WO2017048727A1 - Modulators of toll-like recptors for the treatment of hiv - Google Patents
Modulators of toll-like recptors for the treatment of hiv Download PDFInfo
- Publication number
- WO2017048727A1 WO2017048727A1 PCT/US2016/051545 US2016051545W WO2017048727A1 WO 2017048727 A1 WO2017048727 A1 WO 2017048727A1 US 2016051545 W US2016051545 W US 2016051545W WO 2017048727 A1 WO2017048727 A1 WO 2017048727A1
- Authority
- WO
- WIPO (PCT)
- Prior art keywords
- tlr8
- hiv
- alkyl
- human
- compound
- Prior art date
- Legal status (The legal status is an assumption and is not a legal conclusion. Google has not performed a legal analysis and makes no representation as to the accuracy of the status listed.)
- Ceased
Links
- 0 CCCC(*C)C(NCCO)=O Chemical compound CCCC(*C)C(NCCO)=O 0.000 description 5
- LYEASBJBQDYBCQ-GFCCVEGCSA-N CCCC[C@](C)(CNC(C)=O)C(C)C Chemical compound CCCC[C@](C)(CNC(C)=O)C(C)C LYEASBJBQDYBCQ-GFCCVEGCSA-N 0.000 description 2
- ZNZHXTWASLHSHA-UHFFFAOYSA-N CCCC(C(C)=C)C(NC)=O Chemical compound CCCC(C(C)=C)C(NC)=O ZNZHXTWASLHSHA-UHFFFAOYSA-N 0.000 description 1
- VUAYFPHGVDCEQI-UHFFFAOYSA-N CCCC(C(C)C)C(NCCN)=O Chemical compound CCCC(C(C)C)C(NCCN)=O VUAYFPHGVDCEQI-UHFFFAOYSA-N 0.000 description 1
- DMUCHYHXAILTIW-UHFFFAOYSA-N CCCC1(CC1)C(NCCO)=O Chemical compound CCCC1(CC1)C(NCCO)=O DMUCHYHXAILTIW-UHFFFAOYSA-N 0.000 description 1
- LRUKMJMQWMKWHF-UHFFFAOYSA-N CCCC1(CC1)C(NCc1ccccn1)=O Chemical compound CCCC1(CC1)C(NCc1ccccn1)=O LRUKMJMQWMKWHF-UHFFFAOYSA-N 0.000 description 1
- XYBBYAOIVLDKKV-UHFFFAOYSA-N CCCCC(C)(C)CNS(C)(=O)=O Chemical compound CCCCC(C)(C)CNS(C)(=O)=O XYBBYAOIVLDKKV-UHFFFAOYSA-N 0.000 description 1
- HHHSPJIYCPSZTK-UHFFFAOYSA-N CCCCCC(CF)NC(C)OC Chemical compound CCCCCC(CF)NC(C)OC HHHSPJIYCPSZTK-UHFFFAOYSA-N 0.000 description 1
- SYIOXNGUUYGIIF-UHFFFAOYSA-N CCCCCCNC(C)=O Chemical compound CCCCCCNC(C)=O SYIOXNGUUYGIIF-UHFFFAOYSA-N 0.000 description 1
- XCVSWVFFGPKDLV-VIFPVBQESA-N CCCCC[C@H](C)CNC(C)=O Chemical compound CCCCC[C@H](C)CNC(C)=O XCVSWVFFGPKDLV-VIFPVBQESA-N 0.000 description 1
- HBZVREOSVDFLLI-QGZVFWFLSA-N CCCCC[C@](C)(CNC(C)=O)Nc1c2ncccc2nc(N)n1 Chemical compound CCCCC[C@](C)(CNC(C)=O)Nc1c2ncccc2nc(N)n1 HBZVREOSVDFLLI-QGZVFWFLSA-N 0.000 description 1
- XSXBAPWESFAPEI-QGZVFWFLSA-N CCCCC[C@](C)(CNC(C)=O)Nc1nc(N)nc2cc(Cl)cnc12 Chemical compound CCCCC[C@](C)(CNC(C)=O)Nc1nc(N)nc2cc(Cl)cnc12 XSXBAPWESFAPEI-QGZVFWFLSA-N 0.000 description 1
- GMMUGWDWQSXGFR-MRVPVSSYSA-N CCCC[C@@H](C)C(NCCO)=O Chemical compound CCCC[C@@H](C)C(NCCO)=O GMMUGWDWQSXGFR-MRVPVSSYSA-N 0.000 description 1
- JXNPSTAITLSZHP-QMMMGPOBSA-N CCCC[C@H](C)CNS(C)(=O)=O Chemical compound CCCC[C@H](C)CNS(C)(=O)=O JXNPSTAITLSZHP-QMMMGPOBSA-N 0.000 description 1
- QHOONXRIDIMHSP-MRXNPFEDSA-N CCCC[C@](C)(CNC(C)=O)Nc1nc(N)nc2c1ncc(Cl)c2 Chemical compound CCCC[C@](C)(CNC(C)=O)Nc1nc(N)nc2c1ncc(Cl)c2 QHOONXRIDIMHSP-MRXNPFEDSA-N 0.000 description 1
- CMVQHQGVQQQFJV-MRXNPFEDSA-N CCCC[C@](C)(CNC(C)=O)Nc1nc(N)nc2c1ncc(F)c2 Chemical compound CCCC[C@](C)(CNC(C)=O)Nc1nc(N)nc2c1ncc(F)c2 CMVQHQGVQQQFJV-MRXNPFEDSA-N 0.000 description 1
- XIWCJHDZOIWLMD-MRXNPFEDSA-N CCCC[C@](C)(CNC(C)=O)Nc1nc(N)nc2c1nccc2 Chemical compound CCCC[C@](C)(CNC(C)=O)Nc1nc(N)nc2c1nccc2 XIWCJHDZOIWLMD-MRXNPFEDSA-N 0.000 description 1
- HTCJUBZBSJQWBW-CQSZACIVSA-N CCCC[C@](C)(CO)Nc1nc(N)nc2cc(F)cnc12 Chemical compound CCCC[C@](C)(CO)Nc1nc(N)nc2cc(F)cnc12 HTCJUBZBSJQWBW-CQSZACIVSA-N 0.000 description 1
- DGQXILANHZTODU-CQSZACIVSA-N CCCC[C@](C)(CO)Nc1nc(N)nc2cccnc12 Chemical compound CCCC[C@](C)(CO)Nc1nc(N)nc2cccnc12 DGQXILANHZTODU-CQSZACIVSA-N 0.000 description 1
- HYUFOQVFTCJEQH-QMMMGPOBSA-N CCC[C@H](C)C(NCC(C)(C)O)=O Chemical compound CCC[C@H](C)C(NCC(C)(C)O)=O HYUFOQVFTCJEQH-QMMMGPOBSA-N 0.000 description 1
- DWWHPHBWOURHEZ-CYBMUJFWSA-N CCC[C@](C)(CO)Nc1nc(N)nc2cccnc12 Chemical compound CCC[C@](C)(CO)Nc1nc(N)nc2cccnc12 DWWHPHBWOURHEZ-CYBMUJFWSA-N 0.000 description 1
Classifications
-
- A—HUMAN NECESSITIES
- A61—MEDICAL OR VETERINARY SCIENCE; HYGIENE
- A61K—PREPARATIONS FOR MEDICAL, DENTAL OR TOILETRY PURPOSES
- A61K31/00—Medicinal preparations containing organic active ingredients
- A61K31/33—Heterocyclic compounds
- A61K31/395—Heterocyclic compounds having nitrogen as a ring hetero atom, e.g. guanethidine or rifamycins
- A61K31/495—Heterocyclic compounds having nitrogen as a ring hetero atom, e.g. guanethidine or rifamycins having six-membered rings with two or more nitrogen atoms as the only ring heteroatoms, e.g. piperazine or tetrazines
- A61K31/505—Pyrimidines; Hydrogenated pyrimidines, e.g. trimethoprim
- A61K31/519—Pyrimidines; Hydrogenated pyrimidines, e.g. trimethoprim ortho- or peri-condensed with heterocyclic rings
-
- A—HUMAN NECESSITIES
- A61—MEDICAL OR VETERINARY SCIENCE; HYGIENE
- A61K—PREPARATIONS FOR MEDICAL, DENTAL OR TOILETRY PURPOSES
- A61K45/00—Medicinal preparations containing active ingredients not provided for in groups A61K31/00 - A61K41/00
- A61K45/06—Mixtures of active ingredients without chemical characterisation, e.g. antiphlogistics and cardiaca
-
- A—HUMAN NECESSITIES
- A61—MEDICAL OR VETERINARY SCIENCE; HYGIENE
- A61P—SPECIFIC THERAPEUTIC ACTIVITY OF CHEMICAL COMPOUNDS OR MEDICINAL PREPARATIONS
- A61P31/00—Antiinfectives, i.e. antibiotics, antiseptics, chemotherapeutics
- A61P31/12—Antivirals
- A61P31/14—Antivirals for RNA viruses
- A61P31/18—Antivirals for RNA viruses for HIV
-
- A—HUMAN NECESSITIES
- A61—MEDICAL OR VETERINARY SCIENCE; HYGIENE
- A61K—PREPARATIONS FOR MEDICAL, DENTAL OR TOILETRY PURPOSES
- A61K2300/00—Mixtures or combinations of active ingredients, wherein at least one active ingredient is fully defined in groups A61K31/00 - A61K41/00
-
- A—HUMAN NECESSITIES
- A61—MEDICAL OR VETERINARY SCIENCE; HYGIENE
- A61K—PREPARATIONS FOR MEDICAL, DENTAL OR TOILETRY PURPOSES
- A61K39/00—Medicinal preparations containing antigens or antibodies
- A61K39/395—Antibodies; Immunoglobulins; Immune serum, e.g. antilymphocytic serum
- A61K39/39533—Antibodies; Immunoglobulins; Immune serum, e.g. antilymphocytic serum against materials from animals
- A61K39/3955—Antibodies; Immunoglobulins; Immune serum, e.g. antilymphocytic serum against materials from animals against proteinaceous materials, e.g. enzymes, hormones, lymphokines
Definitions
- This application relates generally to compounds and pharmaceutical compositions which selectively modulate toll-like receptors (such as TLR8) and methods of using such compounds in the treatment of Human Immunodeficiency Virus (H IV) infections.
- toll-like receptors such as TLR8
- H IV Human Immunodeficiency Virus
- the innate immune system provides the body with a first line defense against invading pathogens.
- an invading pathogen is recognized by a germline-encoded receptor, the activation of which initiates a signaling cascade that, among other functions, leads to the induction of cytokine expression and stimulation of multiple immune cell subsets.
- Innate immune system receptors have broad specificity, recognizing molecular structures that are highly conserved among different pathogens.
- One family of these receptors is known as Toll-like receptors (TLRs) , due to their homology with receptors that were first identified and named in Drosophila, and are present in cells such as macrophages, dendritic cells, and epithelial cells.
- TLR8 The toll-like receptor family plays a fundamental role in pathogen recognition and activation of innate immunity.
- Toll-like receptor 8 (TLR8) is
- TLR8 modulating compound including for example a compound of Formula (J) or (I) , or a pharmaceutically acceptable salt thereof:
- X is N or CR 10 ;
- R 1 is selected from the group consisting of hydrogen, halogen, Chalky!, CN , -NR a R b , is optionally substituted with 1 to 5 R 20 groups;
- R 2 is selected from the group consisting of hydrogen, halogen, Chalky!, CN , -NR a R b , is optionally substituted with 1 to 5 R 20 groups;
- R 3 is selected from the group consisting of hydrogen, halogen, C 1-6 alkyl, CN, -NR a R b , -S(0) 1-2 R a , and OR a , wherein C h alky! is optionally substituted with 1 to 5 R 20 groups;
- R 10 is selected from hydrogen, halogen, C 1-6 alkyl, CN, -NR a R b , -S(0) 1-2 R a , and OR a , wherein C 1-6 alkyl is optionally substituted with 1 to 5 R 20 groups
- each R 20 is independently selected from the group consisting of halogen, Ci.
- each R 21 is independently selected from the group consisting of halogen, C 1-6 alkyl, Ci. ehaloalkyl, CN, -NR a R b , S(0)i -2 R a , and OR a ;
- each R a and R b are independently selected from the group consisting of hydrogen and C 1-6 alkyl; wherein each C 1-6 alkyl is optionally substituted with 1 to 5 substituents independently selected from halogen, hydroxyl, amino, 5 to 10 membered heteroaryl wherein the 5 to 10 membered heteroaryl has 1 to 3 heteroatoms selected from oxygen, nitrogen, and sulfur, and C 1-6 haloalkyl;
- R 1 is CI
- R 2 is H
- R 3 is H then R 4 is not CH 2 CH 2 OMe or CH 2 CH 2 S0 2 Me.
- the TLR8 modulating compound is a compound of Formula (I)
- R 1 is selected from the group consisting of hydrogen, halogen, C 1-6 alkyl, CN , -NR a R b , -S(0) 1-2 R a , and OR a , wherein Chalky! is optionally substituted with 1 to 5 R 20 groups;
- R 2 is selected from the group consisting of hydrogen, halogen, C 1-6 alkyl, CN , -NR a R b , -S(0) 1-2 R a and OR a , wherein C 1-6 alkyl is optionally substituted with 1 to 5 R 20 groups;
- R 3 is selected from the group consisting of hydrogen, halogen, C 1-6 alkyl, CN , -NR a R b , -S(0) 1-2 R a , and OR a , wherein C 1-6 alkyl is optionally substituted with 1 to 5 R 20 groups;
- R 4 is C 1-12 alkyl which is optionally substituted with 1 to 5 substituents independently selected from halogen, -OR a , -NR a R b , CN, -C(0)R a , -C(0)OR a , -C(0)NR a R b , - OC(0)NR a R b , -NR a C(0)R b , -NR a C(0)NR b -NR a C(0)OR b , -SR a , -S(0)i -2 R a , - S(0) 2 NR a R b , -NR a S(0) 2 R b , C 1-6 haloalkyl, C 3-6 cycloalkyl, 3 to 6 membered heterocyclyl wherein the 3 to 6 membered heterocyclyl has 1 to 3 heteroatoms selected from oxygen, nitrogen, and sulfur, C 6-10 aryl, and 5 to 10 membered heteroaryl wherein the 5 to 10
- each R 20 is independently selected from the group consisting of halogen, d_ ehaloalkyl, CN, -NR a R b , S(0)i -2 R a , and OR a ;
- each R 21 is independently selected from the group consisting of halogen, C 1-6 alkyl, Ci. ehaloalkyl, CN, -NR a R b , S(0)i -2 R a , and OR a ;
- each R a and R b are independently selected from the group consisting of hydrogen and C 1-6 alkyl; wherein each C 1-6 alkyl is optionally substituted with 1 to 5 substituents independently selected from halogen, hydroxyl, amino, 5 to 10 membered heteroaryl wherein the 5 to 10 membered heteroaryl has 1 to 3 heteroatoms selected from oxygen, nitrogen, and sulfur, and C 1-6 haloalkyl;
- R 1 is CI, R 2 is H and R 3 is H then R 4 is not CH 2 CH 2 OMe or
- the TLR8 modulating compound is a compound of Formula (IV) :
- R 1 is selected from the group consisting of hydrogen, halogen, C 1-6 alkyl, CN, and OR a , wherein C 1-6 alkyl is optionally substituted with 1 to 5 R 20 groups;
- R 2 is selected from the group consisting of hydrogen, halogen, C 1-6 alkyl, CN, and OR a , wherein C 1-6 alkyl optionally substituted with 1 to 5 R 20 groups;
- R 3 is selected from the group consisting of hydrogen, halogen, C 1-6 alkyl, CN, and
- R 11 is selected from the group consisting of C 1-2 alkyl, C 3 . 6 cycloalkyl, and C 1-3 haloalkyl;
- R 12 is selected from C 1-3 alkyl, halogen, -OR a , -NR a R b , CN, -C(0)R a , -C(0)OR a , - C(0)NR a R b , -OC(0)NR a R b , -NR a C(0)R b , -NR a C(0)NR b -NR a C(0)OR b , -SR a , -S(0)i.
- R 13 is selected from d_ 6 alkyl, halogen, -OR a , -NR a R b , CN, -C(0)R a , -C(0)OR a , - C(0)NR a R b , -OC(0)NR a R b , -NR a C(0)R b , -NR a C(0)NR b -NR a C(0)OR b , -SR a , -S(0)i.
- each R is independently selected from the group consisting of halogen, CN, - NR a R b , and OR a ;
- each R a and R b is independently selected from the group consisting of hydrogen and C 1-3 alkyl, wherein each C 1-3 alkyl is optionally substituted with 1 to 3 substituents independently selected from halogen, -OH, and NH 2 .
- Another aspect of the present disclosure includes a method for treating an H IV infection in a human, the method comprising administering to a human in need thereof a therapeutically effective amount of a TLR8 modulating compound.
- the present disclsore includes combinations of aspects and embodiments, as well as preferences, as herein described throughout the present specification.
- Figure 1 depicts the induced cytokines and chemokines by TLR agonists as determined according to Example 121 .
- Figure 2A and Figure 2B depicts the induction of HIV-specific polyfunctional CD8+ T cells in PBMC cultures from H IV-1 Infected Subjects on cART treated with the TLR8 Agonist of Example 15.
- Figure 3 depicts the percent reduction of H IV-infected (i.e. p24+) CD4+ T cells after administration of the compound of Example 15 and PGT121 as described in Example 125
- Figure 4 depicts the percent reduction of p24+ CD4+ T cells after administration of the compound of Example 15 and PGT121 as described in Example 125.
- Figures 5A, 5B, 5C and 5D depict induction of cytokines and chemokines by the compound of Example 65 in Rhesus Macaques as described in Example 126.
- TLR8 modulating compounds which may be used in the uses, methods, combinations, pharmaceutical formulations/compositions, kits, and regimens described herein include compounds that modulate TLR8 as described herein, including without limitation, motolimod, 3M-051 , 3M-052, MCT-465, IMO-4200, VTX-763, VTX- 1463, and the TLR8 modulating compounds found in US20140045849 (Janssen) , US20140073642 (Janssen), WO2014/056953 (Janssen) , WO2014/076221 (Janssen) , WO2014/128189 (Janssen) , US20140350031 (Janssen) , WO2014/023813 (Janssen) , US20080234251 (Array Biopharma) , US20080306050 (Array Biopharma) ,
- TLR8 modulating compound Formula (J) (I) , (I I), (Ma), (lib), (I I I) , (I l ia), (1 Mb) , (IV), (IVa), (IVb), (IVc) , or (IVd) .
- the TLR8 modulating compound is a compound of Formula (J) :
- X is N or CR 10 ;
- R 1 is selected from the group consisting of hydrogen, halogen , C 1-6 alkyl, CN , - NR a R b , -S(0)i -2 R a , and OR a , wherein C ⁇ alkyl is optionally substituted with 1 to 5 R 20 groups;
- R 2 is selected from the group consisting of hydrogen, halogen , C 1-6 alkyl, CN , -
- R 3 is selected from the group consisting of hydrogen, halogen , C 1-6 alkyl, CN , - NR a R b , -S(0) 1-2 R a , and OR a , wherein C 1-6 alkyl is optionally substituted with 1 to 5 R 20 groups; R 4 is CM 2 alkyl which is optionally substituted with 1 to 5 substituents
- each C 3 . 6 cycloalkyl, 3 to 6 membered heterocyclyl, C 6-10 aryl, and 5 to 10 membered heteroaryl is optionally substituted with 1 to 5 R 21 groups;
- R 10 is selected from hydrogen, halogen, C 1-6 alkyl, CN, -NR a R b , -S(0) 1 -2 R a , and OR a , wherein C 1-6 alkyl is optionally substituted with 1 to 5 R 20 groups
- each R 20 is independently selected from the group consisting of halogen, Ci. ehaloalkyl, CN, -NR a R b , S(0)i -2 R a , and OR a ;
- each R 21 is independently selected from the group consisting of halogen, C 1-6 alkyl, d_ 6 haloalkyl, CN, -NR a R b , S(0)i -2 R a , and OR a ;
- each R a and R b are independently selected from the group consisting of hydrogen and C 1-6 alkyl; wherein each C 1-6 alkyl is optionally substituted with 1 to 5 substituents independently selected from halogen, hydroxyl, amino, 5 to 10 membered heteroaryl wherein the 5 to 10 membered heteroaryl has 1 to 3 heteroatoms selected from oxygen, nitrogen, and sulfur, and C 1-6 haloalkyl;
- X is CR 10 . In certain embodiments of Formula (J), X is N.
- the TLR8 modulating compound is a compound of Formula (I):
- R 1 is selected from the group consisting of hydrogen, halogen, C 1-6 alkyl, CN, - NR a R b , -S(0) 1-2 R a , and OR a , wherein C ⁇ alkyl is optionally substituted with 1 to 5 R 20 groups;
- R 2 is selected from the group consisting of hydrogen, halogen, C 1-6 alkyl, CN, - NR a R b , -S(0) 1-2 R a and OR a , wherein C 1-6 alkyl is optionally substituted with 1 to 5 R 20 groups;
- R 3 is selected from the group consisting of hydrogen, halogen, C 1-6 alkyl, CN, - NR a R b , -S(0) 1-2 R a , and OR a , wherein C 1-6 alkyl is optionally substituted with 1 to 5 R 20 groups;
- R 4 is C 1-12 alkyl which is optionally substituted with 1 to 5 substituents
- each C 3 . 6 cycloalkyl, 3 to 6 membered heterocyclyl, C 6-10 aryl, and 5 to 10 membered heteroaryl is optionally substituted with 1 to 5 R 21 groups;
- each R 20 is independently selected from the group consisting of halogen, Ci. ehaloalkyl, CN, -NR a R b , S(0)i -2 R a , and OR a ;
- each R 21 is independently selected from the group consisting of halogen, C 1-6 alkyl, Ci-ehaloalkyl, CN, -NR a R b , S(0)i -2 R a , and OR a ;
- each R a and R b are independently selected from the group consisting of H and Ci. 6 alkyl; wherein each C 1-6 alkyl is optionally substituted with 1 to 5 substituents
- R 1 is CI
- R 2 is H and R 3 is H then R 4 is not CH 2 CH 2 OMe or CH 2 CH 2 S0 2 Me.
- R 4 is C 1-8 alkyl which is optionally substituted with 1 to 5 substituents independently selected from the group consisting of halogen, -OR a , -NR a R b , CN, -C(0)R a , -C(0)OR a , -C(0)NR a R b , - OC(0)NR a R b , -NR a C(0)R b , -NR a C(0)NR b -NR a C(0)OR b , -SR a , -S(0) ⁇ 2 R a , - S(0) 2 NR a R b , -NR a S(0) 2 R b , C ⁇ haloalkyl, C 3 .
- R 4 is C 1-6 alkyl optionally substituted with 1 to 5 substituents independently selected from the group consisting of halogen, -OR a , -C(0)OR a , -C(0)NR a R b ,-SR a , C ⁇ haloalkyl, C 3 . 6 cycloalkyl, 3 to 6 membered heterocyclyl, and C 6-10 aryl; wherein each C 3 . 6 cycloalkyl, 3 to 6 membered heterocyclyl, and C 6 . 10 aryl is optionally substituted with 1 to 5 R 21 groups.
- R 4 is C 3 . 8 alkyl optionally substituted with 1 to 5 substituents independently selected from the group consisting of halogen, -OR a , -C(0)OR a , -NR a C(0)R b ,-SR a , d_ 6 haloalkyl, C 3 _ 6 cycloalkyl, 3 to 6 membered heterocyclyl, and C 6 . 10 aryl; wherein each C 3 . 6 cycloalkyl, 3 to 6 membered heterocyclyl, and C 6 . 10 aryl is optionally substituted with 1 to 5 R 21 groups.
- R 4 is C 1-6 alkyl optionally substituted with 1 to 3 substituents independently selected from the group consisting of halogen, -OR a , -C(0)OR a , -C(0)NR a R b , -SR a , -C ⁇ haloalkyl, C 3 . 6 cycloalkyl, 3 to 6 membered heterocyclyl and C 6-10 aryl; wherein each C 3 . 6 cycloalkyl and C 6-10 aryl is optionally substituted with 1 to 3 R 21 groups.
- R 4 is C 3 . 8 alkyl optionally substituted with 1 to 3 substituents
- R 4 is C 1-6 alkyl optionally substituted with 1 or 2 substituents independently selected halogen, -OR a , - C(0)OR a , -C(0)NR a R b , -SR a , C 1-3 haloalkyl, C 3-6 cycloalkyl, 3 to 6 membered heterocyclyl and C 6- io aryl; wherein each C 3 .
- R 6 cycloalkyl and C 6-10 aryl is optionally substituted with 1 to 3 R 21 groups and wherein R a and R b are each independently hydrogen or C 1-4 alkyl, wherein the C 1-4 alkyl is optionally substituted with -NH 2 , OH, or pyridyl.
- R 4 is C 3 .
- each C 1-4 alkyl is optionally substituted with -NH 2 , OH, or pyridyl.
- R 4 is C 1-6 alkyl optionally substituted with 1 or 2 substituents independently selected from the group consisting of OH, CF 3, -C(0)OH, -C(0)OCH 3 , -C(0)NH 2 , SCH 3 , -C(0)NHCH 3 , - C(0)NHCH 2 CH 2 NH 2 , -C(0)NHCH 2 CH 2 OH, -C(0)NHCH 2 -pyridyl, phenyl,
- R 4 is C 3 _8 alkyl which is optionally substituted with 1 or 2 substituents independently selected from OH, CF 3, -C(0)OH, -C(0)OCH 3 , SCH 3 ,— NHC(0)CH 3 , - NHC(0)CH 2 CH 2 NH 2 , -NHC(0)CH 2 CH 2 OH, -NHC(0)CH 2 -pyridyl, phenyl,
- R 4 is C 3 . 6 alkyl optionally substituted with 1 or 2 substituents independently selected from the group consisting of OH, CF 3, -C(0)OH, -C(0)OCH 3 , -C(0)NH 2 , SCH 3 , -C(0)NHCH 3 , - C(0)NHCH 2 CH 2 NH 2 , -C(0)NHCH 2 CH 2 OH, and -C(0)NHCH 2 -pyridyl. In certain embodiments of a compound of Formula (J) or (I), R 4 is C 3 .
- 6 alkyl which is optionally substituted with 1 or 2 substituents independently selected from OH, CF 3 -C(0)OH, - C(0)OCH 3 , SCH 3 ,— NHC(0)CH 3 , -NHC(0)CH 2 CH 2 NH 2 , -NHC(0)CH 2 CH 2 OH, - NHC(0)CH 2 -pyridyl, phenyl, tetrahydrofuranyl, and cyclopropyl.
- R 4 is C 1-6 alkyl which is optionally substituted with OH. In certain embodiments of a compound of Formula (J) or (I), R 4 is C 3 . 8 alkyl which is optionally substituted with OH. In certain embodiments of a compound of Formula (J) or (I), R 4 is C 3 . 8 alkyl which is substituted with -NHC(0)CH 3 .
- R 4 is C 3 . 6 alkyl which is optionally substituted with OH. In certain embodiments of a compound of Formula (J) or (I), R 4 is C 3 _6 alkyl which is substituted with -NHC(0)CH 3 .
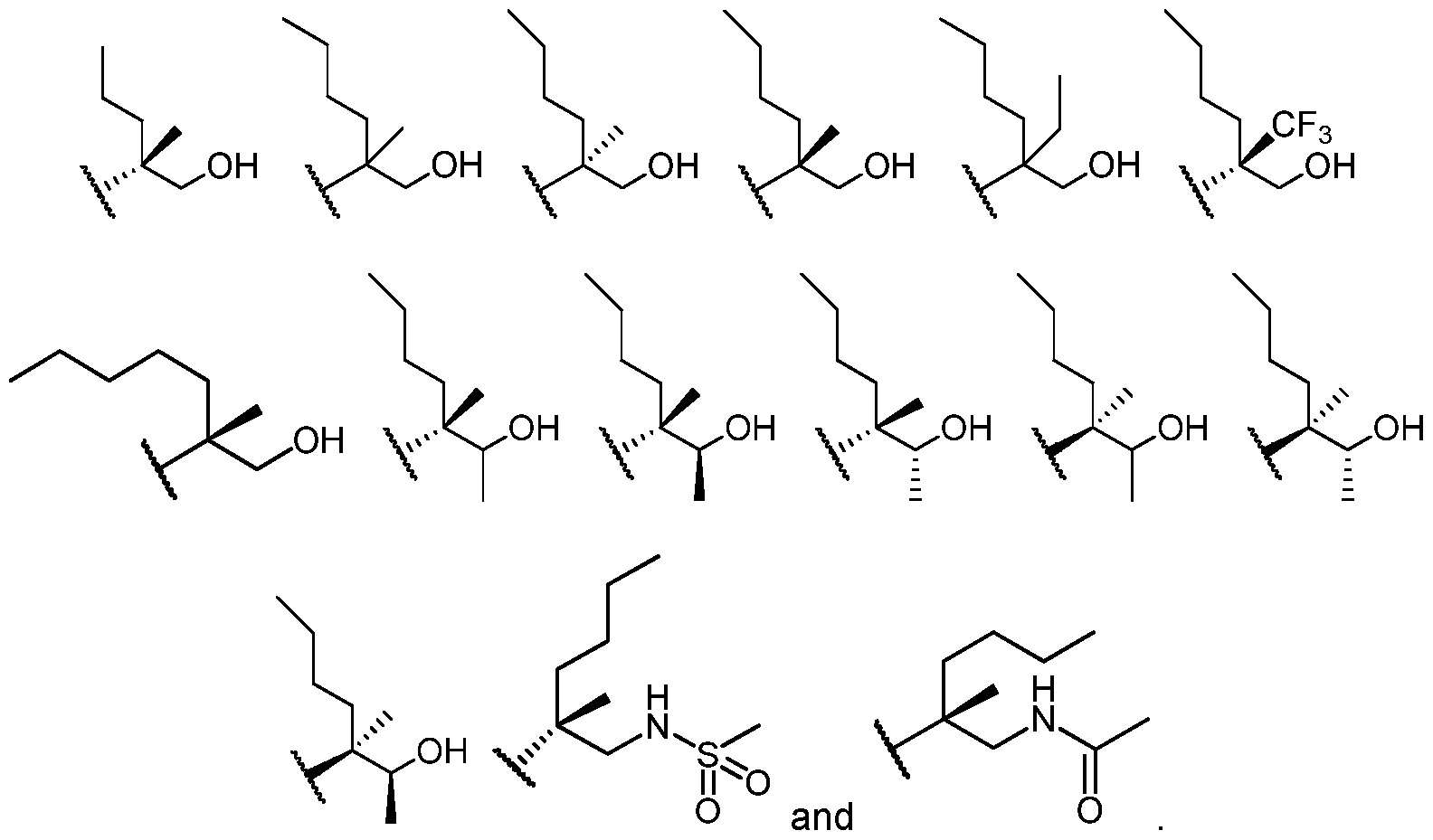
- R 4 has at least one chiral center. In certain embodiments, the at least one chiral center is in the S configuration. In certain embodiments, the at least one chiral center is in the R configuration. In certain embodiments of a compound of Formula (J) or (I), R 4 is selected from group consisting of:
- R is selected from group consisting of:
- R 4 is selected from g
- R 4 is selected from group consisting of:
- R 4 is selected from g
- R 4 is selected from group consisting of:
- R 4 is selected from group consisting of:
- R 4 is selected from
- R 4 is selected from group consisting of:
- R 4 is selected from group consisting of:
- R 4 is selected from group consisting of:
- R 4 is selected from the group consisting of:
- R 4 is selected from group consisting of:
- R 4 is selected from group consisting of:
- R 4 is selected from group consisting of:
- R 4 is selected from group consisting of:
- R 4 is selected from group consisting of
- R 4 is
- R 4 is
- R 4 is
- R 4 is
- R 4 is
- the compound of Formula (J) or (I) is a compound of Formula (II)
- R 5 is selected from the group consisting of hydrogen, halogen, and methyl
- R 6 is selected from the group consisting of hydrogen, halogen, and methyl; or R 5 and R 6 together form an oxo group;
- R 7 is selected from the group consisting of hydrogen, halogen, OR a and NR a R b ;
- R 8 is selected from the group consisting of hydrogen and methyl; R is is selected from the group consisting of C 1-4 alkyl, C 3 . 5 cycloalkyl, and -S-d_
- R a and R b are independently selected from the group consisting of hydrogen and C 1-6 alkyl; wherein each d_ 6 alkyl is optionally substituted with 1 to 3 substituents independently selected from the group consisting of halogen, hydroxyl, and pyridyl; and R 1 , R 2 , and R 3 are as otherwise defined herein.
