WO2016105485A2 - Compounds, compositions, and methods for increasing cftr activity - Google Patents
Compounds, compositions, and methods for increasing cftr activity Download PDFInfo
- Publication number
- WO2016105485A2 WO2016105485A2 PCT/US2015/000212 US2015000212W WO2016105485A2 WO 2016105485 A2 WO2016105485 A2 WO 2016105485A2 US 2015000212 W US2015000212 W US 2015000212W WO 2016105485 A2 WO2016105485 A2 WO 2016105485A2
- Authority
- WO
- WIPO (PCT)
- Prior art keywords
- optionally substituted
- alkyl
- group
- compound
- cycloalkyl
- Prior art date
- Legal status (The legal status is an assumption and is not a legal conclusion. Google has not performed a legal analysis and makes no representation as to the accuracy of the status listed.)
- Ceased
Links
- 0 *C(*1)=NN=C1C(C1)CC1NC(c1cc(-c2ccccc2)n[o]1)=O Chemical compound *C(*1)=NN=C1C(C1)CC1NC(c1cc(-c2ccccc2)n[o]1)=O 0.000 description 9
- YSXBCSLXLUQCKR-AULYBMBSSA-N C=C[C@H](C1)C[C@@H]1NC(c1cc(-c2ccccc2)n[o]1)=O Chemical compound C=C[C@H](C1)C[C@@H]1NC(c1cc(-c2ccccc2)n[o]1)=O YSXBCSLXLUQCKR-AULYBMBSSA-N 0.000 description 1
- ZQOPLTCWHQJQEG-QBIRGWOPSA-N CC(C1=CN(C)NN1[C@H](C1)C[C@@H]1NC(c1cc(-c2ccccc2)n[o]1)=O)S(C)(=O)=O Chemical compound CC(C1=CN(C)NN1[C@H](C1)C[C@@H]1NC(c1cc(-c2ccccc2)n[o]1)=O)S(C)(=O)=O ZQOPLTCWHQJQEG-QBIRGWOPSA-N 0.000 description 1
- RNBNDOOXDWQJOL-YDRRXPLNSA-N CC(c1cnn[n]1[C@H](C1)C[C@@H]1NC(c1cc(-c2ccccc2)n[o]1)=O)SC Chemical compound CC(c1cnn[n]1[C@H](C1)C[C@@H]1NC(c1cc(-c2ccccc2)n[o]1)=O)SC RNBNDOOXDWQJOL-YDRRXPLNSA-N 0.000 description 1
- GBNILTQKGALMEX-RCWADLFESA-N CC(c1nnc([C@H](C2)C[C@@H]2NC(c2cc(-c3ccccc3)n[o]2)=O)[o]1)SC Chemical compound CC(c1nnc([C@H](C2)C[C@@H]2NC(c2cc(-c3ccccc3)n[o]2)=O)[o]1)SC GBNILTQKGALMEX-RCWADLFESA-N 0.000 description 1
- NAHYZECGHNODJW-UHFFFAOYSA-N CCC(OC)ON=C Chemical compound CCC(OC)ON=C NAHYZECGHNODJW-UHFFFAOYSA-N 0.000 description 1
- JFZNUCXLJCAUAF-KCQAQPDRSA-N C[C@@H](c1c[n](C[C@H](C2)C[C@H]2NC(c2cc(-c3ccccc3)n[o]2)=O)nn1)O Chemical compound C[C@@H](c1c[n](C[C@H](C2)C[C@H]2NC(c2cc(-c3ccccc3)n[o]2)=O)nn1)O JFZNUCXLJCAUAF-KCQAQPDRSA-N 0.000 description 1
- SGCSGQGGDRALGC-GSVOUGTGSA-N C[C@H](C(NN)=O)OC Chemical compound C[C@H](C(NN)=O)OC SGCSGQGGDRALGC-GSVOUGTGSA-N 0.000 description 1
- CQYLNSGXGYYTJT-MRVWCRGKSA-N C[C@H](c1cnn[n]1[C@H](C1)C[C@@H]1NC(c1cc(-c2ccccc2)n[o]1)=O)O Chemical compound C[C@H](c1cnn[n]1[C@H](C1)C[C@@H]1NC(c1cc(-c2ccccc2)n[o]1)=O)O CQYLNSGXGYYTJT-MRVWCRGKSA-N 0.000 description 1
- HOPMEFKIWRHJHF-GMTAPVOTSA-N C[C@H](c1nnc(C[C@H](C2)C[C@@H]2NC(c2cc(-c3ccc[s]3)n[o]2)=O)[o]1)O Chemical compound C[C@H](c1nnc(C[C@H](C2)C[C@@H]2NC(c2cc(-c3ccc[s]3)n[o]2)=O)[o]1)O HOPMEFKIWRHJHF-GMTAPVOTSA-N 0.000 description 1
- HOPMEFKIWRHJHF-MXWKQRLJSA-N C[C@H](c1nnc(C[C@H](C2)C[C@H]2NC(c2cc(-c3ccc[s]3)n[o]2)=O)[o]1)O Chemical compound C[C@H](c1nnc(C[C@H](C2)C[C@H]2NC(c2cc(-c3ccc[s]3)n[o]2)=O)[o]1)O HOPMEFKIWRHJHF-MXWKQRLJSA-N 0.000 description 1
- XPEHHUISIBFLHX-RAIGVLPGSA-N C[C@H](c1nnc([C@H](C2)C[C@@H]2NC(c2cc(-c3ccccc3)n[o]2)=O)[o]1)O Chemical compound C[C@H](c1nnc([C@H](C2)C[C@@H]2NC(c2cc(-c3ccccc3)n[o]2)=O)[o]1)O XPEHHUISIBFLHX-RAIGVLPGSA-N 0.000 description 1
- QOIUQKOHJRJHSL-JPYJGEKTSA-N N[C@H](C1)C[C@@H]1C(NN)=O Chemical compound N[C@H](C1)C[C@@H]1C(NN)=O QOIUQKOHJRJHSL-JPYJGEKTSA-N 0.000 description 1
- GASLBPLHYRZLLT-GQCTYLIASA-N O/N=C/c1ccc[s]1 Chemical compound O/N=C/c1ccc[s]1 GASLBPLHYRZLLT-GQCTYLIASA-N 0.000 description 1
- ZVXALYATSLQUEV-UHFFFAOYSA-N O=C(c1cc(-c2ccccc2)c[o]1)NC1CC1 Chemical compound O=C(c1cc(-c2ccccc2)c[o]1)NC1CC1 ZVXALYATSLQUEV-UHFFFAOYSA-N 0.000 description 1
- KZZNVLJZBGQYEL-UHFFFAOYSA-N O=C(c1cc(-c2ccccc2)n[o]1)NCCC[n]1cncc1 Chemical compound O=C(c1cc(-c2ccccc2)n[o]1)NCCC[n]1cncc1 KZZNVLJZBGQYEL-UHFFFAOYSA-N 0.000 description 1
- LGORTFNYEVXHRF-CTYIDZIISA-N O=C(c1cc(-c2ccccc2)n[o]1)N[C@H](C1)C[C@@H]1c1nnc(C2CN(CC(F)(F)F)C2)[o]1 Chemical compound O=C(c1cc(-c2ccccc2)n[o]1)N[C@H](C1)C[C@@H]1c1nnc(C2CN(CC(F)(F)F)C2)[o]1 LGORTFNYEVXHRF-CTYIDZIISA-N 0.000 description 1
- CNUDBTRUORMMPA-UHFFFAOYSA-N O=Cc1ccc[s]1 Chemical compound O=Cc1ccc[s]1 CNUDBTRUORMMPA-UHFFFAOYSA-N 0.000 description 1
- ICFGFAUMBISMLR-UHFFFAOYSA-N O=Cc1n[nH]cc1 Chemical compound O=Cc1n[nH]cc1 ICFGFAUMBISMLR-UHFFFAOYSA-N 0.000 description 1
- MNZSBZJOUNMSCP-SAZUREKKSA-N O=Cc1n[n](C[C@H](C2)C[C@@H]2NC(c2cc(-c3ccccc3)n[o]2)=O)cc1 Chemical compound O=Cc1n[n](C[C@H](C2)C[C@@H]2NC(c2cc(-c3ccccc3)n[o]2)=O)cc1 MNZSBZJOUNMSCP-SAZUREKKSA-N 0.000 description 1
- ZIZYDOPDWVOYAZ-UHFFFAOYSA-N OC(c1cc(-c2ccc[s]2)n[o]1)=O Chemical compound OC(c1cc(-c2ccc[s]2)n[o]1)=O ZIZYDOPDWVOYAZ-UHFFFAOYSA-N 0.000 description 1
- JUJWROOIHBZHMG-UHFFFAOYSA-N c1ccncc1 Chemical compound c1ccncc1 JUJWROOIHBZHMG-UHFFFAOYSA-N 0.000 description 1
Classifications
-
- C—CHEMISTRY; METALLURGY
- C07—ORGANIC CHEMISTRY
- C07D—HETEROCYCLIC COMPOUNDS
- C07D413/00—Heterocyclic compounds containing two or more hetero rings, at least one ring having nitrogen and oxygen atoms as the only ring hetero atoms
- C07D413/02—Heterocyclic compounds containing two or more hetero rings, at least one ring having nitrogen and oxygen atoms as the only ring hetero atoms containing two hetero rings
- C07D413/12—Heterocyclic compounds containing two or more hetero rings, at least one ring having nitrogen and oxygen atoms as the only ring hetero atoms containing two hetero rings linked by a chain containing hetero atoms as chain links
-
- A—HUMAN NECESSITIES
- A61—MEDICAL OR VETERINARY SCIENCE; HYGIENE
- A61K—PREPARATIONS FOR MEDICAL, DENTAL OR TOILETRY PURPOSES
- A61K31/00—Medicinal preparations containing organic active ingredients
- A61K31/33—Heterocyclic compounds
- A61K31/335—Heterocyclic compounds having oxygen as the only ring hetero atom, e.g. fungichromin
- A61K31/34—Heterocyclic compounds having oxygen as the only ring hetero atom, e.g. fungichromin having five-membered rings with one oxygen as the only ring hetero atom, e.g. isosorbide
- A61K31/341—Heterocyclic compounds having oxygen as the only ring hetero atom, e.g. fungichromin having five-membered rings with one oxygen as the only ring hetero atom, e.g. isosorbide not condensed with another ring, e.g. ranitidine, furosemide, bufetolol, muscarine
-
- A—HUMAN NECESSITIES
- A61—MEDICAL OR VETERINARY SCIENCE; HYGIENE
- A61K—PREPARATIONS FOR MEDICAL, DENTAL OR TOILETRY PURPOSES
- A61K31/00—Medicinal preparations containing organic active ingredients
- A61K31/33—Heterocyclic compounds
- A61K31/395—Heterocyclic compounds having nitrogen as a ring hetero atom, e.g. guanethidine or rifamycins
- A61K31/41—Heterocyclic compounds having nitrogen as a ring hetero atom, e.g. guanethidine or rifamycins having five-membered rings with two or more ring hetero atoms, at least one of which being nitrogen, e.g. tetrazole
- A61K31/42—Oxazoles
-
- A—HUMAN NECESSITIES
- A61—MEDICAL OR VETERINARY SCIENCE; HYGIENE
- A61K—PREPARATIONS FOR MEDICAL, DENTAL OR TOILETRY PURPOSES
- A61K31/00—Medicinal preparations containing organic active ingredients
- A61K31/33—Heterocyclic compounds
- A61K31/395—Heterocyclic compounds having nitrogen as a ring hetero atom, e.g. guanethidine or rifamycins
- A61K31/41—Heterocyclic compounds having nitrogen as a ring hetero atom, e.g. guanethidine or rifamycins having five-membered rings with two or more ring hetero atoms, at least one of which being nitrogen, e.g. tetrazole
- A61K31/42—Oxazoles
- A61K31/422—Oxazoles not condensed and containing further heterocyclic rings
-
- A—HUMAN NECESSITIES
- A61—MEDICAL OR VETERINARY SCIENCE; HYGIENE
- A61K—PREPARATIONS FOR MEDICAL, DENTAL OR TOILETRY PURPOSES
- A61K31/00—Medicinal preparations containing organic active ingredients
- A61K31/33—Heterocyclic compounds
- A61K31/395—Heterocyclic compounds having nitrogen as a ring hetero atom, e.g. guanethidine or rifamycins
- A61K31/41—Heterocyclic compounds having nitrogen as a ring hetero atom, e.g. guanethidine or rifamycins having five-membered rings with two or more ring hetero atoms, at least one of which being nitrogen, e.g. tetrazole
- A61K31/4245—Oxadiazoles
-
- A—HUMAN NECESSITIES
- A61—MEDICAL OR VETERINARY SCIENCE; HYGIENE
- A61K—PREPARATIONS FOR MEDICAL, DENTAL OR TOILETRY PURPOSES
- A61K31/00—Medicinal preparations containing organic active ingredients
- A61K31/33—Heterocyclic compounds
- A61K31/395—Heterocyclic compounds having nitrogen as a ring hetero atom, e.g. guanethidine or rifamycins
- A61K31/41—Heterocyclic compounds having nitrogen as a ring hetero atom, e.g. guanethidine or rifamycins having five-membered rings with two or more ring hetero atoms, at least one of which being nitrogen, e.g. tetrazole
- A61K31/433—Thidiazoles
-
- A—HUMAN NECESSITIES
- A61—MEDICAL OR VETERINARY SCIENCE; HYGIENE
- A61K—PREPARATIONS FOR MEDICAL, DENTAL OR TOILETRY PURPOSES
- A61K31/00—Medicinal preparations containing organic active ingredients
- A61K31/33—Heterocyclic compounds
- A61K31/395—Heterocyclic compounds having nitrogen as a ring hetero atom, e.g. guanethidine or rifamycins
- A61K31/535—Heterocyclic compounds having nitrogen as a ring hetero atom, e.g. guanethidine or rifamycins having six-membered rings with at least one nitrogen and one oxygen as the ring hetero atoms, e.g. 1,2-oxazines
- A61K31/5375—1,4-Oxazines, e.g. morpholine
- A61K31/5377—1,4-Oxazines, e.g. morpholine not condensed and containing further heterocyclic rings, e.g. timolol
-
- A—HUMAN NECESSITIES
- A61—MEDICAL OR VETERINARY SCIENCE; HYGIENE
- A61K—PREPARATIONS FOR MEDICAL, DENTAL OR TOILETRY PURPOSES
- A61K45/00—Medicinal preparations containing active ingredients not provided for in groups A61K31/00 - A61K41/00
- A61K45/06—Mixtures of active ingredients without chemical characterisation, e.g. antiphlogistics and cardiaca
-
- A—HUMAN NECESSITIES
- A61—MEDICAL OR VETERINARY SCIENCE; HYGIENE
- A61P—SPECIFIC THERAPEUTIC ACTIVITY OF CHEMICAL COMPOUNDS OR MEDICINAL PREPARATIONS
- A61P1/00—Drugs for disorders of the alimentary tract or the digestive system
- A61P1/10—Laxatives
-
- A—HUMAN NECESSITIES
- A61—MEDICAL OR VETERINARY SCIENCE; HYGIENE
- A61P—SPECIFIC THERAPEUTIC ACTIVITY OF CHEMICAL COMPOUNDS OR MEDICINAL PREPARATIONS
- A61P1/00—Drugs for disorders of the alimentary tract or the digestive system
- A61P1/18—Drugs for disorders of the alimentary tract or the digestive system for pancreatic disorders, e.g. pancreatic enzymes
-
- A—HUMAN NECESSITIES
- A61—MEDICAL OR VETERINARY SCIENCE; HYGIENE
- A61P—SPECIFIC THERAPEUTIC ACTIVITY OF CHEMICAL COMPOUNDS OR MEDICINAL PREPARATIONS
- A61P11/00—Drugs for disorders of the respiratory system
-
- A—HUMAN NECESSITIES
- A61—MEDICAL OR VETERINARY SCIENCE; HYGIENE
- A61P—SPECIFIC THERAPEUTIC ACTIVITY OF CHEMICAL COMPOUNDS OR MEDICINAL PREPARATIONS
- A61P11/00—Drugs for disorders of the respiratory system
- A61P11/02—Nasal agents, e.g. decongestants
-
- A—HUMAN NECESSITIES
- A61—MEDICAL OR VETERINARY SCIENCE; HYGIENE
- A61P—SPECIFIC THERAPEUTIC ACTIVITY OF CHEMICAL COMPOUNDS OR MEDICINAL PREPARATIONS
- A61P11/00—Drugs for disorders of the respiratory system
- A61P11/06—Antiasthmatics
-
- A—HUMAN NECESSITIES
- A61—MEDICAL OR VETERINARY SCIENCE; HYGIENE
- A61P—SPECIFIC THERAPEUTIC ACTIVITY OF CHEMICAL COMPOUNDS OR MEDICINAL PREPARATIONS
- A61P13/00—Drugs for disorders of the urinary system
- A61P13/02—Drugs for disorders of the urinary system of urine or of the urinary tract, e.g. urine acidifiers
-
- A—HUMAN NECESSITIES
- A61—MEDICAL OR VETERINARY SCIENCE; HYGIENE
- A61P—SPECIFIC THERAPEUTIC ACTIVITY OF CHEMICAL COMPOUNDS OR MEDICINAL PREPARATIONS
- A61P13/00—Drugs for disorders of the urinary system
- A61P13/12—Drugs for disorders of the urinary system of the kidneys
-
- A—HUMAN NECESSITIES
- A61—MEDICAL OR VETERINARY SCIENCE; HYGIENE
- A61P—SPECIFIC THERAPEUTIC ACTIVITY OF CHEMICAL COMPOUNDS OR MEDICINAL PREPARATIONS
- A61P15/00—Drugs for genital or sexual disorders; Contraceptives
-
- A—HUMAN NECESSITIES
- A61—MEDICAL OR VETERINARY SCIENCE; HYGIENE
- A61P—SPECIFIC THERAPEUTIC ACTIVITY OF CHEMICAL COMPOUNDS OR MEDICINAL PREPARATIONS
- A61P15/00—Drugs for genital or sexual disorders; Contraceptives
- A61P15/08—Drugs for genital or sexual disorders; Contraceptives for gonadal disorders or for enhancing fertility, e.g. inducers of ovulation or of spermatogenesis
-
- A—HUMAN NECESSITIES
- A61—MEDICAL OR VETERINARY SCIENCE; HYGIENE
- A61P—SPECIFIC THERAPEUTIC ACTIVITY OF CHEMICAL COMPOUNDS OR MEDICINAL PREPARATIONS
- A61P19/00—Drugs for skeletal disorders
-
- A—HUMAN NECESSITIES
- A61—MEDICAL OR VETERINARY SCIENCE; HYGIENE
- A61P—SPECIFIC THERAPEUTIC ACTIVITY OF CHEMICAL COMPOUNDS OR MEDICINAL PREPARATIONS
- A61P19/00—Drugs for skeletal disorders
- A61P19/08—Drugs for skeletal disorders for bone diseases, e.g. rachitism, Paget's disease
-
- A—HUMAN NECESSITIES
- A61—MEDICAL OR VETERINARY SCIENCE; HYGIENE
- A61P—SPECIFIC THERAPEUTIC ACTIVITY OF CHEMICAL COMPOUNDS OR MEDICINAL PREPARATIONS
- A61P21/00—Drugs for disorders of the muscular or neuromuscular system
-
- A—HUMAN NECESSITIES
- A61—MEDICAL OR VETERINARY SCIENCE; HYGIENE
- A61P—SPECIFIC THERAPEUTIC ACTIVITY OF CHEMICAL COMPOUNDS OR MEDICINAL PREPARATIONS
- A61P21/00—Drugs for disorders of the muscular or neuromuscular system
- A61P21/04—Drugs for disorders of the muscular or neuromuscular system for myasthenia gravis
-
- A—HUMAN NECESSITIES
- A61—MEDICAL OR VETERINARY SCIENCE; HYGIENE
- A61P—SPECIFIC THERAPEUTIC ACTIVITY OF CHEMICAL COMPOUNDS OR MEDICINAL PREPARATIONS
- A61P25/00—Drugs for disorders of the nervous system
-
- A—HUMAN NECESSITIES
- A61—MEDICAL OR VETERINARY SCIENCE; HYGIENE
- A61P—SPECIFIC THERAPEUTIC ACTIVITY OF CHEMICAL COMPOUNDS OR MEDICINAL PREPARATIONS
- A61P25/00—Drugs for disorders of the nervous system
- A61P25/14—Drugs for disorders of the nervous system for treating abnormal movements, e.g. chorea, dyskinesia
-
- A—HUMAN NECESSITIES
- A61—MEDICAL OR VETERINARY SCIENCE; HYGIENE
- A61P—SPECIFIC THERAPEUTIC ACTIVITY OF CHEMICAL COMPOUNDS OR MEDICINAL PREPARATIONS
- A61P25/00—Drugs for disorders of the nervous system
- A61P25/14—Drugs for disorders of the nervous system for treating abnormal movements, e.g. chorea, dyskinesia
- A61P25/16—Anti-Parkinson drugs
-
- A—HUMAN NECESSITIES
- A61—MEDICAL OR VETERINARY SCIENCE; HYGIENE
- A61P—SPECIFIC THERAPEUTIC ACTIVITY OF CHEMICAL COMPOUNDS OR MEDICINAL PREPARATIONS
- A61P25/00—Drugs for disorders of the nervous system
- A61P25/28—Drugs for disorders of the nervous system for treating neurodegenerative disorders of the central nervous system, e.g. nootropic agents, cognition enhancers, drugs for treating Alzheimer's disease or other forms of dementia
-
- A—HUMAN NECESSITIES
- A61—MEDICAL OR VETERINARY SCIENCE; HYGIENE
- A61P—SPECIFIC THERAPEUTIC ACTIVITY OF CHEMICAL COMPOUNDS OR MEDICINAL PREPARATIONS
- A61P27/00—Drugs for disorders of the senses
- A61P27/02—Ophthalmic agents
-
- A—HUMAN NECESSITIES
- A61—MEDICAL OR VETERINARY SCIENCE; HYGIENE
- A61P—SPECIFIC THERAPEUTIC ACTIVITY OF CHEMICAL COMPOUNDS OR MEDICINAL PREPARATIONS
- A61P27/00—Drugs for disorders of the senses
- A61P27/02—Ophthalmic agents
- A61P27/04—Artificial tears; Irrigation solutions
-
- A—HUMAN NECESSITIES
- A61—MEDICAL OR VETERINARY SCIENCE; HYGIENE
- A61P—SPECIFIC THERAPEUTIC ACTIVITY OF CHEMICAL COMPOUNDS OR MEDICINAL PREPARATIONS
- A61P29/00—Non-central analgesic, antipyretic or antiinflammatory agents, e.g. antirheumatic agents; Non-steroidal antiinflammatory drugs [NSAID]
-
- A—HUMAN NECESSITIES
- A61—MEDICAL OR VETERINARY SCIENCE; HYGIENE
- A61P—SPECIFIC THERAPEUTIC ACTIVITY OF CHEMICAL COMPOUNDS OR MEDICINAL PREPARATIONS
- A61P3/00—Drugs for disorders of the metabolism
-
- A—HUMAN NECESSITIES
- A61—MEDICAL OR VETERINARY SCIENCE; HYGIENE
- A61P—SPECIFIC THERAPEUTIC ACTIVITY OF CHEMICAL COMPOUNDS OR MEDICINAL PREPARATIONS
- A61P3/00—Drugs for disorders of the metabolism
- A61P3/06—Antihyperlipidemics
-
- A—HUMAN NECESSITIES
- A61—MEDICAL OR VETERINARY SCIENCE; HYGIENE
- A61P—SPECIFIC THERAPEUTIC ACTIVITY OF CHEMICAL COMPOUNDS OR MEDICINAL PREPARATIONS
- A61P3/00—Drugs for disorders of the metabolism
- A61P3/08—Drugs for disorders of the metabolism for glucose homeostasis
- A61P3/10—Drugs for disorders of the metabolism for glucose homeostasis for hyperglycaemia, e.g. antidiabetics
-
- A—HUMAN NECESSITIES
- A61—MEDICAL OR VETERINARY SCIENCE; HYGIENE
- A61P—SPECIFIC THERAPEUTIC ACTIVITY OF CHEMICAL COMPOUNDS OR MEDICINAL PREPARATIONS
- A61P31/00—Antiinfectives, i.e. antibiotics, antiseptics, chemotherapeutics
- A61P31/10—Antimycotics
-
- A—HUMAN NECESSITIES
- A61—MEDICAL OR VETERINARY SCIENCE; HYGIENE
- A61P—SPECIFIC THERAPEUTIC ACTIVITY OF CHEMICAL COMPOUNDS OR MEDICINAL PREPARATIONS
- A61P35/00—Antineoplastic agents
-
- A—HUMAN NECESSITIES
- A61—MEDICAL OR VETERINARY SCIENCE; HYGIENE
- A61P—SPECIFIC THERAPEUTIC ACTIVITY OF CHEMICAL COMPOUNDS OR MEDICINAL PREPARATIONS
- A61P43/00—Drugs for specific purposes, not provided for in groups A61P1/00-A61P41/00
-
- A—HUMAN NECESSITIES
- A61—MEDICAL OR VETERINARY SCIENCE; HYGIENE
- A61P—SPECIFIC THERAPEUTIC ACTIVITY OF CHEMICAL COMPOUNDS OR MEDICINAL PREPARATIONS
- A61P5/00—Drugs for disorders of the endocrine system
-
- A—HUMAN NECESSITIES
- A61—MEDICAL OR VETERINARY SCIENCE; HYGIENE
- A61P—SPECIFIC THERAPEUTIC ACTIVITY OF CHEMICAL COMPOUNDS OR MEDICINAL PREPARATIONS
- A61P5/00—Drugs for disorders of the endocrine system
- A61P5/14—Drugs for disorders of the endocrine system of the thyroid hormones, e.g. T3, T4
-
- A—HUMAN NECESSITIES
- A61—MEDICAL OR VETERINARY SCIENCE; HYGIENE
- A61P—SPECIFIC THERAPEUTIC ACTIVITY OF CHEMICAL COMPOUNDS OR MEDICINAL PREPARATIONS
- A61P5/00—Drugs for disorders of the endocrine system
- A61P5/14—Drugs for disorders of the endocrine system of the thyroid hormones, e.g. T3, T4
- A61P5/16—Drugs for disorders of the endocrine system of the thyroid hormones, e.g. T3, T4 for decreasing, blocking or antagonising the activity of the thyroid hormones
-
- A—HUMAN NECESSITIES
- A61—MEDICAL OR VETERINARY SCIENCE; HYGIENE
- A61P—SPECIFIC THERAPEUTIC ACTIVITY OF CHEMICAL COMPOUNDS OR MEDICINAL PREPARATIONS
- A61P5/00—Drugs for disorders of the endocrine system
- A61P5/18—Drugs for disorders of the endocrine system of the parathyroid hormones
-
- A—HUMAN NECESSITIES
- A61—MEDICAL OR VETERINARY SCIENCE; HYGIENE
- A61P—SPECIFIC THERAPEUTIC ACTIVITY OF CHEMICAL COMPOUNDS OR MEDICINAL PREPARATIONS
- A61P7/00—Drugs for disorders of the blood or the extracellular fluid
-
- A—HUMAN NECESSITIES
- A61—MEDICAL OR VETERINARY SCIENCE; HYGIENE
- A61P—SPECIFIC THERAPEUTIC ACTIVITY OF CHEMICAL COMPOUNDS OR MEDICINAL PREPARATIONS
- A61P9/00—Drugs for disorders of the cardiovascular system
-
- C—CHEMISTRY; METALLURGY
- C07—ORGANIC CHEMISTRY
- C07D—HETEROCYCLIC COMPOUNDS
- C07D261/00—Heterocyclic compounds containing 1,2-oxazole or hydrogenated 1,2-oxazole rings
- C07D261/02—Heterocyclic compounds containing 1,2-oxazole or hydrogenated 1,2-oxazole rings not condensed with other rings
- C07D261/06—Heterocyclic compounds containing 1,2-oxazole or hydrogenated 1,2-oxazole rings not condensed with other rings having two or more double bonds between ring members or between ring members and non-ring members
- C07D261/10—Heterocyclic compounds containing 1,2-oxazole or hydrogenated 1,2-oxazole rings not condensed with other rings having two or more double bonds between ring members or between ring members and non-ring members with hetero atoms or with carbon atoms having three bonds to hetero atoms with at the most one bond to halogen, e.g. ester or nitrile radicals, directly attached to ring carbon atoms
- C07D261/14—Nitrogen atoms
-
- C—CHEMISTRY; METALLURGY
- C07—ORGANIC CHEMISTRY
- C07D—HETEROCYCLIC COMPOUNDS
- C07D261/00—Heterocyclic compounds containing 1,2-oxazole or hydrogenated 1,2-oxazole rings
- C07D261/02—Heterocyclic compounds containing 1,2-oxazole or hydrogenated 1,2-oxazole rings not condensed with other rings
- C07D261/06—Heterocyclic compounds containing 1,2-oxazole or hydrogenated 1,2-oxazole rings not condensed with other rings having two or more double bonds between ring members or between ring members and non-ring members
- C07D261/10—Heterocyclic compounds containing 1,2-oxazole or hydrogenated 1,2-oxazole rings not condensed with other rings having two or more double bonds between ring members or between ring members and non-ring members with hetero atoms or with carbon atoms having three bonds to hetero atoms with at the most one bond to halogen, e.g. ester or nitrile radicals, directly attached to ring carbon atoms
- C07D261/18—Carbon atoms having three bonds to hetero atoms, with at the most one bond to halogen
-
- C—CHEMISTRY; METALLURGY
- C07—ORGANIC CHEMISTRY
- C07D—HETEROCYCLIC COMPOUNDS
- C07D307/00—Heterocyclic compounds containing five-membered rings having one oxygen atom as the only ring hetero atom
- C07D307/02—Heterocyclic compounds containing five-membered rings having one oxygen atom as the only ring hetero atom not condensed with other rings
- C07D307/34—Heterocyclic compounds containing five-membered rings having one oxygen atom as the only ring hetero atom not condensed with other rings having two or three double bonds between ring members or between ring members and non-ring members
- C07D307/38—Heterocyclic compounds containing five-membered rings having one oxygen atom as the only ring hetero atom not condensed with other rings having two or three double bonds between ring members or between ring members and non-ring members with substituted hydrocarbon radicals attached to ring carbon atoms
- C07D307/54—Radicals substituted by carbon atoms having three bonds to hetero atoms with at the most one bond to halogen, e.g. ester or nitrile radicals
-
- C—CHEMISTRY; METALLURGY
- C07—ORGANIC CHEMISTRY
- C07D—HETEROCYCLIC COMPOUNDS
- C07D307/00—Heterocyclic compounds containing five-membered rings having one oxygen atom as the only ring hetero atom
- C07D307/02—Heterocyclic compounds containing five-membered rings having one oxygen atom as the only ring hetero atom not condensed with other rings
- C07D307/34—Heterocyclic compounds containing five-membered rings having one oxygen atom as the only ring hetero atom not condensed with other rings having two or three double bonds between ring members or between ring members and non-ring members
- C07D307/56—Heterocyclic compounds containing five-membered rings having one oxygen atom as the only ring hetero atom not condensed with other rings having two or three double bonds between ring members or between ring members and non-ring members with hetero atoms or with carbon atoms having three bonds to hetero atoms with at the most one bond to halogen, e.g. ester or nitrile radicals, directly attached to ring carbon atoms
- C07D307/68—Carbon atoms having three bonds to hetero atoms with at the most one bond to halogen
-
- C—CHEMISTRY; METALLURGY
- C07—ORGANIC CHEMISTRY
- C07D—HETEROCYCLIC COMPOUNDS
- C07D405/00—Heterocyclic compounds containing both one or more hetero rings having oxygen atoms as the only ring hetero atoms, and one or more rings having nitrogen as the only ring hetero atom
- C07D405/02—Heterocyclic compounds containing both one or more hetero rings having oxygen atoms as the only ring hetero atoms, and one or more rings having nitrogen as the only ring hetero atom containing two hetero rings
- C07D405/12—Heterocyclic compounds containing both one or more hetero rings having oxygen atoms as the only ring hetero atoms, and one or more rings having nitrogen as the only ring hetero atom containing two hetero rings linked by a chain containing hetero atoms as chain links
-
- C—CHEMISTRY; METALLURGY
- C07—ORGANIC CHEMISTRY
- C07D—HETEROCYCLIC COMPOUNDS
- C07D407/00—Heterocyclic compounds containing two or more hetero rings, at least one ring having oxygen atoms as the only ring hetero atoms, not provided for by group C07D405/00
- C07D407/02—Heterocyclic compounds containing two or more hetero rings, at least one ring having oxygen atoms as the only ring hetero atoms, not provided for by group C07D405/00 containing two hetero rings
- C07D407/12—Heterocyclic compounds containing two or more hetero rings, at least one ring having oxygen atoms as the only ring hetero atoms, not provided for by group C07D405/00 containing two hetero rings linked by a chain containing hetero atoms as chain links
-
- C—CHEMISTRY; METALLURGY
- C07—ORGANIC CHEMISTRY
- C07D—HETEROCYCLIC COMPOUNDS
- C07D409/00—Heterocyclic compounds containing two or more hetero rings, at least one ring having sulfur atoms as the only ring hetero atoms
- C07D409/14—Heterocyclic compounds containing two or more hetero rings, at least one ring having sulfur atoms as the only ring hetero atoms containing three or more hetero rings
-
- C—CHEMISTRY; METALLURGY
- C07—ORGANIC CHEMISTRY
- C07D—HETEROCYCLIC COMPOUNDS
- C07D413/00—Heterocyclic compounds containing two or more hetero rings, at least one ring having nitrogen and oxygen atoms as the only ring hetero atoms
- C07D413/14—Heterocyclic compounds containing two or more hetero rings, at least one ring having nitrogen and oxygen atoms as the only ring hetero atoms containing three or more hetero rings
-
- C—CHEMISTRY; METALLURGY
- C07—ORGANIC CHEMISTRY
- C07D—HETEROCYCLIC COMPOUNDS
- C07D417/00—Heterocyclic compounds containing two or more hetero rings, at least one ring having nitrogen and sulfur atoms as the only ring hetero atoms, not provided for by group C07D415/00
- C07D417/02—Heterocyclic compounds containing two or more hetero rings, at least one ring having nitrogen and sulfur atoms as the only ring hetero atoms, not provided for by group C07D415/00 containing two hetero rings
- C07D417/12—Heterocyclic compounds containing two or more hetero rings, at least one ring having nitrogen and sulfur atoms as the only ring hetero atoms, not provided for by group C07D415/00 containing two hetero rings linked by a chain containing hetero atoms as chain links
-
- G—PHYSICS
- G01—MEASURING; TESTING
- G01N—INVESTIGATING OR ANALYSING MATERIALS BY DETERMINING THEIR CHEMICAL OR PHYSICAL PROPERTIES
- G01N33/00—Investigating or analysing materials by specific methods not covered by groups G01N1/00 - G01N31/00
- G01N33/48—Biological material, e.g. blood, urine; Haemocytometers
- G01N33/50—Chemical analysis of biological material, e.g. blood, urine; Testing involving biospecific ligand binding methods; Immunological testing
- G01N33/5005—Chemical analysis of biological material, e.g. blood, urine; Testing involving biospecific ligand binding methods; Immunological testing involving human or animal cells
- G01N33/5008—Chemical analysis of biological material, e.g. blood, urine; Testing involving biospecific ligand binding methods; Immunological testing involving human or animal cells for testing or evaluating the effect of chemical or biological compounds, e.g. drugs, cosmetics
- G01N33/502—Chemical analysis of biological material, e.g. blood, urine; Testing involving biospecific ligand binding methods; Immunological testing involving human or animal cells for testing or evaluating the effect of chemical or biological compounds, e.g. drugs, cosmetics for testing non-proliferative effects
-
- G—PHYSICS
- G01—MEASURING; TESTING
- G01N—INVESTIGATING OR ANALYSING MATERIALS BY DETERMINING THEIR CHEMICAL OR PHYSICAL PROPERTIES
- G01N33/00—Investigating or analysing materials by specific methods not covered by groups G01N1/00 - G01N31/00
- G01N33/48—Biological material, e.g. blood, urine; Haemocytometers
- G01N33/50—Chemical analysis of biological material, e.g. blood, urine; Testing involving biospecific ligand binding methods; Immunological testing
- G01N33/5005—Chemical analysis of biological material, e.g. blood, urine; Testing involving biospecific ligand binding methods; Immunological testing involving human or animal cells
- G01N33/5008—Chemical analysis of biological material, e.g. blood, urine; Testing involving biospecific ligand binding methods; Immunological testing involving human or animal cells for testing or evaluating the effect of chemical or biological compounds, e.g. drugs, cosmetics
- G01N33/5044—Chemical analysis of biological material, e.g. blood, urine; Testing involving biospecific ligand binding methods; Immunological testing involving human or animal cells for testing or evaluating the effect of chemical or biological compounds, e.g. drugs, cosmetics involving specific cell types
Definitions
- Protein homeostasis a balance between protein synthesis, folding, trafficking, aggregation, and degradation, referred to as protein homeostasis, utilizing sensors and networks of pathways (Sitia et al., Nature 426: 891 -894, 2003; Ron et al., Nat Rev Mol Cell Biol 8: 519- 529, 2007).
