous cell carcinoma and cutaneous T-cell lymphoma; and small and non-small cell lung cancer, castration-resistant prostate cancer, glioblastoma, astrocytoma, mebulloblastoma, neuroblastoma, neurofibromatosis, merkel cell carcinoma, soft tissue sarcoma, osteosarcoma, Ewing's sarcoma, and cholangiocarcinoma.
Uses for the treatment of NASH
[00197] NASH is a chronic liver disease with varying degrees of inflammation and fibrosis that can progress to cirrhosis and end-stage liver complications. The disease affects greater than 16 million people in the US and is the second leading cause of liver transplants in the US. Moreover, NASH is a strong predictor for type 2 diabetes, cardiovascular disease and end-stage kidney disease. There are no pharmacological agents currently approved for the treatment of NASH, which represents a substantial healthcare burden. The pathogenesis of NASH has been associated with obesity or aberrant metabolic syndrome. Strategies that target all three pathological processes (steatosis, inflammation and fibrosis) may most effectively manage this disease.
[00198] FASN is an important enzyme that catalyzes the final step of DNL by utilizing malonyl-CoA as a substrate to synthesize palmitate. Liver-specific ablation of the gene
encoding FASN in mice (FASNLKO mice) results in malonyl-CoA increases and palmitate decreases in liver. Also, in leptin-deficient obese mice (ob/ob mice), both hepatic FASN gene expression and hepatic FASN activity increase compared to lean mice controls. Further reductions of hepatic lipid accumulation and hepatic DNL occurs following liver-specific inhibition of the lipogenic transcription factor carbohydrate response element binding protein (ChREBP) in ob/ob mice. Surprisingly, FASNLKO mice show normal liver triglyceride content, suggesting DNL may be dispensable in healthy liver and FASN inhibition may not negatively impact non-diseased liver function.
[00199] FASN controls the last step of DNL, and its gene expression level is aberrantly elevated in NASH patients as compared to healthy volunteers. Uncontrolled DNL is a key contributor for liver steatosis. Chronic activation of hepatic DNL and increase in the traffic of free fatty acids within hepatocytes can lead to generation of toxic lipid metabolites. These lipotoxic metabolites act as reactive oxygen species (ROS), triggering endoplasmic reticulum (ER) stress, apoptosis and necrosis in the liver resident cells, hepatocytes, Kupffer cells and hepatic stellate cells (HSC). Therefore, elevated FASN activity may be a major contributor to NASH through lipotoxicity mediated tissue injury and cell death.
[00200] In addition to FASN's role in steatosis and lipotoxicity, it may contribute to inflammation and the processes of fibrosis. Palmitate, the end product of the fatty acid synthesis pathway, upregulates TLR4, pro-inflammatory cytokines and tumor necrosis factor-a (TNF-a) production in primary hepatocytes and Kupffer cells. Hence, DNL generates fatty acids necessary for TH17 cell differentiation and function. Increased levels of TH17 cells in human liver are associated with the progression from nonalcoholic fatty liver (NAFL) to NASH. IL-17 also promotes liver fibrosis in a mouse model of liver disease (carbon tetrachloride (CC14)-induced liver injury model) through hepatic stellate cell activation and subsequent collagen production. Stimulation of HSC activation occurs both by elevation of IL-17 and by palmitate in mice.
[00201] The importance of the DNL pathway in NASH is validated by inhibitors of other enzymes in the pathway, such as acetyl-CoA carboxylase 1/2 (ACC). ACC1 is an enzyme directly upstream from FASN that catalyzes the production of malonyl-CoA
from acetyl-CoA. Small molecule inhibitors of ACCl/2, such as NDI-010976 (Nimbus Therapeutics/Gilead), reduced steatosis and fibrosis in preclinical NASH models, although they may carry a mechanistic risk of undesired fatty acid β-oxidation.
[00202] Without wishing to be bound by any particular theory, it is believed that targeting FASN represents a potentially powerful multi-modal approach to treat NASH, by reducing steatosis, and TH17-dependent inflammation and fibrosis.
[00203] In certain embodiments, the present invention provides a method for treating a disease, disorder, or condition selected from a fibrotic disease or fibrosis, an inflammatory diease, disorder, or condition, or an autoimmune disease, disorder, or condition, comprising administering to a patient in need thereof a FASN inhibitor (e.g., a compound of formula I).
[00204] In certain embodiments, the present invention provides a method of treating NASH comprising administering to a patient in need thereof a FASN inhibitor (e.g., a compound of formula I).
[00205] In some embodiments, the methods disclosed herein further comprises a step of measuring one or more biomarkers for the purpose of selecting a patient for therapy, monitoring patient therapy, and/or adjusting or terminating patient therapy. In some embodiments, a biomarker is a 13C-labelled lipid. In some embodiments, a biomarker is 13C palmitate. In some embodiments, a provided method further comprises the step of administering to a patient 13C acetate (e.g., 13C sodium acetate) prior to or simultaneously with administration of a FASN inhibitor.
[00206] In some embodiments, patients may be selected for treatments described herein based upon one or more characteristics. In some embodiments, a patient selected for treatment (e.g., for treatment of NASH) has one or more of the following characteristics: i) overweight (e.g., BMI > 25 kg/m2, ii) male, iii) a total cholesterol level of 400 mg/dL or less, iv) a triglycerides level of 500 mg/dL or less,
v) no history of skin or eye sensitivities, vi) no evidence of clinically significant hepatic or renal impairment, vii) no history of severe allergic reaction (including anaphylaxis) to any substance, or previous status asthmaticus, viii) no history of psoriasis or any dermatitis requiring oral or topical corticosteroids within the past 12 months, ix) no history of Sjogren's syndrome or any history of dry eyes or allergic conjunctivitis, requiring artificial tears or medicated eye drops within the past 12 months, x) has not used non-prescription medication within seven days prior to first administration and prescription medications and natural health products (except vitamin or mineral supplements, and hormone replacement) within 14 days prior to first administration, xi) no history of intolerance to or malabsorption of fructose, xii) is not positive for hepatitis B, hepatitis C, or human immunodeficiency virus.
[00207] In some embodiments, a patient selected for treatment (e.g., for NASH) has, or during treatment is placed on, a eucaloric diet or a high fructose diet.
Additional Uses
[00208] In some embodiments, the present invention provides a method of treating a disease, disorder, or condition associated with TH17 mediated inflammation the method comprising administering to a patient in need thereof a FASN inhibitor.
[00209] In some embodiments, the present invention provides a method of treating a disease, disorder, or condition associated with IL-17 receptor activation, the method comprising administering to a patient in need thereof a FASN inhibitor.
[00210] In some embodiments, the disease is NASH.
[00211] In some embodiments, the condition or disease is obesity (Berndt, et al., Diabetologia, 2007, 50: 1472-1480; Lodhi, et al., Cell Metabolism, 2012, 16, 189-201.). In other embodiments, the condition or disease is Type II diabetes.
[00212] In some embodiments, the disease is selected from the group consisting of Inflammatory Bowel Disease and Chronic Obstructive Pulmonary Disease.
[00213] In some embodiments, the disease is selected from the group consisting of allergic contact dermatitis; and autoimmune myositis.
[00214] In another embodiment, the disease is selected from the group consisting of systemic or tissue inflammation, inflammatory responses to infection or hypoxia, cellular activation and proliferation, lipid metabolism, fibrosis and in the prevention and treatment of viral infections.
[00215] In another embodiment, the disease is selected from the group consisting of chronic and inflammatory conditions, including but not limited to rheumatoid arthritis, osteoarthritis, periodontitis, acute gout, psoriasis, psoriatic arthritis, ankylosing spondylitis, HIV-associated nephropathy, amyotrophic lateral sclerosis, pulmonary arterial hypertension, acute allograft rejection, chronic organ transplant rejection, systemic lupus erythematosus, lupus nephritis, multiple sclerosis, Crohn's disease, ulcerative colitis, severe celiac/coeliac disease, asthma, chronic obstructive airways disease, pneumonitis, myocarditis, pericarditis, myositis, eczema, dermatitis, alopecia, vitiligo, bullous skin disease, nephrititis, vasculitis, atherosclerosis, Alzheimer's disease, depression, Sjogren's syndrome, siloadenitis, central retinal vein occlusion, branched retinal vein occlusion, Irvine-Gass syndrome, parafoveal telangiectasis, retinitis pigmentosa, pars planitis, birdshot retinochoroidopathy, epiretinal membrane, cystic macular edema, maculopathies, vitreomacular traction syndromes, retinal detachment, neuroretinitis, idiopathic macular edema, retinitis, dry eye, vernal keratoconjuctivitis, atopic keratoconjuctivitis, anterior uveitis, pan uveitis, posterior uveitis, uveitis- associated macular edema, scleritis, diabetic retinopathy, diabetic macular edema, age- related macular dystrophy, hepatitis, pancreatitis, primary biliary cirrhosis, sclerosing cholangitis, Addison's disease, hypophysitis, thyroiditis, type I diabetes and acute rejection of transplanted organisms.
[00216] In another embodiment, the disease is selected from the group consisting of acute inflammatory conditions such as acute gout, giant cell arteritis, nephritis including lupus nephritis, vasculitis with organ involvement such as glomerulonephritis, vasculitis including giant cell arteritis, Wegner's granulomatosis, Polyarteritis nodosa, Becet's disease, Kawasaki disease, Takayasu's arteritis, pyoderma gangrenosum, vasculitis with organ involvement and acute rejection of transplanted organs.
[00217] In another embodiment, the disease is selected from the group consisting of inflammatory responses to infections with bacteria, viruses, fungi, parasites or their toxins, such as but not limited to sepsis, sepsis syndrome, septic shock, endotoxaemia, systemic inflammatory response syndrome, multi organ dysfunction syndrome, toxic shock syndrome, acute lung injury, acute respiratory distress syndrome, acute renal failure, fulmiant hepatitis, burns, acute pancreatitis, post-surgical syndromes, sarcoidosis, Herxheimer reactions, encephalitis, myelitis, meningitis, malaria, systemic inflammatory responses associated with viral infections, such as but not limited to influenza, herpes zoster, herpes simplex and coronavirus.
[00218] Another embodiment of the present invention relates to a method of treating a disease associated with systemic inflammatory response syndrome, such as but not limited to sepsis, burns, pancreatitis, major trauma, hemorrhage and ischaemia, the method comprising administering a FASN inhibitor.
[00219] Also provided are methods of treating a patient of organ transplantation to reduce organ rejection, the method comprising administering to a patent in need thereof a FASN inhibitor.
[00220] Another aspect of the present disclosure relates to a method of treating a patient of organ transplantation to reduce organ rejection. The method comprises administering to a patient in need of a treatment for reducing organ rejection an effective amount of a FASN inhibitor.
