WO2013100132A1 - Peptide-compound cyclization method - Google Patents
Peptide-compound cyclization method Download PDFInfo
- Publication number
- WO2013100132A1 WO2013100132A1 PCT/JP2012/084103 JP2012084103W WO2013100132A1 WO 2013100132 A1 WO2013100132 A1 WO 2013100132A1 JP 2012084103 W JP2012084103 W JP 2012084103W WO 2013100132 A1 WO2013100132 A1 WO 2013100132A1
- Authority
- WO
- WIPO (PCT)
- Prior art keywords
- group
- amino acid
- compound
- residue
- acid analog
- Prior art date
- Legal status (The legal status is an assumption and is not a legal conclusion. Google has not performed a legal analysis and makes no representation as to the accuracy of the status listed.)
- Ceased
Links
- 0 CC(*(NC)=C)=O Chemical compound CC(*(NC)=C)=O 0.000 description 15
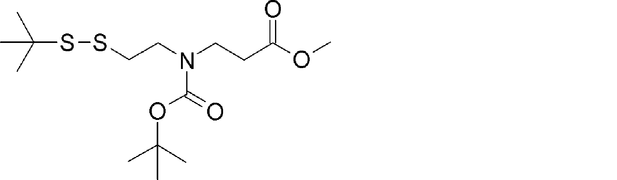
- ANOKIZYHJHWXPE-HNNXBMFYSA-N CC(C)(C)OC(N[C@@H](CSSC(C)(C)C)C(NCc1ccccc1)=O)=O Chemical compound CC(C)(C)OC(N[C@@H](CSSC(C)(C)C)C(NCc1ccccc1)=O)=O ANOKIZYHJHWXPE-HNNXBMFYSA-N 0.000 description 2
- QJQDQUCENWAMAS-UHFFFAOYSA-N CCN(C(C)C)C(C)CC(C#N)Br Chemical compound CCN(C(C)C)C(C)CC(C#N)Br QJQDQUCENWAMAS-UHFFFAOYSA-N 0.000 description 2
- JTTARFOFOAZVQT-ZETCQYMHSA-N C[C@@H](COC(C)(C)C)C(NCC(N)=O)=O Chemical compound C[C@@H](COC(C)(C)C)C(NCC(N)=O)=O JTTARFOFOAZVQT-ZETCQYMHSA-N 0.000 description 2
- NQRYJNQNLNOLGT-UHFFFAOYSA-N C1CCNCC1 Chemical compound C1CCNCC1 NQRYJNQNLNOLGT-UHFFFAOYSA-N 0.000 description 1
- QWMMBQYDEVMKTK-VIFPVBQESA-N CC(C)(C)OC(N(C)[C@@H](CSSC(C)(C)C)C(O)=O)=O Chemical compound CC(C)(C)OC(N(C)[C@@H](CSSC(C)(C)C)C(O)=O)=O QWMMBQYDEVMKTK-VIFPVBQESA-N 0.000 description 1
- LFKDJXLFVYVEFG-UHFFFAOYSA-N CC(C)(C)OC(N)=O Chemical compound CC(C)(C)OC(N)=O LFKDJXLFVYVEFG-UHFFFAOYSA-N 0.000 description 1
- FFTXXCRVJUBYOP-KIYNQFGBSA-N CC(C)(C)OC(N[C@@H](CC(CN=N)SSC(C)(C)C)C(OCC#N)=O)=O Chemical compound CC(C)(C)OC(N[C@@H](CC(CN=N)SSC(C)(C)C)C(OCC#N)=O)=O FFTXXCRVJUBYOP-KIYNQFGBSA-N 0.000 description 1
- JJEICSIUYZNFAJ-FQEVSTJZSA-N CC(C)(C)OC(N[C@@H](CC(NCC(OCc1ccccc1)=O)=O)C(OCc1ccccc1)=O)=O Chemical compound CC(C)(C)OC(N[C@@H](CC(NCC(OCc1ccccc1)=O)=O)C(OCc1ccccc1)=O)=O JJEICSIUYZNFAJ-FQEVSTJZSA-N 0.000 description 1
- PPQRALRLGBAWHD-QMMMGPOBSA-N CC(C)(C)OC(N[C@@H](CSSC(C)(C)C)C(O)=O)=O Chemical compound CC(C)(C)OC(N[C@@H](CSSC(C)(C)C)C(O)=O)=O PPQRALRLGBAWHD-QMMMGPOBSA-N 0.000 description 1
- PINZAMFDEPERMX-QFIPXVFZSA-N CC(C)(C)OC([C@H](CCC(N(C)C)=O)NC(OCC1c(cccc2)c2-c2ccccc12)=O)=O Chemical compound CC(C)(C)OC([C@H](CCC(N(C)C)=O)NC(OCC1c(cccc2)c2-c2ccccc12)=O)=O PINZAMFDEPERMX-QFIPXVFZSA-N 0.000 description 1
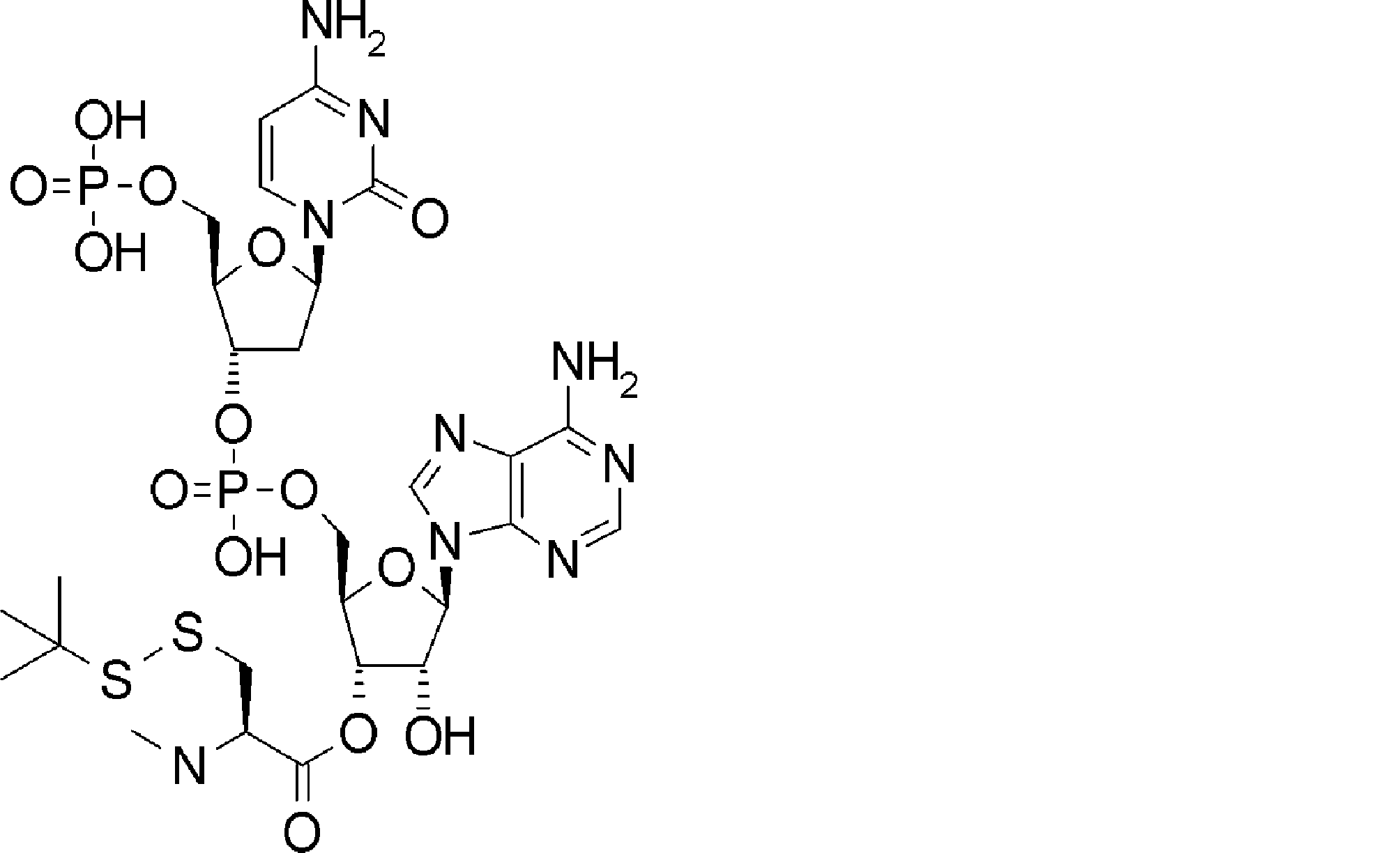
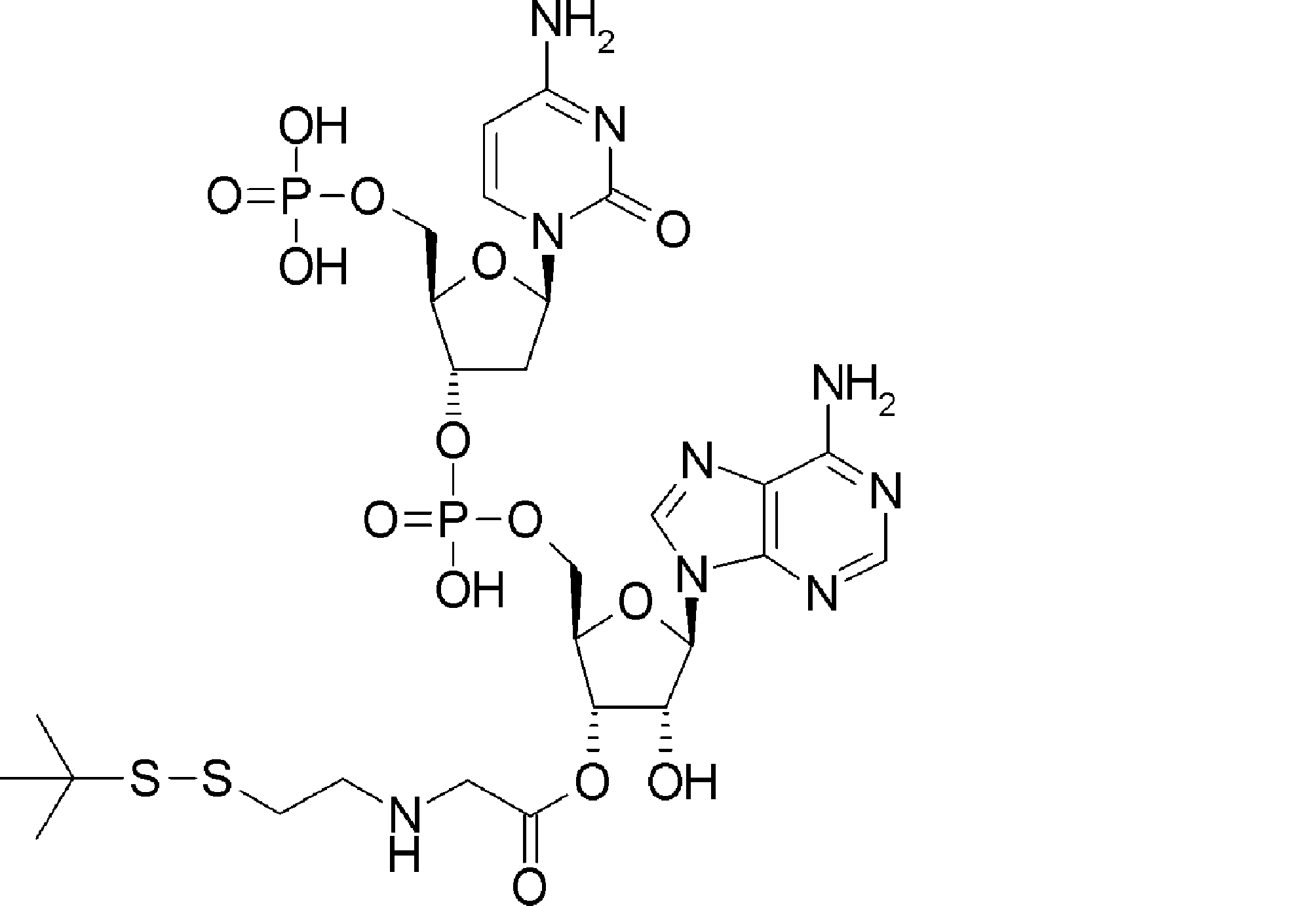
- FXVOKJIKEGWHLZ-OJSPPFRZSA-N CC(C)(C)SSCC[C@@H](C(O[C@H]([C@@H](COP(O)(O[C@@H](C1)C(COP(O)(O)=O)O[C@H]1N(C=CC(N)=N1)C1=O)=O)OC1[n]2c3ncnc(N)c3nc2)[C@H]1O)=O)N Chemical compound CC(C)(C)SSCC[C@@H](C(O[C@H]([C@@H](COP(O)(O[C@@H](C1)C(COP(O)(O)=O)O[C@H]1N(C=CC(N)=N1)C1=O)=O)OC1[n]2c3ncnc(N)c3nc2)[C@H]1O)=O)N FXVOKJIKEGWHLZ-OJSPPFRZSA-N 0.000 description 1
- BBMJELDHCZJMQA-LBPRGKRZSA-N CC(C)(C)SSC[C@@H](C(NCc1ccccc1)=O)N Chemical compound CC(C)(C)SSC[C@@H](C(NCc1ccccc1)=O)N BBMJELDHCZJMQA-LBPRGKRZSA-N 0.000 description 1
- AQCYZSJTMQORHF-INIZCTEOSA-N CC(C)(C)SSC[C@@H](C(NCc1ccccc1)=O)NSc(nccc1)c1N[O-] Chemical compound CC(C)(C)SSC[C@@H](C(NCc1ccccc1)=O)NSc(nccc1)c1N[O-] AQCYZSJTMQORHF-INIZCTEOSA-N 0.000 description 1
- WQBCZTUSIWRNDW-YFKPBYRVSA-N CC(C)[C@H](C)C(N)=O Chemical compound CC(C)[C@H](C)C(N)=O WQBCZTUSIWRNDW-YFKPBYRVSA-N 0.000 description 1
- RZUGYIVFTYWGQW-HECZYDGTSA-N CCC(N(C)C(Cc1ccccc1)C([N](C)(C)CC(N[C@@H](CC(C)N1[C@@H](C)C(N)=O)C1=O)=O)=O)=O Chemical compound CCC(N(C)C(Cc1ccccc1)C([N](C)(C)CC(N[C@@H](CC(C)N1[C@@H](C)C(N)=O)C1=O)=O)=O)=O RZUGYIVFTYWGQW-HECZYDGTSA-N 0.000 description 1
- NKWDQTKTGYQWLT-UHFFFAOYSA-N CCCNCC(OCC#N)=O Chemical compound CCCNCC(OCC#N)=O NKWDQTKTGYQWLT-UHFFFAOYSA-N 0.000 description 1
- BLCATMOIZIKIBU-WNKKXLCOSA-N CCSSC[C@@H](C(O[C@H]([C@@H](COP(O)(O[C@@H](C1)[C@@H](COP(O)(O)=O)O[C@H]1N(C=CC(N)=N1)C1=O)=O)OC1[n]2c3ncnc(N)c3nc2)[C@H]1O)=O)N(C)C(OCc(c([N+]([O-])=O)c1)cc(OC)c1OC)=O Chemical compound CCSSC[C@@H](C(O[C@H]([C@@H](COP(O)(O[C@@H](C1)[C@@H](COP(O)(O)=O)O[C@H]1N(C=CC(N)=N1)C1=O)=O)OC1[n]2c3ncnc(N)c3nc2)[C@H]1O)=O)N(C)C(OCc(c([N+]([O-])=O)c1)cc(OC)c1OC)=O BLCATMOIZIKIBU-WNKKXLCOSA-N 0.000 description 1
- QEXYOHMTAOCTDV-TUSQITKMSA-N C[C@@H](C(N(C)[C@@H](Cc1ccccc1)C([N](C)(C)CC(N)=O)=O)=O)NC([C@H](Cc1ccccc1)NC(OC(C)(C)C)=O)=O Chemical compound C[C@@H](C(N(C)[C@@H](Cc1ccccc1)C([N](C)(C)CC(N)=O)=O)=O)NC([C@H](Cc1ccccc1)NC(OC(C)(C)C)=O)=O QEXYOHMTAOCTDV-TUSQITKMSA-N 0.000 description 1
- MQQOAUOXXYAZOQ-LOJRBXKRSA-N C[C@@H](C(N)=O)N(C(C)C[C@@H]1C)C1=O Chemical compound C[C@@H](C(N)=O)N(C(C)C[C@@H]1C)C1=O MQQOAUOXXYAZOQ-LOJRBXKRSA-N 0.000 description 1
- YIVCZMHNRHERGG-XHNBAOFPSA-N C[C@@H](C(N1CCCCC1)=O)NC([C@H](Cc1ccccc1)N(C([C@H](C1)NC(OCC2c(cccc3)c3-c3c2cccc3)=O)=O)[O]=C1OCc1ccccc1)=O Chemical compound C[C@@H](C(N1CCCCC1)=O)NC([C@H](Cc1ccccc1)N(C([C@H](C1)NC(OCC2c(cccc3)c3-c3c2cccc3)=O)=O)[O]=C1OCc1ccccc1)=O YIVCZMHNRHERGG-XHNBAOFPSA-N 0.000 description 1
- IPBNVVDEDQVEQX-ANZMCEIWSA-N C[C@@H](C(N1CCCCC1)=O)NC([C@H](Cc1ccccc1)N(C([C@H](C1)NC(OCC2c3ccccc3-c3c2cccc3)=O)=O)[O]=C1O)=O Chemical compound C[C@@H](C(N1CCCCC1)=O)NC([C@H](Cc1ccccc1)N(C([C@H](C1)NC(OCC2c3ccccc3-c3c2cccc3)=O)=O)[O]=C1O)=O IPBNVVDEDQVEQX-ANZMCEIWSA-N 0.000 description 1
- LGMFOSIGAPINCO-ZNZJXIMRSA-N C[C@@H](C(N1CCCCC1)=O)NC([C@H](Cc1ccccc1)N(C1=O)c2ccccc2C[C@@H]1N(C)C([C@@](C1)([C@@H]1C(O)=O)NC(OCC1c2ccccc2-c2c1cccc2)=O)=O)=O Chemical compound C[C@@H](C(N1CCCCC1)=O)NC([C@H](Cc1ccccc1)N(C1=O)c2ccccc2C[C@@H]1N(C)C([C@@](C1)([C@@H]1C(O)=O)NC(OCC1c2ccccc2-c2c1cccc2)=O)=O)=O LGMFOSIGAPINCO-ZNZJXIMRSA-N 0.000 description 1
- MLVBDSXLHGQJCA-AGZMXDBFSA-N C[C@@H](C(N1CCCCC1)=O)NC([C@H](Cc1ccccc1)N(C1=O)c2ccccc2C[C@@H]1N(C)C([C@@](C1)([C@@H]1C(OCc1ccccc1)=O)NC(OCC1c2ccccc2-c2c1cccc2)=O)=O)=O Chemical compound C[C@@H](C(N1CCCCC1)=O)NC([C@H](Cc1ccccc1)N(C1=O)c2ccccc2C[C@@H]1N(C)C([C@@](C1)([C@@H]1C(OCc1ccccc1)=O)NC(OCC1c2ccccc2-c2c1cccc2)=O)=O)=O MLVBDSXLHGQJCA-AGZMXDBFSA-N 0.000 description 1
- YDIRYGJEZROABP-RYUDHWBXSA-N C[C@@H](CC(OCc1ccccc1)=O)C(N(C)[C@@H](C)C(N)=O)=O Chemical compound C[C@@H](CC(OCc1ccccc1)=O)C(N(C)[C@@H](C)C(N)=O)=O YDIRYGJEZROABP-RYUDHWBXSA-N 0.000 description 1
- ODTUTIKYAWGREV-VIFPVBQESA-N C[C@@H](Cc1ccccc1)C(N=C)=O Chemical compound C[C@@H](Cc1ccccc1)C(N=C)=O ODTUTIKYAWGREV-VIFPVBQESA-N 0.000 description 1
- SNHMUERNLJLMHN-UHFFFAOYSA-N Ic1ccccc1 Chemical compound Ic1ccccc1 SNHMUERNLJLMHN-UHFFFAOYSA-N 0.000 description 1
- UXGRDCMGDKKPFT-UHFFFAOYSA-N NC(C1)(C1c1ccc(C(F)(F)F)cc1)C(OCC#N)=O Chemical compound NC(C1)(C1c1ccc(C(F)(F)F)cc1)C(OCC#N)=O UXGRDCMGDKKPFT-UHFFFAOYSA-N 0.000 description 1
- WVHTZZOXKNLOAG-DIBZTSHWSA-N NC(C=CN1C[C@@H](C2)O[C@H](COP(O)(O)=O)[C@H]2OP(O)(OC[C@H]([C@H]2O)O[C@@H](C[n]3c4ncnc(N)c4nc3)[C@@H]2O)=O)=NC1=O Chemical compound NC(C=CN1C[C@@H](C2)O[C@H](COP(O)(O)=O)[C@H]2OP(O)(OC[C@H]([C@H]2O)O[C@@H](C[n]3c4ncnc(N)c4nc3)[C@@H]2O)=O)=NC1=O WVHTZZOXKNLOAG-DIBZTSHWSA-N 0.000 description 1
- KBUYLLSQUSBBQT-UHFFFAOYSA-N NC(SSC(N)=O)=O Chemical compound NC(SSC(N)=O)=O KBUYLLSQUSBBQT-UHFFFAOYSA-N 0.000 description 1
- HMMRSEKWXWQVIW-UHFFFAOYSA-N NS(c(ccc([N+]([O-])=O)c1)c1[N+]([O-])=O)(=O)=O Chemical compound NS(c(ccc([N+]([O-])=O)c1)c1[N+]([O-])=O)(=O)=O HMMRSEKWXWQVIW-UHFFFAOYSA-N 0.000 description 1
- GNDKYAWHEKZHPJ-UHFFFAOYSA-N NS(c(cccc1)c1[N+]([O-])=O)(=O)=O Chemical compound NS(c(cccc1)c1[N+]([O-])=O)(=O)=O GNDKYAWHEKZHPJ-UHFFFAOYSA-N 0.000 description 1
- LOVVSIULYJABJF-UHFFFAOYSA-N NSc(cccc1)c1[N+]([O-])=O Chemical compound NSc(cccc1)c1[N+]([O-])=O LOVVSIULYJABJF-UHFFFAOYSA-N 0.000 description 1
- BDEZGPKAMAVGBE-UHFFFAOYSA-N NSc(nccc1)c1[N+]([O-])=O Chemical compound NSc(nccc1)c1[N+]([O-])=O BDEZGPKAMAVGBE-UHFFFAOYSA-N 0.000 description 1
- GJADKSXFFUHKBR-HKBQPEDESA-N OC(CCCCc1cccc(C[C@@H](C(N2CCCCC2)=O)NC(OCC2c3ccccc3-c3ccccc23)=O)c1)=O Chemical compound OC(CCCCc1cccc(C[C@@H](C(N2CCCCC2)=O)NC(OCC2c3ccccc3-c3ccccc23)=O)c1)=O GJADKSXFFUHKBR-HKBQPEDESA-N 0.000 description 1
- NSERYVHZQRDIQX-IBGZPJMESA-N OC(COC([C@H](CCC1)N1C(OCC1c2ccccc2-c2c1cccc2)=O)=O)=O Chemical compound OC(COC([C@H](CCC1)N1C(OCC1c2ccccc2-c2c1cccc2)=O)=O)=O NSERYVHZQRDIQX-IBGZPJMESA-N 0.000 description 1
- DXKLSDIIIUXGOJ-NRFANRHFSA-N OC(C[C@@H](C(N1CCCCC1)=O)NC(OCC1c2ccccc2-c2c1cccc2)=O)=O Chemical compound OC(C[C@@H](C(N1CCCCC1)=O)NC(OCC1c2ccccc2-c2c1cccc2)=O)=O DXKLSDIIIUXGOJ-NRFANRHFSA-N 0.000 description 1
Images
Classifications
-
- C—CHEMISTRY; METALLURGY
- C07—ORGANIC CHEMISTRY
- C07K—PEPTIDES
- C07K7/00—Peptides having 5 to 20 amino acids in a fully defined sequence; Derivatives thereof
- C07K7/64—Cyclic peptides containing only normal peptide links
-
- C—CHEMISTRY; METALLURGY
- C07—ORGANIC CHEMISTRY
- C07K—PEPTIDES
- C07K1/00—General methods for the preparation of peptides, i.e. processes for the organic chemical preparation of peptides or proteins of any length
- C07K1/107—General methods for the preparation of peptides, i.e. processes for the organic chemical preparation of peptides or proteins of any length by chemical modification of precursor peptides
- C07K1/113—General methods for the preparation of peptides, i.e. processes for the organic chemical preparation of peptides or proteins of any length by chemical modification of precursor peptides without change of the primary structure
-
- C—CHEMISTRY; METALLURGY
- C07—ORGANIC CHEMISTRY
- C07H—SUGARS; DERIVATIVES THEREOF; NUCLEOSIDES; NUCLEOTIDES; NUCLEIC ACIDS
- C07H21/00—Compounds containing two or more mononucleotide units having separate phosphate or polyphosphate groups linked by saccharide radicals of nucleoside groups, e.g. nucleic acids
- C07H21/04—Compounds containing two or more mononucleotide units having separate phosphate or polyphosphate groups linked by saccharide radicals of nucleoside groups, e.g. nucleic acids with deoxyribosyl as saccharide radical
-
- C—CHEMISTRY; METALLURGY
- C07—ORGANIC CHEMISTRY
- C07K—PEPTIDES
- C07K11/00—Depsipeptides having up to 20 amino acids in a fully defined sequence; Derivatives thereof
-
- C—CHEMISTRY; METALLURGY
- C07—ORGANIC CHEMISTRY
- C07K—PEPTIDES
- C07K11/00—Depsipeptides having up to 20 amino acids in a fully defined sequence; Derivatives thereof
- C07K11/02—Depsipeptides having up to 20 amino acids in a fully defined sequence; Derivatives thereof cyclic, e.g. valinomycins ; Derivatives thereof
-
- C—CHEMISTRY; METALLURGY
- C07—ORGANIC CHEMISTRY
- C07K—PEPTIDES
- C07K19/00—Hybrid peptides, i.e. peptides covalently bound to nucleic acids, or non-covalently bound protein-protein complexes
-
- C—CHEMISTRY; METALLURGY
- C07—ORGANIC CHEMISTRY
- C07K—PEPTIDES
- C07K5/00—Peptides containing up to four amino acids in a fully defined sequence; Derivatives thereof
- C07K5/04—Peptides containing up to four amino acids in a fully defined sequence; Derivatives thereof containing only normal peptide links
- C07K5/08—Tripeptides
- C07K5/0802—Tripeptides with the first amino acid being neutral
- C07K5/0812—Tripeptides with the first amino acid being neutral and aromatic or cycloaliphatic
-
- C—CHEMISTRY; METALLURGY
- C07—ORGANIC CHEMISTRY
- C07K—PEPTIDES
- C07K5/00—Peptides containing up to four amino acids in a fully defined sequence; Derivatives thereof
- C07K5/04—Peptides containing up to four amino acids in a fully defined sequence; Derivatives thereof containing only normal peptide links
- C07K5/10—Tetrapeptides
- C07K5/1002—Tetrapeptides with the first amino acid being neutral
- C07K5/1005—Tetrapeptides with the first amino acid being neutral and aliphatic
- C07K5/1013—Tetrapeptides with the first amino acid being neutral and aliphatic the side chain containing O or S as heteroatoms, e.g. Cys, Ser
-
- C—CHEMISTRY; METALLURGY
- C07—ORGANIC CHEMISTRY
- C07K—PEPTIDES
- C07K7/00—Peptides having 5 to 20 amino acids in a fully defined sequence; Derivatives thereof
- C07K7/04—Linear peptides containing only normal peptide links
- C07K7/06—Linear peptides containing only normal peptide links having 5 to 11 amino acids
-
- C—CHEMISTRY; METALLURGY
- C07—ORGANIC CHEMISTRY
- C07K—PEPTIDES
- C07K7/00—Peptides having 5 to 20 amino acids in a fully defined sequence; Derivatives thereof
- C07K7/04—Linear peptides containing only normal peptide links
- C07K7/08—Linear peptides containing only normal peptide links having 12 to 20 amino acids
-
- C—CHEMISTRY; METALLURGY
- C07—ORGANIC CHEMISTRY
- C07K—PEPTIDES
- C07K7/00—Peptides having 5 to 20 amino acids in a fully defined sequence; Derivatives thereof
- C07K7/50—Cyclic peptides containing at least one abnormal peptide link
- C07K7/54—Cyclic peptides containing at least one abnormal peptide link with at least one abnormal peptide link in the ring
- C07K7/56—Cyclic peptides containing at least one abnormal peptide link with at least one abnormal peptide link in the ring the cyclisation not occurring through 2,4-diamino-butanoic acid
-
- C—CHEMISTRY; METALLURGY
- C12—BIOCHEMISTRY; BEER; SPIRITS; WINE; VINEGAR; MICROBIOLOGY; ENZYMOLOGY; MUTATION OR GENETIC ENGINEERING
- C12P—FERMENTATION OR ENZYME-USING PROCESSES TO SYNTHESISE A DESIRED CHEMICAL COMPOUND OR COMPOSITION OR TO SEPARATE OPTICAL ISOMERS FROM A RACEMIC MIXTURE
- C12P21/00—Preparation of peptides or proteins
- C12P21/02—Preparation of peptides or proteins having a known sequence of two or more amino acids, e.g. glutathione
-
- C—CHEMISTRY; METALLURGY
- C40—COMBINATORIAL TECHNOLOGY
- C40B—COMBINATORIAL CHEMISTRY; LIBRARIES, e.g. CHEMICAL LIBRARIES
- C40B40/00—Libraries per se, e.g. arrays, mixtures
- C40B40/04—Libraries containing only organic compounds
- C40B40/06—Libraries containing nucleotides or polynucleotides, or derivatives thereof
-
- C—CHEMISTRY; METALLURGY
- C40—COMBINATORIAL TECHNOLOGY
- C40B—COMBINATORIAL CHEMISTRY; LIBRARIES, e.g. CHEMICAL LIBRARIES
- C40B40/00—Libraries per se, e.g. arrays, mixtures
- C40B40/04—Libraries containing only organic compounds
- C40B40/10—Libraries containing peptides or polypeptides, or derivatives thereof
-
- A—HUMAN NECESSITIES
- A61—MEDICAL OR VETERINARY SCIENCE; HYGIENE
- A61K—PREPARATIONS FOR MEDICAL, DENTAL OR TOILETRY PURPOSES
- A61K38/00—Medicinal preparations containing peptides
-
- Y—GENERAL TAGGING OF NEW TECHNOLOGICAL DEVELOPMENTS; GENERAL TAGGING OF CROSS-SECTIONAL TECHNOLOGIES SPANNING OVER SEVERAL SECTIONS OF THE IPC; TECHNICAL SUBJECTS COVERED BY FORMER USPC CROSS-REFERENCE ART COLLECTIONS [XRACs] AND DIGESTS
- Y02—TECHNOLOGIES OR APPLICATIONS FOR MITIGATION OR ADAPTATION AGAINST CLIMATE CHANGE
- Y02P—CLIMATE CHANGE MITIGATION TECHNOLOGIES IN THE PRODUCTION OR PROCESSING OF GOODS
- Y02P20/00—Technologies relating to chemical industry
- Y02P20/50—Improvements relating to the production of bulk chemicals
- Y02P20/55—Design of synthesis routes, e.g. reducing the use of auxiliary or protecting groups
Definitions
- the present invention relates to a novel cyclization method for peptide compounds, a novel peptide compound and a library containing them.
- Non-Patent Document 1 It has been considered that effective inhibition of tough targets, which have been difficult to find drugs other than antibodies, is possible even with compounds having a molecular weight of 500 to 2000 (Non-patent Document 2).
- cases that are outside the range of rule of 5 proposed by Lipinski can be blocked by oral agents and intracellular targets, mainly natural products.
- Display Library display library
- Non-Patent Document 4 Non-Patent Document 4
- Cyclosporin A is a representative example of a peptide produced by an 11-residue microorganism that inhibits an orally administrable intracellular target (cyclophilin).
- Peptides generally have low metabolic stability and membrane permeability, but it has also been clarified that they can be improved by non-naturalization such as peptide cyclization or N-methylation (Non-patent Document 5). ).
- Non-Patent Document 6 A successful example of cyclization of an integrin-inhibiting peptide and clinical trials as an oral agent by non-naturalization has been reported (Non-Patent Document 6), but such drug development is brought about at the end of a long research period. There are few examples that have been made. For example, oral development of high-value pharmaceutical injections such as insulin, GLP-1 (glucagon-like peptide-1), PTH (parathyroid hormone), calcitonin has not been successful.
- Non-Patent Document 22 peptides containing non-natural amino acids and hydroxycarboxylic acid derivatives
- Non-Patent Document 22 peptides containing non-natural amino acids and hydroxycarboxylic acid derivatives
- Display® Library containing non-natural amino acids has become a reality.
- peptides containing N-methyl amino acids can be synthesized in ribosomes by utilizing tRNA that binds a non-natural amino acid and a cell-free translation system such as PureSystem (registered trademark) (Non-Patent Documents 7, 8, 9, 10, 11).
- PureSystem registered trademark
- An example of a challenge to Display® library containing one unnatural amino acid was also reported (Non-patent Documents 12 and 13).
- an example has been reported in which a display of a peptide containing N-methylamino acid is produced (Non-patent Document 23).
- Non-patent Document 19 a method of cyclizing two Cys via mesitylene has been reported.
- This approach results in a more stable thioether-mediated cyclization, but the effect is partial and leaves room for improvement.
- thioethers are susceptible to oxidative metabolism. It has been reported that it is decomposed into RSCH 2 R ′ ⁇ RSH + R′CHO by cytochrome P450 and metabolized to sulfoxide by flavin-containing monooxygenase (Non-patent Document 20). When the former is generated, it becomes a reactive metabolite, which leads to toxicity.
- Non-Patent Document 21 Non-Patent Document 25, Non-Patent Document 26, Non-Patent Document.
- Reference 27 all generate a structure in which the active species obtained by cleaving the main chain amide bond and the amino acid main chain amino group are chemically reacted. It cannot be applied as a method.
- These techniques are useful as a technique for condensation cyclization of many natural products such as cyclosporin A with a main chain carboxylic acid and a main chain amino group.
- the Display library since the main chain carboxylic acid end needs to be bound to mRNA, it is not possible to use a method for generating an active species by decomposing the main chain amide bond.
- Non-Patent Document 12 by cross-linking the amino group of methionine at the N-terminal and the amino group of lysine arranged downstream (C-terminal side) with disuccinimidyl glutarate (DSG)
- a cyclization method (Non-patent Document 11, Patent Document 1) by introducing an amino acid derivative having a chloroacetyl group as a translation initiation amino acid and forming a thioether by intramolecular cyclization reaction by arranging Cys downstream
- the improvement of the above points was insufficient, and development of a new cyclization method instead of these was demanded.
- Non-patent Document 24 For example, in the SS cyclization method using two cysteines, it is necessary to make two amino acids specific (cysteine), but in the cyclization method by cross-linking using DSG, there are three sites including lysine. As a result, the diversity of the structure is reduced in a peptide library having a certain number of residues. Further, it has been reported that when the structure of the cyclization site is changed, the activity (strength of drug efficacy) of the peptide having the cyclization site is greatly reduced (Non-patent Document 24).
- Kessler, H. et. Al. Cilengitide: The first anti-angiogenic small molecule drug candidate. Design, synthesis and clinical evaluation. Anti-cancer Agents in Medicinal Chemistry 2010, 10, 753 Roberts, R. W., et al. Encodamers: Unnatural peptide oligomers encoded in RNA. Chem. Bio. 2003, 10, 1043. Forster, A. C. et. Al., Specificity of translation for N-alkyl amino acids. J. Am. Chem. Soc.
- peptides with membrane permeability and metabolic stability are designed and those compound groups are displayed. Realization of Display library technology that selects peptides with medicinal effects is considered effective. Hit compounds that have membrane permeability and metabolic stability to some extent can be easily synthesized and chemically modified unlike natural products, so hit compounds are the same as conventional low molecular drug discovery within rule of 5. It is possible to carry out structural optimization while keeping the structural change of the compound small, and it can be expected that a clinically developed compound can be created relatively easily.
- druglikeness of medium molecular peptides that are outside the scope of rule of 5 (drug-likeness: In this specification, preferably, both membrane permeability and metabolic stability are achieved. I thought that it was essential to understand the conditions that satisfy the conditions) and to construct a display library containing unnatural amino acids consisting of molecular groups that satisfy the conditions. On the other hand, in order to effectively use the limited scale of medium molecule peptide display (which means that there is a limitation on the peptide chain length in consideration of drug likeness), peptides with completely different structures (non-natural type) It is important to include a large amount of peptides containing amino acids.
- the present inventors have clarified for the first time the conditions required for a drug-like cyclic peptide.
- the present inventors have found a method for synthesizing a display library composed of peptide compounds having highly diverse cyclized portions that satisfy the above conditions.
- the present invention includes the following.
- a method for producing a peptide compound having a cyclic part 1) An amino acid residue and / or an amino acid analog residue, or an acyclic peptide compound composed of an amino acid residue and / or an amino acid analog residue and an N-terminal carboxylic acid analog is encoded with the peptide compound A process of translating and synthesizing from the nucleic acid
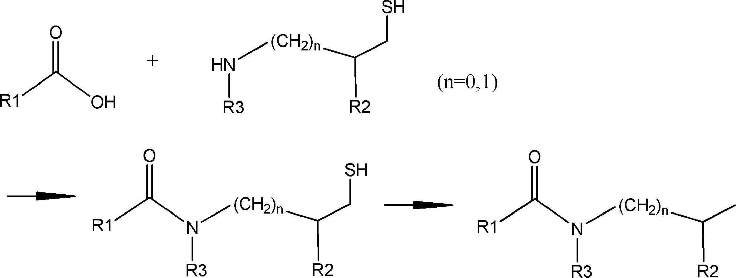
- the acyclic peptide compound comprises an amino acid residue or amino acid analog residue having a reactive site on one of the side chains on the C-terminal side, and an amino acid residue or amino acid analog having another reactive site on the N-terminal side.
- a body residue or an N-terminal carboxylic acid analog 1) Combine the reaction point of the amino acid residue, amino acid analog residue or N-terminal carboxylic acid analog on the N-terminal side with the reaction point of the amino acid residue or amino acid analog residue in the side chain on the C-terminal side And forming an amide bond or a carbon-carbon bond.
- a method for producing a peptide compound having a cyclic part 1) An amino acid residue and / or an amino acid analog residue, or an acyclic peptide compound composed of an amino acid residue and / or an amino acid analog residue and an N-terminal carboxylic acid analog is encoded with the peptide compound A process of translating and synthesizing from the nucleic acid
- the acyclic peptide compound comprises an amino acid residue or amino acid analog residue having an active ester group in the side chain, and an amino acid residue, amino acid analog residue or N-terminal carboxylic acid analog having a reaction auxiliary group near the amine.
- the amino acid, amino acid analog or N-terminal carboxylic acid analog having a reaction auxiliary group in the vicinity of the amine is a compound N-1 or a compound N-2 represented by the following general formula: Any of the methods; Wherein R1 represents a hydrogen atom, S—R23 (R23 represents an optionally substituted alkyl group, aryl group or aralkyl group), or a protective group for the HS group; R2 and R3 each independently represent a hydrogen atom or an optionally substituted alkyl group, alkenyl group, alkynyl group, aryl group, heteroaryl group, aralkyl group or cycloalkyl group; Or R2 and R3 represent a substituent that forms a ring, or R2 or R3 represents a substituent that forms a ring with R4; R4 represents an alkylene group which may have a substituent, an arylene group which may have a substituent or a divalent aralkyl group which may have a
- a method for producing a peptide compound having a cyclic part 1) An amino acid residue and / or an amino acid analog residue, or an acyclic peptide compound composed of an amino acid residue and / or an amino acid analog residue and an N-terminal carboxylic acid analog is encoded with the peptide compound A process of translating and synthesizing from the nucleic acid
- the acyclic peptide compound is an amino acid residue or amino acid analog residue having an active ester group in the side chain and an amino acid residue having an N-terminal main chain amino group, or an amino group in the main chain or side chain.
- Comprising an amino acid analog residue having an N-terminal carboxylic acid analog comprising: [11]
- the active ester group is an alkylthioester group or an aralkylthioester group, and includes a step of converting the active ester group into a more active active ester group by adding an activator after the translational synthesis in step 1).
- the translational synthesis of the N-terminal site in step 1) is introduced using a translation initiation tRNA acylated with a translatable amino acid other than formylmethionine, a translatable amino acid analog or a translatable N-terminal carboxylic acid analog.
- the start codon is skipped, and a translatable amino acid other than Met, a translatable amino acid analog or a translatable N-terminal carboxylic acid analog is introduced into the N-terminal
- the translational synthesis of the N-terminal site in step 1) is performed using a method of cleaving the N-terminal amino acid, amino acid analog or carboxylic acid analog with aminopeptidase. The method described.
- N-terminal formyl Met is removed by treatment with methionine aminopeptidase, and other translatable amino acids, translatable amino acid analogs or translatable N-terminal carboxylic acids at the N-terminal
- the method according to [17] wherein the method is performed using a method for introducing an acid analog.
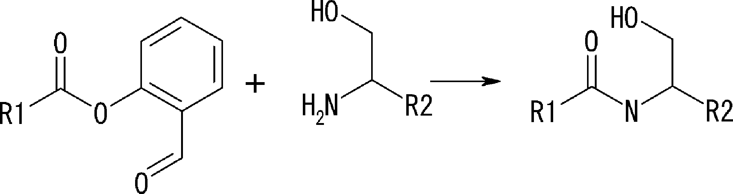
- the non-cyclic peptide compound includes an ⁇ -hydroxycarboxylic acid and an amino acid or amino acid analog having an amino group which may be protected in the side chain, 3) including a step of chemically reacting an ⁇ -hydroxycarboxylic acid moiety and an amino acid or amino acid analog moiety having an amino group optionally protected by a side chain to form a branched moiety [1] to [21]
- the method in any one of.
- a method for producing a peptide compound having a cyclic part and a linear part 1) A non-cyclic peptide compound composed of an amino acid residue and / or an amino acid analog residue, or an amino acid residue and / or an amino acid analog residue, an N-terminal carboxylic acid analog, and an ⁇ -hydroxycarboxylic acid
- a step of translating and synthesizing from the nucleic acid encoding the peptide compound wherein the acyclic peptide compound is i) an amino acid residue (or amino acid analog residue) having a reactive site in one of the side chains on the C-terminal side, and an amino acid residue or amino acid analog residue having another reactive site on the N-terminal side Or an N-terminal carboxylic acid analog, ii) an ⁇ -hydroxycarboxylic acid having Rf5 at the ⁇ -position between the two reaction points described in i) above (Rf5 is a hydrogen atom, an optionally substituted alkyl group, an aralkyl group,
- the number of amino acid residues and / or amino acid analog residues contained between the ⁇ -hydroxycarboxylic acid described in ii) of step 1) and the amino acid residue or amino acid analog residue having an amino group in the side chain is The method according to [23], which is 7 or less. [25] The method according to [23] or [24], wherein the ⁇ -hydroxycarboxylic acid described in ii) of step 1) is contained in the acyclic peptide compound as Cys-Pro- ⁇ -hydroxycarboxylic acid. [26] From [23], the amino acid residue, amino acid analog residue or N-terminal carboxylic acid analog having another reactive site on the N-terminal side described in i) of step 1) has a reaction auxiliary group.
- step 1 The amino acid residue, amino acid analog residue or N-terminal carboxylic acid analog having another reactive site on the N-terminal side described in i) of step 1) does not have a reaction auxiliary group, and described in ii)
- the amino group of the amino acid residue or amino acid analog residue having an amino group in the side chain has a protecting group, and by adding an activator, the cyclization reaction of step 2) is carried out.
- the method includes the step of removing the amino group-protecting group of the amino acid residue or amino acid analog residue having the amino group described in ii) in the side chain, [23] The method according to any one of [26].
- a method for producing a peptide compound having a cyclic part 1) An amino acid residue and / or an amino acid analog residue, or an acyclic peptide compound composed of an amino acid residue and / or an amino acid analog residue and an N-terminal carboxylic acid analog is encoded with the peptide compound A process of translating and synthesizing from the nucleic acid
- the acyclic peptide compound comprises an amino acid residue or amino acid analog residue having a reactive site in one of the side chains, and an amino acid, amino acid analog residue or N-terminal carboxylic acid having another reactive site at the N-terminus.
- the peptide compound-nucleic acid complex is synthesized using a nucleic acid in which puromycin is bound to the 3 ′ end of a nucleic acid encoding an acyclic peptide compound used for translational synthesis via a linker, [33] the method of. [35] The method according to [33] or [34], wherein the spacer is a peptide, RNA, DNA, or a polymer of hexaethylene glycol, or a combination thereof. [36] The method according to any one of [1] to [35], wherein the peptide compound is produced by translating a nucleic acid library comprising a plurality of nucleic acids having different sequences.
- [37] A peptide compound or a peptide compound-nucleic acid complex produced by the production method according to any one of [1] to [36]. [38] A library comprising a plurality of peptide compounds according to [37] or peptide compounds-nucleic acid complexes having different structures.
- a peptide compound having a cyclic part which has the following (i) to (iv): (I) the total number of amino acids and amino acid analogs is 9 to 13 including a cyclic part consisting of 5 to 12 total amino acid and amino acid analog residues; (Ii) at least two N-substituted amino acids and at least one amino acid that is not N-substituted, (Iii) The ClogP value is 6 or more, (Iv) The bond of the amino acid or amino acid analog forming the cyclic part is at least a bond comprising an active ester group in the side chain of the amino acid or amino acid analog and the amine group of another amino acid or amino acid analog Have one.
- Amino acids and amino acid analogs contained in peptide compounds are amino acids or amino acid analogs capable of translational synthesis, or amino acids or amino acids obtained by chemically modifying the translatable amino acids or side chains or N-substitution sites of amino acid analogs
- the peptide compound according to [39] which is an amino acid or an amino acid analog selected from derivatives.
- the peptide compound according to [39] or [40] further comprising at least one linear moiety consisting of 1 to 8 in total of amino acid and amino acid analog residues.
- R54 is a peptide composed of 0-8 amino acid residues
- R55 is a C1-C6 alkyl group which may have a substituent, a C5-C10 aryl group, an aralkyl group, an ester group, an amide group which may have a substituent, * Indicates a binding site in the annular portion. ).
- Forming a non-cyclic peptide compound-nucleic acid complex (Ii) The complex acyclic peptide compound translated and synthesized in step (i) is cyclized by an amide bond or a carbon-carbon bond, and the total number of amino acids in the cyclic portion and amino acid analogs is 5-12.
- Forming a cyclic compound comprising: and (Iii) A step of contacting the peptide compound-nucleic acid complex library having a cyclic moiety obtained in step (ii) with a biological molecule and selecting a complex having binding activity to the biological molecule.
- the manufacturing method as described in [46] including the following processes; (Iv) obtaining sequence information of the peptide compound from the nucleic acid sequence of the complex selected in the step (iii), and (V) A step of chemically synthesizing the peptide compound based on the sequence information obtained in the step (iv).
- step (ii) After the step of forming the cyclic compound of step (ii), wherein the acyclic peptide compound comprises an ⁇ -hydroxycarboxylic acid and an amino acid or amino acid analog having an amino group in the side chain which may be protected;
- the method according to [46] or [47] comprising a step of chemically reacting an ⁇ -hydroxycarboxylic acid moiety with an amino acid having an amino group in the side chain or an amino acid analog moiety to form a branched moiety.
- the amino acid or amino acid analog on the N-terminal side that undergoes a cyclization reaction is an amino acid or amino acid analog selected from the compound represented by Compound N-1 or Compound N-2, and the amino acid or amino acid analog on the C-terminal side Is an amino acid or an amino acid analog selected from the compound represented by the compound C-1, and includes a step of removing the reaction auxiliary group after the step of obtaining the cyclic compound of step (ii). 50].
- the nucleic acid sequence has a spacer at the 3 ′ end, and the C-terminus of the peptide compound to be translated and synthesized forms a complex with the nucleic acid sequence via the spacer, according to any of [46] to [51] The manufacturing method as described.
- the peptide compound-nucleic acid complex is synthesized using a nucleic acid in which puromycin is bound to the 3 ′ end of a nucleic acid encoding an acyclic peptide compound used for translational synthesis via a linker, according to [52]. the method of. [54] [52] The production method according to [53], wherein the spacer is a peptide, RNA, DNA, or a polymer of hexaethylene glycol.
- a drug compound having a drug-like (particularly membrane permeability and metabolic stability) cyclic part or a peptide compound having a cyclic part and a linear part which can be translationally synthesized, and A display library is provided.
- the display library of the present invention is a library rich in diversity, there is a high probability that a hit compound for a desired target molecule can be obtained.
- the hit compound obtained from the display library of the present invention already has excellent membrane permeability and metabolic stability, the conventional low molecular weight compound does not undergo a large structural change. It is possible to efficiently carry out optimization as a pharmaceutical product in the same way as the above idea.
- the present invention provides Scaffold for new drugs different from low molecular weight compounds and antibodies that have been known as drugs, and provides a new drug discovery system for efficiently creating drugs. is there.
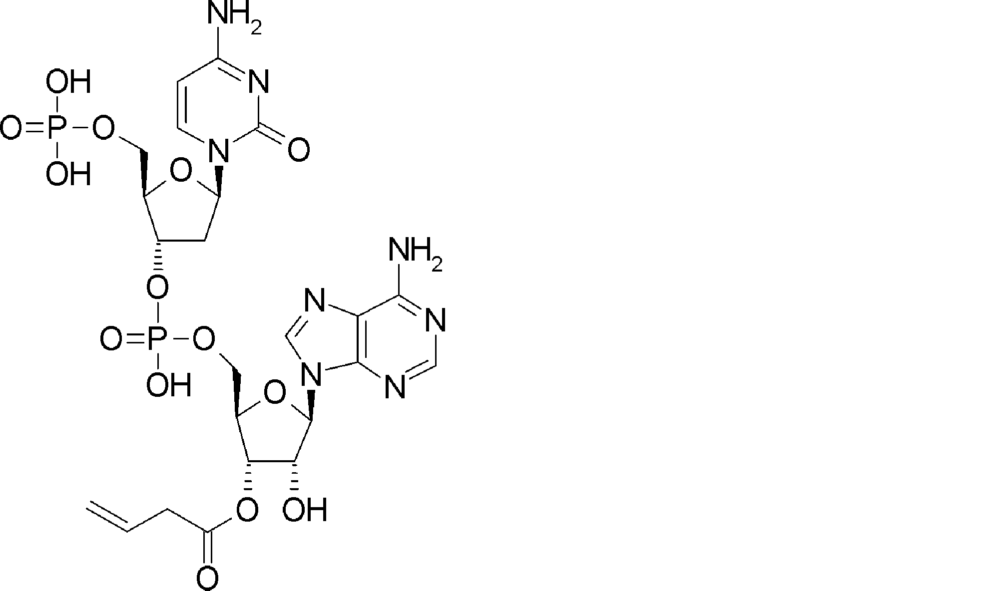
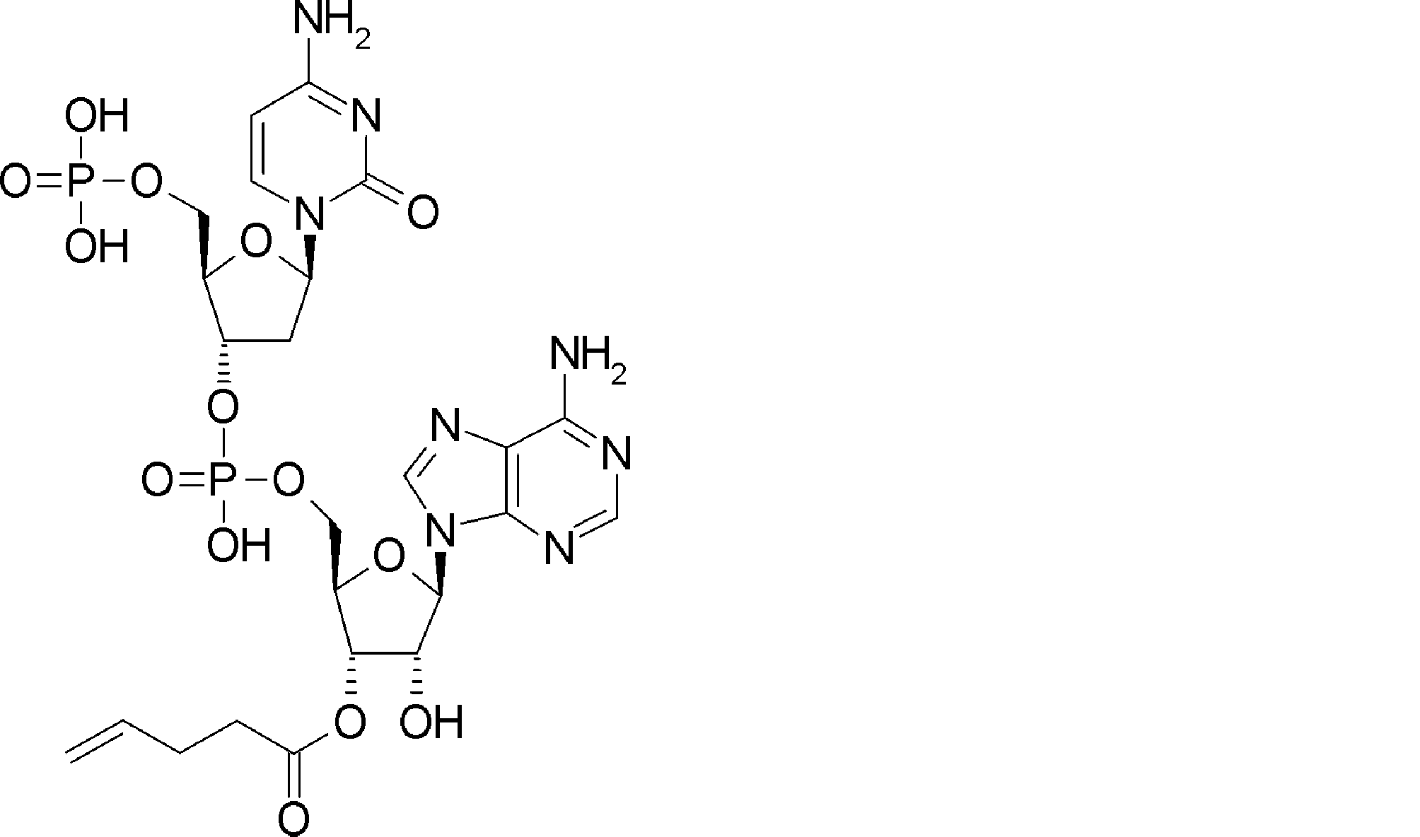
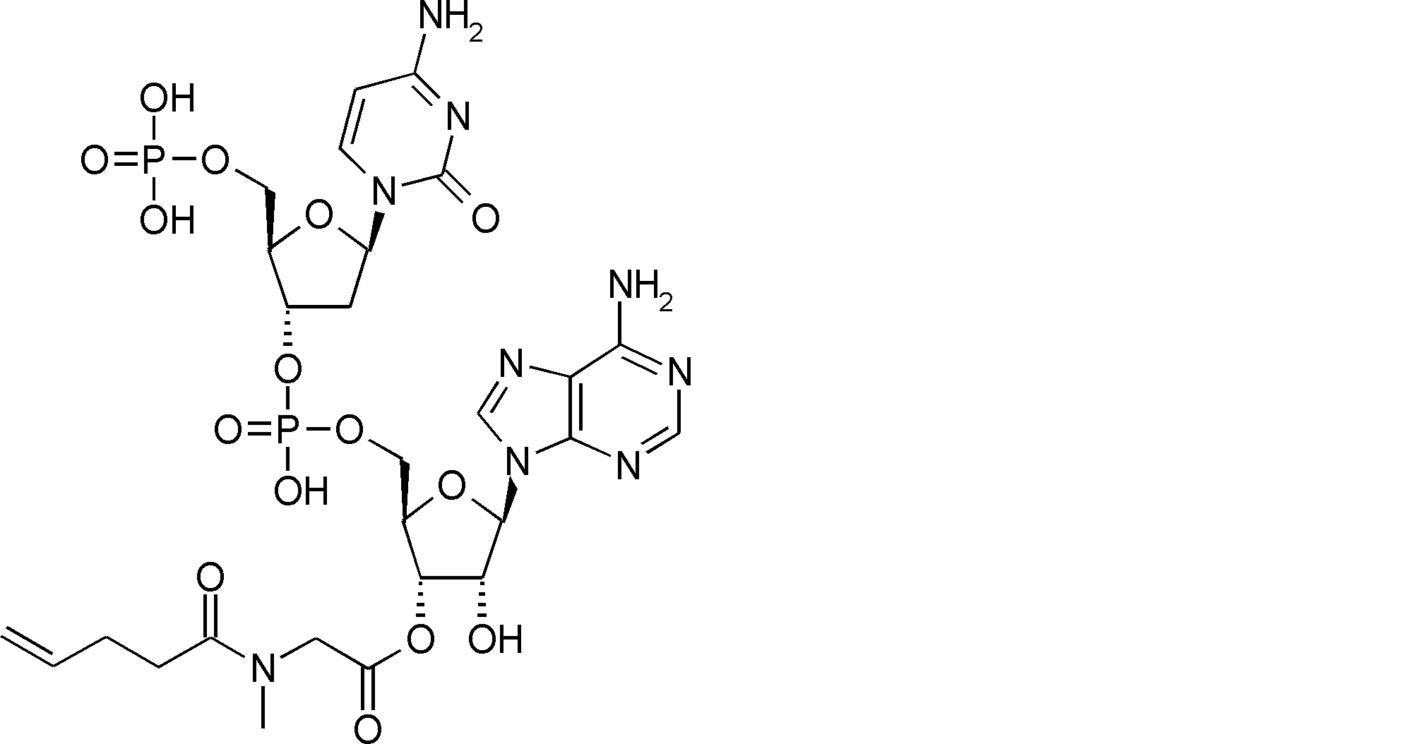
- FIG. 2 is a diagram showing a general method for synthesizing aminoacylated pdCpA compounds in which side chain carboxylic acids are active esterified. It is the figure which showed the mass-spectrum analysis of the translation product of mRNA which codes the peptide sequence P-1 containing Glu (SBn). It is the figure which showed having analyzed the mass spectrum of the translation product of mRNA which codes the peptide sequence P-2 containing Asp (SMe). In the translation of Asp (SMe), a compound de-MeSHed from the translated full-length peptide was detected as the main product (translated peptide P-3).
- FIG. 2 is a diagram showing a general method for synthesizing aminoacylated pdCpA compounds in which side chain carboxylic acids are active esterified. It is the figure which showed the mass-spectrum analysis of the translation product of mRNA which codes the peptide sequence P-1 containing Glu (SBn). It is the figure which showed having analyzed the mass
- FIG. 6 is a diagram showing the production of peptide P-4 by hydrolysis of translated peptide P-6. It is the figure which showed translation of the peptide sequence which does not contain Tyr but contains thioester. It is the figure which showed the translational synthesis of the thioester containing peptide which does not have an N terminal amino group.
- FIG. 3 is a diagram showing translational synthesis of a model peptide in which an amino acid N-alkylated into a C-terminal amino acid following an amino acid whose side chain is thioesterified is introduced. It is the figure which showed the comparison of the chemical reactivity of a thioester, a glycine derivative, or a cysteine derivative.
- FIG. 3 is a diagram showing translational synthesis of a model peptide in which an amino acid N-alkylated into a C-terminal amino acid following an amino acid whose side chain is thioesterified is introduced. It is the figure which showed the comparison of the chemical
- FIG. 8 is a diagram showing a continuation of FIG. 8-1.
- FIG. 3 shows the synthesis of amide 5d-1 by reaction of thioester 5b-1 with a glycine derivative under the imidazole addition condition.
- FIG. 2 shows a general method for synthesizing aminoacylated pdCpA of a cysteine derivative.
- FIG. 2 is a diagram showing a synthesis example of aminoacylated pdCpA of a cysteine derivative. It is the figure which showed the peptide translation synthesis which made Cys (StBu) N terminal.
- FIG. 3 is a graph showing the stability of compound 2n-A and compound 2e-A in a translation simulation solution.
- FIG. 32 is a diagram showing a continuation of FIG. 30-1. It is the figure which showed the radical desulfurization reaction using a model substrate. It is the figure which showed the conditions examination of the radical desulfurization reaction using a model substrate.
- FIG. 5 is a diagram showing desulfurization reaction conditions for translated peptide P-50 and a mass spectrum of the obtained peptide P-51. It is the figure which showed the influence evaluation to the protein of desulfurization reaction.
- FIG. 1 It is a figure which shows the analysis result by the mass spectrum of the translation reaction material obtained by the translational synthesis of the peptide containing the benzylthioesterified aspartic acid derivative. It is a figure which shows the analysis result by the mass spectrum of the product obtained by the amide cyclization experiment of the peptide using the thioester on translation peptide P141, and N terminal alpha-amino group. 2 is a graph showing a comparison of synthesis conditions of Compound 10.
- FIG. It is a figure which shows the result of having analyzed the production
- FIG. It is a figure which shows the analysis result by electrophoresis of the reaction product of a peptide cyclization reaction.
- FIG. It is a figure which shows the result of having analyzed the production
- FIG. 61 is a mass chromatograph of LCMS 0.3 to 0.6 minutes.
- FIG. 62 shows peptide P-E1 (peak I) containing an N-terminal formylmethionine, thioester cyclized with a side chain thiol group and a carboxylic acid, and the N-terminal formylmethionine removed, resulting in an exposed N-terminal amino acid.
- FIG. 7 is a diagram showing the result of MALDI-MS analysis of compound P-E2 (peak II) amide-cyclized with a group nitrogen atom and an Asp side chain carboxylic acid. It is a figure which shows the result of having analyzed the production
- FIG. 65 is a mass chromatograph of LCMS 0.3 to 0.6 minutes. The peptide components are all eluted from 0.3 minutes to 0.6 minutes under the present analysis conditions. Therefore, the mass chromatographs from 0.3 to 0.6 minutes are integrated and averaged for the purpose of evaluating the selectivity of the reaction.
- LCMS is a mass chromatograph averaged over the entire range.
- LCMS is a mass chromatograph averaged over the entire range.
- LCMS is a mass chromatograph averaged over the entire range. It is a figure which shows the result of having analyzed the production
- the peptide compound having a cyclic part of the present invention is a compound formed by amide bond or ester bond of an amino acid or an amino acid analog, and the cyclic part forms an amide bond or a carbon-carbon bond.
- a compound obtained by further chemically modifying the compound is also included in the peptide compound of the present invention.
- the peptide compound of the present invention may have a linear portion, and can be described as, for example, Scheme A (Schemes A-1 and A-2).
- the peptide compound having a cyclic part may further have a linear part.
- the number of amide bonds or ester bonds (the number and length of amino acids or amino acid analogs) is not particularly limited, but when it has a linear part, it is preferably within 30 residues including the cyclic part and the linear part.
- the total number of amino acids including the cyclization site and the linear site is more preferably 13 residues or less.
- the total number of amino acids is more preferably 9 or more.
- the number of amino acids and amino acid analogs constituting the cyclic part is preferably 5-12.
- the number of amino acids and amino acid analogs constituting the cyclic part is more preferably 5 to 11, and further preferably 7 to 11 residues. 9 to 11 residues are particularly preferred.
- the number of amino acids and amino acid analogs (number of units) in the linear portion is preferably 0-8. Furthermore, 0 to 3 are preferable.
- amino acids may include amino acid analogs.
- druglikeness or “druglike” means that a peptide compound targets at least an oral agent, or an intracellular region of an intracellular protein, nucleic acid, membrane protein or a transmembrane domain of a membrane protein. In this case, it means having membrane permeability and metabolic stability that can be used as a medicine.
- the cyclic part of the peptide compound having a cyclic part of the present invention is not particularly limited as long as it is a peptide that forms a ring, but the post-translational cyclization part has a functional group capable of satisfying both membrane permeability and metabolic stability (Druglikeness). It must be the cyclization unit that forms. If it is such a cyclization method, it will not specifically limit. Examples thereof include an amide bond formed from a carboxylic acid and an amine, and a carbon-carbon bond reaction using a transition metal such as a Suzuki reaction, a Heck reaction (Heck reaction), and a Sonogashira reaction as a catalyst. Accordingly, the peptide compound of the present invention contains at least one set of functional groups capable of these coupling reactions. In particular, from the viewpoint of metabolic stability, a functional group that forms an amide bond by a binding reaction is preferably included.
- cyclic part of the peptide compound of the present invention for example, a cyclic part formed by cyclization by a chemical reaction after translation synthesis as shown in Scheme A is preferable. Furthermore, a circular part that can be formed under reaction conditions that do not affect nucleic acids such as RNA and DNA after translation is preferred.
- the formation of the annular portion is preferably a drug-like cyclization.
- Drag-like cyclization means a bond in which the bond produced is drug-like.
- the bond includes a heteroatom that can be easily oxidized and does not include a bond that hinders metabolic stability.
- Examples of the bond generated by cyclization include an amide bond formed by a bond between an active ester and an amine, and a bond generated by a Heck reaction product formed by a carbon-carbon double bond and an aryl halide. Since these require a reactive functional group in the triangular unit (cyclized N-terminal unit) or crossing unit described in Scheme A, amino acids suitable for drug-like are not necessarily selected for the triangular unit or crossing unit. However, it is converted into a compound having a drug-like functional group after post-translational modification. In the present invention, such a bond is also included in the drug-like cyclized bond.
- the curve part of Scheme A is a site that is cyclized after translation (post-translational cyclization part), and this part is a variety of post-translational modification chemical reactions represented by carbon-carbon bond formation reactions such as amide bond or Heck reaction. To form an annular portion.
- “translational synthesis” means that a peptide compound is translated and synthesized from a nucleic acid (eg, DNA, RNA) encoding the peptide compound. Translation is a process of obtaining a linear peptide by repeating amide bond or ester bond reaction using mRNA as a template by the action of ribosome.
- Post-translational modification refers to a chemical reaction that occurs after translation automatically or by adding another reagent other than the action of ribosome, and includes, for example, a cyclization reaction and a deprotection reaction.
- Post-translational cyclization involves a ring-forming reaction among post-translational modifications.
- Scheme A A scheme for explaining the peptide compound of the present invention.
- the white circle unit, the black circle unit, the triangular unit, and the square unit each mean an amino acid or an amino acid analog.
- a triangular unit may be an N-terminal carboxylic acid analog, for example, each of the eight black circle units may be a different type of amino acid or an amino acid analog, some of which Alternatively, the amino acid or amino acid analog may be chemically or skeleton-converted to a compound having another skeleton by chemical modification that can be performed after translation. 1 unit is the amino acid or amino acid analog at the end of post-translational modification. However, this also includes those in which an amino acid or amino acid analog translated by one tRNA is chemically or skeleton-converted to a compound having another skeleton by post-translational modification.
- amino acids include amino acid analogs, and in this specification, post-translational cyclization may be simply referred to as cyclization. is there.
- the cyclic part is one triangular ( ⁇ ) unit (residue) (cyclized N-terminal unit), eight black circle ( ⁇ ) units (cyclic part main chain unit) and one It is a part composed of white circle ( ⁇ ) units (intersection units), and the straight chain part is a part composed of six square ( ⁇ ) units (straight chain main chain units).
- the annular part is a part composed of one triangular unit, eight black circle units and one crossing unit, and the straight chain part is a part composed of four squares and three square units.
- the crossing unit refers to a functional group possessed by the amino acid or amino acid analog of the triangular unit in the peptide compound on the amino acid side chain in the peptide compound before cyclization (non-cyclized peptide compound) formed after translation.
- the white circle unit in Scheme A corresponds to this.
- the crossing unit is preferably selected from the above amino acids or amino acid analogs and capable of translation from a nucleic acid.
- the derivative itself is translated when the derivative is translated.
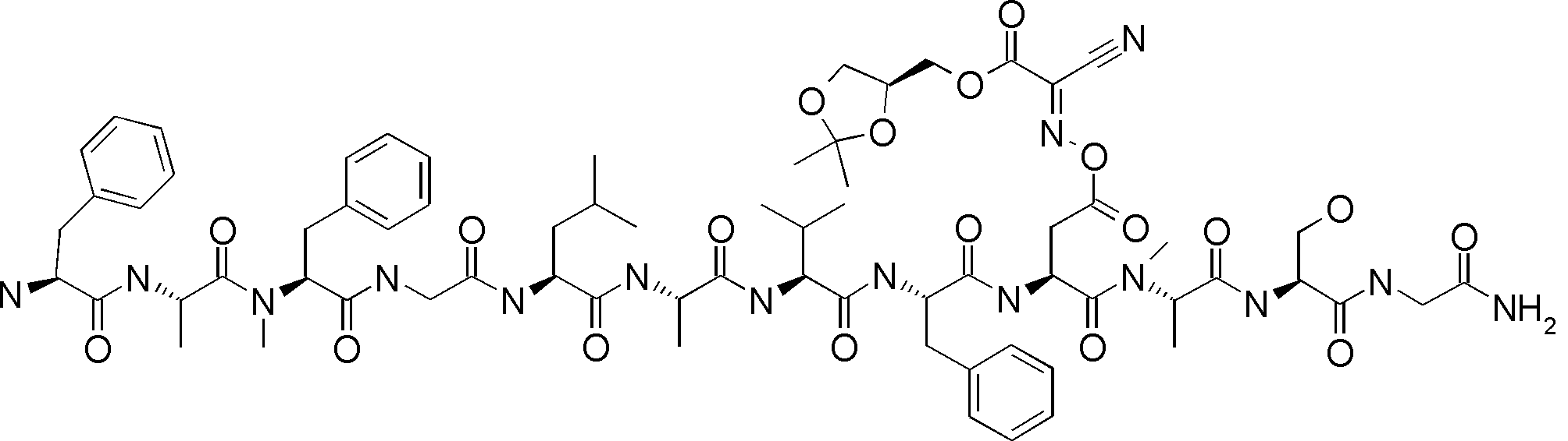
- Asp (SBn) a compound in which the side chain methylene chain of Asp is freely substituted is allowed as an intersection unit (for example, R28 and R29 of compound C-3 are not translated). May be).
- the crossover unit the amino group and carboxyl group of the main chain are used for covalent bond formation in translation synthesis, and the third functional group is necessary for post-translational cyclization, so that it has a total of three or more functional groups.
- the posttranslational cyclization site is cyclized by the functional group of the side chain site of the crossing unit.
- the amino acid or amino acid analog having a functional group that cyclizes with the crossing unit, or the N-terminal carboxylic acid analog is not particularly limited as long as it has a functional group that cyclizes with the crossing unit.
- the triangular unit is arranged at the N-terminal.
- the main chain amino group can be used as the cyclized functional group.
- post-translational cyclization can be performed by the main chain amino group of the triangular unit and an amide bond.
- the side chain of the triangular unit may not have a reactive functional group.
- Reaction auxiliary groups such as SH groups (thiol groups) can also be introduced into the side chain.
- an amino acid analog is used as the triangular unit
- the hydroxyl group of the main chain may be used as a reactive functional group, or a reactive functional group arranged in a side chain may be used.
- an N-terminal carboxylic acid analog is used, an amino group or a hydroxyl group may be used as a reactive functional group as described above, but as a free reactive unit having no amino group or hydroxyl group.
- Various functional groups can be introduced.
- the triangular unit is preferably selected from the above amino acids, amino acid analogs, or N-terminal carboxylic acid analogs and translated. In addition, even if it is difficult to translate itself, it is not essential that the derivative is translated as in the case of the intersection unit.
- the crossing unit and the triangular unit can be incorporated at a desired position in the peptide compound before cyclization as long as they can be cyclized, but cyclization or post-translational modification after cyclization is applied. It is preferable that the amino acid, amino acid analog or N-terminal carboxylic acid analog in the subsequent cyclic site is incorporated at a position where the total number is 5 to 12. Furthermore, the amino acid or amino acid analog or N-terminal carboxylic acid analog of the cyclic part after cyclization or post-translational modification after cyclization is incorporated at a position where the total number is 5 to 11. It is preferable.
- the triangular unit is arranged at the N-terminal in Scheme A, but it can be arranged at a position other than the N-terminal. In that case, the position needs to be arranged on the N-terminal side from the intersection unit.
- the triangular unit is selected from amino acids and amino acid analogs, and has a functional group that cyclizes with the crossing unit in the side chain.
- the black circle unit and the square unit are selected from amino acids or amino acid analogs. Also included are chemical structures that can be produced by post-translational modification after translation with an amino acid or amino acid analog (eg, the structure of the straight chain portion 2).
- the black circle unit is not particularly limited, but is preferably selected from a drug-like amino acid or an amino acid that has a reactive functional group and is chemically reacted by post-translational modification to be converted into a drug-like functional group. (For example, lysine is mentioned as the amino acid residue of the straight chain part 2).
- the black circle unit is not particularly limited, but preferably a drug-like amino acid analog or an amino acid analog having various reactive functional groups on the side chain is converted into a reactive functional group by post-translational modification. Selected from amino acid analogs that are chemically modified and converted to drug-like amino acid analogs.
- the number of straight chain portions is not particularly limited, and may be one as shown in Scheme A-1 or two or more as shown in Scheme A-2. Further, the compound may be a compound in which the number of square units in Scheme A-1 is 0, or may be a compound in which the number of straight chain portions 1 is 0 in the square units in Scheme A-2.
- By having a linear part it is possible to strengthen the function of the peptide compound having a cyclic part of the present invention. For example, when the peptide compound of the present invention is used to inhibit the binding between a certain receptor and a ligand, the peptide compound has a linear portion. The binding activity to a receptor or a ligand can be increased.
- the linear portion of the present invention can be provided at a desired position of the cyclic portion, for example, according to the method described later, and the linear portion is provided at the optimum position for obtaining a higher function.
- the obtained peptide compound can be obtained (hereinafter, linear part 2).
- linear portions are also preferable for obtaining a peptide compound having a desired activity more efficiently from a library of peptide compounds having a cyclic portion.
- Peptide compounds having a desired activity include those having binding activity to the target substance, those having an action of inhibiting the function of the target substance, those having an action of activating the function of the target substance, Examples include those having the function of changing the function, and the function can be selected from these according to the purpose.
- the peptide compound having a cyclic part of the present invention has binding activity to a target substance, these peptide compounds are excellent in membrane permeability and lipid stability. For example, by labeling the peptide compound In addition to in vivo, it is possible to monitor the distribution of target substances in cells in real time.
- the target substance when it is a causative factor of the disease, it may be used for diagnosis of the disease.
- the peptide compound having a cyclic part of the present invention has an effect of inhibiting, activating or changing the function of the target substance, for example, when the target substance is a causative factor of the disease, Available.
- the peptide compound having a cyclic part of the present invention has the straight chain part 2, it is possible to improve the acquisition ratio of the inhibitory compound as compared with the case where there is no linear part.
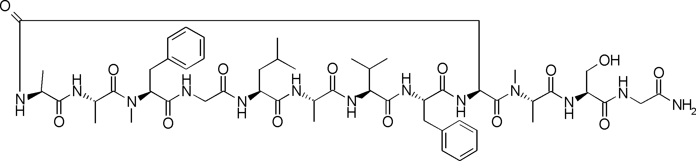
- the peptide contact site in protein A to which the peptide compound is bound is determined. This is shown on the right side of FIG. Since it is a cyclic compound, when the contact region of peptide and protein A is approximated by a circle, it can be determined that the diameter is about 3 to 5 residues.
- protein B binds to this contact area, it is possible to effectively inhibit the protein-protein interaction between protein A and protein B.
- protein B binds to protein A outside this contact area Therefore, there is a possibility that effective inhibition cannot be obtained (so-called allosteric inhibition examples are rarely reported as protein-protein interaction inhibition examples).
- FIG. 82-1 shows the same 13-residue cyclic peptide as above, but a peptide in which a cyclic structure was constructed with 10 residues and the remaining 3 were branched.
- the straight chain part 2 can be added to any position of the peptide compound according to the method described later, not only the four branch points in FIG. Points can be acquired, but if four are overlapped, the contact area is expanded to the area shown on the left in FIG. In spite of acting at the same place (hole), by overlapping with the binding region of protein A and protein B, the ratio of obtaining a peptide compound having a function such as an inhibitor is increased.
- amino acid and “amino acid analog” constituting a peptide compound may be referred to as “amino acid residue” and “amino acid analog residue”, respectively.
- Amino acids are ⁇ , ⁇ , and ⁇ amino acids, and natural amino acids (in this application, natural amino acids refer to 20 kinds of amino acids contained in proteins. Specifically, Gly, Ala, Ser, Thr, Val, Leu, It is not limited to Ile, Phe, Tyr, Trp, His, Glu, Asp, Gln, Asn, Cys, Met, Lys, Arg, and Pro), and may be an unnatural amino acid.
- an ⁇ -amino acid it may be an L-type amino acid, a D-type amino acid, or an ⁇ , ⁇ -dialkyl amino acid.
- the selection of the amino acid side chain is not particularly limited, but can be freely selected from, for example, an alkyl group, an alkenyl group, an alkynyl group, an aryl group, a heteroaryl group, an aralkyl group, and a cycloalkyl group in addition to a hydrogen atom.
- Each may be provided with a substituent, and these substituents are also freely selected from arbitrary functional groups including, for example, N atom, O atom, S atom, B atom, Si atom, and P atom.
- amino acid and amino acid analogs constituting the peptide compound include all isotopes corresponding to each.
- the isotopes of “amino acids” and “amino acid analogs” are those in which at least one atom is replaced with an atom having the same atomic number (number of protons) and a different mass number (sum of protons and neutrons). is there.
- Examples of isotopes contained in the “amino acid” and “amino acid analog” constituting the peptide compound of the present invention include a hydrogen atom, a carbon atom, a nitrogen atom, an oxygen atom, a phosphorus atom, a sulfur atom, a fluorine atom, and a chlorine atom. And 2H, 3H, 13C, 14C, 15N, 17O, 18O, 31P, 32P, 35S, 18F, 36Cl, etc. are included.
- substituents examples include a halogen-derived substituent such as fluoro (—F), chloro (—Cl), bromo (—Br), iodo (—I) and the like.
- halogen-derived substituent such as fluoro (—F), chloro (—Cl), bromo (—Br), iodo (—I) and the like.
- alkyl group examples include an alkyl group, a cycloalkyl group, an alkenyl group, an alkynyl group, an aryl group, a heteroaryl group, an aralkyl group and the like, which may be substituted with one or more halogens.
- Examples of the substituent for forming an ether as the substituent derived from the O atom include an alkoxy group (—OR), and the alkoxy group is an alkylalkoxy group, a cycloalkylalkoxy group, an alkenylalkoxy group, an alkynylalkoxy group, an arylalkoxy group. , A heteroarylalkoxy group, an aralkylalkoxy group, and the like.
- Examples of the substituent (—CO 2 H) that forms a carboxylic acid include a carboxyl group, and the substituent that forms an ester group includes an oxycarbonyl group (—O—C ⁇ O—R) and a carbonylalkoxy group (—C ⁇
- the carbonylalkoxy group includes an alkyloxycarbonyl group, a cycloalkyloxycarbonyl group, an alkenyloxycarbonyl group, an alkynyloxycarbonyl group, an aryloxycarbonyl group, a heteroaryloxycarbonyl group, an aralkyloxycarbonyl group, and the like.
- the oxycarbonyl group is selected from alkylcarbonyloxy group, cycloalkylcarbonyloxy group, alkenylcarbonyloxy group, alkynylcarbonyloxy group, arylcarbonyloxy group, heteroarylcarbonyloxy group.
- Shi group selected from among an aralkyl carbonyl group.
- Examples of the substituent for forming a thioester include a mercaptocarbonyl group (—S—C ⁇ O—R) and a carbonylalkyl mercapto group (—C ⁇ O—SR), and the like. Selected from alkenylcarbonyl group, mercaptoalkynylcarbonyl group, mercaptoarylcarbonyl group, mercaptoheteroarylcarbonyl group, mercaptoaralkylcarbonyl group, etc., or carbonylalkyl mercapto group, carbonylcycloalkyl mercapto group, carbonylalkenyl mercapto group, carbonyl Alkynyl mercapto group, carbonyl aryl mercapto group, carbonyl heteroaryl mercapto group, carbonyl aralkyl mercapto group It is.
- Examples of the substituent that forms an amide group include an aminoalkylcarbonyl group (—NH—CO—R), an aminocycloalkylcarbonyl group, an aminoalkenylcarbonyl group, an aminoalkynylcarbonyl group, an aminocycloalkylcarbonyl group, an aminoarylcarbonyl group, Aminoheteroarylcarbonyl group, aminoaralkylcarbonyl group and the like, or carbonylalkylamino group (—CO—NHR), carbonylcycloalkylamino group, carbonylalkenylamino group, carbonylalkynylamino group, carbonylarylamino group, carbonylhetero An arylamino group, a carbonylaralkylamino group, etc.
- an aminoalkylcarbonyl group —NH—CO—R
- an aminocycloalkylcarbonyl group an aminoalkenylcarbonyl group, an aminoalkynylcarbonyl group,
- Examples of the substituent that forms the carbamate group include an aminoalkyl carbamate group (—NH—CO—OR), an aminocycloalkyl carbamate group, an aminoalkenyl carbamate group, an aminoalkynyl carbamate group, an aminocycloalkyl carbamate group, an aminoaryl carbamate group, An aminoheteroaryl carbamate group, an aminoaralkyl carbamate group, etc. are mentioned. Further, compounds in which an H atom bonded to an N atom is replaced with an alkyl group, a cycloalkyl group, an alkenyl group, an alkynyl group, an aryl group, a heteroaryl group, or an aralkyl group are also included.
- Examples of the substituent that forms the sulfonamide group include an aminoalkylsulfonyl group (—NH—SO 2 —R), an aminocycloalkylsulfonyl group, an aminoalkenylsulfonyl group, an aminoalkynylsulfonyl group, an aminocycloalkylsulfonyl group, an aminoarylsulfonyl Group, aminoheteroarylsulfonyl group, aminoaralkylsulfonyl group, etc., or sulfonylalkylamino group (—SO 2 —NHR), sulfonylcycloalkylamino group, sulfonylalkenylamino group, sulfonylalkynylamino group, sulfonylarylamino group Sulfonylheteroarylamino group, sulfonylaralkylamino group, and the like.
- Examples of the substituent that forms the sulfamide group include aminoalkylsulfamoyl group (—NH—SO 2 —NHR), aminocycloalkylsulfamoyl group, aminoalkenylsulfamoyl group, aminoalkynylsulfamoyl group, aminocycloalkyl Examples thereof include a sulfamoyl group, an aminoarylsulfamoyl group, an aminoheteroarylsulfamoyl group, and an aminoaralkylsulfamoyl group.
- the H atom bonded to the N atom is an alkyl group, cycloalkyl group, alkenyl group, alkynyl group, aryl group, heteroaryl group, aralkyl group, any two of the same or different, or these form a ring
- a substituent selected from substituents that may be substituted is substituted.
- Examples of the substituent that forms thiocarboxylic acid include a thiocarboxylic acid group (—C ( ⁇ O) —SH), and the functional group that forms keto acid includes a keto acid group (—C ( ⁇ O) —CO 2 H). Is mentioned.
- examples of the substituent that forms a thiol group as a substituent derived from an S atom include a thiol group (—SH), such as alkylthiol, cycloalkylthiol, alkenylthiol, alkynylthiol, arylthiol, heteroarylthiol, aralkyl. Thiol is formed.
- the substituent forming thioether is selected from alkyl mercapto group, cycloalkyl mercapto group, alkenyl mercapto group, alkynyl mercapto group, aryl mercapto group, heteroaryl mercapto group, aralkyl mercapto group, etc.
- the substituent for forming a sulfoxide group includes an alkyl sulfoxide group, a cycloalkyl sulfoxide group, an alkenyl sulfoxide group, an alkynyl sulfoxide group, an aryl sulfoxide group, a heteroaryl sulfoxide group, an aralkyl sulfoxide group, and the like.
- examples of the substituent to form a sulfone group (-S (O) 2 -R) , alkyl sulfone group, a cycloalkyl sulfone group, alkenyl sulfone group, alkynyl sulfone group, Arirusu Hong group, heteroaryl sulfonic group, selected from among such aralkyl sulfone group, sulfonic acid group (-SO 3 H) are mentioned as the substituent to form a sulfonic acid.
- Examples of the substituent derived from the N atom include an azide group (—N 3 ), a nitrile group (—CN), and the substituent that forms a primary amine includes an amino group (—NH 2 ).
- Examples of the substituent for forming the secondary amine (—NH—R) include an alkylamino group, a cycloalkylamino group, an alkenylamino group, an alkynylamino group, an arylamino group, a heteroarylamino group, an aralkylamino group, and the like.
- Substituents for forming tertiary amines include alkyl (aralkyl) amino groups, alkyl groups, cycloalkyl groups, alkenyl groups, alkynyl groups, aryl groups, heteroaryl groups, aralkyl groups, etc.
- Examples of the substituent that forms a urea group include an aminocarbamoyl group (—NR—CO—NR′R ′′).
- R, R ′, and R ′′ each represent a hydrogen atom, an alkyl group, a cycloalkyl group, an alkenyl group, Examples include an alkynyl group, an aryl group, a heteroaryl group, and an aralkyl group, any three of the same or different ones, or a substituent selected from substituents that may form a ring.
- examples of the functional group derived from B atom include alkylborane (—BR (R ′)) and alkoxyborane (—B (OR) (OR ′)). These two substituents are an alkyl group, a cycloalkyl group, an alkenyl group, an alkynyl group, an aryl group, a heteroaryl group, an aralkyl group, etc. And substituents selected from substituents that may form a ring.
- one or more various functional groups including O atom, N atom, S atom, B atom, P atom, Si atom, and halogen atom, which are usually used in low molecular compounds such as halogen groups, are imparted. May be. That is, one or more further substituents may be added to the alkyl group, cycloalkyl group, alkenyl group, alkynyl group, aryl group, heteroaryl group, or aralkyl group represented by one of these substituents. The condition of the functional group satisfying all of these is defined as freely selecting a substituent.
- any steric configuration is allowed as in the case of ⁇ -amino acids, and the selection of side chains thereof is not particularly limited, as in the case of ⁇ -amino acids.
- the amino acid main chain of the amino acid may be free (NH 2 group) or N-alkylated such as N-methylation (NHR group: R is an optionally substituted alkyl group, alkenyl group, alkynyl) A group, an aryl group, a heteroaryl group, an aralkyl group, or a cycloalkyl group, and a carbon atom from the N atom and a carbon atom from the ⁇ -position may form a ring as in the case of proline.
- “translated amino acid” or “translatable amino acid” refers to an “amino acid” having a side chain that can be translated.
- a halogen group a hydroxyl group (—OH), an alkoxy group (—OR), an ester group (—C ( ⁇ O) —OR), a thioester group (—C ( ⁇ O) —SR), Carboxyl group (—CO 2 H), amide group (—CO—NRR ′′ or —NR—CO—R ′), thiol group (—SH), alkylthio group (—SR), sulfoxide group (—S ( ⁇ O)) -R), sulfone group (-SO 2 -R), amino group (-NH 2 ), mono-substituted amino group (-NHR), di-substituted amino group (-NRR '), azido group (-N 3 ), nitrile An alkyl group, alkenyl group, alkyny
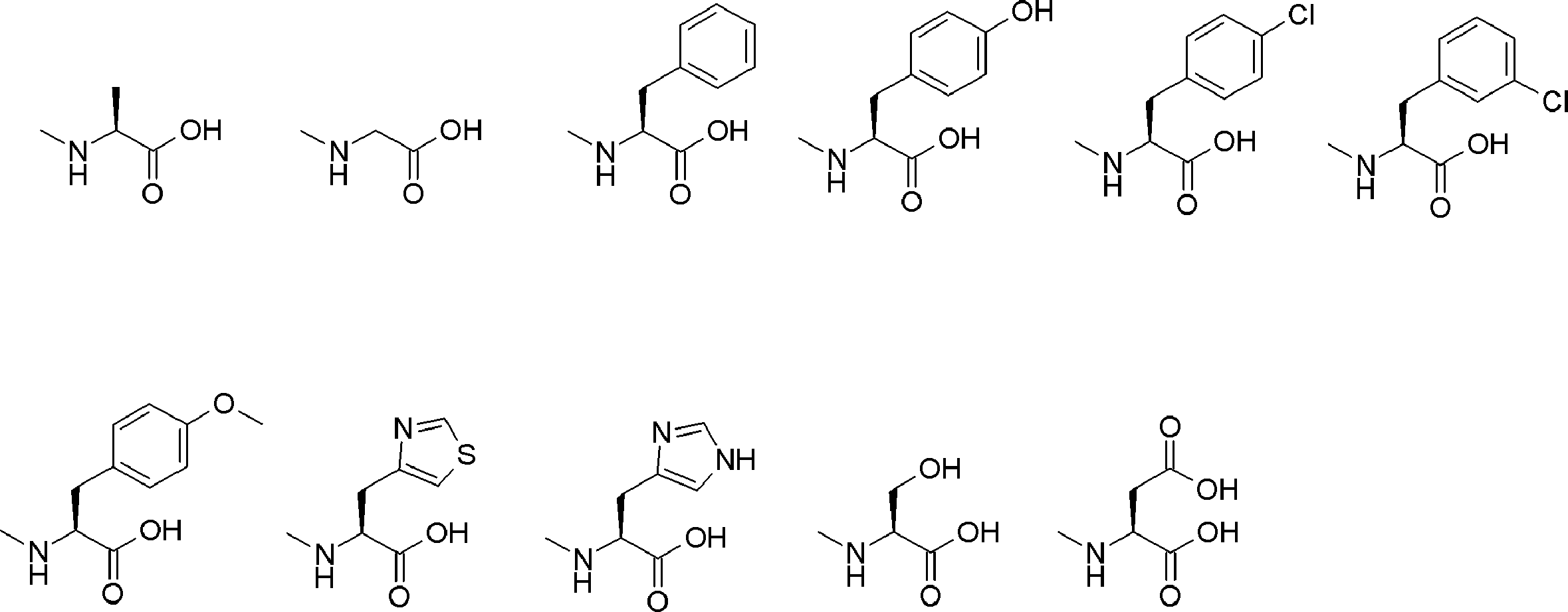
- L having a cycloalkyl group Type ⁇ -amino acids, N-methylated L-type ⁇ -amino acids, C1-C4 alkyl substitutions such as N-ethylation and N-propylation, and N-aralkyl substituted glycine derivatives such as N-benzylation, , L-type ⁇ -amino acids having various highly functional functional groups that can be utilized for substituents having a reaction auxiliary group such as a thiol group, triangular units such as amino groups, and crossing units, and D-tyrosine.
- Some D-type ⁇ -amino acids, ⁇ -amino acids such as ⁇ -alanine, and ⁇ , ⁇ -dialkyl amino acids such as ⁇ -methyl-alanine (Aib) are also included.
- the “drug-like amino acid” is the same skeleton as the “amino acid”, ie, ⁇ , ⁇ and ⁇ amino acids, and is one of two hydrogen atoms of the main chain amino group (NH 2 group). And one or two hydrogen atoms of the methylene group (—CH 2 — group) may be substituted with an alkyl group, a cycloalkyl group, an alkenyl group, an alkynyl group, an aryl group, a heteroaryl group, an aralkyl group, or the like. Good. A group in which a hydrogen atom of CH 2 group is substituted with the above group is defined as a side chain.
- substituents include those further substituted with a substituent that functions as a component of a drug-like peptide compound. These are preferably selected from the substituents defined above separately, for example, a hydroxyl group (—OH), an alkoxy group (—OR), an amide group (—NR—CO—R ′ or —CO—NRR ′). ), Sulfone group (—SO2-R), sulfoxide group (—SO—R), halogen group, hydroxylamino group (—NR—OR ′), aminohydroxy group (—O—NRR ′), etc. Optionally substituted by one or more substituents.
- any of those corresponding to L-type amino acid, D-type amino acid, ⁇ , ⁇ -dialkylamino acid may be used.
- Drug-like amino acids need not necessarily be translatable.
- Side-chain part of the peptide obtained from “translated amino acid” for example, when hit compound is obtained with D-tyrosine, hit compound is obtained with ⁇ -alanine, a D-type amino acid chemically modified therefrom.
- it includes ⁇ -amino acids chemically modified therefrom, or all amino acids that can be chemically synthesized by optimizing the structure of N-substituted moieties by chemical conversion of N-methyl amino acids.
- these amino acids function as components of a drug-like peptide compound, they are selected from a range in which the peptide compound obtained by chemical modification performed after translation becomes drug-like.
- lysine having an aminoalkyl group is not included in the drug-like amino acid when the amino group does not participate in post-translational modification.
- the amino group of lysine is used as a reactive functional group for post-translational modification (for example, a crossing unit)
- the lysine unit is included as a drug-like amino acid unit.
- drug-like amino acid is determined by the functional group after conversion by post-translational modification.
- substituents may include, for example, an ester group (—CO—OR), a thioester group (—CO—SR), a thiol group (—SH), or a protection group among the substituents defined above.
- Thiol group amino group (—NH 2), mono-substituted amino group (—NH—R) or di-substituted amino group (—NRR ′), protected amino group, substituted sulfonylamino group (—NH—SO 2 —) R), an alkylborane group (—BRR ′), an alkoxyborane group (—B (OR) (OR ′)), an azide group (—N3), a keto acid group (—CO—CO2H), a thiocarboxylic acid group (—CO -SH), phosphoryl ester group (-CO-PO (R) (R ')), acylhydroxylamino group (-NH-O-CO-R) and the like.
- the amino acid analog of the present invention preferably means ⁇ -hydroxycarboxylic acid.
- the side chain of ⁇ -hydroxycarboxylic acid may have various substituents in addition to hydrogen atoms as in the case of amino acids (may have free substituents).
- the steric structure of the ⁇ -hydroxycarboxylic acid may correspond to the L-type or D-type of amino acid, and there is no particular restriction on the selection of the side chain. , An alkynyl group, an aryl group, a heteroaryl group, an aralkyl group, a cycloalkyl group, and the like.
- the number of substituents is not limited to one and may be two or more. For example, it may have an S atom and further have a functional group such as an amino group or a halogen group.
- “translated amino acid analog” or “translatable amino acid analog” means an amino acid analog that can be translated among “amino acid analogs”. Specifically, for example, a compound in which the main chain amino group of the L-type amino acid is replaced with a hydroxyl group can be mentioned. Examples include L-lactic acid, ⁇ -hydroxyacetic acid, L or D-phenyllactic acid.
- the “drug-like amino acid analog” is not particularly limited as long as it functions as a component of a drug-like peptide compound among the “amino acid analogs”. This range is the same as the definition of the side chain or N-substituted moiety of the drug-like amino acid described above.
- L or D-lactic acid, or various drug-like substituents for example, halogen group, hydroxyl group, optionally substituted alkyl group, alkenyl group, alkynyl group) on the side chain methyl group , A cycloalkyl group, an aralkyl group, an aryl group, a heteroaryl group, etc.
- ⁇ -hydroxyacetic acid L or D-phenyllactic acid, or various drug-like substituents on the side chain benzyl group (for example, , Halogen groups, hydroxyl groups, optionally substituted alkyl groups, alkenyl groups, alkynyl groups, cycloalkyl groups, aralkyl groups, aryl groups, heteroaryl groups, etc.).
- a drug-like amino acid analog is not necessarily translatable.
- the amino acid analogue is also included in the “drug-like amino acid analogue”.
- amino acid analogs include ⁇ -hydroxycarboxylic acids having an SH group attached to the side chain and ⁇ -hydroxycarboxylic acids having an amino group or a protected amine moiety attached to the side chain.
- the SH group can be removed by desulfurization after post-translational modification, and the amino group can be converted to amide or the like by post-translational modification.
- Specific examples include R-2-hydroxy-3-sulfanylpropanoic acid.
- the N-terminal carboxylic acid analog of the present invention is a compound having an amino group and a carboxyl group at the same time and having 3 or more atoms between them, various carboxylic acid derivatives having no amino group, It may be a peptide formed from 4 residues, or an amino acid whose main chain amino group is chemically modified by an amide bond with a carboxylic acid. Moreover, you may have a boric acid and boric-ester part which can be used for the cyclization in a curve part. Moreover, the carboxylic acid which has a double bond site
- the portion other than the functional group that defines these compounds is also widely selected from alkyl groups, aralkyl groups, aryl groups, cycloalkyl groups, heteroaryl groups, alkenyl groups, alkynyl groups, etc. that may be substituted (free Substituents).
- translated N-terminal carboxylic acid analog or “translatable N-terminal carboxylic acid analog” refers to an N-terminal carboxylic acid analog that can be translated among “N-terminal carboxylic acid analogs”. Means the body.
- a compound in which a double bond and a carboxylic acid are connected by an alkyl group (but-3-enoic acid, penta-4-enoic acid, etc.), L having an N-terminal amidated by acetylation or the like Type amino acids (Ac-Phe, Ac-Ala, Ac-Leu, etc.), ⁇ -hydroxycarboxylic acid derivatives in which the OH group is alkylated, dipeptides, tripeptides and the like.
- the “drug-like N-terminal carboxylic acid analog” is not particularly limited as long as it functions as a component of a drug-like peptide compound among the “N-terminal carboxylic acid analogs”.
- substituents include the same substituents as defined in the side chain of the drug-like amino acid. Specifically, for example, in a compound in which a double bond and a carboxylic acid are connected by an alkyl group (but-3-enoic acid, penta-4-enoic acid, etc.), the substituent is within a drug-like range from the carbon atom.
- the acetyl group, the side chain or the ⁇ -position hydrogen atom is dragged Among the compounds substituted in the like range, ⁇ -hydroxycarboxylic acid derivatives in which the OH group is alkylated, the alkyl group of the OH group, the side chain of the hydroxycarboxylic acid, the ⁇ -position hydrogen atom, etc.
- Examples include substituted compounds, dipeptides substituted in a drug-like range, and tripeptides.
- a drug-like N-terminal carboxylic acid analog does not necessarily need to be translatable.
- the N-terminal carboxylic acid analog is also included in the “drug-like N-terminal carboxylic acid analog”. It is.
- Examples of such N-terminal carboxylic acid analogs include dipeptides with an amino group remaining at the N-terminus, ⁇ -aminocarboxylic acid, and ⁇ -aminocarboxylic acid.
- the total number of amino acids contained in the peptide compound is preferably 13 or less.
- the CLogP computer-based
- the CLogP computer-based
- the calculated partition coefficient (calculated using Daylight Version 4.9 of Daylight Chemical Information Systems, Inc.) exceeds 6.
- the amino acid side chain is more preferably selected from drug-like substituents.
- an optionally substituted alkyl group, cycloalkyl group, alkenyl group, alkynyl group, aralkyl group, aryl group, heteroaryl group for example, a halogen group, a hydroxyl group (—OH), an amide group ( -CO-NRR 'or -NR-CO-R'), a sulfone group (-SO 2 -R), an ether group (-OR), or the like is preferred (R and R 'are similarly substituted by these)
- aryl group part of the aryl group and aralkyl group examples include a phenyl group, a basic group such as a pyridine group, two or more heteroatom-containing groups such as a thiazole group, a hydrogen atom donor such as an imidazole group, and an indole group. Fused aromatic rings are also acceptable.
- N-alkylated compounds such as N-methylated or cyclized with ⁇ -position carbon atoms such as proline may be used as amino acids or amino acid analogs constituting peptide compounds.
- the number is 2 or more per peptide molecule.
- at least one amide bond that is not N-alkylated is present per peptide molecule.
- N-alkylation includes all chemical modifications other than NH and may therefore be substituted (selection of substituents is similar to amino acid side chain substituents to ensure membrane permeability above) It is selected from alkyl groups, cycloalkyl groups, alkenyl groups, alkynyl groups, aryl groups, heteroaryl groups, and aralkyl groups. N-alkylation includes those that form a ring structure between the N atom and the ⁇ -carbon, such as proline.
- the C-terminal part of the peptide compound is not a carboxylic acid but is chemically modified.
- an optionally substituted alkyl group, alkenyl group, alkynyl group, cycloalkyl group, aryl group, heteroaryl group, aralkyl group amide compound (—CO—NRR) such as piperidine amide obtained by reacting a carboxylic acid site with piperidine, etc.
- R and R' may be a hydrogen atom, the other may be chemically modified, both R and R 'may be chemically modified, and R and R' form a ring, for example, It may be chemically modified such as piperidine amide, R and R ′ may be both hydrogen atoms, or a carboxylic acid group may be substituted with a methyl group or a trifluoromethyl group. It is preferably converted into various nonionic functional groups such as a group, an alkenyl group, an alkynyl group, an aryl group, a heteroaryl group, and an aralkyl group. The selection of the substituent is the same as the substituent on the amino acid side chain for ensuring the membrane permeability above. Moreover, the amino acid which comprises a peptide compound can also optimize the compound synthesize
- optimization means chemical modification by converting the structure of each amino acid in a compound synthesized by translation from “translated amino acids” to become more drug-like peptide compounds.
- the peptide compound is chemically modified to have a peptide and / or chemically modified to be a peptide compound in which toxicity is further avoided.
- preferable toxicities to be avoided or avoided for example, hERG inhibition (heart toxicity), AMES test (carcinogenicity test), CYP inhibition (drug interaction test), CYP induction, GSH Binding ability measurement test (covalent bond formation test of peptide or peptide metabolite with glutathione) and the like.
- Such conversion is greatly different from conventional chemical modification by N-methylation or cyclization of natural peptides in that it can be carried out without greatly impairing the three-dimensional structure of the translationally synthesized compound.
- naturally-occurring peptides often have extremely ionized arginine and lysine residues contributing to the activity, so that it is difficult to easily convert them into drug-like functional groups.
- functional groups previously limited only by drug-like functional groups have acquired activity against medicinal targets and are cyclized by drug-like cyclization methods.
- clinical candidate compounds can be obtained with the same accuracy and success rate as small molecule chemistry.
- the CLogP value which is an index of fat solubility
- the binding activity to the target can be enhanced by alkylation or halogenation, which is usually performed even in the optimization of low molecular weight compounds. Usually, an improvement in activity of 10 to 50 times can be expected.
- These normal conversions can also increase the CLogP value at the same time. For example, it is possible to increase about 0.7 by chlorination and about 0.5 by methylation. If it has extremely ionized functional groups, increasing the CLogP value during the optimization process is not sufficient to obtain excellent membrane permeability, but if it does not have extremely ionized functional groups, A CLogP value sufficient for membrane permeation can be obtained during the optimization process.
- Confirmation of membrane permeability of the peptide compound of the present invention can be achieved by known methods such as rat intestinal tract method, cultured cell (Caco-2, MDCK, HT-29, LLC-PK1, etc.) monolayer method, Immobilized Artificial Membrane chromatography (Immobilized artificial membrane chromatography) method, method using a partition coefficient, ribosome membrane method, PAMPA (Parallel Artificial Membrane Permeation Assay) method and the like can be used.
- PAMPA Paraallel Artificial Membrane Permeation Assay
- the iPAMPA Pe values are 0.6 ⁇ 10 ⁇ 6 , 1.5 ⁇ 10 ⁇ 6 and 2.9 ⁇ 10 ⁇ 5 , respectively.
- the membrane permeability of the peptide compound of the present invention was able to obtain membrane permeability that can be used as a pharmaceutical when the value of iPAMPA Pe when measured by the PAMPA method is usually 1.0 x 10 -6 or more. It is possible to think, in is preferably 1.0x 10 -6 or more, more preferably 1.0 ⁇ 10 -5 or more, more preferably particularly not less 1.5 ⁇ 10 -5 or more, 2.0x10 -5 or higher Even more preferably.
- the total number of amino acids contained in the peptide compound is preferably 9 or more, more preferably 11 or more. If the total number of amino acids is a peptide compound of 9 or more, the above-described conditions for having membrane permeability do not affect the metabolic stability of the peptide compound.
- the metabolic stability of the peptide compound of the present invention can be confirmed using a known method, for example, hepatocytes, small intestinal cells, liver microsomes, small intestine microsomes, liver S9 and the like.
- a known method for example, hepatocytes, small intestinal cells, liver microsomes, small intestine microsomes, liver S9 and the like.
- the stability of peptide compounds in liver microsomes is described in LL von Moltke et al. (Midazolam hydroxylation by human liver microsomes in vitro: inhibition by fluoxetine, norfluoxetine, and by azole antifungal agents. J Clin Pharmacol , 36 (9), 783-791). More specifically, it can be confirmed according to the method described in Example 18-2.
- Metabolic stability is determined when the value of liver clearance (CLh ⁇ ⁇ ⁇ int ( ⁇ L / min / mg protein)) is 150 or less when the stability in liver microsomes is measured according to the above method. It can be considered that metabolic stability that can be used as a pharmaceutical product has been obtained, and is preferably 100 or less.
- the peptide compound having a cyclic portion of the present invention can be produced using the method described below.
- the manufacturing method containing the following manufacturing methods can be mentioned.
- 1) An acyclic peptide compound composed of an amino acid residue and / or an amino acid analog residue, or an amino acid residue and / or an amino acid analog residue and an N-terminal carboxylic acid analog is encoded with the peptide compound A process of translating and synthesizing from the nucleic acid
- the acyclic peptide compound comprises an amino acid residue or amino acid analog residue having a reactive site on one of the side chains on the C-terminal side, and an amino acid residue or amino acid analog having another reactive site on the N-terminal side.
- a body residue or an N-terminal carboxylic acid analog 1) Combine the reaction point of the amino acid residue, amino acid analog residue or N-terminal carboxylic acid analog on the N-terminal side with the reaction point of the amino acid residue or amino acid analog residue in the side chain on the C-terminal side And forming an amide bond or a carbon-carbon bond.
- a known method can be used for the translational synthesis of the present invention.
- N-terminal introduction of a translatable amino acid, a translatable amino acid analog or a translatable N-terminal carboxylic acid analog is generally translated with methionine as the N-terminal amino acid as the translation initiation amino acid, but other desired It is also possible to use a method in which the N-terminus is translated as a desired amino acid by translating the amino acid with an aminoacylated translation initiation tRNA. It is known that the introduction of an N-terminal amino acid has an amino acid tolerance higher than that at the time of extension, and uses amino acids and amino acid analogs that are significantly different in structure from natural amino acids (non-patent literature: J Am Chem Soc 2009 Apr 15; 131 (14): 5040-1.
- a translatable amino acid other than methionine, a translatable amino acid analog, or a translatable N-terminal carboxylic acid derivative into the N-terminus.
- a translation initiation tRNA a tRNA acylated with a triangle unit is added to a translation system from which methionine, formyl donor, or methionyl transferase has been removed, and the translation initiation codon (for example, ATG) is encoded and translated to translate the end unit.
- a peptide compound or peptide compound library before cyclization as a triangular unit is constructed.
- various combinations of a translation initiation tRNA whose anticodon is not CAU and a codon corresponding to the anticodon are used as a combination of the translation initiation tRNA and the initiation codon, diversity can be provided at the N-terminus.
- a desired amino acid, amino acid analog or N-terminal carboxylic acid analog is aminoacylated to multiple types of translation initiation tRNAs having different anticodons, and an mRNA or mRNA library having the corresponding codon as the start codon is translated.
- the peptide compound before cyclization or a library of peptide compounds can be prepared in which the N-terminal residue is not limited to one type.
- Anticodon sequence mutants of Escherichia coli initiator tRNA effects of overproduction of aminoacyl-tRNA synthetases, methionyl-tRNA formyltransferase, and initiation factor 2 on activity in initiation. Biochemistry. 2003, 42, 4787-99.
- Peptide compounds or peptide compound libraries can be generated.
- reaction point of the amino acid residue, amino acid analog residue or N-terminal carboxylic acid analog on the N-terminal side and the reaction point of the amino acid residue or amino acid analog residue in the side chain on the C-terminal side are combined.
- the amino acid residue, amino acid analog residue or N-terminal carboxylic acid analog having an amino group and a reaction auxiliary group in the N-terminal side chain, and an amino acid having an active ester group in the side chain A method of obtaining a cyclic compound by amide-bonding a residue or amino acid analog residue, having an amino group at the N-terminal amino acid residue, amino acid analog residue or N-terminal carboxylic acid analog, and an active ester group
- the present invention is not limited to the above example, and for example, an amino acid residue on the N-terminal side, an amino acid analog on the N-terminal side, or an active ester group on the N-terminal carboxylic acid side, and an amino group on the side chain on the C-terminal side
- a functional group arrangement opposite to the above may be used, such as amide bonding (which may have a reaction auxiliary group).
- reaction design taking the case of using amide cyclization as an example. It may be necessary to improve the reactivity of the amine to be reacted with respect to other functional groups in order to obtain reaction selectivity with the basic functional group that is not desired to react with the amino group to be reacted with the triangular unit. possible.
- a reaction auxiliary group can be introduced in the vicinity of the amine.
- the reaction auxiliary group is not particularly limited as long as it can activate the amine to such an extent that RNA does not react.
- a mercaptoethyl group or a mercaptopropyl group can be introduced from a terminal amine, and cysteine or the like can be used.
- RNA to which the SH group of the obtained cyclic peptide is added with a reagent such as TCEP (tris (2-carboxylethyl) phosphine) and VA-044 (2,2′-azobis-2- (2-imidazolin-2-yl) propane)
- TCEP tris (2-carboxylethyl) phosphine
- VA-044 2,2′-azobis-2- (2-imidazolin-2-yl) propane
- a thioester is preferred as the active ester of the crossing unit to be translated.
- an SH group is used as the reaction auxiliary group, for example, the following combinations are performed.
- an aspartic acid derivative is a crossing unit. In this case, all the black circle units and the square units can be arbitrarily selected from translated amino acids and translated amino acid analogs.
- the square unit on the C-terminal side of the aspartic acid thioester is an N-alkylated amino acid (such as proline or N-methyl alanine). Is preferably selected from.
- an amino acid having a reaction auxiliary group in the vicinity of an amine as a triangular unit an N-terminal carboxylic acid analog, for example, an N-terminal amino acid can be written as compound N-1 or N-2.
- Substituents of these compounds N-1 and N-2 are preferably defined as described above, among the substituents represented by R, except for protecting groups (R1, R23, trityl group, etc.) This is the same as the definition of the side chain of the drug-like amino acid.
- R1 is selected from among the protecting groups of SH group represented by a hydrogen atom or the like, or S-R23 group, or C (Phe) 3 group (trityl group).
- R23 is an alkyl group such as a methyl group, an ethyl group, an isopropyl group or a tert-butyl group, an aryl group such as a phenyl group, a p-trifluoromethylphenyl group or a p-fluorophenyl group, an aralkyl group such as a benzyl group or a phenethyl group. Selected from a group, a heteroaryl group, an alkenyl group, an alkynyl group, and the like.
- These groups are selected from substituents that enable the resulting compound N-1 or N-2 to be translationally synthesized.
- substituents that enable the resulting compound N-1 or N-2 to be translationally synthesized.
- an N, N-dimethylaminoethyl mercapto group in which the ethyl group of R23 is substituted with a dimethylamino group may be used.
- R1 has a protecting group (other than H atom)
- the protecting group selected is selected from protecting groups capable of translational synthesis, and deprotected in a translation synthesis solution, and cyclized. If it becomes a hydrogen atom before making it, it will not specifically limit and can be selected.
- protecting groups such as the S—R23 group are slowly deprotected in the translation synthesis solution, they can be deprotected without the need to positively define separate deprotection conditions. If necessary, a deprotecting agent can be added under various reaction conditions described in the present specification. (Description of protecting group of SH group.)
- R2 and R3 are defined similarly to the definition of the side chain of a drug-like amino acid.
- R2 and R3 preferably represent a hydrogen atom, an optionally substituted alkyl group, alkenyl group, alkynyl group, aryl group, heteroaryl group, aralkyl group, or cycloalkyl group, or R2 And R3 represents a substituent that forms a ring, or R2 or R3 represents a substituent that forms a ring with R4. More preferably, it is selected from a hydrogen atom, a C1-C4 alkyl group which may be substituted with a C1-C4 alkyl group, an alkoxy group, a halogen group or the like.
- the R3 group can accept both L-type amino acids and D-type amino acids.
- the steric structure of the R3 group corresponds to the L-type amino acid when the R3 group is assumed to be a hydrogen atom. *
- R4 is a unit that links an S (sulfur) atom and an amino acid site.
- the typical structure is shown below. Both units may be substituted methylene group (partial structure N-3, C1 unit), may be substituted ethylene group (partial structure N-4, C2 unit), may be substituted propylene group (partial structure) N1 and C6 units such as N-5 and C3 units).
- any of the derivatives when any of the derivatives is translationally synthesized, all other derivatives are included in this definition even if they are not translationally synthesized.
- R13, R14, R15, R16, R17, R18, R19, R20, R21, R22 and the like have the same definition as R4, but are substituted with, for example, a hydrogen atom, a C1-C4 alkyl group, an alkoxy group, a halogen atom, etc.
- C1-C4 alkyl groups which may be substituted.
- a cyclized structure may be formed between them. Particularly preferably, it is selected from a hydrogen atom and a methyl group. It can also be directly linked from the aryl carbon of the aromatic compound (partial structure N-6). Further, they can be linked with an aralkyl structure (partial structures N-7 and N-8).
- any of the divalent groups may be on the nitrogen atom side or on the sulfur atom side.
- the connecting position is limited to ortho, but not limited to ortho, meta, para, etc. are possible.
- an aryl group is represented by a phenyl group
- the phenyl group may be substituted with a substituent such as a halogen group, an alkoxy group, or a trifluoromethyl group, and an aryl group other than a phenyl group (that is, a heteroaryl group is included)
- a substituent such as a halogen group, an alkoxy group, or a trifluoromethyl group
- an aryl group other than a phenyl group that is, a heteroaryl group is included
- Various aromatic rings may be used.
- R11 and R12 are also selected from the same partial structure as R4. For example, it can be selected from the partial structures N-3, N-4, N-5, N-6, N-7, and N-8. R12 can also contain a C0 unit (when the linking site is directly attached).
- R12 site of compound N-1 is a C0 unit and the linking site is directly linked.
- the R11 site of compound N-2 is linked by a C1 unit (corresponding to partial structure N-3).
- the R11 site of compound N-2 is linked by a C2 unit (corresponding to partial structure N-4).
- the R11 site of compound N-2 is linked by a C3 unit (corresponding to partial bond N-5).
- R5 to R10 are the same as defined above for R13 to R18.
- compound N-13 the R4 site of compound N-9 is linked by a C1 unit (corresponding to partial structure N-3).
- compound N-14 the R4 site of compound N-10 is linked by a C2 unit (corresponding to partial structure N-4).
- compound N-15 the R4 site of compound N-11 is linked by a C2 unit (corresponding to partial structure N-4).
- compound N-16 the R4 site of compound N-12 is linked by a C2 unit (corresponding to partial structure N-4).
- compound N-17 the R4 site of compound N-9 is linked by a C2 unit (partial structure N-4).
- compound N-18 the R4 site of compound N-10 is linked by a C3 unit (partial structure N-5).
- compound N-19 the R4 site of compound N-11 is linked by a C3 unit (partial structure N-5).
- compound N-20 the R4 site of compound N-12 is linked by a C3 unit (partial structure N-5).
- the definition of the triangular unit containing the reaction auxiliary group SH is not limited thereto. That is, it has an amino group which is a unit to be reacted with the crossing unit and a reaction auxiliary group, and is selected from arbitrary structures among structures capable of translational synthesis.
- the amino group may be derived from a main chain or a side chain.
- the triangular unit is not necessarily present at the N-terminal, and a square unit (straight chain part) may be present on the N-terminal side of the triangular unit.
- a chemical structure in which the positional relationship between the SH group and the amino group is in the range of 2 to 6 linking atoms such as ⁇ (two linking atoms between two functional groups), ⁇ (three linking atoms) is preferable. More preferably, the positional relationship between the SH group and the amino group is ⁇ or ⁇ . Moreover, even if the unit which has an active ester functional group is arrange
- an active ester means a carboxylic acid derivative that can be reacted with an amino group site directly or via a reaction auxiliary group, and is not particularly limited as long as it is an active ester or an active thioester having such properties.
- R25 is selected from a hydrogen atom or an active ester group.
- the active ester is represented by, for example, N-hydroxysuccinimide (ONSu) group, OAt group, OBt group, methylthioester, arylthioester, aralkylthioester and the like as widely used.
- These active ester moieties are generally used as compound substituents (for example, halogen groups, nitro groups, trifluoromethyl groups, nitrile groups, etc., which are often used for the purpose of increasing reactivity).
- Electron-withdrawing groups alkoxy groups such as methoxy groups, which are often used for the purpose of lowering the reaction and increasing the reaction selectivity, electron-donating groups such as alkyl groups such as methyl groups, t-butyl groups and isopropyl
- alkyl groups such as methyl groups, t-butyl groups and isopropyl
- Examples include bulky substituents typified by groups, sulfonic acid groups, disubstituted amino groups such as dimethylamino groups, etc., taking into consideration the affinity with water after being carried out in water.
- Examples include high-fat-soluble groups such as long-chain alkyl groups in consideration of affinity with lipophilicity.) All derivatives having similar reactivity are also included.
- R2 and R3 are as defined above for the amine moiety.
- R26 is the same as the definition of R4, and its typical structure is shown below. Both units can be connected by C1 to C6 units such as methylene group (partial structure N-3), ethylene group (partial structure N-4), propylene group (partial structure N-5) and the like. In R13, R14, R15, R16, R17, R18, R19, R20, R21, R22, these substituents are preferably the same as the definition of the side chain of the drug-like amino acid defined above. Even if the derivative itself is not translationally synthesized, it includes those in which the analog is translated and synthesized.
- a hydrogen atom for example, it is selected from a hydrogen atom, a C1-C4 alkyl group, a C1-C4 alkyl group which may be substituted with a halogen atom and the like.
- a cyclized structure may be formed between them. More preferably, it is selected from a C4 unit, a C5 unit and a C-6 unit in addition to a methylene group (C1 unit, partial structure N-3). More preferably, a C1 unit (partial structure N-3) is selected. It can also be directly linked from the aryl carbon of the aromatic compound (partial structure N-6). Further, they can be linked with an aralkyl structure (partial structures N-7 and N-8).
- the connecting position is limited to ortho, but not limited to ortho, meta, para, etc. are possible.
- the phenyl group is shown as the aryl group, the phenyl group may be substituted with a substituent such as a halogen group or an alkoxy group, or an aryl group other than the phenyl group may be used.
- R27 represents a hydrogen atom, an alkyl group that may be substituted, an alkenyl group that may be substituted, an alkynyl group that may be substituted, an aryl group that may be substituted, a heteroaryl group that may be substituted, Or an aralkyl group to which an optionally substituted alkyl group may be provided.
- substituents are not particularly limited as long as compound C-2 obtained as a result of selection of the substituent can be translationally synthesized.
- an electron withdrawing group such as a halogen group, a nitro group, a trifluoromethyl group, or a nitrile group, which is often used for the purpose of increasing the reactivity, or a purpose of increasing the reaction selectivity by lowering the reaction
- Alkoxy groups such as methoxy groups
- electron donating groups such as alkyl groups such as methyl groups
- bulky substituents typified by t-butyl groups and isopropyl groups, etc.
- a sulfonic acid group considering the affinity with water a disubstituted amino group such as a dimethylamino group, and a highly lipophilic group such as a long-chain alkyl group considering lipophilicity are selected.
- a disubstituted amino group such as a dimethylamino group
- a highly lipophilic group such as a long-chain alkyl group considering lipophilicity are selected.
- it is selected from an optionally substituted alkyl group, an optionally substituted cycloalkyl group, and an optionally substituted aralkyl group. More preferably, it is selected from an alkyl group and an aralkyl group in which the aryl moiety may be substituted.
- R3 is defined similarly to the definition of the side chain of a drug-like amino acid, and is selected from, for example, a C1-C4 alkyl group, a C1-C4 alkyl group which may be substituted with a halogen, etc., and particularly preferably a hydrogen atom .
- the R3 group conforms to both L-type and D-type amino acids when the R3 group is assumed to be a hydrogen atom, those corresponding to L-type amino acids are preferred.
- R3 is selected from a hydrogen atom, a C1-C4 alkyl group, a C1-C4 alkyl group optionally substituted with halogen, etc., and a hydrogen atom is particularly preferred.
- the R3 group conforms to both L-type and D-type amino acids when the R3 group is assumed to be a hydrogen atom, those corresponding to L-type amino acids are preferred.
- the compound COH-1, Compound COH-2, and Compound COH-3 can also be selected.
- the reaction with Compound N-1 or Compound N-2 can be allowed to proceed gently and selectively.
- the reaction can proceed smoothly even in a translation solution (for example, 37 ° C. and pH around 7.3). Removal of the reaction auxiliary group can be easily performed under reaction conditions in which RNA is stable.
- an amine unit having a reaction auxiliary group may be arranged on the C-terminal side (crossing unit).
- an amino group and a thiol group are arranged in the side chain of the intersection unit. These may be protected at the translation stage, but are deprotected immediately before the reaction.
- the amino group and the thiol group are not particularly limited as long as they are present in the vicinity, but the relationship between the two is preferably the ⁇ -position or ⁇ -position.
- a drug-like ring is formed by an amide condensation reaction with an active ester such as a thioester on the side chain of the triangular unit and an amino group of the side chain (having a reaction auxiliary group such as thiol in the vicinity) on the other (crossing unit). All the techniques for making them into are also included in the present application, and either functional group may be arranged in a triangular unit or a crossing unit.
- Ra-7 can be selected from Na-7, Na-8, and Na-9 groups.
- the Na-7 group, Na-8 group and Na-9 group are selected by being limited to only one of Ra-7 or Ra20 to Ra25.
- Ra20 to Ra25 other than the substituent in which the Na-7 group, Na-8 group, or Na-9 group is selected include a hydrogen atom, an alkyl group that may be substituted with a drug-like functional group, an aryl group, A heteroaryl group, an aralkyl group, and the like are selected from. Preferably, it is selected from a hydrogen atom and an alkyl group.
- a unit having an active ester such as a thioester group is selected on the triangular unit (N-terminal side)
- these include, for example, Compound C-1, Compound C-2, Compound C-3, Compound Ca-1, Compound COH -1, compound COH-2, and compound COH-3.
- Compound C-1 and the like retain the main chain amino group after cyclization, whereas compound Ca-1, compound COH-1, compound COH-2, and compound COH-3 have no amino group. Therefore, it is more preferable because it becomes more like a drug.
- the crossing unit is selected from compound Na-10 (Na-7 group or Na-8 group), compound Na-11 (Na-7 group or Na-8 group), and the like.
- These compounds may be translated in a protected state.
- the protecting group that can be translated and the deprotection conditions under reaction conditions stable to RNA can use the methods described herein. More preferably, the use of the compound Na-7 group is more preferable than the use of the Na-8 group because of higher metabolic stability.
- Compound C-1, Compound C-2, Compound C-3, Compound COH-1, Compound COH-2, Compound COH-3, etc. having an active ester group at the intersection unit (C-terminal side) were selected.
- the triangular unit (on the N-terminal side) can be selected from Compound Na-10 and Compound Na-11 in addition to Compound N-1 and Compound N-2 already described.
- compound Na-10 (Na-8 group and Na-9 group) or Na-11 (Na-8 group, And Na-9 groups) are preferred. This is because when the Na-7 group is used, the main chain amine is retained and the drug likeness is lowered.
- compound Na-10 Na-7 group and Na-8 group
- compound Na-11 Na-7 group and Na-8 group
- the Na-7 group is derived from an ⁇ amino acid skeleton, but it may be a ⁇ amino acid skeleton.
- the method of activation from an amine is not limited to the one containing an SH group as the above-mentioned reaction auxiliary group.
- a method of activation from an amine it is possible to introduce a hetero atom directly into the amine to improve the reactivity of the amine.
- hydroxyamine compound F-1, compound F-4, compound F-5, compound F-7
- alkoxyamine compound F-2, compound F-14, compound F-15, compound F-16
- azide Compound F-3, Compound F-9, Compound F-10, Compound F-11
- R101, R102, R103, R104, R105, R106, and R107 are commonly used amino acid side chains, and are substituents not limited to natural amino acids. That is, a hydrogen atom, an optionally substituted alkyl group, an optionally substituted alkenyl group, an optionally substituted alkynyl group, an optionally substituted aryl group, an optionally substituted heteroaryl group, and optionally substituted Selected from good aralkyl groups. More preferably, one of R101 and R102 is a hydrogen atom, one of R103 and R104 is a hydrogen atom, and one of R106 and R107 is a hydrogen atom.
- the hydrogen atoms are preferably arranged so that they have the same steric configuration as the L-type amino acid.
- R105 is selected from an optionally substituted alkyl group, an optionally substituted alkenyl group, an optionally substituted alkynyl group, an optionally substituted aryl group, and an optionally substituted aralkyl group.
- an active ester which is a candidate for a crossing unit corresponding to the case where an activated amine as described above is selected
- a combination of an amine having a thioester and a thiol in the vicinity, an ⁇ ketoester and an azide, and the like can be considered.
- Initiation read through generally means that proteins and peptides are translated from methionine, which is the translation initiation amino acid encoded as an AUC codon. It means a phenomenon in which a translation product from an amino acid encoded by the second and subsequent codons is generated when an attempt is made to start translation from a low unnatural amino acid added to a translation initiation tRNA.
- a triangular unit is encoded at the second codon next to the start codon of mRNA encoding the peptide, and is translated by a translation system that does not contain methionine or translation initiation methionine tRNA.
- a method for preparing a peptide or peptide library having a terminal trigonal unit can be used.
- a method is known in which an N-terminal methionine of a peptide is scraped by the action of an enzyme such as peptide-deformylase and Methionine-aminopeptidase (Non-patent literature: Meinnel, T). ., Et al.
- a triangular unit can be encoded by a plurality of codons, so that the degree of freedom is expanded to two or more types and one variable part is added. Since it is possible to use two or more types of amino acids or amino acid analogs as a triangular unit, when preparing the peptide compound or peptide compound library of the present invention, the peptide compound or peptide compound live having increased diversity. A rally can be produced.
- the random region means a region where an amino acid or an amino acid analog can be freely selected in the peptide compound of the present invention. Except for this method, a region other than the crossing unit and the triangular unit of Scheme A (that is, a black circle). In this method, triangular units are also random areas. The structural diversity of the black circle unit and the square unit can be secured while maintaining the reactivity with the cross unit of the triangle unit.
- the number of residues having drug likeness is 13 or less, so that the number of units to be fixed decreases from 2 to 1, the number of units in the random region from 11 to 12 Means to increase.
- the value of increasing the number of residues that can be randomized by one is very high in the sense that it maximizes the degree of freedom under limited conditions to maintain drug likeness.
- carboxylic acid or carboxylic acid active ester can be translated and introduced into the crossing unit (amino acid intersecting linear part, cyclic part and triangular unit) side chain, so from fixed crossing unit and random amino acid
- An amide bond can be formed between selected triangular units (Scheme B).
- the crossing unit does not have to be one type, and can be selected from two or more types.
- a codon encoding each crossing unit, (amino) acylated tRNA is prepared, and a library can be constructed using mRNA in which the crossing unit codon is arranged at a desired position as a template.
- an example of amide cyclization can be given (this method can also be used when the N-terminus is fixed).
- An aspartic acid derivative is taken as an example of the crossing unit, but is not limited thereto, and is selected from, for example, a compound group represented by Compound C-1, Compound C-2, and Compound C-3. Any amino acid or amino acid analog having a carboxylic acid in the side chain, such as an N-alkylated product such as N-methylaspartic acid or a glutamic acid derivative, may be used.
- the key to realizing this method is to select a method in which only the carboxylic acid site is active esterified and RNA (such as a nucleic acid site) is not reacted.
- RNA such as a nucleic acid site
- An amino acid having a carboxylic acid active ester in the side chain can be introduced by translation, and the active ester can be reacted with an amine.
- an active ester such as compound E-2 is preliminarily translated and synthesized.
- a benzylthioester such as compound E-3, an arylthioester such as compound E-4, an alkylthioester, and the like can also be introduced by translation.
- a phenyl group is taken as an example, but there is no limitation as long as it is an aryl group or a heteroaryl group.
- aryl groups and heteroaryl groups can be substituted with, for example, electron-withdrawing groups such as halogen groups, nitro groups, trifluoromethyl groups, and nitrile groups, alkoxy groups such as methoxy groups, and alkyl groups such as methyl groups. Such as an electron donating group.
- substituents include bulky substituents typified by t-butyl group and isopropyl group, such as a sulfonic acid group and a dimethylamino group that have been used in water and have an affinity for water. Selected from di-substituted amino groups and conversely lipophilic groups such as long-chain alkyl groups in consideration of lipophilicity. Many kinds of substituents such as nitro group, trifluoromethyl group, and halogen may be introduced at the same time. Like compound E-4, a thioaryl active ester activated more than compound E-3 may be introduced in advance.
- the thioester can be selected from alkyl thioesters in addition to such aralkyl and aryl thioesters.
- the key to the realization of this method is to have two properties that are stable during translational synthesis and have sufficient reactivity with an amine having no reaction auxiliary group.
- Translation of active esters that can ensure sufficient stability during translation synthesis from thioesters, etc., and adding additives after translation to generate more active active esters in the system and react It is also possible to carry out a cyclization reaction with an amine having no auxiliary group.
- a more active thioester is generated in the system by adding thioester having a more electron deficiency to the thioester introduced by translation from the outside, and cyclized with an amine.
- thioester such as compound E-3
- it may be reacted directly with an amino group after translation, but a more reactive thiol such as trifluoromethylphenylthiol may be added to the translation system.
- the activated ester E-4 may be substituted with a more activated ester and then reacted with an amino group.
- various raw materials known to form active esters such as HOBt, HOAt, and HONSu can be added.
- One type of additive may be selected from these, or two or more types may be selected.
- An advantage of adding two or more additives is improved reactivity. It is energetically disadvantageous to convert an active ester that is sufficiently stable and translatable in a translation solution into an active ester that is sufficiently reactive with any amino group, and such a reaction may be difficult in one step. . In such a case, once the translatable stable active ester is returned to a more active active ester that can be exchanged, it can be further returned to an active ester sufficiently reactive with any amino group. Become. By using the activation of the active ester in such a multi-stage, an amidation reaction with an amino group having low reactivity may be possible. Substituents may be introduced in these additives such as active esters.
- substituents such as halogen groups, nitro groups, trifluoromethyl groups, nitrile groups and other electron-withdrawing groups, methoxy groups and the like It may have an electron donating group such as an alkyl group such as an alkoxy group or a methyl group.
- Bulky substituents typified by t-butyl and isopropyl groups, such as sulfonic acid groups, carboxyl groups, hydroxy groups, and dimethylamino groups in consideration of affinity with water It is selected from a di-substituted amino group, or a highly lipophilic group such as a long-chain alkyl group in consideration of lipophilicity.
- a stable active ester is introduced in the same manner as in (iii), a chemical reaction (for example, deprotection reaction) is carried out after translation, and after activation by an intramolecular reaction, an amine having no reaction auxiliary group It is also possible to cause a cyclization reaction.
- a chemical reaction for example, deprotection reaction
- a more stable thioester is translated and introduced, and after translation, the SS bond is deprotected, and is converted into a more reactive arylthiophenol by intramolecular reaction. May be reacted with an amine.
- this problem may be achieved by combining two or more of the concepts (i) to (iv). In this way, as one method for effectively utilizing the Initiation read through method, a more diverse Display library having a druglike cyclization site by reacting an amino group commonly present at the N-terminus with a crossover unit. Can be built.
- alkylthioesters or benzylthioesters such as alkylthioesters or benzylthioesters, which can ensure sufficient stability during translation synthesis, use active esters that can be translated, and add additives after translation to obtain more active active esters.
- active ester used for translational synthesis for example, aspartic acid side chain carboxylic acid is alkylthioester such as methylthioester (Asp (SMe)) or benzyl Aralkylthioesters such as thioester (Asp (SBn)) can be used.
- the electron-withdrawing group include a trifluoromethyl group, a nitro group, and a fluoro group, and an electron-withdrawing group of about the trifluoromethyl group is preferable.
- the addition amount of these thiols is not particularly limited, but is preferably more than 10 mM for the purpose of sufficiently increasing the reactivity, and less than 10 M for the purpose of dissolving the additive.
- the range of 50 mM to 5 M is more preferable, but 200 mM to 2 M is more preferable.
- the additive may be added as thiol (acidic), but the acidic part is preferably neutralized by adding an equivalent number of a base such as triethylamine and added as neutral conditions.
- Active esters with higher activity may react with various reagents present in the translation reaction system.
- the amine component (trishydroxymethylaminoethane) in the commonly used Tris buffer can be one of them, so translation synthesis and a buffer for chemical reaction are added in a buffer that does not contain a reactive amine component. It is preferable to do.
- a buffer examples include HEPES buffer and phosphate buffer.
- the side reaction is accompanied by an oxidation reaction in the air (SS formation reaction), avoiding a decrease in the amount of thiol necessary for the progress of the reaction, and the basicity is high and hydrolysis is dominant.
- SS formation reaction an oxidation reaction in the air
- a buffer to the reaction translation solution.
- a reducing agent such as tris (2-carboxyethyl) phosphine. It is also effective to keep the cyclization reaction away from oxygen in the air as much as possible.
- the pH of the solvent during the chemical reaction is preferably 2 to 10 for the purpose of stably presenting RNA.
- the reaction conditions may be carried out alone in a reaction translation solution such as PureSystem, and an organic solvent such as DMF or NMP may be added thereto.
- a reaction translation solution such as PureSystem
- an organic solvent such as DMF or NMP may be added thereto.
- the reaction temperature is not particularly limited as long as it is a range in which a chemical reaction can be usually carried out.
- the amino group can be either a primary amine or a secondary amine (for example, an N-alkyl group such as N-methyl). Is not limited. In particular, when the carbon atom next to the amino group is unsubstituted (CH2), either a primary amine or a secondary amine is acceptable. Among the secondary amines, a methyl group is more preferable. When a substituent is present at the carbon atom next to the amino group, a primary amine is more preferable. As the substituent portion, it is more preferable that the ⁇ -position is CH2 such as Ala or Phe, such as Val or Thr.
- CH2 such as Ala or Phe, such as Val or Thr.
- amino acids in which a nitrogen atom and an ⁇ -position carbon atom form a 5-membered ring such as proline, and cyclic secondary amines such as a 4-membered ring and a 6-membered ring are also preferable.
- a unit having an active ester may be arranged in the triangular unit, an amine side chain may be arranged on the crossing unit side, and the active ester and the amino group may be arranged between the triangular unit and the crossing unit. It may be arranged in either.
- the crossing unit is selected from compound C-1, compound C-2, compound C-3, or compound COH-1, compound COH-2, and compound COH-3. You can also choose. Whenever these six kinds of compounds are selected, it is preferable that the amino acid immediately after the C-terminal side is selected from N-alkylated units. This limitation is for the purpose of avoiding side reactions of aspartimide formation and is a common preferred choice when these six compounds are selected. From the viewpoint of metabolic stability, Compound C-1, or Compound C-2, or Compound C-3 is more preferable. In such a case, the triangular unit can be selected from Compound Na-1, Compound Na-2, and Compound Na-3.
- the N-terminal (triangular unit) When the N-terminal (triangular unit) is not fixed as a triangular unit, a plurality of these compounds can be selected simultaneously.
- the side chain amino group may be protected in any of Compound Na-1, Compound Na-2, and Compound Na-3.
- the cyclization reaction is carried out after deprotection at the same time or in advance of the cyclization reaction.
- the method described in this specification can be used for the protecting group or deprotection conditions.
- Ra13 of compound Na-1 can be selected from a hydrogen atom, a C1-C6 alkyl group or an aralkyl group. These may be substituted with a functional group defined by drug-like, such as a hydroxyl group, a fluoro group, and an ether group.
- a hydrogen atom or a methyl group, an ethyl group, an npropyl group, or a benzyl group is preferable.
- Compound Ra-2 Ra1 can be selected in the same manner as Ra13. Particularly preferably, it is selected from a hydrogen atom or a methyl group.
- Ra2 can be selected in the same manner as Ra13, but preferably a hydrogen atom or a methyl group. Particularly preferred is a hydrogen atom.
- a hydrogen atom When a hydrogen atom is selected, the steric configuration of the L-type and D-type is allowed as an amino acid. An L-shaped configuration is more preferable.
- Ra3 can be selected in the same manner as R13. Ra3 and Ra4 may form a ring. Particularly preferred is a hydrogen atom.
- Ra4 can be selected from a hydrogen atom, an alkyl group, a cycloalkyl group, an aralkyl group, a heteroaryl group, and an aryl group. These may be substituted with a functional group defined by drug-like. Ra4 may form a ring together with Ra1. For example, proline and the like correspond to this ring.
- Ra11 of compound Na-3 can be selected in the same manner as Ra13, and particularly preferably a hydrogen atom, or a methyl group, an ethyl group, an npropyl group, or a benzyl group. Particularly preferred is a hydrogen atom.
- Ra9 can be selected in the same way as Ra4. It is preferably selected from a hydrogen atom, a C1-C6 alkyl group or an aralkyl group. These may be substituted with a functional group defined by drug-like. Further, Ra9 and Ra11 may form a ring.
- the ring size is preferably a 3- to 8-membered ring. As the ring formation, a 5-membered ring and a 6-membered ring are particularly preferable.
- Ra10 and Ra12 can be selected in the same manner as Ra4. Preferably, it can select like Ra13. More preferably, either Ra10 or Ra12 is a hydrogen atom. Particularly preferably, both Ra10 and Ra12 are hydrogen atoms.
- the N-terminal is preferably selected from an amino acid derivative or an N-terminal carboxylic acid derivative. The presence of an amino group in the N-terminal main chain is disadvantageous in terms of reaction selectivity, and the amino group is retained even after completion of translation modification, resulting in a decrease in drug likeness.
- the crossing unit is selected from Compound C-1, Compound C-2, or Compound C-3, as a triangular unit, if the triangular unit is placed at a position other than the N-terminal and the triangular unit is fixed, the triangular unit is It can be selected from Compound Na-4 or Compound Na-5.
- Ra-4 Ra5 can be selected in the same manner as Ra1.
- Ra6 can be selected in the same manner as Ra2.
- Ra7 can be selected in the same way as Ra4. More preferred is a hydrogen atom or a methyl group. Particularly preferred is a hydrogen atom.
- Ra8 is the same as R4, alkylene group of C1-C6 units such as partial structures N-3, N-4, N-5, N-6, N-7, N-8 (not only ortho-substituted but also meta-substituted , Including para substitution).
- the substituents R13 to R22 can be selected from functional groups that do not react with an active ester or amino group among functional groups selected by drug-like.
- it is selected from a C4 to C6 alkylene unit which may have a substituent, or a partial structure N-6, N-7, N-8 or the like having an aryl group.
- ⁇ Ra5 of Compound Na-5 can be selected in the same manner as Ra1.
- Ra6 can be selected in the same manner as Ra2.
- Ra7 can be selected in the same way as Ra4. More preferred is a hydrogen atom or a methyl group. Particularly preferred is a hydrogen atom.
- Ra8 is the same as R4, alkylene group of C1-C6 units such as partial structures N-3, N-4, N-5, N-6, N-7, N-8 (not only ortho-substituted but also meta-substituted , Including para substitution).
- the substituents R13 to R22 can be selected from functional groups that do not react with an active ester or amino group among functional groups selected by drug-like.
- it is selected from a C4 to C6 alkylene unit which may have a substituent, or a partial structure N-6, N-7, N-8 or the like having an aryl group.
- the side chain amino group of either Compound Na-4 or Compound Na-5 may be protected.
- the cyclization reaction is carried out after deprotection at the same time or in advance of the cyclization reaction.
- the method described in this specification can be used for the protecting group or deprotection conditions.
- the triangular unit can be selected from a wide group of compounds having an amino group and a carboxyl group in addition to the compound Na-4 and the compound Na-5.
- various units can be translationally synthesized as N-terminal carboxylic acid analogs. There is no particular limitation as long as it has an amino group to be amide cyclized and a carboxylic acid to be translated into a peptide.
- the functional group of the divalent unit that joins the amino group and the carboxylic acid group is selected from among drug-like functional groups.
- An example of such a compound is Compound Na-6.
- Ra9 of Compound Na-6 may be selected from an alkyl group, a cycloalkyl group, an aryl group, a heteroaryl group, and an aralkyl group that may be substituted with a drug-like functional group.
- -NRCOR 'group R and R' are drug-like substituents
- -OR R is a drug-like substituent
- NR groups including R amino acids, dipeptides, tripeptides, etc.
- the triangular unit includes Compound C-1, Compound C-2, Compound C-3, Compound COH-1, Compound COH-2, Compound COH-3, etc. Can also be selected.
- a straight chain portion is present also on the N-terminal side from the triangular unit, and the N-terminal is selected from N-terminal carboxylic acid derivatives.
- Compound Na-4 or Compound Na-5 is selected, Compound COH-1, Compound COH-2, Compound COH-3, etc. can be selected as the triangular unit.
- the triangular unit may be present at the N-terminal, or that the straight-chain part is also present on the N-terminal side of the triangular unit and that the N-terminal is selected from N-terminal carboxylic acid derivatives It is preferable from the point of like.
- compound Ca-1 can also be selected as the triangular unit.
- an amino acid analog capable of forming an ester bond by translation synthesis without having an amino group in the main chain such as ⁇ -hydroxycarboxylic acid, and the like
- the protecting group is not particularly limited as long as it acts as a protecting group for the amino group and gives an amino acid to be translated and synthesized
- Post-modification techniques can be used (Scheme E). When applied to a display library, it is selected from the units to be translated.
- peptide compounds obtained by subsequent optimization include those obtained by post-translational modification after translation synthesis even if the peptide compound itself is not translationally synthesized.
- the side chain of the ⁇ -hydroxycarboxylic acid moiety is not particularly limited, but in the method described in Scheme E, Re1 is particularly a hydrogen atom (glycolic acid (HO Gly) itself) or a thiol in the side chain in terms of translational synthesis. Those having a group (SH group) or a protected thiol group are preferred.
- the configuration of the side chain is not particularly limited, but when a hydrogen atom is present at the ⁇ -position, it is more preferable to adopt the same configuration as that of the L-type amino acid.
- the arrangement of the thiol group or the protected thiol group is not particularly limited, but is arranged at the ⁇ -position or ⁇ -position of the OH group (that is, the mercaptomethyl group or mercaptoethyl group where Re1 may be protected). Is particularly preferred.
- These thiol groups or protected thiol groups are arranged from an optionally substituted alkyl group, alkenyl group, alkynyl group, cycloalkyl group, aralkyl group, aryl group, heteroaryl group of the ⁇ -hydroxycarboxylic acid side chain (Added).
- These ⁇ -hydroxycarboxylic acid side chain substituents are more preferably substituents defined on the side chain of a drug-like amino acid except for the added thiol group or protected thiol group.
- the type of amino acid having an amino side chain is also an alkylamino group, an alkenylamino group, an alkynylamino group, an aralkylamino group, an arylamino group, a heteroarylamino group, which may be substituted if it has an amino group,
- Any of the cycloalkylamino groups is possible and is not particularly limited, but may have a thiol group (SH group) or a protected thiol group in the side chain at the same time.
- These substituents are preferably substituents defined in the side chain of a drug-like amino acid, except for a reaction auxiliary group (for example, SH group). Furthermore, it is more preferable to select from a substituent capable of translational synthesis.
- One of the hydrogen atoms at the site represented by NH2 in the scheme is specified as a hydrogen atom, and the other hydrogen atom may be substituted with an alkyl group, an alkenyl group, an alkynyl group, an aralkyl group.
- An aryl group, a heteroaryl group, and a cycloalkyl group which may be substituted with a reaction auxiliary group, preferably an NH2 group.
- These substituents are preferably substituents defined in the side chain of a drug-like amino acid, except for a reaction auxiliary group (for example, SH group). Furthermore, it is more preferable to select from a substituent capable of translational synthesis.
- a codon encoding an amino acid analog capable of forming an ester bond without an amino group such as ⁇ -hydroxycarboxylic acid (A), an acylated tRNA, a codon encoding an amino acid having an amino group side chain (B),
- An aminoacylated tRNA is prepared, and mRNA in which a desired number (preferably 0 to 7, more preferably 0 to 2) of random codons is arranged between codon (A) and codon (B).
- the peptide obtained by translation into a template is first cyclized by the above method or another method. Codon A is arranged N-terminal from codon B.
- the obtained cyclized peptide (for example, the method of Scheme B or Scheme C can be used) is deprotected as needed when a side chain amino group has a protecting group, and is hydrolyzed or added from the outside.
- the ester site is activated by adding an agent, the amide bond is not hydrolyzed, but the ester bond can be hydrolyzed or activated (active esterification, active thioesterification).
- the peptide having the straight chain part 2 which is a desired branched peptide can be obtained by intramolecular cyclization reaction of the obtained main chain carboxylic acid or active (thio) ester and side chain amine.
- the additive added from the outside includes a compound group that forms various active esters such as thiol compounds, HONSu, HOBt, and HOAt, or a mixture of two or more of these.
- active esters such as thiol compounds, HONSu, HOBt, and HOAt, or a mixture of two or more of these.
- Scheme E an example was given in which a Re1-substituted hydroxycarboxylic acid was used as codon A and lysine was used as codon B.
- the triangular unit may be selected to have a reaction auxiliary group at the amine site. You may choose what you do not have.
- a unit having a reaction assisting group is selected as a triangular unit (for example, Compound N-1 or Compound N-2)
- the first cyclization reaction can easily proceed.
- a reaction additive may or may not be added at a pH of around 7 (translation conditions).
- a unit having no reaction auxiliary group is selected as a triangular unit (for example, when Ala or Phe contained in compound Na-2 is selected)
- trifluoromethylthiophenol it is more preferable to add an additive such as More preferably, the pH is raised to around 7.8 and a reaction time of about 6 to 10 hours is applied at a reaction temperature of about 37 ° C. to 50 ° C.
- the amine site may have no reaction auxiliary group, but it is more preferable to have a reaction auxiliary group at the amine site, in which case the NH group must be protected. Is preferred. In this case, it is preferable to add thiol as an ester activator.
- an alkyl thiol is preferable, and an alkyl thiol having a water-soluble substituent is particularly preferable from the viewpoint of solubility of the additive, and 2-dimethylaminoethane thiol and 2-mercaptoethane sulfonic acid are particularly preferable.
- the addition amount of these thiols is not particularly limited, but is preferably more than 10 mM for the purpose of sufficiently increasing the reactivity, and less than 10 M for the purpose of dissolving the additive.
- the range of 100 mM to 5 M is more preferable, but the range of 500 mM to 4 M is more preferable.
- the selection of the amine moiety is not particularly limited, but the reaction conditions in the case of having deprotection are the same as those described in Scheme F2.
- the obtained thioester easily reacts with an amine having a reaction assisting group, a peptide having a desired branched peptide (linear portion 2) can be obtained.
- the SH group of the obtained branched peptide containing an SH group can be easily desulfurized under mild reaction conditions such that RNA does not participate in chemical reactions.
- an additive may be added from the outside for the purpose of activating the (thio) ester.
- the cyclization reaction of the post-translation cyclization part may be performed either before or after the linear chain part 2 formation reaction.
- reaction auxiliary group such as an SH group or a protected SH group at both the hydroxycarboxylic acid and the amine side chain site, or may have a reaction auxiliary group only on one of them. Or both of them may not have a reaction auxiliary group. Moreover, it may have a protecting group in the amine side chain site
- an additive for accelerating the reaction may be added. Examples of the additive include an optionally substituted alkylthiol, an optionally substituted alkenylthiol group, an optionally substituted alkynylthiol group, an optionally substituted aralkylthiol, and an optionally substituted aryl.
- a thiol an optionally substituted heteroaryl thiol group, or an optionally substituted cycloalkyl thiol group.
- a reagent that is usually active esterified such as HOBt, HONSu, HOAt, paranitrophenol, or a derivative thereof may be used.
- HOBt HOBt
- HOAt HONSu
- HOAt paranitrophenol
- a free substituent can be selected as defined in the side chain of the “amino acid”.
- the method for generating the straight chain part 2 is the same in that a thioester is generated by using an ester functional group such as ⁇ -hydroxycarboxylic acid as a foothold, but two sequences immediately before the N-terminal side of ⁇ -hydroxycarboxylic acid are used.
- a technique in which Cys and Pro are arranged, for example, a thioester is generated from a Cys-Pro- HO Gly sequence can be used (see Scheme F2).
- an active thioester generating sequence for branching has Cys-Pro followed by ⁇ -hydroxycarboxylic acid having Rf5 in the side chain and lysine having an amino group in the side chain as an amino acid to be reacted therewith.
- a codon encoding an amino acid analog capable of forming an ester bond without an amino group such as ⁇ -hydroxycarboxylic acid (A), an acylated tRNA, a codon encoding an amino acid having an amino group side chain (B),
- An aminoacylated tRNA is prepared, and mRNA in which a desired number (preferably 0 to 7, more preferably 0 to 2) of random codons are arranged between codon (A) and codon (B).
- the peptide obtained by translation into a template is first cyclized by the above method or another method (for example, Scheme B or Scheme C). Codon A is arranged N-terminal from codon B.
- Branching sites such as Cys-Pro- HO Gly exist without causing a chemical reaction stably under the first cyclization reaction conditions, and then thiols such as 4-trifluoromethylphenylthiol as necessary.
- pH is adjusted to the basic side (for example, 9) to newly generate an active thioester, and then a side chain amino group of lysine etc. via a more active trifluoromethylphenylthioester
- a branched peptide in which an amide bond is formed when a protecting group is present on the side chain amino group, a deprotection reaction is preceded.
- the ⁇ -position (Rf5) of the ⁇ -hydroxycarboxylic acid moiety is selected from a hydrogen atom, an optionally substituted alkyl group, an aralkyl group, a heteroaryl group, a cycloalkyl group, an aryl group, and the like.
- the substituent is preferably a drug-like functional group.
- the thioester generation site is preferably stable under the conditions of the first cyclization and maintains a precursor (eg, Cys-Pro- HO Gly) structure.
- Aralkyl groups such as are preferred.
- any of those corresponding to the L-type and D-type amino acids as a steric structure when the main chain OH group is replaced with an amino group is allowed, but in particular, in terms of translation efficiency, L What corresponds to the solid of a type
- a unit that can be translated by ARS is preferable because translation efficiency can be improved.
- An example of this is Lac.
- the side chain of the amino acid having an amino group side chain that reacts with this thioester to form a branch is not particularly limited as long as it has an amino group and an optionally protected amino group, but is not protected.
- the amino group may be a secondary amine or a primary amine, but a primary amine is more preferable for the purpose of allowing the branching reaction to proceed efficiently.
- a reaction assisting group such as an SH group may be present in the vicinity of the amino group or the amino group which may be protected, and these may also be protected.
- any of an alkylamino group, an aralkylamino group, an arylamino group, a heteroarylamino group, and a cycloalkylamino group that may be substituted may be used.
- the side chain may have a thiol group (SH group) or a protected thiol group at the same time.
- These substituents are preferably substituents defined in the side chain of a drug-like amino acid, except for a reaction auxiliary group (for example, SH group). Furthermore, it is more preferable to select from a substituent capable of translational synthesis.
- One of the hydrogen atoms at the site represented by NH2 in the scheme is specified as a hydrogen atom, and the other hydrogen atom may be substituted with an alkyl group, an alkenyl group, an alkynyl group, an aralkyl group.
- An aryl group, a heteroaryl group, and a cycloalkyl group which may be substituted with a reaction auxiliary group, preferably an NH2 group.
- a reaction auxiliary group preferably an NH2 group.
- substituents are preferably substituents defined in the side chain of a drug-like amino acid, except for a reaction auxiliary group (for example, SH group). Furthermore, it is more preferable to select from a substituent capable of translational synthesis.
- the triangular unit does not have an amino acid, amino acid derivative, N-terminal carboxylic acid derivative or reaction auxiliary group having a reaction auxiliary group represented by compound N-1 or compound N-2. It is selected from Compound Na-1, Compound Na-2, Compound Na-3, Compound Na-4, Na-5, Na-6 and the like.
- the crossing unit is selected from active esters represented by Compound C-1.
- ⁇ -hydroxycarboxylic acid derivative represented by compound e1 or Cys-Pro- ⁇ -hydroxycarboxylic acid shown as compound F5 is selected from sites consisting of elements or active esters such as compound C-1 (Cys, Pro, ⁇ -hydroxycarboxylic acid is translated as a separate unit by tRNA, but after translation modification Cys and Pro Are separated from the black circle unit and the square unit, and ⁇ -hydroxycarboxylic acid becomes a square unit).
- the site having an amino group in this branching reaction is compound Na-4, compound Na-10, or compound Na-11 (and these H atoms represented by NH are protected during translation synthesis).
- Selected from the compounds represented by Examples thereof include compounds tk100, tk101, tk102, tk103, tk104, tk34, tk7, tk14, tk105, tk106, tk107, tk108, etc., in addition to unprotected amines such as lysine.
- the value of this method is not limited to the case where the first cyclization reaction is a drug-like cyclization, but the second cyclization reaction forms a drug-like cyclization. If so, the first cyclization reaction may be any cyclization reaction.
- the present method in which the first cyclization reaction is not limited to the drug-like cyclization reaction is useful in that various structures are formed. In such a case, all techniques for generating an active ester from a translation are within the scope of this technique.
- Examples thereof include compound F5, compound e1, compound C-1, compound C-2, compound C-3 and the like.
- a unit having a reaction auxiliary group is selected as a triangular unit (for example, Compound N-1 or Compound N-2), the first cyclization reaction can be easily advanced.
- a reaction additive may or may not be added at a pH of around 7 (translation conditions). In this case, the selection of the part used for the second branching becomes large. That is, compound e1 can be present stably, and in compound F5, Rf5 is preferably other than a hydrogen atom, but even a hydrogen atom can be present stably and is allowed.
- an amino group that does not have a reaction auxiliary group such as Lys, which is a unit in which the amino group is not protected, is also acceptable. Further, the amino group may be protected, or may be protected with an amine having a reaction auxiliary group. All these cases can be used. After removing the protecting group as necessary, the desired branched peptide can be obtained through a branching reaction, followed by a step of removing the reaction auxiliary group.
- the selection of the Rf1 group of the compound e1 is as described above, but it is more preferably selected from a hydrogen atom and an optionally protected mercaptoalkyl group (the SH group is protected). Particularly preferably, it is selected from a hydrogen atom, a mercaptomethyl group or a 2-mercaptoethyl group which may be protected.
- the Rf2 group of compound F5 is selected from mercaptoalkyl groups which may be protected.
- the steric configuration of the amino acid containing Rf2 is preferably L-type. More preferably, it is selected from a mercaptomethyl group or a 2-mercaptoethyl group which may be protected.
- the Rf3 group can be selected in the same manner as Ra13.
- a ring with a methyl group or Rf4.
- the ring size is preferably a 3- to 8-membered ring, more preferably a 4- to 6-membered ring.
- the carbon atoms forming these rings may be substituted with a substituent defined in the side chain of the drug-like amino acid.
- Proline and the like are preferable as a representative example of a 5-membered ring.
- Rf4 can be selected in the same manner as Ra4.
- a unit having no reaction auxiliary group is selected as a triangular unit (for example, when Ala or Phe contained in compound Na-2 is selected)
- trifluoromethylthiophenol it is more preferable to add an additive such as More preferably, the pH is raised to around 7.8 and a reaction time of about 6 to 10 hours is applied at a reaction temperature of about 37 ° C. to 50 ° C. Therefore, it is preferable that the branching site is present stably without undergoing a chemical reaction under such reaction conditions. Therefore, it is preferable not to select a unit having an unprotected amino group such as Lys at the amino group site involved in amide bond formation in the branching reaction.
- the NH group (including the reaction auxiliary group) of Compound Na-4, Compound Na-10, and Compound Na-11 is protected.
- it may have a reaction auxiliary group that may be protected (for example, compound tk100) or may not have (for example, tk104).
- These protecting groups need to be stably present during translation and the first cyclization reaction. Examples of such protecting groups include trifluoroacetyl groups, 4-azidobenzyloxycarbonyl groups, 3-nitro-2-pyridinesulfenyl groups, and thiazolidine ring protecting groups. The trifluoroacetyl group is selectively deprotected only when the pH is greater than 8.
- the 4-azidobenzyloxycarbonyl group is selectively deprotected only when the reducing agent tris (2-carboxyethyl) phosphine is added.
- the 3-nitro-2-pyridinesulfenyl group is selectively deprotected only at pH 4 when the additive 2-mercaptopyridine is added.
- the protecting group by the thiazolidine ring is selectively deprotected only by adding tris (2-carboxyethyl) phosphine after opening the thiazolidine ring by adding the additive dithiodipyridine at pH4.
- Rf5 is preferably other than a hydrogen atom.
- Rf5 is a methyl group or a benzyl group.
- the ⁇ -position (Rf5) of the hydroxyl site is a hydrogen atom
- thioester formation is unavoidable and the first cyclization reaction cannot be performed selectively, whereas a carbon atom is added at this position.
- the production of thioester can be suppressed under the first cyclization reaction conditions.
- the branching site is selected as described above, the deprotection reaction of the amine site or thioester site is carried out as necessary, and then the pH is increased to 8.2 or more to cause branching.
- the branched peptide is obtained by allowing it to stably exist during the first cyclization reaction, performing the branching reaction through the deprotection step, and finally removing the reaction auxiliary group as necessary. Can do.
- Protecting group of amino group used for chemical modification of peptide compound-nucleic acid complex obtained by translational synthesis and its deprotection method is a single primary amine or secondary amine
- structures that simultaneously inactivate multiple amino groups or other heteroatoms with one functional group are defined as protecting groups.
- a thiazolidine ring, a thiazinane ring, an oxazolidine ring, and an imidazolidine ring are also included as amino-protecting groups.
- the carbon atoms that form these protecting groups may be substituted.
- the above-mentioned protecting groups are 1) protecting groups that are removed under acidic conditions, 2) protecting groups that are removed under basic conditions, 3) protecting groups that are removed under oxidative conditions, 4) protecting groups that are removed under reducing conditions, and 5) light irradiation. 6) A protecting group that can be deprotected by combining any one of 1) to 6) or 1) to 6) among protecting groups removed by addition of a nucleophile.
- the protecting group that is removed under acidic conditions is a protecting group that is removed in the range of pH 1 to pH 7, preferably a protecting group that can be deprotected in the range of pH 2 to pH 6.
- Non-patent literature i) Green's Protective Groups in Organic Synthesis, Fourth Edition, ii) Chemical Reviews, 2009, 109 (6), 2455-2504) Carbons that may form these protective groups may be substituted. .
- the protecting group that is removed under basic conditions is a protecting group that is removed in the range of pH 7 to pH 14, and preferably a protecting group that can be deprotected in the range of pH 7 to pH 10, for example, an electron-withdrawing group that has been extremely attached.
- And-[phenyl (methyl) sulfonio] ethoxycarbonyl group for example, a trichloroacetyl group into which one or a plurality of halogen groups, nitro groups, trifluoro groups and the like are introduced may be mentioned. Specifically, it is a trifluoroacetyl group (Tfa) shown below.
- Non-patent literature i) Green's Protective Groups in Organic Synthesis, Fourth Edition, ii) Chemical Reviews, 2009, 109 (6), 2455-2504).
- Non-Patent Literature i Greene's Protective Groups in Organic Synthesis, Fourth Edition, ii) The Journal of Organic Chemistry, 1997, 62, 778-36, 1977-79, 1977-79, 1977-721
- the protecting group that is removed under reducing conditions is, for example, a protecting group that can be deprotected in the presence of tris (2-carboxyethyl) phosphine (TCEP) or dithiothreitol (DTT).
- TCEP 2,-carboxyethyl
- DTT dithiothreitol
- Examples of protecting groups removed by light irradiation include o-nitrobenzyloxycarbonyl group (oNz), 4,5-dimethoxy-2-nitrobenzoxy) carbonyl group (Nvoc), and 2- (2-nitrophenyl) propyloxycarbonyl. Group (Nppoc).
- Non-Patent Literature i) Chemical Reviews, 2009, 109 (6), 2455-2504, ii) The Journal of Organic Chemistry, 1997, 62, 778-779, iii) Bioorganic & m ) The carbon atoms forming these protecting groups may be substituted.
- the protecting group removed by addition of a nucleophile is, for example, a protecting group that is deprotected in the presence of a thiol, for example, o-nitrobenzenesulfonyl group (o-NBS), 2,4-dinitrobenzenesulfonyl group (dNBS) , A dithiosuccinoyl group (Dts).
- o-NBS o-nitrobenzenesulfonyl group
- dNBS 2,4-dinitrobenzenesulfonyl group
- Dts dithiosuccinoyl group
- a protective group that can be deprotected by combining a plurality of 1) to 6) is, for example, a deprotection method combining 1) and 6), and deprotecting by adding a thiol in the range of pH 2 to pH 6.
- Possible protecting groups such as 3-nitro-2-pyridinesulfenyl group (Npys) (non-patent literature i) International Journal of Peptide and Protein Research, 1990, 35, 545-549, ii) International Journal of Peptide tide. , 1980, 16, 392-401), 2-nitrophenylsulfenyl group (Nps) (non-patent document Chemical Reviews, 2009, 109 (6), 2455- 504) is.
- the carbon atoms that form these protecting groups may be substituted.
- the protecting group applied to the deprotecting method combining 1) and 3) is, for example, a protecting group that can be deprotected by adding a disulfide compound in the range of pH 2 to pH 6, such as a thiazolidine ring or a thiazinane ring.
- a disulfide compound in the range of pH 2 to pH 6, such as a thiazolidine ring or a thiazinane ring.
- the carbon atoms that form these protecting groups may be substituted.
- NCL Native Chemical Ligation
- Non-Patent Document v1 Angewandte Chemie, International Edition, 2006, 45 (24), 3985-3988
- non-patent document v2 Journal of the American Chemical Society, 2011, 133, 11418-11421
- an ester in the peptide compound described in this patent or in a structure containing a thioester, there is a concern that when a deprotection reaction or the next reaction is carried out in one pot, an alkoxyamide produced by the reaction of methoxyamine with an ester moiety is produced as a side reaction.
- the present inventors have developed a method of adding a disulfide compound as a method for deprotecting a thiazolidine ring and a thiazinane ring without using methoxyamine.
- This method is characterized by opening a thiazolidine ring and a thiazinane ring under acidic conditions to lead to an amino disulfide structure, which can be led to an aminothiol by the subsequent addition of a reducing agent.
- This procedure is performed in water, in a buffer solution, or in an organic solvent mixed with water.
- the organic solvent to be used is selected so that it is miscible with water and does not react or precipitate with the substrate.
- N, N-dimethylacetamide, N, N-dimethylformamide, acetonitrile is used.
- the ratio of water and organic solvent is determined by the solubility of the substrate and the disulfide compound.
- 5% or more of N, N-dimethyl is used from the viewpoint of the solubility of dithiodipyridine.
- Preference is given to using acetamide.
- the pH range for opening the thiazolidine ring is preferably pH 1 to 5 for the purpose of completing the reaction within 12 hours. Further, when handling a compound having an acidic and unstable thiazolidine ring, pH 4 to 5 is preferred.
- the reaction temperature for opening the thiazolidine ring is preferably 15 ° C. or higher for the purpose of completing the reaction within 12 hours. Further, when a compound having a thermally unstable thiazolidine ring is handled, the range of 15 to 50 ° C. is preferable.
- disulfide compound to be added for example, dialkyl disulfide or diaryl disulfide can be used, but diaryl disulfide is preferable, and dithiodipyridine is more preferable.
- the amount of dithiodipyridine used is determined by the amount of thiazolidine derivative used. For example, when 30 mM dithiodipyridine is used for 1.0 mM thiazolidine derivative and the reaction is carried out at pH 4.2 and 36 ° C., within 12 hours. Opening of the thiazolidine ring is complete.
- alkylphosphine, arylphosphine, and a thiol compound having a reducing power can be used, for example, TCEP or DTT is used.
- TCEP is preferred when the conversion to aminothiol proceeds rapidly.
- the amount of TCEP used depends on the amount of thiazolidine derivative and dithiodipyridine used. For example, when 1 mM thiazolidine derivative is converted to 2- (2-pyridyldithio) ethylamine with 30 mM dithiodipyridine, 40 mM When TCEP is used and the reaction is carried out at pH 4.5 and 24 ° C., induction into the aminoethanethiol form is completed within 1 hour.
- the technology for forming a branched structure from a linear peptide sequence translated from the primary sequence information of mRNA is the construction of an mRNA display library of highly diverse structural groups of peptides having a branched structure that cannot be achieved by conventional techniques. Is possible.
- the first cyclization reaction is not limited to the cyclization reaction described above, but enables a branching reaction (because it is stable during the first cyclization reaction and is branched to RNA under stable reaction conditions). It can be applied to all cyclization reactions that can be applied under reaction conditions.
- Compound F5 or Compound E1 is used as the second active ester generation site, and Compound Na-4, Compound Na-5, Compound Na-10 (Na-7 group or Na-8 group) or Compound Na is used as the second amino group site. -11 (Na-7 group or Na-8 group).
- a desired branched peptide (straight chain part 2) can be obtained by placing a hydroxycarboxylic acid and an amino acid having an amine moiety at a desired position and carrying out an appropriate chemical reaction.
- the selection of hydroxycarboxylic acid and amine, each amino acid or amino acid analog is free as long as it has a necessary functional group, but the hydroxycarboxylic acid moiety is preferably arranged on the N-terminal side.
- Hydroxycarboxylic acid is not limited to ⁇ -hydroxycarboxylic acid, and can take various hydroxycarboxylic acids represented by ⁇ and ⁇ -hydroxycarboxylic acid.
- a branched peptide forming reaction can also be carried out by translating and introducing thiocarboxylic acid instead of hydroxycarboxylic acid and using thioester instead of ester as a foothold. This method realizes chemical-space expansion, which is indispensable for creating hits in medium molecules with a limited number of amino acids.
- phosphine ligands As ligands used in ordinary Pd catalytic reactions, phosphine ligands, phosphine oxide ligands, ligands consisting of nitrogen atoms, ligands consisting of arsenic atoms, carbene type ligands, etc. can be used. It is. These may be monodentate ligands having one functional group capable of coordinating in the molecule, or bidentate ligands combining two of these functional groups capable of coordinating with Pd. Since the reaction needs to be performed in water, a ligand having a water-soluble functional group may be used.
- a ligand that forms a strong coordinate bond with Pd is preferable because Pd is inactivated by complex formation by an RNA component, GTP, ATP, or other nucleic acid component contained in the translation solution.
- RNA component GTP, ATP, or other nucleic acid component contained in the translation solution.
- bidentate phosphine ligands such as 5-bis (diphenylphosphino) -9,9-dimethylxanthene and 1,3-bis (diphenylphosphino) propane, and their solubility in aqueous solvents.
- the amount of Pd used is preferably 1 nmol or more, more preferably 60 nmol, relative to a translational compound containing 1 pmol of m-RNA.
- Use of micelles as described in the examples described later is preferable because acceleration of the reaction can be obtained.
- Usable micelles can be any of anionic, cationic, zwitterionic and nonionic, but in particular the nonionic micelle polyoxyethanyl sebacate- ⁇ -tocopheryl (PTS) is used. Is preferred.
- the polyoxyethanyl sebacate- ⁇ -tocopheryl can be used at any concentration, but it is preferably at a final concentration of 1% or more, more preferably at a final concentration of 7.5% or more. It is necessary to use a base for the progress of the reaction, and it is preferable to use a buffer composed of a component that does not coordinate to Pd, and a phosphate buffer, a carbonate buffer, or the like can be used.
- the pH of the reaction solvent is preferably adjusted to a range in which m-RNA can stably exist and the cyclization reaction proceeds, more preferably 7 or more and 10 or less, and even more preferably 7.5 or more and 8.5 or less. preferable.
- the reaction temperature is not particularly limited as long as m-RNA can stably exist and can usually carry out a chemical reaction, but it is preferably 15 ° C. to 80 ° C., more preferably 40 ° C. to 60 ° C.
- the CC bond cyclization reaction is not limited to the Heck reaction using Pd.
- Various reactions using Pd such as the Suzuki reaction and the Sonogashira reaction, can be similarly performed. In this case, selection of a ligand or a base may be important.
- the transition metal is not limited to Pd, and the CC bonding reaction can be carried out with various metals such as Ni, Ru, Co (Non-patent document Matthew S. Sigman et al. Advances in Transition Metal (Pd, Ni, Fe) -Catalyzed Cross-Coupling Reactions Using Alkyl-organometallics as Reaction Partners.Chem.
- the amino acid, amino acid analog, and N-terminal carboxylic acid analog that are triangular units constituting Scheme C-2 are not particularly limited as long as they have a reactive functional group. However, if an amino acid is selected, an amine remains at the N-terminus, which is disadvantageous for membrane permeation compared to the case where no amino acid remains. For this reason, as a triangular unit, what has few number of heteroatoms is more preferable.
- Examples of such N-terminal carboxylic acid analogs include compounds described in compounds CC-1 to CC-4. In compound CC-1, a carbon-carbon double bond is the reaction site. In compound CC-2, a carbon-carbon triple bond is the reaction site. In compound CC-3, X is the reaction site.
- X is preferably halogen, and is selected from Cl, Br, I, and F. From the viewpoint of reactivity, Br and I are preferable, and I is most preferable.
- the borate ester moiety becomes the reaction site.
- R301, R302, and R303 are selected from a hydrogen atom, an optionally substituted alkyl group, alkenyl group, alkynyl group, cycloalkyl group, aryl group, heteroaryl group, and aralkyl group. These substituents are not particularly limited as long as the compounds CC-1 to CC-4 obtained as a result of the substitution can be translationally synthesized. Examples of such a substituent include a halogen group and an alkoxy group.
- R304 is a unit that links reaction points and translation points (carboxylic acid sites).
- the typical structure is shown below. Both units can be connected by C1 to C6 units such as a methylene group (partial structure N-3), an ethylene group (partial structure N-4), and a propylene group (partial structure N-5). It can also be directly linked from the aryl carbon of the aromatic compound (partial structure N-6). It can also be linked with an aralkyl structure (partial structures N-7, N-8).
- the connecting position is not limited to ortho, and may be meta or para, or may be a substituted aryl group or a substituted aralkyl group other than a phenyl group. Examples of the substituent include a halogen group and an alkoxy group.
- examples of the amino acid of the triangular unit constituting Scheme C-2 are not particularly limited as long as the amino acid has a double bond, triple bond, halogen, or borate ester in the side chain.
- L-type amino acids, D-type amino acids, and ⁇ - ⁇ -dialkyl amino acids may be used, but L-type amino acids are particularly preferred.
- the N-terminal amino group is preferably substituted. Alkylation such as N-methyl is also possible, but rather it is preferable to introduce a substituent that loses the basicity of the nitrogen atom, such as amidation such as acylation.
- the amino acid analog or N-terminal carboxylic acid analog of the triangular unit constituting Scheme C-2 may be a hydroxycarboxylic acid having a double bond, triple bond, halogen, or borate ester in the side chain.
- the selection of the side chain is not particularly limited. Besides ⁇ -hydroxycarboxylic acid, ⁇ or ⁇ -hydroxycarboxylic acid may be used. Further, it may be a dipeptide or tripeptide having a double bond, triple bond, halogen, or borate ester in the side chain.
- Examples of the crossing unit ( ⁇ unit) constituting Scheme C-2 include an amino acid or ⁇ -hydroxycarboxylic acid having a double bond, triple bond, halogen, or borate ester in the side chain.
- the side chain of the amino acid or ⁇ -hydroxycarboxylic acid is not particularly limited as long as these reactive functional groups are present. It is selected from an optionally substituted alkyl group, alkenyl group, alkynyl group, cycloalkyl group, aryl group, heteroaryl group, aralkyl group and the like substituted with each reactive functional group. Examples of these substituents include a halogen group and an alkoxy group. Any of L-type, D-type and ⁇ - ⁇ -dialkyl type is acceptable, but when a hydrogen atom is present at the ⁇ -position, an L-type amino acid or amino acid analog is preferred.
- the combination of the triangular unit and the crossing unit ( ⁇ ) unit is not particularly limited as long as it is a combination that can undergo a condensation reaction with a transition metal such as Pd.
- the peptide compounds of the present invention can also be produced by chemical synthesis.
- Fmoc synthesis there is a method called Fmoc synthesis and a method called Boc synthesis.
- Fmoc synthesis the main chain amino group is protected with an Fmoc group, the side chain functional group is protected with a basic non-cleavable protecting group such as piperidine as necessary, and an amino acid that does not protect the main chain carboxylic acid as a basic unit.
- a dipeptide may be used as a basic unit.
- the basic unit arranged at the N-terminus may be other than the Fmoc amino acid.
- it may be a Boc amino acid or a carboxylic acid analog having no amino group.
- the main chain carboxylic acid group is supported on the solid phase by a chemical reaction with the functional group of the solid phase carrier. Subsequently, the Fmoc group is deprotected with a base such as piperidine or DBU, and a peptide bond is generated by a condensation reaction between a newly generated amino group and a protected amino acid having a basic unit carboxylic acid added subsequently. .
- the desired peptide sequence can be generated by repeating the de-Fmoc group and the subsequent peptide bond formation reaction. After the desired sequence is obtained, excision from the solid phase and deprotection of the protecting group of the introduced side chain functional group are performed as necessary. It is also possible to perform structural transformation or cyclization of the peptide before excision from the solid phase. The excision from the solid phase and the deprotection may be performed under the same conditions, for example, 90:10 TFA / H 2 O, or may be deprotected under different conditions as necessary.
- Steps such as cyclization can also be performed during or at the end of these steps.
- the side chain carboxylic acid and the amino group of the N-terminal main chain can be condensed, or the side chain amino group and the C-terminal main chain carboxylic acid can be condensed.
- the protecting group is selected in consideration of the orthogonality of the protecting group.
- the reaction product thus obtained can be purified by a reverse phase column, a molecular sieve column or the like. These details are described, for example, in a solid-phase synthesis handbook issued by Merck on May 1, 2002.
- the present invention further provides a method for producing a drug-like peptide compound or peptide compound-nucleic acid complex having a desired activity.
- Examples of a method for producing a drug-like peptide compound-nucleic acid complex having a desired activity include a production method including the following steps: (i) A compound in which a non-cyclic peptide compound having 9 to 13 residues of amino acids and amino acid analogs is translated and synthesized, and the non-cyclic peptide compound and the nucleic acid sequence encoding it are linked via a linker Forming a non-cyclic peptide compound-nucleic acid complex comprising (ii) The acyclic peptide compound of the complex translated and synthesized in step (i) is cyclized by an amide bond or a carbon-carbon bond, and the total number of amino acids in the cyclic part and amino acid analogs is 5 to 12.
- Forming a cyclic compound comprising (iii) A step of contacting the peptide compound-nucleic acid complex library having a circular portion obtained in step (ii) with an in vivo molecule and selecting a complex having binding activity to the in vivo molecule.
- a drug-like peptide compound having a desired activity can be produced from the complex selected in the above step.
- a production method including the following steps can be mentioned: (iv) obtaining sequence information of the peptide compound from the nucleic acid sequence of the complex selected in the step (iii), and (v) a step of chemically synthesizing the peptide compound based on the sequence information obtained in the step (iv).
- the acyclic peptide compound may be ⁇ -hydroxycarboxylic acid and protected.
- An amino acid or amino acid having an amino group in the side chain and an amino acid or amino acid analog having an amino group in a good side chain and before or after the step of forming the cyclic compound in step (ii) A step of chemically reacting the analog site to form a branched site may be included. By this process, it is possible to produce peptide compounds having the above-mentioned straight chain part 2 at various positions of the cyclic part.
- the total number of amino acids and amino acid analogs described in step (i) above and the total number of amino acids and amino acid analogs in the cyclic part described in step (ii) are determined by post-translational modification. Amino acids or amino acid analogs that are excluded are not included.
- the Cys-Pro sequence that is eliminated from the peptide during post-translational modification during the production of the peptide compound having the linear portion 2 is the amino acid and amino acid analog of steps (i) and (ii).
- the Gly-Ser repeat structure is fixed or fixed
- the amino acid region, the peptide compound having the cyclic part of the present invention, particularly the drug-like peptide compound part and the target part for binding the nucleic acid are contained in the linker, and the amino acids and amino acid analogs of steps (i) and (ii) Not included in the number.
- the number of residues in the ring portion after cyclization in step (ii) is not 5 to 11 but longer than that, but after the reaction to form the straight chain portion 2, the residues in the ring portion The number should be 5 to 11.
- the target substance is preferably an in vivo molecule.
- the ⁇ in vivo molecule '' in the present invention is not particularly limited as long as it is an in vivo molecule, but is preferably a molecule that is a target for treatment of a disease, and in particular, a hole to which a conventional low molecular weight compound having a molecular weight of less than 500 can bind ( Molecules that do not have a cavity), intracellular proteins, nucleic acids, intracellular regions of membrane proteins or transmembrane domains of membrane proteins that are inaccessible to high molecular compounds such as antibodies are preferred.
- transcription factors such as STAT, AP1, CREB, and SREBP, muscarinic acetylcholine receptors, cannabinoid receptors, GLP-1 receptors, PTH receptors and other G protein-coupled receptors (GPCR), TNF , TNFR, IL-6, IL-6R and other cytokines and their receptors, P2X receptors, ion channel receptors such as nicotinic acetylcholine receptor, ion channels, transporters, miRNAs such as miR-21 and miR206 Can be mentioned.
- the cyclic portion can be formed, for example, using the cyclization reaction described above, and an amide bond or a carbon-carbon bond can be formed by the cyclization reaction.
- a known technique such as a cell-free translation system can be used. Specifically, it can be produced using the following method.
- Transfer RNA is an RNA consisting of 73 to 93 bases with a molecular weight of 25000 to 30000 and a CCA sequence at the 3 ′ end, and an aminoacylated tRNA ester-linked to the carboxy terminus of the amino acid via the 3 ′ end.
- Polypeptide elongation factor (EF-Tu) which forms a triple complex with GTP, is transported to ribosome, and in translating mRNA nucleotide sequence information into amino acid sequence by ribosome, the anticodon in the tRNA sequence and the codon of mRNA RNA involved in codon discrimination by base pairing.
- a tRNA biosynthesized in a cell contains a covalently modified base, which may affect tRNA conformation and anticodon base pairing, thereby assisting in tRNA codon discrimination.
- TRNA synthesized by general in vitro transcription consists of so-called nucleobases adenine, uracil, guanine, and cytosine, but those prepared from cells and chemically synthesized include other methylated products. Some of them contain modified bases such as sulfur derivatives, deaminated derivatives, adenosine derivatives containing isopentenyl groups and threonine, and sometimes contain deoxy bases when using the pdCpA method.
- RNA polymerase suitable for the promoter such as T7 RNA polymerase and T3,3SP6 RNA polymerase.
- I can do it. It is also possible to extract and purify tRNA from the cells, and extract the target generated tRNA using a probe having a sequence complementary to the sequence of tRNA. At this time, cells transformed with the expression vector of the target tRNA can also be used as a source. RNA of the target sequence can also be synthesized by chemical synthesis.
- an aminoacyl-tRNA can be obtained by binding a tRNA obtained by removing CA from the 3'-terminal CCA sequence thus obtained and an aminoacylated pdCpA separately prepared with RNA ligase (pdCpA method).
- Aminoacylation by flexizyme which is a ribozyme that prepares full-length tRNA and supports active esters of various unnatural amino acids on tRNA, is also possible.
- acylated tRNA can be obtained by using the method described later.
- Protein factors required for translation of E. coli (methionyl tRNA transformylase, EF-G, RF1, RF2, RF3, RRF, IF1, IF2, IF3, EF-Tu, EF-Ts, ARS (AlaRS, ArgRS, AsnRS, AspRS, CysRS, GlnRS, GluRS, GlyRS, HisRS, IleRS, LeuRS, LysRS, MetRS, PheRS, ProRS, SerRS, ThrRS, TrpRS, TyrRS, ValRS (choose what you need) , Inorganic pyrophosphatase, nucleoside diphosphate kinase, E.
- coli derived tRNA creatine phosphate, potassium glutamate, HEPES-KOH pH7.6, magnesium acetate, spermidine, dithiothreitol, GTP, ATP, CTP, UTP, etc. Can be translated into peptides by adding mRNA to the PUREsystem.
- T7-RNA-polymerase is added, transcription and translation from a template DNA containing a T7 promoter can be performed in a coupled manner.
- a peptide containing an unnatural amino acid group can be translated and synthesized by adding a desired acylated tRNA group or an unnatural amino acid group allowed by ARS (for example, F-Tyr) to the system (Kawakami T, et al . Ribosomal synthesis of polypeptoids and peptoid-peptide hybrids. J Am Chem Soc. 2008, 130, 16861-3., Kawakami T, et al. Diverse backbone-cyclized peptides via codon reprogramming. Nat 2009-Chem Biol.
- ARS for example, F-Tyr
- an mRNA display library is obtained by chemically synthesizing a DNA library in which a desired sequence is arranged downstream of a promoter such as a T7 promoter, and using this as a template to make a double-stranded DNA by a primer extension reaction. Using this as a template, it is transcribed into mRNA using RNA polymerase such as T7 RNA polymerase. A linker (spacer) to which the antibiotic puromycin, which is an analog of aminoacyl tRNA, is connected to the 3 ′ end of this RNA is bound.
- RNA polymerase such as T7 RNA polymerase
- a display library comprising a complex of mRNA and its product in which mRNA and its product are associated can be constructed.
- molecules that bind to the target can be concentrated (panning).
- PCR amplification and analysis of the base sequence can reveal the sequence of the bound peptide.
- a cyclized peptide compound-nucleic acid complex display library is constructed, and further, a cyclized peptide compound (a peptide compound having a cyclic portion) or a cyclized branched peptide that binds to a target from the constructed display library.
- a cyclized peptide compound (a peptide compound having a cyclic portion) or a cyclized branched peptide that binds to a target from the constructed display library.
- the peptide compound further having a linear part 2 in the cyclic part) can be obtained by, for example, the methods [I] to [XVII] shown below.
- the method for producing a peptide compound having a cyclic part according to the present invention may include the following one or more steps.
- step D) A step of providing a cell-free translation system that contains the tRNA of step C) and does not contain any of methionine, methionyl tRNA synthetase (MetRS), translation initiation tRNA for methionine, formyl donor, or methionyl tRNA transferase.
- MethodRS methionyl tRNA synthetase
- Step E) A step of providing a template DNA library encoding a peptide sequence containing a codon corresponding to the anticodon of the tRNA of step C) downstream of the promoter, followed by a cysteine codon UGU or UGC following the translation initiation ATG
- Step of providing an mRNA library from the template DNA library of step E) G) A step of attaching a spacer to the 3 ′ end of the mRNA library in step F)
- H) Step of providing a pre-cyclization peptide compound-mRNA complex display library by adding and translating the mRNA library to which the spacer of Step G) is bound to the cell-free translation system of Step D)
- I) Step of forming a cyclic structure In the formation of a cyclic structure, a desulfurization reaction can be performed as necessary.
- a step of synthesizing cDNA with a primer that anneals to the 3 ′ region of the mRNA library may be included.
- the method of the present invention can include the following steps. J) Step of concentrating the mRNA library bound to the target substance by panning K) Step of synthesizing cDNA with reverse transcriptase L) Process of analyzing the base sequence
- the manufacturing method of the peptide compound which has a cyclic part of this invention can include the following 1 or several processes.
- Step of providing a cell-free translation system comprising the tRNA of step C)
- Step of forming a cyclic structure In the formation of a cyclic structure, a desulfurization reaction can be performed as necessary.
- the present invention may include a step of synthesizing cDNA with a primer that anneals to the 3 ′ region of the mRNA library after step H) to step I).
- the method of the present invention can include the following steps. J) Step of concentrating the mRNA library bound to the target substance by panning K) Step of synthesizing cDNA with reverse transcriptase L) Process of analyzing the base sequence
- the manufacturing method of the peptide compound which has a cyclic part of this invention can include the following 1 or several processes.
- MetalRS methionyl tRNA synthetase
- Step E) A template DNA library having a cysteine codon next to the translation initiation codon ATG downstream of the promoter and further having a codon corresponding to the anticodon of the tRNA of step C), which encodes the peptide sequence
- Step F) Step of providing an mRNA library from the template DNA library of step E)
- G) A step of attaching a spacer to the 3 ′ end of the mRNA library in step F)
- step G) a step of synthesizing cDNA with a primer that anneals to the 3 ′ region of the mRNA library may be included. it can.
- the method of the present invention can include the following steps. J) Step of concentrating the mRNA library bound
- the manufacturing method of the peptide compound which has a cyclic part of this invention can include the following 1 or several processes.
- Providing a template DNA library F) Step of providing an mRNA library from the template DNA library of step E)
- step G a step of synthesizing cDNA with a primer that anneals to the 3 ′ region of the mRNA library may be included. it can. Furthermore, the method of the present invention can include the following steps. J) Step of concentrating the mRNA library bound to the target substance by panning K) Step of synthesizing cDNA with reverse transcriptase L) Process of analyzing the base sequence
- N-terminal introduction of amino acids other than methionine, amino acid analogs or N-terminal carboxylic acid analogs, or a method for producing a peptide compound having a cyclic moiety of the present invention includes The present invention relates to a method for constructing an amide cyclized peptide compound library that can be carried out by setting it to the N-terminus, which comprises the following one or more steps.
- A) Step of providing pdCpA obtained by aminoacylating tBSSEtGABA or tBSSEt ⁇ Ala B) Providing an initiation tRNA lacking the 3′-terminal CA C) linking the pdCpA of step A) and the start tRNA of step B) to provide a start tRNA aminoacylated with tBSSEtGABA or tBSSEt ⁇ Ala, D) Step of providing pdCpA obtained by aminoacylating compound C-1 E) Step of providing tRNA lacking 3′-terminal CA F) linking the pdCpA of step D) and the tRNA at the 3 ′ end of step E) to provide a tRNA in which compound C-1 is aminoacylated, G) A cell-free translation system that contains the start tRNA of step C) and the tRNA of step F) and does not contain any of methionine, methionyl tRNA synthetase (MetRS), translation start tRNA for methionine
- ATG is the first codon downstream of the promoter, and further, a codon corresponding to the anticodon of the tRNA in step F) is further downstream, and N- that serves as a substrate for proline or other ARS on its 3 ′ side.
- the present invention may include a step of synthesizing cDNA with a primer that anneals to the 3 ′ region of the mRNA library after step J).
- the method of the present invention can include the following steps. M) Step of concentrating mRNA library bound to target substance by panning N) Step of synthesizing cDNA with reverse transcriptase O) Process of analyzing the base sequence
- N-terminal introduction of amino acids other than methionine, amino acid analogs or N-terminal carboxylic acid analogs, or the method for producing a peptide compound having a cyclic moiety of the present invention comprises tBSSEtGABA and tBSSEt ⁇ Ala, which are difficult to tolerate in a translation elongation reaction.
- the present invention relates to a method for constructing an amide cyclized peptide compound library that can be carried out by setting it to the N-terminus, which comprises the following one or more steps.
- Step of providing pdCpA obtained by aminoacylating tBSSEtGABA or tBSSEt ⁇ Ala B) Providing an initiation tRNA lacking the 3′-terminal CA C) linking the pdCpA of step A) and the start tRNA of step B) to provide a start tRNA aminoacylated with tBSSEtGABA or tBSSEt ⁇ Ala, D) Step of providing pdCpA obtained by aminoacylating compound C-1
- ATG is the first codon downstream of the promoter, and further downstream is a codon corresponding to the anticodon of the tRNA of step F), and a codon for the N-methylaminoacylated tRNA of step F) on the 3 ′ side thereof.
- Providing a template DNA library encoding a peptide sequence comprising I) Step of providing an mRNA library from the template DNA library of Step H) J) A step of attaching a spacer to the 3 ′ end of the mRNA library in step I) K) Step G) providing the pre-cyclization peptide compound-mRNA complex display library by adding the mRNA library to which the spacer of Step J) is bound to the cell-free translation system of Step G) and translating L) Circular site
- the present invention may include a step of synthesizing cDNA with a primer that anneals to the 3 ′ region of the mRNA library after step J).
- the method of the present invention can include the following steps. M) Step of concentrating mRNA library bound to target substance by panning N) Step of synthesizing cDNA with reverse transcriptase O) Process of analyzing the base sequence
- a method for producing an N-terminal amino acid other than methionine, an amino acid analog or an N-terminal carboxylic acid analog, or a method for producing a peptide compound having a cyclic moiety of the present invention comprises tBSSEtGABA and tBSSEt ⁇ Ala, which are difficult to tolerate in a translation elongation reaction.
- the present invention relates to a method for constructing an amide cyclized peptide compound library that can be carried out by setting it to the N-terminus, which comprises the following one or more steps.
- A) Step of providing pdCpA obtained by aminoacylating tBSSEtGABA or tBSSEt ⁇ Ala B) Providing an initiation tRNA lacking the 3′-terminal CA C) linking the pdCpA of step A) and the start tRNA of step B) to provide a start tRNA aminoacylated with tBSSEtGABA or tBSSEt ⁇ Ala, D) Step of providing pdCpA obtained by aminoacylating Asp (SBn) E) Step of providing tRNA lacking 3′-terminal CA F) A step of linking the pdCpA of step D) and the tRNA at the 3 ′ end of step E) to provide a tRNA in which Asp (SBn) is aminoacylated, G) A cell-free translation system that contains the start tRNA of step C) and the tRNA of step F) and does not contain any of methionine, methionyl tRNA synthetase (MetRS
- ATG is the first codon downstream of the promoter, and further, a codon corresponding to the anticodon of the tRNA in step F) is further downstream, and N- that serves as a substrate for proline or other ARS on its 3 ′ side.
- the present invention may include a step of synthesizing cDNA with a primer that anneals to the 3 ′ region of the mRNA library after step J).
- the method of the present invention can include the following steps. M) Step of concentrating mRNA library bound to target substance by panning N) Step of synthesizing cDNA with reverse transcriptase O) Process of analyzing the base sequence
- N-terminal introduction of amino acids other than methionine, amino acid analogs or N-terminal carboxylic acid analogs, or a method for producing a peptide compound having a cyclic moiety of the present invention comprises tBSSEtGABA and tBSSEt ⁇ Ala, which are difficult to tolerate in a translation elongation reaction.
- the present invention relates to a method for constructing an amide cyclized peptide compound library that can be carried out by setting it to the N-terminus, which comprises the following one or more steps.
- Step of providing pdCpA obtained by aminoacylating tBSSEtGABA or tBSSEt ⁇ Ala B) Providing an initiation tRNA lacking the 3′-terminal CA C) linking the pdCpA of step A) and the start tRNA of step B) to provide a start tRNA aminoacylated with tBSSEtGABA or tBSSEt ⁇ Ala, D) Step of providing pdCpA obtained by aminoacylating Asp (SBn) E) Step of providing tRNA lacking 3′-terminal CA F) After ligating the pdCpA of step D) and the tRNA at the 3 ′ end of step E) to provide a tRNA in which Asp (SBn) is aminoacylated and to provide pdCpA in which any N-methylamino acid is aminoacylated, Providing a tRNA lacking the 3′-terminal CA, linking these pdCpA and tRNA, and providing a
- ATG is the first codon downstream of the promoter, and further downstream is a codon corresponding to the anticodon of the tRNA of step F), and a codon for the N-methylaminoacylated tRNA of step F) on the 3 ′ side thereof.
- Providing a template DNA library encoding a peptide sequence comprising I) Step of providing an mRNA library from the template DNA library of Step H) J) A step of attaching a spacer to the 3 ′ end of the mRNA library in step I) K) Step G) providing the pre-cyclization peptide compound-mRNA complex display library by adding the mRNA library to which the spacer of Step J) is bound to the cell-free translation system of Step G) and translating L) Circular site
- the present invention may include a step of synthesizing cDNA with a primer that anneals to the 3 ′ region of the mRNA library after step J).
- the method of the present invention can include the following steps. M) Step of concentrating mRNA library bound to target substance by panning N) Step of synthesizing cDNA with reverse transcriptase O) Process of analyzing the base sequence
- N-terminal introduction of amino acids other than methionine, amino acid analogs or N-terminal carboxylic acid analogs, or the method for producing a peptide compound having a cyclic moiety of the present invention comprises the step of The present invention relates to a method for constructing an amide cyclized peptide library that can be carried out as described above, which comprises the following one or more steps.
- MethodRS methion
- step J) a step of synthesizing cDNA with a primer that anneals to the 3 ′ region of the mRNA library can be included.
- the method of the present invention can include the following steps. M) Step of concentrating mRNA library bound
- N-terminal introduction of amino acids other than methionine, amino acid analogs or N-terminal carboxylic acid analogs, or a method for producing a peptide compound having a cyclic moiety of the present invention comprises the step of The present invention relates to a method for constructing an amide cyclized peptide library that can be carried out as described above, which comprises the following one or more steps.
- A) Step of providing pdCpA obtained by aminoacylating compound N-2 B) Providing an initiation tRNA lacking the 3′-terminal CA C) linking pdCpA of step A) and the start tRNA of step B) to provide an aminotylated start tRNA in compound N-1 or compound N-2; D) Providing pdCpA obtained by aminoacylating compound C-1 E) Step of providing tRNA lacking 3′-terminal CA F) a step of linking the pdCpA of step D) and the tRNA of step E) to provide a tRNA in which compound C-1 is aminoacylated, G) A cell-free translation system that contains the start tRNA of step C) and the tRNA of step F) and does not contain any of methionine, methionyl tRNA synthetase (MetRS), translation start tRNA for methionine, formyl donor, or methionyl tRNA transferase.
- MethodRS methi
- a codon corresponding to the anticodon of the translation initiation tRNA of step C) is provided as the first codon downstream of the promoter, and a codon corresponding to the anticodon of the tRNA of step F) is further downstream of the promoter.
- step J) a step of synthesizing cDNA with a primer that anneals to the 3 ′ region of the mRNA library can be included.
- the method of the present invention can include the following steps. M) Step of concentrating mRNA library bound to target substance by panning N) Step of synthesizing cDNA with reverse transcriptase O) Process of analyzing the base sequence
- N-terminal introduction of amino acids other than methionine, amino acid analogs or N-terminal carboxylic acid analogs, or a method for producing a peptide compound having a cyclic moiety of the present invention comprises the step of The present invention relates to a method for constructing an amide cyclized peptide library that can be carried out as described above, which comprises the following one or more steps.
- A) Step of providing pdCpA obtained by aminoacylating compound N-2 B) Providing an initiation tRNA lacking the 3′-terminal CA C) linking pdCpA of step A) and the start tRNA of step B) to provide an aminotylated start tRNA in compound N-1 or compound N-2; D) Providing pdCpA obtained by aminoacylating compound C-1 E) Step of providing tRNA lacking 3′-terminal CA F) linking pdCpA of step D) and tRNA of step E) to provide a tRNA obtained by aminoacylating compound C-1, and further providing a pdCpA obtained by aminoacylating any N-methylamino acid; Providing a tRNA lacking the 3′-terminal CA, further linking these pdCpA and tRNA to provide a tRNA aminoacylated with N-methylamino acid, G) A cell-free translation system that contains the start tRNA of step C) and the tRNA of
- a codon corresponding to the anticodon of the translation initiation tRNA of step C) is provided as the first codon downstream of the promoter, and a codon corresponding to the anticodon of the tRNA of step F) is further downstream of the promoter.
- Step F) Providing a template DNA library encoding a peptide sequence comprising a codon for the N-methylaminoacylated tRNA of step F)
- Step of providing an mRNA library from the template DNA library of Step H) J) A step of attaching a spacer to the 3 ′ end of the mRNA library in step I)
- step J) a step of synthesizing cDNA with a primer that anneals to the 3 ′ region of the mRNA library can be included.
- the method of the present invention can include the following steps. M) Step of concentrating mRNA library bound to target substance by panning
- N) Step of synthesizing cDNA with reverse transcriptase O) Process of analyzing the base sequence
- Cyclization of peptides having amino acids other than methionine at the N-terminus or the method for producing a peptide compound having a cyclic moiety of the present invention can be carried out by simultaneously translating a plurality of types of peptides having different N-terminal amino acids.
- the present invention relates to a method for constructing an amide cyclized peptide library having different cyclization site structures, which comprises one or more of the following steps.
- A) Compound CX (In this specification, “Compound CX” refers to any compound selected from Compound C-1, Compound C-2 and Compound C-3.
- Step of forming a cyclic structure In the formation of a cyclic structure, a desulfurization reaction can be performed as necessary.
- the present invention may include a step of synthesizing cDNA with a primer that anneals to the 3 ′ region of the mRNA library after step H) to step I).
- the method of the present invention can include the following steps. J) Step of concentrating the mRNA library bound to the target substance by panning K) Step of synthesizing cDNA with reverse transcriptase L) Process of analyzing the base sequence
- Cyclization of a peptide having glycine, alanine, phenylalanine at the N-terminus, or the method for producing a peptide compound having a cyclic moiety of the present invention can be carried out by simultaneously translating a plurality of types of peptides having different N-terminal amino acids.
- the present invention relates to a method for constructing an amide cyclized peptide library having different cyclization site structures, comprising one or more of the following steps.
- Step of forming a cyclic structure In the formation of a cyclic structure, a desulfurization reaction can be performed as necessary.
- the present invention may include a step of synthesizing cDNA with a primer that anneals to the 3 ′ region of the mRNA library after step H) to step I).
- the method of the present invention can include the following steps. J) Step of concentrating the mRNA library bound to the target substance by panning K) Step of synthesizing cDNA with reverse transcriptase L) Process of analyzing the base sequence
- Cyclization of a peptide having an amino acid other than methionine at the N-terminus, or the method for producing a peptide compound having a cyclic moiety of the present invention can be carried out by simultaneously translating a plurality of types of peptides having different N-terminal amino acids.
- the present invention relates to a method for constructing an amide cyclized peptide library having a different cyclization site structure, which comprises the following one or more steps.
- Step of forming a cyclic structure In the formation of a cyclic structure, a desulfurization reaction can be performed as necessary.
- the present invention may include a step of synthesizing cDNA with a primer that anneals to the 3 ′ region of the mRNA library after step H) to step I).
- the method of the present invention can include the following steps. J) Step of concentrating the mRNA library bound to the target substance by panning K) Step of synthesizing cDNA with reverse transcriptase L) Process of analyzing the base sequence
- step J mRNA live A step of synthesizing cDNA with a primer that anneals to the 3 ′ region of the rally.
- the method of the present invention can include the following steps. O) Step of concentrating mRNA library bound to target substance by panning P) Step of synthesizing cDNA with reverse transcriptase Q) Process for analyzing nucleotide sequences
- J) A step of attaching a spacer to the 3 ′ end of the mRNA library in step I)
- Steps K and L can be performed simultaneously by adding peptide deformylase and methionine aminopeptidase to the system during translation.
- the manufacturing method of the peptide compound which has a cyclic part of this invention is a method of constructing
- the method for producing a peptide compound having a cyclic moiety of the present invention relates to a method for constructing a cyclic branched peptide library, which comprises the following one or more steps.
- Step L) Template DNA library of Step K) Step M) of providing an mRNA library from Step N) Step of attaching a spacer to the 3 ′ end of the mRNA library N) Step of M) Cell-free translation system of Step J) Spacer library
- step of reacting methionine aminopeptidase Steps K and L can be performed simultaneously by adding peptide deformylase and methionine aminopeptidase to the system during translation.
- Step of forming a cyclic structure Q) Compound Na-4 or Compound Na-10 (Na-7 group) or Compound Na-11 (Na-7 group) in which the amino group and optionally the thiol group are also protected Step of deprotection R) Step of generating straight chain moiety 2
- a desulfurization reaction can be performed as necessary.
- step J a step of synthesizing cDNA with a primer that anneals to the 3 ′ region of the mRNA library can be included.
- the method of the present invention can include the following steps. S) Step of concentrating mRNA library bound to target substance by panning T) Step of synthesizing cDNA with reverse transcriptase U) Step of analyzing base sequence
- a method for constructing a cyclic branched peptide library by cyclization of a peptide having an amino acid other than methionine at the N-terminus which comprises the following one or more steps.
- the method for producing a peptide compound having a cyclic part according to the present invention is a method for constructing an amide cyclized peptide library having different cyclization site structures that can be carried out by simultaneously translating plural types of peptides having different N-terminal amino acids.
- the present invention relates to a method including one or more of the following steps.
- Process E Step of providing tRNA lacking 3′-terminal CA F) Compound Na-4 or Compound Na-10 (Na-7 group) or Compound Na-11 in which the pdCpA of Step D) and the tRNA of Step E) are linked and the amino group and optionally the thiol group are also protected.
- a desulfurization reaction can be performed as necessary.
- a step of synthesizing cDNA with a primer that anneals to the 3 ′ region of the mRNA library can be included.
- the method of the present invention can include the following steps. O) Step of concentrating mRNA library bound to target substance by panning P) Step of synthesizing cDNA with reverse transcriptase Q) Normal leucine can be added in place of methionine in step G) of analyzing the base sequence.
- a method for constructing a cyclic branched peptide library by cyclization of a peptide having an amino acid other than methionine at the N-terminus which comprises one or more of the following steps.
- the method for producing a peptide compound having a cyclic part according to the present invention is a method for constructing an amide cyclized peptide library having different cyclization site structures that can be carried out by simultaneously translating plural types of peptides having different N-terminal amino acids.
- the present invention relates to a method including one or more of the following steps.
- A) Step of providing pdCpA obtained by aminoacylating compound C-1 B) Step of providing tRNA lacking 3′-terminal CA C) a step of linking the pdCpA of step A) and the tRNA of step B) to provide a tRNA obtained by aminoacylating compound C-1; D) Provided is a pdCpA obtained by aminoacylating Compound Na-4 or Compound Na-10 (Na-7 group) or Compound Na-11 (Na-7 group) in which the compound amino group and optionally the thiol group are also protected.
- Process E Step of providing tRNA lacking 3′-terminal CA F) Compound Na-4 or Compound Na-10 (Na-7 group) or Compound Na— in which the pdCpA of Step D) and the tRNA of Step E) are ligated to protect the compound amino group and, if necessary, the thiol group.
- Step of forming a cyclic structure In the formation of the cyclic structure, a desulfurization reaction can be performed as necessary.
- N) Step of deprotecting the side chain protecting group of Compound Na-4 or Compound Na-10 (Na-7 group) or Compound Na-11 (Na-7 group), and active thioester from Cys, Pro and lactic acid units Process to generate O) The step of forming an active thioesterification and an amide bond with the side chain amino group to form a linear site 2
- a primer that anneals to the 3 ′ region of the mRNA library A step of synthesizing cDNA can be included.
- the method of the present invention can include the following steps.
- an “alkyl group” is a monovalent group derived by removing an arbitrary hydrogen atom from an aliphatic hydrocarbon, and contains a heteroatom or an unsaturated carbon-carbon bond in the skeleton. It has a subset of hydrocarbyl or hydrocarbon group structures containing hydrogen and carbon atoms. The length n of the carbon chain is in the range of 1-20.
- the “alkenyl group” is a monovalent group having at least one double bond (two adjacent SP2 carbon atoms). Depending on the arrangement of the double bonds and substituents (if present), the geometry of the double bond can take the Enthogen (E) or Tuzanmen (Z), cis or trans configurations.
- Examples of the alkenyl group include straight-chain or branched-chain groups, and include straight chains containing internal olefins. A C2-C10 alkenyl group is preferable, and a C2-C6 alkenyl group is more preferable.
- alkenyl includes, for example, vinyl group, allyl group, 1-propenyl group, 2-propenyl group, 1-butenyl group, 2-butenyl group (including cis and trans), and 3-butenyl group. , Pentenyl group, hexenyl group and the like.
- alkynyl is a monovalent group having at least one triple bond (two adjacent SP carbon atoms). Examples include linear or branched alkynyl groups, including internal alkylene. A C2-C10 alkynyl group is preferable, and a C2-C6 alkynyl group is more preferable. Specific examples of alkynyl include, for example, ethynyl group, 1-propynyl group, propargyl group, 3-butynyl group, pentynyl group, hexynyl group, 3-phenyl-2-propynyl group, and 3- (2′-fluorophenyl).
- Examples include -2-propynyl group, 2-hydroxy-2-propynyl group, 3- (3-fluorophenyl) -2-propynyl group, and 3-methyl- (5-phenyl) -4-pentynyl group.
- the C1-C6 alkyl group optionally having halogen as a substituent means a “C1-C6 alkyl group” substituted with one or more halogen atoms.
- aryl group means a monovalent aromatic hydrocarbon ring, preferably C5-C10 aryl.
- aryl include phenyl group and naphthyl (for example, 1-naphthyl group and 2-naphthyl group).
- the “aryl group” may include the following “heteroaryl”.
- C5-C10 aryl C1-C6 alkyl group refers to an alkyl group in which one of the hydrogen atoms of the C1-C6 alkyl group is substituted with the C5-C10 aryl group.
- An arylalkyl group is a group containing both an aryl group and an alkyl group. For example, it means a group in which at least one hydrogen atom of the alkyl group is substituted with an aryl group, preferably “C5 -C10 aryl C1-C6 alkyl group ". For example, a benzyl group etc. are mentioned.
- the “optionally substituted C5-C10 aryl C1-C6 alkyl group” means that at least one hydrogen atom of the aryl group and / or alkyl group of the “C5-C10 aryl C1-C6 alkyl group” is And represents a group substituted by a substituent. Examples of these substituents include various substituents defined as substituents on the side chain of “amino acid”.
- Alkoxy group means a group in which a hydrogen atom of a hydroxyl group is substituted with the alkyl group, and examples thereof include “C1-C6 alkoxy group”.
- nucleic acid in the present invention can also include deoxyribonucleic acid (DNA), ribonucleic acid (RNA), or a nucleotide derivative having an artificial base. Moreover, a peptide nucleic acid (PNA) can also be included.
- the nucleic acid of the present invention can be any of these nucleic acids or a hybrid as long as the desired genetic information is retained. That is, chimeric nucleic acids in which different nucleic acids such as DNA-RNA hybrid nucleotides and DNA and RNA are linked in a single strand are also included in the nucleic acids of the present invention.
- a nucleic acid library such as a display library containing these nucleic acids as templates can be suitably used.
- cDNA By synthesizing cDNA from mRNA, which is a tag containing genetic information attached to a molecule selected by panning, PCR amplification and analysis of the base sequence can reveal the sequence of the bound protein.
- the portion where the amino acid residue of the DNA library that is the template of the library is not fixed can be obtained by mixing with a base and synthesizing. Repeating 3 multiples of a mixture of 4 bases of A, T, G, and C (N), or N for the first and second letters of the codon and 2 bases such as W, M, K, and S for the third letter
- the third character is made into one type of base as long as the number of amino acids to be synthesized is further reduced to 16 or less.
- the frequency of appearance of amino acid residues can be freely adjusted by preparing a codon unit corresponding to three codon characters as in the Examples, mixing them at an arbitrary ratio, and using them for synthesis.
- these nucleic acid libraries can be translated using the cell-free translation system described below.
- a cell-free translation system it is preferable to include a sequence encoding a spacer downstream of the target nucleic acid.
- the spacer sequence include, but are not limited to, sequences containing glycine and serine.
- a linker formed of RNA, DNA, or a polymer of hexaethylene glycol (spc18) (for example, five polymers) is inserted between the compound incorporated into the peptide during translation by ribosome, such as puromycin and its derivatives, and the nucleic acid library. It is preferable to include.
- the cell-free translation system is obtained by crushing the cells of the material and adding tRNA, amino acid, ATP, etc. to the extract prepared by centrifugation, dialysis or the like.
- Escherichia coli MetalsmolEnzymol. 1983; 101: 674-90. Prokaryotic coupled transcription-translation. Chen HZ, Zubay G.
- yeast J. Biol. Chem. 1979 254: 3965-3969.
- E Gasior, F Herrera, I Sadnik, C S McLaughlin, and K Moldave wheat germ (Methods Enzymol.translation.
- An aminoacyl-tRNA can be obtained by binding an aminoacylated pdCpA obtained by removing the CA from the CCA sequence at the 3 ′ end of tRNA and a separately prepared aminoacylated pdCpA (Biochemistry. 1984; 23: 1468-73.T4 RNA ligase mediated preparation of novel “chemically misacylated” tRNAPheS.Heckler TG, Chang LH, Zama Y, Naka T, Chorghade MS, Hecht SM.). There is also aminoacylation by flexizyme, a ribozyme that carries active esters of various unnatural amino acids on tRNA (J Am Chem Soc.
- the library composed of peptide compounds having a cyclic part according to the present invention is composed of peptide compounds having a cyclic part consisting of 9 to 13 residues of amino acids and / or amino acid analogs. Is counted from the amino acid up to the 13th residue, with the N-terminal amino acid immediately before the random region of the display library starts as 1 (counted as the number of units after all post-translational modifications have been completed).
- the average number of N-methyl amino acids is 3 to 10, preferably 4 to 9, and more preferably 5 to 8 so that the random region contains It is necessary to consider the proportion of amino acids containing N-alkyl amino acids and amino acids having NH2.
- it is necessary to select the type of amino acid contained in the random region so that the average ClogP value of the 13-residue peptide is set to 4 or more, preferably 5 or more, more preferably 6 or more.
- the acid preferably has a pKa of 3.5 or more. More preferably, it is 4.5 or more, and more preferably 5 or more.
- pKa of the side chain carboxyl group of aspartic acid is 3.9
- pKa of the side difference phenolic hydroxyl group of tyrosine is 10. Tetrazole has a pKa of 5.6.
- pKa is 9 or less, More preferably, it is 7.5 or less, More preferably, it is 6.5 or less.
- one of the two fixed amino acids is N-alkyl
- the C-terminal side of the crossing unit is also selected from N-alkyl amino acids, so the average number of N-alkyl amino acids is 6.0. calculated. Similarly, the average ClogP values of both were 5.97 and 6.12.
- Non-natural amino acids that can be used for translational synthesis
- Non-natural amino acids (translated amino acids) that can be used in the present invention are exemplified below, but are not limited thereto. Many of these unnatural amino acids are purchased with the side chain protected or unprotected and the amine moiety protected or unprotected. Those not purchased are synthesized by known methods.
- N-Me amino acids can be used as non-natural amino acids.
- N-alkyl amino acids can also be used as non-natural amino acids.
- ⁇ , ⁇ -dialkyl amino acids can also be used as non-natural amino acids.
- amino acids can also be used as non-natural amino acids.
- aminoacyl-tRNA amino acids and amino acid analogs can be converted, for example, into active esters for reaction with pdCpA. Many of these active esters can be isolated as cyanomethyl esters.
- Amide bond formation reaction that can be utilized for cyclization after translational synthesis
- the amide bond formation reaction by the reaction of carboxylic acid with primary and secondary amines is widely used in organic synthetic chemistry in general.
- a method in which a carboxylic acid is isolated as a previously activated active ester and then mixed with an amine, or a method in which a carboxylic acid is directly mixed and then activated to form an amide bond is used. be able to.
- active forms of carboxylic acids acid halide groups such as acid chloride and acid aodide, and active ester groups such as HOBt, HOAt, HOSu, HOPfp, and thioester are widely known.
- Preferred examples of the thioester include those represented by —C ( ⁇ O) SR1.
- the acid halide can be isolated by a purification operation after mixing a carboxylic acid and a halide agent such as SOCl 2 . Since the obtained acid halide is highly reactive, when used in a translation system such as PureSystem, PPh 3 and I are used as mild reaction conditions that may cause the carboxylic acid to be acid halide after translation by PureSystem. A method of activating from 2 to acid iodide (Lakshman et al., Eur. J. Org. Chem. 2010, 2709) can be used.
- a technique for introducing a reaction auxiliary group in the vicinity of an amino group for example, a technique for introducing a thiol group in the vicinity of an amino group can be mentioned.
- the number of atoms (number of carbon chains) connecting the amino group and the thiol group is particularly preferably 2 or 3.
- N, O-benzylidene acetal can be rapidly formed selectively with a substrate having an alcohol moiety in the vicinity of the amino group. When this is transferred under acidic conditions, an amide bond is formed.
- This active ester can be selectively reacted with serine in the presence of phenylthioester.
- serine containing an OH group can be selectively reacted with the active ester in the presence of lysine.
- Azide can also be used as an amine equivalent (Vilarrasa et al. J. Org. Chem. 2009, 74, 2203).
- Carboxylic acid is activated in the reaction system in the presence of a tertiary phosphine with a dithiocatalyst or a diseleno catalyst to activate the thioester or selenoester.
- the azide moiety is activated by reacting with a tertiary phosphine and reacting with an active ester.
- a condensation reaction with a palladium complex catalyst of aldehyde and amine (Yoshida et al. S. Synthesis, 1983, 474) and a rhodium complex catalyst (Beller et al. Eur. J. Org. Chem. 2001, 423) can also be used.
- the present invention provides a pharmaceutical composition containing the peptide compound produced by the method of the present invention.
- the pharmaceutical composition of the present invention can be formulated by a known method by introducing a pharmaceutically acceptable carrier in addition to the peptide compound produced by the method of the present invention.
- Excipients, binders, lubricants, colorants, flavoring agents, and if necessary stabilizers, emulsifiers, absorption promoters, surfactants, pH adjusters, preservatives, Antioxidants and the like can be used.
- ingredients that are used as raw materials for pharmaceutical preparations are blended to prepare a preparation by a conventional method.
- the compound according to the present invention or a pharmacologically acceptable salt and excipient thereof in order to produce an oral preparation, the compound according to the present invention or a pharmacologically acceptable salt and excipient thereof, and optionally a binder, a disintegrant, a lubricant, a coloring agent, a flavoring agent.
- a binder a disintegrant, a lubricant, a coloring agent, a flavoring agent.
- these components include animal and vegetable oils such as soybean oil, beef tallow and synthetic glycerides; hydrocarbons such as liquid paraffin, squalane and solid paraffin; ester oils such as octyldodecyl myristate and isopropyl myristate; cetostearyl alcohol and behenyl alcohol Higher alcohols; silicone resins; silicone oils; surfactants such as polyoxyethylene fatty acid esters, sorbitan fatty acid esters, glycerin fatty acid esters, polyoxyethylene sorbitan fatty acid esters, polyoxyethylene hydrogenated castor oil, polyoxyethylene polyoxypropylene block copolymers Water-soluble such as hydroxyethylcellulose, polyacrylic acid, carboxyvinyl polymer, polyethylene glycol, polyvinylpyrrolidone, methylcellulose Polymers; lower alcohols such as ethanol and isopropanol; polyhydric alcohols such as glycerin, propylene glycol, dipropylene glycol
- excipient examples include lactose, corn starch, sucrose, glucose, mannitol, sorbitol, crystalline cellulose, silicon dioxide and the like.
- disintegrant examples include starch, agar, gelatin powder, crystalline cellulose, calcium carbonate, sodium bicarbonate, calcium citrate, dextrin, pectin, carboxymethylcellulose / calcium and the like.
- lubricant examples include magnesium stearate, talc, polyethylene glycol, silica, and hardened vegetable oil.
- these tablets and granules may be coated with sugar coating and other coatings as necessary.
- a liquid preparation such as a syrup or an injectable preparation
- a compound according to the present invention or a pharmacologically acceptable salt thereof, a pH adjuster, a solubilizer, an isotonic agent, etc. are necessary. Add a solubilizing agent, stabilizer, etc. accordingly, and formulate it by a conventional method.
- a pharmacologically acceptable carrier or medium specifically, sterilized water, physiological saline, vegetable oil, emulsifier, suspension, surfactant, stabilizer, flavoring agent, excipient, vehicle, preservative It is conceivable to formulate by combining with a binder or the like as appropriate and mixing in a unit dosage form generally required for pharmaceutical practice.
- Aqueous solutions for injection include, for example, isotonic solutions containing physiological saline, glucose and other adjuvants such as D-sorbitol, D-mannose, D-mannitol and sodium chloride.
- Suitable solubilizers such as Alcohols, specifically ethanol, polyalcohols such as propylene glycol, polyethylene glycol, nonionic surfactants such as polysorbate 80 (registered trademark), HCO-50 may be used in combination.
- oily liquid examples include sesame oil and soybean oil, which may be used in combination with benzyl benzoate or benzyl alcohol as a solubilizing agent.
- oily liquid examples include sesame oil and soybean oil, which may be used in combination with benzyl benzoate or benzyl alcohol as a solubilizing agent.
- buffer for example, phosphate buffer, sodium acetate buffer, a soothing agent, for example, procaine hydrochloride, stabilizer, for example, benzyl alcohol, phenol, antioxidant.
- the prepared injection solution is usually filled into a suitable ampoule.
- Administration is preferably oral administration, but the administration method is not limited to oral administration.
- Specific examples of parenteral administration include injection, nasal administration, pulmonary administration, and transdermal administration.
- the injection form it can be administered systemically or locally by, for example, intravenous injection, intramuscular injection, intraperitoneal injection, subcutaneous injection, or the like.
- the administration method can be appropriately selected depending on the age and symptoms of the patient.
- the dose of the pharmaceutical composition containing the peptide compound produced by the method of the present invention can be selected, for example, in the range of 0.0001 mg to 1000 mg per kg of body weight at a time. Alternatively, for example, the dose can be selected in the range of 0.001 to 100,000 mg / body per patient, but is not necessarily limited to these values.
- the dose and administration method vary depending on the weight, age, symptoms, etc. of the patient, but can be appropriately selected by those skilled in the art.
- a dehydrated solvent or an anhydrous solvent purchased from Kanto Chemical, Wako Pure Chemical, etc. was used.
- the LCMS analysis conditions are as follows.
- the reaction mixture was filtered, and the obtained filtrate was concentrated and diluted with ethyl acetate, and then washed with a saturated aqueous ammonium chloride solution, a saturated aqueous sodium bicarbonate solution, and a saturated aqueous sodium chloride solution. Thereafter, the organic extract was dried over magnesium sulfate and concentrated under reduced pressure.
- Buffer A was prepared as follows. Acetic acid is added to an aqueous solution of N, N, N-trimethylhexadecane-1-aminium chloride (6,40 g, 20 mmol) and imidazole (6.81 g, 100 mmol), pH 8, 20 mM N, N, N-trimethylhexadecane- Buffer solution A (1 L) of 1-aminium and 100 mM imidazole was obtained.
- dihydrogen phosphate ((2R, 3S, 5R) -5- (4-amino-2-oxopyrimidin-1 (2H) -yl) -3-(( (((2R, 3S, 4R, 5R) -5- (6-Amino-9H-purin-9-yl) -3,4-dihydroxytetrahydrofuran-2-yl) methoxy) (hydroxy) phosphoryl) oxy) tetrahydrofuran Using 2-yl) methyl (Compound 1h) (50 mg, 0.079 mol), 4- (benzylthio) -4-oxo-2- (pent-4-enamido) butanoic acid (S) -cyanomethyl (Compound 1g- 4-oxo-2- (pent-4-enamido) -4- (phenethylthio) butanoic acid (S) -cyanomethyl (compound 1g-IE
- dihydrogen phosphate ((2R, 3S, 5R) -5- (4-amino-2-oxopyrimidin-1 (2H) -yl) -3-(( (((2R, 3S, 4R, 5R) -5- (6-Amino-9H-purin-9-yl) -3,4-dihydroxytetrahydrofuran-2-yl) methoxy) (hydroxy) phosphoryl) oxy) tetrahydrofuran Using 2-yl) methyl (Compound 1h) (50 mg, 0.079 mmol), 4- (benzylthio) -4-oxo-2- (pent-4-enamido) butanoic acid (S) -cyanomethyl (Compound 1g- 4- (isopropylthio) -4-oxo-2- (pent-4-enamido) butanoic acid (S) -cyanomethyl (compound 1g-
- dihydrogen phosphate ((2R, 3S, 5R) -5- (4-amino-2-oxopyrimidin-1 (2H) -yl) -3-(( (((2R, 3S, 4R, 5R) -5- (6-Amino-9H-purin-9-yl) -3,4-dihydroxytetrahydrofuran-2-yl) methoxy) (hydroxy) phosphoryl) oxy) tetrahydrofuran Using 2-yl) methyl (Compound 1h) (50 mg, 0.079 mmol), 4- (benzylthio) -4-oxo-2- (pent-4-enamido) butanoic acid (S) -cyanomethyl (Compound 1g- 4- (tert-butylthio) -4-oxo-2- (pent-4-enamido) butanoic acid (S) -cyanomethyl (compound 1g- 4- (tert-butylthio) -4-
- dihydrogen phosphate ((2R, 3S, 5R) -5- (4-amino-2-oxopyrimidin-1 (2H) -yl) -3-(( (((2R, 3S, 4R, 5R) -5- (6-Amino-9H-purin-9-yl) -3,4-dihydroxytetrahydrofuran-2-yl) methoxy) (hydroxy) phosphoryl) oxy) tetrahydrofuran Using 2-yl) methyl (compound 1h) (150 mg, 0.236 mmol), 4- (benzylthio) -4-oxo-2- (pent-4-enamido) butanoic acid (S) -cyanomethyl (compound 1 g- 4- (methylthio) -4-oxo-2- (pent-4-enamido) butanoic acid (S) -cyanomethyl (compound 1g-IA)
- dihydrogen phosphate ((2R, 3S, 5R) -5- (4-amino-2-oxopyrimidin-1 (2H) -yl) -3-(( (((2R, 3S, 4R, 5R) -5- (6-Amino-9H-purin-9-yl) -3,4-dihydroxytetrahydrofuran-2-yl) methoxy) (hydroxy) phosphoryl) oxy) tetrahydrofuran Using 2-yl) methyl (compound 1h) (200 mg, 0.314 mmol), 4- (benzylthio) -4-oxo-2- (pent-4-enamido) butanoic acid (S) -cyanomethyl (compound 1g- 5- (methylthio) -5-oxo-2- (pent-4-enamido) pentanoic acid (S) -cyanomethyl (compound 1g-IIA
- dihydrogen phosphate ((2R, 3S, 5R) -5- (4-amino-2-oxopyrimidin-1 (2H) -yl) -3-(( (((2R, 3S, 4R, 5R) -5- (6-Amino-9H-purin-9-yl) -3,4-dihydroxytetrahydrofuran-2-yl) methoxy) (hydroxy) phosphoryl) oxy) tetrahydrofuran Using 2-yl) methyl (compound 1h) (150 mg, 0.236 mmol), 4- (benzylthio) -4-oxo-2- (pent-4-enamido) butanoic acid (S) -cyanomethyl (compound 1 g- (ID) instead of 5-oxo-2- (pent-4-enamido) -5- (phenylthio) pentanoic acid (S) -cyanomethyl (
- SEQ ID NO: R-1 (SEQ ID NO: 30) tRNAEnAsnGAG (-CA) RNA sequence: GGCUCUGUAGUUCAGUCGGUAGAACGGCGGACUgagAAUCCGUAUGUCACUGGUUCGAGUCCAGUCAGAGCCGC
- Example 4 Translational synthesis using amino acids in which side chain carboxylic acids are active esterified A tRNA aminoacylated with various amino acids is added to a cell-free translation system to initiate translation, thereby producing desired non-naturally occurring amino acids. Translational synthesis of a polypeptide containing amino acids was performed.
- the translation system used was a PURE system, which is a prokaryotic-derived reconstituted cell-free protein synthesis system including a transcription system from template DNA.
- transcription translation solution 5% (v / v) T7 RNA polymerase RiboMAX Enzyme Mix (Promega, P1300), 2 mM GTP, 2 mM ATP, 1 mM CTP, 1 mM UTP, 20 mM creatine phosphate, 50 mM HEPES-KOH pH 7.6, 100 mM potassium glutamate, 12 mM magnesium acetate, 2 mM spermidine, 1 mM dithiothreitol, 1.5 mg / ml E.
- coli MRE600 (RNase negative) -derived tRNA (Roche), 4 ⁇ g / ml creatine kinase, 3 ⁇ g / ml myokinase , 2 unit / ml inorganic pyrophosphatase, 1.1 ⁇ g / ml nucleoside diphosphate kinase, 0.6 ⁇ M methionyl tRNA transformylase, 0.26 ⁇ M EF-G, 0.25 ⁇ M RF1, 0.24 ⁇ M F2, 0.17 ⁇ M RF3, 0.5 ⁇ M RRF, 2.7 ⁇ M IF1, 0.4 ⁇ M IF2, 1.5 ⁇ M IF3, 40 ⁇ M EF-Tu, 84 ⁇ M EF-Ts, 1.2 ⁇ M ribosome, 0.73 ⁇ M AlaRS, 0.03 ⁇ M ArgRS, 0.38 ⁇ M AsnRS, 0.13 ⁇ M AspRS, 0.02 ⁇ M CysRS, 0.06
- the translation product was identified by measuring a MALDI-MS spectrum using ⁇ -cyano-4-hydroxycinnamic acid as a matrix.
- the peak of the mass spectrum derived from the translated peptide in the molecular weight range of 799 to 2000 could not be confirmed by MALDI-MS.
- the peaks detected in the vicinity of molecular weights 882, 918, and 1256 are not peaks derived from the translated peptide because they are also observed when analyzing a PURESystem without adding template DNA as a negative control.
- SEQ ID NO: D-2 (SEQ ID NO: 2) Mtyg_R DNA sequence GTAATACGACTCACTATAGGGTTAACTTTAAGAAGGAGATATACATatgACTACAACGCGActttactaccgtcgtggcggcTAATAAATAGATAG
- SEQ ID NO: D-3 (SEQ ID NO: 3) Mtryg3 DNA sequence GTAATACGACTCACTATAGGGTTAACTTTAAGAAGGAGATATACATatgACTACAACGCGActttactaccgtggcggcTAGTAGATAGATAG
- tRNA CA-deficient
- tRNAfMetCAU lacking 3′-end CA by in vitro transcription using RiboMAX Large Scale RNA production System T7 (Promega, P1300) -CA) (SEQ ID NO: R-5) was synthesized and purified by RNeasy Mini kit (Qiagen).
- SEQ ID NO: D-5 (SEQ ID NO: 5): GGCGTAATACGACTCACTATAGGCGGGGTGGAGCAGCCTGGTAGCTCGTCGGGCTCATAACCCGAAGATCGTCGGTTCAAATCCGGCCCCCGCAAC
- SEQ ID NO: R-5 (SEQ ID NO: 32): GGCGGGGUGGAGCAGCCUGGUAGCUCGUCGGGCUCAUAACCCGAAGAUCGUCGGUUCAAAUCCGGCCCCCGCAAC
- acylated tRNA (compound AT-2) by ligation of acylated pdCpA (compound 7c) and tRNA (CA deficient) (SEQ ID NO: R-5) not containing the N-terminal amino group 50 ⁇ M Transcription tRNAfMetCAU (-CA) ( SEQ ID NO: R-5)
- 10 ⁇ ligation buffer 500 mM HEPES-KOH pH 7.5, 200 mM MgCl 2 , 10 mM ATP
- Nuclease free water were added, heated at 95 ° C. for 2 minutes, and then at room temperature.
- the tRNA was refolded by leaving it for 5 minutes. 2 ⁇ L of 10 unit / ⁇ L T4 RNA ligase (New England Bio Lab.) And 2 ⁇ L of a 5 mM N-terminal amino group-containing acylated pdCpA (compound 7c) in DMSO were added, and a ligation reaction was performed at 15 ° C. for 45 minutes. It was. Acylated tRNA (compound AT-2) was recovered by phenol precipitation and ethanol precipitation. The acylated tRNA (Compound AT-2) was dissolved in 1 mM sodium acetate just prior to addition to the translation mixture. Compound AT-2 MeOFlac-tRNAfMetCAU (SEQ ID NO: 33)
- MS corresponding to the de-BnSH peptide was mainly produced from full-length peptide P-7 containing thioester. Observed as a product (translated peptide P-8). Although MeOFlac was used for translation initiation and a peptide without an amine at the N-terminal was translated, a decrease in molecular weight was observed, and thus a reaction with an N-terminal amine was also denied (FIG. 6).
- SEQ ID NO: D-6 (SEQ ID NO: 6) KA03 DNA sequence GTAATACGACTCACTATAGGGTTAACTTTAAGAAGGAGATATACATatgACTAGAACTaaggcgTACTGGAGCcttCCGggcggctaa
- LCMS (ESI) m / z 448 (M + H) + Retention time: 1.09 minutes (analysis condition SQDAA05)
- LCMS (ESI) m / z 498 (M + H) + Retention time: 1.12 minutes (analysis condition SQDAA05)
- LCMS (ESI) m / z 469 (M + H) + Retention time: 0.99 minutes (analysis condition SQDAA05)
- the 0.4M tris (2-carboxyethyl) phosphine (TCEP) aqueous solution was prepared as follows. To a solution of tris (2-carboxyethyl) phosphine (TCEP) hydrochloride (1.0 g, 3.49 mmol) in water (6.8 ml) was added triethylamine (1.64 ml) to pH 7, and 0.4M tris (2-carboxyl An ethyl) phosphine (TCEP) aqueous solution was obtained.
- LCMS (ESI) m / z 485 (M + H) + Retention time: 2.80 minutes (analysis condition ZQAA05)
- LCMS (ESI) m / z 485 (M + H) + Retention time: 2.80 minutes (analysis condition ZQAA05)
- the reactivity with the thioester was greatly different between the Cys derivative which is a model compound of an amine having a reaction auxiliary group and the Gly derivative which is a model of an amine having no reaction auxiliary group. It was revealed that the Cys derivative having a reaction auxiliary group has sufficiently high cyclization reactivity under stable conditions of RNA. In addition, since amines with reaction auxiliary groups have sufficient selectivity for amines without reaction auxiliary groups, selective post-translational cyclization with amines with reaction auxiliary groups from multiple reaction points. It can be judged that a proper reaction is possible.
- thioester is higher in the case of thioaryl ester than in the case of thioaryl and thioalkyl or thioaralkyl. In this case, it is clear that the amino group having no reaction auxiliary group also has good reactivity. It became.
- dihydrogen phosphate ((2R, 3S, 5R) -5- (4-amino-2-oxopyrimidin-1 (2H) -yl) -3-(( (((2R, 3S, 4R, 5R) -5- (6-Amino-9H-purin-9-yl) -3,4-dihydroxytetrahydrofuran-2-yl) methoxy) (hydroxy) phosphoryl) oxy) tetrahydrofuran 2-yl) methyl (compound 1h) (112 mg, 0.176 mmol) was used and 2-((tert-butoxycarbonyl) amino) -3- (tert-butyldisulfanyl) propanoic acid (R) -cyanomethyl (compound 2-((tert-butoxycarbonyl) (methyl) amino) -3- (tert-butyldisulfanyl) propanoic acid (R -Cy
- dihydrogen phosphate ((2R, 3S, 5R) -5- (4-amino-2-oxopyrimidin-1 (2H) -yl) -3-(( (((2R, 3S, 4R, 5R) -5- (6-Amino-9H-purin-9-yl) -3,4-dihydroxytetrahydrofuran-2-yl) methoxy) (hydroxy) phosphoryl) oxy) tetrahydrofuran Using 2-yl) methyl (compound 1h) (200 mg, 0.314 mmol), 2-((tert-butoxycarbonyl) amino) -3- (tert-butyldisulfanyl) propanoic acid (R) -cyanomethyl (compound 2- (tert-butyldisulfanyl) -2- (pent-4-enamido) propanoic acid (R) -cyanomethyl (2l-C
- dihydrogen phosphate ((2R, 3S, 5R) -5- (4-amino-2-oxopyrimidin-1 (2H) -yl) -3-(( (((2R, 3S, 4R, 5R) -5- (6-Amino-9H-purin-9-yl) -3,4-dihydroxytetrahydrofuran-2-yl) methoxy) (hydroxy) phosphoryl) oxy) tetrahydrofuran- 2-yl) methyl (compound 1h) (150 mg, 0.236 mmol) was used and 2-((tert-butoxycarbonyl) amino) -3- (tert-butyldisulfanyl) propanoic acid (R) -cyanomethyl (compound 3- (methyldisulfanyl) -2- (pent-4-enamido) propanoic acid (R) -cyanomethyl (compound 21-D)
- dihydrogen phosphate ((2R, 3S, 5R) -5- (4-amino-2-oxopyrimidin-1 (2H) -yl) -3-(( (((2R, 3S, 4R, 5R) -5- (6-Amino-9H-purin-9-yl) -3,4-dihydroxytetrahydrofuran-2-yl) methoxy) (hydroxy) phosphoryl) oxy) tetrahydrofuran- 2-yl) methyl (compound 1h) (150 mg, 0.236 mmol) was used and 2-((tert-butoxycarbonyl) amino) -3- (tert-butyldisulfanyl) propanoic acid (R) -cyanomethyl (compound 2- (tert-butyldisulfanyl) -2-((((4,5-dimethoxy-2-nitrobenzyl) oxy) carbonyl instead of
- a saturated aqueous ammonium chloride solution (3 ml) was added to the reaction mixture, and the mixture was diluted with ethyl acetate, and the organic layer was washed with water. Thereafter, the organic extract was dried over magnesium sulfate.
- a saturated aqueous ammonium chloride solution (3 ml) was added to the reaction mixture, and the mixture was diluted with ethyl acetate, and the organic layer was washed with water. Thereafter, the organic extract was dried over magnesium sulfate.
- Example 7 Synthesis of aminoacylated tRNA having a Cys derivative 50 ⁇ M Transcription tRNAfMetCAU (-CA) (SEQ ID NO: R-5) 10 ⁇ l was mixed with 10 ⁇ ligation buffer (500 mM HEPES-KOH pH 7.5, 200 mM MgCl2, 10 mM ATP) 2 ⁇ l and 4 ⁇ l of Nuclease free water were added, heated at 95 ° C. for 2 minutes, and then allowed to stand at room temperature for 5 minutes to refold tRNA.
- 10 ligation buffer 500 mM HEPES-KOH pH 7.5, 200 mM MgCl2, 10 mM ATP
- Peptide sequence P-10 [Cys (StBu)] ThrThrThrArgLeuTyrTyrArgGlyGly MALDI-MS: m / z: Not detected (Calc. 1345.7)
- DNA sequence (D-7) AKC17 DNA sequence (same as SEQ ID NO: D-31) (SEQ ID NO: 7) GTAATACGACTCACTATAGGGTTAACTTTAAGAAGGAGATATACATATGACTAGAACTGCCTACTGGAGCcttTGCGGCAGCGGCAGCGGCAGC
- the following experiment was conducted to examine the deprotection of the side chain StBu of pdCpA-Cys and the stability of the deprotected compound 2e-A using the compound 2n-A which is a deprotection precursor of the compound 2n-A side chain StBu. It was.
- the side chain was deprotected at room temperature under the conditions of 250 ⁇ M compound 2n-A, pH 7 50 mM Tris ⁇ HCl buffer, DTT 10 mM, and the change with time was observed using LC-MS (SQD).
- the target compound 2e-A was not observed, and pdCpA from which the amino acid was hydrolyzed and eliminated was observed.
- the remaining% of compound 2n-A after 30 hours at pH 7 in HEPES® buffer was 30%.
- the compound 2e-A with the side chain deprotected showed a result of increased stability by protecting the side chain compared to the result of rapid hydrolysis when deprotected. .
- Example 10 Efficient translation introduction of N-terminal Cys using Initiation read through method The phenomenon (Intiation read through) in which translation initiation from the second codon observed in Example 9 was efficiently obtained was positive By utilizing this method, introduction of Cys at the N-terminus of the peptide was attempted as follows.
- SEQ ID NO: D-8 (SEQ ID NO: 8) Mctryg3 DNA sequence GTAATACGACTCACTATAGGGTTAACTTTAAGAAGGAGATATACATatgtgcACTACAACGCGTctttactaccgtggcggcTAGTAGATAGATAG
- IniRt_XXX_am peptide sequence (translated peptide numbers P-15 to P-33) CysXaaThrThrThrLeuTyrTyrArgGlyGly (SEQ ID NO: 39 to 57)
- Example 11 Synthesis of non-natural amino acid with SH group other than Cys and its aminoacylated pdCpA
- the natural amino acid Cys was efficiently translated and introduced by the initiation read through method using ARS. Since there is a limit to introducing ARS into natural amino acids, among aminoacylated pdCpAs, compounds designed to slow down the hydrolysis rate of the active ester moiety were synthesized and evaluated. That is, a series of compound groups in which the SH group was further separated from the carboxylic acid active ester site was synthesized and evaluated.
- Example 12 Synthesis of aminoacylated tRNA using stable aminoacylated pdCpA having an SH group 50 ⁇ M Transcription tRNAfMetCAU (-CA) (SEQ ID NO: R-5)
- 10X ligation buffer 500 mM HEPES-KOH pH 7.5, 200 2 ⁇ l of mM MgCl2, 10 mM ATP
- 4 ⁇ l of Nuclease free water were added, heated at 95 ° C. for 2 minutes, and then allowed to stand at room temperature for 5 minutes to refold tRNA.
- Example 13 Translation synthesis using SH group-containing stabilized aminoacylated tRNA As shown in the following experiment, when the SH group or main chain amino group of Cys was protected, the translation solution of aminoacylated pdCpA compared to Cys itself It was shown that the stability in the model system (HEPES buffer) was improved and the translation synthesis efficiency was also improved. In addition, the transduction efficiency of various non-natural amino acids containing various new SH groups in which the position of the SH group is located far from the ⁇ -carboxylic acid site was also improved.
- SEQ ID NO: D-31 (SEQ ID NO: 7) AKC17 DNA sequence GTAATACGACTCACTATAGGGTTAACTTTAAGAAGGAGATATACATATGACTAGAACTGCCTACTGGAGCcttTGCGGCAGCGGCAGCGGCAGC
- SEQ ID NO: D-33 (identical to SEQ ID NO: D-1) (SEQ ID NO: 1) (SEQ ID NO: 1) tRNAEnAsnGAG (-CA) DNA sequence: GGCGTAATACGACTCACTATAGGCTCTGTAGTTCAGTCGGTAGAACGGCGGACTgagAATCCGTATGTCACTGGTTCGAGTCCAGTCAGAGCCGCGC
- SEQ ID NO: R-33 (identical to SEQ ID NO: R-1) (SEQ ID NO: 30) tRNAEnAsnGAG (-CA) RNA sequence: GGCUCUGUAGUUCAGUCGGUAGAACGGCGGACUgagAAUCCGUAUGUCACUGGUUCGAGUCCAGUCAGAGCCGC
- Example 15 Translation and cyclization using Intioation read through method 1. Synthesis of amide-type cyclized peptide via NCL (Native Chemical Ligation) A translation reaction was performed using KA02.5U DNA sequence (SEQ ID NO: D-32) as template DNA. To the template DNA, the above-mentioned transcription translation solution, 17 mM amino acids of 0.3 mM each except Met, Ala and Leu, 3 mM lactic acid, and 50 ⁇ M Asp (SRex2) -tRNAEnAsnGAG (Rex2: (Benzyl, methyl, ethyl, isopropyl, tertiary butyl, phenethyl) (Compound Nos. AT-1-IA2, IB2, IC2, ID2, IE2, IG2) were added and translated at 37 ° C. for 3 hours. As a result, the cyclized full-length peptide was confirmed by MS spectrum (FIGS. 28 to 29).
- SEQ ID NO: D-32 (SEQ ID NO: 28) KA02.5U DNA sequence: GTAATACGACTCACTATAGGGTTAACTTTAAGAAGGAGATATACATATG tgcACTAGAACTaaggcgTACTGGAGCcttCCGggctaa
- the non-natural amino acid (including protein amino acids) following the thioester has an N-alkyl group. You don't have to worry about amino acids. This is because an amide is formed via a reaction with the SH group immediately after the translation. When an amino acid with a protected SH group is translated, aspartimide is formed within the time from the completion of the translation process to the deprotection process.
- Peptide sequence P-53 (SEQ ID NO: 59) CysThrThrThrArg [Asp (SMe)] TyrTyrArgGlyGly Cys main chain amino group and Asp side chain carboxylic acid compound with intramolecular amide cyclization mass spectrum calc. 1273.6
- Fmoc-Cys (Mmt) -OH, Fmoc-Thr (tBu) -OH, and Fmoc-Arg (Pbf) -OH (all purchased from Watanabe Chemical Industry) were used as Fmoc amino acids.
- a 2-chlorotrityl resin 250 mg, 13 columns, 1.36 mmol to which Fmoc-Asp-OBn was bound was set in the synthesizer, and the peptide was synthesized on a solid phase.
- the resin in the tube was filtered through a synthesis column to remove the resin, and 2-iodoacetamide (252 mg, 1.36 mmol), DIPEA (15 mL), DMF (15 mL) were added to the reaction mixture, and S Was alkylated.
- Fmoc-Gly-OH, Fmoc-Tyr (tBu) -OH, Fmoc-Arg (Pbf) -OH (all purchased from Watanabe Chemical Industries) were used as Fmoc amino acids, and Fmoc-Gly-OH was bound to the synthesizer 2 -Chlorotrityl resin (250 mg) was set, and a peptide having the sequence H-Tyr (tBu) -Tyr (tBu) -Arg (Pbf) -Gly-Gly-OH (peptide P-59) was synthesized on a solid phase.
- Example 16 Translation synthesis, desulfurization reaction after cyclization While an amide cyclization reaction proceeded in translation synthesis, removal of the SH group as a reaction auxiliary group is necessary for our purpose. Since SH groups are known to form covalent bonds with various proteins, it is likely that SH group-dependent binding compounds will be obtained, while such compounds become drugs due to their high reactivity. Hateful. Removal of the SH group requires an intermolecular reaction. As already described, the degree of difficulty in realizing intermolecular reactions at a concentration of 1 uM and in the presence of various reactive functional groups is high. The following two methods are conceivable as methods for realizing such a reaction.
- Reagents used in excess generate only a reversible reaction (for example, coordination bond) other than the desired reaction point, and are removed by post-treatment after completion of the reaction.
- Reagents used in excess do not affect RNA at all. The results of various investigations of reaction substrates and reaction conditions that can satisfy these various conditions are shown below.
- Tris (2-carboxyethyl) phosphine (TCEP) aqueous solution Triethylamine (TCG) hydrochloride (1.0 g, 3.49 mmol) in water (6.8 ml) 1.64 ml) was added to adjust the pH to 7, and a 0.4 M tris (2-carboxyethyl) phosphine (TCEP) aqueous solution was obtained.
- the 0.4M tris (2-carboxyethyl) phosphine (TCEP) aqueous solution was prepared as follows. To a solution of tris (2-carboxyethyl) phosphine (TCEP) hydrochloride (1.0 g, 3.49 mmol) in water (6.8 ml) was added triethylamine (1.64 ml) to pH 7, and 0.4M tris (2-carboxyl An ethyl) phosphine (TCEP) aqueous solution was obtained.
- the 1M 2,2′-azobis-2- (2-imidazolin-2-yl) propane (VA-044) aqueous solution was prepared as follows. Water (0.309 ml) was added to 2,2′-azobis-2- (2-imidazolin-2-yl) propane (VA-044) hydrochloride (100 mg, 0.309 mmol) and 1M 2,2′-azobis-2 An aqueous solution of-(2-imidazolin-2-yl) propane (VA-044) was prepared.
- an aspartic acid derivative having a thioester in the side chain was translated and introduced as a carboxylic acid derivative, Cys or a derivative thereof was translated and introduced as an amino group into the N-terminal, and then a method was cyclized.
- Cys was introduced at the N-terminus by the initiator-read-through method, the target cyclic peptide was obtained by translating Asp (SBn) into the peptide.
- RNA stability evaluation in desulfurization reaction The RNA compound was subjected to desulfurization reaction conditions to confirm the stability.
- 2-1.5′-AGCUUAGUCA-Puromycin-3 ′ (Compound RP-1, (SEQ ID NO: 178)) Synthesis Using Puromycin CPG (22.7 mg, 0.999 ⁇ mol) manufactured by Glen Research, Inc. RNA binding elongation was performed by a machine.
- the amidite reagent used for the extension reaction of A, G, C, U uses Glen Research A-TOM-CE phosphoramidide, G-TOM-CE phosphoramidide, C-TOM-CE phosphoramidide, U-TOM-CE phosphoramidide, This was carried out using 5-benzylthio-1H-tetrazole as the condensation activator.
- Example 17 Evaluation of protein denaturation under cyclization desulfurization reaction Protein denaturation by a desulfurization reaction solution was evaluated (FIG. 34).
- As a model system the influence of desulfurization reaction conditions on IL-6R in an IL-6 and IL-6R interaction detection system by electrochemiluminescence immunoassay was evaluated.
- 750 ng of anti-IL-6R antibody clone number 17506 was stored overnight at 4 degrees in MSD Multi-array 384 well (MSD), and the antibody was immobilized. The plate was washed three times with 80 ⁇ l PBST to remove unreacted antibodies, and then blocked with 2% skim milk for 1 hour.
- the plate was washed 3 times with 80 ⁇ l of PBST blocking agent, 10 ⁇ l of soluble human IL-6R (IL-6R) was added at 25 nM, and the mixture was shaken at room temperature for 50 minutes.
- the plate was washed 3 times with 80 ⁇ l of PBST, desulfurization reaction solution (25 mM HEPES-K (pH 7.6), 200 mM TCEP, 250 mM VA-044, 10 mM Cys) was added, and the mixture was shaken at room temperature for 50 minutes.
- the plate was washed 3 times with 80 ⁇ l PBST, 10 ⁇ l human IL-6-BAP (500 nM) was added and shaken at room temperature for 50 minutes.
- the plate was washed 3 times with 80 ⁇ l PBST, 10 ⁇ L SULFO-TAG StAv (MSD, cat # R32AD-5, 1 ⁇ g / mL) was added, and the mixture was shaken at room temperature for 50 minutes.
- the plate was washed three times with 80 ⁇ l of PBST, 35 ⁇ l of 2X read buffer (MSD, R92SC-3) was added, and measurement was performed with a SECTOR Imager 2400 (MSD) (FIG. 34).
- MSD SECTOR Imager 2400
- Example 18 Comparison with thioetherification method The thioether cyclization method and the cyclization method of the present invention were compared. A highly lipid-soluble thioether cyclized peptide, which is thought to have a high lipid membrane permeation rate, was synthesized. 1.
- the resin in the tube is filtered through a synthesis column to remove the resin, and the reaction solution is added to a tube containing diisopropylethylamine (1 mL) solution to cyclize the chloroacetyl group and cysteine. went.
- the solvent was distilled off.
- the resulting crude product was purified by adding piperidine (1.9 eq.) O- (7-other 1Hbenzotriazol-1-yl) -N, N, N, N tetramethyluronium hexafluorophosphate (HATU) in DMF. Piperidine amidation of the C-terminal carboxylic acid was carried out at (1.7 eq.).
- the solvent was distilled off with Genevac.
- the obtained crude product was dissolved in dimethyl sulfoxide, and the obtained peptide solution was purified by high-speed reverse phase chromatography (HPLC).
Landscapes
- Chemical & Material Sciences (AREA)
- Organic Chemistry (AREA)
- Life Sciences & Earth Sciences (AREA)
- Health & Medical Sciences (AREA)
- Biochemistry (AREA)
- Molecular Biology (AREA)
- General Health & Medical Sciences (AREA)
- Genetics & Genomics (AREA)
- Proteomics, Peptides & Aminoacids (AREA)
- Medicinal Chemistry (AREA)
- Biophysics (AREA)
- General Chemical & Material Sciences (AREA)
- Chemical Kinetics & Catalysis (AREA)
- Engineering & Computer Science (AREA)
- Zoology (AREA)
- Wood Science & Technology (AREA)
- Biotechnology (AREA)
- Analytical Chemistry (AREA)
- Microbiology (AREA)
- Bioinformatics & Cheminformatics (AREA)
- General Engineering & Computer Science (AREA)
- Peptides Or Proteins (AREA)
- Preparation Of Compounds By Using Micro-Organisms (AREA)
- Medicines That Contain Protein Lipid Enzymes And Other Medicines (AREA)
Abstract
Description
本発明はペプチド化合物の新規な環化方法、及び新規なペプチド化合物及びそれらを含むライブラリーに関する。 The present invention relates to a novel cyclization method for peptide compounds, a novel peptide compound and a library containing them.
中分子化合物(分子量500~2000)を用いて、タンパクータンパク相互作用阻害、アゴニスト、分子シャペロンに代表されるtough targetへの創薬を可能とする創薬技術開発が近年注目を集めている。(非特許文献1)。これまで抗体以外での創薬が困難とされてきたtough targetへの有効な阻害が分子量500~2000の化合物でも可能であるという考察がなされている(非特許文献2)。また、Lipinskiが提唱したrule of 5の範囲外(その多くは分子量500を超える分子量)であっても、経口剤や細胞内標的への阻害が可能である例も天然物を中心に報告されている(非特許文献3)。中分子化合物は、tough targetにアクセスできる点で低分子には出来ないこと、細胞内に移行できる点(細胞内標的創薬可、経口化可)で抗体にも出来ないことが実現できる可能性がある点で価値の高い分子種である。
In recent years, drug discovery technology development that enables drug discovery to tough targets typified by protein-protein interaction inhibition, agonists, and molecular chaperones has been attracting attention in recent years using medium molecular compounds (
従来の低分子創薬のほとんどは分子量500未満の範囲で実施されてきたため、人類が有するTough target(HTS(ハイスループットスクリーニング)を用いた従来の低分子化合物からではHit(ヒット)化合物の取得が困難な薬効標的の総称。低分子が結合し得る深い穴(キャビティ)を持たないことを特徴とする。例えば、IL-6とIL-6Rの結合阻害に代表されるタンパクータンパク相互作用阻害が挙げられる。その他RNA-タンパク相互作用阻害、核酸‐核酸相互作用阻害などが挙げられる。)への創薬を可能にする中分子のほとんどが天然物に限定される。天然物を由来とした薬剤は現在でもFirst In Class(FIC)化合物の30%を占めると分析されており、有効な手法である。しかしながら、既知化合物全てを併せても106化合物程度の多様性であるので、活性化合物が得られる標的が限定される。また、活性化合物の膜透過性や代謝安定性に難がある場合が多く、低分子にも抗体にも創薬出来ない領域への創薬を可能とする膜透過可能な分子種類は106を大きく下回ると考えられる。また、天然物Hitの膜透過性や代謝安定性を向上させたい場合でも、複雑な化学合成が必要なため化学修飾による改良が困難である場合が多い。このため、天然物医薬品の多くが化学修飾されないまま上市されている。 Since most of the conventional low molecular drug discovery has been carried out in the molecular weight range of less than 500, the acquisition of Hit (hit) compound from the conventional low molecular weight compound using Tough target (HTS (High Throughput Screening)) A generic term for difficult drug targets, characterized by the absence of a deep cavity (cavity) into which small molecules can bind, such as inhibition of protein-protein interaction, such as IL-6 and IL-6R binding inhibition. Others include inhibition of RNA-protein interaction, inhibition of nucleic acid-nucleic acid interaction, etc.) Most of the middle molecules that enable drug discovery are limited to natural products. Drugs derived from natural products are still analyzed to account for 30% of First In Class (FIC) compounds, and are effective techniques. However, even if all known compounds are combined, there is a diversity of about 10 6 compounds, so the target from which the active compound can be obtained is limited. In addition, the membrane permeability and metabolic stability of the active compound are often difficult, and there are 10 6 kinds of molecules that can penetrate the membrane that enable drug discovery in a region where neither low molecules nor antibodies can be found. It is thought that it is far below. Even when it is desired to improve the membrane permeability and metabolic stability of the natural product Hit, it is often difficult to improve by chemical modification because complex chemical synthesis is required. For this reason, many natural products have been put on the market without being chemically modified.
バイオ創薬にて実用化されているin vitro display技術を活用すれば、短期間で高い多様性を有する新規高分子化合物群を創出することができるが、この技術を中分子化合物でのtough target創薬へ展開するためには、現状では様々な限界がある。この限界は、既に実用化されているバイオ創薬である抗体創薬と比較すると理解し易い。大規模なライブラリーからあらゆる標的に対する分子を作出できる抗体は、巨大なタンパク質スキャフォルドであり長い可変領域を有し、さらに二次構造、三次構造を形成するために立体的に多様な構造の結合面を形成できる。このため1010種類程度のライブラリーにて多くの細胞外タンパクに対して強力に結合・阻害する化合物を創出することが出来る。一方、バイオ技術を活用して得られる中分子である環状ペプチドでは、抗体にはできない膜透過性が求められるため鎖長(分子量)にも制限があるうえに、現状バイオ技術では天然型アミノ酸に限定されるため立体的な多様性にも限界がある。 By utilizing in vitro display technology that has been put to practical use in bio-drug discovery, a new group of high-molecular compounds with high diversity can be created in a short period of time. There are various limitations at present in order to develop into drug discovery. This limitation is easy to understand when compared with antibody drug discovery, which has already been put into practical use. An antibody that can generate molecules for any target from a large library has a large protein scaffold, a long variable region, and a combination of three-dimensionally diverse structures to form secondary and tertiary structures. A surface can be formed. Therefore, it is possible to create a compound that binds and inhibits many extracellular proteins with a library of about 10 10 kinds. On the other hand, cyclic peptides, which are medium molecules obtained by utilizing biotechnology, require membrane permeability that cannot be achieved by antibodies, so chain length (molecular weight) is limited. There is a limit to three-dimensional diversity because it is limited.
簡便に合成、化学修飾でき、膜透過性や代謝安定性を有し、かつ構造的に多様で多数の中分子を短期間で作成でき、かつこれらを薬効評価できる技術創出は価値が高い。このような技術の候補の1つとして上記のDisplay Library(ディスプレイ ライブラリー)技術が挙げられる(1012種類の化合物を一度に合成して評価可能)。Display libraryで獲得できる化合物は、現状ではペプチドに限定されるが、ペプチド医薬品は既に40種以上上市されている価値の高い化学種である(非特許文献4)。シクロスポリンAはその代表例で、11残基から成る微生物が産生するペプチドで、経口投与可能な細胞内標的(サイクロフィリン)を阻害するペプチドである。ペプチドは一般に代謝安定性や膜透過性が低いとされてきたが、ペプチドの環化やN-メチル化などの非天然化により改良可能であることも明らかとなってきている(非特許文献5)。 It is highly valuable to create technologies that can be easily synthesized and chemically modified, have membrane permeability and metabolic stability, are structurally diverse, can produce a large number of medium molecules in a short period of time, and can evaluate their efficacy. One of the candidates for such a technique is the above-mentioned Display Library (display library) technique (can synthesize and evaluate 10 12 compounds at a time). The compounds that can be obtained from the display library are currently limited to peptides, but peptide pharmaceuticals are valuable chemical species that are already on the market for over 40 types (Non-Patent Document 4). Cyclosporin A is a representative example of a peptide produced by an 11-residue microorganism that inhibits an orally administrable intracellular target (cyclophilin). Peptides generally have low metabolic stability and membrane permeability, but it has also been clarified that they can be improved by non-naturalization such as peptide cyclization or N-methylation (Non-patent Document 5). ).
一方で、非天然ペプチド化、特にN-メチル化などの主鎖変換により天然ペプチドの構造が変化するため、天然ペプチドをリード化合物として、その薬効を維持しながらペプチドへの膜透過性と代謝安定性の両方を付与させて臨床候補化合物を得ることは極めて困難である。成功例としてインテグリン阻害ペプチドを環化し、さらに非天然化により経口剤として臨床試験入した例が報告されている(非特許文献6)が、このような薬剤開発は長い研究期間の末にもたらされた数少ない例である。例えば、インシュリン、GLP-1(グルカゴン様ペプチド-1)、PTH(副甲状腺ホルモン)、カルシトニンなど価値の高い医薬品注射剤の経口剤開発は未だに成功していない。 On the other hand, since the structure of the natural peptide changes due to main chain conversion such as non-natural peptide formation, especially N-methylation, membrane permeability to the peptide and metabolic stability are maintained while maintaining its medicinal properties using the natural peptide as the lead compound. It is extremely difficult to obtain clinical candidate compounds by imparting both sexes. A successful example of cyclization of an integrin-inhibiting peptide and clinical trials as an oral agent by non-naturalization has been reported (Non-Patent Document 6), but such drug development is brought about at the end of a long research period. There are few examples that have been made. For example, oral development of high-value pharmaceutical injections such as insulin, GLP-1 (glucagon-like peptide-1), PTH (parathyroid hormone), calcitonin has not been successful.
近年、非天然型アミノ酸やヒドロキシカルボン酸誘導体(非特許文献22)を含むペプチドがリボゾームにて合成できることが報告されたことにより、非天然型アミノ酸を含むDisplay Library実現が現実味を帯びてきた。特にN-メチルアミノ酸を含むペプチドがPureSystem(登録商標)などの無細胞翻訳系と非天然アミノ酸を結合したtRNAの活用によりリボゾームにて合成できることが相次いで報告された(非特許文献7、8,9,10,11)。非天然型アミノ酸を1つ含むDisplay libraryへの挑戦例も報告された(非特許文献12、13)。また、N-メチルアミノ酸を含むペプチドのDisplayが作製された例も報告されている(非特許文献23)。
In recent years, it has been reported that peptides containing non-natural amino acids and hydroxycarboxylic acid derivatives (Non-Patent Document 22) can be synthesized by ribosomes, so that Display® Library containing non-natural amino acids has become a reality. In particular, it has been reported one after another that peptides containing N-methyl amino acids can be synthesized in ribosomes by utilizing tRNA that binds a non-natural amino acid and a cell-free translation system such as PureSystem (registered trademark) (Non-Patent
中分子ペプチドに膜透過性と代謝安定性の両立を達成させる条件の考察も進行している。Lokeyらは6つのアミノ酸からなる環状ペプチドのプロリンもしくはN-メチル化を実施し、PAMPA(Parallel Artificial Membrane Permeation Assay)測定法を用いた膜透過に影響を与える因子の特定(非特許文献14)、さらにはラットにてBA(バイオアベイラビリティ)28%のペプチドを創出している(非特許文献15)。Kesslerらは5つもしくは6つのアミノ酸からなる環状ペプチドのN-メチル化を実施して、膜透過や代謝安定性に好ましい条件を見出す総説を報告している(非特許文献16、17)。一方、一般論としてどのようなペプチドであれば膜透過性と代謝安定性が両立するのか、また、より多様性が高いためHit創出割合が高くなると想定されるより分子量の大きい(アミノ酸数7以上)中分子ペプチドの幅広いDruglikeness条件への考察例は我々の知る限り報告されていない。
Investigating the conditions for achieving the compatibility between membrane permeability and metabolic stability for medium molecular peptides is also in progress. Lokey et al. Performed proline or N-methylation of a cyclic peptide consisting of six amino acids, and identified factors that affect membrane permeation using PAMPA (Parallel Artificial Membrane Permeation Assay) (Non-patent Document 14). Furthermore, a peptide with 28% BA (bioavailability) has been created in rats (Non-patent Document 15). Kessler et al. Have reported a review of N-methylation of cyclic peptides consisting of 5 or 6 amino acids to find favorable conditions for membrane permeation and metabolic stability (
Display libraryにて中分子Hit化合物を獲得するためには、環化法にも改良の余地がある。例えば、従来Phage Display(ファージディスプレイ)で環化するには2つのCysがS-S結合する場合に限定されていた(非特許文献18)。S-S結合を利用した環化方法で作製された環状ペプチドは代謝不安定であるため血中半減期が短いだけではなく、細胞内の弱酸性で還元・切断されて分解に至る、経口吸収が困難である、切断されて生成したSH基が体内タンパクとランダムに共有結合を形成することによる毒性が発現する可能性があるなど、Druglikenessな中分子ペプチドという点からはさまざまな改良を必要とされるものであった。近年これを改良する技術として、メシチレンを介して2つのCysを環化させる手法が報告された(非特許文献19)。この手法を用いればより安定なチオエーテルを介した環化になるが、その効果は部分的で改良の余地が残る。例えば、チオエーテルが酸化代謝を受けやすいことは広く一般に知られている。チトクロムP450によりRSCH2R'→RSH+R'CHOに分解されることや、フラビン含有モノオキシゲナーゼにより、スルホキシドへと代謝されることが報告されている(非特許文献20)。前者は生成すると反応性代謝物(Reactive metabolite)となるため、毒性発現にもつながる。
一方、ペプチドの環化方法としてドラックライクな環化法であるアミド環化が実現できた画期的な報告もなされている(非特許文献21、非特許文献25、非特許文献26、非特許文献27)が、それらはいずれも、主鎖アミド結合を切断させた結果得られる活性種とアミノ酸主鎖アミノ基を化学反応させた構造を生成させるため、本方法を、そのままDisplay libraryにおける環化方法としては適用することはできない。これらの手法は、シクロスポリンAなど多くの天然物の、主鎖のカルボン酸と主鎖のアミノ基で縮合環化させる手法として有用である。一方、Display libraryでは、主鎖カルボン酸末端はmRNAと結合させる必要があるため、このように主鎖アミド結合の分解により活性種を発生させる手法を用いることはできない。
There is room for improvement in the cyclization method to obtain medium molecular hit compounds in the display library. For example, conventional cyclization with Phage Display has been limited to the case where two Cys are SS-bonded (Non-patent Document 18). Cyclic peptides produced by the cyclization method using SS bond are metabolically unstable and not only have a short half-life in the blood, but also are weakly acidic and reduced or cleaved in the cells, leading to degradation. It is difficult to do this, and there is a possibility that the SH group generated by cleavage will form a covalent bond with a protein in the body at random. For this reason, various improvements are required from the point of druglikeness as a medium molecular peptide. It was to be done. In recent years, as a technique for improving this, a method of cyclizing two Cys via mesitylene has been reported (Non-patent Document 19). This approach results in a more stable thioether-mediated cyclization, but the effect is partial and leaves room for improvement. For example, it is widely known that thioethers are susceptible to oxidative metabolism. It has been reported that it is decomposed into RSCH 2 R ′ → RSH + R′CHO by cytochrome P450 and metabolized to sulfoxide by flavin-containing monooxygenase (Non-patent Document 20). When the former is generated, it becomes a reactive metabolite, which leads to toxicity.
On the other hand, there have been epoch-making reports that amide cyclization, which is a drug-like cyclization method, has been realized as a peptide cyclization method (Non-Patent
mRNA displayでは、これまで2つの新たな環化法が提案されてきたが、上記点が改良されたDisplay手法の確立にはいまだ至っていない。N末端のメチオニンのアミノ基と下流(C末端側)に配置したリジンのアミノ基をジスクシンイミジル・グルタレート(DSG)でクロスリンクさせることによる環化方法(非特許文献12)やN末端の翻訳開始アミノ酸としてクロロアセチル基を有するアミノ酸誘導体を導入し、下流にCysを配置することによって分子内環化反応によりチオエーテルを形成させることによる環化方法(非特許文献11、特許文献1)を用いた場合でも上記点の改善は不十分であり、これらに代わる新たな環化方法の開発が求められていた。例えば、2つのシステインを利用したS-S環化法では2箇所のアミノ酸を特定のもの(システイン)にする必要があるが、DSGを用いたクロスリンクによる環化法ではリジンを含めて3箇所のアミノ酸を特定のものにしてしまうことになり、一定の残基数のペプチドライブラリーにおいて構造の多様性を減少させてしまうことになる。
また、環化部位の構造を変化させると、当該環化部位を有するペプチドが持つ活性(薬効の強度)が大きく低下してしまうことが報告されている(非特許文献24)。この例では、環化部位を有するペプチドを取得した後、膜透過性と代謝安定性に優れたペプチドとするために、その環化部位を改変することが困難であることが示されている。
医薬品の開発に利用できる膜透過性と代謝安定性に優れた環状部位を有するペプチドライブラリーが求められるが、そのようなペプチドライブラリーの確立には様々な点で改善の余地がある。
In mRNA display, two new cyclization methods have been proposed so far, but a display method with improved points has not yet been established. A cyclization method (Non-Patent Document 12) by cross-linking the amino group of methionine at the N-terminal and the amino group of lysine arranged downstream (C-terminal side) with disuccinimidyl glutarate (DSG) A cyclization method (Non-patent
Further, it has been reported that when the structure of the cyclization site is changed, the activity (strength of drug efficacy) of the peptide having the cyclization site is greatly reduced (Non-patent Document 24). In this example, after obtaining a peptide having a cyclization site, it has been shown that it is difficult to modify the cyclization site in order to obtain a peptide having excellent membrane permeability and metabolic stability.
There is a need for peptide libraries having cyclic sites with excellent membrane permeability and metabolic stability that can be used for the development of pharmaceuticals. However, there is room for improvement in establishing such peptide libraries in various respects.
薬効、膜透過性、代謝安定性の全てを具備したペプチド臨床開発化合物を得るためには、膜透過性と代謝安定性を具備したペプチドをデザインしてそれらの化合物群をDisplayさせ、その中から薬効を有するペプチドを選択するDisplay library技術の実現が有効と考えられる。予め膜透過性と代謝安定性をある程度備えたHit化合物が獲得できると、天然物とは異なり容易に合成、化学修飾可能なため、従来のrule of 5内での低分子創薬と同様Hit化合物の構造変化を小さくしたまま構造最適化を実施することが可能となり、比較的容易に臨床開発化合物を創出できると期待できる。このような創薬技術、手法を確立するためには、rule of 5の範囲外である中分子ペプチドのDruglikeness(薬らしさ:本明細書では、好ましくは、膜透過性と代謝安定性の両立を示す。)を満たす条件の把握、およびその条件を満足させる分子群からなる非天然型アミノ酸を含むDisplay libraryの構築の2つが必須となると考えた。
一方、中分子ペプチドdisplayの限られた規模(ドラックライクネスを考慮するとペプチド鎖長に制限があることを指す)を有効に利用するためには、ライブラリーに全く異なる構造のペプチド(非天然型アミノ酸を含んだペプチド)を多く含ませることが肝要である。側鎖の性質の異なるアミノ酸を多種類導入することも然ることながら、制限された分子量の中で固定された部位を少なくして可変領域を拡大すること、主鎖構造の異なるペプチドを含ませることにより様々な標的に対して結合ペプチドが得られる可能性が高められることになり価値がある。この観点から有効な方法として例えば、様々な環化部位を有するペプチド、分枝ペプチドをディスプレイさせることなどが挙げられる。
本発明はこのような状況に鑑みてなされたものであり、本発明はペプチドディスプレイライブラリー構築のための、ペプチド化合物の新規な環化方法、分枝ペプチド合成法を提供し、また、これらを用いてドラッグライクなディスプレイライブラリーおよびドラッグライクなペプチド化合物を提供することを課題とする。
In order to obtain peptide clinically developed compounds with all of medicinal properties, membrane permeability, and metabolic stability, peptides with membrane permeability and metabolic stability are designed and those compound groups are displayed. Realization of Display library technology that selects peptides with medicinal effects is considered effective. Hit compounds that have membrane permeability and metabolic stability to some extent can be easily synthesized and chemically modified unlike natural products, so hit compounds are the same as conventional low molecular drug discovery within rule of 5. It is possible to carry out structural optimization while keeping the structural change of the compound small, and it can be expected that a clinically developed compound can be created relatively easily. In order to establish such drug discovery technology and method, druglikeness of medium molecular peptides that are outside the scope of rule of 5 (drug-likeness: In this specification, preferably, both membrane permeability and metabolic stability are achieved. I thought that it was essential to understand the conditions that satisfy the conditions) and to construct a display library containing unnatural amino acids consisting of molecular groups that satisfy the conditions.
On the other hand, in order to effectively use the limited scale of medium molecule peptide display (which means that there is a limitation on the peptide chain length in consideration of drug likeness), peptides with completely different structures (non-natural type) It is important to include a large amount of peptides containing amino acids. By introducing many types of amino acids with different side chain properties, it is possible to expand the variable region by reducing the number of fixed sites within the limited molecular weight, and to include peptides with different main chain structures. This is valuable because it increases the likelihood of obtaining binding peptides for a variety of targets. Effective methods from this viewpoint include, for example, displaying peptides having various cyclization sites and branched peptides.
The present invention has been made in view of such circumstances, and the present invention provides a novel cyclization method and branched peptide synthesis method for peptide compounds for the construction of peptide display libraries. It is an object to provide a drug-like display library and a drug-like peptide compound.
本発明者らは、上記課題を解決するために検討した結果、ドラックライクな環状ペプチドに必要とされる条件を初めて明らかにした。また、当該条件を満たした多様性の高い環化部を有するペプチド化合物からなるディスプレイライブラリー合成法を見出した。すなわち、新規な翻訳方法および翻訳後修飾を用いて環化部を有するペプチド化合物ライブラリーを合成する方法、および目的の活性を有するドラッグライクなペプチドの取得の可能性がより高まめるため、更に直鎖部を有するペプチド化合物のライブラリーを合成する法を見出し、標的分子に対する結合および阻害を示す化合物取得を可能とし、本発明を完成するに至った。 As a result of studies to solve the above problems, the present inventors have clarified for the first time the conditions required for a drug-like cyclic peptide. In addition, the present inventors have found a method for synthesizing a display library composed of peptide compounds having highly diverse cyclized portions that satisfy the above conditions. That is, since the possibility of obtaining a drug-like peptide having a target activity and a method for synthesizing a peptide compound library having a cyclization moiety using a novel translation method and post-translational modification is further increased, A method for synthesizing a library of peptide compounds having a linear portion has been found, and it has become possible to obtain a compound showing binding and inhibition to a target molecule, thereby completing the present invention.
すなわち、本発明は、以下を含む。
〔1〕
環状部を有するペプチド化合物の製造方法であって、
1)アミノ酸残基及び/又はアミノ酸類縁体残基、もしくは、アミノ酸残基及び/又はアミノ酸類縁体残基並びにN末端カルボン酸類縁体により構成される非環状のペプチド化合物を、該ペプチド化合物をコードする核酸から翻訳して合成する工程であって、
該非環状のペプチド化合物は、C末端側に側鎖の1つに反応点を有するアミノ酸残基又はアミノ酸類縁体残基、及び、N末端側にもう1つの反応点を有するアミノ酸残基、アミノ酸類縁体残基又はN末端カルボン酸類縁体を含む、工程;
2)N末端側のアミノ酸残基、アミノ酸類縁体残基又はN末端カルボン酸類縁体の反応点と、C末端側の側鎖に有するアミノ酸残基又はアミノ酸類縁体残基の反応点とを結合させ、アミド結合又は炭素-炭素結合を形成させる工程
を含む、前記方法。
〔2〕
環状部を有するペプチド化合物の製造方法であって、
1)アミノ酸残基及び/又はアミノ酸類縁体残基、もしくは、アミノ酸残基及び/又はアミノ酸類縁体残基並びにN末端カルボン酸類縁体により構成される非環状のペプチド化合物を、該ペプチド化合物をコードする核酸から翻訳して合成する工程であって、
該非環状のペプチド化合物は、活性エステル基を側鎖に有するアミノ酸残基又はアミノ酸類縁体残基、及び、アミン近傍に反応補助基を有するアミノ酸残基、アミノ酸類縁体残基又はN末端カルボン酸類縁体を含む、工程;
2)前記反応補助基を有するアミノ酸残基、アミノ酸類縁体残基又はN末端カルボン酸類縁体と、活性エステル基を側鎖に有するアミノ酸残基又はアミノ酸類縁体残基をアミド結合させて環状化合物を得る工程
を含む、〔1〕に記載の方法。
〔3〕
活性エステルがチオエステルである、〔2〕に記載の方法。
〔4〕
前記反応補助基が、SH基である、〔2〕又は〔3〕に記載の方法。
〔5〕
前記環状化合物を得る工程の後、反応補助基を除去する工程を含む、〔3〕または〔4〕に記載の方法。
〔6〕
前記アミン近傍に反応補助基を有するアミノ酸、アミノ酸類縁体又はN末端カルボン酸類縁体が、下記一般式で表される化合物N-1または化合物N-2である、〔2〕から〔5〕のいずれかに記載の方法;
(式中、R1は、水素原子、S-R23(R23は、置換基を有していてもよいアルキル基、アリール基もしくはアラルキル基を示す。)、またはHS基の保護基を示し;
R2、R3は、それぞれ独立して、水素原子、または、置換基を有していてもよい、アルキル基、アルケニル基、アルキニル基、アリール基、ヘテロアリール基、アラルキル基もしくはシクロアルキル基を示し;またはR2とR3が環を形成した置換基、またはR2もしくはR3がR4と環を形成した置換基を示し;
R4は、置換基を有していてもよいアルキレン基、置換基を有していてもよいアリーレン基または置換基を有していてもよい2価のアラルキル基を示し;
R11、R12は、それぞれ独立して、単結合、置換基を有していてもよいアルキレン基、置換基を有していてもよいアリーレン基または置換基を有していてもよい2価のアラルキル基を示す。)。
〔7〕
前記活性エステル基を側鎖に有するアミノ酸又はアミノ酸類縁体が、下記一般式で表される化合物C-1である、〔2〕~〔6〕のいずれかに記載の方法;
(式中、R25は、OH、ハロゲン原子、OR、またはSR1を示し(RはBt、At、NSuまたはPfpを示し、R1は、水素原子、置換基を有していてもよいアルキル基、置換基を有していてもよいアリール基または置換基を有していてもよいアラルキル基、置換基を有していてもよいシクロアルキル基、置換基を有していてもよいヘテロアリール基、置換基を有していてもよいアルケニル基、置換基を有していてもよいアルキレン基を示す。);
R26は、置換基を有していてもよいアルキレン基、置換基を有していてもよいアリーレン基または置換基を有していてもよい2価のアラルキル基を示し;
R2、R3は、それぞれ独立して、水素原子または置換基を有していてもよいアルキル基を示す。)。
〔8〕
前記環状部を有するペプチド化合物の環状部を構成する、アミノ酸残基及び/又はアミノ酸類縁体残基、あるいは、アミノ酸残基及び/又はアミノ酸類縁体残基並びにN末端カルボン酸類縁体の総数が、5~12である、〔1〕から〔7〕のいずれかに記載の方法。
〔9〕
前記環状部を有するペプチド化合物を構成する、アミノ酸残基及び/又はアミノ酸類縁体残基、あるいは、アミノ酸残基及び/又はアミノ酸類縁体残基並びにN末端カルボン酸類縁体の総数が、9~13である、〔1〕~〔8〕のいずれかに記載の方法。
〔10〕
環状部を有するペプチド化合物の製造方法であって、
1)アミノ酸残基及び/又はアミノ酸類縁体残基、あるいは、アミノ酸残基及び/又はアミノ酸類縁体残基並びにN末端カルボン酸類縁体により構成される非環状のペプチド化合物を、該ペプチド化合物をコードする核酸から翻訳して合成する工程であって、
該非環状のペプチド化合物は、活性エステル基を側鎖に有するアミノ酸残基又はアミノ酸類縁体残基、及び、N末端の主鎖アミノ基を有するアミノ酸残基、あるいは、主鎖もしくは側鎖にアミノ基を有するアミノ酸類縁体残基又はN末端カルボン酸類縁体を含む、工程;
2)N末端のアミノ酸残基、N末端のアミノ酸類縁体残基又はN末端カルボン酸類縁体と活性エステル基を側鎖に有するアミノ酸残基又はアミノ酸類縁体をアミド結合させて環状化合物を得る工程
を含む、〔1〕に記載の方法。
〔11〕
活性エステル基がアルキルチオエステル基又はアラルキルチオエステル基であって、工程1)の翻訳合成後に活性化剤を添加させることにより、より活性な活性エステル基に変換させる工程を含む、〔10〕に記載の方法。
〔12〕
活性剤が、アリールチオール又はN-ヒドロキシスクシンイミドである、〔11〕に記載の方法。
〔13〕
翻訳されたチオエステルとの反応性が高い活性化剤と、環化させるアミンとの反応性が高い活性化剤を添加させ、より活性の高い活性エステル基に変換させる工程である、〔12〕に記載の方法。
〔14〕
アリールチオエステルで活性エステル基に変換させた後、オキシマおよびその誘導体で更に活性の高いエステル基に変換させる工程である、〔13〕に記載の方法。
〔15〕
工程1)のN末端部位の翻訳合成が、フォルミルメチオニン以外の翻訳可能なアミノ酸、翻訳可能なアミノ酸類縁体又は翻訳可能なN末端カルボン酸類縁体をアシル化した翻訳開始tRNAを用いて導入する方法にて行われる、〔1〕から〔14〕のいずれかに記載の方法。
〔16〕
工程1)のN末端部位の翻訳合成が、開始コドンを読み飛ばし、N末端にMet以外の翻訳可能なアミノ酸、翻訳可能なアミノ酸類縁体又は翻訳可能なN末端カルボン酸類縁体を導入する方法を用いて行われる、〔10〕から〔14〕のいずれかに記載の方法。
〔17〕
工程1)のN末端部位の翻訳合成が、アミノペプチダーゼにてN末端のアミノ酸、アミノ酸類縁体又はカルボン酸類縁体を切断する方法を用いて行われる、〔10〕から〔14〕のいずれかに記載の方法。
〔18〕
前記N末端部位の翻訳合成が、メチオニン アミノペプチダーゼにて処理することによりN末端のフォルミルMetを除去しN末端に他のの翻訳可能なアミノ酸、翻訳可能なアミノ酸類縁体又は翻訳可能なN末端カルボン酸類縁体を導入する方法を用いて行われる、〔17〕に記載の方法。
〔19〕
前記N末端部位の翻訳合成が、Metの代わりにノルロイシンを含む翻訳系にて翻訳され、メチオニン アミノペプチダーゼにて処理することによりN末端のフォルミルノルロイシンを除去しN末端に他のの翻訳可能なアミノ酸、翻訳可能なアミノ酸類縁体又は翻訳可能なN末端カルボン酸類縁体を導入する方法を用いて行われる、〔10〕~〔14〕のいずれかに記載の方法。
〔20〕
前記N末端のアミノ酸、アミノ酸類縁体又はカルボン酸類縁体の除去に、さらに、ペプチドデフォルミラーゼが用いられる、〔17〕から〔19〕のいずれかに記載の方法。
〔21〕
前記環状部を有するペプチド化合物が、さらに直鎖部を有する、〔1〕から〔2〕0のいずれかに記載の製造方法。
〔22〕
前記非環状ペプチド化合物がα-ヒドロキシカルボン酸、及び、側鎖に保護されていてもよいアミノ基を有するアミノ酸又はアミノ酸類縁体を含み、工程2)の環状化合物を形成する工程の後で、工程3)α―ヒドロキシカルボン酸部位と側鎖に保護されていてもよいアミノ基を有するアミノ酸又はアミノ酸類縁体部位を化学反応させて分枝部位を形成させる工程を含む、〔1〕から〔21〕のいずれかに記載の方法。
〔23〕
環状部と直鎖部とを有するペプチド化合物の製造方法であって、
1)アミノ酸残基及び/又はアミノ酸類縁体残基、もしくは、アミノ酸残基及び/又はアミノ酸類縁体残基、N末端カルボン酸類縁体並びにα-ヒドロキシカルボン酸により構成される非環状のペプチド化合物を、該ペプチド化合物をコードする核酸から翻訳して合成する工程であって、該非環状のペプチド化合物が、
i)C末端側に側鎖の1つに反応点を有するアミノ酸残基(又はアミノ酸類縁体残基)、及び、N末端側にもう1つの反応点を有するアミノ酸残基、アミノ酸類縁体残基又はN末端カルボン酸類縁体を含み、
ii)前記i)に記載の2つの反応点の間にα位にRf5を有するα-ヒドロキシカルボン酸(Rf5は水素原子、置換されてもよいアルキル基、アラルキル基、ヘテロアリール基、シクロアルキル基、アリケニル基、アルキニル基から選択される)、及び、非環状ペプチド化合物中に保護されていてもよいアミノ基を側鎖に有するアミノ酸残基又はアミノ酸類縁体残基を含む、
非環状のペプチド化合物である、工程;
2)N末端側のアミノ酸残基、アミノ酸類縁体残基又はN末端カルボン酸類縁体の反応点と、C末端側の側鎖に有するアミノ酸残基又はアミノ酸類縁体残基の反応点とを結合させる、環化反応工程;
3)工程1)のii)に記載のα-ヒドロキシカルボン酸のエステル結合を切断してチオエステル基を発生させる工程
4)工程3)において発生させたチオエステル基と工程1)のii)に記載のアミノ基を結合させる環化反応工程、
を含む、方法。
〔24〕
工程1)のii)に記載のα-ヒドロキシカルボン酸とアミノ基を側鎖に有するアミノ酸残基又はアミノ酸類縁体残基の間に含まれるアミノ酸残基及び/又はアミノ酸類縁体残基の数が7つ以下である、〔23〕に記載の方法。
〔25〕
工程1)のii)に記載のα-ヒドロキシカルボン酸が、Cys-Pro-α-ヒドロキシカルボン酸として非環状ペプチド化合物中に含まれる、〔23〕又は〔24〕に記載の方法。
〔26〕
工程1)のi)に記載のN末端側にもう1つの反応点を有するアミノ酸残基、アミノ酸類縁体残基又はN末端カルボン酸類縁体が反応補助基を有している、〔23〕から〔25〕のいずれかに記載の方法。
〔27〕
工程1)のi)に記載のN末端側にもう1つの反応点を有するアミノ酸残基、アミノ酸類縁体残基又はN末端カルボン酸類縁体が反応補助基を有さず、ii)に記載のアミノ基を側鎖に有するアミノ酸残基又はアミノ酸類縁体残基のアミノ基が保護基を有し、活性化剤を添加することによって、工程2)の環化反応が行われ、工程2)の環化反応後、工程3)の環化反応前に、前記ii)に記載のアミノ基を側鎖に有するアミノ酸残基又はアミノ酸類縁体残基のアミノ基の保護基を除去する工程を含む、〔23〕から〔26〕のいずれかに記載の方法。
〔28〕
環状部を有するペプチド化合物の製造方法であって、
1)アミノ酸残基及び/又はアミノ酸類縁体残基、もしくは、アミノ酸残基及び/又はアミノ酸類縁体残基並びにN末端カルボン酸類縁体により構成される非環状のペプチド化合物を、該ペプチド化合物をコードする核酸から翻訳して合成する工程であって、
該非環状のペプチド化合物は、側鎖の1つに反応点を有するアミノ酸残基又はアミノ酸類縁体残基、及び、N末端にもう1つの反応点を有するアミノ酸、アミノ酸類縁体残基又はN末端カルボン酸類縁体を含む、工程;
2)N末端のアミノ酸残基、N末端のアミノ酸類縁体残基又はN末端カルボン酸類縁体の反応点と、側鎖に1つの反応点を有するアミノ酸残基又はアミノ酸類縁体の反応点とを炭素‐炭素結合させる工程
を含む、〔1〕に記載の方法。
〔29〕
N末端のアミノ酸残基、N末端のアミノ酸類縁体残基又はN末端カルボン酸類縁体の反応点として炭素‐炭素2重結合を選択し、側鎖に1つの反応点を有するアミノ酸残基又はアミノ酸類縁体残基の反応点としてアリールハライドを選択して、遷移金属を触媒とした炭素-炭素結合反応により環化反応を実施する工程を含む、〔28〕に記載の方法。
〔30〕
遷移金属を触媒とした炭素-炭素結合反応が、Pdを触媒としたHeck型の化学反応である、〔29〕に記載の方法。
〔31〕
前記環状部を有するペプチド化合物の環状部を形成するアミノ酸又はアミノ酸類縁体の合計が5~12となる位置に環化反応を実施するための反応点を有する、〔1から〔30〕のいずれかに記載の方法。
〔32〕
前記環状部を有するペプチド化合物のアミノ酸及びアミノ酸類縁体残基の総数が9~13である、〔31〕に記載の方法。
〔33〕
ペプチド化合物のC末端と翻訳合成に用いた鋳型とがスペーサーを介して結合しているペプチド化合物-核酸複合体を製造することを特徴とする、〔1〕~〔32〕のいずれかに記載の方法。
〔34〕
ペプチド化合物-核酸複合体が、翻訳合成に用いられる非環状ペプチド化合物をコードする核酸の3'末端にリンカーを介してピューロマイシンが結合している核酸を用いて合成される、〔33〕に記載の方法。
〔35〕
スペーサーがペプチド、RNA、DNA、またはヘキサエチレングリコールのポリマー、又は、これらの組合せである、〔33〕又は〔34〕に記載の方法。
〔36〕
ペプチド化合物を、互いに異なる配列を有する複数の核酸から成る核酸ライブラリーを翻訳して製造することを特徴とする、〔1〕から〔35〕のいずれかに記載の方法。
〔37〕
〔1〕から〔36〕のいずれかに記載の製造方法により作製されるペプチド化合物又はペプチド化合物-核酸複合体。
〔38〕
異なる構造を有する複数の〔37〕記載のペプチド化合物又はペプチド化合物-核酸複合体からなるライブラリー。
〔39〕
以下の(i)~(iv)を有することを特徴とする、環状部を有するペプチド化合物;
(i)アミノ酸及びアミノ酸類縁体残基数の合計が5~12からなる環状部を含み、アミノ酸及びアミノ酸類縁体の総数が9~13である、
(ii)N置換アミノ酸を少なくとも2つ含み、N置換されていないアミノ酸を少なくとも1つ含む、
(iii)ClogP値が6以上である、
(iv)環状部を形成しているアミノ酸又はアミノ酸類縁体の結合が、アミノ酸又はアミノ酸類縁体の側鎖にある活性エステル基と、他のアミノ酸又はアミノ酸類縁体のアミン基とからなる結合を少なくとも1つ有する。
〔40〕
ペプチド化合物に含まれるアミノ酸及びアミノ酸類縁体が、翻訳合成可能なアミノ酸又はアミノ酸類縁体、若しくは、翻訳可能なアミノ酸又はアミノ酸類縁体の側鎖またはN置換部位を化学修飾することによって得られるアミノ酸又はアミノ酸誘導体から選択されるアミノ酸又はアミノ酸類縁体である、〔39〕に記載のペプチド化合物。
〔41〕
さらに、アミノ酸及びアミノ酸類縁体残基数の合計が1~8からなる直鎖部を少なくとも1つ含む、〔39〕又は〔40〕に記載のペプチド化合物。
〔42〕
環状部を形成しているアミノ酸又はアミノ酸類縁体の結合がアミド結合又は炭素-炭素結合である、〔39〕から〔41〕のいずれかに記載のペプチド化合物。
〔43〕
環状部が下記一般式(I)で示される交差ユニットを含む、〔39〕から〔42〕のいずれかに記載のペプチド化合物;
(式中の記号は以下の意味を示す;
R51は、置換基を有していても良いC1-C6アルキル基、C5-C10アリール基、アラルキル基、エステル基、又は式1で示されるアミドであり、
R52は、置換基を有していても良いC1-C6アルキル基、アリール基、またはアラルキル基であり、
R53は、置換基を有していても良いC1-C6アルキル基、もしくは水素原子であるか、または、R53とR51とが互いに結合してC3-C5のアルキレン基を形成し窒素原子を含む5員~7員環を形成していてもよく、
R54は、0-8アミノ酸残基より構成されるペプチドであり、
R55は、置換基を有していても良いC1-C6アルキル基、C5-C10アリール基、アラルキル基、エステル基、置換基を有していても良いアミド基であり、
*は、環状部における結合部位を示す。)。
〔44〕
〔39〕から〔43〕のいずれかに記載のペプチド化合物を含む医薬組成物。
〔45〕
前記医薬組成物が経口剤である、〔44〕の医薬組成物。
〔46〕
〔39〕から〔45〕のいずれかに記載のペプチド化合物の製造方法であって、工程(i)~(v)を含む方法:
(i)アミノ酸及びアミノ酸類縁体の総数が9~13である非環状ペプチド化合物を翻訳合成して、当該非環状ペプチド化合物とそれをコードする核酸配列を有する複合体がリンカーを介して結合している非環状ペプチド化合物-核酸複合体を形成する工程;
(ii)工程(i)で翻訳合成された複合体の非環状ペプチド化合物をアミド結合又は炭素-炭素結合によって環化し、環状部のアミノ酸及びアミノ酸類縁体の残基数の合計が5~12となる環状化合物を形成する工程;および、
(iii)工程(ii)で得られた環状部を有するペプチド化合物-核酸複合体ライブラリーと生体内分子とを接触させ、当該生体内分子に対して結合活性を有する複合体を選択する工程。
〔47〕
さらに、以下の工程を含む、〔46〕に記載の製造方法;
(iv)前記工程(iii)で選択された複合体の核酸配列からペプチド化合物の配列情報を得る工程、および、
(v)前記工程(iv)で得られた配列情報に基づきペプチド化合物を化学合成する工程。
〔48〕
前記非環状ペプチド化合物がα-ヒドロキシカルボン酸、及び、保護されていてもよい側鎖にアミノ基を有するアミノ酸又はアミノ酸類縁体を含み、工程(ii)の環状化合物を形成する工程の後で、α―ヒドロキシカルボン酸部位と側鎖にアミノ基を有するアミノ酸又はアミノ酸類縁体部位を化学反応させて分枝部位を形成させる工程を含む、〔46〕又は〔47〕に記載の方法。
〔49〕
生体内分子が、分子量500未満の化合物が結合し得る領域を有していない分子である、〔46〕から〔48〕いずれかに記載の製造方法。
〔50〕
生体内分子に対して結合活性を有する複合体が、さらに該生体内分子が他の生体内分子との結合を阻害する活性を有する、〔46〕から〔49〕のいずれかに記載の製造方法。
〔51〕
環化反応するN末端側のアミノ酸又はアミノ酸類縁体が、前記化合物N-1または化合物N-2で表わされる化合物から選択されるアミノ酸又はアミノ酸類縁体であり、C末端側のアミノ酸又はアミノ酸類縁体が前記化合物C-1で表わされる化合物から選択されるアミノ酸又はアミノ酸類縁体であり、工程(ii)の環状化合物を得る工程の後、反応補助基を除去する工程を含む、〔46〕から〔50〕のいずれかに記載の製造方法。
〔52〕
核酸配列が3'末端にスペーサーを有し、翻訳合成されるペプチド化合物のC末端が、当該スペーサーを介して、当該核酸配列と複合体を形成する、〔46〕から〔51〕のいずれかに記載の製造方法。
〔53〕
ペプチド化合物-核酸複合体が、翻訳合成に用いられる非環状ペプチド化合物をコードする核酸の3'末端にリンカーを介してピューロマイシンが結合している核酸を用いて合成される、〔52〕に記載の方法。
〔54〕
スペーサーがペプチド、RNA、DNA、またはヘキサエチレングリコールのポリマーである、〔52〕又は〔53〕に記載の製造方法。
That is, the present invention includes the following.
[1]
A method for producing a peptide compound having a cyclic part,
1) An amino acid residue and / or an amino acid analog residue, or an acyclic peptide compound composed of an amino acid residue and / or an amino acid analog residue and an N-terminal carboxylic acid analog is encoded with the peptide compound A process of translating and synthesizing from the nucleic acid
The acyclic peptide compound comprises an amino acid residue or amino acid analog residue having a reactive site on one of the side chains on the C-terminal side, and an amino acid residue or amino acid analog having another reactive site on the N-terminal side. A body residue or an N-terminal carboxylic acid analog;
2) Combine the reaction point of the amino acid residue, amino acid analog residue or N-terminal carboxylic acid analog on the N-terminal side with the reaction point of the amino acid residue or amino acid analog residue in the side chain on the C-terminal side And forming an amide bond or a carbon-carbon bond.
[2]
A method for producing a peptide compound having a cyclic part,
1) An amino acid residue and / or an amino acid analog residue, or an acyclic peptide compound composed of an amino acid residue and / or an amino acid analog residue and an N-terminal carboxylic acid analog is encoded with the peptide compound A process of translating and synthesizing from the nucleic acid
The acyclic peptide compound comprises an amino acid residue or amino acid analog residue having an active ester group in the side chain, and an amino acid residue, amino acid analog residue or N-terminal carboxylic acid analog having a reaction auxiliary group near the amine. Including a body;
2) An amino acid residue, amino acid analog residue or N-terminal carboxylic acid analog having the reaction auxiliary group and an amino acid residue or amino acid analog residue having an active ester group in the side chain are amide-bonded to form a cyclic compound The method as described in [1] including the process of obtaining.
[3]
The method according to [2], wherein the active ester is a thioester.
[4]
The method according to [2] or [3], wherein the reaction auxiliary group is an SH group.
[5]
The method according to [3] or [4], comprising a step of removing the reaction auxiliary group after the step of obtaining the cyclic compound.
[6]
The amino acid, amino acid analog or N-terminal carboxylic acid analog having a reaction auxiliary group in the vicinity of the amine is a compound N-1 or a compound N-2 represented by the following general formula: Any of the methods;
Wherein R1 represents a hydrogen atom, S—R23 (R23 represents an optionally substituted alkyl group, aryl group or aralkyl group), or a protective group for the HS group;
R2 and R3 each independently represent a hydrogen atom or an optionally substituted alkyl group, alkenyl group, alkynyl group, aryl group, heteroaryl group, aralkyl group or cycloalkyl group; Or R2 and R3 represent a substituent that forms a ring, or R2 or R3 represents a substituent that forms a ring with R4;
R4 represents an alkylene group which may have a substituent, an arylene group which may have a substituent or a divalent aralkyl group which may have a substituent;
R11 and R12 each independently represents a single bond, an alkylene group which may have a substituent, an arylene group which may have a substituent or a divalent aralkyl which may have a substituent. Indicates a group. ).
[7]
The method according to any one of [2] to [6], wherein the amino acid or amino acid analog having an active ester group in the side chain is compound C-1 represented by the following general formula:
(In the formula, R25 represents OH, a halogen atom, OR, or SR1 (R represents Bt, At, NSu, or Pfp, and R1 represents a hydrogen atom, an alkyl group that may have a substituent, a substituted group) An aryl group which may have a group or an aralkyl group which may have a substituent, a cycloalkyl group which may have a substituent, a heteroaryl group which may have a substituent, a substituent An alkenyl group which may have a group and an alkylene group which may have a substituent.);
R26 represents an alkylene group which may have a substituent, an arylene group which may have a substituent or a divalent aralkyl group which may have a substituent;
R2 and R3 each independently represent a hydrogen atom or an alkyl group which may have a substituent. ).
[8]
The total number of amino acid residues and / or amino acid analog residues, or amino acid residues and / or amino acid analog residues and N-terminal carboxylic acid analogs constituting the cyclic part of the peptide compound having the cyclic part, The method according to any one of [1] to [7], which is 5 to 12.
[9]
The total number of amino acid residues and / or amino acid analog residues or amino acid residues and / or amino acid analog residues and N-terminal carboxylic acid analogs constituting the peptide compound having the cyclic portion is 9 to 13 The method according to any one of [1] to [8].
[10]
A method for producing a peptide compound having a cyclic part,
1) An amino acid residue and / or an amino acid analog residue, or an acyclic peptide compound composed of an amino acid residue and / or an amino acid analog residue and an N-terminal carboxylic acid analog is encoded with the peptide compound A process of translating and synthesizing from the nucleic acid
The acyclic peptide compound is an amino acid residue or amino acid analog residue having an active ester group in the side chain and an amino acid residue having an N-terminal main chain amino group, or an amino group in the main chain or side chain. Comprising an amino acid analog residue having an N-terminal carboxylic acid analog;
2) A step of obtaining a cyclic compound by amide bonding an N-terminal amino acid residue, an N-terminal amino acid analog residue or an N-terminal carboxylic acid analog and an amino acid residue or amino acid analog having an active ester group in the side chain. The method according to [1], comprising:
[11]
The active ester group is an alkylthioester group or an aralkylthioester group, and includes a step of converting the active ester group into a more active active ester group by adding an activator after the translational synthesis in step 1). Method.
[12]
The method according to [11], wherein the activator is arylthiol or N-hydroxysuccinimide.
[13]
In the step [12], an activator having a high reactivity with the translated thioester and an activator having a high reactivity with the amine to be cyclized are added and converted into a more active active ester group. The method described.
[14]
[13] The method according to [13], which is a step of converting to an active ester group with an arylthioester and then converting to an ester group having higher activity with an oxime and a derivative thereof.
[15]
The translational synthesis of the N-terminal site in step 1) is introduced using a translation initiation tRNA acylated with a translatable amino acid other than formylmethionine, a translatable amino acid analog or a translatable N-terminal carboxylic acid analog. The method according to any one of [1] to [14], wherein the method is performed.
[16]
In the translation synthesis of the N-terminal site in step 1), the start codon is skipped, and a translatable amino acid other than Met, a translatable amino acid analog or a translatable N-terminal carboxylic acid analog is introduced into the N-terminal The method according to any one of [10] to [14], wherein the method is performed using a method.
[17]
In any one of [10] to [14], the translational synthesis of the N-terminal site in step 1) is performed using a method of cleaving the N-terminal amino acid, amino acid analog or carboxylic acid analog with aminopeptidase. The method described.
[18]
In the translation synthesis of the N-terminal site, N-terminal formyl Met is removed by treatment with methionine aminopeptidase, and other translatable amino acids, translatable amino acid analogs or translatable N-terminal carboxylic acids at the N-terminal The method according to [17], wherein the method is performed using a method for introducing an acid analog.
[19]
Translational synthesis of the N-terminal site is translated with a translation system containing norleucine instead of Met, and treated with methionine aminopeptidase to remove the N-terminal formylnorleucine and allow other translation at the N-terminus The method according to any one of [10] to [14], wherein the method is carried out using a method for introducing an amino acid, a translatable amino acid analog or a translatable N-terminal carboxylic acid analog.
[20]
The method according to any one of [17] to [19], wherein a peptide deformylase is further used to remove the N-terminal amino acid, amino acid analog or carboxylic acid analog.
[21]
The production method according to any one of [1] to [2] 0, wherein the peptide compound having a cyclic part further has a linear part.
[22]
After the step of forming the cyclic compound of step 2), the non-cyclic peptide compound includes an α-hydroxycarboxylic acid and an amino acid or amino acid analog having an amino group which may be protected in the side chain, 3) including a step of chemically reacting an α-hydroxycarboxylic acid moiety and an amino acid or amino acid analog moiety having an amino group optionally protected by a side chain to form a branched moiety [1] to [21] The method in any one of.
[23]
A method for producing a peptide compound having a cyclic part and a linear part,
1) A non-cyclic peptide compound composed of an amino acid residue and / or an amino acid analog residue, or an amino acid residue and / or an amino acid analog residue, an N-terminal carboxylic acid analog, and an α-hydroxycarboxylic acid A step of translating and synthesizing from the nucleic acid encoding the peptide compound, wherein the acyclic peptide compound is
i) an amino acid residue (or amino acid analog residue) having a reactive site in one of the side chains on the C-terminal side, and an amino acid residue or amino acid analog residue having another reactive site on the N-terminal side Or an N-terminal carboxylic acid analog,
ii) an α-hydroxycarboxylic acid having Rf5 at the α-position between the two reaction points described in i) above (Rf5 is a hydrogen atom, an optionally substituted alkyl group, an aralkyl group, a heteroaryl group, a cycloalkyl group) An amino acid residue or an amino acid analog residue having an amino group in the side chain which may be protected in an acyclic peptide compound,
A process which is an acyclic peptide compound;
2) Combine the reaction point of the amino acid residue, amino acid analog residue or N-terminal carboxylic acid analog on the N-terminal side with the reaction point of the amino acid residue or amino acid analog residue in the side chain on the C-terminal side Cyclization reaction step;
3) Step 4) generating the thioester group by cleaving the ester bond of α-hydroxycarboxylic acid described in ii) of Step 1) and the thioester group generated in Step 3) and the method described in ii) of Step 1) A cyclization reaction step for attaching an amino group,
Including a method.
[24]
The number of amino acid residues and / or amino acid analog residues contained between the α-hydroxycarboxylic acid described in ii) of step 1) and the amino acid residue or amino acid analog residue having an amino group in the side chain is The method according to [23], which is 7 or less.
[25]
The method according to [23] or [24], wherein the α-hydroxycarboxylic acid described in ii) of step 1) is contained in the acyclic peptide compound as Cys-Pro-α-hydroxycarboxylic acid.
[26]
From [23], the amino acid residue, amino acid analog residue or N-terminal carboxylic acid analog having another reactive site on the N-terminal side described in i) of step 1) has a reaction auxiliary group. [25] The method according to any one of [25].
[27]
The amino acid residue, amino acid analog residue or N-terminal carboxylic acid analog having another reactive site on the N-terminal side described in i) of step 1) does not have a reaction auxiliary group, and described in ii) The amino group of the amino acid residue or amino acid analog residue having an amino group in the side chain has a protecting group, and by adding an activator, the cyclization reaction of step 2) is carried out. After the cyclization reaction and before the cyclization reaction in step 3), the method includes the step of removing the amino group-protecting group of the amino acid residue or amino acid analog residue having the amino group described in ii) in the side chain, [23] The method according to any one of [26].
[28]
A method for producing a peptide compound having a cyclic part,
1) An amino acid residue and / or an amino acid analog residue, or an acyclic peptide compound composed of an amino acid residue and / or an amino acid analog residue and an N-terminal carboxylic acid analog is encoded with the peptide compound A process of translating and synthesizing from the nucleic acid
The acyclic peptide compound comprises an amino acid residue or amino acid analog residue having a reactive site in one of the side chains, and an amino acid, amino acid analog residue or N-terminal carboxylic acid having another reactive site at the N-terminus. Comprising an acid analog;
2) A reaction point of an N-terminal amino acid residue, an N-terminal amino acid analog residue or an N-terminal carboxylic acid analog, and a reaction point of an amino acid residue or amino acid analog having one reaction point in the side chain The method according to [1], comprising a carbon-carbon bonding step.
[29]
An amino acid residue or amino acid having a carbon-carbon double bond selected as the reaction point of the N-terminal amino acid residue, N-terminal amino acid analog residue or N-terminal carboxylic acid analog and having one reactive point in the side chain [28] The method according to [28], comprising a step of selecting an aryl halide as a reaction point of an analog residue and performing a cyclization reaction by a carbon-carbon bond reaction using a transition metal as a catalyst.
[30]
[29] The method according to [29], wherein the carbon-carbon bond reaction catalyzed by a transition metal is a Heck type chemical reaction catalyzed by Pd.
[31]
Any one of [1 to [30], having a reaction point for carrying out the cyclization reaction at a position where the total of amino acids or amino acid analogs forming the cyclic part of the peptide compound having the cyclic part is 5 to 12 The method described in 1.
[32]
[31] The method according to [31], wherein the total number of amino acids and amino acid analog residues of the peptide compound having a cyclic moiety is 9 to 13.
[33]
The peptide compound according to any one of [1] to [32], wherein a peptide compound-nucleic acid complex is produced in which the C-terminus of the peptide compound and the template used for translational synthesis are bonded via a spacer. Method.
[34]
The peptide compound-nucleic acid complex is synthesized using a nucleic acid in which puromycin is bound to the 3 ′ end of a nucleic acid encoding an acyclic peptide compound used for translational synthesis via a linker, [33] the method of.
[35]
The method according to [33] or [34], wherein the spacer is a peptide, RNA, DNA, or a polymer of hexaethylene glycol, or a combination thereof.
[36]
The method according to any one of [1] to [35], wherein the peptide compound is produced by translating a nucleic acid library comprising a plurality of nucleic acids having different sequences.
[37]
A peptide compound or a peptide compound-nucleic acid complex produced by the production method according to any one of [1] to [36].
[38]
A library comprising a plurality of peptide compounds according to [37] or peptide compounds-nucleic acid complexes having different structures.
[39]
A peptide compound having a cyclic part, which has the following (i) to (iv):
(I) the total number of amino acids and amino acid analogs is 9 to 13 including a cyclic part consisting of 5 to 12 total amino acid and amino acid analog residues;
(Ii) at least two N-substituted amino acids and at least one amino acid that is not N-substituted,
(Iii) The ClogP value is 6 or more,
(Iv) The bond of the amino acid or amino acid analog forming the cyclic part is at least a bond comprising an active ester group in the side chain of the amino acid or amino acid analog and the amine group of another amino acid or amino acid analog Have one.
[40]
Amino acids and amino acid analogs contained in peptide compounds are amino acids or amino acid analogs capable of translational synthesis, or amino acids or amino acids obtained by chemically modifying the translatable amino acids or side chains or N-substitution sites of amino acid analogs The peptide compound according to [39], which is an amino acid or an amino acid analog selected from derivatives.
[41]
Furthermore, the peptide compound according to [39] or [40], further comprising at least one linear moiety consisting of 1 to 8 in total of amino acid and amino acid analog residues.
[42]
The peptide compound according to any one of [39] to [41], wherein the amino acid or amino acid analog forming the cyclic part is an amide bond or a carbon-carbon bond.
[43]
The peptide compound according to any one of [39] to [42], wherein the cyclic part includes an intersection unit represented by the following general formula (I):
(The symbols in the formula have the following meanings;
R51 is a C1-C6 alkyl group optionally having a substituent, a C5-C10 aryl group, an aralkyl group, an ester group, or an amide represented by the
R52 is an optionally substituted C1-C6 alkyl group, an aryl group, or an aralkyl group,
R53 is an optionally substituted C1-C6 alkyl group, or a hydrogen atom, or R53 and R51 are bonded to each other to form a C3-C5 alkylene group, which contains a nitrogen atom. It may form a 7-membered ring,
R54 is a peptide composed of 0-8 amino acid residues,
R55 is a C1-C6 alkyl group which may have a substituent, a C5-C10 aryl group, an aralkyl group, an ester group, an amide group which may have a substituent,
* Indicates a binding site in the annular portion. ).
[44]
[39] A pharmaceutical composition comprising the peptide compound according to any one of [43].
[45]
[44] The pharmaceutical composition of [44], wherein the pharmaceutical composition is an oral preparation.
[46]
[39] A method for producing a peptide compound according to any one of [45], comprising steps (i) to (v):
(I) A non-cyclic peptide compound having a total number of amino acids and amino acid analogs of 9 to 13 is synthesized by translation, and the non-cyclic peptide compound and a complex having a nucleic acid sequence encoding the non-cyclic peptide compound are bound via a linker. Forming a non-cyclic peptide compound-nucleic acid complex;
(Ii) The complex acyclic peptide compound translated and synthesized in step (i) is cyclized by an amide bond or a carbon-carbon bond, and the total number of amino acids in the cyclic portion and amino acid analogs is 5-12. Forming a cyclic compound comprising: and
(Iii) A step of contacting the peptide compound-nucleic acid complex library having a cyclic moiety obtained in step (ii) with a biological molecule and selecting a complex having binding activity to the biological molecule.
[47]
Furthermore, the manufacturing method as described in [46] including the following processes;
(Iv) obtaining sequence information of the peptide compound from the nucleic acid sequence of the complex selected in the step (iii), and
(V) A step of chemically synthesizing the peptide compound based on the sequence information obtained in the step (iv).
[48]
After the step of forming the cyclic compound of step (ii), wherein the acyclic peptide compound comprises an α-hydroxycarboxylic acid and an amino acid or amino acid analog having an amino group in the side chain which may be protected; The method according to [46] or [47], comprising a step of chemically reacting an α-hydroxycarboxylic acid moiety with an amino acid having an amino group in the side chain or an amino acid analog moiety to form a branched moiety.
[49]
The production method according to any one of [46] to [48], wherein the in vivo molecule is a molecule that does not have a region to which a compound having a molecular weight of less than 500 can bind.
[50]
The production method according to any one of [46] to [49], wherein the complex having binding activity to the biological molecule further has an activity of inhibiting the binding of the biological molecule to another biological molecule. .
[51]
The amino acid or amino acid analog on the N-terminal side that undergoes a cyclization reaction is an amino acid or amino acid analog selected from the compound represented by Compound N-1 or Compound N-2, and the amino acid or amino acid analog on the C-terminal side Is an amino acid or an amino acid analog selected from the compound represented by the compound C-1, and includes a step of removing the reaction auxiliary group after the step of obtaining the cyclic compound of step (ii). 50].
[52]
The nucleic acid sequence has a spacer at the 3 ′ end, and the C-terminus of the peptide compound to be translated and synthesized forms a complex with the nucleic acid sequence via the spacer, according to any of [46] to [51] The manufacturing method as described.
[53]
The peptide compound-nucleic acid complex is synthesized using a nucleic acid in which puromycin is bound to the 3 ′ end of a nucleic acid encoding an acyclic peptide compound used for translational synthesis via a linker, according to [52]. the method of.
[54]
[52] The production method according to [53], wherein the spacer is a peptide, RNA, DNA, or a polymer of hexaethylene glycol.
本発明によれば、翻訳合成することができるドラックライクな(膜透過性と代謝安定性に優れた)環状部を有するペプチド化合物又は環状部と直鎖部を有するペプチド化合物、及び、当該化合物のディスプレイライブラリーが提供される。また、本発明のディスプレイライブラリーは、多様性に富んだライブラリーであることから、所望の標的分子に対するヒット化合物を取得できる確率が高い。さらに、本発明のディスプレイライブラリーから得られた該ヒット化合物は、既に優れた膜透過性と代謝安定性を有していることからことから、大きな構造変換をすることなく、従来の低分子化合物の考え方と同様医薬品としての最適化を効率的に実施することが可能である。このように本発明は、これまで医薬品として知られている低分子化合物や抗体とは異なる新しい医薬品のためのScaffoldの提供と効率的に医薬品を創出するための新しい創薬システムを提供するものである。 According to the present invention, a drug compound having a drug-like (particularly membrane permeability and metabolic stability) cyclic part or a peptide compound having a cyclic part and a linear part, which can be translationally synthesized, and A display library is provided. In addition, since the display library of the present invention is a library rich in diversity, there is a high probability that a hit compound for a desired target molecule can be obtained. Furthermore, since the hit compound obtained from the display library of the present invention already has excellent membrane permeability and metabolic stability, the conventional low molecular weight compound does not undergo a large structural change. It is possible to efficiently carry out optimization as a pharmaceutical product in the same way as the above idea. Thus, the present invention provides Scaffold for new drugs different from low molecular weight compounds and antibodies that have been known as drugs, and provides a new drug discovery system for efficiently creating drugs. is there.
[規則91に基づく訂正 28.02.2013]
<ペプチド化合物>
・環状部を有するペプチド化合物
本発明の環状部を有するペプチド化合物とは、アミノ酸あるいはアミノ酸類縁体がアミド結合あるいはエステル結合して形成される化合物であり、環状部がアミド結合あるいは炭素‐炭素結合形成反応などの共有結合を介して環化された化合物である。当該化合物をさらに化学修飾して得られる化合物も本発明のペプチド化合物に含まれる。本発明のペプチド化合物は直鎖部を有していてもよく、例えば、スキームA(スキームA-1、A-2)のように記載することができる。環状部を有するペプチド化合物は、さらに、直鎖部を有していてもよい。アミド結合あるいはエステル結合の数(アミノ酸又はアミノ酸類縁体の数・長さ)を特に限定しないが、直鎖部を有する場合、環状部と直鎖部を併せて30残基以内が好ましい。高い膜透過性を獲得するためには、環化部位と直鎖部位を併せた総アミノ酸数は13残基以下であることがより好ましい。高い代謝安定性を獲得するためには、総アミノ酸数が9以上であることがより好ましい。膜透過性と代謝安定性の両立(ドラックライクネス)を考慮すると上記に加えて環状部を構成するアミノ酸及びアミノ酸類縁体の数は5~12であることが好ましい。さらに、上の記載に加えて環状部を構成するアミノ酸及びアミノ酸類縁体の数はより好ましくは5~11、さらに7~11残基が好ましい。特に9~11残基が好ましい。直鎖部のアミノ酸及びアミノ酸類縁体の数(ユニットの数)は0~8であることが好ましい。さらに、0~3が好ましい。尚、本願では特に限定しない限り、アミノ酸にはアミノ酸類縁体も含まれる場合があるものとする。また、ここで、「ドラックライクネス」あるいは「ドラックライク」とは、ペプチド化合物が、少なくとも経口剤、あるいは、細胞内蛋白、核酸、膜蛋白の細胞内領域又は膜蛋白の膜貫通ドメインを標的とした場合に、医薬品として利用できる程度の膜透過性と代謝安定性を有することを意味する。
<Peptide compound>
Peptide compound having a cyclic part The peptide compound having a cyclic part of the present invention is a compound formed by amide bond or ester bond of an amino acid or an amino acid analog, and the cyclic part forms an amide bond or a carbon-carbon bond. A compound cyclized through a covalent bond such as a reaction. A compound obtained by further chemically modifying the compound is also included in the peptide compound of the present invention. The peptide compound of the present invention may have a linear portion, and can be described as, for example, Scheme A (Schemes A-1 and A-2). The peptide compound having a cyclic part may further have a linear part. The number of amide bonds or ester bonds (the number and length of amino acids or amino acid analogs) is not particularly limited, but when it has a linear part, it is preferably within 30 residues including the cyclic part and the linear part. In order to obtain high membrane permeability, the total number of amino acids including the cyclization site and the linear site is more preferably 13 residues or less. In order to obtain high metabolic stability, the total number of amino acids is more preferably 9 or more. In consideration of compatibility between membrane permeability and metabolic stability (drug likeness), in addition to the above, the number of amino acids and amino acid analogs constituting the cyclic part is preferably 5-12. Further, in addition to the above description, the number of amino acids and amino acid analogs constituting the cyclic part is more preferably 5 to 11, and further preferably 7 to 11 residues. 9 to 11 residues are particularly preferred. The number of amino acids and amino acid analogs (number of units) in the linear portion is preferably 0-8. Furthermore, 0 to 3 are preferable. In the present application, unless specifically limited, amino acids may include amino acid analogs. Here, “druglikeness” or “druglike” means that a peptide compound targets at least an oral agent, or an intracellular region of an intracellular protein, nucleic acid, membrane protein or a transmembrane domain of a membrane protein. In this case, it means having membrane permeability and metabolic stability that can be used as a medicine.
本発明の環状部を有するペプチド化合物の環状部位は環状を形成しているペプチドであれば特に限定されないが、翻訳後環化部は膜透過性と代謝安定性を両立(Druglikeness)できる官能基を形成する環化ユニットであることが必要である。そのような環化法であれば特に限定されない。例えばカルボン酸とアミンから形成されるアミド結合や、鈴木反応、Heck反応(ヘック反応)、Sonogashira反応等の遷移金属を触媒とした炭素―炭素結合反応などが挙げられる。従って本発明のペプチド化合物は、これらの結合反応が可能な少なくとも1組の官能基を含む。特に代謝安定性の観点からは、結合反応によってアミド結合が形成される官能基が含まれることが好ましい。 The cyclic part of the peptide compound having a cyclic part of the present invention is not particularly limited as long as it is a peptide that forms a ring, but the post-translational cyclization part has a functional group capable of satisfying both membrane permeability and metabolic stability (Druglikeness). It must be the cyclization unit that forms. If it is such a cyclization method, it will not specifically limit. Examples thereof include an amide bond formed from a carboxylic acid and an amine, and a carbon-carbon bond reaction using a transition metal such as a Suzuki reaction, a Heck reaction (Heck reaction), and a Sonogashira reaction as a catalyst. Accordingly, the peptide compound of the present invention contains at least one set of functional groups capable of these coupling reactions. In particular, from the viewpoint of metabolic stability, a functional group that forms an amide bond by a binding reaction is preferably included.
本発明のペプチド化合物の環状部としては、例えば、スキームAに記載のような翻訳合成後の化学反応により環化されることにより形成される環状部が好ましい。さらに、翻訳後にRNAやDNAなどの核酸に影響を与えることのない反応条件でも形成することができる環状部が好ましい。 As the cyclic part of the peptide compound of the present invention, for example, a cyclic part formed by cyclization by a chemical reaction after translation synthesis as shown in Scheme A is preferable. Furthermore, a circular part that can be formed under reaction conditions that do not affect nucleic acids such as RNA and DNA after translation is preferred.
環状部の形成はドラックライクな環化であることが好ましい。ドラックライクな環化とは、生成される結合がドラックライクである結合を意味する。例えば、容易に酸化される可能性を有するヘテロ原子を含むような結合であって、代謝安定性の妨げとなる結合が含まれないことが好ましい。環化によって生成される結合としては、例えば、活性エステルとアミンとの結合によるアミド結合、炭素―炭素2重結合とアリールハライドによるHeck反応生成物などによって生成される結合が含まれる。これらはスキームAにも記載の三角ユニット(環化N端側ユニット)や交差ユニットに反応性官能基を要求するため、三角ユニットや交差ユニットには必ずしもドラックライクに適したアミノ酸が選択されない。しかしながら、翻訳後修飾を実施した後にドラックライクな官能基を有する化合物へと変換される。本発明においては、このような結合もドラックライクな環化の結合に含まれる。 The formation of the annular portion is preferably a drug-like cyclization. Drag-like cyclization means a bond in which the bond produced is drug-like. For example, it is preferable that the bond includes a heteroatom that can be easily oxidized and does not include a bond that hinders metabolic stability. Examples of the bond generated by cyclization include an amide bond formed by a bond between an active ester and an amine, and a bond generated by a Heck reaction product formed by a carbon-carbon double bond and an aryl halide. Since these require a reactive functional group in the triangular unit (cyclized N-terminal unit) or crossing unit described in Scheme A, amino acids suitable for drug-like are not necessarily selected for the triangular unit or crossing unit. However, it is converted into a compound having a drug-like functional group after post-translational modification. In the present invention, such a bond is also included in the drug-like cyclized bond.
スキームAの曲線部分が翻訳後に環化される部位(翻訳後環化部)であり、この部分はアミド結合あるいはHeck反応などの炭素‐炭素結合形成反応に代表される様々な翻訳後修飾化学反応にて結合されて環状部が形成される。なお、本明細書において「翻訳合成」は、ペプチド化合物をコードする核酸(たとえば、DNA、RNA)から、該ペプチド化合物を翻訳して合成すること意味する。翻訳とは、リボゾームの作用によってmRNAを鋳型にアミド結合やエステル結合反応を繰り返すことによって直鎖ペプチドを得る工程である。
翻訳後修飾とは、翻訳後にリボゾームの作用以外で自動的あるいは別試薬を添加させて生じさせる化学反応を指し、例えば環化反応や脱保護反応を挙げることができる。
翻訳後環化とは、翻訳後修飾の中で環形成反応を伴うものである。(スキームA:本発明のペプチド化合物を説明したスキームである。白丸ユニット、黒丸ユニット、三角ユニット、四角ユニットはそれぞれアミノ酸あるいはアミノ酸類縁体を意味する。また、それぞれのユニットは同一あるいは別々のアミノ酸あるいはアミノ酸類縁体を意味する。三角ユニットはN末端カルボン酸類縁体の場合もあり得る。例えば、8個の黒丸ユニットはそれぞれ別種類のアミノ酸あるいはアミノ酸類縁体であってもよく、その中のいくつか、あるいは全てが同一のものであってもよい。また、翻訳後に実施可能な化学修飾により、アミノ酸あるいはアミノ酸類縁体は、別骨格を有する化合物へ化学変換や骨格変換されていてもよい。ここで、1ユニットとは、翻訳後修飾が終了した時点でのアミノ酸あるいはアミノ酸類縁体が、これに該当するが、1つのtRNAによって翻訳されたアミノ酸あるいはアミノ酸類縁体が、翻訳後修飾により、別骨格を有する化合物へ化学変換や骨格変換されたものも、これに含まれる。ユニットの数についても同様に計算される。尚、本願では特に限定しない限り、アミノ酸にはアミノ酸類縁体も含まれるものとする。また、本明細書中において、翻訳後環化は単に環化という場合がある。
The curve part of Scheme A is a site that is cyclized after translation (post-translational cyclization part), and this part is a variety of post-translational modification chemical reactions represented by carbon-carbon bond formation reactions such as amide bond or Heck reaction. To form an annular portion. In this specification, “translational synthesis” means that a peptide compound is translated and synthesized from a nucleic acid (eg, DNA, RNA) encoding the peptide compound. Translation is a process of obtaining a linear peptide by repeating amide bond or ester bond reaction using mRNA as a template by the action of ribosome.
Post-translational modification refers to a chemical reaction that occurs after translation automatically or by adding another reagent other than the action of ribosome, and includes, for example, a cyclization reaction and a deprotection reaction.
Post-translational cyclization involves a ring-forming reaction among post-translational modifications. (Scheme A: A scheme for explaining the peptide compound of the present invention. The white circle unit, the black circle unit, the triangular unit, and the square unit each mean an amino acid or an amino acid analog. A triangular unit may be an N-terminal carboxylic acid analog, for example, each of the eight black circle units may be a different type of amino acid or an amino acid analog, some of which Alternatively, the amino acid or amino acid analog may be chemically or skeleton-converted to a compound having another skeleton by chemical modification that can be performed after translation. 1 unit is the amino acid or amino acid analog at the end of post-translational modification. However, this also includes those in which an amino acid or amino acid analog translated by one tRNA is chemically or skeleton-converted to a compound having another skeleton by post-translational modification. In the present application, unless otherwise specified, amino acids include amino acid analogs, and in this specification, post-translational cyclization may be simply referred to as cyclization. is there.
例えば、環状部とはスキームA-1においては、1つの三角(▲)ユニット(残基)(環化N端側ユニット)と8つの黒丸(●)ユニット(環状部主鎖ユニット)および1つの白丸(○)ユニット(交差ユニット)から成る部位であり、直鎖部とは6つの四角(■)ユニット(直鎖部主鎖ユニット)から成る部位である。またスキームA-2では環状部とは1つの三角ユニットと8個の黒丸ユニットおよび1つの交差ユニットから成る部位であり、直鎖部とは4つの四角および3つの四角ユニットから成る部位である。 For example, in the scheme A-1, the cyclic part is one triangular (▲) unit (residue) (cyclized N-terminal unit), eight black circle (●) units (cyclic part main chain unit) and one It is a part composed of white circle (◯) units (intersection units), and the straight chain part is a part composed of six square (■) units (straight chain main chain units). In scheme A-2, the annular part is a part composed of one triangular unit, eight black circle units and one crossing unit, and the straight chain part is a part composed of four squares and three square units.
本発明において交差ユニットとは、翻訳後に形成される環化前のペプチド化合物(非環化ペプチド化合物)において、アミノ酸側鎖に当該ペプチド化合物中の三角ユニットのアミノ酸又はアミノ酸類縁体が持つ官能基あるいはN末端カルボン酸類縁体が持つ官能基と、化学反応によって環化される官能基を有するアミノ酸あるいはアミノ酸類縁体であり、当該三角ユニットとの環化に必要な官能基を有していれば特に限定されない。スキームAの白丸ユニットがこれに該当する。交差ユニットは、上記のアミノ酸あるいはアミノ酸類縁体から選択され、核酸からの翻訳が可能であるものが好ましい。また、そのものが翻訳困難であっても、その誘導体が翻訳される場合には、そのものが翻訳されることが必須ではない。例えば、Asp(SBn)が翻訳される場合には、交差ユニットとしてはAspの側鎖メチレン鎖を自由に置換した化合物も許容される(例えば化合物C-3のR28やR29は、翻訳されないものであってもよい)。交差ユニットでは、主鎖のアミノ基、カルボキシル基が翻訳合成での共有結合形成に使用され、かつ第三の官能基が翻訳後環化に必要であるため、合計3つ以上の官能基を有する必要がある。この中で、翻訳後環化部位は交差ユニットの側鎖部位の官能基により環化される。 In the present invention, the crossing unit refers to a functional group possessed by the amino acid or amino acid analog of the triangular unit in the peptide compound on the amino acid side chain in the peptide compound before cyclization (non-cyclized peptide compound) formed after translation. An amino acid or an amino acid analog having a functional group possessed by an N-terminal carboxylic acid analog and a functional group that is cyclized by a chemical reaction, particularly if it has a functional group necessary for cyclization with the triangular unit It is not limited. The white circle unit in Scheme A corresponds to this. The crossing unit is preferably selected from the above amino acids or amino acid analogs and capable of translation from a nucleic acid. Moreover, even if the translation itself is difficult, it is not essential that the derivative itself is translated when the derivative is translated. For example, when Asp (SBn) is translated, a compound in which the side chain methylene chain of Asp is freely substituted is allowed as an intersection unit (for example, R28 and R29 of compound C-3 are not translated). May be). In the crossover unit, the amino group and carboxyl group of the main chain are used for covalent bond formation in translation synthesis, and the third functional group is necessary for post-translational cyclization, so that it has a total of three or more functional groups. There is a need. In this, the posttranslational cyclization site is cyclized by the functional group of the side chain site of the crossing unit.
ここで、交差ユニットと環化する官能基を有するアミノ酸あるいはアミノ酸類縁体、もしくはN末端カルボン酸類縁体は、交差ユニットと環化する官能基を有する限り特に限定されない。スキームAの三角ユニットがこれに該当する。三角ユニットは、例えば、スキームA中ではN末端に配置された例を示した。このような例では、三角ユニットとしてアミノ酸を選択した場合には主鎖アミノ基を環化官能基として使用することができる。例えば、交差ユニットに活性エステルを活用した場合、三角ユニットの主鎖アミノ基とアミド結合による翻訳後環化させることが可能である。このように、主鎖アミノ基を反応性官能基として活用する場合、三角ユニットの側鎖には反応性官能基を有していなくともよい。側鎖にSH基(チオール基)などの反応補助基を導入することもできる。また、三角ユニットとしてアミノ酸類縁体を利用した場合、主鎖のヒドロキシル基を反応性官能基として使用してもよく、また側鎖に配置させた反応性官能基を利用してもよい。また、N末端カルボン酸類縁体を利用した場合には、上述と同様アミノ基やヒドロキシル基を反応性官能基として利用してもよいが、アミノ基やヒドロキシル基を持たない自由な反応性ユニットとして様々な官能基を導入させることができる。三角ユニットは、上記のアミノ酸あるいはアミノ酸類縁体、もしくはN末端カルボン酸類縁体から選択され、翻訳されるものが好ましい。また、そのものが翻訳困難であっても、その誘導体が翻訳される場合には、そのものが翻訳されることが必須ではないことは、交差ユニットと同様である。 Here, the amino acid or amino acid analog having a functional group that cyclizes with the crossing unit, or the N-terminal carboxylic acid analog is not particularly limited as long as it has a functional group that cyclizes with the crossing unit. This corresponds to the triangular unit of Scheme A. For example, in the scheme A, the triangular unit is arranged at the N-terminal. In such an example, when an amino acid is selected as the triangular unit, the main chain amino group can be used as the cyclized functional group. For example, when an active ester is used as the crossing unit, post-translational cyclization can be performed by the main chain amino group of the triangular unit and an amide bond. Thus, when the main chain amino group is utilized as a reactive functional group, the side chain of the triangular unit may not have a reactive functional group. Reaction auxiliary groups such as SH groups (thiol groups) can also be introduced into the side chain. When an amino acid analog is used as the triangular unit, the hydroxyl group of the main chain may be used as a reactive functional group, or a reactive functional group arranged in a side chain may be used. In addition, when an N-terminal carboxylic acid analog is used, an amino group or a hydroxyl group may be used as a reactive functional group as described above, but as a free reactive unit having no amino group or hydroxyl group. Various functional groups can be introduced. The triangular unit is preferably selected from the above amino acids, amino acid analogs, or N-terminal carboxylic acid analogs and translated. In addition, even if it is difficult to translate itself, it is not essential that the derivative is translated as in the case of the intersection unit.
交差ユニットと三角ユニットは、環化可能な位置であれば、環化前のペプチド化合物中の所望の位置に組み込むことが可能であるが、環化、もしくは環化後の翻訳後修飾が施された後の環状部位のアミノ酸またはアミノ酸類縁体あるいはN末端カルボン酸類縁体を併せた数が5~12となるような位置に組み込まれることが好ましい。さらに、環化、もしくは環化後の翻訳後修飾が施された後の環状部のアミノ酸またはアミノ酸類縁体あるいはN末端カルボン酸類縁体を併せた数が5~11となるような位置に組み込まれることが好ましい。 The crossing unit and the triangular unit can be incorporated at a desired position in the peptide compound before cyclization as long as they can be cyclized, but cyclization or post-translational modification after cyclization is applied. It is preferable that the amino acid, amino acid analog or N-terminal carboxylic acid analog in the subsequent cyclic site is incorporated at a position where the total number is 5 to 12. Furthermore, the amino acid or amino acid analog or N-terminal carboxylic acid analog of the cyclic part after cyclization or post-translational modification after cyclization is incorporated at a position where the total number is 5 to 11. It is preferable.
また、三角ユニットはスキームAではN末端に配置させているが、N末端以外の位置に配置させることもできる。その場合、その位置は、交差ユニットよりN末端側に配置させる必要がある。三角ユニットをN末端以外の位置に配置させる場合、三角ユニットには、アミノ酸およびアミノ酸類縁体から選択され、側鎖に交差ユニットと環化反応する官能基を有する。 In addition, the triangular unit is arranged at the N-terminal in Scheme A, but it can be arranged at a position other than the N-terminal. In that case, the position needs to be arranged on the N-terminal side from the intersection unit. When the triangular unit is arranged at a position other than the N-terminal, the triangular unit is selected from amino acids and amino acid analogs, and has a functional group that cyclizes with the crossing unit in the side chain.
黒丸ユニット、四角ユニットは、アミノ酸あるいはアミノ酸類縁体より選択される。また、アミノ酸あるいはアミノ酸類縁体で翻訳された後、翻訳後修飾により生じさせることのできる化学構造も含まれる(例えば直鎖部2の構造)。アミノ酸を選択した場合、黒丸ユニットは特に限定されないが、好ましくはドラックライクなアミノ酸、もしくは反応性官能基を有し翻訳後修飾にて化学反応させてドラックライクな官能基に変換させるアミノ酸から選択される(例えば直鎖部2のアミノ酸残基としてリジンが挙げられる。)。アミノ酸類縁体から選択した場合、黒丸ユニットは特に限定されないが、好ましくはドラックライクなアミノ酸類縁体もしくは側鎖に様々な反応性官能基を有するアミノ酸類縁体が翻訳後の修飾により反応性官能基が化学修飾され、ドラックライクなアミノ酸類縁体に変換されるアミノ酸類縁体から選択される。 The black circle unit and the square unit are selected from amino acids or amino acid analogs. Also included are chemical structures that can be produced by post-translational modification after translation with an amino acid or amino acid analog (eg, the structure of the straight chain portion 2). When an amino acid is selected, the black circle unit is not particularly limited, but is preferably selected from a drug-like amino acid or an amino acid that has a reactive functional group and is chemically reacted by post-translational modification to be converted into a drug-like functional group. (For example, lysine is mentioned as the amino acid residue of the straight chain part 2). When selected from amino acid analogs, the black circle unit is not particularly limited, but preferably a drug-like amino acid analog or an amino acid analog having various reactive functional groups on the side chain is converted into a reactive functional group by post-translational modification. Selected from amino acid analogs that are chemically modified and converted to drug-like amino acid analogs.
直鎖部の数(分枝の数)は特に限定されず、スキームA-1のように1つであってもよく、スキームA-2のように2つ以上であってもよい。また、スキームA-1の四角ユニットの数が0個になった化合物でもよく、またスキームA-2の四角ユニットのうち直鎖部1の数が0個になった化合物でもよい。直鎖部を有することで、本発明の環状部を有するペプチド化合物の機能を強化することが可能である。例えば、あるレセプターとリガンドの結合を阻害するために本発明のペプチド化合物を利用する場合、当該ペプチド化合物が直鎖部を有することで、直鎖部がない場合と比較して、ペプチド化合物の、レセプターあるいはリガンドに対する結合活性を高めることができる。当該結合活性の増強により、レセプターとリガンドの結合阻害効果を高めることが可能である。特に本発明の直鎖部は、例えば後述の方法に従って、環状部の所望の位置に直鎖部を付与することが可能であり、より高い機能を得るために最適の位置に直鎖部が付与されたペプチド化合物を得ることができる(以後、直鎖部2)。
The number of straight chain portions (the number of branches) is not particularly limited, and may be one as shown in Scheme A-1 or two or more as shown in Scheme A-2. Further, the compound may be a compound in which the number of square units in Scheme A-1 is 0, or may be a compound in which the number of
またこれらの直鎖部は、環状部を有するペプチド化合物のライブラリーから、所望の活性を有するペプチド化合物をより効率よく得る上でも好ましい。所望の活性を有するペプチド化合物とは、標的物質に対してけ結合活性を有するもの、標的物質の機能を阻害する作用を有するもの、あるいは標的物質の機能を活性化させる作用を有するもの、標的物質の機能を変更させる作用を有するものなどが挙げられ、これらの中から目的に応じて機能を選択することができる。本発明の環状部を有するペプチド化合物が標的物質に対して結合活性を有する場合、これらのペプチド化合物は膜透過性と脂質安定性に優れていることから、例えば、該ペプチド化合物を標識することで、生体内だけでなく、細胞内の標的物質の分布をリアルタイムでモニタリングすることが可能となる。更に標的物質が疾患の原因因子である場合には、該疾患の診断に利用できる可能性もある。また、本発明の環状部を有するペプチド化合物が、標的物質の機能を阻害、活性化又は変更させる効果を有する場合、例えば、標的物質が疾患の原因因子である場合には該疾患の治療薬として利用できる。また、例えば、本発明の環状部を有するペプチド化合物が直鎖部2を有する場合、無い場合と比較して阻害化合物の取得割合を向上させることが可能となる。タンパクAと結合して、タンパクAとタンパクBのタンパク‐タンパク相互作用を阻害する13残基環状部を有するペプチド化合物の場合、当該ペプチド化合物が結合しているタンパクA内のペプチドの接触部位を図82-2の右側に示した。環状化合物であるため、ペプチドとタンパクAの接触領域を円で近似させると約3~5残基分の直径であると判断できる。この接触領域にタンパクBが結合する場合には効果的にタンパクAとタンパクBのタンパク‐タンパク相互作用を阻害することが可能であるが、この接触領域以外でタンパクBがタンパクAと結合する場合には、有効な阻害が得られない可能性が考えられる(いわゆるアロステリック阻害例はタンパクータンパク相互作用阻害例としては報告例が少ない)。
These linear portions are also preferable for obtaining a peptide compound having a desired activity more efficiently from a library of peptide compounds having a cyclic portion. Peptide compounds having a desired activity include those having binding activity to the target substance, those having an action of inhibiting the function of the target substance, those having an action of activating the function of the target substance, Examples include those having the function of changing the function, and the function can be selected from these according to the purpose. When the peptide compound having a cyclic part of the present invention has binding activity to a target substance, these peptide compounds are excellent in membrane permeability and lipid stability. For example, by labeling the peptide compound In addition to in vivo, it is possible to monitor the distribution of target substances in cells in real time. Further, when the target substance is a causative factor of the disease, it may be used for diagnosis of the disease. In addition, when the peptide compound having a cyclic part of the present invention has an effect of inhibiting, activating or changing the function of the target substance, for example, when the target substance is a causative factor of the disease, Available. In addition, for example, when the peptide compound having a cyclic part of the present invention has the
このように考えると、なるべく広い領域にてタンパクと結合するペプチド化合物を得ることが重要となる。一方で、膜透過可能な総アミノ酸数は限定されているので、直鎖部が有効となる。例えば、図82-1には先と同じ13残基の環状ペプチドではあるが、10残基にて環状を構築し、残り3つが分枝されたペプチドを示した。特に直鎖部2は後述の手法に従って、ペプチド化合物の任意の場所に直鎖部を付与することが可能であるので、図82-1の4つの分枝ポイントだけでなく、さらに多くの分枝ポイントを獲得できるが、仮に4つを重ねると、図82-2の左に示す領域まで接触領域が拡大される。同一の場所(穴)に作用しているにも関わらず、タンパクAとタンパクBの結合領域と重なることにより阻害剤等の機能を有するペプチド化合物を取得できる割合が高まる。
Considering this, it is important to obtain peptide compounds that bind to proteins in as wide a region as possible. On the other hand, since the total number of amino acids that can permeate through the membrane is limited, the straight chain portion is effective. For example, FIG. 82-1 shows the same 13-residue cyclic peptide as above, but a peptide in which a cyclic structure was constructed with 10 residues and the remaining 3 were branched. In particular, since the
なお、本明細書において、ペプチド化合物を構成する「アミノ酸」、「アミノ酸類縁体」を、それぞれ、「アミノ酸残基」、「アミノ酸類縁体残基」ということがある。
アミノ酸とはα、βおよびγアミノ酸であり、天然型アミノ酸(本願では天然型アミノ酸とはタンパク質に含まれる20種類のアミノ酸を指す。具体的にはGly、Ala、Ser、Thr、Val、Leu、Ile、Phe、Tyr、Trp、His、Glu、Asp、Gln、Asn、Cys、Met、Lys、Arg、Proを指す。)に限定されず、非天然型アミノ酸であってもよい。α-アミノ酸の場合、L型アミノ酸でもD型アミノ酸でもよく、α,α-ジアルキルアミノ酸でもよい。アミノ酸側鎖の選択は特に制限を設けないが、水素原子の他にも例えばアルキル基、アルケニル基、アルキニル基、アリール基、ヘテロアリール基、アラルキル基、シクロアルキル基から自由に選択される。それぞれには置換基が付与されていてもよく、それら置換基も例えば、N原子、O原子、S原子、B原子、Si原子、P原子を含む任意の官能基の中から自由に選択される(すなわち、置換されていてもよいアルキル基、アルケニル基、アルキニル基、アリール基、ヘテロアリール基、アラルキル基、シクロアルキル基など)。
ペプチド化合物を構成する「アミノ酸」、「アミノ酸類縁体」にはそれぞれに対応する全ての同位体を含む。「アミノ酸」、「アミノ酸類縁体」の同位体は、少なくとも1つの原子が、原子番号(陽子数)が同じで,質量数(陽子と中性子の数の和)が異なる原子で置換されたものである。本発明ペプチド化合物を構成する「アミノ酸」、「アミノ酸類縁体」に含まれる同位体の例としては、水素原子、炭素原子、窒素原子、酸素原子、リン原子、硫黄原子、フッ素原子、塩素原子などがあり、それぞれ、2H、3H、13C、14C、15N、17O、18O、31P、32P、35S、18F、36Cl等が含まれる。
In the present specification, “amino acid” and “amino acid analog” constituting a peptide compound may be referred to as “amino acid residue” and “amino acid analog residue”, respectively.
Amino acids are α, β, and γ amino acids, and natural amino acids (in this application, natural amino acids refer to 20 kinds of amino acids contained in proteins. Specifically, Gly, Ala, Ser, Thr, Val, Leu, It is not limited to Ile, Phe, Tyr, Trp, His, Glu, Asp, Gln, Asn, Cys, Met, Lys, Arg, and Pro), and may be an unnatural amino acid. In the case of an α-amino acid, it may be an L-type amino acid, a D-type amino acid, or an α, α-dialkyl amino acid. The selection of the amino acid side chain is not particularly limited, but can be freely selected from, for example, an alkyl group, an alkenyl group, an alkynyl group, an aryl group, a heteroaryl group, an aralkyl group, and a cycloalkyl group in addition to a hydrogen atom. Each may be provided with a substituent, and these substituents are also freely selected from arbitrary functional groups including, for example, N atom, O atom, S atom, B atom, Si atom, and P atom. (That is, an optionally substituted alkyl group, alkenyl group, alkynyl group, aryl group, heteroaryl group, aralkyl group, cycloalkyl group, etc.).
The “amino acid” and “amino acid analog” constituting the peptide compound include all isotopes corresponding to each. The isotopes of “amino acids” and “amino acid analogs” are those in which at least one atom is replaced with an atom having the same atomic number (number of protons) and a different mass number (sum of protons and neutrons). is there. Examples of isotopes contained in the “amino acid” and “amino acid analog” constituting the peptide compound of the present invention include a hydrogen atom, a carbon atom, a nitrogen atom, an oxygen atom, a phosphorus atom, a sulfur atom, a fluorine atom, and a chlorine atom. And 2H, 3H, 13C, 14C, 15N, 17O, 18O, 31P, 32P, 35S, 18F, 36Cl, etc. are included.
置換基として、例えば、ハロゲン由来の置換基として、フルオロ(-F)、クロロ(-Cl)、ブロモ(-Br)、ヨウド(-I)などが挙げられる。これらで1つ以上置換された、ハロゲンを置換基に有していてもよいアルキル基、シクロアルキル基、アルケニル基、アルキニル基、アリール基、ヘテロアリール基、アラルキル基などが挙げられる。 Examples of the substituent include a halogen-derived substituent such as fluoro (—F), chloro (—Cl), bromo (—Br), iodo (—I) and the like. Examples thereof include an alkyl group, a cycloalkyl group, an alkenyl group, an alkynyl group, an aryl group, a heteroaryl group, an aralkyl group and the like, which may be substituted with one or more halogens.
O原子由来の置換基としてエーテルを形成させるための置換基として、アルコキシ基(-OR)が挙げられ、アルコキシ基はアルキルアルコキシ基、シクロアルキルアルコキシ基、アルケニルアルコキシ基、アルキニルアルコキシ基、アリールアルコキシ基、ヘテロアリールアルコキシ基、アラルキルアルコキシ基、などの中から選択される。アルコール部位を形成させる置換基として、ヒドロキシル基(-OH)が挙げられ、カルボニル基を形成させる置換基として、カルボニル基(-C=O-R)が挙げられ、カルボニル基は、ヒドロカルボニル基(-C=O-H,化合物としてはアルデヒドが得られる)、アルキルカルボニル基(化合物としてはケトンが得られる)、シクロアルキルカルボニル基、アルケニルカルボニル基、アルキニルカルボニル基、アリールカルボニル基、ヘテロアリールカルボニル基、アラルキルカルボニル基などの中から選択される。カルボン酸を形成させる置換基(-CO2H)としてカルボキシル基が挙げられ、エステル基を形成させる置換基として、オキシカルボニル基(-O-C=O-R)およびカルボニルアルコキシ基(-C=O-OR)が挙げられ、カルボニルアルコキシ基は、アルキルオキシカルボニル基、シクロアルキルオキシカルボニル基、アルケニルオキシカルボニル基、アルキニルオキシカルボニル基、アリールオキシカルボニル基、ヘテロアリールオキシカルボニル基、アラルキルオキシカルボニル基などの中から選択され、オキシカルボニル基は、アルキルカルボニルオキシ基、シクロアルキルカルボニルオキシ基、アルケニルカルボニルオキシ基、アルキニルカルボニルオキシ基、アリールカルボニルオキシ基、ヘテロアリールカルボニルオキシ基、アラルキルカルボニルオキシ基などの中から選択される。 Examples of the substituent for forming an ether as the substituent derived from the O atom include an alkoxy group (—OR), and the alkoxy group is an alkylalkoxy group, a cycloalkylalkoxy group, an alkenylalkoxy group, an alkynylalkoxy group, an arylalkoxy group. , A heteroarylalkoxy group, an aralkylalkoxy group, and the like. Examples of the substituent that forms an alcohol moiety include a hydroxyl group (—OH), and examples of the substituent that forms a carbonyl group include a carbonyl group (—C═O—R), and the carbonyl group includes a hydrocarbonyl group ( -C = O-H, an aldehyde is obtained as a compound), an alkylcarbonyl group (a ketone is obtained as a compound), a cycloalkylcarbonyl group, an alkenylcarbonyl group, an alkynylcarbonyl group, an arylcarbonyl group, a heteroarylcarbonyl group , An aralkylcarbonyl group and the like. Examples of the substituent (—CO 2 H) that forms a carboxylic acid include a carboxyl group, and the substituent that forms an ester group includes an oxycarbonyl group (—O—C═O—R) and a carbonylalkoxy group (—C═ The carbonylalkoxy group includes an alkyloxycarbonyl group, a cycloalkyloxycarbonyl group, an alkenyloxycarbonyl group, an alkynyloxycarbonyl group, an aryloxycarbonyl group, a heteroaryloxycarbonyl group, an aralkyloxycarbonyl group, and the like. The oxycarbonyl group is selected from alkylcarbonyloxy group, cycloalkylcarbonyloxy group, alkenylcarbonyloxy group, alkynylcarbonyloxy group, arylcarbonyloxy group, heteroarylcarbonyloxy group. Shi group, selected from among an aralkyl carbonyl group.
チオエステルを形成させる置換基としてメルカプトカルボニル基(-S-C=O-R)およびカルボニルアルキルメルカプト基(-C=O-SR)などが挙げられ、メルカプトアルキルカルボニル基、メルカプトシクロアルキルカルボニル基、メルカプトアルケニルカルボニル基、メルカプトアルキニルカルボニル基、メルカプトアリールカルボニル基、メルカプトヘテロアリールカルボニル基、メルカプトアラルキルカルボニル基などの中から選択され、あるいは、カルボニルアルキルメルカプト基、カルボニルシクロアルキルメルカプト基、カルボニルアルケニルメルカプト基、カルボニルアルキニルメルカプト基、カルボニルアリールメルカプト基、カルボニルヘテロアリールメルカプト基、カルボニルアラルキルメルカプト基が挙げられる。 Examples of the substituent for forming a thioester include a mercaptocarbonyl group (—S—C═O—R) and a carbonylalkyl mercapto group (—C═O—SR), and the like. Selected from alkenylcarbonyl group, mercaptoalkynylcarbonyl group, mercaptoarylcarbonyl group, mercaptoheteroarylcarbonyl group, mercaptoaralkylcarbonyl group, etc., or carbonylalkyl mercapto group, carbonylcycloalkyl mercapto group, carbonylalkenyl mercapto group, carbonyl Alkynyl mercapto group, carbonyl aryl mercapto group, carbonyl heteroaryl mercapto group, carbonyl aralkyl mercapto group It is.
アミド基を形成する置換基としては、アミノアルキルカルボニル基(-NH-CO-R)、アミノシクロアルキルカルボニル基、アミノアルケニルカルボニル基、アミノアルキニルカルボニル基、アミノシクロアルキルカルボニル基、アミノアリールカルボニル基、アミノヘテロアリールカルボニル基、アミノアラルキルカルボニル基などが挙げられ、もしくはカルボニルアルキルアミノ基(-CO-NHR)、カルボニルシクロアルキルアミノ基、カルボニルアルケニルアミノ基、カルボニルアルキニルアミノ基、カルボニルアリールアミノ基、カルボニルヘテロアリールアミノ基、カルボニルアラルキルアミノ基などが挙げられる。さらに、N原子と結合したH原子がアルキル基、シクロアルキル基、アルケニル基、アルキニル基、アリール基、ヘテロアリール基、アラルキル基に置き換わった化合物も挙げられる。 Examples of the substituent that forms an amide group include an aminoalkylcarbonyl group (—NH—CO—R), an aminocycloalkylcarbonyl group, an aminoalkenylcarbonyl group, an aminoalkynylcarbonyl group, an aminocycloalkylcarbonyl group, an aminoarylcarbonyl group, Aminoheteroarylcarbonyl group, aminoaralkylcarbonyl group and the like, or carbonylalkylamino group (—CO—NHR), carbonylcycloalkylamino group, carbonylalkenylamino group, carbonylalkynylamino group, carbonylarylamino group, carbonylhetero An arylamino group, a carbonylaralkylamino group, etc. are mentioned. Further, compounds in which an H atom bonded to an N atom is replaced with an alkyl group, a cycloalkyl group, an alkenyl group, an alkynyl group, an aryl group, a heteroaryl group, or an aralkyl group are also included.