- the cellular maintenance of protein homeostasis, or proteostasis refers to controlling the conformation, binding interactions, location and concentration of individual proteins making up the proteome.
- Protein folding in vivo is accomplished through interactions between the folding polypeptide chain and macromolecular cellular components, including multiple classes of chaperones and folding enzymes, which minimize aggregation (Wiseman et al., Cell 131 : 809-821 , 2007). Whether a given protein folds in a certain cell type depends on the distribution, concentration, and subcellular localization of chaperones, folding enzymes, metabolites and the like (Wiseman et al.). Cystic fibrosis and other maladies of protein misfolding arise as a result of an imbalance in the capacity of the protein homeostasis
- Cystic Fibrosis is caused by mutations in the cystic fibrosis transmembrane conductance regulator (CFTR) gene which encodes a multi-membrane spanning epithelial chloride channel (Riordan et al., Annu Rev Biochem 11, 701 -26 (2008)). Approximately ninety percent of patients have a deletion of phenylalanine (Phe) 508 (AF508) on at least one allele.
- CFTR cystic fibrosis transmembrane conductance regulator
- This mutation results in disruption of the energetics of the protein fold leading to degradation of CFTR in the endoplasmic reticulum (ER).
- ER endoplasmic reticulum
- the AF508 mutation is thus associated with defective folding and trafficking, as well as enhanced degradation of the mutant CFTR protein (Qu et al., J Biol Chem 212, 15739-44 (1997)).
- the loss of a functional CFTR channel at the plasma membrane disrupts ionic homeostasis (CF, Na + , HCO 3 " ) and airway surface hydration leading to reduced lung function (Riordan et al.).
- the present disclosure is based, in part, on the discovery that disclosed compounds such as those having disclosed formulas ) can increase cystic fibrosis transmembrane conductance regulator (CFTR) activity as measured in human bronchial epithelial (hBE) cells.
- CFTR cystic fibrosis transmembrane conductance regulator
- hBE human bronchial epithelial
- X is CR 33 or N
- X 3 is selected from the group consisting of O, S, and NRw,;
- pp is 1 , 2, or 3;
- Ri i is independently selected for each occurrence from the group consisting of hydrogen, halogen, Ci ⁇ alkyl (optionally substituted by one, two or three halogens);
- R 3 i is selected from the group consisting of hydrogen, halogen, and C ⁇ aHcyl;
- R 33 is selected from the group consisting of H, halogen, Q ⁇ alkyl, and -NR'R" Li is selected from the group consisting of Ci -6 alkylene, C 3- 6 cycloalkylene, C 3 . 6 cycloalkylene-Ci -4 alkylene, C ] -3 alkylene-NR hh -S(0) w-i - Ci -3 alkylene-S(0) w -NRhh-, C 3-6 cycloalkylene-Co -2 alkylene-S(0) w -NRhh, and C 3 - 6 cycloalkylene- C 0-2 alkylene NRhh-S(0) w-j wherein Li may be optionally substituted by one, two or three substituents selected from the group consisting of halogen, hydroxyl, and Ci- 3 alkyl (optionally substituted by one, two or three substituents each selected independently from R f r>;
- R 44 is selected from the group consisting of H, halogen, hydroxyl, Ci -3 alkoxy, heterocycle, and a 5-6 membered monocyclic or 8-10 membered bicyclic heteroaryl having one, two or three heteroatoms each selected from O, N, and S; wherein the heterocycle and the heteroaryl may be optionally substituted by one or two substituents each selected independently from R gg ;
- Rfr is selected for each occurrence from group consisting of halogen, hydroxyl, Ci -4 alkyl, C M alkyoxy, C 2-4 alkenyl, C 3 . 6 cycloalkyl, -NR'R", -NR'-S(0) w -Ci -3 alkyl, S(0) w - NR'R", and -S(0) w -Ci -3 alkyl, where w is 0, 1 , or 2, wherein Ci -4 alkyl, Cj.
- C 4 alkyoxy, C 2-4 alkenyl and C 3-6 cycloalkyl may be optionally substituted by one, two or three substituents each independently selected from the group consisting of halogen, hydroxyl, -NR'R", -NR'-S(0) w - Ci -3 alkyl, S(0) w -NR'R", and -S(0)w-Ci.3 alkylRgg is selected for each occurrence from the group consisting of: halogen, hydroxyl, -NR'R", -NR'R", -NR'-S(0) w -Ci -3 alkyl, -S(0) w - NR'R", and -S(0) w -Ci.
- R j j is selected for each occurrence from the group consisting of halogen, hydroxyl, C 3-6 cycloalkyl, Ci -6 alkoxy (optionally substituted by one, two, or three substituents each independently selected from R kk ), heterocycle, C(0)OH, -C(0)OC 1-6 alkyl, -NR'R", -NR'- S(0)w-Ci -3 alkyl, -S(0) w -NR'R", and -S(0) w -Ci -3 alkyl, where w is 0, 1 , or 2;
- R kk is selected for each occurrence from the group consisting of halogen, hydroxyl, Ci -6 alkyl (optionally substituted by one, two, or three substituents each independently selected from halogen, hydroxyl, C 3- 6 cycloalkyl, and heterocycle (optionally substituted by Ci -6 alkyl)), C 3-6 cycloalkyl (optionally substituted by one, two, or three substituents each independently selected from halogen, hydroxyl, and Ci_6 alkyl), phenyl, heterocycle (optionally substituted by one, two or three substituents independently selected from halogen, hydroxyl, and Ci -6 alkyl), and heteroaryl;
- Rii is selected for each occurrence from the group consisting of halogen, hydroxyl, Ci. 6 alkyl (optionally substituted by one, two, or three substituents each independently selected from halogen, hydroxyl, and C3 -6 cycloalkyl) and heterocycle (optionally substituted by one, two or three substituents independently selected from halogen, hydroxyl, and Ci -6 alkyl);
- R' and R" are each independently selected for each occurrence from H and Ci -4 alkyl or taken together with the nitrogen to which they are attached form a heterocyclic ring;
- w 0, 1 or 2;
- R hh is selected for each occurrence from the group consisting of H, Ci -6 alkyl and C3-6 cycloalkyl.
- compositions that include a disclosed compound (such as those compounds having disclosed formulas such as Formula (la), (lla), (lb), (lib), (III), or (IV)) and a pharmaceutically acceptable carrier or excipient.
- a disclosed compound such as those compounds having disclosed formulas such as Formula (la), (lla), (lb), (lib), (III), or (IV)
- the compositions can include at least one additional CFTR modulator as described anywhere herein or at least two additional CFTR modulators, each independently as described anywhere herein.
- a method of enhancing (e.g., increasing) cystic fibrosis transmembrane conductance regulator (CFTR) activity in a subject in need thereof comprising administering to said subject an effective amount of a disclosed compound of e.g., Formula (la), (lla), (lb), (lib), (III), or (IV).
- CFTR cystic fibrosis transmembrane conductance regulator
- the activity of one or more (e.g., one or two) mutant CFTRs e.g., AF508, S549N, G542X, G551D, Rl 17H, N1303 , W1282X, R553X, 621 + 1 G>T, 1717-1 G>A, 3849+1 OkbOT, 2789+5G>A, 3120+1 G>A, I507del, R 1 162X,
- AF508 CFTR activity is enhanced (e.g., increased).
- the activities of two mutant CFTRs are enhanced (e.g., AF508 and G551D; AF508 and A455E; or G542X; A508F) are enhanced (e.g., increased).
- the subject e.g., a human patient
- a disease associated with decreased CFTR activity e.g., cystic fibrosis, congenital bilateral absence of vas deferens (CBAVD), acute, recurrent, or chronic pancreatitis, disseminated bronchiectasis, asthma, allergic pulmonary aspergillosis, chronic obstructive pulmonary disease (COPD), chronic sinusitis, dry eye disease, protein C deficiency, ⁇ - ⁇ -lipoproteinemia, lysosomal storage disease, type 1 chylomicronemia, mild pulmonary disease, lipid processing deficiencies, type 1 hereditary angioedema, coagulation-fibrinolyis, hereditary
- CBAVD congenital bilateral absence of vas deferens
- COPD chronic obstructive pulmonary disease
- COPD chronic sinusitis
- dry eye disease protein C deficiency
- ⁇ - ⁇ -lipoproteinemia lysosomal
- hemochromatosis CFTR-related metabolic syndrome
- chronic bronchitis constipation
- pancreatic insufficiency hereditary emphysema
- Sjogren's syndrome familial
- hypercholesterolemia I-cell disease/pseudo-Hurler, mucopolysaccharidoses, Sandhof/Tay- Sachs, Crigler-Najjar type II, polyendocrinopathy/hyperinsulemia, Diabetes mellitus, Laron dwarfism, myleoperoxidase deficiency, primary hypoparathyroidism, melanoma, glycanosis CDG type 1 , congenital hyperthyroidism, osteogenesis imperfecta, hereditary
- the disease is cystic fibrosis.
- Also contemplated herein is a method for treating a patient suffering from cystic fibrosis comprising administering to said patient an effective amount of a disclosed compound.
- the methods described herein can further include
- At least one CFTR modulator is a CFTR corrector (e.g., VX-809, VX-661 , VX-983, VX-152, VX-440, GLPG2222 and GLPG2665) or potentiator (e.g., ivacaftor and genistein).
- CFTR corrector e.g., VX-809, VX-661 , VX-983, VX-152, VX-440, GLPG2222 and GLPG2665
- potentiator e.g., ivacaftor and genistein
- one of the at least two additional therapeutic agents is a CFTR corrector (e.g., VX-809, VX-661, VX-983, VX-152, VX-440, GLPG2222 and GLPG2665) and the other is a CFTR potentiator (e.g., ivacaftor and genistein).
- CFTR corrector e.g., VX-809, VX-661, VX-983, VX-152, VX-440, GLPG2222 and GLPG2665
- a CFTR potentiator e.g., ivacaftor and genistein
- a method of identifying a candidate agent that increases CFTR activity includes: (i) contacting a cell that expresses a CFTR protein with the candidate agent and a disclosed compound; (ii) measuring the CFTR activity in the cell in the presence of the candidate agent and the disclosed compound; and (iii) comparing the CFTR activity to that in the absence of the test agent, wherein an increase in CFTR activity in the presence of the test agent indicates that the agent increases CFTR activity.
- the cell expresses a mutant CFTR protein.
- CFTR activity is measured by measuring chloride channel activity of the CFTR, and/or other ion transport activity.
- the method is high-throughput.
- the candidate agent is a CFTR corrector or a CFTR potentiator.
- the words “a” and “an” are meant to include one or more unless otherwise specified.
- the term “an agent” encompasses both a single agent and a combination of two or more agents.
- compositions methods of increasing CFTR activity and methods of treating cystic fibrosis.
- Xi is CR 33 or N
- X 3 is selected from the group consisting of O, S, and NR ⁇ ,;
- pp is 1 , 2, or 3;
- Ri 1 is independently selected for each occurrence from the group consisting of hydrogen, halogen, C ⁇ Ucyl (optionally substituted by one, two or three halogens);
- R31 is selected from the group consisting of hydrogen, halogen, and Ci -4 alkyl
- R33 is selected from the group consisting of H, halogen, Ci -4 alkyl, and -NR'R" wherein R' and R" are each independently selected for each occurrence from H and Ci ⁇ alkyl or taken together with the nitrogen to which they are attached form a heterocyclic ring;
- Li is selected from the group consisting of Ci_6 alkylene, C3 -6 cycloalkylene, C3.6 cycloalkylene-Ci-4 alkylene, C1.3 alkylene-NRhh-S(0) w-> - C 1.3 alkylene-S(0) w -NR hh -, C3.6 cycloalkylene-Co -2 alkylene-S(0) w -NRhh, and C3-6 cycloalkylene- Co- 2 alkylene NR hh -S(0) w ._ wherein Li may be optionally substituted by one, two or three substituents selected from the group consisting of halogen, hydroxyl, and Ci- 3 alkyl (optionally substituted by one, two or three substituents each selected independently from R ⁇ ;
- R44 is selected from the group consisting of H, halogen, hydroxyl, Ci ⁇ alkoxy, phenyl, - O-phenyl, -NR'-phenyl, heterocycle, and a 5-6 membered monocyclic or 8-10 membered bicyclic heteroaryl having one, two or three heteroatoms each selected from O, N, and S; wherein phenyl, -O-phenyl, -NR'-phenyl, heterocycle and heteroaryl may be optionally substituted by one or two substituents each selected independently from R gg ; R f r is selected for each occurrence from group consisting of halogen, hydroxyl, C M alkyl, C 1-4 alkyoxy, C 2-4 alkenyl, C 3 .
- Ci -4 alkyl, Ci -4 alkyoxy, C 2-4 alkenyl and C 3-6 cycloalkyl may be optionally substituted by one, two or three substituents each independently selected from the group consisting of halogen, hydroxyl, -NR'R", -NR'-S(0) w - C, -3 alkyl, S(0) w -NR'R", and -S(0) w -Ci -3 alkyl;
- R gg is selected for each occurrence from the group consisting of:
- Ci -6 alkenyl are optionally substituted by one, two, or three substituents each independently selected from Rj ;
- Rjj is selected for each occurrence from the group consisting of halogen, hydroxyl, C 3 . 6 cycloalkyl, C 3-6 cycloalkoxy, Ci -6 alkoxy (optionally substituted by one, two, or three substituents each independently selected from R kk ), heterocycle, C(0)OH, -C(0)OCi -6 alkyl, - NR'R", -NR'-S(0)w-C 1-3 alkyl, -S(0) w -NR'R", and -S(0) w -C 1-3 alkyl, where w is 0, 1 , or 2;
- Rkk is selected for each occurrence from the group consisting of halogen, hydroxyl, Ci_6 alkyl (optionally substituted by one, two, or three substituents each independently selected from halogen, hydroxyl, C 3-6 cycloalkyl, and heterocycle (optionally substituted by C ]-6 alkyl)), C 3-6 cycloalkyl (optionally substituted by one, two, or three substituents each independently selected from halogen, hydroxyl, and Ci -6 alkyl), phenyl, heterocycle (optionally substituted by one, two or three substituents independently selected from halogen, hydroxyl, and Ci -6 alkyl), and heteroaryl;
- Rn is selected for each occurrence from the group consisting of halogen, hydroxyl, Ci -6 alkyl (optionally substituted by one, two, or three substituents each independently selected from halogen, hydroxyl, and C 3-6 cycloalkyl ) and heterocycle (optionally substituted by one, two or three substituents independently selected from halogen, hydroxyl, and Ci -6 alkyl);
- R' and R" are each independently selected for each occurrence from H and CM alk l; w is 0, 1 or 2;
- Rhh is selected for each occurrence from the group consisting of H, Ci -6 alkyl and C 3-6 cycloalkyl.
- Li of one or more of the above formulas is Ci -3 alkylene, C 3-5 cycloalkylene, or C3- 6 cycloalkylene-Ci -4 alkylene and/or R 3 ) is H or F.
- R gg is selected from the group consisting of:
- R29 is selected from Ci. 6 alkyl (optionally substituted by one, two or three substituents each independently selected from the group consisting of halogen, hydroxyl, Ci. 6 alkoxy, and cycloalkyl) and heterocycle (optionally substituted by one, two or three substituents each independently selected from the group consisting of halogen, hydroxyl, Ci_6 alkyl and Ci -6 alkoxy).
- R 2 9 may be selected from the group consisting of:
- a disclosed compound has the formula:
- a disclosed compound may have, in certain embodiments the following formula:
- R44 as in the above formulas may be selected from the group consisting of: pyrrolidinyl, piperidinyl, tetrahydropyranyl, and tetrahydofuranyl.
- R ⁇ is selected from the group consisting of:
- X independently for each occurrence is selected from the group consisting of O, S, NRhh, C, C(Rs8), and C(R 88 )(R99);
- X 2 independently for each occurrence is selected from the group consisting of O, S and NR h h;
- R" is H or C h alky!, each R6 6 , R77, Rss and R99 is independently selected for each occurrence from H and R gg , and n is 0, 1 , 2, or 3.
- each of R66. R77, es and R 99 is independently selected for each occurrence from the group consisting of hydrogen, halogen, hydroxyl, Ci-6 alkyl, C 3-6 cycloalkyl, and heterocycle, wherein Q-e alkyl, C3-6 cycloalkyl, and heterocycle are optionally substituted by one, two or three substituents each independently selected from the group consisting of hydroxyl, Ci-6 alkyl, Ci -6 alkoxy, -S(0) w -Ci.3 alkyl (w is 0, 1 , or 2) and - NR' S(0) 2 C 1-6 alky 1.
- R' is H or Ci ⁇ alkyl.
- R66, R77 and R & s may be selected from the group consisting of H, halogen, methyl (optionally substituted by one, two or three substituents each selected from halogen, hydroxyl, methoxy and ethoxy), ethyl (optionally substituted by one, two or three substituents each selected from halogen, hydroxyl, methoxy and ethoxy), propyl ((optionally substituted by one, two or three substituents each selected from halogen, hydroxyl, methoxy and ethoxy), isopropyl ((optionally substituted by one, two or three substituents each selected from halogen, hydroxyl, methoxy and ethoxy), H-butyl (optionally substituted by one, two or three substituents each selected from halogen, hydroxyl, methoxy and ethoxy), /-butyl (optionally substituted by one, two or three substituents each selected from halogen, hydroxyl, methoxy and
- pp is 0, 1 or 2
- R ⁇ 1 is selected from H, F, or methyl.
- X 2 is selected from the group consisting of O, S or NR hh (defined above);
- R76 is selected from the group consisting of Ci.6alk l (optionally interrupted by one or more oxygen atoms or NR", and optionally substituted by one or more substituents selected from the group consisting of halogen, hydroxyl, S(0) w -Ci.3 alkyl (w is 0,1 , or 2), Cs ⁇ cycloalkyl (optionally substituted by one or more substituents selected from heterocycle, Ci ⁇ alkyl, and halogen) and heterocycle (optionally substituted by one or more substituents selected from heterocycle, Ci_6alkyl, and halogen)); and heterocycle (optionally substituted by one or more substituents selected from the group consisting of halogen, hydroxyl, S(0) w -Ci-3 alkyl (w is 0, 1 , or 2), C 3 - 6 cycloalkyl (optionally substituted by one or more substituents selected from heterocycle, Ci. 6 alkyl, and halogen) and heterocycle (optionally substituted by one
- Ri is selected from the group consisting of:
- R 2 is selected from the group consisting of optionally substituted aryl and optionally substituted heteroaryl;
- R 3a and R 3 are each independently selected from the group consisting of hydrogen, optionally substituted CpCio alkyl, optionally substituted C2-Cj 0 alkenyl, optionally substituted C2-C10 alkynyl, optionally substituted C 3 -Ci 2 cycloalkyl, optionally substituted C 3 -Ci 2 cycloalkenyl, optionally substituted aryl, halo, OR c , NRjR d , C(0)OR c , N0 2 , CN, C(0)R c , C(0)C(0)R c , CiOiNR d R d , NRdC(0)Rc, NR d S(0) cinnamonR c , N(R d )(COORc), NR d C(0)C(0)Rc, NR d C(0)NR d R d , NR d S(0) consumerNRdR c , S(0) n R c , 8
- R4 b is selected from the group consisting of hydrogen, optionally substituted C1-Q0 alkyl, optionally substituted C 2 -Cio alkenyl, optionally substituted C2-C10 alkynyl, optionally substituted C 3 -C 12 cycloalkyl, optionally substituted C 3 -Ci 2 cycloalkenyl, optionally substituted aryl, optionally substituted heterocyclic and optionally substituted heteroaryl;
- R a is selected from the group consisting of hydrogen, optionally substituted Q-Cio alkyl, optionally substituted C2-C10 alkenyl, optionally substituted C 2 -Ci 0 alkynyl, optionally substituted C 3 -C 12 cycloalkyl, optionally substituted C 3 -C 12 cycloalkenyl, optionally substituted heterocyclic, optionally substituted aryl, optionally substituted heteroaryl, C(0)ORc, C(0)Rc, C(0)C(0)Rc and S(0) n Rc;
- R a and the nitrogen atom to which it is attached is taken together with an adjacent C(Rbi)(Rt>i) or C(Rb 2 )(Rb2) to form an optionally substituted, 4- to 12-membered heterocyclic ring containing one or more ring nitrogen atoms, wherein said heterocyclic ring optionally contains one or more ring heteroatoms selected from oxygen and sulfur; each R b i and Rt >2 is independently selected for each occurrence from the group consisting of hydrogen, optionally substituted Ci-Cio alkyl, optionally substituted C2-C10 alkenyl, optionally substituted C 2 -Ci 0 alkynyl, optionally substituted C3-Ci 2 cycloalkyl, optionally substituted C3-Ci 2 cycloalkenyl, optionally substituted heterocyclic, optionally substituted aryl, optionally substituted heteroaryl, halo, OR c , NR d Rj, C(0)OR c ,
- Y is selected from the group consisting of S(0) n> , NR & NR d S(0) n , NR d S(0) n NR d , NR d C(O), NR d C(0)0, N d C(0)C(0), ⁇ 3 ⁇ 40( ⁇ ) ⁇ 3 ⁇ 4, S(0) n NR d , and O;
- each R c is independently selected for each occurrence from the group consisting of hydrogen, optionally substituted C
- each 3 ⁇ 4 is independently selected for each occurrence from the group consisting of hydrogen, optionally substituted Ci -Cio alkyl, optionally substituted C 2 -Cio alkenyl, optionally substituted C 2 -Cio alkynyl, optionally substituted Q-Cio alkoxy, optionally substituted C 3 -C ] 2 cycloalkyl, optionally substituted C 3 -C
- k is 0 or 1 ;
- n 0, 1, 2, 3, 4, or 5;
- each n is independently 0, 1 or 2.
- m is 0, 1 or 2.
- k is 0.
- m is 0, 1 or 2, k is 0.
- each of R 3a and R 3 b is hydrogen.
- R a is hydrogen or Ci-C 4 alkyl (optionally substituted by 1 , 2 or 3 halogens).
- Rbi and R b2 are each independently selected from the group consisting of hydrogen, hydroxy 1, Q ⁇ alkoxy (optionally substituted by one, two or three substituents independently selected from halogen and hydroxy 1) and C1-C4 alkyl (optionally substituted by one, two or three substituents independently selected from halogen and hydroxyl).
- Rbi and Rt, 2 for each occurrence are hydrogen.
- R 2 is selected from the group consisting of phenyl and a 5-6 membered heteroaryl having one or two heteroatoms each selected from N, S, and O, wherein R 2 is optionally substituted by one or two substituents each independently selected from the group consisting of halogen, and C1-C4 alkyl (optionally substituted by one, two or three halogens).
- R 2 is phenyl
- R 2 is selected from the group consisting of: optionally substituted thienyl, optionally substituted furanyl and optionally substituted pyridinyl.
- R4 a is selected from the group consisting of optionally substituted Ci-C 6 alkyl, optionally substituted C3-C7 cycloalkyi, phenyl.ORc, C(0)ORc, C(0)Rc, optionally substituted heterocycle and optionally substituted heteroaryl, wherein Rc is selected, independently for each occurrence, from the group consisting of H andCi.6 alkyl.
- R4 a is heterocycle, or a 5-6 membered monocyclic or a 8-10 membered bicyclic heteroaryl having one, two or three heteroatoms selected from N, S or O, wherein the heterocycle or heteroaryl are optionally substituted by one, two or three
- Rn a can be selected from the group consisting of tetrahydropyranyl, thiadiazolyl, tetrahydrofuranyl, and morpholinyl.
- Rt a can be a monocyclic heteroaryl containing one, two or three ring nitrogen atoms.
- Rt a can be selected from the group consisting of furanyl, pyridinyl, pyrazinyl, pyrazolyl, imidazolyl, isoxazolyl, triazolyl, thiazolyl, oxadiazolyl, thiadiazolyl, thienyl, piperazinyl, and
- R 4a is selected from the group consisting of:
- each X is independently O, S or NR g ;
- each R g is independently selected from the group consisting of hydrogen, Ci-C 4 alkyl, C3-C6 cycloalkyl, and
- each Ri, R7 and R 3 ⁇ 4 is independently selected for each occurrence from the group consisting of hydrogen, Ci-C 6 alkyl, C 2 -C 6 alkenyl, C 2 -Ci 6 alkynyl, C 3 -C 7 cycloalkyl, C 3 -C 7 cycloalkenyl, phenyl, heterocycle, heteroaryl, halo, hydroxyl, carboxyl, ORc, NRdRd, C(0)OR c , , CN, C(0)Rc, wherein the Ci -6 alkyl, C 2 -C 6 alkenyl, C 2 -Ci 6 alkynyl, C3-C7 cycloalkyl, C 3 -C 7 cycloalkenyl, phenyl, heterocycle, and heteroaryl of R6, 7 and Rs may each be optionally substituted by one, two or three substituents selected from halo, hydroxyl, Ci -6 alkyl and Ci -6 alkoxy;
- Rc is Ci. 4 alkyl
- R d is independently for each occurrence selected from the group consisting of H and C). 4 alkyl, or the two Ras taken together with the N to which they are attached form a heterocyclic ring.
- a disclosed compound has the Formula (lb) or the Formula (lib):
- Ri 1 is selected from the group consisting of hydrogen, optionally substituted Q-C 10 alkyl, optionally substituted C 2 -Cio alkenyl, optionally substituted C 2 -Cio alkynyl, and halo.
- R4 a is an optionally substituted C3-C7 cycloalkyl (e.g., optionally substituted cyclopropyl or an optionally substituted cyclobutyl).
- R4 a is substituted with a substituent having the formula:
- each R h is independently selected for each occurrence from the group consisting of hydrogen, halo, hydroxy 1, Ci-C 6 alkyl, and C3-C6 cycloalkyl, or two geminal R h groups are independently taken together with the carbon atom to which they are attached to form an optionally substituted carbocyclic or heterocycle;
- R 9 is selected from the group consisting of hydrogen, halo, CN, hydroxyl, methyl
- Rc is independently selected for each occurrence from the group consisting of H, Ci-C 6 alkyl,C 3- 6 cycloalkyl, heterocycle, and heteroaryl;
- Rd is independently selected for each occurrence from H and Ci -4 alkyl, or the two R ⁇ iS taken together with the N to which they are attached form a heterocyclic ring; and p is 0, 1, or 2.
- i a can be selected from the group consisting of:
- Y is S, S(0) 2 or S(0) 2 NR d .
