WO2017100108A1 - Antiviral phosphodiamide prodrugs of tenofovir - Google Patents
Antiviral phosphodiamide prodrugs of tenofovir Download PDFInfo
- Publication number
- WO2017100108A1 WO2017100108A1 PCT/US2016/064883 US2016064883W WO2017100108A1 WO 2017100108 A1 WO2017100108 A1 WO 2017100108A1 US 2016064883 W US2016064883 W US 2016064883W WO 2017100108 A1 WO2017100108 A1 WO 2017100108A1
- Authority
- WO
- WIPO (PCT)
- Prior art keywords
- amino
- propan
- oxy
- methyl
- purin
- Prior art date
- Legal status (The legal status is an assumption and is not a legal conclusion. Google has not performed a legal analysis and makes no representation as to the accuracy of the status listed.)
- Ceased
Links
- 0 C=N*[C@@](C(CC1CCC1)=O)N Chemical compound C=N*[C@@](C(CC1CCC1)=O)N 0.000 description 1
- BYAGYQXRLBVKTP-SSDOTTSWSA-N C[C@H](C(OC1CCCCC1)=O)N Chemical compound C[C@H](C(OC1CCCCC1)=O)N BYAGYQXRLBVKTP-SSDOTTSWSA-N 0.000 description 1
- RRORCNXBGBHWJV-VXPOTGITSA-N C[C@H]1NC1(C)C(O)=O Chemical compound C[C@H]1NC1(C)C(O)=O RRORCNXBGBHWJV-VXPOTGITSA-N 0.000 description 1
Classifications
-
- C—CHEMISTRY; METALLURGY
- C07—ORGANIC CHEMISTRY
- C07F—ACYCLIC, CARBOCYCLIC OR HETEROCYCLIC COMPOUNDS CONTAINING ELEMENTS OTHER THAN CARBON, HYDROGEN, HALOGEN, OXYGEN, NITROGEN, SULFUR, SELENIUM OR TELLURIUM
- C07F9/00—Compounds containing elements of Groups 5 or 15 of the Periodic Table
- C07F9/02—Phosphorus compounds
- C07F9/547—Heterocyclic compounds, e.g. containing phosphorus as a ring hetero atom
- C07F9/6561—Heterocyclic compounds, e.g. containing phosphorus as a ring hetero atom containing systems of two or more relevant hetero rings condensed among themselves or condensed with a common carbocyclic ring or ring system, with or without other non-condensed hetero rings
- C07F9/65616—Heterocyclic compounds, e.g. containing phosphorus as a ring hetero atom containing systems of two or more relevant hetero rings condensed among themselves or condensed with a common carbocyclic ring or ring system, with or without other non-condensed hetero rings containing the ring system having three or more than three double bonds between ring members or between ring members and non-ring members, e.g. purine or analogs
-
- A—HUMAN NECESSITIES
- A61—MEDICAL OR VETERINARY SCIENCE; HYGIENE
- A61K—PREPARATIONS FOR MEDICAL, DENTAL OR TOILETRY PURPOSES
- A61K31/00—Medicinal preparations containing organic active ingredients
- A61K31/66—Phosphorus compounds
- A61K31/675—Phosphorus compounds having nitrogen as a ring hetero atom, e.g. pyridoxal phosphate
-
- A—HUMAN NECESSITIES
- A61—MEDICAL OR VETERINARY SCIENCE; HYGIENE
- A61K—PREPARATIONS FOR MEDICAL, DENTAL OR TOILETRY PURPOSES
- A61K45/00—Medicinal preparations containing active ingredients not provided for in groups A61K31/00 - A61K41/00
- A61K45/06—Mixtures of active ingredients without chemical characterisation, e.g. antiphlogistics and cardiaca
-
- A—HUMAN NECESSITIES
- A61—MEDICAL OR VETERINARY SCIENCE; HYGIENE
- A61P—SPECIFIC THERAPEUTIC ACTIVITY OF CHEMICAL COMPOUNDS OR MEDICINAL PREPARATIONS
- A61P31/00—Antiinfectives, i.e. antibiotics, antiseptics, chemotherapeutics
- A61P31/12—Antivirals
- A61P31/14—Antivirals for RNA viruses
- A61P31/18—Antivirals for RNA viruses for HIV
Definitions
- HIV human immunodeficiency virus
- HIV-1 HIV type-1
- HIV-2 type-2
- AIDS immunosuppressive disease
- HIV seropositive individuals are initially asymptomatic but typically develop AIDS related complex (ARC) followed by AIDS.
- ARC AIDS related complex
- Affected individuals exhibit severe immunosuppression which makes them highly susceptible to debilitating and ultimately fatal opportunistic infections.
- Replication of HIV by a host cell requires integration of the viral genome into the host cell's DNA. Since HIV is a retrovirus, the HIV replication cycle requires transcription of the viral RNA genome into DNA via an enzyme known as reverse transcriptase (RT).
- RT reverse transcriptase
- Reverse transcriptase has three known enzymatic functions: The enzyme acts as an RNA-dependent DNA polymerase, as a ribonuclease, and as a DNA -dependent DNA polymerase. In its role as an RNA-dependent DNA polymerase, RT transcribes a single-stranded DNA copy of the viral RNA. As a ribonuclease, RT destroys the original viral RNA and frees the DNA just produced from the original RNA. During the viral RNA-dependent polymerization process, RT's ribonuclease activity is required for removing RNA and leaving the poiypurine tract preserved for initiation of DN A-dependent polymerization.
- RT makes a second, complementary DN A strand using the first DN A strand as a template.
- the two strands form double-stranded DNA, which is integrated into the host cell's genome by HIV integrase.
- NRTIs non-nucleoside active site competitive RT inhibitors
- EVF efavirenz
- NNP nevirapine
- ETR etravirine
- RPV rilpivirine
- NsRTIs nucleoside reverse transcriptase inhibitors
- NsRTIs collectively referred to as NRTIs.
- NsRTFs include 3' ⁇ azido-3'- deoxythymidine (AZT), 2',3'-dideoxyinosme (ddl), 2',3'-dideoxycytidine (ddC), 2',3'-didehydro- 2',3' ' -dideoxythymidine (d4T), 2',3 '-dideoxy-3 '-thiacytidine (3TC), abacavir, and emtricitabine.
- AZT 3' ⁇ azido-3'- deoxythymidine
- ddl 2',3'-dideoxyinosme
- ddC 2',3'-dideoxycytidine
- d4T 2',3'-didehydro- 2',3' ' -dideoxythymidine
- 3TC 2',3 '-dideoxy-3 '
- NtRTIs examples include tenofovir (TFV, also known as PMPA, 9-(2- phosphonyl-methoxypropyl)adenine), tenofovir disoproxil fumarate (VIREAD®, US Patent No. 's 5977089, US5935946) and tenofovir alafenamide fumarate (US Patent No. 's 7390791, 8,754,065).
- TFV belongs to a class of HIV anti -retroviral (ARV) agents known as nucleotide analog reverse transcriptase inhibitors (NRTIs).
- ARV HIV anti -retroviral
- NRTIs nucleotide analog reverse transcriptase inhibitors
- Tenofovir is a monophosphonate:
- TFV After being taken up by cells, TFV is first converted to tenofovir-monophosphate (TFV-MP) by adenosine monophosphate kinase and then to the active antiviral tenofovir-diphosphate
- TFV-DP inhibits HIV DNA synthesis by competing with the natural substrate, deoxy adenosine triphosphate, for incorporation into the complementary DNA strand by HIV reverse transcriptase; following incorporation, TFV acts as a chain terminator due to lack of a 3' ⁇ hydroxy! group that is required for addition of the next nucleotide.
- TFV has poor cellular permeability and thus has limited bioavailability.
- Tenofovir disoproxil fumarate (TDF) is approved for treating HIV infection and is marketed by Gilead under the trade name VIREADTM.
- the disoproxil prodrug improves cell permeability and absorption after oral dosing, with the pro- moiety being cleaved rapidly after absorption to yield the parent TFV. As a result, the circulating level of TFV is much higher than that of TDF.
- TAF TAF
- USFDA USFDA
- ARVs additional ARVs for treating HIV infection in the pharmaceutical products GENVOYA®
- AIDS there remains a need to develop additional HIV antiviral drugs including additional RT inhibitors.
- a particular problem is the de v elopment of mutant HIV strains that are resistant to the known inhibitors.
- the use of RT inhibitors to treat AIDS often leads to viruses that are less sensitive to the inhibitors. This resistance is typically the result of mutations that occur in the reverse transcriptase segment of the pol gene.
- the continued use of antiviral compounds to prevent HIV infection will inevitably result in the emergence of new resistant strains of HI V . Accordingly, there is a paiticuiai" need for new RT inhibitors that are effective against mutant HIV strains.
- the present invention is directed to phosphodi amide prodrugs of tenofovir and their use in the inhibition of nucleotide reverse transcriptase.
- the invention is also directed to the use of said compounds for prophylaxis of infection by HIV, the treatment of infection by HIV, and the prophylaxis, treatment, and/or delay in the onset or progression of AIDS and/or ARC.
- the invention also encompasses methods of using said compounds for the treatment of chronic hepatitis B infection.
- the present invention is directed to compounds of structural Formula I:
- R is a geminaliy di-substituted ammo acid ester residue of formula fiii :
- R and R are each independently selected from (a) -C ⁇ _4alkyi, (b) -C ] rally4aikyi substituted
- R ' and are each independently selected from -H or -C3_6cycloalkyl;
- R and R are each independently selected from -H, -C j _3alkyl or -C ⁇ cvcloalkyl;
- R and R are each independently selected from. -H, ⁇ C 1.3aS.kyl or -C3.6cycioaJ.kvl; am
- R and R are each independently selected from -H, -C i ⁇ alkyl or -C3_6cycloalkyl.
- R A is formula (1):
- Embodiment 1 of this invention are compounds of Formula I, I-i or I-ii, or
- Embodiment 2a 2a. 3. 4. 4a, 5, 6. 7. 8. 9 or 10 or a class thereof, or the pharmaceutically
- R. is H or ⁇ C 1 _4alkyl and R is M or -C i-4aikyi: and the remaining variables are as defined in Formula I.
- R. is H or ⁇ C 1 _4alkyl and R is M or -C i-4aikyi: and the remaining variables are as defined in Formula I.
- R. is H or ⁇ C 1 _4alkyl and R is M or -C i-4aikyi: and the remaining variables are as defined in Formula I.
- R is H or -
- R is -C 3 _4alkyl.
- R is H and R is methyl.
- R is methyl and R is methyl.
- Embodiment 2 of this invention are compounds of Formula I, I-i or I-ii or
- R is -C j .gaikyl, cyclopropyl
- R is -C3_8alkyl, for example
- Embodiment 3 of this invention are compounds of Formula I, I-i or I-ii or
- Embodiment 1 , 2 or 2a or the pharmaceutically acceptable salts thereof, wherein R and R are each independently selected from -CH3, -CH2CH3, -Chalky! or -C'4alkyl; and the remaining
- R and R are both the same atom moiety which is selected from -CH3, -CH2CH3, -C3alkyl or -C4alkyi; and in a sub- 4 5
- Embodiment 4 of this invention are compounds of Formula I. I-i or I-ii or
- R is --C j.galkyl, cyclopropyl
- R is -C ⁇ .galkyl, cyclobutyl cyclopentyl or cyclohexyl; and the remaining variables are as defined in Formula I.
- Embodiment 5 of this invention are compounds of Formula I, or a pharmaceutically acceptable salt thereof, wherein:
- R if present (as in Formula I-i), is H or -Ci _4alkyl
- R if present (as in Formula I-i), is H or -C j ,4alkyl
- R and R are both the same moiety which is selecied from -CH3, -CH2CH3, -Csalkyl or -
- Embodiment 6 of this invention are compounds of Formula I, I-i or I-ii, or a pharmaceutically acceptable salt thereof, wherein
- R if present (as in Formula 1-i), is H or -C [schreib4alkyl;
- R if present (as in Formula I-i), is -C i_4alkyl ;
- R is-C i.galkyl, cyclopropyl, cyclobutyl, cyclopentyl or cyclohexyl, or in a class of
- Embodiment 6 is /-propyl
- Embodiment 7 of this invention are compounds of Embodiment 6 having
- R is -C j -galkyl, cyclopropyl, cyclobutyl, cyclopentyl or cyclohexyl, or in a class of
- R is -C3_8alkyl
- Embodiment 8 of this invention are compounds of Embodiment 6 having
- R is -C j.galkyi, cyclopropyl, cyclobutyl, cyclopentyl or cyclohexyl . or in a class of
- R is -C 3 ,galkyl
- Embodiment 9 of this invention are compounds of Formula I, or a pharmaceutically acceptable salt thereof, wherein:
- R if present (as in Formula I-i), is H or -CH3;
- R if present (as in Formula I-i), is -C ⁇ .4alkyi; R is -C j .galkyi, cyclopropyl, cyclobutyl, cyclopeiityl or cyclohexyl;
- R and R are both -CH3;
- R is -C i .galkyl, cyclopropyl, cyclobutyl, cyclopentyl or cyclohexyl;
- Embodiment 10 of this invention are compounds of Formula I, or a pharmaceutically acceptable salt thereof, wherein:
- R if present (as in Formula I ⁇ i), is H or -CH3;
- R if present (as in Formula I-i), is -C ] _4alkyl
- R is -C3-8alkyl, cyclobutyl, cyclopentyl or cyclohexyl;
- R and R ⁇ are both -CH3;
- R is -C3_8alkyl, cyclobutyl, cyclopentyl or cyclohexyl;
- Embodiment 11 of this invention are compounds of Formula I, or a pharmaceutically acceptable salt thereof, wherein:
- R if present (as in Formula I -i), is H or -CH3;
- R if present (as in Formula I-i), is -C i_4alkyl
- R is -C3_galkyl, or in a class of Embodiment 1 1 , R is -propyl;
- R and R are both -CH3;
- R is -C3 relieve8alkyl, cyclobutyl, cyclopentyl or cyclohexyl;
- Embodiment 12 of this invention are compounds of Formula I, or a pharmaceutically acceptable salt thereof, wherein:
- R if present (as in Formula I-i), is H or -CFI3;
- R if present (as in Formula I-i), is -( ' j ⁇ !k i :
- R is -C3_8alkyl, cyclobutyl, cyclopentyl or cyclohexyl;
- R and are both -CH 3;
- R is -Cs.galkyl
- references to the compounds of Formula I herein encompasses the compounds of Formula I and ail embodiments, classes and sub-classes thereof.
- the compounds of the invention encompass compounds of Formula I and salts thereof when such salts are possible, including pharmaceutically acceptable salts.
- alkyl refers to both branched- and straight-chain saturated aliphatic hydrocarbon groups having the specified number of carbon atoms in a specified range.
- Cycloalkyl refers to a cyciized alkyi ring having the indicated number of carbon atoms in a specified range.
- C3-8 cycloalkyl encompasses each of cyclopropyi, cyclobutyl, cyclopentyl, cyclohexyl, cyloheptyl and cyclooctyl.
- Cs.gcycloaikyl encompasses each of cyclopropyi, cyclobutyl, cyclopentyl and cyclohexyl.
- Spiro-C3_6cycloalkyl refers to a cycloalkyl ring bonded to a on-terminal carbon atom wherein the non-terminal carbon atom is shared with the cycloalkyl group.
- Spiro-C3_6cycloalkyl encompasses each of spiro-cyclopropyl, spiro-cyelobutyl, spiro- cyclopentyl and spiro-cyclohexyl.
- the following is an illustration of a spiro-C3 relieve6cycioalkyl substituent wherein the substituent is sp bold;
- Examples of -C ] _5alkyl-X-C j __5alkyl groups include, but are not limited to,
- Aryl refers to (i) phenyl, (ii) 9- or 10-membered bicyclic, fused carbocyiic ring systems in which at least one ring is aromatic, and (iii) 11- to 14-membered tricyclic, fused carbocyclic ring systems in which at least one ring is aromatic.
- Suitable aryls include, for example, substituted and unsubstituted phenyl and substituted and unsubstituted naphthyl. An aryl of particular interest is unsubstituted or substituted phenyl.
- Heteroaryl refers to (1) a 5- or 6-membered heteroaromatic ring containing from
- 5— membered heteroaromatic rings include, but are not limited to, pyrrolyl, pyrazolyl, triazolyl (i.e., 1 ,2,3-triazolyl or 1 ,2,4-triazolyl), imidazolyl, tetrazolyl, furanyl, furanonyl (e.g., furari-2(5H)-one), thien
- 6-membered heteroaromatic rings include, but are not limited to, pyridyl (also referred to as pyridinyl), pyrimidinyl, pyrazinyl, pyridazinyl, and triazinyl.
- pyridyl also referred to as pyridinyl
- 9- and 10-membered heteroaromatic bi cyclic fused ring systems include, but are not limited to, benzofuranyl, indolyl, indazolyl,
- a class of heteroaryls includes unsubstituted or substituted pyridyl or pyrimidyl, and particularly unsubstituted or substituted pyridyl.
- heterocyclic ring refers to (i) a saturated 4- to 7-membered cyclized ring and (li) an unsaturated, non-aromatic 4 to 7-membered cyclized ring comprised of carbon atoms and 1- 4 heteratoms independently selected from O, N and S.
- Heterocyclic rings within the scope of this invention include, for example but are not limited to, azetidinyl, piperidinyl, morpholinyi, thiomorphoiinyl, thiazoiidinyl, isothiazoiidinyl, oxazolidmyi, isoxazolidinyl, pyrrolidinyl, imidazolidinyl, piperazinyl, tetrahydrofuranyl, tetrahydrothienyl, pyrazolidinyl, hexahydropyrimidinyl, thiazinanyl, thiazepanyi, azepanyl, diazepanyl, tetrahydropyranvi, tetrahydrothiopyranyl, and dioxanyl.
- Examples of 4- to 7-membered, unsaturated, non-aromatic heterocyclic rings within the scope of this invention include mono-unsaturated heterocyclic rings corresponding to the saturated heterocyclic rings listed in the preceding sentence in which a single bond is replaced with a double bond (e.g., a carbon-carbon single bond is replaced with a carbon-carbon double bond).
- heterocyclic rings are 4 to 6-membered saturated monocyclic rings comprised of carbon atoms and 1 or 2 heteroatoms, wherein the heteroatoms are independently selected from N, O and S.
- 4 to 6 membered heterocyclic rings include but are not limited to, azetidinyl, pyrrolidinyl, piperidinyl, piperazinyl, morpholinyi, thiomorphoiinyl, tetrahydrofuranyl, tetrahydropyranyl and tetrahydrothiopyranyl, and a sub-class thereof is piperidinyl, pyrrolidinyl, tefrahydrofuranyl or tetrahydropyranyl.
- R4 and 115 when they are joined together form a heterocyclic ring:
- a “stable” compound is a compound which can be prepared and isolated and whose structure and properties remain or can be caused to remain essentially unchanged for a period of time sufficient to allow use of the compound for the purposes described herein (e.g., therapeutic or prophylactic administration to a subject).
- the compounds of the present invention are limited to stable compounds embraced by Formula I and its embodiments.
- certain moieties as defined in Formula I may be unsubstituted or substituted, and the latter is intended to encompass substitution patterns (i.e., number and kind of substituents) that are chemically possible for the moiety and that result in a stable compound.
- Each compound of Formula 1 is comprised of a phosphodiamide amino acid ester having a defined (R) chiral center in the alkyl-ether linking group which connects the nucleobase to the phosphodiamide as shown in Formula I, and may have one or more additional chiral centers depending on substituent selection.
- each of the compounds of Examples 1 - 28B herein also has an asymmetric phosphorus center.
- a compound of Formula I may have multiple chiral centers (also referred to as asymmetric or stereogenic centers).
- This invention encompasses compounds having either the (R) or (S) stereo-configuration at a phosphorus asymmetric center and at any additional asymmetric centers that may be present in a compound of Formula 1, as well as stereo-isomeric mixtures thereof.
- This invention includes individual di astereomers, particularly epimers, i.e., compounds having the same chemical formula but which differ in the spatial arrangement around a single atom.
- This invention also includes mixtures of diastereomers, particularly mixtures of epimers, in all ratios.
- Embodiments of this invention also include a mixture of epimers enriched with 51% or more of one of the epimers, including for example 60% or more, 70% or more, 80% or more, or 90% or more of one epimer.
- a single epimer is preferred.
- An individual or single epimer refers to an epimer obtained by chiral synthesis and/or using generally known separation and purification techniques, and which may be 100% of one epimer or may contain small amounts (e.g., 10% or less) of the opposite epimer.
- individual diasteromers are a subject of the invention in pure form, both as levorotatory and as dextrorotatory antipodes, in the form of racemates and in the form of mixtures of the two diasteromers in ail ratios.
- the invention includes both the cis form and the trans form as well as mixtures of these forms in all ratios.
- stereoisomers can be carried out, if desired, by separation of a mixture by customary methods, for example by chromatography or
- a derivatization can be carried out before a separation of stereoisomers.
- the separation of a mixture of stereoisomers can be earned out at an intermediate step during the synthesis of a compound of Formula I or it can be done on a final racemic product.
- Absolute stereochemistry may be determined by X-ray crystallography of crystalline products or crystalline intermediates which are derivatized, if necessary, with a reagent containing a stereogenic center of known configuration.
- absolute stereochemistry may be determined by Vibrational Circular Dichroism (VCD) spectroscopy analysis.
- VCD Vibrational Circular Dichroism
- the atoms in a compound of Formula I may exhibit their natural isotopic abundances, or one or more of the atoms may be artificially enriched in a particular isotope having the same atomic number, but an atomic mass or mass number different from the atomic mass or mass number predominantly found in nature.
- the present invention is meant to include all suitable isotopic variations of the compounds of Formula 1; for example, different isotopic forms of hydrogen (H) include protium ( ⁇ H) and deuterium ( H). Protium is the predominant hydrogen isotope found in nature. Enriching for deuterium may afford certain therapeutic advantages, such as increasing in vivo half-life or reducing dosage requirements, or may provide a compound useful as a standard for characterization of biological samples.
- Isotopically-enriched compounds of Formula I can be prepared without undue experimentation by conventional techniques well known to those skilled in the art or by processes analogous to those described in the Schemes and Examples herein using appropriate isotopically-enriched reagents and/or intermediates.
- the compounds can be administered in the form of pharmaceutically acceptable salts.
- pharmaceutically acceptable salt refers to a salt which is not biologically or otherwise undesirable (e.g., is neither toxic nor otherwise deleterious to the recipient thereof). Since the compounds of Formula I contain by definition at l east one basic group, the invention includes the corresponding pharmaceutically acceptable salts. When the compounds of Formula I contain one or more acidic groups, the invention also includes the corresponding
- the compounds of Formula I that contain acidic groups can be used according to the invention as, for example but not limited to, alkali metal salts, alkaline earth metal salts or as ammonium salts.
- acidic groups e.g., -COOH
- examples of such salts include but are not limited to sodium salts, potassium salts, calcium salts, magnesium salts or salts with ammonia or organic amines such as, for example, ethylamine, ethanoiamine, tnethanolamme or amino acids.
- benzenesulfonic acid methanesulfonic acid, p-toluenesuifonic acid, naphthaienedisulfomc acids, oxalic acid, acetic acid, trifluoroacetic acid, tartaric acid, lactic acid, salicylic acid, benzoic acid, formic acid, propionic acid, pivalic acid, diethylacetic acid, malonic acid, succinic acid, pimelic acid, fumaric acid, maieic acid, malic acid, sulfaminic acid, phenylpropionic acid, gluconic acid, ascorbic acid, isonicotinic acid, citric acid, ad i pic acid, etc.
- the invention also includes, in addition to the salt forms mentioned, inner salts or betaines (zwitterions). Salts can be obtained from the compounds of Formula I by customary methods which are known to the person skilled in the art, for example by combination with an organic or inorganic acid or base in a solvent or dispersant, or by anion exchange or cation exchange from other salts.
- the present invention also includes all salts of the compounds of Formula I which, owing to low physiological
- the instant invention encompasses any composition comprised of a compound of
- Formula I or a compound that is a salt thereof including for example but not limited to, a composition comprised of said compound associated together with one or more additional molecular and/or ionic component(s) which may be referred to as a " 'co-crystal.”
- co- crystal refers to a solid phase (which may or may not be crystalline) wherein two or more different molecular and/or ionic components (generally in a stoichiometric ratio) are held together by non-ionic interactions including but not limited to hydrogen-bonding, dipole-dipole interactions, dipole-quadrupole interactions or dispersion forces (van der Waals).
- a co-crystal is comprised of a compound of Formula I or a pharmaceutically acceptable salt thereof, and one or more non- pharmaceutically active component(s) which is not biologically or otherwise undesirable (e.g., is neither toxic nor otherwise deleterious to the recipient thereof).
- Co-crystals can be obtained from a compound of Formula I, or a pharmaceutically acceptable salt thereof, by customary methods known in the chemical arts.
- co-crystals comprised of a compound of this invention could be prepared by adding an acid or a neutral molecule at the desired stoichiometry to the compound, adding an appropriate solvent to achieve dissolution and, for example, precipitating, lyophilizing or concentrating the solution to obtain the solid composition.
- the co-crystal can be, but is not limited to, an embodiment wherein the composition is comprised of a neutral compound (i.e. not a salt form) of Formula I and one or more non-pharmaceutically acti ve component(s); and in a further embodiment, the co-crystal composition is crystalline.
- Crystalline compositions may be prepared, for example, by adding an acid or a neutral molecule at the desired stoichiometry to the compound of Formula I, adding an appropriate solvent and heating to achieve complete dissolution, and then allowing the solution to cool and the crystals to grow.
- the present invention also includes all co-crystals of the compounds of this invention which, owing to low physiological compatibility, are not directly suitable for use in pharmaceuticals but which can be used, for example, as intermediates for chemical reactions or for the preparation of pharmaceutically acceptable co-crystals or salts.
- compounds of the present invention may exist in amorphous form and/or one or more crystalline forms, and as such all amorphous and crystalline forms and mixtures thereof of the compounds of Formula I and salts thereof are intended to be included within the scope of the present invention.
- some of the compounds of the instant invention may form solvates with water (i.e., a hydrate) or common organic solvents.
- Such solvates and hydrates, particularly the pharmaceutically acceptable solvates and hydrates, of the compounds of this invention are likewise encompassed within the scope of the compounds defined by Formula 1 and the pharmaceutically acceptable salts thereof, along with un-solvated and anhydrous forms of such compounds.
- the compounds of Formula 1 are prodrugs.
- a discussion of prodrugs is provided in (a) Stella, V. J.; Borchardt, R. T.; Hageman, M. J.; Oliyai, R.; Maag, H. et al. Prodrugs:
- compounds of Formula I are prodrug modifications of tenofovir, which is a mono-phosphonate.
- the compounds of Formula I may be converted intracellularly (in vivo or in vitro) to the corresponding monophosphate or diphosphate of tenofovir.
- the conversion may occur by one or more mechanisms, e.g., an enzyme-catalyzed chemical reaction, a metabolic chemical reaction, and/or a spontaneous chemical reaction (e.g., solvolysis), such as, for example, through hydrolysis in blood.
- tenofovir diphosphate is generally understood to be responsible for inhibiting the HIV RT enzyme and for the resulting antiviral activity after administration of the compound of Formula I to a subject.
- substantially pure means suitably at least about 60 wt.%, typically at least about 70 wt.%, preferably at least about 80 wt.%, more preferably at least about 90 wt.% (e.g., from about 90 wt.% to about 99 wt.%), even more preferably at least about 95 wt.% (e.g., from about 95 wt.% to about 99 wt.%, or from about 98 wt.
- a product containing a compound of Formula I or its salt e.g., the product isolated from a reaction mixture affording the compound or salt
- the level of purity of the compounds and salts can be determined using a standard method of analysis such as, high performance liquid chromatography, and/or mass spectrometry or NMR techniques. If more than one method of analysis is employed and the methods provide experimentally significant differences in the level of purity determined, then the method providing the highest purity level governs.
- a compound or salt of 100% purity is one which is free of detectable impurities as determined by a standard method of analysis. With respect to a compound of Formula ⁇ which has one or more asymmetric centers and can occur as mixtures of
- a substantially pure compound can be either a substantially pure mixture of the stereoisomers or a substantially pure individual stereoisomer.
- the compounds of Formula I herein, and pharmaceutically acceptable salts thereof, are useful for HIV reverse transcriptase inhibition and for inhibiting HIV replication in vitro and in vivo. More particularly, the compounds of Formula I for inhibiting the polymerase function of HIV-1 re v erse transcriptase.
- the compounds of Formula I may also be useful agents against HIV -2.
- the compounds of Exampl es 1 -28 (inclusive of A and B isomers) of the present invention also exhibit activity against drug resistant forms of HIV (e.g., NNRTI-associated mutant strains K103N and/or Y181C; NRTl-associated mutant strains M184V and M184I mutants).
- drug resistant forms of HIV e.g., NNRTI-associated mutant strains K103N and/or Y181C; NRTl-associated mutant strains M184V and M184I mutants.
