WO2014058747A1 - 5-phenoxy-3h-pyrimidin-4-one derivatives and their use as hiv reverse transcriptase inhibitors - Google Patents

5-phenoxy-3h-pyrimidin-4-one derivatives and their use as hiv reverse transcriptase inhibitors Download PDF

Info

Publication number
WO2014058747A1
WO2014058747A1 PCT/US2013/063612 US2013063612W WO2014058747A1 WO 2014058747 A1 WO2014058747 A1 WO 2014058747A1 US 2013063612 W US2013063612 W US 2013063612W WO 2014058747 A1 WO2014058747 A1 WO 2014058747A1
Authority
WO
WIPO (PCT)
Prior art keywords
oxo
methyl
chloro
dihydropyrimidin
oxy
Prior art date
Legal status (The legal status is an assumption and is not a legal conclusion. Google has not performed a legal analysis and makes no representation as to the accuracy of the status listed.)
Ceased
Application number
PCT/US2013/063612
Other languages
French (fr)
Inventor
Kenneth L. Arrington
Christopher Burgey
Robert Gilfillan
Yongxin Han
Mehul Patel
Chun Sing Li
Yaozong LI
Yunfu Luo
Jiayi Xu
Current Assignee (The listed assignees may be inaccurate. Google has not performed a legal analysis and makes no representation or warranty as to the accuracy of the list.)
Organon Pharma UK Ltd
Merck Sharp and Dohme LLC
Original Assignee
Merck Sharp and Dohme Ltd
Merck Sharp and Dohme LLC
Priority date (The priority date is an assumption and is not a legal conclusion. Google has not performed a legal analysis and makes no representation as to the accuracy of the date listed.)
Filing date
Publication date
Priority to HRP20171819TT priority Critical patent/HRP20171819T1/en
Priority to PL17191307T priority patent/PL3295942T3/en
Priority to MA37959A priority patent/MA37959A2/en
Priority to AP2015008355A priority patent/AP2015008355A0/en
Priority to NO13776702A priority patent/NO2903977T3/no
Priority to PL13776702T priority patent/PL2903977T3/en
Priority to SI201330835T priority patent/SI2903977T1/en
Priority to MEP-2017-264A priority patent/ME02918B/en
Priority to EA201590674A priority patent/EA033436B1/en
Priority to RS20171164A priority patent/RS56543B1/en
Priority to LTEP13776702.6T priority patent/LT2903977T/en
Priority to AU2013329552A priority patent/AU2013329552B8/en
Priority to ES13776702.6T priority patent/ES2645638T3/en
Priority to MD20150047A priority patent/MD4625C1/en
Priority to PL19210167T priority patent/PL3656384T3/en
Priority to HK15107948.1A priority patent/HK1207369B/en
Priority to EP19210167.3A priority patent/EP3656384B1/en
Priority to JP2015535852A priority patent/JP5877281B2/en
Priority to EP13776702.6A priority patent/EP2903977B1/en
Priority to SG11201502620UA priority patent/SG11201502620UA/en
Priority to MX2015004448A priority patent/MX355040B/en
Application filed by Merck Sharp and Dohme Ltd, Merck Sharp and Dohme LLC filed Critical Merck Sharp and Dohme Ltd
Priority to KR1020157011661A priority patent/KR101696128B1/en
Priority to UAA201504486A priority patent/UA114006C2/en
Priority to MYPI2015000836A priority patent/MY192716A/en
Priority to CA2887312A priority patent/CA2887312C/en
Priority to EP17191307.2A priority patent/EP3295942B1/en
Priority to CN201380061513.7A priority patent/CN104822670B/en
Priority to DK13776702.6T priority patent/DK2903977T3/en
Priority to BR112015007742A priority patent/BR112015007742B8/en
Priority to NZ706729A priority patent/NZ706729A/en
Publication of WO2014058747A1 publication Critical patent/WO2014058747A1/en
Priority to TNP2015000106A priority patent/TN2015000106A1/en
Priority to IL238090A priority patent/IL238090B/en
Priority to PH12015500764A priority patent/PH12015500764B1/en
Priority to CR20150183A priority patent/CR20150183A/en
Anticipated expiration legal-status Critical
Priority to ZA2015/03143A priority patent/ZA201503143B/en
Priority to CY20171101214T priority patent/CY1119655T1/en
Priority to CY20201100097T priority patent/CY1122585T1/en
Priority to CY20221100247T priority patent/CY1125202T1/en
Ceased legal-status Critical Current

Links

Classifications

    • CCHEMISTRY; METALLURGY
    • C07ORGANIC CHEMISTRY
    • C07DHETEROCYCLIC COMPOUNDS
    • C07D401/00Heterocyclic compounds containing two or more hetero rings, having nitrogen atoms as the only ring hetero atoms, at least one ring being a six-membered ring with only one nitrogen atom
    • C07D401/14Heterocyclic compounds containing two or more hetero rings, having nitrogen atoms as the only ring hetero atoms, at least one ring being a six-membered ring with only one nitrogen atom containing three or more hetero rings
    • CCHEMISTRY; METALLURGY
    • C07ORGANIC CHEMISTRY
    • C07DHETEROCYCLIC COMPOUNDS
    • C07D471/00Heterocyclic compounds containing nitrogen atoms as the only ring hetero atoms in the condensed system, at least one ring being a six-membered ring with one nitrogen atom, not provided for by groups C07D451/00 - C07D463/00
    • C07D471/02Heterocyclic compounds containing nitrogen atoms as the only ring hetero atoms in the condensed system, at least one ring being a six-membered ring with one nitrogen atom, not provided for by groups C07D451/00 - C07D463/00 in which the condensed system contains two hetero rings
    • C07D471/04Ortho-condensed systems
    • AHUMAN NECESSITIES
    • A61MEDICAL OR VETERINARY SCIENCE; HYGIENE
    • A61KPREPARATIONS FOR MEDICAL, DENTAL OR TOILETRY PURPOSES
    • A61K31/00Medicinal preparations containing organic active ingredients
    • A61K31/33Heterocyclic compounds
    • A61K31/395Heterocyclic compounds having nitrogen as a ring hetero atom, e.g. guanethidine or rifamycins
    • A61K31/495Heterocyclic compounds having nitrogen as a ring hetero atom, e.g. guanethidine or rifamycins having six-membered rings with two or more nitrogen atoms as the only ring heteroatoms, e.g. piperazine or tetrazines
    • A61K31/505Pyrimidines; Hydrogenated pyrimidines, e.g. trimethoprim
    • A61K31/513Pyrimidines; Hydrogenated pyrimidines, e.g. trimethoprim having oxo groups directly attached to the heterocyclic ring, e.g. cytosine
    • AHUMAN NECESSITIES
    • A61MEDICAL OR VETERINARY SCIENCE; HYGIENE
    • A61KPREPARATIONS FOR MEDICAL, DENTAL OR TOILETRY PURPOSES
    • A61K45/00Medicinal preparations containing active ingredients not provided for in groups A61K31/00 - A61K41/00
    • A61K45/06Mixtures of active ingredients without chemical characterisation, e.g. antiphlogistics and cardiaca
    • AHUMAN NECESSITIES
    • A61MEDICAL OR VETERINARY SCIENCE; HYGIENE
    • A61PSPECIFIC THERAPEUTIC ACTIVITY OF CHEMICAL COMPOUNDS OR MEDICINAL PREPARATIONS
    • A61P31/00Antiinfectives, i.e. antibiotics, antiseptics, chemotherapeutics
    • A61P31/12Antivirals
    • A61P31/14Antivirals for RNA viruses
    • A61P31/18Antivirals for RNA viruses for HIV
    • CCHEMISTRY; METALLURGY
    • C07ORGANIC CHEMISTRY
    • C07DHETEROCYCLIC COMPOUNDS
    • C07D239/00Heterocyclic compounds containing 1,3-diazine or hydrogenated 1,3-diazine rings
    • C07D239/02Heterocyclic compounds containing 1,3-diazine or hydrogenated 1,3-diazine rings not condensed with other rings
    • C07D239/24Heterocyclic compounds containing 1,3-diazine or hydrogenated 1,3-diazine rings not condensed with other rings having three or more double bonds between ring members or between ring members and non-ring members
    • C07D239/28Heterocyclic compounds containing 1,3-diazine or hydrogenated 1,3-diazine rings not condensed with other rings having three or more double bonds between ring members or between ring members and non-ring members with hetero atoms or with carbon atoms having three bonds to hetero atoms with at the most one bond to halogen, directly attached to ring carbon atoms
    • C07D239/46Two or more oxygen, sulphur or nitrogen atoms
    • C07D239/52Two oxygen atoms
    • CCHEMISTRY; METALLURGY
    • C07ORGANIC CHEMISTRY
    • C07DHETEROCYCLIC COMPOUNDS
    • C07D239/00Heterocyclic compounds containing 1,3-diazine or hydrogenated 1,3-diazine rings
    • C07D239/02Heterocyclic compounds containing 1,3-diazine or hydrogenated 1,3-diazine rings not condensed with other rings
    • C07D239/24Heterocyclic compounds containing 1,3-diazine or hydrogenated 1,3-diazine rings not condensed with other rings having three or more double bonds between ring members or between ring members and non-ring members
    • C07D239/28Heterocyclic compounds containing 1,3-diazine or hydrogenated 1,3-diazine rings not condensed with other rings having three or more double bonds between ring members or between ring members and non-ring members with hetero atoms or with carbon atoms having three bonds to hetero atoms with at the most one bond to halogen, directly attached to ring carbon atoms
    • C07D239/46Two or more oxygen, sulphur or nitrogen atoms
    • C07D239/52Two oxygen atoms
    • C07D239/54Two oxygen atoms as doubly bound oxygen atoms or as unsubstituted hydroxy radicals
    • CCHEMISTRY; METALLURGY
    • C07ORGANIC CHEMISTRY
    • C07DHETEROCYCLIC COMPOUNDS
    • C07D239/00Heterocyclic compounds containing 1,3-diazine or hydrogenated 1,3-diazine rings
    • C07D239/02Heterocyclic compounds containing 1,3-diazine or hydrogenated 1,3-diazine rings not condensed with other rings
    • C07D239/24Heterocyclic compounds containing 1,3-diazine or hydrogenated 1,3-diazine rings not condensed with other rings having three or more double bonds between ring members or between ring members and non-ring members
    • C07D239/28Heterocyclic compounds containing 1,3-diazine or hydrogenated 1,3-diazine rings not condensed with other rings having three or more double bonds between ring members or between ring members and non-ring members with hetero atoms or with carbon atoms having three bonds to hetero atoms with at the most one bond to halogen, directly attached to ring carbon atoms
    • C07D239/46Two or more oxygen, sulphur or nitrogen atoms
    • C07D239/56One oxygen atom and one sulfur atom
    • CCHEMISTRY; METALLURGY
    • C07ORGANIC CHEMISTRY
    • C07DHETEROCYCLIC COMPOUNDS
    • C07D403/00Heterocyclic compounds containing two or more hetero rings, having nitrogen atoms as the only ring hetero atoms, not provided for by group C07D401/00
    • C07D403/02Heterocyclic compounds containing two or more hetero rings, having nitrogen atoms as the only ring hetero atoms, not provided for by group C07D401/00 containing two hetero rings
    • C07D403/06Heterocyclic compounds containing two or more hetero rings, having nitrogen atoms as the only ring hetero atoms, not provided for by group C07D401/00 containing two hetero rings linked by a carbon chain containing only aliphatic carbon atoms
    • CCHEMISTRY; METALLURGY
    • C07ORGANIC CHEMISTRY
    • C07DHETEROCYCLIC COMPOUNDS
    • C07D403/00Heterocyclic compounds containing two or more hetero rings, having nitrogen atoms as the only ring hetero atoms, not provided for by group C07D401/00
    • C07D403/14Heterocyclic compounds containing two or more hetero rings, having nitrogen atoms as the only ring hetero atoms, not provided for by group C07D401/00 containing three or more hetero rings
    • CCHEMISTRY; METALLURGY
    • C07ORGANIC CHEMISTRY
    • C07DHETEROCYCLIC COMPOUNDS
    • C07D405/00Heterocyclic compounds containing both one or more hetero rings having oxygen atoms as the only ring hetero atoms, and one or more rings having nitrogen as the only ring hetero atom
    • C07D405/14Heterocyclic compounds containing both one or more hetero rings having oxygen atoms as the only ring hetero atoms, and one or more rings having nitrogen as the only ring hetero atom containing three or more hetero rings

Definitions

  • HIV human immunodeficiency virus
  • HIV-1 HIV type-1
  • HIV-2 type-2
  • AIDS immunosuppressive disease
  • HIV seropositive individuals are initially asymptomatic but typically develop AIDS related complex (ARC) followed by AIDS.
  • ARC AIDS related complex
  • Affected individuals exhibit severe immunosuppression which makes them highly susceptible to debilitating and ultimately fatal opportunistic infections.
  • Replication of HIV by a host cell requires integration of the viral genome into the host cell's DNA. Since HIV is a retrovirus, the HIV replication cycle requires transcription of the viral RNA genome into DNA via an enzyme known as reverse transcriptase (RT).
  • RT reverse transcriptase
  • Reverse transcriptase has three known enzymatic functions: The enzyme acts as an RNA-dependent DNA polymerase, as a ribonuclease, and as a DNA-dependent DNA polymerase. In its role as an RNA-dependent DNA polymerase, RT transcribes a single- stranded DNA copy of the viral RNA. As a ribonuclease, RT destroys the original viral RNA and frees the DNA just produced from the original RNA. And as a DNA-dependent DNA polymerase, RT makes a second, complementary DNA strand using the first DNA strand as a template. The two strands form double-stranded DNA, which is integrated into the host cell's genome by the integrase enzyme.
  • RT inhibitors 3'-azido- 3'-deoxythymidine (AZT), 2', 3'- dideoxyinosine (ddl), 2',3'- dideoxycytidine (ddC), d4T, 3TC, nevirapine, delavirdine, efavirenz, abacavir, emtricitabine, and tenofovir.
  • WO 2001/034578 discloses certain substituted azoles (including, for example, certain imidazoles and benzimidazoles) having anti-Helicobacter pylori activity.
  • WO '578 discloses l-[(3-methyl-4-phenoxy-2-pyridinyl)methyl]-lH-benzimidazole (see Compound 91 on page 40).
  • WO 2004/085406 and corresponding US 7189718 disclose certain benzyl pyridazinones as reverse transcriptase inhibitors.
  • WO 2005/102989 and corresponding US 7166738 disclose certain N-phenyl 2- phenylacetamides to be non-nucleoside reverse transcriptase inhibitors.
  • WO 2006/067587 discloses certain biaryl ether derivatives to be modulators of the reverse transcriptase enzyme.
  • WO 2007/045572 and WO 2007/045573 disclose certain 2-(2-phenoxyphenyl) N-phenyl acetamides as non-nucleoside reverse transcriptase inhibitors.
  • WO 2008/076225 discloses certain indazoles, benzotriazoles and related bicyclic compounds as HIV reverse transcriptase inhibitors.
  • WO 2009/067166 discloses certain aryloxy-, cycloalkyloxy-, and heterocyclyloxy-pyridines and related compounds.
  • the compounds are HIV reverse transcriptase inhibitors suitable, for example, for the treatment of infection by HIV.
  • the compounds disclosed are certain 3-(3,5-disubstituted phenoxy)-l-(lH-pyrazolo[3,4- 3 ⁇ 4]pyridin-3-ylmethyl)-4-(substituted)pyridin-2(lH)-ones.
  • US 2004/0192704 discloses certain 3-(phenoxy)benzyl substituted 5- membered triazolones, oxadiazolones, and thiadiazolones.
  • the compounds are disclosed to be non-nucleoside reverse transcriptase inhibitors useful for the treatment or prophylaxis of HIV mediated diseases.
  • US 2007/0021442 and WO 2007/015812 disclose certain substituted aromatic compounds.
  • the compounds are HIV reverse transcriptase inhibitors suitable, for example, for the treatment of infection by HIV.
  • WO 2009/067166 and WO2011/120133 discloses HIV non-nucleoside reverse transcriptase inhibitors.
  • the present invention is directed to 4-pyrimidinone derivatives and their use in the inhibition of HIV reverse transcriptase, the prophylaxis of infection by HIV, the treatment of infection by HIV, and the prophylaxis, treatment, and delay in the onset or progression of AIDS and/or ARC.
  • Embodiment 1 encompasses compounds of Formula I:
  • M is CH2, CH2CH2, CH2CH2CH2, CH(CH3), C(CH3)2 or C(0)N(RA);
  • Z is selected from the group consisting of: pyridazine, pyridazinone, pyrimidine, pyrimidinone, pyrazine, pyrazinone, triazine and triazinone, each optionally substituted with one or more substituents up to the maximum number allowed by valence selected from R4 and R5; each R1 is independently selected from the group consisting of: halogen, CN, NO2, C ⁇ -4 alkyl, C1.4 haloalkyl, C2-4 alkenyl, OH, O-C1.4 alkyl, O-C 1.4 haloalkyl, N(RA)RB ? C(0)N(RA)RB, C(0)RA, CO2RA, SRA, S(0)RA, SO2RA, S02N(RA)RB, S02N(RA)C(0)RB or C2-4 al
  • R2 is selected from the group consisting of:
  • Cl-6 alkyl substituted with from 1 to 3 substituents each of which is independently OH, O-Cl-6 alkyl, O-Cl-6 haloalkyl, CN, NO2, N(RA)RB, C(0)N(RA)RB, C(0)RA CO2RA, SRA S(0)RA, S(0)2RA, S(0)2N(RA)RB, N(RA)C(0)RB, N(RA)C02R B , N(RA)S(0)2R B ,
  • N(RA)S(0)2N(RA)RB OC(0)N(RA)RB, N(RA)C(0)N(RA)RB, or N(RA)C(0)C(0)N(RA)RB,
  • O-Cl-6 alkyl in which the alkyl is optionally substituted with 1 to 3 substituents independently selected from OH, O-Cl-6 alkyl, O-Cl-6 haloalkyl, CN, N(RA)RB, C(0)N(RA)RB, C(0)RA CO2RA, SRA S(0)RA, S(0)2RA, or S(0)2N(RA)RB,
  • R3 is H, Cl-6 alkyl, halogen, CN, Cl-6 fluoroalkyl, OH, O-Cl-6 alkyl and O-Ci-6 haloalkyl;
  • R4 and R5 are each independently selected from:
  • substituents up to the maximum number allowed by valence selected from OH, O-Cl-6 alkyl, O-Cl-6 haloalkyl, CN, NO2, N(RA)RB, C(0)N(RA)RB, C(0)RA CO2RA, SRA, S(0)RA, S(0)2RA, S(0)2N(RA)RB, N(RA)C(0)RB, N(RA)C02R B , N(RA)S(0)2R B , N(RA)S(0)2N(RA)RB, OC(0)N(RA)RB ? N(RA)C(0)N(RA)RB ? N(RA)C(0)C(0)N(RA)RB ? CycB, ArylB and HetB
  • O-Cl-6 alkyl in which the alkyl portion is optionally substituted with one or more substituents up to the maximum number allowed by valence selected from OH, O-Cl-6 alkyl, O-Cl-6 haloalkyl, CN, NO2, N(RA)RB,
  • substituents up to the maximum number allowed by valence selected from OH, O-Cl-6 alkyl, O-Cl-6 haloalkyl, CN, NO2, N(RA)RB, C(0)N(RA)RB, C(0)RA CO2RA, SRA S(0)RA S(0)2RA, S(0)2N(RA)RB, N(RA)C(0)RB, N(RA)C02R B , N(RA)S(0)2R B , N(RA)S(0)2N(RA)RB, OC(0)N(RA)RB, N(RA)C(0)N(RA)RB, N(RA)C(0)C(0)N(RA)RB, CycB,
  • CycA, CycB and CycC are independently a carbocyclyl which is a C3.8 cycloalkyl, a C5.8 cycloalkenyl, or a C7- I2 bicyclic, saturated or unsaturated, non-aromatic ring system wherein one ring is fused to or bridged with the other ring; wherein the carbocyclyl is optionally substituted with a total of from 1 to 6 substituents, wherein:
  • Ci-6 alkenyl substituted with CN, and (ii) from zero to 2 substituents are each independently:
  • J-AryQ, J-HetQ, or J-HetR J-AryQ, J-HetQ, or J-HetR
  • J-AryQ, J-HetQ, or J-HetR
  • ArylA, ArylB and ArylC are independently aryl which is optionally substituted with a total of from 1 to 8 substituents, wherein:
  • Cl-6 haloalkyl which is optionally substituted with 1 to 3 additional substituents each of which is indepednently selected from OH, O-Cl-6 alkyl, O-Cl-6 haloalkyl, CN, N02, N(RA)RB, C(0)N(RA)RB, C(0)RA C02R A , SRA, S(0)RA S(0)2RA, S(0)2N(RA)RB, N(RA)C(0)RB, N(RA)C02R B , N(RA)S(0)2R B ,
  • N(RA)S(0)2R B N(RA)S(0)2N(RA)RB, OC(0)N(RA)RB
  • C2-6 alkynyl substituted with from 1 to 3 substituents each of which is independently OH, O-Ci-6 alkyl, O-Ci-6 haloalkyl, CN, NO2, N(RA)RB, C(0)N(RA)RB, C(0)RA, CO2RA, SRA, S(0)RA
  • N(RA)S(0)2R B N(RA)S(0)2N(RA)RB, OC(0)N(RA)RB
  • J-AryQ, J-HetQ, or J-HetR
  • HetA, HetB and HetC are independently a heterocyclyl or heteroaryl which is optionally substituted with a total of from 1 to 8 substituents, wherein:
  • Cl-6 haloalkyl which is optionally substituted with 1 to 3 additional substituents each of which is indepednently selected from OH, O-Cl-6 alkyl, O-Cl-6 haloalkyl, CN, NO2, N(RA)RB, C(0)N(RA)RB, C(0)RA C02R A , BRA S(0)RA S(0)2RA, S(0)2N(RA)RB, N(RA)C(0)RB, N(RA)C02R B , N(RA)S(0)2R B ,
  • N(RA)S(0)2R B N(RA)S(0)2N(RA)RB, OC(0)N(RA)RB
  • C2-6 alkynyl substituted with from 1 to 3 substituents each of which is independently OH, O-Ci-6 alkyl, O-Ci-6 haloalkyl, CN, NO2,
  • N(RA)S(0)2R B N(RA)S(0)2N(RA)RB, OC(0)N(RA)RB
  • each CycQ is independently C3-8 cycloalkyl or C5-8 cycloalkenyl, wherein the cycloalkyl or cycloalkenyl is optionally substituted with from 1 to 4 substituents, each of which is independently halogen, Cl-6 alkyl, OH, O-Cl-6 alkyl, Cl-6 haloalkyl, or O-Cl-6 haloalkyl; each AryQ is independently phenyl or naphthyl, wherein the phenyl or naphthyl is optionally substituted with from 1 to 5 substituents each of which is independently halogen, CN, NO2,
  • each HetQ is independently a heteroaryl which is optionally substituted with from 1 to 4 substituents each of which is independently halogen, Cl-6 alkyl, Cl-6 haloalkyl, OH, O-Cl-6 alkyl, O-Cl-6 haloalkyl, N(RA)RB, C(0)N(RA)RB, C(0)RA CO2RA, SO2RA,
  • each HetR is independently a 4- to 7-membered, saturated or unsaturated, non-aromatic heterocyclic ring containing at least one carbon atom and from 1 to 4 heteroatoms
  • each S is independently selected from N, O and S, where each S is optionally oxidized to S(O) or
  • saturated or unsaturated heterocyclic ring is optionally substituted with from 1 to 4 substituents each of which is independently halogen, CN, Cl-6 alkyl, OH, oxo, O-Cl-6 alkyl, Cl-6 haloalkyl, O-Cl-6 haloalkyl, C(0)N(RA)RB, C(0)RA C02R a , or S02RA;
  • each J is independently:
  • each RA, RB ? RC and RD are independently selected from H, C ⁇ -6 alkyl and C3_6cycloalkyl, wherein said C ⁇ -6 alkyl and C3_6cycloalkyl are optionally substituted with one or more substituents up to the maximum number allowed by valence selected from the group consisting of: halogen, OH, CN, Cl-4alkoxy, C3-6cycloalkyl and phenyl; or alternatively each pair of RC and RD together with the nitrogen to which they are both attached form a 4- to 7-membered saturated or mono-unsaturated ring which optionally contains a heteroatom in addition to the N to which RC and RD are attached, wherein the additional heteroatom is selected from N, O, and S; wherein the ring is optionally substituted with 1 or 2 substituents each of which is independently Cl-6 alkyl, C(0)RA, C(0)ORA,
  • each aryl is independently (i) phenyl, (ii) a 9- or 10-membered bicyclic, fused carbocylic ring system in which at least one ring is aromatic, or (iii) an 11- to 14-membered tricyclic, fused carbocyclic ring system in which at least one ring is aromatic;
  • each heterocyclyl is independently (i) a 4- to 8-membered, saturated or unsaturated monocyclic ring, (ii) a 7- to 12-membered bicyclic ring system, or (iii) a 10- to 18-membered tricyclic ring system, wherein each ring in (ii) or (iii) is independent of, fused to, or bridged with the other ring or rings and each ring is saturated or unsaturated; wherein the monocyclic ring contains from 1 to 4 heteroatoms and a balance of carbon atoms; the bicyclic ring system or tricyclic ring system contains from 1 to 8 heteroatoms and a balance of carbon atoms, wherein one or more of the rings contain one or more of the heteroatoms; wherein the heteroatoms are selected from N, O and S; and wherein any one or more of the nitrogen and sulfur heteroatoms is optionally oxidized, and any one or more of the nitrogen heteroatoms is optionally quaternized;
  • each heteroaryl is independently (i) a 5- or 6-membered heteroaromatic ring containing from 1 to 4 heteroatoms independently selected from N, O and S, wherein each N is optionally in the form of an oxide, or (ii) a 9- or 10-membered heterobicyclic, fused ring system containing from 1 to 4 heteroatoms independently selected from N, O and S, wherein either one or both of the rings contain one or more of the heteroatoms, at least one ring is aromatic, each N is optionally in the form of an oxide, and each S in a ring which is not aromatic is optionally
  • Embodiment 1 A encompasses compounds of Formula I, or a pharmaceutically acceptable salt thereof, wherein two R1 groups present and selected from the group consisting of: F, Br, CI, OCHF2, CF3 or CN.
  • Embodiment 2 encompasses compounds of Formula la, or a pharmaceutically acceptable salt thereof:
  • ⁇ and ⁇ 2 are each independently F, Br, CI, OCHF2,
  • Embodiment 3 encompass compounds of Formula la, or a pharmaceutically acceptable salt thereof, wherein:
  • ⁇ 2 is chloro and ⁇ is cyano, or bromo and ⁇ chloro, ⁇ is cyano and Kl is cyano, or
  • is cyano and K 1 is difluoromethoxy, or
  • ⁇ 2 is chloro and K 1 is chloro, or
  • ⁇ 2 is cyano and K 1 is fluoro
  • Embodiment 4 encompasses compounds of Formula I, or a pharmaceutically acceptable salt thereof, wherein:
  • R2 is independently:
  • Embodiment 5 encompasses compounds of Formula I, or a pharmaceutically acceptable salt thereof, wherein R2 is selected from H, CH3, CH2CH3, CF2CH3, CF2H, CF3, OCH3, OCF2H, OCF3, cyclopropyl, CI, Br,
  • Embodiment 6 encompasses compounds of Formula I, or a pharmaceutically acceptable salt thereof, wherein R2 is CF3, and all other variables are defined as in Embodiment 1.
  • Embodiment 7 encompasses compounds of Formula la, or a pharmaceutically acceptable salt thereof, wherein: R2 is independently:
  • Embodiment 8 encompasses compounds of Formula la, or a pharmaceutically acceptable salt thereof, wherein R2 is selected from H, CH3, CH2CH3, CF2CH3, CF2H, CF3, OCH3, OCF2H, OCF3, cyclopropyl,
  • Embodiment 9 encompasses compounds of Formula la, or a pharmaceutically acceptable salt thereof, wherein R2 is CF3, and all other variables are defined as in Embodiment 2 or Embodiment 3.
  • Embodiment 10 encompasses compounds of Formula I, or a pharmaceutically acceptable salt thereof, wherein M is CH2 or
  • Embodiment 5 or Embodiment 6.
  • Embodiment 11 encompasses compounds of Formula la, or a pharmaceutically acceptable salt thereof, wherein M is CH2 or
  • Embodiment 7 Embodiment 8 or Embodiment 9.
  • Embodiment 12 encompasses compounds of Formula I, or a pharmaceutically acceptable salt thereof, wherein M is CH2, and all other variables are defined as in Embodiment 1, Embodiment 4, Embodiment 5 or Embodiment 6.
  • Embodiment 13 encompasses compounds of Formula la, or a pharmaceutically acceptable salt thereof, wherein M is CH2, and all other variables are defined as in and all other variables are defined as in Embodiment 2, Embodiment 3, Embodiment 7, Embodiment 8 or Embodiment 9.
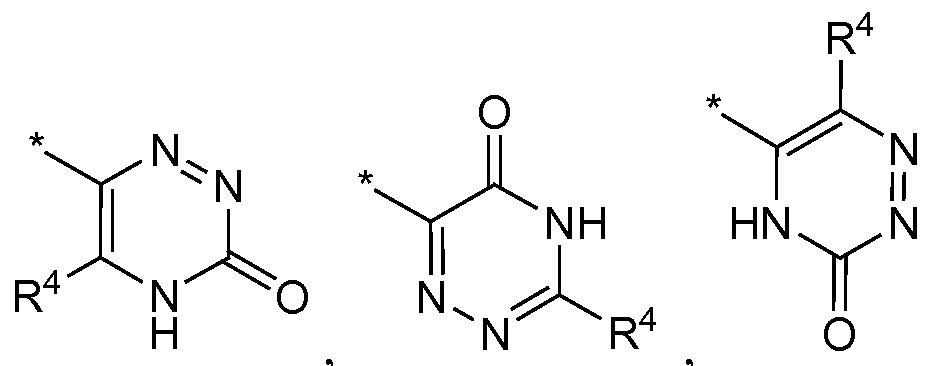
  • Embodiment 14 encompasses compounds of Formula I, or a pharmaceutically acceptable salt thereof, wherein Z is selected from the group consisting of:
  • Embodiment 15 encompasses compounds of Formula la, or a pharmaceutically acceptable salt thereof, wherein Z is selected from the group consisting of:
  • Embodiment 2 Embodiment 3, Embodiment 7, Embodiment 8, Embodiment 9, Embodiment 11 or Embodiment 13.
  • Embodiment 16 encompasses compounds of Formula I, or a pharmaceutically acceptable salt thereof, wherein
  • R2 is selected from H, CH3, CH2CH3, CF2CH3, CF2H, CF3, OCH3, OCF2H, OCF3, cyclopropyl, CI, Br, F, or CN;
  • R3 is H; and
  • M is CH2 or CH(CH3), and all other variables are defined as in Embodiment 1, Embodiment 4, Embodiment 5, Embodiment 6, Embodiment 10, Embodiment 12 or Embodiment 14.
  • Embodiment 17 encompasses compounds of Formula la, or a pharmaceutically acceptable salt thereof, wherein
  • R2 is selected from H, CH3, CH2CH3, CF2CH3, CF2H, CF3, OCH3, OCF2H, OCF3, cyclopropyl, CI, Br, F, or CN;
  • R3 is H; and
  • M is CH2 or CH(CH3), and all other variables are defined as in Embodiment 2, Embodiment 3, Embodiment 7, Embodiment 8, Embodiment 9, Embodiment 11, Embodiment 13 or Embodiment 15.
  • Embodiment 18 encompasses compounds of Formula I, or a pharmaceutically acceptable salt thereof, wherein
  • Z is selected from the group consisting of:
  • Embodiment 19 encompasses compounds of Formula I, or a pharmaceutically acceptable salt thereof, wherein
  • R4 and R5 are each independently selected from:
  • N(RA)S(0)2N(RA)RB OC(0)N(RA)RB, N(RA)C(0)N(RA)RB, N(RA)C(0)C(0)N(RA)RB, C3-8 cycloalkyl, phenyl and HetB,
  • substituents up to the maximum number allowed by valence selected from OH, O-Cl-6 alkyl, O-Cl-6 haloalkyl, CN, NO2, N(RA)RB, C(0)N(RA)RB,
  • O-Cl-6 alkyl in which the alkyl portion is optionally substituted with one or more substituents up to the maximum number allowed by valence selected from OH, O-Cl-6 alkyl, O-Cl-6 haloalkyl, CN, NO2, N(RA)RB, C(0)N(RA)RB, C(0)RA CO2RA, SRA S(0)RA S(0)2RA, S(0)2N(RA)RB, N(RA)C(0)RB, N(RA)C02R B , N(RA)S(0)2R B , N(RA)S(0)2N(RA)RB, OC(0)N(RA)RB, N(RA)C(0)N(RA)RB, N(RA)C(0)C(0)N(RA)RB, C3.8 cycloalkyl, phenyl and HetB,
  • substituents up to the maximum number allowed by valence selected from OH, O-Cl-6 alkyl, O-Cl-6 haloalkyl, CN, NO2, N(RA)RB, C(0)N(RA)RB, C(0)RA, CO2RA, SRA, S(0)RA, S(0)2RA, S(0)2N(RA)RB, N(RA)C(0)RB, N(RA)C02RB, N(RA)S(0)2RB, N(RA)S(0)2N(RA)RB, OC(0)N(RA)RB, N(RA)C(0)N(RA)RB, N(RA)C(0)C(0)N(RA)RB, C3 . 8 cycloalkyl, phenyl and HetB,
  • Embodiment 1 Embodiment 4, Embodiment 5, Embodiment 6, Embodiment 10, Embodiment 12, Embodiment 14, Embodiment 16 or
  • Embodiment 18 In another ambodiment, R4 is H, one R5 is present and is defined as above.
  • Embodiment 20 encompasses compounds of Formula la, or a pharmaceutically acceptable salt thereof, wherein
  • Z is selected from the group consisting of:
  • Embodiment 2 Embodiment 3, Embodiment 7, Embodiment 8, Embodiment 9, Embodiment 11, Embodiment 13 or Embodiment 17.
  • Embodiment 21 encompasses compounds of Formula I, or a pharmaceutically acceptable salt thereof, wherein
  • R4 and R5 are each independently selected from:
  • substituents up to the maximum number allowed by valence selected from OH, O-Cl-6 alkyl, O-Cl-6 haloalkyl, CN, N02, N(RA)RB, C(0)N(RA)RB, C(0)RA, CO2RA, BRA S(0)RA, S(0)2RA, S(0)2N(RA)RB, N(RA)C(0)RB, N(RA)C02R B , N(RA)S(0)2R B , N(RA)S(0)2N(RA)RB,
  • O-Cl-6 alkyl in which the alkyl portion is optionally substituted with one or more substituents up to the maximum number allowed by valence selected from OH, O-Cl-6 alkyl, O-C 1 -6 haloalkyl, CN, NO2, N(RA)RB,
  • substituents up to the maximum number allowed by valence selected from OH, O-C 1-6 alkyl, O-Cl-6 haloalkyl, CN, NO2, N(RA)RB, C(0)N(RA)RB, C(0)RA CO2RA, SRA S(0)RA S(0)2RA, S(0)2N(RA)RB, N(RA)C(0)RB, N(RA)C02R B , N(RA)S(0)2R B , N(RA)S(0)2N(RA)RB, OC(0)N(RA)RB, N(RA)C(0)N(RA)RB, N(RA)C(0)C(0)N(RA)RB, C3-8 cycloalkyl, phenyl and HetB,
  • Embodiment 2 Embodiment 3
  • Embodiment 7 Embodiment 8
  • Embodiment 9 Embodiment 1 1
  • Embodiment 13 Embodiment 15, Embodiment 17 or Embodiment 20.
  • Embodiment 22 encompasses compounds of Formula lb, or a pharmaceutically acceptable salt thereof,
  • ⁇ and ⁇ 2 are each independently F, Br, CI, OCHF 2 , CF3 or CN; R2 is selected from H, CH3, CH2CH3, CF2CH3, CF2H, CF3,
  • Embodiment 23 cyclopropyl, CI, Br, F, or CN; and all other variables are defined as in Embodiment 1 or Embodiment 21.
  • the invention encompasses compounds of Formula lb as defined above wherein R2 is CF3 and R4 is H ("Embodiment 23").
  • Embodiment 24 encompasses compounds of Formula Ic, or a pharmaceutically acceptable salt thereof,
  • ⁇ and ⁇ 2 are each independently F, Br, CI, OCHF 2 , CF3 or CN; R2 is selected from H, CH3, CH2CH3, CF2CH3, CF2H, CF3,
  • Embodiment 26 encompasses compounds of Formula Id, or a pharmaceutically acceptable salt thereof,
  • ⁇ and ⁇ 2 are each independently F, Br, CI, OCHF 2 , CF3 or CN; R2 is selected from H, CH3, CH2CH3, CF2CH3, CF2H, CF3, OCH3, OCF2H, OCF3, cyclopropyl, CI, Br, F, or CN; and all other variables are defined as in Embodiment 1 or Embodiment 21.
  • the invention encompasses compounds of Formula Id as defined above wherein R2 is CF3 and R4 is H ("Embodiment 27").
  • Emodiment 28 encompasses compounds of Formula lb, wherein R5 is selected from the group consisting of: (1) hydrogen, (2) halo, (3) cyano, (4) C ⁇ alkyl, (5) C ⁇ haloalkyl, (6) 0-Cl_4alkyl, (7) 0-Cl_4haloalkyl, (8) C ⁇ alkyl substituted with hydroxy, (9) ) C ⁇ _4haloalkyl substituted with hydroxy, (10) C4_6cycloalkyl,
  • C4_6cycloalkyl substituted with 1 to 3 halo groups (12) phenyl or phenoxy, (13) phenyl or phenoxy, each substituted with 1 to 5 substituents independently selected from halo, CN, C i _4alkyl, C ⁇ _4haloalkyl, O-C 1 -4alkyl, O-C 1 _4haloalkyl, C ⁇ _4alkyl substituted with hydroxy and Ci _4haloalkyl substituted with hydroxy, (14) pyrazolyl, (15) 1-methylpyrazolyl, (16) pyridyl or pyridyloxy, (17) pyridyl or pyridyloxy, each substituted with 1 to 4 substituents independently selected from halo, CN, C ⁇ _4alkyl, C ⁇ _4haloalkyl, 0-Cl-4alkyl,
  • Embodiment 22 or Embodiment 23 are identical to Embodiment 22 or Embodiment 23.
  • the compounds of Formula I, Formula la, Formula lb, Formula Ic or Formula Id above, and pharmaceutically acceptable salts thereof, are HIV reverse transcriptase inhibitors.
  • the compounds are useful for inhibiting HIV reverse transcriptase and for inhibiting HIV replication in vitro and in vivo. More particularly, the compounds of Formula I inhibit the polymerase function of HIV- 1 reverse transcriptase.
  • Representative compounds of the present invention also exhibit activity against drug resistant forms of HIV (e.g., mutant strains of HIV-1 in which reverse transcriptase has a mutation at lysine 103 ⁇ asparagine (K103N) and/or tyrosine 181 ⁇ cysteine (Y181C) ).
  • drug resistant forms of HIV e.g., mutant strains of HIV-1 in which reverse transcriptase has a mutation at lysine 103 ⁇ asparagine (K103N) and/or tyrosine 181 ⁇ cysteine (Y181C) ).
  • Embodiment 29 is a compound of Formula I, Formula la, Formula lb, Formula Ic or Formula Id, or a
  • substantially pure means suitably at least about 60 wt.%, typically at least about 70 wt.%, preferably at least about 80 wt.%, more preferably at least about 90 wt.% (e.g., from about 90 wt.% to about 99 wt.%>), even more preferably at least about 95 wt.%> (e.g., from about 95 wt.%> to about 99 wt.%>, or from about 98 wt.%) to 99 wt.%o), and most preferably at least about 99 wt.%> of a product containing a compound of Formula I or its salt (e.g., the product isolated from a reaction mixture affording the compound or salt) consists of the compound or salt.
  • a compound or salt of 100% purity is one which is free of detectable impurities as determined by a standard method of analysis.
  • a substantially pure compound can be either a substantially pure mixture of the stereoisomers or a substantially pure individual diastereomer or enantiomer.
  • the present invention also includes prodrugs of the compounds of Formula I,
  • prodrug refers to a derivative of a compound of the aforementioned formulae, or a pharmaceutically acceptable salt thereof, which is converted in vivo into the active moeity.
  • Prodrugs of compounds of Formula I, Formula la, Formula lb, Formula Ic or Formula Id can exhibit enhanced solubility, absorption, and/or lipophilicity compared to the compounds per se, thereby resulting in increased bioavailability and efficacy.
  • the in vivo conversion of the prodrug can be the result of an enzyme-catalyzed chemical reaction, a metabolic chemical reaction, and/or a spontaneous chemical reaction (e.g., solvo lysis).
  • the prodrug can be an ester or an amide
  • the compound of Formula I, Formula la, Formula lb, Formula Ic or Formula Id contains a primary amino group or another suitable nitrogen that can be derivatized
  • the prodrug can be an amide, carbamate, urea, imine, or a Mannich base.
  • Conventional procedures for the selection and preparation of suitable prodrug derivatives are described, for example, in Design of Prodrugs, edited by H. Bundgaard, Elsevier, 1985; J. J. Hale et al, J. Med. Chem. 2000, vol.
  • compositions comprising an effective amount of a compound of Formula I, Formula la, Formula lb, Formula Ic or Formula Id as defined above, or a prodrug or pharmaceutically acceptable salt thereof, and a pharmaceutically acceptable carrier.
  • a pharmaceutical composition which comprises the product prepared by combining (e.g., mixing) an effective amount of a compound of Formula I, Formula la, Formula lb, Formula Ic or Formula Id as defined above, or a prodrug or pharmaceutically acceptable salt thereof, and a pharmaceutically acceptable carrier.
  • an anti-HIV agent selected from the group consisting of HIV antiviral agents, immunomodulators, and anti-infective agents.
  • composition of (c), wherein the anti-HIV agent is an antiviral selected from the group consisting of HIV protease inhibitors, nucleoside HIV reverse transcriptase inhibitors, non-nucleoside HIV reverse transcriptase inhibitors, HIV integrase inhibitors, HIV fusion inhibitors, and HIV entry inhibitors.
  • a combination which is (i) a compound of Formula I, Formula la, Formula lb, Formula Ic or Formula Id as defined above, or a prodrug or pharmaceutically acceptable salt thereof, and (ii) an anti-HIV agent selected from the group consisting of HIV antiviral agents, immunomodulators, and anti-infective agents; wherein the compound and the anti-HIV agent are each employed in an amount that renders the combination effective for inhibition of HIV reverse transcriptase, for treatment or prophylaxis of infection by HIV, or for treatment, prophylaxis of, or delay in the onset or progression of AIDS.
  • anti-HIV agent is an antiviral selected from the group consisting of HIV protease inhibitors, nucleoside HIV reverse transcriptase inhibitors, non-nucleoside HIV reverse transcriptase inhibitors, HIV integrase inhibitors, HIV fusion inhibitors, and HIV entry inhibitors.
  • a method for the inhibition of HIV reverse transcriptase in a subject in need thereof which comprises administering to the subject an effective amount of a compound of Formula I, Formula la, Formula lb, Formula Ic or Formula Id or a prodrug or
  • a method for the prophylaxis or treatment of infection by HIV e.g., HIV-1 in a subject in need thereof which comprises administering to the subject an effective amount of a compound of Formula I, Formula la, Formula lb, Formula Ic or Formula Id or a prodrug or pharmaceutically acceptable salt thereof.
  • Formula lb, Formula Ic or Formula Id is administered in combination with an effective amount of at least one other HIV antiviral selected from the group consisting of HIV protease inhibitors, HIV integrase inhibitors, non-nucleoside HIV reverse transcriptase inhibitors, nucleoside HIV reverse transcriptase inhibitors, HIV fusion inhibitors, and HIV entry inhibitors.
  • HIV antiviral selected from the group consisting of HIV protease inhibitors, HIV integrase inhibitors, non-nucleoside HIV reverse transcriptase inhibitors, nucleoside HIV reverse transcriptase inhibitors, HIV fusion inhibitors, and HIV entry inhibitors.
  • a method for the prophylaxis, treatment or delay in the onset or progression of AIDS in a subject in need thereof which comprises administering to the subject an effective amount of a compound of Formula I, Formula la, Formula lb, Formula Ic or Formula Id or a prodrug or pharmaceutically acceptable salt thereof.
  • HIV antiviral selected from the group consisting of HIV protease inhibitors, HIV integrase inhibitors, non-nucleoside HIV reverse transcriptase inhibitors, nucleoside HIV reverse transcriptase inhibitors, HIV fusion inhibitors, and HIV entry inhibitors.
  • a method for the inhibition of HIV reverse transcriptase in a subject in need thereof which comprises administering to the subject the pharmaceutical composition of (a), (b), (c) or (d) or the combination of (e) or (f).
  • a method for the prophylaxis or treatment of infection by HIV in a subject in need thereof which comprises administering to the subject the pharmaceutical composition of (a), (b), (c) or (d) or the combination of (e) or (f).
  • HIV e.g., HIV-1
  • a method for the prophylaxis, treatment, or delay in the onset or progression of AIDS in a subject in need thereof which comprises administering to the subject the pharmaceutical composition of (a), (b), (c) or (d) or the combination of (e) or (f).
  • the present invention also includes a compound of Formula I, Formula la, Formula lb, Formula Ic or Formula Id or a prodrug or pharmaceutically acceptable salt thereof, (i) for use in, (ii) for use as a medicament for, or (iii) for use in the preparation of a medicament for: (a) therapy (e.g., of the human body), (b) medicine, (c) inhibition of HIV reverse transcriptase, (d) treatment or prophylaxis of infection by HIV, or (e) treatment, prophylaxis of, or delay in the onset or progression of AIDS.
  • the compounds of the present invention can optionally be employed in combination with one or more anti-HIV agents selected from HIV antiviral agents, anti -infective agents, and immunomodulators.
  • Additional embodiments of the invention include the pharmaceutical compositions, combinations and methods set forth in (a)-(n) above and the uses (i)(a)-(e) through (iii)(a)-(e) set forth in the preceding paragraph, wherein the compound of the present invention employed therein is a compound of one of the embodiments, aspects, classes, subclasses, or features described above. In all of these embodiments etc., the compound may optionally be used in the form of a prodrug or pharmaceutically acceptable salt.
  • Additional embodiments of the present invention include each of the pharmaceutical compositions, combinations, methods and uses set forth in the preceding paragraphs, wherein the compound of the present invention or its salt employed therein is substantially pure.
  • a pharmaceutical composition comprising a compound of Formula I or its prodrug or salt and a pharmaceutically acceptable carrier and optionally one or more excipients
  • substantially pure is in reference to a compound of Formula I, Formula la, Formula lb, Formula Ic or Formula Id or its prodrug or salt per se.
  • Still additional embodiments of the present invention include the pharmaceutical compositions, combinations and methods set forth in (a)-(n) above and the uses (i)(a)-(e) through (iii)(a)-(e) set forth above, wherein the HIV of interest is HIV-1.
  • the compound of Formula I, Formula la, Formula lb, Formula Ic or Formula Id is employed in an amount effective against HIV-1 and the anti-HIV agent is an HIV-1 antiviral selected from the group consisting of HIV-1 protease inhibitors, HIV-1 reverse transcriptase inhibitors, HIV-1 integrase inhibitors, HIV-1 fusion inhibitors and HIV-1 entry inhibitors.
  • alkyl refers to a monovalent straight or branched chain, saturated aliphatic hydrocarbon radical having a number of carbon atoms in the specified range.
  • Cl-6 alkyl (or “C1-C6 alkyl”) refers to any of the hexyl alkyl and pentyl alkyl isomers as well as n-, iso-, sec- and t-butyl, n- and iso- propyl, ethyl and methyl.
  • Cl-4 alkyl refers to n-, iso-, sec- and t-butyl, n- and isopropyl, ethyl and methyl.
  • alkenyl refers to a monovalent straight or branched chain aliphatic hydrocarbon radical containing one carbon-carbon double bond and having a number of carbon atoms in the specified range.
  • C2-6 alkenyl refers to all of the hexenyl and pentenyl isomers as well as 1-butenyl, 2-butenyl, 3-butenyl, isobutenyl, 1-propenyl, 2-propenyl, and ethenyl (or vinyl).
  • alkynyl refers to a monovalent straight or branched chain aliphatic hydrocarbon radical containing one carbon-carbon triple bond and having a number of carbon atoms in the specified range.
  • C2-6 alkynyl refers to all of the hexynyl and pentynyl isomers as well as 1-butynyl, 2-butynyl, 3-butynyl, 1- propynyl, 2-propynyl, and ethynyl.
  • alkylene refers to any divalent linear or branched chain aliphatic hydrocarbon radical having a number of carbon atoms in the specified range.
  • -Ci-6 alkylene- refers to any of the Ci to Cg linear or branched alkylenes
  • “-Cl-4 alkylene-” refers to any of the Ci to C4 linear or branched alkylenes.
  • a class of alkylenes of interest with respect to the invention is -(CH2)l-6-, and sub-classes of particular interest include -(CH 2 )l-4-, -(CH 2 )2-4", -(CH 2 )l-3-, -(CH 2 )2-3", -(CH 2 )l-2-, and -CH 2 -.
  • Another sub-class of interest is an alkylene selected from the group consisting
  • cycloalkyl refers to any monocyclic ring of an alkane having a number of carbon atoms in the specified range.
  • C3-8 cycloalkyl refers to cyclopropyl, cyclobutyl, cyclopentyl, cyclohexyl, cycloheptyl, and cyclooctyl.
  • cycloalkenyl refers to any monocyclic ring of an alkene having a number of carbon atoms in the specified range.
  • C5-8 cycloalkenyl (or
  • C5-C8 cycloalkenyl refers to cyclopentenyl, cyclohexenyl, cycloheptenyl, and cyclooctenyl.
  • halogen refers to fluorine, chlorine, bromine and iodine (alternatively referred to as fluoro, chloro, bromo, and iodo).
  • haloalkyl refers to an alkyl group as defined above in which one or more of the hydrogen atoms have been replaced with a halogen (i.e., F, CI, Br and/or I).
  • Cl-6 haloalkyl refers to a Cl to C6 linear or branched alkyl group as defined above with one or more halogen substituents.
  • fluoroalkyl has an analogous meaning except that the halogen substituents are restricted to fluoro. Suitable fluoroalkyls include the series (CH2)0-4CF3 (i.e., trif uoromethyl, 2,2,2- trifluoroethyl, 3,3,3-trifluoro-n-propyl, etc.).
  • a fluoroalkyl of particular interest is CF3.
  • C(O) refers to carbonyl.
  • S(O) refers to sulfmyl.
  • aryl refers to (i) phenyl, (ii) 9- or 10-membered bicyclic, fused carbocylic ring systems in which at least one ring is aromatic, and (iii) 11- to 14-membered tricyclic, fused carbocyclic ring systems in which at least one ring is aromatic.
  • Suitable aryls include, for example, phenyl, naphthyl, tetrahydronaphthyl (tetralinyl), indenyl, anthracenyl, and fluorenyl.
  • a class of aryls of interest with respect to the invention is phenyl and napthyl.
  • An aryl of particular interest is phenyl.
  • heteroaryl refers to (i) a 5- or 6-membered heteroaromatic ring containing from 1 to 4 heteroatoms independently selected from N, O and S, wherein each N is optionally in the form of an oxide, (ii) a 9- or 10-membered bicyclic fused ring system, wherein the fused ring system of (ii) contains from 1 to 6 heteroatoms independently selected from N, O and S, wherein each ring in the fused ring system contains zero, one or more than one heteroatom, at least one ring is aromatic, each N is optionally in the form of an oxide, and each S in a ring which is not aromatic is optionally S(O) or S(0)2- Suitable 5- and 6- membered heteroaromatic rings include, for example, pyridyl, pyrrolyl, pyrazinyl, pyrimidinyl, pyridazinyl, triazinyl, thienyl, furanyl, imidazolyl,
  • Suitable 9- and 10-membered heterobicyclic, fused ring systems include, for example, benzofuranyl, indolyl, indazolyl, naphthyridinyl, isobenzofuranyl, benzopiperidinyl, benzisoxazolyl, benzoxazolyl, chromenyl, quinolinyl, isoquinolinyl, cinnolinyl, quinazolinyl, tetrahydroquinolinyl, tetrahydroisoquinolinyl, isoindolyl, benzodioxolyl (e.g., benzo-1,3- dioxolyl: ⁇ * ⁇ ⁇ ) ? benzopiperidinyl, benzisoxazolyl, benzoxazolyl, chromanyl,
  • Examples of 4- to 7-membered, saturated heterocyclic rings within the scope of this invention include, for example, azetidinyl, piperidinyl, morpholinyl, thiomorpholinyl, thiazolidinyl, isothiazolidinyl, oxazolidinyl, isoxazolidinyl, pyrrolidinyl, imidazolidinyl, piperazinyl, tetrahydrofuranyl, tetrahydrothienyl, pyrazolidinyl, hexahydropyrimidinyl, thiazinanyl, thiazepanyl, azepanyl, diazepanyl, tetrahydropyranyl, tetrahydrothiopyranyl, and dioxanyl.
  • Examples of 4- to 7-membered, unsaturated, non-aromatic heterocyclic rings within the scope of this invention include mono-unsaturated heterocyclic rings corresponding to the saturated heterocyclic rings listed in the preceding sentence in which a single bond is replaced with a double bond (e.g., a carbon-carbon single bond is replaced with a carbon- carbon double bond). It is understood that the specific rings and ring systems suitable for use in the present invention are not limited to those listed in the preceding paragraphs. These rings and ring systems are merely representative.
  • any of the various cyclic rings and ring systems described herein may be attached to the rest of the compound at any ring atom (i.e., any carbon atom or any heteroatom) provided that the attachment is chemically allowed and a stable compound results.
  • a heteroaromatic ring described as containing from “ 1 to 4 heteroatoms” means the ring can contain 1, 2, 3 or 4 heteroatoms. It is also to be understood that any range cited herein includes within its scope all of the sub-ranges within that range.
  • a heterocyclic ring described as containing from “ 1 to 4 heteroatoms” is intended to include as aspects thereof, heterocyclic rings containing 2 to 4 heteroatoms, 3 or 4 heteroatoms, 1 to 3 heteroatoms, 2 or 3 heteroatoms, 1 or 2 heteroatoms, 1 heteroatom, 2 heteroatoms, 3 heteroatoms, and 4 heteroatoms.
  • an aryl or heteroaryl described as optionally substituted with “from 1 to 6 substituents” is intended to include as aspects thereof, an aryl or heteroaryl substituted with 1 to 6 substituents, 2 to 6 substituents, 3 to 6
  • substituents 4 to 6 substituents, 5 to 6 substituents, 6 substituents, 1 to 5 substituents, 2 to 5 substituents, 3 to 5 substiuents, 4 to 5 substituents, 5 substituents, 1 to 4 substituents, 2 to 4 substituents, 3 to 4 substituents, 4 substituents, 1 to 3 substituents, 2 to 3 substituents, 3 substituents, 1 to 2 substituents, 2 substituents, and 1 substituent.
  • any variable e.g., RA or RE
  • its definition on each occurrence is independent of its definition at every other occurrence. Also, combinations of substituents and/or variables are permissible only if such combinations result in stable compounds.
  • substitution by a named substituent is permitted on any atom in a ring (e.g., cycloalkyl, aryl, or heteroaryl) provided such ring substitution is chemically allowed and results in a stable compound.
  • a ring e.g., cycloalkyl, aryl, or heteroaryl
  • certain of the compounds of the present invention can exist as tautomers. All tautomeric forms of these compounds, whether isolated individually or in mixtures, are within the scope of the present invention.
  • a “stable” compound is a compound which can be prepared and isolated and whose structure and properties remain or can be caused to remain essentially unchanged for a period of time sufficient to allow use of the compound for the purposes described herein (e.g., therapeutic or prophylactic administration to a subject).
  • the compounds of the present invention are limited to stable compounds embraced by Formula I, Formula la, Formula lb, Formula Ic or Formula Id.
  • certain compounds of the present invention can have asymmetric centers and can occur as mixtures of stereoisomers, or as individual diastereomers, or enantiomers. All isomeric forms of these compounds, whether individually or in mixtures, are within the scope of the present invention.
  • the atoms in a compound of Formula I, Formula la, Formula lb, Formula Ic or Formula Id may exhibit their natural isotopic abundances, or one or more of the atoms may be artificially enriched in a particular isotope having the same atomic number, but an atomic mass or mass number different from the atomic mass or mass number predominantly found in nature.
  • the present invention is meant to include all suitable isotopic variations of the compounds of generic Formula I.
  • different isotopic forms of hydrogen (H) include protium (IF! and deuterium (3 ⁇ 4).
  • Protium is the predominant hydrogen isotope found in nature.
  • Enriching for deuterium may afford certain therapeutic advantages, such as increasing in vivo half-life or reducing dosage requirements, or may provide a compound useful as a standard for characterization of biological samples.
  • Isotopically-enriched compounds within generic Formula I can be prepared without undue experimentation by conventional techniques well known to those skilled in the art or by processes analogous to those described in the Schemes and Examples herein using appropriate isotopically-enriched reagents and/or intermediates.
  • the compounds can be administered in the form of pharmaceutically acceptable salts.
  • pharmaceutically acceptable salt refers to a salt which possesses the effectiveness of the parent compound and which is not biologically or otherwise undesirable (e.g., is neither toxic nor otherwise deleterious to the recipient thereof).
  • Suitable salts include acid addition salts which may, for example, be formed by mixing a solution of the compound of the present invention with a solution of a pharmaceutically acceptable acid such as hydrochloric acid, sulfuric acid, acetic acid, or benzoic acid.
  • suitable pharmaceutically acceptable salts thereof can include alkali metal salts (e.g., sodium or potassium salts), alkaline earth metal salts (e.g., calcium or magnesium salts), and salts formed with suitable organic ligands such as quaternary ammonium salts.
  • alkali metal salts e.g., sodium or potassium salts
  • alkaline earth metal salts e.g., calcium or magnesium salts
  • suitable organic ligands such as quaternary ammonium salts.
  • pharmaceutically acceptable esters can be employed to modify the solubility or hydrolysis characteristics of the compound.
  • administration and variants thereof (e.g., “administering” a compound) in reference to a compound of Formula I, Formula la, Formula lb, Formula Ic or Formula Id mean providing the compound or a prodrug of the compound to the individual in need of treatment or prophylaxis.
  • a compound or a prodrug thereof is provided in combination with one or more other active agents (e.g., antiviral agents useful for treating or prophylaxis of HIV infection or AIDS)
  • “administration” and its variants are each understood to include provision of the compound or prodrug and other agents at the same time or at different times.
  • the agents of a combination are administered at the same time, they can be administered together in a single composition or they can be administered separately.
  • composition is intended to encompass a product comprising the specified ingredients, as well as any product which results from combining the specified ingredients.
  • ingredients suitable for inclusion in a pharmaceutical composition are pharmaceutically acceptable ingredients, which means the ingredients must be compatible with each other and not deleterious to the recipient thereof.
  • subject refers to an animal, preferably a mammal, most preferably a human, who has been the object of treatment, observation or experiment.
  • the term "effective amount” as used herein means that amount of active compound or pharmaceutical agent that elicits the biological or medicinal response in a tissue, system, animal or human that is being sought by a researcher, veterinarian, medical doctor or other clinician.
  • the effective amount is a "therapeutically effective amount” for the alleviation of the symptoms of the disease or condition being treated.
  • the effective amount is a "prophylactically effective amount” for prophylaxis of the symptoms of the disease or condition being prevented.
  • the term also includes herein the amount of active compound sufficient to inhibit HIV reverse transcriptase (wild type and/or mutant strains thereof) and thereby elicit the response being sought (i.e., an "inhibition effective amount").
  • the active compound i.e., active ingredient
  • references to the amount of active ingredient are to the free form (i.e., the non-salt form) of the compound.
  • the compounds of Formula I, Formula la, Formula lb, Formula Ic or Formula Id optionally in the form of a salt or a prodrug can be administered by any means that produces contact of the active agent with the agent's site of action. They can be administered by any conventional means available for use in conjunction with
  • compositions either as individual therapeutic agents or in a combination of therapeutic agents. They can be administered alone, but typically are administered with a pharmaceutical carrier selected on the basis of the chosen route of administration and standard pharmaceutical practice.
  • the compounds of the invention can, for example, be administered orally, parenterally (including subcutaneous injections, intravenous, intramuscular, intrasternal injection or infusion techniques), by inhalation spray, or rectally, in the form of a unit dosage of a pharmaceutical composition containing an effective amount of the compound and conventional non-toxic pharmaceutically acceptable carriers, adjuvants and vehicles.
  • Liquid preparations suitable for oral administration can be prepared according to techniques known in the art and can employ any of the usual media such as water, glycols, oils, alcohols and the like.
  • Solid preparations suitable for oral administration e.g., powders, pills, capsules and tablets
  • Parenteral compositions can be prepared according to techniques known in the art and typically employ sterile water as a carrier and optionally other ingredients, such as a solubility aid.
  • Injectable solutions can be prepared according to methods known in the art wherein the carrier comprises a saline solution, a glucose solution or a solution containing a mixture of saline and glucose. Further description of methods suitable for use in preparing pharmaceutical compositions for use in the present invention and of ingredients suitable for use in said compositions is provided in Remington's Pharmaceutical Sciences, 18 th edition, edited by A. R. Gennaro, Mack
  • Formulations of compounds described by Formula I, Formula la, Formula lb, Formula Ic or Formula Id that result in drug supersaturation and/or rapid dissolution may be utilized to facilitate oral drug absorption.
  • supersaturation and/or rapid dissolution include, but are not limited to, nanoparticulate systems, amorphous systems, solid solutions, solid dispersions, and lipid systems.
  • Such formulation approaches and techniques for preparing them are well known in the art.
  • solid dispersions can be prepared using excipients and processes as described in reviews (e.g., A.T.M. Serajuddin, J Pharm Sci, 88: 10, pp. 1058-1066 (1999)).
  • Nanoparticulate systems based on both attrition and direct synthesis have also been described in reviews such as Wu et al (F. Kesisoglou, S. Panmai, Y. Wu, Advanced Drug Delivery Reviews, 59:7 pp 631-644 (2007)).
  • Id can be administered orally in a dosage range of 0.001 to 1000 mg/kg of mammal (e.g., human) body weight per day in a single dose or in divided doses.
  • mammal e.g., human
  • One dosage range is 0.01 to 500 mg/kg body weight per day orally in a single dose or in divided doses.
  • Another dosage range is 0.1 to 100 mg/kg body weight per day orally in single or divided doses.
  • the compositions can be provided in the form of tablets or capsules containing 1.0 to 500 milligrams of the active ingredient, particularly 1, 5, 10, 15, 20, 25, 50, 75, 100, 150, 200, 250, 300, 400, and 500 milligrams of the active ingredient for the symptomatic adjustment of the dosage to the patient to be treated.
  • the specific dose level and frequency of dosage for any particular patient may be varied and will depend upon a variety of factors including the activity of the specific compound employed, the metabolic stability and length of action of that compound, the age, body weight, general health, sex, diet, mode and time of administration, rate of excretion, drug combination, the severity of the particular condition, and the host undergoing therapy.
  • Compounds of the invention can be administered as a single dose, once-daily or less frequently.
  • an anti-HIV agent is any agent which is directly or indirectly effective in the inhibition of HIV reverse transcriptase or another enzyme required for HIV replication or infection, the treatment or prophylaxis of HIV infection, and/or the treatment, prophylaxis or delay in the onset or progression of AIDS. It is understood that an anti-HIV agent is effective in treating, preventing, or delaying the onset or progression of HIV infection or AIDS and/or diseases or conditions arising therefrom or associated therewith.
  • the compounds of this invention may be effectively administered, whether at periods of pre-exposure and/or post-exposure, in combination with effective amounts of one or more anti-HIV agents selected from HIV antiviral agents, imunomodulators, antiinfectives, or vaccines useful for treating HIV infection or AIDS.
  • Suitable HIV antivirals for use in combination with the compounds of the present invention include, for example, those listed in Table A as follows:
  • EFdA (4'-ethynyl-2-fluoro-2'-deoxyadenosine) nRTI emtricitabine, FTC, Emtriva® nRTI emtricitabine + tenofovir DF, Truvada® nRTI emvirine, Coactinon® nnRTI enfuvirtide, Fuzeon® FI
  • enteric coated didanosine didanosine
  • Videx EC® nRTI etravirine enteric coated didanosine
  • TMC-125 nnRTI fosamprenavir calcium Lexiva® PI
  • nevirapine NVP
  • PPL- 100 also known as PL-462 (Ambrilia) PI
  • nRTI tipranavir entry inhibitor
  • FI fusion inhibitor
  • Inl integrase inhibitor
  • PI protease inhibitor
  • nRTI nucleoside reverse transcriptase inhibitor
  • nnRTI non-nucleoside reverse transcriptase inhibitor.
  • combinations of the compounds of this invention with anti-HIV agents is not limited to the HIV antivirals listed in Table A, but includes in principle any combination with any pharmaceutical composition useful for the treatment or prophylaxis of AIDS.
  • the HIV antiviral agents and other agents will typically be employed in these combinations in their conventional dosage ranges and regimens as reported in the art, including, for example, the dosages described in editions of the Physicians' Desk Reference, such as the 63rd edition (2009) and earlier editions.
  • the dosage ranges for a compound of the invention in these combinations can be the same as those set forth above.
  • the compounds of this invention are also useful in the preparation and execution of screening assays for antiviral compounds.
  • the compounds of this invention are useful for isolating enzyme mutants, which are excellent screening tools for more powerful antiviral compounds.
  • the compounds of this invention are useful in establishing or determining the binding site of other antivirals to HIV reverse transcriptase, e.g., by competitive inhibition.
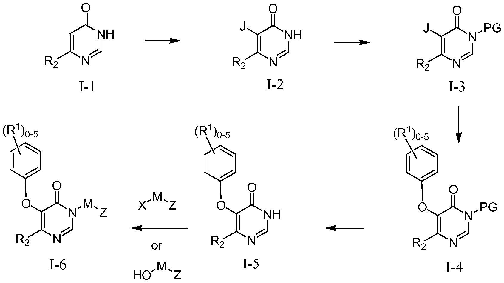
  • Scheme I depicts a method for preparing compounds of Formula I in which a substituted pyrimidinone 1-1 is halogenated to give 1-2 wherein J is a halogen, typically bromine or chlorine.
  • the pyrimidinone can be protected, with for example a 4- methoxybenzyl group, to give 1-3 wherein PG is the protecting group.
  • 1-3 can be converted to 1-4 via a nucleophilic aromatic substitution ( ⁇ ⁇ ⁇ ) reaction using a suitable phenol and an appropriate base, such as potassium carbonate.
  • Scheme II illustrates another method for preparing compounds of Formula I.
  • Fluorinated pyrimidinone II- 1 can be prepared using known methodology (see Organic Process Research & Development, 2001, 5, 28-36 and Tetrahedron Letters, Vol.30, No.45, pp 6113-6116, 1989) and may be alkylated to give II-2 via a nucleophilic substitution reaction with an alkylating agent X-M-Z wherein X is a leaving group, such as chloro, bromo, iodo, mesyl or tosyl, and M is typically CH 2 .
  • this transformation may also be accomplished via a Mitsunobu reaction with a suitable alcohol HO-M-Z wherein M is typically CH 2 .
  • II-2 can be converted to the desired II-3 via a nucleophilic aromatic substitution (SNAr) reaction using a suitable phenol and an appropriate base, for example potassium carbonate.
  • SNAr nucleophilic aromatic substitution
  • Scheme III depicts another method for preparing compounds of Formula I from commercially available ⁇ -ketoester III- 1 wherein L is a halogen, typically bromine or chlorine.
  • Ill- 1 can be converted via nucleophilic substitution reaction with a suitable phenol in the presence of a base, such as potassium carbonate, to give III-2.
  • Condensation of III-2 with formamidine at elevated temperature affords pyrimidinone III-3, which may be converted to the compounds of the present invention using either standard alkylation or Mitsunobu methodology, as described in Scheme I.
  • Scheme IV depicts another method for preparing compounds of Formula I in which IV- 1 can be alkylated with a suitable alkylating agent IV-2, wherein L is a suitable leaving group, for example chloro, bromo, iodo, mesyl or tosyl, in the presence of a base such as potassium carbonate or N,N-diisopropylethylamine or, wherein L is hydroxyl, via a Mitsunobu reaction to afford a methyl-protected intermediate IV-3. Removal of the methyl protecting group, using for example TMSC1 and KI, gives the desired IV-4.
  • TMSC1 and KI gives the desired IV-4.
  • V-4 may be converted to V-5 wherein L is a suitable leaving group, such as chloro, bromo, mesyl or tosyl, and V-5 may be used to alkylate 1-5 under basic conditions to provide the key intermediateV- 6, which may be used to provide a variety of compounds of interest.
  • the bromopyridazinone V-6 can be converted to V-7 wherein R5 is aryl or heteroaryl via a palladium-catalyzed transformation, such as a Suzuki reaction with a suitable aryl or heteroaryl boronic acid or ester, or a Stille coupling with a suitable aryl or heteroaryl stannane derivative.
  • the bromopyridazinone V-6 can also undergo a number of other palladium- catalyzed reactions and transformations including cyanation with ZnCN 2 , carbonylation with CO and an alcohol such as methanol, Buchwald amination and Heck reaction to give V-7 wherein R 5 is a cyano, amine, ester or alkene substituent, respectively.
  • R 5 is a cyano, amine, ester or alkene substituent, respectively.
  • V-6 may also be converted to V-7 via nucleophilic aromatic substitution ( ⁇ ⁇ ⁇ ) reaction with a suitable nucleophile, including for example thiol, alcohol, amine or heteroaryl such as pyrazole or triazole, in the presence of a suitable base.
  • a suitable nucleophile including for example thiol, alcohol, amine or heteroaryl such as pyrazole or triazole, in the presence of a suitable base.
  • V-7 can be deprotected to give the desired V-8.
  • Scheme VI illustrates a method for preparing compounds of Formula I wherein Z is an isomer of the pyridazinones described in Scheme V.
  • the halogenated pyridazinone intermediate VI- 1 can be converted to VI-2 using similar methodology to that described in Scheme V.
  • compounds of the present invention wherein R5 is aryl or heteroaryl may be obtained via a Suzuki reaction with a suitable aryl or hetereoaryl boronic acid or ester, or via a Stille coupling with a suitable aryl or heteroaryl stannane, in the presence of a suitable palladium catalyst.
  • the halopyridazinone VI- 1 can also undergo a number of other palladium-catalyzed reactions and transformations including cyanation with ZnCN 2 , carbonylation with CO and an alcohol such as methanol, Buchwald amination and Heck reaction to give VI-3 wherein R 5 is a cyano, amine, ester or alkene substituent, respectively.
  • Deprotection, with for example TMSC1 and KI, can afford the desired product VI-3.
  • Scheme VII illustrates a method for preparing compounds of Formula I bearing a difluoroalkyl substituent.
  • the suitably protected ketone VII-3 can be prepared from VII- 1 via a Stille coupling followed by hydrolysis of VII-2.
  • VII-3 can be fluorinated with a fluorinating agent such as DAST to give the difluoroethyl derivative VII-4.
  • the protecting group PG may be removed to give the alcohol VII-5 which can be converted to the desired VII-7 via a Mitsunobu reaction with an appropriate pyrimidinone (1-5) followed by removal of the methyl protecting group.
  • VII-5 can be converted to VII-6 wherein L is a good leaving group, such as halo, mesyl or tosyl.
  • VII-6 may be used to alkylate 1-5 in the presence of a suitable base to provide, after deprotection, VII-7.
  • Scheme VIII illustrates methods that may be used to prepare compounds of Formula I wherein Z bears a substituent such as hydroxyalkyl, formyl, keto, fluoroalkyl or difluoroalkyl.
  • Alcohol VIII- 4 can be deprotected to give the desired hyroxyalkyl derivative or undergo a number of functional group transformations, such as fluorination with DAST to give VIII-6 and oxidation with, for example, Dess-Martin periodinane to give VIII-5.
  • the aldehyde VIII-5 may also be fluorinated with, for example, DAST to give VIII-7 or be converted to alcohol VIII-8, in which A is an alkyl substituent, via a Grignard reaction with an alkylmagnesium bromide reagent.
  • the secondary alcohol VIII-8 may be deprotected to give desired secondary alcohol or treated with DAST and deprotected to provide the corresponding fluoride VIII-9.
  • VIII-8 can be oxidized to give ketone VIII- 10, which may be fluorinated then deprotected to give VIII- 11 as previously described.
  • Variations of the methods and functional group transformations illustrated in Scheme VIII may be used to prepare other compounds of Formula I in which Z is a heteroaryl ring other than the pyridazinone shown. Additionally, it may be advantageous to perform some of the functional group transformations earlier in the synthesis to prepare suitably functionalized intermediates such as HO-M-Z or X-M-Z as described in the Schemes I - III above.
  • Scheme IX depicts another method for preparing compounds of Formula I bearing a variety of substituents R 5 .
  • the methylsulfone-substituted pyrimidine IX- 1 can be converted to IX-2 via a nucleophilic aromatic substitution reaction with a suitable nucleophile, such as an amine, a phenol, an alcohol, or a heteroaryl ring, such as pyrazole or triazole, in the presence of a suitable base, such as potassium carbonate or triethylamine.
  • Sulfone IX- 1 can also be converted to IX-2 wherein R5 is alkyl via a Grignard reaction with an alkylmagnesium bromide.
  • IX-2 may be deprotected to give the desired IX-3.
  • Preparative HPLC was performed on a Waters preparative HPLC system fitted with a Waters Xselect.C18 column, typically using gradient elution with water/acetonitrile containing 0.075% trifluoro acetic acid. Flash column chromatography was performed using pre-packed normal phase silica from Biotage, Inc. or bulk silica from Fisher Scientific. Unless otherwise indicated, column chromatography was performed using a gradient elution of petroleum ether/ethyl acetate, from petroleum ether 100% to 100% ethyl acetate.
  • the term "room temperature" in the examples refers to the ambient temperature which was typically in the range of about 20 °C to about 26 °C.
  • CAN eerie amonium nitrate
  • m-CPBA 3-chloroperbenzoic acid
  • DIBAL-H diisobutylaluminum hydride
  • NBS N-bromosuccinimide
  • DIPEA - diisopropylethylamine NHS normal human serum
  • DMF N,N-dimethylformamide
  • NMP N-methyl-2-pyrrolidinone
  • Triacetoxy- 1 , 1 -dihydro- 1 ,2-benziodoxol- PBS phosphate buffered saline
  • DMSO dimethyl sulfoxide
  • PMBC1 4-methoxybenzyl chloride
  • EDTA ethylenediaminetetraacetic acid
  • PPTS 4-toluenesulfonic acid
  • FBS fetal bovine serum
  • TBAF tetrabutylammonium fluoride
  • HIV human immunodeficiency virus
  • TFAA trifluoroacetic anhydride
  • LC-MS liquid chromatography-mass
  • Step 1 8-(bromomethyl) rido[2,3-d]pyridazin-
  • Step 6 3-chloro-5-((6-oxo-l-((5-oxo-5,6-dihydropyrido[2,3-d]pyridazin-8- yl)methyl)- 4-(trifluoromethyl)-l,6-dihydropyrimidin-5-yl)oxy)benzonitrile
  • Step 2 3-chloro-5-((l-((5-chloropyrazin-2-yl)methyl)-6-oxo-4-(trifluoromethyl)-l,6 - dihydropyrimidin-5-yl)oxy)benzonitrile
  • Step 3 3-chloro-5- ((!-(( 5-hydroxypyrazin-2-yl)methyl)-6-oxo-4- (rifluoromethyl)- 1, 6-dihydropyrimidin-5-yl)oxy)benzonitrile
  • Step 1 3-chloro-5-((l-((4-methyl-5-oxo-4,5-dihydropyrazin-2-yl)methyl)-6- (trifluoromethyl)-l,6-dihydropyrimidin-5-yl)oxy)benzonitrile
  • Step 2 3-chloro-5-((l-((3-methoxypyrazin-2-yl)methyl)-6-oxo-4-(trifluoromethyl) - l,6-dihydropyrimidin-5-yl)oxy)benzonitrile
  • dichloromethane (10 mL) was added dropwise DEAD (0.56 g, 3.2 mmol) at 0 C under a nitrogen atmosphere. The mixture was stirred at r.t. for 1 hr. Water (10 mL) was added and the mixture was extracted with dichloromethane (20 mL x 3). The combined organic extracts were dried over sodium sulfate, filtered and concentrated under reduced pressure.
  • Step 3 3-chloro-5-((6-oxo-l-((3-oxo-3,4-dihydropyrazin-2-yl)methyl)-4- (trifluoromethyl) -l,6-dihydropyrimidin-5-yl)oxy)benzonitrile
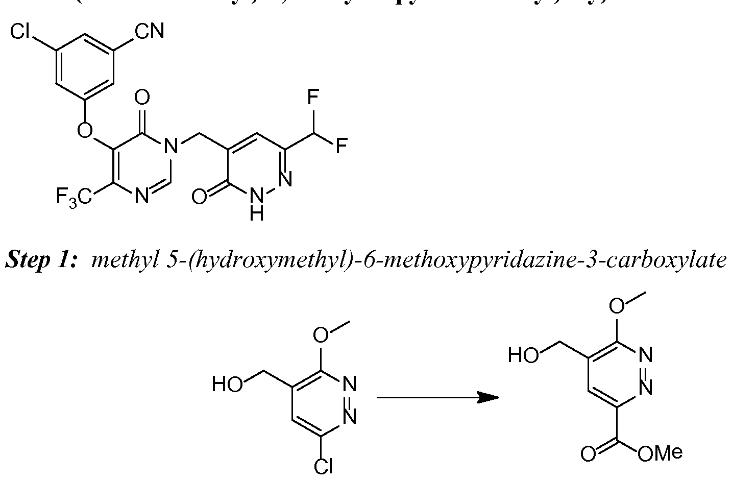
  • (3-methoxypyridazin-4-yl)methanol was prepared by reduction of methyl 3-methoxy pyridazine-4-carboxylate using a method similar to that described for Example 4.
  • Step 2 3-chloro-5-((l-((3-methoxypyridazin-4-yl)methyl)-6-oxo-4-(trifluoromethyl)- -dihydropyrimidin-5-yl)oxy)benzonitrile
  • Step 3 3-chloro-5-((6-oxo-l-((3-oxo-2,3-dihydropyridazin-4-yl)methyl)-4- (trifluoromethyl) -l,6-dihydropyrimidin-5-yl)oxy)benzonitrile
  • Step 2 3-chloro-5-((6-oxo-l-((6-oxo-5-(trifluoromethyl)-l, 6-dihydropyridazin-3-yl) methyl)-4-(trifluoromethyl)-l,6-dihydropyrimidin-5-yl)oxy)benzonitrile
  • Step 2 3-chloro-5-((l-((6-methoxypyridazin-3-yl)methyl)-6-oxo-4-(trifluoromethyl)- - dihydropyrimidin-5-yl)oxy)benzonitrile
  • Step 3 3-chloro-5-((6-oxo-l-((6-oxo-l, 6-dihydropyridazin-3-yl)methyl)-4- (trifluoromethyl) -l,6-dihydropyrimidin-5-yl)oxy)benzonitrile
  • Step 1 6-chloro-4-(3,3-difluorocyclobutyl)-3-methoxypyridazine
  • Step 2 methyl 5-(3,3-difluorocyclobutyl)-6-methoxypyridazine-3-carboxylate
  • Example 10 in the table below were prepared according to the procedure given for Example 9.
  • Step 2 methyl 5-(2-hydroxypropan-2-yl)-6-methoxypyridazine-3-carboxylate
  • Step 1 -(tert-butoxymethyl)-6-chloro-3-methoxypyridazine
  • Step 5 3-((l-((5-(tert-butoxymethyl)-6-methoxypyridazin-3-yl)methyl)-6- (trifluoro meth l)-!, 6-dihydropyrimidin-5-yl)oxy)-5-chlorobenzonitrile
  • Step 6 3-chloro-5-((l-((5-(hydroxymethyl)-6-methoxypyridazin-3-yl)methyl)-6-oxo- 4-(trifluoromethyl)-l,6-dihydropyrimidin-5-yl)oxy)benzonitrile
  • Step 7 3-chloro-5-((l-((5-(hydroxymethyl)-6-oxo-l,6-dihydropyridazin-3-yl)methyl)- 6-oxo-4-(trifluoromethyl)-l,6-dihydropyrimidin-5-yl)oxy)benzonitrile
  • Step 1 methyl 6-oxo-l-(tetrahydro-2H-pyran-2-yl)-l,6-dihydropyridazine-3- carboxylate
  • Step 3 3-chloro-5-((4-methyl-6-oxo-l-((6-oxo-l-(tetrahydro-2H-pyran-2-yl)-l,6- dihydro pyridazin-3-yl)methyl)-l,6-dihydropyrimidin-5-yl)oxy)benzonitrile
  • Step 4 3-chloro-5-((6-oxo-l-((6-oxo-l, 6-dihydropyridazin-3-yl)methyl)-4- (trifluoromethyl) -1,6-dihydro pyrimidin-5-yl)oxy)benzonitrile
  • the 1,4-dioxane was removed via concentration and the mixture was partitioned between ethyl acetate (35 mL) and saturated aqueous sodium bicarbonate (35 mL). The organic layer was dried over sodium sulfate and concentrated under reduced pressure. The crude off-white solid was purified by preparative HPLC and the desired fractions were freebased by partitioning between ethyl acetate (35 mL) and saturated aqueous sodium bicarbonate (35 mL).
  • Step 1 3-chloro-5-((l-((5-formyl-6-methoxypyridazin-3-yl)methyl)-6-oxo-4-(trifluoro meth - l,6-dihydropyrimidin-5-yl)oxy)benzonitrile
  • Step 2 3-chloro-5-((l-((5-(l-hydroxyethyl)-6-methoxypyridazin-3-yl)methyl)-6-oxo- 4- (trifluoromethyl)-l,6-dihydropyrimidin-5-yl)oxy)benzonitrile
  • Step 3 3-chloro-5-(( l-((5-( 1 -hydroxyethyl)-6-oxo-l , 6-dihydropyridazin-3-yl)methyl)- 6-oxo- -(trifluoromethyl)- 1 ,6-dihydropyrimidin-5-yl)oxy)benzonitrile
  • Step 1 3-chloro-5-((l-((5-(fluoromethyl)-6-methoxypyridazin-3-yl)methyl)-6-oxo-4- (trifluoromethyl)-l,6-dihydropyrimidin-5-yl)oxy)benzonitrile
  • Step 1 3-chloro-5-((l-((5-(cyclopropyl(hydroxy)methyl)-6-methoxypyridazin-3- yl)methyl)- 6-oxo-4-(trifluoromethyl)-l , 6-dihydropyrimidin-5-yl)oxy)benzonitrile
  • Step 2 3-chloro-5-((l-((5-(cyclopropyl(hydroxy)methyl)-6-oxo-l,6- dihydropyridazin-3-yl) methyl)-6-oxo-4-(trifluoromethyl)-l,6-dihydropyrimidin-5- yl)oxy)benzonitrile
  • Step 1 2, 5-dichloro-3-(( 6-oxo-4-(trifluoromethyl)- 1 , 6-dihydropyrimidin-5-yl)oxy) benzonitrile
  • Step 2 2, 5-dichloro-3-( ( 6-oxo-l-(( 6-oxo-l, 6-dihydropyridazin-3-yl)methyl)-4- (trifluoro methyl) -1, 6-dihydropyrimidin-5-yl)oxy)benzonitrile
  • Step 2 methyl 6-oxo- 1 ,6-dihydropyridazine-3-carboxylate
  • Step 4 methyl 5-bromo-l-(4-methoxybenzyl)-6-oxo-l,6-dihydropyridazine-3- carboxylate
  • Step 5 4-bromo-6-(hydroxymethyl)-2-(4-methoxybenzyl)pyridazin-3(2H)-one
  • Step 6 ( 5-bromo-l-(4-methoxybenzyl)-6-oxo-l, 6-dihydropyridazin-3-yl)methyl methanesulfonate
  • Step 9 3-chloro-5-((6-oxo-l-((6-oxo-5-phenyl-l,6-dihydropyridazin-3-yl)methyl)-4- (trifluoromethyl)-l,6-dihydropyrimidin-5-yl)oxy)benzonitrile
  • Step 2 ethyl 5-((tert-butyldiphenylsilyl)oxy)-2-(4-fluorophenyl)-2-hydroxy-4- oxopentanoate
  • Step 3 6- ff(tert-butyldiphenylsilyl)oxyJmethylJ-4-(4-fluorophenyl)-2,3- dihydropyridazin -3-one
  • Step 4 6-[[(tert-butyldiphenylsilyl)oxy]methyl]-4-(4-fluorophenyl)-2-(oxan-2-yl)- 2,3- dihydropyridazin-3-one
  • Step 5 4-(4-fluorophenyl)-6-(hydroxymethyl)-2-(oxan-2-yl)-2,3-dihydropyridazin-3- one
  • Step 6 6-(bromomethyl)-4-(4-fluorophenyl)-2-(tetrahydro-2H-pyran- 2-yl)pyridazin- 3(2H)-one
  • Step 7 3-chloro-5-((l-((5-(4-fluorophenyl)-6-oxo-l-(tetrahydro-2H-pyran-2-yl)-l,6 - dihydropyridazin-3-yl)methyl)-6-oxo-4-(trifluoromethyl)-l,6-dihydropyrM
  • Step 1 3-chloro-5-((l-((5-(6-fluoropyridin-3-yl)-l-(4-methoxybenzyl)-6-oxo-l, dihydropyridazin-3-yl)methyl)-6-oxo-4-(trifluoromethyl)-l,6-dihydropyri
  • Step 2 3-chloro-5-((l-((5-(6-fluoropyridin-3-yl)-6-oxo-l,6-dihydropyridazin-3-yl) methyl)-6-oxo-4-(trifluoromethyl)-l,6-dihydropyrimidin-5-yl)oxy)benzonitrile
  • Example 79-89 were also prepared and characterized as indicated in the table below.
  • Example 90 in the table below was also prepared from 3-((l-((5-bromo-l-(4- methoxybenzyl)-6-oxo-l ,6-dihydropyridazin-3-yl)methyl)-6-oxo-4-(trifluoromethyl)- l ,6-dihydropyrimidin-5-yl)oxy)-5-chlorobenzonitrile according to the procedure given for Step 2 in Example 78.
  • Step 3 methyl 5-chloro-l -(4-methoxybenzyl)-6-oxo-l ,6-dihydropyridazine-3- carboxylate
  • Step 1 3-chloro-5-((l-((5-(dimethylamino)-6-oxo-l,6-dihydropyridazin-3-yl)methyl) -6-ox -4-(trifluoromethyl)-l,6-dihydropyrimidin-5-yl)oxy)benzonitrile
  • Step 1 3-chloro-5-((l-((l-(4-methoxybenzyl)-6-oxo-5-(lH-pyrazol-l-yl)-l,6- dihydropyridazin-3-yl)methyl)-6-oxo-4-(trifluoromethyl)-l,6-dihydropyri