- R4b is heterocycle or a 5-6 membered monocyclic or a 8-10 membered bicyclic heteroaryl having one, two or three heteroatoms selected from N, S or O, wherein the heterocycle or heteroaryl are optionally substituted by one, two or three substituents independently selected for each occurrence from the group consisting of halogen, Ci-6 alkyl (optionally substituted by one, two or three substituents each independently selected from halogen and hydroxyl), Q ⁇ alkoxy (optionally substituted by one, two or three halogens), hydroxyl, and NRdRd wherein Rd is independently for each occurrence selected from H and C 1 .4 alkyl, or the two R d S taken together with the N to which they are attached form a heterocyclic ring).
- R4b can be selected from the group consisting of furanyl, pyridinyl, pyrazinyl, pyrazolyl, imidazolyl, isoxazolyl, triazolyl, thiazolyl, oxadiazolyl, thiadiazolyl, thienyl, piperazinyl, and benzimidazolyl, each optionally substituted.
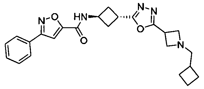
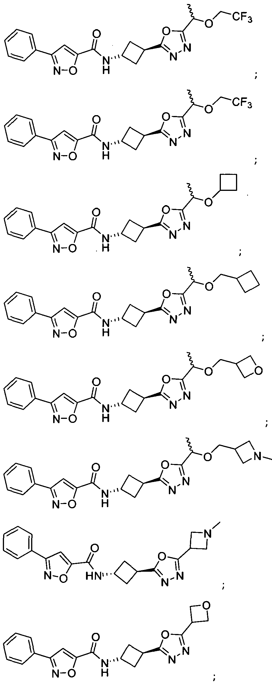
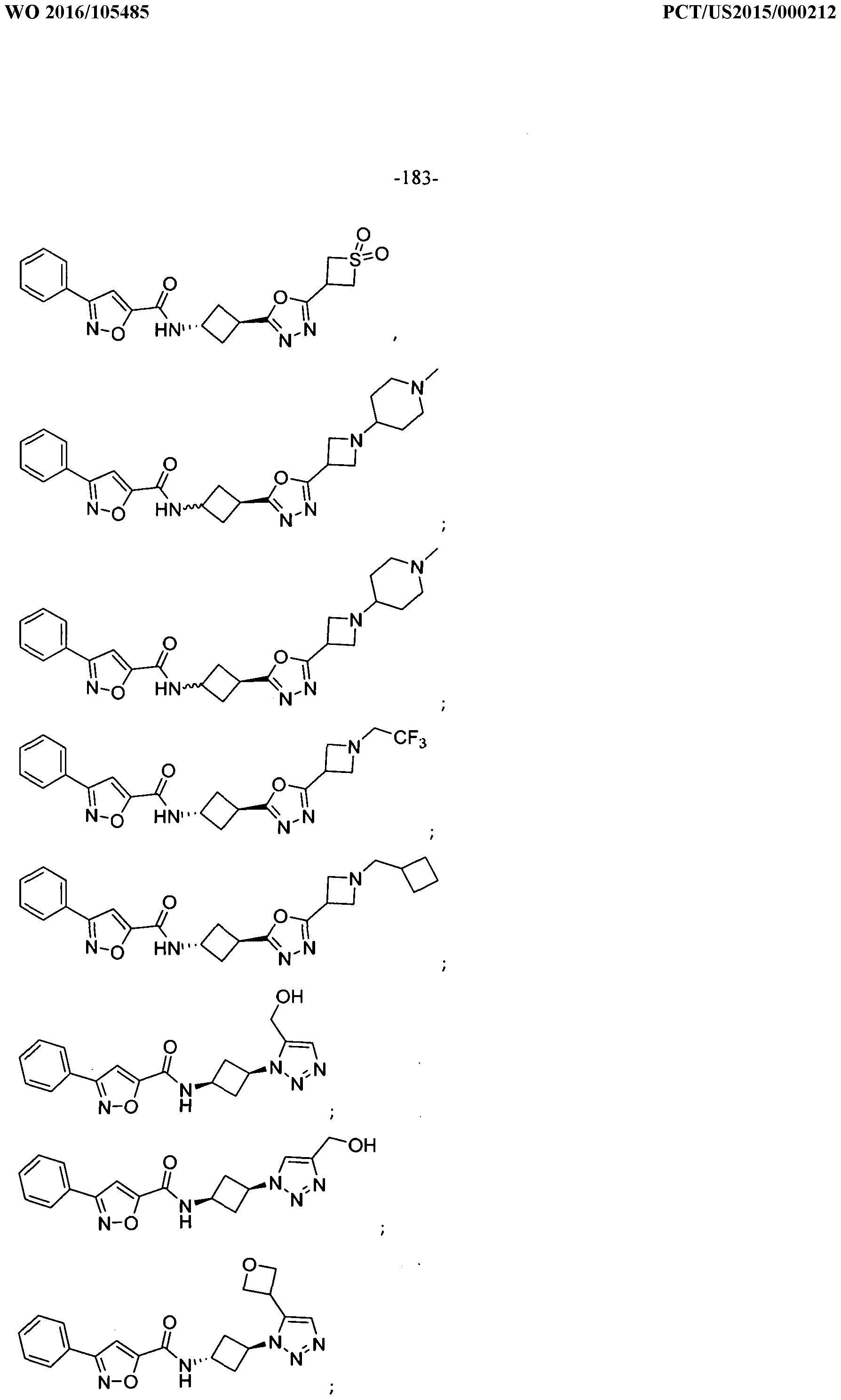
- Exemplary compounds are shown below in Table 1 :
- compositions that include a disclosed compound such as those compounds having Formula (la), (Ila), (lb), (lib), (III), or (IV) and a pharmaceutically acceptable carrier or excipient.
- the compositions can include at least one additional CFTR modulator as described anywhere herein or at least two additional CFTR modulators, each independently as described anywhere herein.
- R 2a is fluoro
- A is an optionally substituted imidazolyl or pyrazolyl.
- disclosed compounds of Formula (la), (Ha), (lb), (lib), (III), or (IV) wherein R 2a is fluoro and A is an optionally substituted imidazolyl or pyrazolyl are contemplated.
- alkyl refers to both branched and straight-chain saturated aliphatic hydrocarbon groups having the specified number of carbon atoms; for example, "Ci-Cio alkyl” denotes alkyl having 1 to 10 carbon atoms, and straight or branched hydrocarbons of 1-6, 1 -4, or 1 -3 carbon atoms, referred to herein as Ci-6 alkyl, C alkyl, and Ci -3 alkyl, respectively.
- alkyl examples include, but are not limited to, methyl, ethyl, w-propyl, /-propyl, «-butyl, /-butyl, sec-butyl, /-butyl, «-pentyl, w-hexyl, 2- methylbutyl, 2-methylpentyl, 2-ethylbutyl, 3-methylpentyl, and 4-methylpentyl.
- alkenyl refers to both straight and branched-chain moieties having the specified number of carbon atoms and having at least one carbon-carbon double bond.
- exemplary alkenyl groups include, but are not limited to, a straight or branched group of 2-6 or 3-4 carbon atoms, referred to herein as C 2 -6 alkenyl, and C 3-4 alkenyl, respectively.
- exemplary alkenyl groups include, but are not limited to, vinyl, allyl, butenyl, pentenyl, etc.
- alkynyl refers to both straight and branched-chain moieties having the specified number or carbon atoms and having at least one carbon-carbon triple bond.
- cycloalkyl refers to saturated cyclic alkyl moieties having 3 or more carbon atoms, for example, 3-10, 3-6, or 4-6 carbons, referred to herein as C 3- io cycloalkyl, C 3 . 6 cycloalkyl or C 4-6 cycloalkyl, respectively for example.
- Examples of cycloalkyl include, but are not limited to, cyclopropyl, cyclobutyl, cyclopentyl, cyclohexyl, cycloheptyl and adamantyl.
- cycloalkoxy refers to a cycloalkyl group attached to oxygen (cycloalkyl-O-).
- exemplary cycloalkoxy groups include, but are not limited to, cycloalkoxy groups of 3-6 carbon atoms, referred to herein as C 3-6 Cycloalkoxy groups.
- Exemplary cycloalkoxy groups include, but are not limited to, cyclopropoxy, cyclobutoxy, cyclohexyloxy, etc.
- cycloalkenyl refers to cyclic alkenyl moieties having 3 or more carbon atoms.
- cycloalkynyl refers to cyclic alkynyl moieties having 5 or more carbon atoms.
- Alkylene means a straight or branched, saturated aliphatic divalent radical having the number of carbons indicated.
- Cycloalkylene refers to a divalent radical of carbocyclic saturated hydrocarbon group having the number of carbons indicated.
- alkoxy refers to a straight or branched alkyl group attached to oxygen (alkyl-O-).
- exemplary alkoxy groups include, but are not limited to, alkoxy groups of 1 -6 or 2-6 carbon atoms, referred to herein as Ci -6 alkoxy, and C 2-6 alkoxy, respectively.
- Exemplary alkoxy groups include, but are not limited to methoxy, ethoxy, isopropoxy, etc.
- heterocyclic or “heterocycle” encompasses heterocycloalkyl, heterocycloalkenyl, heterobicycloalkyl, heterobicycloalkenyl, heteropolycycloalkyl, heteropolycycloalkenyl, and the like unless indicated otherwise.
- Heterocycloalkyl refers to cycloalkyl groups containing one or more heteroatoms (O, S, or N) within the ring.
- Heterocycloalkenyl as used herein refers to cycloalkenyl groups containing one or more heteroatoms (O, S or N) within the ring.
- Heterobicycloalkyl refers to bicycloalkyl groups containing one or more heteroatoms (O, S or N) within a ring.
- Heterobicycloalkenyl as used herein refers to bicycloalkenyl groups containing one or more heteroatoms (O, S or N) within a ring
- a heterocycle can refer to, for example, a saturated or partially unsaturated 4- to 12 or 4- 10-membered ring structure, including bridged or fused rings, and whose ring structures include one to three heteroatoms, such as nitrogen, oxygen, and sulfur.
- heterocyclyl rings may be linked to the adjacent radical through carbon or nitrogen.
- heterocyclyl groups include, but are not limited to, pyrrolidine, piperidine, morpholine, thiomorpholine, piperazine, oxetane, azetidine, tetrahydrofuran or dihydrofuran etc.
- Cycloalkyl, cycloalkenyl, and heterocyclic groups also include groups similar to those described above for each of these respective categories, but which are substituted with one or more oxo moieties.
- aryl refers to mono- or polycyclic aromatic carbocyclic ring systems.
- a polycyclic aryl is a polycyclic ring system that comprises at least one aromatic ring.
- Polycyclic aryls can comprise fused rings, covalently attached rings or a combination thereof.
- aryl embraces aromatic radicals, such as, phenyl, naphthyl, indenyl, tetrahydronaphthyl, and indanyl.
- An aryl group may be substituted or unsubstituted.
- the aryl is a C4-C10 aryl. Examples of optionally substituted aryl are phenyl, substituted phenyl, naphthyl and substituted naphthyl.
- heteroaryl refers to aromatic carbocyclic groups containing one or more heteroatoms (O, S, or N) within a ring.
- a heteroaryl group unless indicated otherwise, can be monocyclic or polycyclic.
- a heteroaryl group may additionally be substituted or unsubstituted.
- Contemplated heteroaryl groups include ring systems substituted with one or more oxo moieties.
- a polycyclic heteroaryl can comprise fused rings, covalently attached rings or a combination thereof.
- a polycyclic heteroaryl is a polycyclic ring system that comprises at least one aromatic ring containing one or more heteroatoms within a ring.
- heteroaryl groups include, but are not limited to, pyridinyl, pyridazinyl, imidazolyl, pyrimidinyl, pyrazolyl, triazolyl, pyrazinyl, quinolyl, isoquinolyl, tetrazolyl, furyl, thienyl, isoxazolyl, thiazolyl, oxazolyl, isothiazolyl, pyrrolyl, quinolinyl, isoquinolinyl, indolyl, benzimidazolyl, benzofuranyl, cinnolinyl, indazolyl, indolizinyl, phthalazinyl, triazinyl, -->5- isoindolyl, purinyl, oxadiazolyl, thiadiazolyl, furazanyl, benzofurazanyl, benzothiophenyl, benzotriazolyl, benzothio
- heteroaryl groups may be C-attached or heteroatom-attached (where such is possible).
- a group derived from pyrrole may be pyrrol- 1-yl (N-attached) or pyrrol-3-yl (C-attached).
- the heteroaryl is 4- to 12-membered heteroaryl.
- the heteroaryl is a mono or bicyclic 4- to 10-membered heteroaryl.
- substituted refers to substitution by independent replacement of one, two, or three or more of the hydrogen atoms with substituents including, but not limited to, and unless indicated otherwise, -Ci-Ci 2 alkyl, -C 2 -Ci 2 alkenyl, -C 2 -Q 2 alkynyl, -C 3 -Ci 2 cycloalkyl, -C 3 -Ci 2 cycloalkenyl, C 3 -C ] 2 cycloalkynyl, -heterocyclic, -F, -CI, -Br, -I, -OH, -N0 2 , -N 3 , -CN, -NH 2 , oxo, thioxo, -NHR X , -NR X R X , dialkylamino, -diarylamino, -diheteroarylamino, -OR x
- halo or halogen as used herein refer to F, CI, Br, or I.
- haloalkyl refers to an alkyl group having 1 to (2n+l) substituent(s) independently selected from F, CI, Br or I, where n is the maximum number of carbon atoms in the alkyl group. It will be understood that haloalkyl is a specific example of an optionally substituted alkyl.
- hydroxy and “hydroxyl” as used herein refers to the radical -OH.
- H is the symbol for hydrogen
- N is the symbol for nitrogen
- S is the symbol for sulfur
- O is the symbol for oxygen
- Me is an abbreviation for methyl.
- the compounds of the disclosure may contain one or more chiral centers and, therefore, exist as stereoisomers.
- stereoisomers when used herein consist of all enantiomers or diastereomers. These compounds may be designated by the symbols “(+),” “(- ),” “R” or “S,” depending on the configuration of substituents around the stereogenic carbon atom, but the skilled artisan will recognize that a structure may denote a chiral center implicitly.
- the present disclosure encompasses various stereoisomers of disclosed compounds and mixtures thereof. Mixtures of enantiomers or diastereomers may be designated “( ⁇ )" in nomenclature, but the skilled artisan will recognize that a structure may denote a chiral center implicitly.
- the compounds of the disclosure may contain one or more double bonds and, therefore, exist as geometric isomers resulting from the arrangement of substituents around a carbon-carbon double bond.
- the symbol denotes a bond that may be a single, double or triple bond as described herein.
- Substituents around a carbon-carbon double bond are designated as being in the "Z” or "E” configuration wherein the terms “Z” and “E” are used in accordance with IUPAC standards. Unless otherwise specified, structures depicting double bonds encompass both the "£" and "Z” isomers.
- Individual enantiomers and diasterisomers of disclosed compounds can be prepared synthetically from commercially available starting materials that contain asymmetric or stereogenic centers, or by preparation of racemic mixtures followed by resolution methods well known to those of ordinary skill in the art. These methods of resolution are exemplified by (1) attachment of a mixture of enantiomers to a chiral auxiliary, separation of the resulting mixture of diastereomers by recrystallization or chromatography and liberation of the optically pure product from the auxiliary, (2) salt formation employing an optically active resolving agent, (3) direct separation of the mixture of optical enantiomers on chiral liquid chromatographic columns or (4) kinetic resolution using stereoselective chemical or enzymatic reagents.
- Racemic mixtures can also be resolved into their component enantiomers by well known methods, such as chiral-phase liquid chromatography or crystallizing the compound in a chiral solvent.
- Stereoselective syntheses a chemical or enzymatic reaction in which a single reactant forms an unequal mixture of stereoisomers during the creation of a new stereocenter or during the transformation of a pre-existing one, are well known in the art.
- Stereoselective syntheses encompass both enantio- and diastereoselective transformations, and may involve the use of chiral auxiliaries. For examples, see Carreira and Kvaerno, Classics in Stereoselective Synthesis, Wiley- VCH: Weinheim, 2009.
- enantiomerically pure means a stereomerically pure composition of a compound.
- a stereochemically pure composition is a composition that is free or substantially free of other stereoisomers of that compound.
- an enantiomerically pure composition of the compound is free or substantially free of the other enantiomer.
- an enantiomerically pure composition is free or substantially free of the other diastereomers.
- a compound has an R-configuration at a specific position when it is present in excess compared to the compound having an S-configuration at that position.
- a compound has an ⁇ -configuration at a specific position when it is present in excess compared to the compound having an R- configuration at that position.
- a disclosed compound can exist in solvated as well as unsolvated forms with pharmaceutically acceptable solvents such as water, ethanol, and the like, and it is intended that disclosed compounds include both solvated and unsolvated forms.
- a disclosed compound is amorphous or, in another embodiment, a single polymorph.
- a disclosed compound is a mixture of polymorphs.
- a disclosed compound is in a crystalline form.
- Isotopically labeled compounds are also contemplated herein, which are identical to those recited herein, except that one or more atoms are replaced by an atom having an atomic mass or mass number different from the atomic mass or mass number usually found in nature.
- isotopes that can be incorporated into compounds of the invention include isotopes of hydrogen, carbon, nitrogen, oxygen, phosphorus, sulfur, fluorine and chlorine, such as 2 H, 3 H, 13 C, l 4 C, 15 N, l 8 0, , 7 0, 31 P, 32 P, 35 S, , 8 F, and 36 C1, respectively.
- a disclosed compound may have one or more H atom replaced with deuterium.
- isotopically labeled disclosed compounds are useful in compound and/or substrate tissue distribution assays. Tritiated (i.e., 3 H) and carbon-14 (i.e., ,4 C) isotopes are particularly preferred for their ease of preparation and detectability. Further, substitution with heavier isotopes such as deuterium (i.e., 2 H) may afford certain therapeutic advantages resulting from greater metabolic stability (e.g., increased in vivo half-life or reduced dosage requirements) and hence may be preferred in some circumstances.
- Isotopically labeled compounds can generally be prepared by following procedures analogous to those disclosed in the examples herein by substituting an isotopically labeled reagent for a non-isotopically labeled reagent.
- one or more of the nitrogen atoms of a disclosed compound if present are oxidized to N-oxide.
- Representative synthetic routes for the preparation of the compounds disclosed herein are provided throughout the Examples section. As will be understood by the skilled artisan, diastereomers can be separated from the reaction mixture using column
- Disclosed compounds may be also be prepared using methods described in the literature, including, but not limited to, J. Med. Chem. 2011, 54(13), 4350-64; Russian Journal of Organic Chemistry, 201 1, 47(8), 1 199-1203; U.S. Patent Application Publication No.
- contemplated herein in an embodiment is a method of increasing CFTR activity in a subject comprising administering an effective amount of a disclosed compound. Also contemplated herein is a method of treating a patient suffering from a condition associated with CFTR activity comprising administering to said patient an effective amount of a compound described herein.
- Treating” or “treatment” includes preventing or delaying the onset of the symptoms, complications, or biochemical indicia of a disease, alleviating or ameliorating the symptoms or arresting or inhibiting further development of the disease, condition, or disorder.
- a "subject” is an animal to be treated or in need of treatment.
- a “patient” is a human subject in need of treatment.
- An “effective amount” refers to that amount of an agent that is sufficient to achieve a desired and/or recited effect. In the context of a method of treatment, an "effective amount" of the therapeutic agent that is sufficient to ameliorate of one or more symptoms of a disorder and/or prevent advancement of a disorder, cause regression of the disorder and/or to achieve a desired effect.
- CFTR activity is enhanced after administration of a compound described herein when there is an increase in the CFTR activity as compared to that in the absence of the administration of the compound.
- CFTR activity encompasses, for example, chloride channel activity of the CFTR, and/or other ion transport activity (for example, HCOy transport).
- the activity of one or more (e.g., one or two) mutant CFTRs is enhanced (e.g., increased).
- one or more mutant CFTRs e.g., AF508, S549N, G542X, G551 D, Rl 17H, N 1303K, W1282X, R553X, 621+lOT, 1717-l OA, 3849+l OkbOT, 2789+5G>A, 3120+1 OA, I507del, R1 162X, 1898+lOA, 3659delC, G85E, Dl 152H, R560T, R347P, 2184insA, A455E, R334W, Q493X, and 2184delA CFTR) is enhanced (e.g., increased).
- Contemplated patients may have a CFTR mutation(s) from one or more classes, such as without limitation, Class I CFTR mutations, Class II CFTR mutations, Class III CFTR mutations, Class IV CFTR mutations, Class V CFTR mutations, and Class VI mutations.
- Contemplated subject e.g., human subject
- CFTR genotypes include, without limitation, homozygote mutations (e.g., AF508 / AF508 and Rl 17H / Rl 17H) and compound heterozygote mutations (e.g., AF508 / G551 D; AF508 / A455E;
- the mutation is a Class I mutation, e.g., a G542X; a Class II/ I mutation, e.g., a AF508 / G542X compound heterozygous mutation.
- a Class I mutation e.g., a G542X
- a Class II/ I mutation e.g., a AF508 / G542X compound heterozygous mutation.
- the mutation is a Class III mutation, e.g., a G551 D; a Class II/ Class III mutation, e.g., a AF508 / G551 D compound heterozygous mutation.
- the mutation is a Class V mutation, e.g., a A455E; Class II/ Class V mutation, e.g., a AF508 / A455E compound heterozygous mutation.
- AF508 is the most prevalent mutation of CFTR which results in misfolding of the protein and impaired trafficking from the endoplasmic reticulum to the apical membrane (Dormer et al. (2001 ).
- AF508 CFTR activity is enhanced (e.g., increased).
- AF508 CFTR activity and/or G542X CFTR activity and/or G551D CFTR activity and/or A455E CFTR activity is enhanced (e.g., increased).
- An enhancement of CFTR activity can be measured, for example, using literature described methods, including for example, Ussing chamber assays, patch clamp assays, and hBE Ieq assay (Devor et al.
- the invention also encompasses a method of treating cystic fibrosis.
- Methods of treating other conditions associated with CFTR activity, including conditions associated with deficient CFTR activity, comprising administering an effective amount of a disclosed compound, are also provided herein.
- a method of treating a condition associated with deficient or decreased CFTR activity comprising administering an effective amount of a disclosed compound that enhances CFTR activity.
- conditions associated with deficient CFTR activity are cystic fibrosis, congenital bilateral absence of vas deferens (CBAVD), acute, recurrent, or chronic pancreatitis, disseminated bronchiectasis, asthma, allergic pulmonary aspergillosis, smoking-related lung diseases, such as chronic obstructive pulmonary disease (COPD), chronic sinusitis, dry eye disease, protein C deficiency, ⁇ -lipoproteinemia, lysosomal storage disease, type 1 chylomicronemia, mild pulmonary disease, lipid processing deficiencies, type 1 hereditary angioedema, coagulation-fibrinolyis, hereditary hemochromatosis, CFTR-related metabolic syndrome, chronic bronchitis, constipation, pancreatic
- disclosed methods of treatment further comprise
- a method of administering a disclosed compound and at least one additional therapeutic agent comprises administering a disclosed compound, and at least two additional therapeutic agents.
- Additional therapeutic agents include, for example, mucolytic agents, bronchodilators, antibiotics, anti-infective agents, anti- inflammatory agents, ion channel modulating agents, therapeutic agents used in gene therapy, CFTR correctors, and CFTR potentiators, or other agents that modulates CFTR activity.
- at least one additional therapeutic agent is selected from the group consisting of a CFTR corrector and a CFTR potentiator.
- Non-limiting examples of CFTR correctors and potentiators include VX-770 (Ivacaftor), VX-809 (3-(6-(l-(2,2- difluorobenzo[d][l ,3]dioxol-5-yl)cyclopropanecarboxamido)-3-methylpyridin-2-yl)benzoic acid, VX-661 (l -(2,2-difluoro-l ,3-benzodioxol-5-yl)-N-[l -[(2R)-2,3-dihydroxypropyl]-6- fluoro-2-(2-hydroxy-l , l -dimethylethyl)-lH-indol-5-yl]- cyclopropanecarboxamide), VX-983, VX-152, VX-440, and Ataluren (PTC124) (3-[5-(2-fluorophenyl)-l ,2,4-oxadiazol
- Non-limiting examples of modulators include QBW-251 , QR-010, NB-124, and compounds described in, e.g., WO2014/045283; WO2014/081821 , WO2014/081820, WO2014/152213; WO2014/160440, WO2014/160478, US2014027933; WO2014/0228376, WO2013/038390, WO201 1/1 13894, WO2013/038386; and WO2014/180562, of which the disclosed modulators in those publications are contemplated as an additional therapeutic agent and incorporated by reference.
- Non-limiting examples of anti-inflammatory agents include N6022 (3-(5-(4-(l H-imidazol-l -yl) phenyl)- l-(4-carbamoyl-2-methylphenyl)-'H-pyrrol-2-yl) propanoic acid), CTX-4430, N 1861 , N 1785, and N91 1 15. [0085] In some embodiments, the methods described herein can further include
- the methods described herein can further include administering an additional CFTR modulator or administering at least two additional CFTR modulators.
- at least one CFTR modulator is a CFTR corrector (e.g., VX-809, VX-661, VX-983, VX-152, VX-440, GLPG2222 and GLPG2665) or potentiator (e.g., ivacaftor, genistein and GLPG 1837).
- one of the at least two additional therapeutic agents is a CFTR corrector (e.g., VX-809, VX-661, VX-983, VX-152, and VX-440) and the other is a CFTR potentiator (e.g., ivacaftor and genistein).
- one of the at least two additional therapeutic agents is a CFTR corrector (e.g., GLPG2222 or GLPG2665) and the other is a CFTR potentiator (e.g., GLPG1837).
- one of the at least two additional therapeutic agents is a CFTR corrector (e.g., VX-809 or VX-661) and the other is a CFTR potentiator (e.g., ivacaftor).
- at least one CFTR modulator is an agent that enhances read- through of stop codons (e.g., NB124 or ataluren).
- this disclosure provides a method of treating a condition associated with deficient or decreased CFTR activity (e.g., cystic fibrosis), which includes administering to a subject in need thereof (e.g., a human patient in need thereof) an effective amount of a disclosed compound and at least one or two additional CFTR therapeutic agent(s) (e.g., at least one or two additional CFTR therapeutic agents, e.g., in which one of the at least one or two additional therapeutic agents is optionally a CFTR corrector or modulator (e.g., VX-809, VX-661 , VX-983, VX-152, VX-440, GLPG2222, GLPG2665, NB 124, ataluren) and/or the other is a CFTR potentiator (e.g., ivacaftor, genistein, and GLPG1837); e.g., one of the at least two additional therapeutic agents is GLPG
- the subject's CFTR genotype includes, without limitation, one or more Class I CFTR mutations, one or more Class II CFTR mutations, one or more Class III CFTR mutations, one or more Class IV CFTR mutations, or one or more Class V CFTR mutations, or one or more Class VI CFTR mutations.
- the subject's CFTR genotype includes, without limitation, one or more homozygote mutations (e.g., AF508 / AF508 or Rl 17H / Rl 17H) and/or one or more compound heterozygote mutations (e.g., AF508 / G551D; AF508 / A455E; AF508 / G542X; A508F / W1204X; R553X / W1316X; W 1282X / N1303 ; F508del / Rl 17H; N 1303K/ 3849+lOkbOT; AF508 / R334W; DF508 / G 178R, and 591 ⁇ 18 / E831 X).
- one or more homozygote mutations e.g., AF508 / AF508 or Rl 17H / Rl 17H
- compound heterozygote mutations e.g., AF50
- the subject's CFTR genotype includes a Class 1 mutation, e.g., a G542X Class I mutation, e.g., a AF508 / G542X compound heterozygous mutation.
- the subject's CFTR genotype includes a Class III mutation, e.g., a G551 D Class III mutation, e.g., a AF508 / G551 D compound heterozygous mutation.
- the subject's CFTR genotype includes a Class V mutation, e.g., a A455E Class V mutation, e.g., a AF508 / A455E compound heterozygous mutation.
- AF508 CFTR activity and/or G542X CFTR activity and/or G551 D CFTR activity and/or A455E activity is enhanced (e.g., increased).
- the enhancement in activity (e.g., increase in activity) provided by the combination of the disclosed compound and one or two additional therapeutic agents is greater than additive when compared to the enhancement in activity provided by each therapeutic component individually.
- a method of treating a patient having one or more of the following mutations in the CFTR gene comprising administering an effective amount of a disclosed compound.
- exemplary methods e.g., of
- a combination therapy e.g., administering (simultaneously or sequentially) an effective amount of ivacaftor to said patient and an effective amount of disclosed compound that may act as an amplifier.
- Such administration may result, for example, in increased chloride transport in human bronchial epithelial cells with e.g., one or two copies of mutations, e.g, AF508 mutation, as compared to administration of ivacaftor alone.
- Another combination therapy that includes a disclosed compound may also include an effective amount of a readthrough agent (e.g., ataluren, NB 124) and an effect amount of disclosed compound that may act as an amplifier.
- a readthrough agent e.g., ataluren, NB 124
- a beneficial effect of a combination may include, but is not limited to, pharmacokinetic or pharmacodynamic co-action resulting from the combination of therapeutic agents.
- administration of a disclosed compound with ivacaftor alone or with a CFTR corrector agent may result in a level of function (e.g., as measured by chloride activity in HBE cells or patients that have a AF508 mutation, that achieves clinical improvement (or better) as compared to the chloride activity level in cells or patients with a G551 D mutation receiving ivacaftor alone, or ivacaftor and a corrector agent (lumacaftor or VX-661 ; or for example, administration of a disclosed compound with ivacaftor alone or ivacaftor with a CFTR corrector agent (e.g., lumacaftor or VX-661) may result in a level of function (e.g., as measured by chloride activity in HBE cells or patients that have a A455E mutation, that achieves clinical improvement (or better) as compared to the chloride activity level
- a level of function e.g., as measured by chloride activity in H
- having a G551 D class III mutation may show e.g., about two times or more improved activity of ivacaftor as compared to administration of ivacaftor alone.
- Administration of disclosed therapeutic agents in combination typically is carried out over a defined time period (usually a day, days, weeks, months or years depending upon the combination selected).
- Combination therapy is intended to embrace administration of multiple therapeutic agents in a sequential manner, that is, wherein each therapeutic agent is administered at a different time, as well as administration of these therapeutic agents, or at least two of the therapeutic agents, in a substantially
- Substantially simultaneous administration can be accomplished, for example, by administering to the subject a single tablet or capsule having a fixed ratio of each therapeutic agent or in multiple, single capsules for each of the therapeutic agents.
- Sequential or substantially simultaneous administration of each therapeutic agent can be effected by any appropriate route including, but not limited to, oral routes, inhalational routes, intravenous routes, intramuscular routes, and direct absorption through mucous membrane tissues.
- the therapeutic agents can be administered by the same route or by different routes.
- a first therapeutic agent of the combination selected may be administered by intravenous injection or inhalation or nebulizer while the other therapeutic agents of the combination may be administered orally.
- all therapeutic agents may be administered orally or all therapeutic agents may be administered by intravenous injection, inhalation or nebulization.
- Combination therapy also can embrace the administration of the therapeutic agents as described above in further combination with other biologically active ingredients and non- drug therapies.
- the combination therapy further comprises a non-drug treatment
- the non-drug treatment may be conducted at any suitable time so long as a beneficial effect from the co-action of the combination of the therapeutic agents and non-drug treatment is achieved.
- the beneficial effect is still achieved when the non-drug treatment is temporally removed from the administration of the therapeutic agents, perhaps by a day, days or even weeks.
- the components of a disclosed combination may be administered to a patient simultaneously or sequentially. It will be appreciated that the components may be present in the same pharmaceutically acceptable carrier and, therefore, are administered simultaneously. Alternatively, the active ingredients may be present in separate pharmaceutical carriers, such as, conventional oral dosage forms, that can be administered either simultaneously or sequentially.