- R 1 is selected from the group consisting of hydrogen, halogen, C 1-6 alkyl, CN, -NR a R b , -S(0) 1-2 R a , and OR a , wherein d 6 alkyl is optionally substituted with 1 to 5 R 20 groups;
- R 2 is selected from the group consisting of hydrogen, halogen, C 1-6 alkyl, CN, -NR a R b , -S(0) 1-2 R a and OR a , wherein d_ 6 alkyl is optionally substituted with 1 to 5 R 20 groups;
- R 3 is selected from the group consisting of hydrogen, halogen, C 1-6 alkyl, CN, -NR a R b , -S(0) 1-2 R a , and OR a , wherein d 6 alkyl is optionally substituted with 1 to 5 R 20 groups;
- the compound of Formula (II) is a compound of Formula (lla)
- the compound of Formula (II) is a compound of Formula
- R 5 is hydrogen; R 6 is hydrogen; or R 5 and R 6 together form an oxo group;
- R 7 is OR a or NR a R b ;
- R 8 is hydrogen;
- R 9 is C 1-4 alkyl, cyclopropyl or -SCH 3 ;
- R a and R b are independently selected from the group consisting of hydrogen and C 1-4 alkyl; wherein each ( ⁇ alkyl is optionally substituted with 1 to 3 substituents independently selected from halogen, hydroxyl, pyrid-2-yl, and CF 3 , and R 1 , R 2 , and R 3 are as otherwise defined herein.
- R a and R b are hydrogen.
- R 7 is OH or NH 2 .
- R 1 and R 2 are hydrogen.
- R 5 is hydrogen
- R 6 is hydrogen
- R 5 and R 6 together form an oxo group
- R 7 is OR a or NR a R b
- R 8 is hydrogen
- R 9 is C 1-4 alkyl, cyclopropyl or -SCH3
- R a and R b are independently selected from the group consisting of hydrogen and C 1-4 alkyl; wherein each C ⁇ alkyl is optionally substituted with 1 to 3 substituents independently selected from halogen, hydroxyl, pyrid-2-yl, and CF 3 .
- R 7 is OH or NH 2 .
- the compound is a compound of Formula (III)
- R 5 is hydrogen
- R 7 is selected from the group consisting of OR a and NR a R b ;
- R a and R b are independently selected from the group consisting of hydrogen and C 1-3 alkyl; wherein each Chalky! is optionally substituted with 1 to 3 substituents independently selected from the group consisting of halogen and hydroxyland R 1 , R 2 , and R 3 are as otherwise defined herein.
- the compound of Formula (III) is a compound of Formula
- the compound of Formula (III) is a compound of Formula
- R 5 and R' are both hydrogen and R 7 is OR a , wherein R a is hydrogen or C 1-3 alkyl.
- R a is hydrogen or C 1-3 alkyl.
- R 5 and R 6 are both hydrogen and R 7 is OH.
- R 1 , R 2 R 5 , and R 6 are each hydrogen, and R 7 is OH.
- R 5 and R' together form an oxo group and R 7 is selected from the group consisting of OR a and NR a R b , wherein R a and R b are independently selected from the group consisting of hydrogen and C 1-3 alkyl.
- R 5 and R 6 together form an oxo group and R 7 is selected from the group consisting of OR a and NR a R b , wherein R a and R b are independently selected from the group consisting of hydrogen and methyl.
- the compound is a compound of Formula (IV):
- R 1 , R 2 , and R 3 groups of Formula (IV) are as defined above for Formula (J) (I).
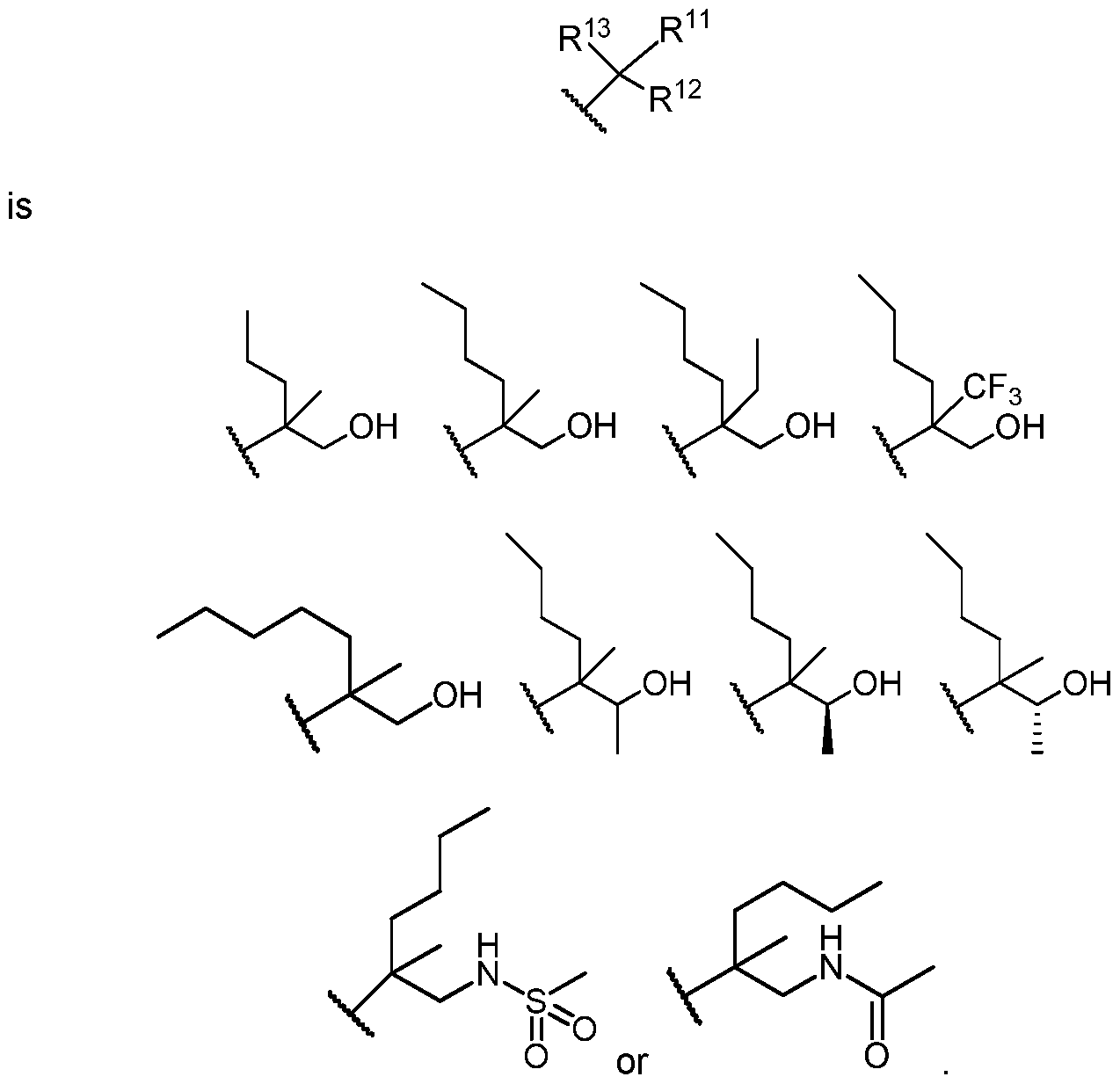
- the R 11 , R 12 and R 13 groups are as defined above for R4 in Formula (J) or Formula C - Iri certain embodiments, the compound of Formula (IV), or a pharmaceutically acceptable salt thereof, is a compound of Formula (IVa):
- the compound of Formula (IV), or a pharmaceutically acceptable salt thereof is a compound of Formula (IVb):
- R 1 , R 2 , R 3 , R 11 , R 12 and R 13 of Formula (IVa) and (IVb) are as defined for Formula (J), (I) or (IV) above, or as defined below, or any combination thereof.
- R 1 of Formula (IV), (IVa) and (IVb) can be any suitable group selected from hydrogen, halogen, C ⁇ alkyl, CN, -NR a R b , -S O ⁇ R 3 , and OR a , wherein C ⁇ alkyl is optionally substituted with 1 to 5 R 20 groups.
- R 1 is selected from hydrogen, halogen, C 1-6 alkyl, CN, and OR a , wherein C 1-6 alkyl is optionally substituted with 1 to 5 R 20 groups.
- R 1 can be hydrogen, halogen, and C 1-3 alkyl, wherein C 1-3 alkyl is optionally substituted with 1 to 5 halogen groups.
- R 1 can be hydrogen, fluoro, chloro, bromo, methyl or ethyl, wherein each methyl or ethyl group is optionally substituted with 1 to 5 halogen groups. In certain embodiments, R 1 can be hydrogen, fluoro, chloro, bromo, methyl or ethyl, wherein each methyl or ethyl group is optionally substituted with 1 to 5 fluoro groups. In certain embodiments, R 1 can be hydrogen, methyl, fluoro, chloro, and CF 3 . In certain embodiments, R 1 can be hydrogen. In certain embodiments, R 1 is selected from hydrogen, halogen, NH 2 , C 1-6 alkyl, CN, and OR a , wherein C 1-6 alkyl is optionally substituted with 1 to 5 R 20 groups.
- R 2 is selected from hydrogen, methyl, ethyl, fluoro, chloro, bromo, CF 3 , CN, OH, OMe, and OEt. In certain embodiments, R 2 is selected from hydrogen, methyl, fluoro, and chloro. In certain embodiments, R 2 is selected from hydrogen and fluoro. In certain embodiments, R 2 is selected from hydrogen, halogen, NH 2 , C 1-6 alkyl, CN, and OR a , wherein C 1-6 alkyl is optionally substituted with 1 to 5 R 20 groups. In certain embodiments, R 2 is selected from hydrogen, methyl, ethyl, NH 2 , fluoro, chloro, bromo, CF 3 , CN, OH, OMe, and OEt.
- R 3 can be selected from hydrogen and methyl. In certain embodiments, R 3 is selected from hydrogen, halogen, NH 2 , d_ 6 alkyl, CN, and OR a , wherein C 1-6 alkyl is optionally substituted with 1 to 5 R 20 groups.
- the compound of Formula (IV), (IVa) or (IVb), or a pharmaceutically acceptable salt thereof is the compound wherein R 1 is selected from the group consisting of hydrogen, halogen, C 1-6 alkyl, CN, -NR a R b , -S(0) 1-2 R a , and OR a , wherein C 1-6 alkyl is optionally substituted with 1 to 5 R 20 groups, R 2 is selected from the group consisting of hydrogen, halogen, C 1-6 alkyl, CN, -NR a R b , -S(0) 1-2 R a and OR a , wherein C h alky!
- R 3 is selected from the group consisting of hydrogen, halogen, C 1-6 alkyl, CN, -NR a R b , -S(0) 1-2 R a , and OR a , wherein C 1-6 alkyl is optionally substituted with 1 to 5 R 20 groups.
- the compound of Formula (IV), (IVa) or (IVb), or a pharmaceutically acceptable salt thereof is the compound wherein R 1 is selected from the group consisting of hydrogen, halogen, and C 1-3 alkyl, wherein C 1-3 alkyl is optionally substituted with 1 to 5 halogen groups, R 2 is selected from the group consisting of hydrogen, halogen, C 1-3 alkyl, CN and OR a , wherein C 1-3 alkyl is optionally substituted with 1 to 5 halogen groups, and R 3 is selected from the group consisting of hydrogen, halogen, and C 1-3 alkyl.
- the compound of Formula (IV), (IVa) or (IVb), or a pharmaceutically acceptable salt thereof is the compound wherein R 1 is selected from the group consisting of hydrogen, methyl, fluoro, chloro, and CF 3 , R 2 is selected from the group consisting of hydrogen, methyl, ethyl, fluoro, chloro, bromo, CF 3 , CN, OH, OMe, and OEt, and R 3 is selected from the group consisting of hydrogen, methyl, fluoro, and chloro.
- the compound of Formula (IV), (IVa) or (IVb), or a pharmaceutically acceptable salt thereof is the compound wherein R 1 is selected from the group consisting of hydrogen, methyl, fluoro, chloro, and CF 3 , R 2 is selected from the group consisting of hydrogen, methyl, ethyl, NH 2 , fluoro, chloro, bromo, CF 3 , CN, OH, OMe, and OEt, and R 3 is selected from the group consisting of hydrogen, methyl, fluoro, and chloro.
- the compound of Formula (IV), (IVa) or (IVb), or a pharmaceutically acceptable salt thereof is the compound wherein R 1 is hydrogen, R 2 is selected from the group consisting of hydrogen, methyl, ethyl, fluoro, chloro, and bromo, and R 3 is selected from the group consisting of hydrogen and methyl.
- the compound of Formula (IV), (IVa) or (IVb), or a pharmaceutically acceptable salt thereof is the compound wherein R 1 is hydrogen.
- R 2 is selected from the group consisting of hydrogen and fluoro, and
- R 3 is selected from the group consisting of hydrogen and methyl.
- R 11 of Formula (IV), (IVa) and (IVb) can be any suitable group selected from hydrogen, C 1-2 alkyl, C 3 . 6 cycloalkyl, and C 1-3 haloalkyl.
- the compound of Formula (IV), (IVa) or (IVb), or a pharmaceutically acceptable salt thereof is the compound wherein R 11 is selected from the group consisting of hydrogen, C 1-2 alkyl and C 1-2 haloalkyl.
- the compound of Formula (IV), (IVa) or (IVb), or a pharmaceutically acceptable salt thereof is the compound wherein R 11 is selected from the group consisting of C 1-2 alkyl and C 1-2 haloalkyl.
- the compound of Formula (IV), (IVa) or (IVb), or a pharmaceutically acceptable salt thereof is the compound wherein R 11 can be selected from hydrogen, methyl, ethyl or CF 3 .
- the compound of Formula (IV), (IVa) or (IVb), or a pharmaceutically acceptable salt thereof is the compound wherein R 11 can be selected from methyl, ethyl or CF 3 .
- the compound of Formula (IV), (IVa) or (IVb), or a pharmaceutically acceptable salt thereof is the compound wherein R 11 can be selected from hydrogen, methyl, or CF 3 .
- the compound of Formula (IV), (IVa) or (IVb), or a pharmaceutically acceptable salt thereof is the compound wherein R 11 can be selected from methyl, or CF 3 .
- the compound of Formula (IV), (IVa) or (IVb), or a pharmaceutically acceptable salt thereof is the compound wherein R 11 can be selected from hydrogen or methyl.
- the compound of Formula (IV), (IVa) or (IVb), or a pharmaceutically acceptable salt thereof is the compound wherein R 11 is methyl.
- the compound of Formula (IV), (IVa) or (IVb), or a pharmaceutically acceptable salt thereof is the compound wherein R 11 is hydrogen.
- R 12 of Formula (IV), (IVa) and (IVb) can be any suitable group selected from C 1-3 alkyl, halogen, -OR a , -NR a R b , CN, -C(0)R a , -C(0)OR a , -C(0)NR a R b , -OC(0)NR a R b , - NR a C(0)R b , -NR a C(0)NR b -NR a C(0)OR b , -SR a , -S(0)i -2 R a , -S(0) 2 NR a R b , -
- NR a S(0) 2 R b C 1-3 haloalkyl, C 3 . 6 cycloalkyl, 3 to 6 membered heterocyclyl wherein the 3 to 6 membered heterocyclyl has 1 to 3 heteroatoms selected from oxygen, nitrogen, and sulfur, C 6-10 aryl, and 5 to 10 membered heteroaryl wherein the 5 to 10 membered heteroaryl has 1 to 3 heteroatoms selected from oxygen, nitrogen, and sulfur, wherein the C 1-3 alkyl group is optionally substituted with 1 to 5 substituents independently selected from halogen, -OR a , -NR a R b , CN, -C(0)R a , -C(0)OR a , -C(0)NR a R b , -OC(0)NR a R b , - NR a C(0)R b , -NR a C(0)NR b -NR a C(0)OR b , -SR a , -S(0)
- the compound of Formula (IV), (IVa) or (IVb), or a pharmaceutically acceptable salt thereof wherein R 12 can be selected from C 1-2 alkyl, - C(0)NR a R b , and 5 membered heteroaryl having 1 to 3 nitrogen heteroatoms, wherein C 1-2 alkyl is optionally substituted with 1 to 5 substituents independently selected from halogen, -OH, -NR a R b , -NR a C(0)R b , -NR a S(0) 2 R b , and d_ 3 haloalkyl, and each R a and R b is independently selected from the group consisting of hydrogen and C 1-3 alkyl, wherein each C 1-3 alkyl is optionally substituted with 1 to 3 substituents independently selected from hydroxyl and amino.
- the compound of Formula (IV), (IVa) or (IVb), or a pharmaceutically acceptable salt thereof wherein R 12 is C 1-2 alkyl, optionally substituted with 1 to 3 substituents independently selected from halogen, -OH, -NH 2 , -NHC(0)-C 1-3 alkyl, -NHS(0) 2 -C 1-3 alkyl, and C 1-3 haloalkyl.
- R 12 is C 1-2 alkyl, optionally substituted with 1 to 3 substituents independently selected from halogen, -OH, -NH 2 , -NHC(0)-C 1-3 alkyl, -NHS(0) 2 -C 1-3 alkyl, and C 1-3 haloalkyl.
- the compound of Formula (IV), (IVa) or (IVb), or a pharmaceutically acceptable salt thereof wherein R 12 is methyl or ethyl, each optionally substituted with 1 or 2 substituents independently selected from halogen, -OH, -NH 2 , -NHC(0)-C 1-3 alkyl, and C 1-3 haloalkyl.
- the compound of Formula (IV), (IVa) or (IVb), or a pharmaceutically acceptable salt thereof, wherein R 12 can be selected from CH 2 OH, CH 2 CH 2 OH, CH(Me)OH, CH(CH 2 F)OH, CH(CHF 2 )OH, CH(CF 3 )OH, CF 3 , CH 2 NH 2 ,
- R 12 can be selected from CH 2 OH, CH(Me)OH, CH(CH 2 F)OH, and CH 2 NHC(0)Me.
- the compound of Formula (IV), (IVa) or (IVb), or a pharmaceutically acceptable salt thereof, wherein R 12 can be selected from CH 2 OH, CH(Me)OH, and CH 2 NHC(0)Me.
- the compound of Formula (IV), (IVa) or (IVb), or a pharmaceutically acceptable salt thereof wherein R 12 is C 1-2 alkyl substituted with - NR a C(0)R b , wherein each R a and R b is independently selected from the group consisting of hydrogen and C 1-3 alkyl, wherein each C 1-3 alkyl is optionally substituted with 1 to 3 substituents independently selected from hydroxyl and amino.
- R 13 of Formula (IV), (IVa) and (IVb) can be any suitable group selected from C 1-6 alkyl, halogen, -OR a , -NR a R b , CN, -C(0)R a , -C(0)OR a , -C(0)NR a R b , -OC(0)NR a R b , - NR a C(0)R b , -NR a C(0)NR b -NR a C(0)OR b , -SR a , -S(0) ⁇ 2 R a , -S(0) 2 NR a R b , - NR a S(0) 2 R b , C 1-6 haloalkyl, C 3 .
- the compound of Formula (IV), (IVa) or (IVb), or a pharmaceutically acceptable salt thereof is the compound wherein R 13 is C 3 . 6 alkyl optionally substituted with 1 to 2 substituents independently selected from halogen and - OH.
- the compound of Formula (IV), (IVa) or (IVb), or a pharmaceutically acceptable salt thereof is the compound wherein R 13 is C 3 . 6 alkyl optionally substituted with 1 to 2 halogen substituents.
- the compound of Formula (IV), (IVa) or (IVb), or a pharmaceutically acceptable salt thereof is the compound wherein R 13 is C 3 . 6 alkyl. Representative C 3 .
- R 13 6 alkyl groups for R 13 include, but are not limited to, n-propyl, iso-propyl, n-butyl, sec-butyl, iso-butyl, tert-butyl, n-pentyl, tert-pentyl, neopentyl, isopentyl, sec-pentyl and 3-pentyl.
- the compound of Formula (IV), (IVa) or (IVb), or a pharmaceutically acceptable salt thereof is the compound wherein R 13 is propyl, butyl or pentyl.
- the compound of Formula (IV), (IVa) or (IVb), or a pharmaceutically acceptable salt thereof is the compound wherein R 13 is n-propyl, n-butyl or n-pentyl. In certain embodiments, the compound of Formula (IV), (IVa) or (IVb), or a pharmaceutically acceptable salt thereof, is the compound wherein R 13 is propyl or butyl.
- R 20 of Formula (IV), (IVa) and (IVb) can be any suitable group selected from halogen, C ⁇ haloalkyl, CN, -NR a R b , S(0) 1-2 R a , and OR a .
- each R 20 can independently be selected from halogen, CN, -NR a R b , and OR a .
- each R 20 can independently be selected from halogen, CN, -NR a R b , and OR a .
- each R 20 can independently be halogen.
- each R 20 can independently be selected from fluoro, chloro, bromo, CN, - NH 2 , OH, OMe, and OEt. In certain embodiments, each R 20 can independently be selected from fluoro and chloro.
- R a and R b of Formula (IV), (IVa) and (IVb) can each independently be any suitable group selected from the group consisting of hydrogen and C 1-6 alkyl; wherein each Ci. 6 alkyl is optionally substituted with 1 to 5 substituents independently selected from halogen, hydroxyl, amino, 5 to 10 membered heteroaryl wherein the 5 to 10 membered heteroaryl has 1 to 3 heteroatoms selected from oxygen, nitrogen, and sulfur, and Ci. 6 haloalkyl.
- R a and R b can each independently be selected from hydrogen and C 1-3 alkyl, wherein each C 1-3 alkyl is optionally substituted with 1 to 3 substituents independently selected from halogen, hydroxyl, amino, and C 1-6 haloalkyl.
- R a and R b can each independently be selected from hydrogen and C 1-3 alkyl, wherein each C 1-3 alkyl is optionally substituted with 1 to 3 substituents independently selected from hydroxyl and amino.
- R a and R b can each independently be selected from hydrogen and C 1-3 alkyl, wherein each C 1-3 alkyl is optionally substituted with 1 substituent selected from hydroxyl and amino.
- R a and R b can each independently be selected from hydrogen and C 1-3 alkyl. In certain embodiments, R a and R b can each independently be selected from hydrogen, methyl, ethyl, propyl, butyl, CF 3 , CH 2 CF 3 , CH 2 CH 2 CF 3 , CH 2 OH, CH 2 CH 2 OH, CH 2 NH 2 , and CH 2 CH 2 NH 2 . In certain embodiments, R a and R b can each independently be selected from hydrogen, methyl, ethyl, CF 3 , CH 2 OH, CH 2 CH 2 OH, CH 2 NH 2 , and CH 2 CH 2 NH 2 .
- R a and R b can each independently be selected from hydrogen, methyl, ethyl, CH 2 CH 2 OH, and CH 2 CH 2 NH 2 . In certain embodiments, R a and R b can each independently be selected from hydrogen, methyl and ethyl. In certain embodiments, R a and R b can each independently be selected from hydrogen and methyl.
- the compound of Formula (IV), (IVa) or (IVb), or a pharmaceutically acceptable salt thereof is the compound wherein:
- R 1 is selected from the group consisting of hydrogen, halogen, C 1-6 alkyl, CN, -
- R 2 is selected from the group consisting of hydrogen, halogen, C 1-6 alkyl, CN, - NR a R b , -S(0)i -2 R a and OR a , wherein C 1-6 alkyl is optionally substituted with 1 to 5 R 20 groups;
- R 3 is selected from the group consisting of hydrogen, halogen, C 1-6 alkyl, CN, - NR a R b , -S(0) 1-2 R a , and OR a , wherein C 1-6 alkyl is optionally substituted with 1 to 5 R 20 groups;
- R 11 is selected from the group consisting of hydrogen, C 1-2 alkyl, C 3 . 6 cycloalkyl, and C 1-3 haloalkyl;
- R 12 is selected from d_ 3 alkyl, halogen, -OR a , -NR a R b , CN, -C(0)R a , -C(0)OR a , - C(0)NR a R b , -OC(0)NR a R b , -NR a C(0)R b , -NR a C(0)NR b -NR a C(0)OR b , -SR a , -S(0) i.
- R 13 is selected from d_ 6 alkyl, halogen, -OR a , -NR a R b , CN, -C(0)R a , -C(0)OR a , -
- each R 20 is independently selected from the group consisting of halogen, CN, - NR a R b , and OR a ;
- each R a and R b is independently selected from the group consisting of hydrogen and d_ 3 alkyl, wherein each d_ 3 alkyl is optionally substituted with 1 to 3 substituents independently selected from halogen, hydroxyl, amino, and C 1-6 haloalkyl.
- the compound of Formula (IV), (IVa) or (IVb), or a pharmaceutically acceptable salt thereof is the compound wherein: R 1 is selected from the group consisting of hydrogen, halogen, C 1-6 alkyl, CN, - NR a R b , -S(0) 1-2 R a , and OR a , wherein d_ 6 alkyl is optionally substituted with 1 to 5 R 20 groups;
- R 2 is selected from the group consisting of hydrogen, halogen, C 1-6 alkyl, CN, - NR a R b , -S(0) 1-2 R a and OR a , wherein C 1-6 alkyl is optionally substituted with 1 to 5 R 20 groups;
- R 3 is selected from the group consisting of hydrogen, halogen, C 1-6 alkyl, CN, - NR a R b , -S(0) 1-2 R a , and OR a , wherein C 1-6 alkyl is optionally substituted with 1 to 5 R 20 groups;
- R 11 is selected from the group consisting of C 1-2 alkyl, C 3 . 6 cycloalkyl, and C 1-3 haloalkyl;
- R 12 is selected from d_ 3 alkyl, halogen, -OR a , -NR a R b , CN, -C(0)R a , -C(0)OR a , - C(0)NR a R b , -OC(0)NR a R b , -NR a C(0)R b , -NR a C(0)NR b -NR a C(0)OR b , -SR a , -S(0)i.
- R 13 is selected from d_ 6 alkyl, halogen, -OR a , -NR a R b , CN, -C(0)R a , -C(0)OR a , - C(0)NR a R b , -OC(0)NR a R b , -NR a C(0)R b , -NR a C(0)NR b -NR a C(0)OR b , -SR a , -S(0)i. 2 R a , -S(0) 2 NR a R b , -NR a S(0) 2 R b , d_ 6 haloalkyl, C 3 .
- each R 20 is independently selected from the group consisting of halogen, CN, -
- each R a and R b is independently selected from the group consisting of hydrogen and C 1-3 alkyl, wherein each C 1-3 alkyl is optionally substituted with 1 to 3 substituents independently selected from halogen, hydroxyl, amino, and C ⁇ haloalkyl.
- the compound of Formula (IV), (IVa) or (IVb), or a pharmaceutically acceptable salt thereof is the compound wherein:
- R 1 is selected from the group consisting of hydrogen, halogen, C 1-6 alkyl, CN, and OR a , wherein C 1-6 alkyl is optionally substituted with 1 to 5 R 20 groups;
- R 2 is selected from the group consisting of hydrogen, halogen, C 1-6 alkyl, CN, and OR a , wherein C 1-6 alkyl optionally substituted with 1 to 5 R 20 groups;
- R 3 is selected from the group consisting of hydrogen, halogen, C 1-6 alkyl, CN, and OR a , wherein C 1-6 alkyl is optionally substituted with 1 to 5 R 20 groups;
- R 11 is selected from the group consisting of hydrogen, C 1-2 alkyl, C 3 . 6 cycloalkyl, and C 1-3 haloalkyl;
- R 12 is selected from d_ 3 alkyl, halogen, -OR a , -NR a R b , CN, -C(0)R a , -C(0)OR a , -
- R 13 is selected from d_ 6 alkyl, halogen, -OR a , -NR a R b , CN, -C(0)R a , -C(0)OR a , - C(0)NR a R b , -OC(0)NR a R b , -NR a C(0)R b , -NR a C(0)NR b -NR a C(0)OR b , -SR
- each R 20 is independently selected from the group consisting of halogen, CN, -
- each R a and R b is independently selected from the group consisting of hydrogen and C 1-3 alkyl, wherein each C 1-3 alkyl is optionally substituted with 1 to 3 substituents independently selected from halogen, hydroxyl, amino, and C 1-6 haloalkyl.
- the compound of Formula (IV), (IVa) or (IVb), or a pharmaceutically acceptable salt thereof is the compound wherein:
- R 1 is selected from the group consisting of hydrogen, halogen, C 1-6 alkyl, CN, and OR a , wherein C 1-6 alkyl is optionally substituted with 1 to 5 R 20 groups;
- R 2 is selected from the group consisting of hydrogen, halogen, C 1-6 alkyl, CN, and OR a , wherein C 1-6 alkyl optionally substituted with 1 to 5 R 20 groups;
- R 3 is selected from the group consisting of hydrogen, halogen, C 1-6 alkyl, CN, and OR a , wherein C 1-6 alkyl is optionally substituted with 1 to 5 R 20 groups;
- R 11 is selected from the group consisting of C 1-2 alkyl, C 3 . 6 cycloalkyl, and C 1-3 haloalkyl;
- R 12 is selected from d_ 3 alkyl, halogen, -OR a , -NR a R b , CN, -C(0)R a , -C(0)OR a , -
- R 13 is selected from d_ 6 alkyl, halogen, -OR a , -NR a R b , CN, -C(0)R a , -C(0)OR a , -
- each R 20 is independently selected from the group consisting of halogen, CN, - NR a R b , and OR a ;
- each R a and R b is independently selected from the group consisting of hydrogen and C 1-3 alkyl, wherein each C 1-3 alkyl is optionally substituted with 1 to 3 substituents independently selected from halogen, hydroxyl, amino, and C 1-6 haloalkyl.
