WO2017174657A1 - Nucleic acid linked to a trivalent glycoconjugate - Google Patents
Nucleic acid linked to a trivalent glycoconjugate Download PDFInfo
- Publication number
- WO2017174657A1 WO2017174657A1 PCT/EP2017/058112 EP2017058112W WO2017174657A1 WO 2017174657 A1 WO2017174657 A1 WO 2017174657A1 EP 2017058112 W EP2017058112 W EP 2017058112W WO 2017174657 A1 WO2017174657 A1 WO 2017174657A1
- Authority
- WO
- WIPO (PCT)
- Prior art keywords
- modified
- alkylene
- nucleotides
- strand
- nucleic acid
- Prior art date
- Legal status (The legal status is an assumption and is not a legal conclusion. Google has not performed a legal analysis and makes no representation as to the accuracy of the status listed.)
- Ceased
Links
- 0 **(O)OC1N*1 Chemical compound **(O)OC1N*1 0.000 description 7
- NMAFIEBOXWLEGI-UHFFFAOYSA-N CC(C)N(C(C)C)P(C)OCCC#N Chemical compound CC(C)N(C(C)C)P(C)OCCC#N NMAFIEBOXWLEGI-UHFFFAOYSA-N 0.000 description 1
- WFOPHJRPISMLSE-UHFFFAOYSA-N CC(C)N(C(C)C)P(OCCC#N)=O Chemical compound CC(C)N(C(C)C)P(OCCC#N)=O WFOPHJRPISMLSE-UHFFFAOYSA-N 0.000 description 1
- HQUJBLNUSSVPDW-UHFFFAOYSA-N CC(C)N(C(C)C)P(OCCCCOC(C(C1OC(C)=O)N=C2CC2)OC(COC(C)=O)C1OC(C)=O)OCCC#N Chemical compound CC(C)N(C(C)C)P(OCCCCOC(C(C1OC(C)=O)N=C2CC2)OC(COC(C)=O)C1OC(C)=O)OCCC#N HQUJBLNUSSVPDW-UHFFFAOYSA-N 0.000 description 1
- YYWHLQDKRYSKJB-UHFFFAOYSA-N CC(C)N1PN(C(C)C)C(C)CC1C Chemical compound CC(C)N1PN(C(C)C)C(C)CC1C YYWHLQDKRYSKJB-UHFFFAOYSA-N 0.000 description 1
- UAOMVDZJSHZZME-UHFFFAOYSA-O CC(C)[NH2+]C(C)C Chemical compound CC(C)[NH2+]C(C)C UAOMVDZJSHZZME-UHFFFAOYSA-O 0.000 description 1
- HSMKRXXJHOOTMA-UHFFFAOYSA-P CC(C)[NH2+]C(C)CC(CC#N)O[PH2+]Cl Chemical compound CC(C)[NH2+]C(C)CC(CC#N)O[PH2+]Cl HSMKRXXJHOOTMA-UHFFFAOYSA-P 0.000 description 1
- CKTCTFIFPYHZJY-ZCXPVBPFSA-N CC(NC(C1O)[C@H](OCCCCOP(OCCCO)(S)=O)OC(CO)[C@@H]1O)=O Chemical compound CC(NC(C1O)[C@H](OCCCCOP(OCCCO)(S)=O)OC(CO)[C@@H]1O)=O CKTCTFIFPYHZJY-ZCXPVBPFSA-N 0.000 description 1
- WZFQZRLQMXZMJA-UHFFFAOYSA-N CC(OCC(C1OC(C)=O)OC2OC(C)=NC2C1OC(C)=O)=O Chemical compound CC(OCC(C1OC(C)=O)OC2OC(C)=NC2C1OC(C)=O)=O WZFQZRLQMXZMJA-UHFFFAOYSA-N 0.000 description 1
- TYROJDFHUXSBHC-UHFFFAOYSA-N OCCCCOCc1ccccc1 Chemical compound OCCCCOCc1ccccc1 TYROJDFHUXSBHC-UHFFFAOYSA-N 0.000 description 1
Classifications
-
- A—HUMAN NECESSITIES
- A61—MEDICAL OR VETERINARY SCIENCE; HYGIENE
- A61K—PREPARATIONS FOR MEDICAL, DENTAL OR TOILETRY PURPOSES
- A61K31/00—Medicinal preparations containing organic active ingredients
- A61K31/70—Carbohydrates; Sugars; Derivatives thereof
- A61K31/7088—Compounds having three or more nucleosides or nucleotides
- A61K31/7125—Nucleic acids or oligonucleotides having modified internucleoside linkage, i.e. other than 3'-5' phosphodiesters
-
- C—CHEMISTRY; METALLURGY
- C12—BIOCHEMISTRY; BEER; SPIRITS; WINE; VINEGAR; MICROBIOLOGY; ENZYMOLOGY; MUTATION OR GENETIC ENGINEERING
- C12N—MICROORGANISMS OR ENZYMES; COMPOSITIONS THEREOF; PROPAGATING, PRESERVING, OR MAINTAINING MICROORGANISMS; MUTATION OR GENETIC ENGINEERING; CULTURE MEDIA
- C12N15/00—Mutation or genetic engineering; DNA or RNA concerning genetic engineering, vectors, e.g. plasmids, or their isolation, preparation or purification; Use of hosts therefor
- C12N15/09—Recombinant DNA-technology
- C12N15/11—DNA or RNA fragments; Modified forms thereof; Non-coding nucleic acids having a biological activity
- C12N15/113—Non-coding nucleic acids modulating the expression of genes, e.g. antisense oligonucleotides; Antisense DNA or RNA; Triplex- forming oligonucleotides; Catalytic nucleic acids, e.g. ribozymes; Nucleic acids used in co-suppression or gene silencing
-
- A—HUMAN NECESSITIES
- A61—MEDICAL OR VETERINARY SCIENCE; HYGIENE
- A61K—PREPARATIONS FOR MEDICAL, DENTAL OR TOILETRY PURPOSES
- A61K47/00—Medicinal preparations characterised by the non-active ingredients used, e.g. carriers or inert additives; Targeting or modifying agents chemically bound to the active ingredient
- A61K47/50—Medicinal preparations characterised by the non-active ingredients used, e.g. carriers or inert additives; Targeting or modifying agents chemically bound to the active ingredient the non-active ingredient being chemically bound to the active ingredient, e.g. polymer-drug conjugates
- A61K47/51—Medicinal preparations characterised by the non-active ingredients used, e.g. carriers or inert additives; Targeting or modifying agents chemically bound to the active ingredient the non-active ingredient being chemically bound to the active ingredient, e.g. polymer-drug conjugates the non-active ingredient being a modifying agent
- A61K47/54—Medicinal preparations characterised by the non-active ingredients used, e.g. carriers or inert additives; Targeting or modifying agents chemically bound to the active ingredient the non-active ingredient being chemically bound to the active ingredient, e.g. polymer-drug conjugates the non-active ingredient being a modifying agent the modifying agent being an organic compound
- A61K47/549—Sugars, nucleosides, nucleotides or nucleic acids
-
- A—HUMAN NECESSITIES
- A61—MEDICAL OR VETERINARY SCIENCE; HYGIENE
- A61K—PREPARATIONS FOR MEDICAL, DENTAL OR TOILETRY PURPOSES
- A61K47/00—Medicinal preparations characterised by the non-active ingredients used, e.g. carriers or inert additives; Targeting or modifying agents chemically bound to the active ingredient
- A61K47/50—Medicinal preparations characterised by the non-active ingredients used, e.g. carriers or inert additives; Targeting or modifying agents chemically bound to the active ingredient the non-active ingredient being chemically bound to the active ingredient, e.g. polymer-drug conjugates
- A61K47/51—Medicinal preparations characterised by the non-active ingredients used, e.g. carriers or inert additives; Targeting or modifying agents chemically bound to the active ingredient the non-active ingredient being chemically bound to the active ingredient, e.g. polymer-drug conjugates the non-active ingredient being a modifying agent
- A61K47/56—Medicinal preparations characterised by the non-active ingredients used, e.g. carriers or inert additives; Targeting or modifying agents chemically bound to the active ingredient the non-active ingredient being chemically bound to the active ingredient, e.g. polymer-drug conjugates the non-active ingredient being a modifying agent the modifying agent being an organic macromolecular compound, e.g. an oligomeric, polymeric or dendrimeric molecule
-
- A—HUMAN NECESSITIES
- A61—MEDICAL OR VETERINARY SCIENCE; HYGIENE
- A61P—SPECIFIC THERAPEUTIC ACTIVITY OF CHEMICAL COMPOUNDS OR MEDICINAL PREPARATIONS
- A61P1/00—Drugs for disorders of the alimentary tract or the digestive system
- A61P1/16—Drugs for disorders of the alimentary tract or the digestive system for liver or gallbladder disorders, e.g. hepatoprotective agents, cholagogues, litholytics
-
- A—HUMAN NECESSITIES
- A61—MEDICAL OR VETERINARY SCIENCE; HYGIENE
- A61P—SPECIFIC THERAPEUTIC ACTIVITY OF CHEMICAL COMPOUNDS OR MEDICINAL PREPARATIONS
- A61P29/00—Non-central analgesic, antipyretic or antiinflammatory agents, e.g. antirheumatic agents; Non-steroidal antiinflammatory drugs [NSAID]
-
- A—HUMAN NECESSITIES
- A61—MEDICAL OR VETERINARY SCIENCE; HYGIENE
- A61P—SPECIFIC THERAPEUTIC ACTIVITY OF CHEMICAL COMPOUNDS OR MEDICINAL PREPARATIONS
- A61P3/00—Drugs for disorders of the metabolism
-
- A—HUMAN NECESSITIES
- A61—MEDICAL OR VETERINARY SCIENCE; HYGIENE
- A61P—SPECIFIC THERAPEUTIC ACTIVITY OF CHEMICAL COMPOUNDS OR MEDICINAL PREPARATIONS
- A61P3/00—Drugs for disorders of the metabolism
- A61P3/04—Anorexiants; Antiobesity agents
-
- A—HUMAN NECESSITIES
- A61—MEDICAL OR VETERINARY SCIENCE; HYGIENE
- A61P—SPECIFIC THERAPEUTIC ACTIVITY OF CHEMICAL COMPOUNDS OR MEDICINAL PREPARATIONS
- A61P3/00—Drugs for disorders of the metabolism
- A61P3/06—Antihyperlipidemics
-
- A—HUMAN NECESSITIES
- A61—MEDICAL OR VETERINARY SCIENCE; HYGIENE
- A61P—SPECIFIC THERAPEUTIC ACTIVITY OF CHEMICAL COMPOUNDS OR MEDICINAL PREPARATIONS
- A61P31/00—Antiinfectives, i.e. antibiotics, antiseptics, chemotherapeutics
- A61P31/12—Antivirals
-
- A—HUMAN NECESSITIES
- A61—MEDICAL OR VETERINARY SCIENCE; HYGIENE
- A61P—SPECIFIC THERAPEUTIC ACTIVITY OF CHEMICAL COMPOUNDS OR MEDICINAL PREPARATIONS
- A61P43/00—Drugs for specific purposes, not provided for in groups A61P1/00-A61P41/00
-
- A—HUMAN NECESSITIES
- A61—MEDICAL OR VETERINARY SCIENCE; HYGIENE
- A61P—SPECIFIC THERAPEUTIC ACTIVITY OF CHEMICAL COMPOUNDS OR MEDICINAL PREPARATIONS
- A61P5/00—Drugs for disorders of the endocrine system
- A61P5/06—Drugs for disorders of the endocrine system of the anterior pituitary hormones, e.g. TSH, ACTH, FSH, LH, PRL, GH
-
- A—HUMAN NECESSITIES
- A61—MEDICAL OR VETERINARY SCIENCE; HYGIENE
- A61P—SPECIFIC THERAPEUTIC ACTIVITY OF CHEMICAL COMPOUNDS OR MEDICINAL PREPARATIONS
- A61P5/00—Drugs for disorders of the endocrine system
- A61P5/06—Drugs for disorders of the endocrine system of the anterior pituitary hormones, e.g. TSH, ACTH, FSH, LH, PRL, GH
- A61P5/08—Drugs for disorders of the endocrine system of the anterior pituitary hormones, e.g. TSH, ACTH, FSH, LH, PRL, GH for decreasing, blocking or antagonising the activity of the anterior pituitary hormones
-
- A—HUMAN NECESSITIES
- A61—MEDICAL OR VETERINARY SCIENCE; HYGIENE
- A61P—SPECIFIC THERAPEUTIC ACTIVITY OF CHEMICAL COMPOUNDS OR MEDICINAL PREPARATIONS
- A61P7/00—Drugs for disorders of the blood or the extracellular fluid
- A61P7/04—Antihaemorrhagics; Procoagulants; Haemostatic agents; Antifibrinolytic agents
-
- A—HUMAN NECESSITIES
- A61—MEDICAL OR VETERINARY SCIENCE; HYGIENE
- A61P—SPECIFIC THERAPEUTIC ACTIVITY OF CHEMICAL COMPOUNDS OR MEDICINAL PREPARATIONS
- A61P7/00—Drugs for disorders of the blood or the extracellular fluid
- A61P7/06—Antianaemics
-
- A—HUMAN NECESSITIES
- A61—MEDICAL OR VETERINARY SCIENCE; HYGIENE
- A61P—SPECIFIC THERAPEUTIC ACTIVITY OF CHEMICAL COMPOUNDS OR MEDICINAL PREPARATIONS
- A61P9/00—Drugs for disorders of the cardiovascular system
-
- C—CHEMISTRY; METALLURGY
- C12—BIOCHEMISTRY; BEER; SPIRITS; WINE; VINEGAR; MICROBIOLOGY; ENZYMOLOGY; MUTATION OR GENETIC ENGINEERING
- C12N—MICROORGANISMS OR ENZYMES; COMPOSITIONS THEREOF; PROPAGATING, PRESERVING, OR MAINTAINING MICROORGANISMS; MUTATION OR GENETIC ENGINEERING; CULTURE MEDIA
- C12N2310/00—Structure or type of the nucleic acid
- C12N2310/10—Type of nucleic acid
- C12N2310/14—Type of nucleic acid interfering nucleic acids [NA]
-
- C—CHEMISTRY; METALLURGY
- C12—BIOCHEMISTRY; BEER; SPIRITS; WINE; VINEGAR; MICROBIOLOGY; ENZYMOLOGY; MUTATION OR GENETIC ENGINEERING
- C12N—MICROORGANISMS OR ENZYMES; COMPOSITIONS THEREOF; PROPAGATING, PRESERVING, OR MAINTAINING MICROORGANISMS; MUTATION OR GENETIC ENGINEERING; CULTURE MEDIA
- C12N2310/00—Structure or type of the nucleic acid
- C12N2310/30—Chemical structure
- C12N2310/35—Nature of the modification
- C12N2310/351—Conjugate
-
- C—CHEMISTRY; METALLURGY
- C12—BIOCHEMISTRY; BEER; SPIRITS; WINE; VINEGAR; MICROBIOLOGY; ENZYMOLOGY; MUTATION OR GENETIC ENGINEERING
- C12N—MICROORGANISMS OR ENZYMES; COMPOSITIONS THEREOF; PROPAGATING, PRESERVING, OR MAINTAINING MICROORGANISMS; MUTATION OR GENETIC ENGINEERING; CULTURE MEDIA
- C12N2320/00—Applications; Uses
- C12N2320/30—Special therapeutic applications
- C12N2320/32—Special delivery means, e.g. tissue-specific
Definitions
- the present invention relates to novel nucleic acid conjugate compounds.
- the invention further relates to compositions comprising said conjugates and their use in medicine, research and diagnostics.
- the novel conjugate compounds may be used in the treatment of many diseases including central-nervous-system diseases, inflammatory diseases, metabolic disorders, genetic and inherited diseases, oncology, infectious diseases, and ocular disease.
- RNA interference mediated by interfering RNA molecules (iRNA).
- iRNA interfering RNA molecules
- Short dsRNA directs gene-specific, post-transcriptional silencing in many organisms, including vertebrates, and has provided a new tool for studying gene function.
- RNAi is mediated by RNA-induced silencing complex (RISC), a sequence- specific, multi-component nuclease that destroys messenger RNAs homologous to the silencing trigger.
- RISC RNA-induced silencing complex
- iRNAs interfering RNA
- siRNA short interfering RNA
- antisense RNA and micro-RNA
- oligonucleotides that prevent the formation of proteins by gene- silencing i.e. inhibiting translation of the protein.
- Gene-silencing agents are becoming increasingly important for therapeutic applications in medicine.
- means for efficient delivery of oligonucleotides, in particular double stranded siRNAs, to cells in vivo is becoming increasingly important and requires specific targeting and substantial protection from the extracellular environment, particularly serum proteins.
- One method of achieving specific targeting is to conjugate a targeting moiety to the iRNA duplex agent.
- the targeting moiety helps in targeting the iRNA duplex agent to the required target site and there is a need to design appropriate targeting moieties for the desired receptor sites for the conjugated molecules to be taken up by the cells such as by endocytosis.
- the Asialoglycoprotein receptor is a high capacity receptor, which is highly abundant on hepatocytes.
- One of the first disclosures of triantennary cluster glycosides was in US patent number US 5,885,968.
- Conjugates having three GalNAc ligands and comprising phosphate groups are known and are described in Dubber et al. (2003).
- the ASGP-R shows a 50-fold higher affinity for N-Acetyl-D-Galactosylamine (GalNAc) than D- Gal.
- Hepatocytes expressing the Lectin asialoglycoprotein receptor; ASGPR
- ASGPR asialoglycoprotein receptor
- ⁇ -galactosyl subunits of glycosylated proteins or other oligosaccharides P. H. Weigel et. al., 2002,
- the binding affinity can be significantly increased by the multi-valency effect, which is achieved by the repetition of the targeting unit (E. A. L. Biessen et. al., 1995).
- the ASGPR is a mediator for an active endosomal transport of terminal ⁇ -galactosyl containing glycoproteins, thus ASGPR is highly suitable for targeted delivery of drag candidates like siRNA, which have to be delivered into a cell (Akinc et al).
