WO2013032829A1 - Poly(vinyl ester) polymers for in vivo nucleic acid delivery - Google Patents
Poly(vinyl ester) polymers for in vivo nucleic acid delivery Download PDFInfo
- Publication number
- WO2013032829A1 WO2013032829A1 PCT/US2012/051968 US2012051968W WO2013032829A1 WO 2013032829 A1 WO2013032829 A1 WO 2013032829A1 US 2012051968 W US2012051968 W US 2012051968W WO 2013032829 A1 WO2013032829 A1 WO 2013032829A1
- Authority
- WO
- WIPO (PCT)
- Prior art keywords
- polymer
- vinyl ester
- poly
- polynucleotide
- random copolymer
- Prior art date
- Legal status (The legal status is an assumption and is not a legal conclusion. Google has not performed a legal analysis and makes no representation as to the accuracy of the status listed.)
- Ceased
Links
- 0 CC(C(N(C)C(*)C(Nc1ccc(*)cc1)=C)=O)N* Chemical compound CC(C(N(C)C(*)C(Nc1ccc(*)cc1)=C)=O)N* 0.000 description 4
- VAQFXLQUIXEPQZ-UHFFFAOYSA-N CCSC(CCC(C(O1)=O)=C(C)C1=O)=O Chemical compound CCSC(CCC(C(O1)=O)=C(C)C1=O)=O VAQFXLQUIXEPQZ-UHFFFAOYSA-N 0.000 description 1
Classifications
-
- C—CHEMISTRY; METALLURGY
- C08—ORGANIC MACROMOLECULAR COMPOUNDS; THEIR PREPARATION OR CHEMICAL WORKING-UP; COMPOSITIONS BASED THEREON
- C08F—MACROMOLECULAR COMPOUNDS OBTAINED BY REACTIONS ONLY INVOLVING CARBON-TO-CARBON UNSATURATED BONDS
- C08F20/00—Homopolymers and copolymers of compounds having one or more unsaturated aliphatic radicals, each having only one carbon-to-carbon double bond, and only one being terminated by only one carboxyl radical or a salt, anhydride, ester, amide, imide or nitrile thereof
- C08F20/02—Monocarboxylic acids having less than ten carbon atoms, Derivatives thereof
- C08F20/10—Esters
- C08F20/34—Esters containing nitrogen, e.g. N,N-dimethylaminoethyl (meth)acrylate
-
- C—CHEMISTRY; METALLURGY
- C12—BIOCHEMISTRY; BEER; SPIRITS; WINE; VINEGAR; MICROBIOLOGY; ENZYMOLOGY; MUTATION OR GENETIC ENGINEERING
- C12N—MICROORGANISMS OR ENZYMES; COMPOSITIONS THEREOF; PROPAGATING, PRESERVING, OR MAINTAINING MICROORGANISMS; MUTATION OR GENETIC ENGINEERING; CULTURE MEDIA
- C12N15/00—Mutation or genetic engineering; DNA or RNA concerning genetic engineering, vectors, e.g. plasmids, or their isolation, preparation or purification; Use of hosts therefor
- C12N15/09—Recombinant DNA-technology
- C12N15/11—DNA or RNA fragments; Modified forms thereof; Non-coding nucleic acids having a biological activity
- C12N15/113—Non-coding nucleic acids modulating the expression of genes, e.g. antisense oligonucleotides; Antisense DNA or RNA; Triplex- forming oligonucleotides; Catalytic nucleic acids, e.g. ribozymes; Nucleic acids used in co-suppression or gene silencing
-
- A—HUMAN NECESSITIES
- A61—MEDICAL OR VETERINARY SCIENCE; HYGIENE
- A61K—PREPARATIONS FOR MEDICAL, DENTAL OR TOILETRY PURPOSES
- A61K31/00—Medicinal preparations containing organic active ingredients
- A61K31/70—Carbohydrates; Sugars; Derivatives thereof
- A61K31/7088—Compounds having three or more nucleosides or nucleotides
- A61K31/7105—Natural ribonucleic acids, i.e. containing only riboses attached to adenine, guanine, cytosine or uracil and having 3'-5' phosphodiester links
-
- A—HUMAN NECESSITIES
- A61—MEDICAL OR VETERINARY SCIENCE; HYGIENE
- A61K—PREPARATIONS FOR MEDICAL, DENTAL OR TOILETRY PURPOSES
- A61K47/00—Medicinal preparations characterised by the non-active ingredients used, e.g. carriers or inert additives; Targeting or modifying agents chemically bound to the active ingredient
- A61K47/50—Medicinal preparations characterised by the non-active ingredients used, e.g. carriers or inert additives; Targeting or modifying agents chemically bound to the active ingredient the non-active ingredient being chemically bound to the active ingredient, e.g. polymer-drug conjugates
-
- A—HUMAN NECESSITIES
- A61—MEDICAL OR VETERINARY SCIENCE; HYGIENE
- A61K—PREPARATIONS FOR MEDICAL, DENTAL OR TOILETRY PURPOSES
- A61K47/00—Medicinal preparations characterised by the non-active ingredients used, e.g. carriers or inert additives; Targeting or modifying agents chemically bound to the active ingredient
- A61K47/50—Medicinal preparations characterised by the non-active ingredients used, e.g. carriers or inert additives; Targeting or modifying agents chemically bound to the active ingredient the non-active ingredient being chemically bound to the active ingredient, e.g. polymer-drug conjugates
- A61K47/51—Medicinal preparations characterised by the non-active ingredients used, e.g. carriers or inert additives; Targeting or modifying agents chemically bound to the active ingredient the non-active ingredient being chemically bound to the active ingredient, e.g. polymer-drug conjugates the non-active ingredient being a modifying agent
- A61K47/56—Medicinal preparations characterised by the non-active ingredients used, e.g. carriers or inert additives; Targeting or modifying agents chemically bound to the active ingredient the non-active ingredient being chemically bound to the active ingredient, e.g. polymer-drug conjugates the non-active ingredient being a modifying agent the modifying agent being an organic macromolecular compound, e.g. an oligomeric, polymeric or dendrimeric molecule
- A61K47/58—Medicinal preparations characterised by the non-active ingredients used, e.g. carriers or inert additives; Targeting or modifying agents chemically bound to the active ingredient the non-active ingredient being chemically bound to the active ingredient, e.g. polymer-drug conjugates the non-active ingredient being a modifying agent the modifying agent being an organic macromolecular compound, e.g. an oligomeric, polymeric or dendrimeric molecule obtained by reactions only involving carbon-to-carbon unsaturated bonds, e.g. poly[meth]acrylate, polyacrylamide, polystyrene, polyvinylpyrrolidone, polyvinylalcohol or polystyrene sulfonic acid resin
-
- A—HUMAN NECESSITIES
- A61—MEDICAL OR VETERINARY SCIENCE; HYGIENE
- A61P—SPECIFIC THERAPEUTIC ACTIVITY OF CHEMICAL COMPOUNDS OR MEDICINAL PREPARATIONS
- A61P43/00—Drugs for specific purposes, not provided for in groups A61P1/00-A61P41/00
-
- C—CHEMISTRY; METALLURGY
- C08—ORGANIC MACROMOLECULAR COMPOUNDS; THEIR PREPARATION OR CHEMICAL WORKING-UP; COMPOSITIONS BASED THEREON
- C08F—MACROMOLECULAR COMPOUNDS OBTAINED BY REACTIONS ONLY INVOLVING CARBON-TO-CARBON UNSATURATED BONDS
- C08F218/00—Copolymers of compounds having one or more unsaturated aliphatic radicals, each having only one carbon-to-carbon double bond, and at least one being terminated by an acyloxy radical of a saturated carboxylic acid, of carbonic acid or of a haloformic acid
- C08F218/02—Esters of monocarboxylic acids
- C08F218/04—Vinyl esters
-
- C—CHEMISTRY; METALLURGY
- C08—ORGANIC MACROMOLECULAR COMPOUNDS; THEIR PREPARATION OR CHEMICAL WORKING-UP; COMPOSITIONS BASED THEREON
- C08F—MACROMOLECULAR COMPOUNDS OBTAINED BY REACTIONS ONLY INVOLVING CARBON-TO-CARBON UNSATURATED BONDS
- C08F218/00—Copolymers of compounds having one or more unsaturated aliphatic radicals, each having only one carbon-to-carbon double bond, and at least one being terminated by an acyloxy radical of a saturated carboxylic acid, of carbonic acid or of a haloformic acid
- C08F218/02—Esters of monocarboxylic acids
- C08F218/04—Vinyl esters
- C08F218/10—Vinyl esters of monocarboxylic acids containing three or more carbon atoms
-
- C—CHEMISTRY; METALLURGY
- C08—ORGANIC MACROMOLECULAR COMPOUNDS; THEIR PREPARATION OR CHEMICAL WORKING-UP; COMPOSITIONS BASED THEREON
- C08F—MACROMOLECULAR COMPOUNDS OBTAINED BY REACTIONS ONLY INVOLVING CARBON-TO-CARBON UNSATURATED BONDS
- C08F220/00—Copolymers of compounds having one or more unsaturated aliphatic radicals, each having only one carbon-to-carbon double bond, and only one being terminated by only one carboxyl radical or a salt, anhydride ester, amide, imide or nitrile thereof
- C08F220/02—Monocarboxylic acids having less than ten carbon atoms; Derivatives thereof
- C08F220/10—Esters
- C08F220/34—Esters containing nitrogen, e.g. N,N-dimethylaminoethyl (meth)acrylate
-
- C—CHEMISTRY; METALLURGY
- C08—ORGANIC MACROMOLECULAR COMPOUNDS; THEIR PREPARATION OR CHEMICAL WORKING-UP; COMPOSITIONS BASED THEREON
- C08L—COMPOSITIONS OF MACROMOLECULAR COMPOUNDS
- C08L33/00—Compositions of homopolymers or copolymers of compounds having one or more unsaturated aliphatic radicals, each having only one carbon-to-carbon double bond, and only one being terminated by only one carboxyl radical, or of salts, anhydrides, esters, amides, imides or nitriles thereof; Compositions of derivatives of such polymers
- C08L33/04—Homopolymers or copolymers of esters
- C08L33/06—Homopolymers or copolymers of esters of esters containing only carbon, hydrogen and oxygen, which oxygen atoms are present only as part of the carboxyl radical
-
- C—CHEMISTRY; METALLURGY
- C08—ORGANIC MACROMOLECULAR COMPOUNDS; THEIR PREPARATION OR CHEMICAL WORKING-UP; COMPOSITIONS BASED THEREON
- C08F—MACROMOLECULAR COMPOUNDS OBTAINED BY REACTIONS ONLY INVOLVING CARBON-TO-CARBON UNSATURATED BONDS
- C08F218/00—Copolymers of compounds having one or more unsaturated aliphatic radicals, each having only one carbon-to-carbon double bond, and at least one being terminated by an acyloxy radical of a saturated carboxylic acid, of carbonic acid or of a haloformic acid
- C08F218/22—Esters containing nitrogen
-
- C—CHEMISTRY; METALLURGY
- C12—BIOCHEMISTRY; BEER; SPIRITS; WINE; VINEGAR; MICROBIOLOGY; ENZYMOLOGY; MUTATION OR GENETIC ENGINEERING
- C12N—MICROORGANISMS OR ENZYMES; COMPOSITIONS THEREOF; PROPAGATING, PRESERVING, OR MAINTAINING MICROORGANISMS; MUTATION OR GENETIC ENGINEERING; CULTURE MEDIA
- C12N2310/00—Structure or type of the nucleic acid
- C12N2310/10—Type of nucleic acid
- C12N2310/14—Type of nucleic acid interfering nucleic acids [NA]
-
- C—CHEMISTRY; METALLURGY
- C12—BIOCHEMISTRY; BEER; SPIRITS; WINE; VINEGAR; MICROBIOLOGY; ENZYMOLOGY; MUTATION OR GENETIC ENGINEERING
- C12N—MICROORGANISMS OR ENZYMES; COMPOSITIONS THEREOF; PROPAGATING, PRESERVING, OR MAINTAINING MICROORGANISMS; MUTATION OR GENETIC ENGINEERING; CULTURE MEDIA
- C12N2310/00—Structure or type of the nucleic acid
- C12N2310/30—Chemical structure
- C12N2310/35—Nature of the modification
- C12N2310/351—Conjugate
-
- C—CHEMISTRY; METALLURGY
- C12—BIOCHEMISTRY; BEER; SPIRITS; WINE; VINEGAR; MICROBIOLOGY; ENZYMOLOGY; MUTATION OR GENETIC ENGINEERING
- C12N—MICROORGANISMS OR ENZYMES; COMPOSITIONS THEREOF; PROPAGATING, PRESERVING, OR MAINTAINING MICROORGANISMS; MUTATION OR GENETIC ENGINEERING; CULTURE MEDIA
- C12N2320/00—Applications; Uses
- C12N2320/30—Special therapeutic applications
Definitions
- polynucleotides and other substantially cell membrane impermeable compounds into a living cell is highly restricted by the complex membrane system of the cell.
- Drugs used in antisense, RNAi, and gene therapies are relatively large hydrophilic polymers and are frequently highly negatively charged. Both of these physical characteristics preclude their direct diffusion across the cell membrane. For this reason, the major barrier to polynucleotide delivery is the delivery of the polynucleotide across a cell membrane to the cell cytoplasm or nucleus.
- in vitro transfection reagents facilitates association with nucleic acid via charge-charge (electrostatic) interactions thus forming the nucleic acid/transfection reagent complex.
- Positive charge is also beneficial for nonspecific binding of the vehicle to the cell and for membrane fusion, destabilization, or disruption.
- Destabilization of membranes facilitates delivery of the substantially cell membrane impermeable polynucleotide across a cell membrane. While these properties facilitate nucleic acid transfer in vitro, they cause toxicity and ineffective targeting in vivo.
- Cationic charge results in interaction with serum components, which causes destabilization of the polynucleotide-transfection reagent interaction and poor bioavailability and targeting.
- Membrane activity of transfection reagents which can be effective in vitro, often leads to toxicity in vivo.
- the vehicle (nucleic acid and associated delivery agent) should be small, less than 100 nm in diameter, and preferably less than 50 nm. Even smaller complexes, less than 20 nm or less than 10 nm would be more useful yet. Delivery vehicles larger than 100 nm have very little access to cells other than blood vessel cells in vivo. Complexes formed by electrostatic interactions tend to aggregate or fall apart when exposed to physiological salt concentrations or serum components. Further, cationic charge on in vivo delivery vehicles leads to adverse serum interactions and therefore poor bioavailability.
- Rozema et al, in U.S. Patent Publication 20040162260 demonstrated a means to reversibly regulate membrane disruptive activity of a membrane active polyamine by reversible conversion of primary amines to pairs of carboxyl groups ( ⁇ carboxyl and ⁇ carboxyl of 2-propionic-3-methylmaleic anhydride).
- Rozema et al. (Bioconjugate Chem. 2003, 14, 51-57) reported that the ⁇ carboxyl did not exhibit a full apparent negative charge and by itself was not able to inhibit membrane activity. The addition of the ⁇ carboxyl group was reported to be necessary for effective membrane activity inhibition. However, because the vehicle was highly negatively charged, with both the nucleic acid and the modified polymer having high negative charge density, this system was not efficient for in vivo delivery.
- the invention features amphipathic cationic poly(vinyl ester) random copolymers particularly suited for delivering polynucleotides to cells in vivo.
- An amphipathic cationic poly(vinyl ester) random copolymer of the invention comprises a plurality of amine-containing vinyl ester monomers and a plurality of first hydrophobic vinyl ester monomers.
- the amine-containing monomers contain pendant primary amine groups.
- the hydrophobic monomers contain pendent hydrophobic groups having 2-20 carbon atoms selected from the group consisting of: hydrocarbon group, alkyl group, alkenyl group, alkynyl group, alkoxy alkyl group, aromatic group, and aryl group.
- the polymers may further comprise a plurality of second amine-containing vinyl ester monomers or a plurality of second hydrophobic vinyl ester monomers.
- Second amine-containing vinyl ester monomers contain pendant amine groups selected from the group consisting of: primary amine, secondary amine, tertiary amine, quaternary amine, protected amine, nitrogen heterocycle, aldimine, hydrazide, hydrazone, and imidazole.
- the poly(vinyl ester) random copolymers of the invention are membrane active.