- the compound of Formula (IV), (IVa) or (IVb), or a pharmaceutically acceptable salt thereof wherein R 11 is methyl or CF 3 , R 12 is -CH 2 OH, - CH(Me)OH or -CH 2 NHC(0)CH 3 , and R 13 is selected from the group consisting of propyl, butyl and pentyl.
- the compound of Formula (IV), (IVa) or (IVb), or a pharmaceutically acceptable salt thereof wherein R 11 is methyl or CF 3 , R 12 is -CH 2 OH, - CH(Me)OH, CH 2 NHCH(CH 3 )(CF 3 ) or -CH 2 NHC(0)CH 3 , and R 1J is selected from the group consisting of propyl, butyl and pentyl.
- the compound of Formula (IV), (IVa) or (IVb), or a pharmaceutically acceptable salt thereof wherein R 11 is methyl, R 12 is -CH 2 OH or - CH 2 NHC(0)CH 3 , and R 13 is selected from the group consisting of propyl and butyl.
- the compound of Formula (IV) or (IVa), or a pharmaceutically acceptable salt thereof, wherein the moiety can also be drawn as the moiety
- R 2 , R 12 and R 13 groups of Formula (IVc) are as defined above for Formula (J), (I), (IV) or (IVa), or any combination thereof.
- R 2 can be selected from hydrogen, halogen, C 1-3 alkyl, CN and OR a , wherein C 1-3 alkyl is optionally substituted with 1 to 5 halogen groups
- R 12 can be selected from C 1-2 alkyl, -C(0)NR a R b , and 5 membered heteroaryl having 1 to 3 nitrogen heteroatoms, wherein C 1-2 alkyl is optionally substituted with 1 to 5 substituents independently selected from halogen, -OH, -NR a R b , - NR a C(0)R b , -NR a S(0) 2 R b , and d_ 3 haloalkyl, and R 13 can be C 3 - 6 alkyl optionally substituted with 1 to 2 substituents independently selected from halogen and -OH.
- R 13 can
- R 2 can be selected from hydrogen, methyl, ethyl, fluoro, chloro, bromo, CF 3 , CN, OH, OMe, and OEt
- R 12 can be selected CH 2 OH, CH 2 CH 2 OH, CH(Me)OH, CH(CH 2 F)OH, CH(CHF 2 )OH, CH(CF 3 )OH, CF 3 , CH 2 NH 2 , CH 2 NHC(0)Me, CH(CH 2 F)NHC(0)Me, CH 2 NHS(0) 2 Me, C(0)NH 2 , C(0)NHMe, C(0)NH-CH 2 CH 2 OH, C(0)NH-CH 2 CH 2 NH 2 , C(0)NH-(pyridin-2-ylmethyl), imidazolyl, and triazolyl
- R 13 can be propyl, butyl or pentyl.
- the compound of Formula (IV), (IVa), or (IVc), or a pharmaceutically acceptable salt thereof is a compound wherein R 2 can be selected from hydrogen, methyl, fluoro, and chloro, and R 12 can be selected CH 2 OH, CH(Me)OH, CH(CH 2 F)OH, and CH 2 NHC(0)Me, and R 13 can be propyl, butyl or pentyl.
- the compound of Formula (IV), (IVa), or (IVc), or a pharmaceutically acceptable salt thereof is a compound wherein R 2 is hydrogen or fluoro, R 12 is -CH 2 OH or -CH 2 NHC(0)CH 3 , and R 13 is selected from propyl and butyl.
- the compound of Formula (IV), (IVa), or (IVc), or a pharmaceutically acceptable salt thereof is a compound wherein R 2 is hydrogen, chloro, or fluoro, R 12 is -CH 2 OH or -CH 2 NHC(0)CH 3 , and R 13 is selected from butyl or pentyl.
- R 1 , R 2 , R 3 , R 11 , R 13 , R a and R b groups of Formula (IVd) can be as defined above for Formula (J), (I), (IV), or (IVa), or any combination thereof.
- R 12a can be any suitable group selected from hydrogen, C 1-2 alkyl and C 1-3 haloalkyl.
- the compound of Formula (IV), (IVa) or (IVd), or a pharmaceutically acceptable salt thereof is a compound wherein R 12a can be selected from hydrogen, C 1-2 alkyl and C 1-3 haloalkyl.
- the compound of Formula (IV), (IVa) or (IVd), or a pharmaceutically acceptable salt thereof is a compound wherein R 12a can be selected from hydrogen, methyl, ethyl and CF 3 .
- the compound of Formula (IV), (IVa) or (IVd), or a pharmaceutically acceptable salt thereof is a compound wherein R 12a can be hydrogen.
- the compound of Formula (IVd), or a pharmaceutically acceptable salt thereof is the compound wherein R 1 is selected from the group consisting of hydrogen, halogen, C 1-6 alkyl, CN, and OR a , wherein C 1-6 alkyl is optionally substituted with 1 to 5 R 20 groups, R 2 is selected from the group consisting of hydrogen, halogen, C 1-6 alkyl, CN, and OR a , wherein C 1-6 alkyl optionally substituted with 1 to 5 R 20 groups, R 3 is selected from the group consisting of hydrogen, halogen, C 1-6 alkyl, CN, and OR a , wherein C 1-6 alkyl is optionally substituted with 1 to 5 R 20 groups, R 11 is C 1-2 alkyl or CF 3 , R 12a is selected from the group consisting of hydrogen, C 1-2 alkyl and C 1-3 haloalkyl, R 13 is C 3 _6 alkyl optionally substituted with 1 to 2 halogen substituents
- each R a and R b is independently selected from the group consisting of hydrogen and C 1-3 alkyl, wherein each C 1-3 alkyl is optionally substituted with 1 to 3 substituents independently selected from halogen, hydroxyl, amino, and C 1-6 haloalkyl.
- the compound of Formula (IVd), or a pharmaceutically acceptable salt thereof is the compound wherein R 1 is selected from the group consisting of hydrogen, halogen, and C 1-3 alkyl, R 2 is selected from the group consisting of hydrogen, halogen, and d_ 3 alkyl, R 3 is selected from the group consisting of hydrogen, halogen, and C 1-3 alkyl, R 11 is C 1-2 alkyl or CF 3 , R 12a is selected from the group consisting of hydrogen, C 1-2 alkyl and C 1-3 haloalkyl, R 13 is C 3 .
- each R a and R b is independently selected from the group consisting of hydrogen and C 1-3 alkyl, wherein each C 1-3 alkyl is optionally substituted with 1 to 3 substituents independently selected from halogen, hydroxyl, amino, and C 1-6 haloalkyl.
- the compound of Formula (IVd), or a pharmaceutically acceptable salt thereof has the structure:
- R 2 is selected from the group consisting of hydrogen, methyl, fluoro, and chloro
- R 3 is selected from the group consisting of hydrogen and methyl
- R 12a is selected from the group consisting of hydrogen, C 1-2 alkyl and C 1-3 haloalkyl
- R 13 is C 3 . 6 alkyl
- R b is methyl or ethyl, each optionally substituted with hydroxyl or amino.
- the compound of Formula (IVd), or a pharmaceutically acceptable salt thereof has the structure:
- R 2 is selected from the group consisting of hydrogen, methyl, fluoro, and chloro
- R 12a is selected from the group consisting of hydrogen, C 1-2 alkyl and C 1-3 haloalkyl
- R 13 is C 3 . 6 alkyl
- R b is methyl or ethyl, each optionally substituted with hydroxyl or amino.
- R 2 and R 13 can be as defined above for Formula (J), (I), (IV), or (IVa), or any combination thereof.
- the compound of Formula (IVd), or a pharmaceutically acceptable salt thereof has the structure:
- R 3 is selected from the group consisting of hydrogen and methyl
- R 12a is selected from the group consisting of hydrogen, C 1-2 alkyl and C 1-3 haloalkyl
- R 13 is C 3 . 6 alkyl
- R b is methyl or ethyl, each optionally substituted with hydroxyl or amino.
- the compound of Formula (IVd), or a pharmaceutically acceptable salt thereof has the structure:
- R 13 is C 3 . 6 alkyl.
- R 1 , R 2 and R 3 can be as defined above for Formula (J), (I), (IV), (IVa) or (IVd).
- the compound of Formula (IVd), or a pharmaceutically acceptable salt thereof has the structure:
- R 2 is selected from the group consisting of hydrogen and F, and R 13 is C 3 _ 6 alkyl.
- R 2 and R 13 can be as defined above for Formula (J), (I), (IV), or (IVa), or any combination thereof.
- the compound of Formula (IVd), or a pharmaceutically acceptable salt thereof has the structure:
- R 2 is selected from the group consisting of hydrogen, CI,, and F, and R 13 is C 3 _6 alkyl.
- R 2 and R 13 can be as defined above for Formula (J), (I), (IV), or (IVa), or any combination thereof.
- the compound of Formula (IVd), or a pharmaceutically acceptable salt thereof has the structure:
- R 3 is selected from the group consisting of hydrogen and methyl, and R 13 alkyl.
- the compound of Formula (J), (I), or (IV), is selected from
- the com ound of Formula (J), (I), or (IV), is selected from:
- the compound of Formula (J), (I), or (IV), is:
- the compound of Formula (J), (I), or (IV), or a pharmaceutically acceptable salt thereof is a compound of the following formula:
- R 1 is selected from the group consisting of hydrogen, halogen, C 1-6 alkyl, CN, and OR a , wherein C 1-6 alkyl is optionally substituted with 1 to 5 R 20 groups
- R 2 is selected from the group consisting of hydrogen, halogen, C 1-6 alkyl, CN, and OR a , wherein C 1-6 alkyl optionally substituted with 1 to 5 R 20 groups
- R 3 is selected from the group consisting of hydrogen, halogen, C 1-6 alkyl, CN, and OR a , wherein C 1-6 alkyl is optionally substituted with 1 to 5 R 20 groups
- R 12a is selected from the group consisting of hydrogen, C 1-2 alkyl and C 1-3 haloalkyl
- R 13 is C 3 .
- each R 20 is independently selected from the group consisting of halogen, C 1-6 haloalkyl, CN, -NR a R b , S(0) 1-2 R a , and OR a
- each R a and R b is independently selected from the group consisting of hydrogen and C 1-3 alkyl, wherein each C 1-3 alkyl is optionally substituted with 1 to 3 substituents independently selected from halogen, hydroxyl, amino, and C 1-6 haloalkyl.
- the compound of Formula (J), (I), or (IV), or a pharmaceutically acceptable salt thereof is a compound of the following formula:
- R 1 is selected from the group consisting of hydrogen, halogen, and C 1-3 alkyl
- R 2 is selected from the group consisting of hydrogen, halogen, and C 1-3 alkyl
- R 3 is selected from the group consisting of hydrogen, halogen, and C 1-3 alkyl
- R 12a is selected from the group consisting of hydrogen, C 1-2 alkyl and C 1-3 haloalkyl
- R 13 is C 3 .
- each R a and R b is independently selected from the group consisting of hydrogen and C 1-3 alkyl, wherein each C 1-3 alkyl is optionally substituted with 1 to 3 substituents independently selected from halogen, hydroxyl, amino, and C 1-6 haloalkyl.
- the compound of Formula (J), (I), or (IV), or a pharmaceutically acceptable salt thereof is a compound of the following formula:
- R 13 is C 3 . 6 alkyl.
- R 1 , R 2 and R 3 can be as defined above for Formula (J), (I), (IV), (IVa) or (IVd).
- R 1 is hydrogen, halogen, or C 1-6 alkyl optionally substituted with 1 to 5 R 20 groups.
- R 1 is hydrogen, halogen, or C 1-6 alkyl optionally substituted with 1 to 5 R 20 groups.
- R 1 is hydrogen, halogen, or C 1-3 alkyl optionally substituted with 1 to 5 halogens.
- R 1 is hydrogen, halogen, or C 1-3 alkyl optionally substituted with 1 to 5 halogens.
- R 1 is hydrogen, CI, CH 3i or CF 3 .
- R 1 is hydrogen, CI, CH 3 , or CF 3 .
- R 2 is hydrogen, halogen, CN, or C 1-6 alkyl optionally substituted with 1 to 5 R 20 groups.
- R 2 is hydrogen, halogen, CN, orC 1-e alkyl optionally substituted with 1 to 5 R 20 groups.
- R 2 is hydrogen, halogen, CN or Chalky! optionally substituted with 1 to 5 halogens.
- R 2 is hydrogen, halogen, CN or d_ 3 alkyl optionally substituted with 1 to 5 halogens.
- R 2 is hydrogen, CH 3 , -CH 2 CH 3 , F, Br, CI, or CN.
- R 2 is hydrogen, CH 3 , -CH 2 CH 3 , F, Br, CI, or CN.
- R 3 is hydrogen, halogen, or Chalky! optionally substituted with 1 to 5 R 20 groups.
- R 3 is hydrogen, halogen, or Chalky! optionally substituted with 1 to 5 R 20 groups.
- R 3 is hydrogen, halogen, or C ⁇ alkyl optionally substituted with 1 to 5 R 20 groups.
- R 3 is hydrogen, halogen, or C ⁇ alkyl optionally substituted with 1 to 5 R 20 groups.
- R 3 is hydrogen, CI, or CH 3 .
- R 3 is hydrogen, CI, orCH 3 .
- R 10 is hydrogen, F, CI, or CH 3 .
- R 10 is hydrogen
- R 1 , R 2 , and R 3 are hydrogen.
- R 1 , R 2 , and R 3 are hydrogen.
- R 1 and R 3 are hydrogen and R 2 is F.
- R 1 and R 3 are hydrogen and R 2 is F.
- R 1 and R 3 are hydrogen and R 2 is F.
- R 1 is hydrogen, halogen, or Chalky! optionally substituted with 1 to 5 R 20 groups.
- R 1 is hydrogen, halogen, or Chalky! optionally substituted with 1 to 5 halogens.
- R 1 is hydrogen, CI, CH 3 , or CF 3 .
- R 2 is hydrogen, halogen, CN, or C ⁇ alkyl optionally substituted with 1 to 5 R 20 groups.
- R 2 is hydrogen, halogen, CN or C ⁇ alkyl optionally substituted with 1 to 5 halogens.
- R 2 is hydrogen, CH 3 , -CH 2 CH 3 , F, Br, CI, or CN.
- R 3 is hydrogen, halogen, or C ⁇ alkyl optionally substituted with 1 to 5 R 20 groups.
- R 3 is hydrogen, halogen, or C ⁇ alkyl optionally substituted with 1 to 5 R 20 groups.
- R 3 is hydrogen, CI, or CH 3 .
- R 10 is hydrogen, F, CI, or
- R 10 is hydrogen
- R 1 , R 2 , and R 3 are hydrogen.
- R 1 and R 3 are hydrogen and R 2 is F. It is understood that each of the variables (e.g. R 1 , R 2 , R 3 , R 4 ) may be combined with any other variables for Formula (J), (I), (II), (lla) or (lib) (e.g. R 1 , R 2 , R 3 , R 4 ). Further, in instances describing a compound of Formula (J) or (I), it is understood that the variables also describe compounds of other formulae (e.g. Formula (II), (lla), (lib), (III), (Ilia), and (lllb)) which fall within the scope of Formula (J) or (I).
- Formula (II), (lla), (lib), (III), (Ilia), and (lllb) which fall within the scope of Formula (J) or (I).
- any variable for R 1 of Formula (J), (I), (II), (lla), (lib), (III), (Ilia), or (l llb) may be combined with any variable of R 4 in Formula (J), (I), (II), (lla), (lib), (III), (I lia), or (lllb), the same as if each and every combination were specifically and individually listed.
- R 1 is hydrogen, CI, CH 3 or CF 3
- R 4 is C-i_ 6 alkyl which is optionally substituted with 1 or 2 substituents independently selected from OH, CF 3, -C(0)OH, -C(0)OCH 3 , -C(0)NH 2 , SCH 3 - C(0)NHCH 3 , -C(0)NHCH 2 CH 2 NH 2 , -C(0)NHCH 2 CH 2 OH, -C(0)NHCH 2 -pyridyl, phenyl, tetrahydrofuranyl, and cyclopropyl
- any variable for R 2 of Formula (J), (I), (II), (lla), (lib), (III), (Ilia), or (l llb) may be combined with any variable of R 4 in Formula (J), (I), (II), (lla), (lib), (III), (I lia), or (lllb), the same as if each and every combination were specifically and individually listed.
- R 2 is hydrogen, CH 3 , -CH 2 CH 3 ,F, Br, CI, or CN
- R 4 is C 1-6 alkyl which is optionally substituted with 1 or 2 substituents independently selected from OH, CF 3 -C(0)OH, -C(0)OCH 3 , - C(0)NH 2 , SCH 3 ,-C(0)NHCH 3 , -C(0)NHCH 2 CH 2 NH 2 , -C(0)NHCH 2 CH 2 OH, - C(0)NHCH 2 -pyridyl, phenyl, tetrahydrofuranyl, and cyclopropyl.
- any variable for R 3 of Formula (J), (I), (II), (lla), (lib), (III), (Ilia), or (l llb) may be combined with any variable of R 4 in Formula (J), (I), (II), (lla), (lib), (III), (I lia), or (lllb), the same as if each and every combination were specifically and individually listed.
- R 3 is hydrogen, CI, or CH 3
- R 4 is C 1-6 alkyl which is optionally substituted with 1 or 2 substituents independently selected from OH, CF 3, -C(0)OH, -C(0)OCH 3 , -C(0)NH 2 , SCH 3 , - C(0)NHCH 3 , -C(0)NHCH 2 CH 2 NH 2 , -C(0)NHCH 2 CH 2 OH, -C(0)NHCH 2 -pyridyl, phenyl, tetrahydrofuranyl, and cyclopropyl.
- the compound of Formula (J) or (I), or a pharmaceutically acceptable salt thereof has one or more features selected from:
- each C 3 . 6 cycloalkyl and C 6 . 10 aryl is optionally substituted with 1 to 3 R 21 groups and wherein R a and R b are each independently hydrogen or C 1-4 alkyl, wherein each C 1-4 alkyl is optionally substituted with -NH 2 , OH, or pyridyl;
- R 1 is hydrogen, halogen, or C h alky! optionally substituted with 1 to 5 R 20 groups;
- R 2 is hydrogen, halogen, CN, or C ⁇ alkyl optionally substituted with 1 to 5 R 20 groups;
- R 3 is hydrogen, halogen, or Chalky! optionally substituted with 1 to 5 R 20 groups.
- the compound of Formula (J) or (I), or a pharmaceutically acceptable salt thereof has two or more features selected from (a)-(d), as listed above. In certain embodiments, the compound of Formula (J) or (I), or a pharmaceutically acceptable salt thereof has three or more features selected from (a)-(d), as listed above. In certain embodiments, the compound of Formula (J) or (I), or a pharmaceutically acceptable salt thereof has four features selected from (a)-(d), as listed above.
- the compound of Formula (J) or (I), or a pharmaceutically acceptable salt thereof has one or more features selected from:
- R 4 is C 1-6 alkyl which is optionally substituted with 1 or 2 substituents
- R 1 is hydrogen, halogen, or C ⁇ alkyl optionally substituted with 1 to 5
- R 2 is hydrogen, halogen, CN or C ⁇ alkyl optionally substituted with 1 to 5 halogens;
- R 3 is hydrogen, halogen, or C 1-3 alkyl.
- the compound of Formula (J) or (I), or a pharmaceutically acceptable salt thereof has two or more features selected from (e)-(h), as listed above. In certain embodiments, the compound of Formula (J) or (I), or a pharmaceutically acceptable salt thereof has three or more features selected from (e)-(h), as listed above. In certain embodiments, the compound of Formula (J) or (I), or a pharmaceutically acceptable salt thereof has two or more features selected from (e)-(h), as listed above.
- the compound of Formula (J) or (I) is selected from:
- the compound of Formula (J) or (I) is selected from:
- the com ound of Formula J) is selected from:
- the compound of Formula (J) or (I) is selected from:
- the compound of Formula (J), (I), (IV), or (IVa) is selected from:
- the compound of Formula (J), (I), (IV), or (IVa) is selected from:
- the compound of Formula (J), (I), (IV), or (IVa) is selected from:
- the compound of Formula (J), (I), (IV), or (IVa) is selected from:
- the compound of Formula (J), (I), (IV), or (IVa) is selected from:
- a compound of Formula (I) includes compounds for Formula (II), (Ma), (lib), (III), (Ilia), (1Mb), (IV), (IVa), (IVb), (IVc), or (IVd).
- the present disclosure provides a pharmaceutical composition
- a pharmaceutical composition comprising a compound of the present disclosure (e.g. a compound of Formula (J), (I), (II), (Ma), (lib), (III), (Il ia), (1Mb), (IV), (IVa), (IVb), (IVc), or (IVd)), or a pharmaceutically acceptable salt thereof, and a pharmaceutically acceptable excipient.
- a compound of the present disclosure e.g. a compound of Formula (J), (I), (II), (Ma), (lib), (III), (Il ia), (1Mb), (IV), (IVa), (IVb), (IVc), or (IVd)
- a pharmaceutically acceptable salt thereof e.g. a compound of Formula (J), (I), (II), (Ma), (lib), (III), (Il ia), (1Mb), (IV), (IVa), (IVb), (IVc), or (IVd)
- a pharmaceutically acceptable salt thereof
- HIV refers to the human immunodeficiency virus that causes acquired immunodeficiency syndrome, "AIDS”.
- treating when used in the context of treating a disease, means slowing or stopping the progression of a disease, or ameliorating at least one symptom of a disease, or ameliorating more than one sym ptom of a disease.
- a compound of the invention means a compound of the specified formula, structure, or chemical name, including alternative forms thereof such as, solvated forms, hydrated forms, esterified forms, or physiologically functional derivatives thereof.
- Compounds of the invention also include tautomeric forms thereof, e.g. , tautomeric "enols" as described herein. Sim ilarly, with respect to isolatable intermediates, the phrase "a compound of formula (number)" means a compound of that formula and alternative forms thereof.
- cART combination antiretroviral therapy
- cART Combination antiretroviral therapy
- HAART Highly Active Antiretroviral Therapy
- cART and cART combinations and regimens commonly include multiple, often three or more, drugs such as nucleoside or nucleotide reverse
- NRTIs transcriptase inhibitors
- non-nucleoside reverse transcriptase inhibitors NRTIs
- NRTIs non-nucleoside reverse transcriptase inhibitors
- NRTIs protease inhibitors
- Pro protease inhibitors
- integrase inhibitors fusion inhibitors
- CCR5 agonists CCR5 agonists
- chronic set point refers to the HIV viral load established in a patient's blood after infection or following the introduction of antiretroviral therapy or treatment, including combination antiretroviral therapy or treatment.
- viral load and "H IV viral load” refer to the level of H IV detectable in a the blood of an HIV infected human after HIV infection or following treatment with antiretroviral therapy, such as with cART or HAART treatment regimens.
- Viral load can be calculated by estimating the amount of virus in an involved body fluid. For example, it can be given in HIV RNA copies per millilitre of blood or blood plasma.
- An "undetectable” HIV viral load comprises a condition in which HIV RNA copies cannot be detected by standard viral load tests.
- An undetectable HIV viral load as used herein refers to a viral load of fewer than 50 HIV RNA copies per millilitre of blood or blood plasma.
- transient HIV viremia refers to the measurable presence of virus or viral particles in circulation in a virally infected human.
- transient HIV viremia refers to a brief, transitory, or temporary increase in the measurable presence of virus or viral particles in circulation in a virally infected human.
- transient HIV viremia include a period in which the HIV-1 RNA level in the blood or plasma of an HIV infected human which has been maintained for a period of time at a concentration of less than 50 copies of HIV-1 RNA per mL briefly, transitorily, or temporarily rises to a concentration of greater than 50 copies/mL, such as from 50 to 2,000 copies/mL, followed by a return to a concentration at, near, or below the initial viral concentration.
- transient HIV viremia includes, without limitation, a period in which the HIV-1 RNA level in the blood or plasma of an HIV infected human which has been maintained for a period of time at a concentration of less than 40 copies of HIV-1 RNA per mL briefly, transitorily, or temporarily rises to a concentration of greater than 40 copies/mL, such as from 40 to 2,000 copies/mL.
- Transient, transitory, or temporary viremia may constitute a concentration of greater than 50 copies/mL after repeated testing of an "undetectable" HIV viral load of below 50 copies/mL for a designated period, such as one month, three months, six months, nine months, or one year.
- the number of consecutive tested concentrations of less than 50 copies may be 1 , 2, 3, 4, 5, 6, 7, 8, 9, 10, 1 1 , 12, 13, 14, 15, 16, 17, 18, 19, 20, 21 , 22, 23, 24, 24, 25, 26, 27, 28, 29, or 30 and may be for tests conducted, for instance, daily, weekly, biweekly, monthly, bimonthly, quarterly (every 3 months), biannually (twice per year), or annually (once per year).
- HIV suppression and “virologically suppressed” refer to a response to treatment in which the measurable level of viremia in a virally infected human is maintained at or below a desired level for a specified human or antiviral treatment or regimen.
- An example of HIV virologic suppression in an HIV-infected human may be the maintenance in the human of a measurable HIV viral load of less than 200 copies of HIV- 1 RNA per mL of blood or plasma.
- Other examples of virologic suppression would be the maintenance in the human of a viral load of less than 100 copies/mL, less than 50 copies/ml, less than 40 copies/mL, less than 30 copies/mL, and less than 20 copies/mL.
- Antiretroviral therapy can reduce the level of HIV in the blood to an undetectable level, while latent reservoirs of H IV continue to survive. When a latently infected cell is reactivated, the cell begins to produce H IV (HIV replication) .
- modulation refers to the actions of an agent to agonize (activate or enhance) or antagonize (inhibit or diminish) the function of a biological target.
- Agonists or enhancers include those modulators which increase the activity of TLR3, TLR4, TLR7, TLR8, and/or TLR9 receptors.
- TLR8 modulator or TLR8 modulating compound is an agonist of TLR8.
- Methods for determining a particular compound modulates TLR8 are known to those of skill in the art, including measuring, for example, e.g. cytokine/chemokine induction, H IV activation, H IV- specific CD8 T cell function, anti-HIV Ab-mediated killing, etc.
- HIV antibody refers to both non-neutralizing H IV antibodies and neutralizing H IV antibodies, including broadly neutralizing HIV antibodies.
- the terms “broadly neutralizing H IV- 1 antibody” and “broadly neutralizing H IV-1 antibody” (bNAb) refer to neutralizing antibodies which neutralize multiple H IV-1 viral strains.
- IL interleukin
- interleukin such as the interleukins
- nucleoside sparing refers to an antiretroviral combination, regimen, formulation, or therapy that does not utilize nucleoside or nucleotide pharmaceutical agents, such as nucleoside or nucleotide reverse transcriptase inhibitors (NRTIs)
- NRTIs nucleoside or nucleotide reverse transcriptase inhibitors
- pharmaceutically acceptable with respect to a substance as used herein means that substance which is, within the scope of sound medical judgment, suitable for use in contact with the tissues of humans and lower animals without undue toxicity, irritation, allergic response, and the like, commensurate with a reasonable benefit/risk ratio, and effective for the intended use when the substance is used in a pharmaceutical composition.
- pharmaceutically acceptable salt as used herein is intended to mean a salt of a compound according to the invention which is, within the scope of sound medical judgment, suitable for use in contact with the tissues of humans and lower animals without undue toxicity, irritation, allergic response, and the like, commensurate with a reasonable benefit/risk ratio, generally water or oil-soluble or dispersible, and effective for their intended use.
- the term includes without limitation pharmaceutically-acceptable acid addition salts and pharmaceutically-acceptable base addition salts. Lists of suitable salts are found in, for example, S.M. Birge et al. , J. Pharm. Sci., 1977, 66, pp. 1 -19.
- antiviral agent refers to a compounds or agent used to treat an HIV infection in a human.
- antiviral agent and “antivirals” as used herein is intended to mean an agent that is effective to inhibit the formation and/or replication of a virus in a human, including but not limited to agents that interfere with either host or viral mechanisms necessary for the formation and/or replication of a virus in a human.
- antiviral agent and “antivirals” include, for example, an HIV integrase catalytic site inhibitor selected from the group consisting: raltegravir (ISENTRESS®; Merck); elvitegravir (Gilead); soltegravir (GSK; ViiV); cabotegravir (GSK; ViiV) and dolutegravir; an HIV nucleoside or nucleotide reverse transcriptase inhibitor selected from the group consisting of: abacavir (Z I AG EN®; GSK); didanosine (VIDEX®; BMS); tenofovir disoproxil fumarate (VIREAD®; Gilead); tenofovir alafenamide (TAF); emtricitabine (EMTRIVA®; Gilead); lamivudine (EPIVIR®; GSK/Shire); stavudine (ZERIT®; BMS); zidovudine (RETROVIR®; GSK);
- HIV protease inhibitor selected from the group consisting of: atazanavir (REYATAZ®; BMS); darunavir
- PREZISTA® J&J
- indinavir CLIXIVAN®; Merck
- lopinavir KALETRA®; Abbott
- VIRACEPT® nelfinavir
- Pfizer saquinavir
- tipranavir APTIVUS®; Bl
- ritonavir NDVIR®; Abbott
- fosamprenavir LXIVA®
- GSK/Vertex an HIV entry inhibitor selected from: maraviroc (SELZENTRY®; Pfizer); enfuvirtide (FUZEON®; Trimeris); and BMS-663068 (BMS); and an HIV maturation inhibitor selected from: bevirimat (Myriad Genetics), BMS-955176 (BMS), GSK2838232 (GSK/ViiV).
- a boosting agent such as cobicistat or ritonavir, is included within the terms "antiviral agent” and "antivirals” when used in combination with one or more of the antiviral agents described herein.
- therapeutically effective amount refers to an amount that may be effective to elicit the desired biological or medical response, including the amount of a compound that, when administered to a subject for treating a disease, is sufficient to effect such treatment for the disease.
- the effective amount will vary depending on the compound, the disease and its severity and the age, weight, etc., of the subject to be treated.
- the effective amount can include a range of amounts.
- a pharmaceutically effective amount includes amounts of an agent which are effective when combined with other agents.
- composition refers to a composition comprising a pharmaceutically effective amount of a pharmaceutically active agent and at least one pharmaceutically acceptable excipient.
