WO2015155332A1 - Spiro[3h-indole-3,2'-pyrrolidin]-2(1h)-one derivatives and their use as mdm2-p53 inhibitors - Google Patents

Spiro[3h-indole-3,2'-pyrrolidin]-2(1h)-one derivatives and their use as mdm2-p53 inhibitors Download PDF

Info

Publication number
WO2015155332A1
WO2015155332A1 PCT/EP2015/057839 EP2015057839W WO2015155332A1 WO 2015155332 A1 WO2015155332 A1 WO 2015155332A1 EP 2015057839 W EP2015057839 W EP 2015057839W WO 2015155332 A1 WO2015155332 A1 WO 2015155332A1
Authority
WO
WIPO (PCT)
Prior art keywords
alkyl
hydrogen
membered heteroaryl
ioaryl
independently
Prior art date
Legal status (The legal status is an assumption and is not a legal conclusion. Google has not performed a legal analysis and makes no representation as to the accuracy of the status listed.)
Ceased
Application number
PCT/EP2015/057839
Other languages
French (fr)
Inventor
Andreas Gollner
Christiane Kofink
Juergen Ramharter
Harald WEINSTABL
Tobias Wunberg
Current Assignee (The listed assignees may be inaccurate. Google has not performed a legal analysis and makes no representation or warranty as to the accuracy of the list.)
Boehringer Ingelheim International GmbH
Original Assignee
Boehringer Ingelheim International GmbH
Priority date (The priority date is an assumption and is not a legal conclusion. Google has not performed a legal analysis and makes no representation as to the accuracy of the date listed.)
Filing date
Publication date
Application filed by Boehringer Ingelheim International GmbH filed Critical Boehringer Ingelheim International GmbH
Priority to JP2016561754A priority Critical patent/JP6577958B2/en
Priority to EP15716495.5A priority patent/EP3129380B1/en
Publication of WO2015155332A1 publication Critical patent/WO2015155332A1/en
Anticipated expiration legal-status Critical
Ceased legal-status Critical Current

Links

Classifications

    • CCHEMISTRY; METALLURGY
    • C07ORGANIC CHEMISTRY
    • C07DHETEROCYCLIC COMPOUNDS
    • C07D487/00Heterocyclic compounds containing nitrogen atoms as the only ring hetero atoms in the condensed system, not provided for by groups C07D451/00 - C07D477/00
    • C07D487/12Heterocyclic compounds containing nitrogen atoms as the only ring hetero atoms in the condensed system, not provided for by groups C07D451/00 - C07D477/00 in which the condensed system contains three hetero rings
    • C07D487/20Spiro-condensed systems
    • AHUMAN NECESSITIES
    • A61MEDICAL OR VETERINARY SCIENCE; HYGIENE
    • A61KPREPARATIONS FOR MEDICAL, DENTAL OR TOILETRY PURPOSES
    • A61K31/00Medicinal preparations containing organic active ingredients
    • A61K31/33Heterocyclic compounds
    • A61K31/395Heterocyclic compounds having nitrogen as a ring hetero atom, e.g. guanethidine or rifamycins
    • A61K31/40Heterocyclic compounds having nitrogen as a ring hetero atom, e.g. guanethidine or rifamycins having five-membered rings with one nitrogen as the only ring hetero atom, e.g. sulpiride, succinimide, tolmetin, buflomedil
    • A61K31/407Heterocyclic compounds having nitrogen as a ring hetero atom, e.g. guanethidine or rifamycins having five-membered rings with one nitrogen as the only ring hetero atom, e.g. sulpiride, succinimide, tolmetin, buflomedil condensed with other heterocyclic ring systems, e.g. ketorolac, physostigmine
    • AHUMAN NECESSITIES
    • A61MEDICAL OR VETERINARY SCIENCE; HYGIENE
    • A61KPREPARATIONS FOR MEDICAL, DENTAL OR TOILETRY PURPOSES
    • A61K31/00Medicinal preparations containing organic active ingredients
    • A61K31/33Heterocyclic compounds
    • A61K31/395Heterocyclic compounds having nitrogen as a ring hetero atom, e.g. guanethidine or rifamycins
    • A61K31/435Heterocyclic compounds having nitrogen as a ring hetero atom, e.g. guanethidine or rifamycins having six-membered rings with one nitrogen as the only ring hetero atom
    • A61K31/4353Heterocyclic compounds having nitrogen as a ring hetero atom, e.g. guanethidine or rifamycins having six-membered rings with one nitrogen as the only ring hetero atom ortho- or peri-condensed with heterocyclic ring systems
    • A61K31/437Heterocyclic compounds having nitrogen as a ring hetero atom, e.g. guanethidine or rifamycins having six-membered rings with one nitrogen as the only ring hetero atom ortho- or peri-condensed with heterocyclic ring systems the heterocyclic ring system containing a five-membered ring having nitrogen as a ring hetero atom, e.g. indolizine, beta-carboline
    • AHUMAN NECESSITIES
    • A61MEDICAL OR VETERINARY SCIENCE; HYGIENE
    • A61KPREPARATIONS FOR MEDICAL, DENTAL OR TOILETRY PURPOSES
    • A61K31/00Medicinal preparations containing organic active ingredients
    • A61K31/33Heterocyclic compounds
    • A61K31/395Heterocyclic compounds having nitrogen as a ring hetero atom, e.g. guanethidine or rifamycins
    • A61K31/435Heterocyclic compounds having nitrogen as a ring hetero atom, e.g. guanethidine or rifamycins having six-membered rings with one nitrogen as the only ring hetero atom
    • A61K31/44Non condensed pyridines; Hydrogenated derivatives thereof
    • A61K31/4427Non condensed pyridines; Hydrogenated derivatives thereof containing further heterocyclic ring systems
    • A61K31/4439Non condensed pyridines; Hydrogenated derivatives thereof containing further heterocyclic ring systems containing a five-membered ring with nitrogen as a ring hetero atom, e.g. omeprazole
    • AHUMAN NECESSITIES
    • A61MEDICAL OR VETERINARY SCIENCE; HYGIENE
    • A61KPREPARATIONS FOR MEDICAL, DENTAL OR TOILETRY PURPOSES
    • A61K45/00Medicinal preparations containing active ingredients not provided for in groups A61K31/00 - A61K41/00
    • A61K45/06Mixtures of active ingredients without chemical characterisation, e.g. antiphlogistics and cardiaca
    • AHUMAN NECESSITIES
    • A61MEDICAL OR VETERINARY SCIENCE; HYGIENE
    • A61PSPECIFIC THERAPEUTIC ACTIVITY OF CHEMICAL COMPOUNDS OR MEDICINAL PREPARATIONS
    • A61P29/00Non-central analgesic, antipyretic or antiinflammatory agents, e.g. antirheumatic agents; Non-steroidal antiinflammatory drugs [NSAID]
    • AHUMAN NECESSITIES
    • A61MEDICAL OR VETERINARY SCIENCE; HYGIENE
    • A61PSPECIFIC THERAPEUTIC ACTIVITY OF CHEMICAL COMPOUNDS OR MEDICINAL PREPARATIONS
    • A61P31/00Antiinfectives, i.e. antibiotics, antiseptics, chemotherapeutics
    • AHUMAN NECESSITIES
    • A61MEDICAL OR VETERINARY SCIENCE; HYGIENE
    • A61PSPECIFIC THERAPEUTIC ACTIVITY OF CHEMICAL COMPOUNDS OR MEDICINAL PREPARATIONS
    • A61P35/00Antineoplastic agents
    • AHUMAN NECESSITIES
    • A61MEDICAL OR VETERINARY SCIENCE; HYGIENE
    • A61PSPECIFIC THERAPEUTIC ACTIVITY OF CHEMICAL COMPOUNDS OR MEDICINAL PREPARATIONS
    • A61P37/00Drugs for immunological or allergic disorders
    • AHUMAN NECESSITIES
    • A61MEDICAL OR VETERINARY SCIENCE; HYGIENE
    • A61PSPECIFIC THERAPEUTIC ACTIVITY OF CHEMICAL COMPOUNDS OR MEDICINAL PREPARATIONS
    • A61P43/00Drugs for specific purposes, not provided for in groups A61P1/00-A61P41/00
    • CCHEMISTRY; METALLURGY
    • C07ORGANIC CHEMISTRY
    • C07DHETEROCYCLIC COMPOUNDS
    • C07D471/00Heterocyclic compounds containing nitrogen atoms as the only ring hetero atoms in the condensed system, at least one ring being a six-membered ring with one nitrogen atom, not provided for by groups C07D451/00 - C07D463/00
    • C07D471/22Heterocyclic compounds containing nitrogen atoms as the only ring hetero atoms in the condensed system, at least one ring being a six-membered ring with one nitrogen atom, not provided for by groups C07D451/00 - C07D463/00 in which the condensed systems contains four or more hetero rings
    • CCHEMISTRY; METALLURGY
    • C07ORGANIC CHEMISTRY
    • C07DHETEROCYCLIC COMPOUNDS
    • C07D487/00Heterocyclic compounds containing nitrogen atoms as the only ring hetero atoms in the condensed system, not provided for by groups C07D451/00 - C07D477/00
    • C07D487/02Heterocyclic compounds containing nitrogen atoms as the only ring hetero atoms in the condensed system, not provided for by groups C07D451/00 - C07D477/00 in which the condensed system contains two hetero rings
    • C07D487/10Spiro-condensed systems