- This invention also encompasses methods for the treatment or prophylaxis of infection by HIV, for the inhibition of HIV reverse transcriptase, for the treatment, prophylaxis, or delay in the onset of AIDS in a subject in need thereof, which comprise administering to the subject an effective amount of a compound of the invention or a pharmaceutically acceptable salt thereof.
- the invention further encompasses methods for the treatment or prophylaxis of infection by HIV, for the inhibition of HIV reverse transcriptase, for the treatment, prophylaxis. or delay in the onset of AIDS in a subject in need thereof, which comprise administering to the subject an effective amount of a compound of the invention or a pharmaceutically acceptable salt thereof in combination with an effective amount of one or more additional anti-HIV agents selected from the group consisting of HIV antiviral agents, immunomodulators, and
- the anti-HIV agent is an antiviral selected from the group consisting of HIV protease inhibitors, HIV reverse transcriptase inhibitors, HIV integrase inhibitors, HIV fusion inhibitors, HIV entry inhibitors, and HIV maturation inhibitors.
- the invention encompasses a pharmaceutical composition comprising an effective amount of a compound of the invention, or a pharmaceutically acceptable salt thereof, and a pharmaceutically acceptable carrier.
- the invention also encompasses a pharmaceutical composition comprising an effective amount of a compound of the invention, or a
- the anti-HIV agent is an antiviral selected from the group consis ting of HIV protease inhibitors, HIV reverse transcriptase inhibitors, HIV integrase inhibitors, HIV fusion inhibitors, HIV entry inhibitors, and HIV maturation inhibitors.
- this invention could also be useful for inhibition of hepatitis B virus (HBV) reverse transcriptase. Accordingly, this invention also encompasses methods for the treatment of chronic hepatitis B infection which comprise administering to the subject an effective amount of a compound of the invention or a pharmaceutically acceptable salt thereof.
- HBV hepatitis B virus
- the invention also encompasses a compound of the invention, or a pharmaceutically acceptable salt thereof, for use in the preparation of a medicament for the treatment or prophylaxis of infection by HIV, for the inhibition of HIV reverse transcriptase, or for the treatment, prophylaxis, or delay in the onset of AIDS in a subject in need thereof.
- compositions comprising an effective amount of a compound of Formula I or a pharmaceutically acceptable salt thereof, and a pharmaceutically acceptable earner.
- the pharmaceutical composition comprises a therapeutically effective amount of a compound of Formula I or a pharmaceutically acceptable salt thereof, and a pharmaceutically acceptable carrier.
- the pharmaceutical composition comprises a therapeutically effective amount of a compound of Formula I or a pharmaceutically acceptable salt thereof, and a pharmaceutically acceptable carrier.
- composition comprises a prophylactically effective amount of a compound of Formula I or a pharmaceutically acceptable salt thereof, and a pharmaceutically acceptable carrier.
- a pharmaceutical composition which comprises the product prepared by combining (e.g., mixing) an effective amount of a compound of Formula I or a pharmaceutically acceptable salt thereof, and a pharmaceutically acceptable carrier.
- composition of (c), wherein the anti-HTV agent is selected from one or more of an antiviral selected from the group consisting of HIV protease inhibitors, nucleoside HIV reverse transcriptase inhibitors, non-nucleoside HIV reverse transcriptase inhibitors, HIV integrase inhibitors, HIV fusion inhibitors, HIV entry inhibitors and HIV maturation inhibitors.
- an antiviral selected from the group consisting of HIV protease inhibitors, nucleoside HIV reverse transcriptase inhibitors, non-nucleoside HIV reverse transcriptase inhibitors, HIV integrase inhibitors, HIV fusion inhibitors, HIV entry inhibitors and HIV maturation inhibitors.
- a combination which is (i) a compound of Formula I or a pharmaceutically acceptable salt thereof and (li) an anti-HTV agent selected from the group consisting of HIV antiviral agents, immunomodulators, and anti-infective agents; wherein the compound and the anti-HTV agent are each employed in an amount that renders the combination effective for inhibition of HIV reverse transcriptase, for treatment or prophylaxis of infection by HIV, or for treatment, prophylaxis of, or delay in the onset or progression of AIDS.
- anti-HTV agent is an antiviral selected from the group consisting of HIV protease inhibitors, nucleoside HIV reverse transcriptase inhibitors, non-nucleoside HIV reverse transcriptase inhibitors, HIV integrase inhibitors, HIV fusion inhibitors, HIV entry inhibitors and HIV maturation inhibitors.
- a method for the inhibition of HIV reverse transcriptase in a subject in need thereof which comprises administering to the subject an effective amount of a compound of Formula I or pharmaceutically acceptable salt thereof.
- the method comprises administering to the subject a therapeutically effective amount of a compound of Formula I or a pharmaceutically acceptable salt thereof.
- the method comprises administering to the subject a prophylactically effective amount of a compound of Formula I or a pharmaceutically acceptable salt thereof.
- a method for the prophylaxis or treatment of infection by HIV e.g., HTV-1 in a subject in need thereof which comprises administering to the subject an effective amount of a compound of Formula I or pharmaceutically acceptable salt thereof.
- the method comprises administering to the subject a therapeutically effective amount of a compound of Formula I or a pharmaceutically acceptable salt thereof.
- the method comprises administering to the subject a prophylactically effective amount of a compound of Formula I or a pharmaceutically acceptable salt thereof.
- the method comprises administering to the subject a therapeutically effective amount of a compound of Formula I or a pharmaceutically acceptable salt thereof. In other embodiments, the method comprises administering to the subject a prophylactically effective amount of a compound of Formula I or a pharmaceutically acceptable salt thereof.
- (k) The method of (j), wherein the compound is administered in combination with an effective amount of at least one other HIV antiviral selected from the group consisting of HIV protease inhibitors, HIV integrase inhibitors, non-nucleoside HIV reverse transcriptase inhibitors, nucleoside HIV reverse transcriptase inhibitors, HIV fusion inhibitors, HIV entry inhibitors and HIV maturation inhibitors.
- HIV antiviral selected from the group consisting of HIV protease inhibitors, HIV integrase inhibitors, non-nucleoside HIV reverse transcriptase inhibitors, nucleoside HIV reverse transcriptase inhibitors, HIV fusion inhibitors, HIV entry inhibitors and HIV maturation inhibitors.
- a method for the inhibition of HIV reverse transcriptase in a subject in need thereof which comprises administering to the subject the pharmaceutical composition of (a), (b), (c) or id ; or the combination of (e) or (f .
- a method for the prophylaxis or treatment of infection by HIV in a subject in need thereof, which comprises administering to the subject the pharmaceutical composition of (a), (b), (c) or (d) or the combination of (e) or (f).
- HIV e.g., HIV-1
- a method for the prophylaxis, treatment, or delay in the onset or progression of AIDS in a subject in need thereof which comprises administering to the subject the pharmaceutical composition of (a), (b), (c) or (d) or the combination of (e) or (f).
- the present invention also includes a compound of Formula I or pharmaceutically acceptable salt thereof (i) for use in, (ii) for use as a medicament for, or (iii) for use in the preparation of a medicament for: (a) therapy (e.g., of the human body), (b) medicine, (c) inhibition of HIV reverse transcriptase, (d) treatment or prophylaxis of infection by HIV, or (e) treatment, prophylaxis of, or delay in the onset or progression of AIDS.
- the compounds of the present invention can optionally be employed in combination with one or more anti-HIV agents selected from HIV antiviral agents, anti -infective agents, and
- Additional embodiments of the invention include the pharmaceutical compositions, combinations and methods set forth in (a)-(n) above and the uses (i)(a)-(e) through (iii)(a)-(e) set forth in the preceding paragraph, wherein the compound of the present invention employed therein is a compound of one of the embodiments, aspects, classes, sub-classes, or features described above. In all of these embodiments etc., the compound may optionally be used in the form of a pharmaceutically acceptable salt.
- Additional embodiments of the present invention include each of the compounds, pharmaceutical compositions, combinations, methods and uses set forth in the preceding paragraphs, wherein the compound or its salt employed therein is substantially pure.
- a pharmaceutical composition comprising a compound of Formula I or its salt and a pharmaceutically acceptable carrier and optionally one or more excipients, it is understood that the term "substantially pure" is in reference to a compound of Formula I or its salt per se.
- Still additional embodiments of the present invention include the pharmaceutical compositions, combinations and methods set forth in (a)-(n) above and the uses (i)(a)-(e) through (iii)(a)-(e) set forth above, wherein the HIV of interest is HIV-1.
- the compound of Formula ⁇ is employed in an amount effective against HIV-1 and the anti-HIV agent is an HIV-1 antiviral selected from the group consisting of HlV-1 protease inhibitors, HIV-1 reverse transcriptase inhibitors, HIV-1 integrase inhibitors, HIV-l fusion inhibitors, HIV-1 entry inhibitors and HIV-1 maturation inhibitors.
- the compounds of Formula I may also be useful agents against HIV-2.
- administration and variants thereof (e.g., “administering” a compound) in reference to a compound of Formula I means providing the compound to the individual in need of treatment or prophylaxis and includes both self-administration and administration to the patient by another person.
- a compound is provided in combination with one or more other active agents (e.g., antiviral agents useful for treating or prophylaxis of HIV infection or AIDS)
- administration and its variants are each understood to include provision of the compound and other agents at the same time or at different times.
- the agents of a combination are administered at the same time, they can be administered together in a single composition or they can be administered separately.
- composition is intended to encompass a product comprising the specified ingredients, as well as any product which results from combining the specified ingredients.
- Ingredients suitable for inclusion in a pharmaceutical composition are pharmaceutically acceptable ingredients, which means the ingredients must be compatible with each other and not deleterious to the recipient thereof.
- subject or "patient” as used herein refers to an animal, preferably a mammal, most preferably a human, who has been the object of treatment, observation or experiment.
- an effective amount means an amount of a compound sufficient to inhibit HIV reverse transcriptase, inhibit HIV replication, exert a prophylactic effect, and/or a exert a therapeutic effect after administration.
- One embodiment of "effective amount” is a “therapeutically effective amount” which is an amount of a compound that is effective for inhibiting HIV reverse transcriptase, inhibiting HIV replication (either of the foregoing which may also be referred to herein as an “inhibition effective amount”), treating HIV infection, treating AIDS, delaying the onset of AIDS, and/or slowing progression of ARC or AIDS in a patient infected with HIV.
- Another embodiment of "effective amount” is a “therapeutically effective amount” which is an amount of a compound that is effective for inhibiting HIV reverse transcriptase, inhibiting HIV replication (either of the foregoing which may also be referred to herein as an “inhibition effective amount”), treating HIV infection, treating AIDS, delaying the onset of AIDS, and/or slowing progression of ARC or AIDS in
- prophylacticaily effective amount which is an amount of the compound that is effective for prophylaxis of HIV infection in a subject not infected with HIV or prophylaxis of ARC or AIDS in an HIV-infected patient. It is understood that an effective amount can simultaneously be both a therapeutically effective amount, e.g., for treatment of HIV infection, and a prophylactically effective amount, e.g., for prevention or reduction of risk for developing AIDS in a subject infected with HIV.
- preventing as used herein with respect to an HIV viral infection or AIDS, refers to reducing the likelihood or severity of HIV infection or AIDS.
- an effective amount can refer to each individual agent or to the combination as a whole, wherein the amounts of all agents administered in the combination are together effective, but wherein a component agent of the combination may or may not be present individually in an effective amount with reference to what is considered effective for that component agent if it were administered alone.
- the compounds of this invention can be administered by means that produce contact of the active agent with the agent's site of action. They can be administered by conventional means available for use in conjunction with pharmaceuticals, either as individual therapeutic agents or in a combination of therapeutic agents. They can be administered alone, but typically are administered with a pharmaceutical earner selected on the basis of the chosen route of administration and standard pharmaceutical practice.
- the compounds of the invention can, for example, be administered orally (e.g., via tablet or capsule), parenterally (including subcutaneous injections, intravenous, intramuscular or intrasternal injection, or infusion techniques), by inhalation spray, or rectally, in the form of a unit dosage of a pharmaceutical composition containing an effective amount of the compound and conventional non-toxic pharmaceutically acceptable carriers, adjuvants and vehicles.
- the compound could also be administered via an implantable drug delivery device adapted to provide an effective amount of the compound or a pharmaceutical composition of the compound over an extended period of time, for example but not limited to, over the course of a month, 3 months, 6 months or a year.
- Solid preparations suitable for oral administration can be prepared according to techniques known in the art and can employ such solid excipients as starches, sugars, kaolin, lubricants, binders, disintegrating agents and the like.
- Liquid preparations suitable for oral administration e.g., suspensions, syrups, elixirs and the like
- Parenteral compositions can be prepared according to techniques known in the art and typically employ sterile water as a carrier and optionally other ingredients, such as a solubility aid.
- Injectable solutions can be prepared according to methods known in the art wherein the carrier comprises a saline solution, a glucose solution or a solution containing a mixture of saline and glucose.
- Implantable compositions can be prepared according to methods known in the art wherein the carrier comprises the active chemical ingredient with polymers as suitable excipients, or utilizing an implantable device for drug delivery. Further description of methods suitable for use in preparing pharmaceutical compositions for use in the present invention and of ingredients suitable for use in said compositions is provided in Remington's Pharmaceutical Sciences, 18 th edition, edited by A. R. Gennaro, Mack Publishing Co., 1990 and in Remington - The Science and Practice of Pharmacy, 22nd Edition, published by Pharmaceutical Press and Philadelphia College of Pharmacy at University of the Sciences, 2012, ISBN 978 0 85711-062-6 and prior editions.
- Formulations of compounds described by Formul a I that result in drug supersaturation and/or rapid dissolution may be utilized to facilitate oral drug absorption.
- Formulation approaches to cause drug supersaturation and/or rapid dissolution include, but are not limited to, nanoparticulate systems, amorphous systems, solid solutions, solid dispersions, and lipid systems.
- Such formulation approaches and techniques for preparing them are known in the art.
- solid dispersions can be prepared using excipients and processes as described in reviews (e.g., A.T.M. Serajuddin, J Pharra Sci, 88: 10, pp. 1058-1 066 (1999)).
- Nanoparticulate systems based on both attrition and direct synthesis have also been described in reviews such as Wu et al (F. Kesisoglou, S. Panmai, Y. Wu, Advanced Drug Delivery Reviews, 59:7 pp. 631 -644 (2007)).
- the compounds of Formula 1 can be administered in a dosage range of 0.001 to
- a dosage range is 0.01 to 500 mg/kg body weight per day, or at other time intervals as appropriate, administered orally or via other routes of administration in a single dose or in divided doses.
- Another example of a dosage range is 0.1 to 100 mg/kg body weight per day, or at other time intervals as appropriate, administered orally or via other routes of administration in single or divided doses.
- Another example of a dosage range is 50 rag to 1 gram per day, in a single dose or divided doses.
- Daily or weekly administration or less frequent dosing regimens with longer time intervals on non-consecutive days can be via any suitable route of administration, e.g., but not limited to, oral or parenteral.
- Daily or weekly administration is preferably via oral administration.
- the desired dosage amount may be administered once per administration day or in divided dosage amounts administered at two or more staggered times
- the desired dosage amount at each of the one or more dosage times on an administration day can be
- - 2z - administered via one oral dosage unit such as a tablet, or more than one oral dosage unit as appropriate.
- the administration is via a single oral dosage unit, e.g. a tablet, once per administration day.
- a parenteral route of administration may be employed.
- dosing regimens with longer time intervals on non-consecutive days include but are not limited to administration weekly (every seventh day with l eeway as to exact date of dosing), bi-weekly (every two weeks with leeway as to exact date of dosing), monthly (e.g., every 30 days, or the same calendar day each month with leeway as to exact date of dosing), bimonthly (e.g., every 60 days, or the same calendar day every two months with leeway as to exact date of dosing), every 3 months (e.g., every 90 days, or the same calendar day every three months with leeway as to exact date of dosing), every six months (e.g., every 180 days, or the same calendar day every six months with leeway as to exact date of dosing), or yearly (e.g., every 12 months with leeway as to
- the dosing regimens described herein also encompasses those wherein the patient generally follows the time intervals between administration days including when the interval is not always strictly followed by the patient, e.g., a weekly dosing regimen where the patient may take the drug product the day before or the day after the seventh day following the prior administration day for one or more weeks.
- the leeway time may increase as the dosing regimen interval increases.
- the dosage units may contain 1.0 mg to 1000 mg of the active ingredient, for example but not limited to, 1, 5, 10, 15, 20, 25, 50, 75, 100, 150, 200, 250, 300, 350, 400, 450, 500, 600, 700, 800, 900 or 1000 milligrams of the active ingredient for the symptomatic adjustment of the dosage to the patient to be treated.
- the compound may be formulated in oral formulations for immediate or modified release such as extended or controlled release.
- the favorable pharmacokinetic profile of tested compounds of this invention may also render the compounds suitable for less frequent dosing.
- the compounds of the invention could be administered orally, weekly or parenterally at longer time intervals as described above.
- the compositions can be administered, e.g., intravenously (IV) or intramuscularly (IM) via injection, or using other infusion techniques.
- IV intravenously
- IM intramuscularly
- One or more of such injections or infusions may be administered at each dosing time interval as needed to deliver the appropriate amount of active agent.
- the compound could also be administered subcutaneously using an implantable device.
- the dosage amount would be adjusted upward as needed to provide effective treatment during the time intervals between administration of each dose.
- the specific dose level and frequency of dosage for any particular patient may be varied and will depend upon a variety of factors including the activity of the specific compound employed, the metabolic stability and length of action of that compound, the age, body weight, general health, sex, diet, mode and time of administration, rate of excretion, drug combination, the severity of the particular condition, and the host undergoing therapy. In some cases, depending on the potency of the compound or the individual response, it may be necessary to deviate upwards or downwards from the given dose.
- the present invention is also directed to use of a compound of
- an anti-HIV agent is any agent which is directly or indirectly effective in the inhibition of HIV, the treatment or prophylaxis of HIV infection, and/or the treatment, prophylaxis or delay in the onset or progression of AIDS. It is understood that an anti-HIV agent is effective in treating, preventing, or delaying the onset or progression of HIV infection or AIDS and/or diseases or conditions arising therefrom or associated therewith.
- the compounds of this invention may be effectively administered, whether at periods of pre-exposure and/or post-exposure, in combination with effective amounts of one or more anti-HIV agents selected from HIV antiviral agents, imunomodulators, antiinfectives, or vaccines useful for treating HIV infection or AIDS.
- Suitable HIV antiviral s for use in combination with the compounds of the present invention include, for example, those listed in Table A as follows, or a pharmaceutically acceptable salt thereof:
- nevirapine NVP
- PPL-100 also know n as i . -462 ) (Ambrilia) PI
- Some of the drags listed in the table are used in a salt form; e.g., abacavir sulfate, delavirdine mesylate, indinavir sulfate, atazanavir sulfate, nelfinavir mesylate, saquinavir mesylate.
- HIV antiviral agents and other agents will typically be employed in these combinations in their conventional dosage ranges and regimens as reported in the art, including, for example, the dosages described in the Physicians' Desk Reference, Thomson PDR,
- the compounds of this invention are also useful in the preparation and execution of screening assays for antiviral compounds.
- the compounds of this invention can be useful for isolating enzyme mutants, which are excellent screening tools for more powerful antiviral compounds.
- the compounds of this invention can be useful in establishing or determining the binding site of other antivirals to HIV reverse transcriptase, e.g., by competitive inhibition.
- Compounds of Formula IV can be prepared from (i?)-(((l -(6-amino-9H-purin-9- yl)propan-2-y])oxy)methy] )phosphonic acid (I, referred to herein as TFV) though a three-step sequence.
- TFV can undergo functionalization with variably-substituted unnatural geminal amino esters and chlorophenol in a one-step one-pot condensation reaction with 2,2'- dipyridyldisulfide (Aldrithiol), triphenylphosphine, and base to provide intermediates of Formula II.
- This intermediate is then hydrolyzed in the presence of base and water to provide intermediates of Formula III, which are unstable and are used immediately in the subsequent coupling reaction.
- Intermediates of Formula III can then undergo functionalization with variably-substituted unnatural D-amino esters by a condensation reaction with 2,2'- dipyridyldisulfide (Aldrithiol), triphenylphosphine, and base to provide intermediates of the current invention (Formula IV).
- Amino esters that are not commercially available can be readily prepared by condensation between the corresponding amino acid and alcohols with thionyl chloride.
- reactions sensitive to moisture or air were performed under nitrogen or argon using anhydrous solvents and reagents.
- the progress of reactions was determined by either analytical thin layer chromatography (TLC) usually performed with E. Merck pre-coated TLC plates, silica gel 60F-254, layer thickness 0.25 mm or liquid chromatography -mass spectrometry (LC-MS).
- TLC analytical thin layer chromatography
- LC-MS liquid chromatography -mass spectrometry
- the analytical LC-MS system used consisted of a Waters ZQTM platform with electrospray ionization in positive ion detection mode with an Agilent 1100 series HPLC with autosarnpier.
- the column was commonly a Waters Xterra MS CI 8, 3.0 50 mm, 5 ⁇ or a Waters Acquity UPLC* BEH CI 8 1.0 x 50 mm, 1.7 am.
- the flow rate was 1 mL/min, and the injection volume was 10 «L.
- UV detection was in the range 210-400 nm.
- the mobile phase consisted of solvent A (water plus 0.05% TFA) and solvent B (acetonittile plus 0.05% TFA) with a gradient of 100% solvent A for 0.7 min changing to 100% solvent B over 3.75 min, maintained for 1.1 min, then reverting to 100% solvent A over 0.2 min.
- Preparative HPLC purifications were usually performed using either a mass spectrometry directed system or a non-mass spectrometry guided system. Usually they were performed on a Waters Chromatography Workstation configured with a LC-MS System consisting of: Waters ZQTM single quad MS system with Electrospray Ionization, Waters 2525 Gradient Pump, Waters 2767 Injector /Collector, Waters 996 PDA Detector, the MS Conditions of: 150-750 amu, Positive Electrospray, Collection Triggered by MS, and a Waters SUNFIRE* C-18 5 micron, 30 mm (id) x 100 mm column.
- the mobile phases consisted of mixtures of acetonitrile (10-100%) in water containing 0.1% TFA. Flow rates were maintained at 50 mL/min, the injection volume was 1800 «L, and the UV detection range was 210-400 nm.
- An alternate preparative HPLC system used was a Gilson Workstation consisting of: Gilson GX-281 Injector/Collector, Gilson UV/VIS-155 Detector, Gilson 333 and 334 Pumps, and either a Phenomenex Gemini-NX C-18 5 micron, 50 mm (id) x 250 mm column or a Waters XBridgeTM C-18 5 micron OBDTM, 30 mm (id) x 250 mm column.
- the mobile phases consisted of mixtures of acetonitrile (0-75%) in water containing 5mmol (NH ⁇ HCC . Flow rates were maintained at 50 mL/min for the Waters XbridgeTM column and 90 mL/min for the Phenomenex Gemini column. The injection volume ranged from 1000-8000 ,:L, and the UV detection range was 210- 400 nm. Mobile phase gradients were optimized for the individual compounds. Reactions performed using microwave irradiation were normally earned out using an Emrys Optimizer manufactured by Personal Chemistry, or an Initiator manufactured by Biotage. Concentration of solutions was carried out on a rotary evaporator under reduced pressure.
- Flash chromatography was usually performed using either a Biotage* ' Flash Chromatography apparatus (Dyax Corp.), an ISCO Combi Flash® Rf apparatus, or an ISCO CombiFlash® Companion XL on silica gel (32-63 ⁇ , 60 A pore size) in pre-packed cartridges of the size noted.
- ⁇ MR spectra were acquired at 500 MHz spectrometers in CDC1 3 solutions unless otherwise noted. Chemical shifts were reported in parts per million (ppm).
- Tetramethylsilane (TMS) was used as an internal reference in CD 3 CI solutions, and residual CH 3 OH peak or TMS was used as an internal reference in CD 3 OD solutions. Coupling constants (J) were reported in hertz (Hz).
- Chiral analytical chromatography was most commonly performed on one of CHIRALPAK ® AS, CHIRALPAK ® AD, CHIRALCEL® QD, CHIRALCEL ® IA, or CHIRALCEL ® OJ columns (250x4.6 mm) (Daicel Chemical Industries, Ltd.) with noted percentage of either ethanol in hexane (%Et Hex) or isopropanol in heptane (%IP A/Hep) as isocratic solvent systems.
- Chiral preparative chromatography was conducted on one of CHIRALPAK AS, CHIRALPAK AD, CHIRALCEL ® OD, CHIRALCEL ® IA, CHIRALCEL ® OJ columns (20x250 mm) (Daicel Chemical Industries, Ltd.) with desired isocratic solvent systems identified on chiral analytical chromatography or by supercritical fluid (SFC) conditions.
- SFC supercritical fluid
- a chiral center in a compound may exist in the "S" or “R” stereoconfigurations, or as a mixture of both, unless specifically noted otherwise.
- compounds having a chiral center were separated into single stereoisomers, referred to as Isomer A (faster eluting isomer) and Isomer B (slower eluting isomer), based on their observed elution order resulting from the separation as performed.
- absolute stereochemistiy (R or S) of each of the separated stereoisomers was not determined, unless specifically noted otherwise.
- an asterisk (*) may be used in the associated chemical structure drawing that indicates the location of the unassigned chiral center.
- INTERMEDIATE F was prepared on a 14.5 mmol scale in a similar fashion to that described for the synthesis of INTERMEDIATE A starting from D-alanine, except using cyclobutanol to provide the title compound: LC/MS:
- pentyl 2-amino-2-methylpropanoate hydrochloride A neat solution of pentan-l-ol (205 g, 2327 mmol) was treated slowly with thionyl chloride (15.57 ml, 213 mmol) at room temperature over a 10 mm period (exotherm to -60 °C). The mixture was treated with 2-amino-2- methylpropanoic acid (40 g, 388 mmol) and fitted with a reflux condenser and stirred at 80 °C over the weekend.
- INTERMEDIATE N was prepared on a 11.62 mmol scale in a similar fashion to that described for the synthesis of INTERMEDIATE K starting from from 2-amino-2-methylpropanoic acid, except using cyclobutanoi to provide the title compound: LC/MS:
- ( Yl - hi 158.0.
- triphenylphosphine (121 g, 463 mmol) in pyridine (221 mL) was added to the mixture. The reaction was stirred at 60 °C over the weekend. The mixture was cooled to room temperature and concentrated to remove most of the pyridine. The residue was directly purified by gradient elution on silica gel (RediSep-Rf-1.5 kg, 0-10% MeOH/DCM, 1 h gradient) to yield pure fractions which were concentrated to afford the title compound: LC/MS:
- : 525.2.
- INTERMEDIATE R was prepared on a 3.13 mmol scale in a similar fashion to that described for the synthesis of INTERMEDIATE Q starting from TFV, chlorophenol, and INTERMEDIATE J: LC/MS: l i .Vl l )
- 539.2.
- INTERMEDIATE S was prepared on a 25.7 mmol scale in a similar fashion to that described for the synthesis of INTERMEDIATE Q starting from TFV, chlorophenol, and INTERMEDIATE K: LC/MS: j ( M - ! ⁇
- ' 553,2.
- INTERMEDIATE W was prepared on a 0.13 mmol scale in a similar fashion to that described for the synthesis of INTERMEDIATE Q starting from TFV, chlorophenol, and INTERMEDIATE O: LC/MS: j ( YI ! )
- 551.2.
- INTERMEDIATE X was prepared on a 0. 18 mmol scale in a similar fashion to that described for the synthesis of INTERMEDIATE Q starting from TFV, chlorophenol, and INTERMEDIATE P: LC/MS:
- ( ⁇ 1 ⁇ 565.2.
- the crude material was purified directly by gradient elution on silica gel (RediSep-Rf-! 20 g, 0-15% MeOH/CH 2 Cl 2 , 30 minute gradient) to afford the product (mixture of two isomers plus impurities) as a foam.
- the mixture was purified by reverse phase chromatography (Phenominex Gemini 5 urn C18 50 x 250 mm column; 20- 50% CH 3 CN in a 5 mM solution of NH 4 HCO 3 over 30 min, 5 injections) and clean fractions were partitioned between dichloromethane and water.
- the aqueous phases were back-extracted once with dichloromethane.
- the combined organic phases were dried over Na 2 S(>4, filtered and concentrated to afford Isomer 1A (faster eluting): ⁇ NMR MHz, DMSO): 5(ppm) 8.14 (d,
- the mixture was concentrated and the residue was diluted with water (50 mL) and washed with CH 2 C1 2 (2 x 100 mL) to remove chlorophenol byproduct.
- the desired product stayed in the aqueous layer.
- the aqueous layer was concentrated azeotroping with
- the crude material was purified directly by gradient eiution on silica gel (RediSep-Rf-330 g, 0-15% MeOH/CH 2 Cl 2 , 35 minute gradient) to afford the product (mixture of two isomers plus impurities) as a foam.
