WO2015110491A2 - Pyrazolo[1,5-a]pyrimidin-7-amine derivatives useful in therapy - Google Patents
Pyrazolo[1,5-a]pyrimidin-7-amine derivatives useful in therapy Download PDFInfo
- Publication number
- WO2015110491A2 WO2015110491A2 PCT/EP2015/051177 EP2015051177W WO2015110491A2 WO 2015110491 A2 WO2015110491 A2 WO 2015110491A2 EP 2015051177 W EP2015051177 W EP 2015051177W WO 2015110491 A2 WO2015110491 A2 WO 2015110491A2
- Authority
- WO
- WIPO (PCT)
- Prior art keywords
- pyrimidin
- amine
- dimethyl
- pyrazolo
- dimethoxyphenyl
- Prior art date
- Legal status (The legal status is an assumption and is not a legal conclusion. Google has not performed a legal analysis and makes no representation as to the accuracy of the status listed.)
- Ceased
Links
- 0 C*C(N*C)=O Chemical compound C*C(N*C)=O 0.000 description 5
- LLWABBJTBHVXBO-UHFFFAOYSA-N CC(C)c(cc(NCc(cc1)ccc1F)[n]1nc2C)nc1c2-c(cc1)cc(OC)c1OC Chemical compound CC(C)c(cc(NCc(cc1)ccc1F)[n]1nc2C)nc1c2-c(cc1)cc(OC)c1OC LLWABBJTBHVXBO-UHFFFAOYSA-N 0.000 description 1
- JPTMOJSVZSQATI-UHFFFAOYSA-N CC(c1ccccc1)Nc([n]1nc2C)cc(C)nc1c2-c(cc1)ccc1F Chemical compound CC(c1ccccc1)Nc([n]1nc2C)cc(C)nc1c2-c(cc1)ccc1F JPTMOJSVZSQATI-UHFFFAOYSA-N 0.000 description 1
- XYFMFPXJQDECRL-UHFFFAOYSA-N CCOc(ccc(-c1c2nc(C)cc(NCc(cc3)ccc3F)[n]2nc1C)c1)c1OCC Chemical compound CCOc(ccc(-c1c2nc(C)cc(NCc(cc3)ccc3F)[n]2nc1C)c1)c1OCC XYFMFPXJQDECRL-UHFFFAOYSA-N 0.000 description 1
- HBVPEDQMSBLKBA-UHFFFAOYSA-N Cc1n[n]2c(NCc(cc3)ccc3Cl)cc(C)nc2c1-c(cc1)cc(OC)c1OC Chemical compound Cc1n[n]2c(NCc(cc3)ccc3Cl)cc(C)nc2c1-c(cc1)cc(OC)c1OC HBVPEDQMSBLKBA-UHFFFAOYSA-N 0.000 description 1
- TWCYMPJYRKTZKP-UHFFFAOYSA-N Cc1n[n]2c(NCc(cc3)ccc3OC)cc(C)nc2c1-c(cc1)cc(OC)c1OC Chemical compound Cc1n[n]2c(NCc(cc3)ccc3OC)cc(C)nc2c1-c(cc1)cc(OC)c1OC TWCYMPJYRKTZKP-UHFFFAOYSA-N 0.000 description 1
- XPASZNRYTKGLNL-UHFFFAOYSA-N Cc1n[n]2c(NCc3ccc(C)cc3)cc(C)nc2c1-c(cc1)cc(O)c1O Chemical compound Cc1n[n]2c(NCc3ccc(C)cc3)cc(C)nc2c1-c(cc1)cc(O)c1O XPASZNRYTKGLNL-UHFFFAOYSA-N 0.000 description 1
Classifications
-
- C—CHEMISTRY; METALLURGY
- C07—ORGANIC CHEMISTRY
- C07D—HETEROCYCLIC COMPOUNDS
- C07D487/00—Heterocyclic compounds containing nitrogen atoms as the only ring hetero atoms in the condensed system, not provided for by groups C07D451/00 - C07D477/00
- C07D487/02—Heterocyclic compounds containing nitrogen atoms as the only ring hetero atoms in the condensed system, not provided for by groups C07D451/00 - C07D477/00 in which the condensed system contains two hetero rings
- C07D487/04—Ortho-condensed systems
-
- A—HUMAN NECESSITIES
- A61—MEDICAL OR VETERINARY SCIENCE; HYGIENE
- A61K—PREPARATIONS FOR MEDICAL, DENTAL OR TOILETRY PURPOSES
- A61K31/00—Medicinal preparations containing organic active ingredients
- A61K31/33—Heterocyclic compounds
- A61K31/395—Heterocyclic compounds having nitrogen as a ring hetero atom, e.g. guanethidine or rifamycins
- A61K31/495—Heterocyclic compounds having nitrogen as a ring hetero atom, e.g. guanethidine or rifamycins having six-membered rings with two or more nitrogen atoms as the only ring heteroatoms, e.g. piperazine or tetrazines
- A61K31/505—Pyrimidines; Hydrogenated pyrimidines, e.g. trimethoprim
- A61K31/519—Pyrimidines; Hydrogenated pyrimidines, e.g. trimethoprim ortho- or peri-condensed with heterocyclic rings
-
- A—HUMAN NECESSITIES
- A61—MEDICAL OR VETERINARY SCIENCE; HYGIENE
- A61P—SPECIFIC THERAPEUTIC ACTIVITY OF CHEMICAL COMPOUNDS OR MEDICINAL PREPARATIONS
- A61P31/00—Antiinfectives, i.e. antibiotics, antiseptics, chemotherapeutics
- A61P31/12—Antivirals
-
- A—HUMAN NECESSITIES
- A61—MEDICAL OR VETERINARY SCIENCE; HYGIENE
- A61P—SPECIFIC THERAPEUTIC ACTIVITY OF CHEMICAL COMPOUNDS OR MEDICINAL PREPARATIONS
- A61P31/00—Antiinfectives, i.e. antibiotics, antiseptics, chemotherapeutics
- A61P31/12—Antivirals
- A61P31/14—Antivirals for RNA viruses
Definitions
- the present invention relates generally to compounds having usefulness in therapy, in particular in the treatment of conditions caused by certain viruses, such as diabetes, cancer, neurodegenerative diseases such as Alzheimer ' s disease and amyotrophic lateral sclerosis. More particularly the invention relates to pyrazolo[l,5-a]pyrimidin-7-amine derivatives for use in therapy. BACKGROUND OF THE INVENTION
- Pyrazolo[l,5-a]pyrimidine is a commonly used scaffold in medicinal chemistry and derivatives thereof are known for their potent utility as analgesics, benzodiazepine receptor antagonists, angiotensin II receptor antagonists, angiogenesis inhibitors, anti-inflammatory agents, neuropeptide Y receptor antagonists, COX2- inhibitor and corticotrophin-releasing hormone receptor type 1 antagonists and as CHK1 inhibitors (e.g. Mayo et al (Adv. Synth. Catal. 2003, 345, 620-624; Tellew et al (Bioorg. Med. Chem. Lett. 2010, 20, 7259-7264); Chen et al (Bioorg. Med. Chem. Lett.
- PI4K phosphatidylinositol 4-kinase
- Bianco et al PLAS Pathogens, 2012, 8(3), 1-17
- LaMarche et al Antimicr. Agents and Chemother. 2012, 56(10), 5149-5156
- HCV hepatitis C virus
- Yang et al J. Biol. Chem. 2012, 287(11), 8547-8467) have shown the same for coronavirus.
- McLeod et al ACS Med. Chem. Lett. 2013, 4(7), 585-589) and van der Schaar et al (Antimicrobial Agents Chemother.
- T-00127-HEV1 when tested in- vivo induced mortality in mice, which raised doubts on the safety of inhibiting PI4K.