- “Pharmaceutically acceptable excipient” includes without limitation any adjuvant, carrier, excipient, glidant, sweetening agent, diluent, preservative, dye/colorant, flavor enhancer, surfactant, wetting agent, dispersing agent, suspending agent, stabilizer, isotonic agent, solvent, or emulsifier which has been approved by the United States Food and Drug Administration as being acceptable for use in humans or domestic animals
- kit and “pharmaceutical kit” refer to a commercial kit or package comprising, in one or more suitable containers, one or more pharmaceutical compositions and instructions for their use. Such kits may also be referred to by the terms “package” or “pharmaceutical package”.
- an alkyl group can have 1 to 10 carbon atoms (i.e., (C 1 . 10 )alkyl) or 1 to 8 carbon atoms (i.e., (Chalky!) or 1 to 6 carbon atoms (i.e., (C ⁇ alkyl) or 1 to 4 carbon atoms (i.e., (Ci. 4 )alkyl).
- alkyl groups include, but are not limited to, methyl (Me, -CH 3 ), ethyl (Et, -CH2CH3), 1-propyl (n-Pr, n-propyl, -CH2CH2CH3), 2-propyl (; ' -Pr, /-propyl, -CH(CH 3 ) 2 ),
- alkenyl is a linear or branched monovalent hydrocarbon radical with at least one carbon-carbon double bond.
- an alkenyl group can have 2 to 8 carbon atoms (i.e., C 2 . 8 alkenyl), or 2 to 6 carbon atoms (i.e., C 2 . 6 alkenyl) or 2 to 4 carbon atoms (i.e., C 2 -4 alkenyl).
- Alkynyl is a linear or branched monovalent hydrocarbon radical with at least one carbon-carbon triple bond.
- an alkynyl group can have 2 to 8 carbon atoms (i.e., C 2 -8 alkyne,) or 2 to 6 carbon atoms (i.e., C 2 . 6 alkynyl) or 2 to 4 carbon atoms (i.e., C 2 -4 alkynyl).
- alkynyl groups include, but are not limited to, acetylenyl (-C ⁇ CH), propargyl (-CH 2 C ⁇ CH), and -CH 2 -C ⁇ C-CH 3 . .
- halo'Or “halogen” refers to fluoro (-F), chloro (-CI), bromo (-Br) and iodo (-I).
- haloalkyl refers to an alkyl as defined herein, wherein one or more hydrogen atoms of the alkyl are independently replaced by a halo substituent, which may be the same or different.
- Crehaloalkyl is a C ⁇ alkyl wherein one or more of the hydrogen atoms of the C h alky! have been replaced by a halo substituent.
- haloalkyl groups include but are not limited to fluoromethyl, fluorochloromethyl, difluoromethyl, difluorochloromethyl, trifluoromethyl, 1 , 1 , 1 - trifluoroethyl and pentafluoroethyl.
- heteroalkyl refers to an alkyl as defined herein, wherein one or more of the carbon atoms of the alkyl are replaced by an O, S, or NR q , wherein each R q is independently H or C 1-6 alkyl.
- R q is independently H or C 1-6 alkyl.
- a heteroalkyl of one to eight carbons wherein one or more carbon atoms is replaced by a heteroatom (e.g., O, S, NR q , OH, SH or N(R q ) 2 ), which may the same or different.
- heteroalkyls include but are not limited to methoxymethyl, ethoxymethyl, methoxy, 2-hydroxyethyl and ⁇ , ⁇ '-dimethylpropylamine.
- a heteroatom of a heteroalkyl may optionally be oxidized or alkylated.
- a heteroatom may be placed at any interior position of the heteroalkyl group or at a position at which the group is attached to the remainder of the molecule.
- Examples include, but are not limited to, -CH 2 OCH 3 , - CH 2 CH 2 NHCH 3 , -CH 2 CH 2 N(CH 3 ) -CH 3 , -CH 2 SCH 2 CH 3 , -S(0)CH 3 , -CH 2 CH 2 S(0) 2 CH 3 , - CHCHOCH 3 , -CH 2 CHNOCH 3 , -CHCHN(CH 3 )CH 3 -CH 2 NHOCH 3 and -CH 2 OS(CH 3 ) 3
- aryl refers to a single all carbon aromatic ring or a multiple condensed all carbon ring system wherein at least one of the rings is aromatic.
- an aryl group has 6 to 20 carbon atoms, 6 to 14 carbon atoms, or 6 to 12 carbon atoms.
- Aryl includes a phenyl radical.
- Aryl also includes multiple condensed ring systems (e.g., ring systems comprising 2, 3 or 4 rings) having about 9 to 20 carbon atoms in which at least one ring is aromatic and wherein the other rings may be aromatic or not aromatic (i.e., carbocycle).
- Such multiple condensed ring systems are optionally substituted with one or more (e.g., 1 , 2 or 3) oxo groups on any carbocycle portion of the multiple condensed ring system.
- the rings of the multiple condensed ring system can be connected to each other via fused, spiro and bridged bonds when allowed by valency requirements. It is also to be understood that when reference is made to a certain atom-range membered aryl (e.g., 6-10 membered aryl), the atom range is for the total ring atoms of the aryl. For example, a 6-membered aryl would include phenyl and a 10-membered aryl would include naphthyl and 1 , 2, 3, 4- tetrahydronaphthyl.
- aryl groups include, but are not limited to, phenyl, indenyl, naphthyl, 1 , 2, 3, 4-tetrahydronaphthyl, anthracenyl, and the like.
- heteroaryl refers to a single aromatic ring that has at least one atom other than carbon in the ring, wherein the atom is selected from the group consisting of oxygen, nitrogen and sulfur; "heteroaryl” also includes multiple condensed ring systems that have at least one such aromatic ring, which multiple condensed ring systems are further described below.
- heteroaryl includes single aromatic rings of from about 1 to 6 carbon atoms and about 1 -4 heteroatoms selected from the group consisting of oxygen, nitrogen and sulfur. The sulfur and nitrogen atoms may also be present in an oxidized form provided the ring is aromatic.
- heteroaryl ring systems include but are not limited to pyridyl, pyrimidinyl, oxazolyl or furyl.
- Heteroaryl also includes multiple condensed ring systems (e.g. , ring systems comprising 2, 3 or 4 rings) wherein a heteroaryl group, as defined above, is condensed with one or more rings selected from heteroaryls (to form for example 1 ,8-naphthyridinyl), heterocycles, (to form for example 1 , 2, 3,4-tetrahydro- 1 ,8-naphthyridinyl) , carbocycles (to form for example 5,6,7,8-tetrahydroquinolyl) and aryls (to form for example indazolyl) to form the multiple condensed ring system .
- heteroaryls to form for example 1 ,8-naphthyridinyl
- heterocycles to form for example 1 , 2, 3,4-te
- a heteroaryl (a single aromatic ring or multiple condensed ring system) has about 1 -20 carbon atoms and about 1 -6 heteroatoms within the heteroaryl ring.
- Such multiple condensed ring systems may be optionally substituted with one or more (e.g. , 1 , 2, 3 or 4) oxo groups on the carbocycle or heterocycle portions of the condensed ring.
- the rings of the multiple condensed ring system can be connected to each other via fused, spiro and bridged bonds when allowed by valency requirements. It is to be understood that the individual rings of the multiple condensed ring system may be connected in any order relative to one another.
- the point of attachment for a heteroaryl or heteroaryl multiple condensed ring system can be at any suitable atom of the heteroaryl or heteroaryl m ultiple condensed ring system including a carbon atom and a heteroatom (e.g. , a nitrogen).
- a heteroatom e.g. , a nitrogen
- the atom range is for the total ring atoms of the heteroaryl and includes carbon atoms and heteroatoms.
- a 5-membered heteroaryl would include a thiazolyl and a 10-membered heteroaryl would include a quinolinyl.
- heteroaryls include but are not lim ited to pyridyl, pyrrolyl, pyrazinyl, pyrim idinyl, pyridazinyl, pyrazolyl, thienyl, indolyl, imidazolyl, oxazolyl, isoxazolyl, thiazolyl, furyl, oxadiazolyl, thiadiazolyl, quinolyl, isoquinolyl, benzothiazolyl, benzoxazolyl, indazolyl, quinoxalyl, quinazolyl, 5,6,7,8-tetrahydroisoquinolinyl benzofuranyl, benzimidazolyl, thianaphthenyl, pyrrolo[2,3-b]pyridinyl, quinazolinyl-4(3H)-one, triazolyl, 4,5,6,7- tetrahydro- 1 H-ind
- cycloalkyl refers to a single saturated or partially unsaturated all carbon ring having 3 to 20 annular carbon atoms (i.e., C 3 . 2 o cycloalkyl) , for example from 3 to 12 annular atoms, for example from 3 to 10 annular atoms.
- the term “cycloalkyl” also includes multiple condensed, saturated and partially unsaturated all carbon ring systems (e.g., ring systems comprising 2, 3 or 4 carbocyclic rings). Accordingly, cycloalkyl includes multicyclic carbocyles such as a bicyclic carbocycles (e.g. , bicyclic carbocycles having about 6 to 12 annular carbon atoms such as bicyclo[3.1 .0]hexane and
- bicyclo[2.1 .1 ]hexane bicyclo[2.1 .1 ]hexane
- polycyclic carbocycles e.g tricyclic and tetracyclic carbocycles with up to about 20 annular carbon atoms
- the rings of a multiple condensed ring system can be connected to each other via fused, spiro and bridged bonds when allowed by valency requirements.
- Non-limiting examples of monocyclic cycloalkyl include cyclopropyl, cyclobutyl, cyclopentyl, 1 -cyclopent-1 -enyl, 1 -cyclopent-2-enyl, 1 -cyclopent- 3-enyl, cyclohexyl, 1 -cyclohex- 1 -enyl, 1 -cyclohex-2-enyl and 1 -cyclohex-3-enyl.
- heterocyclyl or “heterocycle” as used herein refers to a single saturated or partially unsaturated non-aromatic ring or a non-aromatic multiple ring system that has at least one heteroatom in the ring (i.e. , at least one annular heteroatom selected from oxygen, nitrogen, and sulfur) .
- a heterocyclyl group has from 5 to about 20 annular atoms, for example from 3 to 12 annular atoms, for example from 5 to 10 annular atoms.
- the term includes single saturated or partially unsaturated rings (e.g., 3, 4, 5, 6 or 7-membered rings) having from about 1 to 6 annular carbon atoms and from about 1 to 3 annular heteroatoms selected from the group consisting of oxygen, nitrogen and sulfur in the ring .
- the rings of the multiple condensed ring system can be connected to each other via fused, spiro and bridged bonds when allowed by valency requirements.
- Heterocycles include, but are not lim ited to, azetidine, aziridine, imidazolidine, morpholine, oxirane (epoxide), oxetane, piperazine, piperidine, pyrazolidine, piperidine, pyrrolidine, pyrrolidinone, tetrahydrofuran, tetrahydrothiophene, dihydropyridine, tetrahydropyridine, quinuclidine, N-bromopyrrolidine, N-chloropiperidine, and the like.
- “Pharmaceutically acceptable” or “physiologically acceptable” refer to compounds, salts, compositions, dosage forms and other materials which are useful in preparing a pharmaceutical composition that is suitable for veterinary or human pharmaceutical use.
- Non-limiting examples of pharmaceutically acceptable salts include sulfates, pyrosulfates, bisulfates, sulfites, bisulfites, phosphates, monohydrogen- phosphates, dihydrogenphosphates, metaphosphates, pyrophosphates, chlorides, bromides, iodides, acetates, propionates, decanoates, caprylates, acrylates, formates, isobutyrates, caproates, heptanoates, propiolates, oxalates, malonates, succinates, suberates, sebacates, fumarates, maleates, butyne- 1 ,4-dioates, hexyne- 1 ,6-dioates, benzoates, chlorobenzoates, methylbenzoates, dinitrobenzoates, hydroxybenzoates, methoxybenzoates, phthalates,
- n is the number of hydrogen atoms in the molecule.
- the deuterium atom is a nonradioactive isotope of the hydrogen atom .
- Such compounds may increase resistance to metabolism , and thus may be useful for increasing the half-life of the compounds described herein or pharmaceutically acceptable salts, isomer, or a mixture thereof when administered to a mammal. See, e.g. , Foster, "Deuterium Isotope Effects in Studies of Drug Metabolism", Trends Pharmacol. Sci., 5(12):524-527 (1984).
- Such compounds are synthesized by means well known in the art, for example by employing starting materials in which one or more hydrogen atoms have been replaced by deuterium .
- the compounds of the embodiments disclosed herein, or their pharmaceutically acceptable salts may contain one or more asymmetric centers and may thus give rise to enantiomers, diastereomers, and other stereoisomeric forms that may be defined, in terms of absolute stereochem istry, as (R)- or (S)- or, as (D)- or (L)- for am ino acids.
- the present disclosure is meant to include all such possible isomers, as well as their racemic and optically pure forms.
- (L)- isomers may be prepared using chiral synthons or chiral reagents, or resolved using conventional techniques, for example, chromatography and fractional crystallization.
- Conventional techniques for the preparation/isolation of individual enantiomers include chiral synthesis from a suitable optically pure precursor or resolution of the racemate (or the racemate of a salt or derivative) using, for example, chiral high pressure liquid chromatography (HPLC) .
- HPLC high pressure liquid chromatography
- a “stereoisomer” refers to a compound made up of the same atoms bonded by the same bonds but having different three-dimensional structures, which are not
- the present disclosure contemplates various stereoisomers and mixtures thereof and includes “enantiomers”, which refers to two stereoisomers whose molecules are non-superimposable mirror images of one another.
- a “tautomer” refers to a proton shift from one atom of a molecule to another atom of the same molecule.
- the present disclosure includes tautomers of any said compounds.
- a “solvate” is formed by the interaction of a solvent and a compound. Solvates of salts of the compounds described herein are also provided. Hydrates of the compounds described herein are also provided.
- a “prodrug” includes any compound that becomes a compound described herein when administered to a subject, e.g. , upon metabolic processing of the prodrug.
- the TLR8 modulating compounds described herein modulate TLR8 receptors as agonists.
- modulators of TLR8 may, to some degree, modulate other toll-like receptors (e.g. TLR7) .
- the TLR8 modulating cmpounds described herein may also modulate TLR7 to a measureable degree.
- those compounds that modulate TLR8 to a higher degree than TLR7 are considered selective modulators of TLR8.
- TLR8 modulating compounds of the present disclosure are formulated with conventional excipients, which will be selected in accord with ordinary practice. Tablets will contain excipients, glidants, fillers, binders and the like. Aqueous formulations are prepared in sterile form, and when intended for delivery by other than oral administration generally will be isotonic. In certain embodiments, a liposomal formulation may be used, for example when the compounds are to be administered parenterally. All formulations will optionally contain excipients such as those set forth in the Handbook of
- Excipients include ascorbic acid and other antioxidants, chelating agents such as EDTA, carbohydrates such as dextrin, hydroxyalkylcellulose, hydroxyalkylmethylcellulose, stearic acid and the like.
- the pH of the formulations ranges from about 3 to about 1 1 , but is ordinarily about 7 to 10.
- the formulations of the invention both for veterinary and for human use, comprise at least one active ingredient, together with one or more acceptable excipients and optionally other therapeutic ingredients.
- the formulations include those suitable for the foregoing administration routes.
- the formulations may conveniently be presented in unit dosage form and may be prepared by any of the methods well known in the art of pharmacy. Techniques and formulations generally are found in Remington's Pharmaceutical Sciences (Mack Publishing Co., Easton, Pa.), herein incorporated by reference in its entirety. Such methods include the step of bringing into association the active ingredient with the excipient which constitutes one or more accessory ingredients.
- the formulations are prepared by uniformly and intimately bringing into association the active ingredient with liquid excipients or finely divided solid excipients or both, and then, if necessary, shaping the product.
- Formulations of the present invention suitable for oral administration may be presented as discrete units such as capsules, cachets or tablets each containing a predetermined amount of the active ingredient; as a powder or granules; as a solution or a suspension in an aqueous or non-aqueous liquid; or as an oil-in-water liquid emulsion or a water-in-oil liquid emulsion.
- the active ingredient may also be administered as a bolus, electuary or paste.
- compositions according to the present invention comprise one or more compounds of the invention together with one or more pharmaceutically acceptable excipients and optionally other therapeutic agents.
- Pharmaceutical formulations containing the active ingredient may be in any form suitable for the intended method of administration. When used for oral use for example, tablets, troches, lozenges, aqueous or oil suspensions, dispersible powders or granules, emulsions, hard or soft capsules, syrups or elixirs may be prepared.
- Compositions intended for oral use may be prepared according to any method known to the art for the manufacture of pharmaceutical compositions and such compositions may contain one or more agents including sweetening agents, flavoring agents, coloring agents and preserving agents, in order to provide a palatable preparation.
- Tablets containing the active ingredient in admixture with non-toxic pharmaceutically acceptable excipient which are suitable for manufacture of tablets are acceptable.
- excipients may be, for example, inert diluents, such as calcium or sodium carbonate, lactose, lactose monohydrate, croscarmellose sodium, povidone, calcium or sodium phosphate; granulating and disintegrating agents, such as maize starch, or alginic acid; binding agents, such as cellulose, microcrystalline cellulose, starch, gelatin or acacia; and lubricating agents, such as magnesium stearate, stearic acid or talc.
- inert diluents such as calcium or sodium carbonate, lactose, lactose monohydrate, croscarmellose sodium, povidone, calcium or sodium phosphate
- granulating and disintegrating agents such as maize starch, or alginic acid
- binding agents such as cellulose, microcrystalline cellulose, starch,
- Tablets may be uncoated or may be coated by known techniques including microencapsulation to delay disintegration and adsorption in the gastrointestinal tract and thereby provide a sustained action over a longer period.
- a time delay material such as glyceryl monostearate or glyceryl distearate alone or with a wax may be employed.
- the effective dose of an active ingredient depends at least on the nature of the condition being treated, toxicity, whether the compound is being used prophylactically (lower doses) or against an active disease or condition , the method of delivery, and the pharmaceutical formulation, and will be determined by the clinician using conventional dose escalation studies.
- the effective dose can be expected to be from about 0.0001 to about 10 mg/kg body weight per day, typically from about 0.001 to about 1 mg/kg body weight per day, more typically from about 0.01 to about 1 mg/kg body weight per day, even more typically from about 0.05 to about 0.5 mg/kg body weight per day.
- the daily candidate dose for an adult human of approximately 70 kg body weight may range from about 0.05 mg to about 250 mg, or between about 1 .0 mg and about 150 and may take the form of single or multiple doses.
- the present application discloses pharmaceutical compositions comprising a compound of Formula J or I or a pharmaceutically acceptable salt thereof, and a pharmaceutically acceptable excipient.
- One or more compounds of the invention are administered by any route appropriate to the condition to be treated. Suitable routes include oral, rectal, nasal, topical (including buccal and sublingual), transdermal, vaginal and parenteral (including subcutaneous, intramuscular, intravenous, intradermal, intrathecal and epidural), and the like. It will be appreciated that the preferred route may vary with for example the condition of the recipient. An advantage of certain compounds of this invention is that they are orally bioavailable and can be dosed orally. Combination Therapy
- the TLR8 modulating compounds described herein are used in combination with an additional active therapeutic ingredient or agent.
- combinations of one or more of the TLR8 modulating compounds described herein and additional active agents may be selected to treat patients with an HIV viral infection.
- Combinations of the compounds are typically selected based on the condition to be treated, cross-reactivities of ingredients and pharmaco-properties of the combination. For example, when treating an infection (e.g., HIV), the compositions of the invention are combined with other active agents (such as those described herein).
- an infection e.g., HIV
- other active agents such as those described herein.
- Suitable active agents or ingredients which can be combined with the TLR8 modulating compounds described herein, or a salt thereof, can include TLR8 agonists selected from the group consisting of motolimod, 3M-051 , 3M-052, MCT-465, IMO-4200, VTX-763, and VTX-1463 and mixtures thereof.
- TLR8 modulating compounds described herein may be employed in combination with other therapeutic agents for the treatment or prophylaxis of AIDS and/or one or more other diseases present in a human subject suffering from AIDS.
- the additional therapeutic agent(s) may be coformulated with one or more salts of the invention (e.g., coformulated in a tablet).
- agents that are effective for the treatment or prophylaxis of viral, parasitic or bacterial infections, or associated conditions, or for treatment of tumors or related conditions include 3'-azido-3'- deoxythymidine (zidovudine, AZT), 2'-deoxy-3'-thiacytidine (3TC), 2',3'-dideoxy-2',3'- didehydroadenosine (D4A), 2',3'-dideoxy-2',3'-didehydrothymidine (D4T), carbovir (carbocyclic 2',3'-dideoxy-2',3'-didehydroguanosine), 3'-azido-2',3'-dideoxyuridine, 5- fluorothymidine, (E)-5-(2-bromovinyl)-2'-deoxyuridine (BVDU) , 2-chlorodeoxyadenosine, 2-deoxycoformycin, 5-fluorouraci
- hexadecylphosphocholine and nystatin renal excretion inhibitors such as probenicid
- nucleoside transport inhibitors such as dipyridamole, dilazep and nitrobenzylthioinosine
- immunomodulators such as FK506, cyclosporin A, thymosin a-1
- cytokines including TNF and TGF- ⁇
- interferons including IFN-a, IFN- ⁇ , and IFN-Y
- interleukins including various interleukins, macrophage/granulocyte colony stimulating factors including GM-CSF, G- CSF, M-CSF
- cytokine antagonists including anti-TNF antibodies, anti-interleukin antibodies, soluble interleukin receptors, protein kinase C inhibitors and the like.
- Suitable active therapeutic agents or ingredients which can be combined with the TLR8 modulating compounds described herein, and which have activity against H IV, include:
- HIV protease inhibitors e.g., amprenavir, atazanavir, fosamprenavir, indinavir, lopinavir, ritonavir, lopinavir + ritonavir, nelfinavir, saquinavir, tipranavir, brecanavir, darunavir, TMC-126, mozenavir (DMP-450), JE-2147 (AG 1776) , AG 1859, DG35, L-
- a HIV non-nucleoside inhibitor of reverse transcriptase e.g. , capravirine, emivirine, delaviridine, efavirenz, nevirapine, (+) calanolide A, etravirine, GW5634, DPC- 083, DPC-961 , DPC-963, M IV- 150, and TMC-120, TMC-278 (rilpivirine), BILR 355 BS, VRX 840773, UK-453,061 , RDEA806, MK- 1439;
- a HIV nucleoside inhibitor of reverse transcriptase e.g. , zidovudine, emtricitabine, didanosine, stavudine, zalcitabine, lamivudine, abacavir, amdoxovir, elvucitabine, alovudine, M IV-210, racivir ( -FTC), D-d4FC, phosphazide, fozivudine tidoxil, fosalvudine tidoxil, apricitibine (AVX754) , amdoxovir, KP-1461 , , abacavir + lamivudine, abacavir + lamivudine + zidovudine, zidovudine + lam ivudine;
- a HIV nucleotide inhibitor of reverse transcriptase e.g. , tenofovir, tenofovir disoproxil fumarate + emtricitabine, tenofovir disoproxil fumarate + emtricitabine + efavirenz, and adefovir, CMX-157, and TAF;
- a HIV integrase inhibitor e.g. , curcumin, derivatives of curcumin, chicoric acid, derivatives of chicoric acid, 3,5-dicaffeoylquinic acid, derivatives of 3,5-dicaffeoylquinic acid, aurintricarboxylic acid, derivatives of aurintricarboxylic acid, caffeic acid phenethyl ester, derivatives of caffeic acid phenethyl ester, tyrphostin, derivatives of tyrphostin, quercetin, derivatives of quercetin, S-1360, zintevir (AR- 177), L-870812, and L-870810, MK-0518 (raltegravir), BMS-707035, MK-2048, BA-01 1 , BMS-538158, GSK364735C, GSK1265744 (GSK744, cabotegravir), elvitegravir, compounds disclosed in US 2014- 022
- HIV non-catalytic site or allosteric, integrase inhibitors (NCIN I) including, but not limited to, BI-224436, CX0516, CX05045, CX14442, compounds disclosed in US2014/0296228 (Boehringer Ingelheim), US 2013/0203747 (Boehringer Ingelheim) , US 2013/0281433 (Gilead Sciences), US 2013/0281434 (G ilead Sciences) (Gilead Sciences), US 2014/0045818 (Gilead Sciences), US 2013/0203727 (Gilead Sciences), US 2013/0210801 (Gilead Sciences), and US 2015/0038549, each of which is incorporated by references in its entirety herein;
- gp41 inhibitor e.g., enfuvirtide, sifuvirtide, FB006M, TRI-1 144, SPC3, DES6, Locus gp41 , CovX, and REP 9;
- a CXCR4 inhibitor e.g., AMD-070
- an entry inhibitor e.g., SP01A, TNX-355, 9) a gp120 inhibitor, e.g., BMS- 488043 and BlockAide/CR;
- a G6PD and NADH-oxidase inhibitor e.g. , immunitin,
- a CCR5 inhibitor e.g., aplaviroc, vicriviroc, INCB9471 , PRO-140, INCB15050,
- an interferon e.g., pegylated rIFN-alpha 2b, pegylated rIFN-alpha 2a, rlFN- alpha 2b, IFN alpha-2b XL, rIFN-alpha 2a, consensus IFN alpha, infergen, rebif, locteron, AVI-005, PEG-infergen, pegylated IFN-beta, oral interferon alpha, feron, reaferon, intermax alpha, r-IFN-beta, infergen + actimmune, IFN-omega with DUROS, and albuferon;
- an interferon e.g., pegylated rIFN-alpha 2b, pegylated rIFN-alpha 2a, rlFN- alpha 2b, IFN alpha-2b XL, rIFN-alpha 2a, consensus IFN alpha, infergen, re
- ribavirin analogs e.g., rebetol, copegus, levovirin, VX-497, and viramidine (taribavirin);
- NS5a inhibitors e.g., BMS-790052, GS-5885, GSK62336805, ACH-2928 AZD2836, AZD7295, BMS-790052, BMS-824393, GS-5885, PPI-1301 , PPI-461 , A-831 and A-689;
- NS5b polymerase inhibitors e.g., IDX-375, NM-283, valopicitabine, R1626, PSI-6130 (R1656), HIV-796, BILB 1941 , MK-0608, NM-107, R7128, VCH-759, PF- 868554, GSK625433, setrobuvir (ANA598), sofosbuvir, and XTL-2125;
- NS3 protease inhibitors e.g. , SCH-503034 (SCH-7), VX-950 (Telaprevir),
- alpha-glucosidase 1 inhibitors e.g., MX-3253 (celgosivir) and UT-231 B;
- hepatoprotectants e.g., IDN-6556, ME 3738, MitoQ, and LB-84451 ;
- non-nucleoside inhibitors of HIV e.g., benzimidazole derivatives, benzo-1 ,2,4- thiadiazine derivatives, and phenylalanine derivatives;
- pharmacokinetic enhancers e.g., BAS-100 and SPI452;
- RNAse H inhibitors e.g., ODN-93 and ODN-1 12; 23) other anti-HIV agents, e.g., VGV-1 , PA-457 (bevirimat), ampligen, HRG214, cytolin, polymun, VGX-410, KD247, AMZ 0026, CYT 99007, A-221 HIV, BAY 50-4798, MDX010 (iplimumab), PBS1 19, ALG889, and PA-1050040.
- Additional agents for use in the methods herein include monoclonal antibodies that target, and small molecule inhibitors of, Arginase-1 , adenosine deaminase, adenosine receptors, IL-4, IL-6 (such as siltuximab/SylvantTM), IL-10, IL-12, IL-15, IL-18, IL-21 , C-Kit, stem cell factor (SCF), granulocyte-macrophage colony-stimulating factor (GM-CSF), transforming growth factor beta (TGF- ⁇ ), vascular endothelial growth factor (VEGF), histone methyltransferases (HMT), glycogen synthase kinase 3 (GSK3),and CD32b.
- SCF stem cell factor
- GM-CSF granulocyte-macrophage colony-stimulating factor
- TGF- ⁇ transforming growth factor beta
- VEGF histone methyltransferases
- HMT glycogen
- farnesyltransferase inhbitors such as Lonafarnib (SCH66336, SarasarTM), Chaetomellic acid A, FPT Inhibitors I, II, and III, FTase Inhibitors I (CAS 149759-96-6) and II (CAS 156707-43-6), FTI-276 trifluoroacetate salt, FTI-277
- inhibitors of 26S proteasome such as Lactacystin, Bortezomib (PS-341), ritonavir, MG-132 (Z-Leu-Leu- Leu-CHO), MG-1 15 (Z-LL-Nva-CHO), Proteasome Inhibitor I (Z-!!e-Giu(OtBu)-A!a-Leu- CHO), and Proteasome Inhibitor II (Z-LLF-CHO).
- Lactacystin such as Lactacystin, Bortezomib (PS-341), ritonavir, MG-132 (Z-Leu-Leu- Leu-CHO), MG-1 15 (Z-LL-Nva-CHO), Proteasome Inhibitor I (Z-!!e-Giu(OtBu)-A!a-Leu- CHO), and Proteasome Inhibitor II (Z-LLF-CHO).
- E3 ubiquitin ligase include proTAME, RITA (5,5'-(2,5-
- HLI 373 (5-[[3-Dimethylamino)propyl]amino]-3, 10- dimethylpyrimido[4,5-Jb]quinoline-2,4(3/-/, 10/-/)-dione dihydrochloride), Nutlin-3 (( ⁇ )-4-[4,5- S/s(4-chlorophenyl)-2-(2-isopropoxy-4-methoxy-phenyl)-4,5-dihydro-imidazole-1 - carbonyl]-piperazin-2-one), SMER 3 (9/-/-lndeno[1 ,2-e][1 ,2,5]oxadiazolo[3,4-£>]pyrazin-9- one), NSC 6681 1 (2-Methyl-7-[Phenyl(phenylamino)methyl]-8-quinolinol), TAME HCI ( ⁇ / 2 - [(4-Methylphenylamino)methyl]-8-quinolinol), TAME
- PDC protein kinase C
- phorbol esters such as PMA, prostratin, and 12-deoxyphorbol 13-phenylacetate (DPP), and non-phorbol ester compounds including bryostatin compounds, including Bryostatin-1 , diacylglycerol (DAG) analogs such as LMC03 and LMC07, including DAG lactones, such as HK654, HK434, HK602, and HK204, ingenol derivatives, including ITA, ingenol-3-hexanoate (IngB), and I- 3-A,, as well as ingol diterpenes, such as 8-methoxyingol 7, 12-diacetate 3-phenylacetate, 8-methoxyingol 7, 12-diacetate 3-phenylacetate (SJ
- HIV antiviral agents useful in the combinations and methods herein include Ziagen (Abacavir sulfate, US 5,034,394); Epzicom (Abacavir sulfate/lamivudine, US 5,034,394); Hepsera (Adefovir dipivoxil, US 4,724,233); Agenerase (Amprenavir, US 5,646, 180); Reyataz (Atazanavir sulfate, US 5,849,91 1); Rescriptor (Delavirdine mesilate, US 5,563, 142); Hivid (Dideoxycytidine; Zalcitabine, US 5,028,595); Videx
- Lexiva Fluorescence-Activated virus calcium, US 6,436,989; Virudin; Triapten; Foscavir (Foscarnet sodium, US 6,476,009); Crixivan (Indinavir sulfate, US 5,413,999); Epivir (Lamivudine, US 5 047,407); Combivir (Lamivudine/Zidovudine, US 4,724,232); Aluviran (Lopinavir); Kaletra (Lopinavir/ritonavir, US 5,541 ,206); Viracept (Nelfinavir mesilate, US 5,484,926);
- Viramune (Nevirapine, US 5,366,972); Norvir (Ritonavir, US 5,541 ,206); Invirase;
- Complera ® emtricitabine/rilpivirine/tenofovir disoproxil fumarate
- Atripla ® emtricitabine/rilpivirine/tenofovir disoproxil fumarate
- alafenamide emtricitabine/tenofovir alafenamide; emtricitabine/rilpivirine/tenofovir alafenamide hemifumarate; rilpivirine/tenofovir alafenamide hemifumarate;
- Retrovir Zadovudine; Azidothymidine, US 4,724,232; and Eviplera®
- the present application discloses pharmaceutical compositions comprising a TLR8 modulating compound described herein, or a pharmaceutically acceptable salt thereof, in combination with at least one additional active agent, and a pharmaceutically acceptable excipient.