[00221] Another aspect of the present disclosure relates to a method of inhibiting CSF- 1 dependent macrophage differentiation. The method comprises contacting a cell with an effective amount of a FASN inhibitor.
[00222] Another aspect of the present disclosure relates to a method of treating a condition or disease associated with CSF-1 dependent macrophage differentiation. The method comprises administering to a patient in need a treatment for condition or a disease associated with CSF-1 dependent macrophage differentiation an effective amount of a FASN inhibitor.
[00223] In some embodiments, the conditions and diseases are selected from the group consisting of osteoarthritis and pain.
[00224] In some embodiments, the condition or disease is malignant melanoma.
[00225] In some embodiments, the condition or disease is an inflammatory disease.
[00226] In some embodiments, the condition or disease is inflammatory bowel disease. In one embodiment, the inflammatory bowel disease is Crohn's disease. In another embodiment, the inflammatory bowel disease is ulcerative colitis. In another embodiment, the inflammatory disease is rheumatoid arthritis.
[00227] In another embodiment, a FASN inhibitor is selected from compounds shown in Table A, which lists the IUPAC names and the structures of the compounds.
Table A.
113
131
ı55
171
l-{4-[4-{4-fiuoro-2,3-dihydro-lH-indol-l- y i } be n zoy i J pi pe ra z 1 ne- 1 - carbony1}cyclopropan-l-o!
l-{4-[4-{3-methyl-lH-mdazol-6- y i } be nzoy i 3 pi pe ra z i ne - 1 - carbonyijcyciopro an-l-ol
H4-[2-fIuoro-4-{3~methyi-lH-i ridazol-7~
y 1 } be nzoy) pi pe ra z i ne- 1 - carbony!}cyciopro an-l-ol
l-[(2S -2-methy!-4-[4-(2-methyi-lH- ί nda zo! -6-yi } benzoyl ] pi pera zi ne-1- carbonyij cye!opropart-l-oi
l-{4-[3-chloro-4-{2-methyl-2H-inda zol-6- y 1 ) be nzoy 13 pi pe ra z i ne - 1 - carbonyi}cyciopropan-l-ol
l-[{2S}-2-methyl-4-[4-(l-methyl-lH-l,3- benzodi azoi - 5-y 1 ) benzoyl ] pi pera zi ne- 1- (X carbonyi]cyclopro an-l-oi
I -{4- [2, 6-di f ! uoro-4- ( 2 - m et hyi - 2 H - ί nda zoi - 6-yi)benzoyi]pi erazine-l- carbony!}cyciopropan-l-oS
l-(4-{4-[3-(5-amino-i,2-Qxazol-3- yl}phenylj-2-fluorobenzoyl}pjperazine-l- carbony!}cyciopro an-l-ol
l-[(2S -2-methy!-4-[4-(2-methyi-2H- ί nda zo! -6-yi } benzoyl ] pi pera zi ne-1- carbonyiicyc!opropan-l-oi cr
l-cyclobutyl-N-(3-{4-[4-(l- h ydrox ycyc I o propa n eca rbo nyi } pi pe ra zi ne- 0
1- ca rbony ij phenyl }phe nyf } metha nes u!f ona
mide
l-{4-[2-fiuoro-4-{7-flLioro-lH-indazol-3- y i } be n zoy i J pi pe ra z 1 ne- 1 - carbonyi}cyclopro an-l-oi
I-[(2S)-4-[4-{6-chloro-l,3-benzoxazoi-2- y S } be nzoy S -2- met hy i pi pe ra z i ne - 1 - carbony!jcyciopropan-l-oS
1 -{4- [4-{ 1 H -i ndol-l-yi } be nzoyl ] pi pe ra zi ne- l-ca rbonyl}cyclopropa n-l-o!
!-{4-[4-{7-fluoro-lH-indazol-3- yi)benzoyijpiperazi ne-l- carbonyljcyclopropan-l-ol
l-{4-i4-(7-fluoro-l,Z,3,4- tetrahydroisoquinoi in-2- y i } be nzoy i 3 pi pe ra z i ne - 1 - carbonyl}cyciopro an-l-ol
l-{4-[2-fiuoro-4-{2-methyi-2H-mdazol-6- y i } be n zoy i J pi pe ra z 1 ne- 1 - carbonyi}cyclopropan-l-oi
l-{4-[4-{3-amino-lH-indazoi-6- y i } be nzoy i 3 pi pe ra z i ne - 1 - carbonyi}cyciopro an-l-ol
l-{4-[4-{3-aminol,2-benzoxa zoi-5- y 1 } be nzoy 1 J pi pe ra z i ne- 1 - carbonyi}cyciopropart-l-oi
!-{4-[4-{l,3-dimethyl-lH-indazol-5-yl}-2- fluorobenzoyl]pi eraztne-i- carbonyi}cyc!obutan-l-3mi ne C I
0 l-{4-[2-fluoro-4-(3-methyi-lH-indazo!-6- y 1 ) be nzoy 13 pi pe ra z i ne - 1 - carbonyi}cyciopropan-l-ol
H:,C
ethyi N-{3-{4-[4-{l- hydrox ycyc 1 o propa n eca rbo nyi } pi pe ra zi ne- 1-ca rbonyi]phenyl}phe nyl }ca rba ma te
l-{4-[4-(5-chioiO-2-methy!-lH-l,3- benzodiazoi-7-yi)benzoyl ]piperazine-l- carbonyi}cyciopro an-l-ol
H4-(4-{lH,2H,3H,4H,9H-pyrido[¾4- b]i ndol-2-yl}benzoyl )piperazi ne-1- carbonyijcyciopropart-l-oi
l-[(2 ,6S)-2.,6-di methyl -4-[4-(l-methyl-lH
1 , 3 - be nzod i a zol -5 -yi ) be n zoy i j pi pe ra zi ne - 1- "XT carbonyijcyc!opropan-l-oi
l-[4-{2-chloro-4-{3-chloroimidazo[l,2- a 3pyridin-2-yi}benzoyi)pi erazirte-l- carbonyijcyciopro an-l-oj
l-{4-[2-chloro-4-{2-methyl-2H-indazoi-6- y i } be n zoy i J pi pe ra z 1 ne- 1 - carbonyi}cyclopro an-l-oi
I-i4-[2,6-dif!uoro-4-(l-met yi-lH-indazoi-
6-yi)benzoyi]pi erazine-l- carbonyijcyciopropan-l-ol
O CH;; l-[(3 }-3-methy!-4-[4-{l-met yi-lH-1.3- benzodiazoi-5-yiibenzoy!}piperazine-l- carbony!jcyclopropart-l-oi ί
l-ijC
N-(6-{4-[4-(l- hydroxycyc!o ropa neca rbony! )pi pera zi ne- 0 l-carbonyl]p eny!}-l,2-beri20xazol-3- yi)cyclopropa neca rboxa mide
l-[(3R,5S)-3,5-dimethyi-4-[4-(l-meihyi-lH
1 , 3 - be nzod i a zol -5 -yl ) be n zoy! ] pi pera zi ne-l- carbonyl]cyciopropan-l-oj
propan-2-yl Ν-(3-{4-[4-(1- hydrox ycyc 1 o propa n eca rbo nyi } pi pe ra zi ne-
1-ca rbony1]phenyi}phe nyl }ca rba ma te
l-[(2 }-2-methy!-4-[4-{l-methyi-lH-1.3- benzodiazoi-5-yiibenzoy!}piperazine-l- O carbonyijcyclopropan-l-oi
3,3-difluoro-N-{3-{4-[4-(l- hydrox ycyc !o propa neca rbo nyi )pi pe a zi ne- 1 -c a rborty 1 ] phe n yi } phe nyl } eye i obuta ne - 1- carboxamlde
l-[(2S,6R)-4-[4-{6-f!uoro-l,3-benzox.azo!-2
yl)benzoyl3-2,6-di methyl pi perazi ne-1- carbonyl]cyciopropan-l-oj
l-{4-[3-chloro-4-(4-chloro-2- fluorophenyijbenzoyij i pera zi ne-1- carbonyi}cyclopropan-l-oi
1- {4-[2-chloro-4-(6-ch!oro-l,3-benzoxazoi-
2- yi)benzoyi]pi erazine-l- carbonyijcyciopropan-l-ol
l-{4-[4-(5-fjuoro-2,3-dihydro-lH-isoindoi- 2 -y! } benzoyl] pi pera zi ne-1- carbony!}cyciopro an-l-ol
l-{4-[4-{3-methyl-lH-indazol-4- yi)benzoyijpiperazi ne-l- carbonyl}cyclopropan-l-ol
l-{4-[4-(6-methoxy-l,3-benzoxazol-2- y 1 ) be nzoy 13 pi pe ra z i ne - 1 - carbonyl}cyciopropan-l-ol
l-[{2S}-4-[4-(6-fl uoro-1.3-benzoxazo!-2- yi )benzoyiJ-2-methylpiperazlne-l- carbonyi]cyclopropan-l-oi
1- {4-[4-{4-fluoro-2,3-dihydro-lH-isoindol-
2- yi)benzoyi]pi erazine-l- carbonyijcyciopropan-l-ol
l-(4-{3-chloro~4- [3-
(cyc!opropanesuifony!)phenyl]benzoyl}pi
erazine-l-carbonyijcyciopropan-l-oi
l-{4-[4-(3-cyclopropyi-lH-i ndazol-6- y 1 ) be nzoy 13 pi pe ra z i ne - 1 - carbonyl}cyciopropan-l-ol
HO l-{4-[4-{6-fluoro-l,3-benzoxazol-2- yi JbenzoyiJ-SjS-dimethy!piperazine-l- carbonyi}cyclopropan-l-oi
l-{4-[4-{3-methyl-lH-indazol-l- y i } be nzoy i 3 pi pe ra z i ne - 1 - carbonyijcyciopropan-l-ol
l-{4-[2-fIuQrQ-4-{3-methyi-lH-i ridazol-7- y 1 } be nzoy) pi pe ra z i ne- 1 - carbony!}cyciopro an-l-a mine
l-{4-[4-{l-methanesu!fonyl-lH-indo!-6- yljbenzoyljpiperazi ne-l- carbonyl}cyclopropan-l-ol
0 l-{4-[4-{l-methy!-lH-i;3-benzod!azo!-5- y 1 ) be nzoy 13 pi pe ra z i ne - 1 - carbonyi}cyciopropan-l-a mine
H J /
l-{4-[4-(l-methyi-lH-indazo!-6- y i } be n zoy i J pi pe ra z 1 ne- 1 - carbonyi}cyclopropan-l-a rnine
l-{4-(4-{7-methoxy-l,2,3,4- tetrahydrQisoqui noi:in-2- y ! } be nzoy !] pi pe ra z i ne- 1 - carbonyi}cyciopropan-l-oi
l-(3-{3-fluoro-4-[4-{l- h drox ycyc 1 o propa n eca rbo nyi ) pi pe ra zi ne-
l-{4-[2-fluoro-4-{2-methyi-lH-mdol-l- yi)benzoyijpiperazi ne-l- c3rbonyi}cyc!opropan-l-oi -0
{l-{4-[4-{l-methyl-lH-l,3-benzodiazd-5- y i } be nzoy i 3 pi pe ra z i ne - 1 - c a rbony i }cyci op ro pyil } m etha no!