Landscapes

  • Chemical & Material Sciences (AREA)
  • Organic Chemistry (AREA)
  • Health & Medical Sciences (AREA)
  • Life Sciences & Earth Sciences (AREA)
  • Veterinary Medicine (AREA)
  • Public Health (AREA)
  • General Health & Medical Sciences (AREA)
  • Animal Behavior & Ethology (AREA)
  • Pharmacology & Pharmacy (AREA)
  • Medicinal Chemistry (AREA)
  • Epidemiology (AREA)
  • Virology (AREA)
  • Communicable Diseases (AREA)
  • Nuclear Medicine, Radiotherapy & Molecular Imaging (AREA)
  • General Chemical & Material Sciences (AREA)
  • Chemical Kinetics & Catalysis (AREA)
  • Oncology (AREA)
  • Molecular Biology (AREA)
  • Tropical Medicine & Parasitology (AREA)
  • AIDS & HIV (AREA)
  • Pharmaceuticals Containing Other Organic And Inorganic Compounds (AREA)
  • Medicines That Contain Protein Lipid Enzymes And Other Medicines (AREA)
  • Plural Heterocyclic Compounds (AREA)
  • Nitrogen Condensed Heterocyclic Rings (AREA)
  • Enzymes And Modification Thereof (AREA)

Abstract

Compounds of Formula (I) are HIV reverse transcriptase inhibitors, wherein R1, R2, RE, L, M and Z are defined herein. The compounds of Formula (I) and their pharmaceutically acceptable salts are useful in the inhibition of HIV reverse transcriptase, the prophylaxis and treatment of infection by HIV and in the prophylaxis, delay in the onset or progression, and treatment of AIDS. The compounds and their salts can be employed as ingredients in pharmaceutical compositions, optionally in combination with other antivirals, immunomodulators, antibiotics or vaccines.