- a preferred poly(vinyl ester) random copolymer comprises primary amine containing and butyryl vinyl ester monomers.
- Poly(vinyl ester) random copolymers of the invention may be synthesized from two, three, or four different monomers.
- Monomers may be selected from the list comprising: protected amine vinyl ester, imidazole vinyl ester, alkyl vinyl ester, alkenyl vinyl ester, alkynyl vinyl ester, aromatic vinyl ester, and aryl vinyl ester.
- Protected amine vinyl ester monomers include, but are not limited to: tert-Butoxycabonyl (Boc) protected amine containing vinyl ester.
- Protected primary amine monomers are copolymerized with alkyl vinyl ester monomers.
- the amine protecting groups are then removed post-polymerization to form aqueous soluble, amphipathic random copolymers.
- the aliphatic hydrophobic groups may be linear, branched, or cyclic and may contain one or more substitutions of heteroatoms.
- poly(vinyl ester) random copolymers are synthesized by Reversible Addition-Fragmentation chain Transfer (RAFT) polymerization.
- RAFT Reversible Addition-Fragmentation chain Transfer
- MDP-DTC Malonate N,N-diphenyl dithiocarbamate
- RAFT polymerization, and optionally fractionization polymers having a polydispersity of less than 1.5 , or more preferably less than 1.4 or 1.3, are possible.
- the described amphipathic poly(vinyl ester) random copolymers are reversibly modified.
- Reversible modification comprises attachment of a plurality of masking agents, as defined herein, to polymer primary amines through a plurality of reversible physiologically labile covalent bonds.
- Reversible physiologically labile covalent bonds may be selected from the group comprising: pH labile bonds and enzymatically cleavable bonds.
- reversible modification means polymer primary amines are restored upon cleavage of the physiologically labile covalent bond linking the masking agent to the polymer.
- more than 50%, more than 60%, more than 70%, more than 80%, or more than 90% of polymer primary amines are modified by reversible attachment of masking agents.
- Masking agents may be selected from the group comprising: steric stabilizers and targeting groups.
- the masking agents improve biodistribution or targeting of the polymer or a polymer-polynucleotide conjugate in vivo.
- Masking agents may inhibit non-specific interactions of the polymer with serum components or non-target cells.
- Masking agents may reduce aggregation of the polymer or polymer- polynucleotide conjugate.
- Masking agents containing targeting groups enhance cell-specific targeting or cell internalization by targeting the conjugate system to a cell surface receptor.
- the masking agents can be conjugated to the polymer prior to or subsequent to conjugation of the polymer to a polynucleotide.
- a polynucleotide is linked to the polymer of the invention through a second physiologically labile covalent bond.
- One or more polynucleotides may be linked to the polymer via the second physiologically labile covalent bonds.
- the labile bond linking the masking agent to the polymer, first labile bond, and the labile bond linking the polynucleotide to the polymer, second labile bond maybe cleaved under the same or similar conditions or they may be cleaved under distinct conditions, i.e. they may be orthogonal labile bonds.
- the polynucleotide may be selected from the group comprising: DNA, R A, blocking polynucleotide, oligonucleotide, RNA interference polynucleotide, siRNA, microRNA, mRNA, and shRNA.
- Second physiologically labile covalent bonds may be selected from the group comprising: pH labile bonds, enzymatically cleavable bonds, disulfide bonds, and nucleic acid ester bonds.
- composition comprising: an amphipathic poly(vinyl ester) random copolymer covalently linked to: a) one or more targeting groups and or steric stabilizers via reversible physiologically labile covalent bonds; and, b) one or more polynucleotides via orthogonal second physiologically labile covalent bonds.
- the polynucleotide-polymer conjugate is administered to a mammal in a pharmaceutically acceptable carrier or diluent.
- a polymer conjugate system for delivering a membrane impermeable molecule to a cell and releasing the molecule in the cell.
- the polymer conjugate system comprises the membrane impermeable molecule reversibly linked to a reversibly modified poly(vinyl ester) of the invention.
- a preferred membrane impermeable molecule comprises a polynucleotide.
- a preferred polynucleotide comprises an RNA interference polynucleotide.
- a preferred RNA interference polynucleotide comprises an siRNA or miRNA.
- the invention features a composition for delivering an RNA interference polynucleotide to a liver cell in vivo comprising: an amphipathic poly(vinyl ester) random copolymer covalently linked to: one or more targeting groups and/or steric stabilizers via reversible physiologically labile covalent bonds and an RNA interference polynucleotide conjugated to a polynucleotide targeting group (polynucleotide conjugate).
- a preferred polynucleotide targeting group is a hydrophobic group containing at least 20 carbon atoms.
- Another preferred polynucleotide targeting group is a trivalent galactosamine.
- the poly(vinyl ester) and the polynucleotide-conjugate are synthesized separately and may be supplied in separate containers or a single container. In this composition, the polynucleotide is not conjugated to the polymer.
- the modified polymer and polynucleotide-conjugate are administered to a mammal in pharmaceutically acceptable carriers or diluents.
- the delivery polymer and the RNAi polynucleotide conjugate may be combined in a solution prior to administration to the mammal.
- the delivery polymer and the RNAi polynucleotide conjugate may be co-administered to the mammal in separate solutions.
- the delivery polymer and the RNAi polynucleotide conjugate may be administered to the mammal sequentially.
- the delivery polymer may be administered prior to administration of the RNAi polynucleotide conjugate.
- the RNAi polynucleotide conjugate may be administered prior to administration of the delivery polymer.
- amphipathic poly(vinyl ester) random copolymers are suitable for delivering polynucleotides to mammalian cells in vitro.
- the amphipathic poly(vinyl ester) random copolymers may be reversibly modified as described or used without reversible modification. They may also be combined with lipids or other polymers.
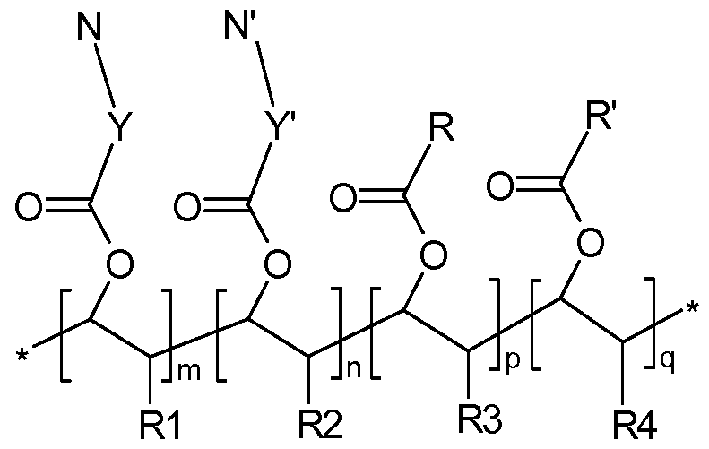
- FIG. 1 Illustration shown the structure of an various amphipathic poly(vinyl ester) random copolymer wherein :
- N is a primary amine having the form -NH 2 ,
- N' is a secondary, tertiary, or quaternary amine having the form -NR 5 H, -NR 5 R 6 , or
- N' can be a nitrogen heterocycle, aldimine, hydrazide, hydrazone, or imidazole,
- Y and Y' are linker groups
- R and R' are hydrophobic groups independently having 2-20 carbon atoms
- Rl, R2, R3, and R4 are independently selected from hydrogen (-H) and methyl (-CH 3 ), m and p are integers greater than zero (0),
- n and q are integers greater than or equal to zero (0)
- FIG. 2 Illustration showing the structures of various dipeptide masking agents.
- the present invention relates to amphipathic poly(vinyl ester) random copolymers and conjugate systems thereof useful for the delivery of biologically active substances, such as nucleic acids, peptides, and proteins.
- biologically active substances such as nucleic acids, peptides, and proteins.
- the delivery of nucleic acids and other substantially cell membrane impermeable compounds into a living cell is highly restricted by the complex membrane system of the cell.
- the amphipathic poly(vinyl ester) random copolymers are reversibly modified by covalent attachment of masking agents via physiologically labile linkages.
- the present invention is directed to membrane active poly(vinyl ester) random copolymers of formula (I):
- N is a primary amine having the form -NH 2 ,
- N' is a secondary, tertiary, or quaternary amine having the form -NR 5 H, -NR 5 R 6 , or -NR 5 R 6 R 7 wherein R 5 , R 6 , and R 7 are independently selected from -CH 3 and -CH 2 -CH 3 , or alternatively N' can be a nitrogen heterocycle, aldimine, hydrazide, hydrazone, or imidazole,
- Y and Y' are linker groups
- R and R' are hydrophobic groups as defined herein independently having 2-20 carbon atoms, or alkoxyl ethyl groups, -(CH 2 ) / -0-CH 2 -CH 3 , wherein / is 2, 3, or 4 (a preferred alkoxy ethyl group is a 2-ethoxyethyl group, H H 2 ) 2 -0-CH 2 -CH 3 ,
- Rl, R2, R3, and R4 are independently selected from hydrogen (-H) and methyl (-(3 ⁇ 4), m and p are integers greater than zero (0),
- n and q are integers greater than or equal to zero (0)
- the ratio (m+n)/(p+q) is 1-9 (50-90% amines) and more preferably 1.5-4 (60-80% amines).
- a preferred R group is a hydrophobic group having 2-6 carbon atoms.
- Linker groups Y and Y' are uncharged and link the nitrogen to the vinyl ester via 1 -24 carbon atoms, one or more of which may be substituted for heteroatoms.
- Linker groups Y and Y' are uncharged and link the nitrogen to the vinyl ester via 1 -24 carbon atoms, one or more of which may be substituted for heteroatoms.
- Y and Y' independently contain 1-12 carbon atoms, one or more of which may be substituted for heteroatoms. In one embodiment, Y and Y' are independently selected from -(CH 2 ) X - and
- the present invention is directed to vinyl ester random copolymers of formula (la):
- N is a primary amine having the form -NH 2 ,
- Y is a linker group as described above
- R is a hydrophobic group as defined herein having 2-6 carbon atoms or an alkoxyl ethyl group, -(CH 2 ) ⁇ 0-CH 2 -CH 3 , wherein / is 2, 3, or 4 (preferably 2-ethoxyethyl), Rl and R3 are independently selected from hydrogen (-H) and methyl (-(3 ⁇ 4), m is an integer greater than zero (0),
- p is an integer greater than zero (0)
- the ratio m/p is 1-9 (50-90% amines) and more preferably 1.5-4 (60-80% amines).
- the polymers according to the present invention can be generally obtained as described herein and using methods known to the person of ordinary skill in the art of organic or medicinal chemistry.
- the polymers are polymerized from hydrophobic group-containing vinyl ester monomers and protected amine-containing vinyl ester monomers.
- Polymerization to form the polymers of the invention is preferably carried out using Reversible Addition- Fragmentation chain Transfer (RAFT) polymerization.
- RAFT Reversible Addition- Fragmentation chain Transfer
- the RAFT polymerization is carried out using Malonate ⁇ , ⁇ -diphenyl dithiocarbamate (MDP-DTC).
- MDP-DTC Malonate ⁇ , ⁇ -diphenyl dithiocarbamate
- Polymer synthesis is performed using protected amine monomers.
- Reversible Addition-Fragmentation chain Transfer (RAFT) polymerization is a form of controlled radical polymerization. More specifically, RAFT is a type of living polymerization involving a conventional radical polymerization in the presence of a reversible chain transfer reagent. RAFT polymerization permits synthesis of a wide range of polymers with controlled molecular weight and low polydispersity (PDI), between 1.05 and 1.6, for many monomers.
- Poly(vinyl ester)s of the invention preferably have a polydispersity less than 1.5 and more preferably less than 1.4 or 1.3. Fractionation may be used to further reduce polydispersity.
- RAFT polymerization is described in WO9504026, WO9801478, WO9905099, W09931 144, WO10083569, U.S. Patent 6,291,620, U.S. Patent 6,376,626, U.S. Patent 6,642,318, and U.S. Patent 6,747, 11 1.
- Polymers with molecular weights greater than 20,000 and low polydisperity are also possible with RAFT polymerization and are preferred for in vivo delivery. In order for macromolecules to circulate through the blood stream effectively and to not be cleared by the kidneys, molecular weights above 30,000 - 50,000 are often preferred.
- the unmodified amphipathic poly(vinyl ester) random copolymers of the invention are membrane active; i.e., they are capable of disrupting plasma membranes or lysosomal/endocytic membranes.
- Membrane activity can lead to toxicity when the polymer is administered in vivo.
- Polyamines also interact readily with many anionic components in vivo, leading to undesired bio-distribution. Therefore, reversible inhibition of membrane activity of the polyamine is used for in vivo use. This inhibition is accomplished through reversible physiologically labile attachment of masking agents to polymer amines to form a reversibly masked membrane active poly(vinyl ester), i.e.
- the masking agents shield the polymer from non-specific interactions, reduce serum interactions, increase circulation time, or provide cell-specific interactions, i.e. targeting.
- the process of reversible modification also reduces positive charge to form a near neutral charge polymer.
- labile means that linkage of the masking agent to the polymer is readily cleaved under conditions typically present under physiological conditions.
- reversible means that cleavage of the bond linking the masking agent to the polymer results in restoration of the polymer amine to the pre-modified state, i.e. to a primary amine.
- a preferred reversible physiologically labile linkage comprises: a physiologically labile covalent bond or a covalent bond cleavable under mammalian intracellular conditions.
- a preferred labile covalent bond comprises a pH labile bond.
- a preferred pH labile physiologically labile linkage comprises a maleamate.
- Another preferred physiologically labile linkage comprises an enzymatically cleavable linkage.
- a preferred enzymatically cleavable linkage is a peptide (amide) bond.
- a preferred peptide linkage comprises a dipeptide-amidobenzyl-carbonate as described in U.S. Patent Application 13/326,433, incorporated herein by reference.
- the membrane active poly(vinyl ester)s of the invention are membrane active in the unmodified (unmasked) state and not membrane active (inactivated) in the modified (masked) state.
- a sufficient number of masking agents are linked to the polymer to achieve the desired level of inactivation.
- the desired level of modification of a poly(vinyl ester) by attachment of masking agent(s) is readily determined using appropriate membrane activity assays.
- a sufficient level of masking agent is linked to the polymer to achieve the desired level of inhibition of membrane activity in that assay.
- Masking requires modification of >50%, >60%, >70%, or >80% of the amine groups on the polymer, as determined by the quantity of amines on the polymer in the absence of any masking agents. It is also a preferred characteristic of masking agents that their attachment to the polymer reduces net charge of the polymer, thus forming a more neutral delivery polymer. It is desirable that the masked polymer retain aqueous solubility.
- a membrane active poly(vinyl ester) of the invention is masked if the modified polymer does not exhibit membrane activity and exhibits cell-specific (e.g., hepatocyte) targeting in vivo.
- a membrane active poly(vinyl ester) of the invention is reversibly masked if cleavage of linkages attaching the masking agents to the polymer results in restoration of amines on the poly(vinyl ester) thereby restoring membrane activity. It is another essential feature that the masking agents are linked to the membrane active poly(vinyl ester) through reversible physiologically labile covalent bonds.
- the masking agents can be cleaved from the polymer in vivo, thereby unmasking the polymer and restoring activity of the unmasked polymer.
- an appropriate reversible linkage it is possible to form a conjugate that restores activity of the membrane active polymer after it has been delivered or targeted to a desired cell type or cellular location. Reversibility of the linkages provides for selective activation of the membrane active polymer.
- Suitable reversible covalent linkages contain reversible labile bonds which may be selected from the group comprising: physiologically labile bonds, cellular physiologically labile bonds, protease sensitive linkages, pH labile bonds, very pH labile bonds, and extremely pH labile bonds.
- a masking agent comprises a compound having an cell targeting group or a steric stabilizer and an amine-reactive group wherein reaction of the amine-reactive group with an amine on a poly(vinyl ester) results in linkage of the targeting group or steric stabilizer to the polymer via a reversible physiologically labile covalent bond.
- the masking agent is charge neutral.
- a preferred targeting group is an Asialoglycoprotein Receptor (ASGPr) targeting group.
- An ASGPr targeting group is a group, typically a saccharide, having affinity for the asialoglycoprotein receptor.
- a preferred steric stabilizer is a polyethylene glycol (PEG).
- Preferred masking agents of the invention are able to modify the poly(vinyl ester)s of the invention (form a reversible bond with the polymer) in aqueous solution.