Definitions

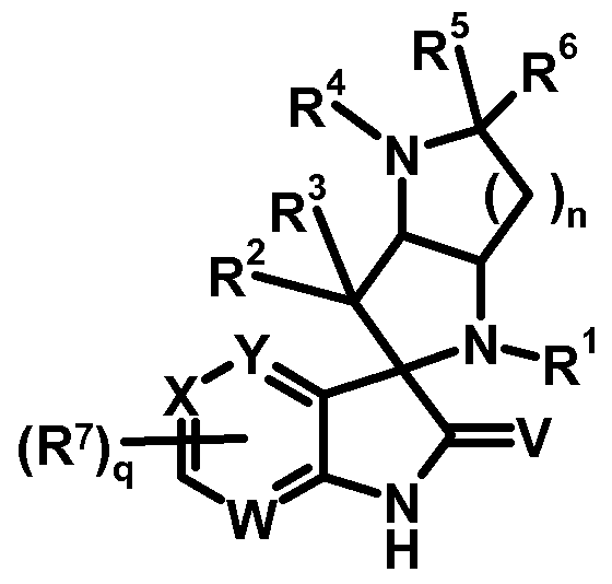
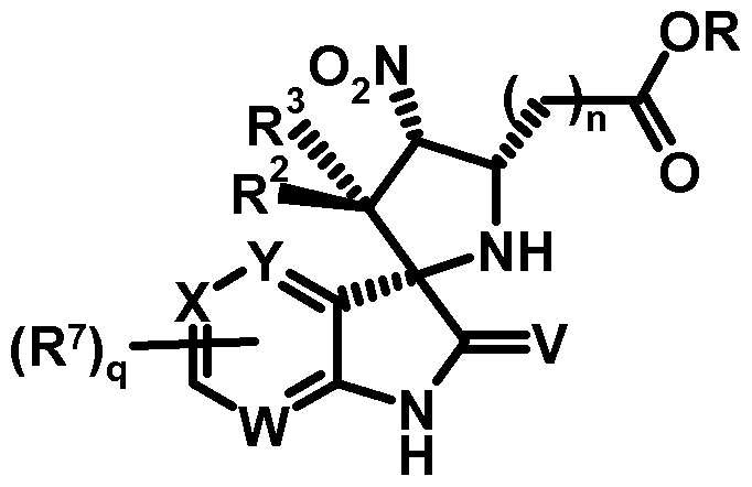
  • the present invention relates to new spiro[3H-indole-3,2 ' -pyrrolidin]-2(1 /-/)-one compounds and derivatives of formula (I)
  • the tumor suppressor protein p53 is a sequence specific transcription factor and plays a central role in the regulation of several cellular processes, including cell cycle and growth arrest, apoptosis, DNA repair, senescence, angiogenesis, and innate immunity.
  • the Mouse Double Minute 2 (MDM2) protein (or its human homolog also known as HDM2) acts to down-regulate p53 activity in an auto-regulatory manner, and under normal cellular conditions (absence of stress), the MDM2 protein serves to maintain p53 activity at low levels.
  • MDM2 directly inhibits the transactivation function of p53, exports p53 out of the nucleus, and promotes proteasome-mediated degradation of p53 through its E3 ubiquitin ligase activity.
  • MDM2/p53 Deregulation of the MDM2/p53 balance by overexpression of MDM2 or by p53 mutation or loss leads to malignant transformation of normal cells.
  • p53 is known to play a key role in practically all types of human cancers, and the mutation or loss of the p53 gene can be identified in more than 50 % of all human cancers worldwide.
  • Analysis of 28 different types of human cancers in nearly 4,000 human tumor samples showed that MDM2 is amplified in 7 % of human cancers and that MDM2 overexpression by amplification and p53 mutations are largely mutually exclusive (Momand et al., Nucleic Acid Res (1998) 26:3453-3459).
  • MDM2 is the primary cellular inhibitor of p53 activity, and overexpression of MDM2 was found in many human tumors. Since MDM2 inhibits p53 through a direct protein-protein interaction, blocking this interaction using small molecules was pursued in several academic and industrial pharmaceutical laboratories in the last decade.
  • a variety of non-peptide, drug-like small molecule as e.g. imidazole compounds (e.g. Nutlins or RG71 12), benzodiazepinedione compounds, spirooxindole compounds (e.g.
  • RG71 12 showed cytotoxic activity with lower median IC 50 values for p53 wild-type vs. p53 mutant cell lines (Carol et al., Pediatric Blood and Cancer (2013) 60(4):633-641 ).
  • RG-71 12 induced tumor growth inhibition in solid tumor xenograft models and was particularly efficacious in in acute lymphoblastic leukemia (ALL) xenograft models with mixed-lineage leukemia (MLL) rearrangement, (Carol et al., Pediatric Blood and Cancer (2013) 60(4):633-641 ). Additionally, the antiproliferative and proapoptotic activity of RG71 12 has been observed in human acute myeloid leukemia (AML) and human prostate tumor xenograft models harboring p53 wild- type (Tovar et al, Cancer Res (2013) 73 (8): 2587 - 2597).
  • ALL acute lymphoblastic leukemia
  • MDL mixed-lineage leukemia
  • small molecule inhibitors of the MDM2 protein interactions offer an important approach towards cancer therapy, either as a single agent, or in combination with a broad variety of anti-tumor therapies and thus, there is the need for further MDM2 inhibitors which can be useful in the treatment of cancer.
  • the aim of the present invention is to provide new compounds which can be used for the prevention and/or treatment of a disease and/or condition characterised by excessive or abnormal cell proliferation, especially a disease and/or condition wherein the inhibition of the interaction between MDM2 and p53 is of therapeutic benefit.
  • the compounds according to the invention are characterised by a powerful inhibitory effect on the interaction between MDM2 and p53 and in turn a high efficacy against tumour cells, e.g. osteosarcoma, ALL eic, which is mediated through the inhibition of the interaction between MDM2 and p53.
  • tumour cells e.g. osteosarcoma, ALL eic
  • the compounds show good PK properties and selectivity against p53 mutant cell lines.
  • they have good metabolic stability and, in contrast to many compounds known in the prior art, good chemical stability, i.e. they are for example less prone to epimerisation, a problem identified for many known representatives of spiro oxindoles in the prior art (see e.g. Zhao et al. J. Am. Chem. Soc 2013, 135, 7223-7234; Shu et al. Org. Process Res. Dev. 2013, 17, 247-256; WO 2012/065022).
  • R 1 is a group, optionally substituted by one or more, identical or different R b1 and/or R c1 , selected from among Ci -6 alkyl, C 2-6 alkenyl, C 2-6 alkynyl, Ci -6 haloalkyl, C 3-6 cycloalkyl, C 4-6 cycloalkenyl, C 6- ioaryl, 5-10 membered heteroaryl and 3-10 membered heterocyclyl; each R b1 is independently selected from among -OR c1 , -NR c1 R c1 , halogen, -CN, -C(0)R c1 , -C(0)OR c1 , -C(0)NR c1 R c1 , -S(0) 2 R c1 , -S(0) 2 NR c1 R c1 ,
  • each R c1 independently of one another denotes hydrogen or a group, optionally substituted by one or more, identical or different R d1 and/or R e1 , selected from among Ci -6 alkyl, C 2-6 alkenyl, C 2-6 alkynyl, Ci -6 haloalkyl, C 3-6 cycloalkyl, C 4-6 cycloalkenyl, C 6 -ioaryl, 5-10 membered heteroaryl and 3-10 membered heterocyclyl;
  • each R d1 is independently selected from among -OR e1 , -NR e1 R e1 , halogen, -CN, -C(0)R e1 , -C(0)OR e1 , -C(0)NR e1 R e1 , -S(0) 2 R e1 , -S(0) 2 NR e1 R e1 ,
  • each R e1 independently of one another denotes hydrogen or a group, optionally substituted by one or more, identical or different R f1 and/or R g1 , selected from among Ci -6 alkyl, C 2-6 alkenyl, C 2-6 alkynyl, Ci -6 haloalkyl, C 3-6 cycloalkyl, C 4-6 cycloalkenyl, C 6 -ioaryl, 5-10 membered heteroaryl and 3-10 membered heterocyclyl;
  • each R f1 is independently selected from among -OR 91 , -NR g1 R g1 , halogen, -CN, -C(0)R g1 , -C(0)OR g1 , -C(0)NR g1 R g1 , -S(0) 2 R g1 , -S(0) 2 NR g1 R g1 ,
  • each R g1 is independently selected from among hydrogen, Ci -6 alkyl, C 2-6 alkenyl, C 2-6 alkynyl, Ci -6 haloalkyl, C 3-6 cycloalkyl, C 4-6 cycloalkenyl, C 6 -ioaryl, 5-10 membered heteroaryl and 3-10 membered heterocyclyl;
  • R 2 and R 3 each independently, is selected from among hydrogen, C 6 -ioaryl, 5-10 membered heteroaryl and 3-10 membered heterocyclyl, wherein this C 6- ioaryl, 5-10 membered heteroaryl and 3-10 membered heterocyclyl is optionally substituted by one or more, identical or different R b2 and/or R c2 ;
  • each R b2 is independently selected from among -OR c2 , -NR c2 R c2 , halogen, -CN, -C(0)R c2 , -C(0)OR c2 , -C(0)NR c2 R c2 , -S(0) 2 R c2 , -S(0) 2 NR c2 R c2 ,
  • each R c2 independently of one another denotes hydrogen or a group selected from among Ci -6 alkyl, C 2-6 alkenyl, C 2-6 alkynyl, Ci -6 haloalkyl, C 3-6 cycloalkyl, C 4-6 cycloalkenyl, C 6 -ioaryl, 5-10 membered heteroaryl and 3-10 membered heterocyclyl;
  • R 4 is hydrogen or a group, optionally substituted by one or more, identical or different R b3 and/or R c3 , selected from among Ci -6 alkyl, C 2-6 alkenyl, C 2-6 alkynyl, Ci -6 haloalkyl, C 3-6 cycloalkyl, C 4-6 cycloalkenyl, C 6- ioaryl, 5-10 membered heteroaryl and 3-10 membered heterocyclyl; or
  • R 4 is selected from among -CN, -C(0)R c3 , -C(0)OR c3 , -C(0)NR c3 R c3 , -S(0) 2 R c3 and -S(0) 2 NR c3 R c3 ;
  • each R b3 is independently selected from among -OR c3 , -NR c3 R c3 , halogen, -CN, -C(0)R c3 , -C(0)OR c3 , -C(0)NR c3 R c3 , -C(0)NR g3 OR c3 , -S(0) 2 R c3 ,
  • each R c3 independently of one another denotes hydrogen or a group, optionally substituted by one or more, identical or different R d3 and/or R e3 , selected from among Ci -6 alkyl, C 2-6 alkenyl, C 2-6 alkynyl, Ci -6 haloalkyl, C 3-6 cycloalkyl, C 4-6 cycloalkenyl, C 6 -ioaryl, 5-10 membered heteroaryl and 3-10 membered heterocyclyl;
  • each R d3 is independently selected from among -OR e3 , -NR e3 R e3 , halogen, -CN, -C(0)R e3 , -C(0)OR e3 , -C(0)NR e3 R e3 , -C(0)NR g3 OR e3 , -S(0) 2 R e3 ,
  • each R e3 independently of one another denotes hydrogen or a group, optionally substituted by one or more, identical or different R f3 and/or R g3 , selected from among Ci -6 alkyl, C 2 - 6 alkenyl, C 2 - 6 alkynyl, Ci- 6 haloalkyl, C 3-6 cycloalkyl, C 4-6 cycloalkenyl, C 6- ioaryl, 5-10 membered heteroaryl and 3-10 membered heterocyclyl;
  • each R f3 is independently selected from among -OR 93 , -NR g3 R g3 , halogen, -CN, -C(0)R g3 , -C(0)OR g3 , -C(0)NR g3 R g3 , -C(0)NR g3 OR g3 , -S(0) 2 R g3 ,
  • each R g3 is independently selected from among hydrogen, Ci -6 alkyl, C 2-6 alkenyl, C 2-6 alkynyl, Ci -6 haloalkyl, C 3-6 cycloalkyl, C 4-6 cycloalkenyl, C 6 -ioaryl, 5-10 membered heteroaryl and 3-10 membered heterocyclyl;
  • R 5 and R 6 each independently, is hydrogen or a group, optionally substituted by one or more, identical or different R b4 and/or R c4 , selected from among Ci -6 alkyl, C 2-6 alkenyl, C 2-6 alkynyl, Ci -6 haloalkyl, C 3-6 cycloalkyl, C 4-6 cycloalkenyl, C 6 -ioaryl, 5-10 membered heteroaryl and 3-10 membered heterocyclyl;
  • each R b4 is independently selected from among -OR c4 , -NR c4 R c4 , halogen, -CN, -C(0)R c4 , -C(0)OR c4 , -C(0)NR c4 R c4 , -C(0)NR g4 OR c4 , -S(0) 2 R c4 ,
  • each R c4 independently of one another denotes hydrogen or a group, optionally substituted by one or more, identical or different R d4 and/or R e4 , selected from among Ci -6 alkyl, C 2-6 alkenyl, C 2-6 alkynyl, Ci -6 haloalkyl, C 3-6 cycloalkyl, C 4-6 cycloalkenyl, C 6 -ioaryl, 5-10 membered heteroaryl and 3-10 membered heterocyclyl;
  • each R d4 is independently selected from among -OR e4 , -NR e4 R e4 , halogen, -CN, -C(0)R e4 , -C(0)OR e4 , -C(0)NR e4 R e4 , -C(0)NR g4 OR e4 , -S(0) 2 R e4 ,
  • each R e4 independently of one another denotes hydrogen or a group, optionally substituted by one or more, identical or different R f4 and/or R g4 , selected from among Ci -6 alkyl, C 2-6 alkenyl, C 2-6 alkynyl, Ci -6 haloalkyl, C 3-6 cycloalkyl, C 4-6 cycloalkenyl, C 6 -ioaryl, 5-10 membered heteroaryl and 3-10 membered heterocyclyl;
  • each R f4 is independently selected from among -OR g4 , -NR g4 R g4 , halogen, -CN, -C(0)R g4 , -C(0)OR g4 , -C(0)NR g4 R g4 , -C(0)NR g4 OR g4 , -S(0) 2 R g4 ,
  • each R g4 is independently selected from among hydrogen, Ci -6 alkyl, C 2-6 alkenyl, C 2-6 alkynyl, Ci -6 haloalkyl, C 3-6 cycloalkyl, C 4-6 cycloalkenyl, C 6 -ioaryl, 5-10 membered heteroaryl and 3-10 membered heterocyclyl;
  • each R 7 is independently selected from among halogen, Ci -4 alkyl, -CN, Ci -4 haloalkyl, -OCi -4 alkyl and -OCi -4 haloalkyl;
  • q denotes the number 0, 1 , 2 or 3;
  • V is oxygen or sulfur
  • n denotes the number 1 , 2 or 3;
  • the invention relates to the compound of formula (la)
  • R 1 is Ci -6 alkyl, optionally substituted by a group selected from among C 3-6 cycloalkyl, C 6 -ioaryl and 5-10 membered heteroaryl, wherein this C 3-6 cycloalkyl, C 6- ioaryl and 5-10 membered heteroaryl is optionally substituted by one or more, identical or different R d1 and/or R e1 ;
  • each R d1 is independently selected from among -OR e1 , -NR e1 R e1 , halogen, -CN, -C(0)R e1 , -C(0)OR e1 , -C(0)NR e1 R e1 , -S(0) 2 R e1 , -S(0) 2 NR e1 R e1 ,
  • each R e1 independently of one another denotes hydrogen or a group selected from among Ci -6 alkyl, C 2-6 alkenyl, C 2-6 alkynyl, Ci -6 haloalkyl, C 3-6 cycloalkyl, C 4-6 cycloalkenyl, C 6 -ioaryl, 5-10 membered heteroaryl and 3-10 membered heterocyclyl;
  • the invention relates to a compound of formula (I) or (la) or (lb), wherein
  • R 1 is Ci -6 alkyl, optionally substituted by a group selected from among C 3-6 cycloalkyl, phenyl and 5-6 membered heteroaryl, wherein this C 3-6 cycloalkyl, phenyl and 5-6 membered heteroaryl is optionally substituted by one or more, identical or different R d1 and/or R e1 ;
  • each R d1 is independently selected from among -OR e1 , -NR e1 R e1 , halogen, -CN, -C(0)R e1 , -C(0)OR e1 , -C(0)NR e1 R e1 , -S(0) 2 R e1 , -S(0) 2 NR e1 R e1 ,
  • each R e1 independently of one another denotes hydrogen or a group selected from among Ci -6 alkyl, C 2-6 alkenyl, C 2-6 alkynyl, Ci -6 haloalkyl, C 3-6 cycloalkyl, C 4-6 cycloalkenyl, phenyl, 5-6 membered heteroaryl and 3-7 membered heterocyclyl;
  • the invention relates to a compound of formula (I) or (la) or (lb), wherein
  • R 1 is Ci -6 alkyl, optionally substituted by a group selected from among C 3-6 cycloalkyl, phenyl and 5-6 membered heteroaryl, wherein this C 3-6 cycloalkyl, phenyl and 5-6 membered heteroaryl is optionally substituted by one or more, identical or different substituents selected from among -OCi -6 alkyl, halogen, Ci -6 alkyl and Ci -6 haloalkyl;
  • the invention relates to a compound of formula (I) or (la) or (lb), wherein
  • R 1 is C 3 - 6 cycloalkyl-Ci- 6 alkyl
  • the invention relates to a compound of formula (I) or (la) or (lb), wherein
  • R 1 is cyclopropylmethyl
  • the invention relates to a compound of formula (I) or (la) or (lb), wherein
  • R 1 is benzyl, optionally substituted on the phenyl ring by one or more, identical or different R d1 and/or R e1 ;
  • each R d1 is independently selected from among -OR e1 , -NR e1 R e1 , halogen, -CN, -C(0)R e1 , -C(0)OR e1 , -C(0)NR e1 R e1 , -S(0) 2 R e1 , -S(0) 2 NR e1 R e1 ,
  • each R e1 independently of one another denotes hydrogen or a group selected from among Ci -6 alkyl, C 2-6 alkenyl, C 2-6 alkynyl, Ci -6 haloalkyl, C 3-6 cycloalkyl, C 4-6 cycloalkenyl, phenyl, 5-6 membered heteroaryl and 3-7 membered heterocyclyl;
  • the invention relates to a compound of formula (I) or (la) or (lb), wherein
  • R 1 is 3-ethoxybenzyl
  • the invention relates to a compound of formula (I) or (la) or (lb), wherein
  • R 2 and R 3 is hydrogen and the other is selected from among phenyl and 5-6 membered heteroaryl, wherein this phenyl and 5-6 membered heteroaryl is optionally substituted by one or more, identical or different R b2 and/or R c2 ;
  • each R b2 is independently selected from among -OR c2 , -NR c2 R c2 , halogen, -CN, -C(0)R c2 , -C(0)OR c2 , -C(0)NR c2 R c2 , -S(0) 2 R c2 , -S(0) 2 NR c2 R c2 ,
  • each R c2 independently of one another denotes hydrogen or a group selected from among Ci -6 alkyl, C 2-6 alkenyl, C 2-6 alkynyl, Ci -6 haloalkyl, C 3-6 cycloalkyl, C 4-6 cycloalkenyl, phenyl, 5-6 membered heteroaryl and 3-7 membered heterocyclyl;
  • the invention relates to a compound of formula (I) or (la) or (lb), wherein one of R 2 and R 3 is hydrogen and the other is phenyl optionally substituted by one or more, identical or different substituents selected from among -OCi -6 alkyl, halogen, Ci -6 alkyl and Ci -6 haloalkyl;
  • the invention relates to a compound of formula (I) or (la) or (lb), wherein
  • R 2 and R 3 is hydrogen and the other is 3-chloro phenyl or 3-chloro 2-fluoro phenyl or a salt thereof.
  • the invention relates to a compound of formula (I) or (la) or (lb) with structural aspects [BO], [B1], [B2] and [B3], wherein
  • R 3 is hydrogen
  • the invention relates to a compound of formula (I) or (la) or (lb) with structural aspects [BO], [B1], [B2] and [B3], wherein
  • R 2 is hydrogen
  • the invention relates to a compound of formula (I) or (la) or (lb), wherein
  • R 4 is hydrogen or a group, optionally substituted by one or more, identical or different R b3 and/or R c3 , selected from among Ci -6 alkyl, C 6- ioaryl and 5-10 membered heteroaryl; or
  • R 4 is selected from among -C(0)R c3 and -S(0) 2 R c3 ;
  • each R b3 is independently selected from among -OR c3 , -NR c3 R c3 , halogen, -CN, -C(0)R c3 , -C(0)OR c3 , -C(0)NR c3 R c3 , -C(0)NR e3 OR c3 , -S(0) 2 R c3 ,
  • each R c3 independently of one another denotes hydrogen or a group, optionally substituted by one or more, identical or different R d3 and/or R e3 , selected from among Ci -6 alkyl, C 3-6 cycloalkyl, C 6 -ioaryl, 5-10 membered heteroaryl and 3-10 membered heterocyclyl;
  • each R d3 is independently selected from among -OR e3 , -NR e3 R e3 , halogen, -CN, -C(0)R e3 , -C(0)OR e3 , -C(0)NR e3 R e3 , -C(0)NR e3 OR e3 , -S(0) 2 R e3 ,
  • each R e3 independently of one another is selected from among hydrogen, Ci -6 alkyl, C 3-6 cycloalkyl, C 6 -ioaryl, 5-10 membered heteroaryl and 3-10 membered heterocyclyl; or a salt thereof.
  • the invention relates to a compound of formula (I) or (la) or (lb), wherein
  • R 4 is hydrogen or a group, optionally substituted by one or more, identical or different R b3 and/or R c3 , selected from among Ci -6 alkyl, phenyl and 5-6 membered heteroaryl; or
  • R 4 is selected from among -C(0)R c3 and -S(0) 2 R c3 ;
  • each R b3 is independently selected from among -OR c3 , -NR c3 R c3 , halogen, -CN, -C(0)R c3 , -C(0)OR c3 , -C(0)NR c3 R c3 , -C(0)NR e3 OR c3 , -S(0) 2 R c3 ,
  • each R c3 independently of one another denotes hydrogen or a group, optionally substituted by one or more, identical or different R d3 and/or R e3 , selected from among Ci -6 alkyl, C 3-6 cycloalkyl, phenyl, 5-6 membered heteroaryl and 3-7 membered heterocyclyl;
  • each R d3 is independently selected from among -OR e3 , -NR e3 R e3 , halogen, -CN, -C(0)R e3 , -C(0)OR e3 , -C(0)NR e3 R e3 , -C(0)NR e3 OR e3 , -S(0) 2 R e3 ,
  • each R e3 independently of one another is selected from among hydrogen, Ci -6 alkyl, C 3 - 6 cycloalkyl, phenyl, 5-6 membered heteroaryl and 3-7 membered heterocyclyl;
  • the invention relates to a compound of formula (I) or (la) or (lb), wherein
  • R 4 is selected from among Ci -6 alkyl, C 3 - 6 cycloalkyl-Ci- 6 alkyl, phenyl-Ci -6 alkyl, and heteroaryl-Ci- 6 alkyl (the heteoaryl being 5-6 membered), all substituted by one substituent selected from among -C(0)OH, -C(0)OCi -6 alkyl, -C(0)NH 2 , -C(0)NHCi -6 alkyl and -C(0)N(Ci -6 alkyl) 2 ;
  • the invention relates to a compound of formula (I) or (la) or (lb), wherein
  • R 4 is selected from among carboxymethyl and or a salt thereof.
  • the invention relates to a compound of formula (I) or (la) or (lb), wherein
  • R 4 is -C(0)R c3 ;
  • R c3 is a group, optionally substituted by one or more, identical or different R d3 and/or R e3 , selected from among Ci -6 alkyl, phenyl and 5-6 membered heteroaryl;
  • each R d3 is independently selected from among -OR e3 , -NR e3 R e3 , -C(0)OR e3 ,
  • each R e3 independently of one another is selected from among hydrogen, Ci -6 alkyl and 5-6 membered heteroaryl;
  • the invention relates to a compound of formula (I) or (la) or (lb), wherein
  • R 4 is hydrogen
  • the invention relates to a compound of formula (I) or (la) or (lb), wherein
  • R 5 and R 6 is hydrogen and the other is hydrogen or a group, optionally substituted by one or more, identical or different R b4 and/or R c4 , selected from among Ci -6 alkyl, C 6 -ioaryl and 5-10 membered heteroaryl;
  • each R b4 is independently selected from among -OR c4 , -NR c4 R c4 , halogen, -CN, -C(0)R c4 , -C(0)OR c4 , -C(0)NR c4 R c4 , -C(0)NR e4 OR c4 , -S(0) 2 R c4 ,
  • each R c4 independently of one another denotes hydrogen or a group, optionally substituted by one or more, identical or different R d4 and/or R e4 , selected from among Ci -6 alkyl, C 3-6 cycloalkyl, C 6 -ioaryl, 5-10 membered heteroaryl and 3-10 membered heterocyclyl;
  • each R d4 is independently selected from among -OR e4 , -NR e4 R e4 , halogen, -CN, -C(0)R e4 , -C(0)OR e4 , -C(0)NR e4 R e4 , -C(0)NR e4 OR e4 , -S(0) 2 R e4 ,
  • each R e4 independently of one another is selected from among hydrogen, Ci -6 alkyl, C 3-6 cycloalkyl, C 6 -ioaryl, 5-10 membered heteroaryl and 3-10 membered heterocyclyl; or a salt thereof.
  • the invention relates to a compound of formula (I) or (la) or (lb), wherein
  • R 5 and R 6 is hydrogen and the other is hydrogen or a group, optionally substituted by one or more, identical or different R b4 and/or R c4 , selected from among Ci -6 alkyl, phenyl and 5-6 membered heteroaryl;
  • each R b4 is independently selected from among -OR c4 , -NR c4 R c4 , halogen, -CN, -C(0)R c4 , -C(0)OR c4 , -C(0)NR c4 R c4 , -C(0)NR e4 OR c4 , -S(0) 2 R c4 ,
  • each R c4 independently of one another denotes hydrogen or a group, optionally substituted by one or more, identical or different R d4 and/or R e4 , selected from among Ci -6 alkyl, C 3-6 cycloalkyl, phenyl, 5-6 membered heteroaryl and 3-7 membered heterocyclyl;
  • each R d4 is independently selected from among -OR e4 , -NR e4 R e4 , halogen, -CN, -C(0)R e4 , -C(0)OR e4 , -C(0)NR e4 R e4 , -C(0)NR e4 OR e4 , -S(0) 2 R e4 ,
  • each R e4 independently of one another is selected from among hydrogen, Ci -6 alkyl, C 3 - 6 cycloalkyl, phenyl, 5-6 membered heteroaryl and 3-7 membered heterocyclyl;
  • the invention relates to a compound of formula (I) or (la) or (lb), wherein
  • R 5 and R 6 is hydrogen and the other is hydrogen or a group, optionally substituted by one or more, identical or different R b4 and/or R c4 , selected from among Ci -6 alkyl, phenyl and 5-6 membered heteroaryl;
  • each R b4 is independently selected from among -OR c4 , -C(0)OR c4 and -C(0)NR c4 R c4 ; each R c4 independently of one another denotes hydrogen or a group, optionally substituted by one or more, identical or different R d4 and/or R e4 , selected from among Ci -6 alkyl, phenyl and 5-6 membered heteroaryl;
  • each R d4 is independently selected from among -OR e4 , -C(0)OR e4 and -C(0)NR e4 R e4 ; each R e4 independently of one another is selected from among hydrogen and Ci -6 alkyl; or a salt thereof.
  • the invention relates to a compound of formula (I) or (la) or (lb), wherein
  • R 5 and R 6 is hydrogen and the other is hydrogen or a group, optionally substituted by one or more, identical or different R b4 , selected from among Ci -6 alkyl, phenyl and 5-6 membered heteroaryl;
  • each R b4 is independently selected from among -OCi -6 alkyl, -C(0)OH, -C(0)OCi -6 alkyl,
  • the invention relates to a compound of formula (I) or (la) or (lb), wherein
  • R 5 and R 6 is hydrogen and the other is hydrogen or a group, optionally substituted by one or more, identical or different R b4 , selected from among phenyl and 5-6 membered heteroaryl; each R is independently selected from among -OCi -6 alkyl, -C(0)OH, -C(0)OCi -6 alkyl, -C(0)NH 2 , -C(0)NHCi -6 alkyl and -C(0)N(Ci -6 alkyl) 2 ;
  • the invention relates to a compound of formula (I) or (la) or (lb), wherein
  • R 5 and R 6 are hydrogen and the other is hydrogen or or a salt thereof.
  • the invention relates to a compound of formula (I) or (la) or (lb) with structural aspects [DO], [D1], [D2], [D3], [D4], [D5] and [D6], wherein
  • R 5 is hydrogen and R 6 is not hydrogen
  • the invention relates to a compound of formula (I) or (la) or (lb) with structural aspects [DO], [D1], [D2], [D3], [D4], [D5] and [D6], wherein
  • R 6 is hydrogen and R 5 is not hydrogen
  • the invention relates to a compound of formula (I) or (la) or (lb), wherein
  • R 5 and R 6 is hydrogen
  • the invention relates to a compound of formula (I) or (la) or (lb), wherein each R 7 independently is halogen and q is 1 or 2;
  • the invention relates to a compound of formula (I) or (la) or (lb), wherein
  • each R 7 independently is chlorine or fluorine and q is 1 or 2;
  • the invention relates to a compound of formula (I) or (la) or (lb), wherein
  • the invention relates to a compound of formula (I) or (la) or (lb), wherein
  • V is oxygen
  • the invention relates to a compound of formula (I) or (la) or (lb), wherein
  • n 1 ;
  • the invention relates to a compound of formula (I) or (la) or (lb), wherein
  • n 2;
  • the invention relates to a compound of formula (I) or (la) or (lb), wherein the 6-membered ring comprising W, X and Y together with the q substituents R 7 has a substructure selected from among (i) and (ii)
  • the structural aspects AO to A7, BO to B11 , CO to C6, DO to D21 , EO to E2, FO and F1 , EF1 , GO and G1 , and HO to H2 relating to different molecular parts of the compounds (I), (la) and (lb) according to the invention may be permutated with one another as desired in combinations ABCDEFGH, so as to obtain preferred compounds (I), (la) and (lb) (aspects E and F can be replaced by combination aspect EF).
  • Each combination ABCDEFGH represents and defines individual embodiments or generic subsets of compounds according to the invention.
  • Preferred embodiments of the invention are example compounds 1-1 to I-93.
  • the invention also relates to synthetic intermediates of formula A-4 and their salts, which can be used as key intermediates in the synthesis of compounds of formula (I) or (la) or (lb):
  • R 2 , R 3 , R 7 , V, W, X, Y, n and q in A-4 correspond to those as given for compound (I) and (la) and (lb) above, i.e. [BO] for R 2 /R 3 , [EO] for R 7 /q, [FO] for W/X Y, [GO] for V and [HO] for n.
  • Residue R in the group -COOR can be any residue that allows reduction of the corresponding alcohol and/or allows attack of metallorganic reagents like GRIGNARD reagents etc. [10]. The skilled person is aware of appropriate residues R.
  • Preferred R are e.g. hydrogen, optionally substituted Ci -6 alkyl, phenyl, benzyl
  • Ci -6 alkyl [I2] More preferred is Ci -6 alkyl [I2].
  • Preferred intermediates A-4 are those which lead to preferred compounds (I) or (la) or (lb) according to the invention, i.e. preferred embodiments of A-4 have structural aspects selected from [BO] to [B11] for R 2 /R 3 , [E0] to [E2] for R 7 /q, [FO] and [F1] for W/X/Y, [GO] and [G1] for V, [HO] for n, [EF1] for R 7 /q W/X Y altogether and [I0] to [I2] for R.
  • These structural aspects may be permutated with one another as desired in combinations BEFGHI, so as to obtain preferred intermediates A-4 (aspects E and F can be replaced by combination aspect EF).
  • Each combination BEFGHI represents and defines individual embodiments or generic subsets of intermediates A-4.
  • the invention also relates to synthetic intermediates of formula A-7 and their salts, which can also be used as key intermediates in the synthesis of compounds of formula (I) or (la) or (lb):
  • R 2 , R 3 , R 5 to R 7 , V, W, X, Y, n and q in A-7 correspond to those as given for compound (I) and (la) and (lb) above, i.e. [BO] for R 2 /R 3 , [DO] for R 5 /R 6 , [E0] for R 7 /q, [FO] for W X Y, [GO] for V and [HO] for n.
  • Preferred intermediates A-7 are those which lead to preferred compounds (I) or (la) or (lb) according to the invention, i.e.
  • preferred embodiments of A-4 have structural aspects selected from [BO] to [B11] for R 2 /R 3 , [DO] to [D21] for R 5 /R 6 , [E0] to [E2] for R 7 /q, [FO] and [F1] for W/X/Y, [GO] and [G1] for V, [HO] for n and [EF1] for R 7 /q/W/X/Y altogether.
  • These structural aspects may be permutated with one another as desired in combinations BDEFGH, so as to obtain preferred intermediates A-7 (aspects E and F can be replaced by combination aspect EF).
  • Each combination BDEFGH represents and defines individual embodiments or generic subsets of intermediates A-7.
  • the invention also relates to synthetic intermediates of formula A-5, A-8, A-9, A-10, A-11 , A-12, A-13, A-14, A-15 and A-16 as depicted in schemes 1 , 2, 3, 4 and 5 (i.e. to both the generic group of compounds and the specific intermediates) and their salts, which can all also be used as key intermediates in the synthesis of compounds of formula (I) or (la) or (lb).
  • the structural aspects may be permutated with one another as desired, so as to obtain preferred intermediates A-5, A-8, A-9, A-10, A-11 , A-12, A-13, A-14, A-15 and A-16.
  • Each combination represents and defines individual embodiments or generic subsets of intermediates A-5, A-8, A-9, A-10, A-11 , A-12, A-13, A-14, A-15 and A-16.
  • the invention also relates to the use of synthetic intermediates of formula A-4 or their salts (and the various embodiments and sub-groups as described and/or defined herein) in the synthesis of compounds (I) or (la) or (lb).
  • the invention also relates to the use of synthetic intermediates of formula A-7 or their salts (and the various embodiments and sub-groups as described and/or defined herein) in the synthesis of compounds (I) or (la) or (lb).
  • the invention also relates to the use of synthetic intermediates of formula A-5, A-8, A-9, A-10, A-11 , A-12, A-13, A-14, A-15 and A-16 (i.e. to both the generic group of compounds and the specific intermediates) or their salts (and the various embodiments and sub-groups as described and/or defined herein) in the synthesis of compounds (I) or (la) or (lb).
  • the present invention further relates to hydrates, solvates, polymorphs, metabolites, derivatives, isomers and prodrugs of a compound of formula (I) or (la) or (lb).
  • the present invention further relates to a pharmaceutically acceptable salt of a compound of formula (I) or (la) or (lb).
  • the present invention further relates to a pharmaceutically acceptable salt of a compound of formula (I) or (la) or (lb) with anorganic or organic acids or bases.
  • the present invention is directed to compounds of formula (I) or (la) or (lb) which are useful in the prevention and/or treatment of a disease and/or condition wherein the inhibition of the interaction between MDM2 and p53 is of therapeutic benefit, including but not limited to the treatment and/or prevention of cancer.
  • the invention relates to a compound of formula (I) or (la) or (lb) - or a pharmaceutically acceptable salt thereof - for use as medicament.
  • the invention relates to a compound of formula (I) or (la) or (lb) - or a pharmaceutically acceptable salt thereof - for use in a method for treatment of the human or animal body.
  • the invention relates to a compound of formula (I) or (la) or (lb) - or a pharmaceutically acceptable salt thereof - for use in the treatment and/or prevention of a disease and/or condition wherein the inhibition of the interaction between MDM2 and p53 is of therapeutic benefit.
  • the invention relates to a compound of formula (I) or (la) or (lb) - or a pharmaceutically acceptable salt thereof - for use in the treatment and/or prevention of cancer, infections, inflammations and autoimmune diseases.
  • the invention relates to a compound of formula (I) or (la) or (lb) - or a pharmaceutically acceptable salt thereof - for use in a method for treatment and/or prevention of cancer, infections, inflammations and autoimmune diseases in the human and animal body.
  • the invention relates to the use of a compound of formula (I) or (la) or (lb) - or a pharmaceutically acceptable salt thereof - for preparing a pharmaceutical composition for the treatment and/or prevention of cancer, infections, inflammations and autoimmune diseases.
  • the invention relates to a compound of formula (I) or (la) or (lb) - or a pharmaceutically acceptable salt thereof - for use in the treatment and/or prevention of cancer.
  • the invention relates to the use of a compound of formula (I) or (la) or (lb) - or a pharmaceutically acceptable salt thereof - for preparing a pharmaceutical composition for the treatment and/or prevention of cancer.
  • the invention relates to a compound of formula (I) or (la) or (lb) - or a pharmaceutically acceptable salt thereof - for use in a method for treatment and/or prevention of cancer in the human or animal body.
  • the invention relates to a compound of formula (I) or (la) or (lb) - or a pharmaceutically acceptable salt thereof - for use in the treatment and/or prevention of acute myeloid leukaemia (AML), prostate cancer and lung cancer, wherein the cancer cells are p53 wild-type.
  • AML acute myeloid leukaemia
  • the invention relates to a compound of formula (I) or (la) or (lb) - or a pharmaceutically acceptable salt thereof - for use in the treatment and/or prevention of acute myeloid leukaemia (AML), prostate cancer and lung cancer, wherein the cancer cells are preferably p53 wild-type.
  • AML acute myeloid leukaemia
  • the invention relates to the use of a compound of formula (I) or (la) or (lb) - or a pharmaceutically acceptable salt thereof - for preparing a pharmaceutical composition for the treatment and/or prevention of acute myeloid leukaemia (AML), prostate cancer and lung cancer, wherein the cancer cells are p53 wild-type.
  • AML acute myeloid leukaemia
  • the invention relates to the use of a compound of formula (I) or (la) or (lb) - or a pharmaceutically acceptable salt thereof - for preparing a pharmaceutical composition for the treatment and/or prevention of acute myeloid leukaemia (AML), prostate cancer and lung cancer, wherein the cancer cells are preferably p53 wild-type.
  • AML acute myeloid leukaemia
  • the invention in another aspect relates to a method for the treatment and/or prevention of a disease and/or condition wherein the inhibition of the interaction between MDM2 and p53 is of therapeutic benefit comprising administering a therapeutically effective amount of a compound of formula (I) or (la) or (lb) - or a pharmaceutically acceptable salt thereof - to a human being.
  • the invention in another aspect relates to a method for the treatment and/or prevention of cancer comprising administering a therapeutically effective amount of a compound of formula (I) or (la) or (lb) - or a pharmaceutically acceptable salt thereof - to a human being.
  • the invention in another aspect relates to a pharmaceutical composition
  • a pharmaceutical composition comprising at least one compound of formula (I) or (la) or (lb) - or a pharmaceutically acceptable salt thereof - and a pharmaceutically acceptable carrier.
  • the invention in another aspect relates to a pharmaceutical preparation comprising a compound of formula (I) or (la) or (lb) - or a pharmaceutically acceptable salt thereof - and at least one other cytostatic or cytotoxic active substance, different from formula (I) or (la) or (lb).
  • the invention relates to a compound of formula (I) or (la) or (lb) - or a pharmaceutically acceptable salt thereof - for use in the treatment and/or prevention of cancer, infections, inflammations and autoimmune diseases wherein said compound is administered before, after or together with at least one other cytostatic or cytotoxic active substance.
  • the invention relates to the use of a compound of formula (I) or (la) or (lb) - or a pharmaceutically acceptable salt thereof - for preparing a medicament for the treatment and/or prevention of cancer, infections, inflammations and autoimmune diseases wherein said compound is administered before, after or together with at least one other cytostatic or cytotoxic active substance.
  • the invention relates to a cytostatic or cytotoxic active substance prepared for being administered before, after or together with a compound of formula (I) or (la) or (lb) - or a pharmaceutically acceptable salt thereof - for use in the treatment and/or prevention of cancer, infections, inflammations and autoimmune diseases.
  • the invention in another aspect relates to a method for the treatment and/or prevention of cancer, infections, inflammations and autoimmune diseases comprising administering a therapeutically effective amount of a compound of formula (I) or (la) or (lb) - or a pharmaceutically acceptable salt thereof - before, after or together with at least one other cytostatic or cytotoxic active substance to a human being.
  • the indication of the number of members in groups that contain one or more heteroatom(s) relates to the total number of atoms of all the ring members or chain members or the total of all the ring and chain members.
  • the indication of the number of carbon atoms in groups that consist of a combination of carbon chain and carbon ring structure relates to the total number of carbon atoms of all the carbon ring and carbon chain members.
  • a ring structure has at least three members.
  • aryl-Ci -6 alkyl means an aryl group which is bound to a Ci -6 alkyl group, the latter of which is bound to the core or to the group to which the substituent is attached.
  • Alkyl denotes monovalent, saturated hydrocarbon chains, which may be present in both straight-chain (unbranched) and branched form. If an alkyl is substituted, the substitution may take place independently of one another, by mono- or polysubstitution in each case, on all the hydrogen-carrying carbon atoms.
  • C 1-5 alkyl includes for example H 3 C-, H 3 C-CH 2 -, H3C-CH2-CH2-, H 3 C-CH(CH 3 )-, H3C-CH2-CH2-CH2-, H3C-CH2"CH(CH3)-, H3C-CH(CH3)-CH2", H3C-C(CH3)2-,
  • alkyl examples include methyl (Me; -CH 3 ), ethyl (Et; -CH 2 CH 3 ), 1 -propyl (n-propyl; n-Pr; -CH2CH2CH3), 2-propyl (/ ' -Pr; / ' so-propyl; -CH(CH 3 )2), 1 -butyl (n-butyl;
  • alkyl also applies if alkyl is a part of another (combined) group such as for example C x - y alkylamino or C x-y alkyloxy.
  • alkylene can also be derived from alkyl.
  • Alkylene is bivalent, unlike alkyl, and requires two binding partners. Formally, the second valency is produced by removing a hydrogen atom in an alkyl.
  • Corresponding groups are for example -CH 3 and -CH 2 -, -CH 2 CH 3 and -CH 2 CH 2 - or >CHCH 3 etc.
  • C 1-4 alkylene includes for example -(CH 2 )-, -(CH 2 -CH 2 )-, -(CH(CH 3 ))-,
  • alkylene examples include methylene, ethylene, propylene, 1 -methylethylene, butylene, 1 -methylpropylene, 1 ,1 -dimethylethylene, 1 ,2-dimethylethylene, pentylene, 1 ,1 -dimethylpropylene, 2,2-dimethylpropylene, 1 ,2-dimethylpropylene,
  • propylene includes 1 -methylethylene and butylene includes 1 -methylpropylene, 2-methylpropylene, 1 ,1 -dimethylethylene and 1 ,2-dimethylethylene.
  • alkylene also applies if alkylene is part of another (combined) group such as for example in HO-C x - y alkyleneamino or H 2 N-Cx-yalkyleneoxy.
  • alkenyl consists of at least two carbon atoms, wherein at least two adjacent carbon atoms are joined together by a C-C double bond and a carbon atom can only be part of one C-C double bond. If in an alkyl as hereinbefore defined having at least two carbon atoms, two hydrogen atoms on adjacent carbon atoms are formally removed and the free valencies are saturated to form a second bond, the corresponding alkenyl is formed.
  • alkenyl examples include vinyl (ethenyl), prop-1 -enyl, allyl (prop-2-enyl), isopropenyl, but-1 -enyl, but-2-enyl, but-3-enyl, 2-methyl-prop-2-enyl, 2-methyl-prop-1 -enyl,
  • propenyl includes prop-1 -enyl and prop-2-enyl
  • butenyl includes but-1 -enyl, but-2-enyl, but-3-enyl, 1 -methyl-prop-1-enyl, 1 -methyl-prop-2-enyl etc.
  • Alkenyl may optionally be present in the cis or trans or £ or Z orientation with regard to the double bond(s).
  • alkenyl also applies when alkenyl is part of another (combined) group such as for example in C x - y alkenylamino or C x-y alkenyloxy.
  • alkenylene consists of at least two carbon atoms, wherein at least two adjacent carbon atoms are joined together by a C-C double bond and a carbon atom can only be part of one C-C double bond. If in an alkylene as hereinbefore defined having at least two carbon atoms, two hydrogen atoms at adjacent carbon atoms are formally removed and the free valencies are saturated to form a second bond, the corresponding alkenylene is formed.
  • alkenylene examples include ethenylene, propenylene, 1 -methylethenylene, butenylene, 1 -methylpropenylene, 1 ,1 -dimethylethenylene, 1 ,2-dimethylethenylene, pentenylene, 1 ,1 -dimethylpropenylene, 2,2-dimethylpropenylene, 1 ,2-dimethylpropenylene,
  • propenylene includes 1 -methylethenylene and butenylene includes 1 -methylpropenylene, 2-methylpropenylene, 1 ,1 -dimethylethenylene and 1 ,2-dimethylethenylene.
  • Alkenylene may optionally be present in the cis or trans or £ or Z orientation with regard to the double bond(s).
  • alkenylene also applies when alkenylene is a part of another (combined) group as for example in HO-C x - y alkenyleneamino or H 2 N-Cx-yalkenyleneoxy.
  • alkynyl consists of at least two carbon atoms, wherein at least two adjacent carbon atoms are joined together by a C-C triple bond. If in an alkyl as hereinbefore defined having at least two carbon atoms, two hydrogen atoms in each case at adjacent carbon atoms are formally removed and the free valencies are saturated to form two further bonds, the corresponding alkynyl is formed.
  • alkynyl examples include ethynyl, prop-1 -ynyl, prop-2-ynyl, but-1 -ynyl, but-2-ynyl, but-3-ynyl, 1 -methyl-prop-2-ynyl, pent-1 -ynyl, pent-2-ynyl, pent-3-ynyl, pent-4-ynyl, 3-methyl-but-1 -ynyl, hex-1 -ynyl, hex-2-ynyl, hex-3-ynyl, hex-4-ynyl, hex-5-ynyl etc.
  • propynyl includes prop-1 -ynyl and prop-2-ynyl
  • butynyl includes but-1 -ynyl, but-2-ynyl, but-3-ynyl
  • hydrocarbon chain carries both at least one double bond and also at least one triple bond, by definition it belongs to the alkynyl subgroup.
  • alkynyl also applies if alkynyl is part of another (combined) group, as for example in C x - y alkynylamino or C x-y alkynyloxy.
  • alkynylene consists of at least two carbon atoms, wherein at least two adjacent carbon atoms are joined together by a C-C triple bond. If in an alkylene as hereinbefore defined having at least two carbon atoms, two hydrogen atoms in each case at adjacent carbon atoms are formally removed and the free valencies are saturated to form two further bonds, the corresponding alkynylene is formed.
  • alkynylene examples include ethynylene, propynylene, 1 -methylethynylene, butynylene, 1 -methylpropynylene, 1 ,1 -dimethylethynylene, 1 ,2-dimethylethynylene, pentynylene,
  • propynylene includes 1 -methylethynylene and butynylene includes 1 -methylpropynylene, 2-methylpropynylene, 1 ,1 -dimethylethynylene and
  • alkynylene also applies if alkynylene is part of another (combined) group, as for example in HO-C x - y alkynyleneamino or H 2 N-Cx-yalkynyleneoxy.
  • heteroatoms oxygen, nitrogen and sulphur atoms.
  • Haloalkyl (haloalkenyl, haloalkynyl) is derived from the previously defined alkyl (alkenyl, alkynyl) by replacing one or more hydrogen atoms of the hydrocarbon chain independently of one another by halogen atoms, which may be identical or different. If a haloalkyl (haloalkenyl, haloalkynyl) is to be further substituted, the substitutions may take place independently of one another, in the form of mono- or polysubstitutions in each case, on all the hydrogen-carrying carbon atoms.
  • haloalkyl haloalkenyl, haloalkynyl
  • haloalkynyl examples include -CF 3 , -CHF 2 , -CH 2 F,
  • haloalkyl haloalkenyl, haloalkynyl
  • haloalkylene haloalkenylene, haloalkvnylene
  • Haloalkylene haloalkenylene, haloalkynylene