- the present application provides a combination pharmaceutical agent with two or more therapeutic agents in a unitary dosage form.
- any compound of the invention with one or more other active agents in a unitary dosage form.
- the combination therapy may be administered as a simultaneous or sequential regimen.
- the combination may be administered in two or more administrations.
- Co-administration of a compound of the invention with one or more other active agents generally refers to simultaneous or sequential administration of a compound of the invention and one or more other active agents, such that therapeutically effective amounts of the compound of the invention and one or more other active agents are both present in the body of the patient.
- Co-administration includes administration of unit dosages of the compounds of the invention before or after administration of unit dosages of one or more other active agents, for example, administration of the compounds of the invention within seconds, minutes, or hours of the administration of one or more other active agents.
- a unit dose of a compound of the invention can be administered first, followed within seconds or minutes by administration of a unit dose of one or more other active agents.
- a unit dose of one or more other active agents can be administered first, followed by administration of a unit dose of a compound of the invention within seconds or minutes.
- a unit dose of a compound of the invention may be desirable to administer a unit dose of a compound of the invention first, followed, after a period of hours (e.g., 1-12 hours), by administration of a unit dose of one or more other active agents. In other cases, it may be desirable to administer a unit dose of one or more other active agents first, followed, after a period of hours (e.g., 1-12 hours), by administration of a unit dose of a compound of the invention.
- the combination therapy may provide "synergy” and "synergistic effect", i.e. the effect achieved when the active ingredients used together is greater than the sum of the effects that results from using the compounds separately.
- a synergistic effect may be attained when the active ingredients are: (1) co-formulated and administered or delivered simultaneously in a combined formulation; (2) delivered by alternation or in parallel as separate formulations; or (3) by some other regimen.
- a synergistic effect may be attained when the compounds are administered or delivered sequentially, e.g., in separate tablets, pills or capsules, or by different injections in separate syringes.
- an effective dosage of each active ingredient is administered sequentially, i.e. serially, whereas in combination therapy, effective dosages of two or more active ingredients are administered together.
- an "agonist” is a substance that stimulates its binding partner, typically a receptor.
- Stimulation is defined in the context of the particular assay, or may be apparent in the literature from a discussion herein that makes a comparison to a factor or substance that is accepted as an "agonist” or an “antagonist” of the particular binding partner under substantially similar circumstances as appreciated by those of skill in the art.
- Stim ulation may be defined with respect to an increase in a particular effect or function that is induced by interaction of the agonist or partial agonist with a binding partner and can include allosteric effects.
- an "antagonist” is a substance that inhibits its binding partner, typically a receptor. I nhibition is defined in the context of the particular assay, or may be apparent in the literature from a discussion herein that makes a comparison to a factor or substance that is accepted as an "agonist” or an “antagonist” of the particular binding partner under substantially similar circumstances as appreciated by those of skill in the art. Inhibition may be defined with respect to a decrease in a particular effect or function that is induced by interaction of the antagonist with a binding partner, and can include allosteric effects.
- a "partial agonist” or a “partial antagonist” is a substance that provides a level of stimulation or inhibition, respectively, to its binding partner that is not fully or com pletely agonistic or antagonistic, respectively. It will be recognized that stimulation, and hence, inhibition is defined intrinsically for any substance or category of substances to be defined as agonists, antagonists, or partial agonists.
- intrinsic activity or "efficacy” relates to some measure of biological effectiveness of the binding partner complex.
- receptor pharmacology the context in which intrinsic activity or efficacy should be defined will depend on the context of the binding partner (e.g. , receptor/ligand) complex and the consideration of an activity relevant to a particular biological outcome. For exam ple, in some circumstances, intrinsic activity may vary depending on the particular second messenger system involved. Where such contextually specific evaluations are relevant, and how they might be relevant in the context of the present invention, will be apparent to one of ordinary skill in the art.
- modulation of a receptor includes agonism , partial agonism , antagonism , partial antagonism , or inverse agonism of a receptor.
- a TLR8 modulating compound may also be referred to as a TLR8modulating agent, a TLR8 modulator, a compound which modulates TLR8 activity, or the like.
- a viral infection such as HIV
- such treatment may be characterized in a variety of ways and measured by a variety of endpoints. The scope of the present invention is intended to encompass all such characterizations.
- the method can be used to modulate an immune response against multiple epitopes of a viral infection in a human.
- Induction of an immune response against viral infection can be assessed using any technique that is known by those of skill in the art for determining whether an immune response has occurred.
- Suitable methods of detecting an immune response for the present invention include, among others, detecting a decrease in viral load or antigen in a subject's serum, and detection of IFN-gamma-secreting antigen specific T cells. Additional methods include activation of immune cell subsets such as CD4, CD8, NK, monocytes, and or mDCs, monitoring general or cell-specific surface activation marekrs, production of cytokines or functional assays such antigen-specific and non-specific cell killing activities. In one embodiment, the detection of IFN-gamma-secreting antigen specific T cells is accomplished using an ELISPOT assay or FACS analysis.
- a TLR8 modulating compound as described herein can be administered by any useful route and means, such as by oral or parenteral (e.g., intravenous) administration.
- Therapeutically effective amounts of a TLR8 modulating compound as described herein are from about 0.00001 mg/kg body weight per day to about 10 mg/kg body weight per day, such as from about 0.0001 mg/kg body weight per day to about 10 mg/kg body weight per day, or such as from about 0.001 mg/kg body weight per day to about 1 mg/kg body weight per day, or such as from about 0.01 mg/kg body weight per day to about 1 mg/kg body weight per day, or such as from about 0.05 mg/kg body weight per day to about 0.5 mg/kg body weight per day, or such as from about 1 mg to about 250 mg per day, or such as from about 10 mg to about 150 mg per day.
- the frequency of dosage of a TLR8 modulating compound as described herein will be determined by the needs of the individual patient and can be, for example, once per day or twice, or more times, per day. Administration of a TLR8 modulating compound as described herein continues for as long as necessary to treat the HIV infection.
- a TLR8 modulating compound as described herein can be administered to a human being infected with HIV for a period of from 20 days to 180 days or, for example, for a period of from 20 days to 90 days or, for example, for a period of from 30 days to 60 days.
- Administration can be intermittent, with a period of one or more days during which a patient receives a daily dose of a TLR8 modulating compound as described herein, followed by a period of several or more days during which a patient does not receive a daily dose of a TLR8 modulating compound as described herein.
- a patient can receive a dose of a TLR8 modulating compound as described herein every other day, or three times per week, once per week (every 7 days) , once every other week (every 14 days), once per month, or once every other month.
- a patient can receive a dose of a TLR8 modulating compound as described herein each day for a period of from 1 to 14 days, followed by a period of 7 to 30 days during which the patient does not receive a dose of a TLR8 modulating compound as described herein, followed by a subsequent period (e.g. , from 1 to 14 days) during which the patient again receives a daily dose of a TLR8 modulating compound as described herein.
- a patient can receive an initial single dose of a TLR8 modulating compound as described herein, followed by sequential doses every other day, or three times per week, once per week (every 7 days) , once every other week (every 14 days), once per month, or once every other month. Alternating periods of administration of a TLR8 modulating compound as described herein, followed by non-administration of a TLR8 modulating compound as described herein, can be repeated as clinically required to treat the patient.
- Scheme 1 shows a representative synthesis of the compounds of Formula (I) and (J). The methodology is compatible with a wide variety of functionalities.
- R 1 , R 2 , and R 3 is a diversifiable chem ical group such as CI or Br
- further replacement of R 1 , R 2 , and R 3 by a variety of methods including cyanation, nucleophilic aromatic displacement, and metal catalyzed cross coupling reactions such as Suzuki couplings is carried out to provide products of formula A4.
- a suitable acid such as trifluoroacetic acid
- Scheme 2 describes a general route which is used to prepare certain compounds of Formula (I) or (J).
- 2,4-dichloro pyrido-pyrimidines of formula A1 (where R 1 , R 2 , and R 3 are as defined herein or are suitably protected derivatives of R 1 , R 2 , and R 3 ) are converted to the corresponding 4-amino,2-chloro heterocycle by reaction with an amino acid ester (such as L-norvaline methyl ester) in the presence of a suitable base (such as DIPEA) at room temperature to provide a compound of formula B1 , where G is an the sidechain of the amino acid.
- an amino acid ester such as L-norvaline methyl ester
- DIPEA suitable base
- the compound of formula B1 is then treated with 2,4-dimethoxybenzylamine in a microwave reactor at a suitable temperature (such as about 135°C), resulting in a 2,4-diaminopyrimidine of formula B2.
- Hydrolysis of the ester group via treatment with a suitable base provides product of formula B3 where Z is hydroxyl.
- a suitable base such as aqueous KOH/THF
- Protecting group removal with a suitable acid such as trifluoroacetic acid
- the above processes further involve the step of forming a salt of a compound of the present disclosure.
- Embodiments are directed to the other processes described herein; and to the product prepared by any of the processes described herein.
- Example 120 2-amino-N,N-dipropyl-8-(4-(pyrrolidine-1-carbonyl)ph benzo[b]azepine-4-carb
- the compound of Example 120 can be prepared using the methods of U.S. Patent Application Publication No. 2008/0234251 .
- a pharmaceutically effective amount of a TLR8 modulating compound described herein, or a pharmaceutically acceptable salt thereof includes individual doses of from about 0.1 mg to about 1000 mg, from about 1 mg to 500 mg, from about 1 mg to about 250 mg, and from about 1 mg to about 150mg, which may be delivered daily in one dose or in divided doses, such as once a month, once every two weeks, once a week (7 days), once a day, twice a day, three times a day, or four times a day.
- the individual dose is about 10 mg, 20 mg, 30 mg, 40 mg, 50 mg, 60 mg 70 mg, 80 mg, 90 mg, 100 mg, 1 10 mg, 120 mg, 130 mg, 140 mg, or 150 mg.
- Each of the methods of treatment, pharmaceutical combinations, and pharmaceutical compositions or formulations herein comprises further embodiments in which the pharmaceutically effective amount of the TLR8 modulating compound, including those of each of the formulas and specific examples herein, comprises in each separate embodiment one of the individual doses ranges listed in the prior sentences.
- Each of the methods of treatment, pharmaceutical combinations, and pharmaceutical compositions or formulations herein comprises further embodiments in which the pharmaceutically effective amount of the TLR8 modulating compound, including those of each of formulas and specific examples herein, comprises in each separate embodiment one of the individual doses listed in the prior sentences.
- the present application discloses pharmaceutical
- compositions comprising a TLR8 modulating compound as described herein, including a compound selected from the group of the compounds of Formula (J), (I), (II), (lla), (lib), (III), (Ilia), (1Mb), (IV), (IVa), (IVb), (IVc), or (IVd)and each of the individual compounds of the examples from Example 1 through Example 120, or a pharmaceutically acceptable salt thereof, in combination with at least one additional therapeutic agent selected from the group consisting of HIV protease inhibiting compounds, HIV non-nucleoside inhibitors of reverse transcriptase, HIV nucleoside or nucleotide inhibitors of reverse transcriptase, HIV nucleotide inhibitors of reverse transcriptase, HIV integrase strand transfer inhibitors, non-catalytic site integrase inhibitors, HIV gp120/41 inhibitors, CCR5 inhibitors, HIV capsid inhibitors, HIV Vif inhibitors, and combinations thereof, and a pharmaceutically acceptable excipient.
- examples
- the present application provides pharmaceutical compositions comprising pharmaceutically effective amounts of a TLR8 modulating compound as described herein, or a pharmaceutically acceptable salt thereof, in combination with at least one additional therapeutic agent selected from the group consisting of amprenavir, atazanavir, fosamprenavir, indinavir, lopinavir, ritonavir, nelfinavir, saquinavir, tipranavir, brecanavir, darunavir, TMC-126, TMC-114, mozenavir (DMP-450), JE-2147 (AG1776), L-756423, RO0334649, KNI-272, DPC-681, DPC-684, GW640385X, DG17, PPL-100, DG35, AG 1859, capravirine, emivirine, delaviridine, efavirenz, nevirapine, (+) calanolide A, etravirine, doravirine (MK-1439),
- the present invention provides pharmaceutical compositions comprising pharmaceutically effective amounts of a TLR8 modulating compound as described herein, or a pharmaceutically acceptable salt thereof, in combination with two, three, four, five, or more additional therapeutic agents.
- a TLR8 modulating compound as described herein, or a pharmaceutically acceptable salt thereof is combined with two, three, four, five, or more additional therapeutic agents selected from the classes of H IV protease inhibitors, HIV non- nucleoside inhibitors of reverse transcriptase, H IV nucleoside inhibitors of reverse transcriptase, H IV nucleotide inhibitors of reverse transcriptase, H IV entry inhibitors and H IV integrase inhibitors.
- the two, three, four, five, or more additional therapeutic agents can be different therapeutic agents selected from the same class of therapeutic agents, or they can be selected from different classes of therapeutic agents.
- the TLR8 modulating compound as described herein, or a pharmaceutically acceptable salt thereof is combined with two, three, four, five, or more additional therapeutic agents selected from the classes of H IV protease inhibitors, HIV non- nucleoside inhibitors of reverse transcriptase, H IV nucleoside inhibitors of reverse transcriptase, H IV nucleotide inhibitors of reverse transcriptase, and H IV integrase inhibitors.
- the pharmaceutical composition of the present invention comprises a compound selected from the group of compounds of Examples 1 -50, or a pharmaceutically acceptable salt thereof, in combination with two, three, four, five, or more additional therapeutic agents selected from the classes of H IV protease inhibitors, HIV non-nucleoside inhibitors of reverse transcriptase, H IV nucleoside inhibitors of reverse transcriptase, H IV nucleotide inhibitors of reverse transcriptase, and H IV integrase inhibitors.
- such combinations can comprise a compound selected from the group of compounds of Examples 1 -50, or a pharmaceutically acceptable salt thereof in combination with two, three, four, five, or more additional therapeutic agents selected from the group consisting of tenofovir disoproxil fumarate (TDF), tenofovir alafenamide (TAF), tenofovir alafenamide hemifumarate, abacavir, abacavir sulfate, GS-9131 , emtricitabine, lamuvidine, elvitegravir, efavirenz, atazanavir, (2R,5S, 13aR)-N-(2,4-difluorobenzyl)-8-hydroxy-7,9-dioxo-2,3,4,5,7,9, 13, 13a- octahydro-2,5-methanopyrido[1 ',2':4,5]pyrazino[2, 1 -b][1 ,3]ox
- Combinations and compositions herein include those comprising pharmaceutically effect amounts of TDF and emtricitabine, plus a third HIV therapeutic agent, as well TAF and emtricitabine, plus a third HIV therapeutic agent.
- HIV therapeutic agents that may be used with these combinations include HIV protease inhibitors (Pis), non-nucleoside reverse transcriptase inhibitors (NNRTIs), nucleoside reverse transcriptase inhibitors (Pis), non-nucleoside reverse transcriptase inhibitors (NNRTIs), nucleoside reverse transcriptase inhibitors (Pis), non-nucleoside reverse transcriptase inhibitors (NNRTIs), nucleoside reverse transcriptase inhibitors (Pis), non-nucleoside reverse transcriptase inhibitors (NNRTIs), nucleoside reverse transcriptase inhibitors (Pis), non-nucleoside reverse transcriptase inhibitors (NNRTIs), nucleoside reverse transcriptase inhibitors (NRT
- NRTIs transcriptase inhibitors
- INSTIs Integrase Strand Transfer inhibitors
- NCINIs non- catalytic site integrase inhibitors
- Capsid inhibitors etc.
- ternary combinations which a) may be combined with a pharmaceutically acceptable excipient to prepare a pharmaceutical composition, or b) may be used in combination in each of the methods described herein, comprise, for example, pharmaceutically effective amounts of each of the compounds listed in the combinations below, or a pharmaceutically acceptable salt thereof:
- antiviral agents examples include TDF, TAF, emtricitabine (FTC), lamivudine (3TC), abacavir (ABC), zidovudine (AZT), efavirenz (EFV), rilpivirine (RPV), etravirine (ETV), atazanavir (ATV), , atazanavir + ritonavir (ATV/r), atazanavir + cobicistat (ATV/COBI), darunavir (DRV), darunavir + ritonavir (DRV/r), darunavir + cobicistat (DRV/COBI), lopinavir (LPV), lopinavir +ritonavir (LPV/r), lopinavir + cobicistat (LPV/COBI), dolutegravir (DTG), raltegravir (RAL), elvitegravir (EV
- TLR8 modulator including those of each of the formulas and specific examples herein, or a pharmaceutically acceptable salt thereof, in combination with a pharmaceutically effective amount of each agent in the separate antiviral combinations of TDF/TAF, TDF/FTC, TDF/3TC, TDF/ABC, TDF/AZT, TDF/EFV, TDF/RPV, TDF/ETV, TDF/ATV, TDFATV/r, TDF/ATV/COBI, TDF/DRV, TDF/DRV/r.
- TDF/DRV/COBI TDF/LPV, TDF/LPV/r, TDF/LPV/COBI, TDF/DTG, TDF/RAL, TDF/EVG, TDF/EVG/r, TDF/EVG/COBI, TDF/maraviroc, TAF/FTC, TAF/3TC, TAF/ABC, TAF/AZT, TAF/EFV, TAF/RPV, TAF/ETV, TAF/ATV,TAF/ATV/r, TAF/ATV/COBI, TAF/DRV,
- TAF/DRV/r TAF/DRV/COBI, TAF/LPV, TAF/LPV/r, TAF/LPV/COBI, TAF/DTG, TAF/RAL, TAF/EVG, TAF/EVG/r, TAF/EVG/COBI, TAF/maraviroc, FTC/3TC, FTC/ABC, FTC/AZT, FTC/EFV, FTC/RPV, FTC/ETV, FTC/ATV, FTC/ATV/r, FTC/ATV/COBI, FTC/DRV, FTC/DRV/r, FTC/DRV/COBI, FTC/LPV, FTC/LPV/r, FTC/LPV/COBI, FTC/DTG,
- FTC/RAL FTC/EVG, FTC/EVG/r, FTC/EVG/COBI, FTC/maraviroc, 3TC/ABC, 3TC/AZT, 3TC/EFV, 3TC/RPV, 3TC/ETV, 3TC/ATV, 3TC/ATV/r, 3TC/ATV/COBI , 3TC/DRV, 3TC/DRV/r, 3TC/DRV/COBI, 3TC/LPV, 3TC/LPV/r, 3TC/LPV/COBI, 3TC/DTG, 3TC/RAL, 3TC/EVG, 3TC/EVG/r, 3TC/EVG/COBI, 3TC/maraviroc, ABC/AZT, ABC/EFV, ABC/RPV, ABC/ETV, ABC/ATV, ABC/ATV/r, ABC/ATV/COBI, ABC/DRV, ABC/DRV/r,
- ABC/DRV/COBI ABC/LPV, ABC/LPV/r, ABC/LPV/COBI, ABC/DTG, ABC/RAL,
- RPV/LPV/COBI RPV/DTG
- RPV/RAL RPV/EVG
- RPV/EVG/r RPV/EVG/COBI
- ETV/DRV/COBI ETV/LPV, ETV/LPV/r, ETV/LPV/COBI, ETV/DTG, ETV/RAL, ETV/EVG, ETV/EVG/r, ETV/EVG/COBI, ETV/maraviroc, ATV/r, ATV/COBI, ATV/DRV, ATV/DRV/r, ATV/DRV/COBI, ATV/LPV, ATV/LPV/r, ATV/LPV/COBI, ATV/DTG, ATV/RAL, ATV/EVG , ATV/EVG/r, ATV/EVG/COBI, ATV/maraviroc, ATV/r/COBI, ATV/rDRV,ATV/rDRV/COBI, ATV/r/LPV, ATV/r/LPV, ATV/r/COBI, ATV/DTG, ATV/RAL, ATV/EVG , ATV/EVG/r, ATV/EVG/COBI
- DRV/COBI/LPV/COBI DRV/COBI/DTG
- DRV/COBI/RAL DRV/COBI/EVG
- DRV/COB l/EVG/r DRV/COBI/EVG/COBI, DRV/COBI/maraviroc, LPV/r, LPV/COBI, LPV/DTG, LPV/RAL, LPV/EVG, LPV/EVG/r, LPV/EVG/COBI, LPV/maraviroc,
- LPV/r/LPV/COBI LPV/r/DTG, LPV/r/RAL, LPV/r/EVG, LPV/r/EVG/COBI,
- LPV/r/maraviroc LPV/COBI/DTG, LPV/COBI/RAL, LPV/COBI/EVG, LPV/COB l/EVG/r, LPV/COBI/EVG, LPV/COBI/maraviroc, DTG/RAL, DTG/EVG, DTG/EVG/r,
- RAL/EVG/COBI RAL/maraviroc, EVG/r, EVG/COBI, and EVG/maraviroc.
- the separate compositions each comprising a pharmaceutically acceptable excipient, a pharmaceutically effective amount of a TLR8 modulator, including in separate embodiments those of each of the formulas and specific examples herein, or a pharmaceutically acceptable salt thereof, and pharmaceutically effective amounts of each agent in the separate antiviral combinations listed in the preceding sentence. It is understood that the combination of an individual antiviral combination and an individual TLR8 modulator, along with a pharmaceutically acceptable excipient, comprises a separate pharmaceutical composition.
- TLR8 refers to a TLR8 modulating compound, including each of those described herein.
- a specific example within each combination comprises the combination in which "TLR8" represents a compound of Formula (I).
- Specific examples within each combination comprises the combination in which "TLR8” represents a compound of Examples 1 -50..
- Another specific example within each combination comprises the combination in which "TLR8” represents a compound of Examples 1 -48.
- reference to a compound is understood to include the compound or a pharmaceutically acceptable salt thereof.
- Combinations include TLR8/TDF/emtricitabine; TLR8/TAF/emtricitabine; TLR8/ TDF/elvitegravir; TLR8/ TAF /elvitegravir; TLR8/TDF/elvitegravir; TLR8/TAF/elvitegravir; TLR8/TDF/efavirenz; TLR8/TAF/efavirenz; TLR8/TDF/atazanavir; TLR8/TAF/atazanavir; TLR8/TDF/darunavir; TLR8/TAF/darunavir; TLR8/TDF/raltegravir; TLR8/TAF/raltegravir; TLR8/TDF/rilpivirine; TLR8/TAF/rilpivirine; TLR8/emtricitabine/elvitegravir;
- TLR8 /emtricitabine/efavirenz; TLR8/emtricitabine/atazanavir;
- TLR8 /emtricitabine/darunavir; TLR8/emtricitabine/raltegravir;
- TLR8 /emtricitabine/rilpivirine; TLR8/elvitegravir/efavirenz; TLR8/elvitegravir/atazanavir; TLR8/elvitegravir/darunavir; TLR8/elvitegravir/raltegravir;
- TLR8/elvitegravir/rilpivirine TLR8/efavirenz/atazanavir
- TLR8/efavirenz/darunavir TLR8/elvitegravir/rilpivirine
- TLR8/efavirenz/raltegravir TLR8/efavirenz/rilpivirine; TLR8/atazanavir/darunavir;
- TLR8/atazanavir/raltegravir TLR8/atazanavir/rilpivirine; TLR8/darunavir/raltegravir; TLR8/darunavir/rilpivirine; TLR8/raltegravir/rilpivirine; TLR8/darunavir/ritonavir;
- quaternary combinations which a) may be combined with a pharmaceutically acceptable excipient to prepare a pharmaceutical composition, or b) may be used in combination in each of the methods described herein, comprise, for example:
- TLR8/TDF/emtricitabine/dolutegravir TLR8 TAF/emtricitabine/dolutegravir
- TLR8/TAF/emtricitabine/elvitegravir TLR8/TDF/emtricitabine/efavirenz;
- TLR8/TAF/emtricitabine/atazanavir TLR8/TDF/emtricitabine/darunavir;
- TLR8/TAF/emtricitabine/raltegravir TLR8/TDF/emtricitabine/rilpivirine
- TLR8/TDF/elvitegravir/darunavir TLR8/TAF/elvitegravir/darunavir
- TLR8/TDF/elvitegravir/raltegravir TLR8/TAF/elvitegravir/raltegravir;
- TLR8/TDF/elvitegravir/rilpivirine TLR8/TAF/elvitegravir/rilpivirine
- TLR8/TDF/efavirenz/atazanavir TLR8/TAF/efavirenz/atazanavir
- TLR8/TDF/efavirenz/darunavir TLR8/TAF/efavirenz/darunavir
- TLR8/TDF/efavirenz/raltegravir TLR8/TAF/efavirenz/raltegravir;
- TLR8/TDF/efavirenz/rilpivirine TLR8/TAF/efavirenz/rilpivirine; TLR8/TDF/atazanavir/darunavir; TLR8/TAF/atazanavir/darunavir;
- TLR8/TDF/atazanavii7raltegravir TLR8/TAF/atazanavir/raltegravir;
- TLR8 /emtricitabine/elvitegravir/efavirenz; TLR8/emtricitabine/elvitegravir/atazanavir;
- TLR8 /emtricitabine/elvitegravir/darunavir; TLR8/emtricitabine/elvitegravir/raltegravir;
- TLR8 /emtricitabine/elvitegravir/rilpivirine; TLR8/emtricitabine/efavirenz/atazanavir; TLR8/emtricitabine/efavirenz/darunavir; TLR8/emtricitabine/efavirenz/raltegravir;
- TLR8 /emtricitabine/efavirenz/rilpivirine; TLR8/emtricitabine/atazanavir/darunavir;
- TLR8 /emtricitabine/atazanavir/raltegravir; TLR8/emtricitabine/atazanavir/rilpivirine;
- TLR8 /emtricitabine/darunavir/raltegravir
- TLR8l emtricitabine/darunavir/rilpivirine
- TLR8 /emtricitabine/raltegravir/rilpivirine; TLR8/elvitegravir/efavirenz/atazanavir; TLR8/elvitegravir/efavirenz/darunavir; TLR8/elvitegravir/efavirenz/raltegravir;
- TLR8 /elvitegravir/efavirenz/rilpivirine; TLR8/elvitegravir/atazanavir/darunavir;
- TLR8 /elvitegravir/atazanavir/raltegravir; TLR8/elvitegravir/raltegravir/rilpivirine;
- TLR8 /efavirenz/atazanavir/rilpivirine; TLR8/efavirenz/darunavir/raltegravir;
- TLR8 /efavirenz/darunavir/rilpivirine; TLR8/efavirenz/raltegravir/rilpivirine;
- TLR8 /atazanavir/darunavir/raltegravir; TLR8/atazanavir/darunavir/rilpivirine;
- TLR8 /darunavir/raltegravir/rilpivirine; TLR8/dolutegravir/abacavir/lamivudine;
- TLR8/raltegravir/cobicistat/darunavir TLR8/raltegravir/atazanavir
- TLR8/raltegravir/atazanavir/maraviroc TLR8/raltegravir/maraviroc/etravirine;
- TLR8/raltegravir/darunavir/cobicistat/etravirine TLR8/atazanavir/ritonavir/efavirenz; TLR8/atazanavir/cobicistat/efavirenz; TLR8/raltegravir/etravirine;
- TLR8 /ritonavir/lopinavir/raltegravir; TLR8/cobicistat/lopinavir/raltegravir;
- TLR8 /ritonavir/darunavir/etravirine; TLR8/cobicistat/darunavir/etravirine;
- TLR8/ritonavir/lopinavir TLR8/ritonavir/lopinavir
- TLR8/ritonavir/lopinavir/maraviroc Additional specific embodiments comprise the combination of a) a
- TLR8 modulating compound including those of each of the formulas and specific examples herein, b) a pharmaceutically acceptable excipient, and c) a combination of five or more antiviral agents.
- a pharmaceutical composition including those of each of the formulas and specific examples herein, b) a pharmaceutically acceptable excipient, and c) a combination of five or more antiviral agents.
- Such combinations comprise, for example, a pharmaceutically effective amount of a TLR8 modulating compound, including those of each of the formulas and specific examples herein, including individual embodiments in each combination in which the TLR8 modulating compound is, respectively, a compound of Formula (J), (I) , (I I) , (lla), (l ib), (I I I) , (Il ia) , (l l lb), (IV) , (IVa), (IVb) , (IVc) , or (IVd) , or each of the individual compounds of the examples from Example 1 through Example 120, and the antiviral agents in each individual group of:
- the specific agents in each combination may be administered in any pharmaceutically effective amount known in the art.
- the agents are utilized in the combinations that include them in the following individual doses: tenofovir disoproxil fumarate (TDF) from about 275 mg to about 325 mg/dose; TAF from about 5 mg to about 30 mg,
- emtricitabine from about 175 mg to about 225 mg/dose; elvitegravir from about 125 mg to about 175 mg/dose, when boosted by a boosting agent such as cobicistat or ritonavir; efavirenz from about 550 mg to about 650 mg/dose; atazanavir from about 275 mg to about 325 mg/dose; darunavir from about 750 mg to about 850 mg/dose; raltegravir from about 375 mg to about 425 mg/dose; rilpivirine from about 22 mg to about 28 mg/dose (or from about 24.5 mg to about 30.5 mg/dose as rilpivirine HCL) ; ritonavir from about 75 mg to about 125 mg/dose; dolutegravir from about 40 mg to about 60 mg/dose, abacavir from about 550 mg to about 650 mg/dose, lamivudine from about 275 mg to about 325 mg/dose, GSK1265744 from
- the agents are utilized in the combinations that include them in the following individual doses: tenofovir disoproxil fumarate (TDF) at about 300 mg/dose; TAF at about 25 mg/dose or at about 10 mg per dose in the presence of a boosting agent, such as cobicistat or ritonavir, emtricitabine at about 200 mg/dose; elvitegravir at about 150 mg/dose, when boosted by cobicistat or ritonavir; efavirenz at about 600 mg/dose; atazanavir at about 300 mg/dose; darunavir at about 800 mg/dose; raltegravir at about 400 mg/dose; rilpivirine at about 25 mg/dose (or at about 27.5 mg/dose as rilpivirine HCL) ; ritonavir at about 100 mg/dose; dolutegravir at about 50 mg/dose, abacavir at about 600 mg/dose, lamivudine at about 300
- GSK1265744 at about 30 mg/dose, cobicistat at about 150 mg/dose, atazanavir at about 300 mg/dose, maraviroc at about 150 mg/dose, etravirine at about 200 mg/dose, lopinavir at about 400 mg/dose, and zidovudine at about 600 mg/day.