H;SC H°
o l-{4-[4-{l-methyi-lH-l,3~benzodiazol-5- y 1 } be nzoy) pi pe ra z i ne- 1 - carbony!}cyciobutan-l-ami ne
/
l-[4-(3-chloro-4-{3-chlordmidazo[l,2- a ]pyridin-2-yi}benzoyi)pi perazine-l- carbonyij cye!opropan-l-oi
o
l-[(2R}-2-{hydroxymethyi)-4- [4-(l-methyi- i I·; - 1..3 - be n zed \azd-5- y i } be nzoy i 3 pi pe ra z i ne - 1 - ca rbonyi jcyclopropan-1-οί
H C
l-{4-[4-(2,3A5-tetrahydro-lH-3- benza zepi π-3-yi )benzoy! j pi pera zi ne-1- carbonyi}cyclopropan-l-oi
l-[{2S,6R)-4-[4-(6-fluoro-l,3-benzoxazol-2 yijbenzoyi] -2,6-di methyl pi perazine- 1- carbonyijcyciopropan-l-a rnine
l-[{2S)-4-[4-(6-fl uoro-ljr3-benzoxazol-2- y ί } be nzoy 1 } -2 - me t hy! pi pe ra z 1 ne -1 - carbony!]cyciopro an-l-a mine -O
l-(4-{4-[3-(5-methyl-l,3,4-thiadiazol-2- yl)phenyi]benzoyi}pi era zine-l- carbonyljcyclopropan-l-ol
l-{4-[4-{3-methyl-2H-indazol-2- y 1 ) be nzoy 13 pi pe ra z i ne - 1 - carbonyl}cyciopropan-l-oj
l-[4-(4-{3-chloroimidazo[l,2-a]pyridin-2- yi }-3-f i uorobe nzoy! } pi pe ra zi ne-1- carbony1] cyclopropan-l-o!
l-(3-{4-[4-(l- a minocyciopropa neca rbonyi)piperazine-l- carbonyi] phenyi}phenyf)cyciopropane-l- carbonitriie
1 -{4-[3-f i uoro-4'{6-f 1 uoro-1,3- benzoxa zoi-
2 -y! benzoyl] pi perazine-1- carbony!}cyclopropart-l-oi
l-{4-[4-{2-methyi-2H-l,2;3-benzotriazoi-5- yi jbenzoyijpiperazi ne-l- c3rbonyi}cyc!opropan-l-oi
O CH,; l-[{3S)-3-methyl-4-[4-(l-methyl-lH-l,3- benzodiazol-5-yi)benzoyl ]pi erazine-l- carbonyijcyciopropan-l-a rnine
/
H3C
Pharmaceutical Compositions
[00228] In another aspect, the present invention comprises treating conditions and diseases which may be associated IL-17 or TH17, or as otherwise described herein, comprising administering a pharmaceutical composition comprising a provided compound optionally in combination with a pharmaceutically acceptable excipient (e.g. carrier).
[00229] Suitable pharmaceutical compositions include optical isomers, diastereomers, or pharmaceutically acceptable salts of the compounds disclosed herein. For example, in some embodiments, pharmaceutical compositions include a pharmaceutically acceptable salt. A compound included in the pharmaceutical composition may be covalently attached to a pharmaceutically acceptable carrier. Alternatively, the inventive compound included in the pharmaceutical composition is not covalently linked to a pharmaceutically acceptable carrier.
[00230] A "pharmaceutically acceptable carrier," as used herein refers to
pharmaceutical excipients, for example, pharmaceutically, physiologically, acceptable organic, or inorganic carrier substances suitable for enteral or parenteral application which do not deleteriously react with the compounds used in accordance with the provided methods. Suitable pharmaceutically acceptable carriers include water, salt solutions (such as Ringer's solution), alcohols, oils, gelatins and carbohydrates such as lactose, amylose or starch, fatty acid esters, hydroxymethycellulose, and polyvinyl pyrrolidine. Such preparations can be sterilized and, if desired, mixed with auxiliary agents such as lubricants, preservatives, stabilizers, wetting agents, emulsifiers, salts for influencing osmotic pressure, buffers, coloring, and/or aromatic substances and the like which do not deleteriously react with the compounds used in accordance with the provided methods.
[00231] Compounds can be administered alone or can be coadministered to a patient along with one or more other drugs. Coadministration is meant to include simultaneous or sequential administration of the compounds individually or in combination (more than one compound). In some embodiments, the preparations are combined with other active substances (e.g. to reduce metabolic degradation).
Formulations
[00232] In another aspect, the present invention comprises treating conditions and diseases which may be associated IL-17 or TH17, or as otherwise described herein, comprising administering of a formulation of a compound or composition described herein. Suitable formulations can be prepared and administered in a wide variety of oral, parenteral, and topical dosage forms. In some embodiments, provided compounds are administered by injection (e.g. intravenously, intramuscularly, intracutaneously, subcutaneously, intraduodenally, or intraperitoneally). In some embodiments, compounds described herein are administered by inhalation, for example, intranasally. In some embodiments, provided compounds are administered transdermally. It is also envisioned that multiple routes of administration (e.g., intramuscular, oral, transdermal) can be used to administer the compounds of the invention. The present invention also provides pharmaceutical compositions comprising one or more provided compounds and one or more pharmaceutically acceptable carriers or excipients.
[00233] Pharmaceutically acceptable carriers can be either solid or liquid. Solid form preparations include powders, tablets, pills, capsules, cachets, suppositories, and dispersible granules. In some embodiments, a solid carrier is one or more substances, which may also act as diluents, flavoring agents, binders, preservatives, tablet disintegrating agents, or an encapsulating material.
[00234] In some embodiments, when a composition is a powder, a carrier is a finely divided solid in a mixture with the finely divided active component. In some
embodiments, when a composition is formulated for a tablet, an active component is mixed with the carrier having the necessary binding properties in suitable proportions and compacted in the shape and size desired.
[00235] In some embodiments, powders and tablets contain from 5% to 70% of the active compound. Suitable carriers include magnesium carbonate, magnesium stearate, talc, sugar, lactose, pectin, dextrin, starch, gelatin, tragacanth, methylcellulose, sodium carboxymethylcellulose, a low melting wax, cocoa butter, and the like. In some embodiments, the composition is formulated for a cachet or lozenge. In some
embodiments, tablets, powders, capsules, pills, cachets, and/or lozenges are used as solid dosage forms suitable for oral administration.
[00236] In some embodiments, for preparing suppositories, a low melting wax, such as a mixture of fatty acid glycerides or cocoa butter, is first melted and the active component is dispersed homogeneously therein. The molten homogeneous mixture is then poured into convenient sized molds, allowed to cool and solidify.
[00237] Liquid form preparations include solutions, suspensions, and emulsions, for example, water or water/propylene glycol solutions. In some embodiments, for parenteral injection, liquid preparations can be formulated in solution in aqueous polyethylene glycol solution.
[00238] When parenteral application is needed or desired, particularly suitable admixtures for the compounds of the invention are injectable, sterile solutions, preferably oily or aqueous solutions, as well as suspensions, emulsions, or implants, including suppositories. In particular, carriers for parenteral administration include aqueous solutions of dextrose, saline, pure water, ethanol, glycerol, propylene glycol, peanut oil, sesame oil, polyoxyethylene-block polymers, and the like. Ampules are convenient unit dosages. Compounds useful in provided methods can also be incorporated into liposomes or administered via transdermal pumps or patches. Pharmaceutical admixtures suitable for use in the present invention include those described, for example, in
Pharmaceutical Sciences (17th Ed., Mack Pub. Co., Easton, PA) and WO 96/05309, each of which is hereby incorporated by reference.
[00239] Aqueous solutions suitable for oral use can be prepared by dissolving the active component in water and adding suitable colorants, flavors, stabilizers, and thickening agents as desired. Aqueous suspensions suitable for oral use can be made by dispersing the finely divided active component in water with viscous material, such as natural or synthetic gums, resins, methylcellulose, sodium carboxymethylcellulose, and other well-known suspending agents.
[00240] Also included are solid form preparations intended for conversion shortly before use to liquid form preparations for oral administration. Such liquid forms include solutions, suspensions, and emulsions. These preparations may contain, in addition to the
active component, colorants, flavors, stabilizers, buffers, artificial and natural sweeteners, dispersants, thickeners, solubilizing agents, and the like.
[00241] In some embodiments, pharmaceutical compositions are in unit dosage form. In such form the composition is subdivided into unit doses containing appropriate quantities of the active component. The unit dosage form can be a packaged preparation, the package containing discrete quantities of a pharmaceutical composition, such as packeted tablets, capsules, and powders in vials or ampoules. In some embodiments, the unit dosage form is a capsule, tablet, cachet, or lozenge itself, or it is the appropriate number of any of these in packaged form.
[00242] The quantity of active component in a unit dosage form may be varied or adjusted from 0.1 mg to 10000 mg, more typically 1.0 mg to 1000 mg, most typically 10 mg to 500 mg, according to the particular application and the potency of the active component. In some embodiments, provided compositions contain other compatible therapeutic agents.
[00243] Some compounds may have limited solubility in water and may require a surfactant or other appropriate co-solvent in the composition. Such co-solvents include: Polysorbate 20, 60 and 80, Pluronic F-68, F-84 and P-103, cyclodextrin, and polyoxyl 35 castor oil. Such co-solvents are typically employed at a level between about 0.01 % and about 2% by weight.
[00244] In some embodiments, viscosity greater than that of simple aqueous solutions may be desirable to decrease variability in dispensing the formulations, to decrease physical separation of components of a suspension or emulsion of formulation and/or otherwise to improve the formulation. Such viscosity building agents include, for example, polyvinyl alcohol, polyvinyl pyrrolidone, methyl cellulose, hydroxy propyl methylcellulose, hydroxyethyl cellulose, carboxymethyl cellulose, hydroxy propyl cellulose, chondroitin sulfate and salts thereof, hyaluronic acid and salts thereof, and combinations of the foregoing. Such agents are typically employed at a level between about 0.01% and about 2% by weight.