- the mixture was purified by reverse phase chromatography (XBndge 10 um CI 8 30 x 250 mm column; 30-65% CH 3 CN in a 5 mM solution of NH 4 HCQ 3 over 30 min, 4 injections) and clean fractions were partitioned between CH 2 C1 2 and water. The aqueous phases were back-extracted once with
- triphenylphosphine (15.4 g, 58.6 mmol) in pyridine (65 mL) was added to the mixture. The reaction was stirred at 60 °C overnight. The mixture was cooled to room temperature and concentrated to remove most of the pyridine. The crude material was purified directly by- gradient elution on silica gel (RediSep-Rf-330 g, 0-15% MeOH/ CH 2 C1 2 , 30-min gradient) to afford the product (mixture of two isomers plus impurities) as a foam.
- the antiviral activity of the tenofovir prodrugs of the Examples herein was assessed in an assay that measures the rate of replication of HIV in cell culture, termed the Viking assay (Viral KINetics in Green cells) and performed as follows. HIV-1 replication was monitored using MT4-gag-GFP clone D3 (hereafter designated MT4-GFP; GFP is green fluorescent protein), which are MT-4 cells modified to harbor a GFP reporter gene, the expression of which is dependent on the HIV-1 expressed proteins tat and rev; see Wang Y-J el a!., 2010 J Virological Methods 165: 230 237.
- MT4-GFP MT4-gag-GFP clone D3
- GFP green fluorescent protein
- MT4-GFP cells were maintained at 37°C/5% CO 2 /90% relative humidity in RPMI 1640 supplemented with 10% fetal bovine serum, 100 U/ml penicillin/streptomycin, and 400 ⁇ 3 ⁇ 4'' ⁇ 1 G418 to maintain the reporter gene.
- MT4-GFP cells were placed in the same medium lacking G418 and infected overnight with HIV-1 ( ⁇ 9/ ⁇ strain) virus at an approximate multiplicity of infection of 0.01 in the same incubation conditions.
- Controls included no inhibitor (DMSO only) and a combination of three antiviral agents (efavirenz, indinavir, and an integrase strand transfer inhibitor at final concentrations of 4 ⁇ each). Ceils were added (50 ⁇ 11) to compound plates and the infected cells were maintained at 37°C/5% CQ2/90% relative humidity.
- Infected cells were quantified at two time points, ⁇ 48h and- 72h post-infection, by counting the number of green cells in each well using an Acumen eX3 scanner. The increase in the number of green cells over ⁇ 24h period gives the reproductive ratio, R0, which is typically 5—15 and has been shown experimentally to be in logarithmic phase (data not shown). R0 is calculated for each well, and IC50S determined by non-linear 4-parameter curve fitting. Assay IC5 0 results are shown in Table 2.
- the following assay was employed to evaluate the stability of the prodrugs in simulated gastrointestinal tract conditions.
- Preparation of fasted state simul ated intestinal fluid (FaSSIF) using Phares SIF Powder was carried out according to protocols from Phare Drug Delivery AG (Baselland, Switzerland).
- 10 ⁇ stock solutions (10 mM) of prodrug substance in DMSO was added to 990 ⁇ of 0.5 mg/mL Pancreatin solution (Fisher CAS#8049-47 ⁇ 6) in FaSSlF.
- Two samples were prepared for each compound. If the sample was a clear solution, it was directly analyzed by HPLC. If the sample was not clear, the sample was diluted with 100% ACN, maintained at 37°C and observed 5h later.
- HPLC analysis was directly performed. If the sample was still not clear, the sample was diluted with 100% ACN and assayed by HPLC. All the samples were vortexed for 3 rain and observed before injection. For the diluted samples, the area is multiplied by a factor when the data is analyzed. The analysis was carried out with an Agilent 1 100 series HPLC with autosampler. The column was usually a Poroshell 120 EC-C 18, 4.6 x 50mm, 2.7 ⁇ , The flow rate was 1.8 mL/min, and the injection volume was 5 or 10 uL. UV detection was in the range 210-400 nm.
- the mobile phase consisted of solvent A (water plus 10 mM tetrabutylammonium bromide) and solvent B (acetonitrile) with a gradient of: 90% solvent A at 0 rain, changing to 95% solvent B over 6 min, maintaining for 1.5 min, then reverting to 90% solvent A over 1.6 min.
- the HPLC peak area of the prodrug at 5h was divided by the HPLC peak area of the prodrug at 0 h, to generate the % claimed parent ratio, which is summarized in Table 2 for GI Tract stability.
- Prodrugs were administered to beagle dogs through intravenous (IV) and oral (P.O.) administrations in a non-crossover manner.
- IV intravenous
- P.O. oral
- the IV dose was prepared in 20%
- HPBCD hydroxy-propyl ⁇ -cyclodextrin
- PBMCs Peripheral blood mononuclear cells
- concentrations of tenofovir and/or its phosphate conjugate(s) in PBMCs were determined by an LC-MS/MS assay following a protein precipitation step and addition of an appropriate internal standard (labetalol, imipramine or diclofenac). Quantification was done by determining peak area-ratios of tenofovir and/or its phosphate conjugate(s) to the internal standard.
- the area under the plasma concentration-time curve (AUC 0 -i) was calculated from the first time point (0 min) up to the last time point with measurable drug concentration using the linear trapezoidal or linear/log-linear trapezoidal rule.
- the IV plasma clearance was calculated by dividing the dose by AUCo- mf .
- the terminal half-life of elimination was determined by unweighted linear regression analysis of the log-transformed data. The time points for
- Formula I are converted by one or more mechanisms to the corresponding monophosphate or diphosphate of tenofovir.
- tenofovir TFV
- TFV-DP tenofovir diphosphate
- Table 2 shows in vivo dog PK data in the form of TFV -DP concentrations ( ⁇ ) in dog PBMCs at 24 h following a 10 mg/kg P.O. dose of the indicated prodrug.
Landscapes
- Health & Medical Sciences (AREA)
- Life Sciences & Earth Sciences (AREA)
- Chemical & Material Sciences (AREA)
- General Health & Medical Sciences (AREA)
- Organic Chemistry (AREA)
- Animal Behavior & Ethology (AREA)
- Veterinary Medicine (AREA)
- Medicinal Chemistry (AREA)
- Pharmacology & Pharmacy (AREA)
- Public Health (AREA)
- Molecular Biology (AREA)
- Virology (AREA)
- Epidemiology (AREA)
- Biochemistry (AREA)
- AIDS & HIV (AREA)
- Tropical Medicine & Parasitology (AREA)
- Communicable Diseases (AREA)
- Oncology (AREA)
- Chemical Kinetics & Catalysis (AREA)
- General Chemical & Material Sciences (AREA)
- Nuclear Medicine, Radiotherapy & Molecular Imaging (AREA)
- Pharmaceuticals Containing Other Organic And Inorganic Compounds (AREA)
Abstract
Compounds of Formula I and pharmaceutically acceptable salts and co-crystals thereof are useful for the inhibition of HIV reverse transcriptase. The compounds may also be useful for the prophylaxis or treatment of infection by HIV and in the prophylaxis, delay in the onset or progression, and treatment of AIDS. The compounds and their salts can be employed as ingredients in pharmaceutical compositions, optionally in combination with other antiviral agents, immunomodulators, antibiotics or vaccines.
Description
TITLE OF THE INVENTION
ANTIVIRAL PHOSPHODIAMIDE PRODRUGS OF TENOFOVIR
BACKGROUND OF THE INVENTION
The retrovirus designated human immunodeficiency virus (HIV), particularly the strains known as HIV type-1 (HIV-1) and type-2 (HIV -2), have been etiologicaily linked to the immunosuppressive disease known as acquired immunodeficiency syndrome (AIDS), HIV seropositive individuals are initially asymptomatic but typically develop AIDS related complex (ARC) followed by AIDS. Affected individuals exhibit severe immunosuppression which makes them highly susceptible to debilitating and ultimately fatal opportunistic infections. Replication of HIV by a host cell requires integration of the viral genome into the host cell's DNA. Since HIV is a retrovirus, the HIV replication cycle requires transcription of the viral RNA genome into DNA via an enzyme known as reverse transcriptase (RT).
Reverse transcriptase has three known enzymatic functions: The enzyme acts as an RNA-dependent DNA polymerase, as a ribonuclease, and as a DNA -dependent DNA polymerase. In its role as an RNA-dependent DNA polymerase, RT transcribes a single-stranded DNA copy of the viral RNA. As a ribonuclease, RT destroys the original viral RNA and frees the DNA just produced from the original RNA. During the viral RNA-dependent polymerization process, RT's ribonuclease activity is required for removing RNA and leaving the poiypurine tract preserved for initiation of DN A-dependent polymerization. As a DN A-dependent DNA polymerase, RT makes a second, complementary DN A strand using the first DN A strand as a template. The two strands form double-stranded DNA, which is integrated into the host cell's genome by HIV integrase.
It is known that compounds that inhibit enzymatic functions of HIV RT will inhibit HIV replication in infected cells. These compounds are useful in the treatment of HIV infection in humans. There are two classes of RT inhibitors: one is non-nucleoside active site competitive RT inhibitors (NNRTIs), such as efavirenz (EFV), nevirapine (NVP), etravirine (ETR), and rilpivirine (RPV), and the other is active site RT inhibitors which include nucleoside reverse transcriptase inhibitors (NsRTIs) and nucleotide reverse transcriptase inhibitors
(NtRTIs), collectively referred to as NRTIs. Examples of NsRTFs include 3'~azido-3'- deoxythymidine (AZT), 2',3'-dideoxyinosme (ddl), 2',3'-dideoxycytidine (ddC), 2',3'-didehydro- 2',3''-dideoxythymidine (d4T), 2',3 '-dideoxy-3 '-thiacytidine (3TC), abacavir, and emtricitabine. Examples of NtRTIs include tenofovir (TFV, also known as PMPA, 9-(2- phosphonyl-methoxypropyl)adenine), tenofovir disoproxil fumarate (VIREAD®, US Patent No. 's 5977089, US5935946) and tenofovir alafenamide fumarate (US Patent No. 's 7390791, 8,754,065).
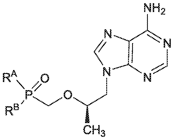
TFV belongs to a class of HIV anti -retroviral (ARV) agents known as nucleotide analog reverse transcriptase inhibitors (NRTIs). Tenofovir is a monophosphonate:
After being taken up by cells, TFV is first converted to tenofovir-monophosphate (TFV-MP) by adenosine monophosphate kinase and then to the active antiviral tenofovir-diphosphate
diphosphate kinase.
Tenofovir-monophosphate (TFV-MP) Tenofovir-diphosphate (TFV-DP)
TFV-DP inhibits HIV DNA synthesis by competing with the natural substrate, deoxy adenosine triphosphate, for incorporation into the complementary DNA strand by HIV reverse transcriptase; following incorporation, TFV acts as a chain terminator due to lack of a 3'~ hydroxy! group that is required for addition of the next nucleotide. TFV has poor cellular permeability and thus has limited bioavailability. Tenofovir disoproxil fumarate (TDF) is approved for treating HIV infection and is marketed by Gilead under the trade name VIREAD™. The disoproxil prodrug improves cell permeability and absorption after oral dosing, with the pro- moiety being cleaved rapidly after absorption to yield the parent TFV. As a result, the circulating level of TFV is much higher than that of TDF. Tenofovir alafenamide fumarate
(TAF) is currently approved by the USFDA as an active ingredient in combination with additional ARVs for treating HIV infection in the pharmaceutical products GENVOYA®,
ODEFSEY® and DESCOVY®.
While each of the foregoing drugs is effective in treating HIV infection and
AIDS, there remains a need to develop additional HIV antiviral drugs including additional RT inhibitors. A particular problem is the de v elopment of mutant HIV strains that are resistant to the known inhibitors. The use of RT inhibitors to treat AIDS often leads to viruses that are less sensitive to the inhibitors. This resistance is typically the result of mutations that occur in the reverse transcriptase segment of the pol gene. The continued use of antiviral compounds to prevent HIV infection will inevitably result in the emergence of new resistant strains of HI V . Accordingly, there is a paiticuiai" need for new RT inhibitors that are effective against mutant HIV strains.
9
SUMMARY OF THE INVENTION
The present invention is directed to phosphodi amide prodrugs of tenofovir and their use in the inhibition of nucleotide reverse transcriptase. In addition to the use of said compounds in the inhibition of HIV reverse transcriptase, the invention is also directed to the use of said compounds for prophylaxis of infection by HIV, the treatment of infection by HIV, and the prophylaxis, treatment, and/or delay in the onset or progression of AIDS and/or ARC. The invention also encompasses methods of using said compounds for the treatment of chronic hepatitis B infection.
DESCRIPTION OF THE INVENTION
The present invention is directed to compounds of structural Formula I:
ster residue of formula (ii):
R2 is (a) H, (b) ~C }„4aikyl, (c) -Cj^a!ky! substituted with -OH, -SH, -SCH3, -Ni b or -NH- C(=NH)-NH2, (d) -CH2-phenyl, (e) -CH2-phenoI, (f) -(CH2)i_2-COOH, (g) ~(CH2) j,2-CQNH2, (h) -CH2-lH-indole, (i) -Π b-miida/o!e. (j) aryl (for example but not limited to phenyl or naphthyl) or (k) heteroaryl (for example but not limited to pyridine);
R* is
(a) -C i-ioalkyl unsubstituted or substituted with one to three substituents independently selected
7 8 9
from fluoro, chloro, bromo, -OR , -SH, -NR R , -C3.gcycloalkyl or spiro~C3„6cycloalkyl,
(b) -CH2-phenyl unsubstituted or substituted with one to three substituents independently selected from fluoro, chloro, bromo, -OR^, -SH, -NR^R^ or -C]„3alkyl,
(c) -C3_geycloalkyl unsubstituted or substituted with one to three substituents independently
10 8 9
selected trom fluoro, chloro, bromo, -OR , -SH, -NR R or -C ^alkyl,
(d) aryl unsubstituted or substituted with one to three substituents independently selected from
10 8 9
fluoro, chloro, bromo, -OR , -SH, -NR R or -C i_3alkyl,
(e) -C _5alkyl-X-C i_5alkyl wherein X is O, S or NH,
(f) heteroarvl unsubstituted or substituted with one to three substituents independently selected
10 8 9
from fluoro, chl oro, bromo, -OR , -SH, -NR R or -C halky], or
(g) a heterocyclic ring unsubstituted or substituted with one to three substituents independently
10 8 9
selected from fluoro, chloro, bromo, -OR , -SH, -NR R or -C i -3alkyl;
B
R is a geminaliy di-substituted ammo acid ester residue of formula fiii :
R and R are each independently selected from (a) -C }_4alkyi, (b) -C ]„4aikyi substituted
OH, -SH, -SC! . -NH2, N H-C< ΝΙ Π-N i b. (c) - C i b- phenv!. (d) -CH2-phenof, (e) -« 'I b ) j - >-
COOH, (1) -(CH2) i_2-CONH2, (g) -CH2-lH-indole, (h) -CH2-imidazole, (i) aryl (for example but not limited to phenyl or naphthvl) or (j) heteroaryl (for example but not limited to pyridine);
4 5 " "
or R and R are joined together with the carbon to which they are both attached to form
-C3.6cycloalkyl or a 4 to 6-membered heterocyclic ring;
6 .
R is
(a) -C j - i oalkyl unsubstituted or substituted with one to three substituents independently selected from fluoro, chl oro, bromo, -OR* \ -SH, -NR^R^ , -C3-6cycloa3kyl or spiro-C3-6cycloalkyl,
(b) -CH2 -phenyl unsubstituted or substituted with one to three substituents independently
14 12 13
selected from fluoro, chloro, bromo, -OR , -SH, -NR R or -C j ^alkyl,
(c) -C3_8cycloalky] unsubstituted or substituted with one to three substituents independently
14 Ώ. 13
selected from fluoro, chloro, bromo, -OR , -SH, -MR R or -C j .^alkyl,
(d) aryl unsubstituted or substituted with one to three substituents independently selected from fluoro, chloro, bromo, -OR , -SH, -N 'R " or -C i ^alkyl,
(e) -C |„5alkyl-X-C }„5aik}'1 wherein X is O, S or NH;
(f) heteroarvl unsubstituted or substituted with one to three substituents independently selected
14 12 13
from fluoro, chloro, bromo, -OR , -SH, -NR R or -C ] _3alkyl, or
(g) a heterocyclic ring unsubstituted or substituted with one to three substituents independently
14 12 13
selected from fluoro. chloro. bromo, -OR . -SH, -NR R or -C j .^alkyl;
R' and are each independently selected from -H or -C3_6cycloalkyl;
8 9
R and R are each independently selected from -H, -C j _3alkyl or -C^cvcloalkyl;
12 13
R and R are each independently selected from. -H, ~C 1.3aS.kyl or -C3.6cycioaJ.kvl; am
10 14
R and R are each independently selected from -H, -C i ^alkyl or -C3_6cycloalkyl.
In an embodiment of this invention are compounds of Formula I or the pharmaceutically acceptable salts thereo RA is formula (1):
(i)
referred to herein as compounds of Formula I-i;
and the remaining variables are as defined in Formula I.
(11)
referred to herein as compounds of Formula I-ii ;
and the remaining variables are as defined in Formula I.
In Embodiment 1 of this invention are compounds of Formula I, I-i or I-ii, or
Embodiment 2, 2a. 3. 4. 4a, 5, 6. 7. 8. 9 or 10 or a class thereof, or the pharmaceutically
1 " 2 acceptable salts thereof, wherein if present (as in Formula I-i) R. is H or ~C 1 _4alkyl and R is M or -C i-4aikyi: and the remaining variables are as defined in Formula I. In a class thereof, one of
I i " " 1 2 R and R is H, and the other is H or -C i_4alkyl; and in a sub-class thereof one of R and R is
1
H, and the other is -C i _4alkyl, for example methyl or /-propyl. In a class thereof, R is H or -
2 1 2
C j_4alkyl and R is -C 3 _4alkyl. In a sub-class thereof, R is H and R is methyl. In a sub-class thereof, R is methyl and R is methyl.
In Embodiment 2 of this invention are compounds of Formula I, I-i or I-ii or
3
Embodiment 1, or the pharmaceutically acceptable salts thereof, wherein R is
(a) -C i.galkyi, -ϋ¾ϋ¾ΟΗ, -CH2CH2CH2OH, -CH2CH2SH, -CH2CH2CH2SH,
-CH2CH2NH2, or -CH2CH2CH2NH2,
(b) -CH? -phenyl, unsubstituted or substituted with one to three substituents independently
10 8 9
selected from fiuoro, chloro, bromo, -OR , -SH, -NR R or -C ^alkyl,
(c) -C3_6cycloalkyl, unsubstituted or substituted with one to three substituents independently
10 8 9
selected trom fluoro, chioro, bromo, -OR , -SH, -NR R or -C i .3alkyl,
(d) phenvl or naphthyl. each unsubstituted or substituted with one to three substituents
10 8 9
independently selected from fluoro, chioro, bromo, -OR , -SH, -NR R or -Ci _3alkyl, (e) -CH2CH2OCH3, -CH2CH2CH2OCH3, -CH2CH2SCH3, -CH2CH2CH2.SCH3,
-CH2CH2NHCH3, -CH2CH2CH2NHCH3,
(f) pvridyl, unsubstituted or substituted with one to three substituents independently selected
10 8 9
from fluoro, chioro, bromo, -OR , -SH, -NR R or -Chalky], or
(g) piperidmyi, pyrrolidmyi, tetrahydrofuranyl, or tetrahydropyranyi, each unsubstituted or substituted with one to three substituents independently selected from fluoro, chioro, bromo,
', -SH, -NR8R9 or -C1.3a.kyl;
and the remaining variables are as defined in Formula I.
3
In a class of Embodiment 2, referred to as Embodiment 2a, R is -C j .gaikyl, cyclopropyl,
3
cyclobutyl, cyciopentyl or cyclohexyl, and in a sub-class thereof, R is -C3_8alkyl, for example
/-propyl; and the remaining variables are as defined in Formula I.
In Embodiment 3 of this invention are compounds of Formula I, I-i or I-ii or
4 5
Embodiment 1 , 2 or 2a, or the pharmaceutically acceptable salts thereof, wherein R and R are each independently selected from -CH3, -CH2CH3, -Chalky! or -C'4alkyl; and the remaining
4 5 variables are as defined in Formula I. In another class of Embodiment 3, R and R are both the same atom moiety which is selected from -CH3, -CH2CH3, -C3alkyl or -C4alkyi; and in a sub- 4 5
class thereof R and are both -CH3.
In Embodiment 4 of this invention are compounds of Formula I. I-i or I-ii or
6
Embodiment 1, 2, 2a or 3, or the pharmaceutically acceptable salts thereof, wherein R is (a) -C j.galkyi, -Ο¾Ο¾0Η, -CH2CH2CH2OH, -CH2CH2SH, -CH2CH2CH2SH,
(b) -CH? -phenyl, unsubstituted or substituted with one to three substituents independently
14 12 13
selected from fluoro, chioro, bromo, -OR , -SH, -NR R or -C ]„3alkyl,
(c) -C3_6cycloalkyl, unsubstituted or substituied with one to three substituents independently
14 12 13
selected from fluoro, chioro, bromo, -OR , -SH, -NR R or -Ci _3alkyl,
(d) phenyl or naphthyl. each unsubstituted or substituted with one to three substituents
14 12 13
independently selected from fluoro, chioro, bromo, -OR , -SH, -NR R or ~C }_3aikyl, (e) -CH2CH2OCH3, -CH2CH2CH2OCH3, -CH2CH2SCH3, -CH2CH2CH2SCH3,
-CH2CH2NHCH3, -CH2CH2CH2NHCH3,
(f) pyridyl. unsubstituted or substituted with one to three substituents independently selected
14 12 13
from fluoro, chloro, bromo, -OR , ~SH, -NR R or -C] _3alkyl, or
(g) piperidinyl, pyrrolidinyl, tetrahydrofuranyl, or tetrahydropyranyl, each unsubstituted or substituted with one to three substituents independently selected from fluoro, chloro, bromo, -OR14, -SH. -NRi2R] J or ··(' ; .;;alk> !.
and the remaining variables are as defined in Formula I.
6
In a class of Embodiment 4, referred to as Embodiment 4a, R is --C j.galkyl, cyclopropyl,
6
cyclobutyl, cyclopentyl or cyclohexyl, and in a sub-class thereof, R is -C^.galkyl, cyclobutyl cyclopentyl or cyclohexyl; and the remaining variables are as defined in Formula I.
In Embodiment 5 of this invention are compounds of Formula I, or a pharmaceutically acceptable salt thereof, wherein:
1
R , if present (as in Formula I-i), is H or -Ci _4alkyl;
2
R , if present (as in Formula I-i), is H or -C j ,4alkyl;
3 .
R is
(a) -C i-galkyi, -CH2CH2OH, -CH2CH2CH20H, -CH2CH2SH, -CH2CH2CH2SH,
(b) -CH? -phenyl, unsubstituted or substituted with one to three substituents independently
10 8 9
selected from fluoro, chloro, bromo, -OR , -SH, -NR R or -C^alkyl,
(c) -C^-6cycloalkyl, unsubstituted or substituted with one to three substituents independently
10 8 9
selected from fluoro, chloro, bromo, -OR , -SH, -NR R or -C |„3alkyl,
(d) phenyl or naphthyl. each unsubstituted or substituted with one to three substituents
10 8 9
independently selected from fluoro, chloro, bromo, -OR , -SH, -NR R or -C^alkyl,
(e) -CH2CH2OCH3, -CH2CH2CH2()CH3, -CH2CH2SCH3, -CH2CH2CH2SCH3,
-CH2CH2NHCFl3, -CH2CH2CH2NHCH3,
(1) pvridyl, unsubstituted or substituted with one to three substituents independently selecied
10 8 9
from fluoro, chloro, bromo, -OR , -SH, -NR R or -Ci ^alkyl, or
(g) piperidinyl, pyrrolidinyl, tetrahydrofuranyl, or tetrahydropyranyl, each unsubstituted or substituted with one to three substituents independently selected from fluoro. chloro. bromo,
10 8 9
-OR , -SH, -NR R or -C [„3alkyl;
4 5
R and R are both the same moiety which is selecied from -CH3, -CH2CH3, -Csalkyl or -
C4alkyl;
6
R is
(a) -C i.galkyi, -CH2CH2OH, -CH2CH2CH2OH, -CH2CH2SH, -CH2CH2CH2SH,
· ( ! hi ! hNi h. -CH2CH2CH2NH2,
(b) -CH2-phenyl, unsubstituted or substituted with one to three substituents independently
14 12 13
selected from fluoro, chloro, bromo, -OR , -SH, -NR R or -C ]„3alkyl,
(c) -C .gcycloalkyl, unsubstituted or substituted with one to three substituents independently
14 12 13
selected from fluoro, chloro, bromo, -OR , -SH, -NR R or -Ci _3alkyl,
(d) phenyl or naphthyl. each unsubstituted or substituted with one to three substituents
14 12 13
independently selected from fluoro, chloro, bromo, -OR , -SH, -NR R or -Ci_3aikyl, (e) -CH2CH2OCH3, -CH2CH2CH2OCH3, -CH2CH2SCH3, -CH2CH2CH2SCH3,
-CH2CH2NHCH3, -CH2CH2CH2NHCH3,
if) pvridy], unsubstituted or substituted with one to three substituents independently selecied
14 12 13
from fluoro, chloro, bromo, -OR , -SH, -NR R or -C^alkyl, or
(g) piperidinyl, pyrrolidinyl, tetrahydrofuranyl, or tetrahydropyranyl, each unsubstituted or substituted with one to three substituents independently selected from fluoro. chloro. bromo,
14 12 Π
-OR , -SH, -NR R " or -C halky!:
and the remaining variables are as defined in Formula 1.
In Embodiment 6 of this invention are compounds of Formula I, I-i or I-ii, or a pharmaceutically acceptable salt thereof, wherein
1
R , if present (as in Formula 1-i), is H or -C [„4alkyl;
2
R , if present (as in Formula I-i), is -C i_4alkyl ; and
3
R is-C i.galkyl, cyclopropyl, cyclobutyl, cyclopentyl or cyclohexyl, or in a class of
"*
Embodiment 6, R is /-propyl;
and the remaining variables are as defined in Formula I.
In Embodiment 7 of this invention are compounds of Embodiment 6 having
Formula I or I-i, or a pharmaceutically acceptable salt thereof, wherein
6
R is -C j -galkyl, cyclopropyl, cyclobutyl, cyclopentyl or cyclohexyl, or in a class of
6
Embodiment 7, R is -C3_8alkyl;
and the remaining variables are as defined in Formula I.
In Embodiment 8 of this invention are compounds of Embodiment 6 having
Formula I or I-ii. or a pharmaceutically acceptable salt thereof, wherein
6
R is -C j.galkyi, cyclopropyl, cyclobutyl, cyclopentyl or cyclohexyl . or in a class of
6
Embodiment 8, R is -C3,galkyl;
and the remaining variables are as defined in Formula I.
In Embodiment 9 of this invention are compounds of Formula I, or a pharmaceutically acceptable salt thereof, wherein:
I
R , if present (as in Formula I-i), is H or -CH3;
2
R , if present (as in Formula I-i), is -C }.4alkyi;
R is -C j .galkyi, cyclopropyl, cyclobutyl, cyclopeiityl or cyclohexyl;
4 5
R and R are both -CH3;
6
R is -C i .galkyl, cyclopropyl, cyclobutyl, cyclopentyl or cyclohexyl;
and the remaining variables are as defined in Formula I.
In Embodiment 10 of this invention are compounds of Formula I, or a pharmaceutically acceptable salt thereof, wherein:
1
R , if present (as in Formula I~i), is H or -CH3;
2
R , if present (as in Formula I-i), is -C ] _4alkyl;
3
R is -C3-8alkyl, cyclobutyl, cyclopentyl or cyclohexyl;
4 5
R and R~ are both -CH3;
6
R is -C3_8alkyl, cyclobutyl, cyclopentyl or cyclohexyl;
and the remaining variables are as defined in Formula I.
In Embodiment 11 of this invention are compounds of Formula I, or a pharmaceutically acceptable salt thereof, wherein:
1
R , if present (as in Formula I -i), is H or -CH3;
2
R , if present (as in Formula I-i), is -C i_4alkyl;
3 3
R is -C3_galkyl, or in a class of Embodiment 1 1 , R is -propyl;
4 5 "
R and R are both -CH3;
6
R is -C3„8alkyl, cyclobutyl, cyclopentyl or cyclohexyl;
and the remaining variables are as defined in Formula I.
In Embodiment 12 of this invention are compounds of Formula I, or a pharmaceutically acceptable salt thereof, wherein:
1
R , if present (as in Formula I-i), is H or -CFI3;
2
R , if present (as in Formula I-i), is -( ' j ^ !k i :
3
R is -C3_8alkyl, cyclobutyl, cyclopentyl or cyclohexyl;
4 "S ' "
R and are both -CH 3;
6
R is -Cs.galkyl;
and the remaining variables are as defined in Formula I.
Reference to the compounds of Formula I herein encompasses the compounds of Formula I and ail embodiments, classes and sub-classes thereof. The compounds of the invention encompass compounds of Formula I and salts thereof when such salts are possible, including pharmaceutically acceptable salts.