カルバメート基を形成する置換基としては、アミノアルキルカルバメート基(-NH-CO-OR)、アミノシクロアルキルカルバメート基、アミノアルケニルカルバメート基、アミノアルキニルカルバメート基、アミノシクロアルキルカルバメート基、アミノアリールカルバメート基、アミノヘテロアリールカルバメート基、アミノアラルキルカルバメート基などが挙げられる。さらに、N原子と結合したH原子がアルキル基、シクロアルキル基、アルケニル基、アルキニル基、アリール基、ヘテロアリール基、アラルキル基に置き換わった化合物も挙げられる。 Examples of the substituent that forms the carbamate group include an aminoalkyl carbamate group (—NH—CO—OR), an aminocycloalkyl carbamate group, an aminoalkenyl carbamate group, an aminoalkynyl carbamate group, an aminocycloalkyl carbamate group, an aminoaryl carbamate group, An aminoheteroaryl carbamate group, an aminoaralkyl carbamate group, etc. are mentioned. Further, compounds in which an H atom bonded to an N atom is replaced with an alkyl group, a cycloalkyl group, an alkenyl group, an alkynyl group, an aryl group, a heteroaryl group, or an aralkyl group are also included.
スルホンアミド基を形成する置換基としては、アミノアルキルスルホニル基(-NH-SO2-R)、アミノシクロアルキルスルホニル基、アミノアルケニルスルホニル基、アミノアルキニルスルホニル基、アミノシクロアルキルスルホニル基、アミノアリールスルホニル基、アミノヘテロアリールスルホニル基、アミノアラルキルスルホニル基などが挙げられ、もしくはスルホニルアルキルアミノ基(-SO2-NHR)、スルホニルシクロアルキルアミノ基、スルホニルアルケニルアミノ基、スルホニルアルキニルアミノ基、スルホニルアリールアミノ基、スルホニルヘテロアリールアミノ基、スルホニルアラルキルアミノ基などが挙げられる。さらに、N原子と結合したH原子がアルキル基、シクロアルキル基、アルケニル基、アルキニル基、アリール基、ヘテロアリール基、アラルキル基に置き換わった化合物も挙げられる。 Examples of the substituent that forms the sulfonamide group include an aminoalkylsulfonyl group (—NH—SO 2 —R), an aminocycloalkylsulfonyl group, an aminoalkenylsulfonyl group, an aminoalkynylsulfonyl group, an aminocycloalkylsulfonyl group, an aminoarylsulfonyl Group, aminoheteroarylsulfonyl group, aminoaralkylsulfonyl group, etc., or sulfonylalkylamino group (—SO 2 —NHR), sulfonylcycloalkylamino group, sulfonylalkenylamino group, sulfonylalkynylamino group, sulfonylarylamino group Sulfonylheteroarylamino group, sulfonylaralkylamino group, and the like. Further, compounds in which the H atom bonded to the N atom is replaced with an alkyl group, cycloalkyl group, alkenyl group, alkynyl group, aryl group, heteroaryl group, or aralkyl group are also included.
スルファミド基を形成する置換基としては、アミノアルキルスルファモイル基(-NH-SO2-NHR)、アミノシクロアルキルスルファモイル基、アミノアルケニルスルファモイル基、アミノアルキニルスルファモイル基、アミノシクロアルキルスルファモイル基、アミノアリールスルファモイル基、アミノヘテロアリールスルファモイル基、アミノアラルキルスルファモイル基などが挙げられる。さらに、N原子と結合したH原子がアルキル基、シクロアルキル基、アルケニル基、アルキニル基、アリール基、ヘテロアリール基、アラルキル基の中から同一あるいは別物の任意の2つ、あるいはこれらが環を形成しても良い置換基から選択された置換基に置き換わった化合物も挙げられる。 Examples of the substituent that forms the sulfamide group include aminoalkylsulfamoyl group (—NH—SO 2 —NHR), aminocycloalkylsulfamoyl group, aminoalkenylsulfamoyl group, aminoalkynylsulfamoyl group, aminocycloalkyl Examples thereof include a sulfamoyl group, an aminoarylsulfamoyl group, an aminoheteroarylsulfamoyl group, and an aminoaralkylsulfamoyl group. In addition, the H atom bonded to the N atom is an alkyl group, cycloalkyl group, alkenyl group, alkynyl group, aryl group, heteroaryl group, aralkyl group, any two of the same or different, or these form a ring Also included are compounds in which a substituent selected from substituents that may be substituted is substituted.
チオカルボン酸を形成させる置換基としては、チオカルボン酸基(-C(=O)-SH)が挙げられ、ケト酸を形成させる官能基としてケト酸基(-C(=O)-CO2H)が挙げられる。 Examples of the substituent that forms thiocarboxylic acid include a thiocarboxylic acid group (—C (═O) —SH), and the functional group that forms keto acid includes a keto acid group (—C (═O) —CO 2 H). Is mentioned.
さらに、S原子由来の置換基としてチオール基を形成する置換基としては、チオール基(-SH)が挙げられ、アルキルチオール、シクロアルキルチオール、アルケニルチオール、アルキニルチオール、アリールチオール、ヘテロアリールチオール、アラルキルチオールが形成される。チオエーテル(-S-R)を形成する置換基としては、アルキルメルカプト基、シクロアルキルメルカプト基、アルケニルメルカプト基、アルキニルメルカプト基、アリールメルカプト基、ヘテロアリールメルカプト基、アラルキルメルカプト基などの中から選択され、スルホキシド基(-S=O-R)を形成させる置換基としては、アルキルスルホキシド基、シクロアルキルスルホキシド基、アルケニルスルホキシド基、アルキニルスルホキシド基、アリールスルホキシド基、ヘテロアリールスルホキシド基、アラルキルスルホキシド基などの中から選択され、スルホン基(-S(O)2-R)を形成させる置換基としては、アルキルスルホン基、シクロアルキルスルホン基、アルケニルスルホン基、アルキニルスルホン基、アリールスルホン基、ヘテロアリールスルホン基、アラルキルスルホン基などの中から選択され、スルホン酸を形成させる置換基としてスルホン酸基(-SO3H)が挙げられる。
Furthermore, examples of the substituent that forms a thiol group as a substituent derived from an S atom include a thiol group (—SH), such as alkylthiol, cycloalkylthiol, alkenylthiol, alkynylthiol, arylthiol, heteroarylthiol, aralkyl. Thiol is formed. The substituent forming thioether (—S—R) is selected from alkyl mercapto group, cycloalkyl mercapto group, alkenyl mercapto group, alkynyl mercapto group, aryl mercapto group, heteroaryl mercapto group, aralkyl mercapto group, etc. The substituent for forming a sulfoxide group (—S═O—R) includes an alkyl sulfoxide group, a cycloalkyl sulfoxide group, an alkenyl sulfoxide group, an alkynyl sulfoxide group, an aryl sulfoxide group, a heteroaryl sulfoxide group, an aralkyl sulfoxide group, and the like. It is selected from, examples of the substituent to form a sulfone group (-S (O) 2 -R) , alkyl sulfone group, a cycloalkyl sulfone group, alkenyl sulfone group, alkynyl sulfone group, Arirusu Hong group, heteroaryl sulfonic group, selected from among such aralkyl sulfone group, sulfonic acid group (-
N原子由来の置換基として、例えばアジド基(-N3)が挙げられ、ニトリル基(-CN)が挙げられ、1級アミンを形成させる置換基としてアミノ基(-NH2)が挙げられ、2級アミン(-NH-R)を形成させる置換基として、アルキルアミノ基、シクロアルキルアミノ基、アルケニルアミノ基、アルキニルアミノ基、アリールアミノ基、ヘテロアリールアミノ基、アラルキルアミノ基などが挙げられ、3級アミン(-NR(R'))を形成させる置換基として、アルキル(アラルキル)アミノ基など、アルキル基、シクロアルキル基、アルケニル基、アルキニル基、アリール基、ヘテロアリール基、アラルキル基などの中から、任意の2つあるいは同一の置換基を2つ、あるいはこれらが環を形成しても良い置換基から選択された置換基などが挙げられ、アミジノ基(-C(=NR)-NR'R")を形成させる置換基として、アミジノ基(-C(=NH)-NH2)、あるいはN原子上の置換基3点が、アルキル基、シクロアルキル基、アルケニル基、アルキニル基、アリール基、ヘテロアリール基、アラルキル基の同一あるいは別々の任意の3つで置換された、例えばアルキル(アラルキル)(アリール)アミジノ基などが挙げられ、グアニジノ基(-NR-C(=NR''')-NR'R")を形成させる置換基として、グアニジン基(-NH-C(=NH)-NH2)あるいは、R,R',R",R'''がアルキル基、シクロアルキル基、アルケニル基、アルキニル基、アリール基、ヘテロアリール基、アラルキル基の中から同一あるいは別物の任意の4つ、あるいはこれらが環を形成しても良い置換基から選択された置換基などが挙げられる。 Examples of the substituent derived from the N atom include an azide group (—N 3 ), a nitrile group (—CN), and the substituent that forms a primary amine includes an amino group (—NH 2 ). Examples of the substituent for forming the secondary amine (—NH—R) include an alkylamino group, a cycloalkylamino group, an alkenylamino group, an alkynylamino group, an arylamino group, a heteroarylamino group, an aralkylamino group, and the like. Substituents for forming tertiary amines (—NR (R ′)) include alkyl (aralkyl) amino groups, alkyl groups, cycloalkyl groups, alkenyl groups, alkynyl groups, aryl groups, heteroaryl groups, aralkyl groups, etc. Selected from any two or two of the same substituents, or a substituent that may form a ring Substituent and the like, as a substituent to form an amidino group (-C (= NR) -NR'R " ), an amidino group (-C (= NH) -NH 2 ), or a substituent on the N atom An alkyl group, a cycloalkyl group, an alkenyl group, an alkynyl group, an aryl group, a heteroaryl group, an aralkyl group, and the like, for example, an alkyl (aralkyl) (aryl) amidino group substituted by any three different groups As a substituent for forming a guanidino group (—NR—C (═NR ′ ″) — NR′R ″), a guanidine group (—NH—C (═NH) —NH 2 ) or R , R ′, R ″, R ′ ″ are any four of the same or different from the alkyl group, cycloalkyl group, alkenyl group, alkynyl group, aryl group, heteroaryl group, and aralkyl group, or these Such substituents selected from Good substituent to form a ring.
ウレア基を形成する置換基としては、アミノカルバモイル基(-NR-CO-NR'R")が挙げられる。R,R',R"はそれぞれ水素原子、アルキル基、シクロアルキル基、アルケニル基、アルキニル基、アリール基、ヘテロアリール基、アラルキル基の中から同一あるいは別物の任意の3つ、あるいはこれらが環を形成しても良い置換基から選択された置換基などが挙げられる。 Examples of the substituent that forms a urea group include an aminocarbamoyl group (—NR—CO—NR′R ″). R, R ′, and R ″ each represent a hydrogen atom, an alkyl group, a cycloalkyl group, an alkenyl group, Examples include an alkynyl group, an aryl group, a heteroaryl group, and an aralkyl group, any three of the same or different ones, or a substituent selected from substituents that may form a ring.
またB原子由来の官能基として、アルキルボラン(-BR(R'))やアルコキシボラン(-B(OR)(OR'))などが挙げられる。これらの2つの置換基はアルキル基、シクロアルキル基、アルケニル基、アルキニル基、アリール基、ヘテロアリール基、アラルキル基などの中から、任意の2つあるいは同一の置換基を2つ、あるいはこれらが環を形成しても良い置換基から選択された置換基などが挙げられる。 Further, examples of the functional group derived from B atom include alkylborane (—BR (R ′)) and alkoxyborane (—B (OR) (OR ′)). These two substituents are an alkyl group, a cycloalkyl group, an alkenyl group, an alkynyl group, an aryl group, a heteroaryl group, an aralkyl group, etc. And substituents selected from substituents that may form a ring.
このように、ハロゲン基等通常低分子化合物にて利用されるO原子、N原子、S原子、B原子、P原子、Si原子、ハロゲン原子が含まれる様々官能基が1つあるいは2つ以上付与されていてもよい。つまり、これら置換基の1つに示されるアルキル基、シクロアルキル基、アルケニル基、アルキニル基、アリール基、ヘテロアリール基、アラルキル基にさらに別の置換基が1つ以上付与されていても良い。これら全てを満たす官能基の条件を、自由に置換基を選択することと定義する。βやγ-アミノ酸の場合にも任意の立体配置が、α―アミノ酸の場合と同様に許容され、その側鎖の選択も特に制限なくα―アミノ酸の場合と同様である。また、アミノ酸の主鎖アミノ基部位はフリー(NH2基)でもよく、N-メチル化などのN-アルキル化(NHR基:Rは自由に置換されていてもよいアルキル基、アルケニル基、アルキニル基、アリール基、ヘテロアリール基、アラルキル基、シクロアルキル基を示し、またプロリンのようにN原子から出た炭素原子とα位からの炭素原子が環を形成していてもよい。置換基としては、自由に選択することが可能であり、たとえばハロゲン基、エーテル基、ヒドロキシル基などが挙げられる。)されていてもよい。 As described above, one or more various functional groups including O atom, N atom, S atom, B atom, P atom, Si atom, and halogen atom, which are usually used in low molecular compounds such as halogen groups, are imparted. May be. That is, one or more further substituents may be added to the alkyl group, cycloalkyl group, alkenyl group, alkynyl group, aryl group, heteroaryl group, or aralkyl group represented by one of these substituents. The condition of the functional group satisfying all of these is defined as freely selecting a substituent. In the case of β and γ-amino acids, any steric configuration is allowed as in the case of α-amino acids, and the selection of side chains thereof is not particularly limited, as in the case of α-amino acids. In addition, the amino acid main chain of the amino acid may be free (NH 2 group) or N-alkylated such as N-methylation (NHR group: R is an optionally substituted alkyl group, alkenyl group, alkynyl) A group, an aryl group, a heteroaryl group, an aralkyl group, or a cycloalkyl group, and a carbon atom from the N atom and a carbon atom from the α-position may form a ring as in the case of proline. Can be freely selected, and examples thereof include a halogen group, an ether group, and a hydroxyl group.
本明細書では、「翻訳アミノ酸」又は「翻訳可能なアミノ酸」とは、「アミノ酸」のうち、翻訳させることのできる側鎖を有するものを指す。以下明細書で述べるとおり、ハロゲン基、ヒドロキシル基(-OH)、アルコキシ基(-OR)、エステル基(-C(=O)-OR)、チオエステル基(-C(=O)-SR)、カルボキシル基(-CO2H)、アミド基(-CO-NRR"または-NR-CO-R')、チオール基(-SH)、アルキルチオ基(-SR)、スルホキシド基(-S(=O)-R)、スルホン基(-SO2-R)、アミノ基(-NH2)、モノ置換アミノ基(-NHR)、ジ置換アミノ基(-NRR')、アジド基(-N3)、ニトリル基(-CN)、アミジノ基(-N-C(=N)-NH2)などによって1つ以上置換されてもよいアルキル基、アルケニル基、アルキニル基、アラルキル基、アリール基、ヘテロアリール基、シクロアルキル基を有するL型のαアミノ酸や、N-メチル化されたL型のαアミノ酸、N-エチル化やN-プロピル化などのC1~C4アルキル置換やN-ベンジル化などのN-アラルキル置換されたグリシン誘導体や、チオール基などの反応補助基を有する置換基やアミノ基などの三角ユニットや交差ユニットに活用できる反応性の高い様々な官能基を有するL型のαアミノ酸などが含まれる。また、D-チロシンなど一部のD型のαアミノ酸やβ―アラニンなどのβアミノ酸や、α―メチル-アラニン(Aib)などのα、α―ジアルキルアミノ酸なども含まれる。 As used herein, “translated amino acid” or “translatable amino acid” refers to an “amino acid” having a side chain that can be translated. As described below, a halogen group, a hydroxyl group (—OH), an alkoxy group (—OR), an ester group (—C (═O) —OR), a thioester group (—C (═O) —SR), Carboxyl group (—CO 2 H), amide group (—CO—NRR ″ or —NR—CO—R ′), thiol group (—SH), alkylthio group (—SR), sulfoxide group (—S (═O)) -R), sulfone group (-SO 2 -R), amino group (-NH 2 ), mono-substituted amino group (-NHR), di-substituted amino group (-NRR '), azido group (-N 3 ), nitrile An alkyl group, alkenyl group, alkynyl group, aralkyl group, aryl group, heteroaryl group, which may be substituted by one or more groups (—CN), amidino group (—N—C (═N) —NH 2 ), etc. L having a cycloalkyl group Type α-amino acids, N-methylated L-type α-amino acids, C1-C4 alkyl substitutions such as N-ethylation and N-propylation, and N-aralkyl substituted glycine derivatives such as N-benzylation, , L-type α-amino acids having various highly functional functional groups that can be utilized for substituents having a reaction auxiliary group such as a thiol group, triangular units such as amino groups, and crossing units, and D-tyrosine. Some D-type α-amino acids, β-amino acids such as β-alanine, and α, α-dialkyl amino acids such as α-methyl-alanine (Aib) are also included.
本明細書では、「ドラックライクなアミノ酸」とは「アミノ酸」と同一の骨格、すなわち、α、βおよびγアミノ酸であり、主鎖アミノ基(NH2基)の水素原子2つのうちの1つ、およびメチレン基(-CH2-基)の水素原子のうち1つあるいは2つはアルキル基、シクロアルキル基、アルケニル基、アルキニル基、アリール基、ヘテロアリール基、アラルキル基などで置換されてもよい。CH2基の水素原子が上記の基によって置換された基を側鎖とする。これら置換基は、さらにドラックライクなペプチド化合物の構成要素として機能する置換基で置換されたものも含まれる。これらは、好ましくは別途上述で定義した置換基の中から選択され、例えば、ヒドロキシル基(-OH)、アルコキシ基(-OR)、アミド基(-NR-CO-R'もしくは-CO-NRR')、スルホン基(-SO2-R)、スルホキシド基(-SO-R)、ハロゲン基、ヒドロキシルアミノ基(-NR-OR')、アミノヒドロキシ基(-O-NRR')などの中から選択される1つ以上の置換基によって置換されていてもよい。また、L型アミノ酸およびD型アミノ酸、α、α―ジアルキルアミノ酸に対応するものいずれでもよい。ドラックライクなアミノ酸は、翻訳可能な必要は必ずしも無い。「翻訳アミノ酸」から得られたペプチドの側鎖部分(例えばD-チロシンにてヒット化合物が取得された場合には、そこから化学修飾させたD型のアミノ酸、β―アラニンにてヒット化合物が取得された場合には、そこから化学修飾させたβ―アミノ酸)、あるいはNメチルアミノ酸の化学変換によるN置換部分の構造最適化により化学的に合成し得る全てのアミノ酸を含む。これらのアミノ酸はドラックライクなペプチド化合物の構成要素として機能するため、翻訳後に実施する化学修飾によって得られるペプチド化合物がドラックライクとなるような範囲から選択される。以下にて述べるとおり、例えばアミノアルキル基を有するリジンは、アミノ基が翻訳後修飾に関与しない場合にはドラックライクなアミノ酸には含まれない。しかしながら、リジンのアミノ基を翻訳後修飾の反応性官能基として活用する場合(例えば交差ユニット)にはリジンユニットをドラックライクなアミノ酸のユニットとして含む。このように、「ドラックライクなアミノ酸」に該当するかどうかは、翻訳後の修飾によって変換された後の官能基にて判断される。このような置換基になり得る例として、別途上で定義した置換基の中から、例えばエステル基(-CO-OR)、チオエステル基(-CO-SR)、チオール基(-SH)、あるいは保護されたチオール基、アミノ基(-NH2)、モノ置換アミノ基(-NH-R)あるいはジ置換アミノ基(-NRR')、あるいは保護されたアミノ基、置換スルホニルアミノ基(-NH-SO2-R)、アルキルボラン基(-BRR')、アルコキシボラン基(-B(OR)(OR'))、アジド基(-N3)、ケト酸基(-CO-CO2H)、チオカルボン酸基(-CO-SH)、ホスホリルエステル基(-CO-PO(R)(R'))、アシルヒドロキシルアミノ基(-NH-O-CO-R)などが挙げられる。 In the present specification, the “drug-like amino acid” is the same skeleton as the “amino acid”, ie, α, β and γ amino acids, and is one of two hydrogen atoms of the main chain amino group (NH 2 group). And one or two hydrogen atoms of the methylene group (—CH 2 — group) may be substituted with an alkyl group, a cycloalkyl group, an alkenyl group, an alkynyl group, an aryl group, a heteroaryl group, an aralkyl group, or the like. Good. A group in which a hydrogen atom of CH 2 group is substituted with the above group is defined as a side chain. These substituents include those further substituted with a substituent that functions as a component of a drug-like peptide compound. These are preferably selected from the substituents defined above separately, for example, a hydroxyl group (—OH), an alkoxy group (—OR), an amide group (—NR—CO—R ′ or —CO—NRR ′). ), Sulfone group (—SO2-R), sulfoxide group (—SO—R), halogen group, hydroxylamino group (—NR—OR ′), aminohydroxy group (—O—NRR ′), etc. Optionally substituted by one or more substituents. Any of those corresponding to L-type amino acid, D-type amino acid, α, α-dialkylamino acid may be used. Drug-like amino acids need not necessarily be translatable. Side-chain part of the peptide obtained from “translated amino acid” (for example, when hit compound is obtained with D-tyrosine, hit compound is obtained with β-alanine, a D-type amino acid chemically modified therefrom. In this case, it includes β-amino acids chemically modified therefrom, or all amino acids that can be chemically synthesized by optimizing the structure of N-substituted moieties by chemical conversion of N-methyl amino acids. Since these amino acids function as components of a drug-like peptide compound, they are selected from a range in which the peptide compound obtained by chemical modification performed after translation becomes drug-like. As described below, for example, lysine having an aminoalkyl group is not included in the drug-like amino acid when the amino group does not participate in post-translational modification. However, when the amino group of lysine is used as a reactive functional group for post-translational modification (for example, a crossing unit), the lysine unit is included as a drug-like amino acid unit. Thus, whether or not it falls under “drug-like amino acid” is determined by the functional group after conversion by post-translational modification. Examples of such substituents may include, for example, an ester group (—CO—OR), a thioester group (—CO—SR), a thiol group (—SH), or a protection group among the substituents defined above. Thiol group, amino group (—NH 2), mono-substituted amino group (—NH—R) or di-substituted amino group (—NRR ′), protected amino group, substituted sulfonylamino group (—NH—SO 2 —) R), an alkylborane group (—BRR ′), an alkoxyborane group (—B (OR) (OR ′)), an azide group (—N3), a keto acid group (—CO—CO2H), a thiocarboxylic acid group (—CO -SH), phosphoryl ester group (-CO-PO (R) (R ')), acylhydroxylamino group (-NH-O-CO-R) and the like.
本発明のアミノ酸類縁体とは、好ましくはα-ヒドロキシカルボン酸を意味する。α―ヒドロキシカルボン酸の側鎖は、アミノ酸と同様水素原子以外にも様々な置換基を有していてもよい(自由な置換基を有していてもよい)。α-ヒドロキシカルボン酸の立体構造はアミノ酸のL型でもD型に対応するものでもよく、側鎖の選択には特に制限を設けないが、例えば自由に置換されていてもよいアルキル基、アルケニル基、アルキニル基、アリール基、ヘテロアリール基、アラルキル基、シクロアルキル基などの中から自由に選択される。置換基の数は1つに限定されず、2つ以上有していてもよい。例えば、S原子を有し、さらにアミノ基やハロゲン基などの官能基を有していてもよい。 The amino acid analog of the present invention preferably means α-hydroxycarboxylic acid. The side chain of α-hydroxycarboxylic acid may have various substituents in addition to hydrogen atoms as in the case of amino acids (may have free substituents). The steric structure of the α-hydroxycarboxylic acid may correspond to the L-type or D-type of amino acid, and there is no particular restriction on the selection of the side chain. , An alkynyl group, an aryl group, a heteroaryl group, an aralkyl group, a cycloalkyl group, and the like. The number of substituents is not limited to one and may be two or more. For example, it may have an S atom and further have a functional group such as an amino group or a halogen group.
本明細書では、「翻訳アミノ酸類縁体」又は「翻訳可能なアミノ酸類縁体」とは、「アミノ酸類縁体」のうち、翻訳させることのできるアミノ酸類縁体を意味する。具体的には、例えば、L型アミノ酸の主鎖アミノ基がヒドロキシル基に置き換わった化合物が挙げられる。L-lactic acid、α―ヒドロキシ酢酸、LもしくはD-phenyllactic acidなどが挙げられる。また、「ドラックライクなアミノ酸類縁体」とは「アミノ酸類縁体」のうちドラックライクなペプチド化合物の構成要素として機能するものであれば特に限定されない。この範囲は上述のドラックライクなアミノ酸の側鎖あるいはN置換部分の定義と同様である。具体的には、例えば、LもしくはD-lactic acid、もしくはその側鎖メチル基に様々なドラックライクな置換基(例えば、ハロゲン基、ヒドロキシル基、置換されてもよいアルキル基、アルケニル基、アルキニル基、シクロアルキル基、アラルキル基、アリール基、ヘテロアリール基など)が付与された化合物、α―ヒドロキシ酢酸、LもしくはD-phenyllactic acid、もしくはその側鎖ベンジル基に様々なドラックライクな置換基(例えば、ハロゲン基、ヒドロキシル基、置換されてもよいアルキル基、アルケニル基、アルキニル基、シクロアルキル基、アラルキル基、アリール基、ヘテロアリール基など)が付与された化合物などが挙げられる。また、ドラックライクなアミノ酸類縁体は、翻訳可能な必要は必ずしも無い。「翻訳アミノ酸類縁体」を翻訳後に化学修飾によって、ペプチド化合物がドラックライクとなるような場合には、当該アミノ酸類縁体も「ドラックライクなアミノ酸類縁体」に含まれる。そのようなアミノ酸類縁体としては、例えば、側鎖にSH基が付与されたα―ヒドロキシカルボン酸や側鎖にアミノ基、あるいは保護されたアミン部位が付与されたα―ヒドロキシカルボン酸が挙げられる。例えば、SH基は、翻訳後修飾後に、脱硫反応によって除去することが可能であり、アミノ基は翻訳後修飾によりアミド等に変換させることができる。個別例として、R-2-hydroxy-3-sulfanylpropanoic acidなどが挙げられる。 As used herein, “translated amino acid analog” or “translatable amino acid analog” means an amino acid analog that can be translated among “amino acid analogs”. Specifically, for example, a compound in which the main chain amino group of the L-type amino acid is replaced with a hydroxyl group can be mentioned. Examples include L-lactic acid, α-hydroxyacetic acid, L or D-phenyllactic acid. The “drug-like amino acid analog” is not particularly limited as long as it functions as a component of a drug-like peptide compound among the “amino acid analogs”. This range is the same as the definition of the side chain or N-substituted moiety of the drug-like amino acid described above. Specifically, for example, L or D-lactic acid, or various drug-like substituents (for example, halogen group, hydroxyl group, optionally substituted alkyl group, alkenyl group, alkynyl group) on the side chain methyl group , A cycloalkyl group, an aralkyl group, an aryl group, a heteroaryl group, etc.), α-hydroxyacetic acid, L or D-phenyllactic acid, or various drug-like substituents on the side chain benzyl group (for example, , Halogen groups, hydroxyl groups, optionally substituted alkyl groups, alkenyl groups, alkynyl groups, cycloalkyl groups, aralkyl groups, aryl groups, heteroaryl groups, etc.). In addition, a drug-like amino acid analog is not necessarily translatable. When a peptide compound becomes drug-like by chemical modification after translation of the “translated amino acid analogue”, the amino acid analogue is also included in the “drug-like amino acid analogue”. Examples of such amino acid analogs include α-hydroxycarboxylic acids having an SH group attached to the side chain and α-hydroxycarboxylic acids having an amino group or a protected amine moiety attached to the side chain. . For example, the SH group can be removed by desulfurization after post-translational modification, and the amino group can be converted to amide or the like by post-translational modification. Specific examples include R-2-hydroxy-3-sulfanylpropanoic acid.
本発明のN末端カルボン酸類縁体とはアミノ基とカルボキシル基とを同時に持ち、両者の間の原子数が3つ以上の化合物、アミノ基を持たない様々なカルボン酸誘導体や、2残基~4残基から形成されるペプチド、主鎖アミノ基がカルボン酸とのアミド結合などで化学修飾されたアミノ酸でもよい。また、曲線部での環化に使用できるホウ酸やホウ酸エステル部位を有していてもよい。また、二重結合部位や三重結合部位を有するカルボン酸でもよく、ケトンやハライドを有するカルボン酸でもよい。なお、これらの化合物も規定した官能基以外の部分は、置換されてもよいアルキル基、アラルキル基、アリール基、シクロアルキル基、ヘテロアリール基、アルケニル基、アルキニル基などの中から幅広く選択(自由な置換基)される。 The N-terminal carboxylic acid analog of the present invention is a compound having an amino group and a carboxyl group at the same time and having 3 or more atoms between them, various carboxylic acid derivatives having no amino group, It may be a peptide formed from 4 residues, or an amino acid whose main chain amino group is chemically modified by an amide bond with a carboxylic acid. Moreover, you may have a boric acid and boric-ester part which can be used for the cyclization in a curve part. Moreover, the carboxylic acid which has a double bond site | part and a triple bond site | part may be sufficient, and the carboxylic acid which has a ketone and a halide may be sufficient. In addition, the portion other than the functional group that defines these compounds is also widely selected from alkyl groups, aralkyl groups, aryl groups, cycloalkyl groups, heteroaryl groups, alkenyl groups, alkynyl groups, etc. that may be substituted (free Substituents).
本明細書では、「翻訳N末端カルボン酸類縁体」又は「翻訳可能なN末端カルボン酸類縁体」とは、「N末端カルボン酸類縁体」のうち、翻訳させることのできるN末端カルボン酸類縁体を意味する。具体的には、例えば、2重結合とカルボン酸がアルキル基で接続された化合物(ブタ-3-エン酸、ペンタ-4-エン酸など)、N末端がアセチル化などでアミド化されたL型アミノ酸(Ac-Phe,Ac-Ala,Ac-Leuなど)、OH基がアルキル化されたα―ヒドロキシカルボン酸誘導体やジペプチド、トリペプチドなどが挙げられる。また、「ドラックライクなN末端カルボン酸類縁体」とは「N末端カルボン酸類縁体」のうちドラックライクなペプチド化合物の構成要素として機能するものであれば特に限定されない。これらの置換基はドラックライクなアミノ酸の側鎖で定義した置換基と同一のものが含まれる。具体的には、例えば、2重結合とカルボン酸がアルキル基で接続された化合物(ブタ-3-エン酸、ペンタ-4-エン酸など)のうち、炭素原子からドラックライクな範囲で置換基が付与された化合物、N末端がアセチル化などでアミド化されたL型アミノ酸(Ac-Phe,Ac-Ala,Ac-Leuなど)のうち、アセチル基あるいは側鎖あるいはα位の水素原子がドラックライクな範囲で置換された化合物、OH基がアルキル化されたα―ヒドロキシカルボン酸誘導体のうち、OH基のアルキル基やヒドロキシカルボン酸の側鎖やα位の水素原子などがドラックライクな範囲で置換された化合物、ドラックライクな範囲で置換されたジペプチド、トリペプチドなどが挙げられる。また、ドラックライクなN末端カルボン酸類縁体は、翻訳可能な必要は必ずしも無い。「翻訳N末端カルボン酸類縁体」を翻訳後に化学修飾によって、ペプチド化合物がドラックライクとなるような場合には、当該N末端カルボン酸類縁体も「ドラックライクなN末端カルボン酸類縁体」に含まれる。そのようなN末端カルボン酸類縁体としては、例えば、N末端にアミノ基が残存したままのジペプチド、γ―アミノカルボン酸、δ―アミノカルボン酸など挙げられる。 As used herein, “translated N-terminal carboxylic acid analog” or “translatable N-terminal carboxylic acid analog” refers to an N-terminal carboxylic acid analog that can be translated among “N-terminal carboxylic acid analogs”. Means the body. Specifically, for example, a compound in which a double bond and a carboxylic acid are connected by an alkyl group (but-3-enoic acid, penta-4-enoic acid, etc.), L having an N-terminal amidated by acetylation or the like Type amino acids (Ac-Phe, Ac-Ala, Ac-Leu, etc.), α-hydroxycarboxylic acid derivatives in which the OH group is alkylated, dipeptides, tripeptides and the like. The “drug-like N-terminal carboxylic acid analog” is not particularly limited as long as it functions as a component of a drug-like peptide compound among the “N-terminal carboxylic acid analogs”. These substituents include the same substituents as defined in the side chain of the drug-like amino acid. Specifically, for example, in a compound in which a double bond and a carboxylic acid are connected by an alkyl group (but-3-enoic acid, penta-4-enoic acid, etc.), the substituent is within a drug-like range from the carbon atom. Among the L-type amino acids (Ac-Phe, Ac-Ala, Ac-Leu, etc.) in which the N-terminal is amidated by acetylation or the like, the acetyl group, the side chain or the α-position hydrogen atom is dragged Among the compounds substituted in the like range, α-hydroxycarboxylic acid derivatives in which the OH group is alkylated, the alkyl group of the OH group, the side chain of the hydroxycarboxylic acid, the α-position hydrogen atom, etc. Examples include substituted compounds, dipeptides substituted in a drug-like range, and tripeptides. In addition, a drug-like N-terminal carboxylic acid analog does not necessarily need to be translatable. When the peptide compound becomes drug-like by translating the “translated N-terminal carboxylic acid analog” after translation, the N-terminal carboxylic acid analog is also included in the “drug-like N-terminal carboxylic acid analog”. It is. Examples of such N-terminal carboxylic acid analogs include dipeptides with an amino group remaining at the N-terminus, γ-aminocarboxylic acid, and δ-aminocarboxylic acid.
ペプチド化合物の膜透過性
本発明のペプチド化合物が良好な膜透過性を有するためには、ペプチド化合物中に含まれる総アミノ酸数が13以下であることが好ましい。
それぞれのユニット(アミノ酸残基)の選択に特に制限はないが、翻訳後化学修飾が全て完了した形式の分子の形(主鎖構造)に考慮し直して、形成される分子のCLogP(コンピューターで計算した分配係数であって、Daylight Chemical Information Systems, Inc. 社のDaylight Version 4.9を用いて計算した)が6を超えるように選択することが好ましい。特に良好な膜透過性を確保するために、CLogPは8を超え、15を超えないように選択することが好ましい。
Membrane permeability of peptide compound In order for the peptide compound of the present invention to have good membrane permeability, the total number of amino acids contained in the peptide compound is preferably 13 or less.
There is no particular restriction on the selection of each unit (amino acid residue), but the CLogP (computer-based) of the molecule formed is reconsidered in the form of the molecule (main chain structure) in which all post-translational chemical modifications have been completed. It is preferred to select such that the calculated partition coefficient (calculated using Daylight Version 4.9 of Daylight Chemical Information Systems, Inc.) exceeds 6. In order to ensure particularly good membrane permeability, it is preferable to select CLogP so that it exceeds 8 and does not exceed 15.
膜透過性を確保するために、より好ましくはアミノ酸側鎖の選択としては、ドラックライクな置換基の中から選択される。例えば、置換されていてもよいアルキル基、シクロアルキル基、アルケニル基、アルキニル基、アラルキル基、アリール基、ヘテロアリール基の中から、例えば置換基としてハロゲン基、水酸基(-OH)、アミド基(-CO-NRR'あるいは-NR-CO-R')、スルホン基(-SO2-R)、エーテル基(-OR)などが付与されたものがよい(R、R'は同様にこれらで置換されてもよいアルキル基、シクロアルキル基、アルケニル基、アルキニル基、アリール基、ヘテロアリール基、アラルキル基の中から選択される)。アリール基、アラルキル基のアリール基部位としては、フェニル基の他、ピリジン基などの塩基性基、チアゾール基などの2つ以上のヘテロ原子含有基、イミダゾール基などの水素原子ドナー、インドール基などの縮合芳香環も許容される。 In order to ensure membrane permeability, the amino acid side chain is more preferably selected from drug-like substituents. For example, an optionally substituted alkyl group, cycloalkyl group, alkenyl group, alkynyl group, aralkyl group, aryl group, heteroaryl group, for example, a halogen group, a hydroxyl group (—OH), an amide group ( -CO-NRR 'or -NR-CO-R'), a sulfone group (-SO 2 -R), an ether group (-OR), or the like is preferred (R and R 'are similarly substituted by these) An alkyl group, a cycloalkyl group, an alkenyl group, an alkynyl group, an aryl group, a heteroaryl group, and an aralkyl group, which may be substituted). Examples of the aryl group part of the aryl group and aralkyl group include a phenyl group, a basic group such as a pyridine group, two or more heteroatom-containing groups such as a thiazole group, a hydrogen atom donor such as an imidazole group, and an indole group. Fused aromatic rings are also acceptable.
一方、膜透過性を獲得するために好ましくない極性官能基としては生体中(pH=7付近)で極度にイオン化される官能基であるアルキルアミノ基やアルキルグアジニノ基などが挙げられ、これらの官能基が含まれないことが好ましい。 On the other hand, examples of polar functional groups that are not preferable for obtaining membrane permeability include alkylamino groups and alkylguanidine groups that are extremely ionized in the living body (around pH = 7). It is preferable that the functional group is not contained.
膜透過性を獲得する目的で、ペプチド化合物を構成するアミノ酸あるいはアミノ酸類縁体としてN-メチル化やプロリンのようなα位炭素原子との環化などのN-アルキル化されたものを用いてもよく、その数が1つのペプチド分子あたり2個以上存在することが好ましい。また、1つのペプチド分子あたり、N-アルキル化されていないアミド結合が、少なくとも1個は存在することが好ましい。望ましくは、1つのペプチド分子あたり、N-アルキル化されたものが3個以上存在し、N-アルキル化されていないものが3個以上存在することが好ましい。このN-アルキル化とは、NH以外の化学修飾を全て含み、従って、置換されてもよい(置換基の選択は、上の膜透過性を確保するためのアミノ酸側鎖の置換基と同様)アルキル基、シクロアルキル基、アルケニル基、アルキニル基、アリール基、ヘテロアリール基、アラルキル基の中から選択されるものとする。また、N-アルキル化とはプロリンのように、N原子とα炭素との間で環構造を形成するものも含まれる。 For the purpose of obtaining membrane permeability, N-alkylated compounds such as N-methylated or cyclized with α-position carbon atoms such as proline may be used as amino acids or amino acid analogs constituting peptide compounds. Well, it is preferable that the number is 2 or more per peptide molecule. Further, it is preferable that at least one amide bond that is not N-alkylated is present per peptide molecule. Desirably, there are three or more N-alkylated ones and three or more non-N-alkylated one per peptide molecule. This N-alkylation includes all chemical modifications other than NH and may therefore be substituted (selection of substituents is similar to amino acid side chain substituents to ensure membrane permeability above) It is selected from alkyl groups, cycloalkyl groups, alkenyl groups, alkynyl groups, aryl groups, heteroaryl groups, and aralkyl groups. N-alkylation includes those that form a ring structure between the N atom and the α-carbon, such as proline.
ペプチド化合物のC末端部位はカルボン酸のままではなく、化学修飾されることがより好ましい。例えば、カルボン酸部位をピペリジンなどと反応させたピペリジンアミドなどの置換されてもよいアルキル基、アルケニル基、アルキニル基、シクロアルキル基、アリール基、ヘテロアリール基、アラルキル基アミド化合物(-CO-NRR':のRとR'の1つが水素原子で、他方が化学修飾されてもよく、RとR'の両方が化学修飾されていてもよく、RとR'が環を形成して、例えばピペリジンアミドのように化学修飾されていてもよい。また、RとR'がともに水素原子でもよい)への変換や、カルボン酸基をメチル基やトリフルオロメチル基などの置換されてもよいアルキル基、アルケニル基、アルキニル基、アリール基、ヘテロアリール基、アラルキル基などの様々な非イオン性官能基に変換させることが好ましい。置換基の選択は、上の膜透過性を確保するためのアミノ酸側鎖の置換基と同様である。また、ペプチド化合物を構成するアミノ酸は、翻訳合成された化合物を最適化することもできる。また、得られたペプチド化合物を構成するアミノ酸は、翻訳合成されるものに限定されるものではない。 It is more preferable that the C-terminal part of the peptide compound is not a carboxylic acid but is chemically modified. For example, an optionally substituted alkyl group, alkenyl group, alkynyl group, cycloalkyl group, aryl group, heteroaryl group, aralkyl group amide compound (—CO—NRR) such as piperidine amide obtained by reacting a carboxylic acid site with piperidine, etc. ': One of R and R' may be a hydrogen atom, the other may be chemically modified, both R and R 'may be chemically modified, and R and R' form a ring, for example, It may be chemically modified such as piperidine amide, R and R ′ may be both hydrogen atoms, or a carboxylic acid group may be substituted with a methyl group or a trifluoromethyl group. It is preferably converted into various nonionic functional groups such as a group, an alkenyl group, an alkynyl group, an aryl group, a heteroaryl group, and an aralkyl group. The selection of the substituent is the same as the substituent on the amino acid side chain for ensuring the membrane permeability above. Moreover, the amino acid which comprises a peptide compound can also optimize the compound synthesize | combined by translation. In addition, amino acids constituting the obtained peptide compound are not limited to those synthesized by translation.
ここで最適化とは、「翻訳アミノ酸」から翻訳合成された化合物中のそれぞれのアミノ酸の構造を変換させることにより、よりドラックライクなペプチド化合物となるように化学修飾する、より薬効標的に強い活性を有するペプチド化合物となるように化学修飾する、及び/又は、より毒性が回避されたペプチド化合物となるように化学修飾することを意味する。ここで、回避すべき、あるいは回避した方が好ましい毒性として、例えば、hERG阻害(心臓への毒性)、AMES試験(癌原性試験)、CYP阻害(薬物間相互作用試験)、CYP誘導、GSH結合能測定試験(グルタチオンによるペプチドあるいはペプチド代謝物の共有結合形成試験)、などが挙げられる。これらの試験では、薬効本体のペプチド化合物そのものと、その代謝産物の両方が関与する場合が考えられ、特にAMES試験、CYP誘導、GSH結合能測定試験で陰性結果を確保するためには、共有結合を生成する可能性がある代謝産物を避けることが好ましい。このため、ディスプレイライブラリー中の全てのペプチド化合物に含まれる環化部位がこのような可能性のある官能基を形成しない、特に酸化反応に対してある程度の安定性を有する環化反応で環化されることが好ましい。例えば多くの低分子化合物で実施されている通り、フェニルアラニンが翻訳アミノ酸として同定された場合、フェニル基にアルキル置換、ハロゲン置換など様々な化学修飾が可能である。このような変換は、翻訳合成された化合物の3次元構造を大きく損なうことなく実施できる点で従来の天然ペプチドのN-メチル化や環化による化学修飾とは大きく異なる。なおかつ、天然ペプチドでは多くの場合、極度にイオン化されたアルギニンやリジン残基が活性に寄与することが多いため、これらを容易にドラックライクな官能基に変換させるのが困難であるのに対し、本技術を駆使すれば予めドラックライクな官能基のみで限定された官能基が薬効標的に対する活性を獲得し、ドラックライクな環化法で環化されているため、低分子化学で通常実施するような化学修飾が施され、低分子化学と同様な確度と成功率で臨床候補化合物を獲得することができる。一方、脂溶性の指標であるCLogP値は、最適化の過程で容易に調整することができる。また、通常低分子化合物の最適化でも実施するアルキル化やハロゲン化により、標的に対する結合活性を高めることができる。通常10倍~50倍の活性向上が期待できる。これらの通常の変換は、同時にCLogP値を高めることもできる。例えばクロロ化にて約0.7、メチル化にて約0.5程度を高めることができる。極度にイオン化された官能基を有する場合、最適化の過程でCLogP値を高めても、優れた膜透過性を得るには不十分であるが、極度にイオン化された官能基を有しない場合、最適化の過程で膜透過に十分なCLogP値を得ることができる。従って、例えば平均のCLogP値が6付近のディスプレイライブラリーから、CLogP値が5のヒット化合物が得られた場合、更にCLogP値を高めて、膜透過に最適な範囲の8~15の範囲へと最適化することは十分可能であると判断できる Here, optimization means chemical modification by converting the structure of each amino acid in a compound synthesized by translation from “translated amino acids” to become more drug-like peptide compounds. This means that the peptide compound is chemically modified to have a peptide and / or chemically modified to be a peptide compound in which toxicity is further avoided. Here, as preferable toxicities to be avoided or avoided, for example, hERG inhibition (heart toxicity), AMES test (carcinogenicity test), CYP inhibition (drug interaction test), CYP induction, GSH Binding ability measurement test (covalent bond formation test of peptide or peptide metabolite with glutathione) and the like. In these tests, there may be cases where both the peptide compound itself and its metabolite are involved, and in order to ensure a negative result in the AMES test, CYP induction, GSH binding ability measurement test, in particular, covalent binding It is preferred to avoid metabolites that can produce. For this reason, the cyclization sites contained in all peptide compounds in the display library do not form such potential functional groups, and cyclization is performed with a cyclization reaction that has a certain degree of stability against oxidation reactions. It is preferred that For example, as practiced in many low molecular weight compounds, when phenylalanine is identified as a translated amino acid, various chemical modifications such as alkyl substitution and halogen substitution can be performed on the phenyl group. Such conversion is greatly different from conventional chemical modification by N-methylation or cyclization of natural peptides in that it can be carried out without greatly impairing the three-dimensional structure of the translationally synthesized compound. Furthermore, in many cases, naturally-occurring peptides often have extremely ionized arginine and lysine residues contributing to the activity, so that it is difficult to easily convert them into drug-like functional groups. By using this technology, functional groups previously limited only by drug-like functional groups have acquired activity against medicinal targets and are cyclized by drug-like cyclization methods. With this chemical modification, clinical candidate compounds can be obtained with the same accuracy and success rate as small molecule chemistry. On the other hand, the CLogP value, which is an index of fat solubility, can be easily adjusted during the optimization process. Moreover, the binding activity to the target can be enhanced by alkylation or halogenation, which is usually performed even in the optimization of low molecular weight compounds. Usually, an improvement in activity of 10 to 50 times can be expected. These normal conversions can also increase the CLogP value at the same time. For example, it is possible to increase about 0.7 by chlorination and about 0.5 by methylation. If it has extremely ionized functional groups, increasing the CLogP value during the optimization process is not sufficient to obtain excellent membrane permeability, but if it does not have extremely ionized functional groups, A CLogP value sufficient for membrane permeation can be obtained during the optimization process. Therefore, for example, when a hit compound with a CLogP value of 5 is obtained from a display library with an average CLogP value of around 6, the CLogP value is further increased to a range of 8 to 15 which is optimal for membrane permeation. It can be judged that optimization is sufficiently possible
本発明のペプチド化合物の膜透過性の確認は、公知の方法、例えば、ラット腸管法、培養細胞(Caco-2, MDCK, HT-29, LLC-PK1など)単層膜法、Immobilized Artificial Membrane chromatography(固定化人工膜クロマトグラフィー)法、分配係数を用いる方法、リボソーム膜法、PAMPA(Parallel Artificial Membrane Permeation Assay)法等を用いて確認することができる。具体的には、例えばPAMPA法を用いる場合、Holger Fischerらの文献(非特許文献:H.Fischer et. al.Permeation of permanently positive charged molecules through artificial membranes-influence of physic-chemical properties. Eur J. Pharm. Sci. 2007, 31, 32-42)の記載に従って確認することができる。より具体的には、実施例19-2に記載の方法に従って確認することができる。 Confirmation of membrane permeability of the peptide compound of the present invention can be achieved by known methods such as rat intestinal tract method, cultured cell (Caco-2, MDCK, HT-29, LLC-PK1, etc.) monolayer method, Immobilized Artificial Membrane chromatography (Immobilized artificial membrane chromatography) method, method using a partition coefficient, ribosome membrane method, PAMPA (Parallel Artificial Membrane Permeation Assay) method and the like can be used. Specifically, for example, when the PAMPA method is used, the literature by Holger Fischer et al. .Sci. 2007, 31, 32-42). More specifically, it can be confirmed according to the method described in Example 19-2.
経口医薬品として膜透過性を有するヒドロクロロジアジド、フロセミド及びメトプロロールの膜透過性をPAMPA法で測定した時のiPAMPA Pe値はそれぞれ0.6X10-6、1.5X10-6及び2.9X10-5である。本発明のペプチド化合物の膜透過性は、例えばPAMPA法で測定したときのiPAMPA Peの値が、通常1.0 x 10-6以上である場合に医薬品として使用可能な膜透過性を得ることができたと考えることが可能であり、1.0x 10-6以上であることが好ましく、1.0X10-5以上であることがより好ましく、1.5X10-5以上であることが特により好ましく、2.0X10-5以上であることが更により好ましい。 When the membrane permeability of hydrochlorodiazide, furosemide and metoprolol having membrane permeability as an oral pharmaceutical is measured by the PAMPA method, the iPAMPA Pe values are 0.6 × 10 −6 , 1.5 × 10 −6 and 2.9 × 10 −5 , respectively. The membrane permeability of the peptide compound of the present invention, for example, was able to obtain membrane permeability that can be used as a pharmaceutical when the value of iPAMPA Pe when measured by the PAMPA method is usually 1.0 x 10 -6 or more. it is possible to think, in is preferably 1.0x 10 -6 or more, more preferably 1.0 × 10 -5 or more, more preferably particularly not less 1.5 × 10 -5 or more, 2.0x10 -5 or higher Even more preferably.
・ペプチド化合物の代謝安定性
本発明のペプチド化合物が良好な代謝安定性を有するためには、ペプチド化合物中に含まれる総アミノ酸数が9以上であることが好ましく、11以上であることがより好ましい。総アミノ酸数が9以上のペプチド化合物であれば、上述の膜透過性を有するための条件は、当該ペプチド化合物の代謝安定性に影響しない。
-Metabolic stability of peptide compound In order for the peptide compound of the present invention to have good metabolic stability, the total number of amino acids contained in the peptide compound is preferably 9 or more, more preferably 11 or more. . If the total number of amino acids is a peptide compound of 9 or more, the above-described conditions for having membrane permeability do not affect the metabolic stability of the peptide compound.
本発明のペプチド化合物の代謝安定性の確認は、公知の方法、例えば、肝細胞、小腸細胞、肝ミクロソーム、小腸ミクロソーム、肝S9等を用いて確認することができる。具体的には、例えば、肝ミクロソーム中のペプチド化合物の安定性をLL von Moltke らの文献( Midazolam hydroxylation by human liver microsomes in vitro: inhibition by fluoxetine, norfluoxetine, and by azole antifungal agents. J Clin Pharmacol, 1996, 36(9), 783-791)の記載に従って測定することで確認することができる。より具体的には、実施例18-2に記載の方法に従って確認することができる。 The metabolic stability of the peptide compound of the present invention can be confirmed using a known method, for example, hepatocytes, small intestinal cells, liver microsomes, small intestine microsomes, liver S9 and the like. Specifically, for example, the stability of peptide compounds in liver microsomes is described in LL von Moltke et al. (Midazolam hydroxylation by human liver microsomes in vitro: inhibition by fluoxetine, norfluoxetine, and by azole antifungal agents. J Clin Pharmacol , 36 (9), 783-791). More specifically, it can be confirmed according to the method described in Example 18-2.
代謝安定性は、例えば肝ミクロソーム中の安定性を上述の方法に従って測定した時の、肝固有クリアランス(CLh int(μL/min/mg protein))の値が、150以下である場合に経口剤の医薬品として使用可能な代謝安定性を得ることができたと考えることが可能であり、好ましくは100以下である。CYP3A4により代謝される薬物の場合、ヒトにおける小腸代謝を回避するためには78以下(非特許文献:M. Kato et al. The intestinal first-pass metabolism of substances of CYP3A4 and P-glycoprotein-quantitative analysis based on information from the literature. Drug Metab. Pharmacokinet. 2003, 18(6), 365-372.)であることが好ましく、ヒトにおいて約30%以上のバイオアベイラビリティを示すためには35以下(FaFg=1、タンパク結合率0%を仮定)であることが、より好ましい。 Metabolic stability is determined when the value of liver clearance (CLh ソ ー ム int (μL / min / mg protein)) is 150 or less when the stability in liver microsomes is measured according to the above method. It can be considered that metabolic stability that can be used as a pharmaceutical product has been obtained, and is preferably 100 or less. In the case of drugs metabolized by CYP3A4, in order to avoid small intestine metabolism in humans, 78 or less (non-patent literature: M. Kato et al. The intestinal first-pass metabolism of substances of CYP3A4 and P-glycoprotein-quantitative analysis based on information from the literature. Drug Metab. Pharmacokinet. 2003, 18 (6), 365-372.) In order to show bioavailability of about 30% or more in humans, 35 or less (FaFg = 1, It is more preferable that the protein binding rate is 0%).
スキームA
Scheme A
環状部を有するペプチド化合物の製造方法
本発明の環状部を有するペプチド化合物は、以下に記載の方法を利用して製造することが可能である。
例えば、以下の製造方法を含む製造方法を挙げることができる。
1)アミノ酸残基及び/又はアミノ酸類縁体残基、もしくは、アミノ酸残基及び/又はアミノ酸類縁体残基並びにN末端カルボン酸類縁体により構成される非環状のペプチド化合物を、該ペプチド化合物をコードする核酸から翻訳して合成する工程であって、
該非環状のペプチド化合物は、C末端側に側鎖の1つに反応点を有するアミノ酸残基又はアミノ酸類縁体残基、及び、N末端側にもう1つの反応点を有するアミノ酸残基、アミノ酸類縁体残基又はN末端カルボン酸類縁体を含む、工程;
2)N末端側のアミノ酸残基、アミノ酸類縁体残基又はN末端カルボン酸類縁体の反応点と、C末端側の側鎖に有するアミノ酸残基又はアミノ酸類縁体残基の反応点とを結合させ、アミド結合又は炭素-炭素結合を形成させる工程
を含む、前記方法。
本発明の翻訳合成には、公知の方法を利用することができる。
Method for Producing Peptide Compound Having Cyclic Portion The peptide compound having a cyclic portion of the present invention can be produced using the method described below.
For example, the manufacturing method containing the following manufacturing methods can be mentioned.
1) An acyclic peptide compound composed of an amino acid residue and / or an amino acid analog residue, or an amino acid residue and / or an amino acid analog residue and an N-terminal carboxylic acid analog is encoded with the peptide compound A process of translating and synthesizing from the nucleic acid
The acyclic peptide compound comprises an amino acid residue or amino acid analog residue having a reactive site on one of the side chains on the C-terminal side, and an amino acid residue or amino acid analog having another reactive site on the N-terminal side. A body residue or an N-terminal carboxylic acid analog;
2) Combine the reaction point of the amino acid residue, amino acid analog residue or N-terminal carboxylic acid analog on the N-terminal side with the reaction point of the amino acid residue or amino acid analog residue in the side chain on the C-terminal side And forming an amide bond or a carbon-carbon bond.
A known method can be used for the translational synthesis of the present invention.
翻訳可能なアミノ酸、翻訳可能なアミノ酸類縁体又は翻訳可能なN末端カルボン酸類縁体のN末端導入
本来は、一般的に翻訳開始アミノ酸としてメチオニンをN末端アミノ酸として翻訳されるが、他の所望のアミノ酸をアミノアシル化した翻訳開始tRNAを用いて翻訳させることによってN末端を所望のアミノ酸として翻訳させる方法を使用することもできる。非天然アミノ酸のN末端導入ではアミノ酸の許容度が伸長時よりも高く、天然型アミノ酸と大きく構造の異なるアミノ酸、アミノ酸類縁体を利用することが知られている(非特許文献:J Am Chem Soc. 2009 Apr 15;131(14):5040-1.Translation initiation with initiator tRNA charged with exotic peptides.Goto Y, Suga H.)。例えば、本発明において、メチオニン以外の翻訳可能なアミノ酸、翻訳可能なアミノ酸類縁体又は翻訳可能なN末端カルボン酸誘導体をN末端に導入する方法としては、以下の方法がある。翻訳開始tRNAとして、三角ユニットをアシル化したtRNAをメチオニン、フォルミルドナーもしくはメチオニルトランスフェラーゼを抜いた翻訳系に添加し、翻訳開始コドン(例えばATG)に三角ユニットをコードさせ翻訳させることによって末端を三角ユニットとする環化前のペプチド化合物又はペプチド化合物ライブラリーを構築する。アンチコドンがCAUでない翻訳開始tRNAと当該アンチコドンに対応するコドンの様々な組み合わせを翻訳開始tRNA及び開始コドンの組み合わせとして利用するとN末端に多様性をもたせることが可能である。つまり、アンチコドンの異なる複数種類の翻訳開始tRNAに所望のアミノ酸、アミノ酸類縁体又はN末端カルボン酸類縁体をそれぞれアミノアシル化し、これに対応するコドンを開始コドンとしたmRNA又はmRNAライブラリーを翻訳させることによってN末端残基が一種類に限定されない環化前のペプチド化合物又はペプチド化合物のライブラリーを作製することができる。具体的には例えば、Mayer C,et al. Anticodon sequence mutants of Escherichia coli initiator tRNA: effects of overproduction of aminoacyl-tRNA synthetases, methionyl-tRNA formyltransferase, and initiation factor 2 on activity in initiation.Biochemistry. 2003, 42, 4787-99.(CAU以外のanticodonを持つ開始tRNAの変異大腸菌によるf-Met以外のアミノ酸からの翻訳開始と同codonを途中に含む蛋白の発現。)に記載の方法を用いて環化前のペプチド化合物又はペプチド化合物ライブラリーを作製することができる。
N-terminal introduction of a translatable amino acid, a translatable amino acid analog or a translatable N-terminal carboxylic acid analog is generally translated with methionine as the N-terminal amino acid as the translation initiation amino acid, but other desired It is also possible to use a method in which the N-terminus is translated as a desired amino acid by translating the amino acid with an aminoacylated translation initiation tRNA. It is known that the introduction of an N-terminal amino acid has an amino acid tolerance higher than that at the time of extension, and uses amino acids and amino acid analogs that are significantly different in structure from natural amino acids (non-patent literature: J Am Chem Soc 2009
また、N末端側のアミノ酸残基、アミノ酸類縁体残基又はN末端カルボン酸類縁体の反応点と、C末端側の側鎖に有するアミノ酸残基又はアミノ酸類縁体残基の反応点とを結合させる方法としては、例えば、N末端側の側鎖にアミノ基と反応補助基を有する、アミノ酸残基、アミノ酸類縁体残基又はN末端カルボン酸類縁体と、活性エステル基を側鎖に有するアミノ酸残基又はアミノ酸類縁体残基をアミド結合させて環状化合物を得る方法、N末端アミノ酸残基、アミノ酸類縁体残基又はN末端カルボン酸類縁体にアミノ基を有し、これと活性エステル基を側鎖に有するアミノ酸残基又はアミノ酸残基をアミド結合させて環状化合物を得る方法、N末端のアミノ酸残基、N末端のアミノ酸類縁体残基又はN末端カルボン酸類縁体の反応点と、側鎖に1つの反応点を有するアミノ酸残基又はアミノ酸類縁体の反応点とを炭素‐炭素結合させる方法などが挙げられる。また、上記の例に限定されず、例えば、N末端側のアミノ酸残基、N末端側のアミノ酸類縁体又はN末端カルボン酸側に活性エステル基を有し、C末端側の側鎖にアミノ基(反応補助基を有してもよい)をアミド結合させるなど、上記と逆の官能基配置にしてもよい。 Also, the reaction point of the amino acid residue, amino acid analog residue or N-terminal carboxylic acid analog on the N-terminal side and the reaction point of the amino acid residue or amino acid analog residue in the side chain on the C-terminal side are combined. For example, the amino acid residue, amino acid analog residue or N-terminal carboxylic acid analog having an amino group and a reaction auxiliary group in the N-terminal side chain, and an amino acid having an active ester group in the side chain A method of obtaining a cyclic compound by amide-bonding a residue or amino acid analog residue, having an amino group at the N-terminal amino acid residue, amino acid analog residue or N-terminal carboxylic acid analog, and an active ester group A method for obtaining a cyclic compound by amide-bonding an amino acid residue or amino acid residue in a side chain, an N-terminal amino acid residue, an N-terminal amino acid analog residue, or a reaction point of an N-terminal carboxylic acid analog and the side One in the chain Carbon and the reaction point of the amino acid residues or amino acid analog having a reactive point - like way to carbon bond. Further, the present invention is not limited to the above example, and for example, an amino acid residue on the N-terminal side, an amino acid analog on the N-terminal side, or an active ester group on the N-terminal carboxylic acid side, and an amino group on the side chain on the C-terminal side A functional group arrangement opposite to the above may be used, such as amide bonding (which may have a reaction auxiliary group).
以下にアミド環化を利用する場合を例にした反応設計を述べる。三角ユニットの反応させたいアミノ基と反応させたくない塩基性官能基との反応選択性を獲得するためには反応させたいアミンの反応性をその他の官能基に対して向上させる必要がある場合があり得る。通常アミンより活性化させる手法として、例えば、アミン近傍に反応補助基を導入することが可能である。反応補助基としてはRNAが反応しない程度にアミンを活性化できるものであれば特に限定されないが、例えば末端アミンからメルカプトエチル基やメルカプトプロピル基を導入することも可能であり、また、システインのように、アミンのα位からチオール部位を位置させることも可能である(スキームC参照)。これらのチオール基は翻訳導入の過程では、保護されていても、保護されていなくてもよいが、反応時もしくは事前に必要に応じて脱保護反応によりチオール基を生成させる。このように活性化されたアミンとカルボン酸活性エステルとの反応により望みの位置でのアミド環化されたペプチドが得られる。得られた環状ペプチドのSH基をTCEP(トリス(2-カルボキシルエチル)ホスフィン)とVA-044(2,2'-アゾビスー2-(2-イミダゾリン-2-イル)プロパン)などの試薬を加えるRNAが反応しない温和な反応条件で脱硫させることができる。 The following describes the reaction design taking the case of using amide cyclization as an example. It may be necessary to improve the reactivity of the amine to be reacted with respect to other functional groups in order to obtain reaction selectivity with the basic functional group that is not desired to react with the amino group to be reacted with the triangular unit. possible. In general, as a method of activation from an amine, for example, a reaction auxiliary group can be introduced in the vicinity of the amine. The reaction auxiliary group is not particularly limited as long as it can activate the amine to such an extent that RNA does not react. For example, a mercaptoethyl group or a mercaptopropyl group can be introduced from a terminal amine, and cysteine or the like can be used. It is also possible to position the thiol moiety from the α-position of the amine (see Scheme C). These thiol groups may or may not be protected during the translation introduction process, but a thiol group is generated by a deprotection reaction at the time of reaction or in advance as necessary. The reaction of the amine thus activated with the carboxylic acid active ester gives an amide-cyclized peptide at the desired position. RNA to which the SH group of the obtained cyclic peptide is added with a reagent such as TCEP (tris (2-carboxylethyl) phosphine) and VA-044 (2,2′-azobis-2- (2-imidazolin-2-yl) propane) Can be desulfurized under mild reaction conditions where no reaction occurs.
翻訳によりディスプレイライブラリーを実施する場合、翻訳導入させる交差ユニットの活性エステルとしてはチオエステルが好ましい。反応補助基にSH基を用いる場合、例えば次のような組合せで行われる。SH基を無保護の状態で翻訳合成させる場合には、交差ユニットであるチオエステルとしてアスパラギン酸誘導体を用いることが好ましい。この場合、全ての黒丸ユニットと四角ユニットは翻訳アミノ酸や翻訳アミノ酸類縁体の中から任意に選択され得る。一方、SH基に保護基を有する状態で翻訳合成させる場合には、アスパラギン酸チオエステルのC末端側となりの四角ユニットはN-アルキル化されたアミノ酸(例えばプロリンや、N-メチル アラニンなど)の中から選択されることが好ましい。 When carrying out a display library by translation, a thioester is preferred as the active ester of the crossing unit to be translated. When an SH group is used as the reaction auxiliary group, for example, the following combinations are performed. When translational synthesis of the SH group in an unprotected state, it is preferable to use an aspartic acid derivative as the thioester that is a crossing unit. In this case, all the black circle units and the square units can be arbitrarily selected from translated amino acids and translated amino acid analogs. On the other hand, when translation synthesis is carried out with the SH group having a protecting group, the square unit on the C-terminal side of the aspartic acid thioester is an N-alkylated amino acid (such as proline or N-methyl alanine). Is preferably selected from.
スキームC
Scheme C
一般式として、三角ユニットとしてのアミン近傍に反応補助基を有するアミノ酸、N末端カルボン酸類縁体、例えばN末端アミノ酸の例として、化合物N-1あるいはN-2のように書くことができる。これら化合物N-1およびN-2の置換基は、好ましくは、これらのRで表わされる置換基のうち、保護基(R1、R23あるいはトリチル基など)以外で使用される置換基は上述で定義したドラックライクなアミノ酸の側鎖の定義と同様である。また、それらが導入された結果得られた化合物が翻訳合成され得るものがより好ましいが、その誘導体そのものが翻訳合成されなくても、その類縁体が翻訳合成されるものも含まれる(後述の段落(たとえば3つ後ろの段落)を参照)。 As a general formula, an amino acid having a reaction auxiliary group in the vicinity of an amine as a triangular unit, an N-terminal carboxylic acid analog, for example, an N-terminal amino acid can be written as compound N-1 or N-2. Substituents of these compounds N-1 and N-2 are preferably defined as described above, among the substituents represented by R, except for protecting groups (R1, R23, trityl group, etc.) This is the same as the definition of the side chain of the drug-like amino acid. In addition, compounds in which the compounds obtained as a result of their introduction can be synthesized by translation are more preferred, but those in which the analog is translated and synthesized even if the derivative itself is not translated and synthesized are included (see paragraphs described later). (See, for example, the next three paragraphs).
R1は水素原子、もしくはS-R23基、あるいはC(Phe)3基(トリチル基)などで表わされるSH基の保護基の中から選択される。R23はメチル基、エチル基、イソプロピル基、tert―ブチル基などのアルキル基、フェニル基、p-トリフルオロメチルフェニル基、p-フルオロフェニル基のようなアリール基、ベンジル基、フェネチル基などのアラルキル基、ヘテロアリール基、アルケニル基、アルキニル基などから選択される。これらの基は、結果として得られる化合物N-1あるいはN-2が翻訳合成可能となる置換基の中から選択される。例えばジメチルアミノ基によってR23のエチル基が置換された、N,N-ジメチルアミノエチルメルカプト基などでもよい。R1が保護基を有している場合(H原子以外の場合)、選択される保護基は、翻訳合成が可能な保護基の中から選択され、かつ翻訳合成液中で脱保護され、環化させる前に水素原子となるものであれば、特に限定されず選択することができる。S-R23基のような保護基は翻訳合成液中でゆっくりと脱保護されるため、積極的に脱保護条件を別途定める必要なく脱保護させることができる。必要に応じて本明細書記載の様々な反応条件にて脱保護剤を添加させることができる。(SH基の保護基記載。) R1 is selected from among the protecting groups of SH group represented by a hydrogen atom or the like, or S-R23 group, or C (Phe) 3 group (trityl group). R23 is an alkyl group such as a methyl group, an ethyl group, an isopropyl group or a tert-butyl group, an aryl group such as a phenyl group, a p-trifluoromethylphenyl group or a p-fluorophenyl group, an aralkyl group such as a benzyl group or a phenethyl group. Selected from a group, a heteroaryl group, an alkenyl group, an alkynyl group, and the like. These groups are selected from substituents that enable the resulting compound N-1 or N-2 to be translationally synthesized. For example, an N, N-dimethylaminoethyl mercapto group in which the ethyl group of R23 is substituted with a dimethylamino group may be used. When R1 has a protecting group (other than H atom), the protecting group selected is selected from protecting groups capable of translational synthesis, and deprotected in a translation synthesis solution, and cyclized. If it becomes a hydrogen atom before making it, it will not specifically limit and can be selected. Since protecting groups such as the S—R23 group are slowly deprotected in the translation synthesis solution, they can be deprotected without the need to positively define separate deprotection conditions. If necessary, a deprotecting agent can be added under various reaction conditions described in the present specification. (Description of protecting group of SH group.)
R2、R3はドラックライクなアミノ酸の側鎖の定義と同様に定義される。たとえば、R2、R3は、好ましくは、水素原子、置換基を有していてもよいアルキル基、アルケニル基、アルキニル基、アリール基、ヘテロアリール基、アラルキル基、もしくはシクロアルキル基を示し、またはR2とR3が環を形成した置換基、またはR2もしくはR3がR4と環を形成した置換基を示す。さらに好ましくは水素原子、あるいはC1-C4アルキル基、アルコキシ基、ハロゲン基などで置換されてもよいC1-C4アルキル基などから選択される。なお、R3基の立体はL型アミノ酸、D型アミノ酸に対応するもの両方が許容される。好ましくはR3基の立体は、R3基が水素原子と仮定した場合のL型アミノ酸に対応するものがよい。 R2 and R3 are defined similarly to the definition of the side chain of a drug-like amino acid. For example, R2 and R3 preferably represent a hydrogen atom, an optionally substituted alkyl group, alkenyl group, alkynyl group, aryl group, heteroaryl group, aralkyl group, or cycloalkyl group, or R2 And R3 represents a substituent that forms a ring, or R2 or R3 represents a substituent that forms a ring with R4. More preferably, it is selected from a hydrogen atom, a C1-C4 alkyl group which may be substituted with a C1-C4 alkyl group, an alkoxy group, a halogen group or the like. In addition, the R3 group can accept both L-type amino acids and D-type amino acids. Preferably, the steric structure of the R3 group corresponds to the L-type amino acid when the R3 group is assumed to be a hydrogen atom. *
R4は、S(硫黄)原子とアミノ酸部位を連結するユニットである。以下その代表的構造を示す。両ユニットを置換されていてもよいメチレン基(部分構造N-3、C1ユニット)、置換されてもよいエチレン基(部分構造N-4、C2ユニット)、置換されてもよいプロピレン基(部分構造N-5、C3ユニット)などのC1~C6ユニットで連結させることができる。置換されていてもよいメチレン基、エチレン基、プロピレン基における置換基の例としては、たとえば、R13がメチル化された(R14=H)化合物N-1や、R13=R14=Meのようにジメチル化された化合物N-1などが挙げられる。これらのうちで、その誘導体のどれかが翻訳合成される場合、その他の誘導体は、仮に翻訳合成されなくても全てこの定義に含まれる。例えば、R13=R14=Hが翻訳合成される場合には、R13=R14=Meのような誘導体が、仮に翻訳合成されない場合でも、これらの置換基はドラックライクアミノ酸側鎖の定義に含まれるため三角ユニットとして含まれる。R13、R14、R15、R16、R17、R18、R19、R20、R21、R22らも、R4と同様の定義であるが、例えば、水素原子、C1~C4アルキル基、アルコキシ基、ハロゲン原子などで置換されてもよいC1~C4アルキル基から選択される。これらの間で環化構造となっていてもよい。特に好ましくは、水素原子、メチル基から選択される。また芳香族化合物のアリール炭素から直接連結させることもできる(部分構造N-6)。またアラルキル構造で連結させることもできる(部分構造N-7、N-8)。部分構造N-7では、2価のうち、どちらが窒素原子側であっても、硫黄原子側であってもよい。下スキームでは、連結位置をオルトに限定したが、オルトに限定されずメタ、パラなども可能である。アリール基としてフェニル基で示したが、フェニル基はハロゲン基やアルコキシ基やトリフルオロメチル基などの置換基により置換されていてもよく、またフェニル基以外のアリール基(すなわち、ヘテロアリール基を含む様々な芳香環)を用いてもよい。 R4 is a unit that links an S (sulfur) atom and an amino acid site. The typical structure is shown below. Both units may be substituted methylene group (partial structure N-3, C1 unit), may be substituted ethylene group (partial structure N-4, C2 unit), may be substituted propylene group (partial structure) N1 and C6 units such as N-5 and C3 units). Examples of the substituent in the methylene group, ethylene group and propylene group which may be substituted include, for example, the compound N-1 in which R13 is methylated (R14 = H), and dimethyl such as R13 = R14 = Me. Compound N-1 and the like. Of these, when any of the derivatives is translationally synthesized, all other derivatives are included in this definition even if they are not translationally synthesized. For example, when R13 = R14 = H is translated and synthesized, a derivative such as R13 = R14 = Me is included in the definition of the drug-like amino acid side chain even if it is not translated and synthesized. Included as a triangular unit. R13, R14, R15, R16, R17, R18, R19, R20, R21, R22 and the like have the same definition as R4, but are substituted with, for example, a hydrogen atom, a C1-C4 alkyl group, an alkoxy group, a halogen atom, etc. Selected from C1-C4 alkyl groups which may be substituted. A cyclized structure may be formed between them. Particularly preferably, it is selected from a hydrogen atom and a methyl group. It can also be directly linked from the aryl carbon of the aromatic compound (partial structure N-6). Further, they can be linked with an aralkyl structure (partial structures N-7 and N-8). In the partial structure N-7, any of the divalent groups may be on the nitrogen atom side or on the sulfur atom side. In the following scheme, the connecting position is limited to ortho, but not limited to ortho, meta, para, etc. are possible. Although an aryl group is represented by a phenyl group, the phenyl group may be substituted with a substituent such as a halogen group, an alkoxy group, or a trifluoromethyl group, and an aryl group other than a phenyl group (that is, a heteroaryl group is included) Various aromatic rings) may be used.
R11、R12もR4と同様な部分構造から選択される。例えば部分構造N-3、N-4、N-5、N-6、N-7、N-8の中から選択することができる。R12はC0ユニット(連結部位は直接結合している場合)も含むことができる。 R11 and R12 are also selected from the same partial structure as R4. For example, it can be selected from the partial structures N-3, N-4, N-5, N-6, N-7, and N-8. R12 can also contain a C0 unit (when the linking site is directly attached).
化合物構造N-1および化合物構造N-2の好ましい構造式を、化合物構造N-9、N-10、N-11、N-12に示す。化合物N-9では、化合物N-1のR12部位がC0ユニットで連結部位が直接連結している。化合物N-10では、化合物N-2のR11部位がC1ユニット(部分構造N-3に対応)で連結している。化合物N-11では、化合物N-2のR11部位がC2ユニット(部分構造N-4に対応)で連結している。化合物N-12では、化合物N-2のR11部位がC3ユニット(部分結合N-5に対応)で連結している。
R5~R10は、前記R13~R18の定義と同様である。
Preferred structural formulas of Compound Structure N-1 and Compound Structure N-2 are shown in Compound Structures N-9, N-10, N-11, and N-12. In compound N-9, the R12 site of compound N-1 is a C0 unit and the linking site is directly linked. In compound N-10, the R11 site of compound N-2 is linked by a C1 unit (corresponding to partial structure N-3). In compound N-11, the R11 site of compound N-2 is linked by a C2 unit (corresponding to partial structure N-4). In compound N-12, the R11 site of compound N-2 is linked by a C3 unit (corresponding to partial bond N-5).
R5 to R10 are the same as defined above for R13 to R18.
さらに、これらの望ましい構造式を以下化合物N-13、N-14、N-15、N-16、N-17、N-18、N-19、N-20に示す。化合物N-13では、化合物N-9のR4部位がC1ユニット(部分構造N-3に対応)で連結されている。化合物N-14では、化合物N―10のR4部位がC2ユニット(部分構造N-4に対応)で連結されている。化合物N-15では、化合物N-11のR4部位がC2ユニット(部分構造N-4に対応)で連結されている。化合物N-16では、化合物N-12のR4部位がC2ユニット(部分構造N-4に対応)で連結されている。化合物N-17では、化合物N-9のR4部位がC2ユニット(部分構造N-4)で連結されている。化合物N-18では、化合物N-10のR4部位がC3ユニット(部分構造N-5)で連結されている。化合物N-19では、化合物N-11のR4部位がC3ユニット(部分構造N-5)で連結されている。化合物N-20では、化合物N-12のR4部位が、C3ユニット(部分構造N-5)で連結されている。
Further, these desirable structural formulas are shown in the following compounds N-13, N-14, N-15, N-16, N-17, N-18, N-19, and N-20. In compound N-13, the R4 site of compound N-9 is linked by a C1 unit (corresponding to partial structure N-3). In compound N-14, the R4 site of compound N-10 is linked by a C2 unit (corresponding to partial structure N-4). In compound N-15, the R4 site of compound N-11 is linked by a C2 unit (corresponding to partial structure N-4). In compound N-16, the R4 site of compound N-12 is linked by a C2 unit (corresponding to partial structure N-4). In compound N-17, the R4 site of compound N-9 is linked by a C2 unit (partial structure N-4). In compound N-18, the R4 site of compound N-10 is linked by a C3 unit (partial structure N-5). In compound N-19, the R4 site of compound N-11 is linked by a C3 unit (partial structure N-5). In compound N-20, the R4 site of compound N-12 is linked by a C3 unit (partial structure N-5).
ここまで一般式化合物N-1および化合物N-2で表わせる化学構造について述べたが、反応補助基SHを含む三角ユニットの定義としては、これらに限定されない。すなわち、交差ユニットと反応させるユニットであるアミノ基と反応補助基を有しており、翻訳合成可能な構造の中から任意の構造から選択される。アミノ基は主鎖由来でも側鎖由来でもよい。三角ユニットはN末端に存在させる必要は必ずしもなく、三角ユニットよりN末端側に四角ユニット(直鎖部)が存在していてもよい。SH基とアミノ基の位置関係がβ(2つの官能基の間に連結原子2つ)、γ(連結原子3つ)など連結原子2~6までの範囲に存在する化学構造が好ましい。より好ましくは、SH基とアミノ基の位置関係がβあるいはγであることが好ましい。また、三角ユニットに活性エステル官能基を有するユニットが配置されても交差ユニット側にアミンを含むユニットが配置されていてもよい。 Although the chemical structures that can be represented by the general formula compounds N-1 and N-2 have been described so far, the definition of the triangular unit containing the reaction auxiliary group SH is not limited thereto. That is, it has an amino group which is a unit to be reacted with the crossing unit and a reaction auxiliary group, and is selected from arbitrary structures among structures capable of translational synthesis. The amino group may be derived from a main chain or a side chain. The triangular unit is not necessarily present at the N-terminal, and a square unit (straight chain part) may be present on the N-terminal side of the triangular unit. A chemical structure in which the positional relationship between the SH group and the amino group is in the range of 2 to 6 linking atoms such as β (two linking atoms between two functional groups), γ (three linking atoms) is preferable. More preferably, the positional relationship between the SH group and the amino group is β or γ. Moreover, even if the unit which has an active ester functional group is arrange | positioned at the triangular unit, the unit containing an amine may be arrange | positioned at the crossing unit side.
活性エステル基を側鎖に有するアミノ酸残基の一般式として化合物C-1のように記すことができる。好ましくは、これらの活性エステル部位を除いた置換基は上述で定義したドラックライクなアミノ酸の側鎖の定義と同様である。その誘導体そのものが翻訳合成されなくても、その類縁体が翻訳合成されるものも含まれる。本願では活性エステルとはアミノ基部位と直接あるいは反応補助基を介して反応させることが可能なカルボン酸誘導体を意味し、そのような性質を有する活性エステルあるいは活性チオエステルであれば特に制限されないものとする。R25は水素原子あるいは活性エステル基の中から選択されるものである。活性エステルは、例えば広く一般に使用されているように、N-ヒドロキシスクシンイミド(ONSu)基、OAt基、OBt基などや、メチルチオエステルやアリールチオエステル、アラルキルチオエステルなどに代表される。これらの活性エステル部位には通常広く利用されている化合物置換基(たとえば、置換基としては、反応性を高める目的で使用されることが多いハロゲン基、ニトロ基、トリフルオロメチル基、ニトリル基などの電子吸引基や、反応をより低めて反応選択性を高める目的で使用されることが多いメトキシ基などのアルコキシ基、メチル基などのアルキル基のような電子供与基、t-ブチル基やイソプロピル基に代表されるかさ高い置換基、水中での実施を受けて、水との親和性を考慮した、スルホン酸基や、ジメチルアミノ基のようなジ置換アミノ基などが挙げられ、逆に親脂性との親和性を考慮した長鎖アルキル基などの高脂溶性基などが挙げられる。)が付与された誘導体であっても、同様の反応性を示すものは全て含まれる。 As a general formula of an amino acid residue having an active ester group in the side chain, it can be expressed as compound C-1. Preferably, the substituents excluding these active ester sites are the same as the definition of the side chain of the drug-like amino acid defined above. Even if the derivative itself is not translationally synthesized, it includes those in which the analog is translated and synthesized. In the present application, an active ester means a carboxylic acid derivative that can be reacted with an amino group site directly or via a reaction auxiliary group, and is not particularly limited as long as it is an active ester or an active thioester having such properties. To do. R25 is selected from a hydrogen atom or an active ester group. The active ester is represented by, for example, N-hydroxysuccinimide (ONSu) group, OAt group, OBt group, methylthioester, arylthioester, aralkylthioester and the like as widely used. These active ester moieties are generally used as compound substituents (for example, halogen groups, nitro groups, trifluoromethyl groups, nitrile groups, etc., which are often used for the purpose of increasing reactivity). Electron-withdrawing groups, alkoxy groups such as methoxy groups, which are often used for the purpose of lowering the reaction and increasing the reaction selectivity, electron-donating groups such as alkyl groups such as methyl groups, t-butyl groups and isopropyl Examples include bulky substituents typified by groups, sulfonic acid groups, disubstituted amino groups such as dimethylamino groups, etc., taking into consideration the affinity with water after being carried out in water. Examples include high-fat-soluble groups such as long-chain alkyl groups in consideration of affinity with lipophilicity.) All derivatives having similar reactivity are also included.
R2およびR3は上記アミン部位で定義したとおりである。 R2 and R3 are as defined above for the amine moiety.
R26はR4の定義と同様であり、以下その代表的構造を示す。両ユニットをメチレン基(部分構造N-3)、エチレン基(部分構造N-4)、プロピレン基(部分構造N-5)などのC1~C6ユニットで連結させることができる。R13、R14、R15、R16、R17、R18、R19、R20、R21、R22では、好ましくは、これら置換基は上述で定義したドラックライクなアミノ酸の側鎖の定義と同様である。その誘導体そのものが翻訳合成されなくても、その類縁体が翻訳合成されるものも含まれる。例えば、水素原子、C1~C4アルキル基、ハロゲン原子などで置換されてもよいC1~C4アルキル基から選択される。これらの間で環化構造となっていてもよい。より好ましくは、メチレン基(C1ユニット、部分構造N-3)の他、C4ユニット、C5ユニットC-6ユニットから選択される。さらに好ましくは、C1ユニット(部分構造N-3)が選択される。また芳香族化合物のアリール炭素から直接連結させることもできる(部分構造N-6)。またアラルキル構造で連結させることもできる(部分構造N-7、N-8)。下スキームでは、連結位置をオルトに限定したが、オルトに限定されずメタ、パラなども可能である。アリール基としてフェニル基で示したが、フェニル基はハロゲン基やアルコキシ基などの置換基により置換されていてもよく、またフェニル基以外のアリール基を用いてもよい。 R26 is the same as the definition of R4, and its typical structure is shown below. Both units can be connected by C1 to C6 units such as methylene group (partial structure N-3), ethylene group (partial structure N-4), propylene group (partial structure N-5) and the like. In R13, R14, R15, R16, R17, R18, R19, R20, R21, R22, these substituents are preferably the same as the definition of the side chain of the drug-like amino acid defined above. Even if the derivative itself is not translationally synthesized, it includes those in which the analog is translated and synthesized. For example, it is selected from a hydrogen atom, a C1-C4 alkyl group, a C1-C4 alkyl group which may be substituted with a halogen atom and the like. A cyclized structure may be formed between them. More preferably, it is selected from a C4 unit, a C5 unit and a C-6 unit in addition to a methylene group (C1 unit, partial structure N-3). More preferably, a C1 unit (partial structure N-3) is selected. It can also be directly linked from the aryl carbon of the aromatic compound (partial structure N-6). Further, they can be linked with an aralkyl structure (partial structures N-7 and N-8). In the following scheme, the connecting position is limited to ortho, but not limited to ortho, meta, para, etc. are possible. Although the phenyl group is shown as the aryl group, the phenyl group may be substituted with a substituent such as a halogen group or an alkoxy group, or an aryl group other than the phenyl group may be used.
化合物C-1の中で、好ましい構造を化合物C-2に示した。R27は水素原子、置換されてもよいアルキル基、置換されてもよいアルケニル基、置換されてもよいアルキニル基、、置換されてもよいアリール基、置換されてもよいヘテロアリール基、置換されてもよいシクロアルキル基、置換されてもよいアルキル基が付与されていてもよいアラルキル基の中から選択される。これら置換基としては、その置換基が選択された結果得られる化合物C-2が翻訳合成され得るものであれば、特に限定されない。たとえば、置換基としては、反応性を高める目的で使用されることが多いハロゲン基、ニトロ基、トリフルオロメチル基、ニトリル基などの電子吸引基や、反応をより低めて反応選択性を高める目的で使用されることが多いメトキシ基などのアルコキシ基、メチル基などのアルキル基のような電子供与基、t-ブチル基やイソプロピル基に代表される、かさ高い置換基、水中での実施を受けて、水との親和性を考慮した、スルホン酸基や、ジメチルアミノ基のようなジ置換アミノ基、逆に親脂性を考慮した長鎖アルキル基などの高脂溶性基などから選択される。好ましくは、置換されてもよいアルキル基、置換されてもよいシクロアルキル基、置換されてもよいアラルキル基から選択される。さらに好ましくは、アルキル基、アリール部位が置換されていてもよいアラルキル基から選択される。
R3はドラックライクなアミノ酸の側鎖の定義と同様に定義されるが、例えばC1-C4アルキル基、ハロゲンなどで置換されてもよいC1-C4アルキル基から選択されるが、特に水素原子が好ましい。なお、R3基の立体はR3基が水素原子と仮定した場合のL型、D型アミノ酸に対応するもの両方が許容されるが、L型アミノ酸に対応するものが好ましい。
Among compounds C-1, a preferred structure is shown in compound C-2. R27 represents a hydrogen atom, an alkyl group that may be substituted, an alkenyl group that may be substituted, an alkynyl group that may be substituted, an aryl group that may be substituted, a heteroaryl group that may be substituted, Or an aralkyl group to which an optionally substituted alkyl group may be provided. These substituents are not particularly limited as long as compound C-2 obtained as a result of selection of the substituent can be translationally synthesized. For example, as a substituent, an electron withdrawing group such as a halogen group, a nitro group, a trifluoromethyl group, or a nitrile group, which is often used for the purpose of increasing the reactivity, or a purpose of increasing the reaction selectivity by lowering the reaction Alkoxy groups such as methoxy groups, electron donating groups such as alkyl groups such as methyl groups, bulky substituents typified by t-butyl groups and isopropyl groups, etc. In addition, a sulfonic acid group considering the affinity with water, a disubstituted amino group such as a dimethylamino group, and a highly lipophilic group such as a long-chain alkyl group considering lipophilicity are selected. Preferably, it is selected from an optionally substituted alkyl group, an optionally substituted cycloalkyl group, and an optionally substituted aralkyl group. More preferably, it is selected from an alkyl group and an aralkyl group in which the aryl moiety may be substituted.
R3 is defined similarly to the definition of the side chain of a drug-like amino acid, and is selected from, for example, a C1-C4 alkyl group, a C1-C4 alkyl group which may be substituted with a halogen, etc., and particularly preferably a hydrogen atom . In addition, although the R3 group conforms to both L-type and D-type amino acids when the R3 group is assumed to be a hydrogen atom, those corresponding to L-type amino acids are preferred.
さらに好ましい構造を化合物C-3に示した。R28およびR29はそれぞれ、ドラックライクなアミノ酸の側鎖の定義と同様に定義されるが、例えば水素原子、置換されてもよいC1~C6アルキル基、置換されてもよいC2~C6アルケニル基、置換されてもよいC2~C6アルキニル基、、置換されてもよいアリール基、置換されてもよいヘテロアリール基、置換されてもよいC1~C6アルキル基が付与されていてもよいアラルキル基、置換されてもよいシクロアルキル基の中から選択される。これら置換基としては、たとえば、モノメチル化(R28=Me、R29=H)やジメチル化(R28=R29=Me)、モノトリフルオロメチル化(R28=CF3、R29=H)などが挙げられる。 A more preferred structure is shown in Compound C-3. R28 and R29 are each defined similarly to the definition of the side chain of a drug-like amino acid, but for example, a hydrogen atom, an optionally substituted C1-C6 alkyl group, an optionally substituted C2-C6 alkenyl group, a substituted An optionally substituted C2-C6 alkynyl group, an optionally substituted aryl group, an optionally substituted heteroaryl group, an optionally substituted C1-C6 alkyl group optionally substituted aralkyl group, substituted It is selected from cycloalkyl groups that may be present. Examples of these substituents include monomethylation (R28 = Me, R29 = H), dimethylation (R28 = R29 = Me), monotrifluoromethylation (R28 = CF3, R29 = H), and the like.
R3は水素原子、C1-C4アルキル基、ハロゲンなどで置換されてもよいC1-C4アルキル基などから選択されるが、特に水素原子が好ましい。なお、R3基の立体はR3基が水素原子と仮定した場合のL型、D型アミノ酸に対応するもの両方が許容されるが、L型アミノ酸に対応するものが好ましい。
化合物C-1、化合物C-2、化合物C-3と同様に、化合物COH-1、化合物COH-2、化合物COH-3から選択することもできる。
R3 is selected from a hydrogen atom, a C1-C4 alkyl group, a C1-C4 alkyl group optionally substituted with halogen, etc., and a hydrogen atom is particularly preferred. In addition, although the R3 group conforms to both L-type and D-type amino acids when the R3 group is assumed to be a hydrogen atom, those corresponding to L-type amino acids are preferred.
Similarly to Compound C-1, Compound C-2, and Compound C-3, the compound COH-1, Compound COH-2, and Compound COH-3 can also be selected.
化合物C-2あるいは化合物C-3を用いた場合、化合物N-1あるいは化合物N-2との反応は温和で選択的に進行させることができる。翻訳液中(例えば、37℃、pHは7.3付近)でもスムースに反応を進行させることができる。反応補助基の除去もRNAが安定な反応条件で容易に進行させることができる。 When Compound C-2 or Compound C-3 is used, the reaction with Compound N-1 or Compound N-2 can be allowed to proceed gently and selectively. The reaction can proceed smoothly even in a translation solution (for example, 37 ° C. and pH around 7.3). Removal of the reaction auxiliary group can be easily performed under reaction conditions in which RNA is stable.
N末端側(三角ユニット)に活性エステルが配置された場合、C末端側(交差ユニット)には反応補助基を有するアミンユニットが配置されてもよい。この場合には、交差ユニットの側鎖にアミノ基とチオール基が配置される。翻訳段階ではこれらは保護されていてもよいが、反応直前には脱保護されている。アミノ基とチオール基は近傍に存在すれば特に限定されないが、両者の関係がβ位あるいはγ位であることが好ましい。 When an active ester is arranged on the N-terminal side (triangular unit), an amine unit having a reaction auxiliary group may be arranged on the C-terminal side (crossing unit). In this case, an amino group and a thiol group are arranged in the side chain of the intersection unit. These may be protected at the translation stage, but are deprotected immediately before the reaction. The amino group and the thiol group are not particularly limited as long as they are present in the vicinity, but the relationship between the two is preferably the β-position or γ-position.
すなわち、三角ユニットの側鎖にチオエステルなどの活性エステルを有し、もう一方(交差ユニット)に側鎖のアミノ基(近傍にチオールなどの反応補助基を有する)とのアミド縮合反応によりドラックライク環化させる手法も全て本願に含まれ、どちらの官能基が三角ユニットもしくは交差ユニットに配置されていてもよい。 That is, a drug-like ring is formed by an amide condensation reaction with an active ester such as a thioester on the side chain of the triangular unit and an amino group of the side chain (having a reaction auxiliary group such as thiol in the vicinity) on the other (crossing unit). All the techniques for making them into are also included in the present application, and either functional group may be arranged in a triangular unit or a crossing unit.
以下、反応補助基を有するアミン部位として、化合物N-1および化合物N-2とは異なる構造の具体例を示した。いずれもアミノ基、チオール基は必要に応じて保護されていてもよい。保護基および脱保護反応条件の選択は、本明細書記載の方法を利用することができる。化合物Na-10では図に記載のとおり、アミノ基とチオール基の間に炭素原子が2つ配置させた構造を選択することができる。化合物Na-11では図に記載のとおり、アミノ基とチオール基の間に炭素原子が3つ配置させた構造を選択することができる。Ra20~Ra25のどれかにNa-7基、Na-8基あるいはNa-9基が置換基として配置される。またRa7の定義は既に記載のとおりであるが、化合物Na-10あるいは化合物Na-11の場合に限り、Ra7にもNa-7基、Na-8基、Na-9基を選択することができる。Na-7基、Na-8基、Na-9基は、Ra-7もしくはRa20~Ra25の中のどこか1か所のみに限定されて選択される。Na-7基あるいはNa-8基、Na-9基が選択された置換基以外のRa20~Ra25には、水素原子の他、ドラックライクな官能基で置換されてもよいアルキル基、アリール基、ヘテロアリール基、アラルキル基などがから選択される。好ましくは水素原子、アルキル基から選択される。 Hereinafter, specific examples of structures different from those of Compound N-1 and Compound N-2 are shown as amine sites having reaction auxiliary groups. In either case, the amino group and thiol group may be protected as necessary. The method described herein can be used to select the protecting group and the deprotection reaction conditions. For compound Na-10, as shown in the figure, a structure in which two carbon atoms are arranged between an amino group and a thiol group can be selected. For compound Na-11, as shown in the figure, a structure in which three carbon atoms are arranged between an amino group and a thiol group can be selected. A Na-7 group, Na-8 group or Na-9 group is arranged as a substituent in any of Ra20 to Ra25. The definition of Ra7 is as described above. However, only in the case of Compound Na-10 or Compound Na-11, Ra-7 can be selected from Na-7, Na-8, and Na-9 groups. . The Na-7 group, Na-8 group and Na-9 group are selected by being limited to only one of Ra-7 or Ra20 to Ra25. Ra20 to Ra25 other than the substituent in which the Na-7 group, Na-8 group, or Na-9 group is selected include a hydrogen atom, an alkyl group that may be substituted with a drug-like functional group, an aryl group, A heteroaryl group, an aralkyl group, and the like are selected from. Preferably, it is selected from a hydrogen atom and an alkyl group.
三角ユニット(N末端側)にチオエステル基などの活性エステルを有するユニットが選択される場合、それらは例えば化合物C-1、化合物C-2、化合物C-3の他、化合物Ca-1、化合物COH-1、化合物COH-2、化合物COH-3から選択することができる。化合物C-1などは、環化した後に主鎖アミノ基が保持されてしまうのに対し、化合物Ca-1、化合物COH-1、化合物COH-2、化合物COH-3にはアミノ基が存在しないため、よりドラックライクとなるためより好ましい。この場合には、交差ユニットとして化合物Na-10(Na-7基あるいはNa-8基)や化合物Na-11(Na-7基あるいはNa-8基)などから選択される。これらの化合物は保護された状態で翻訳されてもよい。翻訳されうる保護基、およびRNAに安定な反応条件での脱保護条件は本明細書に記載された方法を用いることができる。より好ましくは、より代謝安定性が高いことから化合物Na-7基を利用することが、Na-8基を利用することより好ましい。 When a unit having an active ester such as a thioester group is selected on the triangular unit (N-terminal side), these include, for example, Compound C-1, Compound C-2, Compound C-3, Compound Ca-1, Compound COH -1, compound COH-2, and compound COH-3. Compound C-1 and the like retain the main chain amino group after cyclization, whereas compound Ca-1, compound COH-1, compound COH-2, and compound COH-3 have no amino group. Therefore, it is more preferable because it becomes more like a drug. In this case, the crossing unit is selected from compound Na-10 (Na-7 group or Na-8 group), compound Na-11 (Na-7 group or Na-8 group), and the like. These compounds may be translated in a protected state. The protecting group that can be translated and the deprotection conditions under reaction conditions stable to RNA can use the methods described herein. More preferably, the use of the compound Na-7 group is more preferable than the use of the Na-8 group because of higher metabolic stability.
また、交差ユニット(C末端側)に活性エステル基を有する化合物C-1、化合物C-2、化合物C-3、あるいは化合物COH-1、化合物COH-2、化合物COH-3などが選択された場合、三角ユニット(N末端側)には既に述べた化合物N-1や化合物N-2の他にも、化合物Na-10および化合物Na-11から選択することができる。三角ユニットをN末端とする場合には、化合物N-1、化合物N-2の他にも化合物Na-10(Na-8基、およびNa-9基)あるいはNa-11(Na-8基、およびNa-9基)を選択することが好ましい。Na-7基を利用すると、主鎖アミンが保持され、ドラックライクネスが低下するためである。一方で、三角ユニットをN末端としない場合には、化合物Na-10(Na-7基およびNa-8基)および化合物Na-11(Na-7基およびNa-8基)を用いることができる。この場合にはN末端にはアミノ酸誘導体もしくはN末端カルボン酸誘導体を用いることがより好ましい。N末端に主鎖アミノ基を保持させないためである。 Also, Compound C-1, Compound C-2, Compound C-3, Compound COH-1, Compound COH-2, Compound COH-3, etc. having an active ester group at the intersection unit (C-terminal side) were selected. In this case, the triangular unit (on the N-terminal side) can be selected from Compound Na-10 and Compound Na-11 in addition to Compound N-1 and Compound N-2 already described. When the triangular unit is at the N-terminus, in addition to compound N-1 and compound N-2, compound Na-10 (Na-8 group and Na-9 group) or Na-11 (Na-8 group, And Na-9 groups) are preferred. This is because when the Na-7 group is used, the main chain amine is retained and the drug likeness is lowered. On the other hand, when the triangular unit is not N-terminal, compound Na-10 (Na-7 group and Na-8 group) and compound Na-11 (Na-7 group and Na-8 group) can be used. . In this case, it is more preferable to use an amino acid derivative or an N-terminal carboxylic acid derivative at the N-terminus. This is because the main chain amino group is not retained at the N-terminus.
また、化合物Na-10および化合物Na-11に付与されるものはNa-7基、Na-8基、Na-9基に限定されない。例えば、Na-7基はαアミノ酸骨格由来であるが、これがβアミノ酸骨格であってもよい。 Further, what is imparted to the compound Na-10 and the compound Na-11 is not limited to the Na-7 group, Na-8 group, and Na-9 group. For example, the Na-7 group is derived from an α amino acid skeleton, but it may be a β amino acid skeleton.
通常アミンより活性化させる手法としては、前述の反応補助基としてSH基を含有するものに限定されない。通常アミンより活性化させる手法として、アミンに直接ヘテロ原子を導入してアミンの反応性を向上させることも可能である。例えばヒドロキシアミン(化合物F-1、化合物F-4、化合物F-5、化合物F-7)やアルコキシアミン(化合物F-2、化合物F-14、化合物F-15、化合物F-16)、アジド(化合物F-3、化合物F-9、化合物F-10、化合物F―11)などが挙げられる。このように、アミノ基に直接あるいはリンカーを伴って近傍に反応補助基となり得るヘテロ原子を導入させることにより、アミノ基を活性化させる手法は全て本願に含まれる。ヒドロキシアミンとの反応では、活性エステル部としては化合物F-7や化合物F-8などが選択される。アルコキシアミンとの反応では、化合物F-17や化合物F-18などが選択される。アジドとの反応では、化合物F-12や化合物F-13などが選択される。 Usually, the method of activation from an amine is not limited to the one containing an SH group as the above-mentioned reaction auxiliary group. Usually, as a method of activation from an amine, it is possible to introduce a hetero atom directly into the amine to improve the reactivity of the amine. For example, hydroxyamine (compound F-1, compound F-4, compound F-5, compound F-7), alkoxyamine (compound F-2, compound F-14, compound F-15, compound F-16), azide (Compound F-3, Compound F-9, Compound F-10, Compound F-11) and the like. As described above, all methods for activating an amino group by introducing a heteroatom that can be a reaction auxiliary group directly or in the vicinity of the amino group with a linker are included in the present application. In the reaction with hydroxyamine, compound F-7, compound F-8, etc. are selected as the active ester moiety. In the reaction with alkoxyamine, compound F-17, compound F-18 and the like are selected. In the reaction with azide, compound F-12, compound F-13 and the like are selected.
R101、R102、R103、R104、R105、R106、R107は通常使用されるアミノ酸側鎖であり、天然型アミノ酸に限定されない置換基である。すなわち、水素原子、置換されてもよいアルキル基、置換されてもよいアルケニル基、置換されてもよいアルキニル基、置換されてもよいアリール基、置換されてもよいヘテロアリール基、置換されてもよいアラルキル基から選択される。
R101、R102のうち1つが水素原子、R103、R104のうち1つが水素原子、R106、R107のうち1つが水素原子であることがより好ましい。また水素原子の配置はこれらがL型アミノ酸と同じ立体配置になるように配置されることが好ましい。
R101, R102, R103, R104, R105, R106, and R107 are commonly used amino acid side chains, and are substituents not limited to natural amino acids. That is, a hydrogen atom, an optionally substituted alkyl group, an optionally substituted alkenyl group, an optionally substituted alkynyl group, an optionally substituted aryl group, an optionally substituted heteroaryl group, and optionally substituted Selected from good aralkyl groups.
More preferably, one of R101 and R102 is a hydrogen atom, one of R103 and R104 is a hydrogen atom, and one of R106 and R107 is a hydrogen atom. The hydrogen atoms are preferably arranged so that they have the same steric configuration as the L-type amino acid.
R105は置換されてもよいアルキル基、置換されてもよいアルケニル基、置換されてもよいアルキニル基、置換されてもよいアリール基、置換されてもよいアラルキル基の中から選択される。 R105 is selected from an optionally substituted alkyl group, an optionally substituted alkenyl group, an optionally substituted alkynyl group, an optionally substituted aryl group, and an optionally substituted aralkyl group.
上記のような活性化アミンを選択した場合に対応する交差ユニット候補となる活性エステルとの組み合わせとして、例えばチオエステルとチオールを近傍に有するアミン、αケトエステルとアジドなどの組み合わせが考えられる。
As a combination with an active ester which is a candidate for a crossing unit corresponding to the case where an activated amine as described above is selected, for example, a combination of an amine having a thioester and a thiol in the vicinity, an α ketoester and an azide, and the like can be considered.
initiation read through(イニシエーション リード スルー:開始コドンの読み飛ばし)を利用することによって、上記のメチオニン以外のアミノ酸、アミノ酸類縁体又はN末端カルボン酸類縁体のN末端導入による末端が多様なペプチド化合物又はペプチド化合物ライブラリーの合成法での複数種類アミノアシル翻訳開始tRNAの用意の必要がない方法がある。initiation read throughとは、一般的にはタンパクやペプチドはAUCコドンとしてコードされる翻訳開始アミノ酸であるメチオニンから翻訳されるが、無細胞翻訳系において翻訳開始メチオニルtRNAが含まれない場合や翻訳効率の低い非天然アミノ酸が翻訳開始tRNAに付加されたものからの翻訳を開始させようとした際に2番目以降のコドンにコードされるアミノ酸からの翻訳産物が生じる現象を意味する。 Peptide compounds or peptides with various N-terminal introductions of amino acids, amino acid analogs or N-terminal carboxylic acid analogs other than the above methionine by using initiation read-through There is a method that does not require the preparation of a plurality of types of aminoacyl translation initiation tRNAs in the compound library synthesis method. Initiation read through generally means that proteins and peptides are translated from methionine, which is the translation initiation amino acid encoded as an AUC codon. It means a phenomenon in which a translation product from an amino acid encoded by the second and subsequent codons is generated when an attempt is made to start translation from a low unnatural amino acid added to a translation initiation tRNA.
Initiation read throughを利用する方法としては、ペプチドをコードするmRNAの開始コドンの次の2番目のコドンに三角ユニットをコードさせ、メチオニンもしくは翻訳開始メチオニンtRNAを含まない翻訳系にて翻訳させることによってN末端を三角ユニットとするペプチド又はペプチドライブラリーを作成する方法が使用できる。別報として、酵素、例えば、peptide deformylase(ペプチド デフォルミラーゼ)とMethionine aminopeptidase(メチオニン アミノペプチダーゼ)を作用させることによってペプチドのN末端のメチオニンを削り取る方法が知られている(非特許文献:Meinnel, T., et al. Biochimie (1993) 75, 1061-1075, Methionine as translation start signal: A review of the enzymes of the pathway in Escherichia coli.)。翻訳開始メチオニンから始まるペプチドのライブラリーを用意し、これにMethionine aminopeptidaseを作用させることによってN末端のメチオニンを除去し、N末端がランダムなライブラリーを調製することも出来る。また、翻訳開始メチオニンなどに続く2番目のアミノ酸を利用して環化した後にアミノペプチダーゼ処理することでメチオニンなどのN末端アミノ酸を除去できることを示した。これらによりメチオニン残基はスキームAのユニットには含まれず(ユニット数は全ての翻訳後修飾が終了した化学構造で判断することは既に定義済である)、三角ユニットに対応するアミノ酸残基は2番目にコードされたアミノ酸となる結果、複数のコドンに三角ユニットをコードさせられるため自由度を2種類以上に拡大させ可変箇所が一つ増えることになる。三角ユニットとして2種類以上のアミノ酸又はアミノ酸類縁体を利用することが可能となるため、本発明のペプチド化合物またはペプチド化合物ライブラリーを作製する際に、より多様性の増大したペプチド化合物またはペプチド化合物ライブラリーを作製することが可能となる。最大ではランダム領域と同数のアミノ酸又はアミノ酸類縁体を使用することが可能となり、ランダム領域と同数の自由度にまで拡大させることも可能となった。ここでランダム領域とは、本発明のペプチド化合物において、自由にアミノ酸又はアミノ酸類縁体を選択することができる領域を意味し、本法以外ではスキームAの交差ユニットおよび三角ユニット以外の領域(すなわち黒丸ユニットと四角ユニット)を指すが、本法では三角ユニットもランダム領域となる。三角ユニットの持つ交差ユニットとの反応性を維持したまま、黒丸ユニットや四角ユニットのもつ構造多様性を確保できる。すなわち、本方法を用いれば、翻訳後環化のためにはディスプレイライブラリー中で、従来2つのアミノ酸(三角ユニットと交差ユニットに相当)を固定する必要があったのに対し、固定を1つのアミノ酸(交差ユニット)に減少させることができる。例えば、ランダム領域に選択されるアミノ酸およびアミノ酸類縁体のほとんどは主鎖アミノ基を有しているため、これを三角ユニットにも適用させるとN末端にはアミノ基を有するランダムアミノ酸配列が配置される。この中で共通に存在する主鎖アミノ基との選択的アミド結合形成によりアミド環化を行うことが可能となる。例えば、リジンやアルギニンなどの塩基性アミノ酸を導入しないディスプレイライブラリーを構築する場合に特に有用である。我々の検討結果から、ドラックライクネスを有する残基数は13残基以下であることから、固定すべきユニットの数が2から1へ減少することは、ランダム領域のユニット数は11から12へ増加することを意味する。ランダム化できる残基数が1つ増加することの価値は、ドラックライクネスを維持するための限定された条件下での自由度を最大限活かすという意味で、非常に高い。 As a method using Initiation 方法 readNthrough, a triangular unit is encoded at the second codon next to the start codon of mRNA encoding the peptide, and is translated by a translation system that does not contain methionine or translation initiation methionine tRNA. A method for preparing a peptide or peptide library having a terminal trigonal unit can be used. As another report, a method is known in which an N-terminal methionine of a peptide is scraped by the action of an enzyme such as peptide-deformylase and Methionine-aminopeptidase (Non-patent literature: Meinnel, T). ., Et al. Biochimie (1993) 75, 1061-1075, Methionine as translation start signal: A review of the enzymes of the pathway in Escherichia coli.). It is also possible to prepare a library of peptides starting from translation-initiating methionine, and removing N-terminal methionine by allowing Methionine-aminopeptidase to act on this, thereby preparing a library with a random N-terminus. It was also shown that the N-terminal amino acid such as methionine can be removed by cyclization using the second amino acid following translation initiation methionine and subsequent aminopeptidase treatment. As a result, methionine residues are not included in the unit of Scheme A (the number of units is already defined to be determined by the chemical structure in which all post-translational modifications have been completed), and the amino acid residue corresponding to the triangular unit is 2 As a result of the second amino acid encoded, a triangular unit can be encoded by a plurality of codons, so that the degree of freedom is expanded to two or more types and one variable part is added. Since it is possible to use two or more types of amino acids or amino acid analogs as a triangular unit, when preparing the peptide compound or peptide compound library of the present invention, the peptide compound or peptide compound live having increased diversity. A rally can be produced. It is possible to use the same number of amino acids or amino acid analogs as the maximum number of random regions, and to expand to the same number of degrees of freedom as the random regions. Here, the random region means a region where an amino acid or an amino acid analog can be freely selected in the peptide compound of the present invention. Except for this method, a region other than the crossing unit and the triangular unit of Scheme A (that is, a black circle). In this method, triangular units are also random areas. The structural diversity of the black circle unit and the square unit can be secured while maintaining the reactivity with the cross unit of the triangle unit. In other words, using this method, two amino acids (corresponding to the triangle unit and the crossing unit) had to be fixed in the display library for post-translational cyclization, whereas the fixed one It can be reduced to amino acids (crossing units). For example, since most amino acids and amino acid analogs selected in the random region have a main chain amino group, when this is applied to a triangular unit, a random amino acid sequence having an amino group is arranged at the N-terminus. The Among them, amide cyclization can be carried out by selective amide bond formation with a common main chain amino group. For example, it is particularly useful when constructing a display library that does not introduce basic amino acids such as lysine and arginine. From the results of our study, the number of residues having drug likeness is 13 or less, so that the number of units to be fixed decreases from 2 to 1, the number of units in the random region from 11 to 12 Means to increase. The value of increasing the number of residues that can be randomized by one is very high in the sense that it maximizes the degree of freedom under limited conditions to maintain drug likeness.
具体的には交差ユニット(直鎖部と環状部と三角ユニットの交差するアミノ酸)側鎖にカルボン酸あるいはカルボン酸活性エステルを翻訳導入させることができるため、固定された交差ユニットとランダムなアミノ酸から選択された三角ユニットの間でアミド結合生成が可能となる(スキームB)。ライブラリー構築の際には、交差ユニットは1種類である必要はなく、2種類以上から選択させることも可能である。具体的にはそれぞれの交差ユニットをコードするコドン、(アミノ)アシル化tRNAを用意し、所望の位置に交差ユニットコドンを配置したmRNAを鋳型にライブラリーを構築することが出来る。
スキームB
Specifically, carboxylic acid or carboxylic acid active ester can be translated and introduced into the crossing unit (amino acid intersecting linear part, cyclic part and triangular unit) side chain, so from fixed crossing unit and random amino acid An amide bond can be formed between selected triangular units (Scheme B). When constructing a library, the crossing unit does not have to be one type, and can be selected from two or more types. Specifically, a codon encoding each crossing unit, (amino) acylated tRNA is prepared, and a library can be constructed using mRNA in which the crossing unit codon is arranged at a desired position as a template.
Scheme B
N末端(三角ユニット)を固定することなしに環化させたライブラリー構築の手法の例として、アミド環化の例が挙げられる(本手法は、N末端を固定した場合にも利用できる)。交差ユニットとしてアスパラギン酸誘導体を例として挙げるが、これ以外にも制限されず、例えば化合物C-1、化合物C-2、化合物C-3にて表せる化合物群の中から選択される。N-メチルアスパラギン酸などのN-アルキル化体、グルタミン酸誘導体などの側鎖にカルボン酸を持つアミノ酸あるいはアミノ酸類縁体であれば何でもよい。(i)側鎖にカルボン酸を有するアミノ酸を導入し、翻訳後に活性エステル化させることが可能である。例えば、化合物E-1に示すとおり、アスパラギン酸自体を翻訳導入させることができる。得られた翻訳ペプチドに対し、カルボン酸とN末端アミンとの縮合反応によりアミド環化させることができる。例えば、化合物E-2に示すようなN-ヒドロキシスクシンイミド活性エステルやHOBt、HOAtなどの活性エステルに変換させることができる。得られた活性エステルは容易にアミンと反応させることができるため、結果としてN末端をランダム化させたアミド環化反応が実現できる。本手法の実現には、カルボン酸部位のみが活性エステル化され、RNA(などの核酸部位)が反応されない手法の選択が鍵となる。 (ii)側鎖にカルボン酸活性エステルを有するアミノ酸を翻訳導入し、その活性エステルとアミンとを反応させることができる。化合物E-2のような活性エステルを予め翻訳合成させる手法である。化合物E-2の他にも化合物E-3のようなベンジルチオエステル、化合物E-4のようなアリールチオエステル、アルキルチオエステルなどを翻訳導入させることも可能である。化合物E-4や化合物E-3の場合、フェニル基を例としているがアリール基やヘテロアリール基であれば制限がない。またアリール基やヘテロアリール基に、たとえば、置換基として、ハロゲン基、ニトロ基、トリフルオロメチル基、ニトリル基などの電子吸引基や、メトキシ基などのアルコキシ基、メチル基などのアルキル基のような電子供与基などを有していてもよい。これらはチオエステル交換反応の速度と交換反応後のチオエステルのアミンとの反応性や水との副反応の選択性を考慮し、これらのバランスが良好な置換基が好ましい。また、置換基としては、t-ブチル基やイソプロピル基に代表されるかさ高い置換基、水中での実施を受けて、水との親和性を考慮した、スルホン酸基や、ジメチルアミノ基のようなジ置換アミノ基、逆に親脂性を考慮した、長鎖アルキル基などの高脂溶性基などから選択される。ニトロ基、トリフルオロメチル基、ハロゲンなど、多種類の置換基が同時に導入されていてもよい。化合物E-4のように、化合物E-3よりも活性化されたチオアリール活性エステルを予め翻訳導入させてもよい。チオエステルとしては、このようなアラルキルやアリールチオエステルの他、アルキルチオエステルからも選択することができる。本手法の実現には、翻訳合成中には安定で、かつ反応補助基の無いアミンと十分な反応性を有する、2つの性質を併せ持つことが鍵となる。(iii)チオエステルなどの中から翻訳合成中に十分に安定性を確保できる活性エステルを翻訳導入させておき、翻訳後に添加剤を添加させて、より活性な活性エステルを系中で発生させて反応補助基の無いアミンと環化反応させることも可能である。例えば、翻訳導入されたチオエステルに対し、より電子不足なチオールを外部から添加してより活性なチオエステルを系中で発生させてアミンと環化反応させることが挙げられる。例えば、化合物E-3などのチオエステルの例の場合、翻訳後に直接アミノ基と反応させてもよいが、トリフルオロメチルフェニルチオールのような、より反応性の高いチオールを翻訳系中に添加して、より活性化された活性エステルE-4に置換させてから、アミノ基と反応させてもよい。その他、例えば、HOBt、HOAt、HONSuなどの活性エステルを形成することが知られている様々な原料を添加させることも可能である。添加剤はこれらの中から1種類選択してもよく、あるいは2種類以上選択してもよい。2種類以上の添加剤を添加する長所は反応性の向上が挙げられる。翻訳液中で十分安定で翻訳可能な活性エステルから、あらゆるアミノ基と十分反応性が高い活性エステルへ返還することはエネルギー的に不利で、このような反応は1段階では困難である場合もある。このような場合、翻訳可能な安定活性エステルから、一度、交換可能なより活性の高い活性エステルへ返還した後、さらにここからあらゆるアミノ基と十分反応性が高い活性エステルへ返還することも可能となる。このような多段階による活性エステルの活性化を用いることで、反応性の低いアミノ基とのアミド化反応も可能となりえる。これらの活性エステルなどの添加剤には置換基が導入されていてもよく、たとえば、置換基として、ハロゲン基、ニトロ基、トリフルオロメチル基、ニトリル基などの電子吸引基や、メトキシ基などのアルコキシ基、メチル基などのアルキル基のような電子供与基などを有していてもよい。t-ブチル基やイソプロピル基に代表されるかさ高い置換基、水中での実施を受けて、水との親和性を考慮した、スルホン酸基や、カルボキシル基、ヒドロキシ基、ジメチルアミノ基のようなジ置換アミノ基、逆に親脂性を考慮した、長鎖アルキル基などの高脂溶性基などから選択される。(iv)安定な活性エステルを(iii)と同様翻訳導入させておき、翻訳後に化学反応(例えば脱保護反応)を実施させ、分子内反応により活性化させた後に反応補助基を持たないアミンと環化反応させることも可能である。例えば化合物E-5のように、より安定なチオエステルを翻訳導入させておき、翻訳後にS-S結合の脱保護を伴い、分子内反応によって、より反応性の高いアリールチオフェノールなどに変化させてからアミンと反応させてもよい。また、(i)~(iv)の概念の2つ以上を組み合わせることによって、本課題を達成してもよい。このように、Initiation read through法を有効に活用させる1つの手法として、N末端に共通に存在するアミノ基と交差ユニットを反応させてDruglikeな環化部位を有する、より多様性に富んだDisplay libraryを構築することができる。 As an example of a method for constructing a library that is cyclized without fixing the N-terminus (triangle unit), an example of amide cyclization can be given (this method can also be used when the N-terminus is fixed). An aspartic acid derivative is taken as an example of the crossing unit, but is not limited thereto, and is selected from, for example, a compound group represented by Compound C-1, Compound C-2, and Compound C-3. Any amino acid or amino acid analog having a carboxylic acid in the side chain, such as an N-alkylated product such as N-methylaspartic acid or a glutamic acid derivative, may be used. (i) It is possible to introduce an amino acid having a carboxylic acid in the side chain and to make it an active ester after translation. For example, aspartic acid itself can be translated and introduced as shown in Compound E-1. The resulting translated peptide can be amide cyclized by a condensation reaction between a carboxylic acid and an N-terminal amine. For example, it can be converted into an active ester such as N-hydroxysuccinimide active ester or HOBt or HOAt as shown in compound E-2. The obtained active ester can be easily reacted with an amine, and as a result, an amide cyclization reaction in which the N-terminal is randomized can be realized. The key to realizing this method is to select a method in which only the carboxylic acid site is active esterified and RNA (such as a nucleic acid site) is not reacted.ア ミ ノ 酸 (ii) An amino acid having a carboxylic acid active ester in the side chain can be introduced by translation, and the active ester can be reacted with an amine. In this method, an active ester such as compound E-2 is preliminarily translated and synthesized. In addition to compound E-2, a benzylthioester such as compound E-3, an arylthioester such as compound E-4, an alkylthioester, and the like can also be introduced by translation. In the case of Compound E-4 and Compound E-3, a phenyl group is taken as an example, but there is no limitation as long as it is an aryl group or a heteroaryl group. In addition, aryl groups and heteroaryl groups can be substituted with, for example, electron-withdrawing groups such as halogen groups, nitro groups, trifluoromethyl groups, and nitrile groups, alkoxy groups such as methoxy groups, and alkyl groups such as methyl groups. Such as an electron donating group. In consideration of the rate of the thioester exchange reaction, the reactivity of the thioester after the exchange reaction with the amine and the selectivity of the side reaction with water, a substituent having a good balance between these is preferable. In addition, examples of the substituent include bulky substituents typified by t-butyl group and isopropyl group, such as a sulfonic acid group and a dimethylamino group that have been used in water and have an affinity for water. Selected from di-substituted amino groups and conversely lipophilic groups such as long-chain alkyl groups in consideration of lipophilicity. Many kinds of substituents such as nitro group, trifluoromethyl group, and halogen may be introduced at the same time. Like compound E-4, a thioaryl active ester activated more than compound E-3 may be introduced in advance. The thioester can be selected from alkyl thioesters in addition to such aralkyl and aryl thioesters. The key to the realization of this method is to have two properties that are stable during translational synthesis and have sufficient reactivity with an amine having no reaction auxiliary group. (iii) Translation of active esters that can ensure sufficient stability during translation synthesis from thioesters, etc., and adding additives after translation to generate more active active esters in the system and react It is also possible to carry out a cyclization reaction with an amine having no auxiliary group. For example, a more active thioester is generated in the system by adding thioester having a more electron deficiency to the thioester introduced by translation from the outside, and cyclized with an amine. For example, in the case of a thioester such as compound E-3, it may be reacted directly with an amino group after translation, but a more reactive thiol such as trifluoromethylphenylthiol may be added to the translation system. Alternatively, the activated ester E-4 may be substituted with a more activated ester and then reacted with an amino group. In addition, for example, various raw materials known to form active esters such as HOBt, HOAt, and HONSu can be added. One type of additive may be selected from these, or two or more types may be selected. An advantage of adding two or more additives is improved reactivity. It is energetically disadvantageous to convert an active ester that is sufficiently stable and translatable in a translation solution into an active ester that is sufficiently reactive with any amino group, and such a reaction may be difficult in one step. . In such a case, once the translatable stable active ester is returned to a more active active ester that can be exchanged, it can be further returned to an active ester sufficiently reactive with any amino group. Become. By using the activation of the active ester in such a multi-stage, an amidation reaction with an amino group having low reactivity may be possible. Substituents may be introduced in these additives such as active esters. For example, substituents such as halogen groups, nitro groups, trifluoromethyl groups, nitrile groups and other electron-withdrawing groups, methoxy groups and the like It may have an electron donating group such as an alkyl group such as an alkoxy group or a methyl group. Bulky substituents typified by t-butyl and isopropyl groups, such as sulfonic acid groups, carboxyl groups, hydroxy groups, and dimethylamino groups in consideration of affinity with water It is selected from a di-substituted amino group, or a highly lipophilic group such as a long-chain alkyl group in consideration of lipophilicity. (iv) A stable active ester is introduced in the same manner as in (iii), a chemical reaction (for example, deprotection reaction) is carried out after translation, and after activation by an intramolecular reaction, an amine having no reaction auxiliary group It is also possible to cause a cyclization reaction. For example, as compound E-5, a more stable thioester is translated and introduced, and after translation, the SS bond is deprotected, and is converted into a more reactive arylthiophenol by intramolecular reaction. May be reacted with an amine. In addition, this problem may be achieved by combining two or more of the concepts (i) to (iv). In this way, as one method for effectively utilizing the Initiation read through method, a more diverse Display library having a druglike cyclization site by reacting an amino group commonly present at the N-terminus with a crossover unit. Can be built.
この中で、(iii)のアルキルチオエステルもしくはベンジルチオエステルなど翻訳合成中に十分に安定性を確保でき、翻訳導入可能な活性エステルを用い、翻訳後に添加剤を添加させて、より活性な活性エステルを系中で発生させて反応補助基の無いアミンと環化反応させる場合、翻訳合成に用いる活性エステルとして、例えばアスパラギン酸の側鎖カルボン酸をメチルチオエステル(Asp(SMe))などのアルキルチオエステルやベンジルチオエステル(Asp(SBn))などのアラルキルチオエステルを用いることができる。 Among these, (iii) alkylthioesters or benzylthioesters such as alkylthioesters or benzylthioesters, which can ensure sufficient stability during translation synthesis, use active esters that can be translated, and add additives after translation to obtain more active active esters. When it is generated in the system and cyclized with an amine having no reaction auxiliary group, as an active ester used for translational synthesis, for example, aspartic acid side chain carboxylic acid is alkylthioester such as methylthioester (Asp (SMe)) or benzyl Aralkylthioesters such as thioester (Asp (SBn)) can be used.
これらを交差ユニットとして翻訳合成したのち、反応補助基を有しない三角ユニットと化学反応させる目的で加える添加剤として例えば4-(トリフルオロメチル)ベンゼンチオールなどのアリールチオールやヘテロアリールチオールが挙げられ、これらは電子吸引基や電子供与基、脂溶性基や水溶性基などで置換されていてもよいが、好ましくは電子吸引基である。電子吸引基としてトリフルオロメチル基やニトロ基やフルオロ基などが挙げられるが、好ましくはトリフルオロメチル基程度の電子吸引基が挙げられる。 Examples of additives that are added for the purpose of chemically reacting with a triangular unit having no reaction auxiliary group after translation synthesis as a crossing unit include arylthiols such as 4- (trifluoromethyl) benzenethiol and heteroarylthiols, These may be substituted with an electron-withdrawing group, an electron-donating group, a fat-soluble group, a water-soluble group, or the like, but is preferably an electron-withdrawing group. Examples of the electron-withdrawing group include a trifluoromethyl group, a nitro group, and a fluoro group, and an electron-withdrawing group of about the trifluoromethyl group is preferable.
これらのチオールの添加量は特に限定されないが、反応性を十分高める目的では10mMより多い方が好ましく、添加剤を溶解させる目的では10Mより少ない方が好ましい。より好ましくは50mM~5Mの範囲がよいが、さらに好ましくは200mM~2Mがよい。添加剤をチオール(酸性)のまま加えることもできるが、酸性部をトリエチルアミンなどの塩基を当量数加えて中和させ、中性条件として添加させることが好ましい。 The addition amount of these thiols is not particularly limited, but is preferably more than 10 mM for the purpose of sufficiently increasing the reactivity, and less than 10 M for the purpose of dissolving the additive. The range of 50 mM to 5 M is more preferable, but 200 mM to 2 M is more preferable. The additive may be added as thiol (acidic), but the acidic part is preferably neutralized by adding an equivalent number of a base such as triethylamine and added as neutral conditions.
より活性の高い活性エステルは翻訳反応系内に存在する様々な試薬と反応する場合がある。例えば、通常利用されるトリスバッファー中のアミン成分(トリスヒドロキシメチルアミノエタン)もその1つとなりえるため、反応性のアミン成分を含まないバッファー中で翻訳合成および、化学反応のためのバッファーを追加することが好ましい。このようなバッファーとして例えばHEPESバッファー、リン酸バッファーなどが挙げられる。 Active esters with higher activity may react with various reagents present in the translation reaction system. For example, the amine component (trishydroxymethylaminoethane) in the commonly used Tris buffer can be one of them, so translation synthesis and a buffer for chemical reaction are added in a buffer that does not contain a reactive amine component. It is preferable to do. Examples of such a buffer include HEPES buffer and phosphate buffer.
また、反応の進行とともに副反応である空気中での酸化反応(S-S形成反応)に伴い反応進行に必要なチオール量の減少を避け、かつ、塩基性が高くなり加水分解の生成が優位な条件になることを避ける目的で、反応翻訳液にバッファーを追加することも可能である。また、トリス(2-カルボキシエチル)ホスフィンのような還元剤を添加することも可能である。また、環化反応をなるべく空気中酸素に触れさせないことも有効である。 Also, as the reaction progresses, the side reaction is accompanied by an oxidation reaction in the air (SS formation reaction), avoiding a decrease in the amount of thiol necessary for the progress of the reaction, and the basicity is high and hydrolysis is dominant. In order to avoid this, it is also possible to add a buffer to the reaction translation solution. It is also possible to add a reducing agent such as tris (2-carboxyethyl) phosphine. It is also effective to keep the cyclization reaction away from oxygen in the air as much as possible.
化学反応中の溶媒のpHはRNAが安定に存在する目的では2~10が好ましい。化学反応を円滑に進行させる目的では7.8以上が好ましく、加水分解の生成を抑制させる目的では9.2以下に維持することが好ましい。反応条件としてはPureSystemなどの反応翻訳液中単独で実施してもよく、これにDMFやNMPなどの有機溶媒を添加してもよい。また、翻訳液をカラム精製などで精製した後に溶媒を変更して実施してもよい。反応温度は通常化学反応が実施できる範囲であれば特に限定されないが、このましくは15℃~80℃であり、より好ましくは25℃~50℃である。 The pH of the solvent during the chemical reaction is preferably 2 to 10 for the purpose of stably presenting RNA. For the purpose of causing the chemical reaction to proceed smoothly, it is preferably 7.8 or more, and for the purpose of suppressing the formation of hydrolysis, it is preferably maintained at 9.2 or less. The reaction conditions may be carried out alone in a reaction translation solution such as PureSystem, and an organic solvent such as DMF or NMP may be added thereto. Moreover, after purifying a translation liquid by column purification etc., you may carry out by changing a solvent. The reaction temperature is not particularly limited as long as it is a range in which a chemical reaction can be usually carried out.
環化反応を円滑に進行させる三角ユニットとしては特に制限はなく、アミノ基は1級アミンでも2級アミン(例えばN-メチルなどのN-アルキル基)でも許容され、アミノ酸側鎖部位の置換基も限定されない。特にアミノ基のとなりの炭素原子が無置換(CH2)の場合では1級アミンでも2級アミンでも許容される。2級アミンの中ではメチル基がより好ましい。アミノ基のとなりの炭素原子に置換基が存在する場合、1級アミンがより好ましい。置換基部分としては、AlaやPheのようにβ位がCH2であるほうが、ValやThrなどより好ましい。また、プロリンのように窒素原子とα位の炭素原子とが5員環を形成したアミノ酸や、同様に4員環や6員環などのように、環状の2級アミンも好ましい。 There are no particular limitations on the triangular unit that facilitates the cyclization reaction, and the amino group can be either a primary amine or a secondary amine (for example, an N-alkyl group such as N-methyl). Is not limited. In particular, when the carbon atom next to the amino group is unsubstituted (CH2), either a primary amine or a secondary amine is acceptable. Among the secondary amines, a methyl group is more preferable. When a substituent is present at the carbon atom next to the amino group, a primary amine is more preferable. As the substituent portion, it is more preferable that the β-position is CH2 such as Ala or Phe, such as Val or Thr. In addition, amino acids in which a nitrogen atom and an α-position carbon atom form a 5-membered ring such as proline, and cyclic secondary amines such as a 4-membered ring and a 6-membered ring are also preferable.
以上、N末端(三角ユニット)を固定することなしに環化させたライブラリー構築の手法の例を述べたが、この反応補助基を用いないアミノ基と活性エステル基との縮合反応によるアミド環化反応の利用は、N末端の主鎖アミノ基との反応に留まらない。アミノ酸、アミノ酸類縁体の側鎖のアミノ基や、N末端カルボン酸誘導体のアミノ基と、アミノ酸、アミノ酸類縁体の側鎖の活性エステルやN末端カルボン酸誘導体の活性エステルとの任意の組み合わせで実施することができる。 In the above, an example of a library construction method in which N-terminal (triangular unit) is cyclized without fixing was described. Amide ring by condensation reaction of amino group and active ester group without using reaction auxiliary group The use of the conversion reaction is not limited to the reaction with the N-terminal main chain amino group. Performed in any combination of the amino group of the side chain of an amino acid or amino acid analog or the amino group of an N-terminal carboxylic acid derivative and the active ester of the side chain of an amino acid or amino acid analog or the active ester of an N-terminal carboxylic acid derivative can do.
また、本手法はスキームCの場合と同様、三角ユニットに活性エステルを有するユニットが配置され、交差ユニット側にアミン側鎖が配置されてもよく、活性エステルとアミノ基が三角ユニットと交差ユニットのどちらに配置されてもよい。 Further, in this method, as in Scheme C, a unit having an active ester may be arranged in the triangular unit, an amine side chain may be arranged on the crossing unit side, and the active ester and the amino group may be arranged between the triangular unit and the crossing unit. It may be arranged in either.
そのような組み合わせの例を以下述べる。
交差ユニットに活性エステル基を有するユニットが選択される場合、交差ユニットは化合物C-1、あるいは化合物C-2、化合物C-3やあるいは化合物COH-1、化合物COH-2、化合物COH-3から選択することもできる。これら6種類の化合物を選択する場合には常に、そのC末端側直後のアミノ酸はN-アルキル化されたユニットの中から選択することが好ましい。この制限は、アスパルチミド形成の副反応を避ける目的であり、これら6種類の化合物が選択された場合の共通の好ましい選択となる。代謝安定性の観点から、化合物C-1、あるいは化合物C-2、化合物C-3がより好ましい。このような場合、三角ユニットは化合物Na-1、化合物Na-2、化合物Na-3の中から選択することもできる。三角ユニットとして、N末端(三角ユニット)を固定させない場合には、これらの化合物から複数個を同時に選択することもできる。
化合物Na-1および化合物Na-2、化合物Na-3のどちらでも側鎖アミノ基は保護されていてもよい。保護されている場合には、環化反応と同時あるいは事前に脱保護させてから環化反応を行う。保護基あるいは脱保護の条件は本明細書に記載の方法を利用することができる。
Examples of such combinations are described below.
When a unit having an active ester group is selected as the crossing unit, the crossing unit is selected from compound C-1, compound C-2, compound C-3, or compound COH-1, compound COH-2, and compound COH-3. You can also choose. Whenever these six kinds of compounds are selected, it is preferable that the amino acid immediately after the C-terminal side is selected from N-alkylated units. This limitation is for the purpose of avoiding side reactions of aspartimide formation and is a common preferred choice when these six compounds are selected. From the viewpoint of metabolic stability, Compound C-1, or Compound C-2, or Compound C-3 is more preferable. In such a case, the triangular unit can be selected from Compound Na-1, Compound Na-2, and Compound Na-3. When the N-terminal (triangular unit) is not fixed as a triangular unit, a plurality of these compounds can be selected simultaneously.
The side chain amino group may be protected in any of Compound Na-1, Compound Na-2, and Compound Na-3. When protected, the cyclization reaction is carried out after deprotection at the same time or in advance of the cyclization reaction. For the protecting group or deprotection conditions, the method described in this specification can be used.
化合物Na-1のRa13は、水素原子あるいはC1-C6アルキル基もしくはアラルキル基などから選択することができる。これらはヒドロキシル基やフルオロ基、エーテル基などドラックライクで定義される官能基で置換されていても良い。好ましくは、水素原子、あるいはメチル基、エチル基、nプロピル基、ベンジル基が良い。 Ra13 of compound Na-1 can be selected from a hydrogen atom, a C1-C6 alkyl group or an aralkyl group. These may be substituted with a functional group defined by drug-like, such as a hydroxyl group, a fluoro group, and an ether group. Preferably, a hydrogen atom or a methyl group, an ethyl group, an npropyl group, or a benzyl group is preferable.
化合物Na-2のRa1は、Ra13と同様に選択することができる。特に好ましくは、水素原子あるいはメチル基から選択される。Ra2はRa13と同様に選択することができるが、好ましくは水素原子あるいはメチル基が良い。特に好ましくは水素原子が良い。水素原子が選択された場合、その立体配置はアミノ酸としてL型とD型のいずれも許容される。より好ましくはL型の立体配置が好ましい。Ra3はR13と同様に選択することができる。Ra3とRa4とで環を形成していても良い。特に好ましくは水素原子が良い。Ra4は水素原子、アルキル基、シクロアルキル基、アラルキル基、ヘテロアリール基、アリール基から選択することができる。これらはドラックライクで定義される官能基で置換されていても良い。また、Ra4はRa1と共に環を形成していても良い。例えば、プロリンなどがこの環に相当する。 Compound Ra-2 Ra1 can be selected in the same manner as Ra13. Particularly preferably, it is selected from a hydrogen atom or a methyl group. Ra2 can be selected in the same manner as Ra13, but preferably a hydrogen atom or a methyl group. Particularly preferred is a hydrogen atom. When a hydrogen atom is selected, the steric configuration of the L-type and D-type is allowed as an amino acid. An L-shaped configuration is more preferable. Ra3 can be selected in the same manner as R13. Ra3 and Ra4 may form a ring. Particularly preferred is a hydrogen atom. Ra4 can be selected from a hydrogen atom, an alkyl group, a cycloalkyl group, an aralkyl group, a heteroaryl group, and an aryl group. These may be substituted with a functional group defined by drug-like. Ra4 may form a ring together with Ra1. For example, proline and the like correspond to this ring.
化合物Na-3のRa11はRa13と同様に選択することができるが、特に好ましくは水素原子、あるいはメチル基、エチル基、nプロピル基、ベンジル基が良い。特に好ましくは水素原子が良い。Ra9はRa4と同様に選択することができる。水素原子あるいはC1-C6アルキル基もしくはアラルキル基から選択されることが好ましい。これらはドラックライクで定義される官能基で置換されていても良い。また、Ra9とRa11とで環を形成していても良い。環のサイズは3~8員環が好ましい。環形成としては特に5員環と6員環がより好ましい。Ra9の置換基としては特に好ましくは水素原子が良い。Ra10およびRa12は、Ra4と同様に選択することができる。好ましくはRa13と同様に選択することができる。より好ましくは、Ra10もしくはRa12のいずれかが水素原子である。特に好ましくはRa10およびRa12のいずれもが水素原子である。この場合には、N末端にはアミノ酸誘導体あるいはN末端カルボン酸誘導体から選択されることが好ましい。N末端の主鎖にアミノ基が存在すると反応選択性の点で不利となるうえ、翻訳修飾終了後にもアミノ基が保持されてドラックライクネスが低下するためである。 Ra11 of compound Na-3 can be selected in the same manner as Ra13, and particularly preferably a hydrogen atom, or a methyl group, an ethyl group, an npropyl group, or a benzyl group. Particularly preferred is a hydrogen atom. Ra9 can be selected in the same way as Ra4. It is preferably selected from a hydrogen atom, a C1-C6 alkyl group or an aralkyl group. These may be substituted with a functional group defined by drug-like. Further, Ra9 and Ra11 may form a ring. The ring size is preferably a 3- to 8-membered ring. As the ring formation, a 5-membered ring and a 6-membered ring are particularly preferable. As the substituent for Ra9, a hydrogen atom is particularly preferable. Ra10 and Ra12 can be selected in the same manner as Ra4. Preferably, it can select like Ra13. More preferably, either Ra10 or Ra12 is a hydrogen atom. Particularly preferably, both Ra10 and Ra12 are hydrogen atoms. In this case, the N-terminal is preferably selected from an amino acid derivative or an N-terminal carboxylic acid derivative. The presence of an amino group in the N-terminal main chain is disadvantageous in terms of reaction selectivity, and the amino group is retained even after completion of translation modification, resulting in a decrease in drug likeness.
交差ユニットが化合物C-1、あるいは化合物C-2、化合物C-3から選択された場合、三角ユニットとして、三角ユニットをN末端以外に配置させ、三角ユニットを固定させる場合には、三角ユニットは化合物Na-4もしくは化合物Na-5から選択することができる。 When the crossing unit is selected from Compound C-1, Compound C-2, or Compound C-3, as a triangular unit, if the triangular unit is placed at a position other than the N-terminal and the triangular unit is fixed, the triangular unit is It can be selected from Compound Na-4 or Compound Na-5.
化合物Na-4のRa5は、Ra1と同様に選択することができる。Ra6は、Ra2と同様に選択することができる。Ra7はRa4と同様に選択することができる。より好ましくは水素原子あるいはメチル基が良い。特に好ましくは水素原子である。Ra8は、R4と同様で部分構造N-3、N-4,N-5などのC1~C6ユニットのアルキレン基、N-6、N-7、N-8(オルト置換のみならず、メタ置換、パラ置換も含む)から選択することができる。なお、ここではR13~R22の置換基はドラックライクで選択させる官能基のうち、活性エステルやアミノ基と反応しない官能基の中から選択することができる。好ましくは、置換基を有していてもよい、C4~C6アルキレンユニットやアリール基を有する部分構造N-6、N-7、N-8などから選択されることが好ましい。 Compound Ra-4 Ra5 can be selected in the same manner as Ra1. Ra6 can be selected in the same manner as Ra2. Ra7 can be selected in the same way as Ra4. More preferred is a hydrogen atom or a methyl group. Particularly preferred is a hydrogen atom. Ra8 is the same as R4, alkylene group of C1-C6 units such as partial structures N-3, N-4, N-5, N-6, N-7, N-8 (not only ortho-substituted but also meta-substituted , Including para substitution). Here, the substituents R13 to R22 can be selected from functional groups that do not react with an active ester or amino group among functional groups selected by drug-like. Preferably, it is selected from a C4 to C6 alkylene unit which may have a substituent, or a partial structure N-6, N-7, N-8 or the like having an aryl group.
化合物Na-5のRa5は、Ra1と同様に選択することができる。Ra6は、Ra2と同様に選択することができる。Ra7はRa4と同様に選択することができる。より好ましくは水素原子あるいはメチル基が良い。特に好ましくは水素原子である。Ra8は、R4と同様で部分構造N-3、N-4,N-5などのC1~C6ユニットのアルキレン基、N-6、N-7、N-8(オルト置換のみならず、メタ置換、パラ置換も含む)から選択することができる。なお、ここではR13~R22の置換基はドラックライクで選択させる官能基のうち、活性エステルやアミノ基と反応しない官能基の中から選択することができる。好ましくは、置換基を有していてもよい、C4~C6アルキレンユニットやアリール基を有する部分構造N-6、N-7、N-8などから選択されることが好ましい。 <Ra5 of Compound Na-5 can be selected in the same manner as Ra1. Ra6 can be selected in the same manner as Ra2. Ra7 can be selected in the same way as Ra4. More preferred is a hydrogen atom or a methyl group. Particularly preferred is a hydrogen atom. Ra8 is the same as R4, alkylene group of C1-C6 units such as partial structures N-3, N-4, N-5, N-6, N-7, N-8 (not only ortho-substituted but also meta-substituted , Including para substitution). Here, the substituents R13 to R22 can be selected from functional groups that do not react with an active ester or amino group among functional groups selected by drug-like. Preferably, it is selected from a C4 to C6 alkylene unit which may have a substituent, or a partial structure N-6, N-7, N-8 or the like having an aryl group.
化合物Na-4および化合物Na-5のどちらでも側鎖アミノ基は保護されていてもよい。保護されている場合には、環化反応と同時あるいは事前に脱保護させてから環化反応を行う。保護基あるいは脱保護の条件は本明細書に記載の方法を利用することができる。 The side chain amino group of either Compound Na-4 or Compound Na-5 may be protected. When protected, the cyclization reaction is carried out after deprotection at the same time or in advance of the cyclization reaction. For the protecting group or deprotection conditions, the method described in this specification can be used.
交差ユニットが化合物C-1、あるいは化合物C-2、化合物C-3から選択された場合、三角ユニットとして、三角ユニットをN末端に配置させ、側鎖のアミノ基と環化させる場合には、三角ユニットは、化合物Na-4、化合物Na-5のほか、アミノ基とカルボキシル基を有する幅広い化合物群の中から選択することができる。翻訳合成ではN末端カルボン酸類縁体として、様々なユニットが翻訳合成させることができる。アミド環化されるアミノ基とペプチド翻訳されるカルボン酸を有していれば特に限定されない。好ましくは、アミノ基とカルボン酸基を接合させる2価のユニットの有する官能基はドラックライクな官能基の中から選択される。そのような化合物の一例として例えば化合物Na-6が挙げられる。化合物Na-6のRa9は、ドラックライクな官能基にて置換されてもよいアルキル基、シクロアルキル基、アリール基、ヘテロアリール基、アラルキル基から選択されても良い。それ以外にも、-NRCOR'基(RおよびR'はドラックライクな置換基)や‐OR(Rはドラックライクな置換基)やNR基(R部分にアミノ酸やジペプチド、トリペプチドなどを含む)などが許容される。 When the crossing unit is selected from Compound C-1, or Compound C-2, and Compound C-3, as a triangular unit, when the triangular unit is arranged at the N-terminus and cyclized with the side chain amino group, The triangular unit can be selected from a wide group of compounds having an amino group and a carboxyl group in addition to the compound Na-4 and the compound Na-5. In translational synthesis, various units can be translationally synthesized as N-terminal carboxylic acid analogs. There is no particular limitation as long as it has an amino group to be amide cyclized and a carboxylic acid to be translated into a peptide. Preferably, the functional group of the divalent unit that joins the amino group and the carboxylic acid group is selected from among drug-like functional groups. An example of such a compound is Compound Na-6. Ra9 of Compound Na-6 may be selected from an alkyl group, a cycloalkyl group, an aryl group, a heteroaryl group, and an aralkyl group that may be substituted with a drug-like functional group. In addition, -NRCOR 'group (R and R' are drug-like substituents), -OR (R is a drug-like substituent) and NR groups (including R amino acids, dipeptides, tripeptides, etc.) Etc. are allowed.
一方、交差ユニットにアミノ基側のユニットが存在する場合も可能である。例えば化合物Na-4や化合物Na-5が選択された場合、三角ユニットには化合物C-1、化合物C-2、化合物C-3、化合物COH-1、化合物COH-2、化合物COH-3などを選択することもできる。この場合、三角ユニットよりN末端側にも直鎖部が存在して、かつN末端にはN末端カルボン酸誘導体から選択されることが、ドラックライクの点から好ましい。
例えば化合物Na-4や化合物Na-5が選択された場合、三角ユニットには化合物COH-1、化合物COH-2、化合物COH-3などを選択することもできる。この場合、三角ユニットがN末端に存在してもよく、あるいは三角ユニットよりN末端側にも直鎖部が存在して、かつN末端にはN末端カルボン酸誘導体から選択されることが、ドラックライクの点から好ましい。
On the other hand, it is also possible when a unit on the amino group side exists in the crossing unit. For example, when Compound Na-4 or Compound Na-5 is selected, the triangular unit includes Compound C-1, Compound C-2, Compound C-3, Compound COH-1, Compound COH-2, Compound COH-3, etc. Can also be selected. In this case, it is preferable from the viewpoint of drug-like that a straight chain portion is present also on the N-terminal side from the triangular unit, and the N-terminal is selected from N-terminal carboxylic acid derivatives.
For example, when Compound Na-4 or Compound Na-5 is selected, Compound COH-1, Compound COH-2, Compound COH-3, etc. can be selected as the triangular unit. In this case, it is possible that the triangular unit may be present at the N-terminal, or that the straight-chain part is also present on the N-terminal side of the triangular unit and that the N-terminal is selected from N-terminal carboxylic acid derivatives It is preferable from the point of like.
また、交差ユニットに、化合物Na-4、化合物Na-5などが選択された場合、三角ユニットに化合物Ca-1を選択することもできる。 Also, when compound Na-4, compound Na-5, etc. are selected as the intersection unit, compound Ca-1 can also be selected as the triangular unit.
・直鎖部2(分枝部位)の付与
直鎖部2を発生させる手法として、α―ヒドロキシカルボン酸などの主鎖にアミノ基を持たずにエステル結合を翻訳合成により形成できるアミノ酸類縁体と保護されていてもよいアミノ基側鎖(保護基はアミノ基の保護基として作用し、翻訳合成されるアミノ酸を与えるものであれば、特に限定されない)を有するアミノ酸の両方を翻訳導入して翻訳後修飾させる手法を用いることが可能である(スキームE)。ディスプレイライブラリーへの適用時には、翻訳されるユニットから選択される。しかし、その後の最適化により得られるペプチド化合物では、当該ペプチド化合物そのものが翻訳合成されなくても、翻訳合成後の翻訳後修飾により得られるものも含まれる。α―ヒドロキシカルボン酸部位の側鎖は特に限定はされないが、スキームEに記載の手法では、特に、翻訳合成の点ではRe1が水素原子(グリコール酸(HOGly)そのもの)あるいは、側鎖にチオール基(SH基)あるいは保護されたチオール基を有しているものが好ましい。側鎖の立体配置も特に限定されないが、α位に水素原子が存在する場合にはL型アミノ酸と同様な立体配置を取ることがより好ましい。チオール基あるいは保護されたチオール基の配置も特に限定されないが、OH基のβ位、もしくはγ位に配置されていること(すなわち、Re1が保護されていてもよいメルカプトメチル基あるいはメルカプトエチル基)が特に好ましい。これらのチオール基もしくは保護されたチオール基は、α―ヒドロキシカルボン酸側鎖の置換されてもよいアルキル基、アルケニル基、アルキニル基、シクロアルキル基、アラルキル基、アリール基、ヘテロアリール基、から配置(付加)される。これらα―ヒドロキシカルボン酸側鎖の置換基としては、付加されたチオール基あるいは保護されたチオール基を除けば、ドラックライクなアミノ酸の側鎖で定義された置換基であることがより好ましい。
・ As a method for generating straight chain part 2 (branched site), an amino acid analog capable of forming an ester bond by translation synthesis without having an amino group in the main chain, such as α-hydroxycarboxylic acid, and the like Translation and introduction of both amino acids having an amino group side chain which may be protected (the protecting group is not particularly limited as long as it acts as a protecting group for the amino group and gives an amino acid to be translated and synthesized) Post-modification techniques can be used (Scheme E). When applied to a display library, it is selected from the units to be translated. However, peptide compounds obtained by subsequent optimization include those obtained by post-translational modification after translation synthesis even if the peptide compound itself is not translationally synthesized. The side chain of the α-hydroxycarboxylic acid moiety is not particularly limited, but in the method described in Scheme E, Re1 is particularly a hydrogen atom (glycolic acid ( HO Gly) itself) or a thiol in the side chain in terms of translational synthesis. Those having a group (SH group) or a protected thiol group are preferred. The configuration of the side chain is not particularly limited, but when a hydrogen atom is present at the α-position, it is more preferable to adopt the same configuration as that of the L-type amino acid. The arrangement of the thiol group or the protected thiol group is not particularly limited, but is arranged at the β-position or γ-position of the OH group (that is, the mercaptomethyl group or mercaptoethyl group where Re1 may be protected). Is particularly preferred. These thiol groups or protected thiol groups are arranged from an optionally substituted alkyl group, alkenyl group, alkynyl group, cycloalkyl group, aralkyl group, aryl group, heteroaryl group of the α-hydroxycarboxylic acid side chain (Added). These α-hydroxycarboxylic acid side chain substituents are more preferably substituents defined on the side chain of a drug-like amino acid except for the added thiol group or protected thiol group.
アミノ基側鎖を有するアミノ酸の種類も、アミノ基を有してれば、置換されてもよいアルキルアミノ基、アルケニルアミノ基、アルキニルアミノ基、アラルキルアミノ基、アリールアミノ基、ヘテロアリールアミノ基、シクロアルキルアミノ基、のどれも可能であり特に限定されないが、側鎖に同時にチオール基(SH基)あるいは保護されたチオール基を有していてもよい。これらの置換基は反応補助基(例えばSH基)を除けば、ドラックライクなアミノ酸の側鎖で定義された置換基であることが好ましい。さらに、翻訳合成可能な置換基から選択されることがより好ましい。また、スキーム中NH2で表わされている部位の水素原子のうち1つは水素原子に特定されるが、もう1つの水素原子は置換されてもよいアルキル基、アルケニル基、アルキニル基、アラルキル基、アリール基、ヘテロアリール基、シクロアルキル基、にて置換されていてもよく、これらに反応補助基が付与されていても良いが、このましくはNH2基がよい。これらの置換基も反応補助基(例えばSH基)を除けば、ドラックライクなアミノ酸の側鎖で定義された置換基であることが好ましい。さらに、翻訳合成可能な置換基から選択されることがより好ましい。α―ヒドロキシカルボン酸などのアミノ基を持たずにエステル結合を形成できるアミノ酸類縁体をコードするコドン(A)、これをアシル化tRNA、アミノ基側鎖を有するアミノ酸をコードするコドン(B)、これをアミノアシル化したtRNAを用意し、コドン(A)とコドン(B)の間に所望の数(好ましくは0~7個、より好ましくは0~2個)のランダムなコドンを配置したmRNAを鋳型に翻訳させて得たペプチドを上記の方法あるいは別法にてまず環化させる。コドンAをコドンBよりN末端側に配置させる。得られた環化ペプチド(例えば、スキームBやスキームCの手法を用いることができる)を必要に応じて側鎖アミノ基に保護基が存在する場合には脱保護し、加水分解あるいは外部から添加剤を加えてエステル部位を活性化させるとアミド結合は加水分解されずにエステル結合を加水分解あるいは活性化(活性エステル化、活性チオエステル化)させることができる。得られた主鎖カルボン酸あるいは活性(チオ)エステルと側鎖アミンを分子内環化反応させることにより望みの分枝ペプチドである直鎖部2を有するペプチドを得ることができる。例えば、外部から加える添加剤として、チオール化合物、HONSu、HOBt、HOAtなど様々な活性エステルを形成させる化合物群、あるいはこれらの2種類以上の混合物が挙げられる。スキームEでは、コドンAとしてRe1置換されたヒドロキシカルボン酸、コドンBとしてリジンを用いた例を挙げた。
The type of amino acid having an amino side chain is also an alkylamino group, an alkenylamino group, an alkynylamino group, an aralkylamino group, an arylamino group, a heteroarylamino group, which may be substituted if it has an amino group, Any of the cycloalkylamino groups is possible and is not particularly limited, but may have a thiol group (SH group) or a protected thiol group in the side chain at the same time. These substituents are preferably substituents defined in the side chain of a drug-like amino acid, except for a reaction auxiliary group (for example, SH group). Furthermore, it is more preferable to select from a substituent capable of translational synthesis. One of the hydrogen atoms at the site represented by NH2 in the scheme is specified as a hydrogen atom, and the other hydrogen atom may be substituted with an alkyl group, an alkenyl group, an alkynyl group, an aralkyl group. , An aryl group, a heteroaryl group, and a cycloalkyl group, which may be substituted with a reaction auxiliary group, preferably an NH2 group. These substituents are preferably substituents defined in the side chain of a drug-like amino acid, except for a reaction auxiliary group (for example, SH group). Furthermore, it is more preferable to select from a substituent capable of translational synthesis. a codon encoding an amino acid analog capable of forming an ester bond without an amino group, such as α-hydroxycarboxylic acid (A), an acylated tRNA, a codon encoding an amino acid having an amino group side chain (B), An aminoacylated tRNA is prepared, and mRNA in which a desired number (preferably 0 to 7, more preferably 0 to 2) of random codons is arranged between codon (A) and codon (B). The peptide obtained by translation into a template is first cyclized by the above method or another method. Codon A is arranged N-terminal from codon B. The obtained cyclized peptide (for example, the method of Scheme B or Scheme C can be used) is deprotected as needed when a side chain amino group has a protecting group, and is hydrolyzed or added from the outside. When the ester site is activated by adding an agent, the amide bond is not hydrolyzed, but the ester bond can be hydrolyzed or activated (active esterification, active thioesterification). The peptide having the
Re1が水素原子の場合、1回目の環化(三角ユニットと交差ユニットの環化)反応では、三角ユニットにはアミン部位に反応補助基を有するものを選択してもよいが、反応補助基を持たないものを選択してもよい。反応補助基を有するユニットが三角ユニットとして選択された場合(例えば化合物N-1や化合物N-2)、1回目の環化反応は容易に進行させることができる。翻訳合成可能な側鎖にチオエステルを有する交差ユニットとの反応は、pHが7付近(翻訳条件)にて、反応添加物を加えてもよいが加えなくてもよい。一方、反応補助基を有しないユニットが三角ユニットとして選択された場合(例えば化合物Na-2に含まれるAlaやPheが選択された場合)、1回目の反応を進行させるためにはトリフルオロメチルチオフェノールのような添加剤を加えることがより好ましい。pHは7.8付近にまで上昇させ、37℃~50℃付近の反応温度にて6~10時間程度の反応時間をかけることがより好ましい。また、2回目の分枝化反応を行うにはアミン部位に反応補助基の無いものでもよいが、アミン部位に反応補助基を有することがより好ましくその場合にはNH基は保護されていることが好ましい。この場合のエステルの活性化剤としては、チオールを添加することが好ましい。チオールとしては、アルキルチオールが好ましく、特に添加剤の溶解性の点から水溶性置換基を有するアルキルチオールが好ましく、中でも2-ジメチルアミノエタンチオール、2-メルカプトエタンスルホン酸が好ましい。これらチオールの添加量は特に限定されないが、反応性を十分高める目的では10mMより多い方が好ましく、添加剤を溶解させる目的では10Mより少ない方が好ましい。より好ましくは100mM~5Mの範囲で良いが、さらに好ましくは500mM~4Mが良い。アミン部位の選択は特に限定されないが、脱保護を有する場合の反応条件はスキームF2に記載と同様である。 When Re1 is a hydrogen atom, in the first cyclization (cyclization of a triangular unit and a crossing unit), the triangular unit may be selected to have a reaction auxiliary group at the amine site. You may choose what you do not have. When a unit having a reaction assisting group is selected as a triangular unit (for example, Compound N-1 or Compound N-2), the first cyclization reaction can easily proceed. In the reaction with a crossover unit having a thioester in the side chain capable of translational synthesis, a reaction additive may or may not be added at a pH of around 7 (translation conditions). On the other hand, when a unit having no reaction auxiliary group is selected as a triangular unit (for example, when Ala or Phe contained in compound Na-2 is selected), in order to proceed the first reaction, trifluoromethylthiophenol It is more preferable to add an additive such as More preferably, the pH is raised to around 7.8 and a reaction time of about 6 to 10 hours is applied at a reaction temperature of about 37 ° C. to 50 ° C. In order to perform the second branching reaction, the amine site may have no reaction auxiliary group, but it is more preferable to have a reaction auxiliary group at the amine site, in which case the NH group must be protected. Is preferred. In this case, it is preferable to add thiol as an ester activator. As the thiol, an alkyl thiol is preferable, and an alkyl thiol having a water-soluble substituent is particularly preferable from the viewpoint of solubility of the additive, and 2-dimethylaminoethane thiol and 2-mercaptoethane sulfonic acid are particularly preferable. The addition amount of these thiols is not particularly limited, but is preferably more than 10 mM for the purpose of sufficiently increasing the reactivity, and less than 10 M for the purpose of dissolving the additive. The range of 100 mM to 5 M is more preferable, but the range of 500 mM to 4 M is more preferable. The selection of the amine moiety is not particularly limited, but the reaction conditions in the case of having deprotection are the same as those described in Scheme F2.
スキームEの方法の変法として様々な手法も可能である。例えば、Re1部位にSH基、あるいは保護されたSH基を有するヒドロキシカルボン酸を用い、アミン側鎖部位もしくは保護されたアミン側鎖部位のアミン近傍にSH基、あるいは保護されたSH基などの反応補助基を導入させたアミノ酸などを翻訳導入してもよい。この場合、翻訳により得られたペプチドのSH基に付与された保護基、および必要に応じて保護された場合のアミン部位が脱保護されると、容易にスキームFに示すエステル→チオエステル交換が生じる。得られたチオエステルは反応補助基を有するアミンと容易に反応するため、望みの分枝ペプチド(直鎖部2)を有するペプチドを得ることができる。得られたSH基を含む分枝ペプチドのSH基はRNAが化学反応に関与しない程度の温和な反応条件で、容易に脱硫させることが可能である。この場合にも、より(チオ)エステルを活性化させる目的で、外部から添加剤を加えてもよい。スキームFの手法では翻訳後環化部の環化反応を本直鎖部2形成反応の前後どちらで行なってもよい。
上記のようにヒドロキシカルボン酸とアミン側鎖部位の両方にSH基あるいは保護されたSH基などの反応補助基を有してもよく、もしくはいずれか片方のみに反応補助基を有していてもよく、もしくは両方ともに反応補助基を有していなくともよい。また、アミン側鎖部位に保護基を有していてもよく、保護基を有していなくてもよい。
またいずれの場合でも、反応を加速させる添加剤を加えてもよい。添加剤としては、例えば置換していてもよいアルキルチオール、置換されていてもよいアルケニルチオール基、置換されてもよいアルキニルチオール基、置換されていてもよいアラルキルチオール、置換されていてもよいアリールチオール、置換されてもよいヘテロアリールチオール基、置換されてもよいシクロアルキルチオール基でもよい。また、HOBt、HONSu、HOAt、パラニトロフェノールなど通常活性エステル化させる試薬、あるいはその誘導体でもよい。添加剤を加える場合には、翻訳後環化部の環化反応を実施後に本直鎖部2形成反応を実施することが好ましい。添加剤の置換基は、前記"アミノ酸"の側鎖で定義したのと同様、自由な置換基を選択することができる。
Various methods are possible as variations of the method of Scheme E. For example, using a hydroxycarboxylic acid having an SH group or a protected SH group at the Re1 site, reaction of an SH group or a protected SH group in the vicinity of the amine side chain site or the amine of the protected amine side chain site An amino acid having an auxiliary group introduced therein may be introduced by translation. In this case, when the protecting group imparted to the SH group of the peptide obtained by translation and, if necessary, the amine moiety when protected are deprotected, ester-to-thioester exchange shown in Scheme F easily occurs. . Since the obtained thioester easily reacts with an amine having a reaction assisting group, a peptide having a desired branched peptide (linear portion 2) can be obtained. The SH group of the obtained branched peptide containing an SH group can be easily desulfurized under mild reaction conditions such that RNA does not participate in chemical reactions. Also in this case, an additive may be added from the outside for the purpose of activating the (thio) ester. In the method of Scheme F, the cyclization reaction of the post-translation cyclization part may be performed either before or after the
As described above, it may have a reaction auxiliary group such as an SH group or a protected SH group at both the hydroxycarboxylic acid and the amine side chain site, or may have a reaction auxiliary group only on one of them. Or both of them may not have a reaction auxiliary group. Moreover, it may have a protecting group in the amine side chain site | part, and does not need to have a protecting group.
In any case, an additive for accelerating the reaction may be added. Examples of the additive include an optionally substituted alkylthiol, an optionally substituted alkenylthiol group, an optionally substituted alkynylthiol group, an optionally substituted aralkylthiol, and an optionally substituted aryl. It may be a thiol, an optionally substituted heteroaryl thiol group, or an optionally substituted cycloalkyl thiol group. Further, a reagent that is usually active esterified, such as HOBt, HONSu, HOAt, paranitrophenol, or a derivative thereof may be used. When an additive is added, it is preferable to carry out this
また、直鎖部2を発生させる手法として、α―ヒドロキシカルボン酸などのエステル官能基を足がかりにしてチオエステルを発生させる点では同様であるが、α―ヒドロキシカルボン酸のN末端側直前の2配列にCysとProを配置した、例えばCys-Pro-HOGly配列からチオエステルを発生させる手法を用いることもできる(スキームF2参照)。スキームF2では、分枝させるための活性チオエステル発生配列としてCys-Proに続いて側鎖にRf5を有するα―ヒドロキシカルボン酸を有し、これと反応させるアミノ酸として側鎖にアミノ基を有するリジンを用いた例を示した。α―ヒドロキシカルボン酸などのアミノ基を持たずにエステル結合を形成できるアミノ酸類縁体をコードするコドン(A)、これをアシル化tRNA、アミノ基側鎖を有するアミノ酸をコードするコドン(B)、これをアミノアシル化したtRNAを用意し、コドン(A)とコドン(B)の間に所望の数(好ましくは0~7個、より好ましくは0~2個)のランダムなコドンを配置したmRNAを鋳型に翻訳させて得たペプチドを上記の方法あるいは別法にてまず環化させる(例えばスキームBやスキームC)。コドンAをコドンBよりN末端側に配置させる。Cys-Pro-HOGlyなどの分枝発生部位は、1回目の環化反応条件では安定に化学反応を生じさせずに存在し、その後、必要に応じて4-トリフルオロメチルフェニルチオールなどのチオールを添加剤として加えると共に、pHを塩基性側(例えば9)に調整して活性チオエステルを新たに発生させた後、より活性なトリフルオロメチルフェニルチオエステルを経由して、リジンの側鎖アミノ基などとアミド結合を形成させた分枝ペプチドが生成する(側鎖アミノ基に保護基が存在する場合には脱保護反応を先行させる)。その後、必要に応じて脱SH反応など反応補助基を除去する反応を実施してもよい。この反応では、分枝ペプチド生成前にあったCys-Pro-HOGly構造のうち、CysとProは脱離されて分枝ペプチド生成時(全ての翻訳後修飾終了時)には含まれない。従って、これらは黒丸ユニットにも四角ユニットにも含まれない。従って、分枝ペプチド生成時のユニット数によって、ドラックライクなユニット数も計算される。
Moreover, the method for generating the
α―ヒドロキシカルボン酸部位のα位(Rf5)は、水素原子、置換されてもよいアルキル基、アラルキル基、ヘテロアリール基、シクロアルキル基、アリール基などの中から選択される。置換基はドラックライクな官能基が好ましい。特に、このチオエステル発生部位は、1回目の環化の反応条件では安定で前駆体(例えばCys-Pro-HOGly)構造を維持することが好ましく、水素原子、メチル基などのアルキル基やベンジル基などのアラルキル基が好ましい。 The α-position (Rf5) of the α-hydroxycarboxylic acid moiety is selected from a hydrogen atom, an optionally substituted alkyl group, an aralkyl group, a heteroaryl group, a cycloalkyl group, an aryl group, and the like. The substituent is preferably a drug-like functional group. In particular, the thioester generation site is preferably stable under the conditions of the first cyclization and maintains a precursor (eg, Cys-Pro- HO Gly) structure. Aralkyl groups such as are preferred.
また、この部分のRf5の置換基は主鎖OH基をアミノ基に置き換えた場合の立体としてL型およびD型のアミノ酸に対応するもののいずれもが許容されるが、特に翻訳効率の点でL型の立体に対応するこものが好ましい。特にARSにより翻訳可能なユニットであれば、翻訳効率を高めることができるので好ましい。このような例として、Lacなどが挙げられる。このチオエステルと反応させて分枝を形成させるアミノ基側鎖を有するアミノ酸の側鎖としては、アミノ基および保護されていてもよいアミノ基を有していれば特に限定されないが、保護されていないアミノ基を利用する場合には1回目の環化に用いるアミノ基より十分反応性が低い必要がある。アミノ基は2級アミンでも1級アミンでもよいが、分枝化反応を効率よく進行させる目的で1級アミンがより好ましい。アミノ基あるいは保護されていても良いアミノ基の近傍にSH基などのような反応補助基が存在しても良いし、これらも保護されていてもよい。アミノ基側鎖を有するアミノ酸の種類は、アミノ基を有してれば、置換されてもよいアルキルアミノ基、アラルキルアミノ基、アリールアミノ基、ヘテロアリールアミノ基、シクロアルキルアミノ基、のどれも可能であり特に限定されないが、側鎖に同時にチオール基(SH基)あるいは保護されたチオール基を有していてもよい。これらの置換基は反応補助基(例えばSH基)を除けば、ドラックライクなアミノ酸の側鎖で定義された置換基であることが好ましい。さらに、翻訳合成可能な置換基から選択されることがより好ましい。また、スキーム中NH2で表わされている部位の水素原子のうち1つは水素原子に特定されるが、もう1つの水素原子は置換されてもよいアルキル基、アルケニル基、アルキニル基、アラルキル基、アリール基、ヘテロアリール基、シクロアルキル基、にて置換されていてもよく、これらに反応補助基が付与されていても良いが、このましくはNH2基がよい。これらの置換基も反応補助基(例えばSH基)を除けば、ドラックライクなアミノ酸の側鎖で定義された置換基であることが好ましい。さらに、翻訳合成可能な置換基から選択されることがより好ましい。 In addition, as for the substituent of Rf5 in this part, any of those corresponding to the L-type and D-type amino acids as a steric structure when the main chain OH group is replaced with an amino group is allowed, but in particular, in terms of translation efficiency, L What corresponds to the solid of a type | mold is preferable. In particular, a unit that can be translated by ARS is preferable because translation efficiency can be improved. An example of this is Lac. The side chain of the amino acid having an amino group side chain that reacts with this thioester to form a branch is not particularly limited as long as it has an amino group and an optionally protected amino group, but is not protected. When an amino group is used, the reactivity needs to be sufficiently lower than the amino group used for the first cyclization. The amino group may be a secondary amine or a primary amine, but a primary amine is more preferable for the purpose of allowing the branching reaction to proceed efficiently. A reaction assisting group such as an SH group may be present in the vicinity of the amino group or the amino group which may be protected, and these may also be protected. As long as the amino acid having an amino group side chain has an amino group, any of an alkylamino group, an aralkylamino group, an arylamino group, a heteroarylamino group, and a cycloalkylamino group that may be substituted may be used. Although possible and not particularly limited, the side chain may have a thiol group (SH group) or a protected thiol group at the same time. These substituents are preferably substituents defined in the side chain of a drug-like amino acid, except for a reaction auxiliary group (for example, SH group). Furthermore, it is more preferable to select from a substituent capable of translational synthesis. One of the hydrogen atoms at the site represented by NH2 in the scheme is specified as a hydrogen atom, and the other hydrogen atom may be substituted with an alkyl group, an alkenyl group, an alkynyl group, an aralkyl group. , An aryl group, a heteroaryl group, and a cycloalkyl group, which may be substituted with a reaction auxiliary group, preferably an NH2 group. These substituents are preferably substituents defined in the side chain of a drug-like amino acid, except for a reaction auxiliary group (for example, SH group). Furthermore, it is more preferable to select from a substituent capable of translational synthesis.
1回目の環化と分枝化がともにアミド結合反応である例をスキームF3に示した。本分枝ペプチドを得るためには、三角ユニットは化合物N-1や化合物N-2に代表される反応補助基を有するアミノ酸あるいはアミノ酸誘導体あるいはN末端カルボン酸誘導体、もしくは反応補助基を有さない化合物Na-1、化合物Na-2、化合物Na-3、もしくは化合物Na-4、Na-5、Na-6などから選択される。交差ユニットは化合物C-1に代表される活性エステルの中から選択される。2回目の分枝化反応の際に活性エステル化される部位として化合物e1に代表されるα―ヒドロキシカルボン酸誘導体か、あるいは化合物F5として示されるCys-Pro-α―ヒドロキシカルボン酸の3つの構成要素からなる部位か、化合物C-1に代表される活性エステルなどから選択される(Cys、Pro、α―ヒドロキシカルボン酸はそれぞれ別途のユニットとしてtRNAにより翻訳されるが、翻訳修飾後にCysとProは脱離されるため、この2つは黒丸ユニットにも四角ユニットにも属さない。α―ヒドロキシカルボン酸は四角ユニットとなる)。また、この分枝化反応でのアミノ基を有する部位は、化合物Na-4や化合物Na-10、化合物Na-11(また、これらのNHで表わされるH原子は翻訳合成中には保護されてもよい)に代表される化合物から選択される。そのような例として、リジンなどの無保護アミンの他、化合物tk100、tk101、tk102、tk103、tk104、tk34、tk7、tk14、tk105、tk106、tk107、tk108などが挙げられる。 An example in which the first cyclization and branching are both amide bond reactions is shown in Scheme F3. In order to obtain this branched peptide, the triangular unit does not have an amino acid, amino acid derivative, N-terminal carboxylic acid derivative or reaction auxiliary group having a reaction auxiliary group represented by compound N-1 or compound N-2. It is selected from Compound Na-1, Compound Na-2, Compound Na-3, Compound Na-4, Na-5, Na-6 and the like. The crossing unit is selected from active esters represented by Compound C-1. Three components of α-hydroxycarboxylic acid derivative represented by compound e1 or Cys-Pro-α-hydroxycarboxylic acid shown as compound F5 as a site to be active esterified in the second branching reaction It is selected from sites consisting of elements or active esters such as compound C-1 (Cys, Pro, α-hydroxycarboxylic acid is translated as a separate unit by tRNA, but after translation modification Cys and Pro Are separated from the black circle unit and the square unit, and α-hydroxycarboxylic acid becomes a square unit). The site having an amino group in this branching reaction is compound Na-4, compound Na-10, or compound Na-11 (and these H atoms represented by NH are protected during translation synthesis). Selected from the compounds represented by Examples thereof include compounds tk100, tk101, tk102, tk103, tk104, tk34, tk7, tk14, tk105, tk106, tk107, tk108, etc., in addition to unprotected amines such as lysine.
本コンセプトでは、分枝化によって従来より多彩な構造体をディスプレイライブラリーにて提示することが可能となった。このことにより、従来では困難であった薬効標的に対して結合する分子や阻害する分子などの様々な機能を有する化合物を取得できる可能性がより高まると期待される。このような分枝化を可能とするため、本手法の価値は1回目の環化反応がドラックライクな環化のケースには留まらず、2回目の環化反応によってドラックライクな環化が形成されれば、1回目の環化反応がどのような環化反応であってもよい。多彩な構造体を形成させる点で、1回目の環化反応がドラックライクな環化反応に留まらない本方法は有用である。そのような場合、活性エステルを翻訳物から発生させる全ての手法は本手法の範疇に含まれる。例えば、化合物F5、化合物e1、化合物C-1、化合物C-2、化合物C-3などが挙げられる。また、2回目アミン基部位としては、保護されていてもよい化合物Na-4、化合物Na-5、化合物Na-10(Na-7基とNa-8基の場合)、化合物Na-11(Na-7基とNa-8基の場合)などが挙げられる。 In this concept, it has become possible to present a variety of structures in the display library by branching. This is expected to increase the possibility of obtaining compounds having various functions, such as molecules that bind to and inhibit medicinal targets that have been difficult in the past. In order to enable such branching, the value of this method is not limited to the case where the first cyclization reaction is a drug-like cyclization, but the second cyclization reaction forms a drug-like cyclization. If so, the first cyclization reaction may be any cyclization reaction. The present method in which the first cyclization reaction is not limited to the drug-like cyclization reaction is useful in that various structures are formed. In such a case, all techniques for generating an active ester from a translation are within the scope of this technique. Examples thereof include compound F5, compound e1, compound C-1, compound C-2, compound C-3 and the like. As the second amine group site, the protected compound Na-4, compound Na-5, compound Na-10 (in the case of Na-7 group and Na-8 group), compound Na-11 (Na -7 group and Na-8 group).
反応補助基を有するユニットが三角ユニットとして選択された場合(例えば化合物N-1や化合物N-2)、1回目の環化反応は容易に進行させることができる。翻訳合成可能な側鎖にチオエステルを有する交差ユニットとの反応は、pHが7付近(翻訳条件)にて、反応添加物を加えてもよいが加えなくてもよい。この場合、2回目の分枝化に用いる部位の選択は大きくなる。すなわち、化合物e1は安定に存在させることができ、化合物F5ではRf5は水素原子以外が好ましいが、水素原子でも安定に存在させることができ許容される。アミノ基側のユニットも、アミノ基が保護されていないユニットである、例えばLysのような反応補助基を有しないアミノ基も許容される。また、アミノ基が保護されていてもよく、反応補助基を有するアミンで保護されていても良い。これら全ての場合を利用することができる。必要に応じて保護基を除去した後、分枝反応を経、続いて反応補助基を除去する工程を経て、望みの分枝ペプチドを得ることができる。 When a unit having a reaction auxiliary group is selected as a triangular unit (for example, Compound N-1 or Compound N-2), the first cyclization reaction can be easily advanced. In the reaction with a crossover unit having a thioester in the side chain capable of translational synthesis, a reaction additive may or may not be added at a pH of around 7 (translation conditions). In this case, the selection of the part used for the second branching becomes large. That is, compound e1 can be present stably, and in compound F5, Rf5 is preferably other than a hydrogen atom, but even a hydrogen atom can be present stably and is allowed. An amino group that does not have a reaction auxiliary group such as Lys, which is a unit in which the amino group is not protected, is also acceptable. Further, the amino group may be protected, or may be protected with an amine having a reaction auxiliary group. All these cases can be used. After removing the protecting group as necessary, the desired branched peptide can be obtained through a branching reaction, followed by a step of removing the reaction auxiliary group.
化合物e1のRf1基の選択は先に述べたとおりであるが、より好ましくは水素原子、保護されても良いメルカプトアルキル基(保護されるのはSH基)から選択される。特に好ましくは水素原子、あるいは保護されても良いメルカプトメチル基あるいは2-メルカプトエチル基から選択される。
化合物F5のRf2基は保護されても良いメルカプトアルキル基から選択される。Rf2を含むアミノ酸の立体配置はL型が好ましい。さらに好ましくは保護されてもよいメルカプトメチル基あるいは2-メルカプトエチル基から選択される。Rf3基はRa13と同様に選択させることができる。好ましくはRa1と同様に選択させることができる。特に好ましくはメチル基あるいは、Rf4とで環を形成することが好ましい。環のサイズは3~8員環が好ましく、より好ましくは4~6員環である。これら環を形成する炭素原子はドラックライクなアミノ酸の側鎖で定義される置換基にて置換されていてもよい。5員環の代表例としてプロリンなどが好ましい。Rf4はRa4と同様に選択させることができる。
The selection of the Rf1 group of the compound e1 is as described above, but it is more preferably selected from a hydrogen atom and an optionally protected mercaptoalkyl group (the SH group is protected). Particularly preferably, it is selected from a hydrogen atom, a mercaptomethyl group or a 2-mercaptoethyl group which may be protected.
The Rf2 group of compound F5 is selected from mercaptoalkyl groups which may be protected. The steric configuration of the amino acid containing Rf2 is preferably L-type. More preferably, it is selected from a mercaptomethyl group or a 2-mercaptoethyl group which may be protected. The Rf3 group can be selected in the same manner as Ra13. Preferably, it can be selected similarly to Ra1. It is particularly preferable to form a ring with a methyl group or Rf4. The ring size is preferably a 3- to 8-membered ring, more preferably a 4- to 6-membered ring. The carbon atoms forming these rings may be substituted with a substituent defined in the side chain of the drug-like amino acid. Proline and the like are preferable as a representative example of a 5-membered ring. Rf4 can be selected in the same manner as Ra4.
一方、反応補助基を有しないユニットが三角ユニットとして選択された場合(例えば化合物Na-2に含まれるAlaやPheが選択された場合)、1回目の反応を進行させるためにはトリフルオロメチルチオフェノールのような添加剤を加えることがより好ましい。pHは7.8付近にまで上昇させ、37℃~50℃付近の反応温度にて6~10時間程度の反応時間をかけることがより好ましい。そのため、分枝化部位にはこのような反応条件で化学反応せず、安定して存在することが好ましい。従って、分枝反応でアミド結合生成に関与するアミノ基部位にはLysのような保護されていないアミノ基を有するユニットは選択しないことが好ましい。すなわち、化合物Na-4や化合物Na-10や化合物Na-11のNH基(反応補助基も)は保護されることが好ましい。保護されたアミノ基を有していれば、保護されていてもよい反応補助基を有していても(例えば化合物tk100)有していなくとも(例えばtk104)よい。これらの保護基は翻訳中および1回目の環化反応中には安定に存在している必要がある。このような保護基として、例えばトリフロオロアセチル基、4-アジドベンジルオキシカルボニル基、3-ニトロー2-ピリジンスルフェニル基、チアゾリジン環による保護基が挙げられる。トリフロオロアセチル基はpHを8より大きくした場合に、初めて選択的に脱保護される。4-アジドベンジルオキシカルボニル基は還元剤トリス(2-カルボキシエチル)ホスフィンを加えた場合に初めて選択的に脱保護される。3-ニトロー2-ピリジンスルフェニル基はpH4で添加剤2-メルカプトピリジンを加えた場合に初めて選択的に脱保護される。チアゾリジン環による保護基はpH4で添加剤ジチオジピリジンを加えチアゾリジン環を開環させたのち、トリス(2-カルボキシエチル)ホスフィンの添加により初めて選択的に脱保護される。このように、翻訳合成されえるアミノ基の保護基であって、翻訳合成中および1回目の環化反応中に安定であり、なおかつRNAが安定な反応条件で1回目の環化後に選択的に脱保護することが可能な保護基から選択することができる。また、2回目の分枝化時に発生させるチオエステルの前駆体部位としては化合物e1から選択される場合には、Rf1部位が水素原子または、Rf1部位には反応補助基(例えばSH基)が存在することが好ましいが、その反応補助基は保護されていることが好ましい。化合物F5から選択される場合、Rf5は水素原子以外が好ましい。例えばそのような例としてRf5がメチル基やベンジル基などが挙げられる。ヒドロキシル部位のα位(Rf5)が水素原子である場合には、チオエステル生成が避けらず、1回目の環化反応を選択的に行うことができなくなるのに対し、この位置に炭素原子を1つ以上配置した場合には1回目の環化反応条件ではチオエステルの生成を抑制することができる。このように分枝化部位を選択した場合には、アミン部位あるいはチオエステル部位の脱保護反応を必要に応じて実施した後、pHを8.2以上に上昇させて分枝化させる。このように1回目の環化反応中には安定に存在させ、脱保護工程を経て分枝化反応を実行させ、最後に必要に応じて反応補助基を除去させて、分枝ペプチドを得ることができる。
On the other hand, when a unit having no reaction auxiliary group is selected as a triangular unit (for example, when Ala or Phe contained in compound Na-2 is selected), in order to proceed the first reaction, trifluoromethylthiophenol It is more preferable to add an additive such as More preferably, the pH is raised to around 7.8 and a reaction time of about 6 to 10 hours is applied at a reaction temperature of about 37 ° C. to 50 ° C. Therefore, it is preferable that the branching site is present stably without undergoing a chemical reaction under such reaction conditions. Therefore, it is preferable not to select a unit having an unprotected amino group such as Lys at the amino group site involved in amide bond formation in the branching reaction. That is, it is preferable that the NH group (including the reaction auxiliary group) of Compound Na-4, Compound Na-10, and Compound Na-11 is protected. As long as it has a protected amino group, it may have a reaction auxiliary group that may be protected (for example, compound tk100) or may not have (for example, tk104). These protecting groups need to be stably present during translation and the first cyclization reaction. Examples of such protecting groups include trifluoroacetyl groups, 4-azidobenzyloxycarbonyl groups, 3-nitro-2-pyridinesulfenyl groups, and thiazolidine ring protecting groups. The trifluoroacetyl group is selectively deprotected only when the pH is greater than 8. The 4-azidobenzyloxycarbonyl group is selectively deprotected only when the reducing agent tris (2-carboxyethyl) phosphine is added. The 3-nitro-2-pyridinesulfenyl group is selectively deprotected only at
分枝化反応でアミド結合を形成するアミノ基を有する化学構造および、その保護基に関する記載を以下示す。 A description of a chemical structure having an amino group that forms an amide bond by a branching reaction and a protecting group thereof is shown below.
翻訳合成により得られたペプチド化合物-核酸複合体の化学修飾に使用するアミノ基の保護基とその脱保護方法
ここで記載されるアミノ基の保護基とは、単一の1級アミンもしくは2級アミンの反応性を不活性化もしくは低下させる官能基だけでなく、1つの官能基で複数のアミノ基もしくは他のヘテロ原子を同時に不活性する構造も保護基として定義する。例えば、チアゾリジン環、チアジナン環、オキサゾリジン環、イミダゾリジン環もアミノ基の保護基として含まれる。これらの保護基を形成する炭素原子は置換されていてもよい。
Protecting group of amino group used for chemical modification of peptide compound-nucleic acid complex obtained by translational synthesis and its deprotection method The protecting group of amino group described here is a single primary amine or secondary amine In addition to functional groups that inactivate or reduce the reactivity of amines, structures that simultaneously inactivate multiple amino groups or other heteroatoms with one functional group are defined as protecting groups. For example, a thiazolidine ring, a thiazinane ring, an oxazolidine ring, and an imidazolidine ring are also included as amino-protecting groups. The carbon atoms that form these protecting groups may be substituted.
上述した保護基とは、1)酸性条件で外れる保護基、2)塩基性条件で外れる保護基、3)酸化的条件で外れる保護基、4)還元的条件で外れる保護基、5)光照射により外れる保護基、6)求核剤の添加で外れる保護基のうち、1)から6)のいずれか、もしくは1)から6)までを複数組み合わせることで脱保護可能な保護基を指す。 The above-mentioned protecting groups are 1) protecting groups that are removed under acidic conditions, 2) protecting groups that are removed under basic conditions, 3) protecting groups that are removed under oxidative conditions, 4) protecting groups that are removed under reducing conditions, and 5) light irradiation. 6) A protecting group that can be deprotected by combining any one of 1) to 6) or 1) to 6) among protecting groups removed by addition of a nucleophile.
酸性条件で外れる保護基とはpH1からpH7の範囲で外れる保護基であり、好ましくはpH2からpH6の範囲で脱保護可能な保護基であり、例えば以下に示したトリチル基(Tr)、N-(4-メトキシフェニル)ジフェニルメチル基(MMTr)、3、5-ジメトキシフェニルイソプロポキシカルボニル基(Ddz)、2-(4-ビフェニル)イソプロポキシカルボニル基(Bpoc)である。(非特許文献 i)Greene's Protective Groups in Organic Synthesis, Fourth Edition, ii) Chemical Reviews, 2009, 109(6), 2455-2504)これらの保護基を形成する炭素原子は置換されていてもよい。
The protecting group that is removed under acidic conditions is a protecting group that is removed in the range of
塩基性条件で外れる保護基とはpH7からpH14の範囲で外れる保護基であり、好ましくはpH7からpH10の範囲で脱保護可能な保護基であり、例えば、極度に電子吸引基が付与された2-[フェニル(メチル)スルホニオ]エトキシカルボニル基などが挙げられる。例えばハロゲン基やニトロ基、トリフルオロ基などが1つあるいは複数個導入されたトリクロロアセチル基などが挙げられる。具体的には以下に示したトリフルオロアセチル基(Tfa)である。(非特許文献 i)Greene's Protective Groups in Organic Synthesis, Fourth Edition, ii) Chemical Reviews, 2009, 109(6), 2455-2504)
The protecting group that is removed under basic conditions is a protecting group that is removed in the range of
酸化的条件で外れる保護基とは、例えばヨウ素存在下で脱保護可能な以下に示したペンテノイル基である。(非特許文献 i) Greene's Protective Groups in Organic Synthesis, Fourth Edition, ii) The Journal of Organic Chemistry, 1997, 62, 778-779, iii) Method, 2005, 36, 245-251)
The protecting group removed under oxidative conditions is, for example, a pentenoyl group shown below that can be deprotected in the presence of iodine. (Non-Patent Literature i) Greene's Protective Groups in Organic Synthesis, Fourth Edition, ii) The Journal of Organic Chemistry, 1997, 62, 778-36, 1977-79, 1977-79, 1977-721
還元的条件で外れる保護基とは、例えばトリス(2-カルボキシエチル)ホスフィン(TCEP),やジチオトレイトール(DTT)存在下で脱保護可能な保護基であり、例えばアジド基(非特許文献 ChemBioChem, 2009, 10, 1186-1192)、4-アジドベンジルオキシカルボニル基(p-Acbz)(非特許文献 Journal of the Chemical Society, Perkin Transactions 1, 1996, 1205-1211)、2-アジドベンジルオキシカルボニル基(o-Acbz)、アジドメトキシカルボニル(Azoc)(非特許文献 Organic Letters, 2007, 9(11), 2223-2225)、フェニルジスルファニルエチルオキシカルボニル基(Phdec)、2-ピリジルジスルファニルエチルオキシカルボニル基(Pydec)(非特許文献 Chemical Reviews, 2009, 109(6), 2455-2504)である。これらの保護基を形成する炭素原子は置換されていてもよい。
The protecting group that is removed under reducing conditions is, for example, a protecting group that can be deprotected in the presence of tris (2-carboxyethyl) phosphine (TCEP) or dithiothreitol (DTT). , 2009, 10, 1186-1192), 4-azidobenzyloxycarbonyl group (p-Acbz) (non-patent literature Journal of the Chemical Society,
光照射により外れる保護基とは、例えばo-ニトロベンジルオキシカルボニル基(oNz)、4,5-ジメトキシ-2-ニトロベンゾキシ)カルボニル基(Nvoc)、2-(2-ニトロフェニル)プロピルオキシカルボニル基(Nppoc)である。(非特許文献 i) Chemical Reviews, 2009, 109(6), 2455-2504、ii) The Journal of Organic Chemistry, 1997, 62, 778-779、iii) Bioorganic & Medicinal Chemistry, 2012, 20, 2679-2689)これらの保護基を形成する炭素原子は置換されていてもよい。
Examples of protecting groups removed by light irradiation include o-nitrobenzyloxycarbonyl group (oNz), 4,5-dimethoxy-2-nitrobenzoxy) carbonyl group (Nvoc), and 2- (2-nitrophenyl) propyloxycarbonyl. Group (Nppoc). (Non-Patent Literature i) Chemical Reviews, 2009, 109 (6), 2455-2504, ii) The Journal of Organic Chemistry, 1997, 62, 778-779, iii) Bioorganic & m ) The carbon atoms forming these protecting groups may be substituted.
求核剤の添加で外れる保護基とは、例えばチオール存在下で脱保護される保護基であり、例えば、o-ニトロベンゼンスルホニル基(o-NBS)、2、4-ジニトロベンゼンスルホニル基(dNBS)、ジチオスクシノイル基(Dts)である。(非特許文献 Chemical Reviews, 2009, 109(6), 2455-2504)これらの保護基を形成する炭素原子は置換されていてもよい。
The protecting group removed by addition of a nucleophile is, for example, a protecting group that is deprotected in the presence of a thiol, for example, o-nitrobenzenesulfonyl group (o-NBS), 2,4-dinitrobenzenesulfonyl group (dNBS) , A dithiosuccinoyl group (Dts). (Non-patent literature Chemical Reviews, 2009, 109 (6), 2455-2504) The carbon atoms forming these protective groups may be substituted.
先述したから1)から6)までを複数組み合わせることで脱保護可能な保護基とは、例えば1)と6)を組み合わせる脱保護方法として、pH2からpH6の範囲でチオールを添加することで脱保護可能な保護基、例えば3-ニトロ-2-ピリジンスルフェニル基(Npys)(非特許文献 i) International Journal of Peptide and Protein Research, 1990, 35, 545-549、ii) International Journal of Peptide and Protein Research, 1980, 16, 392-401)、 2-ニトロフェニルスルフェニル基(Nps)(非特許文献 Chemical Reviews, 2009, 109(6), 2455-2504)である。これらの保護基を形成する炭素原子は置換されていてもよい。
As described above, a protective group that can be deprotected by combining a plurality of 1) to 6) is, for example, a deprotection method combining 1) and 6), and deprotecting by adding a thiol in the range of
また1)と3)を組み合わせる脱保護方法に適用する保護基とは、例えばpH2からpH6の範囲でジスルフィド化合物を添加することで脱保護可能な保護基、例えばチアゾリジン環、チアジナン環である。これらの保護基を形成する炭素原子は置換されていてもよい。
The protecting group applied to the deprotecting method combining 1) and 3) is, for example, a protecting group that can be deprotected by adding a disulfide compound in the range of
チアゾリジン環およびチアジナン環の開環によるアミノ基への脱保護方法
チオールの求核性を利用するNative Chemical Ligation(NCL)によるアミド化反応は、ペプチドおよびタンパク質の化学合成において有用な手法である。連続的なアミド化反応や任意のタイミングでNCLを行う場合、アミノ基およびチオール基にあらかじめ保護をしておくのは有用な手段であり、例えば非特許文献v1に記載されているペプチド鎖の多段階アミド化によるタンパク質合成や、非特許文献v2に記載されているタンパク質の化学修飾では、システインのアミノ基およびチオール基を同時に保護する構造としてチアゾリジン環が報告されている。
Deprotection Method to Amino Group by Opening of Thiazolidine Ring and Thiazinane Ring An amidation reaction by Native Chemical Ligation (NCL) utilizing the nucleophilicity of thiol is a useful technique in chemical synthesis of peptides and proteins. When performing NCL at a continuous amidation reaction or at an arbitrary timing, it is a useful means to protect amino groups and thiol groups in advance. For example, many peptide chains described in Non-Patent Document v1 are used. In protein synthesis by step amidation and chemical modification of proteins described in Non-Patent Document v2, a thiazolidine ring has been reported as a structure that simultaneously protects the amino group and thiol group of cysteine.
ペプチド構造中のチアゾリジン環のアミノ基、チオール基への脱保護方法は、pH4からpH7の緩衝液中にメトキシアミンを添加する方法が公知(例えば非特許文献v1(Angewandte Chemie, International Edition, 2006, 45(24), 3985-3988)および非特許文献v2(Journal of the American Chemical Society, 2011, 133, 11418-11421))であるが、例えば本特許に記載しているペプチド化合物中にエステル、またはチオエステルが含まれている構造では、脱保護反応時もしくはワンポットで次の反応を行う際、副反応としてメトキシアミンとエステル部分が反応したアルコキシアミドの生成が危惧される。
As a method for deprotecting the amino group and thiol group of the thiazolidine ring in the peptide structure, a method in which methoxyamine is added to a buffer solution of
本発明者らはメトキシアミンを使用しないチアゾリジン環およびチアジナン環の脱保護方法として、ジスルフィド化合物を添加する方法を開発した。
本手法は、酸性条件下でチアゾリジン環およびチアジナン環を開環し、アミノジスルフィド構造へと導くことを特徴としており、続く還元剤の添加によりアミノチオールへと導くことが可能である。
本手法は、水中、緩衝液中、もしくは水と混和した有機溶媒中で行う。使用する有機溶媒は、水と混和が可能で、基質と反応もしくは析出しないものを選択する。例えばN,N-ジメチルアセトアミド、N、N-ジメチルホルムアミド、アセトニトリルを使用する。水と有機溶媒の比率は、基質およびジスルフィド化合物の溶解性によって決まるが、例えば10mMのジチオジピリジンで反応を行う場合、ジチオジピリジンの溶解性の観点から、5%以上のN,N-ジメチルアセトアミドを使用するのが好ましい。
The present inventors have developed a method of adding a disulfide compound as a method for deprotecting a thiazolidine ring and a thiazinane ring without using methoxyamine.
This method is characterized by opening a thiazolidine ring and a thiazinane ring under acidic conditions to lead to an amino disulfide structure, which can be led to an aminothiol by the subsequent addition of a reducing agent.
This procedure is performed in water, in a buffer solution, or in an organic solvent mixed with water. The organic solvent to be used is selected so that it is miscible with water and does not react or precipitate with the substrate. For example, N, N-dimethylacetamide, N, N-dimethylformamide, acetonitrile is used. The ratio of water and organic solvent is determined by the solubility of the substrate and the disulfide compound. For example, when the reaction is performed with 10 mM dithiodipyridine, 5% or more of N, N-dimethyl is used from the viewpoint of the solubility of dithiodipyridine. Preference is given to using acetamide.
チアゾリジン環を開環するためのpH範囲は、反応を12時間以内に完結させることを目的とした場合、pH1~5が好ましい。更に酸性で不安定なチアゾリジン環を有する化合物を取り扱う場合、pH4~5が好ましい。
チアゾリジン環を開環するための反応温度は、反応を12時間以内に完結させることを目的とした場合、15℃以上が好ましい。更に熱に不安定なチアゾリジン環を有する化合物を取り扱う場合、15~50℃の範囲が好ましい。
The pH range for opening the thiazolidine ring is preferably
The reaction temperature for opening the thiazolidine ring is preferably 15 ° C. or higher for the purpose of completing the reaction within 12 hours. Further, when a compound having a thermally unstable thiazolidine ring is handled, the range of 15 to 50 ° C. is preferable.
添加するジスルフィド化合物は、例えばジアルキルジススフィドやジアリールジスルフィドを用いることができるが、ジアリールジスルフィドが好ましく、更にジチオジピリジンがより好ましい。 As the disulfide compound to be added, for example, dialkyl disulfide or diaryl disulfide can be used, but diaryl disulfide is preferable, and dithiodipyridine is more preferable.
ジチオジピリジンの使用量はチアゾリジン誘導体の使用量によって決まるが、例えば1.0mMのチアゾリジン誘導体に対して30mMのジチオジピリジンを使用し、pH4.2、36℃で反応を行うと、12時間以内にチアゾリジン環の開環は完了する。 The amount of dithiodipyridine used is determined by the amount of thiazolidine derivative used. For example, when 30 mM dithiodipyridine is used for 1.0 mM thiazolidine derivative and the reaction is carried out at pH 4.2 and 36 ° C., within 12 hours. Opening of the thiazolidine ring is complete.
アミノジスルフィド構造からアミノチオールへ変換する還元剤としては、アルキルホスフィン、アリールホスフィン、還元力を有するチオール化合物を用いることができ、例えばTCEP、DTTを用いる。アミノチオールへの変換を速やかに進める場合にはTCEPが好ましい。 As a reducing agent for converting an amino disulfide structure into aminothiol, alkylphosphine, arylphosphine, and a thiol compound having a reducing power can be used, for example, TCEP or DTT is used. TCEP is preferred when the conversion to aminothiol proceeds rapidly.
TCEPの使用量は使用するチアゾリジン誘導体とジチオジピリジンの使用量によって決まるが、例えば1mMのチアゾリジン誘導体を30mMのジチオジピリジンにより2-(2-ピリジルジチオ)エチルアミン体へと導いた場合、40mMのTCEPを使用し、pH4.5、24℃で反応を行うと、1時間以内にアミノエタンチオール体への誘導が完了する。 The amount of TCEP used depends on the amount of thiazolidine derivative and dithiodipyridine used. For example, when 1 mM thiazolidine derivative is converted to 2- (2-pyridyldithio) ethylamine with 30 mM dithiodipyridine, 40 mM When TCEP is used and the reaction is carried out at pH 4.5 and 24 ° C., induction into the aminoethanethiol form is completed within 1 hour.
このようにmRNAの一次配列情報から翻訳される直鎖ペプチド配列から分枝構造を形成させる技術は、従来の技術では到達できない分枝構造を有する構造多様性の高いペプチド群のmRNAディスプレイライブラリー構築を可能とする。 In this way, the technology for forming a branched structure from a linear peptide sequence translated from the primary sequence information of mRNA is the construction of an mRNA display library of highly diverse structural groups of peptides having a branched structure that cannot be achieved by conventional techniques. Is possible.
このようにヒドロキシカルボン酸を足がかりにしたChemical Space拡大ペプチド合成法を述べたが、本概念はスキームEおよびスキームF、スキームF2、スキームF3の手法に限らない。1回目の環化反応は上述の環化反応に限らず、分枝化反応を可能にする(1回目の環化反応中に安定に存在し、RNAに安定な反応条件で分枝化のための活性化が可能であること)反応条件で適用できる全ての環化反応に適用できる。2回目の活性エステル発生部位として化合物F5もしくは化合物E1を用い、2回目アミノ基部位として化合物Na-4、化合物Na-5、化合物Na-10(Na-7基又はNa-8基)あるいは化合物Na-11(Na-7基又はNa-8基)を用いる任意の方法で活用できる。ヒドロキシカルボン酸とアミン部位を有するアミノ酸を所望の位置に配置させ、適切な化学反応を実施させれば望みの分枝ペプチド(直鎖部2)が得られる。ヒドロキシカルボン酸とアミン、それぞれのアミノ酸あるいはアミノ酸類縁体の選択は必要な官能基を有していれば自由であるが、ヒドロキシカルボン酸部位はN末端側に配置されることが好ましい。ヒドロキシカルボン酸は、α―ヒドロキシカルボン酸と制限されず、βやγ―ヒドロキシカルボン酸に代表される様々なヒドロキシカルボン酸を取り得る。またヒドロキシカルボン酸ではなく、チオカルボン酸を翻訳導入させ、エステルではなくチオエステルを足がかりにした分枝ペプチド形成反応も可能である。本手法は、アミノ酸数が限定された中分子でのヒット創出には欠かせないChemical space拡大を実現するものである。 As described above, the Chemical Space expansion peptide synthesis method based on hydroxycarboxylic acid has been described, but this concept is not limited to the methods of Scheme E, Scheme F, Scheme F2, and Scheme F3. The first cyclization reaction is not limited to the cyclization reaction described above, but enables a branching reaction (because it is stable during the first cyclization reaction and is branched to RNA under stable reaction conditions). It can be applied to all cyclization reactions that can be applied under reaction conditions. Compound F5 or Compound E1 is used as the second active ester generation site, and Compound Na-4, Compound Na-5, Compound Na-10 (Na-7 group or Na-8 group) or Compound Na is used as the second amino group site. -11 (Na-7 group or Na-8 group). A desired branched peptide (straight chain part 2) can be obtained by placing a hydroxycarboxylic acid and an amino acid having an amine moiety at a desired position and carrying out an appropriate chemical reaction. The selection of hydroxycarboxylic acid and amine, each amino acid or amino acid analog is free as long as it has a necessary functional group, but the hydroxycarboxylic acid moiety is preferably arranged on the N-terminal side. Hydroxycarboxylic acid is not limited to α-hydroxycarboxylic acid, and can take various hydroxycarboxylic acids represented by β and γ-hydroxycarboxylic acid. A branched peptide forming reaction can also be carried out by translating and introducing thiocarboxylic acid instead of hydroxycarboxylic acid and using thioester instead of ester as a foothold. This method realizes chemical-space expansion, which is indispensable for creating hits in medium molecules with a limited number of amino acids.
次に、C-C結合環化を利用する場合を例にした反応設計を述べる。例えば、三角ユニットには、N末端カルボン酸類縁体である2重結合を有するカルボン酸を翻訳導入させ、交差ユニット(○ユニット)には、側鎖にヨードフェニル基を有するアミノ酸を翻訳導入させることができる(スキームC-2)。このように三角ユニットと交差ユニットにそれぞれ、Pdを用いたHeck反応により縮合反応させる官能基を導入させた場合、Pdを用いた反応によりC-C結合環化生成物が得られる。Pdの配位子として様々な選択肢が可能である。通常のPd触媒反応において使用されている配位子としてホスフィン配位子、ホスフィンオキシド配位子、窒素原子からなる配位子、ヒ素原子からなる配位子、カルベン型配位子などが使用可能である。これらは分子内に配位可能な官能基を1つ有する一座配位子でも、これらPdに配位可能な官能基のなかから2つを組み合わせた二座配位子でも良い。反応を水中で行う必要があることから水溶性官能基を有する配位子を使用してもよい。ここでは翻訳液中に含まれるRNA成分、GTP、ATPなどの核酸成分によりPdが錯体形成による不活性化を受けるためPdと強固な配位結合を形成する配位子が好ましく、例えば1,1'-ビス(ジフェニルホスフィノ)フェロセン、2,2'-ビス(ジフェニルホスフィノ)-1,1'-ビフェニル、2,2'-ビス(ジフェニルホスフィノ)-1,1'-ビナフチル、4,5-ビス(ジフェニルホスフィノ)-9,9-ジメチルキサンテン、1,3-ビス(ジフェニルホスフィノ)プロパンのような二座のホスフィン配位子が挙げられ、含水系溶媒への溶解性の点から2,2'-ビス(ジフェニルホスフィノ)-1,1'-ビフェニルがより好ましい。通常有機合成化学反応では、Pdは触媒量(多くの場合には1mol%以下)の使用で十分であるが、翻訳合成後のDisplay libraryへの適用では、Pdが翻訳合成に必要なRNA部分と錯形成してしまうため、Pdを過剰量利用しないと所望の化学反応が十分な速度で進行しない一方で、Pdを過剰に利用しすぎるとRNAとの錯体の溶解度が低下してしまって、所望の化学反応が十分な速度で進行しない。Pd使用量はm-RNAを1pmol含有する翻訳合成物に対し1nmol以上使用するのが好ましく、更に60nmol使用するのが好ましい。後述の実施例に記載のようにミセルを利用すると反応の加速が得られるため、好ましい。 Next, we will describe the reaction design taking the case of using C-C bond cyclization as an example. For example, a carboxylic acid having a double bond, which is an N-terminal carboxylic acid analog, is translated and introduced into the triangular unit, and an amino acid having an iodophenyl group in the side chain is translated and introduced into the crossing unit (◯ unit). (Scheme C-2). In this way, when the functional group to be subjected to the condensation reaction is introduced into the triangular unit and the crossing unit by the Heck reaction using Pd, a C—C bond cyclization product is obtained by the reaction using Pd. Various options are possible as a ligand for Pd. As ligands used in ordinary Pd catalytic reactions, phosphine ligands, phosphine oxide ligands, ligands consisting of nitrogen atoms, ligands consisting of arsenic atoms, carbene type ligands, etc. can be used. It is. These may be monodentate ligands having one functional group capable of coordinating in the molecule, or bidentate ligands combining two of these functional groups capable of coordinating with Pd. Since the reaction needs to be performed in water, a ligand having a water-soluble functional group may be used. Here, a ligand that forms a strong coordinate bond with Pd is preferable because Pd is inactivated by complex formation by an RNA component, GTP, ATP, or other nucleic acid component contained in the translation solution. For example, 1,1 '-Bis (diphenylphosphino) ferrocene, 2,2'-bis (diphenylphosphino) -1,1'-biphenyl, 2,2'-bis (diphenylphosphino) -1,1'-binaphthyl, 4, Examples include bidentate phosphine ligands such as 5-bis (diphenylphosphino) -9,9-dimethylxanthene and 1,3-bis (diphenylphosphino) propane, and their solubility in aqueous solvents. To 2,2′-bis (diphenylphosphino) -1,1′-biphenyl is more preferred. Usually, in organic synthetic chemical reactions, it is sufficient to use a catalytic amount of Pd (in most cases, 1 mol% or less). However, when applied to Display library after translation synthesis, Pd is considered to be an RNA moiety necessary for translation synthesis. If Pd is not used in an excessive amount, the desired chemical reaction does not proceed at a sufficient rate. However, if Pd is used excessively, the solubility of the complex with RNA decreases, and the desired chemical reaction does not proceed. The chemical reaction does not proceed at a sufficient rate. The amount of Pd used is preferably 1 nmol or more, more preferably 60 nmol, relative to a translational compound containing 1 pmol of m-RNA. Use of micelles as described in the examples described later is preferable because acceleration of the reaction can be obtained.
使用可能なミセルはアニオン性、カチオン性、双性、非イオン性のいずれも使用可能であるが、特に非イオン性ミセルであるセバシン酸ポリオキシエタニル-α-トコフェリル(PTS)を使用するのが好ましい。セバシン酸ポリオキシエタニル-α-トコフェリルの使用濃度としては任意の濃度で使用可能であるが最終濃度1%以上であることが好ましく、最終濃度7.5%以上で使用することがより好ましい。反応進行には塩基を使用することが必要であり、Pdに配位しない成分からなるバッファーを使用することが好ましく、リン酸バッファー、炭酸塩バッファーなどが使用可能である。反応溶媒のpHはm-RNAが安定に存在可能でかつ環化反応が進行する範囲に調節することが好ましく、7以上、10以下がより好ましく、7.5以上、8.5以下が更により好ましい。反応温度はm-RNAが安定に存在可能で通常化学反応が実施できる範囲であれば特に限定されないが、好ましくは15℃~80℃であり、より好ましくは40℃~60℃である。 Usable micelles can be any of anionic, cationic, zwitterionic and nonionic, but in particular the nonionic micelle polyoxyethanyl sebacate-α-tocopheryl (PTS) is used. Is preferred. The polyoxyethanyl sebacate-α-tocopheryl can be used at any concentration, but it is preferably at a final concentration of 1% or more, more preferably at a final concentration of 7.5% or more. It is necessary to use a base for the progress of the reaction, and it is preferable to use a buffer composed of a component that does not coordinate to Pd, and a phosphate buffer, a carbonate buffer, or the like can be used. The pH of the reaction solvent is preferably adjusted to a range in which m-RNA can stably exist and the cyclization reaction proceeds, more preferably 7 or more and 10 or less, and even more preferably 7.5 or more and 8.5 or less. preferable. The reaction temperature is not particularly limited as long as m-RNA can stably exist and can usually carry out a chemical reaction, but it is preferably 15 ° C. to 80 ° C., more preferably 40 ° C. to 60 ° C.
C-C結合反応として、Pdを利用したHeck反応の例を述べたが、本出願ではC-C結合環化反応として、Pdを利用したHeck反応に限定されない。Suzuki反応やSonogashira反応など、Pdを用いた様々な反応も、同様に実施することができる。この場合、配位子や塩基の選択が重要となる場合がある。また、遷移金属としても、Pdに限定されず、Ni, Ru, Coなど様々な金属でC-C結合反応を実施することが可能である(非特許文献Matthew S. Sigman らAdvances in Transition Metal (Pd,Ni,Fe)-Catalyzed Cross-Coupling Reactions Using Alkyl-organometallics as Reaction Partners. Chem. Rev., 2011, 111, 1417-1492, Lutz AckermannらRuthenium-Catalyzed Direct Arylations Through C-H Bond Cleavages. Top Curr Chem. 2010, 292, 21. Paul Knochel らPd-, Ni-, Fe-, and Co-Catalyzed Cross-Couplings Using Functionalized Zn-, Mg-, Fe-, and In-Organometallics. Isr. J. Chem. 2010, 50, 547. Gwilherm EvanoらCopper-Mediated Coupling Reactions and Their Applications in Natural
Products and Designed Biomolecules Synthesis. Chem. Rev. 2008, 108, 3054)。
Although the example of the Heck reaction using Pd was described as the CC bond reaction, in this application, the CC bond cyclization reaction is not limited to the Heck reaction using Pd. Various reactions using Pd, such as the Suzuki reaction and the Sonogashira reaction, can be similarly performed. In this case, selection of a ligand or a base may be important. Further, the transition metal is not limited to Pd, and the CC bonding reaction can be carried out with various metals such as Ni, Ru, Co (Non-patent document Matthew S. Sigman et al. Advances in Transition Metal (Pd, Ni, Fe) -Catalyzed Cross-Coupling Reactions Using Alkyl-organometallics as Reaction Partners.Chem. Rev., 2011, 111, 1417-1492, Lutz Ackermann et al. Ruthenium-Catalyzed Direct Arylations Through CH Bond Cleavages. Top Curr Chem. 2010, 292, 21. Paul Knochel et al. Pd-, Ni-, Fe-, and Co-Catalyzed Cross-Couplings Using Functionalized Zn-, Mg-, Fe-, and In-Organometallics. Isr. J. Chem. 2010, 50, 547 Gwilherm Evano et al. Copper-Mediated Coupling Reactions and Their Applications in Natural
Products and Designed Biomolecules Synthesis. Chem. Rev. 2008, 108, 3054).
スキームC-2を構成する三角ユニットであるアミノ酸、アミノ酸類縁体、N末端カルボン酸類縁体には反応性官能基を有していれば特に限定されない。しかし、アミノ酸を選択すれば、N末端にアミンが残存するため、これが残存しない場合と比較して膜透過に不利である。このため、三角ユニットとしては、ヘテロ原子の数が少ないものがより好ましい。このようなN末端カルボン酸類縁体の例として、化合物CC‐1~CC-4に記載の化合物を挙げることができる。化合物CC-1では炭素‐炭素2重結合が反応点となる。化合物CC-2では、炭素‐炭素3重結合が反応点となる。化合物CC-3では、Xが反応点となる。Xとしてはハロゲンが好ましく、Cl, Br, I, Fの中から選択される。反応性の点からはBrとIが好ましく、Iが最も好ましい。化合物CC-4では、ほう酸エステル部分が反応点となる。R301, R302, R303は水素原子の他、置換されてもよいアルキル基、アルケニル基、アルキニル基、シクロアルキル基、アリール基、ヘテロアリール基、アラルキル基の中から選択される。これら置換基としては、置換された結果得られる化合物CC-1~CC-4が翻訳合成可能なものであれば特に限定されない。そのような置換基としてたとえば、ハロゲン基、アルコキシ基などが挙げられる。 The amino acid, amino acid analog, and N-terminal carboxylic acid analog that are triangular units constituting Scheme C-2 are not particularly limited as long as they have a reactive functional group. However, if an amino acid is selected, an amine remains at the N-terminus, which is disadvantageous for membrane permeation compared to the case where no amino acid remains. For this reason, as a triangular unit, what has few number of heteroatoms is more preferable. Examples of such N-terminal carboxylic acid analogs include compounds described in compounds CC-1 to CC-4. In compound CC-1, a carbon-carbon double bond is the reaction site. In compound CC-2, a carbon-carbon triple bond is the reaction site. In compound CC-3, X is the reaction site. X is preferably halogen, and is selected from Cl, Br, I, and F. From the viewpoint of reactivity, Br and I are preferable, and I is most preferable. In compound CC-4, the borate ester moiety becomes the reaction site. R301, R302, and R303 are selected from a hydrogen atom, an optionally substituted alkyl group, alkenyl group, alkynyl group, cycloalkyl group, aryl group, heteroaryl group, and aralkyl group. These substituents are not particularly limited as long as the compounds CC-1 to CC-4 obtained as a result of the substitution can be translationally synthesized. Examples of such a substituent include a halogen group and an alkoxy group.
R304は反応点と翻訳点(カルボン酸部位)を連結するユニットである。以下その代表的構造を示す。両ユニットをメチレン基(部分構造N-3)、エチレン基(部分構造N-4)、プロピレン基(部分構造N-5)などのC1~C6ユニットで連結させることができる。また、芳香族化合物のアリール炭素から直接連結させることもできる(部分構造N-6)。またアラルキル構造で連結させることもできる(部分構造N-7、N-8)。なお、連結位置はオルトに限定されずメタ、パラであってもよく、またフェニル基以外の置換アリール基や置換アラルキル基であってもよい。置換基としては、たとえば、ハロゲン基、アルコキシ基などが挙げられる。 R304 is a unit that links reaction points and translation points (carboxylic acid sites). The typical structure is shown below. Both units can be connected by C1 to C6 units such as a methylene group (partial structure N-3), an ethylene group (partial structure N-4), and a propylene group (partial structure N-5). It can also be directly linked from the aryl carbon of the aromatic compound (partial structure N-6). It can also be linked with an aralkyl structure (partial structures N-7, N-8). The connecting position is not limited to ortho, and may be meta or para, or may be a substituted aryl group or a substituted aralkyl group other than a phenyl group. Examples of the substituent include a halogen group and an alkoxy group.
また、スキームC-2を構成する三角ユニットのアミノ酸の例としては、側鎖に2重結合、3重結合、ハロゲン、ほう酸エステルを有するアミノ酸であれば特に限定されない。L型アミノ酸やD型アミノ酸、α‐α‐ジアルキルアミノ酸でもよいが、特にL型アミノ酸が好ましい。ドラックライクなペプチドを取得する上では、N末端のアミノ基は置換されていることが好ましい。N-メチルなどのアルキル化も可能であるが、むしろ、アシル化などのアミド化など窒素原子の塩基性を失わせる置換基の導入が好ましい。 Further, examples of the amino acid of the triangular unit constituting Scheme C-2 are not particularly limited as long as the amino acid has a double bond, triple bond, halogen, or borate ester in the side chain. L-type amino acids, D-type amino acids, and α-α-dialkyl amino acids may be used, but L-type amino acids are particularly preferred. In order to obtain a drug-like peptide, the N-terminal amino group is preferably substituted. Alkylation such as N-methyl is also possible, but rather it is preferable to introduce a substituent that loses the basicity of the nitrogen atom, such as amidation such as acylation.
また、スキームC-2を構成する三角ユニットのアミノ酸類縁体もしくはN末端カルボン酸類縁体としては、側鎖に2重結合、3重結合、ハロゲン、ほう酸エステルを有するヒドロキシカルボン酸であってもよい。アミノ酸の場合と同様、側鎖の選択には特に限定されない。α―ヒドロキシカルボン酸の他、βやγ―ヒドロキシカルボン酸であってもよい。また、側鎖に2重結合、3重結合、ハロゲン、ほう酸エステルを有するジペプチドやトリペプチドであってもよい。
Further, the amino acid analog or N-terminal carboxylic acid analog of the triangular unit constituting Scheme C-2 may be a hydroxycarboxylic acid having a double bond, triple bond, halogen, or borate ester in the side chain. . As in the case of amino acids, the selection of the side chain is not particularly limited. Besides α-hydroxycarboxylic acid, β or γ-hydroxycarboxylic acid may be used. Further, it may be a dipeptide or tripeptide having a double bond, triple bond, halogen, or borate ester in the side chain.
スキームC-2を構成する交差ユニット(○ユニット)の例としては、側鎖に2重結合、3重結合、ハロゲン、ほう酸エステルを有するアミノ酸あるいはα―ヒドロキシカルボン酸が挙げられる。アミノ酸あるいはα―ヒドロキシカルボン酸の側鎖としては、これらの反応性官能基が存在していれば、その他は特に限定されない。それぞれの反応性官能基にて置換された、置換されてもよいアルキル基、アルケニル基、アルキニル基、シクロアルキル基、アリール基、ヘテロアリール基、アラルキル基などの中から選択される。これら置換基としては、たとえば、ハロゲン基、アルコキシ基などが挙げられる。
L型、D型、α―α―ジアルキル型のいずれも許容されるが、α位に水素原子が存在する場合にはL型アミノ酸もしくはアミノ酸類縁体が好ましい。
Examples of the crossing unit (◯ unit) constituting Scheme C-2 include an amino acid or α-hydroxycarboxylic acid having a double bond, triple bond, halogen, or borate ester in the side chain. The side chain of the amino acid or α-hydroxycarboxylic acid is not particularly limited as long as these reactive functional groups are present. It is selected from an optionally substituted alkyl group, alkenyl group, alkynyl group, cycloalkyl group, aryl group, heteroaryl group, aralkyl group and the like substituted with each reactive functional group. Examples of these substituents include a halogen group and an alkoxy group.
Any of L-type, D-type and α-α-dialkyl type is acceptable, but when a hydrogen atom is present at the α-position, an L-type amino acid or amino acid analog is preferred.
三角ユニットと交差ユニット(○)ユニットの組み合わせは、Pdなどの遷移金属により縮合反応させられる組み合わせであれば特に限定されない。 The combination of the triangular unit and the crossing unit (◯) unit is not particularly limited as long as it is a combination that can undergo a condensation reaction with a transition metal such as Pd.
・ペプチド化合物の化学合成
本発明のペプチド化合物は、化学合成することによって製造することも可能である。
例えば、Fmoc合成と呼ばれる方法とBoc合成と呼ばれる方法が挙げられる。Fmoc合成では、主鎖アミノ基をFmoc基により保護され、側鎖官能基を必要に応じてピペリジンなどの塩基性で切断されない保護基で保護され、主鎖カルボン酸を保護しないアミノ酸を基本単位とする。その他、Fmoc保護されたアミノ基とカルボン酸基を有する組み合わせであれば、特に限定されない。例えばジペプチドを基本単位としてもよい。N末端に配置させる基本単位には、Fmocアミノ酸以外であってもよい。例えば、Bocアミノ酸であってもよく、アミノ基を有しないカルボン酸類縁体であってもよい。主鎖カルボン酸基を固相担体の官能基との化学反応により固相に担持させる。続いてピペリジンやDBUなどの塩基によりFmoc基を脱保護し、新たに生じたアミノ基と続いて添加される基本単位のカルボン酸を有する保護アミノ酸とを縮合反応させることで、ペプチド結合を生成させる。縮合反応では、DICとHOBtの組み合わせ、DICとHOAtの組み合わせ、HATUとDIPEAとの組み合わせなど様々な組み合わせが可能である。脱Fmoc基とそれに続くペプチド結合生成反応の繰り返しにより、望みのペプチド配列を生成させることができる。望みの配列が得られた後、固相からの切り出しと必要に応じて導入した側鎖官能基の保護基の脱保護が行われる。また、固相からの切り出しを行う前にペプチドの構造変換や環化を行うことも可能である。固相からの切り出しと、脱保護は同一の条件、例えば90:10のTFA/H2Oで行っても良いし、必要に応じて別々の条件で脱保護しても良い。固相からの切り出しは、1% TFAなどの弱酸での切り出しが可能なものもあれば、保護基としてPdなどを利用して、両者の化学反応の直行性を利用することが可能である。これらの工程の間もしくは最後に、環化などの工程を実施することもできる。例えば、側鎖カルボン酸とN末端主鎖のアミノ基とを縮合させることや、側鎖アミノ基とC末端主鎖のカルボン酸を縮合させることができる。この際、C末端側のカルボン酸と環化させる側鎖カルボン酸の間、もしくはN末端側の主鎖アミノ基またはヒドロキシル基と環化させる側鎖アミノ基の間で反応直行性が必要であり、前述のとおり保護基の直行性を考慮して保護基の選択が行われる。このようにして得られた反応物を逆相カラムや、分子ふるいカラムなどで精製することができる。これらの詳細は、例えばメルク株式会社が平成14年5月1日に発行した固相合成ハンドブックなどに記載されている。
-Chemical synthesis of peptide compounds The peptide compounds of the present invention can also be produced by chemical synthesis.
For example, there is a method called Fmoc synthesis and a method called Boc synthesis. In Fmoc synthesis, the main chain amino group is protected with an Fmoc group, the side chain functional group is protected with a basic non-cleavable protecting group such as piperidine as necessary, and an amino acid that does not protect the main chain carboxylic acid as a basic unit. To do. In addition, there is no particular limitation as long as it is a combination having an Fmoc-protected amino group and a carboxylic acid group. For example, a dipeptide may be used as a basic unit. The basic unit arranged at the N-terminus may be other than the Fmoc amino acid. For example, it may be a Boc amino acid or a carboxylic acid analog having no amino group. The main chain carboxylic acid group is supported on the solid phase by a chemical reaction with the functional group of the solid phase carrier. Subsequently, the Fmoc group is deprotected with a base such as piperidine or DBU, and a peptide bond is generated by a condensation reaction between a newly generated amino group and a protected amino acid having a basic unit carboxylic acid added subsequently. . In the condensation reaction, various combinations such as a combination of DIC and HOBt, a combination of DIC and HOAt, and a combination of HATU and DIPEA are possible. The desired peptide sequence can be generated by repeating the de-Fmoc group and the subsequent peptide bond formation reaction. After the desired sequence is obtained, excision from the solid phase and deprotection of the protecting group of the introduced side chain functional group are performed as necessary. It is also possible to perform structural transformation or cyclization of the peptide before excision from the solid phase. The excision from the solid phase and the deprotection may be performed under the same conditions, for example, 90:10 TFA / H 2 O, or may be deprotected under different conditions as necessary. If there is one that can be cleaved with a weak acid such as 1% TFA, it is possible to use the orthogonality of both chemical reactions using Pd as a protecting group. Steps such as cyclization can also be performed during or at the end of these steps. For example, the side chain carboxylic acid and the amino group of the N-terminal main chain can be condensed, or the side chain amino group and the C-terminal main chain carboxylic acid can be condensed. In this case, it is necessary to perform direct reaction between the carboxylic acid on the C-terminal side and the side chain carboxylic acid to be cyclized, or between the main chain amino group on the N-terminal side or the hydroxyl group and the side chain amino group to be cyclized. As described above, the protecting group is selected in consideration of the orthogonality of the protecting group. The reaction product thus obtained can be purified by a reverse phase column, a molecular sieve column or the like. These details are described, for example, in a solid-phase synthesis handbook issued by Merck on May 1, 2002.
・ドラックライクなペプチド化合物又はペプチド化合物-核酸複合体の作製
さらに本発明は、所望の活性を有するドラックライクなペプチド化合物又はペプチド化合物-核酸複合体を製造する方法を提供する。
Production of drug-like peptide compound or peptide compound-nucleic acid complex The present invention further provides a method for producing a drug-like peptide compound or peptide compound-nucleic acid complex having a desired activity.
所望の活性を有するドラックライクなペプチド化合物-核酸複合体を製造する方法としては、例えば以下の工程を含む製造方法を挙げることができる:
(i)アミノ酸及びアミノ酸類縁体の総数が9~13残基である非環状ペプチド化合物を翻訳合成して、当該非環状ペプチド化合物とそれをコードする核酸配列がリンカーを介して結合している複合体からなる非環状ペプチド化合物-核酸複合体を形成する工程
(ii)工程(i)で翻訳合成された複合体の非環状ペプチド化合物をアミド結合又は炭素-炭素結合によって環化し、環状部のアミノ酸及びアミノ酸類縁体の残基数の合計が5~12となる環状化合物を形成する工程
(iii)工程(ii)で得られた環状部を有するペプチド化合物-核酸複合体ライブラリーと生体内分子とを接触させ、当該生体内分子に対して結合活性を有する複合体を選択する工程。
Examples of a method for producing a drug-like peptide compound-nucleic acid complex having a desired activity include a production method including the following steps:
(i) A compound in which a non-cyclic peptide compound having 9 to 13 residues of amino acids and amino acid analogs is translated and synthesized, and the non-cyclic peptide compound and the nucleic acid sequence encoding it are linked via a linker Forming a non-cyclic peptide compound-nucleic acid complex comprising
(ii) The acyclic peptide compound of the complex translated and synthesized in step (i) is cyclized by an amide bond or a carbon-carbon bond, and the total number of amino acids in the cyclic part and amino acid analogs is 5 to 12. Forming a cyclic compound comprising
(iii) A step of contacting the peptide compound-nucleic acid complex library having a circular portion obtained in step (ii) with an in vivo molecule and selecting a complex having binding activity to the in vivo molecule.
さらに、上記の工程で選択された複合体から、所望の活性を有するドラックライクなペプチド化合物を製造することができる。
例えば以下の工程を含む製造方法を挙げることができる:
(iv)前記工程(iii)で選択された複合体の核酸配列からペプチド化合物の配列情報を得る工程、および、
(v)前記工程(iv)で得られた配列情報に基づきペプチド化合物を化学合成する工程
さらに、上記の製造工程において、前記非環状ペプチド化合物がα-ヒドロキシカルボン酸、及び、保護されていてもよい側鎖にアミノ基を有するアミノ酸又はアミノ酸類縁体を含み、工程(ii)の環状化合物を形成する工程の前又は後で、α―ヒドロキシカルボン酸部位と側鎖にアミノ基を有するアミノ酸又はアミノ酸類縁体部位を化学反応させて分枝部位を形成させる工程を含んでいてもよい。当該工程により、環状部の様々な位置に上述の直鎖部2を有するペプチド化合物を製造することが可能である。
Furthermore, a drug-like peptide compound having a desired activity can be produced from the complex selected in the above step.
For example, a production method including the following steps can be mentioned:
(iv) obtaining sequence information of the peptide compound from the nucleic acid sequence of the complex selected in the step (iii), and
(v) a step of chemically synthesizing the peptide compound based on the sequence information obtained in the step (iv). Further, in the above production step, the acyclic peptide compound may be α-hydroxycarboxylic acid and protected. An amino acid or amino acid having an amino group in the side chain and an amino acid or amino acid analog having an amino group in a good side chain and before or after the step of forming the cyclic compound in step (ii) A step of chemically reacting the analog site to form a branched site may be included. By this process, it is possible to produce peptide compounds having the above-mentioned
ここで、上述の工程(i)に記載のアミノ酸及びアミノ酸類縁体の総数、及び、工程(ii)に記載の環状部のアミノ酸及びアミノ酸類縁体の残基数の合計には、翻訳後修飾によって除かれるアミノ酸又はアミノ酸類縁体は含まれない。例えば、上述のスキームF3において、直鎖部2を有するペプチド化合物の製造中で翻訳後修飾中に当該ペプチドから脱離されるCys-Pro配列は、工程(i)及び(ii)のアミノ酸及びアミノ酸類縁体の数には含まれない、その他、例えば、ペプチド化合物とRNAのリンカー部位としてGly-Serの繰り返し構造部を含むものを利用する場合は当該Gly-Serの繰り返し構造部や、固定されているアミノ酸領域、本発明の環状部を有するペプチド化合物、特にドラックライクなペプチド化合物部分と核酸とを結合させる目的の部分はリンカーに含まれ、工程(i)及び(ii)のアミノ酸及びアミノ酸類縁体の数には含まれない。その場合には、工程(ii)の環化後の環部の残基数は5~11ではなくそれより長い残基数であるが、直鎖部2を生成させる反応後に環部の残基数が5~11になればよい。
Here, the total number of amino acids and amino acid analogs described in step (i) above and the total number of amino acids and amino acid analogs in the cyclic part described in step (ii) are determined by post-translational modification. Amino acids or amino acid analogs that are excluded are not included. For example, in the above-mentioned scheme F3, the Cys-Pro sequence that is eliminated from the peptide during post-translational modification during the production of the peptide compound having the
なお、本製造方法では、工程(ii)や工程(v)において、上述のドラックライクなペプチド化合物とするための化学修飾、最適化するための化学修飾を行ってもよい。また、本発明において、標的物質は生体内分子が好ましい。本発明における「生体内分子」とは、生体内の分子であれば特に限定されないが、疾患治療のターゲットとなる分子が好ましく、特に、従来の分子量500未満の低分子化合物が結合し得る穴(キャビティ)を有していない分子や、抗体等の高分子化合物がアクセスすることのできない細胞内蛋白、核酸、膜蛋白の細胞内領域又は膜蛋白の膜貫通ドメイン等が好ましい。
具体的には例えば、STAT, AP1, CREB, SREBPなどの転写因子、ムスカリン性アセチルコリン受容体, カンナビノイド受容体、GLP-1受容体、PTH受容体などのGタンパク質共役型受容体(GPCR)、TNF、TNFR、IL-6、IL-6R等のサイトカインやそのレセプター、P2X受容体, ニコチン性アセチルコリン受容体などのイオンチャネル型受容体、イオンチャネル、トランスポーター、miR-21, miR206などのmicroRNAなどが挙げられる。
また、環状部の形成には、例えば、上述の環化反応を利用して形成することが可能であり、当該環化反応によって、アミド結合や炭素-炭素結合を形成させることが可能である。
In this production method, in step (ii) and step (v), chemical modification for making the aforementioned drug-like peptide compound and chemical modification for optimization may be performed. In the present invention, the target substance is preferably an in vivo molecule. The `` in vivo molecule '' in the present invention is not particularly limited as long as it is an in vivo molecule, but is preferably a molecule that is a target for treatment of a disease, and in particular, a hole to which a conventional low molecular weight compound having a molecular weight of less than 500 can bind ( Molecules that do not have a cavity), intracellular proteins, nucleic acids, intracellular regions of membrane proteins or transmembrane domains of membrane proteins that are inaccessible to high molecular compounds such as antibodies are preferred.
Specifically, for example, transcription factors such as STAT, AP1, CREB, and SREBP, muscarinic acetylcholine receptors, cannabinoid receptors, GLP-1 receptors, PTH receptors and other G protein-coupled receptors (GPCR), TNF , TNFR, IL-6, IL-6R and other cytokines and their receptors, P2X receptors, ion channel receptors such as nicotinic acetylcholine receptor, ion channels, transporters, miRNAs such as miR-21 and miR206 Can be mentioned.
In addition, the cyclic portion can be formed, for example, using the cyclization reaction described above, and an amide bond or a carbon-carbon bond can be formed by the cyclization reaction.
また、ペプチド化合物-核酸複合体の合成工程において、無細胞翻訳系など公知の技術を用いることができる。具体的には、以下のような方法を用いて作製することができる。 In the synthesis step of the peptide compound-nucleic acid complex, a known technique such as a cell-free translation system can be used. Specifically, it can be produced using the following method.
転移RNA(tRNA)は、分子量25000から30000で、3'末端のCCA配列を含む鎖長73~93塩基からなるRNAで、3'末端を介してアミノ酸のカルボキシ末端とエステル結合したアミノアシル化tRNAとしてポリペプチド伸長因子(EF-Tu)、GTPと三重複合体を形成しribosomeに運ばれ、ribosomeによるmRNAの塩基配列情報のアミノ酸配列への翻訳において、tRNAの配列中のアンチコドンとmRNAのコドンとの塩基対形成によってコドンの識別に関与するRNAである。細胞内で生合成されるtRNAには共有結合的に修飾された塩基が含まれており、tRNAのコンフォメーションやアンチコドンの塩基対形成に影響し、tRNAのコドン識別を助けていることがある。一般的な試験管内転写にて合成したtRNAは所謂核酸塩基であるアデニン、ウラシル、グアニン、シトシンから成るが、細胞内から調製したものや化学的に合成したものにはその他のメチル化体、含硫誘導体、脱アミノ誘導体、イソペンテニル基やトレオニンを含むアデノシン誘導体などの修飾塩基を含むものもあり、pdCpA法などを利用した場合にデオキシ塩基を含む場合もある。 Transfer RNA (tRNA) is an RNA consisting of 73 to 93 bases with a molecular weight of 25000 to 30000 and a CCA sequence at the 3 ′ end, and an aminoacylated tRNA ester-linked to the carboxy terminus of the amino acid via the 3 ′ end. Polypeptide elongation factor (EF-Tu), which forms a triple complex with GTP, is transported to ribosome, and in translating mRNA nucleotide sequence information into amino acid sequence by ribosome, the anticodon in the tRNA sequence and the codon of mRNA RNA involved in codon discrimination by base pairing. A tRNA biosynthesized in a cell contains a covalently modified base, which may affect tRNA conformation and anticodon base pairing, thereby assisting in tRNA codon discrimination. TRNA synthesized by general in vitro transcription consists of so-called nucleobases adenine, uracil, guanine, and cytosine, but those prepared from cells and chemically synthesized include other methylated products. Some of them contain modified bases such as sulfur derivatives, deaminated derivatives, adenosine derivatives containing isopentenyl groups and threonine, and sometimes contain deoxy bases when using the pdCpA method.
所望のtRNA配列をコードし、上流にT7, T3もしくはSP6プロモーターを配置した鋳型DNAを用意し、T7 RNA polymeraseやT3, SP6 RNA polymeraseなどプロモーターに適応したRNAポリメラーゼを利用して転写によってRNAを合成することが出来る。細胞からtRNAを抽出精製し、tRNAの配列の相補配列のプローブを用いて目的の生成tRNAを抽出することも出来る。この際目的のtRNAの発現ベクターで形質転換した細胞をソースにすることも出来る。化学合成によって目的の配列のRNAを合成することも出来る。例えば、このようにして得られた3'末端のCCA配列からCAを除いたtRNAと別途調製したアミノアシル化したpdCpAとをRNAリガーゼで結合させることでアミノアシルtRNAを得ることが出来る(pdCpA法)。全長tRNAを用意し、種々の非天然アミノ酸の活性エステルをtRNAに担持させるリボザイムであるフレキシザイムによるアミノアシル化も可能である。この他にも後述の方法を用いることによってアシル化tRNAを得ることが出来る。 Prepare a template DNA that encodes the desired tRNA sequence and arranges a T7, T3 or SP6 promoter upstream, and synthesizes RNA by transcription using RNA polymerase suitable for the promoter such as T7 RNA polymerase and T3,3SP6 RNA polymerase. I can do it. It is also possible to extract and purify tRNA from the cells, and extract the target generated tRNA using a probe having a sequence complementary to the sequence of tRNA. At this time, cells transformed with the expression vector of the target tRNA can also be used as a source. RNA of the target sequence can also be synthesized by chemical synthesis. For example, an aminoacyl-tRNA can be obtained by binding a tRNA obtained by removing CA from the 3'-terminal CCA sequence thus obtained and an aminoacylated pdCpA separately prepared with RNA ligase (pdCpA method). Aminoacylation by flexizyme, which is a ribozyme that prepares full-length tRNA and supports active esters of various unnatural amino acids on tRNA, is also possible. In addition, acylated tRNA can be obtained by using the method described later.
大腸菌の翻訳に必要な蛋白因子類(メチオニルtRNAトランスフォルミラーゼ、 EF-G、RF1、RF2、RF3、RRF、IF1、IF2、IF3、EF-Tu、EF-Ts、ARS(AlaRS、ArgRS、AsnRS、AspRS、CysRS、GlnRS、GluRS、GlyRS、HisRS、IleRS、LeuRS、LysRS、MetRS、PheRS、ProRS、SerRS、ThrRS、TrpRS、TyrRS、ValRSから必要なものを選ぶ) )、リボソーム、アミノ酸、クレアチンキナーゼ、ミオキナーゼ、無機ピロフォスファターゼ、ヌクレオシド二リン酸キナーゼ、E. coli 由来tRNA、クレアチンリン酸、グルタミン酸カリウム、HEPES-KOH pH7.6、酢酸マグネシウム、スペルミジン、ジチオスレイトール、GTP、ATP、CTP、UTPなどを混合したPUREsystemにmRNAを加えることによってペプチドに翻訳することが出来る。また、T7 RNA polymeraseを加えておけばT7プロモーターを含む鋳型DNAからの転写、翻訳を共役して行なうこともできる。このとき所望のアシル化tRNA群やARSが許容する非天然アミノ酸群(例えばF-Tyr)を系に添加することによって非天然アミノ酸群を含むペプチドを翻訳合成することが出来る(Kawakami T, et al. Ribosomal synthesis of polypeptoids and peptoid-peptide hybrids. J Am Chem Soc. 2008, 130, 16861-3., Kawakami T, et al. Diverse backbone-cyclized peptides via codon reprogramming. Nat Chem Biol. 2009, 5, 888-90.)。あるいは、ribosomeやEF-Tuなどの変異体を利用することによって非天然アミノ酸の翻訳導入の効率を高めることも出来る(Dedkova LM, et al. Construction of modified ribosomes for incorporation of D-amino acids into proteins. Biochemistry. 2006, 45, 15541-51., Doi Y,et al. Elongation factor Tu mutants expand amino acid tolerance of protein biosynthesis system. J Am Chem Soc. 2007, 129, 14458-62., Park HS,et al. Expanding the genetic code of Escherichia coli with phosphoserine. Science. 2011, 333, 1151-4.)。 Protein factors required for translation of E. coli (methionyl tRNA transformylase, EF-G, RF1, RF2, RF3, RRF, IF1, IF2, IF3, EF-Tu, EF-Ts, ARS (AlaRS, ArgRS, AsnRS, AspRS, CysRS, GlnRS, GluRS, GlyRS, HisRS, IleRS, LeuRS, LysRS, MetRS, PheRS, ProRS, SerRS, ThrRS, TrpRS, TyrRS, ValRS (choose what you need) , Inorganic pyrophosphatase, nucleoside diphosphate kinase, E. coli derived tRNA, creatine phosphate, potassium glutamate, HEPES-KOH pH7.6, magnesium acetate, spermidine, dithiothreitol, GTP, ATP, CTP, UTP, etc. Can be translated into peptides by adding mRNA to the PUREsystem. In addition, if T7-RNA-polymerase is added, transcription and translation from a template DNA containing a T7 promoter can be performed in a coupled manner. At this time, a peptide containing an unnatural amino acid group can be translated and synthesized by adding a desired acylated tRNA group or an unnatural amino acid group allowed by ARS (for example, F-Tyr) to the system (Kawakami T, et al . Ribosomal synthesis of polypeptoids and peptoid-peptide hybrids. J Am Chem Soc. 2008, 130, 16861-3., Kawakami T, et al. Diverse backbone-cyclized peptides via codon reprogramming. Nat 2009-Chem Biol. 90.) Alternatively, it is possible to increase the efficiency of transducing unnatural amino acids by using mutants such as ribosome and EF-Tu (Dedkova LM, et al. Construction of modified ribosomes for incorporation of D-amino acids into proteins. Biochemistry. 2006, 45, 15541-51., Doi Y, et al. Elongation factor Tu mutants expand amino acid tolerance of protein biosynthesis system. J Am Chem Soc. 2007, 129, 14458-62., Park HS, et al. Expanding the genetic code of Escherichia coli with phosphorinerine. Science. 2011, 333, 1151-4.).
mRNAディスプレイライブラリーは、まずT7プロモーターなどのプロモーターの下流に所望の配列を配置したDNAのライブラリーを化学合成し、これを鋳型にプライマー伸長反応にて二本鎖DNAにする。これを鋳型にT7 RNApolymeraseなどのRNAポリメラーゼを用いてmRNAに転写する。このRNAの3'末端にアミノアシルtRNAのアナログである抗生物質ピューロマイシンなどがつながったリンカー(スペーサー)を結合する。これを上記のPUREsystemなど公知の無細胞翻訳系に加え、保温することによってmRNAが翻訳され、mRNAとこれにコードされるペプチドがピューロマイシンを介して連結される。このようにしてmRNAとその産物が対応付けられたmRNAとその産物の複合体からなるディスプレイライブラリーを構築することが出来る。 First, an mRNA display library is obtained by chemically synthesizing a DNA library in which a desired sequence is arranged downstream of a promoter such as a T7 promoter, and using this as a template to make a double-stranded DNA by a primer extension reaction. Using this as a template, it is transcribed into mRNA using RNA polymerase such as T7 RNA polymerase. A linker (spacer) to which the antibiotic puromycin, which is an analog of aminoacyl tRNA, is connected to the 3 ′ end of this RNA is bound. This is added to a known cell-free translation system such as the above-mentioned PUREsystem and incubated, whereby the mRNA is translated, and the mRNA and the peptide encoded thereby are linked via puromycin. In this way, a display library comprising a complex of mRNA and its product in which mRNA and its product are associated can be constructed.
さらに、所望の固定した標的に当該ライブラリーを接触させ、標的に結合しない分子を洗い流すことで標的に結合する分子を濃縮することが出来る(パニング)。このように選択された分子についている遺伝子情報を含むタグであるmRNAからcDNAを合成し、PCR増幅し、塩基配列を解析することで結合したペプチドの配列を明らかにすることが出来る。 Furthermore, by contacting the library with a desired fixed target and washing away molecules that do not bind to the target, molecules that bind to the target can be concentrated (panning). By synthesizing cDNA from mRNA, which is a tag containing gene information attached to the molecule thus selected, PCR amplification and analysis of the base sequence can reveal the sequence of the bound peptide.
本発明では、環化ペプチド化合物-核酸複合体ディスプレイライブラリーの構築、さらには構築されたディスプレイライブラリーから、標的に結合する環化ペプチド化合物(環状部を有するペプチド化合物)もしくは環化分枝ペプチド(環状部に更に直鎖部2を有するペプチド化合物)の取得は、具体的には、例えば以下の様態に示す方法〔I〕~〔XVII〕によって行なうことができる。
In the present invention, a cyclized peptide compound-nucleic acid complex display library is constructed, and further, a cyclized peptide compound (a peptide compound having a cyclic portion) or a cyclized branched peptide that binds to a target from the constructed display library. Specifically, (the peptide compound further having a
initiation read through
〔I〕 本発明の環状部を有するペプチド化合物の製造方法は、以下の1又は複数の工程を含むことができる。
A) 化合物C-1をアミノアシル化したpdCpAを提供する工程
B) 3'末端のCAを欠損するtRNAを提供する工程
C) 工程A)のpdCpAと前記の工程B)のtRNAを連結させ、化合物C-1をアミノアシル化した開始tRNAを提供する工程
D) 工程C)のtRNAを含みメチオニン、メチオニルtRNA合成酵素(MetRS)、メチオニン用翻訳開始tRNA、フォルミルドナー、メチオニルtRNAトランスフェラーゼのいずれかを含まない無細胞翻訳系を提供する工程
E) プロモーターの下流に、翻訳開始ATGに続いてシステインコドンUGUもしくはUGCを、その下流に工程C)のtRNAのアンチコドンに対応するコドンを含むペプチド配列をコードした鋳型DNAライブラリーを提供する工程
F) 工程E)の鋳型DNAライブラリーからmRNAライブラリーを提供する工程
G) 工程F)のmRNAライブラリーの3'末端にスペーサーを結合させる工程
H) 工程D)の無細胞翻訳系に工程G)のスペーサーを結合したmRNAライブラリーを加え、翻訳することで、環化前ペプチド化合物-mRNA複合体ディスプレイライブラリーを提供する工程
I) 環状構造を形成させる工程
環状構造の形成においては、必要に応じて脱硫反応を行うことができる。また本発明においては、工程G)の後、mRNAライブラリーの3'領域にアニールするプライマーにてcDNAを合成する工程を含むことができる。
さらに本発明の方法は、以下の工程を含むことができる。
J) パニングにて、標的物質に結合したmRNAライブラリーを濃縮する工程
K) 逆転写酵素にてcDNAを合成する工程
L) 塩基配列を解析する工程
initiation read through
[I] The method for producing a peptide compound having a cyclic part according to the present invention may include the following one or more steps.
A) Step of providing pdCpA obtained by aminoacylating compound C-1
B) Step of providing tRNA lacking 3′-terminal CA
C) A step of ligating the pdCpA of step A) and the tRNA of step B) to provide a starting tRNA in which compound C-1 is aminoacylated.
D) A step of providing a cell-free translation system that contains the tRNA of step C) and does not contain any of methionine, methionyl tRNA synthetase (MetRS), translation initiation tRNA for methionine, formyl donor, or methionyl tRNA transferase.
E) A step of providing a template DNA library encoding a peptide sequence containing a codon corresponding to the anticodon of the tRNA of step C) downstream of the promoter, followed by a cysteine codon UGU or UGC following the translation initiation ATG
F) Step of providing an mRNA library from the template DNA library of step E)
G) A step of attaching a spacer to the 3 ′ end of the mRNA library in step F)
H) Step of providing a pre-cyclization peptide compound-mRNA complex display library by adding and translating the mRNA library to which the spacer of Step G) is bound to the cell-free translation system of Step D)
I) Step of forming a cyclic structure In the formation of a cyclic structure, a desulfurization reaction can be performed as necessary. In the present invention, after step G), a step of synthesizing cDNA with a primer that anneals to the 3 ′ region of the mRNA library may be included.
Furthermore, the method of the present invention can include the following steps.
J) Step of concentrating the mRNA library bound to the target substance by panning
K) Step of synthesizing cDNA with reverse transcriptase
L) Process of analyzing the base sequence
〔II〕 また、 本発明の環状部を有するペプチド化合物の製造方法は、以下の1又は複数の工程を含むことができる。
A) 化合物C-1をアミノアシル化したpdCpAを提供する工程
B) 3'末端のCAを欠損するtRNAを提供する工程
C) 工程A)のpdCpAと前記の工程B)のtRNAを連結させ、化合物C-1をアミノアシル化した開始tRNAを提供する工程
D) 工程C)のtRNAを含む無細胞翻訳系を提供する工程
E) プロモーターの下流に、翻訳開始ATGに続いてシステインコドンUGUもしくはUGCを、その下流に工程C)のtRNAのアンチコドンに対応するコドンを含むペプチド配列をコードした鋳型DNAライブラリーを提供する工程
F) 工程E)の鋳型DNAライブラリーからmRNAライブラリーを提供する工程
G) 工程F)のmRNAライブラリーの3'末端にスペーサーを結合させる工程
H) 工程D)の無細胞翻訳系に工程G)のスペーサーを結合したmRNAライブラリーを加え、翻訳することで、環化前ペプチド化合物-mRNA複合体ディスプレイライブラリーを提供する工程
I) 工程H)のライブラリーにペプチドデフォルミラーゼ、メチオニン アミノペプチダーゼを作用させる工程
H,Iの工程は翻訳時にペプチドデフォルミラーゼ、メチオニン アミノペプチダーゼを系に加えることにより同時に実施することもできる。
J) 環状構造を形成させる工程
環状構造の形成においては、必要に応じて脱硫反応を行うことができる。また本発明においては、工程H)ないし工程I)の後、mRNAライブラリーの3'領域にアニールするプライマーにてcDNAを合成する工程を含むことができる。
さらに本発明の方法は、以下の工程を含むことができる。
J) パニングにて、標的物質に結合したmRNAライブラリーを濃縮する工程
K) 逆転写酵素にてcDNAを合成する工程
L) 塩基配列を解析する工程
[II] Moreover, the manufacturing method of the peptide compound which has a cyclic part of this invention can include the following 1 or several processes.
A) Step of providing pdCpA obtained by aminoacylating compound C-1
B) Step of providing tRNA lacking 3′-terminal CA
C) A step of ligating the pdCpA of step A) and the tRNA of step B) to provide a starting tRNA in which compound C-1 is aminoacylated.
D) Step of providing a cell-free translation system comprising the tRNA of step C)
E) A step of providing a template DNA library encoding a peptide sequence containing a codon corresponding to the anticodon of the tRNA of step C) downstream of the promoter, followed by a cysteine codon UGU or UGC following the translation initiation ATG
F) Step of providing an mRNA library from the template DNA library of step E)
G) A step of attaching a spacer to the 3 ′ end of the mRNA library in step F)
H) Step of providing a pre-cyclization peptide compound-mRNA complex display library by adding and translating the mRNA library to which the spacer of Step G) is bound to the cell-free translation system of Step D)
I) Step of allowing peptide deformylase and methionine aminopeptidase to act on the library of step H) Steps H and I can be carried out simultaneously by adding peptide deformylase and methionine aminopeptidase to the system during translation.
J) Step of forming a cyclic structure In the formation of a cyclic structure, a desulfurization reaction can be performed as necessary. In addition, the present invention may include a step of synthesizing cDNA with a primer that anneals to the 3 ′ region of the mRNA library after step H) to step I).
Furthermore, the method of the present invention can include the following steps.
J) Step of concentrating the mRNA library bound to the target substance by panning
K) Step of synthesizing cDNA with reverse transcriptase
L) Process of analyzing the base sequence
〔III〕 あるいは本発明の環状部を有するペプチド化合物の製造方法は、以下の1又は複数の工程を含むことができる。
A) 化合物C-3(R2=R3=R28=R29=H、L-アスパラギン酸誘導体)をアミノアシル化したpdCpAを提供する工程
B) 3'末端のCAを欠損するtRNAを提供する工程
C) 工程A)のpdCpAと工程B)のtRNAを連結させ、化合物C-3をアミノアシル化した開始tRNAを提供する工程
D) 工程C)のtRNAを含みメチオニン、メチオニルtRNA合成酵素(MetRS)、メチオニン用翻訳開始tRNA、フォルミルドナー、メチオニルtRNAトランスフェラーゼのいずれかを含まない無細胞翻訳系を提供する工程
E) プロモーターの下流に、翻訳開始コドンATGの次にシステインコドンを有し、さらにその下流に、工程C)のtRNAのアンチコドンに対応するコドンを有する鋳型DNAライブラリーであって、ペプチド配列をコードする鋳型DNAライブラリーを提供する工程
F) 工程E)の鋳型DNAライブラリーからmRNAライブラリーを提供する工程
G) 工程F)のmRNAライブラリーの3'末端にスペーサーを結合させる工程
H) 工程D)の無細胞翻訳系に工程G)のスペーサーを結合したmRNAライブラリーを加え、翻訳することで、環化前ペプチド化合物-mRNA複合体ディスプレイライブラリーを提供する工程
I) 環状構造を形成させた後、脱硫反応をさせる工程
本発明においては、工程G)の後、mRNAライブラリーの3'領域にアニールするプライマーにてcDNAを合成する工程する工程を含むことができる。さらに本発明の方法は、以下の工程を含むことができる。J) パニングにて、標的物質に結合したmRNAライブラリーを濃縮する工程
K) 逆転写酵素にてcDNAを合成する工程
L) 塩基配列を解析する工程
[III] Or the manufacturing method of the peptide compound which has a cyclic part of this invention can include the following 1 or several processes.
A) Providing pdCpA obtained by aminoacylating compound C-3 (R2 = R3 = R28 = R29 = H, L-aspartic acid derivative)
B) Step of providing tRNA lacking 3′-terminal CA
C) A step of ligating the pdCpA of step A) and the tRNA of step B) to provide a starting tRNA obtained by aminoacylating compound C-3
D) A step of providing a cell-free translation system that contains the tRNA of step C) and does not contain any of methionine, methionyl tRNA synthetase (MetRS), translation initiation tRNA for methionine, formyl donor, or methionyl tRNA transferase.
E) A template DNA library having a cysteine codon next to the translation initiation codon ATG downstream of the promoter and further having a codon corresponding to the anticodon of the tRNA of step C), which encodes the peptide sequence Providing a template DNA library
F) Step of providing an mRNA library from the template DNA library of step E)
G) A step of attaching a spacer to the 3 ′ end of the mRNA library in step F)
H) Step of providing a pre-cyclization peptide compound-mRNA complex display library by adding and translating the mRNA library to which the spacer of Step G) is bound to the cell-free translation system of Step D)
I) Step of forming a circular structure followed by desulfurization reaction In the present invention, after step G), a step of synthesizing cDNA with a primer that anneals to the 3 ′ region of the mRNA library may be included. it can. Furthermore, the method of the present invention can include the following steps. J) Step of concentrating the mRNA library bound to the target substance by panning
K) Step of synthesizing cDNA with reverse transcriptase
L) Process of analyzing the base sequence
〔IV〕 あるいは本発明の環状部を有するペプチド化合物の製造方法は、以下の1又は複数の工程を含むことができる。
A) 化合物C-3(R2=R3=R28=R29=H、L-アスパラギン酸誘導体)をアミノアシル化したpdCpAを提供する工程
B) 3'末端のCAを欠損するtRNAを提供する工程
C) 工程A)のpdCpAと工程B)のtRNAを連結させ、化合物C-3をアミノアシル化した開始tRNAを提供する工程
D) 工程C)のtRNAを含む無細胞翻訳系を提供する工程
E) プロモーターの下流に、翻訳開始コドンATGの次にシステインコドンを有し、さらにその下流に、工程C)のtRNAのアンチコドンに対応するコドンを有する鋳型DNAライブラリーであって、ペプチド配列をコードする鋳型DNAライブラリーを提供する工程
F) 工程E)の鋳型DNAライブラリーからmRNAライブラリーを提供する工程
G) 工程F)のmRNAライブラリーの3'末端にスペーサーを結合させる工程
H) 工程D)の無細胞翻訳系に工程G)のスペーサーを結合したmRNAライブラリーを加え、翻訳することで、環化前ペプチド化合物-mRNA複合体ディスプレイライブラリーを提供する工程
I) 工程H)のライブラリーにペプチドデフォルミラーゼ、メチオニン アミノペプチダーゼを作用させる工程
H,Iの工程は翻訳時にペプチドデフォルミラーゼ、メチオニン アミノペプチダーゼを系に加えることにより同時に実施することもできる。
I) 環状構造を形成させた後、脱硫反応をさせる工程
本発明においては、工程G)の後、mRNAライブラリーの3'領域にアニールするプライマーにてcDNAを合成する工程する工程を含むことができる。さらに本発明の方法は、以下の工程を含むことができる。J) パニングにて、標的物質に結合したmRNAライブラリーを濃縮する工程
K) 逆転写酵素にてcDNAを合成する工程
L) 塩基配列を解析する工程
[IV] Or the manufacturing method of the peptide compound which has a cyclic part of this invention can include the following 1 or several processes.
A) Providing pdCpA obtained by aminoacylating compound C-3 (R2 = R3 = R28 = R29 = H, L-aspartic acid derivative)
B) Step of providing tRNA lacking 3′-terminal CA
C) A step of ligating the pdCpA of step A) and the tRNA of step B) to provide a starting tRNA obtained by aminoacylating compound C-3
D) Step of providing a cell-free translation system comprising the tRNA of step C)
E) A template DNA library having a cysteine codon next to the translation initiation codon ATG downstream of the promoter and further having a codon corresponding to the anticodon of the tRNA of step C), which encodes the peptide sequence Providing a template DNA library
F) Step of providing an mRNA library from the template DNA library of step E)
G) A step of attaching a spacer to the 3 ′ end of the mRNA library in step F)
H) Step of providing a pre-cyclization peptide compound-mRNA complex display library by adding and translating the mRNA library to which the spacer of Step G) is bound to the cell-free translation system of Step D)
I) Steps H and I in which peptide deformylase and methionine aminopeptidase are allowed to act on the library of step H) can also be carried out simultaneously by adding peptide deformylase and methionine aminopeptidase to the system during translation.
I) Step of forming a circular structure followed by desulfurization reaction In the present invention, after step G), a step of synthesizing cDNA with a primer that anneals to the 3 ′ region of the mRNA library may be included. it can. Furthermore, the method of the present invention can include the following steps. J) Step of concentrating the mRNA library bound to the target substance by panning
K) Step of synthesizing cDNA with reverse transcriptase
L) Process of analyzing the base sequence
〔V-1〕 メチオニン以外のアミノ酸、アミノ酸類縁体又はN末端カルボン酸類縁体のN末端導入
あるいは本発明の環状部を有するペプチド化合物の製造方法は、翻訳伸長反応で許容されにくいtBSSEtGABA、tBSSEtβAlaをN末端とすることで実施可能となるアミド環化ペプチド化合物ライブラリーを構築する方法であって、以下の1又は複数の工程を含む方法に関する。
A) tBSSEtGABAもしくはtBSSEtβAlaをアミノアシル化したpdCpAを提供する工程
B) 3'末端のCAを欠損する開始tRNAを提供する工程
C) 工程A)のpdCpAと工程B)の開始tRNAを連結させ、tBSSEtGABAもしくはtBSSEtβAlaをアミノアシル化した開始tRNAを提供する工程、
D) 化合物C-1をアミノアシル化したpdCpAを提供する工程
E) 3'末端のCAを欠損するtRNAを提供する工程
F) 工程D)のpdCpAと工程E)の3'末端のtRNAを連結させ、化合物C-1をアミノアシル化したtRNAを提供する工程、
G) 工程C)の開始tRNAと工程F)のtRNAを含みメチオニン、メチオニルtRNA合成酵素(MetRS)、メチオニン用翻訳開始tRNA、フォルミルドナー、メチオニルtRNAトランスフェラーゼのいずれかを含まない無細胞翻訳系を提供する工程
H) プロモーターの下流に、ATGを1番目のコドンとして有し、さらにその下流に工程F)のtRNAのアンチコドンに対応するコドンを、その3'側にプロリンもしくは他のARSの基質となるN-メチルアミノ酸のコドンを含むペプチド配列をコードする鋳型DNAライブラリーを提供する工程
I) 工程H)の鋳型DNAライブラリーからmRNAライブラリーを提供する工程
J) 工程I)のmRNAライブラリーの3'末端にスペーサーを結合させる工程
K) 工程G)の無細胞翻訳系に工程J)のスペーサーを結合したmRNAライブラリーを加え、翻訳することで、環化前ペプチド化合物-mRNA複合体ディスプレイライブラリーを提供する工程L) 環状部位および直鎖部位2を形成させる工程
本発明においては、工程J)の後、mRNAライブラリーの3'領域にアニールするプライマーにてcDNAを合成する工程を含むことができる。さらに本発明の方法は、以下の工程を含むことができる。
M) パニングにて、標的物質に結合したmRNAライブラリーを濃縮する工程
N) 逆転写酵素にてcDNAを合成する工程
O) 塩基配列を解析する工程
[V-1] N-terminal introduction of amino acids other than methionine, amino acid analogs or N-terminal carboxylic acid analogs, or a method for producing a peptide compound having a cyclic moiety of the present invention includes The present invention relates to a method for constructing an amide cyclized peptide compound library that can be carried out by setting it to the N-terminus, which comprises the following one or more steps.
A) Step of providing pdCpA obtained by aminoacylating tBSSEtGABA or tBSSEtβAla
B) Providing an initiation tRNA lacking the 3′-terminal CA
C) linking the pdCpA of step A) and the start tRNA of step B) to provide a start tRNA aminoacylated with tBSSEtGABA or tBSSEtβAla,
D) Step of providing pdCpA obtained by aminoacylating compound C-1
E) Step of providing tRNA lacking 3′-terminal CA
F) linking the pdCpA of step D) and the tRNA at the 3 ′ end of step E) to provide a tRNA in which compound C-1 is aminoacylated,
G) A cell-free translation system that contains the start tRNA of step C) and the tRNA of step F) and does not contain any of methionine, methionyl tRNA synthetase (MetRS), translation start tRNA for methionine, formyl donor, or methionyl tRNA transferase. Process to provide
H) ATG is the first codon downstream of the promoter, and further, a codon corresponding to the anticodon of the tRNA in step F) is further downstream, and N- that serves as a substrate for proline or other ARS on its 3 ′ side. Providing a template DNA library encoding a peptide sequence containing a methyl amino acid codon
I) Step of providing an mRNA library from the template DNA library of Step H)
J) A step of attaching a spacer to the 3 ′ end of the mRNA library in step I)
K) Step G) providing the pre-cyclization peptide compound-mRNA complex display library by adding the mRNA library to which the spacer of Step J) is bound to the cell-free translation system of Step G) and translating L) Circular site In addition, the present invention may include a step of synthesizing cDNA with a primer that anneals to the 3 ′ region of the mRNA library after step J). Furthermore, the method of the present invention can include the following steps.
M) Step of concentrating mRNA library bound to target substance by panning
N) Step of synthesizing cDNA with reverse transcriptase
O) Process of analyzing the base sequence
〔V-2〕 メチオニン以外のアミノ酸、アミノ酸類縁体又はN末端カルボン酸類縁体のN末端導入
あるいは本発明の環状部を有するペプチド化合物の製造方法は、翻訳伸長反応で許容されにくいtBSSEtGABA、tBSSEtβAlaをN末端とすることで実施可能となるアミド環化ペプチド化合物ライブラリーを構築する方法であって、以下の1又は複数の工程を含む方法に関する。
A) tBSSEtGABAもしくはtBSSEtβAlaをアミノアシル化したpdCpAを提供する工程
B) 3'末端のCAを欠損する開始tRNAを提供する工程
C) 工程A)のpdCpAと工程B)の開始tRNAを連結させ、tBSSEtGABAもしくはtBSSEtβAlaをアミノアシル化した開始tRNAを提供する工程、
D) 化合物C-1をアミノアシル化したpdCpAを提供する工程
E) 3'末端のCAを欠損するtRNAを提供する工程
F) 工程D)のpdCpAと工程E)の3'末端のtRNAを連結させ、化合物C-1をアミノアシル化したtRNAを提供し、任意のN-メチルアミノ酸をアミノアシル化したpdCpAを提供した後、3'末端のCAを欠損するtRNAを提供し、これらpdCpAとtRNAを連結させ、N-メチルアミノ酸をアミノアシル化したtRNAを提供する工程、
G) 工程C)の開始tRNAと工程F)のtRNAを含みメチオニン、メチオニルtRNA合成酵素(MetRS)、メチオニン用翻訳開始tRNA、フォルミルドナー、メチオニルtRNAトランスフェラーゼのいずれかを含まない無細胞翻訳系を提供する工程
H) プロモーターの下流に、ATGを1番目のコドンとして有し、さらにその下流に工程F)のtRNAのアンチコドンに対応するコドン、その3'側に工程F)のN-メチルアミノアシル化tRNAに対するコドンをを含むペプチド配列をコードする鋳型DNAライブラリーを提供する工程
I) 工程H)の鋳型DNAライブラリーからmRNAライブラリーを提供する工程
J) 工程I)のmRNAライブラリーの3'末端にスペーサーを結合させる工程
K) 工程G)の無細胞翻訳系に工程J)のスペーサーを結合したmRNAライブラリーを加え、翻訳することで、環化前ペプチド化合物-mRNA複合体ディスプレイライブラリーを提供する工程L) 環状部位および直鎖部位2を形成させる工程
本発明においては、工程J)の後、mRNAライブラリーの3'領域にアニールするプライマーにてcDNAを合成する工程を含むことができる。さらに本発明の方法は、以下の工程を含むことができる。
M) パニングにて、標的物質に結合したmRNAライブラリーを濃縮する工程
N) 逆転写酵素にてcDNAを合成する工程
O) 塩基配列を解析する工程
[V-2] N-terminal introduction of amino acids other than methionine, amino acid analogs or N-terminal carboxylic acid analogs, or the method for producing a peptide compound having a cyclic moiety of the present invention comprises tBSSEtGABA and tBSSEtβAla, which are difficult to tolerate in a translation elongation reaction. The present invention relates to a method for constructing an amide cyclized peptide compound library that can be carried out by setting it to the N-terminus, which comprises the following one or more steps.
A) Step of providing pdCpA obtained by aminoacylating tBSSEtGABA or tBSSEtβAla
B) Providing an initiation tRNA lacking the 3′-terminal CA
C) linking the pdCpA of step A) and the start tRNA of step B) to provide a start tRNA aminoacylated with tBSSEtGABA or tBSSEtβAla,
D) Step of providing pdCpA obtained by aminoacylating compound C-1
E) Step of providing tRNA lacking 3′-terminal CA
F) After ligating the pdCpA of step D) and the tRNA at the 3 ′ end of step E) to provide a tRNA obtained by aminoacylating compound C-1, and providing pdCpA obtained by aminoacylating any N-methylamino acid, Providing a tRNA lacking the 3′-terminal CA, linking these pdCpA and tRNA, and providing a tRNA aminoacylated with N-methylamino acid;
G) A cell-free translation system that contains the start tRNA of step C) and the tRNA of step F) and does not contain any of methionine, methionyl tRNA synthetase (MetRS), translation start tRNA for methionine, formyl donor, or methionyl tRNA transferase. Process to provide
H) ATG is the first codon downstream of the promoter, and further downstream is a codon corresponding to the anticodon of the tRNA of step F), and a codon for the N-methylaminoacylated tRNA of step F) on the 3 ′ side thereof. Providing a template DNA library encoding a peptide sequence comprising
I) Step of providing an mRNA library from the template DNA library of Step H)
J) A step of attaching a spacer to the 3 ′ end of the mRNA library in step I)
K) Step G) providing the pre-cyclization peptide compound-mRNA complex display library by adding the mRNA library to which the spacer of Step J) is bound to the cell-free translation system of Step G) and translating L) Circular site In addition, the present invention may include a step of synthesizing cDNA with a primer that anneals to the 3 ′ region of the mRNA library after step J). Furthermore, the method of the present invention can include the following steps.
M) Step of concentrating mRNA library bound to target substance by panning
N) Step of synthesizing cDNA with reverse transcriptase
O) Process of analyzing the base sequence
〔VI-1〕 メチオニン以外のアミノ酸、アミノ酸類縁体又はN末端カルボン酸類縁体のN末端導入
あるいは本発明の環状部を有するペプチド化合物の製造方法は、翻訳伸長反応で許容されにくいtBSSEtGABA、tBSSEtβAlaをN末端とすることで実施可能となるアミド環化ペプチド化合物ライブラリーを構築する方法であって、以下の1又は複数の工程を含む方法に関する。
A) tBSSEtGABAもしくはtBSSEtβAlaをアミノアシル化したpdCpAを提供する工程
B) 3'末端のCAを欠損する開始tRNAを提供する工程
C) 工程A)のpdCpAと工程B)の開始tRNAを連結させ、tBSSEtGABAもしくはtBSSEtβAlaをアミノアシル化した開始tRNAを提供する工程、
D) Asp(SBn)をアミノアシル化したpdCpAを提供する工程
E) 3'末端のCAを欠損するtRNAを提供する工程
F) 工程D)のpdCpAと工程E)の3'末端のtRNAを連結させ、Asp(SBn)をアミノアシル化したtRNAを提供する工程、
G) 工程C)の開始tRNAと工程F)のtRNAを含みメチオニン、メチオニルtRNA合成酵素(MetRS)、メチオニン用翻訳開始tRNA、フォルミルドナー、メチオニルtRNAトランスフェラーゼのいずれかを含まない無細胞翻訳系を提供する工程
H) プロモーターの下流に、ATGを1番目のコドンとして有し、さらにその下流に工程F)のtRNAのアンチコドンに対応するコドンを、その3'側にプロリンもしくは他のARSの基質となるN-メチルアミノ酸のコドンを含むペプチド配列をコードする鋳型DNAライブラリーを提供する工程
I) 工程H)の鋳型DNAライブラリーからmRNAライブラリーを提供する工程
J) 工程I)のmRNAライブラリーの3'末端にスペーサーを結合させる工程
K) 工程G)の無細胞翻訳系に工程J)のスペーサーを結合したmRNAライブラリーを加え、翻訳することで、環化前ペプチド化合物-mRNA複合体ディスプレイライブラリーを提供する工程L) 環状部位および直鎖部位2を形成させる工程
本発明においては、工程J)の後、mRNAライブラリーの3'領域にアニールするプライマーにてcDNAを合成する工程を含むことができる。さらに本発明の方法は、以下の工程を含むことができる。
M) パニングにて、標的物質に結合したmRNAライブラリーを濃縮する工程
N) 逆転写酵素にてcDNAを合成する工程
O) 塩基配列を解析する工程
[VI-1] A method for producing an N-terminal amino acid other than methionine, an amino acid analog or an N-terminal carboxylic acid analog, or a method for producing a peptide compound having a cyclic moiety of the present invention comprises tBSSEtGABA and tBSSEtβAla, which are difficult to tolerate in a translation elongation reaction. The present invention relates to a method for constructing an amide cyclized peptide compound library that can be carried out by setting it to the N-terminus, which comprises the following one or more steps.
A) Step of providing pdCpA obtained by aminoacylating tBSSEtGABA or tBSSEtβAla
B) Providing an initiation tRNA lacking the 3′-terminal CA
C) linking the pdCpA of step A) and the start tRNA of step B) to provide a start tRNA aminoacylated with tBSSEtGABA or tBSSEtβAla,
D) Step of providing pdCpA obtained by aminoacylating Asp (SBn)
E) Step of providing tRNA lacking 3′-terminal CA
F) A step of linking the pdCpA of step D) and the tRNA at the 3 ′ end of step E) to provide a tRNA in which Asp (SBn) is aminoacylated,
G) A cell-free translation system that contains the start tRNA of step C) and the tRNA of step F) and does not contain any of methionine, methionyl tRNA synthetase (MetRS), translation start tRNA for methionine, formyl donor, or methionyl tRNA transferase. Process to provide
H) ATG is the first codon downstream of the promoter, and further, a codon corresponding to the anticodon of the tRNA in step F) is further downstream, and N- that serves as a substrate for proline or other ARS on its 3 ′ side. Providing a template DNA library encoding a peptide sequence containing a methyl amino acid codon
I) Step of providing an mRNA library from the template DNA library of Step H)
J) A step of attaching a spacer to the 3 ′ end of the mRNA library in step I)
K) Step G) providing the pre-cyclization peptide compound-mRNA complex display library by adding the mRNA library to which the spacer of Step J) is bound to the cell-free translation system of Step G) and translating L) Circular site In addition, the present invention may include a step of synthesizing cDNA with a primer that anneals to the 3 ′ region of the mRNA library after step J). Furthermore, the method of the present invention can include the following steps.
M) Step of concentrating mRNA library bound to target substance by panning
N) Step of synthesizing cDNA with reverse transcriptase
O) Process of analyzing the base sequence
〔VI-2〕 メチオニン以外のアミノ酸、アミノ酸類縁体又はN末端カルボン酸類縁体のN末端導入
あるいは本発明の環状部を有するペプチド化合物の製造方法は、翻訳伸長反応で許容されにくいtBSSEtGABA、tBSSEtβAlaをN末端とすることで実施可能となるアミド環化ペプチド化合物ライブラリーを構築する方法であって、以下の1又は複数の工程を含む方法に関する。
A) tBSSEtGABAもしくはtBSSEtβAlaをアミノアシル化したpdCpAを提供する工程
B) 3'末端のCAを欠損する開始tRNAを提供する工程
C) 工程A)のpdCpAと工程B)の開始tRNAを連結させ、tBSSEtGABAもしくはtBSSEtβAlaをアミノアシル化した開始tRNAを提供する工程、
D) Asp(SBn)をアミノアシル化したpdCpAを提供する工程
E) 3'末端のCAを欠損するtRNAを提供する工程
F) 工程D)のpdCpAと工程E)の3'末端のtRNAを連結させ、Asp(SBn)をアミノアシル化したtRNAを提供し、任意のN-メチルアミノ酸をアミノアシル化したpdCpAを提供した後、3'末端のCAを欠損するtRNAを提供し、これらpdCpAとtRNAを連結させ、N-メチルアミノ酸をアミノアシル化したtRNAを提供する工程、
G) 工程C)の開始tRNAと工程F)のtRNAを含みメチオニン、メチオニルtRNA合成酵素(MetRS)、メチオニン用翻訳開始tRNA、フォルミルドナー、メチオニルtRNAトランスフェラーゼのいずれかを含まない無細胞翻訳系を提供する工程
H) プロモーターの下流に、ATGを1番目のコドンとして有し、さらにその下流に工程F)のtRNAのアンチコドンに対応するコドン、その3'側に工程F)のN-メチルアミノアシル化tRNAに対するコドンをを含むペプチド配列をコードする鋳型DNAライブラリーを提供する工程
I) 工程H)の鋳型DNAライブラリーからmRNAライブラリーを提供する工程
J) 工程I)のmRNAライブラリーの3'末端にスペーサーを結合させる工程
K) 工程G)の無細胞翻訳系に工程J)のスペーサーを結合したmRNAライブラリーを加え、翻訳することで、環化前ペプチド化合物-mRNA複合体ディスプレイライブラリーを提供する工程L) 環状部位および直鎖部位2を形成させる工程
本発明においては、工程J)の後、mRNAライブラリーの3'領域にアニールするプライマーにてcDNAを合成する工程を含むことができる。さらに本発明の方法は、以下の工程を含むことができる。
M) パニングにて、標的物質に結合したmRNAライブラリーを濃縮する工程
N) 逆転写酵素にてcDNAを合成する工程
O) 塩基配列を解析する工程
[VI-2] N-terminal introduction of amino acids other than methionine, amino acid analogs or N-terminal carboxylic acid analogs, or a method for producing a peptide compound having a cyclic moiety of the present invention comprises tBSSEtGABA and tBSSEtβAla, which are difficult to tolerate in a translation elongation reaction. The present invention relates to a method for constructing an amide cyclized peptide compound library that can be carried out by setting it to the N-terminus, which comprises the following one or more steps.
A) Step of providing pdCpA obtained by aminoacylating tBSSEtGABA or tBSSEtβAla
B) Providing an initiation tRNA lacking the 3′-terminal CA
C) linking the pdCpA of step A) and the start tRNA of step B) to provide a start tRNA aminoacylated with tBSSEtGABA or tBSSEtβAla,
D) Step of providing pdCpA obtained by aminoacylating Asp (SBn)
E) Step of providing tRNA lacking 3′-terminal CA
F) After ligating the pdCpA of step D) and the tRNA at the 3 ′ end of step E) to provide a tRNA in which Asp (SBn) is aminoacylated and to provide pdCpA in which any N-methylamino acid is aminoacylated, Providing a tRNA lacking the 3′-terminal CA, linking these pdCpA and tRNA, and providing a tRNA aminoacylated with N-methylamino acid;
G) A cell-free translation system that contains the start tRNA of step C) and the tRNA of step F) and does not contain any of methionine, methionyl tRNA synthetase (MetRS), translation start tRNA for methionine, formyl donor, or methionyl tRNA transferase. Process to provide
H) ATG is the first codon downstream of the promoter, and further downstream is a codon corresponding to the anticodon of the tRNA of step F), and a codon for the N-methylaminoacylated tRNA of step F) on the 3 ′ side thereof. Providing a template DNA library encoding a peptide sequence comprising
I) Step of providing an mRNA library from the template DNA library of Step H)
J) A step of attaching a spacer to the 3 ′ end of the mRNA library in step I)
K) Step G) providing the pre-cyclization peptide compound-mRNA complex display library by adding the mRNA library to which the spacer of Step J) is bound to the cell-free translation system of Step G) and translating L) Circular site In addition, the present invention may include a step of synthesizing cDNA with a primer that anneals to the 3 ′ region of the mRNA library after step J). Furthermore, the method of the present invention can include the following steps.
M) Step of concentrating mRNA library bound to target substance by panning
N) Step of synthesizing cDNA with reverse transcriptase
O) Process of analyzing the base sequence
〔VII-1〕 メチオニン以外のアミノ酸、アミノ酸類縁体又はN末端カルボン酸類縁体のN末端導入
あるいは本発明の環状部を有するペプチド化合物の製造方法は、翻訳伸長反応で許容されにくいアミノ酸をN末端とすることで実施可能となるアミド環化ペプチドライブラリーを構築する方法であって、以下の1又は複数の工程を含む方法に関する。
A) 化合物N-1をアミノアシル化したpdCpAを提供する工程
B) 3'末端のCAを欠損する開始tRNAを提供する工程
C) 工程A)の pdCpAと工程B)の開始tRNAを連結させ、化合物N-1又は化合物N-2の中をアミノアシル化した開始tRNAを提供する工程、
D) 化合物C-1をアミノアシル化したpdCpAを提供する工程
E) 3'末端のCAを欠損するtRNAを提供する工程
F) 工程 D)のpdCpAと工程E)のtRNAを連結させ、化合物C-1をアミノアシル化したtRNAを提供する工程、
G) 工程C)の開始tRNAと工程F)のtRNAを含みメチオニン、メチオニルtRNA合成酵素(MetRS)、メチオニン用翻訳開始tRNA、フォルミルドナー、メチオニルtRNAトランスフェラーゼのいずれかを含まない無細胞翻訳系を提供する工程
H) プロモーターの下流に、工程C)の翻訳開始tRNAのアンチコドンに対応するコドンを1番目のコドンとして有し、さらにその下流に工程F)のtRNAのアンチコドンに対応するコドンを含むペプチド配列をコードする鋳型DNAライブラリーを提供する工程
I) 工程H)の鋳型DNAライブラリーからmRNAライブラリーを提供する工程
J) 工程I)のmRNAライブラリーの3'末端にスペーサーを結合させる工程
K) 工程G)の無細胞翻訳系に工程J)のスペーサーを結合したmRNAライブラリーを加え、翻訳することで、環化前ペプチド化合物-mRNA複合体ディスプレイライブラリーを提供する工程
L) 環状部位を形成させる工程
本発明においては、工程J)の後、mRNAライブラリーの3'領域にアニールするプライマーにてcDNAを合成する工程する工程を含むことができる。さらに本発明の方法は、以下の工程を含むことができる。
M) パニングにて、標的物質に結合したmRNAライブラリーを濃縮する工程
N) 逆転写酵素にてcDNAを合成する工程
O) 塩基配列を解析する工程
[VII-1] N-terminal introduction of amino acids other than methionine, amino acid analogs or N-terminal carboxylic acid analogs, or the method for producing a peptide compound having a cyclic moiety of the present invention comprises the step of The present invention relates to a method for constructing an amide cyclized peptide library that can be carried out as described above, which comprises the following one or more steps.
A) Step of providing pdCpA obtained by aminoacylating compound N-1
B) Providing an initiation tRNA lacking the 3′-terminal CA
C) linking pdCpA of step A) and the start tRNA of step B) to provide an aminotylated start tRNA in compound N-1 or compound N-2;
D) Providing pdCpA obtained by aminoacylating compound C-1
E) Step of providing tRNA lacking 3′-terminal CA
F) a step of linking the pdCpA of step D) and the tRNA of step E) to provide a tRNA in which compound C-1 is aminoacylated,
G) A cell-free translation system that contains the start tRNA of step C) and the tRNA of step F) and does not contain any of methionine, methionyl tRNA synthetase (MetRS), translation start tRNA for methionine, formyl donor, or methionyl tRNA transferase. Process to provide
H) A peptide sequence having a codon corresponding to the anticodon of the translation initiation tRNA of step C) as the first codon downstream of the promoter and further comprising a codon corresponding to the anticodon of the tRNA of step F) downstream of the promoter Providing a template DNA library
I) Step of providing an mRNA library from the template DNA library of Step H)
J) A step of attaching a spacer to the 3 ′ end of the mRNA library in step I)
K) Step of providing a pre-cyclization peptide compound-mRNA complex display library by adding and translating the mRNA library to which the spacer of Step J) is bound to the cell-free translation system of Step G)
L) Step of forming circular site In the present invention, after step J), a step of synthesizing cDNA with a primer that anneals to the 3 ′ region of the mRNA library can be included. Furthermore, the method of the present invention can include the following steps.
M) Step of concentrating mRNA library bound to target substance by panning
N) Step of synthesizing cDNA with reverse transcriptase
O) Process of analyzing the base sequence
〔VII-2〕 メチオニン以外のアミノ酸、アミノ酸類縁体又はN末端カルボン酸類縁体のN末端導入
あるいは本発明の環状部を有するペプチド化合物の製造方法は、翻訳伸長反応で許容されにくいアミノ酸をN末端とすることで実施可能となるアミド環化ペプチドライブラリーを構築する方法であって、以下の1又は複数の工程を含む方法に関する。
A) 化合物N-2をアミノアシル化したpdCpAを提供する工程
B) 3'末端のCAを欠損する開始tRNAを提供する工程
C) 工程A)の pdCpAと工程B)の開始tRNAを連結させ、化合物N-1又は化合物N-2の中をアミノアシル化した開始tRNAを提供する工程、
D) 化合物C-1をアミノアシル化したpdCpAを提供する工程
E) 3'末端のCAを欠損するtRNAを提供する工程
F) 工程 D)のpdCpAと工程E)のtRNAを連結させ、化合物C-1をアミノアシル化したtRNAを提供する工程、
G) 工程C)の開始tRNAと工程F)のtRNAを含みメチオニン、メチオニルtRNA合成酵素(MetRS)、メチオニン用翻訳開始tRNA、フォルミルドナー、メチオニルtRNAトランスフェラーゼのいずれかを含まない無細胞翻訳系を提供する工程
H) プロモーターの下流に、工程C)の翻訳開始tRNAのアンチコドンに対応するコドンを1番目のコドンとして有し、さらにその下流に工程F)のtRNAのアンチコドンに対応するコドン、その3'側にプロリンもしくは他のARSの基質となるN-メチルアミノ酸のコドンをを含むペプチド配列をコードする鋳型DNAライブラリーを提供する工程
I) 工程H)の鋳型DNAライブラリーからmRNAライブラリーを提供する工程
J) 工程I)のmRNAライブラリーの3'末端にスペーサーを結合させる工程
K) 工程G)の無細胞翻訳系に工程J)のスペーサーを結合したmRNAライブラリーを加え、翻訳することで、環化前ペプチド化合物-mRNA複合体ディスプレイライブラリーを提供する工程
L) 環状部位を形成させる工程
本発明においては、工程J)の後、mRNAライブラリーの3'領域にアニールするプライマーにてcDNAを合成する工程する工程を含むことができる。さらに本発明の方法は、以下の工程を含むことができる。
M) パニングにて、標的物質に結合したmRNAライブラリーを濃縮する工程
N) 逆転写酵素にてcDNAを合成する工程
O) 塩基配列を解析する工程
[VII-2] N-terminal introduction of amino acids other than methionine, amino acid analogs or N-terminal carboxylic acid analogs, or a method for producing a peptide compound having a cyclic moiety of the present invention comprises the step of The present invention relates to a method for constructing an amide cyclized peptide library that can be carried out as described above, which comprises the following one or more steps.
A) Step of providing pdCpA obtained by aminoacylating compound N-2
B) Providing an initiation tRNA lacking the 3′-terminal CA
C) linking pdCpA of step A) and the start tRNA of step B) to provide an aminotylated start tRNA in compound N-1 or compound N-2;
D) Providing pdCpA obtained by aminoacylating compound C-1
E) Step of providing tRNA lacking 3′-terminal CA
F) a step of linking the pdCpA of step D) and the tRNA of step E) to provide a tRNA in which compound C-1 is aminoacylated,
G) A cell-free translation system that contains the start tRNA of step C) and the tRNA of step F) and does not contain any of methionine, methionyl tRNA synthetase (MetRS), translation start tRNA for methionine, formyl donor, or methionyl tRNA transferase. Process to provide
H) A codon corresponding to the anticodon of the translation initiation tRNA of step C) is provided as the first codon downstream of the promoter, and a codon corresponding to the anticodon of the tRNA of step F) is further downstream of the promoter. Providing a template DNA library encoding a peptide sequence containing a codon of N-methylamino acid serving as a substrate for proline or other ARS
I) Step of providing an mRNA library from the template DNA library of Step H)
J) A step of attaching a spacer to the 3 ′ end of the mRNA library in step I)
K) Step of providing a pre-cyclization peptide compound-mRNA complex display library by adding and translating the mRNA library to which the spacer of Step J) is bound to the cell-free translation system of Step G)
L) Step of forming circular site In the present invention, after step J), a step of synthesizing cDNA with a primer that anneals to the 3 ′ region of the mRNA library can be included. Furthermore, the method of the present invention can include the following steps.
M) Step of concentrating mRNA library bound to target substance by panning
N) Step of synthesizing cDNA with reverse transcriptase
O) Process of analyzing the base sequence
〔VII-3〕 メチオニン以外のアミノ酸、アミノ酸類縁体又はN末端カルボン酸類縁体のN末端導入
あるいは本発明の環状部を有するペプチド化合物の製造方法は、翻訳伸長反応で許容されにくいアミノ酸をN末端とすることで実施可能となるアミド環化ペプチドライブラリーを構築する方法であって、以下の1又は複数の工程を含む方法に関する。
A) 化合物N-2をアミノアシル化したpdCpAを提供する工程
B) 3'末端のCAを欠損する開始tRNAを提供する工程
C) 工程A)の pdCpAと工程B)の開始tRNAを連結させ、化合物N-1又は化合物N-2の中をアミノアシル化した開始tRNAを提供する工程、
D) 化合物C-1をアミノアシル化したpdCpAを提供する工程
E) 3'末端のCAを欠損するtRNAを提供する工程
F) 工程 D)のpdCpAと工程E)のtRNAを連結させ、化合物C-1をアミノアシル化したtRNAを提供する工程、さらに、任意のN-メチルアミノ酸をアミノアシル化したpdCpAを提供する工程、さらに3'末端のCAを欠損するtRNAを提供する工程、さらにこれらpdCpAとtRNAを連結させ、N-メチルアミノ酸をアミノアシル化したtRNAを提供する工程、
G) 工程C)の開始tRNAと工程F)のtRNAを含みメチオニン、メチオニルtRNA合成酵素(MetRS)、メチオニン用翻訳開始tRNA、フォルミルドナー、メチオニルtRNAトランスフェラーゼのいずれかを含まない無細胞翻訳系を提供する工程
H) プロモーターの下流に、工程C)の翻訳開始tRNAのアンチコドンに対応するコドンを1番目のコドンとして有し、さらにその下流に工程F)のtRNAのアンチコドンに対応するコドン、その3'側に工程F)のN-メチルアミノアシル化tRNAに対するコドンをを含むペプチド配列をコードする鋳型DNAライブラリーを提供する工程
I) 工程H)の鋳型DNAライブラリーからmRNAライブラリーを提供する工程
J) 工程I)のmRNAライブラリーの3'末端にスペーサーを結合させる工程
K) 工程G)の無細胞翻訳系に工程J)のスペーサーを結合したmRNAライブラリーを加え、翻訳することで、環化前ペプチド化合物-mRNA複合体ディスプレイライブラリーを提供する工程
L) 環状部位を形成させる工程
本発明においては、工程J)の後、mRNAライブラリーの3'領域にアニールするプライマーにてcDNAを合成する工程する工程を含むことができる。さらに本発明の方法は、以下の工程を含むことができる。
M) パニングにて、標的物質に結合したmRNAライブラリーを濃縮する工程
N) 逆転写酵素にてcDNAを合成する工程
O) 塩基配列を解析する工程
[VII-3] N-terminal introduction of amino acids other than methionine, amino acid analogs or N-terminal carboxylic acid analogs, or a method for producing a peptide compound having a cyclic moiety of the present invention comprises the step of The present invention relates to a method for constructing an amide cyclized peptide library that can be carried out as described above, which comprises the following one or more steps.
A) Step of providing pdCpA obtained by aminoacylating compound N-2
B) Providing an initiation tRNA lacking the 3′-terminal CA
C) linking pdCpA of step A) and the start tRNA of step B) to provide an aminotylated start tRNA in compound N-1 or compound N-2;
D) Providing pdCpA obtained by aminoacylating compound C-1
E) Step of providing tRNA lacking 3′-terminal CA
F) linking pdCpA of step D) and tRNA of step E) to provide a tRNA obtained by aminoacylating compound C-1, and further providing a pdCpA obtained by aminoacylating any N-methylamino acid; Providing a tRNA lacking the 3′-terminal CA, further linking these pdCpA and tRNA to provide a tRNA aminoacylated with N-methylamino acid,
G) A cell-free translation system that contains the start tRNA of step C) and the tRNA of step F) and does not contain any of methionine, methionyl tRNA synthetase (MetRS), translation start tRNA for methionine, formyl donor, or methionyl tRNA transferase. Process to provide
H) A codon corresponding to the anticodon of the translation initiation tRNA of step C) is provided as the first codon downstream of the promoter, and a codon corresponding to the anticodon of the tRNA of step F) is further downstream of the promoter. Providing a template DNA library encoding a peptide sequence comprising a codon for the N-methylaminoacylated tRNA of step F)
I) Step of providing an mRNA library from the template DNA library of Step H)
J) A step of attaching a spacer to the 3 ′ end of the mRNA library in step I)
K) Step of providing a pre-cyclization peptide compound-mRNA complex display library by adding and translating the mRNA library to which the spacer of Step J) is bound to the cell-free translation system of Step G)
L) Step of forming circular site In the present invention, after step J), a step of synthesizing cDNA with a primer that anneals to the 3 ′ region of the mRNA library can be included. Furthermore, the method of the present invention can include the following steps.
M) Step of concentrating mRNA library bound to target substance by panning
N) Step of synthesizing cDNA with reverse transcriptase
O) Process of analyzing the base sequence
〔VIII-1〕 メチオニン以外のアミノ酸をN末端に有するペプチドの環化 あるいは本発明の環状部を有するペプチド化合物の製造方法は、N末端アミノ酸の異なる複数種類のペプチドを同時に翻訳することで実施可能となる環化部位の構造の異なるアミド環化ペプチドライブラリーを構築する方法であって、以下の1又は複数の工程を含む方法に関する。
A) 化合物C-X(本明細書において「化合物C-X」とは化合物C-1、化合物C-2および化合物C―3から選択されるいずれかの化合物を指す。本明細において以下同じ)をアミノアシル化したpdCpAを提供する工程
B) 3'末端のCAを欠損するtRNAを提供する工程
C) 工程A)のpdCpAと前記の工程B)のtRNAを連結させ、化合物C-Xをアミノアシル化した開始tRNAを提供する工程
D) 工程C)のtRNAを含む無細胞翻訳系を提供する工程
E) プロモーターの下流に、工程C)のtRNAのアンチコドンに対応するコドンを、その3'側にプロリンもしくは他のARSの基質となるN-メチルアミノ酸のコドンを途中に含むペプチド配列をコードした鋳型DNAライブラリーを提供する工程
F) 工程E)の鋳型DNAライブラリーからmRNAライブラリーを提供する工程
G) 工程F)のmRNAライブラリーの3'末端にスペーサーを結合させる工程
H) 工程D)の無細胞翻訳系に工程G)のスペーサーを結合したmRNAライブラリーを加え、翻訳することで、環化前ペプチド化合物-mRNA複合体ディスプレイライブラリーを提供する工程
I) 工程H)のライブラリーにペプチドデフォルミラーゼ、メチオニン アミノペプチダーゼを作用させる工程
H,Iの工程は翻訳時にペプチドデフォルミラーゼ、メチオニン アミノペプチダーゼを系に加えることにより同時に実施することもできる。
J) 環状構造を形成させる工程
環状構造の形成においては、必要に応じて脱硫反応を行うことができる。また本発明においては、工程H)ないし工程I)の後、mRNAライブラリーの3'領域にアニールするプライマーにてcDNAを合成する工程を含むことができる。
さらに本発明の方法は、以下の工程を含むことができる。
J) パニングにて、標的物質に結合したmRNAライブラリーを濃縮する工程
K) 逆転写酵素にてcDNAを合成する工程
L) 塩基配列を解析する工程
[VIII-1] Cyclization of peptides having amino acids other than methionine at the N-terminus or the method for producing a peptide compound having a cyclic moiety of the present invention can be carried out by simultaneously translating a plurality of types of peptides having different N-terminal amino acids. The present invention relates to a method for constructing an amide cyclized peptide library having different cyclization site structures, which comprises one or more of the following steps.
A) Compound CX (In this specification, “Compound CX” refers to any compound selected from Compound C-1, Compound C-2 and Compound C-3. The same applies hereinafter) Providing pdCpA aminoacylated with
B) Step of providing tRNA lacking 3′-terminal CA
C) A step of ligating the pdCpA of step A) and the tRNA of step B) to provide an initiator tRNA obtained by aminoacylating compound CX
D) Step of providing a cell-free translation system comprising the tRNA of step C)
E) Template encoding a peptide sequence containing a codon corresponding to the anticodon of tRNA in step C) downstream of the promoter and a codon of N-methyl amino acid serving as a substrate for proline or other ARS on the 3 ′ side Providing a DNA library
F) Step of providing an mRNA library from the template DNA library of step E)
G) A step of attaching a spacer to the 3 ′ end of the mRNA library in step F)
H) Step of providing a pre-cyclization peptide compound-mRNA complex display library by adding and translating the mRNA library to which the spacer of Step G) is bound to the cell-free translation system of Step D)
I) Steps H and I in which peptide deformylase and methionine aminopeptidase are allowed to act on the library of step H) can also be carried out simultaneously by adding peptide deformylase and methionine aminopeptidase to the system during translation.
J) Step of forming a cyclic structure In the formation of a cyclic structure, a desulfurization reaction can be performed as necessary. In addition, the present invention may include a step of synthesizing cDNA with a primer that anneals to the 3 ′ region of the mRNA library after step H) to step I).
Furthermore, the method of the present invention can include the following steps.
J) Step of concentrating the mRNA library bound to the target substance by panning
K) Step of synthesizing cDNA with reverse transcriptase
L) Process of analyzing the base sequence
〔IX〕 グリシン、アラニン、フェニルアラニンをN末端に有するペプチドの環化 あるいは本発明の環状部を有するペプチド化合物の製造方法は、N末端アミノ酸の異なる複数種類のペプチドを同時に翻訳することで実施可能となる環化部位の構造の異なるアミド環化ペプチドライブラリーを構築する方法であって、以下の1又は複数の工程を含む方法に関する。
A) 化合物C-Xをアミノアシル化したpdCpAを提供する工程
B) 3'末端のCAを欠損するtRNAを提供する工程
C) 工程A)のpdCpAと前記の工程B)のtRNAを連結させ、化合物C-Xをアミノアシル化した開始tRNAを提供する工程
D) 工程C)のtRNAを含む無細胞翻訳系を提供する工程
E) プロモーターの下流に、翻訳開始ATGの直後にグリシン、アラニン、フェニルアラニンのいずれかのコドンを、工程C)のtRNAのアンチコドンに対応するコドンを、その3'側にプロリンもしくは他のARSの基質となるN-メチルアミノ酸のコドンを途中に含むペプチド配列をコードした鋳型DNAライブラリーを提供する工程
F) 工程E)の鋳型DNAライブラリーからmRNAライブラリーを提供する工程
G) 工程F)のmRNAライブラリーの3'末端にスペーサーを結合させる工程
H) 工程D)の無細胞翻訳系に工程G)のスペーサーを結合したmRNAライブラリーを加え、翻訳することで、環化前ペプチド化合物-mRNA複合体ディスプレイライブラリーを提供する工程
I) 工程H)のライブラリーにペプチドデフォルミラーゼ、メチオニン アミノペプチダーゼを作用させる工程
H,Iの工程は翻訳時にペプチドデフォルミラーゼ、メチオニン アミノペプチダーゼを系に加えることにより同時に実施することもできる。
J) 環状構造を形成させる工程
環状構造の形成においては、必要に応じて脱硫反応を行うことができる。また本発明においては、工程H)ないし工程I)の後、mRNAライブラリーの3'領域にアニールするプライマーにてcDNAを合成する工程を含むことができる。
さらに本発明の方法は、以下の工程を含むことができる。
J) パニングにて、標的物質に結合したmRNAライブラリーを濃縮する工程
K) 逆転写酵素にてcDNAを合成する工程
L) 塩基配列を解析する工程
[IX] Cyclization of a peptide having glycine, alanine, phenylalanine at the N-terminus, or the method for producing a peptide compound having a cyclic moiety of the present invention can be carried out by simultaneously translating a plurality of types of peptides having different N-terminal amino acids. The present invention relates to a method for constructing an amide cyclized peptide library having different cyclization site structures, comprising one or more of the following steps.
A) Providing pdCpA obtained by aminoacylating compound CX
B) Step of providing tRNA lacking 3′-terminal CA
C) A step of ligating the pdCpA of step A) and the tRNA of step B) to provide an initiator tRNA obtained by aminoacylating compound CX
D) Step of providing a cell-free translation system comprising the tRNA of step C)
E) A glycine, alanine, or phenylalanine codon immediately after the translation initiation ATG, a codon corresponding to the anticodon of the tRNA in step C), and a proline or other ARS substrate 3 'on the downstream side of the promoter Providing a template DNA library encoding a peptide sequence containing an N-methylamino acid codon in the middle
F) Step of providing an mRNA library from the template DNA library of step E)
G) A step of attaching a spacer to the 3 ′ end of the mRNA library in step F)
H) Step of providing a pre-cyclization peptide compound-mRNA complex display library by adding and translating the mRNA library to which the spacer of Step G) is bound to the cell-free translation system of Step D)
I) Steps H and I in which peptide deformylase and methionine aminopeptidase are allowed to act on the library of step H) can also be carried out simultaneously by adding peptide deformylase and methionine aminopeptidase to the system during translation.
J) Step of forming a cyclic structure In the formation of a cyclic structure, a desulfurization reaction can be performed as necessary. In addition, the present invention may include a step of synthesizing cDNA with a primer that anneals to the 3 ′ region of the mRNA library after step H) to step I).
Furthermore, the method of the present invention can include the following steps.
J) Step of concentrating the mRNA library bound to the target substance by panning
K) Step of synthesizing cDNA with reverse transcriptase
L) Process of analyzing the base sequence
〔X〕 メチオニン以外のアミノ酸をN末端に有するペプチドの環化 あるいは本発明の環状部を有するペプチド化合物の製造方法は、N末端アミノ酸の異なる複数種類のペプチドを同時に翻訳することで実施可能となる環化部位の構造の異なるアミド環化ペプチドライブラリーを構築する方法であって、以下の1又は複数の工程を含む方法に関する。
A) Asp(SBn)をアミノアシル化したpdCpAを提供する工程
B) 3'末端のCAを欠損するtRNAを提供する工程
C) 工程A)のpdCpAと前記の工程B)のtRNAを連結させ、Asp(SBn)をアミノアシル化した開始tRNAを提供する工程
D) 工程C)のtRNAを含む無細胞翻訳系を提供する工程
E) プロモーターの下流に、工程C)のtRNAのアンチコドンに対応するコドン、その3'側にプロリンもしくは他のARSの基質となるN-メチルアミノ酸のコドンを途中に含むペプチド配列をコードした鋳型DNAライブラリーを提供する工程
F) 工程E)の鋳型DNAライブラリーからmRNAライブラリーを提供する工程
G) 工程F)のmRNAライブラリーの3'末端にスペーサーを結合させる工程
H) 工程D)の無細胞翻訳系に工程G)のスペーサーを結合したmRNAライブラリーを加え、翻訳することで、環化前ペプチド化合物-mRNA複合体ディスプレイライブラリーを提供する工程
I) 工程H)のライブラリーにペプチドデフォルミラーゼ、メチオニン アミノペプチダーゼを作用させる工程
H,Iの工程は翻訳時にペプチドデフォルミラーゼ、メチオニン アミノペプチダーゼを系に加えることにより同時に実施することもできる。
J) 環状構造を形成させる工程
環状構造の形成においては、必要に応じて脱硫反応を行うことができる。また本発明においては、工程H)ないし工程I)の後、mRNAライブラリーの3'領域にアニールするプライマーにてcDNAを合成する工程を含むことができる。
さらに本発明の方法は、以下の工程を含むことができる。
J) パニングにて、標的物質に結合したmRNAライブラリーを濃縮する工程
K) 逆転写酵素にてcDNAを合成する工程
L) 塩基配列を解析する工程
[X] Cyclization of a peptide having an amino acid other than methionine at the N-terminus, or the method for producing a peptide compound having a cyclic moiety of the present invention can be carried out by simultaneously translating a plurality of types of peptides having different N-terminal amino acids. The present invention relates to a method for constructing an amide cyclized peptide library having a different cyclization site structure, which comprises the following one or more steps.
A) Providing pdCpA aminoacylated from Asp (SBn)
B) Step of providing tRNA lacking 3′-terminal CA
C) A step of ligating the pdCpA of step A) and the tRNA of step B) to provide an starting tRNA in which Asp (SBn) is aminoacylated.
D) Step of providing a cell-free translation system comprising the tRNA of step C)
E) Template DNA encoding a peptide sequence containing a codon corresponding to the anticodon of tRNA in step C) downstream of the promoter, and a codon of N-methyl amino acid serving as a proline or other ARS substrate on the 3 ′ side. Providing a library
F) Step of providing an mRNA library from the template DNA library of step E)
G) A step of attaching a spacer to the 3 ′ end of the mRNA library in step F)
H) Step of providing a pre-cyclization peptide compound-mRNA complex display library by adding and translating the mRNA library to which the spacer of Step G) is bound to the cell-free translation system of Step D)
I) Steps H and I in which peptide deformylase and methionine aminopeptidase are allowed to act on the library of step H) can also be carried out simultaneously by adding peptide deformylase and methionine aminopeptidase to the system during translation.
J) Step of forming a cyclic structure In the formation of a cyclic structure, a desulfurization reaction can be performed as necessary. In addition, the present invention may include a step of synthesizing cDNA with a primer that anneals to the 3 ′ region of the mRNA library after step H) to step I).
Furthermore, the method of the present invention can include the following steps.
J) Step of concentrating the mRNA library bound to the target substance by panning
K) Step of synthesizing cDNA with reverse transcriptase
L) Process of analyzing the base sequence
〔XI〕 あるいは本発明の環状部を有するペプチド化合物の製造方法は、環状分枝ペプチドライブラリーを構築する方法であって、以下の1又は複数の工程を含む方法に関する。
A) 化合物N-1又は化合物N-2をアミノアシル化したpdCpAを提供する工程
B) 3'末端のCAを欠損する開始tRNAを提供する工程
C) 工程A)のpdCpAと工程B)の開始tRNAを連結させ、化合物N-1又は化合物N-2をアミノアシル化した開始tRNAを提供する工程、
D) 化合物C-1をアミノアシル化したpdCpAを提供する工程
E) 3'末端のCAを欠損するtRNAを提供する工程
F) 工程D)のpdCpAと工程E)のtRNAを連結させ、化合物C-1をアミノアシル化したtRNAを提供する工程、
G) 工程C)の開始tRNAと工程F)のtRNAを含みメチオニン、メチオニルtRNA合成酵素(MetRS)、メチオニン用翻訳開始tRNA、フォルミルドナー、メチオニルtRNAトランスフェラーゼのいずれかを含まない無細胞翻訳系を提供する工程
H) プロモーターの下流に、工程C)の翻訳開始tRNAのアンチコドンに対応するコドンを1番目のコドンとして有し、その下流にHOGlyのコドンとリジンのコドンとで挟んだ0個から2個の任意のコドンを(アラニンがよりN末端側)、さらにその下流に工程F)のtRNAのアンチコドンに対応するコドン、化合物N-1もしくは化合物N-2のSH基が保護されている場合には、その3'側にプロリンもしくは他のARSの基質となるN-メチルアミノ酸のコドンを含むペプチド配列をコードする鋳型DNAライブラリーを提供する工程
I) 工程H)の鋳型DNAライブラリーからmRNAライブラリーを提供する工程
J) 工程I)のmRNAライブラリーの3'末端にスペーサーを結合させる工程
K) 工程J)の無細胞翻訳系に工程J)のスペーサーを結合したmRNAライブラリーを加え、翻訳することで、環化前ペプチド化合物-mRNA複合体ペプチドディスプレイライブラリーを提供する工程
L) 環を形成させる工程
M) HOGlyと直前のN末端側のアミノ酸とで形成されるエステルを活性化させてチオエステルを生成させる工程
N) リジン側鎖アミノ基とアミド結合形成させて直鎖部位2を生成させる工程
本発明においては、工程J)の後、mRNAライブラリーの3'領域にアニールするプライマーにてcDNAを合成する工程する工程を含むことができる。さらに本発明の方法は、以下の工程を含むことができる。
O) パニングにて、標的物質に結合したmRNAライブラリーを濃縮する工程
P) 逆転写酵素にてcDNAを合成する工程
Q) 塩基配列を解析する工程
[XI] Alternatively, the method for producing a peptide compound having a cyclic moiety of the present invention relates to a method for constructing a cyclic branched peptide library, which comprises the following one or more steps.
A) Step of providing pdCpA obtained by aminoacylating compound N-1 or compound N-2
B) Providing an initiation tRNA lacking the 3′-terminal CA
C) a step of linking the pdCpA of step A) and the start tRNA of step B) to provide an start tRNA obtained by aminoacylating compound N-1 or compound N-2;
D) Providing pdCpA obtained by aminoacylating compound C-1
E) Step of providing tRNA lacking 3′-terminal CA
F) a step of linking the pdCpA of step D) and the tRNA of step E) to provide a tRNA obtained by aminoacylating compound C-1;
G) A cell-free translation system that contains the start tRNA of step C) and the tRNA of step F) and does not contain any of methionine, methionyl tRNA synthetase (MetRS), translation start tRNA for methionine, formyl donor, or methionyl tRNA transferase. Process to provide
H) Arranged as the first codon downstream of the promoter and corresponding to the anticodon of the translation initiation tRNA of step C), and 0 to 2 arbitrary positions sandwiched between the HOGly codon and the lysine codon downstream If the codon corresponding to the anticodon of tRNA in Step F), compound N-1 or compound N-2, is protected further downstream (alanine is more N-terminal side) Providing a template DNA library that encodes a peptide sequence containing a codon of N-methylamino acid serving as a substrate for proline or other ARS on the 3 ′ side
I) Step of providing an mRNA library from the template DNA library of Step H)
J) A step of attaching a spacer to the 3 ′ end of the mRNA library in step I)
K) Step of providing a pre-cyclization peptide compound-mRNA complex peptide display library by adding and translating the mRNA library to which the spacer of Step J) is bound to the cell-free translation system of Step J)
L) Step of forming a ring
M) A step of activating an ester formed by HOGly and the immediately preceding N-terminal amino acid to form a thioester
N) Step of forming an amide bond with a lysine side chain amino group to generate a
O) Step of concentrating mRNA library bound to target substance by panning
P) Step of synthesizing cDNA with reverse transcriptase
Q) Process for analyzing nucleotide sequences
〔XII〕 あるいは本発明の環状部を有するペプチド化合物の製造方法は、環状分枝ペプチドライブラリーを構築する方法であって、以下の1又は複数の工程を含む方法に関する。
A) 化合物N-1又は化合物N-2をアミノアシル化したpdCpAを提供する工程
B) 3'末端のCAを欠損するtRNAを提供する工程
C) 工程A)のpdCpAと工程B)のtRNAを連結させ、化合物N-1又は化合物N-2をアミノアシル化したtRNAを提供する工程、
D) 化合物C-1をアミノアシル化したpdCpAを提供する工程
E) 3'末端のCAを欠損するtRNAを提供する工程
F) 工程D)のpdCpAと工程E)のtRNAを連結させ、化合物C-1をアミノアシル化したtRNAを提供する工程、
G) 工程C)のtRNAと工程F)のtRNAと乳酸を含む無細胞翻訳系を提供する工程
H) プロモーターの下流に、工程C)のtRNAのアンチコドンに対応するコドンを2番目のコドンとして有し、その下流にシステイン、プロリン、乳酸と連なるコドンを、さらにその下流にリジンを、さらにその下流に工程F)のtRNAのアンチコドンに対応するコドン、化合物N-1もしくは化合物N-2のSH基が保護されている場合には、その3'側にプロリンもしくは他のARSの基質となるN-メチルアミノ酸のコドンを含むペプチド配列をコードする鋳型DNAライブラリーを提供する工程
I) 工程H)の鋳型DNAライブラリーからmRNAライブラリーを提供する工程
J) 工程I)のmRNAライブラリーの3'末端にスペーサーを結合させる工程
K) 工程J)の無細胞翻訳系に工程J)のスペーサーを結合したmRNAライブラリーを加え、翻訳することで、環化前ペプチド化合物-mRNA複合体ペプチドディスプレイライブラリーを提供する工程
L) 環を形成させる工程
M) システイン、プロリン、乳酸部位から活性チオエステルを発生させる工程
N) 生成した活性チオエステルを、リジン側鎖アミノ基とアミド結合形成させて直鎖部位2を生成させる工程、さらに続いて脱硫反応を実施させる工程
本発明においては、工程J)の後、mRNAライブラリーの3'領域にアニールするプライマーにてcDNAを合成する工程する工程を含むことができる。さらに本発明の方法は、以下の工程を含むことができる。
O) パニングにて、標的物質に結合したmRNAライブラリーを濃縮する工程
P) 逆転写酵素にてcDNAを合成する工程
Q) 塩基配列を解析する工程
[XII] Alternatively, the method for producing a peptide compound having a cyclic moiety of the present invention relates to a method for constructing a cyclic branched peptide library, which comprises the following one or more steps.
A) Step of providing pdCpA obtained by aminoacylating compound N-1 or compound N-2
B) Step of providing tRNA lacking 3′-terminal CA
C) a step of linking pdCpA of step A) and tRNA of step B) to provide a tRNA obtained by aminoacylating compound N-1 or compound N-2;
D) Providing pdCpA obtained by aminoacylating compound C-1
E) Step of providing tRNA lacking 3′-terminal CA
F) a step of linking the pdCpA of step D) and the tRNA of step E) to provide a tRNA obtained by aminoacylating compound C-1;
G) Step of providing a cell-free translation system comprising tRNA of step C), tRNA of step F) and lactic acid
H) A codon corresponding to the anticodon of tRNA in Step C) is provided as the second codon downstream of the promoter, and a codon linked to cysteine, proline and lactic acid is further downstream, and lysine is further downstream. When the codon corresponding to the anticodon of tRNA in step F), the SH group of compound N-1 or compound N-2 is protected, N-- serving as a proline or other ARS substrate on its 3 ′ side Providing a template DNA library encoding a peptide sequence containing a methyl amino acid codon
I) Step of providing an mRNA library from the template DNA library of Step H)
J) A step of attaching a spacer to the 3 ′ end of the mRNA library in step I)
K) Step of providing a pre-cyclization peptide compound-mRNA complex peptide display library by adding and translating the mRNA library to which the spacer of Step J) is bound to the cell-free translation system of Step J)
L) Step of forming a ring
M) Step of generating active thioester from cysteine, proline and lactic acid sites
N) The step of forming an amide bond with the lysine side chain amino group of the generated active thioester to form a
O) Step of concentrating mRNA library bound to target substance by panning
P) Step of synthesizing cDNA with reverse transcriptase
Q) Process for analyzing nucleotide sequences
〔XIII〕 あるいは本発明の環状部を有するペプチド化合物の製造方法は、環状分枝ペプチドライブラリーを構築する方法であって、以下の1又は複数の工程を含む方法に関する。
A) 化合物N-1又は化合物N-2をアミノアシル化したpdCpAを提供する工程
B) 3'末端のCAを欠損するtRNAを提供する工程
C) 工程A)のpdCpAと工程B)のtRNAを連結させ、化合物N-1又は化合物N-2をアミノアシル化したtRNAを提供する工程、
D) 化合物C-1をアミノアシル化したpdCpAを提供する工程
E) 3'末端のCAを欠損するtRNAを提供する工程
F) 工程D)のpdCpAと工程E)のtRNAを連結させ、化合物C-1をアミノアシル化したtRNAを提供する工程、
G) 工程C)のtRNAと工程F)のtRNAと乳酸を含む無細胞翻訳系を提供する工程
H) プロモーターの下流に、工程C)のtRNAのアンチコドンに対応するコドンを2番目のコドンとして有し、その下流にシステイン、プロリン、乳酸と連なるコドンを、その下流にリジンのコドンを、さらにその下流に工程F)のtRNAのアンチコドンに対応するコドン、その3'側にプロリンもしくは他のARSの基質となるN-メチルアミノ酸のコドンを含むペプチド配列をコードする鋳型DNAライブラリーを提供する工程
I) 工程H)の鋳型DNAライブラリーからmRNAライブラリーを提供する工程
J) 工程I)のmRNAライブラリーの3'末端にスペーサーを結合させる工程
K) 工程J)の無細胞翻訳系に工程J)のスペーサーを結合したmRNAライブラリーを加え、翻訳することで、環化前ペプチド化合物-mRNA複合体ペプチドディスプレイライブラリーを提供する工程
L) 工程K)のライブラリーにペプチドデフォルミラーゼ、メチオニン アミノペプチダーゼを作用させる工程
K, Lの工程は翻訳時にペプチドデフォルミラーゼ、メチオニン アミノペプチダーゼを系に加えることにより同時に実施することもできる。
M) 環状構造を形成させる工程
環状構造の形成においては、必要に応じて脱硫反応を行うことができる。
N) システイン、プロリン、乳酸ユニットから活性チオエステルを発生させる工程
O) 生成したカルボン酸を活性エステル化し、リジン側鎖アミノ基とアミド結合形成させて直鎖部位2を生成させる工程、続いて必要に応じて脱硫反応させる工程
本発明においては、工程J)の後、mRNAライブラリーの3'領域にアニールするプライマーにてcDNAを合成する工程する工程を含むことができる。さらに本発明の方法は、以下の工程を含むことができる。
P) パニングにて、標的物質に結合したmRNAライブラリーを濃縮する工程
P) 逆転写酵素にてcDNAを合成する工程
Q) 塩基配列を解析する工程
[XIII] Alternatively, the method for producing a peptide compound having a cyclic moiety of the present invention relates to a method for constructing a cyclic branched peptide library, which comprises the following one or more steps.
A) Step of providing pdCpA obtained by aminoacylating compound N-1 or compound N-2
B) Step of providing tRNA lacking 3′-terminal CA
C) a step of linking pdCpA of step A) and tRNA of step B) to provide a tRNA obtained by aminoacylating compound N-1 or compound N-2;
D) Providing pdCpA obtained by aminoacylating compound C-1
E) Step of providing tRNA lacking 3′-terminal CA
F) a step of linking the pdCpA of step D) and the tRNA of step E) to provide a tRNA obtained by aminoacylating compound C-1;
G) Step of providing a cell-free translation system comprising tRNA of step C), tRNA of step F) and lactic acid
H) A codon corresponding to the anticodon of tRNA in step C) is provided as the second codon downstream of the promoter, a codon linked to cysteine, proline, and lactic acid is provided downstream thereof, and a lysine codon is further provided downstream thereof. A step of providing a template DNA library encoding a peptide sequence containing a codon corresponding to the anticodon of tRNA in step F) downstream and a codon of N-methyl amino acid serving as a substrate for proline or other ARS on its 3 ′ side
I) Step of providing an mRNA library from the template DNA library of Step H)
J) A step of attaching a spacer to the 3 ′ end of the mRNA library in step I)
K) Step of providing a pre-cyclization peptide compound-mRNA complex peptide display library by adding and translating the mRNA library to which the spacer of Step J) is bound to the cell-free translation system of Step J)
L) Step of allowing peptide deformylase and methionine aminopeptidase to act on the library of step K)
Steps K and L can be performed simultaneously by adding peptide deformylase and methionine aminopeptidase to the system during translation.
M) Step of forming a cyclic structure In the formation of the cyclic structure, a desulfurization reaction can be performed as necessary.
N) Process for generating active thioesters from cysteine, proline and lactic acid units
O) The step of forming an active ester of the generated carboxylic acid and forming an amide bond with a lysine side chain amino group to form a
P) Step of concentrating mRNA library bound to target substance by panning
P) Step of synthesizing cDNA with reverse transcriptase
Q) Process for analyzing nucleotide sequences
〔XIV〕 あるいは本発明の環状部を有するペプチド化合物の製造方法は、環状分枝ペプチドライブラリーを構築する方法であって、以下の1又は複数の工程を含む方法に関する。
A) 化合物C-1をアミノアシル化したpdCpAを提供する工程
E) 3'末端のCAを欠損するtRNAを提供する工程
F) 工程D)のpdCpAと工程E)のtRNAを連結させ、化合物C-1をアミノアシル化したtRNAを提供する工程、
G) 工程C)のtRNAと工程F)のtRNAと乳酸を含む無細胞翻訳系を提供する工程
H) プロモーターの下流に、システインコドンを2番目のコドンとして有し、その下流にシステイン、プロリン、乳酸と連なるコドンを、さらに保護されたアミン化合物Na-4のコドンを、さらにその下流に工程F)のtRNAのアンチコドンに対応するコドン、その3'側にプロリンもしくは他のARSの基質となるN-メチルアミノ酸のコドンをを含むペプチド配列をコードする鋳型DNAライブラリーを提供する工程
I) 工程H)の鋳型DNAライブラリーからmRNAライブラリーを提供する工程
J) 工程I)のmRNAライブラリーの3'末端にスペーサーを結合させる工程
K) 工程J)の無細胞翻訳系に工程J)のスペーサーを結合したmRNAライブラリーを加え、翻訳することで、環化前ペプチド化合物-mRNA複合体ペプチドディスプレイライブラリーを提供する工程
L) 環を形成させる工程
M) 化合物Na-4の側鎖アミノ基を脱保護させる工程、およびシステイン、プロリン、乳酸ユニットから、活性チオエステルを発生させる工程
N) 生成した活性チオエステルを化合物Na-4の側鎖アミノ基とアミド結合形成させて直鎖部位2を生成させる工程
本発明においては、工程J)の後、mRNAライブラリーの3'領域にアニールするプライマーにてcDNAを合成する工程する工程を含むことができる。さらに本発明の方法は、以下の工程を含むことができる。
O) パニングにて、標的物質に結合したmRNAライブラリーを濃縮する工程
P) 逆転写酵素にてcDNAを合成する工程
Q) 塩基配列を解析する工程
[XIV] Or the manufacturing method of the peptide compound which has a cyclic part of this invention is a method of constructing | assembling a cyclic branched peptide library, Comprising: It is related with the method of including the following 1 or several processes.
A) Step of providing pdCpA obtained by aminoacylating compound C-1
E) Step of providing tRNA lacking 3′-terminal CA
F) a step of linking the pdCpA of step D) and the tRNA of step E) to provide a tRNA obtained by aminoacylating compound C-1;
G) Step of providing a cell-free translation system comprising tRNA of step C), tRNA of step F) and lactic acid
H) Having a cysteine codon as the second codon downstream of the promoter, a codon linked to cysteine, proline and lactic acid, a codon of protected amine compound Na-4 further downstream, and further downstream of step F A template DNA library encoding a peptide sequence containing a codon corresponding to the anticodon of tRNA and a codon of N-methylamino acid serving as a substrate for proline or other ARS on the 3 ′ side thereof.
I) Step of providing an mRNA library from the template DNA library of Step H)
J) A step of attaching a spacer to the 3 ′ end of the mRNA library in step I)
K) Step of providing a pre-cyclization peptide compound-mRNA complex peptide display library by adding and translating the mRNA library to which the spacer of Step J) is bound to the cell-free translation system of Step J)
L) Step of forming a ring
M) Deprotecting the side chain amino group of compound Na-4 and generating an active thioester from cysteine, proline and lactic acid units
N) Step of forming an amide bond with the side chain amino group of compound Na-4 to form a
O) Step of concentrating mRNA library bound to target substance by panning
P) Step of synthesizing cDNA with reverse transcriptase
Q) Process for analyzing nucleotide sequences
〔XV〕 あるいは本発明の環状部を有するペプチド化合物の製造方法は、環状分枝ペプチドライブラリーを構築する方法であって、以下の1又は複数の工程を含む方法に関する。
A) 化合物N-1又は化合物N-2をアミノアシル化したpdCpAを提供する工程
B) 3'末端のCAを欠損するtRNAを提供する工程
C) 工程A)のpdCpAと工程B)のtRNAを連結させ、化合物N-1又は化合物N-2をアミノアシル化したtRNAを提供する工程、
D) 化合物C-1をアミノアシル化したpdCpAを提供する工程
E) 3'末端のCAを欠損するtRNAを提供する工程
F) 工程D)のpdCpAと工程E)のtRNAを連結させ、化合物C-1をアミノアシル化したtRNAを提供する工程、
G) アミノ基および必要に応じてチオール基も保護された化合物Na-4もしくは化合物Na-10(Na-7基)もしくは化合物Na-11(Na-7基)をアミノアシル化したpdCpAを提供する工程
H) 3'末端のCAを欠損するtRNAを提供する工程
I) 工程G)のpdCpAと工程H)のtRNAを連結させ、アミノ基および必要に応じてチオール基も保護された化合物Na-4もしくは化合物Na-10(Na-7基)もしくは化合物Na-11(Na-7基)をアミノアシル化したtRNAを提供する工程、
J) 工程C)のtRNAと工程F)のtRNAと工程I)のtRNAを含む無細胞翻訳系を提供する工程
K) プロモーターの下流に、工程C)のtRNAのアンチコドンに対応するコドンを2番目のコドンとして有し、その下流のCys、Pro、乳酸のtRNAのアンチコドンに対応するコドン、その下流に工程G)のtRNAのアンチコドンに対応するコドンを、さらにその下流に工程D)のtRNAのアンチコドンに対応するコドン、その3'側にプロリンもしくは他のARSの基質となるN-メチルアミノ酸のコドンを含むペプチド配列をコードする鋳型DNAライブラリーを提供する工程
L) 工程K)の鋳型DNAライブラリーからmRNAライブラリーを提供する工程
M) 工程L)のmRNAライブラリーの3'末端にスペーサーを結合させる工程
N) 工程M)の無細胞翻訳系に工程J)のスペーサーを結合したmRNAライブラリーを加え、翻訳することで、環化前ペプチド化合物-mRNA複合体ペプチドディスプレイライブラリーを提供する工程
O) 工程K)のライブラリーにペプチドデフォルミラーゼ、メチオニン アミノペプチダーゼを作用させる工程
K, Lの工程は翻訳時にペプチドデフォルミラーゼ、メチオニン アミノペプチダーゼを系に加えることにより同時に実施することもできる。
P) 環状構造を形成させる工程
Q) アミノ基および必要に応じてチオール基も保護された化合物Na-4もしくは化合物Na-10(Na-7基)もしくは化合物Na-11(Na-7基)を脱保護する工程
R) 直鎖部位2を生成させる工程
環状構造の形成においては、必要に応じて脱硫反応を行うことができる。
本発明においては、工程J)の後、mRNAライブラリーの3'領域にアニールするプライマーにてcDNAを合成する工程する工程を含むことができる。さらに本発明の方法は、以下の工程を含むことができる。
S) パニングにて、標的物質に結合したmRNAライブラリーを濃縮する工程
T) 逆転写酵素にてcDNAを合成する工程
U) 塩基配列を解析する工程
[XV] Alternatively, the method for producing a peptide compound having a cyclic moiety of the present invention relates to a method for constructing a cyclic branched peptide library, which comprises the following one or more steps.
A) Step of providing pdCpA obtained by aminoacylating compound N-1 or compound N-2
B) Step of providing tRNA lacking 3′-terminal CA
C) a step of linking pdCpA of step A) and tRNA of step B) to provide a tRNA obtained by aminoacylating compound N-1 or compound N-2;
D) Providing pdCpA obtained by aminoacylating compound C-1
E) Step of providing tRNA lacking 3′-terminal CA
F) a step of linking the pdCpA of step D) and the tRNA of step E) to provide a tRNA obtained by aminoacylating compound C-1;
G) Providing pdCpA obtained by aminoacylating Compound Na-4 or Compound Na-10 (Na-7 group) or Compound Na-11 (Na-7 group) in which an amino group and optionally a thiol group are also protected H) Providing tRNA deficient in 3′-terminal CA Step I) Compound Na-4 in which pdCpA in Step G) and tRNA in Step H) are ligated to protect the amino group and optionally the thiol group Providing an aminoacylated tRNA of compound Na-10 (Na-7 group) or compound Na-11 (Na-7 group);
J) Providing a cell-free translation system comprising the tRNA from step C), the tRNA from step F) and the tRNA from step I). K) The second codon corresponding to the anticodon of the tRNA from step C) is provided downstream of the promoter. A codon corresponding to the anticodon of Cys, Pro, lactate tRNA downstream thereof, a codon corresponding to the anticodon of tRNA of step G) downstream thereof, and an anticodon of the tRNA of step D) downstream thereof A template DNA library encoding a peptide sequence containing a codon corresponding to N, and a codon of N-methylamino acid serving as a substrate for proline or other ARS on the 3 ′ side thereof. Step L) Template DNA library of Step K) Step M) of providing an mRNA library from Step N) Step of attaching a spacer to the 3 ′ end of the mRNA library N) Step of M) Cell-free translation system of Step J) Spacer library In addition, by translating, peptides Deformation Lumi hydrolase library of step O) the step K) to provide a cyclized before peptide compounds -mRNA complex peptide display library, step of reacting methionine aminopeptidase
Steps K and L can be performed simultaneously by adding peptide deformylase and methionine aminopeptidase to the system during translation.
P) Step of forming a cyclic structure Q) Compound Na-4 or Compound Na-10 (Na-7 group) or Compound Na-11 (Na-7 group) in which the amino group and optionally the thiol group are also protected Step of deprotection R) Step of generating
In the present invention, after step J), a step of synthesizing cDNA with a primer that anneals to the 3 ′ region of the mRNA library can be included. Furthermore, the method of the present invention can include the following steps.
S) Step of concentrating mRNA library bound to target substance by panning T) Step of synthesizing cDNA with reverse transcriptase U) Step of analyzing base sequence
前記〔XIII〕、〔XV〕においてN-1, 2をN末端とするペプチドは前記〔XII〕と同様の方法にて調製することもできる。 In the above [XIII] and [XV], a peptide having N-1 and 2 as the N-terminal can be prepared by the same method as in the above [XII].
〔XVI〕 メチオニン以外のアミノ酸をN末端に有するペプチドの環化による環状分枝ペプチドライブラリーを構築する方法であって、以下の1又は複数の工程を含む方法に関する。本発明の環状部を有するペプチド化合物の製造方法は、N末端アミノ酸の異なる複数種類のペプチドを同時に翻訳することで実施可能となる環化部位の構造の異なるアミド環化ペプチドライブラリーを構築する方法であって、以下の1又は複数の工程を含む方法に関する。
A) 化合物C-1をアミノアシル化したpdCpAを提供する工程
B) 3'末端のCAを欠損するtRNAを提供する工程
C) 工程A)のpdCpAと工程B)のtRNAを連結させ、化合物C-1をアミノアシル化したtRNAを提供する工程、
D) 化合物アミノ基および必要に応じてチオール基も保護された化合物Na-4もしくは化合物Na-10(Na-7基)もしくは化合物Na-11(Na-7基)をアミノアシル化したpdCpAを提供する工程
E) 3'末端のCAを欠損するtRNAを提供する工程
F) 工程D)のpdCpAと工程E)のtRNAを連結させ、アミノ基および必要に応じてチオール基も保護された化合物Na-4もしくは化合物Na-10(Na-7基)もしくは化合物Na-11(Na-7基)をアミノアシル化したtRNAを提供する工程、
G) 工程C)のtRNAと工程F)のtRNAと工程I)のtRNAを含む無細胞翻訳系を提供する工程
H) プロモーターの下流に、工程F)のtRNAのアンチコドンに対応するコドンを、その下流にCys、Pro、乳酸のtRANのアンチコドンに対応するコドンを、さらにその下流に工程C)のtRNAのアンチコドンに対応するコドン、その3'側にプロリンもしくは他のARSの基質となるN-メチルアミノ酸のコドンを含むペプチド配列をコードする鋳型DNAライブラリーを提供する工程
I) 工程H)の鋳型DNAライブラリーからmRNAライブラリーを提供する工程
J) 工程I)のmRNAライブラリーの3'末端にスペーサーを結合させる工程
K) 工程J)の無細胞翻訳系に工程J)のスペーサーを結合したmRNAライブラリーを加え、翻訳することで、環化前ペプチド化合物-mRNA複合体ペプチドディスプレイライブラリーを提供する工程
L) 工程K)のライブラリーにペプチドデフォルミラーゼ、メチオニン アミノペプチダーゼを作用させる工程
K, Lの工程は翻訳時にペプチドデフォルミラーゼ、メチオニン アミノペプチダーゼを系に加えることにより同時に実施することもできる。
L) 環状構造を形成させる工程
M) アミノ基および必要に応じてチオール基も保護された化合物Na-4もしくは化合物Na-10(Na-7基)もしくは化合物Na-11(Na-7基)を脱保護する工程
N) 直鎖部位2を生成させる工程
環状構造の形成においては、必要に応じて脱硫反応を行うことができる。
本発明においては、工程J)の後、mRNAライブラリーの3'領域にアニールするプライマーにてcDNAを合成する工程する工程を含むことができる。さらに本発明の方法は、以下の工程を含むことができる。
O) パニングにて、標的物質に結合したmRNAライブラリーを濃縮する工程
P) 逆転写酵素にてcDNAを合成する工程
Q) 塩基配列を解析する工程
工程G)にてメチオニンの代わりにノルマルロイシンを加えることもできる。
[XVI] A method for constructing a cyclic branched peptide library by cyclization of a peptide having an amino acid other than methionine at the N-terminus, which comprises the following one or more steps. The method for producing a peptide compound having a cyclic part according to the present invention is a method for constructing an amide cyclized peptide library having different cyclization site structures that can be carried out by simultaneously translating plural types of peptides having different N-terminal amino acids. The present invention relates to a method including one or more of the following steps.
A) Step of providing pdCpA obtained by aminoacylating compound C-1
B) Step of providing tRNA lacking 3′-terminal CA
C) a step of linking the pdCpA of step A) and the tRNA of step B) to provide a tRNA obtained by aminoacylating compound C-1;
D) Provided is a pdCpA obtained by aminoacylating Compound Na-4 or Compound Na-10 (Na-7 group) or Compound Na-11 (Na-7 group) in which the compound amino group and optionally the thiol group are also protected. Process
E) Step of providing tRNA lacking 3′-terminal CA
F) Compound Na-4 or Compound Na-10 (Na-7 group) or Compound Na-11 in which the pdCpA of Step D) and the tRNA of Step E) are linked and the amino group and optionally the thiol group are also protected. Providing a tRNA aminoacylated with (Na-7 group),
G) A step of providing a cell-free translation system comprising the tRNA of step C), the tRNA of step F) and the tRNA of step I)
H) A codon corresponding to the anticodon of tRNA in step F) downstream of the promoter, a codon corresponding to the anticodon of tRAN of Cys, Pro, and lactic acid downstream of the promoter, and an anticodon of tRNA in step C) downstream thereof Providing a template DNA library that encodes a peptide sequence containing a corresponding codon and a codon of N-methylamino acid serving as a substrate for proline or other ARS on the 3 ′ side thereof
I) Step of providing an mRNA library from the template DNA library of Step H)
J) A step of attaching a spacer to the 3 ′ end of the mRNA library in step I)
K) Step of providing a pre-cyclization peptide compound-mRNA complex peptide display library by adding and translating the mRNA library to which the spacer of Step J) is bound to the cell-free translation system of Step J)
L) Step of allowing peptide deformylase and methionine aminopeptidase to act on the library of step K)
Steps K and L can be performed simultaneously by adding peptide deformylase and methionine aminopeptidase to the system during translation.
L) Step of forming a ring structure
M) Step of deprotecting Compound Na-4 or Compound Na-10 (Na-7 group) or Compound Na-11 (Na-7 group) in which the amino group and optionally the thiol group are also protected
N) Step of generating
In the present invention, after step J), a step of synthesizing cDNA with a primer that anneals to the 3 ′ region of the mRNA library can be included. Furthermore, the method of the present invention can include the following steps.
O) Step of concentrating mRNA library bound to target substance by panning
P) Step of synthesizing cDNA with reverse transcriptase
Q) Normal leucine can be added in place of methionine in step G) of analyzing the base sequence.
〔XVII〕 メチオニン以外のアミノ酸をN末端に有するペプチドの環化による環状分枝ペプチドライブラリーを構築する方法であって、以下の1又は複数の工程を含む方法に関する。本発明の環状部を有するペプチド化合物の製造方法は、N末端アミノ酸の異なる複数種類のペプチドを同時に翻訳することで実施可能となる環化部位の構造の異なるアミド環化ペプチドライブラリーを構築する方法であって、以下の1又は複数の工程を含む方法に関する。
A) 化合物C-1をアミノアシル化したpdCpAを提供する工程
B) 3'末端のCAを欠損するtRNAを提供する工程
C) 工程A)のpdCpAと工程B)のtRNAを連結させ、化合物C-1をアミノアシル化したtRNAを提供する工程、
D) 化合物アミノ基および必要に応じてチオール基も保護された化合物Na-4もしくは化合物Na-10(Na-7基)もしくは化合物Na-11(Na-7基)をアミノアシル化したpdCpAを提供する工程
E) 3'末端のCAを欠損するtRNAを提供する工程
F) 工程D)のpdCpAと工程E)のtRNAを連結させ、化合物アミノ基および必要に応じてチオール基も保護された化合物Na-4もしくは化合物Na-10(Na-7基)もしくは化合物Na-11(Na-7基)をアミノアシル化したtRNAを提供する工程、
G) 工程C)のtRNAと工程F)のtRNAと乳酸を含む無細胞翻訳系を提供する工程
H) プロモーターの下流に、工程C)のtRNAのアンチコドンに対応するコドンを2番目のコドンとして有し、その下流にシステイン、プロリン、乳酸と連なるコドンを、さらにその下流に工程F)のtRNAのアンチコドンに対応するコドン、その3'側にプロリンもしくは他のARSの基質となるN-メチルアミノ酸のコドンを含むペプチド配列をコードする鋳型DNAライブラリーを提供する工程
I) 工程H)の鋳型DNAライブラリーからmRNAライブラリーを提供する工程
J) 工程I)のmRNAライブラリーの3'末端にスペーサーを結合させる工程
K) 工程J)の無細胞翻訳系に工程J)のスペーサーを結合したmRNAライブラリーを加え、翻訳することで、環化前ペプチド化合物-mRNA複合体ペプチドディスプレイライブラリーを提供する工程
L) 工程K)のライブラリーにペプチドデフォルミラーゼ、メチオニン アミノペプチダーゼを作用させる工程
K, Lの工程は翻訳時にペプチドデフォルミラーゼ、メチオニン アミノペプチダーゼを系に加えることにより同時に実施することもできる。
M) 環状構造を形成させる工程
環状構造の形成においては、必要に応じて脱硫反応を行うことができる。
N) 化合物Na-4もしくは化合物Na-10(Na-7基)もしくは化合物Na-11(Na-7基)の側鎖保護基を脱保護させる工程、およびCys、Pro、乳酸ユニットから活性チオエステルを発生させる工程
O) 生成した活性チオエステル化と側鎖アミノ基とアミド結合形成させて直鎖部位2を生成させる工程
本発明においては、工程J)の後、mRNAライブラリーの3'領域にアニールするプライマーにてcDNAを合成する工程する工程を含むことができる。さらに本発明の方法は、以下の工程を含むことができる。
P) パニングにて、標的物質に結合したmRNAライブラリーを濃縮する工程
Q) 逆転写酵素にてcDNAを合成する工程
R) 塩基配列を解析する工程
工程G)にてメチオニンの代わりにノルマルロイシンを加えることもできる。
アミノアシルtRNAの調製は、pdCpAの利用に限らずアミノアシルtRNA合成酵素、フレキシザイム、カチオンミセル中超音波混合法、PNAアミノ酸活性エステル法などの利用も含む。
[XVII] A method for constructing a cyclic branched peptide library by cyclization of a peptide having an amino acid other than methionine at the N-terminus, which comprises one or more of the following steps. The method for producing a peptide compound having a cyclic part according to the present invention is a method for constructing an amide cyclized peptide library having different cyclization site structures that can be carried out by simultaneously translating plural types of peptides having different N-terminal amino acids. The present invention relates to a method including one or more of the following steps.
A) Step of providing pdCpA obtained by aminoacylating compound C-1
B) Step of providing tRNA lacking 3′-terminal CA
C) a step of linking the pdCpA of step A) and the tRNA of step B) to provide a tRNA obtained by aminoacylating compound C-1;
D) Provided is a pdCpA obtained by aminoacylating Compound Na-4 or Compound Na-10 (Na-7 group) or Compound Na-11 (Na-7 group) in which the compound amino group and optionally the thiol group are also protected. Process
E) Step of providing tRNA lacking 3′-terminal CA
F) Compound Na-4 or Compound Na-10 (Na-7 group) or Compound Na— in which the pdCpA of Step D) and the tRNA of Step E) are ligated to protect the compound amino group and, if necessary, the thiol group. Providing a tRNA aminoacylated with 11 (Na-7 group),
G) Step of providing a cell-free translation system comprising tRNA of step C), tRNA of step F) and lactic acid
H) A codon corresponding to the anticodon of tRNA in step C) is provided as the second codon downstream of the promoter, and a codon linked to cysteine, proline, and lactic acid is provided downstream thereof, and further downstream of the tRNA of step F). Providing a template DNA library encoding a peptide sequence containing a codon corresponding to an anticodon and an N-methyl amino acid codon serving as a substrate for proline or other ARS on the 3 ′ side thereof
I) Step of providing an mRNA library from the template DNA library of Step H)
J) A step of attaching a spacer to the 3 ′ end of the mRNA library in step I)
K) Step of providing a pre-cyclization peptide compound-mRNA complex peptide display library by adding and translating the mRNA library to which the spacer of Step J) is bound to the cell-free translation system of Step J)
L) Step of allowing peptide deformylase and methionine aminopeptidase to act on the library of step K)
Steps K and L can be performed simultaneously by adding peptide deformylase and methionine aminopeptidase to the system during translation.
M) Step of forming a cyclic structure In the formation of the cyclic structure, a desulfurization reaction can be performed as necessary.
N) Step of deprotecting the side chain protecting group of Compound Na-4 or Compound Na-10 (Na-7 group) or Compound Na-11 (Na-7 group), and active thioester from Cys, Pro and lactic acid units Process to generate
O) The step of forming an active thioesterification and an amide bond with the side chain amino group to form a
P) Step of concentrating mRNA library bound to target substance by panning
Q) Step of synthesizing cDNA with reverse transcriptase
R) Normal leucine can be added in place of methionine in step G) of analyzing the base sequence.
The preparation of aminoacyl-tRNA is not limited to the use of pdCpA but also includes the use of aminoacyl-tRNA synthetase, flexizyme, ultrasonic mixing method in cationic micelle, PNA amino acid active ester method and the like.
アスパルチミド形成抑制法
アスパラギン酸型のチオエステルを翻訳にて導入する場合、C末端側直後のアミド結合に水素原子と反応してアスパルチミドを形成してしまうため、アスパラギン酸型のチオエステルを翻訳にて導入する際に直後のアミノ酸残基をN-アルキル基を有するアミノ酸(例えばプロリン)にすることによって望みのチオエステルを含む全長ペプチドを翻訳合成する方法
Inhibition of aspartimide formation When transducing aspartic acid type thioester by translation, the amide bond immediately after the C-terminal side reacts with a hydrogen atom to form aspartimide, so aspartic acid type thioester is introduced by translation A method for translating and synthesizing a full-length peptide containing a desired thioester by changing the immediately following amino acid residue to an amino acid having an N-alkyl group (for example, proline)
本明細書において、「アルキル基」とは脂肪族炭化水素から任意の水素原子を1個除いて誘導される1価の基であり、骨格中にヘテロ原子または不飽和炭素-炭素結合を含有せず、水素および炭素原子を含有するヒドロカルビルまたは炭化水素基構造の部分集合を有する。炭素鎖の長さnは1~20個の範囲である。アルキル基としては、たとえば、「C1~C6アルキル基」が挙げられ具体的には、メチル基、エチル基、プロピル基、ブチル基、ペンチル基、ヘキシル基、イソプロピル基、t-ブチル基、sec-ブチル基、1-メチルプロピル基、1,1-ジメチルプロピル基、2,2-ジメチルプロピル基、1,2-ジメチルプロピル基、1,1,2-トリメチルプロピル基、1,2,2-トリメチルプロピル基、1,1,2,2-テトラメチルプロピル基、1-メチルブチル基、2-メチルブチル基、3-メチルブチル基、1,1-ジメチルブチル基、1,2-ジメチルブチル基、1,1-ジメチルブチル基、1,2-ジメチルブチル基、1,3-ジメチルブチル基、2,2-ジメチルブチル基、2,3-ジメチルブチル基、3,3-ジメチルブチル基、1-エチルブチル基、2-エチルブチル基、イソペンチル基、ネオペンチル基等が挙げられる。
本明細書において前記「アルキル基」は、下記の「アルケニル基」、「アルキニル基」が含まれる場合がある。
In this specification, an “alkyl group” is a monovalent group derived by removing an arbitrary hydrogen atom from an aliphatic hydrocarbon, and contains a heteroatom or an unsaturated carbon-carbon bond in the skeleton. It has a subset of hydrocarbyl or hydrocarbon group structures containing hydrogen and carbon atoms. The length n of the carbon chain is in the range of 1-20. Examples of the alkyl group include “C1-C6 alkyl group”, specifically, methyl group, ethyl group, propyl group, butyl group, pentyl group, hexyl group, isopropyl group, t-butyl group, sec- Butyl, 1-methylpropyl, 1,1-dimethylpropyl, 2,2-dimethylpropyl, 1,2-dimethylpropyl, 1,1,2-trimethylpropyl, 1,2,2-trimethyl Propyl group, 1,1,2,2-tetramethylpropyl group, 1-methylbutyl group, 2-methylbutyl group, 3-methylbutyl group, 1,1-dimethylbutyl group, 1,2-dimethylbutyl group, 1,1 -Dimethylbutyl group, 1,2-dimethylbutyl group, 1,3-dimethylbutyl group, 2,2-dimethylbutyl group, 2,3-dimethylbutyl group, 3,3-dimethylbuty Group, 1-ethylbutyl group, 2-ethylbutyl group, an isopentyl group, a neopentyl group.
In the present specification, the “alkyl group” may include the following “alkenyl group” and “alkynyl group”.
本明細書において「アルケニル基」とは、少なくとも1個の二重結合(2個の隣接SP2炭素原子)を有する1価の基である。二重結合および置換分(存在する場合)の配置によって、二重結合の幾何学的形態は、エントゲーゲン(E)またはツザンメン(Z)、シスまたはトランス配置をとることができる。アルケニル基としては、直鎖状または分枝鎖状のものが挙げられ、内部オレフィンを含む直鎖などを含む。好ましくはC2-C10アルケニル基、さらに好ましくはC2-C6アルケニル基が挙げられる。 このようなアルケニルは、具体的には、たとえば、ビニル基、アリル基、1-プロペニル基、2-プロペニル基、1-ブテニル基、2-ブテニル基(シス、トランスを含む)、3-ブテニル基、ペンテニル基、ヘキセニル基などが挙げられる。 In the present specification, the “alkenyl group” is a monovalent group having at least one double bond (two adjacent SP2 carbon atoms). Depending on the arrangement of the double bonds and substituents (if present), the geometry of the double bond can take the Enthogen (E) or Tuzanmen (Z), cis or trans configurations. Examples of the alkenyl group include straight-chain or branched-chain groups, and include straight chains containing internal olefins. A C2-C10 alkenyl group is preferable, and a C2-C6 alkenyl group is more preferable. Specifically, such alkenyl includes, for example, vinyl group, allyl group, 1-propenyl group, 2-propenyl group, 1-butenyl group, 2-butenyl group (including cis and trans), and 3-butenyl group. , Pentenyl group, hexenyl group and the like.
本明細書において「アルキニル」は、少なくとも1個の三重結合(2個の隣接SP炭素原子)を有する、1価の基である。直鎖状または分枝鎖状のアルキニル基が挙げられ、内部アルキレンを含む。好ましくはC2-C10アルキニル基、さらに好ましくはC2-C6アルキニル基が挙げられる。 アルキニルとしては具体的には、たとえば、エチニル基、1-プロピニル基、プロパルギル基、3-ブチニル基、ペンチニル基、ヘキシニル基、3-フェニル-2-プロピニル基、3-(2'-フルオロフェニル)-2-プロピニル基、2-ヒドロキシ-2-プロピニル基、3-(3-フルオロフェニル)-2-プロピニル基、3-メチル-(5-フェニル)-4-ペンチニル基などが挙げられる。 In the present specification, “alkynyl” is a monovalent group having at least one triple bond (two adjacent SP carbon atoms). Examples include linear or branched alkynyl groups, including internal alkylene. A C2-C10 alkynyl group is preferable, and a C2-C6 alkynyl group is more preferable. Specific examples of alkynyl include, for example, ethynyl group, 1-propynyl group, propargyl group, 3-butynyl group, pentynyl group, hexynyl group, 3-phenyl-2-propynyl group, and 3- (2′-fluorophenyl). Examples include -2-propynyl group, 2-hydroxy-2-propynyl group, 3- (3-fluorophenyl) -2-propynyl group, and 3-methyl- (5-phenyl) -4-pentynyl group.
「シクロアルキル基」とは、飽和または部分的に飽和した環状の1価の脂肪族炭化水素基を意味し、単環、ビシクロ環、スピロ環を含む。好ましくはC3-C10シクロアルキル基が挙げられる。シクロアルキル基としては具体的には、たとえば、シクロプロピル基、シクロブチル基、シクロペンチル基、シクロヘキシル基、シクロヘプチル基、シクロオクチル基、ビシクロ[2.2.1]ヘプチル基などが挙げられる。 “Cycloalkyl group” means a saturated or partially saturated cyclic monovalent aliphatic hydrocarbon group, and includes a single ring, a bicyclo ring, and a spiro ring. Preferably, a C3-C10 cycloalkyl group is used. Specific examples of the cycloalkyl group include a cyclopropyl group, a cyclobutyl group, a cyclopentyl group, a cyclohexyl group, a cycloheptyl group, a cyclooctyl group, and a bicyclo [2.2.1] heptyl group.
「ハロゲンを置換基に有していてもよいC1~C6アルキル基」とは、1つ以上のハロゲン原子で置換された「C1~C6アルキル基」を意味する。例えば、トリフルオロメチル基、ジフルオロメチル基、フルオロメチル基、ペンタプルオロエチル基、テトラフルオロエチル基、トリフルオロエチル基、ジフルオロエチル基、フルオロエチル基、トリクロロメチル基、ジクロロメチル基、クロロメチル基、ペンタクロロエチル基、テトラクロロエチル基、トリクロロエチル基、ジクロロエチル基、クロロエチル基等が挙げられる。 “The C1-C6 alkyl group optionally having halogen as a substituent” means a “C1-C6 alkyl group” substituted with one or more halogen atoms. For example, trifluoromethyl group, difluoromethyl group, fluoromethyl group, pentapuroethyl group, tetrafluoroethyl group, trifluoroethyl group, difluoroethyl group, fluoroethyl group, trichloromethyl group, dichloromethyl group, chloromethyl group , Pentachloroethyl group, tetrachloroethyl group, trichloroethyl group, dichloroethyl group, chloroethyl group and the like.
「ハロゲン」とは、フッ素(F)、塩素(Cl)、臭素(Br)またはヨウ素(I)を意味する。 “Halogen” means fluorine (F), chlorine (Cl), bromine (Br) or iodine (I).
本明細書において「アリール基」とは1価の芳香族炭化水素環を意味し、好ましくはC5-C10アリールが挙げられる。アリールとしては具体的には、たとえば、フェニル基、ナフチル(たとえば、1-ナフチル基、2-ナフチル基)などが挙げられる。
本明細書において前記「アリール基」は、下記の「ヘテロアリール」が含まれる場合がある。
In the present specification, the “aryl group” means a monovalent aromatic hydrocarbon ring, preferably C5-C10 aryl. Specific examples of aryl include phenyl group and naphthyl (for example, 1-naphthyl group and 2-naphthyl group).
In the present specification, the “aryl group” may include the following “heteroaryl”.
本明細書において「ヘテロアリール」とは、環を構成する原子中に好ましくは1~5個のヘテロ原子を含有する芳香族性の環の1価の基を意味し、部分的に飽和されていてもよい。環は単環、または2個の縮合環(たとえば、ベンゼン環または単環へテロアリール環と縮合した2環式ヘテロアリール)であってもよい。環を構成する原子の数は好ましくは5~10である(C5-C10ヘテロアリール)。
ヘテロアリールとしては具体的には、たとえば、フリル基、チエニル基、ピロリル基、イミダゾリル基、ピラゾリル基、チアゾリル基、イソチアゾリル基、オキサゾリル基、イソオキサゾリル基、オキサジアゾリル基、チアジアゾリル基、トリアゾリル基、テトラゾリル基、ピリジル基、ピリミジル基、ピリダジニル基、ピラジニル基、トリアジニル基、ベンゾフラニル基、ベンゾチエニル基、ベンゾチアジアゾリル基、ベンゾチアゾリル基、ベンゾオキサゾリル基、ベンゾオキサジアゾリル基、ベンゾイミダゾリル基、インドリル基、イソインドリル基、インダゾリル基、キノリル基、イソキノリル基、シンノリニル基、キナゾリニル基、キノキサリニル基、ベンゾジオキソリル基、インドリジニル基、イミダゾピリジル基などが挙げられる。
In the present specification, “heteroaryl” means a monovalent group of an aromatic ring containing preferably 1 to 5 heteroatoms in the atoms constituting the ring, and is partially saturated. May be. The ring may be a single ring or two fused rings (eg, a bicyclic heteroaryl fused with a benzene ring or a monoheteroaryl ring). The number of atoms constituting the ring is preferably 5 to 10 (C5-C10 heteroaryl).