- the present invention relates to conjugate compounds having three saccharide ligands and modified phosphate groups within the saccharide portion of the compounds. These conjugate compounds have been shown to have improved potency and duration in vivo. In addition, the conjugate groups are much easier to prepare compared to conjugates known in the art.
- the conjugate compounds of the present invention have the formula I:
- X 1 represents C 3 -C 6 alkylene or an ethylene glycol stem (-CH 2 -CH 2 -0) m (-CH 2 ) 2 - wherein m is 1, 2, or 3;
- P is a modified phosphate
- A is a branching unit
- X 3 represents a bridging unit
- Z is a nucleic acid
- the nucleic acid may be selected from RNAi, siRNA, siNA, antisense nucleic acid, ribozymes, aptamers and spiegelmers.
- the present invention also relates to pharmaceutical compositions comprising the conjugate compound of formula I.
- Conjugate or “conjugate group” means an atom or group of atoms bound to an oligonucleotide or oligomeric compound.
- conjugate groups modify one or more properties of the compound to which they are attached, including, but not limited to pharmacodynamics, pharmacokinetic, binding, absorption, cellular distribution, cellular uptake, charge and/or clearance properties.
- GalNAc means N-acetyl galactosamine.
- C x -C y alkyl refers to a saturated aliphatic hydrocarbon group having x-y carbon atoms which may be linear or branched.
- Ci-C 6 alkyl and includes Q, C 2 , C 3 , C 4 , C 5 and C 6 .
- "Branched" means that at least one carbon branch point is present in the group. For example, tert-butyl and isopropyl are both branched groups.
- Ci-C 6 alkyl groups include methyl, ethyl, propyl, butyl, 2-methyl-l -propyl, 2-methyl -2-propyl , 2-methyl-l -butyl, 3 methyl- 1 -butyl, 2-methyl-3-butyl, 2,2-dimethyl-l -propyl, 2-methyl-pentyl, 3-methyl-l- pentyl, 4-methyl-l-pentyl, 2-methyl-2-pentyl, 3-methyl-2-pentyl, 4-methyl-2 -pentyl, 2,2- dimethyl- 1 -butyl, 3,3-dimethyl-l-butyl, 2-ethyl-l -butyl, n-butyl, isobutyl, tert-butyl, n-pentyl, isopentyl, neopentyl and n-hexyl. This also applies for Ci-C 6 alkylene.
- C x -C y alkoxy refers to a group or part of a group having an -OC x- C y alkyl group according to the definition of C x .C y alkyl above.
- C 3 alkoxy contains from 1 to 3 carbon atoms and includes C l s C 2 and C 3 . Examples of C1-C 3 alkoxy include methoxy, ethoxy, propoxy and isopropoxy.
- Alkoxy as employed herein also extends to embodiments in which the or an oxygen atom (e.g. a single oxygen atom) is located within the alkyl chain, for example CH 2 CH 2 OCH 3 or CH 2 OCH 3 .
- the alkoxy may be linked through carbon to the remainder of the molecule, for example, -CH 2 CH 2 OCH 3 , or alternatively, the alkoxy is linked through oxygen to the remainder of the molecule, for example -OC 1-3 alkyl. In certain instances, the alkoxy may be linked through oxygen to the remainder of the molecule but the alkoxy group contains a further oxygen atom, for example -OCH 2 CH 2 OCH 3 .
- nucleic acid refers to molecules composed of monomeric nucleotides.
- a nucleic acid includes ribonucleic acids (RNA), deoxyribonucleic acids (DNA), single-stranded nucleic acids (ssDNA), double-stranded nucleic acids (dsDNA), small interfering ribonucleic acids (siRNA) and microRNAs (miRNA).
- RNA ribonucleic acids
- DNA deoxyribonucleic acids
- ssDNA single-stranded nucleic acids
- dsDNA double-stranded nucleic acids
- siRNA small interfering ribonucleic acids
- miRNA microRNAs
- a nucleic acid may also comprise any combination of these elements in a single molecule.
- the term “treat” or “treating” or “treatment” may include prophylaxis and means to ameliorate, alleviate symptoms, eliminate the causation of the symptoms either on a temporary or permanent basis, or to prevent or slow the appearance
- an effective amount or “therapeutically effective amount” or “effective dose” is meant that amount sufficient to elicit the desired pharmacological or therapeutic effects, thus resulting in effective prevention or treatment of the disorder.
- Prevention of the disorder is manifested by delaying the onset of the symptoms of the disorder to a medically significant extent.
- Treatment of the disorder is manifested by a decrease in the symptoms associated with the disorder or an amelioration of the reoccurrence of the symptoms of the disorder.
- composition means a mixture of substances suitable for administering to an individual.
- a pharmaceutical composition can comprise one or more active agents and a pharmaceutical carrier e.g. a sterile aqueous solution.
- the present invention provides compounds of formula I: wherein:
- S represents a saccharide
- X 1 represents C 3 -C 6 alkylene or an ethylene glycol stem (-CH 2 -CH 2 -0) m (-CH 2 ) 2 - wherein m is 1, 2, or 3;
- P is a modified phosphate
- X 2 is alkylene or an alkylene ether of the formula (-CH 2 ) n -0-CH 2 - where n - 1- 6;
- A is a branching unit
- X 3 represents a bridging unit
- Z is a nucleic acid
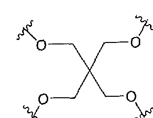
- branching unit "A" branches into three in order to accommodate the three saccharide ligands.
- the branching unit is covalently attached to the tethered ligands and the nucleic acid.
- the branching unit may comprise a branched aliphatic group comprising groups selected from alkyl, amide, disulphide, polyethylene glycol, ether, thioether and hydroxyamino groups.
- the branching unit may comprise groups selected from alkyl and ether groups.
- the branching unit A may have a structure selected from: T/EP2017/058112
- each n independently represents an integer from 1 to 20.
- the branching unit may have a structure selected from:
- each n independently represents an integer from 1 to 20.
- the branching unit may have a structure selected from:
- each n independently represents an integer from 1 to 20.
- the branching unit may have the structure:
- the branching unit may have the structure:
- the branchin unit may have the structure:
- the branching unit consists of only a carbon atom.
- the "X 3 " portion of the compounds of formula I is a bridging unit.
- X 3 may also be referred to as the conjugate linker.
- the bridging unit is linear and is covalently bound to the branching unit and the nucleic acid.
- X 3 may be selected from -Ci-C 2 o alkylene-, -C 2 -C 2 o alkenylene-, an alkylene ether of formula -(C1-C20 alkylene)-O ⁇ (Ci-C 20 alkylene)-, -C(O)-C C 20 alkylene-, -C 0 -C 4 alkylene(Cy)C 0 -C 4 alkylene- wherein Cy represents a substituted or unsubstituted 5 or 6 membered cycloalkylene, arylene, heterocyclylene or heteroarylene ring, -Ci-C 4 alkylene-NHC(0)-C 1 - C 4 alkylene-, -Q-Q alkylene-C(0)NH-C C 4 alkylene-, -C C 4 alkylene-SC(0)-Ci-C 4 alkylene-, -C C 4 alkylene-C(0)S-C C 4 alkylene-, -C, -C
- X may be an alkylene ether of formula -(C -C20 alkylene)-0-(Ci-C 2 o alkylene)-.
- X may be an alkylene ether of formula -(C 1 -C 20 alkylene)-0-(C4-C 2 o alkylene)-, wherein said (C 4 -C 20 alkylene) is linlced to Z.
- X 3 may be selected from the group consisting of -CH2-0-C 3 H 6 -, - CH 2 -0-C 4 H 8 -, -CH 2 -0-C 6 Hi2- and -CH 2 -0-C 8 H 16 -, especially -CH 2 -0-C 4 H 8 -, -CH 2 -0-C 6 H, 2 - and -CH 2 -0-C 8 H 16 -, wherein in each case the -CH 2 - group is linlced to A.
- the present invention provides compounds of formula (II): wherein:
- S represents a saccharide
- X 1 represents C 3 -C 6 alkylene or an ethylene glycol stem (-CH 2 -CH 2 -0) m (-CH 2 ) 2 - wherein m is 1 , 2, or 3;
- P is a modified phosphate
- X 2 is C C 8 alkylene
- A is a branchin unit selected from:
- a 1 O
- NH A 1 O
- NH A 2 NH, CH 2 , O
- X is a bridging unit
- Z is a nucleic acid
- Branching unit A may have the structure:
- Branching unit A may have the structure:
- X 3 may be C 1 -C 20 alkylene.
- X 3 is selected from the group consisting of -C 3 3 ⁇ 4-, - C4H8- , -C 6 H 12 - and - 3 U i e- > especially -C 4 H 8 - ; -C 6 Hi 2 - and -C 8 Hi 6 -.
- the present invention provides compounds of formula (III):
- S represents a saccharide
- X 1 represents C3-C6 alkylene or an ethylene glycol stem (-CH 2 -CH 2 -0) m (-CH 2 )2- wherein m is 1, 2, or 3;
- P is a modified phosphate
- X 2 is an alkylene ether of formula -C 3 H 6 -0-CH 2 -;
- A is a branching unit
- X 3 is an alkylene ether of formula selected from the group consisting of -CH 2 -0-CH 2 -, -C3 ⁇ 4- 0-C 2 H 4 - 5 -CH 2 -0-C 3 H 6 -, -CH 2 -0-C 4 H 8 -, -CH 2 -O-C 5 H 10 -, -CH 2 -0-C 6 H 12 -, -CH 2 -0-C 7 Hi 4 -, and -CHb-O-CsH ⁇ -, wherein in each case the -CH 2 - group is linked to A,
- Z is a nucleic acid
- linkage between X 3 and Z is a phosphate or thiophosphate
- the branching unit may comprise carbon.
- the carbon unit is carbon.
- X 3 may be selected from the group consisting of -CH 2 -0-C 4 3 ⁇ 4-, -CH 2 -O-C5H 10 -, -CH 2 -0- C 0 H[2-, -CH 2 -0-C 7 H ]4 -, and -CH 2 -0-C 8 H 16 -.
- X 3 is selected from the group consisting of -C3 ⁇ 4-0-C 4 H 8 -, -CH 2 -0-C 6 H 12 - and -CH 2 -0-C 8 Hi 6 .
- P represents a modified phosphate group.
- P can be represented by:
- the modified phosphate group is a thiophosphate group.
- P is a monothiophosphate.
- conjugates having thiophosphate groups in replacement of phosphate groups have improved potency and duration of action in vivo.
- the saccharide which can also be referred to as the ligand, may be selected to have an affinity for at least one type of receptor on a target cell.
- the receptor is on the surface of a mammalian liver cell, for example, the hepatic asialoglycoprotein receptor (ASGP-R).
- the saccharide may be selected from N-acetyl galactosamine, mannose, galactose, glucose, glucosamine and fructose.
- the saccharide is N- acetyl galactosamine (GalNAc).
- the compounds of the invention have 3 ligands which are each preferably N-acetyl galactosamine.
- GalNAc refers to 2-(Acetylamino)-2-deoxy-D- galactopyranose, commonly referred to in the literature as N-acetyl galactosamine. Reference to “GalNAc” or “N-acetyl
- galactosamine includes both the ⁇ - form: 2-(Acetylamino)-2-deoxy- -D-galactopyranose and the a-form: 2-(Acetylamino)-2-deoxy- -D- galactopyranose.
- both the ⁇ -form: 2-(Acetylarnino)-2-deoxy-p-D-galactopyranose and a-form: 2- (Acetylamino)-2-deoxy-a-D-galactopyranose may be used interchangeably.
- the compounds of the invention comprise the ⁇ -form, 2-(Acetylarnino)-2-deoxy-p-D- galactopyranose.
- the "X ⁇ P-X 2 " portion of the compounds of the present invention may also be referred to as the tether or linker.
- the linlcer comprises a linear group and is covalently attached to the saccharide ligand and the branching unit.
- X 1 may be an ethylene glycol stem (-CH 2 -CH 2 -0) m (-CH 2 ) 2 - wherein m is 1, 2, or 3.
- X 1 may be (-CH 2 -CH 2 -0)(-CH 2 ) 2 -.
- X 1 may be (-CH 2 -CH 2 -0) 2 (- C3 ⁇ 4) 2 -.
- X 1 may be (-CH 2 -CH 2 -0) 3 (-CH 2 ) 2 -.
- X 1 is (-CH 2 -CH 2 -0) 2 (-CH 2 ) 2 -.
- X 1 represents C 3 -C 6 alkylene.
- X 1 may be propylene.
- X 1 may be butylene.
- X 1 may be pentylene.
- X 1 may be hexylene.
- the alkyl is a linear alkylene. In particular, X 1 may be butylene.
- X 2 represents an alkylene ether of formula -C 3 H 6 -0-CH 2 - i.e. C 3 alkoxy methylene, or -CH 2 CH 2 CH 2 OCH 2 -.
- Z is a nucleic acid
- the present invention provides conjugate compounds having the structure:
- Z is a nucleic acid
- conjugate compounds having the structure:
- Z is a nucleic acid
- the present invention provides conjugate compounds having structure:
- conjugate compounds having the structure:
- Z is a nucleic acid
- the present invention provides conjugate compounds having the stmcture:
- the present invention provides conjugate compounds having the structure:
- Z is a nucleic acid
- the present invention provides conjugate compounds having the structure:
- Z is a nucleic acid
- the nucleic acid may be selected from the group consisting of DNA, RNA, PNA and LNA.
- the nucleic acid may be a functional nucleic acid, whereby preferably the functional nucleic acid is selected from the group consisting of mRNA, micro-RNA, shRNA, combinations of RNA and DNA, siRNA, siNA, antisense nucleic acid, ribozymes, aptamers and spiegelmers.
- the nucleic acid may be siRNA.
- the nucleic acid may be selected from RNAi, siRNA, antisense nucleic acid, ribozymes, aptamers and spiegelmers.
- the nucleic acids may be of any length and can have any number of nucleotides such that they are effective for RNAi.
- the siRNAs range from 15 to 30 nucleotides.
- the duplex region of a double stranded RNA may range from 15 to 30 nucleotide base pairs using the Watson-crick base pairing.
- the duplex region may have 1, 2, 3, 4, 5, 6, 7, 8, 9, 10, 11, 12, 13, 14, 15, 16, 17, 18, 19, 20, 21, 22, 23, 24, 25, 26, 27, 28, 29, 30 base pairs.
- the nucleic acid has 19 to 23 base pairs.
- the nucleic acid may be 19, 20, 21, 22 or 23 base pairs in length.
- the double stranded iRNAs may be blunt ended at one end or on both ends.
- the double stranded iRNAs may have overhangs of 1 or more nucleotides one or both strands at one or both ends.
- the overhangs may be 1, 2, 3, 4, 5, 6, 7, 8, 9, or 10 nucleotides n length.
- the nucleic acid may be a modified nucleic acid.
- the modification may be selected from substitutions or insertions with analogues of nucleic acids or bases and chemical modification of the base, sugar or phosphate moieties.
- the nucleic acid may: a) be blunt ended at both ends; b) have an overhang at one end and a blunt end at the other; or c) have an overhang at both ends.
- One or more nucleotides on the first and/or second strand may be modified, to form modified nucleotides.
- One or more of the odd numbered nucleotides of the first strand may be modified.
- One or more of the even numbered nucleotides of the first strand may be modified by at least a second modification, wherein the at least second modification is different from the modification on the one or more add nucleotides.
- At least one of the one or more modified even numbered nucleotides may be adjacent to at least one of the one or more modified odd numbered nucleotides.
- a plurality of odd numbered nucleotides in the first strand may be modified in the nucleic acid of the invention.
- a plurality of even numbered nucleotides in the first strand may be modified by a second modification.
- the first strand may comprise adjacent nucleotides that are modified by a common modification.
- the first strand may also comprise adjacent nucleotides that are modified by a second different modification.
- One or more of the odd numbered nucleotides of the second strand may be modified by a modification that is different to the modification of the odd numbered nucleotides on the first strand and/or one or more of the even numbered nucleotides of the second strand may be by the same modification of the odd numbered nucleotides of the first strand. At least one of the one or more modified even numbered nucleotides of the second strand may be adjacent to the one or more modified odd numbered nucleotides.
- a plurality of odd numbered nucleotides of the second strand may be modified by a common modification and/or a plurality of even numbered nucleotides may be modified by the same modification that is present on the first strand odd numbered nucleotides.
- a plurality of odd numbered nucleotides on the second strand may be modified by a second modification, wherein the second modification is different from the modification of the first strand odd numbered nucleotides.
- the second strand comprises adjacent nucleotides that are modified by a common
- modification which may be a second modification that is different from the modification of the odd numbered nucleotides of the first strand.
- each of the odd numbered nucleotides in the first strand and each of the even numbered nucleotides in the second strand may be modified with a common modification and, each of the even numbered nucleotides may be modified in the first strand with a second modification and each of the odd numbered nucleotides may be modified in the second strand with a second different modification.
- the nucleic acid of the invention may have the modified nucleotides of the first strand shifted by at least one nucleotide relative to the unmodified or differently modified nucleotides of the second strand.
- the modification and / or modifications may each and individually be selected from the group consisting of 3' terminal deoxy thymine, 2' O methyl, a 2' deoxy modification, a 2' amino modification, a 2' alkyl modification, a morpholino modification, a phosphoramidate modification, 5'-phosphorothioate group modification, a 5' phosphate or 5' phosphate mimic modification and a cholesteryl derivative or a dodecanoic acid bisdecylamide group modification and/or the modified nucleotide may be any one of a locked nucleotide, an abasic nucleotide or a non natural base comprising nucleotide. At least one modification may be 2'- O-methyl and/or at least one modification may be 2'-F.
- nucleic acid it is meant a nucleic acid comprising two strands comprising nucleotides, that is able to interfere with gene expression. Inhibition may be complete or partial and results in down regulation of gene expression in a targeted manner.
- the nucleic acid comprises two separate polynucleotide strands; the first strand, which may also be a guide strand; and a second strand, which may also be a passenger strand.