[00245] Compositions used in provided methods may additionally include components to provide sustained release and/or comfort. Such components include high molecular
weight, anionic mucomimetic polymers, gelling polysaccharides and finely-divided drug carrier substrates. These components are discussed in greater detail in U.S. Pat. Nos. 4,911,920; 5,403,841; 5,212, 162; and 4,861,760. The entire contents of these patents are incorporated herein by reference in their entirety for all purposes.
Combinations
[00246] In some embodiments, a provided method further comprises administration of an additional therapeutic agent. In some embodiments, the present invention comprises treating conditions and diseases which may be associated IL-17 or TH17, or as otherwise described herein, comprising administering a FASN inhibitor in combination with additional therapeutic agents. In one embodiment, the additional therapeutic agent is a BRAF inhibitor. In another embodiment, the additional therapeutic agent is a PD1/PDL1 inhibitor.
[00247] In some embodiments, a BRAF inhibitor is GDC-0879, SB590885; Encorafenib (LGX818); RAF265 (CHIR-265); Dabrafenib (GSK2118436); TAK-632; PLX-4720; CEP-32496; Sorafenib Tosylate; Sorafenib; Vemurafenib (PLX4032, RG7204); AZ 628; or vemurafenib.
[00248] In some embodiments, a PD1/PDL1 inhibitor is selected from the group consisting of PD1 inhibitors Pembrolizumab, and Nivolumab; and PDL1 inhibitors Atezolizumab, MEDI4736, Avelumab, and PDR001.
[00249] The invention thus provides, in a further aspect, a combination comprising a compound described herein or a pharmaceutically acceptable salt thereof together with at least one additional therapeutic agent. In an exemplary embodiment, the additional therapeutic agent is a compound of the invention.
[00250] When a compound described herein is used in combination with a second therapeutic agent active against the same disease state, the dose of each compound may differ from that when the compound is used alone. Appropriate doses will be readily appreciated by those skilled in the art. It will be appreciated that the amount of a compound required for use in treatment will vary with the nature of the condition being treated and the age and the condition of the patient and will be ultimately at the discretion of the attendant physician.
Effective Dosage
[00251] Pharmaceutical compositions of the present disclosure include compositions wherein the active ingredient is contained in a therapeutically effective amount, i.e., in an amount effective to achieve its intended purpose. The actual amount effective for a particular application will depend, inter alia, on the condition being treated.
[00252] The dosage and frequency (single or multiple doses) of compound
administered can vary depending upon a variety of factors, including route of
administration; size, age, sex, health, body weight, body mass index, and diet of the recipient; nature and extent of symptoms of the disease being treated; presence of other diseases or other health-related problems; kind of concurrent treatment; and
complications from any disease or treatment regimen. Other therapeutic regimens or agents can be used in conjunction with the methods and compounds of the invention.
[00253] For any compound described herein, the therapeutically effective amount can be initially determined from cell culture assays. Target concentrations will be those concentrations of active compound(s) that are capable of killing parasites and/or controlling their growth or reproduction as measured, for example, using the methods described.
[00254] Therapeutically effective amounts for use in humans may be determined from animal models. For example, a dose for humans can be formulated to achieve a concentration that has been found to be effective in animals. The dosage in humans can be adjusted by monitoring kinase inhibition and adjusting the dosage upwards or downwards, as described above. Therapeutically effective amounts for use in animals (e.g., cattle) may be determined from animal models (e.g., mouse models).
[00255] Dosages may be varied depending upon the requirements of the patient and the compound being employed. The dose administered to a patient, in the context of the present invention, should be sufficient to effect a beneficial therapeutic response in the patient over time. The size of the dose also will be determined by the existence, nature, and extent of any adverse side effects. Generally, treatment is initiated with smaller dosages, which are less than the optimum dose of the compound. Thereafter, the dosage is increased by small increments until the optimum effect under circumstances is reached.
In some embodiments, the dosage range is 0.001% to 10% w/v. In some embodiments, the dosage range is 0.1% to 5% w/v.
[00256] In some embodiments, a dose administered to a human patient ranges from about 0.3 mg/kg to about 9 mg/kg. In some embodiments, a dose administered to a human patient is about 0.3, about 1, about 1.5, about 2, about 3, about 4, about 5, about 6, about 7, about 8, or about 9 mg/kg.
[00257] In some embodiments, a dose administered to a human patient is a dosage corresponding to a dose in a mouse from about 1 mg/kg to about 20 mg/kg. In some embodiments, a dose administered to a human patient is a dosage corresponding to a dose in a mouse of about 1, about 2, about 3, about 6, about 10, or about 20 mg/kg. In some embodiments, a dose administered to a human patient is a dosage corresponding to a dose in a rat from about 0.125 mg/kg to about 12 mg/kg. In some embodiments, a dose administered to a human patient is a dosage corresponding to a dose in a rat of about 0.125, about 0.2, about 0.4, about 0.6, about 1, about 1.2, about 2, about 2.4, about 6, or about 12 mg/kg.
[00258] Dosage amounts and intervals can be adjusted individually to provide levels of the administered compound effective for the particular clinical indication being treated. This will provide a therapeutic regimen that is commensurate with the severity of the individual's disease state.
[00259] In some embodiments, a dose is administered once daily, twice daily, or once every two days.
[00260] The disclosure is further illustrated by the following examples, which are not to be construed as limiting this disclosure in scope or spirit to the specific procedures herein described. It is to be understood that the examples are provided to illustrate certain embodiments and that no limitation to the scope of the disclosure is intended thereby. It is to be further understood that resort may be had to various other
embodiments, modifications, and equivalents thereof which may suggest themselves to those skilled in the art without departing from the spirit of the present disclosure and/or scope of the appended claims.
Examples
[00261] The following are illustrative, but non-limiting, examples of certain embodiments of the present invention. The process and results for the assays testing inhibition of IL-17 secretion in TH17 cells differentiated in-vitro and evaluate the effect of FASN inhibitors on CSF-1 -mediated M2 macrophage differentiation are described.
Example 1. TH17 Differentiation Assay:
[00262] CD4+ T cells were isolated using CD4+ T cell isolation kit (Miltenyi Biotech), activated with CD3/CD28 microbeads and cultured for 7-10 days in the presence of IL-Ιβ, IL-6, IL-21, IL-23 and TGFp and test compounds. Cells cultured with DMSO or without cytokines and/or microbeads were used as negative controls.
[00263] Read out: (1) At day 7-10, the supernatants were collected and tested for soluble IL-17. (2) Cells were also harvested and stained for intra-cellular IL-17A. (3) Cells were also stained separately by Annexin/PI for cell viability. (4) Pictures of cultures were taken for each condition.
Table 1.1: Inhibition of IL-17 secretion in TH1 cells differentiated in-vitro
Example 2. Protocol to Evaluate the Effect of FASN Inhibitors on CSF-l-Mediated M2 Macrophage Differentiation
[00264] Primary human monocytes are isolated from PBMCs by using Monocyte isolation kit (Miltenyi Biotec Inc.). Monocytes are plated in the 6-well plate at the 1.5 X 106 cells/well in presence of hMCSF (50 ng/mL) in cell culture medium. The cells are treated with various concentrations of FASN inhibitor or Cerulenin (0.001 μΜ, 0.01 μΜ, 0.1 μΜ, 1 μΜ, or 10 μΜ) at the time of plating. The cells with 0.1% DMSO act as control. The cells are maintained for 6 days to facilitate the differentiation into macrophages. On day 6, cells are harvested for qPCR and analyzed for Ml marker (IL- 1β), M2 marker (CD206) and TBP which acts as a housekeeping control.
Example 3- HSD HFD models and related data
Activity in High Fat Diet (HFD) Fed Rats
[00265] In order to investigate the relationship between dose and exposure resulting in changes in clinical activity, a test compound (compound A) was evaluated in a HFD rat model. The FIFD model is widely used in preclinical animal models to induce hepatic steatosis as one key pathological component of NASH (Takahashi, Y., Soejima, Y., and Fukusato, T. (2012). Animal models of nonalcoholic fatty liver disease/nonalcoholic steatohepatitis. World J. Gastroenterol. 18, 2300-2308). Steatosis is caused by the accumulation of triglycerides (TG) in the liver, and as such, decreases in TG may represent a potential marker for activity on steatosis. The obese phenotype of HFD model is dependent on the incorporation of high dietary fat and DNL-derived fat. Since these animals have large amounts of exogenous fat from the diet, this model represents a high bar for success and activity in this model may demonstrate the potential importance of FASN activity as a key mediator of steatosis. The key endpoints of this study were to evaluate the relationship between dose schedule and exposure with changes in liver steatosis score and liver TG. For these studies, male SD rats (6-8 week old) were fed a high fat diet (D 124942, Research Diets Inc.) for four weeks to develop the obese phenotype and then sorted into treatment groups (N = 8) based on mean body weight. The rats were treated orally with compound A or vehicle (9: 1 PEG400:EtOH) for four weeks. Rosiglitazone 5 mg/kg QD was included as a positive control. Plasma and serum samples were collected weekly throughout the study. After 28 days of treatment, animals were sacrificed and liver and plasma samples were collected. Livers were fixed in formalin, processed for H&E staining, and evaluated by a pathologist specializing in NASH.
[00266] Two HFD studies were conducted. The first HFD study was designed to demonstrate preliminary activity of compound A treatment on markers of liver steatosis. The second HFD study investigated the endpoints of steatosis and liver and plasma markers of lipogenesis (including TG and FFA).
[00267] In the first HFD study, animals were treated with vehicle, Rosiglitazone, and compound A (0.6, 2, 6 mg/kg QD and 1 mg/kg BID; N = 8 animals per treatment group) Dose levels were adjusted after the first 14 days of treatment as indicated.
[00268] A lower range of dose levels of compound A in established obese HFD rats was evaluated in HFD study 2. Rats were orally administered compound A at 0.125, 0.4 and 1.2 mg/kg QD for 4 weeks. This study also investigated dose ranging on both a BID (0.2 and 0.6 mg/kg BID) and Q2D (2.4 and 12 mg/kg every other day) schedules in order to assess the impact of schedule on the activity of compound A.
[00269] In both HFD studies, liver TG were significantly elevated compared to normal diet controls, consistent with accumulation of TG in the liver and the presence of steatosis in this disease model. The effect of compound A on steatosis was determined by evaluating liver histology post treatment. An independent pathologist evaluated liver specimens in a blinded manner. Notably, a significant decrease in the degree and severity of liver steatosis was observed for all QD treatment groups, including the 0.125 mg/kg QD dose cohort. While the greatest decrease in steatosis score was observed at 1.2 mg/kg QD, no clear dose-dependency for this endpoint was observed (Figure 1). A reduction in liver steatosis was also observed in the 0.6 mg/kg QD treatment group from HFD study 1 (data not shown). Although steatosis is primarily driven by dietary fat in the HFD model, inhibition of DNL by compound A showed clear benefit in improving steatosis and may have therapeutic benefit in NASH. In addition, the lowest dose of compound A tested (0.125 mg/kg; AUC: 3,228 hr*ng/mL) was potentially as effective as doses and exposures up to 10-fold higher. Of note, the 0.125 mg/kg AUClast is 9-fold and 12-fold less than the AUClast of the NOAEL dose determined in the Rat DRF and Rat MTD study, respectively.