- a method of identifying a candidate agent that increases CFTR activity includes: (i) contacting a cell that expresses a CFTR protein with the candidate agent and a disclosed compound; (ii) measuring the CFTR activity in the cell in the presence of the candidate agent and the disclosed compound; and (iii) comparing the CFTR activity to that in the absence of the test agent, wherein an increase in CFTR activity in the presence of the test agent indicates that the agent increases CFTR activity.
- the cell expresses a mutant CFTR protein.
- CFTR activity is measured by measuring chloride channel activity of the CFTR, and/or other ion transport activity.
- the method is high-throughput.
- the candidate agent is a CFTR corrector or a CFTR potentiator.
- salts refers to salts of acidic or basic groups that may be present in a disclosed compounds used in disclosed compositions.
- Compounds included in the present compositions that are basic in nature are capable of forming a wide variety of salts with various inorganic and organic acids.
- the acids that may be used to prepare pharmaceutically acceptable acid addition salts of such basic compounds are those that form non-toxic acid addition salts, i.e., salts containing
- pharmacologically acceptable anions including, but not limited to, malate, oxalate, chloride, bromide, iodide, nitrate, sulfate, bisulfate, phosphate, acid phosphate, isonicotinate, acetate, lactate, salicylate, citrate, tartrate, oleate, tannate, pantothenate, bitartrate, ascorbate, succinate, maleate, gentisinate, fumarate, gluconate, glucaronate, saccharate, formate, benzoate, glutamate, methanesulfonate, ethanesulfonate, benzenesulfonate, /?-toluenesulfonate and pamoate (i.e., l , l'-methylene-05-(2-hydroxy-3-naphthoate)) salts.
- Compounds included in the present compositions that are acidic in nature are capable of forming base salts with various pharmacologically acceptable cations.
- Examples of such salts include alkali metal or alkaline earth metal salts, particularly calcium, magnesium, sodium, lithium, zinc, potassium, and iron salts.
- Compounds included in the present compositions that include a basic or acidic moiety may also form pharmaceutically acceptable salts with various amino acids.
- the compounds of the disclosure may contain both acidic and basic groups; for example, one amino and one carboxylic acid group. In such a case, the compound can exist as an acid addition salt, a zwitterion, or a base salt.
- contemplated methods may include for example, administering prodrugs of the compounds described herein, for example, prodrugs of a compound of Formula (la), (Ila), (lb), (lib), (III), or (IV) or a pharmaceutical composition thereof.
- prodrug refers to compounds that are transformed in vivo to yield a disclosed compound or a pharmaceutically acceptable salt, hydrate or solvate of the compound. The transformation may occur by various mechanisms (such as by esterase, amidase, phosphatase, oxidative and or reductive metabolism) in various locations (such as in the intestinal lumen or upon transit of the intestine, blood or liver). Prodrugs are well known in the art (for example, see Rautio, Kumpulainen, et al, Nature Reviews Drug Discovery 2008, 7, 255).
- a prodrug can comprise an ester formed by the replacement of the hydrogen atom of the acid group with a group such as (Ci.g)alkyl, (C 2 .i 2 )alkylcarbonyIoxymethyl, l -(alkylcarbonyloxy)ethyl having from 4 to 9 carbon atoms, 1 -methyl- 1 -(alky lcarbonyloxy)-ethyl having from 5 to 10 carbon atoms, alkoxycarbonyloxymethyl having from 3 to 6 carbon atoms, 1 - (alkoxycarbonyloxy)ethyl having from 4 to 7 carbon atoms, 1 -methyl- 1- (alkoxycarbonyloxy)ethyl having from 5 to 8 carbon atoms, N-(alkoxycarbonyl)aminomethyl having from 3 to 9 carbon atoms, l-
- a group such as (Ci.g)alkyl, (C 2 .i 2 )alkylcarbonyIoxymethyl, l
- a prodrug can be formed by the replacement of the hydrogen atom of the alcohol group with a group such as (Ci ⁇ alkylcarbonyloxymethyl, l-((Ci-6)alkylcarbonyloxy)ethyl, 1 -methyl- l-((Ci_ 6 )alkylcarbonyloxy)ethyl (Ci-6)alkoxycarbonyloxy)methyl, N-(Ci_
- a prodrug can be formed, for example, by creation of an amide or carbamate, an N-alkylcarbonyloxyalkyl derivative, an (oxodioxolenyl)methyl derivative, an N-Mannich base, imine or enamine.
- a secondary amine can be metabolically cleaved to generate a bioactive primary amine, or a tertiary amine can metabolically cleaved to generate a bioactive primary or secondary amine.
- clathrates of the compounds described herein are also contemplated herein.
- Clathrates of a disclosed compound or a pharmaceutical composition thereof are also contemplated herein.
- compositions comprising a pharmaceutically acceptable carrier or excipient and a compound described herein.
- a disclosed compound, or a pharmaceutically acceptable salt, solvate, clathrate or prodrug thereof can be administered in pharmaceutical compositions comprising a pharmaceutically acceptable carrier or excipient.
- the excipient can be chosen based on the expected route of administration of the composition in therapeutic applications.
- the route of administration of the composition depends on the condition to be treated. For example, intravenous injection may be preferred for treatment of a systemic disorder and oral administration may be preferred to treat a gastrointestinal disorder.
- the route of administration and the dosage of the composition to be administered can be determined by the skilled artisan without undue experimentation in conjunction with standard dose-response studies. Relevant circumstances to be considered in making those determinations include the condition or conditions to be treated, the choice of composition to be administered, the age, weight, and response of the individual patient, and the severity of the patient's symptoms.
- compositions comprising a disclosed compound or a pharmaceutically acceptable salt, solvate, clathrate or prodrug, can be administered by a variety of routes including, but not limited to, parenteral, oral, pulmonary, ophthalmic, nasal, rectal, vaginal, aural, topical, buccal, transdermal, intravenous, intramuscular, subcutaneous, intradermal, intraocular, intracerebral, intralymphatic, intraarticular, intrathecal and intraperitoneal.
- the compositions can also include, depending on the formulation desired, pharmaceutically- acceptable, non-toxic carriers or diluents, which are defined as vehicles commonly used to formulate pharmaceutical compositions for animal or human administration.
- the diluent is selected so as not to affect the biological activity of the pharmacologic agent or composition.
- examples of such diluents are distilled water, physiological phosphate-buffered saline, Ringer's solutions, dextrose solution, and Hank's solution.
- the pharmaceutical composition or formulation may also include other carriers, adjuvants, or nontoxic, nontherapeutic, nonimmunogenic stabilizers and the like.
- Pharmaceutical compositions can also include large, slowly metabolized macromolecules such as proteins, polysaccharides such as chitosan, polylactic acids, polyglycolic acids and copolymers (such as latex functional ized
- compositions can be administered parenterally such as, for example, by intravenous, intramuscular, intrathecal or subcutaneous injection. Parenteral administration can be accomplished by incorporating a composition into a solution or suspension. Such solutions or suspensions may also include sterile diluents such as water for injection, saline solution, fixed oils, polyethylene glycols, glycerine, propylene glycol or other synthetic solvents.
- Parenteral formulations may also include antibacterial agents such as, for example, benzyl alcohol or methyl parabens, antioxidants such as, for example, ascorbic acid or sodium bisulfite and chelating agents such as EDTA. Buffers such as acetates, citrates or phosphates and agents for the adjustment of tonicity such as sodium chloride or dextrose may also be added.
- antibacterial agents such as, for example, benzyl alcohol or methyl parabens
- antioxidants such as, for example, ascorbic acid or sodium bisulfite
- chelating agents such as EDTA.
- Buffers such as acetates, citrates or phosphates and agents for the adjustment of tonicity such as sodium chloride or dextrose may also be added.
- the parenteral preparation can be enclosed in ampules, disposable syringes or multiple dose vials made of glass or plastic.
- auxiliary substances such as wetting or emulsifying agents, surfactants, pH buffering substances and the like can be present in compositions.
- Other components of pharmaceutical compositions are those of petroleum, animal, vegetable, or synthetic origin, for example, peanut oil, soybean oil, and mineral oil.
- glycols such as propylene glycol or polyethylene glycol are preferred liquid carriers, particularly for injectable solutions.
- Injectable formulations can be prepared either as liquid solutions or suspensions; solid forms suitable for solution in, or suspension in, liquid vehicles prior to injection can also be prepared.
- the preparation also can also be emulsified or encapsulated in liposomes or micro particles such as polylactide, polyglycolide, or copolymer for enhanced adjuvant effect, as discussed above [Langer, Science 249: 1527, 1990 and Hanes, Advanced Drug Delivery Reviews 28: 97-1 19, 1997].
- the compositions and pharmacologic agents described herein can be administered in the form of a depot injection or implant preparation which can be formulated in such a manner as to permit a sustained or pulsatile release of the active ingredient.
- Additional formulations suitable for other modes of administration include oral, intranasal, and pulmonary formulations, suppositories, transdermal applications and ocular delivery.
- binders and carriers include, for example, polyalkylene glycols or triglycerides; such suppositories can be formed from mixtures containing the active ingredient in the range of about 0.5% to about 10%, preferably about 1% to about 2%.
- Oral formulations include excipients, such as pharmaceutical grades of mannitol, lactose, starch, magnesium stearate, sodium saccharine, cellulose, and magnesium carbonate. Topical application can result in transdermal or intradermal delivery.
- Transdermal delivery can be achieved using a skin patch or using transferosomes.
- a skin patch or using transferosomes.
- the pharmaceutical compositions can be incorporated with excipients and used in the form of tablets, troches, capsules, elixirs, suspensions, syrups, wafers, chewing gums and the like.
- Tablets, pills, capsules, troches and the like may also contain binders, excipients, disintegrating agent, lubricants, glidants, sweetening agents, and flavoring agents.
- binders include macrocrystalline cellulose, gum tragacanth or gelatin.
- excipients include starch or lactose.
- disintegrating agents include alginic acid, corn starch and the like.
- lubricants include magnesium stearate or potassium stearate.
- glidant is colloidal silicon dioxide.
- sweetening agents include sucrose, saccharin and the like.
- flavoring agents include peppermint, methyl salicylate, orange flavoring and the like. Materials used in preparing these various compositions should be
- composition is administered as a tablet or a capsule.
- the pharmaceutical composition can also be administered by nasal administration.
- nasally administering or nasal administration includes administering the composition to the mucus membranes of the nasal passage or nasal cavity of the patient.
- pharmaceutical compositions for nasal administration of a composition include therapeutically effective amounts of the compounds prepared by well-known methods to be administered, for example, as a nasal spray, nasal drop, suspension, gel, ointment, cream or powder. Administration of the composition may also take place using a nasal tampon or nasal sponge.
- suitable formulations may include biocompatible oil, wax, gel, powder, polymer, or other liquid or solid carriers. Such formulations may be administered by applying directly to affected tissues, for example, a liquid formulation to treat infection of conjunctival tissue can be administered dropwise to the subject's eye, or a cream formulation can be administered to the skin.
- Rectal administration includes administering the pharmaceutical compositions into the rectum or large intestine. This can be accomplished using suppositories or enemas.
- Suppository formulations can easily be made by methods known in the art.
- suppository formulations can be prepared by heating glycerin to about 120 °C, dissolving the pharmaceutical composition in the glycerin, mixing the heated glycerin after which purified water may be added, and pouring the hot mixture into a suppository mold.
- Transdermal administration includes percutaneous absorption of the composition through the skin.
- Transdermal formulations include patches, ointments, creams, gels, salves and the like.
- pulmonary will also mean to include a tissue or cavity that is contingent to the respiratory tract, in particular, the sinuses.
- an aerosol formulation containing the active agent, a manual pump spray, nebulizer or pressurized metered-dose inhaler as well as dry powder formulations are contemplated.
- a drug delivery device for delivering aerosols comprises a suitable aerosol canister with a metering valve containing a pharmaceutical aerosol formulation as described and an actuator housing adapted to hold the canister and allow for drug delivery.
- the canister in the drug delivery device has a head space representing greater than about 15% of the total volume of the canister.
- the compound intended for pulmonary administration is dissolved, suspended or emulsified in a mixture of a solvent, surfactant and propellant. The mixture is maintained under pressure in a canister that has been sealed with a metering valve.
- the disclosure also encompasses the treatment of a condition associated with a dysfunction in proteostasis in a subject comprising administering to said subject an effective amount of a disclosed compound that enhances, improves or restores proteostasis of a protein.
- Proteostasis refers to protein homeostasis. Dysfunction in protein homeostasis is a result of protein misfolding, protein aggregation, defective protein trafficking or protein degradation.
- the disclosure contemplates s administering a disclosed compound e.g., Formula (la), (Ila), (lb), (lib), (III), or (IV) that corrects protein misfolding, reduces protein aggregation, corrects or restores protein trafficking and/or affects protein degradation for the treatment of a condition associated with a dysfunction in proteostasis.
- a disclosed compound e.g., Formula (la), (Ila), (lb), (lib), (III), or (IV) that corrects protein misfolding and/or corrects or restores protein trafficking is administered.
- cystic fibrosis the mutated or defective enzyme is the cystic fibrosis transmembrane conductance regulator (CFTR).
- AF508 is a deletion ( ⁇ ) of three nucleotides resulting in a loss of the amino acid phenylalanine (F) at the 508th (508) position on the protein.
- F amino acid phenylalanine
- mutated cystic fibrosis transmembrane conductance regulator exists in a misfolded state and is characterized by altered trafficking as compared to the wild type CFTR.
- Additional exemplary proteins of which there can be a dysfunction in proteostasis, for example that can exist in a misfolded state include, but are not limited to,
- glucocerebrosidase hexosamine A, aspartylglucosaminidase, oc-galactosidase A, cysteine transporter, acid ceremidase, acid a-L-fucosidase, protective protein, cathepsin A, acid ⁇ - glucosidase, acid ⁇ -galactosidase, iduronate 2-suIfatase, a-L-iduronidase, gaiactocerebrosidase, acid a -mannosidase, acid ⁇ -mannosidase, arylsulfatase B, arylsulfatase A, N- acetylgalactosamine-6-sulfate sulfatase, acid ⁇ -galactosidase, N-acetylglucosamine-1 - phosphotransferase, acid sphingmyelinase
- Protein conformational diseases encompass gain of function disorders and loss of function disorders.
- the protein conformational disease is a gain of function disorder.
- gain of function disorder is a disease characterized by increased aggregation-associated
- Gain of function diseases include, but are not limited to, neurodegenerative diseases associated with aggregation of polyglutamine, Lewy body diseases, amyotrophic lateral sclerosis, transthyretin-associated aggregation diseases, Alzheimer's disease, Machado-Joseph disease, cerebral B-amyloid angiopathy, retinal ganglion cell degeneration, tauopathies (progressive supranuclear palsy, corticobasal degeneration, frontotemporal lobar degeneration), cerebral hemorrhage with amyloidosis, Alexander disease, Serpinopathies, familial amyloidotic neuropathy, senile systemic amyloidosis, ApoAI amyloidosis, ApoAII amyloidosis, ApoAIV amyloidosis, familial amyloidosis of the Finnish type, lysoyzme amyloidosis
- spinocerebellar ataxia 1 Angelman syndrome, giant axon neuropathy, inclusion body myopathy with Paget disease of bone, frontotemporal dementia (IBMPFD) and prion diseases.
- Neurodegenerative diseases associated with aggregation of polyglutamine include, but are not limited to, Huntington's disease, dentatorubral and pallidoluysian atrophy, several forms of spino-cerebellar ataxia, and spinal and bulbar muscular atrophy.
- Alzheimer's disease is characterized by the formation of two types of aggregates: extracellular aggregates of ⁇ peptide and intracellular aggregates of the microtubule associated protein tau.
- Transthyretin- associated aggregation diseases include, for example, senile systemic amyloidoses and familial amyloidotic neuropathy.
- Lewy body diseases are characterized by an aggregation of a- synuclein protein and include, for example, Parkinson's disease, lewy body dementia (LBD) and multiple system atrophy (SMA).
- Prion diseases also known as transmissible spongiform encephalopathies or TSEs
- TSEs transmissible spongiform encephalopathies
- Exemplary human prion diseases are Creutzfeldt-Jakob Disease (CJD), Variant Creutzfeldt-Jakob Disease, Gerstmann-Straussler-Scheinker Syndrome, Fatal Familial Insomnia and Kuru.
- CJD Creutzfeldt-Jakob Disease
- Variant Creutzfeldt-Jakob Disease Gerstmann-Straussler-Scheinker Syndrome
- Fatal Familial Insomnia and Kuru prion diseases
- the misfolded protein is alpha- 1 anti-trypsin.
- the protein conformation disease is a loss of function disorder.
- the terms "loss of function disease” and “loss of function disorder” are used interchangeably herein.
- Loss of function diseases are a group of diseases characterized by inefficient folding of a protein resulting in excessive degradation of the protein.
- Loss of function diseases include, for example, lysosomal storage diseases. Lysosomal storage diseases are a group of diseases characterized by a specific lysosomal enzyme deficiency which may occur in a variety of tissues, resulting in the build-up of molecules normally degraded by the deficient enzyme.
- Lysosomal enzyme deficiency can be in a lysosomal hydrolase or a protein involved in the lysosomal trafficking; Lysosomal storage diseases include, but are not limited to, aspartylglucosaminuria, Fabry's disease, Batten disease, Cystinosis, Farber, Fucosidosis, Galactasidosialidosis, Gaucher's disease (including Types 1 , 2 and 3), Gm l gangliosidosis, Hunter's disease, Hurler-Scheie's disease, Krabbe's disease, - annosidosis, ⁇ -Mannosidosis, Maroteaux-Lamy's disease, Metachromatic Leukodystrophy, Morquio A syndrome, Morquio B syndrome, Mucolipidosis II, Mucolipidosis III, Neimann-Pick Disease (including Types A, B and C), Pompe's disease, Sandhoff disease, Sanfilippo syndrome (including Types A, B, C and D
- a disease associated with a dysfunction in proteostasis is a cardiovascular disease.
- Cardiovascular diseases include, but are not limited to, coronary artery disease, myocardial infarction, stroke, restenosis and arteriosclerosis.
- Conditions associated with a dysfunction of proteostasis also include ischemic conditions, such as,
- a treatment of a disease associated with a dysfunction in proteostasis is diabetes and/or complications of diabetes, including, but not limited to, diabetic retinopathy, cardiomyopathy, neuropathy, nephropathy, and impaired wound healing is contemplated.
- a treatment of a disease associated with a dysfunction in proteostasis is an ocular disease including, but not limited to, age-related macular degeneration (AMD), diabetic macular edema (DME), diabetic retinopathy, glaucoma, cataracts, retinitis pigmentosa (RP) and dry macular degeneration is contemplated.
- AMD age-related macular degeneration
- DME diabetic macular edema
- RP retinitis pigmentosa
- dry macular degeneration is contemplated.
- a disclosed method is directed to treating a disease associated with a dysfunction in proteostasis, wherein the disease affects the respiratory system or the pancreas.
- a contemplated method encompass treating a condition selected from the group consisting of polyendocrinopathy/hyperinsulinemia, diabetes mellitus, Charcot-Marie Tooth syndrome, Pelizaeus-Merzbacher disease, and
- hemoglobinopathies include hemoglobinopathies, inflammatory diseases, intermediate filament diseases, drug-induced lung damage and hearing loss.
- methods for the treatment of hemoglobinopathies such as sickle cell anemia
- an inflammatory disease such as asthma
- inflammatory bowel disease such as colitis, ankylosing spondylitis
- intermediate filament diseases such as non-alcoholic and alcoholic fatty liver disease
- drug induced lung damage such as methotrexate-induced lung damage
- Additional conditions include those associated with a defect in protein trafficking and that can be treated according to a disclosed methods include: PGP mutations, hERG trafficking mutations, nephrongenic diabetes insipidus mutations in the arginine-vasopressin receptor 2, persistent hyperinsulinemic hypoglycemia of infancy (PHH1) mutations in the sulfonylurea receptor 1, and oc lAT.
- the compounds described herein can be prepared in a number of ways based on the teachings contained herein and synthetic procedures known in the art. In the description of the synthetic methods described below, it is to be understood that all proposed reaction conditions, including choice of solvent, reaction atmosphere, reaction temperature, duration of the experiment and workup procedures, can be chosen to be the conditions standard for that reaction, unless otherwise indicated. It is understood by one skilled in the art of organic synthesis that the functionality present on various portions of the molecule should be compatible with the reagents and reactions proposed. Substituents not compatible with the reaction conditions will be apparent to one skilled in the art, and alternate methods are therefore indicated. The starting materials for the examples are either commercially available or are readily prepared by standard methods from known materials. At least some of the compounds identified as "intermediates" herein are contemplated as compounds of the invention.
- Step 1 3-Amino-cyclobutan-l-one: SOCl 2 (15.6 g, 131.46 mmol) was added dropwise to an ice-cooled solution of 3-oxocyclobutane carboxylic acid (5.0 g, 43.82 mmol) in dry DCM (30 mL) and the reaction mixture was refluxed for 3h. The reaction mixture was cooled to room temperature and the volatiles were removed under reduced pressure to get the crude compound which was azeotropically distilled with toluene (20 mL x 2) to remove acidic traces.
- the crude compound was dissolved in dry acetone (15 mL) and to the resulting solution was added a solution of NaN 3 (5.69 g, 87.64 mmol) in water (20 mL) at 0 °C over 30 min.
- the reaction mixture was stirred for 1 h at 0 °C and crushed ice was added to the reaction mixture.
- the aq. phase was extracted with ether (3 x 50 mL), dried over sodium sulfate and concentrated to ⁇ l/4th volume. Then the reaction mixture was added to toluene (70 mL) and heated to 90 °C, until evolution of N 2 ceased (-30 min).
- Step 2 tert-butyl (3-oxocycIobutyl) carbamate: TEA (29.72 g, 293.73 mmol) was added dropwise to a solution of 3-aminocyclobutan-l -one (5.0 g, 58.74 mmol) and Boc 2 0 (25.64 g, 1 17.49 mmol) in DMF (80 mL) and the reaction mixture was stirred at room temperature for 2 h. After complete consumption of starting material as indicated by TLC, the reaction mixture was diluted with water (100 mL) and extracted with diethyl ether (6 x 70 mL).
- Step 3 tert-butyl c «-3-hydroxycyclobutyl)carbamate: a solution of L-Selectride (1M solution in THF) (8.053 mL, 8.05 mmol) was added dropwise over a period of 20 min to a solution of tert-butyl (3-oxocyclobutyl)carbamate (1.0 g, 5.40 mmol) in THF (25 mL) under N 2 atmosphere at -78 °C and the reaction mixture was stirred for l h at -78 °C.
- Step 4 cis-3-((tert-butoxycarbonyl)amino)cyclobutyl methanesulfonate:
- triethylamine (1.0 g, 9.93 mmol) was added to a cold (-10 °C ) solution of tert-butyl (cis-3- hydroxycyclobutyl)carbamate (0.62 g, 3.31 mmol) in DCM (30 mL) followed by dropwise addition of methanesulfonyl chloride (0.45 g, 3.97 mmol) and the reaction mixture was stirred at -10 °C for 2 h. The reaction mixture was diluted with DCM (100 mL) and washed with water (5 mL) followed by dilute citric acid (30 mL) and brine (30 mL).
- Step 5 tert-butyl (fra/is-3-azidocyclobutyl) carbamate: NaN 3 (0.49 g, 7.54 mmol) was added to a solution of cw-3-((tert-butoxycarbonyl) amino)cyclobutyl
- Step 1 /rans-3-((teii-butoxycarbonyl)amino)cyclobutyl 4-nitrobenzoate: To an ice-cooled solution of tert-butyl (c 5-3-hydroxycyclobutyl)carbamate ( 1.5 g, 80.1 1 mmol) and 4-nitrobenzoic acid (1.47 g, 88.12 mmol) in dry THF (60 mL) was added triphenylphosphine (3.15 g, 12.01 mmol) followed by dropwise addition of DIAD (8.09 g, 40.05 mmol) and the reaction mixture was stirred at room temperature for 2 days.
- DIAD 8.09 g, 40.05 mmol
- Step 2a 7>a/*s-tert-butyl -3-hydroxycyclobutyl carbamate: tra «s-3-((tert- butoxycarbonyl) amino) cyclobutyl 4-nitrobenzoate was added (2.3 g, 68.38 mmol) to a suspension of 2 C0 3 (1.41 g, 10.25 mmol) in MeOH (50 mL) and water (10 mL) and the reaction mixture was heated at reflux for 2 h. The reaction mixture was cooled and filtered through celite bed. The filtrate was concentrated under reduced pressure to afford the crude product (4.2 g, crude) as an off-white solid which was used as such without further purification.
- Step 2b /ra «s-3-((tert-butoxycarbonyl)amino)cyclobutyl methanesulfonate: triethylamine (6.8 g, 67.29 mmol) was added to a suspension of irara-tert-butyl -3- hydroxycyclobutyl carbamate (4.2 g, 22.43 mmol) in DCM (100 mL) followed by dropwise addition of methanesulfonyl chloride (3.08 g. 26.91 mmol) at -10 °C and the reaction mixture was stirred at -10 °C for 2 h.
- triethylamine 6.8 g, 67.29 mmol
- DCM 100 mL
- methanesulfonyl chloride 3.08 g. 26.91 mmol
- the reaction mixture was diluted with DCM (100 mL) and washed with water (50 mL) followed by brine (30 mL). The organic layer was dried over sodium sulfate and concentrated under reduced pressure to obtain the crude product (3.4 g, crude) as a yellow solid which was used as such in next step without purification.
- Step 2c cis-tert-butyl (3-azidocycIobutyl)carbamate: sodium azide (2.08 g, 32.035 mmol) was added to a solution of tra/w-3-((tert-butoxycarbonyl)amino)cyclobutyl methanesulfonate (3.4 g, 12.81 mmol) in dry DMF (20 mL) at room temperature and the reaction mixture was heated at 85 °C for 16 h. The crude reaction mixture was diluted with water (50 mL) and the aqueous phase was extracted with ethyl acetate (50 mL x 3).
- Step 1 3-phenylisoxazole-5-carbonyl chloride: DMF (0.5 mL) was added to a solution of 3-phenylisoxazole-5-carboxylic acid (10 g, 52.86 mmol, 1.00 eq.) and oxalyl chloride (8.74 g, 68.86 mmol, 1.30 eq.) in dichloromethane (200 mL) and the solution was stirred for 1 h at 0 °C. The resulting mixture was concentrated under vacuum to give 1 1.265 g (crude) of 3-phenylisoxazole-5-carbonyl chloride as a yellow solid.
- Step 2 tert-butyl 3-frarts-(3-phenyIisoxazole-5-amido)cyclobiitaiie-l- carboxylate: a solution of 3-phenylisoxazole-5-carbonyl chloride (8.21 g, 39.54 mmol, 1.50 eq.) in dichloromethane (60 mL) was added dropwise to a solution of tert-butyl -trans- aminocyclobutane-l -carboxylate (4.5 g, 26.28 mmol, 1.00 eq.) and DIEA (6.79 g, 52.54 mmol, 2.00 eq.) in dichloromethane (30 mL) under N 2 .
- Step 3 -3-ira «5-(3-phenylisoxazole-5-amido)cyclobutane-l-carboxylic acid: a solution of tert-butyl 3-iram-(3-phenylisoxazole-5-amido)cyclobutane-l-carboxylate (9.7 g, 28.33 mmol, 1.00 eq.) and trifluoroacetic acid (30 mL) in dichloromethane (100 mL) was stirred for 6 h at room temperature.
- Step 1 methyl (2R)-2-methoxypropanoate: Ag 2 0 (6.1 g, 26.4 mmol, 1.10 eq.) was added to a solution of iodomethane (27.3 g, 192 mmol, 8.00 eq.) and methyl (2R)-2- hydroxypropanoate (2.5 g, 24 mmol, 1.00 eq.) in acetonitrile (30 mL) and the solution was stirred for 16 h at 85 °C in an oil bath. The solids were filtered and the mixture was diluted with DCM (100 mL).
- Step 2 (2/?)-2-methoxypropanehydrazide: a solution of methyl 2R)-2- methoxypropanoate (2 g, 16.93 mmol, 1.00 eq.) and hydrazine hydrate (5.3 g, 84.70 mmol, 5.00 eq.) in ethanol (50 mL) was stirred for 16 h at 70 °C in an oil bath. The resulting mixture was concentrated under vacuum to obtain 2 g (crude) of (2 ⁇ )-2-methoxypropanehydrazide as light yellow oil.
- LC-MS (ES, m/z) [M+l ] + 1 19.
- Step 1 tert-butyl (3-oxocyclobutyl)carbamate: DPPA (4.0 g, 1.1 eq.) was added dropwise to a cold (-5-5 °C) solution of 3-oxocyclobutanecarboxylic acid (1.5 g, 1.0 eq.) and TEA (1.5 g, 1.1 eq.) in toluene (30 mL), and the mixture was stirred at -5-0 °C for 16 h. The reaction mixture was washed with NaHC0 3 (2 x 9 mL), water (1 x 9 mL) and NaCl aq. (1 x 4.5 mL) at 0-10 °C.
- Step 2 tert-butyl (c/s-3-hydroxycyclobutyl)carbamate: a solution of tert-butyl (3-oxocyclobutyl)carbamate (200 mg, 1.0 eq.) in THF (1 mL) was added dropwise to a cold (below -70 °C) solution of NaBH 4 (20.4 mg, 0.5 eq.) in THF (1.8 mL) and water (2 mL), maintaining the temperature at -80—70 °C (ca. for 2 h for completion of addition). The mixture was stirred at-60— 50 °C for 3 h, water (2 mL) was added to the reaction mixture and allowed to warm up to 15 °C.
- reaction mixture was then extracted with ethyl acetate (2 mL, 2 x 1 mL) and the combined organic layers were washed with brine (1 mL).
- the organic layer was concentrated under vacuum at 35-40 °C, the solid dissolved in toluene (1 mL, 80-90 °C) and gradually cooled to 25-30 °C for 2.5 h.
- the mixture was stirred for 2 h at 25-30 °C, filtered, and the solid dried in the air to give the product (177 mg with ratio of cis: trans (96.4:3.6), yield: 87.6%) as an off-white solid.
- Step 3 tert-butyl (fra/is-3-azidocyclobutyl)carbamate: a solution of PPh 3 (315 mg) and DIAD (243 mg) in THF (3 mL) was stirred for 20 min at 0- 10 °C. A solution of tert- butyl (cis-3-hydroxycyclobutyl)carbamate (150 mg, 1.0 eq.) and DPPA (265 mg, 1 .2 eq.) in THF (1 ml) was added dropwise and mixture was then warmed to 25-30 °C and stirred for 2 h.
- Step 4 tert-butyl (ira i5-3-(5-(hydroxymethyl)-lH-l ⁇ ,3-triazol-l- yl)cyclobutyl)carbamate: a solution of tert-butyl (trans-3-azidocyclobutyl)carbamate (246 mg, 1 .0 eq.) and prop-2-yn-l -ol (326 mg, 5.0 eq.) in DMF (1.2 mL) was heated at 90- 95 °C for 20 h. The mixture was concentrated under vacuum at 65 °C to give a ⁇ 1 :1 mixture of 4 and 5 regioisomers (353 mg).
- Step 5 (l-(ira/i5-3-aminocyclobutyl)-lH-l ⁇ ,3-triazol-5-yl)methanol hydrochloride: tert-butyl (trans-3-(5-(hydroxymethyl)-lH-l ,2,3-triazol-l- yl)cyclobutyl)carbamate (101 mg, 1.0 eq.) was added slowly (5 portions) to a solution of HCl/dioxane (3.5 mol/L, 2 mL) at 20-30 °C, and then stirred for 18 h at 20-30 °C. The reaction mixture was concentrated under vacuum at 55 °C to give the product (93.4 mg, assay 67% based on free base, Y: 100%) as a solid.