- the first strand and the second strand may be part of the same polynucleotide molecule that is self complementary which 'folds' to form a double stranded molecule.
- the nucleic acid may be an siRNA molecule.
- the first strand may also be referred to as an antisense strand.
- the second strand may also be referred to as a sense strand.
- the nucleic acid may comprise ribonucleotides, modified ribonucleotides, deoxynucleotides, deoxyribonucleotides, or nucleotide analogous.
- the nucleic acid may further comprise a double stranded nucleic acid portion or duplex region formed by all or a portion of the first strand (also known in the art as a guide strand) and all or a portion of the second strand (also known in the art as a passenger strand).
- the duplex region is defined as beginning with the first base pair formed between the first strand and the second strand and ending with the last base pair formed between the first strand and the second strand, inclusive.
- duplex region refers it is meant the region in two complementary or substantially complementary oligonucleotides that form base pairs with one another, either by Watson- Crick base pairing or any other manner that allows for a duplex between oligonucleotide strands that are complementary or substantially complementary.
- duplex region refers it is meant the region in two complementary or substantially complementary oligonucleotides that form base pairs with one another, either by Watson- Crick base pairing or any other manner that allows for a duplex between oligonucleotide strands that are complementary or substantially complementary.
- oligonucleotide strand having 21 nucleotide units can base pair with another oligonucleotide of 21 nucleotide units, yet only 19 nucleotides on each strand are complementary or substantially complementary, such that the "duplex region" consists of 19 base pairs. The remaining base pairs may exist as 5' and 3' overhangs, or as single stranded regions. Further, within the duplex region, 100% complementarity is not required; substantial complementarity is allowable within a duplex region. Substantial complementarity refers to complementarity between the strands such that they are capable of annealing under biological conditions. Techniques to empirically determine if two strands are capable of annealing under biological conditions are well laiown in the art. Alternatively, two strands can be synthesised and added together under biological conditions to determine if they anneal to one another.
- the portion of the first strand and second strand that form at least one duplex region may be fully complementary and are at least partially complementary to each other.
- a perfect match in terms of base complementarity between the first strand and second strand is not necessarily required.
- the first and second strands must be able to hybridise under physiological conditions.
- the complementarity between the first strand and second strand in the at least one duplex region may be perfect in that there are no nucleotide mismatches or additional/deleted nucleotides in either strand.
- the complementarity may not be perfect.
- the complementarity may be at least 70%, 75%, 80%, 85%, 90% or 95%.
- the first strand and the second strand may each comprise a region of complementarity which comprises at least 15 contiguous nucleotides differing by no more than 3 nucleotides.
- an "overhang” as used herein has its normal and customary meaning in the art, i.e. a single stranded portion of a nucleic acid that extends beyond the terminal nucleotide of a
- blunt end includes double stranded nucleic acid whereby both strands terminate at the same position, regardless of whether the terminal nucleotide(s) are base paired.
- the terminal nucleotide of a first strand and a second strand at a blunt end may be base paired.
- the terminal nucleotide of a first strand and a second strand at a blunt end may not be paired.
- the terminal two nucleotides of an first strand and a second strand at a blunt end may be base paired.
- the terminal two nucleotides of an first strand and a second strand at a blunt end may not be paired.
- the nucleic acid may have an overhang at one end and a blunt end at the other.
- the nucleic acid may have an overhang at both ends.
- the nucleic acid may be blunt ended at both ends.
- the nucleic acid may be blunt ended at the end with the 5' end of the first strand and the 3' end of the second strand or at the 3'-end of the first strand and the 5' end of the second strand.
- the nucleic acid may comprise an overhang at a 3' or 5' end.
- the nucleic acid may have a 3' overhang on the first strand.
- the nucleic acid may have a 3' overhang on the second strand.
- the nucleic acid may have a 5' overhang on the first strand.
- the nucleic acid may have a 5' overhang on the second strand.
- the nucleic acid may have an overhang at both the 5' end and 3' end of the first strand.
- the nucleic acid may have an overhang at both the 5' end and 3' end of the second strand.
- the nucleic acid may have a 5' overhang on the first strand and a 3' overhang on the second strand.
- the nucleic acid may have a 3' overhang on the first strand and a 5' overhang on the second strand.
- the nucleic acid may have a 3' overhang on the first strand and a 3' overhang on the second strand.
- the nucleic acid may have a 5' overhang on the first strand and a 5' overhang on the second strand.
- An overhang at the 3 '-end or 5' end of the second strand or the first strand may be selected from consisting of 1, 2, 3, 4 and 5 nucleotides in length.
- an overhang may consist of 1 or 2 nucleotides, which may or may not be modified.
- Unmodified polynucleotides particularly ribonucleotides, may be prone to degradation by cellular nucleases, and, as such, modification/ modified nucleotides may be included in the nucleic acid of the invention.
- One or more nucleotides on the second and/or first strand of the nucleic acid of the invention may be modified.
- Modifications of the nucleic acid of the present invention generally provide a powerful tool in overcoming potential limitations including, but not limited to, in vitro and in vivo stability and bioavailability inherent to native RNA molecules.
- the nucleic acid according to the invention may be modified by chemical modifications. Modified nucleic acid can also minimise the possibility of inducing interferon activity in humans. Modification can further enhance the functional delivery of a nucleic acid to a target cell.
- the modified nucleic acid of the present invention may comprise one or more chemically modified ribonucleotides of either or both of the first strand or the second strand.
- a ribonucleotide may comprise a chemical modification of the base, sugar or phosphate moieties.
- the ribonucleic acid may be modified by substitution or insertion with analogues of nucleic acids or bases.
- nucleic acid of the present invention may be modified.
- the nucleic acid may comprise at least one modified nucleotide.
- the modified nucleotide may be on the first strand.
- the modified nucleotide may be in the second strand.
- the modified nucleotide may be in the duplex region.
- the modified nucleotide may be outside the duplex region, i.e., in a single stranded region.
- the modified nucleotide may be on the first strand and may be outside the duplex region.
- the modified nucleotide may be on the second strand and may be outside the duplex region.
- the 3 '-terminal nucleotide of the first strand may be a modified nucleotide.
- the 3' -terminal nucleotide of the second strand may be a modified nucleotide.
- the 5 '-terminal nucleotide of the first strand may be a modified nucleotide.
- the 5 '-terminal nucleotide of the second strand may be a modified nucleotide.
- An nucleic acid of the invention may have 1 modified nucleotide or a nucleic acid of the invention may have about 2-4 modified nucleotides, or a nucleic acid may have about 4-6 modified nucleotides, about 6-8 modified nucleotides, about 8-10 modified nucleotides, about 10-12 modified nucleotides, about 12-14 modified nucleotides, about 14-16 modified nucleotides about 16- 18 modified nucleotides, about 18-20 modified nucleotides, about 20-22 modified nucleotides, about 22-24 modified nucleotides, 24-26 modified nucleotides or about 26-28 modified nucleotides.
- nucleic acid comprising said modified nucleotides retains at least 50% of its activity as compared to the same nucleic acid but without said modified nucleotides.
- the nucleic acid may retain 55%, 60%, 65%, 70%, 75%, 80%), 85%o, 90%, 95% or 100%> or above of its activity as compared to the same nucleic acid but without said modified nucleotides
- the modified nucleotide may be a purine or a pyrimidine. At least half of the purines may be modified. At least half of the pyrimidines may be modified. All of the purines may be modified. All of the pyrimidines may be modified.
- the modified nucleotides may be selected from the group consisting of a 3' terminal deoxy thymine (dT) nucleotide, a 2' O methyl modified nucleotide, a 2' modified nucleotide, a 2' deoxy modified nucleotide, a locked nucleotide, an abasic nucleotide, a 2' amino modified nucleotide, a 2' alkyl modified nucleotide, a morpholino nucleotide, a phosphoramidate, a non natural base comprising nucleotide, a nucleotide comprising a 5'-phosphorothioate group, a nucleotide comprising a 5' phosphate or 5' phosphate mimic and a terminal nucleotide linked to a cholesteryl derivative or a dodecanoic acid bisdecylamide group.
- dT deoxy thymine
- the nucleic acid may comprise a nucleotide comprising a modified nucleotide, wherein the base is selected from 2-aminoadenosine, 2,6-diaminopurine,inosine, pyridin-4-one, pyridin- 2-one, phenyl, pseudouracil, 2, 4, 6-trimethoxy benzene, 3-methyl uracil, dihydrouridine, naphthyl, aminophenyl, 5-alkylcytidine (e.g., 5 -methyl cytidine), 5-alkyluridine (e.g., ribothymidine), 5-halouridine (e.g., 5-bromouridine), 6-azapyrimidine, 6-alkylpyrimidine (e.g.
- 6-methyluridine 6-methyluridine
- propyne quesosine, 2-thiouridine, 4-thiouridine, wybutosine, wybutoxosine, 4-acetyl cytidine, 5-(carboxyhydroxymethyl)uridine, 5'- carboxymethylaminomethyl-2-thiouridine, 5-carboxymethylaminomethyluridine, beta-D- galactosylqueosine, 1 -methyladenosine, 1-methylinosine, 2,2-dimethylguanosine, 3- methylcytidine, 2-methyladenosine, 2-methylguanosine, N6-methyladenosine, 7- methylguanosine, 5-methoxyaminomethyl-2-thiouridine, 5-methylaminomethyluridine, 5- niethylcarbonylmethyluridine, 5-methyloxyuridine, 5-methyl-2-thiouridine, 2-methylthio-N6- isopentenyladenosine, beta-D-mannosy
- Nucleic acids discussed herein include unmodified RNA as well as RNA which have been modified, e.g., to improve efficacy, and polymers of nucleoside surrogates.
- Unmodified RNA refers to a molecule in which the components of the nucleic acid, namely sugars, bases, and phosphate moieties, are the same or essentially the same as that which occur in nature, for example as occur naturally in the human body.
- Modified nucleotide as used herein refers to a nucleotide in which one or more of the components of the nucleic acid, namely sugars, bases, and phosphate moieties, are different from that which occur in nature.
- modified nucleotides While they are referred to as modified nucleotides they will of course, because of the modification, include molecules which are not nucleotides, for example a polynucleotide molecules in which the ribophosphate backbone is replaced with a non-ribophosphate construct that allows hybridisation between strands i.e. the modified nucleotides mimic the ribophosphate backbone.
- a modification may only occur at a 3 ' or 5' terminal position, may only occur in a terminal regions, such as at a position on a terminal nucleotide or in the last 2, 3, 4, 5, or 10 nucleotides of a strand.
- a modification may occur in a double strand region, a single strand region, or in both.
- a modification may occur only in the double strand region of an nucleic acid of the invention or may only occur in a single strand region of an nucleic acid of the invention.
- a phosphorothioate modification at a non-linking O position may only occur at one or both termini, may only occur in a terminal region, e.g., at a position on a terminal nucleotide or in the last 2, 3, 4 or 5 nucleotides of a strand, or may occur in duplex and/or in single strand regions, particularly at termini.
- the 5' end or 3' ends may be phosphorylated. 25 2017/058112
- Stability of an nucleic acid of the invention may be increased by including particular bases in overhangs, or to include modified nucleotides, in single strand overhangs, e.g., in a 5 ' or 3' overhang, or in both.
- Purine nucleotides may be included in overhangs. All or some of the bases in a 3 Or 5' overhang may be modified. Modifications can include the use of modifications at the 2' OH group of the ribose sugar, the use of deoxyribonucleotides, instead of ribonucleotides, and modifications in the phosphate group, such as phosphothioate modifications. Overhangs need not be homologous with the target sequence.
- Nucleases can hydrolyze nucleic acid phosphodiester bonds. However, chemical
- nucleic acids can confer improved properties, and, can render
- Modified nucleic acids can include one or more of: (i) alteration, e.g., replacement, of one or both of the non-linking phosphate oxygens and/or of one or more of the linking phosphate oxygens (referred to as linking even if at the 5' and 3' terminus of the nucleic acid of the invention);
- modification of the 3' end or 5' end of the RNA e.g., removal, modification or replacement of a terminal phosphate group or conjugation of a moiety, e.g., a fluorescently labeled moiety, to either the 3 Or 5' end of RNA.
- modified phosphate groups include phosphorothioate, phosphoroselenates, borano phosphates, borano phosphate esters, hydrogen phosphonates, phosphoroamidates, alkyl or aryl phosphonates and phosphotriesters.
- Phosphorodithioates have both non-linking oxygens replaced by sulphur.
- One, each or both non-linking oxygens in the phosphate group can be independently any one of S, Se, B, C, H, N, or OR (R is alkyl or aryl).
- the phosphate linker can also be modified by replacement of a linking oxygen with nitrogen (bridged phosphoroamidates), sulfur (bridged phosphorothioates) and carbon (bridged methylenephosphonates).
- the replacement can occur at a terminal oxygen. Replacement of the non-linking oxygens with nitrogen is possible.
- a modified nucleotide can include modification of the sugar groups.
- the 2' hydroxyl group (OH) can be modified or replaced with a number of different "oxy" or “deoxy” substituents.
- PEG polyethyleneglycol
- AMINE NH2; alkylamino, dialkylamino, heterocyclyl, arylamino, diaryl amino, heteroaryl amino, or diheteroaryl amino, ethylene diamine, polyamino).
- Other substitutents of certain embodiments include 2'-methoxyethyl, 2'-OCH3, 2'-0-allyl, 2'-C-allyl, and 2'-fluoro.
- the sugar group can also contain one or more carbons that possess the opposite
- a modified nucleotides may contain a sugar such as arabinose.
- Modified nucleotides can also include "abasic" sugars, which lack a nucleobase at C— ⁇ . These abasic sugars can further contain modifications at one or more of the constituent sugar atoms. The 2' modifications may be used in combination with one or more phosphate linker modifications (e.g., phosphorothioate).
- the phosphate group can be replaced by non-phosphorus containing connectors.
- moieties which can replace the phosphate group include siloxane, carbonate, carboxymethyl, carbamate, amide, thioether, ethylene oxide linker, sulfonate, sulfonamide, thioformacetal, formacetal, oxime, methyleneimino, methylenemethylimino,
- replacements may include the methylenecarbonylamino and
- the phosphate linker and ribose sugar may be replaced by nuclease resistant nucleotides.
- PNA peptide nucleic acid
- the 3' and 5' ends of an oligonucleotide can be modified. Such modifications can be at the 3' end or the 5' end or both ends of the molecule. They can include modification or replacement of an entire terminal phosphate or of one or more of the atoms of the phosphate group.
- the 3' and 5' ends of an oligonucleotide can be conjugated to other functional molecular entities such as labeling moieties, e.g., fluorophores (e.g., pyrene, TAMRA, fluorescein, Cy3 or Cy5 dyes) or protecting groups (based e.g., on sulfur, silicon, boron or ester).
- labeling moieties e.g., fluorophores (e.g., pyrene, TAMRA, fluorescein, Cy3 or Cy5 dyes) or protecting groups (based e.g., on sulfur, silicon, boron or ester).
- the functional molecular entities can be attached to the sugar through a phosphate group and/or a linker.
- the terminal atom of the linker can connect to or replace the linking atom of the phosphate group or the C-3' or C-5' O, N, S or C group of the sugar.
- the linker can connect to or replace the terminal atom of a nucleotide surrogate (e.g., PNAs).
- a nucleotide surrogate e.g., PNAs
- the 3' end can be an— OH group.
- terminal modifications include dyes, intercalating agents (e.g., acridines), cross-linkers (e.g., psoralene, mitomycin C), porphyrins (TPPC4, texaphyrin, Sapphyrin), polycyclic aromatic hydrocarbons (e.g., phenazine, dihydrophenazine), artificial
- endonucleases e.g., EDTA
- lipophilic carriers e.g., cholesterol, cholic acid, adamantane acetic acid, 1-pyrene butyric acid, dihydrotestosterone, l,3-Bis-0(hexadecyl)glycerol, geranyloxyhexyl group, hexadecylglycerol, borneol, menthol, 1,3 -propanediol, heptadecyl group, palmitic acid, myristic acid, 03-(oleoyl)lithocholic acid, 03-(oleoyl)cholenic acid, dimethoxytrityl, or phenoxazine) and peptide conjugates (e.g., antennapedia peptide, Tat peptide), alkylating agents, phosphate, amino, mercapto, PEG (e.g., PEG-40 ), MPEG,
- [MPEG]2 polyamino, alkyl, substituted alkyl, radiolabeled markers, enzymes, haptens (e.g., biotin), transport/absorption facilitators (e.g., aspirin, vitamin E, folic acid), synthetic ribonucleases (e.g., imidazole, bisimidazole, histamine, imidazole clusters, acridine- imidazole conjugates, Eu3+ complexes of tetraazamacrocycles).
- haptens e.g., biotin
- transport/absorption facilitators e.g., aspirin, vitamin E, folic acid
- synthetic ribonucleases e.g., imidazole, bisimidazole, histamine, imidazole clusters, acridine- imidazole conjugates, Eu3+ complexes of tetraazamacrocycles.
- Terminal modifications can be added for a number of reasons, including to modulate activity or to modulate resistance to degradation.
- Terminal modifications useful for modulating activity include modification of the 5' end with phosphate or phosphate analogs.
- Nucleic acids of the invention, on the first or second strand, may be 5' phosphorylated or include a phosphoryl analog at the 5' prime terminus.
- 5 '-phosphate modifications include those which are compatible with RISC mediated gene silencing.
- Suitable modifications include: 5'- monophosphate ((HO)2(0)P— 0-5'); 5'-diphosphate ((HO)2(0)P— O— P(HO)(0)— 0-5'); 5'- triphosphate ((HO)2(0)P— O— (HO)(0)P— O— P(H0)(0)— 0-5'); 5'-guanosine cap (7- methylated or non-methylated) (7m-G-0-5'-(HO)(0)P— O— (HO)(0)P— O— P(HO)(0)— O- 5'); 5 '-adenosine cap (Appp), and any modified or unmodified nucleotide cap structure (N— 0-5'-(HO)(0)P— O— (HO)(0)P— O— P(HO)(0)— 0-5'); 5'-monothiophosphate
- the nucleic acid of the present invention may include one or more phosphorothioate modifications on one or more of the terminal ends of the first and/or the second strand.