Specific examples of the heteroaryl include furyl, thienyl, pyrrolyl, imidazolyl, pyrazolyl, thiazolyl, isothiazolyl, oxazolyl, isoxazolyl, oxadiazolyl, thiadiazolyl, triazolyl, tetrazolyl, Pyridyl group, pyrimidyl group, pyridazinyl group, pyrazinyl group, triazinyl group, benzofuranyl group, benzothienyl group, benzothiadiazolyl group, benzothiazolyl group, benzoxazolyl group, benzooxadiazolyl group, benzimidazolyl group, indolyl group, isoindolyl Group, indazolyl group, quinolyl group, isoquinolyl group, cinnolinyl group, quinazolinyl group, quinoxalinyl group, benzodioxolyl group, indolizinyl group, imidazopyridyl group, etc. .
「C5~C10アリールC1-C6アルキル基(アラルキル基)」とは、前記、C1-C6アルキル基の水素原子のうちの1個が前記C5~C10アリール基で置換されているアルキル基を指す。 “C5-C10 aryl C1-C6 alkyl group (aralkyl group)” refers to an alkyl group in which one of the hydrogen atoms of the C1-C6 alkyl group is substituted with the C5-C10 aryl group.
アリールアルキル基(アラルキル基)とは、アリール基とアルキル基を共に含む基であり、例えば、前記アルキル基の少なくとも一つの水素原子がアリール基で置換された基を意味し、好ましくは、「C5~C10アリールC1-C6アルキル基」が挙げられる。たとえば、ベンジル基などが挙げられる。「置換基を有していてもよいC5~C10アリールC1-C6アルキル基」とは、前記「C5~C10アリールC1-C6アルキル基」のアリール基および/またはアルキル基の少なくとも一つの水素原子が、置換基により置換された基を示す。これら置換基としては、たとえば、"アミノ酸"の側鎖の置換基で定義した様々置換基などが挙げられる。 An arylalkyl group (aralkyl group) is a group containing both an aryl group and an alkyl group. For example, it means a group in which at least one hydrogen atom of the alkyl group is substituted with an aryl group, preferably “C5 -C10 aryl C1-C6 alkyl group ". For example, a benzyl group etc. are mentioned. The “optionally substituted C5-C10 aryl C1-C6 alkyl group” means that at least one hydrogen atom of the aryl group and / or alkyl group of the “C5-C10 aryl C1-C6 alkyl group” is And represents a group substituted by a substituent. Examples of these substituents include various substituents defined as substituents on the side chain of “amino acid”.
「アルコキシ基」とは、水酸基の水素原子が前記アルキル基で置換された基を意味し、たとえば、好ましくは「C1-C6アルコキシ基」が挙げられる。 “Alkoxy group” means a group in which a hydrogen atom of a hydroxyl group is substituted with the alkyl group, and examples thereof include “C1-C6 alkoxy group”.
本明細書において、「活性エステル基」とは、アミノ基と反応してアミド結合を生成するカルボニル基を含む基であって、該カルボニル基に、たとえばOBt、OAt、OSu、OPfp、SR1などが結合した基であり、アミノ基との反応を促進しうる基である。 In this specification, an “active ester group” is a group containing a carbonyl group that reacts with an amino group to form an amide bond, and includes, for example, OBt, OAt, OSu, OPfp, SR1, and the like. It is a bonded group and can promote the reaction with an amino group.
「反応補助基」とは、望みの位置で選択的に反応を起こさせるために、結合させる官能基の近傍に導入されて、該官能基を結合反応に対して活性化する基であり、たとえば、カルボニル基とアミノ基を反応させるため、カルボニル基とアミノ基側のいずれか、あるいは両方に反応補助基を導入させることができる。このような反応補助基としては、たとえば、SHなどが挙げられる。このような反応補助基は、結合反応とともに、あるいは結合反応後に脱離させることもできる。
「通常アミン」とは、反応補助基により活性化されていないアミンを意味する。
The “reaction auxiliary group” is a group that is introduced in the vicinity of a functional group to be bound to selectively react at a desired position and activates the functional group with respect to the binding reaction, for example, In order to react the carbonyl group with the amino group, a reaction auxiliary group can be introduced on either or both of the carbonyl group and the amino group side. Examples of such a reaction assisting group include SH. Such a reaction assisting group can be removed together with the bonding reaction or after the bonding reaction.
“Normal amine” means an amine that is not activated by a reaction-assisting group.
mRNA display
本発明における「核酸」には、デオキシリボ核酸(DNA)、リボ核酸(RNA)あるいは、人工塩基を有するヌクレオチド誘導体を含むこともできる。また、ペプチド核酸(PNA)を含むこともできる。本発明の核酸は、目的とする遺伝情報が保持される限り、これらの核酸のいずれか、あるいは混成とすることもできる。すなわち、DNA-RNAのハイブリッドヌクレオチドやDNAとRNAのような異なる核酸が1本鎖に連結されたキメラ核酸も本発明における核酸に含まれる。
本発明においては、これら核酸を鋳型として含む、displayライブラリーなどの核酸ライブラリーを好適に用いることができる。
mRNA display
The “nucleic acid” in the present invention can also include deoxyribonucleic acid (DNA), ribonucleic acid (RNA), or a nucleotide derivative having an artificial base. Moreover, a peptide nucleic acid (PNA) can also be included. The nucleic acid of the present invention can be any of these nucleic acids or a hybrid as long as the desired genetic information is retained. That is, chimeric nucleic acids in which different nucleic acids such as DNA-RNA hybrid nucleotides and DNA and RNA are linked in a single strand are also included in the nucleic acids of the present invention.
In the present invention, a nucleic acid library such as a display library containing these nucleic acids as templates can be suitably used.
displayライブラリーは表現型であるペプチドとその遺伝子型であるペプチドをコードするRNAもしくはDNAが対応付けられているライブラリーである。所望の固定した標的にライブラリーを接触させ、標的に結合しない分子を洗い流すことで結合するペプチドの濃縮が可能である(パニング法)。このような過程を経て選択されたペプチドに対応付けられている遺伝子情報を解析することで標的に結合したタンパク質の配列を明らかにすることが出来る。例えば、アミノアシルtRNAのアナログである抗生物質ピューロマイシンがribosomeによるmRNA翻訳伸長中の蛋白質に非特異的に連結されることを利用する方法がmRNA display(Proc Natl Acad Sci USA. 1997;94:12297-302. RNA-peptide fusions for the in vitro selection of peptides and proteins. Roberts RW, Szostak JW.)ないしはin vitro virus(FEBS Lett. 1997;414:405-8. In vitro virus: bonding of mRNA bearing puromycin at the 3'-terminal end to the C-terminal end of its encoded protein on the ribosome in vitro. Nemoto N, Miyamoto-Sato E, Husimi Y, Yanagawa H.)として報告されている。 The display library is a library in which a peptide having a phenotype is associated with RNA or DNA encoding the peptide having the genotype. The library can be brought into contact with a desired immobilized target, and the peptides that bind to the target can be concentrated by washing away molecules that do not bind to the target (panning method). The sequence of the protein bound to the target can be clarified by analyzing the gene information associated with the peptide selected through such a process. For example, a method using non-specific ligation of the antibiotic puromycin, which is an analog of aminoacyl-tRNA, to a protein undergoing mRNA translation elongation by ribosome is known as mRNA display (Proc Natl Acad Sci USA. 1997; 94: 12297- 302. RNA-peptide fusions for the in vitro selection of peptides and proteins. Roberts RW, Szostak JW.) Or in vitro virus (FEBS Lett. 1997; 414: 405-8. Introvitrovirus: bonding of mRNA bearing puromycin at the 3'-terminal end to the C-terminal end of its encoded protein on the ribosome in vitro. Nemoto N, Miyamoto-Sato E, Husimi Y, Yanagawa H.).
T7プロモーターなどのプロモーターを含むDNAライブラリーから転写にて得たmRNAのライブラリーの3'端にピューロマイシンなどのスペーサーを結合しておき、無細胞翻訳系でmRNAをタンパク質に翻訳させるとピューロマイシンがribosomeによってアミノ酸と間違ってタンパク質に取り込まれ、mRNAとこれにコードされる蛋白質が連結され、mRNAとその産物が対応付けられたライブラリーになる。この過程では大腸菌などの形質転換を含まないため高い効率が実現され、大規模なdisplayライブラリー(1012-1014種類)を構築することが出来る。パニングで濃縮、選択された分子についている遺伝子情報を含むタグであるmRNAからcDNAを合成し、PCR増幅し、塩基配列を解析することで結合した蛋白の配列を明らかにすることが出来る。ライブラリーの鋳型となるDNAライブラリーのアミノ酸残基を固定しない箇所は塩基を混ぜて合成することによって得ることができる。A, T, G, Cの 4塩基の混合(N)の3の倍数個の繰り返し、もしくはコドンの一文字目二文字目はN、三文字目はW, M, K, Sなどの 2塩基の混合として合成する、さらに導入するアミノ酸の種類を16以下に抑えるのであれば、三文字目を1種類の塩基にする方法もある。また、実施例のようにコドンの3文字に相当するコドンユニットを用意し、これを任意の割合で混合して合成に用いることによってアミノ酸残基の出現頻度を自由に調整できる。 Puromycin can be purified by binding a spacer such as puromycin to the 3 ′ end of the mRNA library obtained by transcription from a DNA library containing a promoter such as the T7 promoter, and then translating the mRNA into a protein in a cell-free translation system. Is mistakenly incorporated into proteins by ribosome, and mRNA and the protein encoded by it are linked to form a library in which mRNA and its products are associated. Since this process does not include transformation of Escherichia coli or the like, high efficiency is realized and a large-scale display library (10 12 -10 14 types) can be constructed. By synthesizing cDNA from mRNA, which is a tag containing genetic information attached to a molecule selected by panning, PCR amplification and analysis of the base sequence can reveal the sequence of the bound protein. The portion where the amino acid residue of the DNA library that is the template of the library is not fixed can be obtained by mixing with a base and synthesizing. Repeating 3 multiples of a mixture of 4 bases of A, T, G, and C (N), or N for the first and second letters of the codon and 2 bases such as W, M, K, and S for the third letter There is also a method in which the third character is made into one type of base as long as the number of amino acids to be synthesized is further reduced to 16 or less. Moreover, the frequency of appearance of amino acid residues can be freely adjusted by preparing a codon unit corresponding to three codon characters as in the Examples, mixing them at an arbitrary ratio, and using them for synthesis.
無細胞翻訳系を利用したdisplayライブラリーには、mRNA displayの他に、ペプチドとピューロマイシンの複合体が結合しているペプチドをコードするcDNAからなるライブラリーであるcDNA display(Nucleic Acids Res. 2009;37(16):e108.cDNA display: a novel screening method for functional disulfide-rich peptides by solid-phase synthesis and stabilization of mRNA-protein fusions.Yamaguchi J, Naimuddin M, Biyani M, Sasaki T, Machida M, Kubo T, Funatsu T, Husimi Y, Nemoto N.)、mRNA翻訳中にribosomeと翻訳産物が比較的安定な複合体であることを利用したribosome display(Proc Natl Acad Sci U S A. 1994;91:9022-6. An in vitro polysome display system for identifying ligands from very large peptide libraries. Mattheakis LC, Bhatt RR, Dower WJ.)、bacteriophage endonuclease P2AがDNAと共有結合を形成することを利用したcovalent display(Nucleic Acids Res. 2005;33:e10.Covalent antibody display--an in vitro antibody-DNA library selection system.Reiersen H, Lobersli I, Loset GA, Hvattum E, Simonsen B, Stacy JE, McGregor D, Fitzgerald K, Welschof M, Brekke OH, Marvik OJ.)、微生物のプラスミドの複製開始蛋白RepAが複製開始点oriに結合することを利用したCIS display(Proc Natl Acad Sci U S A. 2004;101:2806-10. CIS display: In vitro selection of peptides from libraries of protein-DNA complexes. Odegrip R, Coomber D, Eldridge B, Hederer R, Kuhlman PA, Ullman C, FitzGerald K, McGregor D.)が知られている。また、DNAライブラリーを構成するDNAの1分子毎に転写翻訳系をwater-in-oilエマルジョンやリポソームに封入し、翻訳反応を行うin vitro compartmentalization(Nat Biotechnol. 1998;16:652-6. Man-made cell-like compartments for molecular evolution. Tawfik DS, Griffiths AD.)も知られている。適宜、公知の方法を用いて上記方法を使用することができる。
In addition to mRNA-display, the display library using cell-free translation system includes cDNA-display (Nucleic-Acids-Res. 2009), which is a library consisting of cDNAs encoding peptides with a complex of peptide and puromycin. ; 37 (16): e108.cDNA display: a novel screening method for functional disulfide-rich peptides by solid-phase synthesis and stabilization of mRNA-protein fusions.Yamaguchi J, Naimuddin M, Biyani M, Sasaki T, MachidaboM, Ku T, Funatsu T, Husimi Y, Nemoto N.), ribosome display (Proc Natl Acad Sci U S 利用 A. る こ と 1994; 91: 9022), which utilizes a relatively stable complex between ribosome and the translation product during mRNA translation. -6. An in vitro polysome display system for identifying ligands from very large peptide libraries. Mattheakis LC, Bhatt RR, Dower WJ.), Bacteriophage endonuclease P2A using a covalent bond with DNA ent display (Nucleic Acids Res. 2005; 33: e10.Covalent antibody display--an in vitro antibody-DNA library selection system.Reiersen H, Lobersli I, Loset GA, Hvattum E, Simonsen Eor, DSt. K, Welschof M, Brekke OH, Marvik OJ.), CIS display (Proc Natl Acad Sci U S A. 2004; 101: 2806-) utilizing the binding of the replication initiator protein RepA of the microorganism plasmid to the origin of
本発明では、以下に記載の無細胞翻訳系を用いてこれら核酸ライブラリーを翻訳することができる。無細胞翻訳系を使用する場合、目的の核酸の下流にスペーサーをコードする配列を含むことが好ましい。スペーサー配列としては、グリシンやセリンを含む配列が挙げられるがこれに限定しない。またピューロマイシン、その誘導体などリボソームによる翻訳時にペプチドに取り込まれる化合物と核酸ライブラリーの間には、RNA、DNA、ヘキサエチレングリコール(spc18)のポリマー(例えば5つのポリマー)などで形成されるリンカーを含むことが好ましい。 In the present invention, these nucleic acid libraries can be translated using the cell-free translation system described below. When a cell-free translation system is used, it is preferable to include a sequence encoding a spacer downstream of the target nucleic acid. Examples of the spacer sequence include, but are not limited to, sequences containing glycine and serine. In addition, a linker formed of RNA, DNA, or a polymer of hexaethylene glycol (spc18) (for example, five polymers) is inserted between the compound incorporated into the peptide during translation by ribosome, such as puromycin and its derivatives, and the nucleic acid library. It is preferable to include.
無細胞翻訳系
本発明のペプチド化合物の製造方法では、無細胞翻訳系などのタンパク質製造システムを使用することが好ましい。無細胞翻訳系とは、細胞より抽出したribosomeの他、翻訳に関与する蛋白因子群、tRNA、アミノ酸、ATPなどのエネルギー源、その再生系を組み合わせたものでmRNAを蛋白に翻訳することが出来る。本発明の無細胞翻訳系には、これら以外にも、開始因子、伸長因子、解離因子、アミノアシルtRNA合成酵素、メチオニルtRNAトランスフォルミラーゼなどを含むことができる。これらの因子は、種々の細胞の抽出液から精製することによって得ることができる。因子を精製するための細胞は、例えば原核細胞、または真核細胞を挙げることができる。原核細胞としては、大腸菌細胞、高度好熱菌細胞、または枯草菌細胞を挙げることができる。真核細胞としては、酵母細胞、小麦胚芽、ウサギ網状赤血球、植物細胞、昆虫細胞、または動物細胞を材料にしたものが知られている。
Cell-free translation system In the method for producing a peptide compound of the present invention, it is preferable to use a protein production system such as a cell-free translation system. Cell-free translation system can translate mRNA into protein by combining ribosome extracted from cells, protein factor group involved in translation, energy source such as tRNA, amino acid, ATP, and regeneration system. . In addition to these, the cell-free translation system of the present invention can contain an initiation factor, elongation factor, dissociation factor, aminoacyl tRNA synthetase, methionyl tRNA transformylase, and the like. These factors can be obtained by purifying from various cell extracts. Examples of the cells for purifying the factor include prokaryotic cells and eukaryotic cells. Prokaryotic cells can include E. coli cells, hyperthermophilic cells, or Bacillus subtilis cells. Known eukaryotic cells are those made from yeast cells, wheat germ, rabbit reticulocytes, plant cells, insect cells, or animal cells.
無細胞翻訳系は材料の細胞を破砕し、遠心分離、透析などによって調製した抽出液にtRNA、アミノ酸、ATPなどを加えたものである。例えば、大腸菌(Methods Enzymol. 1983;101:674-90. Prokaryotic coupled transcription-translation. Chen HZ, Zubay G.)、酵母(J. Biol. Chem. 1979 254: 3965-3969. The preparation and characterization of a cell-free system from Saccharomyces cerevisiae that translates natural messenger ribonucleic acid. E Gasior, F Herrera, I Sadnik, C S McLaughlin, and K Moldave)、小麦胚芽(Methods Enzymol. 1983;96:38-50. Cell-free translation of messenger RNA in a wheat germ system. Erickson AH, Blobel G.)、ウサギ網状赤血球(Methods Enzymol. 1983;96:50-74. Preparation and use of nuclease-treated rabbit reticulocyte lysates for the translation of eukaryotic messenger RNA. Jackson RJ, Hunt T.)、Hela細胞(Methods Enzymol. 1996;275:35-57.Assays for poliovirus polymerase, 3D(Pol), and authentic RNA replication in HeLa S10 extracts. Barton DJ, Morasco BJ, Flanegan JB.)、昆虫細胞(Comp Biochem Physiol B. 1989;93:803-6. Cell-free translation in lysates from Spodoptera frugiperda (Lepidoptera: Noctuidae) cells. Swerdel MR, Fallon AM.)を材料にしたものを用いることができる。T7 RNA polymeraseなどのRNAポリメラーゼを加えることでDNAからの転写、翻訳を共役させることができる。一方、PURE systemは大腸菌の翻訳に必要な蛋白因子類、エネルギー再生系酵素、ribosomeそれぞれを抽出、精製し、tRNA、アミノ酸、ATP、GTPなどと混合した再構成無細胞翻訳系である。不純物の含有量が少ないだけでなく、再構成系であるため排除したい蛋白因子、アミノ酸を含まない系を容易に作製することができる。((i)Nat Biotechnol. 2001;19:751-5. Cell-free translation reconstituted with purified components. Shimizu Y, Inoue A, Tomari Y, Suzuki T, Yokogawa T, Nishikawa K, Ueda T.(ii)Methods Mol Biol. 2010;607:11-21.PURE technology.Shimizu Y, Ueda T.) 。適宜、公知の方法を用いて上記方法を使用することができる The cell-free translation system is obtained by crushing the cells of the material and adding tRNA, amino acid, ATP, etc. to the extract prepared by centrifugation, dialysis or the like. For example, Escherichia coli (MethodsmolEnzymol. 1983; 101: 674-90. Prokaryotic coupled transcription-translation. Chen HZ, Zubay G.), yeast (J. Biol. Chem. 1979 254: 3965-3969. The preparation and characterization of a cell-free system from Saccharomyces cerevisiae that translates natural messenger ribonucleic acid. E Gasior, F Herrera, I Sadnik, C S McLaughlin, and K Moldave), wheat germ (Methods Enzymol.translation. of messenger RNA in a wheat germ system. Erickson AH, Blobel G.), rabbit reticulocyte (Methods Enzymol. 1983; 96: 50-74. Preparation and use of nuclease-treated rabbit reticulocyte lysates for theuktransotic mes Jackson RJ, Hunt T.), Hela cells (Methods Enzymol. 1996; 275: 35-57.Assays for poliovirus polymerase, 3D (Pol), and authentic RNA replication in HeLa S10 extracts. Barton DJ, Morasco BJ, Flanegan J ), Insect cells (Com p Biochem Physiol B. 1989; 93: 803-6.Cell-free translation in lysates from Spodoptera frugiperda (Lepidoptera: Noctuidae) cells. Swerdel MR, Fallon AM.) can be used. Transcription and translation from DNA can be coupled by adding RNA polymerase such as T7 RNA polymerase. On the other hand, the PURE® system is a reconstituted cell-free translation system in which protein factors, energy regeneration enzymes, and ribosomes necessary for E. coli translation are extracted, purified, and mixed with tRNA, amino acids, ATP, GTP, and the like. Not only is the content of impurities small, but because it is a reconstitution system, it is possible to easily produce a system that does not contain protein factors and amino acids to be excluded. ((i) Nat Biotechnol. 2001; 19: 751-5. Cell-free translation reconstituted with purified components. Shimizu Y, Inoue A, Tomari Y, Suzuki T, Yokogawa T, Nishikawa K, Ueda T. (ii) Methods Mol Biol. 2010; 607: 11-21.PURE technology.Shimizu Y, Ueda T.). The above method can be used as appropriate using a known method.
ribosome、tRNA等、無細胞翻訳系に含まれる種々の因子は大腸菌細胞や酵母細胞から当業者に周知の方法によって精製することができる。またtRNAやアミノアシルtRNA合成酵素は天然に存在するものに加え、人工tRNAや非天然アミノ酸を認識する人工アミノアシルtRNA合成酵素を用いることもできる。人工tRNAや人工アミノアシルtRNA合成酵素を用いることにより部位特異的に非天然アミノ酸を導入したペプチドを合成することができる。 Various factors contained in the cell-free translation system such as ribosome and tRNA can be purified from E. coli cells and yeast cells by methods well known to those skilled in the art. In addition to naturally occurring tRNA and aminoacyl tRNA synthetase, an artificial aminoacyl tRNA synthetase that recognizes an artificial tRNA or an unnatural amino acid can also be used. By using an artificial tRNA or an artificial aminoacyl tRNA synthetase, a peptide into which an unnatural amino acid is introduced can be synthesized in a site-specific manner.
非天然アミノ酸のペプチドへの翻訳導入には、直交性を有し効率よくribosomeに取り込まれるtRNA((i)Biochemistry. 2003;42:9598-608.Adaptation of an orthogonal archaeal leucyl-tRNA and synthetase pair for four-base, amber, and opal suppression. Anderson JC, Schultz PG., (ii)Chem Biol. 2003;10:1077-84.Using a solid-phase ribozyme aminoacylation system to reprogram the genetic code.Murakami H, Kourouklis D, Suga H.)のアミノアシル化が必要である。tRNAをアミノアシル化する方法として以下の5つの方法を用いることができる。 Translation of unnatural amino acids into peptides involves tRNA ((i) Biochemistry.chemistry2003; 42: 9598-608.Adaptation of an orthogonal archaeal leucyl-tRNA and synthetase pair for four-base, amber, and opal suppression. Anderson JC, Schultz PG., (ii) Chem Biol. 2003; 10: 1077-84.Using a solid-phase ribozyme aminoacylation system to reprogram the genetic code.Murakami H, Kourouklis , Suga H.) is required for aminoacylation. The following five methods can be used as a method for aminoacylating tRNA.
細胞内ではtRNAのアミノアシル化をアミノ酸別にアミノアシルtRNA合成酵素が用意されている。ある種のアミノアシルtRNA合成酵素がN-Me Hisなど非天然アミノ酸を許容することを利用する方法、非天然アミノ酸を許容する変異アミノアシルtRNA合成酵素を用意し、これを利用する方法である((i)Proc Natl Acad Sci U S A. 2002;99:9715-20. An engineered Escherichia coli tyrosyl-tRNA synthetase for site-specific incorporation of an unnatural amino acid into proteins in eukaryotic translation and its application in a wheat germ cell-free system.Kiga D, Sakamoto K, Kodama K, Kigawa T, Matsuda T, Yabuki T, Shirouzu M, Harada Y, Nakayama H, Takio K, Hasegawa Y, Endo Y, Hirao I, Yokoyama S.(ii)Science. 2003;301:964-7.An expanded eukaryotic genetic code.Chin JW, Cropp TA, Anderson JC, Mukherji M, Zhang Z, Schultz PG. Chin,JW.(iii) Proc Natl Acad Sci U S A. 2006;103:4356-61.Enzymatic aminoacylation of tRNA with unnatural amino acids.Hartman MC, Josephson K, Szostak JW.)。試験管内でtRNAをアミノアシル化しその後アミノ酸を化学修飾する方法も用いることができる(J Am Chem Soc. 2008;130:6131-6.Ribosomal synthesis of N-methyl peptides.Subtelny AO, Hartman MC, Szostak JW.)。tRNAの3'末端のCCA配列からCAを除いたものと別途調製したアミノアシル化したpdCpAとをRNAリガーゼで結合させることでアミノアシルtRNAを得ることが出来る(Biochemistry. 1984;23:1468-73.T4 RNA ligase mediated preparation of novel "chemically misacylated" tRNAPheS.Heckler TG, Chang LH, Zama Y, Naka T, Chorghade MS, Hecht SM.)。種々の非天然アミノ酸の活性エステルをtRNAに担持させるリボザイムであるフレキシザイムによるアミノアシル化もある(J Am Chem Soc. 2002;124:6834-5.Aminoacyl-tRNA synthesis by a resin-immobilized ribozyme.Murakami H, Bonzagni NJ, Suga H.)。tRNAとアミノ酸活性エステルとをカチオン性ミセル中で超音波混合する方法も用いることができる(Chem Commun (Camb). 2005;(34):4321-3.Simple and quick chemical aminoacylation of tRNA in cationic micellar solution under ultrasonic agitation. Hashimoto N, Ninomiya K, Endo T, Sisido M.)。tRNAの3'末端付近に相補的なPNAにアミノ酸活性エステルを結合したものをtRNAに加えることによってもアミノアシル化が可能である(J Am Chem Soc. 2004;126:15984-9.In situ chemical aminoacylation with amino acid thioesters linked to a peptide nucleic acid.Ninomiya K, Minohata T, Nishimura M, Sisido M.)。 In the cell, aminoacyl tRNA synthetase is prepared for each amino acid for aminoacylation of tRNA. This is a method that utilizes the fact that certain aminoacyl-tRNA synthetases allow unnatural amino acids such as N-Me His, and a method that uses a mutant aminoacyl-tRNA synthetase that accepts unnatural amino acids and uses this ((i ) Proc Natl Acad Sci U S A. 2002; 99: 9715-20. An engineered Escherichia coli tyrosyl-tRNA synthetase for site-specific incorporation of an unnatural amino acid into proteins in eukaryotic translationin eukaryotic translation system.Kiga D, Sakamoto K, Kodama K, Kigawa T, Matsuda T, Yabuki T, Shirouzu M, Harada Y, Nakayama H, Takio K, Hasegawa Y, Endo Y, Hirao I, YokoyamaSence (ii2003) ; 301: 964-7.An expanded eukaryotic genetic code.Chin JW, Cropp TA, Anderson JC, Mukherji M, Zhang Z, Schultz PG. Chin, JW. (Iii) Proc Natl Acad Sci U S A. 2006; 103: 4356-61.Enzymatic aminoacylation of tRNA with unnatural amino acids.Hartman MC, Josephson K, Szostak JW.). A method of aminoacylating tRNA in a test tube and then chemically modifying the amino acid can also be used (J Am Chem Soc. 2008; 130: 6131-6. Ribosomal synthesis of N-methyl peptides.Subtelny AO, Hartman MC, Szostak JW. ). An aminoacyl-tRNA can be obtained by binding an aminoacylated pdCpA obtained by removing the CA from the CCA sequence at the 3 ′ end of tRNA and a separately prepared aminoacylated pdCpA (Biochemistry. 1984; 23: 1468-73.T4 RNA ligase mediated preparation of novel “chemically misacylated” tRNAPheS.Heckler TG, Chang LH, Zama Y, Naka T, Chorghade MS, Hecht SM.). There is also aminoacylation by flexizyme, a ribozyme that carries active esters of various unnatural amino acids on tRNA (J Am Chem Soc. 2002; 124: 6834-5.Aminoacyl-tRNA synthesis by a resin-immobilized ribozyme.Murakami H , Bonzagni NJ, Suga H.). A method of ultrasonically mixing tRNA and amino acid active ester in cationic micelles can also be used (Chem Commun (Camb). 2005; (34): 4321-3.Simple and quick chemical aminoacylation of tRNA in cationic micellar solution under ultrasonic agitation. Hashimoto N, Ninomiya K, Endo T, Sisido M.). Aminoacylation is also possible by adding an amino acid active ester to a complementary PNA near the 3 'end of tRNA to tRNA (J Am Chem Soc. 2004; 126: 15984-9.In situ chemical aminoacylation with amino acid thioesters linked to a peptide nucleic acid.Ninomiya K, Minohata T, Nishimura M, Sisido M.).
非天然アミノ酸を導入するコドンとして終止コドンを利用する方法が多く報告されているが、前述のPUREsystemを用いることで天然アミノ酸、ARSを除いた合成系を構築できるため、アミノ酸をコードするコドンについて除外した天然アミノ酸の代わりに非天然アミノ酸を導入することが出来る(J Am Chem Soc. 2005;127:11727-35.Ribosomal synthesis of unnatural peptides. Josephson K, Hartman MC, Szostak JW.)。さらにコドンの縮重を解くことにより天然アミノ酸を除外することなく非天然アミノ酸を加えることが出来る(Kwon I,et al. Breaking the degeneracy of the genetic code. J Am Chem Soc. 2003, 125, 7512-3.)。N-メチルアミノ酸を含むペプチドがPureSystemなどの無細胞翻訳系の活用によりリボゾームにて合成できる。 Many methods using a stop codon as a codon for introducing an unnatural amino acid have been reported, but since the synthetic system excluding the natural amino acid and ARS can be constructed by using the above-mentioned PUREsystem, the codon encoding the amino acid is excluded. Non-natural amino acids can be introduced instead of natural amino acids (J Am Chem Soc. 2005; 127: 11727-35. Ribosomal synthesis of unnatural peptides. Josephson K, Hartman MC, Szostak JW.). Furthermore, unnatural amino acids can be added by eliminating the degeneracy of codons without excluding natural amino acids (Kwon I, et al. Breaking the degeneracy of.the genetic code. J Am Chem Soc. 2003, 125, 7512- 3.). Peptides containing N-methyl amino acids can be synthesized on ribosomes using a cell-free translation system such as PureSystem.
N-メチルアミノ酸の出現頻度の調整
ライブラリーを構成するペプチドに含まれるN-メチルアミノ酸の数は、DNAライブラリーを合成する際にN-メチルアミノ酸に当てたコドンの出現頻度にて調整することができる。例えば10のアミノ酸残基可変箇所を含むペプチドのライブラリーではアミノ酸の種類が20種類から選択されると仮定された場合、N-Meアミノ酸を10種類選択すると、N-Meアミノ酸のコドンユニットが可変箇所1箇所当り10/20(50%)を占めるように合成することによってライブラリーのペプチドに含まれるN-メチルアミノ酸の数は平均5個になる。
Adjustment of the frequency of N-methyl amino acids The number of N-methyl amino acids contained in the peptides constituting the library should be adjusted by the frequency of codons applied to the N-methyl amino acids when the DNA library is synthesized. Can do. For example, in a library of peptides containing 10 amino acid residue variable sites, assuming that 20 types of amino acids are selected, selecting 10 types of N-Me amino acids changes the codon unit of N-Me amino acids. By synthesizing so as to occupy 10/20 (50%) per site, the average number of N-methyl amino acids contained in the library peptides is 5.
本発明の環状部を有するペプチド化合物からなるライブラリーは、アミノ酸及び/又はアミノ酸類縁体の数が9~13残基からなる環状部を有するペプチド化合物から構成されるが、この9~13残基はディスプレイライブラリーのランダム領域が始まる直前のN末端側アミノ酸を1として、13残基目までのアミノ酸にてカウントされる(翻訳後修飾がすべて完了された後のユニット数としてカウントされる)。当該環状部を有するペプチド化合物を形成する9~13残基中、N-メチルアミノ酸の数の平均が3~10、好ましくは4~9、より好ましくは5~8含まれるように、ランダム領域に含まれるアミノ酸をN-アルキルアミノ酸とNH2を有するアミノ酸の割合を考慮することが必要である。同様に、この13残基のペプチドのClogP値の平均が4以上、好ましくは5以上、より好ましくは6以上に設定されるように、ランダム領域に含まれるアミノ酸の種類を選定させる必要がある。 The library composed of peptide compounds having a cyclic part according to the present invention is composed of peptide compounds having a cyclic part consisting of 9 to 13 residues of amino acids and / or amino acid analogs. Is counted from the amino acid up to the 13th residue, with the N-terminal amino acid immediately before the random region of the display library starts as 1 (counted as the number of units after all post-translational modifications have been completed). In 9 to 13 residues forming the peptide compound having a cyclic part, the average number of N-methyl amino acids is 3 to 10, preferably 4 to 9, and more preferably 5 to 8 so that the random region contains It is necessary to consider the proportion of amino acids containing N-alkyl amino acids and amino acids having NH2. Similarly, it is necessary to select the type of amino acid contained in the random region so that the average ClogP value of the 13-residue peptide is set to 4 or more, preferably 5 or more, more preferably 6 or more.
選定されるアミノ酸としては、選択されるすべてのアミノ酸が中性(例えばpH=7.0)で極度にイオン化されない官能基の中であることが好ましい。例えば酸としてはpKaが3.5以上であることが好ましい。より好ましくは4.5以上であり、さらに好ましくは5以上である。例えばアスパラギン酸の側鎖カルボキシル基のpKa=3.9であり、チロシンの側差フェノール性水酸基のpKa=10である。またテトラゾールのpKa=5.6である。また、塩基としてはpKaが9以下であることが好ましく、より好ましくは7.5以下であり、更に好ましくは6.5以下である。例えば、アルギニンの側鎖グアニジノ基のpKaは12.5であり、リジンの側鎖アミノ基のpKaは10.5であり、ヒスチジンのイミダゾリル基のpKaは6.1である。また、ピリジンのpKaは5.2である。ペプチドのN末端αアミノ酸の主鎖のアミノ基のpKaは8付近である。
実際に我々の実施例24に記載の通り、このルールに則ると、可変領域のアミノ酸の種類は21種類であり、そのうち10種類がNメチルなどのNアルキルアミノ酸が選定された。Initiation read through法では固定アミノ酸2つのうち、両方ともがNH2であったため、平均のN-アルキル数は4.4と計算された。Inhitiation suppression法では2つの固定アミノ酸のうち1つがNアルキルであり、また交差ユニットのC末端側もN-アルキルアミノ酸の中から選定されたこともあり平均のN-アルキルアミノ酸数は6.0と計算された。
同様に両者の平均のCLogP値は、それぞれ5.97と6.12であった。
As the selected amino acid, it is preferable that all the selected amino acids are neutral (for example, pH = 7.0) and are among functional groups that are not extremely ionized. For example, the acid preferably has a pKa of 3.5 or more. More preferably, it is 4.5 or more, and more preferably 5 or more. For example, pKa of the side chain carboxyl group of aspartic acid is 3.9, and pKa of the side difference phenolic hydroxyl group of tyrosine is 10. Tetrazole has a pKa of 5.6. Moreover, as a base, it is preferable that pKa is 9 or less, More preferably, it is 7.5 or less, More preferably, it is 6.5 or less. For example, the pKa of the side chain guanidino group of arginine is 12.5, the pKa of the side chain amino group of lysine is 10.5, and the pKa of the imidazolyl group of histidine is 6.1. The pKa of pyridine is 5.2. The pKa of the amino group of the main chain of the N-terminal α-amino acid of the peptide is around 8.
Actually, as described in our Example 24, according to this rule, there were 21 types of amino acids in the variable region, and 10 types of N-amino acids such as N-methyl were selected. In the initiation read through method, both of the fixed amino acids were
Similarly, the average ClogP values of both were 5.97 and 6.12.
翻訳合成に使用できる非天然型アミノ酸
本発明に使用できる非天然型アミノ酸(翻訳アミノ酸)を以下に例示するが、それらに限定されない。これらの非天然型アミノ酸の多くは側鎖が保護あるいは無保護、アミン部位が保護あるいは無保護の状態で購入される。購入されないものは、既知の方法によって合成される。
Non-natural amino acids that can be used for translational synthesis Non-natural amino acids (translated amino acids) that can be used in the present invention are exemplified below, but are not limited thereto. Many of these unnatural amino acids are purchased with the side chain protected or unprotected and the amine moiety protected or unprotected. Those not purchased are synthesized by known methods.
非天然型アミノ酸として、以下のN-Meアミノ酸を用いることができる。
N-メチルアラニン、N-メチルグリシン、N-メチルフェニルアラニン、N-メチルチロシン、N-メチルー3-クロロフェニルアラニン、N-メチルー4―クロロフェニルアラニン、N-メチルー4-メトキシフェニルアラニン、N-メチルー4-チアゾールアラニン、N-メチルヒスチジン、N-メチルセリン、N-メチルアスパラギン酸、
The following N-Me amino acids can be used as non-natural amino acids.
N-methylalanine, N-methylglycine, N-methylphenylalanine, N-methyltyrosine, N-methyl-3-chlorophenylalanine, N-methyl-4-chlorophenylalanine, N-methyl-4-methoxyphenylalanine, N-methyl-4-thiazole Alanine, N-methylhistidine, N-methylserine, N-methylaspartic acid,
非天然型アミノ酸として、以下のN-アルキルアミノ酸も用いることができる。
The following N-alkyl amino acids can also be used as non-natural amino acids.
非天然型アミノ酸として、以下のD型アミノ酸も用いることができる。
The following D-type amino acids can also be used as non-natural amino acids.
非天然型アミノ酸として、以下のα,α-ジアルキルアミノ酸も用いることができる。
The following α, α-dialkyl amino acids can also be used as non-natural amino acids.
非天然型アミノ酸として以下のアミノ酸も用いることができる。
The following amino acids can also be used as non-natural amino acids.
アミノアシルtRNAの作製
アミノ酸及びアミノ酸類縁体は、pdCpAと反応させるために、例えば活性エステルに変換することができる。これらの活性エステルは多くはシアノメチルエステルとして単離することができる。
Preparation of aminoacyl-tRNA Amino acids and amino acid analogs can be converted, for example, into active esters for reaction with pdCpA. Many of these active esters can be isolated as cyanomethyl esters.
単離されたシアノメチルエステルをpdCpAと反応させてコンジュゲート化させた後、例えばLigationによりtRNAとアミノ酸又はアミノ酸類縁体のコンジュゲートとすることができる。 After the isolated cyanomethyl ester is reacted with pdCpA to be conjugated, for example, ligation can be used to conjugate tRNA with an amino acid or an amino acid analog.
tRNAとアミノ酸のコンジュゲートとする手法としては、このようなpdCpA法に拘らず、Flexizymeを使用する手法によっても、あるいはARSを使用する手法によっても合成できる。 As a method of conjugating tRNA and amino acid, regardless of the pdCpA method, it can be synthesized by a method using Flexizyme or a method using ARS.
翻訳合成後に環化するために活用可能な、アミド結合形成反応
カルボン酸と一級および二級アミンとの反応によるアミド結合形成反応は、広く有機合成化学一般に使用されている。例えば、カルボン酸を予め活性化された活性エステルなどとして単離してからアミンと混合させる方法、直接カルボン酸とアミンを混合させた後にカルボン酸を活性化させてアミド結合を形成させる方法などを用いることができる。カルボン酸の活性体として酸クロライドや酸アオイダイドなどの酸ハライド群や、HOBt、HOAt、HOSu、HOPfp、チオエステルなどの活性エステル群が広く知られている。
チオエステルとしては、好ましくは、-C(=O)SR1で表されるものが挙げられる。
Amide bond formation reaction that can be utilized for cyclization after translational synthesis The amide bond formation reaction by the reaction of carboxylic acid with primary and secondary amines is widely used in organic synthetic chemistry in general. For example, a method in which a carboxylic acid is isolated as a previously activated active ester and then mixed with an amine, or a method in which a carboxylic acid is directly mixed and then activated to form an amide bond is used. be able to. As active forms of carboxylic acids, acid halide groups such as acid chloride and acid aodide, and active ester groups such as HOBt, HOAt, HOSu, HOPfp, and thioester are widely known.
Preferred examples of the thioester include those represented by —C (═O) SR1.
酸ハライドはカルボン酸とSOCl2などのハライド化剤を混合された後、精製操作によって単離することができる。得られた酸ハライドは高い反応性のため、PureSystemなどの翻訳系で使用する場合には、PureSystemにて翻訳した後にカルボン酸を酸ハライド化させる可能性のある温和な反応条件としてPPh3とI2から酸アイオダイドへと活性化させる手法(Lakshmanら, Eur. J. Org. Chem. 2010, 2709)を用いることができる。
The acid halide can be isolated by a purification operation after mixing a carboxylic acid and a halide agent such as SOCl 2 . Since the obtained acid halide is highly reactive, when used in a translation system such as PureSystem, PPh 3 and I are used as mild reaction conditions that may cause the carboxylic acid to be acid halide after translation by PureSystem. A method of activating from 2 to acid iodide (Lakshman et al., Eur. J. Org. Chem. 2010, 2709) can be used.
活性エステル化法では、例えば、カルボン酸をPureSystemなどにて翻訳させた後に反応系中で活性エステル化反応により活性化エステルを発生させる手法、予め活性エステルとして単離した化合物をPureSystemにて翻訳させる手法などを用いることができる。一般的には、活性エステルの中でも反応性のより低いチオエステルなどは予め活性エステルとして単離後に翻訳させるのに適しているのに対し、より反応性の高いHOAt活性エステルなどは翻訳後に活性化エステルを発生させるのが望ましい。
また、望みの位置で選択的にカルボン酸とアミノ基を反応させるため、カルボン酸とアミノ基側のいずれか、あるいは両方に反応補助基を導入させることも可能である。
In the active esterification method, for example, a method of generating an activated ester by active esterification reaction in a reaction system after translating carboxylic acid with PureSystem, etc., a compound previously isolated as an active ester is translated with PureSystem A technique or the like can be used. In general, thioesters having lower reactivity among active esters are suitable for translation as active esters in advance, whereas HOAt active esters having higher reactivity are activated esters after translation. It is desirable to generate
Further, since the carboxylic acid and the amino group are selectively reacted at a desired position, a reaction auxiliary group can be introduced on either or both of the carboxylic acid and the amino group side.
アミノ基近傍に反応補助基を導入する手法として、例えばアミノ基近傍にチオール基を導入させる手法が挙げられる。アミノ基とチオール基をつなぐ原子数(炭素鎖数)は2もしくは3が特に好ましい。カルボン酸もしくは活性化されたカルボン酸と近傍にチオール基を導入したアミノ基を有するユニットをPureSystemにて導入させた後、この2つの部位を選択的に反応させてアミド結合化合物が得ることができる。SH基が高い求核性を有するためにまずSH基活性エステルと素早く反応し、分子内転移反応にてより熱力学的に安定なアミド結合に移行する結果、補助基を有するアミノ基に対する選択的なアミド化が可能となる。このような反応例は特にチオエステルとシステインの反応として(Chemical ligation法)幅広く使用されている。
As a technique for introducing a reaction auxiliary group in the vicinity of an amino group, for example, a technique for introducing a thiol group in the vicinity of an amino group can be mentioned. The number of atoms (number of carbon chains) connecting the amino group and the thiol group is particularly preferably 2 or 3. After introducing a unit having a carboxylic acid or an activated carboxylic acid and an amino group having a thiol group introduced in the vicinity thereof with PureSystem, an amide bond compound can be obtained by selectively reacting these two sites. . Since the SH group has high nucleophilicity, it first reacts quickly with the SH group active ester and shifts to a more thermodynamically stable amide bond by intramolecular transfer reaction. As a result, it is selective for amino groups with auxiliary groups. Amidation becomes possible. Such reaction examples are widely used particularly as a reaction between thioester and cysteine (Chemical ligation method).
得られたSH基含有アミド化合物を温和な反応条件で還元して脱硫反応することが望ましい。SH基が含まれている場合には、SH基が様々な標的と共有結合を形成してしまうため、効率的にHit創出が困難となるためである。
カルボン酸側とアミノ基側の両方に反応補助基を導入させる例として、以下スキームが挙げられる(Liら, Org. Lett. 2010, 12, 1724)。
It is desirable to reduce the resulting SH group-containing amide compound under mild reaction conditions for a desulfurization reaction. This is because when the SH group is contained, the SH group forms covalent bonds with various targets, so that it is difficult to efficiently create Hit.
An example of introducing a reaction auxiliary group on both the carboxylic acid side and the amino group side is the following scheme (Li et al., Org. Lett. 2010, 12, 1724).
カルボン酸側の活性エステル基にアルデヒド部位があるため、アミノ基近傍にアルコール部位がある基質と選択的にN,O-ベンジリデンアセタールを素早く形成させることができる。これを酸性条件下で転移反応させるとアミド結合が生成する。この活性エステルを、フェニルチオエステル共存下、選択的にセリンと反応させることができる。また、OH基を含むセリンはリジン存在下、選択的に本活性エステルと反応させることができる。 Since the active ester group on the carboxylic acid side has an aldehyde moiety, N, O-benzylidene acetal can be rapidly formed selectively with a substrate having an alcohol moiety in the vicinity of the amino group. When this is transferred under acidic conditions, an amide bond is formed. This active ester can be selectively reacted with serine in the presence of phenylthioester. In addition, serine containing an OH group can be selectively reacted with the active ester in the presence of lysine.
活性エステルを経由せず、カルボン酸とアミンを直接反応させることもできる。活性エステルを経由しない場合には脱水反応のため、例えば縮合にて生成する水を除去(トルエンとの共沸やモレキュラーシーブスなどの脱水剤の併用)する。プロトン酸ではなく、より温和な反応条件が報告されている。また、遷移金属などの触媒を用いた反応として、例えば鉄触媒を用いることができる(Dasら, J. Org. Chem. 2003, 68, 1165.)。 It is also possible to react the carboxylic acid and the amine directly without going through the active ester. In the case of not passing through the active ester, for example, water generated by condensation is removed (in combination with a dehydrating agent such as azeotrope with toluene or molecular sieves) for the dehydration reaction. Mild reaction conditions have been reported rather than protic acids. In addition, as a reaction using a catalyst such as a transition metal, for example, an iron catalyst can be used (Das et al., J. Org. Chem. 2003, 68, 1165.).
カルボン酸とアミンとの反応ではなく、いずれかもしくは両方を別官能基として反応させることもでき、例えばアミンではなくアジドを用いて活性エステルと反応させる手法である。 Instead of reacting carboxylic acid with amine, either or both can be reacted as separate functional groups. For example, this is a method of reacting with active ester using azide instead of amine.
カルボン酸の活性化体としてチオカルボン酸を用い、アミン等価体としてアジドを用いることもできる(Williamsら. J. Am. Chem. Soc. 2003, 125, 7754.)。
この反応は、比較的温和な反応条件(60℃、36時間)、水中で適用可能である。
It is also possible to use thiocarboxylic acid as the carboxylic acid activator and azide as the amine equivalent (Williams et al. J. Am. Chem. Soc. 2003, 125, 7754.).
This reaction can be applied in water under relatively mild reaction conditions (60 ° C., 36 hours).
アミン等価体としてアジドを用いることもできる(VilarrasaらJ. Org. Chem. 2009, 74, 2203)。カルボン酸を反応系中で3級ホスフィン存在下ジチオ触媒あるいはジセレノ触媒にて活性化させてチオエステルあるいはセレノエステルに活性化させる。またアジド部位は3級ホスフィンと反応させて活性化させ、活性エステルと反応させる。チオエステルとホスフィン部位の両方を分子内に有する活性エステルとすることにより、より効果的にアミド結合が生成するとの報告がなされ、Staudinger反応として広く使用されている(Rainesら Org. Lett. 2001, 3, 9)。ペプチド合成への適用も可能である(Hackenbergerら Angew. Chem. Int. Ed. 2008, 47, 5984)。
Azide can also be used as an amine equivalent (Vilarrasa et al. J. Org. Chem. 2009, 74, 2203). Carboxylic acid is activated in the reaction system in the presence of a tertiary phosphine with a dithiocatalyst or a diseleno catalyst to activate the thioester or selenoester. The azide moiety is activated by reacting with a tertiary phosphine and reacting with an active ester. It has been reported that an amide bond is generated more effectively by forming an active ester having both a thioester and a phosphine moiety in the molecule, and is widely used as a Staudinger reaction (Raines et al. Org. Lett. 2001, 3 , 9). Application to peptide synthesis is also possible (Hackenberger et al. Angew. Chem. Int. Ed. 2008, 47, 5984).
カルボン酸の代わりにケト酸を用い、アミンの代わりにヒドロキシアミンを用いた縮合反応によってアミド化反応を行うことができる(Bodeら. Angew. Chem. Int. Ed. 2006, 45, 1248)。本反応は温厚な条件(40℃)にて含水溶媒系でカルボン酸やアミンなどの官能基共存下で選択的に反応させることができる。
The amidation reaction can be carried out by a condensation reaction using keto acid instead of carboxylic acid and hydroxyamine instead of amine (Bode et al. Angew. Chem. Int. Ed. 2006, 45, 1248). This reaction can be carried out selectively under mild conditions (40 ° C.) in a water-containing solvent system in the presence of a functional group such as carboxylic acid or amine.
上反応の変法として、以下のような方法も用いることができる(Bodeら. Angew. Chem. Int. Ed. 2006, 45, 1248)。
As a modification of the above reaction, the following method can also be used (Bode et al. Angew. Chem. Int. Ed. 2006, 45, 1248).
その他、カルボン酸部位の他官能基への転換として、アルコール、ニトリル、アセチレン部位を出発原料とする手法も用いることができる。ニトリルとアミンとの縮合によるアミド化反応(下記反応例)では、ルテニウム(Murahashiら J. Am. Chem. Soc. 1986, 108, 7846)、白金(Vriesら. Tet. Lett. 2000, 41, 2467)、鉄(Williamsら. Tet. Lett. 2009, 50, 4262)などの遷移金属触媒の利用が可能である。
In addition, as a conversion of the carboxylic acid moiety to another functional group, a method using an alcohol, nitrile, or acetylene moiety as a starting material can be used. In the amidation reaction by condensation of nitrile and amine (reaction example below), ruthenium (Murahashi et al. J. Am. Chem. Soc. 1986, 108, 7846), platinum (Vries et al. Tet. Lett. 2000, 41, 2467) ) And transition metal catalysts such as iron (Williams et al. Tet. Lett. 2009, 50, 4262) can be used.
アルキンとアミンとをマンガンポルフィリン系触媒を用いた触媒反応で水中、室温、1時間で温和な酸化条件(オキソン)でアミド化が行うことができる(Cheら. J. Am. Chem. Soc. 2006, 128, 14796)。この方法は側鎖無保護のペプチド合成への適用も可能である。
Alkynes and amines can be amidated in water in a catalytic reaction using manganese porphyrin-based catalysts at room temperature for 1 hour under mild oxidation conditions (oxone) (Che et al. J. Am. Chem. Soc. 2006). , 128, 14796). This method can also be applied to peptide synthesis without side chain protection.
アルコールとアミンのルテニウム錯体触媒を用いて縮合させることもできる(Milsteinら, Science 2007, 317, 790)。
It can also be condensed using a ruthenium complex catalyst of alcohol and amine (Milstein et al., Science 2007, 317, 790).
アルデヒドとアミンのパラジウム錯体触媒(Yoshidaらs. Synthesis, 1983, 474)およびロジウム錯体触媒(Bellerら Eur. J. Org. Chem. 2001, 423)による縮合反応も用いることができる。
A condensation reaction with a palladium complex catalyst of aldehyde and amine (Yoshida et al. S. Synthesis, 1983, 474) and a rhodium complex catalyst (Beller et al. Eur. J. Org. Chem. 2001, 423) can also be used.
<医薬組成物>
本発明は、本発明の方法で製造されたペプチド化合物を含有する医薬組成物を提供する。
本発明の医薬組成物は、本発明の方法で製造されたペプチド化合物に加えて医薬的に許容し得る担体を導入し、公知の方法で製剤化することが可能である。製剤化には通常用いられる賦形剤、結合剤、滑沢剤、着色剤、矯味矯臭剤や、および必要により安定化剤、乳化剤、吸収促進剤、界面活性剤、pH調製剤、防腐剤、抗酸化剤などを使用することができ、一般に医薬品製剤の原料として用いられる成分を配合して常法により製剤化される。
例えば、経口製剤を製造するには、本発明にかかる化合物またはその薬理学的に許容される塩と賦形剤、さらに必要に応じて結合剤、崩壊剤、滑沢剤、着色剤、矯味矯臭剤などを加えた後、常法により散剤、細粒剤、顆粒剤、錠剤、被覆錠剤、カプセル剤等とする。
<Pharmaceutical composition>
The present invention provides a pharmaceutical composition containing the peptide compound produced by the method of the present invention.
The pharmaceutical composition of the present invention can be formulated by a known method by introducing a pharmaceutically acceptable carrier in addition to the peptide compound produced by the method of the present invention. Excipients, binders, lubricants, colorants, flavoring agents, and if necessary stabilizers, emulsifiers, absorption promoters, surfactants, pH adjusters, preservatives, Antioxidants and the like can be used. In general, ingredients that are used as raw materials for pharmaceutical preparations are blended to prepare a preparation by a conventional method.
For example, in order to produce an oral preparation, the compound according to the present invention or a pharmacologically acceptable salt and excipient thereof, and optionally a binder, a disintegrant, a lubricant, a coloring agent, a flavoring agent. After adding the agent, etc., it is made into powders, fine granules, granules, tablets, coated tablets, capsules, etc. by conventional methods.
これらの成分としては例えば、大豆油、牛脂、合成グリセライド等の動植物油;流動パラフィン、スクワラン、固形パラフィン等の炭化水素;ミリスチン酸オクチルドデシル、ミリスチン酸イソプロピル等のエステル油;セトステアリルアルコール、ベヘニルアルコール等の高級アルコール;シリコン樹脂;シリコン油;ポリオキシエチレン脂肪酸エステル、ソルビタン脂肪酸エステル、グリセリン脂肪酸エステル、ポリオキシエチレンソルビタン脂肪酸エステル、ポリオキシエチレン硬化ひまし油、ポリオキシエチレンポリオキシプロピレンブロックコポリマー等の界面活性剤;ヒドロキシエチルセルロース、ポリアクリル酸、カルボキシビニルポリマー、ポリエチレングリコール、ポリビニルピロリドン、メチルセルロースなどの水溶性高分子;エタノール、イソプロパノールなどの低級アルコール;グリセリン、プロピレングリコール、ジプロピレングリコール、ソルビトールなどの多価アルコール;グルコース、ショ糖などの糖;無水ケイ酸、ケイ酸アルミニウムマグネシウム、ケイ酸アルミニウムなどの無機粉体、精製水などがあげられる。 Examples of these components include animal and vegetable oils such as soybean oil, beef tallow and synthetic glycerides; hydrocarbons such as liquid paraffin, squalane and solid paraffin; ester oils such as octyldodecyl myristate and isopropyl myristate; cetostearyl alcohol and behenyl alcohol Higher alcohols; silicone resins; silicone oils; surfactants such as polyoxyethylene fatty acid esters, sorbitan fatty acid esters, glycerin fatty acid esters, polyoxyethylene sorbitan fatty acid esters, polyoxyethylene hydrogenated castor oil, polyoxyethylene polyoxypropylene block copolymers Water-soluble such as hydroxyethylcellulose, polyacrylic acid, carboxyvinyl polymer, polyethylene glycol, polyvinylpyrrolidone, methylcellulose Polymers; lower alcohols such as ethanol and isopropanol; polyhydric alcohols such as glycerin, propylene glycol, dipropylene glycol and sorbitol; sugars such as glucose and sucrose; inorganics such as silicic anhydride, magnesium magnesium silicate and aluminum silicate Examples include powder and purified water.
賦形剤としては、例えば乳糖、コーンスターチ、白糖、ブドウ糖、マンニトール、ソルビット、結晶セルロース、二酸化ケイ素などが挙げられる。 Examples of the excipient include lactose, corn starch, sucrose, glucose, mannitol, sorbitol, crystalline cellulose, silicon dioxide and the like.
結合剤としては、例えばポリビニルアルコール、ポリビニルエーテル、メチルセルロース、エチルセルロース、アラビアゴム、トラガント、ゼラチン、シェラック、ヒドロキシプロピルメチルセルロース、ヒドロキシプロピルセルロース、ポリビニルピロリドン、ポリプロピレングリコール・ポリオキシエチレン・ブロックポリマー、メグルミンなどが挙げられる。 Examples of the binder include polyvinyl alcohol, polyvinyl ether, methylcellulose, ethylcellulose, gum arabic, tragacanth, gelatin, shellac, hydroxypropylmethylcellulose, hydroxypropylcellulose, polyvinylpyrrolidone, polypropylene glycol, polyoxyethylene block polymer, meglumine, and the like. It is done.
崩壊剤としては、例えば澱粉、寒天、ゼラチン末、結晶セルロース、炭酸カルシウム、炭酸水素ナトリウム、クエン酸カルシウム、デキストリン、ペクチン、カルボキシメチルセルロース・カルシウム等が挙げられる。 Examples of the disintegrant include starch, agar, gelatin powder, crystalline cellulose, calcium carbonate, sodium bicarbonate, calcium citrate, dextrin, pectin, carboxymethylcellulose / calcium and the like.
滑沢剤としては、例えばステアリン酸マグネシウム、タルク、ポリエチレングリコール、シリカ、硬化植物油等が挙げられる。 Examples of the lubricant include magnesium stearate, talc, polyethylene glycol, silica, and hardened vegetable oil.
着色剤としては医薬品に添加することが許可されているものが、矯味矯臭剤としては、ココア末、ハッカ脳、芳香散、ハッカ油、竜脳、桂皮末等が用いられる。 As coloring agents, those permitted to be added to pharmaceuticals are used, and as flavoring agents, cocoa powder, mint brain, aroma powder, mint oil, dragon brain, cinnamon powder, and the like are used.
これらの錠剤・顆粒剤には糖衣、その他必要により適宜コーティングすることはもちろん差支えない。また、シロップ剤や注射用製剤等の液剤を製造する際には、本発明にかかる化合物またはその薬理学的に許容される塩にpH調整剤、溶解剤、等張化剤などと、必要に応じて溶解補助剤、安定化剤などを加えて、常法により製剤化する。 Of course, these tablets and granules may be coated with sugar coating and other coatings as necessary. Further, when producing a liquid preparation such as a syrup or an injectable preparation, a compound according to the present invention or a pharmacologically acceptable salt thereof, a pH adjuster, a solubilizer, an isotonic agent, etc. are necessary. Add a solubilizing agent, stabilizer, etc. accordingly, and formulate it by a conventional method.
例えば、水もしくはそれ以外の薬学的に許容し得る液との無菌性溶液、又は懸濁液剤の注射剤の形で非経口的に使用できる。例えば、薬理学上許容される担体もしくは媒体、具体的には、滅菌水や生理食塩水、植物油、乳化剤、懸濁剤、界面活性剤、安定剤、香味剤、賦形剤、ベヒクル、防腐剤、結合剤などと適宜組み合わせて、一般に認められた製薬実施に要求される単位用量形態で混和することによって製剤化することが考えられる。具体的には、軽質無水ケイ酸、乳糖、結晶セルロース、マンニトール、デンプン、カルメロースカルシウム、カルメロースナトリウム、ヒドロキシプロピルセルロース、ヒドロキシプロピルメチルセルロース、ポリビニルアセタールジエチルアミノアセテート、ポリビニルピロリドン、ゼラチン、中鎖脂肪酸トリグリセライド、ポリオキシエチレン硬化ヒマシ油60、白糖、カルボキシメチルセルロース、コーンスターチ、無機塩類等を担体として挙げることができる。これら製剤における有効成分量は指示された範囲の適当な容量が得られるようにするものである。
注射のための無菌組成物は注射用蒸留水のようなベヒクルを用いて通常の製剤実施に従って処方することができる。
For example, it can be used parenterally in the form of a sterile solution with water or other pharmaceutically acceptable liquid, or an injection of suspension. For example, a pharmacologically acceptable carrier or medium, specifically, sterilized water, physiological saline, vegetable oil, emulsifier, suspension, surfactant, stabilizer, flavoring agent, excipient, vehicle, preservative It is conceivable to formulate by combining with a binder or the like as appropriate and mixing in a unit dosage form generally required for pharmaceutical practice. Specifically, light anhydrous silicic acid, lactose, crystalline cellulose, mannitol, starch, carmellose calcium, carmellose sodium, hydroxypropylcellulose, hydroxypropylmethylcellulose, polyvinylacetal diethylaminoacetate, polyvinylpyrrolidone, gelatin, medium chain fatty acid triglyceride, Examples of the carrier include polyoxyethylene hydrogenated
Sterile compositions for injection can be formulated according to normal pharmaceutical practice using a vehicle such as distilled water for injection.
注射用の水溶液としては、例えば生理食塩水、ブドウ糖やその他の補助薬を含む等張液、例えばD-ソルビトール、D-マンノース、D-マンニトール、塩化ナトリウムが挙げられ、適当な溶解補助剤、例えばアルコール、具体的にはエタノール、ポリアルコール、例えばプロピレングリコール、ポリエチレングリコール、非イオン性界面活性剤、例えばポリソルベート80(登録商標)、HCO-50と併用してもよい。 Aqueous solutions for injection include, for example, isotonic solutions containing physiological saline, glucose and other adjuvants such as D-sorbitol, D-mannose, D-mannitol and sodium chloride. Suitable solubilizers such as Alcohols, specifically ethanol, polyalcohols such as propylene glycol, polyethylene glycol, nonionic surfactants such as polysorbate 80 (registered trademark), HCO-50 may be used in combination.
油性液としてはゴマ油、大豆油があげられ、溶解補助剤として安息香酸ベンジル、ベンジルアルコールと併用してもよい。また、緩衝剤、例えばリン酸塩緩衝液、酢酸ナトリウム緩衝液、無痛化剤、例えば、塩酸プロカイン、安定剤、例えばベンジルアルコール、フェノール、酸化防止剤と配合してもよい。調製された注射液は通常、適当なアンプルに充填させる。 Examples of the oily liquid include sesame oil and soybean oil, which may be used in combination with benzyl benzoate or benzyl alcohol as a solubilizing agent. Moreover, you may mix | blend with buffer, for example, phosphate buffer, sodium acetate buffer, a soothing agent, for example, procaine hydrochloride, stabilizer, for example, benzyl alcohol, phenol, antioxidant. The prepared injection solution is usually filled into a suitable ampoule.
投与は好ましくは経口投与であるが、投与方法は経口投与に拘らない。非経口投与としては、具体的には、注射剤型、経鼻投与剤型、経肺投与剤型、経皮投与型などが挙げられる。注射剤型の例としては、例えば、静脈内注射、筋肉内注射、腹腔内注射、皮下注射などにより全身または局部的に投与することができる。 Administration is preferably oral administration, but the administration method is not limited to oral administration. Specific examples of parenteral administration include injection, nasal administration, pulmonary administration, and transdermal administration. As an example of the injection form, it can be administered systemically or locally by, for example, intravenous injection, intramuscular injection, intraperitoneal injection, subcutaneous injection, or the like.
また、患者の年齢、症状により適宜投与方法を選択することができる。本発明の方法で製造されたペプチド化合物を含有する医薬組成物の投与量としては、例えば、一回につき体重1kgあたり0.0001 mgから1000 mgの範囲で選ぶことが可能である。あるいは、例えば、患者あたり0.001から100000 mg/bodyの範囲で投与量を選ぶことができるが、これらの数値に必ずしも制限されるものではない。投与量、投与方法は、患者の体重や年齢、症状などにより変動するが、当業者であれば適宜選択することが可能である。 Moreover, the administration method can be appropriately selected depending on the age and symptoms of the patient. The dose of the pharmaceutical composition containing the peptide compound produced by the method of the present invention can be selected, for example, in the range of 0.0001 mg to 1000 mg per kg of body weight at a time. Alternatively, for example, the dose can be selected in the range of 0.001 to 100,000 mg / body per patient, but is not necessarily limited to these values. The dose and administration method vary depending on the weight, age, symptoms, etc. of the patient, but can be appropriately selected by those skilled in the art.
本発明は、以下の実施例によってさらに例示されるが、下記の実施例に限定されるものではない。 The present invention is further illustrated by the following examples, but is not limited to the following examples.
[実施例1]側鎖カルボン酸が活性エステル化された化合物(1g)の合成
チオエステルを有する一連の活性エステル(化合物1g)の合成を実施し、Rex1=Me、Et、iPr、tBu、Bn、Ph、Phenetyl基の合成を図1の方法に従って行った。
なお、実施例中では以下の略号を使用した。
DCM ジクロロメタン
DIC N,N-ジイソプロピルカルボジイミド
DIPEA N,N-ジイソプロピルエチルアミン
DMAP 4-ジメチルアミノピリジン
DMF ジメチルホルムアミド
DMSO ジメチルスルホキシド
DTT ジチオスレイロール
FA ギ酸
TFA トリフルオロ酢酸
THF テトラヒドロフラン
HFIP 1,1,1,3,3,3-ヘキサフルオロ-2-プロパノール
HOBT 1H-ベンゾ[d][1,2,3]トリアゾール-1-オール
WSCI・HCl 1-エチル-3-(3-ジメチルアミノプロピル)カルボジイ
ミド塩酸塩
TCEP トリス(2-カルボキシエチル)ホスフィン
NMP N-メチル‐2‐ピロリドン
DBU 1,8-ジアザビシクロ[5.4.0]-7-ウンデセン
なお、ペプチド合成及び、固相合成に用いる反応溶媒はペプチド合成用(関東化学、和光純薬あるいは渡辺化学から購入)を用いた。例えばDCM、DMF、DMSO、2% DBU in DMF,20% piperidine in DMFなどである。また、水を溶媒として加えない反応では脱水溶媒や無水溶媒(関東化学、和光純薬などから購入)を用いた。
[Example 1] Synthesis of compound (1g) in which side chain carboxylic acid is active esterified A synthesis of a series of active esters having a thioester (
In the examples, the following abbreviations were used.
DCM Dichloromethane DIC N, N-diisopropylcarbodiimide DIPEA N, N-diisopropylethylamine DMAP 4-dimethylaminopyridine DMF dimethylformamide DMSO dimethyl sulfoxide DTT dithiothreol FA formic acid TFA trifluoroacetic acid THF tetrahydrofuran
TCEP tris (2-carboxyethyl) phosphine
NMP N-Methyl-2-pyrrolidone
また、LCMSの分析条件は、下記のとおりである。
1.1g-IDの合成
1-1.(S)-4-(tert-ブトキシ)-4-オキソ-3-(ペンタ-4-エンアミド)ブタン酸 (化合物1b-I)の合成
1.1g-ID synthesis
1-1. Synthesis of (S) -4- (tert-butoxy) -4-oxo-3- (pent-4-enamido) butanoic acid (
(S)-3-アミノ-4-(tert-ブトキシ)-4-オキソブタン酸(化合物1a-I)(21.1mmol、4.00g)とNa2CO3(63.3mmol,6.71g)のTHF(70mL)、水(140ml)溶液に塩化ペンタ-4-エノイル(42.2mmol,4.66ml)を0℃で加え、室温で20分間攪拌した。その後、反応混合物に濃塩酸を0℃で滴下し、pH2とした。酢酸エチルで希釈した後に、適量のNaClを加え塩析抽出を行った。得られた有機抽出物を飽和食塩水で洗浄し、硫酸マグネシウムで乾燥した。そして、減圧濃縮により(S)-4-(tert-ブトキシ)-4-オキソ-3-(ペンタ-4-エンアミド)ブタン酸(化合物1b-I)とペンタ-4-エン酸(1:0.8)の混合粗生成物A(7.69g、100%)を得た。
(S) -3-Amino-4- (tert-butoxy) -4-oxobutanoic acid (
1-2.(S)-4-(ベンジルチオ)-4-オキソ-2-(ペンタ-4-エンアミド)ブタン酸 (化合物1f-ID)の合成
1-2. Synthesis of (S) -4- (benzylthio) -4-oxo-2- (pent-4-enamido) butanoic acid (
(S)-4-(tert-ブトキシ)-4-オキソ-3-(ペンタ-4-エンアミド)ブタン酸(化合物1b-I)とペンタ-4-エン酸(1:0.8)の混合粗生成物A(2.51g、12.9mmol)のCH2Cl2(35ml)溶液にDIC(N、N'-ジイソプロピルカルボジイミド)(2.41ml、15.5mmol)、DMAP(N、N-ジメチルアミノピリジン)(315mg、2.58mmol)およびフェニルメタンチオール(1.82ml、15.5mmol)を加え、室温で4時間攪拌した。その後、反応混合物にTFA(21ml)を加え、室温で9時間半攪拌した。その後、反応混合物を減圧濃縮し、得られた残渣を逆相シリカゲルカラムクロマトグラフィー(10mM酢酸アンモニウム水溶液/メタノール=80/20→40/60)にて精製し、(S)-4-(ベンジルチオ)-4-オキソ-2-(ペンタ-4-エンアミド)ブタン酸(化合物1f-ID)(1.65g、74%)を得た。
LCMS(ESI) m/z = 322 (M+H)+
保持時間:0.78分(分析条件SQDAA05)
(S) -4- (tert-butoxy) -4-oxo-3- (pent-4-enamido) butanoic acid (
LCMS (ESI) m / z = 322 (M + H) +
Retention time: 0.78 minutes (analysis condition SQDAA05)
1-3.4-(ベンジルチオ)-4-オキソ-2-(ペンタ-4-エンアミド)ブタン酸 (S)-シアノメチル(化合物1g-ID)の合成
Synthesis of 1-3- (benzylthio) -4-oxo-2- (pent-4-enamido) butanoic acid (S) -cyanomethyl (
(S)-4-(ベンジルチオ)-4-オキソ-2-(ペンタ-4-エンアミド)ブタン酸(化合物1f-ID)(1.00g、3.12mmol)のDMSO(4.35ml)溶液に2-ブロモアセトニトリル(4.35ml、62.4mmol)とN-エチル-N-イソプロピルプロパン-2-アミン(0.651ml、3.74mmol)を加え、室温で40分攪拌した。反応混合物に飽和塩化アンモニウム水溶液(5ml)を加えた後に、酢酸エチルで希釈し、有機層を水で洗浄した。その後、有機抽出物を硫酸マグネシウムで乾燥した。減圧濃縮後、得られた残渣をシリカゲルカラムクロマトグラフィー(ヘキサン/酢酸エチル=100/0→40/60)にて精製し、4-(ベンジルチオ)-4-オキソ-2-(ペンタ-4-エンアミド)ブタン酸 (S)-シアノメチル(化合物1g-ID)(885.2mg、79%)を得た。
LCMS(ESI) m/z = 361 (M+H)+
保持時間:0.91分(分析条件SQDAA05)
(S) -4- (Benzylthio) -4-oxo-2- (pent-4-enamido) butanoic acid (
LCMS (ESI) m / z = 361 (M + H) +
Retention time: 0.91 minutes (analysis condition SQDAA05)
2.1g-IEの合成
2-1.(S)-4-オキソ-2-(ペンタ-4-エンアミド)-4-(フェネチルチオ)ブタン酸 (化合物1f-IE)の合成
Synthesis of 2.1g-IE
2-1. Synthesis of (S) -4-oxo-2- (pent-4-enamido) -4- (phenethylthio) butanoic acid (
化合物1f-IDの製造例と同様の条件で(S)-4-(tert-ブトキシ)-4-オキソ-3-(ペンタ-4-エンアミド)ブタン酸(化合物1b-I)とペンタ-4-エン酸(1:0.8)の混合粗生成物A(1.3g、6.65mmol)を用い、さらにフェニルメタンチオールの代わりに2-フェニルエタンチオール(0.889ml、6.63mmol)を用いることで、(S)-4-オキソ-2-(ペンタ-4-エンアミド)-4-(フェネチルチオ)ブタン酸 (化合物1f-IE)(607mg、49%)を得た。
LCMS(ESI) m/z = 336 (M+H)+
保持時間:0.83分(分析条件SQDAA05)
(S) -4- (tert-Butoxy) -4-oxo-3- (pent-4-enamido) butanoic acid (
LCMS (ESI) m / z = 336 (M + H) +
Retention time: 0.83 minutes (analysis condition SQDAA05)
2-2.4-オキソ-2-(ペンタ-4-エンアミド)-4-(フェネチルチオ)ブタン酸 (S)-シアノメチル(化合物1g-IE)の合成
2-2.4-Oxo-2- (pent-4-enamido) -4- (phenethylthio) butanoic acid (S) -cyanomethyl (
((S)-4-オキソ-2-(ペンタ-4-エンアミド)-4-(フェネチルチオ)ブタン酸 (化合物1f-IE)(300mg、0.894mmol)の2-ブロモアセトニトリル(1.87ml)溶液にN-エチル-N-イソプロピルプロパン-2-アミン(0.187ml、1.07mmol)を加え、室温で30分攪拌した。反応混合物に飽和塩化アンモニウム水溶液(5ml)を加えた後に、酢酸エチルで希釈し、有機層を水で洗浄した。その後、有機抽出物を硫酸マグネシウムで乾燥した。減圧濃縮後、得られた残渣をシリカゲルカラムクロマトグラフィー(ヘキサン/酢酸エチル=100/0→60/40)にて精製し、4-オキソ-2-(ペンタ-4-エンアミド)-4-(フェネチルチオ)ブタン酸 (S)-シアノメチル(化合物1g-IE)(295mg、88%)を得た。
LCMS(ESI) m/z = 375 (M+H)+
保持時間:0.95分(分析条件SQDAA05)
((S) -4-oxo-2- (pent-4-enamido) -4- (phenethylthio) butanoic acid (
LCMS (ESI) m / z = 375 (M + H) +
Retention time: 0.95 minutes (analysis condition SQDAA05)
3.1g-IGの合成
3-1. (S)-4-(エチルチオ)-4-オキソ-2-(ペンタ-4-エンアミド)ブタン酸 (化合物1f-IG)の合成
3.1 Synthesis of IG
3-1. Synthesis of (S) -4- (ethylthio) -4-oxo-2- (pent-4-enamido) butanoic acid (
化合物1f-IDの製造例と同様の条件で(S)-4-(tert-ブトキシ)-4-オキソ-3-(ペンタ-4-エンアミド)ブタン酸(化合物1b-I)とペンタ-4-エン酸(1:0.8)の混合粗生成物A(889mg、4.55mmol)を用い、さらにフェニルメタンチオールの代わりにエタンチオール(0.338ml、4.56mmol)を用いることで、(S)-4-(エチルチオ)-4-オキソ-2-(ペンタ-4-エンアミド)ブタン酸 (化合物1f-IG)(233mg、36%)を得た。
LCMS(ESI) m/z = 260 (M+H)+
保持時間:0.58分(分析条件SQDAA05)
(S) -4- (tert-Butoxy) -4-oxo-3- (pent-4-enamido) butanoic acid (
LCMS (ESI) m / z = 260 (M + H) +
Retention time: 0.58 minutes (analysis condition SQDAA05)
3-2. 4-(エチルチオ)-4-オキソ-2-(ペンタ-4-エンアミド)ブタン酸 (S)-シアノメチル(化合物1g-IG)の合成
3-2. Synthesis of 4- (ethylthio) -4-oxo-2- (pent-4-enamido) butanoic acid (S) -cyanomethyl (
化合物1g-IDの製造例と同様の条件で(S)-4-(ベンジルチオ)-4-オキソ-2-(ペンタ-4-エンアミド)ブタン酸(化合物1f-ID)の代わりに(S)-4-(エチルチオ)-4-オキソ-2-(ペンタ-4-エンアミド)ブタン酸 (化合物1f-IG)(100mg、0.386mmol)を用いることで4-(エチルチオ)-4-オキソ-2-(ペンタ-4-エンアミド)ブタン酸 (S)-シアノメチル(化合物1g-IG)(59.8mg、52%)を得た。
LCMS(ESI) m/z =299(M+H)+
保持時間:0.69分(分析条件SQDFA05)
Instead of (S) -4- (benzylthio) -4-oxo-2- (pent-4-enamido) butanoic acid (
LCMS (ESI) m / z = 299 (M + H) +
Retention time: 0.69 minutes (analysis condition SQDFA05)
4.1g-IBの合成
4-1. (S)-4-(イソプロピルチオ)-4-オキソ-2-(ペンタ-4-エンアミド)ブタン酸(化合物1f-IB)の合成
Synthesis of 4.1 g-IB
4-1. Synthesis of (S) -4- (isopropylthio) -4-oxo-2- (pent-4-enamido) butanoic acid (
化合物1f-IDの製造例と同様の条件で(S)-4-(tert-ブトキシ)-4-オキソ-3-(ペンタ-4-エンアミド)ブタン酸(化合物1b-I)とペンタ-4-エン酸(1:0.8)の混合粗生成物A(788mg、4.23mmol)を用い、さらにフェニルメタンチオールの代わりにプロパン-2-チオール(0.393ml、4.23mmol)を用いることで、(S)-4-(イソプロピルチオ)-4-オキソ-2-(ペンタ-4-エンアミド)ブタン酸(化合物1f-IB)(485mg、76%)を得た。
LCMS(ESI) m/z = 274 (M+H)+
保持時間:0.70分(分析条件SQDAA05)
(S) -4- (tert-Butoxy) -4-oxo-3- (pent-4-enamido) butanoic acid (
LCMS (ESI) m / z = 274 (M + H) +
Retention time: 0.70 minutes (analysis condition SQDAA05)
4-2.4-(イソプロピルチオ)-4-オキソ-2-(ペンタ-4-エンアミド)ブタン酸 (S)-シアノメチル(化合物1g-IB)の合成
Synthesis of 4-2.4- (isopropylthio) -4-oxo-2- (pent-4-enamido) butanoic acid (S) -cyanomethyl (
(S)-4-(イソプロピルチオ)-4-オキソ-2-(ペンタ-4-エンアミド)ブタン酸(化合物1f-IB)(200mg、0.732mmol)のDMF(1ml)溶液に2-ブロモアセトニトリル(0.510ml、7.32mmol)とN-エチル-N-イソプロピルプロパン-2-アミン(0.153ml、0.878mmol)を加え、室温で30分攪拌した。反応混合物に飽和塩化アンモニウム水溶液(1ml)を加えた後に、酢酸エチルで希釈し、有機層を水で洗浄した。その後、有機抽出物を硫酸マグネシウムで乾燥した。減圧濃縮後、得られた残渣をシリカゲルカラムクロマトグラフィー(ヘキサン/酢酸エチル=100/0→60/40)にて精製し、4-(イソプロピルチオ)-4-オキソ-2-(ペンタ-4-エンアミド)ブタン酸 (S)-シアノメチル(化合物1g-IB)(161mg、70%)を得た。
LCMS(ESI) m/z = 313 (M+H)+
保持時間:0.75分(分析条件SQDFA05)
(S) -4- (Isopropylthio) -4-oxo-2- (pent-4-enamido) butanoic acid (
LCMS (ESI) m / z = 313 (M + H) +
Retention time: 0.75 minutes (analysis condition SQDFA05)
5.1g-ICの合成
5-1.(S)-4-(tert-ブチルチオ)-4-オキソ-2-(ペンタ-4-エンアミド)ブタン酸(化合物1f-IC)の合成
5.1 g-IC synthesis
5-1. Synthesis of (S) -4- (tert-butylthio) -4-oxo-2- (pent-4-enamido) butanoic acid (
化合物1f-IDの製造例と同様の条件で(S)-4-(tert-ブトキシ)-4-オキソ-3-(ペンタ-4-エンアミド)ブタン酸(化合物1b-I)とペンタ-4-エン酸(1:0.8)の混合粗生成物A(1.23g、6.64mmol)を用い、さらにフェニルメタンチオールの代わりに2-メチルプロパン-2-チオール(0.748ml、6.63mmol)を用いることで、(S)-4-(tert-ブチルチオ)-4-オキソ-2-(ペンタ-4-エンアミド)ブタン酸(化合物1f-IC)(653mg、62%)を得た。
LCMS(ESI) m/z = 288 (M+H)+
保持時間:0.79分(分析条件SQDAA05)
(S) -4- (tert-Butoxy) -4-oxo-3- (pent-4-enamido) butanoic acid (
LCMS (ESI) m / z = 288 (M + H) +
Retention time: 0.79 minutes (analysis condition SQDAA05)
5-2. 4-(tert-ブチルチオ)-4-オキソ-2-(ペンタ-4-エンアミド)ブタン酸 (S)-シアノメチル(化合物1g-IC)の合成
5-2. Synthesis of 4- (tert-butylthio) -4-oxo-2- (pent-4-enamido) butanoic acid (S) -cyanomethyl (
化合物1g-IEの製造例と同様の条件で((S)-4-オキソ-2-(ペンタ-4-エンアミド)-4-(フェネチルチオ)ブタン酸 (化合物1f-IE)の代わりに(S)-4-(tert-ブチルチオ)-4-オキソ-2-(ペンタ-4-エンアミド)ブタン酸(化合物1f-IC)(300mg、1.04mmol)を用いることで4-(tert-ブチルチオ)-4-オキソ-2-(ペンタ-4-エンアミド)ブタン酸 (S)-シアノメチル(化合物1g-IC)(293mg、86%)を得た。
LCMS(ESI) m/z = 327 (M+H)+
保持時間:0.90分(分析条件SQDAA05)
(S) -4-oxo-2- (pent-4-enamido) -4- (phenethylthio) butanoic acid (
LCMS (ESI) m / z = 327 (M + H) +
Retention time: 0.90 minutes (analysis condition SQDAA05)
6.1e-IFの合成
6-1.4-オキソ-2-(ペンタ-4-エンアミド)-4-(フェニルチオ)ブタン酸 (S)-tert-ブチル(化合物1e-IF)の合成
6.1 Synthesis of e-IF
Synthesis of 6-1.4-oxo-2- (pent-4-enamido) -4- (phenylthio) butanoic acid (S) -tert-butyl (
(S)-4-(tert-ブトキシ)-4-オキソ-3-(ペンタ-4-エンアミド)ブタン酸(化合物1b-I)とペンタ-4-エン酸(1:0.8)の混合粗生成物A(2.53g、13.0mmol)のCH2Cl2(35ml)溶液にDIC(2.43ml、15.6mmol)、DMAP(318mg、2.60mmol)およびベンゼンチオール(1.59ml、15.6mmol)を加え、室温で4時間攪拌した。反応混合物をろ過し、得られたろ液を濃縮後、酢酸エチルで希釈した後に、飽和塩化アンモニウム水溶液、飽和重曹水、飽和食塩水で洗浄した。その後、有機抽出物を硫酸マグネシウムで乾燥し、減圧濃縮した。得られた残渣を逆相シリカゲルカラムクロマトグラフィー(10mM酢酸アンモニウム水溶液/メタノール=70/30→0/100)にて精製し、さらに得られた粗生成物をシリカゲルカラムクロマトグラフィー(ヘキサン/酢酸エチル=100/0→65/35)にて精製し、4-オキソ-2-(ペンタ-4-エンアミド)-4-(フェニルチオ)ブタン酸 (S)-tert-ブチル(化合物1e-IF)(1.99g、79%)を得た。
LCMS(ESI) m/z = 364 (M+H)+
保持時間:1.01分(分析条件SQDAA05)
(S) -4- (tert-butoxy) -4-oxo-3- (pent-4-enamido) butanoic acid (
LCMS (ESI) m / z = 364 (M + H) +
Retention time: 1.01 minutes (analysis condition SQDAA05)
7.1g-IAの合成
7-1. 4-(メチルチオ)-4-オキソ-2-(ペンタ-4-エンアミド)ブタン酸 (S)-tert-ブチル(化合物1e-IA)の合成
7.1 Synthesis of IA
7-1. Synthesis of 4- (methylthio) -4-oxo-2- (pent-4-enamido) butanoic acid (S) -tert-butyl (
(S)-4-(tert-ブトキシ)-4-オキソ-3-(ペンタ-4-エンアミド)ブタン酸(化合物1b-I)とペンタ-4-エン酸(1:0.8)の混合粗生成物A(1.96g、9.68mmol)のTHF(44ml)溶液にEt3N(1.54ml、11.0mmol)とカルボノクロリド酸エチル(1.05ml、11.0mmol)を加え、室温で25分攪拌した。その後、反応混合物にナトリウム メタンチオラート(1.06g、15.1mmol)のDMF(18ml)溶液を加え、室温で1時間攪拌した。その後、反応混合物に水を加え、ジクロロメタンで希釈し、有機層を水で洗浄後、硫酸マグネシウムで乾燥し、減圧濃縮した。得られた残渣を逆相シリカゲルカラムクロマトグラフィー(10mM酢酸アンモニウム水溶液/メタノール=70/30→40/60)にて精製し、4-(メチルチオ)-4-オキソ-2-(ペンタ-4-エンアミド)ブタン酸 (S)-tert-ブチル(化合物1e-IA)(1.38g、85%)を得た。
LCMS(ESI) m/z = 302 (M+H)+
保持時間:0.90分(分析条件SQDAA05)
(S) -4- (tert-butoxy) -4-oxo-3- (pent-4-enamido) butanoic acid (
LCMS (ESI) m / z = 302 (M + H) +
Retention time: 0.90 minutes (analysis condition SQDAA05)
7-2.(S)-4-(メチルチオ)-4-オキソ-2-(ペンタ-4-エンアミド)ブタン酸(化合物1f-IA)の合成
7-2. Synthesis of (S) -4- (methylthio) -4-oxo-2- (pent-4-enamido) butanoic acid (
4-(メチルチオ)-4-オキソ-2-(ペンタ-4-エンアミド)ブタン酸 (S)-tert-ブチル(化合物1e-IA、69.3mg、0.23mmol)のジクロロメタン(1.2ml)溶液にトリフルオロ酢酸(0.684ml、9.20mmol)を加え、室温で6時間半攪拌した。その後、反応混合物を減圧濃縮し、残渣を逆相シリカゲルカラムクロマトグラフィー(10mM酢酸アンモニウム水溶液/メタノール=100/0→60/40)にて精製し、(S)-4-(メチルチオ)-4-オキソ-2-(ペンタ-4-エンアミド)ブタン酸(化合物1f-IA)(46.9mg、83%)を得た。
LCMS(ESI) m/z = 246 (M+H)+
保持時間:0.51分(分析条件SQDAA05)
4- (Methylthio) -4-oxo-2- (pent-4-enamido) butanoic acid (S) -tert-butyl (
LCMS (ESI) m / z = 246 (M + H) +
Retention time: 0.51 minutes (analysis condition SQDAA05)
7-3.4-(メチルチオ)-4-オキソ-2-(ペンタ-4-エンアミド)ブタン酸 (S)-シアノメチル(化合物1g-IA)の合成
7-3.4- (Methylthio) -4-oxo-2- (pent-4-enamido) butanoic acid Synthesis of (S) -cyanomethyl (
(S)-4-(メチルチオ)-4-オキソ-2-(ペンタ-4-エンアミド)ブタン酸(化合物1f-IA)(1.17g、3.78mmol)のDMF(5ml)溶液に2-ブロモアセトニトリル(2.64ml、37.8mmol)とN-エチル-N-イソプロピルプロパン-2-アミン(3.29ml、18.9mmol)を加え、室温で30分攪拌した。反応混合物に飽和塩化アンモニウム水溶液(3ml)を加えた後に、酢酸エチルで希釈し、有機層を水で洗浄した。その後、有機抽出物を硫酸マグネシウムで乾燥した。減圧濃縮後、得られた残渣をシリカゲルカラムクロマトグラフィー(ヘキサン/酢酸エチル=100/0→30/70)にて精製し、4-(メチルチオ)-4-オキソ-2-(ペンタ-4-エンアミド)ブタン酸 (S)-シアノメチル(化合物1g-IA)(368mg、34%)を得た。
LCMS(ESI) m/z = 285 (M+H)+
保持時間:0.69分(分析条件SQDAA05)
(S) -4- (Methylthio) -4-oxo-2- (pent-4-enamido) butanoic acid (
LCMS (ESI) m / z = 285 (M + H) +
Retention time: 0.69 minutes (analysis condition SQDAA05)
8.1g-IIDの合成
8-1.(S)-5-(tert-ブトキシ)-5-オキソ-4-(ペンタ-4-エンアミド)ペンタン酸(化合物1b-II)の合成
Synthesis of 8.1g-IID
8-1. Synthesis of (S) -5- (tert-butoxy) -5-oxo-4- (pent-4-enamido) pentanoic acid (
化合物1b-Iの製造例と同様の条件で(S)-3-アミノ-4-(tert-ブトキシ)-4-オキソブタン酸(化合物1a-I)の代わりに(S)-4-アミノ-5-(tert-ブトキシ)-5-オキソペンタン酸(化合物1a-II、5.00g、24.2mmol)用いることで、(S)-5-(tert-ブトキシ)-5-オキソ-4-(ペンタ-4-エンアミド)ペンタン酸(化合物1b-II)とペンタ-4-エン酸(1:0.8)の混合粗生成物B(9.28g、100%)を得た。
(S) -4-amino-5 instead of (S) -3-amino-4- (tert-butoxy) -4-oxobutanoic acid (
8-2.(S)-5-(ベンジルチオ)-5-オキソ-2-(ペンタ-4-エンアミド)ペンタン酸(化合物1f-IID)の合成
8-2. Synthesis of (S) -5- (benzylthio) -5-oxo-2- (pent-4-enamido) pentanoic acid (
化合物1f-IDの製造例と同様の条件で混合粗生成物Aの代わりに混合粗生成物B(2.30g、10.80mmol)を用いることで、(S)-5-(ベンジルチオ)-5-オキソ-2-(ペンタ-4-エンアミド)ペンタン酸(化合物1f-IID)(1.45g、72%)を得た。
LCMS(ESI) m/z = 336 (M+H)+
保持時間:0.82分(分析条件SQDAA05)
(S) -5- (benzylthio) -5 was obtained by using mixed crude product B (2.30 g, 10.80 mmol) instead of mixed crude product A under the same conditions as in the production example of compound If-ID. -Oxo-2- (pent-4-enamido) pentanoic acid (
LCMS (ESI) m / z = 336 (M + H) +
Retention time: 0.82 minutes (analysis condition SQDAA05)
8-3. 5-(ベンジルチオ)-5-オキソ-2-(ペンタ-4-エンアミド)ペンタン酸 (S)-シアノメチル(化合物1g-IID)の合成
8-3. Synthesis of 5- (benzylthio) -5-oxo-2- (pent-4-enamido) pentanoic acid (S) -cyanomethyl (
化合物1g-IDの製造例と同様の条件で(S)-4-(ベンジルチオ)-4-オキソ-2-(ペンタ-4-エンアミド)ブタン酸(化合物1f-ID)の代わりに(S)-5-(ベンジルチオ)-5-オキソ-2-(ペンタ-4-エンアミド)ペンタン酸(化合物1f-IID)(964mg、2.87mmol)を用いることで、5-(ベンジルチオ)-5-オキソ-2-(ペンタ-4-エンアミド)ペンタン酸 (S)-シアノメチル(化合物1g-IID)(951mg、89%)を得た。
LCMS(ESI) m/z = 375 (M+H)+
保持時間:0.93分(分析条件SQDAA05)
Instead of (S) -4- (benzylthio) -4-oxo-2- (pent-4-enamido) butanoic acid (
LCMS (ESI) m / z = 375 (M + H) +
Retention time: 0.93 minutes (analysis condition SQDAA05)
9.1g-IIAの合成
9-1. 5-(メチルチオ)-5-オキソ-2-(ペンタ-4-エンアミド)ペンタン酸 (S)-tert-ブチル(化合物1e-IIA)の合成
Synthesis of 9.1 g-IIA
9-1. Synthesis of 5- (methylthio) -5-oxo-2- (pent-4-enamido) pentanoic acid (S) -tert-butyl (
化合物1e-IAの製造例と同様の条件で、混合粗生成物Aの代わりに混合粗生成物B(1.94g、9.11mmol)を用いることで、5-(メチルチオ)-5-オキソ-2-(ペンタ-4-エンアミド)ペンタン酸 (S)-tert-ブチル(化合物1e-IIA)(1.22g、76%)を得た。
LCMS(ESI) m/z = 316 (M+H)+
保持時間:0.92分(分析条件SQDAA05)
By using mixed crude product B (1.94 g, 9.11 mmol) instead of mixed crude product A under the same conditions as in the production example of
LCMS (ESI) m / z = 316 (M + H) +
Retention time: 0.92 minutes (analysis condition SQDAA05)
9-2. (S)-5-(メチルチオ)-5-オキソ-2-(ペンタ-4-エンアミド)ペンタン酸(化合物1f-IIA)の合成
9-2. Synthesis of (S) -5- (methylthio) -5-oxo-2- (pent-4-enamido) pentanoic acid (
化合物1f-IAの製造例と同様の条件で4-(メチルチオ)-4-オキソ-2-(ペンタ-4-エンアミド)ブタン酸 (S)-tert-ブチル(化合物1e-IA)の代わりに5-(メチルチオ)-5-オキソ-2-(ペンタ-4-エンアミド)ペンタン酸 (S)-tert-ブチル(化合物1e-IIA)(1.02g、3.24mmol)を用いることで、(S)-5-(メチルチオ)-5-オキソ-2-(ペンタ-4-エンアミド)ペンタン酸(化合物1f-IIA)(790mg、94%)を得た。
LCMS(ESI) m/z = 260(M+H)+
保持時間:0.54分(分析条件SQDAA05)
Instead of 4- (methylthio) -4-oxo-2- (pent-4-enamido) butanoic acid (S) -tert-butyl (
LCMS (ESI) m / z = 260 (M + H) +
Retention time: 0.54 minutes (analysis condition SQDAA05)
9-3. 5-(メチルチオ)-5-オキソ-2-(ペンタ-4-エンアミド)ペンタン酸 (S)-シアノメチル(化合物1g-IIA)の合成
9-3. Synthesis of 5- (methylthio) -5-oxo-2- (pent-4-enamido) pentanoic acid (S) -cyanomethyl (
(S)-5-(メチルチオ)-5-オキソ-2-(ペンタ-4-エンアミド)ペンタン酸(化合物1f-IIA)(673mg、2.60mmol)のDMSO(5、5ml)溶液に2-ブロモアセトニトリル(3.60ml、52.0mmol)とN-エチル-N-イソプロピルプロパン-2-アミン(0.297ml、2.86mmol)を加え、室温で30分攪拌した。反応混合物に飽和塩化アンモニウム水溶液(3ml)を加えた後に、酢酸エチルで希釈し、有機層を水で洗浄した。その後、有機抽出物を硫酸マグネシウムで乾燥した。減圧濃縮後、得られた残渣をシリカゲルカラムクロマトグラフィー(ヘキサン/酢酸エチル=100/0→30/70)にて精製し、5-(メチルチオ)-5-オキソ-2-(ペンタ-4-エンアミド)ペンタン酸 (S)-シアノメチル(化合物1g-IIA)(772mg、100%)を得た。
LCMS(ESI) m/z =299(M+H)+
保持時間:0.75分(分析条件SQDAA05)
(S) -5- (Methylthio) -5-oxo-2- (pent-4-enamido) pentanoic acid (
LCMS (ESI) m / z = 299 (M + H) +
Retention time: 0.75 minutes (analysis condition SQDAA05)
10. 1g-IIFの合成
10-1. 5-オキソ-2-(ペンタ-4-エンアミド)-5-(フェニルチオ)ペンタン酸 (S)-tert-ブチル(化合物1e-IIF)の合成
10. Synthesis of 1g-IIF
10-1. Synthesis of 5-oxo-2- (pent-4-enamido) -5- (phenylthio) pentanoic acid (S) -tert-butyl (
化合物1e-IFの製造例と同様の条件で、混合粗生成物Aの代わりに混合生成物B(2.11g、9.90mmol)を用いることで5-オキソ-2-(ペンタ-4-エンアミド)-5-(フェニルチオ)ペンタン酸 (S)-tert-ブチル(化合物1e-IIF)(1.52g、73%)を得た。
LCMS(ESI) m/z =378(M+H)+
保持時間:1.03分(分析条件SQDAA05)
5-oxo-2- (pent-4-enamide) was obtained by using mixed product B (2.11 g, 9.90 mmol) instead of mixed crude product A under the same conditions as in the production example of
LCMS (ESI) m / z = 378 (M + H) +
Retention time: 1.03 minutes (analysis condition SQDAA05)
10-2. 5-オキソ-2-(ペンタ-4-エンアミド)-5-(フェニルチオ)ペンタン酸 (S)-シアノメチル(化合物1g-IIF)の合成
10-2. Synthesis of 5-oxo-2- (pent-4-enamido) -5- (phenylthio) pentanoic acid (S) -cyanomethyl (
5-オキソ-2-(ペンタ-4-エンアミド)-5-(フェニルチオ)ペンタン酸 (S)-tert-ブチル(化合物1e-IIF)(978mg、2.59mmol)のジクロロメタン(6.74ml)溶液にトリフルオロ酢酸(3.85ml、51.8mmol)を加え、室温で3時間攪拌した。その後、反応混合物を減圧濃縮した。得られた残渣の2-ブロモアセトニトリル(8ml)溶液にN-エチル-N-イソプロピルプロパン-2-アミン(1.30ml、7,47mmol)を加え、室温で30分攪拌した。反応混合物に水を加えた後、逆相シリカゲルカラムクロマトグラフィー(10mM酢酸アンモニウム水溶液/メタノール=60/40→20/80)にて精製し、5-オキソ-2-(ペンタ-4-エンアミド)-5-(フェニルチオ)ペンタン酸 (S)-シアノメチル(化合物1g-IIF)(722mg、64%)を得た。
LCMS(ESI) m/z = 361 (M+H)+
保持時間:0.89分(分析条件SQDAA05)
5-oxo-2- (pent-4-enamido) -5- (phenylthio) pentanoic acid (S) -tert-butyl (
LCMS (ESI) m / z = 361 (M + H) +
Retention time: 0.89 minutes (analysis condition SQDAA05)
[実施例2]側鎖カルボン酸が活性エステル化されたアミノアシル化pdCpAの合成
実施例1で合成した側鎖カルボン酸が活性エステル化された化合物(化合物1g)を用いてアミノアシル化pdCpA(化合物1i)の合成を行った。
[Example 2] Synthesis of aminoacylated pdCpA in which side chain carboxylic acid was active esterified Aminoacylated pdCpA (compound 1i) using the compound in which side chain carboxylic acid synthesized in Example 1 was active esterified (Compound 1g) ) Was synthesized.
1. 4-(ベンジルチオ)-4-オキソ-2-(ペンタ-4-エンアミド)ブタン酸 (2S)-(2R,3S,4R,5R)-2-((((((2R,3S,5R)-5-(4-アミノ-2-オキソピリミジン-1(2H)-イル)-2-((ホスホノオキシ)メチル)テトラヒドロフラン-3-イル)オキシ)(ヒドロキシ)ホスホリル)オキシ)メチル)-5-(6-アミノ-9H-プリン-9-イル)-4-ヒドロキシテトラヒドロフラン-3-イル (化合物1i-ID)の合成
1. 4- (Benzylthio) -4-oxo-2- (pent-4-enamido) butanoic acid (2S)-(2R, 3S, 4R, 5R) -2-(((((((2R, 3S, 5R)- 5- (4-Amino-2-oxopyrimidin-1 (2H) -yl) -2-((phosphonooxy) methyl) tetrahydrofuran-3-yl) oxy) (hydroxy) phosphoryl) oxy) methyl) -5- (6 -Amino-9H-purin-9-yl) -4-hydroxytetrahydrofuran-3-yl (
pdCpA(リン酸二水素 ((2R,3S,5R)-5-(4-アミノ-2-オキソピリミジン-1(2H)-イル)-3-(((((2R,3S,4R,5R)-5-(6-アミノ-9H-プリン-9-イル)-3,4-ジヒドロキシテトラヒドロフラン-2-イル)メトキシ)(ヒドロキシ)ホスホリル)オキシ)テトラヒドロフラン-2-イル)メチル 化合物1h)の合成を文献、Nucleosides, Nucleotides & Nucleic Acids, 20(3), 197-211; 2001、Xue-Feng Zhu and A. lan Scott、に従って合成した。
緩衝液A(113ml)にリン酸二水素 ((2R,3S,5R)-5-(4-アミノ-2-オキソピリミジン-1(2H)-イル)-3-(((((2R,3S,4R,5R)-5-(6-アミノ-9H-プリン-9-イル)-3,4-ジヒドロキシテトラヒドロフラン-2-イル)メトキシ)(ヒドロキシ)ホスホリル)オキシ)テトラヒドロフラン-2-イル)メチル(化合物1h)(200mg、0.314mmol)の水溶液(6.25ml)と4-(ベンジルチオ)-4-オキソ-2-(ペンタ-4-エンアミド)ブタン酸 (S)-シアノメチル(化合物1g-ID)(454mg、1.26mmol)のテトラヒドロフラン(3.15ml)溶液を加え、室温で1時間攪拌した。その後、トリフルオロ酢酸(2.52ml、33.9mmol)を加えた後に、凍結乾燥させた。得られた残渣を逆相シリカゲルカラムクロマトグラフィー(0.05%トリフルオロ酢酸水溶液/0.05%トリフルオロ酢酸アセトニトリル溶液=100/0→60/40)にて精製し、4-(ベンジルチオ)-4-オキソ-2-(ペンタ-4-エンアミド)ブタン酸 (2S)-(2R,3S,4R,5R)-2-((((((2R,3S,5R)-5-(4-アミノ-2-オキソピリミジン-1(2H)-イル)-2-((ホスホノオキシ)メチル)テトラヒドロフラン-3-イル)オキシ)(ヒドロキシ)ホスホリル)オキシ)メチル)-5-(6-アミノ-9H-プリン-9-イル)-4-ヒドロキシテトラヒドロフラン-3-イル(化合物1i-ID)(70.9mg、24%)を得た。
LCMS(ESI) m/z = 940 (M+H)+
保持時間:0.53分(分析条件SQDFA05)
pdCpA (dihydrogen phosphate ((2R, 3S, 5R) -5- (4-amino-2-oxopyrimidin-1 (2H) -yl) -3-((((((2R, 3S, 4R, 5R) Synthesis of -5- (6-amino-9H-purin-9-yl) -3,4-dihydroxytetrahydrofuran-2-yl) methoxy) (hydroxy) phosphoryl) oxy) tetrahydrofuran-2-yl)
To buffer A (113 ml), dihydrogen phosphate ((2R, 3S, 5R) -5- (4-amino-2-oxopyrimidin-1 (2H) -yl) -3-((((((2R, 3S , 4R, 5R) -5- (6-Amino-9H-purin-9-yl) -3,4-dihydroxytetrahydrofuran-2-yl) methoxy) (hydroxy) phosphoryl) oxy) tetrahydrofuran-2-yl) methyl (
LCMS (ESI) m / z = 940 (M + H) +
Retention time: 0.53 minutes (analysis condition SQDFA05)
なお、緩衝液Aは以下のように調整した。
N,N,N-トリメチルヘキサデカン-1-アミニウム 塩化物(6,40g、20mmol)とイミダゾール(6.81g、100mmol)の水溶液に酢酸を添加し、pH8、20mM N,N,N-トリメチルヘキサデカン-1-アミニウム、100mMイミダゾールの緩衝液A(1L)を得た。
Buffer A was prepared as follows.
Acetic acid is added to an aqueous solution of N, N, N-trimethylhexadecane-1-aminium chloride (6,40 g, 20 mmol) and imidazole (6.81 g, 100 mmol),
2.4-オキソ-2-(ペンタ-4-エンアミド)-4-(フェネチルチオ)ブタン酸 (2S)-(2R,3S,4R,5R)-2-((((((2R,3S,5R)-5-(4-アミノ-2-オキソピリミジン-1(2H)-イル)-2-((ホスホノオキシ)メチル)テトラヒドロフラン-3-イル)オキシ)(ヒドロキシ)ホスホリル)オキシ)メチル)-5-(6-アミノ-9H-プリン-9-イル)-4-ヒドロキシテトラヒドロフラン-3-イル (化合物1i-IE)の合成
2.4-Oxo-2- (pent-4-enamido) -4- (phenethylthio) butanoic acid (2S)-(2R, 3S, 4R, 5R) -2-(((((((2R, 3S, 5R) -5- (4-Amino-2-oxopyrimidin-1 (2H) -yl) -2-((phosphonooxy) methyl) tetrahydrofuran-3-yl) oxy) (hydroxy) phosphoryl) oxy) methyl) -5 Synthesis of-(6-amino-9H-purin-9-yl) -4-hydroxytetrahydrofuran-3-yl (
化合物1i-IDの製造例と同様の条件で、リン酸二水素 ((2R,3S,5R)-5-(4-アミノ-2-オキソピリミジン-1(2H)-イル)-3-(((((2R,3S,4R,5R)-5-(6-アミノ-9H-プリン-9-イル)-3,4-ジヒドロキシテトラヒドロフラン-2-イル)メトキシ)(ヒドロキシ)ホスホリル)オキシ)テトラヒドロフラン-2-イル)メチル(化合物1h)(50mg、0.079mol)を用い、さらに4-(ベンジルチオ)-4-オキソ-2-(ペンタ-4-エンアミド)ブタン酸 (S)-シアノメチル(化合物1g-ID)の代わりに4-オキソ-2-(ペンタ-4-エンアミド)-4-(フェネチルチオ)ブタン酸 (S)-シアノメチル(化合物1g-IE)(118mg、0.314mmol)用いることで、4-オキソ-2-(ペンタ-4-エンアミド)-4-(フェネチルチオ)ブタン酸 (2S)-(2R,3S,4R,5R)-2-((((((2R,3S,5R)-5-(4-アミノ-2-オキソピリミジン-1(2H)-イル)-2-((ホスホノオキシ)メチル)テトラヒドロフラン-3-イル)オキシ)(ヒドロキシ)ホスホリル)オキシ)メチル)-5-(6-アミノ-9H-プリン-9-イル)-4-ヒドロキシテトラヒドロフラン-3-イル (化合物1i-IE)(22.8mg、30%)を得た。
LCMS(ESI) m/z =954(M+H)+
保持時間:0.80分(分析条件SMDmethod1)
Under the same conditions as in the production example of compound 1i-ID, dihydrogen phosphate ((2R, 3S, 5R) -5- (4-amino-2-oxopyrimidin-1 (2H) -yl) -3-(( (((2R, 3S, 4R, 5R) -5- (6-Amino-9H-purin-9-yl) -3,4-dihydroxytetrahydrofuran-2-yl) methoxy) (hydroxy) phosphoryl) oxy) tetrahydrofuran Using 2-yl) methyl (Compound 1h) (50 mg, 0.079 mol), 4- (benzylthio) -4-oxo-2- (pent-4-enamido) butanoic acid (S) -cyanomethyl (Compound 1g- 4-oxo-2- (pent-4-enamido) -4- (phenethylthio) butanoic acid (S) -cyanomethyl (compound 1g-IE) (118 mg, 0.3 4-Oxo-2- (pent-4-enamido) -4- (phenethylthio) butanoic acid (2S)-(2R, 3S, 4R, 5R) -2-(((((( 2R, 3S, 5R) -5- (4-amino-2-oxopyrimidin-1 (2H) -yl) -2-((phosphonooxy) methyl) tetrahydrofuran-3-yl) oxy) (hydroxy) phosphoryl) oxy) Methyl) -5- (6-amino-9H-purin-9-yl) -4-hydroxytetrahydrofuran-3-yl (Compound 1i-IE) (22.8 mg, 30%) was obtained.
LCMS (ESI) m / z = 954 (M + H) +
Retention time: 0.80 minutes (analysis condition SMD method 1)
3. 4-(エチルチオ)-4-オキソ-2-(ペンタ-4-エンアミド)ブタン酸 (2S)-(2R,3S,4R,5R)-2-((((((2R,3S,5R)-5-(4-アミノ-2-オキソピリミジン-1(2H)-イル)-2-((ホスホノオキシ)メチル)テトラヒドロフラン-3-イル)オキシ)(ヒドロキシ)ホスホリル)オキシ)メチル)-5-(6-アミノ-9H-プリン-9-イル)-4-ヒドロキシテトラヒドロフラン-3-イル(化合物1i-IG)の合成
3. 4- (Ethylthio) -4-oxo-2- (pent-4-enamido) butanoic acid (2S)-(2R, 3S, 4R, 5R) -2-(((((((2R, 3S, 5R)- 5- (4-Amino-2-oxopyrimidin-1 (2H) -yl) -2-((phosphonooxy) methyl) tetrahydrofuran-3-yl) oxy) (hydroxy) phosphoryl) oxy) methyl) -5- (6 -Amino-9H-purin-9-yl) -4-hydroxytetrahydrofuran-3-yl (
化合物1i-IDの製造例と同様の条件で、リン酸二水素 ((2R,3S,5R)-5-(4-アミノ-2-オキソピリミジン-1(2H)-イル)-3-(((((2R,3S,4R,5R)-5-(6-アミノ-9H-プリン-9-イル)-3,4-ジヒドロキシテトラヒドロフラン-2-イル)メトキシ)(ヒドロキシ)ホスホリル)オキシ)テトラヒドロフラン-2-イル)メチル(化合物1h)(50mg、0.079mmol)を用い、さらに4-(ベンジルチオ)-4-オキソ-2-(ペンタ-4-エンアミド)ブタン酸 (S)-シアノメチル(化合物1g-ID)の代わりに4-(エチルチオ)-4-オキソ-2-(ペンタ-4-エンアミド)ブタン酸 (S)-シアノメチル(化合物1g-IG)(94mg、0.314mmol)用いることで、4-(エチルチオ)-4-オキソ-2-(ペンタ-4-エンアミド)ブタン酸 (2S)-(2R,3S,4R,5R)-2-((((((2R,3S,5R)-5-(4-アミノ-2-オキソピリミジン-1(2H)-イル)-2-((ホスホノオキシ)メチル)テトラヒドロフラン-3-イル)オキシ)(ヒドロキシ)ホスホリル)オキシ)メチル)-5-(6-アミノ-9H-プリン-9-イル)-4-ヒドロキシテトラヒドロフラン-3-イル(化合物1i-IG)(23.9mg、35%)を得た。
LCMS(ESI) m/z =878(M+H)+
保持時間:0.66分(分析条件SMDmethod1)
Under the same conditions as in the production example of compound 1i-ID, dihydrogen phosphate ((2R, 3S, 5R) -5- (4-amino-2-oxopyrimidin-1 (2H) -yl) -3-(( (((2R, 3S, 4R, 5R) -5- (6-Amino-9H-purin-9-yl) -3,4-dihydroxytetrahydrofuran-2-yl) methoxy) (hydroxy) phosphoryl) oxy) tetrahydrofuran Using 2-yl) methyl (Compound 1h) (50 mg, 0.079 mmol), 4- (benzylthio) -4-oxo-2- (pent-4-enamido) butanoic acid (S) -cyanomethyl (Compound 1g- 4- (ethylthio) -4-oxo-2- (pent-4-enamido) butanoic acid (S) -cyanomethyl (compound 1g-IG) (94 mg, 0.314) 4- (ethylthio) -4-oxo-2- (pent-4-enamido) butanoic acid (2S)-(2R, 3S, 4R, 5R) -2-(((((((2R , 3S, 5R) -5- (4-amino-2-oxopyrimidin-1 (2H) -yl) -2-((phosphonooxy) methyl) tetrahydrofuran-3-yl) oxy) (hydroxy) phosphoryl) oxy) methyl ) -5- (6-Amino-9H-purin-9-yl) -4-hydroxytetrahydrofuran-3-yl (Compound 1i-IG) (23.9 mg, 35%) was obtained.
LCMS (ESI) m / z = 878 (M + H) +
Retention time: 0.66 minutes (analysis condition SMD method 1)
4. 4-(イソプロピルチオ)-4-オキソ-2-(ペンタ-4-エンアミド)ブタン酸 (2S)-(2R,3S,4R,5R)-2-((((((2R,3S,5R)-5-(4-アミノ-2-オキソピリミジン-1(2H)-イル)-2-((ホスホノオキシ)メチル)テトラヒドロフラン-3-イル)オキシ)(ヒドロキシ)ホスホリル)オキシ)メチル)-5-(6-アミノ-9H-プリン-9-イル)-4-ヒドロキシテトラヒドロフラン-3-イル(化合物1i-IB)の合成
4). 4- (Isopropylthio) -4-oxo-2- (pent-4-enamido) butanoic acid (2S)-(2R, 3S, 4R, 5R) -2-(((((((2R, 3S, 5R) -5- (4-amino-2-oxopyrimidin-1 (2H) -yl) -2-((phosphonooxy) methyl) tetrahydrofuran-3-yl) oxy) (hydroxy) phosphoryl) oxy) methyl) -5- ( Synthesis of 6-amino-9H-purin-9-yl) -4-hydroxytetrahydrofuran-3-yl (
化合物1i-IDの製造例と同様の条件で、リン酸二水素 ((2R,3S,5R)-5-(4-アミノ-2-オキソピリミジン-1(2H)-イル)-3-(((((2R,3S,4R,5R)-5-(6-アミノ-9H-プリン-9-イル)-3,4-ジヒドロキシテトラヒドロフラン-2-イル)メトキシ)(ヒドロキシ)ホスホリル)オキシ)テトラヒドロフラン-2-イル)メチル(化合物1h)(50mg、0.079mmol)を用い、さらに4-(ベンジルチオ)-4-オキソ-2-(ペンタ-4-エンアミド)ブタン酸 (S)-シアノメチル(化合物1g-ID)の代わりに4-(イソプロピルチオ)-4-オキソ-2-(ペンタ-4-エンアミド)ブタン酸 (S)-シアノメチル(化合物1g-IB)(98mg、0.314mmol)用いることで、4-(イソプロピルチオ)-4-オキソ-2-(ペンタ-4-エンアミド)ブタン酸 (2S)-(2R,3S,4R,5R)-2-((((((2R,3S,5R)-5-(4-アミノ-2-オキソピリミジン-1(2H)-イル)-2-((ホスホノオキシ)メチル)テトラヒドロフラン-3-イル)オキシ)(ヒドロキシ)ホスホリル)オキシ)メチル)-5-(6-アミノ-9H-プリン-9-イル)-4-ヒドロキシテトラヒドロフラン-3-イル(化合物1i-IB)(27.3mg、39%)を得た。
LCMS(ESI) m/z =892(M+H)+
保持時間:0.70分(分析条件SMDmethod1)
Under the same conditions as in the production example of
LCMS (ESI) m / z = 892 (M + H) +
Retention time: 0.70 minutes (analysis condition SMD method 1)
5. 4-(tert-ブチルチオ)-4-オキソ-2-(ペンタ-4-エンアミド)ブタン酸 (2S)-(2R,3S,4R,5R)-2-((((((2R,3S,5R)-5-(4-アミノ-2-オキソピリミジン-1(2H)-イル)-2-((ホスホノオキシ)メチル)テトラヒドロフラン-3-イル)オキシ)(ヒドロキシ)ホスホリル)オキシ)メチル)-5-(6-アミノ-9H-プリン-9-イル)-4-ヒドロキシテトラヒドロフラン-3-イル(化合物1i-IC)の合成
5). 4- (tert-Butylthio) -4-oxo-2- (pent-4-enamido) butanoic acid (2S)-(2R, 3S, 4R, 5R) -2-(((((((2R, 3S, 5R ) -5- (4-Amino-2-oxopyrimidin-1 (2H) -yl) -2-((phosphonooxy) methyl) tetrahydrofuran-3-yl) oxy) (hydroxy) phosphoryl) oxy) methyl) -5 Synthesis of (6-amino-9H-purin-9-yl) -4-hydroxytetrahydrofuran-3-yl (
化合物1i-IDの製造例と同様の条件で、リン酸二水素 ((2R,3S,5R)-5-(4-アミノ-2-オキソピリミジン-1(2H)-イル)-3-(((((2R,3S,4R,5R)-5-(6-アミノ-9H-プリン-9-イル)-3,4-ジヒドロキシテトラヒドロフラン-2-イル)メトキシ)(ヒドロキシ)ホスホリル)オキシ)テトラヒドロフラン-2-イル)メチル(化合物1h)(50mg、0.079mmol)を用い、さらに4-(ベンジルチオ)-4-オキソ-2-(ペンタ-4-エンアミド)ブタン酸 (S)-シアノメチル(化合物1g-ID)の代わりに4-(tert-ブチルチオ)-4-オキソ-2-(ペンタ-4-エンアミド)ブタン酸 (S)-シアノメチル(化合物1g-IC)(103mg、0.314mmol)用いることで、4-(tert-ブチルチオ)-4-オキソ-2-(ペンタ-4-エンアミド)ブタン酸 (2S)-(2R,3S,4R,5R)-2-((((((2R,3S,5R)-5-(4-アミノ-2-オキソピリミジン-1(2H)-イル)-2-((ホスホノオキシ)メチル)テトラヒドロフラン-3-イル)オキシ)(ヒドロキシ)ホスホリル)オキシ)メチル)-5-(6-アミノ-9H-プリン-9-イル)-4-ヒドロキシテトラヒドロフラン-3-イル(化合物1i-IC)(26.2mg、37%)を得た。
LCMS(ESI) m/z =906(M+H)+
保持時間:0.74分(分析条件SMDmethod1)
Under the same conditions as in the production example of compound 1i-ID, dihydrogen phosphate ((2R, 3S, 5R) -5- (4-amino-2-oxopyrimidin-1 (2H) -yl) -3-(( (((2R, 3S, 4R, 5R) -5- (6-Amino-9H-purin-9-yl) -3,4-dihydroxytetrahydrofuran-2-yl) methoxy) (hydroxy) phosphoryl) oxy) tetrahydrofuran Using 2-yl) methyl (Compound 1h) (50 mg, 0.079 mmol), 4- (benzylthio) -4-oxo-2- (pent-4-enamido) butanoic acid (S) -cyanomethyl (Compound 1g- 4- (tert-butylthio) -4-oxo-2- (pent-4-enamido) butanoic acid (S) -cyanomethyl (compound 1g-IC) (103 mg 0.314 mmol) is used to give 4- (tert-butylthio) -4-oxo-2- (pent-4-enamido) butanoic acid (2S)-(2R, 3S, 4R, 5R) -2-((( ((((2R, 3S, 5R) -5- (4-amino-2-oxopyrimidin-1 (2H) -yl) -2-((phosphonooxy) methyl) tetrahydrofuran-3-yl) oxy) (hydroxy) phosphoryl ) Oxy) methyl) -5- (6-amino-9H-purin-9-yl) -4-hydroxytetrahydrofuran-3-yl (compound 1i-IC) (26.2 mg, 37%) was obtained.
LCMS (ESI) m / z = 906 (M + H) +
Retention time: 0.74 minutes (analysis condition SMD method 1)
6. 4-(メチルチオ)-4-オキソ-2-(ペンタ-4-エンアミド)ブタン酸 (2S)-(2R,3S,4R,5R)-2-((((((2R,3S,5R)-5-(4-アミノ-2-オキソピリミジン-1(2H)-イル)-2-((ホスホノオキシ)メチル)テトラヒドロフラン-3-イル)オキシ)(ヒドロキシ)ホスホリル)オキシ)メチル)-5-(6-アミノ-9H-プリン-9-イル)-4-ヒドロキシテトラヒドロフラン-3-イル(化合物1i-IA)の合成
6). 4- (Methylthio) -4-oxo-2- (pent-4-enamido) butanoic acid (2S)-(2R, 3S, 4R, 5R) -2-(((((((2R, 3S, 5R)- 5- (4-Amino-2-oxopyrimidin-1 (2H) -yl) -2-((phosphonooxy) methyl) tetrahydrofuran-3-yl) oxy) (hydroxy) phosphoryl) oxy) methyl) -5- (6 -Amino-9H-purin-9-yl) -4-hydroxytetrahydrofuran-3-yl (
化合物1i-IDの製造例と同様の条件で、リン酸二水素 ((2R,3S,5R)-5-(4-アミノ-2-オキソピリミジン-1(2H)-イル)-3-(((((2R,3S,4R,5R)-5-(6-アミノ-9H-プリン-9-イル)-3,4-ジヒドロキシテトラヒドロフラン-2-イル)メトキシ)(ヒドロキシ)ホスホリル)オキシ)テトラヒドロフラン-2-イル)メチル(化合物1h)(150mg、0.236mmol)を用い、さらに4-(ベンジルチオ)-4-オキソ-2-(ペンタ-4-エンアミド)ブタン酸 (S)-シアノメチル(化合物1g-ID)の代わりに4-(メチルチオ)-4-オキソ-2-(ペンタ-4-エンアミド)ブタン酸 (S)-シアノメチル(化合物1g-IA)(268mg、0.943mmol)用いることで、4-(メチルチオ)-4-オキソ-2-(ペンタ-4-エンアミド)ブタン酸 (2S)-(2R,3S,4R,5R)-2-((((((2R,3S,5R)-5-(4-アミノ-2-オキソピリミジン-1(2H)-イル)-2-((ホスホノオキシ)メチル)テトラヒドロフラン-3-イル)オキシ)(ヒドロキシ)ホスホリル)オキシ)メチル)-5-(6-アミノ-9H-プリン-9-イル)-4-ヒドロキシテトラヒドロフラン-3-イル(化合物1i-IA)(83.6mg、41%)を得た。
LCMS(ESI) m/z =864(M+H)+
保持時間:0.40分(分析条件SQDFA05)
Under the same conditions as in the production example of compound 1i-ID, dihydrogen phosphate ((2R, 3S, 5R) -5- (4-amino-2-oxopyrimidin-1 (2H) -yl) -3-(( (((2R, 3S, 4R, 5R) -5- (6-Amino-9H-purin-9-yl) -3,4-dihydroxytetrahydrofuran-2-yl) methoxy) (hydroxy) phosphoryl) oxy) tetrahydrofuran Using 2-yl) methyl (compound 1h) (150 mg, 0.236 mmol), 4- (benzylthio) -4-oxo-2- (pent-4-enamido) butanoic acid (S) -cyanomethyl (compound 1 g- 4- (methylthio) -4-oxo-2- (pent-4-enamido) butanoic acid (S) -cyanomethyl (compound 1g-IA) (268 mg, 0.9 3 mmol), 4- (methylthio) -4-oxo-2- (pent-4-enamido) butanoic acid (2S)-(2R, 3S, 4R, 5R) -2-(((((((2R , 3S, 5R) -5- (4-amino-2-oxopyrimidin-1 (2H) -yl) -2-((phosphonooxy) methyl) tetrahydrofuran-3-yl) oxy) (hydroxy) phosphoryl) oxy) methyl ) -5- (6-Amino-9H-purin-9-yl) -4-hydroxytetrahydrofuran-3-yl (Compound 1i-IA) (83.6 mg, 41%) was obtained.
LCMS (ESI) m / z = 864 (M + H) +
Retention time: 0.40 minutes (analysis condition SQDFA05)
7. 5-(ベンジルチオ)-5-オキソ-2-(ペンタ-4-エンアミド)ペンタン酸 (2S)-(2R,3S,4R,5R)-2-((((((2R,3S,5R)-5-(4-アミノ-2-オキソピリミジン-1(2H)-イル)-2-((ホスホノオキシ)メチル)テトラヒドロフラン-3-イル)オキシ)(ヒドロキシ)ホスホリル)オキシ)メチル)-5-(6-アミノ-9H-プリン-9-イル)-4-ヒドロキシテトラヒドロフラン-3-イル(化合物1i-IID)の合成
7). 5- (Benzylthio) -5-oxo-2- (pent-4-enamido) pentanoic acid (2S)-(2R, 3S, 4R, 5R) -2-(((((((2R, 3S, 5R)- 5- (4-Amino-2-oxopyrimidin-1 (2H) -yl) -2-((phosphonooxy) methyl) tetrahydrofuran-3-yl) oxy) (hydroxy) phosphoryl) oxy) methyl) -5- (6 -Amino-9H-purin-9-yl) -4-hydroxytetrahydrofuran-3-yl (
化合物1i-IDの製造例と同様の条件で、リン酸二水素 ((2R,3S,5R)-5-(4-アミノ-2-オキソピリミジン-1(2H)-イル)-3-(((((2R,3S,4R,5R)-5-(6-アミノ-9H-プリン-9-イル)-3,4-ジヒドロキシテトラヒドロフラン-2-イル)メトキシ)(ヒドロキシ)ホスホリル)オキシ)テトラヒドロフラン-2-イル)メチル(化合物1h)(200mg、0.314mol)を用い、さらに4-(ベンジルチオ)-4-オキソ-2-(ペンタ-4-エンアミド)ブタン酸 (S)-シアノメチル(化合物1g-ID)の代わりに5-(ベンジルチオ)-5-オキソ-2-(ペンタ-4-エンアミド)ペンタン酸 (S)-シアノメチル(化合物1g-IID)(472mg、1.26mmol)用いることで、5-(ベンジルチオ)-5-オキソ-2-(ペンタ-4-エンアミド)ペンタン酸 (2S)-(2R,3S,4R,5R)-2-((((((2R,3S,5R)-5-(4-アミノ-2-オキソピリミジン-1(2H)-イル)-2-((ホスホノオキシ)メチル)テトラヒドロフラン-3-イル)オキシ)(ヒドロキシ)ホスホリル)オキシ)メチル)-5-(6-アミノ-9H-プリン-9-イル)-4-ヒドロキシテトラヒドロフラン-3-イル(化合物1i-IID)(31.3mg、10%)を得た。
LCMS(ESI) m/z =954(M+H)+
保持時間:0.55分(分析条件SQDFA05)
Under the same conditions as in the production example of compound 1i-ID, dihydrogen phosphate ((2R, 3S, 5R) -5- (4-amino-2-oxopyrimidin-1 (2H) -yl) -3-(( (((2R, 3S, 4R, 5R) -5- (6-Amino-9H-purin-9-yl) -3,4-dihydroxytetrahydrofuran-2-yl) methoxy) (hydroxy) phosphoryl) oxy) tetrahydrofuran Using 2-yl) methyl (compound 1h) (200 mg, 0.314 mol), 4- (benzylthio) -4-oxo-2- (pent-4-enamido) butanoic acid (S) -cyanomethyl (compound 1g- 5- (benzylthio) -5-oxo-2- (pent-4-enamido) pentanoic acid (S) -cyanomethyl (compound 1g-IID) (472 mg, 1 26 mmol), 5- (benzylthio) -5-oxo-2- (pent-4-enamido) pentanoic acid (2S)-(2R, 3S, 4R, 5R) -2-(((((((2R , 3S, 5R) -5- (4-amino-2-oxopyrimidin-1 (2H) -yl) -2-((phosphonooxy) methyl) tetrahydrofuran-3-yl) oxy) (hydroxy) phosphoryl) oxy) methyl ) -5- (6-Amino-9H-purin-9-yl) -4-hydroxytetrahydrofuran-3-yl (Compound 1i-IID) (31.3 mg, 10%) was obtained.
LCMS (ESI) m / z = 954 (M + H) +
Retention time: 0.55 minutes (analysis condition SQDFA05)
8. 5-(メチルチオ)-5-オキソ-2-(ペンタ-4-エンアミド)ペンタン酸 (2S)-(2R,3S,4R,5R)-2-((((((2R,3S,5R)-5-(4-アミノ-2-オキソピリミジン-1(2H)-イル)-2-((ホスホノオキシ)メチル)テトラヒドロフラン-3-イル)オキシ)(ヒドロキシ)ホスホリル)オキシ)メチル)-5-(6-アミノ-9H-プリン-9-イル)-4-ヒドロキシテトラヒドロフラン-3-イル(化合物1i-IIA)の合成
8). 5- (Methylthio) -5-oxo-2- (pent-4-enamido) pentanoic acid (2S)-(2R, 3S, 4R, 5R) -2-(((((((2R, 3S, 5R)- 5- (4-Amino-2-oxopyrimidin-1 (2H) -yl) -2-((phosphonooxy) methyl) tetrahydrofuran-3-yl) oxy) (hydroxy) phosphoryl) oxy) methyl) -5- (6 -Amino-9H-purin-9-yl) -4-hydroxytetrahydrofuran-3-yl (
化合物1i-IDの製造例と同様の条件で、リン酸二水素 ((2R,3S,5R)-5-(4-アミノ-2-オキソピリミジン-1(2H)-イル)-3-(((((2R,3S,4R,5R)-5-(6-アミノ-9H-プリン-9-イル)-3,4-ジヒドロキシテトラヒドロフラン-2-イル)メトキシ)(ヒドロキシ)ホスホリル)オキシ)テトラヒドロフラン-2-イル)メチル(化合物1h)(200mg、0.314mmol)を用い、さらに4-(ベンジルチオ)-4-オキソ-2-(ペンタ-4-エンアミド)ブタン酸 (S)-シアノメチル(化合物1g-ID)の代わりに5-(メチルチオ)-5-オキソ-2-(ペンタ-4-エンアミド)ペンタン酸 (S)-シアノメチル(化合物1g-IIA)(376mg、1.26mmol)用いることで、5-(メチルチオ)-5-オキソ-2-(ペンタ-4-エンアミド)ペンタン酸 (2S)-(2R,3S,4R,5R)-2-((((((2R,3S,5R)-5-(4-アミノ-2-オキソピリミジン-1(2H)-イル)-2-((ホスホノオキシ)メチル)テトラヒドロフラン-3-イル)オキシ)(ヒドロキシ)ホスホリル)オキシ)メチル)-5-(6-アミノ-9H-プリン-9-イル)-4-ヒドロキシテトラヒドロフラン-3-イル(化合物1i-IIA)(68.0mg、25%)を得た。
LCMS(ESI) m/z =878(M+H)+
保持時間:0.43分(分析条件SQDFA05)
Under the same conditions as in the production example of compound 1i-ID, dihydrogen phosphate ((2R, 3S, 5R) -5- (4-amino-2-oxopyrimidin-1 (2H) -yl) -3-(( (((2R, 3S, 4R, 5R) -5- (6-Amino-9H-purin-9-yl) -3,4-dihydroxytetrahydrofuran-2-yl) methoxy) (hydroxy) phosphoryl) oxy) tetrahydrofuran Using 2-yl) methyl (compound 1h) (200 mg, 0.314 mmol), 4- (benzylthio) -4-oxo-2- (pent-4-enamido) butanoic acid (S) -cyanomethyl (compound 1g- 5- (methylthio) -5-oxo-2- (pent-4-enamido) pentanoic acid (S) -cyanomethyl (compound 1g-IIA) (376 mg, 1 26 mmol), 5- (methylthio) -5-oxo-2- (pent-4-enamido) pentanoic acid (2S)-(2R, 3S, 4R, 5R) -2-(((((((2R , 3S, 5R) -5- (4-amino-2-oxopyrimidin-1 (2H) -yl) -2-((phosphonooxy) methyl) tetrahydrofuran-3-yl) oxy) (hydroxy) phosphoryl) oxy) methyl ) -5- (6-Amino-9H-purin-9-yl) -4-hydroxytetrahydrofuran-3-yl (Compound 1i-IIA) (68.0 mg, 25%) was obtained.
LCMS (ESI) m / z = 878 (M + H) +
Retention time: 0.43 minutes (analysis condition SQDFA05)
9. 5-オキソ-2-(ペンタ-4-エンアミド)-5-(フェニルチオ)ペンタン酸 (2S)-(2R,3S,4R,5R)-2-((((((2R,3S,5R)-5-(4-アミノ-2-オキソピリミジン-1(2H)-イル)-2-((ホスホノオキシ)メチル)テトラヒドロフラン-3-イル)オキシ)(ヒドロキシ)ホスホリル)オキシ)メチル)-5-(6-アミノ-9H-プリン-9-イル)-4-ヒドロキシテトラヒドロフラン-3-イル(化合物1i-IIF)の合成
9. 5-oxo-2- (pent-4-enamido) -5- (phenylthio) pentanoic acid (2S)-(2R, 3S, 4R, 5R) -2-(((((((2R, 3S, 5R)- 5- (4-Amino-2-oxopyrimidin-1 (2H) -yl) -2-((phosphonooxy) methyl) tetrahydrofuran-3-yl) oxy) (hydroxy) phosphoryl) oxy) methyl) -5- (6 -Amino-9H-purin-9-yl) -4-hydroxytetrahydrofuran-3-yl (
化合物1i-IDの製造例と同様の条件で、リン酸二水素 ((2R,3S,5R)-5-(4-アミノ-2-オキソピリミジン-1(2H)-イル)-3-(((((2R,3S,4R,5R)-5-(6-アミノ-9H-プリン-9-イル)-3,4-ジヒドロキシテトラヒドロフラン-2-イル)メトキシ)(ヒドロキシ)ホスホリル)オキシ)テトラヒドロフラン-2-イル)メチル(化合物1h)(150mg、0.236mmol)を用い、さらに4-(ベンジルチオ)-4-オキソ-2-(ペンタ-4-エンアミド)ブタン酸 (S)-シアノメチル(化合物1g-ID)の代わりに5-オキソ-2-(ペンタ-4-エンアミド)-5-(フェニルチオ)ペンタン酸 (S)-シアノメチル(化合物1g-IIF)(534mg、0.944mmol)を用いることで、5-オキソ-2-(ペンタ-4-エンアミド)-5-(フェニルチオ)ペンタン酸 (2S)-(2R,3S,4R,5R)-2-((((((2R,3S,5R)-5-(4-アミノ-2-オキソピリミジン-1(2H)-イル)-2-((ホスホノオキシ)メチル)テトラヒドロフラン-3-イル)オキシ)(ヒドロキシ)ホスホリル)オキシ)メチル)-5-(6-アミノ-9H-プリン-9-イル)-4-ヒドロキシテトラヒドロフラン-3-イル(化合物1i-IIF)と化合物1i-IIFのチオエステル部位とpdCpA部位のアルコール部位あるいはアミノ基部位と分子内縮合した推定化合物2種類(化合物1i-IIF-B1)、(化合物1i-IIF-B2)をLCMS分析により観測した。その割合は、LCMSのUVエリア%比より、化合物1i-IIF:(化合物1i-IIF-B1)+(化合物1i-IIF-B2)=20:9であった。
(化合物1i-IIF)
LCMS(ESI) m/z =940(M+H)+
保持時間:0.70分(分析条件SQDFA05)
(1i-IIF-B1)
LCMS(ESI) m/z =828(M-H)-
保持時間:0.65分(分析条件SQDFA05)
(1i-IIF-B2)
LCMS(ESI) m/z =828(M-H)-
保持時間:0.66分(分析条件SQDFA05)
これまで示してきたように、Rex1=Me、Et,iPr,Ph,Bz、Phenetyl基を有する側鎖カルボン酸が活性エステル化されたアミノアシル化pdCpA(化合物1i)を合成した。
Under the same conditions as in the production example of compound 1i-ID, dihydrogen phosphate ((2R, 3S, 5R) -5- (4-amino-2-oxopyrimidin-1 (2H) -yl) -3-(( (((2R, 3S, 4R, 5R) -5- (6-Amino-9H-purin-9-yl) -3,4-dihydroxytetrahydrofuran-2-yl) methoxy) (hydroxy) phosphoryl) oxy) tetrahydrofuran Using 2-yl) methyl (compound 1h) (150 mg, 0.236 mmol), 4- (benzylthio) -4-oxo-2- (pent-4-enamido) butanoic acid (S) -cyanomethyl (compound 1 g- (ID) instead of 5-oxo-2- (pent-4-enamido) -5- (phenylthio) pentanoic acid (S) -cyanomethyl (compound 1g-IIF) (534 mg, .944 mmol), 5-oxo-2- (pent-4-enamido) -5- (phenylthio) pentanoic acid (2S)-(2R, 3S, 4R, 5R) -2-((((( (2R, 3S, 5R) -5- (4-Amino-2-oxopyrimidin-1 (2H) -yl) -2-((phosphonooxy) methyl) tetrahydrofuran-3-yl) oxy) (hydroxy) phosphoryl) oxy ) Methyl) -5- (6-amino-9H-purin-9-yl) -4-hydroxytetrahydrofuran-3-yl (compound 1i-IIF) and the thioester moiety of compound 1i-IIF and the alcohol moiety or amino of the pdCpA moiety Two kinds of presumed compounds (compound 1i-IIF-B1) and (compound 1i-IIF-B2) condensed intramolecularly with the base site were analyzed by LCMS analysis. Measurement was. The ratio was
(
LCMS (ESI) m / z = 940 (M + H) +
Retention time: 0.70 minutes (analysis condition SQDFA05)
(1i-IIF-B1)
LCMS (ESI) m / z = 828 (M−H) −
Retention time: 0.65 minutes (analysis condition SQDFA05)
(1i-IIF-B2)
LCMS (ESI) m / z = 828 (M−H) −
Retention time: 0.66 minutes (analysis condition SQDFA05)
As shown so far, aminoacylated pdCpA (compound 1i) in which the side chain carboxylic acid having Rex1 = Me, Et, iPr, Ph, Bz, and Phenetyl group was active esterified was synthesized.
[実施例3] 側鎖カルボン酸が活性エステル化されたアミノアシルtRNAの合成
以下の方法に従って、側鎖カルボン酸がチオエステル化されたアミノアシル化tRNAの合成を行なった。
[Example 3] Synthesis of aminoacyl-tRNA in which side chain carboxylic acid was active esterified According to the following method, aminoacylated tRNA in which side-chain carboxylic acid was thioesterified was synthesized.
1. 転写によるtRNA(CA欠損)の合成
鋳型DNA(配列番号D-1)から、RiboMAX Large Scale RNA production System T7(Promega社,P1300)を用いたin vitro の転写により3'端のCAを欠くtRNAEnAsnGAG (-CA)(配列番号R-1)を合成し、RNeasy Mini kit(Qiagen社)により精製した。
1. Synthesis of tRNA (CA-deficient) by transcription From a template DNA (SEQ ID NO: D-1), in vitro transcription using RiboMAX Large Scale RNA production System T7 (Promega, P1300) tRNAEnAsnGAG ( -CA) (SEQ ID NO: R-1) was synthesized and purified by RNeasy Mini kit (Qiagen).
配列番号D-1(配列番号:1)
tRNAEnAsnGAG (-CA) DNA配列:
GGCGTAATACGACTCACTATAGGCTCTGTAGTTCAGTCGGTAGAACGGCGGACTgagAATCCGTATGTCACTGGTTCGAGTCCAGTCAGAGCCGC
SEQ ID NO: D-1 (SEQ ID NO: 1)
tRNAEnAsnGAG (-CA) DNA sequence:
GGCGTAATACGACTCACTATAGGCTCTGTAGTTCAGTCGGTAGAACGGCGGACTgagAATCCGTATGTCACTGGTTCGAGTCCAGTCAGAGCCGCGC
配列番号R-1(配列番号:30)
tRNAEnAsnGAG (-CA) RNA配列:
GGCUCUGUAGUUCAGUCGGUAGAACGGCGGACUgagAAUCCGUAUGUCACUGGUUCGAGUCCAGUCAGAGCCGC
SEQ ID NO: R-1 (SEQ ID NO: 30)
tRNAEnAsnGAG (-CA) RNA sequence:
GGCUCUGUAGUUCAGUCGGUAGAACGGCGGACUgagAAUCCGUAUGUCACUGGUUCGAGUCCAGUCAGAGCCGC
2. 側鎖カルボン酸が活性エステル化されたアミノアシル化pdCpA(化合物1i)とtRNA(CA欠損)(配列番号:R-1)のligationによるアミノアシル化tRNA(化合物AT-1)の合成
50μM 転写tRNAEnAsnGAG (-CA)(配列番号R-1) 10μLに、10X ligation buffer (500 mM HEPES-KOH pH 7.5, 200 mM MgCl2, 10 mM ATP) 2μL、Nuclease free water 4μLを加え、95℃で2分間加熱した後、室温で5分間放置し、tRNAのリフォールディングを行った。 20unit/μLのT4 RNAリガーゼ(New England Bio Lab.社)2μLおよび、5mMの側鎖カルボン酸が活性エステル化されたアミノアシル化pdCpA(化合物1i)のDMSO溶液 2μLを加え、15℃で45分間ライゲーション反応を行った。ライゲーション反応液 20μLに、3M酢酸ナトリウム 4μLと125mM ヨウ素(水:THF=1:1溶液)24μLを加え、室温で1時間、脱保護を行った。アミノアシル化tRNA(化合物AT-1)は、フェノール抽出した後、エタノール沈殿により回収した。アミノアシル化tRNA(化合物AT-1)は、翻訳混合物に添加する直前に1mM酢酸ナトリウムに溶解した。
2. Synthesis of aminoacylated tRNA (compound AT-1) by ligation of aminoacylated pdCpA (compound 1i) and tRNA (CA-deficient) (SEQ ID NO: R-1) with side chain carboxylic acid active esterified 50 μM Transcription tRNAEnAsnGAG (− After adding 10 μL of 10 × ligation buffer (500 mM HEPES-KOH pH 7.5, 200 mM MgCl 2 , 10 mM ATP) and 10 μL of Nuclease free water to 10 μL and heating at 95 ° C. for 2 minutes. The tRNA was refolded by allowing it to stand at room temperature for 5 minutes. 2 μL of 20 unit / μL T4 RNA ligase (New England Bio Lab.) And 2 μL of DMSO solution of aminoacylated pdCpA (compound 1i) in which 5 mM of side chain carboxylic acid was active esterified were added and ligated at 15 ° C. for 45 minutes. Reaction was performed. To 20 μL of the ligation reaction solution, 4 μL of 3M sodium acetate and 24 μL of 125 mM iodine (water: THF = 1: 1 solution) were added, and deprotection was performed at room temperature for 1 hour. The aminoacylated tRNA (compound AT-1) was recovered by ethanol precipitation after phenol extraction. The aminoacylated tRNA (compound AT-1) was dissolved in 1 mM sodium acetate just prior to addition to the translation mixture.
化合物AT-1-IA
Asp(SMe)-tRNAEnAsnGAG
Compound AT-1-IA
Asp (SMe) -tRNAEnAsnGAG
化合物AT-1-IB
Asp(SiPr)-tRNAEnAsnGAG
Compound AT-1-IB
Asp (SiPr) -tRNAEnAsnGAG
化合物AT-1-IG
Asp(SEt)-tRNAEnAsnGAG
Compound AT-1-IG
Asp (SEt) -tRNAEnAsnGAG
化合物AT-1-IC
Asp(StBu)-tRNAEnAsnGAG
Compound AT-1-IC
Asp (StBu) -tRNAEnAsnGAG
化合物AT-1-ID
Asp(SBn)-tRNAEnAsnGAG
Compound AT-1-ID
Asp (SBn) -tRNAEnAsnGAG
化合物AT-1-IE(配列番号:31)
Asp(SPhenetyl)-tRNAEnAsnGAG
Compound AT-1-IE (SEQ ID NO: 31)
Asp (SPhenetyl) -tRNAEnAsnGAG
化合物AT-1-IIA
Glu(SMe)-tRNAEnAsnGAG
Compound AT-1-IIA
Glu (SMe) -tRNAEnAsnGAG
化合物AT-1-IID
Glu(SBn)-tRNAEnAsnGAG
Compound AT-1-IID
Glu (SBn) -tRNAEnAsnGAG
[実施例4] 側鎖カルボン酸が活性エステル化されたアミノ酸を用いた翻訳合成
様々なアミノ酸によりアミノアシル化されたtRNAを、無細胞翻訳系に加えて翻訳を開始することにより、所望の非天然アミノ酸を含有するポリペプチドの翻訳合成を行った。翻訳系は、鋳型DNAからの転写系を含む原核生物由来の再構成無細胞タンパク質合成系であるPURE systemを用いた。具体的には、転写翻訳液(5%(v/v) T7 RNA polymerase RiboMAX Enzyme Mix (Promega社,P1300),2mM GTP,2mM ATP,1mM CTP,1mM UTP,20mMクレアチンリン酸,50mM HEPES-KOH pH7.6,100mM グルタミン酸カリウム,12mM 酢酸マグネシウム,2mMスペルミジン,1mM ジチオスレイトール,1.5mg/ml E.coli MRE600(RNaseネガティブ)由来tRNA(Roche社),4μg/ml クレアチンキナーゼ,3μg/ml ミオキナーゼ,2unit/ml 無機ピロフォスファターゼ,1.1μg/ml ヌクレオシド二リン酸キナーゼ,0.6μM メチオニルtRNAトランスフォルミラーゼ,0.26μM EF-G,0.25μM RF1,0.24μM RF2,0.17μM RF3,0.5μM RRF,2.7μM IF1,0.4μM IF2,1.5μM IF3,40μM EF-Tu,84μM EF-Ts,1.2μM リボソーム,0.73μM AlaRS,0.03μM ArgRS,0.38μM AsnRS,0.13μM AspRS,0.02μM CysRS,0.06μM GlnRS,0.23μM GluRS,0.09μM GlyRS,0.02μM HisRS,0.4μM IleRS,0.04μM LeuRS,0.11μM LysRS,0.03μM MetRS,0.68μM PheRS,0.16μM ProRS,0.04μM SerRS,0.09μM ThrRS,0.03μM TrpRS,0.02μM TyrRS,0.02μM ValRS(自家調製タンパクは基本的はHisタグ付加タンパクとして調製した))に、0.02μM 鋳型DNA、それぞれの鋳型DNAにコードされているタンパク質性アミノ酸群をそれぞれ300μMずつ、ならびに50μMの側鎖カルボン酸が活性エステル化されたアミノアシル化tRNA(化合物AT-1)を翻訳反応混合物に添加し、37℃で30分から1時間静置することで行った。
[Example 4] Translational synthesis using amino acids in which side chain carboxylic acids are active esterified A tRNA aminoacylated with various amino acids is added to a cell-free translation system to initiate translation, thereby producing desired non-naturally occurring amino acids. Translational synthesis of a polypeptide containing amino acids was performed. The translation system used was a PURE system, which is a prokaryotic-derived reconstituted cell-free protein synthesis system including a transcription system from template DNA. Specifically, transcription translation solution (5% (v / v) T7 RNA polymerase RiboMAX Enzyme Mix (Promega, P1300), 2 mM GTP, 2 mM ATP, 1 mM CTP, 1 mM UTP, 20 mM creatine phosphate, 50 mM HEPES-KOH pH 7.6, 100 mM potassium glutamate, 12 mM magnesium acetate, 2 mM spermidine, 1 mM dithiothreitol, 1.5 mg / ml E. coli MRE600 (RNase negative) -derived tRNA (Roche), 4 μg / ml creatine kinase, 3 μg / ml myokinase , 2 unit / ml inorganic pyrophosphatase, 1.1 μg / ml nucleoside diphosphate kinase, 0.6 μM methionyl tRNA transformylase, 0.26 μM EF-G, 0.25 μM RF1, 0.24 μM F2, 0.17 μM RF3, 0.5 μM RRF, 2.7 μM IF1, 0.4 μM IF2, 1.5 μM IF3, 40 μM EF-Tu, 84 μM EF-Ts, 1.2 μM ribosome, 0.73 μM AlaRS, 0.03 μM ArgRS, 0.38 μM AsnRS, 0.13 μM AspRS, 0.02 μM CysRS, 0.06 μM GlnRS, 0.23 μM GluRS, 0.09 μM GlyRS, 0.02 μM HisRS, 0.4 μM IleRS, 0.04 μM LeuRS, 0.11 μM LysRS, 0.03 μM MetRS, 0.68 μM PheRS, 0.16 μM ProRS, 0.04 μM SerRS, 0.09 μM ThrRS, 0.03 μM TrpRS, 0.02 μM TyrRS, 0.02 μM ValRS prepared as s-tagged proteins))), 0.02 μM template DNA, 300 μM each of protein amino acids encoded by each template DNA, and 50 μM side chain carboxylic acid aminoacylation tRNA (compound AT-1) was added to the translation reaction mixture and left at 37 ° C. for 30 minutes to 1 hour.
翻訳産物はマトリックスとしてα-シアノ-4-ヒドロキシケイ皮酸を用いてMALDI-MSスペクトルを測定して同定した。 The translation product was identified by measuring a MALDI-MS spectrum using α-cyano-4-hydroxycinnamic acid as a matrix.
1.チオエステル化されたグルタミン酸誘導体を含むペプチド(化合物P-1)の翻訳合成
20nM 鋳型DNA Mtyg_R(配列番号D-2)に、0.3mM Gly,0.3mM Met,0.3mM Arg,0.3mM Thr,0.3mM Tyrおよび、50μM Glu(SBn)-tRNAEnAsnGAG(化合物AT-1-IID)を含む前述の転写翻訳液を37℃で60分間保温した。得られた翻訳反応物を、SPE C-TIP(日京テクノス社)で精製し、MALDI-MSで分析した。しかしながら、図2に示すように分子量799から2000の範囲に翻訳ペプチドに由来するマススペクトルのピークをMALDI-MSにて確認することが出来なかった。例えば、分子量882、918、1256付近に検出されたピークは、陰性対照として鋳型DNAを加えないPURESystemを分析したときにも観測されるピークであることから、翻訳ペプチド由来のピークではない。
1. Translation Synthesis of Peptide Containing Thioesterified Glutamic Acid Derivative (Compound P-1) 20 nM Template DNA Mtyg_R (SEQ ID NO: D-2) was added to 0.3 mM Gly, 0.3 mM Met, 0.3 mM Arg, 0.3 mM Thr , 0.3 mM Tyr and 50 μM Glu (SBn) -tRNAEnAsnGAG (compound AT-1-IID) were incubated at 37 ° C. for 60 minutes. The obtained translation reaction product was purified by SPE C-TIP (Nikkyo Technos) and analyzed by MALDI-MS. However, as shown in FIG. 2, the peak of the mass spectrum derived from the translated peptide in the molecular weight range of 799 to 2000 could not be confirmed by MALDI-MS. For example, the peaks detected in the vicinity of
配列番号 D-2(配列番号:2)
Mtyg_R DNA配列
GTAATACGACTCACTATAGGGTTAACTTTAAGAAGGAGATATACATatgACTACAACGCGActttactaccgtcgtggcggcTAATAAATAGATAG
SEQ ID NO: D-2 (SEQ ID NO: 2)
Mtyg_R DNA sequence
GTAATACGACTCACTATAGGGTTAACTTTAAGAAGGAGATATACATatgACTACAACGCGActttactaccgtcgtggcggcTAATAAATAGATAG
ペプチド配列P-1
MetThrThrThrArg[Glu(SBn)]TyrTyrArgArgGlyGly
Peptide sequence P-1
MetThrThrThrArg [Glu (SBn)] TyrTyrArgArgGlyGly
MALDI-MS:
Not detected (calc. 1595.7)
MALDI-MS:
Not detected (calc. 1595.7)
2.チオエステル化されたアスパラギン酸誘導体を含むペプチドの翻訳合成
2-1.Asp(SMe)を含むモデルペプチドの翻訳合成
20nM 鋳型DNA Mtryg3(配列番号D-3)、Leuを除く各0.3mMの19種類のタンパク質性アミノ酸、50μM Asp(SMe)-tRNAEnAsnGAG(化合物AT-1-IA)を加えた転写翻訳液を、37℃で60分間保温した。SPE C-TIP(日京テクノス社)で精製し、MALDI-MSで分析した。その結果、チオエステルを含む全長ペプチドから、脱MeSHされた分子量を示すマススペクトル(MS)が主生成物として観測された(図3)。
2. Translational synthesis of peptides containing thioesterified aspartic acid derivatives
2-1. Translation synthesis of model peptide containing Asp (SMe) 20 nM template DNA Mtryg3 (SEQ ID NO: D-3), 0.3 mM each of 19 protein amino acids except Leu, 50 μM Asp (SMe) -tRNAEnAsnGAG (compound AT-1 The transcription / translation solution to which -IA) was added was incubated at 37 ° C. for 60 minutes. The product was purified by SPE C-TIP (Nikkyo Technos) and analyzed by MALDI-MS. As a result, a mass spectrum (MS) indicating the molecular weight of de-MeSH was observed as the main product from the full-length peptide containing the thioester (FIG. 3).
配列番号D-3(配列番号:3)
Mtryg3 DNA配列
GTAATACGACTCACTATAGGGTTAACTTTAAGAAGGAGATATACATatgACTACAACGCGActttactaccgtggcggcTAGTAGATAGATAG
SEQ ID NO: D-3 (SEQ ID NO: 3)
Mtryg3 DNA sequence
GTAATACGACTCACTATAGGGTTAACTTTAAGAAGGAGATATACATatgACTACAACGCGActttactaccgtggcggcTAGTAGATAGATAG
ペプチド配列P-2
MetThrThrThrArg[Asp(SMe)]TyrTyrArgGlyGly
Peptide sequence P-2
MetThrThrThrArg [Asp (SMe)] TyrTyrArgGlyGly
MALDI-MS:
m/z: [H+M]+ = 1302.5 (チオエステル含む全長ペプチドCalc. 1349.6, 脱MeSHペプチドCalc. 1301.6) (観測された分子量1302の化合物をペプチドP-3とする)
MALDI-MS:
m / z: [H + M] + = 1302.5 (full-length peptide containing thioester Calc. 1349.6, de-MeSH peptide Calc. 1301.6) (the observed compound having a molecular weight of 1302 is defined as peptide P-3)
2-2.最も反応性の高いTyrを含まず、チオエステルを含むペプチド(化合物P-5)の翻訳
20nM 鋳型DNA Ft02A_dR(配列番号D-4)に、前述の転写翻訳液に、Leuを除く各0.3mMの19種類のタンパク質性アミノ酸,および前記の方法で調製した50μM 化合物AT-1-ID(Asp(SBn)-tRNAEnAsnGAG)を加え、37℃で60分間翻訳した。翻訳反応物を、SPE C-TIP(日京テクノス社)で精製し、MALDI-MSで分析したところ、チオエステルアミノ酸を含む全長ペプチドP-5が生成した後に、脱BnSH化されたMSスペクトルが同様に主生成物として確認された(ペプチドP-6)。このことから脱BnSH化される反応点としてはフェノール性水酸基では無いことが確認された(図5)。
2-2. Translation of the most reactive Tyr-free peptide containing thioester (compound P-5) 20 nM Template DNA Ft02A_dR (SEQ ID NO: D-4) Nine kinds of proteinaceous amino acids and 50 μM compound AT-1-ID (Asp (SBn) -tRNAEnAsnGAG) prepared by the above-mentioned method were added and translated at 37 ° C. for 60 minutes. The translation reaction product was purified by SPE C-TIP (Nikkyo Technos) and analyzed by MALDI-MS. As a result, the full-length peptide P-5 containing a thioester amino acid was produced, and the MS spectrum deBnSHed was similar. (Peptide P-6). From this, it was confirmed that the reaction point for de-BnSH is not a phenolic hydroxyl group (FIG. 5).
Ft02A_dR DNA配列(配列番号D-4)(配列番号:4)
GTAATACGACTCACTATAGGGTTAACTTTAAgaaggagatatacatATGACTACAACGgcgggcggcCTTttttttggcggcAAATAATAA
Ft02A_dR DNA sequence (SEQ ID NO: D-4) (SEQ ID NO: 4)
GTAATACGACTCACTATAGGGTTAACTTTAAgaaggagatatacatATGACTACAACGgcgggcggcCTTttttttggcggcAAATAATAA
ペプチド配列 P-5
MetThrThrThrAlaGlyGly[Asp(SBn)]PhePheGlyGlyLys
Peptide sequence P-5
MetThrThrThrAlaGlyGly [Asp (SBn)] PhePheGlyGlyLys
MALDI-MS: m/z: [H+M]+ = 1271.8 (ペプチドP-5が脱BnSH化されたペプチド P-6 Calc. 1270.6) MALDI-MS: m / z: [H + M] + = 1271.8 (Peptide P-5 De-BnSH converted P-6 Calc. 1270.6)
2-3.翻訳ペプチドP-6の構造推定のための加水分解実験
前述の翻訳反応物P-6を、333mM Bicine KOH pH9.0中で、95℃で15分間加水分解を行い、SPE C-TIP(日京テクノス社)で精製し、MALDI-MSで分析した。その結果、脱BnSHペプチドP-6が加水分解され18分子量の増加が確認された(ペプチド化合物P-4)。想定されるチオエステル部位の縮合反応はアミノ基とのアミド形成反応ではなく、比較的加水分解され易いOH基やSH基とのエステル化反応やチオエステル化反応などであると示唆された(図4)。
ペプチド化合物P-4
MALDI-MS:
m/z: [H+M]+ = 1289.6 (P-6の加水分解体Calc. 1288.7)
2-3. Hydrolysis Experiment for Estimating the Structure of Translation Peptide P-6 The aforementioned translation reaction product P-6 was hydrolyzed in 333 mM Bicine KOH pH 9.0 at 95 ° C. for 15 minutes, and SPE C-TIP (Nikkyo) (Technos) and analyzed by MALDI-MS. As a result, the de-BnSH peptide P-6 was hydrolyzed and an increase in molecular weight of 18 was confirmed (peptide compound P-4). It was suggested that the expected condensation reaction at the thioester site is not an amide formation reaction with an amino group, but an esterification reaction or thioesterification reaction with an OH group or SH group that is relatively easily hydrolyzed (FIG. 4). .
Peptide compound P-4
MALDI-MS:
m / z: [H + M] + = 1289.6 (P-6 hydrolyzate Calc. 1288.7)
2-4.N末端アミノ基を持たないMeOFlac(化合物7a)で翻訳開始させたチオエステル含有ペプチドの翻訳合成
N末端にアミノ基を持たないペプチドの翻訳合成を行い、以下のように解析した。
2-4. Translation Synthesis of Thioester-Containing Peptide Initiated with MeOFlac (Compound 7a) Without N-terminal Amino Group A peptide without an amino group at the N-terminal was synthesized and analyzed as follows.
2-4-1. MeOFlac-pdCpAの合成
2-4-1-1.(S)-2-メトキシ-3-フェニルプロパン酸の合成(化合物7a、MeOFlac)
2-4-1. Synthesis of MeOFlac-pdCpA
2-4-1-1. Synthesis of (S) -2-methoxy-3-phenylpropanoic acid (Compound 7a, MeOFlac)
(S)-2-ヒドロキシ-3-フェニルプロパン酸(1.0g、6.02mmol)をTHF(100ml)に溶解し、水素化ナトリウム(0.48g、12.00mmol)およびヨウ化メチル(1.71g、12.04mmol)を加えて65度で一時間攪拌した。放冷後、反応液を減圧濃縮し、6Mの塩酸水溶液を加えてpH4とした。この水層を酢酸エチルで抽出し、この有機層を濃縮して得られた残渣をカラムクロマトグラフィ(ジクロロメタン:メタノール=10:1)で精製し、標題化合物(0.71g、59%)を得た。
(S) -2-Hydroxy-3-phenylpropanoic acid (1.0 g, 6.02 mmol) was dissolved in THF (100 ml) and sodium hydride (0.48 g, 12.00 mmol) and methyl iodide (1. 71 g, 12.04 mmol) was added, and the mixture was stirred at 65 degrees for 1 hour. After allowing to cool, the reaction mixture was concentrated under reduced pressure, and adjusted to
2-4-1-2.2-メトキシ-3-フェニルプロパン酸 (S)-シアノメチル(化合物7b)の合成
Synthesis of 2-4-1-2.2-methoxy-3-phenylpropanoic acid (S) -cyanomethyl (compound 7b)
(S)-2-メトキシ-3-フェニルプロパン酸(化合物7a、0.50g、2.50mmol)および2-ブロモアセトニトリル(1.20g、10.00mmol)をアセトニトリル(60ml)に溶解させ、氷冷下、トリエチルアミン(0.50g、4.99mmol)を滴下して加えた。室温で40分攪拌した後、反応液を減圧濃縮し、残渣をカラムクロマトグラフィ(石油エーテル:酢酸エチル=20:1)で精製し、標題化合物(0.39g、65%)を得た。 (S) -2-Methoxy-3-phenylpropanoic acid (Compound 7a, 0.50 g, 2.50 mmol) and 2-bromoacetonitrile (1.20 g, 10.00 mmol) were dissolved in acetonitrile (60 ml) and ice-cooled. Underneath, triethylamine (0.50 g, 4.99 mmol) was added dropwise. After stirring at room temperature for 40 minutes, the reaction mixture was concentrated under reduced pressure, and the residue was purified by column chromatography (petroleum ether: ethyl acetate = 20: 1) to give the title compound (0.39 g, 65%).
2-メトキシ-3-フェニルプロパン酸 (2S)-(2R,3S,4R,5R)-2-((((((2R,3S,5R)-5-(4-アミノ-2-オキソピリミジン-1(2H)-イル)-2-((ホスホノオキシ)メチル)テトラヒドロフラン-3-イル)オキシ)(ヒドロキシ)ホスホリル)オキシ)メチル)-5-(6-アミノ-9H-プリン-9-イル)-4-ヒドロキシテトラヒドロフラン-3-イル(化合物7c)の合成
2-methoxy-3-phenylpropanoic acid (2S)-(2R, 3S, 4R, 5R) -2-((((((((2R, 3S, 5R) -5- (4-amino-2-oxopyrimidine- 1 (2H) -yl) -2-((phosphonooxy) methyl) tetrahydrofuran-3-yl) oxy) (hydroxy) phosphoryl) oxy) methyl) -5- (6-amino-9H-purin-9-yl)- Synthesis of 4-hydroxytetrahydrofuran-3-yl (compound 7c)
イミダゾール(3.40g、50.00mmol)およびN,N,N-トリメチルヘキサデカン-1-アミニウム 塩化物(3.20g、10.00mmol)を溶かした水溶液(30ml)にリン酸二水素 ((2R,3S,5R)-5-(4-アミノ-2-オキソピリミジン-1(2H)-イル)-3-(((((2R,3S,4R,5R)-5-(6-アミノ-9H-プリン-9-イル)-3,4-ジヒドロキシテトラヒドロフラン-2-イル)メトキシ)(ヒドロキシ)ホスホリル)オキシ)テトラヒドロフラン-2-イル)メチル(化合物1h、0.32g、0.50mmol)および2-メトキシ-3-フェニルプロパン酸 (S)-シアノメチル(化合物7b、0.44g、2.01mmol)を加えて室温で30分攪拌した。反応液にTFA(1.0ml)を加えて濃縮し、得られた残渣をpreparative-HPLC(0.05%TAF水溶液:アセトニトリル=84:16~60:40)で精製し、標題化合物(66mg、16%)を得た。
Dihydrogen phosphate ((2R, 20.00, 50.00 mmol) and N, N, N-trimethylhexadecane-1-aminium chloride (3.20 g, 10.00 mmol) in an aqueous solution (30 ml) were dissolved. 3S, 5R) -5- (4-Amino-2-oxopyrimidin-1 (2H) -yl) -3-((((((2R, 3S, 4R, 5R) -5- (6-amino-9H- Purin-9-yl) -3,4-dihydroxytetrahydrofuran-2-yl) methoxy) (hydroxy) phosphoryl) oxy) tetrahydrofuran-2-yl) methyl (
LCMS:m/z 799(M+H)+
保持時間:0.609分 (分析条件 SMDmethod1)
LCMS: m / z 799 (M + H) +
Retention time: 0.609 minutes (analysis condition SMD method 1)
2-4-2.転写によるtRNA(CA欠損)の合成
鋳型DNA(配列番号D-5)から、RiboMAX Large Scale RNA production System T7(Promega社,P1300)を用いたin vitro の転写により3'端のCAを欠くtRNAfMetCAU(-CA)(配列番号R-5)を合成し、RNeasy Mini kit(Qiagen社)により精製した。
2-4-2. Synthesis of tRNA (CA-deficient) by transcription From template DNA (SEQ ID NO: D-5), tRNAfMetCAU (lacking 3′-end CA by in vitro transcription using RiboMAX Large Scale RNA production System T7 (Promega, P1300) -CA) (SEQ ID NO: R-5) was synthesized and purified by RNeasy Mini kit (Qiagen).
配列番号D-5(配列番号:5):
GGCGTAATACGACTCACTATAGGCGGGGTGGAGCAGCCTGGTAGCTCGTCGGGCTCATAACCCGAAGATCGTCGGTTCAAATCCGGCCCCCGCAAC
SEQ ID NO: D-5 (SEQ ID NO: 5):
GGCGTAATACGACTCACTATAGGCGGGGTGGAGCAGCCTGGTAGCTCGTCGGGCTCATAACCCGAAGATCGTCGGTTCAAATCCGGCCCCCGCAAC
配列番号R-5(配列番号:32):
GGCGGGGUGGAGCAGCCUGGUAGCUCGUCGGGCUCAUAACCCGAAGAUCGUCGGUUCAAAUCCGGCCCCCGCAAC
SEQ ID NO: R-5 (SEQ ID NO: 32):
GGCGGGGUGGAGCAGCCUGGUAGCUCGUCGGGCUCAUAACCCGAAGAUCGUCGGUUCAAAUCCGGCCCCCGCAAC
2-4-3. N末端アミノ基を含まないアシル化pdCpA(化合物7c)とtRNA(CA欠損)(配列番号:R-5)のligationによるアシル化tRNA(化合物AT-2)の合成
50μM 転写tRNAfMetCAU(-CA)(配列番号R-5) 10μLに、10X ligation buffer (500 mM HEPES-KOH pH 7.5, 200 mM MgCl2, 10 mM ATP)2μL、Nuclease free water 4μLを加え、95℃で2分間加熱した後、室温で5分間放置し、tRNAのリフォールディングを行った。10unit/μLのT4 RNAリガーゼ(New England Bio Lab.社)2μLおよび、5mMのN末端アミノ基を含まないアシル化pdCpA(化合物7c)のDMSO溶液 2μLを加え、15℃で45分間ライゲーション反応を行った。アシル化tRNA(化合物AT-2)は、フェノール抽出した後、エタノール沈殿により回収した。アシル化tRNA(化合物AT-2)は、翻訳混合物に添加する直前に1mM酢酸ナトリウムに溶解した。
化合物AT-2
MeOFlac-tRNAfMetCAU(配列番号:33)
2-4-3. Synthesis of acylated tRNA (compound AT-2) by ligation of acylated pdCpA (compound 7c) and tRNA (CA deficient) (SEQ ID NO: R-5) not containing the N-
Compound AT-2
MeOFlac-tRNAfMetCAU (SEQ ID NO: 33)
20nM 鋳型DNA Mtyg_R(配列番号D-2)に、前述の転写翻訳液、アミノ酸0.3mM Gly,0.3mM Arg,0.3mM Thr,0.3mM Tyr,および前記の方法で調製した50μM Asp(SBn)-tRNAEnAsnGAG(化合物AT-1-ID),50μM MeOFlac-tRNAfMetCAU(化合物AT-2)を加え、37℃で60分間翻訳した。翻訳反応物を、SPE C-TIP(日京テクノス社)で精製し、MALDI-MSで分析したところ、チオエステルを含む全長ペプチドP-7から、脱BnSH化されたペプチドに相当するMSが主生成物として観測された(翻訳ペプチド P-8)。MeOFlacを翻訳開始に用いてN末端にアミンを持たないペプチドを翻訳したにも関わらず、分子量の減少が見られたため、N末端アミンとの反応も否定された(図6)。 20 nM template DNA Mtyg_R (SEQ ID NO: D-2) was added to the transcription and translation solution described above, amino acid 0.3 mM Gly, 0.3 mM Arg, 0.3 mM Thr, 0.3 mM Tyr, and 50 μM Asp ( SBn) -tRNAEnAsnGAG (compound AT-1-ID), 50 μM MeOFlac-tRNAfMetCAU (compound AT-2) was added and translated at 37 ° C. for 60 minutes. The translation reaction product was purified by SPE C-TIP (Nikkyo Technos) and analyzed by MALDI-MS. As a result, MS corresponding to the de-BnSH peptide was mainly produced from full-length peptide P-7 containing thioester. Observed as a product (translated peptide P-8). Although MeOFlac was used for translation initiation and a peptide without an amine at the N-terminal was translated, a decrease in molecular weight was observed, and thus a reaction with an N-terminal amine was also denied (FIG. 6).
ペプチド配列 P-7
[MeOFlac]ThrThrThrArg[Asp(SBn)]TyrTyrArgArgGlyGly
MALDI-MS:
m/z: [H+M]+ = 1489.6 (ペプチド配列P-7から脱BnSH化されたペプチドP-8 Calc. 1488.6)
Peptide sequence P-7
[MeOFlac] ThrThrThrArg [Asp (SBn)] TyrTyrArgArgGlyGly
MALDI-MS:
m / z: [H + M] + = 1489.6 (peptide P-8 de-BnSHed from peptide sequence P-7 Calc. 1488.6)
2-5.側鎖がチオエステル化されたアミノ酸に続くC末端側アミノ酸にN-アルキル化されたアミノ酸を導入させたモデルペプチドの翻訳合成
20nM 鋳型DNA KA03(配列番号 D-6)に、前述の転写翻訳液、0.1mM 10-HCO-H4folate(10-formyl-5, 6, 7, 8, -tetrahydrophilic acid、特開2003-102495参照)、Leuを除く各0.3mMの19種類のタンパク質性アミノ酸,および前記の方法で調製した50μM Asp(SMe)-tRNAEnAsnGAG(化合物AT-1-IA)を加え、37℃で60分間翻訳した。翻訳反応物を、SPE C-TIP(日京テクノス社)で精製し、MALDI-MSで分析したところ、チオエステルを含む全長ペプチドのMSが主生成物として観測され、脱MeSH化されたピークは認められなくなった。
以上の結果により、アスパラギン酸型のチオエステル残基は、直後のアミド結合に水素原子が存在する場合、これと反応してアスパルチミドを形成したことが明らかとなった(翻訳ペプチドP-3、P-6、P-8ではいずれもチオエステルのC末端側となりのアミド結合の水素原子と反応してアスパルチミドを形成していた)。一方で、直後のアミノ酸残基をN-アルキルのアミノ酸にすることによって望みのチオエステルを含む全長ペプチドの翻訳に成功した(図7)。
2-5. Translational synthesis of a model peptide in which an N-alkylated amino acid is introduced into the C-terminal side amino acid following the amino acid whose side chain is thioesterified 20 nM template DNA KA03 (SEQ ID NO: D-6), 0.1 mM 10-HCO-H4folate (10-formyl-5, 6, 7, 8, -tetrahydrophilic acid; see JP2003-102495), 19 mM amino acids each of 0.3 mM excluding Leu, and 50 μM Asp (SMe) -tRNAEnAsnGAG (compound AT-1-IA) prepared by the above method was added and translated at 37 ° C. for 60 minutes. When the translation reaction product was purified by SPE C-TIP (Nikkyo Technos) and analyzed by MALDI-MS, MS of the full-length peptide containing a thioester was observed as the main product, and a deMeSHed peak was observed. I can't.
From the above results, it has been clarified that the aspartic acid type thioester residue reacted with the amide bond immediately after the amide bond to form aspartimide (translated peptides P-3, P-). 6 and P-8 both reacted with the hydrogen atom of the amide bond on the C-terminal side of the thioester to form aspartimide). On the other hand, the full-length peptide containing the desired thioester was successfully translated by changing the immediately following amino acid residue to an N-alkyl amino acid (FIG. 7).
配列番号 D-6(配列番号:6)
KA03 DNA配列
GTAATACGACTCACTATAGGGTTAACTTTAAGAAGGAGATATACATatgACTAGAACTaaggcgTACTGGAGCcttCCGggcggctaa
SEQ ID NO: D-6 (SEQ ID NO: 6)
KA03 DNA sequence
GTAATACGACTCACTATAGGGTTAACTTTAAGAAGGAGATATACATatgACTAGAACTaaggcgTACTGGAGCcttCCGggcggctaa
ペプチド配列 P-9
MetThrArgThrLysAlaTyrTrpSer[Asp(SMe)]ProGlyGly
MALDI-MS: m/z: [H+M]+ = 1527.7 (翻訳ペプチドP-9 Calc. 1526.7,)
Peptide sequence P-9
MetThrArgThrLysAlaTyrTrpSer [Asp (SMe)] ProGlyGly
MALDI-MS: m / z: [H + M] + = 1527.7 (translated peptide P-9 Calc. 1526.7,)
翻訳ペプチドP-3の化学構造(配列番号:34)
MALDI-MS:
m/z: [H+M]+ = 1302.5 (チオエステル含む全長ペプチドCalc. 1348.6, 脱MeSHペプチドCalc. 1301.6) (観測された分子量1302の化合物をペプチドP-3とする)
Chemical structure of translated peptide P-3 (SEQ ID NO: 34)
MALDI-MS:
m / z: [H + M] + = 1302.5 (full-length peptide containing thioester Calc. 1348.6, de-MeSH peptide Calc. 1301.6) (the observed compound having a molecular weight of 1302 is defined as peptide P-3)
翻訳ペプチドP-6の化学構造(配列番号:35)
チオエステルアミノ酸を含む全長ペプチドP-5が生成した後に、脱BnSH化されたペプチド
MALDI-MS: m/z: [H+M]+ = 1271.8 (ペプチドP-5が脱BnSH化されたペプチド Calc. 1270.6)
Chemical structure of translated peptide P-6 (SEQ ID NO: 35)
Peptide de-BnSHed after full-length peptide P-5 containing thioester amino acid is generated
MALDI-MS: m / z: [H + M] + = 1271.8 (peptide Calc. 1270.6 from which peptide P-5 was de-BnSHed)
翻訳ペプチドP-8の化学構造
MALDI-MS:m/z: [H+M]+ = 1489.6 (ペプチド配列P-7から脱BnSH化されたペプチドCalc. 1488.6)
Chemical structure of translated peptide P-8
MALDI-MS: m / z: [H + M] + = 1489.6 (peptide Calc. 1488.6 deBnSHed from peptide sequence P-7)
また、鋳型DNAとしてKA01チオエステルアミノ酸のC末端側をNMe-フェニルアラニンとしても、同様にチオエステルアミノ酸を含む全長ペプチド(Met-Thr-Arg-Thr-Lys-Ala-Tyr-Trp-Ser-Asp(SBn)-MePhe-Gly-Gly)がMSスペクトルで確認された。
MALDI-MS:m/z: [H+M]+ = 1639.7 (Calc. 1638.7)
In addition, if the C-terminal side of the KA01 thioester amino acid is NMe-phenylalanine as the template DNA, the full-length peptide containing the thioester amino acid (Met-Thr-Arg-Thr-Lys-Ala-Tyr-Trp-Ser-Asp (SBn) -MePhe-Gly-Gly) was confirmed in the MS spectrum.
MALDI-MS: m / z: [H + M] + = 1639.7 (Calc. 1638.7)
[実施例5]チオエステルと反応させるアミノ基側ユニットを選択するための実験
チオエステルの翻訳合成が可能となったため、これとアミド結合縮合させるアミノ基側のユニットとして良好な要件を特定するための実験を以下のような手順で行った。
[Example 5] Experiment for selecting amino group side unit to be reacted with thioester Since translational synthesis of thioester became possible, an experiment for identifying favorable requirements as an amino group side unit for amide bond condensation with this The procedure was as follows.
1.チオエステル部位を有するモデル化合物の合成
図8に記載の方法に従って、アスパラギン酸もしくはグルタミン酸のチオエステルを有するペプチドモデルとして化合物5b-1および5b-2を合成した。
1-1. 4-(ベンジルチオ)-2-((tert-ブトキシカルボニル)アミノ)-4-オキソブタン酸 (S)-ベンジル(化合物5b-1)の合成
1. Synthesis of model compound having
1-1. Synthesis of 4- (benzylthio) -2-((tert-butoxycarbonyl) amino) -4-oxobutanoic acid (S) -benzyl (
(S)-4-(ベンジルオキシ)-3-((tert-ブトキシカルボニル)アミノ)-4-オキソブタン酸 (化合物5a-1)(1.00g、3.09mmol)のジクロロメタン(15ml)溶液にN,N'-ジイソプロピルカルボジイミド(1.06ml、6.80mmol)、N,N-ジメチルアミノピリジン(94.4mg、0.773mmol)、ベンジルメルカプタン(0.380ml、3.24mmol)を加え、室温で終夜攪拌した。その後、反応液に水を加え、酢酸エチルで希釈後、有機層を飽和塩化アンモニウム水溶液、飽和重曹水、飽和食塩水で洗浄した。その後、有機抽出物を硫酸マグネシウムで乾燥した。減圧濃縮後、得られた残渣をシリカゲルカラムクロマトグラフィー(ヘキサン/酢酸エチル=100/0→65/35)にて精製し、4-(ベンジルチオ)-2-((tert-ブトキシカルボニル)アミノ)-4-オキソブタン酸 (S)-ベンジル(化合物5b-1)(478mg、36%)を得た。尚、化合物5a-1は一般に入手可能である。
LCMS(ESI) m/z = 430 (M+H)+
保持時間:1.10分(分析条件SQDAA05)
(S) -4- (Benzyloxy) -3-((tert-butoxycarbonyl) amino) -4-oxobutanoic acid (
LCMS (ESI) m / z = 430 (M + H) +
Retention time: 1.10 minutes (analysis condition SQDAA05)
1-2. 5-(ベンジルチオ)-2-((tert-ブトキシカルボニル)アミノ)-5-オキソペンタン酸 (S)-ベンジル(化合物5b-2)の合成
1-2. Synthesis of 5- (benzylthio) -2-((tert-butoxycarbonyl) amino) -5-oxopentanoic acid (S) -benzyl (
(S)-5-(ベンジルオキシ)-4-((tert-ブトキシカルボニル)アミノ)-5-オキソペンタン酸(化合物5a-2)(1.00g、2.96mmol)のジクロロメタン(14.8ml)溶液にN,N'-ジイソプロピルカルボジイミド(1.02ml、6.51mmol)とN,N-ジメチルアミノピリジン(90.4mg、0.740mmol)、ベンジルメルカプタン(0.365ml、3.11mmol)を加え、室温で終夜攪拌した。その後、反応液に水を加え、酢酸エチルで希釈後、有機層を飽和塩化アンモニウム水溶液、飽和重曹水、飽和食塩水で洗浄した。その後、有機抽出物を硫酸マグネシウムで乾燥した。減圧濃縮後、得られた残渣をシリカゲルカラムクロマトグラフィー(ヘキサン/酢酸エチル=100/0→65/35)にて精製し、5-(ベンジルチオ)-2-((tert-ブトキシカルボニル)アミノ)-5-オキソペンタン酸 (S)-ベンジル(化合物5b-2)(1.18g、90%)を得た。
LCMS(ESI) m/z = 444 (M+H)+
保持時間:1.11分(分析条件SQDAA05)
(S) -5- (Benzyloxy) -4-((tert-butoxycarbonyl) amino) -5-oxopentanoic acid (
LCMS (ESI) m / z = 444 (M + H) +
Retention time: 1.11 minutes (analysis condition SQDAA05)
1-3.2-((tert-ブトキシカルボニル)アミノ)-5-((4-フルオロフェニル)チオ)-5-オキソペンタン酸 (S)-ベンジル(化合物5e-2)の合成
Synthesis of 1-3-2-((tert-butoxycarbonyl) amino) -5-((4-fluorophenyl) thio) -5-oxopentanoic acid (S) -benzyl (
(S)-5-(ベンジルオキシ)-4-((tert-ブトキシカルボニル)アミノ)-5-オキソペンタン酸(化合物5a-2)(500mg、1.48mmol)のジクロロメタン(5ml)溶液にN,N'-ジイソプロピルカルボジイミド(0.510ml、3.26mmol)とN,N-ジメチルアミノピリジン(45.2mg、0.370mmol)、4-フルオロベンゼンチオール(0.164ml、1.55mmol)を加え、室温で終夜攪拌した。その後、反応混合物を逆相シリカゲルカラムクロマトグラフィー(10mM酢酸アンモニウム水溶液/メタノール=70/30→20/80)にて精製し、2-((tert-ブトキシカルボニル)アミノ)-5-((4-フルオロフェニル)チオ)-5-オキソペンタン酸 (S)-ベンジル(化合物5e-2)(540mg、82%)を得た。
LCMS(ESI) m/z = 448 (M+H)+
保持時間:1.09分(分析条件SQDAA05)
(S) -5- (benzyloxy) -4-((tert-butoxycarbonyl) amino) -5-oxopentanoic acid (
LCMS (ESI) m / z = 448 (M + H) +
Retention time: 1.09 minutes (analysis condition SQDAA05)
1-4.2-((tert-ブトキシカルボニル)アミノ)-5-オキソ-5-((4-(トリフルオロメチル)フェニル)チオ)ペンタン酸 (S)-ベンジル(化合物5f-2)の合成
1-4.2-((tert-Butoxycarbonyl) amino) -5-oxo-5-((4- (trifluoromethyl) phenyl) thio) pentanoic acid (S) -Benzyl (
(S)-5-(ベンジルオキシ)-4-((tert-ブトキシカルボニル)アミノ)-5-オキソペンタン酸(化合物5a-2)(500mg、1.48mmol)のジクロロメタン(5ml)溶液にN,N'-ジイソプロピルカルボジイミド(0.510ml、3.26mmol)とN,N-ジメチルアミノピリジン(45.2mg、0.370mmol)、4-(トリフルオロメチル)ベンゼンチオール(0.211ml、1.55mmol)を加え、室温で終夜攪拌した。その後、反応混合物を逆相シリカゲルカラムクロマトグラフィー(10mM酢酸アンモニウム水溶液/メタノール=70/30→20/80)にて精製し、2-((tert-ブトキシカルボニル)アミノ)-5-オキソ-5-((4-(トリフルオロメチル)フェニル)チオ)ペンタン酸 (S)-ベンジル(化合物5f-2)(373mg、51%)を得た。
LCMS(ESI) m/z = 498 (M+H)+
保持時間:1.12分(分析条件SQDAA05)
(S) -5- (benzyloxy) -4-((tert-butoxycarbonyl) amino) -5-oxopentanoic acid (
LCMS (ESI) m / z = 498 (M + H) +
Retention time: 1.12 minutes (analysis condition SQDAA05)
2.チオエステルを含むモデル化合物とアミノ基側ユニットとの反応検討による良好な反応性を有するアミノ基側ユニットの選択
図8に示すように、チオエステルモデル化合物5bまたは5e、5fと、システインあるいはグリシン誘導体モデル化合物とを反応させることで、チオエステルと容易にアミド結合を生成する基質を選択した。
2-1. 2-((tert-ブトキシカルボニル)アミノ)-4-(((R)-1-エトキシ-3-メルカプト-1-オキソプロパン-2-イル)アミノ)-4-オキソブタン酸 (S)-ベンジル(化合物5c-1)の合成
2. Selection of amino group side unit having good reactivity by examining reaction between model compound containing thioester and amino group side unit As shown in FIG. 8,
2-1. 2-((tert-butoxycarbonyl) amino) -4-(((R) -1-ethoxy-3-mercapto-1-oxopropan-2-yl) amino) -4-oxobutanoic acid (S) -benzyl ( Synthesis of compound 5c-1)
4-(ベンジルチオ)-2-((tert-ブトキシカルボニル)アミノ)-4-オキソブタン酸 (S)-ベンジル(化合物5b-1)(201.5mg、0.469mmol)と2-アミノ-3-メルカプトプロパン酸 (R)-エチル塩酸塩(104.5mg、0.563mmol)のDMF(1.2ml)と水(0.3ml)溶液に、DIPEA(0.098ml、0.563mmol)を加え50度で3時間攪拌した。その後、反応液に水を加えた後に、逆相シリカゲルカラムクロマトグラフィー(10mM酢酸アンモニウム水溶液/メタノール=80/20→0/100)にて精製し、2-((tert-ブトキシカルボニル)アミノ)-4-(((R)-1-エトキシ-3-メルカプト-1-オキソプロパン-2-イル)アミノ)-4-オキソブタン酸 (S)-ベンジル(化合物5c-1)(133mg、67%)を得た。
LCMS(ESI) m/z = 455 (M+H)+
保持時間:0.98分(分析条件SQDAA05)
4- (Benzylthio) -2-((tert-butoxycarbonyl) amino) -4-oxobutanoic acid (S) -benzyl (
LCMS (ESI) m / z = 455 (M + H) +
Retention time: 0.98 minutes (analysis condition SQDAA05)
2-2. 2-((tert-ブトキシカルボニル)アミノ)-5-(((R)-1-エトキシ-3-メルカプト-1-オキソプロパン-2-イル)アミノ)-5-オキソペンタン酸 (S)-ベンジル(化合物5c-2)の合成
2-2. 2-((tert-butoxycarbonyl) amino) -5-(((R) -1-ethoxy-3-mercapto-1-oxopropan-2-yl) amino) -5-oxopentanoic acid (S) -benzyl Synthesis of (
5-(ベンジルチオ)-2-((tert-ブトキシカルボニル)アミノ)-5-オキソペンタン酸 (S)-ベンジル(化合物5b-2)(208.2mg、0.469mmol)と2-アミノ-3-メルカプトプロパン酸 (R)-エチル塩酸塩(104.5mg、0.563mmol)のDMF(1.2ml)と水(0.3ml)溶液に、DIPEA(0.098ml、0.563mmol)を加え50度で3時間攪拌した。その後、後処理として反応液に0.4Mトリス(2-カルボキシエチル)ホスフィン(TCEP)水溶液(3.27ml)、DMF(3.27ml)を加えた後に、室温で1時間攪拌した。その後、反応混合物を逆相シリカゲルカラムクロマトグラフィー(10mM酢酸アンモニウム水溶液/メタノール=70/30→20/80)にて精製し、2-((tert-ブトキシカルボニル)アミノ)-4-(((R)-1-エトキシ-3-メルカプト-1-オキソプロパン-2-イル)アミノ)-4-オキソブタン酸 (S)-ベンジル(化合物5c-2)(192.4mg、88%)を得た。
LCMS(ESI) m/z = 469 (M+H)+
保持時間:0.99分(分析条件SQDAA05)
5- (Benzylthio) -2-((tert-butoxycarbonyl) amino) -5-oxopentanoic acid (S) -benzyl (
LCMS (ESI) m / z = 469 (M + H) +
Retention time: 0.99 minutes (analysis condition SQDAA05)
尚、0.4Mトリス(2-カルボキシエチル)ホスフィン(TCEP)水溶液の調整は以下のように行った。
トリス(2-カルボキシエチル)ホスフィン(TCEP)塩酸塩(1.0g、3.49mmol)の水(6.8ml)溶液にトリエチルアミン(1.64ml)加え、pH7とし、0.4Mトリス(2-カルボキシエチル)ホスフィン(TCEP)水溶液を得た。
The 0.4M tris (2-carboxyethyl) phosphine (TCEP) aqueous solution was prepared as follows.
To a solution of tris (2-carboxyethyl) phosphine (TCEP) hydrochloride (1.0 g, 3.49 mmol) in water (6.8 ml) was added triethylamine (1.64 ml) to
2-3. 4-((2-(ベンジルオキシ)-2-オキソエチル)アミノ)-2-((tert-ブトキシカルボニル)アミノ)-4-オキソブタン酸 (S)-ベンジル(化合物5d-1)の合成
2-3. Synthesis of 4-((2- (benzyloxy) -2-oxoethyl) amino) -2-((tert-butoxycarbonyl) amino) -4-oxobutanoic acid (S) -benzyl (
4-(ベンジルチオ)-2-((tert-ブトキシカルボニル)アミノ)-4-オキソブタン酸 (S)-ベンジル(化合物5b-1)(30.0mg、0.0698mmol)と2-アミノ酢酸ベンジル塩酸塩(16.8mg、0.0834mmol)のDMF(0.18ml)と水(0.045ml)溶液に、DIPEA(0.0145ml、0.0834mmol)を加え50度で攪拌した。反応の経時変化はLCMSを用いて観測した。3日間攪拌後、目的の化合物5d-1が観測されたが、化合物5d-1のベンジルエステルが1つ加水分解した化合物5d-1bもまた観測され、原料である化合物5b-1の多く残る結果となった。その割合は、化合物5b-1:化合物5d-1:化合物5d-1のベンジルエステルが1つ加水分解した化合物5d-1b=22:1:8(LCMSのUVエリア比より)であった。
化合物5d-1
LCMS(ESI) m/z = 472 (M+H)+
保持時間:0.99分(分析条件SQDAA05)
化合物5d-1b
LCMS(ESI) m/z = 380(M+H)+
保持時間:0.90分(分析条件SQDAA05)
4- (Benzylthio) -2-((tert-butoxycarbonyl) amino) -4-oxobutanoic acid (S) -benzyl (
LCMS (ESI) m / z = 472 (M + H) +
Retention time: 0.99 minutes (analysis condition SQDAA05)
LCMS (ESI) m / z = 380 (M + H) +
Retention time: 0.90 minutes (analysis condition SQDAA05)
2-4.5-((2-(ベンジルオキシ)-2-オキソエチル)アミノ)-2-((tert-ブトキシカルボニル)アミノ)-5-オキソペンタン酸 (S)-ベンジル(化合物5d-2)の合成
2-4.5-((2- (benzyloxy) -2-oxoethyl) amino) -2-((tert-butoxycarbonyl) amino) -5-oxopentanoic acid (S) -benzyl (
5-(ベンジルチオ)-2-((tert-ブトキシカルボニル)アミノ)-5-オキソペンタン酸 (S)-ベンジル(化合物5b-2)(31.8mg、0.0717mmol)と2-アミノ酢酸ベンジル塩酸塩(17.3mg、0.0860mmol)のDMF(0.19ml)と水(0.048ml)溶液に、DIPEA(0.0150ml、0.0860mmol)を加え50度で攪拌した。反応の経時変化はLCMSを用いて観測した。3日間攪拌後、目的の化合物5d-2が観測されたが、原料である化合物5b-2が多く残る結果となった。その割合は、化合物5b-2:化合物5d-2=22:10(LCMSのUVエリア比より)であった。
化合物5d-2
LCMS(ESI) m/z = 485 (M+H)+
保持時間:1.01分(分析条件SQDAA05)
5- (Benzylthio) -2-((tert-butoxycarbonyl) amino) -5-oxopentanoic acid (S) -benzyl (
LCMS (ESI) m / z = 485 (M + H) +
Retention time: 1.01 minutes (analysis condition SQDAA05)
2-5.5-((2-(ベンジルオキシ)-2-オキソエチル)アミノ)-2-((tert-ブトキシカルボニル)アミノ)-5-オキソペンタン酸 (S)-ベンジル(化合物5d-2)の合成
2-5.5-((2- (benzyloxy) -2-oxoethyl) amino) -2-((tert-butoxycarbonyl) amino) -5-oxopentanoic acid (S) -benzyl (
2-((tert-ブトキシカルボニル)アミノ)-5-((4-フルオロフェニル)チオ)-5-オキソペンタン酸 (S)-ベンジル(化合物5e-2)(30.0mg、0.0670mmol)のDMF(0.463ml)と水(0.220ml)溶液に、2-アミノ酢酸ベンジル塩酸塩(17.6mg、0.0871mmol)とDIPEA(0.0152ml、0.0871mmol)のDMF溶液(0.0871ml)を加え50度で6時間攪拌した。その後、反応混合物を逆相シリカゲルカラムクロマトグラフィー(10mM酢酸アンモニウム水溶液/メタノール=70/30→20/80)にて精製し、5-((2-(ベンジルオキシ)-2-オキソエチル)アミノ)-2-((tert-ブトキシカルボニル)アミノ)-5-オキソペンタン酸 (S)-ベンジル(化合物5d-2)(29.4mg、91%)を得た。
LCMS(ESI) m/z = 485 (M+H)+
保持時間:2.80分(分析条件ZQAA05)
2-((tert-butoxycarbonyl) amino) -5-((4-fluorophenyl) thio) -5-oxopentanoic acid (S) -benzyl (
LCMS (ESI) m / z = 485 (M + H) +
Retention time: 2.80 minutes (analysis condition ZQAA05)
2-6.5-((2-(ベンジルオキシ)-2-オキソエチル)アミノ)-2-((tert-ブトキシカルボニル)アミノ)-5-オキソペンタン酸 (S)-ベンジル(化合物5d-2)の合成
2-6.5-((2- (benzyloxy) -2-oxoethyl) amino) -2-((tert-butoxycarbonyl) amino) -5-oxopentanoic acid (S) -benzyl (
2-((tert-ブトキシカルボニル)アミノ)-5-((4-トリフルオロフェニル)チオ)-5-オキソペンタン酸 (S)-ベンジル(化合物5f-2)(30.0mg、0.0603mmol)のDMF(0.541ml)と水(0.200ml)溶液に、2-アミノ酢酸ベンジル塩酸塩(15.8mg、0.0784mmol)とDIPEA(0.0136ml、0.0784mmol)のDMF溶液(0.0784ml)を加え50度で45分間攪拌した。その後、反応混合物を逆相シリカゲルカラムクロマトグラフィー(10mM酢酸アンモニウム水溶液/メタノール=70/30→20/80)にて精製し、5-((2-(ベンジルオキシ)-2-オキソエチル)アミノ)-2-((tert-ブトキシカルボニル)アミノ)-5-オキソペンタン酸 (S)-ベンジル(化合物5d-2)(26.4mg、90%)を得た。
LCMS(ESI) m/z = 485 (M+H)+
保持時間:2.80分(分析条件ZQAA05)
2-((tert-butoxycarbonyl) amino) -5-((4-trifluorophenyl) thio) -5-oxopentanoic acid (S) -benzyl (
LCMS (ESI) m / z = 485 (M + H) +
Retention time: 2.80 minutes (analysis condition ZQAA05)
以上のように、チオエステルとの反応性は反応補助基のあるアミンのモデル化合物であるCys誘導体と反応補助基のないアミンのモデルであるGly誘導体の間では大きな差があった。反応補助基のあるCys誘導体はRNAが安定な条件で十分高い環化反応性を有することが明らかとなった。また、反応補助基のあるアミンは反応補助基のないアミンに対して十分な選択性を持つため、翻訳後の環化にて複数の反応点の中から反応補助基のあるアミンとの選択的な反応が可能であると判断できる。また、チオエステルの反応性はチオアリールの場合とチオアルキルもしくはチオアラルキルの場合を比較すると、チオアリールエステルの場合で高く、この場合には反応補助基のないアミノ基とも良好な反応性を有することが明らかとなった。 As described above, the reactivity with the thioester was greatly different between the Cys derivative which is a model compound of an amine having a reaction auxiliary group and the Gly derivative which is a model of an amine having no reaction auxiliary group. It was revealed that the Cys derivative having a reaction auxiliary group has sufficiently high cyclization reactivity under stable conditions of RNA. In addition, since amines with reaction auxiliary groups have sufficient selectivity for amines without reaction auxiliary groups, selective post-translational cyclization with amines with reaction auxiliary groups from multiple reaction points. It can be judged that a proper reaction is possible. The reactivity of thioester is higher in the case of thioaryl ester than in the case of thioaryl and thioalkyl or thioaralkyl. In this case, it is clear that the amino group having no reaction auxiliary group also has good reactivity. It became.
3.チオエステルと反応補助基のないアミンとの反応で高い反応性を示す条件として知られるイミダゾール添加条件での化学反応
Yangmeiらの文献(Journal of combinatorial chemistry2009, 11, 1066-1072)に従い、アセトニトリル-1.5Mイミダゾール水溶液(7:1)の条件下で反応を行った(図9)。
液性はpH6.4、pH7.4の2条件で、反応温度を37度、70度、100度と3条件行った。最も反応転化率が良好な反応条件(pH7.4、100度)では、望みのアミド化反応の進行が46LC area%程度確認された。
3. According to the literature of Yangmei et al. (Journal of
The liquidity was two conditions of pH 6.4 and pH 7.4, and the reaction temperature was 37.degree., 70.degree., 100.degree. Under the reaction conditions (pH 7.4, 100 degrees) with the best reaction conversion rate, the progress of the desired amidation reaction was confirmed to be about 46 LC area%.
[実施例6]SH基にて活性化されたアミノ酸及び、そのアミノアシル化pdCpAの合成
チオエステル部位と翻訳後環化させるN末端に使用するアミノ酸として、CysおよびMeCysなどのSH基にて活性化されたアミノ酸の合成及びそれらを用いたアミノアシル化pdCpAの合成を、図10に示す手法に従って以下のように行った。
[Example 6] Synthesis of amino acid activated with SH group and aminoacylated pdCpA thereof Synthesis of amino acids and aminoacylated pdCpA using them were performed as follows according to the procedure shown in FIG.
1. 2n-Aの合成
1-1. 2-((tert-ブトキシカルボニル)アミノ)-3-(tert-ブチルジスルファニル)プロパン酸 (R)-シアノメチル(化合物2l-A)の合成
1. Synthesis of 2n-A
1-1. Synthesis of 2-((tert-butoxycarbonyl) amino) -3- (tert-butyldisulfanyl) propanoic acid (R) -cyanomethyl (compound 21-A)
(R)-2-((tert-ブトキシカルボニル)アミノ)-3-(tert-ブチルジスルファニル)プロパン酸(化合物2k-A)(700mg、2.26mmol)のDMF(5ml)溶液に2-ブロモアセトニトリル(0.473ml、6.78mmol)とN-エチル-N-イソプロピルプロパン-2-アミン(0.444ml、2.49mmol)を加え、室温で10分攪拌した。反応混合物に飽和塩化アンモニウム水溶液(1ml)を加えた後に、酢酸エチルで希釈し、有機層を水で洗浄した。その後、有機抽出物を硫酸マグネシウムで乾燥した。減圧濃縮後、得られた残渣をシリカゲルカラムクロマトグラフィー(ヘキサン/酢酸エチル=100/0→70/30)にて精製し、2-((tert-ブトキシカルボニル)アミノ)-3-(tert-ブチルジスルファニル)プロパン酸 (R)-シアノメチル(化合物2l-A)(748mg、95%)を得た。
LCMS(ESI) m/z = 347 (M-H)-
保持時間:1.00分(分析条件SQDAA05)
(R) -2-((tert-Butoxycarbonyl) amino) -3- (tert-butyldisulfanyl) propanoic acid (Compound 2k-A) (700 mg, 2.26 mmol) in 2-MF was added to 2-bromo Acetonitrile (0.473 ml, 6.78 mmol) and N-ethyl-N-isopropylpropan-2-amine (0.444 ml, 2.49 mmol) were added, and the mixture was stirred at room temperature for 10 minutes. A saturated aqueous ammonium chloride solution (1 ml) was added to the reaction mixture, and the mixture was diluted with ethyl acetate, and the organic layer was washed with water. Thereafter, the organic extract was dried over magnesium sulfate. After concentration under reduced pressure, the resulting residue was purified by silica gel column chromatography (hexane / ethyl acetate = 100/0 → 70/30) to give 2-((tert-butoxycarbonyl) amino) -3- (tert-butyl). Disulfanyl) propanoic acid (R) -cyanomethyl (Compound 21-A) (748 mg, 95%) was obtained.
LCMS (ESI) m / z = 347 (M−H) −
Retention time: 1.00 minutes (analysis condition SQDAA05)
1-2. 2-((tert-ブトキシカルボニル)アミノ)-3-(tert-ブチルジスルファニル)プロパン酸 (2R)-(2R,3S,4R,5R)-2-((((((2R,3S,5R)-5-(4-アミノ-2-オキソピリミジン-1(2H)-イル)-2-((ホスホノオキシ)メチル)テトラヒドロフラン-3-イル)オキシ)(ヒドロキシ)ホスホリル)オキシ)メチル)-5-(6-アミノ-9H-プリン-9-イル)-4-ヒドロキシテトラヒドロフラン-3-イル(2m-A)の合成
1-2. 2-((tert-Butoxycarbonyl) amino) -3- (tert-butyldisulfanyl) propanoic acid (2R)-(2R, 3S, 4R, 5R) -2-((((((((2R, 3S, 5R ) -5- (4-Amino-2-oxopyrimidin-1 (2H) -yl) -2-((phosphonooxy) methyl) tetrahydrofuran-3-yl) oxy) (hydroxy) phosphoryl) oxy) methyl) -5 Synthesis of (6-amino-9H-purin-9-yl) -4-hydroxytetrahydrofuran-3-yl (2m-A)
緩衝液A(113ml)にリン酸二水素 ((2R,3S,5R)-5-(4-アミノ-2-オキソピリミジン-1(2H)-イル)-3-(((((2R,3S,4R,5R)-5-(6-アミノ-9H-プリン-9-イル)-3,4-ジヒドロキシテトラヒドロフラン-2-イル)メトキシ)(ヒドロキシ)ホスホリル)オキシ)テトラヒドロフラン-2-イル)メチル(化合物1h)(200mg、0.314mmol)の水溶液(6.25ml)と2-((tert-ブトキシカルボニル)アミノ)-3-(tert-ブチルジスルファニル)プロパン酸 (R)-シアノメチル(化合物2l-A)(454mg、1.26mmol)のTHF(3.15ml)溶液を加え、室温で1時間攪拌した。その後、反応混合物を凍結乾燥させた。得られた残渣を逆相シリカゲルカラムクロマトグラフィー(0.05%トリフルオロ酢酸水溶液/0.05%トリフルオロ酢酸アセトニトリル溶液=100/0→60/40)にて精製し、2-((tert-ブトキシカルボニル)アミノ)-3-(tert-ブチルジスルファニル)プロパン酸 (2R)-(2R,3S,4R,5R)-2-((((((2R,3S,5R)-5-(4-アミノ-2-オキソピリミジン-1(2H)-イル)-2-((ホスホノオキシ)メチル)テトラヒドロフラン-3-イル)オキシ)(ヒドロキシ)ホスホリル)オキシ)メチル)-5-(6-アミノ-9H-プリン-9-イル)-4-ヒドロキシテトラヒドロフラン-3-イル(化合物2m-A)(129mg、46%)を得た。
LCMS(ESI) m/z =928(M+H)+
保持時間:0.58分(分析条件SQDFA05)
To buffer A (113 ml), dihydrogen phosphate ((2R, 3S, 5R) -5- (4-amino-2-oxopyrimidin-1 (2H) -yl) -3-((((((2R, 3S , 4R, 5R) -5- (6-Amino-9H-purin-9-yl) -3,4-dihydroxytetrahydrofuran-2-yl) methoxy) (hydroxy) phosphoryl) oxy) tetrahydrofuran-2-yl) methyl (
LCMS (ESI) m / z = 928 (M + H) +
Retention time: 0.58 minutes (analysis condition SQDFA05)
1-3. 2-アミノ-3-(tert-ブチルジスルファニル)プロパン酸 (2R)-(2R,3S,4R,5R)-2-((((((2R,3S,5R)-5-(4-アミノ-2-オキソピリミジン-1(2H)-イル)-2-((ホスホノオキシ)メチル)テトラヒドロフラン-3-イル)オキシ)(ヒドロキシ)ホスホリル)オキシ)メチル)-5-(6-アミノ-9H-プリン-9-イル)-4-ヒドロキシテトラヒドロフラン-3-イル(2n-A)の合成
1-3. 2-Amino-3- (tert-butyldisulfanyl) propanoic acid (2R)-(2R, 3S, 4R, 5R) -2-(((((((2R, 3S, 5R) -5- (4-amino -2-Oxopyrimidin-1 (2H) -yl) -2-((phosphonooxy) methyl) tetrahydrofuran-3-yl) oxy) (hydroxy) phosphoryl) oxy) methyl) -5- (6-amino-9H-purine Synthesis of -9-yl) -4-hydroxytetrahydrofuran-3-yl (2n-A)
2-((tert-ブトキシカルボニル)アミノ)-3-(tert-ブチルジスルファニル)プロパン酸 (2R)-(2R,3S,4R,5R)-2-((((((2R,3S,5R)-5-(4-アミノ-2-オキソピリミジン-1(2H)-イル)-2-((ホスホノオキシ)メチル)テトラヒドロフラン-3-イル)オキシ)(ヒドロキシ)ホスホリル)オキシ)メチル)-5-(6-アミノ-9H-プリン-9-イル)-4-ヒドロキシテトラヒドロフラン-3-イル(化合物2m-A)(40mg、0.045mmol)にトリフルオロ酢酸(0.5ml)を加え、室温で10分攪拌した。その後、反応混合物を減圧濃縮し、2-アミノ-3-(tert-ブチルジスルファニル)プロパン酸 (2R)-(2R,3S,4R,5R)-2-((((((2R,3S,5R)-5-(4-アミノ-2-オキソピリミジン-1(2H)-イル)-2-((ホスホノオキシ)メチル)テトラヒドロフラン-3-イル)オキシ)(ヒドロキシ)ホスホリル)オキシ)メチル)-5-(6-アミノ-9H-プリン-9-イル)-4-ヒドロキシテトラヒドロフラン-3-イル(化合物2n-A)(45.1mg、100%)を得た。
LCMS(ESI) m/z =828(M+H)+
保持時間:0.35分(分析条件SQDFA05)
2-((tert-Butoxycarbonyl) amino) -3- (tert-butyldisulfanyl) propanoic acid (2R)-(2R, 3S, 4R, 5R) -2-((((((((2R, 3S, 5R ) -5- (4-Amino-2-oxopyrimidin-1 (2H) -yl) -2-((phosphonooxy) methyl) tetrahydrofuran-3-yl) oxy) (hydroxy) phosphoryl) oxy) methyl) -5 Trifluoroacetic acid (0.5 ml) was added to (6-amino-9H-purin-9-yl) -4-hydroxytetrahydrofuran-3-yl (
LCMS (ESI) m / z = 828 (M + H) +
Retention time: 0.35 minutes (analysis condition SQDFA05)
2. 2n-Bの合成
2-1. 4-((tert-ブチルジスルファニル)メチル)-5-オキソオキサゾリジン-3-カルボン酸 (R)-(9H-フルオレン-9-イル)メチル(化合物2b-B)の合成
2. Synthesis of 2n-B
2-1. Synthesis of 4-((tert-butyldisulfanyl) methyl) -5-oxooxazolidine-3-carboxylic acid (R)-(9H-fluoren-9-yl) methyl (
(R)-2-((((9H-フルオレン-9-イル)メトキシ)カルボニル)アミノ)-3-(tert-ブチルジスルファニル)プロパン酸(化合物2a-B)(2.00g、4.63mmol)のトルエン(10ml)溶液に、パラ-フォルムアルデヒド(843mg、9.26mmol)と10-ショウノウスルホン酸(75mg、0.324mmol)を加え、100度で4時間攪拌した。反応混合物を室温に戻した後に、減圧濃縮させた。得られた残渣をシリカゲルカラムクロマトグラフィー(ヘキサン/酢酸エチル=100/0→70/30)にて精製し、4-((tert-ブチルジスルファニル)メチル)-5-オキソオキサゾリジン-3-カルボン酸 (R)-(9H-フルオレン-9-イル)メチル(化合物2b-B)(1.936g、94%)を得た。
LCMS(ESI) m/z = 444 (M+H)+
保持時間:1.16分(分析条件SQDAA05)
(R) -2-((((9H-Fluoren-9-yl) methoxy) carbonyl) amino) -3- (tert-butyldisulfanyl) propanoic acid (Compound 2a-B) (2.00 g, 4.63 mmol ) In toluene (10 ml) was added para-formaldehyde (843 mg, 9.26 mmol) and 10-camphorsulfonic acid (75 mg, 0.324 mmol), and the mixture was stirred at 100 degrees for 4 hours. The reaction mixture was returned to room temperature and then concentrated under reduced pressure. The obtained residue was purified by silica gel column chromatography (hexane / ethyl acetate = 100/0 → 70/30) to give 4-((tert-butyldisulfanyl) methyl) -5-oxooxazolidine-3-carboxylic acid. (R)-(9H-fluoren-9-yl) methyl (
LCMS (ESI) m / z = 444 (M + H) +
Retention time: 1.16 minutes (analysis condition SQDAA05)
2-2. (R)-2-((((9H-フルオレン-9-イル)メトキシ)カルボニル)(メチル)アミノ)-3-(tert-ブチルジスルファニル)プロパン酸(化合物2c-B)の合成
2-2. Synthesis of (R) -2-(((((9H-fluoren-9-yl) methoxy) carbonyl) (methyl) amino) -3- (tert-butyldisulfanyl) propanoic acid (
4-((tert-ブチルジスルファニル)メチル)-5-オキソオキサゾリジン-3-カルボン酸 (R)-(9H-フルオレン-9-イル)メチル(化合物2b-B)(1.68g、3.78mmol)のジクロロメタン(18ml)溶液に、トリエチルシラン(6.04ml、37.8mmol)とトリフルオロ酢酸(9ml)を加え室温で1日攪拌した。その後、反応混合物を減圧濃縮し、残渣を逆相シリカゲルカラムクロマトグラフィー(10mM酢酸アンモニウム水溶液/メタノール=70/30→20/80→0/100)にて精製し、(R)-2-((((9H-フルオレン-9-イル)メトキシ)カルボニル)(メチル)アミノ)-3-(tert-ブチルジスルファニル)プロパン酸(化合物2c-B)(1.22g、72%)を得た。
LCMS(ESI) m/z = 446 (M+H)+
保持時間:1.02分(分析条件SQDAA05)
4-((tert-Butyldisulfanyl) methyl) -5-oxooxazolidine-3-carboxylic acid (R)-(9H-fluoren-9-yl) methyl (
LCMS (ESI) m / z = 446 (M + H) +
Retention time: 1.02 minutes (analysis condition SQDAA05)
2-3. (R)-2-((tert-ブトキシカルボニル)(メチル)アミノ)-3-(tert-ブチルジスルファニル)プロパン酸(化合物2k-B)の合成
2-3. Synthesis of (R) -2-((tert-butoxycarbonyl) (methyl) amino) -3- (tert-butyldisulfanyl) propanoic acid (Compound 2kB)
(R)-2-((((9H-フルオレン-9-イル)メトキシ)カルボニル)(メチル)アミノ)-3-(tert-ブチルジスルファニル)プロパン酸(化合物2c-B)(1.06g、2.37mmol)のテトラヒドロフラン(11ml)溶液にピペリジン(0.586ml、5.93mmol)を加え、室温で70分攪拌した。その後、反応混合物に二炭酸ジ-tert-ブチル(4.15g、19.0mmol)とトリエチルアミン(3.30ml、23.7mmol)を加え、室温で30分攪拌した。その後反応混合物を減圧濃縮し、得られた残渣を逆相シリカゲルカラムクロマトグラフィー(10mM酢酸アンモニウム水溶液/メタノール=70/30→20/80→0/100)にて精製し、(R)-2-((tert-ブトキシカルボニル)(メチル)アミノ)-3-(tert-ブチルジスルファニル)プロパン酸(化合物2k-B)(586mg、76%)を得た。
LCMS(ESI) m/z = 322 (M-H)-
保持時間:0.88分(分析条件SQDAA05)
(R) -2-(((((9H-Fluoren-9-yl) methoxy) carbonyl) (methyl) amino) -3- (tert-butyldisulfanyl) propanoic acid (
LCMS (ESI) m / z = 322 (M−H) −
Retention time: 0.88 minutes (analysis condition SQDAA05)
2-4. 2-((tert-ブトキシカルボニル)(メチル)アミノ)-3-(tert-ブチルジスルファニル)プロパン酸 (R)-シアノメチル(化合物2l-B)の合成
2-4. Synthesis of 2-((tert-butoxycarbonyl) (methyl) amino) -3- (tert-butyldisulfanyl) propanoic acid (R) -cyanomethyl (compound 21-B)
(R)-2-((tert-ブトキシカルボニル)(メチル)アミノ)-3-(tert-ブチルジスルファニル)プロパン酸(化合物2K-B)(309mg、0.955mmol)のN,N-ジメチルホルムアミド(2.5ml)溶液に2-ブロモアセトニトリル(0.200ml、2.87mmol)とN-エチル-N-イソプロピルプロパン-2-アミン(0.183ml、1.05mmol)を加え、室温で30分攪拌した。反応混合物に飽和塩化アンモニウム水溶液(3ml)を加えた後に、酢酸エチルで希釈し、有機層を水で洗浄した。その後、有機抽出物を硫酸マグネシウムで乾燥した。減圧濃縮後、得られた残渣をシリカゲルカラムクロマトグラフィー(ヘキサン/酢酸エチル=100/0→70/30)にて精製し、2-((tert-ブトキシカルボニル)(メチル)アミノ)-3-(tert-ブチルジスルファニル)プロパン酸 (R)-シアノメチル(化合物2l-B)(272mg、78%)を得た。
LCMS(ESI) m/z =363(M+H)+
保持時間:1.05分(分析条件SQDAA05)
(R) -2-((tert-Butoxycarbonyl) (methyl) amino) -3- (tert-butyldisulfanyl) propanoic acid (Compound 2KB) (309 mg, 0.955 mmol) in N, N-dimethylformamide Add 2-bromoacetonitrile (0.200 ml, 2.87 mmol) and N-ethyl-N-isopropylpropan-2-amine (0.183 ml, 1.05 mmol) to the (2.5 ml) solution, and stir at room temperature for 30 minutes. did. A saturated aqueous ammonium chloride solution (3 ml) was added to the reaction mixture, and the mixture was diluted with ethyl acetate, and the organic layer was washed with water. Thereafter, the organic extract was dried over magnesium sulfate. After concentration under reduced pressure, the obtained residue was purified by silica gel column chromatography (hexane / ethyl acetate = 100/0 → 70/30) to give 2-((tert-butoxycarbonyl) (methyl) amino) -3- ( (tert-Butyldisulfanyl) propanoic acid (R) -cyanomethyl (Compound 21-B) (272 mg, 78%) was obtained.
LCMS (ESI) m / z = 363 (M + H) +
Retention time: 1.05 minutes (analysis condition SQDAA05)
2-5. 2-((tert-ブトキシカルボニル)(メチル)アミノ)-3-(tert-ブチルジスルファニル)プロパン酸 (2R)-(2R,3S,4R,5R)-2-((((((2R,3S,5R)-5-(4-アミノ-2-オキソピリミジン-1(2H)-イル)-2-((ホスホノオキシ)メチル)テトラヒドロフラン-3-イル)オキシ)(ヒドロキシ)ホスホリル)オキシ)メチル)-5-(6-アミノ-9H-プリン-9-イル)-4-ヒドロキシテトラヒドロフラン-3-イル(化合物2m-B)の合成
2-5. 2-((tert-Butoxycarbonyl) (methyl) amino) -3- (tert-butyldisulfanyl) propanoic acid (2R)-(2R, 3S, 4R, 5R) -2-(((((((2R, 3S, 5R) -5- (4-amino-2-oxopyrimidin-1 (2H) -yl) -2-((phosphonooxy) methyl) tetrahydrofuran-3-yl) oxy) (hydroxy) phosphoryl) oxy) methyl) Synthesis of -5- (6-amino-9H-purin-9-yl) -4-hydroxytetrahydrofuran-3-yl (
化合物2m-Aの製造例と同様の条件で、リン酸二水素 ((2R,3S,5R)-5-(4-アミノ-2-オキソピリミジン-1(2H)-イル)-3-(((((2R,3S,4R,5R)-5-(6-アミノ-9H-プリン-9-イル)-3,4-ジヒドロキシテトラヒドロフラン-2-イル)メトキシ)(ヒドロキシ)ホスホリル)オキシ)テトラヒドロフラン-2-イル)メチル(化合物1h)(112mg、0.176mmol)を用い、さらに2-((tert-ブトキシカルボニル)アミノ)-3-(tert-ブチルジスルファニル)プロパン酸 (R)-シアノメチル(化合物2l-A)の代わりに2-((tert-ブトキシカルボニル)(メチル)アミノ)-3-(tert-ブチルジスルファニル)プロパン酸 (R)-シアノメチル(化合物2l-B)(255mg、0.704mmol)を用いることで、2-((tert-ブトキシカルボニル)(メチル)アミノ)-3-(tert-ブチルジスルファニル)プロパン酸 (2R)-(2R,3S,4R,5R)-2-((((((2R,3S,5R)-5-(4-アミノ-2-オキソピリミジン-1(2H)-イル)-2-((ホスホノオキシ)メチル)テトラヒドロフラン-3-イル)オキシ)(ヒドロキシ)ホスホリル)オキシ)メチル)-5-(6-アミノ-9H-プリン-9-イル)-4-ヒドロキシテトラヒドロフラン-3-イル(化合物2m-B)(38.6mg、23%)を得た。
LCMS(ESI) m/z =942(M+H)+
保持時間:0.62分(分析条件SQDFA05)
Under the same conditions as in the production example of compound 2m-A, dihydrogen phosphate ((2R, 3S, 5R) -5- (4-amino-2-oxopyrimidin-1 (2H) -yl) -3-(( (((2R, 3S, 4R, 5R) -5- (6-Amino-9H-purin-9-yl) -3,4-dihydroxytetrahydrofuran-2-yl) methoxy) (hydroxy) phosphoryl) oxy) tetrahydrofuran 2-yl) methyl (compound 1h) (112 mg, 0.176 mmol) was used and 2-((tert-butoxycarbonyl) amino) -3- (tert-butyldisulfanyl) propanoic acid (R) -cyanomethyl (compound 2-((tert-butoxycarbonyl) (methyl) amino) -3- (tert-butyldisulfanyl) propanoic acid (R -Cyanomethyl (compound 21-B) (255 mg, 0.704 mmol) was used to give 2-((tert-butoxycarbonyl) (methyl) amino) -3- (tert-butyldisulfanyl) propanoic acid (2R)- (2R, 3S, 4R, 5R) -2-(((((((2R, 3S, 5R) -5- (4-amino-2-oxopyrimidin-1 (2H) -yl) -2-((phosphonooxy ) Methyl) tetrahydrofuran-3-yl) oxy) (hydroxy) phosphoryl) oxy) methyl) -5- (6-amino-9H-purin-9-yl) -4-hydroxytetrahydrofuran-3-yl (compound 2m-B) ) (38.6 mg, 23%).
LCMS (ESI) m / z = 942 (M + H) +
Retention time: 0.62 minutes (analysis condition SQDFA05)
2-6. 3-(tert-ブチルジスルファニル)-2-(メチルアミノ)プロパン酸 (2R)-(2R,3S,4R,5R)-2-((((((2R,3S,5R)-5-(4-アミノ-2-オキソピリミジン-1(2H)-イル)-2-((ホスホノオキシ)メチル)テトラヒドロフラン-3-イル)オキシ)(ヒドロキシ)ホスホリル)オキシ)メチル)-5-(6-アミノ-9H-プリン-9-イル)-4-ヒドロキシテトラヒドロフラン-3-イル(化合物2n-B)の合成
2-6. 3- (tert-butyldisulfanyl) -2- (methylamino) propanoic acid (2R)-(2R, 3S, 4R, 5R) -2-(((((((2R, 3S, 5R) -5- ( 4-Amino-2-oxopyrimidin-1 (2H) -yl) -2-((phosphonooxy) methyl) tetrahydrofuran-3-yl) oxy) (hydroxy) phosphoryl) oxy) methyl) -5- (6-amino- Synthesis of 9H-purin-9-yl) -4-hydroxytetrahydrofuran-3-yl (
化合物2n-Aの製造例と同様の条件で、2-((tert-ブトキシカルボニル)アミノ)-3-(tert-ブチルジスルファニル)プロパン酸 (2R)-(2R,3S,4R,5R)-2-((((((2R,3S,5R)-5-(4-アミノ-2-オキソピリミジン-1(2H)-イル)-2-((ホスホノオキシ)メチル)テトラヒドロフラン-3-イル)オキシ)(ヒドロキシ)ホスホリル)オキシ)メチル)-5-(6-アミノ-9H-プリン-9-イル)-4-ヒドロキシテトラヒドロフラン-3-イル(2m-A)の代わりに2-((tert-ブトキシカルボニル)(メチル)アミノ)-3-(tert-ブチルジスルファニル)プロパン酸 (2R)-(2R,3S,4R,5R)-2-((((((2R,3S,5R)-5-(4-アミノ-2-オキソピリミジン-1(2H)-イル)-2-((ホスホノオキシ)メチル)テトラヒドロフラン-3-イル)オキシ)(ヒドロキシ)ホスホリル)オキシ)メチル)-5-(6-アミノ-9H-プリン-9-イル)-4-ヒドロキシテトラヒドロフラン-3-イル(化合物2m-B)(23.2mg、0.025mmol)を用いることで、3-(tert-ブチルジスルファニル)-2-(メチルアミノ)プロパン酸 (2R)-(2R,3S,4R,5R)-2-((((((2R,3S,5R)-5-(4-アミノ-2-オキソピリミジン-1(2H)-イル)-2-((ホスホノオキシ)メチル)テトラヒドロフラン-3-イル)オキシ)(ヒドロキシ)ホスホリル)オキシ)メチル)-5-(6-アミノ-9H-プリン-9-イル)-4-ヒドロキシテトラヒドロフラン-3-イル(化合物2n-B)(26.3mg、100%)を得た。
LCMS(ESI) m/z =842(M+H)+
保持時間:0.36分(分析条件SQDFA05)
2-((tert-Butoxycarbonyl) amino) -3- (tert-butyldisulfanyl) propanoic acid (2R)-(2R, 3S, 4R, 5R)-under the same conditions as in the production example of compound 2n-A 2-(((((((2R, 3S, 5R) -5- (4-amino-2-oxopyrimidin-1 (2H) -yl) -2-((phosphonooxy) methyl) tetrahydrofuran-3-yl) oxy ) (Hydroxy) phosphoryl) oxy) methyl) -5- (6-amino-9H-purin-9-yl) -4-hydroxytetrahydrofuran-3-yl (2mA) instead of 2-((tert-butoxy) Carbonyl) (methyl) amino) -3- (tert-butyldisulfanyl) propanoic acid (2R)-(2R, 3S, 4R, 5R) -2-(((((((2R, 3S, 5 ) -5- (4-Amino-2-oxopyrimidin-1 (2H) -yl) -2-((phosphonooxy) methyl) tetrahydrofuran-3-yl) oxy) (hydroxy) phosphoryl) oxy) methyl) -5 By using (6-amino-9H-purin-9-yl) -4-hydroxytetrahydrofuran-3-yl (compound 2m-B) (23.2 mg, 0.025 mmol), 3- (tert-butyldisulfanyl ) -2- (Methylamino) propanoic acid (2R)-(2R, 3S, 4R, 5R) -2-(((((((2R, 3S, 5R) -5- (4-amino-2-oxopyrimidine -1 (2H) -yl) -2-((phosphonooxy) methyl) tetrahydrofuran-3-yl) oxy) (hydroxy) phosphoryl) oxy) methyl) -5- (6-a Roh -9H- purin-9-yl) -4-hydroxy-tetrahydrofuran-3-yl (Compound 2n-B) (26.3 mg, 100%).
LCMS (ESI) m / z = 842 (M + H) +
Retention time: 0.36 minutes (analysis condition SQDFA05)
3.2m-cの合成
3-1.(R)-3-(tert-ブチルジスルファニル)-2-(ペンタ-4-エンアミド)プロパン酸(化合物2k-C)の合成
3.2 Synthesis of mc
3-1. Synthesis of (R) -3- (tert-butyldisulfanyl) -2- (pent-4-enamido) propanoic acid (
(R)-2-アミノ-3-(tert-ブチルジスルファニル)プロパン酸(1g、4.58mmol)と炭酸ナトリウム(1.46g、13.7mmol)のテトラヒドロフラン(7ml)、水(14ml)溶液に塩化ペンタ-4-エノイル(1.015ml,9.16mmol)を0℃で加え、室温で20分間攪拌した。その後、反応混合物に濃塩酸を0℃で滴下し、pH2とした。酢酸エチルで希釈した後に、適量のNaClを加え塩析抽出を行った。得られた有機抽出物を飽和食塩水で洗浄し、硫酸マグネシウムで乾燥した。そして、減圧濃縮により(R)-3-(tert-ブチルジスルファニル)-2-(ペンタ-4-エンアミド)プロパン酸(2k-C)とペンタ-4-エン酸(1:0.9)の混合粗生成物C(1.71g、100%)を得た。 To a solution of (R) -2-amino-3- (tert-butyldisulfanyl) propanoic acid (1 g, 4.58 mmol) and sodium carbonate (1.46 g, 13.7 mmol) in tetrahydrofuran (7 ml) and water (14 ml) Penta-4-enoyl chloride (1.015 ml, 9.16 mmol) was added at 0 ° C., and the mixture was stirred at room temperature for 20 minutes. Thereafter, concentrated hydrochloric acid was added dropwise to the reaction mixture at 0 ° C. to adjust the pH to 2. After dilution with ethyl acetate, an appropriate amount of NaCl was added to perform salting out extraction. The obtained organic extract was washed with saturated brine and dried over magnesium sulfate. Then, by concentration under reduced pressure, (R) -3- (tert-butyldisulfanyl) -2- (pent-4-enamido) propanoic acid (2k-C) and penta-4-enoic acid (1: 0.9) Mixed crude product C (1.71 g, 100%) was obtained.
3-2. 3-(tert-ブチルジスルファニル)-2-(ペンタ-4-エンアミド)プロパン酸 (R)-シアノメチル(化合物2l-C)の合成
3-2. Synthesis of 3- (tert-butyldisulfanyl) -2- (pent-4-enamido) propanoic acid (R) -cyanomethyl (compound 21-C)
(R)-3-(tert-ブチルジスルファニル)-2-(ペンタ-4-エンアミド)プロパン酸(化合物2k-C)とペンタ-4-エン酸(1:0.9)の混合粗生成物C(1.75g、8.70mmol)のN,N-ジメチルホルムアミド(11ml)溶液に2-ブロモアセトニトリル(0.957ml、13.74mmol)とN-エチル-N-イソプロピルプロパン-2-アミン(1.76ml、10.1mmol)を加え、室温で50分攪拌した。反応混合物に飽和塩化アンモニウム水溶液(6ml)を加えた後に、酢酸エチルで希釈し、有機層を水で洗浄した。その後、有機抽出物を硫酸マグネシウムで乾燥した。減圧濃縮後、得られた残渣をシリカゲルカラムクロマトグラフィー(ヘキサン/酢酸エチル=100/0→50/50)にて精製し、3-(tert-ブチルジスルファニル)-2-(ペンタ-4-エンアミド)プロパン酸 (R)-シアノメチル(化合物2l-C)(940mg、62%)を得た。
LCMS(ESI) m/z =331(M+H)+
保持時間:0.94分(分析条件SQDAA05)
(R) -3- (tert-Butyldisulfanyl) -2- (pent-4-enamido) propanoic acid (
LCMS (ESI) m / z = 331 (M + H) +
Retention time: 0.94 minutes (analysis condition SQDAA05)
3-3. 3-(tert-ブチルジスルファニル)-2-(ペンタ-4-エンアミド)プロパン酸 (2R)-(2R,3S,4R,5R)-2-((((((2R,3S,5R)-5-(4-アミノ-2-オキソピリミジン-1(2H)-イル)-2-((ホスホノオキシ)メチル)テトラヒドロフラン-3-イル)オキシ)(ヒドロキシ)ホスホリル)オキシ)メチル)-5-(6-アミノ-9H-プリン-9-イル)-4-ヒドロキシテトラヒドロフラン-3-イル(化合物2m-C)の合成
3-3. 3- (tert-Butyldisulfanyl) -2- (pent-4-enamido) propanoic acid (2R)-(2R, 3S, 4R, 5R) -2-(((((((2R, 3S, 5R)- 5- (4-Amino-2-oxopyrimidin-1 (2H) -yl) -2-((phosphonooxy) methyl) tetrahydrofuran-3-yl) oxy) (hydroxy) phosphoryl) oxy) methyl) -5- (6 -Amino-9H-purin-9-yl) -4-hydroxytetrahydrofuran-3-yl (
化合物2m-Aの製造例と同様の条件で、リン酸二水素 ((2R,3S,5R)-5-(4-アミノ-2-オキソピリミジン-1(2H)-イル)-3-(((((2R,3S,4R,5R)-5-(6-アミノ-9H-プリン-9-イル)-3,4-ジヒドロキシテトラヒドロフラン-2-イル)メトキシ)(ヒドロキシ)ホスホリル)オキシ)テトラヒドロフラン-2-イル)メチル(化合物1h)(200mg、0.314mmol)を用い、さらに2-((tert-ブトキシカルボニル)アミノ)-3-(tert-ブチルジスルファニル)プロパン酸 (R)-シアノメチル(化合物2l-A)の代わりに3-(tert-ブチルジスルファニル)-2-(ペンタ-4-エンアミド)プロパン酸 (R)-シアノメチル(2l-C)(415mg、1.23mmol)を用いることで、3-(tert-ブチルジスルファニル)-2-(ペンタ-4-エンアミド)プロパン酸 (2R)-(2R,3S,4R,5R)-2-((((((2R,3S,5R)-5-(4-アミノ-2-オキソピリミジン-1(2H)-イル)-2-((ホスホノオキシ)メチル)テトラヒドロフラン-3-イル)オキシ)(ヒドロキシ)ホスホリル)オキシ)メチル)-5-(6-アミノ-9H-プリン-9-イル)-4-ヒドロキシテトラヒドロフラン-3-イル(化合物2m-C)(42.0mg、15%)を得た。
LCMS(ESI) m/z =910(M+H)+
保持時間:0.53分(分析条件SQDFA05)
Under the same conditions as in the production example of compound 2m-A, dihydrogen phosphate ((2R, 3S, 5R) -5- (4-amino-2-oxopyrimidin-1 (2H) -yl) -3-(( (((2R, 3S, 4R, 5R) -5- (6-Amino-9H-purin-9-yl) -3,4-dihydroxytetrahydrofuran-2-yl) methoxy) (hydroxy) phosphoryl) oxy) tetrahydrofuran Using 2-yl) methyl (compound 1h) (200 mg, 0.314 mmol), 2-((tert-butoxycarbonyl) amino) -3- (tert-butyldisulfanyl) propanoic acid (R) -cyanomethyl (compound 2- (tert-butyldisulfanyl) -2- (pent-4-enamido) propanoic acid (R) -cyanomethyl (2l-C) By using (415 mg, 1.23 mmol), 3- (tert-butyldisulfanyl) -2- (pent-4-enamido) propanoic acid (2R)-(2R, 3S, 4R, 5R) -2- ( ((((((2R, 3S, 5R) -5- (4-amino-2-oxopyrimidin-1 (2H) -yl) -2-((phosphonooxy) methyl) tetrahydrofuran-3-yl) oxy) (hydroxy ) Phosphoryl) oxy) methyl) -5- (6-amino-9H-purin-9-yl) -4-hydroxytetrahydrofuran-3-yl (compound 2m-C) (42.0 mg, 15%) was obtained.
LCMS (ESI) m / z = 910 (M + H) +
Retention time: 0.53 minutes (analysis condition SQDFA05)
4.2m-Dの合成
4-1. (R)-2-(ペンタ-4-エンアミド)-3-(トリチルチオ)プロパン酸(化合物2h)の合成
Synthesis of 4.2m-D
4-1. Synthesis of (R) -2- (pent-4-enamide) -3- (tritylthio) propanoic acid (
(R)-2-アミノ-3-(トリチルチオ)プロパン酸(1.50g、4.13mmol)と炭酸ナトリウム(1.31g、12.4mmol)のテトラヒドロフラン(3.5ml)、水(7ml)溶液に塩化ペンタ-4-エノイル(0.915ml,8.25mmol)を加え、室温で1時間攪拌した。その後、反応混合物に濃塩酸を0℃で滴下し、pH2とした。酢酸エチルで希釈した後に、適量のNaClを加え塩析抽出を行った。得られた有機抽出物を飽和食塩水で洗浄し、硫酸マグネシウムで乾燥した後、減圧濃縮した。得られた残渣を逆相シリカゲルカラムクロマトグラフィー(10mM酢酸アンモニウム水溶液/メタノール=70/30→0/100)にて精製し、(R)-2-(ペンタ-4-エンアミド)-3-(トリチルチオ)プロパン酸(化合物2h)(1.14g、62%)を得た。
LCMS(ESI) m/z = 444 (M-H)-
保持時間:0.95分(分析条件SQDAA05)
To a solution of (R) -2-amino-3- (tritylthio) propanoic acid (1.50 g, 4.13 mmol) and sodium carbonate (1.31 g, 12.4 mmol) in tetrahydrofuran (3.5 ml) and water (7 ml) Penta-4-enoyl chloride (0.915 ml, 8.25 mmol) was added and stirred at room temperature for 1 hour. Thereafter, concentrated hydrochloric acid was added dropwise to the reaction mixture at 0 ° C. to adjust the pH to 2. After dilution with ethyl acetate, an appropriate amount of NaCl was added to perform salting out extraction. The obtained organic extract was washed with saturated brine, dried over magnesium sulfate, and concentrated under reduced pressure. The obtained residue was purified by reverse phase silica gel column chromatography (10 mM aqueous ammonium acetate / methanol = 70/30 → 0/100) to give (R) -2- (pent-4-enamide) -3- (tritylthio). ) Propanic acid (
LCMS (ESI) m / z = 444 (M−H) −
Retention time: 0.95 minutes (analysis condition SQDAA05)
4-2. 3-(メチルジスルファニル)-2-(ペンタ-4-エンアミド)プロパン酸 (R)-シアノメチル(化合物2l-D)の合成
4-2. Synthesis of 3- (methyldisulfanyl) -2- (pent-4-enamido) propanoic acid (R) -cyanomethyl (compound 21-D)
(R)-2-(ペンタ-4-エンアミド)-3-(トリチルチオ)プロパン酸(化合物2h)(1.01g、2.28mmol)のジクロロメタン(10ml)溶液にトリフルオロ酢酸(1.76ml、22.8mmol)とトリイソプロピルシラン(0.934ml、4.56mmol)を加え、室温で10分攪拌した。その後、反応混合物を減圧濃縮した。得られた残渣と炭酸ナトリウム(1.21g、11.4mmol)の水(5ml)溶液に、メタンスルホノチオ酸 S-メチル(1.44g、11.4mmol)のエタノール(5ml)溶液を0℃で滴下し、その後室温で30分攪拌した。その後、反応混合物に濃塩酸を0℃で滴下し、pH2とした。酢酸エチルで希釈し抽出を行った。得られた有機抽出物を飽和食塩水で洗浄し、硫酸マグネシウムで乾燥後、減圧濃縮した。得られた残渣のDMF(1ml)溶液に2-ブロモアセトニトリル(0.438ml、6.29mmol)とN-エチル-N-イソプロピルプロパン-2-アミン(0.440ml、2.52mmol)を加え、室温で10分攪拌した。反応混合物に飽和塩化アンモニウム水溶液(3ml)を加えた後に、酢酸エチルで希釈し、有機層を水で洗浄した。その後、有機抽出物を硫酸マグネシウムで乾燥した。減圧濃縮後、得られた残渣を逆相シリカゲルカラムクロマトグラフィー(10mM酢酸アンモニウム水溶液/メタノール=70/30→0/100)にて精製し、3-(メチルジスルファニル)-2-(ペンタ-4-エンアミド)プロパン酸 (R)-シアノメチル(化合物2l-D)(291mg、48%)を得た。
LCMS(ESI) m/z = 289 (M+H)+
保持時間:0.79分(分析条件SQDAA05)
To a solution of (R) -2- (pent-4-enamido) -3- (tritylthio) propanoic acid (
LCMS (ESI) m / z = 289 (M + H) +
Retention time: 0.79 minutes (analysis condition SQDAA05)
4-3. 3-(メチルジスルファニル)-2-(ペンタ-4-エンアミド)プロパン酸 (2R)-(2R,3S,4R,5R)-2-((((((2R,3S,5R)-5-(4-アミノ-2-オキソピリミジン-1(2H)-イル)-2-((ホスホノオキシ)メチル)テトラヒドロフラン-3-イル)オキシ)(ヒドロキシ)ホスホリル)オキシ)メチル)-5-(6-アミノ-9H-プリン-9-イル)-4-ヒドロキシテトラヒドロフラン-3-イル(化合物2m-D)の合成
4-3. 3- (Methyldisulfanyl) -2- (pent-4-enamido) propanoic acid (2R)-(2R, 3S, 4R, 5R) -2-(((((((2R, 3S, 5R) -5 (4-Amino-2-oxopyrimidin-1 (2H) -yl) -2-((phosphonooxy) methyl) tetrahydrofuran-3-yl) oxy) (hydroxy) phosphoryl) oxy) methyl) -5- (6-amino Synthesis of -9H-purin-9-yl) -4-hydroxytetrahydrofuran-3-yl (
化合物2m-Aの製造例と同様の条件で、リン酸二水素 ((2R,3S,5R)-5-(4-アミノ-2-オキソピリミジン-1(2H)-イル)-3-(((((2R,3S,4R,5R)-5-(6-アミノ-9H-プリン-9-イル)-3,4-ジヒドロキシテトラヒドロフラン-2-イル)メトキシ)(ヒドロキシ)ホスホリル)オキシ)テトラヒドロフラン-2-イル)メチル(化合物1h)(150mg、0.236mmol)を用い、さらに2-((tert-ブトキシカルボニル)アミノ)-3-(tert-ブチルジスルファニル)プロパン酸 (R)-シアノメチル(化合物2l-A)の代わりに3-(メチルジスルファニル)-2-(ペンタ-4-エンアミド)プロパン酸 (R)-シアノメチル(化合物2l-D)(272mg、0.943mmol)用いることで、3-(メチルジスルファニル)-2-(ペンタ-4-エンアミド)プロパン酸 (2R)-(2R,3S,4R,5R)-2-((((((2R,3S,5R)-5-(4-アミノ-2-オキソピリミジン-1(2H)-イル)-2-((ホスホノオキシ)メチル)テトラヒドロフラン-3-イル)オキシ)(ヒドロキシ)ホスホリル)オキシ)メチル)-5-(6-アミノ-9H-プリン-9-イル)-4-ヒドロキシテトラヒドロフラン-3-イル(化合物2m-D)(21.2mg、10%)を得た。
LCMS(ESI) m/z =868(M+H)+
保持時間:0.45分(分析条件SQDFA05)
Under the same conditions as in the production example of compound 2m-A, dihydrogen phosphate ((2R, 3S, 5R) -5- (4-amino-2-oxopyrimidin-1 (2H) -yl) -3-(( (((2R, 3S, 4R, 5R) -5- (6-Amino-9H-purin-9-yl) -3,4-dihydroxytetrahydrofuran-2-yl) methoxy) (hydroxy) phosphoryl) oxy) tetrahydrofuran- 2-yl) methyl (compound 1h) (150 mg, 0.236 mmol) was used and 2-((tert-butoxycarbonyl) amino) -3- (tert-butyldisulfanyl) propanoic acid (R) -cyanomethyl (compound 3- (methyldisulfanyl) -2- (pent-4-enamido) propanoic acid (R) -cyanomethyl (compound 21-D) 72 mg, 0.943 mmol), 3- (methyldisulfanyl) -2- (pent-4-enamido) propanoic acid (2R)-(2R, 3S, 4R, 5R) -2-((((( (2R, 3S, 5R) -5- (4-Amino-2-oxopyrimidin-1 (2H) -yl) -2-((phosphonooxy) methyl) tetrahydrofuran-3-yl) oxy) (hydroxy) phosphoryl) oxy ) Methyl) -5- (6-amino-9H-purin-9-yl) -4-hydroxytetrahydrofuran-3-yl (compound 2m-D) (21.2 mg, 10%).
LCMS (ESI) m / z = 868 (M + H) +
Retention time: 0.45 minutes (analysis condition SQDFA05)
5.2m-Eの合成
5-1. 3-(tert-ブチルジスルファニル)-2-((((4,5-ジメトキシ-2-ニトロベンジル)オキシ)カルボニル)アミノ)プロパン酸 (R)-シアノメチル(化合物2l-E)の合成
Synthesis of 5.2m-E
5-1. Synthesis of 3- (tert-butyldisulfanyl) -2-((((4,5-dimethoxy-2-nitrobenzyl) oxy) carbonyl) amino) propanoic acid (R) -cyanomethyl (compound 2l-E)
(R)-2-アミノ-3-(tert-ブチルジスルファニル)プロパン酸(化合物2f-E、500mg、2.29mmol)と炭酸ナトリウム(534mg、5.04mmol)のジオキサン(5ml)、水(5ml)溶液にカルボノクロリド酸 4,5-ジメトキシ-2-ニトロベンジル(694mg、2.52mmol)を加え、室温で30分攪拌した。その後、反応液に1N塩酸を加えpH2とし、酢酸エチルを加え抽出した。有機抽出物を硫酸マグネシウムで乾燥し、減圧濃縮した。得られた残渣のDMF(6ml)溶液に2-ブロモアセトニトリル(0.284ml、4.08mmol)とN-エチル-N-イソプロピルプロパン-2-アミン(0.285ml、1.63mmol)を加え、室温で20分攪拌した。反応混合物に飽和塩化アンモニウム水溶液(3ml)を加えた後に、酢酸エチルで希釈し、有機層を水で洗浄した。その後、有機抽出物を硫酸マグネシウムで乾燥した。減圧濃縮後、得られた残渣をシリカゲルカラムクロマトグラフィー(ヘキサン/酢酸エチル=100/0→60/40)にて精製し、3-(tert-ブチルジスルファニル)-2-((((4,5-ジメトキシ-2-ニトロベンジル)オキシ)カルボニル)アミノ)プロパン酸 (R)-シアノメチル(化合物2l-E)(653mg、98%)を得た。
LCMS(ESI) m/z = 486 (M-H)-
保持時間:0.99分(分析条件SQDAA05)
(R) -2-Amino-3- (tert-butyldisulfanyl) propanoic acid (
LCMS (ESI) m / z = 486 (M−H) −
Retention time: 0.99 minutes (analysis condition SQDAA05)
5-2. 3-(tert-ブチルジスルファニル)-2-((((4,5-ジメトキシ-2-ニトロベンジル)オキシ)カルボニル)アミノ)プロパン酸 (2R)-(2R,3S,4R,5R)-2-((((((2R,3S,5R)-5-(4-アミノ-2-オキソピリミジン-1(2H)-イル)-2-((ホスホノオキシ)メチル)テトラヒドロフラン-3-イル)オキシ)(ヒドロキシ)ホスホリル)オキシ)メチル)-5-(6-アミノ-9H-プリン-9-イル)-4-ヒドロキシテトラヒドロフラン-3-イル(化合物2m-E)の合成
5-2. 3- (tert-Butyldisulfanyl) -2-((((4,5-dimethoxy-2-nitrobenzyl) oxy) carbonyl) amino) propanoic acid (2R)-(2R, 3S, 4R, 5R) -2 -(((((((2R, 3S, 5R) -5- (4-amino-2-oxopyrimidin-1 (2H) -yl) -2-((phosphonooxy) methyl) tetrahydrofuran-3-yl) oxy) Synthesis of (hydroxy) phosphoryl) oxy) methyl) -5- (6-amino-9H-purin-9-yl) -4-hydroxytetrahydrofuran-3-yl (
化合物2m-Aの製造例と同様の条件で、リン酸二水素 ((2R,3S,5R)-5-(4-アミノ-2-オキソピリミジン-1(2H)-イル)-3-(((((2R,3S,4R,5R)-5-(6-アミノ-9H-プリン-9-イル)-3,4-ジヒドロキシテトラヒドロフラン-2-イル)メトキシ)(ヒドロキシ)ホスホリル)オキシ)テトラヒドロフラン-2-イル)メチル(化合物1h)(150mg、0.236mmol)を用い、さらに2-((tert-ブトキシカルボニル)アミノ)-3-(tert-ブチルジスルファニル)プロパン酸 (R)-シアノメチル(化合物2l-A)の代わりに3-(tert-ブチルジスルファニル)-2-((((4,5-ジメトキシ-2-ニトロベンジル)オキシ)カルボニル)アミノ)プロパン酸 (R)-シアノメチル(化合物2l-E)(460mg、0.943mmol)用いることで、3-(tert-ブチルジスルファニル)-2-((((4,5-ジメトキシ-2-ニトロベンジル)オキシ)カルボニル)アミノ)プロパン酸 (2R)-(2R,3S,4R,5R)-2-((((((2R,3S,5R)-5-(4-アミノ-2-オキソピリミジン-1(2H)-イル)-2-((ホスホノオキシ)メチル)テトラヒドロフラン-3-イル)オキシ)(ヒドロキシ)ホスホリル)オキシ)メチル)-5-(6-アミノ-9H-プリン-9-イル)-4-ヒドロキシテトラヒドロフラン-3-イル(化合物2m-E)(10.6mg、4%)を得た。
LCMS(ESI) m/z =1067(M+H)+
保持時間:0.62分(分析条件SQDFA05)
Under the same conditions as in the production example of compound 2m-A, dihydrogen phosphate ((2R, 3S, 5R) -5- (4-amino-2-oxopyrimidin-1 (2H) -yl) -3-(( (((2R, 3S, 4R, 5R) -5- (6-Amino-9H-purin-9-yl) -3,4-dihydroxytetrahydrofuran-2-yl) methoxy) (hydroxy) phosphoryl) oxy) tetrahydrofuran- 2-yl) methyl (compound 1h) (150 mg, 0.236 mmol) was used and 2-((tert-butoxycarbonyl) amino) -3- (tert-butyldisulfanyl) propanoic acid (R) -cyanomethyl (compound 2- (tert-butyldisulfanyl) -2-((((4,5-dimethoxy-2-nitrobenzyl) oxy) carbonyl instead of 21-A) Amino) propanoic acid (R) -cyanomethyl (compound 21-E) (460 mg, 0.943 mmol) was used to give 3- (tert-butyldisulfanyl) -2-(((((4,5-dimethoxy-2- Nitrobenzyl) oxy) carbonyl) amino) propanoic acid (2R)-(2R, 3S, 4R, 5R) -2-(((((((2R, 3S, 5R) -5- (4-amino-2-oxo Pyrimidin-1 (2H) -yl) -2-((phosphonooxy) methyl) tetrahydrofuran-3-yl) oxy) (hydroxy) phosphoryl) oxy) methyl) -5- (6-amino-9H-purin-9-yl ) -4-hydroxytetrahydrofuran-3-yl (compound 2m-E) (10.6 mg, 4%) was obtained.
LCMS (ESI) m / z = 1067 (M + H) +
Retention time: 0.62 minutes (analysis condition SQDFA05)
6.2m-Fの合成
6-1. 4-((エチルジスルファニル)メチル)-5-オキソオキサゾリジン-3-カルボン酸 (R)-tert-ブチル(2e-F)の合成
Synthesis of 6.2m-F
6-1. Synthesis of 4-((ethyldisulfanyl) methyl) -5-oxooxazolidine-3-carboxylic acid (R) -tert-butyl (2e-F)
ジシクロヘキシルアミン (R)-2-((tert-ブトキシカルボニル)アミノ)-3-(エチルジスルファニル)プロパン酸塩(化合物2d-f)(2.00g、4.32mmol)のトルエン(8ml)溶液に((1S,4R)-7,7-ジメチル-2-オキソビシクロ[2.2.1]ヘプタン-1-イル)メタンスルホン酸(1.07g、4.62mmol)、パラホルムアルデヒド(847mg、2.89mmol)を加え100℃で終夜攪拌した。その後、反応液を室温に戻し、減圧濃縮した。得られた残渣をシリカゲルカラムクロマトグラフィー(ヘキサン/酢酸エチル=100/0→87/13)にて精製し、4-((エチルジスルファニル)メチル)-5-オキソオキサゾリジン-3-カルボン酸 (R)-tert-ブチル(2e-F)(847mg、67%)を得た。
LCMS(ESI) m/z = 294(M+H)+
保持時間:0.98分(分析条件SQDAA05)
To a solution of dicyclohexylamine (R) -2-((tert-butoxycarbonyl) amino) -3- (ethyldisulfanyl) propanoate (
LCMS (ESI) m / z = 294 (M + H) +
Retention time: 0.98 minutes (analysis condition SQDAA05)
6-2. (R)-3-(エチルジスルファニル)-2-(メチルアミノ)プロパン酸(2f-F)の合成
4-((エチルジスルファニル)メチル)-5-オキソオキサゾリジン-3-カルボン酸 (R)-tert-ブチル(化合物2e-F)(819mg、2.79mmol)のジクロロメタン(14ml)溶液にトリエチルシラン(4.46ml、27.9mmol)、トリフルオロ酢酸(6.88ml、89.0mmol)を0℃で加え、室温で1時間攪拌した。その後、反応混合物を減圧濃縮し、得られた残渣を逆相シリカゲルカラムクロマトグラフィー(10mM酢酸アンモニウム水溶液/メタノール=100/0→60/40)にて精製し、(R)-3-(エチルジスルファニル)-2-(メチルアミノ)プロパン酸(化合物2f-F)(232mg、43%)を得た。
LCMS(ESI) m/z = 196 (M+H)+
保持時間:0.39分(分析条件SQDAA05)
6-2. Synthesis of (R) -3- (ethyldisulfanyl) -2- (methylamino) propanoic acid (2f-F)
4-((Ethyldisulfanyl) methyl) -5-oxooxazolidine-3-carboxylic acid (R) -tert-butyl (
LCMS (ESI) m / z = 196 (M + H) +
Retention time: 0.39 minutes (analysis condition SQDAA05)
6-3. (R)-2-((((4,5-ジメトキシ-2-ニトロベンジル)オキシ)カルボニル)(メチル)アミノ)-3-(エチルジスルファニル)プロパン酸(2k-F)の合成
(R)-3-(エチルジスルファニル)-2-(メチルアミノ)プロパン酸(化合物2f-F)(232mg,1.19mmol)と炭酸ナトリウム(252mg、2.38mmol)のジオキサン(3ml)、水(3ml)溶液に、カルボノクロリド酸 4,5-ジメトキシ-2-ニトロベンジル(394mg、1.43mmol)を加え、室温で30分攪拌した。反応混合物に飽和塩化アンモニウム水溶液(3ml)を加えた後に、酢酸エチルで希釈し、有機層を水で洗浄した。その後、有機抽出物を硫酸マグネシウムで乾燥した。減圧濃縮後、得られた残渣を逆相シリカゲルカラムクロマトグラフィー(10mM酢酸アンモニウム水溶液/メタノール=70/30→0/100)にて精製し、(R)-2-((((4,5-ジメトキシ-2-ニトロベンジル)オキシ)カルボニル)(メチル)アミノ)-3-(エチルジスルファニル)プロパン酸(化合物2k-F)(483mg、93%)を得た。
LCMS(ESI) m/z = 435 (M+H)+
保持時間:0.82分(分析条件SQDAA05)
6-3. Synthesis of (R) -2-(((((4,5-dimethoxy-2-nitrobenzyl) oxy) carbonyl) (methyl) amino) -3- (ethyldisulfanyl) propanoic acid (2k-F)
(R) -3- (Ethyldisulfanyl) -2- (methylamino) propanoic acid (
LCMS (ESI) m / z = 435 (M + H) +
Retention time: 0.82 minutes (analysis condition SQDAA05)
6-4.2-((((4,5-ジメトキシ-2-ニトロベンジル)オキシ)カルボニル)(メチル)アミノ)-3-(エチルジスルファニル)プロパン酸 (R)-シアノメチル(2l-F)の合成
6-4.2-((((4,5-dimethoxy-2-nitrobenzyl) oxy) carbonyl) (methyl) amino) -3- (ethyldisulfanyl) propanoic acid (R) -cyanomethyl (2l-F) Synthesis of
(R)-2-((((4,5-ジメトキシ-2-ニトロベンジル)オキシ)カルボニル)(メチル)アミノ)-3-(エチルジスルファニル)プロパン酸(化合物2k-F)(238mg、0.549mmol)のDMF(2.5ml)溶液に、2-ブロモアセトニトリル(0.115ml、1.65mmol)とN-エチル-N-イソプロピルプロパン-2-アミン(0.105ml、0.604mmol)を加え、室温で10分攪拌した。反応混合物に飽和塩化アンモニウム水溶液(3ml)を加えた後に、酢酸エチルで希釈し、有機層を水で洗浄した。その後、有機抽出物を硫酸マグネシウムで乾燥した。減圧濃縮後、得られた残渣を逆相シリカゲルカラムクロマトグラフィー(10mM酢酸アンモニウム水溶液/メタノール=70/30→0/100)にて精製し、2-((((4,5-ジメトキシ-2-ニトロベンジル)オキシ)カルボニル)(メチル)アミノ)-3-(エチルジスルファニル)プロパン酸 (R)-シアノメチル(化合物2l-F)(221mg、85%)を得た。
LCMS(ESI) m/z = 474 (M+H)+
保持時間:0.97分(分析条件SQDAA05)
(R) -2-((((4,5-dimethoxy-2-nitrobenzyl) oxy) carbonyl) (methyl) amino) -3- (ethyldisulfanyl) propanoic acid (
LCMS (ESI) m / z = 474 (M + H) +
Retention time: 0.97 minutes (analysis condition SQDAA05)
6-5. 2-((((4,5-ジメトキシ-2-ニトロベンジル)オキシ)カルボニル)(メチル)アミノ)-3-(エチルジスルファニル)プロパン酸 (2R)-(2R,3S,4R,5R)-2-((((((2R,3S,5R)-5-(4-アミノ-2-オキソピリミジン-1(2H)-イル)-2-((ホスホノオキシ)メチル)テトラヒドロフラン-3-イル)オキシ)(ヒドロキシ)ホスホリル)オキシ)メチル)-5-(6-アミノ-9H-プリン-9-イル)-4-ヒドロキシテトラヒドロフラン-3-イル(2m-F)の合成
6-5. 2-(((((4,5-dimethoxy-2-nitrobenzyl) oxy) carbonyl) (methyl) amino) -3- (ethyldisulfanyl) propanoic acid (2R)-(2R, 3S, 4R, 5R)- 2-(((((((2R, 3S, 5R) -5- (4-amino-2-oxopyrimidin-1 (2H) -yl) -2-((phosphonooxy) methyl) tetrahydrofuran-3-yl) oxy ) (Hydroxy) phosphoryl) oxy) methyl) -5- (6-amino-9H-purin-9-yl) -4-hydroxytetrahydrofuran-3-yl (2m-F)
化合物2m-Aの製造例と同様の条件で、リン酸二水素 ((2R,3S,5R)-5-(4-アミノ-2-オキソピリミジン-1(2H)-イル)-3-(((((2R,3S,4R,5R)-5-(6-アミノ-9H-プリン-9-イル)-3,4-ジヒドロキシテトラヒドロフラン-2-イル)メトキシ)(ヒドロキシ)ホスホリル)オキシ)テトラヒドロフラン-2-イル)メチル(化合物1h)(66.0mg、0.104mmol)を用い、さらに2-((tert-ブトキシカルボニル)アミノ)-3-(tert-ブチルジスルファニル)プロパン酸 (R)-シアノメチル(化合物2l-A)の代わりに2-((((4,5-ジメトキシ-2-ニトロベンジル)オキシ)カルボニル)(メチル)アミノ)-3-(エチルジスルファニル)プロパン酸 (R)-シアノメチル(化合物2l-F)(196mg、0.415mmol)用いることで、2-((((4,5-ジメトキシ-2-ニトロベンジル)オキシ)カルボニル)(メチル)アミノ)-3-(エチルジスルファニル)プロパン酸 (2R)-(2R,3S,4R,5R)-2-((((((2R,3S,5R)-5-(4-アミノ-2-オキソピリミジン-1(2H)-イル)-2-((ホスホノオキシ)メチル)テトラヒドロフラン-3-イル)オキシ)(ヒドロキシ)ホスホリル)オキシ)メチル)-5-(6-アミノ-9H-プリン-9-イル)-4-ヒドロキシテトラヒドロフラン-3-イル(化合物2m-F)(18.6mg、17%)を得た。
LCMS(ESI) m/z =1053(M+H)+
保持時間:0.59分(分析条件SQDFA05)
Under the same conditions as in the production example of compound 2m-A, dihydrogen phosphate ((2R, 3S, 5R) -5- (4-amino-2-oxopyrimidin-1 (2H) -yl) -3-(( (((2R, 3S, 4R, 5R) -5- (6-Amino-9H-purin-9-yl) -3,4-dihydroxytetrahydrofuran-2-yl) methoxy) (hydroxy) phosphoryl) oxy) tetrahydrofuran- 2-yl) methyl (compound 1h) (66.0 mg, 0.104 mmol) was used and 2-((tert-butoxycarbonyl) amino) -3- (tert-butyldisulfanyl) propanoic acid (R) -cyanomethyl Instead of (compound 21-A) 2-(((((4,5-dimethoxy-2-nitrobenzyl) oxy) carbonyl) (methyl) amino) -3- (ethyl dis Fanyl) propanoic acid (R) -cyanomethyl (compound 21-F) (196 mg, 0.415 mmol) was used to give 2-(((((4,5-dimethoxy-2-nitrobenzyl) oxy) carbonyl) (methyl) Amino) -3- (ethyldisulfanyl) propanoic acid (2R)-(2R, 3S, 4R, 5R) -2-((((((((2R, 3S, 5R) -5- (4-amino-2- Oxopyrimidin-1 (2H) -yl) -2-((phosphonooxy) methyl) tetrahydrofuran-3-yl) oxy) (hydroxy) phosphoryl) oxy) methyl) -5- (6-amino-9H-purine-9- Yl) -4-hydroxytetrahydrofuran-3-yl (compound 2m-F) (18.6 mg, 17%).
LCMS (ESI) m / z = 1053 (M + H) +
Retention time: 0.59 minutes (analysis condition SQDFA05)
7. 2m-Gの合成
7-1. (R)-3-(tert-ブチルジスルファニル)-2-(メチルアミノ)プロパン酸(化合物2f-G)の合成
7). Synthesis of 2m-G
7-1. Synthesis of (R) -3- (tert-butyldisulfanyl) -2- (methylamino) propanoic acid (
(R)-2-((((9H-フルオレン-9-イル)メトキシ)カルボニル)(メチル)アミノ)-3-(tert-ブチルジスルファニル)プロパン酸(化合物2c-B)(2.70g、6.06mmol)のテトラヒドロフラン(20ml)溶液にピペリジン(1.8ml、18.2mmol)を加え、室温で30分攪拌した。その後、反応混合物を減圧濃縮し、残渣を逆相シリカゲルカラムクロマトグラフィー(10mM酢酸アンモニウム水溶液/メタノール=100/0→60/40)にて精製し、(R)-3-(tert-ブチルジスルファニル)-2-(メチルアミノ)プロパン酸(化合物2f-G)(610mg、45%)を得た。
LCMS(ESI) m/z = 224 (M+H)+
保持時間:0.63分(分析条件SQDAA05)
(R) -2-(((((9H-Fluoren-9-yl) methoxy) carbonyl) (methyl) amino) -3- (tert-butyldisulfanyl) propanoic acid (
LCMS (ESI) m / z = 224 (M + H) +
Retention time: 0.63 minutes (analysis condition SQDAA05)
7-2. 2-((tert-ブチルジスルファンンカルボニル)(メチル)アミノ)-3-(tert-ブチルジスルファニル)プロパン酸 (R)-シアノメチル(化合物2l-G)の合成
7-2. Synthesis of 2-((tert-butyldisulfanecarbonyl) (methyl) amino) -3- (tert-butyldisulfanyl) propanoic acid (R) -cyanomethyl (compound 2l-G)
塩化クロロカルボニルスルフェニル(0.497ml、6.00mmol)のテトラヒドロフラン(6ml)溶液に2-メチルプロパン-2-チオール(0.663ml、5.88mmol)を0℃で滴下し、0℃で30分攪拌し、0.8Mカルボノクロリド(ジチオペルオキソ酸) SS-tert-ブチル-テトラヒドロフラン溶液を調整した。(R)-3-(tert-ブチルジスルファニル)-2-(メチルアミノ)プロパン酸(化合物2f-G、500mg、2.24mmol)のテトラヒドロフラン(3.4ml)、水(14.4ml)溶液に炭酸水素ナトリウム(752mg、8.95mmol)、0.8Mカルボノクロリド(ジチオペルオキソ酸) SS-tert-ブチル-テトラヒドロフラン溶液(4.2ml、3.36mmol)を加え、室温で5分攪拌した。その後、反応混合物に濃塩酸を0℃で滴下し、pH2とした。酢酸エチルで希釈した後に、適量のNaClを加え塩析抽出を行った。得られた有機抽出物を飽和食塩水で洗浄後、硫酸マグネシウムで乾燥し、減圧濃縮した。得られた残渣の2-ブロモアセトニトリル(1.02ml)溶液にN-エチル-N-イソプロピルプロパン-2-アミン(0.282ml、1.62mmol)を加え、室温で30分攪拌した。反応混合物に飽和塩化アンモニウム水溶液(3ml)を加えた後に、酢酸エチルで希釈し、有機層を水で洗浄した。その後、有機抽出物を硫酸マグネシウムで乾燥した。減圧濃縮後、得られた残渣をシリカゲルカラムクロマトグラフィー(ヘキサン/酢酸エチル=100/0→80/20)にて精製し、2-((tert-ブチルジスルファンンカルボニル)(メチル)アミノ)-3-(tert-ブチルジスルファニル)プロパン酸 (R)-シアノメチル(化合物2l-G)(205mg、68%)を得た。
LCMS(ESI) m/z = 411 (M+H)+
保持時間:1.11分(分析条件SQDAA05)
To a solution of chlorocarbonylsulfenyl chloride (0.497 ml, 6.00 mmol) in tetrahydrofuran (6 ml), 2-methylpropane-2-thiol (0.663 ml, 5.88 mmol) was added dropwise at 0 ° C., and 30 minutes at 0 ° C. The mixture was stirred to prepare a 0.8M carbonochloride (dithioperoxoacid) SS-tert-butyl-tetrahydrofuran solution. To a solution of (R) -3- (tert-butyldisulfanyl) -2- (methylamino) propanoic acid (
LCMS (ESI) m / z = 411 (M + H) +
Retention time: 1.11 minutes (analysis condition SQDAA05)
7-3. 2-((tert-ブチルジスルファンンカルボニル)(メチル)アミノ)-3-(tert-ブチルジスルファニル)プロパン酸 (2R)-(2R,3S,4R,5R)-2-((((((2R,3S,5R)-5-(4-アミノ-2-オキソピリミジン-1(2H)-イル)-2-((ホスホノオキシ)メチル)テトラヒドロフラン-3-イル)オキシ)(ヒドロキシ)ホスホリル)オキシ)メチル)-5-(6-アミノ-9H-プリン-9-イル)-4-ヒドロキシテトラヒドロフラン-3-イル(化合物2m-G)の合成
7-3. 2-((tert-Butyldisulfanecarbonyl) (methyl) amino) -3- (tert-butyldisulfanyl) propanoic acid (2R)-(2R, 3S, 4R, 5R) -2-(((( ((2R, 3S, 5R) -5- (4-amino-2-oxopyrimidin-1 (2H) -yl) -2-((phosphonooxy) methyl) tetrahydrofuran-3-yl) oxy) (hydroxy) phosphoryl) Synthesis of (oxy) methyl) -5- (6-amino-9H-purin-9-yl) -4-hydroxytetrahydrofuran-3-yl (
緩衝液A(46ml)にリン酸二水素 ((2R,3S,5R)-5-(4-アミノ-2-オキソピリミジン-1(2H)-イル)-3-(((((2R,3S,4R,5R)-5-(6-アミノ-9H-プリン-9-イル)-3,4-ジヒドロキシテトラヒドロフラン-2-イル)メトキシ)(ヒドロキシ)ホスホリル)オキシ)テトラヒドロフラン-2-イル)メチル(化合物1h)(77mg、0.121mmol)の水溶液(2.40ml)と2-((tert-ブチルジスルファンンカルボニル)(メチル)アミノ)-3-(tert-ブチルジスルファニル)プロパン酸 (R)-シアノメチル(化合物2l-G)(198mg、0.483mmol)のテトラヒドロフラン(1.21ml)溶液を加え、室温で2時間攪拌した。その後、トリフルオロ酢酸(0.967ml)を加えた後、逆相シリカゲルカラムクロマトグラフィー(0.05%トリフルオロ酢酸水溶液/0.05%トリフルオロ酢酸アセトニトリル溶液=100/0→60/40)にて精製し、2-((tert-ブチルジスルファンンカルボニル)(メチル)アミノ)-3-(tert-ブチルジスルファニル)プロパン酸 (2R)-(2R,3S,4R,5R)-2-((((((2R,3S,5R)-5-(4-アミノ-2-オキソピリミジン-1(2H)-イル)-2-((ホスホノオキシ)メチル)テトラヒドロフラン-3-イル)オキシ)(ヒドロキシ)ホスホリル)オキシ)メチル)-5-(6-アミノ-9H-プリン-9-イル)-4-ヒドロキシテトラヒドロフラン-3-イル(化合物2m-G)(3.8mg、3%)を得た。
LCMS(ESI) m/z =990(M+H)+
保持時間:0.65分(分析条件SQDFA05)
To buffer A (46 ml), dihydrogen phosphate ((2R, 3S, 5R) -5- (4-amino-2-oxopyrimidin-1 (2H) -yl) -3-(((((2R, 3S , 4R, 5R) -5- (6-Amino-9H-purin-9-yl) -3,4-dihydroxytetrahydrofuran-2-yl) methoxy) (hydroxy) phosphoryl) oxy) tetrahydrofuran-2-yl) methyl (
LCMS (ESI) m / z = 990 (M + H) +
Retention time: 0.65 minutes (analysis condition SQDFA05)
[実施例7]Cys誘導体を有するアミノアシル化tRNAの合成
50μM 転写tRNAfMetCAU(-CA)(配列番号R-5) 10μlに、10X ligation buffer (500 mM HEPES-KOH pH 7.5, 200 mM MgCl2, 10 mM ATP) 2μl、Nuclease free water 4μlを加え、95℃で2分間加熱した後、室温で5分間放置し、tRNAのリフォールディングを行った。 10unit/μl T4 RNAリガーゼ(New england bio lab.社) 2μLおよび、5mMのCys(StBu)のアミノアシル化pdCpA (化合物2n-A)のDMSO溶液 2μLを加え、15℃で45分間ライゲーション反応を行った。アミノアシル化tRNA(化合物AT-2-A)は、フェノール抽出した後、エタノール沈殿により回収した。アミノアシル化tRNA(化合物AT-2-A)は、翻訳混合物に添加する直前に1mM酢酸ナトリウムに溶解した。
[Example 7] Synthesis of aminoacylated tRNA having a
化合物AT-2-A(配列番号:33)
Cys(StBu)-tRNAfMetCAU
Compound AT-2-A (SEQ ID NO: 33)
Cys (StBu) -tRNAfMetCAU
[実施例8]pdCpA法を用いたCys(StBu)の翻訳合成
1.ペプチド配列P-10の翻訳合成
20nM 鋳型DNA Mtryg3(配列番号 D-3)に、前述の転写翻訳液、0.1mM 10-HCO-H4folate、0.3mM Gly,0.3mM Arg, 0.3mM Thr, 0.3mM Tyr, 0.3mM Leu,および前記の方法で調製した50μM Cys(StBu)-tRNAfMetCAU(化合物AT-2-A)を加え、37℃で60分間翻訳した。翻訳反応物を、SPE C-TIP(日京テクノス社)で精製し、MALDI-MSで分析したところ、標的分子であるペプチド配列P-10を観測することはできなかった(図12)。すなわち、開始AUGからの翻訳ペプチドは検出されなかった。Cys誘導体をN末端に配置させて翻訳導入させるには工夫が必要である。一方で、2番目コドンにコードされるアミノ酸であるThrから全長にわたって翻訳されたペプチド(ペプチドP-11)のMSが特異的に観測される興味深い現象が確認された。
[Example 8] Translation synthesis of Cys (StBu) using pdCpA method
1. Translation Synthesis of Peptide Sequence P-10 20 nM Template DNA Mtryg3 (SEQ ID NO: D-3) was added to the aforementioned transcription translation solution, 0.1 mM 10-HCO-H4folate, 0.3 mM Gly, 0.3 mM Arg, 0.3 mM Thr. , 0.3 mM Tyr, 0.3 mM Leu, and 50 μM Cys (StBu) -tRNAfMetCAU (compound AT-2-A) prepared as described above were added and translated at 37 ° C. for 60 minutes. When the translation reaction product was purified by SPE C-TIP (Nikkyo Technos) and analyzed by MALDI-MS, the peptide sequence P-10 as a target molecule could not be observed (FIG. 12). That is, no translated peptide from the starting AUG was detected. In order to introduce a translation by placing a Cys derivative at the N-terminus, it is necessary to devise. On the other hand, an interesting phenomenon was observed in which MS of the peptide (peptide P-11) translated over the entire length from Thr, which is the amino acid encoded by the second codon, was specifically observed.
ペプチド配列 P-10
[Cys(StBu)]ThrThrThrArgLeuTyrTyrArgGlyGly
MALDI-MS: m/z: Not detected (Calc. 1345.7)
Peptide sequence P-10
[Cys (StBu)] ThrThrThrArgLeuTyrTyrArgGlyGly
MALDI-MS: m / z: Not detected (Calc. 1345.7)
ペプチド配列 (P-11)(配列番号:36)
ThrThrThrArgLeuTyrTyrArgGlyGly
MALDI-MS: m/z: [M+H]+ = 1300.7 (Calc. 1299.7)
Peptide sequence (P-11) (SEQ ID NO: 36)
ThrThrThrArgLeuTyrTyrArgGlyGly
MALDI-MS: m / z: [M + H] + = 1300.7 (Calc. 1299.7)
2.ペプチド配列P-12の翻訳合成
20nM 鋳型DNA(配列番号 D-7)に、前述の転写翻訳液、0.1mM 10-HCO-H4folate、MetとLysを除く各0.3mMの18種類のタンパク質性アミノ酸,および前記の方法で調製した50μM Cys(StBu)-tRNAfMetCAU(化合物AT-2-A)を加え、37℃で60分間翻訳した。翻訳反応物を、SPE C-TIP(日京テクノス社)で精製し、MALDI-MSで分析したところ、標的分子であるペプチド配列P-12を観測することが出来た。一方で、2番目コドンにコードされるアミノ酸であるThrから全長にわたって翻訳されたペプチドP―13のMSが主生成物として観測された。Cys(StBu)をN末端に配置させたペプチド翻訳合成が可能であることが示されたが、その効率は低く改良検討を以下行った。
2. Translation Synthesis of Peptide Sequence P-12 20 nM Template DNA (SEQ ID NO: D-7) was added to the above-mentioned transcription translation solution, 0.1 mM 10-HCO-H4folate, and 18 protein properties of 0.3 mM each except Met and Lys. Amino acids and 50 μM Cys (StBu) -tRNAfMetCAU (compound AT-2-A) prepared by the above method were added and translated at 37 ° C. for 60 minutes. When the translation reaction product was purified with SPE C-TIP (Nikkyo Technos) and analyzed with MALDI-MS, the peptide sequence P-12 as the target molecule could be observed. On the other hand, MS of peptide P-13 translated over the entire length from Thr, which is the amino acid encoded by the second codon, was observed as the main product. It was shown that peptide translation synthesis with Cys (StBu) arranged at the N-terminus is possible, but its efficiency is low and improvement studies were conducted below.
DNA配列(D-7)
AKC17 DNA配列 (配列番号D-31と同一) (配列番号:7)
GTAATACGACTCACTATAGGGTTAACTTTAAGAAGGAGATATACATATGACTAGAACTGCCTACTGGAGCcttTGCGGCAGCGGCAGCGGCAGC
DNA sequence (D-7)
AKC17 DNA sequence (same as SEQ ID NO: D-31) (SEQ ID NO: 7)
GTAATACGACTCACTATAGGGTTAACTTTAAGAAGGAGATATACATATGACTAGAACTGCCTACTGGAGCcttTGCGGCAGCGGCAGCGGCAGC
ペプチド配列(P-12)
[Cys(StBu)]ThrArgThrAlaTyrTrpSerLeuCysGlySerGlySerGlySer
MALDI-MS:m/z: [M+H]+ = 1723.7 (Calc.1722.7)
Peptide sequence (P-12)
[Cys (StBu)] ThrArgThrAlaTyrTrpSerLeuCysGlySerGlySerGlySer
MALDI-MS: m / z: [M + H] + = 1723.7 (Calc.1722.7)
ペプチド配列(P-13)(配列番号:37)
ThrArgThrAlaTyrTrpSerLeuCysGlySerGlySerGlySer
MALDI-MS:m/z: [M+H]+ = 1532.7 (Calc.1531.7)
Peptide sequence (P-13) (SEQ ID NO: 37)
ThrArgThrAlaTyrTrpSerLeuCysGlySerGlySerGlySer
MALDI-MS: m / z: [M + H] + = 1532.7 (Calc.1531.7)
[実施例9] pdCpA法によるN末端Cys導入効率低い原因の特定
pdCpA法によるN末端Cys(StBu)導入効率が低い原因を特定するために以下の実験を行った。
[Example 9] Identification of cause of low N-terminal Cys introduction efficiency by pdCpA method In order to identify the cause of low N-terminal Cys (StBu) introduction efficiency by pdCpA method, the following experiment was conducted.
1. 化合物2n-A側鎖StBuの脱保護
前駆体である化合物2n-Aを用いてpdCpA-Cysの側鎖StBuの脱保護および脱保護された化合物2e-Aの安定性を調べる以下の実験を行った。250μM の化合物2n-A、pH7の50mM Tris・HCl buffer、DTT 10mMの条件下、室温で側鎖の脱保護を行い、その経時変化をLC-MS(SQD)を用いて観測した。目的の化合物2e-Aは観測されず、アミノ酸が加水分解し脱離したpdCpAが観測された。5分後、化合物2n-A 51%、化合物2e-A 0%,pdCpA49%であり、2時間後に脱保護は完了し化合物2n-Aが 0%になったが、化合物2e-Aは0%で、全てpdCpA100%に加水分解された(図13)。
以上のことから、pdCpA-Cys(化合物2e-A)は通常翻訳条件下で不安定であり、ほぼ生成と同時に加水分解されるため、翻訳に不利であることが判明した。
1. The following experiment was conducted to examine the deprotection of the side chain StBu of pdCpA-Cys and the stability of the
From the above, it was found that pdCpA-Cys (
2. 化合物2n-Aの安定性評価
CysのSH基を保護した化合物2n-Aの安定性を評価した。以下の表2の通りに5条件の保存サンプルをそれぞれ調整し、LC-MSを用いて分析した。
2. Evaluation of Stability of
HEPES buffer中、pH7で1時間後の化合物2n-Aの残存%は30%であった。先に記載したとおり、側鎖を脱保護した化合物2e-Aは脱保護されると速やかに加水分解してしまった結果と比較すると、側鎖を保護することで安定性が増す結果となった。
The remaining% of
3. 化合物2n-Bの安定性評価
MeCysのSH基を保護した化合物2n-Bの安定性もあわせて評価した。以下の表3の通りに4条件の保存サンプルを調整し、LC-MSを用いて分析した。
3. Evaluation of Stability of
pH7のbuffer中においては、化合物2n-Aと同等の安定性であった。pH5 buffer中、あるいはDMSO溶液中の安定性は化合物2n-Aと比較して安定化した。化合物2n-BはN-メチル化されているため、メチル原子の電子効果によってpdCpA-アミノ酸の安定度が上がったと考えられる。
以上のことからpdCpA法によるN末端Cys(StBu)導入効率が低い原因の一つとして、側鎖SH基の存在によるアミノアシル化tRNAの不安定化を特定した。
In a
From the above, the destabilization of aminoacylated tRNA due to the presence of the side chain SH group was identified as one of the causes of low N-terminal Cys (StBu) introduction efficiency by the pdCpA method.
[実施例10] Initiation read through法を用いたN末端Cysの効率的翻訳導入
実施例9で観測された2番目のコドンからの翻訳開始が効率的に得られた現象(Intiation read through)を積極的に活用することで、ペプチドのN末端にCysの導入を以下のように試みた。
[Example 10] Efficient translation introduction of N-terminal Cys using Initiation read through method The phenomenon (Intiation read through) in which translation initiation from the second codon observed in Example 9 was efficiently obtained was positive By utilizing this method, introduction of Cys at the N-terminus of the peptide was attempted as follows.
1. Initiation read through法
以下の方法により翻訳を行った。20nM 鋳型DNA Mctryg3(配列番号D-8)に、前述の転写翻訳液、0.3mM Gly,0.3mM Arg,0.3mM Thr, 0.3mM Tyr,0.3mM Leu、0.3mM Cysを加え、37℃で60分間翻訳した。翻訳反応物を、SPE C-TIP(日京テクノス社)で精製し、MALDI-MSで分析したところ、開始コドンであるAUGからではなく、AUGの次にコードされるコドン(TGC、Cysに相当)から翻訳された標的ペプチドP-14のMSが期待どおり主生成物として観測された(図14参照)。
1. Initiation read through method Translation was performed by the following method. To the 20 nM template DNA Mctryg3 (SEQ ID NO: D-8), the above-mentioned transcription translation solution, 0.3 mM Gly, 0.3 mM Arg, 0.3 mM Thr, 0.3 mM Tyr, 0.3 mM Leu, 0.3 mM Cys are added. And translated at 37 ° C. for 60 minutes. When the translation reaction product was purified by SPE C-TIP (Nikkyo Technos) and analyzed by MALDI-MS, it was not from the start codon AUG, but was codon encoded next to AUG (corresponding to TGC, Cys). MS of target peptide P-14 translated from) was observed as the main product as expected (see FIG. 14).
配列番号D-8(配列番号:8)
Mctryg3 DNA配列
GTAATACGACTCACTATAGGGTTAACTTTAAGAAGGAGATATACATatgtgcACTACAACGCGTctttactaccgtggcggcTAGTAGATAGATAG
SEQ ID NO: D-8 (SEQ ID NO: 8)
Mctryg3 DNA sequence
GTAATACGACTCACTATAGGGTTAACTTTAAGAAGGAGATATACATatgtgcACTACAACGCGTctttactaccgtggcggcTAGTAGATAGATAG
翻訳ペプチド P-14(配列番号:38)
CysThrThrThrArgLeuTyrTyrArgGlyGly
MALDI-MS: m/z: [M+H]+ = 1290.6 (Calc. 1289.6)
Translated peptide P-14 (SEQ ID NO: 38)
CysThrThrThrArgLeuTyrTyrArgGlyGly
MALDI-MS: m / z: [M + H] + = 1290.6 (Calc. 1289.6)
2. Cys直後の3番目のコドンの違いによるinitiation read through効率の差異の検討
三文字目のコドンがinitiation read throughにどのように影響するか評価した。20nM 鋳型DNA IniRt_XXX_am(配列番号D-9からD-28まで)に、前述の大腸菌由来の再構成無細胞転写翻訳液、Metを除く各0.3mMの19種類のタンパク質性アミノ酸を加え、37℃で60分間翻訳した。対照実験としてMetを含む翻訳も別途行った。翻訳反応物を、SPE C-TIP(日京テクノス社)で精製し、MALDI-MSで分析したところ、開始のAUGの次にコードされるCysから翻訳されたペプチドのMSが観測された。
2. Examination of difference in initiation read through efficiency due to difference in third codon immediately after Cys It was evaluated how the codon of the third letter affects initiation read through. To 20 nM template DNA IniRt_XXX_am (SEQ ID NOs: D-9 to D-28), the aforementioned reconstituted cell-free transcription and translation solution derived from E. coli and 19 protein amino acids of 0.3 mM each excluding Met were added at 37 ° C. Translated for 60 minutes. As a control experiment, translation including Met was also performed separately. When the translation reaction product was purified by SPE C-TIP (Nikkyo Technos) and analyzed by MALDI-MS, MS of the peptide translated from Cys encoded after the starting AUG was observed.
本来の翻訳開始アミノ酸であるメチオニンを翻訳系から除き、翻訳開始コドンATGの直後にCysをコードするmRNAを翻訳させるとCysをN末端残基とするペプチドが、実施した19翻訳ペプチドすべて(翻訳ペプチドP-15からP-33)で再現性よく主生成物として翻訳合成されることを見出した。これにより不安定なCysacyl tRNAを系外で調製して翻訳系に添加することなく、N末端にCysを導入することが可能となった(図15~23参照)。また、対照実験として上記翻訳系にメチオニンも添加して、initiation read throughさせずに全長ペプチドを翻訳させる試験も同時におこなった。 When the original translation initiation amino acid methionine is removed from the translation system and the mRNA encoding Cys is translated immediately after the translation initiation codon ATG, all 19 translation peptides that have Cys as the N-terminal residue (translation peptide) P-15 to P-33) were found to be translationally synthesized as main products with good reproducibility. This made it possible to introduce Cys at the N-terminus without preparing unstable Cysacyl tRNA outside the system and adding it to the translation system (see FIGS. 15 to 23). In addition, as a control experiment, methionine was also added to the above translation system, and a test for translating the full-length peptide without initiating read-through was performed at the same time.
IniRt_XXX_am 鋳型DNA配列
GTAATACGACTCACTATAGGGTTAACTTTAAGAAGGAGATATACATATGtgcXXXACTACAACGctttactaccgtggcggcTAGTAGATAGATAG
(XXX: TTT(配列番号D-9(配列番号:9)), TTG(配列番号D-10(配列番号:10)), TAC(配列番号D-11(配列番号:11)), TGC(配列番号D-12(配列番号:12)), TGG(配列番号D-13(配列番号:13)), CTT(配列番号D-14(配列番号:14)), CTA(配列番号D-15(配列番号:15)), CCG(配列番号D-16(配列番号:16)), CAT(配列番号D-17(配列番号:17)), CAG(配列番号D-18(配列番号:18) CGT(配列番号D-19(配列番号:19)), CGG(配列番号D-20(配列番号:20)), ATT(配列番号D-21(配列番号:21)), ACT(配列番号D-23(配列番号:22)), AAC(配列番号D-24(配列番号:23)), AGT(配列番号D-25(配列番号:24)), AGG(配列番号D-26(配列番号:25)), GTT(配列番号D-27(配列番号:26)), GCT(配列番号D-28(配列番号:27))
IniRt_XXX_am template DNA sequence
GTAATACGACTCACTATAGGGTTAACTTTAAGAAGGAGATATACATATGtgcXXXACTACAACGctttactaccgtggcggcTAGTAGATAGATAG
(XXX: TTT (SEQ ID NO: D-9 (SEQ ID NO: 9)), TTG (SEQ ID NO: D-10 (SEQ ID NO: 10)), TAC (SEQ ID NO: D-11 (SEQ ID NO: 11)), TGC ( SEQ ID NO: D-12 (SEQ ID NO: 12)), TGG (SEQ ID NO: D-13 (SEQ ID NO: 13)), CTT (SEQ ID NO: D-14 (SEQ ID NO: 14)), CTA (SEQ ID NO: D-15) (SEQ ID NO: 15)), CCG (SEQ ID NO: D-16 (SEQ ID NO: 16)), CAT (SEQ ID NO: D-17 (SEQ ID NO: 17)), CAG (SEQ ID NO: D-18 (SEQ ID NO: 18) CGT (SEQ ID NO: D-19 (SEQ ID NO: 19)), CGG (SEQ ID NO: D-20 (SEQ ID NO: 20)), ATT (SEQ ID NO: 21 (SEQ ID NO: 21)), ACT (SEQ ID NO: D-23 (SEQ ID NO: 22)), AAC (SEQ ID NO: D-24 (SEQ ID NO: 23)), AGT (SEQ ID NO: D-25 (SEQ ID NO: 24)), AGG (sequence) No. D-26 (SEQ ID NO: 25)), GTT (SEQ ID NO: D-27 (SEQ ID NO: 26)), GCT (SEQ ID NO: D-28 (SEQ ID NO: 27))
IniRt_XXX_am ペプチド配列 (翻訳ペプチド番号 P-15からP-33まで)
CysXaaThrThrThrLeuTyrTyrArgGlyGly(配列番号:39~57)
IniRt_XXX_am peptide sequence (translated peptide numbers P-15 to P-33)
CysXaaThrThrThrLeuTyrTyrArgGlyGly (SEQ ID NO: 39 to 57)
MALDI-MSの計算値および実測値の表
[実施例11] Cys以外のSH基付非天然型アミノ酸および、そのアミノアシル化pdCpAの合成
天然型アミノ酸であるCysは、ARSを活用したIntiation read through法により効率的に翻訳導入されたが、非天然型アミノ酸をARS導入するには限界があるため、アミノアシル化pdCpAのうち、活性エステル部分の加水分解速度を遅くする工夫をした化合物を合成・評価した。すなわち、SH基をカルボン酸活性エステル部位からより離した一連の化合物群を合成・評価した。
[Example 11] Synthesis of non-natural amino acid with SH group other than Cys and its aminoacylated pdCpA The natural amino acid Cys was efficiently translated and introduced by the initiation read through method using ARS. Since there is a limit to introducing ARS into natural amino acids, among aminoacylated pdCpAs, compounds designed to slow down the hydrolysis rate of the active ester moiety were synthesized and evaluated. That is, a series of compound groups in which the SH group was further separated from the carboxylic acid active ester site was synthesized and evaluated.
まず、Cys以外のSH基を有し、活性エステル部位が加水分解に対し安定なN末端非天然型アミノ酸を有するアミノアシル化pdCpAの合成を行った(図24)
1.化合物6i-Aの合成
1-1.(2-(tert-ブチルジスルファニル)エチル)カルバミン酸 tert-ブチル(化合物6b-A)の合成
First, an aminoacylated pdCpA having an SH group other than Cys and having an N-terminal non-natural amino acid having an active ester site that is stable against hydrolysis was synthesized (FIG. 24).
1. Synthesis of Compound 6i-A
1-1. Synthesis of tert-butyl (compound 6b-A) (2- (tert-butyldisulfanyl) ethyl) carbamate
窒素雰囲気下、1-クロロ-1H-ベンゾ[d][1,2,3]トリアゾール(1.73g、11.28mmol)および1H-ベンゾ[d][1,2,3]トリアゾール(0.67g、5.64mmol)をDCM(24.0ml)に溶解させ、-78度に冷却した後、(2-メルカプトエチル)カルバミン酸 tert-ブチル(化合物6a)(1.00g、5.64mmol)のDCM溶液(3.0ml)を滴下した。-78度で10分間攪拌した後、チオ尿素(1.29g、16.92mmol)のTHF懸濁液(6.0ml)を加え、さらに10分間攪拌した。その後、2-メチルプロパン-2-チオール(0.76g、8.46mmol)のDCM溶液(3.0ml)を滴下し、室温まで昇温させながら20時間攪拌した。反応液中の固体をろ過して除き、減圧濃縮して得られた残渣をカラムクロマトグラフィ(ヘキサン:酢酸エチル=4:1)で精製して、標題化合物(1.15g、77%)を得た。
LCMS:m/z 266 (M+H)+
保持時間:1.05分(分析条件 SQDAA05)
1-Chloro-1H-benzo [d] [1,2,3] triazole (1.73 g, 11.28 mmol) and 1H-benzo [d] [1,2,3] triazole (0.67 g) under nitrogen atmosphere 5.64 mmol) was dissolved in DCM (24.0 ml), cooled to -78 degrees, and then tert-butyl (2-mercaptoethyl) carbamate (Compound 6a) (1.00 g, 5.64 mmol) in DCM. The solution (3.0 ml) was added dropwise. After stirring at −78 ° C. for 10 minutes, a THF suspension (6.0 ml) of thiourea (1.29 g, 16.92 mmol) was added, and the mixture was further stirred for 10 minutes. Thereafter, a DCM solution (3.0 ml) of 2-methylpropane-2-thiol (0.76 g, 8.46 mmol) was added dropwise, and the mixture was stirred for 20 hours while warming to room temperature. The solid in the reaction solution was removed by filtration, and the residue obtained by concentration under reduced pressure was purified by column chromatography (hexane: ethyl acetate = 4: 1) to give the title compound (1.15 g, 77%). .
LCMS: m / z 266 (M + H) +
Retention time: 1.05 minutes (analysis condition SQDAA05)
1-2.2-(tert-ブチルジスルファニル)エタンアミン(化合物6c-A)の合成
Synthesis of 1-2.2- (tert-butyldisulfanyl) ethanamine (Compound 6c-A)
(2-(tert-ブチルジスルファニル)エチル)カルバミン酸 tert-ブチル(化合物6b-A、100mg、0.377mmol)にTFA(1.0ml)のDCM溶液(1.0ml)を加え、室温で15分攪拌した。反応液を減圧濃縮して標題化合物(209mg、quant.)を得た。
LCMS:m/z 166 (M+H)+
保持時間:0.63分(分析条件 SQDAA05)
(2- (tert-Butyldisulfanyl) ethyl) carbamic acid tert-butyl (Compound 6b-A, 100 mg, 0.377 mmol) was added to a solution of TFA (1.0 ml) in DCM (1.0 ml) at room temperature. Stir for minutes. The reaction solution was concentrated under reduced pressure to obtain the title compound (209 mg, quant.).
LCMS: m / z 166 (M + H) +
Retention time: 0.63 minutes (analysis condition SQDAA05)
1-3.2-((tert-ブトキシカルボニル)(2-(tert-ブチルジスルファニル)エチル)アミノ)酢酸エチル(化合物6e-A)の合成
Synthesis of 1-3-2-((tert-butoxycarbonyl) (2- (tert-butyldisulfanyl) ethyl) amino) ethyl acetate (Compound 6e-A)
2-(tert-ブチルジスルファニル)エタンアミン(化合物6c-A、0.21g、1.26mmol)、2-ブロモ酢酸エチル(0.23g、1.39mmol)をDCM(6.0ml)に溶解し、DIPEA(1.10ml、6.31mmol)を加えて室温で17時間攪拌した。反応液にtert-ブチルジカーボネート(358mg、1.64mmol)を加えて室温で15分攪拌した後、反応液をそのままカラムクロマトグラフィ(ヘキサン:酢酸エチル=4:1)で精製し、標題化合物(334.8mg、75%)を得た。
LCMS:m/z 352 (M+H)+
保持時間:1.11分(分析条件 SQDAA05)
2- (tert-butyldisulfanyl) ethanamine (Compound 6c-A, 0.21 g, 1.26 mmol), ethyl 2-bromoacetate (0.23 g, 1.39 mmol) was dissolved in DCM (6.0 ml), DIPEA (1.10 ml, 6.31 mmol) was added and stirred at room temperature for 17 hours. To the reaction mixture was added tert-butyl dicarbonate (358 mg, 1.64 mmol), and the mixture was stirred at room temperature for 15 minutes. The reaction mixture was purified by column chromatography (hexane: ethyl acetate = 4: 1) as it was, and the title compound (334 .8 mg, 75%).
LCMS: m / z 352 (M + H) +
Retention time: 1.11 minutes (analysis condition SQDAA05)
1-4.2-((tert-ブトキシカルボニル)(2-(tert-ブチルジスルファニル)エチル)アミノ)酢酸(化合物6f-A)の合成
Synthesis of 1-4.2-((tert-butoxycarbonyl) (2- (tert-butyldisulfanyl) ethyl) amino) acetic acid (Compound 6f-A)
2-((tert-ブトキシカルボニル)(2-(tert-ブチルジスルファニル)エチル)アミノ)酢酸エチル(化合物6e-A、320mg、0.91mmol)をメタノール(80ml)に溶解し、水酸化カリウム水溶液(0.18mol/l、30.3ml)を加えて室温で2時間攪拌した。反応液中のメタノールを減圧濃縮で除去し、水層をジエチルエーテルで洗浄した後、1mol/l塩酸水溶液でpH3とした。この水層を酢酸エチルで抽出し、有機層を無水硫酸マグネシウムで乾燥し、ろ過、減圧濃縮することで標題化合物(268.1mg、91%)を得た。
LCMS:m/z 322(M-H)-
保持時間:0.89分 (分析条件 SQDAA05)
2-((tert-Butoxycarbonyl) (2- (tert-butyldisulfanyl) ethyl) amino) ethyl acetate (compound 6e-A, 320 mg, 0.91 mmol) was dissolved in methanol (80 ml) and an aqueous potassium hydroxide solution was prepared. (0.18 mol / l, 30.3 ml) was added and stirred at room temperature for 2 hours. Methanol in the reaction solution was removed by concentration under reduced pressure, and the aqueous layer was washed with diethyl ether and adjusted to
LCMS: m / z 322 (MH)-
Retention time: 0.89 minutes (Analysis conditions SQDAA05)
1-5.2-((tert-ブトキシカルボニル)(2-(tert-ブチルジスルファニル)エチル)アミノ)酢酸シアノメチル(化合物6g-A)の合成
1-5.2-((tert-butoxycarbonyl) (2- (tert-butyldisulfanyl) ethyl) amino) synthesis of cyanomethyl acetate (compound 6g-A)
2-((tert-ブトキシカルボニル)(2-(tert-ブチルジスルファニル)エチル)アミノ)酢酸(化合物6f-A、268.1mg、0.83mmol)および2-ブロモアセトニトリル(199mg、1.66mmol)をDMF(1.0ml)に溶解し、DIPEA(0.43ml、2.49mmol)を加えて室温で15分攪拌した。反応液に飽和塩化アンモニウム水溶液を加えた後、ジエチルエーテルで抽出した。得られた有機層を無水硫酸マグネシウムで乾燥し、ろ過、減圧濃縮して得られた残渣をカラムクロマトグラフィ(ヘキサン:酢酸エチル=3:1)で精製し、標題化合物(287.7mg、96%)を得た。
LCMS:m/z 363(M+H)+
保持時間:1.04分 (分析条件 SQDAA05)
2-((tert-butoxycarbonyl) (2- (tert-butyldisulfanyl) ethyl) amino) acetic acid (compound 6f-A, 268.1 mg, 0.83 mmol) and 2-bromoacetonitrile (199 mg, 1.66 mmol) Was dissolved in DMF (1.0 ml), DIPEA (0.43 ml, 2.49 mmol) was added, and the mixture was stirred at room temperature for 15 minutes. A saturated aqueous ammonium chloride solution was added to the reaction solution, and the mixture was extracted with diethyl ether. The obtained organic layer was dried over anhydrous magnesium sulfate, filtered and concentrated under reduced pressure, and the resulting residue was purified by column chromatography (hexane: ethyl acetate = 3: 1) to give the title compound (287.7 mg, 96%) Got.
LCMS: m / z 363 (M + H) +
Retention time: 1.04 minutes (Analysis conditions SQDAA05)
1-6.2-((tert-ブトキシカルボニル)(2-(tert-ブチルジスルファニル)エチル)アミノ)酢酸 (2R,3S,4R,5R)-2-((((((2R,3S,5R)-5-(4-アミノ-2-オキソピリミジン-1(2H)-イル)-2-((ホスホノオキシ)メチル)テトラヒドロフラン-3-イル)オキシ)(ヒドロキシ)ホスホリル)オキシ)メチル)-5-(6-アミノ-9H-プリン-9-イル)-4-ヒドロキシテトラヒドロフラン-3-イル(化合物6h-A)の合成
1-6.2-((tert-butoxycarbonyl) (2- (tert-butyldisulfanyl) ethyl) amino) acetic acid (2R, 3S, 4R, 5R) -2-((((((((2R, 3S, 5R) -5- (4-Amino-2-oxopyrimidin-1 (2H) -yl) -2-((phosphonooxy) methyl) tetrahydrofuran-3-yl) oxy) (hydroxy) phosphoryl) oxy) methyl) -5 Synthesis of-(6-amino-9H-purin-9-yl) -4-hydroxytetrahydrofuran-3-yl (
イミダゾール(272.3mg、4.00mmol)およびN,N,N-トリメチルヘキサデカン-1-アミニウム 塩化物(256.0mg、0.80mmol)を溶かし、酢酸でpH8に調節した緩衝液(40ml)にリン酸二水素 ((2R,3S,5R)-5-(4-アミノ-2-オキソピリミジン-1(2H)-イル)-3-(((((2R,3S,4R,5R)-5-(6-アミノ-9H-プリン-9-イル)-3,4-ジヒドロキシテトラヒドロフラン-2-イル)メトキシ)(ヒドロキシ)ホスホリル)オキシ)テトラヒドロフラン-2-イル)メチル(化合物1h、100mg、0.157mmol)の水溶液(1.0ml)を加えた後、2-((tert-ブトキシカルボニル)(2-(tert-ブチルジスルファニル)エチル)アミノ)酢酸シアノメチル(化合物6g-A、198mg、0.546mmol)のTHF(1.2ml)溶液を加えて室温で4時間攪拌した。反応液をそのまま凍結乾燥し、得られた残渣をカラムクロマトグラフィ(0.05%TFA水溶液:0.05%TFAアセトニトリル溶液=85:15)で精製し、標題の化合物(57.7mg、39%)を得た。
LCMS:m/z 942(M+H)+
保持時間:0.89分 (分析条件 SMDmethod1)
Dissolve imidazole (272.3 mg, 4.00 mmol) and N, N, N-trimethylhexadecan-1-aminium chloride (256.0 mg, 0.80 mmol) in phosphate buffer (40 ml) adjusted to
LCMS: m / z 942 (M + H) +
Retention time: 0.89 minutes (Analysis conditions SMD method 1)
1-7.2-((2-(tert-ブチルジスルファニル)エチル)アミノ)酢酸 (2R,3S,4R,5R)-2-((((((2R,3S,5R)-5-(4-アミノ-2-オキソピリミジン-1(2H)-イル)-2-((ホスホノオキシ)メチル)テトラヒドロフラン-3-イル)オキシ)(ヒドロキシ)ホスホリル)オキシ)メチル)-5-(6-アミノ-9H-プリン-9-イル)-4-ヒドロキシテトラヒドロフラン-3-イル(化合物6i-A)の合成
1-7.2-((2- (tert-butyldisulfanyl) ethyl) amino) acetic acid (2R, 3S, 4R, 5R) -2-(((((((2R, 3S, 5R) -5- ( 4-Amino-2-oxopyrimidin-1 (2H) -yl) -2-((phosphonooxy) methyl) tetrahydrofuran-3-yl) oxy) (hydroxy) phosphoryl) oxy) methyl) -5- (6-amino- Synthesis of 9H-purin-9-yl) -4-hydroxytetrahydrofuran-3-yl (compound 6i-A)
2-((tert-ブトキシカルボニル)(2-(tert-ブチルジスルファニル)エチル)アミノ)酢酸 (2R,3S,4R,5R)-2-((((((2R,3S,5R)-5-(4-アミノ-2-オキソピリミジン-1(2H)-イル)-2-((ホスホノオキシ)メチル)テトラヒドロフラン-3-イル)オキシ)(ヒドロキシ)ホスホリル)オキシ)メチル)-5-(6-アミノ-9H-プリン-9-イル)-4-ヒドロキシテトラヒドロフラン-3-イル(化合物6h-A、56.2mg、0.060mmol)をTFA(1.0ml)に溶解し、室温で5分攪拌した。反応液を減圧濃縮後、残渣をカラムクロマトグラフィ(0.05%TFA水溶液:0.05%TFAアセトニトリル溶液=85:15=85:15)で精製して標題化合物(40.6mg、81%)を得た。
LCMS:m/z 842(M+H)+
保持時間:0.39分 (分析条件 SQDAA05)
2-((tert-butoxycarbonyl) (2- (tert-butyldisulfanyl) ethyl) amino) acetic acid (2R, 3S, 4R, 5R) -2-(((((((2R, 3S, 5R) -5 -(4-Amino-2-oxopyrimidin-1 (2H) -yl) -2-((phosphonooxy) methyl) tetrahydrofuran-3-yl) oxy) (hydroxy) phosphoryl) oxy) methyl) -5- (6- Amino-9H-purin-9-yl) -4-hydroxytetrahydrofuran-3-yl (
LCMS: m / z 842 (M + H) +
Retention time: 0.39 minutes (Analysis conditions SQDAA05)
2.化合物6i-Bの合成
2-1.3-((tert-ブトキシカルボニル)(2-(tert-ブチルジスルファニル)エチル)アミノ)プロパン酸メチル(化合物6e-B)の合成
2. Synthesis of Compound 6i-B
Synthesis of methyl 2-1.3-((tert-butoxycarbonyl) (2- (tert-butyldisulfanyl) ethyl) amino) propanoate (Compound 6e-B)
2-(tert-ブチルジスルファニル)エタンアミン(化合物6c-A、0.80g、0.84mmol)およびアクリル酸メチル(1.74ml、19.36mmol)をジクロロエタン(14.0ml)に溶解し、DIPEA(4.23ml、24.20mmol)を加えて85℃で2時間攪拌した。放冷し、tert-ブチルジカーボネート(1.37g、6.29mmol)を加えて室温で45分攪拌した後、飽和塩化アンモニウム水溶液を加え、DCMで抽出した。得られた有機層を飽和塩化ナトリウム水溶液で洗浄後、無水硫酸マグネシウムで乾燥し、ろ過、減圧濃縮して得られた残渣をカラムクロマトグラフィ(ヘキサン:酢酸エチル=3:1)で精製し、標題化合物(1.14g、67%)を得た。
LCMS:m/z 352(M+H)+
保持時間:1.11分 (分析条件 SQDAA05)
2- (tert-Butyldisulfanyl) ethanamine (Compound 6c-A, 0.80 g, 0.84 mmol) and methyl acrylate (1.74 ml, 19.36 mmol) were dissolved in dichloroethane (14.0 ml) and DIPEA ( 4.23 ml, 24.20 mmol) was added, and the mixture was stirred at 85 ° C. for 2 hours. The mixture was allowed to cool, tert-butyl dicarbonate (1.37 g, 6.29 mmol) was added, and the mixture was stirred at room temperature for 45 min. A saturated aqueous ammonium chloride solution was added, and the mixture was extracted with DCM. The obtained organic layer was washed with saturated aqueous sodium chloride solution, dried over anhydrous magnesium sulfate, filtered and concentrated under reduced pressure, and the resulting residue was purified by column chromatography (hexane: ethyl acetate = 3: 1) to give the title compound (1.14 g, 67%) was obtained.
LCMS: m / z 352 (M + H) +
Retention time: 1.11 minutes (Analysis conditions SQDAA05)
2-2.3-((tert-ブトキシカルボニル)(2-(tert-ブチルジスルファニル)エチル)アミノ)プロパン酸(化合物6f-B)の合成
2-2.3-((tert-Butoxycarbonyl) (2- (tert-butyldisulfanyl) ethyl) amino) propanoic acid (Compound 6f-B)
3-((tert-ブトキシカルボニル)(2-(tert-ブチルジスルファニル)エチル)アミノ)プロパン酸メチル(化合物6e-B、1.14g、3.24mmol)を原料とし、化合物6f-Aの合成と同様の方法で標題化合物(1.04g、95%)を得た。
LCMS:m/z 336(M-H)-
保持時間:0.96分 (分析条件 SQDAA05)
Synthesis of Compound 6f-A using methyl 3-((tert-butoxycarbonyl) (2- (tert-butyldisulfanyl) ethyl) amino) propanoate (Compound 6e-B, 1.14 g, 3.24 mmol) as a raw material In the same manner as the above, the title compound (1.04 g, 95%) was obtained.
LCMS: m / z 336 (MH)-
Retention time: 0.96 minutes (Analysis conditions SQDAA05)
2-3.3-((tert-ブトキシカルボニル)(2-(tert-ブチルジスルファニル)エチル)アミノ)プロパン酸シアノメチル(化合物6g-B)の合成
Synthesis of 2-3.3-((tert-butoxycarbonyl) (2- (tert-butyldisulfanyl) ethyl) amino) propanoic acid cyanomethyl (compound 6g-B)
3-((tert-ブトキシカルボニル)(2-(tert-ブチルジスルファニル)エチル)アミノ)プロパン酸(化合物6f-B、1.03g、3.05mmol)を原料とし、化合物6g-Aの合成と同様の方法で標題化合物(1.05g、91%)を得た。
LCMS:m/z 377(M+H)+
保持時間:1.09分 (分析条件 SQDAA05)
Using 3-((tert-butoxycarbonyl) (2- (tert-butyldisulfanyl) ethyl) amino) propanoic acid (compound 6f-B, 1.03 g, 3.05 mmol) as a starting material, synthesis of compound 6g-A The title compound (1.05 g, 91%) was obtained in a similar manner.
LCMS: m / z 377 (M + H) +
Retention time: 1.09 minutes (Analysis conditions SQDAA05)
2-4.3-((2-(tert-ブチルジスルファニル)エチル)アミノ)プロパン酸 (2R,3S,4R,5R)-2-((((((2R,3S,5R)-5-(4-アミノ-2-オキソピリミジン-1(2H)-イル)-2-((ホスホノオキシ)メチル)テトラヒドロフラン-3-イル)オキシ)(ヒドロキシ)ホスホリル)オキシ)メチル)-5-(6-アミノ-9H-プリン-9-イル)-4-ヒドロキシテトラヒドロフラン-3-イル(化合物6i-B)の合成
2-4.3-((2- (tert-butyldisulfanyl) ethyl) amino) propanoic acid (2R, 3S, 4R, 5R) -2-(((((((2R, 3S, 5R) -5 (4-Amino-2-oxopyrimidin-1 (2H) -yl) -2-((phosphonooxy) methyl) tetrahydrofuran-3-yl) oxy) (hydroxy) phosphoryl) oxy) methyl) -5- (6-amino Synthesis of -9H-purin-9-yl) -4-hydroxytetrahydrofuran-3-yl (compound 6i-B)
氷冷下、リン酸二水素 ((2R,3S,5R)-5-(4-アミノ-2-オキソピリミジン-1(2H)-イル)-3-(((((2R,3S,4R,5R)-5-(6-アミノ-9H-プリン-9-イル)-3,4-ジヒドロキシテトラヒドロフラン-2-イル)メトキシ)(ヒドロキシ)ホスホリル)オキシ)テトラヒドロフラン-2-イル)メチル テトラブチルアンモニウム塩(化合物1h、44.6mg、0.314mmol)と3-((tert-ブトキシカルボニル)(2-(tert-ブチルジスルファニル)エチル)アミノ)プロパン酸シアノメチル(化合物6g-B、236mg、0.628mmol)をDMFに溶解させ、トリエチルアミン(0.088ml、0.628mmol)を加えた。室温で1時間攪拌した後、反応液をカラムクロマトグラフィ(0.05%TFA水溶液:0.05%TFAアセトニトリル溶液=70:30)で精製した。得られた残渣にTFA(1.5ml)を加えて室温で5分攪拌した。反応液を減圧濃縮し、得られた残渣をカラムクロマトグラフィ(0.05%TFA水溶液:0.05%TFAアセトニトリル溶液=80:20)で精製し、標題化合物(66.9mg、25%)を得た。
LCMS:m/z 856(M+H)+
保持時間:0.629分 (分析条件 SMDmethod1)
Under ice cooling, dihydrogen phosphate ((2R, 3S, 5R) -5- (4-amino-2-oxopyrimidin-1 (2H) -yl) -3-((((((2R, 3S, 4R, 5R) -5- (6-Amino-9H-purin-9-yl) -3,4-dihydroxytetrahydrofuran-2-yl) methoxy) (hydroxy) phosphoryl) oxy) tetrahydrofuran-2-yl) methyl tetrabutylammonium salt (
LCMS: m / z 856 (M + H) +
Retention time: 0.629 minutes (analysis conditions SMD method 1)
3.化合物6i-Cの合成
3-1.4-((tert-ブトキシカルボニル)(2-(tert-ブチルジスルファニル)エチル)アミノ)ブタン酸エチル(化合物6e-C)の合成
3. Synthesis of Compound 6i-C
Synthesis of ethyl 3-1.4-((tert-butoxycarbonyl) (2- (tert-butyldisulfanyl) ethyl) amino) butanoate (Compound 6e-C)
2-ブロモ酢酸エチルの代わりに4-ブロモブタン酸エチル(2.68ml、18.15mmol)を用い、化合物6e-Aの合成と同様の方法で標題化合物(556.2mg、24.2%)を得た。
LCMS:m/z 380(M+H)+
保持時間:1.15分 (分析条件 SQDAA05)
The title compound (556.2 mg, 24.2%) was obtained in the same manner as the synthesis of Compound 6e-A using ethyl 4-bromobutanoate (2.68 ml, 18.15 mmol) instead of ethyl 2-bromoacetate. It was.
LCMS: m / z 380 (M + H) +
Retention time: 1.15 minutes (Analysis conditions SQDAA05)
3-2.4-((tert-ブトキシカルボニル)(2-(tert-ブチルジスルファニル)エチル)アミノ)ブタン酸(化合物6f-C)の合成
Synthesis of 3-2.4-((tert-butoxycarbonyl) (2- (tert-butyldisulfanyl) ethyl) amino) butanoic acid (Compound 6f-C)
2-((tert-ブトキシカルボニル)(2-(tert-ブチルジスルファニル)エチル)アミノ)酢酸エチル(化合物6e-A)の代わりに4-((tert-ブトキシカルボニル)(2-(tert-ブチルジスルファニル)エチル)アミノ)ブタン酸エチル(化合物6e-C、0.96g、2.53mmol)を原料とし、化合物6f-Aの合成と同様の方法により標題化合物(0.86g、97%)を得た。
LCMS:m/z 352(M+H)+
保持時間:0.99分 (分析条件 SQDAA05)
Instead of ethyl 2-((tert-butoxycarbonyl) (2- (tert-butyldisulfanyl) ethyl) amino) ethyl acetate (compound 6e-A), 4-((tert-butoxycarbonyl) (2- (tert-butyl Starting from ethyl disulfanyl) ethyl) amino) butanoate (Compound 6e-C, 0.96 g, 2.53 mmol), the title compound (0.86 g, 97%) was prepared in the same manner as in the synthesis of Compound 6f-A. Obtained.
LCMS: m / z 352 (M + H) +
Retention time: 0.99 minutes (Analysis conditions SQDAA05)
3-3.4-((tert-ブトキシカルボニル)(2-(tert-ブチルジスルファニル)エチル)アミノ)ブタン酸シアノメチル(化合物6g-C)の合成
Synthesis of 3-3.4 ((tert-butoxycarbonyl) (2- (tert-butyldisulfanyl) ethyl) amino) butanoic acid (compound 6g-C)
2-((tert-ブトキシカルボニル)(2-(tert-ブチルジスルファニル)エチル)アミノ)酢酸(化合物6f-A)の代わりに4-((tert-ブトキシカルボニル)(2-(tert-ブチルジスルファニル)エチル)アミノ)ブタン酸(化合物6f-C、0.86g、2.45mmol)を原料とし、化合物6g-Aの合成と同様の方法により標題化合物(0.71g、74%)を得た。
LCMS:m/z 391(M+H)+
保持時間:1.05分 (分析条件 SQDAA05)
Instead of 2-((tert-butoxycarbonyl) (2- (tert-butyldisulfanyl) ethyl) amino) acetic acid (compound 6f-A), 4-((tert-butoxycarbonyl) (2- (tert-butyldioxy) The title compound (0.71 g, 74%) was obtained by a method similar to the synthesis of compound 6g-A using sulfanyl) ethyl) amino) butanoic acid (compound 6f-C, 0.86 g, 2.45 mmol) as a starting material. .
LCMS: m / z 391 (M + H) +
Retention time: 1.05 minutes (Analysis conditions SQDAA05)
3-4.-((2-(tert-ブチルジスルファニル)エチル)アミノ)ブタン酸 (2R,3S,4R,5R)-2-((((((2R,3S,5R)-5-(4-アミノ-2-オキソピリミジン-1(2H)-イル)-2-((ホスホノオキシ)メチル)テトラヒドロフラン-3-イル)オキシ)(ヒドロキシ)ホスホリル)オキシ)メチル)-5-(6-アミノ-9H-プリン-9-イル)-4-ヒドロキシテトラヒドロフラン-3-イル(化合物6i-C)の合成
3-4. -((2- (tert-butyldisulfanyl) ethyl) amino) butanoic acid (2R, 3S, 4R, 5R) -2-(((((((2R, 3S, 5R) -5- (4-amino- 2-oxopyrimidin-1 (2H) -yl) -2-((phosphonooxy) methyl) tetrahydrofuran-3-yl) oxy) (hydroxy) phosphoryl) oxy) methyl) -5- (6-amino-9H-purine- Synthesis of 9-yl) -4-hydroxytetrahydrofuran-3-yl (compound 6i-C)
3-((tert-ブトキシカルボニル)(2-(tert-ブチルジスルファニル)エチル)アミノ)プロパン酸シアノメチル(化合物6g-B)の代わりに4-((tert-ブトキシカルボニル)(2-(tert-ブチルジスルファニル)エチル)アミノ)ブタン酸シアノメチル(化合物6g-C、245mg、0.628mmol)原料とし、化合物6i-Bの合成と同様の方法により、標題化合物(103mg、37.6%)を得た。
LCMS:m/z 870(M+H)+
保持時間:0.641分 (分析条件 SMDmethod1)
Instead of cyanomethyl 3-((tert-butoxycarbonyl) (2- (tert-butyldisulfanyl) ethyl) amino) propanoate (compound 6g-B), 4-((tert-butoxycarbonyl) (2- (tert- Butyldisulfanyl) ethyl) amino) cyanomethylbutanoate (compound 6g-C, 245 mg, 0.628 mmol) was used as a starting material, and the title compound (103 mg, 37.6%) was obtained by a method similar to the synthesis of compound 6i-B. It was.
LCMS: m / z 870 (M + H) +
Retention time: 0.641 minutes (Analysis conditions SMD method 1)
[実施例12]SH基を有する安定アミノアシル化pdCpAを用いたアミノアシル化tRNA合成
50μM 転写tRNAfMetCAU(-CA) (配列番号R-5) 10μlに、10X ligation buffer (500 mM HEPES-KOH pH 7.5, 200 mM MgCl2, 10 mM ATP)2μl、Nuclease free water 4μlを加え、95℃で2分間加熱した後、室温で5分間放置し、tRNAのリフォールディングを行った。10unit/μl T4 RNAリガーゼ(New england bio lab.社)2μLおよび、5mMのアミノアシル化pdCpA(化合物6i-A、B、C、2n-A、2m-c、2m-E)のDMSO溶液 2μLを加え、15℃で45分間ライゲーション反応を行った。アミノアシル化tRNA(化合物AT-2-A、C、E、AT-6-A、B、C)は、フェノール抽出した後、エタノール沈殿により回収した。アミノアシル化tRNA(化合物AT-2-A、C、E、AT-6-A、B、C)は、翻訳混合物に添加する直前に1mM酢酸ナトリウムに溶解した。
[Example 12] Synthesis of aminoacylated tRNA using stable aminoacylated pdCpA having an
化合物AT-2-A
Cys(StBu)-tRNAfMetCAU
Compound AT-2-A
Cys (StBu) -tRNAfMetCAU
化合物AT-2-C
PenCys(StBu)-tRNAfMetCAU
Compound AT-2-C
PenCys (StBu) -tRNAfMetCAU
化合物AT-2-E
NVOCCys(StBu)-tRNAfMetCAU
Compound AT-2-E
NVOCCys (StBu) -tRNAfMetCAU
化合物AT-6-A
tBuSSEtGly-tRNAfMetCAU
Compound AT-6-A
tBuSSEtGly-tRNAfMetCAU
化合物AT-6-B
tBuSSEtβAla-tRNAfMetCAU
Compound AT-6-B
tBuSSEtβAla-tRNAfMetCAU
化合物AT-6-C(配列番号:33)
tBuSSEtGABA-tRNAfMetCAU
Compound AT-6-C (SEQ ID NO: 33)
tBuSSEtGABA-tRNAfMetCAU
[実施例13] SH基含有安定化アミノアシル化tRNAを用いた翻訳合成
以下の実験で示すとおり、CysのSH基や主鎖アミノ基を保護すると、Cys自身と比較してアミノアシル化pdCpAの翻訳液モデル系中(HEPES buffer)の安定性が向上し、翻訳合成効率も向上することが示された。また、SH基の位置をα―カルボン酸部位から遠くに配置させた、各種新規SH基含有各種非天然型アミノ酸の翻訳導入効率も向上された。
[Example 13] Translation synthesis using SH group-containing stabilized aminoacylated tRNA As shown in the following experiment, when the SH group or main chain amino group of Cys was protected, the translation solution of aminoacylated pdCpA compared to Cys itself It was shown that the stability in the model system (HEPES buffer) was improved and the translation synthesis efficiency was also improved. In addition, the transduction efficiency of various non-natural amino acids containing various new SH groups in which the position of the SH group is located far from the α-carboxylic acid site was also improved.
20nM 鋳型DNA AKC17 (配列番号D-31)もしくはKA03(配列番号D-6)に、前述の転写翻訳液、0.1mM 10-HCO-H4folate、Metを除く各0.3mMの19種類のタンパク質性アミノ酸,および前記の方法で調製した25~50μM Xaa-tRNAfMetCAU(Xaa:Cys(StBu), PenCys(StBu), NVOC-Cys(StBu), tBuSSEtGly,tBuSSEtβAla,tBuSSEtGABA)を加え、37℃で30分間翻訳した。翻訳反応物を、SPE C-TIP(日京テクノス社)で精製し、MALDI-MSで分析したところ、N末端にXaaが導入されたペプチドのMSが観測された(MALDI-MS)。
結果、Cysと比較して、SH基やNを保護すると、pdCpA-アミノ酸体の安定性が向上し、かつ翻訳合成効率も向上することが示された。また、Cysをより安定化させたSH含有各種非天然型アミノ酸の翻訳導入効率も向上された(図25、26参照)。
20 nM template DNA AKC17 (SEQ ID NO: D-31) or KA03 (SEQ ID NO: D-6), 19 kinds of protein properties of 0.3 mM each excluding the above-mentioned transcription translation solution, 0.1 mM 10-HCO-H4folate and Met Add amino acid and 25-50 μM Xaa-tRNAfMetCAU (Xaa: Cys (StBu), PenCys (StBu), NVOC-Cys (StBu), tBuSSEtGly, tBuSSEtβAla, tBuSSEtGABA) prepared by the above method, and translate at 37 ° C for 30 minutes did. When the translation reaction product was purified by SPE C-TIP (Nikkyo Technos) and analyzed by MALDI-MS, MS of a peptide having Xaa introduced at the N-terminus was observed (MALDI-MS).
As a result, it was shown that when the SH group and N were protected as compared with Cys, the stability of the pdCpA-amino acid compound was improved and the translation synthesis efficiency was also improved. Moreover, the transduction efficiency of SH-containing various non-natural amino acids in which Cys was further stabilized was improved (see FIGS. 25 and 26).
配列番号 D-31(配列番号:7)
AKC17 DNA配列
GTAATACGACTCACTATAGGGTTAACTTTAAGAAGGAGATATACATATGACTAGAACTGCCTACTGGAGCcttTGCGGCAGCGGCAGCGGCAGC
SEQ ID NO: D-31 (SEQ ID NO: 7)
AKC17 DNA sequence
GTAATACGACTCACTATAGGGTTAACTTTAAGAAGGAGATATACATATGACTAGAACTGCCTACTGGAGCcttTGCGGCAGCGGCAGCGGCAGC
ペプチド配列番号 P-34~P-41のScaffold配列
KA03 ペプチド配列
[Xaa]ThrArgThrLysAlaTyrTrpSerLeuProGlyGly
AKC17 ペプチド配列
[Xaa]ThrArgThrAlaTyrTrpSerLeuCysGlySerGlySerGlySer
Scaffold sequences of peptide SEQ ID NOs: P-34 to P-41
KA03 peptide sequence
[Xaa] ThrArgThrLysAlaTyrTrpSerLeuProGlyGly
AKC17 peptide sequence
[Xaa] ThrArgThrAlaTyrTrpSerLeuCysGlySerGlySerGlySer
[実施例14]Intiation supression法を用いた翻訳および環化反応
1.側鎖カルボン酸が活性エステル化されたアミノアシルtRNAの合成
以下の方法に従って、側鎖カルボン酸がチオエステル化されたアミノアシル化tRNAの合成を行なった。
[Example 14] Translation and cyclization reaction using initiation supression method
1. Synthesis of aminoacyl-tRNA in which side chain carboxylic acid is active esterified According to the following method, aminoacylated tRNA in which side-chain carboxylic acid is thioesterified was synthesized.
1-1. 転写によるtRNA(CA欠損)の合成
鋳型DNA(配列番号D-33)から、RiboMAX Large Scale RNA production System T7(Promega社,P1300)を用いたin vitro の転写により3'端のCAを欠くtRNAEnAsnGAG(-CA)(配列番号R-33)を合成し、RNeasy Mini kit(Qiagen社)により精製した。
1-1. Synthesis of tRNA (CA-deficient) by transcription From template DNA (SEQ ID NO: D-33), in vitro transcription using RiboMAX Large Scale RNA production System T7 (Promega, P1300), tRNAEnAsnGAG ( -CA) (SEQ ID NO: R-33) was synthesized and purified by RNeasy Mini kit (Qiagen).
配列番号D-33 (配列番号D-1と同一)(配列番号:1)
tRNAEnAsnGAG(-CA) DNA配列:
GGCGTAATACGACTCACTATAGGCTCTGTAGTTCAGTCGGTAGAACGGCGGACTgagAATCCGTATGTCACTGGTTCGAGTCCAGTCAGAGCCGC
SEQ ID NO: D-33 (identical to SEQ ID NO: D-1) (SEQ ID NO: 1)
tRNAEnAsnGAG (-CA) DNA sequence:
GGCGTAATACGACTCACTATAGGCTCTGTAGTTCAGTCGGTAGAACGGCGGACTgagAATCCGTATGTCACTGGTTCGAGTCCAGTCAGAGCCGCGC
配列番号R-33 (配列番号R-1と同一)(配列番号:30)
tRNAEnAsnGAG(-CA) RNA配列:
GGCUCUGUAGUUCAGUCGGUAGAACGGCGGACUgagAAUCCGUAUGUCACUGGUUCGAGUCCAGUCAGAGCCGC
SEQ ID NO: R-33 (identical to SEQ ID NO: R-1) (SEQ ID NO: 30)
tRNAEnAsnGAG (-CA) RNA sequence:
GGCUCUGUAGUUCAGUCGGUAGAACGGCGGACUgagAAUCCGUAUGUCACUGGUUCGAGUCCAGUCAGAGCCGC
1-2. 側鎖カルボン酸が活性エステル化されたアミノアシル化pdCpA(化合物1i)とtRNA(CA欠損)(配列番号:R-33)のligationによるアミノアシル化tRNA(化合物AT-1)の合成
50μM 転写tRNAEnAsnGAG(-CA)(配列番号R-33)10μLに、10X ligation buffer (500mM HEPES-KOH pH7.5,200mM MgCl2,10mM ATP)2μL、Nuclease free water 4μLを加え、95℃で2分間加熱した後、室温で5分間放置し、tRNAのリフォールディングを行った。10unit/μLのT4 RNAリガーゼ(New England Bio Lab.社)2μLおよび、5mMの側鎖カルボン酸が活性エステル化されたアミノアシル化pdCpA(化合物1i)のDMSO溶液 2μLを加え、15℃で45分間ライゲーション反応を行った。ライゲーション反応液 20μLに、125mM ヨウ素(水:THF=1:1溶液)4μLを加え、室温で1時間、脱保護を行った。アミノアシル化tRNA(化合物AT-1)は、フェノール抽出した後、エタノール沈殿により回収した。アミノアシル化tRNA(化合物AT-1)は、翻訳混合物に添加する直前に1mM酢酸ナトリウムに溶解した。
1-2. Synthesis of aminoacylated tRNA (compound AT-1) by ligation of aminoacylated pdCpA (compound 1i) with side chain carboxylic acid active esterification and tRNA (CA deficient) (SEQ ID NO: R-33) 50 μM Transcription tRNAEnAsnGAG (- 2) 10X ligation buffer (500 mM HEPES-KOH pH 7.5, 200 mM MgCl 2 , 10 mM ATP) and 4 μL of Nuclease free water are added to 10 μL of (CA) (SEQ ID NO: R-33), heated at 95 ° C. for 2 minutes, and then at room temperature. And left for 5 minutes to refold tRNA. 2 μL of 10 unit / μL T4 RNA ligase (New England Bio Lab.) And 2 μL of DMSO solution of aminoacylated pdCpA (compound 1i) in which 5 mM of side chain carboxylic acid was active esterified were added and ligated at 15 ° C. for 45 minutes. Reaction was performed. 4 μL of 125 mM iodine (water: THF = 1: 1 solution) was added to 20 μL of the ligation reaction solution, and deprotection was performed at room temperature for 1 hour. The aminoacylated tRNA (compound AT-1) was recovered by ethanol precipitation after phenol extraction. The aminoacylated tRNA (compound AT-1) was dissolved in 1 mM sodium acetate just prior to addition to the translation mixture.
化合物AT-1-IA2(化合物AT-1-IAと同一)
Asp(SMe)-tRNAEnAsnGAG
Compound AT-1-IA2 (same as compound AT-1-IA)
Asp (SMe) -tRNAEnAsnGAG
化合物番号 AT-1-IB2(化合物AT-1-IBと同一)
Asp(SiPr)-tRNAEnAsnGAG
Compound number AT-1-IB2 (same as compound AT-1-IB)
Asp (SiPr) -tRNAEnAsnGAG
化合物番号 AT-1-IC2(化合物AT-1-ICと同一)
Asp(StBu)-tRNAEnAsnGAG
Compound number AT-1-IC2 (same as compound AT-1-IC)
Asp (StBu) -tRNAEnAsnGAG
化合物番号 AT-1-ID2(化合物AT-1-IDと同一)
Asp(SBn)-tRNAEnAsnGAG
Compound number AT-1-ID2 (same as compound AT-1-ID)
Asp (SBn) -tRNAEnAsnGAG
化合物番号 AT-1-IE2(化合物AT-1-IEと同一)
Asp(SPhenetyl)-tRNAEnAsnGAG
Compound number AT-1-IE2 (same as compound AT-1-IE)
Asp (SPhenetyl) -tRNAEnAsnGAG
化合物番号 AT-1-IG2(化合物AT-1-IGと同一)
Asp(SEt)-tRNAEnAsnGAG
Compound number AT-1-IG2 (same as compound AT-1-IG)
Asp (SEt) -tRNAEnAsnGAG
2.メチオニン以外のアミノ酸、アミノ酸類縁体又はN末端カルボン酸類縁体をN末端に導入する方法を用いた翻訳合成およびアミド環化反応
鋳型DNAとしてKA03 DNA配列(配列番号 D-6)を用いて翻訳反応を行った。
鋳型DNAに、前述の転写翻訳液、MetおよびLeuを除く各0.3mMの18種類のタンパク質性アミノ酸,および前記の方法で調製した25μM tBuSSEtGABA-tRNAfMetCAU(化合物番号 AT-6-C)と50μM Asp(SMe)-tRNAEnAsnGAG(化合物番号 AT-1-IA2)を加え37℃で3時間翻訳した。翻訳産物に、1/20(v/v)量の200mM TCEP(pH6.6)を添加し、37℃で15分反応させ、Asp(SMe)部位と分子内環化反応を行った。その結果、目的の環状ペプチド(ペプチド配列P-43)がMSスペクトルで確認された(図27)。チオエステルに続くアミノ酸をN-アルキルアミノ酸とすることで効率的に翻訳・環化が実現された。
2. Translation synthesis using the method of introducing amino acids other than methionine, amino acid analogs or N-terminal carboxylic acid analogs at the N-terminus, and translation reaction using the KA03 DNA sequence (SEQ ID NO: D-6) as the amide cyclization reaction template DNA Went.
As template DNA, the above-mentioned transcription and translation solution, 18 mM amino acids of 0.3 mM each excluding Met and Leu, and 25 μM tBuSSEtGABA-tRNAfMetCAU (compound number AT-6-C) and 50 μM Asp prepared by the above method (SMe) -tRNAEnAsnGAG (Compound No. AT-1-IA2) was added and translated at 37 ° C. for 3 hours. A 1/20 (v / v) amount of 200 mM TCEP (pH 6.6) was added to the translation product and reacted at 37 ° C. for 15 minutes to carry out intramolecular cyclization reaction with the Asp (SMe) site. As a result, the target cyclic peptide (peptide sequence P-43) was confirmed by MS spectrum (FIG. 27). Translation and cyclization were efficiently realized by using an N-alkylamino acid as the amino acid following the thioester.
ペプチド配列P-42
[tBuSSEtGABA]ThrArgThrLysAlaTyrTrpSer[Asp(SMe)]ProGlyGly
MALDI-MS:m/z: [M+H]+ = 1601.7 (Calc.1601.0)
Peptide sequence P-42
[tBuSSEtGABA] ThrArgThrLysAlaTyrTrpSer [Asp (SMe)] ProGlyGly
MALDI-MS: m / z: [M + H] + = 1601.7 (Calc.1601.0)
ペプチド配列P-43
[HSEtGABA]ThrArgThrLysAlaTyrTrpSer[Asp(SMe)]ProGlyGlyのGABAの主鎖窒素原子とAspの側鎖カルボン酸でアミド環化した化合物
MALDI-MS:m/z: [M+H]+ = 1465.6 (Calc.1465.0)
Peptide sequence P-43
[HSEtGABA] ThrArgThrLysAlaTyrTrpSer [Asp (SMe)] ProGlyGly GABA main chain nitrogen atom and Asp side chain carboxylic acid amide cyclized compound
MALDI-MS: m / z: [M + H] + = 1465.6 (Calc.1465.0)
[実施例15]Intioation read through法を用いた翻訳および環化
1.NCL(Native Chemical Ligation)を介したアミド型環化ペプチドの合成
鋳型DNAとしてKA02.5U DNA配列(配列番号 D-32)を用いて翻訳反応を行った。
鋳型DNAに、前述の転写翻訳液、MetおよびAla、Leuを除く各0.3mMの17種類のタンパク質性アミノ酸,3 mM乳酸、および前記の方法で調製した50μM Asp(SRex2)-tRNAEnAsnGAG (Rex2:ベンジル,メチル,エチル,イソプロピル、ターシャリーブチル、フェネチル)(化合物番号 AT-1-IA2、IB2、IC2、ID2、IE2,IG2)を加え37℃で3時間翻訳した。その結果、環化した全長ペプチドがMSスペクトルで確認された(図28~図29)。
[Example 15] Translation and cyclization using Intioation read through method
1. Synthesis of amide-type cyclized peptide via NCL (Native Chemical Ligation) A translation reaction was performed using KA02.5U DNA sequence (SEQ ID NO: D-32) as template DNA.
To the template DNA, the above-mentioned transcription translation solution, 17 mM amino acids of 0.3 mM each except Met, Ala and Leu, 3 mM lactic acid, and 50 μM Asp (SRex2) -tRNAEnAsnGAG (Rex2: (Benzyl, methyl, ethyl, isopropyl, tertiary butyl, phenethyl) (Compound Nos. AT-1-IA2, IB2, IC2, ID2, IE2, IG2) were added and translated at 37 ° C. for 3 hours. As a result, the cyclized full-length peptide was confirmed by MS spectrum (FIGS. 28 to 29).
配列番号 D-32(配列番号:28)
KA02.5U DNA配列:
GTAATACGACTCACTATAGGGTTAACTTTAAGAAGGAGATATACATATG
tgcACTAGAACTaaggcgTACTGGAGCcttCCGggctaa
SEQ ID NO: D-32 (SEQ ID NO: 28)
KA02.5U DNA sequence:
GTAATACGACTCACTATAGGGTTAACTTTAAGAAGGAGATATACATATG
tgcACTAGAACTaaggcgTACTGGAGCcttCCGggctaa
翻訳ペプチド
CysThrArgThrLys[Lac]TyrTrpSer[Asp(SRex2)]ProGly
(Rex2:ベンジル、メチル、エチル、イソプロピル、ターシャリーブチル、フェネチル、Lac:乳酸)
翻訳後、環化したペプチドの化学構造(ペプチド配列番号P-44からP-49)
CysThrArgThrLys[Lac]TyrTrpSer[Asp(SRex2)]ProGlyのCysの主鎖アミノ基とAspの側鎖カルボン酸との分子内アミド化された化合物
Translated peptide
CysThrArgThrLys [Lac] TyrTrpSer [Asp (SRex2)] ProGly
(Rex2: benzyl, methyl, ethyl, isopropyl, tertiary butyl, phenethyl, Lac: lactic acid)
Chemical structure of the cyclized peptide after translation (peptide sequence numbers P-44 to P-49)
CysThrArgThrLys [Lac] TyrTrpSer [Asp (SRex2)] Intramolecular amidated compound of CyG main chain amino group and Asp side chain carboxylic acid
以上の結果からIninitiation read through法によりCysが翻訳導入され、翻訳および環化がスムースに進行し、様々なチオエステル体から主生成物としてアミド環化体が得られることが明らかとなった。さらに、乳酸を含む本配列が有効に翻訳されたことから、乳酸がAlaRSにより選択的かつ効率的に導入できることが初めて明らかとなった。 From the above results, it was clarified that Cys was introduced by the Ininitiationinitread through method, translation and cyclization proceeded smoothly, and amide cyclized products were obtained as main products from various thioesters. Furthermore, since this sequence containing lactic acid was effectively translated, it was revealed for the first time that lactic acid could be selectively and efficiently introduced by AlaRS.
Initiation read through法にて述べたように、アミンを活性化させる役割のSH基が保護されていない場合には、チオエステルに続く非天然型アミノ酸(タンパク性アミノ酸も含む)はN-アルキル基を有するアミノ酸に拘らなくとも良い。翻訳後すぐにSH基との反応を経由してアミドが生成するためである。SH基が保護されたアミノ酸を翻訳させる場合には、翻訳工程終了後から脱保護工程に至る時間内にアスパルチミド形成される。 As described in the Initiation read through method, when the SH group that activates the amine is not protected, the non-natural amino acid (including protein amino acids) following the thioester has an N-alkyl group. You don't have to worry about amino acids. This is because an amide is formed via a reaction with the SH group immediately after the translation. When an amino acid with a protected SH group is translated, aspartimide is formed within the time from the completion of the translation process to the deprotection process.
2.翻訳によるアミド環化ペプチドの構造決定
2-1.LC-MS分析用翻訳ペプチド調製
20nM 鋳型DNA Mctryg3(配列番号D-8)に、前述の転写翻訳液、0.1mM 10-HCO-H4folate(10-formyl-5, 6, 7, 8, -tetrahydrophilic acid)、MetおよびLeuを除く各0.3mMの18種類のタンパク質性アミノ酸,および前記の方法で調製した50μM Asp(SMe)-tRNAEnAsnGAG(化合物AT-1-IA)を加え、37℃で3時間翻訳した。翻訳反応物に1mM ジチオスレイトールを添加し、37℃で30分間還元を行った後、10mM ヨードアセトアミドを添加し、遮光・室温で40分間、チオールのカルボキシアミドメチル化を行った。
2. Structure determination of amide cyclized peptides by translation
2-1. Preparation of translation peptide for LC-
ペプチド配列 P-52
CysThrThrThrArg[Asp(SMe)]TyrTyrArgGlyGly
Peptide sequence P-52
CysThrThrThrArg [Asp (SMe)] TyrTyrArgGlyGly
ペプチド配列 P-53(配列番号:59)
CysThrThrThrArg[Asp(SMe)]TyrTyrArgGlyGlyのCysの主鎖アミノ基とAspの側鎖カルボン酸が分子内アミド環化された化合物 massスペクトル calc. 1273.6
Peptide sequence P-53 (SEQ ID NO: 59)
CysThrThrThrArg [Asp (SMe)] TyrTyrArgGlyGly Cys main chain amino group and Asp side chain carboxylic acid compound with intramolecular amide cyclization mass spectrum calc. 1273.6
ペプチド配列P-54 アセトアミド化後 Exact Mass Calc. 1330.6
CysThrThrThrArg[Asp(SMe)]TyrTyrArgGlyGly(ペプチド配列P-52)のCysの主鎖アミノ基とAspの側鎖カルボン酸が分子内アミド環化されたペプチド配列P-53のCysのSH基がアセトアミド化された化合物
Peptide sequence P-54 After acetamidation Exact Mass Calc. 1330.6
CysThrThrThrArg [Asp (SMe)] TyrTyrArgGlyGly (peptide sequence P-52) Cys main chain amino group and Asp side chain carboxylic acid were intramolecular amide cyclized Cyst SH group Cys SH group acetamidation Compound
2-2. 翻訳合成品と同一の配列を有するペプチドの化学合成
2-2-1.自動合成機によるペプチド固相合成の一般法
ペプチド合成機(Multipep RS; Intavis社製)を用いて、Fmoc法によりペプチド合成を行った。Fmoc-Cys(Mmt)-OHをノバビオケム社から購入し、Fmoc-Cys(Mmt)-OHを除く他のFmocアミノ酸を渡辺化学工業から購入した。なお、操作の詳細な手順については合成機に付属のマニュアルに従った。
合成機にC末端のFmocアミノが結合した2-クロロトリチルレジン(1カラムあたり250-300mg)と、各種Fmocアミノ酸(0.6mol/L)と1-ヒドロキシ-7-アザベンゾトリアゾール(HOAt)(0.375mol/L)のN,N-ジメチルホルムアミド溶液と、ジイソプロピルカルボジイミド(DIC)のN,N-ジメチルホルムアミド(DMF)溶液(10%v/v)をセットし、Fmoc脱保護溶液として、5%(wt/v)の尿素を含むピペリジンのN,N-ジメチルホルムアミド溶液(20%v/v)、またはジアザビシクロウンデセン(DBU)のN,N-ジメチルホルムアミド溶液(2%v/v)を用いて合成を行った。レジンはDMF溶液で洗浄した後、Fmoc脱保護に次いでFmocアミノ酸の縮合反応を1サイクルとし、このサイクルを繰り返すことでレジン表面上にペプチドを伸長させた。このような実験例としてRamon Subiros-funosasらの非特許文献(Org. Biomol. Chem. 2010, 8, 3665-3673)などを参考にして合成した。
2-2. Chemical synthesis of peptides with the same sequence as translation synthesis products
2-2-1. General method of peptide solid phase synthesis by automatic synthesizer Peptide synthesis was carried out by Fmoc method using a peptide synthesizer (Multipep RS; manufactured by Intavis). Fmoc-Cys (Mmt) -OH was purchased from Novabiochem, and other Fmoc amino acids except Fmoc-Cys (Mmt) -OH were purchased from Watanabe Chemical. The detailed operation procedure was in accordance with the manual attached to the synthesizer.
2-chlorotrityl resin (250-300 mg per column) with F-moc amino at the C-terminal attached to the synthesizer, various Fmoc amino acids (0.6 mol / L) and 1-hydroxy-7-azabenzotriazole (HOAt) ( 0.375 mol / L) N, N-dimethylformamide solution and N, N-dimethylformamide (DMF) solution (10% v / v) of diisopropylcarbodiimide (DIC) were set as 5 Fmoc deprotection solution. Piperidine in N, N-dimethylformamide (20% v / v) containing% (wt / v) urea, or N, N-dimethylformamide in diazabicycloundecene (DBU) (2% v / v ) Was used for synthesis. The resin was washed with a DMF solution, followed by Fmoc deprotection followed by a condensation reaction of Fmoc amino acid as one cycle, and this cycle was repeated to extend the peptide on the resin surface. As such an experimental example, synthesis was performed with reference to non-patent literature (Org. Biomol. Chem. 2010, 8, 3665-3673) of Ramon Subiros-funosas et al.
2-2-2.H-Cys(CH 2 CONH 2 )-Thr(tBu)-Thr(tBu)-Thr(tBu)-Arg(Pbf)-Asp-OBn(ペプチドP-55)の合成
2-2-2. Synthesis of H-Cys (CH 2 CONH 2 ) -Thr (tBu) -Thr (tBu) -Thr (tBu) -Arg (Pbf) -Asp-OBn (peptide P-55)
Fmocアミノ酸としてFmoc-Cys(Mmt)-OH,Fmoc-Thr(tBu)-OH,Fmoc-Arg(Pbf)-OH(いずれも渡辺化学工業から購入)を用いた。合成機にFmoc-Asp-OBnが結合した2-クロロトリチルレジン(250 mg、13カラム、1.36mmol)をセットし、ペプチドを固相合成した。
伸長終了後、レジンをジクロロメタンで洗浄し、トリフルオロ酢酸/トリイソプロピルシラン/ジクロロメタン(=2/5/93, 100mL)を加え、レジンからペプチドの切り出しとS-メトキシトリチル基の脱保護を行った。1.5時間後、チューブ内溶液を合成用カラムでろ過することによりレジンを除き、反応液に2-ヨードアセトアミド(252mg、1.36mmol),DIPEA(15mL),DMF(15mL)を加え、Sのアルキル化を行った。1.5時間後、減圧濃縮し得られた残渣を逆相シリカゲルクロマトグラフィー(0.1%ギ酸水溶液/0.1%ギ酸アセトニトリル溶液=95/5→0/100)にて精製し、直鎖ペプチドH-Cys(CH2CONH2)-Thr(tBu)-Thr(tBu)-Thr(tBu)-Asp-Arg(Pbf)-Asp-OBn(ペプチドP-55)を得た。(180mg、10%)
LCMS(ESI) m/z =1262(M-H)-
保持時間:0.71分(分析条件SQDFA05)
Fmoc-Cys (Mmt) -OH, Fmoc-Thr (tBu) -OH, and Fmoc-Arg (Pbf) -OH (all purchased from Watanabe Chemical Industry) were used as Fmoc amino acids. A 2-chlorotrityl resin (250 mg, 13 columns, 1.36 mmol) to which Fmoc-Asp-OBn was bound was set in the synthesizer, and the peptide was synthesized on a solid phase.
After elongation, the resin was washed with dichloromethane, and trifluoroacetic acid / triisopropylsilane / dichloromethane (= 2/5/93, 100 mL) was added to cleave the peptide from the resin and deprotect the S-methoxytrityl group. . After 1.5 hours, the resin in the tube was filtered through a synthesis column to remove the resin, and 2-iodoacetamide (252 mg, 1.36 mmol), DIPEA (15 mL), DMF (15 mL) were added to the reaction mixture, and S Was alkylated. After 1.5 hours, the residue obtained by concentration under reduced pressure was purified by reverse phase silica gel chromatography (0.1% formic acid aqueous solution / 0.1% formic acid acetonitrile solution = 95/5 → 0/100). to obtain a peptide H-Cys (CH 2 CONH 2 ) -Thr (tBu) -Thr (tBu) -Thr (tBu) -Asp-Arg (Pbf) -Asp-OBn ( peptide P-55). (180 mg, 10%)
LCMS (ESI) m / z = 1262 (M−H) −
Retention time: 0.71 minutes (analysis condition SQDFA05)
2-2-3.c(Cys(CH 2 CONH 2 )-Thr(tBu)-Thr(tBu)-Thr(tBu)-Arg(Pbf)-Asp)-OBn(ペプチドP-56)の合成
2-2-3. Synthesis of c (Cys (CH 2 CONH 2 ) -Thr (tBu) -Thr (tBu) -Thr (tBu) -Arg (Pbf) -Asp) -OBn ( peptide P-56)
H-Cys(CH2CONH2)-Thr(tBu)-Thr(tBu)-Thr(tBu)-Arg(Pbf)-Asp-OBn(ペプチドP-55、180mg)をジクロロメタン/ジメチルスルホキシド(9/1)(141mL)に溶解させ、O-(7-アザー1Hベンゾトリアゾール-1-イル)-N,N,N,Nテトラメチルウロニウム ヘキサフルオロホスフェート(HATU)(81mg、0.214mmol)と、ジイソプロピルエチルアミン(0.149mL、0.855mmol)を加え、攪拌した。1.5時間後、反応液を減圧濃縮し、得られた残渣を逆相シリカゲルクロマトグラフィー(0.1%ギ酸水溶液/0.1%ギ酸アセトニトリル溶液=50/50→0/100)にて精製し、環状ペプチドc(Cys(CH2CONH2)-Thr(tBu)-Thr(tBu)-Thr(tBu)-Arg(Pbf)-Asp)-OBn(ペプチドP-56)を得た。(92mg、52%)
LCMS(ESI) m/z =1246(M+H)+
保持時間:1.02分(分析条件SQDFA05)
H-Cys (CH 2 CONH 2 ) -Thr (tBu) -Thr (tBu) -Thr (tBu) -Arg (Pbf) -Asp-OBn (peptide P-55, 180 mg) was added to dichloromethane / dimethyl sulfoxide (9/1). ) (141 mL), O- (7-other 1Hbenzotriazol-1-yl) -N, N, N, N tetramethyluronium hexafluorophosphate (HATU) (81 mg, 0.214 mmol) and diisopropyl Ethylamine (0.149 mL, 0.855 mmol) was added and stirred. After 1.5 hours, the reaction solution was concentrated under reduced pressure, and the resulting residue was purified by reverse phase silica gel chromatography (0.1% formic acid aqueous solution / 0.1% formic acid acetonitrile solution = 50/50 → 0/100). Thus, a cyclic peptide c (Cys (CH 2 CONH 2 ) -Thr (tBu) -Thr (tBu) -Thr (tBu) -Arg (Pbf) -Asp) -OBn (peptide P-56) was obtained. (92 mg, 52%)
LCMS (ESI) m / z = 1246 (M + H) +
Retention time: 1.02 minutes (analysis condition SQDFA05)
2-2-4.c(Cys(CH 2 CONH 2 )-Thr(tBu)-Thr(tBu)-Thr(tBu)-Arg(Pbf)-Asp)-OH(ペプチドP-57)の合成
2-2-4. Synthesis of c (Cys (CH 2 CONH 2 ) -Thr (tBu) -Thr (tBu) -Thr (tBu) -Arg (Pbf) -Asp) -OH ( peptide P-57)
c(Cys(CH2CONH2)-Thr(tBu)-Thr(tBu)-Thr(tBu)-Arg(Pbf)-Asp)-OBn(ペプチドP-56、90mg)をエタノール(2mL)に溶解させ、10%パラジウム炭素(100mg)を加え、水素雰囲気下攪拌した。18時間後、反応液を減圧濃縮し、環状ペプチドc(Cys(CH2CONH2)-Thr(tBu)-Thr(tBu)-Thr(tBu)-Arg(Pbf)-Asp)-OH(ペプチドP-57)を得た。(72mg、86%)
LCMS(ESI) m/z =1156(M+H)+
保持時間:0.93分(分析条件SQDFA05)
c a (Cys (CH 2 CONH 2) -Thr (tBu) -Thr (tBu) -Thr (tBu) -Arg (Pbf) -Asp) -OBn ( peptide P-56,90mg) was dissolved in ethanol (2 mL) 10% palladium on carbon (100 mg) was added and stirred under a hydrogen atmosphere. After 18 hours, the reaction solution was concentrated under reduced pressure, and the cyclic peptide c (Cys (CH 2 CONH 2 ) -Thr (tBu) -Thr (tBu) -Thr (tBu) -Arg (Pbf) -Asp) -OH (peptide P -57) was obtained. (72 mg, 86%)
LCMS (ESI) m / z = 1156 (M + H) +
Retention time: 0.93 minutes (analysis condition SQDFA05)
2-2-5.C(Cys(CH 2 CONH 2 )-Thr(tBu)-Thr(tBu)-Thr(tBu)-Arg(Pbf)-Asp)-Tyr(tBu)-Tyr(tBu)-Arg(Pbf)-Gly-Gly-OH(ペプチドP-58)の合成
2-2-5. C (Cys (CH 2 CONH 2 ) -Thr (tBu) -Thr (tBu) -Thr (tBu) -Arg (Pbf) -Asp) -Tyr (tBu) -Tyr (tBu) -Arg (Pbf) -Gly- Synthesis of Gly-OH (peptide P-58)
Fmocアミノ酸としてFmoc-Gly-OH,Fmoc-Tyr(tBu)-OH,Fmoc-Arg(Pbf)-OH(いずれも渡辺化学工業から購入)を用い、合成機にFmoc-Gly-OHが結合した2-クロロトリチルレジン(250mg)をセットし、H-Tyr(tBu)-Tyr(tBu)-Arg(Pbf)-Gly-Gly-OH配列を有するペプチド(ペプチドP-59)を固相合成した。
上記レジンに、c(Cys(CH2CONH2)-Thr(tBu)-Thr(tBu)-Thr(tBu)-Arg(Pbf)-Asp)-OH(ペプチドP-57、46mg、0.04mmol)、1-ヒドロキシ-7-アザベンゾトリアゾール(HOAt)(5.4mg、0.04mmol)ジイソプロピルカルボジイミド(DIC)(0.075mL0.048mmol)のN,N-ジメチルホルムアミド(DMF)溶液を加えた。17時間後、レジンをジクロロメタンで洗浄し、トリフルオロ酢酸/ジクロロメタン(=1/99, 4mL)を加え、レジンからペプチドの切り出しを行った。1.5時間後、チューブ内溶液を合成用カラムでろ過することによりレジンを除き、減圧濃縮し得られた残渣を逆相シリカゲルクロマトグラフィー(10mM酢酸アンモニウム水溶液/メタノール=50/50→0/100)にて精製し、C(Cys(CH2CONH2)-Thr(tBu)-Thr(tBu)-Thr(tBu)-Arg(Pbf)-Asp)-Tyr(tBu)-Tyr(tBu)-Arg(Pbf)-Gly-Gly-OH(ペプチドP-58)を得た。(6.2mg、7.3%)
LCMS:1059 m/z (M+2H)2+
保持時間:0.83分 (分析条件SQDAA50)
Fmoc-Gly-OH, Fmoc-Tyr (tBu) -OH, Fmoc-Arg (Pbf) -OH (all purchased from Watanabe Chemical Industries) were used as Fmoc amino acids, and Fmoc-Gly-OH was bound to the synthesizer 2 -Chlorotrityl resin (250 mg) was set, and a peptide having the sequence H-Tyr (tBu) -Tyr (tBu) -Arg (Pbf) -Gly-Gly-OH (peptide P-59) was synthesized on a solid phase.