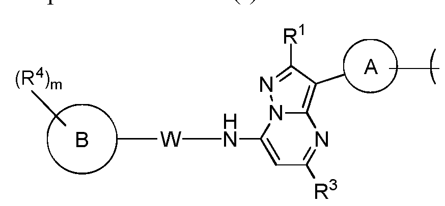
- One aspect is a c
- p is an integer of from 0 to 3;
- ring A is phenyl or 5- or 6-membered heteroaryl
- each R 2 is independently selected from C1-C6 alkyl, R 5 0-, R 6 R 7 NC(0)-, R 9 C(0)N(R 8 )-,
- R 5 , R 6 , R 7 and R 8 are independently selected from H and C1-C6 alkyl
- any alkyl is optionally substituted by one or more F;
- R 3 is Cl-C6 alkyl
- n is an integer of from 0 to 2;
- each R 4 is independently selected from C1-C6 alkyl, R 12 0, halogen, R 13 R 14 NC(0)-, R 16 C(0)N(R 15 )-, R 17 OC(0)-, R 18 C(0)0-, R 19 S(0) 2 -, R 20 S(O) 2 N(H)-, NH 2 S(0) 2 -, R 21 C(0)-, N(R 22 )(R 23 )-, and ⁇ -; R 12 , R 13 , R 14 , R 15 , R 22 , and R 23 are independently selected from H and C1-C6 alkyl,
- R 16 , R 17 , R 18 , R 19 , R 20 , and R 21 are independently selected from Cl-6 alkyl; any alkyl is optionally substituted by one or more F; or
- ring B is 5- or 6-membered saturated or unsaturated carbocyclyl, 5- or 6-membered heteroaryl, or phenyl;
- R 1 is H or Cl-C6 alkyl
- each R 2 is independently selected from C1-C6 alkyl, R 5 0-, R 6 R 7 NC(0)-, R 9 C(0)N(R 8 )-, R 10 OC(O)-, R n C(0)0-, and halogen;
- R 5 , R 6 , R 7 and R 8 are independently selected from H and C1-C6 alkyl
- R 9 , R 10 and R 11 are independently selected from Cl-6 alkyl
- any alkyl is optionally substituted by one or more F;
- R 2 together form a methylenedioxy or ethylenedioxy biradical
- R 3 is Cl-C6 alkyl
- n is an integer of from 0 to 2;
- each R 4 is independently selected from C1-C6 alkyl, R 12 0, halogen, R 13 R 14 NC(0)-,
- R 12 , R 13 , R 14 , R 15 , R 22 , and R 23 are independently selected from H and C1-C6 alkyl
- R 16 , R 17 , R 18 , R 19 , R 20 , and R 21 are independently selected from Cl-6 alkyl; any alkyl is optionally substituted by one or more F; or
- Still another aspect is a novel compound of formula (Ih)
- p is an integer of from 1 to 3;
- R 1 is H or Cl-C6 alkyl
- Z is N or CR 2
- each R 2 is independently selected from C1-C6 alkyl, R 5 0-, R 6 R 7 NC(0)-, R 9 C(0)N(R 8 )-, R 10 OC(O)-, R n C(0)0-, and halogen;
- R 9 , R 10 and R 11 are independently selected from CI -6 alkyl
- any alkyl is optionally substituted by one or more F;
- R 3 is Cl-C6 alkyl
- n is an integer of from 0 to 2;
- each R 4 is independently selected from C1-C6 alkyl, R 12 0, halogen, R 13 R 14 NC(0)-,
- R 12 , R 13 , R 14 , R 15 , R 22 , and R 23 are independently selected from H and C1-C6 alkyl
- R 16 , R 17 , R 18 , R 19 , R 20 , and R 21 are independently selected from Cl-6 alkyl; any alkyl is optionally substituted by one or more F; or
- ring B is 5- or 6-membered heteroaryl, or phenyl
- Another aspect is a compound of formula (Id) or of formula (Ih) for use in therapy.
- Another aspect is a compound of formula (I), as defined herein, or a compound of formula (Id), or a compound of formula (Ih), for use in the treatment of a viral infection, e.g. an R A viral infection.
- a viral infection e.g. an R A viral infection.
- Another aspect is a compound of formula (I)
- p is an integer of from 0 to 3
- R 1 is H or Cl-C6 alkyl
- ring A is phenyl or 5- or 6-membered heteroaryl
- each R 2 is independently selected from C1-C6 alkyl, R 5 0-, R 6 R 7 NC(0)-, R 9 C(0)N(R 8 )-,
- R 5 , R 6 , R 7 and R 8 are independently selected from H and C1-C6 alkyl
- R 9 , R 10 and R 11 are independently selected from CI -6 alkyl
- any alkyl is optionally substituted by one or more F;
- R 3 is Cl-C6 alkyl
- n is an integer of from 0 to 2;
- each R 4 is independently selected from C1-C6 alkyl, R 12 0, halogen, R 13 R 14 NC(0)-, R 16 C(0)N(R 15 )-, R 17 OC(0)-, R 18 C(0)0-, R 19 S(0) 2 -, R 20 S(O) 2 N(H)-, NH 2 S(0) 2 -, R 21 C(0)-, N(R 22 )(R 23 )-, and ⁇ -;
- R 12 , R 13 , R 14 , R 15 , R 22 , and R 23 are independently selected from H and C1-C6 alkyl
- R 16 , R 17 , R 18 , R 19 , R 20 , and R 21 are independently selected from Cl-6 alkyl; any alkyl is optionally substituted by one or more F; or
- ring B is 5- or 6-membered saturated or unsaturated carbocyclyl, 5- or 6-membered heteroaryl, or phenyl;
- the viral infection is a non-enveloped single-stranded (+) RNA viral infection.
- Figure 1 is a diagram showing the number of surviving animals as a function of the number of days after infections with Coxsackie B3 virus, in mice treated with the compound of Ex. 9, 200 mg/kg once daily per orally starting on day 1 (group 1) or on day 3 (group 2), and in mice treated with vehicle only (0.4% Tween 80, 2% glycerol and 15% ⁇ -hydroxypropyl cyclodextrin).
- Treatment includes prophylaxis of the named disorder or condition, or amelioration or elimination of the disorder once it has been established.
- An effective amount refers to an amount of a compound that confers a therapeutic effect on the treated subject.
- the therapeutic effect may be objective (i.e., measurable by some test or marker) or subjective (i.e., subject gives an indication of or feels an effect).
- CI -6 alkyl denotes a straight or branched alkyl group having from 1 to 6 carbon atoms.
- examples of said CI -6 alkyl include methyl, ethyl, n-propyl, iso-propyl, n-butyl, iso-butyl, sec-butyl, t-butyl and straight- and branched- chain pentyl and hexyl.
- C1-C6 hydroxyalkyl refers to a C1-C6 alkyl substituted with one OH.
- An example of a C1-C6 hydroxyalkyl is hydroxymethyl: -CH 2 OH.
- halogen refers to fluorine (F), chlorine (CI), or bromine (Br).
- a moiety of the type R R NC(O)- is a moiety of formula
- a moiety of the type R C(0)N(R )- is a moiety of formula
- a moiety of the type R OC(O)- is a moiety of formula
- a moiety of the type R'C(0)0- is a moiety of formula
- a moiety of the type R S(0) 2 - is a moiety of formula o f
- a moiety of the type R S(0) 2 N(H)- is a moiety of formula ⁇ - ⁇
- a moiety of the type NH 2 S(0) 2 - is a moiety of formula H 2 Nk
- a moiety of the type R C(O)- is a moiety of formula
- a moiety of the type N(R )(R ' )- is a moiety of formula
- Carbocyclic ring refers to a saturated or unsaturated (e.g.
- non-aromatic cyclic moiety containing only carbon atoms in the ring such as hexyl or hexenyl.
- heterocyclic ring refers to a saturated or unsaturated, non-aromatic cyclic moiety containing not only carbon atoms, but also at least one other atom in the ring, e.g. selected from nitrogen (N), sulphur (S) and oxygen (O), in particular N and O; such as piperidinyl, or 1,2,3,4-tetrahydropyridinyl.
- nitrogen (N), sulphur (S) and oxygen (O), in particular N and O such as piperidinyl, or 1,2,3,4-tetrahydropyridinyl.
- heterocyclyl include morpholinyl,
- heteroaryl refers to an aromatic ring containing at least one ring heteroatom, such as furyl, isoxazolyl, isothiazolyl, imidazolyl, pyridyl, pyrrolyl, pyrazolyl, pyrimidinyl, pyridazinyl, pyrazinyl, oxadiazolyl, oxazolyl, thienyl, thiadiazolyl, thiazolyl, triazolyl, and tetrazolyl.
- aromatic refers to an unsaturated cyclic moiety that has an aromatic character
- non-aromatic refers to a cyclic moiety, that may be saturated or unsaturated, e.g. polyunsaturated, but that does not have an aromatic character
- phenyl refers to a moiety of formula C 6 3 ⁇ 4-, i.e.;
- benzyl refers to a moiety of formula C 6 H 5 CH 2 -, i.e.;
- phenylethyl refers to a moiety of formula C 6 H 5 C 2 H 4 -, i.e.:
- a "methylenedioxy biradical” is a biradical of formula -OCH 2 O-.
- An "ethylenedioxy biradical” is a biradical of formula -OCH 2 CH 2 O-.
- Treatment includes prophylaxis of the named disorder or condition, or amelioration or elimination (i.e. cure) of the disorder once it has been established.
- non-enveloped single-stranded (+) RNA viral infection refers to an infection with a non- enveloped single-stranded (+) RNA virus.
- non-enveloped virus is a virus lacking viral envelope.
- a “single-stranded (+) RNA virus” is a virus having genetic material which is single- stranded RNA and which RNA can be immediately translated to viral protein by the cell infected by the virus.
- mammal refers to a human or any mammalian animal, e.g. a primate, a farm animal, a pet animal, or a laboratory animal. Examples of such animals are monkeys, cows, sheep, goats, horses, pigs, dogs, cats, rabbits, mice, rats etc.