  • haloalkenyl, haloalkynyl is bivalent and requires two binding partners.
  • the second valency is formed by removing a hydrogen atom from a haloalkyl (haloalkenyl, haloalkynyl).
  • Corresponding groups are for example -CH 2 F and -CHF-, -CHFCH 2 F and -CHFCHF- or >CFCH 2 F etc.
  • Halogen relates to fluorine, chlorine, bromine and/or iodine atoms.
  • Cycloalkyi is made up of the subgroups monocyclic hydrocarbon rings, bicyclic hydrocarbon rings and spiro-hydrocarbon rings. The systems are saturated. In bicyclic hydrocarbon rings two rings are joined together so that they have at least two carbon atoms together. In spiro-hydrocarbon rings one carbon atom (spiroatom) belongs to two rings together.
  • a cycloalkyi is to be substituted, the substitutions may take place independently of one another, in the form of mono- or polysubstitutions in each case, on all the hydrogen- carrying carbon atoms. Cycloalkyi itself may be linked as a substituent to the molecule via every suitable position of the ring system.
  • cycloalkyi examples include cyclopropyl, cyclobutyl, cyclopentyl, cyclohexyl, cycloheptyl, bicyclo[2.2.0]hexyl, bicyclo[3.2.0]heptyl, bicyclo[3.2.1]octyl, bicyclo[2.2.2]octyl,
  • cycloalkyi also applies if cycloalkyi is part of another (combined) group as for example in C x - y cycloalkylamino, C x-y cycloalkyloxy or Cx- y Cycloalkylalkyl.
  • cycloalkylene can thus be derived from the previously defined cycloalkyi.
  • Cycloalkylene unlike cycloalkyi, is bivalent and requires two binding partners. Formally, the second valency is obtained by removing a hydrogen atom from a cycloalkyi.
  • Corresponding groups are for example: (cyclohexylene).
  • cycloalkylene also applies if cycloalkylene is part of another (combined) group as for example in HO-C x - y cycloalkyleneamino or H 2 N-C x -yCycloalkyleneoxy.
  • Cycloalkenyl is also made up of the subgroups monocyclic hydrocarbon rings, bicyclic hydrocarbon rings and spiro-hydrocarbon rings. However, the systems are unsaturated, i.e. there is at least one C-C double bond but no aromatic system. If in a cycloalkyl as hereinbefore defined two hydrogen atoms at adjacent cyclic carbon atoms are formally removed and the free valencies are saturated to form a second bond, the corresponding cycloalkenyl is obtained.
  • a cycloalkenyl is to be substituted, the substitutions may take place independently of one another, in the form of mono- or polysubstitutions in each case, on all the hydrogen- carrying carbon atoms. Cycloalkenyl itself may be linked as a substituent to the molecule via every suitable position of the ring system.
  • cycloalkenyl examples include cycloprop-1 -enyl, cycloprop-2-enyl, cyclobut-1 -enyl, cyclobut-2-enyl, cyclopent-1 -enyl, cyclopent-2-enyl, cyclopent-3-enyl, cyclohex-1 -enyl, cyclohex-2-enyl, cyclohex-3-enyl, cyclohept-1 -enyl, cyclohept-2-enyl, cyclohept-3-enyl, cyclohept-4-enyl, cyclobuta-1 ,3-dienyl, cyclopenta-1 ,4-dienyl, cyclopenta-1 ,3-dienyl, cyclopenta-2,4-dienyl, cyclohexa-1 ,3-dienyl, cyclohexa-1 ,5-dienyl, cycl
  • cycloalkenyl also applies when cycloalkenyl is part of another (combined) group as for example in C x - y cycloalkenylamino, C x-y cycloalkenyloxy or Cx- y Cycloalkenylalkyl.
  • cycloalkenylene can thus be derived from the previously defined cycloalkenyl.
  • Cycloalkenylene unlike cycloalkenyl, is bivalent and requires two binding partners. Formally, the second valency is obtained by removing a hydrogen atom from a cycloalkenyl.
  • Corresponding groups are for example:
  • cycloalkenylene also applies if cycloalkenylene is part of another (combined) group as for example in HO-C x - y cycloalkenyleneamino or H 2 N-C x -yCycloalkenyleneoxy.
  • Aryl denotes mono-, bi- or tricyclic carbocycles with at least one aromatic carbocycle. Preferably, it denotes a monocyclic group with six carbon atoms (phenyl) or a bicyclic group with nine or ten carbon atoms (two six-membered rings or one six-membered ring with a five-membered ring), wherein the second ring may also be aromatic or, however, may also be partially saturated.
  • substitutions may take place independently of one another, in the form of mono- or polysubstitutions in each case, on all the hydrogen- carrying carbon atoms.
  • Aryl itself may be linked as a substituent to the molecule via every suitable position of the ring system.
  • aryl examples include phenyl, naphthyl, indanyl (2,3-dihydroindenyl), indenyl, anthracenyl, phenanthrenyl, tetrahydronaphthyl (1 ,2,3,4-tetrahydronaphthyl, tetralinyl), dihydronaphthyl (1 ,2- dihydronaphthyl), fluorenyl etc.
  • aryl also applies if aryl is part of another (combined) group as for example in arylamino, aryloxy or arylalkyl.
  • arylene can also be derived from the previously defined aryl.
  • Arylene unlike aryl, is bivalent and requires two binding partners. Formally, the second valency is formed by removing a hydrogen atom from an aryl.
  • Corresponding groups are for example:
  • arylene also applies if arylene is part of another (combined) group as for example in HO-aryleneamino or H 2 N-aryleneoxy.
  • Heteroatoms may optionally be present in all the possible oxidation stages (sulphur -> sulphoxide -SO-, sulphone -S0 2 -; nitrogen -> N-oxide).
  • oxidation stages sulphur -> sulphoxide -SO-, sulphone -S0 2 -; nitrogen -> N-oxide.
  • heterocyclyl there is no heteroaromatic ring, i.e. no heteroatom is part of an aromatic system.
  • heterocyclyl is made up of the subgroups monocyclic heterorings, bicyclic heterorings, tricyclic heterorings and spiro-heterorings, which may be present in saturated or unsaturated form.
  • unsaturated is meant that there is at least one double bond in the ring system in question, but no heteroaromatic system is formed.
  • bicyclic heterorings two rings are linked together so that they have at least two (hetero)atoms in common.
  • spiro- heterorings one carbon atom (spiroatom) belongs to two rings together.
  • heterocyclyl If a heterocyclyl is substituted, the substitutions may take place independently of one another, in the form of mono- or polysubstitutions in each case, on all the hydrogen- carrying carbon and/or nitrogen atoms. Heterocyclyl itself may be linked as a substituent to the molecule via every suitable position of the ring system.
  • heterocyclyl examples include tetrahydrofuryl, pyrrolidinyl, pyrrolinyl, imidazolidinyl, thiazolidinyl, imidazolinyl, pyrazolidinyl, pyrazolinyl, piperidinyl, piperazinyl, oxiranyl, aziridinyl, azetidinyl, 1 ,4-dioxanyl, azepanyl, diazepanyl, morpholinyl, thiomorpholinyl, homomorpholinyl, homopiperidinyl, homopiperazinyl, homothiomorpholinyl,
  • thiomorpholinyl-S-oxide thiomorpholinyl-S,S-dioxide, 1 ,3-dioxolanyl, tetrahydropyranyl, tetrahydrothiopyranyl, [1 ,4]-oxazepanyl, tetrahydrothienyl, homothiomorpholinyl-S,S- dioxide, oxazolidinonyl, dihydropyrazolyl, dihydropyrrolyl, dihydropyrazinyl, dihydropyridyl, dihydro-pyrimidinyl, dihydrofuryl, dihydropyranyl, tetrahydrothienyl-S-oxide,
  • heterocyclyls are 4 to 8 membered, monocyclic and have one or two heteroatoms independently selected from oxygen, nitrogen and sulfur
  • Preferred heterocyclyls are: piperazinyl, piperidinyl, morpholinyl, pyrrolidinyl, azetidinyl, tetra hyd ropy ra ny I , tetra hyd rof u rany I .
  • heterocyclyl also applies if heterocyclyl is part of another (combined) group as for example in heterocyclylamino, heterocyclyloxy or heterocyclylalkyl.
  • heterocyclylene is also derived from the previously defined heterocyclyl.
  • Heterocyclylene unlike heterocyclyl, is bivalent and requires two binding partners. Formally, the second valency is obtained by removing a hydrogen atom from a heterocyclyl.
  • Corresponding groups are for example:
  • heterocyclylene also applies if heterocyclylene is part of another (combined) group as for example in HO-heterocyclyleneamino or H 2 N-heterocyclyleneoxy.
  • Heteroaryl denotes monocyclic heteroaromatic rings or polycyclic rings with at least one heteroaromatic ring, which compared with the corresponding aryl or cycloalkyl (cycloalkenyl) contain, instead of one or more carbon atoms, one or more identical or different heteroatoms, selected independently of one another from among nitrogen, sulphur and oxygen, wherein the resulting group must be chemically stable.
  • the prerequisite for the presence of heteroaryl is a heteroatom and a heteroaromatic system.
  • heteroaryl If a heteroaryl is to be substituted, the substitutions may take place independently of one another, in the form of mono- or polysubstitutions in each case, on all the hydrogen- carrying carbon and/or nitrogen atoms. Heteroaryl itself may be linked as a substituent to the molecule via every suitable position of the ring system, both carbon and nitrogen.
  • heteroaryl examples include furyl, thienyl, pyrrolyl, oxazolyl, thiazolyl, isoxazolyl, isothiazolyl, pyrazolyl, imidazolyl, triazolyl, tetrazolyl, oxadiazolyl, thiadiazolyl, pyridyl, pyrimidyl, pyridazinyl, pyrazinyl, triazinyl, pyridyl-/V-oxide, pyrrolyl-/V-oxide, pyrimidinyl-A- oxide, pyridazinyl-/V-oxide, pyrazinyl-/V-oxide, imidazolyl-/V-oxide, isoxazolyl-/V-oxide, oxazolyl-/V-oxide, thiazolyl-/V-oxide, oxadiazolyl-/V-oxide, thiadia
  • pyrimidopyridyl purinyl, pteridinyl, benzothiazolyl, imidazopyridyl, imidazothiazolyl, quinolinyl-/V-oxide, indolyl-/V-oxide, isoquinolyl-/V-oxide, quinazolinyl-/V-oxide, quinoxalinyl- /V-oxide, phthalazinyl-/V-oxide, indolizinyl-/V-oxide, indazolyl-/V-oxide, benzothiazolyl-/V- oxide, benzimidazolyl-/V-oxide etc.
  • heteroaryls are 5-6 membered monocyclic or 9-10 membered bicyclic, each with 1 to 4 heteroatoms independently selected from oxygen, nitrogen and sulfur.
  • heteroaryl also applies if heteroaryl is part of another (combined) group as for example in heteroarylamino, heteroaryloxy or heteroarylalkyl.
  • heteroarylene is also derived from the previously defined heteroaryl.
  • Heteroarylene unlike heteroaryl, is bivalent and requires two binding partners. Formally, the second valency is obtained by removing a hydrogen atom from a heteroaryl.
  • Corresponding groups ar for example:
  • heteroarylene also applies if heteroarylene is part of another (combined) group as for example in HO-heteroaryleneamino or H 2 N-heteroaryleneoxy.
  • substituted By substituted is meant that a hydrogen atom which is bound directly to the atom under consideration, is replaced by another atom or another group of atoms (substituent). Depending on the starting conditions (number of hydrogen atoms) mono- or polysubstitution may take place on one atom. Substitution with a particular substituent is only possible if the permitted valencies of the substituent and of the atom that is to be substituted correspond to one another and the substitution leads to a stable compound (i.e. to a compound which is not converted spontaneously, e.g. by rearrangement, cyclisation or elimination).
  • Stereochemistry/solvates/hydrates Unless specifically indicated, throughout the specification and appended claims, a given chemical formula or name shall encompass tautomers and all stereo, optical and geometrical isomers (e.g. enantiomers, diastereomers, EIZ isomers, etc.) and racemates thereof as well as mixtures in different proportions of the separate enantiomers, mixtures of diastereomers, or mixtures of any of the foregoing forms where such isomers and enantiomers exist, as well as salts, including pharmaceutically acceptable salts thereof and solvates thereof such as for instance hydrates including solvates of the free compounds or solvates of a salt of the compound.
  • a given chemical formula or name shall encompass tautomers and all stereo, optical and geometrical isomers (e.g. enantiomers, diastereomers, EIZ isomers, etc.) and racemates thereof as well as mixtures in different proportions of the separate enantiomers, mixtures of diastereomers,
  • salts The phrase "pharmaceutically acceptable” is employed herein to refer to those compounds, materials, compositions, and/or dosage forms which are, within the scope of sound medical judgement, suitable for use in contact with the tissues of human beings and animals without excessive toxicity, irritation, allergic response, or other problem or complication, and commensurate with a reasonable benefit/risk ratio.
  • pharmaceutically acceptable salts refers to derivatives of the disclosed compounds wherein the parent compound is modified by making acid or base salts thereof.
  • pharmaceutically acceptable salts include, but are not limited to, mineral or organic acid salts of basic residues such as amines; alkali or organic salts of acidic residues such as carboxylic acids; and the like.
  • such salts include salts from ammonia, L-arginine, betaine, benethamine, benzathine, calcium hydroxide, choline, deanol, diethanolamine (2,2 ' -iminobis(ethanol)), diethylamine, 2-(diethylamino)-ethanol, 2-(dimethylamino)-ethanol, 2-aminoethanol, ethylenediamine, /V-ethyl-glucamine, hydrabamine, 1 /-/-imidazole, lysine, magnesium hydroxide, 4-(2-hydroxyethyl)-morpholine, piperazine, potassium hydroxide, 1 -(2- hydroxyethyl)-pyrrolidine, sodium hydroxide, triethanolamine (2,2 ' ,2 " -nitrilotris(ethanol), tromethamine, zinc hydroxide, acetic acid, 2,2-dichloro acetic acid, adipic acid, alginic acid,
  • the salts include acetates, ascorbates, benzenesulfonates, benzoates, besylates, bicarbonates, bitartrates, bromides/hydrobromides, Ca-edetates/edetates, camsylates, carbonates, camphorsulfonate, chlorides/hydrochlorides, chlorotheophyllinate, citrates, edisylates, ethane disulfonates, estolates esylates, fumarates, gluceptates, gluconates, glucuronate, glutamates, glycolates, glycollylarsnilates, hexylresorci nates, hippurate, hydrabamines, hydroxymaleates, hydroxynaphthoates, iodides, isethionates, isothionates, lactates, lactobionates, laurylsulfates, malates, maleates, man
  • salts can be formed with cations from metals like aluminium, calcium, lithium, magnesium, potassium, sodium, zinc and the like (also see Pharmaceutical salts, Berge, S.M. et al., J. Pharm. Sci., (1977), 66, 1 -19).
  • the pharmaceutically acceptable salts of the present invention can be synthesized from the parent compound which contains a basic or acidic moiety by conventional chemical methods. Generally, such salts can be prepared by reacting the free acid or base form of these compounds with a sufficient amount of the appropriate base or acid in water or in an organic diluent like ether, ethyl acetate, ethanol, isopropanol, or acetonitrile, or a mixture thereof.
  • Salts of other acids than those mentioned above which for example are useful for purifying or isolating the compounds of the present invention e.g. trifluoro acetate salts
  • Salts of other acids than those mentioned above which for example are useful for purifying or isolating the compounds of the present invention also comprise a part of the invention.
  • the letter A has the function of a ring designation in order to make it easier, for example, to indicate the attachment of the ring in question to other rings.
  • Groups or substituents are frequently selected from among a number of alternative groups/substituents with a corresponding group designation (e.g. R a , R b etc). If such a group is used repeatedly to define a compound according to the invention in different parts of the molecule, it is pointed out that the various uses are to be regarded as totally independent of one another.
  • a therapeutically effective amount for the purposes of this invention is meant a quantity of substance that is capable of obviating symptoms of illness or of preventing or alleviating these symptoms, or which prolong the survival of a treated patient.
  • the compounds according to the invention are named in accordance with CAS rules using the software Autonom (Beilstein). If a compound is to be represented both by a structural formula and by its nomenclature, in the event of a conflict the structural formula is decisive.
  • Microwave reactions are carried out in an initiator/reactor made by Biotage or in an Explorer made by CEM or in Synthos 3000 or Monowave 3000 made by Anton Paar in sealed containers (preferably 2, 5 or 20 mL), preferably with stirring.
  • the thin layer chromatography is carried out on ready-made silica gel 60 TLC plates on glass (with fluorescence indicator F-254) made by Merck.
  • the preparative high pressure chromatography (RP HPLC) of the example compounds according to the invention is carried out on Agilent or Gilson systems with columns made by Waters (names: SunFireTM Prep C18, OBDTM 10 ⁇ , 50 x 150 mm or SunFireTM Prep C18 OBDTM 5 [Jim, 30 x 50 mm or XBridgeTM Prep C18, OBDTM 10 [Jim, 50 x 150 mm or XBridgeTM Prep C18, OBDTM 5 [Jim , 30 x 150 mm or XBridgeTM Prep C18, OBDTM 5 [Jim, 30 x 50 mm) and YMC (names: Actus-Triart Prep C18, 5 ⁇ , 30 x 50 mm).
  • Waters names: SunFireTM Prep C18, OBDTM 10 ⁇ , 50 x 150 mm or SunFireTM Prep C18 OBDTM 5 [Jim, 30 x 50 mm or XBridgeTM Prep C18
  • the supercritical fluid chromatography (SFC) of the intermediates and example compounds according to the invention is carried out on a JASCO SFC-system with the following colums: Chiralcel OJ (250 x 20 mm, 5 ⁇ ), Chiralpak AD (250 x 20 mm, 5 ⁇ ), Chiralpak AS (250 x 20 mm, 5 ⁇ ), Chiralpak IC (250 x 20 mm, 5 ⁇ ), Chiralpak IA (250 x 20 mm, 5 ⁇ ), Chiralcel OJ (250 x 20 mm, 5 ⁇ ), Chiralcel OD (250 x 20 mm, 5 ⁇ ), Phenomenex Lux C2 (250 x 20 mm, 5 ⁇ ).
  • SFC supercritical fluid chromatography
  • the analytical HPLC (reaction control) of intermediate compounds is carried out using columns made by Waters (names: XBridgeTM C18, 2.5 ⁇ , 2.1 x 20 mm or XBridgeTM C18, 2.5 ⁇ , 2.1 x 30 mm) and YMC (names: Triart C18, 3.0 ⁇ , 2.0 x 30 mm).
  • the analytical equipment is also equipped with a mass detector in each case.
  • reference off range 190 - 400 nm
  • API-ES mass range 150 - fragmentor values
  • fragmentor values mass fragmentor
  • range 190 - 400 nm range step: 2.00 nm
  • the compounds according to the invention are prepared by the methods of synthesis described hereinafter in which the substituents of the general formulae have the meanings given hereinbefore. These methods are intended as an illustration of the invention without restricting its subject matter and the scope of the compounds claimed to these examples. Where the preparation of starting compounds is not described, they are commercially obtainable or may be prepared analogously to known prior art compounds or methods described herein. Substances described in the literature are prepared according to the published methods of synthesis.
  • Novel compounds of structure (I) can be prepared stepwise starting with a synthesis route depicted in scheme 1 from compounds A-1 via a decarboxylative 1 ,3 dipolar cycloaddition with an amino acid A-2 (method A) or A-6 (method D) and a nitro ethene A-3 to build up spiro systems A-4 and A-7 as a racemic mixture potentially along with other regio- and/or diastereoisomers of A-4 and A-7.
  • the enantiomers of A-4 and A-7 can be separated at this stage by chiral SFC or alternatively the racemic mixture can be separated at any later stage of the synthesis.
  • A-4 and A-7 can be reacted with aldehydes or ketones in a reductive amination reaction to give A-5 (method B) and A-8 (method E).
  • a reductive amination reaction can be performed with A-4 and A-7 to obtain intermediates A-5 and A-8.
  • Intermediate A-5 can be reduced with DIBAL or another reducing reagent and will than also yield intermediates A-8 (method C).
  • intermediate A-5 can be reacted with metallorganic reagents like GRIGNARD reagents etc. to yield intermediates A-8.
  • intermediate A-8 (scheme 2) can be reduced to the primary amine by reduction with indium metal and hydrochloric acid or an alternative reduction method like hydrogenation under RANEY nickel catalysis or others, to get to intermediates with the structure A-9.
  • intermediates A-9 can also be obtained by oxidation of the hydoxy group in A-8, e.g. with IBX or an alternative oxidizing reagent, to the corresponding carbonyl compound A-10 which can be further reacted with nucleophiles, especially organometallic reagents like GRIGNARD or organo-zinc reagents to intermediate A-11.
  • Intermediate A-11 can be reacted/reduced to A-9 analogous to the transformation from A-8 to A-9.
  • Compounds (I) which are obtained from A-9 or A-12 after intramolecular cyclization can be derivatized in optional derivatization steps not explicitly depicted in the schemes in all residues, especially in R 4 and R 6 , if they carry functional groups, that can be further modified such as e.g. halogen atoms, amino and hydroxy groups (including cyclic amines), carboxylic acid or ester functions, nitrils etc. to further compounds (I) by well established organic chemical transformations such as metal-catalyzed cross coupling reactions, acylation, amidation, addition, reduction or (reductive) alkylation or cleavage of protecting groups. These additional steps are not depicted in the general schemes.
  • nitro group of intermediate A-7 can be reduced analogous to the transformation from A-8 to A-9 to generate intermediate A-13 which can be subjected to an intramolecular MITSUNOBU reaction to generate cyclic diamine intermediate A-14.
  • Intermediate A-14 can be Boc-protected to give intermediate A-16 which can be reacted with aldehydes in a reductive amination reaction to give Boc-protected compounds (I).
  • A-16 can undergo an alkylation or addition reaction to obtain Boc-protected (I).
  • intermediate A-14 can be reacted with aldehydes in a reductive amination reaction or other reagents to achieve selective alkylation, addition, acylation or sulfonylation reactions to generate intermediate A-15 which can be further modified by an additional reaction like a reductive amination, alkylation, addition, acylation or sulfonylation to get to compounds (I) according to the invention.
  • the sequence from intermediate A-14 via intermediate A-15 to compounds (I) may also be done in a sequential one-pot procedure.
  • compounds (I) which are obtained from A-15 or A-16 can be derivatized in optional derivatization steps not explicitly depicted in the schemes in all residues, especially in R 4 and R 6 , if they carry functional groups, that can be further modified such as e.g. halogen atoms, amino and hydroxy groups (including cyclic amines), carboxylic acid or ester functions, nitrils etc. to further compounds (I) by well established organic chemical transformations such as metal-catalyzed cross coupling reactions, acylation, amidation, addition, reduction or (reductive) alkylation or cleavage of protecting groups.
  • building blocks bearing protecting groups are used, i.e. further steps for deprotection are necessary.
  • Structure A defines the racemic mixture of compounds with structure B and C, i.e. structure A encompasses two structures (compounds B and C), whereas structures B and C, respectively, are enantiopure and only define one specific compound.
  • formulae (I) and (la) are enantiopure and only define one specific compound.
  • 6-Chloroisatin A-1 a (1 .50 g, 8.3 mmol), 1 -(3-chlorophenyl)-2-nitroethene (1 .52 g, 8.3 mmol) and L-glutamic acid-5-methylester (1 .33 g, 8.3 mmol) are refluxed in MeOH for 60 min.
  • the reaction mixture is concentrated in vacuo and purified by chromatography if necessary.
  • intermediate A-4a (1 .50 g, 3.2 mmol) and AcOH (0.37 mL) and the reaction mixture is stirred at rt for 45 min.
  • Sodium triacetoxyborohydride (2.74 g, 12.9 mmol) is added and the reaction mixture is stirred at rt overnight.
  • Water is added to the reaction mixture and it is extracted with EtOAc.
  • the combined organic layer is dried (MgS0 4 ), filtered, concentrated in vacuo and the crude product is purified by chromatography if necessary.
  • the following intermediates A-5 (Table 2) are available in an analogous manner starting from different intermediates A-4.
  • 6-Chloroisatin A-1 a (1 .00 g, 5.4 mmol), 1 -(3-chlorophenyl)-2-nitroethene (0.99 g, 5.4 mmol) and L-homoserine (0.64 g, 5.4 mmol) are refluxed in MeOH for 40 min.
  • the reaction mixture is concentrated in vacuo and purified by chromatography if necessary.
  • A-11a A-9d To a solution of A-11 a (31 mg, 0.05 mmol) in a mixture of water and THF is added indium powder (23 mg, 0.20 mmol) and cone. HCI (25 ⁇ _, 0.30 mmol) and the reaction mixture is stirred for 4 h at rt. Water is added to the reaction mixture and it is extracted with ethyl acetate. The combined organic layer is dried (MgS0 4 ), filtered, concentrated in vacuo and the crude product is purified by chromatography if necessary.
  • A-14a A-15a To a solution of glyoxylic acid ethyl ester (0.61 mg, 0.30 mmol, 50 % in toluene) in acetonitrile is added intermediate A-14a (160 mg, 0.30 mmol) and acetic acid (150 ⁇ _) and the reaction mixture is stirred for 15 min. Sodium triacetoxyborohydride (127 mg, 0.603 mmol) is added and the reaction mixture is stirred overnight. To the reaction mixture is added water and it is extracted with DCM. The combined organic layer is dried (MgS0 4 ), filtered, concentrated in vacuo and the crude product is used without further purification.
  • This assay is used to determine whether the compounds inhibit the p53-MDM2 interaction and thus restore p53 function.
  • Each plate contains negative controls where biotinylated p53-peptide and GST-MDM2 are left out and replaced by assay buffer. Negative control values are entered as low basis value when using the software GraphPad Prism for calculations. Furthermore, a positive control (5 % DMSO instead of test compound; with protein/peptide mix) is pipetted. Determination of IC 50 values are carried out using GraphPad Prism 3.03 software (or updates thereof).
  • Table 24 shows the IC 50 values of example compounds determined using the above assay.
  • SJSA-1 cells (Osteosarcoma, wildtype p53, ATCC CRL-2098TM) are seeded in duplicates at day 1 in flat bottom 96 well microtiter plates (white Packard View Plate 96 well Cat. No. 6005181 ) in 90 ⁇ _ RPMI medium, 10 % fetal calf serum (FCS, from e.g. JRH Biosciences #12103-500M, Lot.: 3N0207) at a density of 2500 cells/well. Any other luminescence compatible plate format is possible.
  • p53 mutant SKOV-3 cells (ovarian adenocarcinoma, ATCC HTB-77TM) are seeded in duplicates in flat bottom 96 well microtiter plates in 90 ⁇ _ McCoy medium, 10 % FCS at a density of 3000 cells/well.
  • test compounds covering a concentration range between app. 0.6 and 50000 nM are added to the cells.
  • Cells are incubated for three days in a humidified, C0 2 -controlled incubator at 37 °C.
  • wildtype p53 RS4-1 1 cells acute lymphoblastic leukemia, ATCC CRL-1873TM:
  • RS4-1 1 cells are seeded in flat bottom 96 well microtiter plates (white Packard View Plate 96 well Cat. No. 6005181 ) in 90 ⁇ _ RPMI medium, 10 % fetal calf serum (FCS, from e.g. JRH Biosciences #12103-500M, Lot.: 3N0207) at a density of 5000 cells/well. Any other luminescence compatible plate format is possible.
  • Day 2 5 ⁇ dilutions of the test compounds covering a concentration range between app. 0.3 and 25000 nM (alternative dilution schemes are possible) are added to the cells. Cells are incubated for three days in a humidified, C0 2 controlled incubator at 37 °C. The final DMSO-concentration is 0.5%.
  • p53 mutant KG-1 cells acute myelogenous leukemia, ATCC CCL-246:
  • Day 1 KG-1 cells harboring a p53 mutation at the exon 6/intron 6 splice donor site are seeded in flat bottom 96 well microtiter plates (white Packard View Plate 96 well Cat. No. 6005181 ) in 90 ⁇ IMDM medium, 10 % FCS (JRH Biosciences #12103-500M, Lot.: 3N0207) at a density of 10000 cells/well. Any other luminescence compatible plate format is possible.
  • Such diseases include for example: viral infections (e.g. HIV and Kaposi's sarcoma); inflammatory and autoimmune diseases (e.g. colitis, arthritis, Alzheimer's disease, glomerulonephritis and wound healing); bacterial, fungal and/or parasitic infections; leukaemias, lymphomas and solid tumours (e.g. carcinomas and sarcomas), skin diseases (e.g. psoriasis); diseases based on hyperplasia which are characterised by an increase in the number of cells (e.g. fibroblasts, hepatocytes, bones and bone marrow cells, cartilage or smooth muscle cells or epithelial cells (e.g.
  • viral infections e.g. HIV and Kaposi's sarcoma
  • inflammatory and autoimmune diseases e.g. colitis, arthritis, Alzheimer's disease, glomerulonephritis and wound healing
  • bacterial, fungal and/or parasitic infections e.g. colitis, arthritis, Alzheimer's
  • endometrial hyperplasia bone diseases and cardiovascular diseases (e.g. restenosis and hypertrophy). They are also suitable for protecting proliferating cells (e.g. hair, intestinal, blood and progenitor cells) from DNA damage caused by radiation, UV treatment and/or cytostatic treatment.
  • proliferating cells e.g. hair, intestinal, blood and progenitor cells
  • cancers/proliferative diseases may be treated with compounds according to the invention, without being restricted thereto:
  • brain tumours such as for example acoustic neurinoma, astrocytomas such as pilocytic astrocytomas, fibrillary astrocytoma, protoplasmic astrocytoma, gemistocytary astrocytoma, anaplastic astrocytoma and glioblastoma, glioma, brain lymphomas, brain metastases, hypophyseal tumour such as prolactinoma, HGH (human growth hormone) producing tumour and ACTH producing tumour (adrenocorticotropic hormone), craniopharyngiomas, medulloblastomas, meningeomas and oligodendrogliomas; nerve tumours (neoplasms) such as for example tumours of the vegetative nervous system such as neuroblastoma sympathicum, ganglioneuroma, paraganglioma (pheochromocytoma, chromaffinoma) and glomus-caroticum tumour, tumours on the
  • throat cancer or carcinomas of the pharynx such as for example nasopharynx carcinomas, oropharynx carcinomas and hypopharynx carcinomas; retinoblastoma, vaginal cancer or vaginal carcinoma, mesothelioma; plate epithelial carcinomas, adenocarcinomas, in situ carcinomas, malignant melanomas and sarcomas; thyroid carcinomas such as for example papillary, follicular and medullary thyroid carcinoma, as well as anaplastic carcinomas; spinalioma, epidormoid carcinoma and plate epithelial carcinoma of the skin; thymomas, cancer of the urethra, cervical cancer, adenoid cystic carcinoma (AdCC), adrenocortical carcinoma and cancer of the vulva.
  • pharynx such as for example nasopharynx carcinomas, oropharynx carcinomas and hypopharynx carcinomas
  • the proliferative diseases/cancers to be treated have p53 wild-type status.
  • the new compounds may be used for the prevention, short-term or long-term treatment of the above-mentioned diseases, optionally also in combination with radiotherapy or other "state-of-the-art" compounds, such as e.g. cytostatic or cytotoxic substances, cell proliferation inhibitors, anti-angiogenic substances, steroids or antibodies.
  • the compounds of formula (I), (la) and (lb) may be used on their own or in combination with other active substances according to the invention, optionally also in combination with other pharmacologically active substances.
  • Therapeutic agents which may be administered in combination with the compounds according to the invention include, without being restricted thereto, hormones, hormone analogues and antihormones (e.g. tamoxifen, toremifene, raloxifene, fulvestrant, megestrol acetate, flutamide, nilutamide, bicalutamide, aminoglutethimide, cyproterone acetate, finasteride, buserelin acetate, fludrocortisone, fluoxymesterone, medroxyprogesterone, octreotide), aromatase inhibitors (e.g.
  • hormones e.g. tamoxifen, toremifene, raloxifene, fulvestrant, megestrol acetate, flutamide, nilutamide, bicalutamide, aminoglutethimide, cyproterone acetate, finasteride, buserelin
  • growth factors such as for example "platelet derived growth factor (PDGF)", “fibroblast growth factor (FGF)”, “vascular endothelial growth factor (VEGF)”, “epidermal growth factor (EGF)”, “insuline-like growth factors (IGF)”, “human epidermal growth factor (HER, e.g.
  • PDGF platelet derived growth factor
  • FGF fibroblast growth factor
  • VEGF vascular endothelial growth factor
  • EGF epidermal growth factor
  • IGF insulin-like growth factors
  • HER human epidermal growth factor
  • HGF hepatocyte growth factor
  • inhibitors are for example "growth factor” antibodies, “growth factor receptor” antibodies and tyrosine kinase inhibitors, such as for example cetuximab, gefitinib, imatinib, lapatinib and trastuzumab); antimetabolites (e.g.
  • antifolates such as methotrexate, raltitrexed, pyrimidine analogues such as 5-fluorouracil (5-FU), capecitabin and gemcitabin, purine and adenosine analogues such as mercaptopurine, thioguanine, cladribine and pentostatin, cytarabine (ara C), fludarabine); antitumour antibiotics (e.g. anthracyclins such as doxorubicin, daunorubicin, epirubicin and idarubicin, mitomycin-C, bleomycin, dactinomycin, plicamycin, streptozocin); platinum derivatives (e.g.
  • alkylation agents e.g. estramustin, meclorethamine, melphalan, chlorambucil, busulphan, dacarbazin, cyclophosphamide, ifosfamide, temozolomide, nitrosoureas such as for example carmustin and lomustin, thiotepa
  • antimitotic agents e.g. Vinca alkaloids such as for example vinblastine, vindesin, vinorelbin and vincristine; and taxanes such as paclitaxel, docetaxel
  • angiogenesis inhibitors e.g.
  • tasquinimod tubuline inhibitors
  • DNA synthesis inhibitors e.g. sapacitabine
  • PARP inhibitors e.g. anti-proliferative protein kinase inhibitors
  • topoisomerase inhibitors e.g. epipodophyllotoxins such as for example etoposide and etopophos, teniposide, amsacrin, topotecan, irinotecan, mitoxantrone
  • serine/threonine kinase inhibitors e.g.
  • PDK 1 inhibitors B-Raf inhibitors, mTOR inhibitors, mTORCI/2 inhibitors, PI3K inhibitors, dual mTOR/PI3K inhibitors, STK 33 inhibitors, AKT inhibitors, PLK 1 inhibitors, inhibitors of CDKs, Aurora kinase inhibitors), tyrosine kinase inhibitors (e.g. PTK2/FAK inhibitors), protein protein interaction inhibitors (e.g. IAP activator, Mcl-1 , MDM2/MDMX), MEK inhibitors (e.g. pimasertib), ERK inhibitors, FLT3 inhibitors (e.g.
  • BRD4 inhibitors IGF-1 R inhibitors
  • TRAILR2 agonists Bcl-2 inhibitors (e.g. venetoclax), ErbB receptor inhibitors, rapamycin analogs (e.g. everolimus, temsirolimus, ridaforolimus, sirolimus), androgen synthesis inhibitors (e.g. abiraterone, TAK-700), androgen receptor inhibitors (e.g. enzalutamide, ARN-509), immunotherapy (e.g. sipuleucel-T), DNMT inhibitors (e.g. SGI 1 10, temozolomide, vosaroxin), HDAC inhibitors (e.g.
  • chemotherapeutic agents e.g. poxvirus-based vaccine, ipilimumab
  • various chemotherapeutic agents such as amifostin, anagrelid, clodronat, filgrastin, interferon, interferon alpha
  • Suitable preparations include for example tablets, pills, capsules, suppositories, lozenges, troches, solutions - particularly solutions for injection (s.c, i.v., i.m.) and infusion (injectables) - elixirs, syrups, sachets, emulsions, inhalatives or dispersible powders.
  • the content of the pharmaceutically active compound(s) should be in the range from 0.1 to 90 wt.-%, preferably 0.5 to 50 wt.-% of the composition as a whole, i.e. in amounts which are sufficient to achieve the dosage range specified below.
  • the doses specified may, if necessary, be given several times a day.
  • Suitable tablets may be obtained, for example, by mixing the active substance(s) with known excipients, for example inert diluents such as calcium carbonate, calcium phosphate or lactose, disintegrants such as corn starch or alginic acid, binders such as starch or gelatine, lubricants such as magnesium stearate or talc, agents for delaying release, such as carboxymethyl cellulose, cellulose acetate phthalate, or polyvinyl acetate, carriers, adjuvants, surfactants.
  • excipients for example inert diluents such as calcium carbonate, calcium phosphate or lactose, disintegrants such as corn starch or alginic acid, binders such as starch or gelatine, lubricants such as magnesium stearate or talc, agents for delaying release, such as carboxymethyl cellulose, cellulose acetate phthalate, or polyvinyl acetate, carriers, adjuvants, sur
  • Coated tablets may be prepared accordingly by coating cores produced analogously to the tablets with substances normally used for tablet coatings, for example collidone or shellac, gum arabic, talc, titanium dioxide or sugar.
  • the core may also consist of a number of layers.
  • the tablet coating may consist of a number of layers to achieve delayed release, possibly using the excipients mentioned above for the tablets.
  • Syrups or elixirs containing the active substances or combinations thereof according to the invention may additionally contain a sweetener such as saccharine, cyclamate, glycerol or sugar and a flavour enhancer, e.g. a flavouring such as vanillin or orange extract. They may also contain suspension adjuvants or thickeners such as sodium carboxymethyl cellulose, wetting agents such as, for example, condensation products of fatty alcohols with ethylene oxide, or preservatives such as p-hydroxybenzoates.
  • a sweetener such as saccharine, cyclamate, glycerol or sugar
  • a flavour enhancer e.g. a flavouring such as vanillin or orange extract.
  • suspension adjuvants or thickeners such as sodium carboxymethyl cellulose, wetting agents such as, for example, condensation products of fatty alcohols with ethylene oxide, or preservatives such as p-hydroxybenzoates.
  • Solutions for injection and infusion are prepared in the usual way, e.g. with the addition of isotonic agents, preservatives such as p-hydroxybenzoates, or stabilisers such as alkali metal salts of ethylenediamine tetraacetic acid, optionally using emulsifiers and/or dispersants, whilst if water is used as the diluent, for example, organic solvents may optionally be used as solvating agents or dissolving aids, and transferred into injection vials or ampoules or infusion bottles.
  • isotonic agents e.g. with the addition of isotonic agents, preservatives such as p-hydroxybenzoates, or stabilisers such as alkali metal salts of ethylenediamine tetraacetic acid, optionally using emulsifiers and/or dispersants, whilst if water is used as the diluent, for example, organic solvents may optionally be used as solvating agents or dissolving aid
  • Capsules containing one or more active substances or combinations of active substances may for example be prepared by mixing the active substances with inert carriers such as lactose or sorbitol and packing them into gelatine capsules.
  • Suitable suppositories may be made for example by mixing with carriers provided for this purpose such as neutral fats or polyethyleneglycol or the derivatives thereof.
  • Excipients which may be used include, for example, water, pharmaceutically acceptable organic solvents such as paraffins (e.g. petroleum fractions), vegetable oils (e.g. groundnut or sesame oil), mono- or polyfunctional alcohols (e.g. ethanol or glycerol), carriers such as e.g. natural mineral powders (e.g. kaolins, clays, talc, chalk), synthetic mineral powders (e.g. highly dispersed silicic acid and silicates), sugars (e.g. cane sugar, lactose and glucose), emulsifiers (e.g.
  • pharmaceutically acceptable organic solvents such as paraffins (e.g. petroleum fractions), vegetable oils (e.g. groundnut or sesame oil), mono- or polyfunctional alcohols (e.g. ethanol or glycerol), carriers such as e.g. natural mineral powders (e.g. kaolins, clays, talc, chalk), synthetic mineral powders (e.g. highly disper
  • lignin e.g. lignin, spent sulphite liquors, methylcellulose, starch and polyvinylpyrrolidone
  • lubricants e.g. magnesium stearate, talc, stearic acid and sodium lauryl sulphate.
  • the preparations are administered by the usual methods, preferably by oral or transdermal route, most preferably by oral route.
  • the tablets may of course contain, apart from the above-mentioned carriers, additives such as sodium citrate, calcium carbonate and dicalcium phosphate together with various additives such as starch, preferably potato starch, gelatine and the like.
  • lubricants such as magnesium stearate, sodium lauryl sulphate and talc may be used at the same time for the tabletting process.
  • the active substances may be combined with various flavour enhancers or colourings in addition to the excipients mentioned above.
  • solutions of the active substances with suitable liquid carriers may be used.
  • the dosage range of the compounds of formula (I), (la) and (lb) applicable per day is usually from 1 mg to 2000 mg, preferably from 50 to 1000 mg, more preferably from 100 to 500 mg.
  • the dosage for intravenous use is from 1 mg to 1000 mg per hour, preferably between 5 mg and 500 mg per hour.
  • the finely ground active substance, lactose and some of the corn starch are mixed together.
  • the mixture is screened, then moistened with a solution of polyvinylpyrrolidone in water, kneaded, wet-granulated and dried.
  • the granules, the remaining corn starch and the magnesium stearate are screened and mixed together.
  • the mixture is compressed to produce tablets of suitable shape and size.
  • the finely ground active substance, some of the corn starch, lactose, microcrystalline cellulose and polyvinylpyrrolidone are mixed together, the mixture is screened and worked with the remaining corn starch and water to form a granulate which is dried and screened.
  • the sodiumcarboxymethyl starch and the magnesium stearate are added and mixed in and the mixture is compressed to form tablets of a suitable size.
  • active substance according to formulae (I) or (la) 50 mg sodium chloride 50 mg water for inj. 5 mL
  • the active substance is dissolved in water at its own pH or optionally at pH 5.5 to 6.5 and sodium chloride is added to make it isotonic.
  • the solution obtained is filtered free from pyrogens and the filtrate is transferred under aseptic conditions into ampoules which are then sterilised and sealed by fusion.
  • the ampoules contain 5 mg, 25 mg and 50 mg of active substance.