As used herein, "alkyl" refers to both branched- and straight-chain saturated aliphatic hydrocarbon groups having the specified number of carbon atoms in a specified range. For example the term "C ]„I Q alkyl" means linear or branched chain alkyl groups, including ail
possible isomers, having I, 2, 3, 4, 5, 7, 8, 9 or 10 carbon atoms, and includes each of the decyl, nonyl, octyl, heptyl, hexyl and pentyl isomers as well as iso~, sec- and /erf-butyl (butyl, s- butyl, /-butyl, i-butyl; Bu :=: butyl, collectively "-C4alkyl"), n- and /so-propyl (propyl, /-propyl, Pr :=: propyl, collectively "~C3alkyl"), ethyl (Et) and methyl (Me). "C halky!" has 1 , 2, 3 or 4 carbon atoms, and includes each of n~, iso~, sec- and /erf-butyl, n- and /-propyl, ethyl and methyl.
"Cycloalkyl" refers to a cyciized alkyi ring having the indicated number of carbon atoms in a specified range. Thus, for example, "C3-8 cycloalkyl" encompasses each of cyclopropyi, cyclobutyl, cyclopentyl, cyclohexyl, cyloheptyl and cyclooctyl. "Cs.gcycloaikyl" encompasses each of cyclopropyi, cyclobutyl, cyclopentyl and cyclohexyl. When cycloalkyl is a substituent on an aikyl group in a compound of Formula I, the cycloalkyl substituent can be bonded to any available carbon in the alkyl group. The following are illustrations
"Spiro-C3_6cycloalkyl" refers to a cycloalkyl ring bonded to a on-terminal carbon atom wherein the non-terminal carbon atom is shared with the cycloalkyl group.
Spiro-C3_6cycloalkyl encompasses each of spiro-cyclopropyl, spiro-cyelobutyl, spiro- cyclopentyl and spiro-cyclohexyl. The following is an illustration of a spiro-C3„6cycioalkyl substituent wherein the substituent is sp bold;
Examples of -C ] _5alkyl-X-C j __5alkyl groups include, but are not limited to,
-CH2CH2OCH3, -CH2CH2CH2OCH3, -CH2CH2SCH3, -CH2CH2CH2SCH3,
-CH2CH2NHCH3 or -CH2CH2CH2NHCH3.
"Aryl" refers to (i) phenyl, (ii) 9- or 10-membered bicyclic, fused carbocyiic ring systems in which at least one ring is aromatic, and (iii) 11- to 14-membered tricyclic, fused carbocyclic ring systems in which at least one ring is aromatic. Suitable aryls include, for example, substituted and unsubstituted phenyl and substituted and unsubstituted naphthyl. An aryl of particular interest is unsubstituted or substituted phenyl.
"Heteroaryl" refers to (1) a 5- or 6-membered heteroaromatic ring containing from
1 to 4 heteroatonis independently selected from N, O and S, wherein each N is optionally in the form of an oxide, and (ii) a 9- or 10-membered bicyclic fused ring system, wherein the fused ring system of (ii) contains from 1 to 6 heteroatoms independently selected from N, O and S, wherein each ring in the fused ring system contains zero, one or more than one heteroatom, at least one
ring is aromatic, each N is optionally in the form of an oxide, and each S in a ring which is not aromatic is optionally S(O) or S(0)2- Examples of 5— membered heteroaromatic rings include, but are not limited to, pyrrolyl, pyrazolyl, triazolyl (i.e., 1 ,2,3-triazolyl or 1 ,2,4-triazolyl), imidazolyl, tetrazolyl, furanyl, furanonyl (e.g., furari-2(5H)-one), thienyl, thiazolyl, isothiazolyl, oxazolyl, isooxazolyl, oxadiazolyl (i.e., the 1,2,3-, 1,2,4-, 1,2,5- (furazanyl), or 1,3,4- oxadiazolyl isomer), oxatriazolyl, and thiadiazolyl. Examples of 6-membered heteroaromatic rings include, but are not limited to, pyridyl (also referred to as pyridinyl), pyrimidinyl, pyrazinyl, pyridazinyl, and triazinyl. Examples of 9- and 10-membered heteroaromatic bi cyclic fused ring systems include, but are not limited to, benzofuranyl, indolyl, indazolyl,
naphthyridinyl, isobenzofuranyl, benzopiperidinyl, benzisoxazolyl, benzoxazolyi, chromenyl, qumoimyi, isoquinolmyi, isomdolyl, benzopiperidinyl, benzofuranyl, imidazo| l,2-a]pyridinyi, benzotriazolyl, indazolyl, indolinyl, and isoindolinyl. A class of heteroaryls includes unsubstituted or substituted pyridyl or pyrimidyl, and particularly unsubstituted or substituted pyridyl.
The term "heterocyclic ring" refers to (i) a saturated 4- to 7-membered cyclized ring and (li) an unsaturated, non-aromatic 4 to 7-membered cyclized ring comprised of carbon atoms and 1- 4 heteratoms independently selected from O, N and S. Heterocyclic rings within the scope of this invention include, for example but are not limited to, azetidinyl, piperidinyl, morpholinyi, thiomorphoiinyl, thiazoiidinyl, isothiazoiidinyl, oxazolidmyi, isoxazolidinyl, pyrrolidinyl, imidazolidinyl, piperazinyl, tetrahydrofuranyl, tetrahydrothienyl, pyrazolidinyl, hexahydropyrimidinyl, thiazinanyl, thiazepanyi, azepanyl, diazepanyl, tetrahydropyranvi, tetrahydrothiopyranyl, and dioxanyl. Examples of 4- to 7-membered, unsaturated, non-aromatic heterocyclic rings within the scope of this invention include mono-unsaturated heterocyclic rings corresponding to the saturated heterocyclic rings listed in the preceding sentence in which a single bond is replaced with a double bond (e.g., a carbon-carbon single bond is replaced with a carbon-carbon double bond).
In a class of heterocyclic rings are 4 to 6-membered saturated monocyclic rings comprised of carbon atoms and 1 or 2 heteroatoms, wherein the heteroatoms are independently selected from N, O and S. Examples of 4 to 6 membered heterocyclic rings include but are not limited to, azetidinyl, pyrrolidinyl, piperidinyl, piperazinyl, morpholinyi, thiomorphoiinyl, tetrahydrofuranyl, tetrahydropyranyl and tetrahydrothiopyranyl, and a sub-class thereof is piperidinyl, pyrrolidinyl, tefrahydrofuranyl or tetrahydropyranyl. The following is a non-limiting illustration of R4 and 115 when they are joined together form a heterocyclic ring:
With respect to substituents on a molecule, "geminally" or "geminal" refers to two substituents, which may be the same or different, on one carbon.
It is understood that the specific rings and ring systems suitable for use in the present invention are not limited to those listed in the preceding paragraphs. These rings and ring systems are merely representative.
As would be recognized by one of ordinary skill in the art, certain compounds of the present invention maybe able to exist as tautomers. All tautomeric forms of these compounds, whether isolated individually or in mixtures, are within the scope of the present invention. For example, in instances where an -OH substituent is permitted on a heteroaromatic ring and keto-enol tautomerism is possible, it is understood that the substituent might in fact be present, in whole or in part, in the oxo (=0) form.
A "stable" compound is a compound which can be prepared and isolated and whose structure and properties remain or can be caused to remain essentially unchanged for a period of time sufficient to allow use of the compound for the purposes described herein (e.g., therapeutic or prophylactic administration to a subject). The compounds of the present invention are limited to stable compounds embraced by Formula I and its embodiments. For example, certain moieties as defined in Formula I may be unsubstituted or substituted, and the latter is intended to encompass substitution patterns (i.e., number and kind of substituents) that are chemically possible for the moiety and that result in a stable compound.
Each compound of Formula 1 is comprised of a phosphodiamide amino acid ester having a defined (R) chiral center in the alkyl-ether linking group which connects the nucleobase to the phosphodiamide as shown in Formula I, and may have one or more additional chiral centers depending on substituent selection. For example, each of the compounds of Examples 1 - 28B herein also has an asymmetric phosphorus center. Accordingly , a compound of Formula I may have multiple chiral centers (also referred to as asymmetric or stereogenic centers). This invention encompasses compounds having either the (R) or (S) stereo-configuration at a phosphorus asymmetric center and at any additional asymmetric centers that may be present in a compound of Formula 1, as well as stereo-isomeric mixtures thereof.
This invention includes individual di astereomers, particularly epimers, i.e., compounds having the same chemical formula but which differ in the spatial arrangement around a single atom. This invention also includes mixtures of diastereomers, particularly mixtures of epimers, in all ratios. Embodiments of this invention also include a mixture of epimers enriched with 51% or more of one of the epimers, including for example 60% or more, 70% or more, 80% or more, or 90% or more of one epimer. A single epimer is preferred. An individual or single epimer refers to an epimer obtained by chiral synthesis and/or using generally known separation and purification techniques, and which may be 100% of one epimer or may contain small amounts (e.g., 10% or less) of the opposite epimer. Thus, individual diasteromers are a subject of the invention in pure form, both as levorotatory and as dextrorotatory antipodes, in the form of racemates and in the form of mixtures of the two diasteromers in ail ratios. In the case of a
cis/trans isomerism the invention includes both the cis form and the trans form as well as mixtures of these forms in all ratios.
The preparation of individual stereoisomers can be carried out, if desired, by separation of a mixture by customary methods, for example by chromatography or
crystallization, by the use of stereochemical^ uniform starting materials for the synthesis or by stereoselective synthesis. Optionally a derivatization can be carried out before a separation of stereoisomers. The separation of a mixture of stereoisomers can be earned out at an intermediate step during the synthesis of a compound of Formula I or it can be done on a final racemic product. Absolute stereochemistry may be determined by X-ray crystallography of crystalline products or crystalline intermediates which are derivatized, if necessary, with a reagent containing a stereogenic center of known configuration. Alternatively, absolute stereochemistry may be determined by Vibrational Circular Dichroism (VCD) spectroscopy analysis. The present invention includes all such isomers, as well as salts, solvates (which includes hydrates) and sol v ated salts of such racemates, enantiomers, diastereomers and tautomers and mixtures thereof.
The atoms in a compound of Formula I may exhibit their natural isotopic abundances, or one or more of the atoms may be artificially enriched in a particular isotope having the same atomic number, but an atomic mass or mass number different from the atomic mass or mass number predominantly found in nature. The present invention is meant to include all suitable isotopic variations of the compounds of Formula 1; for example, different isotopic forms of hydrogen (H) include protium (\H) and deuterium ( H). Protium is the predominant hydrogen isotope found in nature. Enriching for deuterium may afford certain therapeutic advantages, such as increasing in vivo half-life or reducing dosage requirements, or may provide a compound useful as a standard for characterization of biological samples. Isotopically- enriched compounds of Formula I can be prepared without undue experimentation by conventional techniques well known to those skilled in the art or by processes analogous to those described in the Schemes and Examples herein using appropriate isotopically-enriched reagents and/or intermediates.
The compounds can be administered in the form of pharmaceutically acceptable salts. The term "pharmaceutically acceptable salt" refers to a salt which is not biologically or otherwise undesirable (e.g., is neither toxic nor otherwise deleterious to the recipient thereof). Since the compounds of Formula I contain by definition at l east one basic group, the invention includes the corresponding pharmaceutically acceptable salts. When the compounds of Formula I contain one or more acidic groups, the invention also includes the corresponding
pharmaceutically acceptable salts. Thus, the compounds of Formula I that contain acidic groups (e.g., -COOH) can be used according to the invention as, for example but not limited to, alkali metal salts, alkaline earth metal salts or as ammonium salts. Examples of such salts include but are not limited to sodium salts, potassium salts, calcium salts, magnesium salts or salts with
ammonia or organic amines such as, for example, ethylamine, ethanoiamine, tnethanolamme or amino acids. Compounds of Formula I, which contain one or more basic groups, i.e. groups which can be protonated, can be used according to the invention in the form of their acid addition salts with inorganic or organic acids as, for example but not limited to, salts with hydrogen chloride, hydrogen bromide, phosphoric acid, sulfuric acid, nitric acid,
benzenesulfonic acid, methanesulfonic acid, p-toluenesuifonic acid, naphthaienedisulfomc acids, oxalic acid, acetic acid, trifluoroacetic acid, tartaric acid, lactic acid, salicylic acid, benzoic acid, formic acid, propionic acid, pivalic acid, diethylacetic acid, malonic acid, succinic acid, pimelic acid, fumaric acid, maieic acid, malic acid, sulfaminic acid, phenylpropionic acid, gluconic acid, ascorbic acid, isonicotinic acid, citric acid, ad i pic acid, etc. If the compounds of Formula I simultaneously contain acidic and basic groups in the molecule the invention also includes, in addition to the salt forms mentioned, inner salts or betaines (zwitterions). Salts can be obtained from the compounds of Formula I by customary methods which are known to the person skilled in the art, for example by combination with an organic or inorganic acid or base in a solvent or dispersant, or by anion exchange or cation exchange from other salts. The present invention also includes all salts of the compounds of Formula I which, owing to low physiological
compatibility, are not directly suitable for use in pharmaceuticals but which can be used, for example, as intermediates for chemical reactions or for the preparation of pharmaceutically acceptable salts.
The instant invention encompasses any composition comprised of a compound of
Formula I or a compound that is a salt thereof, including for example but not limited to, a composition comprised of said compound associated together with one or more additional molecular and/or ionic component(s) which may be referred to as a "'co-crystal." The term "co- crystal" as used herein refers to a solid phase (which may or may not be crystalline) wherein two or more different molecular and/or ionic components (generally in a stoichiometric ratio) are held together by non-ionic interactions including but not limited to hydrogen-bonding, dipole-dipole interactions, dipole-quadrupole interactions or dispersion forces (van der Waals). There is no proton transfer between the dissimilar components and the solid phase is neither a simple salt nor a solvate. A discussion of co-crystals can be found, e.g., in S. Aitipamula et al, Crystal Growth and Design, 2012, 12 (5), pp. 2147-2152.
More specifically with reference to this invention, a co-crystal is comprised of a compound of Formula I or a pharmaceutically acceptable salt thereof, and one or more non- pharmaceutically active component(s) which is not biologically or otherwise undesirable (e.g., is neither toxic nor otherwise deleterious to the recipient thereof). Co-crystals can be obtained from a compound of Formula I, or a pharmaceutically acceptable salt thereof, by customary methods known in the chemical arts. For example, co-crystals comprised of a compound of this invention could be prepared by adding an acid or a neutral molecule at the desired stoichiometry to the compound, adding an appropriate solvent to achieve dissolution and, for example, precipitating,
lyophilizing or concentrating the solution to obtain the solid composition. The co-crystal can be, but is not limited to, an embodiment wherein the composition is comprised of a neutral compound (i.e. not a salt form) of Formula I and one or more non-pharmaceutically acti ve component(s); and in a further embodiment, the co-crystal composition is crystalline. Crystalline compositions may be prepared, for example, by adding an acid or a neutral molecule at the desired stoichiometry to the compound of Formula I, adding an appropriate solvent and heating to achieve complete dissolution, and then allowing the solution to cool and the crystals to grow. The present invention also includes all co-crystals of the compounds of this invention which, owing to low physiological compatibility, are not directly suitable for use in pharmaceuticals but which can be used, for example, as intermediates for chemical reactions or for the preparation of pharmaceutically acceptable co-crystals or salts.
Furthermore, compounds of the present invention may exist in amorphous form and/or one or more crystalline forms, and as such all amorphous and crystalline forms and mixtures thereof of the compounds of Formula I and salts thereof are intended to be included within the scope of the present invention. In addition, some of the compounds of the instant invention may form solvates with water (i.e., a hydrate) or common organic solvents. Such solvates and hydrates, particularly the pharmaceutically acceptable solvates and hydrates, of the compounds of this invention are likewise encompassed within the scope of the compounds defined by Formula 1 and the pharmaceutically acceptable salts thereof, along with un-solvated and anhydrous forms of such compounds.
Accordingly, the compounds of Formula I, embodiments thereof and specific compounds described and claimed herein encompass all possible salts, including
pharmaceutically acceptable salts, stereoisomers, tautomers, physical forms (e.g., amorphous and crystalline forms), co-crysial forms, solvate and hydrate forms, and any combination of the foregoing forms where such forms are possible.
The compounds of Formula 1 (or any embodiment thereof including pharmaceutically acceptable salts thereof) are prodrugs. A discussion of prodrugs is provided in (a) Stella, V. J.; Borchardt, R. T.; Hageman, M. J.; Oliyai, R.; Maag, H. et al. Prodrugs:
Challenges and Rewards Part 1 and Part 2; Springer, p. 726: New York, NY, USA, 2007, (b) Rautio, J.; Kumpulainen, H.; Heimbach, T.; Oliyai, R.; Oh, D. et al. Prodrugs: design and clinical applications. Nat. Rev. Drug Discov. 2008, 7, 255, (c) T. Higuchi and V. Stella, Prodrugs as Novel Delivery Systems (1987) 14 of the A.C.S. Symposium Series, and in (d)
Bioreversible Carriers in Drug Design, (1987) Edward B. Roche, ed., American Pharmaceutical Association and Pergamon Press. More specifically, compounds of Formula I (or any embodiment thereof and pharmaceutically acceptable salts thereof) are prodrug modifications of tenofovir, which is a mono-phosphonate. The compounds of Formula I may be converted intracellularly (in vivo or in vitro) to the corresponding monophosphate or diphosphate of tenofovir. The conversion may occur by one or more mechanisms, e.g., an enzyme-catalyzed chemical reaction, a metabolic chemical
reaction, and/or a spontaneous chemical reaction (e.g., solvolysis), such as, for example, through hydrolysis in blood. While not wishing to be bound by any particular theory, tenofovir diphosphate is generally understood to be responsible for inhibiting the HIV RT enzyme and for the resulting antiviral activity after administration of the compound of Formula I to a subject.
Another embodiment of the present invention is a compound of Formula I wherein the compound or its salt is in a substantially pure form. As used herein "substantially pure" means suitably at least about 60 wt.%, typically at least about 70 wt.%, preferably at least about 80 wt.%, more preferably at least about 90 wt.% (e.g., from about 90 wt.% to about 99 wt.%), even more preferably at least about 95 wt.% (e.g., from about 95 wt.% to about 99 wt.%, or from about 98 wt. % to 100 wt %), and most preferably at least about 99 wt.% (e.g., 100 wt.%) of a product containing a compound of Formula I or its salt (e.g., the product isolated from a reaction mixture affording the compound or salt) consists of the compound or salt. The level of purity of the compounds and salts can be determined using a standard method of analysis such as, high performance liquid chromatography, and/or mass spectrometry or NMR techniques. If more than one method of analysis is employed and the methods provide experimentally significant differences in the level of purity determined, then the method providing the highest purity level governs. A compound or salt of 100% purity is one which is free of detectable impurities as determined by a standard method of analysis. With respect to a compound of Formula ΐ which has one or more asymmetric centers and can occur as mixtures of
stereoisomers, a substantially pure compound can be either a substantially pure mixture of the stereoisomers or a substantially pure individual stereoisomer.
The compounds of Formula I herein, and pharmaceutically acceptable salts thereof, are useful for HIV reverse transcriptase inhibition and for inhibiting HIV replication in vitro and in vivo. More particularly, the compounds of Formula I for inhibiting the polymerase function of HIV-1 re v erse transcriptase. The testing of compounds of the Examples of this invention in the Viking assay set forth in Example 29 below, illustrate the ability of compounds of the invention to inhibit the RNA-dependent DNA polymerase activity of HIV-1 reverse transcriptase. The compounds of Formula I may also be useful agents against HIV -2. The compounds of Exampl es 1 -28 (inclusive of A and B isomers) of the present invention also exhibit activity against drug resistant forms of HIV (e.g., NNRTI-associated mutant strains K103N and/or Y181C; NRTl-associated mutant strains M184V and M184I mutants).
This invention also encompasses methods for the treatment or prophylaxis of infection by HIV, for the inhibition of HIV reverse transcriptase, for the treatment, prophylaxis, or delay in the onset of AIDS in a subject in need thereof, which comprise administering to the subject an effective amount of a compound of the invention or a pharmaceutically acceptable salt thereof.
The invention further encompasses methods for the treatment or prophylaxis of infection by HIV, for the inhibition of HIV reverse transcriptase, for the treatment, prophylaxis.
or delay in the onset of AIDS in a subject in need thereof, which comprise administering to the subject an effective amount of a compound of the invention or a pharmaceutically acceptable salt thereof in combination with an effective amount of one or more additional anti-HIV agents selected from the group consisting of HIV antiviral agents, immunomodulators, and
anti-infective agents. Within this embodiment, the anti-HIV agent is an antiviral selected from the group consisting of HIV protease inhibitors, HIV reverse transcriptase inhibitors, HIV integrase inhibitors, HIV fusion inhibitors, HIV entry inhibitors, and HIV maturation inhibitors.
The invention encompasses a pharmaceutical composition comprising an effective amount of a compound of the invention, or a pharmaceutically acceptable salt thereof, and a pharmaceutically acceptable carrier. The invention also encompasses a pharmaceutical composition comprising an effective amount of a compound of the invention, or a
pharmaceutically acceptable salt thereof, and a pharmaceutically acceptable carrier further comprising an effective amount of one or more additional anti-HIV agents selected from the group consisting of HIV antiviral agents, immunomodulators, and anti -infective agents. Within this embodiment, the anti-HIV agent is an antiviral selected from the group consis ting of HIV protease inhibitors, HIV reverse transcriptase inhibitors, HIV integrase inhibitors, HIV fusion inhibitors, HIV entry inhibitors, and HIV maturation inhibitors.
The compounds of this invention could also be useful for inhibition of hepatitis B virus (HBV) reverse transcriptase. Accordingly, this invention also encompasses methods for the treatment of chronic hepatitis B infection which comprise administering to the subject an effective amount of a compound of the invention or a pharmaceutically acceptable salt thereof.
The invention also encompasses a compound of the invention, or a pharmaceutically acceptable salt thereof, for use in the preparation of a medicament for the treatment or prophylaxis of infection by HIV, for the inhibition of HIV reverse transcriptase, or for the treatment, prophylaxis, or delay in the onset of AIDS in a subject in need thereof.
Other embodiments of the present invention include the following: (a) A pharmaceutical composition comprising an effective amount of a compound of Formula I or a pharmaceutically acceptable salt thereof, and a pharmaceutically acceptable earner. In particular embodiments, the pharmaceutical composition comprises a therapeutically effective amount of a compound of Formula I or a pharmaceutically acceptable salt thereof, and a pharmaceutically acceptable carrier. In other embodiments, the
pharmaceutical composition comprises a prophylactically effective amount of a compound of Formula I or a pharmaceutically acceptable salt thereof, and a pharmaceutically acceptable carrier.
(b) A pharmaceutical composition which comprises the product prepared by combining (e.g., mixing) an effective amount of a compound of Formula I or a pharmaceutically acceptable salt thereof, and a pharmaceutically acceptable carrier.
(c) The pharmaceutical composition of (a) or (b), further comprising an effective amount of one or more an anti-HTV agents selected from the group consisting of HIV antiviral agents, immunomodulators, and anti-infective agents.
(d) The pharmaceutical composition of (c), wherein the anti-HTV agent is selected from one or more of an antiviral selected from the group consisting of HIV protease inhibitors, nucleoside HIV reverse transcriptase inhibitors, non-nucleoside HIV reverse transcriptase inhibitors, HIV integrase inhibitors, HIV fusion inhibitors, HIV entry inhibitors and HIV maturation inhibitors.
(e) A combination which is (i) a compound of Formula I or a pharmaceutically acceptable salt thereof and (li) an anti-HTV agent selected from the group consisting of HIV antiviral agents, immunomodulators, and anti-infective agents; wherein the compound and the anti-HTV agent are each employed in an amount that renders the combination effective for inhibition of HIV reverse transcriptase, for treatment or prophylaxis of infection by HIV, or for treatment, prophylaxis of, or delay in the onset or progression of AIDS.
(f) The combination of (e), wherein the anti-HTV agent is an antiviral selected from the group consisting of HIV protease inhibitors, nucleoside HIV reverse transcriptase inhibitors, non-nucleoside HIV reverse transcriptase inhibitors, HIV integrase inhibitors, HIV fusion inhibitors, HIV entry inhibitors and HIV maturation inhibitors.
(g) A method for the inhibition of HIV reverse transcriptase in a subject in need thereof which comprises administering to the subject an effective amount of a compound of Formula I or pharmaceutically acceptable salt thereof. In specific embodiments, the method comprises administering to the subject a therapeutically effective amount of a compound of Formula I or a pharmaceutically acceptable salt thereof. In other embodiments, the method comprises administering to the subject a prophylactically effective amount of a compound of Formula I or a pharmaceutically acceptable salt thereof.
(h) A method for the prophylaxis or treatment of infection by HIV (e.g., HTV-1) in a subject in need thereof which comprises administering to the subject an effective amount of a compound of Formula I or pharmaceutically acceptable salt thereof. In specific embodiments, the method comprises administering to the subject a therapeutically effective amount of a compound of Formula I or a pharmaceutically acceptable salt thereof. In other embodiments, the method comprises administering to the subject a prophylactically effective amount of a compound of Formula I or a pharmaceutically acceptable salt thereof.
(i) The method of (h), wherein the compound of Formula I or a pharmaceutically acceptable salt thereof is administered in combination with an effective amount of at least one other HIV antiviral sel ected from the group consisting of HIV protease inhibitors, HIV integrase inhibitors, non-nucleoside HIV reverse transcriptase inhibitors, nucleoside HIV reverse transcriptase inhibitors, HIV fusion inhibitors, HIV entry inhibitors and HIV maturation inhibitors.
(j) A method for the prophylaxis, treatment or delay in the onset or progression of AIDS in a subject in need thereof which comprises administering to the subject an effective amount of a compound of Formula I or pharmaceutically acceptable salt thereof. In specific embodiments, the method comprises administering to the subject a therapeutically effective amount of a compound of Formula I or a pharmaceutically acceptable salt thereof. In other embodiments, the method comprises administering to the subject a prophylactically effective amount of a compound of Formula I or a pharmaceutically acceptable salt thereof.
(k) The method of (j), wherein the compound is administered in combination with an effective amount of at least one other HIV antiviral selected from the group consisting of HIV protease inhibitors, HIV integrase inhibitors, non-nucleoside HIV reverse transcriptase inhibitors, nucleoside HIV reverse transcriptase inhibitors, HIV fusion inhibitors, HIV entry inhibitors and HIV maturation inhibitors.
(1) A method for the inhibition of HIV reverse transcriptase in a subject in need thereof which comprises administering to the subject the pharmaceutical composition of (a), (b), (c) or id ; or the combination of (e) or (f .
(m) A method for the prophylaxis or treatment of infection by HIV (e.g., HIV-1) in a subject in need thereof, which comprises administering to the subject the pharmaceutical composition of (a), (b), (c) or (d) or the combination of (e) or (f).
(n) A method for the prophylaxis, treatment, or delay in the onset or progression of AIDS in a subject in need thereof which comprises administering to the subject the pharmaceutical composition of (a), (b), (c) or (d) or the combination of (e) or (f).
The present invention also includes a compound of Formula I or pharmaceutically acceptable salt thereof (i) for use in, (ii) for use as a medicament for, or (iii) for use in the preparation of a medicament for: (a) therapy (e.g., of the human body), (b) medicine, (c) inhibition of HIV reverse transcriptase, (d) treatment or prophylaxis of infection by HIV, or (e) treatment, prophylaxis of, or delay in the onset or progression of AIDS. In these uses, the compounds of the present invention can optionally be employed in combination with one or more anti-HIV agents selected from HIV antiviral agents, anti -infective agents, and
immunomodulators .
Additional embodiments of the invention include the pharmaceutical compositions, combinations and methods set forth in (a)-(n) above and the uses (i)(a)-(e) through (iii)(a)-(e) set forth in the preceding paragraph, wherein the compound of the present invention employed therein is a compound of one of the embodiments, aspects, classes, sub-classes, or features described above. In all of these embodiments etc., the compound may optionally be used in the form of a pharmaceutically acceptable salt.
Additional embodiments of the present invention include each of the compounds, pharmaceutical compositions, combinations, methods and uses set forth in the preceding paragraphs, wherein the compound or its salt employed therein is substantially pure. With
respect to a pharmaceutical composition comprising a compound of Formula I or its salt and a pharmaceutically acceptable carrier and optionally one or more excipients, it is understood that the term "substantially pure" is in reference to a compound of Formula I or its salt per se.
Still additional embodiments of the present invention include the pharmaceutical compositions, combinations and methods set forth in (a)-(n) above and the uses (i)(a)-(e) through (iii)(a)-(e) set forth above, wherein the HIV of interest is HIV-1. Thus, for example, in the pharmaceutical composition (d), the compound of Formula Ϊ is employed in an amount effective against HIV-1 and the anti-HIV agent is an HIV-1 antiviral selected from the group consisting of HlV-1 protease inhibitors, HIV-1 reverse transcriptase inhibitors, HIV-1 integrase inhibitors, HIV-l fusion inhibitors, HIV-1 entry inhibitors and HIV-1 maturation inhibitors. The compounds of Formula I may also be useful agents against HIV-2.