In the resin, c (Cys (CH 2 CONH 2) -Thr (tBu) -Thr (tBu) -Thr (tBu) -Arg (Pbf) -Asp) -OH ( peptide P-57,46mg, 0.04mmol) 1-hydroxy-7-azabenzotriazole (HOAt) (5.4 mg, 0.04 mmol) diisopropylcarbodiimide (DIC) (0.075 mL 0.048 mmol) in N, N-dimethylformamide (DMF) was added. After 17 hours, the resin was washed with dichloromethane, trifluoroacetic acid / dichloromethane (= 1/99, 4 mL) was added, and the peptide was excised from the resin. After 1.5 hours, the resin in the tube was filtered through a synthesis column to remove the resin, and the residue obtained by concentration under reduced pressure was subjected to reverse phase silica gel chromatography (10 mM aqueous ammonium acetate / methanol = 50/50 → 0/100). ), C (Cys (CH 2 CONH 2 ) -Thr (tBu) -Thr (tBu) -Thr (tBu) -Arg (Pbf) -Asp) -Tyr (tBu) -Tyr (tBu) -Arg (Pbf) -Gly-Gly-OH (peptide P-58) was obtained. (6.2 mg, 7.3%)
LCMS: 1059 m / z (M + 2H) 2+
Retention time: 0.83 minutes (Analysis condition SQDAA50)
2-2-6.C(Cys(CH 2 CONH 2 )-Thr-Thr-Thr-Arg-Asp)-Tyr-Tyr-Arg-Gly-Gly-OH(ペプチドP-54)の合成
2-2-6. Synthesis of C (Cys (CH 2 CONH 2 ) -Thr-Thr-Thr-Arg-Asp) -Tyr-Tyr-Arg-Gly-Gly-OH ( peptide P-54)
C(Cys(CH2CONH2)-Thr(tBu)-Thr(tBu)-Thr(tBu)-Arg(Pbf)-Asp)-Tyr(tBu)-Tyr(tBu)-Arg(Pbf)-Gly-Gly-OH(ペプチドP-58、6.2 mg)に、トリフルオロ酢酸/トリイソプロピルシラン/水(= 9/1/1, v/v/v、1mL)を加え、攪拌した。4時間後、減圧濃縮し得られた残渣を逆相シリカゲルクロマトグラフィー(10mM酢酸アンモニウム水溶液/メタノール=95/5→0/100)にて精製し、C(Cys(CH2CONH2)-Thr-Thr-Thr-Arg-Asp)-Tyr-Tyr-Arg-Gly-Gly-OH(ペプチドP-54)を得た。(0.8mg、20%)
LCMS:664 m/z (M-2H)2-、1329.4(M-H)-
LCMS:1331.4 m/z (M+H)+
保持時間:0.49分 (分析条件SQDAA05)
C (Cys (CH 2 CONH 2 ) -Thr (tBu) -Thr (tBu) -Thr (tBu) -Arg (Pbf) -Asp) -Tyr (tBu) -Tyr (tBu) -Arg (Pbf) -Gly- To Gly-OH (peptide P-58, 6.2 mg), trifluoroacetic acid / triisopropylsilane / water (= 9/1/1, v / v / v, 1 mL) was added and stirred. After 4 hours, the residue obtained by concentration under reduced pressure was purified by reverse phase silica gel chromatography (10 mM aqueous ammonium acetate solution / methanol = 95/5 → 0/100), and C (Cys (CH 2 CONH 2 ) -Thr- Thr-Thr-Arg-Asp) -Tyr-Tyr-Arg-Gly-Gly-OH (peptide P-54) was obtained. (0.8 mg, 20%)
LCMS: 664 m / z (M-2H) 2-, 1329.4 (MH)-
LCMS: 1331.4 m / z (M + H) +
Retention time: 0.49 minutes (Analysis condition SQDAA05)
2-3.翻訳ペプチドのLC/MS分析による環化部位特定と構造決定
翻訳合成品(ペプチドP-54)と同一の配列を有する有機合成品を作製したので、高分解能LC/MS装置(Orbitrap Velos、サーモフィッシャーサイエンティフィック社製、USA)を用いて比較分析した。翻訳品については、翻訳溶液約30uLに0.5%トリフルオロ酢酸60uLを加え攪拌後、遠心分離上清をOasis HLBカートリッジ(30mg、1cc、Waters Corporation、USA)にアプライした。0.5%トリフルオロ酢酸含有5%アセト二トリル溶液1mLで洗浄後、0.5%トリフルオロ酢酸含有60%アセト二トリル溶液1mLで溶出した。溶出液を窒素乾固し、0.5%トリフルオロ酢酸含有20%アセト二トリル溶液60uLに再溶解しLC/MS分析に付した。翻訳産物の精密質量をポジティブイオンモードで測定した結果、m/z 666.2937に2価のプロトン化分子[M+2H]2+を与え、理論値m/z 666.2935と良く一致していた。高速液体クロマトグラフにおける保持時間ならびにMS/MSスペクトルパターンを有機合成品と比較した結果、いずれも良く一致していた。以上の結果、翻訳合成産物は有機合成による環化ペプチドと同一のものであることが確認された(図30)。
2-3. Cyclic site identification and structure determination by LC / MS analysis of translated peptides An organic synthetic product having the same sequence as the translation synthetic product (Peptide P-54) was produced, so a high resolution LC / MS device (Orbitrap Velos, Thermo Fisher) Comparative analysis was carried out using Scientific, USA). For the translation product, 60 uL of 0.5% trifluoroacetic acid was added to about 30 uL of the translation solution and stirred, and then the centrifuged supernatant was applied to an Oasis HLB cartridge (30 mg, 1 cc, Waters Corporation, USA). After washing with 1 mL of 5% acetonitrile solution containing 0.5% trifluoroacetic acid, elution was performed with 1 mL of 60% acetonitrile solution containing 0.5% trifluoroacetic acid. The eluate was dried to nitrogen, redissolved in 60 uL of a 20% acetonitrile solution containing 0.5% trifluoroacetic acid, and subjected to LC / MS analysis. As a result of measuring the exact mass of the translation product in the positive ion mode, the divalent protonated molecule [M + 2H] 2+ was given to m / z 666.2937, which was in good agreement with the theoretical value m / z 666.2935. As a result of comparing the retention time and MS / MS spectrum pattern in the high performance liquid chromatograph with those of the organic synthetic product, they all agreed well. As a result, it was confirmed that the translation synthesis product was the same as the cyclized peptide obtained by organic synthesis (FIG. 30).
[実施例16]翻訳合成、環化後の脱硫反応
翻訳合成にてアミド環化反応が進行した一方、我々の目的のためには反応補助基のSH基の除去が必要となる。SH基は様々なタンパクと共有結合を形成することが知られているため、SH基依存的な結合化合物が得られる可能性が高い一方で、そのような化合物は高い反応性のため薬剤になりにくい。
SH基の除去には分子間反応が必要である。既に述べたように分子間反応を1uM濃度にて、かつ様々な反応性官能基が共存する条件下での実現の難易度は高い。このような反応を実現させる手法として、以下の2つが考えられる。(i)過剰に用いる試薬は、望みの反応点以外では可逆的な反応(例えば配位結合)のみが生じ、反応完結後の後処理により除去される。(ii)過剰に用いる試薬はRNAには全く影響を与えない。
このような各種条件をクリアできる反応基質と反応条件を様々検討した結果を以下に示す。
[Example 16] Translation synthesis, desulfurization reaction after cyclization While an amide cyclization reaction proceeded in translation synthesis, removal of the SH group as a reaction auxiliary group is necessary for our purpose. Since SH groups are known to form covalent bonds with various proteins, it is likely that SH group-dependent binding compounds will be obtained, while such compounds become drugs due to their high reactivity. Hateful.
Removal of the SH group requires an intermolecular reaction. As already described, the degree of difficulty in realizing intermolecular reactions at a concentration of 1 uM and in the presence of various reactive functional groups is high. The following two methods are conceivable as methods for realizing such a reaction. (i) Reagents used in excess generate only a reversible reaction (for example, coordination bond) other than the desired reaction point, and are removed by post-treatment after completion of the reaction. (ii) Reagents used in excess do not affect RNA at all.
The results of various investigations of reaction substrates and reaction conditions that can satisfy these various conditions are shown below.
1.モデル基質を用いたラジカル脱硫反応
モデル基質2-((tert-ブトキシカルボニル)アミノ)-5-(((R)-1-エトキシ-3-メルカプト-1-オキソプロパン-2-イル)アミノ)-5-オキソペンタン酸 (S)-ベンジル(化合物3a)を用いてWanら(Angew. Chem. Int. Ed. 2007, 46, 9248)と同様の方法でラジカル脱硫反応が進行することを確認した(図31および図32)。ラジカル脱硫反応としてMethodA及びMethodBを行った。
1. Radical desulfurization reaction model substrate using model substrate 2-((tert-butoxycarbonyl) amino) -5-(((R) -1-ethoxy-3-mercapto-1-oxopropan-2-yl) amino)- Using 5-oxopentanoic acid (S) -benzyl (
1-1.MethodAの実験例
以下、図32に記載の実験を行った。
1-1-1.図32 Entry 1の実験
2-((tert-ブトキシカルボニル)アミノ)-5-(((S)-1-エトキシ-1-オキソプロパン-2-イル)アミノ)-5-オキソペンタン酸 (S)-ベンジル(化合物3b) の合成
1-1. Experimental Example of Method A Hereinafter, the experiment shown in FIG. 32 was performed.
1-1-1. Figure 32
2-((tert-Butoxycarbonyl) amino) -5-(((S) -1-ethoxy-1-oxopropan-2-yl) amino) -5-oxopentanoic acid (S) -benzyl (
2-((tert-ブトキシカルボニル)アミノ)-5-(((R)-1-エトキシ-3-メルカプト-1-オキソプロパン-2-イル)アミノ)-5-オキソペンタン酸 (S)-ベンジル(化合物3a)(20.0mg、0.0427mmol)のDMF(0.8ml)溶液に0.4Mトリス(2-カルボキシエチル)ホスフィン(TCEP)水溶液(0.428ml、0.171mmol)を加え室温で15分間攪拌後、tBuSH(0.0144ml、0.128mmol) 1M 2,2'-アゾビス-2-(2-イミダゾリン-2-イル)プロパン(VA-044)水溶液(0.0427ml、0.0427mmol)を加え、50度で2時間半攪拌した。その後反応溶液に水を加え希釈後、逆相シリカゲルカラムクロマトグラフィー(10mM酢酸アンモニウム水溶液/メタノール=70/30→20/80)にて精製し、2-((tert-ブトキシカルボニル)アミノ)-5-(((S)-1-エトキシ-1-オキソプロパン-2-イル)アミノ)-5-オキソペンタン酸 (S)-ベンジル(化合物3b)(18.1mg、97%)を得た。
LCMS(ESI) m/z = 437 (M+H)+
保持時間:0.96分(分析条件SQDAA05)
2-((tert-butoxycarbonyl) amino) -5-(((R) -1-ethoxy-3-mercapto-1-oxopropan-2-yl) amino) -5-oxopentanoic acid (S) -benzyl To a solution of (
LCMS (ESI) m / z = 437 (M + H) +
Retention time: 0.96 minutes (analysis condition SQDAA05)
反応に使用する試薬等は以下のように調製した。
0.4Mトリス(2-カルボキシエチル)ホスフィン(TCEP)水溶液の調整
トリス(2-カルボキシエチル)ホスフィン(TCEP)塩酸塩(1.0g、3.49mmol)の水(6.8ml)溶液にトリエチルアミン(1.64ml)加え、pH7とし、0.4Mトリス(2-カルボキシエチル)ホスフィン(TCEP)水溶液を得た。
Reagents used for the reaction were prepared as follows.
Preparation of 0.4 M Tris (2-carboxyethyl) phosphine (TCEP) aqueous solution Triethylamine (TCG) hydrochloride (1.0 g, 3.49 mmol) in water (6.8 ml) 1.64 ml) was added to adjust the pH to 7, and a 0.4 M tris (2-carboxyethyl) phosphine (TCEP) aqueous solution was obtained.
1M 2,2'-アゾビス-2-(2-イミダゾリン-2-イル)プロパン(VA-044)水溶液の調整
2,2'-アゾビス-2-(2-イミダゾリン-2-イル)プロパン(VA-044)塩酸塩(100mg、0.309mmol)に水(0.309ml)加え1M 2,2'-アゾビス-2-(2-イミダゾリン-2-イル)プロパン(VA-044)水溶液を調整した。
Preparation of
0.1M 2,2'-アゾビス-2-(2-イミダゾリン-2-イル)プロパン(VA-044)水溶液の調整
2,2'-アゾビス-2-(2-イミダゾリン-2-イル)プロパン(VA-044)塩酸塩(100mg、0.309mmol)に水(3,09ml)加え0.1M 2,2'-アゾビス-2-(2-イミダゾリン-2-イル)プロパン(VA-044)水溶液を調整した。
Preparation of 0.1
1-1-2.図32 Entry2、Entry3の実験
2-((tert-ブトキシカルボニル)アミノ)-5-(((S)-1-エトキシ-1-オキソプロパン-2-イル)アミノ)-5-オキソペンタン酸 (S)-ベンジル(化合物3b)
2-((tert-ブトキシカルボニル)アミノ)-5-(((R)-1-エトキシ-3-メルカプト-1-オキソプロパン-2-イル)アミノ)-5-オキソペンタン酸 (S)-ベンジル(化合物3a)(10.0mg、0.0213mmol)のDMF(0.5ml)あるいはメタノール(0.5ml)溶液に、グルタチオン(19.7mg、0.064mmol)と0.4Mトリス(2-カルボキシエチル)ホスフィン(TCEP)水溶液(0.214ml、0.0852mmol)を加え室温で10分間攪拌後、1M 2,2'-アゾビス-2-(2-イミダゾリン-2-イル)プロパン(VA-044)水溶液(0.0213ml、0.0213mmol) を室温で加え、50度で2時間攪拌した。反応の変化をLCMSを用いて観測したところ、entry2は2時間で原料化合物3aがすべて消失し、目的の化合物3bが観測された。
LCMS(ESI) m/z = 437 (M+H)+
保持時間:0.96分(分析条件SQDAA05)
1-1-2. Fig. 32 Entry2 and Entry3 experiments
2-((tert-Butoxycarbonyl) amino) -5-(((S) -1-ethoxy-1-oxopropan-2-yl) amino) -5-oxopentanoic acid (S) -benzyl (
2-((tert-butoxycarbonyl) amino) -5-(((R) -1-ethoxy-3-mercapto-1-oxopropan-2-yl) amino) -5-oxopentanoic acid (S) -benzyl To a solution of (
LCMS (ESI) m / z = 437 (M + H) +
Retention time: 0.96 minutes (analysis condition SQDAA05)
1-1-3. 図32 Entry4の実験
2-((tert-ブトキシカルボニル)アミノ)-5-(((S)-1-エトキシ-1-オキソプロパン-2-イル)アミノ)-5-オキソペンタン酸 (S)-ベンジル(化合物3b)
2-((tert-ブトキシカルボニル)アミノ)-5-(((R)-1-エトキシ-3-メルカプト-1-オキソプロパン-2-イル)アミノ)-5-オキソペンタン酸 (S)-ベンジル(化合物3a)(10.0mg、0.0213mmol)のメタノール(4.66ml)、水(2.06ml)溶液に0.4Mトリス(2-カルボキシエチル)ホスフィン(TCEP)水溶液(0.268ml、0.107mmol)を加え室温で10分間攪拌後、1M 2,2'-アゾビス-2-(2-イミダゾリン-2-イル)プロパン(VA-044)水溶液(0.0213ml、0.0213mmol) を室温で加え、50度で1時間攪拌した。反応の変化をLCMSを用いて観測したところ、原料3aが完全には消失されなかったが、目的化合物3bが観測された。さらに、副生成物として、推定化合物3c、3dもまた観測された。その割合は、LCMS UVエリア強度比より、原料化合物3a:目的化合物3b:3c:3d=7:20:16:11であった。
化合物3b
LCMS(ESI) m/z =437(M+H)+
保持時間:0.96分(分析条件SQDAA05)
構造推定化合物3c
LCMS(ESI) m/z =453(M+H)+
保持時間:0.91分(分析条件SQDAA05)
構造推定化合物3d
LCMS(ESI) m/z =337(M+H)+
保持時間:0.87分(分析条件SQDAA05)
1-1-3. Fig. 32 Entry4 experiment
2-((tert-Butoxycarbonyl) amino) -5-(((S) -1-ethoxy-1-oxopropan-2-yl) amino) -5-oxopentanoic acid (S) -benzyl (
2-((tert-butoxycarbonyl) amino) -5-(((R) -1-ethoxy-3-mercapto-1-oxopropan-2-yl) amino) -5-oxopentanoic acid (S) -benzyl (
LCMS (ESI) m / z = 437 (M + H) +
Retention time: 0.96 minutes (analysis condition SQDAA05)
Structure deduced
LCMS (ESI) m / z = 453 (M + H) +
Retention time: 0.91 minutes (analysis condition SQDAA05)
Structure deduced
LCMS (ESI) m / z = 337 (M + H) +
Retention time: 0.87 minutes (analysis condition SQDAA05)
1-1-4. 図32 Entry5の実験
2-((tert-ブトキシカルボニル)アミノ)-5-(((S)-1-エトキシ-1-オキソプロパン-2-イル)アミノ)-5-オキソペンタン酸 (S)-ベンジル(化合物3b)
2-((tert-ブトキシカルボニル)アミノ)-5-(((R)-1-エトキシ-3-メルカプト-1-オキソプロパン-2-イル)アミノ)-5-オキソペンタン酸 (S)-ベンジル(化合物3a)(10.0mg、0.0213mmol)のメタノール(4.66ml)、水(0.20ml)溶液にグルタチオン(196mg、0.639mmol)と0.4Mトリス(2-カルボキシエチル)ホスフィン(TCEP)水溶液(0.268ml、0.107mmol)を加え室温で10分間攪拌後、1M 2,2'-アゾビス-2-(2-イミダゾリン-2-イル)プロパン(VA-044)水溶液(0.0213ml、0.0213mmol) を室温で加え、50度で1時間攪拌した。反応の変化をLCMSを用いて観測したところ、原料3aが完全には消失され、目的化合物3bが観測された。
LCMS(ESI) m/z =437(M+H)+
保持時間:0.96分(分析条件SQDAA05)
1-1-4. Figure 32 Entry5 experiment
2-((tert-Butoxycarbonyl) amino) -5-(((S) -1-ethoxy-1-oxopropan-2-yl) amino) -5-oxopentanoic acid (S) -benzyl (
2-((tert-butoxycarbonyl) amino) -5-(((R) -1-ethoxy-3-mercapto-1-oxopropan-2-yl) amino) -5-oxopentanoic acid (S) -benzyl (
LCMS (ESI) m / z = 437 (M + H) +
Retention time: 0.96 minutes (analysis condition SQDAA05)
1-1-5. 図32 Entry6の実験
2-((tert-ブトキシカルボニル)アミノ)-5-(((S)-1-エトキシ-1-オキソプロパン-2-イル)アミノ)-5-オキソペンタン酸 (S)-ベンジル(化合物3b)
2-((tert-ブトキシカルボニル)アミノ)-5-(((R)-1-エトキシ-3-メルカプト-1-オキソプロパン-2-イル)アミノ)-5-オキソペンタン酸 (S)-ベンジル(化合物3a)(10.0mg、0.0213mmol)のメタノール(4.66ml)、水(2.06ml)溶液にグルタチオン(19。6mg、0.0639mmol)と0.4Mトリス(2-カルボキシエチル)ホスフィン(TCEP)水溶液(0.268ml、0.107mmol)を加え室温で10分間攪拌後、1M 2,2'-アゾビス-2-(2-イミダゾリン-2-イル)プロパン(VA-044)水溶液(0.0213ml、0.0213mmol) を室温で加え、50度で1時間攪拌した。反応の変化をLCMSを用いて観測したところ、原料3aが完全には消失され、目的化合物3bが観測された。さらに、副生成物として、推定化合物3c、3dもまた観測された。その割合は、LCMS UVエリア強度比より、原料化合物3a:目的化合物3b:3c:3d=0:79:14:6であった。
化合物3b
LCMS(ESI) m/z =437(M+H)+
保持時間:0.96分(分析条件SQDAA05)
構造推定化合物3c
LCMS(ESI) m/z =453(M+H)+
保持時間:0.91分(分析条件SQDAA05)
構造推定化合物3d
LCMS(ESI) m/z =337(M+H)+
保持時間:0.87分(分析条件SQDAA05)
1-1-5. Fig. 32
2-((tert-Butoxycarbonyl) amino) -5-(((S) -1-ethoxy-1-oxopropan-2-yl) amino) -5-oxopentanoic acid (S) -benzyl (
2-((tert-butoxycarbonyl) amino) -5-(((R) -1-ethoxy-3-mercapto-1-oxopropan-2-yl) amino) -5-oxopentanoic acid (S) -benzyl (
LCMS (ESI) m / z = 437 (M + H) +
Retention time: 0.96 minutes (analysis condition SQDAA05)
Structure deduced
LCMS (ESI) m / z = 453 (M + H) +
Retention time: 0.91 minutes (analysis condition SQDAA05)
Structure deduced
LCMS (ESI) m / z = 337 (M + H) +
Retention time: 0.87 minutes (analysis condition SQDAA05)
1-1-6. 図32 Entry7の実験
2-((tert-ブトキシカルボニル)アミノ)-5-(((S)-1-エトキシ-1-オキソプロパン-2-イル)アミノ)-5-オキソペンタン酸 (S)-ベンジル(化合物3b)
2-((tert-ブトキシカルボニル)アミノ)-5-(((R)-1-エトキシ-3-メルカプト-1-オキソプロパン-2-イル)アミノ)-5-オキソペンタン酸 (S)-ベンジル(化合物3a)(10.0mg、0.0213mmol)のメタノール(0.5ml)溶液に0.4Mトリス(2-カルボキシエチル)ホスフィン(TCEP)水溶液(0.268ml、0.107mmol)を加え室温で10分間攪拌後、1M 2,2'-アゾビス-2-(2-イミダゾリン-2-イル)プロパン(VA-044)水溶液(0.0213ml、0.0213mmol)を室温で加え、50度で1時間攪拌した。反応の変化をLCMSを用いて観測したところ、原料3aが完全に消失され、目的化合物3bが観測された。さらに、副生成物として、推定化合物3c、3dもまた観測された。その割合は、LCMS UVエリア強度比より、原料化合物3a:目的化合物3b:3c:3d=0:24:32:19であった。
化合物3b
LCMS(ESI) m/z =437(M+H)+
保持時間:0.96分(分析条件SQDAA05)
構造推定化合物3c
LCMS(ESI) m/z =453(M+H)+
保持時間:0.91分(分析条件SQDAA05)
構造推定化合物3d
LCMS(ESI) m/z =337(M+H)+
保持時間:0.87分(分析条件SQDAA05)
1-1-6. Fig. 32 Entry7 experiment
2-((tert-Butoxycarbonyl) amino) -5-(((S) -1-ethoxy-1-oxopropan-2-yl) amino) -5-oxopentanoic acid (S) -benzyl (
2-((tert-butoxycarbonyl) amino) -5-(((R) -1-ethoxy-3-mercapto-1-oxopropan-2-yl) amino) -5-oxopentanoic acid (S) -benzyl To a solution of (
LCMS (ESI) m / z = 437 (M + H) +
Retention time: 0.96 minutes (analysis condition SQDAA05)
Structure deduced
LCMS (ESI) m / z = 453 (M + H) +
Retention time: 0.91 minutes (analysis condition SQDAA05)
Structure deduced
LCMS (ESI) m / z = 337 (M + H) +
Retention time: 0.87 minutes (analysis condition SQDAA05)
1-2.Method Bの実験例
Method Aとほぼ同様の製造方法であるが、2-((tert-ブトキシカルボニル)アミノ)-5-(((R)-1-エトキシ-3-メルカプト-1-オキソプロパン-2-イル)アミノ)-5-オキソペンタン酸 (S)-ベンジル(化合物3a)のMeOH-H2O溶液に0.4Mトリス(2-カルボキシエチル)ホスフィン(TCEP)水溶液、グルタチオンを加え、目的の反応温度30度、40度あるいは50度に加熱後 1M 2,2'-アゾビス-2-(2-イミダゾリン-2-イル)プロパン(VA-044)水溶液を加え、そのまま30度、40度あるいは50度の反応温度で攪拌した。反応の経時変化をLC-MSを用いて観測した。
1-2. Experimental Example of Method B The production method is almost the same as that of Method A, except that 2-((tert-butoxycarbonyl) amino) -5-(((R) -1-ethoxy-3-mercapto-1-oxopropane- 2-yl) amino) -5-oxopentanoic acid To a solution of (S) -benzyl (
尚、0.4Mトリス(2-カルボキシエチル)ホスフィン(TCEP)水溶液の調整は以下のように行った。
トリス(2-カルボキシエチル)ホスフィン(TCEP)塩酸塩(1.0g、3.49mmol)の水(6.8ml)溶液にトリエチルアミン(1.64ml)加え、pH7とし、0.4Mトリス(2-カルボキシエチル)ホスフィン(TCEP)水溶液を得た。
The 0.4M tris (2-carboxyethyl) phosphine (TCEP) aqueous solution was prepared as follows.
To a solution of tris (2-carboxyethyl) phosphine (TCEP) hydrochloride (1.0 g, 3.49 mmol) in water (6.8 ml) was added triethylamine (1.64 ml) to
また、1M 2,2'-アゾビス-2-(2-イミダゾリン-2-イル)プロパン(VA-044)水溶液の調整は以下のように行った。
2,2'-アゾビス-2-(2-イミダゾリン-2-イル)プロパン(VA-044)塩酸塩(100mg、0.309mmol)に水(0.309ml)加え1M 2,2'-アゾビス-2-(2-イミダゾリン-2-イル)プロパン(VA-044)水溶液を調整した。
The
Water (0.309 ml) was added to 2,2′-azobis-2- (2-imidazolin-2-yl) propane (VA-044) hydrochloride (100 mg, 0.309 mmol) and
1-2-1. 図32 Entry8の実験
2-((tert-ブトキシカルボニル)アミノ)-5-(((S)-1-エトキシ-1-オキソプロパン-2-イル)アミノ)-5-オキソペンタン酸 (S)-ベンジル(化合物3b)
2-((tert-ブトキシカルボニル)アミノ)-5-(((R)-1-エトキシ-3-メルカプト-1-オキソプロパン-2-イル)アミノ)-5-オキソペンタン酸 (S)-ベンジル(化合物3a)(1.1mg、0.0023mmol)のメタノール(0.5ml),水(0.06ml)溶液に0.4Mトリス(2-カルボキシエチル)ホスフィン(TCEP)水溶液(0.192ml、0.092mmol)を加え50度で10分間攪拌後、0.1M 2,2'-アゾビス-2-(2-イミダゾリン-2-イル)プロパン(VA-044)水溶液(0.023ml、0.0023mmol) を50度で加え、その後、50度で30分間攪拌した。反応の変化をLCMSを用いて観測したところ、原料3aが完全に消失され、目的化合物3bが観測された。
LCMS(ESI) m/z =437(M+H)+
保持時間:0.95分(分析条件SQDAA05)
1-2-1. Fig. 32 Entry8 experiment
2-((tert-Butoxycarbonyl) amino) -5-(((S) -1-ethoxy-1-oxopropan-2-yl) amino) -5-oxopentanoic acid (S) -benzyl (
2-((tert-butoxycarbonyl) amino) -5-(((R) -1-ethoxy-3-mercapto-1-oxopropan-2-yl) amino) -5-oxopentanoic acid (S) -benzyl (
LCMS (ESI) m / z = 437 (M + H) +
Retention time: 0.95 minutes (analysis condition SQDAA05)
1-2-2. 図32 Entry9の実験
2-((tert-ブトキシカルボニル)アミノ)-5-(((S)-1-エトキシ-1-オキソプロパン-2-イル)アミノ)-5-オキソペンタン酸 (S)-ベンジル(化合物3b)
2-((tert-ブトキシカルボニル)アミノ)-5-(((R)-1-エトキシ-3-メルカプト-1-オキソプロパン-2-イル)アミノ)-5-オキソペンタン酸 (S)-ベンジル(化合物3a)(1.1mg、0.0023mmol)のメタノール(0.5ml),水(0.06ml)溶液にグルタチオン(21.2mg、0.069mmol)と0.4Mトリス(2-カルボキシエチル)ホスフィン(TCEP)水溶液(0.192ml、0.092mmol)を加え50度で10分間攪拌後、0.1M 2,2'-アゾビス-2-(2-イミダゾリン-2-イル)プロパン(VA-044)水溶液(0.023ml、0.0023mmol) を50度で加え、その後、50度で30分間攪拌した。反応の変化をLCMSを用いて観測したところ、原料3aが完全に消失され、目的化合物3bが観測された。
LCMS(ESI) m/z =437(M+H)+
保持時間:0.95分(分析条件SQDAA05)
1-2-2. Figure 32
2-((tert-Butoxycarbonyl) amino) -5-(((S) -1-ethoxy-1-oxopropan-2-yl) amino) -5-oxopentanoic acid (S) -benzyl (
2-((tert-butoxycarbonyl) amino) -5-(((R) -1-ethoxy-3-mercapto-1-oxopropan-2-yl) amino) -5-oxopentanoic acid (S) -benzyl (
LCMS (ESI) m / z = 437 (M + H) +
Retention time: 0.95 minutes (analysis condition SQDAA05)
1-2-3. 図32 Entry10の実験
2-((tert-ブトキシカルボニル)アミノ)-5-(((S)-1-エトキシ-1-オキソプロパン-2-イル)アミノ)-5-オキソペンタン酸 (S)-ベンジル(化合物3b)
2-((tert-ブトキシカルボニル)アミノ)-5-(((R)-1-エトキシ-3-メルカプト-1-オキソプロパン-2-イル)アミノ)-5-オキソペンタン酸 (S)-ベンジル(化合物3a)(1.1mg、0.0023mmol)のメタノール(0.5ml),水(0.06ml)溶液に0.4Mトリス(2-カルボキシエチル)ホスフィン(TCEP)水溶液(0.192ml、0.092mmol)を加え40度で15分間攪拌後、0.1M 2,2'-アゾビス-2-(2-イミダゾリン-2-イル)プロパン(VA-044)水溶液(0.023ml、0.0023mmol)を40度で加え、40度で30分間攪拌した。反応の変化をLCMSを用いて観測したところ、原料3aが完全に消失され、目的化合物3bが観測された。
LCMS(ESI) m/z =437(M+H)+
保持時間:0.96分(分析条件SQDAA05)
1-2-3. Fig. 32
2-((tert-Butoxycarbonyl) amino) -5-(((S) -1-ethoxy-1-oxopropan-2-yl) amino) -5-oxopentanoic acid (S) -benzyl (
2-((tert-butoxycarbonyl) amino) -5-(((R) -1-ethoxy-3-mercapto-1-oxopropan-2-yl) amino) -5-oxopentanoic acid (S) -benzyl (
LCMS (ESI) m / z = 437 (M + H) +
Retention time: 0.96 minutes (analysis condition SQDAA05)
1-2-4. 図32 Entry11の実験
2-((tert-ブトキシカルボニル)アミノ)-5-(((S)-1-エトキシ-1-オキソプロパン-2-イル)アミノ)-5-オキソペンタン酸 (S)-ベンジル(化合物3b)
2-((tert-ブトキシカルボニル)アミノ)-5-(((R)-1-エトキシ-3-メルカプト-1-オキソプロパン-2-イル)アミノ)-5-オキソペンタン酸 (S)-ベンジル(化合物3a)(1.1mg、0.0023mmol)のメタノール(0.5ml),水(0.06ml)溶液にグルタチオン(21.2mg、0.069mmol)と0.4Mトリス(2-カルボキシエチル)ホスフィン(TCEP)水溶液(0.192ml、0.092mmol)を加え40度で15分間攪拌後、0.1M 2,2'-アゾビス-2-(2-イミダゾリン-2-イル)プロパン(VA-044)水溶液(0.023ml、0.0023mmol)を40度で加え、その後40度で30分間攪拌した。反応の変化をLCMSを用いて観測したところ、原料3aが完全に消失され、目的化合物3bが観測された。
LCMS(ESI) m/z =437(M+H)+
保持時間:0.95分(分析条件SQDAA05)
1-2-4. Fig. 32
2-((tert-Butoxycarbonyl) amino) -5-(((S) -1-ethoxy-1-oxopropan-2-yl) amino) -5-oxopentanoic acid (S) -benzyl (
2-((tert-butoxycarbonyl) amino) -5-(((R) -1-ethoxy-3-mercapto-1-oxopropan-2-yl) amino) -5-oxopentanoic acid (S) -benzyl (
LCMS (ESI) m / z = 437 (M + H) +
Retention time: 0.95 minutes (analysis condition SQDAA05)
1-2-5. 図32 Entry12の実験
2-((tert-ブトキシカルボニル)アミノ)-5-(((S)-1-エトキシ-1-オキソプロパン-2-イル)アミノ)-5-オキソペンタン酸 (S)-ベンジル(化合物3b)
2-((tert-ブトキシカルボニル)アミノ)-5-(((R)-1-エトキシ-3-メルカプト-1-オキソプロパン-2-イル)アミノ)-5-オキソペンタン酸 (S)-ベンジル(化合物3a)(1.1mg、0.0023mmol)のメタノール(0.5ml),水(0.06ml)溶液に0.4Mトリス(2-カルボキシエチル)ホスフィン(TCEP)水溶液(0.192ml、0.092mmol)を加え30度で15分間攪拌後、0.1M 2,2'-アゾビス-2-(2-イミダゾリン-2-イル)プロパン(VA-044)水溶液(0.023ml、0.0023mmol)を30度で加え、その後30度で1時間30分間攪拌した。反応の変化をLCMSを用いて観測したところ、原料3aが完全に消失され、目的化合物3bが観測された。
LCMS(ESI) m/z =437(M+H)+
保持時間:0.95分(分析条件SQDAA05)
1-2-5. Fig. 32
2-((tert-Butoxycarbonyl) amino) -5-(((S) -1-ethoxy-1-oxopropan-2-yl) amino) -5-oxopentanoic acid (S) -benzyl (
2-((tert-butoxycarbonyl) amino) -5-(((R) -1-ethoxy-3-mercapto-1-oxopropan-2-yl) amino) -5-oxopentanoic acid (S) -benzyl (
LCMS (ESI) m / z = 437 (M + H) +
Retention time: 0.95 minutes (analysis condition SQDAA05)
1-2-6. 図32 Entry13の実験
2-((tert-ブトキシカルボニル)アミノ)-5-(((S)-1-エトキシ-1-オキソプロパン-2-イル)アミノ)-5-オキソペンタン酸 (S)-ベンジル(化合物3b)
2-((tert-ブトキシカルボニル)アミノ)-5-(((R)-1-エトキシ-3-メルカプト-1-オキソプロパン-2-イル)アミノ)-5-オキソペンタン酸 (S)-ベンジル(化合物3a)(1.1mg、0.0023mmol)のメタノール(0.5ml),水(0.06ml)溶液にグルタチオン(21.2mg、0.069mmol)と0.4Mトリス(2-カルボキシエチル)ホスフィン(TCEP)水溶液(0.192ml、0.092mmol)を加え30度で15分間攪拌後、0.1M 2,2'-アゾビス-2-(2-イミダゾリン-2-イル)プロパン(VA-044)水溶液(0.023ml、0.0023mmol)を30度で加え、その後30度で1時間30分間攪拌した。反応の変化をLCMSを用いて観測したところ、原料3aが完全に消失され、目的化合物3bが観測された。
LCMS(ESI) m/z =437(M+H)+
保持時間:0.95分(分析条件SQDAA05)
1-2-6. Fig. 32
2-((tert-Butoxycarbonyl) amino) -5-(((S) -1-ethoxy-1-oxopropan-2-yl) amino) -5-oxopentanoic acid (S) -benzyl (
2-((tert-butoxycarbonyl) amino) -5-(((R) -1-ethoxy-3-mercapto-1-oxopropan-2-yl) amino) -5-oxopentanoic acid (S) -benzyl (
LCMS (ESI) m / z = 437 (M + H) +
Retention time: 0.95 minutes (analysis condition SQDAA05)
図32に示す通り、様々な条件でラジカル脱硫反応を検討した。Entry4,6,7において、チオールの総量が低濃度である場合、methodAでは3c、3dが副生成物として観測された。Display Library(ペプチド低濃度)に適応させる為、チオールが低濃度でも副生成物3c,3dが生成しない条件を検討したところ、ラジカル開始剤(VA-044)を反応溶液加熱下加える(MethodB)ことで副生成物3c,3dの生成を抑えることができた。(entry8,10,12)
As shown in FIG. 32, radical desulfurization reaction was examined under various conditions. In
結果、チオエステルを側鎖に持つアスパラギン酸誘導体をカルボン酸誘導体として翻訳導入させ、アミノ基としてCysあるいはその誘導体をN末端に翻訳導入させた後、これらを環化させる手法を見出した。initiataion read-through法によってN末端にCysを導入した場合、Asp(SBn)をペプチドに翻訳導入することによって目的の環状ペプチドが得られた。 As a result, an aspartic acid derivative having a thioester in the side chain was translated and introduced as a carboxylic acid derivative, Cys or a derivative thereof was translated and introduced as an amino group into the N-terminal, and then a method was cyclized. When Cys was introduced at the N-terminus by the initiator-read-through method, the target cyclic peptide was obtained by translating Asp (SBn) into the peptide.
2.脱硫反応におけるRNA安定性評価
RNA化合物を脱硫反応の条件に付し、安定性の確認を行った。
2. RNA stability evaluation in desulfurization reaction The RNA compound was subjected to desulfurization reaction conditions to confirm the stability.
2-1.5´-AGCUUAGUCA-ピューロマイシン-3´(化合物RP-1、(配列番号:178))の合成
グレンリサーチ社製ピューロマイシンCPG(22.7mg、0.999μmol)を用い、DNA合成機によりRNA結合伸長を行った。A、G、C、Uの伸長反応に用いるアミダイド試薬はグレンリサーチ社製A-TOM-CEホスホアミダイド、G-TOM-CEホスホアミダイド、C-TOM-CEホスホアミダイド、U-TOM-CEホスホアミダイドを使用し、縮合活性化剤として5-ベンジルチオ-1H-テトラゾールを使用し実施した。縮合後の固相担体を乾燥後、エタノール(0.25mL)、40%メチルアミン水溶液(0.25mL)を加え65℃にて1時間攪拌した。固相担体を濾別し、メタノール(0.5mL)で洗浄した。得られた溶液を濃縮しメタノール(1.0mL)に溶解し、そのうち0.8mLを濃縮しテトラメチルアンモニウムフルオライド水和物(50μL)に溶かし65℃にて15分間攪拌した。反応液に0.1M酢酸アンモニウム水溶液を加え逆相カラムで精製した。濃縮後、得られた化合物を再度逆相カラムで精製した。得られた溶液に水を加え逆相カラムに添着後、水(30mL)で洗浄したのちメタノール(50mL)で目的物を溶出した。得られた溶液を濃縮し水(1.0mL)に溶解し5´-AGCUUAGUCA-ピューロマイシン-3´(化合物RP-1)水溶液を得た。
LCMS(ESI) m/z = 1224.6 (M-3H)3-
保持時間:0.38分(分析条件SQDAA05)
2-1.5′-AGCUUAGUCA-Puromycin-3 ′ (Compound RP-1, (SEQ ID NO: 178)) Synthesis Using Puromycin CPG (22.7 mg, 0.999 μmol) manufactured by Glen Research, Inc. RNA binding elongation was performed by a machine. The amidite reagent used for the extension reaction of A, G, C, U uses Glen Research A-TOM-CE phosphoramidide, G-TOM-CE phosphoramidide, C-TOM-CE phosphoramidide, U-TOM-CE phosphoramidide, This was carried out using 5-benzylthio-1H-tetrazole as the condensation activator. After drying the solid phase carrier after condensation, ethanol (0.25 mL) and 40% aqueous methylamine solution (0.25 mL) were added, and the mixture was stirred at 65 ° C. for 1 hour. The solid support was filtered off and washed with methanol (0.5 mL). The obtained solution was concentrated and dissolved in methanol (1.0 mL), 0.8 mL of which was concentrated, dissolved in tetramethylammonium fluoride hydrate (50 μL), and stirred at 65 ° C. for 15 minutes. 0.1M ammonium acetate aqueous solution was added to the reaction liquid, and it refine | purified with the reverse phase column. After concentration, the resulting compound was again purified on a reverse phase column. Water was added to the resulting solution and the mixture was attached to a reverse phase column, washed with water (30 mL), and then eluted with methanol (50 mL). The obtained solution was concentrated and dissolved in water (1.0 mL) to obtain an aqueous 5′-AGCUUAGUCA-puromycin-3 ′ (compound RP-1) solution.
LCMS (ESI) m / z = 1224.6 (M-3H) 3-
Retention time: 0.38 minutes (analysis condition SQDAA05)
2-2.脱硫反応による2-((tert-ブトキシカルボニル)アミノ)-5-(((S)-1-エトキシ-1-オキソプロパン-2-イル)アミノ)-5-オキソペンタン酸 (S)-ベンジル(化合物5e-2)の合成とその反応条件における5´-AGCUUAGUCA-ピューロマイシン-3´(化合物RP-1)の安定性評価
5´-AGCUUAGUCA-ピューロマイシン-3´(化合物RP-1)水溶液(10μL)、標準物質として5mM 3-フェニル安息香酸メタノール溶液(10μL)、5mM 2-((tert-ブトキシカルボニル)アミノ)-4-(((R)-1-エトキシ-3-メルカプト-1-オキソプロパン-2-イル)アミノ)-4-オキソブタン酸 (S)-ベンジル(化合物5c-2)メタノール溶液(5μL)、100mM グルタチオン水溶液(15μL)、トリエチルアミンを使用しpHを7.1に事前調整した0.4M トリス(2-カルボキシエチル)ホスフィン(TCEP)水溶液(5μL)、10mM 2,2'-アゾビス-2-(2-イミダゾリン-2-イル)プロパン水溶液(5μL)を混合し50℃にて2時間反応した。反応液をLC/MSで分析し5´-AGCUUAGUCA-ピューロマイシン-3´(化合物RP-1)の残存量に変化がないことが確認された。この条件において2-((tert-ブトキシカルボニル)アミノ)-5-(((R)-1-エトキシ-3-メルカプト-1-オキソプロパン-2-イル)アミノ)-5-オキソペンタン酸 (S)-ベンジル(化合物5c-2)は消失し脱硫反応の生成物である2-((tert-ブトキシカルボニル)アミノ)-5-(((S)-1-エトキシ-1-オキソプロパン-2-イル)アミノ)-5-オキソペンタン酸 (S)-ベンジル(化合物5e-2)が確認された。
LCMS(ESI) m/z = 437.3 (M+H)+
保持時間:0.96分(分析条件SQDAA05)
2-2. 2-((tert-butoxycarbonyl) amino) -5-(((S) -1-ethoxy-1-oxopropan-2-yl) amino) -5-oxopentanoic acid (S) -benzyl by desulfurization reaction Synthesis of
5′-AGCUUAGUCA-puromycin-3 ′ (compound RP-1) aqueous solution (10 μL), 5 mM 3-phenylbenzoic acid methanol solution (10 μL) as standard substance, 5 mM 2-((tert-butoxycarbonyl) amino) -4 — (((R) -1-ethoxy-3-mercapto-1-oxopropan-2-yl) amino) -4-oxobutanoic acid (S) -benzyl (compound 5c-2) in methanol (5 μL), 100 mM glutathione Aqueous solution (15 μL), 0.4 M tris (2-carboxyethyl) phosphine (TCEP) aqueous solution (5 μL) pre-adjusted to pH 7.1 using triethylamine, 10
LCMS (ESI) m / z = 437.3 (M + H) +
Retention time: 0.96 minutes (analysis condition SQDAA05)
このように脱硫反応が進行する反応条件においてRNAが反応することなく安定に存在することが確認された。 Thus, it was confirmed that RNA exists stably without reacting under the reaction conditions in which the desulfurization reaction proceeds.
2. 翻訳産物を用いた脱硫反応
以下の方法により翻訳を行った。
鋳型DNA配列番号D-34として以下の配列を用いて翻訳反応を行った。
2. Desulfurization reaction using translation products Translation was performed by the following method.
A translation reaction was performed using the following sequence as template DNA SEQ ID NO: D-34.
配列番号 D-34(配列番号:29)
Mctryg3_08U05U: GTAATACGACTCACTATAGGGTTAACTTTAAGAAGGAGATATACATATGtgc
ACTACAACGCGTctttactaccgtggcggcTAGTAGATAGATA
SEQ ID NO: D-34 (SEQ ID NO: 29)
Mctryg3_08U05U: GTAATACGACTCACTATAGGGTTAACTTTAAGAAGGAGATATACATATGtgc
ACTACAACGCGTctttactaccgtggcggcTAGTAGATAGATA
反応系中において、アミノ酸はメチオニンを除く19種類のタンパク質性アミノ酸を加えた。その結果、開始コドンにコードされるメチオニンが欠如し、二番目のコドンにコードされるシステインから翻訳が開始したペプチドを合成した。この反応液に、VA-044 (250mM)、TCEP(200mM)、L-システイン(20mM)を加えて、40℃で1時間反応させた。その結果、ペプチド鎖中のシステイン側鎖のSH基が脱硫され分子量が32減少したMSスペクトルが確認された(図33)。 In the reaction system, 19 kinds of proteinaceous amino acids except methionine were added as amino acids. As a result, a peptide lacking methionine encoded by the start codon and starting translation from the cysteine encoded by the second codon was synthesized. To this reaction solution, VA-044 (250 mM), TCEP (200 mM), and L-cysteine (20 mM) were added and reacted at 40 ° C. for 1 hour. As a result, an MS spectrum in which the SH group of the cysteine side chain in the peptide chain was desulfurized and the molecular weight was reduced by 32 was confirmed (FIG. 33).
ペプチド番号P-50 脱硫前 (配列番号:38)
CysThrThrThrArgLeuTyrTyrArgGlyGly
(Calc. 1289.6)
Peptide number P-50 Before desulfurization (SEQ ID NO: 38)
CysThrThrThrArgLeuTyrTyrArgGlyGly
(Calc. 1289.6)
ペプチド番号P-51 脱硫後 (配列番号:58)
AlaThrThrThrArgLeuTyrTyrArgGlyGly
m/z: [M+H]+ = 1258.7 (Calc. 1257.7)
Peptide No. P-51 After desulfurization (SEQ ID NO: 58)
AlaThrThrThrArgLeuTyrTyrArgGlyGly
m / z: [M + H] + = 1258.7 (Calc. 1257.7)
[実施例17]環化脱硫反応下での蛋白変性の評価
脱硫反応液によるタンパク質変性の評価を行った(図34)。モデル系として、電気化学発光免疫測定法によるIL-6およびIL-6Rの相互作用検出系において、脱硫反応条件が、IL-6Rに対して、どのような影響を及ぼすか評価した。まず、MSD Multi-array 384 well (MSD社)に750ngの抗IL-6R抗体クローン番号17506(R&D biosystems社)を4度で一晩保存し、抗体の固相化を行った。80μlのPBSTでプレートを三回洗浄し、未反応の抗体を除いた後、2%スキムミルクで1時間ブロッキングを行った。ブロッキング剤を80μlのPBSTでプレートを三回洗浄後、10μlのsoluble human IL-6R(IL-6R)を25nM加え、室温で50分間振とうした。80μlのPBSTでプレートを三回洗浄し、脱硫反応液(25mM HEPES-K(pH7.6),200mM TCEP,250mM VA-044,10mM Cys)を添加し、室温で50分間振とうした。80μlのPBSTでプレートを三回洗浄し、10μlのhuman IL-6-BAP(500nM)を添加し、室温で50分間振とうした。80μlのPBSTでプレートを三回洗浄し、10μL SULFO-TAG StAv(MSD社,cat#R32AD-5,1μg/mL)を添加後、室温で50分間振とうした。80μlのPBSTでプレートを三回洗浄し、35μlの2X read buffer (MSD社,R92SC-3)を添加後、SECTOR Imager 2400 (MSD社)で測定した(図34)。
その結果、脱硫反応液を添加することで、IL6-Rが影響を受け、IL-6との相互作用が弱まることが示された。また、脱硫反応液に、酸化型のDTT(DTTox)を添加することで、IL-6Rへの影響が弱まり、IL-6との相互作用が回復することが示された。
[Example 17] Evaluation of protein denaturation under cyclization desulfurization reaction Protein denaturation by a desulfurization reaction solution was evaluated (FIG. 34). As a model system, the influence of desulfurization reaction conditions on IL-6R in an IL-6 and IL-6R interaction detection system by electrochemiluminescence immunoassay was evaluated. First, 750 ng of anti-IL-6R antibody clone number 17506 (R & D biosystems) was stored overnight at 4 degrees in MSD Multi-array 384 well (MSD), and the antibody was immobilized. The plate was washed three times with 80 μl PBST to remove unreacted antibodies, and then blocked with 2% skim milk for 1 hour. The plate was washed 3 times with 80 μl of PBST blocking agent, 10 μl of soluble human IL-6R (IL-6R) was added at 25 nM, and the mixture was shaken at room temperature for 50 minutes. The plate was washed 3 times with 80 μl of PBST, desulfurization reaction solution (25 mM HEPES-K (pH 7.6), 200 mM TCEP, 250 mM VA-044, 10 mM Cys) was added, and the mixture was shaken at room temperature for 50 minutes. The plate was washed 3 times with 80 μl PBST, 10 μl human IL-6-BAP (500 nM) was added and shaken at room temperature for 50 minutes. The plate was washed 3 times with 80 μl PBST, 10 μL SULFO-TAG StAv (MSD, cat # R32AD-5, 1 μg / mL) was added, and the mixture was shaken at room temperature for 50 minutes. The plate was washed three times with 80 μl of PBST, 35 μl of 2X read buffer (MSD, R92SC-3) was added, and measurement was performed with a SECTOR Imager 2400 (MSD) (FIG. 34).
As a result, it was shown that IL6-R was affected and the interaction with IL-6 was weakened by adding a desulfurization reaction solution. It was also shown that the addition of oxidized DTT (DTTox) to the desulfurization reaction solution weakened the effect on IL-6R and restored the interaction with IL-6.
[実施例18]チオエーテル化法との比較
チオエーテル環化法と本発明の環化法の比較を行った。脂質膜透過速度が速いと考えられる脂溶性が高いチオエーテル環化ペプチドを合成した。
1.チオエーテル環化ペプチドの合成
Fmocアミノ酸として、Fmoc-MePhe-OH、Fmoc-MeAla-OH、Fmoc-MeLeu-OH、Fmoc-MeGly-OH、Fmoc-MeIle-OH、Fmoc-Ser(tBu)-OH、Fmoc-Thr(Trt)-OH、Fmoc-Ser(Trt)-OH、Fmoc-Phe-OH、Fmoc-Bip-OH、Fmoc-Leu-OH、Fmoc-Cha-OH、Fmoc-Ala-OH、Fmoc-Cys(Mmt)OHなどを用いてペプチドの伸長を行った(略語は渡辺化学カタログによる)。ペプチドの伸長後、N末端のFmoc基を脱保護し、HOAt,DICを縮合剤としてクロロ酢酸を縮合させた後、レジンをジクロロメタンにて洗浄した。レジンにトリフルオロ酢酸/ジクロロメタン/2,2,2-トリフルオロエタノール/トリイソプロピルシラン(=1/62/31/6,v/v/v/v、4mL)を加えて2時間反応させ、レジンからのペプチドの切り出しと同時にO-トリチル基、S-ジメトキシトリチル基の脱保護を行った。反応終了後、チューブ内溶液を合成用カラムでろ過することによりレジンを除き、反応液をジイソプロピルエチルアミン(1mL)溶液を入れたチューブに反応液を加え、クロロアセチル基とシステインとの環化反応を行った。反応終了後、溶媒を留去した。得られた租生成物を、DMF中、ピペリジン(1.9eq.)O-(7-アザー1Hベンゾトリアゾール-1-イル)-N,N,N,Nテトラメチルウロニウム ヘキサフルオロホスフェート(HATU)(1.7eq.)にてC末端カルボン酸のピペリジンアミド化を行った。反応終了後、Genevacにて溶媒留去した。得られた租生成物はジメチルスルホキシドに溶解し、得られたペプチド溶液は高速逆相クロマトグラフィー(HPLC)で精製した。
[Example 18] Comparison with thioetherification method The thioether cyclization method and the cyclization method of the present invention were compared. A highly lipid-soluble thioether cyclized peptide, which is thought to have a high lipid membrane permeation rate, was synthesized.
1. Synthesis of thioether cyclized peptides Fmoc-MePhe-OH, Fmoc-MeAla-OH, Fmoc-MeLeu-OH, Fmoc-MeGly-OH, Fmoc-MeIle-OH, Fmoc-Ser (tBu) -OH, Fmoc -Thr (Trt) -OH, Fmoc-Ser (Trt) -OH, Fmoc-Phe-OH, Fmoc-Bip-OH, Fmoc-Leu-OH, Fmoc-Cha-OH, Fmoc-Ala-OH, Fmoc-Cys (Mmt) The peptide was elongated using OH or the like (abbreviations are from Watanabe Chemical Catalog). After extending the peptide, the N-terminal Fmoc group was deprotected, chloroacetic acid was condensed using HOAt, DIC as a condensing agent, and then the resin was washed with dichloromethane. To the resin, trifluoroacetic acid / dichloromethane / 2,2,2-trifluoroethanol / triisopropylsilane (= 1/62/31/6, v / v / v / v, 4 mL) was added and reacted for 2 hours. The O-trityl group and S-dimethoxytrityl group were deprotected simultaneously with the excision of the peptide from. After completion of the reaction, the resin in the tube is filtered through a synthesis column to remove the resin, and the reaction solution is added to a tube containing diisopropylethylamine (1 mL) solution to cyclize the chloroacetyl group and cysteine. went. After completion of the reaction, the solvent was distilled off. The resulting crude product was purified by adding piperidine (1.9 eq.) O- (7-other 1Hbenzotriazol-1-yl) -N, N, N, N tetramethyluronium hexafluorophosphate (HATU) in DMF. Piperidine amidation of the C-terminal carboxylic acid was carried out at (1.7 eq.). After completion of the reaction, the solvent was distilled off with Genevac. The obtained crude product was dissolved in dimethyl sulfoxide, and the obtained peptide solution was purified by high-speed reverse phase chromatography (HPLC).
化合物P-101
Ac*-MePhe-MeAla-MePhe-MeLeu-Thr-MeGly-MeLeu-Cys*-piperidine
(2つの*部位にて環化)
LCMS:1063 m/z (M+H)+
保持時間:0.77分 (分析条件 SQDAA50)
Compound P-101
Ac * -MePhe-MeAla-MePhe-MeLeu-Thr-MeGly-MeLeu-Cys * -piperidine
(Cyclization at two * sites)
LCMS: 1063 m / z (M + H) +
Retention time: 0.77 minutes (analysis condition SQDAA50)
化合物P-102
Ac*-MeAla-MePhe-MeLeu-Thr-MeGly-MeLeu-Ser(tBu)-Cys*-piperidine
(2つの*部位にて環化)
LCMS:1045 m/z (M+H)+
保持時間:0.76分 (分析条件 SQDAA50)
Compound P-102
Ac * -MeAla-MePhe-MeLeu-Thr-MeGly-MeLeu-Ser (tBu) -Cys * -piperidine
(Cyclization at two * sites)
LCMS: 1045 m / z (M + H) +
Retention time: 0.76 minutes (analysis condition SQDAA50)
化合物P-103
Ac*-MePhe-MeLeu-Thr-MeGly-MeLeu-Ser(tBu)-MeIle-Cys*-piperidine
(2つの*部位にて環化)
LCMS:1087 m/z (M+H)+
保持時間:2.72分 (分析条件 ZQAA50)
Compound P-103
Ac * -MePhe-MeLeu-Thr-MeGly-MeLeu-Ser (tBu) -MeIle-Cys * -piperidine
(Cyclization at two * sites)
LCMS: 1087 m / z (M + H) +
Retention time: 2.72 minutes (analysis condition ZQAA50)
化合物P-104
Ac*-MeLeu-Thr-MeGly-MeLeu-Ser-MeIle-Bip-Cys*-piperidine
(2つの*部位にて環化)
LCMS:1093 m/z (M+H)+
保持時間:2.52分 (分析条件 ZQAA50)
Compound P-104
Ac * -MeLeu-Thr-MeGly-MeLeu-Ser-MeIle-Bip-Cys * -piperidine
(Cyclization at two * sites)
LCMS: 1093 m / z (M + H) +
Retention time: 2.52 minutes (analysis condition ZQAA50)
化合物P-105
Ac*-MePhe-MeAla-Phe-MeLeu-Thr-MeGly-MeLeu-Cys*-piperidine
(2つの*部位にて環化)
LCMS:1049 m/z (M+H)+
保持時間:0.77分 (分析条件 SQDAA50)
Compound P-105
Ac * -MePhe-MeAla-Phe-MeLeu-Thr-MeGly-MeLeu-Cys * -piperidine
(Cyclization at two * sites)
LCMS: 1049 m / z (M + H) +
Retention time: 0.77 minutes (analysis condition SQDAA50)
化合物P-106
Ac*-MeAla-Phe-MeLeu-Thr-MeGly-MeLeu-Ser(tBu)-Cys*-piperidine
(2つの*部位にて環化)
LCMS:1031 m/z (M+H)+
保持時間:0.74分 (分析条件 SQDAA50)
Compound P-106
Ac * -MeAla-Phe-MeLeu-Thr-MeGly-MeLeu-Ser (tBu) -Cys * -piperidine
(Cyclization at two * sites)
LCMS: 1031 m / z (M + H) +
Retention time: 0.74 minutes (Analysis conditions SQDAA50)
化合物P-107
Ac*-Phe-MeLeu-Thr-MeGly-MeLeu-Ser(tBu)-MeIle-Cys*-piperidine
(2つの*部位にて環化)
LCMS:1073 m/z (M+H)+
保持時間:0.82分 (分析条件 SQDAA50)
Compound P-107
Ac * -Phe-MeLeu-Thr-MeGly-MeLeu-Ser (tBu) -MeIle-Cys * -piperidine
(Cyclization at two * sites)
LCMS: 1073 m / z (M + H) +
Retention time: 0.82 minutes (analysis condition SQDAA50)
化合物P-108
Ac*-MePhe-MeAla-MePhe-MeLeu-Thr-MeGly-MeLeu-Ser(tBu)-Cys*-piperidine
(2つの*部位にて環化)
LCMS:1206 m/z (M+H)+
保持時間:2.60分 (分析条件 ZQAA50)
Compound P-108
Ac * -MePhe-MeAla-MePhe-MeLeu-Thr-MeGly-MeLeu-Ser (tBu) -Cys * -piperidine
(Cyclization at two * sites)
LCMS: 1206 m / z (M + H) +
Retention time: 2.60 minutes (analysis condition ZQAA50)
化合物P-109
Ac*-MeAla-MePhe-MeLeu-Thr-MeGly-MeLeu-Ser(tBu)-MeIle-Cys*-piperidine
(2つの*部位にて環化)
LCMS:1172 m/z (M+H)+
保持時間:2.75分 (分析条件 ZQAA50)
Compound P-109
Ac * -MeAla-MePhe-MeLeu-Thr-MeGly-MeLeu-Ser (tBu) -MeIle-Cys * -piperidine
(Cyclization at two * sites)
LCMS: 1172 m / z (M + H) +
Retention time: 2.75 minutes (analysis condition ZQAA50)
化合物P-110
Ac*-MePhe-MeAla-Phe-MeLeu-Thr-MeGly-MeLeu-Ser(tBu)-Cys*-piperidine
(2つの*部位にて環化)
LCMS:1192 m/z (M+H)+
保持時間:0.81分 (分析条件 SQDAA50)
Compound P-110
Ac * -MePhe-MeAla-Phe-MeLeu-Thr-MeGly-MeLeu-Ser (tBu) -Cys * -piperidine
(Cyclization at two * sites)
LCMS: 1192 m / z (M + H) +
Retention time: 0.81 minutes (Analysis conditions SQDAA50)
化合物P-111
Ac*-MeAla-Phe-MeLeu-Thr-MeGly-MeLeu-Ser(tBu)-MeIle-Cys*-piperidine
(2つの*部位にて環化)
LCMS:1158 m/z (M+H)+
保持時間:2.75分 (分析条件 ZQAA50)
Compound P-111
Ac * -MeAla-Phe-MeLeu-Thr-MeGly-MeLeu-Ser (tBu) -MeIle-Cys * -piperidine
(Cyclization at two * sites)
LCMS: 1158 m / z (M + H) +
Retention time: 2.75 minutes (analysis condition ZQAA50)
化合物P-112
Ac*-MePhe-MeAla-MePhe-MeLeu-Thr-MeGly-MeLeu-Ser(tBu)-MeIle-Cys*-piperidine
(2つの*部位にて環化)
LCMS:1333 m/z (M+H)+
保持時間:2.87分 (分析条件 ZQAA05)
Compound P-112
Ac * -MePhe-MeAla-MePhe-MeLeu-Thr-MeGly-MeLeu-Ser (tBu) -MeIle-Cys * -piperidine
(Cyclization at two * sites)
LCMS: 1333 m / z (M + H) +
Retention time: 2.87 minutes (analysis condition ZQAA05)
化合物P-113
Ac*-Leu-MeAla-Cha-Thr-Thr-Ala-Cys*-Cha-piperidine
(2つの*部位にて環化)
LCMS:1007 m/z (M+H)+
保持時間:2.46分 (分析条件 ZQAA50)
Compound P-113
Ac * -Leu-MeAla-Cha-Thr-Thr-Ala-Cys * -Cha-piperidine
(Cyclization at two * sites)
LCMS: 1007 m / z (M + H) +
Retention time: 2.46 minutes (analysis condition ZQAA50)
2.安定性の評価
2-1.チオエーテル環化ペプチドのSerum安定性、肝ミクロソーム中安定性試験
得られた化合物を2uMの濃度にてマウス血清(雄雌混合、Valley Biomedical社、USA)(33.5mM HEPES緩衝液によりpH7.4に調製)と2時間代謝反応させた。経時的にアセトニトリルによる除タンパク処理を施し、LC/MSを用いて残存する未変化体量を分析し、代謝半減期(t1/2)を算出した。NADPH存在下および非存在下、マウス肝ミクロソームならびに小腸ミクロソーム(雄、XENOTECH社、USA)を100mM リン酸緩衝液(pH7.4)を用いて0.5mg protein/mLになるよう調製したミクロソーム溶液と化合物を1uMの濃度にて30分間代謝反応させた。経時的にアセトニトリルによる除タンパク処理を施し、LC/MSを用いて残存する未変化体量を分析し,肝固有クリアランス(CLh,int)ならびに小腸固有クリアランス(CLg,int)を算出した。(表7)。これらのペプチドはマウス血清中並びにミクロソーム中においてペプチダーゼなどの加水分解による代謝を受ける速度は十分遅く、脂溶性の低い天然アミノ酸からなるペプチドと比較して対照的な結果となった。これらの結果と比較し、ミクロソーム中NADPH存在下における代謝速度は高く、代謝の主な経路は酸化代謝であることが明らかとなった。
2. Stability evaluation
2-1. Serum stability of thioether cyclized peptide, stability test in liver microsomes The obtained compound was mixed with mouse serum (male and female, Valley Biomedical, USA) at a concentration of 2 uM (pH 7.4 with 33.5 mM HEPES buffer). Preparation) and a metabolic reaction for 2 hours. The protein removal treatment with acetonitrile was performed over time, the remaining unchanged amount was analyzed using LC / MS, and the metabolic half-life (t1 / 2) was calculated. A microsomal solution prepared by adding mouse liver microsomes and small intestine microsomes (male, XENOTECH, USA) to 0.5 mg protein / mL with 100 mM phosphate buffer (pH 7.4) in the presence and absence of NADPH; The compound was metabolically reacted at a concentration of 1 uM for 30 minutes. Protein removal treatment with acetonitrile was performed over time, the remaining unchanged body mass was analyzed using LC / MS, and liver specific clearance (CLh, int) and small intestine specific clearance (CLg, int) were calculated. (Table 7). These peptides were sufficiently slow to be metabolized by hydrolysis of peptidases and the like in mouse serum and in microsomes, which was a contrasting result compared to peptides consisting of natural amino acids with low fat solubility. Compared with these results, the metabolic rate in the presence of NADPH in the microsome was high, and it was revealed that the main pathway of metabolism is oxidative metabolism.
2-2.比較的代謝安定性の高かったチオエーテル環化ペプチドおよびチオエーテル部位の酸化化合物(スルホキシド体およびスルホン体)のヒト肝ミクロソーム中代謝安定性試験、マウス小腸ミクロソーム中代謝安定性試験
2-1.にて示したのと同様の実験にて、代謝安定性試験を行った。
マウスにて比較的代謝安定性の高かったチオエーテル化合物の小腸での代謝安定性試験と、ヒトでの肝ミクソーム中での代謝安定性試験を実施した(化合物P-112、103、102、109)。ヒトでの肝ミクロソームでの代謝安定性は、マウスの場合と比較しておよそ3倍程度悪化した。
続いて化合物P-112(配列 Ac*-MeA-MeF-MeL-Thr-MeG-MeL-SertBu-MeI-Cys*- piperidine)のS原子を酸化させたスルホキシド体(化合物P-114)の肝および小腸酸化代謝速度を測定した結果、化合物P-112と比較してそれぞれマウス肝0.6倍、ヒト肝およそ0.3倍、小腸0.2倍となり、ヒト肝および小腸代謝に改善が観測された(表8)。スルホン体P-115の小腸酸化代謝速度は0.5倍となった。
チオエーテルからスルホキシドへの変換での代謝安定化はマウスの肝ミクロソームでいくつか他の合成検体でも観測された(表9)。
2-2. 2. Metabolic stability test in human liver microsomes and metabolic stability test in mouse small intestine microsomes of thioether cyclized peptides and thioether-site oxidized compounds (sulfoxides and sulfones) having relatively high metabolic stability 2-1. The metabolic stability test was conducted in the same experiment as shown in.
A metabolic stability test in the small intestine of a thioether compound having relatively high metabolic stability in mice and a metabolic stability test in liver micosomes in humans were carried out (compounds P-112, 103, 102, 109). . Metabolic stability in liver microsomes in humans was about 3 times worse than in mice.
Subsequently, the liver of the sulfoxide compound (compound P-114) in which the S atom of compound P-112 (sequence Ac * -MeA-MeF-MeL-Thr-MeG-MeL-SertBu-MeI-Cys * -piperidine) is oxidized and As a result of measuring the intestinal oxidative metabolic rate, mouse liver was 0.6 times, human liver approximately 0.3 times, and small intestine 0.2 times compared to compound P-112, respectively, and improvements in human liver and small intestine metabolism were observed. (Table 8). The intestinal oxidative metabolic rate of sulfone P-115 was 0.5 times.
Metabolic stabilization upon thioether to sulfoxide conversion was also observed in mouse liver microsomes in several other synthetic specimens (Table 9).
3.代謝部位の特定
化合物P-113環化ペプチドを10uMの濃度にてNADPH存在下、マウス肝臓(雄、XENOTECH社製、USA)を100mMリン酸緩衝液(pH7.4)を用いて0.5mg protein/mLになるよう調製したミクロゾーム溶液と1時間代謝反応させた(図35)。反応後アセト二トリルによる除タンパク処理を施し、得られた代謝産物を高分解能LC/MS装置(Q-TOF Ultima API、Waters Corporation社製、USA)にて分析した。代謝産物のマスクロマトグラムを以下に示した。比較的強度の強い代謝産物として、水酸化体に相当するピークが4本検出された。各ピークのMS/MSスペクトルを下記に示した。Peak1およびPeak2の代謝物については高い脂溶性側鎖のシクロヘキシル基を含む部分構造に水酸化を受けていることが推察された。Peak3の代謝物についてはピペリジン環に水酸化を受けた際の特徴的なイオンをm/z 102に与えたが、Peak1およびPeak2と類似のフラグメントイオンも与えており、Peak3中にはPeak1とPeak2の類縁体が存在するか、もしくは分離不十分によりPeak1およびPeak2が混入している可能性が示唆された。Peak4の代謝物はチオールを含む部位が酸化されていることが推察されたが、この部位での酸化容易度を考慮すると硫黄原子が代謝部位である可能性が高いと考えられた。
3. Metabolic site specific compound P-113 cyclized peptide at a concentration of 10 uM in the presence of NADPH, mouse liver (male, XENOTECH, USA) 0.5 mg protein using 100 mM phosphate buffer (pH 7.4) Metabolism reaction was performed with a microsomal solution prepared to be / mL for 1 hour (FIG. 35). After the reaction, protein removal treatment with acetonitrile was performed, and the obtained metabolite was analyzed with a high resolution LC / MS apparatus (Q-TOF Ultima API, manufactured by Waters Corporation, USA). The mass chromatogram of the metabolite is shown below. Four peaks corresponding to hydroxides were detected as metabolites having a relatively strong intensity. The MS / MS spectrum of each peak is shown below. Regarding the metabolites of
4.チオエーテル環化ペプチドの直接酸化反応
代謝部位をより特定させるために、得られたチオエーテル環化ペプチドを直接酸化反応した。チオエーテル体誘導体に対し、オキソンを用いて直接酸化させるとメチオニン誘導体(ペプチドP-130)が選択的に酸化され、一方トリプトファン誘導体(ペプチドP-132)は同一条件下で酸化反応が進行しないことを確認した。本条件を用いていくつかのチオエーテル体(ペプチドP-109、P-112、P-111、P-103)のチオエーテル部分を選択的に酸化させたペプチドP-114、P-115、P-116、P-117、P-118が得られた。
4). Direct oxidation reaction of thioether cyclized peptide In order to further specify the metabolic site, the obtained thioether cyclized peptide was directly oxidized. When the thioether derivative is directly oxidized using oxone, the methionine derivative (peptide P-130) is selectively oxidized, whereas the tryptophan derivative (peptide P-132) does not undergo oxidation under the same conditions. confirmed. Peptides P-114, P-115, P-116 obtained by selectively oxidizing the thioether moiety of several thioethers (peptides P-109, P-112, P-111, P-103) using this condition , P-117 and P-118 were obtained.
18-4-1.(5S,8S,11S,14S,20S,23S,26S,29R)-8-ベンジル-23-(tert-ブトキシメチル)-26-((S)-sec-ブチル)-14-((R)-1-ヒドロキシエチル)-11,20-ジイソブチル-4,5,7,10,16,19,25-ヘプタメチル-29-(ピペリジン-1-カルボニル)-1-チア-4,7,10,13,16,19,22,25,28-ノナアザシクロトリアコンタン-3,6,9,12,15,18,21,24,27-ノナオン 1-オキシド(化合物 P-114)の合成
Ac*-MeAla-MePhe-MeLeu-Thr-MeGly-MeLeu-Ser(tBu)-MeIle-Cys*-piperidine化合物(2つの*にて環化、化合物P-109)のスルホキシド体
18-4-1. (5S, 8S, 11S, 14S, 20S, 23S, 26S, 29R) -8-benzyl-23- (tert-butoxymethyl) -26-((S) -sec-butyl) -14-((R)- 1-hydroxyethyl) -11,20-diisobutyl-4,5,7,10,16,19,25-heptamethyl-29- (piperidine-1-carbonyl) -1-thia-4,7,10,13 16,19,22,25,28- synthesis nona azacycloalkyl triacontyl Tan -3,6,9,12,15,18,21,24,27- Nonaon 1-oxide (compound P-114)
Ac * -MeAla-MePhe-MeLeu-Thr-MeGly-MeLeu-Ser (tBu) -MeIle-Cys * -piperidine compound (cyclized by two *, compound P-109) sulfoxide form
(5S,8S,11S,14S,20S,23S,26S,29R)-8-ベンジル-23-(tert-ブトキシメチル)-26-((S)-sec-ブチル)-14-((R)-1-ヒドロキシエチル)-11,20-ジイソブチル-4,5,7,10,16,19,25-ヘプタメチル-29-(ピペリジン-1-カルボニル)-1-チア-4,7,10,13,16,19,22,25,28-ノナアザシクロトリアコンタン-3,6,9,12,15,18,21,24,27-ノナオン(化合物P-109)(9.5mg、8.11x10-3mmol)をメタノール(0.5ml)に溶解し、水(0.25ml)を加えた。溶液を撹拌しながら氷浴にて冷却し、OXONE(5.5mg、8.92x10-3mmol)を添加した。反応混合物を氷冷下25分間撹拌後、DMSO(80μl)を添加した。混合物を逆相シリカゲルカラムクロマトグラフィー(10mM酢酸アンモニウム水溶液/メタノール=60/40→0/100)にて精製し、(5S,8S,11S,14S,20S,23S,26S,29R)-8-ベンジル-23-(tert-ブトキシメチル)-26-((S)-sec-ブチル)-14-((R)-1-ヒドロキシエチル)-11,20-ジイソブチル-4,5,7,10,16,19,25-ヘプタメチル-29-(ピペリジン-1-カルボニル)-1-チア-4,7,10,13,16,19,22,25,28-ノナアザシクロトリアコンタン-3,6,9,12,15,18,21,24,27-ノナオン 1-オキシド(化合物P-114)(8.6mg、90%)を得た。
LCMS(ESI) m/z = 1187 (M+H)+
保持時間:2.48分、2.62分(分析条件ZQAA50)
(5S, 8S, 11S, 14S, 20S, 23S, 26S, 29R) -8-benzyl-23- (tert-butoxymethyl) -26-((S) -sec-butyl) -14-((R)- 1-hydroxyethyl) -11,20-diisobutyl-4,5,7,10,16,19,25-heptamethyl-29- (piperidine-1-carbonyl) -1-thia-4,7,10,13 16,19,22,25,28-Nonaazacyclotriacontane-3,6,9,12,15,18,21,24,27-nonaone (Compound P-109) (9.5 mg, 8.11 × 10 − 3 mmol) was dissolved in methanol (0.5 ml) and water (0.25 ml) was added. The solution was cooled in an ice bath with stirring and OXONE (5.5 mg, 8.92 × 10 −3 mmol) was added. After the reaction mixture was stirred for 25 minutes under ice cooling, DMSO (80 μl) was added. The mixture was purified by reverse phase silica gel column chromatography (10 mM aqueous ammonium acetate / methanol = 60/40 → 0/100) and (5S, 8S, 11S, 14S, 20S, 23S, 26S, 29R) -8-benzyl. -23- (tert-butoxymethyl) -26-((S) -sec-butyl) -14-((R) -1-hydroxyethyl) -11,20-diisobutyl-4,5,7,10,16 , 19,25-heptamethyl-29- (piperidine-1-carbonyl) -1-thia-4,7,10,13,16,19,22,25,28-nonazaazacyclotriacontane-3,6,9 , 12, 15, 18, 21, 24, 27-nonaone 1-oxide (Compound P-114) (8.6 mg, 90%).
LCMS (ESI) m / z = 1187 (M + H) +
Retention time: 2.48 minutes, 2.62 minutes (analysis condition ZQAA50)
18-4-2.(5S,8S,11S,14S,20S,23S,26S,29R)-8-ベンジル-23-(tert-ブトキシメチル)-26-((S)-sec-ブチル)-14-((R)-1-ヒドロキシエチル)-11,20-ジイソブチル-4,5,7,10,16,19,25-ヘプタメチル-29-(ピペリジン-1-カルボニル)-1-チア-4,7,10,13,16,19,22,25,28-ノナアザシクロトリアコンタン-3,6,9,12,15,18,21,24,27-ノナオン 1,1-ジオキシド(化合物P-115)の合成
Ac*-MeAla-MePhe-MeLeu-Thr-MeGly-MeLeu-Ser(tBu)‐MeIle-Cys*-piperidine化合物(2つの*にて環化、化合物P-109)のスルホン体
18-4-2. (5S, 8S, 11S, 14S, 20S, 23S, 26S, 29R) -8-benzyl-23- (tert-butoxymethyl) -26-((S) -sec-butyl) -14-((R)- 1-hydroxyethyl) -11,20-diisobutyl-4,5,7,10,16,19,25-heptamethyl-29- (piperidine-1-carbonyl) -1-thia-4,7,10,13 Synthesis of 16,19,22,25,28-nonaazacyclotriacontane-3,6,9,12,15,18,21,24,27-
Ac * -MeAla-MePhe-MeLeu-Thr-MeGly-MeLeu-Ser (tBu) -MeIle-Cys * -piperidine compound (cyclized by two *, compound P-109) sulfone
(5S,8S,11S,14S,20S,23S,26S,29R)-8-ベンジル-23-(tert-ブトキシメチル)-26-((S)-sec-ブチル)-14-((R)-1-ヒドロキシエチル)-11,20-ジイソブチル-4,5,7,10,16,19,25-ヘプタメチル-29-(ピペリジン-1-カルボニル)-1-チア-4,7,10,13,16,19,22,25,28-ノナアザシクロトリアコンタン-3,6,9,12,15,18,21,24,27-ノナオン(9.6mg、8.19x10-3mmol)をメタノール(0.6ml)に溶解し、水(0.3ml)を加えた。溶液を撹拌しながら、OXONE(15.1mg、2.46x10-2mmol)を添加した。反応混合物を室温にて14時間撹拌後、DMSO(80μl)を添加した。混合物を逆相シリカゲルカラムクロマトグラフィー(10mM酢酸アンモニウム水溶液/メタノール=60/40→0/100)にて精製し、5S,8S,11S,14S,20S,23S,26S,29R)-8-ベンジル-23-(tert-ブトキシメチル)-26-((S)-sec-ブチル)-14-((R)-1-ヒドロキシエチル)-11,20-ジイソブチル-4,5,7,10,16,19,25-ヘプタメチル-29-(ピペリジン-1-カルボニル)-1-チア-4,7,10,13,16,19,22,25,28-ノナアザシクロトリアコンタン-3,6,9,12,15,18,21,24,27-ノナオン 1,1-ジオキシド(8.3mg、84%)を得た。
LCMS(ESI) m/z = 1203 (M+H)+
保持時間:0.82分(分析条件SQDAA50)
(5S, 8S, 11S, 14S, 20S, 23S, 26S, 29R) -8-benzyl-23- (tert-butoxymethyl) -26-((S) -sec-butyl) -14-((R)- 1-hydroxyethyl) -11,20-diisobutyl-4,5,7,10,16,19,25-heptamethyl-29- (piperidine-1-carbonyl) -1-thia-4,7,10,13 16,19,22,25,28-Nonaazacyclotriacontane-3,6,9,12,15,18,21,24,27-nonaone (9.6 mg, 8.19 × 10 −3 mmol) was added to methanol ( 0.6 ml) and water (0.3 ml) was added. While the solution was stirred, OXONE (15.1 mg, 2.46 × 10 −2 mmol) was added. After the reaction mixture was stirred at room temperature for 14 hours, DMSO (80 μl) was added. The mixture was purified by reverse phase silica gel column chromatography (10 mM aqueous ammonium acetate / methanol = 60/40 → 0/100), and 5S, 8S, 11S, 14S, 20S, 23S, 26S, 29R) -8-benzyl- 23- (tert-butoxymethyl) -26-((S) -sec-butyl) -14-((R) -1-hydroxyethyl) -11,20-diisobutyl-4,5,7,10,16, 19,25-heptamethyl-29- (piperidine-1-carbonyl) -1-thia-4,7,10,13,16,19,22,25,28-nonazaazacyclotriacontane-3,6,9, 12,15,18,21,24,27-
LCMS (ESI) m / z = 1203 (M + H) +
Retention time: 0.82 minutes (analysis condition SQDAA50)
18-4-3.(5S,8S,11S,14S,17S,23S,26S,29S,32R)-5,11-ジベンジル-26-(tert-ブトキシメチル)-29-((S)-sec-ブチル)-17-((R)-1-ヒドロキシエチル)-14,23-ジイソブチル-4,7,8,10,13,19,22,28-オクタメチル-32-(ピペリジン-1-カルボニル)-1-チア-4,7,10,13,16,19,22,25,28,31-デカアザシクロトリトリアコンタン-3,6,9,12,15,18,21,24,27,30-デカオン 1-オキシド(化合物P-116)の合成
Ac*-MePhe-MeAla-MePhe-MeLeu-Thr-MeGly-MeLeu-Ser(tBu)-MeIle-Cys*-piperidine(化合物P-112)の直接酸化によるスルホキシド体
18-4-3. (5S, 8S, 11S, 14S, 17S, 23S, 26S, 29S, 32R) -5,11-dibenzyl-26- (tert-butoxymethyl) -29-((S) -sec-butyl) -17- ( (R) -1-hydroxyethyl) -14,23-diisobutyl-4,7,8,10,13,19,22,28-octamethyl-32- (piperidine-1-carbonyl) -1-thia-4, 7,10,13,16,19,22,25,28,31-decaazacyclotritriacontane-3,6,9,12,15,18,21,24,27,30-decaone 1-oxide ( Synthesis of compound P-116)
Ac * -MePhe-MeAla-MePhe-MeLeu-Thr-MeGly-MeLeu-Ser (tBu) -MeIle-Cys * -piperidine (compound P-112) by direct oxidation
18-4-1.と同様の方法で(5S,8S,11S,14S,17S,23S,26S,29S,32R)-5,11-ジベンジル-26-(tert-ブトキシメチル)-29-((S)-sec-ブチル)-17-((R)-1-ヒドロキシエチル)-14,23-ジイソブチル-4,7,8,10,13,19,22,28-オクタメチル-32-(ピペリジン-1-カルボニル)-1-チア-4,7,10,13,16,19,22,25,28,31-デカアザシクロトリトリアコンタン-3,6,9,12,15,18,21,24,27,30-デカオン(16.9mg、1.27x10-2mmol)から5S,8S,11S,14S,17S,23S,26S,29S,32R)-5,11-ジベンジル-26-(tert-ブトキシメチル)-29-((S)-sec-ブチル)-17-((R)-1-ヒドロキシエチル)-14,23-ジイソブチル-4,7,8,10,13,19,22,28-オクタメチル-32-(ピペリジン-1-カルボニル)-1-チア-4,7,10,13,16,19,22,25,28,31-デカアザシクロトリトリアコンタン-3,6,9,12,15,18,21,24,27,30-デカオン 1-オキシド(11.6mg、68%)を得た。
LCMS(ESI) m/z = 1348 (M+H)+
保持時間:0.84分(分析条件SQDAA50)
18-4-1. (5S, 8S, 11S, 14S, 17S, 23S, 26S, 29S, 32R) -5,11-dibenzyl-26- (tert-butoxymethyl) -29-((S) -sec-butyl ) -17-((R) -1-hydroxyethyl) -14,23-diisobutyl-4,7,8,10,13,19,22,28-octamethyl-32- (piperidine-1-carbonyl) -1 -Thia-4,7,10,13,16,19,22,25,28,31-Decaazacyclotritriacontane-3,6,9,12,15,18,21,24,27,30- Dekaon (16.9mg, 1.27x10 -2 mmol) 5S from, 8S, 11S, 14S, 17S , 23S, 26S, 29S, 32R) -5,11- dibenzyl -26- (tert butoxy Methyl) -29-((S) -sec-butyl) -17-((R) -1-hydroxyethyl) -14,23-diisobutyl-4,7,8,10,13,19,22,28- Octamethyl-32- (piperidine-1-carbonyl) -1-thia-4,7,10,13,16,19,22,25,28,31-decaazacyclotritriacontane-3,6,9,12 , 15, 18, 21, 24, 27, 30-decaone 1-oxide (11.6 mg, 68%).
LCMS (ESI) m / z = 1348 (M + H) +
Retention time: 0.84 minutes (analysis condition SQDAA50)
18-4-4.(5S,8S,11S,14S,20S,23S,26S,29R)-8-ベンジル-23-(tert-ブトキシメチル)-26-((S)-sec-ブチル)-14-((R)-1-ヒドロキシエチル)-11,20-ジイソブチル-4,5,10,16,19,25-ヘキサメチル-29-(ピペリジン-1-カルボニル)-1-チア-4,7,10,13,16,19,22,25,28-ノナアザシクロトリアコンタン-3,6,9,12,15,18,21,24,27-ノナオン 1-オキシド(化合物P-117)の合成
Ac*-MeAla-Phe-MeLeu-Thr-MeGly-MeLeu-Ser(tBu)-MeIle-Cys*-piperidine(化合物P-111)の直接酸化によるスルホキシド体(化合物P-117)
18-4-4. (5S, 8S, 11S, 14S, 20S, 23S, 26S, 29R) -8-benzyl-23- (tert-butoxymethyl) -26-((S) -sec-butyl) -14-((R)- 1-hydroxyethyl) -11,20-diisobutyl-4,5,10,16,19,25-hexamethyl-29- (piperidine-1-carbonyl) -1-thia-4,7,10,13,16, Synthesis of 19,22,25,28-nonaazacyclotriacontane-3,6,9,12,15,18,21,24,27-nonaone 1-oxide (compound P-117)
Ac * -MeAla-Phe-MeLeu-Thr-MeGly-MeLeu-Ser (tBu) -MeIle-Cys * -piperidine (compound P-111) by direct oxidation of sulfoxide (compound P-117)
18-4-1.と同様の方法で(5S,8S,11S,14S,20S,23S,26S,29R)-8-ベンジル-23-(tert-ブトキシメチル)-26-((S)-sec-ブチル)-14-((R)-1-ヒドロキシエチル)-11,20-ジイソブチル-4,5,10,16,19,25-ヘキサメチル-29-(ピペリジン-1-カルボニル)-1-チア-4,7,10,13,16,19,22,25,28-ノナアザシクロトリアコンタン-3,6,9,12,15,18,21,24,27-ノナオン(12.5mg、1.08x10-2mmol)から(5S,8S,11S,14S,20S,23S,26S,29R)-8-ベンジル-23-(tert-ブトキシメチル)-26-((S)-sec-ブチル)-14-((R)-1-ヒドロキシエチル)-11,20-ジイソブチル-4,5,10,16,19,25-ヘキサメチル-29-(ピペリジン-1-カルボニル)-1-チア-4,7,10,13,16,19,22,25,28-ノナアザシクロトリアコンタン-3,6,9,12,15,18,21,24,27-ノナオン 1-オキシド(10.5mg、83%)を得た。
LCMS(ESI) m/z = 1173 (M+H)+
保持時間:2.57分(分析条件ZQAA50)
18-4-1. (5S, 8S, 11S, 14S, 20S, 23S, 26S, 29R) -8-benzyl-23- (tert-butoxymethyl) -26-((S) -sec-butyl) -14 ((R) -1-hydroxyethyl) -11,20-diisobutyl-4,5,10,16,19,25-hexamethyl-29- (piperidine-1-carbonyl) -1-thia-4,7,10 , 13, 16, 19, 22, 25, 28-Nonaazacyclotriacontane-3,6,9,12,15,18,21,24,27-nonaone (12.5 mg, 1.08 × 10 −2 mmol) To (5S, 8S, 11S, 14S, 20S, 23S, 26S, 29R) -8-benzyl-23- (tert-butoxymethyl) -26-((S) -sec-butyl) -14-(( ) -1-hydroxyethyl) -11,20-diisobutyl-4,5,10,16,19,25-hexamethyl-29- (piperidine-1-carbonyl) -1-thia-4,7,10,13 16,19,22,25,28-Nonaazacyclotriacontane-3,6,9,12,15,18,21,24,27-nonaone 1-oxide (10.5 mg, 83%) was obtained.
LCMS (ESI) m / z = 1173 (M + H) +
Retention time: 2.57 minutes (analysis condition ZQAA50)
18-4-5.(5S,8S,11S,17S,20S,23S,26R)-5-ベンジル-20-(tert-ブトキシメチル)-23-((S)-sec-ブチル)-11-((R)-1-ヒドロキシエチル)-8,17-ジイソブチル-4,7,13,16,22-ペンタメチル-26-(ピペリジン-1-カルボニル)-1-チア-4,7,10,13,16,19,22,25-オクタアザシクロヘプタコサン-3,6,9,12,15,18,21,24-オクタオン 1-オキシド(化合物P-118)の合成
化合物P-103の直接酸化反応による合成
18-4-5. (5S, 8S, 11S, 17S, 20S, 23S, 26R) -5-benzyl-20- (tert-butoxymethyl) -23-((S) -sec-butyl) -11-((R) -1- Hydroxyethyl) -8,17-diisobutyl-4,7,13,16,22-pentamethyl-26- (piperidine-1-carbonyl) -1-thia-4,7,10,13,16,19,22, Synthesis of 25-octazaazacycloheptacosane-3,6,9,12,15,18,21,24-octaone 1-oxide (compound P-118) Synthesis of compound P-103 by direct oxidation
18-4-1.と同様の方法で((5S,8S,11S,17S,20S,23S,26R)-5-ベンジル-20-(tert-ブトキシメチル)-23-((S)-sec-ブチル)-11-((R)-1-ヒドロキシエチル)-8,17-ジイソブチル-4,7,13,16,22-ペンタメチル-26-(ピペリジン-1-カルボニル)-1-チア-4,7,10,13,16,19,22,25-オクタアザシクロヘプタコサン-3,6,9,12,15,18,21,24-オクタオン(21.4mg、1.97x10-2mmol)から18-4-5.(5S,8S,11S,17S,20S,23S,26R)-5-ベンジル-20-(tert-ブトキシメチル)-23-((S)-sec-ブチル)-11-((R)-1-ヒドロキシエチル)-8,17-ジイソブチル-4,7,13,16,22-ペンタメチル-26-(ピペリジン-1-カルボニル)-1-チア-4,7,10,13,16,19,22,25-オクタアザシクロヘプタコサン-3,6,9,12,15,18,21,24-オクタオン 1-オキシド(16.8mg、77%)を得た。
LCMS(ESI) m/z = 1102 (M+H)+
保持時間:0.80分(分析条件SQDAA50)
18-4-1. ((5S, 8S, 11S, 17S, 20S, 23S, 26R) -5-benzyl-20- (tert-butoxymethyl) -23-((S) -sec-butyl) -11- ( (R) -1-hydroxyethyl) -8,17-diisobutyl-4,7,13,16,22-pentamethyl-26- (piperidine-1-carbonyl) -1-thia-4,7,10,13 16,19,22,25-Octaazacycloheptacosane-3,6,9,12,15,18,21,24-octane (21.4 mg, 1.97 × 10 −2 mmol) to 18-4-5. (5S, 8S, 11S, 17S, 20S, 23S, 26R) -5-benzyl-20- (tert-butoxymethyl) -23-((S) -sec-butyl) -11-((R) -1- Hydro Ethyl) -8,17-diisobutyl-4,7,13,16,22-pentamethyl-26- (piperidine-1-carbonyl) -1-thia-4,7,10,13,16,19,22,25 -Octaazacycloheptacosane-3,6,9,12,15,18,21,24-octaone 1-oxide (16.8 mg, 77%) was obtained.
LCMS (ESI) m / z = 1102 (M + H) +
Retention time: 0.80 minutes (analysis condition SQDAA50)
18-4-6.(S)-2-(9H-フルオレン-9-イルメトキシカルボニルアミノ)-4-メチルスルファニル-酪酸の酸化
18-4-6. Oxidation of (S) -2- (9H-fluoren-9-ylmethoxycarbonylamino) -4-methylsulfanyl-butyric acid
(S)-2-(9H-フルオレン-9-イルメトキシカルボニルアミノ)-4-メチルスルファニル-酪酸(ペプチドP-130、38mg、0.102mmol)をメタノール(2mL)に室温で溶解して、水(0.2mL)を添加後、氷浴にて冷却した。混合物にOXONE(69mg、0.113mmol)を添加し、反応混合物を20分間撹拌後、DMSO(100μL)を添加した。LCMSにて反応進行を確認したところ、原料とは異なる保持時間に単一ピークを与えた(ペプチドP-131)。
(S)-2-(9H-フルオレン-9-イルメトキシカルボニルアミノ)-4-メチルスルファニル-酪酸(ペプチドP-130)
LCMS(ESI) m/z = 372 (M+H)+
保持時間:0.94分(分析条件SQDAA05)
生成物P-131
LCMS(ESI) m/z = 388 (M+H)+
保持時間:0.86分(分析条件SQDAA05)
(S) -2- (9H-Fluoren-9-ylmethoxycarbonylamino) -4-methylsulfanyl-butyric acid (peptide P-130, 38 mg, 0.102 mmol) was dissolved in methanol (2 mL) at room temperature, (0.2 mL) was added, followed by cooling in an ice bath. To the mixture was added OXONE (69 mg, 0.113 mmol) and the reaction mixture was stirred for 20 minutes before adding DMSO (100 μL). When the progress of the reaction was confirmed by LCMS, a single peak was given at a retention time different from that of the starting material (peptide P-131).
(S) -2- (9H-Fluoren-9-ylmethoxycarbonylamino) -4-methylsulfanyl-butyric acid (peptide P-130)
LCMS (ESI) m / z = 372 (M + H) +
Retention time: 0.94 minutes (analysis condition SQDAA05)
Product P-131
LCMS (ESI) m / z = 388 (M + H) +
Retention time: 0.86 minutes (analysis condition SQDAA05)
18-4-7.(S)-2-(9H-フルオレン-9-イルメトキシカルボニルアミノ)-3-(1H-インドール-3-イル)-プロピオン酸 ・ 2-イソプロポキシ-プロパン (1:2/3)の酸化
18-4-7. Oxidation of (S) -2- (9H-fluoren-9-ylmethoxycarbonylamino) -3- (1H-indol-3-yl) -propionic acid 2-isopropoxy-propane (1: 2/3)
(S)-2-(9H-フルオレン-9-イルメトキシカルボニルアミノ)-3-(1H-インドール-3-イル)-プロピオン酸 ・ 2-イソプロポキシ-プロパン (ペプチドP-132、1:2/3)(50mg、0.101mmol)をメタノール(2mL)に室温で溶解して、水(0.2mL)を添加後、氷浴にて冷却した。混合物にOXONE(68mg、0.113mmol)を添加し、反応混合物を20分間撹拌後、DMSO(100μL)を添加した。LCMSにて反応進行を確認したところ、原料と同一のピークを与えた。
(S)-2-(9H-フルオレン-9-イルメトキシカルボニルアミノ)-3-(1H-インドール-3-イル)-プロピオン酸(ペプチドP-132)
LCMS(ESI) m/z = 427 (M+H)+
保持時間:0.95分(分析条件SQDAA05)
(S) -2- (9H-Fluoren-9-ylmethoxycarbonylamino) -3- (1H-indol-3-yl) -propionic acid 2-isopropoxy-propane (peptide P-132, 1: 2 / 3) (50 mg, 0.101 mmol) was dissolved in methanol (2 mL) at room temperature, water (0.2 mL) was added, and the mixture was cooled in an ice bath. To the mixture was added OXONE (68 mg, 0.113 mmol) and the reaction mixture was stirred for 20 minutes before adding DMSO (100 μL). When the reaction progress was confirmed by LCMS, the same peak as the raw material was given.
(S) -2- (9H-Fluoren-9-ylmethoxycarbonylamino) -3- (1H-indol-3-yl) -propionic acid (peptide P-132)
LCMS (ESI) m / z = 427 (M + H) +
Retention time: 0.95 minutes (analysis condition SQDAA05)
このように、ペプチドの酸化反応により容易にチオールが酸化反応を受けたことから、チオエーテルは広く一般に認知されているように酸化代謝され易いことと関連させる。 Thus, since the thiol easily undergoes an oxidation reaction due to the oxidation reaction of the peptide, thioether is related to the fact that it is easily oxidatively metabolized as widely recognized.
これらの実験より以下のことが明らかとなった。我々が膜透過可能と定義するペプチドでは、チオエーテル環化ペプチドの代謝速度は速い。ペプチドであるにも関わらず主な代謝はアミド結合の加水分解にはなく、酸化代謝であることが示された。チオエーテル部位を予め酸化させて酸化代謝部位をブロックされた化合物では代謝安定化が得られることを、対応するスルホキシドとの比較より明らかにした。チオエーテル部位が代謝部位の1つであると推定された。化学反応による酸化反応でも、チオエーテル部位が選択的に酸化されたことから、チオエーテル部位が他の部位よりも容易に酸化されることが示された。チオエーテルが酸化代謝を受けやすいことは広く一般に知られていることである。チトクロムP450によりRSCH2R'→RSH+R'CHOに分解されることや、フラビン含有モノオキシゲナーゼにより、スルホキシドへと代謝されることが報告されている(非特許文献、薬物代謝学 医療薬学・毒性学の基礎として第2版 加藤隆一・鎌滝哲也 編)。前者は生成するとReactive metaboliteとなるため、毒性発現にもつながる可能性がある。 From these experiments, the following became clear. For peptides we define as membrane permeable, the metabolic rate of thioether cyclized peptides is fast. Despite being a peptide, it was shown that the main metabolism is not amide bond hydrolysis but oxidative metabolism. It was clarified from the comparison with the corresponding sulfoxide that a compound in which the thioether site was previously oxidized to block the oxidative metabolic site could be metabolically stabilized. The thioether site was estimated to be one of the metabolic sites. In the oxidation reaction by chemical reaction, the thioether moiety was selectively oxidized, indicating that the thioether moiety is more easily oxidized than the other moieties. It is widely known that thioethers are susceptible to oxidative metabolism. It has been reported that cytochrome P450 degrades it into RSCH2R ′ → RSH + R′CHO and that it is metabolized to sulfoxide by flavin-containing monooxygenase (non-patent literature, drug metabolism, medical pharmacology, and toxicology as a basis) 2nd edition edited by Ryuichi Kato and Tetsuya Kamataki). When the former is generated, it becomes Reactive metabolite, which may lead to toxicity.
以上の知見から、アミド結合が代謝に対して安定である一方、酸化され易いチオエーテルを有する環化法には改良の余地があると結論された。各ユニットが全てアミド結合である本発明の方法による環状ペプチドは、従来の環化法による環状ペプチドよりも優れていると考察できる。 From the above findings, it was concluded that there is room for improvement in the cyclization method having a thioether that is easily oxidized while the amide bond is stable against metabolism. It can be considered that the cyclic peptide according to the method of the present invention in which all units are all amide bonds is superior to the cyclic peptide obtained by the conventional cyclization method.
5.チオエーテル環化とアミド環化化合物の代謝安定性の比較
脂溶性が高いチオエーテル環化ペプチド群の中で、比較的代謝安定性の高かったチオエーテル3種類を選択し、環化部位以外は同じ配列(MeAla-MePhe-MeLeu-Thr-MeGly-MeLeu-Ser(tBu)、MePhe-MeLeu-Thr-MeGly-MeLeu-Ser(tBu)-MeIle、MeAla-MePhe-MeLeu-Thr-MeGly-MeLeu-Ser(tBu)-MeIle)のアミド環化ペプチドを合成し、それらの代謝安定性を比較した。下表のようにマウス、ヒトともにミクロゾーム代謝安定性はマウスで2倍程度、ヒトで3倍程度向上した。一連の化合物で安定して代謝安定化が得られたことから、Displayされる全ての化合物に含まれていたチオエーテル部分構造が除去されたアミド環化法では、Displayされる化合物の多くがより代謝安定化された、よりDruglikeなDisplay手法であると考えられた。
5). Comparison of metabolic stability of thioether cyclized compounds and amide cyclized compounds Among the highly lipophilic thioether cyclized peptides, three types of thioethers with relatively high metabolic stability were selected, and the same sequence except for the cyclization site ( MeAla-MePhe-MeLeu-Thr-MeGly-MeLeu-Ser (tBu), MePhe-MeLeu-Thr-MeGly-MeLeu-Ser (tBu) -MeIle, MeAla-MePhe-MeLeu-Thr-MeGly-MeLeu-Ser (tBu) -MeIle) amide cyclized peptides were synthesized and their metabolic stability was compared. As shown in the table below, the microsomal metabolic stability of both mice and humans was improved about twice in mice and about three times in humans. Since stable metabolic stabilization was achieved with a series of compounds, the amide cyclization method, in which the thioether partial structure contained in all displayed compounds was removed, showed that many of the displayed compounds were more metabolized. It was thought to be a more stable, more druglike display technique.
化合物P-119
Ala-MeAla-MePhe-MeLeu-Thr-MeGly-MeLeu-Ser(tBu)-Asp-piperidine
N末端アミンとAsp側鎖がアミド環化
LCMS: 1067.8 m/z (M-H)-
保持時間:0.72分 (分析条件 SQDAA50)
Compound P-119
Ala-MeAla-MePhe-MeLeu-Thr-MeGly-MeLeu-Ser (tBu) -Asp-piperidine
Amide cyclization of N-terminal amine and Asp side chain
LCMS: 1067.8 m / z (MH)-
Retention time: 0.72 minutes (analysis condition SQDAA50)
化合物P-120
MeAla-MeAla-MePhe-MeLeu-Thr-MeGly-MeLeu-Ser(tBu)-Asp-piperidine
N末端アミンとAsp側鎖がアミド環化
LCMS: 1081.9 m/z (M-H)-
保持時間:0.73分 (分析条件 SQDAA50)
Compound P-120
MeAla-MeAla-MePhe-MeLeu-Thr-MeGly-MeLeu-Ser (tBu) -Asp-piperidine
Amide cyclization of N-terminal amine and Asp side chain
LCMS: 1081.9 m / z (MH)-
Retention time: 0.73 minutes (Analysis conditions SQDAA50)
化合物P-121
Ala-MeAla-MePhe-MeLeu-Thr-MeGly-MeLeu-Ser(tBu)-Glu-piperidine
N末端アミンとGlu側鎖がアミド環化
LCMS: 1082.0 m/z (M-H)-
保持時間:0.73分 (分析条件 SQDAA50)
Compound P-121
Ala-MeAla-MePhe-MeLeu-Thr-MeGly-MeLeu-Ser (tBu) -Glu-piperidine
N-terminal amine and Glu side chain amide cyclization
LCMS: 1082.0 m / z (MH)-
Retention time: 0.73 minutes (Analysis conditions SQDAA50)
化合物P-122
MeAla-MeAla-MePhe-MeLeu-Thr-MeGly-MeLeu-Ser(tBu)-Glu-piperidine
N末端アミンとGlu側鎖がアミド環化
LCMS: 1096.0 m/z (M-H)-
保持時間:0.73分 (分析条件 SQDAA50)
Compound P-122
MeAla-MeAla-MePhe-MeLeu-Thr-MeGly-MeLeu-Ser (tBu) -Glu-piperidine
N-terminal amine and Glu side chain amide cyclization
LCMS: 1096.0 m / z (MH)-
Retention time: 0.73 minutes (Analysis conditions SQDAA50)
化合物P-123
Ala-MePhe-MeLeu-Thr-MeGly-MeLeu-Ser(tBu)-MeIle-Asp-piperidine
N末端アミンとAsp側鎖がアミド環化
LCMS: 1110.0 m/z (M-H)-
保持時間:0.82分 (分析条件 SQDAA50)
Compound P-123
Ala-MePhe-MeLeu-Thr-MeGly-MeLeu-Ser (tBu) -MeIle-Asp-piperidine
Amide cyclization of N-terminal amine and Asp side chain
LCMS: 1110.0 m / z (MH)-
Retention time: 0.82 minutes (analysis condition SQDAA50)
化合物P-124
MeAla-MePhe-MeLeu-Thr-MeGly-MeLeu-Ser(tBu)- MeIle-Glu-piperidine
N末端アミンとGlu側鎖がアミド環化
LCMS: 1137.8 m/z (M-H)-
保持時間:0.81分 (分析条件 SQDAA50)
Compound P-124
MeAla-MePhe-MeLeu-Thr-MeGly-MeLeu-Ser (tBu)-MeIle-Glu-piperidine
N-terminal amine and Glu side chain amide cyclization
LCMS: 1137.8 m / z (MH)-
Retention time: 0.81 minutes (Analysis conditions SQDAA50)
化合物P-125
Ala-MeAla-MePhe-MeLeu-Thr-MeGly-MeLeu-Ser(tBu)-MeIle-Asp-piperidine
N末端アミンとAsp側鎖がアミド環化
LCMS: 1194.7 m/z (M-H)-
保持時間:0.81分 (分析条件 SQDAA50)
Compound P-125
Ala-MeAla-MePhe-MeLeu-Thr-MeGly-MeLeu-Ser (tBu) -MeIle-Asp-piperidine
Amide cyclization of N-terminal amine and Asp side chain
LCMS: 1194.7 m / z (MH)-
Retention time: 0.81 minutes (Analysis conditions SQDAA50)
[実施例18-2]チオエステル環化ペプチドを用いた酵素によるN末端アミノ酸除去とアミド環化への応用
N末端でない位置のシステインと側鎖カルボン酸が活性化されたアミノ酸を含むペプチドを翻訳し、両官能基が反応したチオエステル環化ペプチドを調製した。続いて、同システインよりもN末端部に位置するアミノ酸を酵素的に除去することで、システイン残基のα-アミノ基を露出させ、それを用いたペプチドのアミド環化が進行するかを以下のように試みた。
1. 転写によるtRNA(CA欠損)の合成
鋳型DNA(配列番号DT-E1)から、RiboMAX Large Scale RNA production System T7(Promega社,P1300)を用いたin vitro の転写により3'端のCAを欠くtRNAGluAAG (-CA)(配列番号RT-E1)を合成し、RNeasy Mini kit(Qiagen社)により精製した。
[Example 18-2] N-terminal amino acid removal by enzyme using thioester cyclized peptide and application to amide cyclization A peptide containing an amino acid in which a cysteine at a non-N-terminal position and a side chain carboxylic acid is activated is translated A thioester cyclized peptide in which both functional groups were reacted was prepared. Subsequently, the amino acid located at the N-terminal part of the cysteine is enzymatically removed to expose the α-amino group of the cysteine residue, and whether the amide cyclization of the peptide using it proceeds is as follows. Tried like.
1. Synthesis of tRNA (CA deficient) by transcription From template DNA (SEQ ID NO: DT-E1), tRNAGluAAG lacking 3′-end CA by in vitro transcription using RiboMAX Large Scale RNA production System T7 (Promega, P1300) -CA) (SEQ ID NO: RT-E1) was synthesized and purified by RNeasy Mini kit (Qiagen).
配列番号DT-E1(配列番号:179)
tRNAGluAAG (-CA) DNA配列:
GGCGTAATACGACTCACTATAGTCCCCTTCGTCTAGAGGCCCAGGACACCGCCCTAAGACGGCGGTAACAGGGGTTCGAATCCCCTAGGGGACGC
SEQ ID NO: DT-E1 (SEQ ID NO: 179)
tRNAGluAAG (-CA) DNA sequence:
GGCGTAATACGACTCACTATAGTCCCCTTCGTCTAGAGGCCCAGGACACCGCCCTAAGACGGCGGTAACAGGGGTTCGAATCCCCTAGGGGACGC
配列番号RT-E1(配列番号:180)
tRNAGluAAG (-CA) RNA配列:
GUCCCCUUCGUCUAGAGGCCCAGGACACCGCCCUAAGACGGCGGUAACAGGGGUUCGAAUCCCCUAGGGGACGC
SEQ ID NO: RT-E1 (SEQ ID NO: 180)
tRNAGluAAG (-CA) RNA sequence:
GUCCCCUUCGUCUAGAGGCCCAGGACACCGCCCUAAGACGGCGGUAACAGGGGUUCGAAUCCCCUAGGGGACGC
2. 側鎖カルボン酸が活性エステル化されたアミノアシル化pdCpA(化合物1i-IA)とtRNA(CA欠損)(配列番号:RT-E1)のligationによるアミノアシル化tRNA(化合物AT-E1)の合成
50μM 転写tRNAGluAAG (-CA)(配列番号RT-E1) 10μLに、10X ligation buffer(500 mM HEPES-KOH pH 7.5, 200 mM MgCl2) 2μL、10 mM ATP 2μL、Nuclease free water 2.8μLを加え、95℃で2分間加熱した後、室温で5分間放置し、tRNAのリフォールディングを行った。 20unit/μLのT4 RNAリガーゼ(New England Bio Lab.社)1.2μLおよび、5mMのアミノアシル化pdCpA(化合物1i-IA)のDMSO溶液 2μLを加え、15℃で45分間ライゲーション反応を行った。ライゲーション反応液 20μLに、3M酢酸ナトリウム 4μLと125mM ヨウ素(水:THF=1:1溶液)24μLを加え、室温で1時間、脱保護を行った。アミノアシル化tRNA(化合物AT-E1)は、フェノール抽出した後、エタノール沈殿により回収した。アミノアシル化tRNA(化合物AT-E1)は、翻訳混合物に添加する直前に1mM酢酸ナトリウムに溶解した。
2. Synthesis of aminoacylated tRNA (compound AT-E1) by ligation of aminoacylated pdCpA (compound 1i-IA) and tRNA (CA deficient) (SEQ ID NO: RT-E1) in which side chain carboxylic acid is active esterified 50 μM Transcription tRNAGluAAG (-CA) (SEQ ID NO: RT-E1) To 10 μL, add 2 μL of 10 × ligation buffer (500 mM HEPES-KOH pH 7.5, 200 mM MgCl 2 ), 2 μL of 10 mM ATP, 2.8 μL of Nuclease free water at 95 ° C. After heating for 2 minutes, it was left at room temperature for 5 minutes to refold tRNA. 1.2 μL of 20 unit / μL T4 RNA ligase (New England Bio Lab.) And 2 μL of 5 mM aminoacylated pdCpA (
化合物AT-E1(配列番号:181)
Asp(SMe)-tRNAGluAAG
Compound AT-E1 (SEQ ID NO: 181)
Asp (SMe) -tRNAGluAAG
3. N末端に位置しないシステイン残基と側鎖カルボン酸が活性エステル化されたアミノ酸を含むペプチドの翻訳合成
側鎖カルボン酸をチオエステルにより活性化したアスパラギン酸誘導体でアミノアシル化されたtRNAを、無細胞翻訳系に加えて翻訳を開始することにより、所望の非天然アミノ酸を含有するポリペプチドの翻訳合成を行った。翻訳系は、原核生物由来の再構成無細胞タンパク質合成系であるPURE systemを用いた。具体的には、翻訳液,1%(v/v) RNasein Ribonuclease inhibitor (Promega社,N2111), 1mM GTP,1mM ATP,20mMクレアチンリン酸,50mM HEPES-KOH pH7.6,100mM 酢酸カリウム,6mM 酢酸マグネシウム,2mMスペルミジン,2mM ジチオスレイトール,0.1mM 10-HCO-H4folate, 1.5mg/ml E.coli MRE600(RNaseネガティブ)由来tRNA(Roche社),4μg/ml クレアチンキナーゼ,3μg/ml ミオキナーゼ,2unit/ml 無機ピロフォスファターゼ,1.1μg/ml ヌクレオシド二リン酸キナーゼ,0.6μM メチオニルtRNAトランスフォルミラーゼ,0.26μM EF-G,0.24μM RF2,0.17μM RF3,0.5μM RRF,2.7μM IF1,0.4μM IF2,1.5μM IF3,40μM EF-Tu,93μM EF-Ts,1.2μM リボソーム,0.73μM AlaRS,0.03μM ArgRS,0.38μM AsnRS,0.13μM AspRS,0.02μM CysRS,0.06μM GlnRS,0.23μM GluRS,0.09μM GlyRS,0.4μM IleRS,0.04μM LeuRS,0.11μM LysRS,0.03μM MetRS,0.68μM PheRS,0.16μM ProRS,0.04μM SerRS,0.09μM ThrRS,0.03μM TrpRS,0.02μM TyrRS,0.02μM ValRS(自家調製タンパクは基本的にはHisタグ付加タンパクとして調製した))に、1μM 鋳型RNA、それぞれの鋳型DNAにコードされているタンパク質性アミノ酸群をそれぞれ250μMずつ、ならびに50μMの側鎖カルボン酸が活性エステル化されたアミノアシル化tRNA(化合物AT-E1)を翻訳反応混合物に添加し、37℃で1時間静置することで行った。
3. Translation of peptides containing cysteine residues not located at the N-terminal and amino acids in which side chain carboxylic acids are active esterified Synthesis of tRNA aminoacylated with aspartic acid derivatives activated by thioesters of side chain carboxylic acids By starting translation in addition to the system, translation synthesis of a polypeptide containing the desired unnatural amino acid was performed. The translation system used was the PURE system, a prokaryotic-derived reconstituted cell-free protein synthesis system. Specifically, translation solution, 1% (v / v) RNasein Ribonuclease inhibitor (Promega, N2111), 1 mM GTP, 1 mM ATP, 20 mM creatine phosphate, 50 mM HEPES-KOH pH7.6, 100 mM potassium acetate, 6 mM acetic acid Magnesium, 2 mM spermidine, 2 mM dithiothreitol, 0.1 mM 10-HCO-H4folate, 1.5 mg / ml E. coli MRE600 (RNase negative) -derived tRNA (Roche), 4 μg / ml creatine kinase, 3 μg / ml myokinase, 2 unit / ml inorganic pyrophosphatase, 1.1 μg / ml nucleoside diphosphate kinase, 0.6 μM methionyl tRNA transformylase , 0.26 μM EF-G, 0.24 μM RF2, 0.17 μM RF3, 0.5 μM RRF, 2.7 μM IF1, 0.4 μM IF2, 1.5 μM IF3, 40 μM EF-Tu, 93 μM EF-Ts, 2 μM ribosome, 0.73 μM AlaRS, 0.03 μM ArgRS, 0.38 μM AsnRS, 0.13 μM AspRS, 0.02 μM CysRS, 0.06 μM GlnRS, 0.23 μM GluRS, 0.09 μM GlyRS, 0. μM IleRS, 0.04 μM LeuRS, 0.11 μM LysRS, 0.03 μM MetRS, 0.68 μM PheRS, 0.16 μM ProRS, 0.04 μM SerRS, 0.09 μM ThrRS, 0.03 μM TrpRS, 0.02 μM TyrRS, 0. 02 μM ValRS (the self-prepared protein was basically prepared as a His-tagged protein)), 1 μM template RNA, 250 μM each of proteinaceous amino acid groups encoded by each template DNA, and 50 μM side chain carboxyl An aminoacylated tRNA (compound AT-E1) in which an acid was active esterified was added to the translation reaction mixture, and the mixture was allowed to stand at 37 ° C. for 1 hour.
翻訳産物はマトリックスとしてα-シアノ-4-ヒドロキシケイ皮酸を用いてMALDI-MSスペクトルを測定して同定した。 The translation product was identified by measuring a MALDI-MS spectrum using α-cyano-4-hydroxycinnamic acid as a matrix.
4.チオエステル環化ペプチドの翻訳合成と酵素を用いたN末端アミノ酸除去を利用したアミド環化への変換
1μM 鋳型RNA OT43 RNA(配列番号RM-E1)に、0.25mM Met,0.25mM Cys,0.25mM Thr,0.25mM Arg,0.25mM Tyr,0.25mM Pro,0.25mM Glyおよび、50μM Asp(SMe)-tRNAGluAAG(化合物AT-E1)を含む前述の翻訳液を37℃で60分間保温した。得られた翻訳溶液1μLに9μLの0.2%トリフルオロ酢酸を加え、そのうち1μLをMALDIターゲットプレート上に載せた後、1μLのCHCA溶液(10mg/ml α-シアノ-4-ヒドロキシケイ皮酸、50%アセトニトリル、0.1%トリフルオロ酢酸溶液)と混和し、プレート上乾固し、MALDI-MSで分析した。その結果、N末端フォルミルメチオニンを含み、側鎖チオール基とカルボン酸でチオエステル環化したペプチドP-E1に相当するピークが観測された(図62、ピークI)。続いて、上記翻訳反応物に終濃度がそれぞれ2μM、14μMとなるように酵素ペプチドデフォルミラーゼ、メチオニンアミノペプチダーゼを加え、37℃で5分間保温した。得られた反応物を上述したようにMALDI-MSで分析したところ、原料のチオエステル環化ペプチドのピークは小さくなり、その代わりに、N末端フォルミルメチオニンが除去され、その結果露出したN末端アミノ基の窒素原子とAspの側鎖カルボン酸でアミド環化した化合物P-E2に相当するピークが観測された(図62、ピークII)。このことから、チオエステル環化が進行した後でも、CysよりN末端部を除去することで、目的のアミド環化ペプチドが得られる事が示された。
4). Translation synthesis of thioester cyclized peptide and conversion to amide cyclization using N-terminal amino acid
配列番号 RM-E1(配列番号:182)
OT43 RNA
GGGUUAACUUUAAGAAGGAGAUAUACAUaugUGCACUACAACGCGUCUUCCGUACCGUGGCGGCuaagcuucg
SEQ ID NO: RM-E1 (SEQ ID NO: 182)
OT43 RNA
GGGUUAACUUUAAGAAGGAGAUAUACAUaugUGCACUACAACGCGUCUUCCGUACCGUGGCGGCuaagcuucg
ペプチド配列P-E1(配列番号:183)
fMetCysThrThrThrArgAspProTyrArgGlyGlyの側鎖硫黄原子とAspの側鎖カルボン酸でチオエステル環化した化合物
MALDI-MS:m/z: [M+H]+ = 1367.5 (Calc.1367.6)
Peptide sequence P-E1 (SEQ ID NO: 183)
fMetCysThrThrThrArgAspProTyrArgGlyGly thioester cyclized with side chain sulfur atom and Asp side chain carboxylic acid
MALDI-MS: m / z: [M + H] + = 1367.5 (Calc.1367.6)
ペプチド配列P-E2(配列番号:184)
CysThrThrThrArgAspProTyrArgGlyGlyのN末端アミノ基の窒素原子とAspの側鎖カルボン酸でアミド環化した化合物
MALDI-MS:m/z: [M+H]+ = 1208.3 (Calc.1208.6)
Peptide sequence P-E2 (SEQ ID NO: 184)
CysThrThrThrArgAspProTyrArgGlyGly N-terminal amino group nitrogen atom and Asp side chain carboxylic acid amide cyclized compound
MALDI-MS: m / z: [M + H] + = 1208.3 (Calc.1208.6)
[実施例19]ペプチド化合物
1.アミド環化ペプチドの合成
以下に示す環化ペプチドを合成した(表11-1:合成したペプチド化合物例(計965化合物))。特に明示しない限り表中の1に位置するアミノ酸が前記スキームAなどで示した白丸○に対応する交差ユニットに対応し、アミノ酸配列中左端に表記したアミノ酸が同じく▲ユニットに対応する。これら2つの部位が結合を形成し環化ペプチドを構成する。また、表中H-1からH-6で示したアミノ酸は前記スキームAなどで示した直鎖部に相当する。ここで、表中右端に存在する部位がC末端を形成する。ここで表記したpipとはC末端カルボン酸がピペリジンとアミド結合を形成してピペリジンアミドを形成したことを意味している。また、H-1に何も記載されていない環化ペプチドはC末端カルボン酸が削除された化合物を意図する。この場合、1に位置するアミノ酸の持つ1つのカルボン酸とN末端のアミンとがアミド化反応して環化され、C末端カルボン酸部位が削除された誘導体、例えばメチル基やトリフルオロメチル基に置換された化合物がC末端に位置される。表11-1に示した略号は表11-2(アミノ酸略号が意図する構造との関連表)に表記したアミノ酸を意味する。
既に記載の方法と同様の手法を用いて表11-1に表記した環化ペプチドを合成し、それぞれの化合物の同定を行った(表11-3-1、表11-3-2:合成したペプチド化合物の同定(計965化合物))。
[Example 19] Peptide compound
1. Synthesis of Amide Cyclized Peptides The following cyclized peptides were synthesized (Table 11-1: Examples of synthesized peptide compounds (total 965 compounds)). Unless otherwise specified, the amino acid located at 1 in the table corresponds to the crossing unit corresponding to the white circle ◯ shown in the above-mentioned scheme A and the like, and the amino acid shown at the left end in the amino acid sequence also corresponds to the ▲ unit. These two sites form a bond and constitute a cyclized peptide. In the table, the amino acids represented by H-1 to H-6 correspond to the straight chain portion shown in the above-mentioned scheme A and the like. Here, the site present at the right end in the table forms the C-terminus. The pip described here means that the C-terminal carboxylic acid formed an amide bond with piperidine to form piperidine amide. Moreover, the cyclized peptide in which nothing is described in H-1 intends a compound in which the C-terminal carboxylic acid is deleted. In this case, one carboxylic acid of the amino acid located at 1 and the N-terminal amine are cyclized by amidation reaction, and the C-terminal carboxylic acid moiety is deleted, such as a methyl group or a trifluoromethyl group. The substituted compound is located at the C-terminus. The abbreviations shown in Table 11-1 mean the amino acids shown in Table 11-2 (a table relating to the structure of amino acid abbreviations intended).
The cyclized peptides shown in Table 11-1 were synthesized using the same method as that already described, and the respective compounds were identified (Table 11-3-1 and Table 11-3-2: synthesized) Identification of peptide compounds (total 965 compounds)).
1-1.レジンに結合させるC末端部位アミノ酸もしくはペプチドの合成例およびそのレジンへの担持方法
C末端部位の主鎖部位がアミドにて化学修飾(多くの実施例ではピペリジンアミド)され、かつアスパラギン酸の側鎖カルボン酸部位(交差ユニット)がN末端側のアミノ基(三角ユニット)とアミド結合させた様々な化合物を合成する目的で、以下のアミノ酸もしくはペプチドの担持レジンを合成した。以下に合成例のより詳細な内容を述べる。なお、以下の方法に限定されず、本明細書の他に記載の部分や、一般的なペプチドの合成法によっても合成できる。
1-1. Example of synthesis of C-terminal amino acid or peptide to be bonded to resin and loading method on resin The main chain of C-terminal site is chemically modified with amide (in many examples, piperidine amide), and the side chain of aspartic acid For the purpose of synthesizing various compounds in which the carboxylic acid moiety (crossing unit) is amide-bonded to the amino group (triangular unit) on the N-terminal side, the following amino acid or peptide-supporting resins were synthesized. The details of the synthesis example will be described below. In addition, it is not limited to the following method, It can synthesize | combine also by the part described other than this specification, and the synthesis method of a general peptide.
1-1-1.Fmoc-Asp-pip(化合物SP401)の側鎖カルボン酸にてレジンと結合させた化合物(化合物SP402)合成1-1-1. Synthesis of compound (compound SP402) bound to resin with side chain carboxylic acid of Fmoc-Asp-pip (compound SP401)
(S)-3-((((9H-フルオレン-9-イル)メトキシ)カルボニル)アミノ)-4-オキソ-4-(ピペリジン-1-イル)ブタン酸 tert-ブチル(化合物SP403、Fmoc-Asp(OtBu)-pip)の合成
(S)-2-((((9H-フルオレン-9-イル)メトキシ)カルボニル)アミノ)-4-(tert-ブトキシ)-4-オキソブタン酸(化合物SP404、Fmoc-Asp(OtBu)-OH)(30g、72.9mmol)をDMF(243mL)に溶解させ、0℃にてN-メチルモルホリン(9.6ml、87mmol)、ついでO-(7-アザー1Hベンゾトリアゾール-1-イル)-N,N,N,Nテトラメチルウロニウム ヘキサフルオロホスフェート(HATU)(33.3g、87mmol)を加え、10分間攪拌した。さらにピペリジン(7.1ml、71.5mmol)を滴下し、30分間攪拌した。反応混合物をヘキサン/酢酸エチル=1/1(1500ml)で希釈し、有機層を飽和塩化アンモニウム水溶液、飽和炭酸水素ナトリウム水溶液、水、飽和食塩水で順次洗浄した。有機抽出物を硫酸ナトリウムで乾燥した後、減圧下に濃縮をし、得られた残渣をシリカゲルカラムクロマトグラフィー(ヘキサン/酢酸エチル=2/1)にて精製し、(S)-3-((((9H-フルオレン-9-イル)メトキシ)カルボニル)アミノ)-4-オキソ-4-(ピペリジン-1-イル)ブタン酸 tert-ブチル(化合物SP403)(35.2g、99%)を得た。
LCMS(ESI) m/z =479.5(M+H)+
保持時間:1.10分(分析条件SQDAA05)
(S) -3-((((9H-Fluoren-9-yl) methoxy) carbonyl) amino) -4-oxo-4- (piperidin-1-yl) butanoic acid tert-butyl (compound SP403, Fmoc-Asp Synthesis of (OtBu) -pip)
(S) -2-((((9H-Fluoren-9-yl) methoxy) carbonyl) amino) -4- (tert-butoxy) -4-oxobutanoic acid (compound SP404, Fmoc-Asp (OtBu) -OH) (30 g, 72.9 mmol) was dissolved in DMF (243 mL), N-methylmorpholine (9.6 ml, 87 mmol) at 0 ° C., then O- (7-other 1Hbenzotriazol-1-yl) -N, N, N, N tetramethyluronium hexafluorophosphate (HATU) (33.3 g, 87 mmol) was added and stirred for 10 minutes. Piperidine (7.1 ml, 71.5 mmol) was further added dropwise and stirred for 30 minutes. The reaction mixture was diluted with hexane / ethyl acetate = 1/1 (1500 ml), and the organic layer was washed successively with a saturated aqueous solution of ammonium chloride, a saturated aqueous solution of sodium bicarbonate, water and saturated brine. The organic extract was dried over sodium sulfate and concentrated under reduced pressure. The resulting residue was purified by silica gel column chromatography (hexane / ethyl acetate = 2/1) to give (S) -3-(( ((9H-Fluoren-9-yl) methoxy) carbonyl) amino) -4-oxo-4- (piperidin-1-yl) butanoic acid tert-butyl (compound SP403) (35.2 g, 99%) was obtained. .
LCMS (ESI) m / z = 479.5 (M + H) +
Retention time: 1.10 minutes (analysis condition SQDAA05)
(S)-3-((((9H-フルオレン-9-イル)メトキシ)カルボニル)アミノ)-4-オキソ-4-(ピペリジン-1-イル)ブタン酸(Fmoc-Asp-pip、化合物SP401)の合成
(S)-3-((((9H-フルオレン-9-イル)メトキシ)カルボニル)アミノ)-4-オキソ-4-(ピペリジン-1-イル)ブタン酸 tert-ブチル(化合物SP403)(9.3g、19.4mmol)をトルエン(300mL)に溶解させ、これを減圧下に濃縮した。この操作をさらに2回繰り返し行い、減圧下に終夜乾燥させた。反応容器に脱水ジクロロメタン(8.6ml)を入れ、窒素雰囲気下、0℃にて5分間攪拌した後、トリフルオロ酢酸(8.6ml、116mmol)を滴下した。室温にて4時間攪拌した後、0℃にてトリエチルアミン(16.2ml、116mmol)を滴下した。反応混合物をジクロロメタン(100ml)で希釈し、有機層を5%リン酸2水素ナトリウム水溶液で6回洗浄した。有機抽出物を硫酸ナトリウムで乾燥した後、減圧下に濃縮をし、得られた残渣を再度ジクロロメタン(100ml)で希釈し、有機層を5%リン酸二水素ナトリウム水溶液で2回洗浄した。有機抽出物を硫酸ナトリウムで乾燥した後、減圧下に濃縮をし、(S)-3-((((9H-フルオレン-9-イル)メトキシ)カルボニル)アミノ)-4-オキソ-4-(ピペリジン-1-イル)ブタン酸(Fmoc-Asp-pip、化合物SP401)(7.8g、96%)を得た。この化合物はこれ以上の精製操作をせずに次の工程に使用した。
LCMS(ESI) m/z =423(M+H)+
保持時間:0.88分(分析条件SQDAA05)
(S) -3-((((9H-Fluoren-9-yl) methoxy) carbonyl) amino) -4-oxo-4- (piperidin-1-yl) butanoic acid (Fmoc-Asp-pip, compound SP401) Synthesis of
(S) -3-((((9H-Fluoren-9-yl) methoxy) carbonyl) amino) -4-oxo-4- (piperidin-1-yl) butanoic acid tert-butyl (compound SP403) (9. 3 g, 19.4 mmol) was dissolved in toluene (300 mL) and concentrated under reduced pressure. This operation was repeated twice more and dried overnight under reduced pressure. Dehydrated dichloromethane (8.6 ml) was placed in the reaction vessel and stirred at 0 ° C. for 5 minutes under a nitrogen atmosphere, and trifluoroacetic acid (8.6 ml, 116 mmol) was added dropwise. After stirring at room temperature for 4 hours, triethylamine (16.2 ml, 116 mmol) was added dropwise at 0 ° C. The reaction mixture was diluted with dichloromethane (100 ml), and the organic layer was washed 6 times with 5% aqueous sodium dihydrogen phosphate solution. The organic extract was dried over sodium sulfate and concentrated under reduced pressure. The resulting residue was diluted again with dichloromethane (100 ml), and the organic layer was washed twice with 5% aqueous sodium dihydrogen phosphate. The organic extract was dried over sodium sulfate and concentrated under reduced pressure to give (S) -3-((((9H-fluoren-9-yl) methoxy) carbonyl) amino) -4-oxo-4- ( Piperidin-1-yl) butanoic acid (Fmoc-Asp-pip, compound SP401) (7.8 g, 96%) was obtained. This compound was used in the next step without further purification.
LCMS (ESI) m / z = 423 (M + H) +
Retention time: 0.88 minutes (analysis condition SQDAA05)
(S)-3-((((9H-フルオレン-9-イル)メトキシ)カルボニル)アミノ)-4-オキソ-4-(ピペリジン-1-イル)ブタン酸-2-クロロトリチルレジン(化合物SP402、Fmoc-Asp(O-Trt(2-Cl)-Resin)-pip)の合成
なお、本明細書では、ポリマーやレジンと化合物が結合した場合、ポリマーやレジン部位を○にて表記する場合がある。また、レジン部位の反応点を明確にさせる目的で、○に接続させて反応部位の化学構造を表記させる場合がある。下の構造では、レジンの2-クロロトリチル基がAspの側鎖カルボン酸とエステル結合を介して結合している様子を示している。
(S) -3-((((9H-Fluoren-9-yl) methoxy) carbonyl) amino) -4-oxo-4- (piperidin-1-yl) butanoic acid-2-chlorotrityl resin (compound SP402, Synthesis of Fmoc-Asp (O-Trt (2-Cl) -Resin) -pip) In this specification, when a polymer or resin is combined with a compound, the polymer or resin site may be indicated by a circle. . In addition, for the purpose of clarifying the reaction site of the resin site, the chemical structure of the reaction site may be indicated by connecting to ○. The structure below shows that the 2-chlorotrityl group of the resin is bound to the side chain carboxylic acid of Asp via an ester bond.
フィルター付きの反応容器に2-クロロトリチルクロライドレジン(100-200mesh、1%DVB、Chem-Impexから購入、29.6g、33.4mmol)と脱水ジクロロメタン(300ml)を入れ、室温にて10分間振盪した。窒素圧をかけジクロロメタンを除いた後、(S)-3-((((9H-フルオレン-9-イル)メトキシ)カルボニル)アミノ)-4-オキソ-4-(ピペリジン-1-イル)ブタン酸(化合物SP401)(7.8g)の脱水ジクロロメタン(334ml)溶液に脱水メタノール(5.4ml)およびジイソプロピルエチルアミン(14ml)を加えた混合液を反応容器に添加し、10分間振盪した。窒素圧をかけ反応液を除いた後、脱水ジクロロメタン(334ml)に脱水メタノール(41.6ml)およびジイソプロピルエチルアミン(14ml)を加えた混合液を反応容器に添加し、90分間振盪した。窒素圧をかけ反応液を除いた後、ジクロロメタン(300ml)を入れ、5分間振盪した。窒素圧をかけ反応液を除いた後、再度ジクロロメタン(300ml)を入れ、5分間振盪した。窒素圧をかけ反応液を除いた後、減圧下にレジンを終夜乾燥させ、(S)-3-((((9H-フルオレン-9-イル)メトキシ)カルボニル)アミノ)-4-オキソ-4-(ピペリジン-1-イル)ブタン酸-2-クロロトリチルレジン(化合物SP402)(34.8g)を得た。 Place 2-chlorotrityl chloride resin (100-200 mesh, 1% DVB, purchased from Chem-Impex, 29.6 g, 33.4 mmol) and dehydrated dichloromethane (300 ml) in a reaction vessel equipped with a filter, and shake at room temperature for 10 minutes. did. After applying nitrogen pressure to remove dichloromethane, (S) -3-((((9H-fluoren-9-yl) methoxy) carbonyl) amino) -4-oxo-4- (piperidin-1-yl) butanoic acid A mixture of (Compound SP401) (7.8 g) in dehydrated dichloromethane (334 ml) and dehydrated methanol (5.4 ml) and diisopropylethylamine (14 ml) was added to the reaction vessel and shaken for 10 minutes. After removing the reaction solution by applying nitrogen pressure, a mixed solution obtained by adding dehydrated methanol (41.6 ml) and diisopropylethylamine (14 ml) to dehydrated dichloromethane (334 ml) was added to the reaction vessel and shaken for 90 minutes. After removing the reaction solution by applying nitrogen pressure, dichloromethane (300 ml) was added and shaken for 5 minutes. After removing the reaction solution by applying nitrogen pressure, dichloromethane (300 ml) was added again and shaken for 5 minutes. After removing the reaction solution by applying nitrogen pressure, the resin was dried overnight under reduced pressure, and (S) -3-((((9H-fluoren-9-yl) methoxy) carbonyl) amino) -4-oxo-4 -(Piperidin-1-yl) butanoic acid-2-chlorotrityl resin (Compound SP402) (34.8 g) was obtained.
得られた(S)-3-((((9H-フルオレン-9-イル)メトキシ)カルボニル)アミノ)-4-オキソ-4-(ピペリジン-1-イル)ブタン酸-2-クロロトリチルレジン(化合物SP402)(13.42mg)を反応容器に入れ、DMF(0.2ml)およびピペリジン(0.2ml)を加え、室温にて1時間振盪した。反応容器にDMF(1.6ml)を加えた後、反応混合液(0.4ml)をDMF(9.6ml)で希釈し、その吸光度(301.2nm)を測定した。次の計算式により、(S)-3-((((9H-フルオレン-9-イル)メトキシ)カルボニル)アミノ)-4-オキソ-4-(ピペリジン-1-イル)ブタン酸-2-クロロトリチルレジン(化合物SP402)のローディング率を27.8%、0.267mmol/gと算出した。
(吸光度(301.2nm)x1000x50)/(13.42x7800)=0.267mmol/g
0.267mmol/gx100/(33.4/34.8)=27.8%
The obtained (S) -3-((((9H-fluoren-9-yl) methoxy) carbonyl) amino) -4-oxo-4- (piperidin-1-yl) butanoic acid-2-chlorotrityl resin ( Compound SP402) (13.42 mg) was placed in a reaction vessel, DMF (0.2 ml) and piperidine (0.2 ml) were added, and the mixture was shaken at room temperature for 1 hour. After adding DMF (1.6 ml) to the reaction vessel, the reaction mixture (0.4 ml) was diluted with DMF (9.6 ml), and the absorbance (301.2 nm) was measured. According to the following formula, (S) -3-((((9H-fluoren-9-yl) methoxy) carbonyl) amino) -4-oxo-4- (piperidin-1-yl) butanoic acid-2-chloro The loading rate of trityl resin (compound SP402) was calculated to be 27.8%, 0.267 mmol / g.
(Absorbance (301.2 nm) x 1000 x 50) / (13.42 x 7800) = 0.267 mmol / g
0.267 mmol / gx100 / (33.4 / 34.8) = 27.8%
1-1-2.Fmoc-Asp-MePhe-Ala-pip(化合物SP454)のAspの側鎖カルボン酸にてレジンと結合させた化合物(化合物SP455)の合成及び、Fmoc-Asp-MePhe-MePhe-Ala-pip(化合物SP458)のAspの側鎖カルボン酸にてレジンと結合させた化合物(化合物SP459)の合成
以下のスキームに従い、(3S)-3-(9H-フルオレン-9-イルメトキシカルボニルアミノ)-4-[メチル-[(2S)-1-オキソ-1-[[(2S)-1-オキソ-1-ピペリジン-1-イルプロパン-2-イル]アミノ]-3-フェニルプロパン-2-イル]アミノ]-4-オキソブタン酸-2-クロロトリチルレジン(化合物SP455,Fmoc-Asp(O-Trt(2-Cl)-Resin)-MePhe-Ala-pip)の合成を行った。
1-1-2. Synthesis of Fmoc-Asp-MePhe-Ala-pip (Compound SP454) and Compound (Compound SP455) conjugated with Resin with Side Chain Carboxylic Acid of Asp, and Fmoc-Asp-MePhe-MePhe-Ala-Pip (Compound SP458) ) Synthesis of Compound (Compound SP459) Conjugated with Resin with Side Chain Carboxylic Acid of Asp (3S) -3- (9H-Fluoren-9-ylmethoxycarbonylamino) -4- [methyl -[(2S) -1-oxo-1-[[(2S) -1-oxo-1-piperidin-1-ylpropan-2-yl] amino] -3-phenylpropan-2-yl] amino]- 4-Oxobutanoic acid-2-chlorotrityl resin (compound SP455, Fmoc-Asp (O-Trt (2-Cl) -Resin) It was -MePhe-Ala-pip) synthesis of.
(2S)-2-[[(2S)-2-[[(2S)-2-(9H-フルオレン-9-イルメトキシカルボニルアミノ)-4-オキソ-4-フェニルメトキシブタノイル]-メチルアミノ]-3-フェニルプロパノイル]アミノ]プロパン酸(化合物SP451,Fmoc-Asp(OBn)-MePhe-Ala-OH)の合成
(2S) -2-[[(2S) -2-[[(2S) -2- (9H-fluoren-9-ylmethoxycarbonylamino) -4-oxo-4-phenylmethoxybutanoyl] -methylamino] Synthesis of -3-phenylpropanoyl] amino] propanoic acid (compound SP451, Fmoc-Asp (OBn) -MePhe-Ala-OH)
(2S)-2-(9H-フルオレン-9-イルメトキシカルボニルアミノ)プロパン酸(Fmoc-Ala-OH)(4.86g、15.8mmol)およびジイソプロピルエチルアミン(EtN(iPr)2)(14.5mL、83mmol)を脱水ジクロロメタン(60ml)に溶解し、2-クロロトリチルクロライドレジン(100-200mesh、1%DVB、渡辺化学から購入、6.5g、10.5mmol)を加え、室温で90分振とうすることで、アミノ酸をレジンに担持させた。反応溶液を除去し、レジンを脱水ジクロロメタン(100ml)で4回洗浄した。レジンに20%ピペリジン N,N-ジメチルホルムアミド溶液(52ml)を加え60分振とうし、Fmoc基の脱保護を行った。反応溶液を除去し、レジンをN,N-ジメチルホルムアミド(45ml)で3回洗浄した。続いて(2S)-2-[9H-フルオレン-9-イルメトキシカルボニル(メチル)アミノ]-3-フェニルプロパン酸(Fmoc-MePhe-OH)(3.74g、9.3mmol)、3H-(1,2,3)トリアゾロ(4,5-b)ピリジン-3-オール(HOAt)(1.27g、9.3mmol)およびN,N’-メタンジイリデンビス(プロパン-2-アミン)(DIC)(1.44ml、9.3mmol)をN,N-ジメチルホルムアミド(13.5ml)に溶解し、レジンに加えて室温で90分間振とうし、ペプチド化を行った。反応溶液を除去し、レジンをN,N-ジメチルホルムアミド(23ml)で3回洗浄後、ジクロロメタン(23ml)でさらに3回洗浄した。続いて前述のレジンに2%2,3,4,6,7,8,9,10-オクタヒドロピリミド[1,2-a]アゼピン N,N-ジメチルホルムアミド溶液(2%DBU in DMF)(40ml)を加え180分振とうし、Fmoc基の脱保護を行った。反応溶液を除去し、レジンをN,N-ジメチルホルムアミド(45ml)で3回洗浄した。続いて(2S)-2-(9H-フルオレン-9-イルメトキシカルボニルアミノ)-4-オキソ-4-フェニルメトキシブタン酸(Fmoc-Asp(OBn)-OH)(5.14g、11.5mmol)、3H-(1,2,3)トリアゾロ(4,5-b)ピリジン-3-オール(HOAt)(1.58g、11.6mmol)およびN,N’-メタンジイリデンビス(プロパン-2-アミン)(DIC)(1.78ml、211.6mmol)をN,N-ジメチルホルムアミド(30ml)に溶解し、レジンに加えて室温で16時間振とうし、ペプチド化を行った。反応溶液を除去し、レジンをN,N-ジメチルホルムアミド(45ml)で3回洗浄後、ジクロロメタン(45ml)でさらに3回洗浄した。続いて4N塩酸酢酸エチル溶液(1.92ml、7.69mmol)をジクロロメタン(100ml)と混ぜた溶液を前述のレジンに加え、1時間振とうを2回行い、アミノ酸のレジンからの切り出しをおこなった。レジンをジクロロメタン/2,2,2-トリフルオロエタノール(=1/1,v/v、25mL)にて2回洗浄した後、全ての抽出液を混合し減圧下濃縮し、Fmoc-Asp(OBn)-MePhe-Ala-OH(化合物SP451)(7.11g)を得た。
LCMS(ESI) m/z = 678.6 (M+H)+
保持時間:0.65分(分析条件SQDAA50)
(2S) -2- (9H-Fluoren-9-ylmethoxycarbonylamino) propanoic acid (Fmoc-Ala-OH) (4.86 g, 15.8 mmol) and diisopropylethylamine (EtN (iPr) 2 ) (14.5
LCMS (ESI) m / z = 678.6 (M + H) +
Retention time: 0.65 minutes (analysis condition SQDAA50)
(3S)-3-(9H-フルオレン-9-イルメトキシカルボニルアミノ)-4-[メチル-[(2S)-1-オキソ-1-[[(2S)-1-オキソ-1-ピペリジン-1-イルプロパン-2-イル]アミノ]-3-フェニルプロパン-2-イル]アミノ]-4-オキソブタン酸ベンジル(化合物SP453,Fmoc-Asp(OBn)-MePhe-Ala-pip)の合成
(3S) -3- (9H-Fluoren-9-ylmethoxycarbonylamino) -4- [methyl-[(2S) -1-oxo-1-[[(2S) -1-oxo-1-piperidine-1 -Ylpropan-2-yl] amino] -3-phenylpropan-2-yl] amino] -4-oxobutanoic acid benzyl (compound SP453, Fmoc-Asp (OBn) -MePhe-Ala-pip)
窒素雰囲気下、Fmoc-Asp(OBn)-MePhe-Ala-OH(化合物SP451)(7.11g、10.5mmol)、ジイソプロピルエチルアミン(EtN(iPr)2)(3.29ml、18.9mmol)およびO-(7-アザ-1H-ベンゾトリアゾール-1-イル)-N,N,N’,N’-テトラメチルウロニウム ヘキサフルオロリン酸塩(HATU)(5.19g、13.6mmol)をN,N-ジメチルホルムアミド(40ml)に溶解し、ピペリジン(化合物SP452)(0.99ml、10.0mmol)を加えて室温で10分攪拌した。反応液に150mlの酢酸エチルを加え、有機層を150mlのアンモニウムクロリド飽和水溶液、150mlの純水および150mlの飽和食塩水で洗浄した。有機層を回収し、減圧濃縮し、Fmoc-Asp(OBn)-MePhe-Ala-pip(化合物SP453)(7.44g、95%)を得た。
LCMS(ESI) m/z = 745.7 (M+H)+
保持時間:0.82分(分析条件SQDAA50)
Under a nitrogen atmosphere, Fmoc-Asp (OBn) -MePhe-Ala-OH (compound SP451) (7.11 g, 10.5 mmol), diisopropylethylamine (EtN (iPr) 2 ) (3.29 ml, 18.9 mmol) and O -(7-aza-1H-benzotriazol-1-yl) -N, N, N ′, N′-tetramethyluronium hexafluorophosphate (HATU) (5.19 g, 13.6 mmol) Dissolved in N-dimethylformamide (40 ml), piperidine (compound SP452) (0.99 ml, 10.0 mmol) was added and stirred at room temperature for 10 minutes. 150 ml of ethyl acetate was added to the reaction solution, and the organic layer was washed with 150 ml of saturated aqueous ammonium chloride solution, 150 ml of pure water and 150 ml of saturated brine. The organic layer was collected and concentrated under reduced pressure to obtain Fmoc-Asp (OBn) -MePhe-Ala-pip (compound SP453) (7.44 g, 95%).
LCMS (ESI) m / z = 745.7 (M + H) +
Retention time: 0.82 minutes (analysis condition SQDAA50)
(3S)-3-(9H-フルオレン-9-イルメトキシカルボニルアミノ)-4-[メチル-[(2S)-1-オキソ-1-[[(2S)-1-オキソ-1-ピペリジン-1-イルプロパン-2-イル]アミノ]-3-フェニルプロパン-2-イル]アミノ]-4-オキソブタン酸(化合物SP454, Fmoc-Asp-MePhe-Ala-pip)の合成
(3S) -3- (9H-Fluoren-9-ylmethoxycarbonylamino) -4- [methyl-[(2S) -1-oxo-1-[[(2S) -1-oxo-1-piperidine-1 Synthesis of —ylpropan-2-yl] amino] -3-phenylpropan-2-yl] amino] -4-oxobutanoic acid (compound SP454, Fmoc-Asp-MePhe-Ala-pip)
窒素雰囲気下、Fmoc-Asp(OBn)-MePhe-Ala-pip(化合物SP453)(7.44g、10.0mmol)、および20%パラジウム-活性炭素(1.49g、2.8mmol)をメタノール(50ml)に加え、反応容器中を水素ガスで置換し、室温で5時間攪拌した。反応液をセライトで濾過後、有機層を減圧濃縮し、Fmoc-Asp-MePhe-Ala-pip(化合物SP454)(5.69g、86%)を得た。
LCMS(ESI) m/z = 655.6 (M+H)+
保持時間:0.61分(分析条件SQDAA50)
Under a nitrogen atmosphere, Fmoc-Asp (OBn) -MePhe-Ala-pip (compound SP453) (7.44 g, 10.0 mmol), and 20% palladium-activated carbon (1.49 g, 2.8 mmol) were added to methanol (50 ml). In addition, the inside of the reaction vessel was replaced with hydrogen gas and stirred at room temperature for 5 hours. The reaction mixture was filtered through celite, and the organic layer was concentrated under reduced pressure to obtain Fmoc-Asp-MePhe-Ala-pip (compound SP454) (5.69 g, 86%).
LCMS (ESI) m / z = 655.6 (M + H) +
Retention time: 0.61 minutes (analysis condition SQDAA50)
(3S)-3-(9H-フルオレン-9-イルメトキシカルボニルアミノ)-4-[メチル-[(2S)-1-オキソ-1-[[(2S)-1-オキソ-1-ピペリジン-1-イルプロパン-2-イル]アミノ]-3-フェニルプロパン-2-イル]アミノ]-4-オキソブタン酸-2-クロロトリチルレジン(化合物SP455, Fmoc-Asp(O-Trt(2-Cl)-Resin)-MePhe-Ala-pip)の合成
(3S) -3- (9H-Fluoren-9-ylmethoxycarbonylamino) -4- [methyl-[(2S) -1-oxo-1-[[(2S) -1-oxo-1-piperidine-1 -Ylpropan-2-yl] amino] -3-phenylpropan-2-yl] amino] -4-oxobutanoic acid-2-chlorotrityl resin (compound SP455, Fmoc-Asp (O-Trt (2-Cl)- Resin) -MePhe-Ala-pip)
フィルター付きの反応容器に2-クロロトリチルクロライドレジン(100-200mesh、1%DVB、渡辺化学から購入、10.8g、17.2mmol)と脱水ジクロロメタン(100ml)を入れ、室温にて10分間振盪した。窒素圧をかけジクロロメタンを除いた後、Fmoc-Asp-MePhe-Ala-pip(化合物SP454)(5.64g、8.61mmol)の脱水ジクロロメタン(100ml)溶液に脱水メタノール(1.4ml)およびジイソプロピルエチルアミン(EtN(iPr)2)(7.2ml,41.3mmol)を加えた混合液を反応容器に添加し、40分間振盪した。窒素圧をかけ反応液を除いた後、ジクロロメタン(100ml)に脱水メタノール(22.4ml)およびジイソプロピルエチルアミン(EtN(iPr)2)(7.2ml,41.3mmol)を加えた混合液を反応容器に添加し、2時間振盪した。窒素圧をかけ反応液を除いた後、ジクロロメタン(100ml)を入れ、5分間振盪した。窒素圧をかけ反応液を除いた後、再度ジクロロメタン(100ml)を入れ、5分間振盪した。窒素圧をかけ反応液を除いた後、減圧下にレジンを終夜乾燥させ、Fmoc-Asp(O-Trt(2-Cl)-Resin)-MePhe-Ala-pip(化合物SP455)(14.0g)を得た。
ローディング率:0.317mmol/g、25.7%
A reaction vessel with a filter was charged with 2-chlorotrityl chloride resin (100-200 mesh, 1% DVB, purchased from Watanabe Chemical, 10.8 g, 17.2 mmol) and dehydrated dichloromethane (100 ml), and shaken at room temperature for 10 minutes. . After removing dichloromethane by applying nitrogen pressure, dehydrated methanol (1.4 ml) and diisopropylethylamine were added to a solution of Fmoc-Asp-MePhe-Ala-pip (compound SP454) (5.64 g, 8.61 mmol) in dehydrated dichloromethane (100 ml). The mixed solution added with (EtN (iPr) 2 ) (7.2 ml, 41.3 mmol) was added to the reaction vessel and shaken for 40 minutes. After removing the reaction solution by applying nitrogen pressure, a mixture of dehydrated methanol (22.4 ml) and diisopropylethylamine (EtN (iPr) 2 ) (7.2 ml, 41.3 mmol) in dichloromethane (100 ml) was added to the reaction vessel. And shaken for 2 hours. After removing the reaction solution by applying nitrogen pressure, dichloromethane (100 ml) was added and shaken for 5 minutes. After removing the reaction solution by applying nitrogen pressure, dichloromethane (100 ml) was added again and shaken for 5 minutes. After removing the reaction solution by applying nitrogen pressure, the resin was dried overnight under reduced pressure, and Fmoc-Asp (O-Trt (2-Cl) -Resin) -MePhe-Ala-pip (compound SP455) (14.0 g) Got.
Loading rate: 0.317 mmol / g, 25.7%
以下のスキームに従い、(3S)-3-(9H-フルオレン-9-イルメトキシカルボニルアミノ)-4-[メチル-[(2S)-1-[メチル-[(2S)-1-オキソ-1-[[(2S)-1-オキソ-1-ピペリジン-1-イルプロパン-2-イル]アミノ]-3-フェニルプロパン-2-イル]アミノ]-1-オキソ-3-フェニルプロパン-2-イル]アミノ]-4-オキソブタン酸-2-クロロトリチルレジン(化合物SP459, Fmoc-Asp(O-Trt(2-Cl)-Resin)-MePhe-MePhe-Ala-pip)の合成を行った。
According to the following scheme, (3S) -3- (9H-fluoren-9-ylmethoxycarbonylamino) -4- [methyl-[(2S) -1- [methyl-[(2S) -1-oxo-1- [[(2S) -1-oxo-1-piperidin-1-ylpropan-2-yl] amino] -3-phenylpropan-2-yl] amino] -1-oxo-3-phenylpropan-2-yl ] Amino] -4-oxobutanoic acid-2-chlorotrityl resin (Compound SP459, Fmoc-Asp (O-Trt (2-Cl) -Resin) -MePhe-MePhe-Ala-pip) was synthesized.
(2S)-2-[[(2S)-2-[[(2S)-2-[[(2S)-2-(9H-フルオレン-9-イルメトキシカルボニルアミノ)-4-オキソ-4-フェニルメトキシブタノイル]-メチルアミノ]-3-フェニルプロパノイル]-メチルアミノ]-3-フェニルプロパノイル]アミノ]プロパン酸(化合物SP456, Fmoc-Asp(OBn)-MePhe-MePhe-Ala-OH)の合成
(2S) -2-[[(2S) -2-[[(2S) -2-[[(2S) -2- (9H-fluoren-9-ylmethoxycarbonylamino) -4-oxo-4-phenyl Methoxybutanoyl] -methylamino] -3-phenylpropanoyl] -methylamino] -3-phenylpropanoyl] amino] propanoic acid (compound SP456, Fmoc-Asp (OBn) -MePhe-MePhe-Ala-OH) Composition
(2S)-2-(9H-フルオレン-9-イルメトキシカルボニルアミノ)プロパン酸(Fmoc-Ala-OH)(4.86g、15.8mmol)およびジイソプロピルエチルアミン(EtN(iPr)2)(14.5mL、83mmol)を脱水ジクロロメタン(60ml)に溶解し、2-クロロトリチルクロライドレジン(100-200mesh、1%DVB、渡辺化学から購入、6.5g、10.5mmol)を加え、室温で90分振とうすることで、アミノ酸をレジンに担持させた。反応溶液を除去し、レジンをジクロロメタン(100ml)で4回洗浄した。レジンに20%ピペリジン N,N-ジメチルホルムアミド溶液(52ml)を加え60分振とうし、Fmoc基の脱保護を行った。反応溶液を除去し、レジンをN,N-ジメチルホルムアミド(45ml)で3回洗浄した。続いて(2S)-2-[9H-フルオレン-9-イルメトキシカルボニル(メチル)アミノ]-3-フェニルプロパン酸(Fmoc-MePhe-OH)(3.74g、9.3mmol)、3H-(1,2,3)トリアゾロ(4,5-b)ピリジン-3-オール(HOAt)(1.27g、9.3mmol)およびN,N’-メタンジイリデンビス(プロパン-2-アミン)(DIC)(1.44ml、9.3mmol)をN,N-ジメチルホルムアミド(13.5ml)に溶解し、レジンに加えて室温で90分間振とうし、ペプチド化を行った。反応溶液を除去し、レジンをN,N-ジメチルホルムアミド(23ml)で3回洗浄後、ジクロロメタン(23ml)でさらに3回洗浄した。続いてレジンに2%2,3,4,6,7,8,9,10-オクタヒドロピリミド[1,2-a]アゼピン N,N-ジメチルホルムアミド溶液(2% DBU in DMF)(40ml)を加え60分振とうし、Fmoc基の脱保護を行った。反応溶液を除去し、レジンをN,N-ジメチルホルムアミド(45ml)で3回洗浄した。続いて(2S)-2-[9H-フルオレン-9-イルメトキシカルボニル(メチル)アミノ]-3-フェニルプロパン酸 (Fmoc-MePhe-OH)(4.61g、11.5mmol)、3H-(1,2,3)トリアゾロ(4,5-b)ピリジン-3-オール(HOAt)(1.58g、11.6mmol)およびN,N’-メタンジイリデンビス(プロパン-2-アミン)(DIC)(1.78ml、11.6mmol)をN,N-ジメチルホルムアミド(30ml)に溶解し、レジンに加えて室温で16時間振とうし、ペプチド化を行った。反応溶液を除去し、レジンをN,N-ジメチルホルムアミド(45ml)で3回洗浄後、ジクロロメタン(45ml)でさらに3回洗浄した。続いてレジンに2%2,3,4,6,7,8,9,10-オクタヒドロピリミド[1,2-a]アゼピン N,N-ジメチルホルムアミド溶液(2% DBU in DMF)(40ml)を加え60分振とうし、Fmoc基の脱保護を行った。反応溶液を除去し、レジンをN,N-ジメチルホルムアミド(45ml)で3回洗浄した。続いて(2S)-2-(9H-フルオレン-9-イルメトキシカルボニルアミノ)-4-オキソ-4-フェニルメトキシブタン酸(Fmoc-Asp(OBn)-OH)(5.14g、11.5mmol)、3H-(1,2,3)トリアゾロ(4,5-b)ピリジン-3-オール(HOAt)(1.58g、11.6mmol)およびN,N’-メタンジイリデンビス(プロパン-2-アミン)(DIC)(1.78ml、11.6mmol)をN,N-ジメチルホルムアミド(30ml)に溶解し、レジンに加えて室温で16時間振とうし、ペプチド化を行った。反応溶液を除去し、レジンをN,N-ジメチルホルムアミド(45ml)で3回洗浄後、ジクロロメタン(45ml)でさらに3回洗浄した。続いて4N塩酸酢酸エチル溶液(1.92ml、7.69mmol)をジクロロメタン(100ml)と混ぜた溶液を前述のレジンに加え、1時間振とうを2回行い、アミノ酸のレジンからの切り出しをおこなった。レジンをジクロロメタン/2,2,2-トリフルオロエタノール(=1/1,v/v、25mL)にて2回洗浄した後、全ての抽出液を混合し減圧下濃縮し、Fmoc-Asp(OBn)-MePhe-MePhe-Ala-OH(化合物SP456)(7.81g)を得た。
LCMS(ESI) m/z = 839.6(M+H)+
保持時間:0.71分(分析条件SQDAA50)
(2S) -2- (9H-Fluoren-9-ylmethoxycarbonylamino) propanoic acid (Fmoc-Ala-OH) (4.86 g, 15.8 mmol) and diisopropylethylamine (EtN (iPr) 2 ) (14.5
LCMS (ESI) m / z = 839.6 (M + H) +
Retention time: 0.71 minutes (analysis condition SQDAA50)
(3S)-3-(9H-フルオレン-9-イルメトキシカルボニルアミノ)-4-[メチル-[(2S)-1-[メチル-[(2S)-1-オキソ-1-[[(2S)-1-オキソ-1-ピペリジン-1-イルプロパン-2-イル]アミノ]-3-フェニルプロパン-2-イル]アミノ]-1-オキソ-3-フェニルプロパン-2-イル]アミノ]-4-オキソブタン酸ベンジル(化合物SP457, Fmoc-Asp(OBn)-MePhe-MePhe-Ala-pip)の合成
(3S) -3- (9H-Fluoren-9-ylmethoxycarbonylamino) -4- [methyl-[(2S) -1- [methyl-[(2S) -1-oxo-1-[[(2S) -1-oxo-1-piperidin-1-ylpropan-2-yl] amino] -3-phenylpropan-2-yl] amino] -1-oxo-3-phenylpropan-2-yl] amino] -4 Synthesis of benzyl oxobutanoate (compound SP457, Fmoc-Asp (OBn) -MePhe-MePhe-Ala-pip)
窒素雰囲気下、Fmoc-Asp(OBn)-MePhe-MePhe-Ala-OH(化合物SP456)(7.81g、9.70mmol)、ジイソプロピルエチルアミン(EtN(iPr)2)(3.04ml、17.5mmol)およびO-(7-アザ-1H-ベンゾトリアゾール-1-イル)-N,N,N’,N’-テトラメチルウロニウム ヘキサフルオロリン酸塩(HATU)(4.80g、12.6mmol)をN,N-ジメチルホルムアミド(40ml)に溶解し、ピペリジン(化合物SP452)(0.94ml、9.51mmol)を加えて室温で15分攪拌した。反応液に150mlの酢酸エチルを加え、有機層を150mlのアンモニウムクロリド飽和水溶液、150mlの純水および150mlの飽和食塩水で洗浄した。有機層を回収し、減圧濃縮し、Fmoc-Asp(OBn)-MePhe-MePhe-Ala-pip(化合物SP457)(8.06g、92%)を得た。
LCMS(ESI) m/z = 906.7 (M+H)+
保持時間:0.87分(分析条件SQDAA50)
Under a nitrogen atmosphere, Fmoc-Asp (OBn) -MePhe-MePhe-Ala-OH (compound SP456) (7.81 g, 9.70 mmol), diisopropylethylamine (EtN (iPr) 2 ) (3.04 ml, 17.5 mmol) And O- (7-aza-1H-benzotriazol-1-yl) -N, N, N ′, N′-tetramethyluronium hexafluorophosphate (HATU) (4.80 g, 12.6 mmol). Dissolved in N, N-dimethylformamide (40 ml), piperidine (compound SP452) (0.94 ml, 9.51 mmol) was added, and the mixture was stirred at room temperature for 15 minutes. 150 ml of ethyl acetate was added to the reaction solution, and the organic layer was washed with 150 ml of saturated aqueous ammonium chloride solution, 150 ml of pure water and 150 ml of saturated brine. The organic layer was collected and concentrated under reduced pressure to obtain Fmoc-Asp (OBn) -MePhe-MePhe-Ala-pip (Compound SP457) (8.06 g, 92%).
LCMS (ESI) m / z = 906.7 (M + H) +
Retention time: 0.87 minutes (analysis condition SQDAA50)
(3S)-3-(9H-フルオレン-9-イルメトキシカルボニルアミノ)-4-[メチル-[(2S)-1-[メチル-[(2S)-1-オキソ-1-[[(2S)-1-オキソ-1-ピペリジン-1-イルプロパン-2-イル]アミノ]-3-フェニルプロパン-2-イル]アミノ]-1-オキソ-3-フェニルプロパン-2-イル]アミノ]-4-オキソブタン酸(化合物SP458, Fmoc-Asp-MePhe-MePhe-Ala-pip)の合成
(3S) -3- (9H-Fluoren-9-ylmethoxycarbonylamino) -4- [methyl-[(2S) -1- [methyl-[(2S) -1-oxo-1-[[(2S) -1-oxo-1-piperidin-1-ylpropan-2-yl] amino] -3-phenylpropan-2-yl] amino] -1-oxo-3-phenylpropan-2-yl] amino] -4 -Synthesis of oxobutanoic acid (compound SP458, Fmoc-Asp-MePhe-MePhe-Ala-pip)
窒素雰囲気下、Fmoc-Asp(OBn)-MePhe-MePhe-Ala-pip(化合物SP457)(8.06g、8.90mmol)、および20%パラジウム-活性炭素(1.61g、3.0mmol)をメタノール(50ml)に加え、反応容器中を水素ガスで置換し、室温で5時間攪拌した。反応液をセライトで濾過後、有機層を減圧濃縮し、Fmoc-Asp-MePhe-MePhe-Ala-pip(化合物SP458)(4.79g、66%)を得た。
LCMS(ESI) m/z = 816.7 (M+H)+
保持時間:0.69分(分析条件SQDAA50)
Fmoc-Asp (OBn) -MePhe-MePhe-Ala-pip (compound SP457) (8.06 g, 8.90 mmol), and 20% palladium-activated carbon (1.61 g, 3.0 mmol) in methanol under a nitrogen atmosphere (50 ml), the reaction vessel was replaced with hydrogen gas, and the mixture was stirred at room temperature for 5 hours. The reaction mixture was filtered through celite, and the organic layer was concentrated under reduced pressure to obtain Fmoc-Asp-MePhe-MePhe-Ala-pip (compound SP458) (4.79 g, 66%).
LCMS (ESI) m / z = 816.7 (M + H) +
Retention time: 0.69 minutes (analysis condition SQDAA50)
(3S)-3-(9H-フルオレン-9-イルメトキシカルボニルアミノ)-4-[メチル-[(2S)-1-[メチル-[(2S)-1-オキソ-1-[[(2S)-1-オキソ-1-ピペリジン-1-イルプロパン-2-イル]アミノ]-3-フェニルプロパン-2-イル]アミノ]-1-オキソ-3-フェニルプロパン-2-イル]アミノ]-4-オキソブタン酸-2-クロロトリチルレジン(化合物SP459, Fmoc-Asp(O-Trt(2-Cl)-Resin)-MePhe-MePhe-Ala-pip)の合成
(3S) -3- (9H-Fluoren-9-ylmethoxycarbonylamino) -4- [methyl-[(2S) -1- [methyl-[(2S) -1-oxo-1-[[(2S) -1-oxo-1-piperidin-1-ylpropan-2-yl] amino] -3-phenylpropan-2-yl] amino] -1-oxo-3-phenylpropan-2-yl] amino] -4 Synthesis of 2-oxobutanoic acid-2-chlorotrityl resin (compound SP459, Fmoc-Asp (O-Trt (2-Cl) -Resin) -MePhe-MePhe-Ala-pip)
フィルター付きの反応容器に2-クロロトリチルクロライドレジン(100-200mesh、1%DVB、渡辺化学から購入、6.69g、11.7mmol)と脱水ジクロロメタン(50ml)を入れ、室温にて10分間振盪した。窒素圧をかけジクロロメタンを除いた後、Fmoc-Asp-MePhe-MePhe-Ala-pip(化合物SP458)(4.79g、5.87mmol)の脱水ジクロロメタン(100ml)溶液に脱水メタノール(0.95ml)およびジイソプロピルエチルアミン(EtN(iPr)2)(4.91ml、28.2mmol)を加えた混合液を反応容器に添加し、40分間振盪した。窒素圧をかけ反応液を除いた後、脱水ジクロロメタン(100ml)に脱水メタノール(15.2ml)およびジイソプロピルエチルアミン(EtN(iPr)2)(4.9ml, 28.2mmol)を加えた混合液を反応容器に添加し、2時間振盪した。窒素圧をかけ反応液を除いた後、ジクロロメタン(100ml)を入れ、5分間振盪した。窒素圧をかけ反応液を除いた後、再度ジクロロメタン(100ml)を入れ、5分間振盪した。窒素圧をかけ反応液を除いた後、減圧下にレジンを終夜乾燥させ、Fmoc-Asp(O-Trt(2-Cl)-Resin)-MePhe-MePhe-Ala-pip(化合物SP459)(8.66g)を得た。
ローディング率:0.285mmol/g、21.0%
A reaction vessel with a filter was charged with 2-chlorotrityl chloride resin (100-200 mesh, 1% DVB, purchased from Watanabe Chemical, 6.69 g, 11.7 mmol) and dehydrated dichloromethane (50 ml), and shaken at room temperature for 10 minutes. . After applying nitrogen pressure to remove dichloromethane, Fmoc-Asp-MePhe-MePhe-Ala-pip (compound SP458) (4.79 g, 5.87 mmol) in dehydrated dichloromethane (100 ml) in dehydrated methanol (0.95 ml) and A mixture of diisopropylethylamine (EtN (iPr) 2 ) (4.91 ml, 28.2 mmol) was added to the reaction vessel and shaken for 40 minutes. After removing the reaction solution by applying nitrogen pressure, a reaction mixture of dehydrated dichloromethane (100 ml) with dehydrated methanol (15.2 ml) and diisopropylethylamine (EtN (iPr) 2 ) (4.9 ml, 28.2 mmol) was reacted. Added to container and shaken for 2 hours. After removing the reaction solution by applying nitrogen pressure, dichloromethane (100 ml) was added and shaken for 5 minutes. After removing the reaction solution by applying nitrogen pressure, dichloromethane (100 ml) was added again and shaken for 5 minutes. After removing the reaction solution by applying nitrogen pressure, the resin was dried overnight under reduced pressure, and Fmoc-Asp (O-Trt (2-Cl) -Resin) -MePhe-MePhe-Ala-pip (Compound SP459) (8. 66 g) was obtained.
Loading rate: 0.285 mmol / g, 21.0%
1-1-3.Fmoc-Aspの側鎖カルボン酸にてレジンと結合させた化合物誘導体として主鎖カルボン酸部位を除去した化合物(化合物SP405、L-3-ABUのカルボン酸部位とレジンとが結合した化合物)の合成1-1-3. Synthesis of a compound having a main chain carboxylic acid moiety removed as a compound derivative bound to a resin with a side chain carboxylic acid of Fmoc-Asp (compound SP405, a compound in which the carboxylic acid moiety of L-3-ABU and the resin are bound)
(S)-3-((((9H-フルオレン-9-イル)メトキシ)カルボニル)アミノ)ブタン酸-2-クロロトリチルレジン(Fmoc-L-3-ABU-(O-Trt-(2-Cl)-Resin、化合物SP405)の合成
(S) -3-(((((9H-fluoren-9-yl) methoxy) carbonyl) amino) butanoic acid-2-chlorotrityl resin (Fmoc-L-3-ABU- (O-Trt- (2-Cl ) -Resin, Synthesis of Compound SP405)
フィルター付きの反応容器に2-クロロトリチルクロライドレジン(100-200mesh、1%DVB、渡辺化学から購入、3.84g、6.15mmol)と脱水ジクロロメタン(61ml)を入れ、室温にて10分間振盪した。窒素圧をかけジクロロメタンを除いた後、(S)-3-((((9H-フルオレン-9-イル)メトキシ)カルボニル)アミノ)ブタン酸(化合物SP406、Fmoc-L-3-ABU-OH)(1.00g)の脱水ジクロロメタン(61ml)溶液に脱水メタノール(980μl)およびジイソプロピルエチルアミン(2.52ml)を加えた混合液を反応容器に添加し、5分間振盪した。窒素圧をかけ反応液を除いた後、脱水ジクロロメタン(64ml)に脱水メタノール(8.0ml)およびジイソプロピルエチルアミン(2.5ml)を加えた混合液を反応容器に添加し、2時間振盪した。窒素圧をかけ反応液を除いた後、ジクロロメタン(61ml)を入れ、5分間振盪した。窒素圧をかけ反応液を除いた後、再度ジクロロメタン(61ml)を入れ、5分間振盪した。窒素圧をかけ反応液を除いた後、減圧下にレジンを終夜乾燥させ、(S)-3-((((9H-フルオレン-9-イル)メトキシ)カルボニル)アミノ)ブタン酸-2-クロロトリチルレジン(化合物SP405)(4.16g)を得た。ローディング率:0.470mmol/g、31.8% A reaction vessel with a filter was charged with 2-chlorotrityl chloride resin (100-200 mesh, 1% DVB, purchased from Watanabe Chemical, 3.84 g, 6.15 mmol) and dehydrated dichloromethane (61 ml), and shaken at room temperature for 10 minutes. . After applying nitrogen pressure to remove dichloromethane, (S) -3-(((((9H-fluoren-9-yl) methoxy) carbonyl) amino) butanoic acid (compound SP406, Fmoc-L-3-ABU-OH) A mixture of (1.00 g) in dehydrated dichloromethane (61 ml) with dehydrated methanol (980 μl) and diisopropylethylamine (2.52 ml) was added to the reaction vessel and shaken for 5 minutes. After removing the reaction solution by applying nitrogen pressure, a mixed solution obtained by adding dehydrated methanol (8.0 ml) and diisopropylethylamine (2.5 ml) to dehydrated dichloromethane (64 ml) was added to the reaction vessel and shaken for 2 hours. After removing the reaction solution by applying nitrogen pressure, dichloromethane (61 ml) was added and shaken for 5 minutes. After removing the reaction solution by applying nitrogen pressure, dichloromethane (61 ml) was added again and shaken for 5 minutes. After removing the reaction solution by applying nitrogen pressure, the resin was dried overnight under reduced pressure, and (S) -3-((((9H-fluoren-9-yl) methoxy) carbonyl) amino) butanoic acid-2-chloro Trityl resin (Compound SP405) (4.16 g) was obtained. Loading rate: 0.470 mmol / g, 31.8%
1-1-4.Fmoc-Aspの側鎖カルボン酸にてレジンと結合させた化合物誘導体として主鎖カルボン酸部位を除去した化合物(3-CF3-bAlaのカルボン酸部位とレジンとが結合した化合物、化合物SP407)の合成1-1-4. Synthesis of a compound in which the main chain carboxylic acid moiety is removed as a compound derivative bonded to the resin with a side chain carboxylic acid of Fmoc-Asp (compound in which the carboxylic acid moiety of 3-CF3-bAla is bonded to the resin, compound SP407)
(S)-3-((((9H-フルオレン-9-イル)メトキシ)カルボニル)アミノ)-4,4,4-トリフルオロブタン酸-2-クロロトリチルレジン(Fmoc-3-CF3-bAla-(O-Trt-(2-Cl)-Resin、化合物SP407)の合成
(S) -3-(((((9H-fluoren-9-yl) methoxy) carbonyl) amino) -4,4,4-trifluorobutanoic acid-2-chlorotrityl resin (Fmoc-3-CF3-bAla- Synthesis of (O-Trt- (2-Cl) -Resin, Compound SP407)
フィルター付きの反応容器に2-クロロトリチルクロライドレジン(100-200mesh、1%DVB、渡辺化学から購入、1.65g、2.64mmol)と脱水ジクロロメタン(26ml)を入れ、室温にて10分間振盪した。窒素圧をかけジクロロメタンを除いた後、(S)-3-((((9H-フルオレン-9-イル)メトキシ)カルボニル)アミノ)-4,4,4-トリフルオロブタン酸(化合物SP408、Fmoc―CF3-bAla-OH)(500mg)の脱水ジクロロメタン(26ml)溶液に脱水メタノール(428μl)およびジイソプロピルエチルアミン(1.03ml)を加えた混合液を反応容器に添加し、5分間振盪した。窒素圧をかけ反応液を除いた後、脱水ジクロロメタン(25ml)に脱水メタノール(3.0ml)およびジイソプロピルエチルアミン(1.0ml)を加えた混合液を反応容器に添加し、2時間振盪した。窒素圧をかけ反応液を除いた後、ジクロロメタン(25ml)を入れ、5分間振盪した。窒素圧をかけ反応液を除いた後、再度ジクロロメタン(25ml)を入れ、5分間振盪した。窒素圧をかけ反応液を除いた後、減圧下にレジンを終夜乾燥させ、(S)-3-((((9H-フルオレン-9-イル)メトキシ)カルボニル)アミノ)-4,4,4-トリフルオロブタン酸-2-クロロトリチルレジン(化合物SP407)(1.76g)を得た。
ローディング率:0.234mmol/g、15.6%
A reaction vessel with a filter was charged with 2-chlorotrityl chloride resin (100-200 mesh, 1% DVB, purchased from Watanabe Chemical, 1.65 g, 2.64 mmol) and dehydrated dichloromethane (26 ml), and shaken at room temperature for 10 minutes. . After removing the dichloromethane by applying nitrogen pressure, (S) -3-((((9H-fluoren-9-yl) methoxy) carbonyl) amino) -4,4,4-trifluorobutanoic acid (compound SP408, Fmoc A mixture of dehydrated methanol (428 μl) and diisopropylethylamine (1.03 ml) in a solution of —CF3-bAla-OH) (500 mg) in dehydrated dichloromethane (26 ml) was added to the reaction vessel and shaken for 5 minutes. After removing the reaction solution by applying nitrogen pressure, a mixed solution obtained by adding dehydrated methanol (3.0 ml) and diisopropylethylamine (1.0 ml) to dehydrated dichloromethane (25 ml) was added to the reaction vessel and shaken for 2 hours. After removing the reaction solution by applying nitrogen pressure, dichloromethane (25 ml) was added and shaken for 5 minutes. After removing the reaction solution by applying nitrogen pressure, dichloromethane (25 ml) was added again and shaken for 5 minutes. After removing the reaction solution by applying nitrogen pressure, the resin was dried overnight under reduced pressure, and (S) -3-((((9H-fluoren-9-yl) methoxy) carbonyl) amino) -4,4,4 -Trifluorobutanoic acid-2-chlorotrityl resin (Compound SP407) (1.76 g) was obtained.
Loading rate: 0.234 mmol / g, 15.6%
1-2.アミノ酸誘導体の合成
ドラックライクネスを評価するための多くのアミノ酸誘導体は購入可能もしくは文献既知であり、定法により合成することができる。以下には文献未知のアミノ酸誘導体の合成法を記載した。
1-2. Synthesis of Amino Acid Derivatives Many amino acid derivatives for evaluating drug likeness are commercially available or known in the literature and can be synthesized by conventional methods. The synthesis method of amino acid derivatives unknown in the literature is described below.
(2S)-2-(9H-フルオレン-9-イルメトキシカルボニルアミノ)-3-(1-トリチルテトラゾール-5-イル)プロパン酸と(2S)-2-(9H-フルオレン-9-イルメトキシカルボニルアミノ)-3-(2-トリチルテトラゾール-5-イル)プロパン酸(化合物SP409、Fmoc-Ala(5-Tet(Trt))-OH)の合成
以下のスキームに従い、合成を行った
(2S) -2- (9H-Fluoren-9-ylmethoxycarbonylamino) -3- (1-trityltetrazol-5-yl) propanoic acid and (2S) -2- (9H-fluoren-9-ylmethoxycarbonyl) Synthesis of amino) -3- (2-trityltetrazol-5-yl) propanoic acid (Compound SP409, Fmoc-Ala (5-Tet (Trt))-OH) Synthesis was performed according to the following scheme.
上のスキームで、トリチル基はテトラゾール環上の4つの窒素原子のいずれかと結合していることを意味する。 In the above scheme, it means that the trityl group is bonded to any of the four nitrogen atoms on the tetrazole ring.
(2S)-2-(9H-フルオレン-9-イルメトキシカルボニルアミノ)-3-(1H-テトラゾール-5-イル)プロパン酸と(2S)-2-(9H-フルオレン-9-イルメトキシカルボニルアミノ)-3-(2H-テトラゾール-5-イル)プロパン酸(化合物SP410、Fmoc-Ala(5-Tet)-OH)(900mg、2.37mmol)をテトラヒドロフラン(2.7ml)に溶解し、N,N-ジイソプロピルエチルアミン(0.36mL、2.61mmol)を加え5分攪拌した。上述の反応溶液にトリチルクロリド(628mg、2.25mmol)をテトラヒドロフラン(0.6ml)に溶解した溶液を加え90分攪拌した。反応液を濾過し、回収した反応液を減圧濃縮し、残渣を逆相シリカゲルカラムクロマトグラフィー(10mM酢酸アンモニウム水溶液/メタノール)で精製し、(2S)-2-(9H-フルオレン-9-イルメトキシカルボニルアミノ)-3-(1-トリチルテトラゾール-5-イル)プロパン酸と(2S)-2-(9H-フルオレン-9-イルメトキシカルボニルアミノ)-3-(2-トリチルテトラゾール-5-イル)プロパン酸(化合物SP409、Fmoc-Ala(5-Tet(Trt))-OH)(644mg、44%)を得た。
LCMS(ESI) m/z = 620.3 (M-H)-
保持時間:1.06分(分析条件SQDAA05)
(2S) -2- (9H-Fluoren-9-ylmethoxycarbonylamino) -3- (1H-tetrazol-5-yl) propanoic acid and (2S) -2- (9H-fluoren-9-ylmethoxycarbonylamino) ) -3- (2H-tetrazol-5-yl) propanoic acid (compound SP410, Fmoc-Ala (5-Tet) -OH) (900 mg, 2.37 mmol) was dissolved in tetrahydrofuran (2.7 ml) and N, N-diisopropylethylamine (0.36 mL, 2.61 mmol) was added and stirred for 5 minutes. A solution of trityl chloride (628 mg, 2.25 mmol) in tetrahydrofuran (0.6 ml) was added to the above reaction solution, and the mixture was stirred for 90 minutes. The reaction mixture was filtered, and the collected reaction mixture was concentrated under reduced pressure. The residue was purified by reverse phase silica gel column chromatography (10 mM aqueous ammonium acetate / methanol), and (2S) -2- (9H-fluoren-9-ylmethoxy). Carbonylamino) -3- (1-trityltetrazol-5-yl) propanoic acid and (2S) -2- (9H-fluoren-9-ylmethoxycarbonylamino) -3- (2-trityltetrazol-5-yl) Propanic acid (Compound SP409, Fmoc-Ala (5-Tet (Trt))-OH) (644 mg, 44%) was obtained.
LCMS (ESI) m / z = 620.3 (M−H) −
Retention time: 1.06 minutes (analysis condition SQDAA05)
(S)-2-((((9H-フルオレン-9-イル)メトキシ)カルボニル)(エチル)アミノ)-3-フェニルプロパン酸(化合物SP443、 Fmoc-EtPhe-OH)の合成
Synthesis of (S) -2-(((((9H-fluoren-9-yl) methoxy) carbonyl) (ethyl) amino) -3-phenylpropanoic acid (Compound SP443, Fmoc-EtPhe-OH)
(S)-2-(エチルアミノ)-3-フェニルプロパン酸(化合物SP442)の合成を、文献、Tetrahedron Asymmetry、19(8)、970-975;2008、Stodulski, Maciej and Mlynarski, Jacek、に従って合成した。
(S)-2-(エチルアミノ)-3-フェニルプロパン酸(化合物SP442)(4.00g、20.7mmol)を1,4-ジオキサン(100ml)と水(100ml)の混合液に溶解させ、炭酸カリウム(8.69g、62.9mmol)および炭酸 (2,5-ジオキソピロリジン-1-イル) (9H-フルオレン-9-イル)メチル(6.98g、20.7mol)を加え、室温で8時間攪拌した。水層を硫酸水素カリウム水溶液でpH4に調整し、減圧下で1,4-ジオキサンを留去した。得られた水溶液を酢酸エチルにて抽出し、得られた有機抽出物を飽和食塩水で洗浄し、硫酸ナトリウムで乾燥後に減圧濃縮した。得られた残渣をカラムクロマトグラフィ(酢酸エチル:石油エーテル=1:1)で精製し、(2S,4R)-1-(((9H-フルオレン-9-イル)メトキシ)カルボニル)-4-エトキシピロリジン-2-カルボン酸(化合物SP443)(3.2g、37%)を得た。
LCMS(ESI) m/z = 416 (M+H)+
保持時間:1.97分(分析条件SMDmethod11)
Synthesis of (S) -2- (ethylamino) -3-phenylpropanoic acid (compound SP442) was synthesized according to the literature, Tetrahedron Asymmetry, 19 (8), 970-975; 2008, Stodulski, Maciej and Mlynarski, Jacek. did.
(S) -2- (ethylamino) -3-phenylpropanoic acid (compound SP442) (4.00 g, 20.7 mmol) was dissolved in a mixture of 1,4-dioxane (100 ml) and water (100 ml), Add potassium carbonate (8.69 g, 62.9 mmol) and (2,5-dioxopyrrolidin-1-yl) carbonate (9H-fluoren-9-yl) methyl (6.98 g, 20.7 mol) at room temperature. Stir for 8 hours. The aqueous layer was adjusted to
LCMS (ESI) m / z = 416 (M + H) +
Retention time: 1.97 minutes (analysis condition SMD method 11)
(S)-2-((((9H-フルオレン-9-イル)メトキシ)カルボニル)アミノ)-5-(メチルアミノ)-5-オキソペンタン酸(Fmoc-Gln(Me)-OH、化合物SP446)及び(S)-2-((((9H-フルオレン-9-イル)メトキシ)カルボニル)アミノ)-5-(ジメチルアミノ)-5-オキソペンタン酸(Fmoc-Gln(Me2)-OH、化合物SP448)の合成
以下のスキームに従って合成した。
(S) -2-((((9H-Fluoren-9-yl) methoxy) carbonyl) amino) -5- (methylamino) -5-oxopentanoic acid (Fmoc-Gln (Me) -OH, compound SP446) And (S) -2-((((9H-fluoren-9-yl) methoxy) carbonyl) amino) -5- (dimethylamino) -5-oxopentanoic acid (Fmoc-Gln (Me2) -OH, compound SP448 It was synthesized according to the following scheme of).
(S)-2-((((9H-フルオレン-9-イル)メトキシ)カルボニル)アミノ)-5-(メチルアミノ)-5-オキソペンタン酸 tert-ブチル(化合物SP445)の合成
Synthesis of (S) -2-((((9H-fluoren-9-yl) methoxy) carbonyl) amino) -5- (methylamino) -5-oxopentanoic acid tert-butyl (compound SP445)
(S)-3-((((9H-フルオレン-9-イル)メトキシ)カルボニル)アミノ)-4-(tert-ブトキシ)-4-オキソブタン酸(化合物SP444)(7.00g、17.0mmol)をジメチルホルムアミド(50ml)に溶解し、ヘキサフルオロリン酸(ベンゾトリアゾール-1-イルオキシ)トリピロリジノホスホニウム(PyBOP)(10.3g、19.8mmol)と、メチルアミン(42mmol)を2mol/lのテトラヒドロフラン溶液として加え、室温で1時間攪拌した。反応液に水を加え、ジクロロメタンで抽出した。有機抽出液を重曹水、水で順に洗浄後、硫酸マグネシウムで乾燥し、減圧下溶媒留去することで、(S)-2-((((9H-フルオレン-9-イル)メトキシ)カルボニル)アミノ)-5-(メチルアミノ)-5-オキソペンタン酸 tert-ブチル(化合物SP445)(13.3g)を粗生成物として得た。
LCMS(ESI) m/z = 439 (M+H)+
保持時間:1.05分(分析条件SQDAA05)
(S) -3-((((9H-Fluoren-9-yl) methoxy) carbonyl) amino) -4- (tert-butoxy) -4-oxobutanoic acid (Compound SP444) (7.00 g, 17.0 mmol) Was dissolved in dimethylformamide (50 ml), hexafluorophosphoric acid (benzotriazol-1-yloxy) tripyrrolidinophosphonium (PyBOP) (10.3 g, 19.8 mmol) and methylamine (42 mmol) in 2 mol / l. It was added as a tetrahydrofuran solution and stirred at room temperature for 1 hour. Water was added to the reaction mixture, and the mixture was extracted with dichloromethane. The organic extract was washed successively with aqueous sodium bicarbonate and water, dried over magnesium sulfate, and evaporated under reduced pressure to remove (S) -2-((((9H-fluoren-9-yl) methoxy) carbonyl) Amino) -5- (methylamino) -5-oxopentanoic acid tert-butyl (compound SP445) (13.3 g) was obtained as a crude product.
LCMS (ESI) m / z = 439 (M + H) +
Retention time: 1.05 minutes (analysis condition SQDAA05)
(S)-2-((((9H-フルオレン-9-イル)メトキシ)カルボニル)アミノ)-5-(メチルアミノ)-5-オキソペンタン酸(化合物SP446)の合成
Synthesis of (S) -2-((((9H-fluoren-9-yl) methoxy) carbonyl) amino) -5- (methylamino) -5-oxopentanoic acid (compound SP446)
(S)-2-((((9H-フルオレン-9-イル)メトキシ)カルボニル)アミノ)-5-(メチルアミノ)-5-オキソペンタン酸 tert-ブチル(化合物SP445)(13.3g、粗生成物)をジクロロメタン(140ml)とトリフルオロ酢酸(140ml)の混合液に溶解し、室温にて2時間攪拌した。減圧下溶媒留去し、得られた固体をヘキサンで洗浄後、真空乾燥して(S)-2-((((9H-フルオレン-9-イル)メトキシ)カルボニル)アミノ)-5-(メチルアミノ)-5-オキソペンタン酸(化合物SP446)(5.84g、93%、2工程)を得た。
LCMS(ESI) m/z = 383 (M+H)+
保持時間:2.07分(分析条件ZQAA05)
(S) -2-(((((9H-Fluoren-9-yl) methoxy) carbonyl) amino) -5- (methylamino) -5-oxopentanoic acid tert-butyl (compound SP445) (13.3 g, crude The product was dissolved in a mixture of dichloromethane (140 ml) and trifluoroacetic acid (140 ml) and stirred at room temperature for 2 hours. The solvent was distilled off under reduced pressure, and the resulting solid was washed with hexane and then vacuum-dried to give (S) -2-((((9H-fluoren-9-yl) methoxy) carbonyl) amino) -5- (methyl Amino) -5-oxopentanoic acid (Compound SP446) (5.84 g, 93%, 2 steps) was obtained.
LCMS (ESI) m / z = 383 (M + H) +
Retention time: 2.07 minutes (analysis condition ZQAA05)
(S)-2-((((9H-フルオレン-9-イル)メトキシ)カルボニル)アミノ)-5-(ジメチルアミノ)-5-オキソペンタン酸 tert-ブチル(化合物SP447)の合成
Synthesis of (S) -2-((((9H-fluoren-9-yl) methoxy) carbonyl) amino) -5- (dimethylamino) -5-oxopentanoic acid tert-butyl (compound SP447)
(S)-3-((((9H-フルオレン-9-イル)メトキシ)カルボニル)アミノ)-4-(tert-ブトキシ)-4-オキソブタン酸(化合物SP444)(10.0g、23.5mmol)をジメチルホルムアミド(70ml)に溶解し、((ベンゾトリアゾール-1-イルオキシ)-トリス(ジメチルアミノ)ホスホニウム ヘキサフルオロリン酸塩(BOP)(12.5g、28.3mmol)と、ジメチルアミン(58mmol)を2mol/lのテトラヒドロフラン溶液として加え、室温で30分攪拌した。反応液に水を加え、ジクロロメタンで抽出した。有機抽出液を硫酸マグネシウムで乾燥し、減圧下溶媒留去することで、(S)-2-((((9H-フルオレン-9-イル)メトキシ)カルボニル)アミノ)-5-(ジメチルアミノ)-5-オキソペンタン酸 tert-ブチル(化合物SP447)(15.2g)を粗生成物として得た。
LCMS(ESI) m/z = 453 (M+H)+
保持時間:3.00分(分析条件SQDAA05)
(S) -3-((((9H-Fluoren-9-yl) methoxy) carbonyl) amino) -4- (tert-butoxy) -4-oxobutanoic acid (Compound SP444) (10.0 g, 23.5 mmol) Was dissolved in dimethylformamide (70 ml) and ((benzotriazol-1-yloxy) -tris (dimethylamino) phosphonium hexafluorophosphate (BOP) (12.5 g, 28.3 mmol) and dimethylamine (58 mmol) were dissolved. As a 2 mol / l tetrahydrofuran solution, the mixture was stirred at room temperature for 30 minutes, water was added to the reaction solution, and the mixture was extracted with dichloromethane, and the organic extract was dried over magnesium sulfate and evaporated under reduced pressure to remove (S ) -2-((((9H-fluoren-9-yl) methoxy) carbonyl) amino) -5- (di Methylamino) -5-oxopentanoic acid tert-butyl (compound SP447) (15.2 g) was obtained as a crude product.
LCMS (ESI) m / z = 453 (M + H) +
Retention time: 3.00 minutes (analysis condition SQDAA05)
(S)-2-((((9H-フルオレン-9-イル)メトキシ)カルボニル)アミノ)-5-(ジメチルアミノ)-5-オキソペンタン酸(化合物SP448)の合成
Synthesis of (S) -2-((((9H-fluoren-9-yl) methoxy) carbonyl) amino) -5- (dimethylamino) -5-oxopentanoic acid (compound SP448)
(S)-2-((((9H-フルオレン-9-イル)メトキシ)カルボニル)アミノ)-5-(ジメチルアミノ)-5-オキソペンタン酸 tert-ブチル(化合物SP447(15.2g、粗生成物)をジクロロメタン(200ml)とトリフルオロ酢酸(200ml)の混合液に溶解し、室温にて2.5時間攪拌した。減圧下溶媒留去し、得られた固体をヘキサンとtert-ブチルメチルエーテルの混合溶液で洗浄後、真空乾燥して(S)-2-((((9H-フルオレン-9-イル)メトキシ)カルボニル)アミノ)-5-(ジメチルアミノ)-5-オキソペンタン酸(化合物SP448)(9.12g、85%、2工程)を得た。
LCMS(ESI) m/z = 397 (M+H)+
保持時間:2.18分(分析条件ZQAA05)
(S) -2-(((((9H-fluoren-9-yl) methoxy) carbonyl) amino) -5- (dimethylamino) -5-oxopentanoic acid tert-butyl (compound SP447 (15.2 g, crude product The product was dissolved in a mixture of dichloromethane (200 ml) and trifluoroacetic acid (200 ml) and stirred at room temperature for 2.5 hours, the solvent was distilled off under reduced pressure, and the resulting solid was hexane and tert-butyl methyl ether After washing with a mixed solution of (S) -2-(((((9H-fluoren-9-yl) methoxy) carbonyl) amino) -5- (dimethylamino) -5-oxopentanoic acid (compound SP448) (9.12 g, 85%, 2 steps).
LCMS (ESI) m / z = 397 (M + H) +
Retention time: 2.18 minutes (analysis condition ZQAA05)
(S)-2-((((9H-フルオレン-9-イル)メトキシ)カルボニル)アミノ)-3-(3-フルオロ-4-ヒドロキシフェニル)プロパン酸(Fmoc-Tyr(3-F)-OH、化合物SP450)の合成
(S) -2-(((((9H-fluoren-9-yl) methoxy) carbonyl) amino) -3- (3-fluoro-4-hydroxyphenyl) propanoic acid (Fmoc-Tyr (3-F) -OH Of Compound SP450)
(S)-2-アミノ-3-(3-フルオロ-4-ヒドロキシフェニル)プロパン酸(H-Tyr(3-F)-OH、SP449)(7.2g、36.2mmol)を10%炭酸ナトリウム水溶液(250ml)に溶解し、N-(9-フルオレニルメトキシカルボニルオキシ)-スクシンイミド(12.2g、36.2mmol)を加えて室温で1時間半攪拌した。反応液に水(120ml)を加えた後、200mlのジエチルエーテルで2回洗浄し、100mlのジエチルエーテルで1回洗浄した。水層に6NのHCl水溶液を加えて酸性(pH=2)とした後、250ml酢酸エチルで2回、200ml酢酸エチルで1回抽出した。得られた酢酸エチル層を無水硫酸マグネシウムで乾燥し、ろ過、減圧濃縮して、標題化合物(SP450、15.3g、100%)を得た。
LCMS(ESI)m/z =420.3(M-H)-
保持時間:0.39分 (分析条件 SQDAA50)
(S) -2-Amino-3- (3-fluoro-4-hydroxyphenyl) propanoic acid (H-Tyr (3-F) -OH, SP449) (7.2 g, 36.2 mmol) was added to 10% sodium carbonate. After dissolving in an aqueous solution (250 ml), N- (9-fluorenylmethoxycarbonyloxy) -succinimide (12.2 g, 36.2 mmol) was added, and the mixture was stirred at room temperature for 1.5 hours. Water (120 ml) was added to the reaction solution, and then washed twice with 200 ml of diethyl ether and once with 100 ml of diethyl ether. 6N HCl aqueous solution was added to the aqueous layer to make it acidic (pH = 2), followed by extraction twice with 250 ml ethyl acetate and once with 200 ml ethyl acetate. The obtained ethyl acetate layer was dried over anhydrous magnesium sulfate, filtered and concentrated under reduced pressure to obtain the title compound (SP450, 15.3 g, 100%).
LCMS (ESI) m / z = 420.3 (M−H) −
Retention time: 0.39 minutes (Analysis conditions SQDAA50)
1-3.アミド環化ドラックライクペプチドの合成1-3. Synthesis of amide-cyclized drug-like peptides
1-3-1. C末端のAspが交差ユニットとして機能し、すなわち主鎖カルボン酸がピペリジンなどによりアミド化され、側鎖カルボン酸でN末端の主鎖アミン(三角ユニット)とアミド環化したアスパラギン酸を有するペプチド群の合成例1-3-1. C-terminal Asp functions as a crossing unit, that is, peptides with aspartic acid in which the main chain carboxylic acid is amidated with piperidine, etc., and the N-terminal main chain amine (triangular unit) is amide cyclized with side chain carboxylic acid Example of synthesis
C末端がアミド化(本例ではピペリジン化)されたアスパラギン酸側鎖カルボン酸とN末端の主鎖アミノ基がアミド結合により環化されたペプチド群の合成例を述べる。本例を1つの代表例として述べるが、ペプチド化学合成については、本明細書の異なる場所に記載されているどの手法を用いてもよい。以下のスキームG1にその合成の一例を示した。 A synthesis example of a peptide group in which an aspartic acid side chain carboxylic acid in which the C-terminus is amidated (in this example, piperidine) and a N-terminal main chain amino group are cyclized by an amide bond will be described. This example is described as one representative example, but any method described at different places in this specification may be used for peptide chemical synthesis. An example of the synthesis is shown in the following scheme G1.
化合物SP402(化合物SP401(Fmoc-Asp-pip)を担持させた2-クロロトリチルレジン)(200mg)を用い、Fmocアミノ酸としてFmoc-MePhe-OH、Fmoc-EtPhe-OH(化合物SP443)、Fmoc-MeAla-OH、Fmoc-MeLeu-OH、Fmoc-D-MeAla-OH、Fmoc-MeGly-OH、Fmoc-MeVal-OH、Fmoc-MeIle-OH、Fmoc-g-MeAbu-OH、Fmoc-b-MeAla-OH、Fmoc-nPrGly-OH(化合物SP815)、Fmoc-MeAla(4-Thz)-OH(化合物SP811)、Fmoc-Pro-OH、Fmoc-Aze(2)-OH、Fmoc-Pic(2)-OH、Fmoc-Phe-OH、Fmoc-Phg-OH、Fmoc-Val-OH、Fmoc-D-Val-OH、Fmoc-Ser(tBu)-OH、Fmoc-Thr(Trt)-OH、Fmoc-Leu-OH、Fmoc-D-Leu-OH、Fmoc-Ile-OH、Fmoc-Ala-OH、Fmoc-D-Ala-OH、Fmoc-Gly-OH、Fmoc-Lys(Me2)-OH、Fmoc-Arg(Me2)-OH、Fmoc-Gln(Me2)-OH(化合物SP448)、Fmoc-Gln(Me)-OH(化合物SP446)、Fmoc-Gln-OH、Fmoc-Algly-OH、Fmoc-Ala(4-Thz)-OH、Fmoc-Ala(CN)-OH、Fmoc-Hph-OH、Fmoc-Phe3-OH、Fmoc-Ala(3Pyr)-OH、Fmoc-Tyr(3-F)-OH(化合物SP450)などを用いてペプチドの伸長を行った(アミノ酸の略語は表11-2に記載)。既に実施例に記載のFmoc法によるペプチド合成法に従い、ペプチドの伸長を行った。ペプチドの伸長後、N末端のFmoc基の除去をペプチド合成機上にて行った後、レジンをDMFにて洗浄した。レジンに4N HClの1,4-ジオキサン溶液/ジクロロメタン/2,2,2-トリフルオロエタノール/トリイソプロピルシラン(=1/60/30/5.7,v/v、4mL)を加えて2時間反応させ、レジンからのペプチドの切り出しを行った。反応終了後、チューブ内の溶液を合成用カラムでろ過することによりレジンを除き、レジンをジクロロメタン/2,2,2-トリフルオロエタノール(=1/1,v/v、1mL)にて2回洗浄した。全ての抽出液を混合し、DIPEA(43.2μL、0.248mmol)にて中和した後、減圧下濃縮した。得られた残渣をジクロロメタン(8mL)に溶解した。O-(7-アザー1Hベンゾトリアゾール-1-イル)-N,N,N,Nテトラメチルウロニウム ヘキサフルオロホスフェート(HATU)(0.24mmol)のDMSO溶液 (0.24mL), DIPEA (50.2μL、0.29mmol)を加え、室温にて2時間振とうした。減圧下、溶媒を留去した後、DMSOに溶解し、preparative-HPLCで精製し、表題のアミド環化ドラックライクペプチドの合成を行った。なお、DP-1~39、DP-47~122、DP-125~176、DP-215~277、DP-317~343、DP-408~442、DP-465~482、DP-485~489、DP-494、DP-511~564、DP-587~588、DP-590~591、DP-593~594、DP-597~630、DP-632~638、DP-673~675、DP-677~751が本合成法に準拠した方法で合成可能である。各化合物のマススペクトルの値と液体クロマトグラフィーの保持時間は表11-3-2に記載した。
Using compound SP402 (2-chlorotrityl resin carrying compound SP401 (Fmoc-Asp-pip)) (200 mg), Fmoc-MePhe-OH, Fmoc-EtPhe-OH (compound SP443), Fmoc-MeAla as Fmoc amino acids -OH, Fmoc-MeLeu-OH, Fmoc-D-MeAla-OH, Fmoc-MeGly-OH, Fmoc-MeVal-OH, Fmoc-MeIle-OH, Fmoc-g-MeAbu-OH, Fmoc-b-MeAla-OH , Fmoc-nPrGly-OH (Compound SP815), Fmoc-MeAla (4-Thz) -OH (Compound SP811), Fmoc-Pro-OH, Fmoc-Aze (2) -OH, Fmoc-Pic (2) -OH, Fmoc-Phe-OH, Fmoc-Phg-O H, Fmoc-Val-OH, Fmoc-D-Val-OH, Fmoc-Ser (tBu) -OH, Fmoc-Thr (Trt) -OH, Fmoc-Leu-OH, Fmoc-D-Leu-OH, Fmoc- Ile-OH, Fmoc-Ala-OH, Fmoc-D-Ala-OH, Fmoc-Gly-OH, Fmoc-Lys (Me2) -OH, Fmoc-Arg (Me2) -OH, Fmoc-Gln (Me2) -OH (Compound SP448), Fmoc-Gln (Me) -OH (Compound SP446), Fmoc-Gln-OH, Fmoc-Algly-OH, Fmoc-Ala (4-Thz) -OH, Fmoc-Ala (CN) -OH, Fmoc-Hph-OH, Fmoc-Phe3-OH, Fmoc-Ala (3Pyr) -OH, Fmoc-Ty The peptide was elongated using r (3-F) -OH (compound SP450) or the like (amino acid abbreviations are listed in Table 11-2). The peptide was already extended according to the peptide synthesis method by the Fmoc method described in the examples. After extending the peptide, the N-terminal Fmoc group was removed on a peptide synthesizer, and the resin was washed with DMF. 4N HCl in 1,4-dioxane solution / dichloromethane / 2,2,2-trifluoroethanol / triisopropylsilane (= 1/60/30 / 5.7, v / v, 4 mL) was added to the resin for 2 hours. After reacting, the peptide was excised from the resin. After completion of the reaction, the resin in the tube was filtered through a synthesis column to remove the resin, and the resin was washed twice with dichloromethane / 2,2,2-trifluoroethanol (= 1/1, v / v, 1 mL). Washed. All the extracts were mixed, neutralized with DIPEA (43.2 μL, 0.248 mmol), and then concentrated under reduced pressure. The resulting residue was dissolved in dichloromethane (8 mL). O- (7-other 1H benzotriazol-1-yl) -N, N, N, N tetramethyluronium hexafluorophosphate (HATU) (0.24 mmol) in DMSO (0.24 mL), DIPEA (50. 2 μL, 0.29 mmol) was added and shaken at room temperature for 2 hours. After evaporating the solvent under reduced pressure, the residue was dissolved in DMSO and purified by preparative-HPLC to synthesize the title amide-cyclized drug-like peptide. DP-1 to 39, DP-47 to 122, DP-125 to 176, DP-215 to 277, DP-317 to 343, DP-408 to 442, DP-465 to 482, DP-485 to 489, DP-494, DP-511 to 564, DP-587 to 588, DP-590 to 591, DP-593 to 594, DP-597 to 630, DP-632 to 638, DP-673 to 675, DP-677 to 751 can be synthesized by a method based on this synthesis method. The mass spectrum values and retention times of liquid chromatography for each compound are shown in Table 11-3-2.
なお、記載のLC-Mass条件の詳細を表11-4に記載した
1-3-2.直鎖部1を有するペプチドの合成例その1
固定された直鎖部(MePhe-Ala-pip及び、MePhe-MePhe-Ala-pip)を有するペプチドの合成
C末端がアミド化(本例ではピペリジン化)され、C末端以外に配置されたアスパラギン酸側鎖カルボン酸とN末端アミノ基がアミド結合により環化された合成例を述べる。本例を1つの代表例として述べるが、ペプチド化学合成については、本明細書の異なる場所(例えば142、512(実施例15の2-2)、553(実施例18)など)の各所に記載されているどの手法を用いてもよい。以下のスキームXにその合成の一例を示した。
1-3-2. Synthesis example 1 of peptide having
Synthesis of a peptide having a fixed linear part (MePhe-Ala-pip and MePhe-MePhe-Ala-pip) A synthesis example in which the side chain carboxylic acid and the N-terminal amino group are cyclized by an amide bond will be described. This example will be described as one representative example, but peptide chemical synthesis is described in various places in this specification (eg 142, 512 (2-2 in Example 15), 553 (Example 18), etc.). Any known technique may be used. An example of the synthesis is shown in Scheme X below.
化合物SP455と同様の手法にて合成したFmoc-Asp(O-Trt(2-Cl)-Resin)-MePhe-Ala-pip(200mg)を用い、Fmocアミノ酸としてFmoc-MePhe-OH、Fmoc-EtPhe-OH(化合物SP443)、Fmoc-MeAla-OH、Fmoc-MeLeu-OH、Fmoc-D-MeAla-OH、Fmoc-MeGly-OH、Fmoc-MeVal-OH、Fmoc-MeIle-OH、Fmoc-g-MeAbu-OH、Fmoc-b-MeAla-OH、Fmoc-nPrGly-OH(化合物SP815)、Fmoc-MeAla(4-Thz)-OH(化合物SP811)、Fmoc-Pro-OH、Fmoc-Aze(2)-OH、Fmoc-Pic(2)-OH、Fmoc-Phe-OH、Fmoc-Phg-OH、Fmoc-Val-OH、Fmoc-D-Val-OH、Fmoc-Ser(tBu)-OH、Fmoc-Thr(Trt)-OH、Fmoc-Leu-OH、Fmoc-D-Leu-OH、Fmoc-Ile-OH、Fmoc-Ala-OH、Fmoc-D-Ala-OH、Fmoc-Gly-OH、Fmoc-Lys(Me2)-OH、Fmoc-Arg(Me2)-OH、Fmoc-Gln(Me2)-OH(化合物SP448)、Fmoc-Gln(Me)-OH(化合物SP446)、Fmoc-Gln-OH、Fmoc-AlGly-OH、Fmoc-Ala(4-Thz)-OH、Fmoc-Ala(CN)-OH、Fmoc-Hph-OH、Fmoc-Phe3-OH、Fmoc-Ala(3Pyr)-OH、Fmoc-Tyr(3-F)-OH(化合物SP450)、Fmoc-Glu(OAl)-OH, Fmoc-His(Mmt)-OH, Fmoc-Ala(5-Tet(Trt))-OH(化合物SP409)などを用いてペプチドの伸長を行った(アミノ酸の略語は表11-2に記載)。既に実施例に記載のFmoc法によるペプチド合成法に従い、ペプチドの伸長を行った。例えば、化合物DP-177の合成の場合、ペプチドの伸長後、N末端のFmoc基の除去をペプチド合成機上にて行った後、レジンをDMFにて洗浄した。レジンに4N HClの1,4-ジオキサン溶液/ジクロロメタン/2,2,2-トリフルオロエタノール/トリイソプロピルシラン(=1/60/30/5.7,v/v、4mL)を加えて2時間反応させ、レジンからのペプチドの切り出しを行った。反応終了後、チューブ内の溶液を合成用カラムでろ過することによりレジンを除き、レジンをジクロロメタン/2,2,2-トリフルオロエタノール(=1/1,v/v、1mL)にて2回洗浄した。全ての抽出液を混合し、DIPEA(50.0μL、0.286mmol)にて中和した後、減圧下濃縮した。得られた残渣をジクロロメタン(8mL)に溶解した。O-(7-アザー1Hベンゾトリアゾール-1-イル)-N,N,N,Nテトラメチルウロニウム ヘキサフルオロホスフェート(HATU)(68mg、0.18mmol)のDMSO溶液(0.20mL),DIPEA(37μL、0.21mmol)を加え、室温にて2時間振とうした。減圧下、溶媒を留去した後、DMSOに溶解し、preparative-HPLCで精製し、DP-177(4.27mg、5%)を得た。上述と同様の方法、もしくはFmoc-Asp(O-Trt(2-Cl)-Resin)-MePhe-Ala-pipの代わりに化合物SP459と同様に調製したFmoc-Asp(O-Trt(2-Cl)-Resin)-MePhe-MePhe-Ala-pipを用い、表題のアミド環化ドラックライクペプチドの合成を行った。なお、DP-123~124、DP-177~214、DP-278~316、DP-344~407、DP-443~464、DP-483~484、DP-490~493、DP-495~510、DP-587~588、DP-590~591、DP-593~594、DP-597~613、DP-631が本合成法に準拠した方法で合成可能である。各化合物のマススペクトルの値と液体クロマトグラフィーの保持時間は表11-3-2に記載した。 Using Fmoc-Asp (O-Trt (2-Cl) -Resin) -MePhe-Ala-pip (200 mg) synthesized by the same method as for compound SP455, Fmoc-MePhe-OH, Fmoc-EtPhe- OH (Compound SP443), Fmoc-MeAla-OH, Fmoc-MeLeu-OH, Fmoc-D-MeAla-OH, Fmoc-MeGly-OH, Fmoc-MeVal-OH, Fmoc-MeIle-OH, Fmoc-g-MeAbu-MeAbu-MeAbu-OH OH, Fmoc-b-MeAla-OH, Fmoc-nPrGly-OH (compound SP815), Fmoc-MeAla (4-Thz) -OH (compound SP811), Fmoc-Pro-OH, Fmoc-Aze (2) -OH, Fmoc-Pic (2 -OH, Fmoc-Phe-OH, Fmoc-Phg-OH, Fmoc-Val-OH, Fmoc-D-Val-OH, Fmoc-Ser (tBu) -OH, Fmoc-Thr (Trt) -OH, Fmoc-Leu -OH, Fmoc-D-Leu-OH, Fmoc-Ile-OH, Fmoc-Ala-OH, Fmoc-D-Ala-OH, Fmoc-Gly-OH, Fmoc-Lys (Me2) -OH, Fmoc-Arg ( Me2) -OH, Fmoc-Gln (Me2) -OH (compound SP448), Fmoc-Gln (Me) -OH (compound SP446), Fmoc-Gln-OH, Fmoc-AlGly-OH, Fmoc-Ala (4-Thz) ) -OH, Fmoc-Ala (CN) -OH, Fmoc-Hph-OH, Fmoc-Phe -OH, Fmoc-Ala (3Pyr) -OH, Fmoc-Tyr (3-F) -OH (compound SP450), Fmoc-Glu (OAl) -OH, Fmoc-His (Mmt) -OH, Fmoc-Ala (5 The peptide was elongated using -Tet (Trt))-OH (compound SP409) or the like (amino acid abbreviations are listed in Table 11-2). The peptide was already extended according to the peptide synthesis method by the Fmoc method described in the examples. For example, in the case of the synthesis of compound DP-177, after extending the peptide, the N-terminal Fmoc group was removed on the peptide synthesizer, and then the resin was washed with DMF. 4N HCl in 1,4-dioxane solution / dichloromethane / 2,2,2-trifluoroethanol / triisopropylsilane (= 1/60/30 / 5.7, v / v, 4 mL) was added to the resin for 2 hours. After reacting, the peptide was excised from the resin. After completion of the reaction, the resin in the tube was filtered through a synthesis column to remove the resin, and the resin was washed twice with dichloromethane / 2,2,2-trifluoroethanol (= 1/1, v / v, 1 mL). Washed. All the extracts were mixed, neutralized with DIPEA (50.0 μL, 0.286 mmol), and then concentrated under reduced pressure. The resulting residue was dissolved in dichloromethane (8 mL). O- (7-other 1H benzotriazol-1-yl) -N, N, N, N tetramethyluronium hexafluorophosphate (HATU) (68 mg, 0.18 mmol) in DMSO (0.20 mL), DIPEA ( 37 μL, 0.21 mmol) was added and shaken at room temperature for 2 hours. After evaporating the solvent under reduced pressure, the residue was dissolved in DMSO and purified by preparative-HPLC to obtain DP-177 (4.27 mg, 5%). The same method as described above, or Fmoc-Asp (O-Trt (2-Cl) prepared in the same manner as compound SP459 instead of Fmoc-Asp (O-Trt (2-Cl) -Resin) -MePhe-Ala-pip -Resin) -MePhe-MePhe-Ala-pip was used to synthesize the title amide cyclized drug-like peptide. DP-123 to 124, DP-177 to 214, DP-278 to 316, DP-344 to 407, DP-443 to 464, DP-483-484, DP-490 to 493, DP-495 to 510, DP-587 to 588, DP-590 to 591, DP-593 to 594, DP-597 to 613, and DP-631 can be synthesized by a method based on this synthesis method. The mass spectrum values and retention times of liquid chromatography for each compound are shown in Table 11-3-2.
1-3-3. 直鎖部1を有するペプチドの合成例その2
C末端がアミド化(本例ではピペリジン化)され、C末端以外に配置されたアスパラギン酸側鎖カルボン酸とN末端アミノ基がアミド結合により環化された合成例を述べる。本例を1つの代表例として述べるが、ペプチド化学合成については、本明細書の異なる場所の各所に記載されているどの手法を用いてもよい。以下のスキームG2にその合成の一例を示した。
1-3-3. Synthesis example 2 of peptide having
A synthesis example will be described in which the C-terminal is amidated (in this example, piperidine), and the aspartic acid side chain carboxylic acid other than the C-terminal and the N-terminal amino group are cyclized by an amide bond. This example will be described as one representative example, but any method described in various places in this specification may be used for peptide chemical synthesis. An example of the synthesis is shown in the following scheme G2.
N末端にFmocアミノ酸の代わりにBocアミノ酸を用い、Fmoc-Ile-OHもしくはFmoc-Phe-OH、Fmoc-Val-OH、Fmoc-Ala-OHを坦持させた2-クロロトリチルレジン(100mg)(アミノ酸のレジンへの担持方法は前述の方法に従った)を用い、アスパラギン酸のソースとしてFmoc-Asp(OtBu)-OHを用い、既に実施例に記載のFmoc法によるペプチド合成法に従い、ペプチドの伸長を行った。ペプチドの伸長後、レジンにジクロロメタン/2,2,2-トリフルオロエタノール/トリイソプロピルシラン(=1/1/0.2,v/v、2mL)を加えて2時間反応させ、レジンからのペプチドの切り出しを行った。反応終了後、チューブ内の溶液を合成用カラムでろ過することによりレジンを除き、レジンをジクロロメタン/2,2,2-トリフルオロエタノール(=1/1,v/v、1mL)にて2回洗浄した後、全ての抽出液を混合し減圧下濃縮した。得られた残渣をO-(7-アザー1Hベンゾトリアゾール-1-イル)-N,N,N,Nテトラメチルウロニウム ヘキサフルオロホスフェート(HATU)(0.12mmol)、DIPEA(0.145mmol)、ピペリジン(0.145mmol)にてC末端のカルボン酸をピペリジンアミド化した後、減圧下、溶媒を留去した。得られた残渣をTFA/トリイソプロピルシラン/ジクロロメタン(3/1/6、v/v、0.5mL)で処理し、N末端のBoc基、o-トリチル基およびアスパラギン酸側鎖カルボン酸のtert-ブチル基の除去を同時に行った。反応完結後、氷冷したDMF(3mL)を加えた後、減圧下溶媒を留去した。得られた残渣をジクロロメタン(3mL)に溶かした。さらに、水(0.5mL)を加えた後、水(0.5mL)で湿らせた珪藻土カラム(1mL、Chem Elut、アジレントテクノロジー社製)に溶液を通し、ジクロロメタン(3mL)で2回抽出した。全ての抽出液を混合し、溶液をO-(7-アザー1Hベンゾトリアゾール-1-イル)-N,N,N,Nテトラメチルウロニウム ヘキサフルオロホスフェート(HATU)(0.12mmol)、DIPEA(0.145mmol)にて処理することによりペプチドの環化を行った。減圧下、溶媒を留去した後、DMSOに溶解し、preparative-HPLCで精製し、直鎖部1を有するアミド環化ドラックライクペプチドの合成を行った。なお、DP-40~46、DP-565~584、DP-658~672、DP-910~956、DP-960~963、DP-965が本合成法に準拠した方法で合成可能である。各化合物のマススペクトルの値と液体クロマトグラフィーの保持時間は表11-3-2に記載した。
2-chlorotrityl resin (100 mg) using Boc amino acid instead of Fmoc amino acid at the N-terminus and carrying Fmoc-Ile-OH or Fmoc-Phe-OH, Fmoc-Val-OH, Fmoc-Ala-OH (100 mg) The amino acid was loaded onto the resin in accordance with the above-described method), Fmoc-Asp (OtBu) -OH was used as the source of aspartic acid, and the peptide synthesis method according to the Fmoc method already described in the Examples Elongation was performed. After elongation of the peptide, dichloromethane / 2,2,2-trifluoroethanol / triisopropylsilane (= 1/1 / 0.2, v / v, 2 mL) was added to the resin and reacted for 2 hours. Was cut out. After completion of the reaction, the resin in the tube was filtered through a synthesis column to remove the resin, and the resin was washed twice with dichloromethane / 2,2,2-trifluoroethanol (= 1/1, v / v, 1 mL). After washing, all the extracts were mixed and concentrated under reduced pressure. The obtained residue was O- (7-other 1Hbenzotriazol-1-yl) -N, N, N, N tetramethyluronium hexafluorophosphate (HATU) (0.12 mmol), DIPEA (0.145 mmol), After piperidine amidation of the C-terminal carboxylic acid with piperidine (0.145 mmol), the solvent was distilled off under reduced pressure. The obtained residue was treated with TFA / triisopropylsilane / dichloromethane (3/1/6, v / v, 0.5 mL), and the tert of the N-terminal Boc group, o-trityl group and aspartic acid side chain carboxylic acid. -The butyl group was removed simultaneously. After completion of the reaction, ice-cooled DMF (3 mL) was added, and then the solvent was distilled off under reduced pressure. The resulting residue was dissolved in dichloromethane (3 mL). Furthermore, after adding water (0.5 mL), the solution was passed through a diatomaceous earth column (1 mL, Chem Elut, manufactured by Agilent Technologies) moistened with water (0.5 mL), and extracted twice with dichloromethane (3 mL). . All the extracts were mixed and the solution was O- (7-other 1Hbenzotriazol-1-yl) -N, N, N, N tetramethyluronium hexafluorophosphate (HATU) (0.12 mmol), DIPEA ( The peptide was cyclized by treatment with 0.145 mmol). After evaporating the solvent under reduced pressure, the residue was dissolved in DMSO and purified by preparative-HPLC to synthesize an amide-cyclized drug-like peptide having a
1-3-4. 直鎖部1および2を有するペプチドの合成
C末端以外に配置されたアスパラギン酸側鎖カルボン酸がアミド化され(本例ではピペリジンであるが直鎖部1を構成するペプチドが結合していてもよい)、N末端以外に配置されたアミノ基側鎖を有するアミノ酸の側鎖アミノ基とC末端に配置されたアミノ酸のカルボン酸とで環化したペプチドの化学合成例を述べる。ここでは直鎖部1および2を有するペプチドの例として、交差ユニット(○ユニット)としてAsp-pip、アミノ基ソースとして保護基のついたアミノ基側鎖を有するアミノ酸、N末端にカルボン酸類縁体を用いたケースを代表例として示した。本例でN末端に用いたHOGlyはヒドロキシル基を保護した化合物を用いても良い。ペプチド化学合成については、本明細書の異なる場所の各所に記載されているどの手法を用いてもよい。以下のスキームG3にその合成の一例を示した。
1-3-4. Synthesis of peptide having
本例を1つの代表例として述べるが、合成法は本法に拘らず、この応用として様々な方法も可能である。例えば、非特許文献(Tetrahedron Lett.1993,34,4709-4712)などのように、側鎖カルボン酸の保護基としてアリルエステル、環化部位アミノ基の保護基として1-(4,4-ジメチル-2,6-ジオキソシクロヘキシリデン)エチル基(Dde)を用いてペプチドの伸長を行った後、Dde基を脱保護したアミノ基にオリゴペプチドを縮合し、アリルエステルの脱保護を行ったカルボン酸とレジン上で環化を行うことでも合成可能である。 This example will be described as one representative example, but the synthesis method is not limited to this method, and various methods are possible as this application. For example, as in non-patent literature (Tetrahedron Lett. 1993, 34, 4709-4712), allyl ester as a protecting group for a side chain carboxylic acid, and 1- (4,4-dimethyl as a protecting group for a cyclized site amino group. -2,6-dioxocyclohexylidene) ethyl group (Dde) was used to elongate the peptide, and then the oligopeptide was condensed to the amino group from which the Dde group was deprotected to deprotect the allyl ester. It can also be synthesized by cyclization on carboxylic acid and resin.
DP-964
HOGly-Pro-MeLeu-*Lys-MeAla-Leu-MeLeu-MeLeu-Asp-piperidine-MeLeu-MePhe(3-Cl)-Ile*
(2つの*部位にて環化)
DP-964
HO Gly-Pro-MeLeu- * Lys-MeAla-Leu-MeLeu-MeLeu-Asp-piperidine-MeLeu-MePhe (3-Cl) -Ile *
(Cyclization at two * sites)
N末端にFmocアミノ酸の代わりにHOGlyを用い、アスパラギン酸のソースとしてFmoc-Asp-Piperidineを用い、Fmoc-Ile-OHを担持させた2-クロロトリチルレジン(100mg)を用い、Fmocアミノ酸としてFmoc-MePhe(3-Cl)-OH(化合物SP812)、Fmoc-MeAla-OH、Fmoc-MeLeu-OH、Fmoc-Pro-OH、Fmoc-Leu-OH、Fmoc-Lys(Boc)-OH、などを用いてペプチドの伸長を行った(アミノ酸の略語は表11-2に記載)。既に実施例に記載のFmoc法によるペプチド合成法に従い、ペプチドの伸長を行った。4N HClの1,4-ジオキサン溶液/ジクロロメタン/トリフルオロエタノール/トリイソプロピルシラン (1/40/20/4、v/v、2mL)をレジンに加えて2時間反応させ、レジンからのペプチドの切り出しを行った。反応終了後、チューブ内の溶液を合成用カラムでろ過することによりレジンを除き、DMF(1mL)を入れたチューブに反応液を加えた。レジンをジクロロメタン/2,2,2-トリフルオロエタノール(=1/1,v/v、1mL)にて2回洗浄した後、逆相カラムクロマトグラフィー精製を行った。得られた生成物をジクロロメタン(8mL)に溶解した後、O-(7-アザー1Hベンゾトリアゾール-1-イル)-N,N,N,Nテトラメチルウロニウム ヘキサフルオロホスフェート(HATU)(0.129mmol)のDMSO溶液 (0.129mL)、DIPEA (30.0μL、0.155mmol)を加え、室温にて1時間振とうした。減圧下、溶媒を留去した後、DMSOに溶解し、逆相カラムクロマトグラフィー(Wakosil 25C18、0.1%ギ酸水溶液/0,1%ギ酸アセトニトリル)で精製し、標題化合物DP-964(1.6mg、1.6%)を得た。
LCMS(ESI) m/z = 1479(M-H)-
保持時間:0.85分 (分析条件 SQDAA50)
HO Gly is used instead of Fmoc amino acid at the N-terminus, Fmoc-Asp-Piperidine is used as the source of aspartic acid, 2-chlorotrityl resin (100 mg) carrying Fmoc-Ile-OH is used, and Fmoc amino acid is used as Fmoc amino acid. -MePhe (3-Cl) -OH (compound SP812), Fmoc-MeAla-OH, Fmoc-MeLeu-OH, Fmoc-Pro-OH, Fmoc-Leu-OH, Fmoc-Lys (Boc) -OH, etc. The peptides were elongated (amino acid abbreviations are listed in Table 11-2). The peptide was already extended according to the peptide synthesis method by the Fmoc method described in the examples. 4N HCl in 1,4-dioxane / dichloromethane / trifluoroethanol / triisopropylsilane (1/40/20/4, v / v, 2 mL) was added to the resin and allowed to react for 2 hours to excise the peptide from the resin. Went. After completion of the reaction, the resin in the tube was filtered through a synthesis column to remove the resin, and the reaction solution was added to a tube containing DMF (1 mL). The resin was washed twice with dichloromethane / 2,2,2-trifluoroethanol (= 1/1, v / v, 1 mL), and then purified by reverse phase column chromatography. The obtained product was dissolved in dichloromethane (8 mL), and then O- (7-other 1H benzotriazol-1-yl) -N, N, N, N tetramethyluronium hexafluorophosphate (HATU) (0. 129 mmol) in DMSO (0.129 mL) and DIPEA (30.0 μL, 0.155 mmol) were added and shaken at room temperature for 1 hour. After evaporating the solvent under reduced pressure, the residue was dissolved in DMSO and purified by reverse phase column chromatography (Wakosil 25C18, 0.1% aqueous formic acid / 0.1% formic acid acetonitrile) to give the title compound DP-964 (1. 6 mg, 1.6%) was obtained.
LCMS (ESI) m / z = 1479 (M−H) −
Retention time: 0.85 minutes (Analysis conditions SQDAA50)
1-3-5.ペプチド環化後、弱酸を用いた脱保護を必要とするアミノ酸(本件ではFmoc-Ala(5-Tet(Trt))-OH及び、Fmoc-His(Mmt)-OH)を有するペプチドの合成
化合物SP402と同様の手法にて合成したFmoc-Asp(O-Trt(2-Cl)-Resin)-pip(100mg)を用い、Fmocアミノ酸としてFmoc-MePhe-OH、Fmoc-MeAla-OH、Fmoc-MeLeu-OH、Fmoc-D-MeAla-OH、Fmoc-MeGly-OH、Fmoc-MeVal-OH、Fmoc-Pro-OH、Fmoc-Phe-OH、Fmoc-Val-OH、Fmoc-D-Val-OH、Fmoc-Ser(tBu)-OH、Fmoc-Thr(Trt)-OH、Fmoc-Leu-OH、Fmoc-D-Leu-OH、Fmoc-Ile-OH、Fmoc-Ala-OH、Fmoc-D-Ala-OH、Fmoc-Gly-OH、Fmoc-His(Mmt)-OH, Fmoc-Ala(5-Tet(Trt))-OH(化合物409)などを用いてペプチドの伸長を行った(アミノ酸の略語は表11-2に記載)。既に実施例に記載のFmoc法によるペプチド合成法に従い、ペプチドの伸長を行った。例えば、化合物DP-908の合成の場合、N末端のFmoc基を脱保護し、レジンにジクロロメタン/トリフルオロエタノール(=2/1、v/v、2ml)を加えて2時間振盪させ、レジンからのペプチドの切り出しを行った。反応終了後、チューブ内溶液を合成用カラムでろ過することによりレジンを除いた。さらにレジンにジクロロメタン/トリフルオロエタノール(=2/1、v/v、1ml)を加えて15分間振盪させ、上記の溶液とあわせて溶媒留去した。得られた残渣をDCM(8ml)に溶解し、DIPEA(17μL、0.096mmol)を加えた。これに1M-O-(7-アザー1Hベンゾトリアゾール-1-イル)-N,N,N,Nテトラメチルウロニウム ヘキサフルオロホスフェート(HATU)(30mg,0.08mmol)in DMSO(250μL)を加えてN末アミンとAsp側鎖カルボン酸との環化反応を行った。反応終了後、溶媒留去した。得られた残渣をトリフルオロエタノール(1.0ml)に溶解した。これにTFA/トリイソプロピルシラン/DCM(1/5/94、v/v/v、1.0ml)を加えて10分間攪拌し、保護基の脱保護を行った。反応終了後、DIPEA(50μL,0.286mmol)を加えてTFAを中和し、溶媒留去した。得られた粗生成物はジメチルスルホキシドに溶解し、得られたペプチド溶液は高速逆相クロマトグラフィー(HPLC)で精製し、溶媒留去した。得られた残渣をトリフルオロエタノール(1.5ml)に溶解し、水(0.5ml)とヘキサン(2ml)を加えて攪拌し、ヘキサン層を除去した。もう一度ヘキサン(2ml)を加えて攪拌し、ヘキサン層を除去した後に溶媒留去し,化合物DP-908(1.92mg,4.8%)を得た。上述と同様の方法、もしくはFmoc-Asp(O-Trt(2-Cl)-Resin)-pipの代わりに化合物SP455と同様に調製したFmoc-Asp(O-Trt(2-Cl)-Resin)-MePhe-Ala-pipを用い、表題のアミド環化ドラックライクペプチドの合成を行った。DP-585~586、DP-592、DP-676、DP-904~909が本合成法に準拠した方法で合成可能である。各化合物のマススペクトルの値と液体クロマトグラフィーの保持時間は表11-3-2に記載した。
1-3-5. Synthetic compound SP402 of a peptide having amino acids (in this case, Fmoc-Ala (5-Tet (Trt))-OH and Fmoc-His (Mmt) -OH) that require deprotection with a weak acid after peptide cyclization Fmoc-Asp (O-Trt (2-Cl) -Resin) -pip (100 mg) synthesized by the same method as above, and Fmoc-MePhe-OH, Fmoc-MeAla-OH, Fmoc-MeLeu- as Fmoc amino acids OH, Fmoc-D-MeAla-OH, Fmoc-MeGly-OH, Fmoc-MeVal-OH, Fmoc-Pro-OH, Fmoc-Phe-OH, Fmoc-Val-OH, Fmoc-D-Val-OH, Fmoc- Ser (tBu) -OH, Fmoc-Thr (Trt) -OH, Fmoc Leu-OH, Fmoc-D-Leu-OH, Fmoc-Ile-OH, Fmoc-Ala-OH, Fmoc-D-Ala-OH, Fmoc-Gly-OH, Fmoc-His (Mmt) -OH, Fmoc-Ala The peptide was elongated using (5-Tet (Trt))-OH (Compound 409) (amino acid abbreviations are listed in Table 11-2). The peptide was already extended according to the peptide synthesis method by the Fmoc method described in the examples. For example, in the case of the synthesis of compound DP-908, the N-terminal Fmoc group is deprotected, dichloromethane / trifluoroethanol (= 2/1, v / v, 2 ml) is added to the resin, and the mixture is shaken for 2 hours. The peptide was excised. After completion of the reaction, the resin was removed by filtering the solution in the tube through a synthesis column. Further, dichloromethane / trifluoroethanol (= 2/1, v / v, 1 ml) was added to the resin, shaken for 15 minutes, and the solvent was distilled off together with the above solution. The resulting residue was dissolved in DCM (8 ml) and DIPEA (17 μL, 0.096 mmol) was added. To this was added 1M-O- (7-other 1H benzotriazol-1-yl) -N, N, N, N tetramethyluronium hexafluorophosphate (HATU) (30 mg, 0.08 mmol) in DMSO (250 μL). Then, cyclization reaction between N-terminal amine and Asp side chain carboxylic acid was performed. After completion of the reaction, the solvent was distilled off. The obtained residue was dissolved in trifluoroethanol (1.0 ml). To this, TFA / triisopropylsilane / DCM (1/5/94, v / v / v, 1.0 ml) was added and stirred for 10 minutes to deprotect the protecting group. After completion of the reaction, DIPEA (50 μL, 0.286 mmol) was added to neutralize TFA, and the solvent was distilled off. The obtained crude product was dissolved in dimethyl sulfoxide, and the obtained peptide solution was purified by high-speed reverse phase chromatography (HPLC), and the solvent was distilled off. The obtained residue was dissolved in trifluoroethanol (1.5 ml), water (0.5 ml) and hexane (2 ml) were added and stirred, and the hexane layer was removed. Hexane (2 ml) was added again and stirred. After removing the hexane layer, the solvent was distilled off to obtain Compound DP-908 (1.92 mg, 4.8%). The same method as described above, or Fmoc-Asp (O-Trt (2-Cl) -Resin)-prepared in the same manner as compound SP455 instead of Fmoc-Asp (O-Trt (2-Cl) -Resin) -pip The title amide cyclized drug-like peptide was synthesized using MePhe-Ala-pip. DP-585 to 586, DP-592, DP-676, and DP-904 to 909 can be synthesized by a method based on this synthesis method. The mass spectrum values and retention times of liquid chromatography for each compound are shown in Table 11-3-2.
1-3-6.ペプチド環化後、還元反応を用いた脱保護を必要とするアミノ酸(本件ではFmoc-Glu(OAl)-OH)を有するペプチドの合成
化合物SP455と同様の手法にて合成したFmoc-Asp(O-Trt(2-Cl)-Resin)-MePhe-Ala-pip(100mg)を用い、Fmocアミノ酸としてFmoc-MePhe-OH、Fmoc-MeAla-OH、Fmoc-MeLeu-OH、Fmoc-MeGly-OH、Fmoc-MeVal-OH、Fmoc-Pro-OH、Fmoc-Phe-OH、Fmoc-Val-OH、Fmoc-D-Val-OH、Fmoc-Ser(tBu)-OH、Fmoc-Thr(Trt)-OH、Fmoc-Leu-OH、Fmoc-Ala-OH、Fmoc-D-Ala-OH、Fmoc-Gly-OH、Fmoc-Glu(OAl)-OHなどを用いてペプチドの伸長を行った(アミノ酸の略語は表11-2に記載)。既に実施例に記載のFmoc法によるペプチド合成法に従い、ペプチドの伸長を行った。例えば、化合物DP-595の合成の場合、N末端のFmoc基を脱保護し、レジンにジクロロメタン/トリフルオロエタノール(=2/1、v/v、2ml)を加えて2時間振盪させ、レジンからのペプチドの切り出しを行った。反応終了後、チューブ内溶液を合成用カラムでろ過することによりレジンを除いた。さらにレジンにジクロロメタン/トリフルオロエタノール(=2/1、v/v、1ml)を加えて15分間振盪させ、上記の溶液とあわせて溶媒留去した。得られた残渣をDCM(8ml)に溶解し、DIPEA(20μL、0.115mmol)を加えた。これに1M O-(7-アザー1Hベンゾトリアゾール-1-イル)-N,N,N,Nテトラメチルウロニウム ヘキサフルオロホスフェート(HATU)(37mg,0.096mmol)in DMSO(200μL)を加えてN末端アミンとAsp側鎖カルボン酸との環化反応を行った。反応終了後、溶媒留去した。得られた粗生成物をDMFに溶解し、テトラキス(トリフェニルホスフィン)パラジウム(0)(Pd(PPh3)4)(7mg、0.006mmol)のジクロロメタン(1ml)溶液を加えた。続いてフェニルシラン(7.4ul, 0.06mmol)を加え、室温で1時間攪拌した。反応液を濾過後、有機層を減圧濃縮し、得られた粗生成物をDMSOに溶解し、得られたペプチド溶液は高速逆相クロマトグラフィー(HPLC)で精製後、溶媒を留去し、化合物DP-595(14.7mg,22%)を得た。上述と同様の方法でアミド環化ドラックライクペプチドDP-589、DP-596の合成を行った。各化合物のマススペクトルの値と液体クロマトグラフィーの保持時間は表11-3-2に記載した。
1-3-6. After peptide cyclization, Fmoc-Asp (O--) synthesized in the same manner as the synthetic compound SP455 of a peptide having an amino acid (in this case, Fmoc-Glu (OAl) -OH) that requires deprotection using a reduction reaction. Trt (2-Cl) -Resin) -MePhe-Ala-pip (100 mg), Fmoc-MePhe-OH, Fmoc-MeAla-OH, Fmoc-MeLeu-OH, Fmoc-MeGly-OH, Fmoc- MeVal-OH, Fmoc-Pro-OH, Fmoc-Phe-OH, Fmoc-Val-OH, Fmoc-D-Val-OH, Fmoc-Ser (tBu) -OH, Fmoc-Thr (Trt) -OH, Fmoc- Leu-OH, Fmoc-Ala-OH, Fmoc-D-Ala OH, Fmoc-Gly-OH, the elongation of the peptide by using a Fmoc-Glu (OAl) -OH was carried out (according Amino acid abbreviations in Table 11-2). The peptide was already extended according to the peptide synthesis method by the Fmoc method described in the examples. For example, in the case of the synthesis of compound DP-595, the N-terminal Fmoc group is deprotected, and dichloromethane / trifluoroethanol (= 2/1, v / v, 2 ml) is added to the resin and shaken for 2 hours. The peptide was excised. After completion of the reaction, the resin was removed by filtering the solution in the tube through a synthesis column. Further, dichloromethane / trifluoroethanol (= 2/1, v / v, 1 ml) was added to the resin, shaken for 15 minutes, and the solvent was distilled off together with the above solution. The resulting residue was dissolved in DCM (8 ml) and DIPEA (20 μL, 0.115 mmol) was added. To this was added 1M O- (7-other 1H benzotriazol-1-yl) -N, N, N, N tetramethyluronium hexafluorophosphate (HATU) (37 mg, 0.096 mmol) in DMSO (200 μL). Cyclization reaction of N-terminal amine and Asp side chain carboxylic acid was performed. After completion of the reaction, the solvent was distilled off. The obtained crude product was dissolved in DMF, and a solution of tetrakis (triphenylphosphine) palladium (0) (Pd (PPh3) 4) (7 mg, 0.006 mmol) in dichloromethane (1 ml) was added. Subsequently, phenylsilane (7.4 ul, 0.06 mmol) was added, and the mixture was stirred at room temperature for 1 hour. After filtering the reaction solution, the organic layer is concentrated under reduced pressure, and the resulting crude product is dissolved in DMSO. The obtained peptide solution is purified by high-speed reverse phase chromatography (HPLC), and then the solvent is distilled off to obtain a compound. DP-595 (14.7 mg, 22%) was obtained. The amide cyclized drug-like peptides DP-589 and DP-596 were synthesized in the same manner as described above. The mass spectrum values and retention times of liquid chromatography for each compound are shown in Table 11-3-2.
1-3-7.C末端アミノ酸が有する主鎖カルボン酸部位を除去し、アルキル基などに置き換えたペプチド誘導体の合成
C末端にベータアミノ酸誘導体を用い、C末端のベータアミノ酸誘導体とN末端アミノ基がアミド結合により環化された、直鎖部を有さない化合物の合成例を述べる。ペプチド化学合成については、本明細書の異なる場所の各所に記載されているどの手法を用いてもよい。
1-3-7. Synthesis of peptide derivatives in which the main chain carboxylic acid moiety of the C-terminal amino acid is removed and replaced with an alkyl group, etc. Using a beta amino acid derivative at the C-terminal, the C-terminal beta amino acid derivative and the N-terminal amino group are cyclized by amide bonds An example of synthesis of a compound having no straight chain portion will be described. For peptide chemical synthesis, any technique described elsewhere in this specification may be used.
2-クロロトリチルレジンと結合させた化合物(化合物SP405、100mg)を用い、Fmocアミノ酸としてFmoc-MePhe-OH、Fmoc-MePhe(3-Cl)-OH、Fmoc-MeAla-OH、Fmoc-b-MeAla-OH、Fmoc-g-MeAbu-OH、Fmoc-MeLeu-OH、Fmoc-MeIle-OH、Fmoc-MeVal-OH、Fmoc-D-MeAla-OH、Fmoc-MeGly-OH、Fmoc-MeSer(DMT)-OH、Fmoc-Pro-OH、Fmoc-Phe-OH、Fmoc-Phe(4-CF3)-OH、Fmoc-Val-OH、Fmoc-D-Val-OH、Fmoc-Ser(Trt)-OH、Fmoc-Ser(tBu)-OH、Fmoc-Thr(Trt)-OH、Fmoc-Leu-OH、Fmoc-D-Leu-OH、Fmoc-Ile-OH、Fmoc-AOC(2)-OH、Fmoc-Abu-OH、Fmoc-Ala-OH、Fmoc-D-Ala-OH、Fmoc-Gly-OHなどを用いて、既に実施例に記載のFmoc法によるペプチド合成法に従い、ペプチドの伸長を行った(アミノ酸の略語は表11-2に記載)。ペプチドの伸長後、例えば化合物DP-639の場合、N末端のFmoc基を脱保護し、レジンにジクロロメタン/トリフルオロエタノール(=2/1、v/v、2ml)を加えて2時間振盪させ、レジンからのペプチドの切り出しを行った。反応終了後、チューブ内溶液を合成用カラムでろ過することによりレジンを除いた。さらにレジンにジクロロメタン/トリフルオロエタノール(=2/1、v/v、1ml)を加えて15分間振盪させ、上記の溶液とあわせて溶媒留去した。得られた残渣をDCM(4ml)に溶解し、DIPEA(31.6μl、3.6eq.)を加えた。これに1M O-(7-アザー1Hベンゾトリアゾール-1-イル)-N,N,N,Nテトラメチルウロニウム ヘキサフルオロホスフェート(HATU) in DMSO(155μl、3.0eq.)を加えてN末端の主鎖アミンとC末端のカルボン酸との環化反応を行った。反応終了後、溶媒留去した。得られた残渣をトリフルオロエタノール(1.1ml)に溶解し、トリイソプロピルシラン(5.0eq.)を加えた。これにTFA/DCM(1/99、v/v、1.1ml)を加えて10分間攪拌し、保護基の脱保護を行った。反応終了後、DIPEA(43.9μl、5.0eq.)を加えてTFAを中和し、溶媒留去した。得られた粗生成物はジメチルスルホキシドに溶解し、得られたペプチド溶液は高速逆相クロマトグラフィー(HPLC)で精製し、溶媒留去した。得られた残渣をトリフルオロエタノール(1.5ml)に溶解し、水(0.5ml)とヘキサン(2ml)を加えて攪拌し、ヘキサン層を除去した。もう一度ヘキサン(2ml)を加えて攪拌し、ヘキサン層を除去した後に溶媒留去することでDP-639を得た。DP-639と同様の手法、もしくはFmoc-L-3-ABU-(O-Trt-(2-Cl)-Resin((S)-3-((((9H-フルオレン-9-イル)メトキシ)カルボニル)アミノ)ブタン酸-2-クロロトリチルレジン)の代わりにFmoc-3-CF3-bAla-(O-Trt-(2-Cl)-Resin((S)-3-((((9H-フルオレン-9-イル)メトキシ)カルボニル)アミノ)-4,4,4-トリフルオロブタン酸-2-クロロトリチルレジン、化合物SP407)を用いて、DP-640~DP-657、DP-752~DP829を得た。各化合物のマススペクトルの値と液体クロマトグラフィーの保持時間は表11-3-2に記載した。 Using a compound conjugated with 2-chlorotrityl resin (compound SP405, 100 mg), Fmoc amino acids Fmoc-MePhe-OH, Fmoc-MePhe (3-Cl) -OH, Fmoc-MeAla-OH, Fmoc-b-MeAla -OH, Fmoc-g-MeAbu-OH, Fmoc-MeLeu-OH, Fmoc-MeIle-OH, Fmoc-MeVal-OH, Fmoc-D-MeAla-OH, Fmoc-MeGly-OH, Fmoc-MeSer (DMT)- OH, Fmoc-Pro-OH, Fmoc-Phe-OH, Fmoc-Phe (4-CF3) -OH, Fmoc-Val-OH, Fmoc-D-Val-OH, Fmoc-Ser (Trt) -OH, Fmoc- Ser (tBu) -OH, Fmoc-Thr Trt) -OH, Fmoc-Leu-OH, Fmoc-D-Leu-OH, Fmoc-Ile-OH, Fmoc-AOC (2) -OH, Fmoc-Abu-OH, Fmoc-Ala-OH, Fmoc-D- Using Ala-OH, Fmoc-Gly-OH, etc., the peptide was already extended according to the peptide synthesis method by the Fmoc method described in the Examples (amino acid abbreviations are listed in Table 11-2). After elongation of the peptide, for example, in the case of compound DP-639, the N-terminal Fmoc group is deprotected, and dichloromethane / trifluoroethanol (= 2/1, v / v, 2 ml) is added to the resin and shaken for 2 hours. The peptide was excised from the resin. After completion of the reaction, the resin in the tube was filtered through a synthesis column to remove the resin. Further, dichloromethane / trifluoroethanol (= 2/1, v / v, 1 ml) was added to the resin, shaken for 15 minutes, and the solvent was distilled off together with the above solution. The resulting residue was dissolved in DCM (4 ml) and DIPEA (31.6 μl, 3.6 eq.) Was added. To this was added 1M O- (7-other 1H benzotriazol-1-yl) -N, N, N, N tetramethyluronium hexafluorophosphate (HATU) in DMSO (155 μl, 3.0 eq.) And N-terminal. A cyclization reaction between the main chain amine and the C-terminal carboxylic acid was carried out. After completion of the reaction, the solvent was distilled off. The obtained residue was dissolved in trifluoroethanol (1.1 ml), and triisopropylsilane (5.0 eq.) Was added. To this, TFA / DCM (1/99, v / v, 1.1 ml) was added and stirred for 10 minutes to deprotect the protecting group. After completion of the reaction, DIPEA (43.9 μl, 5.0 eq.) Was added to neutralize TFA, and the solvent was distilled off. The obtained crude product was dissolved in dimethyl sulfoxide, and the obtained peptide solution was purified by high-speed reverse phase chromatography (HPLC), and the solvent was distilled off. The obtained residue was dissolved in trifluoroethanol (1.5 ml), water (0.5 ml) and hexane (2 ml) were added and stirred, and the hexane layer was removed. Hexane (2 ml) was added once more and stirred, and after removing the hexane layer, the solvent was distilled off to obtain DP-639. The same method as DP-639, or Fmoc-L-3-ABU- (O-Trt- (2-Cl) -Resin ((S) -3-((((9H-fluoren-9-yl) methoxy) Fmoc-3-CF3-bAla- (O-Trt- (2-Cl) -Resin ((S) -3-((((9H-Fluorene)) instead of carbonyl) amino) butanoic acid-2-chlorotrityl resin) Using -9-yl) methoxy) carbonyl) amino) -4,4,4-trifluorobutanoic acid-2-chlorotrityl resin, compound SP407), DP-640 to DP-657 and DP-752 to DP829 The mass spectrum values and liquid chromatography retention time of each compound are shown in Table 11-3-2.
2.C-C環化ペプチドの合成
2-1.C-C環化ペプチドを合成するためのN末端カルボン酸誘導体の合成
2-1-1. ペンタ-4-イン酸メチル
2. Synthesis of CC cyclized peptide
2-1. Synthesis of N-terminal carboxylic acid derivatives for the synthesis of CC cyclized peptides
2-1-1. Methyl penta-4-ynoate
ペンタ-4-イン酸(5.0g 、51.0mmol)をMeOH(20ml)に溶解し、氷冷下でトリメチルシリルジアゾメタンのジエチルエーテル溶液(2.0M、50ml、100mmol)を加えた。室温で30分攪拌した後、反応液を減圧濃縮して標題化合物(5.7g、100%)を得た。
1H-NMR(Varian 400-MR,400 MHz, CDCl3) δ ppm 3.72 (3H, s),2.50-2.60 (4H, m), 1.99 (1H, m)
Penta-4-ynoic acid (5.0 g, 51.0 mmol) was dissolved in MeOH (20 ml), and a solution of trimethylsilyldiazomethane in diethyl ether (2.0 M, 50 ml, 100 mmol) was added under ice cooling. After stirring at room temperature for 30 minutes, the reaction mixture was concentrated under reduced pressure to give the title compound (5.7 g, 100%).
1 H-NMR (Varian 400-MR, 400 MHz, CDCl 3 ) δ ppm 3.72 (3H, s), 2.50-2.60 (4H, m), 1.99 (1H, m)
2-1-2. (E)-5-(4,4,5,5-テトラメチル-1,3,2-ジオキサボロラン-2-イル)ペンタ-4-エン酸 メチル
2-1-2. (E) -5- (4,4,5,5-tetramethyl-1,3,2-dioxaborolan-2-yl) pent-4-enoic acid methyl ester
ペンタ-4-イン酸メチル(5.0g、44.6mmol)と4,4,5,5-テトラメチル-1,3,2-ジオキサボロラン(7.42g、58.0mmol)を混合し、ジルコノセン クロリド ヒドリド(1.18g、4.46mmol)およびトリエチルアミン(0.622ml、4.46mmol)を加えて65度で終夜攪拌した。放冷後、反応液をジエチルエーテルで希釈し、析出した白色固体をセライトろ過で除去した。ろ液を減圧濃縮して得られた残渣をカラムクロマトグラフィ(ヘキサン:酢酸エチル)で精製し、標題化合物(5.36g、50.1%)を得た。
1H-NMR(Varian 400-MR,400 MHz, CDCl3) δ ppm 6.02 (1H, dt,18, 5.6Hz), 5.48 (1H, d, 18Hz), 3.68 (3H, s), 2.40-2.53 (4H, m), 1.28 (12H, s)
Methyl penta-4-ynoate (5.0 g, 44.6 mmol) and 4,4,5,5-tetramethyl-1,3,2-dioxaborolane (7.42 g, 58.0 mmol) were mixed and zirconocene chloride was mixed. Hydride (1.18 g, 4.46 mmol) and triethylamine (0.622 ml, 4.46 mmol) were added and stirred overnight at 65 degrees. After allowing to cool, the reaction solution was diluted with diethyl ether, and the precipitated white solid was removed by Celite filtration. The residue obtained by concentrating the filtrate under reduced pressure was purified by column chromatography (hexane: ethyl acetate) to obtain the title compound (5.36 g, 50.1%).
1 H-NMR (Varian 400-MR, 400 MHz, CDCl 3 ) δ ppm 6.02 (1H, dt, 18, 5.6 Hz), 5.48 (1H, d, 18 Hz), 3.68 (3H, s), 2.40-2.53 (4H, m), 1.28 (12H, s)
2-1-3. (E)-5-ボロノペンタ-4-エン酸
2-1-3. (E) -5-boronopent-4-enoic acid
(E)-5-(4,4,5,5-テトラメチル-1,3,2-ジオキサボロラン-2-イル)ペンタ-4-エン酸 メチル(2.0g、8.33mmol)をMeOH(100ml)に溶解し、0.8M水酸化カリウム水溶液(52.1ml、41.6mmol)を加えて室温で終夜攪拌した。減圧濃縮によりMeOHを除去した後、pHが3になるまで3Mの塩酸を加えた。この水溶液を、tert-ブチル-メチルエーテルで洗浄した後に減圧濃縮した。得られた残渣をカラムクロマトグラフィ(10mM酢酸アンモニウム水溶液:メタノール)で精製し、減圧濃縮して得られた固体を再度tert-ブチル-メチルエーテルで洗浄して、標題化合物(674.6mg、56.3%)を得た。
1H-NMR(Varian 400-MR,400 MHz, D2O) δ ppm 6.59 (1H, m), 5.51 (1H, d, 18Hz), 2.44-2.51 (4H, m)
Methyl (E) -5- (4,4,5,5-tetramethyl-1,3,2-dioxaborolan-2-yl) pent-4-enoate (2.0 g, 8.33 mmol) was added to MeOH (100 ml). ), 0.8M aqueous potassium hydroxide solution (52.1 ml, 41.6 mmol) was added, and the mixture was stirred at room temperature overnight. After removing MeOH by concentration under reduced pressure, 3M hydrochloric acid was added until the pH reached 3. The aqueous solution was washed with tert-butyl-methyl ether and concentrated under reduced pressure. The obtained residue was purified by column chromatography (10 mM aqueous ammonium acetate: methanol) and concentrated under reduced pressure, and the resulting solid was washed again with tert-butyl-methyl ether to give the title compound (674.6 mg, 56.3). %).
1 H-NMR (Varian 400-MR, 400 MHz, D 2 O) δ ppm 6.59 (1H, m), 5.51 (1H, d, 18 Hz), 2.44-2.51 (4H, m )
2-2.C-C環化したドラックライクペプチドの合成
2-2-1. *Phe-MeLeu-MeVal-MeGly-Thr-MeAla-Ala-MeLeu-Leu-Phe*-piperidine(2つの*の間でC-C結合されている)(化合物DCC-1)の合成
2-2. Synthesis of CC-like cyclized drug-like peptide
2-2-1. * Synthesis of Phe-MeLeu-MeVal-MeGly-Thr-MeAla-Ala-MeLeu-Leu-Phe * -piperidine (CC-bonded between two *) (compound DCC-1)
既に実施例に記載のFmoc法によるペプチド合成法に従い、N末端にはFmocアミノ酸の代わりに、(E)-5-ボロノペンタ-4-エン酸を用いて合成した((2S,5S,8S,11S,14S,17S,23S,26S,29S,E)-29-ベンジル-17-((R)-1-ヒドロキシエチル)-2-(3-ヨードベンジル)-5,8,26-トリイソブチル-23-イソプロピル-9,11,14,15,21,24,27-ヘプタメチル-1,4,7,10,13,16,19,22,25,28,31-ウンデカオキソ-1-(ピペリジン-1-イル)-3,6,9,12,15,18,21,24,27,30-デカアザペンタトリアコンタ-34-エン-35-イル)ボロン酸(Phe-MeLeu-MeVal-MeGly-Thr-MeAla-Ala-MeLeu-Leu-Phe(3-I)-piperidine、上記反応式の原料化合物、0.02g、0.0405mmol)をDMF(7.0ml)に溶解し、Pd(dppf)Cl2・CH2Cl2(10.0mg、0.012mmol)、トリエチルアミン(0.282ml、2.025mmol)を加えて、80度で2時間半攪拌した。反応液を放冷、減圧濃縮した後、DMSOに溶解し、preparative-HPLCで精製し、標題化合物DCC-1(3.32mg、6.5%)を得た。
LCMS:m/z 1268.8(M+H)+
保持時間:0.75分 (分析条件 SQDAA50)
According to the peptide synthesis method by the Fmoc method already described in the examples, synthesis was performed using (E) -5-boronopent-4-enoic acid instead of the Fmoc amino acid at the N-terminus ((2S, 5S, 8S, 11S , 14S, 17S, 23S, 26S, 29S, E) -29-benzyl-17-((R) -1-hydroxyethyl) -2- (3-iodobenzyl) -5,8,26-triisobutyl-23 Isopropyl-9,11,14,15,21,24,27-heptamethyl-1,4,7,10,13,16,19,22,25,28,31-undecaoxo-1- (piperidine-1- Yl) -3,6,9,12,15,18,21,24,27,30-decazaazapentatrita-34-en-35-yl) boronic acid (Phe-MeLeu-MeVal-M) Gly-Thr-MeAla-Ala-MeLeu-Leu-Phe (3-I) -piperidine, the starting compound of the above reaction formula, 0.02 g, 0.0405 mmol) was dissolved in DMF (7.0 ml) and Pd (dppf ) Cl 2 · CH 2 Cl 2 (10.0 mg, 0.012 mmol) and triethylamine (0.282 ml, 2.025 mmol) were added, and the mixture was stirred at 80 ° C. for 2.5 hours. The reaction mixture was allowed to cool, concentrated under reduced pressure, dissolved in DMSO, and purified by preparative-HPLC to give the title compound DCC-1 (3.32 mg, 6.5%).
LCMS: m / z 1268.8 (M + H) +
Retention time: 0.75 minutes (Analysis conditions SQDAA50)
2-2-1. *Phe- Me Leu- Me Val- Me Gly-Thr- Me Ala-Ala- Me Leu-Leu-Phe*-piperidine(2つの*の間でC-C結合されている)(化合物DCC-2)の合成
2-2-1. * Phe- Me Leu- Me Val- Me Gly-Thr- Me Ala-Ala- Me Leu-Leu-Phe * -piperidine (CC bond between two *) (compound DCC-2) Composition
上記DCC-1を合成する反応の反応副生成物として、標題化合物DCC-2(2.43mg、4.8%)を得た。
LCMS:m/z 1268.8(M+H)+
保持時間:0.78分 (分析条件 SQDAA50)
The title compound DCC-2 (2.43 mg, 4.8%) was obtained as a reaction byproduct of the reaction for synthesizing the DCC-1.
LCMS: m / z 1268.8 (M + H) +
Retention time: 0.78 minutes (Analysis conditions SQDAA50)
2-3.C-C結合化合物ドラックライクネス評価
C-C結合環化ペプチド合成の別法も述べる。C-C結合環化を利用したDisplay libraryでは、例えばN末端側の三角ユニット部位に炭素-炭素二重結合、C末端側の交差ユニットのアミノ酸の側鎖にヨードフェニル基を有するペプチドを翻訳合成した後(スキームC-2)、Pdを使用したHeck反応によりC-C結合環化生成物を得ることができる。
上記手法で得られるC-C結合環化生成物のドラックライクネスを評価するために、C-C結合環化ペプチドの合成を行った。以下のスキームHにその合成の一例を示した。環化ペプチドの合成に際して、Pdによる環化反応ではなく、アミド化反応で環化ペプチドを合成した。すなわち、交差ユニットであるC末端フェニルアラニンの主鎖カルボン酸がアミドにて化学修飾(ピペリジンアミド化)され、かつ側鎖上のカルボン酸部位でレジンに結合させたフェニルアラニン誘導体を合成し、このレジンを用いて、Fmoc合成法に従いペプチドの伸張反応を行った。伸張後、ペプチドをレジンから切り出し、N末端側のアミノ基(三角ユニット)とC末端フェニルアラニン誘導体側鎖上のカルボン酸部位(交差ユニット)をアミド結合で縮合させて環化体とすることで、Display libraryの生成物に相当するC-C結合環化ペプチドの合成を行った。スキームHではC-C結合によりC-Cの2重結合が得られる場合のみを記載したが、C-Cの1重結合や3重結合も可能であり、その場合に応じて化合物群を合成した。
2-3. Evaluation of CC-like compound drug likeness Another method for synthesizing CC-bonded cyclized peptides is also described. In display library using CC bond cyclization, for example, translation synthesis of a peptide having a carbon-carbon double bond at the N-terminal triangular unit site and an iodophenyl group in the side chain of the amino acid of the C-terminal crossing unit. (Scheme C-2), a C—C bond cyclization product can be obtained by Heck reaction using Pd.
In order to evaluate the drug likeness of the CC bond cyclized product obtained by the above method, a CC bond cyclized peptide was synthesized. An example of the synthesis is shown in Scheme H below. In the synthesis of the cyclized peptide, the cyclized peptide was synthesized by an amidation reaction instead of a cyclization reaction by Pd. That is, a phenylalanine derivative in which the main chain carboxylic acid of the C-terminal phenylalanine, which is a crossing unit, is chemically modified with an amide (piperidine amidation) and bonded to the resin at the carboxylic acid site on the side chain is synthesized. The peptide elongation reaction was performed according to the Fmoc synthesis method. After stretching, the peptide is excised from the resin, and the N-terminal amino group (triangle unit) and the carboxylic acid site (crossing unit) on the C-terminal phenylalanine derivative side chain are condensed with an amide bond to form a cyclized product. A CC-bonded cyclized peptide corresponding to the product of Display library was synthesized. In Scheme H, only the case where a double bond of CC is obtained by CC bond is described, but a single bond or triple bond of CC is also possible, and a compound group was synthesized according to that case.
2-3-1.アミノ酸ユニットおよび、レジンに結合させたアミノ酸ユニットの合成
ドラックライクネス評価に使用した交差ユニット部位のフェニルアラニン誘導体として、以下に示すアミノ酸およびそのレジン結合化合物を合成した。
2-3-1. Synthesis of Amino Acid Units and Amino Acid Units Attached to Resins The following amino acids and their resin-binding compounds were synthesized as phenylalanine derivatives at the crossing unit sites used for evaluation of drug likeness.
化合物SP416および化合物SP417の合成
(S)-(3-(4-ヨードフェニル)-1-オキソ-1-(ピペリジン-1-イル)プロパン-2-イル)カルバミン酸 tert-ブチル(化合物SP413、Boc-Phe(4-I)-pip)の合成
Synthesis of Compound SP416 and Compound SP417
(S)-(3- (4-Iodophenyl) -1-oxo-1- (piperidin-1-yl) propan-2-yl) carbamic acid tert-butyl (compound SP413, Boc-Phe (4-I) -pip)
(S)-2-((tert-ブトキシカルボニル)アミノ)-3-(4-ヨードフェニル)プロパン酸(Boc-Phe(4-I)-OH)(15.0g、38.3mmol)をDMF(180.0ml)に溶解させ、氷冷下、ピペリジン(7.95ml、80.6mmol)、HATU(17.5g、46.0mmol)およびDIPEA(8.01ml、46.0mmol)を加えた。室温で30分攪拌した後、反応液をヘキサン/酢酸エチル(1/1、400ml)で希釈し、飽和炭酸水素ナトリウム水溶液および飽和塩化アンモニウム水溶液で洗浄した。有機層を無水硫酸マグネシウムで乾燥後、ろ過、減圧濃縮して標題化合物SP413(16.9g、96%)を淡黄色固体として得た。
LCMS(ESI)m/z =459.5(M+H)+
保持時間:1.05分 (分析条件 SQDAA05)
(S) -2-((tert-butoxycarbonyl) amino) -3- (4-iodophenyl) propanoic acid (Boc-Phe (4-I) -OH) (15.0 g, 38.3 mmol) was added to DMF ( 180.0 ml), and piperidine (7.95 ml, 80.6 mmol), HATU (17.5 g, 46.0 mmol) and DIPEA (8.01 ml, 46.0 mmol) were added under ice cooling. After stirring at room temperature for 30 minutes, the reaction solution was diluted with hexane / ethyl acetate (1/1, 400 ml) and washed with a saturated aqueous solution of sodium bicarbonate and a saturated aqueous solution of ammonium chloride. The organic layer was dried over anhydrous magnesium sulfate, filtered and concentrated under reduced pressure to give the title compound SP413 (16.9 g, 96%) as a pale yellow solid.
LCMS (ESI) m / z = 459.5 (M + H) +
Retention time: 1.05 minutes (Analysis conditions SQDAA05)
(S)-(1-オキソ-1-(ピペリジン-1-イル)-3-(4-(4,4,5,5-テトラメチル-1,3,2-ジオキサボロラン-2-イル)フェニル)プロパン-2-イル)カルバミン酸 tert-ブチル(化合物SP414)の合成
(S)-(1-oxo-1- (piperidin-1-yl) -3- (4- (4,4,5,5-tetramethyl-1,3,2-dioxaborolan-2-yl) phenyl) Synthesis of tert-butyl propan-2-yl) carbamate (compound SP414)
(S)-(3-(4-ヨードフェニル)-1-オキソ-1-(ピペリジン-1-イル)プロパン-2-イル)カルバミン酸 tert-ブチル(化合物SP413)(6.0g、13.09mmol)をDMSO(60.0ml)に溶解し、ビス(ピナコラート)ジボロン(4.99g、19.64mmol)、Pd(dppf)Cl2・CH2Cl2(0.538g、0.655mmol)および酢酸カリウム(5.40g、55.02mmol)を加えて、室温で5時間攪拌した。反応液をヘキサン/酢酸エチル(1/1)で希釈し、飽和塩化アンモニウム水溶液および飽和炭酸水素ナトリウム水溶液で洗浄した。有機層を無水硫酸マグネシウムで乾燥後、ろ過、減圧濃縮し、得られた残渣をカラムクロマトグラフィ(ヘキサン:酢酸エチル=100:0~60:40)で精製し、標題化合物SP414(5.55g、92%)を得た。
LCMS(ESI)m/z =459.4(M+H)+
保持時間:0.99分 (分析条件 SQDFA05)
(S)-(3- (4-Iodophenyl) -1-oxo-1- (piperidin-1-yl) propan-2-yl) carbamate tert-butyl (Compound SP413) (6.0 g, 13.09 mmol ) In DMSO (60.0 ml), bis (pinacolato) diboron (4.99 g, 19.64 mmol), Pd (dppf) Cl 2 .CH 2 Cl 2 (0.538 g, 0.655 mmol) and potassium acetate (5.40 g, 55.02 mmol) was added and stirred at room temperature for 5 hours. The reaction solution was diluted with hexane / ethyl acetate (1/1) and washed with a saturated aqueous ammonium chloride solution and a saturated aqueous sodium hydrogen carbonate solution. The organic layer was dried over anhydrous magnesium sulfate, filtered and concentrated under reduced pressure. The obtained residue was purified by column chromatography (hexane: ethyl acetate = 100: 0 to 60:40) to give the title compound SP414 (5.55 g, 92 %).
LCMS (ESI) m / z = 459.4 (M + H) +
Retention time: 0.99 minutes (Analysis conditions SQDFA05)
(S)-4-(4-(2-((tert-ブトキシカルボニル)アミノ)-3-オキソ-3-(ピペリジン-1-イル)プロピル)フェニル)ペンタ-4-エン酸 tert-ブチル(化合物SP415)の合成(S) -4- (4- (2-((tert-butoxycarbonyl) amino) -3-oxo-3- (piperidin-1-yl) propyl) phenyl) pent-4-enoic acid tert-butyl (compound Synthesis of SP415)
(S)-(1-オキソ-1-(ピペリジン-1-イル)-3-(4-(4,4,5,5-テトラメチル-1,3,2-ジオキサボロラン-2-イル)フェニル)プロパン-2-イル)カルバミン酸 tert-ブチル(化合物SP414)(3.00g、6.54mmol)をDMF(24.0ml)および水(6.0ml)に溶解し、文献(Organic Letters、 2011、13、5830-5833)記載の方法で合成した4-ブロモペンタ-4-エン酸 tert-ブチル(2.31g、9.82mmol)、Pd(PPh3)4(1.13g、0.978mmol)および炭酸カリウム(1.81g、13.10mmol)を加えて、80℃で2時間攪拌した。放冷後、反応液をヘキサン/酢酸エチル(1/1)で希釈し、飽和炭酸水素ナトリウム水溶液および飽和塩化アンモニウム水溶液で洗浄した。有機層を無水硫酸マグネシウムで乾燥後、ろ過、減圧濃縮し、得られた残渣をカラムクロマトグラフィ(ヘキサン:酢酸エチル=100:0~75:25)で精製し、標題化合物SP415(2.72g、85%)を得た。
LCMS(ESI)m/z =487.6(M+H)+
保持時間:1.05分 (分析条件 SQDFA05)
(S)-(1-oxo-1- (piperidin-1-yl) -3- (4- (4,4,5,5-tetramethyl-1,3,2-dioxaborolan-2-yl) phenyl) Propan-2-yl) carbamate tert-butyl (compound SP414) (3.00 g, 6.54 mmol) was dissolved in DMF (24.0 ml) and water (6.0 ml) and the literature (Organic Letters, 2011, 13 , 5830-5833) tert-butyl 4-bromopent-4-enoate (2.31 g, 9.82 mmol), Pd (PPh 3 ) 4 (1.13 g, 0.978 mmol) and potassium carbonate (1.81 g, 13.10 mmol) was added and stirred at 80 ° C. for 2 hours. After allowing to cool, the reaction mixture was diluted with hexane / ethyl acetate (1/1), and washed with a saturated aqueous sodium hydrogen carbonate solution and a saturated aqueous ammonium chloride solution. The organic layer was dried over anhydrous magnesium sulfate, filtered and concentrated under reduced pressure. The obtained residue was purified by column chromatography (hexane: ethyl acetate = 100: 0 to 75:25) to give the title compound SP415 (2.72 g, 85 %).
LCMS (ESI) m / z = 487.6 (M + H) +
Retention time: 1.05 minutes (Analysis conditions SQDFA05)
(S)-4-(4-(2-((((9H-フルオレン-9-イル)メトキシ)カルボニル)アミノ)-3-オキソ-3-(ピペリジン-1-イル)プロピル)フェニル)ペンタ-4-エン酸(化合物SP416)の合成
(S) -4- (4- (2-((((9H-fluoren-9-yl) methoxy) carbonyl) amino) -3-oxo-3- (piperidin-1-yl) propyl) phenyl) penta- Synthesis of 4-enoic acid (compound SP416)
(S)-4-(4-(2-((tert-ブトキシカルボニル)アミノ)-3-オキソ-3-(ピペリジン-1-イル)プロピル)フェニル)ペンタ-4-エン酸 tert-ブチル(化合物SP415)(0.50g、1.03mmol)を酢酸(7.0ml、122.28mmol)および水(7.0ml)に懸濁させ、加熱還流条件で8時間攪拌した。同様の反応を追加で4回実施し、反応液をまとめて減圧濃縮して得られた残渣を10%炭酸ナトリウム水溶液(38ml)に懸濁させ、N-(9-フルオレニルメトキシカルボニルオキシ)-スクシンイミド(1.65g、4.89mmol)の1,4-ジオキサン溶液(19.0ml)を加えて室温で1時間攪拌した。反応液をジエチルエーテルで洗浄し、酢酸を加えて酸性にした後、酢酸エチルで抽出した。有機層を無水硫酸マグネシウムで乾燥し、ろ過、減圧濃縮して得られた残渣をカラムクロマトグラフィ(ヘキサン:酢酸エチル=100:0~40:60)で精製して、標題化合物SP416(1.60g、56.3%)を得た。
LCMS(ESI)m/z =553.4(M+H)+
保持時間:0.89分 (分析条件 SQDFA05)
(S) -4- (4- (2-((tert-butoxycarbonyl) amino) -3-oxo-3- (piperidin-1-yl) propyl) phenyl) pent-4-enoic acid tert-butyl (compound SP415) (0.50 g, 1.03 mmol) was suspended in acetic acid (7.0 ml, 122.28 mmol) and water (7.0 ml), and the mixture was stirred under heating under reflux conditions for 8 hours. The same reaction was repeated 4 times, and the reaction solution was combined and concentrated under reduced pressure. The resulting residue was suspended in 10% aqueous sodium carbonate solution (38 ml), and N- (9-fluorenylmethoxycarbonyloxy) was suspended. A solution of succinimide (1.65 g, 4.89 mmol) in 1,4-dioxane (19.0 ml) was added and stirred at room temperature for 1 hour. The reaction mixture was washed with diethyl ether, acidified with acetic acid, and extracted with ethyl acetate. The organic layer was dried over anhydrous magnesium sulfate, filtered and concentrated under reduced pressure, and the resulting residue was purified by column chromatography (hexane: ethyl acetate = 100: 0 to 40:60) to give the title compound SP416 (1.60 g, 56.3%).
LCMS (ESI) m / z = 553.4 (M + H) +
Retention time: 0.89 minutes (Analysis conditions SQDFA05)
(S)-4-(4-(2-((((9H-フルオレン-9-イル)メトキシ)カルボニル)アミノ)-3-オキソ-3-(ピペリジン-1-イル)プロピル)フェニル)ペンタ-4-エン酸-2-クロロトリチルレジン(化合物SP417)の合成
(S) -4- (4- (2-((((9H-fluoren-9-yl) methoxy) carbonyl) amino) -3-oxo-3- (piperidin-1-yl) propyl) phenyl) penta- Synthesis of 4-enoic acid-2-chlorotrityl resin (compound SP417)
2-クロロトリチルクロライドレジン(1.07mmol/g、100-200mesh、1%DVB、Chem-Impex社製、2.50g、2.68mmol)とジクロロメタン(18ml)を混合し、室温で5分間振とうした。ジクロロメタンを除いた後、(S)-4-(4-(2-((((9H-フルオレン-9-イル)メトキシ)カルボニル)アミノ)-3-オキソ-3-(ピペリジン-1-イル)プロピル)フェニル)ペンタ-4-エン酸(化合物SP416)(0.74g、1.34mmol)のジクロロメタン溶液(16.5ml)にメタノール(0.43ml、10.7mmol)およびジイソプロピルエチルアミン(1.1ml、6.32mmol)を加えた混合液を添加して、室温で10分間振とうさせた。反応液を除いた後、ジクロロメタン(16.5ml)にメタノール(5ml)およびジイソプロピルエチルアミン(1.7ml)を加えた混合液を添加して、室温で2時間振とうさせた。この反応液を除いた後、ジクロロメタン(18ml)を入れて振とうし、ジクロロメタンを除いた後、再度ジクロロメタン(18ml)を入れ振とうさせた。ジクロロメタンを除いた後、減圧下でレジンを乾燥させ標題化合物SP417(2.53g)を得た。 2-Chlorotrityl chloride resin (1.07 mmol / g, 100-200 mesh, 1% DVB, Chem-Impex, 2.50 g, 2.68 mmol) and dichloromethane (18 ml) are mixed and shaken at room temperature for 5 minutes. did. After removing dichloromethane, (S) -4- (4- (2-((((9H-fluoren-9-yl) methoxy) carbonyl) amino) -3-oxo-3- (piperidin-1-yl) Propyl) phenyl) pent-4-enoic acid (compound SP416) (0.74 g, 1.34 mmol) in dichloromethane (16.5 ml) with methanol (0.43 ml, 10.7 mmol) and diisopropylethylamine (1.1 ml, 6.32 mmol) was added, and the mixture was shaken at room temperature for 10 minutes. After removing the reaction mixture, a mixture of methanol (5 ml) and diisopropylethylamine (1.7 ml) added to dichloromethane (16.5 ml) was added and shaken at room temperature for 2 hours. After removing the reaction solution, dichloromethane (18 ml) was added and shaken. After removing dichloromethane, the mixture was again shaken with dichloromethane (18 ml). After removing dichloromethane, the resin was dried under reduced pressure to obtain the title compound SP417 (2.53 g).
得られた(S)-4-(4-(2-((((9H-フルオレン-9-イル)メトキシ)カルボニル)アミノ)-3-オキソ-3-(ピペリジン-1-イル)プロピル)フェニル)ペンタ-4-エン酸-2-クロロトリチルレジン(化合物SP417)(7.94mg)にDMF(0.2ml)およびピペリジン(0.2ml)を加え、室温にて30分振とうさせた。反応液にDMF(1.6ml)を加えた後、反応混合液(0.4ml)をDMF(9.6ml)で希釈し、その吸光度(301nm)を測定したところ0.328であった。次の計算式により、(S)-4-(4-(2-((((9H-フルオレン-9-イル)メトキシ)カルボニル)アミノ)-3-オキソ-3-(ピペリジン-1-イル)プロピル)フェニル)ペンタ-4-エン酸(化合物SP416)のローディング率を25.0%、0.265mmol/gと算出した。
(吸光度(301nm)x1000x50)/(用いたレジン量x7800)=0.265mmol/g
0.265mmol/gx100/(2.68/2.53)=25.0%
The resulting (S) -4- (4- (2-((((9H-fluoren-9-yl) methoxy) carbonyl) amino) -3-oxo-3- (piperidin-1-yl) propyl) phenyl DMF (0.2 ml) and piperidine (0.2 ml) were added to penta-4-enoic acid-2-chlorotrityl resin (compound SP417) (7.94 mg), and the mixture was shaken at room temperature for 30 minutes. After adding DMF (1.6 ml) to the reaction solution, the reaction mixture (0.4 ml) was diluted with DMF (9.6 ml), and the absorbance (301 nm) was measured to be 0.328. According to the following formula, (S) -4- (4- (2-((((9H-fluoren-9-yl) methoxy) carbonyl) amino) -3-oxo-3- (piperidin-1-yl) The loading rate of propyl) phenyl) pent-4-enoic acid (compound SP416) was calculated to be 25.0%, 0.265 mmol / g.
(Absorbance (301 nm) × 1000 × 50) / (Amount of resin used × 7800) = 0.265 mmol / g
0.265 mmol / gx100 / (2.68 / 2.53) = 25.0%
(S)-(3-(3-ヨードフェニル)-1-オキソ-1-(ピペリジン-1-イル)プロパン-2-イル)カルバミン酸 tert-ブチル(化合物SP418、Boc-Phe(3-I)-pip)の合成
(S)-(3- (3-Iodophenyl) -1-oxo-1- (piperidin-1-yl) propan-2-yl) carbamic acid tert-butyl (compound SP418, Boc-Phe (3-I) -pip)
(S)-2-((tert-ブトキシカルボニル)アミノ)-3-(3-ヨードフェニル)プロパン酸(Boc-Phe(3-I)-OH)(10.0g、25.6mmol)をDMF(100.0ml)に溶解させ、氷冷下、ピペリジン(5.30ml、53.7mmol)、HATU(11.7g、30.8mmol)およびDIPEA(5.34ml、30.7mmol)を加えた。室温で30分攪拌した後、反応液をヘキサン/酢酸エチル(1/1)で希釈し、飽和炭酸水素ナトリウム水溶液および飽和塩化アンモニウム水溶液で洗浄した。有機層を無水硫酸マグネシウムで乾燥後、ろ過、減圧濃縮して標題化合物SP418(11.6g、99%)を淡黄色アモルファスとして得た。
LCMS(ESI)m/z =459.2(M+H)+
保持時間:0.95分 (分析条件 SQDFA05)
(S) -2-((tert-Butoxycarbonyl) amino) -3- (3-iodophenyl) propanoic acid (Boc-Phe (3-I) -OH) (10.0 g, 25.6 mmol) was added to DMF ( 100.0 ml), and piperidine (5.30 ml, 53.7 mmol), HATU (11.7 g, 30.8 mmol) and DIPEA (5.34 ml, 30.7 mmol) were added under ice cooling. After stirring at room temperature for 30 minutes, the reaction solution was diluted with hexane / ethyl acetate (1/1) and washed with a saturated aqueous solution of sodium bicarbonate and a saturated aqueous solution of ammonium chloride. The organic layer was dried over anhydrous magnesium sulfate, filtered and concentrated under reduced pressure to give the title compound SP418 (11.6 g, 99%) as a pale yellow amorphous.
LCMS (ESI) m / z = 459.2 (M + H) +
Retention time: 0.95 minutes (Analysis conditions SQDFA05)
(S)-(1-オキソ-1-(ピペリジン-1-イル)-3-(3-(4,4,5,5-テトラメチル-1,3,2-ジオキサボロラン-2-イル)フェニル)プロパン-2-イル)カルバミン酸 tert-ブチル(化合物SP419)の合成
(S)-(1-oxo-1- (piperidin-1-yl) -3- (3- (4,4,5,5-tetramethyl-1,3,2-dioxaborolan-2-yl) phenyl) Synthesis of tert-butyl propan-2-yl) carbamate (compound SP419)
(S)-(3-(3-ヨードフェニル)-1-オキソ-1-(ピペリジン-1-イル)プロパン-2-イル)カルバミン酸 tert-ブチル(化合物SP418)(6.76g、14.75mmol)をDMSO(60.0ml)に溶解し、ビス(ピナコラート)ジボロン(5.62g、22.12mmol)、Pd(dppf)Cl2・CH2Cl2(607.0mg、0.737mmol)および酢酸カリウム(6.08g、61.9mmol)を加えて、室温で6時間攪拌後、さらにビス(ピナコラート)ジボロン(5.62g、22.12mmol)、Pd(dppf)Cl2・CH2Cl2(607.0mg、0.737mmol)および酢酸カリウム(6.08g、61.9mmol)を加え、室温で終夜攪拌した。反応液をヘキサン/酢酸エチル(1/1)で希釈し、飽和塩化アンモニウム水溶液および飽和炭酸水素ナトリウム水溶液で洗浄した。有機層を無水硫酸マグネシウムで乾燥後、ろ過、減圧濃縮し、得られた残渣をカラムクロマトグラフィ(ヘキサン:酢酸エチル=100:0~60:40)で精製し、標題化合物SP419(6.50g、96%)を得た。
LCMS(ESI)m/z =459.6(M+H)+
保持時間:0.99分 (分析条件 SQDFA05)
(S)-(3- (3-Iodophenyl) -1-oxo-1- (piperidin-1-yl) propan-2-yl) carbamate tert-butyl (Compound SP418) (6.76 g, 14.75 mmol ) In DMSO (60.0 ml), bis (pinacolato) diboron (5.62 g, 22.12 mmol), Pd (dppf) Cl 2 .CH 2 Cl 2 (607.0 mg, 0.737 mmol) and potassium acetate (6.08 g, 61.9 mmol) was added, and the mixture was stirred at room temperature for 6 hours. Further, bis (pinacolato) diboron (5.62 g, 22.12 mmol), Pd (dppf) Cl 2 .CH 2 Cl 2 (607. 0 mg, 0.737 mmol) and potassium acetate (6.08 g, 61.9 mmol) were added and stirred at room temperature overnight. The reaction solution was diluted with hexane / ethyl acetate (1/1) and washed with a saturated aqueous ammonium chloride solution and a saturated aqueous sodium hydrogen carbonate solution. The organic layer was dried over anhydrous magnesium sulfate, filtered and concentrated under reduced pressure. The obtained residue was purified by column chromatography (hexane: ethyl acetate = 100: 0 to 60:40) to give the title compound SP419 (6.50 g, 96 %).
LCMS (ESI) m / z = 459.6 (M + H) +
Retention time: 0.99 minutes (Analysis conditions SQDFA05)
(S)-4-(3-(2-((tert-ブトキシカルボニル)アミノ)-3-オキソ-3-(ピペリジン-1-イル)プロピル)フェニル)ペンタ-4-エン酸 tert-ブチル(化合物SP420)の合成
(S) -4- (3- (2-((tert-butoxycarbonyl) amino) -3-oxo-3- (piperidin-1-yl) propyl) phenyl) pent-4-enoic acid tert-butyl (compound Synthesis of SP420)
(S)-(1-オキソ-1-(ピペリジン-1-イル)-3-(3-(4,4,5,5-テトラメチル-1,3,2-ジオキサボロラン-2-イル)フェニル)プロパン-2-イル)カルバミン酸 tert-ブチル(化合物SP419)(3.00g、6.54mmol)をDMF(24.0ml)および水(6.0ml)に溶解し、文献(Organic Letters、 2011、13、5830-5833)記載の方法で合成した4-ブロモペンタ-4-エン酸 tert-ブチル(2.31g、9.82mmol)、Pd(PPh3)4(1.134g、0.982mmol)および炭酸カリウム(1.81g、13.1mmol)を加えて、80℃で2時間攪拌した。放冷後、反応液をヘキサン/酢酸エチル(1/1)で希釈し、飽和炭酸水素ナトリウム水溶液および飽和塩化アンモニウム水溶液で洗浄した。有機層を無水硫酸マグネシウムで乾燥後、ろ過、減圧濃縮し、得られた残渣をカラムクロマトグラフィ(ヘキサン:酢酸エチル=100:0~75:25)で精製し、標題化合物SP420(2.94g、92%)を得た。
LCMS(ESI)m/z =487.6(M+H)+
保持時間:1.05分 (分析条件 SQDFA05)
(S)-(1-oxo-1- (piperidin-1-yl) -3- (3- (4,4,5,5-tetramethyl-1,3,2-dioxaborolan-2-yl) phenyl) Propan-2-yl) carbamate tert-butyl (compound SP419) (3.00 g, 6.54 mmol) was dissolved in DMF (24.0 ml) and water (6.0 ml) and the literature (Organic Letters, 2011, 13 , 5830-5833) tert-butyl 4-bromopent-4-enoate (2.31 g, 9.82 mmol), Pd (PPh 3 ) 4 (1.134 g, 0.982 mmol) and potassium carbonate (1.81 g, 13.1 mmol) was added and stirred at 80 ° C. for 2 hours. After allowing to cool, the reaction mixture was diluted with hexane / ethyl acetate (1/1), and washed with a saturated aqueous sodium hydrogen carbonate solution and a saturated aqueous ammonium chloride solution. The organic layer was dried over anhydrous magnesium sulfate, filtered and concentrated under reduced pressure. The obtained residue was purified by column chromatography (hexane: ethyl acetate = 100: 0 to 75:25) to give the title compound SP420 (2.94 g, 92 %).
LCMS (ESI) m / z = 487.6 (M + H) +
Retention time: 1.05 minutes (Analysis conditions SQDFA05)
(S)-4-(3-(2-((((9H-フルオレン-9-イル)メトキシ)カルボニル)アミノ)-3-オキソ-3-(ピペリジン-1-イル)プロピル)フェニル)ペンタ-4-エン酸(化合物SP421)の合成
(S) -4- (3- (2-((((9H-fluoren-9-yl) methoxy) carbonyl) amino) -3-oxo-3- (piperidin-1-yl) propyl) phenyl) penta- Synthesis of 4-enoic acid (compound SP421)
(S)-4-(3-(2-((tert-ブトキシカルボニル)アミノ)-3-オキソ-3-(ピペリジン-1-イル)プロピル)フェニル)ペンタ-4-エン酸 tert-ブチル(化合物SP420)(0.50g、1.03mmol)を酢酸(7.0ml、122.28mmol)および水(7.0ml)に懸濁させ、加熱還流条件で8時間攪拌した。同様の反応を追加で4回実施し、反応液をまとめて減圧濃縮して得られた残渣を10%炭酸ナトリウム水溶液(38ml)に懸濁させ、N-(9-フルオレニルメトキシカルボニルオキシ)-スクシンイミド(1.65g、4.89mmol)の1,4-ジオキサン溶液(19.0ml)を加えて室温で1時間攪拌した。反応液をジエチルエーテルで洗浄し、酢酸を加えて酸性にした後、酢酸エチルで抽出した。有機層を無水硫酸マグネシウムで乾燥し、ろ過、減圧濃縮して得られた残渣をカラムクロマトグラフィ(ヘキサン:酢酸エチル=100:0~50:50)で精製し、標題化合物SP421(0.78g、27.5%)を得た。
LCMS(ESI)m/z =553.5(M+H)+
保持時間:0.90分 (分析条件 SQDFA05)
(S) -4- (3- (2-((tert-butoxycarbonyl) amino) -3-oxo-3- (piperidin-1-yl) propyl) phenyl) pent-4-enoic acid tert-butyl (compound SP420) (0.50 g, 1.03 mmol) was suspended in acetic acid (7.0 ml, 122.28 mmol) and water (7.0 ml), and the mixture was stirred for 8 hours under heating and reflux conditions. The same reaction was repeated 4 times, and the reaction solution was combined and concentrated under reduced pressure. The resulting residue was suspended in 10% aqueous sodium carbonate solution (38 ml), and N- (9-fluorenylmethoxycarbonyloxy) was suspended. A solution of succinimide (1.65 g, 4.89 mmol) in 1,4-dioxane (19.0 ml) was added and stirred at room temperature for 1 hour. The reaction mixture was washed with diethyl ether, acidified with acetic acid, and extracted with ethyl acetate. The organic layer was dried over anhydrous magnesium sulfate, filtered and concentrated under reduced pressure. The resulting residue was purified by column chromatography (hexane: ethyl acetate = 100: 0 to 50:50) to give the title compound SP421 (0.78 g, 27 .5%).
LCMS (ESI) m / z = 553.5 (M + H) +
Retention time: 0.90 minutes (Analysis conditions SQDFA05)
(S)-4-(3-(2-((((9H-フルオレン-9-イル)メトキシ)カルボニル)アミノ)-3-オキソ-3-(ピペリジン-1-イル)プロピル)フェニル)ペンタ-4-エン酸-2-クロロトリチルレジン(化合物SP422)の合成
(S) -4- (3- (2-((((9H-fluoren-9-yl) methoxy) carbonyl) amino) -3-oxo-3- (piperidin-1-yl) propyl) phenyl) penta- Synthesis of 4-enoic acid-2-chlorotrityl resin (compound SP422)
2-クロロトリチルクロライドレジン(1.07mmol/g、100-200mesh、1%DVB、Chem-Impex社製、2.50g、2.68mmol)とジクロロメタン(18ml)を混合し、室温で5分間振とうした。ジクロロメタンを除いた後、(S)-4-(3-(2-((((9H-フルオレン-9-イル)メトキシ)カルボニル)アミノ)-3-オキソ-3-(ピペリジン-1-イル)プロピル)フェニル)ペンタ-4-エン酸(化合物SP421)(0.74g、1.34mmol)のジクロロメタン溶液(16.5ml)にメタノール(0.43ml、10.7mmol)およびジイソプロピルエチルアミン(1.1ml、6.32mmol)を加えた混合液を添加して、室温で10分間振とうさせた。反応液を除いた後、ジクロロメタン(16.5ml)にメタノール(5ml)およびジイソプロピルエチルアミン(1.7ml)を加えた混合液を添加して、室温で2時間振とうさせた。この反応液を除いた後、ジクロロメタン(18ml)を入れて振とうし、ジクロロメタンを除いた後、再度ジクロロメタン(18ml)を入れ振とうさせた。ジクロロメタンを除いた後、減圧下でレジンを乾燥させ標題化合物SP422(2.52g)を得た。
ローディング率:0.278mmol/g、26.1%
2-Chlorotrityl chloride resin (1.07 mmol / g, 100-200 mesh, 1% DVB, Chem-Impex, 2.50 g, 2.68 mmol) and dichloromethane (18 ml) are mixed and shaken at room temperature for 5 minutes. did. After removing dichloromethane, (S) -4- (3- (2-((((9H-fluoren-9-yl) methoxy) carbonyl) amino) -3-oxo-3- (piperidin-1-yl) Propyl) phenyl) pent-4-enoic acid (Compound SP421) (0.74 g, 1.34 mmol) in dichloromethane (16.5 ml) with methanol (0.43 ml, 10.7 mmol) and diisopropylethylamine (1.1 ml, 6.32 mmol) was added, and the mixture was shaken at room temperature for 10 minutes. After removing the reaction solution, a mixture of methanol (5 ml) and diisopropylethylamine (1.7 ml) added to dichloromethane (16.5 ml) was added and shaken at room temperature for 2 hours. After removing this reaction solution, dichloromethane (18 ml) was added and shaken. After removing dichloromethane, dichloromethane (18 ml) was added again and shaken. After removing dichloromethane, the resin was dried under reduced pressure to give the title compound SP422 (2.52 g).
Loading rate: 0.278 mmol / g, 26.1%
ヘキサ-5-イン酸 tert-ブチル(化合物SP423)の合成
Synthesis of tert-butyl hexa-5-acid (compound SP423)
ヘキサ-5-イン酸(化合物SP424)(8.0g、71.3mmol)、2-メチルプロパン-2-オール(10.6g、143.0mmol)および4-(ジメチルアミノ)ピリジン(0.44g、3.60mmol)をDCM(17.5ml)に溶解させ、ジシクロヘキシルカルボジイミド(16.2g、78.5mmol)のDCM溶液(17.5ml)を加えて、室温で終夜攪拌した。反応液中の白色固体をろ過して除いた後、0.5M塩酸水溶液および飽和炭酸水素ナトリウム水溶液で洗浄し、無水硫酸マグネシウムで乾燥した。ろ過、減圧濃縮して得られた残渣をカラムクロマトグラフィ(ヘキサン:酢酸エチル=100:0~90:10)で精製し、標題化合物SP423(6.73g、56.1%)を得た。
1H-NMR(Varian 400-MR, 400 MHz, CDCl3) δ ppm 2.39 (2H, t,7.2 Hz), 2.28 (2H, m), 2.08 (1H, s), 1.85 (2H, m), 1.49(9H, s)
Hex-5-ynoic acid (Compound SP424) (8.0 g, 71.3 mmol), 2-methylpropan-2-ol (10.6 g, 143.0 mmol) and 4- (dimethylamino) pyridine (0.44 g, 3.60 mmol) was dissolved in DCM (17.5 ml), a solution of dicyclohexylcarbodiimide (16.2 g, 78.5 mmol) in DCM (17.5 ml) was added and stirred at room temperature overnight. The white solid in the reaction solution was removed by filtration, washed with 0.5 M aqueous hydrochloric acid solution and saturated aqueous sodium hydrogen carbonate solution, and dried over anhydrous magnesium sulfate. The residue obtained by filtration and concentration under reduced pressure was purified by column chromatography (hexane: ethyl acetate = 100: 0 to 90:10) to give the title compound SP423 (6.73 g, 56.1%).
1 H-NMR (Varian 400-MR, 400 MHz, CDCl 3 ) δ ppm 2.39 (2H, t, 7.2 Hz), 2.28 (2H, m), 2.08 (1H, s), 1.85 (2H, m), 1.49 (9H, s)
(S)-6-(4-(2-((tert-ブトキシカルボニル)アミノ)-3-オキソ-3-(ピペリジン-1-イル)プロピル)フェニル)ヘキサ-5-イン酸 tert-ブチル(化合物SP425)の合成
(S) -6- (4- (2-((tert-butoxycarbonyl) amino) -3-oxo-3- (piperidin-1-yl) propyl) phenyl) hexa-5-oic acid tert-butyl (compound Synthesis of SP425)
(S)-(3-(4-ヨードフェニル)-1-オキソ-1-(ピペリジン-1-イル)プロパン-2-イル)カルバミン酸 tert-ブチル(化合物SP413、Boc-Phe(4-I)-pip)(6.00g、13.09mmol)、ヘキサ-5-イン酸 tert-ブチル(化合物SP423)(4.40g、26.2mmol)、トリエチルアミン(5.47ml、39.3mmol)をDMF(60.0ml)に溶解し、CuI(0.125g、0.655mmol)およびPd(dppf)Cl2・CH2Cl2(0.538g、0.655mmol)を加えて室温で4時間攪拌した。反応液をヘキサン/酢酸エチル(1/1)で希釈し、飽和塩化アンモニウム水溶液および飽和食塩水で洗浄した。有機層を無水硫酸マグネシウムで乾燥後、ろ過、減圧濃縮して得られた残渣をカラムクロマトグラフィ(ヘキサン:酢酸エチル=100:0~60:40)で精製し、標題化合物SP425(6.19g、95%)を得た。
LCMS(ESI)m/z =499.4(M+H)+
保持時間:1.07分 (分析条件 SQDFA05)
(S)-(3- (4-Iodophenyl) -1-oxo-1- (piperidin-1-yl) propan-2-yl) carbamic acid tert-butyl (compound SP413, Boc-Phe (4-I) -pip) (6.00 g, 13.09 mmol), tert-butyl hexa-5-acid (compound SP423) (4.40 g, 26.2 mmol), triethylamine (5.47 ml, 39.3 mmol) in DMF (60 0.01), CuI (0.125 g, 0.655 mmol) and Pd (dppf) Cl 2 .CH 2 Cl 2 (0.538 g, 0.655 mmol) were added, and the mixture was stirred at room temperature for 4 hours. The reaction mixture was diluted with hexane / ethyl acetate (1/1) and washed with saturated aqueous ammonium chloride solution and saturated brine. The organic layer was dried over anhydrous magnesium sulfate, filtered and concentrated under reduced pressure. The resulting residue was purified by column chromatography (hexane: ethyl acetate = 100: 0 to 60:40) to give the title compound SP425 (6.19 g, 95). %).
LCMS (ESI) m / z = 499.4 (M + H) +
Retention time: 1.07 minutes (Analysis conditions SQDFA05)
(S)-6-(4-(2-((tert-ブトキシカルボニル)アミノ)-3-オキソ-3-(ピペリジン-1-イル)プロピル)フェニル)ヘキサン酸 tert-ブチル(化合物SP426)の合成
Synthesis of (S) -6- (4- (2-((tert-butoxycarbonyl) amino) -3-oxo-3- (piperidin-1-yl) propyl) phenyl) hexanoic acid tert-butyl (compound SP426)
(S)-6-(4-(2-((tert-ブトキシカルボニル)アミノ)-3-オキソ-3-(ピペリジン-1-イル)プロピル)フェニル)ヘキサ-5-イン酸 tert-ブチル(化合物SP425)(5.74g、11.51mmol)を酢酸エチル(40ml)に溶解し、窒素雰囲気下、10%パラジウム(II) 炭素(1.72g)を加えた。その後、水素雰囲気下、室温で2時間攪拌した。セライトろ過後、ろ液を減圧濃縮し、標題化合物SP426(5.65g、98%)を得た。
LCMS(ESI)m/z =503.6(M+H)+
保持時間:1.14分 (分析条件 SQDAA05)
(S) -6- (4- (2-((tert-butoxycarbonyl) amino) -3-oxo-3- (piperidin-1-yl) propyl) phenyl) hexa-5-oic acid tert-butyl (compound SP425) (5.74 g, 11.51 mmol) was dissolved in ethyl acetate (40 ml) and 10% palladium (II) carbon (1.72 g) was added under a nitrogen atmosphere. Thereafter, the mixture was stirred at room temperature for 2 hours in a hydrogen atmosphere. After filtration through celite, the filtrate was concentrated under reduced pressure to give the title compound SP426 (5.65 g, 98%).
LCMS (ESI) m / z = 503.6 (M + H) +
Retention time: 1.14 minutes (Analysis conditions SQDAA05)
(S)-6-(4-(2-((((9H-フルオレン-9-イル)メトキシ)カルボニル)アミノ)-3-オキソ-3-(ピペリジン-1-イル)プロピル)フェニル)ヘキサン酸(化合物SP427)の合成
(S) -6- (4- (2-((((9H-fluoren-9-yl) methoxy) carbonyl) amino) -3-oxo-3- (piperidin-1-yl) propyl) phenyl) hexanoic acid Synthesis of (compound SP427)
(S)-6-(4-(2-((tert-ブトキシカルボニル)アミノ)-3-オキソ-3-(ピペリジン-1-イル)プロピル)フェニル)ヘキサン酸 tert-ブチル(化合物SP426)(5.65g、11.24mmol)をDCM(30.0ml)に溶解し、トリフルオロ酢酸(15.0ml、195mmol)を加えて、室温で30分間攪拌した後、反応液を減圧濃縮した。得られた残渣をジオキサン(40ml)、10%炭酸ナトリウム水溶液(80ml)に溶解し、N-(9-フルオレニルメトキシカルボニルオキシ)-スクシンイミド(3.68g、10.90mmol)を加えて室温で1時間攪拌した。反応液をジエチルエーテルで洗浄し、5N HCl水溶液を加えて酸性とした後、酢酸エチルで抽出した。酢酸エチル層を無水Na2SO4で乾燥し、ろ過、減圧濃縮し、標題化合物SP427(6.39g、100%)を得た。
LCMS(ESI)m/z =569.6(M+H)+
保持時間:1.02分 (分析条件 SQDAA05)
(S) -6- (4- (2-((tert-butoxycarbonyl) amino) -3-oxo-3- (piperidin-1-yl) propyl) phenyl) hexanoic acid tert-butyl (compound SP426) (5 .65 g, 11.24 mmol) was dissolved in DCM (30.0 ml), trifluoroacetic acid (15.0 ml, 195 mmol) was added, and the mixture was stirred at room temperature for 30 min. The reaction mixture was concentrated under reduced pressure. The obtained residue was dissolved in dioxane (40 ml), 10% aqueous sodium carbonate solution (80 ml), N- (9-fluorenylmethoxycarbonyloxy) -succinimide (3.68 g, 10.90 mmol) was added at room temperature. Stir for 1 hour. The reaction mixture was washed with diethyl ether, acidified with 5N aqueous HCl, and extracted with ethyl acetate. The ethyl acetate layer was dried over anhydrous Na 2 SO 4 , filtered and concentrated under reduced pressure to give the title compound SP427 (6.39 g, 100%).
LCMS (ESI) m / z = 569.6 (M + H) +
Retention time: 1.02 minutes (Analysis conditions SQDAA05)
(S)-6-(4-(2-((((9H-フルオレン-9-イル)メトキシ)カルボニル)アミノ)-3-オキソ-3-(ピペリジン-1-イル)プロピル)フェニル)ヘキサン酸-2-クロロトリチルレジン(化合物SP428)の合成
(S) -6- (4- (2-((((9H-fluoren-9-yl) methoxy) carbonyl) amino) -3-oxo-3- (piperidin-1-yl) propyl) phenyl) hexanoic acid Synthesis of -2-chlorotrityl resin (compound SP428)
2-クロロトリチルクロライドレジン(1.07mmol/g、100-200mesh、1%DVB、Chem-Impex社製、3.00g、3.21mmol)とジクロロメタン(20ml)を混合し、室温で振とうさせた。ジクロロメタンを除いた後、(S)-6-(4-(2-((((9H-フルオレン-9-イル)メトキシ)カルボニル)アミノ)-3-オキソ-3-(ピペリジン-1-イル)プロピル)フェニル)ヘキサン酸(化合物SP427)(0.91g、1.60mmol)のジクロロメタン溶液(14ml)にメタノール(0.52ml、12.85mmol)およびジイソプロピルエチルアミン(1.35ml、7.75mmol)を加えた混合液を添加して、室温で5分間振とうさせた。反応液を除いた後、ジクロロメタン(14ml)にメタノール(4.2ml)およびジイソプロピルエチルアミン(1.4ml)を加えた混合液を添加して、室温で2.5時間振とうさせた。この反応液を除いた後、ジクロロメタン(20ml)を入れて振とうし、ジクロロメタンを除いた後、再度ジクロロメタン(20ml)を入れ振とうさせた。ジクロロメタンを除いた後、減圧下でレジンを乾燥させ標題化合物(化合物SP428)(3.15g)を得た。
ローディング率:0.217mmol/g、21.3%
2-Chlorotrityl chloride resin (1.07 mmol / g, 100-200 mesh, 1% DVB, manufactured by Chem-Impex, 3.00 g, 3.21 mmol) and dichloromethane (20 ml) were mixed and shaken at room temperature. . After removing dichloromethane, (S) -6- (4- (2-((((9H-fluoren-9-yl) methoxy) carbonyl) amino) -3-oxo-3- (piperidin-1-yl) To a solution of propyl) phenyl) hexanoic acid (compound SP427) (0.91 g, 1.60 mmol) in dichloromethane (14 ml) was added methanol (0.52 ml, 12.85 mmol) and diisopropylethylamine (1.35 ml, 7.75 mmol). And the mixture was shaken at room temperature for 5 minutes. After removing the reaction solution, a mixture of methanol (4.2 ml) and diisopropylethylamine (1.4 ml) added to dichloromethane (14 ml) was added and shaken at room temperature for 2.5 hours. After removing this reaction solution, dichloromethane (20 ml) was added and shaken. After removing dichloromethane, the mixture was again shaken with dichloromethane (20 ml). After removing dichloromethane, the resin was dried under reduced pressure to obtain the title compound (Compound SP428) (3.15 g).
Loading rate: 0.217 mmol / g, 21.3%
ペンタ-4-イン酸 tert-ブチル(化合物SP429)の合成
Synthesis of tert-butyl penta-4-ynoate (compound SP429)
ペンタ-4-イン酸(5.0g、51.0mmol)、2-メチルプロパン-2-オール(7.56g、102.0mmol)および4-(ジメチルアミノ)ピリジン(0.31g、2.54mmol)をDCM(17.5ml)に溶解させ、ジシクロヘキシルカルボジイミド(11.6g、56.2mmol)のDCM溶液(17.5ml)を加えて、室温で終夜攪拌した。反応液中の白色固体をろ過して除いた後、0.5M塩酸水溶液および飽和炭酸水素ナトリウム水溶液で洗浄し、無水硫酸マグネシウムで乾燥した。ろ過、減圧濃縮して得られた残渣をシリカゲルカラムクロマトグラフィ(DCM)で精製し、標題化合物(化合物SP429)(7.15g、91.0%)を得た。
1H-NMR(Varian 400-MR, 400 MHz, CDCl3) δ ppm 2.48-2.50 (4H, m), 2.00 (1H, s), 1.49(9H, s)
Penta-4-ynoic acid (5.0 g, 51.0 mmol), 2-methylpropan-2-ol (7.56 g, 102.0 mmol) and 4- (dimethylamino) pyridine (0.31 g, 2.54 mmol) Was dissolved in DCM (17.5 ml) and a solution of dicyclohexylcarbodiimide (11.6 g, 56.2 mmol) in DCM (17.5 ml) was added and stirred at room temperature overnight. The white solid in the reaction solution was removed by filtration, washed with 0.5 M aqueous hydrochloric acid solution and saturated aqueous sodium hydrogen carbonate solution, and dried over anhydrous magnesium sulfate. The residue obtained by filtration and concentration under reduced pressure was purified by silica gel column chromatography (DCM) to obtain the title compound (Compound SP429) (7.15 g, 91.0%).
1 H-NMR (Varian 400-MR, 400 MHz, CDCl 3 ) δ ppm 2.48-2.50 (4H, m), 2.00 (1H, s), 1.49 (9H, s)
(S)-5-(3-(2-((tert-ブトキシカルボニル)アミノ)-3-オキソ-3-(ピペリジン-1-イル)プロピル)フェニル)ペンタ-4-イン酸 tert-ブチル(化合物SP430)の合成
(S) -5- (3- (2-((tert-butoxycarbonyl) amino) -3-oxo-3- (piperidin-1-yl) propyl) phenyl) pent-4-ynoic acid tert-butyl (compound Synthesis of SP430)
(S)-(3-(3-ヨードフェニル)-1-オキソ-1-(ピペリジン-1-イル)プロパン-2-イル)カルバミン酸 tert-ブチル(化合物SP418、Boc-Phe(3-I)-pip)(5.00g、10.91mmol)、ペンタ-4-イン酸 tert-ブチル(3.36g、21.82mmol)、トリエチルアミン(4.56ml、32.7mmol)をDMF(50.0ml)に溶解し、CuI(0.104g、0.545mmol)およびPd(dppf)Cl2・CH2Cl2(0.449g、0.545mmol)を加えて室温で5時間攪拌した。反応液をヘキサン/酢酸エチル(1/1)で希釈し、飽和塩化アンモニウム水溶液および飽和食塩水で洗浄した。有機層を無水硫酸マグネシウムで乾燥後、ろ過、減圧濃縮して得られた残渣をシリカゲルカラムクロマトグラフィ(ヘキサン:酢酸エチル=100:0~60:40)で精製し、標題化合物(化合物SP430)(4.84g、92%)を得た。
LCMS(ESI)m/z =485.6(M+H)+
保持時間:1.03分 (分析条件 SQDFA05)
(S)-(3- (3-Iodophenyl) -1-oxo-1- (piperidin-1-yl) propan-2-yl) carbamic acid tert-butyl (compound SP418, Boc-Phe (3-I) -pip) (5.00 g, 10.91 mmol), tert-butyl penta-4-ate (3.36 g, 21.82 mmol), and triethylamine (4.56 ml, 32.7 mmol) in DMF (50.0 ml). After dissolution, CuI (0.104 g, 0.545 mmol) and Pd (dppf) Cl 2 .CH 2 Cl 2 (0.449 g, 0.545 mmol) were added and stirred at room temperature for 5 hours. The reaction mixture was diluted with hexane / ethyl acetate (1/1) and washed with saturated aqueous ammonium chloride solution and saturated brine. The organic layer was dried over anhydrous magnesium sulfate, filtered and concentrated under reduced pressure. The resulting residue was purified by silica gel column chromatography (hexane: ethyl acetate = 100: 0 to 60:40) to give the title compound (Compound SP430) (4 .84 g, 92%).
LCMS (ESI) m / z = 485.6 (M + H) +
Retention time: 1.03 minutes (Analysis conditions SQDFA05)
(S)-5-(3-(2-((tert-ブトキシカルボニル)アミノ)-3-オキソ-3-(ピペリジン-1-イル)プロピル)フェニル)ペンタン酸 tert-ブチル(化合物SP431)の合成
Synthesis of tert-butyl (S) -5- (3- (2-((tert-butoxycarbonyl) amino) -3-oxo-3- (piperidin-1-yl) propyl) phenyl) pentanoic acid (compound SP431)
(S)-5-(3-(2-((tert-ブトキシカルボニル)アミノ)-3-オキソ-3-(ピペリジン-1-イル)プロピル)フェニル)ペンタ-4-イン酸 tert-ブチル(化合物SP430)(4.84g、9.99mmol)を酢酸エチル(40ml)に溶解し、窒素雰囲気下、10%パラジウム(II) 炭素(968mg)を加えた。その後、水素雰囲気下、室温で3.5時間攪拌した。セライトろ過後、ろ液を減圧濃縮し、標題化合物(化合物SP431)(4.74g、97%)を得た。
LCMS(ESI)m/z =489.6(M+H)+
保持時間:1.08分 (分析条件 SQDFA05)
(S) -5- (3- (2-((tert-butoxycarbonyl) amino) -3-oxo-3- (piperidin-1-yl) propyl) phenyl) pent-4-ynoic acid tert-butyl (compound SP430) (4.84 g, 9.99 mmol) was dissolved in ethyl acetate (40 ml) and 10% palladium (II) carbon (968 mg) was added under a nitrogen atmosphere. Thereafter, the mixture was stirred at room temperature for 3.5 hours under a hydrogen atmosphere. After Celite filtration, the filtrate was concentrated under reduced pressure to obtain the title compound (Compound SP431) (4.74 g, 97%).
LCMS (ESI) m / z = 489.6 (M + H) +
Retention time: 1.08 minutes (Analysis conditions SQDFA05)
(S)-5-(3-(2-((((9H-フルオレン-9-イル)メトキシ)カルボニル)アミノ)-3-オキソ-3-(ピペリジン-1-イル)プロピル)フェニル)ペンタン酸(化合物SP432)の合成
(S) -5- (3- (2-((((9H-Fluoren-9-yl) methoxy) carbonyl) amino) -3-oxo-3- (piperidin-1-yl) propyl) phenyl) pentanoic acid Synthesis of (compound SP432)
(S)-5-(3-(2-((tert-ブトキシカルボニル)アミノ)-3-オキソ-3-(ピペリジン-1-イル)プロピル)フェニル)ペンタン酸 tert-ブチル(化合物SP431)(4.70g、9.62mmol)をDCM(30.0ml)に溶解し、トリフルオロ酢酸(15.0ml、195mmol)を加えて、室温で50分間攪拌した後、反応液を減圧濃縮した。得られた残渣をジオキサン(34ml)、10%炭酸ナトリウム水溶液(68ml)に溶解し、N-(9-フルオレニルメトキシカルボニルオキシ)-スクシンイミド(3.15g、9.33mmol)を加えて室温で3時間攪拌した。5N HCl水溶液を加えて酸性とした後、酢酸エチルで抽出した。酢酸エチル層を無水Na2SO4で乾燥し、ろ過、減圧濃縮し、得られた残渣をシリカゲルカラムクロマトグラフィ(ヘキサン:酢酸エチル=100:0~30:70)で精製し、標題化合物(化合物SP432)(4.65g、87%)を得た。
LCMS(ESI)m/z =555.6(M+H)+
保持時間:0.92分 (分析条件 SQDFA05)
(S) -5- (3- (2-((tert-butoxycarbonyl) amino) -3-oxo-3- (piperidin-1-yl) propyl) phenyl) pentanoic acid tert-butyl (compound SP431) (4 (70 g, 9.62 mmol) was dissolved in DCM (30.0 ml), trifluoroacetic acid (15.0 ml, 195 mmol) was added, and the mixture was stirred at room temperature for 50 minutes, and then the reaction solution was concentrated under reduced pressure. The obtained residue was dissolved in dioxane (34 ml), 10% aqueous sodium carbonate solution (68 ml), N- (9-fluorenylmethoxycarbonyloxy) -succinimide (3.15 g, 9.33 mmol) was added at room temperature. Stir for 3 hours. The mixture was acidified with 5N aqueous HCl and extracted with ethyl acetate. The ethyl acetate layer was dried over
LCMS (ESI) m / z = 555.6 (M + H) +
Retention time: 0.92 minutes (Analysis conditions SQDFA05)
(S)-5-(3-(2-((((9H-フルオレン-9-イル)メトキシ)カルボニル)アミノ)-3-オキソ-3-(ピペリジン-1-イル)プロピル)フェニル)ペンタン酸-2-クロロトリチルレジン(化合物SP433)の合成
(S) -5- (3- (2-((((9H-Fluoren-9-yl) methoxy) carbonyl) amino) -3-oxo-3- (piperidin-1-yl) propyl) phenyl) pentanoic acid Synthesis of -2-chlorotrityl resin (compound SP433)
2-クロロトリチルクロライドレジン(1.07mmol/g、100-200mesh、1%DVB、Chem-Impex社製、5.00g、5.35mmol)とジクロロメタン(35ml)を入れ、室温で振とうさせた。ジクロロメタンを除いた後、(S)-5-(3-(2-((((9H-フルオレン-9-イル)メトキシ)カルボニル)アミノ)-3-オキソ-3-(ピペリジン-1-イル)プロピル)フェニル)ペンタン酸(化合物SP432)(1.48g、2.67mmol)のジクロロメタン溶液(33ml)にメタノール(0.87ml、21.50mmol)およびジイソプロピルエチルアミン(2.24ml、12.86mmol)を加えた混合液を添加して、室温で10分間振とうさせた。反応液を除いた後、ジクロロメタン(33ml)にメタノール(10ml)およびジイソプロピルエチルアミン(3.3ml)を加えた混合液を添加して、室温で2時間振とうさせた。この反応液を除いた後、ジクロロメタン(33ml)を入れて振とうし、ジクロロメタンを除いた後、再度ジクロロメタン(33ml)を入れ振とうさせた。ジクロロメタンを除いた後、減圧下でレジンを乾燥させ標題化合物(化合物SP433)(5.80g)を得た。
ローディング率:0.326mmol/g、35.3%
2-Chlorotrityl chloride resin (1.07 mmol / g, 100-200 mesh, 1% DVB, manufactured by Chem-Impex, 5.00 g, 5.35 mmol) and dichloromethane (35 ml) were added and shaken at room temperature. After removing dichloromethane, (S) -5- (3- (2-((((9H-fluoren-9-yl) methoxy) carbonyl) amino) -3-oxo-3- (piperidin-1-yl) Propyl) phenyl) pentanoic acid (compound SP432) (1.48 g, 2.67 mmol) in dichloromethane (33 ml) was added methanol (0.87 ml, 21.50 mmol) and diisopropylethylamine (2.24 ml, 12.86 mmol). And the mixture was shaken at room temperature for 10 minutes. After removing the reaction solution, a mixed solution obtained by adding methanol (10 ml) and diisopropylethylamine (3.3 ml) to dichloromethane (33 ml) was added and shaken at room temperature for 2 hours. After removing the reaction solution, dichloromethane (33 ml) was added and shaken. After removing dichloromethane, the mixture was again shaken with dichloromethane (33 ml). After removing dichloromethane, the resin was dried under reduced pressure to obtain the title compound (Compound SP433) (5.80 g).
Loading rate: 0.326 mmol / g, 35.3%
2.合成した環化ペプチドのPAMPA法による膜透過性評価
合成した環化ペプチドの膜透過性を比較検討する目的でPAMPA(Parallel Artificial Membrane Permeability Assay)による試験を実施した。
ミリポア96穴メンブレンフィルター(疎水性PVDF(ポリビニリデンジフルオリド)、pore size 0.45μm)(日本ミリポア社より購入)に、Egg lecithin10%(w/v)、コレステロール0.5%(w/v)、ドデカン(以上Fluka社より購入)からなるリン脂質有機溶媒溶液を4μL添加することで、人工リン脂質膜を作製した。
2. Evaluation of membrane permeability of synthesized cyclized peptide by PAMPA method In order to compare the membrane permeability of synthesized cyclized peptide, a test by PAMPA (Parallel Artificial Membrane Permeability Assay) was performed.
Millipore 96-well membrane filter (hydrophobic PVDF (polyvinylidene difluoride), pore size 0.45 μm) (purchased from Nihon Millipore), Egg lecithin 10% (w / v), cholesterol 0.5% (w / v) An artificial phospholipid membrane was prepared by adding 4 μL of a phospholipid organic solvent solution consisting of dodecane (purchased from Fluka).
グリココール酸5.0%(w/v)を含むpH6.5 50mM MOPSO緩衝液に、化合物を10mMの濃度で含むDMSO溶液を0.5%(v/v)の割合で添加し、それを96穴テフロン製プレートに330μL添加した(ドナープレート)。ドナープレート上に上記の人工リン脂質膜プレートを装着し、グリココール酸5.0%(w/w)を含むpH6.5 50mM MOPSO緩衝液にDMSOを0.5%(v/v)の割合で添加した溶液280μLを、人工リン脂質膜上に添加した(アクセプタープレート)。これらを18時間、37℃にて静置後、ドナープレートおよびアクセプタープレートにおける溶液中化合物濃度をLC/MS又はLC/UVにより測定し、下記(1)、(2)式より化合物の膜透過速度(Pe)を算出した。但しtを試験時間、Aをメンブレンフィルター面積、VDをドナー液量、VAをアクセプター液量、CD、tを時間tにおけるドナー液中化合物濃度、CA、tを時間tにおけるアクセプター液中化合物濃度とする。本手法により得られた結果を表11-5(PAMPA法による環状ペプチドの膜透過評価結果)に記載した。 A DMSO solution containing a compound at a concentration of 10 mM is added to a pH 6.5 50 mM MOPSO buffer containing 5.0% (w / v) glycocholic acid at a rate of 0.5% (v / v), 330 μL was added to a 96-well Teflon plate (donor plate). The artificial phospholipid membrane plate is mounted on the donor plate, and the ratio of DMSO to 0.5% (v / v) in pH 6.5 50 mM MOPSO buffer containing 5.0% (w / w) glycocholic acid 280 μL of the solution added in (1) was added onto the artificial phospholipid membrane (acceptor plate). After standing at 37 ° C. for 18 hours, the concentration of the compound in the solution on the donor plate and the acceptor plate was measured by LC / MS or LC / UV, and the compound permeated from the following formulas (1) and (2). The speed (P e ) was calculated. However the test time t, a membrane filter area of A, V D donor fluid volume, V A the acceptor solution volume, C D, concentration donor fluid compound in the t time t, C A, the acceptor solution at the time t t Intermediate compound concentration. The results obtained by this method are shown in Table 11-5 (Results of membrane permeation evaluation of cyclic peptide by PAMPA method).
(式1)
(Formula 1)
3.環化ペプチド化合物のヒト肝ミクロソーム中代謝安定性試験
合成した環化ペプチドの代謝安定性を比較検討する目的で、ヒト肝ミクロソーム中代謝安定性試験を実施した。(方法は既に記載済み、結果は表11-6:ヒト肝ミクロソーム中代謝安定性試験結果)。
3. Metabolic stability test of cyclized peptide compounds in human liver microsomes In order to compare the metabolic stability of synthesized cyclized peptides, a metabolic stability test in human liver microsomes was performed. (Methods have already been described, results are shown in Table 11-6: Metabolic stability test results in human liver microsomes).
ペプチドのマウスPK試験
我々が明らかにしたドラッグライクを兼ね備えるためのペプチドの条件(鎖長、N-メチルアミノ酸数、ClogP)を満たす8種のペプチドのマウスにおける静脈内ならびに経口投与後の血漿中濃度推移を評価した。雄性マウス(C57BL/6J、6週齢、日本クレア社製:1群3匹)に化合物を20 mg/kgの用量で静脈内ならびに経口投与し、投与後24時間までの血液を抗凝固剤としてヘパリン処理済みのヘマトクリット管を用い、背中足静脈より経時的に採取した。血液は遠心分離により血漿を分離し、アセト二トリルによる除タンパク処理後、LC/MS/MS装置(API3200、AB SCIEX社製、USA)を用いて血漿中濃度を測定した。得られた血漿中濃度推移より、解析ソフトPhoenix WinNonlin 6.1(Pharsight Corporation社製、USA)を用いて、ノンコンパートメント解析により薬物動態パラメータを算出した。
Mouse PK test of peptides Eight peptide peptides that satisfy the peptide conditions (chain length, N-methyl amino acid number, ClogP) for the drug-like combination we have clarified in mice after intravenous and oral administration The transition was evaluated. Male mice (C57BL / 6J, 6 weeks old, manufactured by CLEA Japan, 3 mice per group) were administered intravenously and orally at a dose of 20 mg / kg, and blood up to 24 hours after administration was used as an anticoagulant. Using hematocrit-treated hematocrit tubes, they were collected over time from the back foot vein. The blood was separated by centrifugation, and after deproteinization treatment with acetonitrile, the plasma concentration was measured using an LC / MS / MS apparatus (API3200, manufactured by ABS SCIEX, USA). Pharmacokinetic parameters were calculated by non-compartmental analysis from the resulting plasma concentration transition using analysis software Phoenix WinNonlin 6.1 (Pharsight Corporation, USA).
以下に各パラメータの定義を示した。静脈内投与後の時間0における濃度(C0;外挿値、ng/mL)、経口投与後の最高血漿中濃度(Cmax;ng/mL)、最高血漿中濃度到達時間(Tmax; 時間)、血漿中濃度―時間曲線下面積(AUC;ng・時間/mL)、全身クリアランス(CL;mL/分/kg)、定常状態分布容積(Vss; mL/kg)、消失半減期(t1/2;時間)、及びバイオアバイラビリティー(F;%)を算出した。静脈内投与後の全身クリアランスはいずれも小さく(1.7-9.5 mL/分/kg)、代謝的安定性が高いことが示唆された。化合物のバイオアベイラビリティーは最大で35%であり、評価した8種類のペプチドは期待通り経口投与剤として開発可能な経口吸収性を有していた。
The definition of each parameter is shown below. Concentration at
[実施例20]反応補助基を持たないN末端アミノ酸とC末端側活性エステルとのアミド化縮合反応
1.反応補助基を持たないN末端アミノ基と活性エステルとの翻訳液中でのアミド化反応
1-1.比較的安定な活性エステルを翻訳合成しておき、翻訳後に活性エステル部分を活性化させ、同時に系外から活性化剤を添加させて、反応補助基を有さないアミンと反応させる手法例
1-1-1.モデル反応原料化合物の合成
[Example 20] Amidation condensation reaction of N-terminal amino acid having no reaction auxiliary group and C-terminal active ester
1. Amidation reaction of N-terminal amino group without reaction auxiliary group and active ester in translation solution
1-1. Example of a technique in which a relatively stable active ester is translationally synthesized, the active ester portion is activated after translation, and at the same time an activator is added from outside the system to react with an amine that does not have a reaction auxiliary group
1-1-1. Synthesis of model reaction raw material compounds
(化合物P-145)
(9S,12S,18S,21S,24S,27S,30S)-30-(((S)-1-(((S)-1-((2-アミノ-2-オキソエチル)アミノ)-3-(tert-ブトキシ)-1-オキソプロパン-2-イル)アミノ)-1-オキソプロパン-2-イル)(メチル)カルバモイル)-12,27-ジベンジル-18-イソブチル-24-イソプロピル-2,2,9,11,17,21-ヘキサメチル-4,7,10,13,16,19,22,25,28-ノナオキソ-3-オキサ-5,8,11,14,17,20,23,26,29-ノナアザドトリアコンタン-32-酸(Boc-Gly-Ala-
Me
Phe-Gly-
Me
Leu-Ala-Val-Phe-Asp-
Me
Ala-Ser(tBu)-Gly-NH2)の合成
(Compound P-145)
(9S, 12S, 18S, 21S, 24S, 27S, 30S) -30-(((S) -1-(((S) -1-((2-amino-2-oxoethyl) amino) -3- ( tert-butoxy) -1-oxopropan-2-yl) amino) -1-oxopropan-2-yl) (methyl) carbamoyl) -12,27-dibenzyl-18-isobutyl-24-isopropyl-2,2, 9, 11, 17, 21-hexamethyl-4, 7, 10, 13, 16, 19, 22, 25, 28-nonaoxo-3-oxa-5, 8, 11, 14, 17, 20, 23, 26, Synthesis of 29-nonazaazadotriacontane-32-acid (Boc-Gly-Ala- Me Phe-Gly- Me Leu-Ala-Val-Phe-Asp- Me Ala-Ser (tBu) -Gly-NH2)
N末端にFmocアミノ酸の代わりにBocアミノ酸を用い、既に記載のFmoc法によるペプチド合成により合成した(9S,12S,18S,21S,24S,27S,30S)-30-(((S)-1-(((S)-1-((2-アミノ-2-オキソエチル)アミノ)-3-(tert-ブトキシ)-1-オキソプロパン-2-イル)アミノ)-1-オキソプロパン-2-イル)(メチル)カルバモイル)-12,27-ジベンジル-18-イソブチル-24-イソプロピル-2,2,9,11,17,21-ヘキサメチル-4,7,10,13,16,19,22,25,28-ノナオキソ-3-オキサ-5,8,11,14,17,20,23,26,29-ノナアザドトリアコンタン-32-酸 ベンジル(Boc-Gly-Ala-MePhe-Gly-MeLeu-Ala-Val-Phe-Asp(OBn)-MeAla-Ser(tBu)-Gly-NH2、919mg, 0.657mmol)のメタノール(6ml)溶液に窒素雰囲気下、ジヒドロキシパラジウム/炭素(312mg、50%wet w/w)を加え、水素置換した後に室温で2時間攪拌した。その後、反応液をセライトろ過し、ろ液を減圧濃縮し、得られた残渣をカラムクロマトグラフィ(10mM酢酸アンモニウム水溶液:メタノール=70/30-0/100)で精製して、標題化合物P-145(Boc-Gly-Ala-MePhe-Gly-MeLeu-Ala-Val-Phe-Asp-MeAla-Ser(tBu)-Gly-NH2)(374mg、44%)を得た。LCMS:m/z 1307(M-H)-
保持時間:1.09分 (分析条件 SQD AA05)
(9S, 12S, 18S, 21S, 24S, 27S, 30S) -30-((((S) -1-), using Boc amino acid instead of Fmoc amino acid at the N-terminus and synthesizing the peptide by Fmoc method already described. (((S) -1-((2-amino-2-oxoethyl) amino) -3- (tert-butoxy) -1-oxopropan-2-yl) amino) -1-oxopropan-2-yl) (Methyl) carbamoyl) -12,27-dibenzyl-18-isobutyl-24-isopropyl-2,2,9,11,17,21-hexamethyl-4,7,10,13,16,19,22,25, 28-nonaoxo-3-oxa-5,8,11,14,17,20,23,26,29-nonazaazadotriacontane-32-acid benzyl (Boc-Gly-Ala- Me Phe-Gly- Me Leu- Ala-Va l-Phe-Asp (OBn) - Me Ala-Ser (tBu) -Gly-NH2,919mg, under a nitrogen atmosphere in methanol (6 ml) solution of 0.657 mmol), dihydroxy palladium / carbon (312mg, 50% wet w / w) was added and replaced with hydrogen, followed by stirring at room temperature for 2 hours. The reaction mixture was then filtered through Celite, the filtrate was concentrated under reduced pressure, and the resulting residue was purified by column chromatography (10 mM aqueous ammonium acetate: methanol = 70 / 30-0 / 100) to give the title compound P-145 ( Boc-Gly-Ala- Me Phe-Gly- Me Leu-Ala-Val-Phe-Asp- Me Ala-Ser (tBu) -Gly-NH2) (374 mg, 44%) was obtained. LCMS: m / z 1307 (MH)-
Retention time: 1.09 minutes (Analysis conditions SQD AA05)
(化合物P-146)
(9S,12S,18S,21S,24S,27S,30S)-30-(((S)-1-(((S)-1-((2-アミノ-2-オキソエチル)アミノ)-3-(tert-ブトキシ)-1-オキソプロパン-2-イル)アミノ)-1-オキソプロパン-2-イル)(メチル)カルバモイル)-12,27-ジベンジル-18-イソブチル-24-イソプロピル-2,2,9,11,17,21-ヘキサメチル-4,7,10,13,16,19,22,25,28-ノナオキソ-3-オキサ-5,8,11,14,17,20,23,26,29-ノナアザドトリアコンタン-32-チオ酸 S-ベンジル(Boc-Gly-Ala-
Me
Phe-Gly-
Me
Leu-Ala-Val-Phe-Asp(SBn)-
Me
Ala-Ser(tBu)-Gly-NH2)の合成
(Compound P-146)
(9S, 12S, 18S, 21S, 24S, 27S, 30S) -30-(((S) -1-(((S) -1-((2-amino-2-oxoethyl) amino) -3- ( tert-butoxy) -1-oxopropan-2-yl) amino) -1-oxopropan-2-yl) (methyl) carbamoyl) -12,27-dibenzyl-18-isobutyl-24-isopropyl-2,2, 9, 11, 17, 21-hexamethyl-4, 7, 10, 13, 16, 19, 22, 25, 28-nonaoxo-3-oxa-5, 8, 11, 14, 17, 20, 23, 26, 29-nona Azad triacontyl Tan -32- thioacid S- benzyl (Boc-Gly-Ala- Me Phe -Gly- Me Leu-Ala-Val-Phe-Asp (SBn) - Me Ala-Ser (tBu) -Gly- Synthesis of NH2)
(9S,12S,18S,21S,24S,27S,30S)-30-(((S)-1-(((S)-1-((2-アミノ-2-オキソエチル)アミノ)-3-(tert-ブトキシ)-1-オキソプロパン-2-イル)アミノ)-1-オキソプロパン-2-イル)(メチル)カルバモイル)-12,27-ジベンジル-18-イソブチル-24-イソプロピル-2,2,9,11,17,21-ヘキサメチル-4,7,10,13,16,19,22,25,28-ノナオキソ-3-オキサ-5,8,11,14,17,20,23,26,29-ノナアザドトリアコンタン-32-酸(化合物P-145,(Boc-Gly-Ala-MePhe-Gly-MeLeu-Ala-Val-Phe-Asp-MeAla-Ser(tBu)-Gly-NH2))(50.0mg、0.038mmol)をジクロロメタン(320μL)およびDMF(80μL)に溶解させ、フェニルメタンチオール(9.49mg、0.076mmol)、DIC(9.64mg、0.076mmol)およびN,N-ジメチルピリジン-4-アミン(3.54mg、0.029mmol)を加えて室温で終夜攪拌した。反応液を減圧濃縮し、得られた残渣をカラムクロマトグラフィ(10mM酢酸アンモニウム水溶液:メタノール)で精製して、標題化合物(11.8mg、21.8%)を得た。 (9S, 12S, 18S, 21S, 24S, 27S, 30S) -30-(((S) -1-(((S) -1-((2-amino-2-oxoethyl) amino) -3- ( tert-butoxy) -1-oxopropan-2-yl) amino) -1-oxopropan-2-yl) (methyl) carbamoyl) -12,27-dibenzyl-18-isobutyl-24-isopropyl-2,2, 9, 11, 17, 21-hexamethyl-4, 7, 10, 13, 16, 19, 22, 25, 28-nonaoxo-3-oxa-5, 8, 11, 14, 17, 20, 23, 26, 29-Nonaazadotriacontane-32-acid (compound P-145, (Boc-Gly-Ala- Me Phe-Gly- Me Leu-Ala-Val-Phe-Asp- Me Ala-Ser (tBu) -Gly-NH2 )) (50.0 mg, 0.038 mmol) in dichloromethane (320 L) and DMF (80 μL), phenylmethanethiol (9.49 mg, 0.076 mmol), DIC (9.64 mg, 0.076 mmol) and N, N-dimethylpyridin-4-amine (3.54 mg, 0.029 mmol) was added and stirred at room temperature overnight. The reaction mixture was concentrated under reduced pressure, and the obtained residue was purified by column chromatography (10 mM aqueous ammonium acetate: methanol) to give the title compound (11.8 mg, 21.8%).
LCMS:m/z 1414.8(M+H)+
保持時間:1.08分 (分析条件 SQD AA05)
LCMS: m / z 1414.8 (M + H) +
Retention time: 1.08 minutes (Analysis conditions SQD AA05)
(化合物P-147)
(4S,7S,13S,16S,19S,22S,25S)-1-アミノ-25-(((S)-1-(((S)-1-((2-アミノ-2-オキソエチル)アミノ)-3-ヒドロキシ-1-オキソプロパン-2-イル)アミノ)-1-オキソプロパン-2-イル)(メチル)カルバモイル)-7,22-ジベンジル-13-イソブチル-19-イソプロピル-4,6,12,16-テトラメチル-2,5,8,11,14,17,20,23-オクタオキソ-3,6,9,12,15,18,21,24-オクタアザヘプタコサン-27-チオ酸 S-ベンジル(Gly-Ala-
Me
Phe-Gly-
Me
Leu-Ala-Val-Phe-Asp(SBn)-
Me
Ala-Ser-Gly-NH2)の合成
(Compound P-147)
(4S, 7S, 13S, 16S, 19S, 22S, 25S) -1-amino-25-(((S) -1-(((S) -1-((2-amino-2-oxoethyl) amino) -3-hydroxy-1-oxopropan-2-yl) amino) -1-oxopropan-2-yl) (methyl) carbamoyl) -7,22-dibenzyl-13-isobutyl-19-isopropyl-4,6 12,16-tetramethyl-2,5,8,11,14,17,20,23-octaoxo-3,6,9,12,15,18,21,24-octazaheptacosane-27-thioic acid S- benzyl (Gly-Ala- Me Phe-Gly- Me Leu-Ala-Val-Phe-Asp (SBn) - Me Ala-Ser-Gly-NH2) synthesis of
(9S,12S,18S,21S,24S,27S,30S)-30-(((S)-1-(((S)-1-((2-アミノ-2-オキソエチル)アミノ)-3-(tert-ブトキシ)-1-オキソプロパン-2-イル)アミノ)-1-オキソプロパン-2-イル)(メチル)カルバモイル)-12,27-ジベンジル-18-イソブチル-24-イソプロピル-2,2,9,11,17,21-ヘキサメチル-4,7,10,13,16,19,22,25,28-ノナオキソ-3-オキサ-5,8,11,14,17,20,23,26,29-ノナアザドトリアコンタン-32-チオ酸 S-ベンジル(化合物P-146)(11.8mg、0.0083mmol)をジクロロメタン(150μL)に溶解し、TFA(75.0μL,0.973mmol)を加えて室温で1時間半攪拌した。反応液を減圧濃縮し、得られた残渣をカラムクロマトグラフィ(0.1%FA水溶液:0.1%FAアセトニトリル溶液)で精製し、標題化合物(7.3mg、69.5%)を得た。
LCMS:m/z 1258.6(M+H)+
保持時間:0.58分 (分析条件 SQD FA05)
(9S, 12S, 18S, 21S, 24S, 27S, 30S) -30-(((S) -1-(((S) -1-((2-amino-2-oxoethyl) amino) -3- ( tert-butoxy) -1-oxopropan-2-yl) amino) -1-oxopropan-2-yl) (methyl) carbamoyl) -12,27-dibenzyl-18-isobutyl-24-isopropyl-2,2, 9, 11, 17, 21-hexamethyl-4, 7, 10, 13, 16, 19, 22, 25, 28-nonaoxo-3-oxa-5, 8, 11, 14, 17, 20, 23, 26, 29-nonazadotriacontane-32-thioic acid S-benzyl (Compound P-146) (11.8 mg, 0.0083 mmol) was dissolved in dichloromethane (150 μL) and TFA (75.0 μL, 0. 73 mmol) was added to stirred at room temperature for 1.5 hours. The reaction mixture was concentrated under reduced pressure, and the obtained residue was purified by column chromatography (0.1% aqueous FA solution: 0.1% FA acetonitrile solution) to give the title compound (7.3 mg, 69.5%).
LCMS: m / z 1258.6 (M + H) +
Retention time: 0.58 minutes (Analysis conditions SQD FA05)
(化合物P-133)
(6S,9S,12S,15S,18S,24S,27S,30S,33S)-18,30-ジベンジル-12,24-ジイソブチル-9,27-ジイソプロピル-2,2,6,11,17,23,26-ヘプタメチル-33-(メチル((S)-1-オキソ-1-(((S)-1-オキソ-1-(ピペリジン-1-イル)プロパン-2-イル)アミノ)-3-フェニルプロパン-2-イル)カルバモイル)-4,7,10,13,16,19,22,25,28,31-デカオキソ-15-((R)-1-(トリチルオキシ)エチル)-3-オキサ-5,8,11,14,17,20,23,26,29,32-デカアザペンタトリアコンタン-35-酸(Boc-Ala-Val-MeLeu-Thr(Trt)-MePhe-Gly-MeLeu-MeVal-Phe-Asp-MePhe-Ala-piperidine)の合成
なお、本明細書ではAla-piperidineもしくはAla-pipとは、ピペリジンの窒素原子とAlaの主鎖カルボン酸部位とでアミド結合を形成した化合物とする。この部分構造をペプチド部位に有する場合にも、同様の表記を用いる。
(Compound P-133)
(6S, 9S, 12S, 15S, 18S, 24S, 27S, 30S, 33S) -18,30-dibenzyl-12,24-diisobutyl-9,27-diisopropyl-2,2,6,11,17,23, 26-heptamethyl-33- (methyl ((S) -1-oxo-1-(((S) -1-oxo-1- (piperidin-1-yl) propan-2-yl) amino) -3-phenyl Propan-2-yl) carbamoyl) -4,7,10,13,16,19,22,25,28,31-decaoxo-15-((R) -1- (trityloxy) ethyl) -3-oxa -5,8,11,14,17,20,23,26,29,32-decaazapentatriacontane-35-acid (Boc-Ala-Val-MeLeu-Thr (Trt) -MePhe-Gly-MeLeu- MeVal-Phe-Asp-MePhe- Ala-piperidine) synthesis Incidentally, herein The is Ala-piperidine or Ala-pip, the compound to form an amide bond in the main chain carboxylic acid moiety of the nitrogen atoms and Ala piperidine. The same notation is used when the peptide has this partial structure.
常法に従って合成した(6S,9S,12S,15S,18S,24S,27S,30S,33S)-18,30-ジベンジル-12,24-ジイソブチル-9,27-ジイソプロピル-2,2,6,11,17,23,26-ヘプタメチル-33-(メチル((S)-1-オキソ-1-(((S)-1-オキソ-1-(ピペリジン-1-イル)プロパン-2-イル)アミノ)-3-フェニルプロパン-2-イル)カルバモイル)-4,7,10,13,16,19,22,25,28,31-デカオキソ-15-((R)-1-(トリチルオキシ)エチル)-3-オキサ-5,8,11,14,17,20,23,26,29,32-デカアザペンタトリアコンタン-35-酸 ベンジル(Boc-Ala-Val-MeLeu-Thr(Trt)-MePhe-Gly-MeLeu-MeVal-Phe-Asp(OBn)-MePhe-Ala-piperidine)(770mg, 0.412mmol)のメタノール(4ml)溶液に窒素雰囲気下、ヒドロキシパラジウム/炭素(256mg、50%wet. w/w)を加え、水素置換した後に室温で2.5時間攪拌した。その後、反応液をセライトろ過し、ろ液を減圧濃縮し標題化合物(726mg、99%)を得た。
LCMS:m/z 1777.6(M-H)-
保持時間:0.86分 (分析条件 SQD AA50)
(6S, 9S, 12S, 15S, 18S, 24S, 27S, 30S, 33S) -18,30-dibenzyl-12,24-diisobutyl-9,27-diisopropyl-2,2,6,11 , 17, 23, 26-Heptamethyl-33- (Methyl ((S) -1-oxo-1-(((S) -1-oxo-1- (piperidin-1-yl) propan-2-yl) amino ) -3-Phenylpropan-2-yl) carbamoyl) -4,7,10,13,16,19,22,25,28,31-decaoxo-15-((R) -1- (trityloxy) ethyl ) -3-Oxa-5,8,11,14,17,20,23,26,29,32-decaazapentatriacontane-35-acid benzyl (Boc-Ala-Val-MeLeu-Thr (Trt)- MePhe-Gly-MeLeu-MeVal-Phe-Asp (OBn) -MePhe-A la-piperidine) (770 mg, 0.412 mmol) in methanol (4 ml) under nitrogen atmosphere, hydroxypalladium / carbon (256 mg, 50% wet. w / w) was added, and the mixture was replaced with hydrogen, followed by 2.5 hours at room temperature. Stir. The reaction mixture was then filtered through Celite, and the filtrate was concentrated under reduced pressure to give the title compound (726 mg, 99%).
LCMS: m / z 1777.6 (MH)-
Retention time: 0.86 minutes (Analysis conditions SQD AA50)
(化合物P-134)
(6S,9S,12S,15S,18S,24S,27S,30S,33S)-18,30-ジベンジル-12,24-ジイソブチル-9,27-ジイソプロピル-2,2,6,11,17,23,26-ヘプタメチル-33-(メチル((S)-1-オキソ-1-(((S)-1-オキソ-1-(ピペリジン-1-イル)プロパン-2-イル)アミノ)-3-フェニルプロパン-2-イル)カルバモイル)-4,7,10,13,16,19,22,25,28,31-デカオキソ-15-((R)-1-(トリチルオキシ)エチル)-3-オキサ-5,8,11,14,17,20,23,26,29,32-デカアザペンタトリアコンタン-35-チオ酸 S-ベンジル(Boc-Ala-Val-MeLeu-Thr(Trt)-MePhe-Gly-MeLeu-MeVal-Phe-Asp(SBn)-MePhe-Ala-piperidine)の合成
(Compound P-134)
(6S, 9S, 12S, 15S, 18S, 24S, 27S, 30S, 33S) -18,30-dibenzyl-12,24-diisobutyl-9,27-diisopropyl-2,2,6,11,17,23, 26-heptamethyl-33- (methyl ((S) -1-oxo-1-(((S) -1-oxo-1- (piperidin-1-yl) propan-2-yl) amino) -3-phenyl Propan-2-yl) carbamoyl) -4,7,10,13,16,19,22,25,28,31-decaoxo-15-((R) -1- (trityloxy) ethyl) -3-oxa -5,8,11,14,17,20,23,26,29,32-decaazapentatriacontane-35-thioic acid S-benzyl (Boc-Ala-Val-MeLeu-Thr (Trt) -MePhe- Gly-MeLeu-MeVal-Phe-Asp (SBn) -MePhe-Ala-piperidin e) Synthesis
(6S,9S,12S,15S,18S,24S,27S,30S,33S)-18,30-ジベンジル-12,24-ジイソブチル-9,27-ジイソプロピル-2,2,6,11,17,23,26-ヘプタメチル-33-(メチル((S)-1-オキソ-1-(((S)-1-オキソ-1-(ピペリジン-1-イル)プロパン-2-イル)アミノ)-3-フェニルプロパン-2-イル)カルバモイル)-4,7,10,13,16,19,22,25,28,31-デカオキソ-15-((R)-1-(トリチルオキシ)エチル)-3-オキサ-5,8,11,14,17,20,23,26,29,32-デカアザペンタトリアコンタン-35-酸(化合物P-133)(50.0mg、0.028mmol)を原料とし、化合物P-146の合成と同様にして標題化合物(33.0mg、62.3%)を得た。
LCMS:m/z 1883.3(M-H)-
保持時間:0.93分 (分析条件 SQD AA50)
(6S, 9S, 12S, 15S, 18S, 24S, 27S, 30S, 33S) -18,30-dibenzyl-12,24-diisobutyl-9,27-diisopropyl-2,2,6,11,17,23, 26-heptamethyl-33- (methyl ((S) -1-oxo-1-(((S) -1-oxo-1- (piperidin-1-yl) propan-2-yl) amino) -3-phenyl Propan-2-yl) carbamoyl) -4,7,10,13,16,19,22,25,28,31-decaoxo-15-((R) -1- (trityloxy) ethyl) -3-oxa -5,8,11,14,17,20,23,26,29,32-deazaazapentatriacontane-35-acid (compound P-133) (50.0 mg, 0.028 mmol) as a starting material, compound P- The title compound (33.0 mg, 62.3%) was obtained in the same manner as the synthesis of 146.
LCMS: m / z 1883.3 (MH)-
Retention time: 0.93 minutes (Analysis conditions SQD AA50)
(化合物P-135)
(3S,6S,9S,12S,18S,21S,24S,27S,30S)-30-アミノ-6,18-ジベンジル-21-((R)-1-ヒドロキシエチル)-12,24-ジイソブチル-9,27-ジイソプロピル-10,13,19,25-テトラメチル-3-(メチル((S)-1-オキソ-1-(((S)-1-オキソ-1-(ピペリジン-1-イル)プロパン-2-イル)アミノ)-3-フェニルプロパン-2-イル)カルバモイル)-5,8,11,14,17,20,23,26,29-ノナオキソ-4,7,10,13,16,19,22,25,28-ノナアザヘントリアコンタン-1-チオ酸 S-ベンジル(Ala-Val-MeLeu-Thr-MePhe-Gly-MeLeu-MeVal-Phe-Asp(SBn)-MePhe-Ala-piperidine)の合成
(Compound P-135)
(3S, 6S, 9S, 12S, 18S, 21S, 24S, 27S, 30S) -30-amino-6,18-dibenzyl-21-((R) -1-hydroxyethyl) -12,24-diisobutyl-9 , 27-Diisopropyl-10,13,19,25-tetramethyl-3- (methyl ((S) -1-oxo-1-(((S) -1-oxo-1- (piperidin-1-yl) Propan-2-yl) amino) -3-phenylpropan-2-yl) carbamoyl) -5,8,11,14,17,20,23,26,29-nonaoxo-4,7,10,13,16 , 19,22,25,28-Nonaazahentriacontane-1-thioate S-benzyl (Ala-Val-MeLeu-Thr-MePhe-Gly-MeLeu-MeVal-Phe-Asp (SBn) -MePhe-Ala- piperidine)
(6S,9S,12S,15S,18S,24S,27S,30S,33S)-18,30-ジベンジル-12,24-ジイソブチル-9,27-ジイソプロピル-2,2,6,11,17,23,26-ヘプタメチル-33-(メチル((S)-1-オキソ-1-(((S)-1-オキソ-1-(ピペリジン-1-イル)プロパン-2-イル)アミノ)-3-フェニルプロパン-2-イル)カルバモイル)-4,7,10,13,16,19,22,25,28,31-デカオキソ-15-((R)-1-(トリチルオキシ)エチル)-3-オキサ-5,8,11,14,17,20,23,26,29,32-デカアザペンタトリアコンタン-35-チオ酸 S-ベンジル(化合物P-134)(33.0mg、0.018mmol)を原料とし、化合物P-147の合成と同様にして標題化合物(6.0mg、22.9%)を得た。
LCMS:m/z 1541.0(M-H)-
保持時間:0.77分 (分析条件 SQD FA05)
(6S, 9S, 12S, 15S, 18S, 24S, 27S, 30S, 33S) -18,30-dibenzyl-12,24-diisobutyl-9,27-diisopropyl-2,2,6,11,17,23, 26-heptamethyl-33- (methyl ((S) -1-oxo-1-(((S) -1-oxo-1- (piperidin-1-yl) propan-2-yl) amino) -3-phenyl Propan-2-yl) carbamoyl) -4,7,10,13,16,19,22,25,28,31-decaoxo-15-((R) -1- (trityloxy) ethyl) -3-oxa -5,8,11,14,17,20,23,26,29,32-Deazaazapentatriacontane-35-thioic acid S-benzyl (Compound P-134) (33.0 mg, 0.018 mmol) original And then, the title compound was synthesized in the same manner as in the synthesis of Compound P-147 (6.0mg, 22.9%) was obtained.