- TLR8 modulating compounds in the combinations above including those of Formula (J) , (I) , (I I), (Ma) , (l ib), (I I I) , (Il ia) , (1 Mb) , (IV) , (IVa), (IVb) , (IVc) , or (IVd) , or each of the individual compounds of the examples from Example 1 through Example 120 or a pharmaceutically acceptable salt thereof, may be administered at a therapeutically effective amount as described herein..
- each of the dose ranges for the TLR8 modulating compounds can be combined in pharmaceutical compositions and pharmaceutical combinations and regiments with each of the doses for the other combination agents discussed above.
- the combination listed above as TLR8/TDF/ emtricitabine/dolutegravir includes a therapeutically effective amount per dose of TLR8/ from about 250 mg-350 mg per dose TDF/ from about 150 mg to about 250 mg per dose emtricitabine/from about 30 mg to about 70 mg per dose dolutegravir; a therapeutically effective amount per dose of
- TLR8 includes compound of Formula (J) , (I), (I I), (lis) , (l ib) , (I I I) , (I l ia) , (1 Mb) , (IV) , (IVa) , (IVb) , (IVc) , or (IVd) , or each of the individual compounds of the examples from Example 1 through Example 120. It is also understood that the same breadth of intended combinations applies to each of the formulations listed above combining a TLR8 modulating compound with HIV agents and that embodiments exist wherein each of the combinations is used in the methods herein.
- the present application provides a combination pharmaceutical agent comprising:
- a) a first pharmaceutical composition comprising a TLR8 modulating compound as described herein, or a pharmaceutically acceptable salt, solvate, or ester thereof; and b) a second pharmaceutical composition comprising at least one additional therapeutic agent selected from the group consisting of HIV protease inhibiting compounds, H IV non-nucleoside inhibitors of reverse transcriptase, H IV nucleoside inhibitors of reverse transcriptase, HIV nucleotide inhibitors of reverse transcriptase, H IV integrase inhibitors, gp41 inhibitors, CXCR4 inhibitors, gp120 inhibitors, CCR5 inhibitors, HIV capsid inhibitors, interferons, immunomodulatory cytokines (IL-7, IL-15) , ribavirin analogs, NS3 protease inhibitors, alpha-glucosidase 1 inhibitors, hepatoprotectants, nucleotide inhibitors of HCV, nucleoside inhibitors of HCV, non-nucleoside inhibitor
- IL-15 useful in the methods herein include human native and recombinant IL- 15, including the heterodimer hetlL- 15, recombinant human IL- 15 (rh I L 15) , and IL- 15 fusion proteins
- TLR8 modulating compound of or a pharmaceutically acceptable salt thereof including methods of treatment, pharmaceutical compositions, regimens, and kits, it is understood that separate further embodiments are contemplated wherein all other components or elements are as defined for the original embodiment and the "TLR8 modulating compound or a pharmaceutically acceptable salt thereof” is, in separate embodiments, a compound selected from each of the group of Formula (I), (I I) , (l la), (l ib), (I I I), (I lia) , (1 Mb) , (IV), (IVa), (IVb) , (IVc), and (IVd), and each of the individual compounds of the examples from Example 1 through Example 120, or a pharmaceutically acceptable salt thereof.
- a method of inducing H IV gene expression in a human infected with HIV wherein active HIV gene expression in the human has been suppressed by administration of antiretroviral therapy, the method comprising adm inistering to the human a pharmaceutically a pharmaceutically effective amount of a TLR8 modulating compound, or a pharmaceutically acceptable salt thereof.
- a method of inducing H IV gene expression in a human infected with HIV, wherein active HIV gene expression in the human has been suppressed by administration of combination antiretroviral therapy comprising administering to the human a pharmaceutically effective amount of a compound of Formula I I , or a pharmaceutically acceptable salt thereof.
- a method of inducing H IV gene expression in a human infected with HIV comprising administration of combination antiretroviral therapy until active H IV replication is suppressed, followed by adm inistering to the human a pharmaceutically effective amount of a compound of Formula (J), (I), (II), (Ma), (lib), (III), (Ilia), (1 Mb), (IV), (IVa), (IVb), (IVc), or (IVd), or each of the individual compounds of the examples from Example 1 through Example 120, or a pharmaceutically acceptable salt thereof.
- a method of inducing HIV gene expression in an HIV-infected human undergoing combination antiretroviral therapy comprising administering to the human a pharmaceutically effective amount of a compound of Formula (J), (I), (II), (Ma), (Mb), (III), (Ilia), (1Mb), (IV), (IVa), (IVb), (IVc), or (IVd), or each of the individual compounds of the examples from Example 1 through Example 120, or a pharmaceutically acceptable salt thereof.
- a method of inducing HIV gene expression in HIV infected cells in a human comprising administering to the human a pharmaceutically effective amount of a compound of Formula (J), (I), (II), (Ma), (lib), (III), (Ilia), (1Mb), (IV), (IVa), (IVb), (IVc), or (IVd), or each of the individual compounds of the examples from Example 1 through Example 120, , or a pharmaceutically acceptable salt thereof.
- Also provided is a method of inducing HIV gene expression in HIV infected cells in a human comprising administering to the human a pharmaceutically effective amount of a compound of Formula (J), (I), (II), (Ma), (lib), (III), (Ilia), (1Mb), (IV), (IVa), (IVb), (IVc), or (IVd), or each of the individual compounds of the examples from Example 1 through Example 120, or a pharmaceutically acceptable salt thereof.
- a compound selected from one of Formula (J), (I), (II), (Ma), (Mb), (III), (Ilia), (1Mb), (IV), (IVa), (IVb), (IVc), or (IVd) or each of the individual compounds of the examples from Example 1 through Example 120, or a pharmaceutically acceptable salt thereof.
- a method of inducing HIV gene expression in a latent HIV reservoir in a human infected with HIV comprising administering to the human infected with HIV a pharmaceutically effective amount of a TLR8 modulating compound, or a pharmaceutically acceptable salt thereof.
- Also provided is a method of inducing HIV gene expression in a latent HIV reservoir in a human infected with HIV comprising administering to the human infected with HIV a pharmaceutically effective amount of a compound of Formula (Formula (J), (I), (II), (Ma), (Mb), (III), (Ilia), (1Mb), (IV), (IVa), (IVb), (IVc), or (IVd), or each of the individual compounds of the examples from Example 1 through Example 120, or a pharmaceutically acceptable salt thereof.
- LRAs latency- reversing agents
- LPDs latency- reversing drugs
- histone deacetylase inhibitors such as romidepson
- hydroxamic acids or
- hydroxamates such as trichostatin A; cyclic tetrapeptides (such as trapoxin B) and the depsipeptides; benzamides; electrophilic ketones; aliphatic acid compounds such as phenylbutyrate and valproic acid, hydroxamic acids such as vorinostat (suberoylanilide hydroxamic acid - SAHA), belinostat, LAQ824, panobinostat, benzamides (e.g., entinostat (MS-275), CI994,mocetinostat, 4SC-202, abexinostat, ACTR, ACY- 1215, AR- 42, CG200745, CHR-2845, CHR-3996, CUDC-101 , , entinostat, , GATA, givinostat, kevetrin, mocetinostat , panobinostat, resminostat, romidepsin, runx, SB9
- Akt pathway modulators such as disulfiram (Doyon et al, AIDS 2013 Jan
- methylation inhibitors such as DNMTi, 5-aza-2'deoxycitidine (5-aza-dc), decitabine, DL-ethionine, D-methionine, 5-azacytidine, 5-aza-2'deoxycytidine, 5,6- dihydro-5-azacytidine, 5,6-dihydro-5-aza-2'deoxycytidine, 5-fluorocytidine, 5-fluoro- 2'deoxycytidine, and short oligonucleotides containing 5-aza-2'deoxycytosine, 5,6- dihydro-5-aza-2'deoxycytosine, and 5-fiuoro-2'deoxycytosine, procainamide, Zebularine, and (-)-egallocatechin-3-gallate; protein kinase C (PKC) modulators, such as indolactam, Ingenol and its derivative such as ingenol B, prostratin, bryostatin, rottlerin, iso
- chaetocin e.g. GSK343, E7438, and GSK-126
- inhibitors ofG9a e.g. BIX-01249 and UNC-0638
- BRD4 inhibitors such as JQ1 ([(R,S)-4-(4-Chlorophenyl)-2,3,9-trimethyl-6H-1- thia-5,7,8,9a-tetraaza-cyclopenta[e]azulen-6-yl]-acetic acid tert-butyl ester), GSK525762 (IBET or (S)-2-(6-(4-chlorophenyl)-8-methoxy ⁇ 1-methyl-4H-benzon[1 ,2,4]triazolo[4,3- a][1 ,4]diazepin-4-yl)-N-ethylacetamide), OTX015 (HY15743 - (6S)-4-(4-chlorophenyl)-N- (4-hydroxyphenyl)-2,3,9-trimethyl-6H-thieno[3,2-f][1 ,2,4]triazolo[4,3-a][1 ,4]diazepin
- a further embodiment comprises this method in which the plasma HIV-1 RNA concentration in the human is raised to a concentration of from 50 copies of HIV-1 RNA per mL to at least 500 copies of HIV-1 RNA per mL.
- a further embodiment comprises this method in which the plasma HIV-1 RNA concentration in the human is raised to a concentration of from 50 copies of HIV-1 RNA per mL to at least 1 ,000 copies of HIV-1 RNA per mL.
- a further embodiment comprises this method in which the plasma HIV-1 RNA concentration in the human is raised to a concentration of from 50 copies of HIV-1 RNA per mL to at least 2,000 copies of HIV-1 RNA per mL.
- a further embodiment comprises this method in which the plasma HIV-1 RNA concentration in the human is raised to a concentration of from 50 copies of HIV-1 RNA per mL or below to at least 500 copies of HIV-1 RNA per mL.
- a further embodiment comprises this method in which the plasma HIV-1 RNA concentration in the human is raised to a concentration of from 50 copies of HIV-1 RNA per mL or below to at least 1 ,000 copies of HIV-1 RNA per mL.
- a further embodiment comprises this method in which the plasma HIV-1 RNA concentration in the human is raised to a concentration of from 50 copies of HIV-1 RNA per mL or below to at least 2,000 copies of HIV-1 RNA per mL.
- a further embodiment comprises this method in which the plasma HIV-1 RNA concentration in the human is raised to a concentration of from 50 copies of HIV-1 RNA per mL to at least 1 ,000 copies of HIV-1 RNA per mL.
- a further embodiment comprises this method in which the plasma HIV-1 RNA concentration in the human is raised to a concentration of from 50 copies of HIV-1 RNA per mL to at least 2,000 copies of HIV-1 RNA per ml_.
- the TLR8 modulating compound comprises a pharmaceutically effective amount of a TLR8 modulating compound selected from one of Formula (J), (I) , (I I), (Ma) , (l i b), (I I I), (I l ia), (1 Mb), (IV) , (IVa), (IVb) , (IVc), or (IVd) , or each of the individual compounds of the examples from Example 1 through Example 120, or a pharmaceutically acceptable salt thereof.
- a TLR8 modulating compound selected from one of Formula (J), (I) , (I I), (Ma) , (l i b), (I I I), (I l ia), (1 Mb), (IV) , (IVa), (IVb) , (IVc), or (IVd) , or each of the individual compounds of the examples from Example 1 through Example 120, or a pharmaceutically acceptable salt thereof.
- each of the methods for inducing transient HIV- 1 viremia in a virologically suppressed human infected with H IV-1 comprise the method wherein the combination antiretroviral therapy is selected from each of the combinations of antiretroviral agents listed herein , wherein the use of each separate combination of antiretroviral agents comprises a separate embodiment.
- a method for inducing transient H IV-1 viremia in a virologically suppressed human infected with HIV- 1 wherein the virologically suppressed human infected with H IV is receiving a combination antiretroviral therapy, wherein the combination antiretroviral therapy comprises a pharmaceutically effective amount of TDF, a pharmaceutically effective amount of emtricitabine, and a pharmaceutically effective amount of dolutegravir, the method comprising adm inistering to the human a pharmaceutically effective amount of a TLR8 modulating compound, or a pharmaceutically acceptable salt thereof.
- the combination antiretroviral therapy comprises individually the separate combinations listed in each of Tables A, B, C, D, E, F, G, H, I, and J is administered to the human infected with HIV-1 in combination with a pharmaceutically effective amount of a TLR8 modulator.
- the TLR modulator is a compound of Formula (J), (I), (II), (lla), (lib), (I II), (Ilia), (1Mb), (IV), (IVa), (IVb), (IVc), or (IVd), or each of the individual compounds of the examples from Example 1 through Example 120,
- a method of enhancing HIV gene expression in HIV infected cells in a human infected with HIV comprising administering to the human infected with HIV a pharmaceutically effective amount of a TLR8 modulating compound, or a pharmaceutically acceptable salt thereof.
- Also provided is a method of enhancing HIV gene expression in HIV infected cells in a human infected with HIV comprising administering to the human infected with HIV a pharmaceutically effective amount of a compound of Formula (J), (I), (II), (lla), (lib), (II I), (Ilia), (1Mb), (IV), (IVa), (IVb), (IVc), or (IVd), or each of the individual compounds of the examples from Example 1 through Example 120, or a pharmaceutically acceptable salt thereof.
- Also provided is a method of enhancing HIV gene expression in HIV infected T- cells in a human infected with HIV comprising administering to the human infected with HIV a pharmaceutically effective amount of a compound of Formula (J), (I), (II), (lla), (lib), (III), (Ilia), (1Mb), (IV), (IVa), (IVb), (IVc), or (IVd), or each of the individual compounds of the examples from Example 1 through Example 120, , or a
- one of such methods comprises administering to the human infected with HIV a pharmaceutically effective amount of Formula I, or a pharmaceutically acceptable salt thereof, another method comprises administering to the human infected with HIV a pharmaceutically effective amount of Formula l(a), etc.
- each of the separate methods comprising administering to the human infected with HIV a pharmaceutically effective amount of a compound selected from one of Formula (J), (I), (II), (lla), (lib), (III), (Ilia), (lllb), (IV), (IVa), (IVb), (IVc), or (IVd), or each of the individual compounds of the examples from Example 1 through Example 120, or a pharmaceutically acceptable salt thereof.
- a compound selected from one of Formula (J), (I), (II), (lla), (lib), (III), (Ilia), (lllb), (IV), (IVa), (IVb), (IVc), or (IVd) or each of the individual compounds of the examples from Example 1 through Example 120, or a pharmaceutically acceptable salt thereof.
- Also provided is a method of enhancing HIV gene expression in HIV infected cells in a latent HIV reservoir in a human infected with HIV comprising administering to the human infected with HIV a pharmaceutically effective amount of a compound of Formula (J), (I), (II), (lla), (lib), (III), (Ilia), (lllb), (IV), (IVa), (IVb), (IVc), or (IVd), or each of the individual compounds of the examples from Example 1 through Example 120, or a pharmaceutically acceptable salt thereof.
- Also provided is a method of enhancing HIV gene expression in HIV infected cells in a latent HIV reservoir in a human infected with HIV comprising administering to the human infected with HIV a pharmaceutically effective amount of a compound selected from one of Formula (J), (I), (II), (lla), (lib), (III), (Ilia), (lllb), (IV), (IVa), (IVb), (IVc), or (IVd), or each of the individual compounds of the examples from Example 1 through Example 120, or a pharmaceutically acceptable salt thereof.
- one of such methods comprises administering to the human infected with HIV a pharmaceutically effective amount of Formula (J), or a pharmaceutically acceptable salt thereof, another method comprises administering to the human infected with HIV a pharmaceutically effective amount of Formula (I), etc.
- Also provided are separate methods of enhancing HIV gene expression in HIV infected cells in a latent HIV reservoir in a human infected with HIV comprising administering to the human infected with HIV a pharmaceutically effective amount of a compound selected from one of Formula (J), (I), (II), (lla), (lib), (III), (Ilia), (1 Mb), (IV), (IVa), (IVb), (IVc), or (IVd), or each of the individual compounds of the examples from Example 1 through Example 120, or a pharmaceutically acceptable salt thereof.
- a method of treating an HIV infection in a human comprising administering to the human a pharmaceutically effective amount of a TLR8 modulating compound, or a pharmaceutically acceptable salt thereof.
- Also provided is a method of treating an HIV infection in a human comprising administering to a human in need thereof a pharmaceutically effective amount of a TLR8 modulating compound, or a pharmaceutically acceptable salt thereof, sufficient to lower the level of HIV detected in the human's blood or plasma from a first level to a second level, the second level comprising a lower concentration of HIV in the human's blood or plasma than the concentration of HIV in the human's blood or plasma in the first level.
- each of the methods of treating an HIV infection in a human herein comprising administering to a human in need thereof a pharmaceutically effective amount of a TLR8 modulating compound, or a pharmaceutically acceptable salt thereof, there is a further embodiment comprising the method wherein the second level of concentration of HIV in the human's blood or plasma comprises a viral load (VL) in plasma of less than 50 copies of HIV RNA/ml.
- VL viral load
- the level of HIV in the human's blood or plasma in the second level comprises a viral load (VL) in plasma of a) less than 40 copies of HIV RNA/ml; b) less than 30 copies of HIV RNA/ml; c) less than 20 copies of HIV RNA/ml; d) less than 10 copies of HIV RNA/ml; e) less than 5 copies of HIV RNA/ml; f) less than 3 copies of HIV RNA/ml; less than 1 copy of HIV RNA/ml; and less than 0.5 copies of HIV RNA/ml.
- VL viral load
- TLR8 modulating compound selected from one of Formula (J) , (I) , (I I), (Ma) , (l ib), (I I I) , (Il ia) , (1 Mb) , (IV) , (IVa) , (IVb), (IVc), or (IVd) , or each of the individual compounds of the examples from Example 1 through Example 120, ; or a pharmaceutically acceptable salt thereof.
- HIV Treatment combining antiretroviral agents and a TLR8 Modulator
- a method of treatment of an H IV- 1 infection in a human comprising administering to the human a pharmaceutically effective amount of a TLR8 modulating compound or a pharmaceutically acceptable salt thereof and a combination antiretroviral therapy.
- the TLR8 modulating compound or a pharmaceutically acceptable salt thereof is administered prior to administration of the combination antiretroviral therapy.
- the TLR8 modulating compound comprises a pharmaceutically effective amount of a TLR8 modulating compound selected from one of Formula (J) , (I) , (I I), (Ma) , (l ib), (I I I) , (Il ia) , (1 Mb) , (IV) , (IVa) , (IVb), (IVc), or (IVd) , or each of the individual compounds of the examples from Example 1 through Example 120, ;or a pharmaceutically acceptable salt thereof.
- a TLR8 modulating compound selected from one of Formula (J) , (I) , (I I), (Ma) , (l ib), (I I I) , (Il ia) , (1 Mb) , (IV) , (IVa) , (IVb), (IVc), or (IVd) , or each of the individual compounds of the examples from Example 1 through Example 120, ;or a pharmaceutically acceptable salt thereof.
- the combination antiretroviral therapy is selected from each of the combinations of antiretroviral agents listed herein , wherein the use of each separate combination of antiretroviral agents comprises a separate embodiment.
- a method of treatment of an HIV- 1 infection in a virologically suppressed human infected with HIV- 1 , wherein the virologically suppressed human infected with H IV is receiving a combination antiretroviral therapy comprising administering to the human a pharmaceutically effective amount of a TLR8 modulating compound, or a pharmaceutically acceptable salt thereof.
- the TLR8 modulating compound comprises a pharmaceutically effective amount of a TLR8 modulating compound selected from one of Formula (J) , (I) , (I I), (Ma) , (M b), (I I I), (I l ia), (1 Mb), (IV) , (IVa) , (IVb) , (IVc), or (IVd) , or each of the individual compounds of the examples from Example 1 through Example 120, ;or a pharmaceutically acceptable salt thereof.
- a TLR8 modulating compound selected from one of Formula (J) , (I) , (I I), (Ma) , (M b), (I I I), (I l ia), (1 Mb), (IV) , (IVa) , (IVb) , (IVc), or (IVd) , or each of the individual compounds of the examples from Example 1 through Example 120, ;or a pharmaceutically acceptable salt thereof.
- a method of treatment of an HIV-1 infection in a virologically suppressed human infected with HIV- 1 wherein the virologically suppressed human infected with H IV is receiving a combination antiretroviral therapy, wherein the combination antiretroviral therapy comprises a pharmaceutically effective amount of TDF, a pharmaceutically effective amount of emtricitabine, and a pharmaceutically effective amount of dolutegravir, the method comprising adm inistering to the human a pharmaceutically effective amount of the TLR8 modulating compound, or a pharmaceutically acceptable salt thereof.
- combination antiretroviral therapy comprises individually the separate combinations listed in in each of Tables A, B, C, D, E, F, G , H, I , and J is administered to the human infected with HIV- 1 in combination with a pharmaceutically effective amount of a TLR8 modulating compound.
- Combination Antiretroviral therapy comprises individually the separate combinations listed in Combination Antiretroviral Tables A, B, C, D, E, F, G , H, I , and J is administered to the human infected with H IV-1 in combination with a pharmaceutically effective amount of a TLR8 modulating compound.
- a method of treating an HIV infection in a human comprising:
- a method of treating an HIV infection in a human comprising: a) a first step of administering to a human in need thereof a pharmaceutically effective amount of a combination antiretroviral therapy regimen sufficient to lower the level of H IV in the human's blood or plasma to below a detectable level; and b) a second step following the first step, the second step comprising administering to the human a pharmaceutically effective amount of a combination antiretroviral therapy regimen and a pharmaceutically effective amount of a compound of Formula (I) , or a pharmaceutically acceptable salt thereof.
- a method of treating an H IV infection in a human comprising: a) a first step of administering to a human in need thereof a pharmaceutically
- a combination antiretroviral therapy regimen sufficient to lower the level of H IV in the human's plasma to below 50 copies of HIV RNA/ml; and b) a second step following the first step, the second step comprising administering to the human a pharmaceutically effective amount of a combination antiretroviral therapy regimen and a pharmaceutically effective amount of a compound of Formula (I) , or a pharmaceutically acceptable salt thereof.
- a method of treating an H IV infection in a human comprising: a) a first step of administering to a human in need thereof a pharmaceutically
- a combination antiretroviral therapy regimen sufficient to lower the level of H IV in the human's blood or plasma to below a detectable level; and b) a second step following the first step, the second step comprising administering to the human a pharmaceutically effective amount of a combination antiretroviral therapy regimen and a pharmaceutically effective amount of a TLR8 modulating compound selected from one of Formula (J), (I) , (I I) , (Ma), (l ib) , (II I) , (I l ia), (1 Mb), (IV), (IVa), (IVb), (IVc) , or (IVd) , or each of the individual compounds of the examples from Example 1 through Example 120; or a pharmaceutically acceptable salt thereof.
- a TLR8 modulating compound selected from one of Formula (J), (I) , (I I) , (Ma), (l ib) , (II I) , (I l ia), (1 Mb), (IV), (IV
- the method comprising a first step of administering to a human in need thereof a
- antiretroviral therapy cART
- cART antiretroviral therapy
- the second step comprising administering to the human a pharmaceutically effective amount of a combination antiretroviral therapy regimen and a pharmaceutically effective amount of a TLR8 modulating compound
- the antiretroviral agent or cART regimen and the TLR8 modulating compound are both administered daily to the human.
- the antiretroviral agent or cART regimen is administered daily to the human and the TLR8 modulating compound is administered less than daily.
- each utilizing in the second step a separate compound of one or more of the group of Formula (J) , (I), (II) , (Ma) , (l ib), (I I I) , (I l ia), (1 Mb) , (IV), (IVa), (IVb) , (IVc), or (IVd) , or each of the individual compounds of the examples from Example 1 through Example 120, or a pharmaceutically acceptable salt thereof.
- One of such methods is as described above wherein , in the second step, the human is administered a pharmaceutically effective amount of Formula (J), or a pharmaceutically acceptable salt thereof, another method comprises
- a method of treating an HIV infection in a human comprising:
- an antiretroviral agent or a combination antiretroviral therapy regimen sufficient to lower the level of HIV in the human's blood or plasma to below a detectable level
- a second step following the first step comprising administering to the human a pharmaceutically effective amount of an antiretroviral agent or a combination antiretroviral therapy regimen and a pharmaceutically effective amount of the TLR8 modulating compound, or a pharmaceutically acceptable salt thereof.
- the first step comprises administering to a human in need thereof a pharmaceutically effective amount of an antiretroviral agent or a combination antiretroviral therapy regimen sufficient to lower the level of HIV in the human's blood or plasma to below a detectable level
- the level of H IV in the human's blood or plasma below a detectable level comprises a viral load (VL) in plasma of less than 50 copies of HIV RNA/ml.
- the level of HIV in the human's blood or plasma below a detectable level comprises a viral load (VL) in plasma of a) less than 40 copies of HIV RNA/ml; b) less than 30 copies of HIV RNA/ml; c) less than 20 copies of HIV RNA/ml; d) less than 10 copies of HIV RNA/ml; e) less than 5 copies of HIV RNA/ml; f) less than 3 copies of HIV RNA/ml; less than 1 copy of HIV RNA/ml; and less than 0.5 copies of HIV RNA/ml.
- VL viral load
- Non-limiting assays useful in determining the concentration of HIV RNA in blood or plasma include the COBAS® AMPLICOR HIV-1 MONITOR Test, v1 .5 (quantification of HIV-1 RNA from 50 to 750,000 copies/mL), COBAS® AmpliPrep/COBAS® TaqMan® HIV-1 Test, v2.0 (quantitates HIV-1 RNA from 20 - 10,000,000 copies/mL), the Abbott RealTime HIV-1 assay (quantitation of HIV-1 in human plasma from 40 to 10,000,000 copies/mL), or ultra-sensitive single copy quantitative PCR assays (SCA, iSCA, or gSCA).
- Other useful assays include the VERSANT ® HIV-1 RNA 1 .0 Assay (kPCR), the
- Combination antiretroviral therapies and compositions which are included for use in each of the methods herein include the marketed products:
- STRIBILD ® tablets elvitegravir 150 mg, cobicistat 150 mg, emtricitabine 200 mg, tenofovir disoproxil fumarate 300 mg
- STRIBILD ® tablets elvitegravir 150 mg, cobicistat 150 mg, emtricitabine 200 mg, tenofovir disoproxil fumarate 300 mg
- TRUVADA ® tablets emtricitabine 200 mg, tenofovir disoproxil fumarate 300 mg
- ATRIPLA® tablets efavirenz 600 mg, emtricitabine 200 mg, tenofovir disoproxil fumarate 300 mg
- COMPLERA® tablets 200 mg emtricitabine, 25 mg rilpivirine, 300 mg of tenofovir disoproxil fumarate
- EPZICOM ® tablets Eq. 600 mg base abacavir sulfate, 300 mg lamivudine
- COMBIVIR® tablets 150 mg lamivudine, 300 mg zidovudine (GlaxoSmithKline)
- TIVICAY® tablets 50 mg dolutegravir
- TRIUMEQ® tablets (abacavir 600 mg, 50 mg dolutegravir, 300 mg lamivudine) and
- TRIVIR® tablets Eq. 300 mg base abacavir sulfate, 150 mg lamivudine, 300 mg zidovudine.
- an antiretroviral combination of: a) a pharmaceutically effective amount of elvitegravir; b) a pharmaceutically effective amount of cobicistat;
- an antiretroviral combination of: a) a pharmaceutically effective amount of emtricitabine; and
- an antiretroviral combination of: a) a pharmaceutically effective amount of rilpivirine;
- an antiretroviral combination of: a) a pharmaceutically effective amount of dolutegravir;
- an antiretroviral combination of: a) a pharmaceutically effective amount of atazanavir, or a pharmaceutically
- an antiretroviral combination of a) a pharmaceutically effective amount of TDF, b) a pharmaceutically effective amount of emtricitabine, and c) a pharmaceutically effective amount of a compound selected from the group of efavirenz, rilpivirine, elvitegravir, efavirenzatazanavir, darunavir, dolutegravir, raltegravir, and tipranavir.
- an antiretroviral combination of a) a pharmaceutically effective amount of TAF, b) a pharmaceutically effective amount of emtricitabine, and c) a pharmaceutically effective amount of a compound selected from the group of efavirenz, rilpivirine, elvitegravir, efavirenz, atazanavir, darunavir, raltegravir, dolutegravir, and tipranavir.
- a method of eliminating an H IV infection in a human comprising:
- the TLR8 modulating compound is selected from the group comprising Formula (J), (I), (I I), (l la) , (l ib) , (I I I), (I lia) , (l l lb) , (IV) , (IVa), (IVb) , (IVc) , or (IVd) , or each of the individual compounds of the examples from Example 1 through Example 120; or a pharmaceutically acceptable salt thereof.
- the method comprising administering to a human in need thereof a pharmaceutically effective amount of an antiretroviral agent or a combination antiretroviral therapy (cART) regimen and administering to the human a pharmaceutically effective amount of a combination antiretroviral therapy regimen and a pharmaceutically effective amount of a TLR8 modulating compound, there is a further embodiment in which the antiretroviral agent or cART regimen and the TLR8 modulating compound are both administered daily to the human.
- the antiretroviral agent or cART regimen is administered daily to the human and the TLR8 modulating compound is administered less than daily.
- each of the methods of treatment above may utilize combinations of antiretroviral compounds, or a pharmaceutically acceptable salt thereof.
- Examples of combinations of specific dose ranges of antiretroviral agents that may be used in these methods of treatment are included in the tables below. It is understood that in the practice of the methods of treatment herein, the antiretroviral agents listed for each combination may be administered together in a single pharmaceutical composition or in divided forms, such as a single tablet or oral solution per agent or in different pharmaceutical compositions combining different groups of the agents.
- each agent listed are intended to be a daily dosage of each agent, though the daily dosage may be administered to the human in need thereof in the present methods of treatment as a single dose of each agent per day or it may be divided and administered in multiple doses per day, such as dividing the daily dose into two, three, or four divided doses to be administered in a twice daily, three times daily, or four times daily regimen.
- Combinations of the agents listed in each of the Pharmaceutical Composition Tables below may be used in each of the methods herein. It is understood that for each of the individual methods discussed herein there are separate methods in which each of the pharmaceutical combinations listed in the Pharmaceutical Composition Tables below are used in the each of the individual methods. For instance, provided in Combination Antiretroviral Table A are eight separate methods of treating an HIV infection in a human, as described above, comprising administering to a human infected with HIV the combinations of the pharmaceutical agents listed as Combination Examples A-1 , A-2, A- 3, A-4, A-5. A-6, A-7, and A-8 in combination with a pharmaceutically effective amount of TLR8 modulating compound, as described herein.