- a preferred amine-reactive group comprises a disubstituted maleic anhydride.
- a preferred masking agent is represented by the structure:
- R 1 is an alkyl group such as a methyl group (-(3 ⁇ 4), ethyl group (-CH 2 CH 3 ), or propyl group (-CH 2 CH 2 CH 3 ), and R 2 comprises a neutral targeting group or a neutral steric stabilizer. More preferably, the targeting agent and steric stabilizer are uncharged.
- poly(vinyl ester) polyamines of the invention are reversibly modified by reaction with a plurality of disubstituted maleic anhydrides.
- the present invention therefore provides random copolymers of formulae:
- ml + m3 is an integer > m2 [i.e., > 0.5 xm of formulae (I) or (la) and ⁇ m of formula (I) or (la)],
- R7 is an alkyl group and R8 comprises a neutral targeting group or R8 is an alkyl group and R7 comprises a neutral targeting group, and
- R9 is an alkyl group and RIO comprises a neutral steric stabilizer or RIO is an alkyl group and R9 comprises a neutral steric stabilizer.
- Another preferred masking agent comprises a protease sensitive dipeptide-amidobenzyl- carbonate represented by the structure:
- R4 comprises a neutral, preferably uncharged, targeting ligand or steric stabilizer
- R3 comprises an amine reactive carbonate group
- Rl and R2 are amino acid side chains.
- Rl is a hydrophobic amino acid side chain
- R2 is an uncharged hydrophilic amino acid side chain.
- a preferred hydrophobic amino acid is phenylalanine, valine, isoleucine, leucine, alanine, or tryptophan.
- a preferred uncharged hydrophilic amino acid is asparagine, glutamine, or citrulline.
- a more preferred hydrophobic amino acid is phenylalanine or valine.
- a more preferred uncharged hydrophilic amino acid is citrulline.
- a preferred activated carbonate is a para-nitrophenol.
- other amine reactive carbonates known in the art are readily substituted for the para-nitrophenol.
- Reaction of the activated carbonate with an amine connects the targeting ligand or steric stabilizer to the membrane active polyamine via a peptidase cleavable dipeptide-amidobenzyl carbamate linkage.
- Enzyme cleavage of the dipeptide, between the amino acid and the amidobenzyl group removes R4 from the polymer and triggers an elimination reaction which results in regeneration of the polymer amine.
- conjugates comprising the amphipathic membrane active poly(vinyl ester)s described herein masked by modification with dipeptide-amidobenzyl-carbonate masking agents.
- the polymers so masked have the formula:
- X is -NH-, -0-, or -CH 2 - Y is -NH- or -O- Rl is preferably
- R2 is preferably
- R 1 and R 2 are alkyl groups
- R4 comprises a neutral polyethylene glycol or targeting ligand
- the polyamine is an amphipathic membrane active poly(vinyl ester).
- the membrane active poly(vinyl ester)s of the invention can be conjugated to masking agents in the presence of an excess of masking agents.
- the excess masking agent may be removed from the conjugated delivery polymer prior to administration of the delivery polymer.
- the membrane active poly(vinyl ester) polyamine is reversibly masked by attachment of targeting group masking agents or steric stabilizer masking agents to >50%, >60%, >70%, or >80% of amines on the polyamine.
- the membrane active polyamine is reversibly masked by attachment of a combination of targeting group masking agents and steric stabilizer masking agents to >50%, >60%, >70%, or >80% of amines on the polyamine.
- the targeting group masking agents comprise a targeting group linked to an amine-reactive group via a PEG linker.
- a ratio of steric stabilizer to targeting group is about 0-4: 1, more preferably about 0.5-2: 1.
- a conjugate of the polymers of formula (I) or (la) covalently attached to a biologically active compound preferably an RNA interference polynucleotide.
- the polymer is covalently linked to the polynucleotide by a physiologically labile linkage.
- a preferred physiologically labile linkage is orthogonal to the masking agent physiologically labile linkage.
- a suitable physiologically labile linkage may be selected from the group comprising: physiologically labile bonds, cellular physiologically labile bonds, pH labile bonds, very pH labile bonds, extremely pH labile bonds, enzymatically cleavable bonds (including appropriate ester, amide, and phopshodiester bonds), and disulfide bonds.
- the labile linker is selected such that it undergoes a chemical transformation (e.g., cleavage) when present in certain physiological conditions, (e.g., the reducing environment of the cell cytoplasm).
- Attachment of a polynucleotide to poly(vinyl ester) of the invention enhances delivery of the polynucleotide to a cell in vivo. Release of the polynucleotide from the polymer, by cleavage of the labile linkage, facilitates interaction of the polynucleotide with the appropriate cellular components for activity.
- the RNAi polynucleotide-polymer conjugate is formed by linking the RNAi polynucleotide to the polymer via a physiologically labile covalent bond.
- the polynucleotide is synthesized or modified such that it contains a reactive group A.
- the polymer is also synthesized or modified such that it contains a reactive group B.
- Reactive groups A and B are chosen such that they can be linked via a physiologically labile covalent linkage using methods known in the art.
- the polymer may be linked to the 3' or the 5' end of the RNAi polynucleotide.
- the targeting group may be linked to either the sense strand or the antisense strand, though the sense strand is preferred.
- RNAi polynucleotide Conjugation of the RNAi polynucleotide to a side chain primary amine of polymers (I) or (la) results in polymers of formula (IV) or (IVa).
- N', Y, Y', R, R', Rl, R2, R3, R4, m, n, p, q have the meanings given for formulae (I) and (la) above,
- n 1, 2, 3, or 4
- the linker comprises a physiologically labile linker.
- RNAi polynucleotide is conjugated to a polymer backbone terminus as illustrated in formulae (V) and (Va).
- the polynucleotide may also be attached to the other terminus.
- a biologically active compound preferably an RNA interference polynucleotide
- the polymer is covalently linked to the polynucleotide by a physiologically labile linkage.
- the polynucleotide can be attached to the polymer in the presence of an excess of polymer.
- the excess polymer may aid in formulation of the polynucleotide-polymer conjugate.
- the excess polymer may reduce aggregation of the conjugate during formulation of the conjugate.
- the polynucleotide-polymer conjugate may be separated from the excess polymer prior to administration of the conjugate to the cell or organism.
- the polynucleotide- polymer conjugate may be co-administered with the excess polymer to the cell or organism.
- the excess polymer may be the same as the polymer or it may be different, a helper or boost polymer.
- the invention features compositions for delivering RNA interference polynucleotides to a liver cells in vivo comprising: a polymer of formula (II), (Ila), or (III), and an RNA interference polynucleotide conjugated to a polynucleotide targeting group.
- the polynucleotide targeting group can be either a hydrophobic group containing at least 20 carbon atoms or a trivalent ASPGr targeting group as described in U.S. Patent Publication 201 10207799.
- the reversibly modified poly(vinyl ester) and the siRNA-conjugate are synthesized separately and may be supplied in separate containers or a single container.
- the RNA interference polynucleotide is not conjugated to the polymer.
- RNAi polynucleotide conjugation of an RNAi polynucleotide to a polynucleotide targeting group, either a hydrophobic group or to a galactose cluster, and co-administration of the RNAi polynucleotide conjugate with the modified poly(vinyl ester) polymers described above provides for efficient, functional delivery of the RNAi polynucleotide to liver cells, particularly hepatocytes, in vivo.
- functional delivery it is meant that the RNAi polynucleotide is delivered to the cell and has the expected biological activity, sequence- specific inhibition of gene expression.
- Many molecules, including polynucleotides, administered to the vasculature of a mammal are normally cleared from the body by the liver.
- RNAi polynucleotide-polynucleotide targeting group conjugate is co-administered with a reversibly modified poly(vinyl ester) of the invention.
- co-administered it is meant that the RNAi polynucleotide and the delivery polymer are administered to the mammal such that both are present in the mammal at the same time.
- the RNAi polynucleotide-targeting group conjugate and the delivery polymer may be administered simultaneously or they may be delivered sequentially. For simultaneous administration, they may be mixed prior to administration. For sequential administration, either the RNAi polynucleotide-targeting group conjugate or the delivery polymer may be administered first.
- RNAi conjugate may be administered up to 30 minutes prior to administration of the delivery polymer. Also for RNAi polynucleotide-hydrophobic targeting group conjugates, the delivery polymer may be administered up to two hours prior to administration of the RNAi conjugate.
- RNAi conjugate may be administered up to 15 minutes prior to administration of the delivery polymer. Also for RNAi polynucleotide-galactose cluster targeting group conjugates, the delivery polymer may be administered up to 15 minutes prior to administration of the RNAi conjugate. Amphipathic
- the poly(vinyl ester) random copolymers of the invention are amphipathic.
- Amphipathic, or amphiphilic, polymers and have both hydrophilic (polar, water-soluble) and hydrophobic (non-polar, lipophilic, water-insoluble) groups or parts.
- amphipathic polymers a part is defined as a molecule derived when one covalent bond is broken and replaced by hydrogen. For example, in butyl amine, a breakage between the carbon and nitrogen bonds, and replacement with hydrogens, results in ammonia (hydrophilic) and butane (hydrophobic). If 1,4-diaminobutane is cleaved at nitrogen-carbon bonds, and replaced with hydrogens, the resulting molecules are again ammonia (2x) and butane. However, 1,4,-diaminobutane is not considered amphipathic because formation of the hydrophobic part requires breakage of two bonds.
- Membrane Active a breakage between the carbon and nitrogen bonds, and replacement with hydrogens
- membrane active polymers are surface active, amphipathic polymers that are able to induce one or more of the following effects upon a biological membrane: an alteration or disruption of the membrane that allows non-membrane permeable molecules to enter a cell or cross the membrane, pore formation in the membrane, fission of membranes, or disruption or dissolving of the membrane.
- a membrane, or cell membrane comprises a lipid bilayer.
- the alteration or disruption of the membrane can be functionally defined by the polymer's activity in at least one the following assays: red blood cell lysis (hemolysis), liposome leakage, liposome fusion, cell fusion, cell lysis, and endosomal release.
- Membrane active polymers that can cause lysis of cell membranes are also termed membrane lytic polymers. Polymers that preferentially cause disruption of endosomes or lysosomes over plasma membrane are considered endosomolytic. The effect of membrane active polymers on a cell membrane may be transient. Membrane active polymers possess affinity for the membrane and cause a denaturation or deformation of bilayer structures. Membrane active polymers may be synthetic or non-natural amphipathic polymers.
- a polynucleotide to a cell is mediated by the membrane active polymer disrupting or destabilizing the plasma membrane or an internal vesicle membrane (such as an endosome or lysosome), including forming a pore in the membrane, or disrupting endosomal or lysosomal vesicles thereby permitting release of the contents of the vesicle into the cell cytoplasm.
- an internal vesicle membrane such as an endosome or lysosome
- Endosomolytic polymers are polymers that, in response to a change in pH, are able to cause disruption or lysis of an endosome or provide for release of a normally cell membrane impermeable compound, such as a polynucleotide or protein, from a cellular internal membrane-enclosed vesicle, such as an endosome or lysosome.
- Endosomolytic polymers undergo a shift in their physico-chemical properties over a physiologically relevant pH range (usually pH 5.5 - 8). This shift can be a change in the polymer's solubility or ability to interact with other compounds or membranes as a result in a shift in charge, hydrophobicity, or hydrophilicity.
- Exemplary endosomolytic polymers have pH-labile groups or bonds.
- a reversibly masked membrane active poly(vinyl ester), wherein the masking agents are attached to the polymer via pH labile bonds, can therefore be considered to be an endosomolytic polymer.
- Hydrophilic group indicates in qualitative terms that the chemical group is water-preferring. Typically, such chemical groups are water soluble, and are hydrogen bond donors or acceptors with water.
- a hydrophilic group can be charged or uncharged. Charged groups can be positively charged (anionic) or negatively charged (cationic) or both (zwitterionic). Examples of hydrophilic groups include the following chemical moieties: carbohydrates, polyoxyethylene, certain peptides, oligonucleotides, amines, amides, alkoxy amides, carboxylic acids, sulfurs, and hydroxyls.
- Hydrophobic group indicates in qualitative terms that the chemical group is water-avoiding. Typically, such chemical groups are not water soluble, and tend not to form hydrogen bonds. Hydrophobic groups dissolve in fats, oils, lipids, and non-polar solvents and have little to no capacity to form hydrogen bonds. Hydrocarbons containing two (2) or more carbon atoms, certain substituted hydrocarbons, cholesterol, and cholesterol derivatives are examples of hydrophobic groups and compounds.
- Hydrophobic groups are preferably hydrocarbons, containing only carbon and hydrogen atoms. However, non-polar substitutions or non-polar heteroatoms which maintain hydrophobicity, and include, for example fluorine, may be permitted.
- the term includes aliphatic groups, aromatic groups, acyl groups, alkyl groups, alkenyl groups, alkynyl groups, aryl groups, aralkyl groups, aralkenyl groups, and aralkynyl groups, each of which may be linear, branched, or cyclic.
- hydrophobic group also includes: sterols, steroids, cholesterol, and steroid and cholesterol derivatives.
- lower hydrophobic monomers or groups comprise hydrophobic groups having two (2) to six (6) carbon atoms.
- medium hydrophobic monomers or groups comprise hydrophobic groups having seven (7) to eleven (11) carbon atoms.
- higher hydrophobic monomers or groups comprise hydrophobic groups having twelve (12) to thirty-six (36) or more carbon atoms.
- Targeting groups or moieties enhance the pharmacokinetic or biodistribution properties of a conjugate to which they are attached to improve cell-specific distribution and cell-specific uptake of the conjugate.
- Targeting groups enhance the association of molecules with a target cell.
- targeting groups can enhance the pharmacokinetic or biodistribution properties of a conjugate to which they are attached to improve cellular distribution and cellular uptake of the conjugate.
- Binding of a targeting group, such as a ligand, to a cell or cell receptor may initiate endocytosis.
- Targeting groups may be monovalent, divalent, trivalent, tetravalent, or have higher valency.
- Targeting groups may be selected from the group comprising: compounds with affinity to cell surface molecule, cell receptor ligands, and antibodies, antibody fragments, and antibody mimics with affinity to cell surface molecules.
- a preferred targeting group comprises a cell receptor ligand.
- a variety of ligands have been used to target drugs and genes to cells and to specific cellular receptors.
- Cell receptor ligands may be selected from the group comprising: carbohydrates, glycans, saccharides (including, but not limited to: galactose, galactose derivatives, mannose, and mannose derivatives), vitamins, folate, biotin, aptamers, and peptides (including, but not limited to: RGD-containing peptides, insulin, EGF, and transferrin).
- an ASGPr targeting group comprises a galactose and galactose derivative (structural analog) having affinity for the ASGPr equal to or greater than that of galactose. Binding of galactose targeting moieties to the ASGPr(s) facilitates cell-specific targeting of the delivery polymer to hepatocytes and endocytosis of the delivery polymer into hepatocytes.
- ASGPr targeting moieties may be selected from the group comprising: lactose, galactose, N- acetylgalactosamine (GalNAc), galactos amine, N-formylgalactosamine, N-acetyl- galactosamine, N-propionylgalactosamine, N-n-butanoylgalactos amine, N-iso-butanoyl- galactosamine, oligosaccharides, saccharide clusters (such as: Tyr-Glu-Glu-(aminohexyl GalNAc)3, lysine-based galactose clusters, and cholane-based galactose clusters) (Iobst, S.T.
- ASGPr targeting moieties can be monomeric (e.g., having a single galactosamine) or multimeric (e.g., having multiple galactosamines).
- Further suitable conjugates can include oligosaccharides that can bind to carbohydrate recognition domains (CRD) found on the asialoglycoprotein-receptor (ASGP-R).
- CCD carbohydrate recognition domains
- ASGP-R asialoglycoprotein-receptor
- Example conjugate moieties containing oligosaccharides and/or carbohydrate complexes are provided in U.S. Pat. No. 6,525,031.
- an ASGPr targeting group is linked to an amine-reactive group, such as a maleic anhydride, through a PEG linker as illustrated by the structure:
- an ASGPr targeting group comprises a galactose cluster (galactose cluster targeting group).
- a galactose cluster comprises a molecule having two to four terminal galactose derivatives. A terminal galactose derivative is attached to a molecule through its C-1 carbon.
- a preferred galactose cluster has three terminal galactosamines or galactosamine derivatives each having affinity for the asialoglycoprotein receptor.