- each or either end of the first strand may comprise one or two or three
- each or either end of the second strand may comprise one or two or three phosphorothioate modified nucleotides.
- both ends of the first strand and the 5' end of the second strand may comprise two
- phosphorothioate modified nucleotides By phosphorothioate modified nucleotide it is meant that the linkage between the nucleotide and the adjacent nucleotide comprises a
- Terminal modifications can also be useful for monitoring distribution, and in such cases the groups to be added may include fluorophores, e.g., fluorscein or an Alexa dye. Terminal modifications can also be useful for enhancing uptake, useful modifications for this include cholesterol. Terminal modifications can also be useful for cross-linking an RNA agent to another moiety. Adenine, guanine, cytosine and uracil are the most common bases found in RNA. These bases can be modified or replaced to provide RNA's having improved properties.
- nuclease resistant oligoribonucleotides can be prepared with these bases or with synthetic and natural nucleobases (e.g., inosine, thymine, xanthine, hypoxanthine, nubularine, isoguanisine, or tubercidine) and any one of the above modifications.
- nucleobases e.g., inosine, thymine, xanthine, hypoxanthine, nubularine, isoguanisine, or tubercidine
- substituted or modified analogs of any of the above bases and "universal bases" can be employed.
- Examples include 2-aminoadenine, 6-methyl and other alkyl derivatives of adenine and guanine, 2-propyl and other alkyl derivatives of adenine and guanine, 5-halouracil and cytosine, 5-propynyl uracil and cytosine, 6-azo uracil, cytosine and thymine, 5-uracil (pseudouracil), 4-thiouracil, 5-halouracil, 5-(2-aminopropyl)uracil, 5-amino allyl uracil, 8- halo, amino, thiol, thioalkyl, hydroxyl and other 8-substituted adenines and guanines, 5- trifluoromethyl and other 5-substituted uracils and cytosines, 7-methylguanine, 5-substituted pyrrolidines, 6-azapyrimidines and N-2, N-6 and 0-6 substituted purines,
- non-pairing nucleotide analog means a nucleotide analog which includes a non-base pairing moiety including but not limited to: 6 des amino adenosine (Nebularine), 4-Me-indole, 3-nitropyrrole, 5-nitroindole, Ds, Pa, N3-Me ribo U, N3-Me riboT, N3-Me dC, N3-Me-dT, Nl-Me-dG, Nl -Me-dA, N3-ethyl-dC, N3-Me dC.
- the non-base pairing nucleotide analog is a ribonucleotide. In other embodiments it is a deoxyribonucleotide.
- terminal functional group includes without limitation a halogen, alcohol, amine, carbox lic, ester, amide, aldehyde, ketone, ether groups.
- moieties may be linked to the 5' terminus of the first strand or the second strand and includes abasic ribose moiety, abasic deoxyribose moiety, modifications abasic ribose and abasic deoxyribose moieties including 2' O alkyl modifications; inverted abasic ribose and abasic deoxyribose moieties and modifications thereof, C6-imino-Pi; a mirror nucleotide including L-DNA and L-RNA; 5'OMe nucleotide; and nucleotide analogs including 4 ',5'- methylene nucleotide; l-(p-D-erythrofuranosyl)nucleotide; 4'-thio nucleotide, carbocyclic nucleotide; 5'-amino-alkyl phosphate; l,3-diamino-2 -propyl phosphate, 3-amin
- the nucleic acids of the invention may be included one or more inverted nucleotides, for example inverted thymidine or inverted adenine (for example see Takei, et al., 2002. JBC 277 (26):23800-06).
- the term “inhibit”, “down-regulate”, or “reduce” with respect to gene expression means the expression of the gene, or level of RNA molecules or equivalent RNA molecules encoding one or more proteins or protein subunits (e.g., mR A), or activity of one or more proteins or protein subunits, is reduced below that observed in the absence of a nucleic acid of the invention; for example the expression may be reduced to 90%, 80%, 70%, 60%, 50%, 40%, 30%, 20%, 10%, 5% or less than that observed in the absence of an inhibitor.
- the nucleic acid of the present invention may comprise an abasic nucleotide.
- abasic refers to moieties lacking a base or having other chemical groups in place of a base at the 1' position, for example a 3',3'-linked or 5',5'-linked deoxyabasic ribose derivative.
- the nucleic acid may comprise one or more nucleotides on the second and/or first strands that are modified. Alternating nucleotides may be modified, to form modified nucleotides.
- Alternating as described herein means to occur one after another in a regular way. In other words, alternating means to occur in turn repeatedly. For example if one nucleotide is modified, the next contiguous nucleotide is not modified and the following contiguous nucleotide is modified and so on.
- One nucleotide may be modified with a first modification, the next contiguous nucleotide may be modified with a second modification and the following contiguous nucleotide is modified with the first modification and so on, where the first and second modifications are different.
- One or more of the odd numbered nucleotides of the first strand of the nucleic acid of the invention may be modified wherein the first strand is numbered 5' to 3'.
- odd numbered means a number not divisible by two. Examples of odd numbers are 1, 3, 5, 7, 9, 11 and so on.
- One or more of the even numbered nucleotides of the first strand of the nucleic acid of the invention may be modified, wherein the first strand is numbered 5' to 3'.
- the term "even numbered” as described herein means a number which is evenly divisible by two. Examples of even numbers are 2, 4, 6, 8, 10, 12, 14 and so on.
- One or more of the odd numbered nucleotides of the second strand of the nucleic acid of the invention may be modified wherein the second strand is numbered 3' to 5'.
- One or more of the even numbered nucleotides of the second strand of the nucleic acid of the invention may be modified, wherein the second strand is numbered 3' to 5'.
- One or more nucleotides on the first and/or second strand may be modified, to fonn modified nucleotides.
- One or more of the odd numbered nucleotides of the first strand may be modified.
- One or more of the even numbered nucleotides of the first strand may be modified by at least a second modification, wherein the at least second modification is different from the modification on the one or more add nucleotides.
- At least one of the one or more modified even numbered nucleotides may be adjacent to at least one of the one or more modified odd numbered nucleotides.
- a plurality of odd numbered nucleotides in the first strand may be modified in the nucleic acid of the invention.
- a plurality of even numbered nucleotides in the first strand may be modified by a second modification.
- the first strand may comprise adjacent nucleotides that are modified by a common modification.
- the first strand may also comprise adjacent nucleotides that are modified by a second different modification.
- One or more of the odd numbered nucleotides of the second strand may be modified by a modification that is different to the modification of the odd numbered nucleotides on the first strand and/or one or more of the even numbered nucleotides of the second strand may be by the same modification of the odd numbered nucleotides of the first strand. At least one of the one or more modified even numbered nucleotides of the second strand may be adjacent to the one or more modified odd numbered nucleotides.
- a plurality of odd numbered nucleotides of the second strand may be modified by a common modification and/or a plurality of even numbered nucleotides may be modified by the same modification that is present on the first stand odd numbered nucleotides.
- a plurality of odd numbered nucleotides on the second strand may be modified by a second modification, wherein the second modification is different from the modification of the first strand odd numbered nucleotides.
- the second strand may comprise adjacent nucleotides that are modified by a common modification, which may be a second modification that is different from the modification of the odd numbered nucleotides of the first strand.
- each of the odd numbered nucleotides in the first strand and each of the even numbered nucleotides in the second strand may be modified with a common modification and, each of the even numbered nucleotides may be modified in the first strand with a second modification and each of the odd numbered nucleotides may be modified in the second strand with the second modification.
- the nucleic acid of the invention may have the modified nucleotides of the first strand shifted by at least one nucleotide relative to the unmodified or differently modified nucleotides of the second strand.
- One or more or each of the odd numbered nucleotides may be modified in the first strand and one or more or each of the even numbered nucleotides may be modified in the second strand.
- One or more or each of the alternating nucleotides on either or both strands may be modified by a second modification.
- One or more or each of the even numbered nucleotides may be modified in the first strand and one or more or each of the even numbered nucleotides may be modified in the second strand.
- One or more or each of the alternating nucleotides on either or both strands may be modified by a second modification.
- One or more or each of the odd numbered nucleotides may be modified in the first strand and one or more of the odd numbered nucleotides may be modified in the second strand by a common modification.
- One or more or each of the alternating nucleotides on either or both strands may be modified by a second modification.
- One or more or each of the even numbered nucleotides may be modified in the first strand and one or more or each of the odd numbered nucleotides may be modified in the second strand by a common modification.
- One or more or each of the alternating nucleotides on either or both strands may be modified by a second modification.
- the present invention provides a composition comprising a compound according to any of the above aspects and a suitable carrier or excipient.
- the present invention provides a compound according to any of the first to eleventh aspects or a composition according to the twelfth aspect for use in medicine.
- the compound or composition may be for use in the treatment of liver diseases, genetic diseases, hemophilia and bleeding disorders, liver fibrosis, non-alcoholic steotohepatitis (NASH), non-alcoholic fatty liver disease (NAFLD), viral hepatitis, rare diseases (e.g. acromegaly), metabolic diseases (e.g. hypercholesterolemia, dyslipidemia, hypertriglyceridemia), cardiovascular diseases, obesity, thalassemia, liver injury (e.g. drug induced liver injury), hemochromatosis, alcoholic liver diseases, alcohol dependence, anemia, and anemia of chronic diseases.
- liver diseases genetic diseases, hemophilia and bleeding disorders
- liver fibrosis liver fibrosis
- NASH non-alcoholic steotohepatitis
- NAFLD non-alcoholic fatty liver disease
- viral hepatitis e.g. acromegaly
- metabolic diseases e.g. hypercholesterolemia, dyslipidemia, hypertriglyceridemia
- the compound or composition may be for use in the treatment of liver disease, anemia, chronic diseases, Thalassemia; drug induced liver injury, hemochromatosis and anemia of chronic disease.
- the present invention provides a method of delivery of nucleic acids to hepatocytes comprising contacting the hepatocyte with a compound according to any of the first to eleventh aspects.
- the present invention provides a process for making a compound of formula (I), (II) or (III), according to any of the first to eleventh aspects, the process comprising adding together each component to form the compound of formula (I), (II) or
- Modifications of the siRNA molecules of the present invention generally provides a powerful tool in overcoming potential limitations including, but not limited to, in vitro and in vivo stability and bioavailability inherent to native RNA molecules.
- the siRNA according to the invention may be modified by chemical modifications. Modified siRNA can also minimize the possibility of activating interferon activity in humans. Modification can further enhance the functional delivery of a siRNA to a target cell.
- the modified siRNA of the present invention may comprise one or more chemically modified ribonucleotides of either or both of the antisense strand or the sense strand.
- a ribonucleotide may comprise a chemical modification of the base, sugar or phosphate moieties.
- the ribonucleic acid may be modified by substitution or insertion with analogues of nucleic acids or bases.
- One or more nucleotides of a siRNA of the present invention may comprise a modified base.
- the siRNA comprises at least one nucleotide comprising a modified base.
- the modified base in on the antisense strand.
- the modified base in on the sense strand.
- the modified base is in the duplex region.
- the modified base is outside the duplex region, i.e., in a single stranded region.
- the modified base is on the antisense strand and is outside the duplex region.
- the modified base is on the sense strand and is outside the duplex region.
- the 3 '-terminal nucleotide of the antisense strand is a nucleotide with a modified base. In another embodiment, the 3'- terminal nucleotide of the sense strand is nucleotide with a modified base. In another embodiment, the 5 '-terminal nucleotide of the antisense strand is nucleotide with a modified base. In another embodiment, the 5 '-terminal nucleotide of the sense strand is nucleotide with a modified base.
- a siRNA may have 1 modified base. In another embodiment, a siRNA may have about 2-4 modified bases. In another embodiment, a siRNA has about 4-6 modified bases. In another embodiment, a siRNA has about 6-8 modified bases. In another
- a siRNA has about 8-10 modified bases. In another embodiment, a siRNA has about 10-12 modified bases. In another embodiment, a siRNA has about 12-14 modified bases. In another embodiment, a siRNA has about 14-16 modified bases. In another embodiment, a siRNA has about 16-18 modified bases. In another embodiment, a siRNA has about 18-20 modified bases. In another embodiment, a siRNA has about 20-22 modified bases. In another embodiment, a siRNA has about 22-24 modified bases. In another embodiment, a siRNA has about 24-26 modified bases. In another embodiment, a siRNA has about 26-28 modified bases. In each case the siRNA comprising said modified bases retains at least 50% of its activity as compared to the same siRNA but without said modified bases.
- the modified base may be a purine or a pyrimidine.
- at least half of the purines are modified.
- at least half of the pyrimidines are modified.
- all of the purines are modified.
- all of the pyrimidines are modified.
- the siRNA may comprise a nucleotide comprising a modified base, wherein the base is selected from 2- aminoadenosine, 2,6-diaminopurine, inosine, pyridin ⁇ 4-one, pyridin-2-one, phenyl, pseudouracil, 2, 4, 6-trimethoxy benzene, 3 -methyl uracil, dihydrouridine, naphthyl, aminophenyl, 5-alkylcytidine (e.g., 5-methylcytidine), 5-alkyluridine (e.g., ribothymidine), 5- halouridine (e.g., 5-bromouridine), 6-azapyrimidine, 6-alkylpyrimidine (e.g.
- a siRNA of the present invention comprises an abasic nucleotide.
- abasic refers to moieties lacking a base or having other chemical groups in place of a base at the ⁇ position, for example a 3',3'-linked or 5',5'-linked deoxyabasic ribose derivative.
- a nucleotide with a modified base does not include abasic nucleotides.
- the siRNA comprises at least one abasic nucleotide.
- the abasic nucleotide is on the antisense strand.
- the abasic nucleotide is on the sense strand.
- the abasic nucleotide is in the duplex region. In another embodiment, the abasic nucleotide is outside the duplex region. In another embodiment, the abasic nucleotide is on the antisense strand and is outside the duplex region. In another embodiment, the abasic nucleotide is on the sense strand and is outside the duplex region. In another embodiment, the 3 '-terminal nucleotide of the antisense strand is an abasic nucleotide. In another embodiment, the 3 '-terminal nucleotide of the sense strand is an abasic nucleotide.
- the 5 '-terminal nucleotide of the antisense strand is an abasic nucleotide.
- the 5 '-terminal nucleotide of the sense strand is an abasic nucleotide.
- a siRNA has a number of abasic nucleotides selected from 1, 2, 3, 4, 5 and 6.
- One or more nucleotides of a siRNA of the present invention may comprise a modified ribose moiety.
- Modifications at the 2'-position where the 2'-OH is substituted include the non-limiting examples selected from alkyl, substituted alkyl, alkaryl-, arylalkyl-, -F, -CI, -Br, -CN, -CF3, -OCF3, -OCN, -O-alkyl, -S-alkyl, HS-alkyl-O, -O-alkenyL -S-alkenyl, -N-alkenyl, -SO-alkyl, -alkyl-OSH, -alkyl-OII, -O-alkyl-OH, -O-alkyl-SH, -S-alkyl-OH, -S-alkyl-SH, -alkyl-S-alkyl, -alkyl, -alkyl,
- LNA locked nucleic acids
- Preferred substituents are 2'-methoxyethyl, 2'-0-CH3, 2'-0-allyl, 2'-C-allyl, and 2'-fluoro.
- the siRNA comprises 1-5 2'-modified nucleotides. In another embodiment, the siRNA comprises 1-5 2'-modified nucleotides. In another
- the siRNA comprises 5-10 2 '-modified nucleotides. In another embodiment, the siRNA comprises 15-20 2'-modified nucleotides. In another embodiment, the siRNA comprises 20-25 2'-modified nucleotides. In another embodiment, the siRNA comprises 25- 30 2 '-modified nucleotides. In one embodiment, the siRNA comprises 1-5 2'-0-CH3 modified nucleotides. In another embodiment, the siRNA comprises 5-10 2'-0-CH3 modified nucleotides. In another embodiment, the siRNA comprises 15-20 2'-0-CH3 modified nucleotides. In another embodiment, the siRNA comprises 20-25 2'-0-CH3 modified nucleotides. In another embodiment, the siRNA comprises 25-30 2'-0-CH3 modified nucleotides.
- the siRNA duplex region comprises 1 -5 2'-0-CH3 modified nucleotides. In another embodiment, the siRNA duplex region comprises 5-10 2'-0-CH3 modified nucleotides. In another embodiment, the siRNA duplex region comprises 15-20 2'-0-CH3 modified nucleotides. In another embodiment, the siRNA duplex region comprises 20-25 - 0-CH3 modified nucleotides. In another embodiment, the siRNA duplex region comprises 25-30 2'-0-CH3 modified nucleotides.
- the siRNA comprises an antisense strand of 19 nucleotides in length and a sense strand 19 nucleotides in length, wherein said antisense strand comprises 2'-0-CH3 modifications at nucleotides 1, 3, 5, 7, 9, 11, 13, 15, 17 and 19, and wherein said sense strand comprises 2'-0-CH3 modifications at nucleotides 2, 4, 6, 8, 10, 12 ,14, 16 and 18, wherein said antisense strand is numbered from 5 '-3' and said sense strand is numbered from 3 '-5'.
- the siRNA comprises an antisense strand 20 nucleotides in length and a sense strand 20 nucleotides in length, wherein said antisense strand comprises 2'-0-CH3 modifications at nucleotides 1, 3, 5, 7, 9, 11, 13, 15, 17 and 19, and wherein said sense strand comprises 2'-0-CH3 modifications at nucleotides 2, 4, 6, 8, 10, 12 ,14, 16, 18 and 20 wherein said antisense strand is numbered from 5 '-3' and said sense strand is numbered from 3 '-5'.