LCMS: m / z 1541.0 (M−H) −
Retention time: 0.77 minutes (Analysis conditions SQD FA05)
(6S,9S,12S,15S,18S,24S,27S,30S,33S)-18,30-ジベンジル-12,24-ジイソブチル-9,27-ジイソプロピル-2,2,6,11,17,23,26-ヘプタメチル-33-(メチル((S)-1-オキソ-1-(((S)-1-オキソ-1-(ピペリジン-1-イル)プロパン-2-イル)アミノ)-3-フェニルプロパン-2-イル)カルバモイル)-4,7,10,13,16,19,22,25,28,31-デカオキソ-15-((R)-1-(トリチルオキシ)エチル)-3-オキサ-5,8,11,14,17,20,23,26,29,32-デカアザペンタトリアコンタン-35-酸 2-(エチルジスルファニル)-6-メチルフェニル(化合物P-138)の合成
(6S, 9S, 12S, 15S, 18S, 24S, 27S, 30S, 33S) -18,30-dibenzyl-12,24-diisobutyl-9,27-diisopropyl-2,2,6,11,17,23, 26-heptamethyl-33- (methyl ((S) -1-oxo-1-(((S) -1-oxo-1- (piperidin-1-yl) propan-2-yl) amino) -3-phenyl Propan-2-yl) carbamoyl) -4,7,10,13,16,19,22,25,28,31-decaoxo-15-((R) -1- (trityloxy) ethyl) -3-oxa -5,8,11,14,17,20,23,26,29,32-decaazapentatriacontane-35-acid Synthesis of 2- (ethyldisulfanyl) -6-methylphenyl (Compound P-138)
N末端にFmocアミノ酸の代わりにBocアミノ酸を用い、既に記載のFmoc法によるペプチド合成により合成した(6S,9S,12S,15S,18S,24S,27S,30S,33S)-18,30-ジベンジル-12,24-ジイソブチル-9,27-ジイソプロピル-2,2,6,11,17,23,26-ヘプタメチル-33-(メチル((S)-1-オキソ-1-(((S)-1-オキソ-1-(ピペリジン-1-イル)プロパン-2-イル)アミノ)-3-フェニルプロパン-2-イル)カルバモイル)-4,7,10,13,16,19,22,25,28,31-デカオキソ-15-((R)-1-(トリチルオキシ)エチル)-3-オキサ-5,8,11,14,17,20,23,26,29,32-デカアザペンタトリアコンタン-35-酸(Boc‐Ala-Val-MeLeu-Thr(Trt)-MePhe-Gly-MeLeu-MeVal-Phe-Asp-MePhe-Ala-piperidine、60.9mg、0.034mmol)のジクロロメタン(300ul)溶液に、常法に従い(J. AM. CHEM. SOC. 2009, 131, 5432-5437)別途合成した2-(エチルジスルファニル)-6-メチルフェノール(10.3mg、0.051mmol)、N,N'-メタンジイリデンビス(プロパン-2-アミン) (8.0ul、0.051mmol)、N,N-ジメチルピリジン-4-アミン(4.2mg、0.034mmol)を加え室温で終夜攪拌した。その後、反応液を減圧濃縮し、逆相シリカゲルカラムクロマトグラフィー(10mM酢酸アンモニウム水溶液/メタノール=70/30→0/100)にて精製し、(6S,9S,12S,15S,18S,24S,27S,30S,33S)-18,30-ジベンジル-12,24-ジイソブチル-9,27-ジイソプロピル-2,2,6,11,17,23,26-ヘプタメチル-33-(メチル((S)-1-オキソ-1-(((S)-1-オキソ-1-(ピペリジン-1-イル)プロパン-2-イル)アミノ)-3-フェニルプロパン-2-イル)カルバモイル)-4,7,10,13,16,19,22,25,28,31-デカオキソ-15-((R)-1-(トリチルオキシ)エチル)-3-オキサ-5,8,11,14,17,20,23,26,29,32-デカアザペンタトリアコンタン-35-酸 2-(エチルジスルファニル)-6-メチルフェニル(化合物P-138)(53.8mg, 80%)を得た。
LCMS(ESI) m/z =1959.2(M―H)―
保持時間:1.05分(分析条件SQDAA50)
Using Boc amino acid instead of Fmoc amino acid at the N-terminal, it was synthesized by peptide synthesis by the already described Fmoc method (6S, 9S, 12S, 15S, 18S, 24S, 27S, 30S, 33S) -18,30-dibenzyl- 12,24-diisobutyl-9,27-diisopropyl-2,2,6,11,17,23,26-heptamethyl-33- (methyl ((S) -1-oxo-1-(((S) -1 -Oxo-1- (piperidin-1-yl) propan-2-yl) amino) -3-phenylpropan-2-yl) carbamoyl) -4,7,10,13,16,19,22,25,28 , 31-Decaoxo-15-((R) -1- (trityloxy) ethyl) -3-oxa-5,8,11,14,17,20,23,26,29,32-deca Pentatriacontanoic proximal -35- acid (Boc-Ala-Val- Me Leu -Thr (Trt) - Me Phe-Gly- Me Leu- Me Val-Phe-Asp- Me Phe-Ala-piperidine, 60.9mg, 0. 034 mmol) in dichloromethane (300 ul) according to a conventional method (J. AM. CHEM. SOC. 2009, 131, 5432-5437) separately synthesized 2- (ethyldisulfanyl) -6-methylphenol (10.3 mg, 0.051 mmol), N, N′-methanediylidenebis (propan-2-amine) (8.0 ul, 0.051 mmol), N, N-dimethylpyridin-4-amine (4.2 mg, 0.034 mmol) And stirred at room temperature overnight. Thereafter, the reaction solution was concentrated under reduced pressure and purified by reverse phase silica gel column chromatography (10 mM aqueous ammonium acetate solution / methanol = 70/30 → 0/100), and (6S, 9S, 12S, 15S, 18S, 24S, 27S). , 30S, 33S) -18,30-dibenzyl-12,24-diisobutyl-9,27-diisopropyl-2,2,6,11,17,23,26-heptamethyl-33- (methyl ((S) -1 —Oxo-1-(((S) -1-oxo-1- (piperidin-1-yl) propan-2-yl) amino) -3-phenylpropan-2-yl) carbamoyl) -4,7,10 , 13, 16, 19, 22, 25, 28, 31-decaoxo-15-((R) -1- (trityloxy) ethyl) -3-oxa-5,8,11,14,1 To give 20,23,26,29,32- dec aza pentatriacontanoic proximal -35- acid 2- (ethyldisulfanyl) -6- methylphenyl (Compound P-138) (53.8mg, 80%).
LCMS (ESI) m / z = 1959.2 (M−H) −
Retention time: 1.05 minutes (analysis condition SQDAA50)
(3S,6S,9S,12S,18S,21S,24S,27S,30S)-30-アミノ-6,18-ジベンジル-21-((R)-1-ヒドロキシエチル)-12,24-ジイソブチル-9,27-ジイソプロピル-10,13,19,25-テトラメチル-3-(メチル((S)-1-オキソ-1-(((S)-1-オキソ-1-(ピペリジン-1-イル)プロパン-2-イル)アミノ)-3-フェニルプロパン-2-イル)カルバモイル)-5,8,11,14,17,20,23,26,29-ノナオキソ-4,7,10,13,16,19,22,25,28-ノナアザヘントリアコンタン-1-酸 2-(エチルジスルファニル)-6-メチルフェニル(化合物P-139)の合成
(3S, 6S, 9S, 12S, 18S, 21S, 24S, 27S, 30S) -30-amino-6,18-dibenzyl-21-((R) -1-hydroxyethyl) -12,24-diisobutyl-9 , 27-Diisopropyl-10,13,19,25-tetramethyl-3- (methyl ((S) -1-oxo-1-(((S) -1-oxo-1- (piperidin-1-yl) Propan-2-yl) amino) -3-phenylpropan-2-yl) carbamoyl) -5,8,11,14,17,20,23,26,29-nonaoxo-4,7,10,13,16 , 19,22,25,28-Nonaazahentriacontan-1-acid 2- (ethyldisulfanyl) -6-methylphenyl (Compound P-139)
(6S,9S,12S,15S,18S,24S,27S,30S,33S)-18,30-ジベンジル-12,24-ジイソブチル-9,27-ジイソプロピル-2,2,6,11,17,23,26-ヘプタメチル-33-(メチル((S)-1-オキソ-1-(((S)-1-オキソ-1-(ピペリジン-1-イル)プロパン-2-イル)アミノ)-3-フェニルプロパン-2-イル)カルバモイル)-4,7,10,13,16,19,22,25,28,31-デカオキソ-15-((R)-1-(トリチルオキシ)エチル)-3-オキサ-5,8,11,14,17,20,23,26,29,32-デカアザペンタトリアコンタン-35-酸 2-(エチルジスルファニル)-6-メチルフェニル(化合物P-138)(53.0mg、27umol)のジクロロメタン(200ul)溶液にトリフルオロ酢酸(300ul)とトリイソプロピルシラン(27.7ul、0.135mmol)を加え、室温で1時間攪拌した。その後、反応液を減圧濃縮し、逆相シリカゲルカラムクロマトグラフィー(0.1%ギ酸水溶液/0.1%ギ酸アセトニトリル溶液=70/30→0/100)にて精製し、(3S,6S,9S,12S,18S,21S,24S,27S,30S)-30-アミノ-6,18-ジベンジル-21-((R)-1-ヒドロキシエチル)-12,24-ジイソブチル-9,27-ジイソプロピル-10,13,19,25-テトラメチル-3-(メチル((S)-1-オキソ-1-(((S)-1-オキソ-1-(ピペリジン-1-イル)プロパン-2-イル)アミノ)-3-フェニルプロパン-2-イル)カルバモイル)-5,8,11,14,17,20,23,26,29-ノナオキソ-4,7,10,13,16,19,22,25,28-ノナアザヘントリアコンタン-1-酸 2-(エチルジスルファニル)-6-メチルフェニル(化合物P-139)(22.4mg、51%)を得た。
LCMS(ESI) m/z =1620(M+H)+
保持時間:0.88分(分析条件SQDAA50)
(6S, 9S, 12S, 15S, 18S, 24S, 27S, 30S, 33S) -18,30-dibenzyl-12,24-diisobutyl-9,27-diisopropyl-2,2,6,11,17,23, 26-heptamethyl-33- (methyl ((S) -1-oxo-1-(((S) -1-oxo-1- (piperidin-1-yl) propan-2-yl) amino) -3-phenyl Propan-2-yl) carbamoyl) -4,7,10,13,16,19,22,25,28,31-decaoxo-15-((R) -1- (trityloxy) ethyl) -3-oxa -5,8,11,14,17,20,23,26,29,32-decaazapentatriacontane-35-acid 2- (ethyldisulfanyl) -6-methylphenyl (Compound P-138) (53 . mg, dichloromethane (200 ul) trifluoroacetic acid (300 ul) and triisopropylsilane solution (27.7Ul of 27umol), 0.135mmol) was added and stirred for 1 hour at room temperature. Thereafter, the reaction solution was concentrated under reduced pressure and purified by reverse phase silica gel column chromatography (0.1% formic acid aqueous solution / 0.1% formic acid acetonitrile solution = 70/30 → 0/100), and (3S, 6S, 9S). , 12S, 18S, 21S, 24S, 27S, 30S) -30-amino-6,18-dibenzyl-21-((R) -1-hydroxyethyl) -12,24-diisobutyl-9,27-diisopropyl-10 , 13,19,25-tetramethyl-3- (methyl ((S) -1-oxo-1-(((S) -1-oxo-1- (piperidin-1-yl) propan-2-yl) Amino) -3-phenylpropan-2-yl) carbamoyl) -5,8,11,14,17,20,23,26,29-nonaoxo-4,7,10,13,16,19,22,25 , 8 nona-aza hentriacontane-1- 2- (ethyldisulfanyl) -6- methylphenyl (Compound P-139) (22.4mg, 51%) was obtained.
LCMS (ESI) m / z = 1620 (M + H) +
Retention time: 0.88 minutes (analysis condition SQDAA50)
(6S,9S,12S,18S,21S,24S,27S,30S)-30-(((S)-1-(((S)-1-((2-アミノ-2-オキソエチル)アミノ)-3-(tert-ブトキシ)-1-オキソプロパン-2-イル)アミノ)-1-オキソプロパン-2-イル)(メチル)カルバモイル)-12,27-ジベンジル-18-イソブチル-24-イソプロピル-2,2,6,9,11,21-ヘキサメチル-4,7,10,13,16,19,22,25,28-ノナオキソ-3-オキサ-5,8,11,14,17,20,23,26,29-ノナアザドトリアコンタン-32-酸(Boc-Ala-Ala-MePhe-Gly-Leu-Ala-Val-Phe-Asp-MeAla-Ser(tBu)-Gly-NH2)(化合物SP-501)の合成
(6S, 9S, 12S, 18S, 21S, 24S, 27S, 30S) -30-(((S) -1-(((S) -1-((2-amino-2-oxoethyl) amino) -3 -(Tert-butoxy) -1-oxopropan-2-yl) amino) -1-oxopropan-2-yl) (methyl) carbamoyl) -12,27-dibenzyl-18-isobutyl-24-isopropyl-2, 2,6,9,11,21-hexamethyl-4,7,10,13,16,19,22,25,28-nonaoxo-3-oxa-5,8,11,14,17,20,23, 26,29-Nonaazadotriacontane-32-acid (Boc-Ala-Ala-MePhe-Gly-Leu-Ala-Val-Phe-Asp-MeAla-Ser (tBu) -Gly-NH2) Compound SP-501) Synthesis of
常法に従って合成した(6S,9S,12S,18S,21S,24S,27S,30S)-30-(((S)-1-(((S)-1-((2-アミノ-2-オキソエチル)アミノ)-3-(tert-ブトキシ)-1-オキソプロパン-2-イル)アミノ)-1-オキソプロパン-2-イル)(メチル)カルバモイル)-12,27-ジベンジル-18-イソブチル-24-イソプロピル-2,2,6,9,11,21-ヘキサメチル-4,7,10,13,16,19,22,25,28-ノナオキソ-3-オキサ-5,8,11,14,17,20,23,26,29-ノナアザドトリアコンタン-32-酸 ベンジル(化合物SP-502、Boc-Ala-Ala-MePhe-Gly-Leu-Ala-Val-Phe-Asp(OBn)-MeAla-Ser(tBu)-Gly-NH2)(749mg,0.536mmol)のメタノール(5ml)-酢酸エチル(5ml)溶液に窒素雰囲気下、ヒドロキシパラジウム/炭素(250mg、50%wet.w/w)を加え、水素置換した後に室温で3.5時間攪拌した。その後、反応液をセライトろ過し、ろ液を減圧濃縮し標題化合物(SP-501)(620mg、88%)を得た。
LCMS(ESI)m/z =1306.4(M-H)-
保持時間:0.74分 (分析条件 SQD FA05)
(6S, 9S, 12S, 18S, 21S, 24S, 27S, 30S) -30-((((S) -1-(((S) -1-((2-amino-2-oxoethyl ) Amino) -3- (tert-butoxy) -1-oxopropan-2-yl) amino) -1-oxopropan-2-yl) (methyl) carbamoyl) -12,27-dibenzyl-18-isobutyl-24 -Isopropyl-2,2,6,9,11,21-hexamethyl-4,7,10,13,16,19,22,25,28-nonaoxo-3-oxa-5,8,11,14,17 , 20,23,26,29-Nonaazadotriacontane-32-acid benzyl (compound SP-502, Boc-Ala-Ala-MePhe-Gly-Leu-Ala-Val-Phe-Asp (O n) To a solution of -MeAla-Ser (tBu) -Gly-NH2) (749 mg, 0.536 mmol) in methanol (5 ml) -ethyl acetate (5 ml) under a nitrogen atmosphere, hydroxypalladium / carbon (250 mg, 50% wet.w) / W) was added, and after purging with hydrogen, the mixture was stirred at room temperature for 3.5 hours. Thereafter, the reaction solution was filtered through Celite, and the filtrate was concentrated under reduced pressure to obtain the title compound (SP-501) (620 mg, 88%).
LCMS (ESI) m / z = 1306.4 (M−H) −
Retention time: 0.74 minutes (Analysis conditions SQD FA05)
(6S,9S,12S,18S,21S,24S,27S,30S)-30-(((S)-1-(((S)-1-((2-アミノ-2-オキソエチル)アミノ)-3-(tert-ブトキシ)-1-オキソプロパン-2-イル)アミノ)-1-オキソプロパン-2-イル)(メチル)カルバモイル)-12,27-ジベンジル-18-イソブチル-24-イソプロピル-2,2,6,9,11,21-ヘキサメチル-4,7,10,13,16,19,22,25,28-ノナオキソ-3-オキサ-5,8,11,14,17,20,23,26,29-ノナアザドトリアコンタン-32-チオ酸 S-ベンジル(Boc-Ala-Ala-MePhe-Gly-Leu-Ala-Val-Phe-Asp(SBn)-MeAla-Ser(tBu)-Gly-NH2)(化合物SP-503)の合成
(6S, 9S, 12S, 18S, 21S, 24S, 27S, 30S) -30-(((S) -1-(((S) -1-((2-amino-2-oxoethyl) amino) -3 -(Tert-butoxy) -1-oxopropan-2-yl) amino) -1-oxopropan-2-yl) (methyl) carbamoyl) -12,27-dibenzyl-18-isobutyl-24-isopropyl-2, 2,6,9,11,21-hexamethyl-4,7,10,13,16,19,22,25,28-nonaoxo-3-oxa-5,8,11,14,17,20,23, 26,29-Nonaazadotriacontane-32-thioic acid S-benzyl (Boc-Ala-Ala-MePhe-Gly-Leu-Ala-Val-Phe-Asp (SBn) -MeAla-Ser (t Synthesis of Bu) -Gly-NH2) (compound SP-503)
(6S,9S,12S,18S,21S,24S,27S,30S)-30-(((S)-1-(((S)-1-((2-アミノ-2-オキソエチル)アミノ)-3-(tert-ブトキシ)-1-オキソプロパン-2-イル)アミノ)-1-オキソプロパン-2-イル)(メチル)カルバモイル)-12,27-ジベンジル-18-イソブチル-24-イソプロピル-2,2,6,9,11,21-ヘキサメチル-4,7,10,13,16,19,22,25,28-ノナオキソ-3-オキサ-5,8,11,14,17,20,23,26,29-ノナアザドトリアコンタン-32-酸(化合物SP-501)(325.5mg、0.249mmol)を原料とし、化合物P-146の合成と同様にして標題化合物(SP-503)(178.2mg、51%)を得た。
LCMS(ESI)m/z =1412.6(M-H)-
保持時間:0.87分 (分析条件 SQD FA05)
(6S, 9S, 12S, 18S, 21S, 24S, 27S, 30S) -30-(((S) -1-(((S) -1-((2-amino-2-oxoethyl) amino) -3 -(Tert-butoxy) -1-oxopropan-2-yl) amino) -1-oxopropan-2-yl) (methyl) carbamoyl) -12,27-dibenzyl-18-isobutyl-24-isopropyl-2, 2,6,9,11,21-hexamethyl-4,7,10,13,16,19,22,25,28-nonaoxo-3-oxa-5,8,11,14,17,20,23, 26,29-Nonaazadotriacontane-32-acid (compound SP-501) (325.5 mg, 0.249 mmol) was used as a starting material and the title compound (SP-503) (178) .2 mg, 51%).
LCMS (ESI) m / z = 1412.6 (M−H) −
Retention time: 0.87 minutes (Analysis conditions SQD FA05)
(3S,6S,9S,12S,15S,21S,24S,27S)-27-アミノ-3-(((S)-1-(((S)-1-((2-アミノ-2-オキソエチル)アミノ)-3-ヒドロキシ-1-オキソプロパン-2-イル)アミノ)-1-オキソプロパン-2-イル)(メチル)カルバモイル)-6,21-ジベンジル-15-イソブチル-9-イソプロピル-12,22,24-トリメチル-5,8,11,14,17,20,23,26-オクタオキソ-4,7,10,13,16,19,22,25-オクタアザオクタコサン-1-チオ酸 S-ベンジル(Ala-Ala-MePhe-Gly-Leu-Ala-Val-Phe-Asp(SBn)-MeAla-Ser-Gly-NH2)(化合物SP-504)の合成
(3S, 6S, 9S, 12S, 15S, 21S, 24S, 27S) -27-amino-3-(((S) -1-(((S) -1-((2-amino-2-oxoethyl) Amino) -3-hydroxy-1-oxopropan-2-yl) amino) -1-oxopropan-2-yl) (methyl) carbamoyl) -6,21-dibenzyl-15-isobutyl-9-isopropyl-12 22,24-trimethyl-5,8,11,14,17,20,23,26-octaoxo-4,7,10,13,16,19,22,25-octazaazaoctacosane-1-thioic acid S Synthesis of benzyl (Ala-Ala-MePhe-Gly-Leu-Ala-Val-Phe-Asp (SBn) -MeAla-Ser-Gly-NH2) (compound SP-504)
(6S,9S,12S,18S,21S,24S,27S,30S)-30-(((S)-1-(((S)-1-((2-アミノ-2-オキソエチル)アミノ)-3-(tert-ブトキシ)-1-オキソプロパン-2-イル)アミノ)-1-オキソプロパン-2-イル)(メチル)カルバモイル)-12,27-ジベンジル-18-イソブチル-24-イソプロピル-2,2,6,9,11,21-ヘキサメチル-4,7,10,13,16,19,22,25,28-ノナオキソ-3-オキサ-5,8,11,14,17,20,23,26,29-ノナアザドトリアコンタン-32-チオ酸 S-ベンジル(化合物SP-503)(72.9mg、0.052mmol)を原料とし、化合物P-147の合成と同様にして標題化合物(SP-504)(47.3.mg、73%)を得た。
LCMS(ESI)m/z =1256.8(M-H)-
保持時間:0.58分 (分析条件 SQD FA05)
(6S, 9S, 12S, 18S, 21S, 24S, 27S, 30S) -30-(((S) -1-(((S) -1-((2-amino-2-oxoethyl) amino) -3 -(Tert-butoxy) -1-oxopropan-2-yl) amino) -1-oxopropan-2-yl) (methyl) carbamoyl) -12,27-dibenzyl-18-isobutyl-24-isopropyl-2, 2,6,9,11,21-hexamethyl-4,7,10,13,16,19,22,25,28-nonaoxo-3-oxa-5,8,11,14,17,20,23, The title compound (SP- 04) (47.3.mg, to obtain a 73%).
LCMS (ESI) m / z = 1256.8 (M−H) −
Retention time: 0.58 minutes (Analysis conditions SQD FA05)
(6S,9S,12S,18S,21S,24S,27S,30S)-30-(((S)-1-(((S)-1-((2-アミノ-2-オキソエチル)アミノ)-3-(tert-ブトキシ)-1-オキソプロパン-2-イル)アミノ)-1-オキソプロパン-2-イル)(メチル)カルバモイル)-6,12,27-トリベンジル-18-イソブチル-24-イソプロピル-2,2,9,11,21-ペンタメチル-4,7,10,13,16,19,22,25,28-ノナオキソ-3-オキサ-5,8,11,14,17,20,23,26,29-ノナアザドトリアコンタン-32-酸(Boc-Phe-Ala-MePhe-Gly-Leu-Ala-Val-Phe-Asp-MeAla-Ser(tBu)-Gly-NH2))(化合物SP-505)の合成
(6S, 9S, 12S, 18S, 21S, 24S, 27S, 30S) -30-(((S) -1-(((S) -1-((2-amino-2-oxoethyl) amino) -3 -(Tert-Butoxy) -1-oxopropan-2-yl) amino) -1-oxopropan-2-yl) (methyl) carbamoyl) -6,12,27-tribenzyl-18-isobutyl-24-isopropyl- 2,2,9,11,21-pentamethyl-4,7,10,13,16,19,22,25,28-nonaoxo-3-oxa-5,8,11,14,17,20,23, 26,29-Nonaazadotriacontane-32-acid (Boc-Phe-Ala-MePhe-Gly-Leu-Ala-Val-Phe-Asp-MeAla-Ser (tBu) -Gly-NH2) (Compound SP-505)
常法に従って合成した(6S,9S,12S,18S,21S,24S,27S,30S)-30-(((S)-1-(((S)-1-((2-アミノ-2-オキソエチル)アミノ)-3-(tert-ブトキシ)-1-オキソプロパン-2-イル)アミノ)-1-オキソプロパン-2-イル)(メチル)カルバモイル)-6,12,27-トリベンジル-18-イソブチル-24-イソプロピル-2,2,9,11,21-ペンタメチル-4,7,10,13,16,19,22,25,28-ノナオキソ-3-オキサ-5,8,11,14,17,20,23,26,29-ノナアザドトリアコンタン-32-酸 ベンジル(Boc-Phe-Ala-MePhe-Gly-Leu-Ala-Val-Phe-Asp(OBn)-MeAla-Ser(OtBu)-Gly-NH2)(化合物SP-506)(831mg,0.563mmol)のメタノール(5ml)-酢酸エチル(5ml)溶液に窒素雰囲気下、ヒドロキシパラジウム/炭素(277mg、50%wet. w/w)を加え、水素置換した後に室温で3.5時間攪拌した。その後、反応液をセライトろ過し、ろ液を減圧濃縮し標題化合物(SP-505)(648mg、83%)を得た。
LCMS(ESI)m/z =1382.6(M-H)-
保持時間:0.80分 (分析条件 SQD FA05)
(6S, 9S, 12S, 18S, 21S, 24S, 27S, 30S) -30-((((S) -1-(((S) -1-((2-amino-2-oxoethyl ) Amino) -3- (tert-butoxy) -1-oxopropan-2-yl) amino) -1-oxopropan-2-yl) (methyl) carbamoyl) -6,12,27-tribenzyl-18-isobutyl -24-isopropyl-2,2,9,11,21-pentamethyl-4,7,10,13,16,19,22,25,28-nonaoxo-3-oxa-5,8,11,14,17 , 20,23,26,29-Nonaazadotriacontane-32-acid benzyl (Boc-Phe-Ala-MePhe-Gly-Leu-Ala-Val-Phe-Asp (OBn) -MeAl A solution of a-Ser (OtBu) -Gly-NH2) (compound SP-506) (831 mg, 0.563 mmol) in methanol (5 ml) -ethyl acetate (5 ml) under a nitrogen atmosphere, hydroxypalladium / carbon (277 mg, 50%). wet.w / w) was added, and after hydrogen substitution, the mixture was stirred at room temperature for 3.5 hours. Thereafter, the reaction solution was filtered through Celite, and the filtrate was concentrated under reduced pressure to obtain the title compound (SP-505) (648 mg, 83%).
LCMS (ESI) m / z = 1382.6 (M−H) −
Retention time: 0.80 minutes (Analysis conditions SQD FA05)
(6S,9S,12S,18S,21S,24S,27S,30S)-30-(((S)-1-(((S)-1-((2-アミノ-2-オキソエチル)アミノ)-3-(tert-ブトキシ)-1-オキソプロパン-2-イル)アミノ)-1-オキソプロパン-2-イル)(メチル)カルバモイル)-6,12,27-トリベンジル-18-イソブチル-24-イソプロピル-2,2,9,11,21-ペンタメチル-4,7,10,13,16,19,22,25,28-ノナオキソ-3-オキサ-5,8,11,14,17,20,23,26,29-ノナアザドトリアコンタン-32-チオ酸 S-ベンジル(Boc-Phe-Ala-MePhe-Gly-Leu-Ala-Val-Phe-Asp(SBn)-MeAla-Ser(tBu)-Gly-NH2)(化合物SP-507)の合成
(6S, 9S, 12S, 18S, 21S, 24S, 27S, 30S) -30-(((S) -1-(((S) -1-((2-amino-2-oxoethyl) amino) -3 -(Tert-Butoxy) -1-oxopropan-2-yl) amino) -1-oxopropan-2-yl) (methyl) carbamoyl) -6,12,27-tribenzyl-18-isobutyl-24-isopropyl- 2,2,9,11,21-pentamethyl-4,7,10,13,16,19,22,25,28-nonaoxo-3-oxa-5,8,11,14,17,20,23, 26,29-Nonaazadotriacontane-32-thioic acid S-benzyl (Boc-Phe-Ala-MePhe-Gly-Leu-Ala-Val-Phe-Asp (SBn) -MeAla-Ser ( tBu) -Gly-NH2) (Compound SP-507) Synthesis
(6S,9S,12S,18S,21S,24S,27S,30S)-30-(((S)-1-(((S)-1-((2-アミノ-2-オキソエチル)アミノ)-3-(tert-ブトキシ)-1-オキソプロパン-2-イル)アミノ)-1-オキソプロパン-2-イル)(メチル)カルバモイル)-6,12,27-トリベンジル-18-イソブチル-24-イソプロピル-2,2,9,11,21-ペンタメチル-4,7,10,13,16,19,22,25,28-ノナオキソ-3-オキサ-5,8,11,14,17,20,23,26,29-ノナアザドトリアコンタン-32-酸(化合物SP-505)(344.5mg、0.249mmol)を原料とし、化合物P-146の合成と同様にして標題化合物(SP-507)(143.8mg、39%)を得た。
LCMS(ESI)m/z =1490.6(M+H)+
保持時間:0.93分 (分析条件 SQD FA05)
(6S, 9S, 12S, 18S, 21S, 24S, 27S, 30S) -30-(((S) -1-(((S) -1-((2-amino-2-oxoethyl) amino) -3 -(Tert-Butoxy) -1-oxopropan-2-yl) amino) -1-oxopropan-2-yl) (methyl) carbamoyl) -6,12,27-tribenzyl-18-isobutyl-24-isopropyl- 2,2,9,11,21-pentamethyl-4,7,10,13,16,19,22,25,28-nonaoxo-3-oxa-5,8,11,14,17,20,23, 26,29-Nonaazadotriacontane-32-acid (compound SP-505) (344.5 mg, 0.249 mmol) was used as a starting material and the title compound (SP-507) (14 3.8 mg, 39%).
LCMS (ESI) m / z = 1490.6 (M + H) +
Retention time: 0.93 minutes (Analysis conditions SQD FA05)
(3S,6S,9S,12S,15S,21S,24S,27S)-27-アミノ-3-(((S)-1-(((S)-1-((2-アミノ-2-オキソエチル)アミノ)-3-ヒドロキシ-1-オキソプロパン-2-イル)アミノ)-1-オキソプロパン-2-イル)(メチル)カルバモイル)-6,21-ジベンジル-15-イソブチル-9-イソプロピル-12,22,24-トリメチル-5,8,11,14,17,20,23,26-オクタオキソ-28-フェニル-4,7,10,13,16,19,22,25-オクタアザオクタコサン-1-チオ酸 S-ベンジル(Phe-Ala-MePhe-Gly-Leu-Ala-Val-Phe-Asp(SBn)-MeAla-Ser-Gly-NH2)(化合物SP-508)の合成
(3S, 6S, 9S, 12S, 15S, 21S, 24S, 27S) -27-amino-3-(((S) -1-(((S) -1-((2-amino-2-oxoethyl) Amino) -3-hydroxy-1-oxopropan-2-yl) amino) -1-oxopropan-2-yl) (methyl) carbamoyl) -6,21-dibenzyl-15-isobutyl-9-isopropyl-12 22,24-trimethyl-5,8,11,14,17,20,23,26-octaoxo-28-phenyl-4,7,10,13,16,19,22,25-octaazaoctacosane-1 -Thioacid S-benzyl (Phe-Ala-MePhe-Gly-Leu-Ala-Val-Phe-Asp (SBn) -MeAla-Ser-Gly-NH2) (compound SP-508) Formation
(6S,9S,12S,18S,21S,24S,27S,30S)-30-(((S)-1-(((S)-1-((2-アミノ-2-オキソエチル)アミノ)-3-(tert-ブトキシ)-1-オキソプロパン-2-イル)アミノ)-1-オキソプロパン-2-イル)(メチル)カルバモイル)-6,12,27-トリベンジル-18-イソブチル-24-イソプロピル-2,2,9,11,21-ペンタメチル-4,7,10,13,16,19,22,25,28-ノナオキソ-3-オキサ-5,8,11,14,17,20,23,26,29-ノナアザドトリアコンタン-32-チオ酸 S-ベンジル(化合物SP-507)(72.1mg、0.048mmol)を原料とし、化合物P-147の合成と同様にして標題化合物(SP-508)(56.1mg、87%)を得た。
LCMS(ESI)m/z =1332.7(M-H)-
保持時間:0.60分 (分析条件 SQD FA05)
(6S, 9S, 12S, 18S, 21S, 24S, 27S, 30S) -30-(((S) -1-(((S) -1-((2-amino-2-oxoethyl) amino) -3 -(Tert-Butoxy) -1-oxopropan-2-yl) amino) -1-oxopropan-2-yl) (methyl) carbamoyl) -6,12,27-tribenzyl-18-isobutyl-24-isopropyl- 2,2,9,11,21-pentamethyl-4,7,10,13,16,19,22,25,28-nonaoxo-3-oxa-5,8,11,14,17,20,23, The title compound (SP 508) (56.1 mg, was obtained 87%).
LCMS (ESI) m / z = 1332.7 (M−H) −
Retention time: 0.60 minutes (Analysis conditions SQD FA05)
1-1-2.環化モデル反応例
N末端がGlyである場合の反応例を示す。
(化合物P-136)
(5S,8S,14S,17S,20S,23S,26S)-N-((S)-1-(((S)-1-((2-アミノ-2-オキソエチル)アミノ)-3-ヒドロキシ-1-オキソプロパン-2-イル)アミノ)-1-オキソプロパン-2-イル)-8,23-ジベンジル-14-イソブチル-20-イソプロピル-N,5,7,13,17-ペンタメチル-3,6,9,12,15,18,21,24,28-ノナオキソ-1,4,7,10,13,16,19,22,25-ノナアザシクロオクタコサン-26-カルボキサミドの合成
1-1-2. Example of cyclization model reaction An example of reaction when the N-terminal is Gly is shown.
(Compound P-136)
(5S, 8S, 14S, 17S, 20S, 23S, 26S) -N-((S) -1-(((S) -1-((2-amino-2-oxoethyl) amino) -3-hydroxy- 1-oxopropan-2-yl) amino) -1-oxopropan-2-yl) -8,23-dibenzyl-14-isobutyl-20-isopropyl-N, 5,7,13,17-pentamethyl-3, Synthesis of 6,9,12,15,18,21,24,28-nonaoxo-1,4,7,10,13,16,19,22,25-nonazacyclooctacosane-26-carboxamide
その1
4-(トリフルオロメチル)ベンゼンチオール(0.018g、0.10mmol)およびトリエチルアミン(10.1mg、0.10mmol)を100mMのリン酸水素2ナトリウム水溶液(80μL)およびNMP(10μL)に溶解させた。この溶液に(4S,7S,13S,16S,19S,22S,25S)-1-アミノ-25-(((S)-1-(((S)-1-((2-アミノ-2-オキソエチル)アミノ)-3-ヒドロキシ-1-オキソプロパン-2-イル)アミノ)-1-オキソプロパン-2-イル)(メチル)カルバモイル)-7,22-ジベンジル-13-イソブチル-19-イソプロピル-4,6,12,16-テトラメチル-2,5,8,11,14,17,20,23-オクタオキソ-3,6,9,12,15,18,21,24-オクタアザヘプタコサン-27-チオ酸 S-ベンジル(化合物P-147)のNMP溶液(10mM、10μL、0.10μmol)を加えて、室温で5時間攪拌した。反応液をLCMSで分析し、標題化合物の生成を確認した。なお、標題化合物と原料(保持時間0.58分、分析条件 SQDFA05)およびAspのチオエステルが加水分解されたカルボン酸体(保持時間:0.51分、分析条件 SQDFA05)の生成比はLCMSのUVエリア比でおおよそ74:11:15であった。結果を図36に示す。
LCMS:m/z 1134.6(M+H)+
保持時間:0.64分 (分析条件 SQDFA05)
4- (trifluoromethyl) benzenethiol (0.018 g, 0.10 mmol) and triethylamine (10.1 mg, 0.10 mmol) were dissolved in 100 mM aqueous solution of disodium hydrogenphosphate (80 μL) and NMP (10 μL). . (4S, 7S, 13S, 16S, 19S, 22S, 25S) -1-amino-25-(((S) -1-(((S) -1-((2-amino-2-oxoethyl Amino) -3-hydroxy-1-oxopropan-2-yl) amino) -1-oxopropan-2-yl) (methyl) carbamoyl) -7,22-dibenzyl-13-isobutyl-19-isopropyl-4 , 6,12,16-tetramethyl-2,5,8,11,14,17,20,23-octaoxo-3,6,9,12,15,18,21,24-octazaazaheptacosane-27 -Thioacid NMP solution of S-benzyl (Compound P-147) (10 mM, 10 μL, 0.10 μmol) was added and stirred at room temperature for 5 hours. The reaction solution was analyzed by LCMS to confirm the formation of the title compound. The production ratio of the title compound and the raw material (retention time 0.58 minutes, analysis condition SQDFA05) and the carboxylic acid form obtained by hydrolysis of the thioester of Asp (retention time: 0.51 minutes, analysis condition SQDFA05) is UV of LCMS. The area ratio was approximately 74:11:15. The results are shown in FIG.
LCMS: m / z 1134.6 (M + H) +
Retention time: 0.64 minutes (Analysis conditions SQDFA05)
その2
ベンゼンチオール(0.110mg、0.001mmol)およびトリエチルアミン(0.202mg、0.002mmol)を100mMリン酸水素2ナトリウム水溶液(80μL)およびNMP(10μL)に溶解させた。この溶液に(4S,7S,13S,16S,19S,22S,25S)-1-アミノ-25-(((S)-1-(((S)-1-((2-アミノ-2-オキソエチル)アミノ)-3-ヒドロキシ-1-オキソプロパン-2-イル)アミノ)-1-オキソプロパン-2-イル)(メチル)カルバモイル)-7,22-ジベンジル-13-イソブチル-19-イソプロピル-4,6,12,16-テトラメチル-2,5,8,11,14,17,20,23-オクタオキソ-3,6,9,12,15,18,21,24-オクタアザヘプタコサン-27-チオ酸 S-ベンジル(化合物P-147)のNMP溶液(10mM、10μL、0.10μmol)を加えて、室温で8時間攪拌した。反応液をLCMSで分析し、標題化合物の生成を確認した。なお、標題化合物と原料(保持時間0.58分、分析条件 SQDFA05)およびAspのチオエステルが加水分解されたカルボン酸体(保持時間:0.50分、分析条件 SQDFA05)の生成比はLCMSのUVエリア比でおおよそ89:8:3であった。結果を図37に示す。
LCMS:m/z 1134.6(M+H)+
保持時間:0.63分 (分析条件 SQDFA05)
Benzenethiol (0.110 mg, 0.001 mmol) and triethylamine (0.202 mg, 0.002 mmol) were dissolved in 100 mM aqueous solution of disodium hydrogenphosphate (80 μL) and NMP (10 μL). (4S, 7S, 13S, 16S, 19S, 22S, 25S) -1-amino-25-(((S) -1-(((S) -1-((2-amino-2-oxoethyl Amino) -3-hydroxy-1-oxopropan-2-yl) amino) -1-oxopropan-2-yl) (methyl) carbamoyl) -7,22-dibenzyl-13-isobutyl-19-isopropyl-4 , 6,12,16-tetramethyl-2,5,8,11,14,17,20,23-octaoxo-3,6,9,12,15,18,21,24-octazaazaheptacosane-27 -Thioacid NMP solution of S-benzyl (Compound P-147) (10 mM, 10 μL, 0.10 μmol) was added and stirred at room temperature for 8 hours. The reaction solution was analyzed by LCMS to confirm the formation of the title compound. The production ratio of the title compound to the raw material (retention time 0.58 minutes, analysis condition SQDFA05) and the carboxylic acid form obtained by hydrolysis of the thioester of Asp (retention time: 0.50 minutes, analysis condition SQDFA05) is the LCMS UV The area ratio was approximately 89: 8: 3. The results are shown in FIG.
LCMS: m / z 1134.6 (M + H) +
Retention time: 0.63 minutes (Analysis conditions SQDFA05)
N末端がAlaである場合の反応例を示す。
(化合物P-137)
(2R,5S,8S,11S,14S,20S,23S,26S,29S)-14,26-ジベンジル-11-((R)-1-ヒドロキシエチル)-8,20-ジイソブチル-5,23-ジイソプロピル-N,2,7,13,19,22-ヘキサメチル-3,6,9,12,15,18,21,24,27,31-デカオキソ-N-((S)-1-オキソ-1-(((S)-1-オキソ-1-(ピペリジン-1-イル)プロパン-2-イル)アミノ)-3-フェニルプロパン-2-イル)-1,4,7,10,13,16,19,22,25,28-デカアザシクロヘントリアコンタン-29-カルボキサミドの合成
An example of the reaction when the N-terminus is Ala is shown.
(Compound P-137)
(2R, 5S, 8S, 11S, 14S, 20S, 23S, 26S, 29S) -14,26-dibenzyl-11-((R) -1-hydroxyethyl) -8,20-diisobutyl-5,23-diisopropyl -N, 2,7,13,19,22-hexamethyl-3,6,9,12,15,18,21,24,27,31-decaoxo-N-((S) -1-oxo-1- (((S) -1-oxo-1- (piperidin-1-yl) propan-2-yl) amino) -3-phenylpropan-2-yl) -1,4,7,10,13,16, Synthesis of 19,22,25,28-decaazacyclohentriacontane-29-carboxamide
その1
4-(トリフルオロメチル)ベンゼンチオール(8.91mg、0.05mmol)およびトリエチルアミン(5.06mg、0.05mmol)の水溶液(25μL)と(3S,6S,9S,12S,18S,21S,24S,27S,30S)-30-アミノ-6,18-ジベンジル-21-((R)-1-ヒドロキシエチル)-12,24-ジイソブチル-9,27-ジイソプロピル-10,13,19,25-テトラメチル-3-(メチル((S)-1-オキソ-1-(((S)-1-オキソ-1-(ピペリジン-1-イル)プロパン-2-イル)アミノ)-3-フェニルプロパン-2-イル)カルバモイル)-5,8,11,14,17,20,23,26,29-ノナオキソ-4,7,10,13,16,19,22,25,28-ノナアザヘントリアコンタン-1-チオ酸 S-ベンジル(化合物P-135)のNMP溶液(5mM、20μL、0.1μmol)を混合し、さらに水(25μL)とNMP(30μL)を加え、50度で終夜攪拌した。LCMS測定により、原料の消失とともに標題化合物の生成を確認した。なお、標題化合物とAspのチオエステルが加水分解されたカルボン酸体(保持時間:0.68分、分析条件 SQDFA05)の生成比はLCMSのUVエリア比で、おおよそ72:28であった。結果を図38に示す。
LCMS:m/z 1417(M-H)-
保持時間:1.04分 (分析条件 SQDFA05)
An aqueous solution (25 μL) of 4- (trifluoromethyl) benzenethiol (8.91 mg, 0.05 mmol) and triethylamine (5.06 mg, 0.05 mmol) and (3S, 6S, 9S, 12S, 18S, 21S, 24S, 27S, 30S) -30-amino-6,18-dibenzyl-21-((R) -1-hydroxyethyl) -12,24-diisobutyl-9,27-diisopropyl-10,13,19,25-tetramethyl -3- (Methyl ((S) -1-oxo-1-(((S) -1-oxo-1- (piperidin-1-yl) propan-2-yl) amino) -3-phenylpropane-2 -Yl) carbamoyl) -5,8,11,14,17,20,23,26,29-nonaoxo-4,7,10,13,16,19,22,25,2 -Nonaazahentriacontane-1-thioate NMP solution (5 mM, 20 μL, 0.1 μmol) of S-benzyl (compound P-135) was mixed, and water (25 μL) and NMP (30 μL) were further added. Stir overnight at degrees. LCMS measurement confirmed the disappearance of the starting material and the formation of the title compound. The production ratio of the carboxylic acid product obtained by hydrolysis of the title compound and Asp thioester (retention time: 0.68 minutes, analysis condition SQDFA05) was approximately 72:28 in terms of LCMS UV area. The results are shown in FIG.
LCMS: m / z 1417 (MH)-
Retention time: 1.04 minutes (Analysis conditions SQDFA05)
その2
(3S,6S,9S,12S,18S,21S,24S,27S,30S)-30-アミノ-6,18-ジベンジル-21-((R)-1-ヒドロキシエチル)-12,24-ジイソブチル-9,27-ジイソプロピル-10,13,19,25-テトラメチル-3-(メチル((S)-1-オキソ-1-(((S)-1-オキソ-1-(ピペリジン-1-イル)プロパン-2-イル)アミノ)-3-フェニルプロパン-2-イル)カルバモイル)-5,8,11,14,17,20,23,26,29-ノナオキソ-4,7,10,13,16,19,22,25,28-ノナアザヘントリアコンタン-1-酸 2-(エチルジスルファニル)-6-メチルフェニル(0.162mg, 0.1umol)(化合物P-139)と1-ヒドロキシピロリジン-2,5-ジオン(0.575mg、5umol)のDMF-400mMリン酸緩衝溶液(pH8.5)1:1混合溶液(95ul)に1Mトリス(2-カルボキシエチル)ホスフィン(TCEP)水溶液(5ul)を加え、室温で30分攪拌した後、LCMSを用いて反応を観測したところ、環化前駆体は完全に消失し、標題化合物P-137と加水分解体P-140が3:1(LCMS:UVエリア比)で観測された。
LCMS(ESI) m/z =1417.2(M-H)―
保持時間:1.04分(分析条件SQDFA05)
(3S, 6S, 9S, 12S, 18S, 21S, 24S, 27S, 30S) -30-amino-6,18-dibenzyl-21-((R) -1-hydroxyethyl) -12,24-diisobutyl-9 , 27-Diisopropyl-10,13,19,25-tetramethyl-3- (methyl ((S) -1-oxo-1-(((S) -1-oxo-1- (piperidin-1-yl) Propan-2-yl) amino) -3-phenylpropan-2-yl) carbamoyl) -5,8,11,14,17,20,23,26,29-nonaoxo-4,7,10,13,16 , 19, 22, 25, 28-Nonaazahentriacontan-1-acid 2- (ethyldisulfanyl) -6-methylphenyl (0.162 mg, 0.1 umol) (compound P-139) and 1-hydroxy Pyrrolidine-2,5-dione (0.575 mg, 5 umol) in DMF-400 mM phosphate buffer (pH 8.5) 1: 1 mixed solution (95 ul) in 1 M tris (2-carboxyethyl) phosphine (TCEP) aqueous solution ( 5 ul) was added, and the mixture was stirred at room temperature for 30 minutes, and then the reaction was observed using LCMS. As a result, the cyclization precursor disappeared completely, and the title compound P-137 and the hydrolyzate P-140 were 3: 1 ( LCMS: UV area ratio).
LCMS (ESI) m / z = 1417.2 (M−H) −
Retention time: 1.04 minutes (analysis condition SQDFA05)
加水分解体P-140
(3S,6S,9S,12S,18S,21S,24S,27S,30S)-30-アミノ-6,18-ジベンジル-21-((R)-1-ヒドロキシエチル)-12,24-ジイソブチル-9,27-ジイソプロピル-10,13,19,25-テトラメチル-3-(メチル((S)-1-オキソ-1-(((S)-1-オキソ-1-(ピペリジン-1-イル)プロパン-2-イル)アミノ)-3-フェニルプロパン-2-イル)カルバモイル)-5,8,11,14,17,20,23,26,29-ノナオキソ-4,7,10,13,16,19,22,25,28-ノナアザヘントリアコンタン-1-酸
LCMS(ESI) m/z =1435.3(M-H)―
保持時間:0.67分(分析条件SQDFA05)
Hydrolyzate P-140
(3S, 6S, 9S, 12S, 18S, 21S, 24S, 27S, 30S) -30-amino-6,18-dibenzyl-21-((R) -1-hydroxyethyl) -12,24-diisobutyl-9 , 27-Diisopropyl-10,13,19,25-tetramethyl-3- (methyl ((S) -1-oxo-1-(((S) -1-oxo-1- (piperidin-1-yl) Propan-2-yl) amino) -3-phenylpropan-2-yl) carbamoyl) -5,8,11,14,17,20,23,26,29-nonaoxo-4,7,10,13,16 , 19,22,25,28-Nonaazahentriacontan-1-acid
LCMS (ESI) m / z = 1435.3 (M−H) −
Retention time: 0.67 minutes (analysis condition SQDFA05)
N末端がPheである場合の反応例を示す。
(2S,5S,8S,14S,17S,20S,23S,26S)-N-((S)-1-(((S)-1-((2-アミノ-2-オキソエチル)アミノ)-3-ヒドロキシ-1-オキソプロパン-2-イル)アミノ)-1-オキソプロパン-2-イル)-2,8,23-トリベンジル-14-イソブチル-20-イソプロピル-N,5,7,17-テトラメチル-3,6,9,12,15,18,21,24,28-ノナオキソ-1,4,7,10,13,16,19,22,25-ノナアザシクロオクタコサン-26-カルボキサミド(化合物SP-509)の合成
An example of the reaction when the N-terminus is Phe is shown.
(2S, 5S, 8S, 14S, 17S, 20S, 23S, 26S) -N-((S) -1-(((S) -1-((2-amino-2-oxoethyl) amino) -3- Hydroxy-1-oxopropan-2-yl) amino) -1-oxopropan-2-yl) -2,8,23-tribenzyl-14-isobutyl-20-isopropyl-N, 5,7,17-tetramethyl -3,6,9,12,15,18,21,24,28-nonaoxo-1,4,7,10,13,16,19,22,25-nonazacyclooctacosane-26-carboxamide (compound Synthesis of SP-509)
4-(トリフルオロメチル)ベンゼンチオール(13.6ul、0.10mmol)およびトリエチルアミン(13.9ul、0.10mmol)を100mMのリン酸水素2ナトリウム水溶液(80μL)およびNMP(10μL)に溶解させた。この溶液に(3S,6S,9S,12S,15S,21S,24S,27S)-27-アミノ-3-(((S)-1-(((S)-1-((2-アミノ-2-オキソエチル)アミノ)-3-ヒドロキシ-1-オキソプロパン-2-イル)アミノ)-1-オキソプロパン-2-イル)(メチル)カルバモイル)-6,21-ジベンジル-15-イソブチル-9-イソプロピル-12,22,24-トリメチル-5,8,11,14,17,20,23,26-オクタオキソ-28-フェニル-4,7,10,13,16,19,22,25-オクタアザオクタコサン-1-チオ酸 S-ベンジル(化合物SP-508)のNMP溶液(10mM、10μL、0.10μmol)と内部標準としてフタル酸のアセトニトリル溶液(50mM、1.0μl)を加えて、30度で3時間攪拌した。反応開始時のpHは9.7であった。反応液をLCMSで分析し、標題化合物の生成を確認した。3時間攪拌後で内部標準と原料のエリア面積比より転化率は90%であり、標題化合物(SP-509)と加水分解体(化合物SP-510)の生成比はLCMSのUVエリア比でおおよそ3:2であった。
・標題化合物
LCMS(ESI) m/z =1210.4(M+H)+
保持時間:1.04分(分析条件SMDmethod1)
4- (Trifluoromethyl) benzenethiol (13.6 ul, 0.10 mmol) and triethylamine (13.9 ul, 0.10 mmol) were dissolved in 100 mM aqueous solution of disodium hydrogenphosphate (80 μL) and NMP (10 μL). . To this solution, (3S, 6S, 9S, 12S, 15S, 21S, 24S, 27S) -27-amino-3-(((S) -1-(((S) -1-((2-amino-2 -Oxoethyl) amino) -3-hydroxy-1-oxopropan-2-yl) amino) -1-oxopropan-2-yl) (methyl) carbamoyl) -6,21-dibenzyl-15-isobutyl-9-isopropyl -12,22,24-trimethyl-5,8,11,14,17,20,23,26-octaoxo-28-phenyl-4,7,10,13,16,19,22,25-octaazaocta Cosan-1-thioic acid S-benzyl (compound SP-508) in NMP (10 mM, 10 μL, 0.10 μmol) and phthalic acid in acetonitrile as an internal standard (50 mM, 1.0 μl) It was added and stirred for 3 hours at 30 °. The pH at the start of the reaction was 9.7. The reaction solution was analyzed by LCMS to confirm the formation of the title compound. After stirring for 3 hours, the conversion is 90% from the area ratio of the internal standard and the raw material, and the ratio of the title compound (SP-509) and hydrolyzate (compound SP-510) is approximately the LCMS UV area ratio. 3: 2.
Title compound LCMS (ESI) m / z = 1210.4 (M + H) +
Retention time: 1.04 minutes (analysis condition SMD method 1)
・加水分解体(化合物SP-510)
(3S,6S,9S,12S,15S,21S,24S,27S)-27-アミノ-3-(((S)-1-(((S)-1-((2-アミノ-2-オキソエチル)アミノ)-3-ヒドロキシ-1-オキソプロパン-2-イル)アミノ)-1-オキソプロパン-2-イル)(メチル)カルバモイル)-6,21-ジベンジル-15-イソブチル-9-イソプロピル-12,22,24-トリメチル-5,8,11,14,17,20,23,26-オクタオキソ-28-フェニル-4,7,10,13,16,19,22,25-オクタアザオクタコサン-1-酸
LCMS(ESI) m/z =1228.5(M+H)+
保持時間:0.89分(分析条件SMDmethod1)
Hydrolyzate (compound SP-510)
(3S, 6S, 9S, 12S, 15S, 21S, 24S, 27S) -27-amino-3-(((S) -1-(((S) -1-((2-amino-2-oxoethyl) Amino) -3-hydroxy-1-oxopropan-2-yl) amino) -1-oxopropan-2-yl) (methyl) carbamoyl) -6,21-dibenzyl-15-isobutyl-9-isopropyl-12 22,24-trimethyl-5,8,11,14,17,20,23,26-octaoxo-28-phenyl-4,7,10,13,16,19,22,25-octaazaoctacosane-1 -acid
LCMS (ESI) m / z = 1228.5 (M + H) +
Retention time: 0.89 minutes (analysis condition SMD method 1)
モデルペプチドを用いたPureSystem(翻訳液)中での環化反応例その1
(2S,5S,8S,14S,17S,20S,23S,26S)-N-((S)-1-(((S)-1-((2-アミノ-2-オキソエチル)アミノ)-3-ヒドロキシ-1-オキソプロパン-2-イル)アミノ)-1-オキソプロパン-2-イル)-8,23-ジベンジル-14-イソブチル-20-イソプロピル-N,2,5,7,17-ペンタメチル-3,6,9,12,15,18,21,24,28-ノナオキソ-1,4,7,10,13,16,19,22,25-ノナアザシクロオクタコサン-26-カルボキサミド(化合物SP-511)の合成
Example 1 of cyclization reaction in pure system (translation solution) using model peptide
(2S, 5S, 8S, 14S, 17S, 20S, 23S, 26S) -N-((S) -1-(((S) -1-((2-amino-2-oxoethyl) amino) -3- Hydroxy-1-oxopropan-2-yl) amino) -1-oxopropan-2-yl) -8,23-dibenzyl-14-isobutyl-20-isopropyl-N, 2,5,7,17-pentamethyl- 3,6,9,12,15,18,21,24,28-nonaoxo-1,4,7,10,13,16,19,22,25-nonazacyclooctacosane-26-carboxamide (compound SP -511)
4-(トリフルオロメチル)ベンゼンチオール(6.8μL、0.050mmol)およびトリエチルアミン(7.0μl、0.050mmol)を水(8.2μl)に溶解させ、チオール溶液を調整した。
(3S,6S,9S,12S,15S,21S,24S,27S)-27-アミノ-3-(((S)-1-(((S)-1-((2-アミノ-2-オキソエチル)アミノ)-3-ヒドロキシ-1-オキソプロパン-2-イル)アミノ)-1-オキソプロパン-2-イル)(メチル)カルバモイル)-6,21-ジベンジル-15-イソブチル-9-イソプロピル-12,22,24-トリメチル-5,8,11,14,17,20,23,26-オクタオキソ-4,7,10,13,16,19,22,25-オクタアザオクタコサン-1-チオ酸 S-ベンジル(化合物SP-504)のNMP溶液(10mM、5.0μl、0.050μmol)に内部標準として4-プロピル安息香酸のNMP溶液(11mM、2.25μl)を加えた。次に翻訳用緩衝液(6.25μl)、PURESYSTEM(r) classic II Sol. B(バイオコゥマー社、製品番号PURE2048C)(10μl)、20種の天然アミノ酸溶液(それぞれ5mM,2.5μl)を加えた。
なお翻訳用緩衝液の成分は8mM GTP,8mM ATP,160mMクレアチンリン酸,400mM HEPES-KOH pH7.6,800mM 酢酸カリウム,48mM 酢酸マグネシウム,16mMスペルミジン,8mM ジチオスレイトール,0.8mM 10-HCO-H4folate, 12mg/ml E.coli MRE600(RNaseネガティブ)由来tRNA(Roche社)である。これにトリス(2-カルボキシエチル)ホスフィン水溶液(pH=7.5、1.25M、2.0μl)および先に調整したチオール溶液を加えた。この時点での反応液のpHは7.8であった。
反応液を30℃で20時間攪拌した後、LC/MSで分析し、標題化合物の生成を確認した。20時間攪拌後の反応液のpHは9.4であった。また、標題化合物(SP-511)と加水分解体(化合物SP-512)との生成比はUVエリア比で1:1.6であった。
標題化合物
LCMS(ESI)m/z =1134.4(M+H)+
保持時間:0.64分(分析条件 SQDFA05)
加水分解体(化合物SP-512)
(3S,6S,9S,12S,15S,21S,24S,27S)-27-アミノ-3-(((S)-1-(((S)-1-((2-アミノ-2-オキソエチル)アミノ)-3-ヒドロキシ-1-オキソプロパン-2-イル)アミノ)-1-オキソプロパン-2-イル)(メチル)カルバモイル)-6,21-ジベンジル-15-イソブチル-9-イソプロピル-12,22,24-トリメチル-5,8,11,14,17,20,23,26-オクタオキソ-4,7,10,13,16,19,22,25-オクタアザオクタコサン-1-酸
LCMS(ESI)m/z =1152.5(M+H)+
保持時間:0.48分(分析条件 SQDFA05)
4- (Trifluoromethyl) benzenethiol (6.8 μL, 0.050 mmol) and triethylamine (7.0 μl, 0.050 mmol) were dissolved in water (8.2 μl) to prepare a thiol solution.
(3S, 6S, 9S, 12S, 15S, 21S, 24S, 27S) -27-amino-3-(((S) -1-(((S) -1-((2-amino-2-oxoethyl) Amino) -3-hydroxy-1-oxopropan-2-yl) amino) -1-oxopropan-2-yl) (methyl) carbamoyl) -6,21-dibenzyl-15-isobutyl-9-isopropyl-12 22,24-trimethyl-5,8,11,14,17,20,23,26-octaoxo-4,7,10,13,16,19,22,25-octazaazaoctacosane-1-thioic acid S -An NMP solution of 4-propylbenzoic acid (11 mM, 2.25 μl) was added as an internal standard to an NMP solution of benzyl (compound SP-504) (10 mM, 5.0 μl, 0.050 μmol). Next, a translation buffer (6.25 μl), PURESYSTEM® classic II Sol. B (Biocommer, product number PURE2048C) (10 μl) and 20 kinds of natural amino acid solutions (5 mM and 2.5 μl, respectively) were added.
The components of the translation buffer were 8 mM GTP, 8 mM ATP, 160 mM creatine phosphate, 400 mM HEPES-KOH pH 7.6, 800 mM potassium acetate, 48 mM magnesium acetate, 16 mM spermidine, 8 mM dithiothreitol, 0.8 mM 10-HCO- H4folate, 12 mg / ml E. coli MRE600 (RNase negative) -derived tRNA (Roche). To this was added tris (2-carboxyethyl) phosphine aqueous solution (pH = 7.5, 1.25M, 2.0 μl) and the thiol solution prepared previously. At this time, the pH of the reaction solution was 7.8.
The reaction solution was stirred at 30 ° C. for 20 hours and then analyzed by LC / MS to confirm the formation of the title compound. The pH of the reaction solution after stirring for 20 hours was 9.4. The production ratio of the title compound (SP-511) and the hydrolyzate (compound SP-512) was 1: 1.6 in terms of UV area.
Title compound LCMS (ESI) m / z = 1134.4 (M + H) +
Retention time: 0.64 minutes (analysis condition SQDFA05)
Hydrolyzate (Compound SP-512)
(3S, 6S, 9S, 12S, 15S, 21S, 24S, 27S) -27-amino-3-(((S) -1-(((S) -1-((2-amino-2-oxoethyl) Amino) -3-hydroxy-1-oxopropan-2-yl) amino) -1-oxopropan-2-yl) (methyl) carbamoyl) -6,21-dibenzyl-15-isobutyl-9-isopropyl-12 22,24-trimethyl-5,8,11,14,17,20,23,26-octaoxo-4,7,10,13,16,19,22,25-octazaazaoctacosane-1-acid
LCMS (ESI) m / z = 1152.5 (M + H) +
Retention time: 0.48 minutes (analysis condition SQDFA05)
以上示したとおり、Cys(反応補助基を有する)やGly(α位に置換基が存在せず最も反応性が高い)に続き、AlaやPheでも水中で、翻訳可能なチオエステルをさらに活性化させる手法を用いて環化反応が進行することが明らかとなった。翻訳液中でも反応進行を確認できた。 As shown above, following Cys (having a reaction auxiliary group) and Gly (no substituent at α position, most reactive), Ala and Phe can further activate translatable thioesters in water. It was revealed that the cyclization reaction proceeds using this method. The progress of the reaction was confirmed even in the translation solution.
1-1-3.環化用活性エステルを有したpdCpA-AAの合成
1-1-3. Synthesis of pdCpA-AA with active ester for cyclization
7-メチルベンゾ[d][1,3]オキサチオール-2-オン(化合物102)の合成
Synthesis of 7-methylbenzo [d] [1,3] oxathiol-2-one (Compound 102)
o-クレゾール(化合物101)(27.7mmol、3.00g)とトリブチルアミン(30.5mmol, 7.35ml)のジクロロエタン(48mL)溶液に塩化クロロカルボニルスルフェニル(30.5mmol, 2.58ml)を0℃で加え、室温で2時間攪拌した。その後、反応混合物に塩化アルミニウム(66.6mmol、8.88g)を0℃で加え、室温で終夜攪拌した。その後、反応混合物に水(10ml)を0度で加えた後に、酢酸エチルで希釈し、有機層を水で洗浄した。その後、有機抽出物を硫酸ナトリウムで乾燥した。減圧濃縮後、得られた残渣を逆相シリカゲルカラムクロマトグラフィー(0.1%ギ酸水溶液/0.1%ギ酸アセトニトリル溶液=100/0→30/70)にて精製し、7-メチルベンゾ[d][1,3]オキサチオール-2-オン(化合物102)(2.46g、53%)を得た。
LCMS(ESI) m/z = 167 (M+H)+
保持時間:0.81分(分析条件SQDFA05)
To a solution of o-cresol (compound 101) (27.7 mmol, 3.00 g) and tributylamine (30.5 mmol, 7.35 ml) in dichloroethane (48 mL) was added chlorocarbonylsulfenyl chloride (30.5 mmol, 2.58 ml). It added at 0 degreeC and stirred at room temperature for 2 hours. Thereafter, aluminum chloride (66.6 mmol, 8.88 g) was added to the reaction mixture at 0 ° C., and the mixture was stirred at room temperature overnight. Thereafter, water (10 ml) was added to the reaction mixture at 0 degree, and then diluted with ethyl acetate, and the organic layer was washed with water. The organic extract was then dried over sodium sulfate. After concentration under reduced pressure, the resulting residue was purified by reversed-phase silica gel column chromatography (0.1% formic acid aqueous solution / 0.1% formic acid acetonitrile solution = 100/0 → 30/70) to obtain 7-methylbenzo [d]. [1,3] oxathiol-2-one (compound 102) (2.46 g, 53%) was obtained.
LCMS (ESI) m / z = 167 (M + H) +
Retention time: 0.81 minutes (analysis condition SQDFA05)
2-メルカプト-6-メチルフェノール(化合物103)の合成
Synthesis of 2-mercapto-6-methylphenol (compound 103)
7-メチルベンゾ[d][1,3]オキサチオール-2-オン(化合物102)(2.34g、14.44mmol)のエタノール(15ml)溶液に2N水酸化ナトリウム水溶液(15ml)を加え、60度で1時間攪拌した。その後、反応混合物に濃塩酸を0度で加えクエンチ後、酢酸エチルで希釈し、有機層を水で洗浄した。その後、有機抽出物を硫酸ナトリウムで乾燥し、2-メルカプト-6-メチルフェノール(化合物103)(1.90g)を得た。この化合物はこれ以上の精製操作をせずに次の工程に使用した。
LCMS(ESI) m/z = 139 (M-H)-
保持時間:0.70分(分析条件SQDFA05)
To a solution of 7-methylbenzo [d] [1,3] oxathiol-2-one (compound 102) (2.34 g, 14.44 mmol) in ethanol (15 ml) was added 2N aqueous sodium hydroxide solution (15 ml) at 60 ° C. For 1 hour. Thereafter, concentrated hydrochloric acid was added to the reaction mixture at 0 degree to quench, then diluted with ethyl acetate, and the organic layer was washed with water. Thereafter, the organic extract was dried over sodium sulfate to obtain 2-mercapto-6-methylphenol (compound 103) (1.90 g). This compound was used in the next step without further purification.
LCMS (ESI) m / z = 139 (M−H) −
Retention time: 0.70 minutes (analysis condition SQDFA05)
6,6'-ジスルファンジイルビス(2-メチルフェノール)(化合物104)の合成
Synthesis of 6,6'-disulfanediylbis (2-methylphenol) (compound 104)
上記で得られた2-メルカプト-6-メチルフェノール(化合物103)(1.90g)の水(10ml)2層溶液にI2(1.717g、6.76mmol)のメタノール(7ml)溶液を加え、室温で10分攪拌した。反応混合物を酢酸エチルで希釈し、有機層を飽和Na2S2O3水溶液、及び水で洗浄した。その後、有機抽出物を硫酸ナトリウムで乾燥した。減圧濃縮後、得られた残渣をシリカゲルカラムクロマトグラフィー(ヘキサン/酢酸エチル=100/0→92/8)にて精製し、6,6’-ジスルファンジイルビス(2-メチルフェノール)(化合物104)(1.61g、43%(2工程))を得た。
LCMS(ESI) m/z = 277 (M-H)-
保持時間:0.95分(分析条件SQDFA05)
To a 2-layer solution of 2-mercapto-6-methylphenol (compound 103) (1.90 g) obtained above in water (10 ml) was added a solution of I2 (1.717 g, 6.76 mmol) in methanol (7 ml), Stir at room temperature for 10 minutes. The reaction mixture was diluted with ethyl acetate and the organic layer was washed with saturated aqueous Na2S2O3 and water. The organic extract was then dried over sodium sulfate. After concentration under reduced pressure, the resulting residue was purified by silica gel column chromatography (hexane / ethyl acetate = 100/0 → 92/8) to obtain 6,6′-disulfanediylbis (2-methylphenol) (compound 104) (1.61 g, 43% (2 steps)).
LCMS (ESI) m / z = 277 (M−H) −
Retention time: 0.95 minutes (analysis condition SQDFA05)
2-(エチルジスルファニル)-6-メチルフェノール(化合物105)の合成
Synthesis of 2- (ethyldisulfanyl) -6-methylphenol (Compound 105)
6,6’-ジスルファンジイルビス(2-メチルフェノール)(化合物104)(1.61g、5.78mmol)のジクロロメタン(30ml)溶液に二硫化ジエチル(14.24ml、 116mmol)とBF3・OEt2(14.66mml, 16.42mmol)を加え、室温で5時間攪拌した。その後、反応混合物に飽和NaHCO3溶液を0度でゆっくり滴下しクエンチ後、酢酸エチルで希釈し、有機層を水で洗浄した。その後、有機抽出物を硫酸ナトリウムで乾燥し、濃縮した。得られた残渣をシリカゲルカラムクロマトグラフィー(ヘキサン/酢酸エチル=100/0→90/10)にて精製し、2-(エチルジスルファニル)-6-メチルフェノール(化合物105)(1.67g、72%)を得た。
LCMS(ESI) m/z = 199 (M-H)-
保持時間:0.92分(分析条件SQDFA05)
To a solution of 6,6′-disulfanediylbis (2-methylphenol) (compound 104) (1.61 g, 5.78 mmol) in dichloromethane (30 ml) was added diethyl disulfide (14.24 ml, 116 mmol) and BF3 · OEt2 (14.66 ml, 16.42 mmol) was added and stirred at room temperature for 5 hours. Thereafter, a saturated
LCMS (ESI) m / z = 199 (MH)-
Retention time: 0.92 minutes (analysis condition SQDFA05)
(S)-2-((((9H-フルオレン-9-イル)メトキシ)カルボニル)アミノ)コハク酸 1-(2-フェニルプロパン-2-イル) 4-アリル(化合物107)の合成
Synthesis of (S) -2-((((9H-fluoren-9-yl) methoxy) carbonyl) amino) succinic acid 1- (2-phenylpropan-2-yl) 4-allyl (compound 107)
(S)-2-((((9H-フルオレン-9-イル)メトキシ)カルボニル)アミノ)-4-(アリルオキシ)-4-オキソブタン酸(化合物106)(1.80g、4.55mmol)のジクロロメタン(40ml)溶液に常法により別途合成した2,2,2-トリクロロアセトイミド酸 2-フェニルプロパン-2-イル(2.17g、 7.74mmol)を加え、室温で1時間攪拌した。その後、反応混合物を減圧濃縮した。得られた残渣をシリカゲルカラムクロマトグラフィー(ヘキサン/酢酸エチル=100/0→65/35)にて精製し、(S)-2-((((9H-フルオレン-9-イル)メトキシ)カルボニル)アミノ)コハク酸 1-(2-フェニルプロパン-2-イル) 4-アリル(化合物107)(2.17g、93%)を得た。
LC 保持時間:1.12分(分析条件SQDAA05)
1H-NMR(Varian 400-MR, 400 MHz, CDCl3) δ ppm 7.76 (2H, d, 7.6 Hz), 7.49 (2H, d, 7.2 Hz), 7.41-7.24. (9H, m),5.90(1H, m) 5.77 (1H,d, 8.4Hz), 5.29(2H, m), 4.62(3H, m), 4.37(2H, m), 4.21(1H, t, 6.8Hz),3.08(1H, dd, 17.2, 4.4Hz), 2.90(1H, dd, 17.2, 4.8Hz), 1.80 (3H, s), 1.78 (3H, s)
(S) -2-(((((9H-fluoren-9-yl) methoxy) carbonyl) amino) -4- (allyloxy) -4-oxobutanoic acid (Compound 106) (1.80 g, 4.55 mmol) in dichloromethane To the (40 ml) solution, 2,2,2-trichloroacetimidic acid 2-phenylpropan-2-yl (2.17 g, 7.74 mmol) separately synthesized by a conventional method was added and stirred at room temperature for 1 hour. Thereafter, the reaction mixture was concentrated under reduced pressure. The obtained residue was purified by silica gel column chromatography (hexane / ethyl acetate = 100/0 → 65/35) to obtain (S) -2-(((((9H-fluoren-9-yl) methoxy) carbonyl). Amino) succinic acid 1- (2-phenylpropan-2-yl) 4-allyl (compound 107) (2.17 g, 93%) was obtained.
LC retention time: 1.12 minutes (analysis condition SQDAA05)
1 H-NMR (Varian 400-MR, 400 MHz, CDCl 3 ) δ ppm 7.76 (2H, d, 7.6 Hz), 7.49 (2H, d, 7.2 Hz), 7.41- 7.24. (9H, m), 5.90 (1H, m) 5.77 (1H, d, 8.4 Hz), 5.29 (2H, m), 4.62 (3H, m), 4.37 (2H) , M), 4.21 (1H, t, 6.8 Hz), 3.08 (1H, dd, 17.2, 4.4 Hz), 2.90 (1H, dd, 17.2, 4.8 Hz) , 1.80 (3H, s), 1.78 (3H, s)
(S)-2-((tert-ブトキシカルボニル)アミノ)コハク酸 1-(2-フェニルプロパン-2-イル) 4-アリル(化合物108)の合成
Synthesis of (S) -2-((tert-butoxycarbonyl) amino) succinic acid 1- (2-phenylpropan-2-yl) 4-allyl (compound 108)
(S)-2-((((9H-フルオレン-9-イル)メトキシ)カルボニル)アミノ)コハク酸 1-(2-フェニルプロパン-2-イル) 4-アリル(化合物107)(1.03g、2.00mmol)のTHF(6ml)-DMF(1.5ml)溶液にピペリジン(0.297ml、 3.00mmol)を加え、室温で3時間半攪拌した。その後、反応混合物に二炭酸ジ-tert-ブチル(1.31g、 6.00mmol)とトリエチルアミン(0.837ml、 6mmol)を加え室温で15分攪拌した。その後、反応混合物を減圧濃縮した。得られた残渣を逆相シリカゲルカラムクロマトグラフィー(10mM酢酸アンモニウム水溶液/メタノール=70/30→0/100)にて精製し、(S)-2-((tert-ブトキシカルボニル)アミノ)コハク酸 1-(2-フェニルプロパン-2-イル) 4-アリル(化合物108)(710mg、91%)を得た。
LCMS(ESI) m/z = 390(M-H)-
保持時間:0.63分(分析条件SQDAA50)
(S) -2-(((((9H-fluoren-9-yl) methoxy) carbonyl) amino) succinic acid 1- (2-phenylpropan-2-yl) 4-allyl (compound 107) (1.03 g, Piperidine (0.297 ml, 3.00 mmol) was added to a solution of 2.00 mmol) in THF (6 ml) -DMF (1.5 ml), and the mixture was stirred at room temperature for 3.5 hours. Thereafter, di-tert-butyl dicarbonate (1.31 g, 6.00 mmol) and triethylamine (0.837 ml, 6 mmol) were added to the reaction mixture, and the mixture was stirred at room temperature for 15 minutes. Thereafter, the reaction mixture was concentrated under reduced pressure. The obtained residue was purified by reverse phase silica gel column chromatography (10 mM aqueous ammonium acetate solution / methanol = 70/30 → 0/100), and (S) -2-((tert-butoxycarbonyl) amino) succinic acid 1 -(2-Phenylpropan-2-yl) 4-allyl (compound 108) (710 mg, 91%) was obtained.
LCMS (ESI) m / z = 390 (M−H) −
Retention time: 0.63 minutes (analysis condition SQDAA50)
(S)-3-((tert-ブトキシカルボニル)アミノ)-4-オキソ-4-((2-フェニルプロパン-2-イル)オキシ)ブタン酸(化合物109) の合成
Synthesis of (S) -3-((tert-butoxycarbonyl) amino) -4-oxo-4-((2-phenylpropan-2-yl) oxy) butanoic acid (Compound 109)
(S)-2-((tert-ブトキシカルボニル)アミノ)コハク酸 1-(2-フェニルプロパン-2-イル) 4-アリル(化合物108)(710mg、1.81mmol)のジクロロメタン(20ml)-酢酸(1.08ml)-N-メチルモルホリン(0.541ml)溶液にPd(Ph3P)4(210mg、 0.181mmol)を加え、室温で3時間半攪拌した。その後、反応混合物を減圧濃縮した。得られた残渣を逆相シリカゲルカラムクロマトグラフィー(10mM酢酸アンモニウム水溶液/メタノール=100/0→30/70)にて精製し、(S)-3-((tert-ブトキシカルボニル)アミノ)-4-オキソ-4-((2-フェニルプロパン-2-イル)オキシ)ブタン酸(化合物109)(525mg、82%)を得た。
LCMS(ESI) m/z = 350(M-H)-
保持時間:0.80分(分析条件SQDAA05)
(S) -2-((tert-Butoxycarbonyl) amino) succinic acid 1- (2-phenylpropan-2-yl) 4-allyl (compound 108) (710 mg, 1.81 mmol) in dichloromethane (20 ml) -acetic acid Pd (Ph3P) 4 (210 mg, 0.181 mmol) was added to a (1.08 ml) -N-methylmorpholine (0.541 ml) solution, and the mixture was stirred at room temperature for 3.5 hours. Thereafter, the reaction mixture was concentrated under reduced pressure. The obtained residue was purified by reverse phase silica gel column chromatography (10 mM aqueous ammonium acetate / methanol = 100/0 → 30/70), and (S) -3-((tert-butoxycarbonyl) amino) -4- Oxo-4-((2-phenylpropan-2-yl) oxy) butanoic acid (Compound 109) (525 mg, 82%) was obtained.
LCMS (ESI) m / z = 350 (M−H) −
Retention time: 0.80 minutes (analysis condition SQDAA05)
(S)-2-((tert-ブトキシカルボニル)アミノ)コハク酸 1-(2-フェニルプロパン-2-イル) 4-(2-(エチルジスルファニル)-6-メチルフェニル)(化合物110)の合成
(S) -2-((tert-Butoxycarbonyl) amino) succinic acid 1- (2-phenylpropan-2-yl) 4- (2- (ethyldisulfanyl) -6-methylphenyl) (compound 110) Composition
(S)-3-((tert-ブトキシカルボニル)アミノ)-4-オキソ-4-((2-フェニルプロパン-2-イル)オキシ)ブタン酸(化合物109)(495mg、1.41mmol)のジクロロメタン(7ml)溶液に2-(エチルジスルファニル)-6-メチルフェノール(化合物105)(423mg、 2.11mmol)、N,N’-ジイソプロピルカルボジイミド(0.329ml, 2.11mmol), N,N-ジメチルピリジン-4-アミン(34.4mg, 0.282mmol)を加え、室温で1時間攪拌した。その後、反応液を逆相シリカゲルカラムクロマトグラフィー(10mM酢酸アンモニウム水溶液/メタノール=70/30→0/100)にて精製し、(S)-2-((tert-ブトキシカルボニル)アミノ)コハク酸 1-(2-フェニルプロパン-2-イル) 4-(2-(エチルジスルファニル)-6-メチルフェニル)(化合物110)(249mg、33%)を得た。
LCMS(ESI) m/z = 532(M-H)-
保持時間:1.15分(分析条件SQDAA05)
(S) -3-((tert-Butoxycarbonyl) amino) -4-oxo-4-((2-phenylpropan-2-yl) oxy) butanoic acid (Compound 109) (495 mg, 1.41 mmol) in dichloromethane (7 ml) To the solution was added 2- (ethyldisulfanyl) -6-methylphenol (compound 105) (423 mg, 2.11 mmol), N, N′-diisopropylcarbodiimide (0.329 ml, 2.11 mmol), N, N— Dimethylpyridin-4-amine (34.4 mg, 0.282 mmol) was added, and the mixture was stirred at room temperature for 1 hour. Thereafter, the reaction solution was purified by reverse phase silica gel column chromatography (10 mM ammonium acetate aqueous solution / methanol = 70/30 → 0/100), and (S) -2-((tert-butoxycarbonyl) amino) succinic acid 1 -(2-Phenylpropan-2-yl) 4- (2- (ethyldisulfanyl) -6-methylphenyl) (Compound 110) (249 mg, 33%) was obtained.
LCMS (ESI) m / z = 532 (M−H) −
Retention time: 1.15 minutes (analysis condition SQDAA05)
(S)-2-((tert-ブトキシカルボニル)アミノ)コハク酸 4-(2-(エチルジスルファニル)-6-メチルフェニル) 1-(シアノメチル)(化合物112)の合成
Synthesis of (S) -2-((tert-butoxycarbonyl) amino) succinic acid 4- (2- (ethyldisulfanyl) -6-methylphenyl) 1- (cyanomethyl) (compound 112)
(S)-2-((tert-ブトキシカルボニル)アミノ)コハク酸 1-(2-フェニルプロパン-2-イル) 4-(2-(エチルジスルファニル)-6-メチルフェニル) (化合物110)(240mg、0.450mmol)のジクロロメタン(4ml)溶液にトリフルオロ酢酸 (0.040ml, 0.519mmol)を加え、室温で1時間半攪拌し、さらにトリフルオロ酢酸 (0.040ml, 0.519mmol)を加え、室温で1時間半攪拌した。その後、反応液を減圧濃縮した。得られた残渣のブロモアセトニトリル(4.70ml)溶液にDIPEA(0.259ml, 1.49mmol)を加え、室温で10分攪拌し、反応液をシリカゲルカラムクロマトグラフィー(ヘキサン/酢酸エチル=100/0→50/50)にて精製し、(S)-2-((tert-ブトキシカルボニル)アミノ)コハク酸 4-(2-(エチルジスルファニル)-6-メチルフェニル) 1-(シアノメチル)(化合物112)(151mg、74%)を得た。
LCMS(ESI) m/z = 453(M-H)-
保持時間:1.04分(分析条件SQDAA05)
(S) -2-((tert-Butoxycarbonyl) amino) succinic acid 1- (2-phenylpropan-2-yl) 4- (2- (ethyldisulfanyl) -6-methylphenyl) (compound 110) ( To a solution of 240 mg, 0.450 mmol) in dichloromethane (4 ml) was added trifluoroacetic acid (0.040 ml, 0.519 mmol), stirred at room temperature for 1.5 hours, and further trifluoroacetic acid (0.040 ml, 0.519 mmol) was added. In addition, the mixture was stirred at room temperature for 1.5 hours. Thereafter, the reaction solution was concentrated under reduced pressure. DIPEA (0.259 ml, 1.49 mmol) was added to a solution of the obtained residue in bromoacetonitrile (4.70 ml), stirred at room temperature for 10 minutes, and the reaction solution was subjected to silica gel column chromatography (hexane / ethyl acetate = 100/0). (S) -2-((tert-butoxycarbonyl) amino) succinic acid 4- (2- (ethyldisulfanyl) -6-methylphenyl) 1- (cyanomethyl) (compound 112) (151 mg, 74%).
LCMS (ESI) m / z = 453 (M−H) −
Retention time: 1.04 minutes (analysis condition SQDAA05)
(2S)-2-アミノコハク酸 4-(2-(エチルジスルファニル)-6-メチルフェニル) 1-((2R,3S,4R,5R)-2-((((((2R,3S,5R)-5-(4-アミノ-2-オキソピリミジン-1(2H)-イル)-2-((ホスホノオキシ)メチル)テトラヒドロフラン-3-イル)オキシ)(ヒドロキシ)ホスホリル)オキシ)メチル)-5-(6-アミノ-9H-プリン-9-イル)-4-ヒドロキシテトラヒドロフラン-3-イル)(化合物114)の合成
(2S) -2-Aminosuccinic acid 4- (2- (ethyldisulfanyl) -6-methylphenyl) 1-((2R, 3S, 4R, 5R) -2-(((((((2R, 3S, 5R ) -5- (4-Amino-2-oxopyrimidin-1 (2H) -yl) -2-((phosphonooxy) methyl) tetrahydrofuran-3-yl) oxy) (hydroxy) phosphoryl) oxy) methyl) -5 Synthesis of (6-Amino-9H-purin-9-yl) -4-hydroxytetrahydrofuran-3-yl) (Compound 114)
緩衝液A(29.2ml)にリン酸二水素 ((2R,3S,5R)-5-(4-アミノ-2-オキソピリミジン-1(2H)-イル)-3-(((((2R,3S,4R,5R)-5-(6-アミノ-9H-プリン-9-イル)-3,4-ジヒドロキシテトラヒドロフラン-2-イル)メトキシ)(ヒドロキシ)ホスホリル)オキシ)テトラヒドロフラン-2-イル)メチル(pdCpA,化合物1h)(49.0mg、0.077mmol)の水溶液(1.52ml)と(S)-2-((tert-ブトキシカルボニル)アミノ)コハク酸 4-(2-(エチルジスルファニル)-6-メチルフェニル) 1-(シアノメチル)(140mg、0.308mmol)のテトラヒドロフラン(0.764ml)溶液を加え、室温で1時間半攪拌した。その後、トリフルオロ酢酸(0.396ml、5.37mmol)を加えた後に、凍結乾燥させた。得られた残渣を逆相シリカゲルカラムクロマトグラフィー(0.1%ギ酸水溶液/0.1%ギ酸アセトニトリル溶液=100/0→50/50)にて精製し、(2S)-2-((tert-ブトキシカルボニル)アミノ)コハク酸 4-(2-(エチルジスルファニル)-6-メチルフェニル) 1-((2R,3S,4R,5R)-2-((((((2R,3S,5R)-5-(4-アミノ-2-オキソピリミジン-1(2H)-イル)-2-((ホスホノオキシ)メチル)テトラヒドロフラン-3-イル)オキシ)(ヒドロキシ)ホスホリル)オキシ)メチル)-5-(6-アミノ-9H-プリン-9-イル)-4-ヒドロキシテトラヒドロフラン-3-イル)とN,N,N-トリメチルヘキサデカン-1-アミニウム の混合物を得た。得られた混合物をトリフルオロ酢酸(0.10ml)に溶解させ、10分間室温攪拌した後、反応液を減圧濃縮した。得られた残渣を逆相シリカゲルカラムクロマトグラフィー(0.1%ギ酸水溶液/0.1%ギ酸アセトニトリル溶液=100/0→60/40)にて精製し、(2S)-2-アミノコハク酸 4-(2-(エチルジスルファニル)-6-メチルフェニル) 1-((2R,3S,4R,5R)-2-((((((2R,3S,5R)-5-(4-アミノ-2-オキソピリミジン-1(2H)-イル)-2-((ホスホノオキシ)メチル)テトラヒドロフラン-3-イル)オキシ)(ヒドロキシ)ホスホリル)オキシ)メチル)-5-(6-アミノ-9H-プリン-9-イル)-4-ヒドロキシテトラヒドロフラン-3-イル)(化合物114)(2.9mg, 40%)を得た。
LCMS(ESI) m/z = 932 (M-H)-
保持時間:0.70分(分析条件SQDAA05)
In buffer A (29.2 ml), dihydrogen phosphate ((2R, 3S, 5R) -5- (4-amino-2-oxopyrimidin-1 (2H) -yl) -3-(((((2R , 3S, 4R, 5R) -5- (6-Amino-9H-purin-9-yl) -3,4-dihydroxytetrahydrofuran-2-yl) methoxy) (hydroxy) phosphoryl) oxy) tetrahydrofuran-2-yl) An aqueous solution (1.52 ml) of methyl (pdCpA,
LCMS (ESI) m / z = 932 (M−H) −
Retention time: 0.70 minutes (analysis condition SQDAA05)
2.翻訳されたペプチドでのアミド化反応
翻訳合成後の反応補助基を利用しないアミド化反応をTOF-MSにて生成を確認した。
2-1. 転写によるtRNA(CA欠損)の合成
鋳型DNA(配列番号D-40)から、RiboMAX Large Scale RNA production System T7(Promega社,P1300)を用いたin vitro の転写により3'端のCAを欠くtRNAGluAAG (-CA)(配列番号R-40)を合成し、RNeasy Mini kit(Qiagen社)により精製した。
2. The amidation reaction with the translated peptide The generation of the amidation reaction without using the reaction auxiliary group after translation synthesis was confirmed by TOF-MS.
2-1. Synthesis of tRNA (CA-deficient) by transcription From template DNA (SEQ ID NO: D-40), tRNAGluAAG lacking 3′-end CA by in vitro transcription using RiboMAX Large Scale RNA production System T7 (Promega, P1300) -CA) (SEQ ID NO: R-40) was synthesized and purified by RNeasy Mini kit (Qiagen).
配列番号D-40(配列番号:64)
tRNAGluAAG (-CA) DNA配列:
GGCGTAATACGACTCACTATAGTCCCCTTCGTCTAGAGGCCCAGGACACCGCCCTAAGACGGCGGTAACAGGGGTTCGAATCCCCTAGGGGACGC
SEQ ID NO: D-40 (SEQ ID NO: 64)
tRNAGluAAG (-CA) DNA sequence:
GGCGTAATACGACTCACTATAGTCCCCTTCGTCTAGAGGCCCAGGACACCGCCCTAAGACGGCGGTAACAGGGGTTCGAATCCCCTAGGGGACGC
配列番号R-40(配列番号:65)
tRNAGluAAG (-CA) RNA配列:
GUCCCCUUCGUCUAGAGGCCCAGGACACCGCCCUAAGACGGCGGUAACAGGGGUUCGAAUCCCCUAGGGGACGC
SEQ ID NO: R-40 (SEQ ID NO: 65)
tRNAGluAAG (-CA) RNA sequence:
GUCCCCUUCGUCUAGAGGCCCAGGACACCGCCCUAAGACGGCGGUAACAGGGGUUCGAAUCCCCUAGGGGACGC
2-2. 側鎖カルボン酸が活性エステル化されたアミノアシル化pdCpA(化合物1i-ID)とtRNA(CA欠損)(配列番号:R-40)のligationによるアミノアシル化tRNA(化合物AT-7-A)の合成
50μM 転写tRNAGluAAG (-CA)(配列番号R-40) 10μLに、10X ligation buffer(500 mM HEPES-KOH pH 7.5, 200 mM MgCl2, 10 mM ATP)2μL、Nuclease free water 4μLを加え、95℃で2分間加熱した後、室温で5分間放置し、tRNAのリフォールディングを行った。 20unit/μLのT4 RNAリガーゼ(New England Bio Lab.社)2μLおよび、5mMの側鎖カルボン酸が活性エステル化されたアミノアシル化pdCpA(化合物1i-ID)のDMSO溶液 2μLを加え、15℃で45分間ライゲーション反応を行った。ライゲーション反応液 20μLに、3M酢酸ナトリウム 4μLと125mM ヨウ素(水:THF=1:1溶液)24μLを加え、室温で1時間、脱保護を行った。アミノアシル化tRNA(化合物AT-7-A)は、フェノール抽出した後、エタノール沈殿により回収した。アミノアシル化tRNA(化合物AT-7-A)は、翻訳混合物に添加する直前に1mM酢酸ナトリウムに溶解した。
2-2. Synthesis of aminoacylated tRNA (compound AT-7-A) by ligation of aminoacylated pdCpA (compound 1i-ID) in which side chain carboxylic acid is active esterified and tRNA (CA deficient) (SEQ ID NO: R-40) 50 μM Transcription tRNAGluAAG (-CA) (SEQ ID NO: R-40) To 10 μL, add 10 μL ligation buffer (500 mM HEPES-KOH pH 7.5, 200 mM MgCl 2 , 10 mM ATP) 2 μL, Nuclease
化合物AT-7-A(配列番号:66)
Asp(SBn)-tRNAGluAAG
Compound AT-7-A (SEQ ID NO: 66)
Asp (SBn) -tRNAGluAAG
2-3. 側鎖カルボン酸が活性エステル化されたアミノ酸を用いた翻訳合成
側鎖カルボン酸をチオエステルにより活性化したアスパラギン酸誘導体でアミノアシル化されたtRNAを、無細胞翻訳系に加えて翻訳を開始することにより、所望の非天然アミノ酸を含有するポリペプチドの翻訳合成を行った。翻訳系は、原核生物由来の再構成無細胞タンパク質合成系であるPURE systemを用いた。具体的には、翻訳液,1%(v/v) RNasein Ribonuclease inhibitor (Promega社,N2111), 1mM GTP,1mM ATP,20mMクレアチンリン酸,50mM HEPES-KOH pH7.6,100mM 酢酸カリウム,6mM 酢酸マグネシウム,2mMスペルミジン,1mM ジチオスレイトール,0.1mM 10-HCO-H4folate, 1.5mg/ml E.coli MRE600(RNaseネガティブ)由来tRNA(Roche社),4μg/ml クレアチンキナーゼ,3μg/ml ミオキナーゼ,2unit/ml 無機ピロフォスファターゼ,1.1μg/ml ヌクレオシド二リン酸キナーゼ,0.6μM メチオニルtRNAトランスフォルミラーゼ,0.26μM EF-G,0.24μM RF2,0.17μM RF3,0.5μM RRF,2.7μM IF1,0.4μM IF2,1.5μM IF3,40μM EF-Tu,93μM EF-Ts,1.2μM リボソーム,0.73μM AlaRS,0.03μM ArgRS,0.38μM AsnRS,0.13μM AspRS,0.02μM CysRS,0.06μM GlnRS,0.23μM GluRS,0.09μM GlyRS,0.02μM HisRS,0.4μM IleRS,0.04μM LeuRS,0.11μM LysRS,0.03μM MetRS,0.68μM PheRS,0.16μM ProRS,0.04μM SerRS,0.09μM ThrRS,0.03μM TrpRS,0.02μM TyrRS,0.02μM ValRS(自家調製タンパクは基本的にはHisタグ付加タンパクとして調製した))に、1μM 鋳型RNA、それぞれの鋳型DNAにコードされているタンパク質性アミノ酸群をそれぞれ250μMずつ、ならびに50μMの側鎖カルボン酸が活性エステル化されたアミノアシル化tRNA(化合物AT-7-A)を翻訳反応混合物に添加し、37℃で1時間静置することで行った。
2-3. Translation synthesis using an amino acid whose side chain carboxylic acid is active esterified By adding a tRNA aminoacylated with an aspartic acid derivative obtained by activating a side chain carboxylic acid with a thioester to a cell-free translation system, and starting translation A translational synthesis of a polypeptide containing the desired unnatural amino acid was performed. The translation system used was the PURE system, a prokaryotic-derived reconstituted cell-free protein synthesis system. Specifically, translation solution, 1% (v / v) RNasein Ribonuclease inhibitor (Promega, N2111), 1 mM GTP, 1 mM ATP, 20 mM creatine phosphate, 50 mM HEPES-KOH pH7.6, 100 mM potassium acetate, 6 mM acetic acid Magnesium, 2 mM spermidine, 1 mM dithiothreitol, 0.1 mM 10-HCO-H4folate, 1.5 mg / ml E. coli MRE600 (RNase negative) -derived tRNA (Roche), 4 μg / ml creatine kinase, 3 μg / ml myokinase, 2 unit / ml inorganic pyrophosphatase, 1.1 μg / ml nucleoside diphosphate kinase, 0.6 μM methionyl tRNA transformylase , 0.26 μM EF-G, 0.24 μM RF2, 0.17 μM RF3, 0.5 μM RRF, 2.7 μM IF1, 0.4 μM IF2, 1.5 μM IF3, 40 μM EF-Tu, 93 μM EF-Ts, 2 μM ribosome, 0.73 μM AlaRS, 0.03 μM ArgRS, 0.38 μM AsnRS, 0.13 μM AspRS, 0.02 μM CysRS, 0.06 μM GlnRS, 0.23 μM GluRS, 0.09 μM GlyRS, 0. 2 μM HisRS, 0.4 μM IleRS, 0.04 μM LeuRS, 0.11 μM LysRS, 0.03 μM MetRS, 0.68 μM PheRS, 0.16 μM ProRS, 0.04 μM SerRS, 0.09 μM ThrRS, 0.03 μM TrpRS, 0. 02 μM TyrRS, 0.02 μM ValRS (the self-prepared protein was basically prepared as a His-tagged protein)), 1 μM template RNA, 250 μM each of protein amino acids encoded by each template DNA, and An aminoacylated tRNA (compound AT-7-A) in which 50 μM side chain carboxylic acid was active esterified was added to the translation reaction mixture, and the mixture was allowed to stand at 37 ° C. for 1 hour.
翻訳産物はマトリックスとしてα-シアノ-4-ヒドロキシケイ皮酸を用いてMALDI-MSスペクトルを測定して同定した。 The translation product was identified by measuring a MALDI-MS spectrum using α-cyano-4-hydroxycinnamic acid as a matrix.
2-4.ベンジルチオエステル化されたアスパラギン酸誘導体を含むペプチド(化合物P-141)の翻訳合成
1μM 鋳型RNAMgtp_R(配列番号R-41(配列番号:67))に、0.25mM Gly,0.25mM Pro,0.25mM Arg,0.25mM Thr,0.25mM Tyrおよび、50μM Asp(SBn)-tRNAGluAAG(化合物AT-7-A)を含む前述の翻訳液を37℃で60分間保温した。得られた翻訳反応物を、SPE C-TIP(日京テクノス社)で精製し、MALDI-MSで分析した。その結果、開始メチオニン直後のGlyから翻訳開始された、N末端α―アミノ基とチオエステルを含むペプチドP-141(図39、ピークI)、及びそのGly直後に位置するThrから翻訳開始されたペプチドP-142(図39、ピークII)が主生成物として観測された(図39)
2-4. Translation synthesis of peptide containing benzylthioesterified aspartic acid derivative (compound P-141) 1 μM template RNA Mgtp_R (SEQ ID NO: R-41 (SEQ ID NO: 67)) was added to 0.25 mM Gly, 0.25 mM Pro,. The aforementioned translation solution containing 25 mM Arg, 0.25 mM Thr, 0.25 mM Tyr and 50 μM Asp (SBn) -tRNAGluAAG (compound AT-7-A) was incubated at 37 ° C. for 60 minutes. The obtained translation reaction product was purified by SPE C-TIP (Nikkyo Technos) and analyzed by MALDI-MS. As a result, translation started from Gly immediately after the initiation methionine, peptide P-141 containing an N-terminal α-amino group and a thioester (FIG. 39, peak I), and translation initiated from Thr located immediately after Gly P-142 (FIG. 39, peak II) was observed as the main product (FIG. 39).
配列番号 R-41(配列番号:67)
Mgtp_R RNA配列
GGGUUAACUUUAAGAAGGAGAUAUACAUaugGGUACUACAACGCGUCUUCCGUACCGUGGCGGCuaagcuucg
SEQ ID NO: R-41 (SEQ ID NO: 67)
Mgtp_R RNA sequence
GGGUUAACUUUAAGAAGGAGAUAUACAUaugGGUACUACAACGCGUCUUCCGUACCGUGGCGGCuaagcuucg
ペプチド配列P-141
GlyThrThrThrArg[Asp(SBn)]ProTyrArgGlyGly
Peptide sequence P-141
GlyThrThrThrArg [Asp (SBn)] ProTyrArgGlyGly
ペプチド配列P-142
ThrThrThrArg[Asp(SBn)]ProTyrArgGlyGly
Peptide sequence P-142
ThrThrThrArg [Asp (SBn)] ProTyrArgGlyGly
MALDI-MS:
m/z: [H+M]+ = 1286.6(配列P-141に対応するペプチド。Calc.1286.6)
m/z: [H+M]+ = 1229.6(配列P-142に対応するペプチド。Calc.1229.6)
MALDI-MS:
m / z: [H + M] + = 1286.6 (peptide corresponding to sequence P-141. Calc.1286.6)
m / z: [H + M] + = 1229.6 (peptide corresponding to sequence P-142. Calc.1229.6)
2-5.翻訳ペプチドP-141上のチオエステルとN末端α―アミノ基を用いたペプチドのアミド環化実験
前述の翻訳反応物P-141を含む翻訳溶液3.5μL、1μLチオフェノール溶液(5M 4-トリフルオロメチルチオフェノール、5Mトリエチルアミンを等量混合したもの)、0.5μL 500mM トリカルボキシエチルホスフィン溶液 (pH7.5)を混合し、50℃で2時間保温した。その結果、出発物質であるP-141のピークは消失し、代わりにN末端α―アミノ基の窒素原子とAspの側鎖カルボン酸でアミド環化した化合物P-143に相当するピークを観測した(図40、ピークI)。
2-5. Peptide amide cyclization experiment using thioester on translation peptide P-141 and N-terminal α-amino group 3.5 μL of translation solution containing the aforementioned translation reaction product P-141, 1 μL thiophenol solution (5M 4-trifluoro Methylthiophenol and 5M triethylamine mixed in equal amounts) and 0.5 μL of 500 mM tricarboxyethylphosphine solution (pH 7.5) were mixed and kept at 50 ° C. for 2 hours. As a result, the peak of P-141 as a starting material disappeared, and instead a peak corresponding to compound P-143 amide-cyclized with a nitrogen atom of the N-terminal α-amino group and a side chain carboxylic acid of Asp was observed. (FIG. 40, peak I).
ペプチド配列P-143(配列番号:68)
GlyThrThrThrArg[Asp(SBn)]ProTyrArgGlyGlyのN末端アミノ基の窒素原子とAspの側鎖カルボン酸でアミド環化した化合物
MALDI-MS:m/z: [M+H]+ = 1162.4 (Calc.1162.6)
Peptide sequence P-143 (SEQ ID NO: 68)
GlyThrThrThrArg [Asp (SBn)] ProTyrArgGlyGly N-terminal amino group nitrogen compound and Asp side chain carboxylic acid amide cyclized compound
MALDI-MS: m / z: [M + H] + = 1162.4 (Calc.1162.6)
2-6.Initiation read through法を用いた複数種の非Cys残基N末端アミノ酸含有ペプチド合成と、それを用いた反応補助基を利用しないペプチド環化
側鎖カルボン酸をチオエステルにより活性化したアスパラギン酸誘導体でアミノアシル化されたtRNAと、開始メチオニンを除いたタンパク質性アミノ酸混合物を無細胞翻訳系に加えて翻訳することで、所望の非天然アミノ酸を含有するポリペプチドの翻訳合成を行った。翻訳系は、原核生物由来の再構成無細胞タンパク質合成系であるPURE systemを用いた。具体的には、翻訳液,1%(v/v) RNasein Ribonuclease inhibitor (Promega社,N2111), 1mM GTP,1mM ATP,20mMクレアチンリン酸,50mM HEPES-KOH pH7.6,100mM 酢酸カリウム,6mM 酢酸マグネシウム,2mMスペルミジン,0.1mM 10-HCO-H4folate, 1.5mg/ml E.coli MRE600(RNaseネガティブ)由来tRNA(Roche社),4μg/ml クレアチンキナーゼ,3μg/ml ミオキナーゼ,2unit/ml 無機ピロフォスファターゼ,1.1μg/ml ヌクレオシド二リン酸キナーゼ,0.6μM メチオニルtRNAトランスフォルミラーゼ,0.26μM EF-G,0.24μM RF2,0.17μM RF3,0.5μM RRF,2.7μM IF1,0.4μM IF2,1.5μM IF3,40μM EF-Tu,93μM EF-Ts,1.2μM リボソーム,0.73μM AlaRS,0.03μM ArgRS,0.38μM AsnRS,0.13μM AspRS,0.02μM CysRS,0.06μM GlnRS,0.23μM GluRS,0.09μM GlyRS,0.4μM IleRS,0.04μM LeuRS,0.11μM LysRS,0.03μM MetRS,0.68μM PheRS,0.16μM ProRS,0.04μM SerRS,0.09μM ThrRS,0.03μM TrpRS,0.02μM TyrRS,0.02μM ValRS(自家調製タンパクは基本的にはHisタグ付加タンパクとして調製した))に、1μM 鋳型RNA、タンパク質性アミノ酸群をそれぞれ250μMずつ、ならびに50μMの側鎖カルボン酸が活性エステル化されたアミノアシル化tRNA(化合物AT-7-A)を翻訳反応混合物に添加し、37℃で1時間静置することで行った。
2-6. Synthesis of multiple non-Cys residue N-terminal amino acid-containing peptides using the initiation read through method, and aminoacyl aspartic acid derivatives activated by thioesters of peptide cyclized side chain carboxylic acids that do not use reaction auxiliary groups A translational synthesis of a polypeptide containing a desired unnatural amino acid was performed by adding a translated tRNA and a proteinaceous amino acid mixture excluding the initiation methionine to a cell-free translation system for translation. The translation system used was the PURE system, a prokaryotic-derived reconstituted cell-free protein synthesis system. Specifically, translation solution, 1% (v / v) RNasein Ribonuclease inhibitor (Promega, N2111), 1 mM GTP, 1 mM ATP, 20 mM creatine phosphate, 50 mM HEPES-KOH pH7.6, 100 mM potassium acetate, 6 mM acetic acid Magnesium, 2 mM spermidine, 0.1 mM 10-HCO-H4folate, 1.5 mg / ml E. coli MRE600 (RNase negative) -derived tRNA (Roche), 4 μg / ml creatine kinase, 3 μg / ml myokinase, 2 unit / ml inorganic pyrophosphatase, 1.1 μg / ml nucleoside diphosphate kinase, 0.6 μM methionyl tRNA transformylase , 0.26 μM EF-G, 0.24 μM RF2, 0.17 μM RF3, 0.5 μM RRF, 2.7 μM IF1, 0.4 μM IF2, 1.5 μM IF3, 40 μM EF-Tu, 93 μM EF-Ts, 2 μM ribosome, 0.73 μM AlaRS, 0.03 μM ArgRS, 0.38 μM AsnRS, 0.13 μM AspRS, 0.02 μM CysRS, 0.06 μM GlnRS, 0.23 μM GluRS, 0.09 μM GlyRS, 0. μM IleRS, 0.04 μM LeuRS, 0.11 μM LysRS, 0.03 μM MetRS, 0.68 μM PheRS, 0.16 μM ProRS, 0.04 μM SerRS, 0.09 μM ThrRS, 0.03 μM TrpRS, 0.02 μM TyrRS, 0. 02 μM ValRS (the self-prepared protein was basically prepared as a His-tagged protein)), 1 μM template RNA, 250 μM each of proteinaceous amino acid groups, and 50 μM side-chain carboxylic acid aminoacylated tRNA (compound AT-7-A) was added to the translation reaction mixture and allowed to stand at 37 ° C. for 1 hour.
翻訳産物はマトリックスとしてα-シアノ-4-ヒドロキシケイ皮酸を用いてMALDI-MSスペクトルを測定して同定した。 The translation product was identified by measuring a MALDI-MS spectrum using α-cyano-4-hydroxycinnamic acid as a matrix.
2-7.N末端Phe, Alaとベンジルチオエステル化されたアスパラギン酸誘導体を含むペプチド(P-D1,P-D2)の翻訳合成
1μM 鋳型RNA OT89(配列番号RM-D1)に、0.25mM Phe,0.25mM Gly,0.25mM Pro,0.25mM Arg,0.25mM Thr,0.25mM Tyrおよび、50μM Asp(SBn)-tRNAGluAAG(化合物AT-7-A)を含む前述の翻訳液を37℃で60分間保温した。同様に別容器にて1μM 鋳型RNA OT90(配列番号RM-D2)に、0.25mM Ala,0.25mM Gly,0.25mM Pro,0.25mM Arg,0.25mM Thr,0.25mM Tyrおよび、50μM Asp(SBn)-tRNAGluAAG(化合物AT-7-A)を含む前述の翻訳液を37℃で60分間保温した。得られた2つの翻訳反応物1μLにそれぞれ9μLの0.2%トリフルオロ酢酸を加え、そのうち1μLずつをMALDIターゲットプレート上に載せた後、1μLのCHCA溶液(10mg/ml α-シアノ-4-ヒドロキシケイ皮酸、50%アセトニトリル、0.1%トリフルオロ酢酸溶液)と混和し、プレート上乾固した。MALDI-MS分析の結果、RM-D1、RM-D2それぞれの鋳型から、開始メチオニン直後のPheもしくはAlaから翻訳開始された望みのペプチドP-D1(図44、ピークI)及びペプチドP-D2(図45、ピークI)が主生成物として観測された。
2-7. Translational synthesis of peptide containing N-terminal Phe, Ala and benzylthioesterified aspartic acid derivative (P-D1, P-D2) 1 μM Template RNA OT89 (SEQ ID NO: RM-D1) was added to 0.25 mM Phe, 0.25 mM The above translation solution containing Gly, 0.25 mM Pro, 0.25 mM Arg, 0.25 mM Thr, 0.25 mM Tyr, and 50 μM Asp (SBn) -tRNAGluAAG (compound AT-7-A) was incubated at 37 ° C. for 60 minutes. Keep warm. Similarly, in a separate container, 1 μM template RNA OT90 (SEQ ID NO: RM-D2) was added to 0.25 mM Ala, 0.25 mM Gly, 0.25 mM Pro, 0.25 mM Arg, 0.25 mM Thr, 0.25 mM Tyr, and The above translation solution containing 50 μM Asp (SBn) -tRNAGluAAG (compound AT-7-A) was incubated at 37 ° C. for 60 minutes. 9 μL of 0.2% trifluoroacetic acid was added to 1 μL of each of the two translation reactions obtained, and 1 μL of each was placed on a MALDI target plate, and then 1 μL of a CHCA solution (10 mg / ml α-cyano-4- Hydroxycinnamic acid, 50% acetonitrile, 0.1% trifluoroacetic acid solution) and dried on the plate. As a result of MALDI-MS analysis, from the templates of RM-D1 and RM-D2, desired peptide P-D1 (FIG. 44, peak I) and peptide P-D2 (translation started from Phe or Ala immediately after the initiation methionine) FIG. 45, peak I) was observed as the main product.
配列番号RM-D1(配列番号:78)
OT89 RNA配列
GGGUUAACUUUAAGAAGGAGAUAUACAUaugUUUACUACAACGCGUCUUCCGUACCGUGGCGGCuaagcuucg
SEQ ID NO: RM-D1 (SEQ ID NO: 78)
OT89 RNA sequence
GGGUUAACUUUAAGAAGGAGAUAUACAUaugUUUACUACAACGCGUCUUCCGUACCGUGGCGGCuaagcuucg
ペプチド配列P-D1
PheThrThrThrArg[Asp(SBn)]ProTyrArgGlyGly
Peptide sequence P-D1
PheThrThrThrArg [Asp (SBn)] ProTyrArgGlyGly
配列番号RM-D2(配列番号:79)
OT90 RNA配列
GGGUUAACUUUAAGAAGGAGAUAUACAUaugGCUACUACAACGCGUCUUCCGUACCGUGGCGGCuaagcuucg
SEQ ID NO: RM-D2 (SEQ ID NO: 79)
OT90 RNA sequence
GGGUUAACUUUAAGAAGGAGAUAUACAUaugGCUACUACAACGCGUCUUCCGUACCGUGGCGGCuaagcuucg
ペプチド配列P-D2
AlaThrThrThrArg[Asp(SBn)]ProTyrArgGlyGly
Peptide sequence P-D2
AlaThrThrThrArg [Asp (SBn)] ProTyrArgGlyGly
MALDI-MS:
m/z: [H+M]+ = 1376.4(配列P-D1に対応するペプチド。Calc.1376.6)
m/z: [H+M]+ = 1300.4(配列P-D2に対応するペプチド。Calc.1300.6)
MALDI-MS:
m / z: [H + M] + = 1376.4 (peptide corresponding to sequence P-D1. Calc.1376.6)
m / z: [H + M] + = 1300.4 (peptide corresponding to sequence PD-2. Calc. 1300.6)
2-8.翻訳ペプチドP-D1、P-D2上のチオエステルとN末端α―アミノ基を用いたペプチドのアミド環化実験
前述の翻訳反応物P-D1を含む翻訳溶液3.5μLそれぞれに、1μLチオフェノール溶液(5M 4-トリフルオロメチルチオフェノール、5Mトリエチルアミンを等量混合したもの)、0.5μL 500mM トリカルボキシエチルホスフィン溶液 (pH7.5)を混合し、50℃で2時間保温した。得られた反応液2μLに12μLの2%トリフルオロ酢酸を加え、そのうち1μLをMALDIターゲットプレート上に載せた後、1μLのCHCA溶液(10mg/ml α-シアノ-4-ヒドロキシケイ皮酸、50%アセトニトリル、0.1%トリフルオロ酢酸溶液)と混和し、プレート乾固した後、MALDI-MSにて解析を行った。その結果、出発物質であるP-D1のピークは消失し、代わりにN末端α―アミノ基の窒素原子とAspの側鎖カルボン酸でアミド環化した化合物P-D3に相当するピークを観測した(図44、ピークII)。前述の翻訳反応物P-D2を含む翻訳溶液についても、上記と同様な操作を行いMALDI-MSにて解析したところ、N末端α―アミノ基の窒素原子とAspの側鎖カルボン酸でアミド環化した化合物P-D4に相当するピークを観測した(図45、ピークII)
2-8. Peptide amide cyclization experiment using thioester on translation peptide P-D1 and P-D2 and N-terminal α-
ペプチド配列P-D3(配列番号:80)
PheThrThrThrArg[Asp(SBn)]ProTyrArgGlyGlyのN末端アミノ基の窒素原子とAspの側鎖カルボン酸でアミド環化した化合物
MALDI-MS:m/z: [M+H]+ = 1252.3 (Calc.1252.6)
Peptide sequence P-D3 (SEQ ID NO: 80)
PheThrThrThrArg [Asp (SBn)] ProTyrArgGlyGly N-terminal amino group N-terminal amino group and Asp side chain carboxylic acid amide cyclized compound
MALDI-MS: m / z: [M + H] + = 1252.3 (Calc.1252.6)
ペプチド配列P-D4(配列番号:81)
AlaThrThrThrArg[Asp(SBn)]ProTyrArgGlyGlyのN末端アミノ基の窒素原子とAspの側鎖カルボン酸でアミド環化した化合物
MALDI-MS:m/z: [M+H]+ = 1176.3 (Calc.1176.6)
Peptide sequence P-D4 (SEQ ID NO: 81)
AlaThrThrThrArg [Asp (SBn)] ProTyrArgGlyGly N-terminal amino group nitrogen compound and Asp side chain carboxylic acid amide cyclized compound
MALDI-MS: m / z: [M + H] + = 1176.3 (Calc.1176.6)
2-9.環化反応条件におけるRNA安定性評価
反応補助基を利用しないアミド化環化反応条件においてRNAが分解しないことを評価するため、反応条件に伏したRNAをゲル電気泳動により解析した。
1uM Mgtp_R RNA(配列番号R-41)を含む溶液(1mM GTP,1mM ATP,20mMクレアチンリン酸,50mM HEPES-KOH pH7.6,100mM 酢酸カリウム,6mM 酢酸マグネシウム,2mMスペルミジン,1mM ジチオスレイトール,0.1mM 10-HCO-H4folate,)3.5μL、1μLチオフェノール溶液(5M 4-トリフルオロメチルチオフェノール、5Mトリエチルアミンを等量混合したもの)、0.5μL 500mM トリカルボキシエチルホスフィン溶液 (pH7.6)を混合し、50℃で0.5~2時間保温した。その後反応液をRNeasy minelute(qiagen社)により精製した。環化条件に付していない対照実験として、保温時間をなくしたもの、チオフェノール溶液の代わりに水を加えたもの、それらに加えて精製操作を行わなかったものも同様の操作を施した。得られたRNA溶液は、6M尿素を含む10%ポリアクリルアミドゲルにて電気泳動を行った後、SYBR gold nucleic acid stain (Invitrogen社)により染色を行った。
その結果、対象実験として環化条件に付していないRNA (lane 1-3)と比べても、反応条件に付したRNA(lane 6)はバンドパターンやバンド濃さに変化がなく、環化反応条件においてもRNAが安定であることが明らかとなった(図46)。
2-9. RNA stability evaluation under cyclization reaction conditions
In order to evaluate that RNA does not degrade under the amidation cyclization reaction conditions that do not use a reaction auxiliary group, RNA that had been subjected to the reaction conditions was analyzed by gel electrophoresis.
Solution containing 1 uM Mgtp_R RNA (SEQ ID NO: R-41) (1 mM GTP, 1 mM ATP, 20 mM creatine phosphate, 50 mM HEPES-KOH pH 7.6, 100 mM potassium acetate, 6 mM magnesium acetate, 2 mM spermidine, 1 mM dithiothreitol, 0 .1 mM 10-HCO-H4folate,) 3.5 μL, 1 μL thiophenol solution (mixture of equal amounts of 5M 4-trifluoromethylthiophenol, 5M triethylamine), 0.5 μL 500 mM tricarboxyethylphosphine solution (pH 7.6) Were mixed and kept at 50 ° C. for 0.5 to 2 hours. Thereafter, the reaction solution was purified by RNeasy minelute (qiagen). As a control experiment not subjected to the cyclization conditions, the same operation was performed for those in which the incubation time was eliminated, in which water was added instead of the thiophenol solution, and in addition to those in which no purification operation was performed. The obtained RNA solution was subjected to electrophoresis on a 10% polyacrylamide gel containing 6M urea and then stained with SYBR gold nucleic acid stain (Invitrogen).
As a result, the RNA (lane 6) subjected to the reaction conditions did not change in the band pattern or band density compared to the RNA (lane 1-3) not subjected to the cyclization conditions as the target experiment, and the cyclization It was revealed that RNA was stable even under reaction conditions (FIG. 46).
本実験より以下の事柄が明らかとなった。(1)Intiation read through法はCysやGlyと同様にAlaやPheであっても有効に機能し、選択的に望みのペプチド配列が翻訳できることが明らかとなった。(2)Ala、Pheともに望みの環化反応を進行させることができた。翻訳液中でCys(反応補助基有)やGly(α位置換基無のため最も反応性高い)以外のアミノ酸でもチオエステルを経由したアミド化反応が進行することを初めて示すことができた。本反応を進行させる目的には翻訳液中で安定な活性エステルを翻訳合成させ、その活性エステルを含む交差ユニットのC末端側となりのユニットのアミノ酸にはN-メチル化などのN-アルキル化されたユニット(プロリンも含む)が選択されることが必要である(アスパルチミド形成を避ける目的)。(3)主な副生成物はチオエステル部位の加水分解であった。(4)本反応条件ではRNAは安定に存在させることができ、ペプチドーRNA複合体でも、同様の反応が進行させることができる。 The following matters were clarified from this experiment. (1) It was clarified that the initiation-read-through method functions effectively even with Ala and Phe as well as Cys and Gly, and can selectively translate the desired peptide sequence. (2) Both Ala and Phe were able to proceed with the desired cyclization reaction. It was demonstrated for the first time that amino acids other than Cys (having a reaction auxiliary group) and Gly (highest reactivity because of no α-position substituent) in the translation solution proceeded via a thioester. For the purpose of proceeding with this reaction, a stable active ester is translationally synthesized in the translation solution, and the amino acid of the unit on the C-terminal side of the crossing unit containing the active ester is N-alkylated such as N-methylation. Units (including proline) must be selected (to avoid aspartimide formation). (3) The main by-product was hydrolysis of the thioester moiety. (4) Under this reaction condition, RNA can be stably present, and the same reaction can proceed even with peptide-RNA complexes.
3-1.環化反応条件の最適化
翻訳ペプチドでの環化反応例と合成ペプチドでの翻訳合成液中での反応例では類似の結果を得たことから、合成ペプチドでの翻訳合成液中での反応収率向上が確認されれば、翻訳ペプチドの環化反応収率向上が得られたと解釈できる。以下、合成ペプチドでの翻訳液中での反応最適化検討を行った。
3-1. Optimized cyclization reaction conditions The results of the cyclization reaction with the translated peptide and the reaction with the synthetic peptide in the translation synthesis solution were similar. If the rate improvement is confirmed, it can be interpreted that an improvement in the cyclization yield of the translated peptide was obtained. In the following, the reaction optimization in the translation solution with the synthetic peptide was examined.
3-1-1.pHの効果
pHを9から10付近で反応を実施していたが、pH7.8, 8.1, 9.2の3点で環化反応を行った結果、pHが小さい方が環化:加水分解の比が目的の方向に向上することが明らかとなった。
3-1-1. Effect of pH The reaction was carried out at a pH of around 9 to 10, but as a result of cyclization at three points of pH 7.8, 8.1, and 9.2, the smaller the pH, the higher the cyclization: hydrolysis ratio. It became clear that it improved in the target direction.
(2S,5S,8S,14S,17S,20S,23S,26S)-N-((S)-1-(((S)-1-((2-アミノ-2-オキソエチル)アミノ)-3-ヒドロキシ-1-オキソプロパン-2-イル)アミノ)-1-オキソプロパン-2-イル)-8,23-ジベンジル-14-イソブチル-20-イソプロピル-N,2,5,7,17-ペンタメチル-3,6,9,12,15,18,21,24,28-ノナオキソ-1,4,7,10,13,16,19,22,25-ノナアザシクロオクタコサン-26-カルボキサミド(化合物SP-511)の合成
(2S, 5S, 8S, 14S, 17S, 20S, 23S, 26S) -N-((S) -1-(((S) -1-((2-amino-2-oxoethyl) amino) -3- Hydroxy-1-oxopropan-2-yl) amino) -1-oxopropan-2-yl) -8,23-dibenzyl-14-isobutyl-20-isopropyl-N, 2,5,7,17-pentamethyl- 3,6,9,12,15,18,21,24,28-nonaoxo-1,4,7,10,13,16,19,22,25-nonazacyclooctacosane-26-carboxamide (compound SP -511)
4-(トリフルオロメチル)ベンゼンチオール(13.6ul、0.10mmol)およびトリエチルアミン(13.9ul、0.10mmol)を100mMのリン酸水素2ナトリウム水溶液(80μl)およびNMP(10μl)に溶解させた。この溶液に(3S,6S,9S,12S,15S,21S,24S,27S)-27-アミノ-3-(((S)-1-(((S)-1-((2-アミノ-2-オキソエチル)アミノ)-3-ヒドロキシ-1-オキソプロパン-2-イル)アミノ)-1-オキソプロパン-2-イル)(メチル)カルバモイル)-6,21-ジベンジル-15-イソブチル-9-イソプロピル-12,22,24-トリメチル-5,8,11,14,17,20,23,26-オクタオキソ-28-フェニル-4,7,10,13,16,19,22,25-オクタアザオクタコサン-1-チオ酸 S-ベンジル(化合物SP-504)のNMP溶液(10mM、10μl、0.10μmol)と内部標準として4-プロピル安息香酸のアセトニトリル溶液(50mM、1.0μl)を加え、30度で終夜攪拌した。反応開始時のpHは9.0であった。反応液をLCMSで分析し、標題化合物の生成を確認した。2時間攪拌後の転化率は内部標準とのLCMS-UVエリア比より72%で、標題化合物(SP-511)と加水分解体(化合物SP-512)の生成比(LCMSのUVエリア比による)は12:1であった。さらに、4時間後は転化率は81%、標題化合物(SP-511)と加水分解体(化合物SP-512)の生成比(LCMSのUVエリア比による)は8:1であった。そして、終夜攪拌後、原料化合物(SP-504)は消失したが、標題化合物(SP-511)と加水分解体(化合物SP-512)の生成比(LCMSのUVエリア比及びマス強度比の変化(6時間後データと終夜攪拌後データの比較)による)は3:1であった。つまり、反応時間の延長と供に、標題化合物の加水分解に対する選択性は低下する結果となった(表12)。終夜攪拌後の反応液のpHを測定するとpH10.0となっていた。
・標題化合物
LCMS(ESI)m/z =1132.3(M-H)-
保持時間:0.64分(分析条件SQDFA05)
・加水分解体(化合物SP-512)
LCMS(ESI) m/z =1150.4(M-H)-
保持時間:0.49分(分析条件SQDFA05)
4- (Trifluoromethyl) benzenethiol (13.6 ul, 0.10 mmol) and triethylamine (13.9 ul, 0.10 mmol) were dissolved in 100 mM aqueous disodium hydrogenphosphate (80 μl) and NMP (10 μl). . To this solution, (3S, 6S, 9S, 12S, 15S, 21S, 24S, 27S) -27-amino-3-(((S) -1-(((S) -1-((2-amino-2 -Oxoethyl) amino) -3-hydroxy-1-oxopropan-2-yl) amino) -1-oxopropan-2-yl) (methyl) carbamoyl) -6,21-dibenzyl-15-isobutyl-9-isopropyl -12,22,24-trimethyl-5,8,11,14,17,20,23,26-octaoxo-28-phenyl-4,7,10,13,16,19,22,25-octaazaocta Cosan-1-thioic acid S-benzyl (compound SP-504) in NMP (10 mM, 10 μl, 0.10 μmol) and 4-propylbenzoic acid in acetonitrile as an internal standard (50 mM) 1.0 μl), and stirred at 30 ° C. overnight. The pH at the start of the reaction was 9.0. The reaction solution was analyzed by LCMS to confirm the formation of the title compound. The conversion after stirring for 2 hours was 72% of the LCMS-UV area ratio with the internal standard, and the ratio of the title compound (SP-511) to the hydrolyzate (compound SP-512) (depending on the LCMS UV area ratio). Was 12: 1. Further, after 4 hours, the conversion was 81%, and the production ratio of the title compound (SP-511) to the hydrolyzate (compound SP-512) (according to the UV area ratio of LCMS) was 8: 1. After stirring overnight, the raw material compound (SP-504) disappeared, but the production ratio of the title compound (SP-511) and hydrolyzate (compound SP-512) (change in UV area ratio and mass intensity ratio of LCMS) (According to the comparison of the data after 6 hours and the data after stirring overnight) was 3: 1. That is, as the reaction time was extended, the selectivity of the title compound for hydrolysis decreased (Table 12). The pH of the reaction solution after stirring overnight was measured to be pH 10.0.
Title compound LCMS (ESI) m / z = 1132.3 (MH)-
Retention time: 0.64 minutes (analysis condition SQDFA05)
Hydrolyzate (compound SP-512)
LCMS (ESI) m / z = 1150.4 (M−H) −
Retention time: 0.49 minutes (analysis condition SQDFA05)
以上の結果より、反応時間の経過とともに、pHが上昇しており、これに従って環化体(標題化合物)/加水分解体の選択性が低下していくことがわかった。時間経過と共にpHが上昇するのは、系内でフリーのトリエチルアミンが発生することが原因である。本反応では水溶性を高める目的で、添加剤として用いる4-(トリフルオロメチル)ベンゼンチオールをトリエチルアミンとの塩として添加している。この、4-(トリフルオロメチル)ベンゼンチオールが酸化されてジスルフィドとなると、これまでSH基にて中和されていたアミンが過剰となり、系内にフリーのトリエチルアミンが生成し、結果としてpHが上昇する。 From the above results, it was found that the pH increased with the passage of the reaction time, and the selectivity of the cyclized product (title compound) / hydrolyzed product decreased accordingly. The increase in pH over time is due to the generation of free triethylamine in the system. In this reaction, 4- (trifluoromethyl) benzenethiol used as an additive is added as a salt with triethylamine for the purpose of enhancing water solubility. When 4- (trifluoromethyl) benzenethiol is oxidized to disulfide, the amine that has been neutralized with the SH group becomes excessive, and free triethylamine is generated in the system, resulting in an increase in pH. To do.
環化体(標題化合物)/加水分解体の選択性を向上させるには、反応中、塩基性を維持して、塩基性が高くならない反応条件設定が鍵であると結論される。そのための方法として、使用する緩衝液の濃度を上げ、フリーのトリエチルアミンが発生しても緩衝作用によってpHの上昇を抑えることが挙げられる。また、系内でフリーのトリエチルアミンが発生しないようにチオールの酸化を抑制する方法も考えられる。つまり、反応を窒素雰囲気下で行う、または還元剤であるトリス(2-カルボキシエチル)ホスフィンなどを共存させて行うことが望ましい。
従って、このような観点から、反応のpH上昇を抑えるため、反応液中の緩衝剤の濃度を62mMから500mMに上げ、還元剤としてトリス(2-カルボキシエチル)ホスフィン50mM を添加した条件で実験した。以下、環化体(標題化合物)/加水分解体の選択性に対するpHの影響を確認する為に、反応のpHは、pH7.8, 8.1, 9.2の3点で実施した。
In order to improve the selectivity of the cyclized product (title compound) / hydrolyzed product, it is concluded that setting the reaction conditions that maintain the basicity and do not increase the basicity during the reaction is the key. As a method for that purpose, it is possible to increase the concentration of the buffer solution to be used and suppress the increase in pH by the buffering action even if free triethylamine is generated. Another possible method is to suppress thiol oxidation so that free triethylamine is not generated in the system. In other words, the reaction is desirably performed in a nitrogen atmosphere or in the presence of a reducing agent such as tris (2-carboxyethyl) phosphine.
Therefore, from this point of view, in order to suppress the increase in the pH of the reaction, the experiment was performed under the condition that the concentration of the buffer in the reaction solution was increased from 62 mM to 500 mM and tris (2-carboxyethyl) phosphine 50 mM was added as a reducing agent. . Hereinafter, in order to confirm the influence of pH on the selectivity of the cyclized product (title compound) / hydrolyzed product, the pH of the reaction was carried out at three points of pH 7.8, 8.1 and 9.2.
(2S,5S,8S,14S,17S,20S,23S,26S)-N-((S)-1-(((S)-1-((2-アミノ-2-オキソエチル)アミノ)-3-ヒドロキシ-1-オキソプロパン-2-イル)アミノ)-1-オキソプロパン-2-イル)-8,23-ジベンジル-14-イソブチル-20-イソプロピル-N,2,5,7,17-ペンタメチル-3,6,9,12,15,18,21,24,28-ノナオキソ-1,4,7,10,13,16,19,22,25-ノナアザシクロオクタコサン-26-カルボキサミド(化合物SP-511)の合成
(2S, 5S, 8S, 14S, 17S, 20S, 23S, 26S) -N-((S) -1-(((S) -1-((2-amino-2-oxoethyl) amino) -3- Hydroxy-1-oxopropan-2-yl) amino) -1-oxopropan-2-yl) -8,23-dibenzyl-14-isobutyl-20-isopropyl-N, 2,5,7,17-pentamethyl- 3,6,9,12,15,18,21,24,28-nonaoxo-1,4,7,10,13,16,19,22,25-nonazacyclooctacosane-26-carboxamide (compound SP -511)
pH7.8における化合物SP-511の合成
水(10.9ul)、4-(トリフルオロメチル)ベンゼンチオール(6.80ul、0.050mmol)とトリエチルアミン(6.97ul、0.050mmol)の混合溶液を調整した。その混合溶液に1.9M HEPES緩衝溶液(pH=7.5, 13.1ul)、0.5Mトリス(2-カルボキシエチル)ホスフィン水溶液(pH=7.6、5.0ul)を加えた。さらに、(3S,6S,9S,12S,15S,21S,24S,27S)-27-アミノ-3-(((S)-1-(((S)-1-((2-アミノ-2-オキソエチル)アミノ)-3-ヒドロキシ-1-オキソプロパン-2-イル)アミノ)-1-オキソプロパン-2-イル)(メチル)カルバモイル)-6,21-ジベンジル-15-イソブチル-9-イソプロピル-12,22,24-トリメチル-5,8,11,14,17,20,23,26-オクタオキソ-28-フェニル-4,7,10,13,16,19,22,25-オクタアザオクタコサン-1-チオ酸 S-ベンジル(化合物SP-504)の10mM N-メチルピロリドン溶液5ulと11mMの内部標準(4-プロピル安息香酸)N-メチルピロリドン溶液(2.25ul)を加え30℃で6時間攪拌した。反応開始時のpHは7.8であった。LCMSを用いて反応の変化を観測したところ、標題化合物の生成を確認した。6時間で内部標準とのエリア面積比より転化率は96%であり、標題化合物(SP-511)と加水分解体(化合物SP-512)の生成比はLCMSのUVエリア比でおおよそ38:1であった。
・標題化合物
LCMS(ESI)m/z =1132.3(M-H)-
保持時間:0.63分(分析条件SQDFA05)
・加水分解体(化合物SP-512)
LCMS(ESI) m/z =1150.5(M-H)-
保持時間:0.48分(分析条件SQDFA05)
Synthesis of Compound SP-511 at pH 7.8 A mixed solution of water (10.9 ul), 4- (trifluoromethyl) benzenethiol (6.80 ul, 0.050 mmol) and triethylamine (6.97 ul, 0.050 mmol) It was adjusted. To the mixed solution, 1.9 M HEPES buffer solution (pH = 7.5, 13.1 ul) and 0.5 M tris (2-carboxyethyl) phosphine aqueous solution (pH = 7.6, 5.0 ul) were added. Further, (3S, 6S, 9S, 12S, 15S, 21S, 24S, 27S) -27-amino-3-(((S) -1-(((S) -1-((2-amino-2- Oxoethyl) amino) -3-hydroxy-1-oxopropan-2-yl) amino) -1-oxopropan-2-yl) (methyl) carbamoyl) -6,21-dibenzyl-15-isobutyl-9-isopropyl- 12,22,24-trimethyl-5,8,11,14,17,20,23,26-octaoxo-28-phenyl-4,7,10,13,16,19,22,25-octaazaoctacosane 1-
Title compound LCMS (ESI) m / z = 1132.3 (MH)-
Retention time: 0.63 minutes (analysis condition SQDFA05)
Hydrolyzate (compound SP-512)
LCMS (ESI) m / z = 1150.5 (M−H) −
Retention time: 0.48 minutes (analysis condition SQDFA05)
pH8.1における化合物SP-511の合成
上記のpH7.8における化合物SP-511の合成と同様の方法で、1.9M HEPES緩衝溶液(pH=7.5, 13.1ul)の代わりに1.9M HEPES緩衝溶液(pH=8.1, 13.1ul)を用い反応を行った。30℃で6時間攪拌した。反応開始時のpHは8.1であった。LCMSを用いて反応の変化を観測したところ、標題化合物の生成を確認した。6時間で内部標準とのエリア面積比より転化率は93%であり、標題化合物(SP-511)と加水分解体(化合物SP-512)の生成比はLCMSのUVエリア比でおおよそ40:1であった。
・標題化合物(SP-511)
LCMS(ESI) m/z =1132.3(M-H)-
保持時間:0.63分(分析条件SQDFA05)
・加水分解体(化合物SP-512)
LCMS(ESI) m/z =1150.4(M-H)-
保持時間:0.48分(分析条件SQDFA05)
Synthesis of Compound SP-511 at pH 8.1 In the same manner as the synthesis of Compound SP-511 at pH 7.8 described above, instead of 1.9 M HEPES buffer solution (pH = 7.5, 13.1 ul), 1. The reaction was carried out using 9M HEPES buffer solution (pH = 8.1, 13.1 ul). Stir at 30 ° C. for 6 hours. The pH at the start of the reaction was 8.1. When the change of the reaction was observed using LCMS, formation of the title compound was confirmed. The conversion ratio was 93% from the area ratio of the internal standard in 6 hours, and the production ratio of the title compound (SP-511) to the hydrolyzate (compound SP-512) was approximately 40: 1 as the UV area ratio of LCMS. Met.
Title compound (SP-511)
LCMS (ESI) m / z = 1132.3 (M−H) −
Retention time: 0.63 minutes (analysis condition SQDFA05)
Hydrolyzate (compound SP-512)
LCMS (ESI) m / z = 1150.4 (M−H) −
Retention time: 0.48 minutes (analysis condition SQDFA05)
pH9.2における化合物SP-511の合成
上記のpH7.8における化合物SP-511の合成と同様の方法で、1.9M HEPES緩衝溶液(pH=7.5, 13.1ul)の代わりに1.9M Bicine緩衝溶液(pH=9.5, 13.1ul)を用い反応を行った。30℃で6時間攪拌した。反応開始時のpHは9.2であった。LCMSを用いて反応の変化を観測したところ、標題化合物の生成を確認した。6時間で内部標準とのエリア面積比より転化率は87%であり、標題化合物(SP-511)と加水分解体(化合物SP-512)の生成比はLCMSのUVエリア比でおおよそ22:1であった。
・標題化合物(SP-511)
LCMS(ESI) m/z =1132.4(M-H)-
保持時間:0.63分(分析条件SQDFA05)
・加水分解体(化合物SP-512)
LCMS(ESI) m/z =1150.3(M-H)-
保持時間:0.48分(分析条件SQDFA05)
Synthesis of compound SP-511 at pH 9.2 In the same manner as the synthesis of compound SP-511 at pH 7.8 described above, instead of 1.9 M HEPES buffer solution (pH = 7.5, 13.1 ul), 1. The reaction was carried out using 9M Bicine buffer solution (pH = 9.5, 13.1 ul). Stir at 30 ° C. for 6 hours. The pH at the start of the reaction was 9.2. When the change of the reaction was observed using LCMS, formation of the title compound was confirmed. The conversion ratio was 87% from the area ratio of the internal standard in 6 hours, and the production ratio of the title compound (SP-511) to the hydrolyzate (compound SP-512) was approximately 22: 1 as the LCMS UV area ratio. Met.
Title compound (SP-511)
LCMS (ESI) m / z = 1132.4 (M−H) −
Retention time: 0.63 minutes (analysis condition SQDFA05)
Hydrolyzate (compound SP-512)
LCMS (ESI) m / z = 1150.3 (M−H) −
Retention time: 0.48 minutes (analysis condition SQDFA05)
3-1-2.添加剤(4-(トリフルオロメチル)ベンゼンチオール)の濃度効果
濃度1Mではなく100mMとした場合には、加水分解比率が増加することが明らかとなった。
(2S,5S,8S,14S,17S,20S,23S,26S)-N-((S)-1-(((S)-1-((2-アミノ-2-オキソエチル)アミノ)-3-ヒドロキシ-1-オキソプロパン-2-イル)アミノ)-1-オキソプロパン-2-イル)-8,23-ジベンジル-14-イソブチル-20-イソプロピル-N,2,5,7,17-ペンタメチル-3,6,9,12,15,18,21,24,28-ノナオキソ-1,4,7,10,13,16,19,22,25-ノナアザシクロオクタコサン-26-カルボキサミド(化合物SP-511)の合成
3-1-2. When the concentration effect concentration of the additive (4- (trifluoromethyl) benzenethiol) was set to 100 mM instead of 1 M, it became clear that the hydrolysis ratio increased.
(2S, 5S, 8S, 14S, 17S, 20S, 23S, 26S) -N-((S) -1-(((S) -1-((2-amino-2-oxoethyl) amino) -3- Hydroxy-1-oxopropan-2-yl) amino) -1-oxopropan-2-yl) -8,23-dibenzyl-14-isobutyl-20-isopropyl-N, 2,5,7,17-pentamethyl- 3,6,9,12,15,18,21,24,28-nonaoxo-1,4,7,10,13,16,19,22,25-nonazacyclooctacosane-26-carboxamide (compound SP -511)
水(41.6ul)、4-(トリフルオロメチル)ベンゼンチオール(1.36ul、0.01mmol)とトリエチルアミン(1.39ul、0.01mmol)の混合溶液を調整した。その混合溶液に、1.9MHEPES緩衝溶液(pH=8.1, 26.2ul)、0.5Mトリス(2-カルボキシエチル)ホスフィン水溶液(pH=7.6、10ul)を加えた。さらに、(3S,6S,9S,12S,15S,21S,24S,27S)-27-アミノ-3-(((S)-1-(((S)-1-((2-アミノ-2-オキソエチル)アミノ)-3-ヒドロキシ-1-オキソプロパン-2-イル)アミノ)-1-オキソプロパン-2-イル)(メチル)カルバモイル)-6,21-ジベンジル-15-イソブチル-9-イソプロピル-12,22,24-トリメチル-5,8,11,14,17,20,23,26-オクタオキソ-28-フェニル-4,7,10,13,16,19,22,25-オクタアザオクタコサン-1-チオ酸 S-ベンジル(化合物SP-504)の10mM N-メチルピロリドン溶液10ul、11mMの内部標準(4-プロピル安息香酸)N-メチルピロリドン溶液(4.56ul)とN-メチルピロリドン(4.89ul)を加え30℃で終夜攪拌した。反応開始時のpHは7.9であった。LCMSを用いて反応の変化を観測したところ、標題化合物の生成を確認した。終夜攪拌後で内部標準とのエリア面積比より転化率は98%であり、標題化合物(SP-511)と加水分解体(化合物SP-512)の生成比はLCMSのUVエリア比でおおよそ6:1であった。
・標題化合物(SP-511)
LCMS(ESI) m/z =1132.3(M-H)-
保持時間:0.63分(分析条件SQDFA05)
・加水分解体(化合物SP-512)
LCMS(ESI) m/z =1150.2(M-H)-
保持時間:0.48分(分析条件SQDFA05)
A mixed solution of water (41.6 ul), 4- (trifluoromethyl) benzenethiol (1.36 ul, 0.01 mmol) and triethylamine (1.39 ul, 0.01 mmol) was prepared. To the mixed solution, 1.9MHEPES buffer solution (pH = 8.1, 26.2 ul) and 0.5 M tris (2-carboxyethyl) phosphine aqueous solution (pH = 7.6, 10 ul) were added. Further, (3S, 6S, 9S, 12S, 15S, 21S, 24S, 27S) -27-amino-3-(((S) -1-(((S) -1-((2-amino-2- Oxoethyl) amino) -3-hydroxy-1-oxopropan-2-yl) amino) -1-oxopropan-2-yl) (methyl) carbamoyl) -6,21-dibenzyl-15-isobutyl-9-isopropyl- 12,22,24-trimethyl-5,8,11,14,17,20,23,26-octaoxo-28-phenyl-4,7,10,13,16,19,22,25-octaazaoctacosane 10-ul of 10 mM N-methylpyrrolidone solution of S-benzyl S-benzyl (compound SP-504), 11 mM internal standard (4-propylbenzoic acid) N-methylpyrrolidone solution (4.5 6 ul) and N-methylpyrrolidone (4.89 ul) were added and stirred at 30 ° C. overnight. The pH at the start of the reaction was 7.9. When the change of the reaction was observed using LCMS, formation of the title compound was confirmed. After overnight stirring, the conversion ratio was 98% based on the area area ratio with respect to the internal standard, and the production ratio of the title compound (SP-511) and hydrolyzate (compound SP-512) was approximately 6 as LCMS UV area ratio: 1
Title compound (SP-511)
LCMS (ESI) m / z = 1132.3 (M−H) −
Retention time: 0.63 minutes (analysis condition SQDFA05)
Hydrolyzate (compound SP-512)
LCMS (ESI) m / z = 1150.2 (M−H) −
Retention time: 0.48 minutes (analysis condition SQDFA05)
3-1-3.有機溶媒と水の比率変化による環化と加水分解体生成比変化
有機溶媒比率は向上させる方が有利である結果を得た。
添加剤(4-(トリフルオロメチル)ベンゼンチオール)濃度1M、有機溶媒(NMP):水=50:50での反応例
(2S,5S,8S,14S,17S,20S,23S,26S)-N-((S)-1-(((S)-1-((2-アミノ-2-オキソエチル)アミノ)-3-ヒドロキシ-1-オキソプロパン-2-イル)アミノ)-1-オキソプロパン-2-イル)-8,23-ジベンジル-14-イソブチル-20-イソプロピル-N,2,5,7,17-ペンタメチル-3,6,9,12,15,18,21,24,28-ノナオキソ-1,4,7,10,13,16,19,22,25-ノナアザシクロオクタコサン-26-カルボキサミド(化合物SP-511)の合成
3-1-3. Cyclization by changing the ratio of organic solvent to water and hydrolyzate formation ratio change The organic solvent ratio was better improved.
Reaction example with additive (4- (trifluoromethyl) benzenethiol) concentration 1M, organic solvent (NMP): water = 50: 50
(2S, 5S, 8S, 14S, 17S, 20S, 23S, 26S) -N-((S) -1-(((S) -1-((2-amino-2-oxoethyl) amino) -3- Hydroxy-1-oxopropan-2-yl) amino) -1-oxopropan-2-yl) -8,23-dibenzyl-14-isobutyl-20-isopropyl-N, 2,5,7,17-pentamethyl- 3,6,9,12,15,18,21,24,28-nonaoxo-1,4,7,10,13,16,19,22,25-nonazacyclooctacosane-26-carboxamide (compound SP -511)
HEPES緩衝溶液(5M、pH=7.5、10.0μl)、4-(トリフルオロメチル)ベンゼンチオール(13.6μl、0.10mmol)およびトリエチルアミン(13.9μl、0.10mmol)の混合溶液を調整した。その混合溶液に水(21.75μl)、NMP(21.75μl)、トリス(2-カルボキシエチル)ホスフィン水溶液(1.1M、pH=7.5、4.5μl)を加えた。さらに、(3S,6S,9S,12S,15S,21S,24S,27S)-27-アミノ-3-(((S)-1-(((S)-1-((2-アミノ-2-オキソエチル)アミノ)-3-ヒドロキシ-1-オキソプロパン-2-イル)アミノ)-1-オキソプロパン-2-イル)(メチル)カルバモイル)-6,21-ジベンジル-15-イソブチル-9-イソプロピル-12,22,24-トリメチル-5,8,11,14,17,20,23,26-オクタオキソ-4,7,10,13,16,19,22,25-オクタアザオクタコサン-1-チオ酸 S-ベンジル(化合物SP-504)のNMP溶液(10mM、10μl、0.10μmol)および内部標準として4-プロピル安息香酸のNMP溶液(11mM、4.5μl)を加えて30℃で攪拌した。反応開始時のpHは7.5であった。6時間後、LC/MSで反応を分析したところ、標題化合物の生成を確認した。内部標準とのエリア面積比から、反応の転換率は91%であり、標題化合物(SP-511)と加水分解体(化合物SP-512)の生成比はLC/MSのUVエリア比でおよそ35:1であった。
・標題化合物(SP-511)
LCMS(ESI)m/z =1134.5(M+H)+
保持時間:0.64分(分析条件SQDFA05)
A mixed solution of HEPES buffer solution (5M, pH = 7.5, 10.0 μl), 4- (trifluoromethyl) benzenethiol (13.6 μl, 0.10 mmol) and triethylamine (13.9 μl, 0.10 mmol) It was adjusted. Water (21.75 μl), NMP (21.75 μl), tris (2-carboxyethyl) phosphine aqueous solution (1.1 M, pH = 7.5, 4.5 μl) were added to the mixed solution. Further, (3S, 6S, 9S, 12S, 15S, 21S, 24S, 27S) -27-amino-3-(((S) -1-(((S) -1-((2-amino-2- Oxoethyl) amino) -3-hydroxy-1-oxopropan-2-yl) amino) -1-oxopropan-2-yl) (methyl) carbamoyl) -6,21-dibenzyl-15-isobutyl-9-isopropyl- 12,22,24-trimethyl-5,8,11,14,17,20,23,26-octaoxo-4,7,10,13,16,19,22,25-octazaazaoctacosane-1-thio NMP solution of acid S-benzyl (compound SP-504) (10 mM, 10 μl, 0.10 μmol) and 4-propylbenzoic acid NMP solution (11 mM, 4.5 μl) as an internal standard were added. And the mixture was stirred at 0 ℃. The pH at the start of the reaction was 7.5. After 6 hours, the reaction was analyzed by LC / MS to confirm the formation of the title compound. From the area area ratio with respect to the internal standard, the conversion rate of the reaction was 91%, and the production ratio of the title compound (SP-511) and hydrolyzate (compound SP-512) was about 35 in terms of LC / MS UV area ratio. : 1.
Title compound (SP-511)
LCMS (ESI) m / z = 1134.5 (M + H) +
Retention time: 0.64 minutes (analysis condition SQDFA05)
添加剤(4-(トリフルオロメチル)ベンゼンチオール)濃度1M、有機溶媒(NMP):水=10:90での反応例
(2S,5S,8S,14S,17S,20S,23S,26S)-N-((S)-1-(((S)-1-((2-アミノ-2-オキソエチル)アミノ)-3-ヒドロキシ-1-オキソプロパン-2-イル)アミノ)-1-オキソプロパン-2-イル)-8,23-ジベンジル-14-イソブチル-20-イソプロピル-N,2,5,7,17-ペンタメチル-3,6,9,12,15,18,21,24,28-ノナオキソ-1,4,7,10,13,16,19,22,25-ノナアザシクロオクタコサン-26-カルボキサミド(化合物SP-511)の合成
Example of reaction with additive (4- (trifluoromethyl) benzenethiol) concentration 1M, organic solvent (NMP): water = 10: 90
(2S, 5S, 8S, 14S, 17S, 20S, 23S, 26S) -N-((S) -1-(((S) -1-((2-amino-2-oxoethyl) amino) -3- Hydroxy-1-oxopropan-2-yl) amino) -1-oxopropan-2-yl) -8,23-dibenzyl-14-isobutyl-20-isopropyl-N, 2,5,7,17-pentamethyl- 3,6,9,12,15,18,21,24,28-nonaoxo-1,4,7,10,13,16,19,22,25-nonazacyclooctacosane-26-carboxamide (compound SP -511)
HEPES緩衝溶液(5M、pH=7.5、10.0μl)、4-(トリフルオロメチル)ベンゼンチオール(13.6μl、0.10mmol)およびトリエチルアミン(13.9μl、0.10mmol)の混合溶液を調整した。その混合溶液に水(50.75μl)、トリス(2-カルボキシエチル)ホスフィン水溶液(1.1M、pH=7.5、4.5μl)を加えた。さらに、(3S,6S,9S,12S,15S,21S,24S,27S)-27-アミノ-3-(((S)-1-(((S)-1-((2-アミノ-2-オキソエチル)アミノ)-3-ヒドロキシ-1-オキソプロパン-2-イル)アミノ)-1-オキソプロパン-2-イル)(メチル)カルバモイル)-6,21-ジベンジル-15-イソブチル-9-イソプロピル-12,22,24-トリメチル-5,8,11,14,17,20,23,26-オクタオキソ-4,7,10,13,16,19,22,25-オクタアザオクタコサン-1-チオ酸 S-ベンジル(化合物SP-504)のNMP溶液(18.2mM、5.5μl、0.10μmol)および内部標準として4-プロピル安息香酸のNMP溶液(28.5mM、1.75μl)を加えて30℃で攪拌した。反応開始時のpHは7.4であった。6時間後、LC/MSで反応を分析したところ、標題化合物の生成を確認した。内部標準とのエリア面積比から、反応の転換率は93%であり、標題化合物(SP-511)と加水分解体(化合物SP-512)の生成比はLC/MSのUVエリア比でおよそ12:1であった。
・標題化合物
LCMS(ESI)m/z =1134.5(M+H)+
保持時間:0.64分(分析条件SQDFA05)
A mixed solution of HEPES buffer solution (5M, pH = 7.5, 10.0 μl), 4- (trifluoromethyl) benzenethiol (13.6 μl, 0.10 mmol) and triethylamine (13.9 μl, 0.10 mmol) It was adjusted. Water (50.75 μl) and tris (2-carboxyethyl) phosphine aqueous solution (1.1 M, pH = 7.5, 4.5 μl) were added to the mixed solution. Further, (3S, 6S, 9S, 12S, 15S, 21S, 24S, 27S) -27-amino-3-(((S) -1-(((S) -1-((2-amino-2- Oxoethyl) amino) -3-hydroxy-1-oxopropan-2-yl) amino) -1-oxopropan-2-yl) (methyl) carbamoyl) -6,21-dibenzyl-15-isobutyl-9-isopropyl- 12,22,24-trimethyl-5,8,11,14,17,20,23,26-octaoxo-4,7,10,13,16,19,22,25-octazaazaoctacosane-1-thio NMP solution of acid S-benzyl (compound SP-504) (18.2 mM, 5.5 μl, 0.10 μmol) and NMP solution of 4-propylbenzoic acid (28.5 mM, 1.75 μm) as internal standard l) was added and stirred at 30 ° C. The pH at the start of the reaction was 7.4. After 6 hours, the reaction was analyzed by LC / MS to confirm the formation of the title compound. From the area area ratio with respect to the internal standard, the conversion rate of the reaction was 93%, and the production ratio of the title compound (SP-511) and the hydrolyzate (compound SP-512) was about 12 in terms of LC / MS UV area ratio. : 1.
Title compound LCMS (ESI) m / z = 1134.5 (M + H) +
Retention time: 0.64 minutes (analysis condition SQDFA05)
3-1-4. 添加剤の最適化
(2S,5S,8S,14S,17S,20S,23S,26S)-N-((S)-1-(((S)-1-((2-アミノ-2-オキソエチル)アミノ)-3-ヒドロキシ-1-オキソプロパン-2-イル)アミノ)-1-オキソプロパン-2-イル)-2,8,23-トリベンジル-14-イソブチル-20-イソプロピル-N,5,7,17-テトラメチル-3,6,9,12,15,18,21,24,28-ノナオキソ-1,4,7,10,13,16,19,22,25-ノナアザシクロオクタコサン-26-カルボキサミド(化合物SP-509)の合成
3-1-4. Additive optimization
(2S, 5S, 8S, 14S, 17S, 20S, 23S, 26S) -N-((S) -1-(((S) -1-((2-amino-2-oxoethyl) amino) -3- Hydroxy-1-oxopropan-2-yl) amino) -1-oxopropan-2-yl) -2,8,23-tribenzyl-14-isobutyl-20-isopropyl-N, 5,7,17-tetramethyl -3,6,9,12,15,18,21,24,28-nonaoxo-1,4,7,10,13,16,19,22,25-nonazacyclooctacosane-26-carboxamide (compound Synthesis of SP-509)
水(21.8ul)、4-(トリフルオロメチル)ベンゼンチオール(13.6ul、0.100mmol)とトリエチルアミン(13.9ul、0.100mmol)の混合溶液を調整した。その混合溶液に1.9M HEPES緩衝溶液(pH=8.1, 26.2ul)、0.5Mトリス(2-カルボキシエチル)ホスフィン水溶液(pH=7.0、10.0ul)を加えた。さらに、(3S,6S,9S,12S,15S,21S,24S,27S)-27-アミノ-3-(((S)-1-(((S)-1-((2-アミノ-2-オキソエチル)アミノ)-3-ヒドロキシ-1-オキソプロパン-2-イル)アミノ)-1-オキソプロパン-2-イル)(メチル)カルバモイル)-6,21-ジベンジル-15-イソブチル-9-イソプロピル-12,22,24-トリメチル-5,8,11,14,17,20,23,26-オクタオキソ-28-フェニル-4,7,10,13,16,19,22,25-オクタアザオクタコサン-1-チオ酸 S-ベンジル(Phe-Ala-MePhe-Gly-Leu-Ala-Val-Phe-Asp(SBn)-MeAla-Ser-Gly-NH2)(化合物SP-508)の10mM N-メチルピロリドン溶液10ulと11mMの内部標準(4-プロピル安息香酸)N-メチルピロリドン溶液(4.56ul)を加え30℃で終夜攪拌した。反応開始時のpHは8.1であった。LCMSを用いて反応の変化を観測したところ、原料化合物SP-508は消失し、標題化合物(SP-509)と加水分解体(化合物SP-510)のMASSを観測し、LCMSのMASS強度比(+)はおおよそ8:1であった。
・標題化合物(SP-509)
LCMS(ESI)m/z =1210.4(M+H)+
・加水分解体(化合物SP-510)
A mixed solution of water (21.8 ul), 4- (trifluoromethyl) benzenethiol (13.6 ul, 0.100 mmol) and triethylamine (13.9 ul, 0.100 mmol) was prepared. To the mixed solution, 1.9 M HEPES buffer solution (pH = 8.1, 26.2 ul) and 0.5 M tris (2-carboxyethyl) phosphine aqueous solution (pH = 7.0, 10.0 ul) were added. Further, (3S, 6S, 9S, 12S, 15S, 21S, 24S, 27S) -27-amino-3-(((S) -1-(((S) -1-((2-amino-2- Oxoethyl) amino) -3-hydroxy-1-oxopropan-2-yl) amino) -1-oxopropan-2-yl) (methyl) carbamoyl) -6,21-dibenzyl-15-isobutyl-9-isopropyl- 12,22,24-trimethyl-5,8,11,14,17,20,23,26-octaoxo-28-phenyl-4,7,10,13,16,19,22,25-octaazaoctacosane 1-thioacid S-benzyl (Phe-Ala-MePhe-Gly-Leu-Ala-Val-Phe-Asp (SBn) -MeAla-Ser-Gly-NH2) (compound SP-5 Was stirred overnight at 30 ° C. was added a 10 mM N-methylpyrrolidone solution 10ul and the internal standard (4-propyl-
・ Title compound (SP-509)
LCMS (ESI) m / z = 1210.4 (M + H) +
Hydrolyzate (compound SP-510)
(3S,6S,9S,12S,15S,21S,24S,27S)-27-アミノ-3-(((S)-1-(((S)-1-((2-アミノ-2-オキソエチル)アミノ)-3-ヒドロキシ-1-オキソプロパン-2-イル)アミノ)-1-オキソプロパン-2-イル)(メチル)カルバモイル)-6,21-ジベンジル-15-イソブチル-9-イソプロピル-12,22,24-トリメチル-5,8,11,14,17,20,23,26-オクタオキソ-28-フェニル-4,7,10,13,16,19,22,25-オクタアザオクタコサン-1-酸
LCMS(ESI)m/z =1228.4(M+H)+
(3S, 6S, 9S, 12S, 15S, 21S, 24S, 27S) -27-amino-3-(((S) -1-(((S) -1-((2-amino-2-oxoethyl) Amino) -3-hydroxy-1-oxopropan-2-yl) amino) -1-oxopropan-2-yl) (methyl) carbamoyl) -6,21-dibenzyl-15-isobutyl-9-isopropyl-12 22,24-trimethyl-5,8,11,14,17,20,23,26-octaoxo-28-phenyl-4,7,10,13,16,19,22,25-octaazaoctacosane-1 -acid
LCMS (ESI) m / z = 1228.4 (M + H) +
3-1-4-1.添加剤として(4-(トリフルオロメチル)ベンゼンチオール)(1M)ではなく、4-ニトロベンゼンチオール(1M)を用いた場合
(2S,5S,8S,14S,17S,20S,23S,26S)-N-((S)-1-(((S)-1-((2-アミノ-2-オキソエチル)アミノ)-3-ヒドロキシ-1-オキソプロパン-2-イル)アミノ)-1-オキソプロパン-2-イル)-2,8,23-トリベンジル-14-イソブチル-20-イソプロピル-N,5,7,17-テトラメチル-3,6,9,12,15,18,21,24,28-ノナオキソ-1,4,7,10,13,16,19,22,25-ノナアザシクロオクタコサン-26-カルボキサミド(化合物SP-509)の合成
3-1-4-1. When 4-nitrobenzenethiol (1M) is used as an additive instead of (4- (trifluoromethyl) benzenethiol) (1M)
(2S, 5S, 8S, 14S, 17S, 20S, 23S, 26S) -N-((S) -1-(((S) -1-((2-amino-2-oxoethyl) amino) -3- Hydroxy-1-oxopropan-2-yl) amino) -1-oxopropan-2-yl) -2,8,23-tribenzyl-14-isobutyl-20-isopropyl-N, 5,7,17-tetramethyl -3,6,9,12,15,18,21,24,28-nonaoxo-1,4,7,10,13,16,19,22,25-nonazacyclooctacosane-26-carboxamide (compound Synthesis of SP-509)
水(32.68ul)、4-ニトロベンゼンチオール(16.0mg、0.100mmol)、トリエチルアミン(13.94ul、0.100mmol)、1.9M HEPES緩衝溶液(pH=8.1, 26.2ul)、0.5Mトリス(2-カルボキシエチル)ホスフィン水溶液(pH=7.6、10.0ul)とN-メチルピロリドン(2.66ul)の混合溶液を調整した。その混合溶液に、(3S,6S,9S,12S,15S,21S,24S,27S)-27-アミノ-3-(((S)-1-(((S)-1-((2-アミノ-2-オキソエチル)アミノ)-3-ヒドロキシ-1-オキソプロパン-2-イル)アミノ)-1-オキソプロパン-2-イル)(メチル)カルバモイル)-6,21-ジベンジル-15-イソブチル-9-イソプロピル-12,22,24-トリメチル-5,8,11,14,17,20,23,26-オクタオキソ-28-フェニル-4,7,10,13,16,19,22,25-オクタアザオクタコサン-1-チオ酸 S-ベンジル(化合物SP-508)の10mM N-メチルピロリドン溶液10ulと11mMの内部標準(4-プロピル安息香酸)N-メチルピロリドン溶液(4.56ul)を加え30℃で終夜攪拌した。反応開始時のpHは8.3であった。LCMSを用いて反応の変化を観測したところ、終夜攪拌すると原料化合物は消失し、標題化合物(SP-509)と加水分解体(化合物SP-510)とチオエステル交換体(化合物SP-513)のMASSを観測し、LCMSのMASS強度比(+)はおおよそ7:7:2であった。
・標題化合物(SP-509)
LCMS(ESI)m/z =1210.4(M+H)+
・加水分解体(化合物SP-510)
LCMS(ESI)m/z =1228.4(M+H)+
Water (32.68 ul), 4-nitrobenzenethiol (16.0 mg, 0.100 mmol), triethylamine (13.94 ul, 0.100 mmol), 1.9 M HEPES buffer solution (pH = 8.1, 26.2 ul), A mixed solution of 0.5 M tris (2-carboxyethyl) phosphine aqueous solution (pH = 7.6, 10.0 ul) and N-methylpyrrolidone (2.66 ul) was prepared. To the mixed solution, (3S, 6S, 9S, 12S, 15S, 21S, 24S, 27S) -27-amino-3-(((S) -1-(((S) -1-((2-amino -2-Oxoethyl) amino) -3-hydroxy-1-oxopropan-2-yl) amino) -1-oxopropan-2-yl) (methyl) carbamoyl) -6,21-dibenzyl-15-isobutyl-9 -Isopropyl-12,22,24-trimethyl-5,8,11,14,17,20,23,26-octaoxo-28-phenyl-4,7,10,13,16,19,22,25-
・ Title compound (SP-509)
LCMS (ESI) m / z = 1210.4 (M + H) +
Hydrolyzate (compound SP-510)
LCMS (ESI) m / z = 1228.4 (M + H) +
・チオエステル交換体(化合物SP-513)
(3S,6S,9S,12S,15S,21S,24S,27S)-27-アミノ-3-(((S)-1-(((S)-1-((2-アミノ-2-オキソエチル)アミノ)-3-ヒドロキシ-1-オキソプロパン-2-イル)アミノ)-1-オキソプロパン-2-イル)(メチル)カルバモイル)-6,21-ジベンジル-15-イソブチル-9-イソプロピル-12,22,24-トリメチル-5,8,11,14,17,20,23,26-オクタオキソ-28-フェニル-4,7,10,13,16,19,22,25-オクタアザオクタコサン-1-チオ酸 S-(4-ニトロフェニル)
LCMS(ESI)m/z =1365.3(M+H)+
.Thioester exchanger (compound SP-513)
(3S, 6S, 9S, 12S, 15S, 21S, 24S, 27S) -27-amino-3-(((S) -1-(((S) -1-((2-amino-2-oxoethyl) Amino) -3-hydroxy-1-oxopropan-2-yl) amino) -1-oxopropan-2-yl) (methyl) carbamoyl) -6,21-dibenzyl-15-isobutyl-9-isopropyl-12 22,24-trimethyl-5,8,11,14,17,20,23,26-octaoxo-28-phenyl-4,7,10,13,16,19,22,25-octaazaoctacosane-1 -Thioacid S- (4-nitrophenyl)
LCMS (ESI) m / z = 1365.3 (M + H) +
3-1-4-2.添加剤として(4-(トリフルオロメチル)ベンゼンチオール)(1M)ではなく、2,3,4,5,6-ペンタフルオロベンゼンチオール(1M)を用いた場合
(2S,5S,8S,14S,17S,20S,23S,26S)-N-((S)-1-(((S)-1-((2-アミノ-2-オキソエチル)アミノ)-3-ヒドロキシ-1-オキソプロパン-2-イル)アミノ)-1-オキソプロパン-2-イル)-2,8,23-トリベンジル-14-イソブチル-20-イソプロピル-N,5,7,17-テトラメチル-3,6,9,12,15,18,21,24,28-ノナオキソ-1,4,7,10,13,16,19,22,25-ノナアザシクロオクタコサン-26-カルボキサミド(化合物SP-509)の合成
3-1-4-2. When 2,3,4,5,6-pentafluorobenzenethiol (1M) is used as an additive instead of (4- (trifluoromethyl) benzenethiol) (1M)
(2S, 5S, 8S, 14S, 17S, 20S, 23S, 26S) -N-((S) -1-(((S) -1-((2-amino-2-oxoethyl) amino) -3- Hydroxy-1-oxopropan-2-yl) amino) -1-oxopropan-2-yl) -2,8,23-tribenzyl-14-isobutyl-20-isopropyl-N, 5,7,17-tetramethyl -3,6,9,12,15,18,21,24,28-nonaoxo-1,4,7,10,13,16,19,22,25-nonazacyclooctacosane-26-carboxamide (compound Synthesis of SP-509)
水(22.04ul)、2,3,4,5,6-ペンタフルオロベンゼンチオール(13.3ul、0.100mmol)、トリエチルアミン(13.94ul、0.100mmol)、1.9MHEPES緩衝溶液(pH=8.1, 26.2ul)、0.5Mトリス(2-カルボキシエチル)ホスフィン水溶液(pH=7.6、10.0ul)の混合溶液を調整した。その混合溶液に、(3S,6S,9S,12S,15S,21S,24S,27S)-27-アミノ-3-(((S)-1-(((S)-1-((2-アミノ-2-オキソエチル)アミノ)-3-ヒドロキシ-1-オキソプロパン-2-イル)アミノ)-1-オキソプロパン-2-イル)(メチル)カルバモイル)-6,21-ジベンジル-15-イソブチル-9-イソプロピル-12,22,24-トリメチル-5,8,11,14,17,20,23,26-オクタオキソ-28-フェニル-4,7,10,13,16,19,22,25-オクタアザオクタコサン-1-チオ酸 S-ベンジル(化合物SP-508)の10mM N-メチルピロリドン溶液10ulと11mMの内部標準(4-プロピル安息香酸)N-メチルピロリドン溶液(4.56ul)を加え30℃で終夜攪拌した。反応開始時のpHは8.0であった。LCMSを用いて反応の変化を観測したところ、終夜攪拌後も原料化合物(化合物SP-508)は消失せず、標題化合物(SP-509)とチオエステル交換体(化合物SP-514)のMASSは観測されなかった。一方、加水分解体(化合物SP-510)のMASSは観測された。原料化合物(化合物SP-508)と加水分解体(化合物SP-510)のLCMSのMASS強度比(+)はおおよそ18:1であった。
・原料化合物(化合物SP-508)
LCMS(ESI)m/z =1334.4(M+H)+
・加水分解体(化合物SP-510)
LCMS(ESI)m/z =1228.4(M+H)+
・チオエステル交換体(化合物SP-514)
Water (22.04 ul), 2,3,4,5,6-pentafluorobenzenethiol (13.3 ul, 0.100 mmol), triethylamine (13.94 ul, 0.100 mmol), 1.9 MHEPES buffer solution (pH = A mixed solution of 8.1, 26.2 ul) and 0.5 M tris (2-carboxyethyl) phosphine aqueous solution (pH = 7.6, 10.0 ul) was prepared. To the mixed solution, (3S, 6S, 9S, 12S, 15S, 21S, 24S, 27S) -27-amino-3-(((S) -1-(((S) -1-((2-amino -2-Oxoethyl) amino) -3-hydroxy-1-oxopropan-2-yl) amino) -1-oxopropan-2-yl) (methyl) carbamoyl) -6,21-dibenzyl-15-isobutyl-9 -Isopropyl-12,22,24-trimethyl-5,8,11,14,17,20,23,26-octaoxo-28-phenyl-4,7,10,13,16,19,22,25-
・ Raw compound (compound SP-508)
LCMS (ESI) m / z = 1334.4 (M + H) +
Hydrolyzate (compound SP-510)
LCMS (ESI) m / z = 1228.4 (M + H) +
.Thioester exchanger (compound SP-514)
(3S,6S,9S,12S,15S,21S,24S,27S)-27-アミノ-3-(((S)-1-(((S)-1-((2-アミノ-2-オキソエチル)アミノ)-3-ヒドロキシ-1-オキソプロパン-2-イル)アミノ)-1-オキソプロパン-2-イル)(メチル)カルバモイル)-6,21-ジベンジル-15-イソブチル-9-イソプロピル-12,22,24-トリメチル-5,8,11,14,17,20,23,26-オクタオキソ-28-フェニル-4,7,10,13,16,19,22,25-オクタアザオクタコサン-1-チオ酸 S-(ペルフルオロフェニル)
LCMS(ESI)m/z は観測されなかった。
(3S, 6S, 9S, 12S, 15S, 21S, 24S, 27S) -27-amino-3-(((S) -1-(((S) -1-((2-amino-2-oxoethyl) Amino) -3-hydroxy-1-oxopropan-2-yl) amino) -1-oxopropan-2-yl) (methyl) carbamoyl) -6,21-dibenzyl-15-isobutyl-9-isopropyl-12 22,24-trimethyl-5,8,11,14,17,20,23,26-octaoxo-28-phenyl-4,7,10,13,16,19,22,25-octaazaoctacosane-1 -Thioacid S- (perfluorophenyl)
LCMS (ESI) m / z was not observed.
3-1-4-3.添加剤として(4-(トリフルオロメチル)ベンゼンチオール)(1M)ではなく、2-メルカプト安息香酸(1M)を用いた場合
(2S,5S,8S,14S,17S,20S,23S,26S)-N-((S)-1-(((S)-1-((2-アミノ-2-オキソエチル)アミノ)-3-ヒドロキシ-1-オキソプロパン-2-イル)アミノ)-1-オキソプロパン-2-イル)-2,8,23-トリベンジル-14-イソブチル-20-イソプロピル-N,5,7,17-テトラメチル-3,6,9,12,15,18,21,24,28-ノナオキソ-1,4,7,10,13,16,19,22,25-ノナアザシクロオクタコサン-26-カルボキサミド(化合物SP-509)の合成
3-1-4-3. When 2-mercaptobenzoic acid (1M) is used as an additive instead of (4- (trifluoromethyl) benzenethiol) (1M)
(2S, 5S, 8S, 14S, 17S, 20S, 23S, 26S) -N-((S) -1-(((S) -1-((2-amino-2-oxoethyl) amino) -3- Hydroxy-1-oxopropan-2-yl) amino) -1-oxopropan-2-yl) -2,8,23-tribenzyl-14-isobutyl-20-isopropyl-N, 5,7,17-tetramethyl -3,6,9,12,15,18,21,24,28-nonaoxo-1,4,7,10,13,16,19,22,25-nonazacyclooctacosane-26-carboxamide (compound Synthesis of SP-509)
水(32.68ul)、2-メルカプト安息香酸(15.0mg、0.100mmol)、トリエチルアミン(13.94ul、0.100mmol)、1.9M HEPES緩衝溶液(pH=8.1, 26.2ul)、0.5M トリス(2-カルボキシエチル)ホスフィン水溶液(pH=7.6、10.0ul)とN-メチルピロリドン(2.66ul)の混合溶液を調整した。その混合溶液に、(3S,6S,9S,12S,15S,21S,24S,27S)-27-アミノ-3-(((S)-1-(((S)-1-((2-アミノ-2-オキソエチル)アミノ)-3-ヒドロキシ-1-オキソプロパン-2-イル)アミノ)-1-オキソプロパン-2-イル)(メチル)カルバモイル)-6,21-ジベンジル-15-イソブチル-9-イソプロピル-12,22,24-トリメチル-5,8,11,14,17,20,23,26-オクタオキソ-28-フェニル-4,7,10,13,16,19,22,25-オクタアザオクタコサン-1-チオ酸 S-ベンジル(化合物SP-508)の10mM N-メチルピロリドン溶液10ulと11mMの内部標準(4-プロピル安息香酸)N-メチルピロリドン溶液(4.56ul)を加え30℃で終夜攪拌した。反応開始時のpHは8.0であった。LCMSを用いて反応の変化を観測したところ、終夜攪拌すると原料化合物は消失し、標題化合物(SP-509)と加水分解体(化合物SP-510)とチオエステル交換体(化合物SP-515)のMASSを観測し、LCMSのMASS強度比(-)はおおよそ1:10:7であった。
・標題化合物(SP-509)
LCMS(ESI)m/z =1208.9(M-H)-
・加水分解体(化合物SP-510)
LCMS(ESI)m/z =1226.3(M-H)-
・チオエステル交換体(化合物SP-515)
Water (32.68 ul), 2-mercaptobenzoic acid (15.0 mg, 0.100 mmol), triethylamine (13.94 ul, 0.100 mmol), 1.9 M HEPES buffer solution (pH = 8.1, 26.2 ul) A mixed solution of 0.5 M tris (2-carboxyethyl) phosphine aqueous solution (pH = 7.6, 10.0 ul) and N-methylpyrrolidone (2.66 ul) was prepared. To the mixed solution, (3S, 6S, 9S, 12S, 15S, 21S, 24S, 27S) -27-amino-3-(((S) -1-(((S) -1-((2-amino -2-Oxoethyl) amino) -3-hydroxy-1-oxopropan-2-yl) amino) -1-oxopropan-2-yl) (methyl) carbamoyl) -6,21-dibenzyl-15-isobutyl-9 -Isopropyl-12,22,24-trimethyl-5,8,11,14,17,20,23,26-octaoxo-28-phenyl-4,7,10,13,16,19,22,25-
・ Title compound (SP-509)
LCMS (ESI) m / z = 1208.9 (M−H) −
Hydrolyzate (compound SP-510)
LCMS (ESI) m / z = 1226.3 (M−H) −
・ Thioester exchanger (compound SP-515)
2-(((3S,6S,9S,12S,15S,21S,24S,27S)-27-アミノ-3-(((S)-1-(((S)-1-((2-アミノ-2-オキソエチル)アミノ)-3-ヒドロキシ-1-オキソプロパン-2-イル)アミノ)-1-オキソプロパン-2-イル)(メチル)カルバモイル)-6,21-ジベンジル-15-イソブチル-9-イソプロピル-12,22,24-トリメチル-5,8,11,14,17,20,23,26-オクタオキソ-28-フェニル-4,7,10,13,16,19,22,25-オクタアザオクタコサン-1-オイル)チオ)安息香酸
LCMS(ESI)m/z =1362.1(M-H)-
2-((((3S, 6S, 9S, 12S, 15S, 21S, 24S, 27S) -27-amino-3-(((S) -1-(((S) -1-((2-amino- 2-oxoethyl) amino) -3-hydroxy-1-oxopropan-2-yl) amino) -1-oxopropan-2-yl) (methyl) carbamoyl) -6,21-dibenzyl-15-isobutyl-9- Isopropyl-12,22,24-trimethyl-5,8,11,14,17,20,23,26-octaoxo-28-phenyl-4,7,10,13,16,19,22,25-octazaaza Octacosane-1-oil) thio) benzoic acid
LCMS (ESI) m / z = 1362.1 (M−H) −
3-1-4-4.添加剤として(4-(トリフルオロメチル)ベンゼンチオール)(1M)ではなく、2-メルカプトフェノール(1M)を用いた場合
(2S,5S,8S,14S,17S,20S,23S,26S)-N-((S)-1-(((S)-1-((2-アミノ-2-オキソエチル)アミノ)-3-ヒドロキシ-1-オキソプロパン-2-イル)アミノ)-1-オキソプロパン-2-イル)-2,8,23-トリベンジル-14-イソブチル-20-イソプロピル-N,5,7,17-テトラメチル-3,6,9,12,15,18,21,24,28-ノナオキソ-1,4,7,10,13,16,19,22,25-ノナアザシクロオクタコサン-26-カルボキサミド(化合物SP-509)の合成
3-1-4-4. When 2-mercaptophenol (1M) is used instead of (4- (trifluoromethyl) benzenethiol) (1M) as an additive
(2S, 5S, 8S, 14S, 17S, 20S, 23S, 26S) -N-((S) -1-(((S) -1-((2-amino-2-oxoethyl) amino) -3- Hydroxy-1-oxopropan-2-yl) amino) -1-oxopropan-2-yl) -2,8,23-tribenzyl-14-isobutyl-20-isopropyl-N, 5,7,17-tetramethyl -3,6,9,12,15,18,21,24,28-nonaoxo-1,4,7,10,13,16,19,22,25-nonazacyclooctacosane-26-carboxamide (compound Synthesis of SP-509)
水(24.64ul)、2-メルカプトフェノール(10.05ul、0.100mmol)、トリエチルアミン(13.94ul、0.100mmol)、1.9M HEPES緩衝溶液(pH=8.1, 26.2ul)、0.5M トリス(2-カルボキシエチル)ホスフィン水溶液(pH=7.6、10.0ul)とN-メチルピロリドン(0.65ul)の混合溶液を調整した。その混合溶液に、(3S,6S,9S,12S,15S,21S,24S,27S)-27-アミノ-3-(((S)-1-(((S)-1-((2-アミノ-2-オキソエチル)アミノ)-3-ヒドロキシ-1-オキソプロパン-2-イル)アミノ)-1-オキソプロパン-2-イル)(メチル)カルバモイル)-6,21-ジベンジル-15-イソブチル-9-イソプロピル-12,22,24-トリメチル-5,8,11,14,17,20,23,26-オクタオキソ-28-フェニル-4,7,10,13,16,19,22,25-オクタアザオクタコサン-1-チオ酸 S-ベンジル(化合物SP-508)の10mM N-メチルピロリドン溶液10ulと11mMの内部標準(4-プロピル安息香酸)N-メチルピロリドン溶液(4.56ul)を加え30℃で1時間攪拌した。反応開始時のpHは8.0であった。LCMSを用いて反応の変化を観測したところ、1時間攪拌すると原料化合物は消失し、標題化合物(SP-509)と加水分解体(化合物SP-510)のMASSを観測し、LCMSのMASS強度比(+)はおおよそ1.1:1であった。
・標題化合物(SP-509)
LCMS(ESI)m/z =1210.4(M+H)+
・加水分解体(化合物SP-510)
LCMS(ESI)m/z =1228.4(M+H)+
Water (24.64 ul), 2-mercaptophenol (10.05 ul, 0.100 mmol), triethylamine (13.94 ul, 0.100 mmol), 1.9 M HEPES buffer solution (pH = 8.1, 26.2 ul), A mixed solution of 0.5 M tris (2-carboxyethyl) phosphine aqueous solution (pH = 7.6, 10.0 ul) and N-methylpyrrolidone (0.65 ul) was prepared. To the mixed solution, (3S, 6S, 9S, 12S, 15S, 21S, 24S, 27S) -27-amino-3-(((S) -1-(((S) -1-((2-amino -2-Oxoethyl) amino) -3-hydroxy-1-oxopropan-2-yl) amino) -1-oxopropan-2-yl) (methyl) carbamoyl) -6,21-dibenzyl-15-isobutyl-9 -Isopropyl-12,22,24-trimethyl-5,8,11,14,17,20,23,26-octaoxo-28-phenyl-4,7,10,13,16,19,22,25-
・ Title compound (SP-509)
LCMS (ESI) m / z = 1210.4 (M + H) +
Hydrolyzate (compound SP-510)
LCMS (ESI) m / z = 1228.4 (M + H) +
3-1-4-5.添加剤として(4-(トリフルオロメチル)ベンゼンチオール)(1M)ではなく、2-メルカプトフェノール(0.5M)と2-シアノ-2-(ヒドロキシイミノ)酢酸 (S,Z)-(2,2-ジメチル-1,3-ジオキソラン-4-イル)メチル(0.5M)を用いた場合
(2S,5S,8S,14S,17S,20S,23S,26S)-N-((S)-1-(((S)-1-((2-アミノ-2-オキソエチル)アミノ)-3-ヒドロキシ-1-オキソプロパン-2-イル)アミノ)-1-オキソプロパン-2-イル)-2,8,23-トリベンジル-14-イソブチル-20-イソプロピル-N,5,7,17-テトラメチル-3,6,9,12,15,18,21,24,28-ノナオキソ-1,4,7,10,13,16,19,22,25-ノナアザシクロオクタコサン-26-カルボキサミド(化合物SP-509)の合成
3-1-4-5. As an additive, instead of (4- (trifluoromethyl) benzenethiol) (1M), 2-mercaptophenol (0.5M) and 2-cyano-2- (hydroxyimino) acetic acid (S, Z)-(2, When 2-dimethyl-1,3-dioxolan-4-yl) methyl (0.5M) is used
(2S, 5S, 8S, 14S, 17S, 20S, 23S, 26S) -N-((S) -1-(((S) -1-((2-amino-2-oxoethyl) amino) -3- Hydroxy-1-oxopropan-2-yl) amino) -1-oxopropan-2-yl) -2,8,23-tribenzyl-14-isobutyl-20-isopropyl-N, 5,7,17-tetramethyl -3,6,9,12,15,18,21,24,28-nonaoxo-1,4,7,10,13,16,19,22,25-nonazacyclooctacosane-26-carboxamide (compound Synthesis of SP-509)
水(2.46ul)、2-メルカプトフェノール(5.03ul、0.050mmol)、常法(Organic Letter, 2012,14, 3372-3375)に従い別途合成した2-シアノ-2-(ヒドロキシイミノ)酢酸 (S,Z)-(2,2-ジメチル-1,3-ジオキソラン-4-イル)メチル(化合物SP517)(11.0mg、0.050mmol)、トリエチルアミン(13.94ul、0.100mmol)、1Mリン酸緩衝溶液(pH=7.7, 52.4ul)、0.5Mトリス(2-カルボキシエチル)ホスフィン水溶液(pH=7.6、10.0ul)とN-メチルピロリドン(1.65ul)の混合溶液を調整した。その混合溶液に、(3S,6S,9S,12S,15S,21S,24S,27S)-27-アミノ-3-(((S)-1-(((S)-1-((2-アミノ-2-オキソエチル)アミノ)-3-ヒドロキシ-1-オキソプロパン-2-イル)アミノ)-1-オキソプロパン-2-イル)(メチル)カルバモイル)-6,21-ジベンジル-15-イソブチル-9-イソプロピル-12,22,24-トリメチル-5,8,11,14,17,20,23,26-オクタオキソ-28-フェニル-4,7,10,13,16,19,22,25-オクタアザオクタコサン-1-チオ酸 S-ベンジル(化合物SP-508)の10mM N-メチルピロリドン溶液10ulと11mMの内部標準(4-プロピル安息香酸)N-メチルピロリドン溶液(4.56ul)を加え30℃で1時間攪拌した。反応開始時のpHは7.0であった。LCMSを用いて反応の変化を観測したところ、1時間攪拌後、標題化合物(SP-509)、加水分解体(化合物SP-510)とエステル交換体(化合物SP-516)のMASSを観測し、LCMSのMASS強度比(-)はおおよそ4:5:2であった。
・標題化合物(SP-509)
LCMS(ESI)m/z =1208.1(M-H)-
・加水分解体(化合物SP-510)
LCMS(ESI)m/z =1226.2(M-H)-
・エステル交換体(化合物SP-516)
Water (2.46 ul), 2-mercaptophenol (5.03 ul, 0.050 mmol), 2-cyano-2- (hydroxyimino) acetic acid synthesized separately according to a conventional method (Organic Letter, 2012, 14, 3372-3375) (S, Z)-(2,2-dimethyl-1,3-dioxolan-4-yl) methyl (compound SP517) (11.0 mg, 0.050 mmol), triethylamine (13.94 ul, 0.100 mmol), 1M Phosphate buffer solution (pH = 7.7, 52.4 ul), 0.5 M tris (2-carboxyethyl) phosphine aqueous solution (pH = 7.6, 10.0 ul) and N-methylpyrrolidone (1.65 ul) A mixed solution was prepared. To the mixed solution, (3S, 6S, 9S, 12S, 15S, 21S, 24S, 27S) -27-amino-3-(((S) -1-(((S) -1-((2-amino -2-Oxoethyl) amino) -3-hydroxy-1-oxopropan-2-yl) amino) -1-oxopropan-2-yl) (methyl) carbamoyl) -6,21-dibenzyl-15-isobutyl-9 -Isopropyl-12,22,24-trimethyl-5,8,11,14,17,20,23,26-octaoxo-28-phenyl-4,7,10,13,16,19,22,25-
・ Title compound (SP-509)
LCMS (ESI) m / z = 1208.1 (M−H) −
Hydrolyzate (compound SP-510)
LCMS (ESI) m / z = 1226.2 (M−H) −
.Ester exchanger (compound SP-516)
(7S,10S,13S,16S,19S,25S,28S,31S,E)-31-アミノ-7-(((S)-1-(((S)-1-((2-アミノ-2-オキソエチル)アミノ)-3-ヒドロキシ-1-オキソプロパン-2-イル)アミノ)-1-オキソプロパン-2-イル)(メチル)カルバモイル)-10,25-ジベンジル-2-シアノ-19-イソブチル-13-イソプロピル-16,26,28-トリメチル-5,9,12,15,18,21,24,27,30-ノナオキソ-32-フェニル-4-オキサ-3,8,11,14,17,20,23,26,29-ノナアザドトリアコンタ-2-エン-1-酸 ((S)-2,2-ジメチル-1,3-ジオキソラン-4-イル)メチル
LCMS(ESI)m/z =1436.4(M-H)-
(7S, 10S, 13S, 16S, 19S, 25S, 28S, 31S, E) -31-amino-7-(((S) -1-(((S) -1-((2-amino-2- Oxoethyl) amino) -3-hydroxy-1-oxopropan-2-yl) amino) -1-oxopropan-2-yl) (methyl) carbamoyl) -10,25-dibenzyl-2-cyano-19-isobutyl- 13-isopropyl-16,26,28-trimethyl-5,9,12,15,18,21,24,27,30-nonaoxo-32-phenyl-4-oxa-3,8,11,14,17 20,23,26,29-Nonaazadotriconta-2-en-1-acid ((S) -2,2-dimethyl-1,3-dioxolan-4-yl) methyl
LCMS (ESI) m / z = 1436.4 (M−H) −
3-1-4-6.添加剤として(4-(トリフルオロメチル)ベンゼンチオール)(1M)ではなく、2-シアノ-2-(ヒドロキシイミノ)酢酸 (S,Z)-(2,2-ジメチル-1,3-ジオキソラン-4-イル)メチル(0.5M)を用いた場合
(2S,5S,8S,14S,17S,20S,23S,26S)-N-((S)-1-(((S)-1-((2-アミノ-2-オキソエチル)アミノ)-3-ヒドロキシ-1-オキソプロパン-2-イル)アミノ)-1-オキソプロパン-2-イル)-2,8,23-トリベンジル-14-イソブチル-20-イソプロピル-N,5,7,17-テトラメチル-3,6,9,12,15,18,21,24,28-ノナオキソ-1,4,7,10,13,16,19,22,25-ノナアザシクロオクタコサン-26-カルボキサミド(化合物SP-509)の合成
3-1-4-6. As an additive, instead of (4- (trifluoromethyl) benzenethiol) (1M), 2-cyano-2- (hydroxyimino) acetic acid (S, Z)-(2,2-dimethyl-1,3-dioxolane- When 4-yl) methyl (0.5M) is used
(2S, 5S, 8S, 14S, 17S, 20S, 23S, 26S) -N-((S) -1-(((S) -1-((2-amino-2-oxoethyl) amino) -3- Hydroxy-1-oxopropan-2-yl) amino) -1-oxopropan-2-yl) -2,8,23-tribenzyl-14-isobutyl-20-isopropyl-N, 5,7,17-tetramethyl -3,6,9,12,15,18,21,24,28-nonaoxo-1,4,7,10,13,16,19,22,25-nonazacyclooctacosane-26-carboxamide (compound Synthesis of SP-509)
水(6.48ul)、常法(Organic Letter, 2012,14, 3372-3375)に従い別途合成した2-シアノ-2-(ヒドロキシイミノ)酢酸 (S,Z)-(2,2-ジメチル-1,3-ジオキソラン-4-イル)メチル(化合物SP-517)(11.0mg、0.050mmol)、トリエチルアミン(13.94ul、0.100mmol)、1Mリン酸緩衝溶液(pH=7.7, 52.4ul)、0.5Mトリス(2-カルボキシエチル)ホスフィン水溶液(pH=7.6、10.0ul)とN-メチルピロリドン(2.7ul)の混合溶液を調整した。その混合溶液に、(3S,6S,9S,12S,15S,21S,24S,27S)-27-アミノ-3-(((S)-1-(((S)-1-((2-アミノ-2-オキソエチル)アミノ)-3-ヒドロキシ-1-オキソプロパン-2-イル)アミノ)-1-オキソプロパン-2-イル)(メチル)カルバモイル)-6,21-ジベンジル-15-イソブチル-9-イソプロピル-12,22,24-トリメチル-5,8,11,14,17,20,23,26-オクタオキソ-28-フェニル-4,7,10,13,16,19,22,25-オクタアザオクタコサン-1-チオ酸 S-ベンジル(化合物SP-508)の10mM N-メチルピロリドン溶液10ulと11mMの内部標準(4-プロピル安息香酸)N-メチルピロリドン溶液(4.56ul)を加え30℃で1時間攪拌した。反応開始時のpHは9.8であった。LCMSを用いて反応の変化を観測したところ、1時間攪拌後、加水分解体(化合物SP-510)のMASSを観測した。標題化合物(SP-509)及びエステル交換体(化合物SP-516)のMASSは観測されなかった。
・加水分解体(化合物SP-510)
LCMS(ESI)m/z =1226.7(M-H)-
Water (6.48ul), 2-cyano-2- (hydroxyimino) acetic acid (S, Z)-(2,2-dimethyl-1) synthesized separately according to a conventional method (Organic Letter, 2012, 14, 3372-3375) , 3-Dioxolan-4-yl) methyl (compound SP-517) (11.0 mg, 0.050 mmol), triethylamine (13.94 ul, 0.100 mmol), 1M phosphate buffer solution (pH = 7.7, 52 0.4 ul), a mixed solution of 0.5 M tris (2-carboxyethyl) phosphine aqueous solution (pH = 7.6, 10.0 ul) and N-methylpyrrolidone (2.7 ul) was prepared. To the mixed solution, (3S, 6S, 9S, 12S, 15S, 21S, 24S, 27S) -27-amino-3-(((S) -1-(((S) -1-((2-amino -2-Oxoethyl) amino) -3-hydroxy-1-oxopropan-2-yl) amino) -1-oxopropan-2-yl) (methyl) carbamoyl) -6,21-dibenzyl-15-isobutyl-9 -Isopropyl-12,22,24-trimethyl-5,8,11,14,17,20,23,26-octaoxo-28-phenyl-4,7,10,13,16,19,22,25-
Hydrolyzate (compound SP-510)
LCMS (ESI) m / z = 1226.7 (M−H) −
3-1-4-7.添加剤として(4-(トリフルオロメチル)ベンゼンチオール)(100mM)ではなく、ベンゼンチオール(100mM)を用いた場合
(2S,5S,8S,14S,17S,20S,23S,26S)-N-((S)-1-(((S)-1-((2-アミノ-2-オキソエチル)アミノ)-3-ヒドロキシ-1-オキソプロパン-2-イル)アミノ)-1-オキソプロパン-2-イル)-8,23-ジベンジル-14-イソブチル-20-イソプロピル-N,2,5,7,17-ペンタメチル-3,6,9,12,15,18,21,24,28-ノナオキソ-1,4,7,10,13,16,19,22,25-ノナアザシクロオクタコサン-26-カルボキサミド(化合物SP-511)の合成
3-1-4-7. When benzenethiol (100 mM) is used instead of (4- (trifluoromethyl) benzenethiol) (100 mM) as an additive
(2S, 5S, 8S, 14S, 17S, 20S, 23S, 26S) -N-((S) -1-(((S) -1-((2-amino-2-oxoethyl) amino) -3- Hydroxy-1-oxopropan-2-yl) amino) -1-oxopropan-2-yl) -8,23-dibenzyl-14-isobutyl-20-isopropyl-N, 2,5,7,17-pentamethyl- 3,6,9,12,15,18,21,24,28-nonaoxo-1,4,7,10,13,16,19,22,25-nonazacyclooctacosane-26-carboxamide (compound SP -511)
水(41.86ul)、ベンゼンチオール(1.03ul、0.01mmol)とトリエチルアミン(1.39ul、0.01mmol)の混合溶液を調整した。その混合溶液に、1.9MHEPES緩衝溶液(pH=8.1, 26.2ul)、0.5Mトリス(2-カルボキシエチル)ホスフィン水溶液(pH=7.6、10ul)を加えた。さらに、(3S,6S,9S,12S,15S,21S,24S,27S)-27-アミノ-3-(((S)-1-(((S)-1-((2-アミノ-2-オキソエチル)アミノ)-3-ヒドロキシ-1-オキソプロパン-2-イル)アミノ)-1-オキソプロパン-2-イル)(メチル)カルバモイル)-6,21-ジベンジル-15-イソブチル-9-イソプロピル-12,22,24-トリメチル-5,8,11,14,17,20,23,26-オクタオキソ-28-フェニル-4,7,10,13,16,19,22,25-オクタアザオクタコサン-1-チオ酸 S-ベンジル(化合物SP-504)の10mM N-メチルピロリドン溶液10ul、11mMの内部標準(4-プロピル安息香酸)N-メチルピロリドン溶液(4.56ul)とN-メチルピロリドン(4.96ul)を加え30℃で終夜攪拌した。反応開始時のpHは7.9であった。LCMSを用いて反応の変化を観測したところ、標題化合物の生成を確認した。終夜攪拌後で内部標準とのエリア面積比より転化率は94%であり、標題化合物(SP-511)と加水分解体(化合物SP-512)の生成比はLCMSのUVエリア比でおおよそ3:1であった。
・標題化合物(SP-511)
LCMS(ESI) m/z =1132.3(M-H)-
保持時間:0.63分(分析条件SQDFA05)
・加水分解体(化合物SP-512)
LCMS(ESI) m/z =1150.2(M-H)-
保持時間:0.48分(分析条件SQDFA05)
A mixed solution of water (41.86 ul), benzenethiol (1.03 ul, 0.01 mmol) and triethylamine (1.39 ul, 0.01 mmol) was prepared. To the mixed solution, 1.9MHEPES buffer solution (pH = 8.1, 26.2 ul) and 0.5 M tris (2-carboxyethyl) phosphine aqueous solution (pH = 7.6, 10 ul) were added. Further, (3S, 6S, 9S, 12S, 15S, 21S, 24S, 27S) -27-amino-3-(((S) -1-(((S) -1-((2-amino-2- Oxoethyl) amino) -3-hydroxy-1-oxopropan-2-yl) amino) -1-oxopropan-2-yl) (methyl) carbamoyl) -6,21-dibenzyl-15-isobutyl-9-isopropyl- 12,22,24-trimethyl-5,8,11,14,17,20,23,26-octaoxo-28-phenyl-4,7,10,13,16,19,22,25-octaazaoctacosane 10-ul of 10 mM N-methylpyrrolidone solution of S-benzyl S-benzyl (compound SP-504), 11 mM internal standard (4-propylbenzoic acid) N-methylpyrrolidone solution (4.5 6 ul) and N-methylpyrrolidone (4.96 ul) were added and stirred at 30 ° C. overnight. The pH at the start of the reaction was 7.9. When the change of the reaction was observed using LCMS, formation of the title compound was confirmed. After overnight stirring, the conversion ratio was 94% based on the area area ratio with respect to the internal standard, and the production ratio of the title compound (SP-511) and the hydrolyzate (compound SP-512) was approximately 3 as the LCMS UV area ratio: 1
Title compound (SP-511)
LCMS (ESI) m / z = 1132.3 (M−H) −
Retention time: 0.63 minutes (analysis condition SQDFA05)
Hydrolyzate (compound SP-512)
LCMS (ESI) m / z = 1150.2 (M−H) −
Retention time: 0.48 minutes (analysis condition SQDFA05)
3-1-4-8.添加剤として(4-(トリフルオロメチル)ベンゼンチオール)(1M)ではなく、ベンゼンチオール(1M)を用いた場合
(2S,5S,8S,14S,17S,20S,23S,26S)-N-((S)-1-(((S)-1-((2-アミノ-2-オキソエチル)アミノ)-3-ヒドロキシ-1-オキソプロパン-2-イル)アミノ)-1-オキソプロパン-2-イル)-8,23-ジベンジル-14-イソブチル-20-イソプロピル-N,2,5,7,17-ペンタメチル-3,6,9,12,15,18,21,24,28-ノナオキソ-1,4,7,10,13,16,19,22,25-ノナアザシクロオクタコサン-26-カルボキサミド(化合物SP-511)の合成
3-1-4-8. When benzenethiol (1M) is used as an additive instead of (4- (trifluoromethyl) benzenethiol) (1M)
(2S, 5S, 8S, 14S, 17S, 20S, 23S, 26S) -N-((S) -1-(((S) -1-((2-amino-2-oxoethyl) amino) -3- Hydroxy-1-oxopropan-2-yl) amino) -1-oxopropan-2-yl) -8,23-dibenzyl-14-isobutyl-20-isopropyl-N, 2,5,7,17-pentamethyl- 3,6,9,12,15,18,21,24,28-nonaoxo-1,4,7,10,13,16,19,22,25-nonazacyclooctacosane-26-carboxamide (compound SP -511)
水(24.44ul)、ベンゼンチオール(10.3ul、0.10mmol)とトリエチルアミン(13.9ul、0.10mmol)の混合溶液を調整した。その混合溶液に、1.9MHEPES緩衝溶液(pH=8.1, 26.2ul)、0.5Mトリス(2-カルボキシエチル)ホスフィン水溶液(pH=7.6、10ul)を加えた。さらに、(3S,6S,9S,12S,15S,21S,24S,27S)-27-アミノ-3-(((S)-1-(((S)-1-((2-アミノ-2-オキソエチル)アミノ)-3-ヒドロキシ-1-オキソプロパン-2-イル)アミノ)-1-オキソプロパン-2-イル)(メチル)カルバモイル)-6,21-ジベンジル-15-イソブチル-9-イソプロピル-12,22,24-トリメチル-5,8,11,14,17,20,23,26-オクタオキソ-28-フェニル-4,7,10,13,16,19,22,25-オクタアザオクタコサン-1-チオ酸 S-ベンジル(化合物SP-504)の10mM N-メチルピロリドン溶液10ulと11mMの内部標準(フタル酸)N-メチルピロリドン溶液(4.56ul)を加え30℃で40時間攪拌した。反応開始時のpHは8.1であった。LCMSを用いて反応の変化を観測したところ、標題化合物の生成を確認した。40時間攪拌後、原料(化合物SP-504)は消失し、標題化合物(SP-511)と加水分解体(化合物SP-512)の生成比はLCMSのUVエリア比でおおよそ7:1であった。
・標題化合物(SP-511)
LCMS(ESI) m/z =1132.3(M-H)-
保持時間:0.63分(分析条件SQDFA05)
・加水分解体(化合物SP-512)
LCMS(ESI) m/z =1150.4(M-H)-
保持時間:0.48分(分析条件SQDFA05)
A mixed solution of water (24.44 ul), benzenethiol (10.3 ul, 0.10 mmol) and triethylamine (13.9 ul, 0.10 mmol) was prepared. To the mixed solution, 1.9MHEPES buffer solution (pH = 8.1, 26.2 ul) and 0.5 M tris (2-carboxyethyl) phosphine aqueous solution (pH = 7.6, 10 ul) were added. Further, (3S, 6S, 9S, 12S, 15S, 21S, 24S, 27S) -27-amino-3-(((S) -1-(((S) -1-((2-amino-2- Oxoethyl) amino) -3-hydroxy-1-oxopropan-2-yl) amino) -1-oxopropan-2-yl) (methyl) carbamoyl) -6,21-dibenzyl-15-isobutyl-9-isopropyl- 12,22,24-trimethyl-5,8,11,14,17,20,23,26-octaoxo-28-phenyl-4,7,10,13,16,19,22,25-octaazaoctacosane 1-thioacid S-benzyl (compound SP-504) in 10 mM N-methylpyrrolidone solution and 11 mM internal standard (phthalic acid) N-methylpyrrolidone solution (4.56 ul) were added. The mixture was stirred at 30 ° C. for 40 hours. The pH at the start of the reaction was 8.1. When the change of the reaction was observed using LCMS, formation of the title compound was confirmed. After stirring for 40 hours, the raw material (compound SP-504) disappeared, and the production ratio of the title compound (SP-511) and hydrolyzate (compound SP-512) was approximately 7: 1 in terms of the LCMS UV area ratio. .
Title compound (SP-511)
LCMS (ESI) m / z = 1132.3 (M−H) −
Retention time: 0.63 minutes (analysis condition SQDFA05)
Hydrolyzate (compound SP-512)
LCMS (ESI) m / z = 1150.4 (M−H) −
Retention time: 0.48 minutes (analysis condition SQDFA05)
以上の結果、添加剤として様々なアリールチオエステルが使用可能なことが明らかとなった。翻訳可能なチオエステルを早い反応速度で活性化する目的ではチオール基の電子供与性が高い方が有利であり、活性化されたチオエステルがアミンと十分な速度で環化反応するには電子吸引性が高い方が有利であり、両者のバランスが重要であることが明らかとなった。 As a result, it became clear that various arylthioesters can be used as additives. For the purpose of activating translatable thioesters at a high reaction rate, it is advantageous that the electron donating property of the thiol group is high. In order to cyclize the activated thioester with an amine at a sufficient rate, it has an electron withdrawing property. It became clear that the higher one is more advantageous and the balance between the two is important.
グリシンなどの反応性が高いアミンの場合、添加剤としてベンゼンチオールを用いた場合、その濃度は10mMで充分な環化反応の選択性(環化反応:加水分解=30:1)を得ることができる。一方、アラニンなどより反応性が低いアミンの場合、ベンゼンチオール濃度を10mMから100mMへ上げた条件で、環化反応と加水分解の比率は3:1と低下してしまう。さらに、ベンゼンチオール濃度を1Mへ上げた条件でもその比率は7:1であり、反応性が高いアミンほどの選択性(30:1)は得られない。その場合、添加剤としてベンゼンチオールではなく、電子吸引性基を導入した4-(トリフルオロメチル)ベンゼンチオールを1M用いると、環化反応と加水分解の比率は30:1となり、選択性を向上させることができる。ところが、4-(トリフルオロメチル)ベンゼンチオール濃度を100mMへ下げると、その選択性は低下(6:1)してしまう。したがって、反応性が低いアミンの場合、添加剤として用いる4-(トリフルオロメチル)ベンゼンチオール濃度は高濃度であることが望ましい。
また、活性エステルへの交換反応を単一の添加剤を加えて実施するのではなく、複数の添加剤を加えて実現させることも可能である。2-シアノ-2-(ヒドロキシイミノ)酢酸 (S,Z)-(2,2-ジメチル-1,3-ジオキソラン-4-イル)メチル(化合物SP-517)での活性化は、翻訳可能なチオエステルからの直接変換は達成できなかったが、まず、2-メルカプトフェノールにて翻訳可能なチオエステルを活性化した後、ここからのさらなる活性化が可能であることが明らかとなった。2-シアノ-2-(ヒドロキシイミノ)酢酸 (S,Z)-(2,2-ジメチル-1,3-ジオキソラン-4-イル)メチル(化合物SP-517)では、水中で高効率でN-メチル化されたアミノ酸やペプチドへの高効率なアミド化反応が報告されており(Organic Letter, 2012,14, 3372-3375)、2段階の活性化を経て本活性種への活性化が達成された事実は、注目に値する。
In the case of highly reactive amines such as glycine, when benzenethiol is used as an additive, the concentration is 10 mM and sufficient cyclization reaction selectivity (cyclization reaction: hydrolysis = 30: 1) can be obtained. it can. On the other hand, in the case of an amine having a lower reactivity than alanine or the like, the ratio of the cyclization reaction to the hydrolysis decreases to 3: 1 under the condition that the benzenethiol concentration is increased from 10 mM to 100 mM. Further, even when the benzenethiol concentration is increased to 1M, the ratio is 7: 1, and the selectivity (30: 1) as high as the reactivity of the amine cannot be obtained. In that case, if 1M 4- (trifluoromethyl) benzenethiol with an electron-withdrawing group introduced is used as an additive instead of benzenethiol, the ratio of cyclization to hydrolysis is 30: 1, improving selectivity. Can be made. However, when the 4- (trifluoromethyl) benzenethiol concentration is lowered to 100 mM, the selectivity decreases (6: 1). Therefore, in the case of an amine having low reactivity, it is desirable that the concentration of 4- (trifluoromethyl) benzenethiol used as an additive is high.
Moreover, it is also possible to realize the exchange reaction to the active ester by adding a plurality of additives, not by adding a single additive. Activation with 2-cyano-2- (hydroxyimino) acetic acid (S, Z)-(2,2-dimethyl-1,3-dioxolan-4-yl) methyl (compound SP-517) is translatable Although direct conversion from the thioester could not be achieved, it was revealed that a translatable thioester was first activated with 2-mercaptophenol and then further activation was possible. 2-Cyano-2- (hydroxyimino) acetic acid (S, Z)-(2,2-dimethyl-1,3-dioxolan-4-yl) methyl (compound SP-517) is highly effective in N- A highly efficient amidation reaction to methylated amino acids and peptides has been reported (Organic Letter, 2012, 14, 3372-3375), and activation to this active species was achieved through two-step activation. The facts are worth noting.
3-2-1.反応翻訳液中での反応最適化条件での環化反応
上に述べた反応条件最適化に伴い、反応翻訳液中で環化反応を実施した結果、翻訳ペプチドの環化実験実施条件と比較して加水分解比率を低下させ、目的化合物割合を向上させることができた。
3-2-1. Cyclization reaction under reaction optimization conditions in reaction translation solution As a result of the optimization of reaction conditions described above, cyclization reaction was performed in reaction translation solution. As a result, the hydrolysis ratio was reduced and the target compound ratio was improved.
(2S,5S,8S,14S,17S,20S,23S,26S)-N-((S)-1-(((S)-1-((2-アミノ-2-オキソエチル)アミノ)-3-ヒドロキシ-1-オキソプロパン-2-イル)アミノ)-1-オキソプロパン-2-イル)-8,23-ジベンジル-14-イソブチル-20-イソプロピル-N,2,5,7,17-ペンタメチル-3,6,9,12,15,18,21,24,28-ノナオキソ-1,4,7,10,13,16,19,22,25-ノナアザシクロオクタコサン-26-カルボキサミド(化合物SP-511)の合成
(2S, 5S, 8S, 14S, 17S, 20S, 23S, 26S) -N-((S) -1-(((S) -1-((2-amino-2-oxoethyl) amino) -3- Hydroxy-1-oxopropan-2-yl) amino) -1-oxopropan-2-yl) -8,23-dibenzyl-14-isobutyl-20-isopropyl-N, 2,5,7,17-pentamethyl- 3,6,9,12,15,18,21,24,28-nonaoxo-1,4,7,10,13,16,19,22,25-nonazacyclooctacosane-26-carboxamide (compound SP -511)
4-(トリフルオロメチル)ベンゼンチオール(6.8μL、0.050mmol)およびトリエチルアミン(7.0μl、0.050mmol)をHEPES緩衝液(pH=7.6、1.9M、8.2μl)に溶解させ、チオール溶液を調整した。
(3S,6S,9S,12S,15S,21S,24S,27S)-27-アミノ-3-(((S)-1-(((S)-1-((2-アミノ-2-オキソエチル)アミノ)-3-ヒドロキシ-1-オキソプロパン-2-イル)アミノ)-1-オキソプロパン-2-イル)(メチル)カルバモイル)-6,21-ジベンジル-15-イソブチル-9-イソプロピル-12,22,24-トリメチル-5,8,11,14,17,20,23,26-オクタオキソ-4,7,10,13,16,19,22,25-オクタアザオクタコサン-1-チオ酸 S-ベンジル(化合物SP-504)のNMP溶液(10mM、5.0μl、0.050μmol)に内部標準として4-プロピル安息香酸のNMP溶液(11mM、2.25μl)を加えた。次に翻訳用緩衝液(6.25μl)、PURESYSTEM(r) classic II Sol. B(バイオコゥマー社、製品番号PURE2048C)(10μl)、20種の天然アミノ酸溶液(それぞれ5mM,2.5μl)を加えた。
4- (Trifluoromethyl) benzenethiol (6.8 μL, 0.050 mmol) and triethylamine (7.0 μl, 0.050 mmol) dissolved in HEPES buffer (pH = 7.6, 1.9M, 8.2 μl) To adjust the thiol solution.
(3S, 6S, 9S, 12S, 15S, 21S, 24S, 27S) -27-amino-3-(((S) -1-(((S) -1-((2-amino-2-oxoethyl) Amino) -3-hydroxy-1-oxopropan-2-yl) amino) -1-oxopropan-2-yl) (methyl) carbamoyl) -6,21-dibenzyl-15-isobutyl-9-isopropyl-12 22,24-trimethyl-5,8,11,14,17,20,23,26-octaoxo-4,7,10,13,16,19,22,25-octazaazaoctacosane-1-thioic acid S -An NMP solution of 4-propylbenzoic acid (11 mM, 2.25 μl) was added as an internal standard to an NMP solution of benzyl (compound SP-504) (10 mM, 5.0 μl, 0.050 μmol). Next, a translation buffer (6.25 μl), PURESYSTEM® classic II Sol. B (Biocommer, product number PURE2048C) (10 μl) and 20 kinds of natural amino acid solutions (5 mM and 2.5 μl, respectively) were added.
なお翻訳用緩衝液の成分は8mM GTP,8mM ATP,160mMクレアチンリン酸,400mM HEPES-KOH pH7.6,800mM 酢酸カリウム,48mM 酢酸マグネシウム,16mMスペルミジン,8mM ジチオスレイトール,0.8mM 10-HCO-H4folate, 12mg/ml E.coli MRE600(RNaseネガティブ)由来tRNA(Roche社)である。これにトリス(2-カルボキシエチル)ホスフィン水溶液(pH=7.5、1.25M、2.0μl)および先に調整したチオール溶液を加えた。この時点での反応液のpHは7.7であった。
反応液を30℃で22時間攪拌した後、LC/MSで分析し、標題化合物の生成を確認した。22時間攪拌後の反応液のpHは9.4であった。また、標題化合物(化合物SP-511)と加水分解体(化合物SP-512)との生成比はUVエリア比で2.6:1であった。
標題化合物(SP-511)
LCMS(ESI)m/z =1134.4(M+H)+
保持時間:0.64分(分析条件 SQDFA05)
加水分解体(化合物SP-512)
LCMS(ESI)m/z =1152.5(M+H)+
保持時間:0.48分(分析条件 SQDFA05)
The components of the translation buffer were 8 mM GTP, 8 mM ATP, 160 mM creatine phosphate, 400 mM HEPES-KOH pH 7.6, 800 mM potassium acetate, 48 mM magnesium acetate, 16 mM spermidine, 8 mM dithiothreitol, 0.8 mM 10-HCO- H4folate, 12 mg / ml E. coli MRE600 (RNase negative) -derived tRNA (Roche). To this was added tris (2-carboxyethyl) phosphine aqueous solution (pH = 7.5, 1.25M, 2.0 μl) and the thiol solution prepared previously. At this point, the pH of the reaction solution was 7.7.
The reaction solution was stirred at 30 ° C. for 22 hours and then analyzed by LC / MS to confirm the formation of the title compound. The pH of the reaction solution after stirring for 22 hours was 9.4. The production ratio of the title compound (Compound SP-511) to the hydrolyzate (Compound SP-512) was 2.6: 1 in terms of UV area.
Title compound (SP-511)
LCMS (ESI) m / z = 11134.4 (M + H) +
Retention time: 0.64 minutes (analysis condition SQDFA05)
Hydrolyzate (Compound SP-512)
LCMS (ESI) m / z = 1152.5 (M + H) +
Retention time: 0.48 minutes (analysis condition SQDFA05)
3-3.N末MeAlaモデルペプチドを用いた環化反応
N末端をAlaやPheに続き、N-アルキルアミノ酸であるMeAlaのモデル反応も実施し、環化体の生成を確認した。
3-3. Cyclization reaction using N-terminal MeAla model peptide The N-terminus was followed by Ala and Phe, followed by model reaction of MeAla, which is an N-alkyl amino acid, to confirm the formation of a cyclized product.
3-3-1.N末端MeAlaモデルペプチドの合成
(6S,9S,12S,15S,18S,24S,27S,30S,33S)-18,30-ジベンジル-12,24-ジイソブチル-9,27-ジイソプロピル-2,2,5,6,11,17,23,26-オクタメチル-33-(メチル((S)-1-オキソ-1-(((S)-1-オキソ-1-(ピペリジン-1-イル)プロパン-2-イル)アミノ)-3-フェニルプロパン-2-イル)カルバモイル)-4,7,10,13,16,19,22,25,28,31-デカオキソ-15-((R)-1-(トリチルオキシ)エチル)-3-オキサ-5,8,11,14,17,20,23,26,29,32-デカアザペンタトリアコンタン-35-酸 (Boc-MeAla-Val-MeLeu-Thr(Trt)-MePhe-Gly-MeLeu-MeVal-Phe-Asp-MePhe-Ala-piperidine)(化合物SP-518)の合成
3-3-1. Synthesis of N-terminal MeAla model peptide
(6S, 9S, 12S, 15S, 18S, 24S, 27S, 30S, 33S) -18,30-dibenzyl-12,24-diisobutyl-9,27-diisopropyl-2,2,5,6,11,17 23,26-octamethyl-33- (methyl ((S) -1-oxo-1-(((S) -1-oxo-1- (piperidin-1-yl) propan-2-yl) amino) -3 -Phenylpropan-2-yl) carbamoyl) -4,7,10,13,16,19,22,25,28,31-decaoxo-15-((R) -1- (trityloxy) ethyl) -3 -Oxa-5,8,11,14,17,20,23,26,29,32-decaazapentatriacontane-35-acid (Boc-MeAla-Val-MeLeu-Thr (Trt) -MePhe- Synthesis of Gly-MeLeu-MeVal-Phe-Asp-MePhe-Ala-piperidine) (Compound SP-518)
常法に従って合成した(6S,9S,12S,15S,18S,24S,27S,30S,33S)-18,30-ジベンジル-12,24-ジイソブチル-9,27-ジイソプロピル-2,2,5,6,11,17,23,26-オクタメチル-33-(メチル((S)-1-オキソ-1-(((S)-1-オキソ-1-(ピペリジン-1-イル)プロパン-2-イル)アミノ)-3-フェニルプロパン-2-イル)カルバモイル)-4,7,10,13,16,19,22,25,28,31-デカオキソ-15-((R)-1-(トリチルオキシ)エチル)-3-オキサ-5,8,11,14,17,20,23,26,29,32-デカアザペンタトリアコンタン-35-酸 ベンジル(化合物SP-519、Boc-MeAla-Val-MeLeu-Thr(Trt)-MePhe-Gly-MeLeu-MeVal-Phe-Asp(OBn)-MePhe-Ala-piperidine)(516mg、0.274mmol)のメタノール(3.5ml)溶液にヒドロキシパラジウム/炭素(172mg、50%wet. w/w)を加えて、水素置換した後に室温で2.5時間攪拌した。その後、反応液をセライトろ過し、ろ液を減圧濃縮して標題化合物(SP-518)(468mg、95%)を得た。
LCMS(ESI)m/z =1790.9(M-H)-
保持時間:0.87分(分析条件 SQDAA50)
(6S, 9S, 12S, 15S, 18S, 24S, 27S, 30S, 33S) -18,30-dibenzyl-12,24-diisobutyl-9,27-diisopropyl-2,2,5,6 , 11,17,23,26-octamethyl-33- (methyl ((S) -1-oxo-1-(((S) -1-oxo-1- (piperidin-1-yl) propan-2-yl) ) Amino) -3-phenylpropan-2-yl) carbamoyl) -4,7,10,13,16,19,22,25,28,31-decaoxo-15-((R) -1- (trityloxy) ) Ethyl) -3-oxa-5,8,11,14,17,20,23,26,29,32-decaazapentatricontane-35-acid benzyl (compound SP-519, Boc-MeAla-Va -MeLeu-Thr (Trt) -MePhe-Gly-MeLeu-MeVal-Phe-Asp (OBn) -MePhe-Ala-piperidine) (516 mg, 0.274 mmol) in a solution of hydroxypalladium / carbon (3.5 ml) 172 mg, 50% wet.w / w) was added, and after hydrogen substitution, the mixture was stirred at room temperature for 2.5 hours. Thereafter, the reaction mixture was filtered through Celite, and the filtrate was concentrated under reduced pressure to give the title compound (SP-518) (468 mg, 95%).
LCMS (ESI) m / z = 1790.9 (M−H) −
Retention time: 0.87 minutes (analysis condition SQDAA50)
(6S,9S,12S,15S,18S,24S,27S,30S,33S)-18,30-ジベンジル-12,24-ジイソブチル-9,27-ジイソプロピル-2,2,5,6,11,17,23,26-オクタメチル-33-(メチル((S)-1-オキソ-1-(((S)-1-オキソ-1-(ピペリジン-1-イル)プロパン-2-イル)アミノ)-3-フェニルプロパン-2-イル)カルバモイル)-4,7,10,13,16,19,22,25,28,31-デカオキソ-15-((R)-1-(トリチルオキシ)エチル)-3-オキサ-5,8,11,14,17,20,23,26,29,32-デカアザペンタトリアコンタン-35-チオ酸 S-ベンジル(Boc-MeAla-Val-MeLeu-Thr(Trt)-MePhe-Gly-MeLeu-MeVal-Phe-Asp(SBn)-MePhe-Ala-piperidine)(化合物SP-520)の合成
(6S, 9S, 12S, 15S, 18S, 24S, 27S, 30S, 33S) -18,30-dibenzyl-12,24-diisobutyl-9,27-diisopropyl-2,2,5,6,11,17 23,26-octamethyl-33- (methyl ((S) -1-oxo-1-(((S) -1-oxo-1- (piperidin-1-yl) propan-2-yl) amino) -3 -Phenylpropan-2-yl) carbamoyl) -4,7,10,13,16,19,22,25,28,31-decaoxo-15-((R) -1- (trityloxy) ethyl) -3 -Oxa-5,8,11,14,17,20,23,26,29,32-decaazapentatriacontane-35-thioic acid S-benzyl (Boc-MeAla-Val-MeLeu-Thr (Trt ) -MePhe-Gly-MeLeu-MeVal-Phe-Asp (SBn) -MePhe-Ala-piperidine) (Compound SP-520)
(6S,9S,12S,15S,18S,24S,27S,30S,33S)-18,30-ジベンジル-12,24-ジイソブチル-9,27-ジイソプロピル-2,2,5,6,11,17,23,26-オクタメチル-33-(メチル((S)-1-オキソ-1-(((S)-1-オキソ-1-(ピペリジン-1-イル)プロパン-2-イル)アミノ)-3-フェニルプロパン-2-イル)カルバモイル)-4,7,10,13,16,19,22,25,28,31-デカオキソ-15-((R)-1-(トリチルオキシ)エチル)-3-オキサ-5,8,11,14,17,20,23,26,29,32-デカアザペンタトリアコンタン-35-酸(化合物SP-518)(50.0mg、0.028mmol)をジクロロメタン(320μl)およびDMF(80μl)に溶解させ、フェニルメタンチオール(6.93mg、0.056mmol)、DIC(7.04mg、0.056mmol)およびN,N-ジメチルピリジン-4-アミン(2.58mg、0.021mmol)を加えて室温で終夜攪拌した。反応液を減圧濃縮し、得られた残渣をカラムクロマトグラフィ(10mM酢酸アンモニウム水溶液:メタノール)で精製して、標題化合物(SP-520)(37.6mg、71.0%)を得た。
LCMS(ESI)m/z =1897.3(M-H)-
保持時間:0.99分(分析条件 SQDAA50)
(6S, 9S, 12S, 15S, 18S, 24S, 27S, 30S, 33S) -18,30-dibenzyl-12,24-diisobutyl-9,27-diisopropyl-2,2,5,6,11,17 23,26-octamethyl-33- (methyl ((S) -1-oxo-1-(((S) -1-oxo-1- (piperidin-1-yl) propan-2-yl) amino) -3 -Phenylpropan-2-yl) carbamoyl) -4,7,10,13,16,19,22,25,28,31-decaoxo-15-((R) -1- (trityloxy) ethyl) -3 -Oxa-5,8,11,14,17,20,23,26,29,32-decazaazapentatricontane-35-acid (compound SP-518) (50.0 mg, 0.028 mmol) in dichloromethane 320 μl) and DMF (80 μl), phenylmethanethiol (6.93 mg, 0.056 mmol), DIC (7.04 mg, 0.056 mmol) and N, N-dimethylpyridin-4-amine (2.58 mg, 0.021 mmol) was added and stirred at room temperature overnight. The reaction mixture was concentrated under reduced pressure, and the obtained residue was purified by column chromatography (10 mM aqueous ammonium acetate: methanol) to give the title compound (SP-520) (37.6 mg, 71.0%).
LCMS (ESI) m / z = 1897.3 (M−H) −
Retention time: 0.99 minutes (analysis condition SQDAA50)
(3S,6S,9S,12S,15S,21S,24S,27S,30S)-15,27-ジベンジル-12-((R)-1-ヒドロキシエチル)-9,21-ジイソブチル-6,24-ジイソプロピル-3,8,14,20,23-ペンタメチル-30-(メチル((S)-1-オキソ-1-(((S)-1-オキソ-1-(ピペリジン-1-イル)プロパン-2-イル)アミノ)-3-フェニルプロパン-2-イル)カルバモイル)-4,7,10,13,16,19,22,25,28-ノナオキソ-2,5,8,11,14,17,20,23,26,29-デカアザドトリアコンタン-32-チオ酸 S-ベンジル(MeAla-Val-MeLeu-Thr-MePhe-Gly-MeLeu-MeVal-Phe-Asp(SBn)-MePhe-Ala-piperidine)(化合物SP-521)の合成
(3S, 6S, 9S, 12S, 15S, 21S, 24S, 27S, 30S) -15,27-dibenzyl-12-((R) -1-hydroxyethyl) -9,21-diisobutyl-6,24-diisopropyl -3,8,14,20,23-pentamethyl-30- (methyl ((S) -1-oxo-1-(((S) -1-oxo-1- (piperidin-1-yl) propane-2 -Yl) amino) -3-phenylpropan-2-yl) carbamoyl) -4,7,10,13,16,19,22,25,28-nonaoxo-2,5,8,11,14,17, 20,23,26,29-Deazaazadotriacontane-32-thioic acid S-benzyl (MeAla-Val-MeLeu-Thr-MePhe-Gly-MeLeu-MeVal-Phe-Asp (SB n) Synthesis of -MePhe-Ala-piperidine) (compound SP-521)
(6S,9S,12S,15S,18S,24S,27S,30S,33S)-18,30-ジベンジル-12,24-ジイソブチル-9,27-ジイソプロピル-2,2,5,6,11,17,23,26-オクタメチル-33-(メチル((S)-1-オキソ-1-(((S)-1-オキソ-1-(ピペリジン-1-イル)プロパン-2-イル)アミノ)-3-フェニルプロパン-2-イル)カルバモイル)-4,7,10,13,16,19,22,25,28,31-デカオキソ-15-((R)-1-(トリチルオキシ)エチル)-3-オキサ-5,8,11,14,17,20,23,26,29,32-デカアザペンタトリアコンタン-35-チオ酸 S-ベンジル(化合物SP-520)(37.6mg、0.020mmol)をジクロロメタン(300μl)に溶解し、TFA(150.0μl、1.95mmol)を加えて室温で1時間半攪拌した。反応液にトリイソプロピルシラン(15.7mg、0.099mmol)を加えた後、反応液を減圧濃縮し、得られた残渣をカラムクロマトグラフィ(0.1%FA水溶液:0.1%FAアセトニトリル溶液)で精製して標題化合物(SP-521)(18.5mg、60.0%)を得た。
LCMS(ESI)m/z =1555.1(M-H)-
保持時間:0.79分(分析条件 SQDFA05)
(6S, 9S, 12S, 15S, 18S, 24S, 27S, 30S, 33S) -18,30-dibenzyl-12,24-diisobutyl-9,27-diisopropyl-2,2,5,6,11,17 23,26-octamethyl-33- (methyl ((S) -1-oxo-1-(((S) -1-oxo-1- (piperidin-1-yl) propan-2-yl) amino) -3 -Phenylpropan-2-yl) carbamoyl) -4,7,10,13,16,19,22,25,28,31-decaoxo-15-((R) -1- (trityloxy) ethyl) -3 -Oxa-5,8,11,14,17,20,23,26,29,32-decaazapentatriacontane-35-thioic acid S-benzyl (compound SP-520) (37.6 mg, 0.020 mmol ) Was dissolved in dichloromethane (300μl), TFA (150.0μl, 1.95mmol) was stirred at room temperature for 1.5 hours added. After adding triisopropylsilane (15.7 mg, 0.099 mmol) to the reaction solution, the reaction solution was concentrated under reduced pressure, and the resulting residue was subjected to column chromatography (0.1% FA aqueous solution: 0.1% FA acetonitrile solution). To give the title compound (SP-521) (18.5 mg, 60.0%).
LCMS (ESI) m / z = 1555.1 (MH)-
Retention time: 0.79 minutes (analysis conditions SQDFA05)
(6S,9S,12S,15S,18S,24S,27S,30S,33S)-18,30-ジベンジル-12,24-ジイソブチル-9,27-ジイソプロピル-2,2,5,6,11,17,23,26-オクタメチル-33-(メチル((S)-1-オキソ-1-(((S)-1-オキソ-1-(ピペリジン-1-イル)プロパン-2-イル)アミノ)-3-フェニルプロパン-2-イル)カルバモイル)-4,7,10,13,16,19,22,25,28,31-デカオキソ-15-((R)-1-(トリチルオキシ)エチル)-3-オキサ-5,8,11,14,17,20,23,26,29,32-デカアザペンタトリアコンタン-35-酸 2-(エチルジスルファニル)-6-メチルフェニル(Boc-MeAla-Val-MeLeu-Thr(Trt)-MePhe-Gly-MeLeu-MeVal-Phe-Asp(O(2-EtSS-6-Me-Ph))-MePhe-Ala-piperidine)(化合物SP-522)の合成
なお、本明細書では、Aspの側鎖カルボン酸が2-(エチルジスルファニル)-6-メチルフェニルエステル基にて置換された化合物をAsp(O(2-EtSS-6-Me-Ph))と記載する。この部位がペプチドに含まれる場合にも同様に記載することとする。
(6S, 9S, 12S, 15S, 18S, 24S, 27S, 30S, 33S) -18,30-dibenzyl-12,24-diisobutyl-9,27-diisopropyl-2,2,5,6,11,17 23,26-octamethyl-33- (methyl ((S) -1-oxo-1-(((S) -1-oxo-1- (piperidin-1-yl) propan-2-yl) amino) -3 -Phenylpropan-2-yl) carbamoyl) -4,7,10,13,16,19,22,25,28,31-decaoxo-15-((R) -1- (trityloxy) ethyl) -3 -Oxa-5,8,11,14,17,20,23,26,29,32-decaazapentatriacontane-35-acid 2- (ethyldisulfanyl) -6-methylphenyl (Boc-MeAla-V) Synthesis of al-MeLeu-Thr (Trt) -MePhe-Gly-MeLeu-MeVal-Phe-Asp (O (2-EtSS-6-Me-Ph))-MePhe-Ala-piperidine (compound SP-522) In the present specification, a compound in which the side chain carboxylic acid of Asp is substituted with 2- (ethyldisulfanyl) -6-methylphenyl ester group is represented by Asp (O (2-EtSS-6-Me-Ph)). Describe. The same description will be given when this site is contained in a peptide.
(6S,9S,12S,15S,18S,24S,27S,30S,33S)-18,30-ジベンジル-12,24-ジイソブチル-9,27-ジイソプロピル-2,2,5,6,11,17,23,26-オクタメチル-33-(メチル((S)-1-オキソ-1-(((S)-1-オキソ-1-(ピペリジン-1-イル)プロパン-2-イル)アミノ)-3-フェニルプロパン-2-イル)カルバモイル)-4,7,10,13,16,19,22,25,28,31-デカオキソ-15-((R)-1-(トリチルオキシ)エチル)-3-オキサ-5,8,11,14,17,20,23,26,29,32-デカアザペンタトリアコンタン-35-酸(化合物SP-518)(50.0mg、0.028mmol)のジクロロメタン(300ul)溶液に、常法に従い(J. AM. CHEM. SOC. 2009, 131, 5432-5437)別途合成した2-(エチルジスルファニル)-6-メチルフェノール(8.38mg、0.042mmol)、N,N’-メタンジイリデンビス(プロパン-2-アミン) (6.52ul、0.042mmol)、N,N-ジメチルピリジン-4-アミン(3.41mg、0.028mmol)を加え室温で終夜攪拌した。その後、反応液を減圧濃縮し、逆相シリカゲルカラムクロマトグラフィー(10mM酢酸アンモニウム水溶液/メタノール=70/30→0/100)にて精製し、標題化合物(化合物SP-522)(43.8mg, 80%)を得た。
LCMS(ESI) m/z =1973.5(M―H)-
保持時間:1.01分(分析条件SQDAA50)
(6S, 9S, 12S, 15S, 18S, 24S, 27S, 30S, 33S) -18,30-dibenzyl-12,24-diisobutyl-9,27-diisopropyl-2,2,5,6,11,17 23,26-octamethyl-33- (methyl ((S) -1-oxo-1-(((S) -1-oxo-1- (piperidin-1-yl) propan-2-yl) amino) -3 -Phenylpropan-2-yl) carbamoyl) -4,7,10,13,16,19,22,25,28,31-decaoxo-15-((R) -1- (trityloxy) ethyl) -3 -Dichlorometa of oxa-5,8,11,14,17,20,23,26,29,32-decaazapentatriacontane-35-acid (compound SP-518) (50.0 mg, 0.028 mmol) 2- (ethyldisulfanyl) -6-methylphenol (8.38 mg, 0.042 mmol) separately synthesized in a (300 ul) solution according to a conventional method (J. AM. CHEM. SOC. 2009, 131, 5432-5437) , N, N′-methanediylidenebis (propan-2-amine) (6.52 ul, 0.042 mmol) and N, N-dimethylpyridin-4-amine (3.41 mg, 0.028 mmol) were added at room temperature. Stir overnight. The reaction mixture was then concentrated under reduced pressure and purified by reverse phase silica gel column chromatography (10 mM aqueous ammonium acetate / methanol = 70/30 → 0/100) to give the title compound (Compound SP-522) (43.8 mg, 80 %).
LCMS (ESI) m / z = 1973.5 (M−H) −
Retention time: 1.01 minutes (analysis condition SQDAA50)
(3S,6S,9S,12S,15S,21S,24S,27S,30S)-15,27-ジベンジル-12-((R)-1-ヒドロキシエチル)-9,21-ジイソブチル-6,24-ジイソプロピル-3,8,14,20,23-ペンタメチル-30-(メチル((S)-1-オキソ-1-(((S)-1-オキソ-1-(ピペリジン-1-イル)プロパン-2-イル)アミノ)-3-フェニルプロパン-2-イル)カルバモイル)-4,7,10,13,16,19,22,25,28-ノナオキソ-2,5,8,11,14,17,20,23,26,29-デカアザドトリアコンタン-32-酸 2-(エチルジスルファニル)-6-メチルフェニル(MeAla-Val-MeLeu-Thr-MePhe-Gly-MeLeu-MeVal-Phe-Asp(O(2-EtSS-6-Me-Ph))-MePhe-Ala-piperidine)(化合物SP-523)の合成
(3S, 6S, 9S, 12S, 15S, 21S, 24S, 27S, 30S) -15,27-dibenzyl-12-((R) -1-hydroxyethyl) -9,21-diisobutyl-6,24-diisopropyl -3,8,14,20,23-pentamethyl-30- (methyl ((S) -1-oxo-1-(((S) -1-oxo-1- (piperidin-1-yl) propane-2 -Yl) amino) -3-phenylpropan-2-yl) carbamoyl) -4,7,10,13,16,19,22,25,28-nonaoxo-2,5,8,11,14,17, 20,23,26,29-Deazaazadotriacontane-32-acid 2- (ethyldisulfanyl) -6-methylphenyl (MeAla-Val-MeLeu-Thr-MePhe-Gly-MeLeu- Synthesis of MeVal-Phe-Asp (O (2-EtSS-6-Me-Ph))-MePhe-Ala-piperidine) (Compound SP-523)
(6S,9S,12S,15S,18S,24S,27S,30S,33S)-18,30-ジベンジル-12,24-ジイソブチル-9,27-ジイソプロピル-2,2,5,6,11,17,23,26-オクタメチル-33-(メチル((S)-1-オキソ-1-(((S)-1-オキソ-1-(ピペリジン-1-イル)プロパン-2-イル)アミノ)-3-フェニルプロパン-2-イル)カルバモイル)-4,7,10,13,16,19,22,25,28,31-デカオキソ-15-((R)-1-(トリチルオキシ)エチル)-3-オキサ-5,8,11,14,17,20,23,26,29,32-デカアザペンタトリアコンタン-35-酸 2-(エチルジスルファニル)-6-メチルフェニル(化合物SP-522)(42.9mg、22umol)のジクロロメタン(200ul)溶液にトリフルオロ酢酸(100ul)とトリイソプロピルシラン(22.3ul、0.109mmol)を加え、室温で10分間攪拌した。その後、反応液を減圧濃縮し、逆相シリカゲルカラムクロマトグラフィー(0.1%ギ酸水溶液/0.1%ギ酸アセトニトリル溶液=70/30→0/100)にて精製し、標題化合物(化合物SP-523)(11.7mg、33%)を得た。
LCMS(ESI) m/z =1632.9(M+H)+
保持時間:0.83分(分析条件SQDFA05)
(6S, 9S, 12S, 15S, 18S, 24S, 27S, 30S, 33S) -18,30-dibenzyl-12,24-diisobutyl-9,27-diisopropyl-2,2,5,6,11,17 23,26-octamethyl-33- (methyl ((S) -1-oxo-1-(((S) -1-oxo-1- (piperidin-1-yl) propan-2-yl) amino) -3 -Phenylpropan-2-yl) carbamoyl) -4,7,10,13,16,19,22,25,28,31-decaoxo-15-((R) -1- (trityloxy) ethyl) -3 -Oxa-5,8,11,14,17,20,23,26,29,32-decaazapentatriacontane-35-acid 2- (ethyldisulfanyl) -6-methylphenyl (compound SP-522) (4 .9Mg, dichloromethane (200 ul) trifluoroacetic acid (100 ul) and triisopropylsilane solution (22.3Ul of 22umol), 0.109mmol) was added and stirred for 10 minutes at room temperature. Thereafter, the reaction solution was concentrated under reduced pressure and purified by reverse-phase silica gel column chromatography (0.1% formic acid aqueous solution / 0.1% formic acid acetonitrile solution = 70/30 → 0/100) to give the title compound (compound SP- 523) (11.7 mg, 33%).
LCMS (ESI) m / z = 1632.9 (M + H) +
Retention time: 0.83 minutes (analysis condition SQDFA05)
3-3-2.N末端MeAlaモデルペプチドでの環化反応例
(2R,5S,8S,11S,14S,20S,23S,26S,29S)-14,26-ジベンジル-11-((R)-1-ヒドロキシエチル)-8,20-ジイソブチル-5,23-ジイソプロピル-N,1,2,7,13,19,22-ヘプタメチル-3,6,9,12,15,18,21,24,27,31-デカオキソ-N-((S)-1-オキソ-1-(((S)-1-オキソ-1-(ピペリジン-1-イル)プロパン-2-イル)アミノ)-3-フェニルプロパン-2-イル)-1,4,7,10,13,16,19,22,25,28-デカアザシクロヘントリアコンタン-29-カルボキサミドの(化合物SP-524)合成
3-3-2. Example of cyclization reaction with N-terminal MeAla model peptide
(2R, 5S, 8S, 11S, 14S, 20S, 23S, 26S, 29S) -14,26-dibenzyl-11-((R) -1-hydroxyethyl) -8,20-diisobutyl-5,23-diisopropyl -N, 1,2,7,13,19,22-heptamethyl-3,6,9,12,15,18,21,24,27,31-decaoxo-N-((S) -1-oxo- 1-((((S) -1-oxo-1- (piperidin-1-yl) propan-2-yl) amino) -3-phenylpropan-2-yl) -1,4,7,10,13, Synthesis of 16, 19, 22, 25, 28-Deazaazacyclohentriacontane-29-carboxamide (Compound SP-524)
(3S,6S,9S,12S,15S,21S,24S,27S,30S)-15,27-ジベンジル-12-((R)-1-ヒドロキシエチル)-9,21-ジイソブチル-6,24-ジイソプロピル-3,8,14,20,23-ペンタメチル-30-(メチル((S)-1-オキソ-1-(((S)-1-オキソ-1-(ピペリジン-1-イル)プロパン-2-イル)アミノ)-3-フェニルプロパン-2-イル)カルバモイル)-4,7,10,13,16,19,22,25,28-ノナオキソ-2,5,8,11,14,17,20,23,26,29-デカアザドトリアコンタン-32-チオ酸 S-ベンジル(化合物SP-521)のNMP溶液(10mM、10μl、0.10μmol)に4-(トリフルオロメチル)ベンゼンチオールの400mMリン酸水素二ナトリウム緩衝液(0.2M、50.0μl、10.0μmol)、トリエチルアミンのNMP溶液(1M、10μl、10.0μmol)およびNMP(30.0μl)を加えて、室温で4時間攪拌した。LC/MSでの分析により、標題化合物(SP-524)の生成を確認した。
LCMS(ESI)m/z =1432.8(M+H)+
保持時間:1.06分(分析条件 SQDFA05)
(3S, 6S, 9S, 12S, 15S, 21S, 24S, 27S, 30S) -15,27-dibenzyl-12-((R) -1-hydroxyethyl) -9,21-diisobutyl-6,24-diisopropyl -3,8,14,20,23-pentamethyl-30- (methyl ((S) -1-oxo-1-(((S) -1-oxo-1- (piperidin-1-yl) propane-2 -Yl) amino) -3-phenylpropan-2-yl) carbamoyl) -4,7,10,13,16,19,22,25,28-nonaoxo-2,5,8,11,14,17, 20,23,26,29-Deazaazadotriacontane-32-thioic acid 4- (trifluoromethyl) benzone in an NMP solution (10 mM, 10 μl, 0.10 μmol) of S-benzyl (compound SP-521)
LCMS (ESI) m / z = 1432.8 (M + H) +
Retention time: 1.06 minutes (analysis conditions SQDFA05)
(2S,5S,8S,11S,14S,20S,23S,26S,29S)-14,26-ジベンジル-11-((R)-1-ヒドロキシエチル)-8,20-ジイソブチル-5,23-ジイソプロピル-N,1,2,7,13,19,22-ヘプタメチル-3,6,9,12,15,18,21,24,27,31-デカオキソ-N-((S)-1-オキソ-1-(((S)-1-オキソ-1-(ピペリジン-1-イル)プロパン-2-イル)アミノ)-3-フェニルプロパン-2-イル)-1,4,7,10,13,16,19,22,25,28-デカアザシクロヘントリアコンタン-29-カルボキサミド(化合物SP-524)の合成
( 2S, 5S, 8S, 11S, 14S, 20S, 23S, 26S, 29S) -14,26-dibenzyl-11-((R) -1-hydroxyethyl) -8,20-diisobutyl-5,23-diisopropyl -N, 1,2,7,13,19,22-heptamethyl-3,6,9,12,15,18,21,24,27,31-decaoxo-N-((S) -1-oxo- 1-((((S) -1-oxo-1- (piperidin-1-yl) propan-2-yl) amino) -3-phenylpropan-2-yl) -1,4,7,10,13, Synthesis of 16, 19, 22, 25, 28-decaazacyclohentriacontane-29-carboxamide (Compound SP-524)
(3S,6S,9S,12S,15S,21S,24S,27S,30S)-15,27-ジベンジル-12-((R)-1-ヒドロキシエチル)-9,21-ジイソブチル-6,24-ジイソプロピル-3,8,14,20,23-ペンタメチル-30-(メチル((S)-1-オキソ-1-(((S)-1-オキソ-1-(ピペリジン-1-イル)プロパン-2-イル)アミノ)-3-フェニルプロパン-2-イル)カルバモイル)-4,7,10,13,16,19,22,25,28-ノナオキソ-2,5,8,11,14,17,20,23,26,29-デカアザドトリアコンタン-32-酸 2-(エチルジスルファニル)-6-メチルフェニル(化合物P-523)(0.163mg, 0.100umol)と1-ヒドロキシピロリジン-2,5-ジオン(0.575mg、5.0umol)のDMF(50ul)溶液に1Mリン酸緩衝溶液(pH8.5、20ul)、水(25ul)を加えた。さらに1Mトリス(2-カルボキシエチル)ホスフィン(TCEP)水溶液(5ul)を加え、室温で2時間攪拌した。LCMSを用いて反応を観測したところ、標題化合物(化合物SP-524)が観測された。
LCMS(ESI) m/z =1432.9(M+H)+
保持時間:1.09分(分析条件SQDFA05)
(3S, 6S, 9S, 12S, 15S, 21S, 24S, 27S, 30S) -15,27-dibenzyl-12-((R) -1-hydroxyethyl) -9,21-diisobutyl-6,24-diisopropyl -3,8,14,20,23-pentamethyl-30- (methyl ((S) -1-oxo-1-(((S) -1-oxo-1- (piperidin-1-yl) propane-2 -Yl) amino) -3-phenylpropan-2-yl) carbamoyl) -4,7,10,13,16,19,22,25,28-nonaoxo-2,5,8,11,14,17, 20,23,26,29-Deazaazadotriacontane-32-acid 2- (ethyldisulfanyl) -6-methylphenyl (Compound P-523) (0.163 mg, 0.100 umol) and 1-hydroxy Pyrrolidine-2,5-dione (0.575mg, 5.0umol) of DMF (50 ul) was added 1M phosphate buffer solution (pH8.5,20ul), was added water (25 ul). Further, 1M tris (2-carboxyethyl) phosphine (TCEP) aqueous solution (5 ul) was added, and the mixture was stirred at room temperature for 2 hours. When the reaction was observed using LCMS, the title compound (Compound SP-524) was observed.
LCMS (ESI) m / z = 1432.9 (M + H) +
Retention time: 1.09 minutes (analysis condition SQDFA05)
5.RNA-ペプチド複合体を用いた反応補助基を利用しないペプチド環化
RNA-ペプチド複合体において反応補助基を利用しないペプチド環化反応を施し、生成物を電気泳動にて解析した。
5). The peptide cyclization RNA-peptide complex using the RNA-peptide complex without using the reaction auxiliary group was subjected to peptide cyclization reaction without using the reaction auxiliary group, and the product was analyzed by electrophoresis.
5-1.ピューロマイシンを含む鋳型mRNAの調製とそれを用いたRNA-ペプチド複合体の翻訳合成
PCRにより調製した3つのDNA(配列番号 DM-D1、DM-D2、DM-D3)を鋳型に、それぞれIn vitro転写によりmRNA(配列番号 RM-D3、R-D4、R-D5)を調整し、RNeasy mini kit (Qiagen社)を用いて精製した。各々に対し、10μMのmRNAに、50μMのピューロマイシンリンカー(Sigma社)(配列番号C-D1) 1X T4 RNAライゲースリアクションバッファー(NEB社)、1mM DTT、1mM ATP、0.02%BSA(Takara社)、510μM (PEG2000)(Wako社)、10% DMSO、1%(v/v) RNasein Ribonuclease inhibitor (Promega社,N2111)0.85 unit/μl T4 RNAライゲース(NEB社)を加え、15℃で一晩ライゲーション反応させた後、RNeasy MinElutekit(Qiagen社)により精製した。次に、上記で調製した3つのmRNA-ピューロマイシンリンカー連結体1 μMそれぞれを鋳型に、前述の無細胞翻訳液と0.25mM Ser、0.25mM Gly,0.25mM Pro,0.25mM Arg,0.25mM Thr,0.25mM Tyrおよび、50μM Asp(SBn)-tRNAGluAAG(化合物AT-7-A)を加え、37℃で60分間保温した後、続けて室温で12分間保温した。また、OT98RNA(配列番号 RM-D4)、OT99RNA(配列番号 RM-D5)由来のmRNA-ピューロマイシンを鋳型にする場合、それぞれ0.25mMのPhe, 0.25mM のAlaを加えて翻訳を行った。その後、反応液をRNeasy minelute(qiagen社)により精製し、RNA-ペプチド複合体を得た。
5-1. Preparation of template mRNA containing puromycin and translational synthesis of RNA-peptide complex using it
Using three DNAs (SEQ ID NOs: DM-D1, DM-D2, and DM-D3) prepared by PCR as templates, mRNAs (SEQ ID NOs: RM-D3, R-D4, and R-D5) were prepared by in vitro transcription. And purified using RNeasy mini kit (Qiagen). For each 10 μM mRNA, 50 μM puromycin linker (Sigma) (SEQ ID NO: C-D1) 1X T4 RNA ligase reaction buffer (NEB), 1 mM DTT, 1 mM ATP, 0.02% BSA (Takara ), 5 10 μM (PEG2000) (Wako), 10% DMSO, 1% (v / v) RNasein Ribonuclease inhibitor (Promega, N2111) 0.85 unit / μl T4 RNA ligase (NEB) and added at 15 ° C. After the overnight ligation reaction, purification was performed with RNeasy MinElutekit (Qiagen). Next, using each of the 3 mRNA-
配列番号 DM-D1 OT-97 (配列番号:82)
OT-97 DNA配列
GTAATACGACTCACTATAGGGTTAACTTTAAGAAGGAGATATACATATGGGTACTACAACGCGTCTTCCGTACCGTAGCGGCTCTGGCTCTGGCTCTAAAAAAA
SEQ ID NO: DM-D1 OT-97 (SEQ ID NO: 82)
OT-97 DNA sequence
GTAATACGACTCACTATAGGGTTAACTTTAAGAAGGAGATATACATATGGGTACTACAACGCGTCTTCCGTACCGTAGCGGCTCTGGCTCTGGCTCTAAAAAAA
配列番号 DM-D2 OT-98 (配列番号:83)
OT-98 DNA配列
GTAATACGACTCACTATAGGGTTAACTTTAAGAAGGAGATATACATATGTTTACTACAACGCGTCTTCCGTACCGTAGCGGCTCTGGCTCTGGCTCTAAAAAAA
SEQ ID NO: DM-D2 OT-98 (SEQ ID NO: 83)
OT-98 DNA sequence
GTAATACGACTCACTATAGGGTTAACTTTAAGAAGGAGATATACATATGTTTACTACAACGCGTCTTCCGTACCGTAGCGGCTCTGGCTCTGGCTCTAAAAAAA
配列番号 DM-D3 OT-99 (配列番号:84)
OT-99 DNA配列
GTAATACGACTCACTATAGGGTTAACTTTAAGAAGGAGATATACATATGGCTACTACAACGCGTCTTCCGTACCGTAGCGGCTCTGGCTCTGGCTCTAAAAAAA
SEQ ID NO: DM-D3 OT-99 (SEQ ID NO: 84)
OT-99 DNA sequence
GTAATACGACTCACTATAGGGTTAACTTTAAGAAGGAGATATACATATGGCTACTACAACGCGTCTTCCGTACCGTAGCGGCTCTGGCTCTGGCTCTAAAAAAA
配列番号 RM-D3 OT-97 (配列番号:85)
OT-97 RNA配列
GGGUUAACUUUAAGAAGGAGAUAUACAUAUGGGUACUACAACGCGUCUUCCGUACCGUAGCGGCUCUGGCUCUGGCUCUAAAAAAA
SEQ ID NO: RM-D3 OT-97 (SEQ ID NO: 85)
OT-97 RNA sequence
GGGUUAACUUUAAGAAGGAGAUAUACAUAUGGGUACUACAACGCGUCUUCCGUACCGUAGCGGCUCUGGCUCUGGCUCUAAAAAAA
配列番号 RM-D4 OT-98 (配列番号:86)
OT-98 RNA配列
GGGUUAACUUUAAGAAGGAGAUAUACAUAUGUUUACUACAACGCGUCUUCCGUACCGUAGCGGCUCUGGCUCUGGCUCUAAAAAAA
SEQ ID NO: RM-D4 OT-98 (SEQ ID NO: 86)
OT-98 RNA sequence
GGGUUAACUUUAAGAAGGAGAUAUACAUAUGUUUACUACAACGCGUCUUCCGUACCGUAGCGGCUCUGGCUCUGGCUCUAAAAAAA
配列番号 RM-D5 OT-99 (配列番号:87)
OT-99 RNA配列
GGGUUAACUUUAAGAAGGAGAUAUACAUAUGGCUACUACAACGCGUCUUCCGUACCGUAGCGGCUCUGGCUCUGGCUCUAAAAAAA
SEQ ID NO: RM-D5 OT-99 (SEQ ID NO: 87)
OT-99 RNA sequence
GGGUUAACUUUAAGAAGGAGAUAUACAUAUGGCUACUACAACGCGUCUUCCGUACCGUAGCGGCUCUGGCUCUGGCUCUAAAAAAA
配列番号 C-D1 HY_C18_dCdClinker
[P]dCdC [Fluorecein-dT][Spacer18][Spacer18][Spacer18][Spacer18]dCdC[puromycin] ([P]:5'リン酸化)
SEQ ID NO: C-D1 HY_C18_dCdClinker
[P] dCdC [Fluorecein-dT] [Spacer18] [Spacer18] [Spacer18] [Spacer18] dCdC [puromycin] ([P]: 5 'phosphorylated)
5-2.ペプチドーRNA複合体を用いた反応補助基を利用しないペプチド環化反応
窒素雰囲気下、上記で調整したOT-97 RNA配列(配列番号RM-D3)に由来する70μLのRNA-ペプチド複合体に、20.1μLのチオフェノール溶液(5M 4-トリフルオロメチルチオフェノール水溶液、5Mトリエチルアミン水溶液を等量混合したもの)、10μL 500mM トリカルボキシエチルホスフィン溶液 (pH7.5)を混合し、50℃で2時間反応させた。また、HEPES緩衝液(pH7.6)を用いて5M 4-トリフルオロメチルチオフェノール溶液および5M トリエチルアミン溶液を調整し、これらを等量混合してチオフェノール溶液を調整した後、OT-98 RNA配列(配列番号RM-D4)、OT-99 RNA配列(配列番号RM-D5)に由来するRNA-ペプチド複合体70μLそれぞれに対し、20.1μLのNMP、上述のチオフェノール溶液20.1μL、500mM トリカルボキシエチルホスフィン溶液 (pH7.5) 10μL を窒素雰囲気下で混合し、30℃で22時間攪拌した。
得られた3つの反応液それぞれから、RNeasy minelute(qiagen社)を用いてペプチドーRNA複合体を精製し、純水70μLにてカラムから溶出した。続けて、8.4μLの10xRNase ONE ribonuclease反応バッファー(promega社)、2.8μLのRNase ONE ribonuclease (promega社)、2.8μLのRNase H (Life technologies社)を加え、37度にて一晩保温した。続いて、得られた反応溶液と何も反応させていないピューロマイシンリンカー(配列番号C-D1)をpeptide-PAGE mini(TEFCO社)にて電気泳動し、ピューロマイシンリンカーに由来するFluoreceinにてバンドを可視化した。その結果、いずれの反応溶液に関してもピューロマイシンリンカーにペプチドが結合したことに由来するバンド移動度の差が観測された((図47)。このことから、目的の環化ペプチド-RNA複合体の存在が示された。
5-2. Peptide cyclization reaction using no peptide-RNA complex Peptide cyclization reaction Under a nitrogen atmosphere, 70 μL of RNA-peptide complex derived from the OT-97 RNA sequence (SEQ ID NO: RM-D3) prepared above was added to 20 μL.
From each of the obtained three reaction solutions, the peptide-RNA complex was purified using RNeasy minelute (qiagen) and eluted from the column with 70 μL of pure water. Subsequently, 8.4 μL of 10 × RNase ONE ribonuclease reaction buffer (promega), 2.8 μL of RNase ONE ribonuclease (promega), and 2.8 μL of RNase H (Life technologies) were added and incubated at 37 ° C. overnight. did. Subsequently, a puromycin linker (SEQ ID NO: C-D1) that had not reacted with the obtained reaction solution was electrophoresed with peptide-PAGE mini (TEFCO), and a band was obtained with fluorecein derived from the puromycin linker. Was visualized. As a result, a difference in band mobility derived from the binding of the peptide to the puromycin linker was observed for any of the reaction solutions ((FIG. 47). From this, the target cyclized peptide-RNA complex was observed. Existence was shown.
6.ノルロイシンを使ったメチオニン代替とアミノペプチダーゼを利用したペプチド環化への応用
翻訳後に、N末端のフォルミル化された翻訳開始アミノ酸をメチオニンアミノペプチダーゼ、及びペプチドデフォルミラーゼにて切断し、それにより露出したα-アミノ基を用いてペプチド環化反応を施し、MALDI-MSにて分析した。なお、翻訳開始アミノ酸としては、メチオニンの代わりに、酸化されやすい硫黄原子を含まないアミノ酸であるノルロイシン(CAS番号327-57-1)を使用した。
6). Substitution of methionine using norleucine and application to peptide cyclization using aminopeptidase After translation, the N-terminal formylated translation initiation amino acid is cleaved with methionine aminopeptidase and peptide deformylase, thereby exposing α -Peptide cyclization was performed using an amino group and analyzed by MALDI-MS. As the translation initiation amino acid, norleucine (CAS No. 327-57-1), which is an amino acid not containing a sulfur atom that is easily oxidized, was used instead of methionine.
6-1.ノルロイシンで翻訳開始され、ベンジルチオエステル化されたアスパラギン酸誘導体を側鎖に含むペプチドを用いた、翻訳後開始アミノ酸除去と反応補助基を利用しないペプチド環化
1μM 鋳型RNA Mgtp_R(配列番号R-41)に、0.25mM Pro,0.25mM Gly,0.25mM Thr,0.25mM Arg,0.25mM Tyr,2.5mM ノルロイシン(Nle)および、50μM Asp(SBn)-tRNAGluAAG(化合物AT-7-A)を含む前述の翻訳液を37℃で60分間保温した。得られた翻訳溶液1μLに9μLの0.2%トリフルオロ酢酸を加え、そのうち1μLをMALDIターゲットプレート上に載せた後、1μLのCHCA溶液(10mg/ml α-シアノ-4-ヒドロキシケイ皮酸、50%アセトニトリル、0.1%トリフルオロ酢酸溶液)と混和し、プレート上乾固した。MALDI-MSの結果、フォルミルノルロイシンより翻訳開始された目的のペプチドP-D5に由来するピークが観測された(図48、ピークI)。続いて上記で得られた翻訳溶液4μLに、Hisタグ付加タンパクとして調製した150μM メチオニンアミノペプチダーゼ、20μM ペプチドデフォルミラーゼをそれぞれ0.5μLずつ加え、37℃で30分間保温した。得られた反応液1μLを前述したように前処理し、MALDI-MSにて分析したところ、開始フォルミルノルロイシンが外れ、N末端にGlyが露出したペプチドP-141に相当するピークが観測された(図48、ピークII)。最後に、このP-141を含む翻訳溶液3.5μL、1μLチオフェノール溶液(5M 4-トリフルオロメチルチオフェノール、5Mトリエチルアミンを等量混合したもの)、0.5μL 500mM トリカルボキシエチルホスフィン溶液 (pH7.6)を混合し、50℃で2時間保温した。得られた反応溶液2μLを使って、12μLの2%トリフルオロ酢酸を加え、そのうち1μLをMALDIターゲットプレート上に載せた後、1μLのCHCA溶液(10mg/ml α-シアノ-4-ヒドロキシケイ皮酸、50%アセトニトリル、0.1%トリフルオロ酢酸溶液)と混和し、プレート乾固した後、MALDI-MSにて解析を行った。その結果N末端α―アミノ基の窒素原子とAspの側鎖カルボン酸でアミド環化した目的の化合物P-143に相当するピークを観測した(図48、ピークIII)。
6-1.
ペプチド配列P-D5
fNleGlyThrThrThrArg[Asp(SBn)]ProTyrArgGlyGly
Peptide sequence P-D5
fNleGlyThrThrThrArg [Asp (SBn)] ProTyrArgGlyGly
MALDI-MS:
m/z: [H+M]+ = 1427.4(配列P-D5に対応するペプチド。Calc.1427.7)
m/z: [H+M]+ = 1286.4(配列P-141に対応するペプチド。Calc.1286.6)
m/z: [H+M]+ = 1162.3(配列P-143に対応するペプチド。Calc1162.6)
MALDI-MS:
m / z: [H + M] + = 1427.4 (peptide corresponding to sequence P-D5. Calc. 1427.7)
m / z: [H + M] + = 1286.4 (peptide corresponding to sequence P-141. Calc.1286.6)
m / z: [H + M] + = 1162.3 (peptide corresponding to sequence P-143. Calc1162.6)
[実施例21]分枝ペプチドの翻訳産物からの生成(直鎖部2の生成)
1.分枝ペプチドの翻訳産物からの生成を可能とするユニットの選択および、反応条件検討
1-1.分子間モデル反応によるアミド化反応
以下に示す1-(2-メルカプトエチルアミノ)-1-オキソ-3-フェニルプロパン-2-イルカルバミン酸 (S)-tert-ブチル(化合物10)の合成検討の結果、エステル官能基を水中でチオールの添加によりチオエステルに活性化させることが出来、かつ活性化させたチオエステルからアミンとの縮合反応によりアミド結合を選択的に生成させることができることが明らかとなった。
以下の反応の結果を図41に示す。
[Example 21] Generation of branched peptide from translation product (generation of linear chain part 2)
1. Selection of units that enable generation of branched peptides from translation products and examination of reaction conditions
1-1. Below amidation reaction by intermolecular model reaction of 1- (2-mercaptoethyl) -1- Synthesis study oxo-3-phenyl-propan-2-ylcarbamate (S)-tert-butyl (Compound 10) As a result, it became clear that ester functional groups can be activated to thioesters by adding thiols in water, and amide bonds can be selectively generated from the activated thioesters by condensation reaction with amines. .
The results of the following reaction are shown in FIG.
Entry 1
2-メルカプトエタンスルホン酸ナトリウム(33mg、 0.200mmol)と2-アミノエタンチオール 塩酸塩(22.7mg、 0.200mmol)にpH7.7の0.2M HEPES緩衝液(1.60ml)、DMF(0.400ml)を加えpH7.4に調整し、室温で5分間攪拌した。その後、2-(tert-ブトキシカルボニルアミノ)-3-フェニルプロパン酸 (S)-2-アミノ-2-オキソエチル(化合物11)(6.4mg、 0.02mmol)を加え、50度で24時間攪拌した。
LCMSを用いて反応の変化を観測したところ、24時間で1-(2-メルカプトエチルアミノ)-1-オキソ-3-フェニルプロパン-2-イルカルバミン酸 (S)-tert-ブチル(化合物10)が生成していることを確認した。加水分解物と目的化合物10との生成比は、LCMSのUVエリア比で46:43であった。
Sodium 2-mercaptoethanesulfonate (33 mg, 0.200 mmol) and 2-aminoethanethiol hydrochloride (22.7 mg, 0.200 mmol) in 0.2 M HEPES buffer (1.60 ml) at pH 7.7, DMF ( 0.400 ml) was added to adjust the pH to 7.4, and the mixture was stirred at room temperature for 5 minutes. Thereafter, 2- (tert-butoxycarbonylamino) -3-phenylpropanoic acid (S) -2-amino-2-oxoethyl (Compound 11) (6.4 mg, 0.02 mmol) was added, and the mixture was stirred at 50 degrees for 24 hours. did.
The change in the reaction was observed using LCMS, and 1- (2-mercaptoethylamino) -1-oxo-3-phenylpropan-2-ylcarbamic acid (S) -tert-butyl (compound 10) was observed in 24 hours. Was confirmed to be generated. The production ratio of the hydrolyzate and the
Entry 2
2-メルカプトエタンスルホン酸ナトリウム(164mg、 1.000mmol)と2-アミノエタンチオール 塩酸塩(11.4mg、 0.100mmol)にpH7.0の0.2M HEPES緩衝液(0.250ml)、DMF(0.200ml)、水(0.500ml)を加え室温で5分間攪拌した。さらに1M 水酸化ナトリウム水溶液(0.050ml)を加えてpH7.6に調整した後に、2-(tert-ブトキシカルボニルアミノ)-3-フェニルプロパン酸 (S)-2-アミノ-2-オキソエチル(化合物11)(3.2mg、 0.01mmol)を加え、40度で24時間攪拌した。
LCMSを用いて反応の変化を観測したところ、24時間で1-(2-メルカプトエチルアミノ)-1-オキソ-3-フェニルプロパン-2-イルカルバミン酸 (S)-tert-ブチル(化合物10)が生成していることを確認した。加水分解物と目的化合物10との生成比は、LCMSのUVエリア比で24:60であった。
Sodium 2-mercaptoethanesulfonate (164 mg, 1.000 mmol) and 2-aminoethanethiol hydrochloride (11.4 mg, 0.100 mmol) in 0.2 M HEPES buffer (0.250 ml) at pH 7.0, DMF ( 0.200 ml) and water (0.500 ml) were added and stirred at room temperature for 5 minutes. Further, 1M aqueous sodium hydroxide solution (0.050 ml) was added to adjust the pH to 7.6, and then 2- (tert-butoxycarbonylamino) -3-phenylpropanoic acid (S) -2-amino-2-oxoethyl (compound) 11) (3.2 mg, 0.01 mmol) was added and stirred at 40 degrees for 24 hours.
The change in the reaction was observed using LCMS, and 1- (2-mercaptoethylamino) -1-oxo-3-phenylpropan-2-ylcarbamic acid (S) -tert-butyl (compound 10) was observed in 24 hours. Was confirmed to be generated. The production ratio of the hydrolyzate to the
Entry 3
2-ジメチルアミノエタンチオール塩酸塩(142mg、 1.000mmol)と2-アミノエタンチオール 塩酸塩(11.4mg、 0.100mmol)にpH7.0の0.2M HEPES緩衝液(0.750ml)、DMF(0.200ml)、水(0.100ml)を加え室温で5分間攪拌した。さらに1M 水酸化ナトリウム水溶液(0.150ml)を加えてpH7.3に調整した後に、2-(tert-ブトキシカルボニルアミノ)-3-フェニルプロパン酸 (S)-2-アミノ-2-オキソエチル(化合物11)(3.2mg、 0.01mmol)を加え、40度で24時間攪拌した。
LCMSを用いて反応の変化を観測したところ、24時間で1-(2-メルカプトエチルアミノ)-1-オキソ-3-フェニルプロパン-2-イルカルバミン酸 (S)-tert-ブチル(化合物10)が生成していることを確認した。加水分解物と目的化合物10との生成比は、LCMSのUVエリア比で23:71であった。
2-dimethylaminoethanethiol hydrochloride (142 mg, 1.000 mmol) and 2-aminoethanethiol hydrochloride (11.4 mg, 0.100 mmol) in 0.2 M HEPES buffer (0.750 ml) at pH 7.0, DMF (0.200 ml) and water (0.100 ml) were added and stirred at room temperature for 5 minutes. Further, 1M aqueous sodium hydroxide solution (0.150 ml) was added to adjust the pH to 7.3, and then 2- (tert-butoxycarbonylamino) -3-phenylpropanoic acid (S) -2-amino-2-oxoethyl (compound) 11) (3.2 mg, 0.01 mmol) was added and stirred at 40 degrees for 24 hours.
The change in the reaction was observed using LCMS, and 1- (2-mercaptoethylamino) -1-oxo-3-phenylpropan-2-ylcarbamic acid (S) -tert-butyl (compound 10) was observed in 24 hours. Was confirmed to be generated. The production ratio of the hydrolyzate to the
Entry 4
2-ジメチルアミノエタンチオール塩酸塩(425mg、 3.000mmol)と2-アミノエタンチオール 塩酸塩(11.4mg、 0.100mmol)にpH7.0の0.5M HEPES緩衝液(0.300ml)、DMF(0.200ml)、水(0.200ml)を加え室温で5分間攪拌した。さらに1M 水酸化ナトリウム水溶液(0.300ml)を加えてpH6.9に調整した後に、2-(tert-ブトキシカルボニルアミノ)-3-フェニルプロパン酸 (S)-2-アミノ-2-オキソエチル(化合物11)(3.2mg、 0.01mmol)を加え、40度で24時間攪拌した。
LCMSを用いて反応の変化を観測したところ、24時間で1-(2-メルカプトエチルアミノ)-1-オキソ-3-フェニルプロパン-2-イルカルバミン酸 (S)-tert-ブチル(化合物10)が生成していることを確認した。加水分解物と目的化合物10との生成比は、LCMSのUVエリア比で15:84であった。
LCMS(ESI) m/z = 325 (M+H)+
保持時間:0.71分(分析条件SQDFA05)
2-dimethylaminoethanethiol hydrochloride (425 mg, 3.000 mmol) and 2-aminoethanethiol hydrochloride (11.4 mg, 0.100 mmol) in 0.5 M HEPES buffer (0.300 ml) at pH 7.0, DMF (0.200 ml) and water (0.200 ml) were added and stirred at room temperature for 5 minutes. Further, 1M aqueous sodium hydroxide solution (0.300 ml) was added to adjust the pH to 6.9, and then 2- (tert-butoxycarbonylamino) -3-phenylpropanoic acid (S) -2-amino-2-oxoethyl (compound) 11) (3.2 mg, 0.01 mmol) was added and stirred at 40 degrees for 24 hours.
The change in the reaction was observed using LCMS, and 1- (2-mercaptoethylamino) -1-oxo-3-phenylpropan-2-ylcarbamic acid (S) -tert-butyl (compound 10) was observed in 24 hours. Was confirmed to be generated. The production ratio of the hydrolyzate to the
LCMS (ESI) m / z = 325 (M + H) +
Retention time: 0.71 minutes (analysis condition SQDFA05)
1-2.翻訳ペプチドモデル化合物による分子内分枝ペプチド(直鎖部2)生成反応例
既に環化されたペプチド(1回目のアミド環化)が生成後のペプチドを想定したモデルからの反応にて分枝化(直鎖部2の生成)を確認した。以下のスキームに従い、アミド環化(アミド環化部も主鎖環化を用いた)され、かつ主鎖にエステル官能基を有し、アミノ酸側鎖に反応補助基を有するアミノ基を有するモデル化合物の合成を行った。続いて分枝化実験を行い、環状ペプチドからRNAが安定に存在できる温和な反応条件にて水中にて分枝化が観測された。
1-2. Example of reaction to generate intramolecular branched peptide (linear part 2) by translated peptide model compound Branched by reaction from model assuming peptide after cyclized peptide (first amide cyclization) is generated (Production of linear part 2) was confirmed. In accordance with the following scheme, a model compound having an amide cyclization (the amide cyclization portion also uses main chain cyclization), an ester functional group in the main chain, and an amino group having a reaction auxiliary group in the amino acid side chain Was synthesized. Subsequently, a branching experiment was performed, and branching was observed in water under mild reaction conditions in which RNA was stably present from the cyclic peptide.
1-2-1.翻訳ペプチドモデル化合物P-150の合成
(S)-2-(((9H-フルオレン-9-イル)メトキシ)カルボニルアミノ)-6-((R)-2-(アリルオキシカルボニルアミノ)-3-(tert-ブチルジスルファニル)プロパンアミド)ヘキサン酸(Fmoc-Lys(Alloc-Cys(StBu))-OH)(化合物150a)の合成
1-2-1. Synthesis of translated peptide model compound P-150
(S) -2-(((9H-Fluoren-9-yl) methoxy) carbonylamino) -6-((R) -2- (allyloxycarbonylamino) -3- (tert-butyldisulfanyl) propanamide Synthesis of hexanoic acid (Fmoc-Lys (Alloc-Cys (StBu))-OH) (Compound 150a)
(R)-2-(アリルオキシカルボニルアミノ)-3-(tert-ブチルジスルファニル)プロパン酸(Alloc-Cys(StBu)-OH)(1.9g、 6.48mmol)とN-ヒドロキシスクシンイミド(0.745g、6.48mmol)のジクロロメタン (10 ml)溶液を0度に冷却した後に、1-(3-ジメチルアミノプロピル)-3-エチルカルボジイミド塩酸塩(EDC・HCl、1.24g、6.48mmol)を加え、反応液を室温で20時間攪拌した。20時間後、反応液を0度に冷却した後にN,N-ジイソプロピルエチルアミン(2.49ml、14.25mmol)とFmoc-Lys-OH(2.39g、6.48mmol)を加え、反応液を室温で2時間攪拌した。反応混合物にジクロロメタンと1M塩酸を加えて、ジクロロメタンにて抽出を行った。有機層を25wt%食塩水で洗浄し、得られた溶液を減圧濃縮し、濃縮残渣を逆相シリカゲルカラムクロマトグラフィー(0.1%ギ酸水溶液/0.1%ギ酸アセトニトリル溶液)にて精製し、(S)-2-(((9H-フルオレン-9-イル)メトキシ)カルボニルアミノ)-6-((R)-2-(アリルオキシカルボニルアミノ)-3-(tert-ブチルジスルファニル)プロパンアミド)ヘキサン酸(化合物150a、Fmoc-Lys(Alloc-Cys(StBu))-OH)(2.66g、64%)を得た。
LCMS(ESI) m/z = 644.6 (M+H)+
保持時間:0.91分(分析条件SQD FA05)
(R) -2- (allyloxycarbonylamino) -3- (tert-butyldisulfanyl) propanoic acid (Alloc-Cys (StBu) -OH) (1.9 g, 6.48 mmol) and N-hydroxysuccinimide (0 .745 g, 6.48 mmol) in dichloromethane (10 ml) was cooled to 0 ° C. before 1- (3-dimethylaminopropyl) -3-ethylcarbodiimide hydrochloride (EDC.HCl, 1.24 g, 6.48 mmol). ) And the reaction was stirred at room temperature for 20 hours. After 20 hours, the reaction solution was cooled to 0 ° C., then N, N-diisopropylethylamine (2.49 ml, 14.25 mmol) and Fmoc-Lys-OH (2.39 g, 6.48 mmol) were added, and the reaction solution was cooled to room temperature. For 2 hours. Dichloromethane and 1M hydrochloric acid were added to the reaction mixture, and the mixture was extracted with dichloromethane. The organic layer was washed with 25 wt% brine, the resulting solution was concentrated under reduced pressure, and the concentrated residue was purified by reverse phase silica gel column chromatography (0.1% formic acid aqueous solution / 0.1% formic acid acetonitrile solution), (S) -2-(((9H-Fluoren-9-yl) methoxy) carbonylamino) -6-((R) -2- (allyloxycarbonylamino) -3- (tert-butyldisulfanyl) propanamide ) Hexanoic acid (compound 150a, Fmoc-Lys (Alloc-Cys (StBu))-OH) (2.66 g, 64%) was obtained.
LCMS (ESI) m / z = 644.6 (M + H) +
Retention time: 0.91 minutes (analysis conditions SQD FA05)
(R)-3-(tert-ブチルジスルファニル)-1-オキソ-1-(4-((5S,8S,11S,14S,20S,23S,26S,29S)-5,14,20,29-テトラベンジル-11-イソブチル-4,10,16,19,23,25,26-ヘプタメチル-3,6,9,12,15,18,21,24,27,30-デカオキソ-1-オキサ-4,7,10,13,16,19,22,25,28-ノナアザシクロトリアコンタン-8-イル)ブチルアミノ)プロパン-2-イルカルバミン酸アリル(化合物150b)の合成
(R) -3- (tert-butyldisulfanyl) -1-oxo-1- (4-((5S, 8S, 11S, 14S, 20S, 23S, 26S, 29S) -5,14,20,29- Tetrabenzyl-11-isobutyl-4,10,16,19,23,25,26-heptamethyl-3,6,9,12,15,18,21,24,27,30-decaoxo-1-oxa-4 , 7,10,13,16,19,22,25,28-Nonaazacyclotriacontane-8-yl) butylamino) allyl-2-propan-2-ylcarbamate (Compound 150b)
Fmocアミノ酸として、Fmoc-MePhe-OH、Fmoc-MeAla-OH、Fmoc-MeLeu-OH、Fmoc-MeGly-OH、Fmoc-Phe-OH、Fmoc-Ala-OH、Fmoc-Lys(Alloc-Cys(StBu))-OH(化合物150a)を用いてペプチドの伸長を行った。ペプチドの伸長後、N末端のFmoc基を脱保護し、HOAt,DICを縮合剤としてクロロ酢酸を縮合させた後、レジンをDMFにて洗浄した。レジンにジクロロメタン/2,2,2-トリフルオロエタノール(=1/1,v/v、4mL)を加えて1時間反応させ、レジンからのペプチドの切り出しを行った。反応終了後、チューブ内溶液を合成用カラムでろ過することによりレジンを除き、レジンをジクロロメタン/2,2,2-トリフルオロエタノール(=1/1,v/v、1mL)にて洗浄した。得られた溶液を減圧濃縮し、粗生成物(2S,5S,8S,11S,17S,20S,23S,30R)-2,11,17-トリベンジル-30-((tert-ブチルジスルファニル)メチル)-23-((S)-2-(2-クロロ-N-メチルアセトアミド)-3-フェニルプロパンアミド)-20-イソブチル-5,6,8,12,15,21-ヘキサメチル-4,7,10,13,16,19,22,29,32-ノナオキソ-33-オキサ-3,6,9,12,15,18,21,28,31-ノナアザヘキサトリアコンタ-35-エン-1-酸(ClAc-MePhe-Lys(Alloc-Cys(StBu))-MeLeu-Phe-MeGly-MePhe-Ala-MeAla-Phe)(87.2mg)を得た。得られた粗生成物(ClAc-MePhe-Lys(Alloc-Cys(StBu))-MeLeu-Phe-MeGly-MePhe-Ala-MeAla-Phe)(87.2mg, 0.059mmol)とヨウ化ナトリウム(22.2mg, 0.148mmol)のDMF(7.5ml)溶液に窒素雰囲気下、炭酸カリウム(12.3mg、0.089mmol)を加え、反応液を35度で2.5時間攪拌した。反応液を減圧濃縮し、得られた残渣を逆相シリカゲルカラムクロマトグラフィー(0.1%ギ酸水溶液/0.1%ギ酸アセトニトリル溶液)にて精製し、標題化合物150b(74.2mg、87%)を得た。
LCMS(ESI) m/z = 1433 (M+H)+
保持時間:0.66分(分析条件SQD FA50)
As Fmoc amino acids, Fmoc-MePhe-OH, Fmoc-MeAla-OH, Fmoc-MeLeu-OH, Fmoc-MeGly-OH, Fmoc-Phe-OH, Fmoc-Ala-OH, Fmoc-Lys (Alloc-Cys (StBu) ) —OH (compound 150a) was used to extend the peptide. After extending the peptide, the N-terminal Fmoc group was deprotected, chloroacetic acid was condensed using HOAt, DIC as a condensing agent, and then the resin was washed with DMF. Dichloromethane / 2,2,2-trifluoroethanol (= 1/1, v / v, 4 mL) was added to the resin and reacted for 1 hour to excise the peptide from the resin. After completion of the reaction, the resin in the tube was filtered through a synthesis column to remove the resin, and the resin was washed with dichloromethane / 2,2,2-trifluoroethanol (= 1/1, v / v, 1 mL). The resulting solution was concentrated under reduced pressure, and the crude product (2S, 5S, 8S, 11S, 17S, 20S, 23S, 30R) -2,11,17-tribenzyl-30-((tert-butyldisulfanyl) methyl) -23-((S) -2- (2-chloro-N-methylacetamide) -3-phenylpropanamide) -20-isobutyl-5,6,8,12,15,21-hexamethyl-4,7, 10,13,16,19,22,29,32-nonaoxo-33-oxa-3,6,9,12,15,18,21,28,31-nonaazahexatriaconta-35-ene-1- The acid (ClAc-MePhe-Lys (Alloc-Cys (StBu))-MeLeu-Phe-MeGly-MePhe-Ala-MeAla-Phe) (87.2 mg) was obtained. The resulting crude product (ClAc-MePhe-Lys (Alloc-Cys (StBu))-MeLeu-Phe-MeGly-MePhe-Ala-MeAla-Phe) (87.2 mg, 0.059 mmol) and sodium iodide (22 Potassium carbonate (12.3 mg, 0.089 mmol) was added to a DMF (7.5 ml) solution of .2 mg, 0.148 mmol) in a nitrogen atmosphere, and the reaction solution was stirred at 35 degrees for 2.5 hours. The reaction mixture was concentrated under reduced pressure, and the resulting residue was purified by reverse phase silica gel column chromatography (0.1% formic acid aqueous solution / 0.1% formic acid acetonitrile solution) to give the title compound 150b (74.2 mg, 87%). Got.
LCMS (ESI) m / z = 1433 (M + H) +
Retention time: 0.66 minutes (analysis condition SQD FA50)
化合物P-150
(R)-2-アミノ-3-(tert-ブチルジスルファニル)-N-(4-((5S,8S,11S,14S,20S,23S,26S,29S)-5,14,20,29-テトラベンジル-11-イソブチル-4,10,16,19,23,25,26-ヘプタメチル-3,6,9,12,15,18,21,24,27,30-デカオキソ-1-オキサ-4,7,10,13,16,19,22,25,28-ノナアザシクロトリアコンタン-8-イル)ブチル)プロパンアミドの合成
Compound P-150
(R) -2-Amino-3- (tert-butyldisulfanyl) -N- (4-((5S, 8S, 11S, 14S, 20S, 23S, 26S, 29S) -5,14,20,29- Tetrabenzyl-11-isobutyl-4,10,16,19,23,25,26-heptamethyl-3,6,9,12,15,18,21,24,27,30-decaoxo-1-oxa-4 , 7,10,13,16,19,22,25,28-Nonaazacyclotriacontane-8-yl) butyl) propanamide
(R)-3-(tert-ブチルジスルファニル)-1-オキソ-1-(4-((5S,8S,11S,14S,20S,23S,26S,29S)-5,14,20,29-テトラベンジル-11-イソブチル-4,10,16,19,23,25,26-ヘプタメチル-3,6,9,12,15,18,21,24,27,30-デカオキソ-1-オキサ-4,7,10,13,16,19,22,25,28-ノナアザシクロトリアコンタン-8-イル)ブチルアミノ)プロパン-2-イルカルバミン酸アリル(化合物150b)(23.1mg, 0.016mmol))のTHF(0.16ml)溶液に窒素雰囲気下、テトラキス(トリフェニルホスフィン)パラジウム(0)(2.0mg、0.002mmol)とモルホリン(5.62ml、0.064mmol)を加え、反応液を30度で4時間攪拌した。反応液を減圧濃縮し、得られた残渣を逆相シリカゲルカラムクロマトグラフィー(0.1%ギ酸水溶液/0.1%ギ酸アセトニトリル溶液)にて精製し、標題化合物P-150(10.2mg、47%)を得た。
LCMS(ESI) m/z = 1349 (M+H)+
保持時間:0.74分(分析条件SQD FA05)
(R) -3- (tert-butyldisulfanyl) -1-oxo-1- (4-((5S, 8S, 11S, 14S, 20S, 23S, 26S, 29S) -5,14,20,29- Tetrabenzyl-11-isobutyl-4,10,16,19,23,25,26-heptamethyl-3,6,9,12,15,18,21,24,27,30-decaoxo-1-oxa-4 , 7,10,13,16,19,22,25,28-Nonaazacyclotriacontan-8-yl) butylamino) propan-2-ylcarbamate (Compound 150b) (23.1 mg, 0.016 mmol) )) In THF (0.16 ml) under a nitrogen atmosphere, tetrakis (triphenylphosphine) palladium (0) (2.0 mg, 0.002 mmol) and morpholine (5.62 m). , 0.064 mmol) was added and the reaction was stirred for 4 hours at 30 °. The reaction mixture was concentrated under reduced pressure, and the resulting residue was purified by reverse phase silica gel column chromatography (0.1% formic acid aqueous solution / 0.1% formic acid acetonitrile solution) to give the title compound P-150 (10.2 mg, 47 %).
LCMS (ESI) m / z = 1349 (M + H) +
Retention time: 0.74 minutes (analysis condition SQD FA05)
1-2-2.翻訳モデルペプチドからの分子内分枝ペプチド生成反応
化合物P-151
(S)-2-(2-ヒドロキシ-N-メチルアセトアミド)-3-フェニル-N-((3R,6S,9S,12S,15S,21S,24S,27S)-6,15,21-トリベンジル-24-イソブチル-3-(メルカプトメチル)-9,10,12,16,19,25-ヘキサメチル-2,5,8,11,14,17,20,23,26-ノナオキソ-1,4,7,10,13,16,19,22,25-ノナアザシクロヘントリアコンタン-27-イル)プロパンアミドの合成
1-2-2. Intramolecular branched peptide formation reaction from translation model peptide Compound P-151
(S) -2- (2-hydroxy-N-methylacetamido) -3-phenyl-N-((3R, 6S, 9S, 12S, 15S, 21S, 24S, 27S) -6,15,21-tribenzyl- 24-isobutyl-3- (mercaptomethyl) -9,10,12,16,19,25-hexamethyl-2,5,8,11,14,17,20,23,26-nonaoxo-1,4,7 , 10,13,16,19,22,25-Nonaazacyclohentriacontan-27-yl) propanamide
2-メルカプトエタンスルホン酸ナトリウム(99mg、 0.600mmol)とトリス(2-カルボキシエチル)ホスフィン塩酸塩(2.9mg、 0.010mmol)にpH7.0の0.5M HEPES緩衝液(0.060ml)、1,3-ジメチル-2-イミダゾリジノン(DMI)(0.010ml)、水(0.010ml)を加え室温で5分間攪拌した。さらに2M 水酸化ナトリウム水溶液(0.060ml)を加えてpH8.5に調整した後に、R)-2-アミノ-3-(tert-ブチルジスルファニル)-N-(4-((5S,8S,11S,14S,20S,23S,26S,29S)-5,14,20,29-テトラベンジル-11-イソブチル-4,10,16,19,23,25,26-ヘプタメチル-3,6,9,12,15,18,21,24,27,30-デカオキソ-1-オキサ-4,7,10,13,16,19,22,25,28-ノナアザシクロトリアコンタン-8-イル)ブチル)プロパンアミド(化合物P-150)の0.01M 1,3-ジメチル-2-イミダゾリジノン(DMI)溶液(0.050ml、 0.5μmol)を加え、30度で6時間30分間攪拌した。反応の変化をLCMSを用いて観測したところ、6時間30分後、目的化合物が生成していることを確認し、目的化合物P-151と加水分解化合物との生成比はLCMSのUVエリア比で55:9であった。(図42、加水分解化合物 保持時間:0.64分)
LCMS(ESI) m/z = 1261 (M+H)+
保持時間:0.87分(分析条件SQDFA05)
Sodium 2-mercaptoethanesulfonate (99 mg, 0.600 mmol) and tris (2-carboxyethyl) phosphine hydrochloride (2.9 mg, 0.010 mmol) in 0.5 M HEPES buffer (0.060 ml) at pH 7.0 1,3-dimethyl-2-imidazolidinone (DMI) (0.010 ml) and water (0.010 ml) were added and stirred at room temperature for 5 minutes. Further, after adjusting to pH 8.5 by adding 2M aqueous sodium hydroxide solution (0.060 ml), R) -2-amino-3- (tert-butyldisulfanyl) -N- (4-((5S, 8S, 11S, 14S, 20S, 23S, 26S, 29S) -5,14,20,29-tetrabenzyl-11-isobutyl-4,10,16,19,23,25,26-heptamethyl-3,6,9, 12,15,18,21,24,27,30-decaoxo-1-oxa-4,7,10,13,16,19,22,25,28-nonazacyclotriacontan-8-yl) butyl) A 0.01
LCMS (ESI) m / z = 1261 (M + H) +
Retention time: 0.87 minutes (analysis condition SQDFA05)
2.1回目の環化で反応補助基を有するN末端に位置する三角ユニットとC末端側の活性チオエステル(交差ユニット)のアミド化反応を用い、2回目の分枝化にてCys-Pro- HO Glyから活性エステルを発生させ、無保護の側鎖アミノ基と反応させて分枝させる例の実施
2-1.自動合成機による主鎖にエステル基を含むペプチドの固相合成一般法
合成機にSieber Amide resin(1カラムあたり160-200mg、Novabiochemより購入)と、各種Fmocアミノ酸(0.6mol/L)と1-ヒドロキシ-7-アザベンゾトリアゾール(HOAt)(0.375mol/L)のN-メチル-2-ピロリドン(NMP)溶液と、ジイソプロピルカルボジイミド(DIC)のN,N-ジメチルホルムアミド(DMF)溶液(10%v/v)をセットし、Fmoc脱保護溶液として、ピペリジンのN,N-ジメチルホルムアミド溶液(20%v/v)を用い、Fmoc脱保護反応時間を5分として合成を行った。DMF溶液で洗浄した後、Fmoc脱保護に次いでFmocアミノ酸の縮合反応を1サイクルとし、このサイクルを繰り返すことでレジン表面上にペプチドを伸長させた。このような実験例として相本らの非特許文献(Tetrahedron 2009, 65, 3871-3877)を参考にして合成することもできる。なお、本法は、他ペプチドの合成法としても、本明細書一般に渡って適切なケースに使用できる。
2.1 Cys-Pro- in the second branching using the amidation reaction of the triangular unit located at the N-terminal with the reaction auxiliary group in the second cyclization and the active thioester (crossing unit) on the C-terminal side Example of generating an active ester from HO Gly and reacting with an unprotected side chain amino group to branch
2-1. Solid phase synthesis of peptides containing an ester group in the main chain by an automatic synthesizer General- purpose synthesizer Sieber Amide resin (160-200 mg per column, purchased from Novabiochem), various Fmoc amino acids (0.6 mol / L) and 1 -Hydroxy-7-azabenzotriazole (HOAt) (0.375 mol / L) in N-methyl-2-pyrrolidone (NMP) and diisopropylcarbodiimide (DIC) in N, N-dimethylformamide (DMF) solution (10 % V / v) was set, and N, N-dimethylformamide solution (20% v / v) of piperidine was used as the Fmoc deprotection solution, and the Fmoc deprotection reaction time was 5 minutes. After washing with DMF solution, Fmoc deprotection followed by Fmoc amino acid condensation reaction was taken as one cycle, and this cycle was repeated to extend the peptide on the resin surface. As an example of such an experiment, it can be synthesized with reference to Aimoto et al. (
2-2.1回目の環化で反応補助基を有するN末端に位置する三角ユニットとC末端側の活性チオエステル(交差ユニット)のアミド化反応を用い、2回目の分枝化にてCys-Pro- HO Glyから活性エステルを発生させ、無保護の側鎖アミノ基と反応させて分枝させる例の化学反応条件の設定
2-2-1.翻訳ペプチドモデル化合物SP605の合成
以下のスキームに従い、N末端にCysを有し、C末端側の1回目の環化ユニットとしてAsp(SBn)を有し、2回目の分枝化ユニットとして、活性チオエステル発生パートとしてCys-Pro-HOGlyを有し、側鎖アミン反応部位としてLysを有するモデルペプチド合成を行った。
2-2.1 Using the amidation reaction of the triangular unit located at the N-terminus having a reaction auxiliary group and the active thioester (crossing unit) on the C-terminal side in the second cyclization, Cys- Setting chemical reaction conditions for an example where an active ester is generated from Pro- HO Gly and reacted with an unprotected side chain amino group to branch
2-2-1. Synthesis of Translated Peptide Model Compound SP605 According to the following scheme, it has Cys at the N-terminus, Asp (SBn) as the first cyclization unit on the C-terminal side, and active thioester as the second branching unit A model peptide having Cys-Pro- HO Gly as a generation part and Lys as a side chain amine reaction site was synthesized.
(5S,8R)-5-((1H-インドール-3-イル)メチル)-1-(9H-フルオレン-9-イル)-12,12-ジメチル-3,6-ジオキソ-2-オキサ-10,11-ジチア-4,7-ジアザトリデカン-8-カルボン酸(化合物SP602、Fmoc-Trp-Cys(StBu)-OH)の合成
(5S, 8R) -5-((1H-Indol-3-yl) methyl) -1- (9H-fluoren-9-yl) -12,12-dimethyl-3,6-dioxo-2-oxa-10 Of 1,11-dithia-4,7-diazatridecane-8-carboxylic acid (compound SP602, Fmoc-Trp-Cys (StBu) -OH)
Fmoc-Trp-OH(5g、 11.72mmol)とN-ヒドロキシスクシンイミド(1.35g、11.72mmol)のジクロロメタン (23 ml)溶液を0度に冷却した後に、1-(3-ジメチルアミノプロピル)-3-エチルカルボジイミド塩酸塩(EDC・HCl、2.25g、11.72mmol)を加え、反応液を室温で5.5時間攪拌した。反応液を0度に冷却した後にN,N-ジイソプロピルエチルアミン(2.05ml、11.72mmol)とH-Cys(StBu)-OH(2.45g、11.72mmol)を加え、反応液を室温で14時間攪拌した。反応混合物にジクロロメタンと1M塩酸を加えて、ジクロロメタンにて抽出を行った。有機層を25wt%食塩水で洗浄し、硫酸ナトリウムにて乾燥した。得られた溶液を減圧濃縮し、濃縮残渣を逆相シリカゲルカラムクロマトグラフィー(0.1%ギ酸水溶液/0.1%ギ酸アセトニトリル溶液)にて精製し、(5S,8R)-5-((1H-インドール-3-イル)メチル)-1-(9H-フルオレン-9-イル)-12,12-ジメチル-3,6-ジオキソ-2-オキサ-10,11-ジチア-4,7-ジアザトリデカン-8-カルボン酸(化合物SP602、Fmoc-Trp-Cys(StBu)-OH)(4.15g、57%)を得た。
LCMS(ESI) m/z = 618 (M+H)+
保持時間:0.93分(分析条件SQD FA05)
After cooling a solution of Fmoc-Trp-OH (5 g, 11.72 mmol) and N-hydroxysuccinimide (1.35 g, 11.72 mmol) in dichloromethane (23 ml) to 0 ° C., 1- (3-dimethylaminopropyl) -3-Ethylcarbodiimide hydrochloride (EDC.HCl, 2.25 g, 11.72 mmol) was added and the reaction was stirred at room temperature for 5.5 hours. After the reaction solution was cooled to 0 ° C., N, N-diisopropylethylamine (2.05 ml, 11.72 mmol) and H-Cys (StBu) —OH (2.45 g, 11.72 mmol) were added, and the reaction solution was stirred at room temperature. Stir for 14 hours. Dichloromethane and 1M hydrochloric acid were added to the reaction mixture, and the mixture was extracted with dichloromethane. The organic layer was washed with 25 wt% saline and dried over sodium sulfate. The resulting solution was concentrated under reduced pressure, and the concentrated residue was purified by reverse phase silica gel column chromatography (0.1% formic acid aqueous solution / 0.1% formic acid acetonitrile solution) to give (5S, 8R) -5-((1H -Indol-3-yl) methyl) -1- (9H-fluoren-9-yl) -12,12-dimethyl-3,6-dioxo-2-oxa-10,11-dithia-4,7-diazatridecane 8-carboxylic acid (compound SP602, Fmoc-Trp-Cys (StBu) -OH) (4.15 g, 57%) was obtained.
LCMS (ESI) m / z = 618 (M + H) +
Retention time: 0.93 minutes (analysis condition SQD FA05)
(S)-3-((S)-2-(2-((S)-1-((6R,12S,15S,18R)-15-((1H-インドール-3-イル)メチル)-6-((4-アジドベンジルオキシ)カルボニルアミノ)-18-((tert-ブチルジスルファニル)メチル)-12-(4-(ジメチルアミノ)ブチル)-2,2-ジメチル-7,10,13,16-テトラオキソ-3,4-ジチア-8,11,14,17-テトラアザノナデカン)ピロリジン-2-カルボニルオキシ)アセトアミド)-6-((4-アジドベンジルオキシ)カルボニルアミノ)ヘキサンアミド)-4-((S)-2-カルバモイルピロリジン-1-イル)-4-オキソブタン酸(化合物SP603、Acbz-Cys(StBu)-Gly-Lys(Me 2 )-Trp-Cys(StBu)-Pro- HO Gly-Lys(Acbz)-Asp-Pro-NH2)の合成
(S) -3-((S) -2- (2-((S) -1-((6R, 12S, 15S, 18R) -15-((1H-indol-3-yl) methyl) -6 -((4-Azidobenzyloxy) carbonylamino) -18-((tert-butyldisulfanyl) methyl) -12- (4- (dimethylamino) butyl) -2,2-dimethyl-7,10,13, 16-tetraoxo-3,4-dithia-8,11,14,17-tetraazanonadecane) pyrrolidine-2-carbonyloxy) acetamide) -6-((4-azidobenzyloxy) carbonylamino) hexanamide)- 4-((S) -2-carbamoylpyrrolidin-1-yl) -4-oxobutanoic acid (compound SP603, Acbz-Cys (StBu) -Gly-Lys (Me 2 ) -Trp-Cys (StBu) -Pro- HO Synthesis of Gly-Lys (Acbz) -Asp-Pro-NH2)
用語の定義
Acbz: 4-アジドベンジルオキシカルボニル基
HOGly: グリコール酸
Fmoc-Lys(Me2)-OH・HCl: N-α-(9-フルオレニルメトキシカルボニル)-N-ε,N-ε-ジメチル-L-リシン 塩酸塩
Fmoc-Asp(OPis)-OH: N-α-(9-フルオレニルメトキシカルボニル)-L-アスパラギン酸 β-(2-フェニル)イソプロピル エステル
Definition of terms
Acbz: 4-azidobenzyloxycarbonyl group
HO Gly: Glycolic acid
Fmoc-Lys (Me 2 ) -OH · HCl: N-α- (9-fluorenylmethoxycarbonyl) -N-ε, N-ε-dimethyl-L-lysine hydrochloride
Fmoc-Asp (OPis) -OH: N-α- (9-fluorenylmethoxycarbonyl) -L-aspartic acid β- (2-phenyl) isopropyl ester
N末端のアミノ酸としてAcbz-Cys(StBu)-OH、Fmocアミノ酸として、Fmoc-Gly-OH、Fmoc-Lys(Me2)-OH・HCl、Fmoc-Trp-Cys(StBu)-OH、Fmoc-Pro-HOGly-OH(化合物 SP632)、Fmoc-Lys(Acbz)-OH(化合物 SP661)、Fmoc-Asp(OPis)-OH、Fmoc-Pro-OH、Fmoc-Trp-Cys(StBu)-OH(化合物SP602)を用いて、実施例2-1記載の方法に基づいてペプチドの伸長を行った。 Acbz-Cys (StBu) -OH as N-terminal amino acid, Fmoc-Gly-OH, Fmoc-Lys (Me 2 ) -OH, HCl, Fmoc-Trp-Cys (StBu) -OH, Fmoc-Pro as Fmoc amino acids - HO Gly-OH (compound SP632), Fmoc-Lys (Acbz ) -OH ( compound SP661), Fmoc-Asp (OPis ) -OH, Fmoc-Pro-OH, Fmoc-Trp-Cys (StBu) -OH ( compound Using SP602), the peptide was elongated based on the method described in Example 2-1.
ペプチドの伸長後、レジンをDMF,ジクロロメタンにて洗浄した。レジンに2%TFA(v/v)を含むジクロロメタン/2,2,2-トリフルオロエタノール(=1/1,v/v、4mL)を加えて室温で3時間反応させ、レジンからのペプチドの切り出しを行った。反応終了後、チューブ内溶液を合成用カラムでろ過することによりレジンを除き、レジンをジクロロメタン/2,2,2-トリフルオロエタノール(=1/1,v/v、2mL)にて4回洗浄した。得られた溶液を減圧濃縮し、得られた残渣を逆相シリカゲルカラムクロマトグラフィー(0.1%ギ酸水溶液/0.1%ギ酸アセトニトリル溶液)にて精製し、標題化合物(Acbz-Cys(StBu)-Gly-Lys(Me2)-Trp-Cys(StBu)-Pro-HOGly-Lys(Acbz)-Asp-Pro-NH2)(化合物SP603)(360mg、39%)を得た。
LCMS(ESI) m/z = 1645 (M+H)+
保持時間:0.75分(分析条件SQD FA05)
After extending the peptide, the resin was washed with DMF and dichloromethane. Dichloromethane / 2,2,2-trifluoroethanol (= 1/1, v / v, 4 mL) containing 2% TFA (v / v) was added to the resin and reacted at room temperature for 3 hours. Cut out. After completion of the reaction, the resin in the tube was filtered through a synthesis column to remove the resin, and the resin was washed 4 times with dichloromethane / 2,2,2-trifluoroethanol (= 1/1, v / v, 2 mL). did. The obtained solution was concentrated under reduced pressure, and the obtained residue was purified by reverse phase silica gel column chromatography (0.1% formic acid aqueous solution / 0.1% formic acid acetonitrile solution) to give the title compound (Acbz-Cys (StBu) -Gly-Lys (Me 2) -Trp -Cys (StBu) -Pro- HO Gly-Lys (Acbz) -Asp-Pro-NH2) ( compound SP603) (360mg, 39%) was obtained.
LCMS (ESI) m / z = 1645 (M + H) +
Retention time: 0.75 minutes (analysis condition SQD FA05)
1-((6R,12S,15S,18R)-15-((1H-インドール-3-イル)メチル)-6-((4-アジドベンジルオキシ)カルボニルアミノ)-18-((tert-ブチルジスルファニル)メチル)-12-(4-(ジメチルアミノ)ブチル)-2,2-ジメチル-7,10,13,16-テトラオキソ-3,4-ジチア-8,11,14,17-テトラアザノナデカン)ピロリジン-2-カルボン酸 (S)-2-((9S,12S)-1-(4-アジドフェニル)-12-((S)-2-カルバモイルピロリジン-1-カルボニル)-3,10,14-トリオキソ-16-フェニル-2-オキサ-15-チア-4,11-ジアザヘキサデカン-9-イルアミノ)-2-オキソエチル(化合物SP604、Acbz-Cys(StBu)-Gly-Lys(Me 2 )-Trp-Cys(StBu)-Pro- HO Gly-Lys(Acbz)-Asp(SBn)-Pro-NH2)の合成
1-((6R, 12S, 15S, 18R) -15-((1H-indol-3-yl) methyl) -6-((4-azidobenzyloxy) carbonylamino) -18-((tert-butyldi (Sulfanyl) methyl) -12- (4- (dimethylamino) butyl) -2,2-dimethyl-7,10,13,16-tetraoxo-3,4-dithia-8,11,14,17-tetraazanona Decane) pyrrolidine-2-carboxylic acid (S) -2-((9S, 12S) -1- (4-azidophenyl) -12-((S) -2-carbamoylpyrrolidine-1-carbonyl) -3,10 , 14-Trioxo-16-phenyl-2-oxa-15-thia-4,11-diazahexadecan-9-ylamino) -2-oxoethyl (compound SP604, Acbz-Cys (StBu) -Gly-Lys (Me 2 ) -Trp-Cys (StBu) -Pro- HO Gly-Lys (Acbz) -Asp (SBn) -Pro-NH2)
(S)-3-((S)-2-(2-((S)-1-((6R,12S,15S,18R)-15-((1H-インドール-3-イル)メチル)-6-((4-アジドベンジルオキシ)カルボニルアミノ)-18-((tert-ブチルジスルファニル)メチル)-12-(4-(ジメチルアミノ)ブチル)-2,2-ジメチル-7,10,13,16-テトラオキソ-3,4-ジチア-8,11,14,17-テトラアザノナデカン)ピロリジン-2-カルボニルオキシ)アセトアミド)-6-((4-アジドベンジルオキシ)カルボニルアミノ)ヘキサンアミド)-4-((S)-2-カルバモイルピロリジン-1-イル)-4-オキソブタン酸(化合物SP603、Acbz-Cys(StBu)-Gly-Lys(Me2)-Trp-Cys(StBu)-Pro-HOGly-Lys(Acbz)-Asp-Pro-NH2)(180mg, 0.110mmol)とHOBt(44.4mg, 0.329mmol)のDMF(1.096ml)溶液を0度に冷却した後に、1-(3-ジメチルアミノプロピル)-3-エチルカルボジイミド塩酸塩(EDC・HCl、63mg、0.329mmol)を加え、3分間攪拌後にベンジルメルカプタン(64.3μl,0.548mmol)を加えた。反応液を室温で1時間攪拌し、反応液を逆相シリカゲルカラムクロマトグラフィー(0.1%ギ酸水溶液/0.1%ギ酸アセトニトリル溶液)にて精製し、標題化合物(化合物SP604、Acbz-Cys(StBu)-Gly-Lys(Me2)-Trp-Cys(StBu)-Pro-HOGly-Lys(Acbz)-Asp(SBn)-Pro-NH2)(136.3mg、71%)を得た。
LCMS(ESI) m/z = 1751 (M+H)+
保持時間:0.78分(分析条件SQD FA05)
(S) -3-((S) -2- (2-((S) -1-((6R, 12S, 15S, 18R) -15-((1H-indol-3-yl) methyl) -6 -((4-Azidobenzyloxy) carbonylamino) -18-((tert-butyldisulfanyl) methyl) -12- (4- (dimethylamino) butyl) -2,2-dimethyl-7,10,13, 16-tetraoxo-3,4-dithia-8,11,14,17-tetraazanonadecane) pyrrolidine-2-carbonyloxy) acetamide) -6-((4-azidobenzyloxy) carbonylamino) hexanamide)- 4-((S) -2-carbamoylpyrrolidin-1-yl) -4-oxobutanoic acid (compound SP603, Acbz-Cys (StBu) -Gly-Lys (Me 2 ) -Trp-Cys (StBu) -Pro- HO After a solution of Gly-Lys (Acbz) -Asp-Pro-NH2) (180 mg, 0.110 mmol) and HOBt (44.4 mg, 0.329 mmol) in DMF (1.096 ml) was cooled to 0 ° C., 1- ( 3-Dimethylaminopropyl) -3-ethylcarbodiimide hydrochloride (EDC.HCl, 63 mg, 0.329 mm l) was added, it was added benzyl mercaptan (64.3μl, 0.548mmol) after stirring for 3 minutes. The reaction solution was stirred at room temperature for 1 hour, and the reaction solution was purified by reverse phase silica gel column chromatography (0.1% formic acid aqueous solution / 0.1% formic acid acetonitrile solution) to give the title compound (compound SP604, Acbz-Cys ( StBu) -Gly-Lys (Me 2 ) -Trp-Cys (StBu) -Pro- HO Gly-Lys (Acbz) -Asp (SBn) -Pro-NH2) (136.3mg, yield the 71%).
LCMS (ESI) m / z = 1751 (M + H) +
Retention time: 0.78 minutes (analysis conditions SQD FA05)
1-((6R,12S,15S,18R)-15-((1H-インドール-3-イル)メチル)-6-アミノ-18-((tert-ブチルジスルファニル)メチル)-12-(4-(ジメチルアミノ)ブチル)-2,2-ジメチル-7,10,13,16-テトラオキソ-3,4-ジチア-8,11,14,17-テトラアザノナデカン)ピロリジン-2-カルボン酸 (S)-2-((S)-6-アミノ-1-((S)-4-(ベンジルチオ)-1-((S)-2-カルバモイルピロリジン-1-イル)-1,4-ジオキソブタン-2-イルアミノ)-1-オキソヘキサン-2-イルアミノ)-2-オキソエチル(化合物SP605、H-Cys(StBu)-Gly-Lys(Me 2 )-Trp-Cys(StBu)-Pro- HO Gly-Lys-Asp(SBn)-Pro-NH2)の合成
1-((6R, 12S, 15S, 18R) -15-((1H-indol-3-yl) methyl) -6-amino-18-((tert-butyldisulfanyl) methyl) -12- (4- (Dimethylamino) butyl) -2,2-dimethyl-7,10,13,16-tetraoxo-3,4-dithia-8,11,14,17-tetraazanonadecane) pyrrolidine-2-carboxylic acid (S ) -2-((S) -6-amino-1-((S) -4- (benzylthio) -1-((S) -2-carbamoylpyrrolidin-1-yl) -1,4-dioxobutane-2 -Ilamino) -1-oxohexane-2-ylamino) -2-oxoethyl (compound SP605, H-Cys (StBu) -Gly-Lys (Me 2 ) -Trp-Cys (StBu) -Pro- HO Gly- Lys- Synthesis of Asp (SBn) -Pro-NH2)
1-((6R,12S,15S,18R)-15-((1H-インドール-3-イル)メチル)-6-((4-アジドベンジルオキシ)カルボニルアミノ)-18-((tert-ブチルジスルファニル)メチル)-12-(4-(ジメチルアミノ)ブチル)-2,2-ジメチル-7,10,13,16-テトラオキソ-3,4-ジチア-8,11,14,17-テトラアザノナデカン)ピロリジン-2-カルボン酸 (S)-2-((9S,12S)-1-(4-アジドフェニル)-12-((S)-2-カルバモイルピロリジン-1-カルボニル)-3,10,14-トリオキソ-16-フェニル-2-オキサ-15-チア-4,11-ジアザヘキサデカン-9-イルアミノ)-2-オキソエチル(化合物SP604、Acbz-Cys(StBu)-Gly-Lys(Me2)-Trp-Cys(StBu)-Pro-HOGly-Lys(Acbz)-Asp(SBn)-Pro-NH2)(136.3mg, 0.078mmol)の1,3-ジメチル-2-イミダゾリジノン(DMI)(1.6ml)溶液を0度に冷却した後に、TCEP(トリス(2-カルボキシルエチル)ホスフィン)塩酸塩(66.9mg, 0.234mmol)の水溶液(1.6ml)溶液を加えた。反応液を室温で90分間攪拌し、反応液を逆相シリカゲルカラムクロマトグラフィー(0.1%ギ酸水溶液/0.1%ギ酸アセトニトリル溶液)にて精製し、標題化合物(化合物SP605、H-Cys(StBu)-Gly-Lys(Me2)-Trp-Cys(StBu)-Pro-HOGly-Lys-Asp(SBn)-Pro-NH2)(63mg、58%)を得た。
LCMS(ESI) m/z = 1401 (M+H)+
保持時間:0.46分(分析条件SQD FA05)
1-((6R, 12S, 15S, 18R) -15-((1H-indol-3-yl) methyl) -6-((4-azidobenzyloxy) carbonylamino) -18-((tert-butyldi (Sulfanyl) methyl) -12- (4- (dimethylamino) butyl) -2,2-dimethyl-7,10,13,16-tetraoxo-3,4-dithia-8,11,14,17-tetraazanona (Decane) pyrrolidine-2-carboxylic acid (S) -2-((9S, 12S) -1- (4-azidophenyl) -12-((S) -2-carbamoylpyrrolidine-1-carbonyl) -3,10 , 14-Trioxo-16-phenyl-2-oxa-15-thia-4,11-diazahexadecan-9-ylamino) -2-oxoethyl (compound SP604, Acbz-Cys (StBu) -Gly-Lys (Me 2 ) -Trp-Cys (StBu) -Pro- HO Gly-Lys (Acbz) -Asp (SBn) -Pro-NH2) (136.3 mg, 0.078 mmol) of 1,3-dimethyl-2-imidazolidinone ( After the solution of DMI) (1.6 ml) was cooled to 0 ° C., TCEP (tris (2-carboxylethyl) phosphine) hydrochloride (66.9 mg It was added an aqueous solution (1.6 ml) solution of 0.234 mmol). The reaction solution was stirred at room temperature for 90 minutes, and the reaction solution was purified by reverse phase silica gel column chromatography (0.1% formic acid aqueous solution / 0.1% formic acid acetonitrile solution) to give the title compound (compound SP605, H-Cys ( was obtained StBu) -Gly-Lys (Me 2 ) -Trp-Cys (StBu) -Pro- HO Gly-Lys-Asp (SBn) -Pro-NH2) (63mg, 58%).
LCMS (ESI) m / z = 1401 (M + H) +
Retention time: 0.46 minutes (analysis condition SQD FA05)
2-2-2.直鎖ペプチドを基質としたnative chemical ligationによる環化反応とN-S転移を利用した反応補助基を持たないアミノ基のアミド化の連続反応による分子内分枝ペプチド化合物SP606生成反応例(緩衝溶液中)
2-2-2. Example of intramolecular branched peptide compound SP606 formation reaction (buffer solution) by continuous reaction of cyclization reaction by native chemical ligation using linear peptide as substrate and amidation of amino group having no reaction auxiliary group using NS transfer During)
0.5M HEPES緩衝液(pH7.0、 10μl)、水(78μl)、1M水酸化ナトリウム水溶液(5μl)、0.5M TCEP塩酸塩水溶液(2μl)をそれぞれ加えて溶液を調製した。この溶液に、1-((6R,12S,15S,18R)-15-((1H-インドール-3-イル)メチル)-6-アミノ-18-((tert-ブチルジスルファニル)メチル)-12-(4-(ジメチルアミノ)ブチル)-2,2-ジメチル-7,10,13,16-テトラオキソ-3,4-ジチア-8,11,14,17-テトラアザノナデカン)ピロリジン-2-カルボン酸 (S)-2-((S)-6-アミノ-1-((S)-4-(ベンジルチオ)-1-((S)-2-カルバモイルピロリジン-1-イル)-1,4-ジオキソブタン-2-イルアミノ)-1-オキソヘキサン-2-イルアミノ)-2-オキソエチル(化合物SP605、H-Cys(StBu)-Gly-Lys(Me2)-Trp-Cys(StBu)-Pro-HOGly-Lys-Asp(SBn)-Pro-NH2)(20mM, 0.10μmol)と内部標準として4-ペンチル安息香酸(20mM, 0.10μmol)のDMA溶液(5μl)を室温下で添加し、反応液を37℃で60分間静置した。その後、2-(4-メルカプトフェニル)酢酸溶液(100mM 2-(4-メルカプトフェニル)酢酸、250mM HEPES、100mM TCEP)(50μl)に反応液(50μl)を室温下で添加し(反応液を加えた後の混合溶液のpH 8.2)、反応液を30℃で7時間静置し、LCMSを用いて反応の変化を観測した。7時間で(S)-1-((3S,6S,12R,16S,19S)-3-((1H-インドール-3-イル)メチル)-6-(4-(ジメチルアミノ)ブチル)-19-(2-ヒドロキシアセトアミド)-12-(メルカプトメチル)-2,5,8,11,14,18-ヘキサオキソ-1,4,7,10,13,17-ヘキサアザシクロトリコサン-16-カルボニル)ピロリジン-2-カルボキサミド(化合物SP606)が生成していることを確認した。化合物SP606と加水分解物(副生成物)との生成比は、LCMSのUVエリア比で19:81であった。 (図49、加水分解化合物 保持時間:0.30分) A solution was prepared by adding 0.5 M HEPES buffer (pH 7.0, 10 μl), water (78 μl), 1 M aqueous sodium hydroxide (5 μl), and 0.5 M TCEP hydrochloride aqueous solution (2 μl), respectively. To this solution was added 1-((6R, 12S, 15S, 18R) -15-((1H-indol-3-yl) methyl) -6-amino-18-((tert-butyldisulfanyl) methyl) -12. -(4- (Dimethylamino) butyl) -2,2-dimethyl-7,10,13,16-tetraoxo-3,4-dithia-8,11,14,17-tetraazanonadecane) pyrrolidine-2- Carboxylic acid (S) -2-((S) -6-amino-1-((S) -4- (benzylthio) -1-((S) -2-carbamoylpyrrolidin-1-yl) -1,4 -Dioxobutan-2-ylamino) -1-oxohexane-2-ylamino) -2-oxoethyl (compound SP605, H-Cys (StBu) -Gly-Lys (Me 2 ) -Trp-Cys (StBu) -Pro- HO Gly-Lys-Asp (SBn) -Pro-NH2) (20 mM, 0.10 μmol) and DMA solution (5 μl) of 4-pentylbenzoic acid (20 mM, 0.10 μmol) as an internal standard were added at room temperature and reacted. The liquid was allowed to stand at 37 ° C. for 60 minutes. Thereafter, the reaction solution (50 μl) was added to a 2- (4-mercaptophenyl) acetic acid solution (100 mM 2- (4-mercaptophenyl) acetic acid, 250 mM HEPES, 100 mM TCEP) (50 μl) at room temperature (the reaction solution was added). Thereafter, the pH of the mixed solution 8.2), the reaction solution was allowed to stand at 30 ° C. for 7 hours, and the change in the reaction was observed using LCMS. (S) -1-((3S, 6S, 12R, 16S, 19S) -3-((1H-indol-3-yl) methyl) -6- (4- (dimethylamino) butyl) -19 in 7 hours -(2-Hydroxyacetamido) -12- (mercaptomethyl) -2,5,8,11,14,18-hexaoxo-1,4,7,10,13,17-hexaazacyclotricosane-16-carbonyl It was confirmed that pyrrolidine-2-carboxamide (Compound SP606) was produced. The production ratio of compound SP606 to the hydrolyzate (byproduct) was 19:81 in terms of LCMS UV area ratio. (FIG. 49, hydrolysis compound retention time: 0.30 minutes)
LCMS(ESI) m/z = 900 (M+H)+
保持時間:0.36分(分析条件SQD FA05)
LCMS (ESI) m / z = 900 (M + H) +
Retention time: 0.36 minutes (analysis condition SQD FA05)
2-3.翻訳されたペプチドでの分子内分枝ペプチド(直鎖部2)生成反応例
2-2にて合成されたペプチドが緩衝液中(水中)にてRNAが安定である温和な反応条件にて分枝させる反応条件が得られたため、翻訳合成後でも同様に分子内分枝ペプチドが生成することをMALDI-MSにて確認した。
2-3. Generation of intramolecular branched peptide (linear part 2) with translated peptide The peptide synthesized in Example 2-2 was analyzed under mild reaction conditions in which RNA is stable in buffer (in water). Since reaction conditions for branching were obtained, it was confirmed by MALDI-MS that an intramolecular branched peptide was similarly produced even after translation synthesis.
2-3-1. 転写によるtRNA(CA欠損)の合成
2つの鋳型DNA(配列番号DT-H1、配列番号DT-H2)から、それぞれRiboMAX Large Scale RNA production System T7(Promega社,P1300)を用いたin vitro の転写により3'端のCAを欠くtRNAGluAAG (-CA)(配列番号RT-H1)、tRNAGluCUG (-CA)(配列番号RT-H2)を合成し、RNeasy Mini kit(Qiagen社)により精製した。
2-3-1. Synthesis of tRNA (CA deficient) by transcription From in vitro transcription using two template DNAs (SEQ ID NO: DT-H1, SEQ ID NO: DT-H2) using RiboMAX Large Scale RNA production System T7 (Promega, P1300), respectively. TRNAGluAAG (-CA) (SEQ ID NO: RT-H1) and tRNAGluCUG (-CA) (SEQ ID NO: RT-H2) lacking the 3 ′ end CA were synthesized and purified by RNeasy Mini kit (Qiagen).
配列番号DT-H1(配列番号D-40と同じ)(配列番号:64)
tRNAGluAAG (-CA) DNA配列:
GGCGTAATACGACTCACTATAGTCCCCTTCGTCTAGAGGCCCAGGACACCGCCCTAAGACGGCGGTAACAGGGGTTCGAATCCCCTAGGGGACGC
SEQ ID NO: DT-H1 (same as SEQ ID NO: D-40) (SEQ ID NO: 64)
tRNAGluAAG (-CA) DNA sequence:
GGCGTAATACGACTCACTATAGTCCCCTTCGTCTAGAGGCCCAGGACACCGCCCTAAGACGGCGGTAACAGGGGTTCGAATCCCCTAGGGGACGC
配列番号DT-H2(配列番号:88)
tRNAGluCTG (-CA) DNA配列:
GGCGTAATACGACTCACTATAGTCCCCTTCGTCTAGAGGCCCAGGACACCGCCCTCTGACGGCGGTAACAGGGGTTCGAATCCCCTAGGGGACGC
SEQ ID NO: DT-H2 (SEQ ID NO: 88)
tRNAGluCTG (-CA) DNA sequence:
GGCGTAATACGACTCACTATAGTCCCCTTCGTCTAGAGGCCCAGGACACCGCCCTCTGACGGCGGTAACAGGGGTTCGAATCCCCTAGGGGACGC
配列番号RT-H1(配列番号:65)
tRNAGluAAG (-CA) RNA配列:
GUCCCCUUCGUCUAGAGGCCCAGGACACCGCCCUAAGACGGCGGUAACAGGGGUUCGAAUCCCCUAGGGGACGC
SEQ ID NO: RT-H1 (SEQ ID NO: 65)
tRNAGluAAG (-CA) RNA sequence:
GUCCCCUUCGUCUAGAGGCCCAGGACACCGCCCUAAGACGGCGGUAACAGGGGUUCGAAUCCCCUAGGGGACGC
配列番号RT-H2(配列番号:89)
tRNAGluCUG (-CA) RNA配列:
GUCCCCUUCGUCUAGAGGCCCAGGACACCGCCCUCUGACGGCGGUAACAGGGGUUCGAAUCCCCUAGGGGACGC
SEQ ID NO: RT-H2 (SEQ ID NO: 89)
tRNAGluCUG (-CA) RNA sequence:
GUCCCCUUCGUCUAGAGGCCCAGGACACCGCCCUCUGACGGCGGUAACAGGGGUUCGAAUCCCCUAGGGGACGC
2-3-2. 側鎖カルボン酸が活性エステル化されたアミノアシル化pdCpA(化合物1i-IA)とtRNA(CA欠損)(配列番号:RT-H1)のligationによるアミノアシル化tRNA(化合物AT-H1)の合成
50μM 転写tRNAGluAAG (-CA)(配列番号RT-H1) 10μLに、10X ligation buffer(500 mM HEPES-KOH pH 7.5, 200 mM MgCl2) 2μL、10 mM ATP 2μL、Nuclease free water 2.8μLを加え、95℃で2分間加熱した後、室温で5分間放置し、tRNAのリフォールディングを行った。 20unit/μLのT4 RNAリガーゼ(New England Bio Lab.社)1.2μLおよび、5mMのアミノアシル化pdCpA(化合物1i-IA)のDMSO溶液 2μLを加え、15℃で45分間ライゲーション反応を行った。ライゲーション反応液 20μLに、3M酢酸ナトリウム 4μLと125mM ヨウ素(水:THF=1:1溶液)24μLを加え、室温で1時間、脱保護を行った。アミノアシル化tRNA(化合物AT-H1)は、フェノール抽出した後、エタノール沈殿により回収した。アミノアシル化tRNA(化合物AT-H1)は、翻訳混合物に添加する直前に1mM酢酸ナトリウムに溶解した。
2-3-2. Synthesis of aminoacylated tRNA (compound AT-H1) by ligation of aminoacylated pdCpA (compound 1i-IA) and tRNA (CA deficient) (SEQ ID NO: RT-H1) in which side chain carboxylic acid is active esterified 50 μM Transcription tRNAGluAAG (-CA) (SEQ ID NO: RT-H1) To 10 μL, add 2 μL of 10 × ligation buffer (500 mM HEPES-KOH pH 7.5, 200 mM MgCl 2 ), 2 μL of 10 mM ATP, 2.8 μL of Nuclease free water at 95 ° C. After heating for 2 minutes, it was left at room temperature for 5 minutes to refold tRNA. 1.2 μL of 20 unit / μL T4 RNA ligase (New England Bio Lab.) And 2 μL of 5 mM aminoacylated pdCpA (
化合物AT-H1
Asp(SMe)-tRNAGluAAG(配列番号:66)
Compound AT-H1
Asp (SMe) -tRNAGluAAG (SEQ ID NO: 66)
2-3-3. グリコール酸でアシル化されたpdCpA(化合物20)とtRNA(CA欠損)(配列番号:RT-H2)のligationによるアミノアシル化tRNA(化合物AT-H2)の合成
50μM 転写tRNAGluCTG (-CA)(配列番号RT-H2) 10μLに、10X ligation buffer(500 mM HEPES-KOH pH 7.5, 200 mM MgCl2) 2μL、10 mM ATP 2μL、Nuclease free water 2.8μLを加え、95℃で2分間加熱した後、室温で5分間放置し、tRNAのリフォールディングを行った。 20unit/μLのT4 RNAリガーゼ(New England Bio Lab.社)1.2μLおよび、5mMのグリコール酸でアシル化されたpdCpA(化合物20)のDMSO溶液 2μLを加え、15℃で45分間ライゲーション反応を行った。アミノアシル化tRNA(化合物AT-H2)は、フェノール抽出した後、エタノール沈殿により回収した。アミノアシル化tRNA(化合物AT-H2)は、翻訳混合物に添加する直前に1mM酢酸ナトリウムに溶解した。
2-3-3. Synthesis of aminoacylated tRNA (compound AT-H2) by ligation of glycolic acid acylated pdCpA (compound 20) and tRNA (CA deficient) (SEQ ID NO: RT-H2) 50 μM Transcription tRNAGluCTG (-CA) (SEQ ID NO: RT-H2) Add 10 μL of 10 × ligation buffer (500 mM HEPES-KOH pH 7.5, 200 mM MgCl 2 ) 2 μL, 10
化合物AT-H2(配列番号:90)HOGly-tRNAGluCUG Compound AT-H2 (SEQ ID NO: 90) HO Gly-tRNAGluCUG
2-3-4. システニルプロリルエステル配列及び側鎖アミノ基を持つ環状ペプチド(化合物P-H1)の翻訳合成
前述したアシル化されたtRNA(化合物AT-H1、化合物AT-H2)を、無細胞翻訳系に加えて翻訳を開始することにより、所望の非天然アミノ酸を含有するポリペプチドの翻訳合成を行った。翻訳系は、原核生物由来の再構成無細胞タンパク質合成系であるPURE systemを用いた。
2-3-4. Translational synthesis of a cyclic peptide having a cystenylprolyl ester sequence and a side chain amino group (compound P-H1) The above-mentioned acylated tRNA (compound AT-H1, compound AT-H2) was added to a cell-free translation system. By starting translation, translation synthesis of a polypeptide containing the desired unnatural amino acid was performed. The translation system used was the PURE system, a prokaryotic-derived reconstituted cell-free protein synthesis system.
具体的には、翻訳液,1%(v/v) RNasein Ribonuclease inhibitor (Promega社,N2111), 1mM GTP,1mM ATP,20mMクレアチンリン酸,50mM HEPES-KOH pH7.6,100mM 酢酸カリウム,6mM 酢酸マグネシウム,2mMスペルミジン,1mM ジチオスレイトール,1.5mg/ml E.coli MRE600(RNaseネガティブ)由来tRNA(Roche社),4μg/ml クレアチンキナーゼ,3μg/ml ミオキナーゼ,2unit/ml 無機ピロフォスファターゼ,1.1μg/ml ヌクレオシド二リン酸キナーゼ,0.6μM メチオニルtRNAトランスフォルミラーゼ,0.26μM EF-G,0.24μM RF2,0.17μM RF3,0.5μM RRF,2.7μM IF1,0.4μM IF2,1.5μM IF3,40μM EF-Tu,93μM EF-Ts,1.2μM リボソーム,0.73μM AlaRS,0.03μM ArgRS,0.38μM AsnRS,0.13μM AspRS,0.02μM CysRS,0.06μM GlnRS,0.23μM GluRS,0.09μM GlyRS,0.4μM IleRS,0.04μM LeuRS,0.11μM LysRS,0.03μM MetRS,0.68μM PheRS,0.16μM ProRS,0.04μM SerRS,0.09μM ThrRS,0.03μM TrpRS,0.02μM TyrRS,0.02μM ValRS(自家調製タンパクは基本的にはHisタグ付加タンパクとして調製した))に、1μM 鋳型RNAOT86b(配列番号RM-H1)、0.25mM Cys,0.25mM Thr,0.25mM Trp,0.25mM Phe,0.25mM Arg,0.25mM Pro,0.25mM Lys,0.25mM Ser、20mM トリス(2-カルボキシエチル)ホスフィン(TCEP)、および、50μM Asp(SMe)-tRNAGluAAG(化合物AT-H1)、50μM HOGly-tRNAGluCUG(化合物AT-H2)を含む前述の翻訳液を37℃で60分間保温した。得られた翻訳反応物を、SPE C-TIP(日京テクノス社)で精製し、マトリックスとしてα-シアノ-4-ヒドロキシケイ皮酸を用いてMALDI-MSにて分析した。その結果、開始メチオニン直後のCysから翻訳開始され、そのα―アミノ基上の窒素原子とアスパラギン酸の側鎖カルボン酸でアミド環化したペプチドP-H1(図50、ピークI)が観測された(図50)。また、対照実験として、上記の翻訳反応組成から鋳型RNAOT86b(配列番号RM-H1)のみを除いた翻訳溶液に関しても37℃で60分間の保温を行った。 Specifically, translation solution, 1% (v / v) RNasein Ribonuclease inhibitor (Promega, N2111), 1 mM GTP, 1 mM ATP, 20 mM creatine phosphate, 50 mM HEPES-KOH pH7.6, 100 mM potassium acetate, 6 mM acetic acid Magnesium, 2 mM spermidine, 1 mM dithiothreitol, 1.5 mg / ml E. coli MRE600 (RNase negative) -derived tRNA (Roche), 4 μg / ml creatine kinase, 3 μg / ml myokinase, 2 unit / ml inorganic pyrophosphatase, 1.1 μg / ml nucleoside diphosphate kinase, 0.6 μM methionyl tRNA transformylase , 0.26 μM EF-G, 0.24 μM RF2, 0.17 μM RF3, 0.5 μM RRF, 2.7 μM IF1, 0.4 μM IF2, 1.5 μM IF3, 40 μM EF-Tu, 93 μM EF-Ts, 2 μM ribosome, 0.73 μM AlaRS, 0.03 μM ArgRS, 0.38 μM AsnRS, 0.13 μM AspRS, 0.02 μM CysRS, 0.06 μM GlnRS, 0.23 μM GluRS, 0.09 μM GlyRS, 0. μM IleRS, 0.04 μM LeuRS, 0.11 μM LysRS, 0.03 μM MetRS, 0.68 μM PheRS, 0.16 μM ProRS, 0.04 μM SerRS, 0.09 μM ThrRS, 0.03 μM TrpRS, 0.02 μM TyrRS, 0. 02 μM ValRS (the self-prepared protein was basically prepared as a His-tagged protein)), 1 μM template RNAOT86b (SEQ ID NO: RM-H1), 0.25 mM Cys, 0.25 mM Thr, 0.25 mM Trp,. 25 mM Phe, 0.25 mM Arg, 0.25 mM Pro, 0.25 mM Lys, 0.25 mM Ser, 20 mM Tris (2-carboxyethyl) phosphine (TCEP), and 50 μM Asp (SMe) -tRNAGluAAG (compound AT-H1 ), 50 μM HO Gly-tRNAGluCUG (compound AT-H2) The translation solution was kept at 37 ° C. for 60 minutes. The obtained translation reaction product was purified by SPE C-TIP (Nikkyo Technos) and analyzed by MALDI-MS using α-cyano-4-hydroxycinnamic acid as a matrix. As a result, translation was started from Cys immediately after the initiation methionine, and peptide P-H1 (FIG. 50, peak I) amide-cyclized with a nitrogen atom on the α-amino group and a side chain carboxylic acid of aspartic acid was observed. (FIG. 50). As a control experiment, a translation solution obtained by removing only the template RNAOT86b (SEQ ID NO: RM-H1) from the above translation reaction composition was also incubated at 37 ° C. for 60 minutes.
配列番号 RM-H1(配列番号:91)
OT86b RNA配列
GGGUUAACUUUAAGAAGGAGAUAUACAUaugUGCACUACAUGGUUCCGUUGGUGCCCACAGUUCAAGUGGCUUCCUCGUAGUUAAGG
SEQ ID NO: RM-H1 (SEQ ID NO: 91)
OT86b RNA sequence
GGGUUAACUUUAAGAAGGAGAUAUACAUaugUGCACUACAUGGUUCCGUUGGUGCCCACAGUUCAAGUGGCUUCCUCGUAGUUAAGG
ペプチド配列P-H1
CysThrThrTrpPheArgTrpCysProHOGlyPheLysTrp[Asp(SMe)]ProArgSerのN末端アミノ基の窒素原子とAspの側鎖カルボン酸でアミド環化した化合物(HOGlyはグリコール酸を指す)
Peptide sequence P-H1
CysThrThrTrpPheArgTrpCysPro HO GlyPheLysTrp [Asp (SMe)] A compound amide cyclized with the N-terminal amino group of ProArgSer and the side chain carboxylic acid of Asp ( HO Gly refers to glycolic acid)
MALDI-MS:
m/z: [H+M]+ = 2155.6(配列P-H1に対応するペプチド。Calc.2156.0)
MALDI-MS:
m / z: [H + M] + = 2155.6 (peptide corresponding to sequence P-H1. Calc.2156.0)
2-3-5.翻訳ペプチドP-H1を用いた分子内分枝ペプチド(直鎖部2)生成反応
前述の翻訳反応物P-H1を含む翻訳溶液5μLと、pH8.5に調整した5μLの環化反応試薬溶液(0.3M HEPES-KOH、0.1M TCEP、0.1M p-メルカプトフェニル酢酸)を混合し、30℃で17時間保温した。その後、得られた反応溶液を、SPE C-TIP(日京テクノス社)で精製し、マトリックスとしてα-シアノ-4-ヒドロキシケイ皮酸を用いてMALDI-MSで分析した。対象実験として、前述した鋳型RNAOT86b(配列番号RM-H1)を含まない翻訳溶液に対しても同様の操作を施し、両者を比較することで、鋳型RNA依存的に合成される翻訳産物由来のピークを判別し、解析を行った。その結果、鋳型RNAOT86b(配列番号RM-H1)を含む翻訳反応液には、目的の分子内分枝骨格をもつ化合物H1に相当するピークが観測され、翻訳ペプチドを用いた分子内分枝ペプチド(直鎖部2)の生成が確認された(図51、ピークI)。
化合物H1
2-3-5. Intramolecular branched peptide (linear part 2) production reaction using translation peptide P-
Compound H1
さらに詳細な構造(アミノ酸の3文字表記を全て化学構造に変換)を以下に示す。
A more detailed structure (all three-letter codes for amino acids are converted into chemical structures) is shown below.
MALDI-MS:
m/z: [H+M]+ = 1955.4(化合物H1に対応するペプチド。Calc.1955.9)
化合物H2
MALDI-MS:
m / z: [H + M] + = 1955.4 (peptide corresponding to compound H1. Calc.1955.9)
Compound H2
さらに詳細な構造(アミノ酸の3文字表記を全て化学構造に変換)を以下に示す。
MALDI-MS:
m/z: [H+M]+ = 1973.4(化合物H2に対応するペプチド。Calc.1973.9)
A more detailed structure (all three-letter codes for amino acids are converted into chemical structures) is shown below.
MALDI-MS:
m / z: [H + M] + = 1973.4 (peptide corresponding to compound H2. Calc.1973.9)
3.1回目の環化で反応補助基を有するN末端に位置する三角ユニットとC末端側の活性チオエステル(交差ユニット)のアミド環化反応を行い、2回目の分枝化にてCys-Pro- HO Glyから活性エステルを発生させ、無保護のアミノ基と反応させて分枝させる例の化学反応条件の改良と改良された条件下生成した直鎖部2を有する分枝ペプチドの持つチオール基を除去するための脱硫反応例
上に示したとおり、合成ペプチド化合物SP605から化合物SP606への変換にて設定した分枝化反応条件を翻訳ペプチドに適用した結果、翻訳ペプチドでも分枝化反応の進行が確認された。以下の実験では、化合物SP605から化合物SP606への合成ペプチドをモデルとした反応最適化である。水中での反応、および翻訳液中での反応を実施し、翻訳ペプチドによる分枝化反応の最適化を行った結果、反応選択性に優れた反応条件の設定に至った。
3. An amide cyclization reaction between the trigonal unit at the N-terminus having a reaction assisting group and the active thioester (crossing unit) on the C-terminal side in the first cyclization, and Cys-Pro in the second branching - to generate an active ester from HO Gly, unprotected thiol group with the improvements and improved conditions resulting branched peptides having
3-1.緩衝溶液中における分子内分枝ペプチド生成反応
有機溶媒の効果の比較実験
変更点として、1回目の環化反応では有機溶媒(DMA)含有率を5%から50%へと増大させ、2回目の分枝化反応では2.5%から50%へと増大させた結果を示す。
3-1. Intramolecular branched peptide formation reaction in buffer solution
As a comparative experiment change of the effect of the organic solvent, the organic solvent (DMA) content is increased from 5% to 50% in the first cyclization reaction, and from 2.5% to 50 in the second branching reaction. The results increased to% are shown.
0.5M HEPES緩衝液(pH7.0, 10μl)、水(33μl)、1M水酸化ナトリウム水溶液(5μl)、DMA(45μl),0.5M TCEP塩酸塩水溶液(2μl)をそれぞれ加えて溶液を調製した。この溶液に、1-((6R,12S,15S,18R)-15-((1H-インドール-3-イル)メチル)-6-アミノ-18-((tert-ブチルジスルファニル)メチル)-12-(4-(ジメチルアミノ)ブチル)-2,2-ジメチル-7,10,13,16-テトラオキソ-3,4-ジチア-8,11,14,17-テトラアザノナデカン)ピロリジン-2-カルボン酸 (S)-2-((S)-6-アミノ-1-((S)-4-(ベンジルチオ)-1-((S)-2-カルバモイルピロリジン-1-イル)-1,4-ジオキソブタン-2-イルアミノ)-1-オキソヘキサン-2-イルアミノ)-2-オキソエチル(化合物SP605、 H-Cys(StBu)-Gly-Lys(Me2)-Trp-Cys(StBu)-Pro-HOGly-Lys-Asp(SBn)-Pro-NH2)(20mM, 0.10μmol)と内部標準として4-ペンチル安息香酸(20mM, 0.10μmol)のDMA溶液(5μl)を室温下で添加し、反応液を37℃で60分間静置した。60分後、125mM 2-(4-メルカプトフェニル)酢酸のDMA溶液(40μl)、0.5M HEPES緩衝液(pH7.0, 18μl)、水(6μl)、5M水酸化ナトリウム水溶液(6μl)、0.5M TCEP塩酸塩水溶液(10μl)をそれぞれ加えた溶液に、反応液(20μl)を室温下で添加し(反応液を加えた後の混合溶液のpH 8.2)、反応液を30℃で24時間静置し、LCMSを用いて反応の変化を観測した。24時間後、(S)-1-((3S,6S,12R,16S,19S)-3-((1H-インドール-3-イル)メチル)-6-(4-(ジメチルアミノ)ブチル)-19-(2-ヒドロキシアセトアミド)-12-(メルカプトメチル)-2,5,8,11,14,18-ヘキサオキソ-1,4,7,10,13,17-ヘキサアザシクロトリコサン-16-カルボニル)ピロリジン-2-カルボキサミド(化合物SP606)が生成していることを確認した。化合物SP606と加水分解物(副生成物)と反応中間体の生成比は、LCMSのUVエリア比で40:4:56であった。
以上の結果から、1回目の環化反応には有機溶媒含有率の向上が有利であることがわかり、加水分解が抑制されて目的化合物を得る選択性が高まった。一方、2回目の分枝化反応では、目的化合物を得るための化学反応速度が低下するため、さらに改良検討を継続した。
Prepare solutions by adding 0.5M HEPES buffer (pH 7.0, 10 μl), water (33 μl), 1M aqueous sodium hydroxide (5 μl), DMA (45 μl), and 0.5M TCEP hydrochloride aqueous solution (2 μl), respectively. did. To this solution was added 1-((6R, 12S, 15S, 18R) -15-((1H-indol-3-yl) methyl) -6-amino-18-((tert-butyldisulfanyl) methyl) -12. -(4- (Dimethylamino) butyl) -2,2-dimethyl-7,10,13,16-tetraoxo-3,4-dithia-8,11,14,17-tetraazanonadecane) pyrrolidine-2- Carboxylic acid (S) -2-((S) -6-amino-1-((S) -4- (benzylthio) -1-((S) -2-carbamoylpyrrolidin-1-yl) -1,4 -Dioxobutan-2-ylamino) -1-oxohexan-2-ylamino) -2-oxoethyl (compound SP605, H-Cys (StBu) -Gly-Lys (Me 2 ) -Trp-Cys (StBu) -Pro- HO Gly-Lys-Asp (SBn) -Pro-NH2) (20 mM, 0.10 μmol) and DMA solution (5 μl) of 4-pentylbenzoic acid (20 mM, 0.10 μmol) as an internal standard were added at room temperature and reacted. The solution was allowed to stand at 37 ° C. for 60 minutes. After 60 minutes, 125 mM 2- (4-mercaptophenyl) acetic acid in DMA (40 μl), 0.5 M HEPES buffer (pH 7.0, 18 μl), water (6 μl), 5 M aqueous sodium hydroxide solution (6 μl), 0 Reaction solution (20 μl) was added at room temperature (pH 8.2 of the mixed solution after the addition of the reaction solution) to each solution to which 5 M TCEP hydrochloride aqueous solution (10 μl) was added, and the reaction solution at 30 ° C. The mixture was allowed to stand for 24 hours, and changes in the reaction were observed using LCMS. After 24 hours, (S) -1-((3S, 6S, 12R, 16S, 19S) -3-((1H-indol-3-yl) methyl) -6- (4- (dimethylamino) butyl)- 19- (2-hydroxyacetamido) -12- (mercaptomethyl) -2,5,8,11,14,18-hexaoxo-1,4,7,10,13,17-hexaazacyclotricosane-16- It was confirmed that carbonyl) pyrrolidine-2-carboxamide (Compound SP606) was produced. The production ratio of compound SP606, hydrolyzate (by-product), and reaction intermediate was 40: 4: 56 in terms of LCMS UV area ratio.
From the above results, it was found that the improvement of the organic solvent content was advantageous for the first cyclization reaction, and the selectivity for obtaining the target compound was enhanced by suppressing hydrolysis. On the other hand, in the second branching reaction, the chemical reaction rate for obtaining the target compound was decreased, and further improvement studies were continued.
2-(4-メルカプトフェニル)酢酸の代わりにチオフェノールを用いた場合の効果比較実験Experimental comparison of the effects of using thiophenol instead of 2- (4-mercaptophenyl) acetic acid
0.5M HEPES緩衝液(pH7.0, 10μl)、水(33μl)、1M水酸化ナトリウム水溶液(5μl)、DMA(45μl),0.5M TCEP塩酸塩水溶液(2μl)をそれぞれ加えて溶液を調製した。この溶液に、1-((6R,12S,15S,18R)-15-((1H-インドール-3-イル)メチル)-6-アミノ-18-((tert-ブチルジスルファニル)メチル)-12-(4-(ジメチルアミノ)ブチル)-2,2-ジメチル-7,10,13,16-テトラオキソ-3,4-ジチア-8,11,14,17-テトラアザノナデカン)ピロリジン-2-カルボン酸 (S)-2-((S)-6-アミノ-1-((S)-4-(ベンジルチオ)-1-((S)-2-カルバモイルピロリジン-1-イル)-1,4-ジオキソブタン-2-イルアミノ)-1-オキソヘキサン-2-イルアミノ)-2-オキソエチル(化合物SP605、 H-Cys(StBu)-Gly-Lys(Me2)-Trp-Cys(StBu)-Pro-HOGly-Lys-Asp(SBn)-Pro-NH2)(20mM, 0.10μmol)と内部標準として4-ブチル安息香酸(20mM, 0.10μmol)のDMA溶液(5μl)を室温下で添加し、反応液を37℃で30分間静置した。その後、チオフェノール(0.52μl, 5μmol)にDMA(40μl),2M Bicine(N,N-ビス-(2-ヒドロキシエチル)グリシン) 緩衝液(pH8.7, 18μl)、0.5M TCEP塩酸塩水溶液(10μl)をそれぞれ加え1M 水酸化ナトリウム水溶液(12μl)により溶液を調整した後に、反応液(20μl)を室温下で添加し(反応液を加えた後の混合溶液のpH 8.1)、反応液を30℃で24時間静置し、LCMSを用いて反応の変化を観測した。24時間で(S)-1-((3S,6S,12R,16S,19S)-3-((1H-インドール-3-イル)メチル)-6-(4-(ジメチルアミノ)ブチル)-19-(2-ヒドロキシアセトアミド)-12-(メルカプトメチル)-2,5,8,11,14,18-ヘキサオキソ-1,4,7,10,13,17-ヘキサアザシクロトリコサン-16-カルボニル)ピロリジン-2-カルボキサミド(化合物SP606)が生成していることを確認した。化合物SP606と加水分解物(副生成物)との生成比は、LCMSのUVエリア比で84:16であった。 Prepare solutions by adding 0.5M HEPES buffer (pH 7.0, 10 μl), water (33 μl), 1M aqueous sodium hydroxide (5 μl), DMA (45 μl), and 0.5M TCEP hydrochloride aqueous solution (2 μl), respectively. did. To this solution was added 1-((6R, 12S, 15S, 18R) -15-((1H-indol-3-yl) methyl) -6-amino-18-((tert-butyldisulfanyl) methyl) -12. -(4- (Dimethylamino) butyl) -2,2-dimethyl-7,10,13,16-tetraoxo-3,4-dithia-8,11,14,17-tetraazanonadecane) pyrrolidine-2- Carboxylic acid (S) -2-((S) -6-amino-1-((S) -4- (benzylthio) -1-((S) -2-carbamoylpyrrolidin-1-yl) -1,4 -Dioxobutan-2-ylamino) -1-oxohexan-2-ylamino) -2-oxoethyl (compound SP605, H-Cys (StBu) -Gly-Lys (Me 2 ) -Trp-Cys (StBu) -Pro- HO Gly-Lys-Asp (SBn) -Pro-NH2) (20 mM, 0.10 μmol) and DMA solution (5 μl) of 4-butylbenzoic acid (20 mM, 0.10 μmol) as an internal standard were added at room temperature and reacted. The solution was allowed to stand at 37 ° C. for 30 minutes. Then, thiophenol (0.52 μl, 5 μmol) in DMA (40 μl), 2M Bicine (N, N-bis- (2-hydroxyethyl) glycine) buffer (pH 8.7, 18 μl), 0.5 M TCEP hydrochloride Each aqueous solution (10 μl) was added and the solution was adjusted with 1 M aqueous sodium hydroxide solution (12 μl), and then the reaction solution (20 μl) was added at room temperature (pH 8.1 of the mixed solution after adding the reaction solution) The reaction solution was allowed to stand at 30 ° C. for 24 hours, and changes in the reaction were observed using LCMS. (S) -1-((3S, 6S, 12R, 16S, 19S) -3-((1H-indol-3-yl) methyl) -6- (4- (dimethylamino) butyl) -19 in 24 hours -(2-Hydroxyacetamido) -12- (mercaptomethyl) -2,5,8,11,14,18-hexaoxo-1,4,7,10,13,17-hexaazacyclotricosane-16-carbonyl It was confirmed that pyrrolidine-2-carboxamide (Compound SP606) was produced. The production ratio of compound SP606 to the hydrolyzate (byproduct) was 84:16 as the UV area ratio of LCMS.
分枝化反応が良好に進行する反応条件での実施例
検討の結果、以下に示す反応条件が上の条件(2-2-2)よりも優れていることを見出した。変更点として、1回目の環化反応では有機溶媒含有率増大(50%)し、2回目の分枝化反応でも有機溶媒含有率増大(50%)と共に、添加剤のチオールを変更(4-(トリフルオロメチル)ベンゼンチオール)と共に添加剤濃度の増大(500mM)とした。さらに緩衝溶液としてHEPES 150mMから、Bicine(N,N-ビスー(2―ヒドロキシルエチル)グリシン)360mMに変更した。0.5M HEPES緩衝液(pH7.0, 10μl)、水(33μl)、1M水酸化ナトリウム水溶液(5μl)、N-メチル-2-ピロリドン(NMP)(45μl),0.5M TCEP塩酸塩水溶液(2μl)をそれぞれ加えて溶液を調製した。この溶液に、1-((6R,12S,15S,18R)-15-((1H-インドール-3-イル)メチル)-6-アミノ-18-((tert-ブチルジスルファニル)メチル)-12-(4-(ジメチルアミノ)ブチル)-2,2-ジメチル-7,10,13,16-テトラオキソ-3,4-ジチア-8,11,14,17-テトラアザノナデカン)ピロリジン-2-カルボン酸 (S)-2-((S)-6-アミノ-1-((S)-4-(ベンジルチオ)-1-((S)-2-カルバモイルピロリジン-1-イル)-1,4-ジオキソブタン-2-イルアミノ)-1-オキソヘキサン-2-イルアミノ)-2-オキソエチル(化合物SP605、 H-Cys(StBu)-Gly-Lys(Me2)-Trp-Cys(StBu)-Pro-HOGly-Lys-Asp(SBn)-Pro-NH2)(20mM, 0.10μmol)と内部標準として4-ブチル安息香酸(20mM, 0.10μmol)のNMP溶液(5μl)を室温下で添加し、反応液を37℃で30分間静置した。その後、4-(トリフルオロメチル)ベンゼンチオール(6.8μl, 50μmol)にNMP(40μl),2M Bicine(N,N-ビス-(2-ヒドロキシエチル)グリシン) 緩衝液(pH8.7, 18μl)、0.5M TCEP塩酸塩水溶液(10μl)をそれぞれ加え5M 水酸化ナトリウム水溶液(12μl)により溶液を調整した後に、反応液(20μl)を室温下で添加し(反応液を加えた後の混合溶液のpH 8.2)、反応液を30℃で24時間静置し、LCMSを用いて反応の変化を観測した。24時間で(S)-1-((3S,6S,12R,16S,19S)-3-((1H-インドール-3-イル)メチル)-6-(4-(ジメチルアミノ)ブチル)-19-(2-ヒドロキシアセトアミド)-12-(メルカプトメチル)-2,5,8,11,14,18-ヘキサオキソ-1,4,7,10,13,17-ヘキサアザシクロトリコサン-16-カルボニル)ピロリジン-2-カルボキサミド(化合物SP606)が生成していることを確認した。化合物SP606と加水分解物(副生成物)との生成比は、LCMSのUVエリア比で98:2であった。 (図52、加水分解化合物 保持時間:0.31分)
As a result of examination of the examples under the reaction conditions in which the branching reaction proceeds well, it was found that the reaction conditions shown below are superior to the above conditions (2-2-2). As a change point, in the first cyclization reaction, the organic solvent content was increased (50%), and in the second branching reaction, the organic solvent content was increased (50%) and the additive thiol was changed (4- (Trifluoromethyl) benzenethiol) and additive concentration increased (500 mM). Further, the buffer solution was changed from
3-2.改良された緩衝液中での化学反応条件を適用させた、化合物SP605からSP606への変換反応をPURE system(翻訳合成液)中で実施した分子内分枝ペプチド生成反応
翻訳用緩衝液(6.25μl)、水(1.25μl)、PURESYSTEM(r) classic II Sol. B(バイオコゥマー社、製品番号PURE2048C)(10μl)、20種類の天然型アミノ酸溶液(それぞれ5mM,2.5μl)を混合しジメチルアセトアミド(DMA)(22.5μl), TCEP水溶液(100mM、5μl)、をそれぞれ加えて溶液を調製した。翻訳用緩衝液の成分は8mM GTP,8mM ATP,160mMクレアチンリン酸,400mM HEPES-KOH pH7.6,800mM 酢酸カリウム,48mM 酢酸マグネシウム,16mMスペルミジン,8mM ジチオスレイトール,0.8mM 10-HCO-H4folate, 12mg/ml E.coli MRE600(RNaseネガティブ)由来tRNA(Roche社)である。この溶液に、1-((6R,12S,15S,18R)-15-((1H-インドール-3-イル)メチル)-6-アミノ-18-((tert-ブチルジスルファニル)メチル)-12-(4-(ジメチルアミノ)ブチル)-2,2-ジメチル-7,10,13,16-テトラオキソ-3,4-ジチア-8,11,14,17-テトラアザノナデカン)ピロリジン-2-カルボン酸 (S)-2-((S)-6-アミノ-1-((S)-4-(ベンジルチオ)-1-((S)-2-カルバモイルピロリジン-1-イル)-1,4-ジオキソブタン-2-イルアミノ)-1-オキソヘキサン-2-イルアミノ)-2-オキソエチル(化合物SP605、H-Cys(StBu)-Gly-Lys(Me2)-Trp-Cys(StBu)-Pro-HOGly-Lys-Asp(SBn)-Pro-NH2)(20mM, 0.05μmol)と内部標準として4-ブチル安息香酸(20mM, 0.05μmol)のDMA溶液(2.5μl)を室温下で添加し、反応液を37℃で30分間静置した。4-(トリフルオロメチル)ベンゼンチオール(6.8μl, 50μmol)にDMA(40μl)、2M Bicine(N,N-ビス-(2-ヒドロキシエチル)グリシン) 緩衝液(pH8.7, 18μl)、0.5M TCEP塩酸塩水溶液(10μl)をそれぞれ加え5M 水酸化ナトリウム水溶液(12μl)により溶液を調整した後に、反応液(20μl)を室温下で添加し(反応液を加えた後の混合溶液のpH 8.2)、反応液を30℃で24時間静置し、LCMSを用いて反応の変化を観測した。24時間で(S)-1-((3S,6S,12R,16S,19S)-3-((1H-インドール-3-イル)メチル)-6-(4-(ジメチルアミノ)ブチル)-19-(2-ヒドロキシアセトアミド)-12-(メルカプトメチル)-2,5,8,11,14,18-ヘキサオキソ-1,4,7,10,13,17-ヘキサアザシクロトリコサン-16-カルボニル)ピロリジン-2-カルボキサミド(化合物SP606)が生成していることを確認した。化合物SP606と加水分解物(副生成物)との生成比は、LCMSのUVエリア比で91:9であった。(図53、加水分解化合物 保持時間:0.30分)
3-2. Intramolecular branched peptide formation reaction translation buffer (6. Conversion reaction from compound SP605 to SP606, which was carried out in PURE system (translation synthesis solution) to which chemical reaction conditions in improved buffer were applied . 25 μl), water (1.25 μl), PURESYSTEM® classic II Sol. B (Biocommer, product number PURE2048C) (10 μl), 20 natural amino acid solutions (5 mM and 2.5 μl, respectively), and mixed with dimethyl Acetamide (DMA) (22.5 μl) and TCEP aqueous solution (100 mM, 5 μl) were added to prepare solutions. The components of the translation buffer were 8 mM GTP, 8 mM ATP, 160 mM creatine phosphate, 400 mM HEPES-KOH pH 7.6, 800 mM potassium acetate, 48 mM magnesium acetate, 16 mM spermidine, 8 mM dithiothreitol, 0.8 mM 10-HCO-H4folate. , 12 mg / ml E. E. coli MRE600 (RNase negative) -derived tRNA (Roche). To this solution was added 1-((6R, 12S, 15S, 18R) -15-((1H-indol-3-yl) methyl) -6-amino-18-((tert-butyldisulfanyl) methyl) -12. -(4- (Dimethylamino) butyl) -2,2-dimethyl-7,10,13,16-tetraoxo-3,4-dithia-8,11,14,17-tetraazanonadecane) pyrrolidine-2- Carboxylic acid (S) -2-((S) -6-amino-1-((S) -4- (benzylthio) -1-((S) -2-carbamoylpyrrolidin-1-yl) -1,4 -Dioxobutan-2-ylamino) -1-oxohexane-2-ylamino) -2-oxoethyl (compound SP605, H-Cys (StBu) -Gly-Lys (Me 2 ) -Trp-Cys (StBu) -Pro- HO Gly-Lys-Asp (SBn) -Pro-NH 2 ) (20 mM, 0.05 μmol) and 4-butylbenzoic acid (20 mM, 0.05 μmol) in DMA (2.5 μl) as an internal standard were added at room temperature The reaction solution was allowed to stand at 37 ° C. for 30 minutes. 4- (trifluoromethyl) benzenethiol (6.8 μl, 50 μmol) in DMA (40 μl), 2M Bicine (N, N-bis- (2-hydroxyethyl) glycine) buffer (pH 8.7, 18 μl), 0 .5M TCEP hydrochloride aqueous solution (10 μl) was added and the solution was adjusted with 5M sodium hydroxide aqueous solution (12 μl), and then the reaction solution (20 μl) was added at room temperature (the pH of the mixed solution after addition of the reaction solution). 8.2), the reaction solution was allowed to stand at 30 ° C. for 24 hours, and changes in the reaction were observed using LCMS. (S) -1-((3S, 6S, 12R, 16S, 19S) -3-((1H-indol-3-yl) methyl) -6- (4- (dimethylamino) butyl) -19 in 24 hours -(2-Hydroxyacetamido) -12- (mercaptomethyl) -2,5,8,11,14,18-hexaoxo-1,4,7,10,13,17-hexaazacyclotricosane-16-carbonyl It was confirmed that pyrrolidine-2-carboxamide (Compound SP606) was produced. The production ratio of compound SP606 and hydrolyzate (byproduct) was 91: 9 in terms of LCMS UV area ratio. (FIG. 53, hydrolysis compound retention time: 0.30 minutes)
3-3.PURE SYSTEMの翻訳溶媒をRNeasy(r) MinElute TM Cleanup Kit(キアゲン社)を用い精製した溶出液中での分枝ペプチド生成反応(化合物SP605から化合物SP606への変換)
翻訳ペプチドでディスプレイライブラリーを実施する際には、翻訳液に直接試薬を追加した翻訳後修飾を実施することもできる一方、ペプチドーRNA複合体を一度精製した後に、一部あるいは全ての翻訳後修飾を実施することもできる。そのような精製過程の1つとして、RNeasy(r) MinEluteTM Cleanup Kit(キアゲン社)を用いた精製が挙げられる。そのような精製を実施した後の翻訳後修飾の例として以下の実験を実施した。
3-3. Branched peptide formation reaction in the eluate purified using RNeasy (R) MinElute ™ Cleanup Kit (Qiagen) as the translation solvent for PURE SYSTEM ( conversion from compound SP605 to compound SP606)
When performing a display library with translated peptides, post-translational modifications can be performed by adding reagents directly to the translation solution. On the other hand, some or all post-translational modifications can be made after the peptide-RNA complex has been purified once. Can also be implemented. One such purification process includes purification using RNeasy® MinElute ™ Cleanup Kit (Qiagen). The following experiment was performed as an example of post-translational modification after such purification.