- a more preferred galactose cluster has three terminal N-acetyl-galactosamines.
- tri-antennary galactose tri-valent galactose and galactose trimer. It is known that tri-antennary galactose derivative clusters are bound to the ASGPr with greater affinity than bi-antennary or mono-antennary galactose derivative structures (Baenziger and Fiete, 1980, Cell, 22, 61 1-620; Connolly et al, 1982, J. Biol. Chem., 257, 939-945).
- a galactose cluster contains three galactose derivatives each linked to a central branch point.
- the galactose derivatives are attached to the central branch point through the C-1 carbons of the saccharides.
- the galactose derivative is preferably linked to the branch point via linkers or spacers.
- a preferred spacer is a flexible hydrophilic spacer (U.S. Patent 5885968; Biessen et al. J. Med. Chem. 1995 Vol. 39 p. 1538-1546).
- a preferred flexible hydrophilic spacer is a PEG spacer.
- a preferred PEG spacer is a PEG 3 spacer.
- the branch point can be any small molecule which permits attachment of the three galactose derivatives and further permits attachment of the branch point to the RNAi polynucleotide.
- An exemplary branch point group is a di-lysine.
- a di-lysine molecule contains three amine groups through which three galactose derivatives may be attached and a carboxyl reactive group through which the di- lysine may be attached to the RNAi polynucleotide.
- a steric stabilizer is a non-ionic hydrophilic polymer (either natural, synthetic, or non-natural) that prevents or inhibits intramolecular or intermolecular interactions of a polymer to which it is attached relative to the polymer containing no steric stabilizer.
- a steric stabilizer hinders a polymer to which it is attached from engaging in electrostatic interactions. Electrostatic interaction is the non-covalent association of two or more substances due to attractive forces between positive and negative charges.
- Steric stabilizers can inhibit interaction with blood components and therefore opsonization, phagocytosis, and uptake by the reticuloendothelial system. Steric stabilizers can thus increase circulation time of molecules to which they are attached.
- a preferred steric stabilizer is a polyethylene glycol (PEG) or PEG derivative.
- PEG polyethylene glycol
- a preferred PEG can have about 1-500 ethylene glycol monomers, 2-20 ethylene glycol monomers, 5-15 ethylene glycol monomers, or about 10 ethylene glycol monomers.
- a preferred PEG can also have a molecular weight average of about 85- 20,000 Daltons (Da), about 200-1000 Da, about 200-750 Da, or about 550 Da.
- steric stabilizers prevent or inhibit intramolecular or intermolecular interactions of a polymer to which it is attached relative to the polymer containing no steric stabilizer in aqueous solution.
- a structural analog is a compound having a structure similar to that of another one, but differing from it in respect of a certain component. It can differ in one or more atoms, functional groups, or substructures, which are replaced with other atoms, groups, or substructures. Typically, a structural analog differs in the replacement of a single element, i.e. replacement of one atom or functional group by another atom of a different element or functional group.
- a structural analog can be imagined to be formed, at least theoretically, from the other compound.
- a structural analog has a high chemical similarity to the other compound.
- structural analogs may have very different physical, chemical, or biochemical properties.
- structural analogs have similar physical, chemical, or biochemical properties.
- Zeta potential is a physical property which is exhibited by a particle in suspension and is closely related to surface charge.
- the pH of the sample is one of the most important factors that affects zeta potential.
- a zeta potential value must include the solution conditions, especially pH, to be meaningful.
- the magnitude of the zeta potential gives an indication of the potential stability of the colloidal system. If all the particles in suspension have a large negative or positive zeta potential, they will tend to repel each other and there will be no tendency for the particles to come together.
- the general dividing line between stable and unstable suspensions for typical particles is generally taken at either +30 or -30 mV. Particles with zeta potentials more positive than +30 mV or more negative than -30 mV are normally considered stable. Delivery polymers of the described invention exhibit a zeta potential of 20 mV to -20 mV at physiological salt and pH 8, but are colloidally stable in aqueous solution and do not flocculate. Positive charge, or zeta potential, of a membrane active polyamine is reduced by modification with the masking agents.
- Polymer charge can result in unwanted interactions with serum components or non-target cells.
- Positive surface charge also plays a role in membrane activity by enhancing interaction of the polymer with negatively charged cell membranes. Therefore, in vivo siRNA delivery vehicles with near neutral net charge or zeta potential are preferred.
- Delivery polymers of the invention membrane active polyamines modified by reversible attachment of ASGPr targeting group masking agents and steric stabilizer masking agents, have an apparent surface charge near neutral and are serum stable. More specifically, the delivery polymers of the invention have a zeta potential, measured at pH 8, between +30 and -30 mV, between +20 and -20 mV, between +10 and -10 mV, or between +5 and -5 mV. At pH 7, the net charge of the conjugate is expected to be more positive than at pH 8. Net charge, or surface charge, is a significant factor for in vivo applications.
- a linkage or linker is a connection between two atoms that links one chemical group or segment of interest to another chemical group or segment of interest via one or more covalent bonds.
- a linkage can connect a modifying or masking agent to a polymer. Formation of a linkage may connect two separate molecules into a single molecule or it may connect two atoms in the same molecule. The linkage may be charge neutral or may bear a positive or negative charge.
- a reversible or labile linkage contains a reversible or labile bond.
- a linkage may optionally include a spacer that increases the distance between the two joined atoms. A spacer may further add flexibility and/or length to the linkage.
- Spacers may include, but are not be limited to, alkyl groups, alkenyl groups, alkynyl groups, aryl groups, aralkyl groups, aralkenyl groups, aralkynyl groups; each of which can contain one or more heteroatoms, heterocycles, amino acids, nucleotides, and saccharides. Spacer groups are well known in the art and the preceding list is not meant to limit the scope of the invention.
- a reversible or labile bond is a covalent bond other than a covalent bond to a hydrogen atom that is capable of being selectively broken or cleaved under conditions that will not break or cleave other covalent bonds in the same molecule. More specifically, a reversible or labile bond is a covalent bond that is less stable (thermodynamically) or more rapidly broken (kinetically) under appropriate conditions than other non-labile covalent bonds in the same molecule. Cleavage of a labile bond within a molecule may result in the formation of two molecules.
- cleavage or lability of a bond is generally discussed in terms of half-life (t 1 ⁇ 2 ) of bond cleavage (the time required for half of the bonds to cleave).
- reversible or labile bonds encompass bonds that can be selectively cleaved more rapidly than other bonds in a molecule.
- Appropriate conditions are determined by the type of labile bond and are well known in organic chemistry.
- a labile bond can be sensitive to pH, oxidative or reductive conditions or agents, temperature, salt concentration, the presence of an enzyme (such as esterases, including nucleases, and proteases), or the presence of an added agent. For example, increased or decreased pH is the appropriate conditions for a pH-labile bond.
- the rate at which a labile group will undergo transformation can be controlled by altering the chemical constituents of the molecule containing the labile group. For example, addition of particular chemical moieties (e.g., electron acceptors or donors) near the labile group can affect the particular conditions (e.g., pH) under which chemical transformation will occur.
- chemical moieties e.g., electron acceptors or donors
- a physiologically labile bond is a labile bond that is cleavable under conditions normally encountered or analogous to those encountered within a mammalian body.
- Physiologically labile linkage groups are selected such that they undergo a chemical transformation (e.g., cleavage) when present in certain physiological conditions.
- a cellular physiologically labile bond is a labile bond that is cleavable under mammalian intracellular conditions.
- Mammalian intracellular conditions include chemical conditions such as pH, temperature, oxidative or reductive conditions or agents, and salt concentration found in or analogous to those encountered in mammalian cells. Mammalian intracellular conditions also include the presence of enzymatic activity normally present in a mammalian cell such as from proteolytic or hydro lytic enzymes.
- Physiologically labile bonds that are cleaved under appropriate conditions with a half-life of less than 45 min. are considered very labile.
- Physiologically labile bonds that are cleaved under appropriate conditions with a half-life of less than 15 min are considered extremely labile.
- Chemical transformation occurs when a molecule containing the labile bond reaches an appropriate intra-and/or extra-cellular environment.
- a pH labile bond may be cleaved when the molecule enters an acidified endosome.
- a pH labile bond may be considered to be an endosomal cleavable bond.
- Enzyme cleavable bonds may be cleaved when exposed to enzymes such as those present in an endosome or lysosome or in the cytoplasm.
- a disulfide bond may be cleaved when the molecule enters the more reducing environment of the cell cytoplasm. Thus, a disulfide may be considered to be a cytoplasmic cleavable bond.
- pH-labile bond is a labile bond that is selectively broken under acidic conditions (pH ⁇ 7). Such bonds may also be termed endosomally labile bonds, since cell endosomes and lysosomes have a pH less than 7.
- pH-labile includes bonds that are pH-labile, very pH-labile, and extremely pH-labile.
- Very pH-labile bond A very pH-labile bond has a half-life for cleavage at pH 5 of less than 45 min. The construction of very pH-labile bonds is well-known in the chemical art. Extremely pH-labile bonds: An extremely pH-labile bond has a half-life for cleavage at pH 5 of less than 15 min. The construction of extremely pH-labile bonds is well-known in the chemical art.
- Disubstituted cyclic anhydrides are particularly useful for modification or attachment of masking agents to membrane active poly(vinyl ester) polymers of the invention. They provide physiologically pH-labile linkages, readily modify amines, and restore those amines upon cleavage in the reduced pH found in cellular endosomes and lysosome. Second, the a or ⁇ carboxylic acid group created upon reaction with an amine, appears to contribute only about l/20 th of the expected negative charge to the polymer (Rozema et al. Bioconjugate Chemistry 2003). Thus, modification of the polyamine with the disubstituted maleic anhydrides effectively neutralizes the positive charge of the polyamine rather than creates a polymer with high negative charge. Near neutral polymers are preferred for in vivo delivery. RNAi Polynucleotide-Polynucleotide Targeting Group Conjugate
- RNAi polynucleotide-polynucleotide targeting group conjugate is formed by covalently linking the RNAi polynucleotide to the polynucleotide targeting group.
- the polynucleotide is synthesized or modified such that it contains a reactive group A.
- the polynucleotide targeting group is also synthesized or modified such that it contains a reactive group B.
- Reactive groups A and B are chosen such that they can be linked via a covalent linkage using methods known in the art.
- the polynucleotide targeting group may be linked to the 3' or the 5' end of the RNAi polynucleotide.
- the targeting group may be linked to either the sense strand or the antisense strand, though the sense strand is preferred.
- the polynucleotide targeting group consists of a hydrophobic group. More specifically, the polynucleotide targeting group consists of a hydrophobic group having at least 20 carbon atoms.
- Hydrophobic groups used as polynucleotide targeting moieties are herein referred to as hydrophobic targeting moieties.
- Exemplary suitable hydrophobic groups may be selected from the group comprising: cholesterol, dicholesterol, tocopherol, ditocopherol, didecyl, didodecyl, dioctadecyl, didodecyl, dioctadecyl, isoprenoid, and choleamide.
- the hydrophobic targeting group may be attached to the 3' or 5' end of the RNAi polynucleotide using methods known in the art.
- the hydrophobic group may be attached to either strand.
- the galactose cluster may be attached to the 3' or 5' end of the RNAi polynucleotide using methods known in the art.
- the galactose cluster may be attached to either strand.
- polynucleotide or nucleic acid or polynucleic acid
- nucleotides are the monomeric units of polynucleotide polymers. Polynucleotides with less than 120 monomeric units are often called oligonucleotides. Natural nucleic acids have a deoxyribose- or ribose-phosphate backbone.
- a non-natural or synthetic polynucleotide is a polynucleotide that is polymerized in vitro or in a cell free system and contains the same or similar bases but may contain a backbone of a type other than the natural ribose or deoxyribose-phosphate backbone.
- Polynucleotides can be synthesized using any known technique in the art.
- Polynucleotide backbones known in the art include: PNAs (peptide nucleic acids), phosphorothioates, phosphorodiamidates, morpholinos, and other variants of the phosphate backbone of native nucleic acids.
- Bases include purines and pyrimidines, which further include the natural compounds adenine, thymine, guanine, cytosine, uracil, inosine, and natural analogs. Synthetic derivatives of purines and pyrimidines include, but are not limited to, modifications which place new reactive groups on the nucleotide such as, but not limited to, amines, alcohols, thiols, carboxylates, and alkylhalides.
- the term base encompasses any of the known base analogs of DNA and RNA.
- a polynucleotide may contain ribonucleotides, deoxyribonucleotides, synthetic nucleotides, or any suitable combination.
- Polynucleotides may be polymerized in vitro, they may be recombinant, contain chimeric sequences, or derivatives of these groups.
- a polynucleotide may include a terminal cap group at the 5' -end, the 3' -end, or both the 5' and 3' ends.
- the cap group can be, but is not limited to, an inverted deoxy abasic group, an inverted deoxy thymidine group, a thymidine group, or 3' glyceryl modification.
- RNA interference (RNAi) polynucleotide is a molecule capable of inducing RNA interference through interaction with the RNA interference pathway machinery of mammalian cells to degrade or inhibit translation of messenger RNA (mRNA) transcripts of a transgene in a sequence specific manner.
- Two primary RNAi polynucleotides are small (or short) interfering RNAs (siRNAs) and micro RNAs (miRNAs).
- siRNA small (or short) interfering RNAs
- miRNAs small (or short) interfering RNAs
- miRNAs micro RNAs
- shRNA short hairpin RNA
- expression cassettes encoding RNA capable of inducing RNA interference.
- siRNA comprises a double stranded structure typically containing 15-50 base pairs and preferably 21-25 base pairs and having a nucleotide sequence identical (perfectly complementary) or nearly identical (partially complementary) to a coding sequence in an expressed target gene or RNA within the cell.
- An siRNA may have dinucleotide 3' overhangs.
- An siRNA may be composed of two annealed polynucleotides or a single polynucleotide that forms a hairpin structure.
- An siRNA molecule of the invention comprises a sense region and an antisense region.
- the siRNA of the conjugate is assembled from two oligonucleotide fragments wherein one fragment comprises the nucleotide sequence of the antisense strand of the siRNA molecule and a second fragment comprises nucleotide sequence of the sense region of the siRNA molecule.
- the sense strand is connected to the antisense strand via a linker molecule, such as a polynucleotide linker or a non-nucleotide linker.
- miRNAs are small noncoding RNA gene products about 22 nucleotides long that direct destruction or translational repression of their mRNA targets.
- the complementarity between the miRNA and the target mRNA is partial, translation of the target mRNA is repressed. If complementarity is extensive, the target mRNA is cleaved.
- the complex binds to target sites usually located in the 3' UTR of mRNAs that typically share only partial homology with the miRNA.
- a "seed region" a stretch of about seven (7) consecutive nucleotides on the 5' end of the miRNA that forms perfect base pairing with its target - plays a key role in miRNA specificity. Binding of the RISC/miRNA complex to the mRNA can lead to either the repression of protein translation or cleavage and degradation of the mRNA. Recent data indicate that mRNA cleavage happens preferentially if there is perfect homology along the whole length of the miRNA and its target instead of showing perfect base-pairing only in the seed region (Pillai et al. 2007).
- RNAi polynucleotide expression cassettes can be transcribed in the cell to produce small hairpin RNAs that can function as siRNA, separate sense and anti-sense strand linear siRNAs, or miRNA.
- RNA polymerase III transcribed DNAs contain promoters selected from the list comprising: U6 promoters, HI promoters, and tRNA promoters.
- RNA polymerase II promoters include Ul, U2, U4, and U5 promoters, snRNA promoters, microRNA promoters, and mRNA promoters.
- RNAi molecules are readily designed and produced by technologies known in the art.
- computational tools that increase the chance of finding effective and specific sequence motifs (Pei et al. 2006, Reynolds et al. 2004, Khvorova et al. 2003, Schwarz et al. 2003, Ui-Tei et al. 2004, Heale et al. 2005, Chalk et al. 2004, Amarzguioui et al. 2004).
- the polynucleotides of the invention can be chemically modified.
- chemical modifications include: phosphorothioate internucleotide linkages, 2'-0-methyl ribonucleotides, 2'-deoxy-2'-fluoro ribonucleotides, 2'-deoxy ribonucleotides, "universal base” nucleotides, 5-C-methyl nucleotides, and inverted deoxyabasic residue incorporation.