- the mammal is a human.
- the mammal is an animal, e.g. a farm animal, such as a cow, sheep, goat, horse, or pigs.
- the animal is a pet, e.g. a dog, a cat or a rabbit.
- excipient refers to pharmaceutically acceptable chemicals, such as known to those of ordinary skill in the art of pharmacy to aid the administration of the medicinal agent. It a compound that is useful in preparing a pharmaceutical composition, generally safe, non-toxic and neither biologically nor otherwise undesirable, and includes excipients that are acceptable for veterinary use as well as human pharmaceutical use. Exemplary excipients include binders, surfactants, diluents, disintegrants, antiadherents, and lubricants.
- any reference to a compound of formula (I) or a compound of the invention should be construed as referring to a compound for use according to the invention, as defined in the claims.
- ring A is 5- membered heteroaryl, containing 1-4 heteroatoms, such as 1 , 2 or 3 heteroatoms; or 1 or 2 heteroatoms, in particular 1 heteroatom, independently selected from N, O and S.
- ring A is 6- membered heteroaryl, containing 1-4 heteroatoms, such as 1 , 2 or 3 heteroatoms; or 1 or 2 heteroatoms, in particular 1 heteroatom, independently selected from N, O and S.
- ring A is phenyl.
- ring A is phenyl or 6- membered heteroaryl, e.g. ring A is 6-membered heteroaryl, such as pyridyl.
- ring A is 5- or 6-membered heteroaryl, e.g. thienyl or pyridyl. In some embodiments, ring A is 5-membered heteroaryl. In some embodiments, ring A is phenyl or 5-membered heteroaryl, e.g. ring A is phenyl or thienyl.
- variable p representing the number of substituents R 2 on ring A
- ring A is phenyl and p is 0, 1 or 2.
- p is an integer of from 1 to 3, e.g. p is 1 or 2.
- p is 2 or 3, e.g. p is 2.
- ring A is a 5-membered or 6-membered heteroaryl, e.g. A is thienyl or pyridyl, p is 0 or 1, e.g. p is 0.
- ring A When ring A is pyridyl, it e.g. may be 4-pyridyl.
- each R 2 is as defined herein.
- each R 2 is as defined herein.
- each R 2 is as defined herein.
- ring A is selected from phenyl, said phenyl being substituted with 1-3 groups R 2 , e.g. 1 or 2 groups R 2 , in particular 2 groups R 2 ; and pyridyl, e.g. 4-pyridyl, said pyridyl being substituted with 0, 1 or 2 groups R 2 , e.g. 0 or 1 group R 2 , in particular 0 group R 2 ; and thienyl, said thienyl being substituted with 0 or 1 group R 2 , e.g. 0 group R 2 .
- ring A is selected from phenyl, said phenyl being substituted with 1-3 groups R 2 , e.g. 1 or 2 groups R 2 , in particular 2 groups R 2 ; and thienyl, said thienyl being substituted with 0 or 1 group R 2 , e.g. 0 group R 2 .
- ring A is selected from phenyl, said phenyl being substituted with 1-3 groups R 2 , e.g. 1 or 2 groups R 2 , in particular 2 groups R 2 ; and pyridyl, e.g. 4-pyridyl, said pyridyl being substituted with 0, 1 or 2 groups R 2 , e.g. 0 or 1 group R 2 , in particular 0 group R 2 .
- the moiety is N-(2-aminoethyl)-2-aminoethyl-N-(2-aminoethyl)-2-aminoethyl-N-(2-aminoethyl)-2-aminoethyl-N-(2-aminoethyl)-2-aminoethyl-N-(2-aminoethyl)-2-aminoethyl-N-(2-aminoethyl)-2-aminoethyl-N-(2-aminoethyl)-2-aminoethyl-N-(2-aminoethyl)-2-aminoethyl-N-(2-aminoethyl)-2-aminoethyl-N-(2-aminoethyl)-2-aminoethyl-N-(2-aminoethyl)-2-aminoethyl-N
- Z is Z is N or CR 2 , R 2 is as defined herein, and p is 1, 2 or 3.
- Z is N.
- p is 1 (i.e. p-1 is 0).
- CR 2 is a group consisting of carbonyl ring ring a and carbonyl ring a and carbonyl ring a and carbonyl ring a and carbonyl ring a and carbonyl urethanetuted.
- each R 2 is independently selected from C1-C6 alkyl, R 5 0-, R 6 R 7 NC(0)-, R 9 C(0)N(R 8 )-, R 10 OC(O)-, R n C(0)0-, and halogen; or two R 2 attached to adjacent carbon atoms form together a methylenedioxy or ethylenedioxy biradical.
- each R 2 is independently selected from C1-C6 alkyl, R 5 0-, and halogen. In some embodiments, each R 2 is independently selected from R 5 0- and halogen. In some other embodiments, each R 2 is independently selected from R 5 0- and C1-C6 alkyl. In still other embodiments, each R 2 is R 5 0-.
- each R 2 is independently selected from R 5 0- and halogen; or two R 2 attached to adjacent carbon atoms together form a methylenedioxy or ethylenedioxy biradical.
- each R 2 is independently selected from C1-C6 alkyl and R 5 0-, or two R 2 attached to adjacent carbon atoms together form a methylenedioxy or ethylenedioxy biradical.
- each R 2 is independently selected from R 5 0-, or two R 2 attached to adjacent carbon atoms together form a methylenedioxy or ethylenedioxy biradical.
- R 2 is Cl-C6 alkyl, it more particularly may be C1-C4 alkyl, or C1-C3 alkyl, such as methyl and ethyl, in particular methyl.
- R 2 is R 5 0-, R 6 R 7 NC(0)-, R 9 C(0)N(R 8 )-, or R 10 OC(O)-
- the moieties R 5 , R 6 , R 7 , R 8 and R 10 are independently selected from H and C1-C6 alkyl, e.g. from H and C1-C4 alkyl, e.g. H and C1-C3 alkyl, such as H, methyl and ethyl, in particular H and methyl.
- R 5 , R 6 , R 7 , R 8 and R 10 are independently selected from C1-C6 alkyl, e.g.
- R 9 and R 11 are independently selected from C 1 -6 alkyl; e.g. C1-C4 alkyl, or C1-C3 alkyl, such as methyl and ethyl, in particular methyl.
- R 2 is halogen
- said halogen e.g. may be selected from F and CI.
- ring A is phenyl, p is 2, and each R 2 is independently selected from halogen and R 5 0-, or the two R 2 are attached to adjacent carbon atoms and form together a methylenedioxy or ethylenedioxy biradical, e.g. ring A is phenyl, p is 2, and each R 2 is R 5 0-, or the two R 2 are attached to adjacent carbon atoms and form together a methylenedioxy or ethylenedioxy biradical.
- each R 5 when two R 2 are attached to adjacent carbon atoms and form together a methylenedioxy or ethylenedioxy biradical, said two R 2 more particularly form a methylenedioxy biradical.
- p when p is 2, the moiety wherein each R 5 is as defined herein, e.g. each R 5 is C1-C6 alkyl, or each R 5 is C1-C3 alkyl, e.g. each R 5 is methyl.
- each R 5 is as defined herein, e.g. each R 5 is methyl. In some embodiments, when p is 2, the moiety
- each R 5 is as defined herein, e.g. each R 5 is methyl.
- R 3 is C1-C6 alkyl, e.g. R 3 is selected from C1-C5 alkyl, or R 3 is selected from C1-C4 alkyl. In some embodiments, R 3 is selected from C1-C3 alkyl. In some embodiments, R 3 is CH 3 .
- the moiety W is or H ' s . In some embodiments,
- W is . In some embodiments, W is In some other embodiments, W is . In some embodiments, W is . In some other embodiments, W is .
- W is
- W is ⁇ ⁇ » « . In some particular embodiments, W is
- ring B is 5- or 6-membered saturated or unsaturated
- ring B is 5- or 6-membered saturated or unsaturated carbocyclyl. Any such carbocyclyl is non-aromatic and may be saturated (cycloalkyl) or e.g. mono -unsaturated (cycloalkenyl), e.g. selected from cyclopentyl, cyclohexyl and cyclohexenyl. In some embodiments, when ring B is carbocyclyl, said carbocyclyl is saturated. In some
- ring B when ring B is carbocycylcyl, said carbocyclyl is 5-membered. In some embodiments, when ring B is carbocycylcyl, said carbocyclyl is 6-membered. In some embodiments, ring B is cyclopentyl, cyclohexyl or cyclohexenyl. In some embodiments, ring B is cyclopentyl or cyclohexyl, e.g. ring B is cyclopentyl. In some embodiments, ring B is 5- or 6-membered saturated or unsaturated carbocyclyl, or phenyl. In some embodiments, ring B is 6-membered saturated or unsaturated carbocyclyl, or phenyl, e.g. ring B is phenyl, cyclohexenyl or cyclohexyl.