PURE SYSTEMの翻訳溶媒をRNeasy(r) MinEluteTM Cleanup Kit(キアゲン社)を用い精製した溶出液(35μl)とジメチルアセトアミド(DMA)(45μl)、100mM トリス(2-カルボキシエチル)ホスフィン(TCEP)塩酸塩溶液(10μl、1.0μmol)を混ぜ、1-((6R,12S,15S,18R)-15-((1H-インドール-3-イル)メチル)-6-アミノ-18-((tert-ブチルジスルファニル)メチル)-12-(4-(ジメチルアミノ)ブチル)-2,2-ジメチル-7,10,13,16-テトラオキソ-3,4-ジチア-8,11,14,17-テトラアザノナデカン)ピロリジン-2-カルボン酸 (S)-2-((S)-6-アミノ-1-((S)-4-(ベンジルチオ)-1-((S)-2-カルバモイルピロリジン-1-イル)-1,4-ジオキソブタン-2-イルアミノ)-1-オキソヘキサン-2-イルアミノ)-2-オキソエチル(H-Cys(StBu)-Gly-Lys(Me2)-Trp-Cys(StBu)-Pro-HOGly-Lys-Asp(SBn)-Pro-NH2) (化合物SP605)(20mM、0.10μmol)と内部標準として用いた4-ブチル安息香酸(20mM、0.10μmol)のDMA溶液(5.0μl)を室温下で添加した。2M HEPES緩衝液(5μl、pH=7.5)と1N 水酸化ナトリウム水溶液(1.5μl)を加え、pH=7.5にてサーマルサイクラー中、37℃で30分間静置した。 The eluate (35 μl), dimethylacetamide (DMA) (45 μl), 100 mM tris (2-carboxyethyl) phosphine (TCEP) hydrochloric acid purified using RNeasy® MinElute ™ Cleanup Kit (Qiagen) as the translation solvent for PURE SYSTEM Salt solution (10 μl, 1.0 μmol) was mixed and 1-((6R, 12S, 15S, 18R) -15-((1H-indol-3-yl) methyl) -6-amino-18-((tert- Butyldisulfanyl) methyl) -12- (4- (dimethylamino) butyl) -2,2-dimethyl-7,10,13,16-tetraoxo-3,4-dithia-8,11,14,17-tetra Azanonadecane) pyrrolidine-2-carboxylic acid (S) -2-((S) -6-amino-1-((S) 4- (Benzylthio) -1-((S) -2-carbamoylpyrrolidin-1-yl) -1,4-dioxobutan-2-ylamino) -1-oxohexane-2-ylamino) -2-oxoethyl (H— Cys (StBu) -Gly-Lys (Me 2 ) -Trp-Cys (StBu) -Pro- HO Gly-Lys-Asp (SBn) -Pro-NH 2 ) (compound SP605) (20 mM, 0.10 μmol) and internal A DMA solution (5.0 μl) of 4-butylbenzoic acid (20 mM, 0.10 μmol) used as a standard was added at room temperature. 2M HEPES buffer (5 μl, pH = 7.5) and 1N aqueous sodium hydroxide solution (1.5 μl) were added, and the mixture was allowed to stand at 37 ° C. for 30 minutes in a thermal cycler at pH = 7.5.
4-(トリフルオロメチル)ベンゼンチオール(6.8μl, 50μmol)にジメチルアセトアミド(DMA)(40μl)、2M Bicine(N,N-ビス-(2-ヒドロキシエチル)グリシン)緩衝液(pH8.7、16μl)、0.5M トリス(2-カルボキシエチル)ホスフィン(TCEP)塩酸塩水溶液(10μl)、5N 水酸化ナトリウム水溶液(14μl)で調整した溶液に、得られた反応液(20μl)を室温下で添加し、pH 8.2にてサーマルサイクラー中、37℃で20時間静置し、LCMSを用いて反応の変化を観測した。20時間後(S)-1-((3S,6S,12R,16S,19S)-3-((1H-インドール-3-イル)メチル)-6-(4-(ジメチルアミノ)ブチル)-19-(2-ヒドロキシアセトアミド)-12-(メルカプトメチル)-2,5,8,11,14,18-ヘキサオキソ-1,4,7,10,13,17-ヘキサアザシクロトリコサン-16-カルボニル)ピロリジン-2-カルボキサミド(化合物SP606)が生成していることを確認した。目的化合物と加水分解物(LCMS保持時間0.29分)との生成比は、LCMSのUVエリア比で95:5であった。(図54)
LCMS(ESI) m/z = 900 (M+H)+
保持時間:0.36分(分析条件SQDFA05)
4- (trifluoromethyl) benzenethiol (6.8 μl, 50 μmol) in dimethylacetamide (DMA) (40 μl), 2M Bicine (N, N-bis- (2-hydroxyethyl) glycine) buffer (pH 8.7, 16 μl), 0.5 M tris (2-carboxyethyl) phosphine (TCEP) hydrochloride aqueous solution (10 μl), and 5N aqueous sodium hydroxide solution (14 μl) were added to the resulting reaction solution (20 μl) at room temperature. The mixture was allowed to stand at 37 ° C. for 20 hours in a thermal cycler at pH 8.2, and the change in the reaction was observed using LCMS. After 20 hours (S) -1-((3S, 6S, 12R, 16S, 19S) -3-((1H-indol-3-yl) methyl) -6- (4- (dimethylamino) butyl) -19 -(2-hydroxyacetamido) -12- (mercaptomethyl) -2,5,8,11,14,18-hexaoxo-1,4,7,10,13,17-hexaazacyclotricosane-16-carbonyl ) It was confirmed that pyrrolidine-2-carboxamide (Compound SP606) was produced. The production ratio of the target compound and the hydrolyzate (LCMS retention time 0.29 minutes) was 95: 5 as the UV area ratio of LCMS. (Fig. 54)
LCMS (ESI) m / z = 900 (M + H) +
Retention time: 0.36 minutes (analysis condition SQDFA05)
PURE SYSTEMの翻訳溶媒をRNeasy(r) MinEluteTM Cleanup Kit(キアゲン社)を用い精製した溶出液は以下のように調整した。既に実施例に記載済みの翻訳用緩衝液(12.5μl)、PURESYSTEM(r) classic II Sol. B(バイオコゥマー社、製品番号PURE2048C)(20μl)、20種の天然アミノ酸溶液(それぞれ5mM,5.0μl)、水(62.5μl)を混合し翻訳液を調整した。翻訳液(20μl)にBuffer RLT(70μl)、EtOH(135μl)を加えピペッティングを行い、RNeasy MinElute Spin Columnにアプライした。10000rpmで15秒遠心し、ろ液を除いた。RNeasy MinElute Spin ColumnにBuffer RPE(500μl)を添加し、10000rpmで15秒遠心し、ろ液を除いた。RNeasy MinElute Spin Columnに80%EtOH水溶液(500μl)を添加し、10000rpmで2分遠心し、ろ液を除いた。RNeasy MinElute Spin Columnの蓋を開け、15000rpmで5分遠心し、カラムを乾燥させた後、水(22μl)を加え、溶出した液を用いた。なお、この際使用した水はRNaseフリー水を用いている。 The eluate purified using RNeasy® MinElute ™ Cleanup Kit (Qiagen) as the translation solvent for PURE SYSTEM was prepared as follows. Translation buffer (12.5 μl) already described in the examples, PURESYSTEM (r) classic II Sol. B (Biocommer, product number PURE2048C) (20 μl), 20 kinds of natural amino acid solutions (5 mM, 5.0 μl, respectively) and water (62.5 μl) were mixed to prepare a translation solution. Buffer RLT (70 μl) and EtOH (135 μl) were added to the translation solution (20 μl), pipetted, and applied to RNeasy MinElute Spin Column. Centrifugation was performed at 10,000 rpm for 15 seconds to remove the filtrate. Buffer RPE (500 μl) was added to RNeasy MinElute Spin Column and centrifuged at 10,000 rpm for 15 seconds to remove the filtrate. 80% EtOH aqueous solution (500 μl) was added to RNeasy MinElute Spin Column and centrifuged at 10,000 rpm for 2 minutes to remove the filtrate. The lid of the RNeasy MinElute Spin Column was opened and centrifuged at 15000 rpm for 5 minutes to dry the column, and then water (22 μl) was added and the eluted solution was used. The water used at this time is RNase-free water.
100mM トリス(2-カルボキシエチル)ホスフィン(TCEP)塩酸塩溶液の調整法は以下の通りである。500mMトリス(2-カルボキシエチル)ホスフィン(TCEP)塩酸塩水溶液(20μl、10μmol)に2N水酸化ナトリウム水溶液(18μl)、水(62μl)を加え調整した。 The preparation method of 100 mM Tris (2-carboxyethyl) phosphine (TCEP) hydrochloride solution is as follows. A 500 mM tris (2-carboxyethyl) phosphine (TCEP) hydrochloride aqueous solution (20 μl, 10 μmol) was adjusted by adding 2N sodium hydroxide aqueous solution (18 μl) and water (62 μl).
以上、水中(緩衝液中)およびPureSystem(反応翻訳液中)で同様に、両者の差は大きくなく、目的の反応が進行することが確認された。これらの反応条件は、RNAが十分安定な範囲であり、このことから、反応翻訳後に直鎖ペプチド化合物から効率的に分枝反応が進行すること、およびペプチドーRNA複合体においても、RNAを分解させることなく効率的に分枝反応を進行させることができることが明らかとなった。 As described above, it was confirmed that the difference between the two was not so large in water (in buffer) and PureSystem (in reaction translation solution), and the target reaction proceeded. These reaction conditions are in a range where RNA is sufficiently stable, and from this, the branching reaction efficiently proceeds from the linear peptide compound after reaction translation, and RNA is also degraded in the peptide-RNA complex. It was revealed that the branching reaction can proceed efficiently without any problems.
これらの結果より以下の事柄が明らかとなった。
三角ユニットに反応補助基を有するアミノ基が配置された場合、1回目の環化反応は高選択に進行して、2回目の分枝化のためのCys-Pro-HOGlyの活性化との選択性が獲得できた。特に水と混じり合う有機溶媒含有率が高いと反応選択性に優れる。2回目の分枝化では、添加剤としてチオール存在下(好ましくはアリールチオール)にて、水と混じるあう有機溶媒存在下が好ましく、反応溶液のpHが7.0から9.0の間が好ましく、反応温度は0℃から100℃(より好ましくは15℃から50℃)が好ましい。これまで示した結果から、本条件は緩衝液(水中)のみならず、翻訳液中(PureSystem)でも同様の結果を与える。
From these results, the following matters became clear.
When an amino group having a reaction auxiliary group is arranged in the triangular unit, the first cyclization reaction proceeds with high selection, and selection with activation of Cys-Pro-HOGly for the second branching Sex was acquired. In particular, when the content of the organic solvent mixed with water is high, the reaction selectivity is excellent. In the second branching, in the presence of thiol as an additive (preferably aryl thiol), the presence of an organic solvent mixed with water is preferable, and the pH of the reaction solution is preferably between 7.0 and 9.0. The reaction temperature is preferably 0 ° C. to 100 ° C. (more preferably 15 ° C. to 50 ° C.). From the results shown so far, this condition gives the same result not only in the buffer solution (in water) but also in the translation solution (PureSystem).
3-4.直鎖部2を有する分子内分枝ペプチドからの脱硫反応
(S)-1-((3S,6S,12S,16S,19S)-3-((1H-インドール-3-イル)メチル)-6-(4-(ジメチルアミノ)ブチル)-19-(2-ヒドロキシアセトアミド)-12-メチル-2,5,8,11,14,18-ヘキサオキソ-1,4,7,10,13,17-ヘキサアザシクロトリコサン-16-カルボニル)ピロリジン-2-カルボキサミド(化合物SP607)の合成
3-4. Desulfurization reaction from intramolecular branched peptide having
(S) -1-((3S, 6S, 12S, 16S, 19S) -3-((1H-indol-3-yl) methyl) -6- (4- (dimethylamino) butyl) -19- (2 -Hydroxyacetamido) -12-methyl-2,5,8,11,14,18-hexaoxo-1,4,7,10,13,17-hexaazacyclotricosane-16-carbonyl) pyrrolidine-2-carboxamide Synthesis of (Compound SP607)
PURE system中における分子内分枝ペプチドからの脱硫反応
上述の3-2.に記載の翻訳ペプチドモデル化合物(化合物SP605)からの分子内分枝ペプチド生成反応に用いた反応溶液(10μl)に0.5M トリス(2-カルボキシエチル)ホスフィン(TCEP)塩酸塩水溶液(10μl)を加えた。混合溶液をヘキサン(200μl)にて洗浄した後に(ヘキサンによる洗浄を7回実施)、得られた水層に、500mM グルタチオン水溶液(4μl)、1M 2、2-アゾビス[2-(2-イミダゾリンー2-イル)プロパン]二塩酸塩(VA-044)水溶液(2μl)、5M 水酸化ナトリウム水溶液(2μl)を室温にて加え、40℃で3時間静置した。反応の変化をLCMSで追跡し、3時間後に原料である化合物SP606が完全に消費され、目的物である(S)-1-((3S,6S,12S,16S,19S)-3-((1H-インドール-3-イル)メチル)-6-(4-(ジメチルアミノ)ブチル)-19-(2-ヒドロキシアセトアミド)-12-メチル-2,5,8,11,14,18-ヘキサオキソ-1,4,7,10,13,17-ヘキサアザシクロトリコサン-16-カルボニル)ピロリジン-2-カルボキサミド(化合物SP607)に変換されていることを確認した。(図55、56)
LCMS(ESI) m/z = 868(M+H)+
保持時間:0.35分(分析条件SQD FA05)
Desulfurization reaction from intramolecular branched peptide in PURE system 3-2. 0.5M Tris (2-carboxyethyl) phosphine (TCEP) hydrochloride aqueous solution (10 μl) was added to the reaction solution (10 μl) used for the intramolecular branched peptide production reaction from the translated peptide model compound (compound SP605) described in 1. added. After the mixed solution was washed with hexane (200 μl) (washing with hexane was performed 7 times), a 500 mM glutathione aqueous solution (4 μl),
LCMS (ESI) m / z = 868 (M + H) +
Retention time: 0.35 minutes (analysis condition SQD FA05)
PURE SYSTEMの翻訳溶媒をRNeasy(r) MinEluteThe translation solvent for PURE SYSTEM is RNeasy (r) MinElute TMTM Cleanup Kit(キアゲン社)を用い精製した溶出液中で行った反応により生成した分枝ペプチドからの脱硫反応Desulfurization reaction from branched peptide produced by reaction performed in eluate purified using Cleanup Kit (Qiagen)
上述の3-3.PURE SYSTEMの翻訳溶媒をRNeasy(r) MinEluteTM Cleanup Kit(キアゲン社)を用い精製した溶出液中での分枝ペプチド生成反応(化合物SP605から化合物SP606への変換)に用いた反応溶液(50μl)に0.5M トリス(2-カルボキシエチル)ホスフィン(TCEP)塩酸塩水溶液(50μl)を加えた。混合溶液をヘキサン(1.0ml)にて洗浄した後に(ヘキサンによる洗浄を7回実施)、得られた水層に、500mM グルタチオン水溶液(20μl)、1M 2、2-アゾビス[2-(2-イミダゾリンー2-イル)プロパン]二塩酸塩(VA-044)水溶液(10μl)、5N 水酸化ナトリウム水溶液(8μl)を室温にて加え、45℃で30分静置した。反応の変化をLCMSで追跡し、1時間後目的物である(S)-1-((3S,6S,12S,16S,19S)-3-((1H-インドール-3-イル)メチル)-6-(4-(ジメチルアミノ)ブチル)-19-(2-ヒドロキシアセトアミド)-12-メチル-2,5,8,11,14,18-ヘキサオキソ-1,4,7,10,13,17-ヘキサアザシクロトリコサン-16-カルボニル)ピロリジン-2-カルボキサミド(化合物SP607)が生成していることを確認した。(図57、58)
LCMS(ESI) m/z = 868(M+H)+
保持時間:0.35分(分析条件SQD FA05)
3-3. Reaction solution (50 μl) used for the branched peptide formation reaction (conversion from compound SP605 to compound SP606) in the eluate purified using the translation solvent of PURE SYSTEM using RNeasy® MinElute ™ Cleanup Kit (Qiagen) To the solution was added 0.5M tris (2-carboxyethyl) phosphine (TCEP) hydrochloride aqueous solution (50 μl). After the mixed solution was washed with hexane (1.0 ml) (washing with hexane was carried out 7 times), a 500 mM glutathione aqueous solution (20 μl),
LCMS (ESI) m / z = 868 (M + H) +
Retention time: 0.35 minutes (analysis condition SQD FA05)
4.1回目の環化で反応補助基を有するN末端とC末端側の活性チオエステルのアミド化反応を用い、2回目の分枝化にてエステルから直接活性エステルを発生させ、また保護アミノ基を脱保護させた反応補助基を有するアミンとの反応により分枝させる例の実施。
3にて記載と同様の考え方で、有効性を確認した。
4-1.翻訳ペプチドモデル化合物(化合物SP616)の合成
以下のスキームに従い、1回目の環化としてN末端にCysを用い、C末端側にAsp(SBn)を用いてアミド化環化反応を行い、2回目の分枝化として、活性エステルをグリコール酸のエステルの活性化にて実施し、Lysの側鎖アミノ基にN原子とS原子を保護させたCysを配置させた化合物のS原子とN原子を脱保護してアミド化反応を行う例を実施する目的で、以下のモデル化合物SP616の合成を行った。
4. Using an amidation reaction between the N-terminal and C-terminal active thioesters having a reaction auxiliary group in the first cyclization, the active ester is generated directly from the ester in the second branching, and a protected amino group Example of branching by reaction with an amine having a deprotecting reaction assisting group.
The effectiveness was confirmed by the same concept as described in 3.
4-1. Synthesis of Translated Peptide Model Compound (Compound SP616) According to the following scheme, an amidation cyclization reaction was carried out using Cys at the N-terminus as the first cyclization and Asp (SBn) at the C-terminus. As branching, the active ester is activated by activation of an ester of glycolic acid, and the S atom and N atom of the compound in which the Cy atom protecting the N atom and S atom is arranged on the side chain amino group of Lys is removed. The following model compound SP616 was synthesized for the purpose of carrying out an example of carrying out the amidation reaction with protection.
(R)-3-(((4-アジドベンジル)オキシ)カルボニル)チアゾリジン-4-カルボン酸(Acbz-Thz-OH)(化合物SP610)の合成
Synthesis of (R) -3-(((4-azidobenzyl) oxy) carbonyl) thiazolidine-4-carboxylic acid (Acbz-Thz-OH) (compound SP610)
窒素雰囲気下、(R)-チアゾリジン-4-カルボン酸(H-Thz-OH)(化合物SP609)(1.48g、11.1mmol)とトリエチルアミン(Et3N)(4.66ml、33.4mmol)のジメチルホルムアミド(DMF)溶液(11.0ml)に0度にて、文献既知法(Bioconjugate Chem.2008, 19, 714)により調整した炭酸(4-ニトロフェニル)4-アジドベンジル(3.50g、11.1mmol)を加え、室温にて19時間攪拌した。反応液にギ酸(2.1ml)を加え、逆相シリカゲルクロマトグラフィー(0.1%ギ酸水溶液/0.1%ギ酸アセトニトリル溶液)にて精製し、(R)-3-(((4-アジドベンジル)オキシ)カルボニル)チアゾリジン-4-カルボン酸(Acbz-Thz-OH)(化合物SP610)(3.17g、92%)を得た。
LCMS(ESI) m/z = 307 (M―H)―
保持時間:0.68分(分析条件SQDFA05)
Under a nitrogen atmosphere, (R) -thiazolidine-4-carboxylic acid (H-Thz-OH) (compound SP609) (1.48 g, 11.1 mmol) and triethylamine (Et 3 N) (4.66 ml, 33.4 mmol) (4-nitrophenyl) 4-azidobenzyl carbonate (3.50 g) prepared by a known method (Bioconjugate Chem. 2008, 19, 714) at 0 degree in a dimethylformamide (DMF) solution (11.0 ml). 11.1 mmol) was added and stirred at room temperature for 19 hours. To the reaction solution was added formic acid (2.1 ml) and purified by reverse phase silica gel chromatography (0.1% aqueous formic acid / 0.1% formic acid acetonitrile solution) to give (R) -3-(((4-azido Benzyl) oxy) carbonyl) thiazolidine-4-carboxylic acid (Acbz-Thz-OH) (compound SP610) (3.17 g, 92%) was obtained.
LCMS (ESI) m / z = 307 (M−H) −
Retention time: 0.68 minutes (analysis condition SQDFA05)
(S)-2-((((9H-フルオレン-9-イル)メトキシ)カルボニル)アミノ)-6-((R)-3-(((4-アジドベンジル)オキシ)カルボニル)チアゾリジン-4-カルボキサミド)ヘキサン酸(Fmoc-Lys(Acbz-Thz)-OH)(化合物SP611)の合成
なお、本明細書中では、他の例と同様Fmoc-Lys-OHの側鎖アミノ基とAcbz-Thz-OHのカルボキシル基がアミド結合した化合物をFmoc-Lys(Acbz-Thz)-OHと定義する。
(S) -2-(((((9H-fluoren-9-yl) methoxy) carbonyl) amino) -6-((R) -3-(((4-azidobenzyl) oxy) carbonyl) thiazolidine-4- Synthesis of carboxamido) hexanoic acid (Fmoc-Lys (Acbz-Thz) -OH) (Compound SP611) A compound in which the carboxyl group of OH has an amide bond is defined as Fmoc-Lys (Acbz-Thz) -OH.
窒素雰囲気下、(R)-3-(((4-アジドベンジル)オキシ)カルボニル)チアゾリジン-4-カルボン酸(Acbz-Thz-OH)(化合物SP610)(3.17g、10.3mmol)のジメチルホルムアミド(DMF)溶液(17.0ml)に4-(4,6-ジメトキシ[1.3.5]トリアジン-2-イル)-4-メチルモルホリニウム塩化物(DMT-MM)(2.85g、10.3mmol)を室温にて加え、同温度にて1時間30分攪拌した。反応液に(S)-2-((((9H-フルオレン-9-イル)メトキシ)カルボニル)アミノ)-6-アミノヘキサン酸(Fmoc-Lys-OH)塩酸塩(4.16g、10.3mmol)とジイソプロピルエチルアミン(DIPEA)(2.69ml、15.4mmol)のジメチルホルムアミド(DMF)溶液(17ml)を室温にて加え、同温度にて4時間攪拌した。反応液にギ酸(1.9ml)を加え、逆相シリカゲルクロマトグラフィー(0.1%ギ酸水溶液/0.1%ギ酸アセトニトリル溶液)にて精製し、(S)-2-((((9H-フルオレン-9-イル)メトキシ)カルボニル)アミノ)-6-((R)-3-(((4-アジドベンジル)オキシ)カルボニル)チアゾリジン-4-カルボキサミド)ヘキサン酸(Fmoc-Lys(Acbz-Thz)-OH)(化合物SP611)(3.48g、51%)を得た。
LCMS(ESI) m/z = 659 (M+H)+
保持時間:0.87分(分析条件SQDFA05)
(R) -3-(((4-Azidobenzyl) oxy) carbonyl) thiazolidine-4-carboxylic acid (Acbz-Thz-OH) (Compound SP610) (3.17 g, 10.3 mmol) in a nitrogen atmosphere 4- (4,6-Dimethoxy [1.3.5] triazin-2-yl) -4-methylmorpholinium chloride (DMT-MM) (2.85 g) was added to formamide (DMF) solution (17.0 ml). 10.3 mmol) was added at room temperature, and the mixture was stirred at the same temperature for 1
LCMS (ESI) m / z = 659 (M + H) +
Retention time: 0.87 minutes (analysis condition SQDFA05)
(S)-2-((2-((((9H-フルオレン-9-イル)メトキシ)カルボニル)アミノ)-3-(1H-インドール-3-イル)プロパノイル)オキシ)酢酸(Fmoc-Trp- HO Gly-OH)(化合物SP612)の合成
(S) -2-((2-((((9H-Fluoren-9-yl) methoxy) carbonyl) amino) -3- (1H-indol-3-yl) propanoyl) oxy) acetic acid (Fmoc-Trp- Synthesis of ( HO Gly-OH) (Compound SP612)
窒素雰囲気下、(S)-2-((((9H-フルオレン-9-イル)メトキシ)カルボニル)アミノ)-3-(1-(tert-ブトキシカルボニル)-1H-インドール-3-イル)プロパン酸(Fmoc-Trp(Boc)-OH)(化合物SP613)(5.0g、9.50mmol)とジイソプロピルエチルアミン(DIPEA)(4.98ml、28.5mmol)のジクロロメタン(DCM)溶液(9.5ml)に2-ブロモ酢酸 tert-ブチル(2.09ml、14.2mmol)を室温にて加え、同温度にて48時間攪拌した。反応液に塩化アンモニウム水溶液を加え、ジクロロメタン(DCM)で2回抽出し、有機層を飽和食塩水で2回洗浄した。有機層を硫酸ナトリウムで乾燥させた後、ろ過を行い、減圧濃縮した。得られた残渣を順相シリカゲルクロマトグラフィー(ヘキサン/酢酸エチル)にて精製し、3-(2-((((9H-フルオレン-9-イル)メトキシ)カルボニル)アミノ)-3-(2-(tert-ブトキシ)-2-オキソエトキシ)-3-オキソプロピル)-1H-インドール-1-カルボン酸 (S)-tert-ブチル(Fmoc-Trp(Boc)-HOGly-OtBu)(化合物SP614)を混合物(5.25g)として得た。 Under a nitrogen atmosphere, (S) -2-((((9H-fluoren-9-yl) methoxy) carbonyl) amino) -3- (1- (tert-butoxycarbonyl) -1H-indol-3-yl) propane Acid (Fmoc-Trp (Boc) -OH) (Compound SP613) (5.0 g, 9.50 mmol) and diisopropylethylamine (DIPEA) (4.98 ml, 28.5 mmol) in dichloromethane (DCM) (9.5 ml) To the mixture was added tert-butyl 2-bromoacetate (2.09 ml, 14.2 mmol) at room temperature, and the mixture was stirred at the same temperature for 48 hours. An aqueous ammonium chloride solution was added to the reaction solution, followed by extraction twice with dichloromethane (DCM), and the organic layer was washed twice with saturated brine. The organic layer was dried over sodium sulfate, filtered and concentrated under reduced pressure. The obtained residue was purified by normal phase silica gel chromatography (hexane / ethyl acetate) to give 3- (2-((((9H-fluoren-9-yl) methoxy) carbonyl) amino) -3- (2- (tert- butoxy) -2-oxo-ethoxy) -3-oxopropyl)-1H-indole-1-carboxylic acid (S)-tert-butyl (Fmoc-Trp (Boc) - HO Gly-OtBu) ( compound SP614) Was obtained as a mixture (5.25 g).
得られた混合物(5.25g)のジクロロメタン(DCM)溶液(8.19ml)にトリイソプロピルシラン(TIPS)(4.20ml、20.5mmol)とトリフルオロ酢酸(TFA)(8.21ml、107mmol)を室温にて加え、反応液を同温度にて5時間30分攪拌した。反応液を減圧濃縮し、得られた残渣を逆相シリカゲルクロマトグラフィー(0.1%ギ酸水溶液/0.1%ギ酸アセトニトリル溶液)にて精製し、(S)-2-((2-((((9H-フルオレン-9-イル)メトキシ)カルボニル)アミノ)-3-(1H-インドール-3-イル)プロパノイル)オキシ)酢酸(Fmoc-Trp-HOGly-OH)(化合物SP612)(3.40g、2段階収率74%)を得た。
LCMS(ESI) m/z = 485 (M+H)+
保持時間:0.83分(分析条件SQDFA05)
Triisopropylsilane (TIPS) (4.20 ml, 20.5 mmol) and trifluoroacetic acid (TFA) (8.21 ml, 107 mmol) were added to a dichloromethane (DCM) solution (8.19 ml) of the resulting mixture (5.25 g). Was added at room temperature, and the reaction solution was stirred at the same temperature for 5 hours and 30 minutes. The reaction mixture was concentrated under reduced pressure, and the resulting residue was purified by reverse phase silica gel chromatography (0.1% aqueous formic acid / 0.1% formic acid acetonitrile solution) to give (S) -2-((2-(( ((9H-fluoren-9-yl) methoxy) carbonyl) amino) -3- (1H-indol-3-yl) propanoyl) oxy) acetic acid (Fmoc-Trp- HO Gly-OH) (compound SP612) (3. 40 g, 2-step yield 74%).
LCMS (ESI) m / z = 485 (M + H) +
Retention time: 0.83 minutes (analysis condition SQDFA05)
(S)-3-((S)-2-((S)-1-((6R,9S,12S)-12-((1H-インドール-3-イル)メチル)-6-((((4-アジドベンジル)オキシ)カルボニル)アミノ)-9-(4-(ジメチルアミノ)ブチル)-2,2-ジメチル-7,10,13-トリオキソ-14-オキサ-3,4-ジチア-8,11-ジアザヘキサデカン-16-オイル)ピロリジン-2-カルボキサミド)-6-((R)-3-(((4-アジドベンジル)オキシ)カルボニル)チアゾリジン-4-カルボキサミド)ヘキサンアミド)-4-((S)-2-カルバモイルピロリジン-1-イル)-4-オキソブタン酸(Acbz-Cys(StBu)-Lys(Me 2 )-Trp- HO Gly-Pro-Lys(Acbz-Thz)-Asp-Pro-NH 2 )(化合物SP615)の合成
(S) -3-((S) -2-((S) -1-((6R, 9S, 12S) -12-((1H-indol-3-yl) methyl) -6-(((( 4-azidobenzyl) oxy) carbonyl) amino) -9- (4- (dimethylamino) butyl) -2,2-dimethyl-7,10,13-trioxo-14-oxa-3,4-dithia-8, 11-diazahexadecane-16-oil) pyrrolidine-2-carboxamide) -6-((R) -3-(((4-azidobenzyl) oxy) carbonyl) thiazolidine-4-carboxamide) hexanamide) -4- ((S) -2-carbamoylpyrrolidin-1-yl) -4-oxobutanoic acid (Acbz-Cys (StBu) -Lys (Me 2 ) -Trp- HO Gly-Pro-Lys (Acbz-Thz) -A sp-Pro-NH 2 ) (Compound SP615)
既に、実施例に記載の自動合成機による主鎖にエステル基を含むペプチドの固相合成一般法(2-1)に従いペプチド鎖の伸長を行った。レジンはSieber Amide Resin(1カラムあたり160mg、8カラム使用、Novabiochemより購入)を用いた。N末端のアミノ酸として(R)-2-((((4-アジドベンジル)オキシ)カルボニル)アミノ)-3-(tert-ブチルジスルファニル)プロパン酸(Acbz-Cys(StBu)-OH)(化合物tk20)を用い、Fmocアミノ酸として、Fmoc-Pro-OH、Fmoc-Asp(OPis)-OH、(S)-2-((((9H-フルオレン-9-イル)メトキシ)カルボニル)アミノ)-6-((R)-3-(((4-アジドベンジル)オキシ)カルボニル)チアゾリジン-4-カルボキサミド)ヘキサン酸(Fmoc-Lys(Acbz-Thz)-OH)(化合物SP611)、(S)-2-((2-((((9H-フルオレン-9-イル)メトキシ)カルボニル)アミノ)-3-(1H-インドール-3-イル)プロパノイル)オキシ)酢酸(Fmoc-Trp-HOGly-OH)(化合物SP612)、Fmoc-Lys(Me2)-OH・HClを用いた。 The peptide chain was already extended according to the general method (2-1) for solid phase synthesis of peptides containing an ester group in the main chain by the automatic synthesizer described in the Examples. The resin used was Sieber Amide Resin (160 mg per column, 8 columns used, purchased from Novabiochem). (R) -2-((((4-azidobenzyl) oxy) carbonyl) amino) -3- (tert-butyldisulfanyl) propanoic acid (Acbz-Cys (StBu) -OH) (compound) tk20) and Fmoc-amino acids Fmoc-Pro-OH, Fmoc-Asp (OPis) -OH, (S) -2-(((((9H-fluoren-9-yl) methoxy) carbonyl) amino) -6 -((R) -3-(((4-azidobenzyl) oxy) carbonyl) thiazolidine-4-carboxamide) hexanoic acid (Fmoc-Lys (Acbz-Thz) -OH) (compound SP611), (S) -2 -((2-((((9H-fluoren-9-yl) methoxy) carbonyl) amino) -3- (1H-indol-3-yl) propano ) Oxy) acetic acid (Fmoc-Trp- HO Gly-OH ) ( Compound SP612), was used Fmoc-Lys (Me 2) -OH · HCl.
ペプチドの伸長後、レジンをジメチルホルムアミド(DMF)、ジクロロメタン(DCM)で洗浄した。レジンに2%トリフルオロ酢酸(TFA)のジクロロメタン(DCM)/2,2,2-トリフルオロエタノール(TFE)(=1/1、v/v、4.0ml)溶液を加えて室温にて3時間反応させ、レジンからのペプチドの切り出しを行った。反応終了後、チューブ内溶液を合成用カラムでろ過することによりレジンを除き、レジンをジクロロメタン(DCM)/2,2,2-トリフルオロエタノール(TFE)(=1/1,v/v、4.0mL)にて4回洗浄した。得られた溶液を減圧濃縮し、残渣を逆相シリカゲルクロマトグラフィー(0.1%ギ酸水溶液/0.1%ギ酸アセトニトリル溶液)にて精製し、(S)-3-((S)-2-((S)-1-((6R,9S,12S)-12-((1H-インドール-3-イル)メチル)-6-((((4-アジドベンジル)オキシ)カルボニル)アミノ)-9-(4-(ジメチルアミノ)ブチル)-2,2-ジメチル-7,10,13-トリオキソ-14-オキサ-3,4-ジチア-8,11-ジアザヘキサデカン-16-オイル)ピロリジン-2-カルボキサミド)-6-((R)-3-(((4-アジドベンジル)オキシ)カルボニル)チアゾリジン-4-カルボキサミド)ヘキサンアミド)-4-((S)-2-カルバモイルピロリジン-1-イル)-4-オキソブタン酸(Acbz-Cys(StBu)-Lys(Me2)-Trp-HOGly-Pro-Lys(Acbz-Thz)-Asp-Pro-NH2)(化合物SP615)(179mg、13%)で得た。
LCMS(ESI) m/z = 1511.4 (M+H)+
保持時間:0.69分(分析条件SQDFA05)
After elongation of the peptide, the resin was washed with dimethylformamide (DMF) and dichloromethane (DCM). To the resin was added a solution of 2% trifluoroacetic acid (TFA) in dichloromethane (DCM) / 2,2,2-trifluoroethanol (TFE) (= 1/1, v / v, 4.0 ml), and 3% at room temperature. The reaction was performed for a period of time, and the peptide was excised from the resin. After completion of the reaction, the resin in the tube was filtered through a synthesis column to remove the resin, and the resin was removed from dichloromethane (DCM) / 2,2,2-trifluoroethanol (TFE) (= 1/1, v / v, 4 .0 mL) was washed 4 times. The resulting solution was concentrated under reduced pressure, and the residue was purified by reverse phase silica gel chromatography (0.1% formic acid aqueous solution / 0.1% formic acid acetonitrile solution) to give (S) -3-((S) -2- ((S) -1-((6R, 9S, 12S) -12-((1H-indol-3-yl) methyl) -6-((((4-azidobenzyl) oxy) carbonyl) amino) -9 -(4- (Dimethylamino) butyl) -2,2-dimethyl-7,10,13-trioxo-14-oxa-3,4-dithia-8,11-diazahexadecane-16-oil) pyrrolidine-2 -Carboxamide) -6-((R) -3-(((4-azidobenzyl) oxy) carbonyl) thiazolidine-4-carboxamide) hexanamide) -4-((S) -2-carbamoylpyrrolidin-1-yl ) 4-oxobutanoic acid (Acbz-Cys (StBu) -Lys (Me 2) -Trp- HO Gly-Pro-Lys (Acbz-Thz) -Asp-Pro-NH 2) ( Compound SP615) (179mg, 13%) Obtained.
LCMS (ESI) m / z = 1511.4 (M + H) +
Retention time: 0.69 minutes (analysis condition SQDFA05)
4-(((S)-5-((S)-1-((6R,9S,12S)-12-((1H-インドール-3-イル)メチル)-6-((((4-アジドベンジル)オキシ)カルボニル)アミノ)-9-(4-(ジメチルアミノ)ブチル)-2,2-ジメチル-7,10,13-トリオキソ-14-オキサ-3,4-ジチア-8,11-ジアザヘキサデカン-16-オイル)ピロリジン-2-カルボキサミド)-6-(((S)-4-(ベンジルチオ)-1-((S)-2-カルバモイルピロリジン-1-イル)-1,4-ジオキソブタン-2-イル)アミノ)-6-オキソヘキシル)カルバモイル)チアゾリジン-3-カルボン酸 (R)-4-アジドベンジル(Acbz-Cys(StBu)-Lys(Me 2 )-Trp- HO Gly-Pro-Lys(Acbz-Thz)-Asp(SBn)-Pro-NH 2 )(化合物SP616)の合成
4-((((S) -5-((S) -1-((6R, 9S, 12S) -12-((1H-indol-3-yl) methyl) -6-((((4-azido Benzyl) oxy) carbonyl) amino) -9- (4- (dimethylamino) butyl) -2,2-dimethyl-7,10,13-trioxo-14-oxa-3,4-dithia-8,11-dia Thehexadecane-16-oil) pyrrolidine-2-carboxamide) -6-(((S) -4- (benzylthio) -1-((S) -2-carbamoylpyrrolidin-1-yl) -1,4-dioxobutane 2-yl) amino) -6-oxo-hexyl) carbamoyl) thiazolidine-3-carboxylic acid (R)-4-azido-benzyl (Acbz-Cys (StBu) -Lys (Me 2) -Trp- HO Gly-Pro Synthesis of Lys (Acbz-Thz) -Asp ( SBn) -Pro-NH 2) ( Compound SP616)
窒素雰囲気下、(S)-3-((S)-2-((S)-1-((6R,9S,12S)-12-((1H-インドール-3-イル)メチル)-6-((((4-アジドベンジル)オキシ)カルボニル)アミノ)-9-(4-(ジメチルアミノ)ブチル)-2,2-ジメチル-7,10,13-トリオキソ-14-オキサ-3,4-ジチア-8,11-ジアザヘキサデカン-16-オイル)ピロリジン-2-カルボキサミド)-6-((R)-3-(((4-アジドベンジル)オキシ)カルボニル)チアゾリジン-4-カルボキサミド)ヘキサンアミド)-4-((S)-2-カルバモイルピロリジン-1-イル)-4-オキソブタン酸(Acbz-Cys(StBu)-Lys(Me2)-Trp-HOGly-Pro-Lys(Acbz-Thz)-Asp-Pro-NH2)(化合物SP615)(50mg、0.033mmol)のジメチルホルムアミド(DMF)溶液(331μl)に1-ヒドロキシベンゾトリアゾール(HOBt)(13.4mg、0.099mmol)、1-エチル-3-(3-ジメチルアミノプロピル)カルボジイミド塩酸塩(EDCI・HCl)(19.2mg、0.099mmol)、ベンジルメルカプタン(BnSH)(19.4μl、0.165mmol)を室温にて加え、同温度にて1時間攪拌した。反応液に1N 塩酸水溶液(43μl)を加え、逆相シリカゲルクロマトグラフィー(0.1%ギ酸水溶液/0.1%ギ酸アセトニトリル溶液)にて精製し、4-(((S)-5-((S)-1-((6R,9S,12S)-12-((1H-インドール-3-イル)メチル)-6-((((4-アジドベンジル)オキシ)カルボニル)アミノ)-9-(4-(ジメチルアミノ)ブチル)-2,2-ジメチル-7,10,13-トリオキソ-14-オキサ-3,4-ジチア-8,11-ジアザヘキサデカン-16-オイル)ピロリジン-2-カルボキサミド)-6-(((S)-4-(ベンジルチオ)-1-((S)-2-カルバモイルピロリジン-1-イル)-1,4-ジオキソブタン-2-イル)アミノ)-6-オキソヘキシル)カルバモイル)チアゾリジン-3-カルボン酸 (R)-4-アジドベンジル(Acbz-Cys(StBu)-Lys(Me2)-Trp-HOGly-Pro-Lys(Acbz-Thz)-Asp(SBn)-Pro-NH2)(化合物SP616)(45.7mg、85%)を得た。
LCMS(ESI) m/z = 1617.4 (M+H)+
保持時間:0.74分(分析条件SQDFA05)
Under a nitrogen atmosphere, (S) -3-((S) -2-((S) -1-((6R, 9S, 12S) -12-((1H-indol-3-yl) methyl) -6- ((((4-Azidobenzyl) oxy) carbonyl) amino) -9- (4- (dimethylamino) butyl) -2,2-dimethyl-7,10,13-trioxo-14-oxa-3,4- Dithia-8,11-diazahexadecane-16-oil) pyrrolidine-2-carboxamide) -6-((R) -3-(((4-azidobenzyl) oxy) carbonyl) thiazolidine-4-carboxamide) hexanamide ) -4-((S) -2-carbamoylpyrrolidin-1-yl) -4-oxobutanoic acid (Acbz-Cys (StBu) -Lys (Me 2 ) -Trp- HO Gly-Pro-Lys (Acbz) -Thz) -Asp-Pro-NH 2 ) (compound SP615) (50 mg, 0.033 mmol) in dimethylformamide (DMF) solution (331 μl) and 1-hydroxybenzotriazole (HOBt) (13.4 mg, 0.099 mmol) , 1-ethyl-3- (3-dimethylaminopropyl) carbodiimide hydrochloride (EDCI.HCl) (19.2 mg, 0.099 mmol), benzyl mercaptan (BnSH) (19.4 μl, 0.165 mmol) at room temperature In addition, the mixture was stirred at the same temperature for 1 hour. A 1N aqueous hydrochloric acid solution (43 μl) was added to the reaction solution, and the mixture was purified by reverse phase silica gel chromatography (0.1% formic acid aqueous solution / 0.1% formic acid acetonitrile solution) to give 4-(((S) -5-(( S) -1-((6R, 9S, 12S) -12-((1H-indol-3-yl) methyl) -6-((((4-azidobenzyl) oxy) carbonyl) amino) -9- ( 4- (dimethylamino) butyl) -2,2-dimethyl-7,10,13-trioxo-14-oxa-3,4-dithia-8,11-diazahexadecane-16-oil) pyrrolidine-2-carboxamide ) -6-(((S) -4- (benzylthio) -1-((S) -2-carbamoylpyrrolidin-1-yl) -1,4-dioxobutan-2-yl) amino) -6-oxohexyl ) Carbamo Le) thiazolidine-3-carboxylic acid (R)-4-azido-benzyl (Acbz-Cys (StBu) -Lys (Me 2) -Trp- HO Gly-Pro-Lys (Acbz-Thz) -Asp (SBn) -Pro —NH 2 ) (Compound SP616) (45.7 mg, 85%) was obtained.
LCMS (ESI) m / z = 1617.4 (M + H) +
Retention time: 0.74 minutes (analysis condition SQDFA05)
4-2.翻訳ペプチドモデル化合物(化合物SP616)からの水中あるいは翻訳反応液中での分枝(直鎖部2)ペプチド生成反応4-2. Branched (linear part 2) peptide formation reaction in water or translation reaction solution from translation peptide model compound (compound SP616)
(S)-N-((3R,6S,9S,12R,16S,19S)-6-((1H-インドール-3-イル)メチル)-16-((S)-2-カルバモイルピロリジン-1-カルボニル)-9-(4-(ジメチルアミノ)ブチル)-3,12-ビス(メルカプトメチル)-2,5,8,11,14,18-ヘキサオキソ-1,4,7,10,13,17-ヘキサアザシクロトリコサン-19-イル)-1-(2-ヒドロキシアセチル)ピロリジン-2-カルボキサミド( HO Gly-Pro-Lys(*Cys-Lys(Me 2 )-Trp-Cys)-Asp*-Pro-NH 2 、2つの*部位にて環化)(化合物SP617)の合成
なお、本明細書中では他の例と同様、Lysの側鎖アミノ基とH-Cys-Lys(Me2)-Trp-Cys-OHのC末端のカルボキシル基がアミド結合した化合物を、H-Lys(H-Cys-Lys(Me2)-Trp-Cys)-OHと記載する。
(S) -N-((3R, 6S, 9S, 12R, 16S, 19S) -6-((1H-indol-3-yl) methyl) -16-((S) -2-carbamoylpyrrolidine-1- Carbonyl) -9- (4- (dimethylamino) butyl) -3,12-bis (mercaptomethyl) -2,5,8,11,14,18-hexaoxo-1,4,7,10,13,17 -Hexaazacyclotricosane-19-yl) -1- (2-hydroxyacetyl) pyrrolidine-2-carboxamide ( HO Gly-Pro-Lys (* Cys-Lys (Me 2 ) -Trp-Cys) -Asp *- Synthesis of Pro-NH 2 , Cyclized at Two * Sites) (Compound SP617) In this specification, as in other examples, the side chain amino group of Lys and H-Cys-Lys (Me 2 )- Trp-C A compound in which the carboxyl group at the C-terminal of ys-OH is bonded to an amide is described as H-Lys (H-Cys-Lys (Me 2 ) -Trp-Cys) -OH.
4-2-1.HEPES緩衝液中での分枝ペプチド生成反応
以下のスキームに従い反応を行った。すなわち、化合物SP616からステップ1では2つのアミノ基の保護基を脱保護した後(この時点で反応を構成するための各ユニットは翻訳ペプチドと同様の構造となる。C末端がカルボン酸ではなく、カルボン酸アミドとなっている他は翻訳ペプチドと同様)、そのまま1回目の環化反応を実施したところ、選択的に目的化合物SP618を得ることができた。続いて、化合物618から分枝化反応で用いるためのアミン側のユニットの脱保護をステップ2およびステップ3にて実施し、反応補助基を有するアミノ基の脱保護が達成された化合物SP620が得られた。RNAに安定な化学反応条件にて、アミンの保護基を脱保護することができた。エステル官能基から直接チオエステルを発生させる手法にて分枝化ペプチド化合物SP617が得られた。
4-2-1. Branched peptide production reaction in HEPES buffer The reaction was performed according to the following scheme. That is, in
step1(化合物SP616から化合物SP618への変換反応)
窒素雰囲気下、50mM HEPES緩衝液(70μl、pH=7.5)に4mM 4-(((S)-5-((S)-1-((6R,9S,12S)-12-((1H-インドール-3-イル)メチル)-6-((((4-アジドベンジル)オキシ)カルボニル)アミノ)-9-(4-(ジメチルアミノ)ブチル)-2,2-ジメチル-7,10,13-トリオキソ-14-オキサ-3,4-ジチア-8,11-ジアザヘキサデカン-16-オイル)ピロリジン-2-カルボキサミド)-6-(((S)-4-(ベンジルチオ)-1-((S)-2-カルバモイルピロリジン-1-イル)-1,4-ジオキソブタン-2-イル)アミノ)-6-オキソヘキシル)カルバモイル)チアゾリジン-3-カルボン酸(R)-4-アジドベンジル(化合物SP616、Acbz-Cys(StBu)-Lys(Me2)-Trp-HOGly-Pro-Lys(Acbz-Thz)-Asp(SBn)-Pro-NH2)のジメチルアセトアミド(DMA)溶液(25μl、0.1μmol)、内部標準として用いた20mM 2、4-ジメチル安息香酸のジメチルアセトアミド(DMA)溶液(5.0μl、0.1μmol)、別途調整した200mM トリス(2-カルボキシエチル)ホスフィン(TCEP)塩酸塩溶液(10μl、2.0μmol、pH=7.4)を室温にて加え、pH=7.4にて、同温度で1時間30分静置した。反応の変化をLCMSで追跡し、1時間30分後目的物SP618が主要生成物であり、副反応は観測されなかった(目的化合物SP618(LCMS保持時間0.38分)と内部標準(LCMS保持時間0.64分)はLCMSのUVエリア比で54:46であった)。(図59)
step 1 (Conversion reaction from compound SP616 to compound SP618)
In a nitrogen atmosphere, 4 mM 4-(((S) -5-((S) -1-((6R, 9S, 12S) -12-((1H)) in 50 mM HEPES buffer (70 μl, pH = 7.5). -Indol-3-yl) methyl) -6-((((4-azidobenzyl) oxy) carbonyl) amino) -9- (4- (dimethylamino) butyl) -2,2-dimethyl-7,10, 13-trioxo-14-oxa-3,4-dithia-8,11-diazahexadecane-16-oil) pyrrolidine-2-carboxamide) -6-(((S) -4- (benzylthio) -1- ( (S) -2-Carbamoylpyrrolidin-1-yl) -1,4-dioxobutan-2-yl) amino) -6-oxohexyl) carbamoyl) thiazolidine-3-carboxylic acid (R) -4-azidobenzyl (compound) SP616, Acbz-Cys (StBu) -Lys (Me 2 ) -Trp- HO Gly-Pro-Lys (Acbz-Thz) -Asp (SBn) -Pro-NH 2 ) in dimethylacetamide (DMA) solution (25 μl, 0 0.1 μmol), 20 mM 2,4-dimethylbenzoic acid in dimethylacetamide (DMA) (5.0 μl, 0.1 μmol) used as an internal standard, 200 mM tris (2-carboxyethyl) phosphine (TCEP) hydrochloric acid prepared separately A salt solution (10 μl, 2.0 μmol, pH = 7.4) was added at room temperature, and the mixture was allowed to stand at pH = 7.4 for 1 hour 30 minutes. Changes in the reaction were followed by LCMS. After 1
200mM トリス(2-カルボキシエチル)ホスフィン(TCEP)塩酸塩溶液の調整法は以下の通りである。トリス(2-カルボキシエチル)ホスフィン(TCEP)塩酸塩(5.0mg、17μmol)を50mM HEPES緩衝液(57.0μl、pH=7.5)、2N 水酸化ナトリウム水溶液(30μl)で溶解させ、pH=7.4に調整した。
LCMS(ESI) m/z = 1053 (M―H)―
保持時間:0.38分(分析条件SQDFA05)
The preparation method of 200 mM tris (2-carboxyethyl) phosphine (TCEP) hydrochloride solution is as follows. Tris (2-carboxyethyl) phosphine (TCEP) hydrochloride (5.0 mg, 17 μmol) was dissolved in 50 mM HEPES buffer (57.0 μl, pH = 7.5), 2N aqueous sodium hydroxide solution (30 μl), pH = 7.4.
LCMS (ESI) m / z = 1053 (M−H) −
Retention time: 0.38 minutes (analysis condition SQDFA05)
step2(化合物SP618から化合物SP619への変換)
窒素雰囲気下、step1で調整した反応液(90μl)に80mM 2,2'-ジチオジピリジン(化合物SP622、2,2'-PySSPy)溶液(90μl)を室温にて加え、pH=3.0にてサーマルサイクラー中、37度で12時間静置した。反応の変化をLCMSで追跡し、12時間後目的物が生成していることを確認した。目的化合物(化合物SP619、LCMS保持時間0.43分)と加水分解体(副生成物、LCMS保持時間0.41分)はLCMSのUVエリア比で97:3であった。(図60)
step 2 (Conversion from Compound SP618 to Compound SP619)
Under a nitrogen atmosphere, an 80
80mM 2,2'-ジチオジピリジン(2,2'-PySSPy)溶液の調整法は以下の通りである。400mM 2,2'-ジチオジピリジン(2,2'-PySSPy)のジメチルアセトアミド(DMA)溶液(20μl、8.0μmol)にジメチルアセトアミド(DMA)(10μl)、100mM 塩酸水溶液(70μl)を加えた。
LCMS(ESI) m/z = 1261.3 (M+H)+
保持時間:0.43分(分析条件SQDFA05)
A method for preparing an 80
LCMS (ESI) m / z = 1261.3 (M + H) +
Retention time: 0.43 minutes (analysis condition SQDFA05)
step3(化合物SP619から化合物SP620への変換)
窒素雰囲気下、step2で調整した反応液(90μl)に別途調整した600mM トリス(2-カルボキシエチル)ホスフィン(TCEP)塩酸塩溶液(10μl、6.0μmol、pH=7.2)を室温にて加え、pH=4.6にて同温度で1時間間静置した。反応の変化をLCMSで追跡し、1時間後目的物(化合物SP620)が生成していることを確認した。
600mM トリス(2-カルボキシエチル)ホスフィン(TCEP)塩酸塩溶液の調整法は以下の通りである。トリス(2-カルボキシエチル)ホスフィン(TCEP)塩酸塩(13.8mg、48μmol)に2N 水酸化ナトリウム水溶液(80μl)を加え、pH=7.2に調整した。
LCMS(ESI) m/z = 1041 (M―H)―(図61)
保持時間:0.36分(分析条件SQDFA05)
step 3 (Conversion from Compound SP619 to Compound SP620)
Under a nitrogen atmosphere, a separately prepared 600 mM tris (2-carboxyethyl) phosphine (TCEP) hydrochloride solution (10 μl, 6.0 μmol, pH = 7.2) was added to the reaction solution prepared in step 2 (90 μl) at room temperature. , And left at the same temperature for 1 hour at pH = 4.6. The change in the reaction was followed by LCMS, and after 1 hour, it was confirmed that the target product (compound SP620) was produced.
The preparation method of 600 mM tris (2-carboxyethyl) phosphine (TCEP) hydrochloride solution is as follows. To tris (2-carboxyethyl) phosphine (TCEP) hydrochloride (13.8 mg, 48 μmol) was added 2N aqueous sodium hydroxide solution (80 μl) to adjust the pH to 7.2.
LCMS (ESI) m / z = 1041 (M−H) − (FIG. 61)
Retention time: 0.36 minutes (analysis condition SQDFA05)
step4(化合物SP620から化合物SP617への変換)
窒素雰囲気下、step3で調整した反応液(30μl)に別途調整した5.0M 2-メルカプトエタンスルホン酸ナトリウム溶液(30μl、pH=8.5)を室温にて加え、pH=8.5にてサーマルサイクラー中、30度で15時間間静置した。反応の変化をLCMSで追跡し、15時間後目的物である(S)-N-((3R,6S,9S,12R,16S,19S)-6-((1H-インドール-3-イル)メチル)-16-((S)-2-カルバモイルピロリジン-1-カルボニル)-9-(4-(ジメチルアミノ)ブチル)-3,12-ビス(メルカプトメチル)-2,5,8,11,14,18-ヘキサオキソ-1,4,7,10,13,17-ヘキサアザシクロトリコサン-19-イル)-1-(2-ヒドロキシアセチル)ピロリジン-2-カルボキサミド(HOGly-Pro-Lys(*Cys-Lys(Me2)-Trp-Cys)-Asp*-Pro-NH2、2つの*部位にて環化)(化合物SP617)が生成していることを確認した。
step 4 (Conversion from Compound SP620 to Compound SP617)
Under a nitrogen atmosphere, 5.0 M 2-mercaptoethanesulfonic acid sodium salt solution (30 μl, pH = 8.5) separately prepared was added to the reaction solution (30 μl) prepared in
5.0M 2-メルカプトエタンスルホン酸ナトリウム溶液の調整法は以下の通りである。2-メルカプトエタンスルホン酸ナトリウム(74.0mg、0.45mmol)に1N 水酸化ナトリウム水溶液(45μl)、水(45μl)を加え、pH=8.5に調整した。
LCMS(ESI) m/z = 1043 (M+H)+
保持時間:0.40分(分析条件SQDFA05)
A method for preparing a 5.0 M sodium 2-mercaptoethanesulfonate solution is as follows. To sodium 2-mercaptoethanesulfonate (74.0 mg, 0.45 mmol) was added 1N aqueous sodium hydroxide solution (45 μl) and water (45 μl) to adjust the pH to 8.5.
LCMS (ESI) m / z = 1043 (M + H) +
Retention time: 0.40 minutes (analysis condition SQDFA05)
4-2-2.翻訳条件溶液中での分枝ペプチド生成反応
実際に行われる翻訳条件を模擬して、以下の条件で反応を行った。脱保護(化合物SP620)までPURE SYSTEMの翻訳系において反応を実施した。その後の分枝ペプチド生成反応において、ディスプレイライブラリー実験ではRNeasy(r) MinEluteTM Cleanup Kit(キアゲン社)での精製を行うこともできる。この精製過程で、RNAとペプチドの複合体の精製が可能で、特にたんぱく成分や低分子成分が除去される。本実験では、化合物SP620が得られた時点で、精製を実施することを仮定して化合物SP620を単離し、分枝化反応を実施した。そのために、使用する反応溶媒としてディスプレイライブラリーでの精製を考慮してPURE SYSTEMの翻訳系溶媒をRNeasy(r) MinEluteTM Cleanup Kit(キアゲン社)を用い精製した溶出液を用いた。なお、化合物SP620の精製中にペプチドに存在する2つのSH基が分子内にてS-S結合を形成した化合物SP623に変換された。よって化合物SP623から、再びディスプレイライブラリー模擬中で化合物SP620を再発生させてから分枝化反応を行い、化合物SP617を得た。
4-2-2. Branched peptide production reaction in translation condition solution The reaction was carried out under the following conditions simulating the translation conditions actually performed. The reaction was carried out in the PURE SYSTEM translation system until deprotection (compound SP620). In the subsequent branched peptide production reaction, purification with RNeasy (R) MinElute ™ Cleanup Kit (Qiagen) can also be performed in the display library experiment. In this purification process, the complex of RNA and peptide can be purified, and in particular, protein components and low molecular components are removed. In this experiment, when compound SP620 was obtained, compound SP620 was isolated on the assumption that purification was performed, and a branching reaction was performed. For this purpose, an eluate obtained by purifying a translation system solvent of PURE SYSTEM using RNeasy (R) MinElute ™ Cleanup Kit (Qiagen) in consideration of purification with a display library as a reaction solvent to be used. During the purification of compound SP620, two SH groups present in the peptide were converted to compound SP623 that formed an SS bond in the molecule. Therefore, the compound SP620 was regenerated from the compound SP623 again in the display library simulation, and then the branching reaction was performed to obtain the compound SP617.
PURE SYSTEMの翻訳系において下記のスキームに従い反応を行った。
The reaction was carried out in the PURE SYSTEM translation system according to the following scheme.
step1(化合物SP616から化合物SP618への変換)
窒素雰囲気下、翻訳用緩衝液(12.5μl)、PURESYSTEM(r) classic II Sol. B(バイオコゥマー社、製品番号PURE2048C)(20μl)、20種の天然アミノ酸溶液(それぞれ5mM,5.0μl)、水(32.5μl)を混合し、ジメチルアセトアミド(DMA)(26.25μl)を加えて溶液を調製した。4mM 4-(((S)-5-((S)-1-((6R,9S,12S)-12-((1H-インドール-3-イル)メチル)-6-((((4-アジドベンジル)オキシ)カルボニル)アミノ)-9-(4-(ジメチルアミノ)ブチル)-2,2-ジメチル-7,10,13-トリオキソ-14-オキサ-3,4-ジチア-8,11-ジアザヘキサデカン-16-オイル)ピロリジン-2-カルボキサミド)-6-(((S)-4-(ベンジルチオ)-1-((S)-2-カルバモイルピロリジン-1-イル)-1,4-ジオキソブタン-2-イル)アミノ)-6-オキソヘキシル)カルバモイル)チアゾリジン-3-カルボン酸(R)-4-アジドベンジル(Acbz-Cys(StBu)-Lys(Me2)-Trp-HOGly-Pro-Lys(Acbz-Thz)-Asp(SBn)-Pro-NH2)(化合物SP616)のジメチルアセトアミド(DMA)溶液(2.5μl、0.01μmol)、内部標準として用いた8mM 2、4-ジメチル安息香酸のジメチルアセトアミド(DMA)溶液(1.25μl、0.01μmol)、別途調整した100mM トリス(2-カルボキシエチル)ホスフィン(TCEP)塩酸塩溶液(10μl、1.0μmol、pH=7.6)を室温にて加え、pH=7.5にて、同温度で1時間静置した。反応の変化をLCMSで追跡し、1時間後目的物(化合物SP618)が生成していることを確認した。目的化合物(LCMS保持時間0.37分)と内部標準(LCMS保持時間0.64分)はLCMSのUVエリア比で45:55であったことから、翻訳液中でも緩衝液と同等の反応の選択性と速度が得られていることがわかる。(図63)
step 1 (Conversion from Compound SP616 to Compound SP618)
Translation buffer (12.5 μl), PURESYSTEM (r) under nitrogen atmosphere classic II Sol. B (Biocommer, product number PURE2048C) (20 μl), 20 kinds of natural amino acid solutions (5 mM and 5.0 μl respectively), water (32.5 μl) were mixed, and dimethylacetamide (DMA) (26.25 μl) was added. To prepare a solution. 4 mM 4-(((S) -5-((S) -1-((6R, 9S, 12S) -12-((1H-indol-3-yl) methyl) -6-((((4- Azidobenzyl) oxy) carbonyl) amino) -9- (4- (dimethylamino) butyl) -2,2-dimethyl-7,10,13-trioxo-14-oxa-3,4-dithia-8,11- Diazahexadecane-16-oil) pyrrolidine-2-carboxamide) -6-(((S) -4- (benzylthio) -1-((S) -2-carbamoylpyrrolidin-1-yl) -1,4- Jiokisobutan 2-yl) amino) -6-oxo-hexyl) carbamoyl) thiazolidine-3-carboxylic acid (R)-4-azido-benzyl (Acbz-Cys (StBu) -Lys (Me 2) -Trp- HO Gly- ro-Lys (Acbz-Thz) -Asp (SBn) -Pro-NH 2) ( dimethylacetamide (DMA) solution of the compound SP616) (2.5μl, 0.01μmol), 8mM used as an internal standard 2,4 Dimethylacetamide (DMA) solution of dimethylbenzoic acid (1.25 μl, 0.01 μmol), separately prepared 100 mM tris (2-carboxyethyl) phosphine (TCEP) hydrochloride solution (10 μl, 1.0 μmol, pH = 7.6) ) Was added at room temperature, and allowed to stand at pH = 7.5 at the same temperature for 1 hour. The change in the reaction was followed by LCMS, and after 1 hour, it was confirmed that the target product (compound SP618) was produced. Since the target compound (LCMS retention time 0.37 minutes) and internal standard (LCMS retention time 0.64 minutes) were 45:55 in terms of LCMS UV area ratio, even in the translation solution, a reaction equivalent to the buffer solution was selected. It can be seen that performance and speed are obtained. (Fig. 63)
翻訳用緩衝液の成分は以下の通りである。8mM GTP,8mM ATP,160mM クレアチンリン酸,400mM HEPES-KOH pH7.6,800mM 酢酸カリウム,48mM 酢酸マグネシウム,16mM スペルミジン,8mM ジチオスレイトール,0.8mM 10-HCO-H4folate, 12mg/ml E.coli MRE600(RNaseネガティブ)由来tRNA(Roche社)。 The components of the translation buffer are as follows. 8 mM GTP, 8 mM ATP, 160 mM creatine phosphate, 400 mM HEPES-KOH pH 7.6, 800 mM potassium acetate, 48 mM magnesium acetate, 16 mM spermidine, 8 mM dithiothreitol, 0.8 mM 10-HCO-H4folate, 12 mg / ml E. coli E. coli MRE600 (RNase negative) -derived tRNA (Roche).
100mM トリス(2-カルボキシエチル)ホスフィン(TCEP)塩酸塩溶液の調整法は以下の通りである。トリス(2-カルボキシエチル)ホスフィン(TCEP)塩酸塩(5.0mg、17μmol)を50mM HEPES緩衝液(122μl、pH=7.5)、1N 水酸化ナトリウム水溶液(52μl)で溶解させ、pH=7.6に調整した。
LCMS(ESI) m/z = 1053 (M―H)―
保持時間:0.37分(分析条件SQDFA05)
A method for preparing a 100 mM tris (2-carboxyethyl) phosphine (TCEP) hydrochloride solution is as follows. Tris (2-carboxyethyl) phosphine (TCEP) hydrochloride (5.0 mg, 17 μmol) was dissolved in 50 mM HEPES buffer (122 μl, pH = 7.5), 1N aqueous sodium hydroxide solution (52 μl), pH = 7 .6.
LCMS (ESI) m / z = 1053 (M−H) −
Retention time: 0.37 minutes (analysis condition SQDFA05)
step2(化合物SP618から化合物SP619への変換)
窒素雰囲気下、step1で調整した反応液(80μl)に80mM 2,2'-ジチオジピリジン(化合物SP622、2,2'-PySSPy)溶液(80μl)を室温にて加え、500mM 水酸化ナトリウム水溶液(2.0μl)を室温にて加え、pH=4.0にてサーマルサイクラー中、37度で13時間静置した。反応の変化をLCMSで追跡し、13時間後目的物(化合物SP619)が生成していることを確認した。目的化合物(LCMS保持時間0.44分)と加水分解体(LCMS保持時間0.40分)はLCMSのUVエリア比で90:10であった。(図64)
80mM 2,2'-ジチオジピリジン(化合物SP622、2,2'-PySSPy)溶液の調整法は以下の通りである。400mM 2,2'-ジチオジピリジン(化合物SP622、2,2'-PySSPy)のジメチルアセトアミド(DMA)溶液(20μl、8.0μmol)にジメチルアセトアミド(DMA)(10μl)230mMの塩酸水溶液(70μl)を加えた。
LCMS(ESI) m/z = 1261.3 (M+H)+
保持時間:0.44分(分析条件SQDFA05)
step 2 (Conversion from Compound SP618 to Compound SP619)
Under a nitrogen atmosphere, 80
A method for preparing an 80
LCMS (ESI) m / z = 1261.3 (M + H) +
Retention time: 0.44 minutes (analysis condition SQDFA05)
step3(化合物SP619から化合物SP620への変換)
窒素雰囲気下、step2で調整した反応液(81μl)に別途調整した600mM トリス(2-カルボキシエチル)ホスフィン(TCEP)塩酸塩溶液(9.0μl、pH=7.2)を室温にて加え、pH=5.1にて同温度で1時間間静置した。反応の変化をLCMSで追跡し、1時間後目的物(化合物SP620)が生成していることを確認した。HEPES 緩衝液中での反応と比較し、PURE SYSTEMの使用による新たな副生成物は観測されなかった。(図65)
600mM トリス(2-カルボキシエチル)ホスフィン(TCEP)塩酸塩溶液の調整法は以下の通りである。トリス(2-カルボキシエチル)ホスフィン(TCEP)塩酸塩(17.6mg、61μmol)に2N 水酸化ナトリウム水溶液(102μl)を加え、pH=7.2に調整した。
LCMS(ESI) m/z = 1041 (M―H)―保持時間:0.36分(分析条件SQDFA05)
step 3 (Conversion from Compound SP619 to Compound SP620)
Under a nitrogen atmosphere, a separately adjusted 600 mM tris (2-carboxyethyl) phosphine (TCEP) hydrochloride solution (9.0 μl, pH = 7.2) was added to the reaction solution (81 μl) adjusted at
The preparation method of 600 mM tris (2-carboxyethyl) phosphine (TCEP) hydrochloride solution is as follows. 2N aqueous sodium hydroxide solution (102 μl) was added to tris (2-carboxyethyl) phosphine (TCEP) hydrochloride (17.6 mg, 61 μmol) to adjust the pH to 7.2.
LCMS (ESI) m / z = 1041 (M−H) —retention time: 0.36 minutes (analysis condition SQDFA05)
精製した結果S-S結合を新たに形成した分枝ペプチド前駆体(化合物SP623)(調整法は下記(4-2-4)に記載)(S)-1-((3S,10R,15R,18S,21S,29aS,33S)-21-((1H-インドール-3-イル)メチル)-10-アミノ-18-(4-(ジメチルアミノ)ブチル)-1,9,16,19,22,25,31,35-オクタオキソヘキサコサヒドロ-15,3-(エピミノプロパノイミノメタノ)ピロロ[2,1-x][1,11,12,4,7,16,22,25]オキサジチアペンタアザシクロヘプタコシン-33-カルボニル)ピロリジン-2-カルボキサミド(*Cys#-Lys(Me2)-Trp-HOGly-Pro-Lys(H-Cys#)-Asp*-Pro-NH2、2つの*部位、#部位にて環化、#部位で2つのSH基がジスルフィド結合を形成している)を使用し、PURE SYSTEMの翻訳溶媒をRNeasy(r) MinEluteTM Cleanup Kit(キアゲン社)を用い精製した溶出液中で、化合物SP620を再生成させた後に分枝ペプチド(化合物SP617)生成反応を下記スキームに従い行った。 Branched peptide precursor (compound SP623) in which SS bond is newly formed as a result of purification (compounding method is described in (4-2-4) below) (S) -1-((3S, 10R, 15R, 18S, 21S, 29aS, 33S) -21-((1H-indol-3-yl) methyl) -10-amino-18- (4- (dimethylamino) butyl) -1,9,16,19,22,25, 31,35-octaoxohexacosahydro-15,3- (epiminopropanoiminomethano) pyrrolo [2,1-x] [1,11,12,4,7,16,22,25] oxadithia Pentaazacycloheptacosine-33-carbonyl) pyrrolidine-2-carboxamide (* Cys # -Lys (Me 2 ) -Trp- HO Gly-Pro-Lys (H-Cys #)-Asp * -Pro-NH 2 , 2 RNeasy (r) MinElute ™ Cleanup Kit (Qiagen) was used as the translation solvent for PURE SYSTEM. The compound SP620 was regenerated in the purified eluate used, and then a branched peptide (compound SP617) formation reaction was performed according to the following scheme.
窒素雰囲気下、PURE SYSTEMの翻訳系溶媒をRNeasy(r) MinEluteTM Cleanup Kit(キアゲン社)を用い精製した溶出液(25μl)に500mM トリス(2-カルボキシエチル)ホスフィン(TCEP)塩酸塩溶液(5.0μl、2.5μmol)、2N 水酸化ナトリウム(8μl)、2-メルカプトエタンスルホン酸ナトリウム(24.8mg、0.15mmol)を混ぜた溶液に10mM (S)-1-((3S,10R,15R,18S,21S,29aS,33S)-21-((1H-インドール-3-イル)メチル)-10-アミノ-18-(4-(ジメチルアミノ)ブチル)-1,9,16,19,22,25,31,35-オクタオキソヘキサコサヒドロ-15,3-(エピミノプロパノイミノメタノ)ピロロ[2,1-x][1,11,12,4,7,16,22,25]オキサジチアペンタアザシクロヘプタコシン-33-カルボニル)ピロリジン-2-カルボキサミド(*Cys#-Lys(Me2)-Trp-HOGly-Pro-Lys(H-Cys#)-Asp*-Pro-NH2、2つの*部位、#部位にて環化、#部位で2つのSH基がジスルフィド結合を形成している)(化合物SP623)のジメチルイミダゾリジノン(DMI)溶液(12.5μl、0.125μmol)、内部標準として用いた50mM 2、4-ジメチル安息香酸のジメチルイミダゾリジノン(DMI)溶液(2.5μl、0.125μmol)を加え、pH=8.4にてサーマルサイクラー中、30度で30時間間静置した。反応の変化をLCMSで追跡し、30時間後目的物である(S)-N-((3R,6S,9S,12R,16S,19S)-6-((1H-インドール-3-イル)メチル)-16-((S)-2-カルバモイルピロリジン-1-カルボニル)-9-(4-(ジメチルアミノ)ブチル)-3,12-ビス(メルカプトメチル)-2,5,8,11,14,18-ヘキサオキソ-1,4,7,10,13,17-ヘキサアザシクロトリコサン-19-イル)-1-(2-ヒドロキシアセチル)ピロリジン-2-カルボキサミド(HOGly-Pro-Lys(*Cys-Lys(Me2)-Trp-Cys)-Asp*-Pro-NH2、2つの*部位にて環化)(化合物SP617)が生成していることを確認した。HEPES緩衝液中での反応と比較し、PURE SYSTEMの翻訳溶媒を精製した溶出液の使用による新たな副生成物は観測されなかった。 In a nitrogen atmosphere, a 500 mM tris (2-carboxyethyl) phosphine (TCEP) hydrochloride solution (5 μl) was added to an eluate (25 μl) purified using a PURE SYSTEM translation system solvent using RNeasy® MinElute ™ Cleanup Kit (Qiagen). 0.02 μl, 2.5 μmol), 2N sodium hydroxide (8 μl) and sodium 2-mercaptoethanesulfonate (24.8 mg, 0.15 mmol) were mixed with 10 mM (S) -1-((3S, 10R, 15R, 18S, 21S, 29aS, 33S) -21-((1H-indol-3-yl) methyl) -10-amino-18- (4- (dimethylamino) butyl) -1,9,16,19, 22,25,31,35-octaoxohexacosahydro-15,3- (epiminopropanoimi Nomethano) pyrrolo [2,1-x] [1,11,12,4,7,16,22,25] oxadithiapentaazacycloheptacosine-33-carbonyl) pyrrolidine-2-carboxamide (* Cys #- Lys (Me 2 ) -Trp- HO Gly-Pro-Lys (H-Cys #)-Asp * -Pro-NH 2 cyclized at two * sites, # site, two SH groups at the # site disulfide (Compound SP623) in dimethylimidazolidinone (DMI) solution (12.5 μl, 0.125 μmol), 50 mM 2,4-dimethylbenzoic acid dimethylimidazolidinone (DMI) used as internal standard ) Solution (2.5 μl, 0.125 μmol) was added and left at 30 ° C. for 30 hours in a thermal cycler at pH = 8.4. The change in the reaction was followed by LCMS, and after 30 hours, the desired product (S) -N-((3R, 6S, 9S, 12R, 16S, 19S) -6-((1H-indol-3-yl) methyl ) -16-((S) -2-carbamoylpyrrolidine-1-carbonyl) -9- (4- (dimethylamino) butyl) -3,12-bis (mercaptomethyl) -2,5,8,11,14 , 18-Hexaoxo-1,4,7,10,13,17-hexaazacyclotricosane-19-yl) -1- (2-hydroxyacetyl) pyrrolidine-2-carboxamide ( HO Gly-Pro-Lys (* Cys-Lys (Me 2 ) -Trp-Cys) -Asp * -Pro-NH 2 cyclized at two * sites) (compound SP617) was confirmed to be formed. Compared to the reaction in HEPES buffer, no new by-products were observed due to the use of the eluate purified of PURE SYSTEM's translation solvent.
PURE SYSTEMの翻訳溶媒をRNeasy(r) MinEluteTM Cleanup Kit(キアゲン社)を用い精製した溶出液は以下のように調整した。既に実施例に記載の翻訳用緩衝液(12.5μl)、PURE SYSTEM(r) classic II Sol. B(バイオコゥマー社、製品番号PURE2048C)(20μl)、20種の天然アミノ酸溶液(それぞれ5mM,5.0μl)、水(62.5μl)を混合し翻訳液を調整した。翻訳液(20μl)にBuffer RLT(70μl)、EtOH(135μl)を加えピペッティングを行い、RNeasy MinElute Spin Columnにアプライした。10000rpmで15秒遠心し、ろ液を除いた。カラムにBuffer RPE(500μl)を添加し、10000rpmで15秒遠心し、ろ液を除いた。カラムに80%EtOH水溶液(500μl)を添加し、10000rpmで2分遠心し、ろ液を除いた。カラムの蓋を開け、15000rpmで5分遠心し、乾燥させた後、水(22μl)を加え、溶出した。なお、この際使用した水はRNaseフリー水を用いている。
LCMS(ESI) m/z = 1043 (M+H)+
保持時間:0.40分(分析条件SQDFA05)
The eluate purified using RNeasy® MinElute ™ Cleanup Kit (Qiagen) as the translation solvent for PURE SYSTEM was prepared as follows. Translation buffer (12.5 μl) already described in the examples, PURE SYSTEM (r) classic II Sol. B (Biocommer, product number PURE2048C) (20 μl), 20 kinds of natural amino acid solutions (5 mM, 5.0 μl, respectively) and water (62.5 μl) were mixed to prepare a translation solution. Buffer RLT (70 μl) and EtOH (135 μl) were added to the translation solution (20 μl), pipetted, and applied to RNeasy MinElute Spin Column. Centrifugation was performed at 10,000 rpm for 15 seconds to remove the filtrate. Buffer RPE (500 μl) was added to the column and centrifuged at 10,000 rpm for 15 seconds to remove the filtrate. An 80% aqueous EtOH solution (500 μl) was added to the column, and centrifuged at 10,000 rpm for 2 minutes to remove the filtrate. The lid of the column was opened, centrifuged at 15000 rpm for 5 minutes and dried, and then water (22 μl) was added and eluted. The water used at this time is RNase-free water.
LCMS (ESI) m / z = 1043 (M + H) +
Retention time: 0.40 minutes (analysis condition SQDFA05)
以上、水中およびPureSystem(反応翻訳液中)で同様に、両者の差は大きくなく、目的の反応が進行することが確認された。これらの反応条件は、RNAが十分安定な範囲であり、このことから、反応翻訳後に直鎖ペプチド化合物から効率的に分枝反応が進行すること、およびペプチドーRNA複合体においても、RNAを分解させることなく効率的に分枝反応を進行させることができることが明らかとなった。 As described above, it was confirmed that the difference between the two in water and PureSystem (in the reaction translation solution) was not large, and the target reaction proceeded. These reaction conditions are in a range where RNA is sufficiently stable, and from this, the branching reaction efficiently proceeds from the linear peptide compound after reaction translation, and RNA is also degraded in the peptide-RNA complex. It was revealed that the branching reaction can proceed efficiently without any problems.
これらのことから、翻訳反応液中の反応進行の見積もりには、これらと類似の反応の場合には水中(緩衝液中)での反応性を測定すれば評価できることも明らかとなった。 From these facts, it became clear that the estimation of the reaction progress in the translation reaction solution can be evaluated by measuring the reactivity in water (in the buffer solution) in the case of similar reactions.
4-2-3.翻訳条件を模擬した条件下で分枝(直鎖部2)ペプチドからの脱硫反応
4-2-2で用いた、化合物617を含むPure SYSTEMの翻訳系溶媒をRNeasy(登録商標)MinElute(登録商標) Cleanup Kit(キアゲン社)を用い精製した溶出液中での分枝ペプチド精製反応で用いた反応溶液に対し脱硫反応を行った。
(S)-N-((3S,6S,9S,12S,16S,19S)-6-((1H-インドール-3-イル)メチル)-16-((S)-2-カルバモイルピロリジン-1-カルボニル)-9-(4-(ジメチルアミノ)ブチル)-3,12-ジメチル-2,5,8,11,14,18-ヘキサオキソ-1,4,7,10,13,17-ヘキサアザシクロトリコサン-19-イル)-1-(2-ヒドロキシアセチル)ピロリジン-2-カルボキサミド(化合物SP624、
HO
Gly-Pro-Lys(*Ala-Lys(Me
2
)-Trp-Ala)-Asp*-Pro-NH
2
、2つの*部位にて環化)の合成
なお、本明細書中では他の例と同様、Lysの側鎖アミノ基とH-Ala-Lys(Me2)-Trp-Ala-OHのC末端のカルボキシル基がアミド結合した化合物を、H-Lys(H-Ala-Lys(Me2)-Trp-Ala)-OHと記載する。
4-2-3. The translation system solvent of Pure SYSTEM containing Compound 617 used in the desulfurization reaction 4-2-2 from the branched (straight chain part 2) peptide under conditions simulating the translation conditions was RNeasy (registered trademark) MinElute (registered trademark) ) Desulfurization reaction was performed on the reaction solution used in the branched peptide purification reaction in the eluate purified using Cleanup Kit (Qiagen).
(S) -N-((3S, 6S, 9S, 12S, 16S, 19S) -6-((1H-indol-3-yl) methyl) -16-((S) -2-carbamoylpyrrolidine-1- Carbonyl) -9- (4- (dimethylamino) butyl) -3,12-dimethyl-2,5,8,11,14,18-hexaoxo-1,4,7,10,13,17-hexaazacyclo Tricosane-19-yl) -1- (2-hydroxyacetyl) pyrrolidine-2-carboxamide (Compound SP624, HO Gly-Pro-Lys (* Ala-Lys (Me 2 ) -Trp-Ala) -Asp * -Pro -NH 2, the synthesis of in two * sites cyclization) as in the other examples herein, the side chain amino group of Lys and H-Ala-Lys (Me 2 ) -Trp-Ala-OH C-terminal of The compound in which the carboxyl group of amide bond is described as H-Lys (H-Ala-Lys (Me 2 ) -Trp-Ala) -OH.
窒素雰囲気下、4-2-2で用いた化合物SP617を含むPURE SYSTEMの翻訳系溶媒をRNeasy(登録商標)MinElute(登録商標) Cleanup Kit(キアゲン社)を用い精製した溶出液中での分枝ペプチド生成反応に用いた反応溶液(9.0μl)に1.5M トリス(2-カルボキシエチル)ホスフィン(TCEP)塩酸塩溶液(20μl、pH=7.4)を加え50℃で5分攪拌した。250mM 2、2-アゾビス[2-(2-イミダゾリンー2-イル)プロパン]二塩酸塩(VA-044)水溶液(1.2μl)を室温にて加え、50℃で1時間攪拌した。反応の変化をLCMSで追跡し、1時間後目的物である(S)-N-((3S,6S,9S,12S,16S,19S)-6-((1H-インドール-3-イル)メチル)-16-((S)-2-カルバモイルピロリジン-1-カルボニル)-9-(4-(ジメチルアミノ)ブチル)-3,12-ジメチル-2,5,8,11,14,18-ヘキサオキソ-1,4,7,10,13,17-ヘキサアザシクロトリコサン-19-イル)-1-(2-ヒドロキシアセチル)ピロリジン-2-カルボキサミド(化合物SP624、HOGly-Pro-Lys(*Ala-Lys(Me2)-Trp-Ala)-Asp*-Pro-NH2、2つの*部位にて環化)が生成していることを確認した。
1.5M トリス(2-カルボキシエチル)ホスフィン(TCEP)塩酸塩溶液の調整法は以下の通りである。トリス(2-カルボキシエチル)ホスフィン(TCEP)塩酸塩(24.5mg、85.5μmol)5N 水酸化ナトリウム水溶液(57μl)を加え、pH=7.4に調整した。
LCMS(ESI) m/z = 979(M+H)+
保持時間:0.36分(分析条件SQDFA05)
Branching in an eluate purified using a RNeasy (registered trademark) MinElute (registered trademark) Cleanup Kit (Qiagen) as a translation system solvent of PURE SYSTEM containing the compound SP617 used in 4-2-2 in a nitrogen atmosphere 1.5M Tris (2-carboxyethyl) phosphine (TCEP) hydrochloride solution (20 μl, pH = 7.4) was added to the reaction solution (9.0 μl) used for the peptide formation reaction, and the mixture was stirred at 50 ° C. for 5 minutes. An aqueous solution (1.2 μl) of 250
A method for preparing a 1.5M tris (2-carboxyethyl) phosphine (TCEP) hydrochloride solution is as follows. Tris (2-carboxyethyl) phosphine (TCEP) hydrochloride (24.5 mg, 85.5 μmol) 5N aqueous sodium hydroxide solution (57 μl) was added to adjust to pH = 7.4.
LCMS (ESI) m / z = 979 (M + H) +
Retention time: 0.36 minutes (analysis condition SQDFA05)
4-2-4.1回目の環化を実施し、その後アミノ基部位の脱保護を実施した後の精製工程
分枝ペプチド生成反応に使用した(S)-1-((3S,10R,15R,18S,21S,29aS,33S)-21-((1H-インドール-3-イル)メチル)-10-アミノ-18-(4-(ジメチルアミノ)ブチル)-1,9,16,19,22,25,31,35-オクタオキソヘキサコサヒドロ-15,3-(エピミノプロパノイミノメタノ)ピロロ[2,1-x][1,11,12,4,7,16,22,25]オキサジチアペンタアザシクロヘプタコシン-33-カルボニル)ピロリジン-2-カルボキサミド(*Cys#-Lys(Me 2 )-Trp- HO Gly-Pro-Lys(H-Cys#)-Asp*-Pro-NH 2 、2つの*部位、#部位にて環化、#部位で2つのSH基がジスルフィド結合を形成している)(化合物SP623)の合成
精製した結果、SP620のままでは精製できず、化合物SP623となった。化合物SP623は容易にSP620へと還元条件にて再び変換可能なため、化合物SP623を精製し、単離した。なお、精製には化合物重量が多く必要なため、上記実験とは別に再合成を行った。
4-2-4. Purification step after the first cyclization and then deprotection of the amino group site
(S) -1-((3S, 10R, 15R, 18S, 21S, 29aS, 33S) -21-((1H-indol-3-yl) methyl) -10-amino- used in branched peptide formation reaction 18- (4- (dimethylamino) butyl) -1,9,16,19,22,25,31,35-octaoxohexacosahydro-15,3- (epiminopropanoiminomethano) pyrrolo [2, 1-x] [1,11,12,4,7,16,22,25] oxadithiapentaazacycloheptacosine-33-carbonyl) pyrrolidine-2-carboxamide (* Cys # -Lys (Me 2 )- trp- HO Gly-Pro-Lys ( H-Cys #) - Asp * -
下記のスキームに従い反応を行った。
The reaction was performed according to the following scheme.
(S)-1-((3S,6S,10R,13S,16S,24aS)-16-((1H-インドール-3-イル)メチル)-3-(4-((R)-2-アミノ-3-(ピリジン-2-イルジスルファニル)プロパンアミド)ブチル)-13-(4-(ジメチルアミノ)ブチル)-1,4,8,11,14,17,20-ヘプタオキソ-10-((ピリジン-2-イルジスルファニル)メチル)ドコサヒドロ-1H-ピロロ[1,2-d][1,4,7,10,14,17,20]オキサヘキサアザシクロドコシン-6-カルボニル)ピロリジン-2-カルボキサミド(*Cys(SPy)-Lys(Me(S) -1-((3S, 6S, 10R, 13S, 16S, 24aS) -16-((1H-indol-3-yl) methyl) -3- (4-((R) -2-amino- 3- (Pyridin-2-yldisulfanyl) propanamido) butyl) -13- (4- (dimethylamino) butyl) -1,4,8,11,14,17,20-heptaoxo-10-((pyridine- 2-yldisulfanyl) methyl) docosahydro-1H-pyrrolo [1,2-d] [1,4,7,10,14,17,20] oxahexaazacyclodocosin-6-carbonyl) pyrrolidine-2-carboxamide (* Cys (SPy) -Lys (Me 22 )-Trp-) -Trp- HOHO Gly-Pro-Lys(H-Cys(SPy))-Asp*-Pro-NHGly-Pro-Lys (H-Cys (SPy))-Asp * -Pro-NH 22 、2つの*部位にて環化)(化合物SP619)の合成Cyclization at two * sites) (Compound SP619)
窒素雰囲気下、200mM リン酸緩衝液(691μl、pH=7.6)にジメチルアセトアミド(DMA)(797μl)を混ぜた溶液に4-(((S)-5-((S)-1-((6R,9S,12S)-12-((1H-インドール-3-イル)メチル)-6-((((4-アジドベンジル)オキシ)カルボニル)アミノ)-9-(4-(ジメチルアミノ)ブチル)-2,2-ジメチル-7,10,13-トリオキソ-14-オキサ-3,4-ジチア-8,11-ジアザヘキサデカン-16-オイル)ピロリジン-2-カルボキサミド)-6-(((S)-4-(ベンジルチオ)-1-((S)-2-カルバモイルピロリジン-1-イル)-1,4-ジオキソブタン-2-イル)アミノ)-6-オキソヘキシル)カルバモイル)チアゾリジン-3-カルボン酸(R)-4-アジドベンジル(Acbz-Cys(StBu)-Lys(Me2)-Trp-HOGly-Pro-Lys(Acbz-Thz)-Asp(SBn)-Pro-NH2)(化合物SP616)(8.0mgl、4.94μmol)を室温にて加えた。別途調整した1M トリス(2-カルボキシエチル)ホスフィン(TCEP)塩酸塩溶液(100μl、100μmol、pH=7.4)を室温にて加え、反応液をpH=7.4にて、同温度で2時間静置した。反応の変化をLCMSで追跡し、2時間後環化反応が進行し化合物SP618が生成していることを確認した。
1M トリス(2-カルボキシエチル)ホスフィン(TCEP)塩酸塩溶液の調整法は以下の通りである。トリス(2-カルボキシエチル)ホスフィン(TCEP)塩酸塩(39mg、0.136mmol)を5N 水酸化ナトリウム水溶液(91μl)、水(45μl)で溶解させ、pH=7.4に調整した。
In a nitrogen atmosphere, a solution of dimethylacetamide (DMA) (797 μl) in 200 mM phosphate buffer (691 μl, pH = 7.6) was mixed with 4-((((S) -5-((S) -1- ( (6R, 9S, 12S) -12-((1H-Indol-3-yl) methyl) -6-((((4-azidobenzyl) oxy) carbonyl) amino) -9- (4- (dimethylamino) (Butyl) -2,2-dimethyl-7,10,13-trioxo-14-oxa-3,4-dithia-8,11-diazahexadecane-16-oil) pyrrolidine-2-carboxamide) -6-(( (S) -4- (Benzylthio) -1-((S) -2-carbamoylpyrrolidin-1-yl) -1,4-dioxobutan-2-yl) amino) -6-oxohexyl) carbamoyl) thiazolid 3-carboxylic acid (R)-4-azido-benzyl (Acbz-Cys (StBu) -Lys (Me 2) -Trp- HO Gly-Pro-Lys (Acbz-Thz) -Asp (SBn) -Pro-NH 2 ) (Compound SP616) (8.0 mgl, 4.94 μmol) was added at room temperature. A separately prepared 1M tris (2-carboxyethyl) phosphine (TCEP) hydrochloride solution (100 μl, 100 μmol, pH = 7.4) was added at room temperature, and the reaction solution was adjusted to pH = 7.4 at 2 at the same temperature. Let stand for hours. The change in the reaction was followed by LCMS, and after 2 hours, it was confirmed that the cyclization reaction progressed and compound SP618 was produced.
A method for preparing a 1M tris (2-carboxyethyl) phosphine (TCEP) hydrochloride solution is as follows. Tris (2-carboxyethyl) phosphine (TCEP) hydrochloride (39 mg, 0.136 mmol) was dissolved in 5N aqueous sodium hydroxide solution (91 μl) and water (45 μl) to adjust to pH = 7.4.
窒素雰囲気下、得られた化合物SP618を含む反応液(1.5ml)に330mM 2,2'-ジチオジピリジン(化合物SP622、2,2'-PySSPy)溶液(1.5ml)を室温にて加え、pH=2.1にて37度で13時間静置した。得られた反応液を逆相シリカゲルクロマトグラフィー(0.1%ギ酸水溶液/0.1%ギ酸アセトニトリル溶液)にて精製し、(S)-1-((3S,6S,10R,13S,16S,24aS)-16-((1H-インドール-3-イル)メチル)-3-(4-((R)-2-アミノ-3-(ピリジン-2-イルジスルファニル)プロパンアミド)ブチル)-13-(4-(ジメチルアミノ)ブチル)-1,4,8,11,14,17,20-ヘプタオキソ-10-((ピリジン-2-イルジスルファニル)メチル)ドコサヒドロ-1H-ピロロ[1,2-d][1,4,7,10,14,17,20]オキサヘキサアザシクロドコシン-6-カルボニル)ピロリジン-2-カルボキサミド(*Cys(SPy)-Lys(Me2)-Trp-HOGly-Pro-Lys(H-Cys(SPy))-Asp*-Pro-NH2、2つの*部位にて環化)(化合物SP619)(3.7mg、60%)を得た。
330mM 2,2'-ジチオジピリジン(化合物SP622、2,2'-PySSPy)溶液の調整法は以下の通りである。400mM 2,2-ジチジオピリジン(化合物SP622、2,2'-PySSPy)のジメチルアセトアミド(DMA)溶液(1.5ml、0.6mmol)に2N 塩酸水溶液(238μl)、水(80μl)を加えた。
LCMS(ESI) m/z = 1261.4 (M+H)+
保持時間:0.43分(分析条件SQDFA05)
Under a nitrogen atmosphere, 330
A method for preparing a 330
LCMS (ESI) m / z = 1261.4 (M + H) +
Retention time: 0.43 minutes (analysis condition SQDFA05)
分枝ペプチド前駆体、(S)-1-((3S,10R,15R,18S,21S,29aS,33S)-21-((1H-インドール-3-イル)メチル)-10-アミノ-18-(4-(ジメチルアミノ)ブチル)-1,9,16,19,22,25,31,35-オクタオキソヘキサコサヒドロ-15,3-(エピミノプロパノイミノメタノ)ピロロ[2,1-x][1,11,12,4,7,16,22,25]オキサジチアペンタアザシクロヘプタコシン-33-カルボニル)ピロリジン-2-カルボキサミド(*Cys#-Lys(MeBranched peptide precursor, (S) -1-((3S, 10R, 15R, 18S, 21S, 29aS, 33S) -21-((1H-indol-3-yl) methyl) -10-amino-18- (4- (Dimethylamino) butyl) -1,9,16,19,22,25,31,35-octaoxohexacosahydro-15,3- (epiminopropanoiminomethano) pyrrolo [2,1- x] [1,11,12,4,7,16,22,25] oxadithiapentaazacycloheptacosine-33-carbonyl) pyrrolidine-2-carboxamide (* Cys # -Lys (Me 22 )-Trp-) -Trp- HOHO Gly-Pro-Lys(H-Cys#)-Asp*-Pro-NHGly-Pro-Lys (H-Cys #)-Asp * -Pro-NH 22 、2つの*部位、#部位にて環化、#部位で2つのSH基がジスルフィド結合を形成している)(化合物SP623)の合成Synthesis of Compound SP623): Cyclization at two * and # sites, and two SH groups forming disulfide bonds at the # site
窒素雰囲気下、200mM リン酸緩衝液(720μl、pH=7.6)とジメチルアセトアミド(DMA)(720μl)の溶液に、(S)-1-((3S,6S,10R,13S,16S,24aS)-16-((1H-インドール-3-イル)メチル)-3-(4-((R)-2-アミノ-3-(ピリジン-2-イルジスルファニル)プロパンアミド)ブチル)-13-(4-(ジメチルアミノ)ブチル)-1,4,8,11,14,17,20-ヘプタオキソ-10-((ピリジン-2-イルジスルファニル)メチル)ドコサヒドロ-1H-ピロロ[1,2-d][1,4,7,10,14,17,20]オキサヘキサアザシクロドコシン-6-カルボニル)ピロリジン-2-カルボキサミド(*Cys(SPy)-Lys(Me2)-Trp-HOGly-Pro-Lys(H-Cys(SPy))-Asp*-Pro-NH2、2つの*部位にて環化)(化合物SP619)(9.1mg、7.2μmol)を室温にて加えた。別途調整した600mM トリス(2-カルボキシエチル)ホスフィン(TCEP)塩酸塩溶液(100μl、60μmol、pH=3.7)を室温にて加え、pH=5.6にて同温度で30分間静置した。得られた反応液を逆相シリカゲルクロマトグラフィー(0.1%ギ酸水溶液/0.1%ギ酸アセトニトリル溶液)にて精製した。得られたフラクションを凍結乾燥することで、ジスルフィド形成が起こり、分枝ペプチド前駆体として、(S)-1-((3S,10R,15R,18S,21S,29aS,33S)-21-((1H-インドール-3-イル)メチル)-10-アミノ-18-(4-(ジメチルアミノ)ブチル)-1,9,16,19,22,25,31,35-オクタオキソヘキサコサヒドロ-15,3-(エピミノプロパノイミノメタノ)ピロロ[2,1-x][1,11,12,4,7,16,22,25]オキサジチアペンタアザシクロヘプタコシン-33-カルボニル)ピロリジン-2-カルボキサミド(*Cys#-Lys(Me2)-Trp-HOGly-Pro-Lys(H-Cys#)-Asp*-Pro-NH2、2つの*部位、#部位にて環化、#部位で2つのSH基がジスルフィド結合を形成している)(化合物SP623)(3.7mg、49%)を得た。
600mM トリス(2-カルボキシエチル)ホスフィン(TCEP)塩酸塩溶液の調整法は以下の通りである。トリス(2-カルボキシエチル)ホスフィン(TCEP)塩酸塩(22.5mg、78.5mmol)を1N 水酸化ナトリウム水溶液(131μl)で溶解させ、pH=3.7に調整した。
LCMS(ESI) m/z = 1039 (M―H)―
保持時間:0.34分(分析条件SQDFA05)
Under a nitrogen atmosphere, a solution of 200 mM phosphate buffer (720 μl, pH = 7.6) and dimethylacetamide (DMA) (720 μl) was added to (S) -1-((3S, 6S, 10R, 13S, 16S, 24aS ) -16-((1H-indol-3-yl) methyl) -3- (4-((R) -2-amino-3- (pyridin-2-yldisulfanyl) propanamido) butyl) -13- ( 4- (Dimethylamino) butyl) -1,4,8,11,14,17,20-heptaoxo-10-((pyridin-2-yldisulfanyl) methyl) docosahydro-1H-pyrrolo [1,2-d] [1,4,7,10,14,17,20] oxahexaazacyclodocosin-6-carbonyl) pyrrolidine-2-carboxamide (* Cys (SPy) -Lys (Me 2 ) -Trp- HO Gly-Pro-Lys (H-Cys (SPy))-Asp * -Pro-NH 2 cyclized at two * sites) (compound SP619) (9.1 mg, 7.2 μmol) at room temperature Added at. A separately prepared 600 mM tris (2-carboxyethyl) phosphine (TCEP) hydrochloride solution (100 μl, 60 μmol, pH = 3.7) was added at room temperature, and the mixture was allowed to stand at pH = 5.6 for 30 minutes at the same temperature. . The obtained reaction solution was purified by reverse phase silica gel chromatography (0.1% formic acid aqueous solution / 0.1% formic acid acetonitrile solution). By lyophilizing the obtained fraction, disulfide formation occurs, and (S) -1-((3S, 10R, 15R, 18S, 21S, 29aS, 33S) -21-(( 1H-Indol-3-yl) methyl) -10-amino-18- (4- (dimethylamino) butyl) -1,9,16,19,22,25,31,35-octaoxohexacosahydro-15 , 3- (Epiminopropanoiminomethano) pyrrolo [2,1-x] [1,11,12,4,7,16,22,25] oxadithiapentaazacycloheptacosine-33-carbonyl) pyrrolidine 2-carboxamide (* Cys # -Lys (Me 2 ) -Trp- HO Gly-Pro-Lys (H-Cys #) - Asp * -
The preparation method of 600 mM tris (2-carboxyethyl) phosphine (TCEP) hydrochloride solution is as follows. Tris (2-carboxyethyl) phosphine (TCEP) hydrochloride (22.5 mg, 78.5 mmol) was dissolved in 1N aqueous sodium hydroxide solution (131 μl) and adjusted to pH = 3.7.
LCMS (ESI) m / z = 1039 (M−H) −
Retention time: 0.34 minutes (analysis condition SQDFA05)
5.2回目の分枝化反応で発生させる活性チオエステル創出ユニットの最適化検討
Cys-Pro-HOGlyからチオエステルが発生させる反応条件は温和でpH=7.3でもゆっくりと進行することが明らかとなった(後述)。1回目の環化反応との選択性を最大化する目的、さらには1回目の環化反応でより温和でない反応条件を使用できるようにすることを目的として、Cys-Pro-HOGlyよりも安定で、反応進行のスイッチオンーオフが可能なユニットを探索した結果、より好ましいユニットの条件が明らかとなった。望ましいCys-Pro-Lacユニットを用いて、翻訳液中での環化反応および分枝化反応が進行することを確認した。
5. Optimization of active thioester creation unit generated by second branching reaction Cys-Pro- HO Gly showed that the reaction conditions for thioester generation were mild and proceeded slowly even at pH = 7.3. (See below). More stable than Cys-Pro- HO Gly for the purpose of maximizing selectivity with the first cyclization reaction, and also to allow use of milder reaction conditions in the first cyclization reaction As a result of searching for a unit capable of switching on and off the reaction progress, more preferable unit conditions were clarified. Using the desired Cys-Pro-Lac unit, it was confirmed that the cyclization reaction and the branching reaction proceeded in the translation solution.
5-1.モデル化合物原料の合成
Cys-Pro-HOGlyおよびその代替ユニットを含む5残基ペプチドの合成を、そのチオエステル発生の条件を得るためのモデルペプチドとした。そのモデル化合物を合成した。
5-1. Synthesis of model compound raw material Synthesis of a 5-residue peptide containing Cys-Pro- HO Gly and its alternative unit was used as a model peptide for obtaining conditions for its thioester generation. The model compound was synthesized.
ピロリジン-1,2-ジカルボン酸 2-(2-(tert-ブトキシ)-2-オキソエチル) (S)-1-((9H-フルオレン-9-イル)メチル)(Fmoc-Pro- HO Gly-OtBu)(化合物SP631)の合成
2-dicarboxylic acid 2- (2- (tert- butoxy) -2-oxoethyl) (S) -1 - (( 9H- fluoren-9-yl) methyl) (Fmoc-Pro- HO Gly- OtBu ) (Synthesis of Compound SP631)
(S)-1-(((9H-フルオレン-9-イル)メトキシ)カルボニル)ピロリジン-2-カルボン酸(Fmoc-Pro-OH)(5.00g、14.8mmol)の塩化メチレン溶液(59mL)にN-エチルジイソプロピルアミン(DIPEA)(7.77mL、44.5mmol)と2-ブロモ酢酸 tert-ブチル(4.34g、22.2mmol)を室温にて攪拌しながら混合し、反応混合物を室温で48時間撹拌した。反応混合物に飽和塩化アンモニウム水溶液を加え洗浄し、有機層は塩化メチレンにて抽出をおこなった。得られた有機層を飽和塩化ナトリウム水溶液にて洗浄し、硫酸ナトリウムを加えて乾燥させた。有機層を減圧濃縮し、得られた残渣をシリカゲルカラムクロマトグラフィー(ヘキサン/酢酸エチル)にて精製し、ピロリジン-1,2-ジカルボン酸 2-(2-(tert-ブトキシ)-2-オキソエチル) (S)-1-((9H-フルオレン-9-イル)メチル)(Fmoc-Pro-HOGly-OtBu) (化合物SP631)(6.40g、14.2mmol、96%)を得た。
LCMS(ESI) m/z = 396 (M-tBu+H)+
保持時間:1.02分(分析条件SQDFA05)
(S) -1-(((9H-fluoren-9-yl) methoxy) carbonyl) pyrrolidine-2-carboxylic acid (Fmoc-Pro-OH) (5.00 g, 14.8 mmol) in methylene chloride (59 mL) N-ethyldiisopropylamine (DIPEA) (7.77 mL, 44.5 mmol) and tert-butyl 2-bromoacetate (4.34 g, 22.2 mmol) were mixed with stirring at room temperature, and the reaction mixture was mixed at room temperature. Stir for 48 hours. A saturated aqueous ammonium chloride solution was added to the reaction mixture for washing, and the organic layer was extracted with methylene chloride. The obtained organic layer was washed with a saturated aqueous sodium chloride solution and dried by adding sodium sulfate. The organic layer was concentrated under reduced pressure, and the resulting residue was purified by silica gel column chromatography (hexane / ethyl acetate), and pyrrolidine-1,2-dicarboxylic acid 2- (2- (tert-butoxy) -2-oxoethyl) (S) -1-((9H-fluoren-9-yl) methyl) (Fmoc-Pro- HO Gly-OtBu) (Compound SP631) (6.40 g, 14.2 mmol, 96%) was obtained.
LCMS (ESI) m / z = 396 (M−tBu + H) +
Retention time: 1.02 minutes (analysis condition SQDFA05)
(S)-2-((1-(((9H-フルオレン-9-イル)メトキシ)カルボニル)ピロリジン-2-カルボニル)オキシ)酢酸(Fmoc-Pro- HO Gly-OH)(化合物SP632)の合成
Synthesis of (S) -2-((1-(((9H-fluoren-9-yl) methoxy) carbonyl) pyrrolidine-2-carbonyl) oxy) acetic acid (Fmoc-Pro- HO Gly-OH) (Compound SP632)
ピロリジン-1,2-ジカルボン酸 2-(2-(tert-ブトキシ)-2-オキソエチル) (S)-1-((9H-フルオレン-9-イル)メチル)(Fmoc-Pro-HOGly-OtBu)(化合物SP631)(6.40g、14.2mmol)の塩化メチレン溶液(29mL)にトリイソプロピルシラン(7.29mL、35.4mmol)とトリフルオロ酢酸(14.2mL、184mmol)を室温にて攪拌しながら混合し、反応混合物を室温で16時間撹拌した。反応溶液を減圧濃縮し、得られた残渣を逆相シリカゲルカラムクロマトグラフィー(0.1%ギ酸水溶液/0.1%ギ酸アセトニトリル溶液)にて精製し、(S)-2-((1-(((9H-フルオレン-9-イル)メトキシ)カルボニル)ピロリジン-2-カルボニル)オキシ)酢酸(Fmoc-Pro-HOGly-OH)(化合物SP632)(5.6g、14.2mmol、100%)を得た。
LCMS(ESI) m/z = 396 (M+H)+
保持時間:0.77分(分析条件SQDFA05)
Pyrrolidine-1,2-dicarboxylic acid 2- (2- (tert-butoxy) -2-oxoethyl) (S) -1-((9H-fluoren-9-yl) methyl) (Fmoc-Pro- HO Gly-OtBu ) (Compound SP631) (6.40 g, 14.2 mmol) in methylene chloride (29 mL) was stirred with triisopropylsilane (7.29 mL, 35.4 mmol) and trifluoroacetic acid (14.2 mL, 184 mmol) at room temperature. And the reaction mixture was stirred at room temperature for 16 hours. The reaction solution was concentrated under reduced pressure, and the obtained residue was purified by reverse phase silica gel column chromatography (0.1% aqueous formic acid / 0.1% formic acid acetonitrile solution) to give (S) -2-((1- ( ((9H-Fluoren-9-yl) methoxy) carbonyl) pyrrolidine-2-carbonyl) oxy) acetic acid (Fmoc-Pro- HO Gly-OH) (Compound SP632) (5.6 g, 14.2 mmol, 100%) Obtained.
LCMS (ESI) m / z = 396 (M + H) +
Retention time: 0.77 minutes (analysis condition SQDFA05)
(S)-2-(((S)-1-(((9H-フルオレン-9-イル)メトキシ)カルボニル)ピロリジン-2-カルボニル)オキシ)プロパン酸(Fmoc-Pro-Lac-OH)(化合物SP633)の合成
(S) -2-(((S) -1-(((9H-fluoren-9-yl) methoxy) carbonyl) pyrrolidine-2-carbonyl) oxy) propanoic acid (Fmoc-Pro-Lac-OH) (compound Synthesis of SP633)
窒素雰囲気下、(S)-1-(((9H-フルオレン-9-イル)メトキシ)カルボニル)ピロリジン-2-カルボン酸(Fmoc-Pro-OH)(6.00g、17.8mmol)とN,N-ジメチルホルムアミド(69μL、0.889mmol)の塩化メチレン溶液(71mL)に0度にて攪拌しながら塩化オキサリル(2.34mL、26.7mmol)を滴下した後、反応混合物を室温にて1時間攪拌した。反応溶液を減圧濃縮し、得られた残渣に塩化メチレン(71mL)、N-エチルジイソプロピルアミン(DIPEA)(46.6mL、267mmol)、L-(+)-乳酸(24.0g、267mmol)を0度にて混合し、反応混合物を室温にて2時間攪拌した。反応溶液を1N塩酸で2回、飽和塩化ナトリウム水溶液で2回洗浄し、硫酸ナトリウムにて乾燥した後、減圧濃縮をおこなった。得られた残渣を逆相シリカゲルカラムクロマトグラフィー(0.1%ギ酸水溶液/0.1%ギ酸アセトニトリル溶液)にて精製し、(S)-2-(((S)-1-(((9H-フルオレン-9-イル)メトキシ)カルボニル)ピロリジン-2-カルボニル)オキシ)プロパン酸(Fmoc-Pro-Lac-OH)(化合物SP633)(5.2g、12.7mmol、71%)を得た。
LCMS(ESI) m/z = 410 (M+H)+
保持時間:0.81分(分析条件SQDFA05)
Under a nitrogen atmosphere, (S) -1-(((9H-fluoren-9-yl) methoxy) carbonyl) pyrrolidine-2-carboxylic acid (Fmoc-Pro-OH) (6.00 g, 17.8 mmol) and N, Oxalyl chloride (2.34 mL, 26.7 mmol) was added dropwise to a methylene chloride solution (71 mL) of N-dimethylformamide (69 μL, 0.889 mmol) with stirring at 0 ° C., and then the reaction mixture was stirred at room temperature for 1 hour. Stir. The reaction solution was concentrated under reduced pressure, and methylene chloride (71 mL), N-ethyldiisopropylamine (DIPEA) (46.6 mL, 267 mmol), and L-(+)-lactic acid (24.0 g, 267 mmol) were added to the resulting residue. The reaction mixture was stirred at room temperature for 2 hours. The reaction solution was washed twice with 1N hydrochloric acid and twice with a saturated aqueous sodium chloride solution, dried over sodium sulfate, and concentrated under reduced pressure. The obtained residue was purified by reverse phase silica gel column chromatography (0.1% formic acid aqueous solution / 0.1% formic acid acetonitrile solution), and (S) -2-(((S) -1-(((9H -Fluoren-9-yl) methoxy) carbonyl) pyrrolidine-2-carbonyl) oxy) propanoic acid (Fmoc-Pro-Lac-OH) (compound SP633) (5.2 g, 12.7 mmol, 71%) was obtained.
LCMS (ESI) m / z = 410 (M + H) +
Retention time: 0.81 minutes (analysis condition SQDFA05)
(S)-2-(((S)-1-(((9H-フルオレン-9-イル)メトキシ)カルボニル)ピロリジン-2-カルボニル)オキシ)-3-フェニルプロパン酸(Fmoc-Pro-PhLac-OH) (化合物SP634)の合成
(S) -2-(((S) -1-(((9H-fluoren-9-yl) methoxy) carbonyl) pyrrolidine-2-carbonyl) oxy) -3-phenylpropanoic acid (Fmoc-Pro-PhLac- OH) (Synthesis of Compound SP634)
窒素雰囲気下、(S)-1-(((9H-フルオレン-9-イル)メトキシ)カルボニル)ピロリジン-2-カルボン酸(Fmoc-Pro-OH)(3.00g、8.89mmol)とN,N-ジメチルホルムアミド(34μL、0.445mmol)の塩化メチレン溶液(40mL)に0度にて攪拌しながら塩化オキサリル(1.17mL、13.3mmol)を滴下した後、反応混合物を室温にて1時間攪拌した。反応溶液を減圧濃縮し、得られた残渣に塩化メチレン(36mL)、N-エチルジイソプロピルアミン(DIPEA)(2.33mL、13.3mmol)、(S)-2-ヒドロキシ-3-フェニルプロパン酸(HO-PhLac-OH、2.22g、13.3mmol)を0度にて混合し、反応混合物を室温にて2時間攪拌した。反応溶液を1N塩酸で2回、飽和塩化ナトリウム水溶液で2回洗浄し、硫酸ナトリウムにて乾燥した後、減圧濃縮をおこなった。得られた残渣を逆相シリカゲルカラムクロマトグラフィー(0.1%ギ酸水溶液/0.1%ギ酸アセトニトリル溶液)にて精製し、(S)-2-(((S)-1-(((9H-フルオレン-9-イル)メトキシ)カルボニル)ピロリジン-2-カルボニル)オキシ)-3-フェニルプロパン酸(Fmoc-Pro-PhLac-OH) (化合物SP634)(3.00g、6.18mmol、70%)を得た。
LCMS(ESI) m/z = 486 (M+H)+
保持時間:0.92分(分析条件SQDFA05)
なお、PhLacとは、本明細書では(S)-ヒドロキシ‐3-フェニルプロパン酸のヒドロキシル基とカルボン酸官能基を形成するヒドロキシル基を取り除いた部分構造とする。
Under a nitrogen atmosphere, (S) -1-(((9H-fluoren-9-yl) methoxy) carbonyl) pyrrolidine-2-carboxylic acid (Fmoc-Pro-OH) (3.00 g, 8.89 mmol) and N, Oxalyl chloride (1.17 mL, 13.3 mmol) was added dropwise to a methylene chloride solution (40 mL) of N-dimethylformamide (34 μL, 0.445 mmol) with stirring at 0 ° C., and then the reaction mixture was stirred at room temperature for 1 hour. Stir. The reaction solution was concentrated under reduced pressure, and methylene chloride (36 mL), N-ethyldiisopropylamine (DIPEA) (2.33 mL, 13.3 mmol), (S) -2-hydroxy-3-phenylpropanoic acid ( HO-PhLac-OH, 2.22 g, 13.3 mmol) was mixed at 0 degrees and the reaction mixture was stirred at room temperature for 2 hours. The reaction solution was washed twice with 1N hydrochloric acid and twice with a saturated aqueous sodium chloride solution, dried over sodium sulfate, and concentrated under reduced pressure. The obtained residue was purified by reverse phase silica gel column chromatography (0.1% formic acid aqueous solution / 0.1% formic acid acetonitrile solution), and (S) -2-(((S) -1-(((9H -Fluoren-9-yl) methoxy) carbonyl) pyrrolidine-2-carbonyl) oxy) -3-phenylpropanoic acid (Fmoc-Pro-PhLac-OH) (Compound SP634) (3.00 g, 6.18 mmol, 70%) Got.
LCMS (ESI) m / z = 486 (M + H) +
Retention time: 0.92 minutes (analysis condition SQDFA05)
In this specification, PhLac is a partial structure in which the hydroxyl group of (S) -hydroxy-3-phenylpropanoic acid and the hydroxyl group forming the carboxylic acid functional group are removed.
(R)-2-(((S)-1-(((9H-フルオレン-9-イル)メトキシ)カルボニル)ピロリジン-2-カルボニル)オキシ)-3-フェニルプロパン酸(Fmoc-Pro-D-PhLac-OH)(化合物SP635)の合成
(R) -2-(((S) -1-(((9H-fluoren-9-yl) methoxy) carbonyl) pyrrolidine-2-carbonyl) oxy) -3-phenylpropanoic acid (Fmoc-Pro-D- Synthesis of PhLac-OH) (compound SP635)
窒素雰囲気下、(S)-1-(((9H-フルオレン-9-イル)メトキシ)カルボニル)ピロリジン-2-カルボン酸(Fmoc-Pro-OH)(3.00g、8.89mmol)とN,N-ジメチルホルムアミド(34μL、0.445mmol)の塩化メチレン溶液(36mL)に0度にて攪拌しながら塩化オキサリル(1.17mL、13.3mmol)を滴下した後、反応混合物を室温にて1時間攪拌した。反応溶液を減圧濃縮し、得られた残渣に塩化メチレン(36mL)、N-エチルジイソプロピルアミン(DIPEA)(2.33mL、13.3mmol)、(R)-2-ヒドロキシ-3-フェニルプロパン酸(2.22g、13.3mmol)を0度にて混合し、反応混合物を室温にて2時間攪拌した。反応溶液を1N塩酸で2回、飽和塩化ナトリウム水溶液で2回洗浄し、硫酸ナトリウムにて乾燥した後、減圧濃縮をおこなった。得られた残渣を逆相シリカゲルカラムクロマトグラフィー(0.1%ギ酸水溶液/0.1%ギ酸アセトニトリル溶液)にて精製し、(R)-2-(((S)-1-(((9H-フルオレン-9-イル)メトキシ)カルボニル)ピロリジン-2-カルボニル)オキシ)-3-フェニルプロパン酸(Fmoc-Pro-D-PhLac-OH) (化合物SP635)(3.20g、6.59mmol、74%)を得た。
LCMS(ESI) m/z = 486 (M+H)+
保持時間:0.91分(分析条件SQDFA05)
Under a nitrogen atmosphere, (S) -1-(((9H-fluoren-9-yl) methoxy) carbonyl) pyrrolidine-2-carboxylic acid (Fmoc-Pro-OH) (3.00 g, 8.89 mmol) and N, Oxalyl chloride (1.17 mL, 13.3 mmol) was added dropwise to a methylene chloride solution (36 mL) of N-dimethylformamide (34 μL, 0.445 mmol) with stirring at 0 ° C., and then the reaction mixture was stirred at room temperature for 1 hour. Stir. The reaction solution was concentrated under reduced pressure, and methylene chloride (36 mL), N-ethyldiisopropylamine (DIPEA) (2.33 mL, 13.3 mmol), (R) -2-hydroxy-3-phenylpropanoic acid ( 2.22 g, 13.3 mmol) was mixed at 0 degrees and the reaction mixture was stirred at room temperature for 2 hours. The reaction solution was washed twice with 1N hydrochloric acid and twice with a saturated aqueous sodium chloride solution, dried over sodium sulfate, and concentrated under reduced pressure. The obtained residue was purified by reverse phase silica gel column chromatography (0.1% formic acid aqueous solution / 0.1% formic acid acetonitrile solution), and (R) -2-(((S) -1-(((9H -Fluoren-9-yl) methoxy) carbonyl) pyrrolidine-2-carbonyl) oxy) -3-phenylpropanoic acid (Fmoc-Pro-D-PhLac-OH) (Compound SP635) (3.20 g, 6.59 mmol, 74 %).
LCMS (ESI) m / z = 486 (M + H) +
Retention time: 0.91 minutes (analysis condition SQDFA05)
(S)-2-((1-(((9H-フルオレン-9-イル)メトキシ)カルボニル)ピロリジン-2-カルボニル)オキシ)-2-メチルプロパン酸(Fmoc-Pro- HO Gly(Me) 2 -OH)(化合物SP636)の合成
(S) -2-((1-(((9H-Fluoren-9-yl) methoxy) carbonyl) pyrrolidine-2-carbonyl) oxy) -2-methylpropanoic acid (Fmoc-Pro- HO Gly (Me) 2 -OH) (Compound SP636)
窒素雰囲気下、(S)-1-(((9H-フルオレン-9-イル)メトキシ)カルボニル)ピロリジン-2-カルボン酸(Fmoc-Pro-OH)(3.00g、8.89mmol)とN,N-ジメチルホルムアミド(34μL、0.445mmol)の塩化メチレン溶液(36mL)に0度にて攪拌しながら塩化オキサリル(1.17mL、13.3mmol)を滴下した後、反応混合物を室温にて1時間攪拌した。反応溶液を減圧濃縮し、得られた残渣に塩化メチレン(36mL)、N-エチルジイソプロピルアミン(DIPEA)(4.66mL、26.7mmol)、2-ヒドロキシ-2-メチルプロパン酸(2.78g、26.7mmol)を0度にて混合し、反応混合物を室温にて2時間攪拌した。反応溶液を1N塩酸で2回、飽和塩化ナトリウム水溶液で2回洗浄し、硫酸ナトリウムにて乾燥した後、減圧濃縮をおこなった。得られた残渣を逆相シリカゲルカラムクロマトグラフィー(0.1%ギ酸水溶液/0.1%ギ酸アセトニトリル溶液)にて精製し、(S)-2-((1-(((9H-フルオレン-9-イル)メトキシ)カルボニル)ピロリジン-2-カルボニル)オキシ)-2-メチルプロパン酸(Fmoc-Pro-HOGly(Me)2-OH)(化合物SP636)(3.70g、8.74mmol、98%)を得た。
LCMS(ESI) m/z = 424 (M+H)+
保持時間:0.85分(分析条件SQDFA05)
なお、HOGly(Me)2とは、本明細書では2-ヒドロキシ‐2-メチルプロパン酸のヒドロキシル基とカルボン酸官能基を形成するヒドロキシル基を取り除いた部分構造とする。
Under a nitrogen atmosphere, (S) -1-(((9H-fluoren-9-yl) methoxy) carbonyl) pyrrolidine-2-carboxylic acid (Fmoc-Pro-OH) (3.00 g, 8.89 mmol) and N, Oxalyl chloride (1.17 mL, 13.3 mmol) was added dropwise to a methylene chloride solution (36 mL) of N-dimethylformamide (34 μL, 0.445 mmol) with stirring at 0 ° C., and then the reaction mixture was stirred at room temperature for 1 hour. Stir. The reaction solution was concentrated under reduced pressure, and methylene chloride (36 mL), N-ethyldiisopropylamine (DIPEA) (4.66 mL, 26.7 mmol), 2-hydroxy-2-methylpropanoic acid (2.78 g, 26.7 mmol) was mixed at 0 degrees and the reaction mixture was stirred at room temperature for 2 hours. The reaction solution was washed twice with 1N hydrochloric acid and twice with a saturated aqueous sodium chloride solution, dried over sodium sulfate, and concentrated under reduced pressure. The obtained residue was purified by reverse phase silica gel column chromatography (0.1% formic acid aqueous solution / 0.1% formic acid acetonitrile solution) to obtain (S) -2-((1-(((9H-fluorene-9 -Yl) methoxy) carbonyl) pyrrolidine-2-carbonyl) oxy) -2-methylpropanoic acid (Fmoc-Pro- HO Gly (Me) 2 -OH) (compound SP636) (3.70 g, 8.74 mmol, 98% )
LCMS (ESI) m / z = 424 (M + H) +
Retention time: 0.85 minutes (analysis condition SQDFA05)
In this specification, HO Gly (Me) 2 is a partial structure in which the hydroxyl group of 2-hydroxy-2-methylpropanoic acid and the hydroxyl group forming the carboxylic acid functional group are removed.
2-((((9H-フルオレン-9-イル)メトキシ)カルボニル)(メチル)アミノ)酢酸 2-(tert-ブトキシ)-2-オキソエチル(Fmoc-MeGly- HO Gly-OtBu)(化合物SP637)の合成
2-(((((9H-fluoren-9-yl) methoxy) carbonyl) (methyl) amino) acetic acid 2- (tert-butoxy) -2-oxoethyl (Fmoc-MeGly- HO Gly-OtBu) (compound SP637) Composition
2-((((9H-フルオレン-9-イル)メトキシ)カルボニル)(メチル)アミノ)酢酸(Fmoc-MeGly-OH)(1.94g、6.23mmol)の塩化メチレン溶液(25mL)にN-エチルジイソプロピルアミン(DIPEA)(3.26mL、18.7mmol)と2-ブロモ酢酸 tert-ブチル(1.82g、9.34mmol)を室温にて攪拌しながら混合し、反応混合物を室温で48時間撹拌した。反応混合物に1N塩酸を加え洗浄し、有機層は塩化メチレンにて抽出をおこなった。得られた有機層を飽和塩化ナトリウム水溶液にて洗浄し、続いて硫酸ナトリウムを加えて乾燥させた。有機層を減圧濃縮し、得られた残渣をシリカゲルカラムクロマトグラフィー(ヘキサン/酢酸エチル)にて精製し、2-((((9H-フルオレン-9-イル)メトキシ)カルボニル)(メチル)アミノ)酢酸 2-(tert-ブトキシ)-2-オキソエチル(Fmoc-MeGly-HOGly-OtBu)(化合物SP637)(2.30g、5.41mmol、87%)を得た。
LCMS(ESI) m/z = 370 (M-tBu+H)+
保持時間:0.99分(分析条件SQDFA05)
2-(((((9H-fluoren-9-yl) methoxy) carbonyl) (methyl) amino) acetic acid (Fmoc-MeGly-OH) (1.94 g, 6.23 mmol) in methylene chloride solution (25 mL) was added N- Ethyldiisopropylamine (DIPEA) (3.26 mL, 18.7 mmol) and tert-butyl 2-bromoacetate (1.82 g, 9.34 mmol) were mixed at room temperature with stirring, and the reaction mixture was stirred at room temperature for 48 hours. did. The reaction mixture was washed with 1N hydrochloric acid, and the organic layer was extracted with methylene chloride. The obtained organic layer was washed with a saturated aqueous solution of sodium chloride, and subsequently dried by adding sodium sulfate. The organic layer was concentrated under reduced pressure, and the resulting residue was purified by silica gel column chromatography (hexane / ethyl acetate) to give 2-(((((9H-fluoren-9-yl) methoxy) carbonyl) (methyl) amino). Acetic acid 2- (tert-butoxy) -2-oxoethyl (Fmoc-MeGly- HO Gly-OtBu) (compound SP637) (2.30 g, 5.41 mmol, 87%) was obtained.
LCMS (ESI) m / z = 370 (M−tBu + H) +
Retention time: 0.99 minutes (analysis condition SQDFA05)
2-(2-((((9H-フルオレン-9-イル)メトキシ)カルボニル)(メチル)アミノ)アセトキシ)酢酸(Fmoc-MeGly- HO Gly-OH) (化合物SP638)の合成
Synthesis of 2- (2-(((((9H-fluoren-9-yl) methoxy) carbonyl) (methyl) amino) acetoxy) acetic acid (Fmoc-MeGly- HO Gly-OH) (Compound SP638)
2-((((9H-フルオレン-9-イル)メトキシ)カルボニル)(メチル)アミノ)酢酸 2-(tert-ブトキシ)-2-オキソエチル(Fmoc-MeGly-HOGly-OtBu) (化合物SP637)(2.30g、5.41mmol)の塩化メチレン溶液(18mL)にトリイソプロピルシラン(2.78mL、13.5mmol)とトリフルオロ酢酸(5.41mL、70.3mmol)を室温にて攪拌しながら混合し、反応混合物を室温で2時間撹拌した。反応溶液を減圧濃縮し、得られた残渣を逆相シリカゲルカラムクロマトグラフィー(0.1%ギ酸水溶液/0.1%ギ酸アセトニトリル溶液)にて精製し、2-(2-((((9H-フルオレン-9-イル)メトキシ)カルボニル)(メチル)アミノ)アセトキシ)酢酸(Fmoc-MeGly-HOGly-OH) (化合物SP638)(2.00g、5.41mmol、100%)を得た。
LCMS(ESI) m/z = 370 (M+H)+
保持時間:0.75分(分析条件SQDFA05)
2-(((((9H-fluoren-9-yl) methoxy) carbonyl) (methyl) amino) acetic acid 2- (tert-butoxy) -2-oxoethyl (Fmoc-MeGly- HO Gly-OtBu) (Compound SP637) Triisopropylsilane (2.78 mL, 13.5 mmol) and trifluoroacetic acid (5.41 mL, 70.3 mmol) were mixed with methylene chloride solution (18 mL) of 2.30 g, 5.41 mmol) at room temperature with stirring. The reaction mixture was stirred at room temperature for 2 hours. The reaction solution was concentrated under reduced pressure, and the resulting residue was purified by reverse phase silica gel column chromatography (0.1% formic acid aqueous solution / 0.1% formic acid acetonitrile solution) to give 2- (2-(((((9H- Fluoren-9-yl) methoxy) carbonyl) (methyl) amino) acetoxy) acetic acid (Fmoc-MeGly- HO Gly-OH) (Compound SP638) (2.00 g, 5.41 mmol, 100%) was obtained.
LCMS (ESI) m / z = 370 (M + H) +
Retention time: 0.75 minutes (analysis condition SQDFA05)
(R)-2-((S)-2-アミノ-3-(1H-インドール-3-イル)プロパンアミド)-3-(tert-ブチルジスルファニル)プロパン酸(H-Trp-Cys(StBu)-OH)(化合物SP639)の合成
(R) -2-((S) -2-Amino-3- (1H-indol-3-yl) propanamide) -3- (tert-butyldisulfanyl) propanoic acid (H-Trp-Cys (StBu) -OH) (Compound SP639)
調製した(R)-2-((S)-2-((((9H-フルオレン-9-イル)メトキシ)カルボニル)アミノ)-3-(1H-インドール-3-イル)プロパンアミド)-3-(tert-ブチルジスルファニル)プロパン酸(Fmoc-Trp-Cys(StBu)-OH)(化合物SP602)(500mg、0.809mmol)のN,N-ジメチルホルムアミド溶液(1.6mL)に1,8-ジアザビシクロ[5.4.0]-7-ウンデセン(DBU)(134μL、0.890mmol)を室温で攪拌しながら混合し、反応溶液を室温で30分攪拌した。反応溶液を逆相シリカゲルカラムクロマトグラフィー(0.1%ギ酸水溶液/0.1%ギ酸アセトニトリル溶液)にて精製し、(R)-2-((S)-2-アミノ-3-(1H-インドール-3-イル)プロパンアミド)-3-(tert-ブチルジスルファニル)プロパン酸(H-Trp-Cys(StBu)-OH) (化合物SP639)(290mg、0.733mmol、91%)を得た。
LCMS(ESI) m/z = 396 (M+H)+
保持時間:0.49分(分析条件SQDFA05)
Prepared (R) -2-((S) -2-((((9H-fluoren-9-yl) methoxy) carbonyl) amino) -3- (1H-indol-3-yl) propanamide) -3 -(Tert-Butyldisulfanyl) propanoic acid (Fmoc-Trp-Cys (StBu) -OH) (Compound SP602) (500 mg, 0.809 mmol) in N, N-dimethylformamide solution (1.6 mL) -Diazabicyclo [5.4.0] -7-undecene (DBU) (134 μL, 0.890 mmol) was mixed with stirring at room temperature, and the reaction solution was stirred at room temperature for 30 minutes. The reaction solution was purified by reverse phase silica gel column chromatography (0.1% formic acid aqueous solution / 0.1% formic acid acetonitrile solution) to give (R) -2-((S) -2-amino-3- (1H- Indol-3-yl) propanamide) -3- (tert-butyldisulfanyl) propanoic acid (H-Trp-Cys (StBu) -OH) (Compound SP639) (290 mg, 0.733 mmol, 91%) was obtained. .
LCMS (ESI) m / z = 396 (M + H) +
Retention time: 0.49 minutes (analysis condition SQDFA05)
(R)-2-((S)-2-アセトアミド-3-(1H-インドール-3-イル)プロパンアミド)-3-(tert-ブチルジスルファニル)プロパン酸(Ac-Trp-Cys(StBu)-OH)(化合物SP640)の合成
(R) -2-((S) -2-Acetamido-3- (1H-indol-3-yl) propanamide) -3- (tert-butyldisulfanyl) propanoic acid (Ac-Trp-Cys (StBu) -OH) (Compound SP640) Synthesis
(R)-2-((S)-2-アミノ-3-(1H-インドール-3-イル)プロパンアミド)-3-(tert-ブチルジスルファニル)プロパン酸(H-Trp-Cys(StBu)-OH)(化合物SP639)(280mg、0.708mmol)の塩化メチレン溶液(1.4mL)に、室温にて攪拌しながらN-エチルジイソプロピルアミン(DIPEA)(371μL、2.12mmol)と無水酢酸(66.8μL、0.708mmol)を混合し、反応溶液を室温にて1時間攪拌した。反応溶液を逆相シリカゲルカラムクロマトグラフィー(0.1%ギ酸水溶液/0.1%ギ酸アセトニトリル溶液)にて精製し、(R)-2-((S)-2-アセトアミド-3-(1H-インドール-3-イル)プロパンアミド)-3-(tert-ブチルジスルファニル)プロパン酸(Ac-Trp-Cys(StBu)-OH) (化合物SP640)(270mg、0.617mmol、87%)を得た。
LCMS(ESI) m/z = 438 (M+H)+
保持時間:0.66分(分析条件SQDFA05)
(R) -2-((S) -2-Amino-3- (1H-indol-3-yl) propanamide) -3- (tert-butyldisulfanyl) propanoic acid (H-Trp-Cys (StBu) -OH) (compound SP639) (280 mg, 0.708 mmol) in methylene chloride (1.4 mL) with stirring at room temperature, N-ethyldiisopropylamine (DIPEA) (371 μL, 2.12 mmol) and acetic anhydride ( 66.8 μL, 0.708 mmol) was mixed, and the reaction solution was stirred at room temperature for 1 hour. The reaction solution was purified by reverse phase silica gel column chromatography (0.1% formic acid aqueous solution / 0.1% formic acid acetonitrile solution) to give (R) -2-((S) -2-acetamido-3- (1H- Indol-3-yl) propanamide) -3- (tert-butyldisulfanyl) propanoic acid (Ac-Trp-Cys (StBu) -OH) (Compound SP640) (270 mg, 0.617 mmol, 87%) was obtained. .
LCMS (ESI) m / z = 438 (M + H) +
Retention time: 0.66 minutes (analysis condition SQDFA05)
メタンスルホノチオ酸 S-tert-ブチル(化合物SP684)の合成
Synthesis of methanesulfonothioic acid S-tert-butyl (compound SP684)
ナトリウム 2-メチル-2-プロパンチオラート(7.83g、69.8mmol)にテトラヒドロフラン(100ml)を加え、-60度以下に冷却した。この懸濁液にメタンスルホニルクロリド(6.77ml、87.0mmol)のテトラヒドロフラン(50ml)溶液を25分かけて滴下した。反応液を2時間かけて室温まで昇温し、更に室温で1時間攪拌させた。反応液をジクロロメタン(300ml)で希釈し、飽和重曹水および飽和食塩水で洗浄した。有機層を無水硫酸ナトリウムで乾燥させ、ろ過後、減圧濃縮しメタンスルホノチオ酸 S-tert-ブチル(化合物SP684)(11.17g、76%)を得た。得られた化合物は非特許文献(Inorganic Chemistly、2010、49、8637-8644)に掲載されている化合物データにて確認した。 Tetrahydrofuran (100 ml) was added to sodium 2-methyl-2-propanethiolate (7.83 g, 69.8 mmol), and the mixture was cooled to −60 degrees or less. To this suspension was added dropwise a solution of methanesulfonyl chloride (6.77 ml, 87.0 mmol) in tetrahydrofuran (50 ml) over 25 minutes. The reaction was warmed to room temperature over 2 hours and further stirred at room temperature for 1 hour. The reaction mixture was diluted with dichloromethane (300 ml) and washed with saturated aqueous sodium hydrogen carbonate and saturated brine. The organic layer was dried over anhydrous sodium sulfate, filtered, and concentrated under reduced pressure to obtain methanesulfonothioate S-tert-butyl (Compound SP684) (11.17 g, 76%). The obtained compound was confirmed by the compound data published in the nonpatent literature (Inorganic Chemistry, 2010, 49, 8637-8644).
(S)-2-アミノ-3-(tert-ブチルジスルファニル)プロパン酸(H-D-Cys(StBu)-OH)(化合物SP641)の合成
Synthesis of (S) -2-amino-3- (tert-butyldisulfanyl) propanoic acid (HD-Cys (StBu) -OH) (Compound SP641)
(S)-2-アミノ-3-メルカプトプロパン酸 塩酸塩 水和物(1.00g、5.69mmol)のメタノール溶液(5.1mL)に、0度にて攪拌しながら調製したメタンスルホノチオ酸 S-tert-ブチル(化合物SP684、1.05g、6.26mmol)のテトラヒドロフラン溶液(2.0mL)とトリエチルアミン(2.38mL、17.1mmol)を混合し、反応混合物を室温にて3時間攪拌した。反応混合物を逆相シリカゲルカラムクロマトグラフィー(0.1%ギ酸水溶液/0.1%ギ酸アセトニトリル溶液)にて精製し、(S)-2-アミノ-3-(tert-ブチルジスルファニル)プロパン酸(H-D-Cys(StBu)-OH)(化合物SP641)(620mg、2.96mmol、52%)を得た。
LCMS(ESI) m/z = 210 (M+H)+
保持時間:0.56分(分析条件SQDAA05)
(S) -2-Amino-3-mercaptopropanoic acid hydrochloride Methanesulfonothioic acid prepared in methanol solution (5.1 mL) of hydrate (1.00 g, 5.69 mmol) with stirring at 0 degree A tetrahydrofuran solution (2.0 mL) of S-tert-butyl (compound SP684, 1.05 g, 6.26 mmol) and triethylamine (2.38 mL, 17.1 mmol) were mixed, and the reaction mixture was stirred at room temperature for 3 hours. . The reaction mixture was purified by reverse phase silica gel column chromatography (0.1% aqueous formic acid solution / 0.1% formic acid acetonitrile solution) to give (S) -2-amino-3- (tert-butyldisulfanyl) propanoic acid ( HD-Cys (StBu) -OH) (Compound SP641) (620 mg, 2.96 mmol, 52%) was obtained.
LCMS (ESI) m / z = 210 (M + H) +
Retention time: 0.56 minutes (analysis condition SQDAA05)
(S)-2-((S)-2-((((9H-フルオレン-9-イル)メトキシ)カルボニル)アミノ)-3-(1H-インドール-3-イル)プロパンアミド)-3-(tert-ブチルジスルファニル)プロパン酸(Fmoc-Trp-D-Cys(StBu)-OH)(化合物SP642)の合成
(S) -2-((S) -2-((((9H-fluoren-9-yl) methoxy) carbonyl) amino) -3- (1H-indol-3-yl) propanamide) -3- ( Synthesis of tert-butyldisulfanyl) propanoic acid (Fmoc-Trp-D-Cys (StBu) -OH) (compound SP642)
(S)-2-((((9H-フルオレン-9-イル)メトキシ)カルボニル)アミノ)-3-(1H-インドール-3-イル)プロパン酸(Fmoc-Trp-OH)(1.26g、2.96mmol)とN-ヒドロキシスクシンイミド(341mg、2.96mmol)の塩化メチレン(5.9mL)に、0度にて1-エチル-3-(3-ジメチルアミノプロピル)カルボジイミド塩酸塩(WSCI・HCl)(568mg、2.96mmol)を混合し、反応溶液を室温にて16時間攪拌した。続いてN-エチル-N-イソプロピルプロパン-2-アミン(DIPEA、517μL、2.96mmol)と(S)-2-アミノ-3-(tert-ブチルジスルファニル)プロパン酸(H-D-Cys(StBu)-OH) (化合物SP641)(620mg、2.96mmol)を0度にて混合し、反応溶液を室温にて5時間攪拌した。1N塩酸を加えて洗浄し、有機層を酢酸エチルで抽出し、得られた有機層を飽和塩化ナトリウム水溶液で洗浄した後、硫酸ナトリウムで乾燥させた。減圧濃縮後、得られた残渣を逆相シリカゲルカラムクロマトグラフィー(0.1%ギ酸水溶液/0.1%ギ酸アセトニトリル溶液)にて粗精製し、(S)-2-((S)-2-((((9H-フルオレン-9-イル)メトキシ)カルボニル)アミノ)-3-(1H-インドール-3-イル)プロパンアミド)-3-(tert-ブチルジスルファニル)プロパン酸(Fmoc-Trp-D-Cys(StBu)-OH)(化合物SP642)を得た。
LCMS(ESI) m/z = 618 (M+H)+
保持時間:0.94分(分析条件SQDFA05)
(S) -2-(((((9H-fluoren-9-yl) methoxy) carbonyl) amino) -3- (1H-indol-3-yl) propanoic acid (Fmoc-Trp-OH) (1.26 g, 2.96 mmol) and N-hydroxysuccinimide (341 mg, 2.96 mmol) in methylene chloride (5.9 mL) at 0 ° C. with 1-ethyl-3- (3-dimethylaminopropyl) carbodiimide hydrochloride (WSCI · HCl ) (568 mg, 2.96 mmol) and the reaction solution was stirred at room temperature for 16 hours. Subsequently, N-ethyl-N-isopropylpropan-2-amine (DIPEA, 517 μL, 2.96 mmol) and (S) -2-amino-3- (tert-butyldisulfanyl) propanoic acid (HD-Cys (StBu) -OH) (Compound SP641) (620 mg, 2.96 mmol) was mixed at 0 degrees and the reaction solution was stirred at room temperature for 5 hours. 1N Hydrochloric acid was added for washing, and the organic layer was extracted with ethyl acetate. The obtained organic layer was washed with a saturated aqueous sodium chloride solution and then dried over sodium sulfate. After concentration under reduced pressure, the resulting residue was roughly purified by reverse-phase silica gel column chromatography (0.1% formic acid aqueous solution / 0.1% formic acid acetonitrile solution) to obtain (S) -2-((S) -2- ((((9H-fluoren-9-yl) methoxy) carbonyl) amino) -3- (1H-indol-3-yl) propanamide) -3- (tert-butyldisulfanyl) propanoic acid (Fmoc-Trp- D-Cys (StBu) -OH) (compound SP642) was obtained.
LCMS (ESI) m / z = 618 (M + H) +
Retention time: 0.94 minutes (analysis condition SQDFA05)
(S)-2-((S)-2-アミノ-3-(1H-インドール-3-イル)プロパンアミド)-3-(tert-ブチルジスルファニル)プロパン酸(H-Trp-D-Cys(StBu)-OH)(化合物SP643)の合成
(S) -2-((S) -2-Amino-3- (1H-indol-3-yl) propanamide) -3- (tert-butyldisulfanyl) propanoic acid (H-Trp-D-Cys ( Synthesis of StBu) -OH) (compound SP643)
((S)-2-((S)-2-((((9H-フルオレン-9-イル)メトキシ)カルボニル)アミノ)-3-(1H-インドール-3-イル)プロパンアミド)-3-(tert-ブチルジスルファニル)プロパン酸(Fmoc-Trp- D-Cys(StBu)-OH)(化合物SP642)(1.93g、3.12mmol)のN,N-ジメチルホルムアミド溶液(6.3mL)に1,8-ジアザビシクロ[5.4.0]-7-ウンデセン(DBU)(706μL、4.69mmol)を室温で攪拌しながら混合し、反応溶液を室温で1時間攪拌した。反応溶液に1N塩酸を加え、有機層を酢酸エチルで抽出し、飽和食塩水で洗浄した後、硫酸ナトリウムで乾燥した。減圧濃縮後、得られた残渣を逆相シリカゲルカラムクロマトグラフィー(0.1%ギ酸水溶液/0.1%ギ酸アセトニトリル溶液)にて精製し、(S)-2-((S)-2-アミノ-3-(1H-インドール-3-イル)プロパンアミド)-3-(tert-ブチルジスルファニル)プロパン酸(H-Trp-D-Cys(StBu)-OH)(化合物SP643)(870mg、2.20mmol、70%)を得た。
LCMS(ESI) m/z = 396 (M+H)+
保持時間:0.83分(分析条件SQDAA05)
((S) -2-((S) -2-((((9H-fluoren-9-yl) methoxy) carbonyl) amino) -3- (1H-indol-3-yl) propanamide) -3- To a solution of (tert-butyldisulfanyl) propanoic acid (Fmoc-Trp-D-Cys (StBu) -OH) (compound SP642) (1.93 g, 3.12 mmol) in N, N-dimethylformamide (6.3 mL) 1,8-diazabicyclo [5.4.0] -7-undecene (DBU) (706 μL, 4.69 mmol) was mixed with stirring at room temperature, and the reaction solution was stirred for 1 hour at room temperature. The organic layer was extracted with ethyl acetate, washed with saturated brine, dried over sodium sulfate, and concentrated under reduced pressure, and the residue was subjected to reverse phase silica gel column chromatography (0.1% aqueous formic acid / 0 .1% Acid acetonitrile solution) and purified by (S) -2-((S) -2-amino-3- (1H-indol-3-yl) propanamide) -3- (tert-butyldisulfanyl) propanoic acid (H-Trp-D-Cys (StBu) -OH) (Compound SP643) (870 mg, 2.20 mmol, 70%) was obtained.
LCMS (ESI) m / z = 396 (M + H) +
Retention time: 0.83 minutes (analysis condition SQDAA05)
(S)-2-((S)-2-アセトアミド-3-(1H-インドール-3-イル)プロパンアミド)-3-(tert-ブチルジスルファニル)プロパン酸(Ac-Trp-D-Cys(StBu)-OH)(化合物SP644)の合成
(S) -2-((S) -2-acetamido-3- (1H-indol-3-yl) propanamide) -3- (tert-butyldisulfanyl) propanoic acid (Ac-Trp-D-Cys ( Synthesis of StBu) -OH) (compound SP644)
(S)-2-((S)-2-アミノ-3-(1H-インドール-3-イル)プロパンアミド)-3-(tert-ブチルジスルファニル)プロパン酸(H-Trp-D-Cys(StBu)-OH) (化合物SP643)(870mg、2.20mmol)の塩化メチレン溶液(4.4mL)に、室温にて攪拌しながらN-エチルジイソプロピルアミン(DIPEA)(1.15mL、6.60mmol)と無水酢酸(208μL、2.20mmol)を混合し、反応溶液を室温にて1時間攪拌した。反応溶液を逆相シリカゲルカラムクロマトグラフィー(0.1%ギ酸水溶液/0.1%ギ酸アセトニトリル溶液)にて精製し、(S)-2-((S)-2-アセトアミド-3-(1H-インドール-3-イル)プロパンアミド)-3-(tert-ブチルジスルファニル)プロパン酸(Ac-Trp-D-Cys(StBu)-OH) (化合物SP644)(960mg、2.20mmol、100%)を得た。
LCMS(ESI) m/z = 438 (M+H)+
保持時間:0.67分(分析条件SQDFA05)
(S) -2-((S) -2-Amino-3- (1H-indol-3-yl) propanamide) -3- (tert-butyldisulfanyl) propanoic acid (H-Trp-D-Cys ( StBu) -OH) (Compound SP643) (870 mg, 2.20 mmol) in methylene chloride (4.4 mL) with stirring at room temperature with N-ethyldiisopropylamine (DIPEA) (1.15 mL, 6.60 mmol) And acetic anhydride (208 μL, 2.20 mmol) were mixed, and the reaction solution was stirred at room temperature for 1 hour. The reaction solution was purified by reverse phase silica gel column chromatography (0.1% formic acid aqueous solution / 0.1% formic acid acetonitrile solution) to give (S) -2-((S) -2-acetamido-3- (1H- Indol-3-yl) propanamide) -3- (tert-butyldisulfanyl) propanoic acid (Ac-Trp-D-Cys (StBu) -OH) (Compound SP644) (960 mg, 2.20 mmol, 100%) Obtained.
LCMS (ESI) m / z = 438 (M + H) +
Retention time: 0.67 minutes (analysis condition SQDFA05)
Fmoc-Ala-O-Trt(2-Cl) resin(化合物SP645)の調製
Preparation of Fmoc-Ala-O-Trt (2-Cl) resin (Compound SP645)
クロロ-トリチル(2-クロロ)レジン(Cl-Trt-(2-Cl)-Resin (100~200Mesh、1% DVB)、渡辺化学から購入、14.4g、22.96mmol)に塩化メチレン(100mL)を加え、混合物を室温にて45分間静置した。液相を取り除き、固相を塩化メチレン(100mL)で洗浄した。固相に対して、塩化メチレン(100mL)、メタノール(3.5mL)、N-エチルジイソプロピルアミン(DIPEA)(10mL)、(S)-2-((((9H-フルオレン-9-イル)メトキシ)カルボニル)アミノ)プロパン酸(3.57g、11.5mmol)を混合し、反応混合物を室温にて5分間振とうした。固相と液相を分離し、得られた樹脂に塩化メチレン(100mL)、メタノール(30mL)、N-エチルジイソプロピルアミン(DIPEA)(10mL)を混合し、反応混合物を室温にて2時間振とうした。固相と液相を分離し、得られた樹脂を塩化メチレン(100mL)にて3回洗浄し、減圧乾燥をし、標題化合物(化合物SP645)15.96gを得た。本明細書に記載の方法に従い、ローディング値を計算したところ、25.4%であった。 Chloro-trityl (2-chloro) resin (Cl-Trt- (2-Cl) -Resin (100-200 Mesh, 1% DVB), purchased from Watanabe Chemical, 14.4 g, 22.96 mmol) in methylene chloride (100 mL) And the mixture was allowed to stand at room temperature for 45 minutes. The liquid phase was removed and the solid phase was washed with methylene chloride (100 mL). Methylene chloride (100 mL), methanol (3.5 mL), N-ethyldiisopropylamine (DIPEA) (10 mL), (S) -2-(((((9H-fluoren-9-yl) methoxy) ) Carbonyl) amino) propanoic acid (3.57 g, 11.5 mmol) was mixed and the reaction mixture was shaken at room temperature for 5 minutes. The solid phase and the liquid phase are separated, and the obtained resin is mixed with methylene chloride (100 mL), methanol (30 mL), N-ethyldiisopropylamine (DIPEA) (10 mL), and the reaction mixture is shaken at room temperature for 2 hours. did. The solid phase and the liquid phase were separated, and the resulting resin was washed three times with methylene chloride (100 mL) and dried under reduced pressure to obtain 15.96 g of the title compound (Compound SP645). The loading value calculated according to the method described in this specification was 25.4%.
(S)-2-(2-(((S)-1-((R)-2-((S)-2-アセトアミド-3-(1H-インドール-3-イル)プロパンアミド)-3-(tert-ブチルジスルファニル)プロパノイル)ピロリジン-2-カルボニル)オキシ)アセトアミド)プロパン酸(Ac-Trp-Cys(StBu)-Pro- HO Gly-Ala-OH)(化合物SP646)の合成
(S) -2- (2-(((S) -1-((R) -2-((S) -2-acetamido-3- (1H-indol-3-yl) propanamide) -3- Synthesis of (tert-butyldisulfanyl) propanoyl) pyrrolidine-2-carbonyl) oxy) acetamido) propanoic acid (Ac-Trp-Cys (StBu) -Pro- HO Gly-Ala-OH) (compound SP646)
調製したFmoc-Ala-O-resin(化合物SP645)(200mg、0.405mmol/g、80.9μmol)にDMF(0.8mL)を加え、室温にて15分間振とうし、固相と液相を分離した。得られた樹脂に2%DBU/N,N-ジメチルホルムアミド溶液(0.8mL)を加え、室温にて30分間振とうし、液相を取り除くという作業を2度繰り返した。得られた樹脂をN,N-ジメチルホルムアミド(0.8mL)にて4度洗浄し、続いて(S)-2-((1-(((9H-フルオレン-9-イル)メトキシ)カルボニル)ピロリジン-2-カルボニル)オキシ)酢酸(Fmoc-Pro-HOGly-OH) (化合物SP632)(154mg、0.388mmol)と1-ヒドロキシ-7-アザベンゾトリアゾール(HOAt)(33.0mg、0.243mmol)のNMP溶液(0.64mL)とジイソプロピルカルボジイミド(DIC)(65μL、0.417mmol)のN,N-ジメチルホルムアミド溶液(0.52mL)を混合し、室温にて3時間振とうした。
固相と液相を分離し、得られた樹脂をN,N-ジメチルホルムアミド(0.8mL)にて4度洗浄した後、5%ピペリジン/N,N-ジメチルホルムアミド溶液(0.8mL)を混合し、室温にて1時間振とうした。固相と液相を分離し、得られた樹脂をN,N-ジメチルホルムアミド溶液(0.8mL)にて4度洗浄した後、(R)-2-((S)-2-アセトアミド-3-(1H-インドール-3-イル)プロパンアミド)-3-(tert-ブチルジスルファニル)プロパン酸(Ac-Trp-Cys(StBu)-OH) (化合物SP640)(170mg、0.388mmol)と3,4-ジヒドロ-3-ヒドロキシー4-オキソー1,2,3-ベンゾトリアジン(HOObt(39.6mg、0.243mmol)のNMP溶液(0.64mL)とジイソプロピルカルボジイミド(DIC)(65μL、0.417mmol)のN,N-ジメチルホルムアミド溶液(0.52mL)を混合し、室温にて15時間振とうした。
固相と液相を分離し、得られた樹脂をN,N-ジメチルホルムアミド(0.8mL)にて4度、続いて塩化メチレン(0.8mL)にて4度洗浄した後、50%2,2,2-トリフルオロエタノール/塩化メチレン溶液(1.0mL)を混合し、室温にて2時間振とうした。
固相と液相を分離し、固相を塩化メチレン(1.0mL)で洗浄し、得られた液相を減圧濃縮した。得られた残渣を逆相シリカゲルカラムクロマトグラフィー(0.1%ギ酸水溶液/0.1%ギ酸アセトニトリル溶液)にて精製し、(S)-2-(2-(((S)-1-((R)-2-((S)-2-アセトアミド-3-(1H-インドール-3-イル)プロパンアミド)-3-(tert-ブチルジスルファニル)プロパノイル)ピロリジン-2-カルボニル)オキシ)アセトアミド)プロパン酸(Ac-Trp-Cys(StBu)-Pro-HOGly-Ala-OH) (化合物SP646)(37.8mg、57μmol、70%)を得た。
LCMS(ESI) m/z = 664 (M+H)+
保持時間:0.80分(分析条件SQDAA05)
To the prepared Fmoc-Ala-O-resin (compound SP645) (200 mg, 0.405 mmol / g, 80.9 μmol), DMF (0.8 mL) was added, and the mixture was shaken at room temperature for 15 minutes to obtain a solid phase and a liquid phase. Separated. The operation of adding 2% DBU / N, N-dimethylformamide solution (0.8 mL) to the obtained resin, shaking for 30 minutes at room temperature, and removing the liquid phase was repeated twice. The resulting resin was washed 4 times with N, N-dimethylformamide (0.8 mL), followed by (S) -2-((1-(((9H-fluoren-9-yl) methoxy) carbonyl). Pyrrolidine-2-carbonyl) oxy) acetic acid (Fmoc-Pro- HO Gly-OH) (Compound SP632) (154 mg, 0.388 mmol) and 1-hydroxy-7-azabenzotriazole (HOAt) (33.0 mg, 0. 243 mmol) of NMP solution (0.64 mL) and N, N-dimethylformamide solution (0.52 mL) of diisopropylcarbodiimide (DIC) (65 μL, 0.417 mmol) were mixed and shaken at room temperature for 3 hours.
The solid phase and the liquid phase were separated, and the resulting resin was washed four times with N, N-dimethylformamide (0.8 mL), and then a 5% piperidine / N, N-dimethylformamide solution (0.8 mL) was added. Mix and shake for 1 hour at room temperature. The solid phase and the liquid phase were separated, and the resulting resin was washed four times with an N, N-dimethylformamide solution (0.8 mL), and then (R) -2-((S) -2-acetamide-3 -(1H-Indol-3-yl) propanamide) -3- (tert-butyldisulfanyl) propanoic acid (Ac-Trp-Cys (StBu) -OH) (Compound SP640) (170 mg, 0.388 mmol) and 3 , 4-dihydro-3-hydroxy-4-oxo-1,2,3-benzotriazine (HOObt (39.6 mg, 0.243 mmol) in NMP (0.64 mL) and diisopropylcarbodiimide (DIC) (65 μL, 0.417 mmol) ) N, N-dimethylformamide solution (0.52 mL) was mixed and shaken at room temperature for 15 hours.
The solid phase and the liquid phase were separated, and the resulting resin was washed 4 times with N, N-dimethylformamide (0.8 mL) and then 4 times with methylene chloride (0.8 mL), and then 50% 2 , 2,2-trifluoroethanol / methylene chloride solution (1.0 mL) was mixed and shaken at room temperature for 2 hours.
The solid phase and the liquid phase were separated, the solid phase was washed with methylene chloride (1.0 mL), and the resulting liquid phase was concentrated under reduced pressure. The obtained residue was purified by reverse phase silica gel column chromatography (0.1% formic acid aqueous solution / 0.1% formic acid acetonitrile solution) to give (S) -2- (2-(((S) -1- ( (R) -2-((S) -2-Acetamido-3- (1H-indol-3-yl) propanamide) -3- (tert-butyldisulfanyl) propanoyl) pyrrolidine-2-carbonyl) oxy) acetamide ) Propanoic acid (Ac-Trp-Cys (StBu) -Pro- HO Gly-Ala-OH) (Compound SP646) (37.8 mg, 57 μmol, 70%) was obtained.
LCMS (ESI) m / z = 664 (M + H) +
Retention time: 0.80 minutes (analysis condition SQDAA05)
(S)-2-((S)-2-(((S)-1-((R)-2-((S)-2-アセトアミド-3-(1H-インドール-3-イル)プロパンアミド)-3-(tert-ブチルジスルファニル)プロパノイル)ピロリジン-2-カルボニル)オキシ)プロパンアミド)プロパン酸(Ac-Trp-Cys(StBu)-Pro-Lac-Ala-OH)(化合物SP647)の合成
(S) -2-((S) -2-(((S) -1-((R) -2-((S) -2-acetamido-3- (1H-indol-3-yl) propanamide) ) -3- (tert-Butyldisulfanyl) propanoyl) pyrrolidine-2-carbonyl) oxy) propanamide) propanoic acid (Ac-Trp-Cys (StBu) -Pro-Lac-Ala-OH) (Compound SP647)
調製したFmoc-Ala-O-resin(化合物SP645)(200mg、0.405mmol/g、80.9μmol)にDMF(0.8mL)を加え、室温にて15分間振とうし、固相と液相を分離した。得られた樹脂に2%DBU/N,N-ジメチルホルムアミド溶液(0.8mL)を加え、室温にて30分間振とうし、液相を取り除くという作業を2度繰り返した。得られた樹脂をN,N-ジメチルホルムアミド(0.8mL)にて4度洗浄し、続いて(S)-2-(((S)-1-(((9H-フルオレン-9-イル)メトキシ)カルボニル)ピロリジン-2-カルボニル)オキシ)プロパン酸(Fmoc-Pro-Lac-OH) (化合物SP633)(159mg、0.388mmol)と1-ヒドロキシ-7-アザベンゾトリアゾール(HOAt)(33.0mg、0.243mmol)のNMP溶液(0.64mL)とジイソプロピルカルボジイミド(DIC)(65μL、0.417mmol)のN,N-ジメチルホルムアミド溶液(0.52mL)を混合し、室温にて3時間振とうした。固相と液相を分離し、得られた樹脂をN,N-ジメチルホルムアミド(0.8mL)にて4度洗浄した後、5%ピペリジン/N,N-ジメチルホルムアミド溶液(0.8mL)を混合し、室温にて1時間振とうした。
固相と液相を分離し、得られた樹脂をN,N-ジメチルホルムアミド溶液(0.8mL)にて4度洗浄した後、(R)-2-((S)-2-アセトアミド-3-(1H-インドール-3-イル)プロパンアミド)-3-(tert-ブチルジスルファニル)プロパン酸(Ac-Trp-Cys(StBu)-OH) (化合物SP640)(170mg、0.388mmol)と3,4-ジヒドロ-3-ヒドロキシー4-オキソー1,2,3-ベンゾトリアジン(HOObt)(39.6mg、0.243mmol)のNMP溶液(0.64mL)とジイソプロピルカルボジイミド(DIC)(65μL、0.417mmol)のN,N-ジメチルホルムアミド溶液(0.52mL)を混合し、室温にて15時間振とうした。
固相と液相を分離し、得られた樹脂をN,N-ジメチルホルムアミド(0.8mL)にて4度、続いて塩化メチレン(0.8mL)にて4度洗浄した後、50%2,2,2-トリフルオロエタノール/塩化メチレン溶液(1.0mL)を混合し、室温にて2時間振とうした。
固相と液相を分離し、固相を塩化メチレン(1.0mL)で洗浄し、得られた液相を減圧濃縮した。得られた残渣を逆相シリカゲルカラムクロマトグラフィー(0.1%ギ酸水溶液/0.1%ギ酸アセトニトリル溶液)にて精製し、(S)-2-((S)-2-(((S)-1-((R)-2-((S)-2-アセトアミド-3-(1H-インドール-3-イル)プロパンアミド)-3-(tert-ブチルジスルファニル)プロパノイル)ピロリジン-2-カルボニル)オキシ)プロパンアミド)プロパン酸(Ac-Trp-Cys(StBu)-Pro-Lac-Ala-OH) (化合物SP647)(51.4mg、76μmol、94%)を得た。
LCMS(ESI) m/z = 678 (M+H)+
保持時間:0.82分(分析条件SQDAA05)
To the prepared Fmoc-Ala-O-resin (compound SP645) (200 mg, 0.405 mmol / g, 80.9 μmol), DMF (0.8 mL) was added, and the mixture was shaken at room temperature for 15 minutes to obtain a solid phase and a liquid phase. Separated. The operation of adding 2% DBU / N, N-dimethylformamide solution (0.8 mL) to the obtained resin, shaking for 30 minutes at room temperature, and removing the liquid phase was repeated twice. The obtained resin was washed four times with N, N-dimethylformamide (0.8 mL), and then (S) -2-(((S) -1-(((9H-fluoren-9-yl) Methoxy) carbonyl) pyrrolidine-2-carbonyl) oxy) propanoic acid (Fmoc-Pro-Lac-OH) (compound SP633) (159 mg, 0.388 mmol) and 1-hydroxy-7-azabenzotriazole (HOAt) (33. 0 mg, 0.243 mmol) NMP solution (0.64 mL) and diisopropylcarbodiimide (DIC) (65 μL, 0.417 mmol) in N, N-dimethylformamide (0.52 mL) were mixed and shaken at room temperature for 3 hours. That ’s it. The solid phase and the liquid phase were separated, and the resulting resin was washed four times with N, N-dimethylformamide (0.8 mL), and then a 5% piperidine / N, N-dimethylformamide solution (0.8 mL) was added. Mix and shake for 1 hour at room temperature.
The solid phase and the liquid phase were separated, and the resulting resin was washed four times with an N, N-dimethylformamide solution (0.8 mL), and then (R) -2-((S) -2-acetamide-3. -(1H-Indol-3-yl) propanamide) -3- (tert-butyldisulfanyl) propanoic acid (Ac-Trp-Cys (StBu) -OH) (Compound SP640) (170 mg, 0.388 mmol) and 3 , 4-dihydro-3-hydroxy-4-oxo-1,2,3-benzotriazine (HOObt) (39.6 mg, 0.243 mmol) in NMP (0.64 mL) and diisopropylcarbodiimide (DIC) (65 μL, 0. 417 mmol) in N, N-dimethylformamide (0.52 mL) was mixed and shaken at room temperature for 15 hours.
The solid phase and the liquid phase were separated, and the resulting resin was washed 4 times with N, N-dimethylformamide (0.8 mL) and then 4 times with methylene chloride (0.8 mL), and then 50% 2 , 2,2-trifluoroethanol / methylene chloride solution (1.0 mL) was mixed and shaken at room temperature for 2 hours.
The solid phase and the liquid phase were separated, the solid phase was washed with methylene chloride (1.0 mL), and the resulting liquid phase was concentrated under reduced pressure. The obtained residue was purified by reverse phase silica gel column chromatography (0.1% formic acid aqueous solution / 0.1% formic acid acetonitrile solution) to obtain (S) -2-((S) -2-(((S) -1-((R) -2-((S) -2-acetamido-3- (1H-indol-3-yl) propanamide) -3- (tert-butyldisulfanyl) propanoyl) pyrrolidine-2-carbonyl ) Oxy) propanamido) propanoic acid (Ac-Trp-Cys (StBu) -Pro-Lac-Ala-OH) (Compound SP647) (51.4 mg, 76 μmol, 94%) was obtained.
LCMS (ESI) m / z = 678 (M + H) +
Retention time: 0.82 minutes (analysis condition SQDAA05)
(S)-2-((S)-2-(((S)-1-((R)-2-((S)-2-アセトアミド-3-(1H-インドール-3-イル)プロパンアミド)-3-(tert-ブチルジスルファニル)プロパノイル)ピロリジン-2-カルボニル)オキシ)-3-フェニルプロパンアミド)プロパン酸(Ac-Trp-Cys(StBu)-Pro-PhLac-Ala-OH)(化合物SP648)の合成
(S) -2-((S) -2-(((S) -1-((R) -2-((S) -2-acetamido-3- (1H-indol-3-yl) propanamide] ) -3- (tert-Butyldisulfanyl) propanoyl) pyrrolidine-2-carbonyl) oxy) -3-phenylpropanamide) propanoic acid (Ac-Trp-Cys (StBu) -Pro-PhLac-Ala-OH) (compound Synthesis of SP648)
調製したFmoc-Ala-O-resin(化合物SP645)(200mg、0.405mmol/g、80.9μmol)にDMF(0.8mL)を加え、室温にて15分間振とうし、固相と液相を分離した。得られた樹脂に2%DBU/N,N-ジメチルホルムアミド溶液(0.8mL)を加え、室温にて30分間振とうし、液相を取り除くという作業を2度繰り返した。得られた樹脂をN,N-ジメチルホルムアミド(0.8mL)にて4度洗浄し、続いて(S)-2-(((S)-1-(((9H-フルオレン-9-イル)メトキシ)カルボニル)ピロリジン-2-カルボニル)オキシ)-3-フェニルプロパン酸(Fmoc-Pro-PhLac-OH) (化合物SP634)(189mg、0.388mmol)と1-ヒドロキシ-7-アザベンゾトリアゾール(HOAt)(33.0mg、0.243mmol)のNMP溶液(0.64mL)とジイソプロピルカルボジイミド(DIC)(65μL、0.417mmol)のN,N-ジメチルホルムアミド溶液(0.52mL)を混合し、室温にて3時間振とうした。
固相と液相を分離し、得られた樹脂をN,N-ジメチルホルムアミド(0.8mL)にて4度洗浄した後、5%ピペリジン/N,N-ジメチルホルムアミド溶液(0.8mL)を混合し、室温にて1時間振とうした。固相と液相を分離し、得られた樹脂をN,N-ジメチルホルムアミド溶液(0.8mL)にて4度洗浄した後、(R)-2-((S)-2-アセトアミド-3-(1H-インドール-3-イル)プロパンアミド)-3-(tert-ブチルジスルファニル)プロパン酸(Ac-Trp-Cys(StBu)-OH) (化合物SP640)(170mg、0.388mmol)と3,4-ジヒドロ-3-ヒドロキシー4-オキソー1,2,3-ベンゾトリアジン(HOObt(39.6mg、0.243mmol)のNMP溶液(0.64mL)とジイソプロピルカルボジイミド(DIC)(65μL、0.417mmol)のN,N-ジメチルホルムアミド溶液(0.52mL)を混合し、室温にて15時間振とうした。固相と液相を分離し、得られた樹脂をN,N-ジメチルホルムアミド(0.8mL)にて4度、続いて塩化メチレン(0.8mL)にて4度洗浄した後、50%2,2,2-トリフルオロエタノール/塩化メチレン溶液(1.0mL)を混合し、室温にて2時間振とうした。
固相と液相を分離し、固相を塩化メチレン(1.0mL)で洗浄し、得られた液相を減圧濃縮した。得られた残渣を逆相シリカゲルカラムクロマトグラフィー(0.1%ギ酸水溶液/0.1%ギ酸アセトニトリル溶液)にて精製し、(S)-2-((S)-2-(((S)-1-((R)-2-((S)-2-アセトアミド-3-(1H-インドール-3-イル)プロパンアミド)-3-(tert-ブチルジスルファニル)プロパノイル)ピロリジン-2-カルボニル)オキシ)-3-フェニルプロパンアミド)プロパン酸(Ac-Trp-Cys(StBu)-Pro-PhLac-Ala-OH) (化合物SP648)(51.2mg、68μmol、84%)を得た。
LCMS(ESI) m/z = 754 (M+H)+
保持時間:0.92分(分析条件SQDAA05)
To the prepared Fmoc-Ala-O-resin (compound SP645) (200 mg, 0.405 mmol / g, 80.9 μmol), DMF (0.8 mL) was added, and the mixture was shaken at room temperature for 15 minutes to obtain a solid phase and a liquid phase. Separated. The operation of adding 2% DBU / N, N-dimethylformamide solution (0.8 mL) to the obtained resin, shaking for 30 minutes at room temperature, and removing the liquid phase was repeated twice. The obtained resin was washed four times with N, N-dimethylformamide (0.8 mL), and then (S) -2-(((S) -1-(((9H-fluoren-9-yl) Methoxy) carbonyl) pyrrolidine-2-carbonyl) oxy) -3-phenylpropanoic acid (Fmoc-Pro-PhLac-OH) (compound SP634) (189 mg, 0.388 mmol) and 1-hydroxy-7-azabenzotriazole (HOAt) ) (33.0 mg, 0.243 mmol) in NMP solution (0.64 mL) and diisopropylcarbodiimide (DIC) (65 μL, 0.417 mmol) in N, N-dimethylformamide solution (0.52 mL) Shake for 3 hours.
The solid phase and the liquid phase were separated, and the resulting resin was washed four times with N, N-dimethylformamide (0.8 mL), and then a 5% piperidine / N, N-dimethylformamide solution (0.8 mL) was added. Mix and shake for 1 hour at room temperature. The solid phase and the liquid phase were separated, and the resulting resin was washed four times with an N, N-dimethylformamide solution (0.8 mL), and then (R) -2-((S) -2-acetamide-3. -(1H-Indol-3-yl) propanamide) -3- (tert-butyldisulfanyl) propanoic acid (Ac-Trp-Cys (StBu) -OH) (Compound SP640) (170 mg, 0.388 mmol) and 3 , 4-dihydro-3-hydroxy-4-oxo-1,2,3-benzotriazine (HOObt (39.6 mg, 0.243 mmol) in NMP (0.64 mL) and diisopropylcarbodiimide (DIC) (65 μL, 0.417 mmol) N, N-dimethylformamide solution (0.52 mL) was mixed and shaken for 15 hours at room temperature, and the solid and liquid phases were separated, and the resulting resin was mixed with N, N-
The solid phase and the liquid phase were separated, the solid phase was washed with methylene chloride (1.0 mL), and the resulting liquid phase was concentrated under reduced pressure. The obtained residue was purified by reverse phase silica gel column chromatography (0.1% formic acid aqueous solution / 0.1% formic acid acetonitrile solution) to obtain (S) -2-((S) -2-(((S) -1-((R) -2-((S) -2-acetamido-3- (1H-indol-3-yl) propanamide) -3- (tert-butyldisulfanyl) propanoyl) pyrrolidine-2-carbonyl ) Oxy) -3-phenylpropanamido) propanoic acid (Ac-Trp-Cys (StBu) -Pro-PhLac-Ala-OH) (Compound SP648) (51.2 mg, 68 μmol, 84%) was obtained.
LCMS (ESI) m / z = 754 (M + H) +
Retention time: 0.92 minutes (analysis condition SQDAA05)
(S)-2-((R)-2-(((S)-1-((R)-2-((S)-2-アセトアミド-3-(1H-インドール-3-イル)プロパンアミド)-3-(tert-ブチルジスルファニル)プロパノイル)ピロリジン-2-カルボニル)オキシ)-3-フェニルプロパンアミド)プロパン酸(Ac-Trp-Cys(StBu)-Pro-D-PhLac-Ala-OH)(化合物SP649)の合成
(S) -2-((R) -2-(((S) -1-((R) -2-((S) -2-acetamido-3- (1H-indol-3-yl) propanamide) ) -3- (tert-Butyldisulfanyl) propanoyl) pyrrolidine-2-carbonyl) oxy) -3-phenylpropanamide) propanoic acid (Ac-Trp-Cys (StBu) -Pro-D-PhLac-Ala-OH) Synthesis of (compound SP649)
調製したFmoc-Ala-O-resin(化合物SP645)(200mg、0.405mmol/g、80.9μmol)にDMF(0.8mL)を加え、室温にて15分間振とうし、固相と液相を分離した。得られた樹脂に2%DBU/N,N-ジメチルホルムアミド溶液(0.8mL)を加え、室温にて30分間振とうし、液相を取り除くという作業を2度繰り返した。得られた樹脂をN,N-ジメチルホルムアミド(0.8mL)にて4度洗浄し、続いて(R)-2-(((S)-1-(((9H-フルオレン-9-イル)メトキシ)カルボニル)ピロリジン-2-カルボニル)オキシ)-3-フェニルプロパン酸(Fmoc-Pro-D-PhLac-OH) (化合物SP635)(189mg、0.388mmol)と1-ヒドロキシ-7-アザベンゾトリアゾール(HOAt)(33.0mg、0.243mmol)のNMP溶液(0.64mL)とジイソプロピルカルボジイミド(DIC)(65μL、0.417mmol)のN,N-ジメチルホルムアミド溶液(0.52mL)を混合し、室温にて3時間振とうした。
固相と液相を分離し、得られた樹脂をN,N-ジメチルホルムアミド(0.8mL)にて4度洗浄した後、5%ピペリジン/N,N-ジメチルホルムアミド溶液(0.8mL)を混合し、室温にて1時間振とうした。固相と液相を分離し、得られた樹脂をN,N-ジメチルホルムアミド溶液(0.8mL)にて4度洗浄した後、(R)-2-((S)-2-アセトアミド-3-(1H-インドール-3-イル)プロパンアミド)-3-(tert-ブチルジスルファニル)プロパン酸(Ac-Trp-Cys(StBu)-OH) (化合物SP640)(170mg、0.388mmol)と3,4-ジヒドロ-3-ヒドロキシー4-オキソー1,2,3-ベンゾトリアジン(HOObt)(39.6mg、0.243mmol)のNMP溶液(0.64mL)とジイソプロピルカルボジイミド(DIC)(65μL、0.417mmol)のN,N-ジメチルホルムアミド溶液(0.52mL)を混合し、室温にて15時間振とうした。固相と液相を分離し、得られた樹脂をN,N-ジメチルホルムアミド(0.8mL)にて4度、続いて塩化メチレン(0.8mL)にて4度洗浄した後、50%2,2,2-トリフルオロエタノール/塩化メチレン溶液(1.0mL)を混合し、室温にて2時間振とうした。
固相と液相を分離し、固相を塩化メチレン(1.0mL)で洗浄し、得られた液相を減圧濃縮した。得られた残渣を逆相シリカゲルカラムクロマトグラフィー(0.1%ギ酸水溶液/0.1%ギ酸アセトニトリル溶液)にて精製し、(S)-2-((R)-2-(((S)-1-((R)-2-((S)-2-アセトアミド-3-(1H-インドール-3-イル)プロパンアミド)-3-(tert-ブチルジスルファニル)プロパノイル)ピロリジン-2-カルボニル)オキシ)-3-フェニルプロパンアミド)プロパン酸(Ac-Trp-Cys(StBu)-Pro-D-PhLac-Ala-OH) (化合物SP649)(50.0mg、66.0μmol、82%)を得た。
LCMS(ESI) m/z = 754 (M+H)+
保持時間:0.93分(分析条件SQDAA05)
To the prepared Fmoc-Ala-O-resin (compound SP645) (200 mg, 0.405 mmol / g, 80.9 μmol), DMF (0.8 mL) was added, and the mixture was shaken at room temperature for 15 minutes to obtain a solid phase and a liquid phase. Separated. The operation of adding 2% DBU / N, N-dimethylformamide solution (0.8 mL) to the obtained resin, shaking for 30 minutes at room temperature, and removing the liquid phase was repeated twice. The obtained resin was washed four times with N, N-dimethylformamide (0.8 mL), and then (R) -2-(((S) -1-(((9H-fluoren-9-yl) Methoxy) carbonyl) pyrrolidine-2-carbonyl) oxy) -3-phenylpropanoic acid (Fmoc-Pro-D-PhLac-OH) (Compound SP635) (189 mg, 0.388 mmol) and 1-hydroxy-7-azabenzotriazole (HOAt) (33.0 mg, 0.243 mmol) in NMP solution (0.64 mL) and diisopropylcarbodiimide (DIC) (65 μL, 0.417 mmol) in N, N-dimethylformamide solution (0.52 mL) were mixed, Shake for 3 hours at room temperature.
The solid phase and the liquid phase were separated, and the resulting resin was washed four times with N, N-dimethylformamide (0.8 mL), and then a 5% piperidine / N, N-dimethylformamide solution (0.8 mL) was added. Mix and shake for 1 hour at room temperature. The solid phase and the liquid phase were separated, and the resulting resin was washed four times with an N, N-dimethylformamide solution (0.8 mL), and then (R) -2-((S) -2-acetamide-3. -(1H-Indol-3-yl) propanamide) -3- (tert-butyldisulfanyl) propanoic acid (Ac-Trp-Cys (StBu) -OH) (Compound SP640) (170 mg, 0.388 mmol) and 3 , 4-dihydro-3-hydroxy-4-oxo-1,2,3-benzotriazine (HOObt) (39.6 mg, 0.243 mmol) in NMP (0.64 mL) and diisopropylcarbodiimide (DIC) (65 μL, 0. 417 mmol) in N, N-dimethylformamide (0.52 mL) was mixed and shaken at room temperature for 15 hours. The solid phase and the liquid phase were separated, and the resulting resin was washed 4 times with N, N-dimethylformamide (0.8 mL) and then 4 times with methylene chloride (0.8 mL), and then 50% 2 , 2,2-trifluoroethanol / methylene chloride solution (1.0 mL) was mixed and shaken at room temperature for 2 hours.
The solid phase and the liquid phase were separated, the solid phase was washed with methylene chloride (1.0 mL), and the resulting liquid phase was concentrated under reduced pressure. The obtained residue was purified by reverse phase silica gel column chromatography (0.1% formic acid aqueous solution / 0.1% formic acid acetonitrile solution) to obtain (S) -2-((R) -2-(((S) -1-((R) -2-((S) -2-acetamido-3- (1H-indol-3-yl) propanamide) -3- (tert-butyldisulfanyl) propanoyl) pyrrolidine-2-carbonyl ) Oxy) -3-phenylpropanamide) propanoic acid (Ac-Trp-Cys (StBu) -Pro-D-PhLac-Ala-OH) (Compound SP649) (50.0 mg, 66.0 μmol, 82%) It was.
LCMS (ESI) m / z = 754 (M + H) +
Retention time: 0.93 minutes (analysis condition SQDAA05)
(S)-2-(2-(((S)-1-((R)-2-((S)-2-アセトアミド-3-(1H-インドール-3-イル)プロパンアミド)-3-(tert-ブチルジスルファニル)プロパノイル)ピロリジン-2-カルボニル)オキシ)-2-メチルプロパンアミド)プロパン酸(Ac-Trp-Cys(StBu)-Pro- HO Gly(Me) 2 -Ala-OH)(化合物SP650)の合成
調製したFmoc-Ala-O-resin(化合物SP645)(200mg、0.405mmol/g、80.9μmol)にDMF(0.8mL)を加え、室温にて15分間振とうし、固相と液相を分離した。得られた樹脂に2%DBU/N,N-ジメチルホルムアミド溶液(0.8mL)を加え、室温にて30分間振とうし、液相を取り除くという作業を2度繰り返した。得られた樹脂をN,N-ジメチルホルムアミド(0.8mL)にて4度洗浄し、続いて(S)-2-((1-(((9H-フルオレン-9-イル)メトキシ)カルボニル)ピロリジン-2-カルボニル)オキシ)-2-メチルプロパン酸(Fmoc-Pro-HOGly(Me)2-OH) (化合物SP636)(164mg、0.388mmol)と1-ヒドロキシ-7-アザベンゾトリアゾール(HOAt)(33.0mg、0.243mmol)のNMP溶液(0.64mL)とジイソプロピルカルボジイミド(DIC)(65μL、0.417mmol)のN,N-ジメチルホルムアミド溶液(0.52mL)を混合し、室温にて3時間振とうした。固相と液相を分離し、得られた樹脂をN,N-ジメチルホルムアミド(0.8mL)にて4度洗浄した後、5%ピペリジン/N,N-ジメチルホルムアミド溶液(0.8mL)を混合し、室温にて1時間振とうした。
固相と液相を分離し、得られた樹脂をN,N-ジメチルホルムアミド溶液(0.8mL)にて4度洗浄した後、(R)-2-((S)-2-アセトアミド-3-(1H-インドール-3-イル)プロパンアミド)-3-(tert-ブチルジスルファニル)プロパン酸(Ac-Trp-Cys(StBu)-OH) (化合物SP640)(170mg、0.388mmol)と3,4-ジヒドロ-3-ヒドロキシー4-オキソー1,2,3-ベンゾトリアジン(HOObt)(39.6mg、0.243mmol)のNMP溶液(0.64mL)とジイソプロピルカルボジイミド(DIC)(65μL、0.417mmol)のN,N-ジメチルホルムアミド溶液(0.52mL)を混合し、室温にて15時間振とうした。
固相と液相を分離し、得られた樹脂をN,N-ジメチルホルムアミド(0.8mL)にて4度、続いて塩化メチレン(0.8mL)にて4度洗浄した後、50%2,2,2-トリフルオロエタノール/塩化メチレン溶液(1.0mL)を混合し、室温にて2時間振とうした。固相と液相を分離し、固相を塩化メチレン(1.0mL)で洗浄し、得られた液相を減圧濃縮した。得られた残渣を逆相シリカゲルカラムクロマトグラフィー(0.1%ギ酸水溶液/0.1%ギ酸アセトニトリル溶液)にて精製し、(S)-2-(2-(((S)-1-((R)-2-((S)-2-アセトアミド-3-(1H-インドール-3-イル)プロパンアミド)-3-(tert-ブチルジスルファニル)プロパノイル)ピロリジン-2-カルボニル)オキシ)-2-メチルプロパンアミド)プロパン酸(Ac-Trp-Cys(StBu)-Pro-HOGly(Me)2-Ala-OH) (化合物SP650)(46.4mg、67μmol、83%)を得た。
LCMS(ESI) m/z = 692 (M+H)+
保持時間:0.84分(分析条件SQDAA05)
(S) -2- (2-(((S) -1-((R) -2-((S) -2-acetamido-3- (1H-indol-3-yl) propanamide) -3- (Tert-Butyldisulfanyl) propanoyl) pyrrolidine-2-carbonyl) oxy) -2-methylpropanamide) propanoic acid (Ac-Trp-Cys (StBu) -Pro- HO Gly (Me) 2 -Ala -OH) ( Synthesis of compound SP650)
To the prepared Fmoc-Ala-O-resin (compound SP645) (200 mg, 0.405 mmol / g, 80.9 μmol), DMF (0.8 mL) was added, and the mixture was shaken at room temperature for 15 minutes to obtain a solid phase and a liquid phase. Separated. The operation of adding 2% DBU / N, N-dimethylformamide solution (0.8 mL) to the obtained resin, shaking for 30 minutes at room temperature, and removing the liquid phase was repeated twice. The resulting resin was washed 4 times with N, N-dimethylformamide (0.8 mL), followed by (S) -2-((1-((((9H-fluoren-9-yl) methoxy) carbonyl). Pyrrolidine-2-carbonyl) oxy) -2-methylpropanoic acid (Fmoc-Pro- HO Gly (Me) 2 -OH) (Compound SP636) (164 mg, 0.388 mmol) and 1-hydroxy-7-azabenzotriazole ( HOAt) (33.0 mg, 0.243 mmol) in NMP (0.64 mL) and diisopropylcarbodiimide (DIC) (65 μL, 0.417 mmol) in N, N-dimethylformamide (0.52 mL) were mixed at room temperature. Shake for 3 hours. The solid phase and the liquid phase were separated, and the resulting resin was washed four times with N, N-dimethylformamide (0.8 mL), and then a 5% piperidine / N, N-dimethylformamide solution (0.8 mL) was added. Mix and shake for 1 hour at room temperature.
The solid phase and the liquid phase were separated, and the resulting resin was washed four times with an N, N-dimethylformamide solution (0.8 mL), and then (R) -2-((S) -2-acetamide-3. -(1H-Indol-3-yl) propanamide) -3- (tert-butyldisulfanyl) propanoic acid (Ac-Trp-Cys (StBu) -OH) (Compound SP640) (170 mg, 0.388 mmol) and 3 , 4-dihydro-3-hydroxy-4-oxo-1,2,3-benzotriazine (HOObt) (39.6 mg, 0.243 mmol) in NMP (0.64 mL) and diisopropylcarbodiimide (DIC) (65 μL, 0. 417 mmol) in N, N-dimethylformamide (0.52 mL) was mixed and shaken at room temperature for 15 hours.
The solid phase and the liquid phase were separated, and the resulting resin was washed 4 times with N, N-dimethylformamide (0.8 mL) and then 4 times with methylene chloride (0.8 mL), and then 50% 2 , 2,2-trifluoroethanol / methylene chloride solution (1.0 mL) was mixed and shaken at room temperature for 2 hours. The solid phase and the liquid phase were separated, the solid phase was washed with methylene chloride (1.0 mL), and the resulting liquid phase was concentrated under reduced pressure. The obtained residue was purified by reverse phase silica gel column chromatography (0.1% formic acid aqueous solution / 0.1% formic acid acetonitrile solution) to give (S) -2- (2-(((S) -1- ( (R) -2-((S) -2-acetamido-3- (1H-indol-3-yl) propanamide) -3- (tert-butyldisulfanyl) propanoyl) pyrrolidine-2-carbonyl) oxy)- 2-Methylpropanamido) propanoic acid (Ac-Trp-Cys (StBu) -Pro- HO Gly (Me) 2- Ala-OH) (Compound SP650) (46.4 mg, 67 μmol, 83%) was obtained.
LCMS (ESI) m / z = 692 (M + H) +
Retention time: 0.84 minutes (analysis condition SQDAA05)
(4S,7R,16S)-4-((1H-インドール-3-イル)メチル)-7-((tert-ブチルジスルファニル)メチル)-9,16-ジメチル-2,5,8,11,14-ペンタオキソ-12-オキサ-3,6,9,15-テトラアザヘプタデカン-17-酸(Ac-Trp-Cys(StBu)-MeGly- HO Gly-Ala-OH)(化合物SP651)の合成
(4S, 7R, 16S) -4-((1H-Indol-3-yl) methyl) -7-((tert-butyldisulfanyl) methyl) -9,16-dimethyl-2,5,8,11, Synthesis of 14-pentaoxo-12-oxa-3,6,9,15-tetraazaheptadecane-17-acid (Ac-Trp-Cys (StBu) -MeGly- HO Gly-Ala-OH) (Compound SP651)
調製したFmoc-Ala-O-resin(化合物SP645)(200mg、0.405mmol/g、80.9μmol)にDMF(0.8mL)を加え、室温にて15分間振とうし、固相と液相を分離した。得られた樹脂に2%DBU/N,N-ジメチルホルムアミド溶液(0.8mL)を加え、室温にて30分間振とうし、液相を取り除くという作業を2度繰り返した。得られた樹脂をN,N-ジメチルホルムアミド(0.8mL)にて4度洗浄し、続いて2-(2-((((9H-フルオレン-9-イル)メトキシ)カルボニル)(メチル)アミノ)アセトキシ)酢酸(Fmoc-MeGly-HOGly-OH)(化合物SP638)(143mg、0.388mmol)と1-ヒドロキシ-7-アザベンゾトリアゾール(HOAt)(33.0mg、0.243mmol)のNMP溶液(0.64mL)とジイソプロピルカルボジイミド(DIC)(65μL、0.417mmol)のN,N-ジメチルホルムアミド溶液(0.52mL)を混合し、室温にて3時間振とうした。
固相と液相を分離し、得られた樹脂をN,N-ジメチルホルムアミド(0.8mL)にて4度洗浄した後、5%ピペリジン/N,N-ジメチルホルムアミド溶液(0.8mL)を混合し、室温にて1時間振とうした。固相と液相を分離し、得られた樹脂をN,N-ジメチルホルムアミド溶液(0.8mL)にて4度洗浄した後、(R)-2-((S)-2-アセトアミド-3-(1H-インドール-3-イル)プロパンアミド)-3-(tert-ブチルジスルファニル)プロパン酸(Ac-Trp-Cys(StBu)-OH)(化合物SP640)(170mg、0.388mmol)と3,4-ジヒドロ-3-ヒドロキシー4-オキソー1,2,3-ベンゾトリアジン(HOObt)(39.6mg、0.243mmol)のNMP溶液(0.64mL)とジイソプロピルカルボジイミド(DIC)(65μL、0.417mmol)のN,N-ジメチルホルムアミド溶液(0.52mL)を混合し、室温にて15時間振とうした。固相と液相を分離し、得られた樹脂をN,N-ジメチルホルムアミド(0.8mL)にて4度、続いて塩化メチレン(0.8mL)にて4度洗浄した後、50%2,2,2-トリフルオロエタノール/塩化メチレン溶液(1.0mL)を混合し、室温にて2時間振とうした。固相と液相を分離し、固相を塩化メチレン(1.0mL)で洗浄し、得られた液相を減圧濃縮した。得られた残渣を逆相シリカゲルカラムクロマトグラフィー(0.1%ギ酸水溶液/0.1%ギ酸アセトニトリル溶液)にて精製し、(4S,7R,16S)-4-((1H-インドール-3-イル)メチル)-7-((tert-ブチルジスルファニル)メチル)-9,16-ジメチル-2,5,8,11,14-ペンタオキソ-12-オキサ-3,6,9,15-テトラアザヘプタデカン-17-酸(Ac-Trp-Cys(StBu)-MeGly-HOGly-Ala-OH)(化合物SP651)(26.7mg、42μmol、52%)を得た。
LCMS(ESI) m/z = 638 (M+H)+
保持時間:0.79分(分析条件SQDAA05)
To the prepared Fmoc-Ala-O-resin (compound SP645) (200 mg, 0.405 mmol / g, 80.9 μmol), DMF (0.8 mL) was added, and the mixture was shaken at room temperature for 15 minutes to obtain a solid phase and a liquid phase. Separated. The operation of adding 2% DBU / N, N-dimethylformamide solution (0.8 mL) to the obtained resin, shaking for 30 minutes at room temperature, and removing the liquid phase was repeated twice. The resulting resin was washed 4 times with N, N-dimethylformamide (0.8 mL), followed by 2- (2-((((9H-fluoren-9-yl) methoxy) carbonyl) (methyl) amino. NMP solution of acetoxy) acetic acid (Fmoc-MeGly- HO Gly-OH) (compound SP638) (143 mg, 0.388 mmol) and 1-hydroxy-7-azabenzotriazole (HOAt) (33.0 mg, 0.243 mmol) (0.64 mL) and N, N-dimethylformamide solution (0.52 mL) of diisopropylcarbodiimide (DIC) (65 μL, 0.417 mmol) were mixed and shaken at room temperature for 3 hours.
The solid phase and the liquid phase were separated, and the resulting resin was washed four times with N, N-dimethylformamide (0.8 mL), and then a 5% piperidine / N, N-dimethylformamide solution (0.8 mL) was added. Mix and shake for 1 hour at room temperature. The solid phase and the liquid phase were separated, and the resulting resin was washed four times with an N, N-dimethylformamide solution (0.8 mL), and then (R) -2-((S) -2-acetamide-3. -(1H-Indol-3-yl) propanamido) -3- (tert-butyldisulfanyl) propanoic acid (Ac-Trp-Cys (StBu) -OH) (compound SP640) (170 mg, 0.388 mmol) and 3 , 4-dihydro-3-hydroxy-4-oxo-1,2,3-benzotriazine (HOObt) (39.6 mg, 0.243 mmol) in NMP (0.64 mL) and diisopropylcarbodiimide (DIC) (65 μL, 0. 417 mmol) in N, N-dimethylformamide (0.52 mL) was mixed and shaken at room temperature for 15 hours. The solid phase and the liquid phase were separated, and the resulting resin was washed 4 times with N, N-dimethylformamide (0.8 mL) and then 4 times with methylene chloride (0.8 mL), and then 50% 2 , 2,2-trifluoroethanol / methylene chloride solution (1.0 mL) was mixed and shaken at room temperature for 2 hours. The solid phase and the liquid phase were separated, the solid phase was washed with methylene chloride (1.0 mL), and the resulting liquid phase was concentrated under reduced pressure. The obtained residue was purified by reverse phase silica gel column chromatography (0.1% formic acid aqueous solution / 0.1% formic acid acetonitrile solution) to give (4S, 7R, 16S) -4-((1H-indole-3- Yl) methyl) -7-((tert-butyldisulfanyl) methyl) -9,16-dimethyl-2,5,8,11,14-pentaoxo-12-oxa-3,6,9,15-tetraaza Heptadecane-17-acid (Ac-Trp-Cys (StBu) -MeGly- HO Gly-Ala-OH) (Compound SP651) (26.7 mg, 42 μmol, 52%) was obtained.
LCMS (ESI) m / z = 638 (M + H) +
Retention time: 0.79 minutes (analysis condition SQDAA05)
(4S,7S,16S)-4-((1H-インドール-3-イル)メチル)-7-((tert-ブチルジスルファニル)メチル)-9,16-ジメチル-2,5,8,11,14-ペンタオキソ-12-オキサ-3,6,9,15-テトラアザヘプタデカン-17-酸(Ac-Trp-D-Cys(StBu)-MeGly- HO Gly-Ala-OH)(化合物SP652)の合成
(4S, 7S, 16S) -4-((1H-Indol-3-yl) methyl) -7-((tert-butyldisulfanyl) methyl) -9,16-dimethyl-2,5,8,11, 14-Pentaoxo-12-oxa-3,6,9,15-tetraazaheptadecane-17-acid (Ac-Trp-D-Cys (StBu) -MeGly- HO Gly-Ala-OH) (Compound SP652) Composition
調製したFmoc-Ala-O-resin(化合物SP645)(200mg、0.405mmol/g、80.9μmol)にDMF(0.8mL)を加え、室温にて15分間振とうし、固相と液相を分離した。得られた樹脂に2%DBU/N,N-ジメチルホルムアミド溶液(0.8mL)を加え、室温にて30分間振とうし、液相を取り除くという作業を2度繰り返した。得られた樹脂をN,N-ジメチルホルムアミド(0.8mL)にて4度洗浄し、続いて2-(2-((((9H-フルオレン-9-イル)メトキシ)カルボニル)(メチル)アミノ)アセトキシ)酢酸(Fmoc-MeGly-HOGly-OH) (化合物SP638)(143mg、0.388mmol)と1-ヒドロキシ-7-アザベンゾトリアゾール(HOAt)(33.0mg、0.243mmol)のNMP溶液(0.64mL)とジイソプロピルカルボジイミド(DIC)(65μL、0.417mmol)のN,N-ジメチルホルムアミド溶液(0.52mL)を混合し、室温にて3時間振とうした。
固相と液相を分離し、得られた樹脂をN,N-ジメチルホルムアミド(0.8mL)にて4度洗浄した後、5%ピペリジン/N,N-ジメチルホルムアミド溶液(0.8mL)を混合し、室温にて1時間振とうした。固相と液相を分離し、得られた樹脂をN,N-ジメチルホルムアミド溶液(0.8mL)にて4度洗浄した後、(S)-2-((S)-2-アセトアミド-3-(1H-インドール-3-イル)プロパンアミド)-3-(tert-ブチルジスルファニル)プロパン酸(Ac-Trp-D-Cys(StBu)-OH)(化合物SP644)(170mg、0.388mmol)と3,4-ジヒドロ-3-ヒドロキシー4-オキソー1,2,3-ベンゾトリアジン(HOObt)(39.6mg、0.243mmol)のNMP溶液(0.64mL)とジイソプロピルカルボジイミド(DIC)(65μL、0.417mmol)のN,N-ジメチルホルムアミド溶液(0.52mL)を混合し、室温にて15時間振とうした。固相と液相を分離し、得られた樹脂をN,N-ジメチルホルムアミド(0.8mL)にて4度、続いて塩化メチレン(0.8mL)にて4度洗浄した後、50%2,2,2-トリフルオロエタノール/塩化メチレン溶液(1.0mL)を混合し、室温にて2時間振とうした。固相と液相を分離し、固相を塩化メチレン(1.0mL)で洗浄し、得られた液相を減圧濃縮した。得られた残渣を逆相シリカゲルカラムクロマトグラフィー(0.1%ギ酸水溶液/0.1%ギ酸アセトニトリル溶液)にて精製し、(4S,7S,16S)-4-((1H-インドール-3-イル)メチル)-7-((tert-ブチルジスルファニル)メチル)-9,16-ジメチル-2,5,8,11,14-ペンタオキソ-12-オキサ-3,6,9,15-テトラアザヘプタデカン-17-酸(Ac-Trp-D-Cys(StBu)- MeGly-HOGly-Ala-OH) (化合物SP652)(36.5mg、57μmol、71%)を得た。
LCMS(ESI) m/z = 638 (M+H)+
保持時間:0.81分(分析条件SQDAA05)
To the prepared Fmoc-Ala-O-resin (compound SP645) (200 mg, 0.405 mmol / g, 80.9 μmol), DMF (0.8 mL) was added, and the mixture was shaken at room temperature for 15 minutes to obtain a solid phase and a liquid phase. Separated. The operation of adding 2% DBU / N, N-dimethylformamide solution (0.8 mL) to the obtained resin, shaking for 30 minutes at room temperature, and removing the liquid phase was repeated twice. The resulting resin was washed 4 times with N, N-dimethylformamide (0.8 mL), followed by 2- (2-((((9H-fluoren-9-yl) methoxy) carbonyl) (methyl) amino. ) Acetoxy) acetic acid (Fmoc-MeGly- HO Gly-OH) (compound SP638) (143 mg, 0.388 mmol) and 1-hydroxy-7-azabenzotriazole (HOAt) (33.0 mg, 0.243 mmol) in NMP (0.64 mL) and N, N-dimethylformamide solution (0.52 mL) of diisopropylcarbodiimide (DIC) (65 μL, 0.417 mmol) were mixed and shaken at room temperature for 3 hours.
The solid phase and the liquid phase were separated, and the resulting resin was washed four times with N, N-dimethylformamide (0.8 mL), and then a 5% piperidine / N, N-dimethylformamide solution (0.8 mL) was added. Mix and shake for 1 hour at room temperature. The solid phase and the liquid phase were separated, and the resulting resin was washed four times with an N, N-dimethylformamide solution (0.8 mL), and then (S) -2-((S) -2-acetamide-3. -(1H-Indol-3-yl) propanamide) -3- (tert-butyldisulfanyl) propanoic acid (Ac-Trp-D-Cys (StBu) -OH) (Compound SP644) (170 mg, 0.388 mmol) And 3,4-dihydro-3-hydroxy-4-oxo-1,2,3-benzotriazine (HOObt) (39.6 mg, 0.243 mmol) in NMP (0.64 mL) and diisopropylcarbodiimide (DIC) (65 μL, 0.417 mmol) of N, N-dimethylformamide solution (0.52 mL) was mixed and shaken at room temperature for 15 hours. The solid phase and the liquid phase were separated, and the resulting resin was washed 4 times with N, N-dimethylformamide (0.8 mL) and then 4 times with methylene chloride (0.8 mL), and then 50% 2 , 2,2-trifluoroethanol / methylene chloride solution (1.0 mL) was mixed and shaken at room temperature for 2 hours. The solid phase and the liquid phase were separated, the solid phase was washed with methylene chloride (1.0 mL), and the resulting liquid phase was concentrated under reduced pressure. The obtained residue was purified by reverse phase silica gel column chromatography (0.1% aqueous formic acid / 0.1% formic acid acetonitrile solution) to give (4S, 7S, 16S) -4-((1H-indole-3- Yl) methyl) -7-((tert-butyldisulfanyl) methyl) -9,16-dimethyl-2,5,8,11,14-pentaoxo-12-oxa-3,6,9,15-tetraaza Heptadecane-17-acid (Ac-Trp-D-Cys (StBu) -MeGly- HO Gly-Ala-OH) (Compound SP652) (36.5 mg, 57 μmol, 71%) was obtained.
LCMS (ESI) m / z = 638 (M + H) +
Retention time: 0.81 minutes (analysis condition SQDAA05)
(S)-2-(2-(((S)-1-((S)-2-((S)-2-アセトアミド-3-(1H-インドール-3-イル)プロパンアミド)-3-(tert-ブチルジスルファニル)プロパノイル)ピロリジン-2-カルボニル)オキシ)アセトアミド)プロパン酸(Ac-Trp-D-Cys(StBu)-Pro- HO Gly-Ala-OH)(化合物SP653)の合成
(S) -2- (2-(((S) -1-((S) -2-((S) -2-acetamido-3- (1H-indol-3-yl) propanamide) -3- Synthesis of (tert-butyldisulfanyl) propanoyl) pyrrolidine-2-carbonyl) oxy) acetamido) propanoic acid (Ac-Trp-D-Cys (StBu) -Pro- HO Gly-Ala-OH) (compound SP653)
調製したFmoc-Ala-O-resin(化合物SP645)(50mg、0.405mmol/g、20.2μmol)にDMF(0.2mL)を加え、室温にて15分間振とうし、固相と液相を分離した。得られた樹脂に2%DBU/N,N-ジメチルホルムアミド溶液(0.2mL)を加え、室温にて30分間振とうし、液相を取り除くという作業を2度繰り返した。得られた樹脂をN,N-ジメチルホルムアミド(0.2mL)にて4度洗浄し、続いて(S)-2-((1-(((9H-フルオレン-9-イル)メトキシ)カルボニル)ピロリジン-2-カルボニル)オキシ)酢酸(Fmoc-Pro-HOGly-OH)(化合物SP632)(38.4mg、0.097mmol)と1-ヒドロキシ-7-アザベンゾトリアゾール(HOAt)(8.26mg、60.7μmol)のNMP溶液(0.16mL)とジイソプロピルカルボジイミド(DIC)(16μL、0.104mmol)のN,N-ジメチルホルムアミド溶液(0.13mL)を混合し、室温にて6時間振とうした。固相と液相を分離し、得られた樹脂をN,N-ジメチルホルムアミド(0.2mL)にて4度洗浄した後、5%ピペリジン/N,N-ジメチルホルムアミド溶液(0.2mL)を混合し、室温にて1時間振とうした。
固相と液相を分離し、得られた樹脂をN,N-ジメチルホルムアミド溶液(0.2mL)にて4度洗浄した後、(S)-2-((S)-2-アセトアミド-3-(1H-インドール-3-イル)プロパンアミド)-3-(tert-ブチルジスルファニル)プロパン酸(Ac-Trp-D-Cys(StBu)-OH)(化合物SP644)(42.5mg、0.097mmol)と3,4-ジヒドロ-3-ヒドロキシー4-オキソー1,2,3-ベンゾトリアジン(HOObt)(9.9mg、60.8mol)のNMP溶液(0.160mL)とジイソプロピルカルボジイミド(DIC)(16μL、0.104mmol)のN,N-ジメチルホルムアミド溶液(0.13mL)を混合し、室温にて15時間振とうした。固相と液相を分離し、得られた樹脂をN,N-ジメチルホルムアミド(0.2mL)にて4度、続いて塩化メチレン(0.2mL)にて4度洗浄した後、50%2,2,2-トリフルオロエタノール/塩化メチレン溶液(0.25mL)を混合し、室温にて2時間振とうした。固相と液相を分離し、得られた液相を減圧濃縮した。得られた残渣を逆相シリカゲルカラムクロマトグラフィー(10mM酢酸アンモニウム水溶液/メタノール)にて精製し、(S)-2-(2-(((S)-1-((S)-2-((S)-2-アセトアミド-3-(1H-インドール-3-イル)プロパンアミド)-3-(tert-ブチルジスルファニル)プロパノイル)ピロリジン-2-カルボニル)オキシ)アセトアミド)プロパン酸(Ac-Trp-D-Cys (StBu)-Pro-HOGly-Ala-OH)(化合物SP653)(3.0mg、4.5μmol、22%)を得た。
LCMS(ESI) m/z = 664 (M+H)+
保持時間:0.85分(分析条件SQDAA05)
DMF (0.2 mL) was added to the prepared Fmoc-Ala-O-resin (compound SP645) (50 mg, 0.405 mmol / g, 20.2 μmol), and the mixture was shaken at room temperature for 15 minutes to obtain a solid phase and a liquid phase. Separated. The operation of adding 2% DBU / N, N-dimethylformamide solution (0.2 mL) to the obtained resin, shaking for 30 minutes at room temperature, and removing the liquid phase was repeated twice. The resulting resin was washed four times with N, N-dimethylformamide (0.2 mL), followed by (S) -2-((1-(((9H-fluoren-9-yl) methoxy) carbonyl). Pyrrolidine-2-carbonyl) oxy) acetic acid (Fmoc-Pro- HO Gly-OH) (compound SP632) (38.4 mg, 0.097 mmol) and 1-hydroxy-7-azabenzotriazole (HOAt) (8.26 mg, 60.7 μmol) of NMP solution (0.16 mL) and N, N-dimethylformamide solution (0.13 mL) of diisopropylcarbodiimide (DIC) (16 μL, 0.104 mmol) were mixed and shaken at room temperature for 6 hours. . The solid phase and the liquid phase were separated, and the resulting resin was washed four times with N, N-dimethylformamide (0.2 mL), and then 5% piperidine / N, N-dimethylformamide solution (0.2 mL) was added. Mix and shake for 1 hour at room temperature.
The solid phase and the liquid phase were separated, and the resulting resin was washed four times with an N, N-dimethylformamide solution (0.2 mL), and then (S) -2-((S) -2-acetamide-3. -(1H-Indol-3-yl) propanamide) -3- (tert-butyldisulfanyl) propanoic acid (Ac-Trp-D-Cys (StBu) -OH) (compound SP644) (42.5 mg, 0. 097 mmol), 3,4-dihydro-3-hydroxy-4-oxo-1,2,3-benzotriazine (HOObt) (9.9 mg, 60.8 mol) in NMP (0.160 mL) and diisopropylcarbodiimide (DIC) ( 16 μL, 0.104 mmol) of N, N-dimethylformamide solution (0.13 mL) was mixed and shaken at room temperature for 15 hours. The solid phase and the liquid phase were separated, and the resulting resin was washed 4 times with N, N-dimethylformamide (0.2 mL) and then 4 times with methylene chloride (0.2 mL), and then 50% 2 , 2,2-trifluoroethanol / methylene chloride solution (0.25 mL) was mixed and shaken at room temperature for 2 hours. The solid phase and the liquid phase were separated, and the resulting liquid phase was concentrated under reduced pressure. The obtained residue was purified by reverse phase silica gel column chromatography (10 mM aqueous ammonium acetate / methanol), and (S) -2- (2-(((S) -1-((S) -2-(( S) -2-Acetamido-3- (1H-indol-3-yl) propanamido) -3- (tert-butyldisulfanyl) propanoyl) pyrrolidine-2-carbonyl) oxy) acetamido) propanoic acid (Ac-Trp- D-Cys (StBu) -Pro- HO Gly-Ala-OH) (Compound SP653) (3.0 mg, 4.5 μmol, 22%) was obtained.
LCMS (ESI) m / z = 664 (M + H) +
Retention time: 0.85 minutes (analysis condition SQDAA05)
(S)-2-((S)-2-(((S)-1-((S)-2-((S)-2-アセトアミド-3-(1H-インドール-3-イル)プロパンアミド)-3-(tert-ブチルジスルファニル)プロパノイル)ピロリジン-2-カルボニル)オキシ)プロパンアミド)プロパン酸(Ac-Trp-D-Cys(StBu)-Pro-Lac-Ala-OH)(化合物SP654)の合成
(S) -2-((S) -2-(((S) -1-((S) -2-((S) -2-acetamido-3- (1H-indol-3-yl) propanamide] ) -3- (tert-Butyldisulfanyl) propanoyl) pyrrolidine-2-carbonyl) oxy) propanamide) propanoic acid (Ac-Trp-D-Cys (StBu) -Pro-Lac-Ala-OH) (Compound SP654) Synthesis of
調製したFmoc-Ala-O-resin(化合物SP645)(50mg、0.405mmol/g、20.2μmol)にDMF(0.2mL)を加え、室温にて15分間振とうし、固相と液相を分離した。得られた樹脂に2%DBU/N,N-ジメチルホルムアミド溶液(0.2mL)を加え、室温にて30分間振とうし、液相を取り除くという作業を2度繰り返した。得られた樹脂をN,N-ジメチルホルムアミド(0.2mL)にて4度洗浄し、続いて(S)-2-(((S)-1-(((9H-フルオレン-9-イル)メトキシ)カルボニル)ピロリジン-2-カルボニル)オキシ)プロパン酸(Fmoc-Pro-Lac-OH) (化合物SP633)(39.8mg、0.097mmol)と1-ヒドロキシ-7-アザベンゾトリアゾール(HOAt)(8.2633.0mg、60.7μ0.243mmol)のNMP溶液(0.16mL)とジイソプロピルカルボジイミド(DIC)(16μL、0.104mmol)のN,N-ジメチルホルムアミド溶液(0.13mL)を混合し、室温にて63時間振とうした。
固相と液相を分離し、得られた樹脂をN,N-ジメチルホルムアミド(0.2mL)にて4度洗浄した後、5%ピペリジン/N,N-ジメチルホルムアミド溶液(0.2mL)を混合し、室温にて1時間振とうした。固相と液相を分離し、得られた樹脂をN,N-ジメチルホルムアミド溶液(0.2mL)にて4度洗浄した後、(S)-2-((S)-2-アセトアミド-3-(1H-インドール-3-イル)プロパンアミド)-3-(tert-ブチルジスルファニル)プロパン酸(Ac-Trp-D-Cys(StBu)-OH) (化合物SP644)(42.5mg、0.097mmol)と3,4-ジヒドロ-3-ヒドロキシー4-オキソー1,2,3-ベンゾトリアジン(HOObt)(9.9mg、60.8mol)のNMP溶液(0.160mL)とジイソプロピルカルボジイミド(DIC)(16μL、0.104mmol)のN,N-ジメチルホルムアミド溶液(0.13mL)を混合し、室温にて15時間振とうした。固相と液相を分離し、得られた樹脂をN,N-ジメチルホルムアミド(0.2mL)にて4度、続いて塩化メチレン(0.2mL)にて4度洗浄した後、50%2,2,2-トリフルオロエタノール/塩化メチレン溶液(0.5mL)を混合し、室温にて2時間振とうした。固相と液相を分離し、得られた液相を減圧濃縮した。得られた残渣を逆相シリカゲルカラムクロマトグラフィー(10mM酢酸アンモニウム/メタノール)にて精製し、(S)-2-((S)-2-(((S)-1-((S)-2-((S)-2-アセトアミド-3-(1H-インドール-3-イル)プロパンアミド)-3-(tert-ブチルジスルファニル)プロパノイル)ピロリジン-2-カルボニル)オキシ)プロパンアミド)プロパン酸(Ac-Trp-D-Cys (StBu)-Pro-Lac-Ala-OH) (化合物SP654)(3.0mg、4.4μmol、22%)を得た。
LCMS(ESI) m/z = 678 (M+H)+
保持時間:0.86分(分析条件SQDAA05)
DMF (0.2 mL) was added to the prepared Fmoc-Ala-O-resin (compound SP645) (50 mg, 0.405 mmol / g, 20.2 μmol), and the mixture was shaken at room temperature for 15 minutes to obtain a solid phase and a liquid phase. Separated. The operation of adding 2% DBU / N, N-dimethylformamide solution (0.2 mL) to the obtained resin, shaking for 30 minutes at room temperature, and removing the liquid phase was repeated twice. The obtained resin was washed four times with N, N-dimethylformamide (0.2 mL), and then (S) -2-(((S) -1-(((9H-fluoren-9-yl) Methoxy) carbonyl) pyrrolidine-2-carbonyl) oxy) propanoic acid (Fmoc-Pro-Lac-OH) (compound SP633) (39.8 mg, 0.097 mmol) and 1-hydroxy-7-azabenzotriazole (HOAt) ( 8.2633.0 mg, 60.7 μ0.243 mmol) of NMP solution (0.16 mL) and diisopropylcarbodiimide (DIC) (16 μL, 0.104 mmol) in N, N-dimethylformamide (0.13 mL) were mixed, Shake for 63 hours at room temperature.
The solid phase and the liquid phase were separated, and the resulting resin was washed four times with N, N-dimethylformamide (0.2 mL), and then 5% piperidine / N, N-dimethylformamide solution (0.2 mL) was added. Mix and shake for 1 hour at room temperature. The solid phase and the liquid phase were separated, and the resulting resin was washed four times with an N, N-dimethylformamide solution (0.2 mL), and then (S) -2-((S) -2-acetamide-3. -(1H-Indol-3-yl) propanamide) -3- (tert-butyldisulfanyl) propanoic acid (Ac-Trp-D-Cys (StBu) -OH) (Compound SP644) (42.5 mg, 0. 097 mmol), 3,4-dihydro-3-hydroxy-4-oxo-1,2,3-benzotriazine (HOObt) (9.9 mg, 60.8 mol) in NMP (0.160 mL) and diisopropylcarbodiimide (DIC) ( 16 μL, 0.104 mmol) of N, N-dimethylformamide solution (0.13 mL) was mixed and shaken at room temperature for 15 hours. The solid phase and the liquid phase were separated, and the resulting resin was washed 4 times with N, N-dimethylformamide (0.2 mL) and then 4 times with methylene chloride (0.2 mL), and then 50% 2 2,2-trifluoroethanol / methylene chloride solution (0.5 mL) was mixed and shaken at room temperature for 2 hours. The solid phase and the liquid phase were separated, and the resulting liquid phase was concentrated under reduced pressure. The obtained residue was purified by reverse phase silica gel column chromatography (10 mM ammonium acetate / methanol) to give (S) -2-((S) -2-(((S) -1-((S) -2 -((S) -2-acetamido-3- (1H-indol-3-yl) propanamide) -3- (tert-butyldisulfanyl) propanoyl) pyrrolidine-2-carbonyl) oxy) propanamide) propanoic acid ( Ac-Trp-D-Cys (StBu) -Pro-Lac-Ala-OH) (Compound SP654) (3.0 mg, 4.4 μmol, 22%) was obtained.
LCMS (ESI) m / z = 678 (M + H) +
Retention time: 0.86 minutes (analysis condition SQDAA05)
5-2.翻訳用PURESYSTEM中での5残基モデル化合物の反応性評価
各pH中での安定性(1回目の環化反応中では反応せず安定に存在することが望まれる)および、pHを向上させた場合の反応選択性(メルカプトエチルアミンとの反応にて確認した)を評価した。
5-2. Reactivity evaluation of 5-residue model compound in PURESYSTEM for translation Stability in each pH (it is desirable that it does not react in the first cyclization reaction and it exists stably) and pH was improved The reaction selectivity (confirmed by reaction with mercaptoethylamine) was evaluated.
翻訳用PURESYSTEM中、pH 7.3での5残基モデル化合物の2-アミノエタンチオールとの反応性確認
各pH中での安定性(1回目の環化反応中では反応せず安定に存在することが望まれる。)および、pHを向上させた場合の反応選択性(2-アミノエタンチオールとの反応にて確認した)を評価した。
Confirmation of reactivity of 5-residue model compound with 2-aminoethanethiol at pH 7.3 in PURESYSTEM for translation Stability in each pH (it does not react during the first cyclization reaction and exists stably) And the selectivity of the reaction when pH was improved (confirmed by reaction with 2-aminoethanethiol).
10mM Ac-Trp-Cys(StBu)-Pro-RRR-Ala-OH/25%DMA水溶液(2.0μL)、10mM2,4-ジメチル安息香酸/25%DMA水溶液(2.0μL、内部標準として使用)、100mMTCEP/50mMHEPES緩衝液溶液(pH7.6、2.0μL)を混合し、窒素雰囲気下、室温にて1時間静置した。続いて、翻訳用緩衝液(3.8μL)、PURESYSTEM(r) classic II Sol. B(バイオコゥマー社、製品番号PURE2048C)(4.0μL)、50mM1,2-ジチアン-4,5-ジオール水溶液(4.2μL)、500mM2-アミノエタンチオール/50mMHEPES緩衝液溶液(pH7.6、2.0μL)を混合し、窒素雰囲気下、37度にて静置した。なお翻訳用緩衝液の成分の反応溶液中での濃度はそれぞれ次のとおりである。2mM GTP,2mM ATP,1mM CTP,1mM UTP,20mMクレアチンリン酸,50mM HEPES-KOH pH7.6,100mM 酢酸カリウム,14mM 酢酸マグネシウム,2mMスペルミジン,1mM ジチオスレイトール,0.5mg/ml E.coli MRE600(RNaseネガティブ)由来tRNA(Roche社),アミノ酸(Ala, Cys, Phe, Gly, His, Ile, Leu, Met, Pro, Ser, Thr, Val, Trpがそれぞれ0.3mM)。反応の進行状況はLCMS測定によって確認した。なおRRRはHOGly、Lac、PhLac、D-PhLac、HOGly(Me)2のいずれかを表わす。
10 mM Ac-Trp-Cys (StBu) -Pro-RRR-Ala-OH / 25% DMA aqueous solution (2.0 μL), 10
上記表中、基質とは5残モデルAc-Trp-Cys-Pro-RRR-Ala-OHのうち、中核を示すCys-Pro-RRR部位を示した(一部Cysの代わりにD-Cysを、またProの代わりにMeGlyを用いた例も記載した)。基質回収とは、Ac-Trp-Cys-Pro-RRR-Ala-OHと、Cys部位が反応剤である2-メルカプトエチルアミンとジスルフィド結合したAc-Trp-Cys(SCH2CH2NH2)-Pro-RRR-Ala-OH、およびCys部位が反応系中に含まれているジチオスレイトール(DTT)の脱水体と推定される1,4-ジメルカプトブタン-2-オンとジスルフィド結合したAc-Trp-Cys(SCH2COCH2CH2SH)-Pro-RRR-Ala-OHもしくはAc-Trp-Cys(SCH2CH2COCH2SH)-Pro-RRR-Ala-OHの割合の合計を示した。すなわち、主鎖の基本骨格が維持されたままの化合物群の合計となる。相本反応とは5残基モデルからチオエステルが生じた結果、2-メルカプトエチルアミンと反応したAc-Trp-NHCH2CH2SHと、それが反応剤である2-メルカプトエチルアミンとジスルフィド結合したAc-Trp-NHCH2CH2SSCH2CH2NH2の割合の合計を示した。直接アミド化とは副反応によって得られたAc-Trp-Cys-Pro-NHCH2CH2SHと、Ac-Trp-Cys*-Pro-NHCH2CH2S*において*でジスルフィド結合し環を巻いた生成物、およびAc-Trp-Cys(SCH2CH2NH2)-Pro-NHCH2CH2SSCH2CH2NH2の合計の割合を示した。加水分解とは5残基モデルから発生したチオエステルが2-メルカプトエチルアミンと反応せず、代わりに水と反応して得られたAc-Trp-OHの割合を示した。
従って、指定されたpHにて1回目の環化反応が実施されることが想定される場合、基質回収割合が高いほど望ましい。また、指定されたpHにて2回目の環化反応が想定される場合には相本反応の割合が高いほど望ましい。
In the above table, the substrate represents the Cys-Pro-RRR site indicating the core of the five remaining models Ac-Trp-Cys-Pro-RRR-Ala-OH (partly D-Cys instead of Cys, An example using MeGly instead of Pro was also described). Substrate recovery refers to Ac-Trp-Cys (SCH 2 CH 2 NH 2 ) -Pro with Ac-Trp-Cys-Pro-RRR-Ala-OH and Cys moiety disulfide-bonded with 2-mercaptoethylamine as a reactant. -RRR-Ala-OH and Ac-Trp disulfide-linked with 1,4-dimercaptobutan-2-one, which is presumed to be a dehydrated dithiothreitol (DTT) containing Cys in the reaction system -Cys showed total percentage of (SCH 2 COCH 2 CH 2 SH ) -Pro-RRR-Ala-OH or Ac-Trp-Cys (SCH 2
Therefore, when it is assumed that the first cyclization reaction is carried out at the specified pH, it is desirable that the substrate recovery rate be higher. In addition, when the second cyclization reaction is assumed at the specified pH, the higher the proportion of the phase reaction, the better.
なお表13のentry 6および7については、ピークどうしの保持時間の重なりのため、UVエリア比は算出していないが、各化合物群のマス強度比(ネガティブモード)は次のとおりである。
Entry 6
(8時間)基質回収:27% 相本反応:39% 直接アミド化:33% 加水分解:0%
(24時間)基質回収:13% 相本反応:31% 直接アミド化:56% 加水分解:0%
Entry 7
(8時間)基質回収:12% 相本反応:50% 直接アミド化:38% 加水分解:0%
(24時間)基質回収:0% 相本反応:50% 直接アミド化:50% 加水分解:0%
For
(8 hours) Substrate recovery: 27% Aimoto reaction: 39% Direct amidation: 33% Hydrolysis: 0%
(24 hours) Substrate recovery: 13% Aimoto reaction: 31% Direct amidation: 56% Hydrolysis: 0%
(8 hours) Substrate recovery: 12% Aimoto reaction: 50% Direct amidation: 38% Hydrolysis: 0%
(24 hours) Substrate recovery: 0% Aimoto reaction: 50% Direct amidation: 50% Hydrolysis: 0%
翻訳用PURESYSTEM中、pH 7.8での5残基モデル化合物の2-アミノエタンチオールとの反応性確認
10mM Ac-Trp-Cys(StBu)-Pro-RRR-Ala-OH/25%DMA水溶液(5.0μL)、10mM4-ペンチル安息香酸/25%DMA水溶液(5.0μL、内部標準として使用)、100mMTCEP/50mMHEPES緩衝液溶液(pH7.6、5.0μL)を混合させ、システイン残基側鎖保護基を素早く脱保護し、窒素雰囲気下、室温にて1時間静置した。続いて、翻訳用緩衝液(9.5μL)、PURESYSTEM(登録商標) classic II Sol. B(バイオコゥマー社、製品番号PURE2048C)(10μL)、50mM1,2-ジチアン-4,5-ジオール水溶液(10.5μL)、500mM2-アミノエタンチオール/50mMHEPES緩衝液溶液(pH7.6、5.0μL)を混合し、さらに1N水酸化ナトリウム水溶液(1.0μL)を混合して反応液をpH7.8に調整して、窒素雰囲気下、37度にて静置した。なお翻訳用緩衝液の成分の反応溶液中での濃度はそれぞれ次のとおりである。2mM GTP,2mM ATP,1mM CTP,1mM UTP,20mMクレアチンリン酸,50mM HEPES-KOH pH7.6,100mM 酢酸カリウム,14mM 酢酸マグネシウム,2mMスペルミジン,1mM ジチオスレイトール,0.5mg/ml E.coli MRE600(RNaseネガティブ)由来tRNA(Roche社),アミノ酸(Ala, Cys, Phe, Gly, His, Ile, Leu, Met, Pro, Ser, Thr, Val, Trpがそれぞれ0.3mM)。反応の進行状況はLCMS測定によって確認した。
Confirmation of reactivity of 5-residue model compound with 2-aminoethanethiol at pH 7.8 in PURESYSTEM for
実施例にて示したとおり、Cys-Pro-HOGlyを用いた場合には、1回目の環化としてCysとAsp(SBn)を用いた場合には高選択的であった。しかし、本結果から、1回目の環化として用いるpH=7.8付近では、Cys-Pro-HOGlyは反応性を有し、この条件でも安定に存在せず、チオエステルが生じることが明らかとなった(反応補助基を有するアミノ基を用いた場合には、1回目の環化反応が十分速いため、結果として反応選択性を有していたと解釈できる。)。1回目の反応中では反応せず、2回目の反応時にチオエステルが始めて発生する状態を得るには、Cys-Pro-Lacなど、よりエステル付近の立体障害を高めることが、選択性を高める目的ではより好ましいことが明らかとなった。 As shown in the Examples, when Cys-Pro- HO Gly was used, it was highly selective when Cys and Asp (SBn) were used as the first cyclization. However, from this result, it was clarified that Cys-Pro- HO Gly has reactivity in the vicinity of pH = 7.8 used for the first cyclization, and does not exist stably even under these conditions, and a thioester is formed. (When an amino group having a reaction auxiliary group is used, the first cyclization reaction is sufficiently fast, and as a result, it can be interpreted as having reaction selectivity). In order to increase the selectivity, it is necessary to increase the steric hindrance in the vicinity of the ester, such as Cys-Pro-Lac, in order to obtain a state in which the thioester is generated for the first time during the second reaction without reacting during the first reaction. It became clear that it was more preferable.
Buffer中、pH 8.5での5残基モデル化合物の2-アミノエタンチオールとの反応性確認
10mM Ac-Trp-Cys(StBu)-Pro-RRR-Ala-OH/25%DMA水溶液(5.0μL)、10mM4-ペンチル安息香酸/25%DMA水溶液(5.0μL、内部標準として使用)、100mMTCEP/50mMHEPES緩衝液溶液(pH7.8、5.0μL)を混合させ、システイン残基側鎖保護基を素早く脱保護し、窒素雰囲気下、室温にて1時間静置した。続いて、100mMBicine緩衝液(pH8.9、19.5μL)、50mM1,2-ジチアン-4,5-ジオール/100mMBicine緩衝液溶液(pH8.9、10.5μL)、500mM2-アミノエタンチオール/100mMBicine緩衝液溶液(pH8.5、5.0μL)を混合し、さらに0.5N水酸化ナトリウム水溶液(1.0μL)を混合して反応液をpH8.5に調整して、窒素雰囲気下、37度もしくは57度にて静置した。反応の進行状況はLCMS測定によって確認した。
Confirmation of reactivity of 5-residue model compound with 2-aminoethanethiol at pH 8.5 in
Cys-Pro-LacやCys-Pro-PhLacなどは、pHを8.5にまで上昇させた場合、初めてチオエステルが選択的に生じて、望みの反応が翻訳液中で加水分解に対して選択的に進行することが明らかとなった。pHが7.8付近では反応を進行させずに、8.5で望みの反応を進行させることができた。 Cys-Pro-Lac, Cys-Pro-PhLac, etc., when the pH is increased to 8.5, thioesters are selectively produced for the first time, and the desired reaction proceeds selectively with respect to hydrolysis in the translation solution. It became clear to do. When the pH was around 7.8, the desired reaction was allowed to proceed at 8.5 without proceeding with the reaction.
Buffer中、pH 9.0での5残基モデル化合物の2-アミノエタンチオールとの反応性確認
10mM Ac-Trp-Cys(StBu)-Pro-RRR-Ala-OH/25%DMA水溶液(5.0μL)、10mM4-ペンチル安息香酸/25%DMA水溶液(5.0μL、内部標準として使用)、100mMTCEP/50mMHEPES緩衝液溶液(pH7.8、5.0μL)を混合させ、システイン残基側鎖保護基を素早く脱保護し、窒素雰囲気下、室温にて1時間静置した。続いて、100mMBicine緩衝液(pH8.9、19.5μL)、50mM1,2-ジチアン-4,5-ジオール/100mMBicine緩衝液溶液(pH8.9、10.5μL)、500mM2-アミノエタンチオール/100mMBicine緩衝液溶液(pH8.5、5.0μL)を混合し、さらに0.5N水酸化ナトリウム水溶液(2.0μL)を混合して反応液をpH9.0に調整して、窒素雰囲気下、37度もしくは57度にて静置した。反応の進行状況はLCMS測定によって確認した。
Confirmation of reactivity of 5-residue model compound with 2-aminoethanethiol at pH 9.0 in
pHが9.0でもRNAが安定に存在して分解しないことも実施例記載済みであるため、本条件を用いればペプチドーRNA複合体でも望みの分枝化が可能であることが示された。 Since it has already been described in the examples that RNA is stably present and does not degrade even at a pH of 9.0, it was shown that the desired branching is possible even with a peptide-RNA complex using this condition.
5-3.1回目の環化で反応補助基を有するN末端に位置する三角ユニットとC末端側の活性チオエステル(交差ユニット)のアミド化反応を用い、2回目の分枝化にて反応補助基を有する保護アミノ基を脱保護反応後にCys-Pro-Lacから活性エステルを発生させ、側鎖アミノ基と反応させて分枝させる例の化学反応条件の設定
5-3-1.翻訳ペプチドモデル化合物SP655の合成
以下のスキームに従い、1回目の環化としてN末端にCysを用い、C末端側にAsp(SBn)を用いてアミド化環化反応を行い、2回目の分枝化として、活性チオエステル発生パートとしてCys-Pro-Lacを有し、Lysの側鎖アミノ基にN原子とS原子を保護させたCysを配置させた化合物のS原子とN原子を脱保護してアミド化反応を行う例を実施する目的で、以下のモデル化合物SP655の合成を行った。
5-3.1 Assisting the reaction by the second branching using the amidation reaction of the triangular unit located at the N-terminus having the reaction-assisting group and the active thioester (crossing unit) on the C-terminal side in the first cyclization Of chemical reaction conditions for an example in which an active ester is generated from Cys-Pro-Lac after a deprotection reaction of a protected amino group having a group and then branched by reacting with a side chain amino group
5-3-1. Synthesis of translated peptide model compound SP655 In accordance with the following scheme, amidation cyclization reaction is performed by using Cys at the N-terminus and Asp (SBn) at the C-terminus as the first cyclization. As an active thioester-generating part, Cys-Pro-Lac is used, and the S atom and N atom of the compound in which Cys in which the N atom and the S atom are protected are arranged on the side chain amino group of Lys are deprotected. The following model compound SP655 was synthesized for the purpose of carrying out an example of carrying out the conversion reaction.
(S)-3-((S)-2-((S)-2-((S)-1-((6R,12S,15S,18R)-15-((1H-インドール-3-イル)メチル)-6-((4-アジドベンジルオキシ)カルボニルアミノ)-18-((tert-ブチルジスルファニル)メチル)-12-(4-(ジメチルアミノ)ブチル)-2,2-ジメチル-7,10,13,16-テトラオキソ-3,4-ジチア-8,11,14,17-テトラアザノナデカン)ピロリジン-2-カルボニルオキシ)プロパンアミド)-6-((R)-3-((4-アジドベンジルオキシ)カルボニル)チアゾリジン-4-カルボキサミド)ヘキサンアミド)-4-((S)-2-カルバモイルピロリジン-1-イル)-4-オキソブタン酸(化合物SP681、Acbz-Cys(StBu)-Gly-Lys(Me 2 )-Trp-Cys(StBu)-Pro-Lac-Lys(Acbz-Thz)-Asp-Pro-NH2)の合成
本明細書では、Lysの側鎖のアミノ基とAcbz-Thzの有するカルボキシル基とでアミド結合した化合物をLys(Acbz-Thz)と表記する。
(S) -3-((S) -2-((S) -2-((S) -1-((6R, 12S, 15S, 18R) -15-((1H-indol-3-yl) Methyl) -6-((4-azidobenzyloxy) carbonylamino) -18-((tert-butyldisulfanyl) methyl) -12- (4- (dimethylamino) butyl) -2,2-dimethyl-7, 10,13,16-tetraoxo-3,4-dithia-8,11,14,17-tetraazanonadecane) pyrrolidine-2-carbonyloxy) propanamide) -6-((R) -3-((4 -Azidobenzyloxy) carbonyl) thiazolidine-4-carboxamide) hexanamid) -4-((S) -2-carbamoylpyrrolidin-1-yl) -4-oxobutanoic acid (compound SP681, Acbz-Cys (StBu) -Gly Synthesis of -Lys (Me 2 ) -Trp-Cys (StBu) -Pro-Lac-Lys (Acbz-Thz) -Asp-Pro-NH 2) Amide bond with carboxyl group The compound is expressed as Lys (Acbz-Thz).
既に、実施例に記載の自動合成機による主鎖にエステル基を含むペプチドの固相合成一般法に従いペプチド鎖の伸長を行った。レジンはSieber Amide Resin(1カラムあたり160mg、Novabiochemより購入)を用いた。N末端のアミノ酸としてAcbz-Cys(StBu)-OH、Fmocアミノ酸として、Fmoc-Gly-OH、Fmoc-Lys(Me2)-OH・HCl、Fmoc-Trp-Cys(StBu)-OH(化合物 SP602)、Fmoc-Pro-Lac-OH(化合物 SP633)、Fmoc-Lys(Acbz-Thz)-OH(化合物 SP611)、Fmoc-Asp(OPis)-OH、Fmoc-Pro-OH、を用いて、ペプチドの伸長を行った。
ペプチドの伸長後、レジンをジメチルホルムアミド(DMF)、ジクロロメタン(DCM)で洗浄した。レジンに2%トリフルオロ酢酸(TFA)のジクロロメタン(DCM)/2,2,2-トリフルオロエタノール(TFE)(=1/1、v/v、4.0ml)溶液を加えて室温にて3時間反応させ、レジンからのペプチドの切り出しを行った。反応終了後、チューブ内溶液を合成用カラムでろ過することによりレジンを除き、レジンをジクロロメタン(DCM)/2,2,2-トリフルオロエタノール(TFE)(=1/1,v/v、4.0mL)にて4回洗浄した。得られた溶液を減圧濃縮し、残渣を逆相シリカゲルクロマトグラフィー(0.1%ギ酸水溶液/0.1%ギ酸アセトニトリル溶液)にて精製し、(S)-3-((S)-2-((S)-2-((S)-1-((6R,12S,15S,18R)-15-((1H-インドール-3-イル)メチル)-6-((4-アジドベンジルオキシ)カルボニルアミノ)-18-((tert-ブチルジスルファニル)メチル)-12-(4-(ジメチルアミノ)ブチル)-2,2-ジメチル-7,10,13,16-テトラオキソ-3,4-ジチア-8,11,14,17-テトラアザノナデカン)ピロリジン-2-カルボニルオキシ)プロパンアミド)-6-((R)-3-((4-アジドベンジルオキシ)カルボニル)チアゾリジン-4-カルボキサミド)ヘキサンアミド)-4-((S)-2-カルバモイルピロリジン-1-イル)-4-オキソブタン酸(Acbz-Cys(StBu)-Gly-Lys(Me2)-Trp-Cys(StBu)-Pro-Lac-Lys(Acbz-Thz)-Asp-Pro-NH2)(化合物SP681)(184.6mg、24%)を得た。
LCMS(ESI) m/z = 1773.9 (M+H)+
保持時間:0.76分(分析条件SQDFA05)
The peptide chain was already extended according to the general method for solid phase synthesis of peptides containing an ester group in the main chain by the automatic synthesizer described in the Examples. The resin used was Sieber Amide Resin (160 mg per column, purchased from Novabiochem). Acbz-Cys (StBu) -OH as the N-terminal amino acid, Fmoc-Gly-OH, Fmoc-Lys (Me 2 ) -OH.HCl, Fmoc-Trp-Cys (StBu) -OH (compound SP602) as the Fmoc amino acid , Fmoc-Pro-Lac-OH (compound SP633), Fmoc-Lys (Acbz-Thz) -OH (compound SP611), Fmoc-Asp (OPis) -OH, Fmoc-Pro-OH Went.
After elongation of the peptide, the resin was washed with dimethylformamide (DMF) and dichloromethane (DCM). To the resin was added a solution of 2% trifluoroacetic acid (TFA) in dichloromethane (DCM) / 2,2,2-trifluoroethanol (TFE) (= 1/1, v / v, 4.0 ml), and 3% at room temperature. The reaction was performed for a period of time, and the peptide was excised from the resin. After completion of the reaction, the resin in the tube was filtered through a synthesis column to remove the resin, and the resin was removed from dichloromethane (DCM) / 2,2,2-trifluoroethanol (TFE) (= 1/1, v / v, 4 .0 mL) was washed 4 times. The resulting solution was concentrated under reduced pressure, and the residue was purified by reverse phase silica gel chromatography (0.1% formic acid aqueous solution / 0.1% formic acid acetonitrile solution) to obtain (S) -3-((S) -2- ((S) -2-((S) -1-((6R, 12S, 15S, 18R) -15-((1H-indol-3-yl) methyl) -6-((4-azidobenzyloxy) Carbonylamino) -18-((tert-butyldisulfanyl) methyl) -12- (4- (dimethylamino) butyl) -2,2-dimethyl-7,10,13,16-tetraoxo-3,4-dithia -8,11,14,17-tetraazanonadecane) pyrrolidine-2-carbonyloxy) propanamide) -6-((R) -3-((4-azidobenzyloxy) carbonyl) thiazolidine-4-carboxamide) Hexanamide) -4-((S) -2-carbamoylpyrrolidin-1-yl) -4-oxobutanoic acid (Acbz-Cys (StBu) -Gly-Lys (Me 2 ) -Trp-Cys (StBu) -Pro- Lac-Lys (Acbz-Th ) -Asp-Pro-NH2) (Compound SP681) (184.6mg, yield the 24%).
LCMS (ESI) m / z = 1773.9 (M + H) +
Retention time: 0.76 minutes (analysis condition SQDFA05)
4-(((S)-5-((S)-2-(((S)-1-((6R,12S,15S,18R)-15-((1H-インドール-3-イル)メチル)-6-((((4-アジドベンジル)オキシ)カルボニル)アミノ)-18-((tert-ブチルジスルファニル)メチル)-12-(4-(ジメチルアミノ)ブチル)-2,2-ジメチル-7,10,13,16-テトラオキソ-3,4-ジチア-8,11,14,17-テトラアザノナデカン-19-オイル)ピロリジン-2-カルボニル)オキシ)プロパンアミド)-6-(((S)-4-(ベンジルチオ)-1-((S)-2-カルバモイルピロリジン-1-イル)-1,4-ジオキソブタン-2-イル)アミノ)-6-オキソヘキシル)カルバモイル)チアゾリジン-3-カルボン酸 (R)-4-アジドベンジル(化合物SP655、Acbz-Cys(StBu)-Gly-Lys(Me 2 )-Trp-Cys(StBu)-Pro-Lac-Lys(Acbz-Thz)-Asp(SBn)-Pro-NH2)の合成
4-((((S) -5-((S) -2-(((S) -1-((6R, 12S, 15S, 18R) -15-((1H-indol-3-yl) methyl)) -6-(((((4-azidobenzyl) oxy) carbonyl) amino) -18-((tert-butyldisulfanyl) methyl) -12- (4- (dimethylamino) butyl) -2,2-dimethyl- 7,10,13,16-tetraoxo-3,4-dithia-8,11,14,17-tetraazanonadecane-19-oil) pyrrolidine-2-carbonyl) oxy) propanamide) -6-((( S) -4- (Benzylthio) -1-((S) -2-carbamoylpyrrolidin-1-yl) -1,4-dioxobutan-2-yl) amino) -6-oxohexyl) carbamoyl) thiazolidine-3- carboxylic acid ( R) -4-azidobenzyl (compound SP655, Acbz-Cys (StBu) -Gly-Lys (Me 2 ) -Trp-Cys (StBu) -Pro-Lac-Lys (Acbz-Thz) -Asp (SBn) -Pro Synthesis of —NH2)
(S)-3-((S)-2-((S)-2-((S)-1-((6R,12S,15S,18R)-15-((1H-インドール-3-イル)メチル)-6-((4-アジドベンジルオキシ)カルボニルアミノ)-18-((tert-ブチルジスルファニル)メチル)-12-(4-(ジメチルアミノ)ブチル)-2,2-ジメチル-7,10,13,16-テトラオキソ-3,4-ジチア-8,11,14,17-テトラアザノナデカン)ピロリジン-2-カルボニルオキシ)プロパンアミド)-6-((R)-3-((4-アジドベンジルオキシ)カルボニル)チアゾリジン-4-カルボキサミド)ヘキサンアミド)-4-((S)-2-カルバモイルピロリジン-1-イル)-4-オキソブタン酸(化合物SP681、Acbz-Cys(StBu)-Gly-Lys(Me2)-Trp-Cys(StBu)-Pro-Lac-Lys(Acbz-Thz)-Asp-Pro-NH2)(102mg, 0.057mmol)とHOBt(23.2mg, 0.172mmol)のDMF(0.6ml)溶液を0度に冷却した後に、1-(3-ジメチルアミノプロピル)-3-エチルカルボジイミド塩酸塩(EDC・HCl、32.9mg、0.172mmol)を加え、5分間攪拌後にベンジルメルカプタン(34μl,0.286mmol)を加えた。反応液を室温で70分間攪拌し、反応液を逆相シリカゲルカラムクロマトグラフィー(0.1%ギ酸水溶液/0.1%ギ酸アセトニトリル溶液)にて精製し、標題化合物(化合物SP655、Acbz-Cys(StBu)-Gly-Lys(Me2)-Trp-Cys(StBu)-Pro-Lac-Lys(Acbz-Thz)-Asp(SBn)-Pro-NH2)(75.7mg、70%)を得た。
LCMS(ESI) m/z = 1880.0 (M+H)+
保持時間:0.80分(分析条件SQDFA05)
(S) -3-((S) -2-((S) -2-((S) -1-((6R, 12S, 15S, 18R) -15-((1H-indol-3-yl) Methyl) -6-((4-azidobenzyloxy) carbonylamino) -18-((tert-butyldisulfanyl) methyl) -12- (4- (dimethylamino) butyl) -2,2-dimethyl-7, 10,13,16-tetraoxo-3,4-dithia-8,11,14,17-tetraazanonadecane) pyrrolidine-2-carbonyloxy) propanamide) -6-((R) -3-((4 -Azidobenzyloxy) carbonyl) thiazolidine-4-carboxamide) hexanamid) -4-((S) -2-carbamoylpyrrolidin-1-yl) -4-oxobutanoic acid (compound SP681, Acbz-Cys (StBu) -Gly -Lys (Me 2 ) -Trp-Cys (StBu) -Pro-Lac-Lys (Acbz-Thz) -Asp-Pro-NH 2) (102 mg, 0.057 mmol) and HOBt (23.2 mg, 0.172 mmol) DMF (0 6 ml) After the solution was cooled to 0 ° C., 1- (3-dimethylaminopropyl) -3-ethylcarbodiimide hydrochloride (EDC · HCl, 32.9 mg, 0.172 mmol) was added, and after stirring for 5 minutes, benzyl mercaptan ( 34 μl, 0.286 mmol) was added. The reaction solution was stirred at room temperature for 70 minutes, and the reaction solution was purified by reverse phase silica gel column chromatography (0.1% formic acid aqueous solution / 0.1% formic acid acetonitrile solution) to give the title compound (compound SP655, Acbz-Cys ( StBu) -Gly-Lys (Me 2 ) -Trp-Cys (StBu) -Pro-Lac-Lys (Acbz-Thz) -Asp (SBn) -Pro-NH 2) (75.7 mg, 70%) was obtained.
LCMS (ESI) m / z = 1880.0 (M + H) +
Retention time: 0.80 minutes (analysis condition SQDFA05)
5-4.翻訳用PURESYSTEM中、配列にCys-Pro-Lacを有する直鎖モデルペプチドを用いた、NCL反応による環化とそれに続く分枝形成反応
Cys-Pro-Lacユニットでは、1回目の環化反応中、反応補助基の有無にかかわらず安定に存在することが可能であり、また2回目の分枝化反応では高い選択性で望みの分枝化反応が実現できることが明らかとなったため、モデルペプチドにて分枝化反応を翻訳液中にて確認した。
5-4. In the translation PURESYSTEM, using a linear model peptide having Cys-Pro-Lac in the sequence, cyclization by NCL reaction followed by branching reaction In the Cys-Pro-Lac unit, during the first cyclization reaction, It is possible to exist stably regardless of the presence or absence of a reaction auxiliary group, and it has been clarified that the desired branching reaction can be realized with high selectivity in the second branching reaction. The branching reaction was confirmed in the translation solution.
1段階目:NCL反応による直鎖モデルペプチド(化合物SP655、Acbz-Cys(StBu)-Gly-Lys(Me 2 ) -Trp-Cys(StBu)-Pro-Lac-Lys(Acbz-Thz)-Asp(SBn)-Pro-NH 2 )の環化による化合物SP656の生成反応
First stage: Linear model peptide by NCL reaction (compound SP655, Acbz-Cys (StBu) -Gly-Lys (Me 2 ) -Trp-Cys (StBu) -Pro-Lac-Lys (Acbz-Thz) -Asp ( Formation reaction of compound SP656 by cyclization of ( SBn) -Pro-NH 2 )
54mM4-(((S)-5-((S)-2-(((S)-1-((6R,12S,15S,18R)-15-((1H-インドール-3-イル)メチル)-6-((((4-アジドベンジル)オキシ)カルボニル)アミノ)-18-((tert-ブチルジスルファニル)メチル)-12-(4-(ジメチルアミノ)ブチル)-2,2-ジメチル-7,10,13,16-テトラオキソ-3,4-ジチア-8,11,14,17-テトラアザノナデカン-19-オイル)ピロリジン-2-カルボニル)オキシ)プロパンアミド)-6-(((S)-4-(ベンジルチオ)-1-((S)-2-カルバモイルピロリジン-1-イル)-1,4-ジオキソブタン-2-イル)アミノ)-6-オキソヘキシル)カルバモイル)チアゾリジン-3-カルボン酸 (R)-4-アジドベンジル (化合物SP655、Acbz-Cys(StBu)-Gly-Lys(Me2)-Trp-Cys(StBu)-Pro-Lac-Lys(Acbz-Thz)-Asp(SBn)-Pro-NH2)/DMA溶液(9.4μL)、54mM 2,4-ジメチル安息香酸/DMA溶液(9.4μL、内部標準として使用)、翻訳用緩衝液(6.3μL)、PURESYSTEM(登録商標) classic II Sol. B(バイオコゥマー社、製品番号PURE2048C)(10μL)、20種天然アミノ酸溶液(2.5μL)、1.0M TCEP(12.5μL、pH7.5)を混合し、25度にて2時間静置した。なお、翻訳用緩衝液の成分は8mM GTP,8mM ATP,160mMクレアチンリン酸,400mM HEPES-KOH pH7.6,800mM 酢酸カリウム,48mM 酢酸マグネシウム,16mMスペルミジン,8mM ジチオスレイトール,0.8mM 10-HCO-H4folate, 12mg/ml E.coli MRE600(RNaseネガティブ)由来tRNA(Roche社)である。反応溶液をLCMS測定したところ、目的の環化体である(R)-N-(4-((3S,6S,9S,13R,19S,22S,25R,30aS)-22-((1H-インドール-3-イル)メチル)-9-((S)-2-カルバモイルピロリジン-1-カルボニル)-19-(4-(ジメチルアミノ)ブチル)-13,25-ビス(メルカプトメチル)-3-メチル-1,4,7,11,14,17,20,23,26-ノナオキソオクタコサヒドロ-1H-ピロロ[2,1-c][1,4,7,10,13,16,19,23,26]オキサオクタアザシクロオクタコシン-6-イル)ブチル)チアゾリジン-4-カルボキサミド (化合物SP656、*Cys-Gly-Lys(Me2)-Trp-Cys-Pro-Lac-Lys(Thz)-Asp*-Pro-NH2において、*で環を巻いた化合物)の生成が確認された。(図68)
LCMS(ESI) m/z = 1227 (M-H)-
保持時間:0.76分(分析条件SQDAA05)
54 mM 4-(((S) -5-((S) -2-(((S) -1-((6R, 12S, 15S, 18R) -15-((1H-indol-3-yl) methyl)] -6-(((((4-azidobenzyl) oxy) carbonyl) amino) -18-((tert-butyldisulfanyl) methyl) -12- (4- (dimethylamino) butyl) -2,2-dimethyl- 7,10,13,16-tetraoxo-3,4-dithia-8,11,14,17-tetraazanonadecane-19-oil) pyrrolidine-2-carbonyl) oxy) propanamide) -6-((( S) -4- (Benzylthio) -1-((S) -2-carbamoylpyrrolidin-1-yl) -1,4-dioxobutan-2-yl) amino) -6-oxohexyl) carbamoyl) thiazolidine-3- Carboxylic acid (R)-4-azido-benzyl (compound SP655, Acbz-Cys (StBu) -Gly-Lys (Me 2) -Trp-Cys (StBu) -Pro-Lac-Lys (Acbz-Thz) -Asp (SBn ) -Pro-NH 2 ) / DMA solution (9.4 μL), 54 mM 2,4-dimethylbenzoic acid / DMA solution (9.4 μL, used as internal standard), translation buffer (6.3 μL), PURESYSTEM ( (Registered trademark) classic II Sol. B (Biocommer, product number PURE2048C) (10 μL), 20 kinds of natural amino acid solutions (2.5 μL), 1.0M TCEP (12.5 μL, pH 7.5) are mixed, and 25 degrees For 2 hours. The components of the translation buffer were 8 mM GTP, 8 mM ATP, 160 mM creatine phosphate, 400 mM HEPES-KOH pH 7.6, 800 mM potassium acetate, 48 mM magnesium acetate, 16 mM spermidine, 8 mM dithiothreitol, 0.8 mM 10-HCO. -H4folate, 12 mg / ml E. coli MRE600 (RNase negative) -derived tRNA (Roche). When the reaction solution was measured by LCMS, the target cyclized product (R) -N- (4-((3S, 6S, 9S, 13R, 19S, 22S, 25R, 30aS) -22-((1H-indole -3-yl) methyl) -9-((S) -2-carbamoylpyrrolidine-1-carbonyl) -19- (4- (dimethylamino) butyl) -13,25-bis (mercaptomethyl) -3-methyl -1,4,7,11,14,17,20,23,26-nonaoxooctacosahydro-1H-pyrrolo [2,1-c] [1,4,7,10,13,16,19, 23,26] oxaoctazacyclooctacosin-6-yl) butyl) thiazolidine-4-carboxamide (compound SP656, * Cys-Gly-Lys (Me 2 ) -Trp-Cys-Pro-Lac-Lys (Thz)- in Asp * -Pro-NH 2, product compounds) wound with ring * It has been confirmed. (Fig. 68)
LCMS (ESI) m / z = 1227 (M−H) −
Retention time: 0.76 minutes (analysis condition SQDAA05)
2段階目:化合物SP656のThzの脱保護反応による化合物SP657の生成反応
Second stage: Compound SP657 formation reaction by Thz deprotection reaction of compound SP656
NCLによって環化した化合物SP656の反応混合物(上の反応混合物、25μL)、DMA(25μL)、6.7M 1,2-ジ(ピリジン-2-イル)ジスルファン/DMA溶液(15μL)を混合し、5N塩酸にてpH3.8に調整した混合物を、37度にて15時間静置した。つづいて、反応混合物のうち25μLを取り出し、1.25M TCEP水溶液(50μL、pH7.5)を混合し、25度にて3時間静置した。反応溶液をLCMS測定したところ、Thz部位が脱保護された化合物、(S)-1-((3S,6S,9S,13R,19S,22S,25R,30aS)-22-((1H-インドール-3-イル)メチル)-6-(4-((R)-2-アミノ-3-メルカプトプロパンアミド)ブチル)-19-(4-(ジメチルアミノ)ブチル)-13,25-ビス(メルカプトメチル)-3-メチル-1,4,7,11,14,17,20,23,26-ノナオキソオクタコサヒドロ-1H-ピロロ[2,1-c][1,4,7,10,13,16,19,23,26]オキサオクタアザシクロオクタコシン-9-カルボニル)ピロリジン-2-カルボキサミド (化合物SP657、*Cys-Gly-Lys(Me2) -Trp-Cys-Pro-Lac-Lys(H-Cys)-Asp*-Pro-NH2で、*で環を巻いた化合物)の生成が確認された。
LCMS(ESI) m/z = 1215 (M-H)-(図69)
保持時間:0.73分(分析条件SQDAA05)
Compound SP656 cyclized by NCL (top reaction mixture, 25 μL), DMA (25 μL), 6.7
LCMS (ESI) m / z = 1215 (M−H) − (FIG. 69)
Retention time: 0.73 minutes (analysis condition SQDAA05)
3段階目:化合物SP657環状ペプチドの分枝形成反応による化合物SP658の生成反応
Third stage: Compound SP658 formation reaction by branching reaction of compound SP657 cyclic peptide
Thzの脱保護をし、ジスルフィドを還元した化合物SP657の反応混合物(上の反応混合物、25μL)と2.0M Bicine緩衝液(pH8.7、30μL)を混合し、5N水酸化ナトリウム水溶液でpH9.5に調整し、反応溶液を37度にて4時間静置した。反応溶液をLCMS測定したところ、環状ペプチドに分枝形成した、(S)-1-((3R,6S,9S,15R,19S,22S)-6-((1H-インドール-3-イル)メチル)-9-(4-(ジメチルアミノ)ブチル)-22-((S)-2-ヒドロキシプロパンアミド)-3,15-ビス(メルカプトメチル)-2,5,8,11,14,17,21-ヘプタオキソ-1,4,7,10,13,16,20-ヘプタアザシクロヘキサコサン-19-カルボニル)ピロリジン-2-カルボキサミド(化合物SP658、H-Lac-Lys(*Cys-Gly-Lys(Me2)-Trp-Cys)-Asp*-Pro-NH2で、*で環を巻いた化合物)の生成が確認された。
LCMS(ESI) m/z = 1017 (M+H)+
保持時間:0.65分(分析条件SQDAA05)(図70)
A reaction mixture of the compound SP657 with Thz deprotected and reduced disulfide (the above reaction mixture, 25 μL) and 2.0 M Bicine buffer (pH 8.7, 30 μL) were mixed, and
LCMS (ESI) m / z = 1017 (M + H) +
Retention time: 0.65 minutes (analysis condition SQDAA05) (FIG. 70)
6.1回目の環化が終了済であることを想定し、2回目の分枝化にてCys-Pro- HO Glyから活性エステルを発生させ、また保護アミノ基を脱保護させて分枝させる例の実施。
2回目の分枝化のコンセプト証明のための別実験である。1回目の環化が終了済であることを想定している。従って、Aspの側鎖のカルボン酸とN末端のアミノ基によるアミド環化を実施せず、主鎖環化したモデル化合物とした。2回目の分枝化にてCys-Pro-HOGlyから活性エステルを発生させ、その前後にて保護されたアミンを脱保護させて分枝化させるモデル反応性を以下のように実施した。
6. Assuming that the first cyclization has been completed, an active ester is generated from Cys-Pro- HO Gly in the second branching, and the protected amino group is deprotected and branched. Example implementation.
This is another experiment for proof of concept of the second branching. It is assumed that the first cyclization has been completed. Therefore, the amide cyclization with the carboxylic acid in the side chain of Asp and the amino group at the N-terminal was not carried out, and the model compound was cyclized in the main chain. A model reactivity in which active ester was generated from Cys-Pro- HO Gly in the second branching and deprotection of the protected amine before and after that was carried out for branching was carried out as follows.
6-1.翻訳ペプチドモデル化合物SP662の合成
以下のスキームに従い、合成を行った。
6-1. Synthesis of translated peptide model compound SP662 Synthesis was performed according to the following scheme.
(5S,8R)-5-ベンジル-1-(9H-フルオレン-9-イル)-12,12-ジメチル-3,6-ジオキソ-2-オキサ-10,11-ジチア-4,7-ジアザトリデカン-8-カルボン酸(化合物SP663、Fmoc-Phe-Cys(StBu)-OH)の合成
(5S, 8R) -5-Benzyl-1- (9H-fluoren-9-yl) -12,12-dimethyl-3,6-dioxo-2-oxa-10,11-dithia-4,7-diazatridecane- Synthesis of 8-carboxylic acid (compound SP663, Fmoc-Phe-Cys (StBu) -OH)
Fmoc-Phe-OH(4g、 10.32mmol)とN-ヒドロキシスクシンイミド(1.19g、10.32mmol)のジクロロメタン (20 ml)溶液を0度に冷却した後に、1-(3-ジメチルアミノプロピル)-3-エチルカルボジイミド塩酸塩(EDC・HCl、1.98g、10.32mmol)を加え、反応液を室温で6時間攪拌した。反応液を0度に冷却した後にN,N-ジイソプロピルエチルアミン(1.80ml、10.23mmol)とS-(t-ブチルチオ)-L-システイン(H-Cys(StBu)-OH)(2.16g、10.32mmol)を加え、反応液を室温で12時間攪拌した。反応混合物に酢酸エチルと2M塩酸を加えて、酢酸エチルにて抽出を行った。有機層を25wt%食塩水で洗浄し、硫酸ナトリウムにて乾燥した。得られた溶液を減圧濃縮し、濃縮残渣を逆相シリカゲルカラムクロマトグラフィー(0.1%ギ酸水溶液/0.1%ギ酸アセトニトリル溶液)にて精製し、(5S,8R)-5-ベンジル-1-(9H-フルオレン-9-イル)-12,12-ジメチル-3,6-ジオキソ-2-オキサ-10,11-ジチア-4,7-ジアザトリデカン-8-カルボン酸(化合物SP663、Fmoc-Phe-Cys(StBu)-OH)(4.22g、71%)を得た。
LCMS(ESI) m/z = 579 (M+H)+
保持時間:0.97分(分析条件SQD FA05)
After cooling a solution of Fmoc-Phe-OH (4 g, 10.32 mmol) and N-hydroxysuccinimide (1.19 g, 10.32 mmol) in dichloromethane (20 ml) at 0 ° C., 1- (3-dimethylaminopropyl) -3-Ethylcarbodiimide hydrochloride (EDC.HCl, 1.98 g, 10.32 mmol) was added and the reaction was stirred at room temperature for 6 hours. After the reaction solution was cooled to 0 ° C., N, N-diisopropylethylamine (1.80 ml, 10.23 mmol) and S- (t-butylthio) -L-cysteine (H-Cys (StBu) -OH) (2.16 g) 10.32 mmol) was added and the reaction was stirred at room temperature for 12 hours. Ethyl acetate and 2M hydrochloric acid were added to the reaction mixture, and the mixture was extracted with ethyl acetate. The organic layer was washed with 25 wt% saline and dried over sodium sulfate. The resulting solution was concentrated under reduced pressure, and the concentrated residue was purified by reverse phase silica gel column chromatography (0.1% formic acid aqueous solution / 0.1% formic acid acetonitrile solution) to give (5S, 8R) -5-benzyl-1 -(9H-Fluoren-9-yl) -12,12-dimethyl-3,6-dioxo-2-oxa-10,11-dithia-4,7-diazatridecane-8-carboxylic acid (compound SP663, Fmoc-Phe -Cys (StBu) -OH) (4.22 g, 71%) was obtained.
LCMS (ESI) m / z = 579 (M + H) +
Retention time: 0.97 minutes (analysis conditions SQD FA05)
(6S,9S,12S,15S,18S,21S,24S,27S,30S,33S,36R,41aS)-9-(4-アジドブチル)-6,24,33-トリベンジル-36-((tert-ブチルジスルファニル)メチル)-12,18-ジイソブチル-14,15,17,21,23,26,27,30-オクタメチルヘキサコサヒドロピロロ[2,1-c][1,4,7,10,13,16,19,22,25,28,31,34,37]オキサドデカアザシクロノナトリアコンチン-1,4,7,10,13,16,19,22,25,28,31,34,37(3H)-トリデカオン(化合物SP662、c( HO Gly-Phe-Lys(N3)-Leu-MeAla-MeLeu-Ala-MePhe-MeAla-Ala-Phe-Cys(StBu)-Pro))の合成
(HOGlyはグリコール酸を示す)
用語の定義
Fmoc-Lys(N3)-OH: (S)-2-(((9H-フルオレン-9-イル)メトキシ)カルボニルアミノ)-6-アジドヘキサン酸
(6S, 9S, 12S, 15S, 18S, 21S, 24S, 27S, 30S, 33S, 36R, 41aS) -9- (4-azidobutyl) -6,24,33-tribenzyl-36-((tert-butyldi Sulfanyl) methyl) -12,18-diisobutyl-14,15,17,21,23,26,27,30-octamethylhexacosahydropyrrolo [2,1-c] [1,4,7,10,13 , 16,19,22,25,28,31,34,37] Oxadodecaazacyclononatriacontin-1,4,7,10,13,16,19,22,25,28,31,34,37 (3H) - synthesis of Toridekaon (compound SP662, c (HO Gly-Phe -Lys (N3) -Leu-MeAla-MeLeu-Ala-MePhe-MeAla-Ala-Phe-Cys (StBu) -Pro)) (HO Gly Indicates glycolic acid)
Definition of terms
Fmoc-Lys (N3) -OH: (S) -2-(((9H-fluoren-9-yl) methoxy) carbonylamino) -6-azidohexanoic acid
Fmocアミノ酸として、Fmoc-MePhe-OH、Fmoc-MeAla-OH、Fmoc-MeLeu-OH、Fmoc-Lys(N3)-OH、Fmoc-Phe-OH、Fmoc-Ala-OH、Fmoc-Leu-OH、Fmoc-Phe-Cys(StBu)-OH(化合物SP663)を用いてペプチドの伸長を行った。ペプチドの伸長後、N末端のFmoc基を脱保護し、HOAt,DICを縮合剤としてクロロ酢酸を縮合させた後、レジンをDMF,ジクロロメタンにて洗浄した。レジンにジクロロメタン/2,2,2-トリフルオロエタノール(=1/1,v/v、4mL)を加えて1時間反応させ、レジンからのペプチドの切り出しを行った。反応終了後、チューブ内溶液を合成用カラムでろ過することによりレジンを除き、レジンをジクロロメタン/2,2,2-トリフルオロエタノール(=1/1,v/v、1mL)にて洗浄した。得られた溶液を減圧濃縮し、粗生成物((S)-1-((2R,5S,8S,11S,14S,17S,20S,23S,26S,29S,32S)-29-(4-アジドブチル)-5,14,32-トリベンジル-2-((tert-ブチルジスルファニル)メチル)-35-クロロ-20,26-ジイソブチル-8,11,12,15,17,21,23,24-オクタメチル-4,7,10,13,16,19,22,25,28,31,34-ウンデカオキソ-3,6,9,12,15,18,21,24,27,30,33-ウンデカアザペンタトリアコンタン)ピロリジン-2-カルボン酸(ClAc-Phe-Lys(N3)-Leu-MeAla-MeLeu-Ala-MePhe-MeAla-Ala-Phe-Cys(StBu)-Pro)(419mg)を得た。得られた粗生成物(ClAc-Phe-Lys(N3)-Leu-MeAla-MeLeu-Ala-MePhe-MeAla-Ala-Phe-Cys(StBu)-Pro)(419mg, 0.271mmol)とヨウ化ナトリウム(102mg, 0.678mmol)のDMF(20ml)、THF(20ml)溶液に窒素雰囲気下、炭酸カリウム(56.2mg、0.407mmol)を加え、反応液を40度で5.5時間攪拌した。反応液を減圧濃縮し、得られた残渣を逆相シリカゲルカラムクロマトグラフィー(0.1%ギ酸水溶液/0.1%ギ酸アセトニトリル溶液)にて精製し、標題化合物(化合物SP662、158mg、39%)を得た。
LCMS(ESI) m/z = 1509 (M+H)+
保持時間:0.63分(分析条件SQD FA50)
As Fmoc amino acids, Fmoc-MePhe-OH, Fmoc-MeAla-OH, Fmoc-MeLeu-OH, Fmoc-Lys (N3) -OH, Fmoc-Phe-OH, Fmoc-Ala-OH, Fmoc-Leu-OH, Fmoc -Phe-Cys (StBu) -OH (compound SP663) was used to extend the peptide. After extending the peptide, the N-terminal Fmoc group was deprotected, chloroacetic acid was condensed using HOAt, DIC as a condensing agent, and the resin was washed with DMF and dichloromethane. Dichloromethane / 2,2,2-trifluoroethanol (= 1/1, v / v, 4 mL) was added to the resin and reacted for 1 hour to excise the peptide from the resin. After completion of the reaction, the resin in the tube was filtered through a synthesis column to remove the resin, and the resin was washed with dichloromethane / 2,2,2-trifluoroethanol (= 1/1, v / v, 1 mL). The resulting solution was concentrated under reduced pressure to give the crude product ((S) -1-((2R, 5S, 8S, 11S, 14S, 17S, 20S, 23S, 26S, 29S, 32S) -29- (4-azidobutyl ) -5,14,32-tribenzyl-2-((tert-butyldisulfanyl) methyl) -35-chloro-20,26-diisobutyl-8,11,12,15,17,21,23,24-octamethyl -4,7,10,13,16,19,22,25,28,31,34-Undecaoxo-3,6,9,12,15,18,21,24,27,30,33-Undecaaza Pentatriacontane) pyrrolidine-2-carboxylic acid (ClAc-Phe-Lys (N3) -Leu-MeAla-MeLeu-Ala-MePhe-MeAla-Ala-Phe-Cys (StBu) -Pro) (419 mg) was obtained. The resulting crude product (ClAc-Phe-Lys (N3) -Leu-MeAla-MeLeu-Ala-MePhe-MeAla-Ala-Phe-Cys (StBu) -Pro) (419 mg, 0.271 mmol) and sodium iodide Potassium carbonate (56.2 mg, 0.407 mmol) was added to a solution of (102 mg, 0.678 mmol) in DMF (20 ml) and THF (20 ml) under a nitrogen atmosphere, and the reaction solution was heated at 40 degrees for 5.5 hours. The reaction mixture was concentrated under reduced pressure, and the resulting residue was purified by reverse phase silica gel column chromatography (0.1% formic acid aqueous solution / 0.1% formic acid acetonitrile solution) to give the title compound (compound SP662, 158 mg, 39%).
LCMS (ESI) m / z = 1509 (M + H) +
Retention time: 0.63 minutes (analysis condition SQD FA50)
6-2.翻訳モデルペプチドからの分子内分枝ペプチド生成反応
(S)-N-((3S,6S,9S,12S,15S,18S,21S,24S,27S)-3,12-ジベンジル-18,24-ジイソブチル-6,9,10,13,15,19,21,22-オクタメチル-2,5,8,11,14,17,20,23,26-ノナオキソ-1,4,7,10,13,16,19,22,25-ノナアザシクロヘントリアコンタン-27-イル)-2-(2-ヒドロキシアセトアミド)-3-フェニルプロパンアミド(化合物SP664)の合成
6-2. Intramolecular branched peptide formation from translation model peptides
(S) -N-((3S, 6S, 9S, 12S, 15S, 18S, 21S, 24S, 27S) -3,12-dibenzyl-18,24-diisobutyl-6,9,10,13,15,19 , 21,22-Octamethyl-2,5,8,11,14,17,20,23,26-Nonaoxo-1,4,7,10,13,16,19,22,25-Nonaazacyclohentria Synthesis of Contan-27-yl) -2- (2-hydroxyacetamido) -3-phenylpropanamide (Compound SP664)
緩衝溶液中における分子内分枝ペプチド生成反応
0.5M HEPES緩衝液(pH7.0、 60μl)と1,3-ジメチル-2-イミダゾリジノン(DMI)(40μl)の混合溶液に、TCEP塩酸塩(トリス(2-カルボキシエチル)ホスフィン塩酸塩)(2.9mg、 0.010mmol)、2-(4-メルカプトフェニル)酢酸(1.7mg、 0.010mmol)を加えた。さらにこの溶液に2N水酸化ナトリウム水溶液(35μl)と水(45μl)を加えてpH8.5に調整し、室温で5分攪拌した。
その後、(6S,9S,12S,15S,18S,21S,24S,27S,30S,33S,36R,41aS)-9-(4-アジドブチル)-6,24,33-トリベンジル-36-((tert-ブチルジスルファニル)メチル)-12,18-ジイソブチル-14,15,17,21,23,26,27,30-オクタメチルヘキサコサヒドロピロロ[2,1-c][1,4,7,10,13,16,19,22,25,28,31,34,37]オキサドデカアザシクロノナトリアコンチン-1,4,7,10,13,16,19,22,25,28,31,34,37(3H)-トリデカオン(c(HOGly-Phe-Lys(N3)-Leu-MeAla-MeLeu-Ala-MePhe-MeAla-Ala-Phe-Cys(StBu)-Pro)) (化合物SP662)の0.01M 1,3-ジメチル-2-イミダゾリジノン(DMI)溶液(20μl、 0.2μmol)を加え、反応液を30℃で24時間攪拌した。LCMSを用いて反応の変化を観測したところ、24時間で(S)-N-((3S,6S,9S,12S,15S,18S,21S,24S,27S)-3,12-ジベンジル-18,24-ジイソブチル-6,9,10,13,15,19,21,22-オクタメチル-2,5,8,11,14,17,20,23,26-ノナオキソ-1,4,7,10,13,16,19,22,25-ノナアザシクロヘントリアコンタン-27-イル)-2-(2-ヒドロキシアセトアミド)-3-フェニルプロパンアミド(化合物SP664)が生成していることを確認した。加水分解物と化合物SP664との生成比は、LCMSのUVエリア比で12:88であった。(図71、加水分解化合物 保持時間:0.62分)
LCMS(ESI) m/z = 1195 (M+H)+
保持時間:0.77分(分析条件SQD FA05)
Intramolecular branched peptide formation reaction in buffer solution 0.5M HEPES buffer (pH 7.0, 60 μl) and 1,3-dimethyl-2-imidazolidinone (DMI) (40 μl) were mixed with TCEP hydrochloride. (Tris (2-carboxyethyl) phosphine hydrochloride) (2.9 mg, 0.010 mmol) and 2- (4-mercaptophenyl) acetic acid (1.7 mg, 0.010 mmol) were added. Further, 2N aqueous sodium hydroxide solution (35 μl) and water (45 μl) were added to this solution to adjust to pH 8.5, and the mixture was stirred at room temperature for 5 minutes.
(6S, 9S, 12S, 15S, 18S, 21S, 24S, 27S, 30S, 33S, 36R, 41aS) -9- (4-azidobutyl) -6,24,33-tribenzyl-36-((tert- (Butyldisulfanyl) methyl) -12,18-diisobutyl-14,15,17,21,23,26,27,30-octamethylhexacosahydropyrrolo [2,1-c] [1,4,7,10 , 13,16,19,22,25,28,31,34,37] Oxadodecaazacyclononatricontin-1,4,7,10,13,16,19,22,25,28,31,34 , 37 (3H) -Tridecaon (c ( HO Gly-Phe-Lys (N3) -Leu-MeAla-MeLeu-Ala-MePhe-MeAla-Ala-Phe-Cys (StBu) -Pro)) (Compound SP662) .
LCMS (ESI) m / z = 1195 (M + H) +
Retention time: 0.77 minutes (analysis condition SQD FA05)
7.1回目の環化反応が終了後を想定し、2回目の分枝化にて反応補助基を有するエステルから直接活性エステルを発生させ、また(保護)アミノ基をアミド化反応により分枝させる例の実施。
コンセプト証明のための別実験である。1回目の環化反応終了後を想定した。従ってAspの側鎖カルボン酸とN末端アミンとの環化ではなく、C末端Alaのカルボン酸とN末端アミンとをアミド環化させた。2回目の分枝化のためのアミノ基の保護基もディスプレーライブラリーでの使用を想定したものではない。反応補助基を有するエステルからの分枝化反応が進行することを確認することを目的としたコンセプト証明のためのモデル実験である。
7. Assuming the completion of the first cyclization reaction, the active ester is generated directly from the ester having the reaction auxiliary group in the second branching, and the (protected) amino group is branched by the amidation reaction. Implementation of example
This is another experiment for proof of concept. The end of the first cyclization reaction was assumed. Therefore, instead of cyclization of the side chain carboxylic acid of Asp and the N-terminal amine, the carboxylic acid of C-terminal Ala and the N-terminal amine were amide cyclized. The amino protecting group for the second branching is not intended for use in a display library. This is a model experiment for proof of concept aimed at confirming that a branching reaction from an ester having a reaction auxiliary group proceeds.
7-1.翻訳ペプチドモデル化合物(化合物665)の合成
以下のスキームに従い、合成を行った。
7-1. Synthesis of Translated Peptide Model Compound (Compound 665) Synthesis was performed according to the following scheme.
3-(tert-ブチルジスルファニル)-2-ヒドロキシプロパン酸(化合物SP666、H-tBuSSlac-OH)の合成
Synthesis of 3- (tert-butyldisulfanyl) -2-hydroxypropanoic acid (compound SP666, H-tBuSSlac-OH)
文献既知法(J.Am.Chem.Soc.2008,130,4919.) により調整した2-(tert-ブチルジメチルシリルオキシ)-3-(tert-ブチルジスルファニル)プロピオン酸(化合物24)(30.0mg、 0.092mmol)のテトラヒドロフラン(THF)溶液(300μl)に室温にて1N 塩酸水溶液(300μl)を加え、60度で16時間攪拌した。反応液を逆相シリカゲルクロマトグラフィー(0.1%ギ酸水溶液/0.1%ギ酸アセトニトリル溶液)にて精製し、3-(tert-ブチルジスルファニル)-2-ヒドロキシプロパン酸(H-tBuSSlac-OH)(化合物SP666)(7.4mg、54%)を得た。
なお、本明細書中では、化合物SP666のヒドロキシル基上の水素原子とカルボン酸上のヒドロキシル基を除いた2価の構造をtBuSSlacとする。
LCMS(ESI) m/z = 209 (M―H)―
保持時間:0.60分(分析条件SQDFA05)
2- (tert-Butyldimethylsilyloxy) -3- (tert-butyldisulfanyl) propionic acid (compound 24) prepared by a known method (J. Am. Chem. Soc. 2008, 130, 4919.) (30 To a tetrahydrofuran (THF) solution (300 μl) of 0.0 mg, 0.092 mmol) was added 1N aqueous hydrochloric acid (300 μl) at room temperature, and the mixture was stirred at 60 ° C. for 16 hours. The reaction solution was purified by reverse phase silica gel chromatography (0.1% aqueous formic acid solution / 0.1% formic acid acetonitrile solution) to give 3- (tert-butyldisulfanyl) -2-hydroxypropanoic acid (H-tBuSSlac-OH). ) (Compound SP666) (7.4 mg, 54%).
In the present specification, a divalent structure excluding the hydrogen atom on the hydroxyl group of compound SP666 and the hydroxyl group on carboxylic acid is referred to as tBuSSlac.
LCMS (ESI) m / z = 209 (M−H) −
Retention time: 0.60 minutes (analysis condition SQDFA05)
2-(((S)-2-((((9H―フルオレン-9-イル)メトキシ)カルボニル)アミノ)-3-フェニルプロパノイル)オキシ)-3-(tetr-ブチルジスルファニル)プロパン酸(Fmoc-Phe-tBuSSlac-OH)(化合物SP667)の合成
2-((((S) -2-((((9H-fluoren-9-yl) methoxy) carbonyl) amino) -3-phenylpropanoyl) oxy) -3- (tetr-butyldisulfanyl) propanoic acid ( Fmoc-Phe-tBuSSlac-OH) (Compound SP667)
窒素雰囲気下、(S)-2-((((9H-フルオレン-9-イル)メトキシ)カルボニル)アミノ)-3-フェニルプロパン酸(Fmoc-Phe-OH)(500mg、1.29mmol)とN-ヒドロキシスクシンイミド(HOSu)(149mg、1.29mmol)のジメチルホルムアミド(DMF)溶液(4.5ml)に室温にて1-エチル-3-(3-ジメチルアミノプロピル)カルボジイミド塩酸塩(EDCI・HCl)(247mg、1.29mmol)を加え、同温度にて18時間攪拌した。反応液(1.7ml)に3-(tert-ブチルジスルファニル)-2-ヒドロキシプロパン酸(化合物SP666)(100mg、0.475mmol)と4-ジメチルアミノピリジン(DMAP)(58.1mg、0.475mmol)を室温にて加え、同温度で5時間攪拌した。反応液にギ酸(18μl)を加え、逆相シリカゲルクロマトグラフィー(0.1%ギ酸水溶液/0.1%ギ酸アセトニトリル溶液)にて精製し、2-(((S)-2-((((9H―フルオレン-9-イル)メトキシ)カルボニル)アミノ)-3-フェニルプロパノイル)オキシ)-3-(tetr-ブチルジスルファニル)プロパン酸(Fmoc-Phe-tBuSSlac-OH)(化合物SP667)(110mg、40%)を得た。
LCMS(ESI) m/z = 580.5 (M+H)+
保持時間:1.05分(分析条件SQDFA05)
Under a nitrogen atmosphere, (S) -2-((((9H-fluoren-9-yl) methoxy) carbonyl) amino) -3-phenylpropanoic acid (Fmoc-Phe-OH) (500 mg, 1.29 mmol) and N -Hydroxysuccinimide (HOSu) (149 mg, 1.29 mmol) in dimethylformamide (DMF) solution (4.5 ml) at room temperature with 1-ethyl-3- (3-dimethylaminopropyl) carbodiimide hydrochloride (EDCI · HCl) (247 mg, 1.29 mmol) was added and stirred at the same temperature for 18 hours. To the reaction solution (1.7 ml) was added 3- (tert-butyldisulfanyl) -2-hydroxypropanoic acid (Compound SP666) (100 mg, 0.475 mmol) and 4-dimethylaminopyridine (DMAP) (58.1 mg, 0.4 mg). 475 mmol) was added at room temperature, and the mixture was stirred at the same temperature for 5 hours. To the reaction solution was added formic acid (18 μl) and purified by reverse phase silica gel chromatography (0.1% formic acid aqueous solution / 0.1% formic acid acetonitrile solution) to give 2-(((S) -2-(((( 9H-Fluoren-9-yl) methoxy) carbonyl) amino) -3-phenylpropanoyl) oxy) -3- (tetra-butyldisulfanyl) propanoic acid (Fmoc-Phe-tBuSSlac-OH) (compound SP667) (110
LCMS (ESI) m / z = 580.5 (M + H) +
Retention time: 1.05 minutes (analysis condition SQDFA05)
(5S,11S,14S,17S,20S,23S,26S,29S,32S,35S)-14-(4-((R)-2-(((アリルオキシ)カルボニル)アミノ)-3-(tert-ブチルジスルファニル)プロパンアミド)ブチル)-5,11,29-トリベンジル-8-((tert-ブチルジスルファニル)メチル)-1-(9H-フルオレン-9-イル)-17,23-ジイソブチル-19,20,22,26,28,31,32,35-オクタメチル-3,6,9,12,15,18,21,24,27,30,33-ウンデカオキソ-2,7-ジオキサ-4,10,13,16,19,22,25,28,31,34-デカアザヘキサトリアコンタン-36-酸(Fmoc-Phe-tBuSSlac-Phe-Lys(Alloc-Cys(StBu))-Leu-MeAla-MeLeu-Ala-MePhe-MeAla-Ala-OH)(化合物SP668)の合成
なお、本明細書中では、他の例と同様H-Lys-OHの側鎖アミノ基とAlloc-Cys(StBu)-OHのカルボキシル基とがアミド結合した化合物をH-Lys(Alloc-Cys(StBu))-OHと記載する。
(5S, 11S, 14S, 17S, 20S, 23S, 26S, 29S, 32S, 35S) -14- (4-((R) -2-(((allyloxy) carbonyl) amino) -3- (tert-butyl Disulfanyl) propanamido) butyl) -5,11,29-tribenzyl-8-((tert-butyldisulfanyl) methyl) -1- (9H-fluoren-9-yl) -17,23-diisobutyl-19, 20, 22, 26, 28, 31, 32, 35-octamethyl-3, 6, 9, 12, 15, 18, 18, 21, 24, 27, 30, 33-undecaoxo-2,7-dioxa-4, 10, 13, 16, 19, 22, 25, 28, 31, 34-Decaazahexatriacontane-36-acid (Fmoc-Phe-tBuSSlac-Phe-Lys (Al oc-Cys (StBu)) - Leu-MeAla-MeLeu-Ala-MePhe-MeAla-Ala-OH) ( Synthesis of Compound SP668) In this specification, the side of the same as the other examples H-Lys-OH A compound in which the chain amino group and the carboxyl group of Alloc-Cys (StBu) -OH are amide-bonded is referred to as H-Lys (Alloc-Cys (StBu))-OH.
既に、実施例に記載のFmoc法によるペプチド合成法に従いペプチド鎖の伸長を行って、H-Phe-Lys(Alloc-Cys(StBu))-Leu-MeAla-MeLeu-Ala-MePhe-MeAla-Ala-OH(化合物SP669)を合成した。レジンはCl-Trt(2-Cl)-Resin(100~200Mesh,1% DVB,渡辺化学より購入)を用いた。Fmocアミノ酸として、Fmoc-Ala-OH、Fmoc-MeAla-OH、Fmoc-MePhe-OH、Fmoc-MeLeu-OH、Fmoc-Leu-OH、Fmoc-Lys(Alloc-Cys(StBu))-OH(化合物150a)、Fmoc-Phe-OHを用いた。ペプチドの伸長後、N末端のFmoc基を20%ピペリジンのジメチルホルムアミド(DMF)溶液(4.0ml)で脱保護し、レジンをジメチルホルムアミド(DMF)で洗浄した。レジンにジクロロメタン(DCM)/2,2,2-トリフルオロエタノール(TFE)(=1/1、v/v、4.0ml)を加えて1時間反応させ、レジンからのペプチドの切り出しを行った。反応終了後、チューブ内溶液を合成用カラムでろ過することによりレジンを除き、レジンをジクロロメタン(DCM)/2,2,2-トリフルオロエタノール(TFE)(=1/1,v/v、1mL)にて4回洗浄した。得られた溶液を減圧濃縮し、粗生成物として(2S,5S,8S,11S,14S,17S,20S,23S,30R)-23-((S)-2-アミノ-3-フェニルプロパンアミド)-8-ベンジル-30-((tert-ブチルジスルファニル)メチル)-14,20-ジイソブチル-2,5,6,9,11,15,17,18-オクタメチル-4,7,10,13,16,19,22,29,32-ノナオキソ-33-オキサ-3,6,9,12,15,18,21,28,31-ノナアザヘキサトリアコンタ-35-エン-1-酸(H-Phe-Lys(Alloc-Cys(StBu))-Leu-MeAla-MeLeu-Ala-MePhe-MeAla-Ala-OH)(化合物SP669)(71.0mg)を得た。 The peptide chain was already extended according to the peptide synthesis method by the Fmoc method described in the Examples, and H-Phe-Lys (Alloc-Cys (StBu))-Leu-MeAla-MeLeu-Ala-MePhe-MeAla-Ala- OH (Compound SP669) was synthesized. As the resin, Cl-Trt (2-Cl) -Resin (100 to 200 Mesh, 1% DVB, purchased from Watanabe Chemical) was used. As Fmoc amino acids, Fmoc-Ala-OH, Fmoc-MeAla-OH, Fmoc-MePhe-OH, Fmoc-MeLeu-OH, Fmoc-Leu-OH, Fmoc-Lys (Alloc-Cys (StBu))-OH (compound 150a) ), Fmoc-Phe-OH. After peptide elongation, the N-terminal Fmoc group was deprotected with 20% piperidine in dimethylformamide (DMF) (4.0 ml), and the resin was washed with dimethylformamide (DMF). Dichloromethane (DCM) / 2,2,2-trifluoroethanol (TFE) (= 1/1, v / v, 4.0 ml) was added to the resin and reacted for 1 hour to cleave the peptide from the resin. . After completion of the reaction, the resin in the tube was filtered through a synthesis column to remove the resin, and the resin was dichloromethane (DCM) / 2,2,2-trifluoroethanol (TFE) (= 1/1, v / v, 1 mL). ) 4 times. The obtained solution was concentrated under reduced pressure, and (2S, 5S, 8S, 11S, 14S, 17S, 20S, 23S, 30R) -23-((S) -2-amino-3-phenylpropanamide) was obtained as a crude product. -8-benzyl-30-((tert-butyldisulfanyl) methyl) -14,20-diisobutyl-2,5,6,9,11,15,17,18-octamethyl-4,7,10,13, 16,19,22,29,32-nonaoxo-33-oxa-3,6,9,12,15,18,21,28,31-nonaazahexatriaconta-35-en-1-acid (H- Phe-Lys (Alloc-Cys (StBu))-Leu-MeAla-MeLeu-Ala-MePhe-MeAla-Ala-OH (compound SP669) (71.0 mg) was obtained.
窒素雰囲気下、2-(((S)-2-((((9H―フルオレン-9-イル)メトキシ)カルボニル)アミノ)-3-フェニルプロパノイル)オキシ)-3-(tetr-ブチルジスルファニル)プロパン酸(Fmoc-Phe-tBuSSlac-OH)(化合物SP667)(10.0mg、17μmol)とN-ヒドロキシスクシンイミド(HOSu)(1.99mg、17μmol)のジメチルホルムアミド(DMF)溶液(100μl)に室温にて1-エチル-3-(3-ジメチルアミノプロピル)カルボジイミド塩酸塩(EDCI・HCl)(3.31mg、17μmol)を加え、同温度にて15時間攪拌した。反応液に(2S,5S,8S,11S,14S,17S,20S,23S,30R)-23-((S)-2-アミノ-3-フェニルプロパンアミド)-8-ベンジル-30-((tert-ブチルジスルファニル)メチル)-14,20-ジイソブチル-2,5,6,9,11,15,17,18-オクタメチル-4,7,10,13,16,19,22,29,32-ノナオキソ-33-オキサ-3,6,9,12,15,18,21,28,31-ノナアザヘキサトリアコンタ-35-エン-1-酸(H-Phe-Lys(Alloc-Cys(StBu))-Leu-MeAla-MeLeu-Ala-MePhe-MeAla-Ala-OH)(化合物SP669)(22.1mg)のジメチルホルムアミド(DMF)溶液(220μl)とジイソプロピルエチルアミン(DIPEA)(3.01μl、17μmol)を室温にて加え、30度で3時間30分攪拌した。 2-(((S) -2-((((9H-fluoren-9-yl) methoxy) carbonyl) amino) -3-phenylpropanoyl) oxy) -3- (tetra-butyldisulfanyl) under nitrogen atmosphere ) Propanoic acid (Fmoc-Phe-tBuSSlac-OH) (Compound SP667) (10.0 mg, 17 μmol) and N-hydroxysuccinimide (HOSu) (1.99 mg, 17 μmol) in a dimethylformamide (DMF) solution (100 μl) at room temperature 1-ethyl-3- (3-dimethylaminopropyl) carbodiimide hydrochloride (EDCI · HCl) (3.31 mg, 17 μmol) was added thereto, and the mixture was stirred at the same temperature for 15 hours. (2S, 5S, 8S, 11S, 14S, 17S, 20S, 23S, 30R) -23-((S) -2-amino-3-phenylpropanamide) -8-benzyl-30-((tert -Butyldisulfanyl) methyl) -14,20-diisobutyl-2,5,6,9,11,15,17,18-octamethyl-4,7,10,13,16,19,22,29,32- Nonaoxo-33-oxa-3,6,9,12,15,18,21,28,31-nonaazahexatriaconta-35-ene-1-acid (H-Phe-Lys (Alloc-Cys (StBu) ) -Leu-MeAla-MeLeu-Ala-MePhe-MeAla-Ala-OH) (compound SP669) (22.1 mg) in dimethylformamide (DMF) solution (220 μl) Isopropylethylamine (DIPEA) and (3.01μl, 17μmol) was added at room temperature and stirred for 3 hours and 30 minutes at 30 degrees.
反応液を逆相シリカゲルクロマトグラフィー(10mM 酢酸アンモニウム水溶液/メタノール)にて精製し、(5S,11S,14S,17S,20S,23S,26S,29S,32S,35S)-14-(4-((R)-2-(((アリルオキシ)カルボニル)アミノ)-3-(tert-ブチルジスルファニル)プロパンアミド)ブチル)-5,11,29-トリベンジル-8-((tert-ブチルジスルファニル)メチル)-1-(9H-フルオレン-9-イル)-17,23-ジイソブチル-19,20,22,26,28,31,32,35-オクタメチル-3,6,9,12,15,18,21,24,27,30,33-ウンデカオキソ-2,7-ジオキサ-4,10,13,16,19,22,25,28,31,34-デカアザヘキサトリアコンタン-36-酸(Fmoc-Phe-tBuSSlac-Phe-Lys(Alloc-Cys(StBu))-Leu-MeAla-MeLeu-Ala-MePhe-MeAla-Ala-OH)(化合物SP668)(17.0mg、54%)を得た。
LCMS(ESI) m/z = 1844.6 (M+H)+
保持時間:0.84分(分析条件SQDAA50)
The reaction solution was purified by reverse phase silica gel chromatography (10 mM aqueous ammonium acetate / methanol), and (5S, 11S, 14S, 17S, 20S, 23S, 26S, 29S, 32S, 35S) -14- (4-(( R) -2-(((Allyloxy) carbonyl) amino) -3- (tert-butyldisulfanyl) propanamido) butyl) -5,11,29-tribenzyl-8-((tert-butyldisulfanyl) methyl) -1- (9H-fluoren-9-yl) -17,23-diisobutyl-19,20,22,26,28,31,32,35-octamethyl-3,6,9,12,15,18,21 , 24,27,30,33-undecaoxo-2,7-dioxa-4,10,13,16,19,22,25,28,31,34 Decaazahexatriacontane-36-acid (Fmoc-Phe-tBuSSlac-Phe-Lys (Alloc-Cys (StBu))-Leu-MeAla-MeLeu-Ala-MePhe-MeAla-Ala-OH) (Compound SP668) 17.0 mg, 54%).
LCMS (ESI) m / z = 1844.6 (M + H) +
Retention time: 0.84 minutes (analysis condition SQDAA50)
(9S,12S,15S,18S,21S,24S,27S,30S,33S)-12-(4-((R)-2-(((アリルオキシ)カルボニル)アミノ)-3-(tert-ブチルジスルファニル)プロパンアミド)ブチル)-6-(((S)-2-アミノ-3-フェニルプロパノイル)オキシ)-9,27-ジベンジル-15,21-ジイソブチル-2,2,17,18,20,24,26,29,30,33-デカメチル-7,10,13,16,19,22,25,28,31-ノナオキソ-3,4-ジチア-8,11,14,17,20,23,26,29,32-ノナアザテトラトリアコンタン-34-酸(H-Phe-tBuSSlac-Phe-Lys(Alloc-Cys(StBu))-Leu-MeAla-MeLeu-Ala-MePhe-MeAla-Ala-OH)(化合物SP670)の合成
(9S, 12S, 15S, 18S, 21S, 24S, 27S, 30S, 33S) -12- (4-((R) -2-(((allyloxy) carbonyl) amino) -3- (tert-butyldisulfanyl) ) Propanamido) butyl) -6-(((S) -2-amino-3-phenylpropanoyl) oxy) -9,27-dibenzyl-15,21-diisobutyl-2,2,17,18,20, 24,26,29,30,33-decamethyl-7,10,13,16,19,22,25,28,31-nonaoxo-3,4-dithia-8,11,14,17,20,23, 26,29,32-Nonaazatetratriacontane-34-acid (H-Phe-tBuSSlac-Phe-Lys (Alloc-Cys (StBu))-Leu-MeAla-MeLe -Ala-MePhe-MeAla-Ala- OH) (Compound SP670)
(5S,11S,14S,17S,20S,23S,26S,29S,32S,35S)-14-(4-((R)-2-(((アリルオキシ)カルボニル)アミノ)-3-(tert-ブチルジスルファニル)プロパンアミド)ブチル)-5,11,29-トリベンジル-8-((tert-ブチルジスルファニル)メチル)-1-(9H-フルオレン-9-イル)-17,23-ジイソブチル-19,20,22,26,28,31,32,35-オクタメチル-3,6,9,12,15,18,21,24,27,30,33-ウンデカオキソ-2,7-ジオキサ-4,10,13,16,19,22,25,28,31,34-デカアザヘキサトリアコンタン-36-酸(Fmoc-Phe-tBuSSlac-Phe-Lys(Alloc-Cys(StBu))-Leu-MeAla-MeLeu-Ala-MePhe-MeAla-Ala-OH)(化合物SP668)(23.0mg、0.012mmol)に5%ピペリジンのジメチルホルムアミド(DMF)溶液(250μl)を室温にて加え、同温度で10分攪拌した。反応液にギ酸(5.0μL)を加え、逆相シリカゲルクロマトグラフィー(0.1%ギ酸水溶液/0.1%ギ酸アセトニトリル溶液)にて精製し、(9S,12S,15S,18S,21S,24S,27S,30S,33S)-12-(4-((R)-2-(((アリルオキシ)カルボニル)アミノ)-3-(tert-ブチルジスルファニル)プロパンアミド)ブチル)-6-(((S)-2-アミノ-3-フェニルプロパノイル)オキシ)-9,27-ジベンジル-15,21-ジイソブチル-2,2,17,18,20,24,26,29,30,33-デカメチル-7,10,13,16,19,22,25,28,31-ノナオキソ-3,4-ジチア-8,11,14,17,20,23,26,29,32-ノナアザテトラトリアコンタン-34-酸(H-Phe-tBuSSlac-Phe-Lys(Alloc-Cys(StBu))-Leu-MeAla-MeLeu-Ala-MePhe-MeAla-Ala-OH)(化合物SP670)(21.0mg)を定量的に得た。
LCMS(ESI) m/z = 1622 (M+H)+
保持時間:0.30分、0.34分(分析条件SQDFA50)
tBuSSlac部位が光学異性体混合物であるため、化合物としてジアステレオマーが存在し、2本のピークを観測した。
(5S, 11S, 14S, 17S, 20S, 23S, 26S, 29S, 32S, 35S) -14- (4-((R) -2-(((allyloxy) carbonyl) amino) -3- (tert-butyl Disulfanyl) propanamido) butyl) -5,11,29-tribenzyl-8-((tert-butyldisulfanyl) methyl) -1- (9H-fluoren-9-yl) -17,23-diisobutyl-19, 20, 22, 26, 28, 31, 32, 35-octamethyl-3, 6, 9, 12, 15, 18, 18, 21, 24, 30, 33-undecaoxo-2,7-dioxa-4, 10, 13, 16, 19, 22, 25, 28, 31, 34-Decaazahexatriacontane-36-acid (Fmoc-Phe-tBuSSlac-Phe-Lys (Al oc-Cys (StBu))-Leu-MeAla-MeLeu-Ala-MePhe-MeAla-Ala-OH (compound SP668) (23.0 mg, 0.012 mmol) in 5% piperidine in dimethylformamide (DMF) (250 μl) ) At room temperature and stirred at the same temperature for 10 minutes. Formic acid (5.0 μL) was added to the reaction solution and purified by reverse phase silica gel chromatography (0.1% formic acid aqueous solution / 0.1% formic acid acetonitrile solution), and (9S, 12S, 15S, 18S, 21S, 24S). , 27S, 30S, 33S) -12- (4-((R) -2-(((allyloxy) carbonyl) amino) -3- (tert-butyldisulfanyl) propanamido) butyl) -6-((( S) -2-Amino-3-phenylpropanoyl) oxy) -9,27-dibenzyl-15,21-diisobutyl-2,2,17,18,20,24,26,29,30,33-decamethyl- 7,10,13,16,19,22,25,28,31-nonaoxo-3,4-dithia-8,11,14,17,20,23,26,29,32-nonazatetrato Acontan-34-acid (H-Phe-tBuSSlac-Phe-Lys (Alloc-Cys (StBu))-Leu-MeAla-MeLeu-Ala-MePhe-MeAla-Ala-OH) (compound SP670) (21.0 mg) Obtained quantitatively.
LCMS (ESI) m / z = 1622 (M + H) +
Retention time: 0.30 minutes, 0.34 minutes (analysis condition SQDFA50)
Since the tBuSSlac site was a mixture of optical isomers, diastereomers existed as compounds, and two peaks were observed.
((2R)-3-(tert-ブチルジスルファニル)-1-オキソ-1-((4-((5S,8S,11S,14S,17S,20S,23S,26S,29S,32S)-5,23,32-トリベンジル-2-((tert-ブチルジスルファニル)メチル)-11,17-ジイソブチル-13,14,16,20,22,25,26,29-オクタメチル-3,6,9,12,15,18,21,24,27,30,33-ウンデカオキソ-1-オキサ-4,7,10,13,16,19,22,25,28,31-デカアザシクロトリトリアコンタン-8-イル)ブチル)アミノ)プロパン-2-イル)カルバミン酸アリル(*Phe-tBuSSlac-Phe-Lys(Alloc-Cys(StBu))-Leu-MeAla-MeLeu-Ala-MePhe-MeAla-Ala*、2つの*部位にて環化)(化合物SP671)の合成
((2R) -3- (tert-butyldisulfanyl) -1-oxo-1-((4-((5S, 8S, 11S, 14S, 17S, 20S, 23S, 26S, 29S, 32S) -5, 23,32-tribenzyl-2-((tert-butyldisulfanyl) methyl) -11,17-diisobutyl-13,14,16,20,22,25,26,29-octamethyl-3,6,9,12 , 15, 18, 21, 24, 27, 30, 33-undecaoxo-1-oxa-4,7,10,13,16,19,22,25,28,31-deazaazacyclotritriacontane-8- Yl) butyl) amino) propan-2-yl) allylcarbamate (* Phe-tBuSSlac-Phe-Lys (Alloc-Cys (StBu))-Leu-MeAla MeLeu-Ala-MePhe-MeAla- Ala *, cyclization in two * sites) (Compound SP671)
(9S,12S,15S,18S,21S,24S,27S,30S,33S)-12-(4-((R)-2-(((アリルオキシ)カルボニル)アミノ)-3-(tert-ブチルジスルファニル)プロパンアミド)ブチル)-6-(((S)-2-アミノ-3-フェニルプロパノイル)オキシ)-9,27-ジベンジル-15,21-ジイソブチル-2,2,17,18,20,24,26,29,30,33-デカメチル-7,10,13,16,19,22,25,28,31-ノナオキソ-3,4-ジチア-8,11,14,17,20,23,26,29,32-ノナアザテトラトリアコンタン-34-酸(H-Phe-tBuSSlac-Phe-Lys(Alloc-Cys(StBu))-Leu-MeAla-MeLeu-Ala-MePhe-MeAla-Ala-OH)(化合物SP670)(1.2mg、0.74μmmol)のジメチルホルムアミド(DMF)/ジクロロメタン(DCM)(=4/1、v/v、800μl)溶液にO-(7-アザ-1H-ベンゾトリアゾール-1-イル)-N,N,N’N’-テトラメチルウロニウム ヘキサフルオロリン酸塩(HATU)(0.42mg、1.11μmol)のジメチルホルムアミド(DMF)溶液(4.2μl)とジイソプロピルエチルアミン(DIPEA)(0.194μl、1.11μmol)のジメチルホルムアミド(DMF)溶液(2.0μl)を室温にて加え、同温度で3時間攪拌した。反応液にギ酸(0.28μL)を加え、逆相シリカゲルクロマトグラフィー(0.1%ギ酸水溶液/0.1%ギ酸アセトニトリル溶液)にて精製し、((2R)-3-(tert-ブチルジスルファニル)-1-オキソ-1-((4-((5S,8S,11S,14S,17S,20S,23S,26S,29S,32S)-5,23,32-トリベンジル-2-((tert-ブチルジスルファニル)メチル)-11,17-ジイソブチル-13,14,16,20,22,25,26,29-オクタメチル-3,6,9,12,15,18,21,24,27,30,33-ウンデカオキソ-1-オキサ-4,7,10,13,16,19,22,25,28,31-デカアザシクロトリトリアコンタン-8-イル)ブチル)アミノ)プロパン-2-イル)カルバミン酸アリル(*Phe-tBuSSlac-Phe-Lys(Alloc-Cys(StBu))-Leu-MeAla-MeLeu-Ala-MePhe-MeAla-Ala*、2つの*部位にて環化)(化合物SP671)(0.90mg、76%)を得た。
LCMS(ESI) m/z = 1604.5 (M+H)+
保持時間:0.79分(分析条件SQDFA50)
(9S, 12S, 15S, 18S, 21S, 24S, 27S, 30S, 33S) -12- (4-((R) -2-(((allyloxy) carbonyl) amino) -3- (tert-butyldisulfanyl) ) Propanamido) butyl) -6-(((S) -2-amino-3-phenylpropanoyl) oxy) -9,27-dibenzyl-15,21-diisobutyl-2,2,17,18,20, 24,26,29,30,33-decamethyl-7,10,13,16,19,22,25,28,31-nonaoxo-3,4-dithia-8,11,14,17,20,23, 26,29,32-Nonaazatetratriacontane-34-acid (H-Phe-tBuSSlac-Phe-Lys (Alloc-Cys (StBu))-Leu-MeAla-MeLe -Ala-MePhe-MeAla-Ala-OH) (compound SP670) (1.2 mg, 0.74 μmmol) in a dimethylformamide (DMF) / dichloromethane (DCM) (= 4/1, v / v, 800 μl) solution of O. -(7-aza-1H-benzotriazol-1-yl) -N, N, N′N′-tetramethyluronium hexafluorophosphate (HATU) (0.42 mg, 1.11 μmol) in dimethylformamide ( A DMF) solution (4.2 μl) and diisopropylethylamine (DIPEA) (0.194 μl, 1.11 μmol) in dimethylformamide (DMF) (2.0 μl) were added at room temperature, and the mixture was stirred at the same temperature for 3 hours. Formic acid (0.28 μL) was added to the reaction solution and purified by reverse phase silica gel chromatography (0.1% formic acid aqueous solution / 0.1% formic acid acetonitrile solution) to obtain ((2R) -3- (tert-butyldiethyl). Sulfanyl) -1-oxo-1-((4-((5S, 8S, 11S, 14S, 17S, 20S, 23S, 26S, 29S, 32S) -5,23,32-tribenzyl-2-((tert- Butyldisulfanyl) methyl) -11,17-diisobutyl-13,14,16,20,22,25,26,29-octamethyl-3,6,9,12,15,18,21,24,27,30 , 33-undecaoxo-1-oxa-4,7,10,13,16,19,22,25,28,31-decaazacyclotritriacontan-8-yl) butyl) amino) Pan-2-yl) allyl carbamate (* Phe-tBuSSlac-Phe-Lys (Alloc-Cys (StBu))-Leu-MeAla-MeLeu-Ala-MePhe-MeAla-Ala *, cyclized at two * sites ) (Compound SP671) (0.90 mg, 76%).
LCMS (ESI) m / z = 1604.5 (M + H) +
Retention time: 0.79 minutes (analysis condition SQDFA50)
(2R)-2-アミノ-3-(tert-ブチルジスルファニル)-N-(4-((5S,8S,11S,14S,17S,20S,23S,26S,29S,32S)-5,23,32-トリベンジル-2-((tert-ブチルジスルファニル)メチル)-11,17-ジイソブチル-13,14,16,20,22,25,26,29-オクタメチル-3,6,9,12,15,18,21,24,27,30,33-ウンデカオキソ-1-オキサ-4,7,10,13,16,19,22,25,28,31-デカアザシクロトリトリアコンタン-8-イル)ブチル)プロパンアミド(*Phe-tBuSSlac-Phe-Lys(H-Cys(StBu))-Leu-MeAla-MeLeu-Ala-MePhe-MeAla-Ala*、2つの*部位にて環化)(化合物SP665)の合成
(2R) -2-amino-3- (tert-butyldisulfanyl) -N- (4-((5S, 8S, 11S, 14S, 17S, 20S, 23S, 26S, 29S, 32S) -5,23, 32-Tribenzyl-2-((tert-butyldisulfanyl) methyl) -11,17-diisobutyl-13,14,16,20,22,25,26,29-octamethyl-3,6,9,12,15 , 18, 21, 24, 27, 30, 33-Undecaoxo-1-oxa-4,7,10,13,16,19,22,25,28,31-Deazaazacyclotritriacontan-8-yl) Butyl) propanamide (* Phe-tBuSSlac-Phe-Lys (H-Cys (StBu))-Leu-MeAla-MeLeu-Ala-MePhe-MeAla Ala *, cyclization in two * sites) (Compound SP665)
((2R)-3-(tert-ブチルジスルファニル)-1-オキソ-1-((4-((5S,8S,11S,14S,17S,20S,23S,26S,29S,32S)-5,23,32-トリベンジル-2-((tert-ブチルジスルファニル)メチル)-11,17-ジイソブチル-13,14,16,20,22,25,26,29-オクタメチル-3,6,9,12,15,18,21,24,27,30,33-ウンデカオキソ-1-オキサ-4,7,10,13,16,19,22,25,28,31-デカアザシクロトリトリアコンタン-8-イル)ブチル)アミノ)プロパン-2-イル)カルバミン酸アリル(*Phe-tBuSSlac-Phe-Lys(Alloc-Cys(StBu))-Leu-MeAla-MeLeu-Ala-MePhe-MeAla-Ala*、2つの*部位にて環化)(化合物SP671)(2.5mg、1.56μmol)にフェニルシラン(PhSiH3)(0.385μl、3.12μmol)の1,3-ジメチルー2-イミダゾリジノン(DMI)溶液(140μl)、テトラキス(トリフェニルホスフィン)パラジウム(0)(Pd(Ph3P)4)(1.80mg、1.56μmol)を室温にて加え、反応液を30度で1時間30分攪拌した。反応液を逆相シリカゲルクロマトグラフィー(0.1%ギ酸水溶液/0.1%ギ酸アセトニトリル溶液)にて精製し、(2R)-2-アミノ-3-(tert-ブチルジスルファニル)-N-(4-((5S,8S,11S,14S,17S,20S,23S,26S,29S,32S)-5,23,32-トリベンジル-2-((tert-ブチルジスルファニル)メチル)-11,17-ジイソブチル-13,14,16,20,22,25,26,29-オクタメチル-3,6,9,12,15,18,21,24,27,30,33-ウンデカオキソ-1-オキサ-4,7,10,13,16,19,22,25,28,31-デカアザシクロトリトリアコンタン-8-イル)ブチル)プロパンアミド(*Phe-tBuSSlac-Phe-Lys(H-Cys(StBu))-Leu-MeAla-MeLeu-Ala-MePhe-MeAla-Ala*、2つの*部位にて環化)(化合物SP665)(2.60mg、88%)を得た。
LCMS(ESI) m/z = 1520 (M+H)+
保持時間:0.83分(分析条件SQDFA05)
((2R) -3- (tert-butyldisulfanyl) -1-oxo-1-((4-((5S, 8S, 11S, 14S, 17S, 20S, 23S, 26S, 29S, 32S) -5, 23,32-tribenzyl-2-((tert-butyldisulfanyl) methyl) -11,17-diisobutyl-13,14,16,20,22,25,26,29-octamethyl-3,6,9,12 , 15, 18, 21, 24, 27, 30, 33-undecaoxo-1-oxa-4,7,10,13,16,19,22,25,28,31-deazaazacyclotritriacontane-8- Yl) butyl) amino) propan-2-yl) allylcarbamate (* Phe-tBuSSlac-Phe-Lys (Alloc-Cys (StBu))-Leu-MeAla MeLeu-Ala-MePhe-MeAla- Ala *, cyclization) (Compound in two * sites SP671) (2.5mg, phenylsilane (PhSiH 3 to 1.56)) of (0.385μl, 3.12μmol) 1,3-dimethyl-2-imidazolidinone (DMI) solution (140 μl), tetrakis (triphenylphosphine) palladium (0) (Pd (Ph 3 P) 4 ) (1.80 mg, 1.56 μmol) at room temperature In addition, the reaction solution was stirred at 30 degrees for 1 hour 30 minutes. The reaction solution was purified by reverse phase silica gel chromatography (0.1% aqueous formic acid / 0.1% formic acid acetonitrile solution) to give (2R) -2-amino-3- (tert-butyldisulfanyl) -N— ( 4-((5S, 8S, 11S, 14S, 17S, 20S, 23S, 26S, 29S, 32S) -5,23,32-tribenzyl-2-((tert-butyldisulfanyl) methyl) -11,17- Diisobutyl-13,14,16,20,22,25,26,29-octamethyl-3,6,9,12,15,18,21,24,27,30,33-undecaoxo-1-oxa-4, 7,10,13,16,19,22,25,28,31-decaazacyclotritriacontanan-8-yl) butyl) propanamide (* Phe-tBuSSlac Phe-Lys (H-Cys (StBu))-Leu-MeAla-MeLeu-Ala-MePhe-MeAla-Ala *, cyclized at two * sites (compound SP665) (2.60 mg, 88%) It was.
LCMS (ESI) m / z = 1520 (M + H) +
Retention time: 0.83 minutes (analysis condition SQDFA05)
7-2.翻訳ペプチドモデル化合物(化合物SP665)からの分枝ペプチド生成反応
(2S)-N-((3R,6S,9S,12S,15S,18S,21S,24S,27S,30S)-6,15-ジベンジル-21,27-ジイソブチル-3-(メルカプトメチル)-9,12,13,16,18,22,24,25-オクタメチル-2,5,8,11,14,17,20,23,26,29-デカオキソ-1,4,7,10,13,16,19,22,25,28-デカアザシクロテトラトリアコンタン-30-イル)-2-(2-ヒドロキシ-3-メルカプトプロパンアミド)-3-フェニルプロパンアミド(H-HSlac-Phe-Lys(*Cys)-Leu-MeAla-MeLeu-Ala-MePhe-MeAla-Ala-Phe*、2つの*部位にて環化)(化合物SP672)の合成
なお、本明細書では、HSlacとは化合物SP666の側鎖tBuS基が脱保護されたもので、ヒドロキシル基上の水素原子とカルボン酸上のヒドロキシル基を除いた2価の構造を意味する。
7-2. Branched peptide production reaction from translated peptide model compound (compound SP665)
(2S) -N-((3R, 6S, 9S, 12S, 15S, 18S, 21S, 24S, 27S, 30S) -6,15-dibenzyl-21,27-diisobutyl-3- (mercaptomethyl) -9, 12, 13, 16, 18, 22, 24, 25-octamethyl-2,5,8,11,14,17,20,23,26,29-decaoxo-1,4,7,10,13,16, 19,22,25,28-Deazaazacyclotetratriacontane-30-yl) -2- (2-hydroxy-3-mercaptopropanamide) -3-phenylpropanamide (H-HSlac-Phe-Lys (* Cys) ) -Leu-MeAla-MeLeu-Ala -MePhe-MeAla-Ala-Phe *, cyclization in two * sites) (synthesis the present specification compounds SP672) Is the HSlac those side chain tBuS group of compounds SP666 is deprotected, it means a divalent structure excluding the hydroxyl groups on the hydrogen atom and a carboxylic acid on the hydroxyl groups.
窒素雰囲気下、1M トリス(2-カルボキシエチル)ホスフィン(TCEP)塩酸塩水溶液(1μl)、2M HEPES緩衝液(1.5μl、pH=7.6)、1N 水酸化ナトリウム水溶液(1.8μl)、水(38.2μl)を混ぜた溶液に(2R)-2-アミノ-3-(tert-ブチルジスルファニル)-N-(4-((5S,8S,11S,14S,17S,20S,23S,26S,29S,32S)-5,23,32-トリベンジル-2-((tert-ブチルジスルファニル)メチル)-11,17-ジイソブチル-13,14,16,20,22,25,26,29-オクタメチル-3,6,9,12,15,18,21,24,27,30,33-ウンデカオキソ-1-オキサ-4,7,10,13,16,19,22,25,28,31-デカアザシクロトリトリアコンタン-8-イル)ブチル)プロパンアミド(*Phe-tBuSSlac-Phe-Lys(H-Cys(StBu))-Leu-MeAla-MeLeu-Ala-MePhe-MeAla-Ala*、2つの*部位にて環化)(化合物SP665)(76μg、0.05μmol)の1,3-ジメチルー2-イミダゾリジノン(DMI)溶液(7.5μl)を室温にて加え、pH=6.6にて、30度で13時間攪拌した。反応の変化をLCMSで追跡し、13時間後目的物である化合物SP672が生成していることを確認した。目的化合物の他に、加水分解体(m/z = 1359.8 (M-H)-)、m/z = 1309.6(M-H)-(ともにLCMS保持時間0.64分)、m/z = 1377.8(M-H)-(LCMS保持時間0.82分)、m/z = 1559.9(M-H)-(LCMS保持時間0.56分)が副生成物として観測された。目的化合物はLCMSのUVエリア比で43%であった。(図72)
LCMS(ESI) m/z = 1342 (M―H)―
保持時間:0.81分(分析条件SQDFA05)
Under a nitrogen atmosphere, 1M tris (2-carboxyethyl) phosphine (TCEP) hydrochloride aqueous solution (1 μl), 2M HEPES buffer (1.5 μl, pH = 7.6), 1N aqueous sodium hydroxide solution (1.8 μl), (2R) -2-Amino-3- (tert-butyldisulfanyl) -N- (4-((5S, 8S, 11S, 14S, 17S, 20S, 23S, 26S, 29S, 32S) -5,23,32-tribenzyl-2-((tert-butyldisulfanyl) methyl) -11,17-diisobutyl-13,14,16,20,22,25,26,29- Octamethyl-3,6,9,12,15,18,21,24,27,30,33-undecaoxo-1-oxa-4,7,10,13,16,19,22, 5,28,31-Decaazacyclotritriacontan-8-yl) butyl) propanamide (* Phe-tBuSSlac-Phe-Lys (H-Cys (StBu))-Leu-MeAla-MeLeu-Ala-MePhe-MeAla -Ala *, cyclized at two * sites) (compound SP665) (76 μg, 0.05 μmol) in 1,3-dimethyl-2-imidazolidinone (DMI) solution (7.5 μl) was added at room temperature, The mixture was stirred at 30 ° C. for 13 hours at pH = 6.6. The change in the reaction was followed by LCMS, and after 13 hours, it was confirmed that the target compound SP672 was produced. In addition to the target compound, a hydrolyzate (m / z = 1359.8 (MH)-), m / z = 1309.6 (MH)-(both LCMS retention time 0.64 minutes), m /Z=1377.8 (MH)-(LCMS retention time 0.82 min), m / z = 1559.9 (MH)-(LCMS retention time 0.56 min) observed as by-products It was. The target compound was 43% in terms of LCMS UV area ratio. (Fig. 72)
LCMS (ESI) m / z = 1342 (M−H) −
Retention time: 0.81 minutes (analysis condition SQDFA05)
7-3.分枝ペプチドからの脱硫反応
(2S)-N-((3S,6S,9S,12S,15S,18S,21S,24S,27S,30S)-6,15-ジベンジル-21,27-ジイソブチル-3,9,12,13,16,18,22,24,25-ノナメチル-2,5,8,11,14,17,20,23,26,29-デカオキソ-1,4,7,10,13,16,19,22,25,28-デカアザシクロテトラトリアコンタン-30-イル)-2-(2-ヒドロキシプロパンアミド)-3-フェニルプロパンアミド(H-lac-Phe-Lys(*Ala)-Leu-MeAla-MeLeu-Ala-MePhe-MeAla-Ala-Phe*、2つの*部位にて環化)(化合物SP673)の合成
7-3. Desulfurization reaction from branched peptides
(2S) -N-((3S, 6S, 9S, 12S, 15S, 18S, 21S, 24S, 27S, 30S) -6,15-dibenzyl-21,27-diisobutyl-3,9,12,13,16 , 18,22,24,25-nonamethyl-2,5,8,11,14,17,20,23,26,29-decaoxo-1,4,7,10,13,16,19,22,25 , 28-Deazaazacyclotetratriacontan-30-yl) -2- (2-hydroxypropanamide) -3-phenylpropanamide (H-lac-Phe-Lys (* Ala) -Leu-MeAla-MeLeu-Ala -MePhe-MeAla-Ala-Phe *, cyclized at two * sites) (Compound SP673)
窒素雰囲気下、上述の7-2.に記載の化合物SP673を含む翻訳ペプチドモデル化合物(化合物SP665)からの分枝ペプチド生成反応に用いた反応溶液(20μl)に330mM グルタチオン水溶液(10.8μl)、670mM トリス(2-カルボキシエチル)ホスフィン(TCEP)塩酸塩溶液(7.2μl、pH=7.1)を加え50℃で5分攪拌した。250mM 2、2-アゾビス[2-(2-イミダゾリンー2-イル)プロパン]二塩酸塩(VA-044)水溶液(1.6μl)を室温にて加え、50℃で20分攪拌した。反応の変化をLCMSで追跡し、20分後目的物である(2S)-N-((3S,6S,9S,12S,15S,18S,21S,24S,27S,30S)-6,15-ジベンジル-21,27-ジイソブチル-3,9,12,13,16,18,22,24,25-ノナメチル-2,5,8,11,14,17,20,23,26,29-デカオキソ-1,4,7,10,13,16,19,22,25,28-デカアザシクロテトラトリアコンタン-30-イル)-2-(2-ヒドロキシプロパンアミド)-3-フェニルプロパンアミド(H-lac-Phe-Lys(*Ala)-Leu-MeAla-MeLeu-Ala-MePhe-MeAla-Ala-Phe*、2つの*部位にて環化)(化合物SP673)が生成していることを確認した。
670mM トリス(2-カルボキシエチル)ホスフィン(TCEP)塩酸塩溶液の調整法は以下の通りである。トリス(2-カルボキシエチル)ホスフィン(TCEP)塩酸塩(29mg、101μmol)に水(100μl)、トリエチルアミン(Et3N)(50μl)を加え、pH=7.1に調整した。
LCMS(ESI) m/z = 1280(M+H)+
保持時間:0.77分(分析条件SQDFA05)
8.ペプチドーRNA複合体を用いた分子内分枝ペプチド(直鎖部2)生成反応
RNA-ペプチド複合体において分子内分枝ペプチド反応を施し、生成物を電気泳動により分析した。
Under the nitrogen atmosphere, the above 7-2. The reaction solution (20 μl) used in the branched peptide production reaction from the translated peptide model compound (compound SP665) containing the compound SP673 described in 3) was added with 330 mM glutathione aqueous solution (10.8 μl), 670 mM tris (2-carboxyethyl) phosphine ( TCEP) hydrochloride solution (7.2 μl, pH = 7.1) was added and stirred at 50 ° C. for 5 minutes. An aqueous solution (1.6 μl) of 250
A method for preparing a 670 mM tris (2-carboxyethyl) phosphine (TCEP) hydrochloride solution is as follows. Water (100 μl) and triethylamine (Et 3 N) (50 μl) were added to tris (2-carboxyethyl) phosphine (TCEP) hydrochloride (29 mg, 101 μmol) to adjust pH = 7.1.
LCMS (ESI) m / z = 1280 (M + H) +
Retention time: 0.77 minutes (analysis condition SQDFA05)
8). Intramolecular branched peptide (linear chain 2) production reaction using peptide-RNA complex Intramolecular branched peptide reaction was performed in the RNA-peptide complex, and the product was analyzed by electrophoresis.
8-1.ピューロマイシンを含む鋳型mRNAの調製とそれを用いたRNA-ペプチド複合体の翻訳合成
PCRにより調製したDNA(配列番号 DM-H1)を鋳型に、In vitro転写によりmRNA(配列番号RM-H2)を調整し、RNeasy mini kit (Qiagen社)を用いて精製した。10μMのmRNAに、15μMのピューロマイシンリンカー(Sigma社)(配列番号C-H1) 1X T4 RNAライゲースリアクションバッファー(NEB社)、1mM ATP、10% DMSO、0.63 unit/μl T4 RNAライゲース(NEB社)を加え、室温で30分間ライゲーション反応させた後、RNeasy MiniElutekit(Qiagen社)により精製した。次に、前述した翻訳系の鋳型RNAOT86b(配列番号RM-H1)の代わりに上記で調製した1 μMのmRNA-ピューロマイシンリンカー連結体を鋳型として用い、さらに0.25mM Glyを追加した翻訳反応液を調製し、37℃で60分間保温した後、続けて室温で12分間保温した。その後、反応液をRNeasy minelute(qiagen社)により精製し、ペプチド-RNA複合体分子を得た。
8-1. Preparation of template mRNA containing puromycin and translation synthesis of RNA-peptide complex using it (SEQ ID NO: DM-H1) as template and mRNA (SEQ ID NO: RM-H2) by in vitro transcription It adjusted and refine | purified using RNeasy mini kit (Qiagen). To 10 μM mRNA, 15 μM puromycin linker (Sigma) (SEQ ID NO: C-H1) 1 × T4 RNA ligation reaction buffer (NEB), 1 mM ATP, 10% DMSO, 0.63 unit / μl T4 RNA ligase ( NEB) was added and ligated at room temperature for 30 minutes, and then purified by RNeasy MiniElutekit (Qiagen). Next, in place of the above-mentioned translation system template RNAOT86b (SEQ ID NO: RM-H1), 1 μM mRNA-puromycin linker conjugate prepared above was used as a template, and a translation reaction solution further added with 0.25 mM Gly Was prepared, kept at 37 ° C. for 60 minutes, and then kept at room temperature for 12 minutes. Thereafter, the reaction solution was purified by RNeasy minelute (qiagen) to obtain peptide-RNA complex molecules.
配列番号DM-H1 OT-104(配列番号:92)
OT-104 DNA配列
GGCGTAATACGACTCACTATAGGGTTAACTTTAAGAAGGAGATATACATatgTGCACTACATGGTTCCGTTGGTGCCCACAGTTCAAGTGGCTTCCTCGTAGTGGCTCTGGCTCTGGCTCTTAGGGCGGCGGGGACAAA
SEQ ID NO: DM-H1 OT-104 (SEQ ID NO: 92)
OT-104 DNA sequence
GGCGTAATACGACTCACTATAGGGTTAACTTTAAGAAGGAGATATACATatgTGCACTACATGGTTCCGTTGGTGCCCACAGTTCAAGTGGCTTCCTCGTAGTGGCTCTGGCTCTGGCTCTTAGGGCGGCGGGGACAAA
配列番号RM-H2 OT-104(配列番号:93)
OT-104 RNA配列
GGGUUAACUUUAAGAAGGAGAUAUACAUaugUGCACUACAUGGUUCCGUUGGUGCCCACAGUUCAAGUGGCUUCCUCGUAGUGGCUCUGGCUCUGGCUCUUAGGGCGGCGGGGACAAA
SEQ ID NO: RM-H2 OT-104 (SEQ ID NO: 93)
OT-104 RNA sequence
GGGUUAACUUUAAGAAGGAGAUAUACAUaugUGCACUACAUGGUUCCGUUGGUGCCCACAGUUCAAGUGGCUUCCUCGUAGUGGCUCUGGCUCUGGCUCUUAGGGCGGCGGGGACAAA
配列番号C-H1 S2PuFLin配列 (配列番号:76)
[P]CCCGTCCCCGCCGCCC [Fluorecein-dT][Spacer18][Spacer18][Spacer18][Spacer18][Spacer18]CC[Puromycin] ([P]:5'リン酸化)
SEQ ID NO: C-H1 S2PuFLin sequence (SEQ ID NO: 76)
[P] CCCGTCCCCGCCGCCC [Fluorecein-dT] [Spacer18] [Spacer18] [Spacer18] [Spacer18] [Spacer18] CC [Puromycin] ([P]: 5 'phosphorylation)
8-2.分子内分枝ペプチド(直鎖部2)を有するペプチド-RNA複合体の生成
上記で調製したペプチドーRNA複合体溶液100μLに対して100μLのN, N‐ジメチルアセトアミド(DMA)、5.5μLの2M HEPES-KOH(pH7.6)、2.1μLの1M トリス(2-カルボキシエチル)ホスフィン(TCEP)(pH7.6)を加え、37℃で2時間保温した。続けて848μLの試薬溶液(59mMトリス(2-カルボキシエチル)ホスフィン塩酸塩、425mM N,N-ビス-(2-ヒドロキシエチル)グリシン(Bicine)(pH8.7)、590mM 水酸化ナトリウム、47%(v/v)N,N-ジメチルアセトアミド(DMA)、593mM 4-(トリフルオロメチル)ベンゼンチオール)を反応溶液に加え、37℃でさらに20時間保温した。得られた反応液から、RNeasy minelute (qiagen社)を用いてペプチド-RNA複合体を精製し、純水100μLにてカラムから溶出した。続けて、12μLの10xRNase ONE ribonuclease反応バッファー(promega 社)、6μLのRNase ONEribonuclease (promega社)、6μLのRNase H (Life Technologies社)を加え、室温にて3日間保温した。得られた反応溶液と何も反応させていないピューロマイシンリンカー(配列番号C-H1)をpeptide-PAGE mini(TEFCO社)にて電気泳動し、ピューロマイシンリンカーに由来するFluoreceinにてバンドを可視化した(図74)。その結果、分枝ペプチド(直鎖部2) 生成反応を行ったサンプルに関して、ピューロマイシンリンカーにペプチドが 結合したことに由来するバンド移動度の差が観測された(図74、レーン2、バンドI)。このことから、目的の分子内分枝ペプチド-RNA複合体の存在が示された。
8-2. Generation of Peptide-RNA Complex Having Intramolecular Branched Peptide (Linear Part 2) 100 μL of N, N-dimethylacetamide (DMA), 5.5 μL of 2M for 100 μL of the peptide- RNA complex solution prepared above HEPES-KOH (pH 7.6) and 2.1 μL of 1M tris (2-carboxyethyl) phosphine (TCEP) (pH 7.6) were added, and the mixture was kept at 37 ° C. for 2 hours. Subsequently, 848 μL of the reagent solution (59 mM Tris (2-carboxyethyl) phosphine hydrochloride, 425 mM N, N-bis- (2-hydroxyethyl) glycine (pH 8.7), 590 mM sodium hydroxide, 47% ( v / v) N, N-dimethylacetamide (DMA), 593 mM 4- (trifluoromethyl) benzenethiol) was added to the reaction solution, and the mixture was further incubated at 37 ° C. for 20 hours. The peptide-RNA complex was purified from the resulting reaction solution using RNeasy minelute (qiagen) and eluted from the column with 100 μL of pure water. Subsequently, 12 μL of 10 × RNase ONE ribonuclease reaction buffer (promega), 6 μL of RNase ONE ribonuclease (promega) and 6 μL of RNase H (Life Technologies) were added and incubated at room temperature for 3 days. The puromycin linker (SEQ ID NO: C-H1) that had not been reacted with the obtained reaction solution was electrophoresed with peptide-PAGE mini (TEFCO), and the band was visualized with fluorecein derived from the puromycin linker. (FIG. 74). As a result, a difference in band mobility derived from the peptide binding to the puromycin linker was observed for the sample subjected to the branched peptide (linear part 2) formation reaction (FIG. 74,
9.分枝ペプチドの翻訳産物からの生成を可能とするユニットのアミノアシル化pdCpAの合成
なお、本明細書では、アミノ酸あるいはアミノ酸誘導体、アミノ酸類縁体の主鎖カルボン酸とpdCpAのヒドロキシル基(2位あるいは3位)とエステル結合を形成した化合物をアミノ酸-pdCpAと記載する。アミノ酸、アミノ酸誘導体、アミノ酸類縁体部位は略称で示しており、各略称は以下のように定義する。
9. Synthesis of aminoacylated pdCpA of a unit enabling generation of branched peptide from translation product In this specification, amino acid or amino acid derivative, main chain carboxylic acid of amino acid analog and hydroxyl group of pdCpA (
9-1.アミノアシル化pdCpA化合物20の合成
化合物21
2-(tert-ブチルジメチルシリルオキシ)酢酸シアノメチルの合成
9-1. Synthesis of
Synthesis of 2- (tert-butyldimethylsilyloxy) acetic acid cyanomethyl
グリコール酸(1.0g、 13.15mmol)とイミダゾール(4.48g、65.7mmol)のDMF (13.15 ml)溶液を0度に冷却した後に、tert-ブチルジメチルクロロシラン(4.76g、 31.6mmol)を加え、反応液を室温で12時間攪拌した。反応混合物をジエチルエーテル/水で抽出操作を行い、有機層を25wt%食塩水で洗浄した。有機層を無水硫酸ナトリウムで乾燥させ、ろ過後、減圧濃縮した。得られた残渣にTHF(30mL)を加えて0度に冷却した後に、メタノール(90mL)と9.1wt%炭酸カリウム水溶液(30mL)を加え、反応液を室温で1時間攪拌した。反応混合物を減圧濃縮し、粗生成物(4.25g)得た。
粗生成物(1.53g)にアセトニトリル(6.7ml)とDMF(6.7ml)を加えて、混合物を0度に冷却した後に、ジイソプロピルエチルアミン(3.51mL、20.1mmol)と2-ブロモアセトニトリル(0.93ml、13.4mmol)を加え、反応液を室温で6時間攪拌した。反応混合物をジエチルエーテル/水で抽出操作を行い、有機層を25wt%食塩水で洗浄した。有機層を無水硫酸ナトリウムで乾燥させ、ろ過後、減圧濃縮した。得られた残渣を順相シリカゲルカラムクロマトグラフィー(ヘキサン/酢酸エチル)にて精製し、2-(tert-ブチルジメチルシリルオキシ)酢酸シアノメチル(化合物21)(556mg、52%)を得た。
LCMS(ESI) m/z = 230 (M+H)+
保持時間:0.54分(分析条件SQDAA50)
A solution of glycolic acid (1.0 g, 13.15 mmol) and imidazole (4.48 g, 65.7 mmol) in DMF (13.15 ml) was cooled to 0 ° C., and then tert-butyldimethylchlorosilane (4.76 g, 31 .6 mmol) was added and the reaction was stirred at room temperature for 12 hours. The reaction mixture was extracted with diethyl ether / water, and the organic layer was washed with 25 wt% brine. The organic layer was dried over anhydrous sodium sulfate, filtered and concentrated under reduced pressure. After adding THF (30 mL) to the obtained residue and cooling to 0 degree, methanol (90 mL) and 9.1 wt% potassium carbonate aqueous solution (30 mL) were added, and the reaction liquid was stirred at room temperature for 1 hour. The reaction mixture was concentrated under reduced pressure to obtain a crude product (4.25 g).
Acetonitrile (6.7 ml) and DMF (6.7 ml) were added to the crude product (1.53 g), and the mixture was cooled to 0 ° C., and then diisopropylethylamine (3.51 mL, 20.1 mmol) and 2-bromo Acetonitrile (0.93 ml, 13.4 mmol) was added and the reaction was stirred at room temperature for 6 hours. The reaction mixture was extracted with diethyl ether / water, and the organic layer was washed with 25 wt% saline. The organic layer was dried over anhydrous sodium sulfate, filtered and concentrated under reduced pressure. The obtained residue was purified by normal phase silica gel column chromatography (hexane / ethyl acetate) to obtain 2- (tert-butyldimethylsilyloxy) cyanocyanoacetate (Compound 21) (556 mg, 52%).
LCMS (ESI) m / z = 230 (M + H) +
Retention time: 0.54 minutes (analysis condition SQDAA50)
化合物22
2-(tert-ブチルジメチルシリルオキシ)酢酸 (2R,3S,4R,5R)-2-((((2R,3S,5R)-5-(4-アミノ-2-オキソピリミジン-1(2H)-イル)-2-(ホスホノオキシメチル)テトラヒドロフラン-3-イルオキシ)(ヒドロキシ)ホスホリルオキシ)メチル)-5-(6-アミノ-9H-プリン-9-イル)-4-ヒドロキシテトラヒドロフラン-3-イルの合成
2- (tert-Butyldimethylsilyloxy) acetic acid (2R, 3S, 4R, 5R) -2-(((((2R, 3S, 5R) -5- (4-amino-2-oxopyrimidine-1 (2H) -Yl) -2- (phosphonooxymethyl) tetrahydrofuran-3-yloxy) (hydroxy) phosphoryloxy) methyl) -5- (6-amino-9H-purin-9-yl) -4-hydroxytetrahydrofuran-3- Synthesis
緩衝液A(30mL)にリン酸二水素 ((2R,3S,5R)-5-(4-アミノ-2-オキソピリミジン-1(2H)-イル)-3-(((((2R,3S,4R,5R)-5-(6-アミノ-9H-プリン-9-イル)-3,4-ジヒドロキシテトラヒドロフラン-2-イル)メトキシ)(ヒドロキシ)ホスホリル)オキシ)テトラヒドロフラン-2-イル)メチル(化合物1h)(144mg、0.227mmol)の水溶液(1ml)と2-(tert-ブチルジメチルシリルオキシ)酢酸シアノメチル(化合物21)(104mg、0.453mmol)のテトラヒドロフラン(1ml)溶液を加え、室温で2時間撹拌した。凍結乾燥後、得られた残渣を逆相シリカゲルカラムクロマトグラフィー(0.1%ギ酸水溶液/0.1%ギ酸アセトニトリル溶液)にて精製し、2-(tert-ブチルジメチルシリルオキシ)酢酸 (2R,3S,4R,5R)-2-((((2R,3S,5R)-5-(4-アミノ-2-オキソピリミジン-1(2H)-イル)-2-(ホスホノオキシメチル)テトラヒドロフラン-3-イルオキシ)(ヒドロキシ)ホスホリルオキシ)メチル)-5-(6-アミノ-9H-プリン-9-イル)-4-ヒドロキシテトラヒドロフラン-3-イル(化合物22)(104.5mg、57%)を得た。
LCMS(ESI) m/z = 809.5 (M+H)+
保持時間:0.52分(分析条件SQDFA05)
In buffer A (30 mL), dihydrogen phosphate ((2R, 3S, 5R) -5- (4-amino-2-oxopyrimidin-1 (2H) -yl) -3-(((((2R, 3S , 4R, 5R) -5- (6-Amino-9H-purin-9-yl) -3,4-dihydroxytetrahydrofuran-2-yl) methoxy) (hydroxy) phosphoryl) oxy) tetrahydrofuran-2-yl) methyl (
LCMS (ESI) m / z = 809.5 (M + H) +
Retention time: 0.52 minutes (analysis condition SQDFA05)
化合物20
2-ヒドロキシ酢酸 (2R,3S,4R,5R)-2-((((2R,3S,5R)-5-(4-アミノ-2-オキソピリミジン-1(2H)-イル)-2-(ホスホノオキシメチル)テトラヒドロフラン-3-イルオキシ)(ヒドロキシ)ホスホリルオキシ)メチル)-5-(6-アミノ-9H-プリン-9-イル)-4-ヒドロキシテトラヒドロフラン-3-イル(
HO
Gly-pdCpA)の合成
2-hydroxyacetic acid (2R, 3S, 4R, 5R) -2-(((((2R, 3S, 5R) -5- (4-amino-2-oxopyrimidin-1 (2H) -yl) -2- ( Phosphonooxymethyl) tetrahydrofuran-3-yloxy) (hydroxy) phosphoryloxy) methyl) -5- (6-amino-9H-purin-9-yl) -4-hydroxytetrahydrofuran-3-yl ( HO Gly-pdCpA) Synthesis of
2-(tert-ブチルジメチルシリルオキシ)酢酸 (2R,3S,4R,5R)-2-((((2R,3S,5R)-5-(4-アミノ-2-オキソピリミジン-1(2H)-イル)-2-(ホスホノオキシメチル)テトラヒドロフラン-3-イルオキシ)(ヒドロキシ)ホスホリルオキシ)メチル)-5-(6-アミノ-9H-プリン-9-イル)-4-ヒドロキシテトラヒドロフラン-3-イル(化合物22)(70.0mg、87μmol)のジクロロメタン(2ml)溶液に室温にてトリフルオロ酢酸(2ml)を添加し、同温度で30分間撹拌した。減圧濃縮後、得られた残渣を逆相シリカゲルカラムクロマトグラフィー(0.1%ギ酸水溶液/0.1%ギ酸アセトニトリル溶液)にて精製し、2-ヒドロキシ酢酸 (2R,3S,4R,5R)-2-((((2R,3S,5R)-5-(4-アミノ-2-オキソピリミジン-1(2H)-イル)-2-(ホスホノオキシメチル)テトラヒドロフラン-3-イルオキシ)(ヒドロキシ)ホスホリルオキシ)メチル)-5-(6-アミノ-9H-プリン-9-イル)-4-ヒドロキシテトラヒドロフラン-3-イル(HOGly-pdCpA)(化合物20)(14.0mg、23%)を得た。
LCMS(ESI) m/z = 695 (M+H)+
保持時間:0.28分(分析条件SQDAA05)
2- (tert-Butyldimethylsilyloxy) acetic acid (2R, 3S, 4R, 5R) -2-(((((2R, 3S, 5R) -5- (4-amino-2-oxopyrimidine-1 (2H) -Yl) -2- (phosphonooxymethyl) tetrahydrofuran-3-yloxy) (hydroxy) phosphoryloxy) methyl) -5- (6-amino-9H-purin-9-yl) -4-hydroxytetrahydrofuran-3- To a solution of yl (compound 22) (70.0 mg, 87 μmol) in dichloromethane (2 ml) was added trifluoroacetic acid (2 ml) at room temperature, and the mixture was stirred at the same temperature for 30 minutes. After concentration under reduced pressure, the resulting residue was purified by reverse-phase silica gel column chromatography (0.1% formic acid aqueous solution / 0.1% formic acid acetonitrile solution) to give 2-hydroxyacetic acid (2R, 3S, 4R, 5R)- 2-(((((2R, 3S, 5R) -5- (4-amino-2-oxopyrimidin-1 (2H) -yl) -2- (phosphonooxymethyl) tetrahydrofuran-3-yloxy) (hydroxy) (Phosphoryloxy) methyl) -5- (6-amino-9H-purin-9-yl) -4-hydroxytetrahydrofuran-3-yl ( HO Gly-pdCpA) (compound 20) (14.0 mg, 23%) was obtained. It was.
LCMS (ESI) m / z = 695 (M + H) +
Retention time: 0.28 minutes (analysis condition SQDAA05)
2-2.アミノアシル化pdCpA化合物23の合成
以下のスキームに従い、合成を行った。
2-2. Synthesis of
2-(tert-ブチルジメチルシリルオキシ)-3-(tert-ブチルジスルファニル)プロピオン酸シアノメチル(化合物25)の合成
Synthesis of cyanomethyl 2- (tert-butyldimethylsilyloxy) -3- (tert-butyldisulfanyl) propionate (Compound 25)
文献既知法(J.Am.Chem.Soc.2008,130,4919.) により調整した2-(tert-ブチルジメチルシリルオキシ)-3-(tert-ブチルジスルファニル)プロピオン酸(化合物24、60.0mg、 0.185mmol)と2-ブロモアセトニトリル(26.0μl、0.373mmol)のDMF(1.8ml)溶液に室温にて、ジイソプロピルエチルアミン(98.0μl、0.56mmol)を加え、反応液を同温度で1.5時間攪拌した。反応混合物をジエチルエーテルで希釈し、飽和塩化アンモニウム水溶液、飽和食塩水で洗浄を行った。有機層を無水硫酸ナトリウムで乾燥させ、ろ過後、減圧濃縮した。得られた残渣を順相シリカゲルカラムクロマトグラフィー(ヘキサン/酢酸エチル)にて精製し、2-(tert-ブチルジメチルシリルオキシ)-3-(tert-ブチルジスルファニル)プロピオン酸シアノメチル(化合物25)(48mg、71%)を得た。
LCMS(ESI) m/z = 364 (M+H)+
保持時間:0.84分(分析条件SQDAA50)
2- (tert-Butyldimethylsilyloxy) -3- (tert-butyldisulfanyl) propionic acid (compounds 24, 60.) prepared by a known method (J. Am. Chem. Soc. 2008, 130, 4919.). 0 mg, 0.185 mmol) and 2-bromoacetonitrile (26.0 μl, 0.373 mmol) in DMF (1.8 ml) at room temperature were added diisopropylethylamine (98.0 μl, 0.56 mmol), and the reaction mixture was The mixture was stirred at the same temperature for 1.5 hours. The reaction mixture was diluted with diethyl ether and washed with saturated aqueous ammonium chloride and saturated brine. The organic layer was dried over anhydrous sodium sulfate, filtered and concentrated under reduced pressure. The obtained residue was purified by normal phase silica gel column chromatography (hexane / ethyl acetate), and cyanomethyl 2- (tert-butyldimethylsilyloxy) -3- (tert-butyldisulfanyl) propionate (Compound 25) ( 48 mg, 71%).
LCMS (ESI) m / z = 364 (M + H) +
Retention time: 0.84 minutes (analysis condition SQDAA50)
3-(tert-ブチルジスルファニル)-2-ヒドロキシプロピオン酸 (2R,3S,4R,5R)-2-((((2R,3S,5R)-5-(4-アミノ-2-オキソピリミジン-1(2H)-イル)-2-(ホスホノオキシメチル)テトラヒドロフラン-3-イルオキシ)(ヒドロキシ)ホスホリルオキシ)メチル)-5-(6-アミノ-9H-プリン-9-イル)-4-ヒドロキシテトラヒドロフラン-3-イル(化合物23)(tBuSSlac -pdCpA)の合成
3- (tert-Butyldisulfanyl) -2-hydroxypropionic acid (2R, 3S, 4R, 5R) -2-(((((2R, 3S, 5R) -5- (4-amino-2-oxopyrimidine- 1 (2H) -yl) -2- (phosphonooxymethyl) tetrahydrofuran-3-yloxy) (hydroxy) phosphoryloxy) methyl) -5- (6-amino-9H-purin-9-yl) -4-hydroxy Synthesis of tetrahydrofuran-3-yl (compound 23) (tBuSSlac-pdCpA)
2-(tert-ブチルジメチルシリルオキシ)-3-(tert-ブチルジスルファニル)プロピオン酸シアノメチル(化合物25)(23.4mg、0.064mmol)にリン酸二水素 ((2R,3S,5R)-5-(4-アミノ-2-オキソピリミジン-1(2H)-イル)-3-(((((2R,3S,4R,5R)-5-(6-アミノ-9H-プリン-9-イル)-3,4-ジヒドロキシテトラヒドロフラン-2-イル)メトキシ)(ヒドロキシ)ホスホリル)オキシ)テトラヒドロフラン-2-イル)メチル(化合物1h)のテトラブチルアンモニウム塩(48mg、0.032mmol)のDMF(640μl)溶液、トリエチルアミン(44.8μl、0.321mmol)を室温で加え、反応液を35度で1時間攪拌した。反応混合物にギ酸(30μl)を加え、逆相シリカゲルクロマトグラフィー(0.1%ギ酸水溶液/0.1%ギ酸アセトニトリル溶液)にて精製し、2-(tert-ブチルジメチルシリルオキシ)-3-(tert-ブチルジメチルスルファニル)プロピオン酸 (2R,3S,4R,5R)-2-((((2R,3S,5R)-5-(4-アミノ-2-オキソピリミジン-1(2H)-イル)-2-(ホスホノオキシメチル)テトラヒドロフラン-3-イルオキシ)(ヒドロキシ)ホスホリルオキシ)メチル)-5-(6-アミノ-9H-プリン-9-イル)-4-ヒドロキシテトラヒドロフラン-3-イル(化合物26)を混合物(29.4mg)として得た。
2- (tert-butyldimethylsilyloxy) -3- (tert-butyldisulfanyl) propionate cyanomethyl (compound 25) (23.4 mg, 0.064 mmol) to dihydrogen phosphate ((2R, 3S, 5R)- 5- (4-Amino-2-oxopyrimidin-1 (2H) -yl) -3-((((((2R, 3S, 4R, 5R) -5- (6-amino-9H-purin-9-yl ) -3,4-dihydroxytetrahydrofuran-2-yl) methoxy) (hydroxy) phosphoryl) oxy) tetrahydrofuran-2-yl) methyl (
得られた混合物(29.4mg)に対し、トリフルオロ酢酸(1ml、13.0mmol)を加え、反応液を室温で5時間攪拌した。減圧濃縮後、得られた残渣を逆相シリカゲルカラムクロマトグラフィー(0.1%ギ酸水溶液/0.1%ギ酸アセトニトリル溶液)にて精製し、3-(tert-ブチルジスルファニル)-2-ヒドロキシプロピオン酸 (2R,3S,4R,5R)-2-((((2R,3S,5R)-5-(4-アミノ-2-オキソピリミジン-1(2H)-イル)-2-(ホスホノオキシメチル)テトラヒドロフラン-3-イルオキシ)(ヒドロキシ)ホスホリルオキシ)メチル)-5-(6-アミノ-9H-プリン-9-イル)-4-ヒドロキシテトラヒドロフラン-3-イル(18.0mg、2段階収率68%)(化合物23)(tBuSSlac -pdCpA)を得た。
LCMS(ESI) m/z = 829 (M+H)+
保持時間:0.41分(分析条件SQDFA05)
To the obtained mixture (29.4 mg), trifluoroacetic acid (1 ml, 13.0 mmol) was added, and the reaction solution was stirred at room temperature for 5 hours. After concentration under reduced pressure, the resulting residue was purified by reverse phase silica gel column chromatography (0.1% aqueous formic acid / 0.1% formic acid acetonitrile solution) to give 3- (tert-butyldisulfanyl) -2-hydroxypropion. Acid (2R, 3S, 4R, 5R) -2-(((((2R, 3S, 5R) -5- (4-amino-2-oxopyrimidin-1 (2H) -yl) -2- (phosphonooxy Methyl) tetrahydrofuran-3-yloxy) (hydroxy) phosphoryloxy) methyl) -5- (6-amino-9H-purin-9-yl) -4-hydroxytetrahydrofuran-3-yl (18.0 mg, 2 step yield) 68%) (compound 23) (tBuSSlac-pdCpA).