- These chemical modifications when used in various polynucleotide constructs, are shown to preserve polynucleotide activity in cells while at the same time increasing the serum stability of these compounds. Chemically modified siRNA can also minimize the possibility of activating interferon activity in humans.
- a chemically-modified RNAi polynucleotide of the invention comprises a duplex having two strands, one or both of which can be chemically-modified, wherein each strand is about 19 to about 29 nucleotides.
- an RNAi polynucleotide of the invention comprises one or more modified nucleotides while maintaining the ability to mediate RNAi inside a cell or reconstituted in vitro system.
- An RNAi polynucleotide can be modified wherein the chemical modification comprises one or more (e.g., about 1, 2, 3, 4, 5, 6, 7, 8, 9, 10, or more) of the nucleotides.
- RNAi polynucleotide of the invention can comprise modified nucleotides as a percentage of the total number of nucleotides present in the RNAi polynucleotide.
- an RNAi polynucleotide of the invention can generally comprise modified nucleotides from about 5 to about 100% of the nucleotide positions (e.g., 5%, 10%, 15%, 20%, 25%, 30%, 35%, 40%, 45%, 50%, 55%, 60%, 65%, 70%, 75%, 80%, 85%, 90%, 95% or 100% of the nucleotide positions).
- the actual percentage of modified nucleotides present in a given RNAi polynucleotide depends on the total number of nucleotides present in the RNAi polynucleotide. If the RNAi polynucleotide is single stranded, the percent modification can be based upon the total number of nucleotides present in the single stranded RNAi polynucleotide. Likewise, if the RNAi polynucleotide is double stranded, the percent modification can be based upon the total number of nucleotides present in the sense strand, antisense strand, or both the sense and antisense strands.
- modified nucleotides present in a given RNAi polynucleotide can also depend on the total number of purine and pyrimidine nucleotides present in the RNAi polynucleotide. For example, wherein all pyrimidine nucleotides and/or all purine nucleotides present in the RNAi polynucleotide are modified.
- RNAi polynucleotide modulates expression of RNA encoded by a gene. Because multiple genes can share some degree of sequence homology with each other, an RNAi polynucleotide can be designed to target a class of genes with sufficient sequence homology. Thus, an RNAi polynucleotide can contain a sequence that has complementarity to sequences that are shared amongst different gene targets or are unique for a specific gene target. Therefore, the RNAi polynucleotide can be designed to target conserved regions of an RNA sequence having homology between several genes thereby targeting several genes in a gene family (e.g., different gene isoforms, splice variants, mutant genes, etc.). In another embodiment, the RNAi polynucleotide can be designed to target a sequence that is unique to a specific RNA sequence of a single gene.
- complementarity refers to the ability of a polynucleotide to form hydrogen bonds with another polynucleotide sequence by either traditional Watson-Crick or other non- traditional types.
- the binding free energy for a polynucleotide molecule with its target (effector binding site) or complementary sequence is sufficient to allow the relevant function of the polynucleotide to proceed, e.g., enzymatic mRNA cleavage or translation inhibition. Determination of binding free energies for nucleic acid molecules is well known in the art (Frier et al. 1986, Turner et al. 1987).
- a percent complementarity indicates the percentage of bases, in a contiguous strand, in a first polynucleotide molecule which can form hydrogen bonds (e.g., Watson- Crick base pairing) with a second polynucleotide sequence (e.g., 5, 6, 7, 8, 9, 10 out of 10 being 50%, 60%, 70%, 80%, 90%, and 100% complementary).
- Perfectly complementary means that all the bases in a contiguous strand of a polynucleotide sequence will hydrogen bond with the same number of contiguous bases in a second polynucleotide sequence.
- inhibit, down-regulate, or knockdown gene expression it is meant that the expression of the gene, as measured by the level of RNA transcribed from the gene or the level of polypeptide, protein, or protein subunit translated from the RNA, is reduced below that observed in the absence of the blocking polynucleotide-conjugates of the invention.
- Inhibition, down-regulation, or knockdown of gene expression, with a polynucleotide delivered by the compositions of the invention is preferably below that level observed in the presence of a control inactive nucleic acid, a nucleic acid with scrambled sequence or with inactivating mismatches, or in absence of conjugation of the polynucleotide to the masked polymer.
- a route of administration is the path by which a drug, fluid, poison, or other substance is brought into contact with the body.
- methods of administering drugs and nucleic acids for treatment of a mammal are well known in the art and can be applied to administration of the compositions of the invention.
- the compounds of the present invention can be administered via any suitable route, most preferably parenterally, in a preparation appropriately tailored to that route.
- the compounds of the present invention can be administered by injection, for example, intravenously, intramuscularly, intracutaneously, subcutaneously, or intraperitoneally.
- the present invention also provides pharmaceutical compositions comprising a pharmaceutically acceptable carrier or excipient.
- Parenteral routes of administration include intravascular (intravenous, intraarterial), intramuscular, intraparenchymal, intradermal, subdermal, subcutaneous, intratumor, intraperitoneal, intrathecal, subdural, epidural, and intralymphatic injections that use a syringe and a needle or catheter.
- Intravascular herein means within a tubular structure called a vessel that is connected to a tissue or organ within the body.
- a bodily fluid flows to or from the body part. Examples of bodily fluid include blood, cerebrospinal fluid (CSF), lymphatic fluid, or bile.
- CSF cerebrospinal fluid
- lymphatic fluid or bile.
- vessels examples include arteries, arterioles, capillaries, venules, sinusoids, veins, lymphatics, bile ducts, and ducts of the salivary or other exocrine glands.
- the intravascular route includes delivery through the blood vessels such as an artery or a vein.
- the blood circulatory system provides systemic spread of the pharmaceutical.
- compositions are injected in pharmaceutically acceptable carrier solutions.
- Pharmaceutically acceptable refers to those properties and/or substances which are acceptable to the mammal from a pharmacological/toxicological point of view.
- pharmaceutically acceptable refers to molecular entities, compositions, and properties that are physiologically tolerable and do not typically produce an allergic or other untoward or toxic reaction when administered to a mammal.
- the term pharmaceutically acceptable means approved by a regulatory agency of the Federal or a state government or listed in the U.S. Pharmacopeia or other generally recognized pharmacopeia for use in animals and more particularly in humans. Therapeutic Effect
- RNAi polynucleotides may be delivered for research purposes or to produce a change in a cell that is therapeutic. In vivo delivery of RNAi polynucleotides is useful for research reagents and for a variety of therapeutic, diagnostic, target validation, genomic discovery, genetic engineering, and pharmacogenomic applications.
- RNAi polynucleotide delivery resulting in inhibition of endogenous gene expression in hepatocytes Levels of a reporter (marker) gene expression measured following delivery of a polynucleotide indicate a reasonable expectation of similar levels of gene expression following delivery of other polynucleotides. Levels of treatment considered beneficial by a person having ordinary skill in the art differ from disease to disease.
- Hemophilia A and B are caused by deficiencies of the X-linked clotting factors VIII and IX, respectively. Their clinical course is greatly influenced by the percentage of normal serum levels of factor VIII or IX: ⁇ 2%, severe; 2-5%, moderate; and 5-30% mild. Thus, an increase from 1% to 2% of the normal level of circulating factor in severe patients can be considered beneficial. Levels greater than 6% prevent spontaneous bleeds but not those secondary to surgery or injury. Similarly, inhibition of a gene need not be 100% to provide a therapeutic benefit. A person having ordinary skill in the art of gene therapy would reasonably anticipate beneficial levels of expression of a gene specific for a disease based upon sufficient levels of marker gene results.
- reporter or marker genes serve as useful paradigms for expression of intracellular proteins in general.
- liver is an important target tissue for RNAi therapy given its central role in metabolism (e.g., lipoprotein metabolism in various hypercholesterolemias) and the secretion of circulating proteins (e.g., clotting factors in hemophilia).
- circulating proteins e.g., clotting factors in hemophilia
- acquired disorders such as chronic hepatitis and cirrhosis are common and are also potentially treated by RNAi therapies.
- a number of diseases or conditions which affect or are affected by the liver are potentially treated through knockdown (inhibition) of gene expression in the liver.
- Such liver diseases and conditions may be selected from the list comprising: liver cancers (including hepatocellular carcinoma, HCC), viral infections (including hepatitis), metabolic disorders, (including hyperlipidemia and diabetes), fibrosis, and acute liver injury.
- the amount (dose) of delivery polymer and RNAi-polynucleotide-conjugate that is to be administered can be determined through routine experimentation. We have shown effective knockdown of gene expression using 0.05-20 mg/kg animal weight of siRNA-conjugate and 1.5-60 mg/kg animal weight delivery polymer. A preferred amount in mice is 0.25-2.5 mg/kg siRNA-conjugate and 1-40 mg/kg delivery polymer. More preferably, about 2-20 mg/kg delivery polymer is administered.
- in vivo means that which takes place inside an organism and more specifically to a process performed in or on the living tissue of a whole, living multicellular organism (animal), such as a mammal, as opposed to a partial or dead one.
- the poly(vinyl ester)s described herein may be used as in vitro transfection reagents.
- the process of delivering a polynucleotide to a cell in vitro has been commonly termed transfection or the process of transfecting.
- transfecting refers to the introduction of a polynucleotide from outside a cell to inside the cell such the polynucleotide has biological activity.
- the polynucleotide may be used for research purposes or to produce a change in a cell that can be therapeutic.
- the delivery of a polynucleotide can lead to modification of the genetic material present in the target cell.
- An in vitro transfection reagent is a compound or composition of compounds that binds to or complexes with oligonucleotides or polynucleotides and mediates their entry into a cell, typically a mammalian cell in vitro.
- in vitro transfection reagents include, but are not limited to, protein and polymer complexes (polyplexes), lipids and liposomes (lipoplexes), combinations of polymers and lipids (lipopolyplexes), calcium phosphate precipitates, and dendrimers.
- the in vitro transfection reagent has a component with a net positive charge which associates or complexes with, via electrostatic interaction, the negative charge of the oligonucleotide or polynucleotide.
- Cationic in vitro transfection agents may also condense large nucleic acids.
- the poly(acrylate)s described herein can also be used as in vitro transfection reagents.
- the poly(acrylate)s may be masked or unmasked.
- BAPVE Monomer 3-tert-butoxycarbonylamino- propionic vinyl ester
- reaction mixture was then transferred into a large excess of diethyl ether to precipitate black Pd byproduct.
- the solution plus precipitate was then filtered through celite to remove the black precipitate.
- the resulting solution was then concentrated to dryness and the product 3 was purified on a silica column using 15% ethyl acetate in hexane eluent. Typical yield was 70-90%. Molecular weight: 229.28.
- VV Vinyl Valerate 8 hydrophobic monomer (CAS 5873-43-8).
- Valeric acid 7 (5 g, 48.96 mmol, CAS 109-52-4) was dissolved in vinyl acetate 1 (450 mL, 4896 mmol) at RT.
- Pd(II) acetate (2.20 g, 9.79 mmol) and KOH (275 mg, 4.89 mmol) were added, and the reaction mixture was stirred overnight at RT.
- the reaction mixture was then transferred into a large excess of diethyl ether to fully precipitate a black Pd compound.
- the solution plus precipitate was then filtered through celite to remove the black precipitate.
- the resulting solution was then concentrated to dryness and the product was purified on a silica column using ethyl acetate/hexane eluent. Typical yield was about 30%. Molecular weight 128.17.
- the reaction mixture was then mixed with DCM, and washed 3 times with deionized water and once with brine.
- the organic layer was recovered, dried over Na 2 S0 4 , and the solvent removed via rotary evaporation.
- 3-(2-tert-Butoxycarbonylamino-ethoxy)-propionic acid 3-(2-Amino-ethoxy)-propionic acid was dissolved in a minimal amount of deionized water before the pH was raised to 8.5 by careful addition of 1 M NaOH. After the pH adjustment, B0C2O (1 M in THF, 2 eq.) was added dropwise to the solution which was stirred overnight at room temperature. THF was removed by rotary evaporation and reaction mixture dissolved in 1 : 1 ethyl acetate/methanol and washed with 10% citric acid solution. The aqueous layer was extracted three times with ethyl acetate, and two times with DCM.
- MDPD malonate ⁇ , ⁇ -diphenyl dithiocarbamate
- Example 2 RAFT copolymerization of vinyl ester monomers to form amphiphilic cationic poly(vinyl ester) random copolymers.
- RAFT Addition-Fragmentation chain Transfer
- C Chain Transfer Agent (CTA)
- %A percent hydrophilic monomers A in polymer P
- %B percent hydrophobic monomers B in polymer P
- MWB Molecular weight of hydrophobic monomer
- MW AB Average molecular weight of polymer monomers
- moles B moles hydrophobic monomer B Calculation of moles Chain Transfer Agent for synthesis of x grams polymer P having theoretical molecular weight M n> a,: molesc
- the solution After centrifugation, the solution is decanted and the polymer rinsed with hexane.
- the rinsed polymer is redissolved in DCM, and precipitated again with hexane ( ⁇ 8x vol.). After centrifugation, the solution is decanted and the polymer dried under high vacuum.
- E. MALS Multi-Angle Light Scattering
- a sample of the polymer is brought up at 10 mg/ml in a 0.02 ⁇ Whatman anodisc filtered buffer of DCN, 20% THF, 5% ACN.
- the solution is then filtered through a 0.1 ⁇ Whatman anotop filter.
- the samples are run at 0.75 ml/min in the above buffer through a Jordi Gel DVB mixed bed analytical column.
- the sample is then passed through the HELEOS light scattering detector and the optilab REX RI detector.
- the data is collected and analyzed using ASTRA V software using a previously determined dn/dc of 0.63 ml/gm.
- the ASTRA V analysis provides Mw and M n .
- A. Amine-protected DAN-41947 -106 poly (vinyl ester) random copolymer synthesis Malonate ⁇ , ⁇ -diphenyl dithiocarbamate (MDPC, 2.56 mg, 0.0066 mmol) and benzoyl peroxide (BPO, 0.795 mg, 0.00328 mmol) were dried in a reaction vessel and 5-tert-Butoxycarbonylamino- valeric vinyl ester 3 (1.00 g, 4.1 1 mmol) was added. The mixture was degassed by 2 bubbling for 1 h. A separate vial of vinyl butyrate (VBu) was similarly degassed.
- MDPC Malonate ⁇ , ⁇ -diphenyl dithiocarbamate
- BPO benzoyl peroxide
- the supernatant was decanted and the bottom layer rinsed with hexane before the polymer was dried under reduced pressure for several hours. Fractional precipitation of (co)polymers . After polymerization, the reaction solution was allowed to cool to room temperature and transferred to a 50 mL centrifuge tube. DCM (2 mL) was used to wash out the reaction vessel and help transfer the reaction solution before hexane (35 mL) was added to the solution. The solution was centrifuged for 2 min at 4,400 rpm. The supernatant layer was carefully decanted and the bottom (viscous liquid or solid) layer was rinsed with hexane.
- the bottom layer was re-dissolved in DCM (100 mg/mL polymer) before hexane was added. In this case, enough hexane to precipitate half of the total polymer was added - typically, the amount of hexane required to take the solution just past the cloud point. The amount of hexane added to reach this point varied depending on the type and molecular weight of the copolymer solution.
- the cloudy mixture was centrifuged (3 min at 4,400 rpm), forming two liquid layers. The thicker bottom layer was removed using a glass pipette, diluted with DCM (5 mL), and fully precipitated by adding hexane (30 mL) to yield fraction 1.
- Hexane was added to the top layer to make a total volume of 50 mL and fully precipitate fraction 2. Both precipitates were centrifuged (2 min at 4,400 rpm), and the fractions recovered by decanting the supernatant, rinsing the precipitated polymer with hexane, and finally dried under reduced pressure for several hours.
- Example 4 Synthesis of poly (5-tert-butoxycarbonylaminoproprionic vinyl ester-co- vinylbutyrate) , P(BAPVE-co-VBu) .
- a solution of malonate ⁇ , ⁇ -diphenyl dithiocarbamate (MDPD, 0.00876 g, 0.0217 mmol), AIBN (0.89 mg, 0.00542 mmol), BAPVE (0.800 g, 0.00374 mol), and butyl acetate (BuAc, 1 mL) were added to a 20 ml vial and degassed by 2 bubbling for 1 h.