[00270] No increased inhibition of steatosis by compound A was seen on BID dosing schedules as compared to equivalent daily doses (and similar exposures). By contrast, steatosis inhibition was reduced with every other day dosing (Figure 1).
[00271] Steatosis is caused by the accumulation of TG in the liver, and as such, decreases in TG may represent a potential marker for steatosis. In the HFD model, liver TG were significantly elevated in HFD controls compared to normal diet controls, consistent with accumulation of TG in the liver and the presence of steatosis in this disease model. Decreases in liver TG were demonstrated in all QD dosing groups and, consistent with the steatosis scores, no clear dose-dependent effect was observed (Table
3.1). The lack of a dose-dependent response of compound A on liver TG may be due to the variation within the model and the smaller sample size, but also reflects a significant activity of Compound A at low doses and exposures in the livers of HFD animals. By contrast, plasma TG levels were not significantly elevated in this model, when compared to normal diet controls; however, a dose-dependent decrease in plasma TG was demonstrated with daily dosing (Table 3.1).
Table 3.1. Effects of compound A on plasma and liver TG from HFD rat model. The data are presented as Mean ± SEM.
*P<0.05 relative to vehicle treated group.
Table 3.2. Effect of compound A on plasma leptin from HFD rat model. The data are presented as Mean ± SEM. Plasma samples were collected on Day 28.
Example 4. Activity in High-Sucrose Diet (HSD) Fed Rats
[00272] A HSD represents an alternative experimental model for obesity and steatosis. In this model, 60-70% of the caloric intake is from simple carbohydrates, and thus, the primary source of increased TG is through D L. Inhibition of FASN and, thus, DNL by compound A would be expected to have a significant impact on TG production and steatosis in this model.
[00273] The goal of the HSD study was to evaluate the in vivo potency of compound A in blocking FA synthesis to reduce fat deposition in liver as monitored by steatosis scores, as well as changes in liver and plasma TG and liver FFA. An additional single administration PK/PD study in HSD rats was also used to determine the relationship between the induction of liver and plasma malonyl-carnitine and compound A in this diseased model.
[00274] Male SD rats (6-8 week old) were fed a HSD (D 10001, Research Diets Inc.) for six weeks to develop the obese phenotype and then sorted into treatment groups (N =
8 each) based on mean body weight. Rats were treated with 0.15, 0.3, 0.6, or 1.2 mg/kg Compound A or vehicle (9: 1 PEG400:EtOH) orally once daily for four weeks and with a single administration of 0.3, 1.2 and 3 mg/kg compound A or vehicle.
[00275] In line with the minimal degree of steatosis in this model, the HSD vehicle treatment group had significantly lower liver TG levels as compared to HFD vehicle group at the end of the study (14.5 ± 2.0 μιηοΐ/g in HSD vs. 57.3 ± 7.7 μιηοΐ/g in HFD). Treatment with compound A with doses as low as 0.3 mg/kg resulted in reduction of liver TG to levels near those observed in normal diet animals, consistent with DNL as the primary source of excess TG in this model (Table 4.1). Similarly, plasma TG were reduced following compound A treatment (up to 30%) as compared to vehicle controls in a dose-dependent manner following 28 days of treatment. Notably, in this model, an increased reduction of plasma TG were observed with 28 days of treatment as compared to 14 days.
Table 4.1. Effect of compound A on plasma and liver triglycerides from HSD rat model. The data are presented as Mean ± SEM.
*P<0.05 relative to vehicle treated group
[00276] Similar to the HFD model, compound A reduced plasma leptin levels to levels at or near those observed in normal diet control animals (Table 4.2).
Table 4.2. Effect of compound A on plasma leptin from HSD rat model. Plasma samples were taken at Day 28. The data were presented as Mean ± SEM.
Example 5. Rat stellate cell
[00277] In addition to IL-17-mediated fibrosis, palmitate-induced lipid accumulation in hepatocytes can release factors that promote the activation and proliferation of hepatic stellate cells (HSC). HSC are central mediators of liver fibrosis. When liver damage occurs, HSC change from a quiescent to activated state. Activated HSC secretes extracellular matrix and fibrogenic cytokines, which lead to fibrosis and cirrhosis. To begin to assess the role of D L as a potential pathophysiological link between hepatic steatosis and fibrosis, we evaluated the effect of compound A on proliferation of activated rat HSC in primary cell culture. Following 72-hour treatment, compound A inhibited proliferation of rat HSC in a concentration-dependent manner with IC50 of 0.42 μΜ. These data support the potential for compounds of formula I to reduce liver fibrosis by blocking the proliferation of activated HSC, in addition to mitigating TH17-mediated fibrosis.
Example 6. EAE data
[00278] To demonstrate compound A has anti-inflammatory properties in vivo and investigate the relationship between inhibition of FASN and TH17-mediated T cell responses, the myelin oligodendrocyte glycoprotein (MOG)-induced mouse model of experimental autoimmune encephalomyelitis (EAE) was evaluated. In this model, animals are immunized with MOG (35-55) peptide in combination with pertussis toxin, which results in the breakdown of the blood-brain barrier and promotes infiltration of T cells into the CNS. Autoreactive IL-17-producing TH17 cells are highly potent at inducing CNS immune pathology. Importantly, inhibition of the DNL pathway, either by using T cell-specific deletion of the ACC1 gene or pharmacological inhibitor of ACCl/2, led to significant reduction in TH17 biomarkers and disease pathology in this model. Therefore, the EAE model is a validated and mechanistic relevant animal model to assess the anti-inflammatory potential of compound A.
[00279] In the mouse EAE model, C57BL6 mice (8-10 weeks old female) were immunized subcutaneously with MOG (35-55) on Day 1, followed by intravenous (IV) injection of pertussis toxin on Days 1 and 3. Starting on Day 4 until Day 29, mice were treated with vehicle, prednisolone (10 mg/kg QD), or compound A (N = 12 per group) at the indicated doses and schedule. Clinical symptoms of EAE were scored in a blinded manner daily and recorded as the mean daily clinical score. On Day 29, animals were euthanized, and tissues were collected for evaluation for evidence of inflammatory cell infiltration into the tissues of CNS. To confirm target engagement, liver samples were collected for measurement of malonyl-carnitine levels. In addition, to demonstrate PD effects pertinent to TH17, splenic mRNAs were measured for expression of mRORc, which encodes key transcription factor RAR-related orphan receptor gamma, thymus- specific isoform (RORTT) essential for murine TH17 cell differentiation.
[00280] Two mouse EAE studies were conducted. The first study was designed to assess the anti-inflammatory effects of compound A in terms of reducing EAE clinical scores and pathology at the conclusion of the study on Day 29. In addition, compound A exposure, PD and clinical activity relationships were assessed. To better demonstrate PD effects of compound A on TH17 biomarkers in the relevant tissues, a second EAE study
was conducted in which lymph nodes and CNS tissues were analyzed for the presence of IL-17+ CD4+ cells at the peak of the disease (based on clinical scores) on Day 15.
[00281] In EAE Study 1, the impacts of compound A on EAE clinical score and pathology were assessed at doses of 2, 6, and 20 mg/kg QD and at 1, 3 and 10 mg/kg. BID.
[00282] Compound A had a significant and dose-dependent impact on clinical scores as measured by both the onset and severity of the disease compared to the vehicle group. Notably, BID regimens were significant in improving clinical scores as compared to the vehicle group (p<0.05; 2-way RM-ANOVA) (Figure 2) while QD regimens lowered scores but did not reach statistical significance.
Table 6.1. Clinical scoring criteria for EAE model.
5.5 Complete hind limb paralysis, mild front limb weakness. The mouse will most
likely be found on his side, unable to right himself and unable to move about the cage.
6 Dead.
[00283] The impact of treatment on the disease states in the EAE model is characterized by degree of inflammatory cell infiltration into tissues of the CNS. To determine whether the reduced clinical scores in compound A-treated groups were associated with a reduction of CNS inflammation, demyelination in the spinal cords and CNS inflammation of treated animals were by evaluated. The spinal cords of compound A-treated animals showed significantly reduced visible signs of demyelinating lesions or inflammation as judged cellular infiltrates by Luxol fast blue staining and H&E staining (Table 6.2). Reductions in brain and spinal cord inflammation corresponded with the clinical scores, and were observed with compound A at doses as low as 1 mg/kg BID, and achieved statistical significance at 3 and 10 mg/kg BID.
[00284] Finally, the effects of compound A on TH17 cells, which are important for the development of EAE, were examined by measuring splenic mRORc mRNA levels as a biomarker for TH17, by quantitative TaqMan RT-PCR analysis. Compound A markedly reduced the gene expression level of splenic mRORc in a dose-dependent manner. In summary, in the EAE study 1 compound A was effective in reducing EAE clinical scores and CNS inflammation, which corroborated with reduced splenic TH17, supporting the notion that targeting FASN will impact TH17-mediated T cell responses in vivo (Figure 3).
Table 6.2. Effect of compound A on spinal cord demyelination, spinal cord inflammation and brain inflammation in EAE model. Data were presented as Mean ±SD. *P<0.05 relative to MOG-vehicle group. The grading scales for each measurement are listed in Table 6.3.
Table 6.3. Evaluation of Spinal cord and brain inflammation for EAE model.
Gradin Scale for EAE Model S inal Cord Dem elination Luxol Fast Blue
[00285] In the second study, to better assess the impact of compound A treatment on TH17 responses and in relevant tissues, lymph nodes and spinal cords were collected for flow cytometry analysis of IL-17+ CD4+ cells at the peak of the EAE disease. The EAE disease state was induced in animals as described above and animals were sacrificed on Day 15. Mice were treated on a BID schedule with vehicle control or compound A at 0.3, 1, 3, and 10 mg/kg from Day 4 to Day 15.
[00286] Compound A reduced the population of IL-17+ CD4+ T cells in lymph nodes and CNS at doses as low as 0.3 mg/kg BID and achieved statistical significance at 3 and 10 mg/kg BID (Figure 4). These data are consistent with the role for FASN in TH17 cell development and indicate pharmacological inhibition of FASN could be an effective means to reduce the TH17-driven inflammatory responses, such as those reported in NASH patients.