- ring B is 5- or 6-membered heteroaryl.
- ring B is 5- or 6- membered heteroaryl, it e.g. may contain 1-4 heteroatoms, such as 1, 2 or 3 heteroatoms; or 1 or 2 heteroatoms, or 1 heteroatom, independently selected from N, O and S.
- ring B when ring B is 5- or 6-membered heteroaryl, said heteroaryl is selected from pyridinyl and imidazolyl, e.g. pyridin-2-yl, pyridin-3-yl, pyridin-4-yl and lH-imidazol- 1-yl.
- said heteroaryl when ring B is 5- or 6-membered heteroaryl, said heteroaryl is selected from pyridinyl, imidazolyl, pyrimidinyl, thienyl, thiazolyl, isoxazolyl, e.g.
- pyridin-2-yl pyridin-3-yl, pyridin-4-yl, lH-imidazol-l-yl, pyrimidin-4-yl, thien-2-yl, thiazol-2-yl, and isoxazol-3-yl.
- ring B is 5-membered heteroaryl, containing one or more, e.g. 1-4, or 1-3, e.g. 1 or 2 heteroatoms, selected from N, O and S.
- said heteroaryl e.g. may be selected from imidazolyl, thienyl, thiazolyl, isoxazolyl, e.g. lH-imidazol-l-yl, thien-2-yl, thiazol-2-yl, and isoxazol-3-yl.
- ring B is 6-membered heteroaryl, for example, containing one or more, 1-4, or 1-3, e.g. 1 or 2 heteroatoms, selected from N and O.
- said heteroaryl e.g. may be selected from pyridinyl, i.e. pyridin-2-yl, pyridin-3-yl, pyridin-4-yl, in particular it may be pyridin-4-yl.
- said heteroaryl is selected from pyridinyl and pyrimidinyl e.g. pyridin-2-yl, pyridin-3-yl, pyridin-4-yl, and pyrimidin-4-yl.
- ring B when ring B is heteroaryl, said heteroaryl is not oxadiazolyl. In some embodiments, when ring B is heteroaryl at least one ring heteroatom is nitrogen, e.g. each ring heteroatom is nitrogen.
- ring B when ring B is 5- or 6-membered heteroaryl, said heteroaryl contains 1 heteroatom. In some embodiments, when ring B is 5- or 6-membered heteroaryl, said heteroaryl contains 2 heteroatoms.
- ring B is 5- or 6-membered heteroaryl containing 1 heteroatom. In some other embodiments, ring B is 5- or 6-membered heteroaryl containing 2 heteroatoms. In some embodiments, ring B is 5- or 6-membered heteroaryl or phenyl, e.g. ring B is 6- membered heteroaryl or phenyl. In some other embodiments, ring B is 5-membered heteroaryl or phenyl.
- ring B is selected from
- ring B is phenyl
- the integer m represents the number of moieties R 4 attached to ring B and is 0, 1, or 2.
- m is 0 or 1, e.g. m is 0.
- m is 1 or 2.
- m is 1.
- m is 2.
- ring B is phenyl or 5- or 6-membered heteroaryl, and ring B is optionally substituted with 1-2 moieties R 4 .
- ring B is 5- or 6-membered heteroaryl, said heteroaryl optionally being substituted with 1 or 2 moieties R 4 .
- ring B is phenyl, m is 1 or 2, e.g. m is 1, and one R 4 is in para position on the phenyl ring.
- each R is independently selected from C1-C6 alkyl, R O, halogen, R 13 R 14 NC(0)-, R 16 C(0)N(R 15 )-, R 17 OC(0)-, R 18 C(0)0-, R 19 S(0) 2 -, R 20 S(O) 2 N(H)-, NH 2 S(0) 2 -, R 21 C(0)-, N(R 22 )(R 23 )-, and 0-.
- each R is independently selected from C1-C6 alkyl, R O, halogen, R 13 R 14 NC(0)-, R 16 C(0)N(R 15 )-, R 17 OC(0)- and R 18 C(0)0-.
- each R 4 is independently selected from C1-C6 alkyl, R 12 0, halogen, and R 16 C(0)N(R 15 )-.
- each R 4 is independently selected from Cl- C6 alkyl, R 12 0, and halogen.
- each R 4 is independently selected from halogen and R 12 0, e.g. each R 4 is R 12 0.
- two R 4 attached to adjacent atoms of the ring B form, together with the atoms to which they are attached, a 5- or 6-membered heterocyclic or carbocyclic ring, or a benzene ring. In some embodiments, two R 4 attached to adjacent atoms of the ring B form, together with the atoms to which they are attached, a 5- or 6-membered heterocyclic ring or a benzene ring. In some embodiments, two R 4 attached to adjacent atoms of the ring B form, together with the atoms to which they are attached a benzene ring. In some embodiments, two R 4 attached to adjacent atoms of the ring B form, together with the atoms to which they are attached, a 5- or 6-membered heterocyclic ring.
- R 4 is C1-C6 alkyl
- said alkyl e.g. may be selected from C1-C4 alkyl, e.g. C1-C3 alkyl, such as methyl and ethyl, in particular methyl.
- R 1Z is selected from H and C1-C6 alkyl.
- R is selected from C1-C6 alkyl, e.g. from C1-C4 alkyl, in particular from C1-C3 alkyl, such as methyl and ethyl, in particular methyl.
- R 4 is halogen
- said halogen e.g. may be selected from F, CI and Br.
- said halogen when R 4 is halogen, said halogen is CI or Br, in particular CI. In some other embodiments, when R 4 is halogen, said halogen is F or CI, in particular said halogen is F.
- each R 13 , R 14 , R 15 , R 22 and R 23 is independently selected from H and C1-C6 alkyl, e.g. from H and C1-C4 alkyl, or from H and C1-C3 alkyl, e.g.
- R 4 attached to adjacent atoms of the ring B form, together with the atoms to which they are attached, a 5- or 6-membered heterocyclic or carbocyclic ring, said ring e.g. may be 5-membered.
- two R 4 attached to adjacent atoms of the ring B may together with the atoms to which they are attached, a 1,3-dioxolane ring.
- the moiety is N-(2-aminoethyl)-2-aminoethyl-N-(2-aminoethyl)-2-aminoethyl-N-(2-aminoethyl)-2-aminoethyl-N-(2-aminoethyl)-2-aminoethyl-N-(2-aminoethyl)-2-aminoethyl-N-(2-aminoethyl)-2-aminoethyl-N-(2-aminoethyl)-2-aminoethyl-N-(2-aminoethyl)-2-aminoethyl-N-(2-aminoethyl)-2-aminoethyl-N-(2-aminoethyl)-2-aminoethyl-N-(2-aminoethyl)-2-aminoethyl-N
- the moiety is N-(2-aminoethyl)-2-aminoethyl-N-(2-aminoethyl)-2-aminoethyl-N-(2-aminoethyl)-2-aminoethyl-N-(2-aminoethyl)-2-aminoethyl-N-(2-aminoethyl)-2-aminoethyl-N-(2-aminoethyl)-2-aminoethyl-N-(2-aminoethyl)-2-aminoethyl-N-(2-aminoethyl)-2-aminoethyl-N-(2-aminoethyl)-2-aminoethyl-N-(2-aminoethyl)-2-aminoethyl-N-(2-aminoethyl)-2-aminoethyl-N
- ring B is phenyl, as represented in formula (lb).
- the compound may be represented by formula (Ic)
- R 1 , each R 2 , R 3 , each R 4 , W, m and p are as defined herein.
- p is 2.
- the compound is a compound of formula (Id)
- R 1 , each R 2 , R 3 , each R 4 , W, m and ring B are as defined herein.
- each R 2 is independently selected from C1-C6 alkyl, R 5 0- and halogen.
- p is 2 and W is a methylene group.
- W is a methylene group
- ring B is phenyl, i.e. the compound may represented by formula (If)
- R 1 , each R 2 , R 3 , each R 4 , and m are as defined herein.
- a compound of formula (lb) i.e. in some embodiments of a compound of formula (Ic), in particular in some embodiments of a compound of formula (If), when m is 1 or 2, one moiety R 4 is in para position on ring B. In some of these embodiments, m is 1.
- R 1 , each R 2 , R 3 , and R 4 are as defined herein.
- a compound of formula (I) may be represented by formula (Ih)
- R 1 , each R 2 , R 3 , R 4 , m, ring B and Z are as defined herein and p is an integer of from 1 to 3.
- Z is N or CR 2 . In some embodiments, Z is N. In some embodiments, when Z is N, p is 1 (i.e. p-1 is 0).
- Z is CR 2 , in which case the compound may be represented by formula (Ij)
- R 1 , R 3 , each R 4 , m, Z and ring B are as defined herein.