Landscapes

  • Health & Medical Sciences (AREA)
  • Chemical & Material Sciences (AREA)
  • Organic Chemistry (AREA)
  • Animal Behavior & Ethology (AREA)
  • Veterinary Medicine (AREA)
  • Public Health (AREA)
  • Medicinal Chemistry (AREA)
  • General Health & Medical Sciences (AREA)
  • Pharmacology & Pharmacy (AREA)
  • Life Sciences & Earth Sciences (AREA)
  • Epidemiology (AREA)
  • General Chemical & Material Sciences (AREA)
  • Nuclear Medicine, Radiotherapy & Molecular Imaging (AREA)
  • Chemical Kinetics & Catalysis (AREA)
  • Engineering & Computer Science (AREA)
  • Bioinformatics & Cheminformatics (AREA)
  • Immunology (AREA)
  • Communicable Diseases (AREA)
  • Oncology (AREA)
  • Pain & Pain Management (AREA)
  • Rheumatology (AREA)
  • Pharmaceuticals Containing Other Organic And Inorganic Compounds (AREA)
  • Nitrogen Condensed Heterocyclic Rings (AREA)

Abstract

The present invention encompasses compounds of formula (I) wherein the groups R1 to R7, V, W, X, Y, n and q are defined in claim 1, their use as inhibitors of MDM2-p53 interaction, pharmaceutical compositions which contain compounds of this kind, their use as medicaments, especially as agents for treatment and/or prevention of oncological diseases and synthetic intermediates.