- a separate vial of vinyl butyrate (VBu) was similarly degassed prior to addition via syringe (0.316 mL, 0.00249 mmol). The mixture was stirred for 4 h at 80°C and then allowed to cool to RT. The resulting viscous solution was dissolved in 5 mL DCM and the polymer was precipitated by addition of 40 mL hexane. After centrifugation, the upper solvent was decanted and the polymer was rinsed with 5 mL hexane. The rinsed polymer was re-dissolved in 5 mL DCM, and precipitated once more with 40 mL hexane. After centrifugation, the upper solvent layer was decanted and the polymer was dried under high vacuum.
- Vu vinyl butyrate
- Example 5 Synthesis of poly (4-tert-butoxycarbonylaminobutyric vinyl ester-co-vinyl butyrate), P(BABVE-co-VBu).
- THF solutions of malonate ⁇ , ⁇ -diphenyl dithiocarbamate (MDPD, 2.56 mg, 0.00634 mmol) and benzoyl peroxide (0.767 mg, 0.00317 mmol) were added to a 20 mL vial and dried under vacuum for 30 min before BABVE (0.800 mg, 0.00351 mol) was added. The mixture was degassed by 2 bubbling for 1 h. A separate vial of vinyl butyrate was similarly degassed.
- the vinyl butyrate (296 ⁇ , 0.00234 mol) was added to the reaction vessel and the mixture was stirred overnight at 95°C. After 16 h, the reaction vessel was removed from heat and the solution was allowed to cool to RT. The resulting gel was dissolved in 5 mL DCM and the polymer was precipitated by addition of 40 mL hexane. After centrifugation, the solution was decanted and the polymer was rinsed with 5 mL hexane. The rinsed polymer was redissolved in 5 mL DCM and precipitated once more with 40 mL hexane. After centrifugation, the solution was decanted and the polymer was dried under high vacuum. 3 ⁇ 4 NMR (CDC1 3 ): ⁇ 7.4, 5.05-5.45, 4.7-5.05, 3.15, 2.15-2.45, 1.55-1.9, 1.45, 0.95.
- Example 6 Synthesis of poly 3-(2-tert-butoxycarbonylaminoethoxy)propionic vinyl ester-co- vinyl butyrate), P(BEPVE-co-VBu) .
- a solution of malonate ⁇ , ⁇ -diphenyl dithiocarbamate (MDPD, 2.14 mg, 0.0134 mmol), azobisisobutyronitrile (AIBN, 1.09 mg, 0.00665 mmol), and BEPVE (505 mg, 0.00214 mol) were added to a 20 mL vial and degassed by N2 bubbling for 1 h. A separate vial of vinyl butyrate was similarly degassed.
- the vinyl butyrate (162 mg, 0.00143 mol) was added to the reaction vessel and the mixture was stirred overnight at 95°C. After 16 h, the reaction vessel was removed from heat and the solution was allowed to cool to RT. The resulting viscous solution was dissolved in 5 mL DCM and the polymer was precipitated by addition of 40 mL hexane. After centrifugation, the solution was decanted and the polymer was rinsed with 5 mL hexane. The rinsed polymer was re-dissolved in 5 mL DCM and precipitated once more with 40 mL hexane. After centrifugation, the solution was decanted and the polymer was dried under high vacuum.
- Y is neutral linker such as, but not limited to:
- R is a galactose derivative having affinity for the asialoglycoprotein receptor selected from the list comprising:
- Y is neutral linker such as, but not limited to:-NH-(CH 2 -CH 2 -0) b -(CH 2 ),
- b and c are independently integers from 1 -6, and
- R is as defined above for compound 10.
- n is an integer from 1 to 6 and R is as defined above for compound 10. 4
- Compound 13 N-Acetyl-galactosamine-PEG-methyl maleic anhydride
- n is an integer from 0 to 10 and R is a defined above for compound 10.
- R is neutral and comprises a polyethylene glycol
- n is an integer from 1 to 500, and R is selected from the group consisting of -H, -CH 3 , and -CH 2 -CH 3 .
- n is an integer from 2 to 100. More preferably, the PEG contains from 5 to 20 ethylene units (n is an integer from 5 to 20). More preferably, PEG contains 10-14 ethylene units (n is an integer from 10 to 14).
- the PEG may be of variable length and have a mean length of 5-20 or 10-14 ethylene units. Alternatively, the PEG may be monodisperse, uniform or discrete; having, for example, exactly 11 or 13 ethylene units.
- Rl and R2 are the R groups of amino acids
- R4 is a targeting ligand of a steric stabilizer
- X is -NH-, -0-, or -CH 2 - Y is -NH- or -O-
- R5 is at position 2, 4, or 6 and is -CH2-0-C(0)-0-Z wherein Z carbonate, and R6 is independently hydrogen, alkyl, or halide at each of positions 2, 3, 4, 5, or 6 except for the position occupied by R5.
- Example 8 Conjugation of siRNA to polyvinyl ester) random copolymers via disulfide bonds.
- Disulfide bonds can be made with varying kinetics of cleavage in the reducing environment in a typical mammalian cell.
- SATA/SMPT linkage N-succinimidyl-S-acetylthioacetate (SATA)-modified polynucleotides were synthesized by reaction of 5' amine-modified siRNA with 1 weight equivalents (wt. eq.) of SATA reagent (Pierce) and 0.36 wt. eq. of NaHC0 3 in water at 4°C for 16 h.
- SATA reagent SATA reagent
- the protected thiol modified siRNAs were precipitated by the addition of 9 volumes of ethanol and incubated at -78°C for 2 h. The precipitate was isolated, dissolved in l x siRNA buffer (Dharmacon), and quantitated by measuring the absorbance at the 260 nm wavelength.
- polymer in 5 mM TAPS, pH 9 was modified by addition of 1.5 wt% 4-succinimidyloxycarbonyl-a-methyl-a-[2-pyridyldithio]-toluene (SMPT, Pierce). 1 h after addition of SMPT, the SMPT-polymer was added to isotonic glucose solution containing 5 mM TAPS pH 9. To this solution the SATA-modified siRNA was added. The resulting polynucleotide-polymer conjugating disulfide bond is reversible in the reducing environment of the cytoplasm.
- SMPT 4-succinimidyloxycarbonyl-a-methyl-a-[2-pyridyldithio]-toluene
- siRNA-polymer conjugate was then masked by adding HEPES free base to the solution followed by a mixture of CDM-NAG and/or CDM-PEG. The solution was then incubated for 1 h at room temperature (RT) before injection.
- RT room temperature
- siRNA having a 5 '-amino group on the sense strand was reacted with SATA in the presence of HEPES base pH 7.5.
- polymer was reacted with 3-(2- pyridyldithio)propionic acid N-hydroxysuccinimide ester (SPDP) in the presence of HEPES pH 7.5.
- SPDP 3-(2- pyridyldithio)propionic acid N-hydroxysuccinimide ester
- siRNA having an strand terminal amino group is reacted with S-acetyl groups to yield siRNA-SAc.
- the polymer is reacted with 5-methyl-2- iminothiolane (M2IT) in the presence of 5,5'-dithio-bis-(2-nitrobenzoic acid) (DTNB) to yield the polymer having an activated disulfide.
- M2IT 5-methyl-2- iminothiolane
- DTNB 5,5'-dithio-bis-(2-nitrobenzoic acid)
- siRNA having a strand terminal amino group is reacted with a disubstituted maleic anhydride derivative, such as a 2-propionic-3-methylmaleic anhydride, that also contains an additional amine reactive group, e.g. CDM-thioester, in the presence alkaline buffer (e.g., HEPES, pH 7.9).
- alkaline buffer e.g., HEPES, pH 7.9
- To the siR A-maleic anhydride is added the poly(vinyl ester). The maleic anhydride then reacts with amines on the polymer.
- Example 9 Reversible modification (Masking) of membrane active polyvinyl ester) random copolymers.
- A. Modification with maleic anhydride-based masking agents Prior to modification, 5-7x mg of disubstituted maleic anhydride masking agent (e.g. CDM-NAG) was lyophilized from a 0.1% aqueous solution of glacial acetic acid. To the dried disubstituted maleic anhydride masking agent was added a solution of x mg polymer in 0.2x mL of isotonic glucose and 10x mg of HEPES free base. Following complete dissolution of anhydride, the solution was incubated for at least 30 min at RT prior to animal administration. Reaction of disubstituted maleic anhydride masking agent with the polymer yielded:
- disubstituted maleic anhydride masking agent e.g. CDM-NAG
- R is poly(vinyl ester) polymer and Rl comprises a targeting ligand or steric stabilizer.
- the anhydride carboxyl produced in the reaction between the anhydride and the polymer amine exhibits ⁇ l/20 th of the expected charge (Rozema et al. Bioconjugate Chemistry 2003). Therefore, the membrane active polymer is effectively neutralized rather than being converted to a highly negatively charged polyanion.
- the polymer was modified in a two-step process.
- First CDM-based masking agents with shielding (PEG) and targeting groups were mixed in a ratio of 2: 1 (w wt) shielding to targeting agent.
- the polymer was modified with 2* mg of the CDM masking agents mixture for 30 min, followed by attachment of siRNA.
- the polymer-siR A conjugate was then further modified with 5x mg of the CDM masking agents mixture.
- the solution was then incubated at least 1 h at room temperature (RT) before injection into animals.
- RT room temperature
- R 1 comprises an targeting group ligand (either protected or unprotected) or a PEG,
- R 2 is an amphipathic membrane active poly(vinyl ester)
- AA is a dipeptide (either protected or unprotected)
- Z is an amine-reactive carbonate.
- polymer was modified with 2x mg dipeptide masking agent followed by attachment of siRNA.
- the polymer-siRNA conjugate was then further modified with 6x to 8x mg dipeptide masking agent.
- the solution was then incubated at least 1 h at room temperature (RT) before injection into animals.
- RT room temperature
- the polymer was modified with 2x mg PEG dipeptide masking agent followed by attachment of siRNA.
- the polymer-siRNA conjugate was then further modified with 6x to 8x mg targeting ligand dipeptide masking agent.
- the solution was then incubated at least 1 h at room temperature (RT) before injection into animals.
- the polymer was modified with 2* mg dipeptide masking agent followed by attachment of siR A.
- the polymer-siR A conjugate was then further modified with 6x to 8x mg CDM-based masking agent.
- the solution was then incubated at least 1 h at RT before injection into animals.
- the polymer was modified with 2x mg PEG dipeptide masking agent followed by attachment of siRNA.
- the polymer-siRNA conjugate was then further modified with 6x to 8x mg targeting ligand CDM-based masking agent.
- the solution was then incubated at least 1 h at room temperature (RT) before injection into animals.
- Example 10 Conjugate formation - masking and polynucleotide attachment.
- CDM-NAG N- acetylgalactoseamine
- CDM-PEG average 1 1 units
- siRNAs had the following sequences:
- RNA synthesis was performed on solid phase by conventional phosphoramidite chemistry on an ⁇ Oligopilot 100 (GE Healthcare, Freiburg, Germany) with controlled pore glass (CPG) as solid support.
- RNA equipped with a C-6-aminolinker at the 5 '-end of the sense strand was produced by standard phosphoramidite chemistry on solid phase at a scale of 1215 ⁇ using an ⁇ Oligopilot 100 (GE Healthcare, Freiburg, Germany) and controlled pore glass as solid support (Prime Synthesis, Aston, PA, USA).
- RNA containing 2'-0-methyl nucleotides were generated employing the corresponding phosphoramidites, 2'-0-methyl phosphoramidites, and TFA-hexylaminolinker amidite (Sigma-Aldrich, SAFC, Hamburg, Germany). Cleavage and deprotection as well as purification was achieved by methods known in the field (Wincott F., et al, NAR 1995, 23, 14, 2677-84).
- RNAi polynucleotide conjugates and masked poly(vinyl ester) polymers were synthesized as described above.
- Six to eight week old mice (strain C57BL/6 or ICR, -18-20 g each) were obtained from Harlan Sprague Dawley (Indianapolis, IN). Mice were housed at least two days prior to injection. Feeding was performed ad libitum with Harlan Teklad Rodent Diet (Harlan, Madison WI). Mice were injected by infusion into the tail vein with 0.4 mL solution of delivery polymer-siRNA conjugates into the tail vein unless stated otherwise. The composition was soluble and nonaggregating in physiological conditions. Injection into other vessels, e.g. retro-orbital injection, are predicted to be equally effective.
- Wistar Han rats 175-200 g were obtained from Charles River (Wilmington, MA). Rats were housed at least one (1) week prior to injection. Injection volume for rats was typically 1 ml.
- the indicated amount of polymer-siRNA conjugate was administered to Cynomolgus macaque (Macaca fascicularis) primates (male, 3.0 to 8.0 kg) via injection into the saphenous vein using a 22 to 25 gauge intravenous catheter.
- Cynomolgus macaque Macaca fascicularis
- primates male, 3.0 to 8.0 kg
- isotonic glucose As a control, another set of primates were injected with isotonic glucose.
- Blood tests for blood urea nitrogen (BUN), alanine transaminase (ALT), aspartate aminotransferase (AST), and creatinine were performed on a Cobas Integra 400 (Roche Diagnostics) according to the manufacturer's recommendations.
- mice, rats, and primates were fasted for 4 h, 16 h, or overnight, before injection. Primates were fasted overnight before blood collection or tissue harvest. Blood samples were collected by submandibular bleeding for mice, from jugular vein for rats, and from femoral vein for primates. For mice and rats, samples were taken 2 days after polymer injection, unless indicated otherwise. For primates, blood samples are collected on day 2 (24 h after injection) and day 4 (72 h after injection). Further, for primates, blood sample collections were carried out up to day 81. Serum for use in Western assays was collected and added to an equal volume of Complete Protease Inhibitor Cocktail containing EDTA (Roche, Indianapolis IN) and stored at -20°C. Total RNA was isolated from liver immediately after harvest using TRI- REAGENT ® according to the manufacturer's protocol (Molecular Research Center, Cincinnati OH).
- Serum ApoB levels determination Serum ApoB protein levels were determined by standard sandwich ELISA methods. Briefly, a polyclonal goat anti-mouse ApoB antibody and a rabbit anti-mouse ApoB antibody (Biodesign International) were used as capture and detection antibodies respectively. An HRP-conjugated goat anti-rabbit IgG antibody (Sigma) was applied afterwards to bind the ApoB/antibody complex. Absorbance of tetramethyl-benzidine (TMB, Sigma) colorimetric development was then measured by a Tecan Safire2 (Austria, Europe) microplate reader at 450 nm. Plasma Factor VII (F7) activity measurements.
- TMB tetramethyl-benzidine
- Plasma samples from animals were prepared by collecting blood (9 volumes) (by submandibular bleeding for mice or from jugular vein for rats) into microcentrifuge tubes containing 0.109 mol/L sodium citrate anticoagulant (1 volume) following standard procedures.
- F7 activity in plasma is measured with a chromogenic method using a BIOPHEN VII kit (Hyphen BioMed/Aniara, Mason, OH) following manufacturer's recommendations.
- Absorbance of colorimetric development was measured using a Tecan Safire2 microplate reader at 405 nm.
- Example 13 Factor VII knockdown in mouse, rat, and non-human primate following Factor VII siRNA delivery by P(BA WE-co-VBu) polymer.
- P(BAVVE-co-VBu) polymer DAN- 41947-106-1 or DAN-41947- 129-1 was reversibly modified with 2.3 wt equivalents of CDM-NAG and 4.7 wt equivalentsCDM-PEG and conjugated to Factor VII siRNA (duplex of SEQ ID 3 and 4) as described above. Effect on Factor VII levels was determined as described above.
- Example 14 Target gene knockdown in mouse following siRNA delivery using polyvinyl ester) delivery polymers with varying monomer ratio composition.
- P(BAVVE-co-VBu) or P(BAPVE-co-VBu) polymers with varying amine monomenhydrophobic monomer compositions were reversibly modified with 2.3 wt equivalents of CDM-NAG and 4.7 wt equivalents CDM-PEG and conjugated to Factor VII siRNA (duplex of SEQ ID 3 and 4 above) as described above. 7.5 mg/kg polymer and 2 mg/kg siRNA were injected into each mouse. Effect on Factor VII levels were determined as described above. The results demonstrate that effective knockdown was observed with polymers having 56-80% amine content. However, polymers having 56-60% amine content were the most efficient.
- Example 15 Target gene knockdown in mouse following siRNA delivery using polyvinyl ester) delivery polymers formed with different amine monomers.