Description

5-PHENOXY-3H-PYRIMIDIN-4-ONE DERIVATIVES AND THEIR USE
AS HIV REVERSE TRANSCRIPTASE INHIBITORS
BACKGROUND OF THE INVENTION
The retrovirus designated human immunodeficiency virus (HIV), particularly the strains known as HIV type-1 (HIV-1) and type-2 (HIV-2), have been etio logically linked to the immunosuppressive disease known as acquired immunodeficiency syndrome (AIDS). HIV seropositive individuals are initially asymptomatic but typically develop AIDS related complex (ARC) followed by AIDS. Affected individuals exhibit severe immunosuppression which makes them highly susceptible to debilitating and ultimately fatal opportunistic infections. Replication of HIV by a host cell requires integration of the viral genome into the host cell's DNA. Since HIV is a retrovirus, the HIV replication cycle requires transcription of the viral RNA genome into DNA via an enzyme known as reverse transcriptase (RT).
Reverse transcriptase has three known enzymatic functions: The enzyme acts as an RNA-dependent DNA polymerase, as a ribonuclease, and as a DNA-dependent DNA polymerase. In its role as an RNA-dependent DNA polymerase, RT transcribes a single- stranded DNA copy of the viral RNA. As a ribonuclease, RT destroys the original viral RNA and frees the DNA just produced from the original RNA. And as a DNA-dependent DNA polymerase, RT makes a second, complementary DNA strand using the first DNA strand as a template. The two strands form double-stranded DNA, which is integrated into the host cell's genome by the integrase enzyme.
It is known that compounds that inhibit enzymatic functions of HIV RT will inhibit HIV replication in infected cells. These compounds are useful in the prophylaxis or treatment of HIV infection in humans. Among the compounds approved for use in treating HIV infection and AIDS are the RT inhibitors 3'-azido- 3'-deoxythymidine (AZT), 2', 3'- dideoxyinosine (ddl), 2',3'- dideoxycytidine (ddC), d4T, 3TC, nevirapine, delavirdine, efavirenz, abacavir, emtricitabine, and tenofovir.
While each of the foregoing drugs is effective in treating HIV infection and AIDS, there remains a need to develop additional HIV antiviral drugs including additional RT inhibitors. A particular problem is the development of mutant HIV strains that are resistant to the known inhibitors. The use of RT inhibitors to treat AIDS often leads to viruses that are less sensitive to the inhibitors. This resistance is typically the result of mutations that occur in the reverse transcriptase segment of the pol gene. The continued use of antiviral compounds to prevent HIV infection will inevitably result in the emergence of new resistant strains of HIV. Accordingly, there is a particular need for new RT inhibitors that are effective against mutant HIV strains.
The following references are of interest as background:
Clemo et al, J. Chem. Soc. 1954, pp. 2693-2702 discloses certain derivatives of the 4-0X0-3 -(2 -pyridyl)pyridocoline system and in particular discloses 6-methyl-6'- phenoxy-2,2'-methylenedipyridine.
Sweeney et al., Bioorganic & Medicinal Chem. Letters 2008, vol. 18, pp. 4348-4351 discloses a series of triazolinones that were found to be non-nucleoside inhibitors of HIV reverse transcriptase.
WO 2001/034578 discloses certain substituted azoles (including, for example, certain imidazoles and benzimidazoles) having anti-Helicobacter pylori activity. In particular, WO '578 discloses l-[(3-methyl-4-phenoxy-2-pyridinyl)methyl]-lH-benzimidazole (see Compound 91 on page 40).
WO 2004/085406 and corresponding US 7189718 disclose certain benzyl pyridazinones as reverse transcriptase inhibitors.
WO 2005/102989 and corresponding US 7166738 disclose certain N-phenyl 2- phenylacetamides to be non-nucleoside reverse transcriptase inhibitors.
WO 2006/067587 discloses certain biaryl ether derivatives to be modulators of the reverse transcriptase enzyme.
WO 2007/045572 and WO 2007/045573 disclose certain 2-(2-phenoxyphenyl) N-phenyl acetamides as non-nucleoside reverse transcriptase inhibitors.
WO 2008/076225 discloses certain indazoles, benzotriazoles and related bicyclic compounds as HIV reverse transcriptase inhibitors.
WO 2009/067166 discloses certain aryloxy-, cycloalkyloxy-, and heterocyclyloxy-pyridines and related compounds. The compounds are HIV reverse transcriptase inhibitors suitable, for example, for the treatment of infection by HIV. Among the compounds disclosed are certain 3-(3,5-disubstituted phenoxy)-l-(lH-pyrazolo[3,4- ¾]pyridin-3-ylmethyl)-4-(substituted)pyridin-2(lH)-ones.
US 2004/0192704 discloses certain 3-(phenoxy)benzyl substituted 5- membered triazolones, oxadiazolones, and thiadiazolones. The compounds are disclosed to be non-nucleoside reverse transcriptase inhibitors useful for the treatment or prophylaxis of HIV mediated diseases.
US 2007/0021442 and WO 2007/015812 disclose certain substituted aromatic compounds. The compounds are HIV reverse transcriptase inhibitors suitable, for example, for the treatment of infection by HIV.
WO 2009/067166 and WO2011/120133 discloses HIV non-nucleoside reverse transcriptase inhibitors.
SUMMARY OF THE INVENTION
The present invention is directed to 4-pyrimidinone derivatives and their use in the inhibition of HIV reverse transcriptase, the prophylaxis of infection by HIV, the treatment of infection by HIV, and the prophylaxis, treatment, and delay in the onset or progression of AIDS and/or ARC.
DETAILED DESCRIPTION OF THE INVENTION
An embodiment of the invention ("Embodiment 1") encompasses compounds of Formula I:
Figure imgf000005_0001
or a pharmaceutically acceptable salt thereof, wherein: M is CH2, CH2CH2, CH2CH2CH2, CH(CH3), C(CH3)2 or C(0)N(RA); Z is selected from the group consisting of: pyridazine, pyridazinone, pyrimidine, pyrimidinone, pyrazine, pyrazinone, triazine and triazinone, each optionally substituted with one or more substituents up to the maximum number allowed by valence selected from R4 and R5; each R1 is independently selected from the group consisting of: halogen, CN, NO2, C\-4 alkyl, C1.4 haloalkyl, C2-4 alkenyl, OH, O-C1.4 alkyl, O-C 1.4 haloalkyl, N(RA)RB? C(0)N(RA)RB, C(0)RA, CO2RA, SRA, S(0)RA, SO2RA, S02N(RA)RB, S02N(RA)C(0)RB or C2-4 alkenyl substituted with CN;
R2 is selected from the group consisting of:
(1) H,
(2) Cl-6 alkyl,
(3) C 1-6 haloalkyl,
(4) Cl-6 alkyl substituted with from 1 to 3 substituents each of which is independently OH, O-Cl-6 alkyl, O-Cl-6 haloalkyl, CN, NO2, N(RA)RB, C(0)N(RA)RB, C(0)RA CO2RA, SRA S(0)RA, S(0)2RA, S(0)2N(RA)RB, N(RA)C(0)RB, N(RA)C02RB, N(RA)S(0)2RB,
N(RA)S(0)2N(RA)RB, OC(0)N(RA)RB, N(RA)C(0)N(RA)RB, or N(RA)C(0)C(0)N(RA)RB,
(5) O-Cl-6 alkyl in which the alkyl is optionally substituted with 1 to 3 substituents independently selected from OH, O-Cl-6 alkyl, O-Cl-6 haloalkyl, CN, N(RA)RB, C(0)N(RA)RB, C(0)RA CO2RA, SRA S(0)RA, S(0)2RA, or S(0)2N(RA)RB,
(6) O-C 1-6 haloalkyl, (7) halogen,
(8) CN,
(9) NC-2,
(10) N(RA)RB5
(1 1) C(0)N(RA)RB?
(12) C(0)RA,
(13) C(0)-Ci-6 haloalkyl,
(14) C(0)ORA,
(15) OC(0)RA,
(16) OC(0)N(RA)RB?
(17) BRA
(18) S(0)RA
(19) S(0)2RA,
(20) S(0)2N(RA)RB,
(21) N(RA)S(0)2RB,
(22) N(RA)S(0)2N(RA)RB,
(23) N(RA)C(0)RB,
(24) N(RA)C(0)N(RA)RB?
(25) N(RA)C(0)-C(0)N(RA)RB?
Figure imgf000007_0001
(27) N(RC)RD5
(28) C(0)N(RC)RD
(29) OC(0)N(RC)RD? (30) S(0)2N(RC)RD,
(31) N(RA)S(0)2N(RC)RD
(32) N(RA)C(0)N(RC)RD?
(33) N(RA)C(0)-C(0)N(RC)RD
(34) CycA,
(35) -O-CycA,
(36) ArylA, or
(37) HetA;
R3 is H, Cl-6 alkyl, halogen, CN, Cl-6 fluoroalkyl, OH, O-Cl-6 alkyl and O-Ci-6 haloalkyl;
R4 and R5 are each independently selected from:
(1) H,
(2) Cl-6 alkyl, C2-6 alkenyl or C2-6 alkynyl, each optionally substituted with one or more substituents up to the maximum number allowed by valence selected from OH, O-Ci-6 alkyl, O-Cl-6 haloalkyl, CN, N02, N(RA)RB, C(0)N(RA)RB, C(0)RA CO2RA, SRA, S(0)RA, S(0)2RA, S(0)2N(RA)RB, N(RA)C(0)RB, N(RA)C02RB, N(RA)S(0)2RB, N(RA)S(0)2N(RA)RB, OC(0)N(RA)RB, N(RA)C(0)N(RA)RB, N(RA)C(0)C(0)N(RA)RB? CycB, ArylB and HetB,
(3) Cl-6 haloalkyl optionally additionally substituted with one or more
substituents up to the maximum number allowed by valence selected from OH, O-Cl-6 alkyl, O-Cl-6 haloalkyl, CN, NO2, N(RA)RB, C(0)N(RA)RB, C(0)RA CO2RA, SRA, S(0)RA, S(0)2RA, S(0)2N(RA)RB, N(RA)C(0)RB, N(RA)C02RB, N(RA)S(0)2RB, N(RA)S(0)2N(RA)RB, OC(0)N(RA)RB? N(RA)C(0)N(RA)RB? N(RA)C(0)C(0)N(RA)RB? CycB, ArylB and HetB
(4) O-Cl-6 alkyl in which the alkyl portion is optionally substituted with one or more substituents up to the maximum number allowed by valence selected from OH, O-Cl-6 alkyl, O-Cl-6 haloalkyl, CN, NO2, N(RA)RB,
C(0)N(RA)RB, C(0)RA CO2RA, SRA, S(0)RA, S(0)2RA,
S(0)2N(RA)RB, N(RA)C(0)RB, N(RA)C02RB, N(RA)S(0)2RB,
N(RA)S(0)2N(RA)RB, OC(0)N(RA)RB, N(RA)C(0)N(RA)RB,
N(RA)C(0)C(0)N(RA)RB? CycB, ArylB and HetB,
(5) O-Cl-6 haloalkyl, optionally additionally substituted with one or more
substituents up to the maximum number allowed by valence selected from OH, O-Cl-6 alkyl, O-Cl-6 haloalkyl, CN, NO2, N(RA)RB, C(0)N(RA)RB, C(0)RA CO2RA, SRA S(0)RA S(0)2RA, S(0)2N(RA)RB, N(RA)C(0)RB, N(RA)C02RB, N(RA)S(0)2RB, N(RA)S(0)2N(RA)RB, OC(0)N(RA)RB, N(RA)C(0)N(RA)RB, N(RA)C(0)C(0)N(RA)RB, CycB,
ArylB and HetB,
(6) halogen,
(7) CN,
(8) N02,
(9) N(RA)RB?
(10) C(0)N(RA)RB?
(11) C(0)RA
(12) C(0)-Ci-6 haloalkyl,
(13) C(0)0RA (14) OC(0)RA,
(15) OC(0)N(RA)RB?
(16) BRA
(17) S(0)RA
(18) S(0)2RA
Figure imgf000010_0001
(21 ) N(RA)S(0)2N(RA)RB,
(22) N(RA)C(0)RB,
(23) N(RA)C(0)N(RA)RB?
(24) N(RA)C(0)-C(0)N(RA)RB,
Figure imgf000010_0002
(26) N(RC)RD?
(27) C(0)N(RC)RD
(28) OC(0)N(RC)RD?
(29) S(0)2N(RC)RD
(30) N(RA)S(0)2N(RC)RD,
(31 ) N(RA)C(0)N(RC)RD
(32) N(RA)C(0)-C(0)N(RC)RD,
(33) OH,
(34) CycB,
(35) ArylB,
(36) HetB, (37) -J-CycB,
(38) -J-ArylB, and
(39) -J-HetB, or R4 and R5 on adjacent atoms may be joined together with the atoms to which they are attached to form a fused CycC, ArylC or HetC;
CycA, CycB and CycC are independently a carbocyclyl which is a C3.8 cycloalkyl, a C5.8 cycloalkenyl, or a C7- I2 bicyclic, saturated or unsaturated, non-aromatic ring system wherein one ring is fused to or bridged with the other ring; wherein the carbocyclyl is optionally substituted with a total of from 1 to 6 substituents, wherein:
(i) from zero to 6 substituents are each independently:
(1) halogen,
(2) CN,
(3) Cl-6 alkyl,
(4) OH,
(5) 0-Ci-6 alkyl,
(6) Ci-6 haloalkyl,
(7) O-C 1-6 haloalkyl,
(8) Ci-6 alkenyl, or
(9) Ci-6 alkenyl substituted with CN, and (ii) from zero to 2 substituents are each independently:
(1) CycQ,
(2) AryQ,
(3) HetQ,
(4) HetR,
(5) J-CycQ,
(6) J-AryQ,
(7) J-HetQ, (8) J-HetR,
(9) C 1 -6 alkyl substituted with CycQ, AryQ, HetQ, HetR, J-CycQ,
J-AryQ, J-HetQ, or J-HetR,
(10) C2-6 alkenyl substituted with CycQ, AryQ, HetQ, HetR, J-CycQ, J-AryQ, J-HetQ, or J-HetR, or
(11) C2-6 alkynyl substituted with CycQ, AryQ, HetQ, HetR, J-CycQ,
J-AryQ, J-HetQ, or J-HetR;
ArylA, ArylB and ArylC are independently aryl which is optionally substituted with a total of from 1 to 8 substituents, wherein:
(i) from zero to 8 substituents are each independently:
(1) Cl-6 alkyl,
(2) Cl-6 haloalkyl, which is optionally substituted with 1 to 3 additional substituents each of which is indepednently selected from OH, O-Cl-6 alkyl, O-Cl-6 haloalkyl, CN, N02, N(RA)RB, C(0)N(RA)RB, C(0)RA C02RA, SRA, S(0)RA S(0)2RA, S(0)2N(RA)RB, N(RA)C(0)RB, N(RA)C02RB, N(RA)S(0)2RB,
N(RA)S(0)2N(RA)RB, OC(0)N(RA)RB, N(RA)C(0)N(RA)RB, or
N(RA)C(0)C(0)N(RA)RB,
(3) Cl-6 alkyl substituted with from 1 to 3 substituents each of which is independently selected from OH, O-Cl-6 alkyl, O-Cl-6 haloalkyl, CN, N02, N(RA)RB, C(0)N(RA)RB, C(0)RA C02RA, SRA, S(0)RA, S(0)2RA, S(0)2N(RA)RB, N(RA)C(0)RB, N(RA)C02RB, N(RA)S(0)2RB, N(RA)S(0)2N(RA)RB, OC(0)N(RA)RB,
N(RA)C(0)N(RA)RB, or N(RA)C(0)C(0)N(RA)RB, (4) C2-6 alkenyl,
(5) C2-6 alkenyl substituted with from 1 to 3 substituents each of which is independently OH, O-Ci-6 alkyl, O-Ci-6 haloalkyl, CN, NO2, N(RA)RB, C(0)N(RA)RB, C(0)RA, C02RA, SRA, S(0)RA
S(0)2RA, S(0)2N(RA)RB, N(RA)C(0)RB, N(RA)C02RB,
N(RA)S(0)2RB, N(RA)S(0)2N(RA)RB, OC(0)N(RA)RB,
N(RA)C(0)N(RA)RB? or N(RA)C(0)C(0)N(RA)RB?
(6) C2-6 alkynyl,
(7) C2-6 alkynyl substituted with from 1 to 3 substituents each of which is independently OH, O-Ci-6 alkyl, O-Ci-6 haloalkyl, CN, NO2, N(RA)RB, C(0)N(RA)RB, C(0)RA, CO2RA, SRA, S(0)RA
S(0)2RA, S(0)2N(RA)RB, N(RA)C(0)RB, N(RA)C02RB,
N(RA)S(0)2RB, N(RA)S(0)2N(RA)RB, OC(0)N(RA)RB,
N(RA)C(0)N(RA)RB? or N(RA)C(0)C(0)N(RA)RB?
(8) O-C 1-6 alkyl,
(9) O-C 1-6 haloalkyl,
(10) OH,
(11) halogen,
(12) CN,
(13) N02,
(14) N(RA)RB,
(15) C(0)N(RA)RB,
(16) C(0)RA (17) C(0)-Ci-6 haloalkyl,
(18) C(0)0RA
(19) OC(0)N(RA)RB?
(20) BRA
(21) S(0)RA
(22) S(0)2RA
Figure imgf000014_0001
(25) N(RA)S(0)2N(RA)RB,
(26) N(RA)C(0)RB,
(27) N(RA)C(0)N(RA)RB?
(28) N(RA)C(0)-C(0)N(RA)RB? 0r
Figure imgf000014_0002
(ii) from zero to 2 substituents are each independently:
(1) CycQ,
(2) AryQ,
(3) HetQ,
(4) HetR,
(5) J-CycQ,
(6) J-AryQ,
(7) J-HetQ,
(8) J-HetR,
(9) C 1 -6 alkyl substituted with CycQ, AryQ, HetQ, HetR, J-CycQ, J-AryQ, J-HetQ, or J-HetR, (10) C2-6 alkenyl substituted with CycQ, AryQ, HetQ, HetR, J-CycQ, J-AryQ, J-HetQ, or J-HetR, or
(11) C2-6 alkynyl substituted with CycQ, AryQ, HetQ, HetR, J-CycQ,
J-AryQ, J-HetQ, or J-HetR;
HetA, HetB and HetC are independently a heterocyclyl or heteroaryl which is optionally substituted with a total of from 1 to 8 substituents, wherein:
(i) from zero to 8 substituents are each independently:
(1) Cl-6 alkyl,
(2) Cl-6 haloalkyl, which is optionally substituted with 1 to 3 additional substituents each of which is indepednently selected from OH, O-Cl-6 alkyl, O-Cl-6 haloalkyl, CN, NO2, N(RA)RB, C(0)N(RA)RB, C(0)RA C02RA, BRA S(0)RA S(0)2RA, S(0)2N(RA)RB, N(RA)C(0)RB, N(RA)C02RB, N(RA)S(0)2RB,
N(RA)S(0)2N(RA)RB, OC(0)N(RA)RB, N(RA)C(0)N(RA)RB, or
N(RA)C(0)C(0)N(RA)RB,
(3) Cl-6 alkyl substituted with from 1 to 3 substituents each of which is independently selected from OH, O-Cl-6 alkyl, O-Cl-6 haloalkyl, CN, N02, N(RA)RB, C(0)N(RA)RB, C(0)RA CO2RA, SRA, S(0)RA S(0)2RA, S(0)2N(RA)RB, N(RA)C(0)RB, N(RA)C02RB, N(RA)S(0)2RB, N(RA)S(0)2N(RA)RB, OC(0)N(RA)RB,
N(RA)C(0)N(RA)RB, or N(RA)C(0)C(0)N(RA)RB,
(4) C2-6 alkenyl,
(5) C2-6 alkenyl substituted with from 1 to 3 substituents each of which is independently OH, O-Cl-6 alkyl, O-Cl-6 haloalkyl, CN, NO2, N(RA)RB, C(0)N(RA)RB, C(0)RA CO2RA, SRA, S(0)RA, S(0)2RA, S(0)2N(RA)RB, N(RA)C(0)RB, N(RA)C02RB,
N(RA)S(0)2RB, N(RA)S(0)2N(RA)RB, OC(0)N(RA)RB,
N(RA)C(0)N(RA)RB? or N(RA)C(0)C(0)N(RA)RB?
(6) C2-6 alkynyl,
(7) C2-6 alkynyl substituted with from 1 to 3 substituents each of which is independently OH, O-Ci-6 alkyl, O-Ci-6 haloalkyl, CN, NO2,
N(RA)RB, C(0)N(RA)RB, C(0)RA, CO2RA, SRA, S(0)RA, S(0)2RA, S(0)2N(RA)RB, N(RA)C(0)RB, N(RA)C02RB,
N(RA)S(0)2RB, N(RA)S(0)2N(RA)RB, OC(0)N(RA)RB,
N(RA)C(0)N(RA)RB? or N(RA)C(0)C(0)N(RA)RB?
8) O-C 1-6 alkyl,
9) O-C 1-6 haloalkyl,
10) OH,
11) oxo,
12) halogen,
13) CN,
14) NO2,
15) N(RA)RB,
16) C(0)N(RA)RB?
17) C(0)RA,
18) C(0)-C 1-6 haloalkyl,
19) C(0)0RA (20) OC(0)N(RA)RB?
(21) BRA
(22) S(0)RA,
(23) S(0)2RA,
Figure imgf000017_0001
(26) N(RA)S(0)2N(RA)RB,
(27) N(RA)C(0)RB,
(28) N(RA)C(0)N(RA)RB?
(29) N(RA)C(0)-C(0)N(RA)RB? 0r
Figure imgf000017_0002
(ii) from zero to 2 substituents are each independently:
(1) CycQ,
(2) AryQ,
(3) HetQ,
(4) HetR,
(5) J-CycQ,
(6) J-AryQ,
(7) J-HetQ,
(8) J-HetR,
(9) C 1 -6 alkyl substituted with CycQ, AryQ, HetQ, HetR, J-CycQ, J-AryQ, J-HetQ, or J-HetR,
(10) C2-6 alkenyl substituted with CycQ, AryQ, HetQ, HetR, J-CycQ, J-AryQ, J-HetQ, or J-HetR, or (1 1) C2-6 alkynyl substituted with CycQ, AryQ, HetQ, HetR, J-CycQ, J-AryQ, J-HetQ, or J-HetR;
each CycQ is independently C3-8 cycloalkyl or C5-8 cycloalkenyl, wherein the cycloalkyl or cycloalkenyl is optionally substituted with from 1 to 4 substituents, each of which is independently halogen, Cl-6 alkyl, OH, O-Cl-6 alkyl, Cl-6 haloalkyl, or O-Cl-6 haloalkyl; each AryQ is independently phenyl or naphthyl, wherein the phenyl or naphthyl is optionally substituted with from 1 to 5 substituents each of which is independently halogen, CN, NO2,
Cl-6 alkyl, Cl-6 haloalkyl, OH, O-Cl-6 alkyl, O-Cl-6 haloalkyl, N(RA)RB, C(0)N(RA)RB, C(0)RA, CO2RA, BRA S(0)RA, SO2RA, S02N(RA)RB, or S02N(RA)C(0)RB; each HetQ is independently a heteroaryl which is optionally substituted with from 1 to 4 substituents each of which is independently halogen, Cl-6 alkyl, Cl-6 haloalkyl, OH, O-Cl-6 alkyl, O-Cl-6 haloalkyl, N(RA)RB, C(0)N(RA)RB, C(0)RA CO2RA, SO2RA,
N(RA)C(0)N(RA)RB, or N(RA)C02RB; each HetR is independently a 4- to 7-membered, saturated or unsaturated, non-aromatic heterocyclic ring containing at least one carbon atom and from 1 to 4 heteroatoms
independently selected from N, O and S, where each S is optionally oxidized to S(O) or
S(0)2, and wherein the saturated or unsaturated heterocyclic ring is optionally substituted with from 1 to 4 substituents each of which is independently halogen, CN, Cl-6 alkyl, OH, oxo, O-Cl-6 alkyl, Cl-6 haloalkyl, O-Cl-6 haloalkyl, C(0)N(RA)RB, C(0)RA C02Ra, or S02RA;
each J is independently:
(i) O,
(ii) S,
(iii) S(O),
(iv) S(0)2, (v) O-Ci-6 alkylene,
(vi) S-Ci-6 alkylene,
(vii) S(0)-Ci-6 alkylene,
(viii) S(0)2-Ci_6 alkylene,
(ix) N(RA), or
(x) N(RA)-C I_6 alkylene; each RA, RB? RC and RD are independently selected from H, C\-6 alkyl and C3_6cycloalkyl, wherein said C\-6 alkyl and C3_6cycloalkyl are optionally substituted with one or more substituents up to the maximum number allowed by valence selected from the group consisting of: halogen, OH, CN, Cl-4alkoxy, C3-6cycloalkyl and phenyl; or alternatively each pair of RC and RD together with the nitrogen to which they are both attached form a 4- to 7-membered saturated or mono-unsaturated ring which optionally contains a heteroatom in addition to the N to which RC and RD are attached, wherein the additional heteroatom is selected from N, O, and S; wherein the ring is optionally substituted with 1 or 2 substituents each of which is independently Cl-6 alkyl, C(0)RA, C(0)ORA,
C(0)N(RA)RB? or S(0)2RA; and wherein the optional S in the ring is optionally in the form of S(O) or S(0)2;
each aryl is independently (i) phenyl, (ii) a 9- or 10-membered bicyclic, fused carbocylic ring system in which at least one ring is aromatic, or (iii) an 11- to 14-membered tricyclic, fused carbocyclic ring system in which at least one ring is aromatic;
each heterocyclyl is independently (i) a 4- to 8-membered, saturated or unsaturated monocyclic ring, (ii) a 7- to 12-membered bicyclic ring system, or (iii) a 10- to 18-membered tricyclic ring system, wherein each ring in (ii) or (iii) is independent of, fused to, or bridged with the other ring or rings and each ring is saturated or unsaturated; wherein the monocyclic ring contains from 1 to 4 heteroatoms and a balance of carbon atoms; the bicyclic ring system or tricyclic ring system contains from 1 to 8 heteroatoms and a balance of carbon atoms, wherein one or more of the rings contain one or more of the heteroatoms; wherein the heteroatoms are selected from N, O and S; and wherein any one or more of the nitrogen and sulfur heteroatoms is optionally oxidized, and any one or more of the nitrogen heteroatoms is optionally quaternized;
each heteroaryl is independently (i) a 5- or 6-membered heteroaromatic ring containing from 1 to 4 heteroatoms independently selected from N, O and S, wherein each N is optionally in the form of an oxide, or (ii) a 9- or 10-membered heterobicyclic, fused ring system containing from 1 to 4 heteroatoms independently selected from N, O and S, wherein either one or both of the rings contain one or more of the heteroatoms, at least one ring is aromatic, each N is optionally in the form of an oxide, and each S in a ring which is not aromatic is optionally
S(O) or S(0)2.
An embodiment of the invention ("Embodiment 1 A") encompasses compounds of Formula I, or a pharmaceutically acceptable salt thereof, wherein two R1 groups present and selected from the group consisting of: F, Br, CI, OCHF2, CF3 or CN.
Another embodiment of the invention ("Embodiment 2") encompasses compounds of Formula la, or a pharmaceutically acceptable salt thereof:
Figure imgf000020_0001
la, wherein Κΐ and Κ2 are each independently F, Br, CI, OCHF2,
CF3 or CN, and all other variables are defined as in Embodiment 1
Another embodiment of the invention ("Embodiment 3") encompass compounds of Formula la, or a pharmaceutically acceptable salt thereof, wherein:
Κ2 is chloro and Κΐ is cyano, or bromo and Κΐ chloro, Κ is cyano and Kl is cyano, or
Κ is cyano and K1 is difluoromethoxy, or
Κ2 is chloro and K1 is chloro, or
Κ2 is cyano and K1 is fluoro,
and all other variables are defined as in Embodiment 1.
Another embodiment of the invention ("Embodiment 4") encompasses compounds of Formula I, or a pharmaceutically acceptable salt thereof, wherein:
R2 is independently:
(1) H,
(2) Ci-3 alkyl,
(3) CF2H,
(4) CF3,
(5) CH2CF3,
(6) CF2CH3,
(?) CH2OH,
(8) CH2OCH3,
(9) CH2CN,
(10) CH2NH2,
(11) CH2N(H)CH3,
(12) CH2N(CH3)2,
(13) CH2C(0)NH2,
(14) CH2C(0)N(H)CH3,
(15) CH2C(0)N(CH3)2, (16) CH2C(0)CH3,
(17) CH2CO2CH3,
(18) CH2S(0)2CH3,
(19) O-Ci-3 alkyl,
(20) OCF2H,
(21) OCF3,
(22) CI,
(23) Br,
(24) F,
(25) CN,
(26) N02,
(27) NH2,
(28) N(H)CH3,
(29) N(CH3)2,
(30) C(0)NH2,
(31) C(0)N(H)CH3,
(32) C(0)N(CH3)2,
(33) C(0)CH3,
(34) C(0)CF3,
(35) C02CH3,
(36) S(0) CH3, or
(37) cyclopropy
and all other variables are defined as in Embodiment 1. Another embodiment of the invention ("Embodiment 5") encompasses compounds of Formula I, or a pharmaceutically acceptable salt thereof, wherein R2 is selected from H, CH3, CH2CH3, CF2CH3, CF2H, CF3, OCH3, OCF2H, OCF3, cyclopropyl, CI, Br,
F, or CN, and all other variables are defined as in Embodiment 1.
Another embodiment of the invention ("Embodiment 6") encompasses compounds of Formula I, or a pharmaceutically acceptable salt thereof, wherein R2 is CF3, and all other variables are defined as in Embodiment 1.
Another embodiment of the invention ("Embodiment 7") encompasses compounds of Formula la, or a pharmaceutically acceptable salt thereof, wherein: R2 is independently:
(1) H,
(2) Cl-3 alkyl,
(3) CF2H,
(4) CF3,
(5) CH2CF3,
(6) CF2CH3,
(?) CH2OH,
(8) CH2OCH3,
(9) CH2CN,
(10) CH2NH2,
(11) CH2N(H)CH3,
(12) CH2N(CH3)2,
(13) CH2C(0)NH2,
(14) CH2C(0)N(H)CH3, (15) CH2C(0)N(CH3)2,
(16) CH2C(0)CH3,
(17) CH2CO2CH3,
(18) CH2S(0)2CH3,
(19) O-Ci-3 alkyl,
(20) OCF2H,
(21) OCF3,
(22) CI,
(23) Br,
(24) F,
(25) CN,
(26) N02,
(27) NH2,
(28) N(H)CH3,
(29) N(CH3)2,
(30) C(0)NH2,
(31) C(0)N(H)CH3,
(32) C(0)N(CH3)2,
(33) C(0)CH3,
(34) C(0)CF3,
(35) C02CH3,
(36) S(0)2CH3, or
(37) cyclopropyl;
and all other variables are defined as in Embodiment 2 or Embodiment 3. Another embodiment of the invention ("Embodiment 8") encompasses compounds of Formula la, or a pharmaceutically acceptable salt thereof, wherein R2 is selected from H, CH3, CH2CH3, CF2CH3, CF2H, CF3, OCH3, OCF2H, OCF3, cyclopropyl,
CI, Br, F, or CN, and all other variables are defined as in Embodiment 2 or Embodiment 3.
Another embodiment of the invention ("Embodiment 9") encompasses compounds of Formula la, or a pharmaceutically acceptable salt thereof, wherein R2 is CF3, and all other variables are defined as in Embodiment 2 or Embodiment 3.
Another embodiment of the invention ("Embodiment 10") encompasses compounds of Formula I, or a pharmaceutically acceptable salt thereof, wherein M is CH2 or
CH(CH3), and all other variables are defined as in Embodiment 1, Embodiment 4,
Embodiment 5 or Embodiment 6.
Another embodiment of the invention ("Embodiment 11") encompasses compounds of Formula la, or a pharmaceutically acceptable salt thereof, wherein M is CH2 or
CH(CH3), and all other variables are defined as in Embodiment 2, Embodiment 3,
Embodiment 7, Embodiment 8 or Embodiment 9.
Another embodiment of the invention ("Embodiment 12") encompasses compounds of Formula I, or a pharmaceutically acceptable salt thereof, wherein M is CH2, and all other variables are defined as in Embodiment 1, Embodiment 4, Embodiment 5 or Embodiment 6.
Another embodiment of the invention ("Embodiment 13") encompasses compounds of Formula la, or a pharmaceutically acceptable salt thereof, wherein M is CH2, and all other variables are defined as in and all other variables are defined as in Embodiment 2, Embodiment 3, Embodiment 7, Embodiment 8 or Embodiment 9. Another embodiment of the invention ("Embodiment 14") encompasses compounds of Formula I, or a pharmaceutically acceptable salt thereof, wherein Z is selected from the group consisting of:
Figure imgf000026_0001
wherein * is the point of attachment to M, and all other variables are defined as in Embodiment 1, Embodiment 4, Embodiment 5, Embodiment 6, Embodiment 10 or
Embodiment 12.
Another embodiment of the invention ("Embodiment 15") encompasses compounds of Formula la, or a pharmaceutically acceptable salt thereof, wherein Z is selected from the group consisting of:
Figure imgf000027_0001
Figure imgf000028_0001
wherein * is the point of attachment to M, and all other variables are defined as in
Embodiment 2, Embodiment 3, Embodiment 7, Embodiment 8, Embodiment 9, Embodiment 11 or Embodiment 13.
Another embodiment of the invention ("Embodiment 16") encompasses compounds of Formula I, or a pharmaceutically acceptable salt thereof, wherein
R2 is selected from H, CH3, CH2CH3, CF2CH3, CF2H, CF3, OCH3, OCF2H, OCF3, cyclopropyl, CI, Br, F, or CN; R3 is H; and M is CH2 or CH(CH3), and all other variables are defined as in Embodiment 1, Embodiment 4, Embodiment 5, Embodiment 6, Embodiment 10, Embodiment 12 or Embodiment 14.
Another embodiment of the invention ("Embodiment 17") encompasses compounds of Formula la, or a pharmaceutically acceptable salt thereof, wherein
R2 is selected from H, CH3, CH2CH3, CF2CH3, CF2H, CF3, OCH3, OCF2H, OCF3, cyclopropyl, CI, Br, F, or CN; R3 is H; and M is CH2 or CH(CH3), and all other variables are defined as in Embodiment 2, Embodiment 3, Embodiment 7, Embodiment 8, Embodiment 9, Embodiment 11, Embodiment 13 or Embodiment 15.
Another embodiment of the invention ("Embodiment 18") encompasses compounds of Formula I, or a pharmaceutically acceptable salt thereof, wherein
Z is selected from the group consisting of:
Figure imgf000028_0002
wherein * is the point of attachment to M, and all other variables are defined as in Embodiment 1, Embodiment 4, Embodiment 5, Embodiment 6, Embodiment 10, Embodiment 12 or Embodiment 16.
Another embodiment of the invention ("Embodiment 19") encompasses compounds of Formula I, or a pharmaceutically acceptable salt thereof, wherein
R4 and R5 are each independently selected from:
(1) H,
(2) Ci_6 alkyl, C2-6 alkenyl or C2-6 alkynyl, each optionally substituted with one or more substituents up to the maximum number allowed by valence selected from OH, O-Cl-6 alkyl, O-Cl-6 haloalkyl, CN, N02, N(RA)RB, C(0)N(RA)RB, C(0)RA C02RA, SRA, S(0)RA S(0)2RA, S(0)2N(RA)RB, N(RA)C(0)RB, N(RA)C02RB, N(RA)S(0)2RB,
N(RA)S(0)2N(RA)RB, OC(0)N(RA)RB, N(RA)C(0)N(RA)RB, N(RA)C(0)C(0)N(RA)RB, C3-8 cycloalkyl, phenyl and HetB,
(3) Cl-6 haloalkyl optionally additionally substituted with one or more
substituents up to the maximum number allowed by valence selected from OH, O-Cl-6 alkyl, O-Cl-6 haloalkyl, CN, NO2, N(RA)RB, C(0)N(RA)RB,
C(0)RA CO2RA, SRA, S(0)RA, S(0)2RA, S(0)2N(RA)RB, N(RA)C(0)RB, N(RA)C02RB, N(RA)S(0)2RB, N(RA)S(0)2N(RA)RB, OC(0)N(RA)RB, N(RA)C(0)N(RA)RB, N(RA)C(0)C(0)N(RA)RB, C3.8 cycloalkyl, phenyl and HetB,
(4) O-Cl-6 alkyl in which the alkyl portion is optionally substituted with one or more substituents up to the maximum number allowed by valence selected from OH, O-Cl-6 alkyl, O-Cl-6 haloalkyl, CN, NO2, N(RA)RB, C(0)N(RA)RB, C(0)RA CO2RA, SRA S(0)RA S(0)2RA, S(0)2N(RA)RB, N(RA)C(0)RB, N(RA)C02RB, N(RA)S(0)2RB, N(RA)S(0)2N(RA)RB, OC(0)N(RA)RB, N(RA)C(0)N(RA)RB, N(RA)C(0)C(0)N(RA)RB, C3.8 cycloalkyl, phenyl and HetB,
(5) O-Ci-6 haloalkyl, optionally additionally substituted with one or more
substituents up to the maximum number allowed by valence selected from OH, O-Cl-6 alkyl, O-Cl-6 haloalkyl, CN, NO2, N(RA)RB, C(0)N(RA)RB, C(0)RA, CO2RA, SRA, S(0)RA, S(0)2RA, S(0)2N(RA)RB, N(RA)C(0)RB, N(RA)C02RB, N(RA)S(0)2RB, N(RA)S(0)2N(RA)RB, OC(0)N(RA)RB, N(RA)C(0)N(RA)RB, N(RA)C(0)C(0)N(RA)RB, C3.8 cycloalkyl, phenyl and HetB,
(6) halogen,
(7) OH,
(8) CN
(9) C(O) RA
(10) N(RA)RB,
(1 1) C(0)N(RA)RB,
(12) C(0)0RA
(13) SRA
(14) S(0)2RA,
(15) S(0)2N(RA)RB,
(16) C3-8 cycloalkyl,
(17) ArylB,
(18) HetB,
(19) -J- C3-8 cycloalkyl, (20) -J-ArylB, and
(21) -J-HetB;
and all other variables are defined as in Embodiment 1, Embodiment 4, Embodiment 5, Embodiment 6, Embodiment 10, Embodiment 12, Embodiment 14, Embodiment 16 or
Embodiment 18. In another ambodiment, R4 is H, one R5 is present and is defined as above.
Another embodiment of the invention ("Embodiment 20") encompasses compounds of Formula la, or a pharmaceutically acceptable salt thereof, wherein
Z is selected from the group consisting of:
Figure imgf000031_0001
wherein * is the point of attachment to M, and all other variables are defined as in
Embodiment 2, Embodiment 3, Embodiment 7, Embodiment 8, Embodiment 9, Embodiment 11, Embodiment 13 or Embodiment 17.
Another embodiment of the invention ("Embodiment 21") encompasses compounds of Formula I, or a pharmaceutically acceptable salt thereof, wherein
R4 and R5 are each independently selected from:
(1) H,
(2) Cl-6 alkyl, C2-6 alkenyl or C2-6 alkynyl, each optionally substituted with one or more substituents up to the maximum number allowed by valence selected from OH, O-Ci-6 alkyl, O-Ci-6 haloalkyl, CN, N02, N(RA)RB, C(0)N(RA)RB, C(0)RA C02RA, SRA, S(0)RA S(0)2RA, S(0)2N(RA)RB, N(RA)C(0)RB, N(RA)C02RB, N(RA)S(0)2RB, N(RA)S(0)2N(RA)RB, OC(0)N(RA)RB, N(RA)C(0)N(RA)RB, N(RA)C(0)C(0)N(RA)RB, C3-8 cycloalkyl, phenyl and HetB, (3) Ci-6 haloalkyl optionally additionally substituted with one or more
substituents up to the maximum number allowed by valence selected from OH, O-Cl-6 alkyl, O-Cl-6 haloalkyl, CN, N02, N(RA)RB, C(0)N(RA)RB, C(0)RA, CO2RA, BRA S(0)RA, S(0)2RA, S(0)2N(RA)RB, N(RA)C(0)RB, N(RA)C02RB, N(RA)S(0)2RB, N(RA)S(0)2N(RA)RB,
OC(0)N(RA)RB, N(RA)C(0)N(RA)RB, N(RA)C(0)C(0)N(RA)RB, C3.8 cycloalkyl, phenyl and HetB,
(4) O-Cl-6 alkyl in which the alkyl portion is optionally substituted with one or more substituents up to the maximum number allowed by valence selected from OH, O-Cl-6 alkyl, O-C 1 -6 haloalkyl, CN, NO2, N(RA)RB,
C(0)N(RA)RB, C(0)RA CO2RA, SRA S(0)RA S(0)2RA, S(0)2N(RA)RB, N(RA)C(0)RB, N(RA)C02RB, N(RA)S(0)2RB, N(RA)S(0)2N(RA)RB, OC(0)N(RA)RB, N(RA)C(0)N(RA)RB, N(RA)C(0)C(0)N(RA)RB, C3.8 cycloalkyl, phenyl and HetB, (5) O-Cl-6 haloalkyl, optionally additionally substituted with one or more
substituents up to the maximum number allowed by valence selected from OH, O-C 1-6 alkyl, O-Cl-6 haloalkyl, CN, NO2, N(RA)RB, C(0)N(RA)RB, C(0)RA CO2RA, SRA S(0)RA S(0)2RA, S(0)2N(RA)RB, N(RA)C(0)RB, N(RA)C02RB, N(RA)S(0)2RB, N(RA)S(0)2N(RA)RB, OC(0)N(RA)RB, N(RA)C(0)N(RA)RB, N(RA)C(0)C(0)N(RA)RB, C3-8 cycloalkyl, phenyl and HetB,
(6) halogen,
(7) OH,
(8) CN (9) C(O) RA,
(10) N(RA)RB?
(1 1) C(0)N(RA)RB?
(12) C(0)0RA
(13) SRA,
(14) S(0)2RA,
Figure imgf000033_0001
(16) C3.8 cycloalkyl,
(17) ArylB,
(18) HetB,
(19) -J- C3.8 cycloalkyl,
(20) -J- ArylB, and
(21) -J-HetB;
and all other variables are defined as in Embodiment 2, Embodiment 3, Embodiment 7, Embodiment 8, Embodiment 9, Embodiment 1 1 , Embodiment 13, Embodiment 15, Embodiment 17 or Embodiment 20.
Another embodiment of the invention ("Embodiment 22") encompasses compounds of Formula lb, or a pharmaceutically acceptable salt thereof,
Figure imgf000033_0002
lb or a pharmaceutically acceptable salt thereof, wherein Κΐ and Κ2 are each independently F, Br, CI, OCHF2, CF3 or CN; R2 is selected from H, CH3, CH2CH3, CF2CH3, CF2H, CF3,
OCH3, OCF2H, OCF3, cyclopropyl, CI, Br, F, or CN; and all other variables are defined as in Embodiment 1 or Embodiment 21. Within this embodiment the invention encompasses compounds of Formula lb as defined above wherein R2 is CF3 and R4 is H ("Embodiment 23").
Another embodiment of the invention ("Embodiment 24") encompasses compounds of Formula Ic, or a pharmaceutically acceptable salt thereof,
Figure imgf000034_0001
Ic or a pharmaceutically acceptable salt thereof, wherein Κΐ and Κ2 are each independently F, Br, CI, OCHF2, CF3 or CN; R2 is selected from H, CH3, CH2CH3, CF2CH3, CF2H, CF3,
OCH3, OCF2H, OCF3, cyclopropyl, CI, Br, F, or CN; and all other variables are defined as in Embodiment 1 or Embodiment 21. Within this embodiment the invention encompasses compounds of Formula Ic as defined above wherein R2 is CF3 and R4 is H ("Embodiment 25").
Another embodiment of the invention ("Embodiment 26") encompasses compounds of Formula Id, or a pharmaceutically acceptable salt thereof,
Figure imgf000035_0001
Id or a pharmaceutically acceptable salt thereof, wherein Κΐ and Κ2 are each independently F, Br, CI, OCHF2, CF3 or CN; R2 is selected from H, CH3, CH2CH3, CF2CH3, CF2H, CF3, OCH3, OCF2H, OCF3, cyclopropyl, CI, Br, F, or CN; and all other variables are defined as in Embodiment 1 or Embodiment 21. Within this embodiment the invention encompasses compounds of Formula Id as defined above wherein R2 is CF3 and R4 is H ("Embodiment 27").
Another embodiment ("Emodiment 28") encompasses compounds of Formula lb, wherein R5 is selected from the group consisting of: (1) hydrogen, (2) halo, (3) cyano, (4) C^alkyl, (5) C^haloalkyl, (6) 0-Cl_4alkyl, (7) 0-Cl_4haloalkyl, (8) C^alkyl substituted with hydroxy, (9) ) C\ _4haloalkyl substituted with hydroxy, (10) C4_6cycloalkyl,
(11) C4_6cycloalkyl substituted with 1 to 3 halo groups, (12) phenyl or phenoxy, (13) phenyl or phenoxy, each substituted with 1 to 5 substituents independently selected from halo, CN, C i _4alkyl, C \ _4haloalkyl, O-C 1 -4alkyl, O-C 1 _4haloalkyl, C \ _4alkyl substituted with hydroxy and Ci _4haloalkyl substituted with hydroxy, (14) pyrazolyl, (15) 1-methylpyrazolyl, (16) pyridyl or pyridyloxy, (17) pyridyl or pyridyloxy, each substituted with 1 to 4 substituents independently selected from halo, CN, C\ _4alkyl, C\ _4haloalkyl, 0-Cl-4alkyl,
0-Cl-4haloalkyl, Ci _4alkyl substituted with hydroxy and C\ ^haloalkyl substituted with hydroxy, (18) triazolyl, (19) S(0)2C1.4alkyl, (20) C(0)OC1.4alkyl, (21) C(0)C1.4alkyl, (22) C(0)NH2, (23) hydroxy, and (24) NH2, and and all other variables are defined as in
Embodiment 22 or Embodiment 23.
The compounds of Formula I, Formula la, Formula lb, Formula Ic or Formula Id above, and pharmaceutically acceptable salts thereof, are HIV reverse transcriptase inhibitors. The compounds are useful for inhibiting HIV reverse transcriptase and for inhibiting HIV replication in vitro and in vivo. More particularly, the compounds of Formula I inhibit the polymerase function of HIV- 1 reverse transcriptase. The testing of representative compounds of the invention in the assay set forth in Example 197 below, illustrate the ability of compounds of the invention to inhibit the R A-dependent DNA polymerase activity of HIV-1 reverse transcriptase. Representative compounds of the present invention (see, e.g., the compounds of Examples 1 to 195) also exhibit activity against drug resistant forms of HIV (e.g., mutant strains of HIV-1 in which reverse transcriptase has a mutation at lysine 103 → asparagine (K103N) and/or tyrosine 181→ cysteine (Y181C) ).
Another embodiment of the present invention ("Embodiment 29") is a compound of Formula I, Formula la, Formula lb, Formula Ic or Formula Id, or a
pharmaceutically acceptable salt thereof, as originally defined or as defined in any of the foregoing embodiments, aspects, classes, sub-classes or features, wherein the compound or its salt is in a substantially pure form. As used herein "substantially pure" means suitably at least about 60 wt.%, typically at least about 70 wt.%, preferably at least about 80 wt.%, more preferably at least about 90 wt.% (e.g., from about 90 wt.% to about 99 wt.%>), even more preferably at least about 95 wt.%> (e.g., from about 95 wt.%> to about 99 wt.%>, or from about 98 wt.%) to 99 wt.%o), and most preferably at least about 99 wt.%> of a product containing a compound of Formula I or its salt (e.g., the product isolated from a reaction mixture affording the compound or salt) consists of the compound or salt. The level of purity of the compounds and salts can be determined using a standard method of analysis such as thin layer
chromatography, gel electrophoresis, high performance liquid chromatography, and/or mass spectrometry. If more than one method of analysis is employed and the methods provide experimentally significant differences in the level of purity determined, then the method providing the highest purity level governs. A compound or salt of 100% purity is one which is free of detectable impurities as determined by a standard method of analysis. With respect to a compound of the invention which has one or more asymmetric centers and can occur as mixtures of stereoisomers, a substantially pure compound can be either a substantially pure mixture of the stereoisomers or a substantially pure individual diastereomer or enantiomer.
The present invention also includes prodrugs of the compounds of Formula I,
Formula la, Formula lb, Formula Ic or Formula Id. The term "prodrug" refers to a derivative of a compound of the aforementioned formulae, or a pharmaceutically acceptable salt thereof, which is converted in vivo into the active moeity. Prodrugs of compounds of Formula I, Formula la, Formula lb, Formula Ic or Formula Id can exhibit enhanced solubility, absorption, and/or lipophilicity compared to the compounds per se, thereby resulting in increased bioavailability and efficacy. The in vivo conversion of the prodrug can be the result of an enzyme-catalyzed chemical reaction, a metabolic chemical reaction, and/or a spontaneous chemical reaction (e.g., solvo lysis). When the compound contains, for example, a hydroxy group, the prodrug can be a derivative of the hydroxy group such as an ester (- OC(O)R), a carbonate ester (-OC(O)OR), a phosphate ester (-0-P(=0)(OH)2), or an ether
(-OR). Other examples include the following: When the compound of Formula I, Formula la, Formula lb, Formula Ic or Formula Id contains a carboxylic acid group, the prodrug can be an ester or an amide, and when the compound of Formula I, Formula la, Formula lb, Formula Ic or Formula Id contains a primary amino group or another suitable nitrogen that can be derivatized, the prodrug can be an amide, carbamate, urea, imine, or a Mannich base. Conventional procedures for the selection and preparation of suitable prodrug derivatives are described, for example, in Design of Prodrugs, edited by H. Bundgaard, Elsevier, 1985; J. J. Hale et al, J. Med. Chem. 2000, vol. 43, pp.1234-1241; C. S. Larsen and J. Ostergaard, "Design and application of prodrugs" in: Textbook of Drug Design and Discovery, 3rd edition, edited by C. S. Larsen, 2002, pp. 410-458; and Beaumont et al, Current Drug Metabolism 2003, vol. 4, pp. 461-458; the disclosures of each of which are incorporated herein by reference in their entireties.
Other embodiments of the present invention include the following: (a) A pharmaceutical composition comprising an effective amount of a compound of Formula I, Formula la, Formula lb, Formula Ic or Formula Id as defined above, or a prodrug or pharmaceutically acceptable salt thereof, and a pharmaceutically acceptable carrier.
(b) A pharmaceutical composition which comprises the product prepared by combining (e.g., mixing) an effective amount of a compound of Formula I, Formula la, Formula lb, Formula Ic or Formula Id as defined above, or a prodrug or pharmaceutically acceptable salt thereof, and a pharmaceutically acceptable carrier.
(c) The pharmaceutical composition of (a) or (b), further comprising an effective amount of an anti-HIV agent selected from the group consisting of HIV antiviral agents, immunomodulators, and anti-infective agents.
(d) The pharmaceutical composition of (c), wherein the anti-HIV agent is an antiviral selected from the group consisting of HIV protease inhibitors, nucleoside HIV reverse transcriptase inhibitors, non-nucleoside HIV reverse transcriptase inhibitors, HIV integrase inhibitors, HIV fusion inhibitors, and HIV entry inhibitors.
(e) A combination which is (i) a compound of Formula I, Formula la, Formula lb, Formula Ic or Formula Id as defined above, or a prodrug or pharmaceutically acceptable salt thereof, and (ii) an anti-HIV agent selected from the group consisting of HIV antiviral agents, immunomodulators, and anti-infective agents; wherein the compound and the anti-HIV agent are each employed in an amount that renders the combination effective for inhibition of HIV reverse transcriptase, for treatment or prophylaxis of infection by HIV, or for treatment, prophylaxis of, or delay in the onset or progression of AIDS.
(f) The combination of (e), wherein the anti-HIV agent is an antiviral selected from the group consisting of HIV protease inhibitors, nucleoside HIV reverse transcriptase inhibitors, non-nucleoside HIV reverse transcriptase inhibitors, HIV integrase inhibitors, HIV fusion inhibitors, and HIV entry inhibitors.
(g) A method for the inhibition of HIV reverse transcriptase in a subject in need thereof which comprises administering to the subject an effective amount of a compound of Formula I, Formula la, Formula lb, Formula Ic or Formula Id or a prodrug or
pharmaceutically acceptable salt thereof. (h) A method for the prophylaxis or treatment of infection by HIV (e.g., HIV-1) in a subject in need thereof which comprises administering to the subject an effective amount of a compound of Formula I, Formula la, Formula lb, Formula Ic or Formula Id or a prodrug or pharmaceutically acceptable salt thereof.
(i) The method of (h), wherein the compound of Formula I, Formula la,
Formula lb, Formula Ic or Formula Id is administered in combination with an effective amount of at least one other HIV antiviral selected from the group consisting of HIV protease inhibitors, HIV integrase inhibitors, non-nucleoside HIV reverse transcriptase inhibitors, nucleoside HIV reverse transcriptase inhibitors, HIV fusion inhibitors, and HIV entry inhibitors.
(j) A method for the prophylaxis, treatment or delay in the onset or progression of AIDS in a subject in need thereof which comprises administering to the subject an effective amount of a compound of Formula I, Formula la, Formula lb, Formula Ic or Formula Id or a prodrug or pharmaceutically acceptable salt thereof.
(k) The method of (j), wherein the compound is administered in
combination with an effective amount of at least one other HIV antiviral selected from the group consisting of HIV protease inhibitors, HIV integrase inhibitors, non-nucleoside HIV reverse transcriptase inhibitors, nucleoside HIV reverse transcriptase inhibitors, HIV fusion inhibitors, and HIV entry inhibitors.
(1) A method for the inhibition of HIV reverse transcriptase in a subject in need thereof which comprises administering to the subject the pharmaceutical composition of (a), (b), (c) or (d) or the combination of (e) or (f).
(m) A method for the prophylaxis or treatment of infection by HIV (e.g., HIV-1) in a subject in need thereof which comprises administering to the subject the pharmaceutical composition of (a), (b), (c) or (d) or the combination of (e) or (f).
(n) A method for the prophylaxis, treatment, or delay in the onset or progression of AIDS in a subject in need thereof which comprises administering to the subject the pharmaceutical composition of (a), (b), (c) or (d) or the combination of (e) or (f).
The present invention also includes a compound of Formula I, Formula la, Formula lb, Formula Ic or Formula Id or a prodrug or pharmaceutically acceptable salt thereof, (i) for use in, (ii) for use as a medicament for, or (iii) for use in the preparation of a medicament for: (a) therapy (e.g., of the human body), (b) medicine, (c) inhibition of HIV reverse transcriptase, (d) treatment or prophylaxis of infection by HIV, or (e) treatment, prophylaxis of, or delay in the onset or progression of AIDS. In these uses, the compounds of the present invention can optionally be employed in combination with one or more anti-HIV agents selected from HIV antiviral agents, anti -infective agents, and immunomodulators.
Additional embodiments of the invention include the pharmaceutical compositions, combinations and methods set forth in (a)-(n) above and the uses (i)(a)-(e) through (iii)(a)-(e) set forth in the preceding paragraph, wherein the compound of the present invention employed therein is a compound of one of the embodiments, aspects, classes, subclasses, or features described above. In all of these embodiments etc., the compound may optionally be used in the form of a prodrug or pharmaceutically acceptable salt.
Additional embodiments of the present invention include each of the pharmaceutical compositions, combinations, methods and uses set forth in the preceding paragraphs, wherein the compound of the present invention or its salt employed therein is substantially pure. With respect to a pharmaceutical composition comprising a compound of Formula I or its prodrug or salt and a pharmaceutically acceptable carrier and optionally one or more excipients, it is understood that the term "substantially pure" is in reference to a compound of Formula I, Formula la, Formula lb, Formula Ic or Formula Id or its prodrug or salt per se.
Still additional embodiments of the present invention include the pharmaceutical compositions, combinations and methods set forth in (a)-(n) above and the uses (i)(a)-(e) through (iii)(a)-(e) set forth above, wherein the HIV of interest is HIV-1. Thus, for example, in the pharmaceutical composition (d), the compound of Formula I, Formula la, Formula lb, Formula Ic or Formula Id is employed in an amount effective against HIV-1 and the anti-HIV agent is an HIV-1 antiviral selected from the group consisting of HIV-1 protease inhibitors, HIV-1 reverse transcriptase inhibitors, HIV-1 integrase inhibitors, HIV-1 fusion inhibitors and HIV-1 entry inhibitors.
As used herein, the term "alkyl" refers to a monovalent straight or branched chain, saturated aliphatic hydrocarbon radical having a number of carbon atoms in the specified range. Thus, for example, "Cl-6 alkyl" (or "C1-C6 alkyl") refers to any of the hexyl alkyl and pentyl alkyl isomers as well as n-, iso-, sec- and t-butyl, n- and iso- propyl, ethyl and methyl. As another example, "Cl-4 alkyl" refers to n-, iso-, sec- and t-butyl, n- and isopropyl, ethyl and methyl.
The term "alkenyl" refers to a monovalent straight or branched chain aliphatic hydrocarbon radical containing one carbon-carbon double bond and having a number of carbon atoms in the specified range. Thus, for example, "C2-6 alkenyl" (or "C2-C6 alkenyl") refers to all of the hexenyl and pentenyl isomers as well as 1-butenyl, 2-butenyl, 3-butenyl, isobutenyl, 1-propenyl, 2-propenyl, and ethenyl (or vinyl). A class of alkenyls of interest with respect to the invention are alkenyls of formula -CH=CH-(CH2)l-3CH3.
The term "alkynyl" refers to a monovalent straight or branched chain aliphatic hydrocarbon radical containing one carbon-carbon triple bond and having a number of carbon atoms in the specified range. Thus, for example, "C2-6 alkynyl" (or "C2-C6 alkynyl") refers to all of the hexynyl and pentynyl isomers as well as 1-butynyl, 2-butynyl, 3-butynyl, 1- propynyl, 2-propynyl, and ethynyl.
The term "alkylene" refers to any divalent linear or branched chain aliphatic hydrocarbon radical having a number of carbon atoms in the specified range. Thus, for example, "-Ci-6 alkylene-" refers to any of the Ci to Cg linear or branched alkylenes, and
"-Cl-4 alkylene-" refers to any of the Ci to C4 linear or branched alkylenes. A class of alkylenes of interest with respect to the invention is -(CH2)l-6-, and sub-classes of particular interest include -(CH2)l-4-, -(CH2)2-4", -(CH2)l-3-, -(CH2)2-3", -(CH2)l-2-, and -CH2-. Another sub-class of interest is an alkylene selected from the group consisting
of -CH2-, -CH(CH3)-, and -C(CH3)2-.
The term "cycloalkyl" refers to any monocyclic ring of an alkane having a number of carbon atoms in the specified range. Thus, for example, "C3-8 cycloalkyl" (or "C3-C8 cycloalkyl") refers to cyclopropyl, cyclobutyl, cyclopentyl, cyclohexyl, cycloheptyl, and cyclooctyl.
The term "cycloalkenyl" refers to any monocyclic ring of an alkene having a number of carbon atoms in the specified range. Thus, for example, "C5-8 cycloalkenyl" (or
"C5-C8 cycloalkenyl") refers to cyclopentenyl, cyclohexenyl, cycloheptenyl, and cyclooctenyl.
The term "halogen" (or "halo") refers to fluorine, chlorine, bromine and iodine (alternatively referred to as fluoro, chloro, bromo, and iodo).
The term "haloalkyl" refers to an alkyl group as defined above in which one or more of the hydrogen atoms have been replaced with a halogen (i.e., F, CI, Br and/or I).
Thus, for example, "Cl-6 haloalkyl" (or "C1-C6 haloalkyl") refers to a Cl to C6 linear or branched alkyl group as defined above with one or more halogen substituents. The term "fluoroalkyl" has an analogous meaning except that the halogen substituents are restricted to fluoro. Suitable fluoroalkyls include the series (CH2)0-4CF3 (i.e., trif uoromethyl, 2,2,2- trifluoroethyl, 3,3,3-trifluoro-n-propyl, etc.). A fluoroalkyl of particular interest is CF3.
The term "C(O)" refers to carbonyl. The terms "S(0)2" and "SO2" each refer to sulfonyl. The term "S(O)" refers to sulfmyl.
An asterisk ("*") at the end of an open bond in a chemical group denotes the point of attachment of the group to the rest of the compound.
The term "aryl" refers to (i) phenyl, (ii) 9- or 10-membered bicyclic, fused carbocylic ring systems in which at least one ring is aromatic, and (iii) 11- to 14-membered tricyclic, fused carbocyclic ring systems in which at least one ring is aromatic. Suitable aryls include, for example, phenyl, naphthyl, tetrahydronaphthyl (tetralinyl), indenyl, anthracenyl, and fluorenyl. A class of aryls of interest with respect to the invention is phenyl and napthyl. An aryl of particular interest is phenyl.
The term "heteroaryl" refers to (i) a 5- or 6-membered heteroaromatic ring containing from 1 to 4 heteroatoms independently selected from N, O and S, wherein each N is optionally in the form of an oxide, (ii) a 9- or 10-membered bicyclic fused ring system, wherein the fused ring system of (ii) contains from 1 to 6 heteroatoms independently selected from N, O and S, wherein each ring in the fused ring system contains zero, one or more than one heteroatom, at least one ring is aromatic, each N is optionally in the form of an oxide, and each S in a ring which is not aromatic is optionally S(O) or S(0)2- Suitable 5- and 6- membered heteroaromatic rings include, for example, pyridyl, pyrrolyl, pyrazinyl, pyrimidinyl, pyridazinyl, triazinyl, thienyl, furanyl, imidazolyl, pyrazolyl, triazolyl triazolyl (i.e., 1,2,3-triazolyl or 1,2,4-triazolyl), tetrazolyl, oxazolyl, isooxazolyl, oxadiazolyl (i.e., the 1,2,3-, 1,2,4-, 1,2,5- (furazanyl), or 1,3,4-isomer), oxatriazolyl, thiazolyl, isothiazolyl, and thiadiazolyl. Suitable 9- and 10-membered heterobicyclic, fused ring systems include, for example, benzofuranyl, indolyl, indazolyl, naphthyridinyl, isobenzofuranyl, benzopiperidinyl, benzisoxazolyl, benzoxazolyl, chromenyl, quinolinyl, isoquinolinyl, cinnolinyl, quinazolinyl, tetrahydroquinolinyl, tetrahydroisoquinolinyl, isoindolyl, benzodioxolyl (e.g., benzo-1,3- dioxolyl: ^*^θ )? benzopiperidinyl, benzisoxazolyl, benzoxazolyl, chromanyl,
isochromanyl, benzothienyl, benzofuranyl, imidazo[l,2-a]pyridinyl, benzotriazolyl, dihydroindolyl, dihydroisoindolyl, indazolyl, indolinyl, isoindolinyl, quinoxalinyl, quinazolinyl, 2,3-dihydrobenzofuranyl, and 2,3-dihydrobenzo-l,4-dioxinyl (i.e.,
Figure imgf000043_0001
).
Examples of 4- to 7-membered, saturated heterocyclic rings within the scope of this invention include, for example, azetidinyl, piperidinyl, morpholinyl, thiomorpholinyl, thiazolidinyl, isothiazolidinyl, oxazolidinyl, isoxazolidinyl, pyrrolidinyl, imidazolidinyl, piperazinyl, tetrahydrofuranyl, tetrahydrothienyl, pyrazolidinyl, hexahydropyrimidinyl, thiazinanyl, thiazepanyl, azepanyl, diazepanyl, tetrahydropyranyl, tetrahydrothiopyranyl, and dioxanyl. Examples of 4- to 7-membered, unsaturated, non-aromatic heterocyclic rings within the scope of this invention include mono-unsaturated heterocyclic rings corresponding to the saturated heterocyclic rings listed in the preceding sentence in which a single bond is replaced with a double bond (e.g., a carbon-carbon single bond is replaced with a carbon- carbon double bond). It is understood that the specific rings and ring systems suitable for use in the present invention are not limited to those listed in the preceding paragraphs. These rings and ring systems are merely representative.
Unless expressly stated to the contrary in a particular context, any of the various cyclic rings and ring systems described herein may be attached to the rest of the compound at any ring atom (i.e., any carbon atom or any heteroatom) provided that the attachment is chemically allowed and a stable compound results.
Unless expressly stated to the contrary, all ranges cited herein are inclusive. For example, a heteroaromatic ring described as containing from " 1 to 4 heteroatoms" means the ring can contain 1, 2, 3 or 4 heteroatoms. It is also to be understood that any range cited herein includes within its scope all of the sub-ranges within that range. Thus, for example, a heterocyclic ring described as containing from " 1 to 4 heteroatoms" is intended to include as aspects thereof, heterocyclic rings containing 2 to 4 heteroatoms, 3 or 4 heteroatoms, 1 to 3 heteroatoms, 2 or 3 heteroatoms, 1 or 2 heteroatoms, 1 heteroatom, 2 heteroatoms, 3 heteroatoms, and 4 heteroatoms. As another example, an aryl or heteroaryl described as optionally substituted with "from 1 to 6 substituents" is intended to include as aspects thereof, an aryl or heteroaryl substituted with 1 to 6 substituents, 2 to 6 substituents, 3 to 6
substituents, 4 to 6 substituents, 5 to 6 substituents, 6 substituents, 1 to 5 substituents, 2 to 5 substituents, 3 to 5 substiuents, 4 to 5 substituents, 5 substituents, 1 to 4 substituents, 2 to 4 substituents, 3 to 4 substituents, 4 substituents, 1 to 3 substituents, 2 to 3 substituents, 3 substituents, 1 to 2 substituents, 2 substituents, and 1 substituent.
When any variable (e.g., RA or RE) occurs more than one time in any constituent or in Formula I or in any other formula depicting and describing compounds of the present invention, its definition on each occurrence is independent of its definition at every other occurrence. Also, combinations of substituents and/or variables are permissible only if such combinations result in stable compounds.
Unless expressly stated to the contrary, substitution by a named substituent is permitted on any atom in a ring (e.g., cycloalkyl, aryl, or heteroaryl) provided such ring substitution is chemically allowed and results in a stable compound. As would be recognized by one of ordinary skill in the art, certain of the compounds of the present invention can exist as tautomers. All tautomeric forms of these compounds, whether isolated individually or in mixtures, are within the scope of the present invention. For example, in instances where an oxo (=0) substituent is permitted on a heteroaromatic ring and keto-enol tautomerism is possible, it is understood that the substituent might in fact be present, in whole or in part, in the hydroxy form.
A "stable" compound is a compound which can be prepared and isolated and whose structure and properties remain or can be caused to remain essentially unchanged for a period of time sufficient to allow use of the compound for the purposes described herein (e.g., therapeutic or prophylactic administration to a subject). The compounds of the present invention are limited to stable compounds embraced by Formula I, Formula la, Formula lb, Formula Ic or Formula Id.
As a result of the selection of substituents and substituent patterns, certain compounds of the present invention can have asymmetric centers and can occur as mixtures of stereoisomers, or as individual diastereomers, or enantiomers. All isomeric forms of these compounds, whether individually or in mixtures, are within the scope of the present invention.
The atoms in a compound of Formula I, Formula la, Formula lb, Formula Ic or Formula Id may exhibit their natural isotopic abundances, or one or more of the atoms may be artificially enriched in a particular isotope having the same atomic number, but an atomic mass or mass number different from the atomic mass or mass number predominantly found in nature. The present invention is meant to include all suitable isotopic variations of the compounds of generic Formula I. For example, different isotopic forms of hydrogen (H) include protium (IF!) and deuterium (¾). Protium is the predominant hydrogen isotope found in nature. Enriching for deuterium may afford certain therapeutic advantages, such as increasing in vivo half-life or reducing dosage requirements, or may provide a compound useful as a standard for characterization of biological samples. Isotopically-enriched compounds within generic Formula I can be prepared without undue experimentation by conventional techniques well known to those skilled in the art or by processes analogous to those described in the Schemes and Examples herein using appropriate isotopically-enriched reagents and/or intermediates.
The compounds can be administered in the form of pharmaceutically acceptable salts. The term "pharmaceutically acceptable salt" refers to a salt which possesses the effectiveness of the parent compound and which is not biologically or otherwise undesirable (e.g., is neither toxic nor otherwise deleterious to the recipient thereof). Suitable salts include acid addition salts which may, for example, be formed by mixing a solution of the compound of the present invention with a solution of a pharmaceutically acceptable acid such as hydrochloric acid, sulfuric acid, acetic acid, or benzoic acid. When compounds employed in the present invention carry an acidic moiety (e.g., -COOH or a phenolic group), suitable pharmaceutically acceptable salts thereof can include alkali metal salts (e.g., sodium or potassium salts), alkaline earth metal salts (e.g., calcium or magnesium salts), and salts formed with suitable organic ligands such as quaternary ammonium salts. Also, in the case of an acid (-COOH) or alcohol group being present, pharmaceutically acceptable esters can be employed to modify the solubility or hydrolysis characteristics of the compound.
The term "administration" and variants thereof (e.g., "administering" a compound) in reference to a compound of Formula I, Formula la, Formula lb, Formula Ic or Formula Id mean providing the compound or a prodrug of the compound to the individual in need of treatment or prophylaxis. When a compound or a prodrug thereof is provided in combination with one or more other active agents (e.g., antiviral agents useful for treating or prophylaxis of HIV infection or AIDS), "administration" and its variants are each understood to include provision of the compound or prodrug and other agents at the same time or at different times. When the agents of a combination are administered at the same time, they can be administered together in a single composition or they can be administered separately.
As used herein, the term "composition" is intended to encompass a product comprising the specified ingredients, as well as any product which results from combining the specified ingredients.
Ingredients suitable for inclusion in a pharmaceutical composition are pharmaceutically acceptable ingredients, which means the ingredients must be compatible with each other and not deleterious to the recipient thereof. The term "subject" as used herein refers to an animal, preferably a mammal, most preferably a human, who has been the object of treatment, observation or experiment.
The term "effective amount" as used herein means that amount of active compound or pharmaceutical agent that elicits the biological or medicinal response in a tissue, system, animal or human that is being sought by a researcher, veterinarian, medical doctor or other clinician. In one embodiment, the effective amount is a "therapeutically effective amount" for the alleviation of the symptoms of the disease or condition being treated. In another embodiment, the effective amount is a "prophylactically effective amount" for prophylaxis of the symptoms of the disease or condition being prevented. The term also includes herein the amount of active compound sufficient to inhibit HIV reverse transcriptase (wild type and/or mutant strains thereof) and thereby elicit the response being sought (i.e., an "inhibition effective amount"). When the active compound (i.e., active ingredient) is administered as the salt, references to the amount of active ingredient are to the free form (i.e., the non-salt form) of the compound.
In the method of the present invention (i.e., inhibiting HIV reverse transcriptase, treating or prophylaxis of HIV infection or treating, prophylaxis of, or delaying the onset or progression of AIDS), the compounds of Formula I, Formula la, Formula lb, Formula Ic or Formula Id optionally in the form of a salt or a prodrug, can be administered by any means that produces contact of the active agent with the agent's site of action. They can be administered by any conventional means available for use in conjunction with
pharmaceuticals, either as individual therapeutic agents or in a combination of therapeutic agents. They can be administered alone, but typically are administered with a pharmaceutical carrier selected on the basis of the chosen route of administration and standard pharmaceutical practice. The compounds of the invention can, for example, be administered orally, parenterally (including subcutaneous injections, intravenous, intramuscular, intrasternal injection or infusion techniques), by inhalation spray, or rectally, in the form of a unit dosage of a pharmaceutical composition containing an effective amount of the compound and conventional non-toxic pharmaceutically acceptable carriers, adjuvants and vehicles. Liquid preparations suitable for oral administration (e.g., suspensions, syrups, elixirs and the like) can be prepared according to techniques known in the art and can employ any of the usual media such as water, glycols, oils, alcohols and the like. Solid preparations suitable for oral administration (e.g., powders, pills, capsules and tablets) can be prepared according to techniques known in the art and can employ such solid excipients as starches, sugars, kaolin, lubricants, binders, disintegrating agents and the like. Parenteral compositions can be prepared according to techniques known in the art and typically employ sterile water as a carrier and optionally other ingredients, such as a solubility aid. Injectable solutions can be prepared according to methods known in the art wherein the carrier comprises a saline solution, a glucose solution or a solution containing a mixture of saline and glucose. Further description of methods suitable for use in preparing pharmaceutical compositions for use in the present invention and of ingredients suitable for use in said compositions is provided in Remington's Pharmaceutical Sciences, 18th edition, edited by A. R. Gennaro, Mack
Publishing Co., 1990 and in Remington - The Science and Practice of Pharmacy, 21st edition, Lippincott Williams & Wilkins, 2005.
Formulations of compounds described by Formula I, Formula la, Formula lb, Formula Ic or Formula Id that result in drug supersaturation and/or rapid dissolution may be utilized to facilitate oral drug absorption. Formulation approaches to cause drug
supersaturation and/or rapid dissolution include, but are not limited to, nanoparticulate systems, amorphous systems, solid solutions, solid dispersions, and lipid systems. Such formulation approaches and techniques for preparing them are well known in the art. For example, solid dispersions can be prepared using excipients and processes as described in reviews (e.g., A.T.M. Serajuddin, J Pharm Sci, 88: 10, pp. 1058-1066 (1999)).
Nanoparticulate systems based on both attrition and direct synthesis have also been described in reviews such as Wu et al (F. Kesisoglou, S. Panmai, Y. Wu, Advanced Drug Delivery Reviews, 59:7 pp 631-644 (2007)).
The compounds of Formula I, Formula la, Formula lb, Formula Ic or Formula
Id can be administered orally in a dosage range of 0.001 to 1000 mg/kg of mammal (e.g., human) body weight per day in a single dose or in divided doses. One dosage range is 0.01 to 500 mg/kg body weight per day orally in a single dose or in divided doses. Another dosage range is 0.1 to 100 mg/kg body weight per day orally in single or divided doses. For oral administration, the compositions can be provided in the form of tablets or capsules containing 1.0 to 500 milligrams of the active ingredient, particularly 1, 5, 10, 15, 20, 25, 50, 75, 100, 150, 200, 250, 300, 400, and 500 milligrams of the active ingredient for the symptomatic adjustment of the dosage to the patient to be treated. The specific dose level and frequency of dosage for any particular patient may be varied and will depend upon a variety of factors including the activity of the specific compound employed, the metabolic stability and length of action of that compound, the age, body weight, general health, sex, diet, mode and time of administration, rate of excretion, drug combination, the severity of the particular condition, and the host undergoing therapy. Compounds of the invention can be administered as a single dose, once-daily or less frequently.
As noted above, the present invention is also directed to use of a compound of Formula I, Formula la, Formula lb, Formula Ic or Formula Id with one or more anti-HIV agents. An "anti-HIV agent" is any agent which is directly or indirectly effective in the inhibition of HIV reverse transcriptase or another enzyme required for HIV replication or infection, the treatment or prophylaxis of HIV infection, and/or the treatment, prophylaxis or delay in the onset or progression of AIDS. It is understood that an anti-HIV agent is effective in treating, preventing, or delaying the onset or progression of HIV infection or AIDS and/or diseases or conditions arising therefrom or associated therewith. For example, the compounds of this invention may be effectively administered, whether at periods of pre-exposure and/or post-exposure, in combination with effective amounts of one or more anti-HIV agents selected from HIV antiviral agents, imunomodulators, antiinfectives, or vaccines useful for treating HIV infection or AIDS. Suitable HIV antivirals for use in combination with the compounds of the present invention include, for example, those listed in Table A as follows:
Table A Antiviral Agents for Treating HIV infection or AIDS
Figure imgf000049_0001
capravirine nnRTI darunavir, Prezista® PI
ddC, zalcitabine, dideoxycytidine, Hivid® nRTI ddl, didanosine, dideoxyinosine, Videx® nRTI ddl (enteric coated), Videx EC® nRTI delavirdine, DLV, Rescriptor® nnRTI efavirenz, EFV, Sustiva®, Stocrin® nnRTI efavirenz + emtricitabine + tenofovir DF, Atripla® nnRTI + nRTI
EFdA (4'-ethynyl-2-fluoro-2'-deoxyadenosine) nRTI emtricitabine, FTC, Emtriva® nRTI emtricitabine + tenofovir DF, Truvada® nRTI emvirine, Coactinon® nnRTI enfuvirtide, Fuzeon® FI
enteric coated didanosine, Videx EC® nRTI etravirine, TMC-125 nnRTI fosamprenavir calcium, Lexiva® PI
indinavir, Crixivan® PI
lamivudine, 3TC, Epivir® nRTI lamivudine + zidovudine, Combivir® nRTI lopinavir PI
lopinavir + ritonavir, Kaletra® PI
maraviroc, Selzentry® EI
nelfmavir, Viracept® PI
nevirapine, NVP, Viramune® nnRTI
PPL- 100 (also known as PL-462) (Ambrilia) PI
raltegravir, MK-0518, Isentress™ Inl ritonavir, Norvir® PI
saquinavir, Invirase®, Fortovase® PI
stavudine, d4T,didehydrodeoxythymidine, Zerit® nRTI tenofovir DF (DF = disoproxil fumarate), TDF, nRTI
Viread®
Tenofovir, hexadecyloxypropyl (CMX-157) nRTI tipranavir, Aptivus® PI EI = entry inhibitor; FI = fusion inhibitor; Inl = integrase inhibitor; PI = protease inhibitor; nRTI = nucleoside reverse transcriptase inhibitor; nnRTI = non-nucleoside reverse transcriptase inhibitor. Some of the drugs listed in the table are used in a salt form; e.g., abacavir sulfate, delavirdine mesylate, indinavir sulfate, atazanavir sulfate, nelfinavir mesylate, saquinavir mesylate.
It is understood that the scope of combinations of the compounds of this invention with anti-HIV agents is not limited to the HIV antivirals listed in Table A, but includes in principle any combination with any pharmaceutical composition useful for the treatment or prophylaxis of AIDS. The HIV antiviral agents and other agents will typically be employed in these combinations in their conventional dosage ranges and regimens as reported in the art, including, for example, the dosages described in editions of the Physicians' Desk Reference, such as the 63rd edition (2009) and earlier editions. The dosage ranges for a compound of the invention in these combinations can be the same as those set forth above.
The compounds of this invention are also useful in the preparation and execution of screening assays for antiviral compounds. For example, the compounds of this invention are useful for isolating enzyme mutants, which are excellent screening tools for more powerful antiviral compounds. Furthermore, the compounds of this invention are useful in establishing or determining the binding site of other antivirals to HIV reverse transcriptase, e.g., by competitive inhibition.
Compounds of the invention can be prepared by methods well known in the art of organic chemistry. See, for example, J. March, 'Advanced Organic Chemistry ' 6th Edition, John Wiley and Sons. During synthetic sequences it may be necessary and/or desirable to protect sensitive or reactive groups on any of the molecules concerned. This is achieved by means of conventional protecting groups, such as those described in T.W. Greene and P.G.M. Wutts 'Protective Groups in Organic Synthesis' 4th Edition, John Wiley and Sons. The protective groups are optionally removed at a convenient subsequent stage using methods well known in the art. The compounds of the present invention can be readily prepared according to the following reaction schemes and examples, or modifications thereof, using readily available starting materials, reagents and conventional synthesis procedures. In these reactions, it is also possible to make use of variants which are themselves known to those of ordinary skill in this art, but are not mentioned in greater detail. Furthermore, other methods for preparing compounds of the invention will be readily apparent to the person of ordinary skill in the art in light of the following reaction schemes and examples. Unless otherwise indicated, all variables are as defined above.
Scheme I depicts a method for preparing compounds of Formula I in which a substituted pyrimidinone 1-1 is halogenated to give 1-2 wherein J is a halogen, typically bromine or chlorine. The pyrimidinone can be protected, with for example a 4- methoxybenzyl group, to give 1-3 wherein PG is the protecting group. 1-3 can be converted to 1-4 via a nucleophilic aromatic substitution (ΞΝΑΓ) reaction using a suitable phenol and an appropriate base, such as potassium carbonate. Removal of the protecting group affords 1-5, which may be alkylated to give the desired 1-6 with a suitable base and an alkylating agent X- M-Z wherein X is a suitable leaving group, such as chloro, bromo, iodo, mesyl or tosyl, and M is typically CH2. Alternatively, this transformation may be performed under Mitsunobu conditions with a suitable alcohol HO-M-Z where M is typically CH2.
Scheme I
Figure imgf000053_0001
Scheme II illustrates another method for preparing compounds of Formula I. Fluorinated pyrimidinone II- 1 can be prepared using known methodology (see Organic Process Research & Development, 2001, 5, 28-36 and Tetrahedron Letters, Vol.30, No.45, pp 6113-6116, 1989) and may be alkylated to give II-2 via a nucleophilic substitution reaction with an alkylating agent X-M-Z wherein X is a leaving group, such as chloro, bromo, iodo, mesyl or tosyl, and M is typically CH2. In analogy with Scheme I, this transformation may also be accomplished via a Mitsunobu reaction with a suitable alcohol HO-M-Z wherein M is typically CH2. II-2 can be converted to the desired II-3 via a nucleophilic aromatic substitution (SNAr) reaction using a suitable phenol and an appropriate base, for example potassium carbonate.
Scheme II
Figure imgf000054_0001
Scheme III depicts another method for preparing compounds of Formula I from commercially available β-ketoester III- 1 wherein L is a halogen, typically bromine or chlorine. Ill- 1 can be converted via nucleophilic substitution reaction with a suitable phenol in the presence of a base, such as potassium carbonate, to give III-2. Condensation of III-2 with formamidine at elevated temperature affords pyrimidinone III-3, which may be converted to the compounds of the present invention using either standard alkylation or Mitsunobu methodology, as described in Scheme I.
Scheme III
Figure imgf000054_0002
Scheme IV depicts another method for preparing compounds of Formula I in which IV- 1 can be alkylated with a suitable alkylating agent IV-2, wherein L is a suitable leaving group, for example chloro, bromo, iodo, mesyl or tosyl, in the presence of a base such as potassium carbonate or N,N-diisopropylethylamine or, wherein L is hydroxyl, via a Mitsunobu reaction to afford a methyl-protected intermediate IV-3. Removal of the methyl protecting group, using for example TMSC1 and KI, gives the desired IV-4. The
methodology depicted in Scheme IV is not limited to the preparation of compounds of Formula I wherein Z is a pyridazinone, but straightforward variations can also be used to prepare examples wherein Z is an alternative heterocycle as defined above.
Scheme IV
Figure imgf000055_0001
IV- 1 IV-3 IV-4
In Scheme V, another method for preparing compounds of Formula I wherein Z is a substituted pyridazinone is shown. The ester V-l may be brominated under standard conditions to give V-2, which can be protected, with for example a 4-methoxybenzyl group, to give V-3 wherein PG is the protecting group. Reduction of the ester using a reducing agent such as sodium borohydride or lithium aluminum hydride provides the alcohol V-4, which can be used directly to give V-6 via a Mitsunobu reaction. Alternatively, V-4 may be converted to V-5 wherein L is a suitable leaving group, such as chloro, bromo, mesyl or tosyl, and V-5 may be used to alkylate 1-5 under basic conditions to provide the key intermediateV- 6, which may be used to provide a variety of compounds of interest. For example, the bromopyridazinone V-6 can be converted to V-7 wherein R5 is aryl or heteroaryl via a palladium-catalyzed transformation, such as a Suzuki reaction with a suitable aryl or heteroaryl boronic acid or ester, or a Stille coupling with a suitable aryl or heteroaryl stannane derivative. The bromopyridazinone V-6 can also undergo a number of other palladium- catalyzed reactions and transformations including cyanation with ZnCN2, carbonylation with CO and an alcohol such as methanol, Buchwald amination and Heck reaction to give V-7 wherein R5 is a cyano, amine, ester or alkene substituent, respectively. The