- Step 6 N-(ir «s-3-(5-(hydroxymethyl)-lH-l,2,3-triazol-l-yl)cyclobutyl)-3- phenylisoxazole-5-carboxamide: DIPEA (388 mg, 3.00 mmol, 3.00 eq.) was added dropwise to a 0 °C solution of lithio 3-phenylisoxazole-5-carboxylate (190 mg, 0.97 mmol, 1.00 eq.), [1 - [trans-3-aminocyclobutyl]-l H-l ,2,3-triazol-5-yl]methanol hydrochloride (204 mg, 1.00 mmol, 1.00 eq.) and HATU (684 mg, 1.80 mmol, 1.80 eq.) in DMF (5 mL).
- the resulting solution was stirred for 1 hour at room temperature and then diluted with 50 mL of water/ice.
- the resulting solution was extracted with ethyl acetate (3 x 50 mL) and the organic layers combined.
- the resulting mixture was washed with brine (2 x 30 mL), dried over anhydrous sodium sulfate and concentrated under vacuum.
- Step la methyl (2R)-2-[(tert-butyldimethylsilyl)oxy]propanoate: into a 250-mL round-bottom flask was placed a solution of methyl (2/?)-2-hydroxypropanoate (5 g, 48.03 mmol, 1.00 eq.) and imidazole (6.5 g, 95.59 mmol, 2.00 eq.) in dichloromethane (100 mL), followed by the dropwise addition of a solution of tert-butyl(chloro)dimethylsilane (8.7 g, 57.72 mmol, 1.20 eq.) in dichloromethane (50 mL) at 0 °C.
- Step lb (2/f)-2-[(tert-butyldimethylsilyl)oxy]propanehydrazide: into a 250-mL round-bottom flask was placed a solution of methyl (2i?)-2-[(tert- butyldimethylsilyl)oxy]propanoate (7 g, 32.06 mmol, 1.00 eq.) in ethanol (100 mL). To the solution was added hydrazine (10 g, 159.81 mmol, 5.00 eq., 80%). The resulting solution was stirred for 35 h at 90 °C in an oil bath. The resulting solution was quenched by the addition of water/ice.
- Step 1 methyl (ira «5-3-(l,3-dioxo-2,3-dihydro-lH-isoindol-2-yl)cyclobutane-l- carboxylate: into a 250-mL round-bottom flask, under nitrogen was placed a solution of methyl 3-cis-hydroxycyclobutane-l-carboxylate (8 g, 61.47 mmol, 1.00 eq.), 2,3-dihydro-lH- isoindole-l,3-dione (18.1 g, 123.02 mmol, 2.00 eq.) and triphenylphosphine (32.3 g, 123.15 mmol, 2.00 eq.) in THF (100 mL), followed by addition of DIAD (24.9 g, 123.14 mmol, 2.00 eq.) dropwise with stirring at 0 °C.
- DIAD 24.9 g, 123.14 mmol,
- Step 2 ira «s-3-(l,3-dioxo-2,3-dihydro-lH-isoindol-2-yl)cyclobutane-l- carboxylic acid: into a 100-mL round-bottom flask, was placed a solution of methyl trans-3- (l ,3-dioxo-2,3-dihydro-l H-isoindol-2-yl)cyclobutane-l -carboxylate (7.2 g, 27.77 mmol, 1.00 eq.) in 1,4-dioxane (100 mL). To the solution was added 5M hydrogen chloride aqueous (10 mL).
- Step 3 (l ⁇ -Z-Iitert-butyldimeth lsil ox l-N-tira/is-S-il ⁇ -dio o-l ⁇ -dihydro- lH-isoindol-2-yl)cyclobutyl]carbonyl]propanehydrazide: into a 250-mL round-bottom flask, was placed a solution of tra «5-3-(l ,3-dioxo-2,3-dihydro-l H-isoindol-2-yl)cyclobutane-l - carboxylic acid (6.2 g, 25.28 mmol, 1.00 eq.), (2tf)-2-[(tert- butyldimethylsilyl)oxy]propanehydrazide (6.61 g, 30.27 mmol, 1.20 eq.) and HATU (14.4 g, 37.89 mmol, 1.50
- the resulting solution was stirred for 1 hour at room temperature. The reaction was then quenched by the addition of 100 mL of water/ice. The resulting solution was extracted with ethyl acetate (3 x 50 mL) and the organic layers combined. The resulting mixture was washed with brine (2 x 50 mL), dried over anhydrous sodium sulfate and concentrated under vacuum.
- Step 4 2-[ira «5-3-[5-[(lR)-l-[(tert-butyldimethylsilyl)oxy]ethyl]-l,3,4- oxadiazol-2-yl]cyclobutyl]-2,3-dihydro-lH-isoindole-l ⁇ -dione: into a 250-mL round- bottom flask was placed a solution of (2R)-2-[(tert-butyldimethylsilyl)oxy]-N-[[ trans-3-( ⁇ ,3- dioxo-2,3-dihydro-l H-isoindol-2-yl)cyclobutyl]carbonyl]propanehydrazide (6.95 g, 15.60 mmol, 1.00 eq.) and TEA (7.89 g, 77.97 mmol, 5.00 eq.) in dichloromethane (100 mL), followed by addition of
- Step 5 irans-3-[5-[(lR)-l-[(tert-butyldimethylsilyl)oxy]ethyl]-l,3,4-oxadiazol-2- yl]cyclobutan-l-amine: into a 250-mL round-bottom flask, was placed a solution of 2-[ trara- 3-[5-[(17?)-l -[(tert-butyldimethylsilyl)oxy]ethyl]-l ,3,4-oxadiazol-2-yl]cyclobutyl]-2,3-dihydro- lH-isoindole- l ,3-dione (1.18 g, 2.76 mmol, 1.00 eq.) in ethanol (100 mL).
- Step 6 7V-(ir is-3-[5-[(li?)-l-[(tert-butyldimethylsilyl)oxy]ethyl]-l,3,4- oxadiazol-2-yl]cyclobutyl)-3-phenylisoxazole-5-carboxamide: into a 100-mL round-bottom flask, was placed a solution of lithio 3-phenylisoxazole-5-carboxylate (300 mg, 1.54 mmol, 1.20 eq.), 3-[5-[(l/?)-l -[(tert-butyldimethylsilyl)oxy]ethyl]-l ,3,4-oxadiazol-2-yl]cyclobutan-l - amine (380 mg, 1 .28 mmol, 1.00 eq.) and HATU (728 mg, 1.92 mmol, 1 .50 eq.) in THF (50 mL).
- Step 7 ⁇ -(ir is-S-tS-Iil ⁇ -l-h drox eth lJ-l ⁇ -o adiazoI-Z-ylJc cIobuty -S- phenylisoxazole-5-carboxamide: into a 50-mL round-bottom flask, was placed a solution of N-(3-[iranj-5-[(lR)-l -[(tert-butyldimethylsilyl)oxy]ethyl]-l ,3,4-oxadiazol-2-yl]cyclobutyl)-3- phenylisoxazole-5-carboxamide (300 mg, 0.64 mmol, 1.00 eq.) and TBAF (lmol/L in tetrahydrofiiran, 1 mL) in THF (5 mL).
- Step 1 Cyanomethyl triphenylphosphonium chloride: chloroacetonitrile (10 g, 0.132 mol) was added dropwise to a solution of triphenylphosphine (23.5g, 0.0895 mol) in (120 mL) toluene and heated at reflux for 6 h. The reaction mixture was cooled to room
- Step 3 3-(l-methyl-lH-pyrazol-5-yl)propan-l-amine: Raney Ni (1 g, 50 % in water suspension) was added to a solution of 3-(2-methyl-2H-pyrazol-3-yl)-acrylonitrile (1.0 g, 0.0075 mol) in ethanol (10 mL) at room temperature. The reaction mixture was then stirred under a hydrogen atmosphere for 16 h, filtered through a celite bed and washed with ethanol (2 x 10 mL). The filtrate was evaporated under vacuum to afford the compound (0.9 g, 86.53 % yield) as a yellow oil. The crude product was used directly for amide coupling.
- Step 4 N-(3-(l-methyl-lH-pyrazol-5-yl)propyl)-3-phenylisoxazole-5- carboxamide: EDC HCl (0.220g, 0.001 15 mole) and HOBt.H 2 0 (0.129 g, 0.00084 mole) were added to a solution of 3-phenylisoxazole-5-carboxylic acid (0.150g, 0.00076 mol) in THF (5 mL) and stirred at room temperature for 20 minutes.
- Example 11 N-(3-(lH-imidazol-l-yl)propyl)-4-phenylfuran-2-carboxamide: [0165]
- Example 13 A ⁇ -(ira is-3-(5-(l-(methylsulfonyl)ethyl)-l,3,4-oxadiazol-2-yl)cyclobutyl)-3- phenylisoxazole-5-carboxamide
- Step 1 N-ira/is-(3-[[(2R)-2-[(tert- butyldimethylsiIyl)oxy]propanehydrazido]carbonyI]cycloburyl)-3-phenylisoxazole-5- carboxamide: T 3 P (50%) (55.6 g, 5.00 eq.), TEA (8.83 g, 87.26 mmol, 5.00 eq.) and (2R)-2- [(tert-butyldimethylsilyl)oxy]propanehydrazide (4.95 g, 22.67 mmol, 1.30 eq.) were added to a solution of 3-(3-phenylisoxazole-5-amido)cyclobutane-l -carboxylic acid (5 g, 17.47 mmol, 1.00 eq.) in tetrahydrofuran (50 mL) and the solution was stirred for 1.5 hours at 30 °
- Step 2 V-fr is-(3-[5-[(R)-l-[(tert-butyldimethylsilyl)oxy]ethyl]-l,3,4-oxadiazol- 2-yl]cyclobutyl)-3-phenylisoxazole-5-carboxamide: I 2 (20.74 g, 5.00 eq.) and TEA (9.98 g, 98.63 mmol, 6.00 eq.) were added to a solution of Ph 3 P (21.56 g, 5.00 eq.) in dichloromethane (50 mL), followed by the dropwise addition of a solution of N-/ra «5-(3-[[(2 ?)-2-[(tert- butyldimethylsilyl)oxy]propanehydrazido]carbonyl]cyclobutyl)-3-phenylisoxazole-5- carboxamide (8 g, 16.44 mmol, 1.00
- Step 3 ⁇ -ira «s-(3-[5-[(l f)-l-hydroxyethyl]-l,3,4-oxadiazol-2-yl]cyclobutyl)-3- phenylisoxazoIe-5-carboxamide: a solution of N-/raw-(3-[5-[(lR)-l -[(tert- butyIdimethylsilyl)oxy]ethyl]-l ,3,4-oxadiazol-2-yl]cyclobutyl)-3-phenylisoxazole-5- carboxamide (25.3 g, 53.99 mmol, 1.00 eq.) and pyridine hydrofluoride (15 g, 151.35 mmol, 2.80 eq.) in methanol (50 mL) was stirred for 5 hours at room temperature.
- Step 4 (R)-l-[5-/r «s-[3-(3-phenylisoxazole-5-amido)cyclobutyl]-l,3,4- oxadiazol-2-yl]ethyl methanesulfonate: TEA (1.28 g, 12.65 mmol, 3.00 eq.) and MsCl (0.725 g, 1 .50 eq.) were added to a solution of N-/rara-(3-[5-[(R)-l -hydroxyethyl]- 1 ,3,4- oxadiazol-2-yl]cyclobutyl)-3-phenylisoxazole-5-carboxamide (1.5 g, 4.23 mmol, 1.00 eq.) in dichloromethane (50 mL) and the solution was stirred for 3 hours at 0 °C.
- Step 5 N-/ra «5-(3-[5-[l-(methylsulfanyl)ethyl]-l ⁇ ,4-oxadiazol-2-yl]cyclobutyl)- 3-phenylisoxazole-5-carboxamide: a solution of (7?)-l -[5-tra «5-[3-(3-phenylisoxazole-5- amido)cyclobutyl]-l ,3,4-oxadiazol-2-yl]ethyl methanesulfonate (400 mg, 0.92 mmol, 1.00 eq.) and NaMeS (132 mg, 2.00 eq.) in DMF (3 mL) was stirred for 5 hours at 100 °C.
- Step 6 N-(3-[5-/re «5-[l-methanesulfonylethyl]-l,3,4-oxadiazoI-2-yl]cyclobutyl)- 3-phenylisoxazole-5-carboxamide: a solution ofN-(3-[5-/ra «5-[l -(methylsulfanyl)ethyl]- l,3,4-oxadiazol-2-yl]cyclobutyl)-3-phenylisoxazole-5-carboxamide (230 mg, 0.60 mmol, 1.00 eq.) and MCPBA (0.42 g, 4.00 eq.) in dichloromethane (5 mL) was stirred for 2 hours at room temperature.
- Example 14 A ⁇ -(ira/is-3-(5-((R)-l-methoxyethyl)-l,3,4-oxadiazoI-2-yl)cyclobutyl)-3- phenylisoxazole-S-carboxamide
- Step 1 3-phenyl-N-[fra/w-3-[N-[(2R)-2- methoxypropanoyl]hydrazinecarbonyl]cyclobutyl]-l,2-oxazole-5-carboxamide: TEA (315 mg, 3.1 1 mmol, 2.97 eq.) and T 3 P (667 mg) were added to a solution of trans-3-(3- phenylisoxazole-5-amido)cyclobutane-l-carboxylic acid (300 mg, 1.05 mmol, 1.00 eq.) and (2/?)-2-methoxypropanehydrazide (185 mg, 1.57 mmol, 1.49 eq.) in tetrahydrofuran (5 mL) and the mixture was stirred for 2 hours at room temperature. The resulting mixture was
- Step 2 3-phenyl- ⁇ -[/ra i5-3-[5-[(15)-l-methoxyethyl]-l,3,4-oxadiazol-2- yl]cyclobutyl]-l,2-oxazole-5-carboxamide: 3-phenyl-N-[ira «5-3-[N-[(2 ?)-2- methoxypropanoyl]hydrazinecarbonyl]cyclobutyl]-l,2-oxazole-5-carboxamide (150 mg, 0.39 mmol, 1.00 eq.) was added to a solution of PPh 3 (150 mg, 0.57 mmol, 1.47 eq.), I 2 (150 mg) and TEA (120 mg, 1.19 mmol, 3.05 eq.) in dichloromethane (5 mL) and the mixture was stirred for 2 hours at 0 °C.
- PPh 3 150 mg, 0.57 mmol, 1.47 eq.
- Example 15 and 16 3-phenyl-A ⁇ -(irfl/i5-3-(5-((S)-l-(2,2,2-trinuoroethoxy)ethyl)- l,3,4-oxadiazol-2-yl)cyclobutyl)isoxazole-5-carboxamide and 3-phenyl-N-(/ra i5-3-(5-((R)- l-(2,2,2-trifluoroethoxy)ethyl)-l,3,4-oxadiazol-2-yl)cyclobutyl)isoxazole-5-carboxamide
- the reaction mixture was diluted with water (30 mL), extracted with ethyl acetate (3x30 mL) and the organic layers were combined, dried over anhydrous sodium sulfate and concentrated under vacuum.
- the crude product was purified by Prep-HPLC with the following conditions (Waters): Column: XBridge CI 8 OBD Prep Column ⁇ ⁇ , 19 mm X 250 mm; Mobile Phase A: water (10 mmol L NH 4 HC0 3 ), Mobile Phase B: ACN; Flow rate: 25 mL/min; Gradient: 15% B to 65% B in 8 min; 254/220 nm.
- the isomers were purified by Chiral-Prep- HPLC with the following conditions: Column: Chiralpak IA 2*25cm, 5um; Mobile Phase A: Hexane; HPLC, Mobile Phase B: EtOH, HPLC Flow rate: 18 mL/min; Gradient: 40 B to 40 B in 15 min; 254/220 nm; RT1 : 9.505; RT2: 1 1.208. This resulted in 19.1 mg (3%) of front peak as a white solid and 16.8 mg of second peak as a white solid.
- Stepl tert-butyl 3-[(methanesulfonyloxy)methyl]azetidine-l-carboxylate:
- Step 2 tert-butyl 3-[(l-[5-[ 'ra/ii-3-(3-phenylisoxazole-5-amido)cyclobutyl]- l,3,4-oxadiazol-2-yl]ethoxy)methyl]azetidine-l-carboxylate: tert-butyl 3-[(l-[5-[ 'ra/ii-3-(3-phenylisoxazole-5-amido)cyclobutyl]- l,3,4-oxadiazol-2-yl]ethoxy)methyl]azetidine-l-carboxylate: tert-butyl 3-[(l-[5-[ 'ra/ii-3-(3-phenylisoxazole-5-amido)cyclobutyl]- l,3,4-oxadiazol-2-yl]ethoxy)methyl]azetidine-l-carboxylate: tert-buty
- the reaction was stirred for 16 hours at 80 °C in an oil bath then diluted with ethyl acetate (100 mL). The resulting solution was washed with water (2 x 30 mL), brine (1 x 30 mL), dried over anhydrous sodium sulfate and concentrated under vacuum.
- Step 3 3-phenyl-N-[ir «s-3-[5-[l-(azetidin-3-ylmethoxy)ethyl]-l,3,4-oxadiazol- 2-yl]cyclobutyl]isoxazole-5-carboxamide: a solution of tert-butyl 3-[(l -[5-[trara-3-(3- phenylisoxazole-5-amido)cyclobutyl]-l ,3,4-oxadiazol-2-yl]ethoxy)methyl]azetidine-l - carboxylate (237 mg, 0.45 mmol, 1.00 eq.) and TFA (1.5 mL) in DCM (4 mL) was stirred for 2 hours at room temperature.
- Step 4 3-phenyl-N-[ira/is3-(5-[l-[(l-methylazetidin-3-yl)methoxy]ethyl]-l,3,4- oxadiazol-2-yl)cyclobutyl]-isoxazole-5-carboxamide: HCHO (57 mg, 0.70 mmol, 1.50 eq.) was added to a solution of 3-phenyl-N-[tra «s-3-[5-[l-(azetidin-3-ylmethoxy)ethyl]-l ,3,4- oxadiazol-2-yl]cyclobutyl]isoxazole-5-carboxamide (150 mg, 0.35 mmol, 1.00 eq.) in methanol (3 mL) and stirred for 30min.
- Example 21 ⁇ -(irawif-S-iS-il-methylazetidin-S- -ljS ⁇ -oxadiazol- -ylJc cIobuty -S- phenylisoxazole-5-carboxamide trifluoroacetate
- Step 1 3-phenyl-/V-[ira «s-3-(hydrazinecarbonyl)cyclobutyl]isoxazole-5- carboxamide: a solution of /ra «s-3-(3-phenylisoxazole-5-amido)cyclobutane-l-carboxylic acid ( 1.706 g, 5.96 mmol, 1.00 eq.) and CDI (1.933 g, 1 1.92 mmol, 2.00 eq.) in tetrahydrofuran (30 mL) was stirred for 0.5 hour at room temperature.
- Step 2 3-phenyl-iV-[ira «s-3-[[(l-methylazetidin-3- yl)formohydrazido]carbonyl]cyclobutyl]-isoxazoIe-5-carboxamide: 1 -methylazetidine-3- carboxylic acid (172.5 mg, 1.50 mmol, 1.50 eq.), HATU (570 mg, 1.50 mmol, 1.50 eq.) and DIEA (387 mg, 2.99 mmol, 3.00 eq.) were added to a solution of 3-phenyl-N-[trans-3- (hydrazinecarbonyl)cyclobutyl]-isoxazole-5-carboxamide (300 mg, 1.00 mmol, 1.00 eq.) in DMF (10 mL) and then stirred for 2 hours at room temperature.
- DMF 10 mL
- Step 3 3-phenyl-N-[ira «s-3-[5-(l-methylazetidin-3-yl)-l ⁇ ,4-oxadiazol-2- yl]cyclobutyl]-isoxazole-5-carboxamide: I 2 (232 mg) and TEA (276 mg, 2.73 mmol, 5.99 eq.) were added to a cold (0 °C) solution of PPh 3 (239 mg, 0.91 mmol, 2.00 eq.) in DCM (20 mL).
- Example 22 A'-ira/ii-S-iS-io etan-S-y -ljS ⁇ -oxadiazol- -y cyclobuty -S- phenylisoxazole-5-carboxamide
- Step 1 S-phenyl-A'- ⁇ ra ii-S-ihydrazinecarbony cycIobutylJisoxazole-S- carboxamide: CDI (2.26 g, 13.94 mmol, 2.00 eq.) was added to a solution of N-trans-3- 3- phenylisoxazole-5-amido)cyclobutane-l -carboxylic acid (prepared according to procedure shown in example 13, 2 g, 6.99 mmol 1.00 eq.) in THF (3mL) and the solution was stirred for 1 hour at room temperature, followed by the addition of hydrazine hydrate (1.33 g, 21.25 mmol, 3.00 eq., 80%).
- Step 2 3-phenyl-N-[fra/is-3-[(oxetan-3- ylformohydrazido)carbonyI]cyclobutyl]isoxazole-5-carboxamide: oxetane-3-carboxylic acid (170 mg, 1.67 mmol, 1.00 eq.), T 3 P (5.3 g, 8.33 mmol, 5.00 eq., 50%) and TEA (838 mg, 8.3 mmol, 5.00 eq.) were added to a solution of 3-pheny ⁇ -N-[trans-3- (hydrazinecarbonyl)cyclobutyl]isoxazole-5-carboxamide (500 mg, 1.66 mmol, 1.00 eq.) in THF (50mL).
- Step 3 3-phenyl-Af-[/ra «s-3-[5-(oxetan-3-yl)-l,3,4-oxadiazol-2- yl]cyclobutyl]isoxazole-5-carboxamide: I 2 (579 mg, 2.28 mmol, 2.50 eq.), TEA (598 mg, 5.91 mmol, 6.50 eq.) and 3-phenyl-N-[frw «-3-[(oxetan-3- ylformohydrazido)carbonyl]cyclobutyl]isoxazole-5-carboxamide (350 mg, 0.91 mmol, 1.00 eq.) were added to a cold solution of PPh 3 (597 mg, 2.28 mmol, 2.50 eq.) in dichloromethane (30mL) at 0 °C.
- the resulting solution was stirred for 1 hour at room temperature, then quenched by the addition of water.
- the resulting solution was extracted with ethyl acetate and the organic layers combined.
- the resulting mixture was washed with brine, dried over anhydrous sodium sulfate and concentrated under vacuum.
- Example 23 /V-(/rans-3-(5-(l,l-dioxidothietan-3-yl)-l,3,4-oxadiazol-2-yI)cyclobutyl)-3- pheny lisoxazole-5-ca rboxam ide
- Step 1 N-(ira »s-3-(2-(l,l-dioxidothietane-3-carbonyl)hydrazine-l- carbonyl)cyclobutyl)-3-phenylisoxazole-5-carboxamide: a solution of thietane-3-carboxylic acid 1 ,1 -dioxide (500 mg, 3.4 mmol, 1.00 eq.), 3-phenyl-N-[tra «s-3-
- Step 2 N-(ir «5-3-(5-(l,l-dioxidothietan-3-yl)-l,3,4-oxadiazol-2-yl)cyclobutyl)- 3-phenylisoxazole-5-carboxamide: a solution ofN-(/ra «5-3-(2-(l ,l -dioxidothietane-3- carbonyl)hydrazine-l -carbonyl)cyclobutyl)-3-phenylisoxazole-5-carboxamide (400 mg, 0.92 mmol, 1 .00 eq.) in POCl 3 (8 mL) was stirred for 3 hours at 100 °C in an oil bath.
- Example 24 and 25 N-c/5-(3-(5-(l-(l-methylpiperidin-4-yl)azetidin-3-yl)-l,3,4-oxadiazol- 2-yl)cyclobutyl)-3-phenylisoxazole-5-carboxamide and N-/ra «s-(3-(5-(l-(l- methylpiperidin-4-yl)azetidin-3-yl)-l,3,4-oxadiazol-2-yl)cyclobutyl)-3-phenylisoxazole-5- carboxamide
- Step 1 benzyl l-(l-methylpiperidin-4-yl)azetidine-3-carboxylate: a solution of trifiuoroacetic acid benzyl azetidine-3-carboxylate (1.3 g, 4.26 mmol, 1.00 eq.), 1- methylpiperidin-4-one (482 mg, 4.26 mmol, 1.10 eq.) and acetic acid (255 mg, 4.25 mmol, 1.00 eq.) in DCE (20 mL) was stirred for 30 min, followed by the addition of NaBH(OAc) 3 (1.44 g, 6.79 mmol, 1 .60 eq.).
- Step 2 l-(l-methylpiperidiii-4-yl)azetidine-3-carboxylic acid: Palladium on carbon (100 mg) was added to a solution of benzyl l -(l -methylpiperidin-4-yl)azetidine-3- carboxylate (830 mg, 2.88 mmol, 1.00 eq.) in methanol (20 mL), the solution was degassed and back filled with hydrogen. The resulting solution was stirred for 2 hours at room temperature, and the solids were filtered out.
- Step 3 S-phen l-A'- ⁇ ra ii-S-idl-il-meth lpiperidin ⁇ - azetidin-S- yl]formohydrazido]carbonyl)cyclobutyl]-isoxazole-5-carboxamide: a solution of 3-phenyl- N-[/ra «5-3-(hydrazinecarbonyl)cyclobutyl]-isoxazole-5-carboxamide (409 mg, 1.36 mmol, 1.00 eq.), l -(l -methylpiperidin-4-yl)azetidine-3-carboxylic acid (270 mg, 1.36 mmol, 1.00 eq.), T 3 P (4.3 g, 6.76 mmol, 5.00 eq., 50%) and TEA (688 mg, 6.80 mmol, 5.00 eq.) in tetrahydrofuran (10 mL) was stirred for 30 min at room
- Step 4 a solution of 3-phenyl-N-[tra «5-3-([[l -(l-methylpiperidin-4-yl)azetidin-3- yl]formohydrazido]carbonyl)cyclobutyl]-isoxazole-5-carboxamide (160 mg, 0.33 mmol, 1.00 eq.) in POC13 (8 mL) was stirred for 1 hour at 100 °C. The reaction was then quenched by the addition of water/ice, the pH value of the solution was adjusted to 8 with sodium bicarbonate aqueous. The resulting solution was extracted with dichloromethane and the organic layers combined, washed with brine, dried and concentrated under vacuum.
- the crude product was purified by Prep-HPLC with the following conditions (HPLC-10): Column, XBridge Shield RP18 OBD Column, 5um, 19* 150mm; mobile phase, water (0.05% NH 4 HCO; ⁇ ) and ACN (27.0% ACN up to 37.0% in 8 min); Detector, UV 254/220 nm to give 19.6 mg (13%) of front peak as a white solid and 4.2 mg (3%) of second peak as an off-white solid.
- Example 27 iV-(/ra «s-3-(5-(l-(cyclobutylmethyl)azetidin-3-yl)-l,3,4-oxadiazol-2- yl)cyclobutyl)-3-phenylisoxazoIe-5-carboxamide
- Step 1 3-benzyl 1-tert-butyl azetidine-l,3-dicarboxylate: a solution of l-[(tert- butoxy)carbonyl]azetidine-3-carboxylic acid (5 g, 24.85 mmol, 1.00 eq.), BnBr (4.65 g, 27.19 mmol, 1 .10 eq.) and DBU (5.67 g, 37.24 mmol, 1.50 eq.) in toluene (80mL) was stirred for 4 hours at room temperature. The reaction was then quenched by the addition of water, extracted with ethyl acetate and the organic layers combined.
- Step 2 2,2,2-trifluoroacetic acid benzyl azetidine-3-carboxylate: a solution of 3- benzyl 1-tert-butyl azetidine-l ,3-dicarboxylate (5.4 g, 18.53 mmol, 1.00 eq.)) and
- Step 3 benzyl l-(cyclobuty!methyl)azetidine-3-carboxylate: a solution of 2,2,2- trifluoroacetic acid cyclohexylmethyl azetidine-3-carboxylate (1.3 g, 4.18 mmol, 1.00 eq.), cyclobutanecarboxaldehyde (358 mg, 4.26 mmol, 1.00 eq.) and acetic acid (255 mg, 4.25 mmol, 1.00 eq.) in DCE (20mL) was stirred for 30 min, and then NaBH(OAc) 3 (1.44 g, 6.79 mmol, 1 .60 eq.) was added.
- Step 4 l-(cyclobutylmethyl)azetidine-3-carboxylic acid: to a solution of benzyl l -(cyclobutylmethyl)azetidine-3-carboxylate (650 mg, 2.51 mmol, 1.00 eq.) in methanol (l OmL) was added Palladium on carbon (65 mg) and the solution was degassed and back filled with hydrogen. The resulting solution was stirred for 2 hours at room temperature.
- Step 5 3-phenyl-N-[ira «s-3-([[l-(cyclobutylmethyl)azetidin-3- yl]formohydrazido]carbonyl)cyclobutyl]-isoxazole-S-carboxamide: a solution of 3-phenyl- N-[(tra «5-3-(hydrazinecarbonyl)cyclobutyl]-isoxazole-5-carboxamide (300 mg, 1.00 mmol, 1.00 eq.), l -(cyclobutyImethyl)azetidine-3-carboxyIic acid (200 mg, 1.20 mmol, 1.20 eq.), T 3 P (3.18 g, 5.00 mmol, 5.00 eq., 50%) and TEA (505 mg, 4.99 mmol, 5.00 eq.) in tetrahydrofuran (l OmL) was stirred for 30 min at room temperature.
- Step 6 3-phenyl-N-[ira is-3-[5-[l-(cyclobutylmethyl)azetidin-3-yl]-l,3,4- oxadiazol-2-yl]cyclobutyl]-isoxazole-5-carboxamide: I 2 (401 mg, 1.58 mmol, 2.50 eq.), TEA (415 mg, 4.10 mmol, 6.50 eq.) and 3-phenyl-N-[/rara-3-([[l -(cyclobutylmethyl)azetidin-3- yl]formohydrazido]carbonyl)cyclobutyl]-isoxazole-5-carboxamide (285 mg, 0.63 mmol, 1.00 eq.) were added to a solution of Ph 3 P (414 mg, 1.58 mmol, 2.50 eq.) in dichloromethane (20mL) under N 2 .
- reaction mixture was stirred for 1 hour at room temperature, quenched with water and then extracted with ethyl acetate and the organic layers combined. The organic layer was washed with brine, dried over anhydrous sodium sulfate and concentrated under vacuum. The residue was applied onto a silica gel column with DCM/MeOH (25: 1).
- Examples 28 and 29 ⁇ -(c/s-3-(5-(hydroxymethyl)-lH-l,2 ⁇ -triazol-l-yl)cyclobutyl)-3- phenylisoxazole-5-carboxamide and N-(m-3-(4-(hydroxymethyl)-lH-l,2,3-triazol-l- yl)cyclobutyl)-3-phenylisoxazole-5-carboxamide BocHN
- Step 1 l-[c $-3-aminocyclobutyl]-lH-l,2,3-triazol-5-y]]methanol
- hydrochloride a solution of tert-butyl N-[c/s-3-[4/5-(hydroxymethyl)-lH-l ,2,3-triazol- l - yl]cyclobutyl]carbamate (prepared using a procedure similar to example 36; 400 mg, 1.49 mmol, 1.00 eq.) in hydrogen chloride/MeOH (5 mL) was stirred for 18 hours at room temperature. The resulting mixture was concentrated under vacuum and diluted with 3 mL of dioxane.