The term "administration" and variants thereof (e.g., "administering" a compound) in reference to a compound of Formula I means providing the compound to the individual in need of treatment or prophylaxis and includes both self-administration and administration to the patient by another person. When a compound is provided in combination with one or more other active agents (e.g., antiviral agents useful for treating or prophylaxis of HIV infection or AIDS), "administration" and its variants are each understood to include provision of the compound and other agents at the same time or at different times. When the agents of a combination are administered at the same time, they can be administered together in a single composition or they can be administered separately.
As used herein, the term "composition" is intended to encompass a product comprising the specified ingredients, as well as any product which results from combining the specified ingredients. Ingredients suitable for inclusion in a pharmaceutical composition are pharmaceutically acceptable ingredients, which means the ingredients must be compatible with each other and not deleterious to the recipient thereof.
The term "subject" or "patient" as used herein refers to an animal, preferably a mammal, most preferably a human, who has been the object of treatment, observation or experiment.
The term "effective amount" as used herein means an amount of a compound sufficient to inhibit HIV reverse transcriptase, inhibit HIV replication, exert a prophylactic effect, and/or a exert a therapeutic effect after administration. One embodiment of "effective amount" is a "therapeutically effective amount" which is an amount of a compound that is effective for inhibiting HIV reverse transcriptase, inhibiting HIV replication (either of the foregoing which may also be referred to herein as an "inhibition effective amount"), treating HIV infection, treating AIDS, delaying the onset of AIDS, and/or slowing progression of ARC or AIDS in a patient infected with HIV. Another embodiment of "effective amount" is a
"prophylacticaily effective amount" which is an amount of the compound that is effective for prophylaxis of HIV infection in a subject not infected with HIV or prophylaxis of ARC or AIDS
in an HIV-infected patient. It is understood that an effective amount can simultaneously be both a therapeutically effective amount, e.g., for treatment of HIV infection, and a prophylactically effective amount, e.g., for prevention or reduction of risk for developing AIDS in a subject infected with HIV. The term, "preventing," as used herein with respect to an HIV viral infection or AIDS, refers to reducing the likelihood or severity of HIV infection or AIDS. When the compound of Formula I is administered as a salt, reference to an amount of the compound in milligrams or grams is based on the free form (i.e., the non-salt form) of the compound. In the combination therapies of the present invention, an effective amount can refer to each individual agent or to the combination as a whole, wherein the amounts of all agents administered in the combination are together effective, but wherein a component agent of the combination may or may not be present individually in an effective amount with reference to what is considered effective for that component agent if it were administered alone.
In the method of the present invention (i.e., inhibiting HIV reverse transcriptase, treating or prophylaxis of HIV infection, inhibiting HIV replication, treating or prophylaxis of AIDS, del aying the onset of AIDS, or delaying or slowing progression of AIDS), the compounds of this invention, optionally in the form of a salt, can be administered by means that produce contact of the active agent with the agent's site of action. They can be administered by conventional means available for use in conjunction with pharmaceuticals, either as individual therapeutic agents or in a combination of therapeutic agents. They can be administered alone, but typically are administered with a pharmaceutical earner selected on the basis of the chosen route of administration and standard pharmaceutical practice. The compounds of the invention can, for example, be administered orally (e.g., via tablet or capsule), parenterally (including subcutaneous injections, intravenous, intramuscular or intrasternal injection, or infusion techniques), by inhalation spray, or rectally, in the form of a unit dosage of a pharmaceutical composition containing an effective amount of the compound and conventional non-toxic pharmaceutically acceptable carriers, adjuvants and vehicles. The compound could also be administered via an implantable drug delivery device adapted to provide an effective amount of the compound or a pharmaceutical composition of the compound over an extended period of time, for example but not limited to, over the course of a month, 3 months, 6 months or a year.
Solid preparations suitable for oral administration (e.g., powders, pills, capsules and tablets) can be prepared according to techniques known in the art and can employ such solid excipients as starches, sugars, kaolin, lubricants, binders, disintegrating agents and the like. Liquid preparations suitable for oral administration (e.g., suspensions, syrups, elixirs and the like) can be prepared according to techniques known in the art and can employ any of the usual media such as water, glycols, oils, alcohols and the like. Parenteral compositions can be prepared according to techniques known in the art and typically employ sterile water as a carrier and optionally other ingredients, such as a solubility aid. Injectable solutions can be prepared according to methods known in the art wherein the carrier comprises a saline solution, a glucose
solution or a solution containing a mixture of saline and glucose. Implantable compositions can be prepared according to methods known in the art wherein the carrier comprises the active chemical ingredient with polymers as suitable excipients, or utilizing an implantable device for drug delivery. Further description of methods suitable for use in preparing pharmaceutical compositions for use in the present invention and of ingredients suitable for use in said compositions is provided in Remington's Pharmaceutical Sciences, 18th edition, edited by A. R. Gennaro, Mack Publishing Co., 1990 and in Remington - The Science and Practice of Pharmacy, 22nd Edition, published by Pharmaceutical Press and Philadelphia College of Pharmacy at University of the Sciences, 2012, ISBN 978 0 85711-062-6 and prior editions.
Formulations of compounds described by Formul a I that result in drug supersaturation and/or rapid dissolution may be utilized to facilitate oral drug absorption.
Formulation approaches to cause drug supersaturation and/or rapid dissolution include, but are not limited to, nanoparticulate systems, amorphous systems, solid solutions, solid dispersions, and lipid systems. Such formulation approaches and techniques for preparing them are known in the art. For example, solid dispersions can be prepared using excipients and processes as described in reviews (e.g., A.T.M. Serajuddin, J Pharra Sci, 88: 10, pp. 1058-1 066 (1999)).
Nanoparticulate systems based on both attrition and direct synthesis have also been described in reviews such as Wu et al (F. Kesisoglou, S. Panmai, Y. Wu, Advanced Drug Delivery Reviews, 59:7 pp. 631 -644 (2007)).
The compounds of Formula 1 can be administered in a dosage range of 0.001 to
1000 mg/'kg of mammal (e.g., human) body weight per day, or at longer time intervals on non- consecutive days as appropriate, in a single dose or in divided doses. One example of a dosage range is 0.01 to 500 mg/kg body weight per day, or at other time intervals as appropriate, administered orally or via other routes of administration in a single dose or in divided doses. Another example of a dosage range is 0.1 to 100 mg/kg body weight per day, or at other time intervals as appropriate, administered orally or via other routes of administration in single or divided doses. Another example of a dosage range is 50 rag to 1 gram per day, in a single dose or divided doses.
Daily or weekly administration or less frequent dosing regimens with longer time intervals on non-consecutive days (as discussed below), can be via any suitable route of administration, e.g., but not limited to, oral or parenteral. Daily or weekly administration is preferably via oral administration. For either a daily or weekly dosing regimen, on each day (calendar day or about a 24 hour period of time) of drug administration (the "■administration day"), the desired dosage amount may be administered once per administration day or in divided dosage amounts administered at two or more staggered times
during the administration day, e.g., a first administration followed about 12 hours later with a second administration during the course of an administration day (the "dosage time(s)'"). The desired dosage amount at each of the one or more dosage times on an administration day can be
- 2z -
administered via one oral dosage unit such as a tablet, or more than one oral dosage unit as appropriate. Preferably the administration is via a single oral dosage unit, e.g. a tablet, once per administration day.
For weekly or less frequent dosing regimens with longer time intervals on non~ consecutive days, a parenteral route of administration may be employed. Examples of dosing regimens with longer time intervals on non-consecutive days include but are not limited to administration weekly (every seventh day with l eeway as to exact date of dosing), bi-weekly (every two weeks with leeway as to exact date of dosing), monthly (e.g., every 30 days, or the same calendar day each month with leeway as to exact date of dosing), bimonthly (e.g., every 60 days, or the same calendar day every two months with leeway as to exact date of dosing), every 3 months (e.g., every 90 days, or the same calendar day every three months with leeway as to exact date of dosing), every six months (e.g., every 180 days, or the same calendar day every six months with leeway as to exact date of dosing), or yearly (e.g., every 12 months with leeway as to exact date of the annual dosing). '"Leeway" is intended to mean that the dosing regimens described herein also encompasses those wherein the patient generally follows the time intervals between administration days including when the interval is not always strictly followed by the patient, e.g., a weekly dosing regimen where the patient may take the drug product the day before or the day after the seventh day following the prior administration day for one or more weeks. The leeway time may increase as the dosing regimen interval increases. For oral (e.g., tablets or capsules) or other routes of administration, the dosage units may contain 1.0 mg to 1000 mg of the active ingredient, for example but not limited to, 1, 5, 10, 15, 20, 25, 50, 75, 100, 150, 200, 250, 300, 350, 400, 450, 500, 600, 700, 800, 900 or 1000 milligrams of the active ingredient for the symptomatic adjustment of the dosage to the patient to be treated. Furthermore, the compound may be formulated in oral formulations for immediate or modified release such as extended or controlled release.
The favorable pharmacokinetic profile of tested compounds of this invention may also render the compounds suitable for less frequent dosing. Thus, the compounds of the invention could be administered orally, weekly or parenterally at longer time intervals as described above. For parenteral administration, the compositions can be administered, e.g., intravenously (IV) or intramuscularly (IM) via injection, or using other infusion techniques. One or more of such injections or infusions may be administered at each dosing time interval as needed to deliver the appropriate amount of active agent. The compound could also be administered subcutaneously using an implantable device. For parenteral administration including implantable devices employing longer duration dosing intervals such as monthly, every 3 months, every 6 months, yearly or longer intervals, the dosage amount would be adjusted upward as needed to provide effective treatment during the time intervals between administration of each dose.
The specific dose level and frequency of dosage for any particular patient may be varied and will depend upon a variety of factors including the activity of the specific compound employed, the metabolic stability and length of action of that compound, the age, body weight, general health, sex, diet, mode and time of administration, rate of excretion, drug combination, the severity of the particular condition, and the host undergoing therapy. In some cases, depending on the potency of the compound or the individual response, it may be necessary to deviate upwards or downwards from the given dose. The amount and frequency of
administration will be regulated according to the judgment of the attending clinician considering such factors.
As noted above, the present invention is also directed to use of a compound of
Formula I with one or more anti-HIV agents. An "anti-HIV agent" is any agent which is directly or indirectly effective in the inhibition of HIV, the treatment or prophylaxis of HIV infection, and/or the treatment, prophylaxis or delay in the onset or progression of AIDS. It is understood that an anti-HIV agent is effective in treating, preventing, or delaying the onset or progression of HIV infection or AIDS and/or diseases or conditions arising therefrom or associated therewith. For example, the compounds of this invention may be effectively administered, whether at periods of pre-exposure and/or post-exposure, in combination with effective amounts of one or more anti-HIV agents selected from HIV antiviral agents, imunomodulators, antiinfectives, or vaccines useful for treating HIV infection or AIDS. Suitable HIV antiviral s for use in combination with the compounds of the present invention include, for example, those listed in Table A as follows, or a pharmaceutically acceptable salt thereof:
Table A: Antiviral Agents for Treating HIV infection or AIDS
efavirenz, EFV, Sustiva®, Stocrin® nnRTI efavirenz + emtricitabine + tenofovir DF, Atripla® nnRTI + nRTI
EFdA (4'-ethynyl-2-fluoro-2'-deoxyadenosine) nRTI
Elviteeravir Inl
emtricitabine, FTC, Emtriva® nRTI
emtricitabine + tenofovir DF, Truvada® nRTI
emvirine, Coactinon® nnRTI
enfuvirtide, Fuzeon® FI
enteric coated didanosine, Videx EC® nRTI
etravirine, TMC-125 nnRTI
fosamprenavir calcium, Lexiva® PI
indinavir, Crixivan® PI
lamivudme, 3TC, Epivir® nRTI
lamivudme + zidovudine, Combivir® nRTI
lopinavir PI
lopinavir + ritonavir, Kaletra® PI
maraviroc, Selzentry® EI
nelfinavir, Viracept® I
nevirapine, NVP, Viramune® nnRTI
PPL-100 (also know n as i . -462 ) (Ambrilia) PI
raltegravir, MK-0518, Isentress™ Inl
l ilpivirine nnRTI
ritonavir, Norvir® PI
saquinavir, Invirase®, Fortovase® PI
stavudine, d4T,didehydrodeox rthymidine, Zerii® nRTI
tipranavir, Aptivus® PI
vicriviroc EI
EI = entry inhibitor; FI = fusion inhibitor; Inl = integrase inhibitor; PI = protease inhibitor; nRTI := nucleoside reverse transcriptase inhibitor; nnRTI := non-nucleoside reverse transcriptase inhibitor. Some of the drags listed in the table are used in a salt form; e.g., abacavir sulfate, delavirdine mesylate, indinavir sulfate, atazanavir sulfate, nelfinavir mesylate, saquinavir mesylate.
It is understood that the scope of combinations of the compounds of this invention with anti-HIV agents is not limited to the HIV antivirals listed in Table A, but includes in principle any combination with any pharmaceutical composition useful for the treatment or prophylaxis of AIDS. The HIV antiviral agents and other agents will typically be employed in
these combinations in their conventional dosage ranges and regimens as reported in the art, including, for example, the dosages described in the Physicians' Desk Reference, Thomson PDR,
Thomson PDR, 57* edition (2003), the 58* edition (2004), or the 59* edition (2005) and the th
Physicians' Desk Reference (68 ed,). (2014), Montvale, NJ: PDR Network. The dosage ranges for a compound of the invention in these combinations can be the same as those set forth above.
The compounds of this invention are also useful in the preparation and execution of screening assays for antiviral compounds. For example, the compounds of this invention can be useful for isolating enzyme mutants, which are excellent screening tools for more powerful antiviral compounds. Furthermore, the compounds of this invention can be useful in establishing or determining the binding site of other antivirals to HIV reverse transcriptase, e.g., by competitive inhibition.
Abbreviations and acronyms employed herein include the following
1 HOBt 1 -hydroxy benzotriazole TLC thin layer chromatography
Methods for preparing the exemplified compounds of this invention are described in the following Scheme and Examples. Starting materials and intermediates were purchased commercially from common catalog sources or were made using known procedures, or as otherwise illustrated. In some cases the order of carrying out the reaction steps in the schemes may be varied to facilitate the reaction or to avoid unwanted reaction products.
Compounds of Formula IV can be prepared from (i?)-(((l -(6-amino-9H-purin-9- yl)propan-2-y])oxy)methy] )phosphonic acid (I, referred to herein as TFV) though a three-step sequence. First, TFV can undergo functionalization with variably-substituted unnatural geminal amino esters and chlorophenol in a one-step one-pot condensation reaction with 2,2'- dipyridyldisulfide (Aldrithiol), triphenylphosphine, and base to provide intermediates of Formula
II. This intermediate is then hydrolyzed in the presence of base and water to provide intermediates of Formula III, which are unstable and are used immediately in the subsequent coupling reaction. Intermediates of Formula III can then undergo functionalization with variably-substituted unnatural D-amino esters by a condensation reaction with 2,2'- dipyridyldisulfide (Aldrithiol), triphenylphosphine, and base to provide intermediates of the current invention (Formula IV). Amino esters that are not commercially available can be readily prepared by condensation between the corresponding amino acid and alcohols with thionyl chloride.
Reactions sensitive to moisture or air were performed under nitrogen or argon using anhydrous solvents and reagents. The progress of reactions was determined by either analytical thin layer chromatography (TLC) usually performed with E. Merck pre-coated TLC plates, silica gel 60F-254, layer thickness 0.25 mm or liquid chromatography -mass spectrometry (LC-MS).
Ty pically the analytical LC-MS system used consisted of a Waters ZQ™ platform with electrospray ionization in positive ion detection mode with an Agilent 1100 series HPLC with autosarnpier. The column was commonly a Waters Xterra MS CI 8, 3.0 50 mm, 5 μπι or a Waters Acquity UPLC* BEH CI 8 1.0 x 50 mm, 1.7 am. The flow rate was 1 mL/min, and the injection volume was 10 «L. UV detection was in the range 210-400 nm. The mobile phase consisted of solvent A (water plus 0.05% TFA) and solvent B (acetonittile plus 0.05% TFA) with a gradient of 100% solvent A for 0.7 min changing to 100% solvent B over 3.75 min, maintained for 1.1 min, then reverting to 100% solvent A over 0.2 min.
Preparative HPLC purifications were usually performed using either a mass spectrometry directed system or a non-mass spectrometry guided system. Usually they were performed on a Waters Chromatography Workstation configured with a LC-MS System consisting of: Waters ZQ™ single quad MS system with Electrospray Ionization, Waters 2525 Gradient Pump, Waters 2767 Injector /Collector, Waters 996 PDA Detector, the MS Conditions of: 150-750 amu, Positive Electrospray, Collection Triggered by MS, and a Waters SUNFIRE* C-18 5 micron, 30 mm (id) x 100 mm column. The mobile phases consisted of mixtures of acetonitrile (10-100%) in water containing 0.1% TFA. Flow rates were maintained at 50 mL/min, the injection volume was 1800 «L, and the UV detection range was 210-400 nm. An alternate preparative HPLC system used was a Gilson Workstation consisting of: Gilson GX-281 Injector/Collector, Gilson UV/VIS-155 Detector, Gilson 333 and 334 Pumps, and either a Phenomenex Gemini-NX C-18 5 micron, 50 mm (id) x 250 mm column or a Waters XBridge™ C-18 5 micron OBD™, 30 mm (id) x 250 mm column. The mobile phases consisted of mixtures of acetonitrile (0-75%) in water containing 5mmol (NH^HCC . Flow rates were maintained at 50 mL/min for the Waters Xbridge™ column and 90 mL/min for the Phenomenex Gemini column. The injection volume ranged from 1000-8000 ,:L, and the UV detection range was 210- 400 nm. Mobile phase gradients were optimized for the individual compounds. Reactions
performed using microwave irradiation were normally earned out using an Emrys Optimizer manufactured by Personal Chemistry, or an Initiator manufactured by Biotage. Concentration of solutions was carried out on a rotary evaporator under reduced pressure. Flash chromatography was usually performed using either a Biotage*' Flash Chromatography apparatus (Dyax Corp.), an ISCO Combi Flash® Rf apparatus, or an ISCO CombiFlash® Companion XL on silica gel (32-63 μΜ, 60 A pore size) in pre-packed cartridges of the size noted. Ή MR spectra were acquired at 500 MHz spectrometers in CDC13 solutions unless otherwise noted. Chemical shifts were reported in parts per million (ppm). Tetramethylsilane (TMS) was used as an internal reference in CD3CI solutions, and residual CH3OH peak or TMS was used as an internal reference in CD3OD solutions. Coupling constants (J) were reported in hertz (Hz). Chiral analytical chromatography was most commonly performed on one of CHIRALPAK® AS, CHIRALPAK®AD, CHIRALCEL® QD, CHIRALCEL® IA, or CHIRALCEL® OJ columns (250x4.6 mm) (Daicel Chemical Industries, Ltd.) with noted percentage of either ethanol in hexane (%Et Hex) or isopropanol in heptane (%IP A/Hep) as isocratic solvent systems. Chiral preparative chromatography was conducted on one of CHIRALPAK AS, CHIRALPAK AD, CHIRALCEL® OD, CHIRALCEL ®IA, CHIRALCEL® OJ columns (20x250 mm) (Daicel Chemical Industries, Ltd.) with desired isocratic solvent systems identified on chiral analytical chromatography or by supercritical fluid (SFC) conditions.
Several methods for preparing the compounds of this invention are also described in the Examples. Starting materials and intermediates were purchased commercially from common catalog sources or were made using known procedures, or as otherwise illustrated. Some frequently applied routes to the compounds of Formula I are also described by the schemes as illustrated in the following examples. In some cases the order of carrying out the steps of reaction schemes may be varied to facilitate the reaction or to avoid unwanted reaction products.
It is understood that a chiral center in a compound may exist in the "S" or "R" stereoconfigurations, or as a mixture of both, unless specifically noted otherwise. In some of the following examples, compounds having a chiral center were separated into single stereoisomers, referred to as Isomer A (faster eluting isomer) and Isomer B (slower eluting isomer), based on their observed elution order resulting from the separation as performed. Except for the defined chiral centers in the parent stereoisomer mixture, absolute stereochemistiy (R or S) of each of the separated stereoisomers was not determined, unless specifically noted otherwise. In examples where absolute stereochemistiy of each of the separated isomers was not determined, an asterisk (*) may be used in the associated chemical structure drawing that indicates the location of the unassigned chiral center.
! INTE MEDIATE A
(R)-isopropyl 2-aminopropanoate hydrochloride: A neat solution of isopropanol (51.6 ml, 673 mmol) was treated slowly with thionyl chloride (9.01 ml, 123 mmol) at room temperature over a 2-min period. The mixture was treated with D-alanine (10 g, 112 mmol) and fitted with a reflux condenser. This suspension was heated to 85 °C (reflux) and stirred overnight. The solution was concentrated to dryness. Oily solids were suspended in hexanes and concentrated. The resulting oil crystallizes upon standing and drying under high vacuum to provide the title compound: LC/MS: | ( ΥΙ · h i = 132.0.
(RVhexyl 2-aminopropanoate hydrochloride: A stirring solution of neat hexan-l-ol (3096 mg, 30.3 mmol) in a 40 niL scintillation vial was treated dropwise with thionyl chloride (406 μΐ, 5.56 mmol) at room temperature over a 2 minute period. The mixture was treated with D-alanine (500 mg, 5.61 mmol), capped and the suspension was heated to 80 °C and stirred overnight. The mixture was partitioned between dichloromethane (30 mL) and water (15 mL). The water layer was washed with dichloromethane (30 mL) again and then concentrated, azeotroping twice with acetonitrile and dried under high vacuum to provide the title compound: LC/MS: [(M+1)]T = 174.1.
! INTERMEDIATE C
(R)-pentyl 2-aminopropanoate hydrochloride: INTERMEDIATE C was prepared on a 4.85 mmol scale in a simil ar fashion to that described for the synthesis of INTERMEDIATE B
starting from D-alanine, except using n-pentanol to provide the title compound: LC/MS:
j ( Yl l ) | 160.1.
(RVbutyl 2-aminopropanoate hydrochloride: INTERMEDIATE D was prepared on a 4.51 mmol scale in a similar fashion to that described for the synthesis of INTERMEDIATE B starting from D-alanine, except using n-butanol to provide the title compound: LC/MS: [(M+l)]+ = 146.0.
I TE MEDIATE E
(R)-isobutyl 2-aminopropanoate hydrochloride: INTERMEDIATE E was prepared on a 3. mmol scale in a similar fashion to that described for the synthesis of INTERMEDIATE B starting from D-alanine, except using isobutanol to provide the title compound: LC/MS:
j ( Yl l ) | 146.0.
(R)-cyclobutyl 2-aminopropanoate hydrochloride: INTERMEDIATE F was prepared on a 14.5 mmol scale in a similar fashion to that described for the synthesis of INTERMEDIATE A starting from D-alanine, except using cyclobutanol to provide the title compound: LC/MS:
INTERMEDIATE G
(R)-cvclopentyl 2-aminopropanoate hydrochloride: INTERMEDIATE G was prepared on a 80 mmol scale in a similar fashion to that described for the synthesis of INTERMEDIATE B starting from D-alamne, except using cyclopentanol to provide the title compound: LC/MS:
I · i } I ' 158,0.
INTERMEDIATE H
(R)-cyclohexyl 2-aminopropanoate hydrochloride: INTERMEDIATE H was prepared on a 4 mmol scale in a similar fashion to that described for the synthesis of INTERMEDIATE B starting from D-alanine, except using cyclohexanol to provide the title compound: LC/MS: [(M+l)]4 = 172, 1.
isopropyl 2-amino-2-methylpropanoate hydrochloride: A neat solution of isopropanol (89 ml, 1164 mmol) was treated slowly with thionyl chloride (15.57 ml, 213 mmol) at room temperature over a 2 min period. The mixture was treated with 2-amino-2-methylpropanoic acid (20 g, 194 mmol) and fitted with a reflux condenser. This suspension was heated to 85 °C (reflux) and stirred for 3 days. The resulting clear solution was concentrated to dryness. The resulting oil was crystallized by trituration in diethyl ether and hexanes. The solids were isolated by filtration and dried under high vacuum to provide the title compound: LC/MS: [(M+l )]+ ===: 146.1.
i^TE BSEDSATE J
butyl 2-amino-2-methylpropanoate hydrochloride: INTERMEDIATE J was prepared on a 8 mmol scale in a similar fashion to that described for the synthesis of INTERMEDIATE ΐ starting from 2-amino-2-methylpropanoic acid, except using n-butanol to provide the title compound: LC/MS: [(M+l)f = 160.1.
^TERSSEDiATE &
pentyl 2-amino-2-methylpropanoate hydrochloride: A neat solution of pentan-l-ol (205 g, 2327 mmol) was treated slowly with thionyl chloride (15.57 ml, 213 mmol) at room temperature over a 10 mm period (exotherm to -60 °C). The mixture was treated with 2-amino-2- methylpropanoic acid (40 g, 388 mmol) and fitted with a reflux condenser and stirred at 80 °C over the weekend. The reaction mixture was concentrated under reduced pressure and then dissolved in water (1 L) and washed with 1 : 1 EtOAc/hexane (2 x 2 L), hexanes (1 x 2 L) and dichloromethane (3 x 1 L). The aqueous layer was concentrated and azeotroped with acetonitrile and then toluene. The residue was dried overnight under high vacuum. The solids were triturated with -500 mL of diethyl ether, filtered and dried to afford the title compound: LC/MS: [(M+l)]+ = 174, 1.
hexyi 2-amino-2-methylpropanoate hydrochloride: INTERMEDIATE L was prepared on a 388 mmol scale in a similar fashion to that described for the synthesis of INTERMEDIATE K starting from 2-amino-2-methylpropanoic acid, except using n-hexanol to provide the title compound: LC/MS: [(M+l)]+ = 188.1.
NH2 -^OH I NH2HC!
O SQt¾, 80 °C O
i!¾TE ¾SE-J!ATE Hi
isobutyl 2-amino-2- methylpropanoate hydrochloride: INTERMEDIATE M was prepared on a 9.15 mmol scale in a similar fashion to that described for the synthesis of INTERMEDIATE K starting from from 2-amino-2-methylpropanoic acid, except using isobutanol to provide the title compound: LC/MS: [(M+l)]+ = 160.1.
iPSTERSSEB!ATE S<i
cyclobutyl 2-amino-2- methylpropanoate hydrochloride: INTERMEDIATE N was prepared on a 11.62 mmol scale in a similar fashion to that described for the synthesis of INTERMEDIATE K starting from from 2-amino-2-methylpropanoic acid, except using cyclobutanoi to provide the title compound: LC/MS: | ( Yl - hi = 158.0.
cyclopentyl 2-amino-2- methylpropanoate hydrochloride: INTERMEDIATE O was prepared on a 15.84 mmol scale in a similar fashion to that described for the synthesis of
INTERMEDIATE K starting from from 2-amino-2-methylpropanoic acid, except using cyclopentanol to provide the title compound: LC/MS: [(M+l)]+ = 172.1.
cvclohexyl 2-amino-2- methylpropanoate hydrochloride: INTERMEDIATE P was prepared on a 9.2 mmol scale in a similar fashion to that described for the synthesis of INTERMEDIATE K starting from from 2-amino-2-methylpropanoic acid, except using c clohexanol to provide the title compound: LC/MS: \ { \\ - 1 ) 1 = 186.1.
!!iTER88£DiATE i INTERMEDIATE Q
isopropyl 2-((((((¾)-l-(6-amino-9H-purin-9-yl)propan-2-yl)oxy)methyl)(4-chlorophenoxy)- phosphoryl)amino)-2-methylproparioate: A mixture of (i?)-(((l -(6-amino-9H-purin-9-yl)propan- 2-yl)oxy)methyl)phosphonic acid (referred to herein as TFV, 19 g, 66.2 mmol), 4-chlorophenol (6.87 ml, 69.5 mmol), INTERMEDIATE I (12.62 g, 69.5 mmol), and triethyiamine (55.3 ml, 397 mmol) in pyridine (221 mL) was heated to 60 °C for 5 minutes with stirring. A freshly prepared solution of 2,2'-dipyridyl disulfide (Aidrithioi, 102 g, 463 mmol) and
triphenylphosphine (121 g, 463 mmol) in pyridine (221 mL) was added to the mixture. The reaction was stirred at 60 °C over the weekend. The mixture was cooled to room temperature and concentrated to remove most of the pyridine. The residue was directly purified by gradient elution on silica gel (RediSep-Rf-1.5 kg, 0-10% MeOH/DCM, 1 h gradient) to yield pure fractions which were concentrated to afford the title compound: LC/MS: | ( Y! ! )| := 525.2.
butyl 2-((((((R)- 1 -(6-amino-9H-purin-9-yl)propan-2-yl)oxy )methyl)(4- chlorophenoxy)phosphoryl)amino)-2-methylpropanoate: INTERMEDIATE R was prepared on a 3.13 mmol scale in a similar fashion to that described for the synthesis of INTERMEDIATE Q starting from TFV, chlorophenol, and INTERMEDIATE J: LC/MS: l i .Vl l ) | = 539.2.
pentyl 2-((((({R)-l -(6-amino-9H-purin-9-yl)propan-2-yl)oxy)m.ethyl){4- chlorophenoxy)phosphoryl)amino)-2-methylpropanoate: INTERMEDIATE S was prepared on a 25.7 mmol scale in a similar fashion to that described for the synthesis of INTERMEDIATE Q starting from TFV, chlorophenol, and INTERMEDIATE K: LC/MS: j ( M - ! }| ' = 553,2.
hexyl 2-((((((R)-l-(6-amino-9H-purin-9-yl)propan-2-yl)oxy)methyl)(4- chlorophenoxy)phosphoryl)amino)-2-methylpropanoate: INTERMEDIATE T was prepared on a 14.25 mmol scale in a similar fashion to that described for the synthesis of
INTERMEDIATE Q starting from TFV, chlorophenol, and INTERMEDIATE L: LC/MS: [(M+l)]+ = 567.3.
isobutyl 2-((((((R)-l-(6-amino-9H-purin-9-yl)propan-2-yl)oxy)methyl)(4- cMorophenox\ phosphoiyl)amino)-2-methylpropanoate: INTERMEDIATE U was prepared on a 3.3 mmol scale in a similar fashion to that described for the synthesis of INTERMEDIATE Q starting from TFV, chlorophenol, and INTERMEDIATE M: LC/MS: [(M+l)]+ = 539.3.
iNTE iMTERMEiSiATE V
cyclobutyl 2-((((((R)-l-(6-amino-9H-purin-9-yl)propan-2-yl)oxy)methyl)(4- cMorophenoxy)phosphoryl)arnino)-2-methylpropanoate: INTERMEDIATE V was prepared on a 0.42 ramol scale in a similar fashion to that described for the synthesis of INTERMEDIATE Q starting from TFV, chlorophenol and INTERMEDIATE N: LC/MS: [(M+l)]+ = 537.2.