bromopyridazinone V-6 may also be converted to V-7 via nucleophilic aromatic substitution (ΞΝΑΓ) reaction with a suitable nucleophile, including for example thiol, alcohol, amine or heteroaryl such as pyrazole or triazole, in the presence of a suitable base. Finally, V-7 can be deprotected to give the desired V-8.
Figure imgf000056_0001
Scheme VI illustrates a method for preparing compounds of Formula I wherein Z is an isomer of the pyridazinones described in Scheme V. The halogenated pyridazinone intermediate VI- 1 can be converted to VI-2 using similar methodology to that described in Scheme V. For example, compounds of the present invention wherein R5 is aryl or heteroaryl may be obtained via a Suzuki reaction with a suitable aryl or hetereoaryl boronic acid or ester, or via a Stille coupling with a suitable aryl or heteroaryl stannane, in the presence of a suitable palladium catalyst. The halopyridazinone VI- 1 can also undergo a number of other palladium-catalyzed reactions and transformations including cyanation with ZnCN2, carbonylation with CO and an alcohol such as methanol, Buchwald amination and Heck reaction to give VI-3 wherein R5 is a cyano, amine, ester or alkene substituent, respectively. Deprotection, with for example TMSC1 and KI, can afford the desired product VI-3.
Scheme VI
Figure imgf000057_0001
VI-3
Scheme VII illustrates a method for preparing compounds of Formula I bearing a difluoroalkyl substituent. The suitably protected ketone VII-3 can be prepared from VII- 1 via a Stille coupling followed by hydrolysis of VII-2. VII-3 can be fluorinated with a fluorinating agent such as DAST to give the difluoroethyl derivative VII-4. The protecting group PG may be removed to give the alcohol VII-5 which can be converted to the desired VII-7 via a Mitsunobu reaction with an appropriate pyrimidinone (1-5) followed by removal of the methyl protecting group. Alternatively VII-5 can be converted to VII-6 wherein L is a good leaving group, such as halo, mesyl or tosyl. VII-6 may be used to alkylate 1-5 in the presence of a suitable base to provide, after deprotection, VII-7. Scheme VII
Figure imgf000058_0001
VII-7
Scheme VIII illustrates methods that may be used to prepare compounds of Formula I wherein Z bears a substituent such as hydroxyalkyl, formyl, keto, fluoroalkyl or difluoroalkyl. Coupling of pyrimidinone VIII- 1 with a suitably functionalized and protected pyridazinone VIII-2, in which L is a leaving group such as chloro, bromo, or mesyl, provides VIII-3, which can be deprotected to give the hydroxymethyl derivative VIII-4. Alcohol VIII- 4 can be deprotected to give the desired hyroxyalkyl derivative or undergo a number of functional group transformations, such as fluorination with DAST to give VIII-6 and oxidation with, for example, Dess-Martin periodinane to give VIII-5. The aldehyde VIII-5 may also be fluorinated with, for example, DAST to give VIII-7 or be converted to alcohol VIII-8, in which A is an alkyl substituent, via a Grignard reaction with an alkylmagnesium bromide reagent. The secondary alcohol VIII-8 may be deprotected to give desired secondary alcohol or treated with DAST and deprotected to provide the corresponding fluoride VIII-9. Alternatively, VIII-8 can be oxidized to give ketone VIII- 10, which may be fluorinated then deprotected to give VIII- 11 as previously described. Variations of the methods and functional group transformations illustrated in Scheme VIII may be used to prepare other compounds of Formula I in which Z is a heteroaryl ring other than the pyridazinone shown. Additionally, it may be advantageous to perform some of the functional group transformations earlier in the synthesis to prepare suitably functionalized intermediates such as HO-M-Z or X-M-Z as described in the Schemes I - III above.
Scheme VIII
Figure imgf000060_0001
VIII- 1 VIII-2
Figure imgf000060_0002
2. Deprotection -
Scheme IX depicts another method for preparing compounds of Formula I bearing a variety of substituents R5. The methylsulfone-substituted pyrimidine IX- 1 can be converted to IX-2 via a nucleophilic aromatic substitution reaction with a suitable nucleophile, such as an amine, a phenol, an alcohol, or a heteroaryl ring, such as pyrazole or triazole, in the presence of a suitable base, such as potassium carbonate or triethylamine. Sulfone IX- 1 can also be converted to IX-2 wherein R5 is alkyl via a Grignard reaction with an alkylmagnesium bromide. Finally, IX-2 may be deprotected to give the desired IX-3. cheme IX
Figure imgf000061_0001
IX-3
Methods
General Chemical Procedures: All reagents were either purchased from common commercial sources or synthesized according to literature procedures beginning from commercial reagents. Commercial reagents were used without further purification. Unless otherwise indicated, percent is percent by weight given the component and the total weight of the composition, temperature is in °C or is at ambient temperature and pressure is at or near atmospheric. 1H NMR spectra were obtained on a Varian VNMR System 400 (400 MHz) and are reported as ppm downfield from Me4Si with number of protons, multiplicities, and coupling constants in Hertz indicated parenthetically. Where LC/MS data are presented, analyses was performed using an Agilent 6110A MSD or an Applied Biosystems API- 100 mass spectrometer. The parent ion is given. Preparative HPLC was performed on a Waters preparative HPLC system fitted with a Waters Xselect.C18 column, typically using gradient elution with water/acetonitrile containing 0.075% trifluoro acetic acid. Flash column chromatography was performed using pre-packed normal phase silica from Biotage, Inc. or bulk silica from Fisher Scientific. Unless otherwise indicated, column chromatography was performed using a gradient elution of petroleum ether/ethyl acetate, from petroleum ether 100% to 100% ethyl acetate. The term "room temperature" in the examples refers to the ambient temperature which was typically in the range of about 20 °C to about 26 °C.
The following abbreviations h. the indicated meanings:
Abbereviations
AcOH = acetic acid LDA = lithium diisoproplyamide
CAN = eerie amonium nitrate m-CPBA = 3-chloroperbenzoic acid DAST = (diethylamino)sulfur trifluoride Me = methyl
DCE = 1 ,2-dichloroethane MeOH = methanol
DEAD = diethyl azodicarboxylate Me-THF = 2-methyltetrahydrofuran DHP = 3,4-dihydro-2H-pyran min = minute
DIBAL-H = diisobutylaluminum hydride NBS = N-bromosuccinimide
DIPEA - diisopropylethylamine NHS = normal human serum
DMF = N,N-dimethylformamide NMP = N-methyl-2-pyrrolidinone Dess-Martin periodinane = 1,1,1- NMR = nuclear magnetic resonance Triacetoxy- 1 , 1 -dihydro- 1 ,2-benziodoxol- PBS = phosphate buffered saline
3(lH)-one PMB = 4-methyoxybenzyl
DMSO = dimethyl sulfoxide PMBC1 = 4-methoxybenzyl chloride
EDTA = ethylenediaminetetraacetic acid PPTS = 4-toluenesulfonic acid
EtOAc = ethyl acetate r.t. = room temperature
EtOH = ethanol Si fAr = nucleophilic aromatic substitution
FBS = fetal bovine serum
TBAF = tetrabutylammonium fluoride
HIV = human immunodeficiency virus
Tc = thiophene carboxylate
HPLC = high performance liquid
t-BuOH = tert-butanol
chromatography
THF = tetrahydrofuran
hr = hour
TFA = trifluoroacetic acid
LCAP = liquid chromatography area percent
TFAA = trifluoroacetic anhydride LC-MS = liquid chromatography-mass
TLC = thin layer chromatography spectroscopy
TMSC1 = trimethylsilyl chloride Example 1:
3-chloro-5-((6-oxo-l-((5-oxo-5,6-dihydropyrido[2,3-d]pyridazin-8-yl)]
(trifluoromethyl)- 1 ,6-dihydropyrimidin-5-yl)oxy)benzonitrile
Figure imgf000063_0001
Step 1: 8-(bromomethyl) rido[2,3-d]pyridazin-
Figure imgf000063_0002
To a solution of 8-methylpyrido[2,3-d]pyridazin-5(6H)-one (300 mg, 1.86 mmol) in CHCI3 (5 mL) was added NBS (363 mg, 2.05 mmol) and benzoyl peroxide (225 mg, 0.93 mmol) in turn. The mixture was stirred at 80 C for 6 hr. After cooling to room temperature, the mixture was concentrated under reduced pressure and the residue was purified by preparative TLC (petroleum ether/ethyl acetate (1 : 1) as eluent) to afford 8-(bromomethyl) pyrido[2,3-d]pyridazin-5(6H)-one (210 mg).
MS (ESI) m/z 240, 242 (M+H)+
Step 2: 5-bromo-6-(trifluoromethyl)-4(3H)-pyrimidione
Figure imgf000063_0003
To a solution of 8-(bromomethyl) pyrido[2,3-d]pyridazin-5(6H)-one (0.3 g, 1.8 mmol) in acetic acid (2 mL) was added CH3COOK (0.54 g, 5.5 mmol). Then to the mixture was added a solution of Br2 in acetic acid (1 mL) dropwise. The mixture was heated to 80 C and stirred overnight. After cooling to room temperature, the mixture was diluted with EtOAc, washed with water and brine, dried over Na2S04, and evaporated to afford 5-bromo-6-(trifluoromethyl)-4(3H)-pyrimidione (0.3 g). Step 3: 5-bromo-3- ( 4-methoxybenzyl)-6- ( trifluoromethyl)pyrimidin
Figure imgf000064_0001
To a solution of 5-bromo-6-(trifluoromethyl)pyrimidin-4(3H)-one (190 mg, 0.91 mmol) in DMF (2 mL) was added K2C03 (250 mg, 1.82 mmol) and PMBC1 (210mg, 1.3 mmol). The mixture was stirred at room temperature for 5 hr. The mixture was poured into water, and extracted with EtOAc (40 mL x 3). The organic layer was washed with water and brine, dried over anhydrous Na2S04 and concentrated. The residue was purified by column chromatography on silica gel (petroleum ether/ethyl acetate (5: 1 to 1 : 1) as eluent) to afford 1 5-bromo-3-(4-methoxybenzyl)-6- (trifluoromethyl)pyrimidin-4(3H)-one (80 mg).
1H-NMR J000159069 HI 1896-016-3 CDC13, 400 MHz δ 7.97 (s, 1H, ArH), 7.27 (d, J=8.8, 2H, ArH), 6.87 (d, J=8.8, 2H, ArH), 5.04 (s, 2H, CH), 3.78 (s, 3H, CH). Step 4: 3-chloro-5-(l-(4-methoxybenzyl)-6-oxo-4-(trifluoromethyl)-l,6- dihydropyrimidin-5-yloxy)benzonitrile
Figure imgf000064_0002
To a solution of 5-bromo-3-(4-methoxybenzyl)-6-(trifluoromethyl)pyrimidin-4(3H)- one (5 g, 13.8 mmol) in NMP (50 mL) was added K2C03 (5.7 g, 41.3 mmol) and 3- chloro-5-hydroxy-benzonitrile (3.2 g, 20.7 mmol). The mixture was stirred at 120 C for 20 hr. The mixture was poured into water, and extracted with EtOAc (60 mL><3). The organic layer was washed with water and brine, dried over anhydrous Na2S04, and concentrated. The residue was purified by column chromatography (petroleum ether/ethyl acetate (5: 1 to 1 : 1) as eluent) to afford 3-chloro-5-(l-(4-methoxybenzyl)- 6-oxo-4-(trifluoromethyl)-l,6- dihydropyrimidin-5-yloxy)benzonitrile (3.5 g).
1H-NMR J000169946 HI 1896-128-3 DMSO, 400 MHz δ 8.86 (s, 1H, ArH), 7.76 (s, 1H, ArH), 7.70 (s, 1H, ArH), 7.68 (s, 1H, ArH), 7.34 (d, J=8.6, 2H, ArH), 6.90 (d, J=8.6, 2H, ArH), 5.10 (s, 2H, CH), 3.72 (s, 3H, CH). Step 5: 3-chloro-5-(6-oxo-4-(trifluoromethyl)-l, 6-dihydropyrimidin-5- yloxy)benzonitrile
Figure imgf000065_0001
To a solution of 3-chloro-5-(l-(4-methoxybenzyl)-6-oxo-4-(trifluoromethyl)-l,6- dihydropyrimidin-5-yloxy)benzonitrile (2 g, 4.6 mmol) in CH3CN (20 mL) and H20 (8 mL) was added Ce(NH4)2(N03)6 (10 g, 18.4 mmol) in portions. The mixture was stirred at room temperature overnight and then poured into water, and extracted with EtOAc (60 mL x 3). The organic layer was washed with water and brine, dried over anhydrous Na2S04, and concentrated. The residue was purified by column chromatography on slica gel (petroleum ether/ethyl acetate (5: 1 to 1 : 1) as eluent) to afford 3-chloro-5-(6-oxo-4-(trifluoro methyl)- 1 ,6-dihydropyrimidin-5- yloxy)benzonitrile ( 0.8 g)
1H-NMR J000170654 HI 1896-138-3 DMSO, 400 MHz δ 13.59 (s, 1H, NH), 8.36 (s, 1H, ArH), 7.76 (s, 1H, ArH), 7.73 (s, 1H, ArH), 7.70 (s, 1H, ArH).
Step 6: 3-chloro-5-((6-oxo-l-((5-oxo-5,6-dihydropyrido[2,3-d]pyridazin-8- yl)methyl)- 4-(trifluoromethyl)-l,6-dihydropyrimidin-5-yl)oxy)benzonitrile
Figure imgf000065_0002
A mixture of 8-(bromomethyl) pyrido[2,3-d]pyridazin-5(6H)-one (210 mg, 0.895 mmol), 3-chloro-5-((6-oxo-4-(trifluoromethyl)- 1 ,6-dihydropyrimidin-5-yl)oxy) benzonitrile (300 mg, 0.95 mmol) and potassium carbonate (360 mg, 2.625 mmol) in DMF (3 mL) was stirred at r.t. for 1 hr. The mixture was filtered and the residue was purified by preparative HPLC to give 3-chloro-5-((6-oxo-l-((5-oxo-5,6- dihydropyrido[2,3-d]pyridazin-8-yl)methyl)-4- (trifluoromethyl)- 1 ,6- dihydropyrimidin-5-yl)oxy)benzonitrile (220 mg). 1H NMR (DMSO-dtf, 400 MHz): δ 9.16 (dd, J; = 1.6 Hz, J2 = 4.4 Hz, 1H), 8.83 (s, 1H), 8.59 (dd, J; = 1.6 Hz, J2 = 8.0 Hz, 1H), 7.89 (dd, J; = 4.8 Hz, J2 = 8.0 Hz, 1H), 7.75 (t, J= 0.8 Hz, 1H), 7.60-7.66 (m, 2H), 5.61 (s, 2H).
MS (ESI) m/z 476, 478 (M+H)+
Example 2:
3-chloro-5-((l-((5-hydroxypyrazin-2-yl)methyl)-6-oxo-4-(trifluoromethyl)-l,6- dihydro pyrimidin-5-yl)oxy)benzonitrile
Figure imgf000066_0001
Step 1: (5-chloropyrazin-2-yl)methyl methanesulfonate
Figure imgf000066_0002
To a solution of (5-chloropyrazin-2-yl)methanol (750 mg, 5.2 mmol) and DIPEA (1.34 g, 10.4 mmol) in dichloromethane (10 mL) was added methanesulfonyl chloride
(1.18 g, 10.4 mmol) dropwise at 0 C. The resulting mixture was stirred at r.t. for 0.5 hr. The mixture was diluted with ethyl acetate (30 mL) and washed with water, dried over sodium sulfate, filtered and concentrated under reduced pressure to give (5- chloropyrazin-2-yl)methyl methanesulfonate (800 mg).
MS (ESI): m/z 223, 225 (M+H)+
Step 2: 3-chloro-5-((l-((5-chloropyrazin-2-yl)methyl)-6-oxo-4-(trifluoromethyl)-l,6 - dihydropyrimidin-5-yl)oxy)benzonitrile
Figure imgf000066_0003
A mixture of (5-chloropyrazin-2-yl)methyl methanesulfonate (800 mg, 3.6 mmol), 3- chloro-5-((6-oxo-4-(trifluoromethyl)- 1 ,6-dihydropyrimidin-5-yl)oxy) benzonitrile (as described in Step 5 of Example 1) (907 mg, 2.88 mmol) and potassium carbonate (993 mg, 7.2 mmol) in DMF (10 mL) was stirred at r.t. for 3 hr. Water (20 mL) was added and the mixture was extracted with ethyl acetate (20 mL x 3). The combined organic extracts were dried over sodium sulfate, filtered and concentrated under reduced pressure to give 3-chloro-5-((l-((5-chloropyrazin-2-yl) methyl)-6-oxo-4- (trifluoromethyl)-l,6- dihydropyrimidin-5-yl)oxy)benzonitrile (370 mg).
MS (ESI): m/z 442, 444 (M+H)+
Step 3: 3-chloro-5- ((!-(( 5-hydroxypyrazin-2-yl)methyl)-6-oxo-4- (rifluoromethyl)- 1, 6-dihydropyrimidin-5-yl)oxy)benzonitrile
Figure imgf000067_0001
A solution of 3-chloro-5-((l-((5-chloropyrazin-2-yl)methyl)-6-oxo-4- (trifluoromethyl)- l,6-dihydropyrimidin-5-yl)oxy)benzonitrile (200 mg, 0.45 mmol) in TFA (2 mL) was heated to 120 C for 40 min under microwave. After cooling to r.t., the mixture was concentrated under reduced pressure. The residue was purified by preparative HPLC to give 3-chloro-5-((l-((5-hydroxypyrazin-2-yl)methyl)-6-oxo-
4-(trifluoromethyl)-l,6-dihydropyrimidin-5-yl)oxy) benzonitrile (60 mg).
1H NMR (CD30D, 400 MHz): δ 8.62 (s, 1H), 8.05 (s, 1H), 7.53 (s, 1H), 7.52 (s, 1H),
7.34 (s, 2H), 5.06 (s, 2H).
MS (ESI) m/z 424, 426 (M+H)+
Example 3:
3-chloro-5-((l-((4-methyl-5-oxo-4,5-dihydropyrazin-2-yl)methyl)-6-oxo-4- (trifluoromethyl)- 1 ,6-dihydropyrimidin-5-yl)oxy)benzonitrile
Figure imgf000067_0002
Step 1: 3-chloro-5-((l-((4-methyl-5-oxo-4,5-dihydropyrazin-2-yl)methyl)-6- (trifluoromethyl)-l,6-dihydropyrimidin-5-yl)oxy)benzonitrile
Figure imgf000068_0001
To a suspension of 3-chloro-5-((l-((5-hydroxypyrazin-2-yl)methyl)-6-oxo-4-
(trifluoromethyl) -l,6-dihydropyrimidin-5-yl)oxy)benzonitrile (30 mg, 0.07 mmol) and Cs2C03 (68 mg, 0.21 mmol) in 1,4-dioxane was added CH3I (30 mg, 0.21 mmol). The mixture was stirred at r.t for 20 hr, filtered and concentrated under reduced pressure. The residue was purified by preparative HPLC to give the desired product 3-chloro-5-((l-((4-methyl-5-oxo-4,5-dihydro pyrazin-2-yl)methyl)-6-oxo-4- (trifluoromethyl)-l,6-dihydropyrimidin-5-yl)oxy)benzonitrile (10 mg).
1H NMR (CD30D, 400 MHz): δ 8.63 (s, 1H), 8.01 (s, 1H), 7.71 (s, 1H), 7.54 (s, 1H), 7.35 (dd, Ji = 2.4 Hz, J2 = 4.4 Hz, 1H), 7.33 (d, J= 2.4 Hz, 1H), 5.06 (s, 2H), 3.50 (s, 3H).
MS (ESI) m/z 438, 440 (M+H)+
Example 4:
3-chloro-5-((6-oxo-l-((3-oxo-3,4-dihydropyrazin-2-yl)methyl)-4- (trifluoromethyl)- 1 ,6-dihydropyrimidin-5-yl)oxy)benzonitrile
Figure imgf000068_0002
Step 1: (3-methoxypyrazin-2-yl)methanol
Figure imgf000069_0001
To a suspension of methyl 3-methoxypyrazine-2-carboxylate (1.0 g, 6.9 mmol) and CaCl2 (0.4 g, 3.5 mmol) in ethanol (15 mL) was added NaBH4 (0.4 g, 10.4 mmol) in portions at 0 C. The resulting mixture was stirred at r.t. for 2 hr. Water (20 mL) was added and the mixture was extracted with ethyl acetate (50 mL x 3). The combined organic extracts were washed with aq. HCl (2 N), dried over sodium sulfate, filtered and concentrated under reduced pressure. The residue was purified by preparative TLC (petroleum ether/ethyl acetate (1 : 1) as eluent) to give (3-methoxypyrazin-2- yl)methanol (220 mg).
MS (ESI) m/z 141 (M+H)+
Step 2: 3-chloro-5-((l-((3-methoxypyrazin-2-yl)methyl)-6-oxo-4-(trifluoromethyl) - l,6-dihydropyrimidin-5-yl)oxy)benzonitrile
Figure imgf000069_0002
To a solution of (3-methoxypyrazin-2-yl)methanol (220.0 mg, 1.6 mmol), 3-chloro-5- ((6-oxo-4-(trifluoromethyl)- 1 ,6-dihydropyrimidin-5-yl)oxy)benzonitrile (as described in Step 5 of Example 1) (0.6 g, 1.9 mmol) and PPh3 (0.6 g, 2.4 mmol) in
dichloromethane (10 mL) was added dropwise DEAD (0.56 g, 3.2 mmol) at 0 C under a nitrogen atmosphere. The mixture was stirred at r.t. for 1 hr. Water (10 mL) was added and the mixture was extracted with dichloromethane (20 mL x 3). The combined organic extracts were dried over sodium sulfate, filtered and concentrated under reduced pressure. The crude product was purified by chromatography on silica gel (petroleum ether/ethyl acetate (10: 1 to 6: 1) as eluent) to give 3-chloro- 5-((l-((3- methoxypyrazin-2-yl)methyl)-6-oxo-4-(trifluoromethyl)-l,6-dihydropyrimidin-5- yl)oxy)benzonitrile (160 mg). 1H NMR (CD30D, 400 MHz) δ 8.53 (s, 1H), 8.08 (s, 1H), 8.06 (s, 1H), 7.
7.35 (s, 1H), 730 (s, 1H), 5.35 (s, 2H), 4.04 (S, 3H).
MS (ESI) m/z 440, 442 (M+H)+
Step 3: 3-chloro-5-((6-oxo-l-((3-oxo-3,4-dihydropyrazin-2-yl)methyl)-4- (trifluoromethyl) -l,6-dihydropyrimidin-5-yl)oxy)benzonitrile
Figure imgf000070_0001
To a mixture of 3-chloro-5-((l-((3-methoxypyrazin-2-yl)methyl)-6-oxo-4- (trifluoromethyl)-l,6-dihydropyrimidin-5-yl)oxy)benzonitrile (120.0 mg, 0.3 mmol) and KI (68.0 mg, 0.4 mmol) in dichloromethane (3 mL) was added TMSC1 (43.6 mg, 0.4 mmol) at r.t. The mixture was stirred at r.t. for 3 hr. Water (10 mL) was added and the mixture was extracted with dichloromethane (10 mL x 3). The combined organic extracts were dried over sodium sulfate, filtered and concentrated under reduced pressure. The residue was purified by preparative HPLC to give the desired product 3-chloro-5-((6-oxo-l- ((3-oxo-3,4-dihydropyrazin-2-yl)methyl)-4- (trifluoromethyl)- 1 ,6-dihydropyrimidin-5-yl)oxy)benzonitrile (80 mg).
1H NMR (CD30D, 400 MHz) δ 8.50 (s, 1H), 8.20 (s, 1H), 7.52 (d, J = 6.4 Ηζ,ΙΗ), 7.38 (s, 1H), 7.35 (d, J = 5.3 Hz, 1H), 7.30 (s, 1H), 5.29 (s, 2H).
MS (ESI) m/z 424, 426 (M+H)+
Example 5:
3-chloro-5-((6-oxo-l-((3-oxo-2,3-dihydropyridazin-4-yl)methyl) -4- (trifluoromethyl) - 1 ,6-dihydropyrimidin-5-yl)oxy)benzonitrile
Figure imgf000070_0002
Step 1: (3-methoxypyridazin-4-yl)methanol
Figure imgf000071_0001
(3-methoxypyridazin-4-yl)methanol was prepared by reduction of methyl 3-methoxy pyridazine-4-carboxylate using a method similar to that described for Example 4.
Step 2: 3-chloro-5-((l-((3-methoxypyridazin-4-yl)methyl)-6-oxo-4-(trifluoromethyl)- -dihydropyrimidin-5-yl)oxy)benzonitrile
Figure imgf000071_0002
To a solution of (3-methoxypyridazin-4-yl)methanol (80 mg, 0.57 mmol) and DIPEA (110 mg, 0.86 mmol) in dichloromethane (3 mL) was added methanesulfonyl chloride
(130 mg, 1.14 mmol) dropwise at 0 C. The mixture was stirred at r.t. for 1 hr, diluted with dichloromethane and washed with water. The organic layer was dried over sodium sulfate, filtered and concentrated under reduced pressure to give (3- methoxypyridazin-4-yl)methyl methanesulfonate (120 mg crude). This was added to mixture of 3 -chloro-5 -((6-oxo-4-(trifluoromethyl)- 1 ,6-dihydropyrimidin-5 - yl)oxy)benzonitrile (as described in Step 5 of Example 1) (150 mg, 0.48 mmol), LiBr (82 mg, 0.96 mmol) and potassium carbonate (138 mg, 0.96 mmol) in DMF (5 mL) and stirred at 70 C for 1 hr. After cooling, the mixture was diluted with water (15 mL) and extracted with ethyl acetate (15 mL x 2). The combined organic extracts were dried over sodium sulfate, filtered and concentrated under reduced pressure to give 3 -chloro-5 -(( 1 -((3 -methoxypyridazin-4-yl)methyl)-6-oxo-4-(trifluoromethyl)- l,6-dihydropyrimidin-5-yl)oxy)benzonitrile (60 mg) which was used in the next step without further purification.
MS (ESI) m/z 438, 440 (M+H)+
Step 3: 3-chloro-5-((6-oxo-l-((3-oxo-2,3-dihydropyridazin-4-yl)methyl)-4- (trifluoromethyl) -l,6-dihydropyrimidin-5-yl)oxy)benzonitrile
Figure imgf000072_0001
To a mixture of 3-chloro-5-((l-((3-methoxypyridazin-4-yl)methyl)-6-oxo-4- (trifluoromethyl)-l,6-dihydropyrimidin-5-yl)oxy)benzonitrile (60 mg, 0.137 mmol) and KI (45 mg, 0.274 mmol) in acetonitrile (3 mL) was added TMSC1 (30 mg, 0.274 mmol) dropwise at r.t. After addition, the mixture was heated to 60 C for 1 hr. After cooling to r.t., the reaction mixture was concentrated under reduced pressure. The residue was purified by preparative HPLC to afford 3-chloro-5-((6-oxo-l-((3-oxo- 2,3-dihydropyridazin -4-yl)methyl)-4-(trifluoromethyl) - 1 ,6-dihydropyrimidin-5- yl)oxy)benzonitrile (30 mg).
1H NMR (CD3OD, 400MHz): δ 8.66 (s, 1H), 7.84 (d, J = 4.0 Hz, 1H), 7.54(s, 1H), 7.36-7.41 (m, 3H), 5.06 (s, 2H).
MS (ESI): m/z 424, 426 (M+H) +
Example 6:
3-chloro-5-((6-oxo-l-((6-oxo-5-(trifluoromethyl)-l,6-dihydropyridazin-3- yl)methyl)-4-(trifluoromethyl)-l,6-dihydropyrimidin-5-yl)oxy)benzonitrile
Figure imgf000072_0002
Step 1: 6-(bromomethyl)-4-(trifluoromethyl)pyridazin-3(2H)-one
Figure imgf000072_0003
To a mixture of 6-methyl-4-(trifluoromethyl)pyridazin-3(2H)-one (2 g, 11.2 mmol) in 20 mL of CCI4 was added NBS (3 g, 17.2 mmol) and benzoyl peroxide (100 mg) at r.t. The resulting mixture was heated at reflux for 18 hr. LCMS showed the reaction completed, the mixture was poured into ice-water and extracted with
dichloromethane. The combined extracts were dried and concentrated under reduced pressure. The residue was purified by column chromatography on silica gel (petroleum ether/ethyl acetate (5: 1) as eluent) to afford 6-(bromomethyl)-4- (trifiuoromethyl) pyridazin-3(2H)-one (1.4 g).
Step 2: 3-chloro-5-((6-oxo-l-((6-oxo-5-(trifluoromethyl)-l, 6-dihydropyridazin-3-yl) methyl)-4-(trifluoromethyl)-l,6-dihydropyrimidin-5-yl)oxy)benzonitrile
Figure imgf000073_0001
A mixture of 3-chloro-5-(6-oxo-4-(trifiuoromethyl)-l,6-dihydropyrimidin-5-yloxy) benzonitrile (as described in Step 5 of Example 1) (400 mg, 1.27 mmol), 6- (bromomethyl)-4-(trifiuoromethyl)pyridazin-3(2H)-one (260 mg, 1.0 mmol) and potassium carbonate (170 mg, 1.23 mmol) in DMF (6 mL) was stirred at room temperature for 18 hr. The mixture was diluted with water, extracted with ethyl acetate. The combined organic layers were washed with water and brine, dried over sodium sulfate, filtered and under reduced pressure. The residue was purified by preparative HPLC to afford 3-chloro-5-((6-oxo-l-((6-oxo-5-(trifiuoromethyl)-l,6- dihydropyridazin-3-yl) methyl)-4-(trifiuoromethyl)- 1 ,6-dihydropyrimidin-5- yl)oxy)benzonitrile (300 mg).
1H NMR (DMSO-dtf, 400 MHz): δ 13.72 (s, 1H), 8.77 (s, 1H), 8.02(s, 1H), 7.78 (s, 1H), 7.71 (s, 1H), 7.68 (s, 1H), 5.19 (s, 2H).
MS (ESI) m/z 492, 494 (M+H)+ Example 7:
3-chloro-5-((6-oxo-l-((6-oxo-l,6-dihydropyridazin-3-yl)methyl)-4- (trifluoromethyl)- 1 ,6-dihydropyrimidin-5-yl)oxy)benzonitrile
Figure imgf000074_0001
Step 1: (6-methoxypyridazin-3-yl)methanol
Figure imgf000074_0002
To a solution of methyl 6-methoxypyridazine-3-carboxylate (10 g, 62.8 mmol) in THF (200 mL) and MeOH (40 mL) was added a mixture of NaBH4 (10.2 g, 283 mmol) and CaCl2 (10.2 g, 92 mmol) in portions. The mixture was stirred at room temperature for 30 min, quenched with saturated NH4C1, then extracted with ethyl acetate (80 mL x 3). The organic layer was washed with water and brine, dried over anhydrous sodium sulfate, filtered and concentrated under reduced pressure to afford (6-methoxypyridazin-3-yl)methanol (3.6 g).
MS (ESI) m/z 141 (M+H)+
Step 2: 3-chloro-5-((l-((6-methoxypyridazin-3-yl)methyl)-6-oxo-4-(trifluoromethyl)- - dihydropyrimidin-5-yl)oxy)benzonitrile
Figure imgf000074_0003
To a solution of (6-methoxypyridazin-3-yl)methanol (3.6 g crude, 25.7 mmol) and ethyl acetate (16 mL, 115 mmol) in dichloromethane (100 mL) was added
methanesulfonyl chloride (77 mg, 0.67 mmol) slowly at -60 C. The mixture stirred at room temperature for 2 hr, quenched with saturated NaHC03, and extracted with ethyl acetate (60 mL x 3). The organic layer was washed with water and brine, dried over anhydrous sodium sulfate, filtered and concentrated under reduced pressure to afford the crude product (crude 3.7 g, 66%) used next step without purification.
To a solution of 3-chloro-5-((6-oxo-4-(trifluoromethyl)- 1 ,6-dihydropyrimidin-5-yl) oxy)benzonitrile (as described in Step 5 of Example 1) (4.5 g, 14.2 mmol) in DMF (50 mL) was added Et3N (4.2 mL, 30 mmol) and (6-methoxypyridazin-3-yl)methyl methanesulfonate (crude 3.7 g, 17 mmol). The mixture was stirred at room
temperature for 5 hr. The reaction mixture was poured into water, extracted with ethyl acetate (60 mL x 3). The organic layer was washed with water and brine, dried over anhydrous sodium sulfate, filtered and concentrated under reduced pressure .The residue was purified by column (petroleum ether/ethyl acetate (3: 1) as eluent) to afford 3-chloro-5-((l-((6-methoxypyridazin-3-yl)methyl)-6-oxo-4-(trifluoromethyl)- 1,6- dihydro pyrimidin-5-yl)oxy)benzonitrile (1.2 g).
MS (ESI) m/z 438, 440 (M+H)+
Step 3: 3-chloro-5-((6-oxo-l-((6-oxo-l, 6-dihydropyridazin-3-yl)methyl)-4- (trifluoromethyl) -l,6-dihydropyrimidin-5-yl)oxy)benzonitrile
Figure imgf000075_0001
To a mixture of 3-chloro-5-((l-((6-methoxypyridazin-3-yl)methyl)-6-oxo-4-
(trifluoromethyl)-l,6-dihydropyrimidin-5-yl)oxy)benzonitrile (1.2 g, 2.7 mmol ) and KI (1.5 g, 9 mmol) in CH3CN (30 mL) was added TMSC1 (1.5 mL, 15 mmol) at r.t.
The mixture was stirred for 30 min then heated to 60 C for 6 hr. After cooling to r.t., the mixture was quenched with MeOH and concentrated under reduced pressure. The residue was purified by preparative HPLC to afford 3-chloro-5-((6-oxo- 1 -((6-oxo- 1 ,6- dihydropyridazin-3 -yl)methyl)-4-(trifluoromethyl)- 1 ,6-dihydropyrimidin-5 - yl)oxy)benzonitrile (0.78 g).
1H NMR (DMSO-dtf, 400 MHz): δ 12.99(s, 1H), 8.77 (s, 1H), 7.77 (s, 1H), 7.70 (s, 1H), 7.66 (s, 1H), 7.50 (d, 1H), 6.88 (d, 1H), 5.14 (s, 2H). MS (ESI) m/z 424, 426 (M+H)+
Using the same procedure of Example 7 and LiAlD4 in THF in Step 1 in place NaBH4, CaCl2 in methanol, the following compound was also synthesized and characterized as indicated in the table below:
Figure imgf000076_0003
Example 9:
3-chloro-5-((l-((5-(3,3-difluorocyclobutyl)-6-oxo-l,6-dihydropyridazin-3- yl)methyl)- 6-oxo-4-(trifluoromethyl)- 1 ,6-dihydropyrimidin-5-yl)oxy)benzonitrile
Figure imgf000076_0001
Step 1: 6-chloro-4-(3,3-difluorocyclobutyl)-3-methoxypyridazine
Figure imgf000076_0002
To a solution of 3-chloro-6-methoxypyridazine (50 mg, 0.35 mmol), 3,3- difluorocyclobutanecarboxylic acid (80 mg, 0.57 mmol), AgN03 (30 mg, 0.17 mmol) and TFA (20 mg, 0.17 mmol) in H20 (0.8 mL) was added a solution of (NH4)2S208 (142 mg, 0.62 mmol) in H20 (0.4 mL) dropwise at 70 C. The mixture was stirred at
70 C for 1.5 h, cooled to r.t., then quenched with aqueous NH4OH and extracted with ethyl acetate (60 mL x 3). The organic layer was washed with water and brine, dried over anhydrous sodium sulfate, filtered and concentrated under reduced pressure. The residue was purified by preparative TLC to afford 6-chloro-4-(3,3- difluorocyclobutyl)-3-methoxypyridazine (25 mg).
MS (ESI): m/z 235, 237 (M+H)+
1HNMR(CDC13, 400 MHz) δ 7.20 (s, 1H), 4.13 (s, 3H), 3.40-3.43 (m, 1H), 2.97-3.00 (m, 2H), 2.65-2.68 (m, 2H).
Step 2: methyl 5-(3,3-difluorocyclobutyl)-6-methoxypyridazine-3-carboxylate
Figure imgf000077_0001
A suspension of 6-chloro-4-(3,3-difluorocyclobutyl)-3-methoxypyridazine (25 mg, 0.11 mmol), triethyl amine (32 mg, 0.32 mmol) and Pd(dppf)2Cl2 (5 mg, 0.0053 mmol) in 5 mL of methanol was stirred under carbon monooxide (50 psi) at 60 C for overnight. The reaction mixture was poured into water and extracted with ethyl acetate (60 mL x 3). The combined organic layers were washed with water and brine, dried over anhydrous sodium sulfate, filtered and concentrated under reduced pressure. The residue was purified by preparative TLC to afford methyl 5-(3,3- difluorocyclobutyl)-6-methoxypyridazine-3-carboxylate (21 mg).
MS (ESI): m/z 259 (M+H)+
The title compound, 3-chloro-5-((l-((5-(3,3-difluorocyclobutyl)-6-oxo-l,6- dihydropyridazin- 3-yl)methyl)-6-oxo-4-(trifluoromethyl)- 1 ,6-dihydropyrimidin-5- yl)oxy)benzonitrile, was prepared from the above ester according to the procedure given for Example 7. 1H NMR (OMSO-d6, 400 MHz): δ 12.99 (s, 1H), 8.77 (s, 1H), 7.78 (s, 1H), 7.71-7.67 (m, 2H), 7.48 (s, 1H), 5.14 (s, 2H), 2.89-2.91 (m, 1H), 2.87-2.89 (m, 2H), 2.73-2.74 (m, 2H).
MS (ESI): m/z 514, 516 (M+H)+
Example 10 in the table below were prepared according to the procedure given for Example 9.
Figure imgf000078_0003
Example 11:
3-chloro-5-((l-((5-(2-hydroxypropan-2-yl)-6-oxo-l,6-dihydropyridazin-3- yl)methyl)- 6-oxo-4-(trifluoromethyl)- 1 ,6-dihydropyrimidin-5-yl)oxy)benzonitrile
Figure imgf000078_0001
Step 1: 2-(6-chloro-3-methoxypyridazin-4-yl)propan-2-ol
Figure imgf000078_0002
To a solution of methyl 6-chloro-3-methoxypyridazine-4-carboxylate (2.0 g, 0.01 mol) in 20 mL of THF was added MeMgBr (7.4 ml, 0.022 mol) at -30 °C under a nitrogen atmosphere. The resulting mixture was stirred at 0 C for 1 hr. After finished, the mixture was poured into water and acidified with sat. aq. NH4C1, extracted with ethyl acetate. The combined organic layers were washed with brine, dried over sodium sulfate, filtered and concentrated under reduced pressure. The residue was purified by column chromatography (petroleum ether: ethyl acetate = 5: 1) to afford 2-(6-chloro-3-methoxypyridazin-4-yl)propan-2-ol (550 mg).
MS (ESI): m/z 203, 205 (M+H)+.
Step 2: methyl 5-(2-hydroxypropan-2-yl)-6-methoxypyridazine-3-carboxylate
Figure imgf000079_0001
A suspension of 2-(6-chloro-3-methoxypyridazin-4-yl)propan-2-ol (200 mg, 0.99 mmol), triethyl amine (200 mg, 2 mmol) and Pd(dppf)Cl2 (20 mg) in 5 mL of methanol was stirred under carbon monooxide (50 psi) at 60 C overnight. Then the reaction mixture was poured into water, extracted with ethyl acetate (60 mL x 3). The organic extracts were washed with water and brine, dried over anhydrous sodium sulfate, filtered and concentrated under reduced pressure. The residue was purified by column chromatography (petroleum ether: ethyl acetate (2: 1 to 1 : 1) as eluent to give methyl 5-(2-hydroxypropan-2-yl)-6-methoxypyridazine- 3-carboxylate (100 mg). MS (ESI): m/z 227 (M+H)+
The title compound was subsequently prepared from methyl 5-(2-hydroxypropan-2- yl)-6- methoxypyridazine-3-carboxylate according to the procedure given for
Example 7.
1H NMR (CD3OD, 400MHz): δ 8.55 (s, 1H), 7.61 (s, 1H), 7.53 (s, 1H), 7.35 (s, 2H),
5.20 (s, 2H), 1.54 (s, 6H).
MS (ESI): m/z 482,484 (M+H)+ Example 12:
3-chloro-5-((l-((5-(hydroxymethyl)-6-oxo-l,6-dihydropyridazin-3-yl)
oxo-4-(trifluoromethyl)-l,6-dihydropyrimidin-5-yl)oxy)benzonitrile
Figure imgf000080_0001
Step 1: -(tert-butoxymethyl)-6-chloro-3-methoxypyridazine
Figure imgf000080_0002
To a mixture of tert-butoxy-acetic acid (5.7 g, 43 mmol) in TFA/ water (20 mol%, 48 mL) were added 3-chloro-6-methoxypyridazine (3.8 g, 26 mmol) and AgN03 (0.42 g, 2.4 mmol). The mixture was heated to 70 C, then a solution of (NH4)2S208 (10.6 g, 46 mmol) in water (8 mL) was added dropwise. After addition, the mixture was stirred at 70-80 C for 30 min. After cooling to r.t, the mixture was extracted with ethyl acetate. The organic layer was washed with brine, dried over sodium sulfate, filtered and concentrated under reduced pressure. The residue was purified by column chromatography (petroleum ether: ethyl acetate (6: 1) as eluent) to afford a mixture containing 4-(tert-butoxymethyl)-6-chloro-3-methoxypyridazine and 20-30% 4-(tert-butoxymethyl)- 3-chloro-6-methoxypyridazine (1.5 g).
MS (ESI) m/z 231, 233 (M+H)+ Step 2: methyl 5-(tert-butoxymethyl)-6-methoxypyridazine-3-carboxylate and methyl -(tert-butoxymethyl)-6-methoxypyridazine-3-carboxylate
Figure imgf000080_0003
A mixture of 4-(tert-butoxymethyl)-6-chloro-3-methoxypyridazine containing 20- 30% 4-(tert-butoxymethyl)-3-chloro-6-methoxypyridazine (1.3 g, 5.6 mmol), ethyl acetate (1 mL, 7.2 mmol) and Pd(dppf)Cl2 (130 mg) in MeOH (100 mL) was heated to 70 C with stirring under CO (50 psi) for 10 hr. After cooling, the mixture was poured into water and extracted with ethyl acetate. The combined organic layers were washed with brine, dried over sodium sulfate, filtered and concentrated under vacuum. The residue was purified by column chromatography (petroleum ether/ethyl acetate (3: 1) as eluent to afford methyl-5-(tert-butoxymethyl)-6-methoxypyridazine-3- carboxylate (0.36 g) and methyl 4-(tert-butoxymethyl)-6-methoxy pyridazine-3- carboxy late (0.1 g).
MS (ESI) m/z 255 (M+H)+
Methyl 4-(tert-butoxymethyl)-6-methoxypyridazine-3 -carboxylate
1H NMR (CDCls, 400 MHz): δ 8.22 (s, 1H), 4.40 (s, 2H), 4.22 (s, 3H), 4.02 (s, 3H),
1.29 (s, 9H).
Methyl 5 -(tert-butoxymethyl)-6-methoxypyridazine-3 -carboxylate
1H NMR (CDC13, 400 MHz): δ 7.40 (s, 1H), 4.77 (s, 2H), 4.20 (s, 3H), 4.00 (s, 3H), 1.29 (s, 9H).
Step 3: (5-(tert-butoxymethyl)-6-methoxypyridazin-3-yl)methanol
Figure imgf000081_0001
To a solution of methyl 5 -(tert-butoxymethyl)-6-methoxypyridazine-3 -carboxylate (290 mg, 1.2 mmol) in THF (5 mL) and MeOH (0.8 mL) was added in portions a mixture of NaBH4 (210 mg, 5.8 mmol) and CaCl2 (210 mg, 1.9 mmol) at 5 C. Then the mixture was stirred for 30 min at rt. The mixture was poured into sat.aq NH4C1 and extracted with ethyl acetate. The combined organic layers were washed with brine, dried over sodium sulfate, filtered and concentrated under reduced pressure to afford (5-(tert-butoxymethyl)-6-methoxy pyridazin-3-yl)methanol (190 mg) which was used without further purification.
MS (ESI) m/z 227 (M+H)+ Step 4: (5-(tert-butoxymethyl)-6-methoxypyridazin-3-yl)methyl methanesulfonate
Figure imgf000082_0001
To a solution of (5-(tert-butoxymethyl)-6-methoxypyridazin-3-yl)methanol (190 mg, 0.84 mmol) in dichloromethane (12 mL) was added DIPethyl acetate (0.25 mL, 1.5 mmol) and degassed with N2. methanesulfonyl chloride (0.1 mL, 1.3 mmol) was added at -30 C. After addition, it was allowed to warm up to 0 C and stirred for 2 hr. The mixture was diluted with dichloromethane, washed with brine, dried over sodium sulfate, filtered and concentrated under reduced pressure to afford (5-(tert- butoxymethyl)-6-methoxypyridazin- 3-yl)methyl methanesulfonate (260 mg crude) which was used without further purification.
MS (ESI) m/z 305(M+H)+.
Step 5: 3-((l-((5-(tert-butoxymethyl)-6-methoxypyridazin-3-yl)methyl)-6- (trifluoro meth l)-!, 6-dihydropyrimidin-5-yl)oxy)-5-chlorobenzonitrile
Figure imgf000082_0002
To a solution of 3-chloro-5-((6-oxo-4-(trifluoromethyl)-l,6-dihydropyrimidin-5-yl) oxy)benzonitrile (as described in Step 5 of Example 1) (260 mg, 0.82 mmol) in DMF (6 mL) was added ethyl acetate (0.27 mL, 1.9 mmol) and (5-(tert-butoxymethyl)-6- methoxypyridazin-3-yl)methyl methanesulfonate (280 mg crude, 0.91 mmol). The resulting mixture was stirred for 20 hr at r.t. then poured into water and extracted with ethyl acetate. The combined organic layers were washed with brine, dried over sodium sulfate, filtered and concentrated under reduced pressure. The residue was purified by preparative TLC (petroleum ether/ethyl acetate (1 : 2) as eluent) to afford 3 -(( 1 -((5 -(tert-butoxymethyl)-6-methoxypyridazin-3 -yl)methyl)-6-oxo-4- (trinuoromethyl)-l,6-dihydropyrimidin-5-yl)oxy)-5-chlorobenzonitrile (110 mg). MS (ESI) m/z 525, 527(M+H)+.
Step 6: 3-chloro-5-((l-((5-(hydroxymethyl)-6-methoxypyridazin-3-yl)methyl)-6-oxo- 4-(trifluoromethyl)-l,6-dihydropyrimidin-5-yl)oxy)benzonitrile
Figure imgf000083_0001
To a solution of 3-((l-((5-(tert-butoxymethyl)-6-methoxypyridazin-3-yl)methyl)-6- oxo -4-(trinuoromethyl)-l,6-dihydropyrimidin-5-yl)oxy)-5-chlorobenzonitrile (110 mg, 0.2 mmol) in DCE (2 mL) was added TFA (1 mL, 12 mmol). The resulting mixture was refluxed for 13 hr. After cooling to r.t., the mixture was concentrated under reduced pressure and purified by preparative TLC (petroleum ether/ethyl acetate (1 :3) as eluent) to afford 3-chloro- 5-((l-((5-(hydroxymethyl)-6- methoxypyridazin-3-yl)methyl)-6-oxo-4-(trifluoromethyl)-l,6-dihydropyrimidin-5- yl)oxy)benzonitrile (80 mg,).
MS (ESI) m/z 468, 470 (M+H)+.
Step 7: 3-chloro-5-((l-((5-(hydroxymethyl)-6-oxo-l,6-dihydropyridazin-3-yl)methyl)- 6-oxo-4-(trifluoromethyl)-l,6-dihydropyrimidin-5-yl)oxy)benzonitrile
Figure imgf000083_0002
To a mixture of 3-chloro-5-((l-((5-(hydroxymethyl)-6-methoxypyridazin-3- yl)methyl) -6-oxo-4-(trifluoromethyl)- 1 ,6-dihydropyrimidin-5-yl)oxy)benzonitrile (80 mg, 0.16 mmol) and KI (65 mg, 0.39 mmol) in MeCN (10 mL) was added TMSC1 (20 μί, 0.2 mmol). The resulting mixture was stirred for 30 min at 10 C, then heated to
50 C and stirred for 6 hr. After cooling to r.t., the mixture was diluted with ethyl acetate and washed with sat. aq Na2S2C The organic layer was dried over sodium sulfate and concentrated under reduced pressure. The residue was purified by preparative HPLC to afford 3-chloro- 5-((l-((5-(hydroxymethyl)-6-oxo-l,6- dihydropyridazin-3-yl)methyl)-6-oxo-4-(trifluoromethyl) - 1 ,6-dihydropyrimidin-5- yl)oxy)benzonitrile (40 mg).
1H NMR (DMSO-dtf, 400 MHz): δ 12.92 (s, 1H), 8.78 (s, 1H), 7.78 (s, 1H), 7.71 (s, 1H), 7.67 (s, 1H), 7.46 (s, 1H), 5.45 (br, 1H), 5.17 (s, 2H), 4.34 (s, 2H).
MS (ESI) m/z 454, 456 (M+H)+.
Example 13:
3-chloro-5-((4-methyl-6-oxo- l-((6-oxo- 1 ,6-dihydropyridazin-3-yl)methyl)- 1 ,6- dihydropyrimidin-5-yl)oxy)benzonitrile
Figure imgf000084_0001
Step 1: methyl 6-oxo-l-(tetrahydro-2H-pyran-2-yl)-l,6-dihydropyridazine-3- carboxylate
Figure imgf000084_0002
To a solution of methyl-6-oxo-l,6-dihydropyridazine-3-carboxylate (5 g, 32.4 mmol) in anhydrous THF (130 mL) was added DHP (8.90 mL, 97 mmol) and catalytic PPTS (1.631 g, 6.49 mmol). The resulting mixture was heated at reflux (75°C) for 17 hr. Additional DHP (3.0 mL, 32.4 mmol, 1.0 eq) was added and the mixture was stirred at reflux for an additional 19 hr. The dark solution was cooled and partitioned between ethyl acetate (2 x 150 mL) and water (200 mL). The combined organic layers were dried over sodium sulfate, filtered and the solvent was evaporated under reduced pressure. The residue was purified by column chromatography (silica;
hexanes/EtOAc 1 :0 to 0: 1 as eluent) to give methyl 6-oxo-l-(tetrahydro-2H-pyran-2- yl)-l,6-dihydropyridazine-3-carboxylate (7.06 g).
1H NMR (CDCI3- J, 500 MHz) δ 7.82 (d, J=9.7 Hz, 1H), 6.96 (s, J=9.7 Hz, 1H), 6.09 (m, 1H), 4.12 (m, 1H), 3.95 (s, 3H), 3.74 (m, 1H), 2.32 (m, 1H), 2.07 (m, 1H), 1.75 (m, 2H), 1.57 (m, 2H). Step 2: 6- (hydroxymethyl)-2- ( tetrahydro-2H-pyran-2-yl)pyridazin-3( 2H)-one
Figure imgf000085_0001
A solution of methyl 6-oxo-l-(tetrahydro-2H-pyran-2-yl)-l,6-dihydropyridazine- 3- carboxylate (7.06 g, 29.6 mmol) in anhydrous 2-methyl tetrahydrofuran (150 mL) was cooled down to 0 °C (water/ wet ice) and slowly charged with lithium borohydride (44.5 mL, 89 mmol) (2M in THF). The reaction was stirred at 0°C for 3 hr. The solution was quenched with water (10 mL), allowed to stir and then partitioned between ethyl acetate (2 x 300 mL) and water (350 mL). The combined organic layers were dried over sodium sulfate, filtered and the solvent was evaporated under reduced pressure. The residue was purified via flash column chromatography
(dichloromethane\methanol (1 :0 to 9: 1) as eluent) to afford 6-(hydroxymethyl)-2- (tetrahydro-2H-pyran-2-yl)pyridazin-3(2H)-one (3.34 g).
MS (ESI) m/z 211, 211 found (M+H)+
Step 3: 3-chloro-5-((4-methyl-6-oxo-l-((6-oxo-l-(tetrahydro-2H-pyran-2-yl)-l,6- dihydro pyridazin-3-yl)methyl)-l,6-dihydropyrimidin-5-yl)oxy)benzonitrile
Figure imgf000086_0001
A suspension of 6-(hydroxymethyl)-2-(tetrahydro-2H-pyran-2-yl)pyridazin-3(2H)- one (360 mg, 1.712 mmol) and triethylamine (0.716 mL, 5.14 mmol) combined in anhydrous dichloromethane (10 mL) was cooled to 0°C. A solution of para- toluenesulfonylchloride (359 mg, 1.884 mmol) in dichloromethane (3 mL) was added dropwise over 5 min. The reaction was allowed to warm to r.t. and allowed to stir for 3 days. The yellow solution was diluted with water (30mL) and extracted with dichloromethane (2 x 50 mL). The combined organic extracrs were dried over sodium sulfate, filtered and concentrated under reduced pressure to yield (6-oxo-l-
(tetrahydro-2H-pyran-2-yl)-l,6-dihydropyridazin-3-yl)methyl4-methylbenzene sulfonate (624 mg), which was used with no further purification.
To a solution of 3-chloro-5-((4-methyl-6-oxo-l,6-dihydropyrimidin-5- yl)oxy)benzonitrile (as described in Step 5 of Example 1) (40 mg, 0.153 mmol) in anhydrous DMF (1 mL) was added (6-oxo-l-(tetrahydro-2H- pyran-2-yl)-5-
(trifluoromethyl)- 1 ,6-dihydropyridazin-3 -yl)methyl4-methylbenzenesulfonate (112 mg, 0.260 mmol), followed by potassium carbonate (42.3 mg, 0.306 mmol). The resulting mixture was stirred at 23 °C for 20 hr. The mixture was purified by preparitive HPLC to yield 3-chloro-5-((4-methyl-6-oxo-l-((6-oxo-l-(tetrahydro-2H- pyran-2-yl) - 1 ,6-dihydropyridazin-3-yl) methyl)- 1 ,6-dihydropyrimidin-5- yl)oxy)benzonitrile (23 mg).
MS (ESI) m/z 453, 454 found (M+H)+
Step 4: 3-chloro-5-((6-oxo-l-((6-oxo-l, 6-dihydropyridazin-3-yl)methyl)-4- (trifluoromethyl) -1,6-dihydro pyrimidin-5-yl)oxy)benzonitrile
Figure imgf000087_0001
A solution of 3-chloro-5-((4-methyl-6-oxo-l-((6-oxo-l-(tetrahydro-2H-pyran-2-yl) - 1 ,6-dihydropyridazin-3-yl)methyl)- 1 ,6-dihydropyrimidin-5-yl)oxy)benzonitrile (23 mg, 0.051 mmol) in HCI (1267 μί, 5.07 mmol) (4 N HCI in 1 ,4-dioxanedioxane (600 μL)/water (600 μί) - used 1.3 mL of this commercially available solution) was allowed to stir at 23°C for 48 hr. The 1,4-dioxane was removed via concentration and the mixture was partitioned between ethyl acetate (35 mL) and saturated aqueous sodium bicarbonate (35 mL). The organic layer was dried over sodium sulfate and concentrated under reduced pressure. The crude off-white solid was purified by preparative HPLC and the desired fractions were freebased by partitioning between ethyl acetate (35 mL) and saturated aqueous sodium bicarbonate (35 mL). The organic layer was dried over sodium sulfate and concentrated to afford 3-chloro-5-((4- methyl-6-oxo- 1 -((6-oxo- 1 ,6-dihydropyridazin-3-yl)methyl)- 1 ,6-dihydropyrimidin-5- yl) oxy)benzonitrile (8 mg) as an off-white solid.
1H NMR (DMSO-dtf, 500 MHz): δ 12.99(s, 1H), 8.49 (s, 1H), 7.74 (s, 1H), 7.70 (m, 2H), 7.45 (s, 1H), 6.85 (d, 1H), 5.06 (s, 2H), 2.20 (s, 3H).
MS (ESI) m/z 369, 370 (M+H)+
Example 14:
3-chloro-5-((l-((5-(l-hydroxyethyl)-6-oxo-l,6-dihydropyridazin-3-yl)methyl)-6- oxo- 4-(trifluoromethyl)- 1 ,6-dihydropyrimidin-5-yl)oxy)benzonitrile
Figure imgf000087_0002
Step 1: 3-chloro-5-((l-((5-formyl-6-methoxypyridazin-3-yl)methyl)-6-oxo-4-(trifluoro meth - l,6-dihydropyrimidin-5-yl)oxy)benzonitrile
Figure imgf000088_0001
To a solution of 3-chloro-5-((l-((5-(hydroxymethyl)-6- methoxypyridazin-3- yl)methyl) -6-oxo-4-(trifluoromethyl)- 1 ,6-dihydropyrimidin-5-yl)oxy)benzonitrile (620 mg, 1.3 mmol) in 10 mL of dichloromethane was added Dess-Martin
periodinane (740 mg, 1.7 mmol) at 0 C under a nitrogen atmosphere. After stirring for 3 hr at r.t. the mixture was poured into water and extracted with dichloromethane. The extracts were dried over sodium sulfate, filitered and concentrated under reduced pressure. The residue was purified by column chromatography on silica gel
(petroleum ether/ethyl acetate (2: 1) as eluent) to afford 3-chloro-5-((l-((5-formyl-6- methoxypyridazin-3-yl) methyl)-6-oxo-4-(trifluoromethyl)- 1 ,6- dihydropyrimidin-5-yl)oxy)benzonitrile (410 mg).
MS (ESI) m/z 466, 468 (M+H)+.
Step 2: 3-chloro-5-((l-((5-(l-hydroxyethyl)-6-methoxypyridazin-3-yl)methyl)-6-oxo- 4- (trifluoromethyl)-l,6-dihydropyrimidin-5-yl)oxy)benzonitrile
Figure imgf000088_0002
To a solution of 3-chloro-5-((l-((5-formyl-6-methoxypyridazin-3-yl)methyl)-6- oxo- 4-(trifluoromethyl)-l,6-dihydropyrimidin-5-yl)oxy)benzonitrile (200 mg, 0.43 mmol) in 8 mL of THF was added MeMgBr (0.21 mL, 0.63 mmol) at -30 C under a nitrogen atmosphere. The resulting mixture was stirred at -30 C to 0 C for 1 hr. The mixture was quenched with sat. aq. NH4CI, extracted with ethyl acetate. The combined organic extracts were dried, filtered and concentrated under reduced pressure. The residue was purified by preparative TLC (dichloromethane/ethyl acetate (7: 10) as eluent) to afford 3-chloro- 5-((l-((5-(l-hydroxyethyl)-6-methoxypyridazin-3- yl)methyl)-6-oxo-4-(trifluoromethyl)- 1 ,6- dihydropyrimidin-5-yl)oxy)benzonitrile (124 mg).
MS (ESI) m/z 482, 484 (M+H)+.
Step 3: 3-chloro-5-(( l-((5-( 1 -hydroxyethyl)-6-oxo-l , 6-dihydropyridazin-3-yl)methyl)- 6-oxo- -(trifluoromethyl)- 1 ,6-dihydropyrimidin-5-yl)oxy)benzonitrile
Figure imgf000089_0001
To a mixture of 3-chloro-5-((l-((5-(l-hydroxyethyl)-6-methoxypyridazin-3- yl)methyl) -6-oxo-4-(trifluoromethyl)- 1 ,6-dihydropyrimidin-5-yl)oxy)benzonitrile (120 mg, 0.23 mmol) and KI (500 mg, 3 mmol) in 10 mL of acetonitrile was added
TMSCl (0.22 mL, 4 mmol) at 10 C, and the resulting mixture was stirred for 5 hr at 50 C. After cooling to r.t., the mixture was concentrated under reduced pressure and purified by preparative HPLC to afford 3-chloro-5-((l-((5-(l-hydroxyethyl)-6-oxo- 1 ,6-dihydropyridazin-3-yl)methyl)-6-oxo-4-(trifluoromethyl)- 1 ,6-dihydropyrimidin-5- yl)oxy)benzonitrile (62 mg).
1H NMR (DMSO-dtf, 400 MHz): δ 12.90 (s, 1H), 8.78 (s, 1H), 7.79 (s, 1H), 7.71 (s, 1H), 7.65-7.68 (m, 2H), 7.49 (s, 1H), 5.17 (s, 2H), 4.68 (q, J= 6.3 Hz, 1H), 1.26 (d, J = 6.3 Hz, 3H).
MS (ESI) m/z 468, 470 (M+H)+. Example 15:
3- chloro-5-((l-((5-(l-fluoroethyl)-6-oxo-l,6-dihydropyridazin-3-yl)methyl)-6-oxo- - (trifluoromethyl)-l,6-dihydropyrimidin-5-yl)oxy)benzonitrile
Figure imgf000090_0001
To a mixture of 3-chloro-5-((l-((5-(l-hydroxyethyl)-6-oxo-l,6-dihydropyridazin-3- yl) methyl)-6-oxo-4-(trifluoromethyl)- 1 ,6-dihydropyrimidin-5-yl)oxy)benzonitrile (80 mg, 0.17 mmol) in 10 mL of dichloromethane was added DAST (3 mL, 20.7 mmol) at
-50 C under a nitrogen atmosphere. The resulting mixture was stirred at -50 C to -
20 C over 30 min. The mixture was poured into ice-water and extracted with dichloromethane. The combined organic extracts were dried, filtered and
concentrated under reduced pressure and purified by preparative HPLC to afford 3- chloro-5-((l-((5-(l-fluoroethyl)-6-oxo-l,6-dihydropyridazin- 3-yl)methyl)-6-oxo-4- (trifluoromethyl)- 1 ,6-dihydropyrimidin-5-yl)oxy)benzonitrile (26 mg)
1H NMR (OMSO-d6, 400 MHz): δ 13.15 (s, 1H), 8.77 (s, 1H), 7.77 (s, 1H), 7.70 (s, 1H), 7.67 (s, 1H), 7.53 (s, 1H), 5.65 (dt, J= 47.2 Hz, J= 6.4 Hz, 1H), 5.18 (s, 2H), 1.52 (dd, J= 24.8 Hz, J= 6.4 Hz, 3H).
MS (ESI) m/z 470, 472 (M+H)+.
Example 16:
3-chloro-5-((l-((5-(fluoromethyl)-6-oxo-l,6-dihydropyridazin-3-yl)methyl)-6-oxo- -(trifluor omethyl)- 1 ,6-dihydropyrimidin-5-yl)oxy)benzonitrile
Figure imgf000090_0002
Step 1: 3-chloro-5-((l-((5-(fluoromethyl)-6-methoxypyridazin-3-yl)methyl)-6-oxo-4- (trifluoromethyl)-l,6-dihydropyrimidin-5-yl)oxy)benzonitrile
Figure imgf000091_0001
To a mixture of 3-chloro-5-((l-((5-(hydroxymethyl)-6-methoxypyridazin-3-yl) methyl)-6-oxo-4-(trifluoromethyl)- 1 ,6-dihydropyrimidin-5 -yl)oxy)benzonitrile (400 mg, 0.85 mmol) in 7 mL of dichloromethane was added DAST (1.2 mL, 8.3 mmol) at o
-30 C under a nitrogen atmosphere, the resulting mixture was stirred for 2 hr at r.t. The mixture was quenched with ice-water and extracted with dichloromethane. The combined organic extracts were dried, filtered and doncentrated in vacuum. The residue was purified by preparative TLC to afford 3-chloro-5-((l-((5-(fluoromethyl)- 6-methoxypyridazin-3-yl) methyl)-6-oxo-4-(trifluoromethyl)- 1 ,6-dihydropyrimidin-5- yl)oxy)benzonitrile (110 mg).
MS (ESI) m/z 470, 472 (M+H)+. Step 2: 3-chloro-5-((l-((5-(fluoromethyl)-6-oxo-l,6-dihydropyridazin-3-yl)methyl)-6- oxo - -(trifluoromethyl)-l,6-dihydropyrimidin-5-yl)oxy)benzonitrile
Figure imgf000091_0002
To a mixture of 3-chloro-5-((l-((5-(fluoromethyl)-6-methoxypyridazin-3-yl) methyl)- 6-oxo-4-(trifluoromethyl)-l,6-dihydropyrimidin-5-yl)oxy)benzonitrile (110 mg, 0.23 mmol) and KI (740 mg, 4.4 mmol) in acetonitrile (10 mL) was added TMSC1 (0.3 mL, 4 mmol) at room temperature, and the resulting mixture was stirred for 5 hr at r.t. After finished, the mixture was diluted with ethyl acetate and washed with aq.
Na2S2C"3 and brine, dried over anhydrous sodium sulfate and concentrated under reduced pressure. The residue was purified by prepartive HPLC to afford the desired product (14 mg).
1H NMR (OMSO-d6, 400 MHz): δ 13.16 (s, 1H), 8.77 (s, 1H), 7.69 (s, 1H), 7 '.66-7 '.67 (m, 2H), 7.54 (s, 1H), 5.30 (d, J = 46.4, 2H), 5.17 (s, 2H).
MS (ESI) m/z 456, 458 (M+H)+.
Example 17:
3-chloro-5-((l-((5-(cyclopropyl(hydroxy)methyl)-6-oxo-l,6-dihydropyridazin-3- yl)methyl) - 6-oxo-4-(trifluoromethyl)-l,6-dihydropyrimidin-5- yl)oxy)benzonitrile
Figure imgf000092_0001
Step 1: 3-chloro-5-((l-((5-(cyclopropyl(hydroxy)methyl)-6-methoxypyridazin-3- yl)methyl)- 6-oxo-4-(trifluoromethyl)-l , 6-dihydropyrimidin-5-yl)oxy)benzonitrile
Figure imgf000092_0002
3 -chloro-5 -(( 1 -((5 -(cyclopropyl(hydroxy)methyl)-6-methoxypyridazin-3 -yl)methyl)- 6-0X0-4- (trifluoromethyl)-l,6-dihydropyrimidin-5-yl)oxy)benzonitrile was prepared from 3 -chloro-5 -((1 -((5 -formyl-6-methoxypyridazin-3 -yl)methyl)-6-oxo-4- (trifluoromethyl)-l,6-dihydropyrimidin-5-yl)oxy)benzonitrile according to the procedure described for Step 2 of Example 14.
MS (ESI) m/z 508, 510 (M+H)+. Step 2: 3-chloro-5-((l-((5-(cyclopropyl(hydroxy)methyl)-6-oxo-l,6- dihydropyridazin-3-yl) methyl)-6-oxo-4-(trifluoromethyl)-l,6-dihydropyrimidin-5- yl)oxy)benzonitrile
Figure imgf000093_0001
A mixture of 3-chloro-5-((l-((5-(cyclopropyl(hydroxy)methyl)-6-methoxypyridazin- 3-yl) methyl)-6-oxo-4-(trifluoromethyl)- 1 ,6-dihydropyrimidin-5-yl)oxy)benzonitrile (150 mg, 0.29 mmol) and anhydrous LiCl (1.2 g, 29 mmol) in DMF was heated to 170
C for 6 hr under a nitrogen atmosphere. After cooling to r.t., the mixture was filtered and concentrated under reduced pressure. The residue was purified by preparative HPLC to afford 3-chloro-5-((l-((5-(cyclopropyl(hydroxy)methyl)-6-oxo-l,6- dihydropyridazin-3-yl)methyl) -6-oxo-4-(trifluoromethyl)- 1 ,6-dihydropyrimidin-5- yl)oxy)benzonitrile (32 mg).
1H NMR (DMSO-dtf, 400 MHz): δ 12.91 (s, 1H), 8.78 (s, 1H), 7.77 (s, 1H), 7.71 (s, 1H), 7.66 (s, 1H), 7.47 (s, 1H), 5.17 (s, 2H), 4.36 (d, J= 6.4 Hz, 1H), 1.07-1.09 (m, 1H), 0.46-0.49 (m, 1H), 0.30-0.35 (m, 3H).
MS (ESI) m/z 494, 496 (M+H)+.
Example 18:
2,5-dichloro-3-((6-oxo-l-((6-oxo-l,6-dihydropyridazin-3-yl)methyl)-4- (trifluoromethyl)- 1 ,6-dihydropyrimidin-5-yl)oxy)benzonitrile
Figure imgf000093_0002
Step 1: 2, 5-dichloro-3-(( 6-oxo-4-(trifluoromethyl)- 1 , 6-dihydropyrimidin-5-yl)oxy) benzonitrile
Figure imgf000094_0001
The above intermediate was prepared from 2,5-dichloro-3-cyanophenol and 5-bromo- 6-(trifluoromethyl)-4(3H)-pyrimidione in an analogous manner to 3-chloro- 5-(6-oxo- 4-(trifluoromethyl)-l,6-dihydropyrimidin-5-yloxy)benzonitrile as described in Steps 5-8 of Example 1.
MS (ESI) m/z 350, 352 (M+H)+
Step 2: 2, 5-dichloro-3-( ( 6-oxo-l-(( 6-oxo-l, 6-dihydropyridazin-3-yl)methyl)-4- (trifluoro methyl) -1, 6-dihydropyrimidin-5-yl)oxy)benzonitrile
Figure imgf000094_0002
The title compound was prepared from 2,5-dichloro-3-((6-oxo-4-(trifluoromethyl)- l,6-dihydropyrimidin-5-yl)oxy)benzonitrile according to the procedures given for Steps 3 and 4 of Example 7.
1H NMR (DMSO-dtf, 400MHz): δ 12.95 (s, 1H), 8.76 (s, 1H), 7.93 (d, J= 2.0 Hz, 1H), 7.72 (d, J= 2.0 Hz, 1H), 7.45 (d, J= 8.4 Hz, 1H), 6.74-6.87 (m, 1H), 5.10 (s, 2H).
MS (ESI): m/z 458, 460 (M+H) +
Using the same procedure for Example 18 and the corresponding phenols in Step 1 in place of the 2,5-dichloro-3-hydroxy-benzonitrile, the following compounds were also synthesized and characterized as indicated in the table below.
Figure imgf000095_0001
Example 22:
3-chloro-5-((6-oxo- l-((6-oxo-5-phenyl- 1 ,6-dihydr opyridazin-3-yl)
(trifluoro methyl)- 1 ,6-dihydr opyrimidin-5-yl)oxy)benzonitrile
Figure imgf000096_0001
Step 1: 3-chloro-6-methoxypyridazine
Figure imgf000096_0002
A suspension of 3-chloro-6-methoxypyridazine (3 g, 20.7 mmol), triethylamine (0.9 mL) and Pd(dppf)Cl2 (0.9 g, 1 mmol) in 30 mL of methanol was stirred under carbon monoxide (50 psi) at 60 C overnight. After cooling to r.t., the mixture was poured into water and extracted with ethyl acetate (80 mL x 3). The organic extracts were washed with water and brine, dried over anhydrous sodium sulfate, filtered and concentrated under reduced pressure. The residue was purified by flash
chromatography (petroleum ether: ethyl acetate 2: 1-1 : 1) to afford the desired product methyl 6-methoxypyridazine-3-carboxylate (2.8 g).
MS (ESI): m/z 169 (M+H)+
Step 2: methyl 6-oxo- 1 ,6-dihydropyridazine-3-carboxylate
Figure imgf000096_0003
To a solution of methyl 6-methoxypyridazine-3-carboxylate (1 g, 5.9 mmol) in acetonitrile (20 mL) was added KI (1.6 g, 9.5 mmol) and TMSC1 (1 g, 9.5 mmol) slowly at 0 C. After addition, the mixture was stirred at 60 C for 30 min. After cooling to r.t, the mixture was quenched with sat. Na2S2C and then extracted with ethyl acetate (60 mL x 3). The combined organic layers were washed with water and brine, dried over anhydrous sodium sulfate, filtered and evaporated to afford methyl 6-oxo-l,6-dihydropyridazine-3-carboxylate (0.74 g) which was used without further purification.
MS (ESI): m/z 155 (M+H)+ Step 3: methyl 5-bromo-6-oxo-l,6-dihydropyridazine-3-carboxylate
Figure imgf000097_0001
To a solution of methyl 6-oxo-l,6-dihydropyridazine-3-carboxylate (0.2 g, 1.3 mmol) in CH3COOH (3 mL) was added CH3COOK (0.4 g, 3.9 mmol) and Br2 (0.4 g, 2.6 mmol) slowly at 0 C. The mixture was stirred at 80 C for 3 hr. After cooling to r.t., the mixture was quenched with sat. aq. Na2S203 and then extracted with ethyl acetate (80 mL x 3). The combined organic extracts were washed with sat. NaHCCh, water and brine, dried over anhydrous sodium sulfate, filtered and evaporated to afford methyl 5-bromo-6-oxo-l,6-dihydropyridazine -3-carboxylate (0.23 g).
1HNMR (DMSO-dtf, 400 MHz) δ 13.95 (s, 1H), 7.34 (s, 1H), 3.84 (s, 3H).
MS (ESI): m/z 233, 235 (M+H)+
Step 4: methyl 5-bromo-l-(4-methoxybenzyl)-6-oxo-l,6-dihydropyridazine-3- carboxylate
Figure imgf000097_0002
To a solution of methyl 5-bromo-6-oxo-l,6-dihydropyridazine-3-carboxylate (1.0 g, 4.3 mmol) in DMF (10 mL) was added potassium carbonate (1.8 g, 12.9 mmol) and PMBC1 (1 g, 6.4 mmol). The mixture was stirred at room temperature for 3 hr, poured into water and extracted with ethyl acetate (60 mL x 3). The combined extracts were washed with water and brine, dried over anhydrous sodium sulfate, filtered and concentrated under reduced pressure. The residue was purified by flash chromatography on silica (petroleum ether/ethyl acetate (5: 1 to 2: 1) as eluent) to afford methyl 5-bromo-l-(4-methoxybenzyl)-6-oxo-l,6-dihydropyridazine -3- carboxylate (1.2 g). MS (ESI): m/z 353, 355 (M+H)+
Step 5: 4-bromo-6-(hydroxymethyl)-2-(4-methoxybenzyl)pyridazin-3(2H)-one
Figure imgf000098_0001
To a solution of methyl 5-bromo-l-(4-methoxybenzyl)-6-oxo-l,6-dihydropyridazine - 3-carboxylate (40 g, 0.11 mol) in THF (300 mL) at -30 °C was added NaBH4 (12.85 g, 0.33 mol) and CaCl2 (12.85 g, 0.11 mol), then methanol (7 mL) was added dropwise at -30 C. The mixture was stirred at -30 C for 30 min, warmed to 10 C slowly and then poured into saturated NH4C1 solution and extracted with ethyl acetate. The organic layer was dried over anhydrous sodium sulfate, filtered and concentrated under reduced pressure. The crude product was purified by column chromatography on a silica gel (dichloromethane/methanol (50: 1) as eluent) to give 4-bromo-6- (hydroxymethyl)-2-(4-methoxybenzyl) pyridazin-3(2H)-one (12.1 g).
1H NMR: (CD3OD, 400 MHz) δ 7.94 (s, 1H), 7.22 (d, J= 8.8 Hz, 2H), 6.85 (d, J = 8.8 Hz, 2H), 5.26 (s, 2H), 4.47 (s, 2H), 3.75 (s, 3H).
MS (ESI): m/z 325, 327 (M+H)+
Step 6: ( 5-bromo-l-(4-methoxybenzyl)-6-oxo-l, 6-dihydropyridazin-3-yl)methyl methanesulfonate
Figure imgf000098_0002
To a solution of 4-bromo-6-(hydroxymethyl)-2-(4-methoxybenzyl)pyridazin-3(2H)- one (1.1 g, 3.4 mmol) and DIPEA (1.3 g, 10.4 mmol) in THF (20 mL) was added methanesulfonyl chloride (0.5 g, 4 mmol) slowly at 0 C. The mixture was stirred at room temperature for 30 min, quenched with sat. NaHC03 and then extracted with ethyl acetate (60 mL x 3). The organic extracts were washed with water and brine, dried over anhydrous sodium sulfate, filtered and concentrated under reduced pressure to afford (5-bromo- 1 -(4-methoxybenzyl)-6-oxo- 1 ,6-dihydropyridazin-3-yl)methyl methanesulfonate (1.4 g) which was used without further purification.
MS (ESI): m/z 403, 405 (M+H)+ Step 7: 3-((l-((5-bromo-l-(4-methoxybenzyl)-6-oxo-l,6-dihydropyridazin-3 yl)methyl) -6-oxo-4-(trifluoromethyl)-l , 6-dihydropyrimidin-5-yl)oxy)-5- chlorobenzonitrile
Figure imgf000099_0001
To a solution of 3-chloro-5-((6-oxo-4-(trifluoromethyl)-l,6-dihydropyrimidin-5- yl)oxy) benzonitrile (as described in Step 5 of Example 1) (1.6 g, 5.2 mmol) in DMF (10 mL) was added triethyl amine (1.5 mL, 10.4 mmol) and (5-bromo-l-(4- methoxybenzyl)-6-oxo-l,6-dihydropyridazin-3-yl)methylmethane- sulfonate (1.4 g). The mixture was stirred at room temperature for 5 h, poured into water and then extracted with ethyl acetate (80 mL x 3). The combined organic extracts were washed with water and brine, dried over anhydrous sodium sulfate, filtered and concentrated under reduced pressure. The residue was purified by chromatography on silica gel (petroleum ether: ethyl acetate 5: 1-2: 1) to afford 3-((l-((5-bromo-l-(4- methoxybenzyl)-6-oxo- l,6-dihydropyridazin-3-yl)methyl)-6-oxo-4-(trifluoromethyl)- l,6-dihydropyrimidin-5-yl)oxy)-5-chlorobenzonitrile (0.56 g).
MS (ESI): m/z 622, 624, 626 (M+H)+ Step 8: 3-chloro-5-((l-((l-(4-methoxybenzyl)-6-oxo-5-phenyl-l,6-dihydropyridazin- 3-yl) methyl)-6-oxo-4-(trifluoromethyl)-l,6-dihydropyrimidin-5-yl)oxy)benzonitrile
Figure imgf000099_0002
A mixture of 3-((l-((5-bromo-l-(4-methoxybenzyl)-6-oxo-l,6-dihydropyridazin-3-yl) methyl)-6-oxo-4-(trifluoromethyl)- 1 ,6-dihydropyrimidin-5 -yl)oxy)-5 - chlorobenzonitrile (150 mg, 0.24 mmol), phenylboronic acid (41 mg, 0.29 mmol), K3PO4 (102 mg, 0.49 mmol), Pd(dppf)Cl2 (22 mg, 0.024 mmol) in 1,4- dioxanedioxane/H20 (3:1) was heated to reflux overnight under a nitrogen
atmosphere atmosphere. After cooling to r.t., the reaction mixture was diluted with H20, and extracted with ethyl acetate. The combined organic layers were dried on sodium sulfate, filtered and concentrated under reduced pressure. The residue was purified by preparative TLC (petroleum ether/ethyl acetate (3: 1) as eluent) to afford 3- chloro-5-((l-((l-(4-methoxybenzyl)-6-oxo-5 -phenyl- l,6-dihydropyridazin-3- yl)methyl)-6-oxo-4-(trifluoromethyl)- 1 ,6-dihydropyrimidin-5-yl)oxy)benzonitrile (95 mg,).
MS (ESI): m/z 620, 622 (M+H)+
Step 9: 3-chloro-5-((6-oxo-l-((6-oxo-5-phenyl-l,6-dihydropyridazin-3-yl)methyl)-4- (trifluoromethyl)-l,6-dihydropyrimidin-5-yl)oxy)benzonitrile
Figure imgf000100_0001
A solution of 3-chloro-5-((l-((l-(4-methoxybenzyl)-6-oxo-5-phenyl-l,6- dihydropyridazin-3 -yl)methyl)-6-oxo-4-(trifluoromethyl)- 1 ,6-dihydropyrimidin-5 - yl)oxy)benzonitrile (95 mg, 0.15 mmol) in TFA:TFAA (2: 1, total 5 mL) was stirred under microwave irradiation at 100 C for 5 min. After cooling to r.t., the mixture was concentrated under reduced pressure. The residue was purified with preparative HPLC to give the title compound 3-chloro-5-((6-oxo- 1 -((6-oxo-5 -phenyl- 1 ,6- dihydropyridazin-3-yl)methyl)-4- (trifluoromethyl)- 1 ,6-dihydropyrimidin-5- yl)oxy)benzonitrile (27 mg).
1H-NMR (DMSO-dtf, 400 MHz): δ 13.10 (s, 1H), 8.74 (s, 1H), 7.63-7.77 (m, 6H), 7.40 (s, 3H), 5.14 (s, 2H).
MS (ESI): m/z 500, 502 (M+H)+ Using the same procedures as given for Steps 1-7 in Example 22 and methyl iodide in Step 4 in place of the PMBCl, the following compound was also synthesized and characterized as indicated in the table below:
Figure imgf000101_0001
Using the same procedures as given for Steps 1-7 in Example 22 and the
corresponding boronate ester or boronic acid in Step 8 in place of phenylboronic acid, the following compounds were also synthesized and characterized as indicated in the table below:
Figure imgf000101_0002
Figure imgf000102_0001
Figure imgf000103_0001
Figure imgf000104_0001
Figure imgf000105_0001
Figure imgf000106_0001
Figure imgf000107_0001
Figure imgf000108_0001
Figure imgf000109_0001
Figure imgf000110_0001
Figure imgf000111_0001
Figure imgf000112_0001
Figure imgf000113_0001
Ill
Figure imgf000114_0001
Figure imgf000115_0001
Example 77:
3-chloro-5-((l-((5-(4-fluorophenyl)-6-oxo-l,6-dihydropyridazin-3-yl)] oxo-4-(trifluoromethyl)-l,6-dihydropyrimidin-5-yl)oxy)benzonitrile
Figure imgf000116_0001
Step 1 ethyl 2-(4-fluorophenyl)-2-oxoacetate
Figure imgf000116_0002
Into a 10-L round-bottom flask purged and maintained with an inert atmosphere of nitrogen, was placed a solution of diethyl oxalate (360 g, 2.46 mol, 1.00 equiv) in tetrahydrofuran (3000 mL). This was followed by the addition of a solution of 4- fluorophenylmagnesium bromide in tetrahydrofuran (1.9 L, 1 N 0.78 equiv) dropwise with stirring at -78 C in 2.5 hr. The resulting solution was stirred for 30 min at -78 C
, then slowly warmed to -20 C. The reaction was then quenched by the addition of 500 mL of 2 M HC1. The resulting solution was extracted with 2 x 500 mL of ethyl acetate and the organic layers combined. The resulting mixture was washed with 2 x 200 mL of brine. The mixture was dried over anhydrous magnesium sulfate and concentrated under reduced pressure. The crude product was purified by distillation under reduced pressure (5 mm Hg) and the fraction was collected at 106 C. This resulted in 290 g of ethyl 2-(4-fluorophenyl)-2-oxoacetate as a yellow oil.
Step 2 ethyl 5-((tert-butyldiphenylsilyl)oxy)-2-(4-fluorophenyl)-2-hydroxy-4- oxopentanoate
Figure imgf000116_0003
Into a 250-mL sealed tube purged and maintained with an inert atmosphere of nitrogen, was placed ethyl 2-(4-fluorophenyl)-2-oxoacetate (55 g, 280 mmol, 1.00 equiv), l-[(tert-butyldiphenylsilyl)oxy]propan-2-one (110 g, 352 mmol, 1.26 equiv), acetic acid (33 g, 550 mmol, 1.96 equiv), pyrrolidine (7.8 g, 93 mmol, 0.33 equiv).
The resulting solution was stirred overnight at 85 C and then applied onto a silica gel column with ethyl acetate/petroleum ether (1 :60-l : 10). This resulted in 45 g of ethyl 5-[(tert-butyldiphenylsilyl)oxy]-2-(4-fluorophenyl)-2-hydroxy-4-oxopentanoate as brown oil.
Step 3 6- ff(tert-butyldiphenylsilyl)oxyJmethylJ-4-(4-fluorophenyl)-2,3- dihydropyridazin -3-one
Figure imgf000117_0001
Into a 1000-mL 4-necked round-bottom flask purged and maintained with an inert atmosphere of nitrogen, was placed a solution of ethyl 5-[(tert-butyldiphenylsilyl) oxy]-2-(4-fluorophenyl)-2-hydroxy-4-oxopentanoate (292 g, 574 mmol) in acetic acid (520 mL). This was followed by the addition of hydrazine hydrate (115 g, 2.30 mol) dropwise with stirring below 30 C in 30 min. The resulting solution was stirred for 3 h at r.t., then, heated to 80 C for 2 hr. The reaction mixture was then poured into 2000 mL of water/ice. The resulting solution was extracted with 3 x 1000 of ethyl acetate and the organic layers combined. The resulting mixture was washed with 2000 mL of 5%NaHCC and 1000 mL of brine. The mixture was dried over anhydrous sodium sulfate and concentrated under vacuum. The crude product was purified by re- crystallization from n-hexane to afford 6-[[(tert-butyldiphenylsilyl)oxy]methyl]-4-(4- fluorophenyl)-2,3- dihydro pyridazin-3-one (150 g) as a white solid.
Step 4 6-[[(tert-butyldiphenylsilyl)oxy]methyl]-4-(4-fluorophenyl)-2-(oxan-2-yl)- 2,3- dihydropyridazin-3-one
Figure imgf000117_0002
Into a 2000-mL round-bottom flask purged and maintained with an inert atmosphere of nitrogen, was placed a solution of 6-[[(tert-butyldiphenylsilyl)oxy]methyl] -4-(4- fluorophenyl)-2,3-dihydropyridazin-3-one (150 g, 327 mmol, 1.00 equiv) in toluene (1.2 L), 3,4-dihydro-2H-pyran (80 g, 951 mmol, 2.91 equiv), PPTS (15 g, 59.8 mmol,
0.18 equiv). The resulting solution was stirred for 5 h at 90 C. To this added additional DHP (55 g, 654 mmol), and the mixture was stirred overnight at 90 C. The reaction mixture was cooled to room temperature and then poured into 1000 mL of 5% NaHC03. The resulting solution was extracted with 2x500 mL of ethyl acetate and the organic layers combined. The resulting mixture was washed with 500 mL of brine. The mixture was dried over anhydrous sodium sulfate and concentrated under vacuum. This resulted in 220 g (crude) of 6-[[(tert-butyldiphenylsilyl)oxy]methyl]-4- (4-fluorophenyl)-2-(oxan-2-yl)-2,3-dihydropyridazin-3-one as brown oil.
Step 5 4-(4-fluorophenyl)-6-(hydroxymethyl)-2-(oxan-2-yl)-2,3-dihydropyridazin-3- one
Figure imgf000118_0001
Into a 2000-mL round-bottom flask purged and maintained with an inert atmosphere of nitrogen, was placed a solution of 6-[[(tert-butyldiphenylsilyl)oxy]methyl]-4- (4- fluorophenyl)-2-(oxan-2-yl)-2,3-dihydropyridazin-3-one (220 g, 324 mmol, 1.00 equiv, 80%) in tetrahydrofuran (1.1 L). This was followed by the addition of Bu4NF
(87 g, 333 mmol, 1.03 equiv) in several batches at 20 C in 5 min. The resulting solution was stirred for 30 min at room temperature and then poured into 1000 mL of 5% NaHC03. The resulting solution was extracted with 2x500 mL of ethyl acetate and the organic layers combined. The resulting mixture was washed with 1000 mL of brine. The mixture was dried over anhydrous sodium sulfate and concentrated under vacuum. The residue was applied onto a silica gel column with ethyl
acetate/petroleum ether (1 : 10-1 : 1). This resulted in 75 g of 4-(4-fluorophenyl)-6- (hydroxymethyl)-2-(oxan-2-yl)-2,3-dihydro pyridazin-3-one as a white solid.
MS (ESI) m/z 305 (M+H)+
Step 6 6-(bromomethyl)-4-(4-fluorophenyl)-2-(tetrahydro-2H-pyran- 2-yl)pyridazin- 3(2H)-one
Figure imgf000119_0001
To a stirring solution of 4-(4-fluorophenyl)-6-(hydroxymethyl)-2-(tetrahydro-2H- pyran-2-yl)pyridazin-3(2H)-one (10 g, 32.9 mmol) in DCM (40 mL) at 0 °C was added CBr4 (13.08 g, 39.4 mmol) followed by a slow addition of a solution of triphenylphosphine (10.34 g, 39.4 mmol) in DCM (10 mL). The resulting mixture was allowed to stir at 0 °C for 1 hr and then concentrated under reduced pressure. Diethyl ether (500 mL) was added to the crude mixture and solids were filtered out. The filtrate was concentrated under reduced pressure and the crude product was purified by column chromatography on slica gel (ethyl acetate/hexane (0% - 60%) as eluent) to afford 6-(bromomethyl)-4-(4-fluorophenyl)- 2-(tetrahydro-2H-pyran- 2- yl)pyridazin-3(2H)-one as a white solid (9.86 g).
MS (ESI) m/z 367, 369 (M+H)+
Step 7 3-chloro-5-((l-((5-(4-fluorophenyl)-6-oxo-l-(tetrahydro-2H-pyran-2-yl)-l,6 - dihydropyridazin-3-yl)methyl)-6-oxo-4-(trifluoromethyl)-l,6-dihydropyrM
yl)oxy)benzonitrile
Figure imgf000119_0002
To a mixture of 6-(bromomethyl)-4-(4-fluorophenyl)-2-(tetrahydro-2H-pyran-2-yl) pyridazin-3(2H)-one (as described in Step 5 of Example 1) (10.59 g, 28.8 mmol), and 3-chloro-5-((6-oxo-4-(trifluoromethyl)- 1 ,6- dihydropyrimidin-5-yl)oxy)benzonitrile (9.10 g, 28.8 mmol) in DMF (35 mL) was added DIPEA (6.55 mL, 37.5 mmol) at 0 °C . After 30 min the reaction mixture was warmed up to room temperature and stirring was continued for an additional 1 hr. The mixture was concentrated under reduced pressure and water (200 mL) was added. The resulting precipitate was collected by filtration and washed with water (2 x 50 mL) followed by diethyl ether (3 x 50 mL) to afford 3-chloro-5-((l-((5-(4-fluorophenyl)-6-oxo-l-(tetrahydro-2H-pyran -2-yl)- 1 ,6-dihydropyridazin-3-yl)methyl)-6-oxo-4-(trifluoromethyl)- 1 ,6- dihydropyrimidin-5-yl)oxy)benzonitrile as a white solid (16.27 g).
MS (ESI) m/z 601, 602 (M+H)+ Step 8 3-chloro-5-((l-((5-(4-fluorophenyl)-6-oxo-l,6-dihydropyridazin-3-yl)methyl) - 6-oxo-4-(trifluoromethyl)-l,6-dihydropyrimidin-5-yl)oxy)benzonitrile
Figure imgf000120_0001
A solution of 3-chloro-5-((l-((5-(4-fluorophenyl)-6-oxo-l-(tetrahydro-2H-pyran-2-yl) - 1 ,6-dihydropyridazin-3-yl)methyl)-6-oxo-4-(trifluoromethyl)- 1 ,6-dihydropyrimidin- 5-yl)oxy) benzonitrile (15.78 g, 26.2 mmol) in TFA (40.4 mL, 524 mmol) was stirred at r.t. for 1 hr. TFA was removed under reduced pressure and diethyl ether (250 mL) was added. The resulting solid was collected by filtration and washed with diethyl ether (2 x 125 mL) to afford 3-chloro-5-((l-((5-(4-fluorophenyl)-6-oxo-l,6- dihydropyridazin-3 -yl)methyl)-6-oxo-4-(trifluoromethyl)- 1 ,6-dihydropyrimidin-5 - yl)oxy)benzonitrile as a white solid (11.67 g).
MS (ESI) m/z 518, 520 (M+H)+ 1H NMR: (DMSO-i 6, 400 MHz)
δ 13.13 (s, 1H), 8.74 (s, 1H), 7.87 (t, J=6.8 Hz, 2H), 7.62-7.72 (m, 4H), 7.26 (t, J = 6.8 Hz, 2H), 5.14 (s, 2H). Example 78:
3-chloro-5-((l-((5-(6-fluoropyridin-3-yl)-6-oxo-l,6-dihydropyridazin-3- l)methyl)-6-oxo-4-(trifluoromethyl)-l,6-dihydropyrimidin-5-yl)oxy)benzonitrile
Figure imgf000121_0001
Step 1: 3-chloro-5-((l-((5-(6-fluoropyridin-3-yl)-l-(4-methoxybenzyl)-6-oxo-l, dihydropyridazin-3-yl)methyl)-6-oxo-4-(trifluoromethyl)-l,6-dihydropyri
yl)oxy)benzonitrile
Figure imgf000121_0002
To a solution of 3-((l -((5-bromo- 1 -(4-methoxybenzyl)-6-oxo- 1 ,6-dihydropyridazin - 3 -yl)methyl)-6-oxo-4-(trifluoromethy 1)- 1 ,6-dihydropyrimidin-5 -yl)oxy)-5 - chlorobenzonitrile (80.0 mg, 0.13 mmol) in 1 ,4-dioxane/H20 (5 mL l\ mL) was added (2-fluoro-5-pyridine)boronic acid (41 mg, 0.26 mmol), Pd(dppf)Cl2 (15.0 mg) and potassium carbonate (35 mg, 0.26 mmol) at r.t. The mixture was stirred at 90 C for 1 hr. After cooling to r.t., the mixture was diluted with water (10 mL) and extracted with ethyl acetate (20 mL x 3). The combined organic extracts were dried over sodium sulfate, filtered and concentrated under reduced pressure to give the desired product 3-chloro-5-((l-((5-(6-fluoropyridin-3-yl)-l-(4-methoxy benzyl)-6-oxo-l,6- dihydropyridazin-3 -yl)methyl)-6-oxo-4-(trifluoromethyl)- 1 ,6-dihydropyrimidin-5 - yl)oxy)benzonitrile (50 mg).
MS (ESI) m/z 639, 641 (M+H)+
Step 2: 3-chloro-5-((l-((5-(6-fluoropyridin-3-yl)-6-oxo-l,6-dihydropyridazin-3-yl) methyl)-6-oxo-4-(trifluoromethyl)-l,6-dihydropyrimidin-5-yl)oxy)benzonitrile
Figure imgf000122_0001
To a solution of 3-chloro-5-((l-((5-(6-fluoropyridin-3-yl)-l-(4-methoxybenzyl) -6- oxo- 1 ,6-dihydropyridazin-3-yl)methyl)-6-oxo-4-(trifluoromethyl)- 1 ,6- dihydropyrimidin-5-yl)oxy)benzonitrile (50 mg, 0.08 mmol) in acetonitrile/IHkO (5 mL l\ mL) was added CAN (0.22 g, 0.4 mmol). The resulting mixture was stirred at r.t. overnight. LCMS indicated the reaction was completed. The reaction mixture was diluted with ethyl acetate and washed with water, dried over sodium sulfate, filtered and concentrated under reduced pressure. The residue was purified by preparative HPLC to afford the title product 3-chloro-5-((l-((5-(6-fluoropyridin-3-yl)- 6-oxo- 1 ,6-dihydropyridazin-3-yl)methyl)-6-oxo-4-(trifluoromethyl)- 1 ,6- dihydropyrimidin-5-yl)oxy)benzonitrile (20 mg).
1H (DMSO-dtf, 400 MHz) 13.28 (s, 1H), 8.77 (s, 1H), 8.68 (s, 1H), 8.41 (dd, J = 2.4, 8.4 Hz 1H), 7.83 (s, 1H), 7.74 (s, 1H), 7.68 (s, 1H), 7.64 (s, 1H), 7.61 (dd, J = 2.4, 8.4 Hz, 1H), 5.16 (s, 2H).
MS (ESI) m/z 519, 521 (M+H)+
Using an analogous procedure to that given for Example 78, and the corresponding boronic acid or boronate ester in Step 1 instead of (2-fluoro-5-pyridine)boronic acid, Examples 79-89 were also prepared and characterized as indicated in the table below. Example 90 in the table below was also prepared from 3-((l-((5-bromo-l-(4- methoxybenzyl)-6-oxo-l ,6-dihydropyridazin-3-yl)methyl)-6-oxo-4-(trifluoromethyl)- l ,6-dihydropyrimidin-5-yl)oxy)-5-chlorobenzonitrile according to the procedure given for Step 2 in Example 78.
Figure imgf000122_0002
Figure imgf000123_0001
yl)methyl)-6-oxo-4- (s, IH), 8.63 (s, IH), Example Structure IUPAC Name MS (M+H) +/ NMR
(trifluoromethyl)- 1 ,6- 8.18 (d, J=10.4 Ηζ,ΙΗ), dihydropyrimidin-5 - 7.91 (s, 1H), 7.73 (s, yl)oxy)benzonitrile 1H), 7.67 (s, 1H), 7.64
(d, J=13.6 Hz, 1H), 5.16 (s, 2H).
MS (ESI) m/z 515, 517 1H NMR: (DMSO-i 6,
3-chloro-5-((l-((5-(6- 400 MHz) δ 13.45 (s, methylpyridin-3 -yl)-6- 1H), 9.19 (s, 1H), 8.83 oxo-1,6- (s, 1H), 8.69 (d, J= 7.9 dihydropyridazin-3 -
83 Hz 1H), 8.02 (s, 1H), yl)methyl)-6-oxo-4- 7.87 (d, J= 8.2 Hz, (trifluoromethyl)- 1 ,6- 1H), 7.73 (s, 1H), 7.67 dihydropyrimidin-5 - (s, 1H), 7.64 (s, 1H), yl)oxy)benzonitrile
5.20 (s, 2H), 2.71 (s, 3H).
MS (ESI) m/z 526, 528
5-(6-((5-(3-chloro-5- 1H NMR: (DMSO-i 6, cyanophenoxy)-6-oxo-4- 400 MHz) δ 13.42 (s,
(trifluoromethyl)pyrimidi 1H), 9.27 (s, 1H), 9.08
84 "Y1 Λ n-l(6H)-yl)methyl)-3- (s, 1H), 8.81 (s, 1H), oxo-2,3- 8.73 (s, 1H), 7.97(s, dihydropyridazin-4- 1H), 7.76 (s, 1H), 7.69 yl)nicotinonitrile (s, 1H), 7.65 (s, 1H),
5.20 (s, 2H).
3-chloro-5-((l-((5-(5- MS (ESI) m/z 531, 533 methoxypyridin-3 -yl)-6- 1H NMR: (Methanol- oxo-1,6- d4, 400 MHz) δ 8.98
85
dihydropyridazin-3 - (s, 1H), 8.61 (s, 1H), yl)methyl)-6-oxo-4- 8.59 (s, 1H), 8.50 (s, (trifluoromethyl)- 1 ,6- 1H), 8.00 (s, 1H), 7.53
Figure imgf000125_0001
Figure imgf000126_0001
chlorobenzonitrile
Example 91:
3-chloro-5-((l-((5-chloro-6-oxo-l,6-dihydropyridazin-3-yl)methyl)-6- (trifluoromethyl)- 1 ,6-dihydropyrimidin-5-yl)oxy)benzonitrile
Figure imgf000126_0002
Step 1: methyl 5,6-dichloropyridazine-3-carboxylate
Figure imgf000127_0001
A solution of methyl 5-bromo-6-oxo-l,6-dihydropyridazine-3-carboxylate (2 g, 8.62 mmol) in POCI3 was heated to reflux for 4 hr. After cooling to r.t., the mixture was concentrated under reduced pressure and the residue was poured into ice-water and extracted with ethyl acetate (3 x 30 mL). The combined organic extracts were dried over sodium sulfate, filtered, concentrated under reduced pressure and the residue was purified with silica gel chromatography (petroleum ether/ethyl acetate (10: 1) as eluent) to give methyl 5,6-dichloropyridazine-3-carboxylate (1.3 g).
Step 2: methyl 5-chloro-6-hydroxypyridazine-3-carboxylate
Figure imgf000127_0002
A solution of methyl 5,6-dichloropyridazine-3-carboxylate (1.3 g, 6.31 mmol) in AcOH was heated at reflux for 6 hr. After cooling to r.t., the reaction mixture was concentrated under reduced pressure to give methyl 5-chloro-6-hydroxypyridazine-3- carboxylate (1.3 g) which was used without further purification.