[00287] In summary, compound A reduced disease progression and severity in the mouse EAE model, with evidence of decreased CNS inflammation as well as systemic PD effects on TH17 relevant biomarkers. Evidence for this came through reduced gene expression of mRORc in spleen, decreased IL-17+ and CD4+ T cells in lymph nodes and CNS tissues. Given the role of inflammatory responses in NASH pathogenesis, these data lend further support for the therapeutic utility of compound A, at least by dampening TH17-driven inflammation and potentially the resultant fibrosis.
[00288] While the present invention has been described in conjunction with the specific embodiments set forth above, many alternatives, modifications and other variations thereof will be apparent to those of ordinary skill in the art. All such alternatives, modifications and variations are intended to fall within the spirit and scope of the present invention.
Claims
1. A method of treating a condition or disease associated with TH17 mediated inflammation, the method comprising administering to a patient in need thereof a FASN inhibitor.
2. A method of treating a condition or disease associated with IL- 17 receptor activation, the method comprising administering to a patient in need thereof a FASN inhibitor.
3. A method of treating a patient of organ transplantation to reduce organ rejection the method comprising administering to a patent in need thereof a FASN inhibitor.
4. A method of inhibiting CSF-1 dependent macrophage differentiation comprising contacting a cell with a FASN inhibitor.
5. A method of treating a condition or disease associated with CSF-1 dependent macrophage differentiation, the method comprising administering to a patient in need thereof a FASN inhibitor.
6. A method of treating NASH, the method comprising administering to a patient in need thereof a FASN inhibitor.
7. The method of any one of claims 1 -6, wherein the FASN inhibitor is a compound of Formula I:
I
or a pharmaceutically acceptable salt thereof, wherein
Ri is a C1-C3 hydroxyl-alkyl optionally substituted with -CH3 or -CHZF3-Z; 5 membered cycloalkyl optionally substituted with substituents selected from the groupconsi sting of halo, C1-C4 alkyl, C3-C4 cycloalkyl, -ORp, and -NRpRpi, or 3 or 4 membered
cycloalkyl or heterocycloalkyl wherein (i) the heteroatom ring member of the 3 or 4 membered heterocycloalkyl is independently selected from O, S, or N, and (ii) the 3 or 4 membered cycloalkyl or heterocycloalkyl is optionally substituted with substituents selected from the group consisting of halo, C1-C4 alkyl, C3-C4 cycloalkyl, -ORa, and -NRaRai;
L is a 5-10 membered monocyclic or bicyclic alkyl or heteroalkyl wherein (i) the
heteroatom ring members of the 5-10 membered monocyclic or bicyclic heteroalkyl are independently selected from O, S, or N, and (ii) each of the 5-10 membered monocyclic or bicyclic alkyl or heteroalkyl is optionally substituted with m instances of -R ;
A and B are independently O or S;
Ar1 is a 4-10 membered monocyclic or bicyclic aryl, heteroaryl, or heterocycloalkyl, wherein (i) the 4-10 membered monocyclic or bicyclic heteroaryl or
heterocycloalkyl has 1, 2, 3, or 4 heteroatoms which are independently selected from N, S, or O, and (ii) the 4-10 membered monocyclic or bicyclic aryl, heteroaryl, or heterocycloalkyl is optionally substituted with n instances of Rq;
R2 is H or a 4-15 membered monocyclic, bicyclic, or tricyclic aryl, heteroaryl, cycloalkyl, or heterocycloalkyl, wherein (i) the 4-15 membered monocyclic, bicyclic, or tricyclic heteroaryl or heterocycloalkyl has 1, 2, 3, 4, 5, 6, 7, or 8 heteroatoms which are independently selected from N, S or O, and (ii) the aryl, heteroaryl, cycloalkyl, or heterocycloalkyl is optionally substituted with r instances of Re; each Rp and Rpi is independently H, C1-C4 alkyl, or C3-C4 cycloalkyl;
each Ra and Rai is independently H, C1-C4 alkyl, or C3-C4 cycloalkyl;
each Rb is independently halo, C1-C4 alkyl, C1-C3 hydroxyl-alkyl, or C3-C4 cycloalkyl; each Re is independently halo, cyano, nitro, hydroxyl, hydroxyl-alkyl,
hydroxylcycloalkyl, hydroxyl, heterocycloalkyl, hydroxyl-aryl, hydroxyl- heteroaryl, amino, aminoalkyl, (amino)alkoxy, -CONH2, -C(0) H(alkyl), - C(0)N(alkyl)2, -C(0)NH(aryl), -C(0)N(aryl)2, -CHZF3-Z, -OCHzF3-z, alkyl, alkoxy, alkenyl, alkynyl, aryloxy, (alkoxyalkyl)amino, cycloalkyl, heterocycloalkyl, (heterocycloalkyl)alkyl, aryl, heteroaryl, -O(alkyl), -O(cycloalkyl), - O(heterocycloalkyl), -O(aiyl), -O(heteroaiyl), -ONH2, -C(0) H(alkyl), -
C(0)N(aryl)2, -C(0) H(cycloalkyl), - H(CO)cycloalkyl, - H(S02), - H(S02)alkyl, - H(S02)aryl, - H(S02)heteroaryl, -N(S02)cycloalkyl, - C(0)N(alkyl)2, (aryl)alkyl, (heteroaryl)alkyl, -S(0)2-alkyl, -S(0)2-aryl, -S(0)2- cycloalkyl, -C(0)N(alkyl)2, -C(0)alkyl, - H-C(0)-alkyl, - H-C(0)-cycloalkyl, - H-C(0)-heterocycloalkyl, - H-C(0)-heterocycloalkyl-Rd; - H-C(0)-Rd, - H- C(0)-aryl, - H-C(0)- H-alkyl, - H-C(0)- H-cycloalkyl, - H2(CO)cycloalkyl, - H-C(0)- H-aryl, - H-C(0)-0-alkyl, - H-C(0)- H-cycloalkyl, - H-C(O)- O-cycloalkyl, -N(Rd)-C(0)-alkyl, -N(Rd)-C(0)-aryl, -N(Rd)-S(02)cycloalkyl, - S(02) H2, -S(02)NH(alkyl), -S(02)N(Rd)cycloalkyl, -S(02)N(alkyl)2, - C(0)N(H)(alkyl), -C(0)N(Rd)(cycloalkyl), methylenedioxy, -CHZF3-Z, or - OCHzF3-z;
each Rq is independently halo, alkyl, -CHZF3-Z, cyano, nitro, hydroxyl, hydroxylalkyl, amino, aminoalkyl, (amino)alkoxy, -CO H2, -C(0) H(alkyl), -C(0)N(alkyl)2, - C(0) H(aryl), -C(0)N(aryl)2, -OCHzF3-z, alkyl, alkenyl, alkynyl, alkoxy, (alkoxyalkyl)amino, -N(Rc)-C(0)-alkyl, -N(Rc)-C(0)-aryl, cycloalkyl, heterocycloalkyl, aryl, or heteroaryl;
each Rc is independently H, halo, C1-C4 alkyl, or C3-C4 cycloalkyl;
each Rd is independently H, halo, C1-C4 alkyl, or C3-C4 cycloalkyl;
with the proviso that no two adjacent ring heteroatoms are both S or both O;
m is 1, 2, 3, or 4;
n is 1, 2, 3, or 4;
r is 1, 2, 3, or 4
and z is O, 1, 2, 3, or 4.
8. The method of claim 7, wherein the FASN inhibitor is of formula I-F:
I-F.
9. The method of claim 7, wherein the FASN inhibitor is of formula I-E:
I-E.
10. The method of claim 8, wherein n is 1.
1 1. The method of claim 8, wherein n is 2.
12. The method of claims 10 or 1 1, wherein ¾, is methyl.
13. The method of any one of claims 1-6, wherein the compound is selected from Table 1.
14. The method of claim 7, wherein the FASN inhibitor is selected from
Compound 1 Compound 2
Compound 3 Compound 4
Compound 13 Compound 14 or a pharmaceutically acceptable salt thereof.
15. The method of any one of claims 1-6 wherein the FASN inhibitor is selected from the group consisting of TVB-2640, GSK2194069, GSK1995010, GSK837149A, JNJ54302833, BI00179, IPI-9119, Orlistat, Cerulenin, and C75 (4-Methylene-2-octyl-5- oxotetrahydrofuran-3-carboxylic acid).
16. The method of claims 1 or 2 wherein the disease is NASH.
17. The method of any one of claims 7-15 wherein the disease is NASH.
18. The method of claims 1 or 2, wherein the disease is selected from the group consisting of Inflammatory Bowel Disease and Chronic Obstructive Pulmonary
Disease.
19. The method of claims 1 or 2 where in the disease is selected from the group consisting of allergic contact dermatitis and autoimmune myositis.
20. The method of claims 1 or 2, wherein the disease is selected from the group consisting of systemic or tissue inflammation, inflammatory responses to infection or hypoxia, cellular activation and proliferation, lipid metabolism, fibrosis and in the prevention and treatment of viral infections.
21. The method of claims 1 or 2, wherein the disease is selected from the group consisting of chronic and inflammatory conditions, including but not limited to rheumatoid arthritis, osteoarthritis, periodontitis, acute gout, psoriasis, psoriatic arthritis, ankylosing spondylitis, HIV-associated nephropathy, amyotrophic lateral sclerosis, pulmonary arterial hypertension, acute allograft rejection, chronic organ transplant rejection, systemic lupus erythematosus, lupus nephritis, multiple sclerosis, Crohn's disease, ulcerative colitis, severe celiac/coeliac disease, asthma, chronic obstructive
airways disease, pneumonitis, myocarditis, pericarditis, myositis, eczema, dermatitis, alopecia, vitiligo, bullous skin disease, nephrititis, vasculitis, atherosclerosis, Alzheimer's disease, depression, Sjogren's syndrome, siloadenitis, central retinal vein occlusion, branched retinal vein occlusion, Irvine-Gass syndrome, parafoveal telangiectasis, retinitis pigmentosa, pars planitis, birdshot retinochoroidopathy, epiretinal membrane, cystic macular edema, maculopathies, vitreomacular traction syndromes, retinal detachment, neuroretinitis, idiopathic macular edema, retinitis, dry eye, vernal keratoconjuctivitis, atopic keratoconjuctivitis, anterior uveitis, pan uveitis, posterior uveitis, uveitis- associated macular edema, scleritis, diabetic retinopathy, diabetic macular edema, age- related macular dystrophy, hepatitis, pancreatitis, primary biliary cirrhosis, sclerosing cholangitis, Addison's disease, hypophysitis, thyroiditis, type I diabetes and acute rejection of transplanted organisms.