Description

SPIRO[3H-INDOLE-3,2'-PYRROLIDIN]-2(1 H)-ONE DERIVATIVES
AND THEIR USE AS MDM2-P53 INHIBITORS
The present invention relates to new spiro[3H-indole-3,2'-pyrrolidin]-2(1 /-/)-one compounds and derivatives of formula (I)
Figure imgf000003_0001
(I)
wherein the groups R1 to R7, V, W, X, Y, n and q have the meanings given in the claims and specification, their use as inhibitors of MDM2-p53 interaction, pharmaceutical compositions which contain compounds of this kind, their use as medicaments, especially as agents for treatment and/or prevention of oncological diseases and synthetic intermediates.
Background of the invention
The tumor suppressor protein p53 is a sequence specific transcription factor and plays a central role in the regulation of several cellular processes, including cell cycle and growth arrest, apoptosis, DNA repair, senescence, angiogenesis, and innate immunity. The Mouse Double Minute 2 (MDM2) protein (or its human homolog also known as HDM2) acts to down-regulate p53 activity in an auto-regulatory manner, and under normal cellular conditions (absence of stress), the MDM2 protein serves to maintain p53 activity at low levels. MDM2 directly inhibits the transactivation function of p53, exports p53 out of the nucleus, and promotes proteasome-mediated degradation of p53 through its E3 ubiquitin ligase activity.
Deregulation of the MDM2/p53 balance by overexpression of MDM2 or by p53 mutation or loss leads to malignant transformation of normal cells. Presently p53 is known to play a key role in practically all types of human cancers, and the mutation or loss of the p53 gene can be identified in more than 50 % of all human cancers worldwide. Analysis of 28 different types of human cancers in nearly 4,000 human tumor samples showed that MDM2 is amplified in 7 % of human cancers and that MDM2 overexpression by amplification and p53 mutations are largely mutually exclusive (Momand et al., Nucleic Acid Res (1998) 26:3453-3459).
Because of the powerful tumor suppressor function of p53, reactivation of p53 has been long sought as a potentially novel cancer therapeutic strategy. In tumor harboring wild- type p53, MDM2 is the primary cellular inhibitor of p53 activity, and overexpression of MDM2 was found in many human tumors. Since MDM2 inhibits p53 through a direct protein-protein interaction, blocking this interaction using small molecules was pursued in several academic and industrial pharmaceutical laboratories in the last decade. A variety of non-peptide, drug-like small molecule as e.g. imidazole compounds (e.g. Nutlins or RG71 12), benzodiazepinedione compounds, spirooxindole compounds (e.g. MI-219), substituted piperidines, pyrrolidinone compounds (e.g. PXN820-dl) and modifications thereof have been selected and designed in order to block MDM2/p53 interaction as a means to reactivate p53 in cells (Vassilev et al., Science (2004) 303:844-848; Grasberger et al., J Med Chem (2005) 48:909-912; Parks et al., Bioorg Med Chem Lett (2005) 15:765; Ding et al., J Am Soc (2005) 127:10130-10131 ; WO 2010/028862, US Patent 7,884,107, WO 2008/1 19741 ). A number of potent MDM2/p53 inhibitors have been evaluated in animal models of human cancer for their anti-tumor activity (Vassilev et al., Science (2004) 303:844-848; Tovar et al, Cancer Res (2013) 73 (8): 2587 - 2597; Ding et al , Journal of Medicinal Chemistry (2013) 56 (14): 5979 - 5983; Rew et al, Journal of Medicinal Chemistry (2012) 55: 4936 - 4954; Sun et al, Journal of Medicinal Chemistry (2014) 57 (4): 1454 - 1472).
In the pediatric preclinical testing program (PPTP) of the NCI, early evidence for high level anti-proliferative activity of RG71 12, an inhibitor of the MDM2-p53 interaction, could be observed in vitro and in vivo. In particular, RG-71 12 showed cytotoxic activity with lower median IC50 values for p53 wild-type vs. p53 mutant cell lines (Carol et al., Pediatric Blood and Cancer (2013) 60(4):633-641 ). Moreover, RG-71 12 induced tumor growth inhibition in solid tumor xenograft models and was particularly efficacious in in acute lymphoblastic leukemia (ALL) xenograft models with mixed-lineage leukemia (MLL) rearrangement, (Carol et al., Pediatric Blood and Cancer (2013) 60(4):633-641 ). Additionally, the antiproliferative and proapoptotic activity of RG71 12 has been observed in human acute myeloid leukemia (AML) and human prostate tumor xenograft models harboring p53 wild- type (Tovar et al, Cancer Res (2013) 73 (8): 2587 - 2597). Accordingly, small molecule inhibitors of the MDM2 protein interactions offer an important approach towards cancer therapy, either as a single agent, or in combination with a broad variety of anti-tumor therapies and thus, there is the need for further MDM2 inhibitors which can be useful in the treatment of cancer.
The following prior art documents disclose spiro oxindole compounds as inhibitors of MDM2-p53 interaction:
WO 2007/104664; WO 2007/104714; WO 2008/141917; WO 2008/141975; WO 2009/077357; WO 2009/080488; WO 2010/084097; WO 2010/121995; WO 201 1/067185; WO 201 1/101297; WO 201 1/134925; WO 2012/038307; WO 2012/022707; WO 2012/1 16989; WO 2006/091646; WO 2008/036168; WO 201 1/060049; WO 2012/065022; WO 2012/155066; WO 2010/028862; WO 201 1/153509 and WO 2012/121361 .
The aim of the present invention is to provide new compounds which can be used for the prevention and/or treatment of a disease and/or condition characterised by excessive or abnormal cell proliferation, especially a disease and/or condition wherein the inhibition of the interaction between MDM2 and p53 is of therapeutic benefit.
The compounds according to the invention are characterised by a powerful inhibitory effect on the interaction between MDM2 and p53 and in turn a high efficacy against tumour cells, e.g. osteosarcoma, ALL eic, which is mediated through the inhibition of the interaction between MDM2 and p53. In addition to the inhibitory effect and cellular potency the compounds show good PK properties and selectivity against p53 mutant cell lines. Furthermore, they have good metabolic stability and, in contrast to many compounds known in the prior art, good chemical stability, i.e. they are for example less prone to epimerisation, a problem identified for many known representatives of spiro oxindoles in the prior art (see e.g. Zhao et al. J. Am. Chem. Soc 2013, 135, 7223-7234; Shu et al. Org. Process Res. Dev. 2013, 17, 247-256; WO 2012/065022).
Detailed description of the invention
It has now been found that, surprisingly, compounds of formula (I) wherein the groups R1 to R7, V, W, X, Y, n and q have the meanings given hereinafter act as inhibitors of the interaction of specific proteins which are involved in controlling cell proliferation. Thus, the compounds according to the invention may be used for example for the treatment of diseases connected with this protein-protein interaction and characterised by excessive or abnormal cell proliferation. The present invention the d of formula (I)
Figure imgf000006_0001
' , wherein
[AO]
R1 is a group, optionally substituted by one or more, identical or different Rb1 and/or Rc1, selected from among Ci-6alkyl, C2-6alkenyl, C2-6alkynyl, Ci-6haloalkyl, C3-6cycloalkyl, C4-6cycloalkenyl, C6-ioaryl, 5-10 membered heteroaryl and 3-10 membered heterocyclyl; each Rb1 is independently selected from among -ORc1, -NRc1Rc1, halogen, -CN, -C(0)Rc1, -C(0)ORc1, -C(0)NRc1Rc1, -S(0)2Rc1, -S(0)2NRc1Rc1,
-NHC(0)Rc1 and -N(Ci-4alkyl)C(0)Rc1;
each Rc1 independently of one another denotes hydrogen or a group, optionally substituted by one or more, identical or different Rd1 and/or Re1, selected from among Ci-6alkyl, C2-6alkenyl, C2-6alkynyl, Ci-6haloalkyl, C3-6cycloalkyl, C4-6cycloalkenyl, C6-ioaryl, 5-10 membered heteroaryl and 3-10 membered heterocyclyl;
each Rd1 is independently selected from among -ORe1, -NRe1Re1, halogen, -CN, -C(0)Re1, -C(0)ORe1, -C(0)NRe1Re1 , -S(0)2Re1, -S(0)2NRe1Re1,
-NHC(0)Re1 and -N(Ci-4alkyl)C(0)Re1;
each Re1 independently of one another denotes hydrogen or a group, optionally substituted by one or more, identical or different Rf1 and/or Rg1, selected from among Ci-6alkyl, C2-6alkenyl, C2-6alkynyl, Ci-6haloalkyl, C3-6cycloalkyl, C4-6cycloalkenyl, C6-ioaryl, 5-10 membered heteroaryl and 3-10 membered heterocyclyl;
each Rf1 is independently selected from among -OR91, -NRg1Rg1, halogen, -CN, -C(0)Rg1, -C(0)ORg1, -C(0)NRg1Rg1 , -S(0)2Rg1, -S(0)2NRg1Rg1,
-NHC(0)Rg1 and -N(Ci-4alkyl)C(0)Rg1;
each Rg1 is independently selected from among hydrogen, Ci-6alkyl, C2-6alkenyl, C2-6alkynyl, Ci-6haloalkyl, C3-6cycloalkyl, C4-6cycloalkenyl, C6-ioaryl, 5-10 membered heteroaryl and 3-10 membered heterocyclyl;
[BO]
R2 and R3, each independently, is selected from among hydrogen, C6-ioaryl, 5-10 membered heteroaryl and 3-10 membered heterocyclyl, wherein this C6-ioaryl, 5-10 membered heteroaryl and 3-10 membered heterocyclyl is optionally substituted by one or more, identical or different Rb2 and/or Rc2;
each Rb2 is independently selected from among -ORc2, -NRc2Rc2, halogen, -CN, -C(0)Rc2, -C(0)ORc2, -C(0)NRc2Rc2, -S(0)2Rc2, -S(0)2NRc2Rc2,
-NHC(0)Rc2 and -N(Ci-4alkyl)C(0)Rc2;
each Rc2 independently of one another denotes hydrogen or a group selected from among Ci-6alkyl, C2-6alkenyl, C2-6alkynyl, Ci-6haloalkyl, C3-6cycloalkyl, C4-6cycloalkenyl, C6-ioaryl, 5-10 membered heteroaryl and 3-10 membered heterocyclyl;
[CO]
R4 is hydrogen or a group, optionally substituted by one or more, identical or different Rb3 and/or Rc3, selected from among Ci-6alkyl, C2-6alkenyl, C2-6alkynyl, Ci-6haloalkyl, C3-6cycloalkyl, C4-6cycloalkenyl, C6-ioaryl, 5-10 membered heteroaryl and 3-10 membered heterocyclyl; or
R4 is selected from among -CN, -C(0)Rc3, -C(0)ORc3, -C(0)NRc3Rc3, -S(0)2Rc3 and -S(0)2NRc3Rc3;
each Rb3 is independently selected from among -ORc3, -NRc3Rc3, halogen, -CN, -C(0)Rc3, -C(0)ORc3, -C(0)NRc3Rc3, -C(0)NRg3ORc3, -S(0)2Rc3,
-S(0)2NRc3Rc3, -NHC(0)Rc3 and -N(Ci-4alkyl)C(0)Rc3;
each Rc3 independently of one another denotes hydrogen or a group, optionally substituted by one or more, identical or different Rd3 and/or Re3, selected from among Ci-6alkyl, C2-6alkenyl, C2-6alkynyl, Ci-6haloalkyl, C3-6cycloalkyl, C4-6cycloalkenyl, C6-ioaryl, 5-10 membered heteroaryl and 3-10 membered heterocyclyl;
each Rd3 is independently selected from among -ORe3, -NRe3Re3, halogen, -CN, -C(0)Re3, -C(0)ORe3, -C(0)NRe3Re3, -C(0)NRg3ORe3, -S(0)2Re3,
-S(0)2NRe3Re3, -NHC(0)Re3 and -N(Ci-4alkyl)C(0)Re3;
each Re3 independently of one another denotes hydrogen or a group, optionally substituted by one or more, identical or different Rf3 and/or Rg3, selected from among Ci-6alkyl, C2-6alkenyl, C2-6alkynyl, Ci-6haloalkyl, C3-6cycloalkyl, C4-6cycloalkenyl, C6-ioaryl, 5-10 membered heteroaryl and 3-10 membered heterocyclyl;
each Rf3 is independently selected from among -OR93, -NRg3Rg3, halogen, -CN, -C(0)Rg3, -C(0)ORg3, -C(0)NRg3Rg3, -C(0)NRg3ORg3, -S(0)2Rg3,
-S(0)2NRg3Rg3, -NHC(0)Rg3 and -N(Ci-4alkyl)C(0)Rg3;
each Rg3 is independently selected from among hydrogen, Ci-6alkyl, C2-6alkenyl, C2-6alkynyl, Ci-6haloalkyl, C3-6cycloalkyl, C4-6cycloalkenyl, C6-ioaryl, 5-10 membered heteroaryl and 3-10 membered heterocyclyl;
[DO]
R5 and R6, each independently, is hydrogen or a group, optionally substituted by one or more, identical or different Rb4 and/or Rc4, selected from among Ci-6alkyl, C2-6alkenyl, C2-6alkynyl, Ci-6haloalkyl, C3-6cycloalkyl, C4-6cycloalkenyl, C6-ioaryl, 5-10 membered heteroaryl and 3-10 membered heterocyclyl;
each Rb4 is independently selected from among -ORc4, -NRc4Rc4, halogen, -CN, -C(0)Rc4, -C(0)ORc4, -C(0)NRc4Rc4, -C(0)NRg4ORc4, -S(0)2Rc4,
-S(0)2NRc4Rc4, -NHC(0)Rc4 and -N(Ci-4alkyl)C(0)Rc4;
each Rc4 independently of one another denotes hydrogen or a group, optionally substituted by one or more, identical or different Rd4 and/or Re4, selected from among Ci-6alkyl, C2-6alkenyl, C2-6alkynyl, Ci-6haloalkyl, C3-6cycloalkyl, C4-6cycloalkenyl, C6-ioaryl, 5-10 membered heteroaryl and 3-10 membered heterocyclyl;
each Rd4 is independently selected from among -ORe4, -NRe4Re4, halogen, -CN, -C(0)Re4, -C(0)ORe4, -C(0)NRe4Re4, -C(0)NRg4ORe4, -S(0)2Re4,
-S(0)2NRe4Re4, -NHC(0)Re4 and -N(Ci-4alkyl)C(0)Re4;
each Re4 independently of one another denotes hydrogen or a group, optionally substituted by one or more, identical or different Rf4 and/or Rg4, selected from among Ci-6alkyl, C2-6alkenyl, C2-6alkynyl, Ci-6haloalkyl, C3-6cycloalkyl, C4-6cycloalkenyl, C6-ioaryl, 5-10 membered heteroaryl and 3-10 membered heterocyclyl;
each Rf4 is independently selected from among -ORg4, -NRg4Rg4, halogen, -CN, -C(0)Rg4, -C(0)ORg4, -C(0)NRg4Rg4, -C(0)NRg4ORg4, -S(0)2Rg4,
-S(0)2NRg4Rg4, -NHC(0)Rg4 and -N(Ci-4alkyl)C(0)Rg4; each Rg4 is independently selected from among hydrogen, Ci-6alkyl, C2-6alkenyl, C2-6alkynyl, Ci-6haloalkyl, C3-6cycloalkyl, C4-6cycloalkenyl, C6-ioaryl, 5-10 membered heteroaryl and 3-10 membered heterocyclyl;
[E0]
each R7 is independently selected from among halogen, Ci-4alkyl, -CN, Ci-4haloalkyl, -OCi-4alkyl and -OCi-4haloalkyl;
q denotes the number 0, 1 , 2 or 3;
[F0]
W, X and Y is each independently selected from -N= and -CH=
with the proviso that the hydrogen in each -CH= may be replaced by a substituent R7 if present and that a maximum of two of W, X and Y can be -N=;
[GO]
V is oxygen or sulfur;
[HO]
n denotes the number 1 , 2 or 3;
or a salt thereof.
In one aspect the invention relates to the compound of formula (la)
Figure imgf000009_0001
(la)
or a salt therof, wherein the groups R1 to R7, V, W, X, Y, n and q are defined as for formula (I).
In another aspect the invention relates to the compound of formula (lb)
Figure imgf000010_0001
(lb)
or a salt therof, wherein the groups R1 to R7, V, W, X, Y, n and q are defined as for formula (I).
It is to be understood that compounds (la) are a subset of compounds (I) and that whenever the term "compounds (I)" is used this also includes compounds (la) unless stated otherwise.
It is to be understood that compounds (I) and compounds (la) are a subset of compounds (lb) and that whenever the term "compounds (lb)" is used this also includes compounds (I) and compounds (la) unless stated otherwise. In another aspect [A1] the invention relates to a compound of formula (I) or (la) or (lb), wherein
R1 is Ci-6alkyl, optionally substituted by a group selected from among C3-6cycloalkyl, C6-ioaryl and 5-10 membered heteroaryl, wherein this C3-6cycloalkyl, C6-ioaryl and 5-10 membered heteroaryl is optionally substituted by one or more, identical or different Rd1 and/or Re1;
each Rd1 is independently selected from among -ORe1, -NRe1Re1, halogen, -CN, -C(0)Re1, -C(0)ORe1, -C(0)NRe1Re1 , -S(0)2Re1, -S(0)2NRe1Re1,
-NHC(0)Re1 and -N(Ci-4alkyl)C(0)Re1;
each Re1 independently of one another denotes hydrogen or a group selected from among Ci-6alkyl, C2-6alkenyl, C2-6alkynyl, Ci-6haloalkyl, C3-6cycloalkyl, C4-6cycloalkenyl, C6-ioaryl, 5-10 membered heteroaryl and 3-10 membered heterocyclyl;
or a salt thereof.
In another aspect [A2] the invention relates to a compound of formula (I) or (la) or (lb), wherein
R1 is Ci-6alkyl, optionally substituted by a group selected from among C3-6cycloalkyl, phenyl and 5-6 membered heteroaryl, wherein this C3-6cycloalkyl, phenyl and 5-6 membered heteroaryl is optionally substituted by one or more, identical or different Rd1 and/or Re1;
each Rd1 is independently selected from among -ORe1, -NRe1Re1, halogen, -CN, -C(0)Re1, -C(0)ORe1, -C(0)NRe1Re1 , -S(0)2Re1, -S(0)2NRe1Re1,
-NHC(0)Re1 and -N(Ci-4alkyl)C(0)Re1;
each Re1 independently of one another denotes hydrogen or a group selected from among Ci-6alkyl, C2-6alkenyl, C2-6alkynyl, Ci-6haloalkyl, C3-6cycloalkyl, C4-6cycloalkenyl, phenyl, 5-6 membered heteroaryl and 3-7 membered heterocyclyl;
or a salt thereof.
In another aspect [A3] the invention relates to a compound of formula (I) or (la) or (lb), wherein
R1 is Ci-6alkyl, optionally substituted by a group selected from among C3-6cycloalkyl, phenyl and 5-6 membered heteroaryl, wherein this C3-6cycloalkyl, phenyl and 5-6 membered heteroaryl is optionally substituted by one or more, identical or different substituents selected from among -OCi-6alkyl, halogen, Ci-6alkyl and Ci-6haloalkyl;
or a salt thereof. In another aspect [A4] the invention relates to a compound of formula (I) or (la) or (lb), wherein
R1 is C3-6cycloalkyl-Ci-6alkyl;
or a salt thereof.
In another aspect [A5] the invention relates to a compound of formula (I) or (la) or (lb), wherein
R1 is cyclopropylmethyl;
or a salt thereof.
In another aspect [A6] the invention relates to a compound of formula (I) or (la) or (lb), wherein
R1 is benzyl, optionally substituted on the phenyl ring by one or more, identical or different Rd1 and/or Re1;
each Rd1 is independently selected from among -ORe1, -NRe1Re1, halogen, -CN, -C(0)Re1, -C(0)ORe1, -C(0)NRe1Re1 , -S(0)2Re1, -S(0)2NRe1Re1,
-NHC(0)Re1 and -N(Ci-4alkyl)C(0)Re1;
each Re1 independently of one another denotes hydrogen or a group selected from among Ci-6alkyl, C2-6alkenyl, C2-6alkynyl, Ci-6haloalkyl, C3-6cycloalkyl, C4-6cycloalkenyl, phenyl, 5-6 membered heteroaryl and 3-7 membered heterocyclyl;
or a salt thereof.
In another aspect [A7] the invention relates to a compound of formula (I) or (la) or (lb), wherein
R1 is 3-ethoxybenzyl;
or a salt thereof. In another aspect [B1] the invention relates to a compound of formula (I) or (la) or (lb), wherein
one of R2 and R3 is hydrogen and the other is selected from among phenyl and 5-6 membered heteroaryl, wherein this phenyl and 5-6 membered heteroaryl is optionally substituted by one or more, identical or different Rb2 and/or Rc2;
each Rb2 is independently selected from among -ORc2, -NRc2Rc2, halogen, -CN, -C(0)Rc2, -C(0)ORc2, -C(0)NRc2Rc2, -S(0)2Rc2, -S(0)2NRc2Rc2,
-NHC(0)Rc2 and -N(Ci-4alkyl)C(0)Rc2;
each Rc2 independently of one another denotes hydrogen or a group selected from among Ci-6alkyl, C2-6alkenyl, C2-6alkynyl, Ci-6haloalkyl, C3-6cycloalkyl, C4-6cycloalkenyl, phenyl, 5-6 membered heteroaryl and 3-7 membered heterocyclyl;
or a salt thereof.
In another aspect [B2] the invention relates to a compound of formula (I) or (la) or (lb), wherein one of R2 and R3 is hydrogen and the other is phenyl optionally substituted by one or more, identical or different substituents selected from among -OCi-6alkyl, halogen, Ci-6alkyl and Ci-6haloalkyl;
or a salt thereof. In another aspect [B3] the invention relates to a compound of formula (I) or (la) or (lb), wherein
one of R2 and R3 is hydrogen and the other is 3-chloro phenyl or 3-chloro 2-fluoro phenyl or a salt thereof.
In further aspects [B4], [B5], [B6] and [B7] the invention relates to a compound of formula (I) or (la) or (lb) with structural aspects [BO], [B1], [B2] and [B3], wherein
R3 is hydrogen;
or a salt thereof.
In further aspects [B8], [B9], [B10] and [B11] the invention relates to a compound of formula (I) or (la) or (lb) with structural aspects [BO], [B1], [B2] and [B3], wherein
R2 is hydrogen;
or a salt thereof.
In another aspect [C1] the invention relates to a compound of formula (I) or (la) or (lb), wherein
R4 is hydrogen or a group, optionally substituted by one or more, identical or different Rb3 and/or Rc3, selected from among Ci-6alkyl, C6-ioaryl and 5-10 membered heteroaryl; or
R4 is selected from among -C(0)Rc3 and -S(0)2Rc3;
each Rb3 is independently selected from among -ORc3, -NRc3Rc3, halogen, -CN, -C(0)Rc3, -C(0)ORc3, -C(0)NRc3Rc3, -C(0)NRe3ORc3, -S(0)2Rc3,
-S(0)2NRc3Rc3, -NHC(0)Rc3 and -N(Ci-4alkyl)C(0)Rc3;
each Rc3 independently of one another denotes hydrogen or a group, optionally substituted by one or more, identical or different Rd3 and/or Re3, selected from among Ci-6alkyl, C3-6cycloalkyl, C6-ioaryl, 5-10 membered heteroaryl and 3-10 membered heterocyclyl;
each Rd3 is independently selected from among -ORe3, -NRe3Re3, halogen, -CN, -C(0)Re3, -C(0)ORe3, -C(0)NRe3Re3, -C(0)NRe3ORe3, -S(0)2Re3,
-S(0)2NRe3Re3, -NHC(0)Re3 and -N(Ci-4alkyl)C(0)Re3;
each Re3 independently of one another is selected from among hydrogen, Ci-6alkyl, C3-6cycloalkyl, C6-ioaryl, 5-10 membered heteroaryl and 3-10 membered heterocyclyl; or a salt thereof.
In another aspect [C2] the invention relates to a compound of formula (I) or (la) or (lb), wherein
R4 is hydrogen or a group, optionally substituted by one or more, identical or different Rb3 and/or Rc3, selected from among Ci-6alkyl, phenyl and 5-6 membered heteroaryl; or
R4 is selected from among -C(0)Rc3 and -S(0)2Rc3;
each Rb3 is independently selected from among -ORc3, -NRc3Rc3, halogen, -CN, -C(0)Rc3, -C(0)ORc3, -C(0)NRc3Rc3, -C(0)NRe3ORc3, -S(0)2Rc3,
-S(0)2NRc3Rc3, -NHC(0)Rc3 and -N(Ci-4alkyl)C(0)Rc3;
each Rc3 independently of one another denotes hydrogen or a group, optionally substituted by one or more, identical or different Rd3 and/or Re3, selected from among Ci-6alkyl, C3-6cycloalkyl, phenyl, 5-6 membered heteroaryl and 3-7 membered heterocyclyl;
each Rd3 is independently selected from among -ORe3, -NRe3Re3, halogen, -CN, -C(0)Re3, -C(0)ORe3, -C(0)NRe3Re3, -C(0)NRe3ORe3, -S(0)2Re3,
-S(0)2NRe3Re3, -NHC(0)Re3 and -N(Ci-4alkyl)C(0)Re3;
each Re3 independently of one another is selected from among hydrogen, Ci-6alkyl, C3-6cycloalkyl, phenyl, 5-6 membered heteroaryl and 3-7 membered heterocyclyl;
or a salt thereof.
In another aspect [C3] the invention relates to a compound of formula (I) or (la) or (lb), wherein
R4 is selected from among Ci-6alkyl, C3-6cycloalkyl-Ci-6alkyl, phenyl-Ci-6alkyl, and heteroaryl-Ci-6alkyl (the heteoaryl being 5-6 membered), all substituted by one substituent selected from among -C(0)OH, -C(0)OCi-6alkyl, -C(0)NH2, -C(0)NHCi-6alkyl and -C(0)N(Ci-6alkyl)2;
or a salt thereof.
In another aspect [C4] the invention relates to a compound of formula (I) or (la) or (lb), wherein
R4 is selected from among carboxymethyl and
Figure imgf000015_0001
or a salt thereof.
In another aspect [C5] the invention relates to a compound of formula (I) or (la) or (lb), wherein
R4 is -C(0)Rc3;
Rc3 is a group, optionally substituted by one or more, identical or different Rd3 and/or Re3, selected from among Ci-6alkyl, phenyl and 5-6 membered heteroaryl;
each Rd3 is independently selected from among -ORe3, -NRe3Re3, -C(0)ORe3,
-C(0)NRe3Re3 and -NHC(0)Re3
each Re3 independently of one another is selected from among hydrogen, Ci-6alkyl and 5-6 membered heteroaryl;
or a salt thereof.
In another aspect [C6] the invention relates to a compound of formula (I) or (la) or (lb), wherein
R4 is hydrogen;
or a salt thereof.
In another aspect [D1] the invention relates to a compound of formula (I) or (la) or (lb), wherein
one of R5 and R6 is hydrogen and the other is hydrogen or a group, optionally substituted by one or more, identical or different Rb4 and/or Rc4, selected from among Ci-6alkyl, C6-ioaryl and 5-10 membered heteroaryl;
each Rb4 is independently selected from among -ORc4, -NRc4Rc4, halogen, -CN, -C(0)Rc4, -C(0)ORc4, -C(0)NRc4Rc4, -C(0)NRe4ORc4, -S(0)2Rc4,
-S(0)2NRc4Rc4, -NHC(0)Rc4 and -N(Ci-4alkyl)C(0)Rc4;
each Rc4 independently of one another denotes hydrogen or a group, optionally substituted by one or more, identical or different Rd4 and/or Re4, selected from among Ci-6alkyl, C3-6cycloalkyl, C6-ioaryl, 5-10 membered heteroaryl and 3-10 membered heterocyclyl;
each Rd4 is independently selected from among -ORe4, -NRe4Re4, halogen, -CN, -C(0)Re4, -C(0)ORe4, -C(0)NRe4Re4, -C(0)NRe4ORe4, -S(0)2Re4,
-S(0)2NRe4Re4, -NHC(0)Re4 and -N(Ci-4alkyl)C(0)Re4;
each Re4 independently of one another is selected from among hydrogen, Ci-6alkyl, C3-6cycloalkyl, C6-ioaryl, 5-10 membered heteroaryl and 3-10 membered heterocyclyl; or a salt thereof.
In another aspect [D2] the invention relates to a compound of formula (I) or (la) or (lb), wherein
one of R5 and R6 is hydrogen and the other is hydrogen or a group, optionally substituted by one or more, identical or different Rb4 and/or Rc4, selected from among Ci-6alkyl, phenyl and 5-6 membered heteroaryl;
each Rb4 is independently selected from among -ORc4, -NRc4Rc4, halogen, -CN, -C(0)Rc4, -C(0)ORc4, -C(0)NRc4Rc4, -C(0)NRe4ORc4, -S(0)2Rc4,
-S(0)2NRc4Rc4, -NHC(0)Rc4 and -N(Ci-4alkyl)C(0)Rc4;
each Rc4 independently of one another denotes hydrogen or a group, optionally substituted by one or more, identical or different Rd4 and/or Re4, selected from among Ci-6alkyl, C3-6cycloalkyl, phenyl, 5-6 membered heteroaryl and 3-7 membered heterocyclyl;
each Rd4 is independently selected from among -ORe4, -NRe4Re4, halogen, -CN, -C(0)Re4, -C(0)ORe4, -C(0)NRe4Re4, -C(0)NRe4ORe4, -S(0)2Re4,
-S(0)2NRe4Re4, -NHC(0)Re4 and -N(Ci-4alkyl)C(0)Re4; each Re4 independently of one another is selected from among hydrogen, Ci-6alkyl, C3-6cycloalkyl, phenyl, 5-6 membered heteroaryl and 3-7 membered heterocyclyl;
or a salt thereof.
In another aspect [D3] the invention relates to a compound of formula (I) or (la) or (lb), wherein
one of R5 and R6 is hydrogen and the other is hydrogen or a group, optionally substituted by one or more, identical or different Rb4 and/or Rc4, selected from among Ci-6alkyl, phenyl and 5-6 membered heteroaryl;
each Rb4 is independently selected from among -ORc4, -C(0)ORc4 and -C(0)NRc4Rc4; each Rc4 independently of one another denotes hydrogen or a group, optionally substituted by one or more, identical or different Rd4 and/or Re4, selected from among Ci-6alkyl, phenyl and 5-6 membered heteroaryl;
each Rd4 is independently selected from among -ORe4, -C(0)ORe4 and -C(0)NRe4Re4; each Re4 independently of one another is selected from among hydrogen and Ci-6alkyl; or a salt thereof.
In another aspect [D4] the invention relates to a compound of formula (I) or (la) or (lb), wherein
one of R5 and R6 is hydrogen and the other is hydrogen or a group, optionally substituted by one or more, identical or different Rb4, selected from among Ci-6alkyl, phenyl and 5-6 membered heteroaryl;
each Rb4 is independently selected from among -OCi-6alkyl, -C(0)OH, -C(0)OCi-6alkyl,
-C(0)NH2, -C(0)NHCi-6alkyl and -C(0)N(Ci-6alkyl)2;
or a salt thereof.
In another aspect [D5] the invention relates to a compound of formula (I) or (la) or (lb), wherein
one of R5 and R6 is hydrogen and the other is hydrogen or a group, optionally substituted by one or more, identical or different Rb4, selected from among phenyl and 5-6 membered heteroaryl; each R is independently selected from among -OCi-6alkyl, -C(0)OH, -C(0)OCi-6alkyl, -C(0)NH2, -C(0)NHCi-6alkyl and -C(0)N(Ci-6alkyl)2;
or a salt thereof.
In another aspect [D6] the invention relates to a compound of formula (I) or (la) or (lb), wherein
one of R5 and R6 is hydrogen and the other is hydrogen or
Figure imgf000018_0001
or a salt thereof.
In further aspects [D7], [D8], [D9], [D10], [D11], [D12] and [D13] the invention relates to a compound of formula (I) or (la) or (lb) with structural aspects [DO], [D1], [D2], [D3], [D4], [D5] and [D6], wherein
R5 is hydrogen and R6 is not hydrogen;
or a salt thereof.
In further aspects [D14], [D15], [D16], [D17], [D18], [D19] and [D20] the invention relates to a compound of formula (I) or (la) or (lb) with structural aspects [DO], [D1], [D2], [D3], [D4], [D5] and [D6], wherein
R6 is hydrogen and R5 is not hydrogen;
or a salt thereof.
In another aspect [D21] the invention relates to a compound of formula (I) or (la) or (lb), wherein
R5 and R6 is hydrogen;
or a salt thereof.
In another aspect [E1] the invention relates to a compound of formula (I) or (la) or (lb), wherein each R7 independently is halogen and q is 1 or 2;
or a salt thereof.
In another aspect [E2] the invention relates to a compound of formula (I) or (la) or (lb), wherein
each R7 independently is chlorine or fluorine and q is 1 or 2;
or a salt thereof.
In another aspect [F1] the invention relates to a compound of formula (I) or (la) or (lb), wherein
W, X and Y are -CH=
with the proviso that the hydrogen in each -CH= may be replaced by a substituent R7 if present;
or a salt thereof.
In another aspect [G1] the invention relates to a compound of formula (I) or (la) or (lb), wherein
V is oxygen;
or a salt thereof.
In another aspect [H1] the invention relates to a compound of formula (I) or (la) or (lb), wherein
n is 1 ;
or a salt thereof.
In another aspect [H2] the invention relates to a compound of formula (I) or (la) or (lb), wherein
n is 2;
or a salt thereof. In another aspect [EF1] the invention relates to a compound of formula (I) or (la) or (lb), wherein the 6-membered ring comprising W, X and Y together with the q substituents R7 has a substructure selected from among (i) and (ii)
Figure imgf000020_0001
(i) (ϋ)
or a salt thereof.
All the above-mentioned structural aspects A1 to A7, B1 to B11 , C1 to C6, D1 to D21 , E1 and E2, F1 , G1 , H1 and H2 and EF1 are preferred embodiments of the corresponding aspects AO, BO, CO, DO, EO, FO, EFO, GO and HO, respectively, wherein EFO (EF) represents the combination of EO (E) and FO (F). The structural aspects AO to A7, BO to B11 , CO to C6, DO to D21 , EO to E2, FO and F1 , EF1 , GO and G1 , and HO to H2 relating to different molecular parts of the compounds (I), (la) and (lb) according to the invention may be permutated with one another as desired in combinations ABCDEFGH, so as to obtain preferred compounds (I), (la) and (lb) (aspects E and F can be replaced by combination aspect EF). Each combination ABCDEFGH represents and defines individual embodiments or generic subsets of compounds according to the invention.
Preferred embodiments of the invention are example compounds 1-1 to I-93.
All synthetic intermediates disclosed herein are also part of the invention.
In a further aspect the invention also relates to synthetic intermediates of formula A-4 and their salts, which can be used as key intermediates in the synthesis of compounds of formula (I) or (la) or (lb):
Figure imgf000020_0002
A-4
The definitions of groups R2, R3, R7, V, W, X, Y, n and q in A-4 correspond to those as given for compound (I) and (la) and (lb) above, i.e. [BO] for R2/R3, [EO] for R7/q, [FO] for W/X Y, [GO] for V and [HO] for n. Residue R in the group -COOR can be any residue that allows reduction of the corresponding alcohol and/or allows attack of metallorganic reagents like GRIGNARD reagents etc. [10]. The skilled person is aware of appropriate residues R. Preferred R are e.g. hydrogen, optionally substituted Ci-6alkyl, phenyl, benzyl
[11] and the like (without being limited to them). More preferred is Ci-6alkyl [I2].
Preferred intermediates A-4 are those which lead to preferred compounds (I) or (la) or (lb) according to the invention, i.e. preferred embodiments of A-4 have structural aspects selected from [BO] to [B11] for R2/R3, [E0] to [E2] for R7/q, [FO] and [F1] for W/X/Y, [GO] and [G1] for V, [HO] for n, [EF1] for R7/q W/X Y altogether and [I0] to [I2] for R. These structural aspects may be permutated with one another as desired in combinations BEFGHI, so as to obtain preferred intermediates A-4 (aspects E and F can be replaced by combination aspect EF). Each combination BEFGHI represents and defines individual embodiments or generic subsets of intermediates A-4.
In a further aspect the invention also relates to synthetic intermediates of formula A-7 and their salts, which can also be used as key intermediates in the synthesis of compounds of formula (I) or (la) or (lb):
Figure imgf000021_0001
A-7
The definitions of groups R2, R3, R5 to R7, V, W, X, Y, n and q in A-7 correspond to those as given for compound (I) and (la) and (lb) above, i.e. [BO] for R2/R3, [DO] for R5/R6, [E0] for R7/q, [FO] for W X Y, [GO] for V and [HO] for n. Preferred intermediates A-7 are those which lead to preferred compounds (I) or (la) or (lb) according to the invention, i.e. preferred embodiments of A-4 have structural aspects selected from [BO] to [B11] for R2/R3, [DO] to [D21] for R5/R6, [E0] to [E2] for R7/q, [FO] and [F1] for W/X/Y, [GO] and [G1] for V, [HO] for n and [EF1] for R7/q/W/X/Y altogether. These structural aspects may be permutated with one another as desired in combinations BDEFGH, so as to obtain preferred intermediates A-7 (aspects E and F can be replaced by combination aspect EF). Each combination BDEFGH represents and defines individual embodiments or generic subsets of intermediates A-7. In a further aspect the invention also relates to synthetic intermediates of formula A-5, A-8, A-9, A-10, A-11 , A-12, A-13, A-14, A-15 and A-16 as depicted in schemes 1 , 2, 3, 4 and 5 (i.e. to both the generic group of compounds and the specific intermediates) and their salts, which can all also be used as key intermediates in the synthesis of compounds of formula (I) or (la) or (lb).
The definitions of groups R1 to R7, R ,V, W, X, Y, n and q in formulae formula A-5, A-8, A-9, A-10, A-11 , A-12, A-13, A-14, A-15 and A-16 (as applicable) correspond to those as given for compound (I) and (la) and (lb) above. Preferred intermediates A-5, A-8, A-9, A-10, A-11 , A-12, A-13, A-14, A-15 and A-16 are those which lead to preferred compounds (I) or (la) or (lb) according to the invention. The structural aspects may be permutated with one another as desired, so as to obtain preferred intermediates A-5, A-8, A-9, A-10, A-11 , A-12, A-13, A-14, A-15 and A-16. Each combination represents and defines individual embodiments or generic subsets of intermediates A-5, A-8, A-9, A-10, A-11 , A-12, A-13, A-14, A-15 and A-16.
In a further aspect the invention also relates to the use of synthetic intermediates of formula A-4 or their salts (and the various embodiments and sub-groups as described and/or defined herein) in the synthesis of compounds (I) or (la) or (lb).
In a further aspect the invention also relates to the use of synthetic intermediates of formula A-7 or their salts (and the various embodiments and sub-groups as described and/or defined herein) in the synthesis of compounds (I) or (la) or (lb).
In a further aspect the invention also relates to the use of synthetic intermediates of formula A-5, A-8, A-9, A-10, A-11 , A-12, A-13, A-14, A-15 and A-16 (i.e. to both the generic group of compounds and the specific intermediates) or their salts (and the various embodiments and sub-groups as described and/or defined herein) in the synthesis of compounds (I) or (la) or (lb).
The present invention further relates to hydrates, solvates, polymorphs, metabolites, derivatives, isomers and prodrugs of a compound of formula (I) or (la) or (lb).
Compounds of formula (I) or (la) or (Ib)which e.g. bear ester groups are potential prodrugs the ester being cleaved under physiological conditions.
The present invention further relates to a pharmaceutically acceptable salt of a compound of formula (I) or (la) or (lb). The present invention further relates to a pharmaceutically acceptable salt of a compound of formula (I) or (la) or (lb) with anorganic or organic acids or bases.
The present invention is directed to compounds of formula (I) or (la) or (lb) which are useful in the prevention and/or treatment of a disease and/or condition wherein the inhibition of the interaction between MDM2 and p53 is of therapeutic benefit, including but not limited to the treatment and/or prevention of cancer.
In another aspect the invention relates to a compound of formula (I) or (la) or (lb) - or a pharmaceutically acceptable salt thereof - for use as medicament.
In another aspect the invention relates to a compound of formula (I) or (la) or (lb) - or a pharmaceutically acceptable salt thereof - for use in a method for treatment of the human or animal body.
In another aspect the invention relates to a compound of formula (I) or (la) or (lb) - or a pharmaceutically acceptable salt thereof - for use in the treatment and/or prevention of a disease and/or condition wherein the inhibition of the interaction between MDM2 and p53 is of therapeutic benefit.
In another aspect the invention relates to a compound of formula (I) or (la) or (lb) - or a pharmaceutically acceptable salt thereof - for use in the treatment and/or prevention of cancer, infections, inflammations and autoimmune diseases.
In another aspect the invention relates to a compound of formula (I) or (la) or (lb) - or a pharmaceutically acceptable salt thereof - for use in a method for treatment and/or prevention of cancer, infections, inflammations and autoimmune diseases in the human and animal body.
In another aspect the invention relates to the use of a compound of formula (I) or (la) or (lb) - or a pharmaceutically acceptable salt thereof - for preparing a pharmaceutical composition for the treatment and/or prevention of cancer, infections, inflammations and autoimmune diseases.
In another aspect the invention relates to a compound of formula (I) or (la) or (lb) - or a pharmaceutically acceptable salt thereof - for use in the treatment and/or prevention of cancer.
In another aspect the invention relates to the use of a compound of formula (I) or (la) or (lb) - or a pharmaceutically acceptable salt thereof - for preparing a pharmaceutical composition for the treatment and/or prevention of cancer.
In another aspect the invention relates to a compound of formula (I) or (la) or (lb) - or a pharmaceutically acceptable salt thereof - for use in a method for treatment and/or prevention of cancer in the human or animal body.
In another aspect the invention relates to a compound of formula (I) or (la) or (lb) - or a pharmaceutically acceptable salt thereof - for use in the treatment and/or prevention of acute myeloid leukaemia (AML), prostate cancer and lung cancer, wherein the cancer cells are p53 wild-type.
In another aspect the invention relates to a compound of formula (I) or (la) or (lb) - or a pharmaceutically acceptable salt thereof - for use in the treatment and/or prevention of acute myeloid leukaemia (AML), prostate cancer and lung cancer, wherein the cancer cells are preferably p53 wild-type.
In another aspect the invention relates to the use of a compound of formula (I) or (la) or (lb) - or a pharmaceutically acceptable salt thereof - for preparing a pharmaceutical composition for the treatment and/or prevention of acute myeloid leukaemia (AML), prostate cancer and lung cancer, wherein the cancer cells are p53 wild-type.
In another aspect the invention relates to the use of a compound of formula (I) or (la) or (lb) - or a pharmaceutically acceptable salt thereof - for preparing a pharmaceutical composition for the treatment and/or prevention of acute myeloid leukaemia (AML), prostate cancer and lung cancer, wherein the cancer cells are preferably p53 wild-type.
In another aspect the invention relates to a method for the treatment and/or prevention of a disease and/or condition wherein the inhibition of the interaction between MDM2 and p53 is of therapeutic benefit comprising administering a therapeutically effective amount of a compound of formula (I) or (la) or (lb) - or a pharmaceutically acceptable salt thereof - to a human being.
In another aspect the invention relates to a method for the treatment and/or prevention of cancer comprising administering a therapeutically effective amount of a compound of formula (I) or (la) or (lb) - or a pharmaceutically acceptable salt thereof - to a human being.
In another aspect the invention relates to a pharmaceutical composition comprising at least one compound of formula (I) or (la) or (lb) - or a pharmaceutically acceptable salt thereof - and a pharmaceutically acceptable carrier.
In another aspect the invention relates to a pharmaceutical preparation comprising a compound of formula (I) or (la) or (lb) - or a pharmaceutically acceptable salt thereof - and at least one other cytostatic or cytotoxic active substance, different from formula (I) or (la) or (lb).
In another aspect the invention relates to a compound of formula (I) or (la) or (lb) - or a pharmaceutically acceptable salt thereof - for use in the treatment and/or prevention of cancer, infections, inflammations and autoimmune diseases wherein said compound is administered before, after or together with at least one other cytostatic or cytotoxic active substance.
In another aspect the invention relates to the use of a compound of formula (I) or (la) or (lb) - or a pharmaceutically acceptable salt thereof - for preparing a medicament for the treatment and/or prevention of cancer, infections, inflammations and autoimmune diseases wherein said compound is administered before, after or together with at least one other cytostatic or cytotoxic active substance.
In another aspect the invention relates to a cytostatic or cytotoxic active substance prepared for being administered before, after or together with a compound of formula (I) or (la) or (lb) - or a pharmaceutically acceptable salt thereof - for use in the treatment and/or prevention of cancer, infections, inflammations and autoimmune diseases.
In another aspect the invention relates to a method for the treatment and/or prevention of cancer, infections, inflammations and autoimmune diseases comprising administering a therapeutically effective amount of a compound of formula (I) or (la) or (lb) - or a pharmaceutically acceptable salt thereof - before, after or together with at least one other cytostatic or cytotoxic active substance to a human being. Definitions
Terms not specifically defined herein should be given the meanings that would be given to them by one of skill in the art in light of the disclosure and the context. As used in the specification, however, unless specified to the contrary, the following terms have the meaning indicated and the following conventions are adhered to:
The use of the prefix Cx-y, wherein x and y each represent a natural number (x < y), indicates that the chain or ring structure or combination of chain and ring structure as a whole, specified and mentioned in direct association, may consist of a maximum of y and a minimum of x carbon atoms.
The indication of the number of members in groups that contain one or more heteroatom(s) (e.g. heteroalkyl, heteroaryl, heteroarylalkyl, heterocyclyl, heterocycylalkyl) relates to the total number of atoms of all the ring members or chain members or the total of all the ring and chain members.
The indication of the number of carbon atoms in groups that consist of a combination of carbon chain and carbon ring structure (e.g. cycloalkylalkyl, arylalkyl) relates to the total number of carbon atoms of all the carbon ring and carbon chain members. Obviously, a ring structure has at least three members.
In general, for groups comprising two or more subgroups (e.g. heteroarylalkyl, heterocycylalkyl, cycloalkylalkyl, arylalkyl) the last named subgroup is the radical attachment point, for example, the substituent aryl-Ci-6alkyl means an aryl group which is bound to a Ci-6alkyl group, the latter of which is bound to the core or to the group to which the substituent is attached.
Alkyl denotes monovalent, saturated hydrocarbon chains, which may be present in both straight-chain (unbranched) and branched form. If an alkyl is substituted, the substitution may take place independently of one another, by mono- or polysubstitution in each case, on all the hydrogen-carrying carbon atoms.
The term "C1-5alkyl" includes for example H3C-, H3C-CH2-, H3C-CH2-CH2-, H3C-CH(CH3)-, H3C-CH2-CH2-CH2-, H3C-CH2"CH(CH3)-, H3C-CH(CH3)-CH2", H3C-C(CH3)2-,
H3C-CH2-CH2-CH2-CH2-, H3C-CH2"CH2-CH(CH3)-, H3C-CH2-CH(CH3)-CH2-,
H3C-CH(CH3)-CH2-CH2-, H3C-CH2-C{CH3)2-, H3C-C(CH3)2-CH2-, H3C-CH(CH3)-CH(CH3)- and H3C-CH2-CH(CH2CH3)-.
Further examples of alkyl are methyl (Me; -CH3), ethyl (Et; -CH2CH3), 1 -propyl (n-propyl; n-Pr; -CH2CH2CH3), 2-propyl (/'-Pr; /'so-propyl; -CH(CH3)2), 1 -butyl (n-butyl;
n-Bu; -CH2CH2CH2CH3), 2-methyl-1 -propyl (/'so-butyl; /-Bu; -CH2CH(CH3)2), 2-butyl (sec-butyl; sec-Bu; -CH(CH3)CH2CH3), 2-methyl-2-propyl (ferf-butyl; f-Bu; -C(CH3)3), 1 -pentyl (n-pentyl; -CH2CH2CH2CH2CH3), 2-pentyl (-CH(CH3)CH2CH2CH3), 3-pentyl (-CH(CH2CH3)2), 3-methyl-1 -butyl (/so-pentyl; -CHzCHzChKCHak), 2-methyl-2-butyl (-C(CH3)2CH2CH3), 3-methyl-2-butyl (-CH(CH3)CH(CH3)2), 2,2-dimethyl-1 -propyl
(neo-pentyl; -CH2C(CH3)3), 2-methyl-1 -butyl (-CH2CH(CH3)CH2CH3), 1 -hexyl (n-hexyl; -CH2CH2CH2CH2CH2CH3), 2-hexyl (-CH(CH3)CH2CH2CH2CH3), 3-hexyl
(-CH(CH2CH3)(CH2CH2CH3)), 2-methyl-2-pentyl (-C(CH3)2CH2CH2CH3), 3-methyl-2-pentyl (-CH(CH3)CH(CH3)CH2CH3), 4-methyl-2-pentyl (-CH(CH3)CH2CH(CH3)2),
3-methyl-3-pentyl (-C(CH3)(CH2CH3)2), 2-methyl-3-pentyl (-CH(CH2CH3)CH(CH3)2), 2,3-dimethyl-2-butyl (-C(CH3)2CH(CH3)2), 3,3-dimethyl-2-butyl (-CH(CH3)C(CH3)3), 2,3-dimethyl-l -butyl (-CH2CH(CH3)CH(CH3)CH3), 2,2-dimethyl-l -butyl
(-CH2C(CH3)2CH2CH3), 3,3-dimethyl-l -butyl (-CH2CH2C(CH3)3), 2-methyl-1 -pentyl (-CH2CH(CH3)CH2CH2CH3), 3-methyl-1 -pentyl (-CH2CH2CH(CH3)CH2CH3), 1 -heptyl (n-heptyl), 2-methyl-1 -hexyl, 3-methyl-1 -hexyl, 2,2-dimethyl-1 -pentyl,
2,3-dimethyl-l -pentyl, 2,4-dimethyl-1 -pentyl, 3,3-dimethyl-1 -pentyl, 2,2, 3-trimethyl-1 -butyl, 3-ethyl-1 -pentyl, 1 -octyl (n-octyl), 1 -nonyl (n-nonyl); 1 -decyl (n-decyl) etc.
By the terms propyl, butyl, pentyl, hexyl, heptyl, octyl, nonyl, decyl etc. without any further definition are meant saturated hydrocarbon groups with the corresponding number of carbon atoms, wherein all isomeric forms are included.
The above definition for alkyl also applies if alkyl is a part of another (combined) group such as for example Cx-yalkylamino or Cx-yalkyloxy.
The term alkylene can also be derived from alkyl. Alkylene is bivalent, unlike alkyl, and requires two binding partners. Formally, the second valency is produced by removing a hydrogen atom in an alkyl. Corresponding groups are for example -CH3 and -CH2-, -CH2CH3 and -CH2CH2- or >CHCH3 etc.
The term "C1-4alkylene" includes for example -(CH2)-, -(CH2-CH2)-, -(CH(CH3))-,
-(CH2-CH2-CH2)-, -(C(CH3)2)-, -(CH(CH2CH3))-, -(CH(CH3)-CH2)-, -(CH2-CH(CH3))-, -(CH2-CH2-CH2-CH2)-, -(CH2-CH2-CH(CH3))-, -(CH(CH3)-CH2-CH2)-,
-(CH2-CH(CH3)-CH2)-, -(CH2-C(CH3)2)-, -(C(CH3)2-CH2)-, -(CH(CH3)-CH(CH3))-,
-(CH2-CH(CH2CH3))-, -(CH(CH2CH3)-CH2)-, -(CH(CH2CH2CH3))-, -(CH(CH(CH3))2)- and -C(CH3)(CH2CH3)-.
Other examples of alkylene are methylene, ethylene, propylene, 1 -methylethylene, butylene, 1 -methylpropylene, 1 ,1 -dimethylethylene, 1 ,2-dimethylethylene, pentylene, 1 ,1 -dimethylpropylene, 2,2-dimethylpropylene, 1 ,2-dimethylpropylene,
1 ,3-dimethylpropylene, hexylene etc.
By the generic terms propylene, butylene, pentylene, hexylene etc. without any further definition are meant all the conceivable isomeric forms with the corresponding number of carbon atoms, i.e. propylene includes 1 -methylethylene and butylene includes 1 -methylpropylene, 2-methylpropylene, 1 ,1 -dimethylethylene and 1 ,2-dimethylethylene.
The above definition for alkylene also applies if alkylene is part of another (combined) group such as for example in HO-Cx-yalkyleneamino or H2N-Cx-yalkyleneoxy.