Step 3: methyl 5-chloro-l -(4-methoxybenzyl)-6-oxo-l ,6-dihydropyridazine-3- carboxylate
Figure imgf000127_0003
To a suspension of methyl 5-chloro-6-hydroxypyridazine-3-carboxylate (1.3 g) and potassium carbonate (2.61 g, 18.9 mmol) in DMF at r.t. was added PMBC1 (1.5 g, 9.61 mmol). The resulting mixture was stirred at r.t. overnight. The reaction mixture was poured into water and extracted with ethyl acetate (3 x 30 mL). The combined organic layers were dried on sodium sulfate, filtered and concentrated under reduced pressure. The residue was purified by silical gel chromatography (petroleum ether/ethyl acetate (5: 1) as eluent) to afford methyl 5-chloro-l-(4-methoxybenzyl)-6- oxo-l,6-dihydropyridazine-3-carboxylate (1.5 g).
1H-NMR (CDCI3, 400 MHz): δ 7.97 (s, 1H), 7.43 (d, 2H, J=8.0Hz), 6.83 (d, 2H, J=8.0Hz), 5.35 (s, 2H), 3.95 (s, 3H), 3.76 (s, 3H).
Using the above intermediate, the title compound was prepared by following similar procedures to Steps 5-7 and Step 9 of Example 22.
1H NMR (DMSD-dtf, 400 MHz): δ 13.44 (s, 1H), 8.73 (s, 1H), 7.87 (s, 1H), 7.75 (s, 1H), 7.68 (s, 1H), 7.64 (s, 1H), 5.09 (s, 2H).
MS (ESI) m/z 458, 460, 462 (M+H)+.
Example 92:
3-chloro-5-((l-((5-(dimethylamino)-6-oxo-l,6-dihydropyridazin-3-yl)methyl)-6- oxo-4-(trifluoromethyl)-l,6-dihydropyrimidin-5-yl)oxy)benzonitrile
Figure imgf000128_0001
Step 1: 3-chloro-5-((l-((5-(dimethylamino)-6-oxo-l,6-dihydropyridazin-3-yl)methyl) -6-ox -4-(trifluoromethyl)-l,6-dihydropyrimidin-5-yl)oxy)benzonitrile
Figure imgf000128_0002
A solution of 3-((l-((5-bromo-6-oxo-l,6-dihydropyridazin-3-yl)methyl) -6-oxo-4- (trifluoromethyl)-l,6-dihydropyrimidin-5-yl)oxy)-5-chlorobenzonitrile (50 mg, 0.10 mmol) and dimethylamine (45 mg, 1 mmol) in NMP (3 mL) was stirred under microwave irradiation at 120 C for 10 min. After cooling to r.t., the mixture was concentrated under reduced pressure. This crude was purified by preparative HPLC to give 3-chloro-5-((l-((5-(dimethylamino)-6-oxo-l,6-dihydropyridazin-3-yl)methyl)- 6-oxo-4-(trifluoro methyl)-l,6-dihydropyrimidin-5-yl)oxy)benzonitrile (30 mg). 1H NMR (OMSO-d6, 400MHz): δ 13.32 (s, 1H), 8.69 (s, 1H), 7.75 (d, J= 1.2 Hz, 1H), 7.63-7.69 (m, 2H), 6.25 (s, 1H), 5.00 (s, 2H), 3.03 (s, 6H),
MS (ESI) m/z 467, 469 (M+H)+
Example 93:
3-chloro-5-((6-oxo-l-((6-oxo-5-(lH-pyrazol-l-yl)-l,6-dihydropyridazin-3- yl)methyl)-4-(trifluoromethyl)-l,6-dihydropyrimidin-5-yl)oxy)benzonitrile
Figure imgf000129_0001
Step 1: 3-chloro-5-((l-((l-(4-methoxybenzyl)-6-oxo-5-(lH-pyrazol-l-yl)-l,6- dihydropyridazin-3-yl)methyl)-6-oxo-4-(trifluoromethyl)-l,6-dihydropyri
yl)oxy)benzonitrile
Figure imgf000129_0002
A mixture of 3-((l-((5-bromo-l-(4-methoxybenzyl)-6-oxo-l,6-dihydropyridazin-3-yl) methyl)-6-oxo-4-(trifluoromethyl)- 1 ,6-dihydropyrimidin-5 -yl)oxy)-5 - chlorobenzonitrile (100 mg, 0.161 mmol), lH-pyrazole (12 mg, 0.177 mmol) and potassium carbonate (44 mg, 0.322 mmol) in 1, 4-1,4-dioxane (10 mL) was stirred overnight at 80 C. After cooling to r.t., the mixture was diluted with water and extracted with ethyl acetate. The organic layer was washed with water and brine, dried over sodium sulfate, filtered and concentrated under reduced pressure. The crude product was purified by preparative TLC (petroleum ether/ethyl acetate (2: 1) as eluent) to afford 3-chloro-5-((l-((l-(4-methoxy benzyl)-6-oxo-5-(lH-pyrazol-l-yl)- 1 ,6-dihydropyridazin-3-yl)methyl)-6-oxo-4-(trifluoromethyl)- 1 ,6-dihydropyrimidin-5- yl)oxy)benzonitrile (82 mg).
MS (ESI): m/z 610, 612 (M+H)+
Using the above intermediate, the title compound was prepared by following a similar procedure to Step 2 of Example 78.
1H NMR (Methanol-^, 400 MHz) δ 9.01-9.02 (m, 1H), 8.56 (s, 1H), 8.02 (s, 1H), 7.80 (s, 1H), 7.52 (s, 1H), 7.37 (s, 2H), 6.52 (s, 1H), 5.26 (s, 2H).
MS (ESI) m/z 490, 492 (M+H) +
Example 94 : 3-chlor o-5-((6-oxo- l-((6-oxo-5-(lH- 1 ,2,3-triazol- 1-yl)- 1 ,6- dihydropyridazin-3-yl)methyl)-4-(trifluoromethyl)-l,6-dihydropyrimidin-5- yl)oxy)benzonitrile
Figure imgf000130_0001
The title compound was prepared in an alalogous manner to Example 93.
MS (ESI) m/z 491, 493
1H NMR: (DMSO-i 6, 400 MHz): 13.77 (s, 1H), 8.95 (s, 1H), 8.79 (s, 1H), 8.35 (s, 1H), 8.28 (s, 1H), 7.96 (s, 1H), 7.67 (s, 1H), 7.64 (s, 1H), 5.26 (s, 2H).
Example 95:
6-((5-(3-chloro-5-cyanophenoxy)-6-oxo-4-(trifluoromethyl)pyrimidin-l(6H)- yl)methyl)-3-oxo-2,3-dihydropyridazine-4-carbonitrile
Figure imgf000130_0002
Step 1: 6-((5-(3-chloro-5-cyanophenoxy)-6-oxo-4-(trifluoromethyl)pyrimidin- yl) methyl)-2-(4-methoxybenzyl)-3-oxo-2,3-dihydropyridazine-4-carbonitrile
Figure imgf000131_0001
To a solution of 3-((l -((5-bromo-l-(4-methoxybenzyl)-6-oxo-l ,6-dihydropyridazin-3- yl) methyl)-6-oxo-4-(trifluoromethyl)- 1 ,6-dihydropyrimidin-5-yl)oxy)-5- chlorobenzonitrile (0.3 g, 0.5 mmol) in DMF (5 mL) were added ZnCN2 (68 mg, 0.58 mmol) and Pd(PPh3)4 (0.2 g, 0.17 mmol). The mixture was stirred at 120 C overnight. After cooling to r.t., the mixture was poured into water and extracted with ethyl acetate (60 mL x 3). The combined organic extracts were washed with water and brine, dried over anhydrous sodium sulfate, filtered and concentrated under reduced pressure. The residue was purified by column chromatography on silica gel (petroleum ether/ ethyl acetate (2: 1 to 1 : 1) as eluent) to afford 6-((5-(3-chloro-5- cyanophenoxy)-6-oxo-4-(trifluoromethyl)pyrimidin-l(6H)-yl)methyl-2-(4-methoxy benzyl)-3-oxo-2,3-dihydropyridazine-4-carbonitrile (150 mg ).
MS (ESI): m/z 569, 571 (M+H)+
Using the above intermediate, the title compound was prepared by following a similar procedrure to Step 2 of Example 78.
1H NMR (DMSO-dtf, 400 MHz) δ 13.87 (s, 1H), 8.74 (s, 1H), 8.23 (s, 1H), 7.80-7.66 (m, 3H), 5.13 (s, 2H).
MS (ESI): m/z 449, 451 (M+H)+
Example 96:
3-chloro-5-((l-((5-(methylsulfonyl)-6-oxo-l,6-dihydropyridazin-3-yl) methyl)- 6- oxo-4-(trifluoromethyl)-l,6-dihydropyrimidin-5-yl)oxy)benzonitrile
Figure imgf000131_0002
Step 1: 3-chloro-5-(( l-( ( l-(4-methoxybenzyl)-5-(methylsulfonyl)-6-oxo-l, 6- dihydropyridazin -3-yl)methyl)-6-oxo-4-(trifluoromethyl)-l,6-dihydropyrimidin-5- yl)oxy)benzonitrile
Figure imgf000132_0001
To a solution of 3-((l -((5-bromo- 1 -(4-methoxybenzyl)-6-oxo- 1 ,6-dihydropyridazin-3- yl) methyl)-6-oxo-4-(trifluoromethyl)- 1 ,6-dihydropyrimidin-5-yl)oxy)-5- chlorobenzonitrile (220 mg, 0.35 mmol) in DMSO (3 mL) was added CH3S02Na (180 mg, 1.8 mmol). The mixture was stirred at room temparature for 3 hr. The reaction mixture was poured into water, extracted with ethyl acetate (60 mL x 3). The organic layer was washed with water and brine, dried over anhydrous sodium sulfate, filtered and concentrated under reduced pressure. The residue was purified by preparative TLC to afford 3-chloro-5-((l-((l-(4-methoxybenzyl) -5-(methylsulfonyl)-6-oxo-l,6- dihydropyridazin-3 -yl)methyl)-6-oxo-4-(trifluoromethyl)- 1 ,6-dihydropyrimidin-5 - yl)oxy)benzonitrile (210 mg).
MS (ESI): m/z 622, 624 (M+H)+
Using the above intermediate, the title compound was prepared by following a similar procedrure to Step 2 of Example 78.
MS (ESI): m/z 502, 504 (M+H)+
1HNMR (DMSO-dtf, 400 MHz) δ 13.87 (s, 1H), 8.79 (s, 1H), 8.15 (s, 1H), 7.78 (s, 1H), 7.70 (s, 1H), 7.68 (s, 1H), 5.25 (s, 2H), 3.37 (s, 3H)
Example 97:
3-chloro-5-((l-((5-(ethylsulfonyl)-6-oxo-l,6-dihydropyridazin-3-yl)methyl)- 6- oxo-4-(trifluoromethyl)- 1 ,6-dihydr opyrimidin-5-yl)oxy)benzonitrile
Figure imgf000132_0002
The title compound was prepared in analogous manner to Example 96.
MS (ESI) m/z 516, 518
1H NMR: (DMSO-i 6, 400 MHz)
δ 13.88 (s, 1H), 8.79 (s, 1H), 8.16 (s, 1H), 7.78-7.68 (m, 3H), 5.25 (s, 2H), 3.50 (q, J = 7.2 Hz, 2H), 1.13 (t, J = 7.2 Hz, 3H).
Example 98:
3-chloro-5-((l-((5-(5-fluoropyridin-2-yl)-6-oxo-l,6-dihydropyridazin-3-yl)methyl) - -oxo-4-(trifluoromethyl)-l,6-dihydropyrimidin-5-yl)oxy)benzonitrile
Figure imgf000133_0001
Step 1: 3-chloro-5-((l-((5-(5-fluoropyridin-2-yl)-l-(4-methoxybenzyl)-6-oxo-l,6- dihydropyridazin-3-yl)methyl)-6-oxo-4-(trifluoromethyl)-l,6-dihydropyrM
yl)oxy)benzonitrile
Figure imgf000133_0002
A mixture of 5-fluoro-2-(trimethylstannyl)pyridine (94 mg, 0.362 mmol), 3-((l-((5- bromo- 1 -(4-methoxybenzyl)-6-oxo- 1 ,6-dihydropyridazin-3-yl)methyl)-6-oxo-4- (trifluoromethyl)- 1 ,6-dihydropyrimidin-5 -yl)oxy)-5 -chlorobenzonitrile (150 mg, 0.242 mmol) and Pd(PPh3)4 (14 mg, 0.012 mmol) in DME (10 mL) was stirred
o
overnight at 80 C. After the reaction was finished, the mixture was filtered and the filtrate was concentrated under reduced pressure. The crude product was purified by preparative TLC (petroleum ether/ethyl acetate (2: 1) to afford 3-chloro-5-((l-((5-(5- fluoropyridin-2-yl)-l-(4-methoxybenzyl)- 6-oxo-l,6-dihydropyridazin-3-yl)methyl)- 6-oxo-4-(trifluoromethyl)-l,6-dihydropyrimidin-5-yl)oxy)benzonitrile (110 mg). MS (ESI): m/z 639, 641 (M+H) + Using the above intermediate, the title compound was prepared by following a similar procedure to Step 2 of Example 78.
1H NMR (OMSO-d4, 400 MHz): δ 13.37 (s, 1H), 8.81 (s, 1H), 8.72-8.75 (m, 2H), 8.30 (s, 1H), 7.85 - 7.86 (m, 1H), 7.76 (s, 1H), 7.65-7.69 (m, 2H), 5.26 (s, 2H).
MS (ESI) m/z 519, 521 (M+H)+
Example 99:
3-chloro-5-((l-((5-(5-chloropyridin-2-yl)-6-oxo-l,6-dihydropyridazin-3-yl) methyl)-6-oxo-4-(trifluoromethyl)-l,6-dihydropyrimidin-5-yl)oxy)benzonitrile
Figure imgf000134_0001
The title compound was prepared in an analogous manner to Example 98.
MS (ESI) m/z 535, 537
1H NMR: (DMSO-i 6, 400 MHz) δ 13.39 (s, 1H), 8.78 (s, 1H), 8.73 (d, J= 2.4 Hz, 1H), 8.58 (d, J= 8.8 Hz, 1H), 8.32 (s, 1H), 8.03-8.05 (m, 1H), 7.74 (s, 1H), 7.63 -7.67 (m, 2H), 5.23 (s, 2H).
Example 100:
methyl 6-((5-(3-chloro-5-cyanophenoxy)-6-oxo-4- (trifluoromethyl)pyrimidin- -yl) methyl) -3- oxo-2,3-dihydropyridazine-4-carboxylate
Figure imgf000134_0002
Step 1: methyl 6-((5-(3-chloro-5-cyanophenoxy)-6-oxo-4-(trifluoromethyl)pyrimidin- 1 ( 6H) -yl) methyl)-2-(4-methoxybenzyl)-3-oxo-2, 3-dihydropyridazine-4-carboxylate
Figure imgf000135_0001
A mixture of 3-((l-((5-bromo-l-(4-methoxybenzyl)-6-oxo-l,6-dihydropyridazin-3-yl) methyl)-6-oxo-4-(trifluoromethyl)- 1 ,6-dihydropyrimidin-5 -yl)oxy)-5 - chlorobenzonitrile (400 mg, 0.64 mmol), triethyl amine (0.4 mL, 2.8 mmol) and Pd(dppf)Cl2 (50 mg) in a 1 :1 mixture of DMF/methanol (10 mL) was heated to 70 °C with stirring under carbon monooxide (50 psi) for 20 hr. After the reaction was finished, the mixture was poured into water and extracted with ethyl acetate. The organic layer was washed with brine, dried over sodium sulfate, filtered and concentrated under reduced pressure. The residue was purified by preparative TLC (petroleum ether/ethyl acetate (1 : 1) as eluent) to afford methyl 6-((5-(3-chloro-5- cyanophenoxy)-6-oxo-4-(trifluoromethyl)pyrimidin-l(6H)-yl)methyl)-2-(4- methoxybenzyl)-3 -oxo-2,3 -dihydropyridazine-4-carboxylate (300 mg) .
MS (ESI) m/z 602, 604 (M+H)+
Using the above intermediate, the title compound was prepared by following a similar procedure to Step 2 of Example 78.
1H NMR (DMSO-dtf, 400 MHz): δ 13.46 (s, 1H), 8.76 (s, 1H), 7.93 (s, 1H), 7.77 (s, 1H), 7.70 (s, 1H), 6.66 (s, 1H), 5.16 (s, 2H), 3.79 (s, 3H).
MS (ESI) m/z 482, 484 (M+H)+
Example 101:
6-((5-(3-chloro-5-cyanophenoxy)-6-oxo-4-(trifluoromethyl)pyrimidin-l(6H)- yl)methyl)-3-oxo-2,3-dihydropyridazine-4-carboxamide
Figure imgf000136_0001
Step 1: 6-((5-(3-chloro-5-cyanophenoxy)-6-oxo-4-(trifluoromethyl)pyrimidin- yl) methyl)-2-(4-methoxybenzyl)-3-oxo-2,3-dihydropyridazine-4-carboxamide
Figure imgf000136_0002
To a mixture of methyl 6-((5-(3-chloro-5-cyanophenoxy)-6-oxo-4- (trifluoromethyl)pyrimidin - 1 (6H)-yl)methyl)-2-(4-methoxybenzyl)-3-oxo-2,3- dihydropyridazine-4-carboxylate (150 mg, 0.25 mmol) in 5 mL of THF was added
NH4OH (1 mL, 17 mmol) at 10 C. The resulting mixture was stirred for 2.5 hr at r.t. After finished, the mixture was diluted with ethyl acetate and washed with brine, dried over anhydrous sodium sulfate, filtered and concentrated under reduced pressure. The residue was purified by preparative TLC to afford 6-((5-(3-chloro-5- cyanophenoxy)-6-oxo-4-(trifluoromethyl)pyrimidin-l(6H)-yl)methyl)-2-(4- methoxybenzyl)-3-oxo-2,3-dihydropyridazine-4-carboxamide (120 mg,).
MS (ESI): m/z 587, 589 (M+H)+ Using the above intermediate, the title compound was prepared by following a similar procedure to Step 2 of Example 78.
1H NMR (DMSO-dtf, 400 MHz): δ 13.72 (s, 1H), 8.79 (s, 1H), 8.77 (s, 1H), 8.21 (s, 1H), 8.05 (s, 1H), 7.77 (s, 1H), 7.69 (s, 1H), 6.66 (s, 1H), 5.24 (s, 2H).
MS (ESI): m/z 467, 469 (M+H)+ Example 102:
3-chloro-5-((l-((5-(difluoromethyl)-6-oxo-l,6-dihydropyridazin-3-yl) methyl) -6- oxo-4-(trifluoromethyl)-l,6-dihydropyrimidin-5-yl)oxy)benzonitrile
Figure imgf000137_0001
Step 1: (E)-methyl-3-(6-((5-(3-chloro-5-cyanophenoxy)-6-oxo-4- (trifluoromethyl)pyrimidin -1 ( 6H)-yl)methyl)-2-(4-methoxybenzyl)-3- dihydropyridazin-4-yl)acrylate
Figure imgf000137_0002
To a solution of 3-((l-((5-bromo-l-(4-methoxybenzyl)-6-oxo-l,6- dihydropyridazin- 3 -yl)methyl)-6-oxo-4-(trifluoromethy 1)- 1 ,6-dihydropyrimidin-5 -yl)oxy)-5 - chlorobenzonitrile (0.3 g, 0.68 mmol), ethyl acrylate (40.4 mL, 3.4 mmol) and triethylamine (0.3 mL, 2.0 mmol) in DMF (15 mL) was added Pd(OAc)2 (30 mg, 0.14 mmol) and P(o-tolyl)3 (40 mg, 0.14 mmol) successively under a nitrogen atmosphere.
The resulting yellow suspension was stirred at 100 C under a nitrogen atmosphere overnight. After cooling to r.t., the mixture was poured into ice-water, extracted with ethyl acetate, and the combined organic extracts were washed with brine, dried over sodium sulfate, filtered and concentrated under reduced pressure. The residue was purified by column chromatography on silica gel (petroleum ether/ethyl acetate (10: 1 to 5:1) as eluent) to afford (E)-methyl-3-(6-((5-(3-chloro-5- cyanophenoxy)-6-oxo-4- (trifluoromethyl)pyrimidin-l(6H)-yl)methyl)-2-(4-methoxybenzyl)-3-oxo-2,3- dihydropyridazin-4-yl)acrylate (220 mg).
MS (ESI): m/z 642, 644 (M+H)+ Step 2: 3-chloro-5-(( l-((5-formyl-l-(4-methoxybenzyl)-6-oxo-l, 6-dihydropyridazin- -yl) methyl)-6-oxo-4-(trifluoromethyl)-l,6-dihydropyrimidin-5-yl)oxy)benzonitrile
Figure imgf000138_0001
To a solution of (E)-methyl 3-(6-((5-(3-chloro-5-cyanophenoxy)-6-oxo-4- (trifluoromethyl)pyrimidin-l(6H)-yl)methyl)-2-(4-methoxybenzyl)-3-oxo-2,3- dihydropyridazin-4-yl)acrylate (220 mg, 0.34 mmol) in a mixture solvent of dichloromethane (5 mL) and methanol (1 mL) was stirred at -65 C for 15 min under 03. (Me)2S (2 mL) was added, then the mixture was concentrated under reduced pressure and purified by chromatography on silica gel (petroleum ether/ethyl acetate (5: 1 to 3: 1) as eluent) to give the desired product 3-chloro-5-((l-((5-formyl-l-(4- methoxybenzyl)-6-oxo- 1 ,6-dihydropyridazin-3-yl)methyl)-6- oxo-4-(trifluoromethyl)- l,6-dihydropyrimidin-5-yl)oxy)benzonitrile (110 mg).
MS (ESI): m/z 572, 574 (M+H)+
Step 3: 3-chloro-5-((l-((5-(difluoromethyl)-l-(4-methoxybenzyl)-6-oxo-l,6- dihydropyridazin-3-yl)methyl)-6-oxo-4-(trifluoromethyl)-l,6-dihydropyri
yl)oxy)benzonitrile
Figure imgf000138_0002
A solution of 3-chloro-5-((l-((5-formyl-l-(4-methoxybenzyl)-6-oxo-l,6- dihydropyridazin-3 -yl)methyl)-6-oxo-4-(trifluoromethyl)- 1 ,6-dihydropyrimidin-5 - yl)oxy)benzonitrile (110 mg, 0.19 mmol) in 5 mL of dry dichloromethane was cooled to -45 C. DAST (62 mg, 0.39 mmol) was added and the resulting mixture was stirred at room temperature for 1 hr. The mixture was partitioned between water and dichloromethane and the organic layer was washed with water and brine, dried over sodium sulfate, filtered and concentrated under reduced pressure. The residue was purified by preparative HPLC to afford 3-chloro-5-((l-((5-(difluoromethyl)-l-(4- methoxybenzyl)-6-oxo- 1 ,6-dihydropyridazin-3-yl) methyl)-6-oxo-4-(trifluoromethyl)- l,6-dihydropyrimidin-5-yl)oxy)benzonitrile (35 mg).
MS (ESI): m/z 594, 596 (M+H)+
Step 4: 3-chloro-5-((l-((5-(difluoromethyl)-6-oxo-l,6-dihydropyridazin-3-yl)methy - -oxo-4-(trifluoromethyl)-l,6-dihydropyrimidin-5-yl)oxy)benzonitrile
Figure imgf000139_0001
To a solution of 3-chloro-5-((l-((5-(difluoromethyl)-l-(4-methoxybenzyl) -6-oxo-l,6- dihydropyridazin-3 -yl)methyl)-6-oxo-4-(trifluoromethyl)- 1 ,6-dihydropyrimidin-5 - yl)oxy)benzonitrile (100 mg, 0.16 mmol) in acetonitrile (4 mL) and H20 (1 mL) was added Ce(NH4)2(N03)6 (0.48 g, 0.8 mmol) in portions. The mixture was stirred at room temperature overnight, poured into water and extracted with ethyl acetate (60 mL x 3). The combined organic layers were washed with water and brine, dried over anhydrous sodium sulfate, filtered and concentrated under reduced pressure. The residue was purified by preparative TLC to give 3-chloro-5-((l-((5-(difluoromethyl)- 6-oxo- 1 ,6-dihydropyridazin-3-yl) methyl)-6-oxo-4-(trifluoromethyl)- 1 ,6- dihydropyrimidin-5-yl)oxy)benzonitrile (30 mg).
1H-NMR (DMSO-dtf, 400 MHz): δ 13.42 (s, 1H), 8.76 (s, 1H), 7.63-7.77 (m, 4H),
6.75 (s, 1H), 5.16 (s, 2H).
MS (ESI): m/z 474, 476 (M+H)+ Example 103 : 3-chlor o-5-((6-oxo- l-((6-oxo-5-(2,2,2-trifluoro- 1-hydroxy ethyl)- 1,6- dihydr o pyridazin-3-yl)methyl)-4-(trifluor omethyl)- 1 ,6-dihydr opyrimidin-5- yl)oxy)benzonitrile
Figure imgf000140_0001
Step 1: 3-chloro-5-((l-((l-(4-methoxybenzyl)-6-oxo-5-(2,2,2-trifluoro-l- hydroxyethyl) -1, 6-dihydropyridazin-3-yl)methyl)-6-oxo-4-(trifluoromethyl)- 1 , 6- dihydropyrimidin-5-yl)oxy)benzonitrile
Figure imgf000140_0002
A solution of 3-chloro-5-((l-((5-formyl-l-(4-methoxybenzyl)- 6-oxo-l,6- dihydropyridazin-3 -yl)methyl)-6-oxo-4-(trifluoromethyl)- 1 ,6-dihydropyrimidin-5 - yl)oxy)benzonitrile (790 mg, 1.38 mmol) and CsF (168 mg, 1.1 mmol) in 5 mL of anhydrous THF was cooled to -20 C. TMSCF3 (204 mg, 1.1 mmol) was added at same temperature. After addition, the resulting mixture was stirred at room
temperature overnight. The mixture was diluted with water and extracted with ethyl acetate. The combined organic extracts were washed with water and brine, dried over sodium sulfate, filtered and concentrated under reduced pressure. The residue was purified by preparative HPLC to afford 3-chloro-5-((l-((l-(4-methoxybenzyl)-6-oxo- 5-(2,2,2-trifluoro- 1 -hydroxyethyl)- 1 ,6-dihydropyridazin-3-yl)methyl)-6-oxo-4- (trifluoromethyl)-l,6-dihydropyrimidin-5-yl)oxy)benzonitrile (300 mg).
MS (ESI): m/z 642, 644 (M+H)+
Using the above intermediate, the title compound was prepared by following a similar procedure to Step 2 of Example 78. MS (ESI): m/z 522, 524 (M+H)+
1H-NMR (CD30D-J6, 400 MHz): δ 8.54 (s, 1H), 7.76 (s, 1H), 7.52 (s, 1H), 7.34 (s, 2H), 5.33 (q, J =6.4 Hz, 1H), 5.17-5.23 (m, 2H).
Example 104:
3-chloro-5-((l-((5-(l,l-difluoroethyl)-6-oxo-l,6-dihydropyridazin-3-yl)
-oxo-4-(trifluoromethyl)-l,6-dihydropyrimidin-5-yl)oxy)benzonitrile
Figure imgf000141_0001
Step 1: 3-chloro-5-((l-((5-(l-ethoxyvinyl)-l-(4-methoxybenzyl)-6-oxo-l,6- dihydro pyridazin-3-yl)methyl)-6-oxo-4-(trifluoromethyl)-l,6-dihydropyrimidin-5- yl)oxy)benzonitrile
Figure imgf000141_0002
To a mixture of 3-((l-((5-bromo-l-(4-methoxybenzyl)-6-oxo-l,6- dihydropyridazin- 3-yl)methyl)-6-oxo-4-(trifluoromethyl)- 1 ,6-dihydropyrimidin-5-yl)oxy)-5- chlorobenzonitrile (600 mg, 0.97 mmol), tributyl(l-ethoxyvinyl)stannane (418 mg , 1.16 mmol) in toluene (8 mL) was added Pd(PPh3)4 (112 mg, 0.09 mmol) under a nitrogen atmosphere. The resulting yellow suspension was stirred at 120 C overnight under a nitrogen atmosphere. After cooling to r.t., the mixture was poured into ice- water and extracted with ethyl acetate. The combined organic extracts were washed with brine, dried over sodium sulfate, filtered and concentrated under reduced pressure. The residue was purified by column chromatography on silica gel
(petroleum ether/ethyl acetate (5: 1 to 2: 1) as eluent) to afford 3-chloro-5-((l-((5-(l- ethoxyvinyl)-l-(4-methoxybenzyl)-6-oxo-l,6 -dihydro pyridazin-3-yl)methyl)-6-oxo- 4-(trifluoromethyl)- 1 ,6-dihydropyrimidin-5-yl)oxy)benzonitrile (400 mg).
MS (ESI): m/z 614, 616 (M+H)+
Step 2: 3-((l-((5-acetyl-l-(4-methoxybenzyl)-6-oxo-l,6-dihydropyridazin-3- yl)methyl) -6-oxo-4-(trifluoromethyl)-l , 6-dihydropyrimidin-5-yl)oxy)-5- chlorobenzonitrile
Figure imgf000142_0001
To a solution of 3-chloro-5-((l-((5-(l-ethoxyvinyl)-l-(4-methoxybenzyl)-6-oxo-l,6- dihydropyridazin-3 -yl)methyl)-6-oxo-4-(trifluoromethyl)- 1 ,6-dihydropyrimidin-5 - yl)oxy)benzonitrile (400 mg, 0.65 mmol) in 1,4-dioxane (6 mL) was added HCl/1,4- dioxane (4 N, 6 mL), the solution was stirred at room temperature overnight. LCMS showed that the reaction was completed. The mixture was diluted with water and extracted with ethyl acetate. The combined organic layers were dried over anhydrous sodium sulfate, filtered and concentrated under reduced pressure. The residue was purified by preparative TLC (petroleum ether/ ethyl acetate (1 : 1) to give 3-((l-((5- acetyl- 1 -(4-methoxybenzyl)-6-oxo- 1 ,6-dihydropyridazin-3 -yl)methyl)-6-oxo-4- (trifluoromethyl)- 1 ,6-dihydropyrimidin-5-yl)oxy)-5-chlorobenzonitrile (360 mg). MS (ESI) m/z 586, 588 (M+H)+
Step 3: 3-chloro-5-((l-((5-(l,l-difluoroethyl)-l-(4-methoxybenzyl)-6-oxo-l,6- dihydro pyridazin-3-yl)methyl)-6-oxo-4-(trifluoromethyl)-l,6-dihydropyrimidin-5- yl)oxy)benzonitrile
Figure imgf000143_0001
To a solution of 3-((l-((5-acetyl-l-(4-methoxybenzyl)-6-oxo-l,6-dihydropyridazin-3- yl) methyl)-6-oxo-4-(trifluoromethyl)- 1 ,6-dihydropyrimidin-5-yl)oxy)-5- chlorobenzonitrile (360 mg, 0.62 mmol) in dichloromethane (8 mL) was added DAST (595 mg, 3.69 mmol). The mixture was stirred at r.t. for 4 hr. LCMS showed that the reaction was completed. The mixture was quenched with water and extracted with ethyl acetate. The combined organic extracts were dried over anhydrous sodium sulfate, filtered and concentrated under reduced pressure to give 3-chloro-5-((l-((5- (1,1 -difluoroethyl)- 1 -(4-methoxybenzyl)-6-oxo- 1 ,6-dihydro pyridazin-3 -yl)methyl)-6- oxo-4-(trifluoromethyl)- 1 ,6-dihydropyrimidin-5 -yl)oxy)benzonitrile (150 mg) .
MS (ESI) m/z 608, 610 (M+H)+
Step 4: 3-chloro-5-((l-(( 5-( 1, 1 -difluoroethyl)-6-oxo-l , 6-dihydropyridazin-3- yl)methyl) -6-oxo-4-(trifluoromethyl)-l , 6-dihydropyrimidin-5-yl)oxy)benzonitrile
Figure imgf000143_0002
To a mixture of 3 -chloro-5-((l -((5 -(1,1 -difluoroethyl)- l-(4-methoxybenzyl)-6-oxo- 1,6- dihydropyridazin-3 -yl)methyl)-6-oxo-4-(trifluoromethyl)- 1 ,6-dihydropyrimidin-5 - yl)oxy)benzonitrile (150 mg, 0.25 mmol) in acetonitrile/lH O (3 mL/1.5 mL) was added CAN (1.1 g, 1.98 mmol). The mixture was stirred at room temperature for 3 hr then filtered. The filtrate was cocncentrated under reduced pressure and the residue was purified by preparative HPLC to give the title compound (35 mg).
1H NMR (DMSO-dtf, 400MHz): δ 13.38 (s, 1H), 8.76 (s, 1H), 7.77 (s, 1H), 7.73 (s, 1H), 7.69 (s, 1H), 7.66 (d, 1H, J=1.6 Hz), 5.18 (s, 2H), 1.97 (t, J=19.6 Hz, 3H). MS (ESI) m/z 488, 490 (M+H)+
Example 105:
3-((l-((5-acetyl-6-oxo-l,6-dihydropyridazin-3-yl)methyl)-6-oxo-4- (trifluoro methyl)- 1 ,6-dihydropyrimidin-5-yl)oxy)-5-chlorobenzonitrile
Figure imgf000144_0001
Using 3-((l-((5-acetyl-6-oxo-l,6-dihydropyridazin-3-yl)methyl)-6-oxo-4- (trifluoromethyl) -l,6-dihydropyrimidin-5-yl)oxy)-5-chlorobenzonitrile, the title compound was prepared using a similar procedure to Step 4 of Example 104.
MS (ESI) m/z 466, 468 (M+H)+
1H NMR (DMSO-dtf, 400MHz): δ 13.49 (s, 1H), 8.74 (s, 1H), 7.79 (s, 1H), 7.74 (s, 1H), 7.61-7.64 (m, 2H), 5.15 (s, 2H), 2.46 (s, 3H).
Example 106:
3-chloro-5-((l-((5-methoxy-6-oxo-l,6-dihydropyridazin-3-yl) methyl) -6-oxo-4- (trifluoromethyl)- 1 ,6-dihydropyrimidin-5-yl)oxy)benzonitrile
Figure imgf000144_0002
Step 1: 6-(hydroxymethyl)-4-methoxy-2-(4-methoxybenzyl)pyridazin-3(2H)-one
Figure imgf000144_0003
To a solution of 4-bromo-6-(hydroxymethyl)-2-(4-methoxybenzyl)pyridazin-3(2H)- one (500 mg, 1.54 mmol) in methanol (10 mL) was added KOH (431 mg, 7.69 mmol). The mixture was stirred at 50 C overnight. After cooling to r.t., the mixture was diluted with H20, extracted with ethyl acetate. The organic layer was dried over anhydrous sodium sulfate, filtered and concentrated under reduced pressure. The residue was purified by preparative TLC (dichloromethane/methanol (20: 1) as eluent) to give the desired product 6-(hydroxymethyl)-4-methoxy-2-(4-methoxybenzyl) pyridazin-3(2H)-one (270 mg).
MS (ESI) m/z 277 (M+H) +
Step 2: 6- ( hloromethyl)-4-methoxy-2- ( 4-methoxybenzyl)pyridazin-3( 2H)-one
Figure imgf000145_0001
To a solution of 6-(hydroxymethyl)-4-methoxy-2-(4-methoxybenzyl) pyridazin- 3(2H)-one (290 mg, 1.05 mmol) in dichloromethane (10 mL) was added DIPEA (407 mg, 3.15 mmol) and methanesulfonyl chloride (361 mg, 3.15 mmol). The mixture was stirred at room temperature overnight, then diluted with DCM and washed with water. The organic layer was dried over anhydrous sodium sulfate, filtered and concentrated under reduced pressure. The residue was purified by preparative TLC (petroleum ether/ethyl acetate (3: 1) as elu ent) to give 6-(chloromethyl)-4-methoxy-2- (4-methoxybenzyl)pyridazin-3(2H)-one (180 mg).
MS (ESI) m/z 295, 297 (M+H) +
Step 3: 3-chloro-5-((l-((5-methoxy-l-(4-methoxybenzyl)-6-oxo-l,6-dihydropyridazin- 3-yl) methyl)-6-oxo-4-(trifluoromethyl)-l,6-dihydropyrimidin-5-yl)oxy)benzonitrile
Figure imgf000145_0002
To a solution of 6-(chloromethyl)-4-methoxy-2-(4-methoxybenzyl)pyridazin-3(2H)- one (180 mg, 0.61 mmol) in DMF (5 mL) was added 3-chloro-5-((6-oxo-4-
(trifluoromethyl) -l,6-dihydropyrimidin-5-yl)oxy)benzonitrile (as described in Step 5 of Example 1) (231 mg, 0.73 mmol), potassium carbonate (168 mg, 1.22 mmol) and
LiBr (106 mg, 1.22 mmol). The mixture was stirred at 80 C overnight. After cooling to r.t., the mixture was diluted with water and then extracted with ethyl acetate. The combined organic layers were dried over anhydrous sodium sulfate, filtered and concentrated under reduced pressure give 3-chloro-5-((l-((5-methoxy-l-(4- methoxybenzyl) -6-oxo- 1 ,6-dihydro pyridazin-3-yl)methyl)-6-oxo-4- (trifluoromethyl)- 1 ,6-dihydropyrimidin-5-yl)oxy)benzonitrile (270 mg).
MS (ESI) m/z 574 (M+H)+
Using the interrmediate above, the title compound was prepared using a similar procedure to Step 9 in Example 22.
1H NMR: (CD3OD, 400 MHz) δ 8.51 (s, 1H), 7.53 (s, 1H), 7.35 (s, 2H), 6.87 (s, 5.16 (s, 2H), 3.89 (s, 3H).
MS (ESI) m/z 454 (M+H)+
Example 107:
3-chloro-5-((l-((5-hydroxy-6-oxo-l,6-dihydropyridazin-3-yl) methyl) -6-oxo-4- (trifluoromethyl)- 1 ,6-dihydropyrimidin-5-yl)oxy)benzonitrile
Figure imgf000146_0001
Step 1: 6-(hydroxymethyl)-2-(4-methoxybenzyl)-4-((4-methoxybenzyl)oxy) pyridazin- 3(2H)-one
B
Figure imgf000146_0002
"PMB "PMB
To a solution of 4-bromo-6-(hydroxymethyl)-2-(4-methoxybenzyl)pyridazin-3(2H)- one (300 mg, 0.85 mmol) in THF (7 mL) were added KOH (477 mg, 8.50 mmol) and
4-methoxylbenzyl alcohol (352 mg, 2.55 mmol). The mixture was stirred at 80 C for 1 hr. After cooling to r.t., the mixture was diluted with H20 and extracted with ethyl acetate. The organic layer was dried over anhydrous sodium sulfate, filtered and purified by preparative TLC (petroleum ether/ethyl acetate (1 : 1) as eluent) to give desired product 6-(hydroxymethyl)-2-(4-methoxybenzyl)-4-((4- methoxybenzyl)oxy)pyridazin-3(2H)-one (188 mg).
MS (ESI) m/z 383 (M+H) +
Using an analogous procedure to that given for Example 106, and the above intermediate in place of the 6-(hydroxymethyl)-4-methoxy-2-(4-methoxybenzyl) pyridazin-3(2H)-one in Step 2, the title compound was prepared.
1H NMR: (CD3OD, 400 MHz) δ 8.52 (s, 1H), 7.55 (s, 1H), 7.36 (d, J= 1.2 Hz, 2H), 6.74 (s, 1H), 5.12 (s, 2H).
MS (ESI) m/z 440 (M+H) +
Example 108:
3-chloro-5-((l-((5-(4-fluorophenoxy)-6-oxo-l,6-dihydropyridazin-3-yl)methyl)-6- oxo-4- (trifluoromethyl)- 1 ,6-dihydropyrimidin-5-yl)oxy)benzonitrile
Figure imgf000147_0001
Step 1: 4-(4-fluorophenoxy)-6-(hydroxymethyl)-2-(4-methoxybenzyl)pyridazin-3(2H)- one
Figure imgf000147_0002
To a solution of 4-bromo-6-(hydroxymethyl)-2-(4-methoxybenzyl)pyridazin-3(2H)- one (200 mg, 0.62 mmol) in DMF (5 mL) was added 4-fluorophenol (103 mg, 0.92 mmol) and potassium carbonate (170 mg, 1.23 mmol). The mixture was stirred at 80
C overnight. After cooling to r.t., the mixture was diluted with water and extracted with ethyl acetate. The organic layer was dried over anhydrous sodium sulfate, filtered and concentrated. The residue was purified by preparative TLC (petroleum ether/ethyl acetate (1 : 1) as eluent) to give 4-(4-fluorophenoxy)-6-(hydroxymethyl)-2- (4-methoxybenzyl)pyridazin-3(2H)-one (74 mg).
MS (ESI) m/z 357 (M+H) +
Using an analogous procedure to that given for Example 106, and the above intermediate in Step 2 in place of the 6-(hydroxymethyl)-4-methoxy-2-(4- methoxybenzyl) pyridazin-3(2H)-one, the title compound was prepared.
1H NMR: (DMSO-de, 400 MHz) δ 13.10 (s, 1H), 8.68 (s, 1H), 7.76 (s, 1H), 7.67 (t, J = 12.0 Hz, 2H), 7.27 (t, J= 8.0 Hz, 2H), 7.18-7.25 (m, 2H), 6.68 (s, 1H), 5.01 (s, 2H). MS (ESI) m/z 534 (M+H) +
Example 109:
3-chloro-5-((l-((5-(difluoromethoxy)-6-oxo-l,6-dihydropyridazin-3-yl)methyl)-6- oxo-4- (trifluoromethyl)- 1 ,6-dihydropyrimidin-5-yl)oxy)benzonitrile
Figure imgf000148_0001
Step 1: 4-(benzyloxy)-6-(hydroxymethyl)-2-(4-methoxybenzyl)pyridazin-3(2H)-one
Figure imgf000148_0002
To a solution of 4-bromo-6-(hydroxymethyl)-2-(4-methoxybenzyl)pyridazin-3(2H)- one (1.3 g, 4.0 mmol) in THF (30 mL) were added benzyl alcohol (2.16 g, 20.0 mmol) and KOH (2.24 g, 40.0 mmol). The mixture was stirred at 70 C for 2 hr. After cooling to r.t., the mixture was diluted with water and extracted with ethyl acetate. The organic layer was dried over anhydrous sodium sulfate, filtered and concentrated. The residue was purified by preparative TLC (petroleum ether/ethyl acetate (1 :2) as eluent) to give the desired product 4-(benzyloxy)-6-(hydroxymethyl)-2-(4- methoxybenzyl)pyridazin-3(2H)-one (518 mg).
MS (ESI) m/z 353 (M+H) + Step 2: 4-(benzyloxy)-6-(((tert-butyldiphenylsilyl)oxy)methyl)-2-(4- methoxybenzyl)pyridazin -3( 2H)-one
Figure imgf000149_0001
To a solution of 4-(benzyloxy)-6-(hydroxymethyl)-2-(4-methoxybenzyl) pyridazin- 3(2H)-one (518 mg, 1.47 mmol) in dichloromethane (15 mL) were added imidazole (200 mg, 2.94 mmol) and TBDPSC1 (444 mg, 1.62 mmol). The resulting mixture was stirred at room temperature for 1.5 hr. The mixture was quenched with water, extracted with ethyl aceate. The organic layer was dried over anhydrous sodium sulfate, concentrated under reduced pressure to give 4-(benzyloxy)-6-(((tert- butyldiphenylsilyl)oxy)methyl)-2-(4-methoxybenzyl)pyridazin-3(2H)-one (680 mg). MS (ESI) m/z 591 (M+H) + Step 3: 6-(((tert-butyldiphenylsilyl)oxy)methyl)-4-hydroxy-2-(4-methoxybenzyl) pyridazin-3 (2H)-one
Figure imgf000149_0002
To a solution of 4-(benzyloxy)-6-(((tert-butyldiphenylsilyl)oxy)methyl)-2-(4- methoxybenzyl) pyridazin-3 (2H)-one (680 mg, 1.15 mmol) in THF (8 mL) was added Pd/C (0.2 g), purged with hydrogen. The mixture was stirred at room temperature for 2 hr under hydrogen atmosphere (1 atmosphere). The mixture was filtered and concentrated under reduced pressure to give 6-(((tert-butyldiphenylsilyl)oxy)methyl)- 4-hydroxy-2- (4-methoxybenzyl) pyridazin-3 (2H)-one (546 mg).
MS (ESI) m/z 501 (M+H) +
Step 4: 6-(((tert-butyldiphenylsilyl)oxy)methyl)-4-(difluoromethoxy)-2-(4- methoxybenzyl) pyridazin-3 ( 2H)-one
Figure imgf000150_0001
To a solution of 6-(((tert-butyldiphenylsilyl)oxy)methyl)-4-hydroxy-2-(4- methoxybenzyl) pyridazin-3(2H)-one (250 mg, 0.50 mmol) in acetonitrile (20 mL) was added ethyl 2-bromo-2,2-difluoroacetate (507 mg, 2.50 mmol) and potassium carbonate (345 mg, 2.50 mmol). The mixture was stirred at 40 C for 2 days. After cooling to r.t, the mixture was quenched with water and extracted with ethyl acetate. The organic layer was dried over anhydrous sodium sulfate, filtered concentrated under reduced pressure to give 6-(((tert-butyldiphenylsilyl)oxy)methyl)-4- (difluoromethoxy)-2-(4-methoxybenzyl)pyridazin-3(2H)-one (275 mg).
MS (ESI) m/z 551 (M+H) +
Step 5: 4-(difluoromethoxy)-6-(hydroxymethyl)-2-(4-methoxybenzyl)pyridazin-3(2H)- one
Figure imgf000150_0002
To a solution of 6-(((tert-butyldiphenylsilyl)oxy)methyl)-4-(difluoromethoxy)-2- (4- methoxybenzyl)pyridazin-3(2H)-one (275 mg, 0.50 mmol) in THF (8 mL) was added TBAF (653 mg, 2.50 mmol). The mixture was stirred at room temperature for 1 hr. The mixture was quenched with water and extracted with ethyl acetate. The combined organic extracts were dried over anhydrous sodium sulfate, filtered and concentrated under reduced pressure. The residue was purified by preparative TLC (petroleum ether/ethyl acetate (2: 1) as eluent) to give 4-(difluoromethoxy)-6- (hydroxymethyl)-2-(4-methoxybenzyl)pyridazin -3(2H)-one (84 mg).
MS (ESI) m/z 313 (M+H) +
Using an analogous procedure to that given for Example 106, and the above intermediate in place of the 6-(hydroxymethyl)-4-methoxy-2-(4- methoxybenzyl)pyridazin-3(2H) -one in Step 2, the title compound was prepared. 1H NMR: (DMSO-de, 400 MHz) δ 13.34 (s, 1H), 8.72 (s, 1H), 7.74 (s, 1H), 7.66 (s, 1H), 7.63 (s, 1H), 7.41 (t, J= 72.8 Hz, 1H), 7.29 (s, 1H), 5.10 (s, 2H).
MS (ESI) m/z 490 (M+H) +
Example 110:
3-chloro-5-((6-oxo-l-((3-oxo-6-phenyl-2,3-dihydropyridazin-4-yl)
(trifluoromethyl)- 1 ,6-dihydropyrimidin-5-yl)oxy)benzonitrile
Figure imgf000151_0001
Step 1: 3-chloro-5-((l-((3-methoxy-6-phenylpyridazin-4-yl)methyl)-6- (trifluoromethyl)-l,6-dihydropyrimidin-5-yl)oxy)benzonitrile
Figure imgf000151_0002
A mixture of 3-chloro-5-((l-((6-chloro-3-methoxypyridazin-4-yl)methyl)-6-oxo-4- (trifluoromethyl)-l,6-dihydropyrimidin-5-yl)oxy)benzonitrile (200 mg, 0.42 mmol), phenyl boronic acid (62 mg, 0.51 mmol), K3PO4 (180 mg, 0.85 mmol), Pd(dppf)Cl2 (20 mg, 0.03 mmol) in 1 ,4-dioxane/H20 (3: 1) was heated at reflux overnight. After cooling to r.t., the mixture was filtered, and the filtrate was extracted with ethyl acetate. The combined organic layers were dried over sodium sulfate, filtered and concentrated under reduced pressure. The residue was purified by preparative TLC (petroleum ether/ethyl acetate (1 : 1.5) as eluent) to afford 3-chloro-5-((l-((3-methoxy- 6-phenylpyridazin-4-yl)methyl)-6-oxo-4-(trifluoromethyl)- 1 ,6-dihydropyrimidin-5- yl)oxy)benzonitrile (100 mg).
MS (ESI): m/z 514,516 (M+H)+ Step 2: 3-chloro-5-((6-oxo-l-((3-oxo-6-phenyl-2,3-dihydropyridazin-4-yl) methyl)-4- (trifluoromethyl)-l,6-dihydropyrimidin-5-yl)oxy)benzonitrile
Figure imgf000152_0001
To a mixture of 3-chloro-5-((l-((3-methoxy-6-phenylpyridazin-4-yl)methyl)-6-oxo-4- (trifluoromethyl)-l,6-dihydropyrimidin-5-yl)oxy)benzonitrile (100 mg, 0.02 mmol) and KI (70 mg, 0.4 mmol) in acetonitrile (3 mL) at r.t. was added TMSC1 (45 mg, 0.4 mmol) dropwise. After addition, the mixture was stirred at r.t. for 12 hr. The reaction mixture was quenched with methanol and concentrated under reduced pressure. The residue was purified by preparative HPLC to afford 3-chloro-5-((6-oxo- 1 -((3-oxo-6- phenyl-2,3-dihydropyridazin -4-yl)methyl)-4-(trifluoromethyl)- 1 ,6-dihydropyrimidin- 5-yl)oxy)benzonitrile (25 mg).
1HNMR (DMSO-dtf, 400MHz): δ 13.40 (s, 1H), 8.80 (s, 1H), 7.93 (s, 1H), 7.77-7.83 (m, 2H), 7.72-7.75 (m, 3H), 7.44-7.50 (m, 3H), 5.06 (s, 2H).
MS (ESI): m/z 500, 502 (M+H)+
Examples 1 11-126 in the table below were prepared using the appropriate boronic acid according to the procedure given for Example 110.
Figure imgf000152_0002
Example Structure IUPAC Name MS (M+H) + / NMR
1,6- 7.59 (s, IH), 5.00 (s, 2H), dihydropyrimidin- 3.85 (s, 3H).
5- yl)oxy)benzonitrile
3-chloro-5-((l-((6-
MS (ESI) m/z 518, 520 (4-fluorophenyl)-3 - (M+H) +
oxo-2,3-
1H NMR: (DMSO-i 6, dihydropyridazin-4- 400 MHz)
yl)methyl)-6-oxo-4-
112 δ 13.40 (s, IH), 8.79 (s,
(trifluoromethyl)- IH), 7.90-7.91 (m, 3H), 1,6- 7.86-7.89 (m, 2H), 7.71- dihydropyrimidin- 7.72 (m, IH), 7.30-7.34 5- (m, 2H), 5.05 (s, 2H). yl)oxy)benzonitrile
3-chloro-5-((l-((6- MS (ESI) m/z 518, 520 (3 -fluorophenyl)-3 - (M+H) +
oxo-2,3- 1H NMR: (DMSO-i 6, dihydropyridazin-4- 400 MHz)
yl)methyl)-6-oxo-4- δ 13.49 (s, IH), 8.79 (s,
113
(trifluoromethyl)- IH), 7.95 (s, IH), 7.69-
Figure imgf000153_0001
1,6- 7.70 (m, 2H), 7.60-7.66 dihydropyrimidin- (m, 3H), 7.46-7.52 (m, 5- IH), 7.21-7.26 (m, IH), yl)oxy)benzonitrile 5.06 (s, 2H).
3-chloro-5-((l-((6-
MS (ESI) m/z 504, 506 (1 -methyl- 1H- (M+H) +
pyrazol-5-yl)-3-
1H NMR: (DMSO-i 6, oxo-2,3- 400 MHz)
dihydropyridazin-4- 1 δ 13.47 (s, IH), 8.77 (s,
114 C,Y: yl)methyl)-6-oxo-4- IH), 7.70 (s, 2H), 7.66- (trifluoromethyl)- 7.76 (m, 2H) 7.47 (d, J = 1,6- 1.6 Hz, IH), 6.78 (d, J = dihydropyrimidin- 2.0 Hz, IH), 5.03 (s, 2H), 5- 3.98 (s, 3H).
yl)oxy)benzonitrile
Figure imgf000154_0001
Figure imgf000155_0001
Figure imgf000156_0001
Figure imgf000157_0001
Example 127:
3-chloro-5-((l-((l-methyl-3,6-dioxo-l,2,3,6-tetrahydropyridazin-4-yl)] oxo-4-(trifluoromethyl)-l,6-dihydropyrimidin-5-yl)oxy)benzonitrile
Figure imgf000157_0002
Step 1: 3-chloro-5-((l-((3-methoxy-l-methyl-6-oxo-l,6-dihydropyridazin-4- yl)methyl) -6-oxo-4-(trifluoromethyl)-l , 6-dihydropyrimidin-5-yl)oxy)benzonitrile
Figure imgf000158_0001
To a solution of 3-chloro-5-((l-((3-methoxy-6-oxo-l,6-dihydropyridazin-4-yl) methyl)-6-oxo-4-(trifluoromethyl)- 1 ,6-dihydropyrimidin-5-yl)oxy)benzonitrile (75 mg, 0.16 mmol) in 1 ,4-dioxane/DMF (6 mL/0.6 mL) were added potassium carbonate (100 mg, 0.72 mmol) and Mel (0.6 mL, 9.2 mmol) at r.t. The resulting mixture was stirred at 60 C for 4 hr under a nitrogen atmosphere. After cooling, the mixture was diluted with ethyl acetate and washed with brine, dried over anhydrous sodium sulfate, filtered and concentrated under reduced pressure. The residue was purified by preparative TLC to afford 3-chloro-5-((l-((3-methoxy-l-methyl-6-oxo-l,6- dihydropyridazin-4-yl)methyl)-6-oxo-4-(trifluoromethyl)- 1 ,6-dihydropyrimidin-5 - yl)oxy)benzonitrile (50 mg).
1H NMR (CDC13, 400 MHz): δ 8.29 (s, 1H), 7.41 (s, 1H), 7.19 (s, 1H), 7.04 (s, 1H),
6.87 (s, 1H), 4.92(s, 2H), 3.90 (s, 3H), 3.64(s, 3H).
MS (ESI) m/z 468, 470 (M+H)+
The title compound was prepared from above intermediate according to the procedure given for Step 2 of Example 17.
1H NMR (DMSO-dtf, 400 MHz): δ 11.73 (s, 1H), 8.69 (s, 1H), 7.75-7.72 (m, 3H), 6.87 (s, 1H), 4.94 (s, 2H), 3.44 (s, 3H).
MS (ESI) m/z 468, 470 (M+H)+ Example 128:
3-chloro-5-((l-((6-(difluoromethyl)-3-oxo-2,3-dihydropyridazin-4-yl)
oxo-4-(trifluoromethyl)-l,6-dihydropyrimidin-5-yl)oxy)benzonitrile
Figure imgf000159_0001
To a solution of (6-chloro-3-methoxypyridazin-4-yl)methanol (4.6 g, 26.4 mmol), triethyl amine (7.4 mL) and Pd(d f)2Cl2 (0.5 g, lmmol) in 30 mL of methanol and ethyl acetate (10 mL) was stirred under carbon monoxide (50 psi) at 70 C overnight. Then the reaction mixture was poured into water, extracted with ethyl acetate (15 mL x 3). The organic extracts were washed with water and brine, dried over anhydrous sodium sulfate, filtered and concentrated under reduced pressure. The residue was purified by column (petroleum ether/ethyl acetate (5: 1 to 2: 1) as eluent) to give methyl 5-(hydroxymethyl) -6-methoxypyridazine-3-carboxylate (2.1 g).
MS (ESI) m/z 199 (M+H)+
Step 2: methyl 5-(((tert-butyldimethylsilyl)oxy)methyl)-6-methoxypyridazine-3- carboxylate
Figure imgf000159_0002
To a solution of methyl 5-(hydroxymethyl)-6-methoxypyridazine-3-carboxylate (2.1 g, 10.6 mmol) in THF (150 mL) was added TBSC1 (4.55 g, 30.2 mmol) and imidazole (2.05 g, 30.2 mmol) at r.t. Then the resulting reaction was stirred at room temperature overnight. The reaction mixture was filtered and the filtrate was washed with water. The organic layer was dried over magnesium sulfate, filtered and concentrated under reduced pressure to afford methyl 5-(((tert-butyldimethylsilyl)oxy)methyl)-6- methoxypyridazine-3-carboxylate (2.1 g).
MS (ESI) m/z 313 (M+H)+
Step 3: (5-(((tert-butyldimethylsilyl)oxy)methyl)-6-methoxypyridazin-3-yl)methanol
Figure imgf000160_0001
To a solution of methyl 5-(((tert-butyldimethylsilyl)oxy)methyl)-6- methoxypyridazine-3-carboxylate (2.1 g, 6.7 mmol) in ethanol (15 mL) was added NaBH4 (0.38 g, 10.0 mmol) and CaCl2 (0.37 g, 3.4 mmol) at 0 °C. The mixture was stirred for 1 hr at room temperature, then quenched by addition of water (20 mL), acidified to pH = 8 using HC1 solution (2 M) and extracted with ethyl acetate (15 mL x 3). The combined organic extracts were dried over sodium sulfate, filtered and concentrated under reduced pressure to give (5-(((tert-butyldimethylsilyl)
oxy)methyl)-6-methoxypyridazin-3-yl)methanol (1.5 g).
MS (ESI) m/z 285 (M+H)+ Step 4: 4-(((tert-butyldimethylsilyl)oxy)methyl)-3-methoxy-6-(((tetrahydro-2H-pyran -2-yl)oxy)methyl)pyridazine
Figure imgf000160_0002
To a solution of (5-(((tert-butyldimethylsilyl)oxy)methyl)-6-methoxypyridazin-3- yl)methanol (1.5 g, 5.3 mmol) in acetonitrile (10 mL) was added DHP (0.53 g, 6.3 mmol) and PPTS (126 mg, 0.5 mmol) at r.t. The mixture was stirred at at 80 C for 16 hr. After cooling to r.t., the mixture was concentrated under reduced pressure. The residue was purified by column chromatography on a silica gel (petroleum ether/ethyl acetate (10: 1) as eluent) to give 4-(((tert-butyldimethylsilyl)oxy)methyl)-3-methoxy- 6-(((tetrahydro-2H-pyran-2-yl)oxy)methyl)pyridazine (0.9 g).
MS (ESI) m/z 369 (M+H)+
Step 5: ( 3-methoxy-6-( ( ( tetrahydro-2H-pyran-2-yl)oxy)methyl)pyridazin-4- yl)methanol
Figure imgf000161_0001
A solution of 4-(((tert-butyldimethylsilyl)oxy)methyl)-3-methoxy -6-(((tetrahydro- 2H-pyran-2-yl)oxy)methyl)pyridazine (0.9 g, 2.4 mmol) and TBAF (3.2 g, 12.2 mmol) in THF (20.0 mL) was stirred for 1.0 h at r.t. Water was added and the resulting mixture was extracted with ethyl acetate. The combined organics were dried over sodium sulfate, filtered and concentrated under reduced pressure. The residue was purified by preparative TLC (petroleum ether/ethyl acetate (1 :2) as eluent) to give the (3-methoxy-6-(((tetrahydro-2H-pyran-2-yl)oxy)methyl)pyridazin-4-yl)methanol (0.6 g).
MS (ESI) m/z 255 (M+H)+ Step 6: 3-chloro-5-((l-((3-methoxy-6-(((tetrahydro-2H-pyran-2- yl)oxy)methyl)pyridazin -4-yl)methyl)-6-oxo-4-(trifluoromethyl)-l,6- dihydropyrimidin-5-yl)oxy)benzonitrile
Figure imgf000161_0002
To a solution of (3-methoxy-6-(((tetrahydro-2H-pyran-2-yl)oxy)methyl) pyridazin-4- yl)methanol (0.6 g, 2.4 mmol), 3-chloro-5-((6-oxo-4-(trifluoromethyl) -1,6- dihydropyrimidin-5-yl)oxy)benzonitrile (as described in Step 5 of Example 1) (0.76 g, 2.4 mmol) and PPI13 (1.3 g, 4.8 mmol) in dichloromethane (10.0 mL) was added DEAD (0.84 g, 4.8 mmol) at 0 C under a nitrogen atmosphere. The mixture was stirred at r.t for 1 h, quenched with water (10 mL) and extracted with dichloromethane (20 mL x 3). The combined organic extracts were dried over sodium sulfate, filtered and concentrated under reduced pressure. The crude product was purified by preparative TLC (petroleum ether/ethyl acetate (1 : 1) as eluent) to give 3-chloro-5-((l- ((3 -methoxy-6-(((tetrahydro-2H-pyran-2-yl)oxy)methyl)pyridazin-4-yl)methyl) -6- oxo-4-(trifluoromethyl)- 1 ,6-dihydropyrimidin-5-yl)oxy)benzonitrile (1.2 g).
MS (ESI) m/z 552, 554 (M+H)+
Step 7: 3-chloro-5-((l-((6-(hydroxymethyl)-3-methoxypyridazin-4-yl)methyl)-6-oxo- 4- (trifluoromethyl)-l,6-dihydropyrimidin-5-yl)oxy)benzonitrile
Figure imgf000162_0001
To a solution of 3-chloro-5-((l-((3-methoxy-6-(((tetrahydro-2H-pyran-2- yl)oxy)methyl) pyridazin-4-yl)methyl)-6-oxo-4-(trifluoromethyl)- 1 ,6- dihydropyrimidin-5-yl)oxy)benzonitrile (1.2 g, 2.2 mmol) in methanol (10 mL) was added HCl/methanol (1 N, 10 mL) at r.t. The resulting mixture was stirred at room temperature for 1 hr and concentrated under reduced pressure to give 3-chloro-5-((l- ((6-(hydroxymethyl)-3-methoxypyridazin-4-yl)methyl)- 6-oxo-4-(trifluoromethyl)- l,6-dihydropyrimidin-5-yl)oxy)benzonitrile (1.0 g).
MS (ESI) m/z 468, 470 (M+H)+
Step 8: 3-chloro-5-(( l-( ( 6-formyl-3-methoxypyridazin-4-yl)methyl)-6-oxo-4- (trifluoromethyl)-l,6-dihydropyrimidin-5-yl)oxy)benzonitrile
Figure imgf000163_0001
To a solution of 3-chloro-5-((l-((6-(hydroxymethyl)-3-methoxypyridazin-4-yl) methyl)-6-oxo-4-(trifluoromethyl)- 1 ,6-dihydropyrimidin-5-yl)oxy)benzonitrile (1.0 g, 2.1 mmol) in dichloromethane (20 mL) was added Dess-Martin periodinane (1.36 g, 3.2 mmol) at 0 C under a nitrogen atmosphere. The mixture was stirred at r.t for 1 hr, quenched with water (10 mL) and extracted with dichloromethane (20 mL x 3). The combined organic extracts were dried over sodium sulfate, filtered and concentrated under reduced pressure. The crude product was purified by preparative TLC
(petroleum ether/ethyl acetate (1 : 1) as eluent) to give 3-chloro-5-((l-((6-formyl-3- methoxypyridazin-4-yl)methyl)-6-oxo-4-(trifluoromethyl)- 1 ,6-dihydropyrimidin-5- yl)oxy) benzonitrile (0.6 g).
MS (ESI) m/z 466, 468 (M+H)+
Step 9: 3-chloro-5-(( l-( ( 6-(difluoromethyl)-3-methoxypyridazin-4-yl)methyl)-6-oxo-4- (trifluoromethyl)-l, 6-dihydropyrimidin-5-yl)oxy)benzonitrile
Figure imgf000163_0002
To a stirred mixture of 3-chloro-5-((l-((6-formyl-3-methoxypyridazin-4-yl)methyl)-6- oxo-4-(trifluoromethyl)-l,6-dihydropyrimidin-5-yl)oxy)benzonitrile (0.14 g, 0.3 mmol) in dichloromethane (5 mL) was added DAST (0.43 g, 1.6 mmol) at r.t., and the mixture was stirred under a nitrogen atmosphere for 16 hr. The mixture was quenched with H20 and extracted with dichloromethane. The organic layer was washed with water, dried over anhydrous sodium sulfate, filtered and concentrated under reduced pressure. The residue was purified by chromatography on silica gel (petroleum ether/ethyl acetate (2: 1) as eluent) to give 3-chloro-5-((l-((6-(difluoromethyl)-3- methoxypyridazin-4-yl)methyl)-6-oxo- 4-(trifluoro methyl)- 1 ,6-dihydropyrimidin-5- yl)oxy)benzonitrile (90 mg).
MS (ESI) m/z 488, 490 (M+H)+
Step 10: 3-chloro-5-((l-((6-(difluoromethyl)-3-oxo-2,3-dihydropyridazin -4- yl)methyl) -6-oxo-4-(trifluoromethyl)-l , 6-dihydropyrimidin-5-yl)oxy)benzonitrile
Figure imgf000164_0001
To a mixture of 3-chloro-5-((l-((6-(difluoromethyl)-3-methoxypyridazin-4-yl) methyl)-6-oxo-4-(trifluoromethyl)- 1 ,6-dihydropyrimidin-5 -yl)oxy)benzonitrile (90 mg, 0.2 mmol) and KI (100 mg, 0.6 mmol) in acetonitrile (3 mL) was added TMSC1 (33 mg, 0.3 mmol). The mixture was stirred at r.t for 1 hr, quenched with water and extracted with ethyl acetate. The combined organic extracts were washed with brine, dried over sodium sulfate, filtered and concentrated under reduced pressure. The residue was purified by preparative HPLC to afford 3-chloro-5-((l-((6- (difluoromethyl)-3-oxo-2,3-dihydropyridazin- 4-yl)methyl)-6-oxo-4- (trifluoromethyl)- 1 ,6-dihydropyrimidin-5-yl)oxy)benzonitrile (35 mg).
1HNMR (Methanol-^, 400 MHz) δ 13.62 (s, 1H), 8.72 (s, 1H), 7.73 (s, 1H), 7.71 (s, 1H), 7.68 (s, 1H), 7.66 (s, 1H), 6.78 (t, J = 56.0 Hz, 1H), 4.99 (s, 2H).
MS (ESI) m/z 474, 476 (M+H)+
Example 129:
3-chloro-5-((l-((6-(l,l-difluoroethyl)-3-oxo-2,3-dihydropyridazin-4-yl)] oxo-4-(trifluoromethyl)-l,6-dihydropyrimidin-5-yl)oxy)benzonitrile
Figure imgf000165_0001
Step 1: 4-(tert-butoxymethyl)-6-(l-ethoxyvinyl)-3-methoxypyridazine
Figure imgf000165_0002
To a mixture of 4-(tert-butoxymethyl)-6-chloro-3-methoxypyridazine (1 g, 5.7 mmol), tributyl(l-ethoxyvinyl)stannane (6.2 g, 17.2 mmol) in toluene (10 mL) was added Pd(PPh3)4 (0.6 g, 0.57 mmol) under N2. The resulting yellow suspension was stirred at 120 C overnight under a nitrogen atmosphere. After cooling to r.t., the mixture was poured into ice-water, extracted with ethyl acetate, and the combined organic extracts were washed with brine, dried over sodium sulfate, filtered and concentrated under reduced pressure. The residue was purified by column chromatography on silica gel (petroleum ether/ethyl acetate (5: 1 to 2:1) as eluent) to afford 4-(tert- butoxymethyl)-6-(l-ethoxyvinyl)-3-methoxypyridazine (400 mg).
MS (ESI): m/z 267 (M+H)+
Step 2: l- -(tert-butoxymethyl)-6-methoxypyridazin-3-yl)ethanone
Figure imgf000165_0003
To a solution of 4-(tert-butoxymethyl)-6-(l-ethoxyvinyl)-3-methoxypyridazine (400 mg, 1.5 mmol) in 1,4-dioxane (6 mL) was added HCl/l,4-dioxane (3N, 6 mL), the solution was stirred at room temperature overnight. The mixture was diluted with water and extracted with ethyl acetate. The combined organic extracts were dried over anhydrous sodium sulfate, filtered and concentrated under reduced pressure. The residue was purified by prepreative TLC (petroleum ether/ethyl acetate (1 : 1) as eluent) to give l-(5-(tert-butoxymethyl)-6-methoxy pyridazin-3-yl) ethanone (240 mg).
MS (ESI) m/z 239 (M+H)+
Step 3: 4-(ter -butoxymethyl)-6-(l , l-difluoroethyl)-3-methoxypyridazine
Figure imgf000166_0001
To a solution of l-(5-(tert-butoxymethyl)-6-methoxypyridazin-3-yl)ethanone (240 mg, 1.0 mmol) in dichloromethane (8 mL) was added DAST (0.8 mL, 6.1 mmol). The mixture was stirred at r.t. for 4 hr. LCMS showed that the reaction was completed.
The mixture was quenched with water and extracted with ethyl acetate. The combined organic extracts were dried over anhydrous sodium sulfate, filtered and concentrated under reduced pressure to give 4-(tert-butoxymethyl)-6-(l,l-difluoroethyl)-3- methoxypyridazine (150 mg).
MS (ESI) m/z 261 (M+H)+
Step 4: (6-(l,l-difluoroethyl)-3-methoxypyridazin-4-yl)methanol
Figure imgf000166_0002
To a solution of 4-(tert-butoxymethyl)-6-(l,l-difluoroethyl)-3-methoxypyridazine (150 mg, 0.58 mmol) in dichloromethane (8 mL) was added 4N HCl/methanol (3 mL). The mixture was stirred at room temperature for 3 hr, then quenched with water and extracted with dichloromethane. The organic layer was dried over anhydrous sodium sulfate, concentrated under reduced pressure and purified by preparative TLC (petroleum ether/ethyl acetate (1 : 1.5) as eluent) to give (6-(l,l-difluoroethyl)-3- methoxypyridazin-4-yl)methanol (110 mg).
MS (ESI) m/z 205 (M+H)+
Step 5: (6-(l,l-difluoroethyl)-3-methoxypyridazin-4-yl)methyl methanesulfonate
Figure imgf000167_0001
To a solution of (6-(l,l-difluoroethyl)-3-methoxypyridazin-4-yl)methanol (110 mg, 0.54 mmol) in dichloromethane (6 mL) was added DIPEA (209 mg, 1.6 mmol) and methanesulfonyl chloride (75 mg, 0.62 mmol) dropwise. The mixture was stirred at room temperature for 2 hr. The mixture was diluted with water and extracted with dichloromethane. The organic layer was dried over anhydrous sodium sulfate, filtered and concentrated under reduced pressure to give (6-(l,l-difluoroethyl)-3- methoxypyridazin -4-yl)methyl methanesulfonate (120 mg).
MS (ESI) m/z 283 (M+H)+
Step 6: 3-chloro-5-((l-(( 6-( I, l-difluoroethyl)-3-methoxypyridazin-4-yl)methyl)-6-oxo - -(trifluoromethyl)-l,6-dihydropyrimidin-5-yl)oxy)benzonitrile
Figure imgf000167_0002
To a solution of (6-(l,l-difluoroethyl)-3-methoxypyridazin-4-yl)methyl
methanesulfonate (120 mg, 0.54 mmol) in DMF (5 mL) was added 3-chloro-5-((6- oxo-4-(trifluoromethyl)-l,6- dihydropyrimidin-5-yl)oxy)benzonitrile (as described in Step 5 of Example 1) (187 mg, 0.59 mmol), TEA (0.23 mL, 1.6 mmol). The mixture was stirred at 30 C for 2 hr. After cooling to r.t., the mixture was diluted with water, extracted with ethyl acetate. The organic layer was dried over anhydrous sodium sulfate, filtered and concentrated under redcued pressure to give 3-chloro-5-((l-((6- (1,1 -difluoroethyl)-3-methoxypyridazin-4-yl)methyl)-6-oxo-4-(trifluoromethyl)- 1 ,6- dihydropyrimidin-5-yl)oxy)benzonitrile (120 mg).
MS (ESI) m/z 502, 504 (M+H)+ Step 7: 3-chloro-5-(( l-( ( 6-( I, l-dtfluoroethyl)-3-oxo-2, 3-dihydropyridazin-4- yl)methyl)-6-oxo -4-(trifluoromethyl)- 1 , 6-dihydropyrimidin-5-yl)oxy)benzonitrile
Figure imgf000168_0001
To a mixture of 3-chloro-5-((l-((6-(l,l-difluoroethyl)-3-methoxypyridazin-4- yl)methyl) -6-oxo-4-(trifluoromethyl)- 1 ,6-dihydropyrimidin-5-yl)oxy)benzonitrile (120 mg, 0.24 mmol) and KI (79.5 mg, 0.48 mmol) in acetonitrile (4 mL) was added TMSC1 (51.7 mg, 0.48 mmol) dropwise at r.t. After addition, the mixture was stirred at 30 C for 3 hr. After cooling to r.t., the mixture was quenched with MeOH and concentrated under reduce pressure. The residue was purified by preparative HPLC to afford 3-chloro-5- ((l-((6-(l,l-difluoroethyl)-3-oxo-2,3-dihydropyridazin-4- yl)methyl)-6-oxo-4-(trifluoromethyl) - 1 ,6-dihydropyrimidin-5-yl)oxy)benzonitrile (35 mg).
1H NMR (DMSO-dtf, 400MHz): δ 13.53 (s, 1H), 8.72 (s, 1H), 7.67-7.72 (m, 4H), 5.10 (s, 2H), 1.85-1.90 (m, 3H).
MS (ESI): m/z 488, 490 (M+H) +
Example 130: 3-((l-((2-(tert-butyl)-6-oxo-l,6-dihydropyrimidin-5-yl)methyl)-6- oxo-4-(trifluoromethyl)-l,6-dihydropyrimidin-5-yl)oxy)-5-chlorobenzonitrile
Figure imgf000168_0002
Step 1: ethyl 2-(tert-butyl)-4-hydroxypyrimidine-5-carboxylate
Figure imgf000169_0001
To a solution of pivalimidamide hydrochloride (2.0 g, 14.8 mmol) in ethanol (30 mL) was added freshly prepared EtONa (1.0 g, 14.8 mmol) at r.t. After stirred at r.t. for 20 min, diethyl 2-(ethoxymethylene)malonate (3.2 g, 14.8 mmol) was added. The mixture was stirred at r.t. for another 18 hr. After finished, the mixture was concentrated under reduced pressure and 30 mL of water was added to the residue. The mixture was then acidified to pH = 5 with AcOH. The precipitate was collected by filtration and dried to give ethyl 2-(tert-butyl)-4-hydroxypyrimidine-5-carboxylate
(1 -5 g).
MS (ESI): m/z 225 (M+H)+
Figure imgf000169_0002
A mixture of ethyl 2-(tert-butyl)-4-hydroxypyrimidine-5-carboxylate (900 mg, 4 mmol), CH3I (852 mg, 6.0 mmol) and potassium carbonate (1.1 g, 8 mmol) in DMF (10 mL) was stirred at r.t. for 1.5 hr. After finished, the mixture was diluted with water (20 mL) and extracted with ethyl acetate (20 mL x 3). The combined organic extracts were dried over sodium sulfate, filtered and concentrated under reduced pressure to give the crude product. The residue was purified by preparative TLC (petroleum ether/ ethyl acetate (5: 1) as eluent) to afford ethyl 2-(tert-butyl)-4- methoxypyrimidine-5-carboxylate (800 mg).
MS (ESI): m/z 239 (M+H)+
Step 3: (2-(tert-butyl)-4-methoxypyrimidin-5-yl)methanol
Figure imgf000169_0003
To a solution of ethyl 2-(tert-butyl)-4-methoxypyrimidine-5-carboxylate (800 mg, 3.36 mmol) in THF (10 mL) was added LiAlH4 (383 mg, 10.08 mmol) at -40°C. Then the mixture was stirred at this temperature for 15 min. The reaction was quenched with 0.3 mL water and the mixture was dried over sodium sulfate directly. Then the mixture was filtered and concentrated under reduced pressure. The residue was purified by preparative TLC (petroleum ether/ethyl acetate (2: 1) as eluent) (2-(tert-butyl)-4- methoxypyrimidin -5-yl)methanol (300 mg).
MS (ESI) m/z 197 (M+H)+ Step 4: (2-(tert-but -4-methoxypyrimidin-5-yl)methyl methanesulfonate
Figure imgf000170_0001
To a solution of (2-(tert-butyl)-4-methoxypyrimidin-5-yl)methanol (130 mg, 0.66 mmol) and DIPEA (128 mg, 0.99 mmol) in dichloromethane (5 mL) was added methanesulfonyl chloride (150 mg, 1.32 mmol) dropwise at 0 C. The mixture was stirred at r.t. for additional 1 hr. The mixture was diluted with dichloromethane (10 mL) and washed with water. The organic layer was dried over sodium sulfate, filtered and concentrated under reduced pressure to give (2-(tert-butyl)-4-methoxypyrimidin- 5-yl)methyl methanesulfonate (300 mg) which was used without further purification. MS (ESI) m/z 275 (M+H)+
Step 5: 3-((l-((2-(tert-butyl)-4-methoxypyrimidin-5-yl)methyl)-6-oxo-4- (trifluoromethyl) -l,6-dihydropyrimidin-5-yl)oxy)-5-chlorobenzonitrile
Figure imgf000170_0002
A mixture of (2-(tert-butyl)-4-methoxypyrimidin-5-yl)methyl methanesulfonate (150 mg crude), 3-chloro-5-((6-oxo-4-(trifluoromethyl)- 1 ,6-dihydropyrimidin-5- yl)oxy)benzonitrile (as described in Step 5 of Example 1) (80 mg, 0.25 mmol), LiBr (44 mg, 0.508 mmol) and potassium carbonate (70 mg, 0.508 mmol) in DMF (6 mL) was stirred at 70 C for 1 hr. After cooling, the mixture was diluted with water (20 mL) and extracted with ethyl acetate (20 mL x 3). The combined organic extracts were dried over sodium sulfate, filtered and concentrated under reduced pressure to give 3- ((1 -((2-(tert-butyl)-4-methoxypyrimidin-5-yl)methyl)-6-oxo-4-(trifluoromethyl)- 1 ,6- dihydropyrimidin-5 -yl)oxy)-5 -chlorobenzonitrile (100 mg) .
MS (ESI) m/z 494, 496 (M+H)+
Step 6: 3-((l-((2-(tert-butyl)-6-oxo-l,6-dihydropyrimidin-5-yl)methyl)-6- (trifluoromethyl)-l,6-dihydropyrimidin-5-yl)oxy)-5-chlorobenzonitrile
Figure imgf000171_0001
To a mixture of 3-((l-((2-(tert-butyl)-4-methoxypyrimidin-5-yl)methyl)-6-oxo-4- (trifluoromethyl)- 1 ,6-dihydropyrimidin-5 -yl)oxy)-5 -chlorobenzonitrile (100 mg crude) and KI (120 mg, 0.72 mmol) in acetonitrile (6 mL), TMSC1 (78 mg, 0.72 mmol) was added dropwised at r.t. After addition, the mixture was heated to 60 C for 4 hr. The reaction mixture was quenched with methanol and concentrated under reduced pressure. The residue was purified by preparative HPLC to afford 3-((l-((2- (tert-butyl)-6-oxo- 1 ,6- dihydropyrimidin-5 -yl)methyl)-6-oxo-4-(trifluoromethyl)- 1 ,6- dihydropyrimidin-5-yl)oxy)-5- chlorobenzonitrile (65 mg).
1H NMR (CD3OD, 400MHz): δ 8.75 (s, 1H), 7.92 (s, 1H), 7.72 (s, 1H), 7.65 (s, 1H), 7.63 (s, 1H), 4.84 (s, 2H), 1.23 (s, 9H).
MS (ESI): m/z 480, 482 (M+H) +
Example 131:
3-Chloro-5-[6-oxo-l-(6-oxo-2-trifluoromethyl-l,6-dihydro-pyrimidin-5- ylmethyl)-4- trifluoromethyl- 1 ,6-dihydro-pyrimidin-5-yloxy] -benzonitrile
Figure imgf000172_0001
The title compound was prepared by following Steps 3-6 of Example 130 and using the corresponding ethyl-4-methoxy-2-(trifluoromethyl)pyrimidine-5-carboxylate in Step 3 in place of (2-(tert-butyl)-4-methoxypyrimidin-5-yl)methanol.
MS (ESI) m/z 492, 494
1H NMR: (DMSO-i/^OO MHz) δ 8.74 (s, 1H), 8.53 (s, 1H), 7.72 (t, J= 1.2 Hz, 1H), 7.66 (q, J= 1.2 Hz, 1H), 7.63 (t, J= 2.0 Hz, 1H), 5.04 (s, 2H).
Example 132:
3- chloro-5-((l-((2-(methylthio)-6-oxo-l,6-dihydropyrimidin-5-yl)methyl)-6-oxo- - (trifluor omethyl)- 1 ,6-dihydropyrimidin-5-yl)oxy)benzonitrile
Figure imgf000172_0002
Figure imgf000172_0003
To a solution of ethyl 4-chloro-2-(methylthio)pyrimidine-5-carboxylate (20 g, 86 mmol) in methanol (300 mL) was added MeONa (14 g, 258 mmol) by portions at room temperature for 24 hr. After finished, the mixture was diluted with water (500 mL), extracted with EtOAc (500 mL x 2), the organic layer was washed with water and brine, dried over sodium sulfate, filtered and concentrated. The crude product was purified by chromatography on silica gel (petroleum ether/ethyl acetate (10: 1 to 6: 1) as eluent) to afford ethyl 4-methoxy-2-(methylthio)pyrimidine-5-carboxylate (10 g).
MS (ESI) m/z 229 (M+H)+
Step 2: (4-methoxy-2-(methylthio)pyrimidin-5-yl)methanol
Figure imgf000173_0001
To a solution of ethyl 4-methoxy-2-(methylthio) pyrimidine-5-carboxylate (9 g, 39.4 mmol) in THF (200 mL) was added LiAlH4 (4.5 g, 118 mmol) by portion at -40 °C for 30 min. The reaction was quenched by addition of water (150 mL) and extracted with ethyl acetate (100 mL x 2). The combined organic extracts were dried over sodium sulfate, filtered and the solvent was evaporated under reduced pressure to give crude, which was purified by chromatography on silica gel (petroleum ether/ethyl acetate (5: 1 to 2: 1) as eluent) to afford (4-methoxy-2-(methylthio)pyrimidin-5-yl)methanol (2.5 g).
MS (ESI) m/z 187 (M+H)+
The title compound was subsequently prepared from the above intermediate by following similar procedures to Steps 2 and 3 of Example 4.
MS (ESI) m/z 470, 472 (M+H)+
1H NMR: (DMSO-i 6, 400 MHz) δ 12.99 (s, 1H), 8.70 (s, 1H), 7.89 (s, 1H), 7.72 (s, 1H), 7.66 (s, 1H), 7.63 (s, 1H), 4.81 (s, 2H), 2.43 (s, 3H).
Example 133:
3-chloro-5-((l-((2-methyl-6-oxo-l,6-dihydropyrimidin-5-yl)methyl)-6- (trifluoro methyl)- 1 ,6-dihydr opyrimidin-5-yl)oxy)benzonitrile
Figure imgf000173_0002
Step 1: 3-chloro-5-((l-((4-methoxy-2-(methylsulfonyl)pyrimidin-5-yl)methy
4- (trifluoromethyl)-l,6-dihydropyrimidin-5-yl)oxy)benzonitrile
Figure imgf000174_0001
To a solution of 3-chloro-5-((l-((4-methoxy-2-(methylthio)pyrimidin-5-yl)methyl) -6- oxo-4-(trifluoromethyl)- 1 ,6-dihydropyrimidin-5 -yl)oxy)benzonitrile (3.0 g, 6.39 mmol) in 50 mL of CH2CI2 was added m-CPBA (3.3 g, 19.1 mmol) and stirred for 20 hr at room temperature. The mixture was diluted with DCM, washed with NaOH (0.5 N, 50 mL), water and brine, dried over sodium sulfate, filtered and concentrated under reduced pressure to give 3-chloro-5-((l-((4-methoxy-2-(methylsulfonyl)pyrimidin-5- yl)methyl)-6-oxo-4-(trifluoromethyl)- 1 ,6-dihydropyrimidin-5-yl)oxy)benzonitrile (1.3 g).
MS (ESI) m/z 516, 518 (M+H)+
Step 2: 3-chloro-5-((l-((4-methoxy-2-methylpyrimidin-5-yl)methyl)-6- (trifluoromethyl)-l,6-dihydropyrimidin-5-yl)oxy)benzonitrile
Figure imgf000174_0002
To a solution of 3-chloro-5-((l-((4-methoxy-2-(methylsulfonyl)pyrimidin-5- yl)methyl) -6-oxo-4-(trifluoromethyl)- 1 ,6-dihydropyrimidin-5-yl)oxy)benzonitrile (200 mg, 0.38 mmol) in THF (10 mL) was added 3 M MeMgBr in diethyl ether (0.2 mL, 0.6 mmol) dropwise at room temperature. The mixture was stirred at r.t. for 2 hr. Then the reaction was quenched with water, extracted with ethyl acetate. The combined organic extracts were dried over sodium sulfate, filtered and concentrated under reduced pressure. The residue was purified by preparative TLC (petroleum ether/ethyl acetate (1 : 1.5) as eluent) to afford 3-chloro-5-((l-((4-methoxy-2- methylpyrimidin-5 -yl)methyl)-6-oxo-4-(trifluoromethyl)- 1 ,6-dihydropyrimidin-5 - yl)oxy)benzonitrile (64 mg).
MS (ESI) m/z 452, 454 (M+H)+
The title compound was subsequently prepared from the above intermediate by following a similar procedure to Step 3 of Example 7.
1HNMR (DMSO-dtf, 400 MHz) δ 8.72 (s, 1H), 8.00 (s, 1H), 7.73 (s, 1H), 7.66 (s, 1H), 7.64 (d, J=2.0 Hz, 1H), 4.87 (s, 2H), 2.36 (s, 3H).
MS (ESI) m/z 438, 440 (M+H)+
Example 134:
3-chloro-5-((4-cyclopropyl-6-oxo-l-((6-oxo-l,6-dihydropyridazin-3-yl)methyl)- l,6-dihydropyrimidin-5-yl)oxy)benzonitrile
Figure imgf000175_0001
By following similar procedures to Steps 3 and 4 of Example 13 and using the appropriate pyrimidinone in place of 3-chloro-5-((4-methyl-6-oxo-l,6- dihydropyrimidin-5-yl)oxy) benzonitrile, the title compound was prepared.
MS (ESI) m/z 395, 396 (M+H)+
1H NMR (DMSO-dtf, 500 MHz) δ 12.99 (s, 1H), 8.44 (s, 1H), 7.70 (s, 1H), 7.56-7.43 (m, 3H), 6.88 (d, J= 9.6 Hz, 1H), 5.03 (s, 2H), 1.32-1.22 (m, 1H), 1.06-0.83 (m, 4H).
Example 135:
3-chloro-5-((l-((2-hydroxy-6-oxo-l,6-dihydropyrimidin-5-yl)methyl)-6-oxo-4- (trifluoromethyl)- 1 ,6-dihydropyrimidin-5-yl)oxy)benzonitrile
Figure imgf000176_0001
Step 1: 3-Chloro-5-[l-(2,4-dimethoxy-pyrimidin-5-ylmethyl)-6- trifluoromethyl- 1 ,6-dihydro-pyrimidin-5-yloxy] -benzonitrile
Figure imgf000176_0002
To a solution of 3-chloro-5-((l-((4-methoxy-2- (methylsulfonyl)pyrimidin-5- yl)methyl)- 6-oxo-4-(trifluoromethyl)- 1 ,6-dihydropyrimidin-5-yl)oxy)benzonitrile (200 mg, 0.38 mmol) in THF (10 mL) was added NaOMe (150 mg, 2.7 mmol) at room temperature. The mixture was stirred at r.t. for 1.5 hr. Then the reaction was quenched with water, extracted with ethyl acetate. The combined organic extracts were dried over sodium sulfate, filtered and concentrated under reduced pressure.
The residue was purified by preparative TLC (petroleum ether/ethyl acetate (1 : 1.5) as eluent) to afford 3-Chloro-5-[l-(2,4-dimethoxy -pyrimidin-5-ylmethyl)-6-oxo-4- trifluoromethyl- 1 ,6-dihydro-pyrimidin-5-yloxy]-benzonitrile (45 mg).
MS (ESI) m/z 468, 470 (M+H)+
The title compound was subsequently prepared using the above intermediate and following a similar procedure to that given for Step 3 of Example 7.
1H NMR: (DMSO-i 6, 400 MHz) δ 11.24 (s, 1H), 10.98 (s, 1H), 8.64 (s, 1H), 7.72 (s, 1H), 7.67 (s, 1H), 7.63 (s, 1H), 7.52 (s, 1H), 4.69 (s, 2H).
MS (ESI) m/z 440, 442 (M+H)+ Example 136:
3-chloro-5-((6-oxo-l-((6-oxo-l,6-dihydropyrimidin-5-yl)methyl)-4- (trifluoromethyl)- 1 ,6-dihydropyrimidin-5-yl)oxy)benzonitrile
Figure imgf000177_0001
Step 1: (4-methoxy-2-(methylsulfonyl)pyrimidin-5-yl)methanol
Figure imgf000177_0002
To a stirred solution of (4-methoxy-2-(methylthio)pyrimidin-5-yl)methanol (1.0 g, 5.35 mmol) in 30 mL of dry dichloromethane was added m-CPBA (2.8 g, 16.04 mmol). The mixture was stirred for 20 hr at room temperature, diluted with dichloromethane, washed with NaOH (0.5 N, 50 mL), water and aqeous Na2S03 , dried over sodium sulfate, filtered and concentrated under reduced pressure. The crude product was purified by preparative TLC (ethyl acetate as eluent) to afford (4- methoxy-2-(methylsulfonyl) pyrimidin-5-yl)methanol (240 mg).
MS (ESI) m/z 219 (M+H)+
Step 2: (4-methoxypyrimidin-5-yl)methanol
Figure imgf000177_0003
To a solution of (4-methoxy-2-(methylsulfonyl)pyrimidin-5-yl)methanol (174 mg, 0.79 mmol) in 10 mL of dry ethanol was added NaBH4 (61 mg, 1.59 mmol) and the mixture was stirred for 50 mins at room temperature. The mixture was quenched with water, extracted with ethyl acetate. The combined organic layers were dried, filtered and concentrated under reduced pressure. The residue was purified by preparative TLC (ethyl acetate as eluent) to afford (4-methoxypyrimidin-5-yl)methanol (60 mg). MS (ESI) m/z 141 (M+H)+ The title compound was subsequently prepared from the above intermediate, (4- methoxy pyrimidin-5-yl)methanol , by following similar procedures to Steps 2 and 3 of Example 4.
1HNMR (DMSO-dtf, 400 MHz) δ 8.73 (s, 1H), 8.48 (s, 1H), 8.02 (s, 1H), 7.72 (s, 1H), 7.66 (s, 1H), 7.64 (s, 1H), 4.87 (s, 2H).
MS (ESI) m/z 424, 426 (M+H)+
Example 137:
3-chloro-5-((l-((2-(methylamino)-6-oxo-l,6-dihydropyrimidin-5-yl)methyl)-6- oxo-4-(trifluoromethyl)- 1 ,6-dihydr opyrimidin-5-yl)oxy)benzonitrile
Figure imgf000178_0001
Step 1: ethyl 4-((4-methoxybenzyl)oxy)-2-(methylthio)pyrimidine-5-carboxylate
Figure imgf000178_0002
To a solution of ethyl 4-chloro-2-(methylthio)pyrimidine-5-carboxylate (40 g, 172 mmol) in THF (600 mL) was added PMBONa (545 g, 343 mmol) in portions. The mixture was stirred at room temperature for 2 hr. The mixture was quenched with water (500 mL) and extracted with ethyl acetate (500 mL x 2). The organic layer was washed with water and brine, dried over sodium sulfate, filtered and the filtrate was concentrated under reduced pressure. The crude product was purified by
chromatography on silica gel (petroleum ether: ethyl acetate (10: 1 to 5: 1) as eluent) to afford ethyl 4-((4-methoxybenzyl)oxy)-2-(methylthio)pyrimidine-5-carboxylate (20 g).
MS (ESI) m/z 335 (M+H)+
Step 2: (4-((4-methoxybenzyl)oxy)-2-(methylthio)pyrimidin-5-yl)methanol
Figure imgf000179_0001
To a solution of ethyl 4-((4-methoxybenzyl)oxy)-2-(methylthio)pyrimidine -5- carboxylate (21 g, 62.7 mmol) in THF (500 mL) was added LiAlH4 (7.14 g, 188 mmol) in portions at -40 C. The resulting mixture was stirred for 45 min, quenched with water (10 mL) and extracted with ethyl acetate (500 mL). The organic layer was dried over sodium sulfate, filtered and concentrated under reduced pressure. The residue was purified by chromatography on silica gel (petroleum ether/ethyl acetate (5: 1 to 2: 1) as eluent) to afford (4-((4-methoxybenzyl)oxy -2-(methylthio) pyrimidin- 5-yl)methanol (7.5 g).
MS (ESI) m/z 293 (M+H)+
Step 3: 3-chloro-5-((l-((4-((4-methoxybenzyl)oxy)-2-(methylthio)pyrimidin-5- yl)methyl) -6-oxo-4-(trifluoromethyl)-l , 6-dihydropyrimidin-5-yl)oxy)benzonitrile
Figure imgf000179_0002
To a solution of (4-((4-methoxybenzyl)oxy)-2-(methylthio)pyrimidin -5-yl)methanol (4.0 g, 14.4 mmol), 3-chloro-5-(6-oxo-4-trifluoromethyl-l,6-dihydro-pyrimidin-5- yloxy)-benzonitrile (as described in Step 5 of Example 1) (5.0 g, 15.9 mmol) and triphenylphosphine (7.5 g, 28.8 mmol) in 150 mL of anhydrous dichloromethane was added DEAD (5.0 g, 28.8 mmol) at -40 C under a nitrogen atmosphere. The resulting mixture was stirred for 2 hr at room temperature and then concentrated under reduced pressure. The crude product was purified by chromatography on silica gel (petroleum ether: ethyl acetate (10: 1 to 5: 1) as eluent) to afford 3-chloro-5- ((1- ((4-((4-methoxybenzyl)oxy)-2-(methylthio)pyrimidin-5-yl)methyl)-6-oxo-4- (trifluoromethyl)- 1 ,6-dihydropyrimidin-5 -yl)oxy)benzonitrile (8.8 g) which was used without further purification.
MS (ESI) m/z 590, 592 (M+H)+ Step 4: 3-chloro-5-((l-((4-((4-methoxybenzyl)oxy)-2-(methylsulfonyl)pyrimidin methyl)- -oxo-4-(trifluoromethyl)-l,6-dihydropyrimidin-5-yl)oxy)benzonitrile
Figure imgf000180_0001
To a solution of 3-chloro-5-((l-((4-((4-methoxybenzyl)oxy)-2-(methylthio)pyrimidin- 5-yl) methyl)-6-oxo-4-(trifluoromethyl)- 1 ,6-dihydropyrimidin-5-yl)oxy)benzonitrile (4.0 g, 6.78 mmol) in 100 mL of dichloromethane was added m-CPBA (3.5 g, 20.3 mmol). The mixture was stirred for 5 hr at room temperature. The mixture was diluted with dichloromethane, washed with NaOH (0.5 N, 100 mL), water, aq.
Na2S03 and brine, dried over sodium sulfate, filtered and concentrated under reduced pressure to give 3-chloro-5-((l-((4-((4-methoxybenzyl)oxy)-2- (methylsulfonyl)pyrimidin-5 -yl)methyl)-6-oxo-4-(trifluoromethyl)- 1,6- dihydropyrimidin-5-yl)oxy)benzonitrile (3.0 g).
MS (ESI) m/z 622, 624 (M+H)+
Step 5: 3-chloro-5-((l-((4-((4-methoxybenzyl)oxy)-2-(methylamino)pyrimidin-5- yl)methyl) -6-oxo-4-(trifluoromethyl)-l , 6-dihydropyrimidin-5-yl)oxy)benzonitrile
Figure imgf000180_0002
To a solution of 3-chloro-5-((l-((4-((4-methoxybenzyl)oxy)-2-(methylsulfonyl) pyrimidin-5 -yl)methyl)-6-oxo-4-(trifluoromethyl)- 1 ,6-dihydropyrimidin-5 - yl)oxy)benzonitrile (200 mg, 0.32 mmol) in THF (5 mL) was added 2M MeNH2 in methanol (0.7 mL, 1.28 mmol) at room temperature and the mixture was stirred at r.t. for 36 hr. The mixture was concentrated under reduced pressure and purified by preparative TLC (petroleum ether/ethyl acetate (l : l)as eluent) to afford 3-chloro-5- ((l-((4-((4-methoxybenzyl)oxy)-2-(methylamino)pyrimidin -5-yl)methyl)-6- (trifluoromethyl)- 1 ,6-dihydropyrimidin-5-yl)oxy)benzonitrile (70 mg).
MS (ESI) m/z 573, 575 (M+H)+
Step 6: 3-chloro-5-((l-((2-(methylamino)-6-oxo-l,6-dihydropyrimidin-5-yl)methyl)- 6-OXO-4- (trifluoromethyl)- 1 ,6-dihydropyrimidin-5-yl)oxy)benzonitrile
Figure imgf000181_0001
To a solution of 3-chloro-5-((l-((4-((4-methoxybenzyl)oxy)-2- (methylamino)pyrimidin -5-yl)methyl)-6-oxo-4-(trifluoromethyl)- 1 ,6- dihydropyrimidin-5-yl)oxy)benzonitrile (50 mg, 0.08 mmol) in a mixture solvent of acetonitrile (15 mL) and H20 (7 mL) was added CAN (143 mg, 0.26 mmol) at room temperature. The reaction mixture was stirred at r.t. for 48 hr. The mixture was concentrated under reduced pressure and purified by preparative HPLC to afford 3- chloro-5-((l-((2-(methylamino)-6-oxo-l,6-dihydropyrimidin-5-yl)methyl)-6-oxo-4- (trifluoromethyl)-l,6-dihydropyrimidin-5-yl)oxy)benzonitrile (12 mg).
1H NMR (Methanol-^, 400MHz): δ 8.62 (s, 1H), 7.80 (s, 1H), 7.53 (s, 1H), 7.39 (s, 1H), 7.30 (s, 1H), 4.89 (s, 2H), 2.98 (s, 3H).
MS (ESI) m/z 453, 455 (M+H)+
By following similar procedures to Steps 1-5 of Example 137 and using sodium methoxide in methanol in Step 1 in place of the PMBONa in THF, the following compound was also synthesized and characterized as indicated in the table below,
Figure imgf000181_0002
dihy dropyrimidin-5 - 3.93 (s, 3H), 2.85 (s, 3H).
yl)oxy)benzonitrile
Starting with 3-chloro-5-((l-((4-((4-methoxybenzyl)oxy)-2- (methylsulfonyl)pyrimidin-5-yl) methyl)-6-oxo-4-(trifluoromethyl)-l,6- dihy dropyrimidin-5 -yl)oxy)benzonitrile, Examples 139-145 in the table below prepared using similar procedures to Steps 5 and 6 of Example 137.
Figure imgf000182_0001
Figure imgf000183_0001
Example 146:
3-chloro-5-((l-((2-(4-fluorophenyl)-6-oxo-l,6-dihydropyrimidin-5-yl)
oxo-4-(trifluoromethyl)-l,6-dihydropyrimidin-5-yl)oxy)benzonitrile
Figure imgf000184_0001
Step 1: 3-chloro-5-((l-((2-(4-fluorophenyl)-4-((4-methoxybenzyl)oxy)pyrimidin-5- yl)methyl) -6-oxo-4-(trifluoromethyl)-l , 6-dihydropyrimidin-5-yl)oxy)benzonitrile
Figure imgf000184_0002
A mixture of 3-chloro-5-((l-((4-((4-methoxybenzyl)oxy)-2-(methylthio)pyrimidin-5- yl) methyl)-6-oxo-4-(trifluoromethyl)- 1 ,6-dihydropyrimidin-5-yl)oxy)benzonitrile (200 mg, 0.33 mmol), (4-fluorophenyl)boronic acid (50 mg, 0.33 mmol), CuTC (129 mg, 0.67 mmol) and Pd(PPh3)4 (40 mg, 0.03 mmol) in THF (20 mL) was stirred for 2 hr at 90 C under a nitrogen atmosphere. After cooling to r.t., the mixture was concentrated under reduced pressure and purified by preparative TLC (petroleum ether/ethyl acetate (2: 1) as eluent) to afford 3-chloro-5-((l-((2-(4-fluorophenyl)-4-((4- methoxybenzyl)oxy)pyrimidin-5-yl)methyl) -6-oxo-4-(trifluoromethyl)- 1 ,6- dihydropyrimidin-5-yl)oxy)benzonitrile (120 mg).
MS (ESI) m/z 638, 640 (M+H)+
The title compound was subsequently prepared from the above intermediate by following a similar procedure to Step 6 of Example 137.
1HNMR (DMSO-i 6, 400 MHz) δ 8.78 (s, 1H), 8.08-8.11 (m, 3H), 7.72 (s, 1H), 7.67 (s, 1H), 7.64 (s, 1H), 7.33 (t, J = 8.8 Hz, 2H), 4.91 (s, 2H).
MS (ESI) m/z 518, 520 (M+H)+ By substituting the appropriate boronic acid in Step 1, Examples 147 - 153 in the table below were prepared in an analogous manner to Example 146
Figure imgf000185_0001
Figure imgf000186_0001
yl)oxy)benzonitrile Example 154:
5-((5-(3-chloro-5-cyanophenoxy)-6-oxo-4-(trifluoromethyl)pyrimidin-l(6H)- yl)methyl)-6-oxo- 1 ,6-dihydropyrimidine-2-carboxamide
Figure imgf000187_0001
Step 1: 5-(((tert-butyldiphenylsilyl)oxy)methyl)-4-((4-methoxybenzyl)oxy)-2- (methylthio) pyrimidine
Figure imgf000187_0002
A mixture of (4-((4-methoxybenzyl)oxy)-2-(methylthio)pyrimidin-5-yl)methanol (4.33 g, 14.8 mol), TBDPSC1 (4.47 g, 16.3 mol) and imidazole (2.02 g, 29.7 mol) in THF (450 mL) was stirred at 20 C for 2 hr. The reaction mixture was quenched with
100 mL of H20 and extracted with ethyl acetate (200 mL><3). The combined organic extracts were dried over sodium sulfate, filtered and concentrated under reduced pressure to give 5-(((tert-butyldiphenylsilyl)oxy)methyl)-4-((4-methoxybenzyl)oxy)- 2-(methylthio)pyrimidine (8 g) was used without further purification.
MS (ESI) m/z 531 (M+H)+.
Step 2: 5-(((tert-butyldiphenylsilyl)oxy)methyl)-4-((4-methoxybenzyl)oxy)-2- (methylsulfonyl)pyrimidine
Figure imgf000187_0003
A mixture of 5-(((tert-butyldiphenylsilyl)oxy)methyl)-4-((4-methoxybenzyl)oxy) -2- (methylthio)pyrimidine (3 g, 5.65 mmol) and m-CPBA (3.90 g, 22.6 mmol) in dichloromethane (10 mL) was stirred at r.t. for 2 hr. After the reaction was complete, the mixture was quenched by 100 mL of Na2S03 and extracted with dichloromethane (20 mL><3). The combined organic extracts were washed with NaHC03 solution, dried over sodium sulfate, filtered and concentrated under reduced pressure to give the desired product 5-(((tert-butyldiphenylsilyl)oxy)methyl)-4-((4- methoxybenzyl)oxy)-2-(methylsulfonyl)pyrimidine (2.95 g).
MS (ESI) m/z 563 (M+H)+ Step 3: 5-(((tert-butyldiphenylsilyl)oxy)methyl)-4-((4-methoxybenzyl)oxy)pyrimidine - 2-carbonitrile
Figure imgf000188_0001
To a solution of 5-(((tert-butyldiphenylsilyl)oxy)methyl)-4-((4-methoxybenzyl)oxy)- 2- (methylsulfonyl)pyrimidine (2.95 g, 5.24 mmol) in DMSO (50 mL) was added KCN (0.37 g, 5.76 mmol). Then the mixture was stirred at 60 C for 16 hr. After cooling, the mixture was diluted with water and extracted with ethyl acetate. The combined organic extracts were washed with NaHC03 solution, dried over sodium sulfate, filtered and concentrated under reduced pressure. The residue was purified by chromatography on silica gel (petroleum ether/ethyl acetate (5: 1 to 3: 1) as eluent) to give 5-(((tert-butyl diphenylsilyl)oxy) methyl)-4-((4-methoxybenzyl)oxy)pyrimidine- 2-carbonitrile (1.95 g).
1H NMR (CDC13, 400 MHz) δ 8.74 (s, 1H), 7.59-7.61 (m, 4H), 7.34-7.42 (m, 8H), 6.83 (d, J= 8.8 Hz, 2H), 5.30 (s, 2H), 4.69 (s, 2H), 3.77 (s, 3H), 1.05 (s, 9H).