22. The method of claims 1 or 2, wherein the disease is selected from the group consisting of acute inflammatory conditions such as acute gout, giant cell arteritis, nephritis including lupus nephritis, vasculitis with organ involvement such as
glomerulonephritis, vasculitis including giant cell arteritis, Wegner's granulomatosis, Polyarteritis nodosa, Becet's disease, Kawasaki disease, Takayasu's arteritis, pyoderma gangrenosum, vasculitis with organ involvement and acute rejection of transplanted organs.
23. The method of claims 1 or 2, wherein the disease is selected from the group consisting of inflammatory responses to infections with bacteria, viruses, fungi, parasites or their toxins, such as but not limited to sepsis, sepsis syndrome, septic shock, endotoxaemia, systemic inflammatory response syndrome, multi organ dysfunction syndrome, toxic shock syndrome, acute lung injury, acute respiratory distress syndrome, acute renal failure, fulmiant hepatitis, burns, acute pancreatitis, post-surgical syndromes, sarcoidosis, Herxheimer reactions, encephalitis, myelitis, meningitis, malaria, systemic inflammatory responses associated with viral infections, such as but not limited to influenza, herpes zoster, herpes simplex and coronavirus.
24. The method of claims 1 or 2, wherein the disease a method of treating a disease associated with systemic inflammatory response syndrome, such as but not limited to
sepsis, burns, pancreatitis, major trauma, hemorrhage and ischaemia, the method comprising administering a FASN inhibitor.
25. The method of claim 1, 2, or 5, wherein the disease is selected from the group consisting of osteoarthritis and pain.
26. The method of claim 25, wherein the pain is post-surgical pain, bone cancer pain, rheumatoid arthritic pain, osteoarthritic pain, or inflammatory pain.
27. The method of claim 5, wherein the disease is malignant melanoma.
28. The method of claim 1, 2, or 5, wherein the disease is an inflammatory disease.
29. The method of claim 27, further comprising administration of an additional therapeutic agent.
30. The method of claim 29, wherein the additional therapeutic agent is a BRAF inhibitor.
31. The method of claim 30, wherein the BRAF inhibitor is GDC-0879, SB590885; Encorafenib (LGX818); RAF265 (CHIR-265); Dabrafenib (GSK2118436); TAK-632; PLX-4720; CEP-32496; Sorafenib Tosylate; Sorafenib; Vemurafenib (PLX4032, RG7204); AZ 628; or vemurafenib.
32. The method of claim 1, 2, or 5, wherein the disease is inflammatory bowel disease.
33. The method of claim 32, wherein the inflammatory bowel disease is Crohn's disease.
34. The method of claim 32, wherein the inflammatory bowel disease is ulcerative colitis.
35. The method of claim 28, wherein the inflammatory disease is rheumatoid arthritis.
36. The method of claim 29, wherein the additional therapeutic agent is a PD1/PDL1 inhibitor.
37. The method of claim 29, wherein the PDl/PDLl inhibitor is selected from the group consisting of PDl inhibitors Pembrolizumab, and Nivolumab; and PDLl inhibitors Atezolizumab, MEDI4736, Avelumab, and PDR001.
38. The method of claims 1 or 2, wherein the condition or disease is obesity.
39. The method of claims 1 or 2, wherein the condition or disease is Type II diabetes.
Priority Applications (4)
| Application Number | Priority Date | Filing Date | Title |
|---|---|---|---|
| ES17790287T ES2886935T3 (en) | 2016-04-25 | 2017-04-25 | FASN inhibitors for use in the treatment of nonalcoholic steatohepatitis |
| DK17790287.1T DK3458448T3 (en) | 2016-04-25 | 2017-04-25 | PHASE INHIBITORS FOR USE FOR THE TREATMENT OF NON-ALCOHOLIC STEATOHEPATITIS |
| PL17790287T PL3458448T3 (en) | 2016-04-25 | 2017-04-25 | Fasn inhibitors for use in treating non-alcoholic steatohepatitis |
| EP17790287.1A EP3458448B1 (en) | 2016-04-25 | 2017-04-25 | Fasn inhibitors for use in treating non-alcoholic steatohepatitis |
Applications Claiming Priority (2)
| Application Number | Priority Date | Filing Date | Title |
|---|---|---|---|
| US201662327167P | 2016-04-25 | 2016-04-25 | |
| US62/327,167 | 2016-04-25 |
Publications (1)
| Publication Number | Publication Date |
|---|---|
| WO2017189613A1 true WO2017189613A1 (en) | 2017-11-02 |
Family
ID=60157111
Family Applications (1)
| Application Number | Title | Priority Date | Filing Date |
|---|---|---|---|
| PCT/US2017/029469 Ceased WO2017189613A1 (en) | 2016-04-25 | 2017-04-25 | Methods of using fasn inhibitors |
Country Status (9)
| Country | Link |
|---|---|
| US (2) | US20170312273A1 (en) |
| EP (1) | EP3458448B1 (en) |
| DK (1) | DK3458448T3 (en) |
| ES (1) | ES2886935T3 (en) |
| MA (1) | MA45047A (en) |
| PL (1) | PL3458448T3 (en) |
| PT (1) | PT3458448T (en) |
| TW (1) | TW201737943A (en) |
| WO (1) | WO2017189613A1 (en) |
Cited By (7)
| Publication number | Priority date | Publication date | Assignee | Title |
|---|---|---|---|---|
| US10399951B2 (en) | 2013-03-13 | 2019-09-03 | Forma Therapeutics, Inc. | Compounds and compositions for inhibition of FASN |
| WO2020092376A1 (en) * | 2018-10-29 | 2020-05-07 | Forma Therapeutics, Inc. | Treating non-alcoholic steatohepatitis (nash) |
| US10793554B2 (en) | 2018-10-29 | 2020-10-06 | Forma Therapeutics, Inc. | Solid forms of 4-(2-fluoro-4-(1-methyl-1H-benzo[d]imidazol-5-yl)benzoyl)piperazin-1-yl)(1-hydroxycyclopropyl)methanone |
| US10875848B2 (en) | 2018-10-10 | 2020-12-29 | Forma Therapeutics, Inc. | Inhibiting fatty acid synthase (FASN) |
| US11040027B2 (en) | 2017-01-17 | 2021-06-22 | Heparegenix Gmbh | Protein kinase inhibitors for promoting liver regeneration or reducing or preventing hepatocyte death |
| WO2023093700A1 (en) * | 2021-11-29 | 2023-06-01 | 中国海洋大学 | Imidazothiazole derivative, preparation method therefor, and application thereof |
| EP4430535A4 (en) * | 2021-11-11 | 2025-09-17 | Sagimet Biosciences Inc | Methods for predicting treatment response in non-alcoholic fatty liver disease |
Families Citing this family (1)
| Publication number | Priority date | Publication date | Assignee | Title |
|---|---|---|---|---|
| CN113265468B (en) * | 2021-07-21 | 2021-10-12 | 北京大学第三医院(北京大学第三临床医学院) | A miRNA associated with cervical cancer diagnosis, treatment and prognosis |
Citations (9)
| Publication number | Priority date | Publication date | Assignee | Title |
|---|---|---|---|---|
| US4861760A (en) | 1985-10-03 | 1989-08-29 | Merck & Co., Inc. | Ophthalmological composition of the type which undergoes liquid-gel phase transition |
| US4911920A (en) | 1986-07-30 | 1990-03-27 | Alcon Laboratories, Inc. | Sustained release, comfort formulation for glaucoma therapy |
| US5212162A (en) | 1991-03-27 | 1993-05-18 | Alcon Laboratories, Inc. | Use of combinations gelling polysaccharides and finely divided drug carrier substrates in topical ophthalmic compositions |
| US5403841A (en) | 1991-01-15 | 1995-04-04 | Alcon Laboratories, Inc. | Use of carrageenans in topical ophthalmic compositions |
| WO1996005309A2 (en) | 1994-08-17 | 1996-02-22 | The Rockefeller University | Modulators of body weight, corresponding nucleic acids and proteins, and diagnostic and therapeutic uses thereof |
| WO2014146747A1 (en) | 2013-03-21 | 2014-09-25 | Merck Patent Gmbh | Piperazine derivatives as fasn inhibitors |
| WO2014164749A1 (en) | 2013-03-13 | 2014-10-09 | Forma Therapeutics, Inc. | Novel compounds and compositions for inhibition of fasn |
| US20150166529A1 (en) | 2013-12-17 | 2015-06-18 | Janssen Pharmaceutica, Nv | Imidazolin-5-one derivative useful as fasn inhibitors for the treatment of cancer |
| US20160009688A1 (en) | 2013-12-03 | 2016-01-14 | Janssen Pharmaceutica Nv | Benzamide derivative useful as fasn inhibitors for the treatment of cancer |
Family Cites Families (1)
| Publication number | Priority date | Publication date | Assignee | Title |
|---|---|---|---|---|
| WO2008106563A2 (en) * | 2007-02-27 | 2008-09-04 | Fasgen Diagnostics, Llc | Fatty acid synthase in liver disease |
-
2017
- 2017-04-25 DK DK17790287.1T patent/DK3458448T3/en active
- 2017-04-25 ES ES17790287T patent/ES2886935T3/en active Active
- 2017-04-25 MA MA045047A patent/MA45047A/en unknown
- 2017-04-25 PT PT177902871T patent/PT3458448T/en unknown
- 2017-04-25 TW TW106113737A patent/TW201737943A/en unknown
- 2017-04-25 PL PL17790287T patent/PL3458448T3/en unknown
- 2017-04-25 EP EP17790287.1A patent/EP3458448B1/en active Active
- 2017-04-25 US US15/497,125 patent/US20170312273A1/en not_active Abandoned
- 2017-04-25 WO PCT/US2017/029469 patent/WO2017189613A1/en not_active Ceased
-
2019
- 2019-08-20 US US16/545,339 patent/US20190374536A1/en not_active Abandoned
Patent Citations (10)
| Publication number | Priority date | Publication date | Assignee | Title |
|---|---|---|---|---|
| US4861760A (en) | 1985-10-03 | 1989-08-29 | Merck & Co., Inc. | Ophthalmological composition of the type which undergoes liquid-gel phase transition |
| US4911920A (en) | 1986-07-30 | 1990-03-27 | Alcon Laboratories, Inc. | Sustained release, comfort formulation for glaucoma therapy |