- ring B is 6- membered heteroaryl, said heteroaryl being substituted by a moiety R 4 in para position or having a heteroatom, such as N, in para position, or ring B is phenyl, said phenyl being substituted by a moiety R 4 in para position.
- ring B is 6- membered heteroaryl, said heteroaryl being substituted by a moiety R 4 in para position or having a heteroatom, such as N, in para position.
- ring B is phenyl, said phenyl being substituted by R 4 in para position.
- the compound may be represented by formula (Im)
- R 1 , R 3 , R 4 and Z are as defined herein.
- Z is CR 2 , and the compound may be represented by formula (In)
- R 1 , R 2 , R 3 , and R 4 are as defined herein.
- any reference herein to a compound of formula (I) also should be construed as a reference to a compound of any of the embodiments thereof, e.g. a compound according to any one of the formulas (la), (lb), (Ic), (Id), (Ie), (If), (Ig), (Ih), (Ij), (Ik), (Im) and (In).
- the novel compound is as represented by formula (Ie), provided that the compound is not
- the novel compound is as represented by formula (If), provided that the compound is not
- the novel compound is as represented by formula (Ig), provided that the compound is not
- the novel compound is as represented by formula (Ik), provided that the compound is not
- the novel compound is as represented by formula (Im).
- the novel compound is as represented by formula (In).
- Scheme 1 illustrates suitable ways of synthesizing compounds of formula (I).
- compounds of formula (I) may be formed from compounds of formula (III) by treatment with POCI 3 under reflux conditions to give compounds of formula (II), followed by reaction of amines using methods well-known to the person skilled in the art. Examples illustrating the synthetic methods are described in Griffith et al ( Bioorg. Med. Chem. Lett. 2011, 21, 2641-2645); Hwang et al (Bioorg. Med. Chem. Lett. 2012, 22, 7297-7301); Gilligan et al, (J. Med. Chem.
- Compounds of formula (I) can also be formed form compounds of formula (IV) via palladium-catalyzed synthetic methods such as Suzuki, Stille or Negishi reactions, depending on the halogen, as for example described in Gudmundsson et al (Bioorg. Med. Chem. Lett. 2009, 19, 5689-5692); Mayo et al (Adv. Synth. Catal. 2003, 345, 620-624); and
- compounds of formula (IV) can also be formed starting from compounds of formula (X), by treatment with a halogenating agent (e.g. SOCl 2 , POCI 3 , PCI 3 , PBr 3 etc) as described previously, to give compounds of formula (IX), which may then be treated with NBS or NIS to give compounds of formula (VII).
- a halogenating agent e.g. SOCl 2 , POCI 3 , PCI 3 , PBr 3 etc
- NBS or NIS to give compounds of formula (VII).
- Methods useful for synthesizing compounds of formula (VII) from compounds of formula (X) are also described in WO2005103052, WO2012033753 and Gudmundsson et al (Bioorg. Med. Chem. Lett. 2009, 19, 5689-5692).
- Compounds of formula (VII) can then be reacted with amines to give compounds of formula (IV), by methods as described by Gudmundsson et al
- compounds of formula (III) and formula (X) can be formed from commercially available starting material (compounds of formula XV), by reaction with compounds of formula (XI) or (XII) under conditions described in, for example, Griffith et al (Bioorg. Med. Chem. Lett. 2011, 21, 2641-2645); Hwang et al (Bioorg. Med. Chem. Lett. 2012, 22, 7297-7301); Chen et al (Bioorg. Med. Chem. Lett. 2004, 14, 3669-3673); Yu et al
- compounds of formula (XI), formula (XII) and formula (XIII) can be formed from commercially available starting material (compounds of formula XVI), by reaction with hydrazine under conditions described in several of the above- mentioned publications (Labroli, Chen, Hwang, Griffith, Yu, Bel Abed etc).
- salts include acid addition salts formed with inorganic acids, e.g. hydrochloric acid, hydrobromic acid, sulphuric acid, nitric acid, phosphoric acid; or formed with organic acids, e.g.
- acetic acid benzenesulfonic acid, benzoic acid, camphorsulfonic acid, citric acid, ethanesulfonic acid, fumaric acid, glucoheptonic acid, gluconic acid, glutamic acid, glycolic acid, hydroxynaphtoic acid, 2-hydroxyethanesulfonic acid, lactic acid, maleic acid, malic acid, malonic acid, mandelic acid, methanesulfonic acid, muconic acid, 2-naphthalenesulfonic acid, propionic acid, salicylic acid, succinic acid, tartaric acid, p-toluenesulfonic acid,
- Such acid are used which form suitably therapeutically acceptable salts.
- examples of such acids are hydrohalogen acids, sulfuric acid, phosphoric acid, nitric acid, aliphatic, alicyclic, aromatic or heterocyclic carboxylic or sulfonic acids, such as formic acid, acetic acid, propionic acid, succinic acid, glycolic acid, lactic acid, malic acid, tartaric acid, citric acid, ascorbic acid, maleic acid, hydroxymaleic acid, pyruvic acid, p-hydroxybenzoic acid, embonic acid, methanesulfonic acid,
- any asymmetric carbon atom may be present in the (R)- or (S)-configuration, and the compound may be present as a mixture of its stereoisomers, e.g. a racemic mixture, or one stereoisomer only.
- the compounds of the invention may be formulated in a wide variety of dosage forms.
- the pharmaceutical compositions and dosage forms may comprise a compound or compounds of the present invention or pharmaceutically acceptable salt(s) thereof as the active component.
- the pharmaceutically acceptable carriers may be either solid or liquid. Solid form preparations include powders, tablets, pills, lozenges, capsules, cachets, suppositories, and dispersible granules.
- a solid carrier may be one or more substances which may also act as diluents, flavouring agents, solubilizers, lubricants, suspending agents, binders, preservatives, tablet disintegrating agents, or an encapsulating material.
- the carrier In powders, the carrier generally is a finely divided solid which is a mixture with the finely divided active component.
- the active component In tablets, the active component generally is mixed with the carrier having the necessary binding capacity in suitable proportions and compacted in the shape and size desired.
- Suitable carriers include but are not limited to magnesium carbonate, magnesium stearate, talc, sugar, lactose, pectin, dextrin, starch, gelatine, tragacanth, methylcellulose, sodium carboxymethylcellulose, a low melting wax, cocoa butter, and the like.
- the formulation of the active compound may comprise an encapsulating material as carrier, providing a capsule in which the active component, with or without carriers, is surrounded by a carrier, which is in association with it.
- liquid form preparations including emulsions, syrups, elixirs, aqueous solutions, aqueous suspensions, or solid form preparations which are intended to be converted shortly before use to liquid form preparations.
- Emulsions may be prepared in solutions, for example, in aqueous propylene glycol solutions or may contain emulsifying agents, for example, such as lecithin, sorbitan monooleate, or acacia.
- Aqueous solutions can be prepared by dissolving the active component in water and adding suitable colorants, flavors, stabilizers, and thickening agents.
- compositions for rectal administration include suppositories which can contain, for example, a suitable non-irritating excipient, such as cocoa butter, synthetic glyceride esters or polyethylene glycols, which are solid at ordinary temperatures, but liquefy and/or dissolve in the rectal cavity to release the drug.
- a suitable non-irritating excipient such as cocoa butter, synthetic glyceride esters or polyethylene glycols, which are solid at ordinary temperatures, but liquefy and/or dissolve in the rectal cavity to release the drug.
- the pharmaceutical compositions of the invention may be in the form of a sterile injectable or infusible preparation, for example, as a sterile aqueous or oleaginous suspension.
- This suspension may be formulated according to techniques known in the art using suitable dispersing or wetting agents (e.g., Tween 80), and suspending agents.
- the sterile injectable or infusible preparation may also be a sterile injectable or infusible solution or suspension in a non-toxic parenterally acceptable diluent or solvent.
- the pharmaceutical composition may be a solution in 1,3-butanediol.
- acceptable vehicles and solvents include, but are not limited to, mannitol, water, Ringer's solution and isotonic sodium chloride solution.
- sterile, fixed oils are conventionally employed as a solvent or suspending medium.
- any bland fixed oil may be employed including synthetic mono- or diglycerides.
- Fatty acids, such as oleic acid and its glyceride derivatives are useful in the preparation of injectables, as are natural pharmaceutically acceptable oils, such as olive oil or castor oil, especially in their polyoxyethylated versions.
- These oil solutions or suspensions may also contain a long-chain alcohol diluent or dispersant.
- Suitable stabilizing agents include antioxidizing agents, such as sodium bisulfate, sodium sulfite or ascorbic acid, either alone or combined, citric acid and its salts and sodium EDTA.
- Suitable stabilizing agents include antioxidizing agents, such as sodium bisulfate, sodium sulfite or ascorbic acid, either alone or combined, citric acid and its salts and sodium EDTA.