MS (ESI) m/z 510 (M+H)+
Step 4: 5-(((tert-butyldiphenylsilyl)oxy)methyl)-4-((4-methoxybenzyl)oxy)pyrimidine - 2-carboxamide
Figure imgf000188_0002
To a solution of 5-(((tert-butyldiphenylsilyl)oxy)methyl)-4-((4-methoxybenzyl) oxy)pyrimidine-2-carbonitrile (0.3 g, 0.59 mmol) in THF/H20 (3 mL/3 mL) were added H202 (30 wt.% in H20) (106 mg, 2.94 mmol) and NaOH (71 mg, 1.76 mmol). Then the mixture was stirred at r.t. for 3 hr. The mixture was diluted with water and extracted with ethyl acetate (100 mL x 3). The combined organic extracts were washed with Na2S03 solution, dried over magnesium sulfate, filtered and concentrated under reduced pressure to give the desired product 5-(((tert- butyldiphenylsilyl)oxy)methyl)-4-((4-methoxybenzyl)oxy)pyrimidine-2-carboxamide (280 mg).
MS (ESI) m/z 528 (M+H)+.
Step 5: 5- (hydroxymethyl)-4- ( ( 4-methoxybenzyl)oxy)pyrimidine-2-carboxamide
Figure imgf000189_0001
To a solution of 5-(((tert-butyldiphenylsilyl)oxy)methyl)-4-((4-methoxybenzyl)oxy) pyrimidine-2-carboxamide (0.28 g, 0.53 mmol) in THF (5 mL) was added TBAF (0.69 g, 2.65 mmol). The reaction mixture was stirred at r.t. for 2 hr. After the reaction was completed, the solution was diluted with ethyl acetate (50 mL). The organic layer was wash with dilute HCl, dried over sodium sulfate, filtered and concentrated under reduced pressure to give 5-(hydroxymethyl)-4-((4- methoxybenzyl)oxy)pyrimidine-2-carboxamide (96 mg).
MS (ESI) m/z 290 (M+H)+.
Step 6: 5-((5-( 3-chloro-5-cyanophenoxy)-6-oxo-4- (rifluoromethyl)pyrimidin-l ( 6H)- yl) methyl)-4- ( ( 4-methoxybenzyl)oxy)pyrimidine-2-carboxamide
Figure imgf000189_0002
The above intermediate was prepared from 5-(((tert-butyldiphenylsilyl) oxy)methyl)- 2-(l-ethoxyvinyl)-4-((4-methoxybenzyl)oxy)pyrimidine following a similar procedure to Step 2 of Example 4.
MS (ESI) m/z 587, 589 (M+H)+
Step 7: 5-((5-(3-chloro-5-cyanophenoxy)-6-oxo-4-(trifluoromethyl)pyrimidin -1(6H)- yl)methyl)-6-oxo- 1 ,6-dihydropyrimidine-2-carboxamide
Figure imgf000190_0001
To a solution of 5-((5-(3-chloro-5-cyanophenoxy)-6-oxo-4-(trifluoromethyl) pyrimidin-l(6H)-yl)methyl)-4-((4-methoxybenzyl)oxy)pyrimidine-2-carboxamide (120 mg, 0.20 mmol) in 1 ,4-dioxane (2 mL) was added HCl/methanol solution (2 mL, 4 M). The mixture was stirred at room temperature for 2 hr. The solvent was removed under reduced pressure. The residue was purified by preparative HPLC to give the desired product 5-((5-(3-chloro-5-cyanophenoxy)-6-oxo-4- (trifluoromethyl)pyrimidin- 1 (6H)-yl)methyl)-6-oxo- 1 ,6-dihydropyrimidine-2- carboxamide (37 mg).
1HNMR (DMSO-i 6, 400MHz) δ 8.74 (s, 1H), 8.31 (s, 1H), 8.06 (s, 1H), 7.97 (s,lH), 7.72 (s, 1H), 7.66 (s, 1H), 7.62 (t, J = 2.0 Hz, 1H), 4.87 (s, 2H).
MS (ESI) m/z 467, 469 (M+H)+
Example 155:
5-((5-(3-chloro-5-cyanophenoxy)-6-oxo-4-(trifluoromethyl)pyrimidin-l(6H)- yl)methyl)-6-oxo- 1 ,6-dihydropyrimidine-2-carbonitrile
Figure imgf000190_0002
The title compound was prepared from 5-(((tert-butyldiphenylsilyl)oxy)methyl)-4- ((4-methoxybenzyl)oxy)pyrimidine-2-carbonitrile (Step 3 of Example 154) using procedures similar to Steps 5-7 of Example 154.
MS (ESI) m/z 449, 451 (M+H)+
1H NMR: (DMSO-i 6, 400MHz)
δ 8.73 (s, 1H), 8.38 (s, 1H), 7.73 (s, 1H), 7.67 (s, 1H), 7.65 (d, J=2.0 Hz, 1H), 5.00 (s, 2H). Example 156:
3-((l-((2-acetyl-6-oxo-l,6-dihydropyrimidin-5-yl)methyl)-6-oxo-4-
(trifluoromethyl)- l,6-dihydropyrimidin-5-yl)oxy)-5-chlorobenzonitrile
Figure imgf000191_0001
Step 1: 5-(((tert-butyldiphenylsilyl)oxy)methyl)-2-(l-ethoxyvinyl)-4- ((4- methoxybenzyl)oxy)pyrimidine
Figure imgf000191_0002
To a solution of 5-(((tert-butyldiphenylsilyl)oxy)methyl)-4-((4-methoxybenzyl)oxy) - 2-(methylthio)pyrimidine (1 g, 1.89 mmol), tributyl(l-ethoxyvinyl)stannane (1.5 g, 4.15 mmol) and CuBr.Me2S (0.87 g, 4.15 mmol) in THF (15 mL) was added
Pd(PPli3)4 (0.22 g, 0.19 mmol). The mixture was stirred at reflux for 16 hr under a nitrogen atmosphere. After cooling, the mixture was added water (10 mL), and extracted with ethyl acetate (10 mL x 3). The combined organic extracts were washed with brine, dried over anhydrous sodium sulfate, filtered and concentrated under reduced pressure. The residue was purified by silica gel column (petroleum ether/ethyl acetate (10: 1) as eluent) to afford 5-(((tert-butyldiphenylsilyl)oxy)methyl)- 2-(l-ethoxyvinyl)-4-((4-methoxybenzyl)oxy)pyrimidine (0.63 g) as a light yellow solid.
MS (ESI) m/z 528 (M+H)+.
Step 2: (2-(l-ethoxyvinyl)-4-((4-methoxybenzyl)oxy)pyrimidin-5-yl)methanol
Figure imgf000191_0003
The above intermediate was prepared from 5-(((tert-butyldiphenylsilyl)oxy)methyl) - 2-(l-ethoxyvinyl)-4-((4-methoxybenzyl)oxy)pyrimidine by following a similar procedure to Step 5 of Example 154.
Step 3: (2-(l-ethoxyvinyl)-4-((4-methoxybenzyl)oxy)pyrimidin-5-yl)methyl methanesulfonate
Figure imgf000192_0001
The above intermediate was prepared from (2-(l-ethoxyvinyl)-4-((4-methoxybenzyl) oxy)pyrimidin-5-yl) methanol by following a similar procedure to Step 1 of Example 2.
MS (ESI) m/z 275 (M+H)+
Step 4: 3-chloro-5-((l-((2-(l-ethoxyvinyl)-4-((4-methoxybenzyl)oxy)pyrimidin-5- yl)methyl) -6-oxo-4-(trifluoromethyl)-l , 6-dihydropyrimidin-5-yl)oxy)benzonitrile
Figure imgf000192_0002
The above intermediate was prepared from (2-(l-ethoxyvinyl)-4-((4-methoxybenzyl) oxy)pyrimidin-5-yl)methylmethanesulfonate by following a similar procedure to Step 2 of Example 2.
MS (ESI) m/z 614, 616 (M+H)+
The title compound was prepared from 3-chloro-5-((l-((2-(l-ethoxyvinyl)-4-((4- methoxybenzyl)oxy)pyrimidin-5 -yl)methyl)-6-oxo-4-(trifluoromethyl)- 1,6- dihydropyrimidin-5-yl)oxy)benzonitrile by following a similar procedure to Step 7 of Example 154.
1HNMR (DMSO-i 6, 400MHz) δ 8.75 (s, 1H), 8.08 (s, 1H), 7.73 (s, 1H), 7.67 (s, 1H), 7.65 (d, J = 2.0 Hz, 1H), 4.91 (s, 2H), 2.47 (s, 3H).
MS (ESI): m/z 466, 468 (M+H)+ Example 157:
3-chloro-5-((l-((2-(difluoromethyl)-6-oxo-l,6-dihydropyrimidin-5-yl)] oxo-4-(trifluoromethyl)-l,6-dihydropyrimidin-5-yl)oxy)benzonitrile
Figure imgf000193_0001
A mixture of ethyl 2,4-dichloropyrimidine-5-carboxylate (20 g, 91 mmol) and MeONa (9.8 g, 182 mmol) in methanol (200 mL) was stirred at r.t. for 2 hr. After finished, the mixture was concentrated under reduced pressure and then 200 mL of water was added. The product was extracted with ethyl acetate (100 mL x 3). The combined organic extracts were dried over sodium sulfate, filtered and concentrated under reduced pressure. The crude product was purified by column chromatography on silica gel (petroleum ether/ethyl acetate (100: 1 to 20: 1) as eluent) to give a 1 : 1 mixture of ethyl 2-chloro-4-methoxypyrimidine-5-carboxylate and ethyl 4-chloro-2- methoxypyrimidine-5-carboxylate (12 g).
MS (ESI) m/z 217, 219 (M+H)+
Step 2: (2-chloro-4-methoxypyrimidin-5-yl)methanol
Figure imgf000193_0002
To a solution of ethyl 2-chloro-4-methoxypyrimidine-5-carboxylate and ethyl 4- chloro-2-methoxypyrimidine-5-carboxylate (6 g, 27.8 mmol) in THF (60 mL) was added DIBAL-H (55 mmol, 55 mL, 1.0 M) dropwise at -78 C under a nitrogen atmosphere, the mixture was stirred at -78 C for 30 min. The temperature was allowed to rise to room temperature and stirring continued for a further 4 hr. The solution was quenched with aqueous potassium carbonate (150 mL) and extracted with ethyl acetate (300 mL x 3). The combined organic extracts were washed with brine, dried over sodium sulfate and concentrated under reduced pressure. The crude product was purified by column chromatography (petroleum ether/ethyl acetate (10: 1 to 2:1) as eluent) to give (2-chloro-4-methoxypyrimidin-5-yl)methanol (1.8 g).
MS (ESI) m/z 175, 177 (M+H)+
Step 3: 5-(((tert-butyldiphenylsilyl)oxy)methyl)-2-chloro-4-methoxypyrimidine
Figure imgf000194_0001
The above intermediate was prepared from (2-chloro-4-methoxypyrimidin-5- yl)methanol by following a similar procedure to Step 1 of Example 154.
MS (ESI) m/z 413, 415 (M+H)+
St -(((tert-butyldiphenylsilyl)oxy)methyl)-4-methoxy-2-vinylpyrimidine
Figure imgf000194_0002
To a solution of 5-(((tert-butyldiphenylsilyl)oxy)methyl)-2-chloro-4- methoxypyrimidine (1.5 g, 3.64 mmol) in 1 ,4-dioxane/H20 (5 mL l\ mL) was added 4,4,5, 5-tetramethyl-2-vinyl -1,3,2-dioxaborolane (0.66 g, 4.37 mmol), Pd(dppf)Cl2 (270 mg, 0.36 mmol) and potassium carbonate (1.12 g, 7.28 mmol). The mixture was stirred at 100 C for 4 hr. After cooling, the mixture was quenched with water (20 mL) and extracted with ethyl acetate (20 mL x 3). The combined organic extracts were dried over sodium sulfate, filtered and concentrated under reduced pressure to give 5-(((tert-butyldiphenylsilyl)oxy)methyl)-4-methoxy-2- vinylpyrimidine (1.12 g). MS (ESI) m/z 405 (M+H)+
Step 5: 5-(((tert-butyldiphenylsilyl)oxy)methyl)-4-methoxypyrimidine-2-carbaldehyde
Figure imgf000194_0003
To a solution of 5-(((tert-butyldiphenylsilyl)oxy)methyl)-4-methoxy-2- vinylpyrimidine (2.63 g, 6.51 mmol) in dichloromethane/methanol (120 mL /40 mL) was bubbled 03 (gas) at -78 C. After the solution turned blue, the mixture was stirred at this temperature for 10 min. N2 was bubbled to degas the O3. The mixture was quenched by addition of Me2S and the mixture was concentrated under reduced pressure. The residue was purified by silica gel column (petroleum ether/ethyl acetate (100: 1 to 10: 1) as eluent) to give 5-(((tert-butyldiphenylsilyl)oxy)methyl)-4- methoxypyrimidine-2-carbaldehyde (1.8 g).
MS (ESI) m/z 407 (M+H)+
Step 6: 5-(((tert-butyldiphenylsilyl)oxy)methyl)-2-(dtfluoromethyl)-4- methoxypyrimidine
Figure imgf000195_0001
The above intermediate was prepared from 5-(((tert-butyldiphenylsilyl)oxy)methyl)- 4- methoxypyrimidine-2-carbaldehyde by following a procedure similar to Step 9 of Example 144.
MS (ESI) m/z 429 (M+H)+. The title compound was subsequently prepared from the above intermediate using similar procedures to Step 5 of Example 154 followed by Steps 1-2 of Example 2 and Step 10 of Example 128.
1H NMR: (400 MHz, DMSO-I) δ 8.73 (s, 1H), 8.14 (s, 1H), 7.72 (s, 1H),7.67 (s, 1H), 7.64 (s, 1H), 6.71 (t, J=13.2 Hz, 1H), 4.92 (s, 2H).
MS (ESI) m/z 474, 476 (M+H) + Example 158:
3-chloro-5-((6-oxo-l-((6-oxo-2-(lH-pyrrolo[2,3-b]pyridin-4-yl)-l,6- dihydropyrimidin-5-yl)methyl)-4-(trifluoromethyl)-l,6-dihydropyrimidin-5- yl)oxy)benzonitrile
Figure imgf000196_0001
Step 1: 3-chloro-5-((l-((2-chloro-4-methoxypyrimidin-5-yl)methyl)-6- ( trifluoromethyl) -1, 6-dihydropyrimidin-5-yl)oxy)benzonitrile
Figure imgf000196_0002
The above intermediate was prepared from (2-chloro-4-methoxypyrimidin-5- yl)methanol and 3 -chloro-5 -((6-oxo-4-(trifluoromethyl)- 1 ,6-dihydropyrimidin-5 - yl)oxy)benzonitrile according to the procedure given for Step 2 of Example 5.
MS (ESI) m/z 472, 473, 474 (M+H)+
Step 2: 3 -chloro-5- ((!-(( 4-methoxy-2- ( lH-pyrrolo[ 2, 3-b] pyridin-4-yl)pyrimidin methyl)-6-oxo-4-(trifluoromethyl)-l,6-dihydropyrimidin-5-yl)oxy)benzonitrile
Figure imgf000196_0003
To a solution of 3 -chloro-5 -((l-((2-chloro-4-methoxypyrimidin-5-yl)methyl) -6-oxo- 4-(trifluoromethyl)-l,6-dihydropyrimidin-5-yl)oxy)benzonitrile (155 mg, 0.328 mmol), 4-(4,4,5,5-tetramethyl-l,3,2-dioxaborolan-2-yl)-lH-pyrrolo[2,3-b]pyridine (88 mg, 0.361 mmol) and potassium carbonate (91 mg, 0.657 mmol) in 1,4-dioxane / H20 (6.3 mL, V / V = 20: 1) was added Pd(dppf)Cl2 (24 mg, 0.033 mmol). The mixture was stirred at 100 C for 1 h under a nitrogen atmosphere. After cooling, the mixture was added water (10 mL), and extracted with ethyl acetate (10 mL x 3). The combined organic extracts were washed with brine, dried over anhydrous sodium sulfate, filtered and concentrated under reduced pressure to give 3-chloro-5-((l-((4- methoxy-2-(lH-pyrrolo[2,3-b]pyridine -4-yl)pyrimidin-5-yl)methyl)-6-oxo-4- (trifluoromethyl)- 1 ,6-dihydropyrimidin-5-yl)oxy)benzonitrile (181 mg).
MS (ESI) m/z 554, 556 (M+H)+
The above intermediate was used to prepare the title compound by following a similar procedure to Step 3 of Example 7.
1H NMR (OMSO-d6, 400 MHz): δ 11.97 (s, 1H), 8.84 (s, 1H), 8.35 (d, J= 5.2 Hz, 1H), 8.22 (d, J= 12.8 Hz, 1H), 7.69-7.76 (m, 3H), 7.63 (t, J= 2.8 Hz, 2H), 6.95 (s, 1H), 5.00 (s, 2H).
MS (ESI): m/z 540, 542 (M+H)+
Example 159:
3-chloro-5-((l-((2-(4-(difluoromethoxy)phenyl)-6-oxo-l,6-dihydropyrimidin-5- yl)methyl)-6-oxo-4-(trifluoromethyl)-l,6-dihydropyrimidin-5-yl)oxy)benzonitrile
Figure imgf000197_0001
The title compound was prepared in an analogous manner to Example 158
MS (ESI) m/z 566, 568
1H NMR: (DMSO-i 6, 400 MHz) δ 8.79 (s, 1H), 8.11-8.13 (m, 3H), 7.74 (s, 1H), 7.69 (s, 1H), 7.66 (s, 1H), 7.37 (t, J= 73.6 Hz, 1H), 7.29 (d, J= 8.8 Hz, 2H), 4.93 (s 2H). Example 160:
3-chloro-5-((4-(difluoromethyl)-6-oxo-l-((6-oxo-l,6-dihydropyridazin-3-yl) methyl)-l,6-dihydropyrimidin-5-yl)oxy)benzonitrile
Figure imgf000198_0001
A mixture of sodium (2.91 g, 126.5 mmol) in methanol (70 mL) was stirred at r.t. for 30 min then formamidine acetate (6.3 g, 60 mmol) and ethyl 4,4-difluoro-3- oxobutanoate (5.0 g, 30.1 mmol) were added. The mixture was stirred at 80 C for 4 hr. After cooling to r.t., the mixture was acidified with HC1 to pH = 6 and extracted with ethyl acetate (200 mL><5). The combined organic layers were dried over sodium sulfate, filtered and concentrated under reduced pressure to give 6- (difluoromethyl)pyrimidin-4(3H)-one (4.0 g).
MS (ESI): m/z 147 (M+H) +
Step 2: 6-(difluoromethyl)pyrimidin
Figure imgf000198_0002
To a mixture of compound 6-(difluoromethyl)pyrimidin-4(3H)-one (2.0 g, 13.7 mmol) and AcOK (4.0 g, 41.4 mmol) in acetic acid (20 mL), Br2 (3.3 g, 20.5 mmol) was added under nitrogen atmosphere. The resulting mixture was stirred at 80 C for 4 hr. Then the mixture was poured into ice water and the precipitate was collected by filtration to give 5-bromo-6-(difluoromethyl)pyrimidin-4(3H)-one (1.1 g). MS (ESI): m/z 225, 221 (M+H) +
Step 3: 5-bromo-6-(difluoromethyl)-3-(4-methoxybenzyl)pyrimidin
Figure imgf000199_0001
A mixture of 5-bromo-6-(difluoromethyl)pyrimidin-4(3H)-one (1.01 g, 4.49 mmol), PMBC1 (735 mg, 4.71 mmol), potassium carbonate (1.24 g, 8.98 mmol) in DMF (10 mL) was stirred at r.t for 4 hr under nitrogen atmosphere. 15 mL of water was added and the precipitate was collected by filtration to give 5-bromo-6-(difluoromethyl)-3- (4-methoxybenzyl) pyrimidin-4(3H)-one (700 mg).
MS (ESI): m/z 345, 347 (M+H) +
Step 4: 3-chloro-5-((4-(difluoromethyl)-l-(4-methoxybenzyl)-6-oxo-l, 6- dihydropyrimidin -5-yl)oxy)benzonitrile
Figure imgf000199_0002
A mixture of 3-chloro-5-hydroxybenzonitrile (1.57 g, 11.6 mmol), 5-bromo-6-
(difluoromethyl)-3-(4-methoxybenzyl)pyrimidin-4(3H)-one (2.0 g, 5.81 mmol) and t- BuOK (1.43 g, 12.8 mmol) in NMP (10 mL) was stirred at 120 °C overnight. After cooling to r.t., the mixture was diluted with 20 mL of water and extracted with ethyl acetate (100 mL><3). The combined organic layers were dried over sodium sulfate, filtered and concentrated under reduced pressure. Then methanol (10 mL) was added and the precipitate was collected by filtration to afford 3-chloro-5-((4- (difluoromethyl)-l-(4-methoxybenzyl)-6- oxo-l,6-dihydropyrimidin-5- yl)oxy)benzonitrile (1.0 g).
MS (ESI): m/z 418, 420 (M+H) + Step 5: 3-chloro-5-((4-(dtfluoromethyl)-6-oxo- 1 , 6-dihydropyrimidin-5- yl)oxy)benzonitrile
Figure imgf000200_0001
A solution of compound 3-chloro-5-((4-(difluoromethyl)-l-(4-methoxybenzyl)-6-oxo -l,6-dihydropyrimidin-5-yl)oxy)benzonitrile (400 mg, 0.96 mmol) in TFA (5 mL) was stirred under microwave irradiation at 100 C for 10 min. After cooling to r.t, the mixture was concentrated under reduced pressure. Then methanol (10 mL) was added and the precipitate was collected by filtration to provide 3-chloro-5-((4- (difluoromethyl)- 6-oxo-l,6-dihydropyrimidin-5-yl)oxy) benzonitrile (270 mg).
MS (ESI): m/z 298, 300 (M+H) +
The title compound was prepared from the above intermediate by following similar procedures to Steps 2 and 3 of Example 7.
1H NMR (DMSO-dtf, 400 MHz): δ 12.92 (s, 1H), 8.66 (s, 1H), 7.72 (s, 1H ), 7.58 (s, 1H), 7.52 (s, 1H), 7.46 (d, J= 8.0 Hz, 1H), 6.98 (t, J = 52 Hz, 1H), 6.83 (s, 1H), 5.07 (s, 2H).
MS (ESI) m/z 406, 408 (M+H) +
Example 161:
2-fluoro-3-(6-oxo-l-((6-oxo-l,6-dihydropyridazin-3-yl)methyl)-4-(trifluoro methyl)- 1 ,6-dihydropyrimidin-5-yloxy)benzonitrile
Figure imgf000200_0002
The title compound was prepared in an analohgous manner to Example 161 by replacing 3-chloro-5-hydroxybenzonitrile with 2-fluoro-3-hydroxybenzonitrile in Step 4.
1H NMR: (DMSO-i 6, 400 MHz) δ 12.95 (s, 1H), 8.73 (s, 1H), 7.63 (t, J= 6.8 Hz, lH),7.27-7.47 (m, 3H), 6.85-6.87 (m, 1H), 5.09 (s, 2H).
MS (ESI) m/z 408 (M+H) +
Example 162: 3-chloro-5-(4-(difluoromethoxy)-6-oxo-l-((6-oxo-l,6- dihydropyridazin-3-yl)methyl)-l,6-dihydropyrimidin-5-yloxy)benzonitrile
Figure imgf000201_0001
To a solution of 3-chloro-5-hydroxybenzonitrile (14 g, 72 mmol) in acetone (150 mL) was added potassium carbonate (18 g, 130 mmol) and diethyl 2-chloromalonate (10 g,
65 mmol). The mixture was heated at 80 C for 2 hr. After cooling to r.t., the mixture was concentrated under reduced pressure to remove most of acetone, diluted with water, extracted with ethyl acetate. The combined organic layers were dried over anhydrous sodium sulfate, filtered and concentrated under reduced pressure to give diethyl 2-(3-chloro-5-cyanophenoxy)malonate (20 g) which was used without further purification.
Step 2: 3-chloro-5-((4-hydroxy-6-oxo-l, 6-dihydropyrimidin-5-yl)oxy)benzonitrile
Figure imgf000202_0001
To a solution of formamidine acetate (13.4 g, 128 mmol) in methanol (300 mL) was added MeONa (13.9 g, 256 mmol). After 5 min, diethyl 2-(3-chloro-5- cyanophenoxy)malonate (20 g, 64 mmol) was added. The resulting mixture was heated at 80 C for 1 hr. After cooling to r.t., the mixture was concentrated under reduced pressure. The residue was dissolved in water acidified to pH = 5 and extracted with ethyl acetate. The combined organic layers were dried over anhydrous sodium sulfate, filtered and concentrated under reduced pressure. The residue was purified by preparative HPLC to give 3-chloro-5-((4-hydroxy-6-oxo-l,6- dihydropyrimidin-5-yl) oxy)benzonitrile (2.4 g).
MS (ESI) m/z 264, 266 (M+H) +
Step 3: 3-chloro-5-((4-(difluoromethoxy)-6-oxo-l, 6-dihydropyrimidin-5- yl)oxy)benzonitrile
Figure imgf000202_0002
To a solution of 3-chloro-5-((4-hydroxy-6-oxo-l,6-dihydropyrimidin-5- yl)oxy)benzonitrile (1.4 g, 5.31 mmol) in DMF (20 mL) was added potassium carbonate (18.4 g, 132 mmol), then sodium 2-chloro-2, 2-difluoroacetate (1.62 g, 10.6 mmol) was added. The mixture was stirred at 80 C for 2 hr. After cooling to r.t., the mixture was diluted with water, then extracted with ethyl acetate. The combined organic layers were dried over anhydrous sodium sulfate, filtered and concentrated under reduced pressure. The residue was purified by preparative TLC (petroleum ether/ethyl acetate (1 :2) as eluent) to give 3-chloro-5- ((4-(difluoromethoxy)-6-oxo- l,6-dihydropyrimidin-5-yl)oxy)benzonitrile (500 mg).
MS (ESI) m/z 314, 316 (M+H) + By following the similar procedures to Steps 2 and 3 of Example 7 and submitting 3- chloro-5-((4-(difluoromethyl)-6-oxo-l,6-dihydropyrimidin-5-yl)oxy)benzonitrile in place of 2,5-dichloro-3-((6-oxo-4-(trifluoromethyl)- 1 ,6-dihydropyrimidin-5- yl)oxy)benzonitrile, the title compound was obtained.
1H NMR: (DMSO-i 6, 400 MHz) δ 12.96 (s, 1H), 8.65 (s, 1H), 7.70 (s, 1H), 7.67 (t, J = 72.0 Hz, 1H), 7.52-7.47 (m, 3H), 6.88-6.85 (m, 1H), 5.08 (s, 2H).
MS (ESI) m/z 422 (M+H) + Example 163: 3-(difluoromethoxy)-5-(6-oxo-l-((6-oxo-l,6-dihydropyridazin-3- yl)methyl)-4-(trifluoromethyl)-l,6-dihydropyrimidin-5-yloxy)benzonitrile
Figure imgf000203_0001
Step 1: 3,5-dimethoxybenzonitrile
Figure imgf000203_0002
A mixture of l-bromo-3,5-dimethoxybenzene (5 g, 23 mmol) and CuCN (6 g, 67 mmol) in DMF (60 mL) was heated to reflux (160 -170 °C) for 10 h under N2. After cooling to r.t., the mixture was diluted with ethyl acetate, poured into 10 % aqueous NH4OH extracted with ethyl acetate. The combined organic layers were washed with brine, dried over sodium sulfate, filtered and concentrated under reduced pressure. The residue was purified by column (petroleum ether/ethyl acetate (15: 1) as eluent) to afford 3,5-dimethoxybenzonitrile (2.3 g).
1H NMR (CDC13, 400 MHz): δ 6.76 (d, J= 2.0 Hz, 2H), 6.65 (t, J= 2.0 Hz
3.81 (s, 6H).
Step 2: 3,5-dihydroxybenzonitrile
Figure imgf000204_0001
To a solution of 3,5-dimethoxybenzonitrile (2 g, 12.2 mmol) in dichloromethane (20 was added slowly BBr3 (15 mL, 1 M, 15 mmol) at -50 C under N2. After addition, the mixture was stirred at -50 C for 2 h and stirred at r.t for 20 hr. The mixture was slowly poured into ice-water with stirring and extracted with
dichloromethane. The organic layer was washed with brine, dried over sodium sulfate, filtered and concentrated under reduced pressure. The residue was purified by column (petroleum ether/ethyl acetate (2: 1) as eluent) to afford 3,5- dihydroxybenzonitrile (1.43 g).
1H NMR (DMSO-d6, 400 MHz): δ 10.02 (s, 2H), 6.56 (d, J= 2.0 Hz, 2H), 6.51 (t, J = 2.0 Hz„ 1H).
Step 3: 3-hydroxy-5-( (1 -(4-methoxybenzyl)-6-oxo-4-(trifluoromethyl)-l , 6- dihydropyrimidin -5-yl)oxy)benzonitrile
Figure imgf000204_0002
A suspension of 3,5-dihydroxybenzonitrile (1.2 g, 8.9 mmol), 5-bromo-3-(4- methoxybenzyl)- 6-(trifluoromethyl)pyrimidin-4(3H)-one (3 g, 8.2 mmol) and potassium carbonate (6 g, 67 mmol) in NMP (40 mL) was stirred at 125 C for 20 h under N2. After cooling to r.t., the mixture was diluted with water and extracted with ethyl acetate. The organic layer was washed with brine, dried over sodium sulfate, filtered and concentrated under reduced pressure. The residue was purified by column chromatography (petroleum ether/ethyl acetate (3: 1) as eluent) to afford 3- hydroxy-5-((l -(4-methoxybenzyl)-6-oxo-4-(trifluoro methyl)- 1 ,6-dihydropyrimidin- 5-yl)oxy)benzonitrile (1.9 g).
MS (ESI): m/z 418 (M+H)+ Step 4: 3- ( dtfluoromethoxy)-5- ((l-( 4-methoxybenzyl)-6-oxo-4- ( trifluoromethyl)- 1 , 6- dihydropyrimidin-5-yl)oxy)benzonitrile
Figure imgf000205_0001
A suspension of 3-hydroxy-5-((l-(4-methoxybenzyl)-6-oxo-4-(trifluoromethyl)-l,6- dihydro pyrimidin-5-yl)oxy)benzonitrile (1.8 g, 4.3 mmol), sodium
chlorodifiuoroacetate (13 g, 85.5 mmol) and potassium carbonate (12.5 g, 90.5 mmol) in DMF (90 mL) was stirred at 85 C for 16 h under N2. After cooling to r.t., the mixture was poured into ice- water and extracted with ethyl acetate. The organic layer was washed with brine, dried over sodium sulfate, filtered and concentrated under reduced pressure. The residue was purified by column chromatography (petroleum ether/ethyl acetate (3: 1) as eluent) to afford 3-(difluoromethoxy)-5-((l-(4-methoxy benzyl)-6-oxo-4-(trifluoromethyl)-l,6-dihydropyrimidin-5-yl)oxy)benzonitrile (1.4
&)
MS (ESI): m/z 468 (M+H)+
Step 5: 3-(difluoromethoxy)-5-((6-oxo-4-(trifluoromethyl)-l,6-dihydropyrimidin-5- yl)oxy) benzonitrile
Figure imgf000205_0002
A mixture of 3-(difluoromethoxy)-5-((l-(4-methoxybenzyl)-6-oxo-4-(trifluoromethyl) -l,6-dihydropyrimidin-5-yl)oxy)benzonitrile (1.4 g, 3 mmol) and CAN (8.2 g, 15 mmol) in acetonitrile (15 mL)/water (5 mL) was stirred at r.t. for 5 hr. The mixture was diluted with ethyl acetate and washed with brine, dried over anhydrous sodium sulfate, filtered and concentrated under reduced pressure. The residue was purified by column chromatography on slica gel (petroleum ether/ethyl acetate (2: 1) to afford 3- (difluoromethoxy)-5 -((6-0X0-4- (trifluoromethyl)- 1 ,6-dihydropyrimidin-5- yl)oxy)benzonitrile (0.67 g,).
MS (ESI): m/z 348 (M+H)+
By following similar procedures to Steps 2 and 3 of Example 7 and using 3-chloro-5- ((4-(difluoromethyl)-6-oxo-l,6-dihydropyrimidin-5-yl)oxy)benzonitrile in place of 2,5-dichloro-3-((6-oxo-4-(trifluoromethyl)-l,6-dihydropyrimidin-5- yl)oxy)benzonitrile, the title compound was obtained.
1H NMR (DMSO-dtf, 400 MHz) δ 12.98 (s, 1H), 8.77 (s, 1H), 7.56 (s, 1H), 7.53-7.48 (m, 2H), 7.37 (s, 1H), 7.36 (t, J= 73.2 Ηζ,ΙΗ), 6.88 (dd, J= 9.8 Hz, J= 1.4 Hz, 1H), 5.12 (s, 2H).
MS (ESI) m/z 456 (M+H) +
Example 164 : 5-fluoro-2-methyl-3-(6-oxo- l-((6-oxo-l ,6-dihydropyridazin-3- yl)methyl)-4-(trifluor o methyl)- 1 ,6-dihydropyrimidin-5-yloxy)benzonitrile
Figure imgf000206_0001
Step 1: 2-bromo-4-fluoro-6-methoxyaniline
Figure imgf000206_0002
To a solution of 4-fluoro-2-methoxyaniline (14.4 g, 0.1 mol) in 300 mL of dry DMF was added NBS (17.8 g, 0.1 mol) in small portions at 0-5 C under nitrogen, then the resulting mixture was stirred at room temperature overnight. The mixture was diluted with water, extracted with ethyl acetate. The combined organic layers were washed with water, brine, dried over sodium sulfate, filtered and concentrated under reduced pressure to give 2-bromo-4-fluoro-6-methoxyaniline (28 g crude). Step 2: 2-amino-5-fluoro-3-methoxybenzonitrile
Figure imgf000207_0001
A mixture of 2-bromo-4-fluoro-6-methoxyaniline (28 g crude, 0.1 mol) and CuCN
(17.8 g, 0.2 mol) in 200 mL of DMF was stirred at 110 C for 2 days. After cooling to room temperature, the reaction was poured into water and filtered by cellite. The filtrate was extracted with ethyl acetate. The combined organic layers were washed by water, brine, dried over anhydrous sodium sulfate, filtered and concentrated under reduced pressure to give 2-amino-5-fluoro-3-methoxybenzonitrile (6.9 g) as a yellow solid.
Step 3: 2-bromo-5-fluoro-3-methoxybenzonitrile
Figure imgf000207_0002
To a suspension of 2-amino-5-fluoro-3-methoxybenzonitrile (6.3 g, 0.038 mol) and CuBr2 (16.9 g, 0.076 mol) in 150 mL of acetonitrile was added tBuONO (7.82 g, 0.076 mol) at room temperature under nitrogen. After the addition, the resulting mixture was stirred at r.t overnight. The mixture was quenched with 200 mL of water and extracted with ethyl acetate. The combined organic layers were washed by brine, dried over sodium sulfate, filtered and concentrated under reduced pressure. The residue was purified by column chromatography on silica gel (petroleum ether: ethyl acetate (20: 1) as eluent) to give 2-bromo-5-fluoro-3-methoxybenzonitrile (5.8 g). 1H NMR: (DMSO, 400MHz) δ 7.00 (dd, J;=7.2 Hz, J2=2.8 Hz, 1H), 6.90 (dd, J;=7.2 Hz, J2=2.8 Hz, 1H), 3.93 (s, 3H).
Step 4: 5-fluoro-3-methoxy-2-methylbenzonitrile
Figure imgf000207_0003
A mixture of 2-bromo-5-fluoro-3-methoxybenzonitrile (2.3 g, 0.01 mmol), MeB(OH)2 (10.9 g, 0.015 mmol), K3P04 (4.2 g, 0.02 mol), Pd(dppf)Cl2 (230 mg) in 1,4- dioxane/water (3: 1) was heated at reflux overnight. After cooling to r.t., the reaction mixture was filtered, and the filtrate was extracted with ethyl acetate. The combined organic layers were dried over sodium sulfate, filtered and concentrated under reduced pressure. The residue was purified by column chromatography on silica gel (petroleum ether: ethyl acetate (20: 1) as eluent) to afford 5-fluoro-3-methoxy-2- methylbenzonitrile as a solid (1.23 g).
MS (ESI): m/z 166 (M+H)+
Step 5: 5-fluoro-3-hydroxy-2-methylbenzonitrile
Figure imgf000208_0001
To a solution of 5-fluoro-3-methoxy-2-methylbenzonitrile (330 mg, 2 mmol) in 15 mL of dry dichloromethane was added BBr3 (2 mL, 21 mmol) dropwise at -50 C, then the black solution was warmed to room temperature slowly and stirred for 12 hr. The mixture was cooled to 0 C and quenched with sat. Na2C03, extracted with
dichloromethane. The combined organic layers were washed with water, brine, dried over sodium sulfate, filtered and concentrated under reduced pressure. The residue was purified by flash chromatography to afford 5-fluoro-3-hydroxy-2- methylbenzonitrile (250 mg) as a white solid.
1H NMR (DMSO-dtf, 400 MHz): δ 10.67 (s, 1H), 7.12-6.86 (m, 2H), 2.21 (s, 3H).
By following similar procedures to Steps 2 and 3 of Example 7 and submitting 5- fluoro-3-hydroxy-2-methylbenzonitrile for 2,5-dichloro-3-hydroxybenzonitrile, the title compound was obtained.
1H NMR: (DMSO-dtf, 400 MHz) δ 12.99 (s, 1H), 8.76 (s, 1H), 7.56-7.49 (m, 2H), 7.31 (d, J = 10.0 Hz, 1H), 6.90 (d, J=10.0 Hz, 1H), 5.12 (s, 2H), 2.39 (s, 3H).
MS (ESI) m/z 422 (M+H) + Example 165: 2-fluoro-3-((l-((5-(4-fluorophenyl)-6-oxo-l,6-dihydropyridazin-3- yl)methyl)-6-oxo-4-(trifluoromethyl)-l,6-dihydropyrimidin-5-yl)oxy)benzonitrile
Figure imgf000209_0001
Step 1: 4-(4-fluorophenyl)-6-(hydroxymethyl)-2-(4-methoxybenzyl)pyridazin-3(2H)- one
Figure imgf000209_0002
To a solution of compound 4-bromo-6-(hydroxymethyl)-2-(4-methoxybenzyl) pyridazin-3(2H)-one (4 g, 12.3 mmol) in 1, 4-dioxane (100 niL) and water (10 mL) were added (4-fluorophenyl)boronic acid (3.44 g, 24.6 mmol), potassium carbonate (3.4 g, 24.6 mmol) and Pd(dppf)Cl2 (1.8 g, 2.46 mmol). The resulting mixture was stirred at 100 C for 3 hr. After cooling to r.t., the mixture was diluted with water, extracted with ethyl acetate. The combined organic layers were dried over anhydrous sodium sulfate, filtered and concentrated under reduced pressure. The residue was purified by column chromatography (petroleum ether/ethyl acetate (2: 1) as eluent) to give the product 4-(4-fluorophenyl)-6-(hydroxymethyl)-2- (4-methoxybenzyl) pyridazin-3(2H)-one (3 g).
MS (ESI) m/z 341 (M+H) + Step 2: 6-(chloromethyl)-4-(4-fluorophenyl)-2-(4-methoxybenzyl)pyridazin-3(2H)- one
Figure imgf000210_0001
To a solution of compound 4-(4-fluorophenyl)-6-(hydroxymethyl)-2- (4- methoxybenzyl) pyridazin-3(2H)-one (2.5 g, 7.35 mmol) in dichloromethane (40 mL) was added DIPEA (5.70 g, 44.1 mmol) and methansulfonyl chloride (3.37 g, 29.4 mmol). The mixture was stirred at room temperature overnight. The mixture was washed with water, dried over anhydrous sodium sulfate, filtered and concentrated under reduced pressure. The residue was purified by flash chromatography (petroleum ether/ethyl acetate (10: 1) as eluent) to give 6-(chloromethyl)-4-(4-fluorophenyl)-2-(4- methoxybenzyl)pyridazin -3(2H)-one (2.5 g).
MS (ESI) m/z 359, 361 (M+H) +
Step 3: 2-fluoro-3-(( 6-oxo-4-(trifluoromethyl)-l , 6-dihydropyrimidin-5- yl)oxy)benzonitrile
Figure imgf000210_0002
The above intermediate was prepared from 2-fluoro-3-cyanophenol and 5-bromo-6- (trifluoromethyl)-4(3H)-pyrimidione in an analogous manner to 3-chloro- 5-(6-oxo-4- (trifluoromethyl)-l,6-dihydropyrimidin-5-yloxy)benzonitrile as described in Steps 5-8 of Example 1.
MS (ESI) m/z 420 (M+H)+
Step 4: 2-fluoro-3-(( l-((5-(4-fluorophenyl)-l-(4-methoxybenzyl)-6-oxo-l, 6- dihydropyridazin -3-yl)methyl)-6-oxo-4-(trifluoromethyl)-l,6-dihydropyrimidin-5- yl)oxy)benzonitrile
Figure imgf000211_0001
A mixture of 2-fluoro-3-((6-oxo-4-(trifluoromethyl)-l,6-dihydropyrimidin-5- yl)oxy)benzonitrile (100 mg, 0.33 mmol), 6-(chloromethyl)-4-(4-fluorophenyl)-2-(4- methoxybenzyl)pyridazin-3(2H)-one (131 mg, 0.37), LiBr (58 mg, 0.66 mmol) and potassium carbonate (91 mg, 0.66 mmol) in DMF (8 mL) was stirred at 70 C for 1 hr. After cooling, the mixture was diluted with water (15 mL) and extracted with ethyl acetate (20 mL><2). The combined organic layers were dried over sodium sulfate, filtered and concentrated under reduced pressure to give 2-fluoro-3-((l-((5-(4- fluorophenyl)- 1 -(4-methoxybenzyl)-6-oxo- 1 ,6-dihydropyridazin-3-yl) methyl)-6-oxo- 4-(trifluoromethyl)- 1 ,6-dihydropyrimidin-5-yl)oxy)benzonitrile (105 mg).
MS (ESI) m/z 622 (M+H)+
Step 5: 2-fluoro-3-((l-((5-(4-fluorophenyl)-6-oxo-l,6-dihydropyridazin-3-yl)methyl)- 6-o - 4-(trifluoromethyl)- 1 , 6-dihydropyrimidin-5-yl)oxy)benzonitrile
Figure imgf000211_0002
A solution of 2-fluoro-3-((l-((5-(4-fluorophenyl)-l-(4-methoxybenzyl)-6-oxo- 1,6- dihydropyridazin-3 -yl)methyl)-6-oxo-4-(trifluoromethyl)- 1 ,6-dihydropyrimidin-5 - yl)oxy)benzonitrile (105 mg, 0.17 mmol) in 2 mL of TFA and 1 mL of TFAA was stirred at 120 C for 10 min under microwave irradiation. After cooling, the mixture was concentrated under reduced pressure. The residue was purified by preparative HPLC to afford 2-fluoro-3-((l-((5-(4-fluorophenyl)-6-oxo-l,6-dihydropyridazin-3- yl)methyl)-6-oxo-4- (trifluoromethyl)- 1 ,6-dihydropyrimidin-5-yl)oxy)benzonitrile (49 mg). 1H NMR: (DMSO-dtf, 400 MHz) δ 8.75 (s, 1H), 7.87-7.90 (m, 2H), 7.47-7.61 (m, 3H), 7.24-7.31 (m, 3H), 5.15 (s, 2H).
MS (ESI) m/z 502 (M+H) + By following similar procedures to Steps 4 and 5 of Example 165, and using the appropriate pyrimidinone from Examples 162, 163 and 164) in place of 2-fluoro-3- ((6-oxo-4-(trifluoromethyl)- 1 ,6-dihydropyrimidin-5-yl)oxy)benzonitrile, Examples 166 - 168 in the table below were prepared.
Figure imgf000212_0001
yl)oxy)-2- (m, 3H), 5.18 (s, 2H), 2.39 methylbenzonitrile (s, 3H).
Example 169:
3-chloro-5-((l-((5-(4-fluorophenyl)-6-oxo-l,6-dihydropyridazin-3-yl)]
methyl- 6-oxo- 1 ,6-dihydropyrimidin-5-yl)oxy)benzonitrile
Figure imgf000213_0001
Step 1: ethyl 2-(3-chloro-5-cyanophenoxy)-3-oxobutanoate
Figure imgf000213_0002
To a solution of 3-chloro-5-hydroxybenzonitrile (15 g, 98 mmol) in DMF (300 mL) was added potassium carbonate (27 g, 195 mmol) and ethyl 2-chloro-3-oxobutanoate
(17.7 g, 108 mmol). The mixture was heated at 80 C overnight. After cooling to r.t, the mixture was diluted with water, extracted with ethyl acetate. The organic layer was dried over anhydrous sodium sulfate, filtered and concentrated under reduced pressure to give ethyl 2-(3-chloro-5-cyanophenoxy)-3-oxobutanoate (20 g) which was used without further purification.
Step 2: 3-chlor -5-((4-methyl-6-oxo-l,6-dihydropyrimidin-5-yl)oxy)benzonitrile
Figure imgf000213_0003
To a solution of formamidine acetate (16.3 g, 156 mmol) in methanol (300 mL) was added MeONa (17 g, 312 mmol). Afer 5 min, ethyl 2-(3-chloro-5-cyanophenoxy)-3- oxobutanoate (22 g, 78 mmol) was added. The mixture was heated at 90 C overnight. After cooling to r.t., the mixture was concentrated under reduced pressure. The residue was dissolved in water, acidified to pH = 5, extracted with ethyl acetate. The combined organic layers were dried over anhydrous sodium sulfate, filtered and concentrated under reduced pressure. The residue was purified by column
chromatography (petroleum ether/ethyl acetate (1 :3) as eluent) to give 3-chloro-5-((4- methyl-6-oxo- 1 ,6-dihydropyrimidin-5-yl)oxy)benzonitrile (5.8 g).
MS (ESI) m/z 262, 264 (M+H) + By following the similar procedure in step 3-4 for Example 165 and using 3-chloro-5- ((4-methyl-6-oxo-l,6-dihydropyrimidin-5-yl)oxy)benzonitrile in place of 2-fluoro-3- ((6-oxo-4-(trifluoromethyl)-l,6-dihydropyrimidin-5-yl)oxy) benzonitrile, the title compound was obtained.
1H NMR (OMSO-d6, 400 MHz): δ 13.11 (s, 1H), 8.48 (s, 1H), 7.92-7.88 (m, 2H), 7.66-7.69 (m, 2H), 7.48 (s, 1H), 7.41 (s, 1H), 7.27 (t, J= 8.8 Hz, 2H), 5.09 (s, 2H), 2.17 (s, 3H)
MS (ESI) m/z 464, 466 (M+H) + Example 170:
3-chloro-5-((4-(l,l-difluoroethyl)-l-((5-(4-fluorophenyl)-6-oxo-l,6- dihydropyridazin-3-yl) methyl)-6-oxo- l,6-dihydropyrimidin-5- yl)oxy)benzonitrile
Figure imgf000214_0001
Step 1: ethyl -difluoro-3-oxopentanoate
Figure imgf000214_0002
To a solution of compound ethyl 2,2-difluoropropanoate (10.6 g, 76.8 mmol) and ethyl acetate (8.11 g, 92.1 mmol, dried over MgS04) in THF (100 mL) was added
LiHMDS (92 mL, 92.1 mmol) at -78 C under N2 protection. The mixture was stirred at -78 C for 1 hour. Then the mixture was stirred at 20 C for another 1.5 hours. The reaction was quenched with HCl solution (1 N) slowly. The mixture was extracted with EtOAc (100 mL x 3), washed with brine (200 mL), dried over MgS04, filtered and concentrated under reduced pressure to give the desired product as black oil (14 g crude). The residue was used directly without further purification.
Step 2: 6-(l,l-di uoroethyl)pyrimidin-4(3H)-one
Figure imgf000215_0001
A solution of formimidamide acetate (16.0 g, 153.6 mmol) and sodium methoxide (16.6 g, 307 mmol) in methanol (140 mL) was stirred at r.t. for 20 min, then ethyl 4,4-difluoro-3-oxopentanoate (14 g crude, 76.8 mmol) was added. The resulting mixture was stirred at 70 C for 14 hours. After cooling to room temperature, the mixture was diluted with water (200 mL), extracted with EtOAc (200 mL x 3).
The combined organic layers were dried over MgS04, filtered and concentrated under reduced pressure to afford the desired product (9.5 g).
1HNMR: (400 MHz, CDC13) δ 8.20 (s, 1H), 6.77 (s, 1H), 1.90 (t, J= 18.8 Hz, 3H). MS (ESI) m/z 161.21 (M+H)+
Step 3: 5-bromo- -(l,l-difluoroethyl)pyrimidin-4(3H)-one
Figure imgf000215_0002
A solution of compound 6-(l,l-difluoroethyl)pyrimidin-4(3H)-one (9.5 g, 59 mmol) and potassium acetate (11.6 g, 119 mmol) in acetic acid (100 mL) was stirred at r.t. for 30 min, then Br2 (11.2 g, 71 mmol) was added dropwise at r.t. The resulting mixture was stirred at reflux for 2 hours. After cooling to r.t., the mixture was quenched with Na2S03 (sat.) till the color turned to light yellow, and extracted with EA (200 mL x 3). The combined organic layers were dried over MgS04, filtered and concentrated under reduced pressure to afford the desired product (15 g crude).
MS (ESI) m/z 238.8, 240.8 (M+H)+
Step 4: 5-bromo-6-(l,l-difluoroethyl)-3-(4-methoxybenzyl)pyrimidin-4(3H)-one
Figure imgf000216_0001
To a solution of compound 5-bromo-6-(l,l-difluoroethyl)pyrimidin-4(3H)-one (15.0 g, 59 mmol) in DMF (150 mL) was added K2C03 (17.4 g,126 mmol) and
PMBCl (108. g, 69 mmol). The reaction mixture was stirred at 80 C for 3 hours. After cooling to room temperature, the mixture was diluted with H20 (100 mL) and extracted with EtOAc (200 mL x 3). The combined organic layers were dried over MgS04, filtered and concentrated under reduced pressure. The residue was purified by column chromatography on silica gel (PE/EA=10/1 to 5/1) to afford the desired product (19 g).
1HNMR: (400 MHz, CDC13) δ 8.09 (s, 1H), 7.96 (s, 1H), 7.28 (d, 2H, J=8.4 Hz), 6.85 (s, 2H, J=8.4 Hz), 5.04 (s, 2H), 3.75 (s, 2H), 1.92 (t, J=18.4 Hz, 3H).
MS (ESI) m/z 359.1, 361.1 (M+H)+
Step 5: 3-chloro-5-((4-(l,l-difluoroethyl)-l-(4-methoxybenzyl)-6-oxo-l,6- dihydropyrimidin -5-yl)oxy)benzonitrile
Figure imgf000216_0002
To a solution of compound 5-bromo-6-(l , l-difluoroethyl)-3-(4- methoxybenzyl)pyrimidin -4(3H)-one (3.0 g, 8.56 mmol) in NMP (50 mL) was added potassium carbonate (2.31 g, 16.70 mmol) and 3-chloro-5-hydroxybenzonitrile (3.86 g, 25.07 mmol). The mixture was heated to 140 C for 6 hr, and then cooled down to 130 C, the mixture was stirred at 130 C overnight. After cooling, the mixture was diluted with water (200 mL) and extracted with ethyl acetate (100 mL><3). The combined organic layers were washed with brine, dried over sodium sulfate, filtered and concentrated under reduced pressure. The residue was purified by column chromatography on silica gel (petroleum ether: ethyl acetate (20: 1 to 8: 1) as eluent) to give 3-chloro-5-((4-(l , 1 -difluoroethyl)- 1 -(4-methoxybenzyl)-6-oxo-l ,6-dihydro pyrimidin-5-yl)oxy) benzonitrile (1.3 g).
MS (ESI) m/z 432, 434 (M+H)+
Using the above intermediate, the title compound was prepared by following similar procedures to Step 5 of Example 163 and Steps 3-4 of Example 165.
1H NMR (CD3OD, 400 MHz): δ 8.54 (s, 1H), 7.86-7.90 (m, 2H), 7.70 (s, 1H), 7.50 (s, 1H), 7.28-7.29 (m, 2H), 7.19 (t, J= 8.8 Hz, 2H), 5.24 (s, 2H), 1.96 (t, J = 19.2 Hz, 3H).
MS (ESI) m/z 514, 516 (M+H)+
Example 171
3-((4-(l,l-difluoroethyl)-l-((5-(4-fluorophenyl)-6-oxo-l,6-dihydropyridazin-3- yl)methyl)-6-oxo-l,6-dihydropyrimidin-5-yl)oxy)-2-fluorobenzonitrile
Figure imgf000217_0001
The title compound was prepared in an analogous manner to Example 170, replacing 3-chloro-5-hydroxybenzonitrile with 2-fluoro-3-hydroxybenzonitrile in Step 1.
MS (ESI) m/z 498 (M+H)+
1H NMR (DMSO-dtf, 400 MHz) δ 8.68 (s, 1H), 7.90 (m, 2H), 7.71 (s, 1H), 7.57 (s, 1H), 7.29 (m, 4H), 5.14 (s, 2H), 1.93 (t, J= 19.6 Hz, 3H). Example 173:
3-chloro-5-((4-(difluoromethyl)-l-((6-(difluoromethyl)-3-oxo-2,3- dihydr opyridazin-4-yl)methyl)-6-oxo- 1 ,6-dihydropyrimidin-5-yl)oxy)benzonitrile
Figure imgf000218_0001
Step 1: 6-methoxypyridazine-3-carbaldehyde
Figure imgf000218_0002
To a stirred solution of (6-methoxypyridazin-3-yl)methanol (13 g, 93 mmol) in 500 mL of anhydrous dichloromethane was added Dess-Martin periodinane (59 g, 139 mmol). The mixture was stirred for 1 hr at room temperature. The mixture was diluted with dichloromethane, washed with brine, dried over sodium sulfate, filtered and concentrated under reduced pressure. The residue was purified by
chromatography on silica gel (petroleum ether: ethyl acetate (15: 1 to 10: 1) as eluent) to afford 6-methoxypyridazine-3-carbaldehyde (6.0 g).
MS (ESI) m/z 139 (M+H)+
Step 2: 3-(dtfluoromethyl)-6-methoxypyridazine
Figure imgf000218_0003
To a stirred solution of 6-methoxypyridazine-3-carbaldehyde (6.0 g, 43.4 mmol) in 100 mL of anhydrous dichloromethane was added DAST (22.7 g, 141.3 mmol). The mixture was stirred for 1 hr at room temperature. The mixture was diluted with dichloromethane, washed with NaHC03 (0.5 N, 100 mL), water and brine, dried over sodium sulfate, filtered and concentrated under reduced pressure. The crude product was purified by chromatography on silica gel (petroleum ether/ethyl acetate (15: 1 to 10: 1) as eluent) to afford 3-(difluoromethyl)-6-methoxypyridazine (3.0 g).
MS (ESI) m/z 161 (M+H)+
Step 3: 4-(tert-butoxymethyl)-6-(difluoromethyl)-3-methoxypyridazine
Figure imgf000219_0001
To a solution of tert-butoxy-acetic acid (0.92 g, 6.88 mmol) in THF/water (20 mol%, 7.76 mL) were added 3-(difluoromethyl)-6-methoxypyridazine (0.7 g, 4.3 mmol) and AgN03 (74 mg, 0.43 mmol). The mixture was degassed by N2 with stirring at r.t. Then the mixture was heated to 70 °C, and then (NH4)2S20g ( 1.7 g, 7.31 mmol) in water (10 mL) was added dropwise. After addition, the mixture was stirred at 70-80 °C for 40 mins. After cooling to r.t., the mixture was extracted with ethyl acetate (10 mL x 3). The combined organic layers were washed with brine, dried over sodium sulfate, filtered and concentrated under reduced pressure. The residue was purified by chromatography on silica gel (petroleum ether/ethyl acetate (15: 1 to 10: 1) as eluent) to afford 4-(tert-butoxymethyl)-6-(difluoromethyl) -3-methoxypyridazine (340 mg) MS (ESI) m/z 247 (M+H)+
Step 4: (6-(difluoromethyl)-3-methoxypyridazin-4-yl)methanol
Figure imgf000219_0002
To a solution of 4-(tert-butoxymethyl)-6-(difluoromethyl)-3-methoxypyridazine (480 mg, 1.95 mmol) in THF/DCE (1.3 mL/4.5 mL) was stirred at 60 °C for 1 hr. After cooling to r.t, the mixture was concentrated under reduced pressure. The residue was purified by preparative TLC (petroleum ether/ethyl acetate (2: 1) as eluent) to give (6- (difluoromethyl)-3-methoxy pyridazin-4-yl)methanol (240 mg)
MS (ESI) m/z 191 (M+H)+ Step 5: 4-(chloromethyl)-6-(difluoromethyl)-3-methoxypyridazine
Figure imgf000220_0001
To a solution of compound (6-(difluoromethyl)-3-methoxypyridazin-4-yl)methanol (600 mg, 3.1 mmol) in anhydrous dichloromethane (20 mL) was added dropwise methansulfonyl chloride (1.08 g, 9.4 mmol) andDIPEA (1.22 g, 9.4 mmol) respectively at 0 C. The mixture was stirred at room temperature for 4 hr. Then the mixture was quenched with water and extracted with dichloromethane. The combined organic layers were dried over sodium sulfate, filtered and concentrated under reduced pressure to afford 4-(chloromethyl)-6-(difluoromethyl)-3-methoxypyridazine (710 mg).
MS (ESI) m/z 209, 211 (M+H) +
Step 6: 3-chloro-5-((4-(difluoromethyl)-l-((6-(difluoromethyl)-3-methoxypyridazin-4- yl)methyl)-6-oxo-l,6-dihydropyrimidin-5-yl)oxy)benzonitrile
Figure imgf000220_0002
To a solution of 3-chloro-5-((4-(difluoromethyl)-6-oxo- 1 ,6-dihydropyrimidin-5- yl)oxy)benzonitrile (as described in Steps 1- 5 of Example 160) (150 mg, 0.5 mmol) in DMF (15 mL) were added K2C03 (139 mg, 1.0 mmol), LiBr (88 mg, 1.0 mmol) and 4- (chloromethyl)-6-(difluoromethyl)-3-methoxypyridazine (105 mg, 0.5 mmol). The resulting mixture was stirred at room temperature overnight, diluted with water and extracted with EtOAc. The combined organic layers were dried over Na2S04, filtered, concentrated under reduced pressure to afford 3-chloro-5-((4-(difluoromethyl)-l-((6- (difluoromethyl)-3 -methoxypyridazin-4-yl)methyl)-6-oxo- 1 ,6-dihydropyrimidin-5 - yl)oxy)benzonitrile (200 mg) without further purification.
MS (ESI) m/z 470, 472 (M+H)+ Step 7: 3-chloro-5-((4-(l,l-difluoroethyl)-l-((6-(difluoroethyl)-3-oxo-2,3- dihydropyridazin-4-yl)methyl)-6-oxo-l,6-dihydropyrimidin-5-yl)oxy)benzonitri
Figure imgf000221_0001
To a mixture of compound 3-chloro-5-((4-(difluoromethyl)-l-((6-(difluoromethyl)-3- methoxypyridazin-4-yl)methyl)-6-oxo-l,6-dihydropyrimidin-5-yl)oxy)benzonitrile (200 mg, 0.42 mmol) and KI (142 mg, 0.84 mmol) in acetonitrile (3 mL) was added TMSC1 (93 mg, 0.84 mmol) at room temperature. The resulting mixture was stirred o
at 70 C for 1.5 hr. After cooled to r.t., the mixture was diluted with EtOAc and washed with aq. Na2S2C"3 and brine, dried over anhydrous Na2S04 and concentrated under reduced pressure. The residue was purified by preparative HPLC to afford the desired product 3-chloro-5-((4-(difluoromethyl)- 1 -((6-(difluoromethyl)-3-oxo-2,3- dihydropyridazin-4-yl)methyl)-6-oxo- 1 ,6-dihydropyrimidin-5-yl)oxy)benzonitrile (96 mg).
1H NMR: (Methanol-^, 400 MHz) 513.60 (s, 1H), 8.66 (s, 1H), 7.71 (s, 1H), 7.62 (s, 2H), 7.59 (s, 1H), 6.98 (t, J= 52.0 Hz, 1H), 6.77 (t, J= 54.0 Hz, 1H), 4.97 (s, 2H).
MS (ESI) m/z 456, 458 (M+H)+
By following similar procedures to Steps 6 and 7 of Example 173 and using the appropriate pyrimidinone in place of 3-chloro-5-((4-(difluoromethyl)-6-oxo-l,6- dihydropyrimidin-5-yl)oxy)benzonitrile, Examples 174 - 177 in the table below were prepared.
Figure imgf000222_0001
Example 178:
3-((l-((6-(l,l-difluoroethyl)-3-oxo-2,3-dihydropyridazin-4-yl)methyl)-6- (trifluoromethyl) - 1 ,6-dihydr opyrimidin-5-yl)oxy)-2-fluorobenzonitrile
Figure imgf000223_0001
Step 1: 3-(l-ethoxyvin -6-methoxypyridazine
Figure imgf000223_0002
To a mixture of 3-chloro-6-methoxypyridazine (15 g, 103.8 mmol), tributyl(l- ethoxyvinyl)stannane (82.44 g, 228.3 mmol) in toluene (200 mL) was added
Pd(PPh3)4 (6 g, 5.19 mmol) under nitrogen atmosphere. The resulting suspension was flushed three times with nitrogen and then stirred at 110 °C for 36 hr. After cooling to room temperature, the mixture was poured into ice-water, filtered through a pad of Celite®. The filtrate was extracted with ethyl acetate, and the combined organic layers were washed with brine, dried over sodium sulfate, filtered and concentrated under reduced pressure. The residue was purified by column chromatography on silica gel (petroleum ether/ethyl acetate (15: 1 to 10: 1) as eluent) to afford the desired product 3-(l-ethoxyvinyl)-6-methoxypyridazine (14 g).
MS (ESI) m/z 181 (M+H)+
Step 2: l-(6-methoxypyridazin-3-yl)ethanone
Figure imgf000223_0003
To a solution of 3-(l-ethoxyvinyl)-6-methoxypyridazine (12 g, 66.59 mmol) in 1,4- dioxane (120 mL) was added HCl/l,4-dioxane (24 mL, 4 M) dropwise at 0 C. The mixture was stirred at room temperature for 1 hr. The mixture was quenched with water and extracted with ethyl acetate. The combined organic layers were dried over anhydrous sodium sulfate, filtered and concentrated under reduced pressure. The residue was purified by column chromatography on silica gel (petroleum ether/ethyl acetate (10: 1 to 8: 1) as eluent) to afford l-(6-methoxypyridazin-3-yl)ethanone (4.2 g) MS (ESI) m/z 153 (M+H)+ Step 3: 3-(l,l-difluoroethy -6-methoxypyridazine
Figure imgf000224_0001
To a solution of l-(6-methoxypyridazin-3-yl)ethanone (4.2 g, 27.6 mmol) in dichloromethane (45 mL) was added DAST (13.35 mg, 82.81 mmol) dropwise at 0 C.
The mixture was stirred at 40 C for 24 hr. After cooling to r.t., the mixture was quenched with water and extracted with ethyl acetate. The combined organic layers were dried over anhydrous sodium sulfate, filtered and concentrated under reduced pressure. The residue was purified by column chromatography on silica gel (petroleum ether/ethyl acetate (15: 1 to 10: 1) as eluent) to afford 3-(l,l-difluoroethyl)-6- methoxypyridazine (3.3 g).
MS (ESI) m/z 175 (M+H)+
Step 4 -(l , l-difluoroethyl)-3-methoxypyridazin-4-yl)methanol
Figure imgf000224_0002
To a mixture of tert-butoxy-acetic acid (4.23 g, 32.04 mmol) in TF A/water (20 mol%, 30 mL) were added 3-(l,l-difluoroethyl)-6-methoxypyridazine (3.1 g, 17.8 mmol) and AgN03 (303 mg, 1.78 mmol). The mixture was flushed with nitrogen with stirring at room temperature, then the mixture was heated to 70 C, and (NH4)2S208 (8.12 g, 35.6 mmol) in water (40 mL) was added dropwise. After addition the mixture was stirred at 75 C for 40 min. After cooling to room temperature, the mixture was extracted with ethyl acetate (20 mL x 3), the combined organic layers were washed with brine, dried over sodium sulfate, filtered and concentrated under reduced pressure to afford crude product (4.63 g, crude). A solution of 4-(tert- butoxymethyl)-6-(l,l-difluoroethyl)-3-methoxypyridazine (4.63 g, crude) in
TFA/DCE (10 mL/40 mL) was stirred at 60 °C for 1 hr. After cooling to r.t., the mixture was concentrated under reduced pressure. The residue was dissolved in ethyl acetate (20 mL), washed with aqueous potassium carbonate, brine, dried over sodium sulfate, filtered and concentrated under reduced pressure. The residue was purified by column chromatography on silica gel (petroleum ether/ethyl acetate (8: 1 to 5: 1) as eluent) to afford (6-(l,l-difluoroethyl)-3-methoxy pyridazin-4-yl)methanol (2.1 g). MS (ESI) m/z 205 (M+H)+
Step 5: 4-(chloromethyl)-6-(l , l-difluoroethyl)-3-methoxypyridazine
Figure imgf000225_0001
To a solution of (6-(l,l-difluoroethyl)-3-methoxypyridazin-4-yl)methanol (180 mg, 0.88 mmol) in dichloromethane (3 mL) was added Et3N (268 mg, 2.64 mmol) and methanesulfonyl chloride (303 mg, 2.64 mmol) at 0 C. The mixture was stirred at room temperature for 24 hr, quenched with water and extracted with dichloromethane. The combined organic layers were dried over sodium sulfate, filtered and concentrated under reduced pressure. The residue was purified by preparative TLC (petroleum ether/ethyl acetate (2: 1) as eluent) to afford 4-(chloromethyl)-6-(l,l-difluoroethyl)-3- methoxypyridazine (120 mg).
MS (ESI) m/z 223 (M+H)+ Step 6: 3-((l-((6-(l,l-difluoroethyl)-3-methoxy-2,3-dihydropyridazin-4-yl)methyl)-6- oxo -4-(trifluoromethyl)-l, 6-dihydropyrimidin-5-yl)oxy)-2-fluorobenzonitrile
Figure imgf000226_0001
To a solution of 4-(chloromethyl)-6-(l,l-difluoroethyl)-3-methoxypyridazine (55 mg, 0.25 mmol) in DMF (2 mL) were added potassium carbonate (69 mg, 0.5 mmol), LiBr (43 mg, 0.5 mmol) and 2-fluoro-3-((6-oxo-4-(trifluoromethyl)-l,6-dihydropyrimidin-5- yl)oxy)benzonitrile (82 mg, 0.27 mmol). Then the mixture was stirred at room temperature for 1 hr. The mixture was quenched with water and extracted with ethyl acetate. The combined organic layers were dried over sodium sulfate, filtered, concentrated under reduced pressure. The residue was purified by preparative TLC (petroleum ether/ethyl acetate (2: 1) as eluent to afford 3-((l-((6-(l,l-difluoroethyl)-3- methoxy-2,3-dihydropyridazin-4-yl)methyl)-6-oxo-4-(trifluoromethyl)-l,6- dihydropyrimidin-5-yl)oxy)-2-fluorobenzonitrile (70 mg).
MS (ESI) m/z 486 (M+H)+
Step 7: 3-((l-((6-(l,l-difluoroethyl)-3-oxo-2,3-dihydropyridazin-4-yl)methyl)-6-oxo- - ( trifluoromethyl)-! , 6-dihydropyrimidin-5-yl)oxy)-2-fluorobenzonitrile
Figure imgf000226_0002
To a mixture of compound 3-((l-((6-(l,l-difluoroethyl)-3-methoxy-2,3-dihydro pyridazin-4-yl)methyl)-6-oxo-4-(trifluoromethyl)-l,6-dihydropyrimidin-5-yl)oxy)-2- fluorobenzonitrile (70 mg, 0.144 mmol) and KI (48 mg, 0.288 mmol) in 2 mL of acetonitrile was added TMSC1 (32 mg, 0.288 mmol) at room temperature. The resulting mixture was stirred for 1 hr at 70 C. After cooling to r.t., the mixture was diluted with ethyl acetate and washed with aq. Na2S2C"3 and brine, dried over anhydrous sodium sulfate and concentrated under reduced pressure. The residue was purified by preparative HPLC to afford 3-((l-((6-(l,l-difluoroethyl)-3-oxo-2,3- dihydropyridazin-4-yl)methyl)-6-oxo-4-(trifluoromethyl)- 1 ,6-dihydropyrimidin-5 - yl)oxy)-2-fluorobenzonitrile (40 mg).
1H NMR (DMSO-dtf, 400MHz) δ 13.53 (s, 1H), 8.72 (s, 1H), 7.57-7.62 (m, 3H), 7.20 (t, J= 8.0 Hz, 1H), 4.98 (s, 2H), 1.89 (t, J= 19.2 Hz, 3H).
MS (ESI) m/z 472 (M+H)+
By following similar procedures to Step 6 and 7 of Example 178 and using the appropriate pyrimidinone in place of 2-fluoro-3-((6-oxo-4-(trifluoromethyl)-l,6- dihydropyrimidin-5-yl) oxy)benzonitrile, Examples 179 , 181 andl82 in the table below were prepared.
Figure imgf000227_0001
Example Structure IUPAC Name LCMS (M+H) + / 1HNMR
3-((4-(l,l- MS (ESI) m/z 468 difiuoroethyl)-l-((6- 1H NMR (OMSO-d6, (l,l-difluoroethyl)-3- 400MHz):
oxo-2,3- δ 8.68 (s, 1H), 7.58 (m,
182 dihydropyridazin-4- 2H), 7.46 (t, J = 8.4 Hz, yl)methyl)-6-oxo-l ,6- 1H), 7.21 (t, J= 8.4 Hz, dihydropyrimidin-5 - 1H), 5.01 (s, 2H), 1.93- yl)oxy)-2- 1.97 (m, 3H).
fluorobenzonitrile
Example 180:
3-chloro-5-((4-(l,l-difluoroethyl)-l-((6-(l,l-difluoroethyl)-3-oxo-2,3- dihydropyridazin-4-yl)methyl)-6-oxo-l,6-dihydropyrimidin-5-yl)oxy)benzonitrile
Figure imgf000228_0001
Step 1: 3-chloro-5-((4-(l,l -dtfluoroethyl) - 6-oxo- 1, 6-dihydropyrimidin-5- yl)oxy)benzonitrile
Figure imgf000228_0002
A solution of 3-chloro-5-((4-(l,l-difluoroethyl)-l-(4-methoxybenzyl)-6-oxo-l,6- dihydropyrimidin-5-yl)oxy)benzonitrile (as described in Steps 1-5 of Example 170) (10 g, 23.2 mmol) in mixed solvent (TFA/TFAA = 48 mL/24 mL) was stirred at
100 C for 4 hr. After cooling to room temperature, the mixture was concentrated under reduced pressure to give crude product 3-chloro-5-((4-(l,l-difluoroethyl)-6- oxo-l,6-dihydropyrimidin-5-yl)oxy)benzonitrile (7.0 g) which was used without further purification. MS (ESI) m/z 312, 314 (M+H)+
Step 2: 3-chloro-5-(( 4-( 1, 1 -difluoroethyl)- 1 -( (6-(l, 1 -difluoroethyl)-3- methoxypyridazin-4-yl)methyl)-6-oxo-l,6-dihydropyrimidin-5-yl)oxy)b
Figure imgf000229_0001
To a solution of 3-chloro-5-((4-(l,l-difluoroethyl)-6-oxo-l,6-dihydropyrimidin-5- yl)oxy)benzonitrile (500 mg, 1.60 mmol) in DMF (2 mL) was added potassium carbonate (443 mg, 3.21 mmol) and 4-(chloromethyl)-6-(l,l-difluoroethyl)-3- methoxypyridazine (as described in Steps 1-5 of Example 178) (82 mg, 0.27 mmol). The resulting mixture was stirred at 80 C for 3 h. After cooling to room temperature, the mixture was diluted with water and extracted with EtOAc. The combined organic layers were dried over sodium sulfate, filtered, concentrated under reduced pressure. The residue was purified by preparative TLC (petroleum ether/EtOAc =1 : 1) to afford the desired product 3-chloro-5-((4-(l,l-difluoroethyl)-l-((6-(l,l-difluoroethyl)-3- methoxypyridazin-4-yl)methyl)-6-oxo- 1 ,6-dihydropyrimidin-5-yl)oxy)benzonitrile (250 mg).
MS (ESI) m/z 498, 500 (M+H)+
Step 3: 3-chloro-5-((4-(l,l -difluoroethyl)- 1 -((6-(l,l-difluoroethyl)-3-oxo-2, 3- dihydropyridazin-4-yl)methyl)-6-oxo-l,6-dihydropyrimidin-5-yl)oxy)benzonitrU^
Figure imgf000229_0002
To a mixture of compound 3 -chloro-5-((4-( 1,1 -difluoroethyl)- 1-((6-( 1,1- difluoroethyl)-3-methoxypyridazin-4-yl)methyl)-6-oxo-l,6-dihydropyrimidin-5- yl)oxy)benzonitrile (250 mg, 0.50 mmol) and KI (166 mg, 1.0 mmol) in acetonitrile (3 mL) was added TMSC1 (109 mg, 1 mmol) at room temperature. The resulting mixture was heated and stirred at 70 C for 1 hr. After cooling to room temperature, the mixture was diluted with EtOAc and washed with aq. Na2S203 and brine, dried over anhydrous sodium sulfate and concentrated under reduced pressure. The residue was purified by preparative HPLC to afford 3-chloro-5-((4-(l,l-difluoroethyl)-l-((6- (1,1 -difluoroethyl)-3-oxo-2,3-dihydropyridazin-4-yl)methyl)-6-oxo- 1 ,6- dihydropyrimidin-5-yl)oxy)benzonitrile (150 mg).
1H NMR (Methanol-^, 400 MHz) : δ 8.60 (s, 1H), 7.68 (s, 1H), 7.47 (s, 1H), 7.28 (s, 1H), 7.24 (s, 1H), 5.07 (s, 2H), 1.92 (m, 6H).
MS (ESI) m/z 484, 486 (M+H)+
Example 183:
3-chloro-5-((l-((6-chloro-3-oxo-2,3-dihydropyridazin-4-yl)methyl)-6-oxo-4- (trifluoromethyl)- 1 ,6-dihydropyrimidin-5-yl)oxy)benzonitrile
Figure imgf000230_0001
Step 1: 3-chloro-5-((l-((6-chloro-3-methoxypyridazin-4-yl)methyl)-6- (trifluoromethyl)-l,6-dihydropyrimidin-5-yl)oxy)benzonitrile
Figure imgf000230_0002
To a soution of 3-chloro-5-((6-oxo-4-(trifluoromethyl)-l,6- dihydropyrimidin-5- yl)oxy)benzonitrile (as described in Step 5 of Example 1) (100 mg, 0.32 mmol) in DMF (5 mL) were added 6-chloro-4-(chloromethyl)-3-methoxypyridazine (55 mg, 0.29 mmol) and K2C03 (80 mg, 0.58 mmol). The resulting mixture was stirred was stirred at 80 C for 2 hours. After cooling to room temperature, the mixture was diluted with water and extracted with EtOAc. The combined organic layers were dried over sodium sulfate, filtered and concentrated under reduced pressure to give the desired product 3-chloro-5-((l-((6-chloro-3-methoxy-2,3-dihydropyridazin-4- yl)methyl)-6-oxo-4-(trifluoromethyl)-l ,6-dihydropyrimidin-5-yl)oxy)benzonitrile (1 10 mg), which was used for the next step without further purification.
MS (ESI) m/z 472, 474, 476 (M+H)+
Step 2: 3-chloro-5-((l-((6-chloro-3-oxo-2,3-dihydropyridazin-4-yl)methyl)-6-oxo-4- (trifluoromethyl)-l,6-dihydropyrimidin-5-yl)oxy)benzonitrile
Figure imgf000231_0001
To a mixture of compound 3-chloro-5-((l-((6-chloro-3-methoxypyridazin-4- yl)methyl)-6-oxo-4-(trifluoromethyl)- 1 ,6-dihydropyrimidin-5-yl)oxy)benzonitrile (1 10 mg, 0.23 mmol) and KI (77 mg, 0.46 mmol) in acetonitrile (10 mL) was added TMSC1 (50 mg, 0.46 mmol) at room temperature. The resulting mixture was stirred for 1 hour at 70 C. After cooling to r.t., the mixture was diluted with EtOAc and washed with aq. Na2S203 and brine, dried over anhydrous Na2S04 and concentrated in vacuum. The residue was purified by Prep-HPLC to afford 3-chloro-5-((l-((6-chloro- 3-oxo-2,3-dihydropyridazin-4-yl)methyl)-6-oxo-4-(trifluoromethyl)-l ,6- dihydropyrimidin-5-yl)oxy)benzonitrile (52 mg).
1H NMR (Methanol-*/*, 400 MHz) : δ 8.60 (s, 1H), 7.68 (s, 1H), 7.47 (s, 1H), 7.28 (s, 1H), 7.24 (s, 1H), 5.07 (s, 2H), 1.92 (t, J= 18.4 Hz, 6H).
MS (ESI) m/z 458, 460, 462 (M+H)+
Example 184:
3-chloro-5-((l-((6-chloro-3-oxo-2,3-dihydropyridazin-4-yl)methyl)-4- (difluoromethyl)-6-oxo-l,6-dihydropyrimidin-5-yl)oxy)benzonitrile
Figure imgf000232_0001
Step 1: 3-chloro-5-((l-((6-chloro-3-methoxypyridazin-4-yl)methyl)-4- (difluoromethyl)-6-oxo-l,6-dihydropyrimidin-5-yl)oxy)benzonitrile
Figure imgf000232_0002
To a solution of 6-chloro-4-(chloromethyl)-3-methoxypyridazine (47 mg, 0.24 mmol) in DMF (5 mL) were added 3-chloro-5-((4-(difluoromethyl)-6-oxo-l,6- dihydropyrimidin-5-yl)oxy)benzonitrile (as desribed in Steps 1-5 of Example 160) (80 mg, 0.27 mmol) and K2C03(67.5 mg, 0.54 mmol). The resulting mixture was stirred at
80 C for 2 h. After cooling to room temperature, the mixture was diluted with water and extracted with EtOAc. The combined organic layers were dried over Na2S04, filtered and concentrated under reduced pressure. The residue was purified by preparative TLC (petroleum ether/EtOAc =2:1) to afford 3-chloro-5-((l-((6-chloro-3- methoxypyridazin-4-yl)methyl)-4-(difluoromethyl)-6-oxo- 1 ,6-dihydropyrimidin-5 - yl)oxy)benzonitrile (100 mg).
MS (ESI) m/z 454, 456, 458 (M+H)+
Step 2: 3-chloro-5-((l-((6-chloro-3-oxo-2,3-dihydropyridazin-4-yl)methyl)-4- (difluoromethyl)-6-oxo-l,6-dihydropyrimidin-5-yl)oxy)benzonitrile
Figure imgf000233_0001
To a mixture of compound 3-chloro-5-((l-((6-chloro-3-methoxypyridazin-4- yl)methyl)-4-(difluoromethyl)-6-oxo- 1 ,6-dihydropyrimidin-5 -yl)oxy)benzonitrile (100 mg, 0.22 mmol) and KI (72 mg, 0.44 mmol) in acetonitrile (10 mL) was added TMSC1 (47 mg, 0.44 mmol) at room temperature. The resulting mixture was stirred o
for 1 hour at 70 C. After cooling to room temperature, the mixture was diluted with EtOAc, washed with aq. Na2S2C"3 and brine, dried over anhydrous Na2S04 and concentrated under reduced pressure. The residue was purified by Prep-HPLC to afford 3-chloro-5-((l-((6-chloro-3-oxo-2,3-dihydropyridazin-4-yl)methyl)-4- (difluoromethyl)-6-oxo-l,6-dihydropyrimidin-5-yl)oxy)benzonitrile (50 mg).
1H MR (DMSO-i 6, 400 MHz): δ 13.33 (s, 1H), 8.61 (s, 1H), 7.71 (s, 1H), 7.65 (s, 1H), 7.61 (s, 1H), 7.50 (s, 1H), 6.98 (t, J= 52 Hz, 1H), 4.92 (s, 2H).
MS (ESI) m/z 440, 442, 444 (M+H)+ By following similar procedures to Steps 1 and 2 of Example 3 and using the appropriate pyrimidinone in place of 3-chloro-5-((4-(difluoromethyl)-6-oxo-l,6- dihydropyrimidin-5-yl)oxy)benzonitrile, Examples 4 - 13 in the table below were prepared.
Figure imgf000233_0002
Example Structure IUPAC Name LCMS (M+H) + / 1HNMR
3 -(( 1 -((6-chloro-3 -oxo- MS (ESI) m/z 474, 476
F 2 , 3 -dihy dropyridazin- 1H NMR (OMSO-d6,
4-yl)methyl)-6-oxo-4- 400MHz):
(trifluoromethyl)- 1 ,6- δ 13.34 (s, IH), 8.69 (s,
186
dihydropyrimidin-5 - IH), 7.89 (s, IH), 7.78 (s, yl)oxy)-5- IH), 7.69 (s, IH), 7.50 (s,
(difluoromethyl)benzon IH), 6.91 (t, J = 54.8 itrile Hz, IH), 4.94 (s, 2H).
3 -(( 1 -((6-chloro-3 -oxo- MS (ESI) m/z 470, 472
F 2 , 3 -dihy dropyridazin- 1H NMR (DMSO-< 5,
4- yl)methyl)-4-(l,l- 400MHz):
o difluoroethyl)-6-oxo- δ 8.58 (s, IH), 7.60 (s,
187
1 ,6-dihydropyrimidin- IH), 7.44 (s, 2H), 7.38 (s,
5- yl)oxy)-5- IH), 6.78 (t, J = 55.6 Hz, (difluoromethyl)benzon IH), 5.02 (s, 2H), 1.93 (t, itrile J = 19.2 Hz, 3H).
3 -(( 1 -((6-chloro-3 -oxo- MS (ESI) m/z 424, 426 2 , 3 -dihy dropyridazin- 1H NMR (DMSO-< 5, 4-yl)methyl)-6-oxo-4- 400MHz):
188
(trifluoromethyl)- 1 ,6- δ 13.38 (s, IH), 8.70 (s, dihydropyrimidin-5 - IH), 7.68 (s, IH), 7.58- yl)oxy)benzonitrile 7.48 (m, 4H), 4.97 (s, 2H).
5 -(( 1 -((6-chloro-3 -oxo- MS (ESI) m/z 445, 447 2 , 3 -dihy dropyridazin- 1H NMR (DMSO-< 5, 4-yl)methyl)-4-(l,l- 400MHz):
189 difluoroethyl)-6-oxo- δ 8.58 (s, IH), 7.86 (s,
1 ,6-dihydropyrimidin- IH), 7.67 (s, 2H), 7.45 (s, 5- IH), 5.02 (s, 2H), 1.93 (t, yl)oxy)isophthalonitrile J = 19.2 Hz, 3H).
3 -(( 1 -((6-chloro-3 -oxo- MS (ESI) m/z 438, 440 2 , 3 -dihy dropyridazin- 1H NMR (DMSO-< 5,
4- yl)methyl)-4-(l,l- 400MHz):
190 difluoroethyl)-6-oxo- δ 8.56 (s, IH), 7.45 (s,
1 ,6-dihydropyrimidin- IH), 7.24 (d, J = 4.0 Hz,
5- yl)oxy)-5- IH), 7.18 (s, IH), 7.11 (d, fluorobenzonitrile J = 5.2 Hz, IH), 5.02 (s,
Figure imgf000235_0001
Example 195:
3-((l-((6-bromo-3-oxo-2,3-dihydropyridazin-4-yl)methyl)-6-oxo-4- (trifluoromethyl)- 1 ,6-dihydropyrimidin-5-yl)oxy)benzonitrile
Figure imgf000236_0001
Step 1: 3-bromo-6-methoxypyridazine
Figure imgf000236_0002
To a solution of 3,6-dibromopyridazine (1 g, 4.20 mmol) in THF (10 mL) and MeOH
(10 mL) was added sodium methoxide (250mg, 4.62 mmol) at 0 C. The resulting mixture was stirred for 2 hours after which time it was diluted with water and extracted with EtOAc. The combined organic layers were dried over sodium sulfate, filtered and concentrated under reduced pressure to give the desired product 3-bromo- 6-methoxypyridazine (795 mg), which was used for the next step without further purification.
Step 2: 6-bromo-3-methoxypyridazine-4-carbaldehyde
Figure imgf000236_0003
To a solution of diisopropylamine(0.74 mL, 5.19 mmol) in THF (15 mL) was added butyl lithium (3.2 mL, 5.12 mmol) at 0 C. The resulting mixture was stirred was stirred for 15 min and the resulting LDA solution was cooled to -78 C . A solution of 3-bromo-6-methoxypyridazine (800mg, 4.23 mmol) in THF (5 mL) was added dropwise to the LDA solution. After 5 min DMF (0.4 mL, 5.17 mmol) was added and the mixture was stirred for lh at -15 C. The reaction mixture was quenched with sat aq. ammonium chloride solution (50 mL) and extracted with EtOAc. The combined organic layers were dried over sodium sulfate, filtered, concentrated under reduced pressure. Purified by flash column chromatography to give the desired product 6- bromo-3-methoxypyridazine-4-carbaldehyde 760 mg).
Step 3: (6-bromo-3-methoxypyridazin-4-yl)methanol
Figure imgf000237_0001
To a solution of 6-bromo-3-methoxypyridazine-4-carbaldehyde (8 mL) added sodium borohydride (196mg, 5.18 mmol) at 0 C and reacted for 3h. The mixture was diluted with water and extracted with EtOAc. The combined organic layers were dried over sodium sulfate, filtered, concentrated under reduced pressure. Purified by flash column chromatography chromatography to give the desired product (6-bromo-3- methoxypyridazin-4-yl)methanol (410 mg).
Step -bromo-3-methoxypyridazin-4-yl)methyl methanesulfonate
Figure imgf000237_0002
To a solution of (6-bromo-3-methoxypyridazin-4-yl)methanol (400 mg, 1.82 mmol) in dichloromethane (10 mL) was added triethyl amine (0.4mL, 2.74 mmol) and methane sulfonyl chloride (0.17mL, 2.20 mmol). The resulting mixture was stirred was stirred at 0°C for 15 min. The mixture was diluted with water and extracted with EtOAc. The combined organic layers were dried over sodium sulfate, filtered, concentrated under reduced pressure. Purified by flash column chromatography to give the desired product (6-bromo-3-methoxypyridazin-4-yl)methyl
methanesulfonate .
MS (ESI) m/z 297, 299 (M+H)+ Step 5: 3-((l-((6-bromo-3-methoxypyridazin-4-yl)methyl)-6-oxo-4-(trifluoromethyl)- l,6-dihydropyrimidin-5-yl)oxy)-5-chlorobenzonitrile
Figure imgf000238_0001
To a solution of 3-chloro-5-((6-oxo-4-(trifluoromethyl)-l,6-dihydropyrimidin-5- yl)oxy)benzonitrile (600 mg, 1.90 mmol) in DMF (5 mL) was added (6-bromo-3- methoxypyridazin-4-yl)methyl methanesulfonate (530 mg, 1.78 mmol) and K2CO3 (400 mg, 2.89 mmol). The resulting mixture was stirred overnight at room temperature. The mixture was diluted with water and extracted with EtOAc. The combined organic layers were dried over sodium sulfate, filtered and concentrated under reduced pressure to give the desired product 3-chloro-5-((l-((6-chloro-3- methoxy-2,3-dihydropyridazin-4-yl)methyl)-6-oxo-4-(trifluoromethyl)-l,6- dihydropyrimidin-5-yl)oxy)benzonitrile (110 mg), which was used for the next step without further purification.
MS (ESI) m/z 516, 518 (M+H)+
Step 6: 3-((l-((6-bromo-3-oxo-2,3-dihydropyridazin-4-yl)methyl)-6-oxo-4- (trifluoromethyl)-l, 6-dihydropyrimidin-5-yl)oxy)-5-chlorobenzonitrile
Figure imgf000238_0002
To a solution of 3-bromo-5-((l-((6-chloro-3-methoxypyridazin-4-yl)methyl)-4- (difluoromethyl)-6-oxo-l,6-dihydropyrimidin-5-yl)oxy)benzonitrile (50 mg, 0.1 mmol) and KI (72 mg, 0.44 mmol) in dichloromethane (4 mL) was added BBr3 (0.14 mL, 1.45 mmol) at room temperature. The resulting mixture was stirred for 1 hour at
80 C. After cooling to room temperature, the mixture was diluted with EtOAc, washed with aq. Na2S203 and brine, dried over anhydrous Na2S04 and concentrated under reduced pressure. The residue was purified by Prep-TLC to afford 3-bromo-5- ((l-((6-chloro-3-oxo-2,3-dihydropyridazin-4-yl)methyl)-4-(difluoromethyl)-6-oxo- l,6-dihydropyrimidin-5-yl)oxy)benzonitrile (18 mg). 1H NMR (DMSO-< , 400 MHz): δ 13.42 (bs, 1H), 8.71 (s, 1H), 7.70 (s, 1H), 7.70- 7.80 (m, 3H), 4.96 (s, 2H).
MS (ESI) m/z 504 (M+H)+ Example 196
Determination of PK parameters
Male beagle dogs (weight 9-13 kg) were fasted overnight and housed individually. Water was provided ad lib throughout the study. Food was allowed approximately 4 hr post dose. Test compounds were dissolved in 50% DMSO in PEG400 with a final dosing volume of 0.1 mL/kg. The formulations were given intravenous as a bolus injection into the cephalic vein. The vein used for the dosing will not be used for the blood sample collection for the first 4 hr post-dose). Blood samples were drawn from the peripheral vessel from restrained, non-sedated animals at 0.03, 0.13, 0.25, 0.5, 1, 2, 4, 6, 8, 24, 48 and 72 hr. EDTA was used as
anticoagulant and approximately 0.5 mL aliquots of blood samples were collected at each time point. Plasma samples were obtained by centrifugation at 4 °C and 3000 g for 10 min. Test compound concentration in dog plasma was determined using a
LC/MS/MS method. Typically the LC/MS/MS system consisted of an ACQUITY UPLC system with autosampler system refrigerated at 4 °C during analysis, and an API 4000 mass spectrometer. Chromatographic separation of the analytes was typically achieved on a Phenomenex Kinetex CI 8, 2.6 μιη, 50 x 2.1 mm column at room temperature with an injection volume of 10 μί. The mobile phase consisting of a solvent A (0.1% formic acid in water/ acetonitrile (95/5)) and solvent B (0.1% formic acid in acetonitrile/water (95/5)) was delivered at a flow rate of 600 μί/ηιίη. The initial solvent composition (15% solvent B) was increased to 85% over 1.2 min and then raised further to 95% at 1.4 min. Afterwards, the fraction of solvent B was decreased to 15% at 1.41 min and then the column was re-equilibrated, using the initial conditions for 0.09 min prior to the next injection (total run time: 1.50 min). Mass spectrometric detection of the analytes is accomplished using either an ESI or APCI interface operated in the positive or negative ionization mode. Analyte response is measured by multiple reaction monitoring (MRM) of transitions unique to each compound
Pharmacokinetic parameters of the test compound were obtained by a noncompartmental analysis using Watson® (Version 7.3, Thermo Electron
Corporation). The area under the plasma concentration-time curve (AUC) was calculated by the linear trapezoidal method; clearance (CL) was calculated as CL = Dose/AUCo-inf; volume of distribution at steady state (Vss) was calculated as Vss = CLxMRTo-inf-; the terminal half-life (t½) was calculated as 0.693/k, and k was the slope of the terminal regression line, where AUCo_inf is the area under the curve from time zero to infinity and AUCo-t is the area under the curve from time zero to last sampling point.
The terminal half lives of certain compounds of the invention are given in the table below.
Figure imgf000240_0001
The favorable pharmacokinetic profile of certain compounds of the invention is a surprising result and render these compounds suitable for less frequent dosing. Thus, these compounds of the invention can be administered as a single dose, once-daily or less frequently.
Example 197
Determination of HIV- 1 reverse transcriptase inhibitory activity
The heterodimeric nucleic acid substrate used in the HIV-1 RT polymerase reactions was generated by annealing the DNA primer, biotinylated pD500 (Sigma Aldrich, USA, 5'-biotin-ttg aaa tga ctg egg tac ggc-3'), SEQ ID NO. 1 to the nucleotide RNA template t500 (derived from hepatitis C virus [HCV] sequence, IBA, Germany, 5* - GAG GUU CAG GUG GUU UCC ACC GCA ACA CAA UCC UUC CUG GCG ACC UGC GUC AAC GGC GUG UGU UGG ACC GUU UAC CAU GGU GCU GGC UCA AAG ACC UUA GCC GGC CCA AAG GGG CCA AUC ACC CAG AUG UAC ACU AAU GUG GAC CAG GAC CUC GUC GGC UGG CAG GCG CCC CCC GGG GCG CGU UCC UUG ACA CCA UGC ACC UGU GGC AGC UCA GAC CUU UAC UUG GUC ACG AGA CAU GCU GAC GUC AUU CCG GUG CGC CGG CGG GGC GAC AGU AGG GGG AGC CUG CUC UCC CCC AGG CCU GUC UCC UAC UUG AAG GGC UCU UCG GGU GGU CCA CUG CUC UGC CCU UCG GGG CAC GCU GUG GGC AUC UUC CGG GCU GCC GUA UGC ACC CGG GGG GUU GCG AAG GCG GUG GAC UUU GUG CCC GUA GAG UCC AUG GAA ACU ACU AUG CGG UCU CCG GUC UUC ACG GAC AAC UCA UCC CCC CCG GCC GUA CCG CAG UCA UUU CAA-3*), SEQ ID NO 2. ). The HIV-1 RT wild-type enzyme (final
concentration of 83 pM) was combined with an inhibitor or dimethyl sulfoxide
(DMSO, 10% in the final reaction mixture) in assay buffer (62.5 mM Tris-HCl [pH 7.8], 1.25 mM dithiothreitol, 7.5 mM MgCl2, 100 mM KC1, 0.03% CHAPS, and 125 μΜ EGTA). The mixture was then preincubated on an orbital shaker for 30 min at room temperature in microtiter plates (Costar 3365, Corning, USA). A
polymerization reaction was initiated by the addition of RNA template / pD500 DNA primer hybrid (16.6 nM final of RNA/DNA hybrid) and dNTPs (2 μΜ dATP, dGTP, dCTP and 66.6 nM Ru-dUTP (Meso Scale Discovery, USA)). Plate was sealed and incubated for 5-10 min at room temperature on an orbital shaker. Plate was then incubated for 90 min at 37 °C and reactions quenched with 60 μΐ quenching buffer (50 niM EDTA, 0.7 % BSA, 0.7% Tween-20, 0.017% sodium azide in PBS). The resulting solution was incubated at room temperature for an additional 5 min and then 50 μΐ, was transferred to pre-blocked Avidin plates (L15AA, Meso Scale Discovery). Each well of Avidin plate was blocked for 1 h at room temperature with 100 5% BSA in PBS. Blocking solution was removed by tapping vigorously on filter paper to remove all excess liquid. Reaction on pre-blocked avidin plate proceeded for 60 min at room temperature and then contents removed by tapping vigorously on filter paper to remove all excess liquid. After washing plate 3 times with 150 μΐ^ IX PBS and blotting dry between cycles, 150 μΐ. IX Read Buffer T (4X Read Buffer T, Meso Scale Discovery) was added and incubated for 5 min at room temperature before counting on a Sector Imager S6000 (Meso Scale Discovery). Titration curves and IC50 values were calculated using a four parameter logisitc fit according to standard procedures. Briefly, % Inhibition= 100 x ((sample raw value) - (mean value of the low control or 0% inhibition)) / ((mean value of wells representing 100% inhbition) - (mean value of 0% inhbition)). In this assay, low control wells contain DMSO (0% inhbition) and 100% inhibition wells contain 1 μΜ efavirenz.
The results of compounds of the invention tested in the above assay are shown in the following table.
Figure imgf000242_0001
Example # IC5o (nM) Example # IC5o (nM) Example # IC5o (nM)
Ex. 14 109 Ex. 44 4 Ex. 74 17
Ex. 15 13 Ex. 45 6 Ex. 75 20
Ex. 16 12 Ex. 46 5 Ex. 76 99
Ex. 17 179 Ex. 47 11 Ex. 77 4
Ex. 18 5 Ex. 48 9 Ex. 78 6
Ex. 19 31 Ex. 49 15 Ex. 79 6
Ex. 20 24 Ex. 50 165 Ex. 80 14
Ex. 21 29 Ex. 51 358 Ex. 81 9
Ex. 22 3 Ex. 52 4 Ex. 82 7
Ex. 23 38 Ex. 53 70 Ex. 83 14
Ex. 24 24 Ex. 54 8 Ex. 84 27
Ex. 25 9 Ex. 55 11 Ex. 85 14
Ex. 26 5 Ex. 56 76 Ex. 86 6
Ex. 27 14 Ex. 57 11 Ex. 87 18
Ex. 28 5 Ex. 58 4 Ex. 88 17
Ex. 29 3 Ex. 59 125 Ex. 89 18
Ex. 30 4 Ex. 60 7 Ex. 90 6
Example # ICso (nM) Example # IC5o (nM) Example # IC5o (nM)
Ex. 91 6 Ex. 125 8 Ex. 159 17
Ex. 92 6 Ex. 126 4 Ex. 160 26
Ex. 93 11 Ex. 127 434 Ex. 161 24
Ex. 94 48 Ex. 128 4 Ex. 162 79
Ex. 95 8 Ex. 129 6 Ex. 163 22
Ex. 96 336 Ex. 130 12 Ex. 164 7
Ex. 97 247 Ex. 131 435 Ex. 165 3
Ex. 98 9 Ex. 132 12 Ex. 166 3
Ex. 99 7 Ex. 133 8 Ex. 167 6
Ex. 100 23 Ex. 134 17 Ex. 168 5
Ex. 101 153 Ex. 135 8 Ex. 169 4
Ex. 102 20 Ex. 136 6 Ex. 170 5
Ex. 103 74 Ex. 137 9 Ex. 171 3
Ex. 104 15 Ex. 138 11 Ex. 173 6
Ex. 105 19 Ex. 139 45 Ex. 174 5
Ex. 106 12 Ex. 140 36 Ex. 175 3
Ex. 107 223 Ex. 141 13 Ex. 176 6
Ex. 108 316 Ex. 142 35 Ex. 177 17
Ex. 109 7 Ex. 143 7 Ex. 178 9
Ex. 110 3 Ex. 144 9 Ex. 179 8
Ex. 111 10 Ex. 145 9 Ex. 180 5
Ex. 112 5 Ex. 146 19 Ex. 181 12
Ex. 113 6 Ex. 147 17 Ex. 182 9
Ex. 114 7 Ex. 148 9 Ex. 183 3
Ex. 115 7 Ex. 149 14 Ex. 184 3
Ex. 116 21 Ex. 150 9 Ex. 185 2
Ex. 117 6 Ex. 151 28 Ex. 186 4
Ex. 118 7 Ex. 152 32 Ex. 187 2
Ex. 119 12 Ex. 153 33 Ex. 188 4
Ex. 120 3 Ex. 154 42 Ex. 189 10
Ex. 121 5 Ex. 155 94 Ex. 190 6
Ex. 122 6 Ex. 156 24 Ex. 191 3
Ex. 123 6 Ex. 157 32 Ex. 192 5
Ex. 124 6 Ex. 158 11 Ex. 193 5 Example # ICso (nM) Example # IC5o (nM) Example # IC5o (nM)
Ex. 194 3
Ex. 195 3
The examples described herein serve only to illustrate the invention and its practice. The examples are not to be construed as limitations on the scope or spirit of the invention. While the foregoing specification teaches the principles of the present invention, with examples provided for the purpose of illustration, the practice of the invention encompasses all of the usual variations, adaptations and/or modifications that come within the scope of the following claims. All publications, patents and patent applications cited herein are incorporated by reference in their entireties into the disclosure.