LCMS (ESI) m / z = 829 (M + H) +
Retention time: 0.41 minutes (analysis condition SQDFA05)
2-4.アミノアシル化pdCpA化合物27の合成
以下のスキームに従い、合成を行った。
2-4. Synthesis of aminoacylated pdCpA compound 27 Synthesis was performed according to the following scheme.
(S)-2-tert-ブトキシカルボニルアミノ-ペンタ-4-エン酸 tert-ブチルエステル(化合物29)の合成
L-アリルグリシン(化合物28)(25.0g、 217mmol)の1,4-ジオキサン (250 ml)/水(125ml)懸濁液を0℃に冷却した後、二炭酸ジ-tert-ブチル(52.1g、 239mol)および炭酸水素ナトリウム(36.5g、434mol)を加え、反応液を室温で12時間攪拌した。反応が完結した後、反応液を0℃に冷却し、液性がpH4になるまで1M塩酸を加えた。この混合物を酢酸エチルで抽出操作を行い、有機層を飽和食塩水で洗浄した。有機層を無水硫酸ナトリウムで乾燥させ、ろ過後、減圧濃縮し(S)-2-tert-ブトキシカルボニルアミノ-ペンタ-4-エン酸を得た。得られた(S)-2-tert-ブトキシカルボニルアミノ-ペンタ-4-エン酸をトルエン(200ml)に溶解させ、N,N-ジメチルホルムアミドジ-tert-ブチルアセタール(130ml)を加え、90℃で4時間攪拌した。更にN,N-ジメチルホルムアミドジ-tert-ブチルアセタール(25ml)を加え90℃で2時間攪拌した。反応液を減圧下濃縮し、得られた残渣を順相シリカゲルカラムクロマトグラフィー(ヘキサン/酢酸エチル)にて精製し、(S)-2-tert-ブトキシカルボニルアミノ-ペンタ-4-エン酸 tert-ブチルエステル(化合物29)(33.16g、56%)を得た。
LCMS(ESI) m/z = 294 (M+Na)+
保持時間:1.05分(分析条件SQDAA05)
Synthesis of (S) -2-tert-butoxycarbonylamino-pent-4-enoic acid tert-butyl ester (compound 29)
A suspension of L-allylglycine (compound 28) (25.0 g, 217 mmol) in 1,4-dioxane (250 ml) / water (125 ml) was cooled to 0 ° C., and then di-tert-butyl dicarbonate (52 0.1 g, 239 mol) and sodium bicarbonate (36.5 g, 434 mol) were added and the reaction was stirred at room temperature for 12 hours. After the reaction was completed, the reaction solution was cooled to 0 ° C., and 1M hydrochloric acid was added until the solution became
LCMS (ESI) m / z = 294 (M + Na) +
Retention time: 1.05 minutes (analysis condition SQDAA05)
(S)-2-tert-ブトキシカルボニルアミノ-3-オキシラニル-プロピオン酸 tert-ブチルエステル(化合物30)の合成
(S)-2-tert-ブトキシカルボニルアミノ-ペンタ-4-エン酸 tert-ブチルエステル(化合物29)(32.0g、 118mmol)のジクロロメタン(384ml)溶液にメタクロロ過安息香酸(40.7g、 236mmol)を加え、室温で15時間攪拌した。反応混合物を0℃に冷却し、炭酸水素ナトリウム(20g)水溶液(300ml)および飽和チオ硫酸ナトリウム水溶液(100ml)を加え、反応を終了させた。混合物を酢酸エチルで抽出操作を行い、有機層を飽和食塩水で洗浄した。有機層を無水硫酸ナトリウムで乾燥させ、ろ過後、減圧濃縮した。得られた残渣を逆相シリカゲルカラムクロマトグラフィー(10mM酢酸アンモニウム水溶液/メタノール)にて精製し、(S)-2-tert-ブトキシカルボニルアミノ-3-オキシラニル-プロピオン酸 tert-ブチルエステル(化合物30)(18.53g、55%)を得た。
LCMS(ESI) m/z = 310 (M+Na)+
保持時間:1.03分(分析条件SQDAA05)
Synthesis of (S) -2-tert-butoxycarbonylamino-3-oxiranyl-propionic acid tert-butyl ester (compound 30)
To a solution of (S) -2-tert-butoxycarbonylamino-pent-4-enoic acid tert-butyl ester (Compound 29) (32.0 g, 118 mmol) in dichloromethane (384 ml) was added metachloroperbenzoic acid (40.7 g, 236 mmol). ) And stirred at room temperature for 15 hours. The reaction mixture was cooled to 0 ° C., and an aqueous sodium hydrogen carbonate (20 g) solution (300 ml) and a saturated aqueous sodium thiosulfate solution (100 ml) were added to terminate the reaction. The mixture was extracted with ethyl acetate, and the organic layer was washed with saturated brine. The organic layer was dried over anhydrous sodium sulfate, filtered and concentrated under reduced pressure. The obtained residue was purified by reverse phase silica gel column chromatography (10 mM aqueous ammonium acetate / methanol) to give (S) -2-tert-butoxycarbonylamino-3-oxiranyl-propionic acid tert-butyl ester (compound 30). (18.53 g, 55%) was obtained.
LCMS (ESI) m / z = 310 (M + Na) +
Retention time: 1.03 minutes (analysis condition SQDAA05)
(S)-2-tert-ブトキシカルボニルアミノ-3-チイラニル-プロピオン酸 tert-ブチルエステル(化合物31)の合成
(S)-2-tert-ブトキシカルボニルアミノ-3-オキシラニル-プロピオン酸 tert-ブチルエステル(化合物30)(315mg、 1.096mmol)にメタノール (4ml)およびチオ尿素(83mg、 1.096mmol)を加え、反応液を1.5時間加熱還流した。反応液を減圧下濃縮し、得られた残渣を順相シリカゲルカラムクロマトグラフィー(ヘキサン/酢酸エチル)にて精製し、(S)-2-tert-ブトキシカルボニルアミノ-3-チイラニル-プロピオン酸 tert-ブチルエステル(化合物31)(278mg、84%)を得た。
LCMS(ESI) m/z = 326 (M+Na)+
保持時間:0.59分(分析条件SQDAA50)
Synthesis of (S) -2-tert-butoxycarbonylamino-3-thiylyl-propionic acid tert-butyl ester (compound 31)
To (S) -2-tert-butoxycarbonylamino-3-oxiranyl-propionic acid tert-butyl ester (compound 30) (315 mg, 1.096 mmol) was added methanol (4 ml) and thiourea (83 mg, 1.096 mmol). The reaction solution was heated to reflux for 1.5 hours. The reaction mixture was concentrated under reduced pressure, and the resulting residue was purified by normal phase silica gel column chromatography (hexane / ethyl acetate) to give (S) -2-tert-butoxycarbonylamino-3-thiylyl-propionic acid tert- The butyl ester (Compound 31) (278 mg, 84%) was obtained.
LCMS (ESI) m / z = 326 (M + Na) +
Retention time: 0.59 minutes (analysis condition SQDAA50)
(S)-5-ブロモ-2-tert-ブトキシカルボニルアミノ-4-メチルジスルファニル-ペンタン酸 tert-ブチルエステル(化合物32)の合成
(S)-2-tert-ブトキシカルボニルアミノ-3-チイラニル-プロピオン酸 tert-ブチルエステル(化合物31)(2.28g、 7.51mmol)のジクロロメタン(35ml)溶液にテトラメチル尿素(1.06ml、 9.02mmol)を加え、-78℃に冷却した。非特許文献(J.Org.Chem.2001、66、910-914)に掲載されている手法に従い、別途調製した1.60Mメタンスルフェニルブロミド 1,2-ジクロロエタン溶液(5.17ml)を加えた。反応液を2時間かけて攪拌しながら-78℃から0℃まで昇温させた。反応液を減圧下濃縮し、 (S)-5-ブロモ-2-tert-ブトキシカルボニルアミノ-4-メチルジスルファニル-ペンタン酸 tert-ブチルエステル(化合物32)を粗生成物として得た。
LCMS(ESI) m/z = 430 (M+H)+
保持時間:0.74分(分析条件SQDAA50)
Synthesis of (S) -5-bromo-2-tert-butoxycarbonylamino-4-methyldisulfanyl-pentanoic acid tert-butyl ester (compound 32)
To a solution of (S) -2-tert-butoxycarbonylamino-3-thiylyl-propionic acid tert-butyl ester (compound 31) (2.28 g, 7.51 mmol) in dichloromethane (35 ml) was added tetramethylurea (1.06 ml, 9.02 mmol) was added and cooled to -78 ° C. A separately prepared 1.60
LCMS (ESI) m / z = 430 (M + H) +
Retention time: 0.74 minutes (analysis condition SQDAA50)
(S)-5-アジド-2-tert-ブトキシカルボニルアミノ-4-メチルジスルファニル-ペンタン酸 tert-ブチルエステル(化合物33)の合成
前述で得られた未精製の(S)-5-ブロモ-2-tert-ブトキシカルボニルアミノ-4-メチルジスルファニル-ペンタン酸 tert-ブチルエステル(化合物32)のN,N-ジメチルホルムアミド(100ml)溶液にアジ化ナトリウム(2.44g、 37.6mmol)を加え、反応混合物を室温で6時間攪拌した。反応終了後、不溶物をろ別し、ろ液を減圧下濃縮した。得られた残渣を順相シリカゲルカラムクロマトグラフィー(ヘキサン/酢酸エチル)にて精製し、(S)-5-アジド-2-tert-ブトキシカルボニルアミノ-4-メチルジスルファニル-ペンタン酸 tert-ブチルエステル(化合物33)(1.87g、64%)を得た。
LCMS(ESI) m/z = 415 (M+Na)+
保持時間:0.80分(分析条件SQDAA50)
Synthesis of (S) -5-azido-2-tert-butoxycarbonylamino-4-methyldisulfanyl-pentanoic acid tert-butyl ester (compound 33)
N, N-dimethylformamide (100 ml) of the crude (S) -5-bromo-2-tert-butoxycarbonylamino-4-methyldisulfanyl-pentanoic acid tert-butyl ester obtained above (compound 32) To the solution was added sodium azide (2.44 g, 37.6 mmol) and the reaction mixture was stirred at room temperature for 6 hours. After completion of the reaction, insoluble matters were filtered off, and the filtrate was concentrated under reduced pressure. The obtained residue was purified by normal phase silica gel column chromatography (hexane / ethyl acetate), and (S) -5-azido-2-tert-butoxycarbonylamino-4-methyldisulfanyl-pentanoic acid tert-butyl ester. (Compound 33) (1.87 g, 64%) was obtained.
LCMS (ESI) m / z = 415 (M + Na) +
Retention time: 0.80 minutes (analysis condition SQDAA50)
(S)-2-アミノ-5-アジド-4-メチルジスルファニル-ペンタン酸 塩酸塩(化合物34)の合成
(S)-5-アジド-2-tert-ブトキシカルボニルアミノ-4-メチルジスルファニル-ペンタン酸 tert-ブチルエステル(化合物33)(92mg、 0.234mmol)の2,2,2-トリフルオロエタノール (0.9ml)溶液にクロロトリメチルシラン(297μl、 2.344mmol)を加え、室温で2時間攪拌した。更にクロロトリメチルシラン(150μl、 1.184mmol)を加え、反応液を室温で12時間攪拌した。反応終了後、反応液を減圧下濃縮し、得られた残渣をヘキサン/酢酸エチル/ジクロロメタン(3:1:0.1)の混合溶媒で洗浄し、(S)-2-アミノ-5-アジド-4-メチルジスルファニル-ペンタン酸 塩酸塩(化合物34)(58mg、91%)を得た。
LCMS(ESI) m/z = 237 (M+H)+
保持時間:0.36分(分析条件SQDFA05)
Synthesis of (S) -2-amino-5-azido-4-methyldisulfanyl-pentanoic acid hydrochloride (compound 34)
(S) -5-azido-2-tert-butoxycarbonylamino-4-methyldisulfanyl-pentanoic acid tert-butyl ester (compound 33) (92 mg, 0.234 mmol) of 2,2,2-trifluoroethanol ( 0.9 ml) chlorotrimethylsilane (297 μl, 2.344 mmol) was added to the solution and stirred at room temperature for 2 hours. Further chlorotrimethylsilane (150 μl, 1.184 mmol) was added and the reaction was stirred at room temperature for 12 hours. After completion of the reaction, the reaction mixture was concentrated under reduced pressure, and the resulting residue was washed with a mixed solvent of hexane / ethyl acetate / dichloromethane (3: 1: 0.1) to give (S) -2-amino-5-azide. -4-Methyldisulfanyl-pentanoic acid hydrochloride (Compound 34) (58 mg, 91%) was obtained.
LCMS (ESI) m / z = 237 (M + H) +
Retention time: 0.36 minutes (analysis condition SQDFA05)
(S)-5-アジド-2-tert-ブトキシカルボニルアミノ-4-メチルジスルファニル-ペンタン酸(化合物35)の合成
(S)-2-アミノ-5-アジド-4-メチルジスルファニル-ペンタン酸 塩酸塩(化合物34)(70mg、 0.257mmol)の1,4-ジオキサン (0.7 ml)/水(0.35ml)懸濁液に二炭酸ジ-tert-ブチル(112mg、 0.513mmol)および炭酸水素ナトリウム(54mg、0.642mmol)を加え、反応液を室温で3時間攪拌した。反応が完結した後、反応液を逆相シリカゲルカラムクロマトグラフィー(10mM酢酸アンモニウム水溶液/メタノール)にて精製し、(S)-5-アジド-2-tert-ブトキシカルボニルアミノ-4-メチルジスルファニル-ペンタン酸(化合物35)(79mg、92%)を得た。
LCMS(ESI) m/z = 335 (M-H)-
保持時間:0.78分(分析条件SQDFA05)
Synthesis of (S) -5-azido-2-tert-butoxycarbonylamino-4-methyldisulfanyl-pentanoic acid (compound 35)
(S) -2-Amino-5-azido-4-methyldisulfanyl-pentanoic acid hydrochloride (Compound 34) (70 mg, 0.257 mmol) of 1,4-dioxane (0.7 ml) / water (0. 35 ml) suspension was added di-tert-butyl dicarbonate (112 mg, 0.513 mmol) and sodium bicarbonate (54 mg, 0.642 mmol), and the reaction was stirred at room temperature for 3 hours. After the reaction was completed, the reaction solution was purified by reverse phase silica gel column chromatography (10 mM aqueous ammonium acetate / methanol) to obtain (S) -5-azido-2-tert-butoxycarbonylamino-4-methyldisulfanyl- Obtained pentanoic acid (Compound 35) (79 mg, 92%).
LCMS (ESI) m / z = 335 (M−H) −
Retention time: 0.78 minutes (analysis condition SQDFA05)
(S)-5-アジド-2-tert-ブトキシカルボニルアミノ-4-メチルジスルファニル-ペンタン酸 シアノメチルエステル(化合物36)の合成
(S)-5-アジド-2-tert-ブトキシカルボニルアミノ-4-メチルジスルファニル-ペンタン酸(化合物35)(75mg、 0.223mmol)のアセトニトリル (2 ml)溶液にブロモアセトニトリル(45μl、 0.669mmol)およびN,N-ジイソプロピルエチルアミン(58μl、0.334mmol)を加え、反応液を室温で5時間攪拌した。反応混合物を酢酸エチル/飽和塩化アンモニウムで抽出操作を行い、有機層を飽和食塩水で洗浄した。有機層を無水硫酸ナトリウムで乾燥させ、ろ過後、減圧濃縮した。得られた残渣を順相シリカゲルカラムクロマトグラフィー(ヘキサン/酢酸エチル)にて精製し、(S)-5-アジド-2-tert-ブトキシカルボニルアミノ-4-メチルジスルファニル-ペンタン酸 シアノメチルエステル(化合物36)(81mg、97%)を得た。
LCMS(ESI) m/z = 374 (M-H)-
保持時間:0.87分(分析条件SQDFA05)
Synthesis of (S) -5-azido-2-tert-butoxycarbonylamino-4-methyldisulfanyl-pentanoic acid cyanomethyl ester (compound 36)
(S) -5-azido-2-tert-butoxycarbonylamino-4-methyldisulfanyl-pentanoic acid (compound 35) (75 mg, 0.223 mmol) in acetonitrile (2 ml) in bromoacetonitrile (45 μl, 0. 669 mmol) and N, N-diisopropylethylamine (58 μl, 0.334 mmol) were added and the reaction was stirred at room temperature for 5 hours. The reaction mixture was extracted with ethyl acetate / saturated ammonium chloride, and the organic layer was washed with saturated brine. The organic layer was dried over anhydrous sodium sulfate, filtered and concentrated under reduced pressure. The obtained residue was purified by normal phase silica gel column chromatography (hexane / ethyl acetate), and (S) -5-azido-2-tert-butoxycarbonylamino-4-methyldisulfanyl-pentanoic acid cyanomethyl ester ( Compound 36) (81 mg, 97%) was obtained.
LCMS (ESI) m / z = 374 (M−H) −
Retention time: 0.87 minutes (analysis condition SQDFA05)
(2S)-(2R,3S,4R,5R)-2-((((((2R,3S,5R)-5-(4-アミノ-2-オキソピリミジン-1(2H)-イル)-2-((ホスホノオキシ)メチル)テトラヒドロフラン-3-イル)オキシ)(ヒドロキシ)ホスホリル)オキシ)メチル)-5-(6-アミノ-9H-プリン-9-イル)-4-ヒドロキシテトラヒドロフラン-3-イル 5-アジド-2-((tert-ブトキシカルボニル)アミノ)-4-(メチルジスルファニル)ペンタノエート(化合物37)の合成
緩衝液A(29mL)にリン酸二水素((2R,3S,5R)-5-(4-アミノ-2-オキソピリミジン-1(2H)-イル)-3-(((((2R,3S,4R,5R)-5-(6-アミノ-9H-プリン-9-イル)-3,4-ジヒドロキシテトラヒドロフラン-2-イル)メトキシ)(ヒドロキシ)ホスホリル)オキシ)テトラヒドロフラン-2-イル)メチル(化合物1h)(45mg、0.071mmol)の水溶液(1ml)と(S)-5-アジド-2-tert-ブトキシカルボニルアミノ-4-メチルジスルファニル-ペンタン酸 シアノメチルエステル(化合物36)(80mg、0.213mmol)のテトラヒドロフラン(1ml)溶液を加え、室温で3時間撹拌した。凍結乾燥後、得られた残渣を逆相シリカゲルカラムクロマトグラフィー(0.1%ギ酸水溶液/0.1%ギ酸アセトニトリル溶液)にて精製し、(2S)-(2R,3S,4R,5R)-2-((((((2R,3S,5R)-5-(4-アミノ-2-オキソピリミジン-1(2H)-イル)-2-((ホスホノオキシ)メチル)テトラヒドロフラン-3-イル)オキシ)(ヒドロキシ)ホスホリル)オキシ)メチル)-5-(6-アミノ-9H-プリン-9-イル)-4-ヒドロキシテトラヒドロフラン-3-イル 5-アジド-2-((tert-ブトキシカルボニル)アミノ)-4-(メチルジスルファニル)ペンタノエート(化合物37)(15mg、22%)を得た。
LCMS(ESI) m/z = 955 (M+H)+
保持時間:0.55分(分析条件SQDFA05)
(2S)-(2R, 3S, 4R, 5R) -2-(((((((2R, 3S, 5R) -5- (4-amino-2-oxopyrimidin-1 (2H) -yl) -2 -((Phosphonooxy) methyl) tetrahydrofuran-3-yl) oxy) (hydroxy) phosphoryl) oxy) methyl) -5- (6-amino-9H-purin-9-yl) -4-hydroxytetrahydrofuran-3-
In buffer A (29 mL), dihydrogen phosphate ((2R, 3S, 5R) -5- (4-amino-2-oxopyrimidin-1 (2H) -yl) -3-(((((2R, 3S , 4R, 5R) -5- (6-Amino-9H-purin-9-yl) -3,4-dihydroxytetrahydrofuran-2-yl) methoxy) (hydroxy) phosphoryl) oxy) tetrahydrofuran-2-yl) methyl (
LCMS (ESI) m / z = 955 (M + H) +
Retention time: 0.55 minutes (analysis condition SQDFA05)
2-アミノ-5-アジド-4-(メチルジスルファニル)ペンタン酸 (2S)-(2R,3S,4R,5R)-2-((((((2R,3S,5R)-5-(4-アミノ-2-オキソピリミジン-1(2H)-イル)-2-((ホスホノオキシ)メチル)テトラヒドロフラン-3-イル)オキシ)(ヒドロキシ)ホスホリル)オキシ)メチル)-5-(6-アミノ-9H-プリン-9-イル)-4-ヒドロキシテトラヒドロフラン-3-イル(Orn(N3)(4-SSMe)-pdCpA)(化合物27)の合成
(2S)-(2R,3S,4R,5R)-2-((((((2R,3S,5R)-5-(4-アミノ-2-オキソピリミジン-1(2H)-イル)-2-((ホスホノオキシ)メチル)テトラヒドロフラン-3-イル)オキシ)(ヒドロキシ)ホスホリル)オキシ)メチル)-5-(6-アミノ-9H-プリン-9-イル)-4-ヒドロキシテトラヒドロフラン-3-イル 5-アジド-2-((tert-ブトキシカルボニル)アミノ)-4-(メチルジスルファニル)ペンタノエート(化合物37)(10mg、10.47μmol)に室温にてトリフルオロ酢酸(0.2mL)を添加し、同温度で20分間撹拌した。減圧濃縮後、得られた残渣を逆相シリカゲルカラムクロマトグラフィー(0.1%ギ酸水溶液/0.1%ギ酸アセトニトリル溶液)にて精製し、2-アミノ-5-アジド-4-(メチルジスルファニル)ペンタン酸 (2S)-(2R,3S,4R,5R)-2-((((((2R,3S,5R)-5-(4-アミノ-2-オキソピリミジン-1(2H)-イル)-2-((ホスホノオキシ)メチル)テトラヒドロフラン-3-イル)オキシ)(ヒドロキシ)ホスホリル)オキシ)メチル)-5-(6-アミノ-9H-プリン-9-イル)-4-ヒドロキシテトラヒドロフラン-3-イル(Orn(N3)(4-SSMe)-pdCpA)(化合物27)(2mg、26%)を得た。
LCMS(ESI) m/z = 855 (M+H)+
保持時間:0.32分(分析条件SQDFA05)
2-Amino-5-azido-4- (methyldisulfanyl) pentanoic acid (2S)-(2R, 3S, 4R, 5R) -2-(((((((2R, 3S, 5R) -5- (4 -Amino-2-oxopyrimidin-1 (2H) -yl) -2-((phosphonooxy) methyl) tetrahydrofuran-3-yl) oxy) (hydroxy) phosphoryl) oxy) methyl) -5- (6-amino-9H -Purine-9-yl) -4-hydroxytetrahydrofuran-3-yl (Orn (N3) (4-SSMe) -pdCpA) (Compound 27)
(2S)-(2R, 3S, 4R, 5R) -2-(((((((2R, 3S, 5R) -5- (4-amino-2-oxopyrimidin-1 (2H) -yl) -2 -((Phosphonooxy) methyl) tetrahydrofuran-3-yl) oxy) (hydroxy) phosphoryl) oxy) methyl) -5- (6-amino-9H-purin-9-yl) -4-hydroxytetrahydrofuran-3-
LCMS (ESI) m / z = 855 (M + H) +
Retention time: 0.32 minutes (analysis condition SQDFA05)
2-5.アミノアシル化pdCpA化合物43の合成
(2S,2'S)-ジ-tert-ブチル 4,4'-ジスルファンジイルビス(5-アジド-2-((tert-ブトキシカルボニル)アミノ)ペンタノエート) (化合物38)の合成
前述した(S)-5-アジド-2-tert-ブトキシカルボニルアミノ-4-メチルジスルファニル-ペンタン酸 tert-ブチルエステル(化合物33)の合成において、副生成物として、(2S,2'S)-ジ-tert-ブチル 4,4'-ジスルファンジイルビス(5-アジド-2-((tert-ブトキシカルボニル)アミノ)ペンタノエート) (化合物38)(414mg)を得た。
LCMS(ESI) m/z = 691.7 (M+H)+
保持時間:0.80分(分析条件SQDAA50)
2-5. Synthesis of
Synthesis of (2S, 2'S) -di-tert-
In the synthesis of (S) -5-azido-2-tert-butoxycarbonylamino-4-methyldisulfanyl-pentanoic acid tert-butyl ester (compound 33) described above, (2S, 2'S) -di -tert-
LCMS (ESI) m / z = 691.7 (M + H) +
Retention time: 0.80 minutes (analysis condition SQDAA50)
(S)-5-アジド-2-tert-ブトキシカルボニルアミノ-4-tert-ブチルジスルファニル-ペンタン酸 tert-ブチルエステル(化合物39)の合成
(2S,2'S)-ジ-tert-ブチル 4,4'-ジスルファンジイルビス(5-アジド-2-((tert-ブトキシカルボニル)アミノ)ペンタノエート)(化合物38)(312mg、0.452mmol)にジ-tert-ブチルジスルフィド(5.67ml、29.4mmol)およびヨウ素(57mg、0.226mmol)を加え、60度で18時間攪拌した。反応液を順相シリカゲルカラムクロマトグラフィー(ヘキサン/酢酸エチル)にて精製し、(S)-5-アジド-2-tert-ブトキシカルボニルアミノ-4-tert-ブチルジスルファニル-ペンタン酸 tert-ブチルエステル(化合物39)(161mg、81%)を得た。
LCMS(ESI) m/z = 435.5 (M+H)+
保持時間:0.77分(分析条件SQDAA50)
Synthesis of (S) -5-azido-2-tert-butoxycarbonylamino-4-tert-butyldisulfanyl-pentanoic acid tert-butyl ester (compound 39)
(2S, 2'S) -Di-tert-
LCMS (ESI) m / z = 435.5 (M + H) +
Retention time: 0.77 minutes (analysis condition SQDAA50)
(S)-2-アミノ-5-アジド-4-tert-ブチルジスルファニル-ペンタン酸 塩酸塩(化合物40)の合成
(S)-5-アジド-2-tert-ブトキシカルボニルアミノ-4-tert-ブチルジスルファニル-ペンタン酸 tert-ブチルエステル(化合物39)(160mg、 0.368mmol)の2,2,2-トリフルオロエタノール (3.2ml)溶液にクロロトリメチルシラン(467μl、 2.344mmol)を加え、室温で2時間攪拌した。更にクロロトリメチルシラン(467μl、 2.344mmol)を加え、反応液を室温で3時間攪拌した。反応終了後、反応液を減圧下濃縮し、得られた残渣をヘキサン/酢酸エチル/ジクロロメタン(3:1:0.1)の混合溶媒で洗浄し、(S)-2-アミノ-5-アジド-4-tert-ブチルジスルファニル-ペンタン酸 塩酸塩(化合物40)(113mg、97%)を得た。
LCMS(ESI) m/z = 279 (M+H)+
保持時間:0.78分(分析条件SQDAA05)
Synthesis of (S) -2-amino-5-azido-4-tert-butyldisulfanyl-pentanoic acid hydrochloride (compound 40)
2,2,2-trifluoro of (S) -5-azido-2-tert-butoxycarbonylamino-4-tert-butyldisulfanyl-pentanoic acid tert-butyl ester (compound 39) (160 mg, 0.368 mmol) Chlorotrimethylsilane (467 μl, 2.344 mmol) was added to an ethanol (3.2 ml) solution, and the mixture was stirred at room temperature for 2 hours. Further chlorotrimethylsilane (467 μl, 2.344 mmol) was added and the reaction was stirred at room temperature for 3 hours. After completion of the reaction, the reaction mixture was concentrated under reduced pressure, and the resulting residue was washed with a mixed solvent of hexane / ethyl acetate / dichloromethane (3: 1: 0.1) to give (S) -2-amino-5-azide. -4-tert-Butyldisulfanyl-pentanoic acid hydrochloride (Compound 40) (113 mg, 97%) was obtained.
LCMS (ESI) m / z = 279 (M + H) +
Retention time: 0.78 minutes (analysis condition SQDAA05)
(S)-5-アジド-2-tert-ブトキシカルボニルアミノ-4-tert-ブチルジスルファニル-ペンタン酸(化合物40a)の合成
(S)-2-アミノ-5-アジド-4-tert-ブチルジスルファニル-ペンタン酸 塩酸塩(化合物40)(110mg、 0.349mmol)の1,4-ジオキサン (1 ml)/水(0.5ml)溶液に二炭酸ジ-tert-ブチル(152mg、 0.699mmol)および炭酸水素ナトリウム(73mg、0.873mmol)を加え、反応液を室温で1.5時間攪拌した。更に二炭酸ジ-tert-ブチル(152mg、 0.699mmol)および炭酸水素ナトリウム(73mg、0.873mmol)を加え、反応液を室温で2時間攪拌した。反応が完結した後、反応液を順相シリカゲルカラムクロマトグラフィー(ジクロロメタン/メタノール)にて精製し、(S)-5-アジド-2-tert-ブトキシカルボニルアミノ-4-tert-ブチルジスルファニル-ペンタン酸(化合物40a)(120mg、91%)を得た。
LCMS(ESI) m/z = 377 (M-H)-
保持時間:0.89分(分析条件SQDFA05)
Synthesis of (S) -5-azido-2-tert-butoxycarbonylamino-4-tert-butyldisulfanyl-pentanoic acid (compound 40a)
(S) -2-Amino-5-azido-4-tert-butyldisulfanyl-pentanoic acid hydrochloride (Compound 40) (110 mg, 0.349 mmol) of 1,4-dioxane (1 ml) / water (0. 5 ml) solution was added di-tert-butyl dicarbonate (152 mg, 0.699 mmol) and sodium bicarbonate (73 mg, 0.873 mmol) and the reaction was stirred at room temperature for 1.5 hours. Further di-tert-butyl dicarbonate (152 mg, 0.699 mmol) and sodium bicarbonate (73 mg, 0.873 mmol) were added and the reaction was stirred at room temperature for 2 hours. After the reaction was completed, the reaction solution was purified by normal phase silica gel column chromatography (dichloromethane / methanol), and (S) -5-azido-2-tert-butoxycarbonylamino-4-tert-butyldisulfanyl-pentane. The acid (compound 40a) (120 mg, 91%) was obtained.
LCMS (ESI) m / z = 377 (M−H) −
Retention time: 0.89 minutes (analysis condition SQDFA05)
(S)-5-アジド-2-tert-ブトキシカルボニルアミノ-4-tert-ブチルジスルファニル-ペンタン酸 シアノメチルエステル(化合物41)の合成
(S)-5-アジド-2-tert-ブトキシカルボニルアミノ-4-tert-ブチルジスルファニル-ペンタン酸(化合物40a)(115mg、 0.304mmol)のアセトニトリル (1 ml)溶液にブロモアセトニトリル(62μl、 0.911mmol)およびN,N-ジイソプロピルエチルアミン(79μl、0.456mmol)を加え、反応液を室温で2時間攪拌した。反応混合物を酢酸エチル/飽和塩化アンモニウムで抽出操作を行い、有機層を飽和食塩水で洗浄した。有機層を無水硫酸ナトリウムで乾燥させ、ろ過後、減圧濃縮した。得られた残渣を順相シリカゲルカラムクロマトグラフィー(ヘキサン/酢酸エチル)にて精製し、(S)-5-アジド-2-tert-ブトキシカルボニルアミノ-4-tert-ブチルジスルファニル-ペンタン酸 シアノメチルエステル(化合物41)(120mg、95%)を得た。
LCMS(ESI) m/z = 416 (M-H)-
保持時間:0.97分(分析条件SQDFA05)
Synthesis of (S) -5-azido-2-tert-butoxycarbonylamino-4-tert-butyldisulfanyl-pentanoic acid cyanomethyl ester (compound 41)
(S) -5-azido-2-tert-butoxycarbonylamino-4-tert-butyldisulfanyl-pentanoic acid (compound 40a) (115 mg, 0.304 mmol) in acetonitrile (1 ml) in bromoacetonitrile (62 μl, 0.911 mmol) and N, N-diisopropylethylamine (79 μl, 0.456 mmol) were added and the reaction was stirred at room temperature for 2 hours. The reaction mixture was extracted with ethyl acetate / saturated ammonium chloride, and the organic layer was washed with saturated brine. The organic layer was dried over anhydrous sodium sulfate, filtered and concentrated under reduced pressure. The obtained residue was purified by normal phase silica gel column chromatography (hexane / ethyl acetate), and (S) -5-azido-2-tert-butoxycarbonylamino-4-tert-butyldisulfanyl-pentanoic acid cyanomethyl The ester (Compound 41) (120 mg, 95%) was obtained.
LCMS (ESI) m / z = 416 (M−H) −
Retention time: 0.97 minutes (analysis condition SQDFA05)
(2S)-(2R,3S,4R,5R)-2-((((((2R,3S,5R)-5-(4-アミノ-2-オキソピリミジン-1(2H)-イル)-2-((ホスホノオキシ)メチル)テトラヒドロフラン-3-イル)オキシ)(ヒドロキシ)ホスホリル)オキシ)メチル)-5-(6-アミノ-9H-プリン-9-イル)-4-ヒドロキシテトラヒドロフラン-3-イル 5-アジド-2-((tert-ブトキシカルボニル)アミノ)-4-(tert-ブチルジスルファニル)ペンタノエート(化合物42)の合成
緩衝液A(29mL)にリン酸二水素 ((2R,3S,5R)-5-(4-アミノ-2-オキソピリミジン-1(2H)-イル)-3-(((((2R,3S,4R,5R)-5-(6-アミノ-9H-プリン-9-イル)-3,4-ジヒドロキシテトラヒドロフラン-2-イル)メトキシ)(ヒドロキシ)ホスホリル)オキシ)テトラヒドロフラン-2-イル)メチル(化合物1h)(56mg、0.088mmol)の水溶液(1ml)と(S)-5-アジド-2-tert-ブトキシカルボニルアミノ-4-tert-ブチルジスルファニル-ペンタン酸 シアノメチルエステル(化合物41)(110mg、0.263mmol)のテトラヒドロフラン(1ml)溶液を加え、室温で3時間撹拌した。凍結乾燥後、得られた残渣を逆相シリカゲルカラムクロマトグラフィー(0.05%トリフルオロ酢酸水溶液/0.05%トリフルオロ酢酸アセトニトリル溶液)にて精製し、(2S)-(2R,3S,4R,5R)-2-((((((2R,3S,5R)-5-(4-アミノ-2-オキソピリミジン-1(2H)-イル)-2-((ホスホノオキシ)メチル)テトラヒドロフラン-3-イル)オキシ)(ヒドロキシ)ホスホリル)オキシ)メチル)-5-(6-アミノ-9H-プリン-9-イル)-4-ヒドロキシテトラヒドロフラン-3-イル 5-アジド-2-((tert-ブトキシカルボニル)アミノ)-4-(tert-ブチルジスルファニル)ペンタノエートの粗精製物(化合物42)(55mg)を得た。
LCMS(ESI) m/z = 997 (M+H)+
保持時間:0.64分(分析条件SQDFA05)
(2S)-(2R, 3S, 4R, 5R) -2-(((((((2R, 3S, 5R) -5- (4-amino-2-oxopyrimidin-1 (2H) -yl) -2 -((Phosphonooxy) methyl) tetrahydrofuran-3-yl) oxy) (hydroxy) phosphoryl) oxy) methyl) -5- (6-amino-9H-purin-9-yl) -4-hydroxytetrahydrofuran-3-
In buffer A (29 mL), dihydrogen phosphate ((2R, 3S, 5R) -5- (4-amino-2-oxopyrimidin-1 (2H) -yl) -3-(((((2R, 3S , 4R, 5R) -5- (6-Amino-9H-purin-9-yl) -3,4-dihydroxytetrahydrofuran-2-yl) methoxy) (hydroxy) phosphoryl) oxy) tetrahydrofuran-2-yl) methyl (
LCMS (ESI) m / z = 997 (M + H) +
Retention time: 0.64 minutes (analysis condition SQDFA05)
2-アミノ-5-アジド-4-(tert-ブチルジスルファニル)ペンタン酸 (2S)-(2R,3S,4R,5R)-2-((((((2R,3S,5R)-5-(4-アミノ-2-オキソピリミジン-1(2H)-イル)-2-((ホスホノオキシ)メチル)テトラヒドロフラン-3-イル)オキシ)(ヒドロキシ)ホスホリル)オキシ)メチル)-5-(6-アミノ-9H-プリン-9-イル)-4-ヒドロキシテトラヒドロフラン-3-イル(Orn(N3)(4-SStBu)-pdCpA)(化合物43)の合成
前述した(2S)-(2R,3S,4R,5R)-2-((((((2R,3S,5R)-5-(4-アミノ-2-オキソピリミジン-1(2H)-イル)-2-((ホスホノオキシ)メチル)テトラヒドロフラン-3-イル)オキシ)(ヒドロキシ)ホスホリル)オキシ)メチル)-5-(6-アミノ-9H-プリン-9-イル)-4-ヒドロキシテトラヒドロフラン-3-イル 5-アジド-2-((tert-ブトキシカルボニル)アミノ)-4-(tert-ブチルジスルファニル)ペンタノエート(化合物42)の粗精製物(53mg)にジクロロメタン(2ml)を加えて懸濁させ、室温にてトリフルオロ酢酸(0.5mL)を添加し、同温度で30分間撹拌した。減圧濃縮後、得られた残渣を逆相シリカゲルカラムクロマトグラフィー(0.05%トリフルオロ酢酸水溶液/0.05%トリフルオロ酢酸アセトニトリル溶液)にて精製し、2-アミノ-5-アジド-4-(tert-ブチルジスルファニル)ペンタン酸 (2S)-(2R,3S,4R,5R)-2-((((((2R,3S,5R)-5-(4-アミノ-2-オキソピリミジン-1(2H)-イル)-2-((ホスホノオキシ)メチル)テトラヒドロフラン-3-イル)オキシ)(ヒドロキシ)ホスホリル)オキシ)メチル)-5-(6-アミノ-9H-プリン-9-イル)-4-ヒドロキシテトラヒドロフラン-3-イル(Orn(N3)(4-SStBu)-pdCpA)(化合物43)(24mg、2ステップ 31%)を得た。
LCMS(ESI) m/z = 897 (M+H)+
保持時間:0.41分(分析条件SQDFA05)
2-Amino-5-azido-4- (tert-butyldisulfanyl) pentanoic acid (2S)-(2R, 3S, 4R, 5R) -2-((((((2R, 3S, 5R) -5- (4-Amino-2-oxopyrimidin-1 (2H) -yl) -2-((phosphonooxy) methyl) tetrahydrofuran-3-yl) oxy) (hydroxy) phosphoryl) oxy) methyl) -5- (6-amino -9H-Purin-9-yl) -4-hydroxytetrahydrofuran-3-yl (Orn (N3) (4-SStBu) -pdCpA) (Compound 43)
(2S)-(2R, 3S, 4R, 5R) -2-(((((((2R, 3S, 5R) -5- (4-amino-2-oxopyrimidin-1 (2H) -yl)) -2-((phosphonooxy) methyl) tetrahydrofuran-3-yl) oxy) (hydroxy) phosphoryl) oxy) methyl) -5- (6-amino-9H-purin-9-yl) -4-hydroxytetrahydrofuran-3- To a crude product (53 mg) of yl 5-azido-2-((tert-butoxycarbonyl) amino) -4- (tert-butyldisulfanyl) pentanoate (Compound 42), dichloromethane (2 ml) was added and suspended. Trifluoroacetic acid (0.5 mL) was added at room temperature, and the mixture was stirred at the same temperature for 30 minutes. After concentration under reduced pressure, the resulting residue was purified by reverse phase silica gel column chromatography (0.05% trifluoroacetic acid aqueous solution / 0.05% trifluoroacetic acid acetonitrile solution) to give 2-amino-5-azido-4- (tert-Butyldisulfanyl) pentanoic acid (2S)-(2R, 3S, 4R, 5R) -2-(((((((2R, 3S, 5R) -5- (4-amino-2-oxopyrimidine- 1 (2H) -yl) -2-((phosphonooxy) methyl) tetrahydrofuran-3-yl) oxy) (hydroxy) phosphoryl) oxy) methyl) -5- (6-amino-9H-purin-9-yl)- 4-Hydroxytetrahydrofuran-3-yl (Orn (N3) (4-SStBu) -pdCpA) (Compound 43) (24 mg, 31% for 2 steps) was obtained.
LCMS (ESI) m / z = 897 (M + H) +
Retention time: 0.41 minutes (analysis condition SQDFA05)
2-6.アミノアシル化pdCpA化合物47の合成
以下に述べる手法により、化合物36のSHの保護基を1工程にて変更でき、容易にpdCpA誘導体を合成する手法を確立した。
2-6. Synthesis of aminoacylated pdCpA compound 47 According to the method described below, a method for easily synthesizing a pdCpA derivative was established by changing the SH protecting group of compound 36 in one step.
5-アジド-2-(tert-ブトキシカルボニルアミノ)-4-(イソプロピルジスルファニル)ペンタン酸 (2S)-シアノメチル(化合物45)の合成
5-アジド-2-(tert-ブトキシカルボニルアミノ)-4-(メチルジスルファニル)ペンタン酸 (2S)-シアノメチル(化合物36)(110mg、0.293mmol)にジイソプロピルジスルフィド(4.67ml、29.3mmol)およびヨウ素(30mg、0.117mmol)を加え、60度で24時間攪拌した。反応液を順相シリカゲルカラムクロマトグラフィー(ヘキサン/酢酸エチル)にて精製し、5-アジド-2-(tert-ブトキシカルボニルアミノ)-4-(イソプロピルジスルファニル)ペンタン酸 (2S)-シアノメチル(化合物45)(89mg、75%)を得た。
LCMS(ESI) m/z = 402 (M-H)-
保持時間:0.61分(分析条件SQDAA50)
Synthesis of 5-azido-2- (tert-butoxycarbonylamino) -4- (isopropyldisulfanyl) pentanoic acid (2S) -cyanomethyl (compound 45)
5-azido-2- (tert-butoxycarbonylamino) -4- (methyldisulfanyl) pentanoic acid (2S) -cyanomethyl (compound 36) (110 mg, 0.293 mmol) and diisopropyl disulfide (4.67 ml, 29.3 mmol) ) And iodine (30 mg, 0.117 mmol) were added and stirred at 60 degrees for 24 hours. The reaction solution was purified by normal phase silica gel column chromatography (hexane / ethyl acetate) to give 5-azido-2- (tert-butoxycarbonylamino) -4- (isopropyldisulfanyl) pentanoic acid (2S) -cyanomethyl (compound 45) (89 mg, 75%) was obtained.
LCMS (ESI) m / z = 402 (M−H) −
Retention time: 0.61 minutes (analysis condition SQDAA50)
化合物46
5-アジド-2-((tert-ブトキシカルボニル)アミノ)-4-(イソプロピルジスルファニル)ペンタン酸 (2S)-(2R,3S,4R,5R)-2-((((((2R,3S,5R)-5-(4-アミノ-2-オキソピリミジン-1(2H)-イル)-2-((ホスホノオキシ)メチル)テトラヒドロフラン-3-イル)オキシ)(ヒドロキシ)ホスホリル)オキシ)メチル)-5-(6-アミノ-9H-プリン-9-イル)-4-ヒドロキシテトラヒドロフラン-3-イルの合成
緩衝液A(12mL)にリン酸二水素 ((2R,3S,5R)-5-(4-アミノ-2-オキソピリミジン-1(2H)-イル)-3-(((((2R,3S,4R,5R)-5-(6-アミノ-9H-プリン-9-イル)-3,4-ジヒドロキシテトラヒドロフラン-2-イル)メトキシ)(ヒドロキシ)ホスホリル)オキシ)テトラヒドロフラン-2-イル)メチル(化合物1h、43.6mg、0.069mmol)の水溶液(0.3mL)と5-アジド-2-((tert-ブトキシカルボニル)アミノ)-4-(イソプロピルジスルファニル)ペンタン酸 (2S)-シアノメチル(化合物45)(83mg、0.206mmol)のテトラヒドロフラン(0.2mL)溶液を加え、室温で55分間撹拌した。凍結乾燥後、得られた残渣を逆相シリカゲルカラムクロマトグラフィー(0.05%トリフルオロ酢酸水溶液/0.05%トリフルオロ酢酸アセトニトリル溶液)にて精製し、5-アジド-2-((tert-ブトキシカルボニル)アミノ)-4-(イソプロピルジスルファニル)ペンタン酸 (2S)-(2R,3S,4R,5R)-2-((((((2R,3S,5R)-5-(4-アミノ-2-オキソピリミジン-1(2H)-イル)-2-((ホスホノオキシ)メチル)テトラヒドロフラン-3-イル)オキシ)(ヒドロキシ)ホスホリル)オキシ)メチル)-5-(6-アミノ-9H-プリン-9-イル)-4-ヒドロキシテトラヒドロフラン-3-イル(化合物46)(27.7mg、41%)を得た。
LCMS(ESI) m/z = 981.6 (M-H)-
保持時間:0.58分(分析条件SQDFA05)
5-Azido-2-((tert-butoxycarbonyl) amino) -4- (isopropyldisulfanyl) pentanoic acid (2S)-(2R, 3S, 4R, 5R) -2-(((((((2R, 3S , 5R) -5- (4-Amino-2-oxopyrimidin-1 (2H) -yl) -2-((phosphonooxy) methyl) tetrahydrofuran-3-yl) oxy) (hydroxy) phosphoryl) oxy) methyl)- Synthesis of 5- (6-amino-9H-purin-9-yl) -4-hydroxytetrahydrofuran-3-yl
In buffer A (12 mL), dihydrogen phosphate ((2R, 3S, 5R) -5- (4-amino-2-oxopyrimidin-1 (2H) -yl) -3-(((((2R, 3S , 4R, 5R) -5- (6-Amino-9H-purin-9-yl) -3,4-dihydroxytetrahydrofuran-2-yl) methoxy) (hydroxy) phosphoryl) oxy) tetrahydrofuran-2-yl) methyl (
LCMS (ESI) m / z = 981.6 (M−H) −
Retention time: 0.58 minutes (analysis condition SQDFA05)
化合物47
2-アミノ-5-アジド-4-(イソプロピルジスルファニル)ペンタン酸 (2S)-(2R,3S,4R,5R)-2-((((((2R,3S,5R)-5-(4-アミノ-2-オキソピリミジン-1(2H)-イル)-2-((ホスホノオキシ)メチル)テトラヒドロフラン-3-イル)オキシ)(ヒドロキシ)ホスホリル)オキシ)メチル)-5-(6-アミノ-9H-プリン-9-イル)-4-ヒドロキシテトラヒドロフラン-3-イル(Orn(N3)(4-SSiPr)-pdCpA)の合成
5-アジド-2-((tert-ブトキシカルボニル)アミノ)-4-(イソプロピルジスルファニル)ペンタン酸 (2S)-(2R,3S,4R,5R)-2-((((((2R,3S,5R)-5-(4-アミノ-2-オキソピリミジン-1(2H)-イル)-2-((ホスホノオキシ)メチル)テトラヒドロフラン-3-イル)オキシ)(ヒドロキシ)ホスホリル)オキシ)メチル)-5-(6-アミノ-9H-プリン-9-イル)-4-ヒドロキシテトラヒドロフラン-3-イル(化合物46)(27.7mg、28μmol)のジクロロメタン(0.4mL)溶液にトリフルオロ酢酸(0.1mL)を添加し、室温で35分間撹拌した。減圧濃縮後、得られた残渣を逆相シリカゲルカラムクロマトグラフィー(0.05%トリフルオロ酢酸水溶液/0.05%トリフルオロ酢酸アセトニトリル溶液)にて精製し、2-アミノ-5-アジド-4-(イソプロピルジスルファニル)ペンタン酸 (2S)-(2R,3S,4R,5R)-2-((((((2R,3S,5R)-5-(4-アミノ-2-オキソピリミジン-1(2H)-イル)-2-((ホスホノオキシ)メチル)テトラヒドロフラン-3-イル)オキシ)(ヒドロキシ)ホスホリル)オキシ)メチル)-5-(6-アミノ-9H-プリン-9-イル)-4-ヒドロキシテトラヒドロフラン-3-イル(Orn(N3)(4-SSiPr)-pdCpA)(化合物47)(21.5mg、86%)を得た。
LCMS(ESI) m/z = 881.4 (M-H)-
保持時間:0.39分(分析条件SQDFA05)
Compound 47
2-Amino-5-azido-4- (isopropyldisulfanyl) pentanoic acid (2S)-(2R, 3S, 4R, 5R) -2-(((((((2R, 3S, 5R) -5- (4 -Amino-2-oxopyrimidin-1 (2H) -yl) -2-((phosphonooxy) methyl) tetrahydrofuran-3-yl) oxy) (hydroxy) phosphoryl) oxy) methyl) -5- (6-amino-9H Synthesis of -purin-9-yl) -4-hydroxytetrahydrofuran-3-yl (Orn (N3) (4-SSiPr) -pdCpA)
5-Azido-2-((tert-butoxycarbonyl) amino) -4- (isopropyldisulfanyl) pentanoic acid (2S)-(2R, 3S, 4R, 5R) -2-(((((((2R, 3S , 5R) -5- (4-Amino-2-oxopyrimidin-1 (2H) -yl) -2-((phosphonooxy) methyl) tetrahydrofuran-3-yl) oxy) (hydroxy) phosphoryl) oxy) methyl)- To a solution of 5- (6-amino-9H-purin-9-yl) -4-hydroxytetrahydrofuran-3-yl (Compound 46) (27.7 mg, 28 μmol) in dichloromethane (0.4 mL) was added trifluoroacetic acid (0. 1 mL) was added and stirred at room temperature for 35 minutes. After concentration under reduced pressure, the resulting residue was purified by reverse phase silica gel column chromatography (0.05% aqueous trifluoroacetic acid / 0.05% trifluoroacetic acid acetonitrile solution) to give 2-amino-5-azido-4- (Isopropyldisulfanyl) pentanoic acid (2S)-(2R, 3S, 4R, 5R) -2-(((((((2R, 3S, 5R) -5- (4-amino-2-oxopyrimidine-1 ( 2H) -yl) -2-((phosphonooxy) methyl) tetrahydrofuran-3-yl) oxy) (hydroxy) phosphoryl) oxy) methyl) -5- (6-amino-9H-purin-9-yl) -4- Hydroxytetrahydrofuran-3-yl (Orn (N3) (4-SSiPr) -pdCpA) (Compound 47) (21.5 mg, 86%) was obtained.
LCMS (ESI) m / z = 881.4 (M−H) −
Retention time: 0.39 minutes (analysis condition SQDFA05)
2-5.アミノアシル化pdCpA化合物48(Lys(Cys(StBu))-pdCpA)の合成
以下のスキームに従い合成を行った。
2-5. Synthesis of aminoacylated pdCpA compound 48 (Lys (Cys (StBu))-pdCpA) Synthesis was performed according to the following scheme.
(S)-2,6-ジアミノヘキサン酸, ジアンモニア塩 塩酸塩(化合物56)の合成
L(+)-リジン一塩酸塩(3.08g、 16.86mmol)を氷浴で冷却後、アンモニア水(15mL)を添加した。反応液を同温度で25分間撹拌後、減圧濃縮して得た粗生成物(3.20g)をそのまま次工程に用いた。
Synthesis of (S) -2,6-diaminohexanoic acid, diammonium salt hydrochloride (Compound 56)
L (+)-Lysine monohydrochloride (3.08 g, 16.86 mmol) was cooled in an ice bath, and aqueous ammonia (15 mL) was added. The reaction mixture was stirred at the same temperature for 25 minutes and then concentrated under reduced pressure, and the crude product (3.20 g) obtained was directly used in the next step.
(1R,4'S,5S)-4'-(4-アミノブチル)-5'-オキソスピロ[ビシクロ[3.3.1]ノナン-9,2'-[1,3,2]オキサザボロリジン]-3'-イウム-11-ウイド(化合物49)の合成
窒素雰囲気下、(S)-2,6-ジアミノヘキサン酸, ジアンモニア塩 塩酸塩(化合物56)(3.20g、14.77mmol)及び9-BBNダイマー(4.11g、16.98mmol)のメタノール(40mL)懸濁液を1時間加熱還流した。室温に冷却後、溶媒を減圧留去して得た粗生成物をそのまま次工程に用いた。
LCMS(ESI) m/z = 265 (M-H)-
保持時間:0.43分(分析条件SQDFA05)
(1R, 4 ′S, 5S) -4 ′-(4-Aminobutyl) -5′-oxospiro [bicyclo [3.3.1] nonane-9,2 ′-[1,3,2] oxazaboro Synthesis of Lysine] -3′-ium-11-Wide (Compound 49)
(S) -2,6-diaminohexanoic acid, diammonium salt hydrochloride (compound 56) (3.20 g, 14.77 mmol) and 9-BBN dimer (4.11 g, 16.98 mmol) methanol under nitrogen atmosphere The (40 mL) suspension was heated to reflux for 1 hour. After cooling to room temperature, the crude product obtained by distilling off the solvent under reduced pressure was directly used in the next step.
LCMS (ESI) m / z = 265 (M−H) −
Retention time: 0.43 minutes (analysis condition SQDFA05)
(1R,4'S,5S)-4'-(4-((R)-2-((tert-ブトキシカルボニル)アミノ)-3-(tert-ブチルジスルファニル)プロパンアミド)ブチル)-5'-オキソスピロ[ビシクロ[3.3.1]ノナン-9,2'-[1,3,2]オキサザボロリジン]-3'-イウム-11-ウイド(化合物50)の合成
窒素雰囲気下、(1R,4'S,5S)-4'-(4-アミノブチル)-5'-オキソスピロ[ビシクロ[3.3.1]ノナン-9,2'-[1,3,2]オキサザボロリジン]-3'-イウム-11-ウイド(化合物49)(3.73g、14mmol)及びBoc-Cys(StBu)-OH(4.33g、14mmol)のDMF(10mL)懸濁液に室温で撹拌しながら、N,N-ジイソプロピルエチルアミン(3.66mL、21mmol)を添加した。得られた混合物にHATU(5.86g、15.4mmol)を添加後、室温にて1日間撹拌した。反応混合物に飽和食塩水を添加し、酢酸エチルにて抽出した。有機相を無水硫酸ナトリウムで乾燥後、減圧濃縮して得られた粗生成物を順相シリカゲルカラムクロマトグラフィー(ジクロロメタン/酢酸エチル)にて精製し、(1R,4'S,5S)-4'-(4-((R)-2-((tert-ブトキシカルボニル)アミノ)-3-(tert-ブチルジスルファニル)プロパンアミド)ブチル)-5'-オキソスピロ[ビシクロ[3.3.1]ノナン-9,2'-[1,3,2]オキサザボロリジン]-3'-イウム-11-ウイド(化合物50)(7.34g、94%)を得た。
LCMS(ESI) m/z = 558.5 (M+H)+
保持時間:0.98分(分析条件SQDFA05)
(1R, 4 ′S, 5S) -4 ′-(4-((R) -2-((tert-butoxycarbonyl) amino) -3- (tert-butyldisulfanyl) propanamido) butyl) -5 ′ Synthesis of Oxospiro [bicyclo [3.3.1] nonane-9,2 ′-[1,3,2] oxazaborolidine] -3′-ium-11-weide (Compound 50)
Under a nitrogen atmosphere, (1R, 4 ′S, 5S) -4 ′-(4-aminobutyl) -5′-oxospiro [bicyclo [3.3.1] nonane-9,2 ′-[1,3,2 ] Oxazaborolidine] -3'-ium-11-weide (Compound 49) (3.73 g, 14 mmol) and Boc-Cys (StBu) -OH (4.33 g, 14 mmol) in DMF (10 mL) suspension Was stirred at room temperature with N, N-diisopropylethylamine (3.66 mL, 21 mmol). HATU (5.86 g, 15.4 mmol) was added to the resulting mixture, and the mixture was stirred at room temperature for 1 day. Saturated brine was added to the reaction mixture, and the mixture was extracted with ethyl acetate. The organic phase was dried over anhydrous sodium sulfate and then concentrated under reduced pressure, and the resulting crude product was purified by normal phase silica gel column chromatography (dichloromethane / ethyl acetate) to obtain (1R, 4 ′S, 5S) -4 ′. -(4-((R) -2-((tert-butoxycarbonyl) amino) -3- (tert-butyldisulfanyl) propanamido) butyl) -5'-oxospiro [bicyclo [3.3.1] nonane -9,2 '-[1,3,2] oxazaborolidine] -3'-ium-11-weide (Compound 50) (7.34 g, 94%) was obtained.
LCMS (ESI) m / z = 558.5 (M + H) +
Retention time: 0.98 minutes (analysis condition SQDFA05)
(S)-2-アミノ-6-((R)-2-アミノ-3-(tert-ブチルジスルファニル)プロパンアミド)ヘキサン酸(Lys(Cys(StBu)))(化合物51)の合成
(1R,4'S,5S)-4'-(4-((R)-2-((tert-ブトキシカルボニル)アミノ)-3-(tert-ブチルジスルファニル)プロパンアミド)ブチル)-5'-オキソスピロ[ビシクロ[3.3.1]ノナン-9,2'-[1,3,2]オキサザボロリジン]-3'-イウム-11-ウイド(化合物50)(715.8mg、1.28mmol)の1,4-ジオキサン(3mL)溶液に室温にて濃塩酸(1.1mL)を添加し、得られた反応混合物を40℃で13時間15分間撹拌した。室温に冷却後、減圧濃縮して得られた粗生成物を逆相シリカゲルカラムクロマトグラフィー(10mM酢酸アンモニウム水溶液/メタノール)にて精製し、(S)-2-アミノ-6-((R)-2-アミノ-3-(tert-ブチルジスルファニル)プロパンアミド)ヘキサン酸(Lys(Cys(StBu)))(化合物51)(394.1mg、91%)を得た。
LCMS(ESI) m/z = 336 (M-H)-
保持時間:0.67分(分析条件SQDAA05)
Synthesis of (S) -2-amino-6-((R) -2-amino-3- (tert-butyldisulfanyl) propanamide) hexanoic acid (Lys (Cys (StBu))) (Compound 51)
(1R, 4 ′S, 5S) -4 ′-(4-((R) -2-((tert-butoxycarbonyl) amino) -3- (tert-butyldisulfanyl) propanamido) butyl) -5 ′ -Oxospiro [bicyclo [3.3.1] nonane-9,2 '-[1,3,2] oxazaborolidine] -3'-ium-11-wid (Compound 50) (715.8 mg, 1. 28 mmol) in 1,4-dioxane (3 mL) was added concentrated hydrochloric acid (1.1 mL) at room temperature, and the resulting reaction mixture was stirred at 40 ° C. for 13 hours and 15 minutes. After cooling to room temperature, the crude product obtained by concentration under reduced pressure was purified by reverse-phase silica gel column chromatography (10 mM aqueous ammonium acetate / methanol), and (S) -2-amino-6-((R)- 2-Amino-3- (tert-butyldisulfanyl) propanamide) hexanoic acid (Lys (Cys (StBu))) (Compound 51) (394.1 mg, 91%) was obtained.
LCMS (ESI) m / z = 336 (M−H) −
Retention time: 0.67 minutes (analysis condition SQDAA05)
(S)-2-((tert-ブトキシカルボニル)アミノ)-6-((R)-2-((tert-ブトキシカルボニル)アミノ)-3-(tert-ブチルジスルファニル)プロパンアミド)ヘキサン酸(化合物52)の合成
(S)-2-アミノ-6-((R)-2-アミノ-3-(tert-ブチルジスルファニル)プロパンアミド)ヘキサン酸(Lys(Cys(StBu)))(化合物51)(390mg、1.16mmol)の1,4-ジオキサン(5mL)及び水(6mL)混合物を氷浴にて冷却し、炭酸水素ナトリウム(388mg、4.62mmol)、続いてBoc2O(807mg、3.70mmol)を添加した。反応混合物を室温で3時間撹拌した。氷浴にて冷却後、硫酸水素カリウム(157mg、1.16mmol)及び飽和硫酸水素カリウム水溶液(1mL)を添加して、pH2に調整した。得られた混合物を酢酸エチルにて抽出した。有機相を無水硫酸ナトリウムで乾燥後、減圧濃縮して得られた粗生成物を順相シリカゲルカラムクロマトグラフィー(酢酸エチル)にて精製し、(S)-2-((tert-ブトキシカルボニル)アミノ)-6-((R)-2-((tert-ブトキシカルボニル)アミノ)-3-(tert-ブチルジスルファニル)プロパンアミド)ヘキサン酸(化合物52)(579.5mg、93%)を得た。
LCMS(ESI) m/z = 536 (M-H)-
保持時間:0.86分(分析条件SQDFA05)
(S) -2-((tert-butoxycarbonyl) amino) -6-((R) -2-((tert-butoxycarbonyl) amino) -3- (tert-butyldisulfanyl) propanamide) hexanoic acid ( Synthesis of compound 52)
(S) -2-Amino-6-((R) -2-amino-3- (tert-butyldisulfanyl) propanamide) hexanoic acid (Lys (Cys (StBu))) (Compound 51) (390 mg, 1 .16 mmol) of 1,4-dioxane (5 mL) and water (6 mL) was cooled in an ice bath and sodium bicarbonate (388 mg, 4.62 mmol) followed by Boc 2 O (807 mg, 3.70 mmol). Added. The reaction mixture was stirred at room temperature for 3 hours. After cooling in an ice bath, potassium hydrogen sulfate (157 mg, 1.16 mmol) and saturated aqueous potassium hydrogen sulfate solution (1 mL) were added to adjust the pH to 2. The resulting mixture was extracted with ethyl acetate. The crude product obtained by drying the organic phase over anhydrous sodium sulfate and then concentrating under reduced pressure was purified by normal phase silica gel column chromatography (ethyl acetate) to obtain (S) -2-((tert-butoxycarbonyl) amino. ) -6-((R) -2-((tert-butoxycarbonyl) amino) -3- (tert-butyldisulfanyl) propanamide) hexanoic acid (Compound 52) (579.5 mg, 93%) was obtained. .
LCMS (ESI) m / z = 536 (M−H) −
Retention time: 0.86 minutes (analysis condition SQDFA05)
2-((tert-ブトキシカルボニル)アミノ)-6-((R)-2-((tert-ブトキシカルボニル)アミノ)-3-(tert-ブチルジスルファニル)プロパンアミド)ヘキサン酸 (S)-シアノメチル(化合物53)の合成
窒素雰囲気下室温にて、(S)-2-((tert-ブトキシカルボニル)アミノ)-6-((R)-2-((tert-ブトキシカルボニル)アミノ)-3-(tert-ブチルジスルファニル)プロパンアミド)ヘキサン酸(化合物52)(206mg、0.383mmol)のアセトニトリル(0.3mL)溶液にN,N-ジイソプロピルエチルアミン(0.073mL、0.421mmol)、続いてブロモアセトニトリル(0.080mL、1.15mmol)を添加した。反応混合物を同温度にて5時間撹拌後、減圧濃縮して得られた粗生成物を順相シリカゲルカラムクロマトグラフィー(ヘキサン/酢酸エチル)にて精製し、2-((tert-ブトキシカルボニル)アミノ)-6-((R)-2-((tert-ブトキシカルボニル)アミノ)-3-(tert-ブチルジスルファニル)プロパンアミド)ヘキサン酸 (S)-シアノメチル(化合物53)(172.2mg、78%)を得た。
LCMS(ESI) m/z = 577.6 (M+H)+
保持時間:0.92分(分析条件SQDFA05)
2-((tert-butoxycarbonyl) amino) -6-((R) -2-((tert-butoxycarbonyl) amino) -3- (tert-butyldisulfanyl) propanamido) hexanoic acid (S) -cyanomethyl Synthesis of (Compound 53)
(S) -2-((tert-butoxycarbonyl) amino) -6-((R) -2-((tert-butoxycarbonyl) amino) -3- (tert-butyldisulfanyl) at room temperature under nitrogen atmosphere ) Propanamide) hexanoic acid (Compound 52) (206 mg, 0.383 mmol) in acetonitrile (0.3 mL) in N, N-diisopropylethylamine (0.073 mL, 0.421 mmol) followed by bromoacetonitrile (0.080 mL). , 1.15 mmol) was added. The reaction mixture was stirred at the same temperature for 5 hours and then concentrated under reduced pressure. The resulting crude product was purified by normal phase silica gel column chromatography (hexane / ethyl acetate) to give 2-((tert-butoxycarbonyl) amino. ) -6-((R) -2-((tert-butoxycarbonyl) amino) -3- (tert-butyldisulfanyl) propanamido) hexanoic acid (S) -cyanomethyl (compound 53) (172.2 mg, 78 %).
LCMS (ESI) m / z = 577.6 (M + H) +
Retention time: 0.92 minutes (analysis condition SQDFA05)
2-((tert-ブトキシカルボニル)アミノ)-6-((R)-2-((tert-ブトキシカルボニル)アミノ)-3-(tert-ブチルジスルファニル)プロパンアミド)ヘキサン酸 (2S)-(2R,3S,4R,5R)-2-((((((2R,3S,5R)-5-(4-アミノ-2-オキソピリミジン-1(2H)-イル)-2-((ホスホノオキシ)メチル)テトラヒドロフラン-3-イル)オキシ)(ヒドロキシ)ホスホリル)オキシ)メチル)-5-(6-アミノ-9H-プリン-9-イル)-4-ヒドロキシテトラヒドロフラン-3-イル(化合物55)の合成
緩衝液A(11mL)にリン酸二水素 ((2R,3S,5R)-5-(4-アミノ-2-オキソピリミジン-1(2H)-イル)-3-(((((2R,3S,4R,5R)-5-(6-アミノ-9H-プリン-9-イル)-3,4-ジヒドロキシテトラヒドロフラン-2-イル)メトキシ)(ヒドロキシ)ホスホリル)オキシ)テトラヒドロフラン-2-イル)メチル(化合物1h)(37.9mg、0.060mmol)の水溶液(0.3mL)と2-((tert-ブトキシカルボニル)アミノ)-6-((R)-2-((tert-ブトキシカルボニル)アミノ)-3-(tert-ブチルジスルファニル)プロパンアミド)ヘキサン酸 (S)-シアノメチル(化合物53)(103mg、0.179mmol)のテトラヒドロフラン(0.3mL)溶液を加え、室温で2時間撹拌した。凍結乾燥後、得られた残渣を逆相シリカゲルカラムクロマトグラフィー(0.05%トリフルオロ酢酸水溶液/0.05%トリフルオロ酢酸アセトニトリル溶液)にて精製し、2-((tert-ブトキシカルボニル)アミノ)-6-((R)-2-((tert-ブトキシカルボニル)アミノ)-3-(tert-ブチルジスルファニル)プロパンアミド)ヘキサン酸 (2S)-(2R,3S,4R,5R)-2-((((((2R,3S,5R)-5-(4-アミノ-2-オキソピリミジン-1(2H)-イル)-2-((ホスホノオキシ)メチル)テトラヒドロフラン-3-イル)オキシ)(ヒドロキシ)ホスホリル)オキシ)メチル)-5-(6-アミノ-9H-プリン-9-イル)-4-ヒドロキシテトラヒドロフラン-3-イル(化合物55)(12mg、17%)を得た。
LCMS(ESI) m/z = 1156.7 (M+H)+
保持時間:0.63分(分析条件SQDFA05)
2-((tert-butoxycarbonyl) amino) -6-((R) -2-((tert-butoxycarbonyl) amino) -3- (tert-butyldisulfanyl) propanamido) hexanoic acid (2S)-( 2R, 3S, 4R, 5R) -2-((((((((2R, 3S, 5R) -5- (4-amino-2-oxopyrimidin-1 (2H) -yl) -2-((phosphonooxy) Synthesis of methyl) tetrahydrofuran-3-yl) oxy) (hydroxy) phosphoryl) oxy) methyl) -5- (6-amino-9H-purin-9-yl) -4-hydroxytetrahydrofuran-3-yl (compound 55)
To buffer A (11 mL), dihydrogen phosphate ((2R, 3S, 5R) -5- (4-amino-2-oxopyrimidin-1 (2H) -yl) -3-(((((2R, 3S , 4R, 5R) -5- (6-Amino-9H-purin-9-yl) -3,4-dihydroxytetrahydrofuran-2-yl) methoxy) (hydroxy) phosphoryl) oxy) tetrahydrofuran-2-yl) methyl (
LCMS (ESI) m / z = 1156.7 (M + H) +
Retention time: 0.63 minutes (analysis condition SQDFA05)
2-アミノ-6-((R)-2-アミノ-3-(tert-ブチルジスルファニル)プロパンアミド)ヘキサン酸 (2S)-(2R,3S,4R,5R)-2-((((((2R,3S,5R)-5-(4-アミノ-2-オキソピリミジン-1(2H)-イル)-2-((ホスホノオキシ)メチル)テトラヒドロフラン-3-イル)オキシ)(ヒドロキシ)ホスホリル)オキシ)メチル)-5-(6-アミノ-9H-プリン-9-イル)-4-ヒドロキシテトラヒドロフラン-3-イル(Lys(Cys(StBu))-pdCpA)(化合物48)の合成
2-((tert-ブトキシカルボニル)アミノ)-6-((R)-2-((tert-ブトキシカルボニル)アミノ)-3-(tert-ブチルジスルファニル)プロパンアミド)ヘキサン酸 (2S)-(2R,3S,4R,5R)-2-((((((2R,3S,5R)-5-(4-アミノ-2-オキソピリミジン-1(2H)-イル)-2-((ホスホノオキシ)メチル)テトラヒドロフラン-3-イル)オキシ)(ヒドロキシ)ホスホリル)オキシ)メチル)-5-(6-アミノ-9H-プリン-9-イル)-4-ヒドロキシテトラヒドロフラン-3-イル(化合物55)(12mg、10.38μmol)のジクロロメタン(0.4mL)溶液に室温にてトリフルオロ酢酸(0.1mL)を添加し、同温度で15分間撹拌した。減圧濃縮後、得られた残渣を逆相シリカゲルカラムクロマトグラフィー(0.05%トリフルオロ酢酸水溶液/0.05%トリフルオロ酢酸アセトニトリル溶液)にて精製し、2-アミノ-6-((R)-2-アミノ-3-(tert-ブチルジスルファニル)プロパンアミド)ヘキサン酸 (2S)-(2R,3S,4R,5R)-2-((((((2R,3S,5R)-5-(4-アミノ-2-オキソピリミジン-1(2H)-イル)-2-((ホスホノオキシ)メチル)テトラヒドロフラン-3-イル)オキシ)(ヒドロキシ)ホスホリル)オキシ)メチル)-5-(6-アミノ-9H-プリン-9-イル)-4-ヒドロキシテトラヒドロフラン-3-イル(Lys(Cys(StBu))-pdCpA)(化合物48)(9.3mg、94%)を得た。
LCMS(ESI) m/z = 956 (M+H)+
保持時間:0.29分(分析条件SQDFA05)
2-Amino-6-((R) -2-amino-3- (tert-butyldisulfanyl) propanamido) hexanoic acid (2S)-(2R, 3S, 4R, 5R) -2-((((( (2R, 3S, 5R) -5- (4-Amino-2-oxopyrimidin-1 (2H) -yl) -2-((phosphonooxy) methyl) tetrahydrofuran-3-yl) oxy) (hydroxy) phosphoryl) oxy ) Synthesis of methyl) -5- (6-amino-9H-purin-9-yl) -4-hydroxytetrahydrofuran-3-yl (Lys (Cys (StBu))-pdCpA) (compound 48)
2-((tert-butoxycarbonyl) amino) -6-((R) -2-((tert-butoxycarbonyl) amino) -3- (tert-butyldisulfanyl) propanamido) hexanoic acid (2S)-( 2R, 3S, 4R, 5R) -2-((((((((2R, 3S, 5R) -5- (4-amino-2-oxopyrimidin-1 (2H) -yl) -2-((phosphonooxy) Methyl) tetrahydrofuran-3-yl) oxy) (hydroxy) phosphoryl) oxy) methyl) -5- (6-amino-9H-purin-9-yl) -4-hydroxytetrahydrofuran-3-yl (compound 55) (12 mg To a solution of 10.38 μmol) in dichloromethane (0.4 mL) was added trifluoroacetic acid (0.1 mL) at room temperature, and the mixture was stirred at the same temperature for 15 minutes. After concentration under reduced pressure, the resulting residue was purified by reverse phase silica gel column chromatography (0.05% trifluoroacetic acid aqueous solution / 0.05% trifluoroacetic acid acetonitrile solution) to give 2-amino-6-((R) -2-Amino-3- (tert-butyldisulfanyl) propanamide) hexanoic acid (2S)-(2R, 3S, 4R, 5R) -2-(((((((2R, 3S, 5R) -5 (4-Amino-2-oxopyrimidin-1 (2H) -yl) -2-((phosphonooxy) methyl) tetrahydrofuran-3-yl) oxy) (hydroxy) phosphoryl) oxy) methyl) -5- (6-amino -9H-purin-9-yl) -4-hydroxytetrahydrofuran-3-yl (Lys (Cys (StBu))-pdCpA) (Compound 48) (9.3 mg, 94%) was obtained.
LCMS (ESI) m / z = 956 (M + H) +
Retention time: 0.29 minutes (analysis condition SQDFA05)
10.保護基を有するアミン部位の合成(その2)
翻訳合成可能であり、かつRNAに安定な反応条件にて脱保護できる保護基の探索、およびアミノ酸ユニットとの組み合わせ例を以下に示す。また、以下に示すように、本明細書中に使用する各アミノ酸の略称も化合物番号と共に示した。これらの略称はペプチド内に含有されても、あるいはpdCpAなどのRNAやDNAに含有されても同じユニットが含まれるものとする。また、例えばH-Gly-OHなどの場合、N末端もしくはC末端が化学修飾されてない場合には、HやOH基の記載を省略して単にGlyなどとすることもある。
また、翻訳合成可能なアミノ酸として、本明細書中に使用する各アミノ酸の略称を以下の様に定義する。
10. Synthesis of amine moiety with protecting group (Part 2)
Examples of search for protecting groups that can be synthesized by translation and that can be deprotected under stable reaction conditions with RNA, and combinations with amino acid units are shown below. In addition, as shown below, abbreviations of amino acids used in the present specification are also shown together with compound numbers. These abbreviations shall be included in the same unit regardless of whether they are contained in a peptide or in RNA or DNA such as pdCpA. For example, in the case of H-Gly-OH or the like, if the N-terminus or C-terminus is not chemically modified, the description of the H or OH group may be omitted and simply referred to as Gly.
Further, as amino acids capable of translational synthesis, abbreviations of each amino acid used in this specification are defined as follows.
10-1.pdCpA-側鎖アミノ基が保護されたアミノ酸の合成
10-1-1.保護基を有するアミン部位の探索:アミノアシル化pdCpA化合物tk5の合成
以下のスキームに従い、合成を行った。
10-1. pdCpA-Synthesis of amino acids with protected side chain amino groups
10-1-1. Search for amine moiety having protecting group: Synthesis of aminoacylated pdCpA compound tk5 Synthesis was performed according to the following scheme.
(S)-2-((tert-ブトキシカルボニル)アミノ)-4-((S)-3-(tert-ブトキシカルボニル)チアゾリジン-5-イル)ブタン酸(化合物tk2)の合成
Synthesis of (S) -2-((tert-butoxycarbonyl) amino) -4-((S) -3- (tert-butoxycarbonyl) thiazolidin-5-yl) butanoic acid (compound tk2)
文献記載(J.Am.Chem.Soc.2011,133,10708.)の方法で合成した(1S,4S)-1-カルボキシ-4-(メチルスルフィノチオイル)ペンタン-1,5-ジアミニウム 2,2,2-トリフルオロ酢酸塩(化合物tk1)(273.4mg、0.604mmol)を室温で2M水酸化ナトリウム水溶液(2.1mL)に溶解後、トリス(2-カルボキシエチル)ホスフィン塩酸塩(182mg、0.635mmol)を添加した。同温度で15分間撹拌後、37%ホルマリン水溶液(0.9mL)を添加した。同温度で1.5時間撹拌後、2M水酸化ナトリウム水溶液(0.15mL)及びBoc2O(528mg、2.417mmol)の1,4-ジオキサン(2mL)溶液を添加した。反応混合物を同温度で17.5時間撹拌後、Boc2O(250mg)を添加した。6.5時間撹拌後、酢酸エチルで希釈した混合物を氷浴で冷却し、飽和硫酸水素カリウム水溶液(0.8mL)を添加した。酢酸エチルで抽出し(2回)、有機相を飽和食塩水(4mL)で洗浄した。硫酸ナトリウムで乾燥後、減圧濃縮して得られた粗生成物を順相シリカゲルカラムクロマトグラフィー(ヘキサン/酢酸エチル)にて精製し、(S)-2-((tert-ブトキシカルボニル)アミノ)-4-((S)-3-(tert-ブトキシカルボニル)チアゾリジン-5-イル)ブタン酸(化合物tk2)(131.7mg、56%)を得た。
LCMS(ESI) m/z = 389 (M-H)-
保持時間:0.83分(分析条件SQDAA05)
(1S, 4S) -1-carboxy-4- (methylsulfinothioyl) pentane-1,5-
LCMS (ESI) m / z = 389 (M−H) −
Retention time: 0.83 minutes (analysis condition SQDAA05)
5-((S)-3-((tert-ブトキシカルボニル)アミノ)-4-(シアノメトキシ)-4-オキソブチル)チアゾリジン-3-カルボン酸 (S)-tert-ブチル(化合物tk3)の合成
Synthesis of 5-((S) -3-((tert-butoxycarbonyl) amino) -4- (cyanomethoxy) -4-oxobutyl) thiazolidine-3-carboxylic acid (S) -tert-butyl (compound tk3)
窒素雰囲気下、(S)-2-((tert-ブトキシカルボニル)アミノ)-4-((S)-3-(tert-ブトキシカルボニル)チアゾリジン-5-イル)ブタン酸(化合物tk2)(98mg、0.251mmol)のアセトニトリル(0.5mL)溶液に、室温でN,N-ジイソプロピルエチルアミン(48μL、0.276mmol)、続いてブロモアセトニトリル(88μL、1.255mmol)を添加した。反応混合物を同温度にて3時間撹拌後、減圧濃縮して得られた粗生成物を順相シリカゲルカラムクロマトグラフィー(ヘキサン/酢酸エチル)にて精製し、5-((S)-3-((tert-ブトキシカルボニル)アミノ)-4-(シアノメトキシ)-4-オキソブチル)チアゾリジン-3-カルボン酸 (S)-tert-ブチル(化合物tk3)(94.0mg、87%)を得た。
LCMS(ESI) m/z = 428.1 (M-H)-
保持時間:0.85分(分析条件SQDFA05)
Under a nitrogen atmosphere, (S) -2-((tert-butoxycarbonyl) amino) -4-((S) -3- (tert-butoxycarbonyl) thiazolidin-5-yl) butanoic acid (compound tk2) (98 mg, To a solution of 0.251 mmol) in acetonitrile (0.5 mL) at room temperature was added N, N-diisopropylethylamine (48 μL, 0.276 mmol) followed by bromoacetonitrile (88 μL, 1.255 mmol). The reaction mixture was stirred at the same temperature for 3 hours and then concentrated under reduced pressure. The resulting crude product was purified by normal phase silica gel column chromatography (hexane / ethyl acetate) to give 5-((S) -3- ( (Tert-Butoxycarbonyl) amino) -4- (cyanomethoxy) -4-oxobutyl) thiazolidine-3-carboxylic acid (S) -tert-butyl (compound tk3) (94.0 mg, 87%) was obtained.
LCMS (ESI) m / z = 428.1 (M−H) −
Retention time: 0.85 minutes (analysis condition SQDFA05)
5-((3S)-4-(((2R,3S,4R,5R)-2-((((((2R,3S,5R)-5-(4-アミノ-2-オキソピリミジン-1(2H)-イル)-2-((ホスホノオキシ)メチル)テトラヒドロフラン-3-イル)オキシ)(ヒドロキシ)ホスホリル)オキシ)メチル)-5-(6-アミノ-9H-プリン-9-イル)-4-ヒドロキシテトラヒドロフラン-3-イル)オキシ)-3-((tert-ブトキシカルボニル)アミノ)-4-オキソブチル)チアゾリジン-3-カルボン酸 (5S)-tert-ブチル(化合物tk4)の合成
5-((3S) -4-(((2R, 3S, 4R, 5R) -2-(((((((2R, 3S, 5R) -5- (4-amino-2-oxopyrimidine-1 ( 2H) -yl) -2-((phosphonooxy) methyl) tetrahydrofuran-3-yl) oxy) (hydroxy) phosphoryl) oxy) methyl) -5- (6-amino-9H-purin-9-yl) -4- Synthesis of hydroxytetrahydrofuran-3-yl) oxy) -3-((tert-butoxycarbonyl) amino) -4-oxobutyl) thiazolidine-3-carboxylic acid (5S) -tert-butyl (compound tk4)
緩衝液A(12.5mL)にリン酸二水素 ((2R,3S,5R)-5-(4-アミノ-2-オキソピリミジン-1(2H)-イル)-3-(((((2R,3S,4R,5R)-5-(6-アミノ-9H-プリン-9-イル)-3,4-ジヒドロキシテトラヒドロフラン-2-イル)メトキシ)(ヒドロキシ)ホスホリル)オキシ)テトラヒドロフラン-2-イル)メチル(化合物1h)(44.0mg、0.069mmol)と5-((S)-3-((tert-ブトキシカルボニル)アミノ)-4-(シアノメトキシ)-4-オキソブチル)チアゾリジン-3-カルボン酸 (S)-tert-ブチル(化合物tk3)(89mg、0.207mmol)のアセトニトリル(0.3mL)溶液を加え、室温で1.25時間撹拌した。凍結乾燥後、得られた残渣を逆相シリカゲルカラムクロマトグラフィー(0.05%トリフルオロ酢酸水溶液/0.05%トリフルオロ酢酸アセトニトリル溶液)にて精製し、5-((3S)-4-(((2R,3S,4R,5R)-2-((((((2R,3S,5R)-5-(4-アミノ-2-オキソピリミジン-1(2H)-イル)-2-((ホスホノオキシ)メチル)テトラヒドロフラン-3-イル)オキシ)(ヒドロキシ)ホスホリル)オキシ)メチル)-5-(6-アミノ-9H-プリン-9-イル)-4-ヒドロキシテトラヒドロフラン-3-イル)オキシ)-3-((tert-ブトキシカルボニル)アミノ)-4-オキソブチル)チアゾリジン-3-カルボン酸 (5S)-tert-ブチル(化合物tk4)(17.4mg、25%)を得た。
LCMS(ESI) m/z = 1007.7 (M-H)-
保持時間:0.54分(分析条件SQDFA05)
In buffer A (12.5 mL), dihydrogen phosphate ((2R, 3S, 5R) -5- (4-amino-2-oxopyrimidin-1 (2H) -yl) -3-(((((2R , 3S, 4R, 5R) -5- (6-Amino-9H-purin-9-yl) -3,4-dihydroxytetrahydrofuran-2-yl) methoxy) (hydroxy) phosphoryl) oxy) tetrahydrofuran-2-yl) Methyl (
LCMS (ESI) m / z = 1007.7 (M−H) −
Retention time: 0.54 minutes (analysis condition SQDFA05)
2-アミノ-4-((S)-チアゾリジン-5-イル)ブタン酸 (2S)-(2R,3S,4R,5R)-2-((((((2R,3S,5R)-5-(4-アミノ-2-オキソピリミジン-1(2H)-イル)-2-((ホスホノオキシ)メチル)テトラヒドロフラン-3-イル)オキシ)(ヒドロキシ)ホスホリル)オキシ)メチル)-5-(6-アミノ-9H-プリン-9-イル)-4-ヒドロキシテトラヒドロフラン-3-イル(Ala(Tzm)-pdCpA)(化合物tk5)の合成
5-((3S)-4-(((2R,3S,4R,5R)-2-((((((2R,3S,5R)-5-(4-アミノ-2-オキソピリミジン-1(2H)-イル)-2-((ホスホノオキシ)メチル)テトラヒドロフラン-3-イル)オキシ)(ヒドロキシ)ホスホリル)オキシ)メチル)-5-(6-アミノ-9H-プリン-9-イル)-4-ヒドロキシテトラヒドロフラン-3-イル)オキシ)-3-((tert-ブトキシカルボニル)アミノ)-4-オキソブチル)チアゾリジン-3-カルボン酸 (5S)-tert-ブチル(化合物tk4)(8.5mg、8.43μmol)のジクロロメタン(0.2mL)溶液に、10%トリフルオロ酢酸のジクロロメタン溶液(0.16mL)を添加し、室温で1.25時間撹拌した。減圧濃縮後、2-アミノ-4-((S)-チアゾリジン-5-イル)ブタン酸 (2S)-(2R,3S,4R,5R)-2-((((((2R,3S,5R)-5-(4-アミノ-2-オキソピリミジン-1(2H)-イル)-2-((ホスホノオキシ)メチル)テトラヒドロフラン-3-イル)オキシ)(ヒドロキシ)ホスホリル)オキシ)メチル)-5-(6-アミノ-9H-プリン-9-イル)-4-ヒドロキシテトラヒドロフラン-3-イル(Ala(Tzm)-pdCpA)(化合物tk5)(10.6mg、quant.)を得た。
LCMS(ESI) m/z = 807.5 (M-H)-
保持時間:0.14分(分析条件SQDFA05)
2-Amino-4-((S) -thiazolidin-5-yl) butanoic acid (2S)-(2R, 3S, 4R, 5R) -2-(((((((2R, 3S, 5R) -5 (4-Amino-2-oxopyrimidin-1 (2H) -yl) -2-((phosphonooxy) methyl) tetrahydrofuran-3-yl) oxy) (hydroxy) phosphoryl) oxy) methyl) -5- (6-amino Synthesis of -9H-purin-9-yl) -4-hydroxytetrahydrofuran-3-yl (Ala (Tzm) -pdCpA) (compound tk5)
5-((3S) -4-(((2R, 3S, 4R, 5R) -2-(((((((2R, 3S, 5R) -5- (4-amino-2-oxopyrimidine-1 ( 2H) -yl) -2-((phosphonooxy) methyl) tetrahydrofuran-3-yl) oxy) (hydroxy) phosphoryl) oxy) methyl) -5- (6-amino-9H-purin-9-yl) -4- Hydroxytetrahydrofuran-3-yl) oxy) -3-((tert-butoxycarbonyl) amino) -4-oxobutyl) thiazolidine-3-carboxylic acid (5S) -tert-butyl (compound tk4) (8.5 mg, 8. To a solution of 43 μmol) in dichloromethane (0.2 mL) was added 10% trifluoroacetic acid in dichloromethane (0.16 mL), and the mixture was stirred at room temperature for 1.25 hours. After concentration under reduced pressure, 2-amino-4-((S) -thiazolidin-5-yl) butanoic acid (2S)-(2R, 3S, 4R, 5R) -2-(((((((2R, 3S, 5R ) -5- (4-Amino-2-oxopyrimidin-1 (2H) -yl) -2-((phosphonooxy) methyl) tetrahydrofuran-3-yl) oxy) (hydroxy) phosphoryl) oxy) methyl) -5 (6-Amino-9H-purin-9-yl) -4-hydroxytetrahydrofuran-3-yl (Ala (Tzm) -pdCpA) (compound tk5) (10.6 mg, quant.) Was obtained.
LCMS (ESI) m / z = 807.5 (M−H) −
Retention time: 0.14 minutes (analysis condition SQDFA05)
10-1-2. アミノアシル化pdCpA化合物tk12の合成
以下のスキームに従い、合成を行った。
10-1-2. Synthesis of aminoacylated pdCpA compound tk12 Synthesis was performed according to the following scheme.
(2S,5S)-2-アミノ-6-((((4-アジドベンジル)オキシ)カルボニル)アミノ)-5-(メチルジスルファニル)ヘキサン酸(Lys(5S-SSMe)(Acbz))(化合物tk7)の合成
(2S, 5S) -2-Amino-6-((((4-azidobenzyl) oxy) carbonyl) amino) -5- (methyldisulfanyl) hexanoic acid (Lys (5S-SSMe) (Acbz)) (compound Synthesis of tk7)
(2S,5S)-2,6-ジアミノ-5-(メチルジスルファニル)ヘキサン酸(化合物tk6)(176mg、0.785mol)と炭酸水素ナトリウム(659mg、7.85mmol)の水(1.2mL)溶液に、室温で硫酸銅五水和物(100mg、0.4mmol)の水(0.3mL)溶液を添加し、続いて文献記載(Bioconjugate Chem.2008,19,714.)の方法で合成した炭酸(4-ニトロフェニル)4-アジドベンジル(296mg、0.941mmol)のアセトン(2.7mL)溶液を添加した。同温度で25.75時間撹拌後、反応混合物をろ過し、水でろ紙上の固体を洗浄した。ろ取した固体を水(10mL)-メタノール(1mL)に懸濁し、室温でエチレンジアミン四酢酸二水素二ナトリウム(350mg、0.941mmol)を添加した。同温度で7.75時間撹拌後、反応混合物をろ過し、ろ紙上の白色固体を逆相シリカゲルカラムクロマトグラフィー(10mM酢酸アンモニウム水溶液/メタノール)にて精製し、(2S,5S)-2-アミノ-6-((((4-アジドベンジル)オキシ)カルボニル)アミノ)-5-(メチルジスルファニル)ヘキサン酸(Lys(5S-SSMe)(Acbz))(化合物tk7)(50.2mg、16%)を得た。
LCMS(ESI) m/z = 398 (M-H)-
保持時間:0.85分(分析条件SQDAA05)
(2S, 5S) -2,6-Diamino-5- (methyldisulfanyl) hexanoic acid (Compound tk6) (176 mg, 0.785 mol) and sodium hydrogen carbonate (659 mg, 7.85 mmol) in water (1.2 mL) To the solution, a solution of copper sulfate pentahydrate (100 mg, 0.4 mmol) in water (0.3 mL) was added at room temperature, and then synthesized by the method described in the literature (Bioconjugate Chem. 2008, 19, 714.). A solution of (4-nitrophenyl) 4-azidobenzyl carbonate (296 mg, 0.941 mmol) in acetone (2.7 mL) was added. After stirring at the same temperature for 25.75 hours, the reaction mixture was filtered, and the solid on the filter paper was washed with water. The solid collected by filtration was suspended in water (10 mL) -methanol (1 mL), and disodium ethylenediaminetetraacetate (350 mg, 0.941 mmol) was added at room temperature. After stirring at the same temperature for 7.75 hours, the reaction mixture was filtered, and the white solid on the filter paper was purified by reverse phase silica gel column chromatography (10 mM aqueous ammonium acetate / methanol) to give (2S, 5S) -2-amino. -6-((((4-azidobenzyl) oxy) carbonyl) amino) -5- (methyldisulfanyl) hexanoic acid (Lys (5S-SSMe) (Acbz)) (compound tk7) (50.2 mg, 16% )
LCMS (ESI) m / z = 398 (M−H) −
Retention time: 0.85 minutes (analysis condition SQDAA05)
(2S,5S)-6-((((4-アジドベンジル)オキシ)カルボニル)アミノ)-2-((tert-ブトキシカルボニル)アミノ)-5-(メチルジスルファニル)ヘキサン酸(化合物tk8)の合成
Of (2S, 5S) -6-((((4-azidobenzyl) oxy) carbonyl) amino) -2-((tert-butoxycarbonyl) amino) -5- (methyldisulfanyl) hexanoic acid (compound tk8) Composition
(2S,5S)-2-アミノ-6-((((4-アジドベンジル)オキシ)カルボニル)アミノ)-5-(メチルジスルファニル)ヘキサン酸(Lys(5S-SSMe)(Acbz))(化合物tk7)(70mg、0.175mmol)の1,4-ジオキサン(2mL)-アセトニトリル(1mL)溶液に、室温で炭酸水素ナトリウム(44.2mg、0.526mmol)、水(1mL)及びBoc2O(115mg、0.526mmol)を添加した。同温度で22.5時間撹拌後、反応混合物を減圧濃縮した。得られた粗生成物を逆相シリカゲルカラムクロマトグラフィー(10mM酢酸アンモニウム水溶液/メタノール)にて精製し、(2S,5S)-6-((((4-アジドベンジル)オキシ)カルボニル)アミノ)-2-((tert-ブトキシカルボニル)アミノ)-5-(メチルジスルファニル)ヘキサン酸(化合物tk8)(71.6mg、82%)を得た。
LCMS(ESI) m/z = 498.4 (M-H)-
保持時間:0.91分(分析条件SQDAA05)
(2S, 5S) -2-Amino-6-((((4-azidobenzyl) oxy) carbonyl) amino) -5- (methyldisulfanyl) hexanoic acid (Lys (5S-SSMe) (Acbz)) (compound tk7) (70 mg, 0.175 mmol) in 1,4-dioxane (2 mL) -acetonitrile (1 mL) at room temperature with sodium bicarbonate (44.2 mg, 0.526 mmol), water (1 mL) and Boc 2 O ( 115 mg, 0.526 mmol) was added. After stirring at the same temperature for 22.5 hours, the reaction mixture was concentrated under reduced pressure. The resulting crude product was purified by reverse phase silica gel column chromatography (10 mM aqueous ammonium acetate / methanol) to give (2S, 5S) -6-((((4-azidobenzyl) oxy) carbonyl) amino)- 2-((tert-butoxycarbonyl) amino) -5- (methyldisulfanyl) hexanoic acid (Compound tk8) (71.6 mg, 82%) was obtained.
LCMS (ESI) m / z = 498.4 (M−H) −
Retention time: 0.91 minutes (analysis condition SQDAA05)
6-((((4-アジドベンジル)オキシ)カルボニル)アミノ)-2-((tert-ブトキシカルボニル)アミノ)-5-(メチルジスルファニル)ヘキサン酸 (2S,5S)-シアノメチル(化合物tk9)の合成
6-((((4-Azidobenzyl) oxy) carbonyl) amino) -2-((tert-butoxycarbonyl) amino) -5- (methyldisulfanyl) hexanoic acid (2S, 5S) -cyanomethyl (compound tk9) Synthesis of
窒素雰囲気下、(2S,5S)-6-((((4-アジドベンジル)オキシ)カルボニル)アミノ)-2-((tert-ブトキシカルボニル)アミノ)-5-(メチルジスルファニル)ヘキサン酸(化合物tk8)(132mg、0.264mmol)のアセトニトリル(0.4mL)溶液に、室温でN,N-ジイソプロピルエチルアミン(51μL、0.291mmol)、続いてブロモアセトニトリル(92μL、1.321mmol)を添加した。反応混合物を同温度にて4.5時間撹拌後、減圧濃縮して得られた粗生成物を順相シリカゲルカラムクロマトグラフィー(ヘキサン/酢酸エチル)にて精製し、6-((((4-アジドベンジル)オキシ)カルボニル)アミノ)-2-((tert-ブトキシカルボニル)アミノ)-5-(メチルジスルファニル)ヘキサン酸 (2S,5S)-シアノメチル(化合物tk9)(127.3mg、89%)を得た。
LCMS(ESI) m/z = 537.6 (M-H)-
保持時間:0.91分(分析条件SQDFA05)
Under a nitrogen atmosphere, (2S, 5S) -6-((((4-azidobenzyl) oxy) carbonyl) amino) -2-((tert-butoxycarbonyl) amino) -5- (methyldisulfanyl) hexanoic acid ( To a solution of compound tk8) (132 mg, 0.264 mmol) in acetonitrile (0.4 mL) at room temperature was added N, N-diisopropylethylamine (51 μL, 0.291 mmol) followed by bromoacetonitrile (92 μL, 1.321 mmol). . The reaction mixture was stirred at the same temperature for 4.5 hours and then concentrated under reduced pressure, and the resulting crude product was purified by normal phase silica gel column chromatography (hexane / ethyl acetate) to give 6-(((((4- Azidobenzyl) oxy) carbonyl) amino) -2-((tert-butoxycarbonyl) amino) -5- (methyldisulfanyl) hexanoic acid (2S, 5S) -cyanomethyl (compound tk9) (127.3 mg, 89%) Got.
LCMS (ESI) m / z = 537.6 (M−H) −
Retention time: 0.91 minutes (analysis condition SQDFA05)
6-((((4-アジドベンジル)オキシ)カルボニル)アミノ)-2-((tert-ブトキシカルボニル)アミノ)-5-(メチルジスルファニル)ヘキサン酸 (2S,5S)-(2R,3S,4R,5R)-2-((((((2R,3S,5R)-5-(4-アミノ-2-オキソピリミジン-1(2H)-イル)-2-((ホスホノオキシ)メチル)テトラヒドロフラン-3-イル)オキシ)(ヒドロキシ)ホスホリル)オキシ)メチル)-5-(6-アミノ-9H-プリン-9-イル)-4-ヒドロキシテトラヒドロフラン-3-イル(化合物tk10)の合成
6-((((4-Azidobenzyl) oxy) carbonyl) amino) -2-((tert-butoxycarbonyl) amino) -5- (methyldisulfanyl) hexanoic acid (2S, 5S)-(2R, 3S, 4R, 5R) -2-(((((((2R, 3S, 5R) -5- (4-amino-2-oxopyrimidin-1 (2H) -yl) -2-((phosphonooxy) methyl) tetrahydrofuran- Synthesis of 3-yl) oxy) (hydroxy) phosphoryl) oxy) methyl) -5- (6-amino-9H-purin-9-yl) -4-hydroxytetrahydrofuran-3-yl (compound tk10)
緩衝液A(13mL)にリン酸二水素 ((2R,3S,5R)-5-(4-アミノ-2-オキソピリミジン-1(2H)-イル)-3-(((((2R,3S,4R,5R)-5-(6-アミノ-9H-プリン-9-イル)-3,4-ジヒドロキシテトラヒドロフラン-2-イル)メトキシ)(ヒドロキシ)ホスホリル)オキシ)テトラヒドロフラン-2-イル)メチル(化合物1h)(49.2mg、0.077mmol)と6-((((4-アジドベンジル)オキシ)カルボニル)アミノ)-2-((tert-ブトキシカルボニル)アミノ)-5-(メチルジスルファニル)ヘキサン酸 (2S,5S)-シアノメチル(化合物tk9)(125mg、0.232mmol)のアセトニトリル(0.5mL)溶液を加え、室温で2時間撹拌した。アセトニトリル(0.5mL)を添加して1.25時間撹拌後、アセトニトリル(0.5mL)を添加した。更に1.25時間撹拌後、アセトニトリル(0.5mL)を添加して、1.5時間撹拌した。凍結乾燥後、得られた残渣を逆相シリカゲルカラムクロマトグラフィー(0.05%トリフルオロ酢酸水溶液/0.05%トリフルオロ酢酸アセトニトリル溶液)にて精製し、6-((((4-アジドベンジル)オキシ)カルボニル)アミノ)-2-((tert-ブトキシカルボニル)アミノ)-5-(メチルジスルファニル)ヘキサン酸 (2S,5S)-(2R,3S,4R,5R)-2-((((((2R,3S,5R)-5-(4-アミノ-2-オキソピリミジン-1(2H)-イル)-2-((ホスホノオキシ)メチル)テトラヒドロフラン-3-イル)オキシ)(ヒドロキシ)ホスホリル)オキシ)メチル)-5-(6-アミノ-9H-プリン-9-イル)-4-ヒドロキシテトラヒドロフラン-3-イル(化合物tk10)(14.0mg、16%)を得た。
LCMS(ESI) m/z = 1116.7 (M-H)-
保持時間:0.62分(分析条件SQDFA05)
In buffer A (13 mL), dihydrogen phosphate ((2R, 3S, 5R) -5- (4-amino-2-oxopyrimidin-1 (2H) -yl) -3-(((((2R, 3S , 4R, 5R) -5- (6-Amino-9H-purin-9-yl) -3,4-dihydroxytetrahydrofuran-2-yl) methoxy) (hydroxy) phosphoryl) oxy) tetrahydrofuran-2-yl) methyl (
LCMS (ESI) m / z = 1116.7 (M−H) −
Retention time: 0.62 minutes (analysis condition SQDFA05)
2-アミノ-6-((((4-アジドベンジル)オキシ)カルボニル)アミノ)-5-(メチルジスルファニル)ヘキサン酸 (2S,5S)-(2R,3S,4R,5R)-2-((((((2R,3S,5R)-5-(4-アミノ-2-オキソピリミジン-1(2H)-イル)-2-((ホスホノオキシ)メチル)テトラヒドロフラン-3-イル)オキシ)(ヒドロキシ)ホスホリル)オキシ)メチル)-5-(6-アミノ-9H-プリン-9-イル)-4-ヒドロキシテトラヒドロフラン-3-イル(Lys(5S-SSMe)(Acbz)-pdCpA)(化合物tk11)及び2,6-ジアミノ-5-(メチルジスルファニル)ヘキサン酸 (2S,5S)-(2R,3S,4R,5R)-2-((((((2R,3S,5R)-5-(4-アミノ-2-オキソピリミジン-1(2H)-イル)-2-((ホスホノオキシ)メチル)テトラヒドロフラン-3-イル)オキシ)(ヒドロキシ)ホスホリル)オキシ)メチル)-5-(6-アミノ-9H-プリン-9-イル)-4-ヒドロキシテトラヒドロフラン-3-イル(Lys(5S-SSMe)-pdCpA、化合物tk12)の合成
2-Amino-6-((((4-azidobenzyl) oxy) carbonyl) amino) -5- (methyldisulfanyl) hexanoic acid (2S, 5S)-(2R, 3S, 4R, 5R) -2- ( ((((((2R, 3S, 5R) -5- (4-amino-2-oxopyrimidin-1 (2H) -yl) -2-((phosphonooxy) methyl) tetrahydrofuran-3-yl) oxy) (hydroxy ) Phosphoryl) oxy) methyl) -5- (6-amino-9H-purin-9-yl) -4-hydroxytetrahydrofuran-3-yl (Lys (5S-SSMe) (Acbz) -pdCpA) (compound tk11) and 2,6-Diamino-5- (methyldisulfanyl) hexanoic acid (2S, 5S)-(2R, 3S, 4R, 5R) -2-((((((((2R, 3S, 5R) -5- (4 -Amino-2-oxopyrimimi -1 (2H) -yl) -2-((phosphonooxy) methyl) tetrahydrofuran-3-yl) oxy) (hydroxy) phosphoryl) oxy) methyl) -5- (6-amino-9H-purin-9-yl ) Synthesis of 4-hydroxytetrahydrofuran-3-yl (Lys (5S-SSMe) -pdCpA, compound tk12)
6-((((4-アジドベンジル)オキシ)カルボニル)アミノ)-2-((tert-ブトキシカルボニル)アミノ)-5-(メチルジスルファニル)ヘキサン酸 (2S,5S)-(2R,3S,4R,5R)-2-((((((2R,3S,5R)-5-(4-アミノ-2-オキソピリミジン-1(2H)-イル)-2-((ホスホノオキシ)メチル)テトラヒドロフラン-3-イル)オキシ)(ヒドロキシ)ホスホリル)オキシ)メチル)-5-(6-アミノ-9H-プリン-9-イル)-4-ヒドロキシテトラヒドロフラン-3-イル(化合物tk10)(14.0mg、0.013mmol)のジクロロメタン(0.2mL)溶液に、10%トリフルオロ酢酸のジクロロメタン溶液(0.24mL)を添加し、室温で30分間撹拌した。減圧濃縮後、得られた残渣を逆相シリカゲルカラムクロマトグラフィー(0.05%トリフルオロ酢酸水溶液/0.05%トリフルオロ酢酸アセトニトリル溶液)にて精製し、2-アミノ-6-((((4-アジドベンジル)オキシ)カルボニル)アミノ)-5-(メチルジスルファニル)ヘキサン酸 (2S,5S)-(2R,3S,4R,5R)-2-((((((2R,3S,5R)-5-(4-アミノ-2-オキソピリミジン-1(2H)-イル)-2-((ホスホノオキシ)メチル)テトラヒドロフラン-3-イル)オキシ)(ヒドロキシ)ホスホリル)オキシ)メチル)-5-(6-アミノ-9H-プリン-9-イル)-4-ヒドロキシテトラヒドロフラン-3-イル(Lys(5S-SSMe)(Acbz)-pdCpA)(化合物tk11)(3.2mg、25%)及び2,6-ジアミノ-5-(メチルジスルファニル)ヘキサン酸 (2S,5S)-(2R,3S,4R,5R)-2-((((((2R,3S,5R)-5-(4-アミノ-2-オキソピリミジン-1(2H)-イル)-2-((ホスホノオキシ)メチル)テトラヒドロフラン-3-イル)オキシ)(ヒドロキシ)ホスホリル)オキシ)メチル)-5-(6-アミノ-9H-プリン-9-イル)-4-ヒドロキシテトラヒドロフラン-3-イル(Lys(5S-SSMe)-pdCpA)(化合物tk12)(1.5mg、14%)を得た。 6-((((4-azidobenzyl) oxy) carbonyl) amino) -2-((tert-butoxycarbonyl) amino) -5- (methyldisulfanyl) hexanoic acid (2S, 5S)-(2R, 3S, 4R, 5R) -2-(((((((2R, 3S, 5R) -5- (4-amino-2-oxopyrimidin-1 (2H) -yl) -2-((phosphonooxy) methyl) tetrahydrofuran- 3-yl) oxy) (hydroxy) phosphoryl) oxy) methyl) -5- (6-amino-9H-purin-9-yl) -4-hydroxytetrahydrofuran-3-yl (compound tk10) (14.0 mg, 0 .013 mmol) in dichloromethane (0.2 mL) was added 10% trifluoroacetic acid in dichloromethane (0.24 mL) and at room temperature for 30 min. It was 拌. After concentration under reduced pressure, the resulting residue was purified by reverse phase silica gel column chromatography (0.05% aqueous trifluoroacetic acid / 0.05% trifluoroacetic acid acetonitrile solution) to give 2-amino-6-(((( 4-azidobenzyl) oxy) carbonyl) amino) -5- (methyldisulfanyl) hexanoic acid (2S, 5S)-(2R, 3S, 4R, 5R) -2-((((((((2R, 3S, 5R ) -5- (4-Amino-2-oxopyrimidin-1 (2H) -yl) -2-((phosphonooxy) methyl) tetrahydrofuran-3-yl) oxy) (hydroxy) phosphoryl) oxy) methyl) -5 (6-Amino-9H-purin-9-yl) -4-hydroxytetrahydrofuran-3-yl (Lys (5S-SSMe) (Acbz) -pdCpA) (compound tk11) (3.2 mg, 2 mg %) And 2,6-diamino-5- (methyldisulfanyl) hexanoic acid (2S, 5S)-(2R, 3S, 4R, 5R) -2-(((((((2R, 3S, 5R) -5 -(4-Amino-2-oxopyrimidin-1 (2H) -yl) -2-((phosphonooxy) methyl) tetrahydrofuran-3-yl) oxy) (hydroxy) phosphoryl) oxy) methyl) -5- (6- Amino-9H-purin-9-yl) -4-hydroxytetrahydrofuran-3-yl (Lys (5S-SSMe) -pdCpA) (compound tk12) (1.5 mg, 14%) was obtained.
2-アミノ-6-((((4-アジドベンジル)オキシ)カルボニル)アミノ)-5-(メチルジスルファニル)ヘキサン酸 (2S,5S)-(2R,3S,4R,5R)-2-((((((2R,3S,5R)-5-(4-アミノ-2-オキソピリミジン-1(2H)-イル)-2-((ホスホノオキシ)メチル)テトラヒドロフラン-3-イル)オキシ)(ヒドロキシ)ホスホリル)オキシ)メチル)-5-(6-アミノ-9H-プリン-9-イル)-4-ヒドロキシテトラヒドロフラン-3-イル(Lys(5S-SSMe)(Acbz)-pdCpA)(化合物tk11)
LCMS(ESI) m/z = 1016.5 (M-H)-
保持時間:0.45分(分析条件SQDFA05)
2-Amino-6-((((4-azidobenzyl) oxy) carbonyl) amino) -5- (methyldisulfanyl) hexanoic acid (2S, 5S)-(2R, 3S, 4R, 5R) -2- ( ((((((2R, 3S, 5R) -5- (4-amino-2-oxopyrimidin-1 (2H) -yl) -2-((phosphonooxy) methyl) tetrahydrofuran-3-yl) oxy) (hydroxy ) Phosphoryl) oxy) methyl) -5- (6-amino-9H-purin-9-yl) -4-hydroxytetrahydrofuran-3-yl (Lys (5S-SSMe) (Acbz) -pdCpA) (compound tk11)
LCMS (ESI) m / z = 1016.5 (M−H) −
Retention time: 0.45 minutes (analysis condition SQDFA05)
2,6-ジアミノ-5-(メチルジスルファニル)ヘキサン酸 (2S,5S)-(2R,3S,4R,5R)-2-((((((2R,3S,5R)-5-(4-アミノ-2-オキソピリミジン-1(2H)-イル)-2-((ホスホノオキシ)メチル)テトラヒドロフラン-3-イル)オキシ)(ヒドロキシ)ホスホリル)オキシ)メチル)-5-(6-アミノ-9H-プリン-9-イル)-4-ヒドロキシテトラヒドロフラン-3-イル(Lys(5S-SSMe)-pdCpA)(化合物tk12)
LCMS(ESI) m/z = 841.4 (M-H)-
保持時間:0.20分(分析条件SQDFA05)
2,6-Diamino-5- (methyldisulfanyl) hexanoic acid (2S, 5S)-(2R, 3S, 4R, 5R) -2-((((((((2R, 3S, 5R) -5- (4 -Amino-2-oxopyrimidin-1 (2H) -yl) -2-((phosphonooxy) methyl) tetrahydrofuran-3-yl) oxy) (hydroxy) phosphoryl) oxy) methyl) -5- (6-amino-9H -Purin-9-yl) -4-hydroxytetrahydrofuran-3-yl (Lys (5S-SSMe) -pdCpA) (compound tk12)
LCMS (ESI) m / z = 841.4 (M−H) −
Retention time: 0.20 minutes (analysis condition SQDFA05)
10-1-3. アミノアシル化pdCpA化合物tk18の合成
以下のスキームに従い、合成を行った。
10-1-3. Synthesis of aminoacylated pdCpA compound tk18 Synthesis was performed according to the following scheme.
炭酸 (4-ニトロフェニル) 2-アジドベンジル(化合物tk13)の合成
Synthesis of carbonic acid (4-nitrophenyl) 2-azidobenzyl (compound tk13)
文献記載(Bioconjugate Chem. 2008, 19, 714.)の方法と同様に(2-アジドフェニル)メタノール及びクロロギ酸 4-ニトロフェニルから合成した。
LCMS(ESI) m/z = 138 (HOC6H4NO2-H)-
保持時間:1.03分(分析条件SQDAA05)
It was synthesized from (2-azidophenyl) methanol and 4-nitrophenyl chloroformate in the same manner as described in the literature (Bioconjugate Chem. 2008, 19, 714.).
LCMS (ESI) m / z = 138 (HOC 6 H 4 NO 2 —H) —
Retention time: 1.03 minutes (analysis condition SQDAA05)
(2S,5S)-2-アミノ-6-((((2-アジドベンジル)オキシ)カルボニル)アミノ)-5-(メチルジスルファニル)ヘキサン酸(Lys(5S-SSMe)(oAcbz))(化合物tk14)の合成
(2S, 5S) -2-Amino-6-((((2-azidobenzyl) oxy) carbonyl) amino) -5- (methyldisulfanyl) hexanoic acid (Lys (5S-SSMe) (oAcbz)) (compound tk14)
文献記載(J.Am.Chem.Soc.2011,133,10708.)の方法で合成した(1S,4S)-1-カルボキシ-4-(メチルスルフィノチオイル)ペンタン-1,5-ジアミニウム 2,2,2-トリフルオロ酢酸塩(化合物tk1)(226mg、0.50mmol)と炭酸水素ナトリウム(420mg、5.00mmol)の水(1.2mL)溶液に、室温で硫酸銅五水和物(63.6mg、0.255mmol)の水(0.3mL)溶液を添加し、続いて炭酸 (4-ニトロフェニル) 2-アジドベンジル(化合物tk13)(188mg、0.599mmol)のアセトニトリル(6mL)溶液を添加した。同温度で49時間撹拌後、反応混合物をろ過し、水でろ紙上の固体を洗浄した。ろ取した固体を水(10mL)-メタノール(1mL)に懸濁し、室温でエチレンジアミン四酢酸二水素二ナトリウム(223mg、0.599mmol)を添加した。同温度で17.25時間撹拌後、反応混合物をろ過し、ろ紙上の白色固体を逆相シリカゲルカラムクロマトグラフィー(10mM酢酸アンモニウム水溶液/メタノール)にて精製し、((2S,5S)-2-アミノ-6-((((2-アジドベンジル)オキシ)カルボニル)アミノ)-5-(メチルジスルファニル)ヘキサン酸(Lys(5S-SSMe)(oAcbz))(化合物tk14)(30.2mg、15%)を得た。
LCMS(ESI) m/z = 398 (M-H)-
保持時間:0.85分(分析条件SQDAA05)
(1S, 4S) -1-carboxy-4- (methylsulfinothioyl) pentane-1,5-
LCMS (ESI) m / z = 398 (M−H) −
Retention time: 0.85 minutes (analysis condition SQDAA05)
(2S,5S)-6-((((2-アジドベンジル)オキシ)カルボニル)アミノ)-2-((tert-ブトキシカルボニル)アミノ)-5-(メチルジスルファニル)ヘキサン酸(化合物tk15)の合成
(2S, 5S) -6-((((2-azidobenzyl) oxy) carbonyl) amino) -2-((tert-butoxycarbonyl) amino) -5- (methyldisulfanyl) hexanoic acid (compound tk15) Composition
((2S,5S)-2-アミノ-6-((((2-アジドベンジル)オキシ)カルボニル)アミノ)-5-(メチルジスルファニル)ヘキサン酸(Lys(5S-SSMe)(oAcbz))(化合物tk14)(78mg、0.195mmol)及び炭酸水素ナトリウム(65.6mg、0.781mmol)の混合物に、室温で水(1mL)及びBoc2O(170mg、0.781mmol)の1,4-ジオキサン(1mL)溶液を添加した。同温度で12.5時間撹拌後、氷浴で冷却し、酢酸エチル及び水で希釈した混合物に硫酸水素カリウム(115mg)水溶液を添加した。酢酸エチルにて抽出し(2回)、有機相を食塩水(1mLで2回)にて洗浄し、硫酸ナトリウムにて乾燥した。減圧濃縮後、得られた粗生成物を順相シリカゲルカラムクロマトグラフィー(ヘキサン/酢酸エチル)にて精製し、(2S,5S)-6-((((2-アジドベンジル)オキシ)カルボニル)アミノ)-2-((tert-ブトキシカルボニル)アミノ)-5-(メチルジスルファニル)ヘキサン酸(化合物tk15)(90.3mg、93%)を得た。
LCMS(ESI) m/z = 498 (M-H)-
保持時間:0.90分(分析条件SQDAA05)
((2S, 5S) -2-amino-6-((((2-azidobenzyl) oxy) carbonyl) amino) -5- (methyldisulfanyl) hexanoic acid (Lys (5S-SSMe) (oAcbz)) ( To a mixture of compound tk14) (78 mg, 0.195 mmol) and sodium bicarbonate (65.6 mg, 0.781 mmol) was added water (1 mL) and Boc 2 O (170 mg, 0.781 mmol) of 1,4-dioxane at room temperature. After stirring at the same temperature for 12.5 hours, the mixture was cooled in an ice bath, and an aqueous solution of potassium hydrogen sulfate (115 mg) was added to the mixture diluted with ethyl acetate and water, and extracted with ethyl acetate. (Twice), the organic phase was washed with brine (twice with 1 mL) and dried over sodium sulfate, and after concentration under reduced pressure, the resulting crude product was subjected to normal phase silica gel column chromatography. (2S, 5S) -6-((((2-azidobenzyl) oxy) carbonyl) amino) -2-((tert-butoxycarbonyl) amino) -5 -(Methyldisulfanyl) hexanoic acid (compound tk15) (90.3 mg, 93%) was obtained.
LCMS (ESI) m / z = 498 (M−H) −
Retention time: 0.90 minutes (analysis condition SQDAA05)
6-((((2-アジドベンジル)オキシ)カルボニル)アミノ)-2-((tert-ブトキシカルボニル)アミノ)-5-(メチルジスルファニル)ヘキサン酸 (2S,5S)-シアノメチル(化合物tk16)の合成
6-((((2-azidobenzyl) oxy) carbonyl) amino) -2-((tert-butoxycarbonyl) amino) -5- (methyldisulfanyl) hexanoic acid (2S, 5S) -cyanomethyl (compound tk16) Synthesis of
窒素雰囲気下、(2S,5S)-6-((((2-アジドベンジル)オキシ)カルボニル)アミノ)-2-((tert-ブトキシカルボニル)アミノ)-5-(メチルジスルファニル)ヘキサン酸(化合物tk15)(89.5mg、0.179mmol)のアセトニトリル(0.3mL)溶液に、室温でN,N-ジイソプロピルエチルアミン(34μL、0.197mmol)、続いてブロモアセトニトリル(62μL、0.896mmol)を添加した。反応混合物を同温度にて1.25時間撹拌後、減圧濃縮して得られた粗生成物を順相シリカゲルカラムクロマトグラフィー(ヘキサン/酢酸エチル)にて精製し、6-((((2-アジドベンジル)オキシ)カルボニル)アミノ)-2-((tert-ブトキシカルボニル)アミノ)-5-(メチルジスルファニル)ヘキサン酸 (2S,5S)-シアノメチル(化合物tk16)(77.5mg、80%)を得た。
LCMS(ESI) m/z = 539.5 (M+H)+
保持時間:0.92分(分析条件SQDFA05)
Under a nitrogen atmosphere, (2S, 5S) -6-((((2-azidobenzyl) oxy) carbonyl) amino) -2-((tert-butoxycarbonyl) amino) -5- (methyldisulfanyl) hexanoic acid ( Compound tk15) (89.5 mg, 0.179 mmol) in acetonitrile (0.3 mL) was charged with N, N-diisopropylethylamine (34 μL, 0.197 mmol) followed by bromoacetonitrile (62 μL, 0.896 mmol) at room temperature. Added. The reaction mixture was stirred at the same temperature for 1.25 hours and then concentrated under reduced pressure, and the resulting crude product was purified by normal phase silica gel column chromatography (hexane / ethyl acetate) to give 6-(((((2- Azidobenzyl) oxy) carbonyl) amino) -2-((tert-butoxycarbonyl) amino) -5- (methyldisulfanyl) hexanoic acid (2S, 5S) -cyanomethyl (compound tk16) (77.5 mg, 80%) Got.
LCMS (ESI) m / z = 539.5 (M + H) +
Retention time: 0.92 minutes (analysis condition SQDFA05)
6-((((2-アジドベンジル)オキシ)カルボニル)アミノ)-2-((tert-ブトキシカルボニル)アミノ)-5-(メチルジスルファニル)ヘキサン酸 (2S,5S)-(2R,3S,4R,5R)-2-((((((2R,3S,5R)-5-(4-アミノ-2-オキソピリミジン-1(2H)-イル)-2-((ホスホノオキシ)メチル)テトラヒドロフラン-3-イル)オキシ)(ヒドロキシ)ホスホリル)オキシ)メチル)-5-(6-アミノ-9H-プリン-9-イル)-4-ヒドロキシテトラヒドロフラン-3-イル(化合物tk17)の合成
6-((((2-azidobenzyl) oxy) carbonyl) amino) -2-((tert-butoxycarbonyl) amino) -5- (methyldisulfanyl) hexanoic acid (2S, 5S)-(2R, 3S, 4R, 5R) -2-(((((((2R, 3S, 5R) -5- (4-amino-2-oxopyrimidin-1 (2H) -yl) -2-((phosphonooxy) methyl) tetrahydrofuran- Synthesis of 3-yl) oxy) (hydroxy) phosphoryl) oxy) methyl) -5- (6-amino-9H-purin-9-yl) -4-hydroxytetrahydrofuran-3-yl (compound tk17)
緩衝液A(8mL)にリン酸二水素 ((2R,3S,5R)-5-(4-アミノ-2-オキソピリミジン-1(2H)-イル)-3-(((((2R,3S,4R,5R)-5-(6-アミノ-9H-プリン-9-イル)-3,4-ジヒドロキシテトラヒドロフラン-2-イル)メトキシ)(ヒドロキシ)ホスホリル)オキシ)テトラヒドロフラン-2-イル)メチル(化合物1h)(30.3mg、0.048mmol)と6-((((2-アジドベンジル)オキシ)カルボニル)アミノ)-2-((tert-ブトキシカルボニル)アミノ)-5-(メチルジスルファニル)ヘキサン酸 (2S,5S)-シアノメチル(化合物tk16)(77mg、0.143mmol)のアセトニトリル(0.7mL)溶液を加え、室温で40分間撹拌した。アセトニトリル(3mL)を添加して55分間撹拌した。更にアセトニトリル(2mL)を添加して、5時間撹拌した。凍結乾燥後、得られた残渣を逆相シリカゲルカラムクロマトグラフィー(0.05%トリフルオロ酢酸水溶液/0.05%トリフルオロ酢酸アセトニトリル溶液)にて精製し、6-((((2-アジドベンジル)オキシ)カルボニル)アミノ)-2-((tert-ブトキシカルボニル)アミノ)-5-(メチルジスルファニル)ヘキサン酸 (2S,5S)-(2R,3S,4R,5R)-2-((((((2R,3S,5R)-5-(4-アミノ-2-オキソピリミジン-1(2H)-イル)-2-((ホスホノオキシ)メチル)テトラヒドロフラン-3-イル)オキシ)(ヒドロキシ)ホスホリル)オキシ)メチル)-5-(6-アミノ-9H-プリン-9-イル)-4-ヒドロキシテトラヒドロフラン-3-イル(化合物tk17)(2.8mg、5%)を得た。
LCMS(ESI) m/z = 1116.2 (M-H)-
保持時間:0.65分(分析条件SQDFA05)
Buffer A (8 mL) was diluted with dihydrogen phosphate ((2R, 3S, 5R) -5- (4-amino-2-oxopyrimidin-1 (2H) -yl) -3-(((((2R, 3S , 4R, 5R) -5- (6-Amino-9H-purin-9-yl) -3,4-dihydroxytetrahydrofuran-2-yl) methoxy) (hydroxy) phosphoryl) oxy) tetrahydrofuran-2-yl) methyl (
LCMS (ESI) m / z = 1116.2 (M−H) −
Retention time: 0.65 minutes (analysis condition SQDFA05)
2-アミノ-6-((((2-アジドベンジル)オキシ)カルボニル)アミノ)-5-(メチルジスルファニル)ヘキサン酸 (2S,5S)-(2R,3S,4R,5R)-2-((((((2R,3S,5R)-5-(4-アミノ-2-オキソピリミジン-1(2H)-イル)-2-((ホスホノオキシ)メチル)テトラヒドロフラン-3-イル)オキシ)(ヒドロキシ)ホスホリル)オキシ)メチル)-5-(6-アミノ-9H-プリン-9-イル)-4-ヒドロキシテトラヒドロフラン-3-イル(Lys(5S-SSMe)(oAcbz)-pdCpA)(化合物tk18)の合成
2-Amino-6-((((2-azidobenzyl) oxy) carbonyl) amino) -5- (methyldisulfanyl) hexanoic acid (2S, 5S)-(2R, 3S, 4R, 5R) -2- ( ((((((2R, 3S, 5R) -5- (4-amino-2-oxopyrimidin-1 (2H) -yl) -2-((phosphonooxy) methyl) tetrahydrofuran-3-yl) oxy) (hydroxy ) Phosphoryl) oxy) methyl) -5- (6-amino-9H-purin-9-yl) -4-hydroxytetrahydrofuran-3-yl (Lys (5S-SSMe) (oAcbz) -pdCpA) (compound tk18) Composition
6-((((2-アジドベンジル)オキシ)カルボニル)アミノ)-2-((tert-ブトキシカルボニル)アミノ)-5-(メチルジスルファニル)ヘキサン酸 (2S,5S)-(2R,3S,4R,5R)-2-((((((2R,3S,5R)-5-(4-アミノ-2-オキソピリミジン-1(2H)-イル)-2-((ホスホノオキシ)メチル)テトラヒドロフラン-3-イル)オキシ)(ヒドロキシ)ホスホリル)オキシ)メチル)-5-(6-アミノ-9H-プリン-9-イル)-4-ヒドロキシテトラヒドロフラン-3-イル(化合物tk17)(2.8mg、2.504μmol)のジクロロメタン(0.1mL)溶液に、10%トリフルオロ酢酸のジクロロメタン溶液(0.1mL)を添加し、室温で60分間撹拌した。減圧濃縮後、得られた残渣を逆相シリカゲルカラムクロマトグラフィー(0.05%トリフルオロ酢酸水溶液/0.05%トリフルオロ酢酸アセトニトリル溶液)にて精製し、2-アミノ-6-((((2-アジドベンジル)オキシ)カルボニル)アミノ)-5-(メチルジスルファニル)ヘキサン酸 (2S,5S)-(2R,3S,4R,5R)-2-((((((2R,3S,5R)-5-(4-アミノ-2-オキソピリミジン-1(2H)-イル)-2-((ホスホノオキシ)メチル)テトラヒドロフラン-3-イル)オキシ)(ヒドロキシ)ホスホリル)オキシ)メチル)-5-(6-アミノ-9H-プリン-9-イル)-4-ヒドロキシテトラヒドロフラン-3-イル(Lys(5S-SSMe)(oAcbz)-pdCpA)(化合物tk18)(1.4mg、55%)を得た。
LCMS(ESI) m/z = 1016.0 (M-H)-
保持時間:0.44分(分析条件SQDFA05)
6-((((2-azidobenzyl) oxy) carbonyl) amino) -2-((tert-butoxycarbonyl) amino) -5- (methyldisulfanyl) hexanoic acid (2S, 5S)-(2R, 3S, 4R, 5R) -2-(((((((2R, 3S, 5R) -5- (4-amino-2-oxopyrimidin-1 (2H) -yl) -2-((phosphonooxy) methyl) tetrahydrofuran- 3-yl) oxy) (hydroxy) phosphoryl) oxy) methyl) -5- (6-amino-9H-purin-9-yl) -4-hydroxytetrahydrofuran-3-yl (compound tk17) (2.8 mg, 2 .504 μmol) in dichloromethane (0.1 mL) was added 10% trifluoroacetic acid in dichloromethane (0.1 mL) and stirred at room temperature for 60 minutes. After concentration under reduced pressure, the resulting residue was purified by reverse phase silica gel column chromatography (0.05% aqueous trifluoroacetic acid / 0.05% trifluoroacetic acid acetonitrile solution) to give 2-amino-6-(((( 2-azidobenzyl) oxy) carbonyl) amino) -5- (methyldisulfanyl) hexanoic acid (2S, 5S)-(2R, 3S, 4R, 5R) -2-(((((((2R, 3S, 5R ) -5- (4-Amino-2-oxopyrimidin-1 (2H) -yl) -2-((phosphonooxy) methyl) tetrahydrofuran-3-yl) oxy) (hydroxy) phosphoryl) oxy) methyl) -5 (6-Amino-9H-purin-9-yl) -4-hydroxytetrahydrofuran-3-yl (Lys (5S-SSMe) (oAcbz) -pdCpA) (compound tk18) (1.4 mg, 5 %) Was obtained.
LCMS (ESI) m / z = 1016.0 (M−H) −
Retention time: 0.44 minutes (analysis condition SQDFA05)
10-1-4. アミノアシル化pdCpA化合物tk26の合成
以下のスキームに従い、合成を行った。
10-1-4. Synthesis of aminoacylated pdCpA compound tk26 Synthesis was performed according to the following scheme.
(R)-2-((((4-アジドベンジル)オキシ)カルボニル)アミノ)-3-(tert-ブチルジスルファニル)プロパン酸(化合物tk20)の合成
Synthesis of (R) -2-(((((4-azidobenzyl) oxy) carbonyl) amino) -3- (tert-butyldisulfanyl) propanoic acid (compound tk20)
窒素雰囲気下、S-tert-ブチルメルカプト-L-システイン(化合物tk19)(116mg、0.554mmol)と文献記載(Bioconjugate Chem. 2008, 19, 714.)の方法で合成した炭酸(4-ニトロフェニル)4-アジドベンジル(209mg、0.665mmol)の混合物に室温にてDMF(0.5mL)を添加した。混合物を氷浴で冷却後、トリエチルアミン(232μL、1.663mmol)を添加した。反応混合物を氷冷下から25℃で15.5時間撹拌後、逆相シリカゲルカラムクロマトグラフィー(0.05%トリフルオロ酢酸水溶液/0.05%トリフルオロ酢酸アセトニトリル溶液)にて精製し、(R)-2-((((4-アジドベンジル)オキシ)カルボニル)アミノ)-3-(tert-ブチルジスルファニル)プロパン酸(化合物tk20)(211.4mg、99%)を得た。
LCMS(ESI) m/z = 383 (M-H)-
保持時間:0.84分(分析条件SQDFA05)
Carbonic acid (4-nitrophenyl) synthesized by S-tert-butylmercapto-L-cysteine (compound tk19) (116 mg, 0.554 mmol) and the method described in the literature (Bioconjugate Chem. 2008, 19, 714) under nitrogen atmosphere ) DMF (0.5 mL) was added to a mixture of 4-azidobenzyl (209 mg, 0.665 mmol) at room temperature. After the mixture was cooled in an ice bath, triethylamine (232 μL, 1.663 mmol) was added. The reaction mixture was stirred at 25 ° C. for 15.5 hours under ice cooling, and then purified by reverse phase silica gel column chromatography (0.05% aqueous trifluoroacetic acid solution / 0.05% trifluoroacetic acid acetonitrile solution). ) -2-((((4-Azidobenzyl) oxy) carbonyl) amino) -3- (tert-butyldisulfanyl) propanoic acid (compound tk20) (211.4 mg, 99%) was obtained.
LCMS (ESI) m / z = 383 (M−H) −
Retention time: 0.84 minutes (analysis condition SQDFA05)
(1R,4'S,5S)-4'-(4-((R)-2-((((4-アジドベンジル)オキシ)カルボニル)アミノ)-3-(tert-ブチルジスルファニル)プロパンアミド)ブチル)-5'-オキソスピロ)-5'-ビシクロ[3.3.1]ノナン-9,2'-[1,3,2]オキサザボロリジン-9,2'-[1,3,2]イウム-11-ウイド(化合物tk21)の合成
(1R, 4 ′S, 5S) -4 ′-(4-((R) -2-((((4-azidobenzyl) oxy) carbonyl) amino) -3- (tert-butyldisulfanyl) propanamide ) Butyl) -5′-oxospiro) -5′-bicyclo [3.3.1] nonane-9,2 ′-[1,3,2] oxazaborolidine-9,2 ′-[1,3 2] Synthesis of Ium-11-Wide (Compound tk21)
窒素雰囲気下、(1R,4'S,5S)-4'-(4-アミノブチル)-5'-オキソスピロ[ビシクロ[3.3.1]ノナン-9,2'-[1,3,2]オキサザボロリジン]-3'-イウム-11-ウイド(化合物49)(166mg、0.625mmol)及び(R)-2-((((4-アジドベンジル)オキシ)カルボニル)アミノ)-3-(tert-ブチルジスルファニル)プロパン酸(化合物tk20)(200.3mg、0.521mmol)のDMF(0.6mL)懸濁液に室温で撹拌しながら、N,N-ジイソプロピルエチルアミン(136μL、0.781mmol)を添加した。得られた混合物を氷浴で冷却後、HATU(238mg、0.625mmol)を添加した。反応混合物を室温にて45分間撹拌後、逆相シリカゲルカラムクロマトグラフィー(0.05%トリフルオロ酢酸水溶液/0.05%トリフルオロ酢酸アセトニトリル溶液)にて精製し、(1R,4'S,5S)-4'-(4-((R)-2-((((4-アジドベンジル)オキシ)カルボニル)アミノ)-3-(tert-ブチルジスルファニル)プロパンアミド)ブチル)-5'-オキソスピロ)-5'-ビシクロ[3.3.1]ノナン-9,2'-[1,3,2]オキサザボロリジン-9,2'-[1,3,2]イウム-11-ウイド(化合物tk21)(313.1mg、95%)を得た。
LCMS(ESI) m/z = 631.5 (M-H)-
保持時間:1.01分(分析条件SQDFA05)
Under a nitrogen atmosphere, (1R, 4 ′S, 5S) -4 ′-(4-aminobutyl) -5′-oxospiro [bicyclo [3.3.1] nonane-9,2 ′-[1,3,2 ] Oxazaborolidine] -3′-ium-11-weide (Compound 49) (166 mg, 0.625 mmol) and (R) -2-((((4-azidobenzyl) oxy) carbonyl) amino) -3 While stirring a suspension of-(tert-butyldisulfanyl) propanoic acid (compound tk20) (200.3 mg, 0.521 mmol) in DMF (0.6 mL) at room temperature, N, N-diisopropylethylamine (136 μL, 0 .781 mmol) was added. After cooling the resulting mixture in an ice bath, HATU (238 mg, 0.625 mmol) was added. The reaction mixture was stirred at room temperature for 45 minutes and then purified by reverse phase silica gel column chromatography (0.05% trifluoroacetic acid aqueous solution / 0.05% trifluoroacetic acid acetonitrile solution) to obtain (1R, 4 ′S, 5S ) -4 '-(4-((R) -2-((((4-azidobenzyl) oxy) carbonyl) amino) -3- (tert-butyldisulfanyl) propanamido) butyl) -5'-oxospiro ) -5′-bicyclo [3.3.1] nonane-9,2 ′-[1,3,2] oxazaborolidine-9,2 ′-[1,3,2] ium-11-weid ( Compound tk21) (313.1 mg, 95%) was obtained.
LCMS (ESI) m / z = 631.5 (M−H) −
Retention time: 1.01 minutes (analysis conditions SQDFA05)
(S)-2-アミノ-6-((R)-2-((((4-アジドベンジル)オキシ)カルボニル)アミノ)-3-(tert-ブチルジスルファニル)プロパンアミド)ヘキサン酸(Lys(Acbz-Cys(StBu)))(化合物tk22)の合成
(S) -2-Amino-6-((R) -2-((((4-azidobenzyl) oxy) carbonyl) amino) -3- (tert-butyldisulfanyl) propanamide) hexanoic acid (Lys ( Acbz-Cys (StBu))) (Compound tk22)
窒素雰囲気下、(1R,4'S,5S)-4'-(4-((R)-2-((((4-アジドベンジル)オキシ)カルボニル)アミノ)-3-(tert-ブチルジスルファニル)プロパンアミド)ブチル)-5'-オキソスピロ)-5'-ビシクロ[3.3.1]ノナン-9,2'-[1,3,2]オキサザボロリジン-9,2'-[1,3,2]イウム-11-ウイド(化合物tk21)(300mg、0.474mmol)の1,4-ジオキサン(2.4mL)の懸濁液に濃塩酸(395μL)を添加した。反応混合物を40~45℃で3.5時間撹拌した。室温に冷却後、反応混合物を減圧濃縮した。得られた残渣を逆相シリカゲルカラムクロマトグラフィー(0.05%トリフルオロ酢酸水溶液/0.05%トリフルオロ酢酸アセトニトリル溶液)にて精製し、(S)-2-アミノ-6-((R)-2-((((4-アジドベンジル)オキシ)カルボニル)アミノ)-3-(tert-ブチルジスルファニル)プロパンアミド)ヘキサン酸(Lys(Acbz-Cys(StBu)))(化合物tk22)(121.9mg、50%)を得た。
LCMS(ESI) m/z = 513 (M+H)+
保持時間:0.61分(分析条件SQDFA05)
Under a nitrogen atmosphere, (1R, 4 ′S, 5S) -4 ′-(4-((R) -2-((((4-azidobenzyl) oxy) carbonyl) amino) -3- (tert-butyldi Sulfanyl) propanamido) butyl) -5′-oxospiro) -5′-bicyclo [3.3.1] nonane-9,2 ′-[1,3,2] oxazaborolidine-9,2 ′-[ Concentrated hydrochloric acid (395 μL) was added to a suspension of 1,3,2] ium-11-wid (compound tk21) (300 mg, 0.474 mmol) in 1,4-dioxane (2.4 mL). The reaction mixture was stirred at 40-45 ° C. for 3.5 hours. After cooling to room temperature, the reaction mixture was concentrated under reduced pressure. The obtained residue was purified by reverse phase silica gel column chromatography (0.05% trifluoroacetic acid aqueous solution / 0.05% trifluoroacetic acid acetonitrile solution), and (S) -2-amino-6-((R) -2-((((4-azidobenzyl) oxy) carbonyl) amino) -3- (tert-butyldisulfanyl) propanamide) hexanoic acid (Lys (Acbz-Cys (StBu))) (compound tk22) (121 .9 mg, 50%).
LCMS (ESI) m / z = 513 (M + H) +
Retention time: 0.61 minutes (analysis condition SQDFA05)
(S)-6-((R)-2-((((4-アジドベンジル)オキシ)カルボニル)アミノ)-3-(tert-ブチルジスルファニル)プロパンアミド)-2-((tert-ブトキシカルボニル)アミノ)ヘキサン酸(化合物tk23)の合成
(S) -6-((R) -2-((((4-azidobenzyl) oxy) carbonyl) amino) -3- (tert-butyldisulfanyl) propanamide) -2-((tert-butoxycarbonyl ) Synthesis of amino) hexanoic acid (compound tk23)
(S)-2-アミノ-6-((R)-2-((((4-アジドベンジル)オキシ)カルボニル)アミノ)-3-(tert-ブチルジスルファニル)プロパンアミド)ヘキサン酸(Lys(Acbz-Cys(StBu)))(化合物tk22)(121.9mg、0.238mmol)に室温で1,4-ジオキサン(1mL)及び水(1mL)を添加した。得られた混合物を氷浴で冷却後、炭酸水素ナトリウム(59.9mg、0.713mmol)を添加し、次にBoc2O(104mg、0.476mmol)を加えた。得られた反応混合物を室温で21時間撹拌後、逆相シリカゲルカラムクロマトグラフィー(0.05%トリフルオロ酢酸水溶液/0.05%トリフルオロ酢酸アセトニトリル溶液)にて精製し、(S)-6-((R)-2-((((4-アジドベンジル)オキシ)カルボニル)アミノ)-3-(tert-ブチルジスルファニル)プロパンアミド)-2-((tert-ブトキシカルボニル)アミノ)ヘキサン酸(化合物tk23)(111.0mg、76%)を得た。
LCMS(ESI) m/z = 611 (M-H)-
保持時間:0.88分(分析条件SQDFA05)
(S) -2-Amino-6-((R) -2-((((4-azidobenzyl) oxy) carbonyl) amino) -3- (tert-butyldisulfanyl) propanamide) hexanoic acid (Lys ( Acbz-Cys (StBu))) (compound tk22) (121.9 mg, 0.238 mmol) was added 1,4-dioxane (1 mL) and water (1 mL) at room temperature. After cooling the resulting mixture in an ice bath, sodium bicarbonate (59.9 mg, 0.713 mmol) was added followed by Boc 2 O (104 mg, 0.476 mmol). The resulting reaction mixture was stirred at room temperature for 21 hours and then purified by reverse phase silica gel column chromatography (0.05% trifluoroacetic acid aqueous solution / 0.05% trifluoroacetic acid acetonitrile solution) to obtain (S) -6- ((R) -2-((((4-azidobenzyl) oxy) carbonyl) amino) -3- (tert-butyldisulfanyl) propanamide) -2-((tert-butoxycarbonyl) amino) hexanoic acid ( Compound tk23) (111.0 mg, 76%) was obtained.
LCMS (ESI) m / z = 611 (M−H) −
Retention time: 0.88 minutes (analysis condition SQDFA05)
6-((R)-2-((((4-アジドベンジル)オキシ)カルボニル)アミノ)-3-(tert-ブチルジスルファニル)プロパンアミド)-2-((tert-ブトキシカルボニル)アミノ)ヘキサン酸 (S)-シアノメチル(化合物tk24)の合成
6-((R) -2-((((4-azidobenzyl) oxy) carbonyl) amino) -3- (tert-butyldisulfanyl) propanamide) -2-((tert-butoxycarbonyl) amino) hexane Synthesis of acid (S) -cyanomethyl (compound tk24)
窒素雰囲気下、(S)-6-((R)-2-((((4-アジドベンジル)オキシ)カルボニル)アミノ)-3-(tert-ブチルジスルファニル)プロパンアミド)-2-((tert-ブトキシカルボニル)アミノ)ヘキサン酸(化合物tk23)(110mg、0.180mmol)のアセトニトリル(0.3mL)溶液に、室温でN,N-ジイソプロピルエチルアミン(34μL、0.197mmol)、続いてブロモアセトニトリル(38μL、0.539mmol)を添加した。反応混合物を同温度にて15.5時間撹拌後、減圧濃縮して得られた粗生成物を順相シリカゲルカラムクロマトグラフィー(ヘキサン/酢酸エチル)にて精製し、6-((R)-2-((((4-アジドベンジル)オキシ)カルボニル)アミノ)-3-(tert-ブチルジスルファニル)プロパンアミド)-2-((tert-ブトキシカルボニル)アミノ)ヘキサン酸 (S)-シアノメチル(化合物tk24)(97.3mg、83%)を得た。
LCMS(ESI) m/z = 650.6 (M-H)-
保持時間:0.95分(分析条件SQDFA05)
(S) -6-((R) -2-((((4-azidobenzyl) oxy) carbonyl) amino) -3- (tert-butyldisulfanyl) propanamide) -2-(( tert-butoxycarbonyl) amino) hexanoic acid (compound tk23) (110 mg, 0.180 mmol) in acetonitrile (0.3 mL) at room temperature with N, N-diisopropylethylamine (34 μL, 0.197 mmol) followed by bromoacetonitrile. (38 μL, 0.539 mmol) was added. The reaction mixture was stirred at the same temperature for 15.5 hours and then concentrated under reduced pressure, and the resulting crude product was purified by normal phase silica gel column chromatography (hexane / ethyl acetate) to give 6-((R) -2. -(((((4-azidobenzyl) oxy) carbonyl) amino) -3- (tert-butyldisulfanyl) propanamide) -2-((tert-butoxycarbonyl) amino) hexanoic acid (S) -cyanomethyl (compound tk24) (97.3 mg, 83%).
LCMS (ESI) m / z = 650.6 (M−H) −
Retention time: 0.95 minutes (analysis condition SQDFA05)
6-((R)-2-((((4-アジドベンジル)オキシ)カルボニル)アミノ)-3-(tert-ブチルジスルファニル)プロパンアミド)-2-((tert-ブトキシカルボニル)アミノ)ヘキサン酸 (2S)-(2R,3S,4R,5R)-2-((((((2R,3S,5R)-5-(4-アミノ-2-オキソピリミジン-1(2H)-イル)-2-((ホスホノオキシ)メチル)テトラヒドロフラン-3-イル)オキシ)(ヒドロキシ)ホスホリル)オキシ)メチル)-5-(6-アミノ-9H-プリン-9-イル)-4-ヒドロキシテトラヒドロフラン-3-イル(化合物tk25)の合成
6-((R) -2-((((4-azidobenzyl) oxy) carbonyl) amino) -3- (tert-butyldisulfanyl) propanamide) -2-((tert-butoxycarbonyl) amino) hexane Acid (2S)-(2R, 3S, 4R, 5R) -2-(((((((2R, 3S, 5R) -5- (4-amino-2-oxopyrimidin-1 (2H) -yl)- 2-((phosphonooxy) methyl) tetrahydrofuran-3-yl) oxy) (hydroxy) phosphoryl) oxy) methyl) -5- (6-amino-9H-purin-9-yl) -4-hydroxytetrahydrofuran-3-yl Synthesis of (compound tk25)
緩衝液A(9mL)にリン酸二水素 ((2R,3S,5R)-5-(4-アミノ-2-オキソピリミジン-1(2H)-イル)-3-(((((2R,3S,4R,5R)-5-(6-アミノ-9H-プリン-9-イル)-3,4-ジヒドロキシテトラヒドロフラン-2-イル)メトキシ)(ヒドロキシ)ホスホリル)オキシ)テトラヒドロフラン-2-イル)メチル(化合物1h)(30.3mg、0.048mmol)の水溶液(0.3mL)と6-((R)-2-((((4-アジドベンジル)オキシ)カルボニル)アミノ)-3-(tert-ブチルジスルファニル)プロパンアミド)-2-((tert-ブトキシカルボニル)アミノ)ヘキサン酸 (S)-シアノメチル(化合物tk24)(93mg、0.143mmol)のテトラヒドロフラン(0.3mL)溶液を加え、室温で4.5時間撹拌した。凍結乾燥後、得られた残渣を逆相シリカゲルカラムクロマトグラフィー(0.05%トリフルオロ酢酸水溶液/0.05%トリフルオロ酢酸アセトニトリル溶液)にて精製し、6-((R)-2-((((4-アジドベンジル)オキシ)カルボニル)アミノ)-3-(tert-ブチルジスルファニル)プロパンアミド)-2-((tert-ブトキシカルボニル)アミノ)ヘキサン酸 (2S)-(2R,3S,4R,5R)-2-((((((2R,3S,5R)-5-(4-アミノ-2-オキソピリミジン-1(2H)-イル)-2-((ホスホノオキシ)メチル)テトラヒドロフラン-3-イル)オキシ)(ヒドロキシ)ホスホリル)オキシ)メチル)-5-(6-アミノ-9H-プリン-9-イル)-4-ヒドロキシテトラヒドロフラン-3-イル(化合物tk25)(6.7mg、11%)を得た。
LCMS(ESI) m/z = 1231.7 (M+H)+
保持時間:0.90分(分析条件SQDAA05)
In buffer A (9 mL), dihydrogen phosphate ((2R, 3S, 5R) -5- (4-amino-2-oxopyrimidin-1 (2H) -yl) -3-(((((2R, 3S , 4R, 5R) -5- (6-Amino-9H-purin-9-yl) -3,4-dihydroxytetrahydrofuran-2-yl) methoxy) (hydroxy) phosphoryl) oxy) tetrahydrofuran-2-yl) methyl (
LCMS (ESI) m / z = 1231.7 (M + H) +
Retention time: 0.90 minutes (analysis condition SQDAA05)
2-アミノ-6-((R)-2-((((4-アジドベンジル)オキシ)カルボニル)アミノ)-3-(tert-ブチルジスルファニル)プロパンアミド)ヘキサン酸 (2S)-(2R,3S,4R,5R)-2-((((((2R,3S,5R)-5-(4-アミノ-2-オキソピリミジン-1(2H)-イル)-2-((ホスホノオキシ)メチル)テトラヒドロフラン-3-イル)オキシ)(ヒドロキシ)ホスホリル)オキシ)メチル)-5-(6-アミノ-9H-プリン-9-イル)-4-ヒドロキシテトラヒドロフラン-3-イル(Lys(Acbz-Cys(StBu))-pdCpA)(化合物tk26)の合成
2-Amino-6-((R) -2-((((4-azidobenzyl) oxy) carbonyl) amino) -3- (tert-butyldisulfanyl) propanamido) hexanoic acid (2S)-(2R, 3S, 4R, 5R) -2-(((((((2R, 3S, 5R) -5- (4-amino-2-oxopyrimidin-1 (2H) -yl) -2-((phosphonooxy) methyl) Tetrahydrofuran-3-yl) oxy) (hydroxy) phosphoryl) oxy) methyl) -5- (6-amino-9H-purin-9-yl) -4-hydroxytetrahydrofuran-3-yl (Lys (Acbz-Cys (StBu ))-pdCpA) (Compound tk26)
6-((R)-2-((((4-アジドベンジル)オキシ)カルボニル)アミノ)-3-(tert-ブチルジスルファニル)プロパンアミド)-2-((tert-ブトキシカルボニル)アミノ)ヘキサン酸 (2S)-(2R,3S,4R,5R)-2-((((((2R,3S,5R)-5-(4-アミノ-2-オキソピリミジン-1(2H)-イル)-2-((ホスホノオキシ)メチル)テトラヒドロフラン-3-イル)オキシ)(ヒドロキシ)ホスホリル)オキシ)メチル)-5-(6-アミノ-9H-プリン-9-イル)-4-ヒドロキシテトラヒドロフラン-3-イル(化合物tk25)(6.7mg、5.44μmol)のジクロロメタン(0.4mL)溶液を氷浴で冷却後、トリフルオロ酢酸(0.1mL)を添加し、室温で25分間撹拌した。減圧濃縮後、得られた残渣を逆相シリカゲルカラムクロマトグラフィー(0.05%トリフルオロ酢酸水溶液/0.05%トリフルオロ酢酸アセトニトリル溶液)にて精製し、2-アミノ-6-((R)-2-((((4-アジドベンジル)オキシ)カルボニル)アミノ)-3-(tert-ブチルジスルファニル)プロパンアミド)ヘキサン酸 (2S)-(2R,3S,4R,5R)-2-((((((2R,3S,5R)-5-(4-アミノ-2-オキソピリミジン-1(2H)-イル)-2-((ホスホノオキシ)メチル)テトラヒドロフラン-3-イル)オキシ)(ヒドロキシ)ホスホリル)オキシ)メチル)-5-(6-アミノ-9H-プリン-9-イル)-4-ヒドロキシテトラヒドロフラン-3-イル(Lys(Acbz-Cys(StBu))-pdCpA)(化合物tk26)(1.7mg、28%)を得た。
LCMS(ESI) m/z = 1130.1 (M-H)-
保持時間:0.54分(分析条件SQDFA05)
6-((R) -2-((((4-azidobenzyl) oxy) carbonyl) amino) -3- (tert-butyldisulfanyl) propanamide) -2-((tert-butoxycarbonyl) amino) hexane Acid (2S)-(2R, 3S, 4R, 5R) -2-(((((((2R, 3S, 5R) -5- (4-amino-2-oxopyrimidin-1 (2H) -yl)- 2-((phosphonooxy) methyl) tetrahydrofuran-3-yl) oxy) (hydroxy) phosphoryl) oxy) methyl) -5- (6-amino-9H-purin-9-yl) -4-hydroxytetrahydrofuran-3-yl (Compound tk25) (6.7 mg, 5.44 μmol) in dichloromethane (0.4 mL) was cooled in an ice bath, trifluoroacetic acid (0.1 mL) was added, and room temperature And the mixture was stirred for 25 minutes. After concentration under reduced pressure, the resulting residue was purified by reverse phase silica gel column chromatography (0.05% trifluoroacetic acid aqueous solution / 0.05% trifluoroacetic acid acetonitrile solution) to give 2-amino-6-((R) -2-((((4-Azidobenzyl) oxy) carbonyl) amino) -3- (tert-butyldisulfanyl) propanamido) hexanoic acid (2S)-(2R, 3S, 4R, 5R) -2- ( ((((((2R, 3S, 5R) -5- (4-amino-2-oxopyrimidin-1 (2H) -yl) -2-((phosphonooxy) methyl) tetrahydrofuran-3-yl) oxy) (hydroxy ) Phosphoryl) oxy) methyl) -5- (6-amino-9H-purin-9-yl) -4-hydroxytetrahydrofuran-3-yl (Lys (Acbz-Cys (StBu))-pdCpA) Compound Tk26) (yield 1.7 mg, 28%).
LCMS (ESI) m / z = 1130.1 (M−H) −
Retention time: 0.54 minutes (analysis condition SQDFA05)
10-1-5. アミノアシル化pdCpA化合物tk30の合成
以下のスキームに従い、合成を行った。
10-1-5. Synthesis of aminoacylated pdCpA compound tk30 Synthesis was performed according to the following scheme.
チアゾリジン-3,4-ジカルボン酸 4-(シアノメチル) (R)-3-tert-ブチル(化合物tk28)の合成
Synthesis of thiazolidine-3,4-dicarboxylic acid 4- (cyanomethyl) (R) -3-tert-butyl (compound tk28)
窒素雰囲気下、Boc-Thiopro-OH(化合物tk27)(377mg、1.616mmol)のアセトニトリル(1mL)溶液に、室温でN,N-ジイソプロピルエチルアミン(310μL、1.778mmol)、続いてブロモアセトニトリル(563μL、8.08mmol)を添加した。反応混合物を同温度にて2.25時間撹拌後、減圧濃縮して得られた粗生成物を順相シリカゲルカラムクロマトグラフィー(ヘキサン/酢酸エチル)にて精製し、チアゾリジン-3,4-ジカルボン酸 4-(シアノメチル) (R)-3-tert-ブチル(化合物tk28)(272.9mg、62%)を得た。
LCMS(ESI) m/z = 273.3 (M+H)+
保持時間:0.71分(分析条件SQDFA05)
Under a nitrogen atmosphere, a solution of Boc-Thiopro-OH (compound tk27) (377 mg, 1.616 mmol) in acetonitrile (1 mL) was added N, N-diisopropylethylamine (310 μL, 1.778 mmol) followed by bromoacetonitrile (563 μL) at room temperature. , 8.08 mmol). The reaction mixture was stirred at the same temperature for 2.25 hours and then concentrated under reduced pressure, and the resulting crude product was purified by normal phase silica gel column chromatography (hexane / ethyl acetate) to give thiazolidine-3,4-dicarboxylic acid. 4- (Cyanomethyl) (R) -3-tert-butyl (Compound tk28) (272.9 mg, 62%) was obtained.
LCMS (ESI) m / z = 273.3 (M + H) +
Retention time: 0.71 minutes (analysis condition SQDFA05)
チアゾリジン-3,4-ジカルボン酸 3-tert-ブチル (4R)-4-((2R,3S,4R,5R)-2-((((((2R,3S,5R)-5-(4-アミノ-2-オキソピリミジン-1(2H)-イル)-2-((ホスホノオキシ)メチル)テトラヒドロフラン-3-イル)オキシ)(ヒドロキシ)ホスホリル)オキシ)メチル)-5-(6-アミノ-9H-プリン-9-イル)-4-ヒドロキシテトラヒドロフラン-3-イル)(化合物tk29)の合成
Thiazolidine-3,4-dicarboxylic acid 3-tert-butyl (4R) -4-((2R, 3S, 4R, 5R) -2-(((((((2R, 3S, 5R) -5- (4- Amino-2-oxopyrimidin-1 (2H) -yl) -2-((phosphonooxy) methyl) tetrahydrofuran-3-yl) oxy) (hydroxy) phosphoryl) oxy) methyl) -5- (6-amino-9H- Synthesis of purin-9-yl) -4-hydroxytetrahydrofuran-3-yl) (compound tk29)
緩衝液A(30mL)にリン酸二水素 ((2R,3S,5R)-5-(4-アミノ-2-オキソピリミジン-1(2H)-イル)-3-(((((2R,3S,4R,5R)-5-(6-アミノ-9H-プリン-9-イル)-3,4-ジヒドロキシテトラヒドロフラン-2-イル)メトキシ)(ヒドロキシ)ホスホリル)オキシ)テトラヒドロフラン-2-イル)メチル(化合物1h)(148mg、0.233mmol)とチアゾリジン-3,4-ジカルボン酸 4-(シアノメチル) (R)-3-tert-ブチル(化合物tk28)(254mg、0.933mmol)のアセトニトリル(0.7mL)溶液を加え、室温で1.5時間撹拌した。凍結乾燥後、得られた残渣を逆相シリカゲルカラムクロマトグラフィー(0.05%トリフルオロ酢酸水溶液/0.05%トリフルオロ酢酸アセトニトリル溶液)にて精製し、チアゾリジン-3,4-ジカルボン酸 3-tert-ブチル (4R)-4-((2R,3S,4R,5R)-2-((((((2R,3S,5R)-5-(4-アミノ-2-オキソピリミジン-1(2H)-イル)-2-((ホスホノオキシ)メチル)テトラヒドロフラン-3-イル)オキシ)(ヒドロキシ)ホスホリル)オキシ)メチル)-5-(6-アミノ-9H-プリン-9-イル)-4-ヒドロキシテトラヒドロフラン-3-イル)(化合物tk29)(64.7mg、33%)を得た。
LCMS(ESI) m/z = 850.3 (M-H)-
保持時間:0.41分(分析条件SQDFA05)
In buffer A (30 mL), dihydrogen phosphate ((2R, 3S, 5R) -5- (4-amino-2-oxopyrimidin-1 (2H) -yl) -3-(((((2R, 3S , 4R, 5R) -5- (6-Amino-9H-purin-9-yl) -3,4-dihydroxytetrahydrofuran-2-yl) methoxy) (hydroxy) phosphoryl) oxy) tetrahydrofuran-2-yl) methyl (
LCMS (ESI) m / z = 850.3 (M−H) −
Retention time: 0.41 minutes (analysis condition SQDFA05)
チアゾリジン-4-カルボン酸 (4R)-(2R,3S,4R,5R)-2-((((((2R,3S,5R)-5-(4-アミノ-2-オキソピリミジン-1(2H)-イル)-2-((ホスホノオキシ)メチル)テトラヒドロフラン-3-イル)オキシ)(ヒドロキシ)ホスホリル)オキシ)メチル)-5-(6-アミノ-9H-プリン-9-イル)-4-ヒドロキシテトラヒドロフラン-3-イル(Thiopro-pdCpA)(化合物tk30)の合成
Thiazolidine-4-carboxylic acid (4R)-(2R, 3S, 4R, 5R) -2-(((((((2R, 3S, 5R) -5- (4-amino-2-oxopyrimidine-1 (2H ) -Yl) -2-((phosphonooxy) methyl) tetrahydrofuran-3-yl) oxy) (hydroxy) phosphoryl) oxy) methyl) -5- (6-amino-9H-purin-9-yl) -4-hydroxy Synthesis of tetrahydrofuran-3-yl (Thiopro-pdCpA) (compound tk30)
チアゾリジン-3,4-ジカルボン酸 3-tert-ブチル (4R)-4-((2R,3S,4R,5R)-2-((((((2R,3S,5R)-5-(4-アミノ-2-オキソピリミジン-1(2H)-イル)-2-((ホスホノオキシ)メチル)テトラヒドロフラン-3-イル)オキシ)(ヒドロキシ)ホスホリル)オキシ)メチル)-5-(6-アミノ-9H-プリン-9-イル)-4-ヒドロキシテトラヒドロフラン-3-イル(化合物tk29)(19mg、0.022mmol)のジクロロメタン(0.4mL)溶液に10%トリフルオロ酢酸のジクロロメタン溶液(0.4mL)を添加し、室温で60分間撹拌後、減圧濃縮してチアゾリジン-4-カルボン酸 (4R)-(2R,3S,4R,5R)-2-((((((2R,3S,5R)-5-(4-アミノ-2-オキソピリミジン-1(2H)-イル)-2-((ホスホノオキシ)メチル)テトラヒドロフラン-3-イル)オキシ)(ヒドロキシ)ホスホリル)オキシ)メチル)-5-(6-アミノ-9H-プリン-9-イル)-4-ヒドロキシテトラヒドロフラン-3-イル(Thiopro-pdCpA)(化合物tk30)(25mg、quant.)を得た。
LCMS(ESI) m/z = 750.4 (M-H)-
保持時間:0.34分(分析条件SQDAA05)
Thiazolidine-3,4-dicarboxylic acid 3-tert-butyl (4R) -4-((2R, 3S, 4R, 5R) -2-(((((((2R, 3S, 5R) -5- (4- Amino-2-oxopyrimidin-1 (2H) -yl) -2-((phosphonooxy) methyl) tetrahydrofuran-3-yl) oxy) (hydroxy) phosphoryl) oxy) methyl) -5- (6-amino-9H- To a solution of purin-9-yl) -4-hydroxytetrahydrofuran-3-yl (compound tk29) (19 mg, 0.022 mmol) in dichloromethane (0.4 mL) was added 10% trifluoroacetic acid in dichloromethane (0.4 mL). The mixture was stirred at room temperature for 60 minutes, and concentrated under reduced pressure to give thiazolidine-4-carboxylic acid (4R)-(2R, 3S, 4R, 5R) -2-(((((((2 , 3S, 5R) -5- (4-amino-2-oxopyrimidin-1 (2H) -yl) -2-((phosphonooxy) methyl) tetrahydrofuran-3-yl) oxy) (hydroxy) phosphoryl) oxy) methyl ) -5- (6-Amino-9H-purin-9-yl) -4-hydroxytetrahydrofuran-3-yl (Thiopro-pdCpA) (compound tk30) (25 mg, quant.) Was obtained.
LCMS (ESI) m / z = 750.4 (M−H) −
Retention time: 0.34 minutes (analysis condition SQDAA05)
10-1-6. アミノアシル化pdCpA化合物tk38の合成
以下のスキームに従い、合成を行った。
10-1-6. Synthesis of aminoacylated pdCpA compound tk38 Synthesis was performed according to the following scheme.
(S)-2-((((9H-フルオレン-9-イル)メトキシ)カルボニル)アミノ)-6-((((4-アジドベンジル)オキシ)カルボニル)アミノ)ヘキサン酸(化合物SP661)の合成
Synthesis of (S) -2-(((((9H-fluoren-9-yl) methoxy) carbonyl) amino) -6-((((4-azidobenzyl) oxy) carbonyl) amino) hexanoic acid (compound SP661)
氷冷下、Fmoc-リシン塩酸塩(化合物tk31)(4.9g、12.10mmol)と炭酸水素ナトリウム(2.77g、33.0mmol)のDMF(22mL)懸濁液に文献記載(Bioconjugate Chem. 2008, 19, 714.)の方法で合成した炭酸(4-ニトロフェニル)4-アジドベンジル(化合物tk32)(3.46g、11.0mmol)を添加した。反応混合物を25℃で8時間撹拌後、1N塩酸を添加し、酢酸エチルにて抽出した。有機相を食塩水にて3回洗浄し、硫酸ナトリウムにて乾燥した。減圧濃縮後、得られた残渣を逆相シリカゲルカラムクロマトグラフィー(0.1%ギ酸水溶液/0.1%ギ酸アセトニトリル溶液)にて精製し、(S)-2-((((9H-フルオレン-9-イル)メトキシ)カルボニル)アミノ)-6-((((4-アジドベンジル)オキシ)カルボニル)アミノ)ヘキサン酸(化合物SP661)(5.5g、92%)を得た。
LCMS(ESI) m/z = 542 (M-H)-
保持時間:0.89分(分析条件SQDFA05)
Under ice-cooling, a DMF (22 mL) suspension of Fmoc-lysine hydrochloride (compound tk31) (4.9 g, 12.10 mmol) and sodium hydrogen carbonate (2.77 g, 33.0 mmol) is described in the literature (Bioconjugate Chem. 2008, 19, 714.) (4-nitrophenyl) 4-azidobenzyl carbonate (compound tk32) (3.46 g, 11.0 mmol) was added. The reaction mixture was stirred at 25 ° C. for 8 hours, 1N hydrochloric acid was added, and the mixture was extracted with ethyl acetate. The organic phase was washed 3 times with brine and dried over sodium sulfate. After concentration under reduced pressure, the resulting residue was purified by reverse phase silica gel column chromatography (0.1% formic acid aqueous solution / 0.1% formic acid acetonitrile solution) to obtain (S) -2-(((((9H-fluorene- 9-yl) methoxy) carbonyl) amino) -6-((((4-azidobenzyl) oxy) carbonyl) amino) hexanoic acid (compound SP661) (5.5 g, 92%) was obtained.
LCMS (ESI) m / z = 542 (M−H) −
Retention time: 0.89 minutes (analysis condition SQDFA05)
(S)-2-アミノ-6-((((4-アジドベンジル)オキシ)カルボニル)アミノ)ヘキサン酸(Lys(Acbz))(化合物tk34)の合成
Synthesis of (S) -2-amino-6-((((4-azidobenzyl) oxy) carbonyl) amino) hexanoic acid (Lys (Acbz)) (compound tk34)
窒素雰囲気下、(S)-2-((((9H-フルオレン-9-イル)メトキシ)カルボニル)アミノ)-6-((((4-アジドベンジル)オキシ)カルボニル)アミノ)ヘキサン酸(化合物SP661)(210mg、0.386mmol)のDMF(0.7mL)溶液に室温でDBU(0.064mL、0.425mmol)を添加した。得られた反応混合物を同温度で20分間撹拌後、逆相シリカゲルカラムクロマトグラフィー(0.05%トリフルオロ酢酸水溶液/0.05%トリフルオロ酢酸アセトニトリル溶液)にて精製し、(S)-2-アミノ-6-((((4-アジドベンジル)オキシ)カルボニル)アミノ)ヘキサン酸(Lys(Acbz))(化合物tk34)(100mg、81%)を得た。
LCMS(ESI) m/z = 320 (M-H)-
保持時間:0.47分(分析条件SQDFA05)
(S) -2-((((9H-fluoren-9-yl) methoxy) carbonyl) amino) -6-((((4-azidobenzyl) oxy) carbonyl) amino) hexanoic acid (compound To a solution of SP661) (210 mg, 0.386 mmol) in DMF (0.7 mL) at room temperature was added DBU (0.064 mL, 0.425 mmol). The resulting reaction mixture was stirred at the same temperature for 20 minutes and then purified by reverse phase silica gel column chromatography (0.05% trifluoroacetic acid aqueous solution / 0.05% trifluoroacetic acid acetonitrile solution) to obtain (S) -2. -Amino-6-((((4-azidobenzyl) oxy) carbonyl) amino) hexanoic acid (Lys (Acbz)) (compound tk34) (100 mg, 81%) was obtained.
LCMS (ESI) m / z = 320 (M−H) −
Retention time: 0.47 minutes (analysis condition SQDFA05)
(S)-6-((((4-アジドベンジル)オキシ)カルボニル)アミノ)-2-((tert-ブトキシカルボニル)アミノ)ヘキサン酸(化合物tk35)の合成
Synthesis of (S) -6-((((4-azidobenzyl) oxy) carbonyl) amino) -2-((tert-butoxycarbonyl) amino) hexanoic acid (compound tk35)
2-アミノ-6-((((4-アジドベンジル)オキシ)カルボニル)アミノ)ヘキサン酸(Lys(Acbz))(化合物tk34)(100mg、0.311mmol)に室温で1,4-ジオキサン(5mL)及び水(2mL)を添加した。得られた混合物を氷浴で冷却後、炭酸水素ナトリウム(78mg、0.934mmol)を添加し、次にBoc2O(136mg、0.622mmol)を加えた。得られた反応混合物を室温で2時間20分間撹拌後、Boc2O(70mg)を添加した。同温度で40分間撹拌後、氷冷下で酢酸エチル及び水を添加した。得られた混合物に飽和硫酸水素カリウム水溶液(0.3mL)を添加後、酢酸エチルにて2回抽出した。有機相を水及び食塩水にて洗浄し、硫酸ナトリウムにて乾燥した。減圧濃縮して得られた粗生成物を順相シリカゲルカラムクロマトグラフィー(ヘキサン/酢酸エチル)にて精製し、(S)-6-((((4-アジドベンジル)オキシ)カルボニル)アミノ)-2-((tert-ブトキシカルボニル)アミノ)ヘキサン酸(化合物tk35)(103.9mg、79%)を得た。
LCMS(ESI) m/z = 420 (M-H)-
保持時間:0.76分(分析条件SQDFA05)
2-Amino-6-((((4-azidobenzyl) oxy) carbonyl) amino) hexanoic acid (Lys (Acbz)) (compound tk34) (100 mg, 0.311 mmol) was added 1,4-dioxane (5 mL) at room temperature. ) And water (2 mL) were added. After cooling the resulting mixture in an ice bath, sodium bicarbonate (78 mg, 0.934 mmol) was added followed by Boc 2 O (136 mg, 0.622 mmol). The resulting reaction mixture was stirred at room temperature for 2 hours and 20 minutes before Boc 2 O (70 mg) was added. After stirring at the same temperature for 40 minutes, ethyl acetate and water were added under ice cooling. A saturated aqueous potassium hydrogen sulfate solution (0.3 mL) was added to the obtained mixture, and the mixture was extracted twice with ethyl acetate. The organic phase was washed with water and brine and dried over sodium sulfate. The crude product obtained by concentration under reduced pressure was purified by normal phase silica gel column chromatography (hexane / ethyl acetate), and (S) -6-((((4-azidobenzyl) oxy) carbonyl) amino)- 2-((tert-butoxycarbonyl) amino) hexanoic acid (compound tk35) (103.9 mg, 79%) was obtained.
LCMS (ESI) m / z = 420 (M−H) −
Retention time: 0.76 minutes (analysis condition SQDFA05)
6-((((4-アジドベンジル)オキシ)カルボニル)アミノ)-2-((tert-ブトキシカルボニル)アミノ)ヘキサン酸(S)-シアノメチル(化合物tk36)の合成
Synthesis of 6-((((4-azidobenzyl) oxy) carbonyl) amino) -2-((tert-butoxycarbonyl) amino) hexanoic acid (S) -cyanomethyl (compound tk36)
窒素雰囲気下、(S)-6-((((4-アジドベンジル)オキシ)カルボニル)アミノ)-2-((tert-ブトキシカルボニル)アミノ)ヘキサン酸(化合物tk35)(100.9mg、0.239mmol)のアセトニトリル(0.4mL)溶液に、室温でN,N-ジイソプロピルエチルアミン(46μL、0.263mmol)、続いてブロモアセトニトリル(83μL、1.197mmol)を添加した。反応混合物を同温度にて2.5時間撹拌後、減圧濃縮して得られた粗生成物を順相シリカゲルカラムクロマトグラフィー(ヘキサン/酢酸エチル)にて精製し、6-((((4-アジドベンジル)オキシ)カルボニル)アミノ)-2-((tert-ブトキシカルボニル)アミノ)ヘキサン酸(S)-シアノメチル(化合物tk36)(108.5mg、98%)を得た。
LCMS(ESI) m/z = 459 (M-H)-
保持時間:0.84分(分析条件SQDFA05)
(S) -6-((((4-azidobenzyl) oxy) carbonyl) amino) -2-((tert-butoxycarbonyl) amino) hexanoic acid (compound tk35) (100.9 mg, 0. 239 mmol) in acetonitrile (0.4 mL) at room temperature was added N, N-diisopropylethylamine (46 μL, 0.263 mmol) followed by bromoacetonitrile (83 μL, 1.197 mmol). The reaction mixture was stirred at the same temperature for 2.5 hours and then concentrated under reduced pressure. The resulting crude product was purified by normal phase silica gel column chromatography (hexane / ethyl acetate) to give 6-(((((4- Azidobenzyl) oxy) carbonyl) amino) -2-((tert-butoxycarbonyl) amino) hexanoic acid (S) -cyanomethyl (compound tk36) (108.5 mg, 98%) was obtained.
LCMS (ESI) m / z = 459 (M−H) −
Retention time: 0.84 minutes (analysis condition SQDFA05)
6-((((4-アジドベンジル)オキシ)カルボニル)アミノ)-2-((tert-ブトキシカルボニル)アミノ)ヘキサン酸 (2S)-(2R,3S,4R,5R)-2-((((((2R,3S,5R)-5-(4-アミノ-2-オキソピリミジン-1(2H)-イル)-2-((ホスホノオキシ)メチル)テトラヒドロフラン-3-イル)オキシ)(ヒドロキシ)ホスホリル)オキシ)メチル)-5-(6-アミノ-9H-プリン-9-イル)-4-ヒドロキシテトラヒドロフラン-3-イル(化合物tk37)の合成
6-((((4-Azidobenzyl) oxy) carbonyl) amino) -2-((tert-butoxycarbonyl) amino) hexanoic acid (2S)-(2R, 3S, 4R, 5R) -2-((( (((2R, 3S, 5R) -5- (4-amino-2-oxopyrimidin-1 (2H) -yl) -2-((phosphonooxy) methyl) tetrahydrofuran-3-yl) oxy) (hydroxy) phosphoryl Synthesis of) oxy) methyl) -5- (6-amino-9H-purin-9-yl) -4-hydroxytetrahydrofuran-3-yl (compound tk37)
緩衝液A(14mL)にリン酸二水素 ((2R,3S,5R)-5-(4-アミノ-2-オキソピリミジン-1(2H)-イル)-3-(((((2R,3S,4R,5R)-5-(6-アミノ-9H-プリン-9-イル)-3,4-ジヒドロキシテトラヒドロフラン-2-イル)メトキシ)(ヒドロキシ)ホスホリル)オキシ)テトラヒドロフラン-2-イル)メチル(化合物1h)(47.9mg、0.075mmol)の水溶液(0.3mL)と6-((((4-アジドベンジル)オキシ)カルボニル)アミノ)-2-((tert-ブトキシカルボニル)アミノ)ヘキサン酸(S)-シアノメチル(化合物tk36)(104mg、0226mmol)のテトラヒドロフラン(0.3mL)溶液を加え、室温で1.75時間撹拌した。凍結乾燥後、得られた残渣を逆相シリカゲルカラムクロマトグラフィー(0.05%トリフルオロ酢酸水溶液/0.05%トリフルオロ酢酸アセトニトリル溶液)にて精製し、6-((((4-アジドベンジル)オキシ)カルボニル)アミノ)-2-((tert-ブトキシカルボニル)アミノ)ヘキサン酸 (2S)-(2R,3S,4R,5R)-2-((((((2R,3S,5R)-5-(4-アミノ-2-オキソピリミジン-1(2H)-イル)-2-((ホスホノオキシ)メチル)テトラヒドロフラン-3-イル)オキシ)(ヒドロキシ)ホスホリル)オキシ)メチル)-5-(6-アミノ-9H-プリン-9-イル)-4-ヒドロキシテトラヒドロフラン-3-イル(化合物tk37)(14.6mg、19%)を得た。
LCMS(ESI) m/z = 1040.8 (M+H)+
保持時間:0.56分(分析条件SQDFA05)
In buffer A (14 mL), dihydrogen phosphate ((2R, 3S, 5R) -5- (4-amino-2-oxopyrimidin-1 (2H) -yl) -3-(((((2R, 3S , 4R, 5R) -5- (6-Amino-9H-purin-9-yl) -3,4-dihydroxytetrahydrofuran-2-yl) methoxy) (hydroxy) phosphoryl) oxy) tetrahydrofuran-2-yl) methyl (
LCMS (ESI) m / z = 1040.8 (M + H) +
Retention time: 0.56 minutes (analysis condition SQDFA05)
2-アミノ-6-((((4-アジドベンジル)オキシ)カルボニル)アミノ)ヘキサン酸 (2S)-(2R,3S,4R,5R)-2-((((((2R,3S,5R)-5-(4-アミノ-2-オキソピリミジン-1(2H)-イル)-2-((ホスホノオキシ)メチル)テトラヒドロフラン-3-イル)オキシ)(ヒドロキシ)ホスホリル)オキシ)メチル)-5-(6-アミノ-9H-プリン-9-イル)-4-ヒドロキシテトラヒドロフラン-3-イル(Lys(Acbz)-pdCpA)(化合物tk38)の合成
2-Amino-6-((((4-azidobenzyl) oxy) carbonyl) amino) hexanoic acid (2S)-(2R, 3S, 4R, 5R) -2-(((((((2R, 3S, 5R ) -5- (4-Amino-2-oxopyrimidin-1 (2H) -yl) -2-((phosphonooxy) methyl) tetrahydrofuran-3-yl) oxy) (hydroxy) phosphoryl) oxy) methyl) -5 Synthesis of (6-amino-9H-purin-9-yl) -4-hydroxytetrahydrofuran-3-yl (Lys (Acbz) -pdCpA) (compound tk38)
6-((((4-アジドベンジル)オキシ)カルボニル)アミノ)-2-((tert-ブトキシカルボニル)アミノ)ヘキサン酸 (2S)-(2R,3S,4R,5R)-2-((((((2R,3S,5R)-5-(4-アミノ-2-オキソピリミジン-1(2H)-イル)-2-((ホスホノオキシ)メチル)テトラヒドロフラン-3-イル)オキシ)(ヒドロキシ)ホスホリル)オキシ)メチル)-5-(6-アミノ-9H-プリン-9-イル)-4-ヒドロキシテトラヒドロフラン-3-イル(化合物tk37)(14.6mg、0.014mmol)のジクロロメタン(0.4mL)溶液を氷浴で冷却後、トリフルオロ酢酸(0.05mL)を添加し、室温で35分間撹拌した。減圧濃縮後、得られた残渣を逆相シリカゲルカラムクロマトグラフィー(0.05%トリフルオロ酢酸水溶液/0.05%トリフルオロ酢酸アセトニトリル溶液)にて精製し、2-アミノ-6-((((4-アジドベンジル)オキシ)カルボニル)アミノ)ヘキサン酸 (2S)-(2R,3S,4R,5R)-2-((((((2R,3S,5R)-5-(4-アミノ-2-オキソピリミジン-1(2H)-イル)-2-((ホスホノオキシ)メチル)テトラヒドロフラン-3-イル)オキシ)(ヒドロキシ)ホスホリル)オキシ)メチル)-5-(6-アミノ-9H-プリン-9-イル)-4-ヒドロキシテトラヒドロフラン-3-イル(Lys(Acbz)-pdCpA)(化合物tk38)(1.1mg、8%)を得た。
LCMS(ESI) m/z = 938.5 (M-H)-
保持時間:0.39分(分析条件SQDFA05)
6-((((4-Azidobenzyl) oxy) carbonyl) amino) -2-((tert-butoxycarbonyl) amino) hexanoic acid (2S)-(2R, 3S, 4R, 5R) -2-((( (((2R, 3S, 5R) -5- (4-amino-2-oxopyrimidin-1 (2H) -yl) -2-((phosphonooxy) methyl) tetrahydrofuran-3-yl) oxy) (hydroxy) phosphoryl ) Oxy) methyl) -5- (6-amino-9H-purin-9-yl) -4-hydroxytetrahydrofuran-3-yl (compound tk37) (14.6 mg, 0.014 mmol) in dichloromethane (0.4 mL) The solution was cooled in an ice bath, trifluoroacetic acid (0.05 mL) was added, and the mixture was stirred at room temperature for 35 min. After concentration under reduced pressure, the resulting residue was purified by reverse phase silica gel column chromatography (0.05% aqueous trifluoroacetic acid / 0.05% trifluoroacetic acid acetonitrile solution) to give 2-amino-6-(((( 4-azidobenzyl) oxy) carbonyl) amino) hexanoic acid (2S)-(2R, 3S, 4R, 5R) -2-((((((((2R, 3S, 5R) -5- (4-amino-2 -Oxopyrimidin-1 (2H) -yl) -2-((phosphonooxy) methyl) tetrahydrofuran-3-yl) oxy) (hydroxy) phosphoryl) oxy) methyl) -5- (6-amino-9H-purine-9 There was obtained -yl) -4-hydroxytetrahydrofuran-3-yl (Lys (Acbz) -pdCpA) (compound tk38) (1.1 mg, 8%).
LCMS (ESI) m / z = 938.5 (M−H) −
Retention time: 0.39 minutes (analysis condition SQDFA05)
10-1-7. アミノアシル化pdCpA化合物tk43の合成
以下のスキームに従い、合成を行った。
10-1-7. Synthesis of aminoacylated pdCpA compound tk43 Synthesis was performed according to the following scheme.
(S)-6-((((2-アジドベンジル)オキシ)カルボニル)アミノ)-2-((tert-ブトキシカルボニル)アミノ)ヘキサン酸(化合物tk40)の合成
Synthesis of (S) -6-((((2-azidobenzyl) oxy) carbonyl) amino) -2-((tert-butoxycarbonyl) amino) hexanoic acid (compound tk40)
Boc-Lys-OH(化合物tk39)(295mg、1.198mmol)と炭酸水素ナトリウム(252mg、2.99mmol)の1,4-ジオキサン(3mL)-水(2mL)の懸濁液に炭酸 (4-ニトロフェニル) 2-アジドベンジル(414mg、1.317mmol)を添加した。反応混合物を室温で22時間撹拌後、氷浴で冷却し、酢酸エチル及び水で希釈した混合物に飽和硫酸水素カリウム水溶液(0.7mL)を添加した。酢酸エチルにて抽出し(2回)、有機相を水(10mLで2回)及び食塩水(10mL)にて洗浄し、硫酸ナトリウムにて乾燥した。減圧濃縮後、得られた粗生成物を順相シリカゲルカラムクロマトグラフィー(ヘキサン/酢酸エチル)にて精製し、(S)-6-((((2-アジドベンジル)オキシ)カルボニル)アミノ)-2-((tert-ブトキシカルボニル)アミノ)ヘキサン酸(化合物tk40)(431.5mg、85%)を得た。
LCMS(ESI) m/z = 420 (M-H)-
保持時間:0.76分(分析条件SQDFA05)
A suspension of Boc-Lys-OH (compound tk39) (295 mg, 1.198 mmol) and sodium bicarbonate (252 mg, 2.99 mmol) in 1,4-dioxane (3 mL) -water (2 mL) Nitrophenyl) 2-azidobenzyl (414 mg, 1.317 mmol) was added. The reaction mixture was stirred at room temperature for 22 hours, cooled in an ice bath, and saturated aqueous potassium hydrogen sulfate solution (0.7 mL) was added to the mixture diluted with ethyl acetate and water. Extraction with ethyl acetate (twice), the organic phase was washed with water (twice with 10 mL) and brine (10 mL) and dried over sodium sulfate. After concentration under reduced pressure, the resulting crude product was purified by normal phase silica gel column chromatography (hexane / ethyl acetate) to obtain (S) -6-((((2-azidobenzyl) oxy) carbonyl) amino)- 2-((tert-butoxycarbonyl) amino) hexanoic acid (compound tk40) (431.5 mg, 85%) was obtained.
LCMS (ESI) m / z = 420 (M−H) −
Retention time: 0.76 minutes (analysis condition SQDFA05)
6-((((2-アジドベンジル)オキシ)カルボニル)アミノ)-2-((tert-ブトキシカルボニル)アミノ)ヘキサン酸 (S)-シアノメチル(化合物tk41)の合成
Synthesis of 6-((((2-azidobenzyl) oxy) carbonyl) amino) -2-((tert-butoxycarbonyl) amino) hexanoic acid (S) -cyanomethyl (compound tk41)
窒素雰囲気下、(S)-6-((((2-アジドベンジル)オキシ)カルボニル)アミノ)-2-((tert-ブトキシカルボニル)アミノ)ヘキサン酸(化合物tk40)(114mg、0.270mmol)のアセトニトリル(0.4mL)溶液に、室温でN,N-ジイソプロピルエチルアミン(52μL、0.298mmol)、続いてブロモアセトニトリル(94μL、1.352mmol)を添加した。反応混合物を同温度にて1.5時間撹拌後、減圧濃縮して得られた粗生成物を順相シリカゲルカラムクロマトグラフィー(ヘキサン/酢酸エチル)にて精製し、6-((((2-アジドベンジル)オキシ)カルボニル)アミノ)-2-((tert-ブトキシカルボニル)アミノ)ヘキサン酸 (S)-シアノメチル(化合物tk41)(140.2mg、quant.)を得た。
LCMS(ESI) m/z = 459.5 (M-H)-
保持時間:0.84分(分析条件SQDFA05)
Under a nitrogen atmosphere, (S) -6-((((2-azidobenzyl) oxy) carbonyl) amino) -2-((tert-butoxycarbonyl) amino) hexanoic acid (compound tk40) (114 mg, 0.270 mmol) Of N, N-diisopropylethylamine (52 μL, 0.298 mmol) followed by bromoacetonitrile (94 μL, 1.352 mmol) at room temperature. The reaction mixture was stirred at the same temperature for 1.5 hours and then concentrated under reduced pressure, and the resulting crude product was purified by normal phase silica gel column chromatography (hexane / ethyl acetate) to give 6-(((((2- Azidobenzyl) oxy) carbonyl) amino) -2-((tert-butoxycarbonyl) amino) hexanoic acid (S) -cyanomethyl (compound tk41) (140.2 mg, quant.) Was obtained.
LCMS (ESI) m / z = 459.5 (M−H) −
Retention time: 0.84 minutes (analysis condition SQDFA05)
6-((((2-アジドベンジル)オキシ)カルボニル)アミノ)-2-((tert-ブトキシカルボニル)アミノ)ヘキサン酸 (2S)-(2R,3S,4R,5R)-2-((((((2R,3S,5R)-5-(4-アミノ-2-オキソピリミジン-1(2H)-イル)-2-((ホスホノオキシ)メチル)テトラヒドロフラン-3-イル)オキシ)(ヒドロキシ)ホスホリル)オキシ)メチル)-5-(6-アミノ-9H-プリン-9-イル)-4-ヒドロキシテトラヒドロフラン-3-イル(化合物tk42)の合成
6-((((2-azidobenzyl) oxy) carbonyl) amino) -2-((tert-butoxycarbonyl) amino) hexanoic acid (2S)-(2R, 3S, 4R, 5R) -2-((( (((2R, 3S, 5R) -5- (4-amino-2-oxopyrimidin-1 (2H) -yl) -2-((phosphonooxy) methyl) tetrahydrofuran-3-yl) oxy) (hydroxy) phosphoryl Synthesis of) oxy) methyl) -5- (6-amino-9H-purin-9-yl) -4-hydroxytetrahydrofuran-3-yl (compound tk42)
緩衝液A(14mL)にリン酸二水素 ((2R,3S,5R)-5-(4-アミノ-2-オキソピリミジン-1(2H)-イル)-3-(((((2R,3S,4R,5R)-5-(6-アミノ-9H-プリン-9-イル)-3,4-ジヒドロキシテトラヒドロフラン-2-イル)メトキシ)(ヒドロキシ)ホスホリル)オキシ)テトラヒドロフラン-2-イル)メチル(化合物1h)(46.3mg、0.073mmol)の水溶液(0.3mL)と6-((((2-アジドベンジル)オキシ)カルボニル)アミノ)-2-((tert-ブトキシカルボニル)アミノ)ヘキサン酸 (S)-シアノメチル(化合物tk41)(134mg、0.291mmol)のテトラヒドロフラン(0.3mL)溶液を加え、室温で1.75時間撹拌した。アセトニトリル(0.6mL)を添加し、同温度で1.25時間撹拌した。凍結乾燥後、得られた残渣を逆相シリカゲルカラムクロマトグラフィー(0.05%トリフルオロ酢酸水溶液/0.05%トリフルオロ酢酸アセトニトリル溶液)にて精製し、6-((((2-アジドベンジル)オキシ)カルボニル)アミノ)-2-((tert-ブトキシカルボニル)アミノ)ヘキサン酸 (2S)-(2R,3S,4R,5R)-2-((((((2R,3S,5R)-5-(4-アミノ-2-オキソピリミジン-1(2H)-イル)-2-((ホスホノオキシ)メチル)テトラヒドロフラン-3-イル)オキシ)(ヒドロキシ)ホスホリル)オキシ)メチル)-5-(6-アミノ-9H-プリン-9-イル)-4-ヒドロキシテトラヒドロフラン-3-イル(化合物tk42)(11.1mg、15%)を得た。
LCMS(ESI) m/z = 1038.6 (M-H)-
保持時間:0.58分(分析条件SQDFA05)
Buffer A (14 mL) was diluted with dihydrogen phosphate ((2R, 3S, 5R) -5- (4-amino-2-oxopyrimidin-1 (2H) -yl) -3-(((((2R, 3S , 4R, 5R) -5- (6-Amino-9H-purin-9-yl) -3,4-dihydroxytetrahydrofuran-2-yl) methoxy) (hydroxy) phosphoryl) oxy) tetrahydrofuran-2-yl) methyl (
LCMS (ESI) m / z = 1038.6 (M−H) −
Retention time: 0.58 minutes (analysis condition SQDFA05)
2-アミノ-6-((((2-アジドベンジル)オキシ)カルボニル)アミノ)ヘキサン酸 (2S)-(2R,3S,4R,5R)-2-((((((2R,3S,5R)-5-(4-アミノ-2-オキソピリミジン-1(2H)-イル)-2-((ホスホノオキシ)メチル)テトラヒドロフラン-3-イル)オキシ)(ヒドロキシ)ホスホリル)オキシ)メチル)-5-(6-アミノ-9H-プリン-9-イル)-4-ヒドロキシテトラヒドロフラン-3-イル(Lys(oAcbz)-pdCpA)(化合物tk43)の合成
2-Amino-6-((((2-azidobenzyl) oxy) carbonyl) amino) hexanoic acid (2S)-(2R, 3S, 4R, 5R) -2-(((((((2R, 3S, 5R ) -5- (4-Amino-2-oxopyrimidin-1 (2H) -yl) -2-((phosphonooxy) methyl) tetrahydrofuran-3-yl) oxy) (hydroxy) phosphoryl) oxy) methyl) -5 Synthesis of (6-amino-9H-purin-9-yl) -4-hydroxytetrahydrofuran-3-yl (Lys (oAcbz) -pdCpA) (compound tk43)
(2S)-(2R,3S,4R,5R)-2-((((((2R,3S,5R)-5-(4-アミノ-2-オキソピリミジン-1(2H)-イル)-2-((ホスホノオキシ)メチル)テトラヒドロフラン-3-イル)オキシ)(ヒドロキシ)ホスホリル)オキシ)メチル)-5-(6-アミノ-9H-プリン-9-イル)-4-ヒドロキシテトラヒドロフラン-3-イル(化合物tk42)(10mg、9.62μmol)のジクロロメタン(0.4mL)溶液にトリフルオロ酢酸(0.075mL)を添加し、室温で20分間撹拌した。減圧濃縮後、得られた残渣を逆相シリカゲルカラムクロマトグラフィー(0.05%トリフルオロ酢酸水溶液/0.05%トリフルオロ酢酸アセトニトリル溶液)にて精製し、2-アミノ-6-((((2-アジドベンジル)オキシ)カルボニル)アミノ)ヘキサン酸 (2S)-(2R,3S,4R,5R)-2-((((((2R,3S,5R)-5-(4-アミノ-2-オキソピリミジン-1(2H)-イル)-2-((ホスホノオキシ)メチル)テトラヒドロフラン-3-イル)オキシ)(ヒドロキシ)ホスホリル)オキシ)メチル)-5-(6-アミノ-9H-プリン-9-イル)-4-ヒドロキシテトラヒドロフラン-3-イル(Lys(oAcbz)-pdCpA)(化合物tk43)(8.0mg、89%)を得た。
LCMS(ESI) m/z = 938.5 (M-H)-
保持時間:0.39分(分析条件SQDFA05)
(2S)-(2R, 3S, 4R, 5R) -2-(((((((2R, 3S, 5R) -5- (4-amino-2-oxopyrimidin-1 (2H) -yl) -2 -((Phosphonooxy) methyl) tetrahydrofuran-3-yl) oxy) (hydroxy) phosphoryl) oxy) methyl) -5- (6-amino-9H-purin-9-yl) -4-hydroxytetrahydrofuran-3-yl ( Trifluoroacetic acid (0.075 mL) was added to a solution of compound tk42) (10 mg, 9.62 μmol) in dichloromethane (0.4 mL), and the mixture was stirred at room temperature for 20 minutes. After concentration under reduced pressure, the resulting residue was purified by reverse phase silica gel column chromatography (0.05% aqueous trifluoroacetic acid / 0.05% trifluoroacetic acid acetonitrile solution) to give 2-amino-6-(((( 2-azidobenzyl) oxy) carbonyl) amino) hexanoic acid (2S)-(2R, 3S, 4R, 5R) -2-((((((((2R, 3S, 5R) -5- (4-amino-2 -Oxopyrimidin-1 (2H) -yl) -2-((phosphonooxy) methyl) tetrahydrofuran-3-yl) oxy) (hydroxy) phosphoryl) oxy) methyl) -5- (6-amino-9H-purine-9 -Yl) -4-hydroxytetrahydrofuran-3-yl (Lys (oAcbz) -pdCpA) (compound tk43) (8.0 mg, 89%) was obtained.
LCMS (ESI) m / z = 938.5 (M−H) −
Retention time: 0.39 minutes (analysis condition SQDFA05)
10-1-8. アミノアシル化pdCpA化合物tk47の合成
以下のスキームに従い、合成を行った。
10-1-8. Synthesis of aminoacylated pdCpA compound tk47 Synthesis was performed according to the following scheme.
6-(((ベンジルオキシ)カルボニル)アミノ)-2-((tert-ブトキシカルボニル)アミノ)ヘキサン酸 (S)-シアノメチル(化合物tk45)の合成
Synthesis of 6-((((benzyloxy) carbonyl) amino) -2-((tert-butoxycarbonyl) amino) hexanoic acid (S) -cyanomethyl (compound tk45)
窒素雰囲気下、Boc-Lys(Z)-OH(化合物tk44)(160mg、0.421mmol)のアセトニトリル(0.6mL)溶液に、室温でN,N-ジイソプロピルエチルアミン(81μL、0.463mmol)、続いてブロモアセトニトリル(147μL、2.103mmol)を添加した。反応混合物を同温度にて13時間撹拌後、減圧濃縮して得られた粗生成物を順相シリカゲルカラムクロマトグラフィー(ヘキサン/酢酸エチル)にて精製し、6-(((ベンジルオキシ)カルボニル)アミノ)-2-((tert-ブトキシカルボニル)アミノ)ヘキサン酸 (S)-シアノメチル(化合物tk45)(180mg、quant.)を得た。
LCMS(ESI) m/z = 418 (M-H)-
保持時間:0.79分(分析条件SQDFA05)
Under a nitrogen atmosphere, a solution of Boc-Lys (Z) —OH (compound tk44) (160 mg, 0.421 mmol) in acetonitrile (0.6 mL) was added N, N-diisopropylethylamine (81 μL, 0.463 mmol) at room temperature, followed by Bromoacetonitrile (147 μL, 2.103 mmol) was added. The reaction mixture was stirred at the same temperature for 13 hours and then concentrated under reduced pressure, and the resulting crude product was purified by normal phase silica gel column chromatography (hexane / ethyl acetate) to give 6-(((benzyloxy) carbonyl). Amino) -2-((tert-butoxycarbonyl) amino) hexanoic acid (S) -cyanomethyl (compound tk45) (180 mg, quant.) Was obtained.
LCMS (ESI) m / z = 418 (M−H) −
Retention time: 0.79 minutes (analysis condition SQDFA05)
6-(((ベンジルオキシ)カルボニル)アミノ)-2-((tert-ブトキシカルボニル)アミノ)ヘキサン酸 (2S)-(2R,3S,4R,5R)-2-((((((2R,3S,5R)-5-(4-アミノ-2-オキソピリミジン-1(2H)-イル)-2-((ホスホノオキシ)メチル)テトラヒドロフラン-3-イル)オキシ)(ヒドロキシ)ホスホリル)オキシ)メチル)-5-(6-アミノ-9H-プリン-9-イル)-4-ヒドロキシテトラヒドロフラン-3-イル(化合物tk46)の合成
6-((((Benzyloxy) carbonyl) amino) -2-((tert-butoxycarbonyl) amino) hexanoic acid (2S)-(2R, 3S, 4R, 5R) -2-(((((((2R, 3S, 5R) -5- (4-amino-2-oxopyrimidin-1 (2H) -yl) -2-((phosphonooxy) methyl) tetrahydrofuran-3-yl) oxy) (hydroxy) phosphoryl) oxy) methyl) Synthesis of -5- (6-amino-9H-purin-9-yl) -4-hydroxytetrahydrofuran-3-yl (compound tk46)
緩衝液A(18mL)にリン酸二水素 ((2R,3S,5R)-5-(4-アミノ-2-オキソピリミジン-1(2H)-イル)-3-(((((2R,3S,4R,5R)-5-(6-アミノ-9H-プリン-9-イル)-3,4-ジヒドロキシテトラヒドロフラン-2-イル)メトキシ)(ヒドロキシ)ホスホリル)オキシ)テトラヒドロフラン-2-イル)メチル(化合物1h)(65.6mg、0.103mmol)の水溶液(0.3mL)と6-(((ベンジルオキシ)カルボニル)アミノ)-2-((tert-ブトキシカルボニル)アミノ)ヘキサン酸 (S)-シアノメチル(化合物tk45)(173mg、0.412mmol)のテトラヒドロフラン(0.3mL)溶液を加え、室温で0.75時間撹拌した。凍結乾燥後、得られた残渣を逆相シリカゲルカラムクロマトグラフィー(0.05%トリフルオロ酢酸水溶液/0.05%トリフルオロ酢酸アセトニトリル溶液)にて精製し、6-(((ベンジルオキシ)カルボニル)アミノ)-2-((tert-ブトキシカルボニル)アミノ)ヘキサン酸 (2S)-(2R,3S,4R,5R)-2-((((((2R,3S,5R)-5-(4-アミノ-2-オキソピリミジン-1(2H)-イル)-2-((ホスホノオキシ)メチル)テトラヒドロフラン-3-イル)オキシ)(ヒドロキシ)ホスホリル)オキシ)メチル)-5-(6-アミノ-9H-プリン-9-イル)-4-ヒドロキシテトラヒドロフラン-3-イル(化合物tk46)(18.6mg、18%)を得た。
LCMS(ESI) m/z = 999.7 (M+H)+
保持時間:0.53分(分析条件SQDFA05)
In buffer A (18 mL), dihydrogen phosphate ((2R, 3S, 5R) -5- (4-amino-2-oxopyrimidin-1 (2H) -yl) -3-(((((2R, 3S , 4R, 5R) -5- (6-Amino-9H-purin-9-yl) -3,4-dihydroxytetrahydrofuran-2-yl) methoxy) (hydroxy) phosphoryl) oxy) tetrahydrofuran-2-yl) methyl (
LCMS (ESI) m / z = 999.7 (M + H) +
Retention time: 0.53 minutes (analysis condition SQDFA05)
2-アミノ-6-(((ベンジルオキシ)カルボニル)アミノ)ヘキサン酸 (2S)-(2R,3S,4R,5R)-2-((((((2R,3S,5R)-5-(4-アミノ-2-オキソピリミジン-1(2H)-イル)-2-((ホスホノオキシ)メチル)テトラヒドロフラン-3-イル)オキシ)(ヒドロキシ)ホスホリル)オキシ)メチル)-5-(6-アミノ-9H-プリン-9-イル)-4-ヒドロキシテトラヒドロフラン-3-イル(Lys(Z)-pdCpA)(化合物tk47)の合成
2-Amino-6-(((benzyloxy) carbonyl) amino) hexanoic acid (2S)-(2R, 3S, 4R, 5R) -2-(((((((2R, 3S, 5R) -5- ( 4-Amino-2-oxopyrimidin-1 (2H) -yl) -2-((phosphonooxy) methyl) tetrahydrofuran-3-yl) oxy) (hydroxy) phosphoryl) oxy) methyl) -5- (6-amino- Synthesis of 9H-purin-9-yl) -4-hydroxytetrahydrofuran-3-yl (Lys (Z) -pdCpA) (compound tk47)
6-(((ベンジルオキシ)カルボニル)アミノ)-2-((tert-ブトキシカルボニル)アミノ)ヘキサン酸 (2S)-(2R,3S,4R,5R)-2-((((((2R,3S,5R)-5-(4-アミノ-2-オキソピリミジン-1(2H)-イル)-2-((ホスホノオキシ)メチル)テトラヒドロフラン-3-イル)オキシ)(ヒドロキシ)ホスホリル)オキシ)メチル)-5-(6-アミノ-9H-プリン-9-イル)-4-ヒドロキシテトラヒドロフラン-3-イル(化合物tk46)(18.6mg、0.019mmol)のジクロロメタン(1mL)溶液にトリフルオロ酢酸(0.075mL)を添加し、室温で40分間撹拌した。減圧濃縮後、得られた残渣を逆相シリカゲルカラムクロマトグラフィー(0.05%トリフルオロ酢酸水溶液/0.05%トリフルオロ酢酸アセトニトリル溶液)にて精製し、2-アミノ-6-(((ベンジルオキシ)カルボニル)アミノ)ヘキサン酸 (2S)-(2R,3S,4R,5R)-2-((((((2R,3S,5R)-5-(4-アミノ-2-オキソピリミジン-1(2H)-イル)-2-((ホスホノオキシ)メチル)テトラヒドロフラン-3-イル)オキシ)(ヒドロキシ)ホスホリル)オキシ)メチル)-5-(6-アミノ-9H-プリン-9-イル)-4-ヒドロキシテトラヒドロフラン-3-イル(Lys(Z)-pdCpA)(化合物tk47)(13.4mg、80%)を得た。
LCMS(ESI) m/z = 897.4 (M-H)-
保持時間:0.35分(分析条件SQDFA05)
6-((((Benzyloxy) carbonyl) amino) -2-((tert-butoxycarbonyl) amino) hexanoic acid (2S)-(2R, 3S, 4R, 5R) -2-(((((((2R, 3S, 5R) -5- (4-amino-2-oxopyrimidin-1 (2H) -yl) -2-((phosphonooxy) methyl) tetrahydrofuran-3-yl) oxy) (hydroxy) phosphoryl) oxy) methyl) To a solution of -5- (6-amino-9H-purin-9-yl) -4-hydroxytetrahydrofuran-3-yl (compound tk46) (18.6 mg, 0.019 mmol) in dichloromethane (1 mL) was added trifluoroacetic acid (0 0.075 mL) was added and stirred at room temperature for 40 minutes. After concentration under reduced pressure, the resulting residue was purified by reverse phase silica gel column chromatography (0.05% aqueous trifluoroacetic acid / 0.05% trifluoroacetic acid acetonitrile solution) to give 2-amino-6-((((benzyl) Oxy) carbonyl) amino) hexanoic acid (2S)-(2R, 3S, 4R, 5R) -2-(((((((2R, 3S, 5R) -5- (4-amino-2-oxopyrimidine-1 (2H) -yl) -2-((phosphonooxy) methyl) tetrahydrofuran-3-yl) oxy) (hydroxy) phosphoryl) oxy) methyl) -5- (6-amino-9H-purin-9-yl) -4 -Hydroxytetrahydrofuran-3-yl (Lys (Z) -pdCpA) (compound tk47) (13.4 mg, 80%) was obtained.
LCMS (ESI) m / z = 897.4 (M−H) −
Retention time: 0.35 minutes (analysis condition SQDFA05)
10-1-9. アミノアシル化pdCpA化合物tk51の合成
以下のスキームに従い、合成を行った。
10-1-9. Synthesis of aminoacylated pdCpA compound tk51 The synthesis was performed according to the following scheme.
(S)-6-アジド-2-((tert-ブトキシカルボニル)アミノ)ヘキサン酸(化合物tk48)の合成
Synthesis of (S) -6-azido-2-((tert-butoxycarbonyl) amino) hexanoic acid (compound tk48)
Boc-Lys-OH(化合物tk39)(1.0g、4.06mmol)と硫酸銅五水和物(20mg、0.081mmol)のメタノール(15mL)-水(3mL)混合物に室温で炭酸水素ナトリウム(0.65g、7.74mmol)を添加し、続いて文献記載(Org.Lett., 2007, 9, 3797.)の方法で合成したアジ化 1H-イミダゾール-1-スルホニル塩酸塩(1.02g、4.87mmol)を加えた。反応混合物に炭酸水素ナトリウム(0.65g、7.74mmol)を添加後、室温で23時間撹拌した。反応混合物を氷浴で冷却後、飽和硫酸水素カリウム水溶液(10mL)を添加した。得られた混合物をセライトろ過し、酢酸エチルにて洗浄後、ろ液を減圧濃縮した。得られた残渣を逆相シリカゲルカラムクロマトグラフィー(0.05%トリフルオロ酢酸水溶液/0.05%トリフルオロ酢酸アセトニトリル溶液)にて精製し、(S)-6-アジド-2-((tert-ブトキシカルボニル)アミノ)ヘキサン酸(化合物tk48)(948.7mg、86%)を得た。
LCMS(ESI) m/z = 271 (M-H)-
保持時間:0.66分(分析条件SQDFA05)
A mixture of Boc-Lys-OH (compound tk39) (1.0 g, 4.06 mmol) and copper sulfate pentahydrate (20 mg, 0.081 mmol) in methanol (15 mL) -water (3 mL) at room temperature with sodium bicarbonate ( 0.65 g, 7.74 mmol) was added, followed by azide 1H-imidazole-1-sulfonyl hydrochloride (1.02 g, synthesized by the method described in the literature (Org. Lett., 2007, 9, 3797.) 4.87 mmol) was added. Sodium hydrogen carbonate (0.65 g, 7.74 mmol) was added to the reaction mixture, followed by stirring at room temperature for 23 hours. The reaction mixture was cooled in an ice bath, and saturated aqueous potassium hydrogen sulfate solution (10 mL) was added. The resulting mixture was filtered through celite, washed with ethyl acetate, and the filtrate was concentrated under reduced pressure. The obtained residue was purified by reverse phase silica gel column chromatography (0.05% trifluoroacetic acid aqueous solution / 0.05% trifluoroacetic acid acetonitrile solution), and (S) -6-azido-2-((tert- Butoxycarbonyl) amino) hexanoic acid (compound tk48) (948.7 mg, 86%) was obtained.
LCMS (ESI) m / z = 271 (M−H) −
Retention time: 0.66 minutes (analysis condition SQDFA05)
6-アジド-2-((tert-ブトキシカルボニル)アミノ)ヘキサン酸 (S)-シアノメチル(化合物tk49)の合成
Synthesis of 6-azido-2-((tert-butoxycarbonyl) amino) hexanoic acid (S) -cyanomethyl (compound tk49)
窒素雰囲気下、(S)-6-アジド-2-((tert-ブトキシカルボニル)アミノ)ヘキサン酸(化合物tk48)(140mg、0.514mmol))のアセトニトリル(0.6mL)溶液に、室温でN,N-ジイソプロピルエチルアミン(99μL、0.566mmol)、続いてブロモアセトニトリル(179μL、2.57mmol)を添加した。反応混合物を同温度にて3.75時間撹拌後、減圧濃縮して得られた粗生成物を順相シリカゲルカラムクロマトグラフィー(ヘキサン/酢酸エチル)にて精製し、6-アジド-2-((tert-ブトキシカルボニル)アミノ)ヘキサン酸 (S)-シアノメチル(化合物tk49)(175mg、quant.)を得た。
LCMS(ESI) m/z = 310 (M-H)-
保持時間:0.77分(分析条件SQDFA05)
Under a nitrogen atmosphere, (S) -6-azido-2-((tert-butoxycarbonyl) amino) hexanoic acid (compound tk48) (140 mg, 0.514 mmol)) in acetonitrile (0.6 mL) at room temperature with N , N-diisopropylethylamine (99 μL, 0.566 mmol) was added followed by bromoacetonitrile (179 μL, 2.57 mmol). The reaction mixture was stirred at the same temperature for 3.75 hours and then concentrated under reduced pressure, and the resulting crude product was purified by normal phase silica gel column chromatography (hexane / ethyl acetate) to give 6-azido-2-((( tert-Butoxycarbonyl) amino) hexanoic acid (S) -cyanomethyl (compound tk49) (175 mg, quant.) was obtained.
LCMS (ESI) m / z = 310 (M−H) −
Retention time: 0.77 minutes (analysis condition SQDFA05)
6-アジド-2-((tert-ブトキシカルボニル)アミノ)ヘキサン酸 (2S)-(2R,3S,4R,5R)-2-((((((2R,3S,5R)-5-(4-アミノ-2-オキソピリミジン-1(2H)-イル)-2-((ホスホノオキシ)メチル)テトラヒドロフラン-3-イル)オキシ)(ヒドロキシ)ホスホリル)オキシ)メチル)-5-(6-アミノ-9H-プリン-9-イル)-4-ヒドロキシテトラヒドロフラン-3-イル(化合物tk50)の合成
6-azido-2-((tert-butoxycarbonyl) amino) hexanoic acid (2S)-(2R, 3S, 4R, 5R) -2-((((((((2R, 3S, 5R) -5- (4 -Amino-2-oxopyrimidin-1 (2H) -yl) -2-((phosphonooxy) methyl) tetrahydrofuran-3-yl) oxy) (hydroxy) phosphoryl) oxy) methyl) -5- (6-amino-9H -Purine-9-yl) -4-hydroxytetrahydrofuran-3-yl (compound tk50)
緩衝液A(18mL)にリン酸二水素 ((2R,3S,5R)-5-(4-アミノ-2-オキソピリミジン-1(2H)-イル)-3-(((((2R,3S,4R,5R)-5-(6-アミノ-9H-プリン-9-イル)-3,4-ジヒドロキシテトラヒドロフラン-2-イル)メトキシ)(ヒドロキシ)ホスホリル)オキシ)テトラヒドロフラン-2-イル)メチル(化合物1h)(78mg、0.122mmol)の水溶液(0.3mL)と6-アジド-2-((tert-ブトキシカルボニル)アミノ)ヘキサン酸 (S)-シアノメチル(化合物tk49)(152mg、0.488mmol)のテトラヒドロフラン(0.3mL)溶液を加え、室温で0.75時間撹拌した。凍結乾燥後、得られた残渣を逆相シリカゲルカラムクロマトグラフィー(0.05%トリフルオロ酢酸水溶液/0.05%トリフルオロ酢酸アセトニトリル溶液)にて精製し、6-アジド-2-((tert-ブトキシカルボニル)アミノ)ヘキサン酸 (2S)-(2R,3S,4R,5R)-2-((((((2R,3S,5R)-5-(4-アミノ-2-オキソピリミジン-1(2H)-イル)-2-((ホスホノオキシ)メチル)テトラヒドロフラン-3-イル)オキシ)(ヒドロキシ)ホスホリル)オキシ)メチル)-5-(6-アミノ-9H-プリン-9-イル)-4-ヒドロキシテトラヒドロフラン-3-イル(化合物tk50)(30.2mg、28%)を得た。
LCMS(ESI) m/z = 889.4 (M-H)-
保持時間:0.47分(分析条件SQDFA05)
In buffer A (18 mL), dihydrogen phosphate ((2R, 3S, 5R) -5- (4-amino-2-oxopyrimidin-1 (2H) -yl) -3-(((((2R, 3S , 4R, 5R) -5- (6-Amino-9H-purin-9-yl) -3,4-dihydroxytetrahydrofuran-2-yl) methoxy) (hydroxy) phosphoryl) oxy) tetrahydrofuran-2-yl) methyl (
LCMS (ESI) m / z = 889.4 (M−H) −
Retention time: 0.47 minutes (analysis condition SQDFA05)
2-アミノ-6-アジドヘキサン酸 (2S)-(2R,3S,4R,5R)-2-((((((2R,3S,5R)-5-(4-アミノ-2-オキソピリミジン-1(2H)-イル)-2-((ホスホノオキシ)メチル)テトラヒドロフラン-3-イル)オキシ)(ヒドロキシ)ホスホリル)オキシ)メチル)-5-(6-アミノ-9H-プリン-9-イル)-4-ヒドロキシテトラヒドロフラン-3-イル(Lys(N3)-pdCpA)(化合物tk51)の合成
2-Amino-6-azidohexanoic acid (2S)-(2R, 3S, 4R, 5R) -2-(((((((2R, 3S, 5R) -5- (4-amino-2-oxopyrimidine- 1 (2H) -yl) -2-((phosphonooxy) methyl) tetrahydrofuran-3-yl) oxy) (hydroxy) phosphoryl) oxy) methyl) -5- (6-amino-9H-purin-9-yl)- Synthesis of 4-hydroxytetrahydrofuran-3-yl (Lys (N3) -pdCpA) (compound tk51)
6-アジド-2-((tert-ブトキシカルボニル)アミノ)ヘキサン酸 (2S)-(2R,3S,4R,5R)-2-((((((2R,3S,5R)-5-(4-アミノ-2-オキソピリミジン-1(2H)-イル)-2-((ホスホノオキシ)メチル)テトラヒドロフラン-3-イル)オキシ)(ヒドロキシ)ホスホリル)オキシ)メチル)-5-(6-アミノ-9H-プリン-9-イル)-4-ヒドロキシテトラヒドロフラン-3-イル(化合物tk50)(30.2mg、0.034mmol)のジクロロメタン(1.5mL)溶液にトリフルオロ酢酸(0.1mL)を添加し、室温で30分間撹拌した。減圧濃縮後、得られた残渣を逆相シリカゲルカラムクロマトグラフィー(0.05%トリフルオロ酢酸水溶液/0.05%トリフルオロ酢酸アセトニトリル溶液)にて精製し、2-アミノ-6-アジドヘキサン酸 (2S)-(2R,3S,4R,5R)-2-((((((2R,3S,5R)-5-(4-アミノ-2-オキソピリミジン-1(2H)-イル)-2-((ホスホノオキシ)メチル)テトラヒドロフラン-3-イル)オキシ)(ヒドロキシ)ホスホリル)オキシ)メチル)-5-(6-アミノ-9H-プリン-9-イル)-4-ヒドロキシテトラヒドロフラン-3-イル(Lys(N3)-pdCpA)(化合物tk51)(19.4mg、72%)を得た。
LCMS(ESI) m/z = 789.4 (M-H)-
保持時間:0.27分(分析条件SQDFA05)
6-azido-2-((tert-butoxycarbonyl) amino) hexanoic acid (2S)-(2R, 3S, 4R, 5R) -2-((((((((2R, 3S, 5R) -5- (4 -Amino-2-oxopyrimidin-1 (2H) -yl) -2-((phosphonooxy) methyl) tetrahydrofuran-3-yl) oxy) (hydroxy) phosphoryl) oxy) methyl) -5- (6-amino-9H To a solution of -purin-9-yl) -4-hydroxytetrahydrofuran-3-yl (compound tk50) (30.2 mg, 0.034 mmol) in dichloromethane (1.5 mL) was added trifluoroacetic acid (0.1 mL), Stir at room temperature for 30 minutes. After concentration under reduced pressure, the resulting residue was purified by reverse phase silica gel column chromatography (0.05% trifluoroacetic acid aqueous solution / 0.05% trifluoroacetic acid acetonitrile solution) to give 2-amino-6-azidohexanoic acid ( 2S)-(2R, 3S, 4R, 5R) -2-(((((((2R, 3S, 5R) -5- (4-amino-2-oxopyrimidin-1 (2H) -yl) -2- ((Phosphonooxy) methyl) tetrahydrofuran-3-yl) oxy) (hydroxy) phosphoryl) oxy) methyl) -5- (6-amino-9H-purin-9-yl) -4-hydroxytetrahydrofuran-3-yl (Lys (N3) -pdCpA) (compound tk51) (19.4 mg, 72%) was obtained.
LCMS (ESI) m / z = 789.4 (M−H) −
Retention time: 0.27 minutes (analysis condition SQDFA05)
10-1-10. アミノアシル化pdCpA化合物tk55の合成
以下のスキームに従い、合成を行った。
10-1-10. Synthesis of aminoacylated pdCpA compound tk55 Synthesis was performed according to the following scheme.
2-((tert-ブトキシカルボニル)アミノ)-6-(2,2,2-トリフルオロアセトアミド)ヘキサン酸 (S)-シアノメチル(化合物tk53)の合成
Synthesis of 2-((tert-butoxycarbonyl) amino) -6- (2,2,2-trifluoroacetamido) hexanoic acid (S) -cyanomethyl (compound tk53)
窒素雰囲気下、Boc-Lys(Tfa)-OH(化合物tk52)(182mg、0.532mmol)のアセトニトリル(0.5mL)溶液に、室温でN,N-ジイソプロピルエチルアミン(102μL、0.585mmol)、続いてブロモアセトニトリル(185μL、2.66mmol)を添加した。反応混合物を同温度にて5.25時間撹拌後、減圧濃縮して得られた粗生成物を順相シリカゲルカラムクロマトグラフィー(ヘキサン/酢酸エチル)にて精製し、2-((tert-ブトキシカルボニル)アミノ)-6-(2,2,2-トリフルオロアセトアミド)ヘキサン酸(S)-シアノメチル(化合物tk53)(200.8mg、99%)を得た。
LCMS(ESI) m/z = 379.9 (M-H)-
保持時間:0.70分(分析条件SQDFA05)
Under a nitrogen atmosphere, a solution of Boc-Lys (Tfa) -OH (compound tk52) (182 mg, 0.532 mmol) in acetonitrile (0.5 mL) was added N, N-diisopropylethylamine (102 μL, 0.585 mmol) at room temperature, followed by Bromoacetonitrile (185 μL, 2.66 mmol) was added. The reaction mixture was stirred at the same temperature for 5.25 hours and then concentrated under reduced pressure. The resulting crude product was purified by normal phase silica gel column chromatography (hexane / ethyl acetate) to give 2-((tert-butoxycarbonyl). ) Amino) -6- (2,2,2-trifluoroacetamido) hexanoic acid (S) -cyanomethyl (compound tk53) (200.8 mg, 99%).
LCMS (ESI) m / z = 379.9 (M−H) −
Retention time: 0.70 minutes (analysis condition SQDFA05)
2-((tert-ブトキシカルボニル)アミノ)-6-(2,2,2-トリフルオロアセトアミド)ヘキサン酸 (2S)-(2R,3S,4R,5R)-2-((((((2R,3S,5R)-5-(4-アミノ-2-オキソピリミジン-1(2H)-イル)-2-((ホスホノオキシ)メチル)テトラヒドロフラン-3-イル)オキシ)(ヒドロキシ)ホスホリル)オキシ)メチル)-5-(6-アミノ-9H-プリン-9-イル)-4-ヒドロキシテトラヒドロフラン-3-イル(化合物tk54)の合成
2-((tert-Butoxycarbonyl) amino) -6- (2,2,2-trifluoroacetamido) hexanoic acid (2S)-(2R, 3S, 4R, 5R) -2-(((((((2R , 3S, 5R) -5- (4-amino-2-oxopyrimidin-1 (2H) -yl) -2-((phosphonooxy) methyl) tetrahydrofuran-3-yl) oxy) (hydroxy) phosphoryl) oxy) methyl ) -5- (6-Amino-9H-purin-9-yl) -4-hydroxytetrahydrofuran-3-yl (compound tk54)
緩衝液A(20mL)にリン酸二水素 ((2R,3S,5R)-5-(4-アミノ-2-オキソピリミジン-1(2H)-イル)-3-(((((2R,3S,4R,5R)-5-(6-アミノ-9H-プリン-9-イル)-3,4-ジヒドロキシテトラヒドロフラン-2-イル)メトキシ)(ヒドロキシ)ホスホリル)オキシ)テトラヒドロフラン-2-イル)メチル(化合物1h)(81mg、0.127mmol)と2-((tert-ブトキシカルボニル)アミノ)-6-(2,2,2-トリフルオロアセトアミド)ヘキサン酸(S)-シアノメチル(化合物tk53)(194mg、0.509mmol)のアセトニトリル(0.7mL)溶液を加え、室温で1.75時間撹拌した。凍結乾燥後、得られた残渣を逆相シリカゲルカラムクロマトグラフィー(0.05%トリフルオロ酢酸水溶液/0.05%トリフルオロ酢酸アセトニトリル溶液)にて精製し、2-((tert-ブトキシカルボニル)アミノ)-6-(2,2,2-トリフルオロアセトアミド)ヘキサン酸 (2S)-(2R,3S,4R,5R)-2-((((((2R,3S,5R)-5-(4-アミノ-2-オキソピリミジン-1(2H)-イル)-2-((ホスホノオキシ)メチル)テトラヒドロフラン-3-イル)オキシ)(ヒドロキシ)ホスホリル)オキシ)メチル)-5-(6-アミノ-9H-プリン-9-イル)-4-ヒドロキシテトラヒドロフラン-3-イル(化合物tk54)(5.3mg、4%)を得た。
LCMS(ESI) m/z = 959.5 (M-H)-
保持時間:0.44分(分析条件SQDFA05)
Buffer A (20 mL) was diluted with dihydrogen phosphate ((2R, 3S, 5R) -5- (4-amino-2-oxopyrimidin-1 (2H) -yl) -3-(((((2R, 3S , 4R, 5R) -5- (6-Amino-9H-purin-9-yl) -3,4-dihydroxytetrahydrofuran-2-yl) methoxy) (hydroxy) phosphoryl) oxy) tetrahydrofuran-2-yl) methyl (
LCMS (ESI) m / z = 959.5 (M−H) −
Retention time: 0.44 minutes (analysis condition SQDFA05)
2-アミノ-6-(2,2,2-トリフルオロアセトアミド)ヘキサン酸 (2S)-(2R,3S,4R,5R)-2-((((((2R,3S,5R)-5-(4-アミノ-2-オキソピリミジン-1(2H)-イル)-2-((ホスホノオキシ)メチル)テトラヒドロフラン-3-イル)オキシ)(ヒドロキシ)ホスホリル)オキシ)メチル)-5-(6-アミノ-9H-プリン-9-イル)-4-ヒドロキシテトラヒドロフラン-3-イル(Lys(Tfa)-pdCpA)(化合物tk55)の合成
2-Amino-6- (2,2,2-trifluoroacetamido) hexanoic acid (2S)-(2R, 3S, 4R, 5R) -2-(((((((2R, 3S, 5R) -5 (4-Amino-2-oxopyrimidin-1 (2H) -yl) -2-((phosphonooxy) methyl) tetrahydrofuran-3-yl) oxy) (hydroxy) phosphoryl) oxy) methyl) -5- (6-amino Synthesis of -9H-purin-9-yl) -4-hydroxytetrahydrofuran-3-yl (Lys (Tfa) -pdCpA) (compound tk55)
2-((tert-ブトキシカルボニル)アミノ)-6-(2,2,2-トリフルオロアセトアミド)ヘキサン酸 (2S)-(2R,3S,4R,5R)-2-((((((2R,3S,5R)-5-(4-アミノ-2-オキソピリミジン-1(2H)-イル)-2-((ホスホノオキシ)メチル)テトラヒドロフラン-3-イル)オキシ)(ヒドロキシ)ホスホリル)オキシ)メチル)-5-(6-アミノ-9H-プリン-9-イル)-4-ヒドロキシテトラヒドロフラン-3-イル(化合物tk54)(5.3mg、5.52μmol)のジクロロメタン(0.1mL)溶液に10%トリフルオロ酢酸のジクロロメタン溶液(0.21mL)を添加し、室温で55分間撹拌した。減圧濃縮後、得られた残渣を逆相シリカゲルカラムクロマトグラフィー(0.05%トリフルオロ酢酸水溶液/0.05%トリフルオロ酢酸アセトニトリル溶液)にて精製し、2-アミノ-6-(2,2,2-トリフルオロアセトアミド)ヘキサン酸 (2S)-(2R,3S,4R,5R)-2-((((((2R,3S,5R)-5-(4-アミノ-2-オキソピリミジン-1(2H)-イル)-2-((ホスホノオキシ)メチル)テトラヒドロフラン-3-イル)オキシ)(ヒドロキシ)ホスホリル)オキシ)メチル)-5-(6-アミノ-9H-プリン-9-イル)-4-ヒドロキシテトラヒドロフラン-3-イル(Lys(Tfa)-pdCpA)(化合物tk55)(4.2mg、88%)を得た。
LCMS(ESI) m/z = 859.4 (M-H)-
保持時間:0.26分(分析条件SQDFA05)
2-((tert-Butoxycarbonyl) amino) -6- (2,2,2-trifluoroacetamido) hexanoic acid (2S)-(2R, 3S, 4R, 5R) -2-(((((((2R , 3S, 5R) -5- (4-amino-2-oxopyrimidin-1 (2H) -yl) -2-((phosphonooxy) methyl) tetrahydrofuran-3-yl) oxy) (hydroxy) phosphoryl) oxy) methyl ) -5- (6-Amino-9H-purin-9-yl) -4-hydroxytetrahydrofuran-3-yl (compound tk54) (5.3 mg, 5.52 μmol) in a dichloromethane (0.1 mL) solution of 10% Trichloroacetic acid in dichloromethane (0.21 mL) was added and stirred at room temperature for 55 minutes. After concentration under reduced pressure, the resulting residue was purified by reverse phase silica gel column chromatography (0.05% aqueous trifluoroacetic acid / 0.05% trifluoroacetic acid acetonitrile solution) to give 2-amino-6- (2,2 , 2-Trifluoroacetamido) hexanoic acid (2S)-(2R, 3S, 4R, 5R) -2-(((((((2R, 3S, 5R) -5- (4-amino-2-oxopyrimidine- 1 (2H) -yl) -2-((phosphonooxy) methyl) tetrahydrofuran-3-yl) oxy) (hydroxy) phosphoryl) oxy) methyl) -5- (6-amino-9H-purin-9-yl)- 4-hydroxytetrahydrofuran-3-yl (Lys (Tfa) -pdCpA) (compound tk55) (4.2 mg, 88%) was obtained.
LCMS (ESI) m / z = 859.4 (M−H) −
Retention time: 0.26 minutes (analysis condition SQDFA05)
10-1-11. アミノアシル化pdCpA化合物tk60の合成
以下のスキームに従い、合成を行った。
10-1-11. Synthesis of aminoacylated pdCpA compound tk60 Synthesis was performed according to the following scheme.
(S)-5-((((4-アジドベンジル)オキシ)カルボニル)アミノ)-2-((tert-ブトキシカルボニル)アミノ)ペンタン酸(化合物tk57)の合成
Synthesis of (S) -5-((((4-azidobenzyl) oxy) carbonyl) amino) -2-((tert-butoxycarbonyl) amino) pentanoic acid (compound tk57)
Boc-Orn-OH(化合物tk56)(321mg、1.382mmol)と炭酸水素ナトリウム(290mg、3.45mmol)の1,4-ジオキサン(3mL)-水(2mL)の懸濁液に文献記載(Bioconjugate Chem. 2008, 19, 714.)の方法で合成した炭酸(4-ニトロフェニル)4-アジドベンジル(化合物tk32)(521mg、1.658mmol)を添加した。反応混合物を室温で23時間撹拌後、氷浴で冷却し、酢酸エチル及び水で希釈した混合物に飽和硫酸水素カリウム水溶液(2mL)を添加した。酢酸エチルにて抽出し(2回)、有機相を水(10mLで2回)及び食塩水(10mL)にて洗浄し、硫酸ナトリウムにて乾燥した。減圧濃縮後、得られた粗生成物を順相シリカゲルカラムクロマトグラフィー(ヘキサン/酢酸エチル)にて精製し、((S)-5-((((4-アジドベンジル)オキシ)カルボニル)アミノ)-2-((tert-ブトキシカルボニル)アミノ)ペンタン酸(化合物tk57)(501.3mg、89%)を得た。
LCMS(ESI) m/z = 406 (M-H)-
保持時間:0.73分(分析条件SQDFA05)
A suspension of Boc-Orn-OH (compound tk56) (321 mg, 1.382 mmol) and sodium bicarbonate (290 mg, 3.45 mmol) in 1,4-dioxane (3 mL) -water (2 mL) described in the literature (Bioconjugate Chem. 2008, 19, 714.) (4-nitrophenyl) 4-azidobenzyl carbonate (Compound tk32) (521 mg, 1.658 mmol) was added. The reaction mixture was stirred at room temperature for 23 hours, cooled in an ice bath, and saturated aqueous potassium hydrogen sulfate solution (2 mL) was added to the mixture diluted with ethyl acetate and water. Extraction with ethyl acetate (twice), the organic phase was washed with water (twice with 10 mL) and brine (10 mL) and dried over sodium sulfate. After concentration under reduced pressure, the resulting crude product was purified by normal phase silica gel column chromatography (hexane / ethyl acetate) to obtain ((S) -5-((((4-azidobenzyl) oxy) carbonyl) amino) -2-((tert-Butoxycarbonyl) amino) pentanoic acid (Compound tk57) (501.3 mg, 89%) was obtained.
LCMS (ESI) m / z = 406 (M−H) −
Retention time: 0.73 minutes (analysis condition SQDFA05)
5-((((4-アジドベンジル)オキシ)カルボニル)アミノ)-2-((tert-ブトキシカルボニル)アミノ)ペンタン酸 (S)-シアノメチル(化合物tk58)の合成
Synthesis of 5-(((((4-azidobenzyl) oxy) carbonyl) amino) -2-((tert-butoxycarbonyl) amino) pentanoic acid (S) -cyanomethyl (compound tk58)
窒素雰囲気下、(S)-5-((((4-アジドベンジル)オキシ)カルボニル)アミノ)-2-((tert-ブトキシカルボニル)アミノ)ペンタン酸(化合物tk57)(367mg、0.901mmol)のアセトニトリル(1mL)溶液に、室温でN,N-ジイソプロピルエチルアミン(173μL、0.991mmol)、続いてブロモアセトニトリル(314μL、4.50mmol)を添加した。反応混合物を同温度にて1時間撹拌後、減圧濃縮して得られた粗生成物を順相シリカゲルカラムクロマトグラフィー(ヘキサン/酢酸エチル)にて精製し、5-((((4-アジドベンジル)オキシ)カルボニル)アミノ)-2-((tert-ブトキシカルボニル)アミノ)ペンタン酸 (S)-シアノメチル(化合物tk58)(417.2mg、quant.)を得た。
LCMS(ESI) m/z = 445 (M-H)-
保持時間:0.82分(分析条件SQDFA05)
Under a nitrogen atmosphere, (S) -5-((((4-azidobenzyl) oxy) carbonyl) amino) -2-((tert-butoxycarbonyl) amino) pentanoic acid (compound tk57) (367 mg, 0.901 mmol) To an acetonitrile (1 mL) solution was added N, N-diisopropylethylamine (173 μL, 0.991 mmol) followed by bromoacetonitrile (314 μL, 4.50 mmol) at room temperature. The reaction mixture was stirred at the same temperature for 1 hour and then concentrated under reduced pressure, and the resulting crude product was purified by normal phase silica gel column chromatography (hexane / ethyl acetate) to give 5-(((((4-azidobenzyl ) Oxy) carbonyl) amino) -2-((tert-butoxycarbonyl) amino) pentanoic acid (S) -cyanomethyl (compound tk58) (417.2 mg, quant.) Was obtained.
LCMS (ESI) m / z = 445 (M−H) −
Retention time: 0.82 minutes (analysis condition SQDFA05)
x.5-((((4-アジドベンジル)オキシ)カルボニル)アミノ)-2-((tert-ブトキシカルボニル)アミノ)ペンタン酸 (2S)-(2R,3S,4R,5R)-2-((((((2R,3S,5R)-5-(4-アミノ-2-オキソピリミジン-1(2H)-イル)-2-((ホスホノオキシ)メチル)テトラヒドロフラン-3-イル)オキシ)(ヒドロキシ)ホスホリル)オキシ)メチル)-5-(6-アミノ-9H-プリン-9-イル)-4-ヒドロキシテトラヒドロフラン-3-イル(化合物tk59)の合成
x. 5-((((4-Azidobenzyl) oxy) carbonyl) amino) -2-((tert-butoxycarbonyl) amino) pentanoic acid (2S)-(2R, 3S, 4R, 5R) -2-((( (((2R, 3S, 5R) -5- (4-amino-2-oxopyrimidin-1 (2H) -yl) -2-((phosphonooxy) methyl) tetrahydrofuran-3-yl) oxy) (hydroxy) phosphoryl Synthesis of) oxy) methyl) -5- (6-amino-9H-purin-9-yl) -4-hydroxytetrahydrofuran-3-yl (compound tk59)
緩衝液A(33mL)にリン酸二水素 ((2R,3S,5R)-5-(4-アミノ-2-オキソピリミジン-1(2H)-イル)-3-(((((2R,3S,4R,5R)-5-(6-アミノ-9H-プリン-9-イル)-3,4-ジヒドロキシテトラヒドロフラン-2-イル)メトキシ)(ヒドロキシ)ホスホリル)オキシ)テトラヒドロフラン-2-イル)メチル(化合物1h)(143mg、0.224mmol)と5-((((4-アジドベンジル)オキシ)カルボニル)アミノ)-2-((tert-ブトキシカルボニル)アミノ)ペンタン酸 (S)-シアノメチル(化合物tk58)(400mg、0.896mmol)のアセトニトリル(1mL)溶液を加え、室温で1.5時間撹拌した。凍結乾燥後、得られた残渣を逆相シリカゲルカラムクロマトグラフィー(0.05%トリフルオロ酢酸水溶液/0.05%トリフルオロ酢酸アセトニトリル溶液)にて精製し、5-((((4-アジドベンジル)オキシ)カルボニル)アミノ)-2-((tert-ブトキシカルボニル)アミノ)ペンタン酸 (2S)-(2R,3S,4R,5R)-2-((((((2R,3S,5R)-5-(4-アミノ-2-オキソピリミジン-1(2H)-イル)-2-((ホスホノオキシ)メチル)テトラヒドロフラン-3-イル)オキシ)(ヒドロキシ)ホスホリル)オキシ)メチル)-5-(6-アミノ-9H-プリン-9-イル)-4-ヒドロキシテトラヒドロフラン-3-イル(化合物tk59)(54.7mg、24%)を得た。
LCMS(ESI) m/z = 1024.5 (M-H)-
保持時間:0.54分(分析条件SQDFA05)
In buffer A (33 mL), dihydrogen phosphate ((2R, 3S, 5R) -5- (4-amino-2-oxopyrimidin-1 (2H) -yl) -3-(((((2R, 3S , 4R, 5R) -5- (6-Amino-9H-purin-9-yl) -3,4-dihydroxytetrahydrofuran-2-yl) methoxy) (hydroxy) phosphoryl) oxy) tetrahydrofuran-2-yl) methyl (
LCMS (ESI) m / z = 1024.5 (M−H) −
Retention time: 0.54 minutes (analysis condition SQDFA05)
2-アミノ-5-((((4-アジドベンジル)オキシ)カルボニル)アミノ)ペンタン酸 (2S)-(2R,3S,4R,5R)-2-((((((2R,3S,5R)-5-(4-アミノ-2-オキソピリミジン-1(2H)-イル)-2-((ホスホノオキシ)メチル)テトラヒドロフラン-3-イル)オキシ)(ヒドロキシ)ホスホリル)オキシ)メチル)-5-(6-アミノ-9H-プリン-9-イル)-4-ヒドロキシテトラヒドロフラン-3-イル(Orn(Acbz)-pdCpA)(化合物tk60)の合成
2-amino-5-((((4-azidobenzyl) oxy) carbonyl) amino) pentanoic acid (2S)-(2R, 3S, 4R, 5R) -2-(((((((2R, 3S, 5R ) -5- (4-Amino-2-oxopyrimidin-1 (2H) -yl) -2-((phosphonooxy) methyl) tetrahydrofuran-3-yl) oxy) (hydroxy) phosphoryl) oxy) methyl) -5 Synthesis of (6-amino-9H-purin-9-yl) -4-hydroxytetrahydrofuran-3-yl (Orn (Acbz) -pdCpA) (compound tk60)
5-((((4-アジドベンジル)オキシ)カルボニル)アミノ)-2-((tert-ブトキシカルボニル)アミノ)ペンタン酸 (2S)-(2R,3S,4R,5R)-2-((((((2R,3S,5R)-5-(4-アミノ-2-オキソピリミジン-1(2H)-イル)-2-((ホスホノオキシ)メチル)テトラヒドロフラン-3-イル)オキシ)(ヒドロキシ)ホスホリル)オキシ)メチル)-5-(6-アミノ-9H-プリン-9-イル)-4-ヒドロキシテトラヒドロフラン-3-イル(化合物tk59)(22.7mg、0.022mmol)のジクロロメタン(0.4mL)溶液に、10%トリフルオロ酢酸のジクロロメタン溶液(0.4mL)を添加し、室温で20分間撹拌した。減圧濃縮後、得られた残渣を逆相シリカゲルカラムクロマトグラフィー(0.05%トリフルオロ酢酸水溶液/0.05%トリフルオロ酢酸アセトニトリル溶液)にて精製し、2-アミノ-5-((((4-アジドベンジル)オキシ)カルボニル)アミノ)ペンタン酸 (2S)-(2R,3S,4R,5R)-2-((((((2R,3S,5R)-5-(4-アミノ-2-オキソピリミジン-1(2H)-イル)-2-((ホスホノオキシ)メチル)テトラヒドロフラン-3-イル)オキシ)(ヒドロキシ)ホスホリル)オキシ)メチル)-5-(6-アミノ-9H-プリン-9-イル)-4-ヒドロキシテトラヒドロフラン-3-イル(Orn(Acbz)-pdCpA)(化合物tk60)(4.3mg、21%)を得た。
LCMS(ESI) m/z = 924.3 (M-H)-
保持時間:0.37分(分析条件SQDFA05)
5-((((4-Azidobenzyl) oxy) carbonyl) amino) -2-((tert-butoxycarbonyl) amino) pentanoic acid (2S)-(2R, 3S, 4R, 5R) -2-((( (((2R, 3S, 5R) -5- (4-amino-2-oxopyrimidin-1 (2H) -yl) -2-((phosphonooxy) methyl) tetrahydrofuran-3-yl) oxy) (hydroxy) phosphoryl ) Oxy) methyl) -5- (6-amino-9H-purin-9-yl) -4-hydroxytetrahydrofuran-3-yl (compound tk59) (22.7 mg, 0.022 mmol) in dichloromethane (0.4 mL) To the solution was added 10% trifluoroacetic acid in dichloromethane (0.4 mL) and stirred at room temperature for 20 minutes. After concentration under reduced pressure, the resulting residue was purified by reverse phase silica gel column chromatography (0.05% aqueous trifluoroacetic acid / 0.05% trifluoroacetic acid acetonitrile solution) to give 2-amino-5-(((( 4-azidobenzyl) oxy) carbonyl) amino) pentanoic acid (2S)-(2R, 3S, 4R, 5R) -2-((((((((2R, 3S, 5R) -5- (4-amino-2 -Oxopyrimidin-1 (2H) -yl) -2-((phosphonooxy) methyl) tetrahydrofuran-3-yl) oxy) (hydroxy) phosphoryl) oxy) methyl) -5- (6-amino-9H-purine-9 -Il) -4-hydroxytetrahydrofuran-3-yl (Orn (Acbz) -pdCpA) (compound tk60) (4.3 mg, 21%) was obtained.
LCMS (ESI) m / z = 924.3 (M−H) −
Retention time: 0.37 minutes (analysis condition SQDFA05)
10-1-12. アミノアシル化pdCpA化合物tk64の合成
以下のスキームに従い、合成を行った。
10-1-12. Synthesis of aminoacylated pdCpA compound tk64 Synthesis was performed according to the following scheme.
(S)-5-((((2-アジドベンジル)オキシ)カルボニル)アミノ)-2-((tert-ブトキシカルボニル)アミノ)ペンタン酸(化合物tk61)の合成
Synthesis of (S) -5-((((2-azidobenzyl) oxy) carbonyl) amino) -2-((tert-butoxycarbonyl) amino) pentanoic acid (compound tk61)
Boc-Orn-OH(化合物tk56)(308mg、1.326mmol)と炭酸水素ナトリウム(278mg、3.32mmol)の1,4-ジオキサン(3mL)-水(2mL)の懸濁液に炭酸(4-ニトロフェニル)2-アジドベンジル(化合物tk13)(458mg、1.459mmol)を添加した。反応混合物を室温で20.25時間撹拌後、氷浴で冷却し、酢酸エチル及び水で希釈した混合物に飽和硫酸水素カリウム水溶液(1.5mL)を添加した。酢酸エチルにて抽出し(2回)、有機相を水(10mLで2回)及び食塩水(10mL)にて洗浄し、硫酸ナトリウムにて乾燥した。減圧濃縮後、得られた粗生成物を順相シリカゲルカラムクロマトグラフィー(ヘキサン/酢酸エチル)にて精製し、(S)-5-((((2-アジドベンジル)オキシ)カルボニル)アミノ)-2-((tert-ブトキシカルボニル)アミノ)ペンタン酸(化合物tk61)(556.0mg、quant.)を得た。
LCMS(ESI) m/z = 406 (M-H)-
保持時間:0.73分(分析条件SQDFA05)
A suspension of Boc-Orn-OH (compound tk56) (308 mg, 1.326 mmol) and sodium bicarbonate (278 mg, 3.32 mmol) in 1,4-dioxane (3 mL) -water (2 mL) Nitrophenyl) 2-azidobenzyl (compound tk13) (458 mg, 1.659 mmol) was added. The reaction mixture was stirred at room temperature for 20.25 hours, cooled in an ice bath, and saturated aqueous potassium hydrogen sulfate solution (1.5 mL) was added to the mixture diluted with ethyl acetate and water. Extraction with ethyl acetate (twice), the organic phase was washed with water (twice with 10 mL) and brine (10 mL) and dried over sodium sulfate. After concentration under reduced pressure, the resulting crude product was purified by normal phase silica gel column chromatography (hexane / ethyl acetate) to obtain (S) -5-((((2-azidobenzyl) oxy) carbonyl) amino)- 2-((tert-butoxycarbonyl) amino) pentanoic acid (Compound tk61) (556.0 mg, quant.) Was obtained.
LCMS (ESI) m / z = 406 (M−H) −
Retention time: 0.73 minutes (analysis condition SQDFA05)
5-((((2-アジドベンジル)オキシ)カルボニル)アミノ)-2-((tert-ブトキシカルボニル)アミノ)ペンタン酸 (S)-シアノメチル(化合物tk62)の合成
Synthesis of 5-((((2-azidobenzyl) oxy) carbonyl) amino) -2-((tert-butoxycarbonyl) amino) pentanoic acid (S) -cyanomethyl (compound tk62)
窒素雰囲気下、(S)-5-((((2-アジドベンジル)オキシ)カルボニル)アミノ)-2-((tert-ブトキシカルボニル)アミノ)ペンタン酸(化合物tk61)(435.5mg、1.069mmol)のアセトニトリル(1mL)溶液に、室温でN,N-ジイソプロピルエチルアミン(205μL、1.176mmol)、続いてブロモアセトニトリル(373μL、5.34mmol)を添加した。反応混合物を同温度にて3.5時間撹拌後、減圧濃縮して得られた粗生成物を順相シリカゲルカラムクロマトグラフィー(ヘキサン/酢酸エチル)にて精製し、5-((((2-アジドベンジル)オキシ)カルボニル)アミノ)-2-((tert-ブトキシカルボニル)アミノ)ペンタン酸 (S)-シアノメチル(化合物tk62)(477.2mg、quant.)を得た。
LCMS(ESI) m/z = 445.4 (M-H)-
保持時間:0.81分(分析条件SQDFA05)
Under a nitrogen atmosphere, (S) -5-((((2-azidobenzyl) oxy) carbonyl) amino) -2-((tert-butoxycarbonyl) amino) pentanoic acid (compound tk61) (435.5 mg, 1. 069 mmol) in acetonitrile (1 mL) at room temperature was added N, N-diisopropylethylamine (205 μL, 1.176 mmol) followed by bromoacetonitrile (373 μL, 5.34 mmol). The reaction mixture was stirred at the same temperature for 3.5 hours and then concentrated under reduced pressure, and the resulting crude product was purified by normal phase silica gel column chromatography (hexane / ethyl acetate) to give 5-(((((2- Azidobenzyl) oxy) carbonyl) amino) -2-((tert-butoxycarbonyl) amino) pentanoic acid (S) -cyanomethyl (compound tk62) (477.2 mg, quant.) Was obtained.
LCMS (ESI) m / z = 445.4 (M−H) −
Retention time: 0.81 minutes (analysis condition SQDFA05)
5-((((2-アジドベンジル)オキシ)カルボニル)アミノ)-2-((tert-ブトキシカルボニル)アミノ)ペンタン酸 (2S)-(2R,3S,4R,5R)-2-((((((2R,3S,5R)-5-(4-アミノ-2-オキソピリミジン-1(2H)-イル)-2-((ホスホノオキシ)メチル)テトラヒドロフラン-3-イル)オキシ)(ヒドロキシ)ホスホリル)オキシ)メチル)-5-(6-アミノ-9H-プリン-9-イル)-4-ヒドロキシテトラヒドロフラン-3-イル(化合物tk63)の合成
5-((((2-azidobenzyl) oxy) carbonyl) amino) -2-((tert-butoxycarbonyl) amino) pentanoic acid (2S)-(2R, 3S, 4R, 5R) -2-((( (((2R, 3S, 5R) -5- (4-amino-2-oxopyrimidin-1 (2H) -yl) -2-((phosphonooxy) methyl) tetrahydrofuran-3-yl) oxy) (hydroxy) phosphoryl Synthesis of) oxy) methyl) -5- (6-amino-9H-purin-9-yl) -4-hydroxytetrahydrofuran-3-yl (compound tk63)
緩衝液A(33mL)にリン酸二水素 ((2R,3S,5R)-5-(4-アミノ-2-オキソピリミジン-1(2H)-イル)-3-(((((2R,3S,4R,5R)-5-(6-アミノ-9H-プリン-9-イル)-3,4-ジヒドロキシテトラヒドロフラン-2-イル)メトキシ)(ヒドロキシ)ホスホリル)オキシ)テトラヒドロフラン-2-イル)メチル(化合物1h)(160mg、0.252mmol)と5-((((2-アジドベンジル)オキシ)カルボニル)アミノ)-2-((tert-ブトキシカルボニル)アミノ)ペンタン酸 (S)-シアノメチル(化合物tk62)(450mg、1.008mmol)のアセトニトリル(1.5mL)溶液を加え、室温で2時間撹拌した。凍結乾燥後、得られた残渣を逆相シリカゲルカラムクロマトグラフィー(0.05%トリフルオロ酢酸水溶液/0.05%トリフルオロ酢酸アセトニトリル溶液)にて精製し、5-((((2-アジドベンジル)オキシ)カルボニル)アミノ)-2-((tert-ブトキシカルボニル)アミノ)ペンタン酸 (2S)-(2R,3S,4R,5R)-2-((((((2R,3S,5R)-5-(4-アミノ-2-オキソピリミジン-1(2H)-イル)-2-((ホスホノオキシ)メチル)テトラヒドロフラン-3-イル)オキシ)(ヒドロキシ)ホスホリル)オキシ)メチル)-5-(6-アミノ-9H-プリン-9-イル)-4-ヒドロキシテトラヒドロフラン-3-イル(化合物tk63)(51.3mg、20%)を得た。
LCMS(ESI) m/z = 1024.5 (M-H)-
保持時間:0.54分(分析条件SQDFA05)
In buffer A (33 mL), dihydrogen phosphate ((2R, 3S, 5R) -5- (4-amino-2-oxopyrimidin-1 (2H) -yl) -3-(((((2R, 3S , 4R, 5R) -5- (6-Amino-9H-purin-9-yl) -3,4-dihydroxytetrahydrofuran-2-yl) methoxy) (hydroxy) phosphoryl) oxy) tetrahydrofuran-2-yl) methyl (
LCMS (ESI) m / z = 1024.5 (M−H) −
Retention time: 0.54 minutes (analysis condition SQDFA05)
2-アミノ-5-((((2-アジドベンジル)オキシ)カルボニル)アミノ)ペンタン酸 (2S)-(2R,3S,4R,5R)-2-((((((2R,3S,5R)-5-(4-アミノ-2-オキソピリミジン-1(2H)-イル)-2-((ホスホノオキシ)メチル)テトラヒドロフラン-3-イル)オキシ)(ヒドロキシ)ホスホリル)オキシ)メチル)-5-(6-アミノ-9H-プリン-9-イル)-4-ヒドロキシテトラヒドロフラン-3-イル(Orn(oAcbz)-pdCpA)(化合物tk64)の合成
2-Amino-5-((((2-azidobenzyl) oxy) carbonyl) amino) pentanoic acid (2S)-(2R, 3S, 4R, 5R) -2-((((((((2R, 3S, 5R ) -5- (4-Amino-2-oxopyrimidin-1 (2H) -yl) -2-((phosphonooxy) methyl) tetrahydrofuran-3-yl) oxy) (hydroxy) phosphoryl) oxy) methyl) -5 Synthesis of (6-amino-9H-purin-9-yl) -4-hydroxytetrahydrofuran-3-yl (Orn (oAcbz) -pdCpA) (compound tk64)
5-((((2-アジドベンジル)オキシ)カルボニル)アミノ)-2-((tert-ブトキシカルボニル)アミノ)ペンタン酸 (2S)-(2R,3S,4R,5R)-2-((((((2R,3S,5R)-5-(4-アミノ-2-オキソピリミジン-1(2H)-イル)-2-((ホスホノオキシ)メチル)テトラヒドロフラン-3-イル)オキシ)(ヒドロキシ)ホスホリル)オキシ)メチル)-5-(6-アミノ-9H-プリン-9-イル)-4-ヒドロキシテトラヒドロフラン-3-イル(化合物tk63)(51mg、0.050mmol)のジクロロメタン(0.45mL)溶液に、10%トリフルオロ酢酸のジクロロメタン溶液(0.45mL)を添加し、室温で45分間撹拌した。減圧濃縮後、得られた残渣を逆相シリカゲルカラムクロマトグラフィー(0.05%トリフルオロ酢酸水溶液/0.05%トリフルオロ酢酸アセトニトリル溶液)にて精製し、2-アミノ-5-((((2-アジドベンジル)オキシ)カルボニル)アミノ)ペンタン酸 (2S)-(2R,3S,4R,5R)-2-((((((2R,3S,5R)-5-(4-アミノ-2-オキソピリミジン-1(2H)-イル)-2-((ホスホノオキシ)メチル)テトラヒドロフラン-3-イル)オキシ)(ヒドロキシ)ホスホリル)オキシ)メチル)-5-(6-アミノ-9H-プリン-9-イル)-4-ヒドロキシテトラヒドロフラン-3-イル(Orn(oAcbz)-pdCpA)(化合物tk64)(42.6mg、93%)を得た。
LCMS(ESI) m/z = 924.4 (M-H)-
保持時間:0.37分(分析条件SQDFA05)
5-((((2-azidobenzyl) oxy) carbonyl) amino) -2-((tert-butoxycarbonyl) amino) pentanoic acid (2S)-(2R, 3S, 4R, 5R) -2-((( (((2R, 3S, 5R) -5- (4-amino-2-oxopyrimidin-1 (2H) -yl) -2-((phosphonooxy) methyl) tetrahydrofuran-3-yl) oxy) (hydroxy) phosphoryl ) Oxy) methyl) -5- (6-amino-9H-purin-9-yl) -4-hydroxytetrahydrofuran-3-yl (compound tk63) (51 mg, 0.050 mmol) in dichloromethane (0.45 mL) 10% Trifluoroacetic acid in dichloromethane (0.45 mL) was added and stirred at room temperature for 45 minutes. After concentration under reduced pressure, the resulting residue was purified by reverse phase silica gel column chromatography (0.05% aqueous trifluoroacetic acid / 0.05% trifluoroacetic acid acetonitrile solution) to give 2-amino-5-(((( 2-azidobenzyl) oxy) carbonyl) amino) pentanoic acid (2S)-(2R, 3S, 4R, 5R) -2-((((((((2R, 3S, 5R) -5- (4-amino-2 -Oxopyrimidin-1 (2H) -yl) -2-((phosphonooxy) methyl) tetrahydrofuran-3-yl) oxy) (hydroxy) phosphoryl) oxy) methyl) -5- (6-amino-9H-purine-9 -Yl) -4-hydroxytetrahydrofuran-3-yl (Orn (oAcbz) -pdCpA) (compound tk64) (42.6 mg, 93%) was obtained.
LCMS (ESI) m / z = 924.4 (M−H) −
Retention time: 0.37 minutes (analysis condition SQDFA05)
10-1-13. アミノアシル化pdCpA化合物tk68の合成
以下のスキームに従い、合成を行った。
10-1-13. Synthesis of aminoacylated pdCpA compound tk68 Synthesis was performed according to the following scheme.
5-(((ベンジルオキシ)カルボニル)アミノ)-2-((tert-ブトキシカルボニル)アミノ)ペンタン酸 (S)-シアノメチル(化合物tk66)の合成
Synthesis of 5-(((benzyloxy) carbonyl) amino) -2-((tert-butoxycarbonyl) amino) pentanoic acid (S) -cyanomethyl (compound tk66)
窒素雰囲気下、Boc-Orn(Z)-OH(化合物tk65)(160mg、0.437mmol)のアセトニトリル(0.5mL)溶液に、室温でN,N-ジイソプロピルエチルアミン(84μL、0.480mmol)、続いてブロモアセトニトリル(152μL、2.183mmol)を添加した。反応混合物を同温度にて1時間撹拌後、減圧濃縮して得られた粗生成物を順相シリカゲルカラムクロマトグラフィー(ヘキサン/酢酸エチル)にて精製し、5-(((ベンジルオキシ)カルボニル)アミノ)-2-((tert-ブトキシカルボニル)アミノ)ペンタン酸 (S)-シアノメチル(化合物tk66)(186.7mg、quant.)を得た。
LCMS(ESI) m/z = 404 (M-H)-
保持時間:0.77分(分析条件SQDFA05)
Under a nitrogen atmosphere, a solution of Boc-Orn (Z) —OH (compound tk65) (160 mg, 0.437 mmol) in acetonitrile (0.5 mL) was added N, N-diisopropylethylamine (84 μL, 0.480 mmol) at room temperature, followed by Bromoacetonitrile (152 μL, 2.183 mmol) was added. The reaction mixture was stirred at the same temperature for 1 hour and then concentrated under reduced pressure. The resulting crude product was purified by normal phase silica gel column chromatography (hexane / ethyl acetate) to give 5-(((benzyloxy) carbonyl). Amino) -2-((tert-butoxycarbonyl) amino) pentanoic acid (S) -cyanomethyl (compound tk66) (186.7 mg, quant.) Was obtained.
LCMS (ESI) m / z = 404 (M−H) −
Retention time: 0.77 minutes (analysis condition SQDFA05)
5-(((ベンジルオキシ)カルボニル)アミノ)-2-((tert-ブトキシカルボニル)アミノ)ペンタン酸 (2S)-(2R,3S,4R,5R)-2-((((((2R,3S,5R)-5-(4-アミノ-2-オキソピリミジン-1(2H)-イル)-2-((ホスホノオキシ)メチル)テトラヒドロフラン-3-イル)オキシ)(ヒドロキシ)ホスホリル)オキシ)メチル)-5-(6-アミノ-9H-プリン-9-イル)-4-ヒドロキシテトラヒドロフラン-3-イル(化合物tk67)の合成
5-((((benzyloxy) carbonyl) amino) -2-((tert-butoxycarbonyl) amino) pentanoic acid (2S)-(2R, 3S, 4R, 5R) -2-(((((((2R, 3S, 5R) -5- (4-amino-2-oxopyrimidin-1 (2H) -yl) -2-((phosphonooxy) methyl) tetrahydrofuran-3-yl) oxy) (hydroxy) phosphoryl) oxy) methyl) Synthesis of -5- (6-amino-9H-purin-9-yl) -4-hydroxytetrahydrofuran-3-yl (compound tk67)
緩衝液A(18mL)にリン酸二水素 ((2R,3S,5R)-5-(4-アミノ-2-オキソピリミジン-1(2H)-イル)-3-(((((2R,3S,4R,5R)-5-(6-アミノ-9H-プリン-9-イル)-3,4-ジヒドロキシテトラヒドロフラン-2-イル)メトキシ)(ヒドロキシ)ホスホリル)オキシ)テトラヒドロフラン-2-イル)メチル(化合物1h)(67.9mg、0.107mmol)の水溶液(0.3mL)と5-(((ベンジルオキシ)カルボニル)アミノ)-2-((tert-ブトキシカルボニル)アミノ)ペンタン酸 (S)-シアノメチル(化合物tk66)(173mg、0.427mmol)のアセトニトリル(0.3mL)溶液を加え、室温で1.25時間撹拌した。凍結乾燥後、得られた残渣を逆相シリカゲルカラムクロマトグラフィー(0.05%トリフルオロ酢酸水溶液/0.05%トリフルオロ酢酸アセトニトリル溶液)にて精製し、5-(((ベンジルオキシ)カルボニル)アミノ)-2-((tert-ブトキシカルボニル)アミノ)ペンタン酸 (2S)-(2R,3S,4R,5R)-2-((((((2R,3S,5R)-5-(4-アミノ-2-オキソピリミジン-1(2H)-イル)-2-((ホスホノオキシ)メチル)テトラヒドロフラン-3-イル)オキシ)(ヒドロキシ)ホスホリル)オキシ)メチル)-5-(6-アミノ-9H-プリン-9-イル)-4-ヒドロキシテトラヒドロフラン-3-イル(化合物tk67)(30.1mg、29%)を得た。
LCMS(ESI) m/z = 983.4 (M-H)-
保持時間:0.54分(分析条件SQDFA05)
In buffer A (18 mL), dihydrogen phosphate ((2R, 3S, 5R) -5- (4-amino-2-oxopyrimidin-1 (2H) -yl) -3-(((((2R, 3S , 4R, 5R) -5- (6-Amino-9H-purin-9-yl) -3,4-dihydroxytetrahydrofuran-2-yl) methoxy) (hydroxy) phosphoryl) oxy) tetrahydrofuran-2-yl) methyl (
LCMS (ESI) m / z = 983.4 (M−H) −
Retention time: 0.54 minutes (analysis condition SQDFA05)
2-アミノ-5-(((ベンジルオキシ)カルボニル)アミノ)ペンタン酸 (2S)-(2R,3S,4R,5R)-2-((((((2R,3S,5R)-5-(4-アミノ-2-オキソピリミジン-1(2H)-イル)-2-((ホスホノオキシ)メチル)テトラヒドロフラン-3-イル)オキシ)(ヒドロキシ)ホスホリル)オキシ)メチル)-5-(6-アミノ-9H-プリン-9-イル)-4-ヒドロキシテトラヒドロフラン-3-イル(Orn(Z)-pdCpA)(化合物tk68)の合成
2-Amino-5-(((benzyloxy) carbonyl) amino) pentanoic acid (2S)-(2R, 3S, 4R, 5R) -2-(((((((2R, 3S, 5R) -5- ( 4-Amino-2-oxopyrimidin-1 (2H) -yl) -2-((phosphonooxy) methyl) tetrahydrofuran-3-yl) oxy) (hydroxy) phosphoryl) oxy) methyl) -5- (6-amino- Synthesis of 9H-purin-9-yl) -4-hydroxytetrahydrofuran-3-yl (Orn (Z) -pdCpA) (compound tk68)
5-(((ベンジルオキシ)カルボニル)アミノ)-2-((tert-ブトキシカルボニル)アミノ)ペンタン酸 (2S)-(2R,3S,4R,5R)-2-((((((2R,3S,5R)-5-(4-アミノ-2-オキソピリミジン-1(2H)-イル)-2-((ホスホノオキシ)メチル)テトラヒドロフラン-3-イル)オキシ)(ヒドロキシ)ホスホリル)オキシ)メチル)-5-(6-アミノ-9H-プリン-9-イル)-4-ヒドロキシテトラヒドロフラン-3-イル(化合物tk67)(30mg、0.030mmol)のジクロロメタン(1.1mL)溶液にトリフルオロ酢酸(0.117mL)を添加し、室温で35分間撹拌した。減圧濃縮後、得られた残渣を逆相シリカゲルカラムクロマトグラフィー(0.05%トリフルオロ酢酸水溶液/0.05%トリフルオロ酢酸アセトニトリル溶液)にて精製し、2-アミノ-5-(((ベンジルオキシ)カルボニル)アミノ)ペンタン酸 (2S)-(2R,3S,4R,5R)-2-((((((2R,3S,5R)-5-(4-アミノ-2-オキソピリミジン-1(2H)-イル)-2-((ホスホノオキシ)メチル)テトラヒドロフラン-3-イル)オキシ)(ヒドロキシ)ホスホリル)オキシ)メチル)-5-(6-アミノ-9H-プリン-9-イル)-4-ヒドロキシテトラヒドロフラン-3-イル(Orn(Z)-pdCpA)(化合物tk68)(24.4mg、91%)を得た。
LCMS(ESI) m/z = 883.3 (M-H)-
保持時間:0.33分(分析条件SQDFA05)
5-(((benzyloxy) carbonyl) amino) -2-((tert-butoxycarbonyl) amino) pentanoic acid (2S)-(2R, 3S, 4R, 5R) -2-(((((((2R, 3S, 5R) -5- (4-Amino-2-oxopyrimidin-1 (2H) -yl) -2-((phosphonooxy) methyl) tetrahydrofuran-3-yl) oxy) (hydroxy) phosphoryl) oxy) methyl) To a solution of -5- (6-amino-9H-purin-9-yl) -4-hydroxytetrahydrofuran-3-yl (compound tk67) (30 mg, 0.030 mmol) in dichloromethane (1.1 mL) was added trifluoroacetic acid (0 117 mL) and stirred at room temperature for 35 minutes. After concentration under reduced pressure, the resulting residue was purified by reverse phase silica gel column chromatography (0.05% aqueous trifluoroacetic acid / 0.05% trifluoroacetic acid acetonitrile solution) to give 2-amino-5-(((benzyl Oxy) carbonyl) amino) pentanoic acid (2S)-(2R, 3S, 4R, 5R) -2-(((((((2R, 3S, 5R) -5- (4-amino-2-oxopyrimidine-1 (2H) -yl) -2-((phosphonooxy) methyl) tetrahydrofuran-3-yl) oxy) (hydroxy) phosphoryl) oxy) methyl) -5- (6-amino-9H-purin-9-yl) -4 -Hydroxytetrahydrofuran-3-yl (Orn (Z) -pdCpA) (compound tk68) (24.4 mg, 91%) was obtained.
LCMS (ESI) m / z = 883.3 (M−H) −
Retention time: 0.33 minutes (analysis condition SQDFA05)
10-1-14. アミノアシル化pdCpA化合物tk72の合成
以下のスキームに従い、合成を行った。
10-1-14. Synthesis of aminoacylated pdCpA compound tk72 Synthesis was performed according to the following scheme.
(S)-5-アジド-2-((tert-ブトキシカルボニル)アミノ)ペンタン酸(化合物tk69)の合成
Synthesis of (S) -5-azido-2-((tert-butoxycarbonyl) amino) pentanoic acid (compound tk69)
Boc-Orn-OH(化合物tk56)(1.0g、4.31mmol)と硫酸銅五水和物(21mg、0.086mmol)のメタノール(20mL)-水(6mL)混合物に室温で炭酸水素ナトリウム(1.99g、23.68mmol)を添加し、続いて文献記載(Org.Lett., 2007, 9, 3797.)の方法で合成したアジ化 1H-イミダゾール-1-スルホニル塩酸塩(1.08g、5.17mmol)を加えた。反応混合物を室温で24時間撹拌した。反応混合物を氷浴で冷却後、飽和硫酸水素カリウム水溶液(8mL)を添加した。得られた混合物を酢酸エチルにて抽出し(3回)、有機相を減圧濃縮した。得られた残渣を逆相シリカゲルカラムクロマトグラフィー(0.05%トリフルオロ酢酸水溶液/0.05%トリフルオロ酢酸アセトニトリル溶液)にて精製し、(S)-5-アジド-2-((tert-ブトキシカルボニル)アミノ)ペンタン酸(化合物tk69)(1.19g、quant.)を得た。
LCMS(ESI) m/z = 257 (M-H)-
保持時間:0.61分(分析条件SQDFA05)
A mixture of Boc-Orn-OH (compound tk56) (1.0 g, 4.31 mmol) and copper sulfate pentahydrate (21 mg, 0.086 mmol) in methanol (20 mL) -water (6 mL) at room temperature with sodium bicarbonate ( 1.99 g, 23.68 mmol) was added, followed by azide 1H-imidazole-1-sulfonyl hydrochloride (1.08 g, synthesized by the method described in the literature (Org. Lett., 2007, 9, 3797.) 5.17 mmol) was added. The reaction mixture was stirred at room temperature for 24 hours. The reaction mixture was cooled in an ice bath, and saturated aqueous potassium hydrogen sulfate solution (8 mL) was added. The resulting mixture was extracted with ethyl acetate (3 times) and the organic phase was concentrated under reduced pressure. The obtained residue was purified by reverse phase silica gel column chromatography (0.05% aqueous trifluoroacetic acid / 0.05% trifluoroacetic acid acetonitrile solution) to give (S) -5-azido-2-((tert- Butoxycarbonyl) amino) pentanoic acid (compound tk69) (1.19 g, quant.) Was obtained.
LCMS (ESI) m / z = 257 (M−H) −
Retention time: 0.61 minutes (analysis condition SQDFA05)
5-アジド-2-((tert-ブトキシカルボニル)アミノ)ペンタン酸 (S)-シアノメチル(化合物tk70)の合成
Synthesis of 5-azido-2-((tert-butoxycarbonyl) amino) pentanoic acid (S) -cyanomethyl (compound tk70)
窒素雰囲気下、(S)-5-アジド-2-((tert-ブトキシカルボニル)アミノ)ペンタン酸(化合物tk69)(150mg、0.581mmol)のアセトニトリル(0.8mL)溶液に、室温でN,N-ジイソプロピルエチルアミン(111μL、0.639mmol)、続いてブロモアセトニトリル(203μL、2.90mmol)を添加した。反応混合物を同温度にて4時間撹拌後、減圧濃縮して得られた粗生成物を順相シリカゲルカラムクロマトグラフィー(ヘキサン/酢酸エチル)にて精製し、5-アジド-2-((tert-ブトキシカルボニル)アミノ)ペンタン酸 (S)-シアノメチル(化合物tk70)(185mg、quant.)を得た。
LCMS(ESI) m/z = 296 (M-H)-
保持時間:0.73分(分析条件SQDFA05)
Under a nitrogen atmosphere, (S) -5-azido-2-((tert-butoxycarbonyl) amino) pentanoic acid (compound tk69) (150 mg, 0.581 mmol) in acetonitrile (0.8 mL) at room temperature with N, N-diisopropylethylamine (111 μL, 0.639 mmol) was added followed by bromoacetonitrile (203 μL, 2.90 mmol). The reaction mixture was stirred at the same temperature for 4 hours and then concentrated under reduced pressure. The resulting crude product was purified by normal phase silica gel column chromatography (hexane / ethyl acetate) to give 5-azido-2-((tert- Butoxycarbonyl) amino) pentanoic acid (S) -cyanomethyl (compound tk70) (185 mg, quant.) Was obtained.
LCMS (ESI) m / z = 296 (M−H) −
Retention time: 0.73 minutes (analysis condition SQDFA05)
5-アジド-2-((tert-ブトキシカルボニル)アミノ)ペンタン酸 (2S)-(2R,3S,4R,5R)-2-((((((2R,3S,5R)-5-(4-アミノ-2-オキソピリミジン-1(2H)-イル)-2-((ホスホノオキシ)メチル)テトラヒドロフラン-3-イル)オキシ)(ヒドロキシ)ホスホリル)オキシ)メチル)-5-(6-アミノ-9H-プリン-9-イル)-4-ヒドロキシテトラヒドロフラン-3-イル(化合物tk71)の合成
5-azido-2-((tert-butoxycarbonyl) amino) pentanoic acid (2S)-(2R, 3S, 4R, 5R) -2-(((((((2R, 3S, 5R) -5- (4 -Amino-2-oxopyrimidin-1 (2H) -yl) -2-((phosphonooxy) methyl) tetrahydrofuran-3-yl) oxy) (hydroxy) phosphoryl) oxy) methyl) -5- (6-amino-9H -Purine-9-yl) -4-hydroxytetrahydrofuran-3-yl (compound tk71)
緩衝液A(18mL)にリン酸二水素 ((2R,3S,5R)-5-(4-アミノ-2-オキソピリミジン-1(2H)-イル)-3-(((((2R,3S,4R,5R)-5-(6-アミノ-9H-プリン-9-イル)-3,4-ジヒドロキシテトラヒドロフラン-2-イル)メトキシ)(ヒドロキシ)ホスホリル)オキシ)テトラヒドロフラン-2-イル)メチル(化合物1h)(77mg、0.121mmol)の水溶液(0.3mL)と5-アジド-2-((tert-ブトキシカルボニル)アミノ)ペンタン酸 (S)-シアノメチル(化合物tk70)(144mg、0.484mmol)のテトラヒドロフラン(0.3mL)溶液を加え、室温で0.5時間撹拌した。凍結乾燥後、得られた残渣を逆相シリカゲルカラムクロマトグラフィー(0.05%トリフルオロ酢酸水溶液/0.05%トリフルオロ酢酸アセトニトリル溶液)にて精製し、5-アジド-2-((tert-ブトキシカルボニル)アミノ)ペンタン酸 (2S)-(2R,3S,4R,5R)-2-((((((2R,3S,5R)-5-(4-アミノ-2-オキソピリミジン-1(2H)-イル)-2-((ホスホノオキシ)メチル)テトラヒドロフラン-3-イル)オキシ)(ヒドロキシ)ホスホリル)オキシ)メチル)-5-(6-アミノ-9H-プリン-9-イル)-4-ヒドロキシテトラヒドロフラン-3-イル(化合物tk71)(24.5mg、23%)を得た。
LCMS(ESI) m/z = 875.4 (M-H)-
保持時間:0.44分(分析条件SQDFA05)
In buffer A (18 mL), dihydrogen phosphate ((2R, 3S, 5R) -5- (4-amino-2-oxopyrimidin-1 (2H) -yl) -3-(((((2R, 3S , 4R, 5R) -5- (6-Amino-9H-purin-9-yl) -3,4-dihydroxytetrahydrofuran-2-yl) methoxy) (hydroxy) phosphoryl) oxy) tetrahydrofuran-2-yl) methyl (
LCMS (ESI) m / z = 875.4 (M−H) −
Retention time: 0.44 minutes (analysis condition SQDFA05)
2-アミノ-5-アジドペンタン酸 (2S)-(2R,3S,4R,5R)-2-((((((2R,3S,5R)-5-(4-アミノ-2-オキソピリミジン-1(2H)-イル)-2-((ホスホノオキシ)メチル)テトラヒドロフラン-3-イル)オキシ)(ヒドロキシ)ホスホリル)オキシ)メチル)-5-(6-アミノ-9H-プリン-9-イル)-4-ヒドロキシテトラヒドロフラン-3-イル(Orn(N3)-pdCpA)(化合物tk72)の合成
2-Amino-5-azidopentanoic acid (2S)-(2R, 3S, 4R, 5R) -2-(((((((2R, 3S, 5R) -5- (4-amino-2-oxopyrimidine- 1 (2H) -yl) -2-((phosphonooxy) methyl) tetrahydrofuran-3-yl) oxy) (hydroxy) phosphoryl) oxy) methyl) -5- (6-amino-9H-purin-9-yl)- Synthesis of 4-hydroxytetrahydrofuran-3-yl (Orn (N3) -pdCpA) (compound tk72)
5-アジド-2-((tert-ブトキシカルボニル)アミノ)ペンタン酸 (2S)-(2R,3S,4R,5R)-2-((((((2R,3S,5R)-5-(4-アミノ-2-オキソピリミジン-1(2H)-イル)-2-((ホスホノオキシ)メチル)テトラヒドロフラン-3-イル)オキシ)(ヒドロキシ)ホスホリル)オキシ)メチル)-5-(6-アミノ-9H-プリン-9-イル)-4-ヒドロキシテトラヒドロフラン-3-イル(化合物tk71)(24.5mg、0.028mmol)のジクロロメタン(1mL)溶液にトリフルオロ酢酸(0.09mL)を添加し、室温で25分間撹拌した。減圧濃縮後、得られた残渣を逆相シリカゲルカラムクロマトグラフィー(0.05%トリフルオロ酢酸水溶液/0.05%トリフルオロ酢酸アセトニトリル溶液)にて精製し、2-アミノ-5-アジドペンタン酸 (2S)-(2R,3S,4R,5R)-2-((((((2R,3S,5R)-5-(4-アミノ-2-オキソピリミジン-1(2H)-イル)-2-((ホスホノオキシ)メチル)テトラヒドロフラン-3-イル)オキシ)(ヒドロキシ)ホスホリル)オキシ)メチル)-5-(6-アミノ-9H-プリン-9-イル)-4-ヒドロキシテトラヒドロフラン-3-イル(Orn(N3)-pdCpA)(化合物tk72)(18.8mg、87%)を得た。
LCMS(ESI) m/z = 775.4 (M-H)-
保持時間:0.25分(分析条件SQDFA05)
5-azido-2-((tert-butoxycarbonyl) amino) pentanoic acid (2S)-(2R, 3S, 4R, 5R) -2-(((((((2R, 3S, 5R) -5- (4 -Amino-2-oxopyrimidin-1 (2H) -yl) -2-((phosphonooxy) methyl) tetrahydrofuran-3-yl) oxy) (hydroxy) phosphoryl) oxy) methyl) -5- (6-amino-9H To a solution of -purin-9-yl) -4-hydroxytetrahydrofuran-3-yl (compound tk71) (24.5 mg, 0.028 mmol) in dichloromethane (1 mL) was added trifluoroacetic acid (0.09 mL) at room temperature. Stir for 25 minutes. After concentration under reduced pressure, the resulting residue was purified by reverse phase silica gel column chromatography (0.05% trifluoroacetic acid aqueous solution / 0.05% trifluoroacetic acid acetonitrile solution) to give 2-amino-5-azidopentanoic acid ( 2S)-(2R, 3S, 4R, 5R) -2-(((((((2R, 3S, 5R) -5- (4-amino-2-oxopyrimidin-1 (2H) -yl) -2- ((Phosphonooxy) methyl) tetrahydrofuran-3-yl) oxy) (hydroxy) phosphoryl) oxy) methyl) -5- (6-amino-9H-purin-9-yl) -4-hydroxytetrahydrofuran-3-yl (Orn (N3) -pdCpA) (compound tk72) (18.8 mg, 87%) was obtained.
LCMS (ESI) m / z = 775.4 (M−H) −
Retention time: 0.25 minutes (analysis condition SQDFA05)
10-1-15. アミノアシル化pdCpA化合物tk85の合成
以下のスキームに従い、合成を行った。
10-1-15. Synthesis of aminoacylated pdCpA compound tk85 Synthesis was performed according to the following scheme.
(S)-2-((tert-ブトキシカルボニル)アミノ)-6-((R)-3-(tert-ブトキシカルボニル)チアゾリジン-4-カルボキサミド)ヘキサン酸(化合物tk82)の合成
Synthesis of (S) -2-((tert-butoxycarbonyl) amino) -6-((R) -3- (tert-butoxycarbonyl) thiazolidine-4-carboxamide) hexanoic acid (compound tk82)
(R)-3-(tert-ブトキシカルボニル)チアゾリジン-4-カルボン酸(化合物tk81)(208mg、 0.892mmol)のDMF(1ml)溶液に4-(4,6-ジメトキシ-1,3,5-トリアジン-2-イル)-4-メチルモルホリニウムクロリド(247mg、0.892mmol)を加え、室温で30分間攪拌した。(S)-6-アミノ-2-((tert-ブトキシカルボニル)アミノ)ヘキサン酸(220mg、 0.892mmol)の水(1ml)溶液を室温で3分間かけて滴下し、滴下終了後、室温で30分間攪拌した。反応液を逆相シリカゲルカラムクロマトグラフィー(10mM酢酸アンモニウム水溶液/メタノール)にて精製し、(S)-2-((tert-ブトキシカルボニル)アミノ)-6-((R)-3-(tert-ブトキシカルボニル)チアゾリジン-4-カルボキサミド)ヘキサン酸(化合物tk82)(156mg、38%)を得た。
LCMS(ESI) m/z = 462 (M+H)+
保持時間:0.66分(分析条件SQDFA05)
(R) -3- (tert-Butoxycarbonyl) thiazolidine-4-carboxylic acid (Compound tk81) (208 mg, 0.892 mmol) in DMF (1 ml) solution of 4- (4,6-dimethoxy-1,3,5 -Triazin-2-yl) -4-methylmorpholinium chloride (247 mg, 0.892 mmol) was added and stirred at room temperature for 30 minutes. A solution of (S) -6-amino-2-((tert-butoxycarbonyl) amino) hexanoic acid (220 mg, 0.892 mmol) in water (1 ml) was added dropwise over 3 minutes at room temperature. Stir for 30 minutes. The reaction solution was purified by reverse phase silica gel column chromatography (10 mM aqueous ammonium acetate / methanol), and (S) -2-((tert-butoxycarbonyl) amino) -6-((R) -3- (tert- Butoxycarbonyl) thiazolidine-4-carboxamide) hexanoic acid (compound tk82) (156 mg, 38%) was obtained.
LCMS (ESI) m / z = 462 (M + H) +
Retention time: 0.66 minutes (analysis condition SQDFA05)
(R)-tert-ブチル 4-(((S)-5-((tert-ブトキシカルボニル)アミノ)-6-(シアノメトキシ)-6-オキソヘキシル)カルバモイル)チアゾリジン-3-カルボキシレート(化合物tk83)の合成
(R) -tert-butyl 4-(((S) -5-((tert-butoxycarbonyl) amino) -6- (cyanomethoxy) -6-oxohexyl) carbamoyl) thiazolidine-3-carboxylate (compound tk83 )
(S)-2-((tert-ブトキシカルボニル)アミノ)-6-((R)-3-(tert-ブトキシカルボニル)チアゾリジン-4-カルボキサミド)ヘキサン酸(化合物tk82)(130mg、0.282mmol)のアセトニトリル(5ml)溶液にブロモアセトニトリル(57μl、0.845mmol)およびN,N-ジイソプロピルエチルアミン(147μl、0.845mmol)を加え、反応液を室温で3時間攪拌した。反応混合物をエバポレーターで減圧濃縮し、残渣を順相シリカゲルカラムクロマトグラフィー(ヘキサン/酢酸エチル)にて精製し、(R)-tert-ブチル 4-(((S)-5-((tert-ブトキシカルボニル)アミノ)-6-(シアノメトキシ)-6-オキソヘキシル)カルバモイル)チアゾリジン-3-カルボキシレート(化合物tk83)(140mg、99%)を得た。
LCMS(ESI) m/z = 501.5(M+H)+
保持時間:0.76分(分析条件SQDFA05)
(S) -2-((tert-Butoxycarbonyl) amino) -6-((R) -3- (tert-butoxycarbonyl) thiazolidine-4-carboxamide) hexanoic acid (Compound tk82) (130 mg, 0.282 mmol) Bromoacetonitrile (57 μl, 0.845 mmol) and N, N-diisopropylethylamine (147 μl, 0.845 mmol) were added to an acetonitrile (5 ml) solution, and the reaction solution was stirred at room temperature for 3 hours. The reaction mixture was concentrated under reduced pressure using an evaporator, and the residue was purified by normal phase silica gel column chromatography (hexane / ethyl acetate) to give (R) -tert-butyl 4-(((S) -5-((tert-butoxy Carbonyl) amino) -6- (cyanomethoxy) -6-oxohexyl) carbamoyl) thiazolidine-3-carboxylate (compound tk83) (140 mg, 99%) was obtained.
LCMS (ESI) m / z = 501.5 (M + H) +
Retention time: 0.76 minutes (analysis condition SQDFA05)
(4R)-tert-ブチル 4-(((5S)-6-(((2R,3S,4R,5R)-2-((((((2R,3S,5R)-5-(4-アミノ-2-オキソピリミジン-1(2H)-イル)-2-((ホスホノオキシ)メチル)テトラヒドロフラン-3-イル)オキシ)(ヒドロキシ)ホスホリル)オキシ)メチル)-5-(6-アミノ-9H-プリン-9-イル)-4-ヒドロキシテトラヒドロフラン-3-イル)オキシ)-5-((tert-ブトキシカルボニル)アミノ)-6-オキソヘキシル)カルバモイル)チアゾリジン-3-カルボキシレート(化合物tk84)の合成
(4R) -tert-butyl 4-(((5S) -6-(((2R, 3S, 4R, 5R) -2-(((((((2R, 3S, 5R) -5- (4-amino -2-Oxopyrimidin-1 (2H) -yl) -2-((phosphonooxy) methyl) tetrahydrofuran-3-yl) oxy) (hydroxy) phosphoryl) oxy) methyl) -5- (6-amino-9H-purine Synthesis of -9-yl) -4-hydroxytetrahydrofuran-3-yl) oxy) -5-((tert-butoxycarbonyl) amino) -6-oxohexyl) carbamoyl) thiazolidine-3-carboxylate (compound tk84)
緩衝液A(40mL)にリン酸二水素 ((2R,3S,5R)-5-(4-アミノ-2-オキソピリミジン-1(2H)-イル)-3-(((((2R,3S,4R,5R)-5-(6-アミノ-9H-プリン-9-イル)-3,4-ジヒドロキシテトラヒドロフラン-2-イル)メトキシ)(ヒドロキシ)ホスホリル)オキシ)テトラヒドロフラン-2-イル)メチル(化合物1h)(50mg、0.079mmol)の水溶液(0.5ml)と(R)-tert-ブチル 4-(((S)-5-((tert-ブトキシカルボニル)アミノ)-6-(シアノメトキシ)-6-オキソヘキシル)カルバモイル)チアゾリジン-3-カルボキシレート(化合物tk83)(118mg、0.236mmol)のテトラヒドロフラン(0.5ml)溶液を加え、室温で2時間撹拌した。凍結乾燥後、得られた残渣を逆相シリカゲルカラムクロマトグラフィー(水/アセトニトリル溶液)にて精製し、(4R)-tert-ブチル 4-(((5S)-6-(((2R,3S,4R,5R)-2-((((((2R,3S,5R)-5-(4-アミノ-2-オキソピリミジン-1(2H)-イル)-2-((ホスホノオキシ)メチル)テトラヒドロフラン-3-イル)オキシ)(ヒドロキシ)ホスホリル)オキシ)メチル)-5-(6-アミノ-9H-プリン-9-イル)-4-ヒドロキシテトラヒドロフラン-3-イル)オキシ)-5-((tert-ブトキシカルボニル)アミノ)-6-オキソヘキシル)カルバモイル)チアゾリジン-3-カルボキシレート(化合物tk84)の粗精製物(80mg)を得た。
LCMS(ESI) m/z = 1078(M-H)-
保持時間:0.55分(分析条件SQDFA05)
Buffer A (40 mL) was diluted with dihydrogen phosphate ((2R, 3S, 5R) -5- (4-amino-2-oxopyrimidin-1 (2H) -yl) -3-(((((2R, 3S , 4R, 5R) -5- (6-Amino-9H-purin-9-yl) -3,4-dihydroxytetrahydrofuran-2-yl) methoxy) (hydroxy) phosphoryl) oxy) tetrahydrofuran-2-yl) methyl (
LCMS (ESI) m / z = 1078 (MH)-
Retention time: 0.55 minutes (analysis condition SQDFA05)
2-アミノ-6-((R)-チアゾリジン-4-カルボキサミド)ヘキサン酸 (2S)-(2R,3S,4R,5R)-2-((((((2R,3S,5R)-5-(4-アミノ-2-オキソピリミジン-1(2H)-イル)-2-((ホスホノオキシ)メチル)テトラヒドロフラン-3-イル)オキシ)(ヒドロキシ)ホスホリル)オキシ)メチル)-5-(6-アミノ-9H-プリン-9-イル)-4-ヒドロキシテトラヒドロフラン-3-イル(Lys(Thz)-pdCpA)(化合物tk85)の合成
2-Amino-6-((R) -thiazolidine-4-carboxamido) hexanoic acid (2S)-(2R, 3S, 4R, 5R) -2-(((((((2R, 3S, 5R) -5 (4-Amino-2-oxopyrimidin-1 (2H) -yl) -2-((phosphonooxy) methyl) tetrahydrofuran-3-yl) oxy) (hydroxy) phosphoryl) oxy) methyl) -5- (6-amino Synthesis of -9H-purin-9-yl) -4-hydroxytetrahydrofuran-3-yl (Lys (Thz) -pdCpA) (compound tk85)
前述した(4R)-tert-ブチル 4-(((5S)-6-(((2R,3S,4R,5R)-2-((((((2R,3S,5R)-5-(4-アミノ-2-オキソピリミジン-1(2H)-イル)-2-((ホスホノオキシ)メチル)テトラヒドロフラン-3-イル)オキシ)(ヒドロキシ)ホスホリル)オキシ)メチル)-5-(6-アミノ-9H-プリン-9-イル)-4-ヒドロキシテトラヒドロフラン-3-イル)オキシ)-5-((tert-ブトキシカルボニル)アミノ)-6-オキソヘキシル)カルバモイル)チアゾリジン-3-カルボキシレート(化合物tk84)の粗精製物(20mg)をジクロロメタン(0.3ml)に懸濁させ、室温にてトリフルオロ酢酸(0.1mL)を添加し、同温度で30分間撹拌した。減圧濃縮後、得られた残渣を逆相シリカゲルカラムクロマトグラフィー(水/アセトニトリル溶液)にて精製し、2-アミノ-6-((R)-チアゾリジン-4-カルボキサミド)ヘキサン酸 (2S)-(2R,3S,4R,5R)-2-((((((2R,3S,5R)-5-(4-アミノ-2-オキソピリミジン-1(2H)-イル)-2-((ホスホノオキシ)メチル)テトラヒドロフラン-3-イル)オキシ)(ヒドロキシ)ホスホリル)オキシ)メチル)-5-(6-アミノ-9H-プリン-9-イル)-4-ヒドロキシテトラヒドロフラン-3-イル(Lys(Thz)-pdCpA)(化合物tk85)(1.6mg、2ステップ 7%)を得た。
LCMS(ESI) m/z = 878(M-H)-
保持時間:0.17分(分析条件SQDFA05)
(4R) -tert-butyl 4-(((5S) -6-(((2R, 3S, 4R, 5R) -2-(((((((2R, 3S, 5R) -5- (4 -Amino-2-oxopyrimidin-1 (2H) -yl) -2-((phosphonooxy) methyl) tetrahydrofuran-3-yl) oxy) (hydroxy) phosphoryl) oxy) methyl) -5- (6-amino-9H -Purine-9-yl) -4-hydroxytetrahydrofuran-3-yl) oxy) -5-((tert-butoxycarbonyl) amino) -6-oxohexyl) carbamoyl) thiazolidine-3-carboxylate (compound tk84) The crude product (20 mg) was suspended in dichloromethane (0.3 ml), trifluoroacetic acid (0.1 mL) was added at room temperature, and the mixture was stirred at the same temperature for 30 minutes. . After concentration under reduced pressure, the resulting residue was purified by reverse phase silica gel column chromatography (water / acetonitrile solution) to give 2-amino-6-((R) -thiazolidine-4-carboxamide) hexanoic acid (2S)-( 2R, 3S, 4R, 5R) -2-((((((((2R, 3S, 5R) -5- (4-amino-2-oxopyrimidin-1 (2H) -yl) -2-((phosphonooxy) Methyl) tetrahydrofuran-3-yl) oxy) (hydroxy) phosphoryl) oxy) methyl) -5- (6-amino-9H-purin-9-yl) -4-hydroxytetrahydrofuran-3-yl (Lys (Thz)- pdCpA) (compound tk85) (1.6 mg, 2
LCMS (ESI) m / z = 878 (M−H) −
Retention time: 0.17 minutes (analysis condition SQDFA05)
10-1-16. アミノアシル化pdCpA化合物tk90の合成
以下のスキームに従い、合成を行った。
10-1-16. Synthesis of aminoacylated pdCpA compound tk90 Synthesis was performed according to the following scheme.
(S)-2-((tert-ブトキシカルボニル)アミノ)-6-(((3-ニトロピリジン-2-イル)チオ)アミノ)ヘキサン酸(化合物tk87)の合成
Synthesis of (S) -2-((tert-butoxycarbonyl) amino) -6-(((3-nitropyridin-2-yl) thio) amino) hexanoic acid (compound tk87)
ニトロ-2-ピリジンスルフェニルクロリド(313mg、1.644mmol)のジクロロメタン(30ml)溶液に(S)-6-アミノ-2-((tert-ブトキシカルボニル)アミノ)ヘキサン酸(化合物tk86)(270mg、1.096mmol)を加え、この懸濁液にトリエチルアミン(1.53ml、10.96mmol)を3分間かけて滴下した。反応液を室温で3時間攪拌した後、エバポレーターで減圧濃縮し、得られた残渣を逆相シリカゲルカラムクロマトグラフィー(0.1%ギ酸水溶液/0.1%ギ酸アセトニトリル溶液)にて精製し、(S)-2-((tert-ブトキシカルボニル)アミノ)-6-(((3-ニトロピリジン-2-イル)チオ)アミノ)ヘキサン酸(化合物tk87)(62mg、14%)を得た。
LCMS(ESI) m/z = 401(M+H)+
保持時間:0.74分(分析条件SQDFA05)
To a solution of nitro-2-pyridinesulfenyl chloride (313 mg, 1.644 mmol) in dichloromethane (30 ml) was added (S) -6-amino-2-((tert-butoxycarbonyl) amino) hexanoic acid (compound tk86) (270 mg, 1.096 mmol) was added, and triethylamine (1.53 ml, 10.96 mmol) was added dropwise to the suspension over 3 minutes. The reaction solution was stirred at room temperature for 3 hours and then concentrated under reduced pressure using an evaporator. The resulting residue was purified by reversed-phase silica gel column chromatography (0.1% formic acid aqueous solution / 0.1% formic acid acetonitrile solution) ( S) -2-((tert-butoxycarbonyl) amino) -6-(((3-nitropyridin-2-yl) thio) amino) hexanoic acid (compound tk87) (62 mg, 14%) was obtained.
LCMS (ESI) m / z = 401 (M + H) +
Retention time: 0.74 minutes (analysis condition SQDFA05)
(S)-シアノメチル 2-((tert-ブトキシカルボニル)アミノ)-6-(((3-ニトロピリジン-2-イル)チオ)アミノ)ヘキサノエート(化合物tk88)の合成
Synthesis of (S) -cyanomethyl 2-((tert-butoxycarbonyl) amino) -6-(((3-nitropyridin-2-yl) thio) amino) hexanoate (compound tk88)
((S)-2-((tert-ブトキシカルボニル)アミノ)-6-(((3-ニトロピリジン-2-イル)チオ)アミノ)ヘキサン酸(化合物tk87)(150mg、 0.375mmol)のアセトニトリル (6ml)溶液にブロモアセトニトリル(76μl、 1.124mmol)およびN,N-ジイソプロピルエチルアミン(196μl、1.124mmol)を加え、反応液を室温で5時間攪拌した。反応を完結させるため更にブロモアセトニトリル(49μl、 0.413mmol)を加え、室温で1時間攪拌した。反応混合物をエバポレーターで減圧濃縮し、残渣を順相シリカゲルカラムクロマトグラフィー(ヘキサン/酢酸エチル)にて精製し、(S)-シアノメチル 2-((tert-ブトキシカルボニル)アミノ)-6-(((3-ニトロピリジン-2-イル)チオ)アミノ)ヘキサノエート(化合物tk88)(152mg、92%)を得た。
LCMS(ESI) m/z = 440(M+H)+
保持時間:0.83分(分析条件SQDFA05)
((S) -2-((tert-butoxycarbonyl) amino) -6-(((3-nitropyridin-2-yl) thio) amino) hexanoic acid (compound tk87) (150 mg, 0.375 mmol) in acetonitrile Bromoacetonitrile (76 μl, 1.124 mmol) and N, N-diisopropylethylamine (196 μl, 1.124 mmol) were added to the (6 ml) solution, and the reaction was stirred for 5 hours at room temperature. (49 μl, 0.413 mmol) was added, and the mixture was stirred at room temperature for 1 hour, the reaction mixture was concentrated under reduced pressure using an evaporator, and the residue was purified by normal phase silica gel column chromatography (hexane / ethyl acetate) to obtain (S) -
LCMS (ESI) m / z = 440 (M + H) +
Retention time: 0.83 minutes (analysis condition SQDFA05)
2-((tert-ブトキシカルボニル)アミノ)-6-(((3-ニトロピリジン-2-イル)チオ)アミノ)ヘキサン酸 (2S)-(2R,3S,4R,5R)-2-((((((2R,3S,5R)-5-(4-アミノ-2-オキソピリミジン-1(2H)-イル)-2-((ホスホノオキシ)メチル)テトラヒドロフラン-3-イル)オキシ)(ヒドロキシ)ホスホリル)オキシ)メチル)-5-(6-アミノ-9H-プリン-9-イル)-4-ヒドロキシテトラヒドロフラン-3-イル 2-((tert-ブトキシカルボニル)アミノ)-6-(((3-ニトロピリジン-2-イル)チオ)アミノ)ヘキサノエート(化合物tk89)の合成
2-((tert-Butoxycarbonyl) amino) -6-(((3-nitropyridin-2-yl) thio) amino) hexanoic acid (2S)-(2R, 3S, 4R, 5R) -2-(( (((((2R, 3S, 5R) -5- (4-amino-2-oxopyrimidin-1 (2H) -yl) -2-((phosphonooxy) methyl) tetrahydrofuran-3-yl) oxy) (hydroxy) Phosphoryl) oxy) methyl) -5- (6-amino-9H-purin-9-yl) -4-hydroxytetrahydrofuran-3-yl 2-((tert-butoxycarbonyl) amino) -6-(((3- Synthesis of nitropyridin-2-yl) thio) amino) hexanoate (compound tk89)
緩衝液A(30mL)にリン酸二水素 ((2R,3S,5R)-5-(4-アミノ-2-オキソピリミジン-1(2H)-イル)-3-(((((2R,3S,4R,5R)-5-(6-アミノ-9H-プリン-9-イル)-3,4-ジヒドロキシテトラヒドロフラン-2-イル)メトキシ)(ヒドロキシ)ホスホリル)オキシ)テトラヒドロフラン-2-イル)メチル(化合物1h)(20mg、0.031mmol)の水溶液(0.5ml)と(S)-シアノメチル 2-((tert-ブトキシカルボニル)アミノ)-6-(((3-ニトロピリジン-2-イル)チオ)アミノ)ヘキサノエート(化合物tk88)(30mg、0.069mmol)のアセトニトリル(0.5ml)溶液を加え、室温で2時間撹拌した。凍結乾燥後、得られた残渣を逆相シリカゲルカラムクロマトグラフィー(0.1%ギ酸水溶液/0.1%ギ酸アセトニトリル溶液)にて精製し、2-((tert-ブトキシカルボニル)アミノ)-6-(((3-ニトロピリジン-2-イル)チオ)アミノ)ヘキサン酸 (2S)-(2R,3S,4R,5R)-2-((((((2R,3S,5R)-5-(4-アミノ-2-オキソピリミジン-1(2H)-イル)-2-((ホスホノオキシ)メチル)テトラヒドロフラン-3-イル)オキシ)(ヒドロキシ)ホスホリル)オキシ)メチル)-5-(6-アミノ-9H-プリン-9-イル)-4-ヒドロキシテトラヒドロフラン-3-イル 2-((tert-ブトキシカルボニル)アミノ)-6-(((3-ニトロピリジン-2-イル)チオ)アミノ)ヘキサノエート(化合物tk89)の粗精製物(16mg)を得た。
LCMS(ESI) m/z = 1017(M-H)-
保持時間:0.54分(分析条件SQDFA05)
Buffer A (30 mL) was diluted with dihydrogen phosphate ((2R, 3S, 5R) -5- (4-amino-2-oxopyrimidin-1 (2H) -yl) -3-(((((2R, 3S , 4R, 5R) -5- (6-Amino-9H-purin-9-yl) -3,4-dihydroxytetrahydrofuran-2-yl) methoxy) (hydroxy) phosphoryl) oxy) tetrahydrofuran-2-yl) methyl (
LCMS (ESI) m / z = 1017 (M−H) −
Retention time: 0.54 minutes (analysis condition SQDFA05)
2-アミノ-6-(((3-ニトロピリジン-2-イル)チオ)アミノ)ヘキサン酸 (2S)-(2R,3S,4R,5R)-2-((((((2R,3S,5R)-5-(4-アミノ-2-オキソピリミジン-1(2H)-イル)-2-((ホスホノオキシ)メチル)テトラヒドロフラン-3-イル)オキシ)(ヒドロキシ)ホスホリル)オキシ)メチル)-5-(6-アミノ-9H-プリン-9-イル)-4-ヒドロキシテトラヒドロフラン-3-イル(Lys(Npys)-pdCpA)(化合物tk90)の合成
2-amino-6-(((3-nitropyridin-2-yl) thio) amino) hexanoic acid (2S)-(2R, 3S, 4R, 5R) -2-(((((((2R, 3S, 5R) -5- (4-Amino-2-oxopyrimidin-1 (2H) -yl) -2-((phosphonooxy) methyl) tetrahydrofuran-3-yl) oxy) (hydroxy) phosphoryl) oxy) methyl) -5 Synthesis of-(6-amino-9H-purin-9-yl) -4-hydroxytetrahydrofuran-3-yl (Lys (Npys) -pdCpA) (compound tk90)
前述した2-((tert-ブトキシカルボニル)アミノ)-6-(((3-ニトロピリジン-2-イル)チオ)アミノ)ヘキサン酸 (2S)-(2R,3S,4R,5R)-2-((((((2R,3S,5R)-5-(4-アミノ-2-オキソピリミジン-1(2H)-イル)-2-((ホスホノオキシ)メチル)テトラヒドロフラン-3-イル)オキシ)(ヒドロキシ)ホスホリル)オキシ)メチル)-5-(6-アミノ-9H-プリン-9-イル)-4-ヒドロキシテトラヒドロフラン-3-イル 2-((tert-ブトキシカルボニル)アミノ)-6-(((3-ニトロピリジン-2-イル)チオ)アミノ)ヘキサノエート(化合物tk89)の粗精製物(16mg)をジクロロメタン(1ml)に懸濁させ、室温にてトリフルオロ酢酸(0.25mL)を添加し、同温度で15分間撹拌した。減圧濃縮後、得られた残渣を逆相シリカゲルカラムクロマトグラフィー(0.1%ギ酸水溶液/0.1%ギ酸アセトニトリル溶液)にて精製し、2-アミノ-6-(((3-ニトロピリジン-2-イル)チオ)アミノ)ヘキサン酸 (2S)-(2R,3S,4R,5R)-2-((((((2R,3S,5R)-5-(4-アミノ-2-オキソピリミジン-1(2H)-イル)-2-((ホスホノオキシ)メチル)テトラヒドロフラン-3-イル)オキシ)(ヒドロキシ)ホスホリル)オキシ)メチル)-5-(6-アミノ-9H-プリン-9-イル)-4-ヒドロキシテトラヒドロフラン-3-イル(Lys(Npys)-pdCpA(化合物tk90)(12mg、2ステップ 42%)を得た。
LCMS(ESI) m/z = 917(M-H)-
保持時間:0.34分(分析条件SQDFA05)
2-((tert-butoxycarbonyl) amino) -6-(((3-nitropyridin-2-yl) thio) amino) hexanoic acid (2S)-(2R, 3S, 4R, 5R) -2- (((((((2R, 3S, 5R) -5- (4-amino-2-oxopyrimidin-1 (2H) -yl) -2-((phosphonooxy) methyl) tetrahydrofuran-3-yl) oxy) ( Hydroxy) phosphoryl) oxy) methyl) -5- (6-amino-9H-purin-9-yl) -4-hydroxytetrahydrofuran-3-yl 2-((tert-butoxycarbonyl) amino) -6-((( The crude product (16 mg) of 3-nitropyridin-2-yl) thio) amino) hexanoate (compound tk89) was suspended in dichloromethane (1 ml) and trifluorated at room temperature. B was added acetic acid (0.25 mL), stirred for 15 minutes at the same temperature. After concentration under reduced pressure, the resulting residue was purified by reverse phase silica gel column chromatography (0.1% formic acid aqueous solution / 0.1% formic acid acetonitrile solution) to give 2-amino-6-(((3-nitropyridine- 2-yl) thio) amino) hexanoic acid (2S)-(2R, 3S, 4R, 5R) -2-(((((((2R, 3S, 5R) -5- (4-amino-2-oxopyrimidine -1 (2H) -yl) -2-((phosphonooxy) methyl) tetrahydrofuran-3-yl) oxy) (hydroxy) phosphoryl) oxy) methyl) -5- (6-amino-9H-purin-9-yl) -4-Hydroxytetrahydrofuran-3-yl (Lys (Npys) -pdCpA (compound tk90) (12 mg, 42% for 2 steps) was obtained.
LCMS (ESI) m / z = 917 (M−H) −
Retention time: 0.34 minutes (analysis condition SQDFA05)
10-2.脱保護条件の確認
RNAが安定な反応条件にてアミノ基保護基が脱保護されることを確認、もしくは新条件を探索する目的で以下の実験を行い、RNAが安定に存在する反応条件でのアミノ基脱保護反応を得た。
10-2. Confirmation of deprotection conditions Confirm that the amino group protecting group is deprotected under stable reaction conditions for RNA, or conduct the following experiments to search for new conditions. An amino group deprotection reaction was obtained.
10-2-1. 脱保護方法の評価化合物tk94の合成および脱保護反応
以下のスキームに従い、合成を行った。
10-2-1. Evaluation of Deprotection Method Synthesis of Compound tk94 and Deprotection Reaction Synthesis was performed according to the following scheme.
(R)-tert-ブチル (1-(ベンジルアミノ)-3-(tert-ブチルジスルファニル)-1-オキソプロパン-2-イル)カルバメート(化合物tk92)の合成
Synthesis of (R) -tert-butyl (1- (benzylamino) -3- (tert-butyldisulfanyl) -1-oxopropan-2-yl) carbamate (Compound tk92)
(R)-2-((tert-ブトキシカルボニル)アミノ)-3-(tert-ブチルジスルファニル)プロパン酸(化合物tk91)(1.95g、6.30mmol)のテトラヒドロフラン(20ml)溶液にO-(7-アザベンゾトリアゾール-1-イル)-N、N、N′、N′-テトラメチルウロニウムヘキサフルオロリン酸塩(HATU)(2.52g、6.62 mmol)、ベンジルアミン(0.723ml、6.62mmol)、N、N-ジイソプロピルエチルアミン(1.153ml、6.62mmol)を加え、反応液を室温で2時間攪拌した。反応液を減圧下濃縮し、得られた残渣を順相シリカゲルカラムクロマトグラフィー(ヘキサン/酢酸エチル)にて精製し、(R)-tert-ブチル(1-(ベンジルアミノ)-3-(tert-ブチルジスルファニル)-1-オキソプロパン-2-イル)カルバメート(化合物tk92)(2.357g, 5.91mmol、94%)を得た。
LCMS(ESI) m/z = 399 (M+H)+
保持時間:0.93分(分析条件SQDFA05)
(R) -2-((tert-butoxycarbonyl) amino) -3- (tert-butyldisulfanyl) propanoic acid (compound tk91) (1.95 g, 6.30 mmol) in tetrahydrofuran (20 ml) was added O- ( 7-azabenzotriazol-1-yl) -N, N, N ′, N′-tetramethyluronium hexafluorophosphate (HATU) (2.52 g, 6.62 mmol), benzylamine (0.723 ml , 6.62 mmol), N, N-diisopropylethylamine (1.153 ml, 6.62 mmol) was added and the reaction was stirred at room temperature for 2 hours. The reaction mixture was concentrated under reduced pressure, and the obtained residue was purified by normal phase silica gel column chromatography (hexane / ethyl acetate) to give (R) -tert-butyl (1- (benzylamino) -3- (tert- Butyldisulfanyl) -1-oxopropan-2-yl) carbamate (compound tk92) (2.357 g, 5.91 mmol, 94%) was obtained.
LCMS (ESI) m / z = 399 (M + H) +
Retention time: 0.93 minutes (analysis condition SQDFA05)
(R)-2-アミノ-N-ベンジル-3-(tert-ブチルジスルファニル)プロパンアミド(化合物tk93)の合成
Synthesis of (R) -2-amino-N-benzyl-3- (tert-butyldisulfanyl) propanamide (compound tk93)
(R)-tert-ブチル(1-(ベンジルアミノ)-3-(tert-ブチルジスルファニル)-1-オキソプロパン-2-イル)カルバメート(化合物tk92)(1.049g、2.63mmol)のジクロロメタン(9ml)溶液にトリフルオロ酢酸(3ml)を加え、反応液を室温で1時間攪拌した。反応液を減圧下濃縮後、酢酸エチル/飽和炭酸水素ナトリウムで抽出操作を行い、有機層を飽和食塩水で洗浄した。有機層を無水硫酸ナトリウムで乾燥させ、ろ過後、減圧濃縮することで、(R)-2-アミノ-N-ベンジル-3-(tert-ブチルジスルファニル)プロパンアミド(化合物tk93)(810mg、100%)を得た。
LCMS(ESI) m/z = 297 (M-H)-
保持時間:0.93分(分析条件SQDAA05)
(R) -tert-butyl (1- (benzylamino) -3- (tert-butyldisulfanyl) -1-oxopropan-2-yl) carbamate (compound tk92) (1.049 g, 2.63 mmol) in dichloromethane (9 ml) Trifluoroacetic acid (3 ml) was added to the solution and the reaction was stirred at room temperature for 1 hour. The reaction mixture was concentrated under reduced pressure, extracted with ethyl acetate / saturated sodium bicarbonate, and the organic layer was washed with saturated brine. The organic layer was dried over anhydrous sodium sulfate, filtered, and concentrated under reduced pressure to give (R) -2-amino-N-benzyl-3- (tert-butyldisulfanyl) propanamide (Compound tk93) (810 mg, 100 %).
LCMS (ESI) m / z = 297 (M−H) −
Retention time: 0.93 minutes (analysis condition SQDAA05)
(R)-N-ベンジル-3-(tert-ブチルジスルファニル)-2-(((3-ニトロピリジン-2-イル)チオ)アミノ)プロパンアミド(化合物tk94)の合成
Synthesis of (R) -N-benzyl-3- (tert-butyldisulfanyl) -2-(((3-nitropyridin-2-yl) thio) amino) propanamide (Compound tk94)
(R)-2-アミノ-N-ベンジル-3-(tert-ブチルジスルファニル)プロパンアミド (化合物tk93)(60 mg, 0.201 mmol)およびトリエチルアミン(0.034 ml、0.241mmol)をジクロロメタン(1ml)に溶解し、この溶液を0℃に冷却した。3-ニトロ-2-ピリジンスルフェニルクロリド(46.0 mg, 0.241 mmol)を加え、0℃で2時間攪拌した。反応液を減圧下濃縮し、得られた残渣を順相シリカゲルカラムクロマトグラフィー(ヘキサン/酢酸エチル)にて精製し、(R)-N-ベンジル-3-(tert-ブチルジスルファニル)-2-(((3-ニトロピリジン-2-イル)チオ)アミノ)プロパンアミド(化合物tk94)(87mg、96%)を得た。
LCMS(ESI) m/z = 453 (M+H)+
保持時間:1.03分(分析条件SQDAA05)
(R) -2-Amino-N-benzyl-3- (tert-butyldisulfanyl) propanamide (Compound tk93) (60 mg, 0.201 mmol) and triethylamine (0.034 ml, 0.241 mmol) in dichloromethane (1 ml) and the solution was cooled to 0 ° C. 3-Nitro-2-pyridinesulfenyl chloride (46.0 mg, 0.241 mmol) was added, and the mixture was stirred at 0 ° C. for 2 hours. The reaction mixture was concentrated under reduced pressure, and the obtained residue was purified by normal phase silica gel column chromatography (hexane / ethyl acetate) to give (R) -N-benzyl-3- (tert-butyldisulfanyl) -2- (((3-Nitropyridin-2-yl) thio) amino) propanamide (Compound tk94) (87 mg, 96%) was obtained.
LCMS (ESI) m / z = 453 (M + H) +
Retention time: 1.03 minutes (analysis condition SQDAA05)
3-ニトロ-2-ピリジンスルフェニル基(Npys)の脱保護実験
Deprotection experiment of 3-nitro-2-pyridinesulfenyl group (Npys)
(R)-N-ベンジル-3-(tert-ブチルジスルファニル)-2-(((3-ニトロピリジン-2-イル)チオ)アミノ)プロパンアミド(化合物tk94)をN,N-ジメチルアセトアミド(DMA)に溶解し、50mMのDMA溶液を調製した。このDMA溶液50μlに対して、DMA(50μl)、pH7.4に調製した100mM HEPES緩衝液(250μl)、200mM 2-メルカプトピリジンDMA溶液(50μl)を順に加えた後、最後に1M塩酸(13μl)を加えることでpH4.1の反応液を調製した。この反応液を室温で静置することで脱保護反応を行った。反応の進行はLCMSによる(R)-N-ベンジル-3-(tert-ブチルジスルファニル)-2-(((3-ニトロピリジン-2-イル)チオ)アミノ)プロパンアミド(化合物tk94)の減少、および脱保護体である(R)-2-アミノ-N-ベンジル-3-(tert-ブチルジスルファニル)プロパンアミド(化合物tk93)の増加を追跡した。反応後1時間で、化合物tk93と化合物tk94のUVエリア比は100:0であり、脱保護反応が完結したことを確認した。 (R) -N-benzyl-3- (tert-butyldisulfanyl) -2-(((3-nitropyridin-2-yl) thio) amino) propanamide (compound tk94) was converted to N, N-dimethylacetamide ( Dissolved in DMA) to prepare a 50 mM DMA solution. To 50 μl of this DMA solution, DMA (50 μl), 100 mM HEPES buffer (250 μl) adjusted to pH 7.4 and 200 mM 2-mercaptopyridine DMA solution (50 μl) were sequentially added, and finally 1 M hydrochloric acid (13 μl). Was added to prepare a reaction solution having a pH of 4.1. The reaction solution was allowed to stand at room temperature for deprotection reaction. The progress of the reaction was decreased by (MS) by LCMS in (R) -N-benzyl-3- (tert-butyldisulfanyl) -2-(((3-nitropyridin-2-yl) thio) amino) propanamide (compound tk94) , And an increase in the deprotected form (R) -2-amino-N-benzyl-3- (tert-butyldisulfanyl) propanamide (compound tk93). One hour after the reaction, the UV area ratio between compound tk93 and compound tk94 was 100: 0, and it was confirmed that the deprotection reaction was completed.
化合物tk93のLCMSの保持時間と質量電荷比は以下のとおりである。
LCMS(ESI) m/z = 299 (M+H)+
保持時間:0.90分(分析条件SQDAA05)
既知のNpys基の脱保護手法として、有機溶媒中、求核剤2-メルカプトピリジンを用い、更に反応液中に酢酸を添加することで脱保護反応を加速させる条件が報告されている(非特許文献 International journal of peptide and protein research, 1990, 35, 545-549)。本発明者らは、従来法の改良を行った結果、RNAが安定して存在する条件で、かつNpys基の脱保護反応が容易に進行する手法を見出した。実際にRNAを本反応条件に伏した結果、RNAは安定性して存在することが確認され(表19 反応条件E、および図80 レーン5)、本反応条件の有用性が証明された。
LCMS retention time and mass to charge ratio of compound tk93 are as follows.
LCMS (ESI) m / z = 299 (M + H) +
Retention time: 0.90 minutes (analysis condition SQDAA05)
As a known deprotection technique for Npys group, conditions for accelerating the deprotection reaction by using a nucleophile 2-mercaptopyridine in an organic solvent and adding acetic acid to the reaction solution have been reported (Non-patent document). Literature International journal of peptide and protein research, 1990, 35, 545-549). As a result of improving the conventional method, the present inventors have found a method in which the deprotection reaction of the Npys group easily proceeds under conditions where RNA is stably present. As a result of actually degrading the RNA to the reaction conditions, it was confirmed that the RNA was stably present (Table 19 reaction condition E and FIG. 80, lane 5), and the usefulness of the reaction conditions was proved.
10-2-2. 脱保護方法の評価化合物tk95の合成およびその脱保護実験
以下のスキームに従い、合成を行った。
10-2-2. Evaluation of Deprotection Method Synthesis of Compound tk95 and Deprotection Experiment Synthesis was performed according to the following scheme.
(R)-4-アジドベンジル(1-(ベンジルアミノ)-3-(tert-ブチルジスルファニル)-1-オキソプロパン-2-イル)カルバメート(化合物tk95)の合成
Synthesis of (R) -4-azidobenzyl (1- (benzylamino) -3- (tert-butyldisulfanyl) -1-oxopropan-2-yl) carbamate (Compound tk95)
(R)-2-アミノ-N-ベンジル-3-(tert-ブチルジスルファニル)プロパンアミド(化合物tk93)(145mg、0.486mmol)と炭酸水素ナトリウム(102mg、1.215mmol)の1,4-ジオキサン(2mL)懸濁液に、室温で炭酸 (4-ニトロフェニル) 2-アジドベンジル(168mg、0.534mmol)を添加した。反応混合物を同温度で15.5時間撹拌後、酢酸エチル及び水を添加した。得られた混合物を酢酸エチルで抽出し、有機相を水(5mLで2回)及び食塩水(5mL)で洗浄し、硫酸ナトリウムで乾燥した。減圧濃縮して得られた残渣を順相シリカゲルカラムクロマトグラフィー(ヘキサン/酢酸エチル)にて精製後、逆相シリカゲルカラムクロマトグラフィー(0.05%トリフルオロ酢酸水溶液/0.05%トリフルオロ酢酸アセトニトリル溶液)にて精製し、(R)-4-アジドベンジル(1-(ベンジルアミノ)-3-(tert-ブチルジスルファニル)-1-オキソプロパン-2-イル)カルバメート(化合物tk95)(148.9mg、65%)を得た。
LCMS(ESI) m/z = 474.4 (M+H)+
保持時間:0.97分(分析条件SQDFA05)
(R) -2-Amino-N-benzyl-3- (tert-butyldisulfanyl) propanamide (Compound tk93) (145 mg, 0.486 mmol) and sodium bicarbonate (102 mg, 1.215 mmol) in 1,4- To the dioxane (2 mL) suspension was added (4-nitrophenyl) 2-azidobenzyl carbonate (168 mg, 0.534 mmol) at room temperature. After stirring the reaction mixture at the same temperature for 15.5 hours, ethyl acetate and water were added. The resulting mixture was extracted with ethyl acetate and the organic phase was washed with water (2 x 5 mL) and brine (5 mL) and dried over sodium sulfate. The residue obtained by concentration under reduced pressure was purified by normal phase silica gel column chromatography (hexane / ethyl acetate) and then reverse phase silica gel column chromatography (0.05% trifluoroacetic acid aqueous solution / 0.05% trifluoroacetic acid acetonitrile). (R) -4-azidobenzyl (1- (benzylamino) -3- (tert-butyldisulfanyl) -1-oxopropan-2-yl) carbamate (Compound tk95) (148. 9 mg, 65%) was obtained.
LCMS (ESI) m / z = 474.4 (M + H) +
Retention time: 0.97 minutes (analysis condition SQDFA05)
2-アジドベンジルオキシカルボニル基(oAcbz)の脱保護実験
Deprotection experiment of 2-azidobenzyloxycarbonyl group (oAcbz)
(R)-4-アジドベンジル(1-(ベンジルアミノ)-3-(tert-ブチルジスルファニル)-1-オキソプロパン-2-イル)カルバメート(化合物tk95)をアセトニトリルに溶解し、10mMのアセトニトリル溶液を調製した。このアセトニトリル溶液10μlに対して、アセトニトリル(5μl)、pH7.4に調製した100mM HEPES緩衝液(50μl)、蒸留水(25μl)、pH7.0に調製した100mM トリス(2-カルボキシエチル)ホスフィン水溶液(10μl)を順に加え、pH7.4の反応液を調製した。この反応液を37℃で静置して脱保護反応を行った。反応の進行はLCMSによる化合物tk95の減少、および脱保護体であるR)-2-アミノ-N-ベンジル-3-メルカプトプロパンアミド(化合物tk99)の増加を追跡した。反応後1.5時間で、化合物tk99と化合物tk95のUVエリア比は100:0であり、脱保護反応が完結したことを確認した。
化合物tk99のLCMSの保持時間と質量電荷比は以下のとおりである。
LCMS(ESI) m/z = 211(M+H)+
保持時間:0.61分(分析条件SQDAA05)
(R) -4-azidobenzyl (1- (benzylamino) -3- (tert-butyldisulfanyl) -1-oxopropan-2-yl) carbamate (compound tk95) was dissolved in acetonitrile, and a 10 mM acetonitrile solution Was prepared. To 10 μl of this acetonitrile solution, acetonitrile (5 μl), 100 mM HEPES buffer (50 μl) adjusted to pH 7.4, distilled water (25 μl), 100 mM tris (2-carboxyethyl) phosphine aqueous solution (pH 7.0) ( 10 μl) was added in order to prepare a reaction solution having a pH of 7.4. The reaction solution was allowed to stand at 37 ° C. for deprotection reaction. The progress of the reaction followed the decrease of compound tk95 by LCMS and the increase of the deprotected R) -2-amino-N-benzyl-3-mercaptopropanamide (compound tk99). 1.5 hours after the reaction, the UV area ratio of the compound tk99 and the compound tk95 was 100: 0, and it was confirmed that the deprotection reaction was completed.
LCMS retention time and mass-to-charge ratio of compound tk99 are as follows.
LCMS (ESI) m / z = 211 (M + H) +
Retention time: 0.61 minutes (analysis condition SQDAA05)
このように、2-アジドベンジルオキシカルボニル基は、還元剤トリス(2-カルボキシエチル)ホスフィンを添加することで容易に脱保護できることが明らかとなった。本脱保護手法はRNAが安定な条件として見出されており、実際にRNAを本反応条件に伏した結果、RNAは安定性して存在することが確認され(表19 反応条件C、および図80 レーン3)、本反応条件の有用性が証明された。 Thus, it was revealed that the 2-azidobenzyloxycarbonyl group can be easily deprotected by adding the reducing agent tris (2-carboxyethyl) phosphine. This deprotection technique has been found as a condition under which RNA is stable. As a result of actually degrading RNA to this reaction condition, it was confirmed that RNA exists stably (Table 19, Reaction Condition C and Figure 80 Lane 3), the usefulness of this reaction condition was proved.
2-3. 脱保護方法の評価化合物tk97の合成およびその脱保護実験
以下のスキームに従い、合成を行った。
2-3. Evaluation of Deprotection Method Synthesis of Compound tk97 and Deprotection Experiment Synthesis was performed according to the following scheme.
(1-(ベンジルアミノ)-1-オキソ-6-(2,2,2-トリフルオロアセトアミド)ヘキサン-2-イル)カルバミン酸 (S)-tert-ブチル(化合物tk97)の合成
窒素雰囲気下、Boc-Lys(Tfa)-OH(化合物tk96)(104mg、0.304mmol)及び1H-ベンゾ[d][1,2,3]トリアゾール-1-オール(HOBT)(61.6mg、0.456mmol)のDMF(0.5mL)溶液を氷浴で冷却後、1-エチル-3-(3-ジメチルアミノプロピル)カルボジイミド塩酸塩(WSCI・HCl)(87mg、0.456mmol)を添加した。反応混合物を同温度で5分間撹拌後、ベンジルアミン(40μL、0.365mmol)を添加した。反応混合物を室温にて17.5時間撹拌後、酢酸エチル、ヘキサン及び食塩水を添加した。得られた混合物を酢酸エチルにて抽出し、有機相を食塩水(1mLで2回)にて洗浄後、硫酸ナトリウムで乾燥した。減圧濃縮して得られた残渣を順相シリカゲルカラムクロマトグラフィー(ヘキサン/酢酸エチル)にて精製し、(1-(ベンジルアミノ)-1-オキソ-6-(2,2,2-トリフルオロアセトアミド)ヘキサン-2-イル)カルバミン酸 (S)-tert-ブチル(化合物tk97)(134.4mg、quant.)を得た。
LCMS(ESI) m/z = 430.4 (M-H)-
保持時間:0.73分(分析条件SQDFA05)
Synthesis of (1- (benzylamino) -1-oxo-6- (2,2,2-trifluoroacetamido) hexane-2-yl) carbamic acid (S) -tert-butyl (compound tk97) under nitrogen atmosphere Boc-Lys (Tfa) -OH (compound tk96) (104 mg, 0.304 mmol) and 1H-benzo [d] [1,2,3] triazol-1-ol (HOBT) (61.6 mg, 0.456 mmol) After cooling a DMF (0.5 mL) solution in an ice bath, 1-ethyl-3- (3-dimethylaminopropyl) carbodiimide hydrochloride (WSCI · HCl) (87 mg, 0.456 mmol) was added. After the reaction mixture was stirred at the same temperature for 5 minutes, benzylamine (40 μL, 0.365 mmol) was added. After the reaction mixture was stirred at room temperature for 17.5 hours, ethyl acetate, hexane and brine were added. The resulting mixture was extracted with ethyl acetate, and the organic phase was washed with brine (2 × 1 mL) and then dried over sodium sulfate. The residue obtained by concentration under reduced pressure was purified by normal phase silica gel column chromatography (hexane / ethyl acetate) to give (1- (benzylamino) -1-oxo-6- (2,2,2-trifluoroacetamide). ) Hexane-2-yl) carbamic acid (S) -tert-butyl (compound tk97) (134.4 mg, quant.) Was obtained.
LCMS (ESI) m / z = 430.4 (M−H) −
Retention time: 0.73 minutes (analysis condition SQDFA05)
トリフルオロアセチル基(Tfa)の脱保護実験
Deprotection experiment of trifluoroacetyl group (Tfa)
(1-(ベンジルアミノ)-1-オキソ-6-(2,2,2-トリフルオロアセトアミド)ヘキサン-2-イル)カルバミン酸 (S)-tert-ブチル(化合物tk97)をジメトキシエタンに溶解し、20mMのジメトキシエタン溶液を調製した。このジメトキシエタン溶液15μlに対して、ジメトキシエタン(30μl)、pH9.1に調製した100mM Bicine緩衝液(210μl)を順に加えた。この溶液85μLに100mM Bicine緩衝液(15μl)を添加してpH9.1の反応液とし、この反応液を37℃で静置することで脱保護反応を行った。反応の進行は、LCMSによるトリフルオロアセチル保護体(化合物tk97)の減少、および脱保護体である(6-アミノ-1-(ベンジルアミノ)-1-オキソヘキサン-2-イル)カルバミン酸 (S)-tert-ブチル(化合物tk98)の増加を追跡した。 Dissolve (1- (benzylamino) -1-oxo-6- (2,2,2-trifluoroacetamido) hexan-2-yl) carbamate (S) -tert-butyl (compound tk97) in dimethoxyethane. A 20 mM dimethoxyethane solution was prepared. Dimethoxyethane (30 μl) and 100 mM Bicine buffer (210 μl) adjusted to pH 9.1 were sequentially added to 15 μl of this dimethoxyethane solution. A 100 mM Bicine buffer solution (15 μl) was added to 85 μL of this solution to make a pH 9.1 reaction solution, and this reaction solution was allowed to stand at 37 ° C. to perform a deprotection reaction. The progress of the reaction was caused by the reduction of the protected trifluoroacetyl (compound tk97) by LCMS and the deprotected (6-amino-1- (benzylamino) -1-oxohexane-2-yl) carbamate (S ) -Tert-butyl (compound tk98) increase was followed.
17時間後および93.5時間後の化合物tk98と化合物tk97のUVエリア比は以下のとおりであった。
17時間後:化合物tk98:化合物tk97=19:81
93.5時間後:化合物tk98:化合物tk97=70:30
The UV area ratio between compound tk98 and compound tk97 after 17 hours and 93.5 hours was as follows.
17 hours later: Compound tk98: Compound tk97 = 19: 81
After 93.5 hours: Compound tk98: Compound tk97 = 70: 30
化合物tk98のLCMSの保持時間と質量電荷比は以下のとおりである。
LCMS(ESI) m/z = 336.4 (M+H)+
保持時間:0.74分(分析条件SQDAA05)
LCMS retention time and mass-to-charge ratio of compound tk98 are as follows.
LCMS (ESI) m / z = 336.4 (M + H) +
Retention time: 0.74 minutes (analysis condition SQDAA05)
このようにトリフルオロアセチル基はpH9の反応液中37℃で脱保護が可能であることが明らかとなった。本脱保護手法はRNAが安定な条件として見出されており、実際にRNAを本条件のpH、温度に伏した結果、RNAは安定して存在していることが確認され(図83 レーン7)、本反応条件の有意性が証明された。
Thus, it was revealed that the trifluoroacetyl group can be deprotected at 37 ° C. in a
10-3-4.4-アジドベンジルオキシカルボニル基(Acbz)の脱保護反応
以下に示す化合物SP616から化合物618への変換反応の実験にて、別途証明済である
Deprotection reaction of 10-3-4.4-azidobenzyloxycarbonyl group (Acbz) Proven separately in experiments of conversion reaction from compound SP616 to compound 618 shown below
10-3-5.チアゾリジン環の脱保護反応
以下に示す化合物SP618から化合物620への変換反応の実験にて、別途証明済である
10-3-5. Deprotection reaction of thiazolidine ring It has been proved separately in the experiment of the conversion reaction from compound SP618 to compound 620 shown below.
明細書中の実施例等における用語において下記略語または用語の意義は、特段の説明がある場合を除き以下のとおりである。
solA: 次の成分を含んだ混合物 8mM GTP,8mM ATP,160mMクレアチンリン酸,400mM HEPES-KOH pH7.6,800mM 酢酸カリウム,48mM 酢酸マグネシウム,16mMスペルミジン,8mM ジチオスレイトール,0.8mM 10-HCO-H4folate, 12mg/ml E.coli MRE600(RNaseネガティブ)由来tRNA(Roche社)
solB: PURESYSTEM(r) classic II Sol. B(バイオコゥマー社、製品番号PURE2048C)
20種天然アミノ酸溶液: 20種の天然アミノ酸溶液(それぞれ5mM)
HO
Gly:グリコール酸
Lac:L-(+)-乳酸
PhLac:(S)-2-ヒドロキシ-3-フェニルプロパン酸
D
PhLac: (R)-2-ヒドロキシ-3-フェニルプロパン酸
HO
Gly(Me)
2 :2-ヒドロキシ-2-メチルプロパン酸
In terms of examples and the like in the specification, the following abbreviations or terms have the following meanings unless otherwise specified.
solA : a mixture containing the following components: 8 mM GTP, 8 mM ATP, 160 mM creatine phosphate, 400 mM HEPES-KOH pH 7.6, 800 mM potassium acetate, 48 mM magnesium acetate, 16 mM spermidine, 8 mM dithiothreitol, 0.8 mM 10-HCO -H4folate, 12 mg / ml E. coli MRE600 (RNase negative) derived tRNA (Roche)
solB : PURESYSTEM (r) classic II Sol. B (Biocommer, product number PURE2048C)
20 natural amino acid solutions : 20 natural amino acid solutions (5 mM each)
HO Gly : glycolic acid
Lac : L-(+)-lactic acid
PhLac : (S) -2-hydroxy-3-phenylpropanoic acid
D PhLac : (R) -2-Hydroxy-3-phenylpropanoic acid
HO Gly (Me) 2 : 2-hydroxy-2-methylpropanoic acid
3.分子内分枝ペプチド(直鎖部2)生成反応を拡張するアミノ酸ユニットの探索
環状化反応と続く分枝骨格生成反応の二つの反応を厳密に制御することを可能にする、温和な条件下で脱保護可能な側鎖アミノ基を含むアミノ酸の翻訳導入、及びMALDI-MSによる解析を行った。
3-1. 転写によるtRNA(CA欠損)の合成
鋳型DNA(配列番号DT-H3)から、RiboMAX Large Scale RNA production System T7(Promega社,P1300)を用いたin vitro の転写により3'端のCAを欠くtRNAAsn-E2GUU(-CA)(配列番号RT-H3)を合成し、RNeasy Mini kit(Qiagen社)により精製した。
3. Under mild conditions, it is possible to strictly control the two reactions of the search for cyclization of amino acid units that extend the intramolecular branched peptide (linear chain 2) formation reaction and the subsequent branch skeleton formation reaction. Translation of amino acids containing deprotectable side chain amino groups was introduced and analyzed by MALDI-MS.
3-1. Synthesis of tRNA (CA-deficient) by transcription From template DNA (SEQ ID NO: DT-H3), tRNAAsn- lacking 3′-end CA by in vitro transcription using RiboMAX Large Scale RNA production System T7 (Promega, P1300) E2GUU (-CA) (SEQ ID NO: RT-H3) was synthesized and purified by RNeasy Mini kit (Qiagen).
配列番号DT-H3(配列番号:94)
tRNAAsn-E2GUU (-CA) DNA配列:
GGCGTAATACGACTCACTATAGGCTCTGTAGTTCAGTCGGTAGAACGGCGGACTgttAATCCGTATGTCACTGGTTCGAGTCCAGTCAGAGCCGC
SEQ ID NO: DT-H3 (SEQ ID NO: 94)
tRNAAsn-E2GUU (-CA) DNA sequence:
GGCGTAATACGACTCACTATAGGCTCTGTAGTTCAGTCGGTAGAACGGCGGACTgttAATCCGTATGTCACTGGTTCGAGTCCAGTCAGAGCCGCGC
配列番号RT-H3(配列番号:95)
tRNAAsn-E2GUU (-CA) RNA配列:
GGCUCUGUAGUUCAGUCGGUAGAACGGCGGACUguuAAUCCGUAUGUCACUGGUUCGAGUCCAGUCAGAGCCGC
SEQ ID NO: RT-H3 (SEQ ID NO: 95)
tRNAAsn-E2GUU (-CA) RNA sequence:
GGCUCUGUAGUUCAGUCGGUAGAACGGCGGACUguuAAUCCGUAUGUCACUGGUUCGAGUCCAGUCAGAGCCGC
3-2. 側鎖アミノ基が保護されたアミノアシルpdCpA(化合物tk5、tk60、tk64、tk90、tk38、tk11)とtRNA(CA欠損)(配列番号:RT-H3)のligationによるアミノアシル化tRNA(化合物AT-H3)の合成
50μM 転写tRNAAsn-E2GUU (-CA)(配列番号RT-H3) 20μLに、10X ligation buffer (500 mM HEPES-KOH pH 7.5, 200 mM MgCl2) 4μL、, 10 mM ATP 4μL、Nuclease free water 5.6μLを加え、95℃で2分間加熱した後、室温で5分間放置し、tRNAのリフォールディングを行った。 T4 RNAリガーゼ(New England Bio Lab.社)2.4μLおよび、5mMの側鎖アミノ基が保護されたアミノアシル化pdCpA(化合物tk5、tk60、tk64、tk90、tk38、tk11のいずれか一種類)のDMSO溶液 4μLを加え、16℃で45分間ライゲーション反応を行った。アミノアシル化tRNA(化合物AT-H3)は、フェノール抽出した後、エタノール沈殿により回収した。アミノアシル化tRNA(化合物AT-H3)は、翻訳混合物に添加する直前に1mM酢酸ナトリウムに溶解した。
3-2. Aminoacylated tRNA (compound AT-H3) by ligation of aminoacyl pdCpA (compounds tk5, tk60, tk64, tk90, tk38, tk11) with side chain amino group protected and tRNA (CA deficient) (SEQ ID NO: RT-H3) Synthesis of 50 μM Transcription tRNAAsn-E2GUU (-CA) (SEQ ID NO: RT-H3) 20 μL, 10 × ligation buffer (500 mM HEPES-KOH pH 7.5, 200 mM MgCl 2 ) 4 μL, 10
化合物AT-H3A
Ala(Tzm)-tRNAAsn-E2GUU(配列番号:96)
Compound AT-H3A
Ala (Tzm) -tRNAAsn-E2GUU (SEQ ID NO: 96)
化合物AT-H3B
Orn(Acbz)-tRNAAsn-E2GUU(配列番号:96)
Compound AT-H3B
Orn (Acbz) -tRNAAsn-E2GUU (SEQ ID NO: 96)
化合物AT-H3C
Orn(oAcbz)-tRNAAsn-E2GUU(配列番号:96)
Compound AT-H3C
Orn (oAcbz) -tRNAAsn-E2GUU (SEQ ID NO: 96)
化合物AT-H3D
Lys (Npys)-tRNAAsn-E2GUU(配列番号:96)
Compound AT-H3D
Lys (Npys) -tRNAAsn-E2GUU (SEQ ID NO: 96)
化合物AT-H3E
Lys(Acbz)-tRNAAsn-E2GUU(配列番号:96)
Compound AT-H3E
Lys (Acbz) -tRNAAsn-E2GUU (SEQ ID NO: 96)
化合物AT-H3F
Lys(5S-SSMe)(Acbz)-tRNAAsn-E2GUU(配列番号:96)
Compound AT-H3F
Lys (5S-SSMe) (Acbz) -tRNAAsn-E2GUU (SEQ ID NO: 96)
3-3.保護された側鎖アミノ基ペプチドを含むペプチドの翻訳合成
様々なアミノ酸によりアミノアシル化されたtRNA(化合物AT-H3)を、無細胞翻訳系に加えて翻訳を開始することにより、所望の非天然アミノ酸を含有するポリペプチドの翻訳合成を行った。翻訳系は、原核生物由来の再構成無細胞タンパク質合成系であるPURE systemを用いた。具体的には、翻訳液,1%(v/v) RNasein Ribonuclease inhibitor (Promega社,N2111), 1mM GTP,1mM ATP,20mMクレアチンリン酸,50mM HEPES-KOH pH7.6,100mM 酢酸カリウム,6mM 酢酸マグネシウム,2mMスペルミジン,0.1mM 10-HCO-H4folate, 1.5mg/ml E.coli MRE600(RNaseネガティブ)由来tRNA(Roche社),4μg/ml クレアチンキナーゼ,3μg/ml ミオキナーゼ,2unit/ml 無機ピロフォスファターゼ,1.1μg/ml ヌクレオシド二リン酸キナーゼ,0.6μM メチオニルtRNAトランスフォルミラーゼ,0.26μM EF-G,0.24μM RF2,0.17μM RF3,0.5μM RRF,2.7μM IF1,0.4μM IF2,1.5μM IF3,40μM EF-Tu,93μM EF-Ts,1.2μM リボソーム,0.73μM AlaRS,0.03μM ArgRS,0.38μM AsnRS,0.13μM AspRS,0.02μM CysRS,0.06μM GlnRS,0.23μM GluRS,0.09μM GlyRS,0.4μM IleRS,0.04μM LeuRS,0.11μM LysRS,0.03μM MetRS,0.68μM PheRS,0.16μM ProRS,0.04μM SerRS,0.09μM ThrRS,0.03μM TrpRS,0.02μM TyrRS,0.02μM ValRS(自家調製タンパクは基本的にHisタグ付加タンパクとして調製した))に、1μM 鋳型RNA、タンパク質性アミノ酸群をそれぞれ250μMずつ、ならびに50μMずつアシル化tRNAを翻訳反応混合物に添加し、37℃で1時間静置することで行った。
3-3. Translation Synthesis of Peptides Containing Protected Side Chain Amino Group Peptides Amino acid-acylated tRNA (compound AT-H3) is added to a cell-free translation system to initiate the desired unnatural amino acid Translational synthesis of a polypeptide containing The translation system used was the PURE system, a prokaryotic-derived reconstituted cell-free protein synthesis system. Specifically, translation solution, 1% (v / v) RNasein Ribonuclease inhibitor (Promega, N2111), 1 mM GTP, 1 mM ATP, 20 mM creatine phosphate, 50 mM HEPES-KOH pH7.6, 100 mM potassium acetate, 6 mM acetic acid Magnesium, 2 mM spermidine, 0.1 mM 10-HCO-H4folate, 1.5 mg / ml E. coli MRE600 (RNase negative) -derived tRNA (Roche), 4 μg / ml creatine kinase, 3 μg / ml myokinase, 2 unit / ml inorganic pyrophosphatase, 1.1 μg / ml nucleoside diphosphate kinase, 0.6 μM methionyl tRNA transformylase , 0.26 μM EF-G, 0.24 μM RF2, 0.17 μM RF3, 0.5 μM RRF, 2.7 μM IF1, 0.4 μM IF2, 1.5 μM IF3, 40 μM EF-Tu, 93 μM EF-Ts, 2 μM ribosome, 0.73 μM AlaRS, 0.03 μM ArgRS, 0.38 μM AsnRS, 0.13 μM AspRS, 0.02 μM CysRS, 0.06 μM GlnRS, 0.23 μM GluRS, 0.09 μM GlyRS, 0. μM IleRS, 0.04 μM LeuRS, 0.11 μM LysRS, 0.03 μM MetRS, 0.68 μM PheRS, 0.16 μM ProRS, 0.04 μM SerRS, 0.09 μM ThrRS, 0.03 μM TrpRS, 0.02 μM TyrRS, 0. 02 μM ValRS (the self-prepared protein was basically prepared as a His-tagged protein)), 1 μM template RNA, 250 μM each of proteinaceous amino acid groups, and 50 μM each of acylated tRNA were added to the translation reaction mixture at 37 ° C. It was performed by leaving still for 1 hour.
3-3-1.Ala(Tzm)を含むモデルペプチドの翻訳合成
1μM 鋳型RNA CT32(配列番号RM-H3)、0.25mM Met、0.25mM Arg,0.25mM Asp、0.25mM Tyr、0.25mM Lys、1mM ジチオスレイトール、50μM Ala(Tzm)-tRNAAsn-E2GUU(化合物AT-H3A)を含む前述の翻訳液を37℃で60分間保温した。得られた翻訳反応物1μLに9μLの0.2%トリフルオロ酢酸を加え、そのうち1μLをMALDIターゲットプレート上に載せた後、1μLのCHCA溶液(10mg/ml α-シアノ-4-ヒドロキシケイ皮酸、50%アセトニトリル、0.1%トリフルオロ酢酸溶液)と混和し、プレート上乾固した。MALDI-MS分析の結果、Ala(Tzm)を含む全長ペプチド(ペプチド配列P-H2)が主生成物として観測された(図75、ピークI)。
3-3-1. Translation synthesis of model peptide containing Ala (Tzm) 1 μM Template RNA CT32 (SEQ ID NO: RM-H3), 0.25 mM Met, 0.25 mM Arg, 0.25 mM Asp, 0.25 mM Tyr, 0.25 mM Lys, 1 mM dithio The aforementioned translation solution containing thritol and 50 μM Ala (Tzm) -tRNAAsn-E2GUU (compound AT-H3A) was incubated at 37 ° C. for 60 minutes. 9 μL of 0.2% trifluoroacetic acid was added to 1 μL of the obtained translation reaction product, 1 μL of which was placed on a MALDI target plate, and then 1 μL of CHCA solution (10 mg / ml α-cyano-4-hydroxycinnamic acid , 50% acetonitrile, 0.1% trifluoroacetic acid solution) and dried on the plate. As a result of MALDI-MS analysis, a full-length peptide (peptide sequence P-H2) containing Ala (Tzm) was observed as the main product (FIG. 75, peak I).
配列番号RM-H3(配列番号:97)
CT32 RNA配列
GGGUUAACUUUAACAAGGAGAAAAACAUGCGUaacCGUGACUACAAGGACGACGACGACAAGUAAGCUUCG
SEQ ID NO: RM-H3 (SEQ ID NO: 97)
CT32 RNA sequence
GGGUUAACUUUAACAAGGAGAAAAACAUGCGUaacCGUGACUACAAGGACGACGACGACAAGUAAGCUUCG
ペプチド配列P-H2
fMetArg[Ala(Tzm)] ArgAspTyrLysAspAspAspAspLys
Peptide sequence PH2
fMetArg [Ala (Tzm)] ArgAspTyrLysAspAspAspAspLys
MALDI-MS:
m/z: [H+M]+ = 1656.4 (Calc. 1656.7)
MALDI-MS:
m / z: [H + M] + = 1656.4 (Calc. 1656.7)
3-3-2.Orn(Acbz), Orn(oAcbz), Lys(Npys)を含むモデルペプチドの翻訳合成
1μM 鋳型RNA CT32(配列番号RM-H3)、0.25mM Met、0.25mM Arg,0.25mM Asp、0.25mM Tyr、0.25mM Lys、及び前記の方法で調製した50μMのOrn(Acbz)-tRNAAsn-E2GUU(化合物AT-H3B)、Orn(oAcbz)-tRNAAsn-E2GUU(化合物AT-H3C)、Lys (Npys)-tRNAAsn-E2GUU(化合物AT-H3D)をそれぞれ1種類含む前述の翻訳液、計3反応溶液を37℃で60分間保温した。Orn(Acbz)-tRNAAsn-E2GUU(化合物AT-H3B)を含む翻訳サンプルに関して、得られた翻訳溶液1μLに9μLの0.2%トリフルオロ酢酸を加え、そのうち1μLをMALDIターゲットプレート上に載せた後、1μLのCHCA溶液(10mg/ml α-シアノ-4-ヒドロキシケイ皮酸、50%アセトニトリル、0.1%トリフルオロ酢酸溶液)と混和し、プレート乾固した後、MALDI-MSにて解析を行った。その結果、目的の全長ペプチドに由来するピークでなく、側鎖Acbz基が外れたペプチドP-H3Aに対応するピークが主生成物として観測された(図75ピークII)。これは上述の測定前処理操作あるいは測定中のレーザー照射により側鎖脱保護反応が進行したことに由来すると考え、測定をLC-ESI-MSに変更して続けて同翻訳産物の解析をおこなった。上述のOrn(Acbz)-tRNAAsn-E2GUU(化合物AT-H3B)を含む翻訳溶液5μLと水5μLを混合したものを用いLC-MS分析した結果、Acbz基を有する全長の目的ペプチド(Orn(Acbz):ペプチド配列P-H3)に由来するピークを確認することができた(図76 ピークI)。その一方で、側鎖脱保護されたP-H3Aに由来するピークは観測されなかったことから、上述したように側鎖Acbz基の脱保護反応はMALDI測定あるいは分析前処理過程で起こっていることが明らかとなった(図77)。同様に、Orn(oAcbz)-tRNAAsn-E2GUU(化合物AT-H3C)、Lys (Npys)-tRNAAsn-E2GUU(化合物AT-H3D)を含む翻訳溶液に関しても、LC-MSによる分析を行った結果、目的どおりOrn(oAcbz):ペプチド配列P-H4、Lys (Npys):ペプチド配列P-H5)に相当するピークが観測された(図78ピークI及び図79ピークI)。
3-3-2. Translation synthesis of model peptides including Orn (Acbz), Orn (oAcbz), Lys (Npys) 1 μM Template RNA CT32 (SEQ ID NO: RM-H3), 0.25 mM Met, 0.25 mM Arg, 0.25 mM Asp, 0. 25 mM Tyr, 0.25 mM Lys, and 50 μM Orn (Acbz) -tRNAAsn-E2GUU (compound AT-H3B), Orn (oAcbz) -tRNAAsn-E2GUU (compound AT-H3C), Lys (Npys) prepared as described above. ) -TRNAAsn-E2GUU (compound AT-H3D) each containing the above translation solution and a total of 3 reaction solutions were incubated at 37 ° C. for 60 minutes. For a translation sample containing Orn (Acbz) -tRNAAsn-E2GUU (compound AT-H3B), 9 μL of 0.2% trifluoroacetic acid was added to 1 μL of the obtained translation solution, and 1 μL of the sample was placed on a MALDI target plate. Mix with 1 μL of CHCA solution (10 mg / ml α-cyano-4-hydroxycinnamic acid, 50% acetonitrile, 0.1% trifluoroacetic acid solution), dry the plate, and analyze with MALDI-MS. went. As a result, not a peak derived from the target full-length peptide but a peak corresponding to peptide P-H3A from which the side chain Acbz group was removed was observed as a main product (peak II in FIG. 75). This was thought to be due to the progress of the side chain deprotection reaction due to the pretreatment operation described above or laser irradiation during the measurement, and the translation product was subsequently analyzed by changing the measurement to LC-ESI-MS. . As a result of LC-MS analysis using a mixture of 5 μL of the translation solution containing the above-mentioned Orn (Acbz) -tRNAAsn-E2GUU (compound AT-H3B) and 5 μL of water, the full-length target peptide having an Acbz group (Orn (Acbz) : A peak derived from the peptide sequence P-H3) could be confirmed (FIG. 76 Peak I). On the other hand, since no peak derived from side chain deprotected P-H3A was observed, as described above, the deprotection reaction of the side chain Acbz group occurred during the MALDI measurement or pre-analysis process. Became clear (FIG. 77). Similarly, as a result of LC-MS analysis of a translation solution containing Orn (oAcbz) -tRNAAsn-E2GUU (compound AT-H3C) and Lys (Npys) -tRNAAsn-E2GUU (compound AT-H3D) As shown, peaks corresponding to Orn (oAcbz): peptide sequence PH4, Lys (Npys): peptide sequence PH5) were observed (FIG. 78 peak I and FIG. 79 peak I).
ペプチド配列P-H3
fMetArg[Orn(Acbz)] ArgAspTyrLysAspAspAspAspLys
Peptide sequence P-H3
fMetArg [Orn (Acbz)] ArgAspTyrLysAspAspAspAspLys
LC‐ESI-MS:m/z 885.3733(M-2H)2-,(Calcd for C72H106O27N24S:885.3695)
保持時間:4.99分(分析条件 OrbitrapHFIP-Et3N-3)
LC-ESI-MS: m / z 885.3733 (M-2H) 2 -, (Calcd for C 72 H 106 O 27 N 24 S: 885.3695)
Retention time: 4.99 minutes (analysis conditions OrbitrapHFIP-Et3N-3)
ペプチド配列P-H3A
fMetArgOrn ArgAspTyrLysAspAspAspAspLys
Peptide sequence P-H3A
fMetArgOrn ArgAspTyrLysAspAspAspAspLys
MALDI-MS:
m/z: [H+M]+ = 1598.5 (Calc. 1598.7)
MALDI-MS:
m / z: [H + M] + = 1598.5 (Calc. 1598.7)
ペプチド配列P-H4
fMetArg[Orn(oAcbz)] ArgAspTyrLysAspAspAspAspLys
Peptide sequence PH4
fMetArg [Orn (oAcbz)] ArgAspTyrLysAspAspAspAspLys
LC‐ESI-MS:m/z 885.3735(M-2H)2-,(Calcd for C72H106O27N24S:885.3695)
保持時間:5.23分(分析条件 OrbitrapHFIP-Et3N-3)
LC-ESI-MS: m / z 885.3735 (M-2H) 2 -, (Calcd for C 72 H 106 O 27 N 24 S: 885.3695)
Retention time: 5.23 minutes (Analysis conditions OrbitrapHFIP-Et3N-3)
ペプチド配列P-H5
fMetArg[Lys(Npys)] ArgAspTyrLysAspAspAspAspLys
Peptide sequence PH5
fMetArg [Lys (Npys)] ArgAspTyrLysAspAspAspAspLys
LC‐ESI-MS:m/z 881.8500(M-2H)2-,(Calcd for C70H105O27N23S2:881.8501)
保持時間:4.34分(分析条件 OrbitrapHFIP-Et3N-3)
LC-ESI-MS: m / z 881.8500 (M-2H) 2 -, (Calcd for C 70 H 105 O 27 N 23 S 2: 881.8501)
Retention time: 4.34 minutes (analysis conditions OrbitrapHFIP-Et3N-3)
3-3-3.Lys(Acbz)、Lys (5S-SSMe) (Acbz)を含むモデルペプチドの翻訳合成
1μM 鋳型RNA CT32(配列番号RM-H3)、0.25mM Met、0.25mM Arg,0.25mM Asp、0.25mM Tyr、0.25mM Lys、及び前記の方法で調整した50μMのLys(Acbz)-tRNAAsn-E2GUU(化合物AT-H3E)、Lys(5S-SSMe)( Acbz)-tRNAAsn-E2GUU(化合物AT-H3F)、をそれぞれ1種類含む前述の翻訳液、計3反応溶液を37℃で60分間保温した。得られた翻訳反応物1μLに9μLの0.2%トリフルオロ酢酸を加え、そのうち1μLをMALDIターゲットプレート上に載せた後、1μLのCHCA溶液(10mg/ml α-シアノ-4-ヒドロキシケイ皮酸、50%アセトニトリル、0.1%トリフルオロ酢酸溶液)と混和し、プレート上乾固した。MALDI-MS分析の結果、いずれにおいても側鎖Acbz基がMALDI測定中及び前処理中に外れたことに由来するペプチド配列P-H6,P-H7が観測された(それぞれ図75ピークIII、IV)。
3-3-3. Translation synthesis of model peptide containing Lys (Acbz), Lys (5S-SSMe) (Acbz) 1 μM Template RNA CT32 (SEQ ID NO: RM-H3), 0.25 mM Met, 0.25 mM Arg, 0.25 mM Asp, 0. 25 mM Tyr, 0.25 mM Lys, and 50 μM Lys (Acbz) -tRNAAsn-E2GUU (compound AT-H3E), Lys (5S-SSMe) (Acbz) -tRNAAsn-E2GUU (compound AT-H3F) prepared as described above. ), A total of 3 reaction solutions, each containing one kind of the above-mentioned translation solution, was kept at 37 ° C. for 60 minutes. 9 μL of 0.2% trifluoroacetic acid was added to 1 μL of the obtained translation reaction product, 1 μL of which was placed on a MALDI target plate, and then 1 μL of CHCA solution (10 mg / ml α-cyano-4-hydroxycinnamic acid , 50% acetonitrile, 0.1% trifluoroacetic acid solution) and dried on the plate. As a result of MALDI-MS analysis, peptide sequences PH6 and PH7 derived from the fact that the side chain Acbz group was removed during MALDI measurement and pretreatment were observed in both cases (FIGS. 75 peaks III and IV, respectively). ).