Unlike alkyl, alkenyl consists of at least two carbon atoms, wherein at least two adjacent carbon atoms are joined together by a C-C double bond and a carbon atom can only be part of one C-C double bond. If in an alkyl as hereinbefore defined having at least two carbon atoms, two hydrogen atoms on adjacent carbon atoms are formally removed and the free valencies are saturated to form a second bond, the corresponding alkenyl is formed.
Examples of alkenyl are vinyl (ethenyl), prop-1 -enyl, allyl (prop-2-enyl), isopropenyl, but-1 -enyl, but-2-enyl, but-3-enyl, 2-methyl-prop-2-enyl, 2-methyl-prop-1 -enyl,
1 -methyl-prop-2-enyl, 1 -methyl-prop-1 -enyl, 1 -methylidenepropyl, pent-1 -enyl,
pent-2-enyl, pent-3-enyl, pent-4-enyl, 3-methyl-but-3-enyl, 3-methyl-but-2-enyl,
3-methyl-but-1 -enyl, hex-1 -enyl, hex-2-enyl, hex-3-enyl, hex-4-enyl, hex-5-enyl,
2,3-dimethyl-but-3-enyl, 2,3-dimethyl-but-2-enyl, 2-methylidene-3-methylbutyl,
2,3-dimethyl-but-1 -enyl, hexa-1 ,3-dienyl, hexa-1 ,4-dienyl, penta-1 ,4-dienyl,
penta-1 ,3-dienyl, buta-1 ,3-dienyl, 2,3-dimethylbuta-1 ,3-diene etc.
By the generic terms propenyl, butenyl, pentenyl, hexenyl, butadienyl, pentadienyl, hexadienyl, heptadienyl, octadienyl, nonadienyl, decadienyl etc. without any further definition are meant all the conceivable isomeric forms with the corresponding number of carbon atoms, i.e. propenyl includes prop-1 -enyl and prop-2-enyl, butenyl includes but-1 -enyl, but-2-enyl, but-3-enyl, 1 -methyl-prop-1-enyl, 1 -methyl-prop-2-enyl etc.
Alkenyl may optionally be present in the cis or trans or £ or Z orientation with regard to the double bond(s).
The above definition for alkenyl also applies when alkenyl is part of another (combined) group such as for example in Cx-yalkenylamino or Cx-yalkenyloxy.
Unlike alkylene, alkenylene consists of at least two carbon atoms, wherein at least two adjacent carbon atoms are joined together by a C-C double bond and a carbon atom can only be part of one C-C double bond. If in an alkylene as hereinbefore defined having at least two carbon atoms, two hydrogen atoms at adjacent carbon atoms are formally removed and the free valencies are saturated to form a second bond, the corresponding alkenylene is formed.
Examples of alkenylene are ethenylene, propenylene, 1 -methylethenylene, butenylene, 1 -methylpropenylene, 1 ,1 -dimethylethenylene, 1 ,2-dimethylethenylene, pentenylene, 1 ,1 -dimethylpropenylene, 2,2-dimethylpropenylene, 1 ,2-dimethylpropenylene,
1 ,3-dimethylpropenylene, hexenylene etc.
By the generic terms propenylene, butenylene, pentenylene, hexenylene etc. without any further definition are meant all the conceivable isomeric forms with the corresponding number of carbon atoms, i.e. propenylene includes 1 -methylethenylene and butenylene includes 1 -methylpropenylene, 2-methylpropenylene, 1 ,1 -dimethylethenylene and 1 ,2-dimethylethenylene.
Alkenylene may optionally be present in the cis or trans or £ or Z orientation with regard to the double bond(s).
The above definition for alkenylene also applies when alkenylene is a part of another (combined) group as for example in HO-Cx-yalkenyleneamino or H2N-Cx-yalkenyleneoxy. Unlike alkyl, alkynyl consists of at least two carbon atoms, wherein at least two adjacent carbon atoms are joined together by a C-C triple bond. If in an alkyl as hereinbefore defined having at least two carbon atoms, two hydrogen atoms in each case at adjacent carbon atoms are formally removed and the free valencies are saturated to form two further bonds, the corresponding alkynyl is formed.
Examples of alkynyl are ethynyl, prop-1 -ynyl, prop-2-ynyl, but-1 -ynyl, but-2-ynyl, but-3-ynyl, 1 -methyl-prop-2-ynyl, pent-1 -ynyl, pent-2-ynyl, pent-3-ynyl, pent-4-ynyl, 3-methyl-but-1 -ynyl, hex-1 -ynyl, hex-2-ynyl, hex-3-ynyl, hex-4-ynyl, hex-5-ynyl etc.
By the generic terms propynyl, butynyl, pentynyl, hexynyl, heptynyl, octynyl, nonynyl, decynyl etc. without any further definition are meant all the conceivable isomeric forms with the corresponding number of carbon atoms, i.e. propynyl includes prop-1 -ynyl and prop-2-ynyl, butynyl includes but-1 -ynyl, but-2-ynyl, but-3-ynyl,
1 -methyl-prop-1 -ynyl,1 -methyl-prop-2-ynyl, etc.
If a hydrocarbon chain carries both at least one double bond and also at least one triple bond, by definition it belongs to the alkynyl subgroup.
The above definition for alkynyl also applies if alkynyl is part of another (combined) group, as for example in Cx-yalkynylamino or Cx-yalkynyloxy. Unlike alkylene, alkynylene consists of at least two carbon atoms, wherein at least two adjacent carbon atoms are joined together by a C-C triple bond. If in an alkylene as hereinbefore defined having at least two carbon atoms, two hydrogen atoms in each case at adjacent carbon atoms are formally removed and the free valencies are saturated to form two further bonds, the corresponding alkynylene is formed.
Examples of alkynylene are ethynylene, propynylene, 1 -methylethynylene, butynylene, 1 -methylpropynylene, 1 ,1 -dimethylethynylene, 1 ,2-dimethylethynylene, pentynylene,
1 .1 - dimethylpropynylene, 2,2-dimethylpropynylene, 1 ,2-dimethylpropynylene,
1 ,3-dimethylpropynylene, hexynylene etc.
By the generic terms propynylene, butynylene, pentynylene, hexynylene etc. without any further definition are meant all the conceivable isomeric forms with the corresponding number of carbon atoms, i.e. propynylene includes 1 -methylethynylene and butynylene includes 1 -methylpropynylene, 2-methylpropynylene, 1 ,1 -dimethylethynylene and
1 .2- dimethylethynylene.
The above definition for alkynylene also applies if alkynylene is part of another (combined) group, as for example in HO-Cx-yalkynyleneamino or H2N-Cx-yalkynyleneoxy.
By heteroatoms are meant oxygen, nitrogen and sulphur atoms.
Haloalkyl (haloalkenyl, haloalkynyl) is derived from the previously defined alkyl (alkenyl, alkynyl) by replacing one or more hydrogen atoms of the hydrocarbon chain independently of one another by halogen atoms, which may be identical or different. If a haloalkyl (haloalkenyl, haloalkynyl) is to be further substituted, the substitutions may take place independently of one another, in the form of mono- or polysubstitutions in each case, on all the hydrogen-carrying carbon atoms.
Examples of haloalkyl (haloalkenyl, haloalkynyl) are -CF3, -CHF2, -CH2F,
-CF2CF3, -CHFCFs, -CH2CF3, -CF2CH3, -CHFCH3, -CF2CF2CF3, -CF2CH2CH3, -CF=CF2, -CCI=CH2, -CBr=CH2, -C≡C-CF3, -CHFCH2CH3, -CHFCH2CF3 etc.
From the previously defined haloalkyl (haloalkenyl, haloalkynyl) are also derived the terms haloalkylene (haloalkenylene, haloalkvnylene). Haloalkylene (haloalkenylene, haloalkynylene), unlike haloalkyl (haloalkenyl, haloalkynyl), is bivalent and requires two binding partners. Formally, the second valency is formed by removing a hydrogen atom from a haloalkyl (haloalkenyl, haloalkynyl). Corresponding groups are for example -CH2F and -CHF-, -CHFCH2F and -CHFCHF- or >CFCH2F etc.
The above definitions also apply if the corresponding halogen-containing groups are part of another (combined) group.
Halogen relates to fluorine, chlorine, bromine and/or iodine atoms.
Cycloalkyi is made up of the subgroups monocyclic hydrocarbon rings, bicyclic hydrocarbon rings and spiro-hydrocarbon rings. The systems are saturated. In bicyclic hydrocarbon rings two rings are joined together so that they have at least two carbon atoms together. In spiro-hydrocarbon rings one carbon atom (spiroatom) belongs to two rings together.
If a cycloalkyi is to be substituted, the substitutions may take place independently of one another, in the form of mono- or polysubstitutions in each case, on all the hydrogen- carrying carbon atoms. Cycloalkyi itself may be linked as a substituent to the molecule via every suitable position of the ring system.
Examples of cycloalkyi are cyclopropyl, cyclobutyl, cyclopentyl, cyclohexyl, cycloheptyl, bicyclo[2.2.0]hexyl, bicyclo[3.2.0]heptyl, bicyclo[3.2.1]octyl, bicyclo[2.2.2]octyl,
bicyclo[4.3.0]nonyl (octahydroindenyl), bicyclo[4.4.0]decyl (decahydronaphthyl), bicyclo[2.2.1]heptyl (norbornyl), bicyclo[4.1.0]heptyl (norcaranyl), bicyclo[3.1.1]heptyl (pinanyl), spiro[2.5]octyl, spiro[3.3]heptyl etc.
The above definition for cycloalkyi also applies if cycloalkyi is part of another (combined) group as for example in Cx-ycycloalkylamino, Cx-ycycloalkyloxy or Cx-yCycloalkylalkyl.
If the free valency of a cycloalkyi is saturated, then an alicyclic group is obtained.
The term cycloalkylene can thus be derived from the previously defined cycloalkyi. Cycloalkylene, unlike cycloalkyi, is bivalent and requires two binding partners. Formally, the second valency is obtained by removing a hydrogen atom from a cycloalkyi. Corresponding groups are for example:
Figure imgf000031_0001
(cyclohexylene).
The above definition for cycloalkylene also applies if cycloalkylene is part of another (combined) group as for example in HO-Cx-ycycloalkyleneamino or H2N-Cx-yCycloalkyleneoxy.
Cycloalkenyl is also made up of the subgroups monocyclic hydrocarbon rings, bicyclic hydrocarbon rings and spiro-hydrocarbon rings. However, the systems are unsaturated, i.e. there is at least one C-C double bond but no aromatic system. If in a cycloalkyl as hereinbefore defined two hydrogen atoms at adjacent cyclic carbon atoms are formally removed and the free valencies are saturated to form a second bond, the corresponding cycloalkenyl is obtained.
If a cycloalkenyl is to be substituted, the substitutions may take place independently of one another, in the form of mono- or polysubstitutions in each case, on all the hydrogen- carrying carbon atoms. Cycloalkenyl itself may be linked as a substituent to the molecule via every suitable position of the ring system.
Examples of cycloalkenyl are cycloprop-1 -enyl, cycloprop-2-enyl, cyclobut-1 -enyl, cyclobut-2-enyl, cyclopent-1 -enyl, cyclopent-2-enyl, cyclopent-3-enyl, cyclohex-1 -enyl, cyclohex-2-enyl, cyclohex-3-enyl, cyclohept-1 -enyl, cyclohept-2-enyl, cyclohept-3-enyl, cyclohept-4-enyl, cyclobuta-1 ,3-dienyl, cyclopenta-1 ,4-dienyl, cyclopenta-1 ,3-dienyl, cyclopenta-2,4-dienyl, cyclohexa-1 ,3-dienyl, cyclohexa-1 ,5-dienyl, cyclohexa-2,4-dienyl, cyclohexa-1 ,4-dienyl, cyclohexa-2,5-dienyl, bicyclo[2.2.1 ]hepta-2,5-dienyl
(norborna-2,5-dienyl), bicyclo[2.2.1 ]hept-2-enyl (norbornenyl), spiro[4,5]dec-2-enyl etc.
The above definition for cycloalkenyl also applies when cycloalkenyl is part of another (combined) group as for example in Cx-ycycloalkenylamino, Cx-ycycloalkenyloxy or Cx-yCycloalkenylalkyl.
If the free valency of a cycloalkenyl is saturated, then an unsaturated alicyclic group is obtained.
The term cycloalkenylene can thus be derived from the previously defined cycloalkenyl. Cycloalkenylene, unlike cycloalkenyl, is bivalent and requires two binding partners. Formally, the second valency is obtained by removing a hydrogen atom from a cycloalkenyl. Corresponding groups are for example:
cyclopentenyl and
Figure imgf000032_0001
(cyclopentenylene) etc.
The above definition for cycloalkenylene also applies if cycloalkenylene is part of another (combined) group as for example in HO-Cx-ycycloalkenyleneamino or H2N-Cx-yCycloalkenyleneoxy.
Aryl denotes mono-, bi- or tricyclic carbocycles with at least one aromatic carbocycle. Preferably, it denotes a monocyclic group with six carbon atoms (phenyl) or a bicyclic group with nine or ten carbon atoms (two six-membered rings or one six-membered ring with a five-membered ring), wherein the second ring may also be aromatic or, however, may also be partially saturated.
If an aryl is to be substituted, the substitutions may take place independently of one another, in the form of mono- or polysubstitutions in each case, on all the hydrogen- carrying carbon atoms. Aryl itself may be linked as a substituent to the molecule via every suitable position of the ring system.
Examples of aryl are phenyl, naphthyl, indanyl (2,3-dihydroindenyl), indenyl, anthracenyl, phenanthrenyl, tetrahydronaphthyl (1 ,2,3,4-tetrahydronaphthyl, tetralinyl), dihydronaphthyl (1 ,2- dihydronaphthyl), fluorenyl etc.
The above definition of aryl also applies if aryl is part of another (combined) group as for example in arylamino, aryloxy or arylalkyl.
If the free valency of an aryl is saturated, then an aromatic group is obtained.
The term arylene can also be derived from the previously defined aryl. Arylene, unlike aryl, is bivalent and requires two binding partners. Formally, the second valency is formed by removing a hydrogen atom from an aryl. Corresponding groups are for example:
phenyl and
naphthyl a
Figure imgf000033_0001
The above definition for arylene also applies if arylene is part of another (combined) group as for example in HO-aryleneamino or H2N-aryleneoxy.
Heterocyclyl denotes ring systems, which are derived from the previously defined cycloalkyl, cycloalkenyl and aryl by replacing one or more of the groups -CH2- independently of one another in the hydrocarbon rings by the groups -0-, -S- or -NH- or by replacing one or more of the groups =CH- by the group =N-, wherein a total of not more than five heteroatoms may be present, at least one carbon atom must be present between two oxygen atoms and between two sulphur atoms or between an oxygen and a sulphur atom and the ring as a whole must have chemical stability. Heteroatoms may optionally be present in all the possible oxidation stages (sulphur -> sulphoxide -SO-, sulphone -S02-; nitrogen -> N-oxide). In a heterocyclyl there is no heteroaromatic ring, i.e. no heteroatom is part of an aromatic system.
A direct result of the derivation from cycloalkyl, cycloalkenyl and aryl is that heterocyclyl is made up of the subgroups monocyclic heterorings, bicyclic heterorings, tricyclic heterorings and spiro-heterorings, which may be present in saturated or unsaturated form.
By unsaturated is meant that there is at least one double bond in the ring system in question, but no heteroaromatic system is formed. In bicyclic heterorings two rings are linked together so that they have at least two (hetero)atoms in common. In spiro- heterorings one carbon atom (spiroatom) belongs to two rings together.
If a heterocyclyl is substituted, the substitutions may take place independently of one another, in the form of mono- or polysubstitutions in each case, on all the hydrogen- carrying carbon and/or nitrogen atoms. Heterocyclyl itself may be linked as a substituent to the molecule via every suitable position of the ring system.
Examples of heterocyclyl are tetrahydrofuryl, pyrrolidinyl, pyrrolinyl, imidazolidinyl, thiazolidinyl, imidazolinyl, pyrazolidinyl, pyrazolinyl, piperidinyl, piperazinyl, oxiranyl, aziridinyl, azetidinyl, 1 ,4-dioxanyl, azepanyl, diazepanyl, morpholinyl, thiomorpholinyl, homomorpholinyl, homopiperidinyl, homopiperazinyl, homothiomorpholinyl,
thiomorpholinyl-S-oxide, thiomorpholinyl-S,S-dioxide, 1 ,3-dioxolanyl, tetrahydropyranyl, tetrahydrothiopyranyl, [1 ,4]-oxazepanyl, tetrahydrothienyl, homothiomorpholinyl-S,S- dioxide, oxazolidinonyl, dihydropyrazolyl, dihydropyrrolyl, dihydropyrazinyl, dihydropyridyl, dihydro-pyrimidinyl, dihydrofuryl, dihydropyranyl, tetrahydrothienyl-S-oxide,
tetrahydrothienyl-S,S-dioxide, homothiomorpholinyl-S-oxide, 2,3-dihydroazet, 2/-/-pyrrolyl, 4/-/-pyranyl, 1 ,4-dihydropyridinyl, 8-aza-bicyclo[3.2.1]octyl, 8-aza-bicyclo[5.1 .0]octyl, 2-oxa-5-azabicyclo[2.2.1 ]heptyl, 8-oxa-3-aza-bicyclo[3.2.1]octyl,
3,8-diaza-bicyclo[3.2.1]octyl, 2,5-diaza-bicyclo[2.2.1 ]heptyl, 1 -aza-bicyclo[2.2.2]octyl, 3,8-diaza-bicyclo[3.2.1]octyl, 3,9-diaza-bicyclo[4.2.1 ]nonyl, 2,6-diaza-bicyclo[3.2.2]nonyl, 1 ,4-dioxa-spiro[4.5]decyl, 1 -oxa-3,8-diaza-spiro[4.5]decyl, 2,6-diaza-spiro[3.3]heptyl, 2,7-diaza-spiro[4.4]nonyl, 2,6-diaza-spiro[3.4]octyl, 3,9-diaza-spiro[5.5]undecyl, 2.8-diaza- spiro[4,5]decyl etc.
Further examples are the structures illustrated below, which may be attached via each hydrogen-carrying atom (exchanged for hydrogen):
Figure imgf000035_0001
Figure imgf000036_0001
Figure imgf000037_0001
Figure imgf000038_0001
Preferably, heterocyclyls are 4 to 8 membered, monocyclic and have one or two heteroatoms independently selected from oxygen, nitrogen and sulfur
Preferred heterocyclyls are: piperazinyl, piperidinyl, morpholinyl, pyrrolidinyl, azetidinyl, tetra hyd ropy ra ny I , tetra hyd rof u rany I .
The above definition of heterocyclyl also applies if heterocyclyl is part of another (combined) group as for example in heterocyclylamino, heterocyclyloxy or heterocyclylalkyl.
If the free valency of a heterocyclyl is saturated, then a heterocyclic group is obtained.
The term heterocyclylene is also derived from the previously defined heterocyclyl. Heterocyclylene, unlike heterocyclyl, is bivalent and requires two binding partners. Formally, the second valency is obtained by removing a hydrogen atom from a heterocyclyl. Corresponding groups are for example:
piperidinyl and
2,3-dihydro-1 H-pyrrolyl and
Figure imgf000038_0002
or or etc.
The above definition of heterocyclylene also applies if heterocyclylene is part of another (combined) group as for example in HO-heterocyclyleneamino or H2N-heterocyclyleneoxy. Heteroaryl denotes monocyclic heteroaromatic rings or polycyclic rings with at least one heteroaromatic ring, which compared with the corresponding aryl or cycloalkyl (cycloalkenyl) contain, instead of one or more carbon atoms, one or more identical or different heteroatoms, selected independently of one another from among nitrogen, sulphur and oxygen, wherein the resulting group must be chemically stable. The prerequisite for the presence of heteroaryl is a heteroatom and a heteroaromatic system.
If a heteroaryl is to be substituted, the substitutions may take place independently of one another, in the form of mono- or polysubstitutions in each case, on all the hydrogen- carrying carbon and/or nitrogen atoms. Heteroaryl itself may be linked as a substituent to the molecule via every suitable position of the ring system, both carbon and nitrogen.
Examples of heteroaryl are furyl, thienyl, pyrrolyl, oxazolyl, thiazolyl, isoxazolyl, isothiazolyl, pyrazolyl, imidazolyl, triazolyl, tetrazolyl, oxadiazolyl, thiadiazolyl, pyridyl, pyrimidyl, pyridazinyl, pyrazinyl, triazinyl, pyridyl-/V-oxide, pyrrolyl-/V-oxide, pyrimidinyl-A- oxide, pyridazinyl-/V-oxide, pyrazinyl-/V-oxide, imidazolyl-/V-oxide, isoxazolyl-/V-oxide, oxazolyl-/V-oxide, thiazolyl-/V-oxide, oxadiazolyl-/V-oxide, thiadiazolyl-/V-oxide, triazolyl-/V- oxide, tetrazolyl-/V-oxide, indolyl, isoindolyl, benzofuryl, benzothienyl, benzoxazolyl, benzothiazolyl, benzisoxazolyl, benzisothiazolyl, benzimidazolyl, indazolyl, isoquinolinyl, quinolinyl, quinoxalinyl, cinnolinyl, phthalazinyl, quinazolinyl, benzotriazinyl, indolizinyl, oxazolopyridyl, imidazopyridyl, naphthyridinyl, benzoxazolyl, pyridopyridyl,
pyrimidopyridyl, purinyl, pteridinyl, benzothiazolyl, imidazopyridyl, imidazothiazolyl, quinolinyl-/V-oxide, indolyl-/V-oxide, isoquinolyl-/V-oxide, quinazolinyl-/V-oxide, quinoxalinyl- /V-oxide, phthalazinyl-/V-oxide, indolizinyl-/V-oxide, indazolyl-/V-oxide, benzothiazolyl-/V- oxide, benzimidazolyl-/V-oxide etc.
Further examples are the structures illustrated below, which may be attached via each hydrogen-carrying atom (exchanged for hydrogen):
Figure imgf000039_0001
Figure imgf000040_0001
Preferably, heteroaryls are 5-6 membered monocyclic or 9-10 membered bicyclic, each with 1 to 4 heteroatoms independently selected from oxygen, nitrogen and sulfur. The above definition of heteroaryl also applies if heteroaryl is part of another (combined) group as for example in heteroarylamino, heteroaryloxy or heteroarylalkyl.
If the free valency of a heteroaryl is saturated, a heteroaromatic group is obtained.
The term heteroarylene is also derived from the previously defined heteroaryl. Heteroarylene, unlike heteroaryl, is bivalent and requires two binding partners. Formally, the second valency is obtained by removing a hydrogen atom from a heteroaryl. Corresponding groups ar for example:
pyrrolyl and
Figure imgf000041_0001
The above definition of heteroarylene also applies if heteroarylene is part of another (combined) group as for example in HO-heteroaryleneamino or H2N-heteroaryleneoxy.
By substituted is meant that a hydrogen atom which is bound directly to the atom under consideration, is replaced by another atom or another group of atoms (substituent). Depending on the starting conditions (number of hydrogen atoms) mono- or polysubstitution may take place on one atom. Substitution with a particular substituent is only possible if the permitted valencies of the substituent and of the atom that is to be substituted correspond to one another and the substitution leads to a stable compound (i.e. to a compound which is not converted spontaneously, e.g. by rearrangement, cyclisation or elimination).
Bivalent substituents such as =S, =NR, =NOR, =NNRR, =NN(R)C(0)NRR, =N2 or the like, may only be substituents on carbon atoms, wherein the bivalent substituent =0 may also be a substituent on sulphur. Generally, substitution may be carried out by a bivalent substituent only at ring systems and requires replacement of two geminal hydrogen atoms, i.e. hydrogen atoms that are bound to the same carbon atom that is saturated prior to the substitution. Substitution by a bivalent substituent is therefore only possible at the group -CH2- or sulphur atoms (=0 only) of a ring system.
Stereochemistry/solvates/hydrates: Unless specifically indicated, throughout the specification and appended claims, a given chemical formula or name shall encompass tautomers and all stereo, optical and geometrical isomers (e.g. enantiomers, diastereomers, EIZ isomers, etc.) and racemates thereof as well as mixtures in different proportions of the separate enantiomers, mixtures of diastereomers, or mixtures of any of the foregoing forms where such isomers and enantiomers exist, as well as salts, including pharmaceutically acceptable salts thereof and solvates thereof such as for instance hydrates including solvates of the free compounds or solvates of a salt of the compound.
Salts: The phrase "pharmaceutically acceptable" is employed herein to refer to those compounds, materials, compositions, and/or dosage forms which are, within the scope of sound medical judgement, suitable for use in contact with the tissues of human beings and animals without excessive toxicity, irritation, allergic response, or other problem or complication, and commensurate with a reasonable benefit/risk ratio.
As used herein "pharmaceutically acceptable salts" refers to derivatives of the disclosed compounds wherein the parent compound is modified by making acid or base salts thereof. Examples of pharmaceutically acceptable salts include, but are not limited to, mineral or organic acid salts of basic residues such as amines; alkali or organic salts of acidic residues such as carboxylic acids; and the like.
For example, such salts include salts from ammonia, L-arginine, betaine, benethamine, benzathine, calcium hydroxide, choline, deanol, diethanolamine (2,2'-iminobis(ethanol)), diethylamine, 2-(diethylamino)-ethanol, 2-(dimethylamino)-ethanol, 2-aminoethanol, ethylenediamine, /V-ethyl-glucamine, hydrabamine, 1 /-/-imidazole, lysine, magnesium hydroxide, 4-(2-hydroxyethyl)-morpholine, piperazine, potassium hydroxide, 1 -(2- hydroxyethyl)-pyrrolidine, sodium hydroxide, triethanolamine (2,2',2"-nitrilotris(ethanol), tromethamine, zinc hydroxide, acetic acid, 2,2-dichloro acetic acid, adipic acid, alginic acid, ascorbic acid (L), L-aspartic acid, benzenesulfonic acid, benzoic acid, 2,5- dihydroxybenzoic acid, 4-acetamidobenzoic acid, (+)-camphoric acid, (+)-camphor-10- sulfonic acid, carbonic acid, cinnamic acid, citric acid, cyclamic acid, decanoic acid (capric acid), dodecylsulfuric acid, ethane-1 ,2-disulfonic acid, ethanesulfonic acid, 2- hydroxyethanesulfonic acid, ethylenediaminetetraacetic acid, formic acid, fumaric acid, galactaric acid, gentisic acid, D-glucoheptonic acid, D-gluconic acid, D-glucuronic acid, glutamic acid, glutaric acid, 2-oxoglutaric acid, glycerophosphoric acid, glycine, glycolic acid, hexanoic acid (caproic acid), hippuric acid, hydrobromic acid, hydrochloric acid, isobutyric acid, DL-lactic acid, lactobionic acid, lauric acid, maleic acid, (-)-L-malic acid, malonic acid, DL-mandelic acid, methanesulfonic acid, naphthalene-1 ,5-disulfonic acid, naphthalene-2-sulfonic acid, 1 -hydroxy-2-naphthoic acid, nicotinic acid, nitric acid, octanoic acid (caprylic acid), oleic acid, orotic acid, oxalic acid, palmitic acid, pamoic acid (embonic acid), phosphoric acid, propionic acid, (-)-L-pyroglutamic acid, salicylic acid, 4- amino-salicylic acid, sebacic acid, stearic acid, succinic acid, sulfuric acid, tannic acid, (+)- L-tartaric acid, thiocyanic acid, p-toluenesulfonic acid and undecylenic acid.
The salts include acetates, ascorbates, benzenesulfonates, benzoates, besylates, bicarbonates, bitartrates, bromides/hydrobromides, Ca-edetates/edetates, camsylates, carbonates, camphorsulfonate, chlorides/hydrochlorides, chlorotheophyllinate, citrates, edisylates, ethane disulfonates, estolates esylates, fumarates, gluceptates, gluconates, glucuronate, glutamates, glycolates, glycollylarsnilates, hexylresorci nates, hippurate, hydrabamines, hydroxymaleates, hydroxynaphthoates, iodides, isethionates, isothionates, lactates, lactobionates, laurylsulfates, malates, maleates, mandelates, methanesulfonates, mesylates, methylbromides, methylnitrates, methylsulfates, mucates, naphthoate, napsylates, nitrates, octadecanoates, oleates, oxalates, pamoates, pantothenates, phenylacetates, phosphates/diphosphates, polygalacturonates, propionates, salicylates, stearates subacetates, succinates, sulfamides, sulfates, sulfosalicylat.es, tannates, tartrates, teoclates, toluenesulfonates, triethiodides, trifluoroacetates, ammonium, benzathines, chloroprocaines, cholines, diethanolamines, ethylenediamines, meglumines and procaines.
Further pharmaceutically acceptable salts can be formed with cations from metals like aluminium, calcium, lithium, magnesium, potassium, sodium, zinc and the like (also see Pharmaceutical salts, Berge, S.M. et al., J. Pharm. Sci., (1977), 66, 1 -19).
The pharmaceutically acceptable salts of the present invention can be synthesized from the parent compound which contains a basic or acidic moiety by conventional chemical methods. Generally, such salts can be prepared by reacting the free acid or base form of these compounds with a sufficient amount of the appropriate base or acid in water or in an organic diluent like ether, ethyl acetate, ethanol, isopropanol, or acetonitrile, or a mixture thereof.
Salts of other acids than those mentioned above which for example are useful for purifying or isolating the compounds of the present invention (e.g. trifluoro acetate salts), also comprise a part of the invention.
Some abbreviated notations and their structure correspondences are listed below:
-CH< or >CH- =C< or >C=
N
-N= or =N-
N
>N- or -N<
If for example in the sequence X-Y-Z the component Y is supposed to correspond to the structural section -N=, this means both X=N-Z and also X-N=Z.
In a representation such as for example
Figure imgf000044_0001
the dotted line means that the ring system may be attached to the molecule via the carbon atom 1 or 2, and is thus equivalent t the following representation
In a representation such as for
Figure imgf000044_0002
the letter A has the function of a ring designation in order to make it easier, for example, to indicate the attachment of the ring in question to other rings.
For bivalent groups in which it is crucial to determine which adjacent groups they bind and with which valency, the corresponding binding partners are indicated in brackets where necessary for clarification purposes, as in the following representations:
Figure imgf000044_0003
or (R2) -C(0)NH- or (R2) -NHC(O)-;
Groups or substituents are frequently selected from among a number of alternative groups/substituents with a corresponding group designation (e.g. Ra, Rb etc). If such a group is used repeatedly to define a compound according to the invention in different parts of the molecule, it is pointed out that the various uses are to be regarded as totally independent of one another.
By a therapeutically effective amount for the purposes of this invention is meant a quantity of substance that is capable of obviating symptoms of illness or of preventing or alleviating these symptoms, or which prolong the survival of a treated patient.
List of abbreviations
Figure imgf000045_0001
ESI electron spray ionization
Et ethyl
Et20 diethyl ether
EtOAc ethyl acetate
EtOH ethanol
h hour
O-iy-azabenzotriazol-l -y -A/./V./V./V-tetramethyl-uronium
HATU
hexafluorophosphate
HPLC high performance liquid chromatography
IBX 2-iodoxy benzoic acid
/' iso
cone. concentrated
LC liquid chromatography
□HMDS lithium bis(trimethylsilyl)amide
sin. solution
Me methyl
MeOH methanol
min minutes
MPLC medium pressure liquid chromatography
MS mass spectrometry
MTBE methyl ie f-butyl ether
NBS /V-bromo-succinimide
NIS /V-iodo-succinimide
NMM /V-methylmorpholine
NMP /V-methylpyrrolidone
NP normal phase
n.a. not available
PBS phosphate-buffered saline
Ph phenyl
Pr propyl
Py pyridine
rac racemic
red. reduction
Rf (Rf) retention factor RP reversed phase
rt ambient temperature
SFC supercritical fluid chromatography
SN nucleophilic substitution
TBAF tetrabutylammonium fluoride
TBDMS tert-butyldimethylsilyl
TBME tert-butylmethylether
0-(benzotriazol-1 -yl)-N,N,N',N'-tetramethyl-uronium
TBTU
tetrafluoroborate
tBu tert-butyl
TEA triethylamine
temp. temperature
tert tertiary
Tf triflate
TFA trifluoroacetic acid
THF tetrahydrofuran
TMS trimethylsilyl
tRet. retention time (HPLC)
TRIS tris(hydroxymethyl)-aminomethane
TsOH p-toluenesulphonic acid
UV ultraviolet
Features and advantages of the present invention will become apparent from the following detailed examples which illustrate the principles of the invention by way of example without restricting its scope:
Preparation of the compounds according to the invention
General
Unless stated otherwise, all the reactions are carried out in commercially obtainable apparatus using methods that are commonly used in chemical laboratories. Starting materials that are sensitive to air and/or moisture are stored under protective gas and corresponding reactions and manipulations therewith are carried out under protective gas (nitrogen or argon).
The compounds according to the invention are named in accordance with CAS rules using the software Autonom (Beilstein). If a compound is to be represented both by a structural formula and by its nomenclature, in the event of a conflict the structural formula is decisive.
Microwave reactions are carried out in an initiator/reactor made by Biotage or in an Explorer made by CEM or in Synthos 3000 or Monowave 3000 made by Anton Paar in sealed containers (preferably 2, 5 or 20 mL), preferably with stirring.
Chromatography
The thin layer chromatography is carried out on ready-made silica gel 60 TLC plates on glass (with fluorescence indicator F-254) made by Merck.
The preparative high pressure chromatography (RP HPLC) of the example compounds according to the invention is carried out on Agilent or Gilson systems with columns made by Waters (names: SunFire™ Prep C18, OBD™ 10 μηι, 50 x 150 mm or SunFire™ Prep C18 OBD™ 5 [Jim, 30 x 50 mm or XBridge™ Prep C18, OBD™ 10 [Jim, 50 x 150 mm or XBridge™ Prep C18, OBD™ 5 [Jim , 30 x 150 mm or XBridge™ Prep C18, OBD™ 5 [Jim, 30 x 50 mm) and YMC (names: Actus-Triart Prep C18, 5 μηι, 30 x 50 mm). Different gradients of H20/acetonitrile are used to elute the compounds, while for Agilent systems 5 % acidic modifier (20 mL HCOOH to 1 L H20/acetonitrile (1 /1 )) is added to the water (acidic conditions). For Gilson systems the water is added 0.1 % HCOOH.
For the chromatography under basic conditions for Agilent systems H20/acetonitrile gradients are used as well, while the water is made alkaline by addition of 5 % basic modifier (50 g N H4HC03 + 50 mL N H3 (25 % in H20) to 1 L with H20). For Gilson systems the water is made alkaline as follows: 5mL N H4HC03 solution (158 g in 1 L H20) and 2 mL NH3 (28 % in H20) are replenished to 1 L with H20.
The supercritical fluid chromatography (SFC) of the intermediates and example compounds according to the invention is carried out on a JASCO SFC-system with the following colums: Chiralcel OJ (250 x 20 mm, 5 μηη), Chiralpak AD (250 x 20 mm, 5 μηη), Chiralpak AS (250 x 20 mm, 5 μπι), Chiralpak IC (250 x 20 mm, 5 μπι), Chiralpak IA (250 x 20 mm, 5 μηι), Chiralcel OJ (250 x 20 mm, 5 μηι), Chiralcel OD (250 x 20 mm, 5 μηι), Phenomenex Lux C2 (250 x 20 mm, 5 μηη).
The analytical HPLC (reaction control) of intermediate compounds is carried out using columns made by Waters (names: XBridge™ C18, 2.5 μιτι, 2.1 x 20 mm or XBridge™ C18, 2.5 μηι, 2.1 x 30 mm) and YMC (names: Triart C18, 3.0 μπι, 2.0 x 30 mm). The analytical equipment is also equipped with a mass detector in each case. HPLC-mass spectroscopy/UV-spectrometry
The retention times/MS-ESI+ for characterizing the example compounds according to the invention are produced using an HPLC-MS apparatus (high performance liquid chromatography with mass detector). Compounds that elute at the injection peak are given the retention time tRet. = 0.00.
HPLC-methods
Method A
HPLC Agilent 1 100 Series
MS Agilent LC/MSD SL
column Waters, Xbridge™ C18, 2.5 m, 2.1 x 20 mm, Part.No. 186003201 solvent A: 20 mM NH4HC03/NH3 pH 9
B: acetonitrile (HPLC grade)
detection MS: positive and negative
mass range: 120 - 900 m/z
fragmentor: 120
gain E V: 1
threshold: 150
stepsize: 0.2
UV: 315 nm
bandwidth: 170 nm
reference: off
range: 230 - 400 nm
range step: 1 .00 nm
peakwidth: < 0.01 min
slit: 1 nm
injection 5 μΙ_
flow 1 .00 mL/min
column temperature 60 °C
gradient 0.00 min 10 % B
0.00 - 1.50 min 10 % 95 % B
1 .50 - 2.00 min 95 % B
2.00 - 2.10 min 95 % ^ 10 % B Method B
HPLC Agilent 1200 Series
MS Agilent 6130 Quadropole LC/MS
column Waters, Xbridge™ C18, 2.5 μπι, 2.1 x 30 mm solvent A: 20 mM NH4HCO3/NH3 in water; pH 9.3
B: acetonitrile (HPLC grade)
detection MS:
polarity: positive
ionizator: MM-ES+APCI
mass range: 150 - 750 m/z
fragmentor values:
Figure imgf000050_0001
gain EMV: 1.00
threshold: 150
stepsize: 0.2
UV:
254 nm: reference off
214 nm: reference off range: 190 - 400 nm
range step: 2.00 nm
threshold: 1 .00 mAU
peakwidth: 0.0025 min (0.05 s)
slit: 4 nm
injection 0.5 μί
flow 1 .400 mL/min
column temperature 45 °C
gradient 0.00 - 1.00 min 15 % -> 95 % B
1 .00 - 1.30 min 95 % B
Method C
HPLC Agilent 1200 Series
MS Agilent 6130 Quadropole LC/MS column YMC, Triart C18, 3.0 μηι, 2.0 x 30 mm, 12 nm solvent A: water + 0.1 % HCOOH
B: acetonitrile + 0.1 % HCOOH (HPLC grade) detection MS:
polarity: positive
mass range: 150 - 750 m/z
fragmentor values:
Figure imgf000051_0001
threshold: 150
stepsize: 0.20
UV:
254 nm: reference off
214 nm: reference off
range: 190 - 400 nm
range step: 4.00 nm
threshold: 1.00 mAU
peakwidth: 0.005 min
slit: 4 nm
0.5 μί.
flow 1 .400 mL/min
column temperature 45 °C
gradient 0.00 - 1.00 min 15 % ^ 100 % B
1 .00 - 1.13 min 100 % B
Method D
HPLC Agilent 1200 Series
MS Agilent 6130 Quadropole LC/MS
column Waters, Xbridge™ C18, 2.5 μπι, 2.1 x 30 mm solvent A: 20 mM NH4HC03/NH3 in water; pH 9.3
B: acetonitrile (HPLC grade)
detection MS: polarity: positive + negative
ionization: MM-ES
mass range: 150 - 750 m/z
fragmentor values:
Figure imgf000052_0001
gain EMV: 1.00
threshold: 150
stepsize: 0.2
UV:
254 nm: reference off
214 nm: reference off
range: 190 - 400 nm
range step: 2.00 nm
threshold: 1.00 mAU
peakwidth: 0.0025 min (0.05 s)
slit: 4 nm
0.5 μΙ_
flow 1 .400 mL/min
column temperature 45 °C
gradient 0.00 1.00 min 15 % ^ 95 % B
1 .00 1.30 min 95 % B
Method E
HPLC Agilent 1200 Series:
MS Agilent 6130 Quadropole LC/MS
column Waters, Xbridge™ C18, 2.5 μητι, 2.1 x 30 mm Column XP; Part.No.
186006028
solvent A: 20 mM NH4HC03/NH3 in water; pH 9.3
B: acetonitrile (HPLC grade)
detection MS:
polarity: positive + negative
ionizator: API-ES mass range: 150 - fragmentor values
Figure imgf000053_0001
gain EMV: 1.00
threshold: 150
stepsize: 0.2
UV:
254 nm: reference off
214 nm: reference off
range: 190 - 400 nm
range step: 2.00 nm
threshold: 1.00 mAU
peakwidth: 0.0025 min (0.05 s)
slit: 4 nm
injection 0.5 μί.
flow 1 .400 mL/min
column temperature 45 °C
gradient 0.00 - 1.00 min 15 % ^ 95
1 .00 - 1.30 min 95 % B
Method F
HPLC Agilent 1200 Series
MS Agilent 6130 Quadropole LC/MS
column YMC, Triart C18, 3.0 μηι, 2.0 x 30 mm, 12 nm solvent A: water + 0.1 % HCOOH
B: acetonitrile + 0.1 % HCOOH (HPLC grade) detection MS:
polarity: positive + negative
mass range: 150 - 750 m/z
fragmentor values: mass fragmentor
150 70
750 1 10
gain EMV: 1.00
threshold: 150
stepsize: 0.20
UV:
254 nm: reference off
214 nm: reference off
range: 190 - 400 nm
range step: 4.00 nm
threshold: 1.00 mAU
peakwidth: 0.0063 min (0.13 s)
slit: 4 nm
0.5 μί.
flow 1 .400 mL/min
column temperature 45 °C
gradient 0.00 - 1.00 min 15 % ^ 100 % B
1 .00 - 1.13 min 100 % B
Method G
HPLC Agilent 1200 Series
MS Agilent 6130 Quadropole LC/MS
column YMC, Triart C18, 3.0 μπι, 2.0 x 30 mm, 12 nm solvent A: water +0.1 % HCOOH
B: acetonitrile + 0.1 % HCOOH (HPLC grade) detection MS:
polarity: positive + negative
mass range: 150 - 750 m/z
fragmentor values:
Figure imgf000054_0001
gain EMV: .00 threshold: 150
stepsize: 0.20
UV:
254 nm: reference off
230 nm: reference off
214 nm: reference off
range: 190 - 400 nm
range step: 4.00 nm
threshold: 1.00 mAU
peakwidth: 0.005 min
slit: 4 nm
injection 0.5 pL
flow 1 .400 mL/min
column temperature 45 °C
gradient 0.00 1.00 min 15 % ^ 100 % B
1 .00 1.13 min 100 % B
Method H
HPLC Agilent 1200 Series
MS Agilent 6130 Quadropole LC/MS
column YMC, Triart C18, 3.0 pm, 2.0 x 30 mm, 12 nm solvent A: water +0.1 % HCOOH
B: acetonitrile + 0.1 % HCOOH (HPLC grade) detection MS:
polarity: positive + negative
mass range: 200 - 800 m/z
fragmentor : 70
gain: 1.00
threshold: 150
stepsize: 0.20
UV:
254 nm: reference off
230 nm: reference off
range: 190 - 400 nm range step: 2.00 nm
peakwidth: >0.01 min
slit: 4 nm
injection 1 .0 μί.
flow 1 .000 mL/min
column temperature 45 °C
gradient 0.00 - 0.10 min 5 % B
0.10 - 1.85 min 5% B ^ 95.0 % B
1 .85 - 1.90 min 95 % B
1 .95 - 1.92 min 95 % B 5.0 % B
Method I
HPLC Agilent 1200 Series
MS Agilent 6130 Quadropole LC/MS
column YMC, Triart C18, 3.0 μηι, 2.0 x 30 mm, 12 nm solvent A: water +0.1 % HCOOH
B: acetonitrile + 0.1 % HCOOH (HPLC grade) detection MS:
polarity: positive + negative
mass range: 200 - 800 m/z
fragmentor: 70
gain: 1.00
threshold: 150
stepsize: 0.20
UV:
254 nm: reference off
230 nm: reference off
range: 190 - 400 nm
range step: 2.00 nm
peakwidth: > 0.01 min (0.2 s)
slit: 4 nm
injection 1 .0 μί
flow 1 .000 mL/min
column temperature 45 °C gradient 0.00 - 0.10 min 15 % B
0.10 - 1.55 min 15% B ^ 95.0 % B
1 .55 - 1.90 min 95 % B
1 .95 - 1.92 min 95 % B ^ 15.0 % B
The compounds according to the invention are prepared by the methods of synthesis described hereinafter in which the substituents of the general formulae have the meanings given hereinbefore. These methods are intended as an illustration of the invention without restricting its subject matter and the scope of the compounds claimed to these examples. Where the preparation of starting compounds is not described, they are commercially obtainable or may be prepared analogously to known prior art compounds or methods described herein. Substances described in the literature are prepared according to the published methods of synthesis.
General reaction scheme and summary of the synthesis route
Scheme 1
= e.g. alkyl
Figure imgf000057_0001
A-8 Scheme 2
Figure imgf000058_0001
A-9
Scheme 3
Figure imgf000058_0002
(R4 = H) (R6 = -CH2COOR) optional
derivatisation steps
(in R1 to R6, especially R4 and R6) Novel compounds of structure (I) can be prepared stepwise starting with a synthesis route depicted in scheme 1 from compounds A-1 via a decarboxylative 1 ,3 dipolar cycloaddition with an amino acid A-2 (method A) or A-6 (method D) and a nitro ethene A-3 to build up spiro systems A-4 and A-7 as a racemic mixture potentially along with other regio- and/or diastereoisomers of A-4 and A-7. The enantiomers of A-4 and A-7 can be separated at this stage by chiral SFC or alternatively the racemic mixture can be separated at any later stage of the synthesis. Also alll other means known for separation of enantiomers can be applied here or after any later synthetic step herein described, e.g. crystallisation, chiral resolution, chiral HPLC etc. (see also Enantiomers, racemates, and resolutions, Jean Jacques, Andre Collet, Samuel H Wilen John Wiley and Sons, NY, 1981 ).
A-4 and A-7 can be reacted with aldehydes or ketones in a reductive amination reaction to give A-5 (method B) and A-8 (method E). Alternatively, an alkylation or addition reaction can be performed with A-4 and A-7 to obtain intermediates A-5 and A-8.
Intermediate A-5 can be reduced with DIBAL or another reducing reagent and will than also yield intermediates A-8 (method C). Alternatively, intermediate A-5 can be reacted with metallorganic reagents like GRIGNARD reagents etc. to yield intermediates A-8.
The nitro group in intermediate A-8 (scheme 2) can be reduced to the primary amine by reduction with indium metal and hydrochloric acid or an alternative reduction method like hydrogenation under RANEY nickel catalysis or others, to get to intermediates with the structure A-9. Alternatively, intermediates A-9 can also be obtained by oxidation of the hydoxy group in A-8, e.g. with IBX or an alternative oxidizing reagent, to the corresponding carbonyl compound A-10 which can be further reacted with nucleophiles, especially organometallic reagents like GRIGNARD or organo-zinc reagents to intermediate A-11. Intermediate A-11 can be reacted/reduced to A-9 analogous to the transformation from A-8 to A-9.
Intermediate A-9 (scheme 3) can undergo intramolecular cyclization to compounds (I) according to the invention with R4 = hydrogen by a MITSUNOBU reaction with triphenylposphine and DEAD or alternative methods.
Intermediate A-10 (scheme 4), alternatively, can be subjected to a WITTIG reaction or other olefination reactions to prepare intermediate A-12 which can be transformed to compounds (I) according to the invention with R4 = hydrogen and R6 = -CH2C02H by a cascade reaction which is started by the reduction of the nitro group to the primary amine by reaction with indium metal and hydrochloric acid followed by a ring closing Aza- MICHAEL reaction and hydrolysis of the ester to the carboxylic acid if necessary.
Compounds (I) which are obtained from A-9 or A-12 after intramolecular cyclization can be derivatized in optional derivatization steps not explicitly depicted in the schemes in all residues, especially in R4 and R6, if they carry functional groups, that can be further modified such as e.g. halogen atoms, amino and hydroxy groups (including cyclic amines), carboxylic acid or ester functions, nitrils etc. to further compounds (I) by well established organic chemical transformations such as metal-catalyzed cross coupling reactions, acylation, amidation, addition, reduction or (reductive) alkylation or cleavage of protecting groups. These additional steps are not depicted in the general schemes. Likewise, it is also possible to include these additional steps in the synthetic routes depicted in the general schemes, i.e. to carry out derivatization reactions with intermediate compounds. In addition, it may also be possible that building blocks bearing protecting groups are used, i.e. further steps for deprotection are necessary.
Scheme 5
Figure imgf000061_0001
In a further approach the nitro group of intermediate A-7 can be reduced analogous to the transformation from A-8 to A-9 to generate intermediate A-13 which can be subjected to an intramolecular MITSUNOBU reaction to generate cyclic diamine intermediate A-14.
Intermediate A-14 can be Boc-protected to give intermediate A-16 which can be reacted with aldehydes in a reductive amination reaction to give Boc-protected compounds (I). Alternatively, A-16 can undergo an alkylation or addition reaction to obtain Boc-protected (I). The Boc-protecting group can be removed by TFA or another method to the free amine compounds (I) with R1 = hydrogen.
Alternatively, intermediate A-14 can be reacted with aldehydes in a reductive amination reaction or other reagents to achieve selective alkylation, addition, acylation or sulfonylation reactions to generate intermediate A-15 which can be further modified by an additional reaction like a reductive amination, alkylation, addition, acylation or sulfonylation to get to compounds (I) according to the invention. The sequence from intermediate A-14 via intermediate A-15 to compounds (I) may also be done in a sequential one-pot procedure.
Here once again compounds (I) which are obtained from A-15 or A-16 can be derivatized in optional derivatization steps not explicitly depicted in the schemes in all residues, especially in R4 and R6, if they carry functional groups, that can be further modified such as e.g. halogen atoms, amino and hydroxy groups (including cyclic amines), carboxylic acid or ester functions, nitrils etc. to further compounds (I) by well established organic chemical transformations such as metal-catalyzed cross coupling reactions, acylation, amidation, addition, reduction or (reductive) alkylation or cleavage of protecting groups. Likewise, it is also possible to include these additional steps in the synthetic routes, i.e. to carry out derivatization reactions with intermediate compounds. In addition, it may also be possible that building blocks bearing protecting groups are used, i.e. further steps for deprotection are necessary.
Compounds (I) have been tested for their activity to affect MDM2-p53 interaction in their racemic form or alternatively as the enantiopure form. Each of the two enantiomers of a racemic mixture may have activity against MDM2 although with a different binding mode. Enantiopure compounds are marked with the label "Chiral". Compounds listed in any table below that are labled "Chiral" (both intermediates and compounds according to the invention) are separated by SFC chromatography from their enantiomer or are synthesized from enantiopure starting material which is separated by SFC.
Example:
Figure imgf000062_0001
A B C
Structure A defines the racemic mixture of compounds with structure B and C, i.e. structure A encompasses two structures (compounds B and C), whereas structures B and C, respectively, are enantiopure and only define one specific compound. Thus, formulae (I) and (la)
Figure imgf000063_0001
(I) (la)
with a set of specific definitions for groups R1 to R7, V, W, X, Y, n and q represent the racemic mixture of two enantiomers (-> (I); structure A above is one specific example of such a racemic mixture) or a single enantiomer (-> (la); structure B above is one specific enantiomer). The same definition applies to synthetic intermediates.