Claims

CLAIMS:
1. A compound of Formula I :
Figure imgf000246_0001
or a pharmaceutically acceptable salt thereof, wherein:
M is CH2, CH2CH2, CH2CH2CH2, CH(CH3), C(CH3)2 or C(0)N(RA);
Z is selected from the group consisting of: pyridazine, pyridazinone, pyrimidine, pyrimidinone, pyrazine, pyrazinone, triazine and triazinone, each optionally substituted with one or more substituents up to the maximum number allowed by valence selected from R4 and R5; each R1 is independently selected from the group consisting of: halogen, CN, NO2, Cl-4 alkyl, Cl-4 haloalkyl, C2-4 alkenyl, OH, O-Cl-4 alkyl, O-Cl-4 haloalkyl, N(RA)RB, C(0)N(RA)RB, C(0)RA C02RA, SRA S(0)RA SO2RA,
S02N(RA)RB, S02N(RA)C(0)RB or C2-4 alkenyl substituted with CN; R2 is selected from the group consisting of:
(1) H,
(2) Ci-6 alkyl,
(3) Cl-6 haloalkyl,
(4) Cl-6 alkyl substituted with from 1 to 3 substituents each of which is independently OH, O-C 1 -6 alkyl, O-C 1 -6 haloalkyl, CN, NO2,
N(RA)RB, C(0)N(RA)RB, C(0)RA CO2RA, SRA S(0)RA, S(0)2RA, S(0)2N(RA)RB, N(RA)C(0)RB, N(RA)C02RB, N(RA)S(0)2RB, N(RA)S(0)2N(RA)RB; OC(0)N(RA)RB, N(RA)C(0)N(RA)RB? or N(RA)C(0)C(0)N(RA)RB?
(5) O-Cl-6 alkyl in which the alkyl is optionally substituted with 1 to 3 substituents independently selected from OH, O-Cl-6 alkyl, O-Cl-6 haloalkyl, CN, N(RA)RB, C(0)N(RA)RB, C(0)RA, CO2RA, SRA S(0)RA, S(0)2RA, or S(0)2N(RA)RB,
(6) O-Cl-6 haloalkyl,
(V) halogen,
(8) CN,
(9) N02,
(10) N(RA)RB?
(1 1) C(0)N(RA)RB,
(12) C(0)RA
(13) C(0)-Cl-6 haloalkyl,
(14) C(0)ORA,
(15) OC(0)RA,
(16) OC(0)N(RA)RB,
(17) SRA,
(18) S(0)RA
(19) S(0)2RA,
20) S(0)2N(RA)RB,
Figure imgf000247_0001
(22) N(RA)S(0)2N(RA)RBS
(23) N(RA)C(0)RB,
(24) N(RA)C(0)N(RA)RB,
(25) N(RA)C(0)-C(0)N(RA)RB?
Figure imgf000247_0002
(27) N(RC)RD,
(28) C(0)N(RC)RD, (29) OC(0)N(RC)RD
(30) S(0)2N(RC)RD,
(31) N(RA)S(0)2N(RC)RD,
(32) N(RA)C(0)N(RC)RD
(33) N(RA)C(0)-C(0)N(RC)RD?
(34) CycA,
(35) -O-CycA,
(36) ArylA, or
(37) HetA;
R3 is H, Ci-6 alkyl, halogen, CN, Cl-6 fluoroalkyl, OH, O-Cl-6 alkyl or O-Cl-6 haloalkyl;
R4 and R5 are each independently selected from:
(1) H,
(2) Cl-6 alkyl, C2-6 alkenyl or C2-6 alkynyl, each optionally substituted with one or more substituents up to the maximum number allowed by valence selected from OH, O-Cl-6 alkyl, O-Cl-6 haloalkyl, CN, N02, N(RA)RB, C(0)N(RA)RB, C(0)RA C02RA, SRA, S(0)RA
S(0)2RA, S(0)2N(RA)RB? N(RA)C(0)RB, N(RA)C02RB,
N(RA)S(0)2RB, N(RA)S(0)2N(RA)RB? OC(0)N(RA)RB?
N(RA)C(0)N(RA)RB, N(RA)C(0)C(0)N(RA)RB, CycB, ArylB and HetB,
(3) Cl-6 haloalkyl optionally additionally substituted with one or more substituents up to the maximum number allowed by valence selected from OH, O-Cl-6 alkyl, O-Cl-6 haloalkyl, CN, NO2, N(RA)RB, C(0)N(RA)RB, C(0)RA CO2RA, SRA S(0)RA, S(0)2RA, S(0)2N(RA)RB, N(RA)C(0)RB, N(RA)C02RB, N(RA)S(0)2RB, N(RA)S(0)2N(RA)RB, OC(0)N(RA)RB, N(RA)C(0)N(RA)RB, N(RA)C(0)C(0)N(RA)RB, CycB, ArylB and HetB (4) O-Cl-6 alkyl in which the alkyl portion is optionally substituted with one or more substituents up to the maximum number allowed by valence selected from OH, O-Cl-6 alkyl, O-Cl-6 haloalkyl, CN, N02, N(RA)RB, C(0)N(RA)RB, C(0)RA CO2RA, SRA S(0)RA
S(0)2RA, S(0)2N(RA)RB, N(RA)C(0)RB, N(RA)C02RB,
N(RA)S(0)2RB, N(RA)S(0)2N(RA)RB, OC(0)N(RA)RB,
N(RA)C(0)N(RA)RB? N(RA)C(0)C(0)N(RA)RB? CycB, ArylB and HetB,
(5) O-Cl-6 haloalkyl, optionally additionally substituted with one or more substituents up to the maximum number allowed by valence selected from OH, O-Cl-6 alkyl, O-Cl-6 haloalkyl, CN, NO2, N(RA)RB, C(0)N(RA)RB, C(0)RA CO2RA, SRA, S(0)RA, S(0)2RA, S(0)2N(RA)RB, N(RA)C(0)RB, N(RA)C02RB, N(RA)S(0)2RB, N(RA)S(0)2N(RA)RB, OC(0)N(RA)RB, N(RA)C(0)N(RA)RB,
N(RA)C(0)C(0)N(RA)RB, CycB, ArylB and HetB,
(6) halogen,
(7) CN,
(8) NO2,
(9) N(RA)RB?
(10) C(0)N(RA)RB,
(1 1) C(0)RA
(12) C(0)-C 1-6 haloalkyl,
(13) C(0)0RA
(14) 0C(0)RA
(15) OC(0)N(RA)RB,
(16) SRA
(17) S(0)RA
(18) S(0)2RA,
(19) S(0)2N(RA)RB,
Figure imgf000250_0001
(21) N(RA)S(0)2N(RA)RB?
(22) N(RA)C(0)RB,
(23) N(RA)C(0)N(RA)RB,
(24) N(RA)C(0)-C(0)N(RA)RB?
(25) N(RA)C02RB,
(26) N(RC)RD
(27) C(0)N(RC)RD?
(28) OC(0)N(RC)RD
(29) S(0)2N(RC)RD,
(30) N(RA)S(0)2N(RC)RD?
(31) N(RA)C(0)N(RC)RD
(32) N(RA)C(0)-C(0)N(RC)RD,
(33) OH,
(34) CycB,
(35) ArylB,
(36) HetB,
(37) -J-CycB,
(38) -J- ArylB, and
(39) -J-HetB,
or R4 and R5 on adjacent atoms may be joined together with the atoms to which they are attached to form a fused CycC, ArylC or HetC;
CycA, CycB and CycC are independently a carbocyclyl which is a C3-8 cycloalkyl, a C5-8 cycloalkenyl, or a C7-I2 bicyclic, saturated or unsaturated, non-aromatic ring system wherein one ring is fused to or bridged with the other ring; wherein the carbocyclyl is optionally substituted with a total of from 1 to 6 substituents, wherein:
(i) from zero to 6 substituents are each independently:
(1) halogen,
(2) CN,
(3) Ci-6 alkyl,
(4) OH, (5) O-Ci-6 alkyl,
(6) Cl-6 haloalkyl,
(7) O-C 1-6 haloalkyl,
(8) Cl-6 alkenyl, or
(9) Cl-6 alkenyl substituted with CN, and
(ii) from zero to 2 substituents are each independently:
(1) CycQ,
(2) AryQ,
(3) HetQ,
(4) HetR,
(5) J-CycQ,
(6) J-AryQ,
(7) J-HetQ,
(8) J-HetR,
(9) C 1 -6 alkyl substituted with CycQ, AryQ, HetQ, HetR, J-CycQ, J-AryQ, J-HetQ, or J-HetR,
( 10) C2-6 alkenyl substituted with CycQ, AryQ, HetQ, HetR,
J-CycQ, J-AryQ, J-HetQ, or J-HetR, or
(11) C2-6 alkynyl substituted with CycQ, AryQ, HetQ, HetR,
J-CycQ, J-AryQ, J-HetQ, or J-HetR;
ArylA, ArylB and ArylC are independently aryl which is optionally substituted with a total of from 1 to 8 substituents, wherein:
(i) from zero to 8 substituents are each independently:
(1) Cl-6 alkyl,
(2) Cl-6 haloalkyl, which is optionally substituted with 1 to 3 additional substituents each of which is indepednently selected from OH, 0-Ci_6 alkyl, 0-Ci_6 haloalkyl, CN, N02,
N(RA)RB, C(0)N(RA)RB, C(0)RA C02RA, SRA, S(0)RA S(0)2RA, S(0)2N(RA)RB, N(RA)C(0)RB, N(RA)C02RB, N(RA)S(0)2RB, N(RA)S(0)2N(RA)RB? OC(0)N(RA)RB? N(RA)C(0)N(RA)RB? or N(RA)C(0)C(0)N(RA)RB?
(3) Cl-6 alkyl substituted with from 1 to 3 substituents each of which is independently selected from OH, O-C 1-6 alkyl, O-C 1 _6 haloalkyl, CN, N02, N(RA)RB, C(0)N(RA)RB,
C(0)RA, CO2RA, SRA, S(0)RA, S(0)2RA, S(0)2N(RA)RB,
N(RA)C(0)RB, N(RA)C02RB, N(RA)S(0)2RB,
N(RA)S(0)2N(RA)RB, OC(0)N(RA)RB,
N(RA)C(0)N(RA)RB, or N(RA)C(0)C(0)N(RA)RB,
(4) C2-6 alkenyl,
(5) C2-6 alkenyl substituted with from 1 to 3 substituents each of which is independently OH, O-C 1-6 alkyl, O-C 1-6 haloalkyl, CN, N02, N(RA)RB, C(0)N(RA)RB, C(0)RA CO2RA, SRA, S(0)RA, S(0)2RA, S(0)2N(RA)RB, N(RA)C(0)RB,
N(RA)C02RB, N(RA)S(0)2RB, N(RA)S(0)2N(RA)RB,
OC(0)N(RA)RB, N(RA)C(0)N(RA)RB, or
N(RA)C(0)C(0)N(RA)RB?
(6) C2-6 alkynyl,
(7) C2-6 alkynyl substituted with from 1 to 3 substituents each of which is independently OH, O-C 1-6 alkyl, O-C 1-6 haloalkyl,
CN, N02, N(RA)RB, C(0)N(RA)RB, C(0)RA CO2RA, SRA S(0)RA, S(0)2RA, S(0)2N(RA)RB? N(RA)C(0)RB,
N(RA)C02RB, N(RA)S(0)2RB, N(RA)S(0)2N(RA)RB? OC(0)N(RA)RB? N(RA)C(0)N(RA)RB? or
N(RA)C(0)C(0)N(RA)RB,
(8) O-C 1-6 alkyl,
(9) O-C 1-6 haloalkyl,
(10) OH,
(11) halogen, (12) CN,
(13) N02,
(14) N(RA)RB,
(15) C(0)N(RA)RB,
(16) C(0)R
(17) C(0)-Cl-6 haloalkyl,
(18) C(0)ORA,
(19) OC(0)N(RA)RB,
(20) SRA
(21) S(0)RA
(22) S(0)2RA,
(23) S(0)2N(RA)RB,
(24) N(RA)S(0)2RB,
(25) N(RA)S(0)2N(RA)RB,
(26) N(RA)C(0)RB,
(27) N(RA)C(0)N(RA)RB,
(28) N(RA)C(0)-C(0)N(RA)RB,
Figure imgf000253_0001
(ii) from zero to 2 substituents are each independently:
(1) CycQ,
(2) AryQ,
(3) HetQ,
(4) HetR,
(5) J-CycQ,
(6) J-AryQ,
(7) J-HetQ,
(8) J-HetR,
(9) C 1 _6 alkyl substituted with CycQ, AryQ, HetQ, HetR, J-CycQ, J-AryQ, J-HetQ, or J-HetR, ( 10) C2-6 alkenyl substituted with CycQ, AryQ, HetQ, HetR,
J-CycQ, J-AryQ, J-HetQ, or J-HetR, or
(1 1) C2-6 alkynyl substituted with CycQ, AryQ, HetQ, HetR,
J-CycQ, J-AryQ, J-HetQ, or J-HetR;
HetA, HetB and HetC are independently a heterocyclyl or heteroaryl which is optionally substituted with a total of from 1 to 8 substituents, wherein:
(i) from zero to 8 substituents are each independently:
(1) Cl-6 alkyl,
(2) Cl-6 haloalkyl, which is optionally substituted with 1 to 3
additional substituents each of which is indepednently selected from OH, O-Cl-6 alkyl, O-Cl-6 haloalkyl, CN, N02,
N(RA)RB, C(0)N(RA)RB, C(0)RA C02RA, SRA, S(0)RA, S(0)2RA, S(0)2N(RA)RB, N(RA)C(0)RB, N(RA)C02RB, N(RA)S(0)2RB, N(RA)S(0)2N(RA)RB, OC(0)N(RA)RB, N(RA)C(0)N(RA)RB? or N(RA)C(0)C(0)N(RA)RB?
(3) Cl-6 alkyl substituted with from 1 to 3 substituents each of which is independently selected from OH, O-Cl-6 alkyl, O-Cl-6 haloalkyl, CN, NO2, N(RA)RB, C(0)N(RA)RB, C(0)RA CO2RA, SRA S(0)RA, S(0)2RA, S(0)2N(RA)RB,
N(RA)C(0)RB, N(RA)C02RB, N(RA)S(0)2RB,
N(RA)S(0)2N(RA)RB, OC(0)N(RA)RB,
N(RA)C(0)N(RA)RB, or N(RA)C(0)C(0)N(RA)RB,
(4) C2-6 alkenyl,
(5) C2-6 alkenyl substituted with from 1 to 3 substituents each of which is independently OH, O-Cl-6 alkyl, O-Cl-6 haloalkyl, CN, NO2, N(RA)RB, C(0)N(RA)RB, C(0)RA CO2RA, SRA, S(0)RA S(0)2RA, S(0)2N(RA)RB, N(RA)C(0)RB,
N(RA)C02RB, N(RA)S(0)2RB, N(RA)S(0)2N(RA)RB, OC(0)N(RA)RB? N(RA)C(0)N(RA)RB? or
N(RA)C(0)C(0)N(RA)RB,
(6) C2-6 alkynyl,
(7) C2-6 alkynyl substituted with from 1 to 3 substituents each of which is independently OH, O-Cl-6 alkyl, O-Cl-6 haloalkyl, CN, N02, N(RA)RB? C(0)N(RA)RB? C(0)RA CO2RA, SRA, S(0)RA S(0)2RA, S(0)2N(RA)RB, N(RA)C(0)RB,
N(RA)C02RB, N(RA)S(0)2RB, N(RA)S(0)2N(RA)RB, OC(0)N(RA)RB, N(RA)C(0)N(RA)RB, or
N(RA)C(0)C(0)N(RA)RB,
(8) O-Cl-6 alkyl,
(9) O-Cl-6 haloalkyl,
(10) OH,
(1 1) oxo,
(12) halogen,
(13) CN,
(14) NO2,
(15) N(RA)RB,
(16) C(0)N(RA)RB,
(17) C(0)RA
(18) C(0)-C 1-6 haloalkyl,
(19) C(0)0RA
(20) OC(0)N(RA)RB,
(21) SRA
(22) S(0)RA
(23) S(0)2RA,
(24) S(0)2N(RA)RB,
(25) N(RA)S(0)2RB,
(26) N(RA)S(0)2N(RA)RB, (27) N(RA)C(0)RB,
(28) N(RA)C(0)N(RA)RB,
(29) N(RA)C(0)-C(0)N(RA)RB, 0r
Figure imgf000256_0001
(ii) from zero to 2 substituents are each independently:
(1) CycQ,
(2) AryQ,
(3) HetQ,
(4) HetR,
(5) J-CycQ,
(6) J-AryQ,
(7) J-HetQ,
(8) J-HetR,
(9) C 1 -6 alkyl substituted with CycQ, AryQ, HetQ, HetR, J-CycQ, J-AryQ, J-HetQ, or J-HetR,
( 10) C2-6 alkenyl substituted with CycQ, AryQ, HetQ, HetR,
J-CycQ, J-AryQ, J-HetQ, or J-HetR, or
(1 1) C2-6 alkynyl substituted with CycQ, AryQ, HetQ, HetR,
J-CycQ, J-AryQ, J-HetQ, or J-HetR;
each CycQ is independently C3-8 cycloalkyl or C5-8 cycloalkenyl, wherein the cycloalkyl or cycloalkenyl is optionally substituted with from 1 to 4 substituents, each of which is independently halogen, Cl-6 alkyl, OH, O-Cl-6 alkyl, Cl-6 haloalkyl, or O-Cl-6 haloalkyl;
each AryQ is independently phenyl or naphthyl, wherein the phenyl or naphthyl is optionally substituted with from 1 to 5 substituents each of which is independently halogen, CN, NO2, Cl-6 alkyl, Cl-6 haloalkyl, OH, O-Cl-6 alkyl, O-Cl-6 haloalkyl, N(RA)RB, C(0)N(RA)RB, C(0)RA CO2RA, SRA S(0)RA SO2RA,
S02N(RA)RB, or S02N(RA)C(0)RB; each HetQ is independently a heteroaryl which is optionally substituted with from 1 to 4 substituents each of which is independently halogen, Cl-6 alkyl, Cl-6 haloalkyl, OH, O-Cl-6 alkyl, O-Cl-6 haloalkyl, N(RA)RB? C(0)N(RA)RB? C(0)RA C02RA, S02RA, N(RA)C(0)N(RA)RB? or N(RA)C02RB;
each HetR is independently a 4- to 7-membered, saturated or unsaturated, non- aromatic heterocyclic ring containing at least one carbon atom and from 1 to 4 heteroatoms independently selected from N, O and S, where each S is optionally oxidized to S(O) or S(0)2, and wherein the saturated or unsaturated heterocyclic ring is optionally substituted with from 1 to 4 substituents each of which is independently halogen, CN, Cl-6 alkyl, OH, oxo, O-Cl-6 alkyl, Cl-6 haloalkyl, O-Cl-6 haloalkyl, C(0)N(RA)RB? C(0)RA CO2RA, or S02RA;
each J is independently:
(i) 0,
(ϋ) s,
(iii) S(O),
(iv) S(0)2,
(v) O-Cl-6 alkylene,
(vi) S-Ci-6 alkylene,
(vii) S(0)-Cl-6 alkylene,
(viii) S(0)2-Cl-6 alkylene,
(ix) N(RA), or
(x) N(RA)-Cl-6 alkylene;
each RA? RB? RC and RD are independently selected from H, Cl-6 alkyl and C3- 6cycloalkyl, wherein said Cl-6 alkyl and C3_6cycloalkyl are optionally substituted with one or more substituents up to the maximum number allowed by valence selected from the group consisting of: halogen, OH, CN, Ci_4alkoxy, C3_6cycloalkyl and phenyl; or alternatively each pair of RC and RD together with the nitrogen to which they are both attached form a 4- to 7-membered saturated or mono-unsaturated ring which optionally contains a heteroatom in addition to the N to which RC and RD are attached, wherein the additional heteroatom is selected from N, O, and S; wherein the ring is optionally substituted with 1 or 2 substituents each of which is independently Cl-6 alkyl, C(0)RA, C(0)ORA, C(0)N(RA)RB? 0r S(0)2RA; and wherein the optional S in the ring is optionally in the form of S(O) or S(0)2 each aryl is independently (i) phenyl, (ii) a 9- or 10-membered bicyclic, fused carbocylic ring system in which at least one ring is aromatic, or (iii) an 11- to 14- membered tricyclic, fused carbocyclic ring system in which at least one ring is aromatic; each heterocyclyl is independently (i) a 4- to 8-membered, saturated or unsaturated monocyclic ring, (ii) a 7- to 12-membered bicyclic ring system, or (iii) a 10- to 18- membered tricyclic ring system, wherein each ring in (ii) or (iii) is independent of, fused to, or bridged with the other ring or rings and each ring is saturated or unsaturated; wherein the monocyclic ring contains from 1 to 4 heteroatoms and a balance of carbon atoms; the bicyclic ring system or tricyclic ring system contains from 1 to 8 heteroatoms and a balance of carbon atoms, wherein one or more of the rings contain one or more of the heteroatoms; wherein the heteroatoms are selected from N, O and S; and wherein any one or more of the nitrogen and sulfur heteroatoms is optionally oxidized, and any one or more of the nitrogen heteroatoms is optionally quaternized; each heteroaryl is independently (i) a 5- or 6-membered heteroaromatic ring containing from 1 to 4 heteroatoms independently selected from N, O and S, wherein each N is optionally in the form of an oxide, or (ii) a 9- or 10-membered
heterobicyclic, fused ring system containing from 1 to 4 heteroatoms independently selected from N, O and S, wherein either one or both of the rings contain one or more of the heteroatoms, at least one ring is aromatic, each N is optionally in the form of an oxide, and each S in a ring which is not aromatic is optionally S(O) or S(0)2-
2. The compound according to claim 1, or a pharmaceutically acceptable salt thereof, of Formula la:
Figure imgf000259_0001
la, wherein Κΐ and Κ2 are each independently F, Br, CI, OCHF2, CF3 or CN.
3. The compound of Formula la according to claim 2, or a pharmaceutically acceptable salt thereof, wherein:
Κ2 is chloro and Κΐ is cyano, or
Κ2 is bromo and Κΐ chloro, or
Κ2 is cyano and Κΐ is cyano, or
K2 is cyano and Κΐ is difluoromethoxy, or
Κ2 is chloro and Κΐ is chloro, or
K2 is cyano and Κΐ is fluoro.
4. The compound of Formula I according to claim 1, or a pharmaceutically acceptable salt thereof, wherein:
R2 is independently:
(1) H,
(2) Cl-3 alkyl,
(3) CF2H,
(4) CF3,
(5) CH2CF3,
(6) CF2CH3,
(?) CH2OH,
(8) CH2OCH3,
(9) CH2CN, (10) CH2NH2,
(I D CH2N(H)CH3,
(12) CH2N(CH3)2,
(13) CH2C(0)NH2,
(14) CH2C(0)N(H)CH3,
(15) CH2C(0)N(CH3)2,
(16) CH2C(0)CH3,
(17) CH2CO2CH3,
(18) CH2S(0)2CH3,
(19) O-Cl-3 alkyl,
(20) OCF2H,
(21) OCF3,
(22) CI,
(23) Br,
(24) F,
(25) CN,
(26) N02,
(27) NH2,
(28) N(H)CH3,
(29) N(CH3)2,
(30) C(0)NH2,
(31) C(0)N(H)CH3,
(32) C(0)N(CH3)2,
(33) C(0)CH3,
(34) C(0)CF3,
(35) CO2CH3,
(36) S(0)2CH3, or
(37) cyclopropyl.
5. The compound of Formula I according to claim 4, or a pharmaceutically acceptable salt thereof, wherein R2 is selected from H, CH3, CH2CH3, CF2CH3, CF2H, CF3, OCH3, OCF2H, OCF3, cyclopropyl, CI, Br, F, or CN.
6. The compound of Formula I according to claim 5, or a pharmaceutically acceptable salt thereof, wherein R2 is CF3.
7. The compound according to any one of claims 1 to 6, or a pharmaceutically acceptable salt thereof, wherein M is CH2, or CH(CH3).
8. The compound according to claim 7, or a pharmaceutically acceptable salt thereof, wherein M is CH2.
9. The compound according to any one of claims 1 to 8, or a pharmaceutically acceptable salt thereof, wherein Z is selected from the group consisting of:
Figure imgf000261_0001
Figure imgf000262_0001
wherein * is the point of attachment to M.
10. The compound of Formula I according to claim 3, or a pharmaceutically acceptable salt thereof, wherein
R2 is selected from H, CH3, CH2CH3, CF2CH3, CF2H, CF3, OCH3, OCF2H, OCF3, cyclopropyl, CI, Br, F, or CN;
R3 is H; and
M is CH2 or CH(CH3).
1 1. The compound of Formula I according to claim 10, or a pharmaceutically acceptable salt thereof, wherein
Figure imgf000263_0001
wherein * is the point of attachment to M.
12. The compound according to any one of claims 1 to 11, or a pharmaceutically acceptable salt thereof, wherein:
R4 and R5 are each independently selected from:
(1) H,
(2) Cl-6 alkyl, C2-6 alkenyl or C2-6 alkynyl, each optionally substituted with one or more substituents up to the maximum number allowed by valence selected from OH, O-Cl-6 alkyl, O-Cl-6 haloalkyl, CN, N02, N(RA)RB? C(0)N(RA)RB? C(0)RA C02RA, SRA, S(0)RA
S(0)2RA, S(0)2N(RA)RB, N(RA)C(0)RB, N(RA)C02RB,
N(RA)S(0)2RB, N(RA)S(0)2N(RA)RB, OC(0)N(RA)RB,
N(RA)C(0)N(RA)RB, N(RA)C(0)C(0)N(RA)RB, C3-8 cycloalkyl, phenyl and HetB,
(3) Cl-6 haloalkyl optionally additionally substituted with one or more substituents up to the maximum number allowed by valence selected from OH, O-Cl-6 alkyl, O-Cl-6 haloalkyl, CN, NO2, N(RA)RB, C(0)N(RA)RB, C(0)RA CO2RA, SRA S(0)RA S(0)2RA, S(0)2N(RA)RB, N(RA)C(0)RB, N(RA)C02RB, N(RA)S(0)2RB, N(RA)S(0)2N(RA)RB? OC(0)N(RA)RB? N(RA)C(0)N(RA)RB? N(RA)C(0)C(0)N(RA)RB? C3.8 cycloalkyl, phenyl and HetB,
(4) O-Cl-6 alkyl in which the alkyl portion is optionally substituted with one or more substituents up to the maximum number allowed by valence selected from OH, O-Cl-6 alkyl, O-Cl-6 haloalkyl, CN, NO2, N(RA)RB, C(0)N(RA)RB, C(0)RA CO2RA, SRA S(0)RA
S(0)2RA, S(0)2N(RA)RB? N(RA)C(0)RB, N(RA)C02RB,
N(RA)S(0)2RB, N(RA)S(0)2N(RA)RB? OC(0)N(RA)RB?
N(RA)C(0)N(RA)RB? N(RA)C(0)C(0)N(RA)RB? C3-8 cycloalkyl, phenyl and HetB,
(5) O-Cl-6 haloalkyl, optionally additionally substituted with one or more substituents up to the maximum number allowed by valence selected from OH, O-Cl-6 alkyl, O-Cl-6 haloalkyl, CN, NO2, N(RA)RB? C(0)N(RA)RB, C(0)RA CO2RA, SRA S(0)RA S(0)2RA, S(0)2N(RA)RB, N(RA)C(0)RB, N(RA)C02RB, N(RA)S(0)2RB, N(RA)S(0)2N(RA)RB, OC(0)N(RA)RB, N(RA)C(0)N(RA)RB, N(RA)C(0)C(0)N(RA)RB, C3-8 cycloalkyl, phenyl and HetB,
(6) halogen,
(7) OH,
(8) CN
(9) C(0) RA
(10) N(RA)RB,
(1 1) C(0)N(RA)RB,
(12) C(0)0RA
(13) SRA
Figure imgf000264_0001
(16) C3-8 cycloalkyl,
(17) ArylB, (18) HetB,
(19) -J- C3-8 cycloalkyl,
(20) -J-ArylB, and
(21) -J-HetB.
13. The compound according to claim 1 having Formula lb
Figure imgf000265_0001
lb
or a pharmaceutically acceptable salt thereof,
wherein Κΐ and Κ2 are each independently F, Br, CI, OCHF2, CF3 or CN; and R2 is selected from H, CH3, CH2CH3, CF2CH3, CF2H, CF3, OCH3, OCF2H, OCF3, cyclopropyl, CI, Br, F, or CN.
14. The compound of Formula lb according to Claim 13, or a pharmaceutically acceptable salt thereof, wherein R2 is CF3 and R4 is H.
15. The compound according to claim 1 having Formula Ic
Figure imgf000265_0002
Ic
or a pharmaceutically acceptable salt thereof, wherein Κΐ and Κ2 are each independently F, Br, CI, OCHF2, CF3 or CN; and
R2 is selected from H, CH3, CH2CH3, CF2CH3, CF2H, CF3, OCH3, OCF2H, OCF3, cyclopropyl, CI, Br, F, or CN.
16. The compound of Formula Ic according to Claim 15, or a pharmaceutically acceptable salt thereof, wherein R2 is CF3 and R4 is H.
17. The compound according to claim 1 having Formula Id
Figure imgf000266_0001
or a pharmaceutically acceptable salt thereof,
wherein Κΐ and Κ2 are each independently F, Br, CI, OCHF2, CF3 or CN; and
R2 is selected from H, CH3, CH2CH3, CF2CH3, CF2H, CF3, OCH3, OCF2H, OCF3, cyclopropyl, CI, Br, F, or CN.
18. The compound of Formula Id according to Claim 17, or a pharmaceutically acceptable salt thereof, wherein R2 is CF3 and R4 is H.
19. A compound of Formula I according to claim 1, or a pharmaceutically acceptable salt thereof, wherein the compound selected from the group consisting of:
3-chloro-5-((6-oxo-l-((5-oxo-5,6-dihydropyrido[2,3-d]pyridazin-8-yl)methyl)-4- (trifluoromethyl)- 1 ,6-dihydropyrimidin-5-yl)oxy)benzonitrile;
3-chloro-5-((l-((5-hydroxypyrazin-2-yl)methyl)-6-oxo-4-(trifluoromethyl)-l,6- dihydro pyrimidin-5 -yl)oxy)benzonitrile; 3-chloro-5-((l-((4-methyl-5-oxo-4,5-dihydropyrazin-2-yl)methyl)-6-oxo-4- (trifluoromethyl)- 1 ,6-dihydropyrimidin-5-yl)oxy)benzonitrile;
3-chloro-5-((6-oxo-l-((3-oxo-3,4-dihydropyrazin-2-yl)methyl)-4-(trifluoromethyl)- l,6-dihydropyrimidin-5-yl)oxy)benzonitrile;
3-chloro-5-((6-oxo-l-((3-oxo-2,3-dihydropyridazin-4-yl)methyl)-4-(trifluoromethyl) - l,6-dihydropyrimidin-5-yl)oxy)benzonitrile;
3 - chloro-5-((6-oxo-l -((6-0X0-5 -(trifluoromethyl)-l,6-dihydropyridazin-3-yl)methyl)-
4- (trifluoromethyl)- 1 ,6-dihydropyrimidin-5-yl)oxy)benzonitrile;
3-chloro-5-((6-oxo-l-((6-oxo-l,6-dihydropyridazin-3-yl)methyl)-4-(trifluoromethyl)- l,6-dihydropyrimidin-5-yl)oxy)benzonitrile;
3-chloro-5-({6-oxo- 1 -[(6-oxo- 1 ,6-dihydropyridazin-3-yl)(2H2)methyl]-4- (trifluoromethyl)-l,6-dihydropyrimidin-5-yl}oxy)benzonitrile;
3-chloro-5-((l-((5-(3,3-difluorocyclobutyl)-6-oxo-l,6-dihydropyridazin-3-yl)methyl)- 6-oxo-4-(trifluoromethyl)-l,6-dihydropyrimidin-5-yl)oxy)benzonitrile;
3-chloro-5-((l-((5-isopropyl-6-oxo-l,6-dihydropyridazin-3-yl)methyl)-6-oxo-4- (trifluoromethyl)- 1 ,6-dihydropyrimidin-5-yl)oxy)benzonitrile;
3-chloro-5-((l-((5-(3-methyloxetan-3-yl)-6-oxo-l,6-dihydropyridazin-3-yl)methyl)-6- oxo-4-(trifluoromethyl)- 1 ,6-dihydropyrimidin-5 -yl)oxy)benzonitrile;
3-chloro-5-((l-((5-(2-hydroxypropan-2-yl)-6-oxo-l,6-dihydropyridazin-3-yl)methyl)- 6-oxo-4-(trifluoromethyl)-l,6-dihydropyrimidin-5-yl)oxy)benzonitrile;
3- chloro-5-((l-((5-(hydroxymethyl)-6-oxo-l,6-dihydropyridazin-3-yl)methyl)-6-oxo-
4- (trifluoromethyl)-l,6-dihydropyrimidin-5-yl)oxy)benzonitrile;
3-chloro-5-((4-methyl-6-oxo- 1 -((6-oxo- 1 ,6-dihydropyridazin-3-yl)methyl)- 1 ,6- dihydropyrimidin-5-yl)oxy)benzonitrile;
3- chloro-5-((l-((5-(l-hydroxyethyl)-6-oxo-l,6-dihydropyridazin-3-yl)methyl)-6-oxo-
4- (trifluoromethyl)-l,6-dihydropyrimidin-5-yl)oxy)benzonitrile;
3-chloro-5-((l-((5-(l-fluoroethyl)-6-oxo-l,6-dihydropyridazin-3-yl)methyl)-6-oxo-4- (trifluoromethyl)- 1 ,6-dihydropyrimidin-5-yl)oxy)benzonitrile;
3-chloro-5-((l-((5-(fluoromethyl)-6-oxo-l,6-dihydropyridazin-3-yl)methyl)-6-oxo-4- (trifluoromethyl)- 1 ,6-dihydropyrimidin-5-yl)oxy)benzonitrile;
3-chloro-5-((l-((5-(cyclopropyl(hydroxy)methyl)-6-oxo-l,6-dihydropyridazin-3- yl)methyl) - 6-oxo-4-(trifluoromethyl)- 1 ,6-dihydropyrimidin-5-yl)oxy)benzonitrile;
2.5- dichloro-3-((6-oxo-l-((6-oxo-l,6-dihydropyridazin-3-yl)methyl)-4- (trifluoromethyl)- 1 ,6-dihydropyrimidin-5-yl)oxy)benzonitrile;
3-fluoro-5-((6-oxo-l-((6-oxo-l,6-dihydropyridazin-3-yl)methyl)-4-(trifluoromethyl)-
1.6- dihydropyrimidin-5-yl)oxy)benzonitrile; 3-((6-oxo- 1 -((6-oxo- 1 ,6-dihydropyridazin-3-yl)methyl)-4-(trifluoromethyl)- 1 ,6- dihydropyrimidin-5 -yl)oxy)-5 -(trifluoromethyl)benzonitrile;
6-((5 -(3 -chloro-5 -(trifluoromethyl)phenoxy)-6-oxo-4-(trifluoromethyl)pyrimidin- 1 (6H)-yl)methyl)pyridazin-3 (2H)-one;
3-chloro-5-((6-oxo-l-((6-oxo-5-phenyl-l,6-dihydropyridazin-3-yl)methyl)-4-
(trifluoro methyl)- 1 ,6-dihydropyrimidin-5-yl)oxy)benzonitrile;
3 -((1 -((5-bromo- 1 -methyl-6-oxo- 1 ,6-dihydropyridazin-3-yl)methyl)-6-oxo-4-
(trifluoromethy)- 1 ,6-dihydropyrimidin-5 -yl)oxy)-5 -chlorobenzonitrile;
3-chloro-5-((6-oxo-l-((6-oxo-5-(4-(trifluoromethoxy)phenyl)-l,6-dihydropyridazin-3- yl)methyl)-4-(trifluoromethyl)-l,6-dihydropyrimidin-5-yl)oxy)benzonitrile;
3 - chloro-5 -((1 -((5 -(2-fluorophenyl)-6-oxo-l,6-dihydropyridazin-3-yl)methyl)-6-oxo-
4- (trifluoromethyl)- 1 ,6-dihydropyrimidin-5-yl)oxy)benzonitrile;
3- chloro-5-((l-((5-(3-fluorophenyl)-6-oxo-l,6-dihydropyridazin-3-yl)methyl)-6-oxo-
4- (trifluoromethyl)- 1 ,6-dihydropyrimidin-5-yl)oxy)benzonitrile;
3-chloro-5-((l-((5-(3-chloro-5-fluorophenyl)-6-oxo-l,6-dihydropyridazin-3- yl)methyl)-6-oxo-4-(trifluoromethyl)-l,6-dihydropyrimidin-5-yl)oxy)benzonitrile;
3 - chloro-5 -((1 -((5 -(4-chlorophenyl)-6-oxo-l,6-dihydropyridazin-3-yl)methyl)-6-oxo-
4- (trifluoromethyl)- 1 ,6-dihydropyrimidin-5-yl)oxy)benzonitrile;
3-chloro-5-((l-((5-(3,4-difluorophenyl)-6-oxo-l,6-dihydropyridazin-3-yl)methyl)-6- oxo-4-(trifluoromethyl)- 1 ,6-dihydropyrimidin-5 -yl)oxy)benzonitrile;
3-chloro-5-((l-((5-(4-(difluoromethoxy)phenyl)-6-oxo-l,6-dihydropyridazin-3- yl)methyl)-6-oxo-4-(trifluoromethyl)-l,6-dihydropyrimidin-5-yl)oxy)benzonitrile;
3 -chloro-5 -((6-oxo- 1 -((6-0X0-5 -(p-tolyl)-l, 6-dihydropyridazin-3-yl)methyl)-4-
(trifluoromethyl)- 1 ,6-dihydropyrimidin-5-yl)oxy)benzonitrile;
3-chloro-5-((l-((5-(3-fluoro-4-isopropoxyphenyl)-6-oxo-l,6-dihydropyridazin-3- yl)methyl)-6-oxo-4-(trifluoromethyl)-l,6-dihydropyrimidin-5-yl)oxy)benzonitrile;
3-chloro-5-((l-((5-(3,5-difluorophenyl)-6-oxo-l,6-dihydropyridazin-3-yl)methyl)-6- oxo-4-(trifluoromethyl)- 1 ,6-dihydropyrimidin-5 -yl)oxy)benzonitrile;
3-chloro-5-((l-((5-(3-chloro-4-fluorophenyl)-6-oxo-l,6-dihydropyridazin-3- yl)methyl)-6-oxo-4-(trifluoromethyl)-l,6-dihydropyrimidin-5-yl)oxy)benzonitrile;
3-chloro-5-((l-((5-(2,4-difluorophenyl)-6-oxo-l,6-dihydropyridazin-3-yl)methyl)-6- oxo-4-(trifluoromethyl)- 1 ,6-dihydropyrimidin-5 -yl)oxy)benzonitrile;
3- chloro-5-((l-((5-(3-chlorophenyl)-6-oxo-l,6-dihydropyridazin-3-yl)methyl)-6-oxo-
4- (trifluoromethyl)- 1 ,6-dihydropyrimidin-5-yl)oxy)benzonitrile;
3-chloro-5-((l-((5-(4-fluoro-3-methylphenyl)-6-oxo-l,6-dihydropyridazin-3- yl)methyl)-6-oxo-4-(trifluoromethyl)-l,6-dihydropyrimidin-5-yl)oxy)benzonitrile; 3-chloro-5-((l-((5-(2-fluoro-3-methylphenyl)-6-oxo-l,6-dihydropyridazin-3- yl)methyl)-6-oxo-4-(trifluoromethyl)-l,6-dihydropyrimidin-5-yl)oxy)benzonitri
3-chloro-5-((l-((5-(2-fluoro-5-methylph
yl)methyl)-6-oxo-4-(trifluoromethyl)-l,6-dihydropyrimidin-5-yl)oxy)benzonitri
3-chloro-5-((l-((5-(2-chloro-4-fluorophenyl)-6-oxo-l,6-dihydropyridazin-3- yl)methyl)-6-oxo-4-(trifluoromethyl)-l,6-dihydropyrimidin-5-yl)oxy)benzonitri
3-chloro-5-((l-((5-(2-chloro-3-fluorophenyl)-6-oxo-l,6-dihydropyridazin-3- yl)methyl)-6-oxo-4-(trifluoromethyl)-l,6-dihydropyrimidin-5-yl)oxy)benzonitri
3-chloro-5-((l-((5-(2-fluoro-4-methylphenyl)-6-oxo-l,6-dihydropyridazin-3- yl)methyl)-6-oxo-4-(trifluoromethyl)-l,6-dihydropyrimidin-5-yl)oxy)benzonitri
3-chloro-5-((l-((5-(3-chloro-2-fluorophenyl)-6-oxo-l,6-dihydropyridazin-3- yl)methyl)-6-oxo-4-(trifluoromethyl)-l,6-dihydropyrimidin-5-yl)oxy)benzonitri
3-chloro-5-((l-((5-(2-fluoro-3-methoxyphenyl)-6-oxo-l,6-dihydropyridazin-3- yl)methyl)-6-oxo-4-(trifluoromethyl)-l,6-dihydropyrimidin-5-yl)oxy)benzonitri
3-chloro-5-((l-((5-(2-fluoro-4-methoxyphenyl)-6-oxo-l,6-dihydropyridazin-3- yl)methyl)-6-oxo-4-(trifluoromethyl)-l,6-dihydropyrimidin-5-yl)oxy)benzonitri
3-chloro-5-((l-((5-(4-chloro-3-fluorophenyl)-6-oxo-l,6-dihydropyridazin-3- yl)methyl)-6-oxo-4-(trifluoromethyl)-l,6-dihydropyrimidin-5-yl)oxy)benzonitri
3-chloro-5-((l-((5-(5-chloro-2-fluorophenyl)-6-oxo-l,6-dihydropyridazin-3- yl)methyl)-6-oxo-4-(trifluoromethyl)-l,6-dihydropyrimidin-5-yl)oxy)benzonitri
3-chloro-5-((l-((5-(2,5-difluorophenyl)-6-oxo-l,6-dihydropyridazin-3-yl)methyl)-6- oxo-4-(trifluoromethyl)- 1 ,6-dihydropyrimidin-5 -yl)oxy)benzonitrile;
3-chloro-5-((l-((5-(4-isopropylphenyl)-6-oxo-l,6-dihydropyridazin-3-yl)methyl)-6- oxo-4-(trifluoromethyl)- 1 ,6-dihydropyrimidin-5 -yl)oxy)benzonitrile;
3-chloro-5-((l-((5-(5-fluoro-2-methylph
yl)methyl)-6-oxo-4-(trifluoromethyl)-l,6-dihydropyrimidin-5-yl)oxy)benzonitri
3-chloro-5-((l-((5-(2-fluoro-6-methoxyphenyl)-6-oxo-l,6-dihydropyridazin-3- yl)methyl)-6-oxo-4-(trifluoromethyl)-l,6-dihydropyrimidin-5-yl)oxy)benzonitri
3-chloro-5-((l-((5-(3-fluoro-4-methoxyphenyl)-6-oxo-l,6-dihydropyridazin-3- yl)methyl)-6-oxo-4-(trifluoromethyl)-l,6-dihydropyrimidin-5-yl)oxy)benzonitri
3-((l-((5-(4-(tert-butyl)phenyl)-6-oxo-l,6-dihydropyridazin-3-yl)methyl)-6-oxo-4-
(trifluoromethyl)-l,6-dihydropyrimidin-5-yl)oxy)-5-chlorobenzonitrile;
3- chloro-5-((l-((5-(3-cyanophenyl)-6-oxo-l,6-dihydropyridazin-3-yl)methyl)-6-oxo-
4- (trifluoromethyl)- 1 ,6-dihydropyrimidin-5-yl)oxy)benzonitrile;
3-chloro-5-((6-oxo-l-((6-oxo-5-(3,4,5-trifluorophenyl)-l,6-dihydropyridazin-3- yl)methyl)-4-(trifluoromethyl)-l,6-dihydropyrimidin-5-yl)oxy)benzonitrile; 3-chloro-5-((l-((5-(4-fluoro-2-methylphenyl)-6-oxo-l,6-dihydropyridazin-3- yl)methyl)-6-oxo-4-(trifluoromethyl)-l,6-dihydropyrimidin-5-yl)oxy)benzonitri
3-chloro-5-((l-((5-(2,3-dihydrobenzofuran-7-yl)-6-oxo-l,6-dihydropyridazin-3- yl)methyl)-6-oxo-4-(trifluoromethyl)-l,6-dihydropyrimidin-5-yl)oxy)benzonitri
3-chloro-5-((l-((5-(3-fluoro-4-methylphenyl)-6-oxo-l,6-dihydropyridazin-3- yl)methyl)-6-oxo-4-(trifluoromethyl)-l,6-dihydropyrimidin-5-yl)oxy)benzonitri
3-chloro-5-((l-((5-(5-fluoro-2-methoxyphenyl)-6-oxo-l,6-dihydropyridazin-3- yl)methyl)-6-oxo-4-(trifluoromethyl)-l,6-dihydropyrimidin-5-yl)oxy)benzonitri
3-chloro-5-((l-((5-(3-fluoro-5-methylphenyl)-6-oxo-l,6-dihydropyridazin-3- yl)methyl)-6-oxo-4-(trifluoromethyl)-l,6-dihydropyrimidin-5-yl)oxy)benzonitri
3-chloro-5-((l-((5-(3-fluoro-5-methoxyphenyl)-6-oxo-l,6-dihydropyridazin-3- yl)methyl)-6-oxo-4-(trifluoromethyl)-l,6-dihydropyrimidin-5-yl)oxy)benzonitri
3-chloro-5-((6-oxo-l-((6-oxo-5-(2,3,4-trifluorophenyl)-l,6-dihydropyridazin-3- yl)methyl)-4-(trifluoromethyl)-l,6-dihydropyrimidin-5-yl)oxy)benzonitrile;
3-chloro-5-((l-((5-(2-fluoro-5-methoxyphenyl)-6-oxo-l,6-dihydropyridazin-3- yl)methyl)-6-oxo-4-(trifluoromethyl)-l,6-dihydropyrimidin-5-yl)oxy)benzonitri
3-chloro-5-((l-((5-(2,3-dihydrobenzofuran-5-yl)-6-oxo-l,6-dihydropyridazin-3- yl)methyl)-6-oxo-4-(trifluoromethyl)-l,6-dihydropyrimidin-5-yl)oxy)benzonitri
3- chloro-5-((6-oxo-l-((6-oxo-5-(lH-pyrazol-5-yl)-l,6-dihydropyridazin-3-yl)methyl)-
4- (trifluoromethyl)- 1 ,6-dihydropyrimidin-5-yl)oxy)benzonitrile;
3-chloro-5-((l-((5-cyclopropyl-6-oxo-l,6-dihydropyridazin-3-yl)methyl)-6-oxo-4- (trifluoromethyl)- 1 ,6-dihydropyrimidin-5-yl)oxy)benzonitrile;
3- chloro-5-((l-((5-(4-(methylsulfonyl)phenyl)-6-oxo-l,6-dihydropyridazin-3- yl)methyl)-6-oxo-4-(trifluoromethyl)-l,6-dihydropyrimidin-5-yl)oxy)benzonitri
4- (6-((5-(3-chloro-5-cyanophenoxy)-6-oxo-4-(trifluoromethyl)pyrimidin-l(6H)- yl)methyl)-3-oxo-2,3-dihydropyridazin-4-yl)-2-fluorobenzonitrile;
3-chloro-5-((l -((5-(4-(2,2-difluoro- 1 -hydroxy ethyl)phenyl)-6-oxo- 1 ,6- dihydropyridazin-3 -yl)methyl)-6-oxo-4-(trifluoromethyl)- 1 ,6-dihydropyrimidin-5 - yl)oxy)benzonitrile;
3-chloro-5-((l-((5-(3-(methylsulfonyl)phenyl)-6-oxo-l,6-dihydropyridazin-3- yl)methyl)-6-oxo-4-(trifluoromethyl)-l,6-dihydropyrimidin-5-yl)oxy)benzonitrile;
3- chloro-5-((6-oxo-l-((6-oxo-5-(lH-pyrazol-4-yl)-l,6-dihydropyridazin-3-yl)methyl)-
4- (trifluoromethyl)- 1 ,6-dihydropyrimidin-5-yl)oxy)benzonitrile;
3-chloro-5-((l -((5-(l -methyl- lH-pyrazol-4-yl)-6-oxo- 1 ,6-dihydropyridazin-3- yl)methyl)-6-oxo-4-(trifluoromethyl)-l,6-dihydropyrimidin-5-yl)oxy)benzonitrile; 3-chloro-5-((6-oxo-l-((6-oxo-5-(pyridin-3-yl)-l,6-dihydropyridazin-3-yl)methyl)-4- (trifluoromethyl)- 1 ,6-dihydropyrimidin-5-yl)oxy)benzonitrile; 3-chloro-5-((l-((5-(6-methoxypyridin^
6-oxo-4-(trifluoromethyl)-l,6-dihydropyrimidin-5-yl)oxy)benzonitrile;
3- chloro-5-((l-((5-(4-cyanophenyl)-6-oxo-l,6-dihydropyridazin-3-yl)methyl)-6-oxo-
4- (trifluoromethyl)- 1 ,6-dihydropyrimidin-5-yl)oxy)benzonitrile;
3-chloro-5-((l -((5-(l -methyl- lH-pyrazol-5-yl)-6-oxo- 1 ,6-dihydropyridazin-3- yl)methyl)-6-oxo-4-(trifluoromethyl)-l,6-dihydropyrimidin-5-yl)oxy)benzonitri
3- chloro-5-((l-((5-(4-fluorophenyl)-6-oxo-l,6-dihydropyridazin-3-yl)methyl)-6-oxo-
4- (trifluoromethyl)- 1 ,6-dihydropyrimidin-5-yl)oxy)benzonitrile;
3-chloro-5-((l-((5-(6-fluoropyridin-3-yl)-6-oxo-l,6-dihydropyridazin-3-yl)methyl)-6- oxo-4-(trifluoromethyl)- 1 ,6-dihydropyrimidin-5 -yl)oxy)benzonitrile;
3-chloro-5-((l-((5-(2-methoxypyridin-4-yl)-6-oxo-l,6-dihydropyridazin-3-yl)methyl)- 6-oxo-4-(trifluoromethyl)-l,6-dihydropyrimidin-5-yl)oxy)benzonitrile;
3-chloro-5-((l-((5-(5-methylpyridm^
6-oxo-4-(trifluoromethyl)-l,6-dihydropyrimidin-5-yl)oxy)benzonitrile;
3-chloro-5-((6-oxo-l-((6-oxo-5-(pyridin-4-yl)-l,6-dihydropyridazin-3-yl)methyl)-4- (trifluoromethyl)- 1 ,6-dihydropyrimidin-5-yl)oxy)benzonitrile;
3-chloro-5-((l-((5-(5-fluoropyridin-3-yl)-6-oxo-l,6-dihydropyridazin-3-yl)methyl)-6- oxo-4-(trifluoromethyl)- 1 ,6-dihydropyrimidin-5 -yl)oxy)benzonitrile;
3-chloro-5-((l-((5-(6-methylpyridm^
6-oxo-4-(trifluoromethyl)-l,6-dihydropyrimidin-5-yl)oxy)benzonitrile;
5- (6-((5-(3-chloro-5-cyanophenoxy)-6-oxo-4-(trifluoromethyl)pyrimidin-l(6H)- yl)methyl)-3-oxo-2,3-dihydropyridazin-4-yl)nicotinonitrile;
3-chloro-5-((l-((5-(5-methoxypyridin-3-yl)-6-oxo-l,6-dihydropyridazin-3-yl)methyl)-
6- oxo-4-(trifluoromethyl)-l,6-dihydropyrimidin-5-yl)oxy)benzonitrile;
3-chloro-5-((l-((5-(6-chloropyridin-3-yl)-6-oxo-l,6-dihydropyridazin-3-yl)methyl)-6- oxo-4-(trifluoromethyl)- 1 ,6-dihydropyrimidin-5 -yl)oxy)benzonitrile;
3-chloro-5-((l-((5-(2-fluoropyridin-3-yl)-6-oxo-l,6-dihydropyridazin-3-yl)methyl)-6- oxo-4-(trifluoromethyl)- 1 ,6-dihydropyrimidin-5 -yl)oxy)benzonitrile;
3-chloro-5-((6-oxo-l-((6-oxo-5-(quinolin-3-yl)-l,6-dihydropyridazin-3-yl)methyl)-4- (trifluoromethyl)- 1 ,6-dihydropyrimidin-5-yl)oxy)benzonitrile;
3-((l-((5-(4-(l-amino-2,2,2-trifluoroethyl)phenyl)-6-oxo-l,6-dihydropyridazin-3- yl)methyl)-6-oxo-4-(trifluoromethyl)-l,6-dihydropyrimidin-5-yl)oxy)-5- chlorobenzonitrile;
3-((l-((5-bromo-6-oxo-l,6-dihydropyridazin-3-yl)methyl)-6-oxo-4-(trifluoromethyl)- l,6-dihydropyrimidin-5-yl)oxy)-5-chlorobenzonitrile;
3-chloro-5-((l-((5-chloro-6-oxo-l,6-dihydropyridazin-3-yl)methyl)-6-oxo-4- (trifluoromethyl)- 1 ,6-dihydropyrimidin-5-yl)oxy)benzonitrile; 3- chloro-5-((l-((5-(dimethylamino)-6-oxo-l,6-dihydropyridazin-3-yl)methyl)-6-
4- (trifluoromethyl)- 1 ,6-dihydropyrimidin-5-yl)oxy)benzonitrile;
3- chloro-5-((6-oxo-l-((6-oxo-5-(lH-pyrazol-l-yl)-l,6-dihydropyridazin-3-yl)methyl)-
4- (trifluoromethyl)- 1 ,6-dihydropyrimidin-5-yl)oxy)benzonitrile; 3 -chloro-5 -((6-oxo- 1 -((6-0X0-5 -(1H- 1 ,2,3-triazol- 1 -yl)- 1 ,6-dihydropyridazin-3-yl)methyl)-4- (trifluoromethyl)- 1 ,6-dihydropyrimidin-5-yl)oxy)benzonitrile;
6-((5 -(3 -chloro-5 -cyanophenoxy)-6-oxo-4-(trifluoromethyl)pyrimidin- 1 (6H)- yl)methyl)-3-oxo-2,3-dihydropyridazine-4-carbonitrile;
3 -chloro-5 -((1 -((5 -(methylsulfonyl)-6-oxo-l,6-dihydropyridazin-3-yl) methyl)- 6- oxo-4-(trifluoromethyl)- 1 ,6-dihydropyrimidin-5 -yl)oxy)benzonitrile;
3 -chloro-5 -((1 -((5 -(ethylsulfonyl)-6-oxo-l,6-dihydropyridazin-3-yl)methyl)- 6-oxo-4-
(trifluoromethyl)- 1 ,6-dihydropyrimidin-5-yl)oxy)benzonitrile;
3-chloro-5-((l-((5-(5-fluoropyridin-2-yl)-6-oxo-l,6-dihydropyridazin-3-yl) methyl) -
6-oxo-4-(trifluoromethyl)-l,6-dihydropyrimidin-5-yl)oxy)benzonitrile;
3-chloro-5-((l-((5-(5-chloropyridin-2-yl)-6-oxo-l,6-dihydropyridazin-3-yl) methyl)-
6-oxo-4-(trifluoromethyl)-l,6-dihydropyrimidin-5-yl)oxy)benzonitrile;
methyl 6-((5 -(3 -chloro-5 -cyanophenoxy)-6-oxo-4- (trifluoromethyl)pyrimidin- 1 (6H)- yl) methyl) -3- oxo-2,3-dihydropyridazine-4-carboxylate;
6-((5 -(3 -chloro-5 -cyanophenoxy)-6-oxo-4-(trifluoromethyl)pyrimidin-l(6H)- yl)methyl)-3-oxo-2,3-dihydropyridazine-4-carboxamide;
3 - chloro-5 -((1 -((5 -(difluoromethyl)-6-oxo-l,6-dihydropyridazin-3-yl) methyl) -6-oxo-
4- (trifluoromethyl)- 1 ,6-dihydropyrimidin-5-yl)oxy)benzonitrile;
3 -chloro-5 -((6-oxo- l-((6-oxo-5-(2,2,2-trifluoro- 1 -hydroxyethyl)- 1 ,6-dihydro pyridazin-3-yl)methyl)-4-(trifluoromethyl)-l,6-dihydropyrimidin-5- yl)oxy)benzonitrile;
3-chloro-5-((l-((5-(l,l-difluoroethyl)-6-oxo-l,6-dihydropyridazin-3-yl) methyl) -6- oxo-4-(trifluoromethyl)- 1 ,6-dihydropyrimidin-5 -yl)oxy)benzonitrile;
3-((l-((5-acetyl-6-oxo-l,6-dihydropyridazin-3-yl)methyl)-6-oxo-4- (trifluoro methyl)- l,6-dihydropyrimidin-5-yl)oxy)-5-chlorobenzonitrile;
3 -chloro-5 -((1 -((5 -methoxy-6-oxo-l,6-dihydropyridazin-3-yl) methyl) -6-oxo-4-
(trifluoromethyl)- 1 ,6-dihydropyrimidin-5-yl)oxy)benzonitrile;
3 -chloro-5 -((1 -((5 -hydroxy-6-oxo-l,6-dihydropyridazin-3-yl) methyl) -6-oxo-4-
(trifluoromethyl)- 1 ,6-dihydropyrimidin-5-yl)oxy)benzonitrile;
3-chloro-5-((l-((5-(4-fluorophenoxy)-6-oxo-l,6-dihydropyridazin-3-yl)methyl)-6- oxo-4- (trifluoromethyl)- 1 ,6-dihydropyrimidin-5-yl)oxy)benzonitrile;
3 -chloro-5 -((1 -((5 -(difluoromethoxy)-6-oxo-l,6-dihydropyridazin-3-yl)methyl)-6- oxo-4- (trifluoromethyl)- 1 ,6-dihydropyrimidin-5-yl)oxy)benzonitrile; 3-chloro-5-((6-oxo-l-((3-oxo-6-phenyl-2,3-dihydropyridazin-4-yl)methyl)-4-
(trifluoromethyl)- 1 ,6-dihydropyrimidin-5-yl)oxy)benzonitrile;
3 -chloro-5 -((l-((6-(l -methyl- lH-pyrazol-4-yl)-3-oxo-2, 3-dihydropyridazin-4- yl)methyl)-6-oxo-4-(trifluoromethyl)-l,6-dihydropyrimidin-5-yl)oxy)benzonitrile;
3- chloro-5-((l-((6-(4-fluorophenyl)-3-oxo-2,3-dihydropyridazin-4-yl)methyl)-6-oxo-
4- (trifluoromethyl)- 1 ,6-dihydropyrimidin-5-yl)oxy)benzonitrile;
3- chloro-5-((l-((6-(3-fluorophenyl)-3-oxo-2,3-dihydropyridazin-4-yl)methyl)-6-oxo-
4- (trifluoromethyl)- 1 ,6-dihydropyrimidin-5-yl)oxy)benzonitrile;
3 -chloro-5 -((l-((6-(l -methyl- lH-pyrazol-5-yl)-3-oxo-2, 3-dihydropyridazin-4- yl)methyl)-6-oxo-4-(trifluoromethyl)-l,6-dihydropyrimidin-5-yl)oxy)benzonitrile;
3-chloro-5-((l-((6-(4-(difluoromethoxy)phenyl)-3-oxo-2,3-dihydropyridazin-4- yl)methyl)-6-oxo-4-(trifluoromethyl)-l,6-dihydropyrimidin-5-yl)oxy)benzonitrile;
3-chloro-5-((6-oxo-l-((3-oxo-6-(4-(trifluoromethoxy)phenyl)-2,3-dihydropyridazin-4- yl)methyl)-4-(trifluoromethyl)-l,6-dihydropyrimidin-5-yl)oxy)benzonitrile;
3-chloro-5-((l-((6-cyclopropyl-3-oxo-2,3-dihydropyridazin-4-yl)methyl)-6-oxo-4-
(trifluoromethyl)- 1 ,6-dihydropyrimidin-5-yl)oxy)benzonitrile;
3- chloro-5-((6-oxo-l-((3-oxo-6-(lH-pyrazol-4-yl)-2,3-dihydropyridazin-4-yl)methyl)-
4- (trifluoromethyl)- 1 ,6-dihydropyrimidin-5-yl)oxy)benzonitrile;
3-chloro-5-((6-oxo-l-((3-oxo-6-(4-(trifluoromethyl)phenyl)-2,3-dihydropyridazin-4- yl)methyl)-4-(trifluoromethyl)-l,6-dihydropyrimidin-5-yl)oxy)benzonitrile;
3-chloro-5-((l-((6-(2,3-difluorophenyl)-3-oxo-2,3-dihydropyridazin-4-yl)methyl)-6- oxo-4-(trifluoromethyl)- 1 ,6-dihydropyrimidin-5 -yl)oxy)benzonitrile;
3- chloro-5-((l-((6-(3,4-difluorophenyl)-3-oxo-2,3-dihydropyridazin-4-yl)methyl)-6- oxo-4-(trifluoromethyl)- 1 ,6-dihydropyrimidin-5 -yl)oxy)benzonitrile;
4- (5 -((5 -(3 -chloro-5 -cyanophenoxy)-6-oxo-4-(trifluoromethyl)pyrimidin- 1(6H)- yl)methyl)-6-oxo-l,6-dihydropyridazin-3-yl)-2-fluorobenzonitrile;
3-chloro-5-((l-((6-(4-chloro-3-fluorophenyl)-3-oxo-2,3-dihydropyridazin-4- yl)methyl)-6-oxo-4-(trifluoromethyl)-l,6-dihydropyrimidin-5-yl)oxy)benzonitrile; 3-chloro-5-((6-oxo-l-((3-oxo-6-(pyridin-3-yl)-2,3-dihydropyridazin-4-yl)methyl)-4- (trifluoromethyl)- 1 ,6-dihydropyrimidin-5-yl)oxy)benzonitrile;
3 -chloro-5 -((1 -((6-(4-(2,2-difluoro- 1 -hydroxyethyl)phenyl)-3-oxo-2,3- dihydropyridazin-4-yl)methyl)-6-oxo-4-(trifluoromethyl)- 1 ,6-dihydropyrimidin-5 - yl)oxy)benzonitrile;
3 -chloro-5 -((6-oxo- 1 -((3 -oxo-6-( 1 H-pyrrolo [2,3 -b]pyridin-4-yl)-2,3 - dihydropyridazin-4-yl)methyl)-4-(trifluoromethyl)- 1 ,6-dihydropyrimidin-5 - yl)oxy)benzonitrile; 3- chloro-5-(( 1 -(( 1 -methyl-3 ,6-dioxo- 1 ,2,3 ,6-tetrahydropyridazin-4-yl)methyl)-6-oxo-
4- (trifluoromethyl)- 1 ,6-dihydropyrimidin-5-yl)oxy)benzonitrile;
3- chloro-5-((l-((6-(difluoromethyl)-3-oxo-2,3-dihydropyridazin-4-yl)methyl)-6-oxo-
4- (trifluoromethyl)- 1 ,6-dihydropyrimidin-5-yl)oxy)benzonitrile;
3-chloro-5-((l-((6-(l,l-difluoroethyl)-3-oxo-2,3-dihydropyridazin-4-yl)methyl)-6- oxo-4-(trifluoromethyl)- 1 ,6-dihydropyrimidin-5 -yl)oxy)benzonitrile;
3-((l-((2-(tert-butyl)-6-oxo-l,6-dihydropyrimidin-5-yl)methyl)-6-oxo-4- (trifluoromethyl)-l,6-dihydropyrimidin-5-yl)oxy)-5-chlorobenzonitrile;
3-Chloro-5-[6-oxo- 1 -(6-oxo-2-trifluoromethyl- 1 ,6-dihydro-pyrimidin-5-ylmethyl)-4- trifluoromethyl- 1 ,6-dihydro-pyrimidin-5-yloxy]-benzonitrile;
3-chloro-5-((l-((2-(methylthio)-6-oxo-l,6-dihy
(trifluoromethyl)- 1 ,6-dihydropyrimidin-5-yl)oxy)benzonitrile;
3-chloro-5-((l-((2-methyl-6-oxo-l,6-dihydropyrimidin-5-yl)methyl)-6-oxo-4- (trifluoromethyl)- 1 ,6-dihydropyrimidin-5-yl)oxy)benzonitrile;
3-chloro-5-((4-cyclopropyl-6-oxo- 1 -((6-oxo- 1 ,6-dihydropyridazin-3-yl)methyl)- 1 ,6- dihydropyrimidin-5-yl)oxy)benzonitrile;
3-chloro-5-((l-((2-hydroxy-6-oxo-l,6-dihydropyrimidin-5-yl)methyl)-6-oxo-4- (trifluoromethyl)- 1 ,6-dihydropyrimidin-5-yl)oxy)benzonitrile;
3 -chloro-5 -((6-oxo- 1 -((6-oxo- l,6-dihydropyrimidin-5-yl)methyl)-4-(trifluoromethyl)- l,6-dihydropyrimidin-5-yl)oxy)benzonitrile;
3 -chloro-5 -((l-((2-(methylamino)-6-oxo-l,6-dihydropyrimidin-5-yl)methyl)-6-oxo-4- (trifluoromethyl)- 1 ,6-dihydropyrimidin-5-yl)oxy)benzonitrile;
3 -chloro-5 -((l-((4-methoxy-2-(methylamino)pyrimidin-5-yl)methyl)-6-oxo-4- (trifluoromethyl)- 1 ,6-dihydropyrimidin-5-yl)oxy)benzonitrile;
3-Chloro-5-{6-oxo-l-[6-oxo-2-(2,2,2-trifluoro-ethoxy)-l,6-dihydro-pyrimidin-5- ylmethyl]-4-trifluoromethyl- 1 ,6-dihydro-pyrimidin-5-yloxy} -benzonitrile;
3-Chloro-5- { 1 -[2-(4-fluoro-phenoxy)-6-oxo- 1 ,6-dihydro-pyrimidin-5-ylmethyl]-6- oxo-4-trifluoromethyl- 1 ,6-dihydro-pyrimidin-5-yloxy} -benzonitrile;
3-Chloro-5-[l-(2-dimethylamino-6-oxo-l,6-dihydro-pyrimidin-5-ylmethyl)-6-oxo-4- trifluoromethyl- 1 ,6-dihydro-pyrimidin-5-yloxy]-benzonitrile;
3-Chloro-5-[6-oxo- 1 -(6-oxo-2-pyrazol- 1 -yl- 1 ,6-dihydro-pyrimidin-5-ylmethyl)-4- trifluoromethyl- 1 ,6-dihydro-pyrimidin-5-yloxy]-benzonitrile;
3 -(( 1 -((2-amino-6-oxo- 1 ,6-dihydropyrimidin-5 -yl)methyl)-6-oxo-4-(trifluoromethyl)- l,6-dihydropyrimidin-5-yl)oxy)-5-chlorobenzonitrile;
3 -chloro-5 -((l-((2-ethyl-6-oxo- 1,6-dihy dropyrimidin-5-yl)methyl)-6-oxo-4-
(trifluoromethyl)- 1 ,6-dihydropyrimidin-5-yl)oxy)benzonitrile; 3-chloro-5-((l-((2-cyclopropyl-6-oxo-l,6-dihydropyrimidin-5-yl)methyl)-6-oxo-4- (trifluoromethyl)- 1 ,6-dihydropyrimidin-5-yl)oxy)benzonitrile;
3- chloro-5-((l-((2-(4-fluorophenyl)-6-oxo-l,6-dihydropyrimidin-5-yl)methyl)-6-oxo-
4- (trifluoromethyl)- 1 ,6-dihydropyrimidin-5-yl)oxy)benzonitrile;
5 - ((5 -(3 -chloro-5 -cyanophenoxy)-6-oxo-4-(trifluoromethyl)pyrimidin- 1 (6H)- yl)methyl)-6-oxo- 1 ,6-dihydropyrimidine-2-carboxamide;
5 - ((5 -(3 -chloro-5 -cyanophenoxy)-6-oxo-4-(trifluoromethyl)pyrimidin- 1 (6H)- yl)methyl)-6-oxo- 1 ,6-dihydropyrimidine-2-carbonitrile;
3-((l-((2-acetyl-6-oxo-l,6-dihydropyrimidin-5-yl)methyl)-6-oxo-4-(trifluoromethyl)- l,6-dihydropyrimidin-5-yl)oxy)-5-chlorobenzonitrile;
3 - chloro-5 -((1 -((2-(difluoromethyl)-6-oxo-l,6-dihydropyrimidin-5-yl)methyl)-6-oxo-
4- (trifluoromethyl)- 1 ,6-dihydropyrimidin-5-yl)oxy)benzonitrile;
3 -chloro-5 -((6-oxo- 1 -((6-oxo-2-( 1 H-pyrrolo [2,3 -b]pyridin-4-yl)- 1,6- dihydropyrimidin-5-yl)methyl)-4-(trifluoromethyl)-l,6-dihydropyrimidin-5- yl)oxy)benzonitrile;
3-chloro-5-((l-((2-(4-(difluoromethoxy)phenyl)-6-oxo-l,6-dihydropyrimidin-5- yl)methyl)-6-oxo-4-(trifluoromethyl)-l,6-dihydropyrimidin-5-yl)oxy)benzonitrile; 3-chloro-5-((6-oxo-l-((6-oxo-l,4,5,6-tetrahydro-l,2,4-triazin-3-yl)methyl)-4- (trifluoromethyl)- 1 ,6-dihydropyrimidin-5-yl)oxy)benzonitrile;
3-Chloro-5-[6-oxo-l-(8-oxo-4,6,7-triaza-spiro[2.5]oct-5-en-5-ylmethyl)-4- trifluoromethyl- 1 ,6-dihydro-pyrimidin-5-yloxy]-benzonitrile;
3-Chloro-5-[l-(5-hydroxymethyl-6-oxo- 1,4,5, 6-tetrahydro-[l, 2,4]triazin-3-ylmethyl)-
6- oxo-4-trifluoromethyl-l,6-dihydro-pyrimidin-5-yloxy]-benzonitrile;
3-Chloro-5-[l-(5-methyl-6-oxo-l,4,5,6-tetrahydro-[l,2,4]triazin-3-ylmethyl)-6-oxo-4- trifluoromethyl- 1 ,6-dihydro-pyrimidin-5-yloxy]-benzonitrile;
3-Chloro-5-[l-(5-methyl-6-oxo-l,4,5,6-tetrahydro-[l,2,4]triazin-3-ylmethyl)-6-oxo-4- trifluoromethyl- 1 ,6-dihydro-pyrimidin-5-yloxy]-benzonitrile;
3-chloro-5-((6-oxo-l-((5-oxo-6-(trifluoromethyl)-4,5-dihydro-l,2,4-triazin-3- yl)methyl)-4-(trifluoromethyl)-l,6-dihydropyrimidin-5-yl)oxy)benzonitrile;
3 -chloro-5 -((4-(difluoromethyl)-6-oxo- 1 -((6-oxo- 1 ,6-dihydropyridazin-3-yl) methyl)- l,6-dihydropyrimidin-5-yl)oxy)benzonitrile;
2- fluoro-3 -(6-oxo- 1 -((6-oxo- l,6-dihydropyridazin-3-yl)methyl)-4-(trifluoro methyl)- l,6-dihydropyrimidin-5-yloxy)benzonitrile;
3 - chloro-5 -(4-(difluoromethoxy)-6-oxo- 1 -((6-oxo- 1 ,6-dihydropyridazin-3-yl)methyl)- l,6-dihydropyrimidin-5-yloxy)benzonitrile;
3-(difluoromethoxy)-5-(6-oxo- 1 -((6-oxo- 1 ,6-dihydropyridazin-3-yl)methyl)-4- (trifluoromethyl)- 1 ,6-dihydropyrimidin-5-yloxy)benzonitrile; 5-fluoro-2-methyl-3-(6-oxo- 1 -((6-oxo- 1 ,6-dihydropyridazin-3-yl)methyl)-4- (trifluoromethyl)- 1 ,6-dihydropyrimidin-5-yloxy)benzonitrile;
2- fluoro-3-((l-((5-(4-fluorophenyl)-6-oxo-l,6-dihydropyridazin-3-yl)methyl)-6-oxo-
4- (trifluoromethyl)- 1 ,6-dihydropyrimidin-5-yl)oxy)benzonitrile;
3- chloro-5-((l-((5-(4-fluorophenyl)-6-oxo-l,6-dihydropyridazin-3-yl)methyl)-4- methyl-6-oxo- 1 ,6-dihydropyrimidin-5-yl)oxy)benzonitrile;
3- (difluoromethoxy)-5-((l-((5-(4-fluorophenyl)-6-oxo-l,6-dihydropyridazin-3- yl)methyl)-6-oxo-4-(trifluoromethyl)-l,6-dihydropyrimidin-5-yl)oxy)benzonitri
5- fluoro-3-((l-((5-(4-fluorophenyl)-6-oxo-l,6-dihydropyridazin-3-yl)methyl)-6-oxo-
4- (trifluoromethyl)-l,6-dihydropyrimidin-5-yl)oxy)-2-methylbenzonitrile;
3-chloro-5-((l-((5-(4-fluorophenyl)-6-oxo-l,6-dihydropyridazin-3-yl)methyl)-4- methyl- 6-oxo- 1 ,6-dihydropyrimidin-5-yl)oxy)benzonitrile;
3-chloro-5-((4-(l , 1 -difluoroethyl)- 1 -((5-(4-fluorophenyl)-6-oxo- 1 ,6- dihydropyridazin-3-yl) methyl)-6-oxo- 1 ,6-dihydropyrimidin-5-yl)oxy)benzonitrile; 3-((4-(l , 1 -difluoroethyl)- 1 -((5-(4-fluorophenyl)-6-oxo- 1 ,6-dihydropyridazin-3- yl)methyl)-6-oxo-l,6-dihydropyrimidin-5-yl)oxy)-2-fluorobenzonitrile;
3- chloro-5-((4-(difluoromethyl)-l-((6-(difluo
4- yl)methyl)-6-oxo-l,6-dihydropyrimidin-5-yl)oxy)benzonitrile;
3-((l-((6-(difluoromethyl)-3-oxo-2,3-dihydropyridazin-4-yl)methyl)-6-oxo-4- (trifluoromethyl)- 1 ,6-dihydropyrimidin-5 -yl)oxy)-2-fluorobenzonitrile;
3-chloro-5-((4-(l , 1 -difluoroethyl)- 1 -((6-(difluoromethyl)-3-oxo-2,3- dihydropyridazin-4-yl)methyl)-6-oxo-l,6-dihydropyrimidin-5-yl)oxy)benzonitrile; 3-chloro-5-((l-((6-(dif uoromethyl)-3-oxo-2,3-dihydropyridazin-4-yl)methyl)-4- methyl-6-oxo- 1 ,6-dihydropyrimidin-5-yl)oxy)benzonitrile;
3-((4-(l , 1 -difluoroethyl)- 1 -((6-(difluoromethyl)-3-oxo-2,3-dihydropyridazin-4- yl)methyl)-6-oxo-l,6-dihydropyrimidin-5-yl)oxy)-2-fluorobenzonitrile;
3-((l-((6-(l,l-difluoroethyl)-3-oxo-2,3-dihydropyridazin-4-yl)methyl)-6-oxo-4-
(trifluoromethyl) - 1 ,6-dihydropyrimidin-5-yl)oxy)-2-fluorobenzonitrile;
3-chloro-5-((l-((6-(l,l-difluoroethyl)-3-oxo-2,3-dihydropyridazin-4-yl)methyl)-4-
(difluoromethyl)-6-oxo-l,6-dihydropyrimidin-5-yl)oxy)benzonitrile;
3-chloro-5-((4-(l , 1 -difluoroethyl)- 1 -((6-(l , 1 -difluoroethyl)-3-oxo-2,3- dihydropyridazin-4-yl)methyl)-6-oxo-l,6-dihydropyrimidin-5-yl)oxy)benzonitrile;
3-chloro-5-((l-((6-(l,l-difluoroethyl)-3-oxo-2,3-dihydropyridazin-4-yl)methyl)-4- methyl-6-oxo- 1 ,6-dihydropyrimidin-5-yl)oxy)benzonitrile; and
3-((4-(l , 1 -difluoroethyl)- 1 -((6-(l , 1 -difluoroethyl)-3-oxo-2,3-dihydropyridazin-4- yl)methyl)-6-oxo-l,6-dihydropyrimidin-5-yl)oxy)-2-fluorobenzonitrile; 3-chloro-5-((l-((6-chloro-3-oxo-2,3-dihydropyridazin-4-yl)methyl)-6-oxo-4-
(trifluoromethyl)- 1 ,6-dihydropyrimidin-5-yl)oxy)benzonitrile;
3-chloro-5-((l-((6-chloro-3-oxo-2,3-dihydropyridazin-4-yl)methyl)-4-
(difluoromethyl)-6-oxo-l,6-dihydropyrimidin-5-yl)oxy)benzonitrile;
3-chloro-5-((l-((6-chloro-3-oxo-2,3-dihydropyridazin-4-yl)methyl)-4-(l,l- difluoroethyl)-6-oxo-l,6-dihydropyrimidin-5-yl)oxy)benzonitrile;
3-((l-((6-chloro-3-oxo-2,3-dihydropyridazin-4-yl)methyl)-6-oxo-4-(trifluoromethyl)- l,6-dihydropyrimidin-5-yl)oxy)-5-(difluoromethyl)benzonitrile;
3-((l-((6-chloro-3-oxo-2,3-dihydropyridazin-4-yl)methyl)-4-(l,l-difluoroethyl)-6- oxo- 1 ,6-dihydropyrimidin-5 -yl)oxy)-5 -(difluoromethyl)benzonitrile;
3-((l-((6-chloro-3-oxo-2,3-dihydropyridazin-4-yl)methyl)-6-oxo-4-(trifluoromethyl)- l,6-dihydropyrimidin-5-yl)oxy)benzonitrile;
5-((l-((6-chloro-3-oxo-2,3-dihydropyridazin-4-yl)methyl)-4-(l,l-difluoroethyl)-6- oxo- 1 ,6-dihydropyrimidin-5-yl)oxy)isophthalonitrile;
3-((l-((6-chloro-3-oxo-2,3-dihydropyridazin-4-yl)methyl)-4-(l,l-difluoroethyl)-6- oxo- 1 ,6-dihydropyrimidin-5-yl)oxy)-5-fluorobenzonitrile;
3-((l-((6-chloro-3-oxo-2,3-dihydropyridazin-4-yl)methyl)-6-oxo-4-(trifluoromethyl)-l,6- dihydropyrimidin-5-yl)oxy)-5-fluorobenzonitrile;
3-((l -((6-chloro-3-oxo-2,3-dihydropyridazin-4-yl)methyl)-4-(l , 1 -difluoroethyl)-6-oxo- 1 ,6- dihydropyrimidin-5-yl)oxy)benzonitrile;
5-((l -((6-chloro-3-oxo-2,3-dihydropyridazin-4-yl)methyl)-6-oxo-4-(trifluoromethyl)- 1 ,6- dihydropyrimidin-5-yl)oxy)isophthalonitrile;
3-((l -((6-chloro-3-oxo-2,3-dihydropyridazin-4-yl)methyl)-4-(difluoromethyl)-6-oxo- 1 ,6- dihydropyrimidin-5-yl)oxy)-5-(difluoromethyl)benzonitrile;
3-((l-((6-bromo-3-oxo-2,3-dihydropyridazin-4-yl)methyl)-6-oxo-4-(trifiuoromethyl)- l,6-dihydropyrimidin-5-yl)oxy)benzonitrilel;
or a pharmaceutically acceptable salt of any of the foregoing compounds.
20. A pharmaceutical composition comprising an effective amount of the compound according to any one of claims 1 to 19, or a pharmaceutically acceptable salt thereof, and a pharmaceutically acceptable carrier.
21. A method for the prophylaxis or treatment of infection by HIV or for the prophylaxis, treatment, or delay in the onset of AIDS in a subject in need thereof which comprises administering to the subject an effective amount of the compound according to any one of claims 1 to 19 or a pharmaceutically acceptable salt thereof.
22. The method of claim 21, further comprising administering to the subject a second HIV antiviral agent selected from the group consisting of HIV protease inhibitors, HIV integrase inhibitors, non-nucleoside HIV reverse
transcriptase inhibitors, nucleoside HIV reverse transcriptase inhibitors, HIV fusion inhibitors, and HIV entry inhibitors.
23. A compound according to any one of claims 1 to 19, or a pharmaceutically acceptable salt thereof, for use in the preparation of a medicament for the prophylaxis or treatment of infection by HIV or for the prophylaxis, treatment, or delay in the onset of AIDS in a subject in need thereof.
24. Use of a compound according to any one of claims 1 to 19 in the manufacture of a medicament for the prophylaxis or treatment of infection by HIV or for the prophylaxis, treatment, or delay in the onset of AIDS in a subject in need thereof.
PCT/US2013/063612 2012-10-08 2013-10-07 5-phenoxy-3h-pyrimidin-4-one derivatives and their use as hiv reverse transcriptase inhibitors Ceased WO2014058747A1 (en)