- the siRNA comprises an antisense strand 21 nucleotides in length and a sense strand 21 nucleotides in length, wherein said antisense strand comprises 2'-0- CH3 modifications at nucleotides 1, 3, 5, 7, 9, 11 , 13, 15, 17, 19 and 21, and wherein said sense strand comprises 2'-0-CH3 modifications at nucleotides 2, 4, 6, 8, 10, 12 ,14, 16, 18 and 20, wherein said antisense strand is numbered from 5'-3' and said sense strand is numbered from 3 '-5'.
- the siRNA comprises an antisense strand 22 nucleotides in length and a sense strand 22 nucleotides in length, wherein said antisense strand comprises 2'-0-CH3 modifications at nucleotides 1, 3, 5, 7, 9, 11, 13, 15, 17, 19 and 21, and wherein said sense strand comprises 2'-0-CH3 modifications at nucleotides 2, 4, 6, 8, 10, 12 ,14, 16, 18, 20 and 22, wherein said antisense strand is numbered from 5'-3' and said sense strand is numbered from 3'-5 ⁇
- the siRNA comprises an antisense strand 23 nucleotides in length and a sense strand 23 nucleotides in length, wherein said antisense strand comprises 2'-0-CH3 modifications at nucleotides 1, 3, 5, 7, 9, 11, 13, 15, 17, 19, 21 and 23, and wherein said sense strand comprises 2'-0-CH3 modifications at nucleotides 2, 4, 6, 8, 10, 12 ,14, 16, 18, 20 and 22 wherein said antisense strand is numbered
- the siRNA comprises an antisense strand 18-23 nucleotides in length and a sense strand 18-23 nucleotides in length, wherein said antisense strand comprises 2'-0- CH3 modifications at nucleotides 3, 5, 7, 9, 11, 13, 15 and 17, and wherein said sense strand comprises 2'-0-CH3 modifications at nucleotides 4, 6, 8, 10, 12 ,14 and 16, wherein said antisense strand is numbered from 5 '-3' and said sense strand is numbered from 3 '-5'.
- the siRNA comprises an antisense strand 18-23 nucleotides in length and a sense strand 18-23 nucleotides in length, wherein said antisense strand comprises 2'-0- CH3 modifications at nucleotides 5, 7, 9, 11, 13 and 15, and wherein said sense strand comprises 2'-0-CH3 modifications at nucleotides 6, 8, 10, 12 and 14, wherein said antisense strand is numbered from 5 '-3' and said sense strand is numbered from 3 '-5'.
- the siRNA comprises an antisense strand 18-23 nucleotides in length and a sense strand 18-23 nucleotides in length, wherein said antisense strand comprises 2'-0-CH3 modifications at nucleotides 7, 9, 11, 13 and wherein said sense strand comprises 2'-0-CH3 modifications at nucleotides 8, 10 and 12, wherein said antisense strand is numbered from 5'- 3' and said sense strand is numbered from 3 '-5'.
- the siRNA comprises an antisense strand 18-23 nucleotides in length and a sense strand 18-23 nucleotides in length, wherein said antisense strand comprises 2'-0-CH3 modifications at nucleotides 7, 9 and 11, and wherein said sense strand comprises 2'-0-CH3 modifications at nucleotides 8, 10 and 12, wherein said antisense strand is numbered from 5 '-3' and said sense strand is numbered from 3 '-5'.
- the siRNA comprises an antisense strand 18-23 nucleotides in length and a sense strand 18-23 nucleotides in length, wherein said antisense strand comprises 2'-0-CH3 modifications at nucleotides 7 and 9, and wherein said sense strand comprises 2'-0-CH3 modifications at nucleotides 8 and 10, wherein said antisense strand is numbered from 5 '-3' and said sense strand is numbered from 3 '-5'.
- the siRNA comprises an antisense strand 18-23 nucleotides in length and a sense strand 18-23 nucleotides in length, wherein said antisense strand comprises 2'-0- CH3 modifications at nucleotides 9 and 11, and wherein said sense strand comprises 2'-0- CH3 modifications at nucleotides 8 and 10, wherein said antisense strand is numbered from 5 '-3' and said sense strand is numbered from 3 '-5'.
- the antisense duplex region comprises a plurality of groups of modified nucleotides, referred to herein as "modified groups", wherein each modified group consists of one or more identically modified nucleotides, wherein each modified group is flanked on one or both sides by a second group of nucleotides, referred to herein as “flanking groups", wherein each said flanking group consists of one or more nucleotides that are either unmodified or modified in a manner different from the nucleotides of said modified group.
- each modified group in the antisense duplex region is identical, i.e., each modified group consists of an equal number of identically modified nucleotides.
- each flanldng group has an equal number of nucleotide.
- each flanking group is identical.
- the nucleotides of said modified groups in the antisense duplex region comprise a modified base.
- the nucleotides of said modified groups comprise a modified phosphate backbone.
- the nucleotides of said modified groups comprise a modified 2' position.
- the sense duplex region comprises a plurality of groups of modified groups, wherein each modified group consists of one or more identically modified nucleotides, wherein each modified group is flanked on one or both sides by a flanldng group, wherein each said flanking group consists of one or more nucleotides that are either unmodified or modified in a manner different from the nucleotides of said modified group.
- each modified group in the sense duplex region is identical.
- each flanking group has an equal number of nucleotides.
- each flanldng group is identical.
- the nucleotides of said modified groups in the sense duplex region comprise a modified base.
- nucleotides of said modified groups comprise a modified phosphate backbone. In another embodiment, the nucleotides of said modified groups comprise a modified 2' position.
- the antisense duplex region and the sense duplex region each comprise a plurality of modified groups, wherein each modified group consists of one or more identically modified nucleotides, wherein each modified group is flanked on one or both sides by a flanking group, wherein each said flanking group consists of one or more nucleotides that are either unmodified or modified in a manner different from the nucleotides of said modified group.
- each modified group in the antisense duplex region and the sense duplex region are identical.
- each flanking group in the antisense duplex region and the sense duplex region each have an equal number of nucleotides.
- each flanldng group in the antisense duplex region and in the sense duplex region are identical.
- the nucleotides of said modified groups in the antisense duplex region and the sense duplex region each comprise the same modified groups and the same flanking groups.
- the nucleotides of said modified groups in the antisense duplex region and the sense duplex region each comprise a modified base.
- the nucleotides of said modified groups in the antisense duplex region and the sense duplex region each comprise a modified phosphate backbone.
- the nucleotides of said modified groups in the antisense duplex region and the sense duplex region each comprise a modified 2' position.
- the antisense strand comprises a plurality of groups of modified nucleotides, referred to herein as "modified groups", wherein each modified group consists of one or more identically modified nucleotides, wherein each modified group is flanked on one or both sides by a second group of nucleotides, referred to herein as “flanking groups", wherein each said flanking group consists of one or more nucleotides that are either unmodified or modified in a manner different from the nucleotides of said modified group.
- each modified group in the antisense strand is identical, i.e., each modified group consists of an equal number of identically modified nucleotides.
- each flanking group has an equal number of nucleotide. In another embodiment, each flanking group is identical. In another embodiment, the nucleotides of said modified groups in the antisense strand comprise a modified base. In another embodiment, the nucleotides of said modified groups comprise a modified phosphate backbone. In another embodiment, the nucleotides of said modified groups comprise a modified 2' position.
- the sense strand comprises a plurality of groups of modified groups, wherein each modified group consists of one or more identically modified nucleotides, wherein each modified group is flanked on one or both sides by a flanking group, wherein each said flanking group consists of one or more nucleotides that are either unmodified or modified in a manner different from the nucleotides of said modified group.
- each modified group in the sense strand is identical.
- each flanking group has an equal number of nucleotides.
- each flanking group is identical.
- the nucleotides of said modified groups in the sense strand comprise a modified base.
- the nucleotides of said modified groups comprise a modified phosphate backbone.
- the nucleotides of said modified groups comprise a modified 2' position.
- the antisense strand and the sense strand each comprise a plurality of modified groups, wherein each modified group consists of one or more identically modified nucleotides, wherein each modified group is flanked on one or both sides by a flanking group, wherein each said flanking group consists of one or more nucleotides that are either unmodified or modified in a manner different from the nucleotides of said modified group.
- each modified group in the antisense strand and the sense strand are identical.
- each flanking group in the antisense strand and the sense strand each have an equal number of nucleotides.
- each flanking group in the antisense strand and in the sense strand are identical.
- nucleotides of said modified groups in the antisense strand and the sense strand each comprise the same modified groups and the same flanking groups.
- nucleotides of said modified groups in the antisense strand and the sense strand each comprise a modified base.
- nucleotides of said modified groups in the antisense strand and the sense strand each comprise a modified phosphate backbone.
- nucleotides of said modified groups in the antisense strand and the sense strand each comprise a modified 2' position.
- the modified groups and the flanking groups form a regular pattern on the antisense stand.
- the modified groups and the flanking groups form a regular pattern on the sense strand.
- the modified groups and the flanking groups form a regular pattern on the both the antisense strand and the sense strand. In another embodiment, the modified groups and the flanking groups form a regular pattern on the antisense duplex region. In another aspect, the modified groups and the flanking groups form a regular pattern on the sense duplex region. In one embodiment, the modified groups and the flanking groups form a regular pattern on the both the antisense duplex region and the sense duplex region. In another aspect, the pattern is a spatial or positional pattern. A spatial or positional pattern means that (a) nucleotide(s) are modified depending on their position within the nucleotide sequence of a double-stranded portion.
- nucleotide to be modified is a pyrimidine or a purine. Rather the position of a modified nucleotide is dependent upon: (a) its numbered position on a strand of nucleic acid, wherein the
- each modified group on both the antisense strand and the sense strand is identical.
- each modified group on both the antisense duplex region and the sense duplex region is identical.
- each modified group and each flanking group on both the antisense strand and the sense strand are identical.
- each modified group and each flanking group on both the antisense duplex region and the sense duplex region are identical.
- each modified group, each modified group position, each flanking group and each flanking group position on both the antisense strand and the sense strand are identical. In one embodiment, each modified group, each modified group position, each flanking group and each flanking group position on both the antisense duplex region and the sense duplex region are identical. In another embodiment, the modified groups on the antisense strand are complementary with the modified groups on the sense strand (the modified groups on the antisense strand and the sense strand are perfectly aligned across from one another). In another embodiment, there are no mismatches in the modified groups such that each modified group on the antisense strand is base paired with each modified group on the sense strand.
- each modified group on the sense strand is shifted by 1, 2, 3, 4 or 5 nucleotides relative to the modified groups on the antisense strand. For example, if each modified group on the sense strand is shifted by one nucleotide or one group of nucleotides and a modified group started at position one on the antisense strand, a modified group on the sense strand would begin at position two.
- the modified groups of the antisense strand do not overlap the modified groups of the sense strand, i.e., no nucleotide of a modified group on the antisense strand is base paired with a nucleotide of a modified group on the sense strand.
- deoxyribonucleotides at an end of a strand of nucleic acid are not considered when determining a position of a modified group, i.e., the positional numbering begins with the first ribonucleotide or modified ribonucleotide.
- abasic nucleotides at an end of a strand of nucleic acid are not considered when determining a position of a modified group.
- a modified group comprises a 5 '-end nucleotide of either or both of the antisense strand and the sense strand.
- a flanlcing group comprises the 5 '-end nucleotide of either or both of the antisense strand and the sense strand.
- the 5 '-end nucleotide of either or both of the antisense strand and the sense strand is unmodified.
- a modified group comprises the 5 '-most nucleotide of either or both of the antisense duplex region and sense duplex region.
- a flanking group comprises the 5 '-most nucleotide of either or both of the antisense duplex region or the sense duplex region.
- the 5 '-most nucleotide of either or both of the antisense duplex region or the sense duplex region is unmodified.
- the modification at the 2' position is selected from the group comprising amino, fluoro, methoxy, alkoxy and Cl-C3-alkyl.
- the modification may be selected from 2'-0-methyl,2'-amino-2'-deoxy, 2 '-deoxy-2' -fluoro, 2'-0-methyl, 2'-0-alkyl, and 2'-0-(Cl-C3-alkyl).
- the modification at the 2' position is 2'-0-methyl.
- each modified group consists of one nucleotide and each flanking group consists of one nucleotide.
- each modified group on the antisense strand is aligned with a flanlcing group on the sense strand. In another embodiment, the alignment of each modified group on the antisense strand with the modified group on the sense strand is shifted by one or more nucleotides.
- siRNA of the invention may be linked through phosphodiester bonds, as found in unmodified nucleic acid.
- a siRNA of the present invention may comprise a modified phosphodiester linkage.
- the phosphodiester linkages of either the antisense stand or the sense strand may be modified to independently include at least one heteroatom selected from nitrogen and sulfur.
- ribonucleotide to an adjacent ribonucleotide is replaced by a modified group.
- the modified group replacing the phosphoester group is selected from
- all of the nucleotides of the antisense strand are linked through phosphodiester bonds. In another embodiment, all of the nucleotides of the antisense duplex region are linked through phosphodiester bonds. In another embodiment, all of the nucleotides of the sense strand are linked through phosphodiester bonds. In another embodiment, all of the nucleotides of the sense duplex region are linked through
- the antisense strand comprises a number of modified phosphoester groups selected from 1, 2, 3, 4, 5, 6, 7, 8, 9 or 10.
- the antisense duplex region comprises a number of modified phosphoester groups selected from 1, 2, 3, 4, 5, 6, 7, 8, 9 or 10.
- the sense strand comprises a number of modified phosphoester groups selected from 1, 2, 3, 4, 5, 6, 7, 8, 9 or 10.
- the sense duplex region comprises a number of modified phosphoester groups selected from 1, 2, 3, 4, 5, 6, 7, 8, 9 or 10.
- the siRNA of the present invention may include nucleic acid molecules comprising one or more modified nucleotides, abasic nucleotides, acyclic or deoxyribonucleotide at the terminal 5'- or 3'-end on either or both of the sense or antisense strands.
- the 5'- and 3 '-end nucleotides of both the sense and antisense strands are unmodified.
- the 5 '-end nucleotide of the antisense strand is modified.
- the 5 '-end nucleotide of the sense strand is modified. In another embodiment, the 3 '-end nucleotide of the antisense strand is modified. In another embodiment, the 3 '-end nucleotide of the sense strand is modified. In another embodiment, the 5 '-end nucleotide of the antisense strand and the 5 '-end nucleotide of the sense strand are modified. In another embodiment, the 3 '-end nucleotide of the antisense strand and the 3 '-end nucleotide of the sense strand are modified.
- the 5 '-end nucleotide of the antisense strand and the 3 '-end nucleotide of the sense strand are modified.
- the 3 '-end nucleotide of the antisense strand and the 5 '-end nucleotide of the sense strand are modified.
- the 3 '-end nucleotide of the antisense strand and both the 5'- and 3'-end nucleotides of the sense strand are modified.
- Both the 5'- and 3'-end nucleotides of the antisense strand may be modified.
- both the 5'- and 3 '-end nucleotides of the sense strand are modified.
- the 5 '-end nucleotide of the antisense strand may be phosphorylated.
- the 5 '-end nucleotide of the sense strand is phosphorylated. In another embodiment, the 5 '-end nucleotides of both the antisense strand and the sense strand are phosphorylated. In another embodiment, the 5 '-end nucleotide of the antisense strand is phosphorylated and the 5 '-end nucleotide of the sense strand has a free hydroxyl group (5'- OH). In another embodiment, the 5'-end nucleotide of the antisense strand is phosphorylated and the 5 '-end nucleotide of the sense strand is modified. In another embodiment the 5 '-end nucleotide of the antisense strand carries a 5 ⁇ vinylphosphonate.
- modifications to end nucleotides include, but are not limited to, biotin, inverted (deoxy) abasics, amino, fluoro, chloro, bromo, CN, CF, methoxy, imidazole, carboxylate, thioate, Q to Cjo lower alkyl, substituted lower alkyl, alkaryl or arylalkyl, OCF 3 , OCR 0-, S-, or N-alkyl; 0-, S-, or N-alkenyl; SO-CH3; S0 2 CH 3 ; ON0 2 ; N0 2 , N 3 ; heterocycloalkyl; heterocycloalkaryl; aminoalkylamino; polyalkylamino or substituted silyl, as, among others, described, e.g., in PCT patent application WO 99/544
- alkyl means C]-C] 2 -alkyl and "lower alkyl” means Q-Ce-alkyl, including C ⁇ -, C 2 -, C 3 -, C 4 -, C 5 - and C 6 -alkyl.
- the 5 '-end of the antisense strand, the 5'- end of the sense strand, the 3'- end of the antisense strand or the 3 '-end of the sense strand may be covalently connected to a prodrug moiety.
- the moiety may be cleaved in an endosome. In another the moiety may be cleaved in the cytoplasm.
- the terminal 3' nucleotide or two terminal 3 '-nucleotides on either or both of the antisense strand or sense strand is a 2'-deoxynucleotide.
- the 2'-deoxynucleotide is a 2'-deoxy-pyrimidine.
- the 2'- deoxynucleotide is a 2' deoxy-thymidine.
- the antisense strand and the sense strand may be covalently linked to each other. Such linkage may occur between any of the nucleotides forming the antisense strand and sense strand, respectively and can be formed by covalent or non-covalent linkages. Covalent linkage may be formed by linking both strands one or several times and at one or several positions, respectively, by a compound preferably selected from the group comprising methylene blue and bifunctinoal groups. Such bifunctional groups are preferably selected from the group comprising bis(2- chloroethyl)amine, N-acetly-N'-(p-glyoxylbenzoyl)cystamine, 4-thiouracile and psoralene.
- the antisense strand and the sense strand may be linked by a loop structure.
- the loop structure may be comprised of a non-nucleic acid polymer such as polyethylene glycol.
- the 5 '-end of the antisense strand may be linked to the 3 '-terminus of the sense strand or The 3 '- end of the antisense strand may be linked to the 5 '-end of the sense strand.
- the loop may consists of a nucleic acid, a locked nucleic acid (LNA), a peptide nucleic acid (PNA), or the loop may be formed by polymers
- LNA locked nucleic acid
- PNA peptide nucleic acid
- the length of the loop may be sufficient for linking the two strands covalently in a manner that a back folding can occur through a loop structure or similar structure.