- P(BAPVE-co-VBu), P(BABVE-co-VBu), and P(BAVVE-co-VBu) polymers were reversibly modified with 2.3 wt equivalents of CDM-NAG and 4.7 wt equivalents CDM-PEG and conjugated to Factor VII siRNA (duplex of SEQ ID 3 and 4 above) as described above. 7.5 mg/kg polymer and 2 mg/kg siRNA were injected into each mouse. Effect on Factor VII levels was determined as described above. The results demonstrate that effective knockdown was observed with each of the amine monomers tested. Table 6. siRNA delivery to normal liver cells in mice treated with masked P(BAPVE- co-VBu), P(BABVE-co-VBu), and P(BAVVE-co-VBu) delivery polymers as determined by target gene knockdown.
- Example 16 Target gene knockdown in mouse following siRNA delivery using polyvinyl ester) delivery polymers with different hydrophobic monomers.
- P(BAVVE-co) polymers with different hydrophobic monomers were reversibly modified with 2.3 wt equivalents of CDM- NAG and 4.7 wt equivalents CDM-PEG and conjugated to Factor VII siRNA (duplex of SEQ ID 3 and 4 above) as described above.
- 7.5 mg/kg polymer and 2 mg/kg siRNA were injected into each mouse. Effect on Factor VII levels was determined as described above. The results demonstrate that effective knockdown was observed with butyryl and valeryl hydrophobic monomers. Polymers having butyryl hydrophobic monomers were more efficient.
- Example 17 Target gene knockdown in mouse following siRNA delivery using polyvinyl ester) delivery polymers with varying molecular weights.
- P(BAVVE-co-VBu) polymers with varying molecular weights were reversibly modified with 2.3 wt equivalents of CDM-NAG and 4.7 wt equivalents CDM-PEG and conjugated to Factor VII siRNA (duplex of SEQ ID 3 and 4 above) as described above. 7.5 mg/kg polymer and 2 mg/kg siRNA were injected into each mouse. Effect on Factor VII levels was determined as described above. The results demonstrate that effective knockdown was observed with P(BAVVE-co-VBu) polymers having 23k-200k M n> a,.
- Example 18 Amphipathic cationic polyvinyl ester random copolymers are effective in vitro transfection reagents.
- the indicated copolymer 500 mg was dissolved in a solution of 2 N HC1 in acetic acid (5 mL) and stirred for 1 h.
- the solution was diluted with water (30 mL) and dialyzed against an aqueous NaCl solution and then deionized water over two days. The solution was then lyophilized and re-dissolved in H 2 0 to make up 20 mg/mL solutions.
- Hep3B-SEAP hepatocellular carcinoma
- MCF7 breast cancer
- HT29 colon cancer
- HepG2-SEAP hepatocellular carcinoma
- A375 melanoma
- Cells were transfected with either 1.5 ⁇ g/mL or 3 ⁇ g/mL of copolymer and 500 ng/mL of Ahal siRNA prepared in OPTI-MEM reduced-serum medium (Gibco). 24 h post-transfection, the cells were lysed and processed for quantitative real-time PCR (qRT-PCR) using the TaqMan Gene Expression Cells-to-CT Kit (Life Technologies).
- Biplex qRT-PCR was performed using TaqMan assays for human Ahal (product # Hs00201602_ml) and human CycA (product # 4326316E) on a StepOne Real-Time PCR System (Life Technologies). Analysis was performed using the AACT method of relative gene expression quantitation.
- Polyvinylester DAN-41947-129-1 in 100 mM pH 7.5 HEPES buffer was modified 0.5 wt% with the activated disulfide reagent succinimidyloxycarbonyl-alpha-methyl-alpha(2- pyridyldithio)toluene (SMPT) from Pierce.
- SMPT activated disulfide reagent
- the thiol-reactive polymer was diluted to 5 mg/mL in 60 mg/mL HEPES base. To this solution was added 10 mg/mL PEG(12 unit)- Phe-Cit-p-nitrophenyl-carbonate masking reagent.
- Example 20 Inhibition of endogenous gene expression in in vivo following co-administration of cholesterol-siRNA and masked amphipathic polyvinyl ester) random copolymers.
- the poly(vinyl ester) polymer DAN-41947-129-1 were masked by disubstituted maleic anhydride masking agents or didpetide masking agents as described above.
- the masked polymers were then co-injected with cholesterol-siRNA (ApoB or Factor VII) into mice and the effect on target gene expression was determined.
Landscapes
- Health & Medical Sciences (AREA)
- Chemical & Material Sciences (AREA)
- Life Sciences & Earth Sciences (AREA)
- Medicinal Chemistry (AREA)
- Organic Chemistry (AREA)
- Engineering & Computer Science (AREA)
- Chemical Kinetics & Catalysis (AREA)
- General Health & Medical Sciences (AREA)
- Bioinformatics & Cheminformatics (AREA)
- Genetics & Genomics (AREA)
- Polymers & Plastics (AREA)
- Pharmacology & Pharmacy (AREA)
- Animal Behavior & Ethology (AREA)
- Public Health (AREA)
- Veterinary Medicine (AREA)
- Molecular Biology (AREA)
- Biomedical Technology (AREA)
- Epidemiology (AREA)
- Biochemistry (AREA)
- Biotechnology (AREA)
- Zoology (AREA)
- Wood Science & Technology (AREA)
- General Engineering & Computer Science (AREA)
- Biophysics (AREA)
- Plant Pathology (AREA)
- Microbiology (AREA)
- Physics & Mathematics (AREA)
- Nuclear Medicine, Radiotherapy & Molecular Imaging (AREA)
- General Chemical & Material Sciences (AREA)
- Pharmaceuticals Containing Other Organic And Inorganic Compounds (AREA)
- Medicines That Contain Protein Lipid Enzymes And Other Medicines (AREA)
- Medicinal Preparation (AREA)
- Addition Polymer Or Copolymer, Post-Treatments, Or Chemical Modifications (AREA)
Abstract
Description
Claims
Priority Applications (11)
| Application Number | Priority Date | Filing Date | Title |
|---|---|---|---|
| JP2014527280A JP2014531476A (en) | 2011-08-26 | 2012-08-23 | Poly (vinyl ester) polymers for in vivo nucleic acid delivery |
| BR112014004585A BR112014004585A2 (en) | 2011-08-26 | 2012-08-23 | polyvinyl ester polymers for in vivo nucleic acid release |
| KR20147004852A KR20140051357A (en) | 2011-08-26 | 2012-08-23 | Poly(vinyl ester) polymers for in vivo nucleic acid delivery |
| MX2014001971A MX2014001971A (en) | 2011-08-26 | 2012-08-23 | Poly(vinyl ester) polymers for in vivo nucleic acid delivery. |
| HK15100132.2A HK1199736A1 (en) | 2011-08-26 | 2012-08-23 | Poly(vinyl ester) polymers for in vivo nucleic acid delivery |
| EP12827106.1A EP2807216A4 (en) | 2011-08-26 | 2012-08-23 | Poly(vinyl ester) polymers for in vivo nucleic acid delivery |
| CN201280041442.XA CN104024328A (en) | 2011-08-26 | 2012-08-23 | Poly(vinyl ester) polymers for in vivo nucleic acid delivery |
| CA 2842039 CA2842039A1 (en) | 2011-08-26 | 2012-08-23 | Poly(vinyl ester) polymers for in vivo nucleic acid delivery |
| AU2012300476A AU2012300476B2 (en) | 2011-08-26 | 2012-08-23 | Poly(vinyl ester) polymers for in vivo nucleic acid delivery |
| PH1/2014/500214A PH12014500214A1 (en) | 2011-08-26 | 2012-08-23 | Poly (vinyl ester) polymers for in vivo nucleic acid delivery |
| IL231146A IL231146A0 (en) | 2011-08-26 | 2014-02-25 | Poly (vinyl ester) polymers for in vivo nucleic acid delivery |
Applications Claiming Priority (4)
| Application Number | Priority Date | Filing Date | Title |
|---|---|---|---|
| US201161527703P | 2011-08-26 | 2011-08-26 | |
| US61/527,703 | 2011-08-26 | ||
| US13/592,393 US8932572B2 (en) | 2011-08-26 | 2012-08-23 | Poly(vinyl ester) polymers for in vivo nucleic acid delivery |
| US13/592,393 | 2012-08-23 |
Publications (1)
| Publication Number | Publication Date |
|---|---|
| WO2013032829A1 true WO2013032829A1 (en) | 2013-03-07 |
Family
ID=47756738
Family Applications (1)
| Application Number | Title | Priority Date | Filing Date |
|---|---|---|---|
| PCT/US2012/051968 Ceased WO2013032829A1 (en) | 2011-08-26 | 2012-08-23 | Poly(vinyl ester) polymers for in vivo nucleic acid delivery |
Country Status (12)
| Country | Link |
|---|---|
| US (3) | US8932572B2 (en) |
| JP (1) | JP2014531476A (en) |
| KR (1) | KR20140051357A (en) |
| CN (1) | CN104024328A (en) |
| AU (1) | AU2012300476B2 (en) |
| BR (1) | BR112014004585A2 (en) |
| CA (1) | CA2842039A1 (en) |
| HK (1) | HK1199736A1 (en) |
| IL (1) | IL231146A0 (en) |
| MX (1) | MX2014001971A (en) |
| PH (1) | PH12014500214A1 (en) |
| WO (1) | WO2013032829A1 (en) |
Cited By (69)
| Publication number | Priority date | Publication date | Assignee | Title |
|---|---|---|---|---|
| US8664194B2 (en) | 2011-12-16 | 2014-03-04 | Moderna Therapeutics, Inc. | Method for producing a protein of interest in a primate |
| US8710200B2 (en) | 2011-03-31 | 2014-04-29 | Moderna Therapeutics, Inc. | Engineered nucleic acids encoding a modified erythropoietin and their expression |
| US8822663B2 (en) | 2010-08-06 | 2014-09-02 | Moderna Therapeutics, Inc. | Engineered nucleic acids and methods of use thereof |
| WO2014152211A1 (en) | 2013-03-14 | 2014-09-25 | Moderna Therapeutics, Inc. | Formulation and delivery of modified nucleoside, nucleotide, and nucleic acid compositions |
| WO2015034925A1 (en) | 2013-09-03 | 2015-03-12 | Moderna Therapeutics, Inc. | Circular polynucleotides |
| WO2015034928A1 (en) | 2013-09-03 | 2015-03-12 | Moderna Therapeutics, Inc. | Chimeric polynucleotides |
| US8980864B2 (en) | 2013-03-15 | 2015-03-17 | Moderna Therapeutics, Inc. | Compositions and methods of altering cholesterol levels |
| US8999380B2 (en) | 2012-04-02 | 2015-04-07 | Moderna Therapeutics, Inc. | Modified polynucleotides for the production of biologics and proteins associated with human disease |
| US9107886B2 (en) | 2012-04-02 | 2015-08-18 | Moderna Therapeutics, Inc. | Modified polynucleotides encoding basic helix-loop-helix family member E41 |
| WO2016014846A1 (en) | 2014-07-23 | 2016-01-28 | Moderna Therapeutics, Inc. | Modified polynucleotides for the production of intrabodies |
| US9283287B2 (en) | 2012-04-02 | 2016-03-15 | Moderna Therapeutics, Inc. | Modified polynucleotides for the production of nuclear proteins |
| US9334328B2 (en) | 2010-10-01 | 2016-05-10 | Moderna Therapeutics, Inc. | Modified nucleosides, nucleotides, and nucleic acids, and uses thereof |
| JP2016515122A (en) * | 2013-03-13 | 2016-05-26 | クール ファーマシューティカルズ ディベロップメント カンパニー | Immuno-modifying particles for the treatment of inflammation |
| US9428535B2 (en) | 2011-10-03 | 2016-08-30 | Moderna Therapeutics, Inc. | Modified nucleosides, nucleotides, and nucleic acids, and uses thereof |
| US9464124B2 (en) | 2011-09-12 | 2016-10-11 | Moderna Therapeutics, Inc. | Engineered nucleic acids and methods of use thereof |
| US9572897B2 (en) | 2012-04-02 | 2017-02-21 | Modernatx, Inc. | Modified polynucleotides for the production of cytoplasmic and cytoskeletal proteins |
| US9597380B2 (en) | 2012-11-26 | 2017-03-21 | Modernatx, Inc. | Terminally modified RNA |
| WO2017070620A2 (en) | 2015-10-22 | 2017-04-27 | Modernatx, Inc. | Broad spectrum influenza virus vaccine |
| WO2017070622A1 (en) | 2015-10-22 | 2017-04-27 | Modernatx, Inc. | Respiratory syncytial virus vaccine |
| WO2017070613A1 (en) | 2015-10-22 | 2017-04-27 | Modernatx, Inc. | Human cytomegalovirus vaccine |
| WO2017070601A1 (en) | 2015-10-22 | 2017-04-27 | Modernatx, Inc. | Nucleic acid vaccines for varicella zoster virus (vzv) |
| WO2017070626A2 (en) | 2015-10-22 | 2017-04-27 | Modernatx, Inc. | Respiratory virus vaccines |
| WO2017070623A1 (en) | 2015-10-22 | 2017-04-27 | Modernatx, Inc. | Herpes simplex virus vaccine |
| WO2017112943A1 (en) | 2015-12-23 | 2017-06-29 | Modernatx, Inc. | Methods of using ox40 ligand encoding polynucleotides |
| WO2017120612A1 (en) | 2016-01-10 | 2017-07-13 | Modernatx, Inc. | Therapeutic mrnas encoding anti ctla-4 antibodies |
| WO2017214112A1 (en) | 2016-06-06 | 2017-12-14 | Arrowhead Pharmaceuticals, Inc. | 5'-cyclo-phosphonate modified nucleotides |
| WO2018027106A2 (en) | 2016-08-04 | 2018-02-08 | Arrowhead Pharmaceuticals, Inc. | RNAi AGENTS FOR HEPATITIS B VIRUS INFECTION |
| US9932586B2 (en) | 2015-10-01 | 2018-04-03 | Arrowhead Pharmaceuticals, Inc. | Compositions and methods for inhibiting gene expression of LPA |
| US9976141B2 (en) | 2015-05-29 | 2018-05-22 | Arrowhead Pharmaceuticals, Inc. | Compositions and methods for inhibiting gene expression of Hif2alpha |
| US10323076B2 (en) | 2013-10-03 | 2019-06-18 | Modernatx, Inc. | Polynucleotides encoding low density lipoprotein receptor |
| US10450565B2 (en) | 2017-01-10 | 2019-10-22 | Arrowhead Pharmaceuticals, Inc. | Alpha-1 antitrypsin (AAT) RNAi agents, compositions including AAT RNAi agents, and methods of use |
| EP3573623A1 (en) | 2017-01-30 | 2019-12-04 | Arrowhead Pharmaceuticals, Inc. | Compositions and methods for inhibition of factor xii gene expression |
| US10590416B2 (en) | 2017-07-06 | 2020-03-17 | Arrowhead Pharmaceuticals, Inc. | RNAi agents for inhibiting expression of alpha-ENaC and methods of use |
| US10597657B2 (en) | 2017-09-11 | 2020-03-24 | Arrowhead Pharmaceuticals, Inc. | RNAi agents and compositions for inhibiting expression of apolipoprotein C-III (APOC3) |
| WO2020163747A1 (en) | 2019-02-07 | 2020-08-13 | Arrowhead Pharmaceuticals, Inc. | Rnai agents for hepatitis b virus infection |
| US10815291B2 (en) | 2013-09-30 | 2020-10-27 | Modernatx, Inc. | Polynucleotides encoding immune modulating polypeptides |
| WO2020255008A1 (en) | 2019-06-18 | 2020-12-24 | Janssen Sciences Ireland Unlimited Company | COMBINATION OF HEPATITIS B VIRUS (HBV) VACCINES AND HBV-TARGETING RNAi |
| WO2020255007A1 (en) | 2019-06-18 | 2020-12-24 | Janssen Sciences Ireland Unlimited Company | Combination of hepatitis b virus (hbv) vaccines and hbv-targeting rnai |