Priority Applications (38)

Application Number Priority Date Filing Date Title
MX2015004448A MX355040B (en) 2012-10-08 2013-10-07 5-phenoxy-3h-pyrimidin-4-one derivatives and their use as hiv reverse transcriptase inhibitors.
KR1020157011661A KR101696128B1 (en) 2012-10-08 2013-10-07 5-phenoxy-3h-pyrimidin-4-one derivatives and their use as hiv reverse transcriptase inhibitors
AP2015008355A AP2015008355A0 (en) 2012-10-08 2013-10-07 5-Phenoxy-3H-pyrimidin-4-one diravatives and theiruse as hiv reverse transcriptase inhibitors
NO13776702A NO2903977T3 (en) 2012-10-08 2013-10-07
PL13776702T PL2903977T3 (en) 2012-10-08 2013-10-07 5-phenoxy-3h-pyrimidin-4-one derivatives and their use as hiv reverse transcriptase inhibitors
SI201330835T SI2903977T1 (en) 2012-10-08 2013-10-07 5-phenoxy-3h-pyrimidin-4-one derivatives and their use as hiv reverse transcriptase inhibitors
MEP-2017-264A ME02918B (en) 2012-10-08 2013-10-07 5-phenoxy-3h-pyrimidin-4-one derivatives and their use as hiv reverse transcriptase inhibitors
EA201590674A EA033436B1 (en) 2012-10-08 2013-10-07 5-phenoxy-3h-pyrimidin-4-one derivatives and their use as hiv reverse transcriptase inhibitors
RS20171164A RS56543B1 (en) 2012-10-08 2013-10-07 5-phenoxy-3h-pyrimidin-4-one derivatives and their use as hiv reverse transcriptase inhibitors
LTEP13776702.6T LT2903977T (en) 2012-10-08 2013-10-07 5-phenoxy-3h-pyrimidin-4-one derivatives and their use as hiv reverse transcriptase inhibitors
AU2013329552A AU2013329552B8 (en) 2012-10-08 2013-10-07 5-phenoxy-3H-pyrimidin-4-one derivatives and their use as HIV reverse transcriptase inhibitors
ES13776702.6T ES2645638T3 (en) 2012-10-08 2013-10-07 5-Phenoxy-3H-pyrimidin-4-one derivatives and their use as HIV reverse transcriptase inhibitors
MD20150047A MD4625C1 (en) 2012-10-08 2013-10-07 5-Phenoxy-3H-pyrimidin-4-one derivatives and their use as HIV reverse transcriptase inhibitors
PL19210167T PL3656384T3 (en) 2012-10-08 2013-10-07 Combinations comprising 5-phenoxy-3h-pyrimidin-4-one derivatives and their use for the prophylaxis or treatment of infection by hiv
HK15107948.1A HK1207369B (en) 2012-10-08 2013-10-07 5-phenoxy-3h-pyrimidin-4-one derivatives and their use as hiv reverse transcriptase inhibitors
EP19210167.3A EP3656384B1 (en) 2012-10-08 2013-10-07 Combinations comprising 5-phenoxy-3h-pyrimidin-4-one derivatives and their use for the prophylaxis or treatment of infection by hiv
JP2015535852A JP5877281B2 (en) 2012-10-08 2013-10-07 5-phenoxy-3H-pyrimidin-4-one derivatives and their use as HIV reverse transcriptase inhibitors
EP13776702.6A EP2903977B1 (en) 2012-10-08 2013-10-07 5-phenoxy-3h-pyrimidin-4-one derivatives and their use as hiv reverse transcriptase inhibitors
SG11201502620UA SG11201502620UA (en) 2012-10-08 2013-10-07 5-phenoxy-3h-pyrimidin-4-one derivatives and their use as hiv reverse transcriptase inhibitors
HRP20171819TT HRP20171819T1 (en) 2012-10-08 2013-10-07 5-Phenoxy-3H-pyrimidin-4-one derivatives and their use as HIV reverse transcriptase inhibitors
PL17191307T PL3295942T3 (en) 2012-10-08 2013-10-07 Combinations comprising 5-phenoxy-3h-pyrimidin-4-one derivatives and their use for the prophylaxis or treatment of infection by hiv
MA37959A MA37959A2 (en) 2012-10-08 2013-10-07 Derivatives of 5-phenoxy-3h-pyrimidin-4-one and their use as inhibitors of hiv reverse transcriptase
UAA201504486A UA114006C2 (en) 2012-10-08 2013-10-07 5-PHENOXY-3H-PIRIMIDIN-4-ONE DERIVATIVES AND THEIR APPLICATIONS AS INHIBITS OF REVERSE TRANSCRIPTASE
MYPI2015000836A MY192716A (en) 2012-10-08 2013-10-07 5-phenoxy-3h-pyrimidin-4-one derivatives and their use as hiv reverse transcriptase inhibitors
CA2887312A CA2887312C (en) 2012-10-08 2013-10-07 Non-nucleoside reverse transcriptase inhibitors
EP17191307.2A EP3295942B1 (en) 2012-10-08 2013-10-07 Combinations comprising 5-phenoxy-3h-pyrimidin-4-one derivatives and their use for the prophylaxis or treatment of infection by hiv
CN201380061513.7A CN104822670B (en) 2012-10-08 2013-10-07 5-phenoxy-3H-pyrimidin-4-one derivatives and their use as HIV reverse transcriptase inhibitors
DK13776702.6T DK2903977T3 (en) 2012-10-08 2013-10-07 5-PHENOXY-3H-PYRIMIDIN-4-ON DERIVATIVES AND USE AS AN HIV REVERSE TRANSCRIPTASE INHIBITORS
BR112015007742A BR112015007742B8 (en) 2012-10-08 2013-10-07 compound, pharmaceutical composition, and, use of said compound
NZ706729A NZ706729A (en) 2012-10-08 2013-10-07 5-phenoxy-3h-pyrimidin-4-one derivatives and their use as hiv reverse transcriptase inhibitors
TNP2015000106A TN2015000106A1 (en) 2012-10-08 2015-03-23 5-phenoxy-3h-pyrimidin-4-one derivatives and their use as hiv reverse transcriptase inhibitors
IL238090A IL238090B (en) 2012-10-08 2015-04-01 5-phenoxy-3h-pyrimidin-4-one derivatives and their use as hiv reverse transcriptase inhibitors
PH12015500764A PH12015500764B1 (en) 2012-10-08 2015-04-06 5-phenoxy-3h-pyrimidin-4-one derivatives and their use as hiv reverse transcriptase inhibitors
CR20150183A CR20150183A (en) 2012-10-08 2015-04-08 DERIVATIVES OF 5-FENOXI-3H-PIRIMIDIN-4-ONA AND ITS USE AS INHIBITORS OF HIV REVERSE TRANSCRIPT
ZA2015/03143A ZA201503143B (en) 2012-10-08 2015-05-07 5-phenoxy-3h-pyrimidin-4-one derivatives and their use as hiv reverse transcriptase inhibitors
CY20171101214T CY1119655T1 (en) 2012-10-08 2017-11-20 5-FANOXY-3H-PYRIMIDIN-4-ONE PRODUCTION AND USE THESE AS INVERSE TRANSFER TRANSFERS
CY20201100097T CY1122585T1 (en) 2012-10-08 2020-02-04 COMPOSITIONS COMPRISING 5-PHENOXY-3H-PYRIMIDIN-4-ONE DERIVATIVES AND THEIR USE FOR THE PREVENTION OR TREATMENT OF HIV INFECTION
CY20221100247T CY1125202T1 (en) 2012-10-08 2022-03-30 COMPOSITIONS CONTAINING 5-PHENOXY-3H-PYRIMIDIN-4-ONE DERIVATIVES AND THEIR USE FOR THE PREVENTION OR TREATMENT OF HIV INFECTION

Applications Claiming Priority (2)

Application Number Priority Date Filing Date Title
CN2012001358 2012-10-08
CNPCT/CN2012/001358 2012-10-08

Publications (1)

Publication Number Publication Date
WO2014058747A1 true WO2014058747A1 (en) 2014-04-17

Family

ID=49354986

Family Applications (1)

Application Number Title Priority Date Filing Date
PCT/US2013/063612 Ceased WO2014058747A1 (en) 2012-10-08 2013-10-07 5-phenoxy-3h-pyrimidin-4-one derivatives and their use as hiv reverse transcriptase inhibitors

Country Status (46)

Country Link
US (3) US9469634B2 (en)
EP (3) EP3656384B1 (en)
JP (2) JP5877281B2 (en)
KR (1) KR101696128B1 (en)
CN (1) CN104822670B (en)
AP (1) AP2015008355A0 (en)
AR (1) AR092876A1 (en)
AU (1) AU2013329552B8 (en)
BR (1) BR112015007742B8 (en)
CA (1) CA2887312C (en)
CL (1) CL2015000880A1 (en)
CO (1) CO7350655A2 (en)
CR (1) CR20150183A (en)
CY (3) CY1119655T1 (en)
DK (3) DK2903977T3 (en)
DO (1) DOP2015000082A (en)
EA (1) EA033436B1 (en)
EC (1) ECSP15018618A (en)
ES (3) ES2645638T3 (en)
GE (1) GEP20186838B (en)
GT (1) GT201500088A (en)
HR (3) HRP20220502T1 (en)
HU (3) HUE037231T2 (en)
IL (1) IL238090B (en)
JO (1) JO3470B1 (en)
LT (3) LT2903977T (en)
MA (1) MA37959A2 (en)
MD (1) MD4625C1 (en)
ME (1) ME02918B (en)
MX (1) MX355040B (en)
MY (1) MY192716A (en)
NI (1) NI201500048A (en)
NO (1) NO2903977T3 (en)
NZ (1) NZ706729A (en)
PE (1) PE20151787A1 (en)
PH (1) PH12015500764B1 (en)
PL (3) PL3656384T3 (en)
PT (3) PT3295942T (en)
RS (3) RS59863B1 (en)
SG (1) SG11201502620UA (en)
SI (3) SI3656384T1 (en)
TN (1) TN2015000106A1 (en)
TW (2) TWI598343B (en)
UA (1) UA114006C2 (en)
WO (1) WO2014058747A1 (en)
ZA (1) ZA201503143B (en)

Cited By (11)

* Cited by examiner, † Cited by third party
Publication number Priority date Publication date Assignee Title
WO2015036563A1 (en) 2013-09-16 2015-03-19 Bayer Pharma Aktiengesellschaft Disubstituted trifluormethyl pyrimidinones and use thereof as ccr2 antagonists
WO2015153304A1 (en) * 2014-04-01 2015-10-08 Merck Sharp & Dohme Corp. Prodrugs of hiv reverse transcriptase inhibitors
US10189831B2 (en) 2012-10-08 2019-01-29 Merck Sharp & Dohme Corp. Non-nucleoside reverse transcriptase inhibitors
WO2019055966A3 (en) * 2017-09-18 2019-04-18 Goldfinch Bio, Inc. Pyridazinones and methods of use thereof
US10654850B2 (en) 2018-09-18 2020-05-19 Goldfinch Bio, Inc. Pyridazinones and methods of use thereof
WO2020131597A1 (en) * 2018-12-18 2020-06-25 Merck Sharp & Dohme Corp. Pyrimidone derivatives as selective cytotoxic agents against hiv infected cells
WO2020236692A1 (en) 2019-05-22 2020-11-26 Merck Sharp & Dohme Corp. Pyridinone derivatives as selective cytotoxic agents against hiv infected cells
WO2021107066A1 (en) 2019-11-28 2021-06-03 塩野義製薬株式会社 Prophylactic and therapeutic pharmaceutical agent for hiv infectious diseases characterized by comprising combination of integrase inhibitor and anti-hiv agent
WO2023275230A1 (en) * 2021-07-01 2023-01-05 Janssen Pharmaceutica Nv 5-oxo-pyrido[2,3-d]pyridazin-6(5h)-yl acetamides
RU2816090C2 (en) * 2019-05-22 2024-03-26 МЕРК ШАРП И ДОУМ ЭлЭлСи Pyridinone compounds as selective cytotoxic agents against hiv-infected cells
WO2025014788A1 (en) 2023-07-07 2025-01-16 Merck Sharp & Dohme Llc Tetrahydroquinazoline derivatives as selective cytotoxic agents

Families Citing this family (50)

* Cited by examiner, † Cited by third party
Publication number Priority date Publication date Assignee Title
EP2625292B1 (en) 2010-10-07 2018-12-05 The General Hospital Corporation Biomarkers of cancer
US9340800B2 (en) 2013-09-06 2016-05-17 President And Fellows Of Harvard College Extended DNA-sensing GRNAS
EP3161159B1 (en) 2014-06-25 2020-08-05 The General Hospital Corporation Targeting human satellite ii (hsatii)
CN113121450A (en) 2014-08-29 2021-07-16 Tes制药有限责任公司 Alpha-amino-beta-carboxymuconate semialdehyde decarboxylase inhibitors
FR3027901B1 (en) * 2014-10-31 2018-03-16 Universite De Reims Champagne Ardenne NOVEL METHODS BELONGING TO THE FAMILY OF PYRIDAZINONES.
US10350165B2 (en) * 2014-12-12 2019-07-16 Ojai Energetics Pbc Methods and systems for forming stable droplets
JP7067793B2 (en) 2015-10-23 2022-05-16 プレジデント アンド フェローズ オブ ハーバード カレッジ Nucleobase editing factors and their use
IL264565B2 (en) 2016-08-03 2024-07-01 Harvard College Adenosine nuclear base editors and their uses
EP3497214B1 (en) 2016-08-09 2023-06-28 President and Fellows of Harvard College Programmable cas9-recombinase fusion proteins and uses thereof
US11542509B2 (en) 2016-08-24 2023-01-03 President And Fellows Of Harvard College Incorporation of unnatural amino acids into proteins using base editing
KR102622411B1 (en) 2016-10-14 2024-01-10 프레지던트 앤드 펠로우즈 오브 하바드 칼리지 AAV delivery of nucleobase editor
US10745677B2 (en) 2016-12-23 2020-08-18 President And Fellows Of Harvard College Editing of CCR5 receptor gene to protect against HIV infection
WO2018165504A1 (en) 2017-03-09 2018-09-13 President And Fellows Of Harvard College Suppression of pain by gene editing
KR20190123328A (en) 2017-03-09 2019-10-31 프레지던트 앤드 펠로우즈 오브 하바드 칼리지 Cancer vaccine
EP3592777A1 (en) 2017-03-10 2020-01-15 President and Fellows of Harvard College Cytosine to guanine base editor
SG11201908658TA (en) 2017-03-23 2019-10-30 Harvard College Nucleobase editors comprising nucleic acid programmable dna binding proteins
WO2018209320A1 (en) 2017-05-12 2018-11-15 President And Fellows Of Harvard College Aptazyme-embedded guide rnas for use with crispr-cas9 in genome editing and transcriptional activation
JP2020534795A (en) 2017-07-28 2020-12-03 プレジデント アンド フェローズ オブ ハーバード カレッジ Methods and Compositions for Evolving Base Editing Factors Using Phage-Supported Continuous Evolution (PACE)
WO2019139645A2 (en) 2017-08-30 2019-07-18 President And Fellows Of Harvard College High efficiency base editors comprising gam
KR20250107288A (en) 2017-10-16 2025-07-11 더 브로드 인스티튜트, 인코퍼레이티드 Uses of adenosine base editors
EP3724214A4 (en) 2017-12-15 2021-09-01 The Broad Institute Inc. SYSTEMS AND PROCEDURES FOR PREDICTING REPAIR RESULTS IN GENE ENGINEERING
AU2019217875A1 (en) 2018-02-06 2020-08-20 Icahn School Of Medicine At Mount Sinai Repeat RNA as biomarkers of tumor immune response
ES2949538T3 (en) 2018-04-30 2023-09-29 Ribon Therapeutics Inc Pyridazinones as PARP7 inhibitors
US12157760B2 (en) 2018-05-23 2024-12-03 The Broad Institute, Inc. Base editors and uses thereof
EP3820495A4 (en) 2018-07-09 2022-07-20 The Broad Institute Inc. RNA PROGRAMMABLE EPIGENETIC RNA MODIFIERS AND THEIR USES
WO2020092453A1 (en) 2018-10-29 2020-05-07 The Broad Institute, Inc. Nucleobase editors comprising geocas9 and uses thereof
WO2020154500A1 (en) 2019-01-23 2020-07-30 The Broad Institute, Inc. Supernegatively charged proteins and uses thereof
WO2020191246A1 (en) 2019-03-19 2020-09-24 The Broad Institute, Inc. Methods and compositions for editing nucleotide sequences
US12473543B2 (en) 2019-04-17 2025-11-18 The Broad Institute, Inc. Adenine base editors with reduced off-target effects
US12371421B2 (en) 2019-04-29 2025-07-29 Ribon Therapeutics, Inc. Solid forms of a PARP7 inhibitor
CA3143327A1 (en) 2019-06-13 2020-12-17 J. Keith Joung Engineered human-endogenous virus-like particles and methods of use thereof for delivery to cells
PH12022550818A1 (en) * 2019-10-04 2023-09-11 Goldfinch Bio Inc Biomarker-based treatment of focal segmental glomerulosclerosis and diabetic kidney disease
WO2021072328A1 (en) 2019-10-10 2021-04-15 The Broad Institute, Inc. Methods and compositions for prime editing rna
IL292432A (en) 2019-10-30 2022-06-01 Ribon Therapeutics Inc Pyridazinones as parp7 inhibitors
TW202146416A (en) 2019-12-11 2021-12-16 德商拜耳廠股份有限公司 Pyrazolotriazines
GB2614813B (en) 2020-05-08 2025-05-07 Harvard College Methods and compositions for simultaneous editing of both strands of a target double-stranded nucleotide sequence
JP2023535726A (en) 2020-07-24 2023-08-21 ザ ジェネラル ホスピタル コーポレイション Enhanced virus-like particles and methods of their use for delivery to cells
AU2021350835A1 (en) 2020-09-24 2023-04-27 President And Fellows Of Harvard College Prime editing guide rnas, compositions thereof, and methods of using the same
JP2024503437A (en) 2021-01-11 2024-01-25 ザ ブロード インスティテュート,インコーポレーテッド Prime editing factor variants, constructs, and methods to improve prime editing efficiency and accuracy
JP2024530487A (en) 2021-08-06 2024-08-21 ザ ブロード インスティテュート,インコーポレーテッド Improved Prime Editor and Usage
US20240417719A1 (en) 2021-10-25 2024-12-19 The Broad Institute, Inc. Methods and compositions for editing a genome with prime editing and a recombinase
GB2630191A (en) 2021-12-03 2024-11-20 Broad Inst Inc Self-assembling virus-like particles for delivery of prime editors and methods of making and using same
WO2023205687A1 (en) 2022-04-20 2023-10-26 The Broad Institute, Inc. Improved prime editing methods and compositions
WO2023240137A1 (en) 2022-06-08 2023-12-14 The Board Institute, Inc. Evolved cas14a1 variants, compositions, and methods of making and using same in genome editing
WO2024077267A1 (en) 2022-10-07 2024-04-11 The Broad Institute, Inc. Prime editing methods and compositions for treating triplet repeat disorders
WO2024108092A1 (en) 2022-11-17 2024-05-23 The Broad Institute, Inc. Prime editor delivery by aav
EP4662306A2 (en) 2023-02-09 2025-12-17 The Broad Institute Inc. Evolved recombinases for editing a genome in combination with prime editing
WO2024206125A1 (en) 2023-03-24 2024-10-03 The Broad Institute, Inc. Use of prime editing for treating sickle cell disease
WO2025081042A1 (en) 2023-10-12 2025-04-17 Renagade Therapeutics Management Inc. Nickase-retron template-based precision editing system and methods of use
WO2025193566A1 (en) * 2024-03-15 2025-09-18 Merck Sharp & Dohme Llc N-oxide derivatives as selective cytotoxic agents

Citations (12)

* Cited by examiner, † Cited by third party
Publication number Priority date Publication date Assignee Title
WO2001034578A1 (en) 1999-11-09 2001-05-17 Astrazeneca Ab Compounds with anti-helicobacter pylori activity
US20040192704A1 (en) 2003-03-24 2004-09-30 Roche Palo Alto Llc Non-nucleoside reverse transcriptase inhibitors
WO2004085406A1 (en) 2003-03-24 2004-10-07 F. Hoffmann-La Roche Ag Benzyl-pyridazinons as reverse transcriptase inhibitors
WO2005102989A1 (en) 2004-04-23 2005-11-03 F. Hoffmann-La Roche Ag Non-nucleoside reverse transcriptase inhibitors
WO2006067587A2 (en) 2004-12-22 2006-06-29 Pfizer Limited Nonnucleoside inhibitors of hiv-1 reverse transcriptase
US7166738B2 (en) 2004-04-23 2007-01-23 Roche Palo Alto Llc Non-nucleoside reverse transcriptase inhibitors
US20070021442A1 (en) 2005-07-22 2007-01-25 Saggar Sandeep A HIV reverse transcriptase inhibitors
WO2007045572A1 (en) 2005-10-19 2007-04-26 F. Hoffmann-La Roche Ag N-phenyl phenylacetamide non-nucleoside reverse transcriptase inihibitors
WO2007045573A1 (en) 2005-10-19 2007-04-26 F. Hoffmann-La Roche Ag Phenyl-acetamide nnrt inhibitors
WO2008076225A2 (en) 2006-12-13 2008-06-26 Merck & Co., Inc. Non-nucleoside reverse transcriptase inhibitors
WO2009067166A2 (en) 2007-11-20 2009-05-28 Merck & Co., Inc. Non-nucleoside reverse transcriptase inhibitors
WO2011120133A1 (en) 2010-03-30 2011-10-06 Merck Frosst Canada Ltd. Non-nucleoside reverse transcriptase inhibitors

Family Cites Families (14)

* Cited by examiner, † Cited by third party
Publication number Priority date Publication date Assignee Title
US5665720A (en) 1992-08-07 1997-09-09 Merck & Co., Inc. Benzoxazinones as inhibitors of HIV reverse transcriptase
AP2000001991A0 (en) 1998-04-27 2000-12-31 Centre Nat Rech Scient 3-(Amino-or aminoalkyl) pyridinone derivatives and their use for the treatment of HIV related diseases.
IT1305313B1 (en) 1998-07-17 2001-05-04 Colla Paolo 3,4 - DIHYDRO- 6- BENZYL-4-OXOPYRIMIDINE REPLACED AND RELATED PROCESS OF PRODUCTION AND USE IN THE THERAPY OF HIV-1 INFECTIONS.
WO2002022607A1 (en) 2000-09-15 2002-03-21 Vertex Pharmaceuticals Incorporated Pyrazole compounds useful as protein kinase inhibitors
CL2004000192A1 (en) 2003-02-07 2005-03-18 Janssen Pharmaceutica Nv USE OF COMPOUNDS DERIVED FROM 2-AMINOPIRIMIDINE TO PREPARE A MEDICINAL PRODUCT FOR THE PREVENTION OF HIV INFECTION SEXUAL RELATIONS OR AN INTIMATE COUPLE CONTACT.
TW200423930A (en) 2003-02-18 2004-11-16 Hoffmann La Roche Non-nucleoside reverse transcriptase inhibitors
BRPI0506786A (en) 2004-01-12 2007-05-22 Gilead Sciences Inc pyrimidyl phosphonate antiviral compounds and processes for use
CN1934092A (en) 2004-03-23 2007-03-21 弗·哈夫曼-拉罗切有限公司 Non-nucleoside reverse transcriptase inhibitors
EA200970510A1 (en) 2006-11-24 2009-12-30 Такеда Фармасьютикал Компани Лимитед HETEROMONOCYCLIC COMPOUND AND ITS APPLICATION
US7803940B2 (en) 2006-11-24 2010-09-28 Takeda Pharmaceutical Company Limited Heteromonocyclic compound or a salt thereof having strong antihypertensive action, insulin sensitizing activity and the like production thereof and use thereof for prophylaxis or treatment of cardiovascular diseases, metabolic diseases and/or central nervous system diseases
WO2009088729A1 (en) * 2008-01-08 2009-07-16 Merck & Co., Inc. Process for preparing n-substituted hydroxypyrimidinone carboxamides
EP2558093A4 (en) 2010-04-08 2013-10-02 Merck Sharp & Dohme PRODRUGS OF AN INVERSE TRANSCRIPTASE INHIBITOR OF HIV
JO3470B1 (en) 2012-10-08 2020-07-05 Merck Sharp & Dohme 5-phenoxy-3h-pyrimidin-4-one derivatives and their use as hiv reverse transcriptase inhibitors
RS61016B1 (en) 2014-04-01 2020-12-31 Merck Sharp & Dohme Prodrugs of hiv reverse transcriptase inhibitors

Patent Citations (14)

* Cited by examiner, † Cited by third party
Publication number Priority date Publication date Assignee Title
WO2001034578A1 (en) 1999-11-09 2001-05-17 Astrazeneca Ab Compounds with anti-helicobacter pylori activity
US7189718B2 (en) 2003-03-24 2007-03-13 Roche Palo Alto Llc Non-nucleoside reverse transcriptase inhibitors
US20040192704A1 (en) 2003-03-24 2004-09-30 Roche Palo Alto Llc Non-nucleoside reverse transcriptase inhibitors
WO2004085406A1 (en) 2003-03-24 2004-10-07 F. Hoffmann-La Roche Ag Benzyl-pyridazinons as reverse transcriptase inhibitors
WO2005102989A1 (en) 2004-04-23 2005-11-03 F. Hoffmann-La Roche Ag Non-nucleoside reverse transcriptase inhibitors
US7166738B2 (en) 2004-04-23 2007-01-23 Roche Palo Alto Llc Non-nucleoside reverse transcriptase inhibitors
WO2006067587A2 (en) 2004-12-22 2006-06-29 Pfizer Limited Nonnucleoside inhibitors of hiv-1 reverse transcriptase
US20070021442A1 (en) 2005-07-22 2007-01-25 Saggar Sandeep A HIV reverse transcriptase inhibitors
WO2007015812A2 (en) 2005-07-22 2007-02-08 Merck & Co., Inc. Hiv reverse transcriptase inhibitors
WO2007045572A1 (en) 2005-10-19 2007-04-26 F. Hoffmann-La Roche Ag N-phenyl phenylacetamide non-nucleoside reverse transcriptase inihibitors
WO2007045573A1 (en) 2005-10-19 2007-04-26 F. Hoffmann-La Roche Ag Phenyl-acetamide nnrt inhibitors
WO2008076225A2 (en) 2006-12-13 2008-06-26 Merck & Co., Inc. Non-nucleoside reverse transcriptase inhibitors
WO2009067166A2 (en) 2007-11-20 2009-05-28 Merck & Co., Inc. Non-nucleoside reverse transcriptase inhibitors
WO2011120133A1 (en) 2010-03-30 2011-10-06 Merck Frosst Canada Ltd. Non-nucleoside reverse transcriptase inhibitors

Non-Patent Citations (14)

* Cited by examiner, † Cited by third party
Title
"Design of Prod rugs", 1985, ELSEVIER
"Physicians' Desk Reference", 2009
A.T.M. SERAJUDDIN, J PHARM SCI, vol. 88, no. 10, 1999, pages 1058 - 1066
BEAUMONT ET AL., CURRENT DRUG METABOLISM, vol. 4, 2003, pages 461 - 458
C. S. LARSEN; J. OSTERGAARD: "Textbook of Drug Design and Discovery", 2002, article "Design and application of prodrugs", pages: 410 - 458
CLEMO ET AL., J. CHEM. SOC., 1954, pages 2693 - 2702
F. KESISOGLOU; S. PANMAI; Y. WU, ADVANCED DRUG DELIVERY REVIEWS, vol. 59, no. 7, 2007, pages 631 - 644
J. J. HALE ET AL., J. MED. CHERN., vol. 43, 2000, pages 1234 - 1241
J. MARCH: "Advanced Organic Chemistry", JOHN WILEY AND SONS
ORGANIC PROCESS RESEARCH & DEVELOPMENT, vol. 5, 2001, pages 28 - 36
SWEENEY ET AL., BIOORGANIC & MEDICINAL CHEM. LETTERS, vol. 18, 2008, pages 4348 - 4351
SWEENEY Z K ET AL: "Discovery of triazolinone non-nucleoside inhibitors of HIV reverse transcriptase", BIOORGANIC & MEDICINAL CHEMISTRY LETTERS, PERGAMON, GB, vol. 18, no. 15, 1 August 2008 (2008-08-01), pages 4348 - 4351, XP023521548, ISSN: 0960-894X, [retrieved on 20080628], DOI: 10.1016/J.BMCL.2008.06.080 *
T. W. GREENE; P.G.M. WUTTS: "Protective Groups in Organic Synthesis", JOHN WILCY AND SONS
TETRAHEDRON LETTERS, vol. 30, no. 45, 1989, pages 6113 - 6116

Cited By (23)

* Cited by examiner, † Cited by third party
Publication number Priority date Publication date Assignee Title
US10189831B2 (en) 2012-10-08 2019-01-29 Merck Sharp & Dohme Corp. Non-nucleoside reverse transcriptase inhibitors
WO2015036563A1 (en) 2013-09-16 2015-03-19 Bayer Pharma Aktiengesellschaft Disubstituted trifluormethyl pyrimidinones and use thereof as ccr2 antagonists
WO2015153304A1 (en) * 2014-04-01 2015-10-08 Merck Sharp & Dohme Corp. Prodrugs of hiv reverse transcriptase inhibitors
US10004740B2 (en) 2014-04-01 2018-06-26 Merck Sharp & Dohme Corp. Prodrugs of HIV reverse transcriptase inhibitors
RU2693622C2 (en) * 2014-04-01 2019-07-03 Мерк Шарп И Доум Корп. Prodrugs of hiv reverse transcriptase inhibitors
WO2019055966A3 (en) * 2017-09-18 2019-04-18 Goldfinch Bio, Inc. Pyridazinones and methods of use thereof
US12435078B2 (en) 2017-09-18 2025-10-07 Gfb (Abc), Llc Pyridazinones and methods of use thereof
US11046690B2 (en) 2018-09-18 2021-06-29 Goldfinch Bio, Inc. Pyridazinones and methods of use thereof
US10654850B2 (en) 2018-09-18 2020-05-19 Goldfinch Bio, Inc. Pyridazinones and methods of use thereof
JP7045528B2 (en) 2018-12-18 2022-03-31 メルク・シャープ・アンド・ドーム・コーポレーション Pyrimidone derivatives as selective cytotoxic agents for HIV-infected cells
AU2019402998B2 (en) * 2018-12-18 2022-12-15 Merck Sharp & Dohme Llc Pyrimidone derivatives as selective cytotoxic agents against HIV infected cells
CN113423695A (en) * 2018-12-18 2021-09-21 默沙东公司 Pyrimidinone derivatives as selective cytotoxic agents against HIV infected cells
JP2022508380A (en) * 2018-12-18 2022-01-19 メルク・シャープ・アンド・ドーム・コーポレーション Pyrimidone derivatives as selective cytotoxic agents for HIV-infected cells
WO2020131597A1 (en) * 2018-12-18 2020-06-25 Merck Sharp & Dohme Corp. Pyrimidone derivatives as selective cytotoxic agents against hiv infected cells
US12258329B2 (en) 2018-12-18 2025-03-25 Merck Sharp & Dohme Llc Pyrimidone derivatives as selective cytotoxic agents against HIV infected cells
CN114026081A (en) * 2019-05-22 2022-02-08 默沙东公司 Pyridone derivatives as selective cytotoxic agents against HIV-infected cells
RU2816090C2 (en) * 2019-05-22 2024-03-26 МЕРК ШАРП И ДОУМ ЭлЭлСи Pyridinone compounds as selective cytotoxic agents against hiv-infected cells
WO2020236692A1 (en) 2019-05-22 2020-11-26 Merck Sharp & Dohme Corp. Pyridinone derivatives as selective cytotoxic agents against hiv infected cells
AU2020279954B2 (en) * 2019-05-22 2025-11-13 Merck Sharp & Dohme Llc Pyridinone derivatives as selective cytotoxic agents against HIV infected cells
KR102921965B1 (en) * 2019-05-22 2026-02-04 머크 샤프 앤드 돔 엘엘씨 Pyridinone derivatives as selective cytotoxic agents for HIV-infected cells
WO2021107066A1 (en) 2019-11-28 2021-06-03 塩野義製薬株式会社 Prophylactic and therapeutic pharmaceutical agent for hiv infectious diseases characterized by comprising combination of integrase inhibitor and anti-hiv agent
WO2023275230A1 (en) * 2021-07-01 2023-01-05 Janssen Pharmaceutica Nv 5-oxo-pyrido[2,3-d]pyridazin-6(5h)-yl acetamides
WO2025014788A1 (en) 2023-07-07 2025-01-16 Merck Sharp & Dohme Llc Tetrahydroquinazoline derivatives as selective cytotoxic agents

Also Published As

Publication number Publication date
ECSP15018618A (en) 2019-06-30
PL3656384T3 (en) 2022-04-04
ME02918B (en) 2018-10-20
HRP20220502T1 (en) 2022-05-27
PL3295942T3 (en) 2020-05-18
JO3470B1 (en) 2020-07-05
SI3295942T1 (en) 2020-03-31
EP3656384A1 (en) 2020-05-27
ES2909190T3 (en) 2022-05-05
CN104822670A (en) 2015-08-05
AU2013329552B2 (en) 2016-09-15
SI3656384T1 (en) 2022-05-31
EP3656384B1 (en) 2022-02-23
DOP2015000082A (en) 2015-08-16
HRP20171819T1 (en) 2017-12-29
BR112015007742B8 (en) 2021-03-23
KR101696128B1 (en) 2017-01-13
HK1252786A1 (en) 2019-05-31
KR20150065186A (en) 2015-06-12
HK1207369A1 (en) 2016-01-29
DK2903977T3 (en) 2017-12-04
TW201623256A (en) 2016-07-01
JP6097422B2 (en) 2017-03-15
GEP20186838B (en) 2018-04-10
AR092876A1 (en) 2015-05-06
SG11201502620UA (en) 2015-05-28
CA2887312C (en) 2017-02-28
MY192716A (en) 2022-09-05
JP2016128470A (en) 2016-07-14
CL2015000880A1 (en) 2015-08-28
NI201500048A (en) 2016-06-29
EA033436B1 (en) 2019-10-31
GT201500088A (en) 2017-09-28
BR112015007742B1 (en) 2021-01-19
MD4625B1 (en) 2019-04-30
ZA201503143B (en) 2016-06-29
EP3295942B1 (en) 2019-11-20
AU2013329552B8 (en) 2017-01-12
CA2887312A1 (en) 2014-04-17
EA201590674A1 (en) 2016-02-29
NO2903977T3 (en) 2018-02-17
LT3656384T (en) 2022-05-10
AU2013329552A1 (en) 2015-04-16
AU2013329552C1 (en) 2016-12-22
HRP20200158T1 (en) 2020-08-07
US9469634B2 (en) 2016-10-18
JP5877281B2 (en) 2016-03-02
NZ706729A (en) 2018-09-28
HUE058903T2 (en) 2022-09-28
HUE048670T2 (en) 2020-08-28
PL2903977T3 (en) 2018-01-31
US20170349585A1 (en) 2017-12-07
PT2903977T (en) 2017-11-14
US20160145255A1 (en) 2016-05-26
MD4625C1 (en) 2019-11-30
CY1122585T1 (en) 2021-01-27
ES2770774T3 (en) 2020-07-03
DK3656384T3 (en) 2022-04-19
PT3295942T (en) 2020-02-18
MX2015004448A (en) 2016-02-17
MX355040B (en) 2018-03-28
ES2645638T3 (en) 2017-12-07
US9718819B2 (en) 2017-08-01
UA114006C2 (en) 2017-04-10
US10189831B2 (en) 2019-01-29
SI2903977T1 (en) 2017-12-29
CO7350655A2 (en) 2015-08-10
MD20150047A2 (en) 2015-08-31
PT3656384T (en) 2022-03-22
RS63112B1 (en) 2022-05-31
JP2015533123A (en) 2015-11-19
DK3295942T3 (en) 2020-02-10
PE20151787A1 (en) 2015-12-03
LT2903977T (en) 2017-12-11
PH12015500764B1 (en) 2019-04-05
EP2903977A1 (en) 2015-08-12
US20140100231A1 (en) 2014-04-10
EP3295942A1 (en) 2018-03-21
TWI538907B (en) 2016-06-21
LT3295942T (en) 2020-02-10
EP2903977B1 (en) 2017-09-20
HUE037231T2 (en) 2018-08-28
IL238090B (en) 2019-02-28
PH12015500764A1 (en) 2015-07-27
TW201420576A (en) 2014-06-01
TWI598343B (en) 2017-09-11
CN104822670B (en) 2018-01-12
RS56543B1 (en) 2018-02-28
BR112015007742A2 (en) 2017-08-08
CY1119655T1 (en) 2018-04-04
CR20150183A (en) 2015-08-10
CY1125202T1 (en) 2024-02-16
MA37959A2 (en) 2017-12-29
TN2015000106A1 (en) 2016-06-29
RS59863B1 (en) 2020-03-31
AP2015008355A0 (en) 2015-04-30

Similar Documents

Publication Publication Date Title
AU2013329552C1 (en) 5-phenoxy-3H-pyrimidin-4-one derivatives and their use as HIV reverse transcriptase inhibitors
EP3125894B1 (en) Prodrugs of hiv reverse transcriptase inhibitors
HK1252786B (en) Combinations comprising 5-phenoxy-3h-pyrimidin-4-one derivatives and their use for the prophylaxis or treatment of infection by hiv
HK40022586A (en) Combinations comprising 5-phenoxy-3h-pyrimidin-4-one derivatives and their use for the prophylaxis or treatment of infection by hiv
HK40022586B (en) Combinations comprising 5-phenoxy-3h-pyrimidin-4-one derivatives and their use for the prophylaxis or treatment of infection by hiv
HK1207369B (en) 5-phenoxy-3h-pyrimidin-4-one derivatives and their use as hiv reverse transcriptase inhibitors
HK40042531A (en) Prodrugs of hiv reverse transcriptase inhibitors

Legal Events

Date Code Title Description
121 Ep: the epo has been informed by wipo that ep was designated in this application

Ref document number: 13776702

Country of ref document: EP

Kind code of ref document: A1

WWE Wipo information: entry into national phase

Ref document number: DZP2015000168

Country of ref document: DZ

WWE Wipo information: entry into national phase

Ref document number: 139450140003000091

Country of ref document: IR

WWE Wipo information: entry into national phase

Ref document number: 37959

Country of ref document: MA

WWE Wipo information: entry into national phase

Ref document number: 238090

Country of ref document: IL

ENP Entry into the national phase

Ref document number: 2887312

Country of ref document: CA

ENP Entry into the national phase

Ref document number: 2015535852

Country of ref document: JP

Kind code of ref document: A

WWE Wipo information: entry into national phase

Ref document number: 12015500764

Country of ref document: PH

WWE Wipo information: entry into national phase

Ref document number: IDP00201502023

Country of ref document: ID

NENP Non-entry into the national phase

Ref country code: DE

WWE Wipo information: entry into national phase

Ref document number: 2015000880

Country of ref document: CL

Ref document number: 15077967

Country of ref document: CO

Ref document number: 000468-2015

Country of ref document: PE

Ref document number: MX/A/2015/004448

Country of ref document: MX

Ref document number: CR2015-000183

Country of ref document: CR

ENP Entry into the national phase

Ref document number: 2013329552

Country of ref document: AU

Date of ref document: 20131007

Kind code of ref document: A

REG Reference to national code

Ref country code: BR

Ref legal event code: B01A

Ref document number: 112015007742

Country of ref document: BR

REEP Request for entry into the european phase

Ref document number: 2013776702

Country of ref document: EP

WWE Wipo information: entry into national phase

Ref document number: 2013776702

Country of ref document: EP

WWE Wipo information: entry into national phase

Ref document number: 201590674

Country of ref document: EA

ENP Entry into the national phase

Ref document number: 20157011661

Country of ref document: KR

Kind code of ref document: A

WWE Wipo information: entry into national phase

Ref document number: 13818

Country of ref document: GE

ENP Entry into the national phase

Ref document number: 20150047

Country of ref document: MD

Kind code of ref document: A

WWE Wipo information: entry into national phase

Ref document number: A 2015 0047

Country of ref document: MD

WWE Wipo information: entry into national phase

Ref document number: 001782-2015

Country of ref document: PE

ENP Entry into the national phase

Ref document number: 112015007742

Country of ref document: BR

Kind code of ref document: A2

Effective date: 20150407