- Suitable stabilizing agents include antioxidizing agents, such as sodium bisulfate, sodium sulfite or ascorbic acid, either alone or combined, citric acid and its salts and sodium EDTA.
- Parenteral solutions may also contain preservatives, such as
- compositions for inhalation may be prepared as solutions in saline, employing benzyl alcohol or other suitable preservatives, absorption promoters to enhance bioavailability, fluorocarbons, and/or other solubilising or dispersing agents known in the art.
- compositions of the invention also may be administered topically, to the skin or to a mucous membrane.
- the pharmaceutical composition may be e.g. a lotion, a gel, a paste, a tincture, a transdermal patch, a gel for transmucosal delivery.
- composition may be formulated as a suitable ointment containing the active components suspended or dissolved in a carrier.
- Carriers for topical administration of the compounds of this invention include, but are not limited to, mineral oil, liquid petroleum, white petroleum, propylene glycol, polyoxy ethylene polyoxypropylene compound, emulsifying wax and water.
- the pharmaceutical composition may be formulated as a suitable lotion or cream containing the active compound suspended or dissolved in a carrier.
- suitable carriers include, but are not limited to, mineral oil, sorbitan monostearate, polysorbate 60, cetyl esters wax, cetaryl alcohol, 2-octyldodecanol, benzyl alcohol and water.
- compositions of this invention may also be topically applied to the lower intestinal tract by rectal suppository formulation or in a suitable enema formulation.
- Suitable pharmaceutical excipients e.g. carriers, and methods of preparing pharmaceutical dosage forms are described in Remington's Pharmaceutical Sciences, Mack Publishing Company, a standard reference text in art of drug formulation.
- compositions may comprise from approximately 1 % to approximately 95%, preferably from approximately 20% to approximately 90% of a compound of formula (I), together with at least one pharmaceutically acceptable excipient.
- the compounds of the invention will be administered in a therapeutically effective amount by any of the accepted modes of administration for agents that serve similar utilities.
- Suitable daily dosages typically ranges from 1 to 1000 mg, e.g. 1-500 mg daily, or 1-50 mg daily, depending upon numerous factors such as the severity of the disease to be treated, the age and relative health of the patient, the potency of the compound used, the route and form of administration, and the indication towards which the administration is directed, etc.
- One of ordinary skill in the art of treating such diseases will be able, without undue experimentation and in reliance upon personal knowledge and the disclosure of this application, to ascertain a therapeutically effective amount of the compounds of the present invention for a given disease.
- Compounds of the invention may be administered as pharmaceutical formulations including those suitable for enteral or parenteral administration.
- the preferred manner of administration is generally oral using a convenient daily dosage regimen which can be adjusted according to the degree of affliction.
- the compound of the present invention is contemplated as useful for the treatment of diseases caused by R A viral infection in a mammal, e.g. non-enveloped single-stranded (+) R A viral infection, in particular diseases caused by picornaviruses, which is either a human or animal, but preferably a human.
- the picornavirus e.g. may be a Parechovirus (e.g. Ljungan or Parecho), a Cardiovirus (e.g. EMCV or Theiler's virus), Enterovirus (e.g. EV, Coxsackie, Polio, Rhino) or a hepatovirus.
- the picornavirus may be e.g. an
- Aphtho virus or a Tescho virus are e.g. neurodegenerative diseases such as multiple sclerosis, Parkinson's disease, amyotrophic lateral sclerosis, Alzheimer's disease,
- Huntington's disease Huntington's disease, poliomyelitis, encephalitis, meningitis, sepsis, cancer, paralysis, myocarditis, diabetes, common cold, hand-foot-and-mouth disease, herpangina, pleurodynia, diarrhea, mucocutaneous lesions, respiratory illness, conjunctivitis, myositis, and chronic fatigue syndrome.
- the present invention consequently also includes a compound of formula (I) for use in the treatment of any of the above mentioned conditions, as well as the use of a compound of formula (I) in the manufacturing of a medicament for the treatment of any of the above mentioned conditions.
- the invention also includes a method of treatment of any of the above mentioned conditions, by administering to an animal or human in need thereof, a compound of formula (I).
- a method of treatment of any of the above mentioned conditions by administering to an animal or human in need thereof, a compound of formula (I).
- the invention is further illustrated by some non-limiting examples.
- the organic layer was concentrated under vacuum at 45-50 °C to get crude compound.
- the crude compound was purified by flash column chromatography using ethyl acetate and hexane as eluant to afford 5 (2.1 g, 98.9%) as a yellow solid.
- the antiviral activity of compounds of the invention has been evaluated based on the ability of the compounds to prevent virus from causing viral cytopathic effects (CPE) in mammalian cell culture.
- CPE viral cytopathic effects
- Incubation time, cell line, cell density and virus titer differed from assay to assay but the general procedure was as follows: Cells were cultivated on 96 well flat bottom plates to approximately 90 % confluence (20 000-90 000 cells/well) in a suitable media. The titer of the virus was determined by the standard method of tissue culture infective dose (TCID 50 ) on cells. Briefly, cells were infected with 50 ⁇ of virus suspension, and diluted 10-fold in media.
- TCID 50 tissue culture infective dose
- the plates were incubated in 37 °C with 5 % C0 2 for 3-7 days and cells were inspected daily for CPE. After determining CPE , plates were stained with Gram's Crystal Violet solution and optical density was read at 540 nm. The highest virus dilution that resulted in > 95 % CPE was used in the assays. Substances at a final concentration of 2.5-20 ⁇ and the virus were added to the cells and incubated for 3-7 days depending on the virus and cell line used. As controls, uninfected cells and cells infected with virus (no substance) were included on each plate. The cells were stained with crystal violet after determining the CPE on infected controls and the optical density was read at 540 nm. The inhibition capacity was calculated as a % by comparison with non-infected and infected controls.
- mice Male BALB/c mice, weighing 22-26 grams were used with 4 animals/group.
- mice All experimental procedures involving animals were performed according to protocols approved by the Institutional Animal Ethics Committee of Anthem Biosciences.
- the mice, male BALB/c mice were housed 4 animals per cage and allowed access to feed and water ad libitum under controlled conditions. Mice were acclimatized for 7 days prior to the study. The animals were observed daily for general health during this period.
- mice/group were treated with intraperitoneal injection of cyclophosphamide (150 mg/kg), 2 days before and, on day “0" 4 hours before infection in order to become neutropenic. Infection and treatment
- mice were infected by intraperitoneal injection of 0.2 mL of saline containing 10 3 PFU of Coxsackie B3 virus, Nancy strain on day 0. The animals were then treated with the compound of Ex. 9, 200 mg/kg once daily per orally starting on day 1 (group 1) or on day 3 (group 2). The control group was treated with vehicle only (0.4% Tween 80, 2% glycerol and 15% ⁇ - hydroxypropyl cyclodextrin)
- the animals were observed daily during the study period for signs of mortality, morbidity (paralysis) and signs of acute toxicity. Abnormal clinical signs were recorded if observed.
- NOAEL No Observed Adverse Effect Level
- Treatment with test item Ex 9 at 250 and 750 mg/kg body weight/day for 7 days in Sprague Dawley rats did reveal adverse clinical signs in both sexes at 750 mg/kg and mortality in one female at 750 mg/kg.
- the treatment resulted in adverse effects on body weight, feed consumption, hematology, clinical chemistry and histopathology of the major organs evaluated at the 759 mg/kg dose level.