!!¾TERSIfED!ATE O i!HTEKRSEDiATE W
cyclopentyl 2-((((((R)-l-(6-amino-9H-purin-9-yl)propan-2-yl)oxy)methyl)(4- chloropheiioxy)phosphorvi)amino)-2-methylpropanoate: INTERMEDIATE W was prepared on a 0.13 mmol scale in a similar fashion to that described for the synthesis of INTERMEDIATE Q starting from TFV, chlorophenol, and INTERMEDIATE O: LC/MS: j ( YI ! )| = 551.2.
cyclohexyl 2-((((((R)-l-(6-amino-9H-purin-9-yl)propan-2-yl)oxy)methyl)(4- chloi phenoxy)phosphon7l)amino)-2-methylpropanoate: INTERMEDIATE X was prepared on a 0. 18 mmol scale in a similar fashion to that described for the synthesis of INTERMEDIATE Q starting from TFV, chlorophenol, and INTERMEDIATE P: LC/MS: | ( \1 · = 565.2.
isopropyl2-(((S)-((((R)-l-(6-amino~9H~purm^
(cyclopentyloxy)-l -oxopropan-2-yl)amino)phosphoryl)amino)-2-methylpropanoate; and isopropyl2-(((R)-((((R)-l-(6-amino-9H-purin-9-yl)propan-2-yl)oxy)methyl)(((R)-l-
(cyclopentyloxy)-l-oxopropan-2-yl)amino)phosphot l)amino)-2-me1hylpropanoate
isopropyl2-((((((R)-l-(6-am.ino-9H-punn-9-vi)propan-2-v¾)oxy)methvj)(((R)-l-
(cyc1opentyloxy)-l -oxopropan-2-y1)amino)phosphory1)am (1A/B):
A mixture of INTERMEDIATE Q (3.8 g, 7.24 mmol) and water (2.61 ml, 145 mmol) in tetrahydrofuran (20 mL) was treated with DBU (1.64 raL, 10.86 mmol) and stirred at room temperature for 2 hr. The mixture was concentrated and the residue was diluted with water (75 ml.) and washed with CHC13 (8 x 30 mL) to remove the chlorophenol byproduct. The desired product stayed in the aqueous layer. The aqueous layer was concentrated, azeotroping twice with acetonitrile and once with toluene and was dried under high vacuum to afford the unstable intermediate: LC/MS; [(M+l )]+ :=: 415.2. This intermediate was used immediately.
A mixture of the above intermediate (3 g, 7.24 mmol), INTERMEDIATE G (1.682 g, 8.69 mmol) and triethyiamine (4.04 ml, 29,0 mmol) in pyridine (24 ml.) was heated to 60 °C for 5 min. A freshly prepared solution of 2,2'-dipyridyl disulfide (Aldrithioi, 4.78 g, 21.72 mmol) and triphenylphosphine (5.70 g, 21.72 mmol) in pyridine (24 mL) was added to the mixture. The reaction was stirred at 60 °C overnight. The mixture was cooled to room temperature and concentrated to remove most of the pyridine. The crude material was purified directly by gradient elution on silica gel (RediSep-Rf-! 20 g, 0-15% MeOH/CH2Cl2, 30 minute gradient) to afford the product (mixture of two isomers plus impurities) as a foam. The mixture was purified by reverse phase chromatography (Phenominex Gemini 5 urn C18 50 x 250 mm column; 20- 50% CH3CN in a 5 mM solution of NH4HCO3 over 30 min, 5 injections) and clean fractions
were partitioned between dichloromethane and water. The aqueous phases were back-extracted once with dichloromethane. The combined organic phases were dried over Na2S(>4, filtered and concentrated to afford Isomer 1A (faster eluting): Ή NMR MHz, DMSO): 5(ppm) 8.14 (d,
J = 9.8 Hz, 2 H); 7.17 (s, 2 H); 5.06 (s, I H); 4.83-4.87 (m, 1 4.15-4,27 (br m, 4 H); 3.88 (m,
2 H); 3,61 (m, 1 H 3,51 (m, 1 H); 1 ,80 (m, 2 H); 1.58 (m, 6 H); 1.33 (d, J = 4.0 Hz, 6 H); 1.22 (d, J = 7.2 Hz, 3 H 1.17 (dd, J = 6.3, 3.5 Hz, 6 H); 1.06 (d, J = 6.2 Hz, 2 H); 0.88 (d, J = 6.7 Hz, I H); 3 iP NMR (2'- MHz, CD3OD): 5(ppm) 22.16; LC/MS: [(M+l)]+ = 554.4; and Isomer IB (slower eluting): Ή NMR (500 MHz, DMSO): δίρρηι) 8, 14 (d, J - 9. Hz, 2 1 1 ): 7.17 (s, 2 H); 5.07 (s, 1 H); 4.86 (t, J = 6.3 Hz, 1 H); 4.36 (d, J = 11.4 Hz, 1 H); 4.26 (d, J = 14.3 Hz, 1 H); 4.19 (t, J = 6.7 Hz, 1 H); 4. 10 (d, J = 10.3 Hz, 1 H); 3,95 (s, 1 H); 3.86 (br s, 1 H); 3.57 (d, J = 8,6 Hz, 2 H); 1.81 (br s, 2 H); 1.55-1.63 (m, 6 H); 1.39 (s, 3 H); 1.35 (s, 3 H); 1.16-1.19 (m, 9 ! ! }; 1.05 (d, J = 6.2 Hz, 3 H); 31P NMR (243 MHz, CD3OD): δ(ρρηι) 22.06; LC/MS: [(M+l)]+ = 554.4. As noted above, absolute stereochemisiiy (R or S) of each of the separated stereoisomers was not determined. Therefore, A and B is not assigned to a particular iUPAC name.
EXAMPLE 2A/B
hexyl 2-(((S)-((((U)-l-(6-amino-9H-purin-9-yl)propan-2-yl)oxy)methyl)(((R)-l-isopropoxy-l oxopropan-2-yl)amino)phosphoryl)arnino)-2-methylpropanoate: and
hexyl 2-(((R)-((((R)- 1 -(6-amino-9H-piuin-9-yl)propari-2-yl)oxy)rnethyl)(((R)-l -isopropoxy- 1 oxopropan-2-yi)amino)phosphor\'l)amino)-2-methylpropanoate
INTERMEQIATE T Unliable, Used
immediately hexyl 2-((((((R)-l-(6-arnino-9H-purin-9-yl)propan-2-vnoxy)methyl)(((R)-l-isopropoxy-l- oxopropan-2-yr)amino)phosphoryl)amino)-2-methylpropanoate (2A/B) A mixture of INTERMEDIATE T (4 g, 7.05 mmol) and water (2.54 mL, 141 mmol) in tetrahydrofuran (20 mL) was treated with DBU (1.75 ml, 11.64 mmol) and stirred at room temperature for 2 hr. The mixture was concentrated and the residue was diluted with water (50
mL) and washed with CH2C12 (2 x 100 mL) to remove chlorophenol byproduct. The desired product stayed in the aqueous layer. The aqueous layer was concentrated azeotroping with
MeCN (2x) and with toluene (lx), and was dried under high vacuum to afford the unstable intermediate: LC/MS: [(M+l)]+ = 457.3. This intermediate was used immediately.
A mixture of the above intermediate (3.22 g, 7.05 mmol), INTERMEDIATE A (2.37 g, 14.11 mmol) and triethylamine (3.93 mL, 28.2 mmol) in pyridine (23.5 ml.) was heated to 60 °C for 5 min. A freshly prepared solution of 2,2'-dipyridyl disulfide (Aldrithiol, 4.66 g, 21. 16 mmol) and triphenylphosphine (5.55 g, 21.16 mmol) in pyridine (23.5 mL) was added to the mixture. The reaction was stirred at 60 °C overnight. The mixture was cooled to room temperature and concentrated to remove most of the pyridine. The crude material was purified directly by gradient eiution on silica gel (RediSep-Rf-330 g, 0-15% MeOH/CH2Cl2, 35 minute gradient) to afford the product (mixture of two isomers plus impurities) as a foam. (1.3 g) The mixture was purified by reverse phase chromatography (XBndge 10 um CI 8 30 x 250 mm column; 30-65% CH3CN in a 5 mM solution of NH4HCQ3 over 30 min, 4 injections) and clean fractions were partitioned between CH2C12 and water. The aqueous phases were back-extracted once with
CH2C12. The combined organic phases were dried over Na2SC>4, filtered and concentrated to afford Isomer 2A (faster eluting): *H NMR (500 MHz, DMSO): δ (ppm) 8.14 (d, J = 13.0 Hz, 2 H); 7, 17 (s, 2 ! ! }: 4.85-4,90 (m, I H); 4, 13-4.29 (m, 4 H); 3,98-4.02 (m, 2 H); 3.92 (d, J = 7.4 Hz, 1 H); 3.83 (d, J = 10.6 Hz, 1 H); 3.61 (dd, J = 12.9, 8.3 Hz, 1 H); 3.51 (dd, J = 13.0, 8.8 Hz, 1 H); 1.51-1.57 (m, 2 H); 1.36 (s, 6 H); 1.23 (d, J = 8.0 Hz, 8 H); 1.17 (dd, J = 6.4, 3,2 Hz, 7 H); 1.06 (d, J = 6.2 Hz, 3 H); 0.83 (d, J = 7.4 Hz, 3 H); 31P NMR (243 MHz, CD3OD): 5(ppm) 22.23; LC/MS: | ( ΥΙ · h i = 570.3; and Isomer 2B (slower eluting): 5H NMR (500 MHz, DMSO): δ (ppm) 8, 14 (d, J = 10.0 Hz, 2 I s ): 7.17 (s, 2 H); 4,86-4.91 (m, 1 H); 4.35 (t, J = 1 1.2 Hz, 1 I s ). 4.27 (dd, J = 14.3, 4.0 Hz, 1 H); 4.16-4.20 (m, 2 H); 4.02 (t, J = 6.5 Hz, 2 H); 3.92-3.95 (m, 1 H); 3.81-3.89 (m, 1 H); 3.57 (dd, J = 8.6, 4.2 Hz, 2 H); 1.56 (p, J = 7.0 Hz, 2 H); 1.39 (d, J = 15.2 Hz, 6 H); 1.25 (s, 6 I s ). 1 .18-1.20 (ra, 9 1 1 ): 1 .05 (d, J = 6.2 Hz, 3 H); 0,84 (d, J = 7.5 Hz, 3 H); 31P NMR (243 MHz, CD3OD): 5(ppm) 22.07; LC/MS: j (M+l)f - 570.3. As noted above, absolute stereochemistry (R or S) of each of the separated stereoisomers was not determined. Therefore, A and B is not assigned to a particular TUPAC name.
isopropyl 2-(((S)-((((R)- 1 -(6-amino-9H-purin-9-yl)propan-2-yl)oxy)methyl)(((R)- 1 -butoxy- 1 - oxopropan-2-yl)amino)phosphoryl)amino)-2-methylpropanoate: and
isopropyl 2-(((R)-((((R)~ 1 -(6-amino-9H-purin-9-yl)propan-2-yl)oxy)methyl)(((R)- 1 -butoxy- 1 - oxopropan-2-yl)amino)phosphorv'l)amino)-2-rnethylpropanoate (3A''B)
oxopropan-2-yl)amino)phosphoryl)amino)-2-methylpropanoate (3A/B):
A mixture of INTERMEDIATE Q (10.3 g, 19.6 mmol) and water (7.07 ml, 392 mmol) in tetrahydrofuran (49 mL) was treated with DBU (3.11 mL, 20.6 mmol) and stirred at room temperature for 3 hr. The mixture was concentrated and the residue was diluted with water (300 mL) and washed with CHCI3 (8 x 500 mL) to remove chlorophenol byproduct. The desired product stayed in the aqueous layer. The aqueous layer was concentrated azeotroping with acetonitnle twice and once with toluene and was dried under high vacuum to afford the unstable intermediate: LC/MS : [(M+1 )]T :=: 415.2. This intermediate was used immediately.
A mixture of the above intermediate (8, 1 g, 19.5 mmol), INTERMEDIATE D (4.1 g, 22.5 mmol) and triethylamine (10,9 mL, 78.0 mmol) in pyridine (65 mL) was heated to 60 °C for 5 min. A freshly prepared solution of 2,2'~dipyndyi disulfide (Aldrithiol, 12.9 g, 58.6 mmol) and
triphenylphosphine (15.4 g, 58.6 mmol) in pyridine (65 mL) was added to the mixture. The reaction was stirred at 60 °C overnight. The mixture was cooled to room temperature and concentrated to remove most of the pyridine. The crude material was purified directly by- gradient elution on silica gel (RediSep-Rf-330 g, 0-15% MeOH/ CH2C12 , 30-min gradient) to afford the product (mixture of two isomers plus impurities) as a foam. The mixture was purified by reverse phase chromatography (Phenominex Gemini 5 um CI 8 50 x 250 mm column; 20- 50%) CH3CN in a 5 raM solution of NH4HCO3 over 30 min, 5 injections) and clean fractions were partitioned between CH2C12 and water. The aqueous phases were back-extracted once with CH2C12. The combined organic phases were dried over Na2S04, filtered and concentrated to afford Isomer 3A (faster eluting): 1 N.YIR (500 MHz, DMSO): δ (ppm) 8.14 id, J - 10.5 Hz, 2
H); 7.17 (s, 2 H); 4.81 -4.86 (m, 1 H); 4.26 (t, J - 1 1.4 Hz, 2 H); 4.14-4.18 (m, 2 ! ! }; 3.98-4.07 (m, 2 H); 3.91 (m, 1 H); 3.61 (dd, J = 12,9, 8.4 Hz, I H); 3.51 (dd, J = 12.8, 8.8 Hz, 2 H); 1.54 ( p. J = 7. 1 Hz, 2 H); 1 .29-1.34 (ra, 8 ! ! }. 1.25 (d, J = 7. 1 Hz, 3 H); 1.17 (dd, J - 6.3, 2,9 Hz, 6 H); 1.06 (d, J = 6.2 Hz, 3 H); 0.87 (t, J = 7.4 Hz, 3 H); 31P NMR (243 MHz, CD3OD): 5(ppm) 22.16; LC/MS: | { YJ - l ) j = 542.3 ; and Isomer 3B (slower eluting): S H NMR (500 MHz, DMSO): δ
(ppm) 8.14 (d, J = 9.4 Hz, 2 H); 7.17 (s, 2 H); 4.83-4.88 (m, 1 H); 4.40 (t, J = 11.3 Hz, 1 H); 4.26 (dd, J = 14.3, 4,0 Hz, ! H); 4.18 (dd, J = 14.5, 5.9 Hz, I H); 4, 13 id. J = 10,3 Hz, 1 H); 4.02- 4.07 (m, 2 H); 3.88-3.96 (in, 2 H); 3.55-3.58 (m, 2 H); 1.52-1.58 (m, 2 H); 1.39 (s, 3 H); 1.35 (s, 3 H); 1,30-1.33 (m, 3 H); 1.16-1.21 (m, 8 H); 1.05 (d, J = 6.2 Hz, 3 H); 0.88 (t, J = 7.4 Hz, 3 H); 31P NMR (243 Ml 1/.. CD3OD): 5(ppm) 22.04; LC/MS: | { \! ΠΓ - 542.3. As noted above, absolute stereochemistry (R or 5) of each of the separated stereoisomers was not determined. Therefore, A and B is not assigned to a particular IUPAC name.
The compounds in Table 1 were prepared in an analogous fashion to that described for the examples above. The isomers were separated by preparative HPLC or/and preparative chiral SFC.
TABLE 1
As noted above, absolute stereochemistry (R or S) of each of the separated stereoisomers was not determined. Therefore, A and B is not assigned to a particular TUPAC name in this table.
EXAMPLE 29
Assessin Antiviral Potency in a Multiple Round HTV-l Infection Assay (Vikin Assay)
The antiviral activity of the tenofovir prodrugs of the Examples herein was assessed in an assay that measures the rate of replication of HIV in cell culture, termed the Viking assay (Viral KINetics in Green cells) and performed as follows. HIV-1 replication was monitored using MT4-gag-GFP clone D3 (hereafter designated MT4-GFP; GFP is green fluorescent protein), which are MT-4 cells modified to harbor a GFP reporter gene, the expression of which is dependent on the HIV-1 expressed proteins tat and rev; see Wang Y-J el a!., 2010 J Virological Methods 165: 230 237. Productive infection of an MT4-GFP cell with HTV-l results in GFP expression approximately 24 h post-infection. MT4-GFP cells were maintained at 37°C/5% CO2/90% relative humidity in RPMI 1640 supplemented with 10% fetal bovine serum, 100 U/ml penicillin/streptomycin, and 400μ¾''ηι1 G418 to maintain the reporter gene. For infections, MT4-GFP cells were placed in the same medium lacking G418 and infected overnight with HIV-1 (Η9/ΠΙΒ strain) virus at an approximate multiplicity of infection of 0.01 in the same incubation conditions. Cells were then washed and re-suspended in either RPMI 1640 supplemented with 10% or 50% normal human serum (NHS) at 1 .6 x It)5 cells/mL (10% NHS or 50% NHS, respectively). Compound plates were prepared by dispensing compounds dissolved in DMSO into wells of 384 well poly-D-lysine-coated plates (0.2 μΐ/well) using an ECHO acoustic dispenser. Each compound was tested in a I 0-point serial 3-fold dilution (typical final concentrations: 8.4 μΜ-0.42 nM). Controls included no inhibitor (DMSO only) and a combination of three antiviral agents (efavirenz, indinavir, and an integrase strand transfer inhibitor at final concentrations of 4 μΜ each). Ceils were added (50μΕΛνβ11) to compound plates and the infected cells were maintained at 37°C/5% CQ2/90% relative humidity.
Infected cells were quantified at two time points, ~48h and- 72h post-infection, by counting the number of green cells in each well using an Acumen eX3 scanner. The increase in the number of green cells over ~24h period gives the reproductive ratio, R0, which is typically 5—15 and has been shown experimentally to be in logarithmic phase (data not shown). R0 is calculated for each well, and IC50S determined by non-linear 4-parameter curve fitting. Assay IC50 results are shown in Table 2.
EXAMPLE 30
Prodrug stability assay in bio-relevant media
The following assay was employed to evaluate the stability of the prodrugs in simulated gastrointestinal tract conditions. Preparation of fasted state simul ated intestinal fluid (FaSSIF) using Phares SIF Powder was carried out according to protocols from Phare Drug Delivery AG (Baselland, Switzerland). For sample preparation, 10 μΕ stock solutions (10 mM) of prodrug substance in DMSO was added to 990 μΕ of 0.5 mg/mL Pancreatin solution (Fisher
CAS#8049-47~6) in FaSSlF. Two samples were prepared for each compound. If the sample was a clear solution, it was directly analyzed by HPLC. If the sample was not clear, the sample was diluted with 100% ACN, maintained at 37°C and observed 5h later. If the sample was clear, HPLC analysis was directly performed. If the sample was still not clear, the sample was diluted with 100% ACN and assayed by HPLC. All the samples were vortexed for 3 rain and observed before injection. For the diluted samples, the area is multiplied by a factor when the data is analyzed. The analysis was carried out with an Agilent 1 100 series HPLC with autosampler. The column was usually a Poroshell 120 EC-C 18, 4.6 x 50mm, 2.7 μηι, The flow rate was 1.8 mL/min, and the injection volume was 5 or 10 uL. UV detection was in the range 210-400 nm. The mobile phase consisted of solvent A (water plus 10 mM tetrabutylammonium bromide) and solvent B (acetonitrile) with a gradient of: 90% solvent A at 0 rain, changing to 95% solvent B over 6 min, maintaining for 1.5 min, then reverting to 90% solvent A over 1.6 min. The HPLC peak area of the prodrug at 5h was divided by the HPLC peak area of the prodrug at 0 h, to generate the % claimed parent ratio, which is summarized in Table 2 for GI Tract stability.
Pharmacokinetic Studies in Dogs - In Vivo Dog P
Prodrugs were administered to beagle dogs through intravenous (IV) and oral (P.O.) administrations in a non-crossover manner. The IV dose was prepared in 20%
hydroxy-propyl β-cyclodextrin (HPBCD) and was administered at 1 mg/kg QD via the cephalic or saphenous vein. The P.O. dose was prepared in 10% polysorbate 80 (Tween 80) and was administered at 10 mg/kg QD via gavage.
Blood samples were serially collected following dose administration for up to 48 hr and plasma was separated by centrifugation. The concentrations of prodrugs in dog plasma were determined by a LC -MS/MS assay following a protein precipitation step and addition of an appropriate internal standard (labetalol, imipramine or diclofenac). Quantification was done by determining peak area-ratios of the prodrugs and tenofovir to the internal standard. Additional blood sample(s) was collected following dose administration for up to 24 hr. Peripheral blood mononuclear cells (PBMCs) were isolated by centrifugation, using tubes and reagents specified for the application. The concentrations of tenofovir and/or its phosphate conjugate(s) in PBMCs were determined by an LC-MS/MS assay following a protein precipitation step and addition of an appropriate internal standard (labetalol, imipramine or diclofenac). Quantification was done by determining peak area-ratios of tenofovir and/or its phosphate conjugate(s) to the internal standard.
Pharmacokinetic parameters were obtained using non-compartmental methods
(Watson*). The area under the plasma concentration-time curve (AUC0-i) was calculated from the first time point (0 min) up to the last time point with measurable drug concentration using the linear trapezoidal or linear/log-linear trapezoidal rule. The IV plasma clearance was calculated
by dividing the dose by AUCo-mf. The terminal half-life of elimination was determined by unweighted linear regression analysis of the log-transformed data. The time points for
determination of half-life were selected by visual inspection of the data. The volume of distribution at steady state (Vdss) was obtained from the product of plasma clearance and mean residence time (determined by dividing the area under the first moment curve by the area under the curve). The maximum plasma concentration (Cffiax) and the time at which maximum concentration occurred O ) were obtained by inspection of the plasma concentration-time data. Absolute oral bioavailability (%F) was determined from dose-adjusted IV and P.O. AUC ratios of the prodrug.
Without wishing to be bound by theory, it is believed that the compounds of
Formula I are converted by one or more mechanisms to the corresponding monophosphate or diphosphate of tenofovir. In vivo, tenofovir (TFV) is phosphorylated intracellular!}' to its active anabolite, tenofovir diphosphate (TFV-DP), which suppresses viral replication via inhibiting the activity of HIV reverse transcriptase to impart antiviral efficacy. Table 2 shows in vivo dog PK data in the form of TFV -DP concentrations (μΜ) in dog PBMCs at 24 h following a 10 mg/kg P.O. dose of the indicated prodrug.
I ABLE 2
Viking, IC50 GI Tract In Vivo Dog
Viking, 1C50
Example (50% NHS) stability (%) PK (μΜ)
(10% NHS) (nM)
1 A 19.3 44.3
I B 2.4 6.2 95,9 24,5
2A 15.9 78 100 31.0
2B 1.3 5.2 94.2 18.2
3A 20.7 71.4
3B 3.8 20.5 95.6 15.3
4A 417.8 1396
4B 74,6 122.3
5A I 129.4
5B 2,5 6,4 10.7
6A 100.6 500,5
6B 1.9 5,6 11.7
7A 10.4 57,8
7B 4.7 28.8
Claims
1. A compound of structural Formula I:
I
or pharmaceutically acceptable salt thereof, wherein:
A
R is a D-amino acid ester residue of formul a (i) or a D-proline ester resi due of formula (ii):
onally substituted with one to three substituents independently selected from fluoro, chloro, bromo, and -OH;
2
R". if present, is (a) H, (b) -C 1.4a.lkyl, (c) -C 1.4a.lkyl substituted with -OH, -SH, -SO . -M b or -NH-C(=NH)- H2, id) -CH2-phenyl, (e) -CH2-phenol, (f) -(CH2)i.2-CQQH, (g) -iC 1 1;> 1 H2, (h) -CH2-lH-indole, (i) -CH2-imidazole, (j) aryl or (k) heteroaryl; (a) -C i-ioalkvl imsubstituted or substituted with one to three substituents independently selected
7 8 9
from fluoro, chloro, bromo, -OR , -SH, -NR R , -C3_6cycloalkyl or
spiro-C3.ge cloal kyl,
(b) -CH2 -phenyl unsubstituted or substituted with one to three substituents independently selected from fluoro, chloro, bromo, -OR^, -SH, -NR^ ^ or -C ] _3alkyl,
(c) -C3_8cycloalkyl unsubstituted or substituted with one to three substituents independently- selected from fluoro, chloro, bromo, -O -SH, -NR R^ or -C 1.3a.lkyl,
(d) arvl imsubstituted or substituted with one to three substituents independently selected from
10 8 9
fluoro, chloro, bromo, -OR , -SH, -NR R or -C i _3alkyl,
(e) -C 1.5alkyl-X~C 1.5a.lkyl wherein X is O, S or NH,
(f) heteroaryl unsubstituted or substituted with one to three substituents independently selected
10 8 9
from fluoro, chloro, bromo, -OR , -SH, -NR R or -C .3alk.yl, or
(g) a heterocyclic ring unsubstituted or substituted with one to three substituents independently
10 8 9
selected from fluoro, chloro, bromo, -OR , -SH, -NR. R or -C i _3alkyl;
B
R is a geminally di-substituted amino acid ester residue of formula (iii):
R and R are each independently selected from (a) -C j ^alkyl, b) -C halky! substituted with -
OH, -SH, -SCH3, -NH2, N! !-Ci M D-NI b. (c) -CH2-pheny], (d) -CH2-phenoi, (e) -(CH2)i-2~
COOH, (f) -(CH2)i-2-CONH2, (g) -Π b~ ! //-indole, (h) ~CH2~imidazole, (i) ant or (j) heteroarv'l;
4 " 5
or R and R are joined together with the carbon to which they are both attached to form -C ^cyeloalkyl or a 4 to 6-membered heterocyclic ring;
6 .
R is
(a) -C j.iQalkyl unsubstituted or substituted with one to three substituents independently selected
11 12 13
from fluoro, chloro, bromo, -OR , -SH, -NR. R , -C3.6cycloa.kyl or spiro-C3_6cycloalkyl,
(b) -CH2-phenyl unsubstituted or substituted with one to three substituents independently
14 12 13
selected from fluoro, chloro, bromo, -OR , -SH, -NR R or -Chalky] ,
(c) -Ci.gcycloalkyl unsubstituted or substituted with one to three substituents independently
14 12 13
selected from fluoro, chloro, bromo, -OR , -SH, -NR R or -Cj ^alkyl,
id) aryl unsubstituted or substituted with one to three substituents independently selected from
14 12 13
fluoro, chloro, bromo, -OR , -SH, -NR R or -C}„3aikyl,
(e) -C 1.5alkyl-X-C ] _5aikyl wherein X is O, S or NH;
(f) heteroaryl unsubstituted or substituted with one to three substituents independently selected from fluoro, chloro, bromo, -OR , -SH, -NR R or -Ci _3alkyl, or
(g) a heterocyclic ring unsubstituted or substituted with one to three substituents independently
14 12 13
selected from fluoro, chloro, bromo, -OR , -SH, -NR R or -C j .^alkyl;
7 11
R and R are each independently selected from -H or -C^_6cycloalkyl;
8 9
R and R are each independently selected from -H, -Ci .3a]kyl or -C3.6cycloalkyl;
12 1 ^
R and R " are each independently selected from -H, -Cj .^alkyl or -C3_6cycloalkyl: and 10 14
R and R are each independently selected from -H, -C] _3alkyl or -C3„6cycloaIkyi.