- the ribonucleic acid constructs may be incorporated into suitable vector systems.
- the vector comprises a promoter for the expression of RNAi
- the nucleic acids according to the present invention may comprise one or more phosphorothioate internucleotide linkage.
- the phosphorothioate inte nucleotide linkages may be distributed across the entire nucleotide sequences and may occur in any number at any position.
- the nucleic acids can comprise between one to ten phosphorothioate internucleotide linkages.
- the antisense strand has at least 1 phosphorothioate modification at each end.
- the antisense strand has 1-3 phosphorothioate modification at each end. Most preferably the antisense strand has 2 phosphorothioate modification at each end.
- the sense strand has at least 1 phosphorothioate modification at the 3' end.
- the sense strand has 1-3 phosphorothioate modification at the3 ' end.
- the sense strand has 2 phosphorothioate modifications at the 3 ' end.
- an overhang at the 3 '-end or 5' end of the sense strand or the antisense strand may be selected from consisting of 1, 2, 3, 4 and 5 nucleotides in length.
- the siRNA molecule may be blunt-ended on both ends and may have a length of 16, 17, 18, 19, 20, 21, 22, 23, 24, 25, 26, 27, 28 or 29 consecutive nucleotides.
- the siRNA molecule is blunt-ended on one end and the double stranded or douplex portion of the siRNA molecule has a length selected from 16, 17, 18, 19, 20, 21, 22, 23, 24, 25, 26, 27, 28 or 29 consecutive nucleotides.
- the siRNA molecule has overhangs on both ends on either strand and the double stranded or duplex portion of the siRNA molecule has a length of 16, 17, 18, 19, 20, 21, 22, 23, 24, 25, 26, 27, 28 or 29 consecutive nucleotides.
- the overhang may comprise at least one deoxyribonucleotides and/or a TT dinucleotide.
- the nucleic acid of the present invention can be produced using routine methods in the art including chemically synthesis or expressing the nucleic acid either in vitro (e.g., run off transcription) or in vivo. For example, using solid phase chemical synthesis or using an expression vector.
- the expression vector can produce the nucleic acid of the invention in a target cell. Methods for the synthesis of the nucleic acid molecule described herein are known to persons skilled in the art.
- siRNAs and conjugated compounds can be delivered to cells, both in vitro and in vivo, by a variety of methods known to those skilled in the art, including direct contact with cells ("naked” siRNA) or by combination with one or more agents that facilitate targeting or delivery into cells.
- agents and methods include lipoplexes, liposomes, iontophoresis, hydrogels, cyclodextrins, nanocapsules, micro- and nanospheres and proteinaceous vectors.
- the nucleic acid/vehicle combination may be locally delivered in vivo by direct injection or by use of an infusion pump.
- the siRNA and conjugates of the invention can be delivered in vivo by various means including intravenous subcutaneous, intramuscular or intradermal injection or inhalation.
- the molecules can be used as pharmaceutical agents.
- pharmaceutical agents prevent, modulate the occurrence, treat or alleviate a symptom of a disease state in a subject.
- compositions comprising surface-modified liposomes containing poly (ethylene glycol) lipids (PEG-modified, or long-circulating liposomes or stealth liposomes).
- PEG-modified, or long-circulating liposomes or stealth liposomes offer a method for increasing stability of a liposome or lipoplex solutions by preventing their aggregation and fusion.
- the formulations also have the added benefit in vivo of resisting opsonization and elimination by the mononuclear phagocytic system (MPS or RES), thereby enabling longer blood circulation times and enhanced tissue exposure for the encapsulated drug.
- MPS or RES mononuclear phagocytic system
- Such liposomes have been may accumulate selectively in tumors, presumably by extravasation and capture in the neovascularized target tissues
- the long-circulating liposomes enhance the pharmacokinetics and pharmacodynamics of DNA and RNA, particularly compared to conventional cationic liposomes which are known to accumulate in tissues of the MPS (Liu et al, J. Biol. Chem. 1995,42,24864-24780; Choi et al., International PCT Publication No. WO 96/10391; Ansell et al., International PCT Publication No. WO 96/10390; Holland et al., International PCT Publication No. WO 96/10392). Long-circulating liposomes also protect the siRNA from nuclease degradation.
- the siRNA conjugates of the present invention may be formulated as pharmaceutical compositions.
- the pharmaceutical compositions may be used as medicaments or as diagnostic agents, alone or in combination with other agents.
- one or more siRNA conjugates of the invention can be combined with a delivery vehicle (e.g., liposomes) and excipients, such as carriers, diluents.
- a delivery vehicle e.g., liposomes
- excipients such as carriers, diluents.
- Other agents such as preservatives and stabilizers can also be added.
- the siRNA conjugates of the present invention can also be administered in combination with other therapeutic compounds, either administrated separately or simultaneously, e.g., as a combined unit dose.
- the invention includes a pharmaceutical composition comprising one or more siRNA conjugates according to the present invention in a physiologically/pharmaceutically acceptable excipient, such as a stabilizer, preservative, diluent, buffer, and the like.
- a unit dose may contain between about 0.01 mg/kg and about 100 mg/kg body weight of siRNA.
- the dose can be from 10 mg/kg to 25 mg/kg body weight, or 1 mg/kg to 10 mg/kg body weight, or 0.05 mg/kg to 5 mg/kg body weight, or 0.1 mg/kg to 5 mg/kg body weight, or 0.1 mg/kg tol mg/kg body weight, or 0.1 mg/kg to 0.5 mg/kg body weight, or 0.5 mg/kg to 1 mg/kg body weight.
- the pharmaceutical composition may be a sterile injectable aqueous suspension or solution, or in a lyophilized form.
- the pharmaceutical composition may comprise lyophilized lipoplexes or an aqueous suspension of lipoplexes.
- the lipoplexes preferably comprises a siRNA of the present invention. Such lipoplexes may be used to deliver the siRNA of the invention to a target cell either in vitro or in vivo.
- the pharmaceutical compositions and medicaments of the present invention may be administered to a mammalian subject in a pharmaceutically effective dose.
- the mammal may be selected from humans, dogs, cats, horses, cattle, pig, goat, sheep, mouse, rat, hamster and guinea pig. Routes of Delivery
- a conjugated composition that includes a double stranded siRNA can be delivered to a subject by a variety of routes.
- routes include: sub cuteanous, intravenous, topical, rectal, anal, vaginal, nasal, pulmonary, ocular.
- the conjugated composition can be incorporated into pharmaceutical compositions suitable for administration with a pharmaceutically acceptable carrier.
- pharmaceutically acceptable carrier is intended to include any and all solvents, dispersion media, coatings, antibacterial and antifungal agents, isotonic and absorption delaying agents, and the like, compatible with pharmaceutical administration. The use of such media and agents for pharmaceutically active substances is well known in the art.
- compositions of the present invention may be administered in a number of ways depending upon whether local or systemic treatment is desired and upon the area to be treated. Administration may be topical (including ophthalmic, vaginal, rectal, intranasal, transdermal), oral or parenteral. Parenteral administration includes intravenous drip, subcutaneous, intraperitoneal or intramuscular injection, or intrathecal or intraventricular administration.
- the route and site of administration may be chosen to enhance targeting.
- intramuscular injection into the muscles of interest would be a logical choice.
- Lung cells might be targeted by administering the iRNA in aerosol form.
- the vascular endothelial cells could be targeted by coating a balloon catheter with the iRNA and mechanically introducing the DNA.
- GalNAc conjugates according to the invention may be used for the treatment of liver diseases, chronic diseases, Thalassemia, drug induced liver injury, hemochromatosis and anemia or anemia of chronic disease.
- a method of delivery of nucleic acids to hepatocytes using the conjugates according to the present invention comprises the steps of contacting the hepatocyte with the compound of the present invention.
- the method may be used in vitro or in vivo, for diagnostic purposes, therapy or research purposes.
- Figure 1 provides an illustration of a modified double stranded siRNA conjugated to a three saccharide ligand moiety modified with thiophosphate groups.
- Figure 2 is a bar chart illustrating in vivo efficacy in mice with in vivo efficacy of TTR knockdown in mice. Mice (4 animals per group) were treated with a single subcuteanous dose of lmg/kg and sacrifised after 2 days post injection. TTR mRNA level was quantified by TAQman PCR. The level of knockdown is shown above the bars.
- mRNA level were normalised against PTEN.
- the introduction of phosphorothioates in the GalNAc linker system as in TTR CF02V21 and TTR CF02V23 showed substantially greater potency compared to standard phosphodiester linkage (as in TTR CF02V20 and TTR CF02V22).
- FIG. 3 is a bar chart illustrating the duration of TTR knockdown in mice. Mice (4 animals per group) were treated with a single subcuteanous dose of 2mg/kg and sacrifised at the given time points (7, 14, 21 and 28 days post injection). TTR mRNA level was quantified by TAQman PCR. The level of knockdown is shown above the bars. mRNA level were normalised against PTEN.
- FIG 4 is a bar chart illustrating a dose titration of TTR knockdown in mice. Mice (4 animals per group) were treated with the respective dose (3, 1, 0.3, 0.1 mg/kg). TTR mRNA level was quantified by TAQman PCR. mRNA level were normalised against PTEN.
- Figure 5 is a bar chart illustrating the in vitro determination of TTR knockdown of TTR siRNA GalNAc conjugates STS016 L8 and L9.
- TTR CF02V23 represents the positive control.
- GN_Luc represents the negative control. mRNA level were normalised against PTEN.
- FIG. 6 is a bar chart illustrating the in vitro detemiination of TTR knockdown of TTR siRNA GalNAc conjugates STS016 L4-L7.
- TTR CF02V23 represents the positive control.
- GN_Luc represents the negative control.
- mRNA level were normalised against PTEN.
- Figure 7 is a bar chart illustrating in vivo efficacy of TTR knockdown in mice. Mice (4 animals per group) were treated with a single subcuteanous dose of lmg/kg. Blood was taken after each timepoint (day 8, 15, 22 post injection) and analysed for TTR level using commercially available murineTTR specific Elisa Kit.
- Figure 8 is a bar chart illustrating in vivo efficacy of PTEN Knockdown in mice. Mice (4 animals per group) were treated with the respective dose (1, 3, 10 mg/kg). PTEN mRNA level was quantified by TAQman PCR. A clear dose dependent knockdown of PTEN was demonstrated.
- the reaction mixture was filtered over a plug of kieselguhr followed by rinsing with warm dichloromethane.
- the filtrate was quenched by pouring in ice-cold aqueous saturated NaHC0 3 solution (800 mL) and stirred vigerously.
- the layers were separated and the aqueous layer was extracted twice more with dichloromethane (2 x 300 mL).
- the combined organic layers were washed with water (600 mL) and brine (600 mL), dried over Na 2 S0 4 , filtered and concentrated in vacuo to obtain a yellow oil.
- reaction mixture was allowed to reach room temperature and stirring was continued overnight.
- the reaction mixture was cooled to a temperature of 5 °C followed by the slow addition of water (200 mL).
- the mixture was then concentrated in vacuo, redissolved in dichloromethane (600 mL) and washed with water (3000 mL).
- the aqueous layer was extracted three more times with dichloromethane (3x 500 mL).
- the combined organic layers were washed with water (3x 400 mL) and brine (1x500 mL) followed by drying over Na 2 S0 4 and concentrating in vacuo. Purification was performed by gravity column chromatography (0-50% EtOAc in heptane) to obtain 18 (25 g, yield 20%).
- reaction mixture was filtered over a cotton plug and directly coated on, with Et 3 N treated, silica (60 g). Purification was performed by flash column chromatography (10-60% EtOAc in heptane, 5% Et 3 N) to obtain ST31 as a yellow tar (24.8 g, yield 78%).
- the filtrate was further diluted with water (900 mL), transferred to a separatory funnel and the product was extracted with dichloromethane (3x 200 mL).
- the combined organic layers were washed with water (4x 200 mL), dried over Na 2 S0 4 and concentrated in vacuo.
- the pale yellow oil was purified by flash column chromatography (50 - 100% EtOAc in heptane) to obtain 1 as a colourless oil (20.46 gram, yield 58%).
- reaction mixture was cooled upon an icebath and to the reaction mixture was added ethyl propiolate (27.8 mL, 274 mmol, 4 equiv) via a single stream. Stirring of the reaction mixture was continued for 15 minutes, followed by allowing the reaction mixture to warm up to room temperature. After 2 hours reaction time, the reaction mixture was concentrated in vacuo to obtain a dark brown oil. Purification of the crude material was performed by flash column chromatography (0-37% EtOAc in heptane) to obtain 2 as a yellow oil (31.56 g, yield 78%).
- reaction was further diluted with tetrahydrofuran (100 mL) and cooled to a temperature of 0 °C. Quenching of the reaction mixture was performed by the slow addition of water (2.0 mL), 4M aqueous NaOH (2.0 mL) and water (6.0 mL). The white precipitate was removed by filtration over a dry Na 2 S0 4 plug followed by rinsing twice with tetrahydrofuran. The filtrate was concentrated in vacuo and purification of this was performed by flash column chromatography (0-10% MeOH in dichloromethane) to obtain ST40 as a colourless oil (9.55 g, yield 68%).
- Residual water was removed from ST40 (9.55 g, 20.21 mmol) by stripping twice with pyridine, followed by redissolving in pyridine (464 mL) under an argon atmosphere.
- moleculair sieves 3 A (20 g) and stirring was continued for 15 minutes.
- Solid DMTrCl (30.8 g, 91 mmol, 4.5 equiv) was added and stirring of the now dark orange mixture was continued overnight.
- the reaction was filtered over a cotton plug and the filtrate was coated on, with Et 3 N neutralized, silica.
- reaction mixture was filtered over a plug of kieselguhr and concentrated in vacuo. Purification was performed by flash column chromatography (0-40% EtOAc in heptane, 5% Et 3 N) to obtain ST40DMTrOH as a white foaming solid (11.95 g, yield 50%).
- reaction mixture was filtered over a cotton plug and the filtrate was coated on, with Et 3 N treated, silica (50 g). Purification was performed by flash column chromatography (0-35% EtOAc in heptane, 5% Et 3 N) to obtain ST41 as a colourless tar (10.65 g, yield 77%).
- the reaction mixture was acidified to pH ⁇ 1 by the addition of 3M aqueous HCl and the now obtained white emulsion was further diluted with water (700 mL), transferred to a separatory funnel and the product was extracted with dichloromethane (4x 70 mL). The combined organic layers were washed with water (3x 70 mL), dried over Na 2 S04 and concentrated in vacuo. The pale yellow oil was purified by flash column chromatography (50 - 100% EtOAc in heptane) to obtain 4 as a colourless oil (9.16 gram, yield 67%).
- reaction mixture was filtered over a cotton plug and the filtrate was coated on, with Et 3 N treated, silica (10 g). Purification was performed by flash column chromatography (0-30% EtOAc in heptane, 5% Et 3 N) to obtain ST43 as a colourless tar (3.48 g, yield 83%).
- TBDMS-C1 (7.50 g, 49.7 mmol, 1.2 equiv) was added portion wise to observe an exothermic reaction which reached a maximum temperature of 40 °C. Stirring of the reaction mixture was continued overnight at room temperature. The obtained yellow suspension was diluted with Et 2 0 (40 mL) and washed with brine (40 mL). The aqueous layer was extracted twice more with Et 2 0 (2x 40 mL) and the combined organic layers were dried over Na 2 S0 4 . After concentrating in vacuo, purification was performed by flash column chromatography (0-40% EtOAc in heptane) to obtain 7 as a colourless oil (11.73 g, yield 95%).
- Residual water was removed from ST44 (1.94 g, 3.51 mmol) by stripping twice with pyridine, followed by redissolving in pyridine (70 mL) under an argon atmosphere.
- moleculair sieves 4A 4 g
- stirring was continued for 15 minutes.
- Solid DMTrCl 4.16 g, 12.28 mmol, 3.5 equiv
- reaction mixture was filtered over a cotton plug and the filtrate was coated on, with Et 3 N treated, silica (7.5 g). Purification was performed by flash column chromatography (0-100% EtOAc in heptane, 5% Et 3 N) to obtain ST45 as a clear oil (1.37 g, yield 59%).
- Oligonucleotides were synthesized on an AKTA oligopilot synthesizer.
- Commercially available solid support and 2O-Methyl RNA phosphoramidites, 2 luoro, 2'Deoxy R A phosphor amidites and commercially available long trebler phosphoramidite (ST S) (Glen research) were used.
- Oligonucleotide synthesis, deprotection and purification followed standard procedures that are known in the art. Oligonucleotide and oligonucleotide conjugate synthesis was performed by a commercial oligonucleotide manufacturer (Biospring, Franlcfurt, Germany).
- Conjugation of the GalNAc synthons (ST21, ST23, ST31) or trebler synthons (STKS, ST41, ST43, ST45) was achieved by coupling of the respective phosphoramidite to the 5 'end of the oligochain under standard phosphoramidite coupling conditions.
- Phosphorothioates were introduced using standard commercially available thiolation reagents (EDITH, Link technologies).
- the single strands were cleaved off the CPG by using aqueous Methylamine and the resulting crude oligonucleotide was purified by Ionexchange chromatography (Resource Q, 6mL, GE Healthcare) on a AKTA Pure HPLC System using a Sodium chloride gradient. Product containing fractions were pooled, desalted on a size exclusion column (Zetadex, EMP Biotech) and lyophilised.
- Duplexation For Duplexation, equimolar amounts of the respective single strands were dissolved in water and heated to 80°C for 5min. After cooling the resulting Duplex was lyophilised.
- the sense strand was modified postsynthetically with an activated ester (NHS) of the GalNAc linker ST13: 78 58112
- TTR CF02V20 Antisense strand 5 'u(ps)u(ps)a uag age aag aac acu g(ps)u(ps)u 3 '
- m denotes 2 ⁇ Methyl ribonucleotide
- Antisense strand
- Antisense strand
- Antisense strand
- Antisense strand
- Antisense strand
- Antisense strand 5 ' mU (ps) fU (ps) mA fU mA fG mA fG mC fA mA fG mA fA mC fU mG (ps) fU (ps) mU 3'
- Antisense strand
- mice 8 weeks old male C57BL/6J01aHsd mice were injected with the respective dose with a single subcutaneous injection of 300 uL/kg (4 animals per group).