Synthesis of intermediate A-4 (method A)
Experimental procedure for the synthesis of A-4a
Figure imgf000063_0002
A-1a A-4a
6-Chloroisatin A-1 a (1 .50 g, 8.3 mmol), 1 -(3-chlorophenyl)-2-nitroethene (1 .52 g, 8.3 mmol) and L-glutamic acid-5-methylester (1 .33 g, 8.3 mmol) are refluxed in MeOH for 60 min. The reaction mixture is concentrated in vacuo and purified by chromatography if necessary.
The following intermediates A-4 (table 1 ) are available in an analogous manner starting from different annulated 1 /-/-pyrrole-2,3-diones A-1 , amino acids A-2 and nitroethenes A-3. Table 1
Figure imgf000064_0002
Synthesis of intermediate A-5 (method B)
Experimental procedure for the synthesis of A-5a
Figure imgf000064_0001
A"4a A-5a
To a solution of cyclopropanecarbaldehyde (0.48 g, 6.5 mmol) in DMF is added intermediate A-4a (1 .50 g, 3.2 mmol) and AcOH (0.37 mL) and the reaction mixture is stirred at rt for 45 min. Sodium triacetoxyborohydride (2.74 g, 12.9 mmol) is added and the reaction mixture is stirred at rt overnight. Water is added to the reaction mixture and it is extracted with EtOAc. The combined organic layer is dried (MgS04), filtered, concentrated in vacuo and the crude product is purified by chromatography if necessary. The following intermediates A-5 (Table 2) are available in an analogous manner starting from different intermediates A-4.
Table 2
Figure imgf000065_0002
Synthesis of intermediate A-8 (method C)
Experimental procedure for the synthesis of A-8a
Figure imgf000065_0001
A-5a A-8a
To a solution of A-5a (0.23 g, 0.44 mmol) in DCM is added DIBAL (1 .77 mL, 1 .78 mmol, 1 .0 M in DCM) slowly at 0 °C and the reaction mixture is stirred for 1 h. To the reaction mixture is added water and saturated aqueous potassium sodium tartrat solution and the mixture is stirred overnight at rt. The phases are separated and the aqueous phase is extracted with DCM. The combined organic layer is dried (MgS04), filtered, concentrated in vacuo and used without further purification in the next step.
The following intermediates A-8 (Table 3) are available in an analogous manner starting from different intermediates A-5. Table 3
Figure imgf000066_0002
Synthesis of intermediate A-7 (method D)
Experimental procedure for the synthesis of A-7 a
Figure imgf000066_0001
A-1a A-7a
6-Chloroisatin A-1 a (1 .00 g, 5.4 mmol), 1 -(3-chlorophenyl)-2-nitroethene (0.99 g, 5.4 mmol) and L-homoserine (0.64 g, 5.4 mmol) are refluxed in MeOH for 40 min. The reaction mixture is concentrated in vacuo and purified by chromatography if necessary.
The following intermediates A-7 (table 4) are available in an analogous manner starting from different annulated 1 /-/-pyrrole-2,3-diones A-1 , amino acids A-6 and nitroethenes A-3. Table 4
Figure imgf000067_0001
Figure imgf000068_0001
Synthesis of intermediate A-8 (method E)
Figure imgf000068_0002
A-7a A-8c
To a solution of cyclopropanecarbaldehyde (0.22 g, 3.2 mmol) in acetonitrile is added intermediate A-7a (1 .60 g, 3.8 mmol) and AcOH (1 .5 mL) and the reaction mixture is stirred for 15 min. Sodium triacetoxyborohydride (1 .34 g, 6.3 mmol) is added and the reaction mixture is stirred overnight. Water is added to the reaction mixture and it is extracted with DCM. The combined organic layer is dried (MgS04), filtered, concentrated in vacuo and the crude product is purified by chromatography if necessary.
The following intermediates A-8 (table 5) are available in an analogous manner starting from different intermediates A-7 and aldehydes.
Table
Figure imgf000068_0003
Figure imgf000069_0001
Synthesis of intermediate A-9 (method F)
Experimental procedure for the synthesis of A-9a
Figure imgf000070_0001
To a solution of A-8d (100 mg, 0.20 mmol) in a mixture of water and THF is added indium powder (93 mg, 0.81 mmol) and cone. HCI (120 mg, 1.21 mmol) and the reaction mixture is stirred for 2 h at rt. Water is added to the reaction mixture and it is extracted with ethyl acetate. The combined organic layer is dried (MgS04), filtered, concentrated in vacuo and the crude product is purified by chromatography if necessary.
The following intermediates A-9 (table 6) are available in an analogous manner starting from different intermediates A-8.
Table 6
Figure imgf000070_0002
HPLC
# structure tret [M+H]+
[min] method
A-9c 0.65 460 B n
Synthesis of intermediate A-10 (method H)
Experimental procedure for the synthesis of A-10a
Figure imgf000071_0001
To a solution of A-8c (100 mg, 0.21 mmol) in a MeCN is added IBX (76 mg, 0.27 mmol) and the reaction mixture is stirred for 30 min at 75 °C. The reaction mixture is cooled to rt, filtered through Celite® and concentrated in vacuo. The product is used without further purification for the next step.
The following intermediates A-10 (table 7) are available in an analogous manner starting from different intermediates A-8.
Table 7
re tret HPLC
# structu [M+H]+
[min] method
A-10a 1.46 474 A n
Figure imgf000072_0001
Figure imgf000073_0001
Synthesis of spiroindolinone A-11 (method I)
Experimental procedure for the synthesis of A-11 a and A-11 b
Figure imgf000073_0002
A-10a A-11a A-11 b To a solution of ethyl 4-iodobenzoate (0.21 ml_, 1 .25 mmol) in dry THF under argon atmosphere at - 40 °C is added isopropylmagnesium chloride lithium chloride complex (0.9625 ml_, 1 .25 mmol, 1.3 M in THF) dropwise and the reaction mixture is stirred for 1 h. A solution of aldehyde A-10a (198 mg, 0.417 mmol) in THF is added slowly at - 40 °C and the reaction mixture is stirred for 1 .5 h. Water and Et20 is added to the reaction mixture and the phases are separated. The aqueous phase is extracted with Et20 and the combined organic layer is dried (MgS04), filtered, concentrated in vacuo. The crude product is purified by chromatography.
The following intermediates A-11 (table 8) are available in an analogous manner starting from different intermediates A-10 and different iodo compounds.
Figure imgf000074_0001
Figure imgf000075_0001
Figure imgf000076_0001
Figure imgf000077_0001
Figure imgf000078_0001
Figure imgf000079_0001
Synthesis of intermediate A-9 (method J)
Experimental procedure for the synthesis of A-9c
Figure imgf000079_0002
A-11a A-9d To a solution of A-11 a (31 mg, 0.05 mmol) in a mixture of water and THF is added indium powder (23 mg, 0.20 mmol) and cone. HCI (25 μΙ_, 0.30 mmol) and the reaction mixture is stirred for 4 h at rt. Water is added to the reaction mixture and it is extracted with ethyl acetate. The combined organic layer is dried (MgS04), filtered, concentrated in vacuo and the crude product is purified by chromatography if necessary.
The following intermediates A-9 (table 9) are available in an analogous manner starting from different intermediates A-11.
Table 9
Figure imgf000080_0001
Figure imgf000081_0001
Figure imgf000082_0001
Figure imgf000083_0001
Figure imgf000084_0001
Synthesis of compounds (I) according to the invention (method G)
Experimental procedure for the synthesis of compound 1-1
Figure imgf000084_0002
A-9b 1-1
To a solution of A-9a (89 mg, 0.19 mmol) in DCM is added triphenylphosphine (60 mg, 0.23 mmol) and DEAD (100 mg, 0.23 mmol, 40 % in toluene) and the reaction mixture is stirred for 1 h at rt. Some drops of saturated aqueous NaHC03 solution are added to the reaction mixture before it is concentrated in vacuo and purified by preparative HPLC.
The following compounds (I) (table 10) are available in an analogous manner starting from different intermediates A-9. Table 10
Figure imgf000085_0001
Figure imgf000086_0001
Figure imgf000087_0001
Figure imgf000088_0001
Figure imgf000089_0001
Figure imgf000090_0001
Synthesis of further compounds (I) by ester saponification of initially obtained compounds (I)
Experimental procedure for the synthesis of 1-24
Figure imgf000091_0001
1-2 1-24 To a solution of compound 1-2 (1 1 mg, 0.015 mmol) in THF is added NaOH (38 μΙ_, 8 M in H20) and the reaction mixture is stirred at 60 °C over night. The reaction mixture is concentrated in vacuo and purified by preparative HPLC.
The following compounds (I) (Table 1 1 ) are available in an analogous manner starting from initially obtained compounds (I).
Table 11
tret HPLC
# structure [M+H]+
[min] method
I -24 1.06 548 A
Figure imgf000092_0001
Figure imgf000093_0001
Figure imgf000094_0001
Figure imgf000095_0001
Figure imgf000096_0001
Synthesis of intermediate A-12 (method K)
Experimental procedure for the preparation of intermediate A-12a.
Figure imgf000097_0001
To a solution of compound A-10a (98 mg, 0.21 eq) in MTBE is added methyl (triphenylphosphoranylidene)acetate (103 mg, 0.31 mmol) and the reaction mixture is stirred at rt for 30 min. The reaction mixture is concentrated in vacuo and purified by prep. HPLC to give product A-12a (Table 12).
Table 12
Figure imgf000097_0003
Synthesis of compounds (I) according to the invention (method L)
Experimental procedure for the synthesis of 1-45
Figure imgf000097_0002
A-12a |-45
To a solution of A-12a (80 mg, 0.15 mmol) in a mixture of water and THF is added indium powder (138 mg, 1.2 mmol) and cone. HCI (225 μί, 2.7 mmol) portionwise and the reaction mixture is stirred over night. To the reaction mixture is added NaOH (2 M in H20) and the solids are filtered off. The mixture is extracted with EtOAc and the combined organic layer is dried (MgS04), filtered, concentrated in vacuo and the crude product is purified by HPLC to obtain 1-45 as a racemic mixture of two diastereomers (table 13). Table 13
Figure imgf000098_0002
Synthesis of further compounds (I) by ester saponification of initially obtained compounds (I)
Experimental procedure for the synthesis of compounds 1-46 and 1-47
Figure imgf000098_0001
1-45 I-46 |-47
To a solution of compound 1-45 (76 mg, 0.01 mmol) in THF is added NaOH (247 μί, 8 M in H20) and the reaction mixture is stirred at 60 °C for 2 h. The reaction mixture is concentrated in vacuo and purified by prep. HPLC to give products I-46 and I-47 (table 14). Table 14
Figure imgf000099_0002
Synthesis of intermediates A-13 (method M)
Experimental procedure for the synthesis of intermediate A-13a
Figure imgf000099_0001
A-7a A-13a
To a solution of A-7a (500 mg, 1 .1 8 mmol) in a mixture of MeOH and DCM in a BLJCHI autoclave is added Raney nickel (125 mg, 2.13 mmol) and the reaction mixture is stirred at a H2 pressure of 8 bar over night. The reaction mixture is filtered and concentrated in vacuo. The obtained crude product is used without further purification.
The following intermediates A-13 (table 15) are available in an analogous manner starting from different intermediates A-7. Table 15
Figure imgf000100_0002
Synthesis of intermediates A-14 (method N)
Experimental procedure for the synthesis of intermediate A-14a
Figure imgf000100_0001
A-13a A-14a
The following intermediates A-14 (table 16) are available in an analogous manner as described for conversion of compound A-9b to 1-1 (method G) starting from different intermediates A-13. Table 16
Figure imgf000101_0002
Synthesis of intermediates A-15 by amination/alkylation (method O)
Experimental procedure for the synthesis of intermediate A-15a
Figure imgf000101_0001
A-14a A-15a To a solution of glyoxylic acid ethyl ester (0.61 mg, 0.30 mmol, 50 % in toluene) in acetonitrile is added intermediate A-14a (160 mg, 0.30 mmol) and acetic acid (150 μΙ_) and the reaction mixture is stirred for 15 min. Sodium triacetoxyborohydride (127 mg, 0.603 mmol) is added and the reaction mixture is stirred overnight. To the reaction mixture is added water and it is extracted with DCM. The combined organic layer is dried (MgS04), filtered, concentrated in vacuo and the crude product is used without further purification.
The following intermediates A-15 (table 17) are available in an analogous manner starting from different intermediates A-14.
Table 17
Figure imgf000102_0001
Figure imgf000103_0001
Figure imgf000104_0001
Synthesis of compounds (I) according to the invention (method P)
Experimental procedure for the synthesis of compound I-48
Figure imgf000104_0002
A-15a I -48
To a solution of cyclopropanecarbaldehyde (61 mg, 0.87 mmol) in acetonitrile is added intermediate A-15a (100 mg, 0.22 mmol) and AcOH (100 μΙ_) and the reaction mixture is stirred for 15 min. Sodium triacetoxyborohydride (92 mg, 0.44 mmol) is added and the reaction mixture is stirred for 1 h. To the reaction mixture is added saturated NaHC03 solution and it is extracted with DCM. The combined organic layer is dried (MgS04), filtered, concentrated in vacuo and the crude product is purified by chromatography if necessary.
The following compounds (I) (table 18) are available in an analogous manner starting from different intermediates A-15. Table 18
Figure imgf000105_0001
Figure imgf000106_0001
Figure imgf000107_0001
Synthesis of further compounds (I) by ester saponification of initially obtained compounds (I)
Experimental procedure for the synthesis of 1-60
Figure imgf000108_0001
1-48 1-60
To a solution of compound 1-48 (45 mg, 0.087 mmol) in THF is added NaOH (150 μΙ_, 2 M in H20) and the reaction mixture is stirred at 75 °C for 2 h. The reaction mixture is concentrated in vacuo and purified by preparative HPLC.
The following compounds (I) (Table 19) are available in an analogous manner starting from initially obtained compounds (I).
Table 19
Figure imgf000108_0002
Figure imgf000109_0001
Figure imgf000110_0001
Figure imgf000111_0001
Synthesis of further compounds (I) by amidation of initially obtained compounds (I)
Experimental procedure for the synthesis of I-74
Figure imgf000111_0002
I-64 |-74
To a solution of I-65 (9 mg, 0.014 mmol) in DMF is added HATU (6 mg, 0.016 mmol), DIPEA (7.4 μΙ_, 0.043 mmol) and the reaction mixture is stirred at rt for 15 min. Ammonia (2.2 μΙ_, 0.03 mmol, 25 % in H20) is added to the reaction mixture and stirred for 30 min. The reaction mixture is purified by prep. HPLC after filtration to give compound I-74.
The following compounds (I) (Table 20) are available in an analogous manner starting from initially obtained compounds (I). Table 20
Figure imgf000112_0002
Synthesis of intermediates A-15 by acylation (method R)
Figure imgf000112_0001
To a solution of AcOH (25 mg, 0.41 mmol) in DMF is added HATU (171 mg, 0.45 mmol) and DI PEA (263 μΙ_, 1 .63 mmol) and the reaction mixture is stirred for 5 min at rt. A-14b (160 mg, 0.41 mmol) is added to the reaction mixture and stirring is continued for 20 min. The reaction mixture is purified by prep. HPLC after filtration to give compound A-15L The following compounds A-15 (table 21 ) are available in an analogous manner starting from different intermediates A-14. Table 21
Figure imgf000113_0001
Figure imgf000114_0001
Figure imgf000115_0001
Synthesis of compounds (I) according to the invention
Figure imgf000116_0001
Α-15Ϊ I-76
To a solution of cyclopropanecarbaldehyde (19 mg, 0.28 mmol) in acetonitrile is added intermediate Α-15Ϊ (30 mg, 0.07 mmol) and acetic acid (150 μΙ_) and the reaction mixture is stirred for 30 min. Sodium triacetoxyborohydride (19 mg, 0.28 mmol) is added and the reaction mixture is stirred for 2 h. To the reaction mixture is added water and saturated aqueous NaHC03 solution and it is extracted with DCM. The combined organic layer is dried (MgS04), filtered, concentrated in vacuo and the crude product is purified by prep. HPLC to give compound 1-76
The following compounds (I) (table 22) are available in an analogous manner starting from different intermediates A-15.
Table 22
Figure imgf000116_0002
Figure imgf000117_0001
Figure imgf000118_0001
Figure imgf000119_0001
# structure tret HPLC
[M+H]+
[min] method
1-91 1.40 569 A H
Synthesis of further compounds (I) by ester saponification of initially obtained compounds (I)
Experimental procedure for the synthesis of I-92
Figure imgf000120_0001
'-°0 I-92
To a solution of compound I-85 (40 mg, 0.066 mmol) in THF is added NaOH (90 μΙ_, 2 M in H20) and the reaction mixture is stirred at 75 °C for 1 h. The reaction mixture is concentrated in vacuo and purified by prep. HPLC to obtain compound I-92.
The following compounds (I) (table 23) are available in an analogous manner starting from different compounds (I).
Table 23
Figure imgf000121_0001
The following Examples describe the biological activity of the compounds according to the invention, without restricting the invention to these Examples.
Compounds of formulae (I), (la) and (lb) are characterised by their many possible applications in the therapeutic field. Particular mention should be made of those applications in which the inhibiting effect on the proliferation of cultivated human tumour cells but also on the proliferation of other cells such as endothelial cells, for example, are involved. Mdm2-p53 inhibition AlphaScreen
This assay is used to determine whether the compounds inhibit the p53-MDM2 interaction and thus restore p53 function.
15 μΙ_ of compound in 20 % DMSO (serial pre-dilutions of compound are done in 100 % DMSO) is pipetted to the wells of a white OptiPlate-96 (PerkinElmer). A mix consisting of 20 nM GST-MDM2 protein (aa 23-1 17) and 20 nM biotinylated p53 wt peptide (encompassing aa 16-27 of wt human p53, amino acid sequence QETFSDLWKLLP-Ttds- Lys-Biotin, molecular weight 2132.56 g/mol) is prepared in assay buffer (50 mM Tris/HCI pH 7.2; 120 mM NaCI; 0.1 % bovine serum albumin (BSA); 5 mM dithiothreitol (DTT); 1 mM ethylenediaminetetraacetic acid (EDTA); 0.01 % Tween 20). 30 μΙ_ of the mix is added to the compound dilutions and incubated for 15 min at rt while gently shaking the plate at 300 rounds per minute (rpm). Subsequently, 15 μΙ_ of premixed AlphaLISA Glutathione Acceptor Beads and AlphaScreen Streptavidin Donor Beads from PerkinElmer (in assay buffer at a concentration of 10 μg mL each) are added and the samples are incubated for 30 min at rt in the dark (shaking 300 rpm). Afterwards, the signal is measured in a PerkinElmer Envision HTS Multilabel Reader using the AlphaScreen protocol from PerkinElmer.
Each plate contains negative controls where biotinylated p53-peptide and GST-MDM2 are left out and replaced by assay buffer. Negative control values are entered as low basis value when using the software GraphPad Prism for calculations. Furthermore, a positive control (5 % DMSO instead of test compound; with protein/peptide mix) is pipetted. Determination of IC50 values are carried out using GraphPad Prism 3.03 software (or updates thereof).
Table 24 shows the IC50 values of example compounds determined using the above assay.
Table 24
4 ff± ICso MDM2 4f± ICso MDM2 ICso MDM2
f 4 ff±
[nM] [nM] [nM]
1-1 139 I-39 124 I-74 21
1-13 623 I-40 133 I-75 16
I-23 871 I-46 280 I-76 212
I-24 23 I-47 280 I-77 1 19
I-25 49 I-60 85 I-78 381
I-26 173 1-61 274 I-79 386
I-27 32 I-62 24 I-80 596
I-28 249 I-63 130 1-81 444
I-29 5 I-64 6 I-82 389
I-30 41 I-65 3 I-83 102
1-31 8 I-66 209 I-84 107
I-32 373 I-67 40 I-87 607
I-33 2 I-68 91 I-88 28
I-34 4 I-69 3 I-89 34
I-35 9 I-70 2 I-90 6
I-36 4 1-71 722 1-91 180
I-37 5 I-72 1303 I-92 106
I-38 2 I-73 29 I-93 377 Cell Proliferation Assays
Cell Titer Glo assay for e.g. SJSA-1 , SKOV-3, RS4-1 1 and KG-1 cells:
SJSA-1 cells (Osteosarcoma, wildtype p53, ATCC CRL-2098TM) are seeded in duplicates at day 1 in flat bottom 96 well microtiter plates (white Packard View Plate 96 well Cat. No. 6005181 ) in 90 μΙ_ RPMI medium, 10 % fetal calf serum (FCS, from e.g. JRH Biosciences #12103-500M, Lot.: 3N0207) at a density of 2500 cells/well. Any other luminescence compatible plate format is possible.
Similarly, p53 mutant SKOV-3 cells (ovarian adenocarcinoma, ATCC HTB-77™) are seeded in duplicates in flat bottom 96 well microtiter plates in 90 μΙ_ McCoy medium, 10 % FCS at a density of 3000 cells/well.
At day 2, 5 μΙ_ dilutions of the test compounds covering a concentration range between app. 0.6 and 50000 nM are added to the cells. Cells are incubated for three days in a humidified, C02-controlled incubator at 37 °C.
wildtype p53 RS4-1 1 cells (acute lymphoblastic leukemia, ATCC CRL-1873™):
Day 1 : RS4-1 1 cells are seeded in flat bottom 96 well microtiter plates (white Packard View Plate 96 well Cat. No. 6005181 ) in 90 μΙ_ RPMI medium, 10 % fetal calf serum (FCS, from e.g. JRH Biosciences #12103-500M, Lot.: 3N0207) at a density of 5000 cells/well. Any other luminescence compatible plate format is possible.
Day 2: 5 μί dilutions of the test compounds covering a concentration range between app. 0.3 and 25000 nM (alternative dilution schemes are possible) are added to the cells. Cells are incubated for three days in a humidified, C02 controlled incubator at 37 °C. The final DMSO-concentration is 0.5%.
p53 mutant KG-1 cells (acute myelogenous leukemia, ATCC CCL-246):
Day 1 : KG-1 cells harboring a p53 mutation at the exon 6/intron 6 splice donor site are seeded in flat bottom 96 well microtiter plates (white Packard View Plate 96 well Cat. No. 6005181 ) in 90 μί IMDM medium, 10 % FCS (JRH Biosciences #12103-500M, Lot.: 3N0207) at a density of 10000 cells/well. Any other luminescence compatible plate format is possible.
Day 2: 5 μί dilutions of the test compounds covering a concentration range between app. 0.3 and 25000 nM (alternative dilution schemes are possible) are added to the cells. Cells are incubated for three days in a humidified, C02 controlled incubator at 37 °C. The final DMSO-concentration is 0.5 %. Evaluation of all Cell Titer Glo assays is done at day 5 after seeding. At day 5, 95 μΙ_ of Cell Titer Glo reagent (Cell titer Glo Luminescent Cat. No. G7571 , Promega) are added to each well and incubated for additional 10 min at rt (with agitation). Luminescence is measured on a Wallac Victor using standard luminescence read out. IC50 values are calculated using standard Levenburg Marquard algorithms (GraphPad Prism).
In addition, several other cancer cell lines from diverse tissue origins proved to be sensitive to compounds (I), (la) and (lb). Examples include NCI-H460 (lung), Molp-8 (myeloma) and MV4-1 1 (AML).
On the basis of their biological properties the compounds of formula (I), (la) and (lb) according to the invention, their tautomers, racemates, enantiomers, diastereomers, mixtures thereof and the salts of all the above-mentioned forms are suitable for treating diseases characterised by excessive or abnormal cell proliferation.
Such diseases include for example: viral infections (e.g. HIV and Kaposi's sarcoma); inflammatory and autoimmune diseases (e.g. colitis, arthritis, Alzheimer's disease, glomerulonephritis and wound healing); bacterial, fungal and/or parasitic infections; leukaemias, lymphomas and solid tumours (e.g. carcinomas and sarcomas), skin diseases (e.g. psoriasis); diseases based on hyperplasia which are characterised by an increase in the number of cells (e.g. fibroblasts, hepatocytes, bones and bone marrow cells, cartilage or smooth muscle cells or epithelial cells (e.g. endometrial hyperplasia); bone diseases and cardiovascular diseases (e.g. restenosis and hypertrophy). They are also suitable for protecting proliferating cells (e.g. hair, intestinal, blood and progenitor cells) from DNA damage caused by radiation, UV treatment and/or cytostatic treatment.
For example, the following cancers/proliferative diseases may be treated with compounds according to the invention, without being restricted thereto:
brain tumours such as for example acoustic neurinoma, astrocytomas such as pilocytic astrocytomas, fibrillary astrocytoma, protoplasmic astrocytoma, gemistocytary astrocytoma, anaplastic astrocytoma and glioblastoma, glioma, brain lymphomas, brain metastases, hypophyseal tumour such as prolactinoma, HGH (human growth hormone) producing tumour and ACTH producing tumour (adrenocorticotropic hormone), craniopharyngiomas, medulloblastomas, meningeomas and oligodendrogliomas; nerve tumours (neoplasms) such as for example tumours of the vegetative nervous system such as neuroblastoma sympathicum, ganglioneuroma, paraganglioma (pheochromocytoma, chromaffinoma) and glomus-caroticum tumour, tumours on the peripheral nervous system such as amputation neuroma, neurofibroma, neurinoma (neurilemmoma, Schwannoma) and malignant Schwannoma, as well as tumours of the central nervous system such as brain and bone marrow tumours; intestinal cancer such as for example carcinoma of the rectum, colon carcinoma, colorectal carcinoma, anal carcinoma, carcinoma of the large bowel, tumours of the small intestine and duodenum; eyelid tumours such as basalioma or basal cell carcinoma; pancreatic cancer or carcinoma of the pancreas; bladder cancer or carcinoma of the bladder and other urothelial cancers; lung cancer (bronchial carcinoma) such as for example small-cell bronchial carcinomas (oat cell carcinomas) and non-small cell bronchial carcinomas (NSCLC) such as plate epithelial carcinomas, adenocarcinomas and large-cell bronchial carcinomas; breast cancer such as for example mammary carcinoma such as infiltrating ductal carcinoma, colloid carcinoma, lobular invasive carcinoma, tubular carcinoma, adenocystic carcinoma and papillary carcinoma, hormone receptor positive breast cancer (estrogen receptor positive breast cancer, progesterone receptor positive breast cancer), Her2 positive breast cancer, triple negative breast cancer; non-Hodgkin's lymphomas (NHL) such as for example Burkitt's lymphoma, low- malignancy non-Hodgkin's lymphomas (NHL) and mucosis fungoides; uterine cancer or endometrial carcinoma or corpus carcinoma; CUP syndrome (Cancer of Unknown Primary); ovarian cancer or ovarian carcinoma such as mucinous, endometrial or serous cancer; gall bladder cancer; bile duct cancer such as for example Klatskin tumour; testicular cancer such as for example seminomas and non-seminomas; lymphoma (lymphosarcoma) such as for example malignant lymphoma, Hodgkin's disease, non- Hodgkin's lymphomas (NHL) such as chronic lymphatic leukaemia, leukaemic reticuloendotheliosis, immunocytoma, plasmocytoma (multiple myeloma, MM), immunoblastoma, Burkitt's lymphoma, T-zone mycosis fungoides, large-cell anaplastic lymphoblastoma and lymphoblastoma; laryngeal cancer such as for example tumours of the vocal cords, supraglottal, glottal and subglottal laryngeal tumours; bone cancer such as for example osteochondroma, chondroma, chondroblastoma, chondromyxoid fibroma, osteoma, osteoid osteoma, osteoblastoma, eosinophilic granuloma, giant cell tumour, chondrosarcoma, osteosarcoma, Ewing's sarcoma, reticulo-sarcoma, soft tissue sarcoma, liposarcoma, plasmocytoma, fibrous dysplasia, juvenile bone cysts and aneurysmatic bone cysts; head and neck tumours such as for example tumours of the lips, tongue, floor of the mouth, oral cavity, gums, palate, salivary glands, throat, nasal cavity, paranasal sinuses, larynx and middle ear; liver cancer such as for example liver cell carcinoma or hepatocellular carcinoma (HCC); leukaemias, such as for example acute leukaemias such as acute lymphatic/lymphoblastic leukaemia (ALL), acute myeloid leukaemia (AML); chronic leukaemias such as chronic lymphatic leukaemia (CLL), chronic myeloid leukaemia (CML); stomach cancer or gastric carcinoma such as for example papillary, tubular and mucinous adenocarcinoma, signet ring cell carcinoma, adenosquamous carcinoma, small-cell carcinoma and undifferentiated carcinoma; melanomas such as for example superficially spreading, nodular, lentigo-maligna and acral-lentiginous melanoma; renal cancer such as for example kidney cell carcinoma or hypernephroma or Grawitz's tumour; oesophageal cancer or carcinoma of the oesophagus; penile cancer; prostate cancer (e.g. castration-resistant prostate cancer); throat cancer or carcinomas of the pharynx such as for example nasopharynx carcinomas, oropharynx carcinomas and hypopharynx carcinomas; retinoblastoma, vaginal cancer or vaginal carcinoma, mesothelioma; plate epithelial carcinomas, adenocarcinomas, in situ carcinomas, malignant melanomas and sarcomas; thyroid carcinomas such as for example papillary, follicular and medullary thyroid carcinoma, as well as anaplastic carcinomas; spinalioma, epidormoid carcinoma and plate epithelial carcinoma of the skin; thymomas, cancer of the urethra, cervical cancer, adenoid cystic carcinoma (AdCC), adrenocortical carcinoma and cancer of the vulva.
Preferably, the proliferative diseases/cancers to be treated have p53 wild-type status. The new compounds may be used for the prevention, short-term or long-term treatment of the above-mentioned diseases, optionally also in combination with radiotherapy or other "state-of-the-art" compounds, such as e.g. cytostatic or cytotoxic substances, cell proliferation inhibitors, anti-angiogenic substances, steroids or antibodies.
The compounds of formula (I), (la) and (lb) may be used on their own or in combination with other active substances according to the invention, optionally also in combination with other pharmacologically active substances.
Therapeutic agents which may be administered in combination with the compounds according to the invention, include, without being restricted thereto, hormones, hormone analogues and antihormones (e.g. tamoxifen, toremifene, raloxifene, fulvestrant, megestrol acetate, flutamide, nilutamide, bicalutamide, aminoglutethimide, cyproterone acetate, finasteride, buserelin acetate, fludrocortisone, fluoxymesterone, medroxyprogesterone, octreotide), aromatase inhibitors (e.g. anastrozole, letrozole, liarozole, vorozole, exemestane, atamestane), LHRH agonists and antagonists (e.g. goserelin acetate, luprolide), inhibitors of growth factors (growth factors such as for example "platelet derived growth factor (PDGF)", "fibroblast growth factor (FGF)", "vascular endothelial growth factor (VEGF)", "epidermal growth factor (EGF)", "insuline-like growth factors (IGF)", "human epidermal growth factor (HER, e.g. HER2, HER3, HER4)" and "hepatocyte growth factor (HGF)"), inhibitors are for example "growth factor" antibodies, "growth factor receptor" antibodies and tyrosine kinase inhibitors, such as for example cetuximab, gefitinib, imatinib, lapatinib and trastuzumab); antimetabolites (e.g. antifolates such as methotrexate, raltitrexed, pyrimidine analogues such as 5-fluorouracil (5-FU), capecitabin and gemcitabin, purine and adenosine analogues such as mercaptopurine, thioguanine, cladribine and pentostatin, cytarabine (ara C), fludarabine); antitumour antibiotics (e.g. anthracyclins such as doxorubicin, daunorubicin, epirubicin and idarubicin, mitomycin-C, bleomycin, dactinomycin, plicamycin, streptozocin); platinum derivatives (e.g. cisplatin, oxaliplatin, carboplatin); alkylation agents (e.g. estramustin, meclorethamine, melphalan, chlorambucil, busulphan, dacarbazin, cyclophosphamide, ifosfamide, temozolomide, nitrosoureas such as for example carmustin and lomustin, thiotepa); antimitotic agents (e.g. Vinca alkaloids such as for example vinblastine, vindesin, vinorelbin and vincristine; and taxanes such as paclitaxel, docetaxel); angiogenesis inhibitors (e.g. tasquinimod), tubuline inhibitors; DNA synthesis inhibitors (e.g. sapacitabine), PARP inhibitors, topoisomerase inhibitors (e.g. epipodophyllotoxins such as for example etoposide and etopophos, teniposide, amsacrin, topotecan, irinotecan, mitoxantrone), serine/threonine kinase inhibitors (e.g. PDK 1 inhibitors, B-Raf inhibitors, mTOR inhibitors, mTORCI/2 inhibitors, PI3K inhibitors, dual mTOR/PI3K inhibitors, STK 33 inhibitors, AKT inhibitors, PLK 1 inhibitors, inhibitors of CDKs, Aurora kinase inhibitors), tyrosine kinase inhibitors (e.g. PTK2/FAK inhibitors), protein protein interaction inhibitors (e.g. IAP activator, Mcl-1 , MDM2/MDMX), MEK inhibitors (e.g. pimasertib), ERK inhibitors, FLT3 inhibitors (e.g. quizartinib), BRD4 inhibitors, IGF-1 R inhibitors, TRAILR2 agonists, Bcl-2 inhibitors (e.g. venetoclax), ErbB receptor inhibitors, rapamycin analogs (e.g. everolimus, temsirolimus, ridaforolimus, sirolimus), androgen synthesis inhibitors (e.g. abiraterone, TAK-700), androgen receptor inhibitors (e.g. enzalutamide, ARN-509), immunotherapy (e.g. sipuleucel-T), DNMT inhibitors (e.g. SGI 1 10, temozolomide, vosaroxin), HDAC inhibitors (e.g. vorinostat, entinostat, pracinostat, panobinostat), ANG1/2 inhibitors (e.g. trebananib), CYP17 inhibitors (e.g. galeterone), radiopharmaceuticals (e.g. radium-223, alpharadin), immunotherapeutic agents (e.g. poxvirus-based vaccine, ipilimumab) and various chemotherapeutic agents such as amifostin, anagrelid, clodronat, filgrastin, interferon, interferon alpha, leucovorin, rituximab, procarbazine, levamisole, mesna, mitotane, pamidronate and porfimer.
Other possible combination partners are 2-chlorodesoxyadenosine, 2-fluorodesoxy- cytidine, 2-methoxyoestradiol, 2C4, 3-alethine, 131 -I-TM-601 , 3CPA, 7-ethyl-10- hydroxycamptothecin, 16-aza-epothilone B, ABT-263/navitoclax, A 105972, A 204197, aldesleukin, alisertib/MLN8237, alitretinoin, allovectin-7, altretamine, alvocidib, amonafide, anthrapyrazole, AG-2037, AP-5280, apaziquone, apomine, aranose, arglabin, arzoxifene, atamestane, atrasentan, auristatin PE, AVLB, AZ10992, ABX-EGF, AMG-479 (ganitumab), AMG-232, ARRY 162, ARRY 438162, ARRY-300, ARRY-142886/AZD-6244 (selumetinib), ARRY-704/ AZD-8330, ATSP-7041 , AR-12, AR-42, AS-703988, AXL-1717, AZD-1480, AZD-4547, AZD-8055, AZD-5363, AZD-6244, AZD-7762, ARQ-736, ARQ 680, AS-703026 (primasertib), avastin, AZD-2014, azacitidine (5-aza), azaepothilone B, azonafide, barasertib/AZD1 152, BAY-43-9006, BAY 80-6946, BBR-3464, BBR-3576, bevacizumab, BEZ-235/dactolisib, biricodar dicitrate, birinapant, BCX-1777, BKM- 120/buparlisib, bleocin, BLP-25, BMS-184476, BMS-247550, BMS-188797, BMS-275291 , BMS-663513, BMS-754807, BNP-1350, BNP-7787, BIBW 2992/afatinib, BIBF 1 120/nintedanib, Bl 836845, Bl 2536, Bl 6727/volasertib, Bl 836845, Bl 847325, Bl 853520, BIIB-022, bleomycinic acid, bleomycin A, bleomycin B, brivanib, bryostatin-1 , bortezomib, brostallicin, busulphan, BYL-719/alpelisib, CA-4 prodrug, CA-4, cabazitaxel, cabozantinib, CapCell, calcitriol, canertinib, canfosfamide, capecitabine, carboxyphthalatoplatin, CCI-779, CC-1 15, CC-223, CEP-701 , CEP-751 , CBT-1 cefixime, ceflatonin, ceftriaxone, celecoxib, celmoleukin, cemadotin, CGM-097, CH4987655/RO- 4987655, chlorotrianisene, cilengitide, ciclosporin, CDA-II, CDC-394, CKD-602, CKI-27, clofarabine, colchicin, combretastatin A4, COT inhibitors, CHS-828, CH-5132799, CLL- Thera, CMT-3 cryptophycin 52, CPI-613, CTP-37, CTLA-4 monoclonal antibodies, CP- 461 , crizotinib, CV-247, cyanomorpholinodoxorubicin, cytarabine, D 24851 , dasatinib, decitabine, deoxorubicin, deoxyrubicin, deoxycoformycin, depsipeptide, desoxyepothilone B, dexamethasone, dexrazoxanet, diethylstilbestrol, diflomotecan, didox, DMDC, dolastatin 10, doranidazole, DS-7423, DS-3032, E7010, E-6201 , edatrexat, edotreotide, efaproxiral, eflornithine, EGFR inhibitors, EKB-569, EKB-509, enzastaurin, elesclomol, elsamitrucin, epothilone B, epratuzumab, EPZ-004777, ER-86526, erlotinib, ET-18-OCH3, ethynylcytidine, ethynyloestradiol, exatecan, exatecan mesylate, exemestane, exisulind, fenretinide, figitumumab, floxuridine, folic acid, FOLFOX, FOLFOX4, FOLFIRI, formestane, fostamatinib, fotemustine, galarubicin, gallium maltolate, ganetespib, gefinitib, gemtuzumab, gemtuzumab ozogamicin, gimatecan, glufosfamide, GCS-IOO, GDC-0623, GDC-0941 (pictrelisib), GDC-0980, GDC-0032, GDC-0068, GDC-0349, GDC-0879, G17DT immunogen, GMK, GMX-1778, GPX-100, gp100-peptide vaccines, GSK-5126766, GSK-690693, GSK-1 120212 (trametinib), GSK-1995010, GSK-21 18436 (dabrafenib), GSK-2126458, GSK-2132231 A, GSK-2334470, GSK-21 10183, GSK-2141795, GSK- 2636771 , GSK-525762A/I-BET-762, GW2016, granisetron, herceptine, hexamethylmelamine, histamine, homoharringtonine, hyaluronic acid, hydroxyurea, hydroxyprogesterone caproate, HDM-201 , ibandronate, ibritumomab, ibrutinib/PCI-32765, idasanutlin, idatrexate, idelalisib/CAL-101 , idenestrol, IDN-5109, IGF-1 R inhibitors, IMC- 1 C1 1 , IMC-A12 (cixutumumab), immunol, indisulam, interferon alpha-2a, interferon alpha- 2b, pegylated interferon alpha-2b, interleukin-2, INK-1 1 17, INK-128, INSM-18, ionafarnib, iproplatin, irofulven, isohomohalichondrin-B, isoflavone, isotretinoin, ixabepilone, JRX-2, JSF-154, JQ-1 , J-107088, conjugated oestrogens, kahalid F, ketoconazole, KW-2170, KW-2450, KU-55933, LCL-161 , lobaplatin, leflunomide, lenalidomide, lenograstim, leuprolide, leuporelin, lexidronam, LGD-1550, linezolid, lovastatin, lutetium texaphyrin, lometrexol, lonidamine, losoxantrone, LU 223651 , lurbinectedin, lurtotecan, LY-S6AKT1 , LY-2780301 , LY-2109761/galunisertib, mafosfamide, marimastat, masoprocol, mechloroethamine, MEK inhibitors, MEK-162, methyltestosteron, methylprednisolone, MEDI-573, MEN-10755, MDX-H210, MDX-447, MDX-1379, MGV, midostaurin, minodronic acid, mitomycin, mivobulin, MK-2206, MK-0646 (dalotuzumab), MLN518, MLN-0128, motexafin gadolinium, MS-209, MS-275, MX6, neridronate, neratinib, Nexavar, neovastat, nilotinib, nimesulide, nitroglycerin, nolatrexed, norelin, N-acetylcysteine, NU-7441 06-benzylguanine, oblimersen, omeprazole, olaparib, oncophage, oncoVEXGM"CSF, ormiplatin, ortataxel, 0X44 antibodies, OSI-027, OSI-906 (linsitinib), 4-1 BB antibodies, oxantrazole, oestrogen, onapristone, palbociclib/PD- 0332991 , panitumumab, panobinostat, patupilone, pazopanib, pegfilgrastim, PCK-3145, pegfilgrastim, PBI-1402, PBI-05204, PDO325901 , PD-1 antibodies, PD-616, PEG- paclitaxel, albumin-stabilized paclitaxel, PEP-005, PF-05197281 , PF-05212384, PF-04691502, PF-3758309, PHA-665752, PHT-427, P-04, PKC412, P54, PI-88, pelitinib, pemetrexed, pentrix, perifosine, perillylalcohol, pertuzumab, pevonedistat, PI3K inhibitors, PI3K/mTOR inhibitors, PG-TXL, PG2, PLX-4032/RO-5185426 (vemurafenib), PLX- 3603/RO-5212054, PT-100, PWT-33597, PX-866, picoplatin, pivaloyloxymethylbutyrate, pixantrone, phenoxodiol O, PKI 166, plevitrexed, plicamycin, polyprenic acid, ponatinib, porfiromycin, posaconazole, prednisone, prednisolone, PRT-062607, quinamed, quinupristin, quizartinib/AC220, R1 15777, RAF-265, ramosetron, ranpirnase, RDEA- 1 19/BAY 869766, RDEA-436, rebeccamycin analogues, receptor tyrosine kinase (RTK) inhibitors, revimid, RG-7167, RG-71 12, RG-7304, RG-7421 , RG-7321 , RG-7356, RG 7440, RG-7775, rhizoxin, rhu-MAb, rigosertib rinfabate, risedronate, rituximab, robatumumab, rofecoxib, romidepsin, RO-4929097, RO-31 -7453, RO-5126766, RO- 5068760, RPR 109881 A, rubidazone, rubitecan, R-flurbiprofen, RX-0201 , ruxolitinib, S- 9788, sabarubicin, SAHA, sapacitabine, SAR-405838, sargramostim, satraplatin, SB- 408075, SB-431542, Se-015A e-015, SU5416, SU6668, SDX-101 , selinexor, semustin, seocalcitol, SM-1 1355, SN-38, SN-4071 , SR-27897, SR-31747, SR-13668, SRL-172, sorafenib, spiroplatin, squalamine, STF-31 , suberanilohydroxamic acid, sutent, T 900607, T 138067, TAE-684, TAK-733, TAS-103, tacedinaline, talaporfin, Tarceva, tariquitar, tasisulam, taxotere, taxoprexin, tazarotene, tegafur, temozolamide, tesmilifene, testosterone, testosterone propionate, tesmilifene, tetraplatin, tetrodotoxin, tezacitabine, thalidomide, theralux, therarubicin, thymalfasin, thymectacin, tiazofurin, tipifarnib, tirapazamine, tocladesine, tomudex, toremofin, tosedostat, trabectedin, TransMID-107, transretinic acid, traszutumab, tremelimumab, tretinoin, triacetyluridine, triapine, triciribine, trimetrexate, TLK-286TXD 258, tyke rb/ty verb, urocidin, valproic acid, valrubicin, vandetanib, vatalanib, vincristine, vinflunine, virulizin, vismodegib, vosaroxin, WX-UK1 , WX-554, vectibix, XAV-939, xeloda, XELOX, XL-147, XL-228, XL-281 , XL-518/R-7420/GDC-0973, XL-765, YM-51 1 , YM-598, ZD-4190, ZD-6474, ZD-4054, ZD-0473, ZD-6126, ZD-9331 , ZDI839, ZSTK-474, zoledronat and zosuquidar.
Suitable preparations include for example tablets, pills, capsules, suppositories, lozenges, troches, solutions - particularly solutions for injection (s.c, i.v., i.m.) and infusion (injectables) - elixirs, syrups, sachets, emulsions, inhalatives or dispersible powders. The content of the pharmaceutically active compound(s) should be in the range from 0.1 to 90 wt.-%, preferably 0.5 to 50 wt.-% of the composition as a whole, i.e. in amounts which are sufficient to achieve the dosage range specified below. The doses specified may, if necessary, be given several times a day.
Suitable tablets may be obtained, for example, by mixing the active substance(s) with known excipients, for example inert diluents such as calcium carbonate, calcium phosphate or lactose, disintegrants such as corn starch or alginic acid, binders such as starch or gelatine, lubricants such as magnesium stearate or talc, agents for delaying release, such as carboxymethyl cellulose, cellulose acetate phthalate, or polyvinyl acetate, carriers, adjuvants, surfactants. The tablets may also comprise several layers.
Coated tablets may be prepared accordingly by coating cores produced analogously to the tablets with substances normally used for tablet coatings, for example collidone or shellac, gum arabic, talc, titanium dioxide or sugar. To achieve delayed release or prevent incompatibilities the core may also consist of a number of layers. Similarly the tablet coating may consist of a number of layers to achieve delayed release, possibly using the excipients mentioned above for the tablets.
Syrups or elixirs containing the active substances or combinations thereof according to the invention may additionally contain a sweetener such as saccharine, cyclamate, glycerol or sugar and a flavour enhancer, e.g. a flavouring such as vanillin or orange extract. They may also contain suspension adjuvants or thickeners such as sodium carboxymethyl cellulose, wetting agents such as, for example, condensation products of fatty alcohols with ethylene oxide, or preservatives such as p-hydroxybenzoates.
Solutions for injection and infusion are prepared in the usual way, e.g. with the addition of isotonic agents, preservatives such as p-hydroxybenzoates, or stabilisers such as alkali metal salts of ethylenediamine tetraacetic acid, optionally using emulsifiers and/or dispersants, whilst if water is used as the diluent, for example, organic solvents may optionally be used as solvating agents or dissolving aids, and transferred into injection vials or ampoules or infusion bottles.
Capsules containing one or more active substances or combinations of active substances may for example be prepared by mixing the active substances with inert carriers such as lactose or sorbitol and packing them into gelatine capsules.
Suitable suppositories may be made for example by mixing with carriers provided for this purpose such as neutral fats or polyethyleneglycol or the derivatives thereof.
Excipients which may be used include, for example, water, pharmaceutically acceptable organic solvents such as paraffins (e.g. petroleum fractions), vegetable oils (e.g. groundnut or sesame oil), mono- or polyfunctional alcohols (e.g. ethanol or glycerol), carriers such as e.g. natural mineral powders (e.g. kaolins, clays, talc, chalk), synthetic mineral powders (e.g. highly dispersed silicic acid and silicates), sugars (e.g. cane sugar, lactose and glucose), emulsifiers (e.g. lignin, spent sulphite liquors, methylcellulose, starch and polyvinylpyrrolidone) and lubricants (e.g. magnesium stearate, talc, stearic acid and sodium lauryl sulphate).
The preparations are administered by the usual methods, preferably by oral or transdermal route, most preferably by oral route. For oral administration the tablets may of course contain, apart from the above-mentioned carriers, additives such as sodium citrate, calcium carbonate and dicalcium phosphate together with various additives such as starch, preferably potato starch, gelatine and the like. Moreover, lubricants such as magnesium stearate, sodium lauryl sulphate and talc may be used at the same time for the tabletting process. In the case of aqueous suspensions the active substances may be combined with various flavour enhancers or colourings in addition to the excipients mentioned above.
For parenteral use, solutions of the active substances with suitable liquid carriers may be used.
The dosage range of the compounds of formula (I), (la) and (lb) applicable per day is usually from 1 mg to 2000 mg, preferably from 50 to 1000 mg, more preferably from 100 to 500 mg.
The dosage for intravenous use is from 1 mg to 1000 mg per hour, preferably between 5 mg and 500 mg per hour.
However, it may sometimes be necessary to depart from the amounts specified, depending on the body weight, the route of administration, the individual response to the drug, the nature of its formulation and the time or interval over which the drug is administered. Thus, in some cases it may be sufficient to use less than the minimum dose given above, whereas in other cases the upper limit may have to be exceeded. When administering large amounts it may be advisable to divide them up into a number of smaller doses spread over the day.
The formulation examples which follow illustrate the present invention without restricting its scope: Examples of pharmaceutical formulations
A) Tablets per tablet
active substance according to formulae (I) or (la) or (lb) 100 mg lactose 140 mg corn starch 240 mg polyvinylpyrrolidone 15 mg magnesium stearate 5 mg
500 mg The finely ground active substance, lactose and some of the corn starch are mixed together. The mixture is screened, then moistened with a solution of polyvinylpyrrolidone in water, kneaded, wet-granulated and dried. The granules, the remaining corn starch and the magnesium stearate are screened and mixed together. The mixture is compressed to produce tablets of suitable shape and size.
B) Tablets per tablet
active substance according to formulae (I) or (la) or (lb) 80 mg lactose 55 mg corn starch 190 mg microcrystalline cellulose 35 mg polyvinylpyrrolidone 15 mg sodiumcarboxymethyl starch 23 mg magnesium stearate 2 mg
400 mg The finely ground active substance, some of the corn starch, lactose, microcrystalline cellulose and polyvinylpyrrolidone are mixed together, the mixture is screened and worked with the remaining corn starch and water to form a granulate which is dried and screened. The sodiumcarboxymethyl starch and the magnesium stearate are added and mixed in and the mixture is compressed to form tablets of a suitable size.
C) Ampoule solution
active substance according to formulae (I) or (la) 50 mg sodium chloride 50 mg water for inj. 5 mL The active substance is dissolved in water at its own pH or optionally at pH 5.5 to 6.5 and sodium chloride is added to make it isotonic. The solution obtained is filtered free from pyrogens and the filtrate is transferred under aseptic conditions into ampoules which are then sterilised and sealed by fusion. The ampoules contain 5 mg, 25 mg and 50 mg of active substance.