- Antiviral combinations and regimens for use in the methods herein comprising elvitegravir, cobicistat, emtricitibine, and TDF or TAF include:
- Antiviral combinations and regimens for use in the methods herein comprising emtricitibine and TDF or TAF include:
- Antiviral combinations and regimens for use in the methods herein comprising emtricitibine, TDF or TAF, and raltegravir include:
- Antiviral combinations and regimens for use in the methods herein comprising emtricitibine, TDF or TAF, and dolutegravir include:
- HCI, emtricitibine, and TDF or TAF include:
- Antiviral combinations and regimens for use in the methods herein comprising efavirenz, emtricitibine, and TDF or TAF include:
- Antiviral combinations and regimens for use in the methods herein comprising elvitregravir, emtricitibine, and TAF, with and without cobicistat include:
- Antiviral combinations and regimens for use in the methods herein comprising atazanavir sulfate and cobicistat include:
- Antiviral combinations and regimens for use in the methods herein comprising abacavir (such as administered as abacavir sulfate), lamivudine, and, optionally, dolutegravir include:
- Antiviral combinations and regimens for use in the methods herein comprising darunavir (such as administered as a Prezista® tablet or oral solution) and ritonavir or cobicistat include:
- a method of reducing HIV viremia in a human infected with HIV comprising adm inistering to the human a pharmaceutically effective amount of a TLR8 modulating compound, or a pharmaceutically effective amount thereof.
- a method of lowering the chronic set point of HIV viral load in a human infected with HIV comprising administering to the human a pharmaceutically effective amount of a TLR8 modulating compound, or a pharmaceutically effective amount thereof.
- a compound of Formula (J) comprising administering to the human a pharmaceutically effective amount of a compound of Formula (J), (I) , (I I), (Ma) , (l ib), (I I I), (I l ia) , (1 Mb), (IV), (IVa), (IVb) , (IVc) , or (IVd) , or each of the individual compounds of the examples from Example 1 through Example
- H IV infected human receiving combination antiretroviral therapy comprising administering to the HIV infected human receiving combination antiretroviral therapy a pharmaceutically effective amount of a compound of Formula (J), (I) , (I I), (Ma) , (l ib), (I I I), (I l ia), (1 Mb) , (IV) , (IVa), (IVb) , (IVc), or (IVd) , or each of the individual compounds of the examples from Example 1 through Example 120, or a pharmaceutically effective amount thereof.
- a method of lowering the chronic set point of HIV viral load in an H IV infected human receiving highly active antiretroviral therapy comprising administering to the H IV infected human receiving highly active antiretroviral therapy a pharmaceutically effective amount of a compound of Formula (J) , (I) , (I I), (l la), (l ib) , (I I I) , (I l ia) , (1 Mb) , (IV), (IVa) , (IVb) , (IVc) , or (IVd), or each of the individual compounds of the examples from Example 1 through Example 120, or a pharmaceutically effective amount thereof.
- a compound of Formula (J) comprising administering to the H IV infected human receiving highly active antiretroviral therapy a pharmaceutically effective amount of a compound of Formula (J) , (I) , (I I), (l la), (l ib) , (I I I) , (I l ia) , (1 Mb)
- a compound selected from one of Formula (J), (I), (I I), (l la), (Mb) , (I I I) , (I l ia) , (1Mb) , (IV) , (IVa), (IVb) , (IVc), or (IVd) or each of
- a method of lowering the chronic set point of HIV viral load in a human infected with HIV comprising:
- a combination antiretroviral therapy regimen sufficient to lower the level of H IV in the human's blood or plasma to below a detectable level; and b) a second step following the first step, the second step comprising administering to the human a pharmaceutically effective amount of a combination antiretroviral therapy regimen and a pharmaceutically effective amount of a TLR8 modulating compound or a pharmaceutically acceptable salt thereof.
- a combination antiretroviral therapy regimen sufficient to lower the chronic set point of HIV in the human's blood or plasma to a first level of less than 50 copies of H IV- 1 RNA/m l of plasma;
- a second step following the first step comprising administering to the human a pharmaceutically effective amount of a combination antiretroviral therapy regimen and a pharmaceutically effective amount of a TLR8 modulating compound or a pharmaceutically acceptable salt thereof, to lower the chronic set point of H IV in the human's blood or plasma to a second level, the second level being less than the first level.
- a method of lowering the chronic set point of H IV viral load in a human infected with HIV comprising:
- a combination antiretroviral therapy regimen sufficient to lower the level of H IV in the human's blood or plasma to below a detectable level; and b) a second step following the first step, the second step comprising administering to the human a pharmaceutically effective amount of a combination antiretroviral therapy regimen and a pharmaceutically effective amount of a compound selected from one of Formula (J) , (I) , (II) , (Ma) , (l ib), (I I I), (I l ia), (1Mb) , (IV) , (IVa), (IVb) , (IVc), or (IVd) , or each of the individual com pounds of the exam ples from Example 1 through Example 120; ; or a pharmaceutically acceptable salt thereof.
- a combination antiretroviral therapy regimen sufficient to lower the chronic set point of HIV in the human's blood or plasma to a first level of less than 50 copies of H IV- 1 RNA/m l of plasma;
- a second step following the first step comprising administering to the human a pharmaceutically effective amount of a combination antiretroviral therapy regimen and a pharmaceutically effective amount of a compound selected from one of Formula (J) , (I) , (II) , (Ma) , (Mb), (I I I), (I l ia), (1Mb) , (IV) , (IVa), (IVb) , (IVc), or (IVd) , or each of the individual com pounds of the exam ples from Example 1 through Example 120 or a pharmaceutically acceptable salt thereof, to lower the chronic set point of HIV in the human's blood or plasma to a second level, the second level being less than the first level.
- the designated method of lowering the chronic set point of H IV viral load in a human infected with HIV comprises the method described wherein the second level of the chronic set point of H IV in the human's blood or plasma is a concentration in the human's plasma of a) less than 40 copies of H IV-1 RNA/ml of plasma; b) less than 30 copies of HIV-1 RNA/ml of plasma; c) less than 20 copies of HIV-1 RNA/ml of plasma; d) less than 10 copies of HIV-1 RNA/ml of plasma; e) less than 5 copies of HIV-1 RNA/ml of plasma; f) less than 3 copies of HIV-1 RNA/ml of plasma; g) less than 1 copy of HIV-1 RNA/ml of plasma; h) less than 0.5 copies of HIV-1 RNA/ml of plasma; i) less than 0.3 copies of HIV-1 RNA/ml of plasma; and j) less than 0.1 copies
- One of such methods is as described above wherein, in the second step, the human is administered a pharmaceutically effective amount of Formula (J), or a pharmaceutically acceptable salt thereof, another method comprises administering to the human infected with HIV a pharmaceutically effective amount of Formula (I), etc.
- the detectable level in the first step is a concentration in the human's blood plasma of less than 50 copies of HIV-1 RNA/mL.
- a method of enhancing immune cell activity and increasing HIV gene expression in a human infected with HIV comprising administering to the human infected with HIV a pharmaceutically effective amount of a TLR8 modulating compound, or a pharmaceutically acceptable salt thereof.
- Also provided is a method of enhancing immune cell activity and increasing HIV gene expression in a human infected with HIV comprising administering to the human infected with HIV a pharmaceutically effective amount of a compound selected from one of Formula (J), (I), (II), (lla), (Mb), (III), (Il ia), (lllb), (IV), (IVa), (IVb), (IVc), or (IVd), or each of the individual compounds of the examples from Example 1 through Example 120 or a pharmaceutically acceptable salt thereof. It is understood that one of such methods comprises administering to the human infected with HIV a
- Another method comprises administering to the human infected with HIV a pharmaceutically effective amount of Formula 1(a), etc.
- the immune cell activity is, respectively, in each of the further embodiments one of the activities selected from the group of a) plasmacytoid dendritic cell (pDC) activity, b) B-cell activity; c) T-cell activity, d) CD4 T-cell activity, e) CD8 T-cell activity, and f) natural killer (NK) cell activity, g) invariant NK T cell activity, h) monocyte/macrophage activity, i) myeloid dendritic cell (mDC) activity
Landscapes
- Health & Medical Sciences (AREA)
- Life Sciences & Earth Sciences (AREA)
- Chemical & Material Sciences (AREA)
- Medicinal Chemistry (AREA)
- Pharmacology & Pharmacy (AREA)
- Animal Behavior & Ethology (AREA)
- General Health & Medical Sciences (AREA)
- Public Health (AREA)
- Veterinary Medicine (AREA)
- Virology (AREA)
- Epidemiology (AREA)
- Chemical Kinetics & Catalysis (AREA)
- Tropical Medicine & Parasitology (AREA)
- Communicable Diseases (AREA)
- Oncology (AREA)
- AIDS & HIV (AREA)
- General Chemical & Material Sciences (AREA)
- Nuclear Medicine, Radiotherapy & Molecular Imaging (AREA)
- Organic Chemistry (AREA)
- Molecular Biology (AREA)
- Pharmaceuticals Containing Other Organic And Inorganic Compounds (AREA)
- Medicines That Contain Protein Lipid Enzymes And Other Medicines (AREA)
- Nitrogen Condensed Heterocyclic Rings (AREA)
- Pyrrole Compounds (AREA)
- Heterocyclic Carbon Compounds Containing A Hetero Ring Having Oxygen Or Sulfur (AREA)
- Plural Heterocyclic Compounds (AREA)
- Quinoline Compounds (AREA)
- Heterocyclic Carbon Compounds Containing A Hetero Ring Having Nitrogen And Oxygen As The Only Ring Hetero Atoms (AREA)
- Pyridine Compounds (AREA)
- Nitrogen And Oxygen Or Sulfur-Condensed Heterocyclic Ring Systems (AREA)
- Medicines Containing Antibodies Or Antigens For Use As Internal Diagnostic Agents (AREA)
- Indole Compounds (AREA)
- Thiazole And Isothizaole Compounds (AREA)
- Peptides Or Proteins (AREA)
Abstract
Description
Claims
Priority Applications (6)
| Application Number | Priority Date | Filing Date | Title |
|---|---|---|---|
| CA2997955A CA2997955A1 (en) | 2015-09-15 | 2016-09-13 | Modulators of toll-like receptors for the treatment of hiv |
| JP2018513529A JP2018527366A (en) | 2015-09-15 | 2016-09-13 | Toll-like receptor modulators for treating HIV |
| EP16770854.4A EP3349757A1 (en) | 2015-09-15 | 2016-09-13 | Modulators of toll-like recptors for the treatment of hiv |
| AU2016322763A AU2016322763A1 (en) | 2015-09-15 | 2016-09-13 | Modulators of toll-like recptors for the treatment of HIV |
| HK18116414.4A HK1257270A1 (en) | 2015-09-15 | 2016-09-13 | Modulators of toll-like recptors for the treatment of hiv |
| US15/759,177 US20180263985A1 (en) | 2015-09-15 | 2016-09-13 | Modulators of toll-like receptors for the treatment of hiv |
Applications Claiming Priority (4)
| Application Number | Priority Date | Filing Date | Title |
|---|---|---|---|
| US201562218858P | 2015-09-15 | 2015-09-15 | |
| US62/218,858 | 2015-09-15 | ||
| US201662382550P | 2016-09-01 | 2016-09-01 | |
| US62/382,550 | 2016-09-01 |
Publications (1)
| Publication Number | Publication Date |
|---|---|
| WO2017048727A1 true WO2017048727A1 (en) | 2017-03-23 |
Family
ID=56997570
Family Applications (1)
| Application Number | Title | Priority Date | Filing Date |
|---|---|---|---|
| PCT/US2016/051545 Ceased WO2017048727A1 (en) | 2015-09-15 | 2016-09-13 | Modulators of toll-like recptors for the treatment of hiv |
Country Status (8)
| Country | Link |
|---|---|
| US (2) | US20180263985A1 (en) |
| EP (1) | EP3349757A1 (en) |
| JP (1) | JP2018527366A (en) |
| AU (1) | AU2016322763A1 (en) |
| CA (1) | CA2997955A1 (en) |
| HK (1) | HK1257270A1 (en) |
| MA (1) | MA42818A (en) |
| WO (1) | WO2017048727A1 (en) |
Cited By (26)
| Publication number | Priority date | Publication date | Assignee | Title |
|---|---|---|---|---|
| WO2018045150A1 (en) * | 2016-09-02 | 2018-03-08 | Gilead Sciences, Inc. | 4,6-diamino-pyrido[3,2-d]pyrimidine derivaties as toll like receptor modulators |
| WO2018045144A1 (en) * | 2016-09-02 | 2018-03-08 | Gilead Sciences, Inc. | Toll like receptor modulator compounds |
| US10285990B2 (en) | 2015-03-04 | 2019-05-14 | Gilead Sciences, Inc. | Toll like receptor modulator compounds |
| WO2019113462A1 (en) | 2017-12-07 | 2019-06-13 | Emory University | N4-hydroxycytidine and derivatives and anti-viral uses related thereto |
| WO2019195181A1 (en) | 2018-04-05 | 2019-10-10 | Gilead Sciences, Inc. | Antibodies and fragments thereof that bind hepatitis b virus protein x |
| WO2020007275A1 (en) * | 2018-07-03 | 2020-01-09 | 江苏恒瑞医药股份有限公司 | Pyridopyrimidine derivative, preparation method therefor and medical use thereof |
| WO2020214652A1 (en) * | 2019-04-17 | 2020-10-22 | Gilead Sciences, Inc. | Solid forms of a toll-like receptor modulator |
| WO2020214663A1 (en) * | 2019-04-17 | 2020-10-22 | Gilead Sciences, Inc. | Solid forms of a toll-like receptor modulator |
| CN112390795A (en) * | 2019-08-19 | 2021-02-23 | 上海挚盟医药科技有限公司 | 2-aminopyrimidine compounds and pharmaceutical composition and application thereof |
| WO2021067181A1 (en) | 2019-09-30 | 2021-04-08 | Gilead Sciences, Inc. | Hbv vaccines and methods treating hbv |
| WO2021113765A1 (en) | 2019-12-06 | 2021-06-10 | Precision Biosciences, Inc. | Optimized engineered meganucleases having specificity for a recognition sequence in the hepatitis b virus genome |
| WO2021136488A1 (en) * | 2020-01-02 | 2021-07-08 | 江苏恒瑞医药股份有限公司 | Crystal form of pyridopyrimidine derivative and preparation method thereof |
| WO2021188959A1 (en) | 2020-03-20 | 2021-09-23 | Gilead Sciences, Inc. | Prodrugs of 4'-c-substituted-2-halo-2'-deoxyadenosine nucleosides and methods of making and using the same |
| US11286257B2 (en) | 2019-06-28 | 2022-03-29 | Gilead Sciences, Inc. | Processes for preparing toll-like receptor modulator compounds |
| WO2022241134A1 (en) | 2021-05-13 | 2022-11-17 | Gilead Sciences, Inc. | COMBINATION OF A TLR8 MODULATING COMPOUND AND ANTI-HBV siRNA THERAPEUTICS |
| WO2022271659A1 (en) | 2021-06-23 | 2022-12-29 | Gilead Sciences, Inc. | Diacylglyercol kinase modulating compounds |
| WO2022271677A1 (en) | 2021-06-23 | 2022-12-29 | Gilead Sciences, Inc. | Diacylglyercol kinase modulating compounds |
| WO2022271650A1 (en) | 2021-06-23 | 2022-12-29 | Gilead Sciences, Inc. | Diacylglyercol kinase modulating compounds |
| US11628181B2 (en) | 2014-12-26 | 2023-04-18 | Emory University | N4-hydroxycytidine and derivatives and anti-viral uses related thereto |
| RU2795914C1 (en) * | 2019-08-19 | 2023-05-15 | Шанхай Чжимэн Биофарма, Инк. | Compounds and pharmaceutical compositions of 2-aminopyrimidine and their use |
| US11795210B2 (en) | 2019-07-16 | 2023-10-24 | Gilead Sciences, Inc. | HIV vaccines and methods of making and using |
| US12053517B2 (en) | 2021-01-14 | 2024-08-06 | Gilead Sciences, Inc. | HIV vaccines and methods of using |
| WO2025240242A1 (en) | 2024-05-13 | 2025-11-20 | Gilead Sciences, Inc. | Combination therapies with ribavirin |
| WO2025240246A1 (en) | 2024-05-13 | 2025-11-20 | Gilead Sciences, Inc. | Combination therapies with ribavirin |
| WO2025240243A1 (en) | 2024-05-13 | 2025-11-20 | Gilead Sciences, Inc. | Combination therapies with bulevirtide and an inhibitory nucleic acid targeting hepatitis b virus |
| WO2025240244A1 (en) | 2024-05-13 | 2025-11-20 | Gilead Sciences, Inc. | Combination therapies comprising bulevirtide and lonafarnib for use in the treatment of hepatitis d virus infection |
Families Citing this family (32)
| Publication number | Priority date | Publication date | Assignee | Title |
|---|---|---|---|---|
| US9259426B2 (en) | 2006-07-20 | 2016-02-16 | Gilead Sciences, Inc. | 4,6-di- and 2,4,6-trisubstituted quinazoline derivatives useful for treating viral infections |
| FR3066761B1 (en) | 2017-05-23 | 2020-10-30 | Centre Nat Rech Scient | NEW IONIC CHANNEL INHIBITORS |
| CN108069963B (en) * | 2017-11-17 | 2020-01-14 | 清华大学 | Pyridopyrimidine derivative or salt thereof, and preparation method, pharmaceutical composition and application thereof |
| SG11202101980VA (en) | 2018-09-12 | 2021-03-30 | Silverback Therapeutics Inc | Methods and composition for the treatment of disease with immune stimulatory conjugates |
| US12331320B2 (en) | 2018-10-10 | 2025-06-17 | The Research Foundation For The State University Of New York | Genome edited cancer cell vaccines |
| SI3938047T1 (en) | 2019-03-22 | 2022-10-28 | Gilead Sciences, Inc. | Bridged tricyclic carbamoylpyridone compounds and their pharmaceutical use |
| WO2021067644A1 (en) | 2019-10-01 | 2021-04-08 | Silverback Therapeutics, Inc. | Combination therapy with immune stimulatory conjugates |
| EP3821890A1 (en) * | 2019-11-18 | 2021-05-19 | Strumberg, Dirk | Pharmaceutical compositions comprising an inhibitor of a histon-deacetylase (hdaci) and an agonist of toll-like-receptor 7 and/or 8 (tlr7 and/or tlr8) and their use in the treatment of cancer |
| WO2021168274A1 (en) | 2020-02-21 | 2021-08-26 | Silverback Therapeutics, Inc. | Nectin-4 antibody conjugates and uses thereof |
| IL299508A (en) | 2020-07-01 | 2023-02-01 | Ars Pharmaceuticals Inc | Name of the invention: antibody conjugates against ASGR1 and their uses |
| TWI815194B (en) | 2020-10-22 | 2023-09-11 | 美商基利科學股份有限公司 | INTERLEUKIN-2-Fc FUSION PROTEINS AND METHODS OF USE |
| US20220144923A1 (en) | 2020-11-11 | 2022-05-12 | Gilead Sciences, Inc. | METHODS OF IDENTIFYING HIV PATIENTS SENSITIVE TO THERAPY WITH gp120 CD4 BINDING SITE-DIRECTED ANTIBODIES |
| FI4445900T3 (en) | 2021-12-03 | 2025-08-05 | Gilead Sciences Inc | THERAPEUTIC COMPOUNDS FOR HIV VIRUS INFECTION |
| CN118355020A (en) | 2021-12-03 | 2024-07-16 | 吉利德科学公司 | Therapeutic compounds for HIV infection |
| WO2023102523A1 (en) | 2021-12-03 | 2023-06-08 | Gilead Sciences, Inc. | Therapeutic compounds for hiv virus infection |
| TWI856796B (en) | 2022-04-06 | 2024-09-21 | 美商基利科學股份有限公司 | Bridged tricyclic carbamoylpyridone compounds and uses thereof |
| EP4547659A1 (en) | 2022-07-01 | 2025-05-07 | Gilead Sciences, Inc. | Therapeutic compounds useful for the prophylactic or therapeutic treatment of an hiv virus infection |
| CA3265134A1 (en) | 2022-08-26 | 2024-02-29 | Gilead Sciences, Inc. | Dosing and scheduling regimen for broadly neutralizing antibodies |
| WO2024076915A1 (en) | 2022-10-04 | 2024-04-11 | Gilead Sciences, Inc. | 4'-thionucleoside analogues and their pharmaceutical use |
| AU2024259111A1 (en) | 2023-04-19 | 2025-10-16 | Gilead Sciences, Inc. | Dosing regimen of capsid inhibitor |
| US20250042926A1 (en) | 2023-05-31 | 2025-02-06 | Gilead Sciences, Inc. | Therapeutic compounds for hiv |
| US20250011352A1 (en) | 2023-05-31 | 2025-01-09 | Gilead Sciences, Inc. | Solid forms |
| WO2025029247A1 (en) | 2023-07-28 | 2025-02-06 | Gilead Sciences, Inc. | Weekly regimen of lenacapavir for the treatment and prevention of hiv |
| WO2025042394A1 (en) | 2023-08-23 | 2025-02-27 | Gilead Sciences, Inc. | Dosing regimen of hiv capsid inhibitor |
| US20250120989A1 (en) | 2023-10-11 | 2025-04-17 | Gilead Sciences, Inc. | Bridged tricyclic carbamoylpyridone compounds and uses thereof |
| WO2025080863A1 (en) | 2023-10-11 | 2025-04-17 | Gilead Sciences, Inc. | Bridged tricyclic carbamoylpyridone compounds and uses thereof |
| US20250127801A1 (en) | 2023-10-11 | 2025-04-24 | Gilead Sciences, Inc. | Bridged tricyclic carbamoylpyridone compounds and uses thereof |
| WO2025137245A1 (en) | 2023-12-22 | 2025-06-26 | Gilead Sciences, Inc. | Solid forms of hiv integrase inhibitors |
| WO2025184609A1 (en) | 2024-03-01 | 2025-09-04 | Gilead Sciences, Inc. | Antiviral compounds |
| WO2025184447A1 (en) | 2024-03-01 | 2025-09-04 | Gilead Sciences, Inc. | Pharmaceutical compositions comprising hiv integrase inhibitors |
| WO2025184452A1 (en) | 2024-03-01 | 2025-09-04 | Gilead Sciences, Inc. | Solid forms of hiv integrase inhibitors |
| WO2025260028A1 (en) | 2024-06-14 | 2025-12-18 | Gilead Sciences, Inc. | Pharmaceutical compositions comprising hiv integrase inhibitors |
Citations (53)
| Publication number | Priority date | Publication date | Assignee | Title |
|---|---|---|---|---|
| US4724232A (en) | 1985-03-16 | 1988-02-09 | Burroughs Wellcome Co. | Treatment of human viral infections |
| US4724233A (en) | 1985-04-25 | 1988-02-09 | Stichting Rega Vzw | Therapeutical application of phosphonylmethoxyalkyl adenines |
| US4861759A (en) | 1985-08-26 | 1989-08-29 | The United States Of America As Represented By The Department Of Health And Human Services | Antiviral compositions and methods |
| US4978655A (en) | 1986-12-17 | 1990-12-18 | Yale University | Use of 3'-deoxythymidin-2'-ene (3'deoxy-2',3'-didehydrothymidine) in treating patients infected with retroviruses |
| US5028595A (en) | 1987-09-18 | 1991-07-02 | Hoffmann-La Roche Inc. | Method for preventing AIDS in a subject or treating a subject infected with the AIDS virus |
| US5034394A (en) | 1988-06-27 | 1991-07-23 | Burroughs Wellcome Co. | Therapeutic nucleosides |
| US5047407A (en) | 1989-02-08 | 1991-09-10 | Iaf Biochem International, Inc. | 2-substituted-5-substituted-1,3-oxathiolanes with antiviral properties |
| US5196438A (en) | 1989-12-11 | 1993-03-23 | Hoffmann-La Roche Inc. | Amino acid derivatives |
| US5210085A (en) | 1990-02-01 | 1993-05-11 | Emory University | Method for the synthesis, compositions and use of 2'-deoxy-5-fluoro-3'-thiacytidine and related compounds |
| US5366972A (en) | 1989-04-20 | 1994-11-22 | Boehringer Ingelheim Pharmaceuticals, Inc. | 5,11-dihydro-6H-dipyrido(3,2-B:2',3'-E)(1,4)diazepines and their use in the prevention or treatment of HIV infection |
| US5413999A (en) | 1991-11-08 | 1995-05-09 | Merck & Co., Inc. | HIV protease inhibitors useful for the treatment of AIDS |
| US5484926A (en) | 1993-10-07 | 1996-01-16 | Agouron Pharmaceuticals, Inc. | HIV protease inhibitors |
| US5519021A (en) | 1992-08-07 | 1996-05-21 | Merck & Co., Inc. | Benzoxazinones as inhibitors of HIV reverse transcriptase |
| US5541206A (en) | 1989-05-23 | 1996-07-30 | Abbott Laboratories | Retroviral protease inhibiting compounds |
| US5563142A (en) | 1989-12-28 | 1996-10-08 | The Upjohn Company | Diaromatic substituted compounds as anti-HIV-1 agents |
| US5646180A (en) | 1995-12-05 | 1997-07-08 | Vertex Pharmaceuticals Incorporated | Treatment of the CNS effects of HIV |
| US5849911A (en) | 1996-04-22 | 1998-12-15 | Novartis Finance Corporation | Antivirally active heterocyclic azahexane derivatives |
| US6436989B1 (en) | 1997-12-24 | 2002-08-20 | Vertex Pharmaceuticals, Incorporated | Prodrugs of aspartyl protease inhibitors |
| US6476009B1 (en) | 1985-10-31 | 2002-11-05 | Astra Lakemedel Aktiebolag | Method for control and treatment of acquired immunodeficiency syndrome (AIDS) |
| US6642245B1 (en) | 1990-02-01 | 2003-11-04 | Emory University | Antiviral activity and resolution of 2-hydroxymethyl-5-(5-fluorocytosin-1-yl)-1,3-oxathiolane |
| WO2006121810A2 (en) | 2005-05-06 | 2006-11-16 | Providence Health System | Trimeric ox40-immunoglobulin fusion protein and methods of use |
| WO2006135993A1 (en) * | 2005-06-24 | 2006-12-28 | Gilead Sciences, Inc. | Pyrido(3,2-d)pyrimidines and pharmaceutical compositions useful for treating hepatitis c. |
| US20080199493A1 (en) | 2004-05-25 | 2008-08-21 | Picker Louis J | Siv and Hiv Vaccination Using Rhcmv- and Hcmv-Based Vaccine Vectors |
| US20080234251A1 (en) | 2005-08-19 | 2008-09-25 | Array Biopharma Inc. | 8-Substituted Benzoazepines as Toll-Like Receptor Modulators |
| US20080306050A1 (en) | 2005-08-19 | 2008-12-11 | Array Biopharma Inc. | Aminodiazepines as Toll-Like Receptor Modulators |
| WO2009079335A1 (en) | 2007-12-14 | 2009-06-25 | Medarex, Inc. | Binding molecules to the human ox40 receptor |
| US20100029585A1 (en) | 2008-08-01 | 2010-02-04 | Howbert J Jeffry | Toll-like receptor agonist formulations and their use |
| WO2010107939A2 (en) | 2009-03-17 | 2010-09-23 | Theraclone Sciences, Inc. | Human immunodeficiency virus (hiv) -neutralizing antibodies |
| US20110092485A1 (en) | 2009-08-18 | 2011-04-21 | Ventirx Pharmaceuticals, Inc. | Substituted benzoazepines as toll-like receptor modulators |
| US20110118235A1 (en) | 2009-08-18 | 2011-05-19 | Ventirx Pharmaceuticals, Inc. | Substituted benzoazepines as toll-like receptor modulators |
| US20110305670A1 (en) | 2010-06-10 | 2011-12-15 | President And Fellows Of Harvard College | Nucleic acid encoding fusion polypeptides that prevent or inhibit hiv infection |
| WO2012030904A2 (en) | 2010-08-31 | 2012-03-08 | Theraclone Sciences, Inc. | Human immunodeficiency virus (hiv)-neutralizing antibodies |
| US20120082658A1 (en) | 2010-10-01 | 2012-04-05 | Ventirx Pharmaceuticals, Inc. | Methods for the Treatment of Allergic Diseases |
| US20120219615A1 (en) | 2010-10-01 | 2012-08-30 | The Trustees Of The University Of Pennsylvania | Therapeutic Use of a TLR Agonist and Combination Therapy |
| WO2012156498A1 (en) | 2011-05-18 | 2012-11-22 | Janssen R&D Ireland | Quinazoline derivatives for the treatment of viral infections and further diseases |
| US20130203727A1 (en) | 2010-07-02 | 2013-08-08 | Gilead Sciences, Inc. | Napht-2-ylacetic acid derivatives to treat aids |
| US20130203747A1 (en) | 2009-05-15 | 2013-08-08 | Gilead Sciences, Inc. | Inhibitors of human immunodeficiency virus replication |
| US20130210801A1 (en) | 2010-07-02 | 2013-08-15 | Gilead Sciences, Inc. | 2-quinolinyl-acetic acid derivatives as hiv antiviral compounds |