- mice were sacrificed, the liver were harvested and analysed for TTR mRNA using TAQman analysis.
- RNA was used for quantitative TaqMan RT-PCR with the am licon sets obtained from BioTez GmBH, Berlin, Germany:
- the TaqMan RT-PCR reactions were carried out with an ABI PRISM 7700 Sequence Detector (Software: Sequence Detection System vl.6.3 (ABI Life Technologies)) or StepOnePlus Real Time PCR System (ABI) using a standard protocol for RT-PCR (as described in Fehring et al. 2014) with primers and probes at a concentration of 300 and 100 nmol/1 respectively.
- TaqMan data were calculated by using the comparative Ct method. mRNA level were normalised against PTEN.
- mmTTR 550L22 CAGAGTCGTTGGCTGTGAAAAC
- mice were sacrificed 2 days post injection.
- the tested compounds were TTR CF02, TTR CF02V20, TTR CF02V21, TTR CF02V22 and TTR CF02V23.
- Introduction of phosphorothioates in the GalNAc linker system showed substantially greater potency compared to standard phosphodiester linkage (TTR CF02V20 and TTR CF02V22). Results are shown in Figure 2.
- mice were sacrificed at given timepoints (7, 14, 21 and 28 days post injection).
- the tested compounds were PTEN CF02 (control), TTR CF02, TTR CF02V21 and TTR CF02V23. Results are shown in Figure 3.
- mice 8 weeks old male C57BL/6J01aHsd mice were injected with the respective dose (3, 1, 0.3, 0.1 mg/kg) with a single subcutaneous injection of 300 uL/kg (4 animals per group). PBS was used as a control. After two days mice were sacrified, the liver were harvested and analysed for TTR mRNA using TAQman analysis. Analysis of samples was performed as in Example 4.
- TTR CF02V23 represents the positive control.
- GN_Luc represents the negative control.
- mice 8 weeks old male C57BL/6J01aHsd mice were injected with the dose of 1 mg/kg with a single subcutaneous Injection of 300 uL/kg (4 animals per group). Blood was taken after each timepoint (day 8, 15, 22 post injection) and analysed for TTR level using commercially available murineTTR specific Elisa Kit.
- mice 8 weeks old male C57BL/6.T01aHsd mice were injected with the respective dose (1, 3, 10 mg/kg) with a single subcutaneous injection of 300 uL/kg (4 animals per group). PBS was used as control.
- mice were sacrificed, the liver were harvested and analysed for PTEN mRNA using TAQman analysis.
- tissue were dissected immediately after sacrifice of the mice and instantly snap-frozen in liquid nitrogen. Approximately 20 mg of tissue was homogenized in a Mixer Mill MM 301 (Retsch GmbH, Haan,Germany) using tungsten carbide beads (Qiagen, Hilden, Germany). TotalRNA was isolated from the lysate with the Invisorb Spin Tissue RNA MiniKit (Invitek, Berlin, Germany). Depending on the tissue, 25- 100 ng total RNA was used for quantitative TaqMan RT-PCR with the amplicon sets obtained from BioTez GmBH, Berlin, Germany: The TaqMan RT-PCR reactions were carried out with an ABI PRISM 7700 Sequence Detector (Software: Sequence Detection
- RNA interference is mediated by 21- and 22-nucleotide RNAs. Genes & development 2001, 15 (2), 188-200.
Landscapes
- Health & Medical Sciences (AREA)
- Life Sciences & Earth Sciences (AREA)
- Chemical & Material Sciences (AREA)
- Engineering & Computer Science (AREA)
- General Health & Medical Sciences (AREA)
- Veterinary Medicine (AREA)
- Medicinal Chemistry (AREA)
- Pharmacology & Pharmacy (AREA)
- Animal Behavior & Ethology (AREA)
- Public Health (AREA)
- Bioinformatics & Cheminformatics (AREA)
- Organic Chemistry (AREA)
- Chemical Kinetics & Catalysis (AREA)
- General Chemical & Material Sciences (AREA)
- Nuclear Medicine, Radiotherapy & Molecular Imaging (AREA)
- Diabetes (AREA)
- Molecular Biology (AREA)
- Epidemiology (AREA)
- Hematology (AREA)
- Genetics & Genomics (AREA)
- Biochemistry (AREA)
- Biomedical Technology (AREA)
- Obesity (AREA)
- Biotechnology (AREA)
- General Engineering & Computer Science (AREA)
- Wood Science & Technology (AREA)
- Zoology (AREA)
- Biophysics (AREA)
- Microbiology (AREA)
- Plant Pathology (AREA)
- Physics & Mathematics (AREA)
- Child & Adolescent Psychology (AREA)
- Gastroenterology & Hepatology (AREA)
- Cardiology (AREA)
- Heart & Thoracic Surgery (AREA)
- Pain & Pain Management (AREA)
- Rheumatology (AREA)
- Endocrinology (AREA)
- Virology (AREA)
- Communicable Diseases (AREA)
Abstract
Description
Claims
Priority Applications (12)
| Application Number | Priority Date | Filing Date | Title |
|---|---|---|---|
| CN201780035060.9A CN109562188B (en) | 2016-04-05 | 2017-04-05 | Nucleic acids linked to trivalent saccharide conjugates |
| JP2018552707A JP7120925B2 (en) | 2016-04-05 | 2017-04-05 | New conjugate |
| PL17715730T PL3439703T3 (en) | 2016-04-05 | 2017-04-05 | Nucleic acid linked to a trivalent glycoconjugate |
| AU2017245687A AU2017245687B2 (en) | 2016-04-05 | 2017-04-05 | Nucleic acid linked to a trivalent glycoconjugate |
| DK17715730.2T DK3439703T3 (en) | 2016-04-05 | 2017-04-05 | Nucleic acid bound to a trivalent glycoconjugate |
| CA3019981A CA3019981A1 (en) | 2016-04-05 | 2017-04-05 | Nucleic acid linked to a trivalent glycoconjugate |
| EP17715730.2A EP3439703B1 (en) | 2016-04-05 | 2017-04-05 | Nucleic acid linked to a trivalent glycoconjugate |
| ES17715730T ES2805026T3 (en) | 2016-04-05 | 2017-04-05 | Nucleic acid bound to a trivalent glycoconjugate |
| EP20171464.9A EP3744350A1 (en) | 2016-04-05 | 2017-04-05 | Nucleic acid linked to a trivalent glycoconjugate |
| CN202211456959.7A CN116036117A (en) | 2016-04-05 | 2017-04-05 | Nucleic acids linked to trivalent glycoconjugates |
| US16/091,503 US10913945B2 (en) | 2016-04-05 | 2017-04-05 | Nucleic acid linked to a trivalent glycoconjugate |
| US17/104,502 US11912993B2 (en) | 2016-04-05 | 2020-11-25 | Nucleic acid linked to a trivalent glycoconjugate |
Applications Claiming Priority (2)
| Application Number | Priority Date | Filing Date | Title |
|---|---|---|---|
| EP16163939.8 | 2016-04-05 | ||
| EP16163939.8A EP3228326A1 (en) | 2016-04-05 | 2016-04-05 | Nucleic acid linked to a trivalent glycoconjugate |
Related Child Applications (2)
| Application Number | Title | Priority Date | Filing Date |
|---|---|---|---|
| US16/091,503 A-371-Of-International US10913945B2 (en) | 2016-04-05 | 2017-04-05 | Nucleic acid linked to a trivalent glycoconjugate |
| US17/104,502 Continuation US11912993B2 (en) | 2016-04-05 | 2020-11-25 | Nucleic acid linked to a trivalent glycoconjugate |
Publications (1)
| Publication Number | Publication Date |
|---|---|
| WO2017174657A1 true WO2017174657A1 (en) | 2017-10-12 |
Family
ID=55697082
Family Applications (1)
| Application Number | Title | Priority Date | Filing Date |
|---|---|---|---|
| PCT/EP2017/058112 Ceased WO2017174657A1 (en) | 2016-04-05 | 2017-04-05 | Nucleic acid linked to a trivalent glycoconjugate |
Country Status (11)
| Country | Link |
|---|---|
| US (2) | US10913945B2 (en) |
| EP (3) | EP3228326A1 (en) |
| JP (1) | JP7120925B2 (en) |
| CN (2) | CN116036117A (en) |
| AU (1) | AU2017245687B2 (en) |
| CA (1) | CA3019981A1 (en) |
| DK (1) | DK3439703T3 (en) |
| ES (1) | ES2805026T3 (en) |
| HU (1) | HUE049931T2 (en) |
| PL (1) | PL3439703T3 (en) |
| WO (1) | WO2017174657A1 (en) |
Cited By (42)
| Publication number | Priority date | Publication date | Assignee | Title |
|---|---|---|---|---|
| EP3385272A1 (en) * | 2017-04-05 | 2018-10-10 | Silence Therapeutics GmbH | Further novel oligonucleotide-ligand conjugates |
| WO2018185252A1 (en) | 2017-04-05 | 2018-10-11 | Silence Therapeutics Gmbh | Nucleic acid conjugates |
| WO2018185239A1 (en) | 2017-04-05 | 2018-10-11 | Silence Therapeutics Gmbh | Products and compositions |
| WO2018185240A1 (en) | 2017-04-05 | 2018-10-11 | Silence Therapeutics Gmbh | Products and compositions |
| WO2018185253A1 (en) | 2017-04-05 | 2018-10-11 | Silence Therapeutics Gmbh | Ligand modified double-stranded nucleic acids |
| EP3483269A1 (en) | 2017-11-13 | 2019-05-15 | Silence Therapeutics GmbH | Products and compositions |
| EP3483270A1 (en) | 2017-11-13 | 2019-05-15 | Silence Therapeutics GmbH | Products and compositions |
| WO2019092282A1 (en) | 2017-11-13 | 2019-05-16 | Silence Therapeutics Gmbh | Nucleic acids for inhibiting expression of aldh2 in a cell |
| WO2019092283A1 (en) | 2017-11-13 | 2019-05-16 | Silence Therapeutics Gmbh | Nucleic acids for inhibiting expression of lpa in a cell |
| EP3549610A1 (en) | 2018-04-05 | 2019-10-09 | Silence Therapeutics GmbH | Nucleic acid conjugates |
| EP3550021A1 (en) | 2018-04-05 | 2019-10-09 | Silence Therapeutics GmbH | Products and compositions for inhibiting expression of a target gene |
| EP3550022A1 (en) | 2018-04-05 | 2019-10-09 | Silence Therapeutics GmbH | Products and compositions |
| WO2019193144A1 (en) | 2018-04-05 | 2019-10-10 | Silence Therapeutics Gmbh | siRNAs WITH VINYLPHOSPHONATE AT THE 5' END OF THE ANTISENSE STRAND |
| EP3598995A1 (en) | 2018-07-26 | 2020-01-29 | Silence Therapeutics GmbH | Products and compositions |
| WO2020099476A1 (en) | 2018-11-13 | 2020-05-22 | Silence Therapeutics Gmbh | Nucleic acids for inhibiting expression of lpa in a cell |
| WO2020104669A1 (en) | 2018-11-23 | 2020-05-28 | Silence Therapeutics Gmbh | Nucleic acids for inhibiting expression of c3 in a cell |
| KR20200098521A (en) * | 2017-11-13 | 2020-08-20 | 사일런스 테라퓨틱스 게엠베하 | Nucleic acid for inhibiting the expression of target genes including phosphorodithioate linkage |
| EP3730617A1 (en) | 2019-04-26 | 2020-10-28 | Silence Therapeutics GmbH | Nucleic acids for inhibiting expression of c3 in a cell |
| WO2020225301A1 (en) | 2019-05-07 | 2020-11-12 | Universität Bern | Nucleic acids for inhibiting expression of pros1 in a cell |
| WO2021037941A1 (en) | 2019-08-27 | 2021-03-04 | Silence Therapeutics Gmbh | Nucleic acids for inhibiting expression of c3 in a cell |
| WO2021239825A1 (en) | 2020-05-27 | 2021-12-02 | Silence Therapeutics Gmbh | Nucleic acids for inhibiting expression of cnnm4 in a cell |
| US20220090067A1 (en) * | 2017-04-05 | 2022-03-24 | Silence Therapeutics Gmbh | Products and compositions |
| WO2022096424A1 (en) | 2020-11-04 | 2022-05-12 | Universität Bern | Nucleic acids for inhibiting expression of pros1 in a cell |
| WO2022184852A1 (en) | 2021-03-03 | 2022-09-09 | Silence Therapeutics Gmbh | Conjugated nucleic acids comprising a phosphorodithioate for inhibiting gene expression in a cell |
| WO2022223557A1 (en) | 2021-04-20 | 2022-10-27 | Silence Therapeutics Gmbh | Nucleic acids for inhibiting expression of xdh in a cell |
| WO2022229150A1 (en) | 2021-04-27 | 2022-11-03 | Silence Therapeutics Gmbh | Sirna targeting tmprss6 for the treawtment of myeloproliferative disorders |
| WO2023031359A1 (en) | 2021-09-02 | 2023-03-09 | Silence Therapeutics Gmbh | Nucleic acids for inhibiting expression of complement factor b (cfb) in a cell |
| US11820971B2 (en) | 2020-11-04 | 2023-11-21 | Universität Bern | Nucleic acids for inhibiting expression of PROS1 in a cell |
| EP4048801A4 (en) * | 2019-10-24 | 2023-11-22 | Genevant Sciences Gmbh | CONJUGATES AND METHODS OF TREATMENT OF ACROMEGALY |
| WO2024013334A1 (en) * | 2022-07-15 | 2024-01-18 | Silence Therapeutics Gmbh | Nucleic acids for inhibiting expression of agt in a cell |
| WO2024126687A1 (en) | 2022-12-16 | 2024-06-20 | Silence Therapeutics Gmbh | Nucleic acids conjugated to an albumin binding moiety |
| WO2024200512A1 (en) | 2023-03-27 | 2024-10-03 | Silence Therapeutics Gmbh | Compounds and compositions for use in stem cell transplantation |
| WO2025021831A1 (en) | 2023-07-24 | 2025-01-30 | Astrazeneca Ab | Multivalent cargo-carrying complexes and uses thereof |
| WO2025021833A1 (en) | 2023-07-24 | 2025-01-30 | Astrazeneca Ab | Multivalent cargo-carrying complexes and uses thereof |
| WO2025021829A1 (en) | 2023-07-24 | 2025-01-30 | Astrazeneca Ab | Multivalent cargo-carrying complexes and uses thereof |
| US12285439B2 (en) | 2018-11-26 | 2025-04-29 | Asociación Centro De Investigación Cooperativa En Biociencias-Cic Biogune | Methods for diagnosing and/or treating acute or chronic liver, kidney or lung disease |
| US12290567B2 (en) | 2019-09-03 | 2025-05-06 | Arcturus Therapeutics, Inc. | Asialoglycoprotein Receptor mediated delivery of therapeutically active conjugates |
| WO2025132845A1 (en) | 2023-12-21 | 2025-06-26 | Silence Therapeutics Gmbh | Galnac phosphoramidites and their uses |
| WO2025162939A1 (en) | 2024-01-29 | 2025-08-07 | Silence Therapeutics Gmbh | Nucleic acids for inhibiting expression of gpr146 in a cell |
| WO2025163186A1 (en) | 2024-02-01 | 2025-08-07 | Silence Therapeutics Gmbh | Conjugated nucleic acids and nucleic acids comprising locked nucleosides and inverted nucleotides for inhibiting gene expression in a cell |
| WO2025169133A1 (en) | 2024-02-09 | 2025-08-14 | Astrazeneca Ab | Double-stranded rnai agents and compositions for reducing expression of angiopoietin-like 3 (angptl3) and methods of use thereof |
| WO2026013624A2 (en) | 2024-07-12 | 2026-01-15 | Novartis Ag | Double stranded rnai agents, compositions and methods of use |
Families Citing this family (4)
| Publication number | Priority date | Publication date | Assignee | Title |
|---|---|---|---|---|
| MA45478A (en) * | 2016-04-11 | 2019-02-20 | Arbutus Biopharma Corp | TARGETED NUCLEIC ACID CONJUGATE COMPOSITIONS |
| CA3235672A1 (en) * | 2021-11-29 | 2023-06-01 | Shanghai Argo Biopharmaceutical Co., Ltd. | Compositions and methods for inhibiting expression of hepatitis b virus (hbv) protein |
| CN117580846A (en) * | 2022-04-29 | 2024-02-20 | 石药集团中奇制药技术(石家庄)有限公司 | Compounds with liver-targeted delivery effects and oligonucleotide conjugates thereof |
| CN116444589B (en) * | 2023-06-15 | 2023-09-19 | 北京悦康科创医药科技股份有限公司 | Novel GalNAc compounds and thiooligonucleotide conjugates and coupling methods thereof |
Citations (1)
| Publication number | Priority date | Publication date | Assignee | Title |
|---|---|---|---|---|
| WO2014179620A1 (en) * | 2013-05-01 | 2014-11-06 | Isis Pharmaceuticals, Inc. | Conjugated antisense compounds and their use |
Family Cites Families (10)
| Publication number | Priority date | Publication date | Assignee | Title |
|---|---|---|---|---|
| US5378825A (en) | 1990-07-27 | 1995-01-03 | Isis Pharmaceuticals, Inc. | Backbone modified oligonucleotide analogs |
| DE69232032T3 (en) | 1991-12-24 | 2012-09-13 | Isis Pharmaceutical, Inc. | ANTISENSE OLIGONUCLEOTIDE |
| NL9201440A (en) | 1992-08-11 | 1994-03-01 | Univ Leiden | Triantennary cluster glycosides, their preparation and application. |
| US5820873A (en) | 1994-09-30 | 1998-10-13 | The University Of British Columbia | Polyethylene glycol modified ceramide lipids and liposome uses thereof |