2. The compound of claim 1 or a pharmaceutically acceptable salt thereof
A
(0
3. The compound of claim 1 or a pharmaceutically acceptable salt thereof
A
00
4, The compound of claim 2 or a pharmaceutically acceptable salt thereof 1 2
wherein R is H or -C] _4alkyl and R is H or -C i _4alkyl.
5. The compound of any of claims 1-4 or a pharmaceutically acceptable salt 3
thereof wherein R is
(a) -C j-galky!, -CH2CH2OH, -CH2CH2CH2OH, -CH2CH2SH, -CH2CH2CH2SH,
-CH2CH2NH2, or -CH2CH2CH2NH2,
(b) -CH2-phenyl, unsubstituted or substituted with one to three substituents independently
10 8 9
selected from fluoro, chioro, bromo, -OR , -SH, -NR R or -C }_3alkyl,
(c) -C3-6cycloalkyl, unsubstituted or substituted with one to three substituents independently
10 8 9
selected from fluoro, chioro, bromo, -OR , -SH, -NR R or -Ci _3alkyl,
(d) phenvl or naphthyl. each unsubstituted or substituted with one to three substituents
10 8 9
independently selected from fluoro, chioro, bromo, -OR , -SH, -NR R or -Ci _3alkyl,
(e) -CH2CH2OCH3, -CH2CH2CH2OCH3, -CH2CH2SCH3, -CH2CH2CH2SCH3,
-CH2CH2NHCH3, -CH2CH2CH2NHCH3,
(f) pvridyl, unsubstituted or substituted with one to three substituents independently selected
10 8 9
from fluoro, chioro, bromo, -OR , -SH, -NR R or -C j ^alkyl, or
(g) piperidmyi, pyrrolidinvl, tetrahydrofuranyl, or tetrahydropyranyl, each unsubstituted or substituted with one to three substituents independently selected from fluoro, chioro. bromo,
10 8 9
-OR , -SH, -NR R or -C1.3a.kyl.
6. The compound of claim 5 or a pharmaceutically acceptable salt thereof
3
wherein R is --C j.galkyl, cyclopropyl, cyclobutyl, cyclopentyl or cyclohexyl.
7, The compound of any of claims 1-6 or a pharmaceutically acceptable salt
4 5 '
thereof wherein R and R are each independently selected from -CH3, -CH2CH3, -C3alkyl or
-C4alkyl.
8, The compound of any of claims 1-7 or a pharmaceutically acceptable salt 6
thereof wherein R is
(a) -C j.galkyl, -CH2CH2OH, -CH2CH2CH2OH, -CH2CH2SH, -CH2CH2CH2SH, (b) -CH2-phenyl, unsubstituted or substituted with one to three substituents independently
14 12 13
selected from fluoro, chioro, bromo, -OR , -SH, -NR R or -Chalky] ,
(c) -C3-6cycloalkvl, unsubstituted or substituted with one to three substituents independently
14 12 13
selected from fluoro, chioro, bromo, -OR , -SH, -NR R or -C ]„3alkyl,
(d) phenvl or naphthyl. each unsubstituted or substituted with one to three substituents
14 12 13
independently selected from fluoro, chioro, bromo, -OR , -SH, -NR R or -C j .ialkyl,
(e) -CH2CH2OCH3, -CH2CH2CH2OCH3, -CH2CH2SCH3, -CH2CH2CH2SCH3,
-CH2 CH2NHCH3 , -CH2CH2CH2NHCH3 ,
(f) pvridyl, unsubstituted or substituted with one to three substituents independently selected
14 12 13
from fluoro, chioro, bromo, -OR , -SH, -NR R or -C halky!, or
(g) piperidinyl, pyrroiidinyl, tetrahydrofuranyl, or tetrahydropyranyl, each unsubstituted or substituted with one to three substituents independently selected from fluoro, chioro. bromo,
14 12 13
-OR , -SH, -NR R or -Ci _3alkyl
9. The compound of claim 8 or a pharmaceutically acceptable salt thereof
6
wherein R is -C i.galkyl, cyclopropyl, cyclobutyl, cyclopentyl or cyclohexyl.
10. The compound of claim 1 or a pharmaceutically acceptable salt thereof wherein
I
R , if present, is H or -C 3 _4alkyl;
2
R , if present, is H or -C ] _4alkyl;
3 .
R is
(a) -C i.galkyl, -CH2CH2OH, -CH2CH2CH2OH, -CH2CH2SH, -C! hC! hC! hSn .
-CH2CH2NH2, -CH2CH2CH2NH2,
(b) -CH2-phenyl, unsubstituted or substituted with one to three substituents independently selected from fluoro, chioro, bromo, -OR , -SH, -NR^R" or -Ci_3alkyl,
(c) -C3_6cycloalkyl, unsubstituted or substituted with one to three substituents independently
10 8 9
selected trom fluoro, chloro, bromo, -OR , -SH, -NR R or -Ci^alkyl,
(d) phenvl or naphthyl. each unsubstituted or substituted with one to three substituents
10 8 9
independently selected from fluoro, chloro, bromo, -OR , -SH, -NR R or -Ci _3alkyl, (e) -CH2CH2OCH3, -CH2CH2CH2OCH3, -CH2CH2SCH3, -CH2CH2CH2.SCH3,
-CH2CH2NHCH3, -CH2CH2CH2NHCH3,
(f) pvridyl, unsubstituted or substituted with one to three substituents independently selected
10 8 9
from fluoro, chloro, bromo, -OR , -SH, -NR R or -Chalky], or
(g) piperidmyi, pyrrolidmyi, tetrahydrofuranyl, or tetrahydropyranyi, each unsubstituted or substituted with one to three substituents independently selected from fluoro, chloro. bromo,
10 8 9
-OR , -SH. -NR R or -Cj. alkyl;
4 5
R and R are both the same moiety which is selected from -CH3, -CH2CH3, -C3alkyl or -
C4aikyi;
6 .
R is
(a) -C i.galkyl, -CH2CH2OH, -CH2CH2CH2OH, -CH2CH2SH, -CH2CH2CH2SH,
(b) -CH2-phenyl, unsubstituted or substituted with one to three substituents independently
14 12 13
selected from fluoro, chloro, bromo, -OR , -SH, -NR R or -C ]„3alkyl,
(c) -C3-6cycloalkyl, unsubstituted or substituted with one to three substituents independently
14 12 13
selected from fluoro, chloro, bromo, -OR , -SH, -NR R or -Ci _3alkyl,
(d) phenyl or naphthyl. each unsubstituted or substituted with one to three substituents
14 12 13
independently selected from fluoro, chloro, bromo, -OR , -SH, -NR R or ~C }„3alkyl,
(e) -CH2CH2OCH3, -CH2CH2CH2OCH3, -CH2CH2SCH3, -CH2CH2CH2SCH3,
-CH2CH2NHCH3, -CH2CH2CH2NHCH3,
if) pvridyl, unsubstituted or substituted with one to three substituents independently selected
14 12 13
from fluoro, chloro, bromo, -OR , -SH, -NR R or -Ci _3alkyl, or
(g) piperidmyi, pyrrolidmyi, tetrahydrofuranyl, or tetrahydropyranyi, each unsubstituted or substituted with one to three substituents independently selected from fluoro. chloro. bromo,
14 12 Π
-OR , -SH, -NR R " or -C ^alkyl.
1 1. The compound of claim 1 or a pharmaceutically acceptable salt thereof wherein
1
R , if present, is H or -CH3:
2
R , if present, is -C halky!;
3
R* is -C^.galkyl, cyclobutyl, cyclopentyl or cyclohexyl;
I and R are both -CH3;
6
I is -C-3.galkyl, cyclobutvl, cyciopentyl or cyclohexyl
13, The compound of claim 1 which is selected from the following: isopropyl2-(((S)-((((R)-l-(6-amino-9H-purin-9-yl)propan-2-yl)oxy)methyl)((( )-l- (cyclopen1y4oxy)-l-oxopropan-2~yl)amino)phosphor\'l)amino)-2-methylpropanoate isopropyl2-(((R)-((((R)- 1 -(6-amino-9H-purin-9-yl)propan-2-yl)oxy)methyl)(((R)- 1 - (cyclopentyloxy)-l-oxopfopan-2-yl)amino)phosphoryl)amino)-2-methylpropanoate hexyl 2-(((S)-((((R)-l-(6-amino-9H-purin-9-yl)propan-2-yl)oxy)methyl)(((R)-l- isopropoxy-l -oxopropan-2-y] )amino)phosphotyl)amino)-2-methylpropanoate; hexyl 2-(((R)-((((R)- 1 -(6-arnino-9H-purin-9-yl)propan-2-yl)oxy)methyl)(((R)- 1 - isopropoxy-l-oxopropan-2-yl)arnino)phosphoryl)amino)-2-methylpropanoate; isopropyl 2-(((S)-((((R)-l-(6-amino-9H-purin-9-yl)propan-2-yl)oxy)methyl)(((R)-l butoxy-l-oxopropan-2-yl)amino)phosphor> )amino)-2-rnethylpropanoate;
i sopropvl 2-(((R)-((((R)- 1 -(6-amino-9H-purin-9-yl)propan-2-yl)oxy)methyl)(((R)- 1 butoxy-l -oxopropan-2-y])amino)phosphory])amino)-2-methylpropanoate;
isopropyl 2-(((S)-((((R)- 1 -(6-amino-9H-purin-9-yl)propan-2-yl)oxy)methyl)(((R)- 1 isopropoxy-l-oxopropan-2-yl)arnino)phosphoryl)amino)-2-methylpropanoate; isopropyl 2-(((R)-((((R)- 1 -(6-amino-9H-purin-9- l)propan-2-y l)oxy)methy 1)(((R)- 1 isopropoxy-l-oxopiOpan-2~yl)amino)phosphor 'l)aniino)-2-methylpropaiioate; isopropyl 2-(((S)-((((R)-l -(6-amino-9H-purin-9-yl)propan-2-yl)oxy)methyl)(((R)-l isobutoxy-l -oxopropan-2-yl)arrnno)phosphoryl)amino)-2-methylpropanoate;
isopropyl 2-(((R)-((((R)- 1 -(6-amino-9H-purin-9-yl)propan-2-yl)oxy)methyl)(((R)- 1 isobutoxy-l-oxopropan-2-yi)amino)phosphoryl)amino)-2-meihylpropanoaie;
isopropyl 2-(((S)-((((R)- 1 -(6-arnino-9H-purin-9-yl)propan-2-yl)oxy)methyl)(((R)- 1 (cyclohexyloxy)-l-oxopropan-2-yl)ardno)phospho )amino)-2-methylpropanoate; isopropyl 2-(((R)-((((R)- 1 -(6-amino-9H-purin-9-yl)propan-2-yl)oxy)methyl)(((R)- 1 (cyclohexyloxy)-l-oxopropan-2-yl)arrdno)phosphoryl)amino)-2-methylpropanoate; isopropyl 2-(((S)-((((R)- 1 -(6-amino~9H~purin-9-yl)propan~2~yl)oxy)niethyl)(((R)- 1 (hexyloxy)-l -oxopropan-2-yl)amino)phosphoryl)amino)-2-methylpropanoate; isopropyl 2-(((R)-((((R)- 1 -(6-amino-9H-purin-9-yl)propan-2-yl)oxy)methyl)(((R)- 1 (hexyloxy)-l-oxopropan-2-yl)amino)phosphor l)amino)-2-methylpropanoate;
isopropyl 2-(((S)-((((R)- 1 -(6-amino-9H-purin-9-yl)propan-2-yl)oxy)methyl)(((R)- 1 - oxo-1 -(pentyloxy)propan-2-yl )amino)phosphotyl)amino)-2-methylpropanoate;
isopropyl 2-(((R)-((((R)-l-(6-amino-9H-purin-9-yl)pfopan-2-yl)oxy)methyl)(((R)-l- oxo-l-(pentyloxy)propan-2-yl)amino)phosphoryl)amino)-2-methylpropanoate;
pentyl 2-(((S)-((((R)-l -(6-amino-9H-purin-9-yl)propan-2-yl)oxy)methyl)(((R)-l - butoxy-l-oxopropan-2-yl)amino)phosphotyl)amino)-2-methylpropanoate;
pentyl 2-(((R)-((((R)-l-(6-amino-9H-purin-9-yl)propan-2-yl)oxy)methyl)(((R)-l- butoxy-l -oxopropan-2-y])amino)phosphotyl)amino)-2-methylpropanoate;
hexyl 2-(((S)-((((R)-l-(6-aiiiino-9H"pmin-9-yl)propan-2~yl)oxy)me
isobutoxy-l-oxopropan-2-yl)amino)phosphorv'l)amino)-2-methylpropanoate;
hexyl 2-(((R)-((((R)-l-(6-amino-9H-purin-9-yl)propan-2-yl)oxy)methyl)(((R)-l - isobutoxy-l-oxopropan-2-yl)amino)phosphoryl)amino)-2-methylpropanoate:
hexyl 2-(((S)-((((R)-l -(6-amino-9H-purin-9-yl)propan-2-yl)oxy)methyl)(((R)-.l - butoxy-l -oxopropan-2-yl)amino)phosphoryl)amino)-2-methylpropanoate;
hexyl 2-(((R)-((((R)- 1 -(6-amino-9H-purin-9-yl .)propan-2-yl)oxy)methyl)(((R)- 1 - butoxy-l-oxopropan-2-yl)amino)phosphoryl)amino)-2-methylpropanoate;
hexyl 2-(((S)-((((R)-l-(6-amino-9H-purin-9-}'l)propan-2-yl)oxy)methyl)(((R)-l-oxo- l-(pentyloxy)propan-2-yi)amino)phosphor l)amino)-2-niethylpropanoate;
hexyl 2-(((R)-((((R)- 1 -(6-araino-9H-purin-9-yl)propan-2-yl)oxy)methyl)(((R)- 1 -oxo- l-(pentyloxy)propan-2-yl)amino)phosphoryl)amino)-2-methylpropanoate:
hexyl 2-(((S)-(((( ) - 1 - (6-amino-9H-purin-9-yl)propan-2-yl )oxy)methyl .)(((R 1 -
(hexyloxy)-l -oxopropan-2-yl)amino)phosphoryl)amino)-2-methylpropanoate;
hexyl 2-(((R)-((((R)- 1 -(6-amino-9H-purin-9-yl)propan-2-yl)oxy)methyl)(((R)- 1 -
(hexyloxy)-l-oxopropan-2-yl)amino)phosphoryl)amino)-2-methylpropanoate;
hexyl 2-(((S)-((((R)- 1 -(6-amino-9H-purin-9-y l)propan-2-yl)ox )methyl)(((R)- 1 -
(cyclopentyloxy)-l-oxopropan-2-yl)amino)phosphoi )amino)-2-methylpropanoate; hexyl 2-(((R)-((((R)-l 6-anirao-9H-purm-9-y])propan-2-yl)oxy)raethyl^
(cyclopentyloxy)-l-oxopropan-2-yl)amino)phosphoryl)amino)-2-meth}'lpropanoate; hexyl 2-(((S)-((((R)- 1 -(6-amino-9H-purin-9-yl)propan-2-yl)oxy )methyl)(((R)- 1 -
(cydohexyloxy)-l-oxopropan-2-yl)amino)phospho )amino)-2-methy]propanoate; hexyl 2-(((R)-((((R)-l-(6-amino-9H-purin-9-yl)propan-2-yl)oxy)methyl)(((R)-l-
(cyclohexyloxy)-l-oxopropan-2-yl)aiTdno)phosphoryl)aiTiino)-2-methylpropanoate; pentyl 2-(((S)-((((R)-l-(6-amino-9H-purin-9-yl)propan-2-yl)oxy)methyl)(((R)-l -oxo- l-(pentyloxy)propan-2-yl)amino)phosphor 'l)amino)-2-methylpropanoate;
pentyl 2-(((R)-((((R)-l-(6-amino-9H-purin-9-yl)propan-2-yl)oxy)methyl)(((R)-l-oxo- l-(pentyIoxy)propan-2-yi)amino)phosphory3)amino)-2-methylpropaiioate;
pentyl 2-(((S)-((((R)- 1 -(6-amino-9H-purin-9-yl)propan-2-yl)oxy)methyl)(((R)- 1 - isopropoxy-l-oxopropan-2-yl)amino)phosphoryl)amino)-2-methylpropanoate;
pentyl 2-(((R)-((((R)-l-(6-amino-9H-purin-9-yl)propan-2-yl)oxy)methyl)(((R)-l- isopropoxy-l -oxopropan-2-yl )amino)phosphotyl)amino)-2-methylpropanoate;
isopropyl 2-(((S)-((((R)-l-(6-amino-9H-purin-9-yl)propan-2-yl)oxy)methyl)(((R)-l - cyclobutoxy~l~oxopropan~2~yl)amino)phosph^
isopropyl 2-(((R)-((((R)-l-(6-amino-9H-purin-9-yl)propan-2-yl)oxy)methyl)(((R)-l - cyclobutoxy-l-oxopropan-2-yl)amino)phosphoryl)arnino)-2-methylpropanoate: pentyl 2-(((S)-((((R)- 1 -(6-amino-9H-purin-9-yl)propan-2-yl)oxy)methyl)(((R)- 1 - cyc obutoxy-l -oxopropan-2-yl)amino)phosphoryl)amino)-2-methylpropanoate; pentyl 2-(((R)-((((R)- 1 -(6-amino-9H-purin-9-yl)propan-2-yl)oxy)methyl)(((R)- 1 - cyclobutoxy~l~oxopropan~2~yl)amino)phosph^
isobutyl 2-(((S)-((((R)-l-(6-amino-9H-purin-9-yl)propan-2-yl)oxy)methyl)(((R)-l- cyclobutoxy-l-oxopropan-2-yl)amino)phosphoryl)amino)-2-methylpropanoate: isobutyl 2-(((R)-((((R)-l-(6-amino-9H-purin-9-yl)propan-2-y])oxy)methyl )(((R)-l- cyclobutoxy-l-oxopropan-2-yl)amino)phosphoryl)amino)-2-methylpropanoate; hexyl 2-(((S)-(((( ) - 1 - (6-amino-9H-purin-9-yl)propan-2-yl )oxy)methyl .)(((R)- 1 - cyclobutoxy-l-oxopropan-2-yl)amino)phosphond)amino)-2-methy]propanoate; hexyl 2-(((R)-((((R)-l-(6-amino-9H-purin-9-yl)propan-2-yl)oxy)methyl)(((R)-l - cyxlobutoxy-l-oxopropan-2-yl)aiTdno)phosphoryl)aiTdno)-2-methylpropanoate: propyl 2-(((S)-((((R)-l-(6-arnino-9H-purin-9-yl)propan-2-yl)oxy)methyl)(((R)-l - cyclobutoxy-l-oxopropan-2-yl)amino)phosphoryl)amino)-2-methylpropanoate; propyl 2-(((R)-((((R)-l-(6-ai¾ino-9H-purin-9-yl)propan-2-yl)oxy)methyl)(((R)-l- cyclobutoxy-l-oxopropan-2-}d)amino)phosphor3d)amino)-2-methylpropanoate; butyl 2-(((S)-((((R)- 1 -(6-amino-9H-purin-9-yl)propan-2-yl)oxy)methyl)(((R)- 1 - cyclobutoxy-l -oxopropan-2-yl)amino)phospho
butyl 2-(((R)-((((R)-l-(6-arnino-9H-pufin-9-yl)propan-2-yl)oxy)methyl)(((R)-l- cyclobutoxy-l-oxopropan-2-yl)amino)phosphoryl)armno)-2-methylpropanoate; pentyl 2-(((S)-((((R)-l -(6-amino-9H-purin-9-yl)propan-2-yl)oxy)methyl)(((R)-l -
(cyclopentyloxy)-l-oxopfopan-2-yl)amino)phosphoryl)amino)-2-methylpropanoate; pentyl 2-(((R)-((((R)-l-(6-amino-9H-purin-9-yl)propan-2-yl)oxy)methyl)(((R)-l-
(cydopentyloxy)-l -oxopropan-2-yl)araino)phosphoryl)amino)-2-methylpropanoate; pentyl 2-(((S)-((((R)-l-(6-amino-9H-purin-9-yl)propan-2-yl)oxy)methyl)(methyl((R)- l-oxo-l -( entyloxy)propan-2-yl)arnino)phosphoryl)arnino)-2-methylpropanoate; pentyl 2-(((R)-((((R)-l-(6-amino-9H-piirin-9-yl)pfopan-2-yl)oxy)methyl)(methyl((R)-
1 -oxo- 1 -(pentyl oxy)propan-2-yl)amino)phosphor\'l)amino)-2-methylpropanoate; pentyl (((S)-(((R)- 1 -(6-aniino~9H-purin-9-yl)propan-2-yl)oxy)rnethyl)((2-methyl~] - oxo-l-(pentyloxy)propan-2-yl)amino)phosphoryl)-D-prolinate;
pentyl (((R)-(((R)- 1 -(6-amino-9H-purin-9-yl)propan-2-yl)oxy)methyl)((2-methyl- 1 - oxo-l -(pentyloxy)propan-2-yl)amino)phosphoryl)-D-prolinate;
® cyclohexyl 2-(((S)-((((R)-l-(6-amino-9H-purin-9-yl)propan-2-yl)oxy)methyl)(((R)-l- (cydopentyloxy)-l -oxopropan-2-yl)araino)phosphoryl)amino)-2-methylpropanoa
® cyclohexyl 2-(((R)-((((R)-l-(6-amino-9H-purin-9-yl)propan-2-yl)oxy)methyl)(((R)-l- (cyclopentyloxy)-l-oxopropati-2-yl)amino)phosphoryl)amino)-2-m
• cyclobutyl 2-(((S)-((((R)-l-(6-amino-9H-purin-9-yl)propan-2-yl)oxy)methyl)(((R)-l - (cyclopenty1oxy)-l-oxopropaii-2-yl)amino)phosphoiyl)amino)-2"methylpropanoate:
* cyclobutyl 2-(((U)-((((R)-l-(6-armno-9H-purin-9-yl)propan-2-yl)oxy)methyl)(((R)-l- (cydopentyloxy)-l -oxopropan-2-yl)araino)phosphoryl)amino)-2-methylpropanoate; a pharmaceutically acceptable salt thereof.
14. A pharmaceutical composition comprising an effective amount of the compound according to any one of claims 1 to 13, or a pharmaceutically acceptable salt thereof, and a pharmaceutically acceptable carrier.
15 The pharmaceutical composition of claim 14 further compri sing an effective amount of one or more additional HIV antiviral agent selected from HIV protease inhibitors, HIV integrase inhibitors, non-nucleoside HIV reverse transcriptase inhibitors, nucleoside HIV reverse transcriptase inhibitors, HIV fusion inhibitors and HIV entry inhibitors.
16. A method for the prophylaxis or treatment of infection by HIV or for the prophylaxis, treatment, or delay in the onset of AIDS in a subject in need thereof which comprises administering to the subject an effective amount of the compound according to any one of claims 1 to 13 or a pharmaceutically acceptable salt thereof.
17. The method of claim 16 further comprising administering to the subject an effective amount of one or more additional HIV antiviral agent selected from HIV protease inhibitors, HIV integrase inhibitors, non-nucleoside HIV reverse transcriptase inhibitors, nucleoside HIV reverse transcriptase inhibitors, HIV fusion inhibitors and HIV entry inhibitors.
18. A compound according to any one of claims 1 to 13 or a pharmaceutically acceptable salt thereof, for use in the preparation of a medicament for the prophylaxis or treatment of infection by HIV or for the prophylaxis, treatment, or delay in the onset of AIDS in a subject in need thereof.
19. Use of a compound according to any one of claims 1 to 13 in the manufacture of a medicament for the prophylaxis or treatment of infection by HIV or for the prophylaxis, treatment, or delay in the onset of AIDS in a subject in need thereof.
20. The pharmaceutical composition of claim 14 fuither comprising an effective amount of one or more additional HIV antiviral agent selected from:
abacavir,
abacavir +lamivudine,
abacavir + lamivudine + zidovudine,
amprenavir,
atazanavir,
AZT,
capravirine,
darunavir,
ddC,
ddl,
ddl (enteric coated),
delavirdine,
dolutegravir,
doravirine,
efavirenz,
efavirenz + emtricitabine + tenofovir DF,
4'-ethynyl-2-fluoro-2'-deoxyadenosine,
elvitegravir,
emtricitabine,
emtricitabine + tenofovir DF,
emvirine,
enfuviriide,
enteric coated didanosine,
etravirine,
fosamprenavir calci um,
indinavir,
lamivudine,
lamivudine + zidovudine,
lopinavir,
lopinavir + ritonavir,
maraviroc,
nelfmavir,
nevirapine,
PPL- 100,
raltegravir,
rilpivirine
ritonavir,
saquinavir, stavudine, tipranavir, vicriviroc, or a pharmaceutically acceptable salt thereof.