| WO2013117615A1 (en) * | 2012-02-08 | 2013-08-15 | Janssen R&D Ireland | Piperidino-pyrimidine derivatives for the treatment of viral infections |
| US20130281434A1 (en) | 2012-04-20 | 2013-10-24 | Gilead Sciences, Inc. | Therapeutic compounds |
| WO2013163427A1 (en) | 2012-04-25 | 2013-10-31 | The United States Of America, As Represented By The Secretary, Department Of Health & Human Services | Antibodies to treat hiv-1 infection |
| US20140045818A1 (en) | 2011-04-21 | 2014-02-13 | Gilead Sciences, Inc. | Benzothiazole compounds and their pharmaceutical use |
| US20140045849A1 (en) | 2011-04-08 | 2014-02-13 | David McGowan | Pyrimidine derivatives for the treatment of viral infections |
| WO2014023813A1 (en) | 2012-08-10 | 2014-02-13 | Janssen R&D Ireland | Alkylpyrimidine derivatives for the treatment of viral infections and further diseases |
| US20140066432A1 (en) | 2011-01-12 | 2014-03-06 | James Jeffry Howbert | Substituted Benzoazepines As Toll-Like Receptor Modulators |
| WO2014056953A1 (en) | 2012-10-10 | 2014-04-17 | Janssen R&D Ireland | Pyrrolo[3,2-d]pyrimidine derivatives for the treatment of viral infections and other diseases |
| WO2014076221A1 (en) | 2012-11-16 | 2014-05-22 | Janssen R&D Ireland | Heterocyclic substituted 2-amino-quinazoline derivatives for the treatment of viral infections |
| WO2014128189A1 (en) | 2013-02-21 | 2014-08-28 | Janssen R&D Ireland | 2-aminopyrimidine derivatives for the treatment of viral infections |
| US20140296228A1 (en) | 2007-11-16 | 2014-10-02 | Gilead Sciences, Inc. | Inhibitors of human immunodeficiency virus replication |
| US20150018298A1 (en) | 2013-07-12 | 2015-01-15 | Gilead Sciences, Inc. | Polycyclic-carbamoylpyridone compounds and their pharmaceutical use |
| US20150018359A1 (en) | 2013-07-12 | 2015-01-15 | Gilead Sciences, Inc. | Polycyclic-carbamoylpyridone compounds and their pharmaceutical use |
| US20150038549A1 (en) | 2011-04-20 | 2015-02-05 | Larry J. Smith | Methods and Compositions for Modulating Gene Expression Using Components That Self Assemble in Cells and Produce RNAi Activity |
| WO2016141092A1 (en) * | 2015-03-04 | 2016-09-09 | Gilead Sciences, Inc. | Toll-like receptor modulating 4,6-diamino-pyrido[3,2-d]pyrimidine compounds |
Family Cites Families (4)
| Publication number | Priority date | Publication date | Assignee | Title |
|---|---|---|---|---|
| TW200840584A (en) * | 2006-12-26 | 2008-10-16 | Gilead Sciences Inc | Pyrido(3,2-d)pyrimidines useful for treating viral infections |
| WO2008077649A1 (en) * | 2006-12-26 | 2008-07-03 | Gilead Sciences, Inc. | Pyrido(3,2-d)pyrimidines useful for treating viral infectons |
| AU2011326427B2 (en) * | 2010-11-10 | 2016-01-07 | Infinity Pharmaceuticals Inc. | Heterocyclic compounds and uses thereof |
| WO2013012915A1 (en) * | 2011-07-19 | 2013-01-24 | Infinity Pharmaceuticals Inc. | Heterocyclic compounds and uses thereof |
-
2016
- 2016-09-13 US US15/759,177 patent/US20180263985A1/en not_active Abandoned
- 2016-09-13 EP EP16770854.4A patent/EP3349757A1/en not_active Withdrawn
- 2016-09-13 JP JP2018513529A patent/JP2018527366A/en active Pending
- 2016-09-13 CA CA2997955A patent/CA2997955A1/en not_active Abandoned
- 2016-09-13 AU AU2016322763A patent/AU2016322763A1/en not_active Abandoned
- 2016-09-13 US US15/264,401 patent/US20170071944A1/en not_active Abandoned
- 2016-09-13 MA MA042818A patent/MA42818A/en unknown
- 2016-09-13 WO PCT/US2016/051545 patent/WO2017048727A1/en not_active Ceased
- 2016-09-13 HK HK18116414.4A patent/HK1257270A1/en unknown
Patent Citations (56)
| Publication number | Priority date | Publication date | Assignee | Title |
|---|---|---|---|---|
| US4724232A (en) | 1985-03-16 | 1988-02-09 | Burroughs Wellcome Co. | Treatment of human viral infections |
| US4724233A (en) | 1985-04-25 | 1988-02-09 | Stichting Rega Vzw | Therapeutical application of phosphonylmethoxyalkyl adenines |
| US4861759A (en) | 1985-08-26 | 1989-08-29 | The United States Of America As Represented By The Department Of Health And Human Services | Antiviral compositions and methods |
| US6476009B1 (en) | 1985-10-31 | 2002-11-05 | Astra Lakemedel Aktiebolag | Method for control and treatment of acquired immunodeficiency syndrome (AIDS) |
| US4978655A (en) | 1986-12-17 | 1990-12-18 | Yale University | Use of 3'-deoxythymidin-2'-ene (3'deoxy-2',3'-didehydrothymidine) in treating patients infected with retroviruses |
| US5028595A (en) | 1987-09-18 | 1991-07-02 | Hoffmann-La Roche Inc. | Method for preventing AIDS in a subject or treating a subject infected with the AIDS virus |
| US5034394A (en) | 1988-06-27 | 1991-07-23 | Burroughs Wellcome Co. | Therapeutic nucleosides |
| US5047407A (en) | 1989-02-08 | 1991-09-10 | Iaf Biochem International, Inc. | 2-substituted-5-substituted-1,3-oxathiolanes with antiviral properties |
| US5366972A (en) | 1989-04-20 | 1994-11-22 | Boehringer Ingelheim Pharmaceuticals, Inc. | 5,11-dihydro-6H-dipyrido(3,2-B:2',3'-E)(1,4)diazepines and their use in the prevention or treatment of HIV infection |
| US5541206A (en) | 1989-05-23 | 1996-07-30 | Abbott Laboratories | Retroviral protease inhibiting compounds |
| US5196438A (en) | 1989-12-11 | 1993-03-23 | Hoffmann-La Roche Inc. | Amino acid derivatives |
| US5563142A (en) | 1989-12-28 | 1996-10-08 | The Upjohn Company | Diaromatic substituted compounds as anti-HIV-1 agents |
| US5210085A (en) | 1990-02-01 | 1993-05-11 | Emory University | Method for the synthesis, compositions and use of 2'-deoxy-5-fluoro-3'-thiacytidine and related compounds |
| US6642245B1 (en) | 1990-02-01 | 2003-11-04 | Emory University | Antiviral activity and resolution of 2-hydroxymethyl-5-(5-fluorocytosin-1-yl)-1,3-oxathiolane |
| US5413999A (en) | 1991-11-08 | 1995-05-09 | Merck & Co., Inc. | HIV protease inhibitors useful for the treatment of AIDS |
| US5519021A (en) | 1992-08-07 | 1996-05-21 | Merck & Co., Inc. | Benzoxazinones as inhibitors of HIV reverse transcriptase |
| US5484926A (en) | 1993-10-07 | 1996-01-16 | Agouron Pharmaceuticals, Inc. | HIV protease inhibitors |
| US5646180A (en) | 1995-12-05 | 1997-07-08 | Vertex Pharmaceuticals Incorporated | Treatment of the CNS effects of HIV |
| US5849911A (en) | 1996-04-22 | 1998-12-15 | Novartis Finance Corporation | Antivirally active heterocyclic azahexane derivatives |
| US6436989B1 (en) | 1997-12-24 | 2002-08-20 | Vertex Pharmaceuticals, Incorporated | Prodrugs of aspartyl protease inhibitors |
| US20080199493A1 (en) | 2004-05-25 | 2008-08-21 | Picker Louis J | Siv and Hiv Vaccination Using Rhcmv- and Hcmv-Based Vaccine Vectors |
| WO2006121810A2 (en) | 2005-05-06 | 2006-11-16 | Providence Health System | Trimeric ox40-immunoglobulin fusion protein and methods of use |
| WO2006135993A1 (en) * | 2005-06-24 | 2006-12-28 | Gilead Sciences, Inc. | Pyrido(3,2-d)pyrimidines and pharmaceutical compositions useful for treating hepatitis c. |
| US20080234251A1 (en) | 2005-08-19 | 2008-09-25 | Array Biopharma Inc. | 8-Substituted Benzoazepines as Toll-Like Receptor Modulators |
| US20080306050A1 (en) | 2005-08-19 | 2008-12-11 | Array Biopharma Inc. | Aminodiazepines as Toll-Like Receptor Modulators |
| US20140296228A1 (en) | 2007-11-16 | 2014-10-02 | Gilead Sciences, Inc. | Inhibitors of human immunodeficiency virus replication |
| WO2009079335A1 (en) | 2007-12-14 | 2009-06-25 | Medarex, Inc. | Binding molecules to the human ox40 receptor |
| US20100029585A1 (en) | 2008-08-01 | 2010-02-04 | Howbert J Jeffry | Toll-like receptor agonist formulations and their use |
| WO2010107939A2 (en) | 2009-03-17 | 2010-09-23 | Theraclone Sciences, Inc. | Human immunodeficiency virus (hiv) -neutralizing antibodies |
| US20130203747A1 (en) | 2009-05-15 | 2013-08-08 | Gilead Sciences, Inc. | Inhibitors of human immunodeficiency virus replication |
| US20110092485A1 (en) | 2009-08-18 | 2011-04-21 | Ventirx Pharmaceuticals, Inc. | Substituted benzoazepines as toll-like receptor modulators |
| US20110118235A1 (en) | 2009-08-18 | 2011-05-19 | Ventirx Pharmaceuticals, Inc. | Substituted benzoazepines as toll-like receptor modulators |
| US20110305670A1 (en) | 2010-06-10 | 2011-12-15 | President And Fellows Of Harvard College | Nucleic acid encoding fusion polypeptides that prevent or inhibit hiv infection |
| US20130203727A1 (en) | 2010-07-02 | 2013-08-08 | Gilead Sciences, Inc. | Napht-2-ylacetic acid derivatives to treat aids |
| US20130210801A1 (en) | 2010-07-02 | 2013-08-15 | Gilead Sciences, Inc. | 2-quinolinyl-acetic acid derivatives as hiv antiviral compounds |
| WO2012030904A2 (en) | 2010-08-31 | 2012-03-08 | Theraclone Sciences, Inc. | Human immunodeficiency virus (hiv)-neutralizing antibodies |
| US20120082658A1 (en) | 2010-10-01 | 2012-04-05 | Ventirx Pharmaceuticals, Inc. | Methods for the Treatment of Allergic Diseases |
| US20120219615A1 (en) | 2010-10-01 | 2012-08-30 | The Trustees Of The University Of Pennsylvania | Therapeutic Use of a TLR Agonist and Combination Therapy |
| US20140066432A1 (en) | 2011-01-12 | 2014-03-06 | James Jeffry Howbert | Substituted Benzoazepines As Toll-Like Receptor Modulators |
| US20140045849A1 (en) | 2011-04-08 | 2014-02-13 | David McGowan | Pyrimidine derivatives for the treatment of viral infections |
| US20150038549A1 (en) | 2011-04-20 | 2015-02-05 | Larry J. Smith | Methods and Compositions for Modulating Gene Expression Using Components That Self Assemble in Cells and Produce RNAi Activity |
| US20140045818A1 (en) | 2011-04-21 | 2014-02-13 | Gilead Sciences, Inc. | Benzothiazole compounds and their pharmaceutical use |
| US20140073642A1 (en) | 2011-05-18 | 2014-03-13 | Janssen R&D Ireland | Quinazoline derivatives for the treatment of viral infections and further diseases |
| WO2012156498A1 (en) | 2011-05-18 | 2012-11-22 | Janssen R&D Ireland | Quinazoline derivatives for the treatment of viral infections and further diseases |
| US20140350031A1 (en) | 2012-02-08 | 2014-11-27 | Janssen R&D Ireland | Piperidino-pyrimidine derivatives for the treatment of viral infections |
| WO2013117615A1 (en) * | 2012-02-08 | 2013-08-15 | Janssen R&D Ireland | Piperidino-pyrimidine derivatives for the treatment of viral infections |
| US20130281434A1 (en) | 2012-04-20 | 2013-10-24 | Gilead Sciences, Inc. | Therapeutic compounds |
| US20130281433A1 (en) | 2012-04-20 | 2013-10-24 | Gilead Sciences, Inc. | Therapeutic compounds |
| WO2013163427A1 (en) | 2012-04-25 | 2013-10-31 | The United States Of America, As Represented By The Secretary, Department Of Health & Human Services | Antibodies to treat hiv-1 infection |
| WO2014023813A1 (en) | 2012-08-10 | 2014-02-13 | Janssen R&D Ireland | Alkylpyrimidine derivatives for the treatment of viral infections and further diseases |
| WO2014056953A1 (en) | 2012-10-10 | 2014-04-17 | Janssen R&D Ireland | Pyrrolo[3,2-d]pyrimidine derivatives for the treatment of viral infections and other diseases |
| WO2014076221A1 (en) | 2012-11-16 | 2014-05-22 | Janssen R&D Ireland | Heterocyclic substituted 2-amino-quinazoline derivatives for the treatment of viral infections |
| WO2014128189A1 (en) | 2013-02-21 | 2014-08-28 | Janssen R&D Ireland | 2-aminopyrimidine derivatives for the treatment of viral infections |
| US20150018298A1 (en) | 2013-07-12 | 2015-01-15 | Gilead Sciences, Inc. | Polycyclic-carbamoylpyridone compounds and their pharmaceutical use |
| US20150018359A1 (en) | 2013-07-12 | 2015-01-15 | Gilead Sciences, Inc. | Polycyclic-carbamoylpyridone compounds and their pharmaceutical use |
| WO2016141092A1 (en) * | 2015-03-04 | 2016-09-09 | Gilead Sciences, Inc. | Toll-like receptor modulating 4,6-diamino-pyrido[3,2-d]pyrimidine compounds |
Non-Patent Citations (20)
| Title |
|---|
| "Handbook of Pharmaceutical Excipients", 1986 |
| "Remington: The Science and Practice of Pharmacy", 2006, LIPPINCOTT WILIAMS AND WILKINS |
| "Remington's Pharmaceutical Sciences", MACK PUBLISHING CO. |
| ARCHIN MN ET AL., AIDS, 2009, pages 1799 - 1806 |
| BALAZS, NAT MED., vol. 20, no. 3, 2014, pages 296 - 300 |
| BALAZS, NATURE, vol. 481, no. 7379, 2011, pages 81 - 84 |
| BARTON ET AL.: "Prospects for Treatment of Latent HIV", CLIN. PHARM. & THERAP., vol. 93, no. 1, pages 46 - 56 |
| BATTISTINI ET AL.: "HIV-1 Latency: An Update of Molecular Mechanisms and Therapeutic Strategies", VIRUSES, vol. 6, 2014, pages 1715 - 1758, XP055295235, DOI: doi:10.3390/v6041715 |
| CAMILLE L NOVIS ET AL: "Reactivation of latent HIV-1 in central memory CD4+ T cells through TLR-1/2 stimulation", RETROVIROLOGY, BIOMED CENTRAL LTD., LONDON, GB, vol. 10, no. 1, 24 October 2013 (2013-10-24), pages 119, XP021166673, ISSN: 1742-4690, DOI: 10.1186/1742-4690-10-119 * |
| CHEN; FLIES, NAT. REV. IMMUNOL., vol. 13, 2013, pages 227 - 242 |
| CILLO ET AL., PNAS, vol. 111, no. 19, 13 May 2014 (2014-05-13), pages 7078 - 7083 |
| DOYON ET AL., AIDS, vol. 27, no. 2, 14 January 2013 (2013-01-14), pages F7 - F11 |
| FOSTER: "Deuterium Isotope Effects in Studies of Drug Metabolism", TRENDS PHARMACOL. SCI., vol. 5, no. 12, 1984, pages 524 - 527, XP025943358, DOI: doi:10.1016/0165-6147(84)90534-0 |
| LOUDON: "Organic Chemistry", 2009, OXFORD UNIVERSITY PRESS |
| M. A. MOODY ET AL: "Toll-Like Receptor 7/8 (TLR7/8) and TLR9 Agonists Cooperate To Enhance HIV-1 Envelope Antibody Responses in Rhesus Macaques", JOURNAL OF VIROLOGY., vol. 88, no. 6, 15 March 2014 (2014-03-15), US, pages 3329 - 3339, XP055226269, ISSN: 0022-538X, DOI: 10.1128/JVI.03309-13 * |
| MAARTEN BUITENDIJK ET AL: "Toll-Like Receptor Agonists Are Potent Inhibitors of Human Immunodeficiency Virus-Type 1 Replication in Peripheral Blood Mononuclear Cells", AIDS RESEARCH AND HUMAN RETROVIRUSES., vol. 30, no. 5, 1 May 2014 (2014-05-01), US, pages 457 - 467, XP055323190, ISSN: 0889-2229, DOI: 10.1089/aid.2013.0199 * |
| MARSDEN ET AL.: "Neutralizing the HIV Reservoir", CELL, vol. 158, 28 August 2014 (2014-08-28), pages 971 - 972 |
| S.M. BIRGE ET AL., J. PHARM. SCI., vol. 66, 1977, pages 1 - 19 |
| SMITH: "March's Advanced Organic Chemistry: Reactions, Mechanisms, and Structure", 2013, WILEY-INTERSCIENCE |
| TSENG ET AL., PROC NATL ACAD SCI USA., vol. 110, no. 27, 2 July 2013 (2013-07-02), pages 11103 - 11108 |
Cited By (69)
| Publication number | Priority date | Publication date | Assignee | Title |
|---|---|---|---|---|
| US11628181B2 (en) | 2014-12-26 | 2023-04-18 | Emory University | N4-hydroxycytidine and derivatives and anti-viral uses related thereto |
| US12377100B2 (en) | 2015-03-04 | 2025-08-05 | Gilead Sciences, Inc. | Toll like receptor modulator compounds |
| US10285990B2 (en) | 2015-03-04 | 2019-05-14 | Gilead Sciences, Inc. | Toll like receptor modulator compounds |
| US11124487B2 (en) | 2016-09-02 | 2021-09-21 | Gilead Sciences, Inc. | Toll like receptor modulator compounds |
| WO2018045144A1 (en) * | 2016-09-02 | 2018-03-08 | Gilead Sciences, Inc. | Toll like receptor modulator compounds |
| US10370342B2 (en) | 2016-09-02 | 2019-08-06 | Gilead Sciences, Inc. | Toll like receptor modulator compounds |
| JP2019529379A (en) * | 2016-09-02 | 2019-10-17 | ギリアード サイエンシーズ, インコーポレイテッド | Toll-like receptor modulator compound |
| WO2018045150A1 (en) * | 2016-09-02 | 2018-03-08 | Gilead Sciences, Inc. | 4,6-diamino-pyrido[3,2-d]pyrimidine derivaties as toll like receptor modulators |
| US11827609B2 (en) | 2016-09-02 | 2023-11-28 | Gilead Sciences, Inc. | Toll like receptor modulator compounds |
| US10640499B2 (en) | 2016-09-02 | 2020-05-05 | Gilead Sciences, Inc. | Toll like receptor modulator compounds |
| AU2017318601B2 (en) * | 2016-09-02 | 2020-09-03 | Gilead Sciences, Inc. | Toll like receptor modulator compounds |
| WO2019113462A1 (en) | 2017-12-07 | 2019-06-13 | Emory University | N4-hydroxycytidine and derivatives and anti-viral uses related thereto |
| US12329770B2 (en) | 2017-12-07 | 2025-06-17 | Emory University | N4-hydroxycytidine and derivatives and anti-viral uses related thereto |
| US11903959B2 (en) | 2017-12-07 | 2024-02-20 | Emory University | N4-hydroxycytidine and derivatives and anti-viral uses related thereto |
| EP4491232A2 (en) | 2017-12-07 | 2025-01-15 | Emory University | N4-hydroxycytidine and derivatives and anti-viral uses related thereto |
| US11331331B2 (en) | 2017-12-07 | 2022-05-17 | Emory University | N4-hydroxycytidine and derivatives and anti-viral uses related thereto |
| WO2019195181A1 (en) | 2018-04-05 | 2019-10-10 | Gilead Sciences, Inc. | Antibodies and fragments thereof that bind hepatitis b virus protein x |
| TWI823959B (en) * | 2018-07-03 | 2023-12-01 | 大陸商江蘇恆瑞醫藥股份有限公司 | Pyridopyrimidine derivatives, a preparation method thereof and medical use thereof |
| WO2020007275A1 (en) * | 2018-07-03 | 2020-01-09 | 江苏恒瑞医药股份有限公司 | Pyridopyrimidine derivative, preparation method therefor and medical use thereof |
| CN111094289A (en) * | 2018-07-03 | 2020-05-01 | 江苏恒瑞医药股份有限公司 | Pyridopyrimidine derivatives, their preparation method and their application in medicine |
| CN115710266A (en) * | 2018-07-03 | 2023-02-24 | 江苏恒瑞医药股份有限公司 | Pyridopyrimidine derivative, preparation method thereof and application thereof in medicines |
| US12162879B2 (en) | 2018-07-03 | 2024-12-10 | Jiangsu Hengrui Medicine Co., Ltd. | Pyridopyrimidine derivative, preparation method therefor and medical use thereof |
| CN111094289B (en) * | 2018-07-03 | 2022-11-22 | 江苏恒瑞医药股份有限公司 | Pyridopyrimidine derivative, preparation method thereof and application thereof in medicine |
| AU2019299609B9 (en) * | 2018-07-03 | 2024-07-11 | Jiangsu Hengrui Medicine Co., Ltd. | Pyridopyrimidine derivative, preparation method therefor and medical use thereof |
| CN113906023A (en) * | 2019-04-17 | 2022-01-07 | 吉利德科学公司 | Solid forms of TOLL-like receptor modulators |
| US11583531B2 (en) | 2019-04-17 | 2023-02-21 | Gilead Sciences, Inc. | Solid forms of a toll-like receptor modulator |
| WO2020214652A1 (en) * | 2019-04-17 | 2020-10-22 | Gilead Sciences, Inc. | Solid forms of a toll-like receptor modulator |
| WO2020214663A1 (en) * | 2019-04-17 | 2020-10-22 | Gilead Sciences, Inc. | Solid forms of a toll-like receptor modulator |
| AU2020257174B2 (en) * | 2019-04-17 | 2023-08-24 | Gilead Sciences, Inc. | Solid forms of a toll-like receptor modulator |
| US11396509B2 (en) | 2019-04-17 | 2022-07-26 | Gilead Sciences, Inc. | Solid forms of a toll-like receptor modulator |
| TWI751516B (en) * | 2019-04-17 | 2022-01-01 | 美商基利科學股份有限公司 | Solid forms of a toll-like receptor modulator |
| AU2020260075B2 (en) * | 2019-04-17 | 2022-11-10 | Gilead Sciences, Inc. | Solid forms of a toll-like receptor modulator |
| EP4458416A3 (en) * | 2019-04-17 | 2025-04-02 | Gilead Sciences, Inc. | Solid forms of a toll-like receptor modulator |
| TWI751517B (en) * | 2019-04-17 | 2022-01-01 | 美商基利科學股份有限公司 | Solid forms of a toll-like receptor modulator |
| CN113767098B (en) * | 2019-04-17 | 2025-02-25 | 吉利德科学公司 | Solid forms of Toll-like receptor modulators |
| CN113906023B (en) * | 2019-04-17 | 2025-02-21 | 吉利德科学公司 | Solid forms of TOLL-like receptor modulators |
| KR102742530B1 (en) * | 2019-04-17 | 2024-12-16 | 길리애드 사이언시즈, 인코포레이티드 | Solid form of toll-like receptor modulator |
| AU2023200603B2 (en) * | 2019-04-17 | 2024-12-19 | Gilead Sciences, Inc. | Solid forms of a toll-like receptor modulator |
| KR20210151934A (en) * | 2019-04-17 | 2021-12-14 | 길리애드 사이언시즈, 인코포레이티드 | Solid Forms of Toll-Like Receptor Modulators |
| CN113767098A (en) * | 2019-04-17 | 2021-12-07 | 吉利德科学公司 | Solid forms of Toll-like receptor modulators |
| US11286257B2 (en) | 2019-06-28 | 2022-03-29 | Gilead Sciences, Inc. | Processes for preparing toll-like receptor modulator compounds |
| US11795210B2 (en) | 2019-07-16 | 2023-10-24 | Gilead Sciences, Inc. | HIV vaccines and methods of making and using |
| CN114222742A (en) * | 2019-08-19 | 2022-03-22 | 上海挚盟医药科技有限公司 | 2-aminopyrimidine compounds and pharmaceutical composition and application thereof |
| US12486265B2 (en) | 2019-08-19 | 2025-12-02 | Shanghai Zhimeng Biopharma, Inc. | 2-aminopyrimidine compounds and pharmaceutical compositions and uses thereof |
| RU2795914C1 (en) * | 2019-08-19 | 2023-05-15 | Шанхай Чжимэн Биофарма, Инк. | Compounds and pharmaceutical compositions of 2-aminopyrimidine and their use |
| KR102766465B1 (en) * | 2019-08-19 | 2025-02-10 | 상하이 지멍 바이오파마 아이엔씨 | 2-Aminopyrimidine compounds and pharmaceutical compositions and uses thereof |
| WO2021031960A1 (en) * | 2019-08-19 | 2021-02-25 | 上海挚盟医药科技有限公司 | 2-aminopyrimidine compounds and pharmaceutical compositions and uses thereof |
| CN112390795A (en) * | 2019-08-19 | 2021-02-23 | 上海挚盟医药科技有限公司 | 2-aminopyrimidine compounds and pharmaceutical composition and application thereof |
| KR20220047607A (en) * | 2019-08-19 | 2022-04-18 | 상하이 지멍 바이오파마 아이엔씨 | 2-Aminopyrimidine compounds and pharmaceutical compositions and uses thereof |
| EP4458975A2 (en) | 2019-09-30 | 2024-11-06 | Gilead Sciences, Inc. | Hbv vaccines and methods treating hbv |
| WO2021067181A1 (en) | 2019-09-30 | 2021-04-08 | Gilead Sciences, Inc. | Hbv vaccines and methods treating hbv |
| WO2021113765A1 (en) | 2019-12-06 | 2021-06-10 | Precision Biosciences, Inc. | Optimized engineered meganucleases having specificity for a recognition sequence in the hepatitis b virus genome |
| EP4567109A2 (en) | 2019-12-06 | 2025-06-11 | Precision Biosciences, Inc. | Optimized engineered meganucleases having specificity for a recognition sequence in the hepatitis b virus genome |
| CN114929232A (en) * | 2020-01-02 | 2022-08-19 | 江苏恒瑞医药股份有限公司 | Crystal form of pyridopyrimidine derivative and preparation method thereof |
| CN114929232B (en) * | 2020-01-02 | 2023-06-16 | 江苏恒瑞医药股份有限公司 | Crystal form of pyridopyrimidine derivative and preparation method thereof |
| JP2023509175A (en) * | 2020-01-02 | 2023-03-07 | 江▲蘇▼恒瑞医▲薬▼股▲フン▼有限公司 | Crystal form of pyridopyrimidine derivative and method for preparing same |
| US20230058425A1 (en) * | 2020-01-02 | 2023-02-23 | Jiangsu Hengrui Medicine Co., Ltd. | Crystal form of pyridopyrimidine derivative and preparation method thereof |
| WO2021136488A1 (en) * | 2020-01-02 | 2021-07-08 | 江苏恒瑞医药股份有限公司 | Crystal form of pyridopyrimidine derivative and preparation method thereof |
| US12269823B2 (en) * | 2020-01-02 | 2025-04-08 | Jiangsu Hengrui Medicine Co., Ltd. | Crystal form of pyridopyrimidine derivative and preparation method thereof |
| WO2021188959A1 (en) | 2020-03-20 | 2021-09-23 | Gilead Sciences, Inc. | Prodrugs of 4'-c-substituted-2-halo-2'-deoxyadenosine nucleosides and methods of making and using the same |
| US12053517B2 (en) | 2021-01-14 | 2024-08-06 | Gilead Sciences, Inc. | HIV vaccines and methods of using |
| WO2022241134A1 (en) | 2021-05-13 | 2022-11-17 | Gilead Sciences, Inc. | COMBINATION OF A TLR8 MODULATING COMPOUND AND ANTI-HBV siRNA THERAPEUTICS |
| WO2022271650A1 (en) | 2021-06-23 | 2022-12-29 | Gilead Sciences, Inc. | Diacylglyercol kinase modulating compounds |
| WO2022271659A1 (en) | 2021-06-23 | 2022-12-29 | Gilead Sciences, Inc. | Diacylglyercol kinase modulating compounds |
| WO2022271677A1 (en) | 2021-06-23 | 2022-12-29 | Gilead Sciences, Inc. | Diacylglyercol kinase modulating compounds |
| WO2025240242A1 (en) | 2024-05-13 | 2025-11-20 | Gilead Sciences, Inc. | Combination therapies with ribavirin |
| WO2025240246A1 (en) | 2024-05-13 | 2025-11-20 | Gilead Sciences, Inc. | Combination therapies with ribavirin |
| WO2025240243A1 (en) | 2024-05-13 | 2025-11-20 | Gilead Sciences, Inc. | Combination therapies with bulevirtide and an inhibitory nucleic acid targeting hepatitis b virus |
| WO2025240244A1 (en) | 2024-05-13 | 2025-11-20 | Gilead Sciences, Inc. | Combination therapies comprising bulevirtide and lonafarnib for use in the treatment of hepatitis d virus infection |
Also Published As
| Publication number | Publication date |
|---|---|
| HK1257270A1 (en) | 2019-10-18 |
| EP3349757A1 (en) | 2018-07-25 |
| MA42818A (en) | 2018-07-25 |
| US20170071944A1 (en) | 2017-03-16 |
| JP2018527366A (en) | 2018-09-20 |
| US20180263985A1 (en) | 2018-09-20 |
| AU2016322763A1 (en) | 2018-04-19 |
| CA2997955A1 (en) | 2017-03-23 |
Similar Documents
| Publication | Publication Date | Title |
|---|---|---|
| JP7330312B2 (en) | Modulators of Toll-like receptors for treating HIV | |
| US20180263985A1 (en) | Modulators of toll-like receptors for the treatment of hiv | |
| HK40088269A (en) | Modulators of toll-like receptors for the treatment of hiv | |
| HK40056772A (en) | Modulators of toll-like receptors for the treatment of hiv | |
| HK1232797B (en) | Modulators of toll-like receptors for the treatment of hiv | |
| HK1236406A1 (en) | Modulators of toll-like receptors for the treatment of hiv | |
| HK1236406B (en) | Modulators of toll-like receptors for the treatment of hiv | |
| HK1232797A1 (en) | Modulators of toll-like receptors for the treatment of hiv |
Legal Events
| Date | Code | Title | Description |
|---|---|---|---|
| 121 | Ep: the epo has been informed by wipo that ep was designated in this application |
Ref document number: 16770854 Country of ref document: EP Kind code of ref document: A1 |
|
| ENP | Entry into the national phase |
Ref document number: 2997955 Country of ref document: CA |
|
| WWE | Wipo information: entry into national phase |
Ref document number: 15759177 Country of ref document: US |
|
| ENP | Entry into the national phase |
Ref document number: 2018513529 Country of ref document: JP Kind code of ref document: A |
|
| NENP | Non-entry into the national phase |
Ref country code: DE |
|
| WWE | Wipo information: entry into national phase |
Ref document number: 2016770854 Country of ref document: EP |
|
| ENP | Entry into the national phase |
Ref document number: 2016322763 Country of ref document: AU Date of ref document: 20160913 Kind code of ref document: A |














































































































































