| US5885613A (en) | 1994-09-30 | 1999-03-23 | The University Of British Columbia | Bilayer stabilizing components and their use in forming programmable fusogenic liposomes |
| US5753613A (en) | 1994-09-30 | 1998-05-19 | Inex Pharmaceuticals Corporation | Compositions for the introduction of polyanionic materials into cells |
| JP2003525017A (en) | 1998-04-20 | 2003-08-26 | リボザイム・ファーマシューティカルズ・インコーポレーテッド | Nucleic acid molecules with novel chemical composition that can regulate gene expression |
| DK2920307T3 (en) * | 2012-11-15 | 2018-07-16 | Roche Innovation Ct Copenhagen As | ANTI-APOB, ANTISENSE CONJUGATE RELATIONSHIPS |
| JP2017521045A (en) * | 2014-05-01 | 2017-08-03 | アイオーニス ファーマシューティカルズ, インコーポレーテッドIonis Pharmaceuticals,Inc. | Compositions and methods for modulating angiopoietin-like factor 3 expression |
| BR112017005938A2 (en) * | 2014-10-10 | 2017-12-12 | Hoffmann La Roche | compounds, compound preparation process, galnac and nucleic acid conjugate preparation process and compound uses |
-
2016
- 2016-04-05 EP EP16163939.8A patent/EP3228326A1/en not_active Ceased
-
2017
- 2017-04-05 EP EP20171464.9A patent/EP3744350A1/en active Pending
- 2017-04-05 CN CN202211456959.7A patent/CN116036117A/en active Pending
- 2017-04-05 EP EP17715730.2A patent/EP3439703B1/en active Active
- 2017-04-05 ES ES17715730T patent/ES2805026T3/en active Active
- 2017-04-05 JP JP2018552707A patent/JP7120925B2/en active Active
- 2017-04-05 DK DK17715730.2T patent/DK3439703T3/en active
- 2017-04-05 PL PL17715730T patent/PL3439703T3/en unknown
- 2017-04-05 WO PCT/EP2017/058112 patent/WO2017174657A1/en not_active Ceased
- 2017-04-05 AU AU2017245687A patent/AU2017245687B2/en active Active
- 2017-04-05 CA CA3019981A patent/CA3019981A1/en active Pending
- 2017-04-05 CN CN201780035060.9A patent/CN109562188B/en active Active
- 2017-04-05 HU HUE17715730A patent/HUE049931T2/en unknown
- 2017-04-05 US US16/091,503 patent/US10913945B2/en active Active
-
2020
- 2020-11-25 US US17/104,502 patent/US11912993B2/en active Active
Patent Citations (1)
| Publication number | Priority date | Publication date | Assignee | Title |
|---|---|---|---|---|
| WO2014179620A1 (en) * | 2013-05-01 | 2014-11-06 | Isis Pharmaceuticals, Inc. | Conjugated antisense compounds and their use |
Non-Patent Citations (2)
| Title |
|---|
| DUBBER M ET AL: "Solid-phase synthesis of multivalent glycoconjugates on a DNA synthesizer", BIOCONJUGATE CHEMISTRY, ACS, WASHINGTON, DC, US, vol. 14, no. 1, 1 January 2003 (2003-01-01), pages 239 - 246, XP002551179, ISSN: 1043-1802, [retrieved on 20021220], DOI: 10.1021/BC0256244 * |
| PRAKASH THAZHA P ET AL: "Solid-phase synthesis of 5'-triantennaryN-acetylgalactosamine conjugated antisense oligonucleotides using phosphoramidite chemi", BIOORGANIC & MEDICINAL CHEMISTRY LETTERS, vol. 25, no. 19, 8 August 2015 (2015-08-08), pages 4127 - 4130, XP029264267, ISSN: 0960-894X, DOI: 10.1016/J.BMCL.2015.08.019 * |
Cited By (60)
| Publication number | Priority date | Publication date | Assignee | Title |
|---|---|---|---|---|
| US11299738B2 (en) | 2017-04-05 | 2022-04-12 | Silence Therapeutics Gmbh | Further novel oligonucleotide-ligand conjugates |
| WO2018185252A1 (en) | 2017-04-05 | 2018-10-11 | Silence Therapeutics Gmbh | Nucleic acid conjugates |
| WO2018185239A1 (en) | 2017-04-05 | 2018-10-11 | Silence Therapeutics Gmbh | Products and compositions |
| WO2018185210A1 (en) * | 2017-04-05 | 2018-10-11 | Silence Therapeutics Gmbh | Further novel oligonucleotide-ligand conjugates |
| WO2018185240A1 (en) | 2017-04-05 | 2018-10-11 | Silence Therapeutics Gmbh | Products and compositions |
| WO2018185253A1 (en) | 2017-04-05 | 2018-10-11 | Silence Therapeutics Gmbh | Ligand modified double-stranded nucleic acids |
| US12084656B2 (en) * | 2017-04-05 | 2024-09-10 | Silence Therapeutics Gmbh | Products and compositions |
| EP4029942A1 (en) | 2017-04-05 | 2022-07-20 | Silence Therapeutics GmbH | Products and compositions |
| EP4219713A2 (en) | 2017-04-05 | 2023-08-02 | Silence Therapeutics GmbH | Products and compositions |
| EP4219714A2 (en) | 2017-04-05 | 2023-08-02 | Silence Therapeutics GmbH | Rna interference mediated inhibition of tmprss6 |
| JP2024036347A (en) * | 2017-04-05 | 2024-03-15 | サイレンス・セラピューティクス・ゲーエムベーハー | siRNA with vinyl phosphonate at the 5' end of the antisense strand |
| EP3385272A1 (en) * | 2017-04-05 | 2018-10-10 | Silence Therapeutics GmbH | Further novel oligonucleotide-ligand conjugates |
| US20220090067A1 (en) * | 2017-04-05 | 2022-03-24 | Silence Therapeutics Gmbh | Products and compositions |
| KR102822091B1 (en) * | 2017-11-13 | 2025-06-17 | 사일런스 테라퓨틱스 게엠베하 | Nucleic acid for inhibiting the expression of a target gene comprising a phosphorodithioate linkage |
| US12054717B2 (en) | 2017-11-13 | 2024-08-06 | Silence Therapeutics Gmbh | Nucleic acids for inhibiting expression of LPA in a cell |
| WO2019092283A1 (en) | 2017-11-13 | 2019-05-16 | Silence Therapeutics Gmbh | Nucleic acids for inhibiting expression of lpa in a cell |
| JP7461886B2 (en) | 2017-11-13 | 2024-04-04 | サイレンス・セラピューティクス・ゲゼルシャフト・ミット・ベシュレンクテル・ハフツング | Nucleic acids containing phosphorodithioate bonds for suppressing expression of target genes |
| WO2019092282A1 (en) | 2017-11-13 | 2019-05-16 | Silence Therapeutics Gmbh | Nucleic acids for inhibiting expression of aldh2 in a cell |
| US11873489B2 (en) | 2017-11-13 | 2024-01-16 | Silence Therapeutics Gmbh | Nucleic acids for inhibiting expression of a target gene comprising phosphorodithioate linkages |
| EP3483271A2 (en) | 2017-11-13 | 2019-05-15 | Silence Therapeutics GmbH | Products and compositions |
| KR20200098521A (en) * | 2017-11-13 | 2020-08-20 | 사일런스 테라퓨틱스 게엠베하 | Nucleic acid for inhibiting the expression of target genes including phosphorodithioate linkage |
| EP3483270A1 (en) | 2017-11-13 | 2019-05-15 | Silence Therapeutics GmbH | Products and compositions |
| EP3483272A1 (en) | 2017-11-13 | 2019-05-15 | Silence Therapeutics GmbH | Products and compositions |
| JP2021502411A (en) * | 2017-11-13 | 2021-01-28 | サイレンス・セラピューティクス・ゲゼルシャフト・ミット・ベシュレンクテル・ハフツング | Nucleic acid containing dithiophosphate binding to suppress the expression of the target gene |
| US11319537B2 (en) | 2017-11-13 | 2022-05-03 | Silence Therapeutics Gmbh | Nucleic acids for inhibiting expression of LPA in a cell |
| EP3483269A1 (en) | 2017-11-13 | 2019-05-15 | Silence Therapeutics GmbH | Products and compositions |
| WO2019193144A1 (en) | 2018-04-05 | 2019-10-10 | Silence Therapeutics Gmbh | siRNAs WITH VINYLPHOSPHONATE AT THE 5' END OF THE ANTISENSE STRAND |
| EP3550021A1 (en) | 2018-04-05 | 2019-10-09 | Silence Therapeutics GmbH | Products and compositions for inhibiting expression of a target gene |
| EP3550022A1 (en) | 2018-04-05 | 2019-10-09 | Silence Therapeutics GmbH | Products and compositions |
| EP3549610A1 (en) | 2018-04-05 | 2019-10-09 | Silence Therapeutics GmbH | Nucleic acid conjugates |
| EP3598995A1 (en) | 2018-07-26 | 2020-01-29 | Silence Therapeutics GmbH | Products and compositions |
| WO2020021108A2 (en) | 2018-07-26 | 2020-01-30 | Silence Therapeutics Gmbh | Nucleic acids for inhibiting expression of tmprss6 and iron chelators |
| US11499153B2 (en) | 2018-11-13 | 2022-11-15 | Silence Therapeutics Gmbh | Nucleic acids for inhibiting expression of LPA in a cell |
| WO2020099476A1 (en) | 2018-11-13 | 2020-05-22 | Silence Therapeutics Gmbh | Nucleic acids for inhibiting expression of lpa in a cell |
| WO2020104669A1 (en) | 2018-11-23 | 2020-05-28 | Silence Therapeutics Gmbh | Nucleic acids for inhibiting expression of c3 in a cell |
| US12285439B2 (en) | 2018-11-26 | 2025-04-29 | Asociación Centro De Investigación Cooperativa En Biociencias-Cic Biogune | Methods for diagnosing and/or treating acute or chronic liver, kidney or lung disease |
| EP3730617A1 (en) | 2019-04-26 | 2020-10-28 | Silence Therapeutics GmbH | Nucleic acids for inhibiting expression of c3 in a cell |
| WO2020225301A1 (en) | 2019-05-07 | 2020-11-12 | Universität Bern | Nucleic acids for inhibiting expression of pros1 in a cell |
| US11753642B2 (en) | 2019-08-27 | 2023-09-12 | Silence Therapeutics Gmbh | Nucleic acids for inhibiting expression of C3 in a cell |
| WO2021037941A1 (en) | 2019-08-27 | 2021-03-04 | Silence Therapeutics Gmbh | Nucleic acids for inhibiting expression of c3 in a cell |
| US12290567B2 (en) | 2019-09-03 | 2025-05-06 | Arcturus Therapeutics, Inc. | Asialoglycoprotein Receptor mediated delivery of therapeutically active conjugates |
| EP4048801A4 (en) * | 2019-10-24 | 2023-11-22 | Genevant Sciences Gmbh | CONJUGATES AND METHODS OF TREATMENT OF ACROMEGALY |
| WO2021239825A1 (en) | 2020-05-27 | 2021-12-02 | Silence Therapeutics Gmbh | Nucleic acids for inhibiting expression of cnnm4 in a cell |
| US11820971B2 (en) | 2020-11-04 | 2023-11-21 | Universität Bern | Nucleic acids for inhibiting expression of PROS1 in a cell |
| WO2022096424A1 (en) | 2020-11-04 | 2022-05-12 | Universität Bern | Nucleic acids for inhibiting expression of pros1 in a cell |
| WO2022184852A1 (en) | 2021-03-03 | 2022-09-09 | Silence Therapeutics Gmbh | Conjugated nucleic acids comprising a phosphorodithioate for inhibiting gene expression in a cell |
| WO2022223557A1 (en) | 2021-04-20 | 2022-10-27 | Silence Therapeutics Gmbh | Nucleic acids for inhibiting expression of xdh in a cell |
| WO2022229150A1 (en) | 2021-04-27 | 2022-11-03 | Silence Therapeutics Gmbh | Sirna targeting tmprss6 for the treawtment of myeloproliferative disorders |
| WO2023031359A1 (en) | 2021-09-02 | 2023-03-09 | Silence Therapeutics Gmbh | Nucleic acids for inhibiting expression of complement factor b (cfb) in a cell |
| WO2024013334A1 (en) * | 2022-07-15 | 2024-01-18 | Silence Therapeutics Gmbh | Nucleic acids for inhibiting expression of agt in a cell |
| WO2024126687A1 (en) | 2022-12-16 | 2024-06-20 | Silence Therapeutics Gmbh | Nucleic acids conjugated to an albumin binding moiety |
| WO2024200512A1 (en) | 2023-03-27 | 2024-10-03 | Silence Therapeutics Gmbh | Compounds and compositions for use in stem cell transplantation |
| WO2025021831A1 (en) | 2023-07-24 | 2025-01-30 | Astrazeneca Ab | Multivalent cargo-carrying complexes and uses thereof |
| WO2025021833A1 (en) | 2023-07-24 | 2025-01-30 | Astrazeneca Ab | Multivalent cargo-carrying complexes and uses thereof |
| WO2025021829A1 (en) | 2023-07-24 | 2025-01-30 | Astrazeneca Ab | Multivalent cargo-carrying complexes and uses thereof |
| WO2025132845A1 (en) | 2023-12-21 | 2025-06-26 | Silence Therapeutics Gmbh | Galnac phosphoramidites and their uses |
| WO2025162939A1 (en) | 2024-01-29 | 2025-08-07 | Silence Therapeutics Gmbh | Nucleic acids for inhibiting expression of gpr146 in a cell |
| WO2025163186A1 (en) | 2024-02-01 | 2025-08-07 | Silence Therapeutics Gmbh | Conjugated nucleic acids and nucleic acids comprising locked nucleosides and inverted nucleotides for inhibiting gene expression in a cell |
| WO2025169133A1 (en) | 2024-02-09 | 2025-08-14 | Astrazeneca Ab | Double-stranded rnai agents and compositions for reducing expression of angiopoietin-like 3 (angptl3) and methods of use thereof |
| WO2026013624A2 (en) | 2024-07-12 | 2026-01-15 | Novartis Ag | Double stranded rnai agents, compositions and methods of use |
Also Published As
| Publication number | Publication date |
|---|---|
| US20210079397A1 (en) | 2021-03-18 |
| US10913945B2 (en) | 2021-02-09 |
| CN109562188B (en) | 2022-12-06 |
| CN109562188A (en) | 2019-04-02 |
| PL3439703T3 (en) | 2020-10-19 |
| US11912993B2 (en) | 2024-02-27 |
| HUE049931T2 (en) | 2020-11-30 |
| CA3019981A1 (en) | 2017-10-12 |
| DK3439703T3 (en) | 2020-06-29 |
| US20190119676A1 (en) | 2019-04-25 |
| AU2017245687A1 (en) | 2018-10-25 |
| CN116036117A (en) | 2023-05-02 |
| EP3439703B1 (en) | 2020-04-29 |
| EP3439703A1 (en) | 2019-02-13 |
| ES2805026T3 (en) | 2021-02-10 |
| EP3744350A1 (en) | 2020-12-02 |
| JP7120925B2 (en) | 2022-08-17 |
| JP2019510793A (en) | 2019-04-18 |
| EP3228326A1 (en) | 2017-10-11 |
| AU2017245687B2 (en) | 2023-03-09 |
Similar Documents
| Publication | Publication Date | Title |
|---|---|---|
| US11912993B2 (en) | Nucleic acid linked to a trivalent glycoconjugate | |
| KR102553382B1 (en) | Nucleic acids for inhibiting the expression of LPA in cells | |
| AU2018247923B2 (en) | Products and compositions | |
| EP3550021A1 (en) | Products and compositions for inhibiting expression of a target gene | |
| WO2018185253A1 (en) | Ligand modified double-stranded nucleic acids | |
| WO2018185252A1 (en) | Nucleic acid conjugates | |
| EP3775209A1 (en) | Sirnas with at least two ligands at different ends | |
| EP3483270A1 (en) | Products and compositions | |
| WO2025021831A1 (en) | Multivalent cargo-carrying complexes and uses thereof | |
| EP3549610A1 (en) | Nucleic acid conjugates | |
| US11299738B2 (en) | Further novel oligonucleotide-ligand conjugates | |
| HK40037892A (en) | Nucleic acid linked to a trivalent glycoconjugate | |
| HK40003270B (en) | Nucleic acid linked to a trivalent glycoconjugate | |
| HK40003270A (en) | Nucleic acid linked to a trivalent glycoconjugate | |
| HK40067116A (en) | Products and compositions | |
| HK40003262B (en) | Nucleic acid linked to a trivalent glycoconjugate | |
| HK40101613A (en) | Nucleic acids for inhibiting expression of lpa in a cell | |
| HK40003262A (en) | Nucleic acid linked to a trivalent glycoconjugate | |
| EP3385381A1 (en) | Products and compositions | |
| HK40035007A (en) | Nucleic acids for inhibiting expression of lpa in a cell | |
| HK40035007B (en) | Nucleic acids for inhibiting expression of lpa in a cell |
Legal Events
| Date | Code | Title | Description |
|---|---|---|---|
| ENP | Entry into the national phase |
Ref document number: 3019981 Country of ref document: CA |
|
| ENP | Entry into the national phase |
Ref document number: 2018552707 Country of ref document: JP Kind code of ref document: A |
|
| NENP | Non-entry into the national phase |
Ref country code: DE |
|
| ENP | Entry into the national phase |
Ref document number: 2017245687 Country of ref document: AU Date of ref document: 20170405 Kind code of ref document: A |
|
| WWE | Wipo information: entry into national phase |
Ref document number: 2017715730 Country of ref document: EP |
|
| ENP | Entry into the national phase |
Ref document number: 2017715730 Country of ref document: EP Effective date: 20181105 |
|
| 121 | Ep: the epo has been informed by wipo that ep was designated in this application |
Ref document number: 17715730 Country of ref document: EP Kind code of ref document: A1 |

























