- Step 2 3-phenyl- ⁇ -[c ⁇ 5-3-[4-(hydroxymethyl)-lH-l,2,3-triazol-l- yl]cyclobutyl]isoxazole-5-carboxamide and 3-phenyl-N-[m-3-[5-(hydroxymethyl)-lH- l,2,3-triazol-l-yl]cyclobutyl]isoxazole-5-carboxamide: DIEA (787 mg, 6.09 mmol, 3.00 eq.) was added dropwise to a cold solution (10 °C) of [l-[c s-3-aminocyclobutyl]-lH-l ,2,3-triazol- 4/5-yl]methanol hydrochloride (410 mg, 2.00 mmol, 1.00 eq.) in ⁇ (4 mL) and stirred for 30 min at 25°C, followed by the addition of a solution of 3-phenylisoxazole-5-carbonyl
- Examples 30 and 31 iV-(i/- /is-3-(5-(oxetan-3-yI)-lH-l,2,3-triazol-l-yl)cyclobutyl)-5- phenylisoxazole-3-carboxamide and V-(ira is-3-(4-(oxetan-3-yl)-lH-l,2,3-triazol-l- yl)cyclobutyl)-5-phenylisoxazole-3-carboxamide
- Step 1 oxetane-3-carbaldehyde: a solution of oxetan-3-ylmethanol (2 g, 22.70 mmol, 1.00 eq.) in dichloromethane (20 mL) and l,l,l-triacetoxy-l, l-dihydro-l,2- benziodoxol-3(lH)-one (1 1.7 g, 27.59 mmol, 1.00 eq.) was stirred for 2 hours at 25 °C. The solids were filtered out and the mixture was concentrated under vacuum to give 2.1 g (crude) of oxetane-3-carbaldehyde as yellow oil.
- Step 2 3-ethynyloxetane: a solution of oxetane-3-carbaldehyde (2.1 g, 24.39 mmol, 1.00 eq.), potassium carbonate (6.6 g, 47.75 mmol, 2.00 eq.) and dimethyl (l -diazo-2- oxopropyl)phosphonate (7 g, 36.44 mmol, 1.50 eq.) in methanol (30 mL) was stirred for 3 hours at 25 °C. The resulting solution was diluted with 150 mL of water, extracted with ethyl acetate (2x100 mL) and the organic layers combined. The resulting mixture was washed with brine (2x100 mL), dried over anhydrous sodium sulfate and concentrated under vacuum to give 820 mg (41%) of 3-ethynyloxetane as colorless oil.
- oxetane-3-carbaldehyde 2.1 g,
- Step 3 frans-3-azidocyclobutan-l-amine: a solution of tert-butyl N-[trans- - azidocyclobutyl]carbamate (1 g, 4.71 mmol, 1.00 eq.) in tetrahydrofuran (20 mL)/conc. HC1 aqueous (5 mL) was stirred for 2 hours at 25°C. The resulting mixture was concentrated under vacuum to give 800 mg (crude) of c/s-3-azidocyclobutan-l -amine as yellow oil.
- Step 4 3-phenyl-N-[ira «s-3-azidocyclobutyl]-isoxazole-5-carboxamide: HATU (1.37 g, 3.60 mmol, 1.50 eq.), DIEA (928 mg, 7.18 mmol, 3.00 eq.) and 3-phenyl-isoxazole-5- carboxylic acid (453 mg, 2.39 mmol, 1.00 eq.) were added to a solution of trans-2>- azidocyclobutan-1 -amine (800 mg, 7.13 mmol, 1.00 eq.) in dichloromethane (15 mL) and the mixture was stirred for 2 hours at 25 °C.
- Step 5 5-phenyl- ⁇ -[ira «s-3-[4-(oxetan-3-yl)-lH-l,2,3-triazol-l- yl]cyc!obutyl]isoxazole-3-carboxamide and 5-phenyl-N-[ira/w-3-[5-(oxetan-3-yl)-lH-l,2,3- triazol-l-yl]cyclobutyl]isoxazole-3-carboxamide: a solution of 3-phenyl-N-[(tra «5-3- azidocyclobutyl]isoxazole-5-carboxamide (283 mg, 1.00 mmol, 1.00 eq.) and 3-ethynyloxetane (410 mg, 4.99 mmol, 5.00 eq.) in DMF (10 mL) was stirred for 16 hours at 100 °C.
- Example 32 and 33 /V-(/ra/is-3-(4-(l-methylazetidin-3-yl)-lH-l,2,3-triazol-l- yl)cyclobutyl)-3-phenylisoxazole-5-carboxamide and /V-(ir i5-3-(5-(l-methylazetidin-3- yl)-lH-l ⁇ ,3-triazol-l-yl)cyclobutyl)-3-phenylisoxazole-5-carboxamide
- Step 1 tert-butyl 3-formylazetidine-l-carboxylate: a solution of tert-butyl 3- (hydroxymethyl)azetidine-l -carboxylate (3.74 g, 19.97 mmol, 1.00 equip), and Dess-Martin reagent (12.72 g, 30.00 mmol, 1.50 eq.) in dichloromethane (100 mL) was stirred for 2 hours at room temperature. The solids were filtered out, the resulting mixture was concentrated under vacuum to give 3.8 g (crude) of tert-butyl 3-formylazetidine-l -carboxylate as a white solid.
- Step 2 tert-butyl 3-ethynylazetidine-l-carboxylate: a solution of tert-butyl 3- formylazetidine-l -carboxylate (3.7 g, 19.98 mmol, 1.00 eq.), potassium carbonate (8.28 g, 59.91 mmol, 3.00 eq.) and dimethyl (l-diazo-2-oxopropyl)phosphonate (5.76 g, 29.98 mmol, 1.50 eq.) in methanol (50 mL) was stirred for 3 hours at room temperature.
- Step 3 tert-butyl 3-[l-[fra «s-3-(3-phenylisoxazole-5-amido)cyclobutyl]-lH- l,2,3-triazoI-4/5-yl]azetidine-l-carboxylate: a solution of 3-phenyl-N-[trara-3- azidocyclobutyl]isoxazole-5-carboxamide (327 mg, 1.15 mmol, 1.00 eq.) and tert-butyl 3- ethynylazetidine-l -carboxylate (627 mg, 3.46 mmol, 3.00 eq.) in DMF (4 mL) was placed in a microwave reactor for 6 hours at 140 °C.
- Step 4 3-phenyl- ⁇ -[ira/is-3-[4/5-(azetidin-3-yl)-lH-l,2,3-triazol-l- yl]cyclobutyl]ispxazole-5-carboxamide hydrochloride: a solution of the mixture of tert-butyl 3-[l -/ra «5-3-(3-phenylisoxazole-5-amido)cyclobutyl]-lH-l ,2,3-triazol-4/5-yl]azetidine-l- carboxylate (553 mg, 1.19 mmol, 1.00 eq.) in tetrahydrofuran (10 mLyhydrogen chloride aqueous (6N, 6 niL) was stirred for 2 hours at room temperature.
- tetrahydrofuran 10 mLyhydrogen chloride aqueous (6N, 6 niL
- Step 5 N-(ira is-3-(4-(l-methylazetidin-3-yl)-lH-l,2,3-triazol-l-yl)cyclobutyl)- 3-phenylisoxazole-5-carboxamide and N-(fra/w-3-(5-(l-methylazetidin-3-yI)-lH-l,2,3- triazol-l-yl)cyclobutyl)-3-phenylisoxazole-5-carboxamide: a solution of the mixture of 3- phenyl-N-[/ra «5-3-[4/5-(azetidin-3-yl)-lH-l ,2,3-triazol-l -yl]cyclobutyl]isoxazole-5- carboxamide hydrochloride, POM (302 mg, 6.86 mmol, 4.99 eq.) and acetic acid (165 mg, 2.75 mmol, 2.00
- Step 1 TV-li a is-S-l ⁇ S-tilR ⁇ l-hydrox ethyll-lH-l ⁇ -triazol-l- yljcyclobutyl] carbamate: a solution of tert-butyl N-[ira «s-3-azidocyclobutyl]carbamate (2 g, 9.42 mmol, 1.00 eq.) and (2R)-but-3-yn-2-ol (3.3 g, 47.08 mmol, 5.00 eq.) in DMF (5 mL) was stirred for overnight at 100 °C in an oil bath. The resulting mixture was concentrated under vacuum.
- Step 2 (l/?)-l-[l-[ira «5-3-aminocyclobutyl]-lH-l,2,3-triazol-4/5-yl]ethanol: a solution of the mixture of tert-butyl N-[ira»5-3-[4/5-[(lR)-l -hydroxyethyl]-lH-l ,2,3-triazol-l - yl]cyclobutyl]carbamate in dioxane (10 mL)/ hydrogen chloride aqueous (6 ⁇ , 3 mL) was stirred for 2 hours at room temperature.
- Step 3 A ⁇ -(ira is-3-(5-((R)-l-hydroxyethyl)-lH-l,2,3-triazol-l-yl)cyclobutyl)-3- phenylisoxazole-5-carboxamide (A) and N-(ira «s-3-(4-((R)-l-hydroxyethyl)-lH-l,2,3- triazol-l-yl)cyclobutyl)-3-phenylisoxazole-5-carboxamide (B): DIEA (2.55 g, 3.00 eq.) and 3-phenylisoxazole-5-carbonyl chloride (1.77 g, 8.53 mmol, 1 .30 eq.) were added dropwise to a cold (0 °C) solution of a mixture of (lR)-l-[l-[/ra «5-3-aminocyclobutyl]-lH-l,2,3-triazol-
- Step 4 A ⁇ -(ira/is-3-(5-((ii)-l-chloroethyl)-lH-l,2,3-triazol-l-yl)cyclobutyl)-3- phenylisoxazole-5-carboxamide: MsCl (81.3 mg, 2.00 eq.) was added dropwise to a 0 °C solution of 3-phenyl-N-[(ira «5-3-[5-[(17?)-l -hydroxyethyl]-lH-l ,2,3-triazol- l- yl]cyclobutyl]isoxazole-5-carboxamide (126 mg, 0.36 mmol, 1.00 eq.) and TEA (108 mg, 3.00 eq.) in dichloromethane (20 mL) and the solution was stirred for 5 hours at room temperature.
- Step 5 a solution of N-(/rara-3-(5-((/?)-l-chloroethyl)-lH-l ,2,3-triazol-l - yl)cyclobutyl)-3-phenylisoxazole-5-carboxamide (151 mg, 0.41 mmol, 1.00 eq.) and NaSMe (50 mg, 2.00 eq.) in DMF (5 mL) was stirred for 5 hours at 100 °C in an oil bath. The reaction was then quenched by the addition of 20 mL of water, extracted with ethyl acetate (3x20 mL) and the organic layers combined.
- Step 6 mCPBA (338 mg, 1.96 mmol, 4.00 eq.) was added in several batches to a 0 °C solution of 3-pheny ⁇ -N-[trans-2>-[5-[ 1 -(methylsulfany l)ethyl]- 1 H- 1 ,2,3-triazol- 1 - yl]cyclobutyl]isoxazole-5-carboxamide (189 mg, 0.49 mmol, 1.00 eq.) in dichloromethane (10 mL) and the mixture was stirred for 5 hours at room temperature.
- Example 35 iV-(ir «s-3-(4-(l-(methylsulfonyl)ethyl)-lH-l ⁇ ,3-triazol-l-yl)cyclobutyl)-3- phenylisoxazole-5-carboxamide
- Example 36 3-(4-nuorophenyl)-A ⁇ -(/r is-3-(5-((R)-l-hydroxyethyl)-l,3,4-oxadiazol-2- yl)cyclobutyl)isoxazole-5-carboxamide
- Examples 37 and 38 N-((lS,3s)-3-((5-((R)-l-hydroxyetbyl)-l,3,4-oxadiazol-2- yl)methyl)cycIobutyl)-3-phenylisoxazole-5-carboxamide and N-((lR,3r)-3-((5-((R)-l- hydroxyethyl)-l ⁇ ,4-oxadiazol-2-yl)methyl)cyclobutyl)-3-phenylisoxazole-5-carboxamide
- Step 1 Ethyl 2-(3-((tert-Butoxycarbonyl)amino)cyclobutylidene)acetate.
- Step 2 Ethyl 2-(3-((tert-Butoxycarbonyl)amino)cyclobutyl)acetate.
- a solution of ethyl 2-(3-[[(tert- butoxy)carbonyl]amino]cyclobutylidene)acetate (16.7 g, 65.41 mmol, 1.00 equiv, as prepared above) in MeOH (100 mL), then Pd on carbon (1 g) was added.
- the solution was degassed and back filled with hydrogen.
- the resulting solution was stirred for 3 h at RT.
- Step 3 2-(3-[[(tert-Butoxy)carbonyl]amino]cyclobuty])acetic acid.
- a solution of ethyl 2-(3-[[(tert- butoxy)carbonyl]amino]cyclobutyl)acetate (15.5 g, 60.23 mmol, 1.00 equiv) in THF/H 2 0 (150/50 mL) and LiOH (2.16 g, 90.20 mmol, 1.50 equiv).
- the resulting solution was stirred for 3 h at rt, then the resulting mixture was concentrated under reduced pressure.
- Step 4 tert-Butyl N-(3-[2-[(2R)-2-[(tert-Butyldimethylsilyl)oxy]
- Step 5 tert-butyl N-[3-([5-[(lR)-l-[(tert-butyldimethylsilyl)oxy]ethyl]-l,3,4- oxadiazol-2-yl]methyl)cycIobutyl]carbamate.
- a solution of PPh 3 (2.84 g, 10.83 mmol, 2.00 equiv) in DCM (100 mL).
- Step 6 3-([5-[(lR)-l-[(tert-butyldimethylsilyl)oxy]ethyl]-l,3,4-oxadiazol-2- yl]methyl)cyclobutan-l-amine.
- Step 7 N-[3-([5-[(lR)-l-[(tert-butyldimethylsilyl)oxy]ethyl]-l,3,4-oxadiazol-2- yl]methyl)cyclobutyl]-3-phenyl-l,2-oxazole-5-carboxamide.
- Step 8 N-[3-([5-[(lR)-l -hydroxyethyl]-l ,3,4-oxadiazol-2-yl]methyl)cyclobutyl]-3- phenyl-l,2-oxazole-5-carboxamide.
- N-[3-([5-[(l R)-l -hydroxyethyl]-l ,3,4-oxadiazol-2-yl]methyl)cyclobutyl]-3-phenyl- l ,2-oxazole-5-carboxamide (520 mg, 1.41 mmol, 1.00 equiv) was purified by Prep-SFC with the following conditions: Column: Phenomenex Lux 5u Cellulose-4, 250*50 mm; Mobile Phase A:C0 2 :50, Mobile Phase B: MeOH-Preparative:50; Flow rate: 150 mL/min; 220 nm; RTL6.38; RT2:7.33 affording 98.6 mg (19%) of 3-phenyl-N-[(l s,3s)-3-([5-[(lR)-l - hydroxyethyl]-l ,3,4-oxadiazol-2-yl]methyl)cyclobutyl]-l,2-oxazo
- Example 39 and 40 3-(4-Fluorophenyl)-N-[(ls,3s)-3-([5-[(lR)-l-hydroxyethyl]-l 5,4- oxadiazol-2-yI]methyl)cyclobutyl]-l,2-oxazoIe-5-carboxamide and 3-(4-Fluorophenyl)-N- [(lr,3r)-3-([5-[(lR)-l-hydroxyethyl]-l,3,4-oxadiazol-2-yl]methyl)cycIobutyl]-l,2-oxazole- 5-carboxamide
- Examples 41 and 42 S-Phen l- -Iils ⁇ s ⁇ -itS-tilRVl-hydrox eth ll-l ⁇ -thiadiazol-Z- yl]methyl)cyclobutyl]-l,2-oxazole-5-carboxamide and 3-Phenyl-N-[(lr,3r)-3-([5-[(lR)-l- hydroxyethyl]-l,3,4-thiadiazol-2-yl]methyl)cyclobutyl]-l,2-oxazole-5-carboxamide
- Step 1 tert-Butyl N-[3-([5-[(lR)-l-[(tert-ButyldimethylsiIyl)oxy]ethyl]-l ⁇ ,4- thiadiazol-2-yl]methyl)cyclobutyl]carbamate.
- Lawesson's reagent (8.5 g, 21.02 mmol, 1.50 equiv) was added. The resulting solution was stirred for 1.5 h at 80°C then concentrated under reduced pressure. The resulting solution was diluted with 200 mL of H 2 0 and then extracted with EtOAc (3x200 mL). The organic extracts were combined, washed with brine (2x200 mL), dried over anhydrous Na 2 S0 4 , and
- Step 2 3-([5-[(lR)-l-[(tert-butyldimethylsilyl)oxy]ethyl]-l,3,4-thiadiazol-2- yl]methyl)cyclobutan-l-amine.
- Step 3 N-[3-([5-[(lR)-l-[(tert-butyldimethylsilyl)oxy]ethyl]-l,3,4-thiadiazol-2- yl]methyl)cyclobutyl]-3-phenyl-l,2-oxazole-5-carboxamide.
- Step 4 3-Phenyl-N-[(ls ⁇ s)-3-([5-[(lR)-l-hydroxyethyI]-l ⁇ ,4-thiadiazol-2- yl]methyl)cyclobutyl]-l,2-oxazole-5-carboxamide and 3-Phenyl-N-[(lr,3r)-3-([5-[(lR)-l- hydroxyethyl]-l,3,4-thiadiazol-2-yl]methyl)cyclobutyl]-l,2-oxazole-5-carboxamide.
- Examples 43 and 44 3-(4-Fluorophenyl)-N-[(ls,3s)-3-([5-[(lR)-l-hydroxyethyl]-l,3,4- thiadiazol-2-yl]methyl)cyclobutyl]-l,2-oxazole-5-carboxamide and 3-(4-Fluorophenyl)-N- [(lr ⁇ r)-3-([5-[(lR)-l-hydroxyethyl]-l,3,4-thiadiazol-2-yl]methyl)cyclobutyI]-l,2-oxazole- 5-carboxamide
- Examples 45 and 46 N-[(ls 3s)-3-([5-[(lR)-l-Hydroxyethyl]-l,3,4-oxadiazol-2- yl]methyl)cyclobutyl]-3-(thiophen-2-yl)-l,2-oxazole-5-carboxamide and N-[(li%3r)-3-([5- [(lR)-l-Hydroxyethyl]-l,3,4-oxadiazol-2-yl]methyl)cycIobutyl]-3-(thiophen-2-yl)-l ⁇ - oxazole-5-carboxamide
- Step 1 N-(thiophen-2-ylmethyIidene)hydroxylamine.
- thiophene-2-carbaldehyde 5 g, 44.58 mmol, 1.00 equiv
- EtOH 50 mL
- NH 2 OH.HCl 3.7 g, 1.20 equiv
- the resulting solution was stirred for 2 h at RT then the reaction was extracted with EtOAc.
- the organic extracts were combined, dried, and concentrated under reduced pressure affording 4.5 g (79%) of N- (thiophen-2-ylmethylidene)hydroxylamine as yellow oil.
- LCMS (ES, m/z): [M+H] + 128.0.
- Step 2 Methyl 3-(Thiophen-2-yl)-l,2-oxazoIe-5-carboxylate.
- a solution of N-(thiophen-2-ylmethylidene)hydroxylamine (4.5 g, 35.39 mmol, 1.00 equiv) in H 2 0 (50 mL)
- methyl prop-2-ynoate (8 mL, 2.50 equiv)
- Step 3 3-(thiophen-2-yl)-l,2-oxazole-5-carboxylic acid.
- a solution of methyl 3-(thiophen-2-yl)-l ,2-oxazole-5-carboxylate 5.4 g, 25.81 mmol, 1.00 equiv
- H 2 0 30 mL/10 mL
- LiOH 1.33 g, 55.53 mmol, 2.00 equiv
- Step 4 N-[3-([5-[(lR)-l-[(tert-butyldimethylsilyl)oxy]ethyl]-l,3,4-oxadiazol-2- y]]methyl)cyclobutyl]-3-(thiophen-2-yl)-l,2-oxazo]e-5-carboxamide.
- Step 5 N-[(ls,3s)-3-([5-[(lR)-l-Hydroxyethyl]-l,3,4-oxadiazol-2- yl]methyI)cyclobutyl]-3-(thiophen-2-yl)-l,2-oxazo!e-5-carboxamide and ⁇ -[(1 ⁇ 3 ⁇ )-3-([5- [(lR)-l-Hydroxyethyl]-l ⁇ ,4-oxadiazoI-2-yl]methyl)cyclobutyl]-3-(thiophen-2-yl)-l,2- oxazole-5-carboxamide.
- Step 1 N-((lr,3r)-3-(Azidomethyl)cyclobutyl)-3-phenylisoxazole-5- carboxamide.
- a solution of ((lr,3r)-3-(3- phenylisoxazole-5-carboxamido)cyclobutyl)methyl 4-methylbenzenesulfonate 1.5 g, 3.52 mmol, 1.00 equiv
- DMF 15 mL
- NaN 3 390 mg, 6.00 mmol, 1.50 equiv
- Step 2 N-((lr,3r)-3-((5-(Hydroxymethyl)-lH-l,2,3-triazol-l- yl)methyl)cyclobutyl)-3-phenylisoxazole-5-carboxamide and N-((lr,3r)-3-((4- (Hydroxymethyl)-lH-l,2,3-triazol-l-yl)methyl)cyclobutyl)-3-phenylisoxazole-5- carboxamide.
- N-((l r,3r)-3-((5-(Hydroxymethyl)-lH-l,2,3-triazol-l-yl)methyl)cyclobutyl)-3-phenylisoxazole-5- carboxamide N-((lr,3r)-3-((5-(Hydroxymethyl)-lH-l,2,3-triazol-l-yl)methyl)cyclobutyl)-3
- Step 1 3-Phenyl-N-[(lr,3r)-3-(hydrazinecarbonyl)cycIobutyl]-l,2-oxazole-5- carboxamide.
- Step 2 3-Phenyl-N-[(lr,3r)-3-[(oxetan-2- ylformohydrazido)carbonyl]cyclobutyl]-l,2-oxazole-5-carboxamide.
- Step 3 3-Phenyl-N-[(lr,3r)-3-[5-(oxetan-2-yl)-l,3,4-oxadiazol-2-yl]cyclobutyl]- l,2-oxazole-5-carboxamide.
- PPh 3 a solution of PPh 3 (299 mg, 1.14 mmol, 2.00 equiv) in DCM (20 mL)
- I 2 290 mg, 1.14 mmol, 2.00 equiv
- TEA 230 mg, 2.27 mmol, 4.00 equiv
- Example 50 4-Fluoro-3-phenyl-N-[(lr ⁇ r)-3-[5-[(lR)-l-hydroxyethyl]-l,3,4-oxadiazol-2- yI]cyclobutyl]-l,2-oxazole-5-carboxamide
- Step l Methyl 3-Phenyl-l,2-oxazole-5-carboxylate.
- DCM dimethyl methyl-N-phenyl-N-phenyl-N-phenyl-N-phenyl-N-phenyl-N-phenyl-N-phenyl-N-phenyl-N-phenyl-N-phenyl-N-phenyl-N-phenyl-N-phenyl,2-oxazole-5-carboxylate.
- DCM 20 mL
- oxalyl chloride 1.9 g, 14.97 mmol, 1.50 equiv
- a drop of DMF were added.
- MeOH 5 mL
- the reaction was stirred for 1 h at RT then concentrated under reduced pressure affording 1.9 g (94%) of methyl 3-phenyl-l,2-oxazole-5-carboxylate as a yellow solid.
- Step 2 Methyl 4-Fluoro-3-phenyl-l, 2-oxazole-5-carboxylate.
- the resulting solution was stirred for 16 h at 120°C, diluted with 100 mL of H 2 0, and extracted with EtOAc (2x100 mL).
- Step 3 4-Fluoro-3-phenyl-l,2-oxazole-5-carboxylic acid.
- the resulting solution was stirred for 2 h at RT and then diluted with 50 mL of H 2 0.
- the pH of the solution was adjusted to 4-5 using concentrated 12M HC1, then extracted with EtOAc (2x50 mL).
- Step 3 4-Fluoro-3-phenyl-N-[(lr,3r)-3-[5-[(lS)-l-[(tert- butyldimethylsilyl)oxy]ethyI]-l,3,4-oxadiazol-2-yl]cyclobutyl]-l,2-oxazole-5-carboxamide.
- Step 4 4-Fluoro-3-phenyl-N-[(lr,3r)-3-[5-[(lR)-l-hydroxyethyl]-l,3,4- oxadiazol-2-yl]cyclobutyl]-l,2-oxazole-5-carboxamide.
- Examples 51 and 52 3-Phenyl-N-[(ls,3s)-3-[5-[(lR)-l-hydroxyethyl]-lH-l ⁇ ,3-triazol-l- yl]cyclobutyl]-l,2-oxazole-5-carboxamide and 3-Phenyl-N-[(ls,3s)-3-[4-[(lR)-l- hydroxyethyl]-lH-l,2,3-triazoI-l-yl]cyclobutyl]-l,2-oxazole-5-carboxamide
- Step l tert-Butyl N-(3-Oxocyclobutyl)carbamate.
- 3-oxocyclobutane-l -carboxylic acid 20 g, 175.29 mmol, 1.00 equiv
- TEA 192.71 mmol, 1.10 equiv
- DPPA DPPA
- Step 2 tert-Butyl N-[(ls,3s)-3-Hydroxycyclobutyl]carbamate.
- Step 3 (lr,3r)-3-[[(tert-Butoxy)carbonyI]amino]cyclobutyl-4-nitrobenzoate.
- Step 5 (lr,3r)-3-(3-Phenyl-l,2-oxazole-5-amido)cyclobutyl 4-nitrobenzoate.
- Step 6 3-Phenyl-N-[(lr,3r)-3-hydroxycyclobutyl]-l ⁇ -oxazole-5-carboxamide.
- the resulting mixture was stirred overnight at 40°C.
- Step 7 3-PhenyJ-N-[(ls,3s)-3-azidocyclobutyJ]-l ⁇ -oxazole-5-carboxamide.
- a solution of 3-phenyl-N-[(l r,3r)-3- hydroxycyclobutyl]-l ,2-oxazole-5-carboxamide 2.2 g, 8.52 mmol, 1.00 equiv
- DPPA 2.8 g, 10.17 mmol, 1.20 equiv
- PPh 3 3.3 g, 12.58 mmol, 1.50 equiv
- Step 8 3-PhenyI-N-[(ls,3s)-3-[5-[(lR)-l-hydroxyethyl]-lH-l,2,3-triazol-l- yl]cyclobutyl]-l,2-oxazole-5-carboxamide and 3-Phenyl-N-[(ls,3s)-3-[4-[(lR)-l- hydroxyethyl]-lH-l,2,3-triazol-l-yl]cyclobutyl]-l,2-oxazole-5-carboxamide.
- Prep- SFC80-1 Column, Chiralpak AD-H, 2*25cm; mobile phase, C0 2 (50%) and ethanol (50%); Detector, UV 220 nm) affording 170.0 mg (25%) of 3-phenyl-N-[(l s,3s)-3-[5- [(lR)-l -hydroxyethyl]-lH-l,2,3-triazol-l -yl]cyclobutyl]-l,2-oxazole-5-carboxamide as a white solid and 222 mg (32%) of 3-phenyl-N-[(l s,3s)-3-[4-[(l R)-l-hydroxyethyl]- lH-I,2,3-triazol-l - yl]cyclobutyl]-l ,2-oxazole-5-carboxamide as a white solid.
- Examples 55 and 56 S-Phen l-N-Kls ⁇ s ⁇ -dS-IilRi-l-hydroxyethyll-lH-l ⁇ -triazol-l- yl]methyl)cyclobutyl]-l,2-oxazole-5-carboxainide and 3-Phenyl-N-[(ls,3s)-3-([4-[(lR)-l- hydroxyethyl]-lH-l,2,3-triazoI-l-yl]methyI)cycIobutyl]-l,2-oxazoIe-5-carboxamide
- Step 1 tert-Butyl (ls,3s)-3-(l,3-Dioxo-2 ⁇ -dihydro-lH-isoindoI-2- yl)cyclobutane-l-carboxylate.
- Step 2 tert-Butyl (ls,3s)-3-Aminocyclobutane-l-carboxylate.
- a solution of tert-butyl (l s,3s)-3-(l ,3-dioxo-2,3-dihydro-l H- isoindol-2-yl)cyclobutane-l -carboxylate (810 mg, 2.64 mmol, 1.00 equiv) in EtOH (50 mL) and then N 2 H 4 .H 2 0 (400 mg, 3.00 equiv) was added.
- Step 3 tert-Butyl (ls,3s)-3-(3-Phenyl-l,2-oxazole-5-amido)cyclobutane-l- carboxylate.
- a solution of tert-butyl (l s,3s)-3- aminocyclobutane-l -carboxylate 1.7 g, 9.93 mmol, 1.00 equiv
- DCM 50 mL
- 3- phenyl-l ,2-oxazole-5-carboxylic acid 1.9 g, 10.04 mmol, 1.00 equiv
- HATU 5.7 g, 14.99 mmol, 1.50 equiv
- D1EA 3.9 g, 30.18 mmol, 3.00 equiv
- Step 4 (ls ⁇ s)-3-(3-Phenyl-l,2-oxazole-5-amido)cyclobutane-l-carboxylic acid.
- a solution of tert-butyl (l s,3s)-3-(3-phenyl-l ,2- oxazole-5-amido)cyclobutane-l-carboxylate (830 mg, 2.42 mmol, 1.00 equiv) in DCM (10 mL) and TFA (3 mL).
- Step 5 3-Phenyl-N-[(ls,3s)-3-(hydroxymethyl)cyclobutyl]-l,2-oxazole-5- carboxamide.
- Step 7 3-Phenyl-N-[(ls,3s)-3-(azidomethyl)cyclobutyl]-l,2-oxazole-5- carboxamide.
- Step 8 3-Phenyl-N-[(ls,3s)-3-([5-[(lR)-l-hydroxyethyl]-lH-l,2,3-triazol-l- yl]methyl)cyclobutyl]-l,2-oxazole-5-carboxamide and 3-Phenyl-N-[(ls,3s)-3-([4-[(lR)-l- hydroxyethyl]-lH-l,2,3-triazol-l-yl]methyl)cycIobutyl]-l,2-oxazoIe-5-carboxamide.
- Examples 57 and 58 3-Phenyl-N-[(ls,3s)-3-([5-[(lS)-l-hydroxyethyl]-lH-l,2-3-triazol-l- yI]methyl)cyclobutyl]-l ⁇ -oxazole-5-carboxamide and 3-Phenyl-N-[(ls ⁇ s)-3-([4-[(lS)-l- hydroxyethyl]-lH-l,2,3-triazol-l-yl]methyl)cyclobutyl]-l,2-oxazoIe-5-carboxamide.
- Step 1 3-Phenyl-N-[(lr,3r)-3-(azidomethyl)cyclobutyl]-l ⁇ -oxazole-5- carboxamide.
- a solution of [(l r,3r)-3-(3-phenyl- l ,2-oxazole-5-amido)cyclobutyl]methyl 4-methylbenzene-l -sulfonate (920 mg, 2.16 mmol, 1 .00 equiv) in DMF (10 mL), then NaN 3 (169 mg, 2.60 mmol, 1.20 equiv) was added.
- Step 2 3-Phenyl-N-[(lr,3r)-3-([5-[(lR)-l-hydroxyethyl]-lH-l,2,3-triazol-l- yl]methyI)cyclobutyl]-l,2-oxazole-5-carboxamide and 3-phenyl-N-[(lr,3r)-3-([4-[(lR)-l- hydroxyethyl]-lH-l,2,3-triazol-l-yl]methyl)cyclobutyl]-l,2-oxazole-5-carboxamide.
- Examples 63 and 64 3-Phenyl-N-[(lr,3r)-3-([3-[(lR)-l-hydroxyethyl]-lH-pyrazol-l- yl]methyl)cyclobutyl]-l,2-oxazole-5-carboxamide and 3-Phenyl-N-[(lr,3r)-3-([3-[(lS)-l- hydroxyethyl]-lH-pyrazol-l-yl]methyl)cycIobutyl]-l ⁇ -oxazole-5-carboxamide
- Step 1 3-Phenyl-N-[(lr,3r)-3-[(3-formyl-lH-pyrazol-l-yl)methyl]cyclobutyl]- l,2-oxazole-5-carboxamide.