- NOAEL No Observed Adverse Effect Level
- NOAEL No Observed Adverse Effect Level
Landscapes
- Health & Medical Sciences (AREA)
- Chemical & Material Sciences (AREA)
- Organic Chemistry (AREA)
- Life Sciences & Earth Sciences (AREA)
- Veterinary Medicine (AREA)
- General Health & Medical Sciences (AREA)
- Public Health (AREA)
- Pharmacology & Pharmacy (AREA)
- Medicinal Chemistry (AREA)
- Animal Behavior & Ethology (AREA)
- Virology (AREA)
- Epidemiology (AREA)
- Oncology (AREA)
- Nuclear Medicine, Radiotherapy & Molecular Imaging (AREA)
- General Chemical & Material Sciences (AREA)
- Chemical Kinetics & Catalysis (AREA)
- Communicable Diseases (AREA)
- Molecular Biology (AREA)
- Nitrogen Condensed Heterocyclic Rings (AREA)
- Pharmaceuticals Containing Other Organic And Inorganic Compounds (AREA)
Abstract
Description
Claims
Priority Applications (11)
| Application Number | Priority Date | Filing Date | Title |
|---|---|---|---|
| RU2016134130A RU2689788C2 (en) | 2014-01-22 | 2015-01-21 | Pyrazolo[1,5-a]pyrimidines as antiviral compounds |
| AU2015208205A AU2015208205B2 (en) | 2014-01-22 | 2015-01-21 | Pyrazolo[1,5-a]pyrimidines as antiviral compounds |
| CA2935658A CA2935658C (en) | 2014-01-22 | 2015-01-21 | Pyrazolo[1,5-a]pyrimidin-7-amine derivatives useful in therapy |
| ES15702990T ES2954126T3 (en) | 2014-01-22 | 2015-01-21 | Pyrazolo[1,5-a]pyrimidine-7-amine derivatives useful in therapy |
| JP2016548033A JP6509238B2 (en) | 2014-01-22 | 2015-01-21 | Pyrazolo [1,5-a] pyrimidin-7-amine derivatives useful for therapy |
| NZ722290A NZ722290B2 (en) | 2014-01-22 | 2015-01-21 | Pyrazolo[1,5-a]pyrimidin-7-amine derivatives useful in therapy |
| CN201580005612.2A CN106061975B (en) | 2014-01-22 | 2015-01-21 | Pyrazolo [1,5-A] pyrimidine as antiviral compound |
| BR112016016798-8A BR112016016798B1 (en) | 2014-01-22 | 2015-01-21 | COMPOUND, PHARMACEUTICAL COMPOSITION, AND, USE OF A COMPOUND |
| US15/107,930 US9963455B2 (en) | 2014-01-22 | 2015-01-21 | Pyrazolo[1,5-a]pyrimidines as antiviral compounds |
| EP15702990.1A EP3096762B1 (en) | 2014-01-22 | 2015-01-21 | Pyrazolo[1,5-a]pyrimidines as antiviral compounds |
| ZA2016/05666A ZA201605666B (en) | 2014-01-22 | 2016-08-16 | Pyrazolo[1,5-a]pyrimidines as antiviral compounds |
Applications Claiming Priority (2)
| Application Number | Priority Date | Filing Date | Title |
|---|---|---|---|
| EP14152202.9 | 2014-01-22 | ||
| EP14152202 | 2014-01-22 |
Publications (2)
| Publication Number | Publication Date |
|---|---|
| WO2015110491A2 true WO2015110491A2 (en) | 2015-07-30 |
| WO2015110491A3 WO2015110491A3 (en) | 2015-09-17 |
Family
ID=49989585
Family Applications (1)
| Application Number | Title | Priority Date | Filing Date |
|---|---|---|---|
| PCT/EP2015/051177 Ceased WO2015110491A2 (en) | 2014-01-22 | 2015-01-21 | Pyrazolo[1,5-a]pyrimidin-7-amine derivatives useful in therapy |
Country Status (11)
| Country | Link |
|---|---|
| US (1) | US9963455B2 (en) |
| EP (1) | EP3096762B1 (en) |
| JP (1) | JP6509238B2 (en) |
| CN (1) | CN106061975B (en) |
| AU (1) | AU2015208205B2 (en) |
| BR (1) | BR112016016798B1 (en) |
| CA (1) | CA2935658C (en) |
| ES (1) | ES2954126T3 (en) |
| RU (1) | RU2689788C2 (en) |
| WO (1) | WO2015110491A2 (en) |
| ZA (1) | ZA201605666B (en) |
Cited By (9)
| Publication number | Priority date | Publication date | Assignee | Title |
|---|---|---|---|---|
| WO2018185120A1 (en) | 2017-04-05 | 2018-10-11 | Curovir Ab | Heteroaromatic compounds useful in therapy |
| CN108727386A (en) * | 2018-07-16 | 2018-11-02 | 广州医科大学 | A kind of pyrazolopyrimidine compound and its preparation method and application |
| WO2019141694A1 (en) * | 2018-01-17 | 2019-07-25 | Glaxosmithkline Intellectual Property Development Limited | Pi4kiiibeta inhibitors |
| WO2020074159A1 (en) | 2018-10-10 | 2020-04-16 | Curovir Ab | 2,6-dimethyl-n-((pyridin-4-yl)methyl)imidazo[1,2-b]pyridazin-8-amine and 2,5-dimethyl-n-[(pyridin-4-yl)methyl]pyrazolo[1,5-a]pyrimidin-7-amine derivatives for treating viral infections |
| WO2020074160A1 (en) | 2018-10-10 | 2020-04-16 | Curovir Ab | Condensed pyrimidine or pyridazine derivatives as antiviral agents |
| WO2021032611A1 (en) | 2019-08-20 | 2021-02-25 | Curovir Ab | Heteroaromatic compounds useful in therapy |
| RU2789127C2 (en) * | 2018-01-17 | 2023-01-30 | Глаксосмиткляйн Интеллектуал Проперти Девелопмент Лимитед | P14kiii beta inhibitors |
| US11952387B2 (en) | 2018-08-21 | 2024-04-09 | Kyorin Pharmaceutical Co., Ltd | Bicyclic heteroaromatic ring derivative |
| WO2024184442A1 (en) | 2023-03-09 | 2024-09-12 | Curovir Ab | Compound and formulation for systemic therapy by oral transmucosal administration |
Families Citing this family (1)
| Publication number | Priority date | Publication date | Assignee | Title |
|---|---|---|---|---|
| CN109988172B (en) * | 2019-01-10 | 2020-09-29 | 石家庄学院 | A kind of synthetic method of pyrazolo[1,5-A]pyrimidine heterocyclic compound and derivative |
Family Cites Families (11)
| Publication number | Priority date | Publication date | Assignee | Title |
|---|---|---|---|---|
| JP2585462B2 (en) * | 1989-10-25 | 1997-02-26 | 株式会社大塚製薬工場 | Pyrazolo [1,5-a] pyrimidine derivatives |
| US5688949A (en) * | 1991-04-22 | 1997-11-18 | Otsuka Pharmaceutical Factory, Inc. | Pyrazolo 1,5-A!pyrimidine derivatives and anti-inflammatory agent containing the same |
| US6313124B1 (en) | 1997-07-23 | 2001-11-06 | Dupont Pharmaceuticals Company | Tetrazine bicyclic compounds |
| HUP0202678A3 (en) * | 1999-09-30 | 2004-06-28 | Pfizer | Certain alkylene diamine-substituted pyrazolo[1,5,-a]-1,5-pyrimidines and pyrazolo[1,5-a]-1,3,5-triazines, pharmaceutical compositions containing them and their use |
| EP1504004B1 (en) * | 2002-05-10 | 2007-06-27 | SmithKline Beecham Corporation | Substituted pyrazolopyrimidines |
| DE60313872T2 (en) * | 2002-09-04 | 2008-01-17 | Schering Corp. | PYRAZOLOE1,5-ATPYRIMIDINES AS INHIBITORS CYCLINE-DEPENDENT KINASES |
| US7601724B2 (en) * | 2002-09-04 | 2009-10-13 | Schering Corporation | Substituted pyrazolo[1,5-a]pyrimidines as protein kinase inhibitors |
| GB0519957D0 (en) * | 2005-09-30 | 2005-11-09 | Sb Pharmco Inc | Chemical compound |
| WO2010086040A1 (en) * | 2009-01-29 | 2010-08-05 | Biomarin Iga, Ltd. | Pyrazolo-pyrimidines for treatment of duchenne muscular dystrophy |
| BR112012021198B1 (en) * | 2010-02-26 | 2021-12-14 | Mitsubishi Tanabe Pharma Corporation | PYRAZOLOPYRIMIDINE COMPOUNDS, RELATED COMPOSITIONS AND THEIR USE AS PDE10 INHIBITORS |
| US8633198B1 (en) * | 2011-09-20 | 2014-01-21 | Nant Holdings Ip, Llc | Small molecule inhibitors of influenza A RNA-dependent RNA polymerase |
-
2015
- 2015-01-21 AU AU2015208205A patent/AU2015208205B2/en active Active
- 2015-01-21 BR BR112016016798-8A patent/BR112016016798B1/en active IP Right Grant
- 2015-01-21 WO PCT/EP2015/051177 patent/WO2015110491A2/en not_active Ceased
- 2015-01-21 CA CA2935658A patent/CA2935658C/en active Active
- 2015-01-21 US US15/107,930 patent/US9963455B2/en active Active
- 2015-01-21 ES ES15702990T patent/ES2954126T3/en active Active
- 2015-01-21 RU RU2016134130A patent/RU2689788C2/en active
- 2015-01-21 JP JP2016548033A patent/JP6509238B2/en active Active