| US5403841A (en) | 1991-01-15 | 1995-04-04 | Alcon Laboratories, Inc. | Use of carrageenans in topical ophthalmic compositions |
| US5212162A (en) | 1991-03-27 | 1993-05-18 | Alcon Laboratories, Inc. | Use of combinations gelling polysaccharides and finely divided drug carrier substrates in topical ophthalmic compositions |
| WO1996005309A2 (en) | 1994-08-17 | 1996-02-22 | The Rockefeller University | Modulators of body weight, corresponding nucleic acids and proteins, and diagnostic and therapeutic uses thereof |
| WO2014164749A1 (en) | 2013-03-13 | 2014-10-09 | Forma Therapeutics, Inc. | Novel compounds and compositions for inhibition of fasn |
| US20160002188A1 (en) | 2013-03-13 | 2016-01-07 | Forma Therapeutics, Inc. | Novel compounds and compositions for inhibition of fasn |
| WO2014146747A1 (en) | 2013-03-21 | 2014-09-25 | Merck Patent Gmbh | Piperazine derivatives as fasn inhibitors |
| US20160009688A1 (en) | 2013-12-03 | 2016-01-14 | Janssen Pharmaceutica Nv | Benzamide derivative useful as fasn inhibitors for the treatment of cancer |
| US20150166529A1 (en) | 2013-12-17 | 2015-06-18 | Janssen Pharmaceutica, Nv | Imidazolin-5-one derivative useful as fasn inhibitors for the treatment of cancer |
Non-Patent Citations (14)
| Title |
|---|
| "March's Advanced Organic Chemistry", 2001, JOHN WILEY & SONS |
| "Pharmaceutical Sciences", FOOD & DRUG ADMINISTRATION |
| ANDERSON ET AL.: "The Practice of Medicinal Chemistry", 1996, ACADEMIC PRESS |
| HARRISON, SA ET AL.: "A pilot study of orlistat treatment in obese, non-alcoholic steatohepatitis patients", ALIMENTARY PHARMACOLOGY & THERAPEUTICS, vol. 20, no. 6, 1 September 2004 (2004-09-01), pages 623 - 628, XP055437073 * |
| HOOVER, JOHN E.: "Remington's Pharmaceutical Sciences", 1975, MACK PUBLISHING CO. |
| KLEINER, D.E.BRUNT, E.M.VAN NATTA, M.BEHLING, C.CONTOS, M.J.CUMMINGS, O.W.FERRELL, L.D.LIU, Y.-C.TORBENSON, M.S.UNALP-ARIDA, A. ET: "Design and validation of a histological scoring system for nonalcoholic fatty liver disease", HEPATOL., vol. 41, 2005, pages 1313 - 1321, XP055123202, DOI: 10.1002/hep.20701 |
| P. GOULD, INTERNATIONAL J. OF PHARMACEUTICS, vol. 33, 1986, pages 201 - 217 |
| P. STAHL ET AL.: "Handbook of Pharmaceutical Salts. Properties, Selection and Use", 2002, WILEY-VCH |
| RAU, M. ET AL., J. IMMUNOL., vol. 196, no. 1, 2016, pages 97 - 105 |
| S. BERGE ET AL., JOURNAL OF PHARMACEUTICAL SCIENCES, vol. 66, no. 1, 1977, pages 1 - 19 |
| S. M. BERGE ET AL.: "describe pharmaceutically acceptable salts in detail", J. PHARMACEUTICAL SCIENCES, vol. 66, 1977, pages 1 - 19 |
| TAN, Z. ET AL., J IMMUNOL., vol. 191, no. 4, 2013, pages 1835 - 44 |
| TAN, Z., J IMMUNOL., pages 1835 - 44 |
| THOMAS SORRELL: "Handbook of Chemistry and Physics", 1999, UNIVERSITY SCIENCE BOOKS |
Cited By (15)
| Publication number | Priority date | Publication date | Assignee | Title |
|---|---|---|---|---|
| US10800750B2 (en) | 2013-03-13 | 2020-10-13 | Forma Therapeutics, Inc. | Compounds and compositions for inhibition of FASN |
| US10457655B2 (en) | 2013-03-13 | 2019-10-29 | Forma Therapeutics, Inc. | Compounds and compositions for inhibition of FASN |
| US10472342B2 (en) | 2013-03-13 | 2019-11-12 | Forma Therapeutics, Inc. | Compounds and compositions for inhibition of FASN |
| US10995078B2 (en) | 2013-03-13 | 2021-05-04 | Forma Therapeutics, Inc. | Compounds and compositions for inhibition of FASN |
| US10450286B2 (en) | 2013-03-13 | 2019-10-22 | Forma Therapeutics, Inc. | Compounds and compositions for inhibition of FASN |
| US10399951B2 (en) | 2013-03-13 | 2019-09-03 | Forma Therapeutics, Inc. | Compounds and compositions for inhibition of FASN |
| US11040027B2 (en) | 2017-01-17 | 2021-06-22 | Heparegenix Gmbh | Protein kinase inhibitors for promoting liver regeneration or reducing or preventing hepatocyte death |
| US11299484B2 (en) | 2018-10-10 | 2022-04-12 | Forma Therapeutics, Inc. | Inhibiting fatty acid synthase (FASN) |
| US10875848B2 (en) | 2018-10-10 | 2020-12-29 | Forma Therapeutics, Inc. | Inhibiting fatty acid synthase (FASN) |
| WO2020092376A1 (en) * | 2018-10-29 | 2020-05-07 | Forma Therapeutics, Inc. | Treating non-alcoholic steatohepatitis (nash) |
| US11267805B2 (en) | 2018-10-29 | 2022-03-08 | Forma Therapeutics, Inc. | Solid forms of (4-(2-fluoro-4-(1-methyl-1H-benzo[d]imidazol-5-yl)benzoyl) piperazine-1-yl)(1-hydroxycyclopropyl)methanone |
| US10793554B2 (en) | 2018-10-29 | 2020-10-06 | Forma Therapeutics, Inc. | Solid forms of 4-(2-fluoro-4-(1-methyl-1H-benzo[d]imidazol-5-yl)benzoyl)piperazin-1-yl)(1-hydroxycyclopropyl)methanone |
| EP4430535A4 (en) * | 2021-11-11 | 2025-09-17 | Sagimet Biosciences Inc | Methods for predicting treatment response in non-alcoholic fatty liver disease |
| WO2023093700A1 (en) * | 2021-11-29 | 2023-06-01 | 中国海洋大学 | Imidazothiazole derivative, preparation method therefor, and application thereof |
| CN117203211A (en) * | 2021-11-29 | 2023-12-08 | 中国海洋大学 | Imidazo thiazole derivative, preparation method and application thereof |
Also Published As
| Publication number | Publication date |
|---|---|
| EP3458448A1 (en) | 2019-03-27 |
| US20190374536A1 (en) | 2019-12-12 |
| PT3458448T (en) | 2021-09-10 |
| EP3458448A4 (en) | 2019-04-17 |
| DK3458448T3 (en) | 2021-08-23 |
| EP3458448B1 (en) | 2021-06-23 |
| TW201737943A (en) | 2017-11-01 |
| ES2886935T3 (en) | 2021-12-21 |
| PL3458448T3 (en) | 2021-12-06 |
| US20170312273A1 (en) | 2017-11-02 |
| MA45047A (en) | 2019-03-27 |
Similar Documents
| Publication | Publication Date | Title |
|---|---|---|
| EP3458448A1 (en) | Methods of using fasn inhibitors | |
| JP6174997B2 (en) | Benzodioxole or benzodioxepin heterocyclic compounds as phosphodiesterase inhibitors | |
| WO2014141129A2 (en) | Novel methods, compounds, and compositions for inhibition of ros | |
| JPWO1999020620A1 (en) | Isoquinoline derivatives and medicines | |
| EP3317274A1 (en) | Use of chloroquine and clemizole compounds for treatment of inflammatory and cancerous conditions | |
| EP3680232B1 (en) | Novel anthranilic acid-based compound, and pin1 inhibitor, therapeutic agent for inflammatory diseases and therapeutic agent for cancer that use the same | |
| KR102588426B1 (en) | Substituted dihydropyrrolopyrazole derivatives | |
| AU2015252007A1 (en) | Inhibiting the Transient Receptor Potential A1 ion channel | |
| KR20140099492A (en) | Tricyclic compounds, compositions comprising them and uses thereof | |
| WO2020177744A1 (en) | Salicylic acid berberine-type alkaloid quaternary ammonium compound and use thereof for preparing medicines | |
| JP2021512075A (en) | Inhibition of transient receptor potential A1 ion channels | |
| WO2019084300A1 (en) | Treatment of glioblastoma with fasn inhibitors | |
| US11071738B2 (en) | Therapeutic agent for fatty liver diseases and therapeutic agent for adiposity | |
| US11504379B2 (en) | Amide compound, and Pin1 inhibitor, therapeutic agent for inflammatory diseases and therapeutic agent for cancer that use the same | |
| CN112654626A (en) | Compound and use thereof | |
| US20170298090A1 (en) | Modulators of ROR-gamma Receptors, Composition and Use Thereof | |
| CN105658634B (en) | Alkoxide-substituted chromene derivatives as inhibitors of the TCR-Nck interaction | |
| CN106995368B (en) | A kind of non-ATP competitive FGFR1 inhibitor and its application | |
| US9889139B2 (en) | Method of treating inflammatory bowel disease comprising administering a pharmaceutical composition comprising a 6-aminopyridin-3-ol compound or a pharmaceutically acceptable salt thereof as an active ingredient to a subject | |
| KR101360579B1 (en) | New Phenyl Acetate Derivatives | |
| US20230255933A1 (en) | Antiviral use of fabp4 modulating compounds | |
| CA3169000A1 (en) | Crystal of imidazopyridinone compound or salt thereof | |
| KR101656394B1 (en) | Novel 8-oxoprotoberberine derivatives or pharmaceutically acceptable salts thereof, preparation method thereof and pharmaceutical composition for prevention or treatment of diseases induced by activation of NFAT5 containing the same as an active ingredient | |
| CN104788423A (en) | New cystic fibrosis transmembrane conductance regulator inhibitor | |
| KR20210080378A (en) | treatment of obesity |
Legal Events
| Date | Code | Title | Description |
|---|---|---|---|
| NENP | Non-entry into the national phase |
Ref country code: DE |
|
| WWE | Wipo information: entry into national phase |
Ref document number: 2017790287 Country of ref document: EP |
|
| ENP | Entry into the national phase |
Ref document number: 2017790287 Country of ref document: EP Effective date: 20181026 |
|
| 121 | Ep: the epo has been informed by wipo that ep was designated in this application |
Ref document number: 17790287 Country of ref document: EP Kind code of ref document: A1 |















































































































































































































