- Step 2 3-Phenyl-N-[(lr,3r)-3-([3-[(lR)-l-hydroxyethyI]-lH-pyrazol-l- yl]methyl)cyclobutyl]-l,2-oxazoIe-5-carboxamide (front peak) and 3-phenyl-N-[(lr,3r)-3- ([3-[(lS)-l-hydroxyethyl]-lH-pyrazol-l-yl]methyl)cyclobutyl]-l,2-oxazole-5-carboxamide (second peak).
- Step 1 3-PhenyI-N-[(ls,3s)-3-[(3-formyl-lH-pyrazol-l-yl)methyl]cyclobutyl]- l,2-oxazole-5-carboxamide.
- Step 2 3-Phenyl-N-[(ls,3s)-3-([3-[(lS)-l-hydroxyethyl]-lH-pyrazol-l- yl]methyl)cyclobutyl]-l,2-oxazole-5-carboxamide (front peak) and 3-phenyl-N-[(ls,3s)-3- ([3-[(lR)-l-hydroxyethyl]-lH-pyrazol-l-yl]methyl)cyclobutyl]-l ⁇ -oxazole-5-carboxamide (second peak).
- Step 1 3-Pheny]-N-[(lr,3r)-3-(hydroxymethyl)cyclobuiyl]-l,2-oxazole-5- carboxamide.
- a solution of (l r,3r)-3- (3-phenyl-l,2-oxazole-5-amido)cyclobutane-l-carboxylic acid (2 g, 6.99 mmol, 1.00 equiv) in THF (40 mL)
- LiAlH 4 800 mg, 21.08 mmol, 3.00 equiv
- Step 2 [(lr,3r)-3-(3-PhenyI-l ⁇ -oxazoIe-5-amido)cyclobutyI]methyI 4- methylbenzene-l-sulfonate.
- a solution of 3- phenyl-N-[(l r,3r)-3-(hydroxymethyl)cyclobutyl]- l ,2-oxazole-5-carboxamide 850 mg, 3.12 mmol, 1.00 equiv
- DMAP 7.62 mg, 6.24 mmol, 1.20 equiv
- Step 3 3-Phenyl-N-[(lr,3r)-3-[(4-formyl-lH-pyrazol-l-yl)methyl]cyclobutyl]- l,2-oxazole-5-carboxamide.
- Step 4 3-Phenyl-N-[(lr,3r)-3-[[4-(l-hydroxyethyl)-lH-pyrazol-l- yl]methyl]cyclobutyl]-l,2-oxazole-5-carboxamide.
- To a 150-mL round-bottom flask was placed a solution of 3-phenyl-N-[(l r,3r)-3-[(4-formyl-lH-pyrazol-l -yl)methyl]cyclobutyl]-l ,2- oxazole-5-carboxamide (600 mg, 1.71 mmol, 1.00 equiv) in THF (20 mL) then the solution was cooled to 5°C.
- Step 5 3-PhenyI-N-[(lr,3r)-3-([4-[(lS)-l-hydroxyethyl]-lH-pyrazol-l- yl]methyl)cycIobutyl]-l,2-oxazoIe-5-carboxamide (front peak) and 3-phenyl-N-[(lr,3r)-3- ([4-[(lR)-l-hydroxyethyl]-lH-pyrazol-l-yl]methyl)cyclobutyl]-l ⁇ -oxazole-5-carboxamide (second peak).
- Step 1 3-Phenyl-N-[(ls,3s)-3-[(4-formyl-lH-pyrazoI-l-yI)methyl]cycIobutyI]- l,2-oxazole-5-carboxamide.
- Step 2 3-Phenyl-N-[(ls,3s)-3-([4-[(lR)-l-hydroxyethyl]-lH-pyrazol-l- yl]methyl)cyclobutyl]-l,2-oxazole-5-carboxamide (front peak) and 3-phenyI-N-[(ls,3s)-3- ([4-[(lS)-l-hydroxyethyl]-lH-pyrazol-l-yl)methyl)cyclobutyl]-l,2-oxazole-5-carboxamide (second peak).
- Example 71 3-Phenyl-N-[(lr,3r)-3-(4-fluorophenoxymethyl)cyclobutyl]-l ⁇ -oxazole-5- carboxamide.
- Step 1 tert-Butyl (ls,3s)-3-(3-Phenyl-l,2-oxazole-5-amido)cyclobutane-l- carboxylate.
- a solution of tert-butyl (ls,3s)-3- aminocyclobutane-l -carboxylate 1.7 g, 9.93 mmol, 1.00 equiv
- DCM 50 mL
- 3- phenyl-l ,2-oxazole-5-carboxylic acid 1.9 g, 10.04 mmol, 1.00 equiv
- HATU 5.7 g, 14.99 mmol, 1 .50 equiv
- DIEA 3.9 g, 30.18 mmol, 3.00 equiv
- Step 2 (ls ⁇ s)-3-(3-PhenyI-l,2-oxazole-5-amido)cyclobutane-l-carboxylic acid.
- Step 4 3-Phenyl-N-[(ls,3s)-3-(4-cyanophenoxymethyl)cyclobutyI]-l,2-oxazole- 5-carboxamide.
- a solution of 3-phenyl-N-[(ls,3s)-3- (hydroxymethyl)cyclobutyl]-l,2-oxazole-5-carboxamide 420 mg, 1.31 mmol, 1.00 equiv, 85%
- 4-hydroxybenzonitrile 320 mg, 2.69 mmol, 2.00 equiv
- PPh 3 (1.08 g, 4.12 mmol, 3.00 equiv
- Example 75 and 76 3-(5-Fluorothiophen-2-yl)-N-[(ls,3s)-3-([5-[(lR)-l-hydroxyethyl]- l,3,4-oxadiazol-2-yl]methyI)cyclobutyl]-l,2-oxazole-5-carboxamide and 3-(5-Fluorothio phen-2-yl)-N-[(lr ⁇ r)-3-([5-[(lR)-l-hydroxyethyl]-l,3,4-oxadiazol-2-yl]methyl)cyclobutyl]- l,2-oxazole-5-carboxamide
- Step 1 5-Fluoro-N-methoxy-N-methylthiophene-2-carboxamide.
- DCM dimethyl methoxy(methyl)amine hydrochloride
- Step 2 (E)-N-[(5-Fluorothiophen-2-yI)methyIidene]hydroxyIamine.
- the action was stirred for 1 h at room temperature, then quenched by the addition of 20 mL of H 2 0/ice, and extracted with EtOAc (2x20 mL). The organic extracts were dried and used directly in the next step.
- Step 3 Methyl 3-(5-Fluorothiophen-2-yl)-l,2-oxazole-5-carboxylate.
- a solution of (E)-N-[(5-fluorothiophen-2- yl)methylidene]hydroxylamine 300 mg, 2.07 mmol, 1.00 equiv) DMF (5 mL)
- NCS 414 mg, 3.1 1 mmol, 1.50 equiv
- Step 4 3-(5-fluorothiophen-2-yI)-l,2-oxazole-5-carboxyIic acid.
- a solution of methyl 3-(5-fluorothiophen-2-yl)-l,2-oxazole-5- carboxylate (254 mg, 1.12 mmol, 1.00 equiv) in THF-H 2 0 (3: 1 , 10 mL)
- LiOH 52 mg, 2.17 mmol, 2.00 equiv
- the reaction was stirred for 1 h at room temperature, diluted with H 2 0 (20 mL), and washed with ethyl acetate (2x50 mL).
- Step 5 3-(5-Fluorothiophen-2-yl)-N-[(ls ⁇ s)-3-([5-[(lR)-l-hydroxyethyl]-l ⁇ ,4- oxadiazol-2-yl]methyl)cyclobutyl]-l,2-oxazole-5-carboxamide and 3-(5-Fluorothiophen-2- - -Iilr ⁇ -S-CtS-IilRi-l-h droxyeth ll-l ⁇ -o adiazol-l-yllmeth cyclobut ll-l ⁇ - oxazole-5-carboxamide.
- Example 77 CFTR activity assays . Ussing measurements
- hBEs primary lung epithelial cells homozygous for the Cystic Fibrosis-causing AF508 mutation are differentiated for a minimum of 4 weeks in an air-liquid interface on hBEs
- the plates containing the cells were then placed in pre-warmed heating blocks at 36 °C ⁇ 0.5 for 15 minutes before measurements are taken.
- the transepithelial voltage (VT) and conductance (Gy) were measured using a custom 24 channel current clamp (TECC- 24) with 24 well electrode manifold.
- the leq assay measurements were made following additions with standardized time periods:
- the baseline VT and GT values were measured for approximately 20 minutes.
- the activity data captured was the area under the curve (AUC) for the traces of the equivalent chloride current.
- the AUC was collected from the time of the forskolin/VX-770 addition until the inhibition by bumetanide addition. Correction in response to compound treatment was scored as the increase in the AUC for compound-treated samples over that of vehicle-treated samples.
- m indicates activity >200% of VX-809 (3 uM) with compound at 10 uM and VX-809 at 3 uM; indicates activity 100-200% of VX-809 (3 uM) with compound at 10 uM and VX-809 at 3 uM.
- Ussing measurements can be used to measure CFTR activity.
- primary lung epithelial cells hBEs
- Cystic fibrosis causing class I mutation are differentiated for a minimum of 4 weeks in an air-liquid interface on Snap WellTM filter plates prior to the Ussing measurements.
- Cells are apically mucus-washed for 30 minutes prior to treatment with compounds.
- the basolateral media is removed and replaced with media containing the compound of interest diluted to its final concentration from DMSO or aqueous stocks.
- Treated cells are incubated at 37 °C and 5% C0 2 for 24 hours.
- the cells on filters are transferred to the Ussing chamber and equilibrated for 30 minutes.
- the forskolin-sensitive current and inhibitable current are measured as the specific activity of the AF508-CFTR channel, and increase in response to compound in this activity over that observed in vehicle-treated samples are identified as the correction of AF508-CFTR function imparted by the compound tested.
- Ussing measurements can be used to measure CFTR activity.
- primary lung epithelial cells hBEs
- Cystic Fibrosis-causing class III mutation are differentiated for a minimum of 4 weeks in an air-liquid interface on Snap WellTM filter plates prior to the Ussing measurements.
- Cells are apically mucus-washed for 30 minutes prior to treatment with compounds.
- the basolateral media is removed and replaced with media containing the compound of interest diluted to its final concentration from DMSO stocks.
- Treated cells are incubated at 37 °C and 5% C0 2 for 24 hours. At the end of the treatment period, the cells on filters are transferred to the Ussing chamber and equilibrated for 30 minutes.
- VX-770 or Genistein to the apical chamber to potentiate AF508-CFTR channel opening.
- the forskolin-sensitive current and inhibitable current are measured as the specific activity of the AF508-CFTR channel, and increase in response to compound in this activity over that observed in vehicle-treated samples are identified as the correction of AF508-CFTR function imparted by the compound tested.
- Ussing measurements can be used to measure CFTR activity.
- primary lung epithelial cells hBEs
- Cystic Fibrosis-causing class V mutation are differentiated for a minimum of 4 weeks in an air-liquid interface on Snap WellTM filter plates prior to the Ussing measurements'.
- Cells are apically mucus-washed for 30 minutes prior to treatment with compounds.
- the basolateral media is removed and replaced with media containing the compound of interest diluted to its final concentration from DMSO stocks.
- Treated cells are incubated at 37 °C and 5% C0 2 for 24 hours.
- the cells on filters are transferred to the Ussing chamber and equilibrated for 30 minutes.
- VX-770 or Genistein to the apical chamber to potentiate AF508-CFTR channel opening.
- the forskolin-sensitive current and inhibitable current are measured as the specific activity of the AF508-CFTR channel, and increases in response to compound in this activity over that observed in vehicle-treated samples are identified as the correction of AF508-CFTR function imparted by the compound tested.
- hBE Equivalent Current (Ieq) Assay [0354] Primary lung epithelial cells homozygous for the Cystic Fibrosis-causing AF508 mutation are differentiated for a minimum of 4 weeks in an air-liquid interface on Costar 24 well HTS filter plates prior to the equivalent current (Ieq) measurements.
- Cells are apically mucus-washed for 30 minutes 24 h prior to treatment with compounds.
- the basolateral media is removed and replaced with media containing the compound of interest diluted to its final concentration from DMSO stocks.
- Treated cells are incubated at 37 °C and 5% C0 2 for 24 hours.
- the media is changed to the Ieq experimental solution for 30 minutes before the experiment and plates are maintained in a C0 2 -free incubator during this period.
- the plates containing the cells are then placed in pre-warmed heating blocks at 36 °C ⁇ 0.5 for 15 minutes before measurements are taken.
- the transepithelial voltage (Vj) and conductance (Gj) are measured using a custom 24 channel current clamp (TECC-24) with 24 well electrode manifold.
- the Ieq assay measurements are made following additions with standardized time periods:
- Bumetanide is added to inhibit the NaK 2 Cl cotransporter and shut-off secretion of chloride.
- the activity data captured is the area under the curve (AUC) for the traces of the equivalent chloride current.
- AUC is collected from the time of the forskolin/VX-770 addition until the inhibition by bumetanide addition. Correction in response to compound treatment is scored as the increase in the AUC for compound-treated samples over that of vehicle-treated samples.
Landscapes
- Health & Medical Sciences (AREA)
- Chemical & Material Sciences (AREA)
- Organic Chemistry (AREA)
- Life Sciences & Earth Sciences (AREA)
- Medicinal Chemistry (AREA)
- General Health & Medical Sciences (AREA)
- Pharmacology & Pharmacy (AREA)
- Animal Behavior & Ethology (AREA)
- Public Health (AREA)
- Veterinary Medicine (AREA)
- Engineering & Computer Science (AREA)
- Bioinformatics & Cheminformatics (AREA)
- General Chemical & Material Sciences (AREA)
- Nuclear Medicine, Radiotherapy & Molecular Imaging (AREA)
- Chemical Kinetics & Catalysis (AREA)
- Biomedical Technology (AREA)
- Epidemiology (AREA)
- Diabetes (AREA)
- Hematology (AREA)
- Neurology (AREA)
- Endocrinology (AREA)
- Immunology (AREA)
- Urology & Nephrology (AREA)
- Neurosurgery (AREA)
- Physical Education & Sports Medicine (AREA)
- Pulmonology (AREA)
- Molecular Biology (AREA)
- Cell Biology (AREA)
- Orthopedic Medicine & Surgery (AREA)
- Obesity (AREA)
- Reproductive Health (AREA)
- Tropical Medicine & Parasitology (AREA)
- Biotechnology (AREA)
- Pathology (AREA)
- General Physics & Mathematics (AREA)
- Biochemistry (AREA)
- Analytical Chemistry (AREA)
- Physics & Mathematics (AREA)
- Food Science & Technology (AREA)
- Microbiology (AREA)
Abstract
Description
Claims
Priority Applications (19)
| Application Number | Priority Date | Filing Date | Title |
|---|---|---|---|
| RU2017126232A RU2767460C2 (en) | 2014-12-23 | 2015-12-23 | Compounds, compositions and methods for increasing cftr activity |
| NZ732701A NZ732701A (en) | 2014-12-23 | 2015-12-23 | Compounds, compositions, and methods for increasing cftr activity |
| JP2017533772A JP6700284B2 (en) | 2014-12-23 | 2015-12-23 | Compounds, compositions and methods for increasing CFTR activity |
| ES15825647T ES2962673T3 (en) | 2014-12-23 | 2015-12-23 | Compounds, compositions and methods for increasing CFTR activity |
| CN201580074407.1A CN107207487B (en) | 2014-12-23 | 2015-12-23 | Compounds, compositions and methods for increasing CFTR activity |
| US15/539,392 US10392372B2 (en) | 2014-12-23 | 2015-12-23 | Compounds, compositions, and methods for increasing CFTR activity |
| KR1020177020139A KR102677444B1 (en) | 2014-12-23 | 2015-12-23 | Compounds, compositions, and methods for increasing cftr activity |
| BR112017013710-0A BR112017013710B1 (en) | 2014-12-23 | 2015-12-23 | PHARMACEUTICAL COMPOUNDS AND COMPOSITIONS FOR INCREASING THE ACTIVITY OF THE CYSTIC FIBROSIS TRANSMEMBRANE CONDUCTANCE REGULATOR (CFTR) AND FOR THE TREATMENT OF CYSTIC FIBROSIS |
| EP15825647.9A EP3237411B1 (en) | 2014-12-23 | 2015-12-23 | Compounds, compositions, and methods for increasing cftr activity |
| AU2015371294A AU2015371294B2 (en) | 2014-12-23 | 2015-12-23 | Compounds, compositions, and methods for increasing CFTR activity |
| SG11201704859UA SG11201704859UA (en) | 2014-12-23 | 2015-12-23 | Compounds, compositions, and methods for increasing cftr activity |
| MX2017008380A MX388421B (en) | 2014-12-23 | 2015-12-23 | COMPOUNDS, COMPOSITIONS AND METHODS FOR INCREASING THE ACTIVITY OF THE CYSTIC FIBROSIS TRANSMEMBRANE CONDUCTANCE REGULATOR (CFTR). |
| CA2971858A CA2971858C (en) | 2014-12-23 | 2015-12-23 | Compounds, compositions, and methods for increasing cftr activity |
| IL252987A IL252987B (en) | 2014-12-23 | 2017-06-18 | Compounds, compositions, and methods for increasing cftr activity |
| SA517381828A SA517381828B1 (en) | 2014-12-23 | 2017-06-26 | Compounds, Compositions, and Methods for Increasing CFTR Activity |
| US16/510,406 US11098035B2 (en) | 2014-12-23 | 2019-07-12 | Compounds, compositions, and methods for increasing CFTR activity |
| IL276426A IL276426A (en) | 2014-12-23 | 2020-08-02 | Compounds, compositions, and methods for increasing cftr activity |
| AU2020256305A AU2020256305A1 (en) | 2014-12-23 | 2020-10-12 | Compounds, compositions, and methods for increasing CFTR activity |
| AU2022228100A AU2022228100A1 (en) | 2014-12-23 | 2022-09-06 | Compounds, compositions, and methods for increasing CFTR activity |
Applications Claiming Priority (8)
| Application Number | Priority Date | Filing Date | Title |
|---|---|---|---|
| US201462096374P | 2014-12-23 | 2014-12-23 | |
| US62/096,374 | 2014-12-23 | ||
| US201562102244P | 2015-01-12 | 2015-01-12 | |
| US62/102,244 | 2015-01-12 | ||
| US201562196839P | 2015-07-24 | 2015-07-24 | |
| US62/196,839 | 2015-07-24 | ||
| US201562199661P | 2015-07-31 | 2015-07-31 | |
| US62/199,661 | 2015-07-31 |
Related Child Applications (2)
| Application Number | Title | Priority Date | Filing Date |
|---|---|---|---|
| US15/539,392 A-371-Of-International US10392372B2 (en) | 2014-12-23 | 2015-12-23 | Compounds, compositions, and methods for increasing CFTR activity |
| US16/510,406 Continuation US11098035B2 (en) | 2014-12-23 | 2019-07-12 | Compounds, compositions, and methods for increasing CFTR activity |
Publications (2)
| Publication Number | Publication Date |
|---|---|
| WO2016105485A2 true WO2016105485A2 (en) | 2016-06-30 |
| WO2016105485A3 WO2016105485A3 (en) | 2016-09-01 |
Family
ID=55168337
Family Applications (1)
| Application Number | Title | Priority Date | Filing Date |
|---|---|---|---|
| PCT/US2015/000212 Ceased WO2016105485A2 (en) | 2014-12-23 | 2015-12-23 | Compounds, compositions, and methods for increasing cftr activity |
Country Status (16)
| Country | Link |
|---|---|
| US (2) | US10392372B2 (en) |
| EP (1) | EP3237411B1 (en) |
| JP (1) | JP6700284B2 (en) |
| KR (1) | KR102677444B1 (en) |
| CN (1) | CN107207487B (en) |
| AU (3) | AU2015371294B2 (en) |
| BR (1) | BR112017013710B1 (en) |
| ES (1) | ES2962673T3 (en) |
| IL (2) | IL252987B (en) |
| MA (1) | MA41253A (en) |
| MX (1) | MX388421B (en) |
| NZ (1) | NZ732701A (en) |
| RU (1) | RU2767460C2 (en) |
| SA (1) | SA517381828B1 (en) |
| SG (1) | SG11201704859UA (en) |
| WO (1) | WO2016105485A2 (en) |
Cited By (39)
| Publication number | Priority date | Publication date | Assignee | Title |
|---|---|---|---|---|
| WO2017019589A1 (en) * | 2015-07-24 | 2017-02-02 | Proteostasis Therapeutics, Inc. | Compounds, compositions and methods of increasing cftr activity |
| US9670163B2 (en) | 2005-12-28 | 2017-06-06 | Vertex Pharmaceuticals Incorporated | Solid forms of N-[2,4-bis(1,1-dimethylethyl)-5-hydroxyphenyl]-1,4-dihydro-4-oxoquinoline-3-carboxamide |
| WO2017112853A1 (en) * | 2015-12-22 | 2017-06-29 | Proteostasis Therapeutics, Inc. | Methods of treating pulmonary diseases and disorders |
| US9732080B2 (en) | 2006-11-03 | 2017-08-15 | Vertex Pharmaceuticals Incorporated | Azaindole derivatives as CFTR modulators |
| US9745292B2 (en) | 2014-03-13 | 2017-08-29 | Proteostasis Therapeutics, Inc. | Compounds, compositions, and methods for increasing CFTR activity |
| US9790219B2 (en) | 2014-03-13 | 2017-10-17 | Proteostasis Therapeutics, Inc. | Compounds, compositions, and methods for increasing CFTR activity |
| US9855249B2 (en) | 2014-10-02 | 2018-01-02 | Flatley Discovery Lab, Llc | Isoxazole compounds and methods for the treatment of cystic fibrosis |
| US10071979B2 (en) | 2010-04-22 | 2018-09-11 | Vertex Pharmaceuticals Incorporated | Process of producing cycloalkylcarboxamido-indole compounds |
| US10081621B2 (en) | 2010-03-25 | 2018-09-25 | Vertex Pharmaceuticals Incorporated | Solid forms of (R)-1(2,2-difluorobenzo[D][1,3]dioxol-5-yl)-N-(1-(2,3-dihydroxypropyl)-6-fluoro-2-(1-hydroxy-2-methylpropan-2-yl)-1H-indol-5-yl)cyclopropanecarboxamide |
| US10174014B2 (en) | 2014-06-19 | 2019-01-08 | Proteostasis Therapeutics, Inc. | Compounds, compositions, and methods for increasing CFTR activity |
| WO2019010092A1 (en) * | 2017-07-01 | 2019-01-10 | Vertex Pharmaceuticals Incorporated | Compositions and methods for treatment of cystic fibrosis |
| US10206877B2 (en) | 2014-04-15 | 2019-02-19 | Vertex Pharmaceuticals Incorporated | Pharmaceutical compositions for the treatment of cystic fibrosis transmembrane conductance regulator mediated diseases |
| US10344023B2 (en) | 2014-12-23 | 2019-07-09 | Proteostasis Therapeutics, Inc. | Derivatives of 3-heteroarylisoxazol-5-carboxylic amide useful for the treatment of inter alia cystic fibrosis |
| US10392372B2 (en) | 2014-12-23 | 2019-08-27 | Proteostasis Therapeutics, Inc. | Compounds, compositions, and methods for increasing CFTR activity |
| US10392378B2 (en) | 2014-12-23 | 2019-08-27 | Proteostasis Therapeutics, Inc. | Derivatives of 5-phenyl- or 5-heteroarylathiazol-2-carboxylic amide useful for the treatment of inter alia cystic fibrosis |
| US10550106B2 (en) | 2015-10-06 | 2020-02-04 | Proteostasis Therapeutics, Inc. | Compounds, compositions, and methods for modulating CFTR |
| US10570115B2 (en) | 2016-09-30 | 2020-02-25 | Vertex Pharmaceuticals Incorporated | Modulator of cystic fibrosis transmembrane conductance regulator, pharmaceutical compositions, methods of treatment, and process for making the modulator |
| US10654829B2 (en) | 2017-10-19 | 2020-05-19 | Vertex Pharmaceuticals Incorporated | Crystalline forms and compositions of CFTR modulators |
| US10662207B2 (en) | 2016-04-07 | 2020-05-26 | Proteostasis Therapeutics, Inc. | Compounds, compositions, and methods for modulating CFTR |
| US10738030B2 (en) | 2016-03-31 | 2020-08-11 | Vertex Pharmaceuticals Incorporated | Modulators of cystic fibrosis transmembrane conductance regulator |
| US10738011B2 (en) | 2014-12-23 | 2020-08-11 | Proteostasis Therapeutics, Inc. | Derivatives of 5-(hetero)arylpyrazol-3-carboxylic amide or 1-(hetero)aryltriazol-4-carboxylic amide useful for the treatment of inter alia cystic fibrosis |
| US10758534B2 (en) | 2014-10-06 | 2020-09-01 | Vertex Pharmaceuticals Incorporated | Modulators of cystic fibrosis transmembrane conductance regulator |
| US10793547B2 (en) | 2016-12-09 | 2020-10-06 | Vertex Pharmaceuticals Incorporated | Modulator of the cystic fibrosis transmembrane conductance regulator, pharmaceutical compositions, methods of treatment, and process for making the modulator |
| US10899751B2 (en) | 2016-06-21 | 2021-01-26 | Proteostasis Therapeutics, Inc. | Compounds, compositions, and methods for increasing CFTR activity |
| US11179367B2 (en) | 2018-02-05 | 2021-11-23 | Vertex Pharmaceuticals Incorporated | Pharmaceutical compositions for treating cystic fibrosis |
| WO2022032068A1 (en) | 2020-08-07 | 2022-02-10 | Vertex Pharmaceuticals Incorporated | Modulators of cystic fibrosis transmembrane conductance regulator |
| US11253509B2 (en) | 2017-06-08 | 2022-02-22 | Vertex Pharmaceuticals Incorporated | Methods of treatment for cystic fibrosis |
| US11414439B2 (en) | 2018-04-13 | 2022-08-16 | Vertex Pharmaceuticals Incorporated | Modulators of cystic fibrosis transmembrane conductance regulator, pharmaceutical compositions, methods of treatment, and process for making the modulator |
| WO2022175675A1 (en) * | 2021-02-19 | 2022-08-25 | Kalvista Pharmaceuticals Limited | Factor xiia inhibitors |
| US11434201B2 (en) | 2017-08-02 | 2022-09-06 | Vertex Pharmaceuticals Incorporated | Processes for preparing pyrrolidine compounds |
| US11465985B2 (en) | 2017-12-08 | 2022-10-11 | Vertex Pharmaceuticals Incorporated | Processes for making modulators of cystic fibrosis transmembrane conductance regulator |
| US11517564B2 (en) | 2017-07-17 | 2022-12-06 | Vertex Pharmaceuticals Incorporated | Methods of treatment for cystic fibrosis |
| WO2023150237A1 (en) | 2022-02-03 | 2023-08-10 | Vertex Pharmaceuticals Incorporated | Methods of treatment for cystic fibrosis |
| WO2023150236A1 (en) | 2022-02-03 | 2023-08-10 | Vertex Pharmaceuticals Incorporated | Methods of preparing and crystalline forms of (6a,12a)-17-amino-12-methyl-6,15-bis(trifluoromethyl)-13,19-dioxa-3,4,18-triazatricyclo[ 12.3.1.12,5]nonadeca-1(18),2,4,14,16-pentaen-6-ol |
| WO2023154291A1 (en) | 2022-02-08 | 2023-08-17 | Vertex Pharmaceuticals Incorporated | Modulators of cystic fibrosis transmembrane conductance regulator |
| US11746098B2 (en) | 2018-06-27 | 2023-09-05 | Proteostasis Therapeutics, Inc. | Proteasome activity enhancing compounds |
| WO2023224931A1 (en) | 2022-05-16 | 2023-11-23 | Vertex Pharmaceuticals Incorporated | Methods of treatment for cystic fibrosis |
| EP4100023A4 (en) * | 2020-02-07 | 2024-03-13 | University of South Florida | INHIBITION OF BETA-ARRESTIN OLIGOMERISATION IN TAUOPATHY |
| US12324802B2 (en) | 2020-11-18 | 2025-06-10 | Vertex Pharmaceuticals Incorporated | Modulators of cystic fibrosis transmembrane conductance regulator |
Families Citing this family (6)
| Publication number | Priority date | Publication date | Assignee | Title |
|---|---|---|---|---|
| KR101912153B1 (en) * | 2016-11-24 | 2018-10-26 | 이진호 | Magnetic levitation line for polar navigation |
| CN108440455B (en) * | 2018-04-11 | 2019-06-14 | 上海馨远医药科技有限公司 | A kind of preparation method of 3-oxetane carboxylic acid |
| EP3801559B1 (en) * | 2018-05-31 | 2025-01-01 | Celltaxis, LLC | Method of reducing pulmonary exacerbations in respiratory disease patients |
| GB201810071D0 (en) | 2018-06-19 | 2018-08-08 | Univ Oslo Hf | Compounds |
| TW202425990A (en) * | 2022-11-02 | 2024-07-01 | 南韓商日東製藥股份有限公司 | Eye drop composition comprising cftr modulator compounds |
| CN120136817A (en) * | 2025-05-16 | 2025-06-13 | 安徽泽升科技股份有限公司 | A preparation method of oxetane-3-methanol and oxetane-3-formaldehyde |
Citations (11)
| Publication number | Priority date | Publication date | Assignee | Title |
|---|---|---|---|---|
| WO2011113894A1 (en) | 2010-03-19 | 2011-09-22 | Novartis Ag | Pyridine and pyrazine derivative for the treatment of cf |
| WO2013038390A1 (en) | 2011-09-16 | 2013-03-21 | Novartis Ag | N-substituted heterocyclyl carboxamides |
| WO2013038386A1 (en) | 2011-09-16 | 2013-03-21 | Novartis Ag | Heterocyclic compounds for the treatment of cystic fibrosis |
| US20140027933A1 (en) | 2009-12-30 | 2014-01-30 | Stmicroelectronics, Inc. | Device and method for alignment of vertically stacked wafers and die |
| WO2014045283A1 (en) | 2012-09-24 | 2014-03-27 | Yissum Research Development Company Of The Hebrew University Of Jerusalem Ltd. | Restoration of the cftr function by splicing modulation |
| WO2014081820A1 (en) | 2012-11-20 | 2014-05-30 | Discoverybiomed, Inc. | Small molecule cftr correctors |
| WO2014081821A2 (en) | 2012-11-20 | 2014-05-30 | Discoverybiomed, Inc. | Small Molecule Bicyclic and Tricyclic CFTR Correctors |
| WO2014152213A2 (en) | 2013-03-15 | 2014-09-25 | Discoverybiomed, Inc. | Coumarin derivatives and methods of use in treating cystic fibrosis, chronic obstructive pulmonary disease, and misfolded protein disorders |
| WO2014160478A1 (en) | 2013-03-13 | 2014-10-02 | Flatley Discovery Lab | Compounds and methods for the treatment of cystic fibrosis |
| WO2014160440A1 (en) | 2013-03-13 | 2014-10-02 | Flatley Discovery Lab | Pyridazinone compounds and methods for the treatment of cystic fibrosis |
| WO2014180562A1 (en) | 2013-05-07 | 2014-11-13 | Galapagos Nv | Novel compounds and pharmaceutical compositions thereof for the treatment of cystic fibrosis |
Family Cites Families (65)
| Publication number | Priority date | Publication date | Assignee | Title |
|---|---|---|---|---|
| DE3812225A1 (en) * | 1988-04-13 | 1989-10-26 | Basf Ag | Isoxazole (ISOTHIAZOL) -5-carboxamides |
| US5888941A (en) | 1995-08-02 | 1999-03-30 | J. Uriach & Cia. S.A. | Carbozamides with antifungal activity |