Claims

Claims
1. A compound of formula
Figure imgf000135_0001
, wherein R1 is a group, optionally substituted by one or more, identical or different Rb1 and/or Rc1, selected from among Ci-6alkyl, C2-6alkenyl, C2-6alkynyl, Ci-6haloalkyl, C3-6cycloalkyl, C4-6cycloalkenyl, C6-ioaryl, 5-10 membered heteroaryl and 3-10 membered heterocyclyl; each Rb1 is independently selected from among -ORc1, -NRc1Rc1, halogen, -CN, -C(0)Rc1, -C(0)ORc1, -C(0)NRc1Rc1, -S(0)2Rc1, -S(0)2NRc1Rc1,
-NHC(0)Rc1 and -N(Ci-4alkyl)C(0)Rc1;
each Rc1 independently of one another denotes hydrogen or a group, optionally substituted by one or more, identical or different Rd1 and/or Re1, selected from among Ci-6alkyl, C2-6alkenyl, C2-6alkynyl, Ci-6haloalkyl, C3-6cycloalkyl, C4-6cycloalkenyl, C6-ioaryl, 5-10 membered heteroaryl and 3-10 membered heterocyclyl;
each Rd1 is independently selected from among -ORe1, -NRe1Re1, halogen, -CN, -C(0)Re1, -C(0)ORe1, -C(0)NRe1Re1 , -S(0)2Re1, -S(0)2NRe1Re1,
-NHC(0)Re1 and -N(Ci-4alkyl)C(0)Re1;
each Re1 independently of one another denotes hydrogen or a group, optionally substituted by one or more, identical or different Rf1 and/or Rg1, selected from among Ci-6alkyl, C2-6alkenyl, C2-6alkynyl, Ci-6haloalkyl, C3-6cycloalkyl, C4-6cycloalkenyl, C6-ioaryl, 5-10 membered heteroaryl and 3-10 membered heterocyclyl;
each Rf1 is independently selected from among -OR91, -NRg1Rg1, halogen, -CN, -C(0)Rg1, -C(0)ORg1, -C(0)NRg1Rg1 , -S(0)2Rg1, -S(0)2NRg1Rg1,
-NHC(0)Rg1 and -N(Ci-4alkyl)C(0)Rg1; each Rg is independently selected from among hydrogen, Ci-6alkyl, C2-6alkenyl, C2-6alkynyl, Ci-6haloalkyl, C3-6cycloalkyl, C4-6cycloalkenyl, C6-ioaryl, 5-10 membered heteroaryl and 3-10 membered heterocyclyl; R2 and R3, each independently, is selected from among hydrogen, C6-ioaryl, 5-10 membered heteroaryl and 3-10 membered heterocyclyl, wherein this C6-ioaryl, 5-10 membered heteroaryl and 3-10 membered heterocyclyl is optionally substituted by one or more, identical or different Rb2 and/or Rc2;
each Rb2 is independently selected from among -ORc2, -NRc2Rc2, halogen, -CN, -C(0)Rc2, -C(0)ORc2, -C(0)NRc2Rc2, -S(0)2Rc2, -S(0)2NRc2Rc2,
-NHC(0)Rc2 and -N(Ci-4alkyl)C(0)Rc2;
each Rc2 independently of one another denotes hydrogen or a group selected from among Ci-6alkyl, C2-6alkenyl, C2-6alkynyl, Ci-6haloalkyl, C3-6cycloalkyl, C4-6cycloalkenyl, C6-ioaryl, 5-10 membered heteroaryl and 3-10 membered heterocyclyl;
R4 is hydrogen or a group, optionally substituted by one or more, identical or different Rb3 and/or Rc3, selected from among Ci-6alkyl, C2-6alkenyl, C2-6alkynyl, Ci-6haloalkyl, C3-6cycloalkyl, C4-6cycloalkenyl, C6-ioaryl, 5-10 membered heteroaryl and 3-10 membered heterocyclyl; or
R4 is selected from among -CN, -C(0)Rc3, -C(0)ORc3, -C(0)NRc3Rc3, -S(0)2Rc3 and -S(0)2NRc3Rc3;
each Rb3 is independently selected from among -ORc3, -NRc3Rc3, halogen, -CN, -C(0)Rc3, -C(0)ORc3, -C(0)NRc3Rc3, -C(0)NRg3ORc3, -S(0)2Rc3,
-S(0)2NRc3Rc3, -NHC(0)Rc3 and -N(Ci-4alkyl)C(0)Rc3;
each Rc3 independently of one another denotes hydrogen or a group, optionally substituted by one or more, identical or different Rd3 and/or Re3, selected from among Ci-6alkyl, C2-6alkenyl, C2-6alkynyl, Ci-6haloalkyl, C3-6cycloalkyl, C4-6cycloalkenyl, C6-ioaryl, 5-10 membered heteroaryl and 3-10 membered heterocyclyl;
each Rd3 is independently selected from among -ORe3, -NRe3Re3, halogen, -CN, -C(0)Re3, -C(0)ORe3, -C(0)NRe3Re3, -C(0)NRg3ORe3, -S(0)2Re3,
-S(0)2NRe3Re3, -NHC(0)Re3 and -N(Ci-4alkyl)C(0)Re3; each R independently of one another denotes hydrogen or a group, optionally substituted by one or more, identical or different Rf3 and/or Rg3, selected from among Ci-6alkyl, C2-6alkenyl, C2-6alkynyl, Ci-6haloalkyl, C3-6cycloalkyl, C4-6cycloalkenyl, C6-ioaryl, 5-10 membered heteroaryl and 3-10 membered heterocyclyl;
each Rf3 is independently selected from among -OR93, -NRg3Rg3, halogen, -CN, -C(0)Rg3, -C(0)ORg3, -C(0)NRg3Rg3, -C(0)NRg3ORg3, -S(0)2Rg3,
-S(0)2NRg3Rg3, -NHC(0)Rg3 and -N(Ci-4alkyl)C(0)Rg3;
each Rg3 is independently selected from among hydrogen, Ci-6alkyl, C2-6alkenyl, C2-6alkynyl, Ci-6haloalkyl, C3-6cycloalkyl, C4-6cycloalkenyl, C6-ioaryl, 5-10 membered heteroaryl and 3-10 membered heterocyclyl;
R5 and R6, each independently, is hydrogen or a group, optionally substituted by one or more, identical or different Rb4 and/or Rc4, selected from among Ci-6alkyl, C2-6alkenyl, C2-6alkynyl, Ci-6haloalkyl, C3-6cycloalkyl, C4-6cycloalkenyl, C6-ioaryl, 5-10 membered heteroaryl and 3-10 membered heterocyclyl;
each Rb4 is independently selected from among -ORc4, -NRc4Rc4, halogen, -CN, -C(0)Rc4, -C(0)ORc4, -C(0)NRc4Rc4, -C(0)NRg4ORc4, -S(0)2Rc4,
-S(0)2NRc4Rc4, -NHC(0)Rc4 and -N(Ci-4alkyl)C(0)Rc4;
each Rc4 independently of one another denotes hydrogen or a group, optionally substituted by one or more, identical or different Rd4 and/or Re4, selected from among Ci-6alkyl, C2-6alkenyl, C2-6alkynyl, Ci-6haloalkyl, C3-6cycloalkyl, C4-6cycloalkenyl, C6-ioaryl, 5-10 membered heteroaryl and 3-10 membered heterocyclyl;
each Rd4 is independently selected from among -ORe4, -NRe4Re4, halogen, -CN, -C(0)Re4, -C(0)ORe4, -C(0)NRe4Re4, -C(0)NRg4ORe4, -S(0)2Re4,
-S(0)2NRe4Re4, -NHC(0)Re4 and -N(Ci-4alkyl)C(0)Re4;
each Re4 independently of one another denotes hydrogen or a group, optionally substituted by one or more, identical or different Rf4 and/or Rg4, selected from among Ci-6alkyl, C2-6alkenyl, C2-6alkynyl, Ci-6haloalkyl, C3-6cycloalkyl, C4-6cycloalkenyl, C6-ioaryl, 5-10 membered heteroaryl and 3-10 membered heterocyclyl;
each Rf4 is independently selected from among -ORg4, -NRg4Rg4, halogen, -CN, -C(0)Rg4, -C(0)ORg4, -C(0)NRg4Rg4, -C(0)NRg4ORg4, -S(0)2Rg4, -S(0)2NRg4R94, -NHC(0)R94 and -N(Ci-4alkyl)C(0)Rg4;
each Rg4 is independently selected from among hydrogen, Ci-6alkyl, C2-6alkenyl, C2-6alkynyl, Ci-6haloalkyl, C3-6cycloalkyl, C4-6cycloalkenyl, C6-ioaryl, 5-10 membered heteroaryl and 3-10 membered heterocyclyl; each R7 is independently selected from among halogen, Ci-4alkyl, -CN, Ci-4haloalkyl, -OCi-4alkyl and -OCi-4haloalkyl;
q denotes the number 0, 1 , 2 or 3; W, X and Y is each independently selected from -N= and -CH=
with the proviso that the hydrogen in each -CH= may be replaced by a substituent R7 if present and that a maximum of two of W, X and Y can be -N=;
V is oxygen or sulfur; n denotes the number 1 , 2 or 3;
or a salt thereof.
2. The compound according to claim 1 with formula (la)
Figure imgf000138_0001
(la)
or a salt therof.
3. The compound according to claim 1 or 2, wherein
R1 is Ci-6alkyl, optionally substituted by a group selected from among C3-6cycloalkyl, C6-ioaryl and 5-10 membered heteroaryl, wherein this C3-6cycloalkyl, C6-ioaryl and 5-10 membered heteroaryl is optionally substituted by one or more, identical or different Rd1 and/or Re1;
each Rd1 is independently selected from among -ORe1, -NRe1Re1, halogen, -CN, -C(0)Re1, -C(0)ORe1, -C(0)NRe1Re1 , -S(0)2Re1, -S(0)2NRe1Re1,
-NHC(0)Re1 and -N(Ci-4alkyl)C(0)Re1;
each Re1 independently of one another denotes hydrogen or a group selected from among Ci-6alkyl, C2-6alkenyl, C2-6alkynyl, Ci-6haloalkyl, C3-6cycloalkyl, C4-6cycloalkenyl, C6-ioaryl, 5-10 membered heteroaryl and 3-10 membered heterocyclyl;
or a salt thereof.
4. The compound according to any one of claims 1 to 3, wherein
one of R2 and R3 is hydrogen and the other is selected from among phenyl and 5-6 membered heteroaryl, wherein this phenyl and 5-6 membered heteroaryl is optionally substituted by one or more, identical or different Rb2 and/or Rc2;
each Rb2 is independently selected from among -ORc2, -NRc2Rc2, halogen, -CN, -C(0)Rc2, -C(0)ORc2, -C(0)NRc2Rc2, -S(0)2Rc2, -S(0)2NRc2Rc2,
-NHC(0)Rc2 and -N(Ci-4alkyl)C(0)Rc2;
each Rc2 independently of one another denotes hydrogen or a group selected from among Ci-6alkyl, C2-6alkenyl, C2-6alkynyl, Ci-6haloalkyl, C3-6cycloalkyl, C4-6cycloalkenyl, phenyl, 5-6 membered heteroaryl and 3-7 membered heterocyclyl;
or a salt thereof.
5. The compound according to claim 4, wherein
one of R2 and R3 is hydrogen and the other is phenyl optionally substituted by one or more, identical or different substituents selected from among -OCi-6alkyl, halogen, Ci-6alkyl and Ci-6haloalkyl;
or a salt thereof.
6. The compound according to any one of claims 1 to 5, wherein
R3 is hydrogen;
or a salt thereof.
7. The compound according to any one of claims 1 to 6, wherein
R4 is hydrogen or a group, optionally substituted by one or more, identical or different Rb3 and/or Rc3, selected from among Ci-6alkyl, C6-ioaryl and 5-10 membered heteroaryl; or
R4 is selected from among -C(0)Rc3 and -S(0)2Rc3;
each Rb3 is independently selected from among -ORc3, -NRc3Rc3, halogen, -CN, -C(0)Rc3, -C(0)ORc3, -C(0)NRc3Rc3, -C(0)NRe3ORc3, -S(0)2Rc3,
-S(0)2NRc3Rc3, -NHC(0)Rc3 and -N(Ci-4alkyl)C(0)Rc3;
each Rc3 independently of one another denotes hydrogen or a group, optionally substituted by one or more, identical or different Rd3 and/or Re3, selected from among Ci-6alkyl, C3-6cycloalkyl, C6-ioaryl, 5-10 membered heteroaryl and 3-10 membered heterocyclyl;
each Rd3 is independently selected from among -ORe3, -NRe3Re3, halogen, -CN, -C(0)Re3, -C(0)ORe3, -C(0)NRe3Re3, -C(0)NRe3ORe3, -S(0)2Re3,
-S(0)2NRe3Re3, -NHC(0)Re3 and -N(Ci-4alkyl)C(0)Re3;
each Re3 independently of one another is selected from among hydrogen, Ci-6alkyl, C3-6cycloalkyl, C6-ioaryl, 5-10 membered heteroaryl and 3-10 membered heterocyclyl; or a salt thereof.
8. The compound according to claim 7, wherein
R4 is hydrogen;
or a salt thereof.
9. The compound according to any one of claims 1 to 8, wherein
one of R5 and R6 is hydrogen and the other is hydrogen or a group, optionally substituted by one or more, identical or different Rb4 and/or Rc4, selected from among Ci-6alkyl, C6-ioaryl and 5-10 membered heteroaryl;
each Rb4 is independently selected from among -ORc4, -NRc4Rc4, halogen, -CN, -C(0)Rc4, -C(0)ORc4, -C(0)NRc4Rc4, -C(0)NRe4ORc4, -S(0)2Rc4,
-S(0)2NRc4Rc4, -NHC(0)Rc4 and -N(Ci-4alkyl)C(0)Rc4;
each Rc4 independently of one another denotes hydrogen or a group, optionally substituted by one or more, identical or different Rd4 and/or Re4, selected from among Ci-6alkyl, C3-6cycloalkyl, C6-ioaryl, 5-10 membered heteroaryl and 3-10 membered heterocyclyl;
each Rd4 is independently selected from among -ORe4, -NRe4Re4, halogen, -CN, -C(0)Re4, -C(0)ORe4, -C(0)NRe4Re4, -C(0)NRe4ORe4, -S(0)2Re4,
-S(0)2NRe4Re4, -NHC(0)Re4 and -N(Ci-4alkyl)C(0)Re4;
each Re4 independently of one another is selected from among hydrogen, Ci-6alkyl, C3-6cycloalkyl, C6-ioaryl, 5-10 membered heteroaryl and 3-10 membered heterocyclyl; or a salt thereof.
10. The compound according to any one of claims 1 to 9, wherein
R5 is hydrogen and R6 is not hydrogen;
or a salt thereof.
11. The compound according to any one of claims 1 to 9, wherein
R5 and R6 is hydrogen;
or a salt thereof.
12. Synthetic intermedi
Figure imgf000141_0001
A-4 , wherein
R2, R3, R7, V, W, X, Y, n and q is defined as in claim 1 and R is selected from among hydrogen, optionally substituted Ci-6alkyl, optionally substituted phenyl and optionally substituted benzyl;
or the salts thereof.
13. Use of a synthetic intermediate of formula A-4 according to claim 12 - or the salts thereof - in the synthesis of compounds (I) or (la) as defined in any one of claims 1 to 1 1 .
14. Synthetic intermedia
Figure imgf000142_0001
Α"' , wherein
R2, R3, R5 to R7, V, W, X, Y, n and q is defined as in claim 1 ;
or the salts thereof.
15. Use of a synthetic intermediate of formula A-7 according to claim 14 - or the salts thereof - in the synthesis of compounds (I) or (la) as defined in any one of claims 1 to 1 1 .
16. A compound according to any one of claims 1 to 1 1 - or a pharmaceutically acceptable salt thereof - for use as medicament.
17. A compound according to any one of claims 1 to 1 1 - or a pharmaceutically acceptable salt thereof - for use in the treatment and/or prevention of a disease and/or condition wherein the inhibition of the interaction between MDM2 and p53 is of therapeutic benefit.
18. A compound according to any one of claims 1 to 1 1 - or a pharmaceutically acceptable salt thereof - for use in the treatment and/or prevention of cancer, infections, inflammations and autoimmune diseases.
19. A method for the treatment and/or prevention of a disease and/or condition wherein the inhibition of the interaction between MDM2 and p53 is of therapeutic benefit comprising administering a therapeutically effective amount of a compound according to any one of claims 1 to 1 1 - or a pharmaceutically acceptable salt thereof - to a human being.
20. A method for the treatment and/or prevention of cancer comprising administering a therapeutically effective amount of a compound according to any one of claims 1 to 1 1 - or a pharmaceutically acceptable salt thereof - to a human being.
21. A pharmaceutical composition comprising at least one compound according to any one of claims 1 to 1 1 - or a pharmaceutically acceptable salt thereof - and a pharmaceutically acceptable carrier.
22. A pharmaceutical preparation comprising a compound according to any one of claims 1 to 1 1 - or a pharmaceutically acceptable salt thereof - and at least one other cytostatic or cytotoxic active substance.
23. In another aspect the invention relates to a compound according to any one of claims 1 to 1 1 - or a pharmaceutically acceptable salt thereof - for use in the treatment and/or prevention of cancer, infections, inflammations and autoimmune diseases wherein said compound is administered before, after or together with at least one other cytostatic or cytotoxic active substance.
24. A cytostatic or cytotoxic active substance prepared for being administered before, after or together with a compound according to any one of claims 1 to 1 1 - or a pharmaceutically acceptable salt thereof - for use in the treatment and/or prevention of cancer, infections, inflammations and autoimmune diseases.
25. A method for the treatment and/or prevention of cancer, infections, inflammations and autoimmune diseases comprising administering a therapeutically effective amount of a compound according to any one of claims 1 to 1 1 - or a pharmaceutically acceptable salt thereof - before, after or together with at least one other cytostatic or cytotoxic active substance to a human being.
PCT/EP2015/057839 2014-04-11 2015-04-10 Spiro[3h-indole-3,2'-pyrrolidin]-2(1h)-one derivatives and their use as mdm2-p53 inhibitors Ceased WO2015155332A1 (en)

Priority Applications (2)

Application Number Priority Date Filing Date Title
JP2016561754A JP6577958B2 (en) 2014-04-11 2015-04-10 Spiro [3H-indole-3,2'-pyrrolidin] -2 (1H) -one derivatives and their use as MDM2-p53 inhibitors
EP15716495.5A EP3129380B1 (en) 2014-04-11 2015-04-10 Spiro[3h-indole-3,2'-pyrrolidin]-2(1h)-one derivatives and their use as mdm2-p53 inhibitors

Applications Claiming Priority (2)

Application Number Priority Date Filing Date Title
EP14164388 2014-04-11
EP14164388.2 2014-04-11

Publications (1)

Publication Number Publication Date
WO2015155332A1 true WO2015155332A1 (en) 2015-10-15

Family

ID=50478306

Family Applications (1)

Application Number Title Priority Date Filing Date
PCT/EP2015/057839 Ceased WO2015155332A1 (en) 2014-04-11 2015-04-10 Spiro[3h-indole-3,2'-pyrrolidin]-2(1h)-one derivatives and their use as mdm2-p53 inhibitors

Country Status (4)

Country Link
US (2) US10138251B2 (en)
EP (1) EP3129380B1 (en)
JP (1) JP6577958B2 (en)
WO (1) WO2015155332A1 (en)

Cited By (17)

* Cited by examiner, † Cited by third party
Publication number Priority date Publication date Assignee Title
WO2017060431A1 (en) 2015-10-09 2017-04-13 Boehringer Ingelheim International Gmbh Spiro[3h-indole-3,2´-pyrrolidin]-2(1h)-one compounds and derivatives as mdm2-p53 inhibitors
WO2017201449A1 (en) 2016-05-20 2017-11-23 Genentech, Inc. Protac antibody conjugates and methods of use
WO2018185135A1 (en) 2017-04-05 2018-10-11 Boehringer Ingelheim International Gmbh Anticancer combination therapy
US10138251B2 (en) 2014-04-11 2018-11-27 Boehringer Ingelheim International Gmbh Spiro[3H-indole-3,2′-pyrrolidin]-2(1H)-one compounds and derivatives as MDM2-P53 inhibitors
US10246467B2 (en) 2014-08-21 2019-04-02 Boehringer Ingelheim International Gmbh Spiro[3H-indole-3,2′-pyrrolidin]-2(1H)-one compounds and derivatives as MDM2-p53 inhibitors
WO2019128877A1 (en) * 2017-12-29 2019-07-04 甘李药业股份有限公司 Compound capable of being used as tumor inhibitor, preparation method therefor, and application thereof
US10576064B2 (en) 2014-07-03 2020-03-03 Boehringer Ingelheim International Gmbh Spiro[3H-indole-3,2′-pyrrolidin]-2(1H)-one compounds and derivatives as MDM2-P53 inhibitors
WO2021245055A1 (en) 2020-06-02 2021-12-09 Boehringer Ingelheim International Gmbh Annulated 2-amino-3-cyano thiophenes and derivatives for the treatment of cancer
US11351149B2 (en) 2020-09-03 2022-06-07 Pfizer Inc. Nitrile-containing antiviral compounds
WO2023056069A1 (en) 2021-09-30 2023-04-06 Angiex, Inc. Degrader-antibody conjugates and methods of using same
WO2023099624A1 (en) 2021-12-01 2023-06-08 Boehringer Ingelheim International Gmbh Annulated 2-amino-3-cyano thiophenes and derivatives for the treatment of cancer
WO2023099620A1 (en) 2021-12-01 2023-06-08 Boehringer Ingelheim International Gmbh Kras degrading compounds comprising annulated 2-amino-3-cyano thiophenes
WO2023099623A1 (en) 2021-12-01 2023-06-08 Boehringer Ingelheim International Gmbh Annulated 2-amino-3-cyano thiophenes and derivatives for the treatment of cancer
WO2023099592A1 (en) 2021-12-01 2023-06-08 Boehringer Ingelheim International Gmbh Annulated 2-amino-3-cyano thiophenes and derivatives for the treatment of cancer
WO2023099608A1 (en) 2021-12-01 2023-06-08 Boehringer Ingelheim International Gmbh Annulated 2-amino-3-cyano thiophenes and derivatives for the treatment of cancer
WO2024240858A1 (en) 2023-05-23 2024-11-28 Valerio Therapeutics Protac molecules directed against dna damage repair system and uses thereof
WO2024246099A1 (en) 2023-05-30 2024-12-05 Boehringer Ingelheim International Gmbh Spirocyclic annulated 2-amino-3-cyano thiophenes and derivatives for the treatment of cancer

Families Citing this family (3)

* Cited by examiner, † Cited by third party
Publication number Priority date Publication date Assignee Title
CN109415336B (en) * 2016-04-06 2023-08-29 密执安大学评议会 MDM2 protein degrader
WO2020018611A1 (en) * 2018-07-18 2020-01-23 Dana-Farber Cancer Institute, Inc. Compositions and methods for identification, assessment, prevention, and treatment of ewing sarcoma using tp53 dependency biomarkers and modulators
WO2024078370A1 (en) * 2022-10-13 2024-04-18 中国科学院上海药物研究所 Small molecular compound having substituted phenylspiro[indoline-3,3'-pyrrolidine] structure

Citations (2)

* Cited by examiner, † Cited by third party
Publication number Priority date Publication date Assignee Title
US20120071499A1 (en) * 2010-09-20 2012-03-22 Xin-Jie Chu Substituted Spiro[3H-Indole-3,6'(5'H)-[1H]Pyrrolo[1,2c]Imidazole-1',2(1H,2'H)-diones
WO2012116989A1 (en) * 2011-03-03 2012-09-07 F. Hoffmann-La Roche Ag Substituted heteroaryl 2', 3', 7', 7a' - tetrahydrospiro-[pyrrole-3, 6' - pyrrolo [1, 2-c] imidazole] - 1', 2 (1h, 5'h) -diones as anticancer agents

Family Cites Families (9)

* Cited by examiner, † Cited by third party
Publication number Priority date Publication date Assignee Title
WO1999012964A2 (en) 1997-09-12 1999-03-18 Biogen, Inc. Kay - a novel immune system protein
AR073578A1 (en) 2008-09-15 2010-11-17 Priaxon Ag PIRROLIDIN-2-ONAS
ES2624808T3 (en) * 2011-05-11 2017-07-17 The Regents Of The University Of Michigan MDM2 spirooxindol antagonists
CN103910746B (en) 2014-02-28 2016-08-03 中山大学 The Berkeleyones compound in one class marine fungi source and its preparation method and application
US10138251B2 (en) * 2014-04-11 2018-11-27 Boehringer Ingelheim International Gmbh Spiro[3H-indole-3,2′-pyrrolidin]-2(1H)-one compounds and derivatives as MDM2-P53 inhibitors
JP6503386B2 (en) 2014-07-03 2019-04-17 ベーリンガー インゲルハイム インターナショナル ゲゼルシャフト ミット ベシュレンクテル ハフツング Novel spiro [3H-indol-3,2'-pyrrolidine] -2 (1H) -one compounds and derivatives as MDM2-p53 inhibitors
KR20170042779A (en) 2014-08-21 2017-04-19 베링거 인겔하임 인터내셔날 게엠베하 New spiro[3h-indole-3,2'-pyrrolidin]-2(1h)-one compounds and derivatives as mdm2-p53 inhibitors
NO2721710T3 (en) 2014-08-21 2018-03-31
PL3359542T3 (en) 2015-10-09 2021-09-20 Boehringer Ingelheim International Gmbh COMPOUNDS AND DERIVATIVES SPIRO [3H-INDOLO-3,2′-PYROLIDINE] -2 (1H) -ONE AS MDM2-P53 INHIBITORS

Patent Citations (2)

* Cited by examiner, † Cited by third party
Publication number Priority date Publication date Assignee Title
US20120071499A1 (en) * 2010-09-20 2012-03-22 Xin-Jie Chu Substituted Spiro[3H-Indole-3,6'(5'H)-[1H]Pyrrolo[1,2c]Imidazole-1',2(1H,2'H)-diones
WO2012116989A1 (en) * 2011-03-03 2012-09-07 F. Hoffmann-La Roche Ag Substituted heteroaryl 2', 3', 7', 7a' - tetrahydrospiro-[pyrrole-3, 6' - pyrrolo [1, 2-c] imidazole] - 1', 2 (1h, 5'h) -diones as anticancer agents

Non-Patent Citations (1)

* Cited by examiner, † Cited by third party
Title
GANG CHEN ET AL: "Spiro not pyrrolidine-2,3'-oxindole| derivatives synthesized by novel regionselective 1,3-dipolar cycloadditions", MOLECULAR DIVERSITY, KLUWER ACADEMIC PUBLISHERS, DO, vol. 16, no. 1, 2 December 2011 (2011-12-02), pages 151 - 156, XP035031343, ISSN: 1573-501X, DOI: 10.1007/S11030-011-9342-1 *

Cited By (35)

* Cited by examiner, † Cited by third party
Publication number Priority date Publication date Assignee Title
US10138251B2 (en) 2014-04-11 2018-11-27 Boehringer Ingelheim International Gmbh Spiro[3H-indole-3,2′-pyrrolidin]-2(1H)-one compounds and derivatives as MDM2-P53 inhibitors
US10576064B2 (en) 2014-07-03 2020-03-03 Boehringer Ingelheim International Gmbh Spiro[3H-indole-3,2′-pyrrolidin]-2(1H)-one compounds and derivatives as MDM2-P53 inhibitors
US12312363B2 (en) 2014-08-21 2025-05-27 Boehringer Ingelheim International Gmbh Spiro[3H-indole-3,2′-pyrrolidin]-2(1H)-one compounds and derivatives as MDM2-p53 inhibitors
EP3183254B1 (en) * 2014-08-21 2019-05-22 Boehringer Ingelheim International GmbH New spiro[3h-indole-3,2´-pyrrolidin]-2(1h)-one compounds and derivatives as mdm2-p53 inhibitors
KR102627097B1 (en) 2014-08-21 2024-01-18 베링거 인겔하임 인터내셔날 게엠베하 New spiro[3h-indole-3,2'-pyrrolidin]-2(1h)-one compounds and derivatives as mdm2-p53 inhibitors
KR20230098695A (en) * 2014-08-21 2023-07-04 베링거 인겔하임 인터내셔날 게엠베하 New spiro[3h-indole-3,2'-pyrrolidin]-2(1h)-one compounds and derivatives as mdm2-p53 inhibitors
US10919913B2 (en) 2014-08-21 2021-02-16 Boehringer Ingelheim International Gmbh Spiro[3H-indole-3,2′-pyrrolidin]-2(1H)-one compounds and derivatives as MDM2-p53 inhibitors
US10246467B2 (en) 2014-08-21 2019-04-02 Boehringer Ingelheim International Gmbh Spiro[3H-indole-3,2′-pyrrolidin]-2(1H)-one compounds and derivatives as MDM2-p53 inhibitors
USRE50594E1 (en) 2015-10-09 2025-09-23 Boehringer Ingelheim International Gmbh Spiro[3H-indole-3,2′-pyrrolidin]-2(1H)-one compounds and derivatives as MDM2-P53 inhibitors
KR102722493B1 (en) 2015-10-09 2024-10-29 베링거 인겔하임 인터내셔날 게엠베하 Spiro[3H-indole-3,2'-pyrrolidine]-2(1H)-one compounds and derivatives as MDM2-P53 inhibitors
KR20180058832A (en) * 2015-10-09 2018-06-01 베링거 인겔하임 인터내셔날 게엠베하 Spiro [3H-indole-3,2'-pyrrolidine] -2 (1H) -one compounds and derivatives as MDM2-P53 inhibitors
JP2018533558A (en) * 2015-10-09 2018-11-15 ベーリンガー インゲルハイム インターナショナル ゲゼルシャフト ミット ベシュレンクテル ハフツング Spiro [3H-Indole-3,2‘-Pyrrolidine] -2 (1H) -one Compounds and Derivatives as MDM2-P53 Inhibitors
US10144739B2 (en) 2015-10-09 2018-12-04 Boehringer Ingelheim International Gmbh Spiro[3H-indole-3,2′-pyrrolidin]-2(1H)-one compounds and derivatives as MDM2-P53 inhibitors
US10717742B2 (en) 2015-10-09 2020-07-21 Boehringer Ingelheim International Gmbh Spiro[3H-indole-3,2′-pyrrolidin]-2(1H)-one compounds and derivatives as MDM2-P53 inhibitors
US10882866B1 (en) 2015-10-09 2021-01-05 Boehringer Ingelheim International Gmbh Spiro[3H-indole-3,2′-pyrrolidin]-2(1H)-one compounds and derivatives as MDM2-P53 inhibitors
WO2017060431A1 (en) 2015-10-09 2017-04-13 Boehringer Ingelheim International Gmbh Spiro[3h-indole-3,2´-pyrrolidin]-2(1h)-one compounds and derivatives as mdm2-p53 inhibitors
WO2017201449A1 (en) 2016-05-20 2017-11-23 Genentech, Inc. Protac antibody conjugates and methods of use
EP4368200A2 (en) 2017-04-05 2024-05-15 Boehringer Ingelheim International GmbH Anticancer combination therapy
WO2018185135A1 (en) 2017-04-05 2018-10-11 Boehringer Ingelheim International Gmbh Anticancer combination therapy
CN112041320A (en) * 2017-12-29 2020-12-04 甘李药业股份有限公司 Compound capable of being used as tumor inhibitor and preparation method and application thereof
WO2019128877A1 (en) * 2017-12-29 2019-07-04 甘李药业股份有限公司 Compound capable of being used as tumor inhibitor, preparation method therefor, and application thereof
CN112041320B (en) * 2017-12-29 2023-05-23 甘李药业股份有限公司 Compound capable of being used as tumor inhibitor and preparation method and application thereof
WO2021245051A1 (en) 2020-06-02 2021-12-09 Boehringer Ingelheim International Gmbh Annulated 2-amino-3-cyano thiophenes and derivatives for the treatment of cancer
WO2021245055A1 (en) 2020-06-02 2021-12-09 Boehringer Ingelheim International Gmbh Annulated 2-amino-3-cyano thiophenes and derivatives for the treatment of cancer
US11541034B2 (en) 2020-09-03 2023-01-03 Pfizer Inc. Nitrile-containing antiviral compounds
US11452711B2 (en) 2020-09-03 2022-09-27 Pfizer Inc. Nitrile-containing antiviral compounds
US11351149B2 (en) 2020-09-03 2022-06-07 Pfizer Inc. Nitrile-containing antiviral compounds
WO2023056069A1 (en) 2021-09-30 2023-04-06 Angiex, Inc. Degrader-antibody conjugates and methods of using same
WO2023099620A1 (en) 2021-12-01 2023-06-08 Boehringer Ingelheim International Gmbh Kras degrading compounds comprising annulated 2-amino-3-cyano thiophenes
WO2023099623A1 (en) 2021-12-01 2023-06-08 Boehringer Ingelheim International Gmbh Annulated 2-amino-3-cyano thiophenes and derivatives for the treatment of cancer
WO2023099592A1 (en) 2021-12-01 2023-06-08 Boehringer Ingelheim International Gmbh Annulated 2-amino-3-cyano thiophenes and derivatives for the treatment of cancer
WO2023099608A1 (en) 2021-12-01 2023-06-08 Boehringer Ingelheim International Gmbh Annulated 2-amino-3-cyano thiophenes and derivatives for the treatment of cancer
WO2023099624A1 (en) 2021-12-01 2023-06-08 Boehringer Ingelheim International Gmbh Annulated 2-amino-3-cyano thiophenes and derivatives for the treatment of cancer
WO2024240858A1 (en) 2023-05-23 2024-11-28 Valerio Therapeutics Protac molecules directed against dna damage repair system and uses thereof
WO2024246099A1 (en) 2023-05-30 2024-12-05 Boehringer Ingelheim International Gmbh Spirocyclic annulated 2-amino-3-cyano thiophenes and derivatives for the treatment of cancer

Also Published As

Publication number Publication date
US20180291030A1 (en) 2018-10-11
EP3129380A1 (en) 2017-02-15
EP3129380B1 (en) 2018-11-28
US20150291611A1 (en) 2015-10-15
JP6577958B2 (en) 2019-09-18
US10138251B2 (en) 2018-11-27
JP2017510610A (en) 2017-04-13

Similar Documents

Publication Publication Date Title
US12312363B2 (en) Spiro[3H-indole-3,2′-pyrrolidin]-2(1H)-one compounds and derivatives as MDM2-p53 inhibitors
EP3129380B1 (en) Spiro[3h-indole-3,2&#39;-pyrrolidin]-2(1h)-one derivatives and their use as mdm2-p53 inhibitors
US10717742B2 (en) Spiro[3H-indole-3,2′-pyrrolidin]-2(1H)-one compounds and derivatives as MDM2-P53 inhibitors
EP2655355B1 (en) New triazolylphenyl sulfonamides as serine/threonine kinase inhibitors
EP3164401A1 (en) New spiro[3h-indole-3,2´-pyrrolidin]-2(1h)-one compounds and derivatives as mdm2-p53 inhibitors
CA3000063C (en) Spiro[3h-indole-3,2&#39;-pyrrolidin]-2(1h)-one compounds and derivatives as mdm2-p53 inhibitors
HK1252365B (en) Spiro[3h-indole-3,2’-pyrrolidin]-2(1h)-one compounds and derivatives as mdm2-p53 inhibitors

Legal Events

Date Code Title Description
121 Ep: the epo has been informed by wipo that ep was designated in this application

Ref document number: 15716495

Country of ref document: EP

Kind code of ref document: A1

ENP Entry into the national phase

Ref document number: 2016561754

Country of ref document: JP

Kind code of ref document: A

NENP Non-entry into the national phase

Ref country code: DE

REEP Request for entry into the european phase

Ref document number: 2015716495

Country of ref document: EP

WWE Wipo information: entry into national phase

Ref document number: 2015716495

Country of ref document: EP