Priority Applications (2)
| Application Number | Priority Date | Filing Date | Title |
|---|---|---|---|
| EP16873642.9A EP3386512B1 (en) | 2015-12-10 | 2016-12-05 | Antiviral phosphodiamide prodrugs of tenofovir |
| US15/781,985 US10745428B2 (en) | 2015-12-10 | 2016-12-05 | Antiviral phosphodiamide prodrugs of tenofovir |
Applications Claiming Priority (2)
| Application Number | Priority Date | Filing Date | Title |
|---|---|---|---|
| EP15306977.8 | 2015-12-10 | ||
| EP15306977 | 2015-12-10 |
Publications (1)
| Publication Number | Publication Date |
|---|---|
| WO2017100108A1 true WO2017100108A1 (en) | 2017-06-15 |
Family
ID=54850168
Family Applications (1)
| Application Number | Title | Priority Date | Filing Date |
|---|---|---|---|
| PCT/US2016/064883 Ceased WO2017100108A1 (en) | 2015-12-10 | 2016-12-05 | Antiviral phosphodiamide prodrugs of tenofovir |
Country Status (3)
| Country | Link |
|---|---|
| US (1) | US10745428B2 (en) |
| EP (1) | EP3386512B1 (en) |
| WO (1) | WO2017100108A1 (en) |
Cited By (44)
| Publication number | Priority date | Publication date | Assignee | Title |
|---|---|---|---|---|
| WO2019165374A1 (en) | 2018-02-26 | 2019-08-29 | Gilead Sciences, Inc. | Substituted pyrrolizine compounds as hbv replication inhibitors |
| WO2019193543A1 (en) | 2018-04-06 | 2019-10-10 | Institute Of Organic Chemistry And Biochemistry Ascr, V.V.I. | 3'3'-cyclic dinucleotides |
| WO2019195181A1 (en) | 2018-04-05 | 2019-10-10 | Gilead Sciences, Inc. | Antibodies and fragments thereof that bind hepatitis b virus protein x |
| WO2019193533A1 (en) | 2018-04-06 | 2019-10-10 | Institute Of Organic Chemistry And Biochemistry Ascr, V.V.I. | 2'2'-cyclic dinucleotides |
| WO2019193542A1 (en) | 2018-04-06 | 2019-10-10 | Institute Of Organic Chemistry And Biochemistry Ascr, V.V.I. | 2'3'-cyclic dinucleotides |
| WO2019200247A1 (en) | 2018-04-12 | 2019-10-17 | Precision Biosciences, Inc. | Optimized engineered meganucleases having specificity for a recognition sequence in the hepatitis b virus genome |
| US10450335B2 (en) | 2015-12-15 | 2019-10-22 | Merck Sharp & Dohme Corp. | Antiviral oxime phosphoramide compounds |
| WO2019211799A1 (en) | 2018-05-03 | 2019-11-07 | Institute Of Organic Chemistry And Biochemistry Ascr, V.V.I. | 2'3'-cyclic dinucleotide analogue comprising a cyclopentanyl modified nucleotide |
| US10519159B2 (en) | 2016-12-22 | 2019-12-31 | Merck Sharp & Dohme Corp. | Antiviral aliphatic ester prodrugs of tenofovir |
| WO2020028097A1 (en) | 2018-08-01 | 2020-02-06 | Gilead Sciences, Inc. | Solid forms of (r)-11-(methoxymethyl)-12-(3-methoxypropoxy)-3,3-dimethyl-8-0x0-2,3,8,13b-tetrahydro-1h-pyrido[2,1-a]pyrrolo[1,2-c] phthalazine-7-c arboxylic acid |
| WO2020092621A1 (en) | 2018-10-31 | 2020-05-07 | Gilead Sciences, Inc. | Substituted 6-azabenzimidazole compounds as hpk1 inhibitors |
| WO2020092528A1 (en) | 2018-10-31 | 2020-05-07 | Gilead Sciences, Inc. | Substituted 6-azabenzimidazole compounds having hpk1 inhibitory activity |
| US10662416B2 (en) | 2016-10-14 | 2020-05-26 | Precision Biosciences, Inc. | Engineered meganucleases specific for recognition sequences in the hepatitis B virus genome |
| US10736908B2 (en) | 2016-10-26 | 2020-08-11 | Merck Sharp & Dohme Corp. | Antiviral aryl-amide phosphodiamide compounds |
| WO2020178770A1 (en) | 2019-03-07 | 2020-09-10 | Institute Of Organic Chemistry And Biochemistry Ascr, V.V.I. | 3'3'-cyclic dinucleotides and prodrugs thereof |
| WO2020178769A1 (en) | 2019-03-07 | 2020-09-10 | Institute Of Organic Chemistry And Biochemistry Ascr, V.V.I. | 2'3'-cyclic dinucleotides and prodrugs thereof |
| WO2020178768A1 (en) | 2019-03-07 | 2020-09-10 | Institute Of Organic Chemistry And Biochemistry Ascr, V.V.I. | 3'3'-cyclic dinucleotide analogue comprising a cyclopentanyl modified nucleotide as sting modulator |
| WO2020214652A1 (en) | 2019-04-17 | 2020-10-22 | Gilead Sciences, Inc. | Solid forms of a toll-like receptor modulator |
| WO2020214663A1 (en) | 2019-04-17 | 2020-10-22 | Gilead Sciences, Inc. | Solid forms of a toll-like receptor modulator |
| WO2020237025A1 (en) | 2019-05-23 | 2020-11-26 | Gilead Sciences, Inc. | Substituted exo-methylene-oxindoles which are hpk1/map4k1 inhibitors |
| WO2020263830A1 (en) | 2019-06-25 | 2020-12-30 | Gilead Sciences, Inc. | Flt3l-fc fusion proteins and methods of use |
| WO2021034804A1 (en) | 2019-08-19 | 2021-02-25 | Gilead Sciences, Inc. | Pharmaceutical formulations of tenofovir alafenamide |
| US10966999B2 (en) | 2017-12-20 | 2021-04-06 | Institute Of Organic Chemistry And Biochemistry Ascr, V.V.I. | 3′3′ cyclic dinucleotides with phosphonate bond activating the sting adaptor protein |
| WO2021067181A1 (en) | 2019-09-30 | 2021-04-08 | Gilead Sciences, Inc. | Hbv vaccines and methods treating hbv |
| WO2021113765A1 (en) | 2019-12-06 | 2021-06-10 | Precision Biosciences, Inc. | Optimized engineered meganucleases having specificity for a recognition sequence in the hepatitis b virus genome |
| US11123355B2 (en) | 2016-12-22 | 2021-09-21 | Idenix Pharmaceuticals Llc | Antiviral benzyl-amine phosphodiamide compounds |
| WO2021188959A1 (en) | 2020-03-20 | 2021-09-23 | Gilead Sciences, Inc. | Prodrugs of 4'-c-substituted-2-halo-2'-deoxyadenosine nucleosides and methods of making and using the same |
| US11203610B2 (en) | 2017-12-20 | 2021-12-21 | Institute Of Organic Chemistry And Biochemistry Ascr, V.V.I. | 2′3′ cyclic dinucleotides with phosphonate bond activating the sting adaptor protein |
| WO2022031894A1 (en) | 2020-08-07 | 2022-02-10 | Gilead Sciences, Inc. | Prodrugs of phosphonamide nucleotide analogues and their pharmaceutical use |
| WO2022087149A2 (en) | 2020-10-22 | 2022-04-28 | Gilead Sciences, Inc. | Interleukin-2-fc fusion proteins and methods of use |
| CN114929236A (en) * | 2019-09-11 | 2022-08-19 | 斯克里普斯研究所 | Antiviral prodrugs and formulations thereof |
| WO2022241134A1 (en) | 2021-05-13 | 2022-11-17 | Gilead Sciences, Inc. | COMBINATION OF A TLR8 MODULATING COMPOUND AND ANTI-HBV siRNA THERAPEUTICS |
| WO2022271684A1 (en) | 2021-06-23 | 2022-12-29 | Gilead Sciences, Inc. | Diacylglyercol kinase modulating compounds |
| WO2022271659A1 (en) | 2021-06-23 | 2022-12-29 | Gilead Sciences, Inc. | Diacylglyercol kinase modulating compounds |
| WO2022271650A1 (en) | 2021-06-23 | 2022-12-29 | Gilead Sciences, Inc. | Diacylglyercol kinase modulating compounds |
| WO2022271677A1 (en) | 2021-06-23 | 2022-12-29 | Gilead Sciences, Inc. | Diacylglyercol kinase modulating compounds |
| US11826375B2 (en) | 2018-07-19 | 2023-11-28 | Merck Sharp & Dohme Llc | Phosphinic amide prodrugs of tenofovir |
| CN119080839A (en) * | 2024-11-07 | 2024-12-06 | 上海柯君医药科技有限公司 | Antiviral drug and use thereof |
| CN119080837A (en) * | 2024-11-07 | 2024-12-06 | 上海柯君医药科技有限公司 | Antiviral drug and use thereof |
| CN119080838A (en) * | 2024-11-07 | 2024-12-06 | 上海柯君医药科技有限公司 | Antiviral drug and use thereof |
| WO2025240244A1 (en) | 2024-05-13 | 2025-11-20 | Gilead Sciences, Inc. | Combination therapies comprising bulevirtide and lonafarnib for use in the treatment of hepatitis d virus infection |
| WO2025240242A1 (en) | 2024-05-13 | 2025-11-20 | Gilead Sciences, Inc. | Combination therapies with ribavirin |
| WO2025240243A1 (en) | 2024-05-13 | 2025-11-20 | Gilead Sciences, Inc. | Combination therapies with bulevirtide and an inhibitory nucleic acid targeting hepatitis b virus |
| WO2025240246A1 (en) | 2024-05-13 | 2025-11-20 | Gilead Sciences, Inc. | Combination therapies with ribavirin |
Families Citing this family (3)
| Publication number | Priority date | Publication date | Assignee | Title |
|---|---|---|---|---|
| WO2018039157A1 (en) | 2016-08-25 | 2018-03-01 | Merck Sharp & Dohme Corp. | Antiviral prodrugs of tenofovir |
| SG11202107145SA (en) | 2019-01-25 | 2021-08-30 | Univ Brown | Compositions and methods for treating, preventing or reversing age-associated inflammation and disorders |
| EP4262881A4 (en) | 2020-12-18 | 2025-04-09 | OraSure Technologies, Inc. | Reagents, methods, and systems for detecting therapeutic agents to monitor adhesion to nucleoside reverse transcriptase inhibitor metabolites |
Citations (8)
| Publication number | Priority date | Publication date | Assignee | Title |
|---|---|---|---|---|
| US5935946A (en) | 1997-07-25 | 1999-08-10 | Gilead Sciences, Inc. | Nucleotide analog composition and synthesis method |
| US5977089A (en) | 1996-07-26 | 1999-11-02 | Gilead Sciences, Inc. | Antiviral phosphonomethoxy nucleotide analogs having increased oral bioavailability |
| WO2008005555A1 (en) * | 2006-07-07 | 2008-01-10 | Gilead Sciences, Inc. | Modulators of toll-like receptor 7 |
| US7390791B2 (en) | 2000-07-21 | 2008-06-24 | Gilead Sciences, Inc. | Prodrugs of phosphonate nucleotide analogues |
| US20090232768A1 (en) * | 2008-02-20 | 2009-09-17 | Gilead Sciences, Inc. | Novel compounds and methods for therapy |
| US8754065B2 (en) | 2011-08-16 | 2014-06-17 | Gilead Sciences, Inc. | Tenofovir alafenamide hemifumarate |
| US20150225433A1 (en) * | 2012-08-30 | 2015-08-13 | Jiangsu Hanosh Pharmaceutical Co., Ltd. | Tenofovir prodrug and pharmaceutical uses thereof |
| US20170044192A1 (en) * | 2015-08-10 | 2017-02-16 | Merck Sharp & Dohme Corp. | Antiviral beta-amino acid ester phosphodiamide compounds |
Family Cites Families (15)
| Publication number | Priority date | Publication date | Assignee | Title |
|---|---|---|---|---|
| AU691527B2 (en) * | 1993-09-17 | 1998-05-21 | Gilead Sciences, Inc. | Nucleotide analogs |
| CA2396713A1 (en) | 1999-12-22 | 2001-07-05 | Metabasis Therapeutics, Inc. | Novel bisamidate phosphonate prodrugs |
| US7553825B2 (en) | 2003-12-30 | 2009-06-30 | Gilead Sciences, Inc. | Anti-proliferative compounds, compositions, and methods of use thereof |
| WO2007002912A2 (en) | 2005-06-29 | 2007-01-04 | Gilead Sciences, Inc. | Anti-proliferative compounds, compositions, and methods of use thereof |
| MX2012011222A (en) | 2010-04-01 | 2013-01-18 | Centre Nat Rech Scient | Compounds and pharmaceutical compositions for the treatment of viral infections. |
| WO2011140640A1 (en) | 2010-05-11 | 2011-11-17 | Simon Fraser University | Selective glycosidase inhibitors and uses thereof |
| ES2874774T3 (en) | 2011-12-22 | 2021-11-05 | Geron Corp | Guanine Analogs as Telomerase Substrates and Telomere Length Affects |
| BR112017005111B1 (en) | 2014-09-15 | 2023-02-14 | The Regents Of The University Of California | ACYCLIC NUCLEOTIDE ANALOG COMPOUNDS, PHARMACEUTICAL COMPOSITION CONTAINING SUCH COMPOUNDS, AND USES OF THE COMPOSITION IN THE TREATMENT OF A PAPILLOMAVIRUS INFECTION |
| WO2017007701A1 (en) | 2015-07-07 | 2017-01-12 | Merck Sharp & Dohme Corp. | Antiviral phosphodiamide compounds |
| CN106167504A (en) | 2015-11-04 | 2016-11-30 | 洛阳聚慧医药科技有限公司 | Acyclonucleosides phosphamide D amino acid ester derivative and the preparation of salt thereof and in the application of anti-virus aspect |
| EP3390413B1 (en) | 2015-12-15 | 2020-08-19 | Merck Sharp & Dohme Corp. | Antiviral oxime phosphoramide compounds |
| WO2018039157A1 (en) | 2016-08-25 | 2018-03-01 | Merck Sharp & Dohme Corp. | Antiviral prodrugs of tenofovir |
| US10736908B2 (en) | 2016-10-26 | 2020-08-11 | Merck Sharp & Dohme Corp. | Antiviral aryl-amide phosphodiamide compounds |
| US10519159B2 (en) | 2016-12-22 | 2019-12-31 | Merck Sharp & Dohme Corp. | Antiviral aliphatic ester prodrugs of tenofovir |
| US11123355B2 (en) | 2016-12-22 | 2021-09-21 | Idenix Pharmaceuticals Llc | Antiviral benzyl-amine phosphodiamide compounds |
-
2016
- 2016-12-05 EP EP16873642.9A patent/EP3386512B1/en active Active
- 2016-12-05 WO PCT/US2016/064883 patent/WO2017100108A1/en not_active Ceased
- 2016-12-05 US US15/781,985 patent/US10745428B2/en active Active
Patent Citations (8)
| Publication number | Priority date | Publication date | Assignee | Title |
|---|---|---|---|---|
| US5977089A (en) | 1996-07-26 | 1999-11-02 | Gilead Sciences, Inc. | Antiviral phosphonomethoxy nucleotide analogs having increased oral bioavailability |
| US5935946A (en) | 1997-07-25 | 1999-08-10 | Gilead Sciences, Inc. | Nucleotide analog composition and synthesis method |
| US7390791B2 (en) | 2000-07-21 | 2008-06-24 | Gilead Sciences, Inc. | Prodrugs of phosphonate nucleotide analogues |
| WO2008005555A1 (en) * | 2006-07-07 | 2008-01-10 | Gilead Sciences, Inc. | Modulators of toll-like receptor 7 |
| US20090232768A1 (en) * | 2008-02-20 | 2009-09-17 | Gilead Sciences, Inc. | Novel compounds and methods for therapy |
| US8754065B2 (en) | 2011-08-16 | 2014-06-17 | Gilead Sciences, Inc. | Tenofovir alafenamide hemifumarate |
| US20150225433A1 (en) * | 2012-08-30 | 2015-08-13 | Jiangsu Hanosh Pharmaceutical Co., Ltd. | Tenofovir prodrug and pharmaceutical uses thereof |
| US20170044192A1 (en) * | 2015-08-10 | 2017-02-16 | Merck Sharp & Dohme Corp. | Antiviral beta-amino acid ester phosphodiamide compounds |
Non-Patent Citations (13)
| Title |
|---|
| "Bioreversible Carriers in Drug Design", 1987, AMERICAN PHARMACEUTICAL ASSOCIATION AND PERGAMON PRESS |
| "Remington's Pharmaceutical Sciences", 1990, MACK PUBLISHING CO. |
| A.T.M. SERAJUDDIN, J PHARM SCI, vol. 88, no. 10, 1999, pages 1058 - 1066 |
| F. KESISOGLOUS. PANMAIY. WU, ADVANCED DRUG DELIVERY REVIEWS, vol. 59, no. 7, 2007, pages 631 - 644 |
| F. PETRUSATI ET AL., EUR. J. MED. CHEM., vol. 78, 2011, pages 259 - 268 |
| PERTUSATI ET AL.: "PMPA and PMEA prodrugs for the treatment of HIV infections and human papillomavirus (HPV) associated neoplasia and cancer", EUROPEAN JOURNAL OF MEDICINAL CHEMISTRY, vol. 78, 2014, pages 259 - 268, XP028847859 * |
| RAUTIO, J.; KUMPULAINEN, H.; HEIMBACH, T.; OLIYAI, R.; OH, D.: "clinical applications", NAT. REV. DRUG DISCOV, vol. 7, 2008, pages 255, XP055227338, DOI: 10.1038/nrd2468 |
| REMINGTON: "The Science and Practice of Pharmacy", 2012, PHARMACEUTICAL PRESS AND PHILADELPHIA COLLEGE OF PHARMACY |
| S. AITIPAMULA ET AL., CRYSTAL GROWTH AND DESIGN, vol. 12, no. 5, 2012, pages 2147 - 2152 |
| See also references of EP3386512A4 |
| T. HIGUCHIV. STELLA: "Prodrugs as Novel Delivery Systems", A.C.S. SYMPOSIUM SERIES, vol. 14, 1987 |
| THOMSON PDR: "Physicians' Desk Reference", 2014, PDR NETWORK |
| WANG Y-J ET AL., J VIROLOGICAL METHODS, vol. 165, 2010, pages 230 - 237 |
Cited By (67)
| Publication number | Priority date | Publication date | Assignee | Title |
|---|---|---|---|---|
| US10450335B2 (en) | 2015-12-15 | 2019-10-22 | Merck Sharp & Dohme Corp. | Antiviral oxime phosphoramide compounds |
| US10662416B2 (en) | 2016-10-14 | 2020-05-26 | Precision Biosciences, Inc. | Engineered meganucleases specific for recognition sequences in the hepatitis B virus genome |
| US11274285B2 (en) | 2016-10-14 | 2022-03-15 | Precision Biosciences, Inc. | Engineered meganucleases specific for recognition sequences in the Hepatitis B virus genome |
| US10736908B2 (en) | 2016-10-26 | 2020-08-11 | Merck Sharp & Dohme Corp. | Antiviral aryl-amide phosphodiamide compounds |
| US11123355B2 (en) | 2016-12-22 | 2021-09-21 | Idenix Pharmaceuticals Llc | Antiviral benzyl-amine phosphodiamide compounds |
| US10519159B2 (en) | 2016-12-22 | 2019-12-31 | Merck Sharp & Dohme Corp. | Antiviral aliphatic ester prodrugs of tenofovir |
| US11203610B2 (en) | 2017-12-20 | 2021-12-21 | Institute Of Organic Chemistry And Biochemistry Ascr, V.V.I. | 2′3′ cyclic dinucleotides with phosphonate bond activating the sting adaptor protein |
| US10966999B2 (en) | 2017-12-20 | 2021-04-06 | Institute Of Organic Chemistry And Biochemistry Ascr, V.V.I. | 3′3′ cyclic dinucleotides with phosphonate bond activating the sting adaptor protein |
| WO2019165374A1 (en) | 2018-02-26 | 2019-08-29 | Gilead Sciences, Inc. | Substituted pyrrolizine compounds as hbv replication inhibitors |
| WO2019195181A1 (en) | 2018-04-05 | 2019-10-10 | Gilead Sciences, Inc. | Antibodies and fragments thereof that bind hepatitis b virus protein x |
| US11292812B2 (en) | 2018-04-06 | 2022-04-05 | Institute Of Organic Chemistry And Biochemistry Ascr, V.V.I. | 3′3′-cyclic dinucleotides |
| WO2019193533A1 (en) | 2018-04-06 | 2019-10-10 | Institute Of Organic Chemistry And Biochemistry Ascr, V.V.I. | 2'2'-cyclic dinucleotides |
| US11149052B2 (en) | 2018-04-06 | 2021-10-19 | Institute Of Organic Chemistry And Biochemistry Ascr, V.V.I. | 2′3′-cyclic dinucleotides |
| WO2019193543A1 (en) | 2018-04-06 | 2019-10-10 | Institute Of Organic Chemistry And Biochemistry Ascr, V.V.I. | 3'3'-cyclic dinucleotides |
| WO2019193542A1 (en) | 2018-04-06 | 2019-10-10 | Institute Of Organic Chemistry And Biochemistry Ascr, V.V.I. | 2'3'-cyclic dinucleotides |
| WO2019200247A1 (en) | 2018-04-12 | 2019-10-17 | Precision Biosciences, Inc. | Optimized engineered meganucleases having specificity for a recognition sequence in the hepatitis b virus genome |
| US11142750B2 (en) | 2018-04-12 | 2021-10-12 | Precision Biosciences, Inc. | Optimized engineered meganucleases having specificity for a recognition sequence in the Hepatitis B virus genome |
| US11788077B2 (en) | 2018-04-12 | 2023-10-17 | Precision Biosciences, Inc. | Polynucleotides encoding optimized engineered meganucleases having specificity for a recognition sequence in the Hepatitis B virus genome |
| WO2019211799A1 (en) | 2018-05-03 | 2019-11-07 | Institute Of Organic Chemistry And Biochemistry Ascr, V.V.I. | 2'3'-cyclic dinucleotide analogue comprising a cyclopentanyl modified nucleotide |
| US11826375B2 (en) | 2018-07-19 | 2023-11-28 | Merck Sharp & Dohme Llc | Phosphinic amide prodrugs of tenofovir |
| WO2020028097A1 (en) | 2018-08-01 | 2020-02-06 | Gilead Sciences, Inc. | Solid forms of (r)-11-(methoxymethyl)-12-(3-methoxypropoxy)-3,3-dimethyl-8-0x0-2,3,8,13b-tetrahydro-1h-pyrido[2,1-a]pyrrolo[1,2-c] phthalazine-7-c arboxylic acid |
| WO2020092621A1 (en) | 2018-10-31 | 2020-05-07 | Gilead Sciences, Inc. | Substituted 6-azabenzimidazole compounds as hpk1 inhibitors |
| EP4371987A1 (en) | 2018-10-31 | 2024-05-22 | Gilead Sciences, Inc. | Substituted 6-azabenzimidazole compounds as hpk1 inhibitors |
| EP4671244A1 (en) | 2018-10-31 | 2025-12-31 | Gilead Sciences, Inc. | SUBSTITUTED 6-AZABENZIMIDAZOLE COMPOUNDS AS HPK1 HIBITORS |
| WO2020092528A1 (en) | 2018-10-31 | 2020-05-07 | Gilead Sciences, Inc. | Substituted 6-azabenzimidazole compounds having hpk1 inhibitory activity |
| WO2020178768A1 (en) | 2019-03-07 | 2020-09-10 | Institute Of Organic Chemistry And Biochemistry Ascr, V.V.I. | 3'3'-cyclic dinucleotide analogue comprising a cyclopentanyl modified nucleotide as sting modulator |
| US12318403B2 (en) | 2019-03-07 | 2025-06-03 | Institute Of Organic Chemistry And Biochemistry Ascr, V.V.I. | 2′3′-cyclic dinucleotides and prodrugs thereof |
| WO2020178769A1 (en) | 2019-03-07 | 2020-09-10 | Institute Of Organic Chemistry And Biochemistry Ascr, V.V.I. | 2'3'-cyclic dinucleotides and prodrugs thereof |
| WO2020178770A1 (en) | 2019-03-07 | 2020-09-10 | Institute Of Organic Chemistry And Biochemistry Ascr, V.V.I. | 3'3'-cyclic dinucleotides and prodrugs thereof |
| US11766447B2 (en) | 2019-03-07 | 2023-09-26 | Institute Of Organic Chemistry And Biochemistry Ascr, V.V.I. | 3′3′-cyclic dinucleotide analogue comprising a cyclopentanyl modified nucleotide as sting modulator |
| WO2020214652A1 (en) | 2019-04-17 | 2020-10-22 | Gilead Sciences, Inc. | Solid forms of a toll-like receptor modulator |
| WO2020214663A1 (en) | 2019-04-17 | 2020-10-22 | Gilead Sciences, Inc. | Solid forms of a toll-like receptor modulator |
| EP4458416A2 (en) | 2019-04-17 | 2024-11-06 | Gilead Sciences, Inc. | Solid forms of a toll-like receptor modulator |
| WO2020237025A1 (en) | 2019-05-23 | 2020-11-26 | Gilead Sciences, Inc. | Substituted exo-methylene-oxindoles which are hpk1/map4k1 inhibitors |
| WO2020263830A1 (en) | 2019-06-25 | 2020-12-30 | Gilead Sciences, Inc. | Flt3l-fc fusion proteins and methods of use |
| WO2021034804A1 (en) | 2019-08-19 | 2021-02-25 | Gilead Sciences, Inc. | Pharmaceutical formulations of tenofovir alafenamide |
| US12569510B2 (en) | 2019-09-11 | 2026-03-10 | The Scripps Research Institute | Antiviral prodrugs and pharmaceutical compositions thereof |
| CN114929236B (en) * | 2019-09-11 | 2024-06-07 | 斯克里普斯研究所 | Antiviral prodrugs and formulations thereof |
| CN114929236A (en) * | 2019-09-11 | 2022-08-19 | 斯克里普斯研究所 | Antiviral prodrugs and formulations thereof |
| EP4458975A2 (en) | 2019-09-30 | 2024-11-06 | Gilead Sciences, Inc. | Hbv vaccines and methods treating hbv |
| WO2021067181A1 (en) | 2019-09-30 | 2021-04-08 | Gilead Sciences, Inc. | Hbv vaccines and methods treating hbv |
| EP4567109A2 (en) | 2019-12-06 | 2025-06-11 | Precision Biosciences, Inc. | Optimized engineered meganucleases having specificity for a recognition sequence in the hepatitis b virus genome |
| US12410418B2 (en) | 2019-12-06 | 2025-09-09 | Precision Biosciences, Inc. | Optimized engineered meganucleases having specificity for a recognition sequence in the Hepatitis B virus genome |
| WO2021113765A1 (en) | 2019-12-06 | 2021-06-10 | Precision Biosciences, Inc. | Optimized engineered meganucleases having specificity for a recognition sequence in the hepatitis b virus genome |
| WO2021188959A1 (en) | 2020-03-20 | 2021-09-23 | Gilead Sciences, Inc. | Prodrugs of 4'-c-substituted-2-halo-2'-deoxyadenosine nucleosides and methods of making and using the same |
| JP7712352B2 (en) | 2020-08-07 | 2025-07-23 | ギリアード サイエンシーズ, インコーポレイテッド | Prodrugs of phosphonamide nucleotide analogues and pharmaceutical uses thereof - Patents.com |
| US12110305B2 (en) | 2020-08-07 | 2024-10-08 | Gilead Sciences, Inc. | Prodrugs of phosphonamide nucleotide analogues and their pharmaceutical use |
| CN116194144A (en) * | 2020-08-07 | 2023-05-30 | 吉利德科学公司 | Prodrugs of phosphonamide nucleotide analogs and their pharmaceutical use |
| JP2023536663A (en) * | 2020-08-07 | 2023-08-28 | ギリアード サイエンシーズ, インコーポレイテッド | Prodrugs of Phosphonamide Nucleotide Analogues and Pharmaceutical Uses Thereof |
| WO2022031894A1 (en) | 2020-08-07 | 2022-02-10 | Gilead Sciences, Inc. | Prodrugs of phosphonamide nucleotide analogues and their pharmaceutical use |
| EP4667477A3 (en) * | 2020-08-07 | 2026-03-04 | Gilead Sciences, Inc. | Prodrugs of phosphonamide nucleotide analogues and their pharmaceutical use |
| TWI877398B (en) * | 2020-08-07 | 2025-03-21 | 美商基利科學股份有限公司 | Prodrugs of phosphonamide nucleotide analogues and their pharmaceutical use |
| EP4667477A2 (en) | 2020-08-07 | 2025-12-24 | Gilead Sciences, Inc. | Prodrugs of phosphonamide nucleotide analogues and their pharmaceutical use |
| WO2022087149A2 (en) | 2020-10-22 | 2022-04-28 | Gilead Sciences, Inc. | Interleukin-2-fc fusion proteins and methods of use |
| EP4667499A2 (en) | 2020-10-22 | 2025-12-24 | Gilead Sciences, Inc. | Interleukin-2-fc fusion proteins and methods of use |
| WO2022241134A1 (en) | 2021-05-13 | 2022-11-17 | Gilead Sciences, Inc. | COMBINATION OF A TLR8 MODULATING COMPOUND AND ANTI-HBV siRNA THERAPEUTICS |
| WO2022271677A1 (en) | 2021-06-23 | 2022-12-29 | Gilead Sciences, Inc. | Diacylglyercol kinase modulating compounds |
| WO2022271684A1 (en) | 2021-06-23 | 2022-12-29 | Gilead Sciences, Inc. | Diacylglyercol kinase modulating compounds |
| WO2022271659A1 (en) | 2021-06-23 | 2022-12-29 | Gilead Sciences, Inc. | Diacylglyercol kinase modulating compounds |
| WO2022271650A1 (en) | 2021-06-23 | 2022-12-29 | Gilead Sciences, Inc. | Diacylglyercol kinase modulating compounds |
| WO2025240246A1 (en) | 2024-05-13 | 2025-11-20 | Gilead Sciences, Inc. | Combination therapies with ribavirin |
| WO2025240243A1 (en) | 2024-05-13 | 2025-11-20 | Gilead Sciences, Inc. | Combination therapies with bulevirtide and an inhibitory nucleic acid targeting hepatitis b virus |
| WO2025240242A1 (en) | 2024-05-13 | 2025-11-20 | Gilead Sciences, Inc. | Combination therapies with ribavirin |
| WO2025240244A1 (en) | 2024-05-13 | 2025-11-20 | Gilead Sciences, Inc. | Combination therapies comprising bulevirtide and lonafarnib for use in the treatment of hepatitis d virus infection |
| CN119080838A (en) * | 2024-11-07 | 2024-12-06 | 上海柯君医药科技有限公司 | Antiviral drug and use thereof |
| CN119080837A (en) * | 2024-11-07 | 2024-12-06 | 上海柯君医药科技有限公司 | Antiviral drug and use thereof |
| CN119080839A (en) * | 2024-11-07 | 2024-12-06 | 上海柯君医药科技有限公司 | Antiviral drug and use thereof |
Also Published As
| Publication number | Publication date |
|---|---|
| US20180362562A1 (en) | 2018-12-20 |
| EP3386512A4 (en) | 2019-05-29 |
| EP3386512B1 (en) | 2023-11-22 |
| US10745428B2 (en) | 2020-08-18 |
| EP3386512A1 (en) | 2018-10-17 |
Similar Documents
| Publication | Publication Date | Title |
|---|---|---|
| EP3386512A1 (en) | Antiviral phosphodiamide prodrugs of tenofovir | |
| EP3559011B1 (en) | Antiviral ester prodrugs of tenofovir | |
| AU2016305941B2 (en) | Antiviral beta-amino acid ester phosphodiamide compounds | |
| EP3558322B1 (en) | Antiviral benzyl-amine phosphodiamide compounds | |
| EP3532069A1 (en) | Antiviral aryl-amide phosphodiamide compounds | |
| EP3390413B1 (en) | Antiviral oxime phosphoramide compounds | |
| WO2017007701A1 (en) | Antiviral phosphodiamide compounds | |
| EP3503895B1 (en) | Antiviral prodrugs of tenofovir | |
| JP2018531216A6 (en) | Antiviral beta-amino acid ester phosphodiamide compounds | |
| EP3823629B1 (en) | Phosphinic amide prodrugs of tenofovir |
Legal Events
| Date | Code | Title | Description |
|---|---|---|---|
| 121 | Ep: the epo has been informed by wipo that ep was designated in this application |
Ref document number: 16873642 Country of ref document: EP Kind code of ref document: A1 |
|
| NENP | Non-entry into the national phase |
Ref country code: DE |
|
| WWE | Wipo information: entry into national phase |
Ref document number: 2016873642 Country of ref document: EP |
|
| ENP | Entry into the national phase |
Ref document number: 2016873642 Country of ref document: EP Effective date: 20180710 |





































