| ATE243204T1 (en) * | 1995-08-24 | 2003-07-15 | Basf Ag | ISOXAZOLE AND ISOTHIAZOLE-5-CARBOXAMIDE DERIVATIVES, THEIR PRODUCTION AND THEIR USE AS HERBICIDES |
| ATE228119T1 (en) | 1998-04-15 | 2002-12-15 | Pfizer Prod Inc | HETEROCYCLIC CARBOXAMIDES |
| AU2001273040A1 (en) | 2000-06-27 | 2002-01-08 | Du Pont Pharmaceuticals Company | Factor xa inhibitors |
| AU2003234464B2 (en) * | 2002-05-03 | 2009-06-04 | Exelixis, Inc. | Protein kinase modulators and methods of use |
| EP1394159A1 (en) * | 2002-08-13 | 2004-03-03 | Warner-Lambert Company LLC | New thiophene derivatives, process for their preparation and pharmaceutical compositions containing them |
| KR20060121909A (en) | 2003-10-08 | 2006-11-29 | 버텍스 파마슈티칼스 인코포레이티드 | Modulators of AT-Linked Cassette Transporters Including Cycloalkyl or Pyranyl Groups |
| CN1925854A (en) | 2003-11-14 | 2007-03-07 | 沃泰克斯药物股份有限公司 | Thiazoles and oxazoles useful as modulators of ATP-binding cassette transporters |
| WO2005077373A2 (en) | 2004-02-03 | 2005-08-25 | Astrazeneca Ab | Treatment of gastro-esophageal reflux disease (gerd) |
| WO2005077345A1 (en) | 2004-02-03 | 2005-08-25 | Astrazeneca Ab | Compounds for the treatment of gastro-esophageal reflux disease |
| US7585859B2 (en) | 2004-05-06 | 2009-09-08 | Plexxikon, Inc. | PDE4B inhibitors and uses therefor |
| SE0401969D0 (en) * | 2004-08-02 | 2004-08-02 | Astrazeneca Ab | Piperidine derivatives |
| US20060100226A1 (en) | 2004-09-10 | 2006-05-11 | Sikorski James A | 2-Thiopyrimidinones as therapeutic agents |
| DE102004051277A1 (en) | 2004-10-21 | 2006-04-27 | Merck Patent Gmbh | Heterocyclic carbonyl compounds |
| JP2006176443A (en) * | 2004-12-22 | 2006-07-06 | Shionogi & Co Ltd | Melanin-concentrating hormone receptor antagonist |
| CA2607499C (en) | 2005-06-22 | 2010-11-30 | Pfizer Products Inc. | Histamine-3 receptor antagonists |
| JP4822406B2 (en) | 2005-09-26 | 2011-11-24 | ルネサスエレクトロニクス株式会社 | Display control drive device and display system |
| WO2007075896A2 (en) | 2005-12-22 | 2007-07-05 | Kemia, Inc. | Heterocyclic cytokine inhibitors |
| KR101394245B1 (en) | 2005-12-30 | 2014-05-14 | 에스케이바이오팜 주식회사 | Isoxazole Derivatives and Use thereof |
| WO2007086584A1 (en) * | 2006-01-30 | 2007-08-02 | Meiji Seika Kaisha, Ltd. | NOVEL INHIBITOR OF FabK AND FabI/K |
| TW200815351A (en) * | 2006-05-02 | 2008-04-01 | Astrazeneca Ab | Novel compounds |
| WO2008046072A2 (en) | 2006-10-13 | 2008-04-17 | The Board Of Regents Of The University Of Texas System | Chemical inducers of neurogenesis |
| US8193225B2 (en) | 2006-10-13 | 2012-06-05 | The Board Of Regents Of The University Of Texas System | Isoxazole amides, derivatives and methods of chemical induction of neurogenesis |
| EP2076513A1 (en) | 2006-10-20 | 2009-07-08 | Irm Llc | Compositions and methods for modulating c-kit and pdgfr receptors |
| WO2008070739A1 (en) | 2006-12-06 | 2008-06-12 | Cytokinetics, Inc. | Ksp activators |
| WO2009005269A2 (en) | 2007-06-29 | 2009-01-08 | Sk Holdings Co., Ltd. | Pharmaceutical composition for preventintion and treatment of restenosis comprising isoxazole derivatives |
| WO2009011850A2 (en) * | 2007-07-16 | 2009-01-22 | Abbott Laboratories | Novel therapeutic compounds |
| CN101796036A (en) | 2007-08-02 | 2010-08-04 | 欧加农股份有限公司 | 5-Phenylisoxazole-3-carboxamide derivatives as TRPV1 modulators |
| CA2709784A1 (en) | 2007-12-21 | 2009-07-09 | University Of Rochester | Method for altering the lifespan of eukaryotic organisms |
| WO2009131951A2 (en) | 2008-04-21 | 2009-10-29 | Institute For Oneworld Health | Compounds, compositions and methods comprising isoxazole derivatives |
| US20090318429A1 (en) | 2008-04-28 | 2009-12-24 | Institute For Oneworld Health | Compounds, Compositions and Methods Comprising Heteroaromatic Derivatives |
| JP2012516840A (en) * | 2009-02-04 | 2012-07-26 | エム・エス・ディー・オス・ベー・フェー | Isoxazole-5-carboxamide derivatives |
| BRPI1008974A2 (en) | 2009-03-11 | 2017-06-06 | Kyorin Seiyaku Kk | compound, pharmaceutical composition, and method for treating, preventing or ameliorating a gsk-3 mediated disease |
| GB0910003D0 (en) * | 2009-06-11 | 2009-07-22 | Univ Leuven Kath | Novel compounds for the treatment of neurodegenerative diseases |
| IN2012DN00352A (en) | 2009-06-16 | 2015-08-21 | Bikam Pharmaceuticals Inc | |
| WO2011008931A2 (en) | 2009-07-15 | 2011-01-20 | Cystic Fibrosis Foundation Therapeutics, Inc. | Arylpyrimidine compounds and combination therapy comprising same for treating cystic fibrosis & related disorders |
| US9212177B2 (en) | 2009-08-05 | 2015-12-15 | Versitech Limited | Antiviral compounds and methods of making and using thereof |
| GB2474120B (en) | 2009-10-01 | 2011-12-21 | Amira Pharmaceuticals Inc | Compounds as Lysophosphatidic acid receptor antagonists |
| ES2603032T3 (en) * | 2010-07-15 | 2017-02-23 | Bayer Intellectual Property Gmbh | 3-Pyridyl-heteroarylcarboxamide compounds as pesticides |
| WO2012121361A1 (en) | 2011-03-10 | 2012-09-13 | 第一三共株式会社 | Dispiropyrrolidine derivative |
| CA2736441A1 (en) | 2011-04-06 | 2012-10-06 | The Regents Of The University Of California | Pyrazolylthiazole compounds as .delta.f508-cystic fibrosis transmembrane conductance regulator correctors |
| EA201490406A1 (en) | 2011-07-29 | 2014-07-30 | Кариофарм Терапевтикс, Инк. | NUCLEAR TRANSPORT MODULATORS AND THEIR APPLICATION |
| US8623860B2 (en) | 2011-12-30 | 2014-01-07 | Boehringer Ingelheim International Gmbh | Azetidine derivatives, pharmaceutical compositions and uses thereof |
| ES2625106T3 (en) | 2012-02-16 | 2017-07-18 | Dow Agrosciences Llc | Production methods of sulfilimine compounds |
| UA110436C2 (en) | 2012-03-06 | 2015-12-25 | Zoetis Llc | Antibacterial phenol compounds |
| WO2013146970A1 (en) | 2012-03-29 | 2013-10-03 | 第一三共株式会社 | Novel quinoline derivative |
| AU2014228478A1 (en) | 2013-03-15 | 2015-10-08 | The University Of North Carolina Chapel Hill | Correctors acting through MSD1 of CFTR protein |
| WO2014181287A1 (en) | 2013-05-09 | 2014-11-13 | Piramal Enterprises Limited | Heterocyclyl compounds and uses thereof |
| AU2014302458A1 (en) | 2013-06-26 | 2015-12-24 | Proteostasis Therapeutics, Inc. | Methods of modulating CFTR activity |
| US9920073B2 (en) | 2013-10-04 | 2018-03-20 | Drexel University | Compositions useful for inhibiting HIV-1 infection and methods using same |
| WO2015138909A1 (en) | 2014-03-13 | 2015-09-17 | Proteostasis Therapeutics, Inc. | Compounds, compositions, and methods for increasing cftr activity |
| US9745292B2 (en) | 2014-03-13 | 2017-08-29 | Proteostasis Therapeutics, Inc. | Compounds, compositions, and methods for increasing CFTR activity |
| US10174014B2 (en) | 2014-06-19 | 2019-01-08 | Proteostasis Therapeutics, Inc. | Compounds, compositions, and methods for increasing CFTR activity |
| WO2016054560A1 (en) | 2014-10-02 | 2016-04-07 | Flatley Discovery Lab | Isoxazole compounds and methods for the treatment of cystic fibrosis |
| CA2971850A1 (en) | 2014-12-23 | 2016-06-30 | Proteostasis Therapeutics, Inc. | Derivatives of 5-phenyl- or 5-heteroarylthiazol-2-carboxylic amide useful for the treatment of inter alia cystic fibrosis |
| WO2016105484A1 (en) | 2014-12-23 | 2016-06-30 | Proteostasis Therapeutics, Inc. | Derivatives of 5-(hetero)arylpyrazol-3-carboxylic amide or 1-(hetero)aryltriazol-4-carboxylic amide useful for the treatment of inter alia cystic fibrosis |
| US10344023B2 (en) | 2014-12-23 | 2019-07-09 | Proteostasis Therapeutics, Inc. | Derivatives of 3-heteroarylisoxazol-5-carboxylic amide useful for the treatment of inter alia cystic fibrosis |
| MA41253A (en) | 2014-12-23 | 2017-10-31 | Proteostasis Therapeutics Inc | COMPOUNDS, COMPOSITIONS AND PROCESSES TO INCREASE THE ACTIVITY OF CFTR |
| US20180147187A1 (en) | 2015-01-12 | 2018-05-31 | Proteostasis Therapeutics, Inc. | Compounds, compositions, and methods for increasing cftr activity |
| EP3325474A1 (en) | 2015-07-24 | 2018-05-30 | Proteostasis Therapeutics, Inc. | Compounds, compositions and methods of increasing cftr activity |
| US20190022071A1 (en) | 2015-08-31 | 2019-01-24 | Proteostasis Therapeutics, Inc. | Methods of treating pulmonary diseases and disorders |
| NZ741093A (en) | 2015-10-06 | 2022-12-23 | Proteostasis Therapeutics Inc | Compounds, compositions, and methods for modulating cftr |
| CA3009339A1 (en) | 2015-12-22 | 2017-06-29 | Proteostasis Therapeutics, Inc. | Methods of treating pulmonary diseases and disorders |
| EP3472156B1 (en) | 2016-06-21 | 2023-06-07 | Proteostasis Therapeutics, Inc. | Compounds, compositions, and methods for increasing cftr activity |
-
2015
- 2015-12-22 MA MA041253A patent/MA41253A/en unknown
- 2015-12-23 AU AU2015371294A patent/AU2015371294B2/en active Active
- 2015-12-23 SG SG11201704859UA patent/SG11201704859UA/en unknown
- 2015-12-23 RU RU2017126232A patent/RU2767460C2/en active
- 2015-12-23 EP EP15825647.9A patent/EP3237411B1/en active Active
- 2015-12-23 US US15/539,392 patent/US10392372B2/en active Active
- 2015-12-23 KR KR1020177020139A patent/KR102677444B1/en active Active
- 2015-12-23 MX MX2017008380A patent/MX388421B/en unknown
- 2015-12-23 BR BR112017013710-0A patent/BR112017013710B1/en active IP Right Grant
- 2015-12-23 NZ NZ732701A patent/NZ732701A/en unknown
- 2015-12-23 ES ES15825647T patent/ES2962673T3/en active Active
- 2015-12-23 WO PCT/US2015/000212 patent/WO2016105485A2/en not_active Ceased
- 2015-12-23 CN CN201580074407.1A patent/CN107207487B/en active Active
- 2015-12-23 JP JP2017533772A patent/JP6700284B2/en active Active
-
2017
- 2017-06-18 IL IL252987A patent/IL252987B/en active IP Right Grant
- 2017-06-26 SA SA517381828A patent/SA517381828B1/en unknown
-
2019
- 2019-07-12 US US16/510,406 patent/US11098035B2/en active Active
-
2020
- 2020-08-02 IL IL276426A patent/IL276426A/en unknown
- 2020-10-12 AU AU2020256305A patent/AU2020256305A1/en not_active Abandoned
-
2022
- 2022-09-06 AU AU2022228100A patent/AU2022228100A1/en not_active Abandoned
Patent Citations (11)
| Publication number | Priority date | Publication date | Assignee | Title |
|---|---|---|---|---|
| US20140027933A1 (en) | 2009-12-30 | 2014-01-30 | Stmicroelectronics, Inc. | Device and method for alignment of vertically stacked wafers and die |
| WO2011113894A1 (en) | 2010-03-19 | 2011-09-22 | Novartis Ag | Pyridine and pyrazine derivative for the treatment of cf |
| WO2013038390A1 (en) | 2011-09-16 | 2013-03-21 | Novartis Ag | N-substituted heterocyclyl carboxamides |
| WO2013038386A1 (en) | 2011-09-16 | 2013-03-21 | Novartis Ag | Heterocyclic compounds for the treatment of cystic fibrosis |
| WO2014045283A1 (en) | 2012-09-24 | 2014-03-27 | Yissum Research Development Company Of The Hebrew University Of Jerusalem Ltd. | Restoration of the cftr function by splicing modulation |
| WO2014081820A1 (en) | 2012-11-20 | 2014-05-30 | Discoverybiomed, Inc. | Small molecule cftr correctors |
| WO2014081821A2 (en) | 2012-11-20 | 2014-05-30 | Discoverybiomed, Inc. | Small Molecule Bicyclic and Tricyclic CFTR Correctors |
| WO2014160478A1 (en) | 2013-03-13 | 2014-10-02 | Flatley Discovery Lab | Compounds and methods for the treatment of cystic fibrosis |
| WO2014160440A1 (en) | 2013-03-13 | 2014-10-02 | Flatley Discovery Lab | Pyridazinone compounds and methods for the treatment of cystic fibrosis |
| WO2014152213A2 (en) | 2013-03-15 | 2014-09-25 | Discoverybiomed, Inc. | Coumarin derivatives and methods of use in treating cystic fibrosis, chronic obstructive pulmonary disease, and misfolded protein disorders |
| WO2014180562A1 (en) | 2013-05-07 | 2014-11-13 | Galapagos Nv | Novel compounds and pharmaceutical compositions thereof for the treatment of cystic fibrosis |
Non-Patent Citations (27)
| Title |
|---|
| ALBERT ET AL.: "Clinical Respiratory Medicine", 2008, MOSBY INC. |
| BALCH ET AL., SCIENCE, vol. 319, 2008, pages 916 - 919 |
| BOMBIERI ET AL., J CYST FIBROS, vol. 10, no. 2, June 2011 (2011-06-01), pages 86 - 102 |
| BOUCHER, J INTERN MED, vol. 261, 2007, pages 5 - 16 |
| BRUSCIA ET AL., PNAS, vol. 103, no. 8, 2005, pages 2965 - 2971 |
| CARREIRA; KVAERNO: "Classics in Stereoselective Synthesis", 2009, WILEY-VCH |
| CEVC ET AL., BIOCHEM. BIOPHYS. ACTA, vol. 1368, 1998, pages 201 - 215 |
| DEVOR ET AL., AM J PHYSIOL CELL PHYSIOL, vol. 279, no. 2, 2000, pages C461 - C479 |
| DORMER ET AL., J CELL SCI, vol. 114, 2001, pages 4073 - 4081, Retrieved from the Internet <URL:http://www.genet.sickkids.on.ca/app> |
| DOUSMANIS ET AL., J GEN PHYSIOL, vol. 119, no. 6, 2002, pages 545 - 559 |
| FROUSSARD, PANCREAS, vol. 35, no. 1, 2007, pages 94 - 95 |
| HANES, ADVANCED DRUG DELIVERY REVIEWS, vol. 28, 1997, pages 97 - 119 |
| HUTT ET AL., FEBS LETT, vol. 583, 2009, pages 2639 - 2646 |
| J MED. CHEM., vol. 54, no. 13, 2011, pages 4350 - 4364 |
| LANGER, SCIENCE, vol. 249, 1990, pages 1527 |
| LEVIN ET AL., INVEST OPHTHALMOL VIS SCI., vol. 46, no. 4, 2005, pages 1428 - 1434 |
| PAUL ET AL., EUR. J IMMUNOL., vol. 25, 1995, pages 3521 - 3524 |
| POWERS ET AL., ANNU REV BIOCHEM, vol. 78, 2009, pages 959 - 991 |
| QU ET AL., JBIOL CHEM, vol. 272, 1997, pages 15739 - 15744 |
| RAUTIO; KUMPULAINEN ET AL., NATURE REVIEWS DRUG DISCOVERY, vol. 7, 2008, pages 255 |
| RIORDAN ET AL., ANNU REV BIOCHEM, vol. 77, 2008, pages 701 - 726 |
| RON ET AL., NAT REV MOL CELL BIOL, vol. 8, 2007, pages 519 - 529 |
| RUSSIAN JOURNAL OF ORGANIC CHEMISTRY, vol. 47, no. 8, 2011, pages 1199 - 1203 |
| SIMPLICIO ET AL., MOLECULES, vol. 13, 2008, pages 519 |
| SITIA ET AL., NATURE, vol. 426, 2003, pages 891 - 894 |
| SLOANE ET AL., PLOS ONE, vol. 7, no. 6, 2012, pages E39809 |
| WISEMAN ET AL., CELL, vol. 131, 2007, pages 809 - 821 |
Cited By (56)
| Publication number | Priority date | Publication date | Assignee | Title |
|---|---|---|---|---|
| US9670163B2 (en) | 2005-12-28 | 2017-06-06 | Vertex Pharmaceuticals Incorporated | Solid forms of N-[2,4-bis(1,1-dimethylethyl)-5-hydroxyphenyl]-1,4-dihydro-4-oxoquinoline-3-carboxamide |
| US9732080B2 (en) | 2006-11-03 | 2017-08-15 | Vertex Pharmaceuticals Incorporated | Azaindole derivatives as CFTR modulators |
| US10081621B2 (en) | 2010-03-25 | 2018-09-25 | Vertex Pharmaceuticals Incorporated | Solid forms of (R)-1(2,2-difluorobenzo[D][1,3]dioxol-5-yl)-N-(1-(2,3-dihydroxypropyl)-6-fluoro-2-(1-hydroxy-2-methylpropan-2-yl)-1H-indol-5-yl)cyclopropanecarboxamide |
| US10071979B2 (en) | 2010-04-22 | 2018-09-11 | Vertex Pharmaceuticals Incorporated | Process of producing cycloalkylcarboxamido-indole compounds |
| US9745292B2 (en) | 2014-03-13 | 2017-08-29 | Proteostasis Therapeutics, Inc. | Compounds, compositions, and methods for increasing CFTR activity |
| US9790219B2 (en) | 2014-03-13 | 2017-10-17 | Proteostasis Therapeutics, Inc. | Compounds, compositions, and methods for increasing CFTR activity |
| US10017503B2 (en) | 2014-03-13 | 2018-07-10 | Proteostasis Therapeutics, Inc. | Compounds, compositions, and methods for increasing CFTR activity |
| US10206877B2 (en) | 2014-04-15 | 2019-02-19 | Vertex Pharmaceuticals Incorporated | Pharmaceutical compositions for the treatment of cystic fibrosis transmembrane conductance regulator mediated diseases |
| US10738040B2 (en) | 2014-06-19 | 2020-08-11 | Proteostasis Therapeutics, Inc. | Compounds, compositions, and methods for increasing CFTR activity |
| US10174014B2 (en) | 2014-06-19 | 2019-01-08 | Proteostasis Therapeutics, Inc. | Compounds, compositions, and methods for increasing CFTR activity |
| US9855249B2 (en) | 2014-10-02 | 2018-01-02 | Flatley Discovery Lab, Llc | Isoxazole compounds and methods for the treatment of cystic fibrosis |
| US11426407B2 (en) | 2014-10-06 | 2022-08-30 | Vertex Pharmaceuticals Incorporated | Modulators of cystic fibrosis transmembrane conductance regulator |
| US12168009B2 (en) | 2014-10-06 | 2024-12-17 | Vertex Pharmaceuticals Incorporated | Modulators of cystic fibrosis transmembrane conductance regulator |
| US10758534B2 (en) | 2014-10-06 | 2020-09-01 | Vertex Pharmaceuticals Incorporated | Modulators of cystic fibrosis transmembrane conductance regulator |
| US10344023B2 (en) | 2014-12-23 | 2019-07-09 | Proteostasis Therapeutics, Inc. | Derivatives of 3-heteroarylisoxazol-5-carboxylic amide useful for the treatment of inter alia cystic fibrosis |
| US10392372B2 (en) | 2014-12-23 | 2019-08-27 | Proteostasis Therapeutics, Inc. | Compounds, compositions, and methods for increasing CFTR activity |
| US10392378B2 (en) | 2014-12-23 | 2019-08-27 | Proteostasis Therapeutics, Inc. | Derivatives of 5-phenyl- or 5-heteroarylathiazol-2-carboxylic amide useful for the treatment of inter alia cystic fibrosis |
| US11098035B2 (en) | 2014-12-23 | 2021-08-24 | Proteostasis Therapeutics, Inc. | Compounds, compositions, and methods for increasing CFTR activity |
| US10738011B2 (en) | 2014-12-23 | 2020-08-11 | Proteostasis Therapeutics, Inc. | Derivatives of 5-(hetero)arylpyrazol-3-carboxylic amide or 1-(hetero)aryltriazol-4-carboxylic amide useful for the treatment of inter alia cystic fibrosis |
| US11083709B2 (en) | 2015-07-24 | 2021-08-10 | Proteostasis Therapeutics, Inc. | Compounds, compositions, and methods of increasing CFTR activity |
| AU2016297886B2 (en) * | 2015-07-24 | 2020-12-10 | Proteostasis Therapeutics, Inc. | Compounds, compositions and methods of increasing CFTR activity |
| WO2017019589A1 (en) * | 2015-07-24 | 2017-02-02 | Proteostasis Therapeutics, Inc. | Compounds, compositions and methods of increasing cftr activity |
| US10548878B2 (en) | 2015-07-24 | 2020-02-04 | Proteostasis Therapeutics, Inc. | Compounds, compositions, and methods of increasing CFTR activity |
| US10550106B2 (en) | 2015-10-06 | 2020-02-04 | Proteostasis Therapeutics, Inc. | Compounds, compositions, and methods for modulating CFTR |
| US11136313B2 (en) | 2015-10-06 | 2021-10-05 | Proteostasis Therapeutics, Inc. | Compounds, compositions, and methods for modulating CFTR |
| WO2017112853A1 (en) * | 2015-12-22 | 2017-06-29 | Proteostasis Therapeutics, Inc. | Methods of treating pulmonary diseases and disorders |
| US10738030B2 (en) | 2016-03-31 | 2020-08-11 | Vertex Pharmaceuticals Incorporated | Modulators of cystic fibrosis transmembrane conductance regulator |
| US10662207B2 (en) | 2016-04-07 | 2020-05-26 | Proteostasis Therapeutics, Inc. | Compounds, compositions, and methods for modulating CFTR |
| US11248010B2 (en) | 2016-04-07 | 2022-02-15 | Proteostasis Therapeutics, Inc. | Compounds, compositions, and methods for modulating CFTR |
| US10899751B2 (en) | 2016-06-21 | 2021-01-26 | Proteostasis Therapeutics, Inc. | Compounds, compositions, and methods for increasing CFTR activity |
| US11186566B2 (en) | 2016-09-30 | 2021-11-30 | Vertex Pharmaceuticals Incorporated | Modulator of cystic fibrosis transmembrane conductance regulator, pharmaceutical compositions, methods of treatment, and process for making the modulator |
| US10570115B2 (en) | 2016-09-30 | 2020-02-25 | Vertex Pharmaceuticals Incorporated | Modulator of cystic fibrosis transmembrane conductance regulator, pharmaceutical compositions, methods of treatment, and process for making the modulator |
| US12384762B2 (en) | 2016-12-09 | 2025-08-12 | Vertex Pharmaceuticals Incorporated | Modulator of the Cystic Fibrosis Transmembrane Conductance Regulator, pharmaceutical compositions, methods of treatment, and process for making the modulator |
| US11453655B2 (en) | 2016-12-09 | 2022-09-27 | Vertex Pharmaceuticals Incorporated | Modulator of the cystic fibrosis transmembrane conductance regulator, pharmaceutical compositions, methods of treatment, and process for making the modulator |
| US10793547B2 (en) | 2016-12-09 | 2020-10-06 | Vertex Pharmaceuticals Incorporated | Modulator of the cystic fibrosis transmembrane conductance regulator, pharmaceutical compositions, methods of treatment, and process for making the modulator |
| US11253509B2 (en) | 2017-06-08 | 2022-02-22 | Vertex Pharmaceuticals Incorporated | Methods of treatment for cystic fibrosis |
| WO2019010092A1 (en) * | 2017-07-01 | 2019-01-10 | Vertex Pharmaceuticals Incorporated | Compositions and methods for treatment of cystic fibrosis |
| US11517564B2 (en) | 2017-07-17 | 2022-12-06 | Vertex Pharmaceuticals Incorporated | Methods of treatment for cystic fibrosis |
| US12350262B2 (en) | 2017-07-17 | 2025-07-08 | Vertex Pharmaceuticals Incorporated | Methods of treatment for cystic fibrosis |
| US11434201B2 (en) | 2017-08-02 | 2022-09-06 | Vertex Pharmaceuticals Incorporated | Processes for preparing pyrrolidine compounds |
| US11155533B2 (en) | 2017-10-19 | 2021-10-26 | Vertex Pharmaceuticals Incorporated | Crystalline forms and compositions of CFTR modulators |
| US10654829B2 (en) | 2017-10-19 | 2020-05-19 | Vertex Pharmaceuticals Incorporated | Crystalline forms and compositions of CFTR modulators |
| US12415798B2 (en) | 2017-12-08 | 2025-09-16 | Vertex Pharmaceuticals Incorporated | Processes for making modulators of cystic fibrosis transmembrane conductance regulator |
| US11465985B2 (en) | 2017-12-08 | 2022-10-11 | Vertex Pharmaceuticals Incorporated | Processes for making modulators of cystic fibrosis transmembrane conductance regulator |
| US11179367B2 (en) | 2018-02-05 | 2021-11-23 | Vertex Pharmaceuticals Incorporated | Pharmaceutical compositions for treating cystic fibrosis |
| US11414439B2 (en) | 2018-04-13 | 2022-08-16 | Vertex Pharmaceuticals Incorporated | Modulators of cystic fibrosis transmembrane conductance regulator, pharmaceutical compositions, methods of treatment, and process for making the modulator |
| US11746098B2 (en) | 2018-06-27 | 2023-09-05 | Proteostasis Therapeutics, Inc. | Proteasome activity enhancing compounds |
| EP4100023A4 (en) * | 2020-02-07 | 2024-03-13 | University of South Florida | INHIBITION OF BETA-ARRESTIN OLIGOMERISATION IN TAUOPATHY |
| US12269831B2 (en) | 2020-08-07 | 2025-04-08 | Vertex Pharmaceuticals Incorporated | Modulators of cystic fibrosis transmembrane conductance regulator |
| WO2022032068A1 (en) | 2020-08-07 | 2022-02-10 | Vertex Pharmaceuticals Incorporated | Modulators of cystic fibrosis transmembrane conductance regulator |
| US12324802B2 (en) | 2020-11-18 | 2025-06-10 | Vertex Pharmaceuticals Incorporated | Modulators of cystic fibrosis transmembrane conductance regulator |
| WO2022175675A1 (en) * | 2021-02-19 | 2022-08-25 | Kalvista Pharmaceuticals Limited | Factor xiia inhibitors |
| WO2023150236A1 (en) | 2022-02-03 | 2023-08-10 | Vertex Pharmaceuticals Incorporated | Methods of preparing and crystalline forms of (6a,12a)-17-amino-12-methyl-6,15-bis(trifluoromethyl)-13,19-dioxa-3,4,18-triazatricyclo[ 12.3.1.12,5]nonadeca-1(18),2,4,14,16-pentaen-6-ol |
| WO2023150237A1 (en) | 2022-02-03 | 2023-08-10 | Vertex Pharmaceuticals Incorporated | Methods of treatment for cystic fibrosis |
| WO2023154291A1 (en) | 2022-02-08 | 2023-08-17 | Vertex Pharmaceuticals Incorporated | Modulators of cystic fibrosis transmembrane conductance regulator |
| WO2023224931A1 (en) | 2022-05-16 | 2023-11-23 | Vertex Pharmaceuticals Incorporated | Methods of treatment for cystic fibrosis |
Also Published As
Similar Documents
| Publication | Publication Date | Title |
|---|---|---|
| US11098035B2 (en) | Compounds, compositions, and methods for increasing CFTR activity | |
| US11083709B2 (en) | Compounds, compositions, and methods of increasing CFTR activity | |
| US10738040B2 (en) | Compounds, compositions, and methods for increasing CFTR activity | |
| WO2016105477A1 (en) | Derivatives of 5-phenyl- or 5-heteroarylthiazol-2-carboxylic amide useful for the treatment of inter alia cystic fibrosis | |
| WO2016115090A1 (en) | Compounds, compositions and methods for increasing cftr activity | |
| EP3116870A1 (en) | Compounds, compositions, and methods for increasing cftr activity | |
| WO2016105468A1 (en) | Derivatives of 3-heteroarylisoxazol-5-carboxylic amide useful for the treatment of inter alia cystic fibrosis | |
| EP3116501A1 (en) | Compounds, compositions, and methods for increasing cftr activity | |
| CA2971858C (en) | Compounds, compositions, and methods for increasing cftr activity |
Legal Events
| Date | Code | Title | Description |
|---|---|---|---|
| 121 | Ep: the epo has been informed by wipo that ep was designated in this application |
Ref document number: 15825647 Country of ref document: EP Kind code of ref document: A2 |
|
| WWE | Wipo information: entry into national phase |
Ref document number: 11201704859U Country of ref document: SG |
|
| WWE | Wipo information: entry into national phase |
Ref document number: 252987 Country of ref document: IL |
|
| ENP | Entry into the national phase |
Ref document number: 2971858 Country of ref document: CA |
|
| ENP | Entry into the national phase |
Ref document number: 2017533772 Country of ref document: JP Kind code of ref document: A |
|
| WWE | Wipo information: entry into national phase |
Ref document number: MX/A/2017/008380 Country of ref document: MX |
|
| NENP | Non-entry into the national phase |
Ref country code: DE |
|
| WWE | Wipo information: entry into national phase |
Ref document number: 15539392 Country of ref document: US |
|
| ENP | Entry into the national phase |
Ref document number: 2015371294 Country of ref document: AU Date of ref document: 20151223 Kind code of ref document: A |
|
| REG | Reference to national code |
Ref country code: BR Ref legal event code: B01A Ref document number: 112017013710 Country of ref document: BR |
|
| ENP | Entry into the national phase |
Ref document number: 20177020139 Country of ref document: KR Kind code of ref document: A |
|
| REEP | Request for entry into the european phase |
Ref document number: 2015825647 Country of ref document: EP |
|
| ENP | Entry into the national phase |
Ref document number: 2017126232 Country of ref document: RU Kind code of ref document: A |
|
| ENP | Entry into the national phase |
Ref document number: 112017013710 Country of ref document: BR Kind code of ref document: A2 Effective date: 20170623 |





































































































