- 2015-01-21 CN CN201580005612.2A patent/CN106061975B/en active Active
- 2015-01-21 EP EP15702990.1A patent/EP3096762B1/en active Active
-
2016
- 2016-08-16 ZA ZA2016/05666A patent/ZA201605666B/en unknown
Cited By (22)
| Publication number | Priority date | Publication date | Assignee | Title |
|---|---|---|---|---|
| US11001587B2 (en) | 2017-04-05 | 2021-05-11 | Curovir Ab | Substituted indazoles as phosphatidylinositol kinase inhibitors |
| WO2018185120A1 (en) | 2017-04-05 | 2018-10-11 | Curovir Ab | Heteroaromatic compounds useful in therapy |
| CN110520424B (en) * | 2017-04-05 | 2022-06-21 | 库洛维公司 | Heteroaromatic compounds for therapy |
| CN110520424A (en) * | 2017-04-05 | 2019-11-29 | 库洛维公司 | Heteroaromatics for therapy |
| AU2018248581B2 (en) * | 2017-04-05 | 2022-05-26 | Curovir Ab | Heteroaromatic compounds useful in therapy |
| US11649238B2 (en) | 2018-01-17 | 2023-05-16 | Glaxosmithkline Intellectual Property Development Limited | Substituted pyrazolo[1,5-a]pyrimidines as PI4K inhibitors |
| KR102523513B1 (en) | 2018-01-17 | 2023-04-18 | 글락소스미스클라인 인털렉츄얼 프로퍼티 디벨로프먼트 리미티드 | PI4KIII beta inhibitor |
| IL276013B2 (en) * | 2018-01-17 | 2024-03-01 | Glaxosmithkline Ip Dev Ltd | PI4KIIIBETA inhibitors |
| IL276013B1 (en) * | 2018-01-17 | 2023-11-01 | Glaxosmithkline Ip Dev Ltd | Pi4kiiibeta inhibitors |
| KR20200109343A (en) * | 2018-01-17 | 2020-09-22 | 글락소스미스클라인 인털렉츄얼 프로퍼티 디벨로프먼트 리미티드 | PI4KIII beta inhibitor |
| AU2019208416B2 (en) * | 2018-01-17 | 2021-07-29 | Glaxosmithkline Intellectual Property Development Limited | PI4KIIIbeta inhibitors |
| RU2789127C2 (en) * | 2018-01-17 | 2023-01-30 | Глаксосмиткляйн Интеллектуал Проперти Девелопмент Лимитед | P14kiii beta inhibitors |
| WO2019141694A1 (en) * | 2018-01-17 | 2019-07-25 | Glaxosmithkline Intellectual Property Development Limited | Pi4kiiibeta inhibitors |
| CN108727386A (en) * | 2018-07-16 | 2018-11-02 | 广州医科大学 | A kind of pyrazolopyrimidine compound and its preparation method and application |
| US11952387B2 (en) | 2018-08-21 | 2024-04-09 | Kyorin Pharmaceutical Co., Ltd | Bicyclic heteroaromatic ring derivative |
| WO2020074159A1 (en) | 2018-10-10 | 2020-04-16 | Curovir Ab | 2,6-dimethyl-n-((pyridin-4-yl)methyl)imidazo[1,2-b]pyridazin-8-amine and 2,5-dimethyl-n-[(pyridin-4-yl)methyl]pyrazolo[1,5-a]pyrimidin-7-amine derivatives for treating viral infections |
| CN112969703A (en) * | 2018-10-10 | 2021-06-15 | 库洛维公司 | 2, 6-dimethyl-N- ((pyridin-4-yl) methyl) imidazo [1,2-b ] pyridazin-8-amine and 2, 5-dimethyl-N- [ (pyridin-4-yl) methyl ] pyrazolo [1,5-a ] pyrimidin-7-amine derivatives for the treatment of viral infections |
| WO2020074160A1 (en) | 2018-10-10 | 2020-04-16 | Curovir Ab | Condensed pyrimidine or pyridazine derivatives as antiviral agents |
| AU2019359166B2 (en) * | 2018-10-10 | 2024-07-11 | Curovir Ab | 2,6-dimethyl-N-((pyridin-4-yl)methyl)imidazo(1,2-b)pyridazin-8-amine and 2,5-dimethyl-N-((pyridin-4-yl)methyl)pyrazolo(1,5-a)pyrimidin-7-amine derivatives for treating viral infections |
| US12319696B2 (en) | 2018-10-10 | 2025-06-03 | Curovir Ab | 2,6-dimethyl-n-((pyridin-4-yl)methyl)imidazo[1,2-b]pyridazin-8-amine and 2,5-dimethyl-n-[(pyridin-4-yl)methyl]pyrazolo[1,5-a]pyrimidin-7-amine derivatives for treating viral infections |
| WO2021032611A1 (en) | 2019-08-20 | 2021-02-25 | Curovir Ab | Heteroaromatic compounds useful in therapy |
| WO2024184442A1 (en) | 2023-03-09 | 2024-09-12 | Curovir Ab | Compound and formulation for systemic therapy by oral transmucosal administration |
Also Published As
| Publication number | Publication date |
|---|---|
| AU2015208205A1 (en) | 2016-08-18 |
| EP3096762C0 (en) | 2023-06-28 |
| CA2935658C (en) | 2023-02-21 |
| NZ722290A (en) | 2021-08-27 |
| BR112016016798A2 (en) | 2017-08-08 |
| JP6509238B2 (en) | 2019-05-08 |
| RU2016134130A (en) | 2018-02-26 |
| JP2017503830A (en) | 2017-02-02 |
| EP3096762B1 (en) | 2023-06-28 |
| CN106061975B (en) | 2019-09-24 |
| CA2935658A1 (en) | 2015-07-30 |
| WO2015110491A3 (en) | 2015-09-17 |
| ZA201605666B (en) | 2021-01-27 |
| EP3096762A2 (en) | 2016-11-30 |
| US9963455B2 (en) | 2018-05-08 |
| ES2954126T3 (en) | 2023-11-20 |
| BR112016016798B1 (en) | 2022-06-28 |
| US20160318937A1 (en) | 2016-11-03 |
| RU2016134130A3 (en) | 2018-08-30 |
| RU2689788C2 (en) | 2019-05-29 |
| CN106061975A (en) | 2016-10-26 |
| AU2015208205B2 (en) | 2019-12-05 |
Similar Documents
| Publication | Publication Date | Title |
|---|---|---|
| AU2015208205B2 (en) | Pyrazolo[1,5-a]pyrimidines as antiviral compounds | |
| EP3313842B1 (en) | Pyrazolo[1,5-a]triazin-4-amine derivatives useful in therapy | |
| RU2770363C2 (en) | Heteroaromatic compounds suitable in therapy | |
| KR102821765B1 (en) | 2,6-Dimethyl-N-((pyridin-4-yl)methyl)imidazole[1,2-b]pyridazin-8-amine and 2,5-dimethyl-N-[(pyridin-4-yl)methyl]pyrazolo[1,5-a]pyrimidin-7-amine derivatives for treating viral infections | |
| JP6071012B2 (en) | 4-Amino-3-phenylamino-6-phenylpyrazolo [3,4-d] pyrimidine derivatives, their preparation and use as antiviral agents | |
| WO2020074160A1 (en) | Condensed pyrimidine or pyridazine derivatives as antiviral agents | |
| EP4442692A1 (en) | Imidazothiazole derivative, preparation method therefor, and application thereof | |
| NZ722290B2 (en) | Pyrazolo[1,5-a]pyrimidin-7-amine derivatives useful in therapy | |
| HK1254809B (en) | Pyrazolo[1,5-a]triazin-4-amine derivatives useful in therapy | |
| HK40019049B (en) | Heteroaromatic compounds useful in therapy | |
| HK40019049A (en) | Heteroaromatic compounds useful in therapy |
Legal Events
| Date | Code | Title | Description |
|---|---|---|---|
| 121 | Ep: the epo has been informed by wipo that ep was designated in this application |
Ref document number: 15702990 Country of ref document: EP Kind code of ref document: A2 |
|
| WWE | Wipo information: entry into national phase |
Ref document number: 15107930 Country of ref document: US |
|
| ENP | Entry into the national phase |
Ref document number: 2935658 Country of ref document: CA |
|
| ENP | Entry into the national phase |
Ref document number: 2016548033 Country of ref document: JP Kind code of ref document: A |
|
| NENP | Non-entry into the national phase |
Ref country code: DE |
|
| REG | Reference to national code |
Ref country code: BR Ref legal event code: B01A Ref document number: 112016016798 Country of ref document: BR |
|
| REEP | Request for entry into the european phase |
Ref document number: 2015702990 Country of ref document: EP |
|
| WWE | Wipo information: entry into national phase |
Ref document number: 2015702990 Country of ref document: EP |
|
| ENP | Entry into the national phase |
Ref document number: 2015208205 Country of ref document: AU Date of ref document: 20150121 Kind code of ref document: A |
|
| ENP | Entry into the national phase |
Ref document number: 2016134130 Country of ref document: RU Kind code of ref document: A |
|
| ENP | Entry into the national phase |
Ref document number: 112016016798 Country of ref document: BR Kind code of ref document: A2 Effective date: 20160720 |
















































