ペプチド配列P-H6
fMetArgLysArgAspTyrLysAspAspAspAspLys(配列番号:98)
Peptide sequence PH6
fMetArgLysArgAspTyrLysAspAspAspAspLys (SEQ ID NO: 98)
MALDI-MS:
m/z: [H+M]+ = 1612.4(Calc. 1612.7)
MALDI-MS:
m / z: [H + M] + = 1612.4 (Calc. 1612.7)
ペプチド配列P-H7
Peptide sequence PH7
MALDI-MS:
m/z: [H+M]+ = 1690.1 (Calc. 1690.7)
MALDI-MS:
m / z: [H + M] + = 1690.1 (Calc. 1690.7)
3-4.側鎖アミノ基脱保護条件でのRNA安定性評価
前述した側鎖アミノ基の保護基各々の脱保護条件下においてRNAが安定に存在するかを確認するため、RNAをそれぞれの脱保護条件に伏した後、ゲル電気泳動による解析を行った。
表19に示す反応条件にあるように各反応溶液を調製し、各々の反応温度、反応時間に従ってRNAを保温した。反応条件B-Eに伏した反応溶液それぞれに対しては、その後RNeasy minelute(qiagen社)を用いてRNAを精製し、10μLの水にて溶出した。これらと、反応溶液Aの各々10μLの溶液に対して10μLのTBE-Ureaサンプルバッファー(2x)(Invitrogen社)を加え、そのうち1μLを使って10%TBE-ウレアゲルにて電気泳動を行い、SYBR gold nucleic acid stain (Invitrogen社)により染色を行った(図80)。
その結果、対照実験として電気泳動した反応条件AのRNAと比べ反応条件B-Eに伏したRNAはバンドパターンやバンド濃さに大きな変化は観測されず、(図80、レーン1vsレーン2-5)、RNAがこれらの反応条件にて安定に存在することが示された。なおB-Eの条件とは、それぞれ、B:4-アジドベンジルオキシカルボニル基(Acbz)、C:2-アジドベンジルオキシカルボニル基(oAcbz)、D:チアゾリジン環、E:3-ニトロ-2-ピリジンスルフェニル基(Npys)の脱保護条件を模している。
3-4. Evaluation of RNA stability under side chain amino group deprotection conditions In order to confirm whether RNA is stably present under the deprotection conditions of each side chain amino group protection group described above, RNA is subjected to the respective deprotection conditions. After that, analysis by gel electrophoresis was performed.
Each reaction solution was prepared so as to satisfy the reaction conditions shown in Table 19, and RNA was kept warm according to each reaction temperature and reaction time. For each reaction solution exposed to reaction conditions BE, RNA was purified using RNeasy minelute (qiagen) and eluted with 10 μL of water. 10 μL of TBE-Urea sample buffer (2 ×) (Invitrogen) is added to 10 μL of each of these and reaction solution A, 1 μL of which is electrophoresed on 10% TBE-urea gel, and SYBR gold Staining was performed with nucleic acid stain (Invitrogen) (FIG. 80).
As a result, compared to the RNA of reaction condition A that was electrophoresed as a control experiment, no significant changes were observed in the band pattern or band density of the RNA that was exposed to reaction condition BE (FIG. 80,
続いて、酸性、あるいは塩基性条件下におけるRNA安定性を電気泳動を用いて評価した。2μLのRNA溶液(20μM OT95 RNA(配列番号RM-H4)、100 mM 塩化カリウム、 10 mM 酢酸マグネシウム)に対して、20μLの100mM 塩酸-塩化カリウム緩衝液 (pH 2.0)、100mMクエン酸ナトリウム緩衝液(pH 3.0)、100mM酢酸ナトリウム緩衝液(pH 4.0)、100mM酢酸ナトリウム緩衝液 (pH 5.0)、100mM HEPES-K緩衝液(pH 7.0)、100mMトリス塩酸緩衝液(pH 8.0)、Bicine-K緩衝液(pH 9.0)をそれぞれ加え、各反応溶液を37℃にて22時間保温した。対象実験として、上述のRNA溶液に対して緩衝液の代わりに水20μLを加え、37℃での保温を行わなかったものをマーカーRNAとして調製し、上記反応サンプルとの泳動比較に用いることとした。得られた反応溶液とマーカーRNA22μLに対し、その後等量のTBE-Ureaサンプルバッファー(2x)(Invitrogen社)を加え、そのうち4μLを使って10%TBE-ウレアゲルにて電気泳動を行い、SYBR gold nucleic acid stain (Invitrogen社)により染色を行った。その結果、いずれの反応サンプルにおいても、マーカーRNAと比較して顕著なRNA分解はみられなかった(図83)。この事から、上記反応条件においてRNAは安定に存在する事が示された。 Subsequently, RNA stability under acidic or basic conditions was evaluated using electrophoresis. For 2 μL of RNA solution (20 μM OT95 RNA (SEQ ID NO: RM-H4), 100 mM potassium chloride, 10 mM magnesium acetate), 20 μL of 100 mM hydrochloric acid-potassium chloride buffer solution (pH 2.0), 100 mM sodium citrate Buffer (pH 3.0), 100 mM sodium acetate buffer (pH 4.0), 100 mM sodium acetate buffer (pH 5.0), 100 mM HEPES-K buffer (pH 7.0), 100 mM Tris-HCl buffer Each solution (pH 8.0) and Bicine-K buffer (pH 9.0) were added, and each reaction solution was incubated at 37 ° C. for 22 hours. As a target experiment, 20 μL of water was added to the above RNA solution instead of the buffer solution, and the sample not incubated at 37 ° C. was prepared as a marker RNA and used for migration comparison with the above reaction sample. . An equal amount of TBE-Urea sample buffer (2x) (Invitrogen) is then added to the obtained reaction solution and marker RNA (22 μL), and 4 μL of the solution is electrophoresed on 10% TBE-urea gel to obtain SYBR gold nucleic. Staining was performed with acid stain (Invitrogen). As a result, no significant RNA degradation was observed in any of the reaction samples compared to the marker RNA (FIG. 83). From this, it was shown that RNA exists stably under the above reaction conditions.
配列番号RM-H4(配列番号:185)
OT95 RNA配列
GGGUUAACUUUAAGAAGGAGAUAUACAUAUGUGCACUACAACGCGUCUUCCGUACCGUAGCGGCUCUGGCUCUGGCUCUUAGGGCGGCGGGGACAAA
SEQ ID NO: RM-H4 (SEQ ID NO: 185)
OT95 RNA sequence
GGGUUAACUUUAAGAAGGAGAUAUACAUAUGUGCACUACAACGCGUCUUCCGUACCGUAGCGGCUCUGGCUCUGGCUCUUAGGGCGGCGGGGACAAA
[実施例22] RNA-ペプチド複合体モデル化合物を用いたHeck反応
実際にディスプレイライブラリー構築で合成される化合物はmRNAの長さが約100のmRNA-ペプチドフュージョンであり、そのような高分子化合物の反応の詳細な解析は困難である。そこで分子内に分子量分析可能な長さのRNA構造を有し、かつ分子内に金属触媒による環化反応が可能なペプチド構造を有するモデル化合物を用いmRNA-ペプチドフュージョンでの環化反応条件特定を実施した。
Pdを用いた翻訳後修飾でディスプレイライブラリーに適用させるためにはRNAに影響を与えることなく、望みの化学修飾反応を進行させる必要がある。その目的を達するため、以下のような実験を行った。(1)tRNAなどが混在した系(PureSystem)中でのHeck反応を実施し、tRNAに影響を与えることなく、Heck反応が進行する反応条件を見出した。(2)ペプチドとRNAのコンジュゲートを作成の上、Heck反応を実施し、ペプチドとRNAが結合していてもRNAに影響を与えることなくHeck反応が進行する反応条件を見出した。
モデル化合物として使用したのは以下の3種類の化合物である。
4-mer RNA-ペプチドコンジュゲート
10-mer RNA-ペプチドコンジュゲート
20-mer RNA-ペプチドコンジュゲート
[Example 22] Heck reaction using RNA-peptide complex model compound The compound actually synthesized by the construction of the display library is an mRNA-peptide fusion having an mRNA length of about 100, and such a polymer compound. Detailed analysis of the reaction is difficult. Therefore, identification of cyclization reaction conditions in mRNA-peptide fusion using a model compound that has an RNA structure with a molecular weight analysis length in the molecule and a peptide structure in the molecule that can be cyclized by a metal catalyst. Carried out.
In order to apply post-translational modification using Pd to a display library, it is necessary to proceed with a desired chemical modification reaction without affecting RNA. In order to achieve that purpose, the following experiment was conducted. (1) The Heck reaction was performed in a system (PureSystem) in which tRNA and the like were mixed, and the reaction conditions under which the Heck reaction proceeded without affecting tRNA were found. (2) After preparing a conjugate of peptide and RNA, a Heck reaction was performed, and reaction conditions under which the Heck reaction progressed without affecting RNA even when the peptide and RNA were bound were found.
The following three types of compounds were used as model compounds.
4-mer RNA-peptide conjugate 10-mer RNA-peptide conjugate 20-mer RNA-peptide conjugate
1-1.RNA-ペプチドコンジュゲートモデル反応原料の合成
以下の一般製法‐1に従って、モデル反応実施のための原料合成を行った。
(一般製法-1)RNA-ペプチドコンジュゲートの合成
1-1. Synthesis of RNA-peptide conjugate model reaction raw material Raw material synthesis for model reaction was performed according to the following general production method-1.
(General production method-1) Synthesis of RNA-peptide conjugates
テンプレート合成
Template composition
固相担持
Solid support
ペプチド伸長
Peptide elongation
RNA合成、切り出し
RNA synthesis, excision
1-1-1. 4-mer RNA-ペプチドコンジュゲート(5'-AGCU-3'-Peptide)(化合物70a)の合成
(2S、4R)-4-ヒドロキシ-2-[2-(2-ヒドロキシ―エトキシ)-エチルカルバモイル]-ピロリジン-1-カルボン酸 9H-フルオレン―9-イルメチルエステル(化合物72)の合成
FMOC-L-ヒドロキシプロリン(化合物71)(2.12g、6.00mmol)、2-(2-アミノエトキシ)エタノール(0.661mg、6.60mmol)をDMSO(4.0mL)に溶解し室温にて4-(4,6-ジメトキシ-1,3,5-トリアジン-2-イル)-4-メチルモルホリニウムクロリドn水和物(1.98g、6.60mmol)を加え5時間攪拌した。反応液を逆相シリカ(ギ酸0.1%、H2O、CH3CN、グラジエント)で精製し、標題化合物(化合物72)(1.69g、64%)を淡黄色アモルファスとして得た。
LCMS(ESI) 441.2(M+H)+
保持時間:1.57分(分析条件ZQAA05)
1-1-1. Synthesis of 4-mer RNA-peptide conjugate (5'-AGCU-3'-Peptide) (compound 70a)
Synthesis of (2S, 4R) -4-hydroxy-2- [2- (2-hydroxy-ethoxy) -ethylcarbamoyl] -pyrrolidine-1-carboxylic acid 9H-fluoren-9-ylmethyl ester (Compound 72)
FMOC-L-hydroxyproline (compound 71) (2.12 g, 6.00 mmol) and 2- (2-aminoethoxy) ethanol (0.661 mg, 6.60 mmol) were dissolved in DMSO (4.0 mL) and brought to room temperature. 4- (4,6-dimethoxy-1,3,5-triazin-2-yl) -4-methylmorpholinium chloride n hydrate (1.98 g, 6.60 mmol) was added and stirred for 5 hours. The reaction solution was purified on reverse phase silica (0.1% formic acid, H2O, CH3CN, gradient) to give the title compound (Compound 72) (1.69 g, 64%) as a pale yellow amorphous.
LCMS (ESI) 441.2 (M + H) +
Retention time: 1.57 minutes (analysis condition ZQAA05)
(2S、4R)-2-(2-{2-[ビス-(4-メトキシ-フェニル)-フェニル-メトキシ]-エトキシ}-エチルカルバモイル)-4-ヒドロキシ-ピロリジン-1-カルボン酸 9H-フルオレン-9-イルメチルエステル(化合物73)の合成
(2S、4R)-4-ヒドロキシ-2-[2-(2-ヒドロキシ―エトキシ)-エチルカルバモイル]-ピロリジン-1-カルボン酸 9H-フルオレン―9-イルメチルエステル(化合物72)(1.69g、3.83mmol)、4、4'-ジメトキシトリチルクロライド(2.47g、7.66mmol)をピリジン(5.0mL)に溶解し室温にて3時間攪拌した。反応液を逆相シリカ(酢酸アンモニウム0.1%、H2O、CH3OH、グラジエント)で精製し、標題化合物(化合物73)(2.24g、79%)を淡黄色アモルファスとして得た。
LCMS(ESI) 760.8(M+NH4)+、765.7(M+Na)+
保持時間:1.15分(分析条件SQDAA05)
(2S, 4R) -2- (2- {2- [Bis- (4-methoxy-phenyl) -phenyl-methoxy] -ethoxy} -ethylcarbamoyl) -4-hydroxy-pyrrolidine-1-carboxylic acid 9H-fluorene Synthesis of -9-ylmethyl ester (Compound 73)
(2S, 4R) -4-Hydroxy-2- [2- (2-hydroxy-ethoxy) -ethylcarbamoyl] -pyrrolidine-1-carboxylic acid 9H-fluoren-9-ylmethyl ester (Compound 72) (1.69
LCMS (ESI) 760.8 (M + NH4) +, 765.7 (M + Na) +
Retention time: 1.15 minutes (analysis condition SQDAA05)
コハク酸 モノ-[(3R,5S)-5-(2-{2-[ビス-(4―メトキシ-フェニル)-フェニル-メトキシ]-エトキシ}-エチルカルバモイル)-1-(9H-フルオレン-9-イルメトキシカルボニル)-ピロリジン-3-イル]エステル(化合物74)の合成
(2S、4R)-2-(2-{2-[ビス-(4-メトキシ-フェニル)-フェニル-メトキシ]-エトキシ}-エチルカルバモイル)-4-ヒドロキシ-ピロリジン-1-カルボン酸 9H-フルオレン-9-イルメチルエステル(化合物73)(1.00g、1.35mmol)、無水コハク酸(192mg、2.02mmol)、N、N-ジメチルアミノピリジン(246mg、2.02mmol)をアセトニトリル(3.0mL)に溶解し室温にて2.5時間攪拌した。反応液を逆相シリカ(酢酸アンモニウム0.1%、H2O、CH3OH、グラジエント)で精製し、標題化合物(化合物74)(349mg、31%)を無色アモルファスとして得た。
LCMS(ESI) 860.5(M+NH4)+、865.5(M+Na)+
保持時間:1.11分(分析条件SQDAA05)
Succinic acid mono-[(3R, 5S) -5- (2- {2- [bis- (4-methoxy-phenyl) -phenyl-methoxy] -ethoxy} -ethylcarbamoyl) -1- (9H-fluorene-9 Synthesis of -ylmethoxycarbonyl) -pyrrolidin-3-yl] ester (Compound 74)
(2S, 4R) -2- (2- {2- [Bis- (4-methoxy-phenyl) -phenyl-methoxy] -ethoxy} -ethylcarbamoyl) -4-hydroxy-pyrrolidine-1-carboxylic acid 9H-fluorene -9-ylmethyl ester (Compound 73) (1.00 g, 1.35 mmol), succinic anhydride (192 mg, 2.02 mmol), N, N-dimethylaminopyridine (246 mg, 2.02 mmol) in acetonitrile (3. 0 mL) and stirred at room temperature for 2.5 hours. The reaction mixture was purified on reverse phase silica (ammonium acetate 0.1%, H2O, CH3OH, gradient) to give the title compound (Compound 74) (349 mg, 31%) as a colorless amorphous.
LCMS (ESI) 860.5 (M + NH4) +, 865.5 (M + Na) +
Retention time: 1.11 minutes (analysis condition SQDAA05)
固相担持FMOC脱保護ピロリジン誘導体(化合物76)の合成
コハク酸 モノ-[(3R,5S)-5-(2-{2-[ビス-(4―メトキシ-フェニル)-フェニル-メトキシ]-エトキシ}-エチルカルバモイル)-1-(9H-フルオレン-9-イルメトキシカルボニル)-ピロリジン-3-イル]エステル(化合物74)(85.1mg、0.101mmol)、Custom Primer Support 200 Amino(GE Healthcare、1.01g)にアセトニトリル(5.0mL)を加えた。これに酢酸(5.8μL、0.101mmol)のアセトニトリル(0.1mL)溶液を加えたのち、室温にて4-(4,6-ジメトキシ-1,3,5-トリアジン-2-イル)-4-メチルモルホリニウムクロリドn水和物(60.6mg、0.202mmol)を加え室温にて1.5時間攪拌した。その後、反応液に4-(4,6-ジメトキシ-1,3,5-トリアジン-2-イル)-4-メチルモルホリニウムクロリドn水和物(300mg、1.01mmol)を加え15分攪拌の後、酢酸(58μL、1.01mmol)のアセトニトリル(0.5mL)溶液を加え1時間攪拌した。反応物をろ取し得られた固体(化合物75)を乾燥した。固体取得物に20%ピペリジンDMF溶液(10mL)を加え1時間反応させた。反応物をろ取し、DMF、アセトニトリルで洗浄し、減圧乾燥し固相担持FMOC脱保護ピロリジン誘導体(化合物76)(1.05g)を得た。
Synthesis of solid phase supported FMOC deprotected pyrrolidine derivative (compound 76)
Succinic acid mono-[(3R, 5S) -5- (2- {2- [bis- (4-methoxy-phenyl) -phenyl-methoxy] -ethoxy} -ethylcarbamoyl) -1- (9H-fluorene-9 Acetonitrile (5.0 mL) was added to -ylmethoxycarbonyl) -pyrrolidin-3-yl] ester (compound 74) (85.1 mg, 0.101 mmol),
固相担持ヨードフェニルアラニン誘導体(化合物78)の合成
Fmoc-3-ヨード-L-フェニルアラニン(622mg、1.21)、HOAt(136mg、0.909)、N,N'-ジイソプロピルカルボジイミド(0.206mL、1.33)をDMF(5.0mL)に溶解し、固相担持FMOC脱保護ピロリジン誘導体化合物76(1.05g)を加えた。室温にて3時間攪拌した。得られた固相担体をろ取、DMF(10mL)で3回洗浄し、続いて20%ピペリジンDMF溶液(10mL)を加え室温にて1時間攪拌した。得られた固相担体をDMF(10mL)、アセトニトリル(10mL)でそれぞれ3回ずつ洗浄し減圧下乾燥し、3-ヨード-L-フェニルアラニンが結合された固相担持ヨードフェニルアラニン誘導体化合物78(1.00g)を得た。
Synthesis of solid phase supported iodophenylalanine derivative (compound 78)
Fmoc-3-iodo-L-phenylalanine (622 mg, 1.21), HOAt (136 mg, 0.909), N, N′-diisopropylcarbodiimide (0.206 mL, 1.33) in DMF (5.0 mL) After dissolution, solid phase supported FMOC deprotected pyrrolidine derivative compound 76 (1.05 g) was added. Stir at room temperature for 3 hours. The obtained solid phase carrier was collected by filtration, washed 3 times with DMF (10 mL), subsequently added with 20% piperidine DMF solution (10 mL), and stirred at room temperature for 1 hour. The obtained solid phase carrier was washed three times each with DMF (10 mL) and acetonitrile (10 mL), dried under reduced pressure, and solid phase supported iodophenylalanine derivative compound 78 (1-. 00 g) was obtained.
固相担持フェニルアラニン誘導体(化合物80)の合成
化合物78を得る手法と同様の方法により、固相担持ヨードフェニルアラニン誘導体(化合物78)(1.00g)、Fmoc-L-フェニルアラニン(234mg、0.606)との縮合、それに続くFmocの脱保護によりL-フェニルアラニンが結合された固相担持フェニルアラニン誘導体(化合物80)(1.00g)を得た。
Synthesis of solid phase supported phenylalanine derivative (compound 80)
By a method similar to the method for obtaining compound 78, solid phase supported iodophenylalanine derivative (compound 78) (1.00 g), condensation with Fmoc-L-phenylalanine (234 mg, 0.606), followed by deprotection of Fmoc A solid phase-supported phenylalanine derivative (compound 80) (1.00 g) to which L-phenylalanine was bound was obtained.
固相担持4-ペンテン酸誘導体(化合物81)の合成
化合物78を得る手法と同様の方法により、L-フェニルアラニンが結合された固相担持フェニルアラニン誘導体(化合物80)(250mg)、4-ペンテン酸(30.6μL、0.300mm)の縮合により4-ペンテン酸が結合された固相担持4-ペンテン酸誘導体(化合物81)(249mg)を得た。
Synthesis of solid phase supported 4-pentenoic acid derivative (compound 81)
By a method similar to the method for obtaining Compound 78, solid phase-supported phenylalanine derivative (compound 80) (250 mg) to which L-phenylalanine was bound was condensed with 4-pentenoic acid (30.6 μL, 0.300 mm) to form 4-pentene. A solid-supported 4-pentenoic acid derivative (compound 81) (249 mg) to which an acid was bound was obtained.
化合物70aの合成
固相担持4-ペンテン酸誘導体(化合物81)(8.0mg、0.8μmol)を用い、DNA合成機によりRNA結合伸長を行った。A、G、C、Uの伸長反応に用いるアミダイド試薬はグレンリサーチ社製A-TOM-CEホスホアミダイド、G-TOM-CEホスホアミダイド、C-TOM-CEホスホアミダイド、U-TOM-CEホスホアミダイドを使用し、縮合活性化剤として5-ベンジルチオ-1H-テトラゾールを使用し実施した。縮合後の固相担体を乾燥後、エタノール(0.10mL)、40%メチルアミン水溶液(0.10mL)を加え65℃にて15分間攪拌した。溶媒を減圧留去しテトラメチルアンモニウムフルオライド水和物(10mg)、DMSO(0.10mL)を加え65℃にて15分間攪拌した。反応液に0.1M酢酸アンモニウム水溶液を加え逆相カラムで精製した。濃縮後、得られた化合物を精製水(0.50mL)に溶かし4-mer RNA-ペプチドコンジュゲート(化合物70a)(5'-AGCU-3'-Peptide)水溶液を得た。紫外分光計により得られた溶液の濃度は0.736mM、収率は46%であった。
LCMS(ESI) 668.0(M-3H)3-、1002.4(M-2H)2-
保持時間:5.15分(分析条件ZQHFIP-Et3N)
Synthesis of Compound 70a
Using a solid-supported 4-pentenoic acid derivative (Compound 81) (8.0 mg, 0.8 μmol), RNA binding elongation was performed with a DNA synthesizer. The amidite reagent used for the extension reaction of A, G, C, U uses Glen Research A-TOM-CE phosphoramidide, G-TOM-CE phosphoramidide, C-TOM-CE phosphoramidide, U-TOM-CE phosphoramidide, This was carried out using 5-benzylthio-1H-tetrazole as the condensation activator. The solid support after condensation was dried, ethanol (0.10 mL) and 40% aqueous methylamine solution (0.10 mL) were added, and the mixture was stirred at 65 ° C. for 15 minutes. The solvent was distilled off under reduced pressure, tetramethylammonium fluoride hydrate (10 mg) and DMSO (0.10 mL) were added, and the mixture was stirred at 65 ° C. for 15 minutes. 0.1M ammonium acetate aqueous solution was added to the reaction liquid, and it refine | purified with the reverse phase column. After concentration, the obtained compound was dissolved in purified water (0.50 mL) to obtain a 4-mer RNA-peptide conjugate (compound 70a) (5′-AGCU-3′-Peptide) aqueous solution. The concentration of the solution obtained by the ultraviolet spectrometer was 0.736 mM, and the yield was 46%.
LCMS (ESI) 668.0 (M-3H) 3-, 1002.4 (M-2H) 2-
Retention time: 5.15 minutes (analysis conditions ZQHFIP-Et3N)
1-1-2.10-mer RNA-ペプチドコンジュゲート(5'-AGCUUAGUCA-3'(配列番号:69)-Peptide)(化合物70b)の合成
化合物70aを得る手法と同等の方法により表記化合物水溶液(化合物70b)を得た。濃度0.33mMの水溶液0.50mLが得られた。収率は21%であった。
LCMS(ESI) 784.8(M-5H)5-、981.2(M-4H)4-、1308.5(M-3H)3-
保持時間:4.87分(分析条件ZQHFIP-Et3N)
1-1-2. Synthesis of 10-mer RNA-peptide conjugate (5'-AGCUUAGUCA-3 '(SEQ ID NO: 69) -Peptide) (Compound 70b)
The title compound aqueous solution (Compound 70b) was obtained by a method equivalent to the method for obtaining Compound 70a. 0.50 mL of an aqueous solution having a concentration of 0.33 mM was obtained. The yield was 21%.
LCMS (ESI) 784.8 (M-5H) 5-, 981.2 (M-4H) 4-, 1308.5 (M-3H) 3-
Retention time: 4.87 minutes (analysis condition ZQHFIP-Et3N)
1-1-3.20-mer RNA-ペプチドコンジュゲート(5'- AGCUUAGUCACCGUCAGUCA-3'(配列番号:70)-Peptide)(化合物70c)の合成
化合物70aを得る手法と同等の方法により表記化合物水溶液(化合物70c)を得た。濃度0.147mMの水溶液0.30mLが得られた。収率は15%であった。
LCMS(ESI) 887.9(M-8H)8-、1015.0(M-7H)7-、1184.3(M-6H)6-、1421.0(M-5H)5-、1776.6(M-4H)4-
保持時間:4.60分(分析条件ZQHFIP-Et3N)
1-1-3. Synthesis of 20-mer RNA-peptide conjugate (5'-AGCUUAGUCACCGUCAGUCA-3 '(SEQ ID NO: 70) -Peptide) (Compound 70c)
The title compound aqueous solution (Compound 70c) was obtained by a method equivalent to the method for obtaining Compound 70a. 0.30 mL of an aqueous solution having a concentration of 0.147 mM was obtained. The yield was 15%.
LCMS (ESI) 887.9 (M-8H) 8-, 1015.0 (M-7H) 7-, 1184.3 (M-6H) 6-, 1421.0 (M-5H) 5-, 1776. 6 (M-4H) 4-
Retention time: 4.60 minutes (analysis condition ZQHFIP-Et3N)
2-1.RNA-ペプチドコンジュゲートの環化反応
2-1-1. 10-mer RNA-ペプチドコンジュゲート(化合物70b)のHeck環化反応(化合物83b)の合成
10-mer RNA-ペプチドコンジュゲート(化合物70b)(0.33mM水溶液 3.7μL、1.2nmol)、内部標準(10mM p-n-プロピル安息香酸DMF溶液 3μL、30nmol)、リン酸バッファー(K2HPO4 1.0mmolとK3PO4 0.10mmolの水10mLの水溶液 10μL)、5%PTS(Polyoxyethanyl―α―tocopheryl sebacate)水溶液(30μL)を混合し、逆相LCにより分析の後、PdCl2(MeCN)2(1.0mg、3.9μmol)、2,2'-ビス(ジフェニルフォスフィノ)-1,1'-ビフェニル(6.2mg、12.0μmol)をN-メチルピロリジノン(0.2mL)に窒素雰囲気下溶解したPd溶液(8.0μL)を加え50℃にて窒素雰囲気下3時間攪拌した。反応液(5.0μL)に1Mジチオスレイトール水溶液(10.0μL)を加えLC分析サンプルとし分析した。反応前のLC分析結果との比較から生成物(化合物83b)の収率は57%であった。
LCMS(ESI) 759.4(M-5H)5-、949.5(M-4H)4-、1265.9(M-3H)3-
保持時間:3.40分(分析条件ZQHFIP-Me2NEt)
2-1. Cyclization reaction of RNA-peptide conjugate
2-1-1. Synthesis of Heck cyclization reaction (Compound 83b) of 10-mer RNA-peptide conjugate (Compound 70b)
10-mer RNA-peptide conjugate (compound 70b) (0.33 mM aqueous solution 3.7 μL, 1.2 nmol), internal standard (10 mM pn-propylbenzoic
LCMS (ESI) 759.4 (M-5H) 5-, 949.5 (M-4H) 4-, 1265.9 (M-3H) 3-
Retention time: 3.40 minutes (analysis conditions ZQHFIP-Me2NEt)
2-1-2. 20-mer RNA-ペプチドコンジュゲート(化合物70c)のHeck環化反応(化合物83c)の合成
20-mer RNA-ペプチドコンジュゲート(化合物70c)(0.15mM水溶液 2.0μL、0.29nmol)、内部標準(10mM p-n-ブチル安息香酸DMF溶液 2μL、20nmol)、100mM トリエチルアミン水溶液(5μL、500mmol)、5%PTS(Polyoxyethanyl―α―tocopheryl sebacate)水溶液(30μL)を混合し、逆相LCにより分析の後、PdCl2(MeCN)2(0.5mg、1.9μmol)、2,2'-ビス(ジフェニルフォスフィノ)-1,1'-ビフェニル(3.1mg、6.0μmol)をN-メチルピロリジノン(0.4mL)に窒素雰囲気下溶解したPd溶液(8.0μL)を加え50℃にて窒素雰囲気下2時間攪拌した。反応液(5.0μL)に0.1Mジチオスレイトール水溶液(10.0μL)を加えLC分析サンプルとし分析した。反応前のLC分析結果との比較から生成物(化合物83c)の収率は61%であった。
LCMS(ESI) 997.0(M-7H)7-、1163.0(M-6H)6-、1395.5(M-5H)5-、1745.0(M-4H)4-
保持時間:4.08分(分析条件ZQHFIP-Et3N)
2-1-2. Synthesis of Heck cyclization reaction (compound 83c) of 20-mer RNA-peptide conjugate (compound 70c)
20-mer RNA-peptide conjugate (compound 70c) (0.15 mM aqueous solution 2.0 μL, 0.29 nmol), internal standard (10 mM pn-butylbenzoic
LCMS (ESI) 997.0 (M-7H) 7-, 1163.0 (M-6H) 6-, 1395.5 (M-5H) 5-, 1745.0 (M-4H) 4-
Retention time: 4.08 minutes (analysis condition ZQHFIP-Et3N)
〔実施例23〕 翻訳ペプチドのHeck反応
1.翻訳合成に活用させるためのC-C結合ユニットの合成
1-1.pdCpAアミノアシル化化合物85の合成
1-1-1.ブタ-3-エン酸シアノメチル(化合物86)の合成
ブタ-3-エン酸(0.500g、5.81mmol)をアセトニトリル(20ml)に溶解し、2-ブロモアセトニトリル(3.33g、27.76mmol)およびトリエチルアミン(1.40g、13.86mmol)を室温でゆっくり加えた。室温で30分攪拌した後、反応液を減圧濃縮して得られた残渣をカラムクロマトグラフィ(石油エーテル:酢酸エチル=20:1)で精製し、標題化合物86(0.550g、75%)を得た。
1H-NMR(Bruker, avanceIII, 400 MHz, CDCl3) δ ppm 5.92 (1H, m), 5.22-5.26 (2H, m), 4.75 (2H, s), 3.21 (2H, m)
[Example 23] Heck reaction of translated peptide
1. Synthesis of CC binding units for use in translation synthesis
1-1. Synthesis of pdCpA aminoacylated compound 85
1-1-1. Synthesis of cyanomethyl but-3-enoate (compound 86)
But-3-enoic acid (0.500 g, 5.81 mmol) was dissolved in acetonitrile (20 ml) and 2-bromoacetonitrile (3.33 g, 27.76 mmol) and triethylamine (1.40 g, 13.86 mmol) were added at room temperature. Slowly added. After stirring at room temperature for 30 minutes, the reaction mixture was concentrated under reduced pressure, and the resulting residue was purified by column chromatography (petroleum ether: ethyl acetate = 20: 1) to give the title compound 86 (0.550 g, 75%). It was.
1 H-NMR (Bruker, avance III, 400 MHz, CDCl 3 ) δ ppm 5.92 (1H, m), 5.22-5.26 (2H, m), 4.75 (2H, s), 21 (2H, m)
1-1-2.ブタ-3-エン酸 (2R,3S,4R,5R)-2-((((((2R,3S,5R)-5-(4-アミノ-2-オキソピリミジン-1(2H)-イル)-2-((ホスホノオキシ)メチル)テトラヒドロフラン-3-イル)オキシ)(ヒドロキシ)ホスホリル)オキシ)メチル)-5-(6-アミノ-9H-プリン-9-イル)-4-ヒドロキシテトラヒドロフラン-3-イル(化合物85)の合成
リン酸二水素 ((2R,3S,5R)-5-(4-アミノ-2-オキソピリミジン-1(2H)-イル)-3-(((((2R,3S,4R,5R)-5-(6-アミノ-9H-プリン-9-イル)-3,4-ジヒドロキシテトラヒドロフラン-2-イル)メトキシ)(ヒドロキシ)ホスホリル)オキシ)テトラヒドロフラン-2-イル)メチル テトラブチルアンモニウム塩(化合物1h)(0.20g、0.150mmol)のDMF溶液(1.0ml)にブタ-3-エン酸シアノメチル(化合物86)(0.050g、0.400mmol)を加えて室温で1時間攪拌した。反応液に0.05%TFA水溶液を加え、凍結乾燥して得られた残渣をpreparative-HPLC(0.05%TFA水溶液:アセトニトリル)で精製し、標題化合物85(0.010g、10%)を得た。
LCMS:m/z 705(M+H)+
保持時間:0.461、0.488分 (分析条件 SMDmethod1)
1-1-2. But-3-enoic acid (2R, 3S, 4R, 5R) -2-(((((((2R, 3S, 5R) -5- (4-amino-2-oxopyrimidin-1 (2H) -yl) -2-((phosphonooxy) methyl) tetrahydrofuran-3-yl) oxy) (hydroxy) phosphoryl) oxy) methyl) -5- (6-amino-9H-purin-9-yl) -4-hydroxytetrahydrofuran-3- Synthesis of yl (compound 85)
Dihydrogen phosphate ((2R, 3S, 5R) -5- (4-amino-2-oxopyrimidin-1 (2H) -yl) -3-((((((2R, 3S, 4R, 5R) -5 -(6-Amino-9H-purin-9-yl) -3,4-dihydroxytetrahydrofuran-2-yl) methoxy) (hydroxy) phosphoryl) oxy) tetrahydrofuran-2-yl) methyl tetrabutylammonium salt (
LCMS: m / z 705 (M + H) +
Retention time: 0.461, 0.488 minutes (analysis condition SMD method 1)
1-2.pdCpAアミノアシル化化合物87の合成
1-2-1.ペンタ-4-エン酸シアノメチル(化合物88)の合成
ブタ-3-エン酸の代わりにペンタ-4-エン酸(0.500g、4.99mmol)を原料とし、化合物86の合成と同様の手法で、標題化合物88(0.52g、75%)を得た。
1H-NMR(Bruker, avanceII, 300 MHz, CDCl3) δ ppm 5.82 (1H, m), 5.04-5.32 (2H, m), 4.74 (2H, s), 2.39-2.57 (4H, m)
1-2. Synthesis of pdCpA
1-2-1. Synthesis of cyanomethyl penta-4-enoate (Compound 88)
The title compound 88 (0.52 g, 75%) was prepared in the same manner as the synthesis of compound 86 using penta-4-enoic acid (0.500 g, 4.99 mmol) instead of but-3-enoic acid. Obtained.
1 H-NMR (Bruker, avance II, 300 MHz, CDCl 3 ) δ ppm 5.82 (1H, m), 5.04-5.32 (2H, m), 4.74 (2H, s), 39-2.57 (4H, m)
1-2-2.ペンタ-4-エン酸 (2R,3S,4R,5R)-2-((((((2R,3S,5R)-5-(4-アミノ-2-オキソピリミジン-1(2H)-イル)-2-((ホスホノオキシ)メチル)テトラヒドロフラン-3-イル)オキシ)(ヒドロキシ)ホスホリル)オキシ)メチル)-5-(6-アミノ-9H-プリン-9-イル)-4-ヒドロキシテトラヒドロフラン-3-イル(化合物87、pdCpA-PenteA)の合成
ブタ-3-エン酸シアノメチルの代わりにペンタ-4-エン酸シアノメチル(化合物88)(0.066g、0.480mmol)を原料とし、化合物85を得る手法と同様の方法により、標題化合物87(0.010g、12%)を得た。
LCMS:m/z 719(M+H)+
保持時間:0.506、0.523分 (分析条件 SMDmethod1)
1-2-2. Penta-4-enoic acid (2R, 3S, 4R, 5R) -2-(((((((2R, 3S, 5R) -5- (4-amino-2-oxopyrimidin-1 (2H) -yl) -2-((phosphonooxy) methyl) tetrahydrofuran-3-yl) oxy) (hydroxy) phosphoryl) oxy) methyl) -5- (6-amino-9H-purin-9-yl) -4-hydroxytetrahydrofuran-3- Synthesis of Compound (
The title compound 87 (0) was prepared in the same manner as in the method of obtaining the compound 85 using cyanomethyl penta-4-enoate (Compound 88) (0.066 g, 0.480 mmol) instead of cyanomethyl but-3-enoate. .010 g, 12%).
LCMS: m / z 719 (M + H) +
Retention time: 0.506, 0.523 minutes (analysis condition SMD method 1)
1-3.pdCpAアミノアシル化化合物89の合成
1-3-1. 2-(アリルオキシ)酢酸 (2R,3S,4R,5R)-2-((((((2R,3S,5R)-5-(4-アミノ-2-オキソピリミジン-1(2H)-イル)-2-((ホスホノオキシ)メチル)テトラヒドロフラン-3-イル)オキシ)(ヒドロキシ)ホスホリル)オキシ)メチル)-5-(6-アミノ-9H-プリン-9-イル)-4-ヒドロキシテトラヒドロフラン-3-イル(化合物89)の合成
2-(アリルオキシ)酢酸(0.500g、4.31mmol)をジクロロメタン(20ml)に溶解し、2-ブロモアセトニトリル(2.06g、17.18mmol)およびトリエチルアミン(0.87g、8.61mmol)を室温でゆっくり加えた。室温で3時間攪拌した後、反応液を減圧濃縮して得られた残渣をカラムクロマトグラフィ(石油エーテル:酢酸エチル=20:1)で精製し、2-(アリルオキシ)酢酸シアノメチル(0.40g、60%)を得た。
イミダゾール(1.0g、15.7mmol)およびN,N,N-トリメチルヘキサデカン-1-アミニウム 塩化物(1.0g、3.14mmol)を溶かし、酢酸でpH8に調節した緩衝液(100ml)にリン酸二水素 ((2R,3S,5R)-5-(4-アミノ-2-オキソピリミジン-1(2H)-イル)-3-(((((2R,3S,4R,5R)-5-(6-アミノ-9H-プリン-9-イル)-3,4-ジヒドロキシテトラヒドロフラン-2-イル)メトキシ)(ヒドロキシ)ホスホリル)オキシ)テトラヒドロフラン-2-イル)メチル(化合物1h)(100mg、0.157mmol)を加えた後、上記方法で得られた2-(アリルオキシ)酢酸シアノメチル(93mg、0.628mmol)のTHF(3.0ml)溶液を加えて室温で30分攪拌した。反応液に酢酸を加えて凍結乾燥し、得られた残渣をpreparative-HPLC(0.05%TFA水溶液:アセトニトリル)で精製し、標題化合物89(24.7mg、22%)を得た。
LCMS:m/z 735(M+H)+
保持時間:0.473、0.491分 (分析条件 SMDmethod1)
1-3. Synthesis of pdCpA aminoacylated compound 89
1-3-1. 2- (allyloxy) acetic acid (2R, 3S, 4R, 5R) -2-(((((((2R, 3S, 5R) -5- (4-amino-2-oxopyrimidin-1 (2H) -yl) -2-((phosphonooxy) methyl) tetrahydrofuran-3-yl) oxy) (hydroxy) phosphoryl) oxy) methyl) -5- (6-amino-9H-purin-9-yl) -4-hydroxytetrahydrofuran-3- Synthesis of yl (compound 89)
2- (Allyloxy) acetic acid (0.500 g, 4.31 mmol) was dissolved in dichloromethane (20 ml), and 2-bromoacetonitrile (2.06 g, 17.18 mmol) and triethylamine (0.87 g, 8.61 mmol) were added at room temperature. Slowly added. After stirring at room temperature for 3 hours, the reaction mixture was concentrated under reduced pressure, and the resulting residue was purified by column chromatography (petroleum ether: ethyl acetate = 20: 1) to give cyanomethyl 2- (allyloxy) acetate (0.40 g, 60 %).
Dissolve imidazole (1.0 g, 15.7 mmol) and N, N, N-trimethylhexadecan-1-aminium chloride (1.0 g, 3.14 mmol) in buffer (100 ml) adjusted to
LCMS: m / z 735 (M + H) +
Retention time: 0.473, 0.491 minutes (analysis condition SMD method 1)
1-4.pdCpAアミノアシル化化合物90の合成
1-4-1.2-((tert-ブトキシカルボニル)アミノ)-3-(4-ヨードフェニル)プロパン酸 (S)-シアノメチル(化合物91)の合成
ブタ-3-エン酸の代わりに(S)-2-((tert-ブトキシカルボニル)アミノ)-3-(4-ヨードフェニル)プロパン酸(1.0g、2.56mmol)を原料とし、化合物86を得る手法と同様の手法で標題化合物91(0.40g、36%)を得た。
保持時間:1.59分 (分析条件 SMDmethod4)
1H-NMR(Bruker, avanceII, 300 MHz, CDCl3) δ ppm 7.67 (2H, d,8.1 Hz), 6.93 (2H, d, 8.1 Hz), 4.62-4.94 (4H, m), 2.98-3.14 (2H, m), 1.44 (9H, s)
1-4. Synthesis of pdCpA
Synthesis of 1-4-1.2-((tert-butoxycarbonyl) amino) -3- (4-iodophenyl) propanoic acid (S) -cyanomethyl (Compound 91)
Instead of but-3-enoic acid, (S) -2-((tert-butoxycarbonyl) amino) -3- (4-iodophenyl) propanoic acid (1.0 g, 2.56 mmol) was used as a starting material, and compound 86 The title compound 91 (0.40 g, 36%) was obtained by a method similar to that for obtaining.
Retention time: 1.59 minutes (analysis condition SMD method 4)
1 H-NMR (Bruker, avance II, 300 MHz, CDCl 3 ) δ ppm 7.67 (2H, d, 8.1 Hz), 6.93 (2H, d, 8.1 Hz), 4.62-4 .94 (4H, m), 2.98-3.14 (2H, m), 1.44 (9H, s)
1-4-2.3-(4-ヨードフェニル)-2-(ペンタ-4-エンアミド)プロパン酸 (S)-シアノメチル(化合物92)の合成
2-((tert-ブトキシカルボニル)アミノ)-3-(4-ヨードフェニル)プロパン酸 (S)-シアノメチル(化合物91)(0.89g、2.07mmol)をジエチルエーテル(20.0ml)に溶解させた。この溶液に塩酸ガスを吹き込んだ後、室温で2時間攪拌した。反応液中の固体をろ過し、減圧乾燥させることで2-アミノ-3-(4-ヨードフェニル)プロパン酸 (S)-シアノメチル(0.65g、86%)を得た。
窒素雰囲気下、2-アミノ-3-(4-ヨードフェニル)プロパン酸 (S)-シアノメチル(0.65g、1.78mmol)をジクロロメタン(25.0ml)に溶解し、氷冷下でトリエチルアミン(0.45g、4.45mmol)を滴下した。その後、氷冷下で塩化ペンタ-4-エノイル(0.25g, 2.14mmol)のジクロロメタン溶液(25.0ml)を滴下し、室温で2時間半攪拌した。反応液を減圧濃縮して得られた残渣をカラムクロマトグラフィ(石油エーテル:酢酸エチル=50:50~33:67)で精製し、3-(4-ヨードフェニル)-2-(ペンタ-4-エンアミド)プロパン酸 (S)-シアノメチル(化合物92)(0.57g、78%)を得た。
LCMS:m/z 413.2(M+H)+
保持時間:1.51分 (分析条件 SMDmethod5)
1-4-2.3- (4-Iodophenyl) -2- (pent-4-enamido) propanoic acid Synthesis of (S) -cyanomethyl (Compound 92)
2-((tert-Butoxycarbonyl) amino) -3- (4-iodophenyl) propanoic acid (S) -cyanomethyl (Compound 91) (0.89 g, 2.07 mmol) dissolved in diethyl ether (20.0 ml) I let you. After hydrochloric acid gas was blown into this solution, the solution was stirred at room temperature for 2 hours. The solid in the reaction solution was filtered and dried under reduced pressure to obtain 2-amino-3- (4-iodophenyl) propanoic acid (S) -cyanomethyl (0.65 g, 86%).
Under a nitrogen atmosphere, 2-amino-3- (4-iodophenyl) propanoic acid (S) -cyanomethyl (0.65 g, 1.78 mmol) was dissolved in dichloromethane (25.0 ml), and triethylamine (0 .45 g, 4.45 mmol) was added dropwise. Thereafter, a dichloromethane solution (25.0 ml) of penta-4-enoyl chloride (0.25 g, 2.14 mmol) was added dropwise under ice cooling, and the mixture was stirred at room temperature for 2.5 hours. The reaction solution was concentrated under reduced pressure, and the resulting residue was purified by column chromatography (petroleum ether: ethyl acetate = 50: 50 to 33:67) to give 3- (4-iodophenyl) -2- (pent-4-enamide). ) Propanoic acid (S) -cyanomethyl (Compound 92) (0.57 g, 78%) was obtained.
LCMS: m / z 413.2 (M + H) +
Retention time: 1.51 minutes (analysis condition SMD method 5)
1-4-3.3-(4-ヨードフェニル)-2-(ペンタ-4-エンアミド)プロパン酸 (2S)-(2R,3S,4R,5R)-2-((((((2R,3S,5R)-5-(4-アミノ-2-オキソピリミジン-1(2H)-イル)-2-((ホスホノオキシ)メチル)テトラヒドロフラン-3-イル)オキシ)(ヒドロキシ)ホスホリル)オキシ)メチル)-5-(6-アミノ-9H-プリン-9-イル)-4-ヒドロキシテトラヒドロフラン-3-イル(化合物90)の合成
イミダゾール(680.8mg、10.00mmol)およびN,N,N-トリメチルヘキサデカン-1-アミニウム 塩化物(640.0mg、2.00mmol)を溶かし、酢酸でpH8に調節した緩衝液(100ml)にリン酸二水素 ((2R,3S,5R)-5-(4-アミノ-2-オキソピリミジン-1(2H)-イル)-3-(((((2R,3S,4R,5R)-5-(6-アミノ-9H-プリン-9-イル)-3,4-ジヒドロキシテトラヒドロフラン-2-イル)メトキシ)(ヒドロキシ)ホスホリル)オキシ)テトラヒドロフラン-2-イル)メチル(化合物1h)(96mg、0.150mmol)を加えた後、3-(4-ヨードフェニル)-2-(ペンタ-4-エンアミド)プロパン酸 (S)-シアノメチル(化合物92)(249mg、0.60mmol)のTHF溶液(1.0ml)を加えて室温で2時間攪拌した。反応液にTFA(1.0ml)を加えて凍結乾燥した後、得られた残渣をpreparative-HPLC(0.05%TFA水溶液:アセトニトリル=80:20~60:40)で精製し、標題化合物90(35mg、23%)を得た。
LCMS:m/z 990(M-H)-
保持時間:1.45分 (分析条件 ZQFA05)
1-4-3.3- (4-Iodophenyl) -2- (pent-4-enamido) propanoic acid (2S)-(2R, 3S, 4R, 5R) -2-(((((((2R, 3S, 5R) -5- (4-Amino-2-oxopyrimidin-1 (2H) -yl) -2-((phosphonooxy) methyl) tetrahydrofuran-3-yl) oxy) (hydroxy) phosphoryl) oxy) methyl) Synthesis of -5- (6-amino-9H-purin-9-yl) -4-hydroxytetrahydrofuran-3-yl (Compound 90)
Dissolve imidazole (680.8 mg, 10.00 mmol) and N, N, N-trimethylhexadecan-1-aminium chloride (640.0 mg, 2.00 mmol) in buffer (100 ml) adjusted to
LCMS: m / z 990 (MH)-
Retention time: 1.45 minutes (Analysis conditions ZQFA05)
1-5.pdCpAアミノアシル化化合物93の合成
1-5-1. 3-(3-ヨードフェニル)-2-(ペンタ-4-エンアミド)プロパン酸 (2S)-(2R,3S,4R,5R)-2-((((((2R,3S,5R)-5-(4-アミノ-2-オキソピリミジン-1(2H)-イル)-2-((ホスホノオキシ)メチル)テトラヒドロフラン-3-イル)オキシ)(ヒドロキシ)ホスホリル)オキシ)メチル)-5-(6-アミノ-9H-プリン-9-イル)-4-ヒドロキシテトラヒドロフラン-3-イル(化合物93、pdCpA-Phe(3-I))の合成
窒素雰囲気下、2-クロロトリチルクロライドレジン(100-200mesh、1%DVB、渡辺化学から購入、2.78g)をジクロロメタン(30ml)に浸し、室温で20分攪拌して膨潤させた。ジクロロメタンを除いた後、(S)-2-((((9H-フルオレン-9-イル)メトキシ)カルボニル)アミノ)-3-(3-ヨードフェニル)プロパン酸(Fmoc-Phe(3-I)-OH、1.50g、2.92mmol)およびDIPEA(1.50g、11.7mmol)のジクロロメタン溶液(30ml)を加えて室温で5時間攪した。その後、メタノール(3ml)を加えて室温でさらに1時間攪拌した。反応液を除去して得られたレジンをジクロロメタン(30ml×3回)およびDMF(30ml×2回)で洗浄し、化合物93aを得た。
Fmoc基の脱保護のために、化合物93aに20%ピペリジンのDMF溶液(20ml)を加えて室温で2時間攪拌した後、反応液を除去した。このレジンをDMF(30ml×4回)で洗浄し、化合物93bを得た。
化合物93bにペンタ-4-エン酸(0.39g、3.90mmol)、DIC(0.550g、4.29mmol)、HOAt(0.870g、4.29mmol)のDMF溶液(20ml)を加えて室温で5時間攪拌した。反応液を除去し、レジンをDMF(30ml×4回)およびジクロロメタン(50ml×4回)で洗浄して化合物93cを得た。
化合物93cに2%TFAのジクロロメタン溶液(20ml)を加えて、室温で1時間攪拌し、レジンをろ過して除いた。同様の操作をさらに3回繰り返し、得られた反応液をまとめて減圧濃縮した。残渣をカラムクロマトグラフィ(ジクロロメタン:メタノール=30:1)で精製し、(S)-3-(3-ヨードフェニル)-2-(ペンタ-4-エンアミド)プロパン酸(化合物93d)(0.494g、68%)を得た。
化合物93d(0.494g、1.324mmol)をDMF(10ml)に溶解し、2-ブロモアセトニトリル(0.63g、5.30mmol)およびDIPEA(0.341g、2.65mmol)を室温でゆっくり加えた。室温で30分攪拌した後、反応液を減圧濃縮して得られた残渣をカラムクロマトグラフィ(石油エーテル:酢酸エチル=5:1)で精製し、(S)-3-(3-ヨード-フェニル)-2-ペンタ-4-エノイルアミノ-プロピオン酸 シアノメチル エステル(化合物93e)(0.392g、72%)を得た。
イミダゾール(476.6mg、7.0mmol)およびN,N,N-トリメチルヘキサデカン-1-アミニウム 塩化物(448.0mg、1.4mmol)を溶かし、酢酸でpH8に調節した緩衝液(70ml)にリン酸二水素 ((2R,3S,5R)-5-(4-アミノ-2-オキソピリミジン-1(2H)-イル)-3-(((((2R,3S,4R,5R)-5-(6-アミノ-9H-プリン-9-イル)-3,4-ジヒドロキシテトラヒドロフラン-2-イル)メトキシ)(ヒドロキシ)ホスホリル)オキシ)テトラヒドロフラン-2-イル)メチル(化合物1h、pdCpA)(70mg、0.11mmol)を加えた後、(S)-3-(3-ヨード-フェニル)-2-ペンタ-4-エノイルアミノ-プロピオン酸 シアノメチル エステル(化合物93e)(181.3mg、0.44mmol)のTHF溶液(3.0ml)を加えて室温で2時間攪拌した。反応液にTFA(1.0ml)を加えて凍結乾燥した後、得られた残渣をpreparative-HPLC(0.05%TFA水溶液:アセトニトリル=80:20~60:40)で精製し、標題化合物93(17.9mg、16%)を得た。
LCMS:m/z 992(M+H)+
保持時間:0.75分 (分析条件 SQDAA05)
1-5. Synthesis of pdCpA aminoacylated compound 93
1-5-1. 3- (3-Iodophenyl) -2- (pent-4-enamido) propanoic acid (2S)-(2R, 3S, 4R, 5R) -2-(((((((2R, 3S, 5R) -5 -(4-Amino-2-oxopyrimidin-1 (2H) -yl) -2-((phosphonooxy) methyl) tetrahydrofuran-3-yl) oxy) (hydroxy) phosphoryl) oxy) methyl) -5- (6- Synthesis of amino-9H-purin-9-yl) -4-hydroxytetrahydrofuran-3-yl (compound 93, pdCpA-Phe (3-I))
Under a nitrogen atmosphere, 2-chlorotrityl chloride resin (100-200 mesh, 1% DVB, purchased from Watanabe Chemical Co., Ltd., 2.78 g) was immersed in dichloromethane (30 ml) and stirred at room temperature for 20 minutes to swell. After removing dichloromethane, (S) -2-((((9H-fluoren-9-yl) methoxy) carbonyl) amino) -3- (3-iodophenyl) propanoic acid (Fmoc-Phe (3-I) -OH, 1.50 g, 2.92 mmol) and DIPEA (1.50 g, 11.7 mmol) in dichloromethane (30 ml) were added and stirred at room temperature for 5 hours. Thereafter, methanol (3 ml) was added and the mixture was further stirred at room temperature for 1 hour. The resin obtained by removing the reaction solution was washed with dichloromethane (30 ml × 3 times) and DMF (30 ml × 2 times) to obtain Compound 93a.
For deprotection of the Fmoc group, 20% piperidine in DMF (20 ml) was added to compound 93a and stirred at room temperature for 2 hours, and then the reaction solution was removed. This resin was washed with DMF (30 ml × 4 times) to obtain Compound 93b.
To a compound 93b was added a DMF solution (20 ml) of penta-4-enoic acid (0.39 g, 3.90 mmol), DIC (0.550 g, 4.29 mmol) and HOAt (0.870 g, 4.29 mmol) at room temperature. For 5 hours. The reaction solution was removed, and the resin was washed with DMF (30 ml × 4 times) and dichloromethane (50 ml × 4 times) to obtain Compound 93c.
2% TFA in dichloromethane (20 ml) was added to compound 93c and stirred at room temperature for 1 hour, and the resin was removed by filtration. The same operation was repeated three more times, and the resulting reaction solutions were combined and concentrated under reduced pressure. The residue was purified by column chromatography (dichloromethane: methanol = 30: 1) and (S) -3- (3-iodophenyl) -2- (pent-4-enamido) propanoic acid (compound 93d) (0.494 g, 68%).
Compound 93d (0.494 g, 1.324 mmol) was dissolved in DMF (10 ml) and 2-bromoacetonitrile (0.63 g, 5.30 mmol) and DIPEA (0.341 g, 2.65 mmol) were slowly added at room temperature. . After stirring at room temperature for 30 minutes, the reaction mixture was concentrated under reduced pressure, and the resulting residue was purified by column chromatography (petroleum ether: ethyl acetate = 5: 1), and (S) -3- (3-iodo-phenyl) -2-Penta-4-enoylamino-propionic acid cyanomethyl ester (Compound 93e) (0.392 g, 72%) was obtained.
Dissolve imidazole (476.6 mg, 7.0 mmol) and N, N, N-trimethylhexadecan-1-aminium chloride (448.0 mg, 1.4 mmol) in phosphate buffer (70 ml) adjusted to
LCMS: m / z 992 (M + H) +
Retention time: 0.75 minutes (Analysis conditions SQDAA05)
1-6.pdCpAアミノアシル化化合物94の合成
1-6-1.3-(2-ヨードフェニル)-2-(ペンタ-4-エンアミド)プロパン酸 (2S)-(2R,3S,4R,5R)-2-((((((2R,3S,5R)-5-(4-アミノ-2-オキソピリミジン-1(2H)-イル)-2-((ホスホノオキシ)メチル)テトラヒドロフラン-3-イル)オキシ)(ヒドロキシ)ホスホリル)オキシ)メチル)-5-(6-アミノ-9H-プリン-9-イル)-4-ヒドロキシテトラヒドロフラン-3-イルの合成
(S)-2-((((9H-フルオレン-9-イル)メトキシ)カルボニル)アミノ)-3-(3-ヨードフェニル)プロパン酸の代わりに(2S)-2-[[(9H-フルオレン-9-イルメトキシ)カルボニル]アミノ]-3-(2-ヨードフェニル)プロパン酸(1.50g、2.92mmol)を原料とし、化合物93を得る手法と同様の手法で標題化合物94(14.2mg、13%)を得た。
LCMS:m/z 992(M+H)+
保持時間:0.71、0.73分 (分析条件 SQDAA05)
1-6. Synthesis of pdCpA aminoacylated compound 94
1-6-1.3- (2-Iodophenyl) -2- (pent-4-enamido) propanoic acid (2S)-(2R, 3S, 4R, 5R) -2-(((((((2R, 3S, 5R) -5- (4-Amino-2-oxopyrimidin-1 (2H) -yl) -2-((phosphonooxy) methyl) tetrahydrofuran-3-yl) oxy) (hydroxy) phosphoryl) oxy) methyl) Synthesis of -5- (6-amino-9H-purin-9-yl) -4-hydroxytetrahydrofuran-3-yl
Instead of (S) -2-(((((9H-fluoren-9-yl) methoxy) carbonyl) amino) -3- (3-iodophenyl) propanoic acid, (2S) -2-[[(9H-fluorene -9-ylmethoxy) carbonyl] amino] -3- (2-iodophenyl) propanoic acid (1.50 g, 2.92 mmol) as a starting material and the title compound 94 (14.2
LCMS: m / z 992 (M + H) +
Retention time: 0.71, 0.73 minutes (Analysis conditions SQDAA05)
2-1.アミノアシル化tRNAの合成
pdCpA-PenteA(化合物87)とtRNA(CA欠損)(配列番号:R-5)のligationによるアシル化tRNA(化合物AT-2-IIIA)の合成
50μM 転写tRNAfMetCAU(-CA)(配列番号R-5) 10μLに、10X ligation buffer (500 mM HEPES-KOH pH 7.5, 200 mM MgCl2, 10 mM ATP)2μL、Nuclease free water 4μLを加え、95℃で2分間加熱した後、室温で5分間放置し、tRNAのリフォールディングを行った。10unit/μLのT4 RNAリガーゼ(New England Bio Lab.社)2μLおよび、5mMのpdCpA-PenteA(化合物87)のDMSO溶液 2μLを加え、15℃で45分間ライゲーション反応を行った。アシル化tRNA(化合物AT-2-IIIA)は、フェノール抽出した後、エタノール沈殿により回収した。アシル化tRNA(化合物AT-2-IIIA)は、翻訳混合物に添加する直前に1mM酢酸ナトリウムに溶解した。
2-1. Synthesis of aminoacylated tRNA
Synthesis of acylated tRNA (compound AT-2-IIIA) by ligation of pdCpA-PenteA (compound 87) and tRNA (CA deficient) (SEQ ID NO: R-5) 50 μM Transcription tRNAfMetCAU (-CA ) (SEQ ID NO: R-5) ) To 10 μL, add 2 μL of 10 × ligation buffer (500 mM HEPES-KOH pH 7.5, 200 mM MgCl 2 , 10 mM ATP) and 4 μL of Nuclease free water, heat at 95 ° C. for 2 minutes, and leave at room temperature for 5 minutes. tRNA refolding was performed. 2 μL of 10 unit / μL T4 RNA ligase (New England Bio Lab.) And 2 μL of 5 mM pdCpA-PenteA (Compound 87) in DMSO were added, and a ligation reaction was performed at 15 ° C. for 45 minutes. Acylated tRNA (compound AT-2-IIIA) was recovered by phenol precipitation and ethanol precipitation. The acylated tRNA (compound AT-2-IIIA) was dissolved in 1 mM sodium acetate just prior to addition to the translation mixture.
化合物AT-2-IIIA
PenteA-tRNAfMetCAU
Compound AT-2-IIIA
PenteA-tRNAfMetCAU
アミノアシル化pdCpA(化合物93)とtRNA(CA欠損)(配列番号:R-1)のligationによるアミノアシル化tRNA(化合物AT-1-IIIA)の合成
50μM 転写tRNAEnAsnGAG (-CA)(配列番号R-1) 10μLに、10X ligation buffer (500 mM HEPES-KOH pH 7.5, 200 mM MgCl2, 10 mM ATP) 2μL、Nuclease free water 4μLを加え、95℃で2分間加熱した後、室温で5分間放置し、tRNAのリフォールディングを行った。 20unit/μLのT4 RNAリガーゼ(New England Bio Lab.社)2μLおよび、5mMのpdCpA-Phe(3-I)(化合物93)のDMSO溶液 2μLを加え、15℃で45分間ライゲーション反応を行った。ライゲーション反応液 20μLに、3M酢酸ナトリウム 4μLと125mM ヨウ素(水:THF=1:1溶液)24μLを加え、室温で1時間、脱保護を行った。アミノアシル化tRNAは、フェノール抽出した後、エタノール沈殿により回収した。アミノアシル化tRNA(化合物AT-1-IIIA)は、翻訳混合物に添加する直前に1mM酢酸ナトリウムに溶解した。
Synthesis of aminoacylated tRNA (compound AT-1-IIIA) by ligation of aminoacylated pdCpA (compound 93) and tRNA (CA deficient) (SEQ ID NO: R-1) 50 μM Transcription tRNAEnAsnGAG (-CA) (SEQ ID NO: R-1 ) To 10 μL, add 2 μL of 10 × ligation buffer (500 mM HEPES-KOH pH 7.5, 200 mM MgCl 2 , 10 mM ATP) and 4 μL of Nuclease free water, heat at 95 ° C. for 2 minutes, and leave at room temperature for 5 minutes. tRNA refolding was performed. 2 μL of 20 unit / μL T4 RNA ligase (New England Bio Lab.) And 2 μL of 5 mM pdCpA-Phe (3-I) (compound 93) in DMSO were added, and a ligation reaction was performed at 15 ° C. for 45 minutes. To 20 μL of the ligation reaction solution, 4 μL of 3M sodium acetate and 24 μL of 125 mM iodine (water: THF = 1: 1 solution) were added, and deprotection was performed at room temperature for 1 hour. The aminoacylated tRNA was recovered by phenol precipitation and ethanol precipitation. The aminoacylated tRNA (compound AT-1-IIIA) was dissolved in 1 mM sodium acetate just prior to addition to the translation mixture.
化合物AT-1-IIIA
Phe(3-I)-tRNAEnAsnGAG(配列番号:33)
Compound AT-1-IIIA
Phe (3-I) -tRNAEnAsnGAG (SEQ ID NO: 33)
2-2.翻訳合成2-2. Translation synthesis
Hc1 mRNA配列(配列番号R-41')(配列番号:71)
GGGUUAACUUUAAgaaggagauauacauAUGUUUCUUCCGagcggcucuggcucuggcucuUAGGGCGGCGGGGACAAA
Hc1 mRNA sequence (SEQ ID NO: R-41 ′) (SEQ ID NO: 71)
GGGUUAACUUUAAgaaggagauauacauAUGUUUCUUCCGagcggcucuggcucuggcucuUAGGGCGGCGGGGACAAA
Hc2 mRNA配列(配列番号R-42)(配列番号:72)
GGGUUAACUUUAAgaaggagauauacauAUGACUACAACGagcggcucuggcucuUUUCUUCCGggcucuUAGGGCGGCGGGGACAAA
Hc2 mRNA sequence (SEQ ID NO: R-42) (SEQ ID NO: 72)
GGGUUAACUUUAAgaaggagauauacauAUGACUACAACGagcggcucuggcucuUUUCUUCCGggcucuUAGGGCGGCGGGGACAAA
Hc3 mRNA配列(配列番号R-43)(配列番号:73)
GGGUUAACUUUAAgaaggagauauacauAUGAACAACAACAACAACACUACAACGggcCUUCCGggcucuUAGGGCGGCGGGGACAAA
Hc3 mRNA sequence (SEQ ID NO: R-43) (SEQ ID NO: 73)
GGGUUAACUUUAAgaaggagauauacauAUGAACAACAACAACAACACUACAACGggcCUUCCGggcucuUAGGGCGGCGGGGACAAA
Hc1 ペプチド配列 P-160
[PenteA]Phe[Phe(3-I)]ProSerGlySerGlySerGlySer
Hc1 peptide sequence P-160
[PenteA] Phe [Phe (3-I)] ProSerGlySerGlySerGlySer
Hc2 ペプチド配列 P-161
[PenteA] ThrThrThrSerGlySerGlySerPhe[Phe(3-I)]ProGlySer
Hc2 peptide sequence P-161
[PenteA] ThrThrThrSerGlySerGlySerPhe [Phe (3-I)] ProGlySer
Hc3 ペプチド配列 P-162
[PenteA]AsnAsnAsnAsnAsnThrThrThrGly[Phe(3-I)]ProGlySer
Hc3 peptide sequence P-162
[PenteA] AsnAsnAsnAsnAsnThrThrThrGly [Phe (3-I)] ProGlySer
ペプチドP-160、P-161、P-162の翻訳合成
Met、Leuを除く各0.3mMの18種類のタンパク質性アミノ酸、20μM Phe(3-I)-tRNAEnAsnGAG(化合物AT―1-IIIA)、20μM PenteA-tRNAfMetCAU(化合物AT-2-IIIA)を加えた翻訳液に、1μM 鋳型mRNA Hc1、Hc2、もしくはHc3(配列番号R-41'、R-42、R-43)を添加し、37℃で60分間保温した。続いて、以下に示す方法でHeck型の環化反応を行った。
Translational synthesis of peptides P-160, P-161, P-162, each of 18 mM amino acids of 0.3 mM excluding Met and Leu, 20 μM Phe (3-I) -tRNAEnAsnGAG (compound AT-1-IIIA), To a translation solution to which 20 μM PenteA-tRNAfMetCAU (compound AT-2-IIIA) has been added, 1 μM template mRNA Hc1, Hc2, or Hc3 (SEQ ID NOs: R-41 ′, R-42, R-43) is added at 37 ° C. And kept warm for 60 minutes. Subsequently, a Heck-type cyclization reaction was performed by the following method.
Hc1(ペプチド配列P-160)の環化反応
リン酸バッファー(K2HPO4 1.0mmolとK3PO4 0.2mmolの水10mLの水溶液 80μL)、5%PTS(Polyoxyethanyl―α―tocopheryl sebacate)水溶液(200μL)を混合し配列番号R-41'により得られた翻訳生成物(Hc1, 20μL)を加え窒素置換した。得られた混合物にPdCl2(MeCN)2(1.0mg、3.9μmol)、2,2'-ジフェニルフォスフィノ-1,1'-ビフェニル(6.2mg、12μmol)をN-メチルピロリジノン(0.2mL)に窒素雰囲気下溶解したPd溶液(60.0μL)を加え50℃にて窒素雰囲気下12時間攪拌した。反応液に0.2Mチオシアヌル酸 1.5カリウム塩水溶液(73.5μL)を加えた。
得られた反応溶液に水を加え2mLとし、遠心を行った(10000rpm、6分間、室温)。上清について凍結乾燥を行い、得られた残渣を水:アセトニトリル=9:1溶液 100μLに再溶解させLC/MS分析を行い、環化体の生成をを確認した。
LC―HRMS:m/z 1007.4149(M-H)-,(Calcd for C46H59N10O16:1007.4116)
保持時間:6.43分 (分析条件 OrbitrapHFIP-Et3N)
Cyclization reaction of Hc1 (peptide sequence P-160) Phosphate buffer (K2HPO4 1.0 mmol and K3PO4 0.2 mmol 10
Water was added to the obtained reaction solution to make 2 mL, and centrifugation was performed (10000 rpm, 6 minutes, room temperature). The supernatant was freeze-dried, and the resulting residue was redissolved in 100 μL of a water: acetonitrile = 9: 1 solution and subjected to LC / MS analysis to confirm the formation of a cyclized product.
LC-HRMS: m / z 1007.4149 (M-H) -, (Calcd for C 46 H 59 N 10 O 16: 1007.4116)
Retention time: 6.43 minutes (Analysis conditions OrbitrapHFIP-Et3N)
Hc2(ペプチド配列P-161)の環化反応
Hc1の場合と同様の方法により環化反応を実施した。得られた生成物をHc1の場合と同様の方法によりLC/MS分析を行い、環化体を示す二種類の化合物の生成を確認した。
LC―HRMS:m/z 1310.5579(M-H)-,(Calcd for C58H80N13O22:1310.5546)
保持時間:4.91分
LC―HRMS:m/z 1310.5570(M-H)-,(Calcd for C58H80N13O22:1310.5546)
保持時間:5.17分
(分析条件 OrbitrapHFIP-Et3N)
Cyclization reaction of Hc2 (peptide sequence P-161) The cyclization reaction was carried out in the same manner as in the case of Hc1. The obtained product was subjected to LC / MS analysis in the same manner as in the case of Hc1, and production of two types of compounds showing cyclized products was confirmed.
LC-HRMS: m / z 1310.5579 (M-H) -, (Calcd for C 58 H 80 N 13 O 22: 1310.5546)
Retention time: 4.91 minutes LC-HRMS: m / z 1310.5570 (MH)-, (Calcd for C 58 H 80 N 13 O 22 : 1310.5546)
Retention time: 5.17 minutes
(Analysis conditions OrbitrapHFIP-Et3N)
Hc3(ペプチド配列P-162)の環化反応
Hc1の場合と同様の方法により環化反応を実施した。得られた生成物をHc1の場合と同様の方法によりLC/MS分析を行い、環化体の生成を確認した。
LC―HRMS:m/z 1415.5860(M-H)-, Calcd for C58H83N18O24:1415.5833)
保持時間:3.35分 (分析条件 OrbitrapHFIP-Et3N)
Cyclization reaction of Hc3 (peptide sequence P-162) The cyclization reaction was carried out in the same manner as in the case of Hc1. The obtained product was subjected to LC / MS analysis by the same method as in the case of Hc1, and the formation of a cyclized product was confirmed.
LC-HRMS: m / z 1415.5860 (M-H) -, Calcd for C 58 H 83 N 18 O 24: 1415.5833)
Retention time: 3.35 minutes (Analysis conditions OrbitrapHFIP-Et3N)
逆転写実施例
mRNA-ペプチドフュージョンをHeck環化反応条件に付し回収したmRNA-ペプチドフュージョンを逆転写し逆転写が問題なく進行することを確認しmRNAがHeck環化反応条件において安定であることを確認した。
Reverse Transcription Example mRNA-peptide fusion was subjected to Heck cyclization reaction conditions, and the recovered mRNA-peptide fusion was reverse transcribed to confirm that reverse transcription proceeded without problems, and it was confirmed that mRNA was stable under Heck cyclization reaction conditions. confirmed.
mRNA-ペプチドフュージョン溶液調整
PCRにより調製したDNA(配列番号 D-50)を鋳型に、In vitro転写によりmRNAを調整し、RNeasy mini kit (Qiagen社)を用いて精製した。1μMのmRNAに、1.5 μMのピューロマイシンリンカー(Sigma社)(配列番号C-1) 1X T4 RNAライゲースリアクションバッファー(NEB社)、20% DMSO、2 unit/μl T4 RNAライゲース(NEB社)を加え、37℃で30分間ライゲーション反応させた後、RNeasy MiniElutekit(Qiagen社)により精製した。次に、1 μMのmRNA-ピューロマイシンリンカー連結体(以下、mRNA-Pu)を鋳型に、前述の無細胞翻訳液からRF1を除いたものを加え、37℃で30分間翻訳し、mRNA-ペプチドフュージョン分子(化合物Fusion-1)を得た。
mRNA was prepared by in vitro transcription using DNA (SEQ ID NO: D-50) prepared by mRNA-peptide fusion solution-adjusted PCR as a template, and purified using RNeasy mini kit (Qiagen). To 1 μM mRNA, add 1.5 μM puromycin linker (Sigma) (SEQ ID NO: C-1) 1X T4 RNA ligase reaction buffer (NEB), 20% DMSO, 2 unit / μl T4 RNA ligase (NEB) In addition, the mixture was allowed to undergo a ligation reaction at 37 ° C. for 30 minutes, and then purified by RNeasy MiniElutekit (Qiagen). Next, add 1 μM mRNA-puromycin linker conjugate (hereinafter referred to as mRNA-Pu) as a template, add the above cell-free translation solution without RF1 and translate at 37 ° C. for 30 minutes. A fusion molecule (compound Fusion-1) was obtained.
配列番号 D-50(配列番号:74)
KA03S2 DNA配列:
gtaatacgactcactataGGGTTAACTTTAAGAAGGAGATATACATatgACTAGAACTaaggcgTACTGGAGCcttCCGggcggcAGCGGCTCTGGCTCTGGCTCTTAGGGCGGCGGGGACAAA
SEQ ID NO: D-50 (SEQ ID NO: 74)
KA03S2 DNA sequence:
gtaatacgactcactataGGGTTAACTTTAAGAAGGAGATATACATatgACTAGAACTaaggcgTACTGGAGCcttCCGggcggcAGCGGCTCTGGCTCTGGCTCTTAGGGCGGCGGGGACAAA
KA03S2 mRNA 配列:(配列番号:75)
GGGUUAACUUUAAGAAGGAGAUAUACAUaUgACUAGAACUaaggcgUACUGGAGCcUUCCGggcggcAGCGGCUCUGGCUCUGGCUCUUAGGGCGGCGGGGACAAA
KA03S2 mRNA sequence: (SEQ ID NO: 75)
GGGUUAACUUUAAGAAGGAGAUAUACAUaUgACUAGAACUaaggcgUACUGGAGCcUUCCGggcggcAGCGGCUCUGGCUCUGGCUCUUAGGGCGGCGGGGACAAA
配列番号C-1(配列番号:76)
S2PuFLin配列:
[P]CCCGTCCCCGCCGCCC[Fluorecein-dT][Spacer18][Spacer18][Spacer18][Spacer18][Spacer18]CC[Puromycin] ([P]:5'リン酸化)
SEQ ID NO: C-1 (SEQ ID NO: 76)
S2PuFLin sequence:
[P] CCCGTCCCCGCCGCCC [Fluorecein-dT] [Spacer18] [Spacer18] [Spacer18] [Spacer18] [Spacer18] CC [Puromycin] ([P]: 5 'phosphorylation)
環化反応
得られたmRNA-ペプチドフュージョン分子(化合物Fusion-1, 11.0μL)に10-mer RNA-ペプチドコンジュゲート(化合物70b)(0.33mM水溶液 5.0μL、1.65nmol)、リン酸バッファー(K2HPO4 1.0mmolとK3PO4 0.20mmolの水10mLの水溶液 40μL)、5%PTS(Polyoxyethanyl―α―tocopheryl sebacate)水溶液(100μL)を混合し、PdCl2(MeCN)2(1.0mg、3.9μmol)、2,2'-ジフェニルフォスフィノ-1,1'-ビフェニル(6.2mg、12μmol)をN-メチルピロリジノン(0.2mL)に窒素雰囲気下溶解したPd溶液(30.0μL)を加え50℃にて窒素雰囲気下12時間攪拌した。得られた反応液に0.2Mチオシアヌル酸 1.5カリウム塩水溶液(37.0μL)を加え室温にて30分間放置し、環化反応液を得た。反応液(5.0μL)を水(10.0μL)で希釈しLC分析サンプルとし分析し10-mer RNA-ペプチドコンジュゲート(化合物70b)の消失および10-mer RNA-ペプチドコンジュゲートの環化体(化合物83b)の生成を確認した。
LCMS(ESI) 1265.9(M-3H)3-
保持時間:3.48分(分析条件ZQHFIP-Me2NEt)
Cyclization reaction obtained mRNA-peptide fusion molecule (compound Fusion-1, 11.0 μL) to 10-mer RNA-peptide conjugate (compound 70b) (0.33 mM aqueous solution 5.0 μL, 1.65 nmol), phosphoric acid Buffer (K2HPO4 1.0 mmol and K3PO4 0.20
LCMS (ESI) 1265.9 (M-3H) 3-
Retention time: 3.48 minutes (analysis condition ZQHFIP-Me2NEt)
逆転写確認
環化反応後のmRNA-ペプチドフュージョン分子をRNeasy MiniElute Kit(Qiagen社)で精製した。0.5 μM mRNA-ペプチドフュージョン分子を鋳型に、逆転写反応液(1X M-MLV逆転写反応バッファー(Promega社), 各0.5 mMのdNTP mix, 4 unit/μl M-MLV逆転写酵素RNaseHマイナス点変異, 3 μM 逆転写プライマー(配列番号C-2))を添加し、42°Cで20分間逆転写反応を行った。反応産物を、TGX gel anykD(Biorad社)を用いて電気泳動を行い、ピューロマイシンリンカーに付加されたフルオレセインの蛍光を検出した。その結果、環化反応の有無にかかわらず、効率良く逆転写反応が進行していることが確認された。結果を図43に示す。
The mRNA-peptide fusion molecule after the reverse transcription confirmation cyclization reaction was purified with RNeasy MiniElute Kit (Qiagen). Reverse transcription reaction solution (1X M-MLV reverse transcription buffer (Promega), 0.5 mM dNTP mix, 4 unit / μl M-MLV reverse transcriptase RNaseH negative point mutation using 0.5 μM mRNA-peptide fusion molecule as
配列番号C-2(配列番号:77)
逆転写プライマー
TTTGTCCCCGCCGCCCTAAGAGCCAGAGCCAGAGCCGCT
SEQ ID NO: C-2 (SEQ ID NO: 77)
Reverse transcription primer
TTTGTCCCCGCCGCCCTAAGAGCCAGAGCCAGAGCCGCT
[実施例24]
RNA-複合体のHeck反応
mRNA-ペプチド複合体溶液調製
6μMのmRNA(Hc1 mRNA配列(配列番号R-41))に、9 μMのピューロマイシンリンカー(Sigma社)(配列番号C-1) 1X T4 RNAライゲースリアクションションバッファー(New England Biolab社、カタログ番号M0204L)、10% DMSO、0.63 unit/μl T4 RNAライゲース(New England Biolab社、カタログ番号M0204L)を加え、37℃で30分間ライゲーション反応させた後、RNeasy MiniElute kit(Qiagen社)によりmRNA-ピューロマイシンリンカー連結体(以下、mRNA-Pu)を精製した。精製した1 μMのmRNA-Puを鋳型に、無細胞翻訳液(1mM GTP,1mM ATP,20mMクレアチンリン酸,50mM HEPES-KOH pH7.6,100mM 酢酸カリウム,9mM 酢酸マグネシウム,2mMスペルミジン,1mM ジチオスレイトール,0.5mg/ml E.coli MRE600(RNaseネガティブ)由来tRNA(Roche社),4μg/ml クレアチンキナーゼ,3μg/ml ミオキナーゼ,2unit/ml 無機ピロフォスファターゼ,1.1μg/ml ヌクレオシド二リン酸キナーゼ,0.6μM メチオニルtRNAトランスフォルミラーゼ,0.26μM EF-G,0.24μM RF2,0.17μM RF3,0.5μM RRF,2.7μM IF1,0.4μM IF2,1.5μM IF3,40μM EF-Tu,84μM EF-Ts,1.2μM リボソーム,0.73μM AlaRS,0.03μM ArgRS,0.38μM AsnRS,0.13μM AspRS,0.02μM CysRS,0.06μM GlnRS,0.23μM GluRS,0.09μM GlyRS,0.02μM HisRS,0.4μM IleRS,0.04μM LeuRS,0.11μM LysRS,0.03μM MetRS,0.68μM PheRS,0.16μM ProRS,0.04μM SerRS,0.09μM ThrRS,0.03μM TrpRS,0.02μM TyrRS,0.02μM ValRS(自家調製タンパクは基本的はHisタグ付加タンパクとして調製した),各300μMのメチオニンとロイシンを除く18種類のタンパク質性アミノ酸),20μMの化合物AT-1-IIIA、20μM 4-PenteA-tRNAfMetCAU(化合物AT-2-IIIA)を加え、37℃で30分間翻訳し、18mM EDTA pH8.0を加え、mRNA-ペプチド複合体を得た。
[Example 24]
RNA-complex Heck reaction
Preparation of mRNA-
環化反応
得られたmRNA-ペプチド複合体(20.0μL)に、リン酸バッファー(K2HPO4 1.0mmolとK3PO4 0.40mmolの水10mLの水溶液 120μL)、15%PTS(Polyoxyethanyl―α―tocopheryl sebacate)水溶液(200μL)を混合し、PdCl2(MeCN)2(4.0mg、15.4μmol)、2,2'-ジフェニルフォスフィノ-1,1'-ビフェニル(24.8mg、47.5μmol)をN-メチルピロリジノン(0.8mL)に窒素雰囲気下溶解したPd溶液(60.0μL)を加え50℃にて窒素雰囲気下24時間攪拌した。得られた反応液に0.2Mチオシアヌル酸 1.5カリウム塩水溶液(73.5μL)を加え室温にて30分間放置し、環化反応液を得た。
The mRNA-peptide complex (20.0 μL) obtained by the cyclization reaction was added to a phosphate buffer (120 μL of K2HPO4 1.0 mmol and K3PO4 0.40 mmol in 10 mL of water), 15% PTS (Polyoxyethyl-α-tocopheryl sebacate). An aqueous solution (200 μL) was mixed, and PdCl 2 (MeCN) 2 (4.0 mg, 15.4 μmol), 2,2′-diphenylphosphino-1,1′-biphenyl (24.8 mg, 47.5 μmol) was added to N— A Pd solution (60.0 μL) dissolved in methylpyrrolidinone (0.8 mL) under a nitrogen atmosphere was added and stirred at 50 ° C. under a nitrogen atmosphere for 24 hours. A 0.2M thiocyanuric acid 1.5 potassium salt aqueous solution (73.5 μL) was added to the obtained reaction solution, and the mixture was allowed to stand at room temperature for 30 minutes to obtain a cyclization reaction solution.
RNase処理
上記の環化反応液を卓上遠心機で遠心分離し、上澄みをRNeasy miniElute Cleanup kit(Qiagen社、Catalog No.74204)で精製し、RNaseフリー水で溶出した。溶出液を、1×Reaction buffer (Promega社、Catalog No.M217A、10mM TrisHCl pH7.5, 5mM EDTA, 0.2M AcONa)、0.5unit/μl RNaseONE ribonuclease(Promega社、Catalog No.M425A)、0.1Unit/μl RNaseH(LifeTechnologies社Catalog No.18021-014)を用いて37℃で3時間反応させ、以下の化合物(化合物Fusion-2)を得た。
RNase treatment The cyclization reaction solution was centrifuged with a tabletop centrifuge, and the supernatant was purified with RNeasy miniElute Cleanup kit (Qiagen, Catalog No. 74204) and eluted with RNase-free water. The eluate was mixed with 1 × Reaction buffer (Promega, Catalog No. M217A, 10 mM TrisHCl pH 7.5, 5 mM EDTA, 0.2 M AcONa), 0.5 unit / μl RNaseONE ribonuclease (Promega, Catalog No. M425A), 0.1 Unit. The following compound (compound Fusion-2) was obtained by reacting at 37 ° C. for 3 hours using / μl RNaseH (Life Technologies Co., Ltd. Catalog No. 18021-014).
化合物Fusion-2
Compound Fusion-2
詳細な部分構造は以下の通りである。
The detailed partial structure is as follows.
LC分析
RNase処理済みサンプル(10μL)に400mM HFIP、15mM トリエチルアミン水溶液を90μL加えた後、Oasis HLB μElution(Waters社)を用いて固相抽出を行った。50%アセトニトリル溶出画分について凍結乾燥を行い、水に再溶解したサンプルについてLC/MS分析を行い、ペプチドフュージョン環化生成物の生成を確認した。(図81)
LC―HRMS:m/z 666.2124(M-14H)14-,621.7293(M-15H)15-,582.8100(M-16H)16-(Calcd for C333H466N80O188P24:Molecular Weight 9341)
保持時間:29.74分 (分析条件 OrbitrapHFIP-Et3N-2)
LC analysis RNase-treated sample (10 μL) was added with 90 μL of 400 mM HFIP and 15 mM triethylamine aqueous solution, and then solid phase extraction was performed using Oasis HLB μElution (Waters). The 50% acetonitrile elution fraction was lyophilized, and LC / MS analysis was performed on the sample redissolved in water to confirm the formation of a peptide fusion cyclization product. (Fig. 81)
LC-HRMS: m / z 666.2124 (M-14H) 14-, 621.7293 (M-15H) 15-, 582.8100 (M-16H) 16- (Calcd for C 333 H 466 N 80 O 188 (P 24 : Molecular Weight 9341)
Retention time: 29.74 minutes (Analysis conditions OrbitrapHFIP-Et3N-2)
[実施例25] アミド環化にて環化されたディスプレイライブラリーの実施
pdCpA-アミノ酸群の合成、続いてtRNA-アミノ酸複合体の合成により、導入される非天然型アミノ酸のうち、ARSによらずに導入されるものの準備を行った。続いて、多様性が高いランダムDNAの準備を行った。転写、翻訳、化学修飾によるRNAと環化ペプチドとの複合体作製に続き、パニングを実施してTNFα、TNFR1、IL-6Rに対する結合ペプチドを取得するための実験を行った
[Example 25] Execution of display library cyclized by amide cyclization Among non-natural amino acids to be introduced by synthesis of pdCpA-amino acid group, followed by synthesis of tRNA-amino acid complex, ARS Prepared for what will be introduced. Subsequently, random DNA with high diversity was prepared. Following the preparation of a complex between RNA and a cyclized peptide by transcription, translation, and chemical modification, an experiment was conducted to obtain a binding peptide for TNFα, TNFR1, and IL-6R by performing panning.
1.ディスプレイライブラリ構築のためのpdCpA-アミノ酸の合成
pdCpAとの複合体として、以下の非天然型アミノ酸(MeGly、Phg、Phe(4-CF3)、Met(O2)、βAla、MeAla(4-Thz)、MePhe(3-Cl)、nPrGly、MeSer、Hyp(Et))を翻訳導入するための合成を行った。すなわち、以下のスキームに従い、化合物SP705(Pen-MeGly-pdCpA)、化合物SP710(Pen-Phg-pdCpA)、化合物SP715(Pen-Phe(4-CF3)-pdCpA)、化合物SP720(Pen-Met(O2)-pdCpA)、化合物SP725(Pen-βAla-pdCpA)、化合物SP731(Pen-MeAla(4-Thz)-pdCpA)、化合物SP737(Pen-MePhe(3-Cl)-pdCpA)、化合物SP742(Pen-nPrGly-pdCpA)、化合物SP754(Pen-Hyp(Et)-pdCpA)を合成した。化合物6i-C(tBuSSEtGABA)、化合物1i-IAの合成は既に記載済である。
1. Synthesis of pdCpA-amino acid for display library construction As a complex with pdCpA, the following non-natural amino acids (MeGly, Phg, Phe (4-CF3), Met (O2), βAla, MeAla (4-Thz), Synthesis was performed for translational introduction of MePhe (3-Cl), nPrGly, MeSer, Hyp (Et)). That is, according to the following scheme, compound SP705 (Pen-MeGly-pdCpA), compound SP710 (Pen-Phg-pdCpA), compound SP715 (Pen-Phe (4-CF3) -pdCpA), compound SP720 (Pen-Met (O2)) ) -PdCpA), compound SP725 (Pen-βAla-pdCpA), compound SP731 (Pen-MeAla (4-Thz) -pdCpA), compound SP737 (Pen-MePhe (3-Cl) -pdCpA), compound SP742 (Pen-) nPrGly-pdCpA) and compound SP754 (Pen-Hyp (Et) -pdCpA) were synthesized. The synthesis of compound 6i-C (tBuSSEtGABA),
化合物SP749(Pen-MeSer-pdCpA)については以下のスキームに従い合成を行った。
Compound SP749 (Pen-MeSer-pdCpA) was synthesized according to the following scheme.
2(-((tert-ブトキシカルボニル)(メチル)アミノ)酢酸シアノメチル(化合物SP702)の合成
Synthesis of 2 (-((tert-butoxycarbonyl) (methyl) amino) cyanomethyl acetate (compound SP702)
窒素雰囲気下、2(-((tert-ブトキシカルボニル)(メチル)アミノ)酢酸(化合物SP701)(10.0g、52.9mmol)およびN-エチル-イソプロピルプロパン-2-アミン(DIPEA)(18.9mL、108mmol)をジクロロメタン(100ml)に溶解し、2-ブロモアセトニトリル(26.0g、217mmol)を加えて室温で1時間攪拌した。反応液を減圧濃縮し、残渣をカラムクロマトグラフィ(酢酸エチル:石油エーテル=1:10→1:4)で精製し、2(-((tert-ブトキシカルボニル)(メチル)アミノ)酢酸シアノメチル(化合物SP702)(4.80g、80%)を得た。
LCMS(ESI) m/z = 251 (M+Na)+
保持時間:1.82分(分析条件SMDmethod6)
Under a nitrogen atmosphere, 2 (-((tert-butoxycarbonyl) (methyl) amino) acetic acid (Compound SP701) (10.0 g, 52.9 mmol) and N-ethyl-isopropylpropan-2-amine (DIPEA) (18. 9 mL, 108 mmol) was dissolved in dichloromethane (100 ml), 2-bromoacetonitrile (26.0 g, 217 mmol) was added, and the mixture was stirred at room temperature for 1 hour, the reaction mixture was concentrated under reduced pressure, and the residue was subjected to column chromatography (ethyl acetate: petroleum). Purification by ether = 1: 10 → 1: 4) gave cyanomethyl 2 (-((tert-butoxycarbonyl) (methyl) amino) acetate (compound SP702) (4.80 g, 80%).
LCMS (ESI) m / z = 251 (M + Na) +
Retention time: 1.82 minutes (analysis condition SMD method 6)
2-(メチルアミノ)酢酸シアノメチル塩酸塩(化合物SP703)の合成
Synthesis of 2- (methylamino) acetic acid cyanomethyl hydrochloride (compound SP703)
2(-((tert-ブトキシカルボニル)(メチル)アミノ)酢酸シアノメチル(化合物SP702)(4.80g、21.0mmol)をジエチルエーテル(50ml)に溶解し、塩酸ガスをバブリングさせ、室温で2時間攪拌した。析出した固体をろ過にて集め、減圧下乾燥させて 2-(メチルアミノ)酢酸シアノメチル塩酸塩(化合物SP703)(3.00g、87%)を粗生成物として得て、そのまま次の反応に用いた。 2 (-((tert-butoxycarbonyl) (methyl) amino) cyanomethyl acetate (compound SP702) (4.80 g, 21.0 mmol) was dissolved in diethyl ether (50 ml), and hydrochloric acid gas was bubbled, and the mixture was stirred at room temperature for 2 hours. The precipitated solid was collected by filtration and dried under reduced pressure to give 2- (methylamino) acetic acid cyanomethyl hydrochloride (compound SP703) (3.00 g, 87%) as a crude product, which was directly used in the next step. Used for reaction.
2-(N-メチルペンタ-4-エンアミド)酢酸シアノメチル(Pen-MeGly-OCH 2 CN)(化合物SP704)の合成
なお、本明細書では、4-ペンテノイル基をPen基と略称し、シアノメチル基をCH2CNと記載する。
Synthesis of 2- (N-methylpent-4-enamide) cyanomethyl acetate (Pen-MeGly-OCH 2 CN) (Compound SP704) In this specification, 4-pentenoyl group is abbreviated as Pen group, and cyanomethyl group is referred to as CH Described as 2 CN.
窒素雰囲気下、2-(メチルアミノ)酢酸シアノメチル塩酸塩(化合物SP703)(3.00g、18.3mmol)およびトリエチルアミン(6.34ml、45.5mmol)をジクロロメタン(30ml)に溶解させ、塩化ペンタ-4-エノイル(2.60g、22.0mmol)を0℃で滴下した。室温で2時間30分攪拌後、反応液を減圧濃縮し、得られた残渣を酢酸エチルに溶解させ、固体をろ過にて取り除いた。溶液を減圧濃縮し、カラムクロマトグラフィ(酢酸エチル:石油エーテル=1:10→2:7)で精製し、2-(N-メチルペンタ-4-エンアミド)酢酸シアノメチル(化合物SP704)(3.40g、88%)を得た。
LCMS(ESI) m/z = 211 (M+H)+
保持時間:1.50分(分析条件SMDmethod6)
Under nitrogen atmosphere, 2- (methylamino) acetic acid cyanomethyl hydrochloride (compound SP703) (3.00 g, 18.3 mmol) and triethylamine (6.34 ml, 45.5 mmol) were dissolved in dichloromethane (30 ml), and pentachlorochloride was dissolved. 4-Enoyl (2.60 g, 22.0 mmol) was added dropwise at 0 ° C. After stirring at room temperature for 2 hours and 30 minutes, the reaction solution was concentrated under reduced pressure, the resulting residue was dissolved in ethyl acetate, and the solid was removed by filtration. The solution was concentrated under reduced pressure and purified by column chromatography (ethyl acetate: petroleum ether = 1: 10 → 2: 7), and cyanomethyl 2- (N-methylpent-4-enamide) acetate (Compound SP704) (3.40 g, 88 %).
LCMS (ESI) m / z = 211 (M + H) +
Retention time: 1.50 minutes (analysis condition SMD method 6)
2-(N-メチルペンタ-4-エンアミド)酢酸 (2R,3S,4R,5R)-2-((((((2R,3S,5R)-5-(4-アミノ-2-オキソピリミジン-1(2H)-イル)-2-((ホスホノオキシ)メチル)テトラヒドロフラン-3-イル)オキシ)(ヒドロキシ)ホスホリル)オキシ)メチル)-5-(6-アミノ-9H-プリン-9-イル)-4-ヒドロキシテトラヒドロフラン-3-イル(Pen-MeGly-pdCpA)(化合物SP705)の合成
2- (N-methylpent-4-enamido) acetic acid (2R, 3S, 4R, 5R) -2-(((((((2R, 3S, 5R) -5- (4-amino-2-oxopyrimidine-1 (2H) -yl) -2-((phosphonooxy) methyl) tetrahydrofuran-3-yl) oxy) (hydroxy) phosphoryl) oxy) methyl) -5- (6-amino-9H-purin-9-yl) -4 Of 2-hydroxytetrahydrofuran-3-yl (Pen-MeGly-pdCpA) (compound SP705)
緩衝液A(1l)に、リン酸二水素 ((2R,3S,5R)-5-(4-アミノ-2-オキソピリミジン-1(2H)-イル)-3-(((((2R,3S,4R,5R)-5-(6-アミノ-9H-プリン-9-イル)-3,4-ジヒドロキシテトラヒドロフラン-2-イル)メトキシ)(ヒドロキシ)ホスホリル)オキシ)テトラヒドロフラン-2-イル)メチル(化合物1h)(1.00g、1.57mmol)を溶解させ、2-(N-メチルペンタ-4-エンアミド)酢酸シアノメチル(化合物SP704)(2.00g、9.51mmol)のテトラヒドロフラン(5ml)溶液を加え、室温で30分撹拌した。反応液を凍結乾燥し、得られた残渣を逆相シリカゲルカラムクロマトグラフィー(0.5%トリフルオロ酢酸水溶液/アセトニトリル)にて精製し、表題化合物(化合物SP705)(139mg、11%)を得た。
LCMS(ESI) m/z = 790.5 (M+H)+
保持時間:0.46分(分析条件SQDAA05)
To buffer A (1 l), dihydrogen phosphate ((2R, 3S, 5R) -5- (4-amino-2-oxopyrimidin-1 (2H) -yl) -3-(((((2R, 3S, 4R, 5R) -5- (6-Amino-9H-purin-9-yl) -3,4-dihydroxytetrahydrofuran-2-yl) methoxy) (hydroxy) phosphoryl) oxy) tetrahydrofuran-2-yl) methyl (
LCMS (ESI) m / z = 790.5 (M + H) +
Retention time: 0.46 minutes (analysis condition SQDAA05)
2-((tert-ブトキシカルボニル)アミノ)-2-フェニル酢酸 (S)-シアノメチル(化合物SP707)の合成
Synthesis of 2-((tert-butoxycarbonyl) amino) -2-phenylacetic acid (S) -cyanomethyl (Compound SP707)
化合物SP702の製造例と同様の条件で、2(-((tert-ブトキシカルボニル)(メチル)アミノ)酢酸(化合物SP701)の代わりに(S)-2-((tert-ブトキシカルボニル)アミノ)-2-フェニル酢酸(化合物SP706)(1.00g、3.98mmol)を用いることで、2-((tert-ブトキシカルボニル)アミノ)-2-フェニル酢酸 (S)-シアノメチル(化合物SP707)(1.02g、88%)を得た。 Under the same conditions as in the production example of compound SP702, 2 (-((tert-butoxycarbonyl) (methyl) amino) acetic acid (compound SP701) instead of (S) -2-((tert-butoxycarbonyl) amino)- By using 2-phenylacetic acid (compound SP706) (1.00 g, 3.98 mmol), 2-((tert-butoxycarbonyl) amino) -2-phenylacetic acid (S) -cyanomethyl (compound SP707) (1. 02 g, 88%).
2-アミノ-2-フェニル酢酸 (S)-シアノメチル塩酸塩(化合物SP708)の合成
Synthesis of 2-amino-2-phenylacetic acid (S) -cyanomethyl hydrochloride (compound SP708)
化合物SP703の製造例と同様の条件で、2(-((tert-ブトキシカルボニル)(メチル)アミノ)酢酸シアノメチル(化合物SP702)の代わりに2-((tert-ブトキシカルボニル)アミノ)-2-フェニル酢酸 (S)-シアノメチル(化合物SP707)(4.50g、15.5mmol)を用いることで、2-アミノ-2-フェニル酢酸 (S)-シアノメチル塩酸塩(化合物SP708)(2.80g、80%)を粗生成物として得て、そのまま次の反応に用いた。 2-((tert-butoxycarbonyl) amino) -2-phenyl instead of cyanomethyl 2 (-((tert-butoxycarbonyl) (methyl) amino) acetate (compound SP702) under the same conditions as in the production example of compound SP703 By using acetic acid (S) -cyanomethyl (compound SP707) (4.50 g, 15.5 mmol), 2-amino-2-phenylacetic acid (S) -cyanomethyl hydrochloride (compound SP708) (2.80 g, 80%) ) Was obtained as a crude product and used as such in the next reaction.
2-(ペンタ-4-エンアミド)-2-フェニル酢酸 (S)-シアノメチル(Pen-Phg-OCH 2 CN)(化合物SP709)の合成
Synthesis of 2- (pent-4-enamido) -2-phenylacetic acid (S) -cyanomethyl (Pen-Phg-OCH 2 CN) (compound SP709)
化合物SP704の製造例と同様の条件で、2-(メチルアミノ)酢酸シアノメチル塩酸塩(化合物SP703)の代わりに、2-アミノ-2-フェニル酢酸 (S)-シアノメチル塩酸塩(化合物SP708)(2.80g、12.4mmol)を用いることで、2-(ペンタ-4-エンアミド)-2-フェニル酢酸 (S)-シアノメチル(化合物SP709)(1.90g、56%)を得た。
LCMS(ESI) m/z = 273 (M+H)+
保持時間:1.88分(分析条件SMDmethod7)
2-amino-2-phenylacetic acid (S) -cyanomethyl hydrochloride (compound SP708) (2) in place of 2- (methylamino) acetic acid cyanomethyl hydrochloride (compound SP703) under the same conditions as in the production example of compound SP704 (80 g, 12.4 mmol) was used to obtain 2- (pent-4-enamido) -2-phenylacetic acid (S) -cyanomethyl (compound SP709) (1.90 g, 56%).
LCMS (ESI) m / z = 273 (M + H) +
Retention time: 1.88 minutes (analysis condition SMD method 7)
2-(ペンタ-4-エンアミド)-2-フェニル酢酸 (2R,3S,4R,5R)-2-((((((2R,3S,5R)-5-(4-アミノ-2-オキソピリミジン-1(2H)-イル)-2-((ホスホノオキシ)メチル)テトラヒドロフラン-3-イル)オキシ)(ヒドロキシ)ホスホリル)オキシ)メチル)-5-(6-アミノ-9H-プリン-9-イル)-4-ヒドロキシテトラヒドロフラン-3-イル(Pen-Phg-pdCpA)(化合物SP710)の合成
2- (pent-4-enamido) -2-phenylacetic acid (2R, 3S, 4R, 5R) -2-(((((((2R, 3S, 5R) -5- (4-amino-2-oxopyrimidine -1 (2H) -yl) -2-((phosphonooxy) methyl) tetrahydrofuran-3-yl) oxy) (hydroxy) phosphoryl) oxy) methyl) -5- (6-amino-9H-purin-9-yl) Synthesis of -4-hydroxytetrahydrofuran-3-yl (Pen-Phg-pdCpA) (compound SP710)
化合物SP705の製造例と同様の条件で、リン酸二水素 ((2R,3S,5R)-5-(4-アミノ-2-オキソピリミジン-1(2H)-イル)-3-(((((2R,3S,4R,5R)-5-(6-アミノ-9H-プリン-9-イル)-3,4-ジヒドロキシテトラヒドロフラン-2-イル)メトキシ)(ヒドロキシ)ホスホリル)オキシ)テトラヒドロフラン-2-イル)メチル(化合物1h)(700mg、1.10mmol)を用い、2-(N-メチルペンタ-4-エンアミド)酢酸シアノメチル(化合物SP704)の代わりに、2-(ペンタ-4-エンアミド)-2-フェニル酢酸 (S)-シアノメチル(化合物SP709)を用いることで、表題化合物(化合物SP710)(79.7mg、8.5%)を得た。
LCMS(ESI) m/z = 852.5 (M+H)+
保持時間:0.42分(分析条件SQDFA05)
Under the same conditions as in the production example of compound SP705, dihydrogen phosphate ((2R, 3S, 5R) -5- (4-amino-2-oxopyrimidin-1 (2H) -yl) -3-(((( (2R, 3S, 4R, 5R) -5- (6-Amino-9H-purin-9-yl) -3,4-dihydroxytetrahydrofuran-2-yl) methoxy) (hydroxy) phosphoryl) oxy) tetrahydrofuran-2- Yl) methyl (
LCMS (ESI) m / z = 852.5 (M + H) +
Retention time: 0.42 minutes (analysis condition SQDFA05)
2-((tert-ブトキシカルボニル)アミノ)-3-(4-(トリフルオロメチル)フェニル)プロパン酸 (S)-シアノメチル(化合物SP712)の合成
Synthesis of 2-((tert-butoxycarbonyl) amino) -3- (4- (trifluoromethyl) phenyl) propanoic acid (S) -cyanomethyl (compound SP712)
化合物SP702の製造例と同様の条件で、2(-((tert-ブトキシカルボニル)(メチル)アミノ)酢酸(化合物SP701)の代わりに(S)-2-((tert-ブトキシカルボニル)アミノ)-3-(4-(トリフルオロメチル)フェニル)プロパン酸(化合物SP711)(1.00g、3.00mmol)を用いることで、2-((tert-ブトキシカルボニル)アミノ)-3-(4-(トリフルオロメチル)フェニル)プロパン酸 (S)-シアノメチル(化合物SP712)(1.01g、90%)を得た。 Under the same conditions as in the production example of compound SP702, 2 (-((tert-butoxycarbonyl) (methyl) amino) acetic acid (compound SP701) instead of (S) -2-((tert-butoxycarbonyl) amino)- By using 3- (4- (trifluoromethyl) phenyl) propanoic acid (Compound SP711) (1.00 g, 3.00 mmol), 2-((tert-butoxycarbonyl) amino) -3- (4- ( (Trifluoromethyl) phenyl) propanoic acid (S) -cyanomethyl (compound SP712) (1.01 g, 90%) was obtained.
2-アミノ-3-(4-(トリフルオロメチル)フェニル)プロパン酸 (S)-シアノメチル塩酸塩(化合物SP713)の合成
Synthesis of 2-amino-3- (4- (trifluoromethyl) phenyl) propanoic acid (S) -cyanomethyl hydrochloride (Compound SP713)
化合物SP703の製造例と同様の条件で、2(-((tert-ブトキシカルボニル)(メチル)アミノ)酢酸シアノメチル(化合物SP702)の代わりに、2-((tert-ブトキシカルボニル)アミノ)-3-(4-(トリフルオロメチル)フェニル)プロパン酸 (S)-シアノメチル(化合物SP712)(9.30g、25.0mmol)を用いることで、2-アミノ-3-(4-(トリフルオロメチル)フェニル)プロパン酸 (S)-シアノメチル塩酸塩(化合物SP713)(7.00g、91%)を粗生成物として得て、そのまま次の反応に用いた。 2-((tert-butoxycarbonyl) amino) -3-in place of cyanomethyl 2 (-((tert-butoxycarbonyl) (methyl) amino) acetate (compound SP702) under the same conditions as in the production example of compound SP703 By using (4- (trifluoromethyl) phenyl) propanoic acid (S) -cyanomethyl (compound SP712) (9.30 g, 25.0 mmol), 2-amino-3- (4- (trifluoromethyl) phenyl ) Propanoic acid (S) -cyanomethyl hydrochloride (Compound SP713) (7.00 g, 91%) was obtained as a crude product and used as such in the next reaction.
2-(ペンタ-4-エンアミド)-3-(4-(トリフルオロメチル)フェニル)プロパン酸 (S)-シアノメチル(Pen-Phe(4-CF3)-OCH 2 CN)(化合物SP714)の合成
Synthesis of 2- (pent-4-enamido) -3- (4- (trifluoromethyl) phenyl) propanoic acid (S) -cyanomethyl (Pen-Phe (4-CF3) -OCH 2 CN) (compound SP714)
化合物SP704の製造例と同様の条件で、2-(メチルアミノ)酢酸シアノメチル塩酸塩(化合物SP703)の代わりに、、2-アミノ-3-(4-(トリフルオロメチル)フェニル)プロパン酸 (S)-シアノメチル塩酸塩(化合物SP713)(7.00g、22.7mmol)を用いることで、表題化合物(化合物SP714)(3.50g、44%)を得た。
LCMS(ESI) m/z = 355 (M+H)+
保持時間:1.47分(分析条件SMDmethod7)
Under the same conditions as in the production example of compound SP704, instead of 2- (methylamino) acetic acid cyanomethyl hydrochloride (compound SP703), 2-amino-3- (4- (trifluoromethyl) phenyl) propanoic acid (S ) -Cyanomethyl hydrochloride (Compound SP713) (7.00 g, 22.7 mmol) was used to obtain the title compound (Compound SP714) (3.50 g, 44%).
LCMS (ESI) m / z = 355 (M + H) +
Retention time: 1.47 minutes (analysis condition SMD method 7)
2-(ペンタ-4-エンアミド)-3-(4-(トリフルオロメチル)フェニル)プロパン酸 (2S)-(2R,3S,4R,5R)-2-((((((2R,3S,5R)-5-(4-アミノ-2-オキソピリミジン-1(2H)-イル)-2-((ホスホノオキシ)メチル)テトラヒドロフラン-3-イル)オキシ)(ヒドロキシ)ホスホリル)オキシ)メチル)-5-(6-アミノ-9H-プリン-9-イル)-4-ヒドロキシテトラヒドロフラン-3-イル(Pen-Phe(4-CF 3 )-pdCpA)(化合物SP715)の合成
2- (pent-4-enamido) -3- (4- (trifluoromethyl) phenyl) propanoic acid (2S)-(2R, 3S, 4R, 5R) -2-(((((((2R, 3S, 5R) -5- (4-Amino-2-oxopyrimidin-1 (2H) -yl) -2-((phosphonooxy) methyl) tetrahydrofuran-3-yl) oxy) (hydroxy) phosphoryl) oxy) methyl) -5 Synthesis of — (6-Amino-9H-purin-9-yl) -4-hydroxytetrahydrofuran-3-yl (Pen-Phe (4-CF 3 ) -pdCpA) (Compound SP715)
化合物SP705の製造例と同様の条件で、リン酸二水素 ((2R,3S,5R)-5-(4-アミノ-2-オキソピリミジン-1(2H)-イル)-3-(((((2R,3S,4R,5R)-5-(6-アミノ-9H-プリン-9-イル)-3,4-ジヒドロキシテトラヒドロフラン-2-イル)メトキシ)(ヒドロキシ)ホスホリル)オキシ)テトラヒドロフラン-2-イル)メチル(化合物1h)(1.00g、1.57mmol)を用い、2-(N-メチルペンタ-4-エンアミド)酢酸シアノメチル(化合物SP704)の代わりに、2-(ペンタ-4-エンアミド)-3-(4-(トリフルオロメチル)フェニル)プロパン酸 (S)-シアノメチル(化合物SP714)を用いることで、表題化合物(化合物SP715)(258mg、18%)を得た。
LCMS(ESI) m/z = 934.6 (M+H)+
保持時間:0.73分(分析条件SQDAA05)
Under the same conditions as in the production example of compound SP705, dihydrogen phosphate ((2R, 3S, 5R) -5- (4-amino-2-oxopyrimidin-1 (2H) -yl) -3-(((( (2R, 3S, 4R, 5R) -5- (6-Amino-9H-purin-9-yl) -3,4-dihydroxytetrahydrofuran-2-yl) methoxy) (hydroxy) phosphoryl) oxy) tetrahydrofuran-2- Yl) methyl (
LCMS (ESI) m / z = 934.6 (M + H) +
Retention time: 0.73 minutes (analysis condition SQDAA05)
2-((tert-ブトキシカルボニル)アミノ)-4-(メチルスルホニル)ブタン酸 (S)-シアノメチル(化合物SP717)の合成
Synthesis of 2-((tert-butoxycarbonyl) amino) -4- (methylsulfonyl) butanoic acid (S) -cyanomethyl (compound SP717)
化合物SP702の製造例と同様の条件で、2(-((tert-ブトキシカルボニル)(メチル)アミノ)酢酸(化合物SP701)の代わりに(S)-2-((tert-ブトキシカルボニル)アミノ)-4-(メチルスルホニル)ブタン酸(化合物SP716)(5.00g、17.8mmol)を用いることで、2-((tert-ブトキシカルボニル)アミノ)-4-(メチルスルホニル)ブタン酸 (S)-シアノメチル(化合物SP717)(4.50g、79%)を得た。 Under the same conditions as in the production example of compound SP702, 2 (-((tert-butoxycarbonyl) (methyl) amino) acetic acid (compound SP701) instead of (S) -2-((tert-butoxycarbonyl) amino)- By using 4- (methylsulfonyl) butanoic acid (compound SP716) (5.00 g, 17.8 mmol), 2-((tert-butoxycarbonyl) amino) -4- (methylsulfonyl) butanoic acid (S) — Cyanomethyl (Compound SP717) (4.50 g, 79%) was obtained.
2-アミノ-4-(メチルスルホニル)ブタン酸 (S)-シアノメチル塩酸塩(化合物SP718)の合成
Synthesis of 2-amino-4- (methylsulfonyl) butanoic acid (S) -cyanomethyl hydrochloride (compound SP718)
化合物SP703の製造例と同様の条件で、2(-((tert-ブトキシカルボニル)(メチル)アミノ)酢酸シアノメチル(化合物SP702)の代わりに、2-((tert-ブトキシカルボニル)アミノ)-4-(メチルスルホニル)ブタン酸 (S)-シアノメチル(化合物SP717)(4.50g、14.0mmol)を用いることで、2-アミノ-4-(メチルスルホニル)ブタン酸 (S)-シアノメチル塩酸塩(化合物SP718)(3.50g、98%)を粗生成物として得て、そのまま次の反応に用いた。 Under the same conditions as in the production example of compound SP703, 2-((tert-butoxycarbonyl) amino) -4- instead of cyanomethyl 2 (-((tert-butoxycarbonyl) (methyl) amino) acetate (compound SP702) (Methylsulfonyl) butanoic acid (S) -cyanomethyl (compound SP717) (4.50 g, 14.0 mmol) was used to give 2-amino-4- (methylsulfonyl) butanoic acid (S) -cyanomethyl hydrochloride (compound SP718) (3.50 g, 98%) was obtained as a crude product and used as such in the next reaction.
4-(メチルスルホニル)-2-(ペンタ-4-エンアミド)ブタン酸 (S)-シアノメチル(Pen-Met(O 2 )-OCH 2 CN(化合物SP719)の合成
Synthesis of 4- (methylsulfonyl) -2- (pent-4-enamido) butanoic acid (S) -cyanomethyl (Pen-Met (O 2 ) -OCH 2 CN (Compound SP719)
化合物SP704の製造例と同様の条件で、2-(メチルアミノ)酢酸シアノメチル塩酸塩(化合物SP703)の代わりに、2-アミノ-4-(メチルスルホニル)ブタン酸 (S)-シアノメチル塩酸塩(化合物SP718)(3.50g、13.7mmol)を用いることで、4-(メチルスルホニル)-2-(ペンタ-4-エンアミド)ブタン酸 (S)-シアノメチル(化合物SP719)(2.00g、48%)を得た。
LCMS(ESI) m/z = 303 (M+H)+
保持時間:1.28分(分析条件SMDmethod7)
2-amino-4- (methylsulfonyl) butanoic acid (S) -cyanomethyl hydrochloride (compound) instead of 2- (methylamino) acetic acid cyanomethyl hydrochloride (compound SP703) under the same conditions as in the production example of compound SP704 SP718) (3.50 g, 13.7 mmol) gave 4- (methylsulfonyl) -2- (pent-4-enamido) butanoic acid (S) -cyanomethyl (compound SP719) (2.00 g, 48% )
LCMS (ESI) m / z = 303 (M + H) +
Retention time: 1.28 minutes (analysis condition SMD method 7)
4-(メチルスルホニル)-2-(ペンタ-4-エンアミド)ブタン酸 (2S)-(2R,3S,4R,5R)-2-((((((2R,3S,5R)-5-(4-アミノ-2-オキソピリミジン-1(2H)-イル)-2-((ホスホノオキシ)メチル)テトラヒドロフラン-3-イル)オキシ)(ヒドロキシ)ホスホリル)オキシ)メチル)-5-(6-アミノ-9H-プリン-9-イル)-4-ヒドロキシテトラヒドロフラン-3-イル(Pen-Met(O 2 )-pdCpA)(化合物SP720)の合成
4- (Methylsulfonyl) -2- (pent-4-enamido) butanoic acid (2S)-(2R, 3S, 4R, 5R) -2-(((((((2R, 3S, 5R) -5- ( 4-Amino-2-oxopyrimidin-1 (2H) -yl) -2-((phosphonooxy) methyl) tetrahydrofuran-3-yl) oxy) (hydroxy) phosphoryl) oxy) methyl) -5- (6-amino- Synthesis of 9H-purin-9-yl) -4-hydroxytetrahydrofuran-3-yl (Pen-Met (O 2 ) -pdCpA) (compound SP720)
化合物SP705の製造例と同様の条件で、リン酸二水素 ((2R,3S,5R)-5-(4-アミノ-2-オキソピリミジン-1(2H)-イル)-3-(((((2R,3S,4R,5R)-5-(6-アミノ-9H-プリン-9-イル)-3,4-ジヒドロキシテトラヒドロフラン-2-イル)メトキシ)(ヒドロキシ)ホスホリル)オキシ)テトラヒドロフラン-2-イル)メチル(化合物1h)(1.00g、1.57mmol)を用い、2-(N-メチルペンタ-4-エンアミド)酢酸シアノメチル(化合物SP704)の代わりに、4-(メチルスルホニル)-2-(ペンタ-4-エンアミド)ブタン酸 (S)-シアノメチル(化合物SP719)を用いることで、表題化合物(化合物SP720)(153mg、11%)を得た。
LCMS(ESI) m/z = 882.3 (M+H)+
保持時間:0.40分(分析条件SQDAA05)
Under the same conditions as in the production example of compound SP705, dihydrogen phosphate ((2R, 3S, 5R) -5- (4-amino-2-oxopyrimidin-1 (2H) -yl) -3-(((( (2R, 3S, 4R, 5R) -5- (6-Amino-9H-purin-9-yl) -3,4-dihydroxytetrahydrofuran-2-yl) methoxy) (hydroxy) phosphoryl) oxy) tetrahydrofuran-2- Yl) methyl (
LCMS (ESI) m / z = 882.3 (M + H) +
Retention time: 0.40 minutes (analysis condition SQDAA05)
3-((tert-ブトキシカルボニル)アミノ)プロパン酸シアノメチル(化合物SP722)の合成
Synthesis of cyanomethyl 3-((tert-butoxycarbonyl) amino) propanoate (compound SP722)
化合物SP702の製造例と同様の条件で、2(-((tert-ブトキシカルボニル)(メチル)アミノ)酢酸(化合物SP701)の代わりに3-((tert-ブトキシカルボニル)アミノ)プロパン酸(化合物SP721)(5.00g、26.4mmol)を用いることで、3-((tert-ブトキシカルボニル)アミノ)プロパン酸シアノメチル(化合物SP722)(4.70g、78%)を得た。 3-((tert-butoxycarbonyl) amino) propanoic acid (compound SP721 instead of 2 (-((tert-butoxycarbonyl) (methyl) amino) acetic acid (compound SP701)) under the same conditions as in the production example of compound SP702 ) (5.00 g, 26.4 mmol) was used to obtain cyanomethyl 3-((tert-butoxycarbonyl) amino) propanoate (Compound SP722) (4.70 g, 78%).
3-アミノプロパン酸シアノメチル塩酸塩(化合物SP723)の合成
Synthesis of 3-aminopropanoic acid cyanomethyl hydrochloride (compound SP723)
化合物SP703の製造例と同様の条件で、2(-((tert-ブトキシカルボニル)(メチル)アミノ)酢酸シアノメチル(化合物SP702)の代わりに3-((tert-ブトキシカルボニル)アミノ)プロパン酸シアノメチル(化合物SP722)(4.70g、20.6mmol)を用いることで、3-アミノプロパン酸シアノメチル塩酸塩(化合物SP723)(3.00g、88%)を粗生成物として得て、そのまま次の反応に用いた。 Under the same conditions as in the production example of compound SP703, instead of cyanomethyl 2 (-((tert-butoxycarbonyl) (methyl) amino) acetate (compound SP702), cyanomethyl 3-((tert-butoxycarbonyl) amino) propanoate ( Compound SP722) (4.70 g, 20.6 mmol) was used to obtain 3-aminopropanoic acid cyanomethyl hydrochloride (Compound SP723) (3.00 g, 88%) as a crude product, which was directly used in the next reaction. Using.
3-(ペンタ-4-エンアミド)プロパン酸シアノメチル(化合物SP724)の合成
Synthesis of cyanomethyl 3- (pent-4-enamido) propanoate (compound SP724)
化合物SP704の製造例と同様の条件で、2-(メチルアミノ)酢酸シアノメチル塩酸塩(化合物SP703)の代わりに、3-アミノプロパン酸シアノメチル塩酸塩(化合物SP723)(3.00g、18.2mmol)を用いることで、3-(ペンタ-4-エンアミド)プロパン酸シアノメチル(化合物SP724)(2.80g、73%)を得た。
LCMS(ESI) m/z = 211 (M+H)+
保持時間:1.37分(分析条件SMDmethod8)
3-aminopropanoic acid cyanomethyl hydrochloride (compound SP723) (3.00 g, 18.2 mmol) instead of 2- (methylamino) acetic acid cyanomethyl hydrochloride (compound SP703) under the same conditions as in the production example of compound SP704 Was used to obtain cyanomethyl 3- (pent-4-enamido) propanoate (Compound SP724) (2.80 g, 73%).
LCMS (ESI) m / z = 211 (M + H) +
Retention time: 1.37 minutes (analysis condition SMD method 8)
3-(ペンタ-4-エンアミド)プロパン酸 (2R,3S,4R,5R)-2-((((((2R,3S,5R)-5-(4-アミノ-2-オキソピリミジン-1(2H)-イル)-2-((ホスホノオキシ)メチル)テトラヒドロフラン-3-イル)オキシ)(ヒドロキシ)ホスホリル)オキシ)メチル)-5-(6-アミノ-9H-プリン-9-イル)-4-ヒドロキシテトラヒドロフラン-3-イル(Pen-βAla-pdCpA)(化合物SP725)の合成
3- (Pent-4-enamido) propanoic acid (2R, 3S, 4R, 5R) -2-(((((((2R, 3S, 5R) -5- (4-amino-2-oxopyrimidine-1 ( 2H) -yl) -2-((phosphonooxy) methyl) tetrahydrofuran-3-yl) oxy) (hydroxy) phosphoryl) oxy) methyl) -5- (6-amino-9H-purin-9-yl) -4- Synthesis of hydroxytetrahydrofuran-3-yl (Pen-βAla-pdCpA) (compound SP725)
化合物SP705の製造例と同様の条件で、リン酸二水素 ((2R,3S,5R)-5-(4-アミノ-2-オキソピリミジン-1(2H)-イル)-3-(((((2R,3S,4R,5R)-5-(6-アミノ-9H-プリン-9-イル)-3,4-ジヒドロキシテトラヒドロフラン-2-イル)メトキシ)(ヒドロキシ)ホスホリル)オキシ)テトラヒドロフラン-2-イル)メチル(化合物1h)(700mg、1.10mmol)を用い、2-(N-メチルペンタ-4-エンアミド)酢酸シアノメチル(化合物SP704)の代わりに、3-(ペンタ-4-エンアミド)プロパン酸シアノメチル(化合物SP724)を用いることで、表題化合物(化合物SP725)(134mg、15%)を得た。
LCMS(ESI) m/z = 790.6 (M+H)+
保持時間:0.41分(分析条件SQDAA05)
Under the same conditions as in the production example of compound SP705, dihydrogen phosphate ((2R, 3S, 5R) -5- (4-amino-2-oxopyrimidin-1 (2H) -yl) -3-(((( (2R, 3S, 4R, 5R) -5- (6-Amino-9H-purin-9-yl) -3,4-dihydroxytetrahydrofuran-2-yl) methoxy) (hydroxy) phosphoryl) oxy) tetrahydrofuran-2- Yl) methyl (
LCMS (ESI) m / z = 790.6 (M + H) +
Retention time: 0.41 minutes (analysis condition SQDAA05)
(S)-2-((tert-ブトキシカルボニル)(メチル)アミノ)-3-(チアゾール-4-イル)プロパン酸(化合物SP727)の合成
Synthesis of (S) -2-((tert-butoxycarbonyl) (methyl) amino) -3- (thiazol-4-yl) propanoic acid (Compound SP727)
窒素雰囲気下、水素化ナトリウム(470mg、11.8mmol、60%)のテトラヒドロフラン(30ml)懸濁液に、(S)-2-((tert-ブトキシカルボニル)アミノ)-3-(チアゾール-4-イル)プロパン酸(化合物SP726)(800mg、2.94mmol)のテトラヒドロフラン(20ml)に溶液を滴下した。続いてヨードメタン(1.67g、11.8mmol)を加えて室温で18時間攪拌した。反応液を6mol/lの塩酸水でpHを4に調整し、酢酸エチルで抽出した。得られた有機抽出物を硫酸ナトリウムで乾燥後に減圧濃縮し、残渣をカラムクロマトグラフィ(酢酸エチル)で精製し、(S)-2-((tert-ブトキシカルボニル)(メチル)アミノ)-3-(チアゾール-4-イル)プロパン酸(化合物SP727)(560mg、67%)を得た。
LCMS(ESI) m/z = 287 (M+H)+
保持時間:1.24分(分析条件SMDmethod7)
To a suspension of sodium hydride (470 mg, 11.8 mmol, 60%) in tetrahydrofuran (30 ml) under a nitrogen atmosphere, (S) -2-((tert-butoxycarbonyl) amino) -3- (thiazole-4- Yl) A solution of propanoic acid (compound SP726) (800 mg, 2.94 mmol) in tetrahydrofuran (20 ml) was added dropwise. Subsequently, iodomethane (1.67 g, 11.8 mmol) was added and stirred at room temperature for 18 hours. The reaction solution was adjusted to
LCMS (ESI) m / z = 287 (M + H) +
Retention time: 1.24 minutes (analysis condition SMD method 7)
2-((tert-ブトキシカルボニル)(メチル)アミノ)-3-(チアゾール-4-イル)プロパン酸 (S)-シアノメチル(化合物SP728)の合成
Synthesis of 2-((tert-butoxycarbonyl) (methyl) amino) -3- (thiazol-4-yl) propanoic acid (S) -cyanomethyl (compound SP728)
化合物SP702の製造例と同様の条件で、2(-((tert-ブトキシカルボニル)(メチル)アミノ)酢酸(化合物SP701)の代わりに(S)-2-((tert-ブトキシカルボニル)(メチル)アミノ)-3-(チアゾール-4-イル)プロパン酸(化合物SP727)(3.94g、13.8mmol)を用いることで、2-((tert-ブトキシカルボニル)(メチル)アミノ)-3-(チアゾール-4-イル)プロパン酸 (S)-シアノメチル(化合物SP728)(3.04g、68%)を得た。 (S) -2-((tert-butoxycarbonyl) (methyl) instead of 2 (-((tert-butoxycarbonyl) (methyl) amino) acetic acid (compound SP701) under the same conditions as in the production example of compound SP702 By using amino) -3- (thiazol-4-yl) propanoic acid (compound SP727) (3.94 g, 13.8 mmol), 2-((tert-butoxycarbonyl) (methyl) amino) -3- ( Thiazol-4-yl) propanoic acid (S) -cyanomethyl (compound SP728) (3.04 g, 68%) was obtained.
2-(メチルアミノ)-3-(チアゾール-4-イル)プロパン酸 (S)-シアノメチル塩酸塩(化合物SP729)の合成
Synthesis of 2- (methylamino) -3- (thiazol-4-yl) propanoic acid (S) -cyanomethyl hydrochloride (Compound SP729)
化合物SP703の製造例と同様の条件で、2(-((tert-ブトキシカルボニル)(メチル)アミノ)酢酸シアノメチル(化合物SP702)の代わりに、2-((tert-ブトキシカルボニル)(メチル)アミノ)-3-(チアゾール-4-イル)プロパン酸 (S)-シアノメチル(化合物SP728)(3.04g、9.34mmol)を用いることで、2-(メチルアミノ)-3-(チアゾール-4-イル)プロパン酸 (S)-シアノメチル塩酸塩(化合物SP729)(1.85g、76%)を粗生成物として得て、そのまま次の反応に用いた。 Under the same conditions as in the production example of compound SP703, 2-((tert-butoxycarbonyl) (methyl) amino) instead of cyanomethyl 2 (-((tert-butoxycarbonyl) (methyl) amino) acetate (compound SP702) -3- (thiazol-4-yl) propanoic acid (S) -cyanomethyl (compound SP728) (3.04 g, 9.34 mmol) was used to give 2- (methylamino) -3- (thiazol-4-yl ) Propanoic acid (S) -cyanomethyl hydrochloride (compound SP729) (1.85 g, 76%) was obtained as a crude product and used as such in the next reaction.
2-(N-メチルペンタ-4-エンアミド)-3-(チアゾール-4-イル)プロパン酸 (S)-シアノメチル(化合物SP730)の合成
Synthesis of 2- (N-methylpent-4-enamido) -3- (thiazol-4-yl) propanoic acid (S) -cyanomethyl (compound SP730)
化合物SP704の製造例と同様の条件で、2-(メチルアミノ)酢酸シアノメチル塩酸塩(化合物SP703)の代わりに、2-(メチルアミノ)-3-(チアゾール-4-イル)プロパン酸 (S)-シアノメチル塩酸塩(化合物SP729)(1.85g、7.07mmol)を用いることで、表題化合物(化合物SP730)(1.48g、68%)を得た。
LCMS(ESI) m/z = 308 (M+H)+
保持時間:1.28分(分析条件SMDmethod7)
2- (methylamino) -3- (thiazol-4-yl) propanoic acid (S) instead of 2- (methylamino) acetic acid cyanomethyl hydrochloride (compound SP703) under the same conditions as in the production example of compound SP704 The title compound (Compound SP730) (1.48 g, 68%) was obtained by using -cyanomethyl hydrochloride (Compound SP729) (1.85 g, 7.07 mmol).
LCMS (ESI) m / z = 308 (M + H) +
Retention time: 1.28 minutes (analysis condition SMD method 7)
2-(N-メチルペンタ-4-エンアミド)-3-(チアゾール-4-イル)プロパン酸 (2S)-(2R,3S,4R,5R)-2-((((((2R,3S,5R)-5-(4-アミノ-2-オキソピリミジン-1(2H)-イル)-2-((ホスホノオキシ)メチル)テトラヒドロフラン-3-イル)オキシ)(ヒドロキシ)ホスホリル)オキシ)メチル)-5-(6-アミノ-9H-プリン-9-イル)-4-ヒドロキシテトラヒドロフラン-3-イル(Pen-MeAla(4-Thz)-pdCpA)(化合物SP731)の合成
2- (N-methylpent-4-enamido) -3- (thiazol-4-yl) propanoic acid (2S)-(2R, 3S, 4R, 5R) -2-(((((((2R, 3S, 5R ) -5- (4-Amino-2-oxopyrimidin-1 (2H) -yl) -2-((phosphonooxy) methyl) tetrahydrofuran-3-yl) oxy) (hydroxy) phosphoryl) oxy) methyl) -5 Synthesis of (6-Amino-9H-purin-9-yl) -4-hydroxytetrahydrofuran-3-yl (Pen-MeAla (4-Thz) -pdCpA) (Compound SP731)
化合物SP705の製造例と同様の条件で、リン酸二水素 ((2R,3S,5R)-5-(4-アミノ-2-オキソピリミジン-1(2H)-イル)-3-(((((2R,3S,4R,5R)-5-(6-アミノ-9H-プリン-9-イル)-3,4-ジヒドロキシテトラヒドロフラン-2-イル)メトキシ)(ヒドロキシ)ホスホリル)オキシ)テトラヒドロフラン-2-イル)メチル(化合物1h)(700mg、1.10mmol)を用い、2-(N-メチルペンタ-4-エンアミド)酢酸シアノメチル(化合物SP704)の代わりに、2-(N-メチルペンタ-4-エンアミド)-3-(チアゾール-4-イル)プロパン酸 (S)-シアノメチル(化合物SP730)を用いることで、表題化合物(化合物SP731)(60.9mg、6%)を得た。
LCMS(ESI) m/z = 887.4 (M+H)+
保持時間:0.40分(分析条件SQDFA05)
Under the same conditions as in the production example of compound SP705, dihydrogen phosphate ((2R, 3S, 5R) -5- (4-amino-2-oxopyrimidin-1 (2H) -yl) -3-(((( (2R, 3S, 4R, 5R) -5- (6-Amino-9H-purin-9-yl) -3,4-dihydroxytetrahydrofuran-2-yl) methoxy) (hydroxy) phosphoryl) oxy) tetrahydrofuran-2- Yl) methyl (
LCMS (ESI) m / z = 887.4 (M + H) +
Retention time: 0.40 minutes (analysis condition SQDFA05)
(S)-2-((tert-ブトキシカルボニル)(メチル)アミノ)-3-(3-クロロフェニル)プロパン酸(化合物SP733)の合成
Synthesis of (S) -2-((tert-butoxycarbonyl) (methyl) amino) -3- (3-chlorophenyl) propanoic acid (Compound SP733)
化合物SP727の製造例と同様の条件で、(S)-2-((tert-ブトキシカルボニル)アミノ)-3-(チアゾール-4-イル)プロパン酸(化合物SP726)の代わりに、(S)-2-((tert-ブトキシカルボニル)アミノ)-3-(3-クロロフェニル)プロパン酸(化合物SP732)(5.00g、16.7mmol)を用いることで、(S)-2-((tert-ブトキシカルボニル)(メチル)アミノ)-3-(3-クロロフェニル)プロパン酸(化合物SP733)(5.10g、97%)を得た。 Instead of (S) -2-((tert-butoxycarbonyl) amino) -3- (thiazol-4-yl) propanoic acid (compound SP726) under the same conditions as in the production example of compound SP727, (S) — By using 2-((tert-butoxycarbonyl) amino) -3- (3-chlorophenyl) propanoic acid (compound SP732) (5.00 g, 16.7 mmol), (S) -2-((tert-butoxy Carbonyl) (methyl) amino) -3- (3-chlorophenyl) propanoic acid (Compound SP733) (5.10 g, 97%) was obtained.
2-((tert-ブトキシカルボニル)(メチル)アミノ)-3-(3-クロロフェニル)プロパン酸 (S)-シアノメチル(化合物SP734)の合成
Synthesis of 2-((tert-butoxycarbonyl) (methyl) amino) -3- (3-chlorophenyl) propanoic acid (S) -cyanomethyl (compound SP734)
化合物SP702の製造例と同様の条件で、2(-((tert-ブトキシカルボニル)(メチル)アミノ)酢酸(化合物SP701)の代わりに(S)-2-((tert-ブトキシカルボニル)(メチル)アミノ)-3-(3-クロロフェニル)プロパン酸(化合物SP733)(5.10g、16.3mmol)を用いることで、2-((tert-ブトキシカルボニル)(メチル)アミノ)-3-(3-クロロフェニル)プロパン酸 (S)-シアノメチル(化合物SP734)(4.75g、83%)を得た。 (S) -2-((tert-butoxycarbonyl) (methyl) instead of 2 (-((tert-butoxycarbonyl) (methyl) amino) acetic acid (compound SP701) under the same conditions as in the production example of compound SP702 By using amino) -3- (3-chlorophenyl) propanoic acid (compound SP733) (5.10 g, 16.3 mmol), 2-((tert-butoxycarbonyl) (methyl) amino) -3- (3- Chlorophenyl) propanoic acid (S) -cyanomethyl (compound SP734) (4.75 g, 83%) was obtained.
3-(3-クロロフェニル)-2-(メチルアミノ)プロパン酸 (S)-シアノメチル塩酸塩(化合物SP735)の合成
Synthesis of 3- (3-chlorophenyl) -2- (methylamino) propanoic acid (S) -cyanomethyl hydrochloride (Compound SP735)
化合物SP703の製造例と同様の条件で、2(-((tert-ブトキシカルボニル)(メチル)アミノ)酢酸シアノメチル(化合物SP702)の代わりに、2-((tert-ブトキシカルボニル)(メチル)アミノ)-3-(3-クロロフェニル)プロパン酸 (S)-シアノメチル(化合物SP734)(4.75g、13.5mmol)を用いることで、3-(3-クロロフェニル)-2-(メチルアミノ)プロパン酸 (S)-シアノメチル塩酸塩(化合物SP735)(3.31g、84%)を粗生成物として得て、そのまま次の反応に用いた。 Under the same conditions as in the production example of compound SP703, 2-((tert-butoxycarbonyl) (methyl) amino) instead of cyanomethyl 2 (-((tert-butoxycarbonyl) (methyl) amino) acetate (compound SP702) -3- (3-Chlorophenyl) propanoic acid (S) -cyanomethyl (compound SP734) (4.75 g, 13.5 mmol) was used to give 3- (3-chlorophenyl) -2- (methylamino) propanoic acid ( S) -Cyanomethyl hydrochloride (Compound SP735) (3.31 g, 84%) was obtained as a crude product and used as such in the next reaction.
3-(3-クロロフェニル)-2-(N-メチルペンタ-4-エンアミド)プロパン酸 (S)-シアノメチル(化合物SP736、Pen-MePhe(3-Cl)-OCH 2 CN)の合成
Synthesis of 3- (3-chlorophenyl) -2- (N-methylpent-4-enamido) propanoic acid (S) -cyanomethyl (compound SP736, Pen-MePhe (3-Cl) -OCH 2 CN)
化合物SP704の製造例と同様の条件で、2-(メチルアミノ)酢酸シアノメチル塩酸塩(化合物SP703)の代わりに、3-(3-クロロフェニル)-2-(メチルアミノ)プロパン酸 (S)-シアノメチル塩酸塩(化合物SP735)(3.31g、11.4mmol)を用いることで、3-(3-クロロフェニル)-2-(N-メチルペンタ-4-エンアミド)プロパン酸 (S)-シアノメチル(化合物SP736)(2.72g、71%)を得た。
LCMS(ESI) m/z = 335 (M+H)+
保持時間:1.67分(分析条件SMDmethod4)
3- (3-chlorophenyl) -2- (methylamino) propanoic acid (S) -cyanomethyl instead of 2- (methylamino) acetic acid cyanomethyl hydrochloride (compound SP703) under the same conditions as in the production example of compound SP704 3- (3-Chlorophenyl) -2- (N-methylpent-4-enamido) propanoic acid (S) -cyanomethyl (Compound SP736) by using hydrochloride (Compound SP735) (3.31 g, 11.4 mmol) (2.72 g, 71%) was obtained.
LCMS (ESI) m / z = 335 (M + H) +
Retention time: 1.67 minutes (analysis condition SMD method 4)
3-(3-クロロフェニル)-2-(N-メチルペンタ-4-エンアミド)プロパン酸 (2S)-(2R,3S,4R,5R)-2-((((((2R,3S,5R)-5-(4-アミノ-2-オキソピリミジン-1(2H)-イル)-2-((ホスホノオキシ)メチル)テトラヒドロフラン-3-イル)オキシ)(ヒドロキシ)ホスホリル)オキシ)メチル)-5-(6-アミノ-9H-プリン-9-イル)-4-ヒドロキシテトラヒドロフラン-3-イル(Pen-MePhe(3-Cl)-pdCpA)(化合物SP737)の合成
3- (3-Chlorophenyl) -2- (N-methylpent-4-enamido) propanoic acid (2S)-(2R, 3S, 4R, 5R) -2-(((((((2R, 3S, 5R)- 5- (4-Amino-2-oxopyrimidin-1 (2H) -yl) -2-((phosphonooxy) methyl) tetrahydrofuran-3-yl) oxy) (hydroxy) phosphoryl) oxy) methyl) -5- (6 -Amino-9H-purin-9-yl) -4-hydroxytetrahydrofuran-3-yl (Pen-MePhe (3-Cl) -pdCpA) (compound SP737)
化合物SP705の製造例と同様の条件で、リン酸二水素 ((2R,3S,5R)-5-(4-アミノ-2-オキソピリミジン-1(2H)-イル)-3-(((((2R,3S,4R,5R)-5-(6-アミノ-9H-プリン-9-イル)-3,4-ジヒドロキシテトラヒドロフラン-2-イル)メトキシ)(ヒドロキシ)ホスホリル)オキシ)テトラヒドロフラン-2-イル)メチル(化合物1h)(1.00g、1.57mmol)を用い、2-(N-メチルペンタ-4-エンアミド)酢酸シアノメチル(化合物SP704)の代わりに、3-(3-クロロフェニル)-2-(N-メチルペンタ-4-エンアミド)プロパン酸 (S)-シアノメチル(化合物SP736)を用いることで、表題化合物(化合物SP737)(389mg、27%)を得た。
LCMS(ESI) m/z = 914.6 (M+H)+
保持時間:0.75分(分析条件SQDAA05)
Under the same conditions as in the production example of compound SP705, dihydrogen phosphate ((2R, 3S, 5R) -5- (4-amino-2-oxopyrimidin-1 (2H) -yl) -3-(((( (2R, 3S, 4R, 5R) -5- (6-Amino-9H-purin-9-yl) -3,4-dihydroxytetrahydrofuran-2-yl) methoxy) (hydroxy) phosphoryl) oxy) tetrahydrofuran-2- Yl) methyl (
LCMS (ESI) m / z = 914.6 (M + H) +
Retention time: 0.75 minutes (analysis condition SQDAA05)
2-((tert-ブトキシカルボニル)(プロピル)アミノ)酢酸シアノメチル(化合物SP739)の合成
Synthesis of 2-((tert-butoxycarbonyl) (propyl) amino) cyanomethyl acetate (Compound SP739)
化合物SP702の製造例と同様の条件で、2(-((tert-ブトキシカルボニル)(メチル)アミノ)酢酸(化合物SP701)の代わりに2-((tert-ブトキシカルボニル)(プロピル)アミノ)酢酸(化合物SP738)(5.00g、23.0mmol)を用いることで、2-((tert-ブトキシカルボニル)(プロピル)アミノ)酢酸シアノメチル(化合物SP739)(4.20g、71%)を得た。 2-((tert-butoxycarbonyl) (propyl) amino) acetic acid (in place of 2 (-((tert-butoxycarbonyl) (methyl) amino) acetic acid (compound SP701) under the same conditions as in the production example of compound SP702 Compound SP738) (5.00 g, 23.0 mmol) was used to obtain cyanomethyl 2-((tert-butoxycarbonyl) (propyl) amino) acetate (Compound SP739) (4.20 g, 71%).
2-(プロピルアミノ)酢酸シアノメチル塩酸塩(化合物SP740)の合成
Synthesis of 2- (propylamino) acetic acid cyanomethyl hydrochloride (compound SP740)
化合物SP703の製造例と同様の条件で、2(-((tert-ブトキシカルボニル)(メチル)アミノ)酢酸シアノメチル(化合物SP702)の代わりに、2-((tert-ブトキシカルボニル)(プロピル)アミノ)酢酸シアノメチル(化合物SP739)(4.20g、16.4mmol)を用いることで、2-(プロピルアミノ)酢酸シアノメチル塩酸塩(化合物SP740)(2.50g、79%)を粗生成物として得て、そのまま次の反応に用いた。 Under the same conditions as in the production example of compound SP703, 2-((tert-butoxycarbonyl) (propyl) amino) instead of cyanomethyl 2 (-((tert-butoxycarbonyl) (methyl) amino) acetate (compound SP702) By using cyanomethyl acetate (compound SP739) (4.20 g, 16.4 mmol), 2- (propylamino) acetic acid cyanomethyl hydrochloride (compound SP740) (2.50 g, 79%) was obtained as a crude product. It used for next reaction as it was.
2-(N-プロピルペンタ-4-エンアミド)酢酸シアノメチル(化合物SP741、Pen-nPrGly-OCH 2 CN)の合成
Synthesis of 2- (N-propylpent-4-enamide) cyanomethyl acetate (compound SP741, Pen-nPrGly-OCH 2 CN)
化合物SP704の製造例と同様の条件で、2-(メチルアミノ)酢酸シアノメチル塩酸塩(化合物SP703)の代わりに、2-(プロピルアミノ)酢酸シアノメチル塩酸塩(化合物SP740)(2.55g、13.2mmol)を用いることで、2-(N-プロピルペンタ-4-エンアミド)酢酸シアノメチル(化合物SP741)(2.10g、67%)を得た。
1H-NMR(Bruker AVANCE II、300MHz、CDCl3) δ ppm 6.19-6.32 (1H、m)、5.38-5.49 (2H、m)、5.17-5.22 (2H、m)、4.49-4.55 (2H、m)、3.70-3.78 (2H、m)、2.78-2.90 (4H、m)、1.84-2.07 (2H、m)、1.34 (3H、t、J = 8.1 Hz)
Under the same conditions as in the production example of compound SP704, 2- (propylamino) acetic acid cyanomethyl hydrochloride (compound SP740) (2.55 g, 13.5) was used instead of 2- (methylamino) acetic acid cyanomethyl hydrochloride (compound SP703). 2 mmol) was used to obtain cyanomethyl 2- (N-propylpent-4-enamide) acetate (Compound SP741) (2.10 g, 67%).
1 H-NMR (Bruker AVANCE II, 300 MHz, CDCl 3 ) δ ppm 6.19-6.32 (1H, m), 5.38-5.49 (2H, m), 5.17-5.22 ( 2H, m), 4.49-4.55 (2H, m), 3.70-3.78 (2H, m), 2.78-2.90 (4H, m), 1.84-2. 07 (2H, m), 1.34 (3H, t, J = 8.1 Hz)
2-(N-プロピルペンタ-4-エンアミド)酢酸 (2R,3S,4R,5R)-2-((((((2R,3S,5R)-5-(4-アミノ-2-オキソピリミジン-1(2H)-イル)-2-((ホスホノオキシ)メチル)テトラヒドロフラン-3-イル)オキシ)(ヒドロキシ)ホスホリル)オキシ)メチル)-5-(6-アミノ-9H-プリン-9-イル)-4-ヒドロキシテトラヒドロフラン-3-イル(Pen-nPrGly-pdCpA)(化合物SP742)の合成
2- (N-propylpent-4-enamido) acetic acid (2R, 3S, 4R, 5R) -2-(((((((2R, 3S, 5R) -5- (4-amino-2-oxopyrimidine- 1 (2H) -yl) -2-((phosphonooxy) methyl) tetrahydrofuran-3-yl) oxy) (hydroxy) phosphoryl) oxy) methyl) -5- (6-amino-9H-purin-9-yl)- Synthesis of 4-hydroxytetrahydrofuran-3-yl (Pen-nPrGly-pdCpA) (compound SP742)
化合物SP705の製造例と同様の条件で、リン酸二水素 ((2R,3S,5R)-5-(4-アミノ-2-オキソピリミジン-1(2H)-イル)-3-(((((2R,3S,4R,5R)-5-(6-アミノ-9H-プリン-9-イル)-3,4-ジヒドロキシテトラヒドロフラン-2-イル)メトキシ)(ヒドロキシ)ホスホリル)オキシ)テトラヒドロフラン-2-イル)メチル(化合物1h)(1.00g、1.57mmol)を用い、2-(N-メチルペンタ-4-エンアミド)酢酸シアノメチル(化合物SP704)の代わりに、2-(N-プロピルペンタ-4-エンアミド)酢酸シアノメチル(化合物SP741)を用いることで、表題化合物(化合物SP742)(314mg、24%)を得た。
LCMS(ESI) m/z = 818.4 (M+H)+
保持時間:0.57分(分析条件SQDAA05)
Under the same conditions as in the production example of compound SP705, dihydrogen phosphate ((2R, 3S, 5R) -5- (4-amino-2-oxopyrimidin-1 (2H) -yl) -3-(((( (2R, 3S, 4R, 5R) -5- (6-Amino-9H-purin-9-yl) -3,4-dihydroxytetrahydrofuran-2-yl) methoxy) (hydroxy) phosphoryl) oxy) tetrahydrofuran-2- Yl) methyl (
LCMS (ESI) m / z = 818.4 (M + H) +
Retention time: 0.57 minutes (analysis condition SQDAA05)
4-エトキシピロリジン-1,2-ジカルボン酸 2-(シアノメチル) (2S,4R)-1-tert-ブチル(化合物SP751)の合成
Synthesis of 4-ethoxypyrrolidine-1,2-dicarboxylic acid 2- (cyanomethyl) (2S, 4R) -1-tert-butyl (compound SP751)
化合物SP702の製造例と同様の条件で、2(-((tert-ブトキシカルボニル)(メチル)アミノ)酢酸(化合物SP701)の代わりに(2S,4R)-1-(tert-ブトキシカルボニル)-4-エトキシピロリジン-2-カルボン酸(化合物SP750)(4.75g、18.3mmol)を用いることで、4-エトキシピロリジン-1,2-ジカルボン酸 2-(シアノメチル) (2S,4R)-1-tert-ブチル(化合物SP751)(5.00g、91%)を得た。 (2S, 4R) -1- (tert-butoxycarbonyl) -4 instead of 2 (-((tert-butoxycarbonyl) (methyl) amino) acetic acid (compound SP701) under the same conditions as in the production example of compound SP702 Using 4-ethoxypyrrolidine-2-carboxylic acid (compound SP750) (4.75 g, 18.3 mmol), 4-ethoxypyrrolidine-1,2-dicarboxylic acid 2- (cyanomethyl) (2S, 4R) -1- Tert-butyl (Compound SP751) (5.00 g, 91%) was obtained.
4-エトキシピロリジン-2-カルボン酸 (2S,4R)-シアノメチル塩酸塩(化合物SP752)の合成
Synthesis of 4-ethoxypyrrolidine-2-carboxylic acid (2S, 4R) -cyanomethyl hydrochloride (compound SP752)
化合物SP703の製造例と同様の条件で、2(-((tert-ブトキシカルボニル)(メチル)アミノ)酢酸シアノメチル(化合物SP702)の代わりに、4-エトキシピロリジン-1,2-ジカルボン酸 2-(シアノメチル) (2S,4R)-1-tert-ブチル(化合物SP751)(5.00g、16.8mmol)を用いることで、4-エトキシピロリジン-2-カルボン酸 (2S,4R)-シアノメチル塩酸塩(化合物SP752)(3.25g、83%)を得た。 4-Ethoxypyrrolidine-1,2-dicarboxylic acid 2- (in place of cyanomethyl 2 (-((tert-butoxycarbonyl) (methyl) amino) acetate (compound SP702)) under the same conditions as in the production example of compound SP703 Cyanomethyl) (2S, 4R) -1-tert-butyl (Compound SP751) (5.00 g, 16.8 mmol) was used to give 4-ethoxypyrrolidine-2-carboxylic acid (2S, 4R) -cyanomethyl hydrochloride ( Compound SP752) (3.25 g, 83%) was obtained.
4-エトキシ-1-(ペンタ-4-エノイル)ピロリジン-2-カルボン酸 (2S,4R)-シアノメチル(Pen-Hyp(Et)-OCH 2 CN)(化合物SP753)の合成
Synthesis of 4-ethoxy-1- (pent-4-enoyl) pyrrolidine-2-carboxylic acid (2S, 4R) -cyanomethyl (Pen-Hyp (Et) -OCH 2 CN) (compound SP753)
化合物SP704の製造例と同様の条件で、2-(メチルアミノ)酢酸シアノメチル塩酸塩(化合物SP703)の代わりに、4-エトキシピロリジン-2-カルボン酸 (2S,4R)-シアノメチル塩酸塩(化合物SP752)(3.00g、12.8mmol)を用いることで、4-エトキシ-1-(ペンタ-4-エノイル)ピロリジン-2-カルボン酸 (2S,4R)-シアノメチル(化合物SP753)(2.75g、77%)を得た。
LCMS(ESI) m/z = 281 (M+H)+
保持時間:1.45分(分析条件SMDmethod4)
4-Ethoxypyrrolidine-2-carboxylic acid (2S, 4R) -cyanomethyl hydrochloride (compound SP752) was used instead of 2- (methylamino) acetic acid cyanomethyl hydrochloride (compound SP703) under the same conditions as in the production example of compound SP704. ) (3.00 g, 12.8 mmol) to give 4-ethoxy-1- (pent-4-enoyl) pyrrolidine-2-carboxylic acid (2S, 4R) -cyanomethyl (compound SP753) (2.75 g, 77%).
LCMS (ESI) m / z = 281 (M + H) +
Retention time: 1.45 minutes (analysis condition SMD method 4)
4-エトキシ-1-(ペンタ-4-エノイル)ピロリジン-2-カルボン酸 (2S,4R)-(2R,3S,4R,5R)-2-((((((2R,3S,5R)-5-(4-アミノ-2-オキソピリミジン-1(2H)-イル)-2-((ホスホノオキシ)メチル)テトラヒドロフラン-3-イル)オキシ)(ヒドロキシ)ホスホリル)オキシ)メチル)-5-(6-アミノ-9H-プリン-9-イル)-4-ヒドロキシテトラヒドロフラン-3-イル(Pen-Hyp(Et)-pdCpA)(化合物SP754)の合成
4-Ethoxy-1- (pent-4-enoyl) pyrrolidine-2-carboxylic acid (2S, 4R)-(2R, 3S, 4R, 5R) -2-(((((((2R, 3S, 5R)- 5- (4-Amino-2-oxopyrimidin-1 (2H) -yl) -2-((phosphonooxy) methyl) tetrahydrofuran-3-yl) oxy) (hydroxy) phosphoryl) oxy) methyl) -5- (6 -Amino-9H-purin-9-yl) -4-hydroxytetrahydrofuran-3-yl (Pen-Hyp (Et) -pdCpA) (compound SP754)
化合物SP705の製造例と同様の条件で、リン酸二水素 ((2R,3S,5R)-5-(4-アミノ-2-オキソピリミジン-1(2H)-イル)-3-(((((2R,3S,4R,5R)-5-(6-アミノ-9H-プリン-9-イル)-3,4-ジヒドロキシテトラヒドロフラン-2-イル)メトキシ)(ヒドロキシ)ホスホリル)オキシ)テトラヒドロフラン-2-イル)メチル(化合物1h)(1.00g、1.57mmol)を用い、2-(N-メチルペンタ-4-エンアミド)酢酸シアノメチル(化合物SP704)の代わりに、4-エトキシ-1-(ペンタ-4-エノイル)ピロリジン-2-カルボン酸 (2S,4R)-シアノメチル(化合物SP753)を用いることで、表題化合物(化合物SP754)(154mg、11%)を得た。
LCMS(ESI) m/z = 860.4 (M+H)+
保持時間:0.55分(分析条件SQDAA05)
Under the same conditions as in the production example of compound SP705, dihydrogen phosphate ((2R, 3S, 5R) -5- (4-amino-2-oxopyrimidin-1 (2H) -yl) -3-(((( (2R, 3S, 4R, 5R) -5- (6-Amino-9H-purin-9-yl) -3,4-dihydroxytetrahydrofuran-2-yl) methoxy) (hydroxy) phosphoryl) oxy) tetrahydrofuran-2- Yl) methyl (
LCMS (ESI) m / z = 860.4 (M + H) +
Retention time: 0.55 minutes (analysis condition SQDAA05)
(S)-3-(tert-ブトキシ)-2-(N-メチルペンタ-4-エンアミド)プロパン酸(化合物SP746)の合成
Synthesis of (S) -3- (tert-butoxy) -2- (N-methylpent-4-enamido) propanoic acid (Compound SP746)
(S)-2-(3-(9H-フルオレン-9-イル)-N-メチルプロパンアミド)-3-(tert-ブトキシ)プロパン酸(化合物SP745)(4,35g、11.0mmol)およびジイソプロピルエチルアミン(EtN(iPr)2)(10.4mL、60.0mmol)を脱水ジクロロメタン(46ml)に溶解し、2-クロロトリチルクロライドレジン(100-200mesh、1%DVB、渡辺化学から購入、4.65g、7.30mmol)を加え、室温で60分振とうすることで、アミノ酸をレジンに担持させた。反応溶液を除去し、レジンを脱水ジクロロメタン(46ml)で4回洗浄した。レジンに20%ピペリジンN,N-ジメチルホルムアミド溶液(15ml)を加え90分振とうし、Fmoc基の脱保護を行った。反応溶液を除去し、レジンをN,N-ジメチルホルムアミド(15ml)で3回洗浄した。続いてペンタ-4-エン酸(2.3ml、21.9mmol)、3H-(1,2,3)トリアゾロ(4,5-b)ピリジン-3-オール(HOAt)(1.99g、14.6mmol)およびN,N’-メタンジイリデンビス(プロパン-2-アミン)(DIC、3.71ml、24.1mmol)をN,N-ジメチルホルムアミド(15ml)に溶解し、レジンに加えて室温で60分振とうし、ペンテノイル化を行った。反応溶液を除去し、レジンをN,N-ジメチルホルムアミド(15ml)で3回洗浄後、ジクロロメタン(15ml)でさらに3回洗浄した。続いて1%トリフルオロ酢酸ジクロロメタン溶液(1% TFA in CH2Cl2)(40ml)を前述のレジンに加え30分振とうし、アミノ酸のレジンからの切り出しを行った。反応溶液を回収し、レジンをジクロロメタン(40ml)で3回洗浄した。回収した反応液を減圧濃縮し、残渣を逆相シリカゲルカラムクロマトグラフィー(10mM酢酸アンモニウム水溶液/メタノール溶液)で精製し、(S)-3-(tert-ブトキシ)-2-(N-メチルペンタ-4-エンアミド)プロパン酸(化合物SP746)(1.02g、54%)を得た。なお、この合成に使用されたジクロロメタンとN,N-ジメチルホルムアミドはペプチド合成用特製溶媒(渡辺化学から購入)を使用した。
LCMS(ESI) m/z = 258 (M+H)+
保持時間:0.71分(分析条件SQDAA05)
(S) -2- (3- (9H-Fluoren-9-yl) -N-methylpropanamide) -3- (tert-butoxy) propanoic acid (compound SP745) (4,35 g, 11.0 mmol) and diisopropyl Ethylamine (EtN (iPr) 2 ) (10.4 mL, 60.0 mmol) is dissolved in dehydrated dichloromethane (46 ml) and 2-chlorotrityl chloride resin (100-200 mesh, 1% DVB, purchased from Watanabe Chemical Co., Ltd. 4.65 g 7.30 mmol) was added, and the amino acid was supported on the resin by shaking at room temperature for 60 minutes. The reaction solution was removed and the resin was washed 4 times with dehydrated dichloromethane (46 ml). A 20% piperidine N, N-dimethylformamide solution (15 ml) was added to the resin and shaken for 90 minutes to deprotect the Fmoc group. The reaction solution was removed, and the resin was washed 3 times with N, N-dimethylformamide (15 ml). Subsequently, penta-4-enoic acid (2.3 ml, 21.9 mmol), 3H- (1,2,3) triazolo (4,5-b) pyridin-3-ol (HOAt) (1.99 g, 14. 6 mmol) and N, N′-methanediylidenebis (propan-2-amine) (DIC, 3.71 ml, 24.1 mmol) were dissolved in N, N-dimethylformamide (15 ml) and added to the resin at room temperature. The mixture was shaken for 60 minutes to make pentenoyl. The reaction solution was removed, and the resin was washed 3 times with N, N-dimethylformamide (15 ml) and then further washed 3 times with dichloromethane (15 ml). Subsequently, 1% trifluoroacetic acid dichloromethane solution (1% TFA in CH 2 Cl 2 ) (40 ml) was added to the above-mentioned resin, and the mixture was shaken for 30 minutes to cut out the amino acid from the resin. The reaction solution was collected, and the resin was washed 3 times with dichloromethane (40 ml). The collected reaction solution was concentrated under reduced pressure, and the residue was purified by reverse phase silica gel column chromatography (10 mM ammonium acetate aqueous solution / methanol solution), and (S) -3- (tert-butoxy) -2- (N-methylpenta-4). -Enamido) propanoic acid (compound SP746) (1.02 g, 54%) was obtained. The dichloromethane and N, N-dimethylformamide used in this synthesis used a special solvent for peptide synthesis (purchased from Watanabe Chemical).
LCMS (ESI) m / z = 258 (M + H) +
Retention time: 0.71 minutes (analysis condition SQDAA05)
3-(tert-ブトキシ)-2-(N-メチルペンタ-4-エンアミド)プロパン酸 (S)-シアノメチル(化合物SP747)の合成
Synthesis of 3- (tert-butoxy) -2- (N-methylpent-4-enamido) propanoic acid (S) -cyanomethyl (compound SP747)
窒素雰囲気下、(S)-3-(tert-ブトキシ)-2-(N-メチルペンタ-4-エンアミド)プロパン酸(化合物SP746)(1.01g、3.92mmol)およびN-エチル-イソプロピルプロパン-2-アミン(EtN(iPr)2、1.37mL、7.85mmol)をN,N-ジメチルホルムアミド(3.92ml)に溶解し、2-ブロモアセトニトリル(0.82ml、11.8mmol)を加えて室温で45分攪拌した。反応液に50mlの酢酸エチルを加え、有機層を50mlのアンモニウムクロリド飽和水溶液と50mlの飽和食塩水で分液した。有機層を回収し、減圧濃縮し、残渣を逆相シリカゲルカラムクロマトグラフィー(10mM酢酸アンモニウム水溶液/メタノール溶液)で精製し、3-(tert-ブトキシ)-2-(N-メチルペンタ-4-エンアミド)プロパン酸 (S)-シアノメチル(化合物SP747)(1.00g、86%)を得た。
LCMS(ESI) m/z = 297.6 (M+H)+
保持時間:0.77分(分析条件SQDFA05)
Under a nitrogen atmosphere, (S) -3- (tert-butoxy) -2- (N-methylpent-4-enamido) propanoic acid (compound SP746) (1.01 g, 3.92 mmol) and N-ethyl-isopropylpropane- 2-Amine (EtN (iPr) 2 , 1.37 mL, 7.85 mmol) was dissolved in N, N-dimethylformamide (3.92 ml) and 2-bromoacetonitrile (0.82 ml, 11.8 mmol) was added. Stir at room temperature for 45 minutes. 50 ml of ethyl acetate was added to the reaction solution, and the organic layer was separated with 50 ml of saturated aqueous ammonium chloride solution and 50 ml of saturated brine. The organic layer was collected, concentrated under reduced pressure, and the residue was purified by reverse phase silica gel column chromatography (10 mM aqueous ammonium acetate / methanol solution) to give 3- (tert-butoxy) -2- (N-methylpent-4-enamide). Propanoic acid (S) -cyanomethyl (compound SP747) (1.00 g, 86%) was obtained.
LCMS (ESI) m / z = 297.6 (M + H) +
Retention time: 0.77 minutes (analysis condition SQDFA05)
3-(tert-ブトキシ)-2-(N-メチルペンタ-4-エンアミド)プロパン酸 (2S)-(2R,3S,4R,5R)-2-((((((2R,3S,5R)-5-(4-アミノ-2-オキソピリミジン-1(2H)-イル)-2-((ホスホノオキシ)メチル)テトラヒドロフラン-3-イル)オキシ)(ヒドロキシ)ホスホリル)オキシ)メチル)-5-(6-アミノ-9H-プリン-9-イル)-4-ヒドロキシテトラヒドロフラン-3-イル(化合物SP748、Pen-MeSer(tBu)-pdCpA)の合成
3- (tert-Butoxy) -2- (N-methylpent-4-enamido) propanoic acid (2S)-(2R, 3S, 4R, 5R) -2-(((((((2R, 3S, 5R)- 5- (4-Amino-2-oxopyrimidin-1 (2H) -yl) -2-((phosphonooxy) methyl) tetrahydrofuran-3-yl) oxy) (hydroxy) phosphoryl) oxy) methyl) -5- (6 -Amino-9H-purin-9-yl) -4-hydroxytetrahydrofuran-3-yl (compound SP748, Pen-MeSer (tBu) -pdCpA)
化合物SP705の製造例と同様の条件で、リン酸二水素 ((2R,3S,5R)-5-(4-アミノ-2-オキソピリミジン-1(2H)-イル)-3-(((((2R,3S,4R,5R)-5-(6-アミノ-9H-プリン-9-イル)-3,4-ジヒドロキシテトラヒドロフラン-2-イル)メトキシ)(ヒドロキシ)ホスホリル)オキシ)テトラヒドロフラン-2-イル)メチル(化合物1h)(519mg、0.816mmol)を用い、2-(メチルアミノ)酢酸シアノメチル塩酸塩(化合物SP704)の代わりに、3-(tert-ブトキシ)-2-(N-メチルペンタ-4-エンアミド)プロパン酸 (S)-シアノメチル(化合物SP747)を用いることで、表題化合物(化合物SP748)(300mg、42%)を得た。
LCMS(ESI) m/z = 876.7 (M+H)+
保持時間:0.47分(分析条件SQDFA05)
Under the same conditions as in the production example of compound SP705, dihydrogen phosphate ((2R, 3S, 5R) -5- (4-amino-2-oxopyrimidin-1 (2H) -yl) -3-(((( (2R, 3S, 4R, 5R) -5- (6-Amino-9H-purin-9-yl) -3,4-dihydroxytetrahydrofuran-2-yl) methoxy) (hydroxy) phosphoryl) oxy) tetrahydrofuran-2- Yl) methyl (
LCMS (ESI) m / z = 876.7 (M + H) +
Retention time: 0.47 minutes (analysis condition SQDFA05)
3-ヒドロキシ-2-(N-メチルペンタ-4-エンアミド)プロパン酸 (2S)-(2R,3S,4R,5R)-2-((((((2R,3S,5R)-5-(4-アミノ-2-オキソピリミジン-1(2H)-イル)-2-((ホスホノオキシ)メチル)テトラヒドロフラン-3-イル)オキシ)(ヒドロキシ)ホスホリル)オキシ)メチル)-5-(6-アミノ-9H-プリン-9-イル)-4-ヒドロキシテトラヒドロフラン-3-イル(Pen-MeSer-pdCpA)(化合物SP749)の合成
3-hydroxy-2- (N-methylpent-4-enamido) propanoic acid (2S)-(2R, 3S, 4R, 5R) -2-(((((((2R, 3S, 5R) -5- (4 -Amino-2-oxopyrimidin-1 (2H) -yl) -2-((phosphonooxy) methyl) tetrahydrofuran-3-yl) oxy) (hydroxy) phosphoryl) oxy) methyl) -5- (6-amino-9H Synthesis of -purin-9-yl) -4-hydroxytetrahydrofuran-3-yl (Pen-MeSer-pdCpA) (compound SP749)
(2S)-(2R,3S,4R,5R)-2-((((((2R,3S,5R)-5-(4-アミノ-2-オキソピリミジン-1(2H)-イル)-2-((ホスホノオキシ)メチル)テトラヒドロフラン-3-イル)オキシ)(ヒドロキシ)ホスホリル)オキシ)メチル)-5-(6-アミノ-9H-プリン-9-イル)-4-ヒドロキシテトラヒドロフラン-3-イル(化合物SP748)(299mg、0.341mmol)をトリフルオロ酢酸(3.38ml、43.9mmol)で溶解し、30分攪拌した。反応液を減圧濃縮し、残渣を逆相シリカゲルカラムクロマトグラフィー(0.1%蟻酸水溶液/アセトニトリル溶液)にて精製し、表題化合物(化合物SP749)(144mg、52%)を得た。
LCMS(ESI) m/z = 820.5 (M+H)+
保持時間:0.31分(分析条件SQDFA05)
(2S)-(2R, 3S, 4R, 5R) -2-(((((((2R, 3S, 5R) -5- (4-amino-2-oxopyrimidin-1 (2H) -yl) -2 -((Phosphonooxy) methyl) tetrahydrofuran-3-yl) oxy) (hydroxy) phosphoryl) oxy) methyl) -5- (6-amino-9H-purin-9-yl) -4-hydroxytetrahydrofuran-3-yl ( Compound SP748) (299 mg, 0.341 mmol) was dissolved in trifluoroacetic acid (3.38 ml, 43.9 mmol) and stirred for 30 minutes. The reaction mixture was concentrated under reduced pressure, and the residue was purified by reverse phase silica gel column chromatography (0.1% formic acid aqueous solution / acetonitrile solution) to obtain the title compound (Compound SP749) (144 mg, 52%).
LCMS (ESI) m / z = 820.5 (M + H) +
Retention time: 0.31 minutes (analysis condition SQDFA05)
2.ディスプレイライブラリ構築のための転写tRNAおよび転写tRNA(CA欠損)の合成
パニングに使用する転写tRNAおよび転写tRNA(CA欠損)を以下の通り調製した。
2. Transcription tRNA and transcription tRNA (CA deficiency) used for synthesis panning of transcription tRNA and transcription tRNA (CA deficiency) for display library construction were prepared as follows.
鋳型DNA(配列番号DTL-1~14)から、RiboMAX Large Scale RNA production System T7(Promega社,P1300)を用いたin vitro の転写により3'端のCAを欠くtRNA (-CA)(配列番号MTL-1~12)および転写tRNA(配列番号MTL-13~14)を合成し、RNeasy Maxi kit(Qiagen社)により精製した。ただし、In vitro転写はPromega社の標準プロトコールから、GTP濃度を3.75mMに減らし、新たにGMPを7.5mM加えた条件下で行った。ATP、CTP、UTPは標準プロトコール通り、7.5mMずつ加えた。 From the template DNA (SEQ ID NO: DTL-1 to 14), transcription of in vitro using RiboMAX Large Scale RNA production System T7 (Promega, P1300) tRNA (-CA) (SEQ ID NO: MTL) -1 to 12) and transcribed tRNA (SEQ ID NO: MTL-13 to 14) were synthesized and purified by RNeasy Maxi kit (Qiagen). However, in vitro transcription was carried out from Promega's standard protocol under the condition where the GTP concentration was reduced to 3.75 mM and GMP was newly added to 7.5 mM. ATP, CTP, and UTP were added by 7.5 mM in accordance with the standard protocol.
配列番号DTL-1(配列番号:99)
tRNAGluCUG (-CA) CAG DNA配列:
GGCGTAATACGACTCACTATAGTCCCCTTCGTCTAGAGGCCCAGGACACCGCCCTctgACGGCGGTAACAGGGGTTCGAATCCCCTAGGGGACGC
SEQ ID NO: DTL-1 (SEQ ID NO: 99)
tRNAGluCUG (-CA) CAG DNA sequence:
GGCGTAATACGACTCACTATAGTCCCCTTCGTCTAGAGGCCCAGGACACCGCCCTctgACGGCGGTAACAGGGGTTCGAATCCCCTAGGGGACGC
配列番号DTL-2(配列番号:100)
tRNAGluACG (-CA) CGU DNA配列:
GGCGTAATACGACTCACTATAGTCCCCTTCGTCTAGAGGCCCAGGACACCGCCCTacgACGGCGGTAACAGGGGTTCGAATCCCCTAGGGGACGC
SEQ ID NO: DTL-2 (SEQ ID NO: 100)
tRNAGluACG (-CA) CGU DNA sequence:
GGCGTAATACGACTCACTATAGTCCCCTTCGTCTAGAGGCCCAGGACACCGCCCTacgACGGCGGTAACAGGGGTTCGAATCCCCTAGGGGACGC
配列番号DTL-3(配列番号:101)
tRNAGluUUC (-CA) GAA DNA配列:
GGCGTAATACGACTCACTATAGTCCCCTTCGTCTAGAGGCCCAGGACACCGCCCTttcACGGCGGTAACAGGGGTTCGAATCCCCTAGGGGACGC
SEQ ID NO: DTL-3 (SEQ ID NO: 101)
tRNAGluUUC (-CA) GAA DNA sequence:
GGCGTAATACGACTCACTATAGTCCCCTTCGTCTAGAGGCCCAGGACACCGCCCTttcACGGCGGTAACAGGGGTTCGAATCCCCTAGGGGACGC
配列番号DTL-4(配列番号:102)
tRNAGluCCU (-CA) AGG DNA配列:
GGCGTAATACGACTCACTATAGTCCCCTTCGTCTAGAGGCCCAGGACACCGCCCTcctACGGCGGTAACAGGGGTTCGAATCCCCTAGGGGACGC
SEQ ID NO: DTL-4 (SEQ ID NO: 102)
tRNAGluCCU (-CA) AGG DNA sequence:
GGCGTAATACGACTCACTATAGTCCCCTTCGTCTAGAGGCCCAGGACACCGCCCTcctACGGCGGTAACAGGGGTTCGAATCCCCTAGGGGACGC
配列番号DTL-5(配列番号:103)
tRNAGluCAA (-CA) UUG DNA配列:
GGCGTAATACGACTCACTATAGTCCCCTTCGTCTAGAGGCCCAGGACACCGCCCTcaaACGGCGGTAACAGGGGTTCGAATCCCCTAGGGGACGC
SEQ ID NO: DTL-5 (SEQ ID NO: 103)
tRNAGluCAA (-CA) UUG DNA sequence:
GGCGTAATACGACTCACTATAGTCCCCTTCGTCTAGAGGCCCAGGACACCGCCCTcaaACGGCGGTAACAGGGGTTCGAATCCCCTAGGGGACGC
配列番号DTL-6(配列番号:104)
tRNAGluUAG (-CA) CUA DNA配列:
GGCGTAATACGACTCACTATAGTCCCCTTCGTCTAGAGGCCCAGGACACCGCCCTtagACGGCGGTAACAGGGGTTCGAATCCCCTAGGGGACGC
SEQ ID NO: DTL-6 (SEQ ID NO: 104)
tRNAGluUAG (-CA) CUA DNA sequence:
GGCGTAATACGACTCACTATAGTCCCCTTCGTCTAGAGGCCCAGGACACCGCCCTtagACGGCGGTAACAGGGGTTCGAATCCCCTAGGGGACGC
配列番号DTL-7(配列番号:105)
tRNAGluCUA (-CA) UAG DNA配列:
GGCGTAATACGACTCACTATAGTCCCCTTCGTCTAGAGGCCCAGGACACCGCCCTctaACGGCGGTAACAGGGGTTCGAATCCCCTAGGGGACGC
SEQ ID NO: DTL-7 (SEQ ID NO: 105)
tRNAGluCUA (-CA) UAG DNA sequence:
GGCGTAATACGACTCACTATAGTCCCCTTCGTCTAGAGGCCCAGGACACCGCCCTctaACGGCGGTAACAGGGGTTCGAATCCCCTAGGGGACGC
配列番号DTL-8(配列番号:106)
tRNAGluCCG (-CA) CGG DNA配列:
GGCGTAATACGACTCACTATAGTCCCCTTCGTCTAGAGGCCCAGGACACCGCCCTccgACGGCGGTAACAGGGGTTCGAATCCCCTAGGGGACGC
SEQ ID NO: DTL-8 (SEQ ID NO: 106)
tRNAGluCCG (-CA) CGG DNA sequence:
GGCGTAATACGACTCACTATAGTCCCCTTCGTCTAGAGGCCCAGGACACCGCCCTccgACGGCGGTAACAGGGGTTCGAATCCCCTAGGGGACGC
配列番号DTL-9(配列番号:107)
tRNAGluAAG (-CA) CUU DNA配列:
GGCGTAATACGACTCACTATAGTCCCCTTCGTCTAGAGGCCCAGGACACCGCCCTaagACGGCGGTAACAGGGGTTCGAATCCCCTAGGGGACGC
SEQ ID NO: DTL-9 (SEQ ID NO: 107)
tRNAGluAAG (-CA) CUU DNA sequence:
GGCGTAATACGACTCACTATAGTCCCCTTCGTCTAGAGGCCCAGGACACCGCCCTaagACGGCGGTAACAGGGGTTCGAATCCCCTAGGGGACGC
配列番号DTL-10(配列番号:108)
tRNAGluGCA (-CA) UGC DNA配列:
GGCGTAATACGACTCACTATAGTCCCCTTCGTCTAGAGGCCCAGGACACCGCCCTgcaACGGCGGTAACAGGGGTTCGAATCCCCTAGGGGACGC
SEQ ID NO: DTL-10 (SEQ ID NO: 108)
tRNAGluGCA (-CA) UGC DNA sequence:
GGCGTAATACGACTCACTATAGTCCCCTTCGTCTAGAGGCCCAGGACACCGCCCTgcaACGGCGGTAACAGGGGTTCGAATCCCCTAGGGGACGC
配列番号DTL-11(配列番号:109)
tRNAGluCAU (-CA) AUG DNA配列:
GGCGTAATACGACTCACTATAGTCCCCTTCGTCTAGAGGCCCAGGACACCGCCCTcatACGGCGGTAACAGGGGTTCGAATCCCCTAGGGGACGC
SEQ ID NO: DTL-11 (SEQ ID NO: 109)
tRNAGluCAU (-CA) AUG DNA sequence:
GGCGTAATACGACTCACTATAGTCCCCTTCGTCTAGAGGCCCAGGACACCGCCCTcatACGGCGGTAACAGGGGTTCGAATCCCCTAGGGGACGC
配列番号DTL-12(配列番号:110)
tRNAAsn-E2GUU (-CA) AAC DNA配列:
GGCGTAATACGACTCACTATAGGCTCTGTAGTTCAGTCGGTAGAACGGCGGACTgttAATCCGTATGTCACTGGTTCGAGTCCAGTCAGAGCCGC
SEQ ID NO: DTL-12 (SEQ ID NO: 110)
tRNAAsn-E2GUU (-CA) AAC DNA sequence:
GGCGTAATACGACTCACTATAGGCTCTGTAGTTCAGTCGGTAGAACGGCGGACTgttAATCCGTATGTCACTGGTTCGAGTCCAGTCAGAGCCGCGC
配列番号DTL-13(配列番号:111)
tRNAAla1B DNA配列:
GGCGTAATACGACTCACTATAGGGGCTATAGCTCAGCTGGGAGAGCGCCTGCTTAGCACGCAGGAGGTCTGCGGTTCGATCCCGCATAGCTCCACCA
SEQ ID NO: DTL-13 (SEQ ID NO: 111)
tRNAAla1B DNA sequence:
GGCGTAATACGACTCACTATAGGGGCTATAGCTCAGCTGGGAGAGCGCCTGCTTAGCACGCAGGAGGTCTGCGGTTCGATCCCGCATAGCTCCACCA
配列番号DTL-14(配列番号:112)
tRNATyr1 DNA配列:
GGCGTAATACGACTCACTATAGGTGGGGTTCCCGAGCGGCCAAAGGGAGCAGACTGTAAATCTGCCGTCATCGACTTCGAAGGTTCGAATCCTTCCCCCACCACCA
SEQ ID NO: DTL-14 (SEQ ID NO: 112)
tRNATyr1 DNA sequence:
GGCGTAATACGACTCACTATAGGTGGGGTTCCCGAGCGGCCAAAGGGAGCAGACTGTAAATCTGCCGTCATCGACTTCGAAGGTTCGAATCCTTCCCCCACCACCA
配列番号MTL-1(配列番号:113)
tRNAGluCUG (-CA) RNA配列:
GUCCCCUUCGUCUAGAGGCCCAGGACACCGCCCUcugACGGCGGUAACAGGGGUUCGAAUCCCCUAGGGGACGC
SEQ ID NO: MTL-1 (SEQ ID NO: 113)
tRNAGluCUG (-CA) RNA sequence:
GUCCCCUUCGUCUAGAGGCCCAGGACACCGCCCUcugACGGCGGUAACAGGGGUUCGAAUCCCCUAGGGGACGC
配列番号MTL-2(配列番号:114)
tRNAGluACG (-CA) RNA配列:
GUCCCCUUCGUCUAGAGGCCCAGGACACCGCCCUacgACGGCGGUAACAGGGGUUCGAAUCCCCUAGGGGACGC
SEQ ID NO: MTL-2 (SEQ ID NO: 114)
tRNAGluACG (-CA) RNA sequence:
GUCCCCUUCGUCUAGAGGCCCAGGACACCGCCCUacgACGGCGGUAACAGGGGUUCGAAUCCCCUAGGGGACGC
配列番号MTL-3(配列番号:115)
tRNAGluUUC (-CA) RNA配列:
GUCCCCUUCGUCUAGAGGCCCAGGACACCGCCCUuucACGGCGGUAACAGGGGUUCGAAUCCCCUAGGGGACGC
SEQ ID NO: MTL-3 (SEQ ID NO: 115)
tRNAGluUUC (-CA) RNA sequence:
GUCCCCUUCGUCUAGAGGCCCAGGACACCGCCCUuucACGGCGGUAACAGGGGUUCGAAUCCCCUAGGGGACGC
配列番号MTL-4
tRNAGluCCU (-CA) RNA配列:(配列番号:116)
GUCCCCUUCGUCUAGAGGCCCAGGACACCGCCCUccuACGGCGGUAACAGGGGUUCGAAUCCCCUAGGGGACGC
SEQ ID NO: MTL-4
tRNAGluCCU (-CA) RNA sequence: (SEQ ID NO: 116)
GUCCCCUUCGUCUAGAGGCCCAGGACACCGCCCUccuACGGCGGUAACAGGGGUUCGAAUCCCCUAGGGGACGC
配列番号MTL-5(配列番号:117)
tRNAGluCAA (-CA) RNA配列:
GUCCCCUUCGUCUAGAGGCCCAGGACACCGCCCUcaaACGGCGGUAACAGGGGUUCGAAUCCCCUAGGGGACGC
SEQ ID NO: MTL-5 (SEQ ID NO: 117)
tRNAGluCAA (-CA) RNA sequence:
GUCCCCUUCGUCUAGAGGCCCAGGACACCGCCCUcaaACGGCGGUAACAGGGGUUCGAAUCCCCUAGGGGACGC
配列番号MTL-6(配列番号:118)
tRNAGluUAG (-CA) RNA配列:
GUCCCCUUCGUCUAGAGGCCCAGGACACCGCCCUuagACGGCGGUAACAGGGGUUCGAAUCCCCUAGGGGACGC
SEQ ID NO: MTL-6 (SEQ ID NO: 118)
tRNAGluUAG (-CA) RNA sequence:
GUCCCCUUCGUCUAGAGGCCCAGGACACCGCCCUuagACGGCGGUAACAGGGGUUCGAAUCCCCUAGGGGACGC
配列番号MTL-7(配列番号:119)
tRNAGluCUA (-CA) RNA配列:
GUCCCCUUCGUCUAGAGGCCCAGGACACCGCCCUcuaACGGCGGUAACAGGGGUUCGAAUCCCCUAGGGGACGC
SEQ ID NO: MTL-7 (SEQ ID NO: 119)
tRNAGluCUA (-CA) RNA sequence:
GUCCCCUUCGUCUAGAGGCCCAGGACACCGCCCUcuaACGGCGGUAACAGGGGUUCGAAUCCCCUAGGGGACGC
配列番号MTL-8(配列番号:120)
tRNAGluCCG (-CA) RNA配列:
GUCCCCUUCGUCUAGAGGCCCAGGACACCGCCCUccgACGGCGGUAACAGGGGUUCGAAUCCCCUAGGGGACGC
SEQ ID NO: MTL-8 (SEQ ID NO: 120)
tRNAGluCCG (-CA) RNA sequence:
GUCCCCUUCGUCUAGAGGCCCAGGACACCGCCCUccgACGGCGGUAACAGGGGUUCGAAUCCCCUAGGGGACGC
配列番号MTL-9(配列番号:121)
tRNAGluAAG (-CA) RNA配列:
GUCCCCUUCGUCUAGAGGCCCAGGACACCGCCCUaagACGGCGGUAACAGGGGUUCGAAUCCCCUAGGGGACGC
SEQ ID NO: MTL-9 (SEQ ID NO: 121)
tRNAGluAAG (-CA) RNA sequence:
GUCCCCUUCGUCUAGAGGCCCAGGACACCGCCCUaagACGGCGGUAACAGGGGUUCGAAUCCCCUAGGGGACGC
配列番号MTL-10(配列番号:122)
tRNAGluGCA (-CA) RNA配列:
GUCCCCUUCGUCUAGAGGCCCAGGACACCGCCCUgcaACGGCGGUAACAGGGGUUCGAAUCCCCUAGGGGACGC
SEQ ID NO: MTL-10 (SEQ ID NO: 122)
tRNAGluGCA (-CA) RNA sequence:
GUCCCCUUCGUCUAGAGGCCCAGGACACCGCCCUgcaACGGCGGUAACAGGGGUUCGAAUCCCCUAGGGGACGC
配列番号MTL-11(配列番号:123)
tRNAGluCAU (-CA) RNA配列:
GUCCCCUUCGUCUAGAGGCCCAGGACACCGCCCUcauACGGCGGUAACAGGGGUUCGAAUCCCCUAGGGGACGC
SEQ ID NO: MTL-11 (SEQ ID NO: 123)
tRNAGluCAU (-CA) RNA sequence:
GUCCCCUUCGUCUAGAGGCCCAGGACACCGCCCUcauACGGCGGUAACAGGGGUUCGAAUCCCCUAGGGGACGC
配列番号MTL-12(配列番号:124)
tRNAAsn-E2GUU (-CA) RNA配列:
GGCUCUGUAGUUCAGUCGGUAGAACGGCGGACUguuAAUCCGUAUGUCACUGGUUCGAGUCCAGUCAGAGCCGC
SEQ ID NO: MTL-12 (SEQ ID NO: 124)
tRNAAsn-E2GUU (-CA) RNA sequence:
GGCUCUGUAGUUCAGUCGGUAGAACGGCGGACUguuAAUCCGUAUGUCACUGGUUCGAGUCCAGUCAGAGCCGC
配列番号MTL-13(配列番号:125)
tRNAAla1B RNA配列:
GGGGCUAUAGCUCAGCUGGGAGAGCGCCUGCUUAGCACGCAGGAGGUCUGCGGUUCGAUCCCGCAUAGCUCCACCA
SEQ ID NO: MTL-13 (SEQ ID NO: 125)
tRNAAla1B RNA sequence:
GGGGCUAUAGCUCAGCUGGGAGAGCGCCUGCUUAGCACGCAGGAGGUCUGCGGUUCGAUCCCGCAUAGCUCCACCA
配列番号MTL-14(配列番号:126)
tRNATyr1 RNA配列:
GGUGGGGUUCCCGAGCGGCCAAAGGGAGCAGACUGUAAAUCUGCCGUCAUCGACUUCGAAGGUUCGAAUCCUUCCCCCACCACCA
SEQ ID NO: MTL-14 (SEQ ID NO: 126)
tRNATyr1 RNA sequence:
GGUGGGGUUCCCGAGCGGCCAAAGGGAGCAGACUGUAAAUCUGCCGUCAUCGACUUCGAAGGUUCGAAUCCUUCCCCCACCACCA
3.tRNA(CA欠損)とpdCpA-アミノ酸との反応による、tRNA-アミノ酸複合体の合成3. Synthesis of tRNA-amino acid complex by reaction of tRNA (CA deficient) and pdCpA-amino acid
アミノアシル化pdCpAと転写tRNA(CA欠損)のligationによるパニング用アミノアシル化tRNA(化合物ATL-1~13)の合成、およびアミノアシル化tRNA混合物の調製
まず、個別にアミノアシル化tRNA(化合物ATL-1~13)を調製した。ライゲーションは、ligation buffer (50mM HEPES-KOH pH7.5, 20mM MgCl2, 1mM ATP)、25μM転写tRNA (-CA)(配列番号MTL-1~12、R-5)、0.6U/μl T4 RNAリガーゼ(New england bio lab.社)、0.5mM アミノアシル化pdCpAの条件で行った。25μM転写tRNA (-CA) と0.5 mM アミノアシル化pdCpAの組み合わせは、以下の表20~22の通りに行った。
ライゲーションを行う前に、ligation buffer、転写tRNA (-CA)(配列番号MTL-1~12、R-5)およびNuclease free waterを混合したものを、95℃で2分間加熱した後、室温で5分間放置し、予めtRNAのリフォールディングを行った。その後、T4 RNAリガーゼ、アミノアシル化pdCpAのDMSO溶液を上述の通り加え、15℃で45分間ライゲーション反応を行った。
ライゲーション反応液に、0.3M 酢酸ナトリウムと、62.5mMヨウ素(水:THF=1:1溶液)を加え、室温で1時間(ただし、化合物SP749を用いる際は室温で5分間)、ペンテノイル基の脱保護を行い、化合物ATL-1~12を得た。ペンテノイル基を持たない化合物6i-Cを用いる際は、脱保護は行わず、ライゲーション反応まで行い、化合物ATL-13を得た。
次に、翻訳液S用アミノアシル化tRNA 混合物(Initiation suppression翻訳に使用)、翻訳液S用Initiatorアミノアシル化tRNA(Initiation suppression翻訳に使用)、および翻訳液T用アミノアシル化tRNA混合物(Read through翻訳に使用)を調製した。得られた化合物 ATL-1~13を、表20~22に示す混合比で混合し、翻訳液S用アミノアシル化tRNA混合物、翻訳液S用Initiatorアミノアシル化tRNA、翻訳液T用アミノアシル化tRNA混合物として、フェノール抽出した後、エタノール沈殿により回収した。調製したアミノアシル化tRNAは、翻訳液に添加する直前に1mM酢酸ナトリウムに溶解した。以降、翻訳で使用する際には、表20~22に示す最終濃度となるよう翻訳液を調製した。
Synthesis of aminoacylated tRNA for panning (compound ATL-1 to 13) by ligation of aminoacylated pdCpA and transcription tRNA (CA-deficient), and preparation of aminoacylated tRNA mixture First, aminoacylated tRNA (compound ATL-1 to 13) ) Was prepared. Ligation was performed using ligation buffer (50 mM HEPES-KOH pH 7.5, 20 mM MgCl2, 1 mM ATP), 25 μM transcription tRNA (-CA) (SEQ ID NOs: MTL-1 to 12, R-5), 0.6 U / μl T4 RNA ligase. (New england bio lab.) Under the conditions of 0.5 mM aminoacylated pdCpA. Combinations of 25 μM transcribed tRNA (-CA) and 0.5 mM aminoacylated pdCpA were performed as shown in Tables 20-22 below.
Prior to ligation, a mixture of ligation buffer, transcribed tRNA (-CA) (SEQ ID NOs: MTL-1 to 12, R-5) and Nuclease free water was heated at 95 ° C. for 2 minutes, and then mixed at room temperature for 5 minutes. The tRNA was refolded in advance by leaving it for a minute. Thereafter, a DMSO solution of T4 RNA ligase and aminoacylated pdCpA was added as described above, and a ligation reaction was performed at 15 ° C. for 45 minutes.
To the ligation reaction solution, 0.3 M sodium acetate and 62.5 mM iodine (water: THF = 1: 1 solution) were added, and the pentenoyl group was added at room temperature for 1 hour (however, when using compound SP749, at room temperature for 5 minutes). Was removed to give compounds ATL-1 to 12. When compound 6i-C having no pentenoyl group was used, deprotection was not performed and ligation reaction was performed to obtain compound ATL-13.
Next, aminoacylated tRNA mixture for translation solution S (used for initiation suppression translation), initiator acylated tRNA for translation solution S (used for initiation suppression translation), and aminoacylated tRNA mixture for translation solution T (used for read through translation) ) Was prepared. The obtained compounds ATL-1 to 13 were mixed at the mixing ratios shown in Tables 20 to 22 to obtain an aminoacylated tRNA mixture for translation solution S, an aminoacylated tRNA for translation solution S, and an aminoacylated tRNA mixture for translation solution T. After phenol extraction, it was recovered by ethanol precipitation. The prepared aminoacylated tRNA was dissolved in 1 mM sodium acetate immediately before being added to the translation solution. Thereafter, a translation solution was prepared so as to have final concentrations shown in Tables 20 to 22 when used in translation.
化合物ATL-1(配列番号:127)
βAla-tRNAGluCUG (-CA)
Compound ATL-1 (SEQ ID NO: 127)
βAla-tRNAGluCUG (-CA)
化合物ATL-2(配列番号:128)
Asp(SMe)-tRNAGluACG (-CA)
Compound ATL-2 (SEQ ID NO: 128)
Asp (SMe) -tRNAGluACG (-CA)
化合物ATL-3(配列番号:129)
MeAla(4-Thz)-tRNAGluUUC (-CA)
Compound ATL-3 (SEQ ID NO: 129)
MeAla (4-Thz) -tRNAGluUUC (-CA)
化合物ATL-4(配列番号:130)
MePhe(3-Cl)-tRNAGluCCU (-CA)
Compound ATL-4 (SEQ ID NO: 130)
MePhe (3-Cl) -tRNAGluCCU (-CA)
化合物ATL-5(配列番号:131)
MeGly-tRNAGluCAA (-CA)
Compound ATL-5 (SEQ ID NO: 131)
MeGly-tRNAGluCAA (-CA)
化合物ATL-6(配列番号:132)
Phe(4-CF3)-tRNAGluUAG (-CA)
Compound ATL-6 (SEQ ID NO: 132)
Phe (4-CF3) -tRNAGluUAG (-CA)
化合物ATL-7(配列番号:133)
Hyp(Et)-tRNAGluCUA (-CA)
Compound ATL-7 (SEQ ID NO: 133)
Hyp (Et) -tRNAGluCUA (-CA)
化合物ATL-8(配列番号:134)
MeSer-tRNAGluCCG (-CA)
Compound ATL-8 (SEQ ID NO: 134)
MeSer-tRNAGluCCG (-CA)
化合物ATL-9(配列番号:135)
Phg-tRNAGluAAG (-CA)
Compound ATL-9 (SEQ ID NO: 135)
Phg-tRNAGluAAG (-CA)
化合物ATL-10(配列番号:136)
Met(O2)-tRNAGluGCA (-CA)
Compound ATL-10 (SEQ ID NO: 136)
Met (O2) -tRNAGluGCA (-CA)
化合物ATL-11(配列番号:137)
Met(O2)-tRNAGluCAU (-CA)
Compound ATL-11 (SEQ ID NO: 137)
Met (O2) -tRNAGluCAU (-CA)
化合物ATL-12(配列番号:138)
nPrGly-tRNAAsn-E2GUU (-CA)
Compound ATL-12 (SEQ ID NO: 138)
nPrGly-tRNAAsn-E2GUU (-CA)
化合物ATL-13(配列番号:139)
tBuSSEtGABA-tRNAfMetCAU (-CA)
Compound ATL-13 (SEQ ID NO: 139)
tBuSSEtGABA-tRNAfMetCAU (-CA)
4.ディスプレイライブラリ構築のためのランダムDNA構築のためのコドンユニットの合成4). Synthesis of codon units for random DNA construction for display library construction
ATG, GTT, CCG, ACT, GCT, CAT, TGG, GGT, TAC, CAG, AAC, TGC, 及びGAAの各ユニットはGlen Researchから購入した。TTT(化合物SP779)、ATT(化合物SP780)、AGT(化合物SP768)、CGG(化合物SP781)、AGG(化合物SP782)、TTG(化合物SP775)、CTT(化合物SP776)、CTA(化合物SP777)、TAG(化合物SP778) Trimer Phosphoramiditeの各ユニットは以下のスキームに従い、合成を行った。なお上記の化合物は文献Yagodkin, A.; Azhayev, A.; Roivainen, J.: Antopolsky, M.; Kayushin, A.; Korosteleva, M.; Miroshnikov, A.; Randolph, J.; and Mackie, H. Nucleosides, Nucleotides, and Nucleic Acids 2007, 26, 473-497の合成法でも合成可能である。コドンユニットとは本明細書において、ホスホジエステル結合で連結したDNA様のトリヌクレオチドで構成される化合物で、DNAの化学合成に応用できる化合物と定義する。例えばCAGユニットとは、5'位の水酸基が4,4'―ジメトキシトリチル基(DMT)で保護されており、リン酸塩が2-クロロフェニル基で保護されているのに加え、下スキームによって定義される、アミノ基が保護された核酸塩基(C(Bz)、A(Bz),G(iBu))を5'側から連続して有しており、3'末端にシアノエチル基で保護されたN,N’-ジイソプロピルアミノフォスフォールアミダイト基を有する化合物である。 ATG, GTT, CCG, ACT, GCT, CAT, TGG, GGT, TAC, CAG, AAC, TGC, and GAA units were purchased from Glen Research. TTT (Compound SP779), ATT (Compound SP780), AGT (Compound SP768), CGG (Compound SP781), AGG (Compound SP782), TTG (Compound SP775), CTT (Compound SP776), CTA (Compound SP777), TAG ( Each unit of compound SP778) Trimer Phosphoramidite was synthesized according to the following scheme. The above compounds are described in the literature Yagodkin, A .; Azhayev, A .; Roivainen, J .: Antopolsky, M .; Kayushin, A .; Korosteleva, M .; Miroshnikov, A .; It can also be synthesized by the synthesis methods of Nucleosides, Nucleotides, and Nucleic Acids 2007, 26, 473-497. In the present specification, a codon unit is a compound composed of DNA-like trinucleotides linked by a phosphodiester bond, and is defined as a compound that can be applied to chemical synthesis of DNA. For example, the CAG unit is defined by the following scheme in addition to the 5'-position hydroxyl group protected with 4,4'-dimethoxytrityl group (DMT) and the phosphate salt protected with 2-chlorophenyl group. The amino group-protected nucleobase (C (Bz), A (Bz), G (iBu)) is continuously provided from the 5 ′ side, and protected at the 3 ′ end with a cyanoethyl group. It is a compound having an N, N′-diisopropylaminophosphoramidite group.
4-オキソペンタン酸 [(2R,3S,5R)-2-(ヒドロキシメチル)-5-(5-メチル-2,4-ジオキソピリミジン-1-イル)オキソラン-3-イル](化合物SP762)の合成
4-Oxopentanoic acid [(2R, 3S, 5R) -2- (hydroxymethyl) -5- (5-methyl-2,4-dioxopyrimidin-1-yl) oxolan-3-yl] (Compound SP762) Synthesis of
窒素雰囲気下、1-[(2R,4S,5R)-5-[[ビス(4-メトキシフェニル)-フェニルメトキシ]メチル]-4-ヒドロキシオキソラン-2-イル]-5-メチルピリミジン-2,4-ジオン(化合物SP761)(1.09g、2mmol)、レブリン酸(0.29ml、2.8mmol)、N,N-ジメチル-4-アミノピリジン(DMAP)(73mg、0.6mmol)、及び1-エチル-3-(3-ジメチルアミノプロピル)カルボジイミド塩酸塩(EDC・HCl、538mg、2.8mmol)をジクロロメタン(2ml)に溶解し室温で15分攪拌した。反応液に0.6mlのメタノールを加え、p-トルエンスルホン酸(532mg、2.8mmol)を加えて1分間室温で攪拌した。上述の反応溶液に3mlのリン酸緩衝液(pH=6, 1M)を加え、2分間攪拌した。反応溶液に10mlのジクロロメタン/エタノール溶液(5:1)を加え、7mlのリン酸緩衝液(pH=6, 1M)で分液操作した。有機層を回収し、水層を15mlのジクロロメタン/エタノール溶液(5:1)で分液操作を2度行ない有機層を回収した。 回収した有機層を合わせて硫酸ナトリウムを加え、乾燥後、濾過により硫酸ナトリウムを取り除き、減圧濃縮し、残渣をシリカゲルカラムクロマトグラフィー(酢酸エチル:ヘキサン=65:35→100:0)で精製し、表題化合物(化合物SP762)(632.5mg、93%)を得た。
LCMS(ESI) m/z = 341.3 (M+H)+
保持時間:0.52分(分析条件 SQDAA05)
1-[(2R, 4S, 5R) -5-[[Bis (4-methoxyphenyl) -phenylmethoxy] methyl] -4-hydroxyoxolan-2-yl] -5-methylpyrimidine-2 under nitrogen atmosphere , 4-dione (compound SP761) (1.09 g, 2 mmol), levulinic acid (0.29 ml, 2.8 mmol), N, N-dimethyl-4-aminopyridine (DMAP) (73 mg, 0.6 mmol), and 1-Ethyl-3- (3-dimethylaminopropyl) carbodiimide hydrochloride (EDC · HCl, 538 mg, 2.8 mmol) was dissolved in dichloromethane (2 ml) and stirred at room temperature for 15 minutes. 0.6 ml of methanol was added to the reaction solution, p-toluenesulfonic acid (532 mg, 2.8 mmol) was added, and the mixture was stirred for 1 minute at room temperature. 3 ml of phosphate buffer (pH = 6, 1M) was added to the above reaction solution and stirred for 2 minutes. To the reaction solution, 10 ml of a dichloromethane / ethanol solution (5: 1) was added, and liquid separation was performed with 7 ml of a phosphate buffer (pH = 6, 1M). The organic layer was recovered, and the aqueous layer was separated twice with 15 ml of a dichloromethane / ethanol solution (5: 1) to recover the organic layer. The collected organic layers were combined, sodium sulfate was added, dried, filtered to remove sodium sulfate, concentrated under reduced pressure, and the residue was purified by silica gel column chromatography (ethyl acetate: hexane = 65: 35 → 100: 0), The title compound (Compound SP762) (632.5 mg, 93%) was obtained.
LCMS (ESI) m / z = 341.3 (M + H) +
Retention time: 0.52 minutes (analysis condition SQDAA05)
4-オキソペンタン酸 [(2R,3S,5R)-2-[[(2-クロロフェノキシ)-[(2R,3S,5R)-2-(ヒドロキシメチル)-5-[2-(2-メチルプロパノイルアミノ)-6-オキソ-1H-プリン-9-イル]オキソラン-3-イル]オキシホスホリル]オキシメチル]-5-(5-メチル-2,4-ジオキソピリミジン-1-イル)オキソラン-3-イル](化合物SP764)の合成
4-oxopentanoic acid [(2R, 3S, 5R) -2-[[(2-chlorophenoxy)-[(2R, 3S, 5R) -2- (hydroxymethyl) -5- [2- (2-methyl Propanoylamino) -6-oxo-1H-purin-9-yl] oxolan-3-yl] oxyphosphoryl] oxymethyl] -5- (5-methyl-2,4-dioxopyrimidin-1-yl) oxolane -3-yl] (compound SP764)
窒素雰囲気下、化合物SP763(328mg、0.97mmol)及び、化合物SP762(862mg、0.92mmol)を脱水ピリジン(2.5ml)に溶解した。1-(2-メシチレンスルホニル)-3-ニトロ-1H-1,2,4-トリアゾール(MSNT)(681mg、2.3mmol)の脱水ピリジン(2.5ml)溶液を上述の反応液に10分間で滴下し、室温で2時間攪拌した。反応溶液を減圧濃縮し、残渣を6mlのジクロロメタン/メタノール(5:1)に溶解し、p-トルエンスルホン酸(350mg、1.84mmol)を加えて1分間室温で攪拌した。上述の反応溶液に8mlのリン酸緩衝液(pH=6, 1M)を加え、2分間攪拌した。反応溶液に10mlのジクロロメタン/エタノール溶液(5:1)を加え、分液操作をした。有機層を回収し、水層を更に10mlのジクロロメタン/エタノール溶液(5:1)で分液操作を2度行ない、有機層を回収した。 回収した有機層を合わせて硫酸ナトリウムを加え、乾燥後、濾過により硫酸ナトリウムを取り除き、有機層を減圧濃縮し、残渣をシリカゲルカラムクロマトグラフィー(酢酸エチル:ヘキサン=50:50→100:0)で精製し、表題化合物(化合物SP764)(725.4mg、93%)を得た。
LCMS(ESI) m/z = 850.4 (M+H)+
保持時間:0.62分(分析条件 SQDFA05)
Under a nitrogen atmosphere, compound SP763 (328 mg, 0.97 mmol) and compound SP762 (862 mg, 0.92 mmol) were dissolved in dehydrated pyridine (2.5 ml). A solution of 1- (2-mesitylenesulfonyl) -3-nitro-1H-1,2,4-triazole (MSNT) (681 mg, 2.3 mmol) in dehydrated pyridine (2.5 ml) was added to the above reaction mixture over 10 minutes. The solution was added dropwise and stirred at room temperature for 2 hours. The reaction solution was concentrated under reduced pressure, the residue was dissolved in 6 ml of dichloromethane / methanol (5: 1), p-toluenesulfonic acid (350 mg, 1.84 mmol) was added, and the mixture was stirred for 1 minute at room temperature. 8 ml of phosphate buffer (pH = 6, 1M) was added to the above reaction solution, and the mixture was stirred for 2 minutes. 10 ml of a dichloromethane / ethanol solution (5: 1) was added to the reaction solution, and a liquid separation operation was performed. The organic layer was recovered, and the aqueous layer was further subjected to a liquid separation operation twice with 10 ml of a dichloromethane / ethanol solution (5: 1) to recover the organic layer. The collected organic layers are combined, sodium sulfate is added, dried, sodium sulfate is removed by filtration, the organic layer is concentrated under reduced pressure, and the residue is purified by silica gel column chromatography (ethyl acetate: hexane = 50: 50 → 100: 0). Purification gave the title compound (Compound SP764) (725.4 mg, 93%).
LCMS (ESI) m / z = 850.4 (M + H) +
Retention time: 0.62 minutes (analysis condition SQDFA05)
リン酸 (2-クロロフェニル) [(2R,3S,5R)-3-[(2-クロロフェノキシ)-[[(2R,3S,5R)-3-ヒドロキシ-5-(5-メチル-2,4-ジオキソピリミジン-1-イル)オキソラン-2-イル]メトキシ]ホスホリル]オキシ-5-[2-(2-メチルプロパノイルアミノ)-6-オキソ-1H-プリン-9-イル]オキソラン-2-イル]メチル [(2R,3S,5R)-5-(6-ベンズアミドプリン-9-イル)-2-[[ビス(4-メトキシフェニル)-フェニルメトキシ]メチル]オキソラン-3-イル](化合物SP766)の合成
Phosphoric acid (2-chlorophenyl) [(2R, 3S, 5R) -3-[(2-chlorophenoxy)-[[(2R, 3S, 5R) -3-hydroxy-5- (5-methyl-2,4 -Dioxopyrimidin-1-yl) oxolan-2-yl] methoxy] phosphoryl] oxy-5- [2- (2-methylpropanoylamino) -6-oxo-1H-purin-9-yl] oxolane-2 -Yl] methyl [(2R, 3S, 5R) -5- (6-benzamidopurin-9-yl) -2-[[bis (4-methoxyphenyl) -phenylmethoxy] methyl] oxolan-3-yl] ( Synthesis of compound SP766)
窒素雰囲気下、化合物SP765(1.0g、1.05mmol)及び、化合物SP764(850mg、1.0mmol)を脱水ピリジン(2.5ml)に溶解した。1-(2-メシチレンスルホニル)-3-ニトロ-1H-1,2,4-トリアゾール(MSNT)(740mg、2.5mmol)の脱水ピリジン(2.5ml)溶液を上述の反応液に10分間で滴下し、室温で2時間攪拌した。反応溶液を0oCに冷却し、酢酸(1.0ml)を滴下した。反応溶液にヒドラジン一水和物(0.24ml、5.0mmol)を加え、5分間攪拌した。上述の反応溶液に10mlのリン酸緩衝液(pH=6, 1 M)及び、ジクロロメタン(5ml)を加え、1分間攪拌した。反応溶液を10mlのジクロロメタン/エタノール溶液(10:1)で3回分液操作をし、有機層を回収した。回収した有機層に硫酸ナトリウムを加え、乾燥した。濾過により硫酸ナトリウムを取り除き、有機層を減圧濃縮し、残渣を逆相シリカゲルカラムクロマトグラフィー(10mM酢酸アンモニウム水溶液/メタノール)で精製し、表題化合物(化合物SP766)(1.22g、77%)を得た。
LCMS(ESI) m/z = 1581.8 (M+H)+
保持時間:1.11分(分析条件 SQDAA05)
Under a nitrogen atmosphere, compound SP765 (1.0 g, 1.05 mmol) and compound SP764 (850 mg, 1.0 mmol) were dissolved in dehydrated pyridine (2.5 ml). A solution of 1- (2-mesitylenesulfonyl) -3-nitro-1H-1,2,4-triazole (MSNT) (740 mg, 2.5 mmol) in dehydrated pyridine (2.5 ml) was added to the above reaction mixture over 10 minutes. The solution was added dropwise and stirred at room temperature for 2 hours. The reaction solution was cooled to 0 ° C., and acetic acid (1.0 ml) was added dropwise. Hydrazine monohydrate (0.24 ml, 5.0 mmol) was added to the reaction solution and stirred for 5 minutes. 10 ml of phosphate buffer (pH = 6, 1 M) and dichloromethane (5 ml) were added to the above reaction solution, and the mixture was stirred for 1 minute. The reaction solution was subjected to liquid separation operation three times with 10 ml of a dichloromethane / ethanol solution (10: 1), and the organic layer was recovered. Sodium sulfate was added to the collected organic layer and dried. Sodium sulfate was removed by filtration, the organic layer was concentrated under reduced pressure, and the residue was purified by reverse phase silica gel column chromatography (10 mM aqueous ammonium acetate / methanol) to give the title compound (Compound SP766) (1.22 g, 77%). It was.
LCMS (ESI) m / z = 1581.8 (M + H) +
Retention time: 1.11 minutes (analysis conditions SQDAA05)
リン酸 (2-クロロフェニル) [(2R,3S,5R)-3-[(2-クロロフェノキシ)-[[(2R,3S,5R)-3-[2-シアノエトキシ-[ジ(プロパン-2-イル)アミノ]ホスファニル]オキシ-5-(5-メチル-2,4-ジオキソピリミジン-1-イル)オキソラン-2-イル]メトキシ]ホスホリル]オキシ-5-[2-(2-メチルプロパノイルアミノ)-6-オキソ-1H-プリン-9-イル]オキソラン-2-イル]メチル [(2R,3S,5R)-5-(6-ベンズアミド-1,6-ジヒドロプリン-9-イル)-2-[[ビス(4-メトキシフェニル)-フェニルメトキシ]メチル]オキソラン-3-イル](化合物SP768、AGTユニット)の合成
Phosphoric acid (2-chlorophenyl) [(2R, 3S, 5R) -3-[(2-chlorophenoxy)-[[(2R, 3S, 5R) -3- [2-cyanoethoxy- [di (propane-2 -Yl) amino] phosphanyl] oxy-5- (5-methyl-2,4-dioxopyrimidin-1-yl) oxolan-2-yl] methoxy] phosphoryl] oxy-5- [2- (2-methylprop Noylamino) -6-oxo-1H-purin-9-yl] oxolan-2-yl] methyl [(2R, 3S, 5R) -5- (6-benzamido-1,6-dihydropurin-9-yl) Synthesis of -2-[[bis (4-methoxyphenyl) -phenylmethoxy] methyl] oxolan-3-yl] (compound SP768, AGT unit)
窒素雰囲気下、化合物766(2.5g、1.71mmol)と5-エチルチオ-1H-テトラゾール(667mg、5.13mmol)をジクロロメタン(17ml)に溶解し、2-シアノエチル-N,N,N’,N’-テトライソプロピルホスホロジアミダイト(化合物767)(5.43ml、17.1mmol)を加え、室温で15分攪拌した。反応液にトリエチルアミン(0.71ml、5.13mmol)を加え、反応液を減圧濃縮し、残渣を逆相シリカゲルカラムクロマトグラフィー(アセトニトリル水溶液)で精製し、表題化合物(化合物768、AGTユニット)(1.84g、60%)を得た。 Under a nitrogen atmosphere, compound 766 (2.5 g, 1.71 mmol) and 5-ethylthio-1H-tetrazole (667 mg, 5.13 mmol) were dissolved in dichloromethane (17 ml), and 2-cyanoethyl-N, N, N ′, N′-tetraisopropyl phosphorodiamidite (Compound 767) (5.43 ml, 17.1 mmol) was added, and the mixture was stirred at room temperature for 15 minutes. Triethylamine (0.71 ml, 5.13 mmol) was added to the reaction solution, the reaction solution was concentrated under reduced pressure, and the residue was purified by reverse phase silica gel column chromatography (acetonitrile aqueous solution) to give the title compound (Compound 768, AGT unit) (1 .84 g, 60%).
なお、AGTユニットは本明細書では、AGT部位を有し、上化合物(SP768)のように5'位の水酸基が4,4'―ジメトキシトリチル基(DMT)で保護されており、リン酸塩が2-クロロフェニル基で保護されているのに加え、アミノ基が保護された核酸塩基(A(Bz)、G(iBu)、T)を5'側から連続して有しており、3'末端にシアノエチル基で保護されたN,N’-ジイソプロピルアミノフォスフォールアミダイト基を有する化合物であると定義する。以下、例えばTTTユニットなど別名称でも、TTT部位を有し、同様に核酸部が保護され、N,N’-ジイソプロピルアミノフォスフォールアミダイト基を有する化合物であると定義する。LCMS(ESI) m/z = 1781.8 (M+H)+
保持時間:1.17分(分析条件 SQDAA05)
In this specification, the AGT unit has an AGT site, and the hydroxyl group at the 5′-position is protected with a 4,4′-dimethoxytrityl group (DMT) as in the above compound (SP768), and the phosphate salt. Is protected with a 2-chlorophenyl group, and has an amino group-protected nucleobase (A (Bz), G (iBu), T) continuously from the 5 ′ side, It is defined as a compound having an N, N′-diisopropylaminophosphoramidite group protected with a cyanoethyl group at the terminal. Hereinafter, for example, another name such as a TTT unit is defined as a compound having a TTT site, a nucleic acid part similarly protected, and an N, N′-diisopropylaminophosphoramidite group. LCMS (ESI) m / z = 1781.8 (M + H) +
Retention time: 1.17 minutes (analysis conditions SQDAA05)
4-オキソペンタン酸 [(2R,3S,5R)-2-(ヒドロキシメチル)-5-[2-(2-メチルプロパノイルアミノ)-6-オキソ-1H-プリン-9-イル]オキソラン-3-イル](化合物SP770)の合成
4-Oxopentanoic acid [(2R, 3S, 5R) -2- (hydroxymethyl) -5- [2- (2-methylpropanoylamino) -6-oxo-1H-purin-9-yl] oxolane-3 -Il] (Compound SP770) Synthesis
化合物SP762の製造例と同様の条件で、1-[(2R,4S,5R)-5-[[ビス(4-メトキシフェニル)-フェニルメトキシ]メチル]-4-ヒドロキシオキソラン-2-イル]-5-メチルピリミジン-2,4-ジオン(化合物761)の代わりにN-[9-[(2R,4S,5R)-5-[[ビス(4-メトキシフェニル)-フェニルメトキシ]メチル]-4-ヒドロキシオキソラン-2-イル]-6-オキソ-1H-プリン-2-イル]-2-メチルプロパンアミド(化合物769)を用いる事で、4-オキソペンタン酸 [(2R,3S,5R)-2-(ヒドロキシメチル)-5-[2-(2-メチルプロパノイルアミノ)-6-オキソ-1H-プリン-9-イル]オキソラン-3-イル](化合物SP770)(2.9g、85%)を得た。
LCMS(ESI) m/z = 435.9 (M+H)+
保持時間:1.205分(分析条件 SMDMethod9)
1-[(2R, 4S, 5R) -5-[[Bis (4-methoxyphenyl) -phenylmethoxy] methyl] -4-hydroxyoxolan-2-yl] under the same conditions as in the production example of compound SP762 N- [9-[(2R, 4S, 5R) -5-[[Bis (4-methoxyphenyl) -phenylmethoxy] methyl]-in place of 5-methylpyrimidine-2,4-dione (Compound 761) By using 4-hydroxyoxolan-2-yl] -6-oxo-1H-purin-2-yl] -2-methylpropanamide (Compound 769), 4-oxopentanoic acid [(2R, 3S, 5R ) -2- (hydroxymethyl) -5- [2- (2-methylpropanoylamino) -6-oxo-1H-purin-9-yl] oxolan-3-yl] (compound SP770) (2.9 g, 8 %) Was obtained.
LCMS (ESI) m / z = 435.9 (M + H) +
Retention time: 1.205 minutes (analysis conditions SMDM method 9)
4-オキソペンタン酸 [(2R,3S,5R)-5-(6-ベンズアミドプリン-9-イル)-2-(ヒドロキシメチル)オキソラン-3-イル](化合物SP772)の合成
Synthesis of 4-oxopentanoic acid [(2R, 3S, 5R) -5- (6-benzamidopurin-9-yl) -2- (hydroxymethyl) oxolan-3-yl] (compound SP772)
(化合物SP762)の製造例と同様の条件で、1-[(2R,4S,5R)-5-[[ビス(4-メトキシフェニル)-フェニルメトキシ]メチル]-4-ヒドロキシオキソラン-2-イル]-5-メチルピリミジン-2,4-ジオン(化合物SP761)の代わりにN-[9-[(2R,4S,5R)-5-[[ビス(4-メトキシフェニル)-フェニルメトキシ]メチル]-4-ヒドロキシオキソラン-2-イル]プリン-6-イル]ベンズアミド(化合物SP771)を用いる事で、4-オキソペンタン酸 [(2R,3S,5R)-5-(6-ベンズアミドプリン-9-イル)-2-(ヒドロキシメチル)オキソラン-3-イル](化合物SP772)(50.0g、56%)を得た。
LCMS(ESI) m/z = 454.2 (M+H)+
保持時間:1.177分(分析条件 SMDMethod4)
Under the same conditions as in the production example of (Compound SP762), 1-[(2R, 4S, 5R) -5-[[bis (4-methoxyphenyl) -phenylmethoxy] methyl] -4-hydroxyoxolane-2- Yl] -5-methylpyrimidine-2,4-dione (compound SP761) instead of N- [9-[(2R, 4S, 5R) -5-[[bis (4-methoxyphenyl) -phenylmethoxy] methyl ] -4-Hydroxyoxolan-2-yl] purin-6-yl] benzamide (Compound SP771) is used to produce 4-oxopentanoic acid [(2R, 3S, 5R) -5- (6-benzamidopurine- 9-yl) -2- (hydroxymethyl) oxolan-3-yl] (compound SP772) (50.0 g, 56%).
LCMS (ESI) m / z = 454.2 (M + H) +
Retention time: 1.177 minutes (analysis conditions SMD Method 4)
4-オキソペンタン酸 [(2R,3S,5R)-5-(4-ベンズアミド-2-オキソピリミジン-1-イル)-2-(ヒドロキシメチル)オキソラン-3-イル](化合物SP774)の合成
Synthesis of 4-oxopentanoic acid [(2R, 3S, 5R) -5- (4-benzamido-2-oxopyrimidin-1-yl) -2- (hydroxymethyl) oxolan-3-yl] (compound SP774)
(化合物SP762)の製造例と同様の条件で、1-[(2R,4S,5R)-5-[[ビス(4-メトキシフェニル)-フェニルメトキシ]メチル]-4-ヒドロキシオキソラン-2-イル]-5-メチルピリミジン-2,4-ジオン(化合物SP761)の代わりにN-[1-[(2R,4S,5R)-5-[[ビス(4-メトキシフェニル)-フェニルメトキシ]メチル]-4-ヒドロキシオキソラン-2-イル]-2-オキソピリミジン-4-イル]ベンズアミド(化合物SP773)を用いる事で、4-オキソペンタン酸 [(2R,3S,5R)-5-(4-ベンズアミド-2-オキソピリミジン-1-イル)-2-(ヒドロキシメチル)オキソラン-3-イル](化合物SP774)(2.4g、89%)を得た。
LCMS(ESI) m/z = 430.2 (M+H)+
保持時間:3.193分(分析条件 SMDMethod10)
Under the same conditions as in the production example of (Compound SP762), 1-[(2R, 4S, 5R) -5-[[bis (4-methoxyphenyl) -phenylmethoxy] methyl] -4-hydroxyoxolane-2- Yl] -5-methylpyrimidine-2,4-dione (compound SP761) instead of N- [1-[(2R, 4S, 5R) -5-[[bis (4-methoxyphenyl) -phenylmethoxy] methyl ] 4-Hydroxyoxolan-2-yl] -2-oxopyrimidin-4-yl] benzamide (Compound SP773) allows the use of 4-oxopentanoic acid [(2R, 3S, 5R) -5- (4 -Benzamido-2-oxopyrimidin-1-yl) -2- (hydroxymethyl) oxolan-3-yl] (compound SP774) (2.4 g, 89%) was obtained.
LCMS (ESI) m / z = 430.2 (M + H) +
Retention time: 3.193 minutes (analysis conditions SMDM method 10)
リン酸 (2-クロロフェニル) [(2R,3S,5R)-3-[(2-クロロフェノキシ)-[[(2R,3S,5R)-3-[2-シアノエトキシ-[ジ(プロパン-2-イル)アミノ]ホスファニル]オキシ-5-[2-(2-メチルプロパノイルアミノ)-6-オキソ-1H-プリン-9-イル]オキソラン-2-イル]メトキシ]ホスホリル]オキシ-5-(5-メチル-2,4-ジオキソピリミジン-1-イル)オキソラン-2-イル]メチル [(2R,3S,5R)-2-[[ビス(4-メトキシフェニル)-フェニルメトキシ]メチル]-5-(5-メチル-2,4-ジオキソピリミジン-1-イル)オキソラン-3-イル](化合物SP775、TTGユニット)の合成
Phosphoric acid (2-chlorophenyl) [(2R, 3S, 5R) -3-[(2-chlorophenoxy)-[[(2R, 3S, 5R) -3- [2-cyanoethoxy- [di (propane-2 -Yl) amino] phosphanyl] oxy-5- [2- (2-methylpropanoylamino) -6-oxo-1H-purin-9-yl] oxolan-2-yl] methoxy] phosphoryl] oxy-5- 5-methyl-2,4-dioxopyrimidin-1-yl) oxolan-2-yl] methyl [(2R, 3S, 5R) -2-[[bis (4-methoxyphenyl) -phenylmethoxy] methyl]- Synthesis of 5- (5-methyl-2,4-dioxopyrimidin-1-yl) oxolan-3-yl] (compound SP775, TTG unit)
化合物SP761からSP768の製造例と同様の条件で、リン酸 (2-クロロフェニル) [(2R,3S,5R)-3-[(2-クロロフェノキシ)-[[(2R,3S,5R)-3-[2-シアノエトキシ-[ジ(プロパン-2-イル)アミノ]ホスファニル]オキシ-5-[2-(2-メチルプロパノイルアミノ)-6-オキソ-1H-プリン-9-イル]オキソラン-2-イル]メトキシ]ホスホリル]オキシ-5-(5-メチル-2,4-ジオキソピリミジン-1-イル)オキソラン-2-イル]メチル [(2R,3S,5R)-2-[[ビス(4-メトキシフェニル)-フェニルメトキシ]メチル]-5-(5-メチル-2,4-ジオキソピリミジン-1-イル)オキソラン-3-イル](化合物SP775,TTGユニット)を得た。
LCMS(ESI) m/z = 1668.8 (M+H)+
保持時間:1.15分(分析条件 SQDAA05)
Under the same conditions as in the production examples of compounds SP761 to SP768, phosphoric acid (2-chlorophenyl) [(2R, 3S, 5R) -3-[(2-chlorophenoxy)-[[(2R, 3S, 5R) -3 [2-cyanoethoxy- [di (propan-2-yl) amino] phosphanyl] oxy-5- [2- (2-methylpropanoylamino) -6-oxo-1H-purin-9-yl] oxolane- 2-yl] methoxy] phosphoryl] oxy-5- (5-methyl-2,4-dioxopyrimidin-1-yl) oxolan-2-yl] methyl [(2R, 3S, 5R) -2-[[bis (4-Methoxyphenyl) -phenylmethoxy] methyl] -5- (5-methyl-2,4-dioxopyrimidin-1-yl) oxolan-3-yl] (Compound SP775, TTG unit) Obtained.
LCMS (ESI) m / z = 1668.8 (M + H) +
Retention time: 1.15 minutes (analysis conditions SQDAA05)
リン酸 (2-クロロフェニル) [(2R,3S,5R)-3-[(2-クロロフェノキシ)-[[(2R,3S,5R)-3-[2-シアノエトキシ-[ジ(プロパン-2-イル)アミノ]ホスファニル]オキシ-5-(5-メチル-2,4-ジオキソピリミジン-1-イル)オキソラン-2-イル]メトキシ]ホスホリル]オキシ-5-(5-メチル-2,4-ジオキソピリミジン-1-イル)オキソラン-2-イル]メチル [(2R,3S,5R)-5-(4-ベンズアミド-2-オキソピリミジン-1-イル)-2-[[ビス(4-メトキシフェニル)-フェニルメトキシ]メチル]オキソラン-3-イル](化合物SP776、CTTユニット)の合成
Phosphoric acid (2-chlorophenyl) [(2R, 3S, 5R) -3-[(2-chlorophenoxy)-[[(2R, 3S, 5R) -3- [2-cyanoethoxy- [di (propane-2 -Yl) amino] phosphanyl] oxy-5- (5-methyl-2,4-dioxopyrimidin-1-yl) oxolan-2-yl] methoxy] phosphoryl] oxy-5- (5-methyl-2,4 -Dioxopyrimidin-1-yl) oxolan-2-yl] methyl [(2R, 3S, 5R) -5- (4-benzamido-2-oxopyrimidin-1-yl) -2-[[bis (4- Synthesis of (methoxyphenyl) -phenylmethoxy] methyl] oxolan-3-yl] (compound SP776, CTT unit)
化合物SP761からSP768の製造例と同様の条件で、リン酸 (2-クロロフェニル) [(2R,3S,5R)-3-[(2-クロロフェノキシ)-[[(2R,3S,5R)-3-[2-シアノエトキシ-[ジ(プロパン-2-イル)アミノ]ホスファニル]オキシ-5-(5-メチル-2,4-ジオキソピリミジン-1-イル)オキソラン-2-イル]メトキシ]ホスホリル]オキシ-5-(5-メチル-2,4-ジオキソピリミジン-1-イル)オキソラン-2-イル]メチル [(2R,3S,5R)-5-(4-ベンズアミド-2-オキソピリミジン-1-イル)-2-[[ビス(4-メトキシフェニル)-フェニルメトキシ]メチル]オキソラン-3-イル](化合物SP776,CTTユニット)を得た。
LCMS(ESI) m/z = 1662.4 (M+H)+
保持時間:1.18分(分析条件 SQDAA05)
Under the same conditions as in the production examples of compounds SP761 to SP768, phosphoric acid (2-chlorophenyl) [(2R, 3S, 5R) -3-[(2-chlorophenoxy)-[[(2R, 3S, 5R) -3 -[2-Cyanoethoxy- [di (propan-2-yl) amino] phosphanyl] oxy-5- (5-methyl-2,4-dioxopyrimidin-1-yl) oxolan-2-yl] methoxy] phosphoryl ] Oxy-5- (5-methyl-2,4-dioxopyrimidin-1-yl) oxolan-2-yl] methyl [(2R, 3S, 5R) -5- (4-benzamido-2-oxopyrimidine- 1-yl) -2-[[bis (4-methoxyphenyl) -phenylmethoxy] methyl] oxolan-3-yl] (compound SP776, CTT unit) was obtained.
LCMS (ESI) m / z = 1662.4 (M + H) +
Retention time: 1.18 minutes (analysis conditions SQDAA05)
リン酸 (2-クロロフェニル) [(2R,3S,5R)-3-[[(2R,3S,5R)-5-(6-ベンズアミドプリン-9-イル)-3-[2-シアノエトキシ-[ジ(プロパン-2-イル)アミノ]ホスファニル]オキシオキソラン-2-イル]メトキシ-(2-クロロフェノキシ)ホスホリル]オキシ-5-(5-メチル-2,4-ジオキソピリミジン-1-イル)オキソラン-2-イル]メチル [(2R,3S,5R)-5-(4-ベンズアミド-2-オキソピリミジン-1-イル)-2-[[ビス(4-メトキシフェニル)-フェニルメトキシ]メチル]オキソラン-3-イル](化合物SP777、CTAユニット)の合成
Phosphoric acid (2-chlorophenyl) [(2R, 3S, 5R) -3-[[(2R, 3S, 5R) -5- (6-benzamidopurin-9-yl) -3- [2-cyanoethoxy- [ Di (propan-2-yl) amino] phosphanyl] oxyoxolan-2-yl] methoxy- (2-chlorophenoxy) phosphoryl] oxy-5- (5-methyl-2,4-dioxopyrimidin-1-yl ) Oxolan-2-yl] methyl [(2R, 3S, 5R) -5- (4-benzamido-2-oxopyrimidin-1-yl) -2-[[bis (4-methoxyphenyl) -phenylmethoxy] methyl ] Oxolan-3-yl] (Compound SP777, CTA unit)
化合物SP761からSP768の製造例と同様の条件で、リン酸 (2-クロロフェニル) [(2R,3S,5R)-3-[[(2R,3S,5R)-5-(6-ベンズアミドプリン-9-イル)-3-[2-シアノエトキシ-[ジ(プロパン-2-イル)アミノ]ホスファニル]オキシオキソラン-2-イル]メトキシ-(2-クロロフェノキシ)ホスホリル]オキシ-5-(5-メチル-2,4-ジオキソピリミジン-1-イル)オキソラン-2-イル]メチル [(2R,3S,5R)-5-(4-ベンズアミド-2-オキソピリミジン-1-イル)-2-[[ビス(4-メトキシフェニル)-フェニルメトキシ]メチル]オキソラン-3-イル](化合物SP777,CTAユニット)を得た。
LCMS(ESI) m/z = 1775.9 (M+H)+
保持時間:1.20分(分析条件 SQDAA05)
Under the same conditions as in the production examples of compounds SP761 to SP768, phosphoric acid (2-chlorophenyl) [(2R, 3S, 5R) -3-[[(2R, 3S, 5R) -5- (6-benzamidopurine-9] -Yl) -3- [2-cyanoethoxy- [di (propan-2-yl) amino] phosphanyl] oxyoxolan-2-yl] methoxy- (2-chlorophenoxy) phosphoryl] oxy-5- (5- Methyl-2,4-dioxopyrimidin-1-yl) oxolan-2-yl] methyl [(2R, 3S, 5R) -5- (4-benzamido-2-oxopyrimidin-1-yl) -2- [ [Bis (4-methoxyphenyl) -phenylmethoxy] methyl] oxolan-3-yl] (Compound SP777, CTA unit) was obtained.
LCMS (ESI) m / z = 1775.9 (M + H) +
Retention time: 1.20 minutes (analysis condition SQDAA05)
リン酸 [(2R,3S,5R)-3-[2-シアノエトキシ-[ジ(プロパン-2-イル)アミノ]ホスファニル]オキシ-5-[2-(2-メチルプロパノイルアミノ)-6-オキソ-1H-プリン-9-イル]オキソラン-2-イル]メチル (2-クロロフェニル) [(2R,3S,5R)-5-(6-ベンズアミドプリン-9-イル)-2-[[[(2R,3S,5R)-2-[[ビス(4-メトキシフェニル)-フェニルメトキシ]メチル]-5-(5-メチル-2,4-ジオキソピリミジン-1-イル)オキソラン-3-イル]オキシ-(2-クロロフェノキシ)ホスホリル]オキシメチル]オキソラン-3-イル](化合物SP778、TAGユニット)の合成
Phosphoric acid [(2R, 3S, 5R) -3- [2-cyanoethoxy- [di (propan-2-yl) amino] phosphanyl] oxy-5- [2- (2-methylpropanoylamino) -6- Oxo-1H-purin-9-yl] oxolan-2-yl] methyl (2-chlorophenyl) [(2R, 3S, 5R) -5- (6-benzamidopurin-9-yl) -2-[[[( 2R, 3S, 5R) -2-[[Bis (4-methoxyphenyl) -phenylmethoxy] methyl] -5- (5-methyl-2,4-dioxopyrimidin-1-yl) oxolan-3-yl] Synthesis of Oxy- (2-chlorophenoxy) phosphoryl] oxymethyl] oxolan-3-yl] (Compound SP778, TAG unit)
化合物SP761からSP768の製造例と同様の条件で、リン酸 [(2R,3S,5R)-3-[2-シアノエトキシ-[ジ(プロパン-2-イル)アミノ]ホスファニル]オキシ-5-[2-(2-メチルプロパノイルアミノ)-6-オキソ-1H-プリン-9-イル]オキソラン-2-イル]メチル (2-クロロフェニル) [(2R,3S,5R)-5-(6-ベンズアミドプリン-9-イル)-2-[[[(2R,3S,5R)-2-[[ビス(4-メトキシフェニル)-フェニルメトキシ]メチル]-5-(5-メチル-2,4-ジオキソピリミジン-1-イル)オキソラン-3-イル]オキシ-(2-クロロフェノキシ)ホスホリル]オキシメチル]オキソラン-3-イル](化合物SP778,TAGユニット)を得た。
LCMS(ESI) m/z = 1781.9 (M+H)+
保持時間:1.17分(分析条件SQDAA05)
Under the same conditions as in the production examples of compounds SP761 to SP768, phosphoric acid [(2R, 3S, 5R) -3- [2-cyanoethoxy- [di (propan-2-yl) amino] phosphanyl] oxy-5- [ 2- (2-Methylpropanoylamino) -6-oxo-1H-purin-9-yl] oxolan-2-yl] methyl (2-chlorophenyl) [(2R, 3S, 5R) -5- (6-benzamide Purin-9-yl) -2-[[[(2R, 3S, 5R) -2-[[Bis (4-methoxyphenyl) -phenylmethoxy] methyl] -5- (5-methyl-2,4-di Oxopyrimidin-1-yl) oxolan-3-yl] oxy- (2-chlorophenoxy) phosphoryl] oxymethyl] oxolan-3-yl] (compound SP778, TAG unit) was obtained.
LCMS (ESI) m / z = 1781.9 (M + H) +
Retention time: 1.17 minutes (analysis condition SQDAA05)
リン酸 (2-クロロフェニル) [(2R,3S,5R)-3-[(2-クロロフェノキシ)-[[(2R,3S,5R)-3-[2-シアノエトキシ-[ジ(プロパン-2-イル)アミノ]ホスファニル]オキシ-5-(5-メチル-2,4-ジオキソピリミジン-1-イル)オキソラン-2-イル]メトキシ]ホスホリル]オキシ-5-(5-メチル-2,4-ジオキソピリミジン-1-イル)オキソラン-2-イル]メチル [(2R,3S,5R)-2-[[ビス(4-メトキシフェニル)-フェニルメトキシ]メチル]-5-(5-メチル-2,4-ジオキソピリミジン-1-イル)オキソラン-3-イル](化合物SP779,TTTユニット)の合成
Phosphoric acid (2-chlorophenyl) [(2R, 3S, 5R) -3-[(2-chlorophenoxy)-[[(2R, 3S, 5R) -3- [2-cyanoethoxy- [di (propane-2 -Yl) amino] phosphanyl] oxy-5- (5-methyl-2,4-dioxopyrimidin-1-yl) oxolan-2-yl] methoxy] phosphoryl] oxy-5- (5-methyl-2,4 -Dioxopyrimidin-1-yl) oxolan-2-yl] methyl [(2R, 3S, 5R) -2-[[bis (4-methoxyphenyl) -phenylmethoxy] methyl] -5- (5-methyl- 2,4-Dioxopyrimidin-1-yl) oxolan-3-yl] (Compound SP779, TTT unit)
化合物SP761からSP768の製造例と同様の条件で、リン酸 (2-クロロフェニル) [(2R,3S,5R)-3-[(2-クロロフェノキシ)-[[(2R,3S,5R)-3-[2-シアノエトキシ-[ジ(プロパン-2-イル)アミノ]ホスファニル]オキシ-5-(5-メチル-2,4-ジオキソピリミジン-1-イル)オキソラン-2-イル]メトキシ]ホスホリル]オキシ-5-(5-メチル-2,4-ジオキソピリミジン-1-イル)オキソラン-2-イル]メチル [(2R,3S,5R)-2-[[ビス(4-メトキシフェニル)-フェニルメトキシ]メチル]-5-(5-メチル-2,4-ジオキソピリミジン-1-イル)オキソラン-3-イル](化合物SP779,TTTユニット)を得た。
LCMS(ESI) m/z = 1573.8 (M+H)+
保持時間:1.15分(分析条件 SQDAA05)
Under the same conditions as in the production examples of compounds SP761 to SP768, phosphoric acid (2-chlorophenyl) [(2R, 3S, 5R) -3-[(2-chlorophenoxy)-[[(2R, 3S, 5R) -3 -[2-Cyanoethoxy- [di (propan-2-yl) amino] phosphanyl] oxy-5- (5-methyl-2,4-dioxopyrimidin-1-yl) oxolan-2-yl] methoxy] phosphoryl ] Oxy-5- (5-methyl-2,4-dioxopyrimidin-1-yl) oxolan-2-yl] methyl [(2R, 3S, 5R) -2-[[bis (4-methoxyphenyl)- Phenylmethoxy] methyl] -5- (5-methyl-2,4-dioxopyrimidin-1-yl) oxolan-3-yl] (compound SP779, TTT unit) was obtained.
LCMS (ESI) m / z = 1573.8 (M + H) +
Retention time: 1.15 minutes (analysis conditions SQDAA05)
リン酸 (2-クロロフェニル) [(2R,3S,5R)-3-[(2-クロロフェノキシ)-[[(2R,3S,5R)-3-[2-シアノエトキシ-[ジ(プロパン-2-イル)アミノ]ホスファニル]オキシ-5-(5-メチル-2,4-ジオキソピリミジン-1-イル)オキソラン-2-イル]メトキシ]ホスホリル]オキシ-5-(5-メチル-2,4-ジオキソピリミジン-1-イル)オキソラン-2-イル]メチル [(2R,3S,5R)-5-(6-ベンズアミドプリン-9-イル)-2-[[ビス(4-メトキシフェニル)-フェニルメトキシ]メチル]オキソラン-3-イル](化合物SP780、ATTユニット)の合成
Phosphoric acid (2-chlorophenyl) [(2R, 3S, 5R) -3-[(2-chlorophenoxy)-[[(2R, 3S, 5R) -3- [2-cyanoethoxy- [di (propane-2 -Yl) amino] phosphanyl] oxy-5- (5-methyl-2,4-dioxopyrimidin-1-yl) oxolan-2-yl] methoxy] phosphoryl] oxy-5- (5-methyl-2,4 -Dioxopyrimidin-1-yl) oxolan-2-yl] methyl [(2R, 3S, 5R) -5- (6-benzamidopurin-9-yl) -2-[[bis (4-methoxyphenyl)- [Phenylmethoxy] methyl] oxolan-3-yl] (Compound SP780, ATT unit)
化合物SP761からSP768の製造例と同様の条件で、リン酸 (2-クロロフェニル) [(2R,3S,5R)-3-[(2-クロロフェノキシ)-[[(2R,3S,5R)-3-[2-シアノエトキシ-[ジ(プロパン-2-イル)アミノ]ホスファニル]オキシ-5-(5-メチル-2,4-ジオキソピリミジン-1-イル)オキソラン-2-イル]メトキシ]ホスホリル]オキシ-5-(5-メチル-2,4-ジオキソピリミジン-1-イル)オキソラン-2-イル]メチル [(2R,3S,5R)-5-(6-ベンズアミドプリン-9-イル)-2-[[ビス(4-メトキシフェニル)-フェニルメトキシ]メチル]オキソラン-3-イル](化合物SP780、ATTユニット)を得た。
LCMS(ESI) m/z = 1686.4 (M+H)+
保持時間:1.16分(分析条件 SQDAA05)
Under the same conditions as in the production examples of compounds SP761 to SP768, phosphoric acid (2-chlorophenyl) [(2R, 3S, 5R) -3-[(2-chlorophenoxy)-[[(2R, 3S, 5R) -3 -[2-Cyanoethoxy- [di (propan-2-yl) amino] phosphanyl] oxy-5- (5-methyl-2,4-dioxopyrimidin-1-yl) oxolan-2-yl] methoxy] phosphoryl ] Oxy-5- (5-methyl-2,4-dioxopyrimidin-1-yl) oxolan-2-yl] methyl [(2R, 3S, 5R) -5- (6-benzamidopurin-9-yl) -2-[[Bis (4-methoxyphenyl) -phenylmethoxy] methyl] oxolan-3-yl] (Compound SP780, ATT unit) was obtained.
LCMS (ESI) m / z = 1686.4 (M + H) +
Retention time: 1.16 minutes (analysis conditions SQDAA05)
リン酸 (2-クロロフェニル) [(2R,3S,5R)-3-[(2-クロロフェノキシ)-[[(2R,3S,5R)-3-[2-シアノエトキシ-[ジ(プロパン-2-イル)アミノ]ホスファニル]オキシ-5-[2-(2-メチルプロパノイルアミノ)-6-オキソ-1H-プリン-9-イル]オキソラン-2-イル]メトキシ]ホスホリル]オキシ-5-[2-(2-メチルプロパノイルアミノ)-6-オキソ-1H-プリン-9-イル]オキソラン-2-イル]メチル [(2R,3S,5R)-5-(4-ベンズアミド-2-オキソピリミジン-1-イル)-2-[[ビス(4-メトキシフェニル)-フェニルメトキシ]メチル]オキソラン-3-イル](化合物SP781、CGGユニット)の合成
Phosphoric acid (2-chlorophenyl) [(2R, 3S, 5R) -3-[(2-chlorophenoxy)-[[(2R, 3S, 5R) -3- [2-cyanoethoxy- [di (propane-2 -Yl) amino] phosphanyl] oxy-5- [2- (2-methylpropanoylamino) -6-oxo-1H-purin-9-yl] oxolan-2-yl] methoxy] phosphoryl] oxy-5- [ 2- (2-Methylpropanoylamino) -6-oxo-1H-purin-9-yl] oxolan-2-yl] methyl [(2R, 3S, 5R) -5- (4-benzamido-2-oxopyrimidine -1-yl) -2-[[bis (4-methoxyphenyl) -phenylmethoxy] methyl] oxolan-3-yl] (compound SP781, CGG unit)
化合物SP761からSP768の製造例と同様の条件で、リン酸 (2-クロロフェニル) [(2R,3S,5R)-3-[(2-クロロフェノキシ)-[[(2R,3S,5R)-3-[2-シアノエトキシ-[ジ(プロパン-2-イル)アミノ]ホスファニル]オキシ-5-[2-(2-メチルプロパノイルアミノ)-6-オキソ-1H-プリン-9-イル]オキソラン-2-イル]メトキシ]ホスホリル]オキシ-5-[2-(2-メチルプロパノイルアミノ)-6-オキソ-1H-プリン-9-イル]オキソラン-2-イル]メチル [(2R,3S,5R)-5-(4-ベンズアミド-2-オキソピリミジン-1-イル)-2-[[ビス(4-メトキシフェニル)-フェニルメトキシ]メチル]オキソラン-3-イル](化合物SP781、CGGユニット)を得た。
LCMS(ESI) m/z = 1852.5 (M+H)+
保持時間:0.87分(分析条件 SQDAA50)
Under the same conditions as in the production examples of compounds SP761 to SP768, phosphoric acid (2-chlorophenyl) [(2R, 3S, 5R) -3-[(2-chlorophenoxy)-[[(2R, 3S, 5R) -3 [2-cyanoethoxy- [di (propan-2-yl) amino] phosphanyl] oxy-5- [2- (2-methylpropanoylamino) -6-oxo-1H-purin-9-yl] oxolane- 2-yl] methoxy] phosphoryl] oxy-5- [2- (2-methylpropanoylamino) -6-oxo-1H-purin-9-yl] oxolan-2-yl] methyl [(2R, 3S, 5R ) -5- (4-Benzamido-2-oxopyrimidin-1-yl) -2-[[bis (4-methoxyphenyl) -phenylmethoxy] methyl] oxolan-3-yl] (Compound SP) 81, CGG units) was obtained.
LCMS (ESI) m / z = 1852.5 (M + H) +
Retention time: 0.87 minutes (analysis condition SQDAA50)
リン酸 (2-クロロフェニル) [(2R,3S,5R)-3-[(2-クロロフェノキシ)-[[(2R,3S,5R)-3-[2-シアノエトキシ-[ジ(プロパン-2-イル)アミノ]ホスファニル]オキシ-5-[2-(2-メチルプロパノイルアミノ)-6-オキソ-1H-プリン-9-イル]オキソラン-2-イル]メトキシ]ホスホリル]オキシ-5-[2-(2-メチルプロパノイルアミノ)-6-オキソ-1H-プリン-9-イル]オキソラン-2-イル]メチル [(2R,3S,5R)-5-(6-ベンズアミドプリン-9-イル)-2-[[ビス(4-メトキシフェニル)-フェニルメトキシ]メチル]オキソラン-3-イル](化合物SP782、AGGユニット)の合成
Phosphoric acid (2-chlorophenyl) [(2R, 3S, 5R) -3-[(2-chlorophenoxy)-[[(2R, 3S, 5R) -3- [2-cyanoethoxy- [di (propane-2 -Yl) amino] phosphanyl] oxy-5- [2- (2-methylpropanoylamino) -6-oxo-1H-purin-9-yl] oxolan-2-yl] methoxy] phosphoryl] oxy-5- [ 2- (2-Methylpropanoylamino) -6-oxo-1H-purin-9-yl] oxolan-2-yl] methyl [(2R, 3S, 5R) -5- (6-benzamidopurin-9-yl ) -2-[[Bis (4-methoxyphenyl) -phenylmethoxy] methyl] oxolan-3-yl] (Compound SP782, AGG unit)
化合物SP761からSP768の製造例と同様の条件で、リン酸 (2-クロロフェニル) [(2R,3S,5R)-3-[(2-クロロフェノキシ)-[[(2R,3S,5R)-3-[2-シアノエトキシ-[ジ(プロパン-2-イル)アミノ]ホスファニル]オキシ-5-[2-(2-メチルプロパノイルアミノ)-6-オキソ-1H-プリン-9-イル]オキソラン-2-イル]メトキシ]ホスホリル]オキシ-5-[2-(2-メチルプロパノイルアミノ)-6-オキソ-1H-プリン-9-イル]オキソラン-2-イル]メチル [(2R,3S,5R)-5-(6-ベンズアミドプリン-9-イル)-2-[[ビス(4-メトキシフェニル)-フェニルメトキシ]メチル]オキソラン-3-イル](化合物SP782、AGGユニット)を得た。
LCMS(ESI) m/z = 1876.5 (M+H)+
保持時間:0.84分(分析条件 SQDAA50)
Under the same conditions as in the production examples of compounds SP761 to SP768, phosphoric acid (2-chlorophenyl) [(2R, 3S, 5R) -3-[(2-chlorophenoxy)-[[(2R, 3S, 5R) -3 [2-cyanoethoxy- [di (propan-2-yl) amino] phosphanyl] oxy-5- [2- (2-methylpropanoylamino) -6-oxo-1H-purin-9-yl] oxolane- 2-yl] methoxy] phosphoryl] oxy-5- [2- (2-methylpropanoylamino) -6-oxo-1H-purin-9-yl] oxolan-2-yl] methyl [(2R, 3S, 5R ) -5- (6-Benzamidopurin-9-yl) -2-[[bis (4-methoxyphenyl) -phenylmethoxy] methyl] oxolan-3-yl] (compound SP782, AGG Tsu g) was obtained.
LCMS (ESI) m / z = 1876.5 (M + H) +
Retention time: 0.84 minutes (analysis condition SQDAA50)
5.ディスプレイライブラリーに用いるDNAのランダム化されたパーツの化学合成
上記載の方法もしくは購入して得たコドンユニットを用いて、以下のような手法でランダム化された多様性の高いDNAを合成した。
化合物SP791
5'-GAA GGA GAT ATA CAT ATG (PPP)7 CGT (XXX) (PPP) AGC GGC TCT GGC TCT GGC TCT-3'(配列番号:140)
DNA/RNA合成機(NTS H-6、日本テクノサービス株式会社製)を用いて、ホスホロアミダイト法によりランダムDNA合成を行った。脱水アセトニトリルおよびデブロッキング溶液-1(3w/v% トリクロロ酢酸 ジクロロメタン溶液)は和光純薬から購入し、ホスホロアミダイト試薬(dA, dC, dG, dT-CE phosphoramidite)、Cap Mix A(THF/Pyridine/Acetic anhydride)、Cap Mix B(16% 1-Me-Imidazole/THF)、Oxidizing Solution(0.02M I2 in THF/Pyridine/H2O)、Activator(5-Benzylthio-1H-tetrazole in MeCN)、トリマーホスホロアミダイト試薬(GTT、CCG、ACT、ATG、GCT、CAT、TGG、GGT、TAC、CAG、AAC、TGC、GAA Trimer Phosphoramidite)についてはGlen Research社から購入した。また、トリマーホスホロアミダイト試薬(TTT(化合物SP779)、ATT(化合物SP780)、AGT(化合物SP768)、CGG(化合物SP781)、AGG(化合物SP782)、TTG(化合物SP775)、CTT(化合物SP776)、CTA(化合物SP777)、TAG(化合物SP778) Trimer Phosphoramidite)については、上記載のとおり合成したものを用いた。
5). Chemical synthesis of randomized parts of DNA used for display libraries Using the method described above or purchased codon units, randomized highly diverse DNA was synthesized by the following method.
Compound SP791
5'-GAA GGA GAT ATA CAT ATG (PPP) 7 CGT (XXX) (PPP) AGC GGC TCT GGC TCT GGC TCT-3 '(SEQ ID NO: 140)
Random DNA synthesis was performed by the phosphoramidite method using a DNA / RNA synthesizer (NTS H-6, manufactured by Nippon Techno Service Co., Ltd.). Dehydrated acetonitrile and deblocking solution-1 (3 w / v% trichloroacetic acid in dichloromethane) were purchased from Wako Pure Chemical Industries, Ltd., phosphoramidite reagent (dA, dC, dG, dT-CE phosphoramidite), Cap Mix A (THF / Pyridine / Acetic anhydride), Cap Mix B (16% 1-Me-Imidazole / THF), Oxidizing Solution (0.02M I2 in THF / Pyridine / H2O), Activator (5-Benzylthio-1H-tetrazole in MeCN), Trimer phosphoro Amidite reagents (GTT, CCG, ACT, ATG, GCT, CAT, TGG, GGT, TAC, CAG, AAC, TGC, GAA Trimer Phosphoramidite) were purchased from Glen Research. Further, trimer phosphoramidite reagents (TTT (compound SP779), ATT (compound SP780), AGT (compound SP768), CGG (compound SP781), AGG (compound SP782), TTG (compound SP775), CTT (compound SP776), For CTA (compound SP777) and TAG (compound SP778) Trimer Phosphoramidite), those synthesized as described above were used.
配列中に(PPP)と示した箇所には、トリマーホスホロアミダイト試薬(TTT、ATT、GTT、AGT、CCG、ACT、GCT、CAT、TGG、GGT、TAC、CAG、AAC、CGG、AGG、TTG、CTT、CTA、TAG、TGC、GAA Trimer Phosphoramidite)を混合したものを適用し、(XXX)と示した箇所には、トリマーホスホロアミダイト試薬(TTT、CCG、GCT、CAT、AAC、CGG、AGG、TTG、TAG、GAA Trimer Phosphoramidite)を混合したものを適用した。従って、PPPはTTTのみを意味するのではなく、ATTやTACなどを意味する。また、(PPP)7は任意のPPPが7回結合していることを意味しており(ATT)7のみを意味するのでなく、、例えば21種類から選択すると217の多様性が生じることを模式的に示したものである。
なお、操作の詳細な手順については合成機に付属のマニュアルに従った。
In the sequence indicated as (PPP), the trimer phosphoramidite reagent (TTT, ATT, GTT, AGT, CCG, ACT, GCT, CAT, TGG, GGT, TAC, CAG, AAC, CGG, AGG, TTG , CTT, CTA, TAG, TGC, GAA mixed with Trimer Phosphoramidite), where (XXX) indicates the trimer phosphoramidite reagent (TTT, CCG, GCT, CAT, AAC, CGG, AGG , TTG, TAG, GAA Trimer Phosphoramidite) was applied. Therefore, PPP does not mean only TTT, but ATT, TAC, etc. Further, the (PPP) 7 is the diversity to which when selected from ,, for example 21 types not mean (ATT) 7 only 21 7 mean results that any PPP are attached seven It is shown schematically.
The detailed operation procedure was in accordance with the manual attached to the synthesizer.
フィルター付きの反応容器にGlenUnySupport CPG(1000Å、44μmol/g、5.2mg、0.229μmol)を詰め、合成機にセットし、DNAを固相合成した。ここで5'末端水酸基の保護基(DMT:4,4'-ジメトキシトリチル基)は脱保護することなく合成機による伸長反応を終了とした。
伸長反応終了後、固相担体をスクリューキャップ付きガラスチューブに移し、30%アンモニア水溶液(0.4ml)を加え、60℃にて6時間攪拌することによりCPGからDNAの切り出しと脱保護を行い、反応混合液を分取HPLCにて精製した(分析条件LC05)。HPLCフラクションを凍結乾燥して得られた残渣を水(0.8ml)に溶かし、これに酢酸(3ml)を加え、室温にて10分間攪拌することにより、5'末端水酸基のDMT基を脱保護した。反応液を水(10ml)で希釈し、酢酸エチル(10ml)で5回抽出操作を行った後、得られた水層を凍結乾燥することにより、目的とするランダム化DNA(化合物SP791)(6.7%)を得た。なお収率については260nmにおける吸光度から算出した。
保持時間:8.55分(分析条件LC04)
GlenUnySupport CPG (1000 kg, 44 μmol / g, 5.2 mg, 0.229 μmol) was packed in a reaction vessel equipped with a filter, set in a synthesizer, and DNA was solid-phase synthesized. Here, the 5 ′ terminal hydroxyl protecting group (DMT: 4,4′-dimethoxytrityl group) was not deprotected and the extension reaction by the synthesizer was completed.
After the extension reaction, the solid phase carrier is transferred to a glass tube with a screw cap, added with 30% aqueous ammonia (0.4 ml), and stirred at 60 ° C. for 6 hours to excise and deprotect DNA from CPG. The reaction mixture was purified by preparative HPLC (analysis condition LC05). The residue obtained by lyophilizing the HPLC fraction was dissolved in water (0.8 ml), acetic acid (3 ml) was added thereto, and the mixture was stirred at room temperature for 10 minutes to deprotect the DMT group at the 5 ′ terminal hydroxyl group. did. The reaction solution was diluted with water (10 ml), extracted five times with ethyl acetate (10 ml), and the obtained aqueous layer was lyophilized to obtain the desired randomized DNA (compound SP791) (6 0.7%). The yield was calculated from the absorbance at 260 nm.
Retention time: 8.55 minutes (analysis condition LC04)
化合物SP792
5'-GAA GGA GAT ATA CAT ATG (PPP)8 CGT (XXX) (PPP) AGC GGC TCT GGC TCT GGC TCT-3'(配列番号:141)
Compound SP792
5'-GAA GGA GAT ATA CAT ATG (PPP) 8 CGT (XXX) (PPP) AGC GGC TCT GGC TCT GGC TCT-3 '(SEQ ID NO: 141)
化合物SP791と同様の方法により、目的とするランダム化DNA(化合物SP792)(7.6%)を得た。
保持時間:8.71分(分析条件LC04)
The target randomized DNA (compound SP792) (7.6%) was obtained in the same manner as for compound SP791.
Retention time: 8.71 minutes (analysis condition LC04)
化合物SP793
5'-GAA GGA GAT ATA CAT ATG (PPP)9 CGT (XXX) (PPP) AGC GGC TCT GGC TCT GGC TCT-3'(配列番号:142)
Compound SP793
5'-GAA GGA GAT ATA CAT ATG (PPP) 9 CGT (XXX) (PPP) AGC GGC TCT GGC TCT GGC TCT-3 '(SEQ ID NO: 142)
化合物SP791と同様の方法により、目的とするランダム化DNA(化合物SP793)(5.8%)を得た。
保持時間:8.67分(分析条件LC04)
The target randomized DNA (compound SP793) (5.8%) was obtained in the same manner as for compound SP791.
Retention time: 8.67 minutes (analysis condition LC04)
化合物SP794
5'-GAA GGA GAT ATA CAT ATG TGC (QQQ)7 CGT (QQQ)2 AGC GGC TCT GGC TCT GGC TCT-3'(配列番号:143)
Compound SP794
5'-GAA GGA GAT ATA CAT ATG TGC (QQQ) 7 CGT (QQQ) 2 AGC GGC TCT GGC TCT GGC TCT-3 '(SEQ ID NO: 143)
化合物SP791と同様の方法により、目的とするランダム化DNA(化合物SP794)(6.5%)を得た。配列中に(QQQ)と示した箇所には、トリマーホスホロアミダイト試薬(TTT、ATT、ATG、GTT、AGT、CCG、ACT、GCT、CAT、TGG、GGT、TAC、CAG、AAC、CGG、AGG、TTG、CTT、CTA、TAG、GAA Trimer Phosphoramidite)を混合したものを適用した。従って、QQQはTTTのみを意味するのではなく、ATTやTACなどを意味する。また、(QQQ)7は任意のQQQ が7回結合していることを意味しており(ATT)7のみを意味するのでなく、、例えば21種類から選択すると217の多様性が生じることを模式的に示したものである。
保持時間:8.56分(分析条件LC04)
The target randomized DNA (compound SP794) (6.5%) was obtained in the same manner as for compound SP791. In the sequence indicated as (QQQ), the trimer phosphoramidite reagent (TTT, ATT, ATG, GTT, AGT, CCG, ACT, GCT, CAT, TGG, GGT, TAC, CAG, AAC, CGG, AGG , TTG, CTT, CTA, TAG, GAA Trimer Phosphoramidite) was applied. Therefore, QQQ does not mean only TTT, but means ATT or TAC. Moreover, that diversity to have (ATT) 7 Selecting only from ,, for example 21 types not mean 21 7 meaning arises that it is bound (QQQ) 7 Any QQQ seven times It is shown schematically.
Retention time: 8.56 minutes (analysis condition LC04)
化合物SP795
5'-GAA GGA GAT ATA CAT ATG TGC (QQQ)8 CGT (QQQ)2 AGC GGC TCT GGC TCT GGC TCT-3'(配列番号:144)
Compound SP795
5'-GAA GGA GAT ATA CAT ATG TGC (QQQ) 8 CGT (QQQ) 2 AGC GGC TCT GGC TCT GGC TCT-3 '(SEQ ID NO: 144)
化合物SP791と同様の方法により、目的とするランダム化DNA(化合物SP795)(6.0%)を得た。
保持時間:8.54分(分析条件LC04)
The target randomized DNA (compound SP795) (6.0%) was obtained by the same method as for compound SP791.
Retention time: 8.54 minutes (analysis condition LC04)
化合物SP796
5'-GAA GGA GAT ATA CAT ATG TGC (QQQ)9 CGT (QQQ)2 AGC GGC TCT GGC TCT GGC TCT-3'(配列番号:145)
Compound SP796
5'-GAA GGA GAT ATA CAT ATG TGC (QQQ) 9 CGT (QQQ) 2 AGC GGC TCT GGC TCT GGC TCT-3 '(SEQ ID NO: 145)
化合物SP791と同様の方法により、目的とするランダム化DNA(化合物SP796)(4.5%)を得た。
保持時間:8.80分(分析条件LC04)
The target randomized DNA (compound SP796) (4.5%) was obtained in the same manner as for compound SP791.
Retention time: 8.80 minutes (analysis condition LC04)
6.ディスプレイライブラリーに用いるDNAライブラリーの調製
合成オリゴDNA(化合物SP791、SP792、SP793、SP794、SP795、SP796)と合成オリゴDNA(配列番号 DOL-1)を用いて、ExTaq (Takara社)により伸長反応を行った。95℃で二分間変性した後、50℃で一分、72℃で一分のサイクルを5ないし10回繰り返した。続いて、この伸長反応産物を鋳型に合成オリゴDNA(配列番号DOL-1)と合成オリゴDNA(配列番号DOL-2)を用いて、ExTaq (Takara社)によりPCRを行った。95℃で二分間変性した後、95℃で一分、50℃で一分、72℃で一分のサイクルを5から10回繰り返し、DNAライブラリー(配列番号DML-1~DML-6)を構築した。
配列中に(PPP)と示した箇所は、TTT、ATT、GTT、AGT、CCG、ACT、GCT、CAT、TGG、GGT、TAC、CAG、AAC、CGG、AGG、TTG、CTT、CTA、TAG、TGC、GAA がランダムに出現することを、(XXX)と示した箇所には、TTT、CCG、GCT、CAT、AAC、CGG、AGG、TTG、TAG、GAAがランダムに出現することを、(QQQ)と示した箇所には、TTT、ATT、ATG、GTT、AGT、CCG、ACT、GCT、CAT、TGG、GGT、TAC、CAG、AAC、CGG、AGG、TTG、CTT、CTA、TAG、GAAがランダムに出現することを意味する。
6). Preparation of DNA library for display library
Using a synthetic oligo DNA (compounds SP791, SP792, SP793, SP794, SP795, SP796) and a synthetic oligoDNA (SEQ ID NO: DOL-1), an extension reaction was performed with ExTaq (Takara). After denaturation at 95 ° C. for 2 minutes, a cycle of 1 minute at 50 ° C. and 1 minute at 72 ° C. was repeated 5 to 10 times. Subsequently, PCR was performed with ExTaq (Takara) using this extension reaction product as a template and a synthetic oligo DNA (SEQ ID NO: DOL-1) and a synthetic oligo DNA (SEQ ID NO: DOL-2). After denaturation at 95 ° C. for 2 minutes, a cycle of 95 ° C. for 1 minute, 50 ° C. for 1 minute, and 72 ° C. for 1 minute was repeated 5 to 10 times to obtain a DNA library (SEQ ID NOs: DML-1 to DML-6). It was constructed.
The locations indicated as (PPP) in the sequence are TTT, ATT, GTT, AGT, CCG, ACT, GCT, CAT, TGG, GGT, TAC, CAG, AAC, CGG, AGG, TTG, CTT, CTA, TAG, TQ, GAA appearing randomly (XXX) where TTT, CCG, GCT, CAT, AAC, CGG, AGG, TTG, TAG, GAA appearing randomly (QQQ ), TTT, ATT, ATG, GTT, AGT, CCG, ACT, GCT, CAT, TGG, GGT, TAC, CAG, AAC, CGG, AGG, TTG, CTT, CTA, TAG, GAA It means appearing randomly.
配列番号 DOL-1(配列番号:146)
TTTGTCCCCGCCGCCCTAAGAGCCAGAGCCAGAGCCGCT
SEQ ID NO: DOL-1 (SEQ ID NO: 146)
TTTGTCCCCGCCGCCCTAAGAGCCAGAGCCAGAGCCGCT
配列番号DOL-2(配列番号:147)
GTAATACGACTCACTATAGGGTTAACTTTAAGAAGGAGATATACATATG
SEQ ID NO: DOL-2 (SEQ ID NO: 147)
GTAATACGACTCACTATAGGGTTAACTTTAAGAAGGAGATATACATATG
配列番号DML-1(配列番号:148)
GTAATACGACTCACTATAGGGTTAACTTTAAGAAGGAGATATACATATG(PPP)7 CGT(XXX)(PPP)AGCGGCTCTGGCTCTGGCTCTTAGGGCGGCGGGGACAAA
SEQ ID NO: DML-1 (SEQ ID NO: 148)
GTAATACGACTCACTATAGGGTTAACTTTAAGAAGGAGATATACATATG (PPP) 7 CGT (XXX) (PPP) AGCGGCTCTGGCTCTGGCTCTTAGGGCGGCGGGGACAAA
配列番号DML-2(配列番号:149)
GTAATACGACTCACTATAGGGTTAACTTTAAGAAGGAGATATACATATG(PPP)8CGT(XXX)(PPP)AGCGGCTCTGGCTCTGGCTCTTAGGGCGGCGGGGACAAA
SEQ ID NO: DML-2 (SEQ ID NO: 149)
GTAATACGACTCACTATAGGGTTAACTTTAAGAAGGAGATATACATATG (PPP) 8 CGT (XXX) (PPP) AGCGGCTCTGGCTCTGGCTCTTAGGGCGGCGGGGACAAA
配列番号DML-3(配列番号:150)
GTAATACGACTCACTATAGGGTTAACTTTAAGAAGGAGATATACATATG(PPP)9CGT(XXX)(PPP)AGCGGCTCTGGCTCTGGCTCTTAGGGCGGCGGGGACAAA
SEQ ID NO: DML-3 (SEQ ID NO: 150)
GTAATACGACTCACTATAGGGTTAACTTTAAGAAGGAGATATACATATG (PPP) 9 CGT (XXX) (PPP) AGCGGCTCTGGCTCTGGCTCTTAGGGCGGCGGGGACAAA
配列番号DML-4(配列番号:151)
GTAATACGACTCACTATAGGGTTAACTTTAAGAAGGAGATATACATATGTGC(QQQ)7CGT(QQQ)2AGCGGCTCTGGCTCTGGCTCTTAGGGCGGCGGGGACAAA
SEQ ID NO: DML-4 (SEQ ID NO: 151)
GTAATACGACTCACTATAGGGTTAACTTTAAGAAGGAGATATACATATGTGC (QQQ) 7 CGT (QQQ) 2 AGCGGCTCTGGCTCTGGCTCTTAGGGCGGCGGGGACAAA
配列番号DML-5(配列番号:152)
GTAATACGACTCACTATAGGGTTAACTTTAAGAAGGAGATATACATATGTGC(QQQ)8CGT(QQQ)2AGCGGCTCTGGCTCTGGCTCTTAGGGCGGCGGGGACAAA
SEQ ID NO: DML-5 (SEQ ID NO: 152)
GTAATACGACTCACTATAGGGTTAACTTTAAGAAGGAGATATACATATGTGC (QQQ) 8 CGT (QQQ) 2 AGCGGCTCTGGCTCTGGCTCTTAGGGCGGCGGGGACAAA
配列番号DML-6(配列番号:153)
GTAATACGACTCACTATAGGGTTAACTTTAAGAAGGAGATATACATATGTGC(QQQ)9CGT(QQQ)2AGCGGCTCTGGCTCTGGCTCTTAGGGCGGCGGGGACAAA
SEQ ID NO: DML-6 (SEQ ID NO: 153)
GTAATACGACTCACTATAGGGTTAACTTTAAGAAGGAGATATACATATGTGC (QQQ) 9 CGT (QQQ) 2 AGCGGCTCTGGCTCTGGCTCTTAGGGCGGCGGGGACAAA
7.mRNA-ピューロマイシンリンカーライゲーション産物調製
PCRにより調製したDNAライブラリー(配列番号 DML-1~DML-3(Initiation suppression翻訳用)、DML-4~DML-6(Read throuth翻訳用)) を鋳型に、in vitro転写により以下のmRNA(配列番号MML-1~MML-3(Initiation suppression翻訳用)、配列番号MML-4~MML-6(Read throuth翻訳用))を調製し、RNeasy mini kit (Qiagen社)を用いて精製した。10μMのmRNAに、15μMのピューロマイシンリンカー (Sigma社)(配列番号C-1)、 1X T4 RNAライゲースリアクションバッファー(New england bio lab.社)、1mM ATP、10% DMSO、0.625unit/μl T4 RNAライゲース(New england bio lab.社)を加え、37℃で30分間ライゲーション反応させた後、RNeasy Mini kit(Qiagen社)により精製した。配列番号MML-1とMML-4は30μlスケール、配列番号MML-2とMML-5は60μlスケール、配列番号MML-3とMML-6は240μlスケールで、ライゲーションを行い、精製した。ピューロマイシンリンカー(配列番号C-1)と連結したMML-1,MML-2,MML-3をそれぞれモル比1:21:441となるように、ピューロマイシンリンカー(配列番号C-1)と連結したMML-4,MML-5,MML-6をそれぞれモル比1:21:441となるように混合し、前者をinitiation suppression翻訳用mRNA-ピューロマイシンリンカーライゲーション産物混合物と、後者をRead throuth 翻訳用mRNA-ピューロマイシンリンカーライゲーション産物混合物とした。
7). Preparation of mRNA-puromycin linker ligation product DNA library prepared by PCR (SEQ ID NOs: DML-1 to DML-3 (for initiation suppression translation), DML-4 to DML-6 (for read throuth translation)) The following mRNAs (SEQ ID NOs: MML-1 to MML-3 (for initiation suppression translation) and SEQ ID NOs: MML-4 to MML-6 (for read throuth translation)) are prepared by in vitro transcription, and RNeasy mini kit (Qiagen) ). To 10 μM mRNA, 15 μM puromycin linker (Sigma) (SEQ ID NO: C-1), 1X T4 RNA ligase reaction buffer (New england bio lab.), 1 mM ATP, 10% DMSO, 0.625 unit / μl T4 RNA ligase (New england bio lab.) Was added, and ligation reaction was performed at 37 ° C. for 30 minutes, followed by purification with RNeasy Mini kit (Qiagen). SEQ ID NOs: MML-1 and MML-4 were ligated and purified on a 30 μl scale, SEQ ID NOs: MML-2 and MML-5 were scaled on a 60 μl scale, and SEQ ID NOs: MML-3 and MML-6 were scaled on a 240 μl scale. The MML-1, MML-2, and MML-3 linked to the puromycin linker (SEQ ID NO: C-1) were linked to the puromycin linker (SEQ ID NO: C-1) in a molar ratio of 1: 21: 441, respectively. MML-4, MML-5, and MML-6 were mixed at a molar ratio of 1: 21: 441, respectively, the former being the mRNA-puromycin linker ligation product mixture for initiation suppression translation, and the latter for the read throuth translation. The mixture was mRNA-puromycin linker ligation product.
配列中に(RRR)と示した箇所は、UUU、AUU、GUU、AGU、CCG、ACU、GCU、CAU、UGG、GGU、UAC、CAG、AAC、CGG、AGG、UUG、CUU、CUA、UAG、UGC、GAA がランダムに出現することを、(YYY)と示した箇所には、UUU、CCG、GCU、CAU、AAC、CGG、AGG、UUG、UAG、GAAがランダムに出現することを、(SSS)と示した箇所には、UUU、AUU、AUG、GUU、AGU、CCG、ACU、GCU、CAU、UGG、GGU、UAC、CAG、AAC、CGG、AGG、UUG、CUU、CUA、UAG、GAAがランダムに出現することを意味する。 (RRR) in the sequence is UUU, AUU, GUU, AGU, CCG, ACU, GCU, CAU, UGG, GGU, UAC, CAG, AAC, CGG, AGG, UUG, CUU, CUA, UAG, Where UGC and GAA appear randomly, (YYY) where UUU, CCG, GCU, CAU, AAC, CGG, AGG, UUG, UAG, and GAA appear randomly (SSS ) Are UUU, AUU, AUG, GUU, AGU, CCG, ACU, GCU, CAU, UGG, GGU, UAC, CAG, AAC, CGG, AGG, UUG, CUU, CUA, UAG, GAA It means appearing randomly.
配列番号MML-1(配列番号:154)
GGGUUAACUUUAAGAAGGAGAUAUACAUAUG(RRR)7CGU(YYY)(RRR)AGCGGCUCUGGCUCUGGCUCUUAGGGCGGCGGGGACAAA
SEQ ID NO: MML-1 (SEQ ID NO: 154)
GGGUUAACUUUAAGAAGGAGAUAUACAUAUG (RRR) 7 CGU (YYY) (RRR) AGCGGCUCUGGCUCUGGCUCUUAGGGCGGCGGGGACAAA
配列番号MML-2(配列番号:155)
GGGUUAACUUUAAGAAGGAGAUAUACAUAUG(RRR)8CGU(YYY)(RRR)AGCGGCUCUGGCUCUGGCUCUUAGGGCGGCGGGGACAAA
SEQ ID NO: MML-2 (SEQ ID NO: 155)
GGGUUAACUUUAAGAAGGAGAUAUACAUAUG (RRR) 8 CGU (YYY) (RRR) AGCGGCUCUGGCUCUGGCUCUUAGGGCGGCGGGGACAAA
配列番号MML-3(配列番号:156)
GGGUUAACUUUAAGAAGGAGAUAUACAUAUG(RRR)9CGU(YYY)(RRR)AGCGGCUCUGGCUCUGGCUCUUAGGGCGGCGGGGACAAA
SEQ ID NO: MML-3 (SEQ ID NO: 156)
GGGUUAACUUUAAGAAGGAGAUAUACAUAUG (RRR) 9 CGU (YYY) (RRR) AGCGGCUCUGGCUCUGGCUCUUAGGGCGGCGGGGACAAA
配列番号MML-4(配列番号:157)
GGGUUAACUUUAAGAAGGAGAUAUACAUAUGUGC(SSS)7CGU(SSS)2 AGCGGCUCUGGCUCUGGCUCUUAGGGCGGCGGGGACAAA
SEQ ID NO: MML-4 (SEQ ID NO: 157)
GGGUUAACUUUAAGAAGGAGAUAUACAUAUGUGC (SSS) 7 CGU (SSS) 2 AGCGGCUCUGGCUCUGGCUCUUAGGGCGGCGGGGACAAA
配列番号MML-5(配列番号:158)
GGGUUAACUUUAAGAAGGAGAUAUACAUAUGUGC(SSS)8CGU(SSS)2 AGCGGCUCUGGCUCUGGCUCUUAGGGCGGCGGGGACAAA
SEQ ID NO: MML-5 (SEQ ID NO: 158)
GGGUUAACUUUAAGAAGGAGAUAUACAUAUGUGC (SSS) 8 CGU (SSS) 2 AGCGGCUCUGGCUCUGGCUCUUAGGGCGGCGGGGACAAA
配列番号MML-6(配列番号:159)
GGGUUAACUUUAAGAAGGAGAUAUACAUAUGUGC(SSS)9CGU(SSS)2 AGCGGCUCUGGCUCUGGCUCUUAGGGCGGCGGGGACAAA
SEQ ID NO: MML-6 (SEQ ID NO: 159)
GGGUUAACUUUAAGAAGGAGAUAUACAUAUGUGC (SSS) 9 CGU (SSS) 2 AGCGGCUCUGGCUCUGGCUCUUAGGGCGGCGGGGACAAA
ビオチン化標的タンパク質の調製
パニングに使用する標的タンパク質として、インターロイキン6受容体(IL-6R)、Tumor Necrosis Factor-α(TNFα)、Tumor Necrosis Factor Receptor1(TNFR1)を用いた。IL-6Rのビオチン化は非特許文献BMC biotechnology, 2008,8,41、および非特許文献Protein Science,1999,8,921-929の方法を用いた。IL-6Rの調製は非特許文献J Biochem. 1990;108(4):673-6.に従って行った。TNFαはProspec社のRcombinant Human Tumor Necrosis Factor-alpha(Catalog Number #CYT-223)を、TNFR1はSinoBiological社のRecombinant Human TNFR1/Fc Chimera(Catalog Number 10872-H03H)を購入した。それぞれThermo scientific社のEZ-Link NHS-PEG4-Biotin(Catalog Number 21329)を用いてビオチン化を行った。
Preparation of biotinylated target protein Interleukin 6 receptor (IL-6R), Tumor Necrosis Factor-α (TNFα), and Tumor Necrosis Factor Receptor 1 (TNFR1) were used as target proteins for panning. The biotinylation of IL-6R was carried out using the methods of non-patent literature BMC biotechnology, 2008, 8, 41 and non-patent literature Protein Science, 1999, 8, 921-929. IL-6R was prepared according to Non-Patent Document J Biochem. 1990; 108 (4): 673-6. TNFα purchased Prospec Rcombinant Human Tumor Necrosis Factor-alpha (Catalog Number # CYT-223) and TNFR1 purchased SinoBiological Recombinant Human TNFR1 / Fc Chimera (Catalog Number 10872-H03H). Biotinylation was performed using Thermo Scientific EZ-Link NHS-PEG4-Biotin (Catalog Number 21329).
・パニングに使用する翻訳液の定義
パニングに使用した翻訳液Sは以下の組成で構成される。1mM GTP,1mM ATP,20mMクレアチンリン酸,50mM HEPES-KOH pH7.6,100mM 酢酸カリウム,10mM 酢酸マグネシウム,2mMスペルミジン,1mM ジチオスレイトール,0.5mg/ml E.coli MRE600(RNaseネガティブ)由来tRNA(Roche社),4μg/ml クレアチンキナーゼ,3μg/ml ミオキナーゼ,2unit/ml 無機ピロフォスファターゼ,1.1μg/ml ヌクレオシド二リン酸キナーゼ,0.26μM EF-G,2.7μM IF1,0.4μM IF2,1.5μM IF3,40μM EF-Tu,84μM EF-Ts,1.2μM リボソーム,2.73μM AlaRS,0.09μM GlyRS,0.4μM IleRS,0.68μM PheRS,0.16μM ProRS,0.04μM SerRS,0.09μM ThrRS,0.03μM TrpRS,0.22μM TyrRS,0.02μM ValRS、3μM 転写tRNA Ala1B(配列番号MTL-13)、3μM 転写tRNA Tyr1(配列番号MTL-14)、250μMグリシン、250μMイソロイシン、250μMプロリン、250μMスレオニン、250μMトリプトファン、250μMバリン、100μMセリン、5mM N-メチルアラニン、5mM N-メチルフェニルアラニン、2mM D-チロシン。さらに翻訳液S用アミノアシル化tRNA混合物および翻訳液S用Initiatorアミノアシル化tRNAを加えて調製した。また翻訳液Tは上記の翻訳液S用アミノアシル化tRNA混合物および翻訳液S用Initiatorアミノアシル化tRNAを含まない翻訳液Sに0.02μM CysRS、250μMシステイン、および翻訳液T用アミノアシル化tRNA混合物を加えて調製した。
-Definition of translation liquid used for panning The translation liquid S used for panning has the following composition. 1 mM GTP, 1 mM ATP, 20 mM creatine phosphate, 50 mM HEPES-KOH pH 7.6, 100 mM potassium acetate, 10 mM magnesium acetate, 2 mM spermidine, 1 mM dithiothreitol, 0.5 mg / ml E. coli MRE600 (RNase negative) -derived tRNA (Roche), 4 μg / ml creatine kinase, 3 μg / ml myokinase, 2 unit / ml inorganic pyrophosphatase, 1.1 μg / ml nucleoside diphosphate kinase, 0.26 μM EF-G, 2 0.7 μM IF1, 0.4 μM IF2, 1.5 μM IF3, 40 μM EF-Tu, 84 μM EF-Ts, 1.2 μM ribosome, 2.73 μM AlaRS, 0.09 μM GlyRS, 0.4 μM IleRS, 0.68 μM PheRS, 0 .16 μM ProRS, 0.04 μM SerRS, 0.09 μM ThrRS, 0.03 μM TrpRS, 0.22 μM TyrRS, 0.02 μM ValRS, 3 μM transcribed tRNA Ala1B (SEQ ID NO: MTL-13), 3 μM transcribed tR A Tyr1 (SEQ ID NO: MTL-14), 250μM glycine, 250 [mu] M isoleucine, 250 [mu] M proline, 250 [mu] M threonine, 250 [mu] M tryptophan, 250 [mu] M valine, 100 [mu] M serine, 5 mM N-methyl-alanine, 5 mM N-methyl-phenylalanine, 2 mM D-tyrosine. Furthermore, an aminoacylated tRNA mixture for translation solution S and an initiator aminoacylated tRNA for translation solution S were added. The translation solution T is prepared by adding 0.02 μM CysRS, 250 μM cysteine, and the aminoacylation tRNA mixture for the translation solution T to the translation solution S containing the aminoacylation tRNA mixture for the translation solution S and the translation solution S not including the initiator acylation tRNA for the translation solution S. Prepared.
・ラウンド1のパニングを行うための翻訳、環化、脱硫、逆転写反応、パニング、PCR
1μM initiation suppression翻訳用もしくはRead throuth 翻訳用mRNA-ピューロマイシンリンカーライゲーション産物混合物を含む前述のS用、T用それぞれ2ml翻訳液を調製し、37℃で120分間保温後、室温で12分間放置した。この翻訳混合物に対して、200μlの200mM EDTA溶液(pH8.0、Nacalai社、14362-24)および100μlの200mM TCEP溶液(pH7.0)を加え、37℃で120分間保温し、環化反応を行った。その後、翻訳混合物に対して、260μlの250mM Cys溶液および4000μlの400mM TCEP溶液(pH7.0)を加え、40℃で5分間保温した。続けて、1600μlの1M VA-044(Wako社、CAS No.27776-21-2)を加えて、40℃で1時間脱硫反応後、RNeasy mini kit(Qiagen社)により精製し、1mlのペプチド-mRNA複合体溶液を調製した。この溶液に、3μM プライマー(配列番号DOL-3)、M-MLV reverse transcriptase reaction buffer(Promega社、M368B)、0.5mM dGTP,0.5mM dATP,0.5mM dCTP,0.5mM dTTP、8U/μl M-MLV Reverse transcriptase (H-) (Promega社、M368B)を加えNuclease free waterで2mlにメスアップし、42℃、1時間保温し、逆転写反応を行った。逆転写溶液に対してブロッキング剤SuperBlock T20(Pierce社、37516)を等量加え、4mlのペプチド-mRNA複合体溶液とした。
・ Translation, cyclization, desulfurization, reverse transcription, panning, PCR for round 1 panning
2 μl translation solutions for S and T containing 1 μM initiation suppression translation or read throuth translation mRNA-puromycin linker ligation product mixture were prepared, incubated at 37 ° C. for 120 minutes, and allowed to stand at room temperature for 12 minutes. To this translation mixture, 200 μl of 200 mM EDTA solution (pH 8.0, Nacalai, 14362-24) and 100 μl of 200 mM TCEP solution (pH 7.0) are added and incubated at 37 ° C. for 120 minutes to carry out the cyclization reaction. went. Thereafter, 260 μl of a 250 mM Cys solution and 4000 μl of a 400 mM TCEP solution (pH 7.0) were added to the translation mixture and incubated at 40 ° C. for 5 minutes. Subsequently, 1600 μl of 1M VA-044 (Wako, CAS No. 27776-21-2) was added, and after desulfurization reaction at 40 ° C. for 1 hour, purified by RNeasy mini kit (Qiagen), 1 ml of peptide- An mRNA complex solution was prepared. To this solution, 3 μM primer (SEQ ID NO: DOL-3), M-MLV reverse transcriptase reaction buffer (Promega, M368B), 0.5 mM dGTP, 0.5 mM dATP, 0.5 mM dCTP, 0.5 mM dTTP, 8 U / μl M-MLV Reverse transcriptase (H-) (Promega, M368B) was added, the volume was increased to 2 ml with Nuclease free water, and incubated at 42 ° C. for 1 hour to carry out a reverse transcription reaction. An equal amount of blocking agent SuperBlock T20 (Pierce, 37516) was added to the reverse transcription solution to give a 4 ml peptide-mRNA complex solution.
上記の溶液に対して、ビオチン化標的タンパク質を200nMとなるように加え、4℃、30分間回転混和を行った。その後、Dynabeads M-270 streptavidin(invitrogen社、653-05)を加え、4℃、5分間回転混和を行った。上清を取り除き、1xTBST(Nacalai社)で2度洗浄した。DNAポリメラーゼを含まず、0.5μM プライマー(配列番号DOL-4)および0.5μM プライマー(配列番号DOL-5)を含むPCR溶液をDynabeadsに加え、95℃で10分間加熱溶出し、上清を回収した。上清に対してDNAポリメラーゼ Ex taq(Takara社、RR001A-24)を加え、PCRによってcDNAを増幅後、QIAquick PCR purification kit(Qiagen社)によりDNAを精製した。 To the above solution, biotinylated target protein was added to 200 nM, and rotary mixing was performed at 4 ° C. for 30 minutes. Thereafter, Dynabeads M-270 streptavidin (Invitrogen, 653-05) was added, and rotary mixing was performed at 4 ° C for 5 minutes. The supernatant was removed and washed twice with 1 × TBST (Nacalai). A PCR solution containing 0.5 μM primer (SEQ ID NO: DOL-4) and 0.5 μM primer (SEQ ID NO: DOL-5) without DNA polymerase is added to Dynabeads and heated and eluted at 95 ° C. for 10 minutes. It was collected. DNA polymerase <RTIgt; Ex-taq </ RTI> (Takara, RR001A-24) was added to the supernatant, and after amplification of cDNA by PCR, DNA was purified by QIAquick <RTIgt; PCR-purification-kit (Qiagen).
配列番号DOL-3(配列番号:160)
TTTGTCCCCGCCGCCCTAAGAGCCAGAGCCAGAGCCGCT
SEQ ID NO: DOL-3 (SEQ ID NO: 160)
TTTGTCCCCGCCGCCCTAAGAGCCAGAGCCAGAGCCGCT
配列番号DOL-4(配列番号:161)
GTAATACGACTCACTATAGGGTTAACTTTAAGAAGGAGA
SEQ ID NO: DOL-4 (SEQ ID NO: 161)
GTAATACGACTCACTATAGGGTTAACTTTAAGAAGGAGA
配列番号DOL-5(配列番号:162)
TTTGTCCCCGCCGCCcta
SEQ ID NO: DOL-5 (SEQ ID NO: 162)
TTTGTCCCCGCCGCCcta
・ラウンド2のパニングを行うための転写、ライゲーション、翻訳、環化、脱硫、逆転写反応→パニング操作→PCR
ラウンド1で増幅したcDNAから、RiboMAX Express Large Scale RNA Production System (Promega社,P1320)を用いてmRNAを合成し、RNeasy MinElute kit(Qiagen社)により精製した。次にT4 RNA ligase(NEB, M0204L)を利用してmRNAとピューロマイシンリンカーを連結し、RNeasy MinElute kit(Qiagen社)により精製した。1μM mRNA-ピューロマイシンリンカーライゲーション産物を含む前述の100μl翻訳液を調製し、37℃で60分間保温後、室温で12分間放置した。この翻訳混合物に対して環化反応のために、10μlの200mM EDTA溶液(pH8.0、Nacalai社、14362-24)および5μlの200mM TCEP溶液(pH7.0)を加え、37℃で120分間保温した。翻訳液Sに0.5M KOHを加えて、pH10に調整後、42℃で30分間保温した。その後、0.5M HClを加えて、pH7に調整した。その後、それぞれの翻訳混合物に対して、13μlの250mM Cys溶液および200μlの400mM TCEP溶液(pH7.0)を加え、40℃で1分間保温した。続けて、80μlの1M VA-044(Wako社、CAS No.27776-21-2)を加えて、40℃で1時間脱硫反応後、RNeasy MinElute kit(Qiagen社)により精製し、100μlのペプチド-mRNA複合体溶液を調製した。この溶液に、3μM プライマー(配列番号DOL-3)、M-MLV reverse transcriptase reaction buffer(Promega社、M368B)、0.5mM dGTP,0.5mM dATP,0.5mM dCTP,0.5mM dTTP、8U/μl M-MLV Reverse transcriptase (H-) (Promega社、M368B)を加えNuclease free waterでメスアップし、200μl溶液で42℃、15分間保温し、逆転写反応を行った。逆転写溶液に対してブロッキング剤SuperBlock T20(Pierce社、37516)を等量加え、400μlのペプチド-mRNA複合体溶液とした。
・ Transcription, ligation, translation, cyclization, desulfurization, reverse transcription for round 2 panning → Panning operation → PCR
MRNA was synthesized from the cDNA amplified in round 1 using RiboMAX Express Large Scale RNA Production System (Promega, P1320) and purified by RNeasy MinElute kit (Qiagen). Next, mRNA and puromycin linker were ligated using T4 RNA ligase (NEB, M0204L) and purified with RNeasy MinElute kit (Qiagen). The aforementioned 100 μl translation solution containing 1 μM mRNA-puromycin linker ligation product was prepared, incubated at 37 ° C. for 60 minutes, and allowed to stand at room temperature for 12 minutes. For the cyclization reaction, 10 μl of 200 mM EDTA solution (pH 8.0, Nacalai, 14362-24) and 5 μl of 200 mM TCEP solution (pH 7.0) are added to the translation mixture and incubated at 37 ° C. for 120 minutes. did. 0.5M KOH was added to the translation solution S to adjust the pH to 10, and then kept at 42 ° C. for 30 minutes. Thereafter, 0.5 M HCl was added to adjust the pH to 7. Thereafter, 13 μl of 250 mM Cys solution and 200 μl of 400 mM TCEP solution (pH 7.0) were added to each translation mixture and incubated at 40 ° C. for 1 minute. Subsequently, 80 μl of 1M VA-044 (Wako, CAS No. 27776-21-2) was added, and after desulfurization reaction at 40 ° C. for 1 hour, purified by RNeasy MinElute kit (Qiagen), 100 μl of peptide- An mRNA complex solution was prepared. To this solution, 3 μM primer (SEQ ID NO: DOL-3), M-MLV reverse transcriptase reaction buffer (Promega, M368B), 0.5 mM dGTP, 0.5 mM dATP, 0.5 mM dCTP, 0.5 mM dTTP, 8 U / μl M-MLV Reverse transcriptase (H-) (Promega, M368B) was added, the volume was increased with Nuclease free water, and the mixture was incubated with a 200 μl solution at 42 ° C. for 15 minutes to perform a reverse transcription reaction. An equal amount of blocking agent SuperBlock T20 (Pierce, 37516) was added to the reverse transcription solution to obtain a 400 μl peptide-mRNA complex solution.
上記の溶液に対して、Dynabeads M-270 streptavidinを加え、4℃、5分間回転混和を行い、上清を回収した。上清に対してビオチン化標的タンパク質を200nMとなるように加え、4℃、30分間回転混和を行った。その後、Dynabeads M-270 streptavidinを加え、4℃、5分間回転混和し、上清を取り除き、1xTBST(Nacalai社)で3度洗浄した。DNAポリメラーゼを含まず、0.5μM プライマー(配列番号DOL-4)および0.5μM プライマー(配列番号DOL-5)を含むPCR溶液をDynabeadsに加え、95℃で10分間加熱溶出し、上清を回収した。上清に対してDNAポリメラーゼ Extaq(Takara社、RR001A-24)を加え、PCRによってcDNAを増幅後、QIAquick PCR purification kit(Qiagen社)によりDNAを精製した。 Dynabeads® M-270® streptavidin was added to the above solution, and rotary mixing was performed at 4 ° C. for 5 minutes to recover the supernatant. Biotinylated target protein was added to the supernatant to 200 nM, and rotary mixing was performed at 4 ° C. for 30 minutes. Thereafter, Dynabeads M-270 streptavidin was added and mixed by rotation at 4 ° C. for 5 minutes, and the supernatant was removed and washed 3 times with 1 × TBST (Nacalai). A PCR solution containing 0.5 μM primer (SEQ ID NO: DOL-4) and 0.5 μM primer (SEQ ID NO: DOL-5) without DNA polymerase is added to Dynabeads and heated and eluted at 95 ° C. for 10 minutes. It was collected. DNA polymerase Extaq (Takara, RR001A-24) was added to the supernatant, and after amplification of cDNA by PCR, DNA was purified by QIAquick PCR purification kit (Qiagen).
・ラウンド3のパニングを行うための転写、ライゲーション、翻訳、環化、脱硫、逆転写反応→パニング操作→PCR
ラウンド2で増幅したcDNAから、RiboMAX Express Large Scale RNA Production System (Promega社,P1320)を用いてmRNAを合成し、RNeasy MinElute kit(Qiagen社)により精製した。次にT4 RNA ligase(NEB, M0204L)を利用してmRNAとピューロマイシンリンカーを連結し、RNeasy MinElute kit(Qiagen社)により精製した。1μM mRNA-ピューロマイシンリンカーライゲーション産物を含む前述の10μl翻訳液を調製し、37℃で60分間保温後、室温で12分間放置した。この翻訳混合物に対して環化反応のために、1μlの200mM EDTA溶液(pH8.0、Nacalai社、14362-24)および0.5μlの200mM TCEP溶液(pH7.0)を加え、37℃で120分間保温した。翻訳液Sに0.5M KOHを加えて、pH10に調整後、42℃で30分間保温した。その後、0.5M HClを加えて、pH7に調整した。その後、それぞれの翻訳混合物に対して、1.3μlの250mM Cys溶液および20μlの400mM TCEP溶液(pH7.0)を加え、40℃で1分間保温した。続けて、8μlの1M VA-044(Wako社、CAS No.27776-21-2)を加えて、40℃で1時間脱硫反応後、RNeasy MinElute kit(Qiagen社)により精製し、10μlのペプチド-mRNA複合体溶液を調製した。この溶液に、3μM プライマー(配列番号DOL-3)、M-MLV reverse transcriptase reaction buffer(Promega社、M368B)、0.5mM dGTP,0.5mM dATP,0.5mM dCTP,0.5mM dTTP、8U/μl M-MLV Reverse transcriptase (H-)(Promega社、M368B)を加えNuclease free waterで200μlにメスアップし、42℃、15分間保温し、逆転写反応を行った。逆転写溶液に対してブロッキング剤SuperBlock T20(Pierce社、37516)を等量加え、40μlのペプチド-mRNA複合体溶液とした。
・ Transcription, ligation, translation, cyclization, desulfurization, reverse transcription for round 3 panning → Panning operation → PCR
MRNA was synthesized from the cDNA amplified in round 2 using RiboMAX Express Large Scale RNA Production System (Promega, P1320) and purified by RNeasy MinElute kit (Qiagen). Next, mRNA and puromycin linker were ligated using T4 RNA ligase (NEB, M0204L) and purified with RNeasy MinElute kit (Qiagen). The aforementioned 10 μl translation solution containing 1 μM mRNA-puromycin linker ligation product was prepared, incubated at 37 ° C. for 60 minutes, and allowed to stand at room temperature for 12 minutes. For this cyclization reaction, 1 μl of 200 mM EDTA solution (pH 8.0, Nacalai, 14362-24) and 0.5 μl of 200 mM TCEP solution (pH 7.0) are added to the translation mixture, and 120 ° C. at 120 ° C. Keep warm for a minute. 0.5M KOH was added to the translation solution S to adjust the pH to 10, and then kept at 42 ° C. for 30 minutes. Thereafter, 0.5 M HCl was added to adjust the pH to 7. Thereafter, 1.3 μl of a 250 mM Cys solution and 20 μl of a 400 mM TCEP solution (pH 7.0) were added to each translation mixture and incubated at 40 ° C. for 1 minute. Subsequently, 8 μl of 1M VA-044 (Wako, CAS No. 27776-21-2) was added, and after desulfurization reaction at 40 ° C. for 1 hour, purified by RNeasy MinElute kit (Qiagen), 10 μl of peptide- An mRNA complex solution was prepared. To this solution, 3 μM primer (SEQ ID NO: DOL-3), M-MLV reverse transcriptase reaction buffer (Promega, M368B), 0.5 mM dGTP, 0.5 mM dATP, 0.5 mM dCTP, 0.5 mM dTTP, 8 U / μl M-MLV Reverse transcriptase (H-) (Promega, M368B) was added, the volume was increased to 200 μl with Nuclease free water, and the mixture was incubated at 42 ° C. for 15 minutes to carry out a reverse transcription reaction. An equal amount of blocking agent SuperBlock T20 (Pierce, 37516) was added to the reverse transcription solution to obtain a 40 μl peptide-mRNA complex solution.
上記の溶液10μlに対して、Dynabeads M-270 streptavidinを加え、4℃、5分間回転混和を行い、上清を回収した。この操作を計3回繰り返した上清に対してビオチン化標的タンパク質を200nMとなるように加え、4℃、30分間回転混和を行った。その後、Dynabeads M-270 streptavidinを加え、4℃、5分間回転混和を行った。上清を取り除き、1xTBST(Nacalai社)で3度洗浄した。DNAポリメラーゼを含まず、0.5μM プライマー(配列番号DOL-4)および0.5μM プライマー(配列番号DOL-5)を含むPCR溶液をDynabeadsに加え、95℃で10分間加熱溶出し、上清を回収した。上清に対してDNAポリメラーゼ Ex taq(Takara社、RR001A-24)を加え、PCRによってcDNAを増幅後、QIAquick PCR purification kit(Qiagen社)によりDNAを精製した。
ラウンド4-6においても、ラウンド3と同じ操作を繰り返すことで標的タンパク質特異的な結合を示すcDNAの濃縮を行った。濃縮されたDNAプールの塩基配列解析を行い、濃縮されたペプチド配列を同定した。
Dynabeads M-270 streptavidin was added to 10 μl of the above solution, and the mixture was rotationally mixed at 4 ° C. for 5 minutes, and the supernatant was collected. The biotinylated target protein was added to the supernatant obtained by repeating this operation three times in total to 200 nM, and rotary mixing was performed at 4 ° C for 30 minutes. Thereafter, Dynabeads M-270 streptavidin was added, and rotary mixing was performed at 4 ° C. for 5 minutes. The supernatant was removed and washed 3 times with 1 × TBST (Nacalai). A PCR solution containing no DNA polymerase and containing 0.5 μM primer (SEQ ID NO: DOL-4) and 0.5 μM primer (SEQ ID NO: DOL-5) was added to Dynabeads and heated and eluted at 95 ° C. for 10 minutes. It was collected. DNA polymerase Ex taq (Takara, RR001A-24) was added to the supernatant, and cDNA was amplified by PCR, and then DNA was purified by QIAquick PCR purification kit (Qiagen).
In rounds 4-6, the same operation as in round 3 was repeated to concentrate cDNAs that showed target protein-specific binding. Base sequence analysis of the concentrated DNA pool was performed to identify the concentrated peptide sequence.
[規則91に基づく訂正 28.02.2013]
計算機によるシミュレーションを活用した仮想ライブラリによるCLOGP値、NMeアミノ酸数、分子量の平均値および分布の推測(図66、67)
今回設計されたディスプレイライブラリーのドラックライクネスの程度を評価した。すなわち、選択されたアミノ酸が均等にランダムにディスプレイされた場合のCLogP値、NMeアミノ酸が1つのペプチドに含まれる数の分布を計算によりシミュレーションした。[Correction 28.02.2013 based on Rule 91]
Estimating CLOGP values, NMe amino acid numbers, molecular weight averages and distributions using a virtual library utilizing computer simulation (Figures 66 and 67)
The degree of drug likeness of the display library designed this time was evaluated. That is, the CLogP value when the selected amino acids are displayed uniformly and randomly, and the distribution of the number of NMe amino acids contained in one peptide were simulated by calculation.
現実のディスプレイライブラリのサイズは1012種類以上であり、コンピュータ上の仮想ライブラリとしても網羅的に発生することは困難である。したがってディスプレイライブラリで翻訳合成されるペプチドをランダムに5万ペプチド発生させ、そのCLOGP、NMe数、アミノ酸数、分子量の分布および平均値を近似的に推測した。 The size of the actual display library is 10 12 or more, it is difficult also occur comprehensively as a virtual library on your computer. Therefore, 50,000 peptides were randomly generated to be translated and synthesized in the display library, and the CLOGP, NMe number, amino acid number, molecular weight distribution and average value were estimated approximately.
ランダムなペプチドの構造はプログラムを作成して、SMILES形式で出力させた。その際、C末端の構造はピペリジンとした。出力されたペプチドの構造ファイルをCLOGP(daylight社)およびPipelinePilot(accelrys社)を用い、各パラメータの分布と平均値を求めた。なおCLOGP値の計算においては分子サイズの制限により、約6.5%のペプチドが計算不能となりそれらを除外した値(全体の93.5%が有効)となっている。 ∙ A random peptide structure was created and output in SMILES format. At that time, the structure of the C-terminal was piperidine. Using CLOGP (daylight) and PipelinePilot (accelrys) for the output peptide structure file, the distribution and average value of each parameter were determined. In the calculation of CLOGP values, approximately 6.5% of peptides cannot be calculated due to molecular size limitations, and these are excluded (93.5% of the total is valid).
[実施例26] Electrochemiluminescence(ECL)を利用した翻訳産物のスクリーニング
パニングにて濃縮されたクローンの一部について、各クローンの翻訳産物ペプチドを用いたイムノアッセイを実施した。その際、低濃度のペプチド産物を高感度に検出するため、電気化学発光法(ECL)測定装置(SECTOR Imager 2400)を利用した。その結果、IL-6R、TNFα、TNFR1に対する結合ペプチドが同定された。
[Example 26] Screening of translation products using electrochemiluminescence (ECL) An immunoassay using translation product peptides of each clone was performed on a part of clones concentrated by panning. At that time, an electrochemiluminescence (ECL) measuring device (SECTOR Imager 2400) was used in order to detect a low concentration peptide product with high sensitivity. As a result, binding peptides to IL-6R, TNFα, and TNFR1 were identified.
1.Fl(urea)-dC-Puromycin(化合物SP806)の合成
dC-Puromycin CPG (化合物SP802)の合成
1. Synthesis of Fl (urea) -dC-Puromycin (Compound SP806)
Synthesis of dC-Puromycin CPG (Compound SP802)
Puromycin CPG(化合物SP801)(Glen Research社製、44μmol/g、 450mg)をDeblocking Mix(Glen Research社製、3%トリクロロ酢酸/DCM)で処理(3ml×4)し、アセトニトリルで洗浄(3ml×4)した。
得られたCPG担体にdC-CE Phosphoramidite(Glen Research社製、250mg、0.300mmol)のアセトニトリル溶液(3.0ml)とActivator(Glen Research社製、5-Benzylthio-1H-tetrazole in Acetonitrile、3ml)を加えて室温で10分間振とうさせた後、反応液を除去し、CPG担体をアセトニトリルで洗浄(3ml×4)し、乾燥させた。
次いでOxidizing Solution(Glen Research社製、0.02M Iodine in THF/Pyridine/Water、3ml)を加えて室温で振とうさせた後、反応液を除去した。担体をアセトニトリルで洗浄(3ml×4)後、乾燥させて標題のdC-Puromycin CPG(化合物SP802)(450mg)を得た。
少量のdC-Puromycin CPGに25%アンモニア水溶液を加えて60℃で1時間半攪拌して担体から切り出し、反応液をLC/MSで分析することで、反応の進行、およびdC-Puromycin(化合物SP803)の生成を確認した。
LCMS(ESI)m/z =1061.4(M-H)-
保持時間:0.53分 (分析条件 SQDAA50)
Puromycin CPG (Compound SP801) (manufactured by Glen Research, 44 μmol / g, 450 mg) was treated with Deblocking Mix (manufactured by Glen Research, 3% trichloroacetic acid / DCM) (3 ml × 4) and washed with acetonitrile (3 ml × 4). )did.
To the obtained CPG carrier, acetonitrile solution (3.0 ml) of dC-CE Phosphoramidite (manufactured by Glen Research, 250 mg, 0.300 mmol) and Activator (manufactured by Glen Research, 5-Benzylthio-1H-tetrazole in Acetonitrile) After shaking for 10 minutes at room temperature, the reaction solution was removed, and the CPG carrier was washed with acetonitrile (3 ml × 4) and dried.
Subsequently, Oxidizing Solution (manufactured by Glen Research, 0.02M Iodine in THF / Pyridine / Water, 3 ml) was added and shaken at room temperature, and then the reaction solution was removed. The carrier was washed with acetonitrile (3 ml × 4) and dried to give the title dC-Puromycin CPG (Compound SP802) (450 mg).
A small amount of dC-Puromycin CPG was added with a 25% aqueous ammonia solution and stirred at 60 ° C. for 1 hour and a half and cut out from the support. The reaction solution was analyzed by LC / MS, and the reaction progress and dC-Puromycin (compound SP803 ) Was confirmed.
LCMS (ESI) m / z = 1061.4 (M−H) −
Retention time: 0.53 minutes (Analysis conditions SQDAA50)
Fl-dC-Puromycin CPG(化合物SP804)の合成
Synthesis of Fl-dC-Puromycin CPG (Compound SP804)
dC-Puromycin CPG(化合物SP802)(44μmol/g、450mg)をDeblocking Mix(Glen Research社製、3%トリクロロ酢酸/DCM)で処理した後、アセトニトリルで洗浄した。
得られたCPG担体にFluorescein Phosphoramidite(Glen Research社製、125mg、0.104mmol)のアセトニトリル溶液(1.0ml)とActivator(Glen Research社製、5-Benzylthio-1H-tetrazole in Acetonitrile、1.0ml)を加えて室温で30分間振とうさせた後、反応液を除去し、CPG担体をアセトニトリルで洗浄し、乾燥させた。
次いでOxidizing Solution(Glen Research社製、0.02M Iodine in THF/Pyridine/Water、3ml)を加えて室温で振とうさせた後、反応液を除去した。CPG担体をアセトニトリルで洗浄後、乾燥させて標題のFl-dC-Puromycin CPG(450mg)を得た。
少量のFl-dC-Puromycin CPGに25%アンモニア水溶液を加えて60℃で1時間半攪拌して担体から切り出し、反応液をLC/MSで分析することで、反応の進行、およびFl-dC-Puromycin(化合物SP805)の生成を確認した。
dC-Puromycin CPG (Compound SP802) (44 μmol / g, 450 mg) was treated with Deblocking Mix (manufactured by Glen Research, 3% trichloroacetic acid / DCM), and then washed with acetonitrile.
Acetonitrile solution (1.0 ml) of Fluorescein Phosphoramidite (manufactured by Glen Research, 125 mg, 0.104 mmol) and Activator (manufactured by Glen Research, 5-Benzylthio-1H-tetrazole in Acetonitrile) were added to the obtained CPG carrier. After shaking for 30 minutes at room temperature, the reaction solution was removed, and the CPG carrier was washed with acetonitrile and dried.
Subsequently, Oxidizing Solution (manufactured by Glen Research, 0.02M Iodine in THF / Pyridine / Water, 3 ml) was added and shaken at room temperature, and then the reaction solution was removed. The CPG carrier was washed with acetonitrile and dried to give the title Fl-dC-Puromycin CPG (450 mg).
A small amount of Fl-dC-Puromycin CPG was added with a 25% aqueous ammonia solution, stirred at 60 ° C. for 1 hour and a half, cut out from the support, and the reaction solution was analyzed by LC / MS. Production of Puromycin (Compound SP805) was confirmed.
LCMS(ESI)m/z =1659.2(M-H)-
保持時間:0.94分 (分析条件 SQDAA05)
LCMS (ESI) m / z = 1659.2 (M−H) −
Retention time: 0.94 minutes (Analysis conditions SQDAA05)
5-(3-(6-(((((2R,3S,5R)-5-(4-アミノ-2-オキソピリミジン-1(2H)-イル)-3-(((((2S,3S,4R,5R)-3-((S)-2-アミノ-3-(4-メトキシフェニル)プロパンアミド)-5-(6-(ジメチルアミノ)-9H-プリン-9-イル)-4-ヒドロキシテトラヒドロフラン-2-イル)メトキシ)(ヒドロキシ)ホスホリル)オキシ)テトラヒドロフラン-2-イル)メトキシ)(ヒドロキシ)ホスホリル)オキシ)-7-ヒドロキシヘプチル)ウレイド)-2-(6-ヒドロキシ-3-オキソ-3H-キサンテン-9-イル)安息香酸(化合物SP806)(Fl(urea)-dC-Puromycin)の合成
5- (3- (6-(((((2R, 3S, 5R) -5- (4-amino-2-oxopyrimidin-1 (2H) -yl) -3-(((((2S, 3S , 4R, 5R) -3-((S) -2-Amino-3- (4-methoxyphenyl) propanamide) -5- (6- (dimethylamino) -9H-purin-9-yl) -4- Hydroxytetrahydrofuran-2-yl) methoxy) (hydroxy) phosphoryl) oxy) tetrahydrofuran-2-yl) methoxy) (hydroxy) phosphoryl) oxy) -7-hydroxyheptyl) ureido) -2- (6-hydroxy-3-oxo Synthesis of -3H-xanthen-9-yl) benzoic acid (compound SP806) (Fl (urea) -dC-Puromycin)
Fl-dC-Puromycin CPG(化合物SP804)(44μmol/g、105mg)にOxidizing Solution(Glen Research社製、0.02M Iodine in THF/Pyridine/Water、3ml)を加えて室温で16時間振とうさせた。反応液を除去した後、アセトニトリルで洗浄し、CPG担体を乾燥させた。
その後、CPG担体をDeblocking Mix(Glen Research社製、3%トリクロロ酢酸/DCM)で処理(3ml×4)した後、ジクロロメタンで洗浄し、乾燥させた。
次いでCPG担体に25%アンモニア水溶液(1.0ml)を加えて60℃で1時間半攪拌した。放冷後、反応液をカラムクロマトグラフィ(0.1%ギ酸水溶液/0.1%ギ酸アセトニトリル溶液)で精製し、標題化合物(化合物SP806)(2.1mg、33.8%)を黄色固体として得た。
LCMS(ESI)m/z =1341.8(M-H)-
保持時間:0.44分 (分析条件 SQDFA05)
Oxidizing Solution (manufactured by Glen Research, 0.02M Iodine in THF / Pyridine / Water, 3 ml) was added to Fl-dC-Puromycin CPG (Compound SP804) (44 μmol / g, 105 mg) and shaken at room temperature for 16 hours. . After removing the reaction solution, it was washed with acetonitrile and the CPG carrier was dried.
Thereafter, the CPG carrier was treated with Deblocking Mix (manufactured by Glen Research, 3% trichloroacetic acid / DCM) (3 ml × 4), then washed with dichloromethane and dried.
Next, a 25% aqueous ammonia solution (1.0 ml) was added to the CPG carrier, and the mixture was stirred at 60 ° C. for 1.5 hours. After allowing to cool, the reaction mixture was purified by column chromatography (0.1% aqueous formic acid solution / 0.1% formic acid acetonitrile solution) to give the title compound (Compound SP806) (2.1 mg, 33.8%) as a yellow solid. It was.
LCMS (ESI) m / z = 1341.8 (M−H) −
Retention time: 0.44 minutes (Analysis conditions SQDFA05)
2.濃縮配列の解析
配列解析の結果をもとに、配列番号DME-2からDME-11,DME-13からDME-15に示す鋳型DNAを合成した。これらをECL用転写翻訳液に加えて翻訳によるペプチド合成を行った。ECL用転写翻訳液の組成は下記の通りである。5%(v/v) T7 RNA polymerase RiboMAX Enzyme Mix (Promega社,P1300),2mM GTP,2mM ATP,1mM CTP,1mM UTP,20mM クレアチンリン酸,50mM HEPES-KOH pH7.6,100mM 酢酸カリウム,15mM 酢酸マグネシウム,2mM スペルミジン,1mM ジチオスレイトール,0.5mg/ml E.coli MRE600(RNaseネガティブ)由来tRNA(Roche社),3μM 転写tRNA Ala1B(配列番号MTL-13)、3μM 転写tRNA Tyr1(配列番号MTL-14)、4μg/ml クレアチンキナーゼ,3μg/ml ミオキナーゼ,2unit/ml 無機ピロフォスファターゼ,1.1μg/ml ヌクレオシド二リン酸キナーゼ,0.26μM EF-G,0.24μM RF2,0.17μM RF3,0.5μM RRF,2.7μM IF1,0.4μM IF2,1.5μM IF3,53μM EF-Tu,112μM EF-Ts,1.2μM リボソーム,2.73μM AlaRS,0.09μM GlyRS,0.4μM IleRS,0.68μM PheRS,0.16μM ProRS,0.04μM SerRS,0.09μM ThrRS,0.03μM TrpRS,0.22μM TyrRS,0.02μM ValRS,250μM グリシン、250μM イソロイシン、250μM プロリン、250μM スレオニン、250μM トリプトファン、250μM バリン、100μM セリン、5mM N-メチルアラニン、5mM N-メチルフェニルアラニン、2mM D-チロシン,さらにS用ECL転写翻訳液には、翻訳液S用アミノアシル化tRNA混合物および翻訳液S用Initiatorアミノアシル化tRNAを、T用ECL転写翻訳液には0.02μM CysRS、250μMシステイン、および翻訳液T用アミノアシル化tRNA混合物を加えて調製した。
2. Analysis of concentrated sequences Based on the results of sequence analysis, template DNAs shown in SEQ ID NOs: DME-2 to DME-11 and DME-13 to DME-15 were synthesized. These were added to the ECL transcription and translation solution to synthesize peptides by translation. The composition of the transcription / translation solution for ECL is as follows. 5% (v / v) T7 RNA polymerase RiboMAX Enzyme Mix (Promega, P1300), 2 mM GTP, 2 mM ATP, 1 mM CTP, 1 mM UTP, 20 mM creatine phosphate, 50 mM HEPES-KOH pH 7.6, 100 mM potassium acetate, 15 mM Magnesium acetate, 2 mM spermidine, 1 mM dithiothreitol, 0.5 mg / ml E. coli MRE600 (RNase negative) -derived tRNA (Roche), 3 μM transcribed tRNA Ala1B (SEQ ID NO: MTL-13), 3 μM transcribed tRNA Tyr1 (SEQ ID NO: MTL-14), 4 μg / ml creatine kinase, 3 μg / ml myokinase, 2 unit / ml inorganic pyrophosphatase, 1.1 μg / ml nucleoside diphosphate kinase, 0.26 μM EF-G, 0.24 μM RF2, 0.17 μM RF3, 0.5 μM RRF, 2.7 μM IF1, 0.4 μM IF2,1. 5 μM IF3, 53 μM EF-Tu, 112 μM EF-Ts, 1.2 μM ribosome, 2.73 μM AlaRS, 0.09 μM GlyRS, 0.4 μM IleRS, 0.68 μM PheRS, 0.16 μM ProRS, 0.04 μM SerRS , 0.09 μM ThrRS, 0.03 μM TrpRS, 0.22 μM TyrRS, 0.02 μM ValRS, 250 μM glycine, 250 μM isoleucine, 250 μM proline, 250 μM threonine, 250 μM tryptophan, 250 μM valine, 100 μM serine, 5 mM N-methylalanine, 5 mM N-methylalanine -Methylphenylalanine, 2 mM D-tyrosine, ECL transcription / translation solution for S contains aminoacylated tRNA mixture for translation solution S and Initiator aminoacylated tRNA for translation solution S, and 0.02 μM CysRS for ECL transcription / translation solution for T , 250 μM cysteine, and aminoacylated tRNA mixture for translation solution T were prepared.
このECL転写翻訳液に、0.05μM 鋳型DNA,12.5μM FlPu(urea)(化合物SP806)を加え、37℃で1時間、室温で12分間放置することで、C末端がFlPu(urea)にてラベルされたペプチドを合成した。ネガティブコントロールとして用いるサンプルには、鋳型DNAの代わりにNuclease Free waterを添加した。この翻訳混合物5μLに対して、0.5μlの200mM EDTA溶液(pH8.0、Nacalai社、14362-24)および0.5μlの100mM TCEP溶液(pH6.6)を加え、37℃で120分間保温し、環化反応を行った。環化産物に11μLの脱硫バッファー(15mM システイン,36mM TCEP)を加え、42℃で1分間加温した後、1M VA-044 (Wako社、CAS No.27776-21-2)を4μL加え42℃で1時間静置した。未反応のTCEPを失活させるため、125mMシステインを3μL加え、さらに42℃で1時間静置した後、1μLの0.5 M Tris、6μL SuperBlock T20(Pierce社、37516)を加えてECLアッセイ用ペプチド溶液とした。 To this ECL transcription / translation solution, 0.05 μM template DNA, 12.5 μM FlPu (urea) (compound SP806) is added and left at 37 ° C. for 1 hour and at room temperature for 12 minutes, so that the C-terminus becomes FlPu (urea). Labeled peptides were synthesized. Nuclease Free ネ ガ テ ィ ブ water was added to the sample used as a negative control instead of the template DNA. To 5 μL of this translation mixture, add 0.5 μl of 200 mM EDTA solution (pH 8.0, Nacalai, 14362-24) and 0.5 μl of 100 mM TCEP solution (pH 6.6), and incubate at 37 ° C. for 120 minutes. A cyclization reaction was performed. 11 μL of desulfurization buffer (15 mM cysteine, 36 mM TCEP) was added to the cyclized product, heated at 42 ° C. for 1 minute, and then 4 μL of 1M VA-044 (Wako, CAS No. 27776-21-2) was added at 42 ° C. And left for 1 hour. To inactivate unreacted TCEP, add 3 μL of 125 mM cysteine and let stand at 42 ° C. for 1 hour, and then add 1 μL of 0.5 M Tris, 6 μL SuperBlock T20 (Pierce, 37516) for ECL assay A peptide solution was obtained.
上記のECLアッセイ用ペプチド溶液を用いて、イムノアッセイを実施した。MSD Streptavidin MULTI-ARRAY 384-well plate (Meso Scale Discovery、L25SB-1)に1ウェルあたり10μLの500nMビオチン化標的タンパク質を添加し、500rpmで振とうしながら室温で1時間反応させることにより、標的タンパク質の固定化を行った。1ウェルあたり50μLの2%スキムミルクPBSを添加し、室温で2時間静置することで、ブロッキングを行った。反応液を除去し、0.05%のTween20をふくむPBS(PBST)にて3回洗浄を行った後、10μLのECLアッセイ用ペプチド溶液を添加し、室温にて50分間、500rpmにて振とうした。反応液の除去、PBSTでの洗浄を3回実施した後、2%スキムミルクPBSにて0.5μg/mLに希釈したIgG Fraction Monoclonal Mouse Anti-Fluorescein (Jackson Immno Research, 200-002-037)10μLを添加し、500rpmで振とうしながら室温で50分間反応させた。反応液の除去、PBSTでの洗浄を3回実施した後、2%スキムミルクPBSにて1μg/mLに希釈したSULFO-TAG Anti-Mouse Antibody (Meso Scale Discovery,R32AC-5)10μLを添加し、500rpmで振とうしながら室温で50分間反応させた。反応液の除去、PBSTでの3回洗浄の後、35μLの2×Read Buffer T (Meso Scale Discovery,R92TC-3)を添加し、SECTOR Imager 2400(Meso Scale Discovery)にて測定した。
各サンプルの測定値を表24に示した。
An immunoassay was performed using the above peptide solution for ECL assay. Add 10 μL of 500 nM biotinylated target protein per well to MSD Streptavidin MULTI-ARRAY 384-well plate (Meso Scale Discovery, L25SB-1), and react for 1 hour at room temperature with shaking at 500 rpm. Was fixed. Blocking was performed by adding 50 μL of 2% skim milk PBS per well and allowing to stand at room temperature for 2 hours. After removing the reaction solution and washing 3 times with PBS (PBST) containing 0.05%
The measured values of each sample are shown in Table 24.
[ECL鋳型DNA配列]
配列番号DME-2(配列番号:164)
(IL-6R binder) DNA配列
GTAATACGACTCACTATAGGGTTAACTTTAAGAAGGAGATATACATATGTGCCCGATTATTTTTATGCCGAGGTACGTTCGTAGTACTAGCGGCTCTGGCTCTGGCTCT
[ECL template DNA sequence]
SEQ ID NO: DME-2 (SEQ ID NO: 164)
(IL-6R binder) DNA sequence
GTAATACGACTCACTATAGGGTTAACTTTAAGAAGGAGATATACATATGTGCCCGATTATTTTTATGCCGAGGTACGTTCGTAGTACTAGCGGCTCTGGCTCTGGCTCT
配列番号DME-3(配列番号:165)
(IL-6R binder) DNA配列
GTAATACGACTCACTATAGGGTTAACTTTAAGAAGGAGATATACATATGTGCCCGATTATTTGGAGGATGCCGAGGTACCGTGTTTACAGCGGCTCTGGCTCTGGCTCT
SEQ ID NO: DME-3 (SEQ ID NO: 165)
(IL-6R binder) DNA sequence
GTAATACGACTCACTATAGGGTTAACTTTAAGAAGGAGATATACATATGTGCCCGATTATTTGGAGGATGCCGAGGTACCGTGTTTACAGCGGCTCTGGCTCTGGCTCT
配列番号DME-4(配列番号:166)
(TNFR1 binder) DNA配列
GTAATACGACTCACTATAGGGTTAACTTTAAGAAGGAGATATACATATGTGCTACATTTGGATGAGTATGAGGGTTTTTCGTACTAGGAGCGGCTCTGGCTCTGGCTCT
SEQ ID NO: DME-4 (SEQ ID NO: 166)
(TNFR1 binder) DNA sequence
GTAATACGACTCACTATAGGGTTAACTTTAAGAAGGAGATATACATATGTGCTACATTTGGATGAGTATGAGGGTTTTTCGTACTAGGAGCGGCTCTGGCTCTGGCTCT
配列番号DME-5(配列番号:167)
(TNFR1 binder) DNA配列
GTAATACGACTCACTATAGGGTTAACTTTAAGAAGGAGATATACATATGTGCCCGTTGATTATTGTTAGTCGGCTTCTTCGTGAAACTAGCGGCTCTGGCTCTGGCTCT
SEQ ID NO: DME-5 (SEQ ID NO: 167)
(TNFR1 binder) DNA sequence
GTAATACGACTCACTATAGGGTTAACTTTAAGAAGGAGATATACATATGTGCCCGTTGATTATTGTTAGTCGGCTTCTTCGTGAAACTAGCGGCTCTGGCTCTGGCTCT
配列番号DME-6(配列番号:168)
(TNFR1 binder) DNA配列
GTAATACGACTCACTATAGGGTTAACTTTAAGAAGGAGATATACATATGTGCCCGTTGGTTATTACTGTTCGGCTTAGTCGTGCTAGGAGCGGCTCTGGCTCTGGCTCT
SEQ ID NO: DME-6 (SEQ ID NO: 168)
(TNFR1 binder) DNA sequence
GTAATACGACTCACTATAGGGTTAACTTTAAGAAGGAGATATACATATGTGCCCGTTGGTTATTACTGTTCGGCTTAGTCGTGCTAGGAGCGGCTCTGGCTCTGGCTCT
配列番号DME-7(配列番号:169)
TNFα binder DNA配列
GTAATACGACTCACTATAGGGTTAACTTTAAGAAGGAGATATACATATGACTCTTATTGAATGGTGGCTATACAGGCGTCCGTTGAGCGGCTCTGGCTCTGGCTCT
SEQ ID NO: DME-7 (SEQ ID NO: 169)
TNFα binder DNA sequence
GTAATACGACTCACTATAGGGTTAACTTTAAGAAGGAGATATACATATGACTCTTATTGAATGGTGGCTATACAGGCGTCCGTTGAGCGGCTCTGGCTCTGGCTCT
配列番号DME-8(配列番号:170)
TNFα binder DNA配列
GTAATACGACTCACTATAGGGTTAACTTTAAGAAGGAGATATACATATGTGCCTATGGTGGGTTTTGGGTCCGTAGAGTCGTCGGATGAGCGGCTCTGGCTCTGGCTCT
SEQ ID NO: DME-8 (SEQ ID NO: 170)
TNFα binder DNA sequence
GTAATACGACTCACTATAGGGTTAACTTTAAGAAGGAGATATACATATGTGCCTATGGTGGGTTTTGGGTCCGTAGAGTCGTCGGATGAGCGGCTCTGGCTCTGGCTCT
配列番号DME-9(配列番号:171)
TNFα binder DNA配列
GTAATACGACTCACTATAGGGTTAACTTTAAGAAGGAGATATACATATGTGCGAAATTCCGGTTTGGTGGCTAATGGTTCGTTGGGAAAGCGGCTCTGGCTCTGGCTCT
SEQ ID NO: DME-9 (SEQ ID NO: 171)
TNFα binder DNA sequence
GTAATACGACTCACTATAGGGTTAACTTTAAGAAGGAGATATACATATGTGCGAAATTCCGGTTTGGTGGCTAATGGTTCGTTGGGAAAGCGGCTCTGGCTCTGGCTCT
配列番号DME-10(配列番号:172)
TNFα binder DNA配列
GTAATACGACTCACTATAGGGTTAACTTTAAGAAGGAGATATACATATGTGCACTATTCCGTACTGGTGGCTAATGGTTCGTTGGGAAAGCGGCTCTGGCTCTGGCTCT
SEQ ID NO: DME-10 (SEQ ID NO: 172)
TNFα binder DNA sequence
GTAATACGACTCACTATAGGGTTAACTTTAAGAAGGAGATATACATATGTGCACTATTCCGTACTGGTGGCTAATGGTTCGTTGGGAAAGCGGCTCTGGCTCTGGCTCT
配列番号DME-11(配列番号:173)
TNFα binder DNA配列
GTAATACGACTCACTATAGGGTTAACTTTAAGAAGGAGATATACATATGTGCACTTGGATTTTTCTTTGGCAGCTACTTCGTGTTACTAGCGGCTCTGGCTCTGGCTCT
SEQ ID NO: DME-11 (SEQ ID NO: 173)
TNFα binder DNA sequence
GTAATACGACTCACTATAGGGTTAACTTTAAGAAGGAGATATACATATGTGCACTTGGATTTTTCTTTGGCAGCTACTTCGTGTTACTAGCGGCTCTGGCTCTGGCTCT
配列番号DME-13(配列番号:175)
IL-6R binder DNA配列
GTAATACGACTCACTATAGGGTTAACTTTAAGAAGGAGATATACATATGTGCCCGGTTATTTTTATGCCGAGGGTTATGCGTCCGTTGAGCGGCTCTGGCTCTGGCTCT
SEQ ID NO: DME-13 (SEQ ID NO: 175)
IL-6R binder DNA sequence
GTAATACGACTCACTATAGGGTTAACTTTAAGAAGGAGATATACATATGTGCCCGGTTATTTTTATGCCGAGGGTTATGCGTCCGTTGAGCGGCTCTGGCTCTGGCTCT
配列番号DME-14(配列番号:176)
IL-6R binder DNA配列
GTAATACGACTCACTATAGGGTTAACTTTAAGAAGGAGATATACATATGTGCATTATTGAATGGCCGAGGATGTACCAGCGTCCGAGGAGCGGCTCTGGCTCTGGCTCT
SEQ ID NO: DME-14 (SEQ ID NO: 176)
IL-6R binder DNA sequence
GTAATACGACTCACTATAGGGTTAACTTTAAGAAGGAGATATACATATGTGCATTATTGAATGGCCGAGGATGTACCAGCGTCCGAGGAGCGGCTCTGGCTCTGGCTCT
配列番号DME-15(配列番号:177)
IL-6R binder DNA配列
GTAATACGACTCACTATAGGGTTAACTTTAAGAAGGAGATATACATATGATTGTTTGGAGGTGCCCGAGGTACTGCCGTGAAGCTAGCGGCTCTGGCTCTGGCTCT
SEQ ID NO: DME-15 (SEQ ID NO: 177)
IL-6R binder DNA sequence
GTAATACGACTCACTATAGGGTTAACTTTAAGAAGGAGATATACATATGATTGTTTGGAGGTGCCCGAGGTACTGCCGTGAAGCTAGCGGCTCTGGCTCTGGCTCT
[ECLペプチド配列] [ECL peptide sequence]
以下に示すペプチドは、いずれもN末端のアミノ基と11残基目のアスパラギン酸の側鎖のカルボン酸との間でペプチド結合が形成された環状ペプチドである。略号は、通常の文献や渡辺化学の商品カタログ記載に沿っているが、その詳細を以下に示す。 Each of the peptides shown below is a cyclic peptide in which a peptide bond is formed between the N-terminal amino group and the carboxylic acid in the side chain of the 11th aspartic acid. The abbreviations are in line with normal literature and Watanabe Chemical's product catalog description, and the details are shown below.
MeAla(4-Thz):(S)-2-(メチルアミノ)-3-(チアゾール-4-イル)プロパン酸
MePhe(3-Cl):(S)-3-(3-クロロフェニル)-2-(メチルアミノ)プロパン酸
Hyp(Et):(2S,4R)-4-エトキシピロリジン-2-カルボン酸
γEtAbu:4-(エチルアミノ)ブタン酸
nPrGly:2-(プロピルアミノ)酢酸
MePhe:(S)-2-(メチルアミノ)-3-フェニルプロパン酸
MeAla:(S)-2-(メチルアミノ)プロパン酸
MeGly:2-(メチルアミノ)酢酸
Pro:(S)-ピロリジン-2-カルボン酸
Thr:(2S,3R)-2-アミノ-3-ヒドロキシブタン酸
Phg:(S)-2-アミノ-2-フェニル酢酸
Ile:(2S,3S)-2-アミノ-3-メチルペンタン酸
Val:(S)-2-アミノ-3-メチルブタン酸
Asp:(S)-2-アミノコハク酸
Trp:(S)-2-アミノ-3-(1H-インドール-3-イル)プロパン酸
DTyr:(R)-2-アミノ-3-(4-ヒドロキシフェニル)プロパン酸
Phe(4-CF3):(S)-2-アミノ-3-(4-(トリフルオロメチル)フェニル)プロパン酸
Ser:(S)-2-アミノ-3-ヒドロキシプロパン酸
Met(O2):(S)-2-アミノ-4-(メチルスルホニル)ブタン酸
βAla:3-アミノプロパン酸
Ala:(S)-2-アミノプロパン酸
Gly:2-アミノ酢酸
MeSer:(S)-3-ヒドロキシ-2-(メチルアミノ)プロパン酸
FlPu(urea):化合物SP806
MeAla (4-Thz): (S) -2- (methylamino) -3- (thiazol-4-yl) propanoic acid MePhe (3-Cl): (S) -3- (3-chlorophenyl) -2- (Methylamino) propanoic acid Hyp (Et) :( 2S, 4R) -4-ethoxypyrrolidine-2-carboxylic acid γEtAbu: 4- (ethylamino) butanoic acid nPrGly: 2- (propylamino) acetic acid MePhe: (S) -2- (Methylamino) -3-phenylpropanoic acid MeAla: (S) -2- (methylamino) propanoic acid MeGly: 2- (methylamino) acetic acid Pro: (S) -pyrrolidine-2-carboxylic acid Thr: (2S, 3R) -2-Amino-3-hydroxybutanoic acid Phg: (S) -2-amino-2-phenylacetic acid Ile: (2S, 3S) -2-amino- -Methylpentanoic acid Val: (S) -2-amino-3-methylbutanoic acid Asp: (S) -2-aminosuccinic acid Trp: (S) -2-amino-3- (1H-indol-3-yl) propane Acid DTyr: (R) -2-amino-3- (4-hydroxyphenyl) propanoic acid Phe (4-CF3): (S) -2-amino-3- (4- (trifluoromethyl) phenyl) propanoic acid Ser: (S) -2-amino-3-hydroxypropanoic acid Met (O2): (S) -2-amino-4- (methylsulfonyl) butanoic acid βAla: 3-aminopropanoic acid Ala: (S) -2 Aminopropanoic acid Gly: 2-aminoacetic acid MeSer: (S) -3-hydroxy-2- (methylamino) propanoic acid FlPu (urea): compound SP806
配列番号PE-2
(IL-6R binder) ペプチド配列
Ala-Pro-Ile-Ile-MePhe-Met(O2)-Pro-MePhe(3-Cl)-DTyr-Val-Asp-Ser-Thr-Ser-Gly-Ser-Gly-Ser-Gly-Ser-FlPu(urea)
SEQ ID NO: PE-2
(IL-6R binder) Peptide sequence Ala-Pro-Ile-Ile-MePhe-Met (O2) -Pro-MePhe (3-Cl) -DTyr-Val-Asp-Ser-Thr-Ser-Gly-Ser-Gly- Ser-Gly-Ser-FlPu (urea)
配列番号PE-3
(IL-6R binder) ペプチド配列
Ala-Pro-Ile-Ile-Trp-MePhe(3-Cl)-Met(O2)-Pro-MePhe(3-Cl)-DTyr-Asp-Val-DTyr-Ser-Gly-Ser-Gly-Ser-Gly-Ser-FlPu(urea)
SEQ ID NO: PE-3
(IL-6R binder) Peptide sequence Ala-Pro-Ile-Ile-Trp-MePhe (3-Cl) -Met (O2) -Pro-MePhe (3-Cl) -DTyr-Asp-Val-DTyr-Ser-Gly -Ser-Gly-Ser-Gly-Ser-FlPu (urea)
配列番号PE-4
(TNFR1 binder)ペプチド配列
Ala-DTyr-Ile-Trp-Met(O2)-Ser-Met(O2)-MePhe(3-Cl)-Val-MePhe-Asp-Thr-MePhe(3-Cl)-Ser-Gly-Ser-Gly-Ser-Gly-Ser-FlPu(urea)
SEQ ID NO: PE-4
(TNFR1 binder) peptide sequence Ala-DTyr-Ile-Trp-Met (O2) -Ser-Met (O2) -MePhe (3-Cl) -Val-MePhe-Asp-Thr-MePhe (3-Cl) -Ser- Gly-Ser-Gly-Ser-Gly-Ser-FlPu (urea)
配列番号PE-5
(TNFR1 binder)ペプチド配列
Ala-Pro-MeGly-Ile-Ile-Val-Ser-MeSer-Phg-Phg-Asp-MeAla(4-Thz)-Thr-Ser-Gly-Ser-Gly-Ser-Gly-Ser-FlPu(urea)
SEQ ID NO: PE-5
(TNFR1 binder) peptide sequence Ala-Pro-MeGly-Ile-Ile-Val-Ser-MeSer-Phg-Phg-Asp-MeAla (4-Thz) -Thr-Ser-Gly-Ser-Gly-Ser-Gly-Ser -FlPu (urea)
配列番号 PE-6
(TNFR1 binder) ペプチド配列
Ala-Pro-MeGly-Val-Ile-Thr-Val-MeSer-Phg-Ser-Asp-MeAla-MePhe(3-Cl)-Ser-Gly-Ser-Gly-Ser-Gly-Ser-FlPu(urea)
SEQ ID NO: PE-6
(TNFR1 binder) Peptide sequence Ala-Pro-MeGly-Val-Ile-Thr-Val-MeSer-Phg-Ser-Asp-MeAla-MePhe (3-Cl) -Ser-Gly-Ser-Gly-Ser-Gly-Ser -FlPu (urea)
配列番号 PE-7
(TNFα binder) ペプチド配列
γEtAbu-Thr-Phg-Ile-MeAla(4-Thz)-Trp-Trp-Phe(4-CF3)-DTyr-MePhe(3-Cl)-Asp-Pro-MeGly-Ser-Gly-Ser-Gly-Ser-Gly-Ser-FlPu(urea)
SEQ ID NO: PE-7
(TNFα binder) peptide sequence γEtAbu-Thr-Phg-Ile-MeAla (4-Thz) -Trp-Trp-Phe (4-CF3) -DTyr-MePhe (3-Cl) -Asp-Pro-MeGly-Ser-Gly -Ser-Gly-Ser-Gly-Ser-FlPu (urea)
配列番号 PE-8
(TNFα binder) ペプチド配列
Ala-Phe(4-CF3)-Trp-Trp-Val-MeGly-Gly-Pro-Hyp(Et)-Ser-Asp-MeSer-Met(O2)-Ser-Gly-Ser-Gly-Ser-Gly-Ser-FlPu(urea)
SEQ ID NO: PE-8
(TNFα binder) peptide sequence
Ala-Phe (4-CF3) -Trp-Trp-Val-MeGly-Gly-Pro-Hyp (Et) -Ser-Asp-MeSer-Met (O2) -Ser-Gly-Ser-Gly-Ser-Gly-Ser -FlPu (urea)
配列番号 PE-9
(TNFα binder) ペプチド配列
Ala-MeAla(4-Thz)-Ile-Pro-Val-Trp-Trp-Phe(4-CF3)-Met(O2)-Val-Asp-Trp-MeAla(4-Thz)-Ser-Gly-Ser-Gly-Ser-Gly-Ser-FlPu(urea)
SEQ ID NO: PE-9
(TNFα binder) peptide sequence
Ala-MeAla (4-Thz) -Ile-Pro-Val-Trp-Trp-Phe (4-CF3) -Met (O2) -Val-Asp-Trp-MeAla (4-Thz) -Ser-Gly-Ser- Gly-Ser-Gly-Ser-FlPu (urea)
配列番号 PE-10
(TNFα binder) ペプチド配列
Ala-Thr-Ile-Pro-DTyr-Trp-Trp-Phe(4-CF3)-Met(O2)-Val-Asp-Trp-MeAla(4-Thz)-Ser-Gly-Ser-Gly-Ser-Gly-Ser-FlPu(urea)
SEQ ID NO: PE-10
(TNFα binder) peptide sequence
Ala-Thr-Ile-Pro-DTyr-Trp-Trp-Phe (4-CF3) -Met (O2) -Val-Asp-Trp-MeAla (4-Thz) -Ser-Gly-Ser-Gly-Ser-Gly -Ser-FlPu (urea)
配列番号 PE-11
(TNFα binder) ペプチド配列
Ala-Thr-Trp-Ile-MePhe-Phg-Trp-βAla-Phe(4-CF3)-Phg-Asp-Val-Thr-Ser-Gly-Ser-Gly-Ser-Gly-Ser-FlPu(urea)
SEQ ID NO: PE-11
(TNFα binder) peptide sequence
Ala-Thr-Trp-Ile-MePhe-Phg-Trp-βAla-Phe (4-CF3) -Phg-Asp-Val-Thr-Ser-Gly-Ser-Gly-Ser-Gly-Ser-FlPu (urea)
配列番号 PE-13
(IL-6R binder) ペプチド配列
Ala-Pro-Val-Ile-MePhe-Met(O2)-Pro-MePhe(3-Cl)-Val-Met(O2)-Asp-Pro-MeGly-Ser-Gly-Ser-Gly-Ser-Gly-Ser-FlPu(urea)
SEQ ID NO: PE-13
(IL-6R binder) peptide sequence
Ala-Pro-Val-Ile-MePhe-Met (O2) -Pro-MePhe (3-Cl) -Val-Met (O2) -Asp-Pro-MeGly-Ser-Gly-Ser-Gly-Ser-Gly-Ser -FlPu (urea)
配列番号 PE-14
(IL-6R binder) ペプチド配列
Ala-Ile-Ile-MeAla(4-Thz)-Trp-Pro-MePhe(3-Cl)-Met(O2)-DTyr-βAla-Asp-Pro-MePhe(3-Cl)-Ser-Gly-Ser-Gly-Ser-Gly-Ser-FlPu(urea)
SEQ ID NO: PE-14
(IL-6R binder) peptide sequence
Ala-Ile-Ile-MeAla (4-Thz) -Trp-Pro-MePhe (3-Cl) -Met (O2) -DTyr-βAla-Asp-Pro-MePhe (3-Cl) -Ser-Gly-Ser- Gly-Ser-Gly-Ser-FlPu (urea)
配列番号 PE-15
(IL-6R binder)ペプチド配列
γEtAbu-Ile-Val-Trp-MePhe(3-Cl)-Met(O2)-Pro-MePhe(3-Cl)-DTyr-Met(O2)-Asp-MeAla(4-Thz)-MeAla-Ser-Gly-Ser-Gly-Ser-Gly-Ser-FlPu(urea)
SEQ ID NO: PE-15
(IL-6R binder) peptide sequence γEtAbu-Ile-Val-Trp-MePhe (3-Cl) -Met (O2) -Pro-MePhe (3-Cl) -DTyr-Met (O2) -Asp-MeAla (4- Thz) -MeAla-Ser-Gly-Ser-Gly-Ser-Gly-Ser-FlPu (urea)
配列番号PE-2からPE-11、PE-13からPE-15で示されたペプチドの特徴を以下に示す。 The characteristics of the peptides represented by SEQ ID NOs: PE-2 to PE-11 and PE-13 to PE-15 are shown below.
共通配列であるSer-Gly-Ser-Gly-Ser-Gly-Ser-FlPu(urea)を除いた配列は13アミノ酸で構成されており、11アミノ酸で環状ペプチド部位を構成し、2アミノ酸で直鎖部位を構成している。含まれるアミノ酸はα、βおよびγアミノ酸であり、アミノ酸側鎖はアルキル基、シクロアルキル基、エーテル基置換シクロアルキル基、水酸基(-OH)置換アルキル基、スルホン基(-SO2-R)置換アルキル基、アリール基、アラルキル基、水酸基(-OH)置換アラルキル基、ハロゲン基置換アラルキル基、ヘテロアリール基で構成されており、これらのことはいずれもドラッグライクなペプチド化合物として好ましい範囲である。 The sequence excluding the consensus sequence Ser-Gly-Ser-Gly-Ser-Gly-Ser-FlPu (urea) is composed of 13 amino acids, 11 amino acids form a cyclic peptide site, and 2 amino acids are linear It constitutes a part. The amino acids contained are α, β and γ amino acids, and the amino acid side chain is substituted with an alkyl group, a cycloalkyl group, an ether group-substituted cycloalkyl group, a hydroxyl group (—OH) -substituted alkyl group, or a sulfone group (—SO 2 —R). It is composed of an alkyl group, an aryl group, an aralkyl group, a hydroxyl group (—OH) substituted aralkyl group, a halogen group substituted aralkyl group, and a heteroaryl group, all of which are preferred ranges as a drug-like peptide compound.
表25に配列番号と、含まれるN-アルキルアミノ酸の数、共通領域であるSer-Gly-Ser-Gly-Ser-Gly-Ser-FlPu(urea)を除き、C末端をピペリジンアミドとした化合物のclogP値を示す。
PE-2からPE-11、PE13からPE-15のうち、N-アルキルアミノ酸を2つ以上有し、かつ、cLogPが6以上を満たすペプチドは10配列で、いずれか一方を満たすものが3配列あり、これら標的結合ペプチドはドラッグライクネスを有することが十分に期待される化合物群である。 Among PE-2 to PE-11 and PE13 to PE-15, 10 peptides have 2 or more N-alkyl amino acids and cLogP of 6 or more, and 3 peptides satisfy one of them. These target binding peptides are a group of compounds that are sufficiently expected to have drug-likeness.
3.濃縮され、かつECLでの結合が確認されたペプチド配列の化学合成
ペプチド合成はスキームJ-1に示すFmoc固相ペプチド合成法に従って行った。実施例中のアミノ酸の略号は、通常文献や商品カタログ(渡辺化学)などに記載の略号を用いているが、詳細を以下に示す。
MeAla(4-Thz):(S)-2-(メチルアミノ)-3-(チアゾール-4-イル)プロパン酸
MePhe(3-Cl):(S)-3-(3-クロロフェニル)-2-(メチルアミノ)プロパン酸
Hyp(Et):(2S,4R)-4-エトキシピロリジン-2-カルボン酸
γEtAbu:4-(エチルアミノ)ブタン酸
nPrGly:2-(プロピルアミノ)酢酸
MePhe:(S)-2-(メチルアミノ)-3-フェニルプロパン酸
MeAla:(S)-2-(メチルアミノ)プロパン酸
MeGly:2-(メチルアミノ)酢酸
Pro:(S)-ピロリジン-2-カルボン酸
Thr:(2S,3R)-2-アミノ-3-ヒドロキシブタン酸
Phg:(S)-2-アミノ-2-フェニル酢酸
Ile:(2S,3S)-2-アミノ-3-メチルペンタン酸
Val:(S)-2-アミノ-3-メチルブタン酸
Asp:(S)-2-アミノコハク酸
Trp:(S)-2-アミノ-3-(1H-インドール-3-イル)プロパン酸
DTyr:(R)-2-アミノ-3-(4-ヒドロキシフェニル)プロパン酸
Phe(4-CF3):(S)-2-アミノ-3-(4-(トリフルオロメチル)フェニル)プロパン酸
Ser:(S)-2-アミノ-3-ヒドロキシプロパン酸
Met(O2):(S)-2-アミノ-4-(メチルスルホニル)ブタン酸
βAla:3-アミノプロパン酸
Ala:(S)-2-アミノプロパン酸
Gly:2-アミノ酢酸
MeSer:(S)-3-ヒドロキシ-2-(メチルアミノ)プロパン酸
3. Chemical synthesis of the peptide sequence that was concentrated and confirmed to be bound by ECL was performed according to the Fmoc solid phase peptide synthesis method shown in Scheme J-1. As abbreviations of amino acids in the examples, the abbreviations described in literatures, product catalogs (Watanabe Chemical Co., Ltd.) and the like are usually used, and details are shown below.
MeAla (4-Thz): (S) -2- (methylamino) -3- (thiazol-4-yl) propanoic acid MePhe (3-Cl): (S) -3- (3-chlorophenyl) -2- (Methylamino) propanoic acid Hyp (Et) :( 2S, 4R) -4-ethoxypyrrolidine-2-carboxylic acid γEtAbu: 4- (ethylamino) butanoic acid nPrGly: 2- (propylamino) acetic acid MePhe: (S) -2- (Methylamino) -3-phenylpropanoic acid MeAla: (S) -2- (methylamino) propanoic acid MeGly: 2- (methylamino) acetic acid Pro: (S) -pyrrolidine-2-carboxylic acid Thr: (2S, 3R) -2-Amino-3-hydroxybutanoic acid Phg: (S) -2-amino-2-phenylacetic acid Ile: (2S, 3S) -2-amino- -Methylpentanoic acid Val: (S) -2-amino-3-methylbutanoic acid Asp: (S) -2-aminosuccinic acid Trp: (S) -2-amino-3- (1H-indol-3-yl) propane Acid DTyr: (R) -2-amino-3- (4-hydroxyphenyl) propanoic acid Phe (4-CF3): (S) -2-amino-3- (4- (trifluoromethyl) phenyl) propanoic acid Ser: (S) -2-amino-3-hydroxypropanoic acid Met (O2): (S) -2-amino-4- (methylsulfonyl) butanoic acid βAla: 3-aminopropanoic acid Ala: (S) -2 Aminopropanoic acid Gly: 2-aminoacetic acid MeSer: (S) -3-hydroxy-2- (methylamino) propanoic acid
スキームJ-1










































































































































































































































































































































































































































































































































































































































































































































































































































































































































































