| US10995335B2 (en) | 2017-09-14 | 2021-05-04 | Arrowhead Pharmaceuticals, Inc. | RNAi agents and compositions for inhibiting expression of angiopoietin-like 3 (ANGPTL3), and methods of use |
| WO2021195467A2 (en) | 2020-03-26 | 2021-09-30 | Arrowhead Pharmaceuticals, Inc. | RNAi AGENTS FOR INHIBITING EXPRESSION OF PNPLA3, PHARMACEUTICAL COMPOSITIONS THEREOF, AND METHODS OF USE |
| US11261444B2 (en) | 2013-02-28 | 2022-03-01 | Arrowhead Pharmaceuticals, Inc. | Organic compositions to treat EPAS1-related diseases |
| WO2022056273A1 (en) | 2020-09-11 | 2022-03-17 | Arrowhead Pharmaceuticals, Inc. | Lipid conjugates for the delivery of therapeutic agents |
| WO2022056277A1 (en) | 2020-09-11 | 2022-03-17 | Arrowhead Pharmaceuticals, Inc. | Skeletal muscle delivery platforms and methods of use |
| WO2022056266A2 (en) | 2020-09-11 | 2022-03-17 | Arrowhead Pharmaceuticals, Inc. | Rnai agents for inhibiting expression of dux4, compositions thereof, and methods of use |
| US11492624B2 (en) | 2017-10-17 | 2022-11-08 | Arrowheads Pharmaceuticals, Inc. | RNAi agents and compositions for inhibiting expression of Asialoglycoprotein receptor 1 |
| US11534453B2 (en) | 2015-08-07 | 2022-12-27 | Arrowhead Pharmaceuticals, Inc. | RNAi therapy for hepatitis B virus infection |
| US11549112B1 (en) | 2021-06-21 | 2023-01-10 | Arrowhead Pharmaceuticals, Inc. | RNAi agents for inhibiting expression of xanthine dehydrogenase (XDH), pharmaceutical compositions thereof, and methods of use |
| EP4159741A1 (en) | 2014-07-16 | 2023-04-05 | ModernaTX, Inc. | Method for producing a chimeric polynucleotide encoding a polypeptide having a triazole-containing internucleotide linkage |
| WO2023161350A1 (en) | 2022-02-24 | 2023-08-31 | Io Biotech Aps | Nucleotide delivery of cancer therapy |
| US11744801B2 (en) | 2017-08-31 | 2023-09-05 | Modernatx, Inc. | Methods of making lipid nanoparticles |
| US11786607B2 (en) | 2017-06-15 | 2023-10-17 | Modernatx, Inc. | RNA formulations |
| WO2023233290A1 (en) | 2022-05-31 | 2023-12-07 | Janssen Sciences Ireland Unlimited Company | Rnai agents targeting pd-l1 |
| US11912997B2 (en) | 2022-06-15 | 2024-02-27 | Arrowhead Pharmaceuticals, Inc. | RNAi agents for inhibiting expression of Superoxide Dismutase 1 (SOD1), compositions thereof, and methods of use |
| US12090235B2 (en) | 2018-09-20 | 2024-09-17 | Modernatx, Inc. | Preparation of lipid nanoparticles and methods of administration thereof |
| US12188017B2 (en) | 2014-06-17 | 2025-01-07 | Arrowhead Pharmaceuticals, Inc. | Compositions and methods for inhibiting gene expression of alpha-1 antitrypsin |
| US12221610B2 (en) | 2019-01-09 | 2025-02-11 | Arrowhead Pharmaceuticals, Inc. | RNAi agents for inhibiting expression of HIF-2 alpha (EPAS1), compositions thereof, and methods of use |
| EP4520345A1 (en) | 2023-09-06 | 2025-03-12 | Myneo Nv | Product |
| WO2025072748A2 (en) | 2023-09-29 | 2025-04-03 | Insitro, Inc. | Compositions and methods for treating nonalcoholic fatty liver disease |
| US12365897B2 (en) | 2021-05-28 | 2025-07-22 | Arrowhead Pharmaceuticals, Inc. | RNAi agents for inhibiting expression of mucin 5AC (MUC5AC), compositions thereof, and methods of use |
| US12378558B2 (en) | 2023-03-21 | 2025-08-05 | Arrowhead Pharmaceuticals, Inc. | RNAi agents for inhibiting expression of complement factor B (CFB), pharmaceutical compositions thereof, and methods of use |
| US12442002B2 (en) | 2023-12-20 | 2025-10-14 | Arrowhead Pharmaceuticals, Inc. | RNAi agents for inhibiting expression of activin receptor-like kinase 7 (ALK7), compositions thereof, and methods of use |
| WO2025226980A2 (en) | 2024-04-25 | 2025-10-30 | Insitro, Inc. | Compositions and methods for treating metabolic dysfunction-associated steatotic liver disease |
| US12486502B2 (en) | 2021-04-08 | 2025-12-02 | Arrowhead Pharmaceuticals, Inc. | RNAi agents for inhibiting expression of receptor for advanced glycation end-products, compositions thereof, and methods of use |
| US12503696B2 (en) | 2023-08-30 | 2025-12-23 | Arrowhead Pharmaceuticals, Inc. | RNAi agents for inhibiting expression of inhibin subunit beta E (INHBE), pharmaceutical compositions thereof, and methods of use |
| WO2025265013A2 (en) | 2024-06-20 | 2025-12-26 | Arrowhead Pharmaceuticals, Inc. | Rnai agents for inhibiting expression of huntingtin (htt), compositions thereof, and methods of use |
| US12534728B2 (en) | 2018-09-19 | 2026-01-27 | Arrowhead Pharmaceuticals, Inc. | RNAi agents for inhibiting expression of 17beta-HSD type 13 (HSD17B13), compositions thereof, and methods of use |
| US12551569B2 (en) | 2024-03-31 | 2026-02-17 | Arrowhead Pharmaceuticals, Inc. | RNAi agents for inhibiting expression of microtubule associated protein tau (MAPT), compositions thereof, and methods of use |
| WO2026044017A2 (en) | 2024-08-21 | 2026-02-26 | Insitro, Inc. | Compositions and methods for treating nonalcoholic fatty liver disease |
| US12582668B2 (en) | 2019-06-06 | 2026-03-24 | Arrowhead Pharmaceuticals, Inc. | Methods for the treatment of alpha-1 antitrypsin deficiency (AATD) |
Families Citing this family (40)
| Publication number | Priority date | Publication date | Assignee | Title |
|---|---|---|---|---|
| WO2013032829A1 (en) * | 2011-08-26 | 2013-03-07 | Arrowhead Research Corporation | Poly(vinyl ester) polymers for in vivo nucleic acid delivery |
| EP3453761A1 (en) | 2011-08-29 | 2019-03-13 | Ionis Pharmaceuticals, Inc. | Oligomer-conjugate complexes and their use |
| US8796405B2 (en) * | 2012-01-18 | 2014-08-05 | Wisconsin Alumni Research Foundation | Degradable polycations derived from amino acid vinyl esters |
| JP2015515530A (en) * | 2012-04-18 | 2015-05-28 | アローヘッド リサーチ コーポレイション | Poly (acrylate) polymers for in vivo nucleic acid delivery |
| DK2991656T3 (en) | 2013-05-01 | 2020-03-23 | Ionis Pharmaceuticals Inc | COMPOSITIONS AND PROCEDURES FOR MODULATING APOLIPOPROTEIN C-III EXPRESSION |
| WO2015021092A1 (en) | 2013-08-07 | 2015-02-12 | Arrowhead Research Corporation | Polyconjugates for delivery of rnai triggers to tumor cells in vivo |
| DK3137476T3 (en) | 2014-04-28 | 2019-11-18 | Ionis Pharmaceuticals Inc | LINKER-MODIFIED OLIGOMER COMPOUNDS |
| CN110903337A (en) | 2014-05-01 | 2020-03-24 | Ionis制药公司 | Compositions and methods for modulating growth hormone receptor expression |
| PT3137605T (en) | 2014-05-01 | 2020-12-18 | Ionis Pharmaceuticals Inc | Compositions and methods for modulating angiopoietin-like 3 expression |
| SG11201608502TA (en) | 2014-05-01 | 2016-11-29 | Ionis Pharmaceuticals Inc | Compositions and methods for modulating complement factor b expression |
| EP3862362A3 (en) | 2014-05-01 | 2021-10-27 | Ionis Pharmaceuticals, Inc. | Conjugates of modified antisense oligonucleotides and their use for modulating pkk expression |
| US10570169B2 (en) | 2014-05-22 | 2020-02-25 | Ionis Pharmaceuticals, Inc. | Conjugated antisense compounds and their use |
| BR112017004056A2 (en) | 2014-09-12 | 2017-12-05 | Biogen Ma Inc | compositions and methods for detecting smn protein in an individual and treating an individual |
| CA2991894A1 (en) | 2015-07-10 | 2017-01-19 | Ionis Pharmaceuticals, Inc. | Modulators of diacyglycerol acyltransferase 2 (dgat2) |
| JP6877414B2 (en) | 2015-09-24 | 2021-05-26 | アイオニス・ファーマシューティカルズ・インコーポレイテッドIonis Pharmaceuticals,Inc. | KRAS expression modulator |
| AU2016349625B2 (en) | 2015-11-06 | 2022-07-07 | Ionis Pharmaceuticals, Inc. | Modulating apolipoprotein (a) expression |
| US20190046555A1 (en) | 2015-11-06 | 2019-02-14 | Ionis Pharmaceuticals, Inc. | Conjugated antisense compounds for use in therapy |
| KR102515329B1 (en) | 2016-03-07 | 2023-03-29 | 애로우헤드 파마슈티컬스 인코포레이티드 | Targeting ligands for therapeutic compounds |
| ES2935658T3 (en) | 2016-07-15 | 2023-03-09 | Ionis Pharmaceuticals Inc | Compounds and methods for the modulation of SMN2 |
| MX2018009853A (en) | 2016-09-02 | 2018-11-09 | Arrowhead Pharmaceuticals Inc | Targeting ligands. |
| EP3522898A4 (en) | 2016-10-06 | 2020-05-27 | Ionis Pharmaceuticals, Inc. | Method of conjugating oligomeric compounds |
| JOP20190215A1 (en) | 2017-03-24 | 2019-09-19 | Ionis Pharmaceuticals Inc | Modulators of pcsk9 expression |
| BR112020014425A2 (en) | 2018-01-15 | 2020-12-29 | Ionis Pharmaceuticals, Inc. | DNM2 EXPRESSION MODULATORS |
| AU2019218987B2 (en) | 2018-02-12 | 2025-04-24 | Ionis Pharmaceuticals, Inc. | Modified compounds and uses thereof |
| JP7438135B2 (en) | 2018-05-09 | 2024-02-26 | アイオーニス ファーマシューティカルズ, インコーポレーテッド | Compounds and methods for reducing expression of FXI |
| EP3823725A4 (en) | 2018-07-17 | 2023-05-10 | Aronora, Inc. | METHODS OF SAFELY REDUCING THROMBOPOIETIN |
| US20210292768A1 (en) | 2018-08-08 | 2021-09-23 | Arcturus Therapeutics, Inc. | Compositions and agents against nonalcoholic steatohepatitis |
| TWI856973B (en) | 2018-09-19 | 2024-10-01 | 美商Ionis製藥公司 | Modulators of pnpla3 expression |
| EP3899024A4 (en) | 2018-12-21 | 2023-05-31 | Ionis Pharmaceuticals, Inc. | HSD17B13 EXPRESSION MODULATORS |
| EP4045062A1 (en) | 2019-10-14 | 2022-08-24 | Astrazeneca AB | Modulators of pnpla3 expression |
| CR20220485A (en) | 2020-02-28 | 2022-11-10 | Ionis Pharmaceuticals Inc | Compounds and methods for modulating smn2 |
| AU2021260934A1 (en) | 2020-04-21 | 2022-11-24 | Flagship Pioneering, Inc. | Bifunctional molecules and methods of using thereof |
| EP4136092B1 (en) | 2020-11-18 | 2024-07-31 | Ionis Pharmaceuticals, Inc. | Compounds and methods for modulating angiotensinogen expression |
| AU2022262794A1 (en) | 2021-04-23 | 2023-11-02 | Beth Israel Deaconess Medical Center, Inc. | Glycan modified nucleic acids, methods of preparation, and therapeutic uses |
| MX2024004011A (en) | 2021-10-01 | 2024-07-01 | Adarx Pharmaceuticals Inc | Prekallikrein-modulating compositions and methods of use thereof. |
| WO2024220930A2 (en) | 2023-04-20 | 2024-10-24 | Adarx Pharmaceuticals, Inc. | Mapt-modulating compositions and methods of use thereof |
| CN121398851A (en) | 2023-05-12 | 2026-01-23 | 阿达尔克斯制药有限公司 | NMDA ligand conjugated compounds and uses thereof |
| IL324720A (en) | 2023-05-26 | 2026-01-01 | Adarx Pharmaceuticals Inc | Sod1-modulating compositions and methods of use thereof |
| CN121712891A (en) | 2023-06-20 | 2026-03-20 | 阿达尔克斯制药有限公司 | LRRK2 conditioning composition and its usage |
| TW202602463A (en) | 2024-03-22 | 2026-01-16 | 日商武田藥品工業股份有限公司 | Compositions and methods for inhibiting cytochrome p450 family 7 subfamily a member 1 (cyp7a1) expression |
Citations (3)
| Publication number | Priority date | Publication date | Assignee | Title |
|---|---|---|---|---|
| US20090048410A1 (en) * | 2002-03-11 | 2009-02-19 | Wakefield Darren H | Membrane Active Heteropolymers |
| US20110009571A1 (en) * | 2006-12-05 | 2011-01-13 | David Taft | Systems and methods for delivery of materials |
| US20110224377A1 (en) * | 2010-03-11 | 2011-09-15 | Mahesh Kalyana Mahanthappa | Poly(vinyl ester) block copolymers |
Family Cites Families (21)
| Publication number | Priority date | Publication date | Assignee | Title |
|---|---|---|---|---|
| JPH0359003A (en) * | 1989-07-27 | 1991-03-14 | Mitsubishi Kasei Corp | acid sensitive polymer |
| NL9201440A (en) | 1992-08-11 | 1994-03-01 | Univ Leiden | Triantennary cluster glycosides, their preparation and application. |
| TW316266B (en) | 1993-07-30 | 1997-09-21 | Commw Scient Ind Res Org | |
| US6291620B1 (en) | 1994-11-09 | 2001-09-18 | E. I. Du Pont De Nemours And Company | Polymer synthesis |
| JPH0931057A (en) * | 1995-07-21 | 1997-02-04 | Eiweiss Kk | Vinyl ether having proline skeleton, its production and polymer and copolymer thereof |
| ES2166092T3 (en) | 1996-07-10 | 2002-04-01 | Du Pont | POLYMERIZATION WITH LIVING CHARACTERISTICS. |
| CA2284026A1 (en) | 1997-04-23 | 1998-10-29 | E.I. Du Pont De Nemours And Company | Method of macromonomer synthesis |
| CA2337339A1 (en) | 1997-07-21 | 1999-02-04 | Commonwealth Scientific And Industrial Research Organisation | Synthesis of dithioester chain transfer agents and use of bis(thioacyl) disulfides or dithioesters as chain transfer agents |
| CA2309279C (en) | 1997-12-18 | 2009-07-14 | E.I. Du Pont De Nemours And Company | Polymerization process with living characteristics and polymers made therefrom |
| EP1102784A4 (en) * | 1999-06-07 | 2009-12-30 | Mirus Bio Corp | A compound containing a labile disulfide bond |
| US8137695B2 (en) | 2006-08-18 | 2012-03-20 | Arrowhead Madison Inc. | Polyconjugates for in vivo delivery of polynucleotides |
| JP4751556B2 (en) * | 2000-02-28 | 2011-08-17 | ジーンシーグス, インコーポレイテッド | Nanocapsule encapsulation system and method |
| US7816337B2 (en) * | 2003-02-18 | 2010-10-19 | Roche Madison Inc. | Reversible attachment of a membrane active polymer to a polynucleotide |
| JP2011505179A (en) * | 2007-11-23 | 2011-02-24 | テヒニーシェ ウニヴェルジテート ウィーン | Polymeric curable compositions for the preparation of polyvinyl alcohol-based biodegradable, biocompatible, crosslinked polymers |
| CN103342789B (en) | 2008-05-13 | 2016-11-23 | 华盛顿大学 | For to the diblock copolymer of Intracellular delivery and its polynucleotide complexes |
| EP2364330B1 (en) | 2008-11-06 | 2015-03-25 | University Of Washington | Multiblock copolymers |
| JP5756027B2 (en) | 2009-01-23 | 2015-07-29 | コモンウェルス サイエンティフィック アンド インダストリアル リサーチ オーガナイゼーション | RAFT polymerization |
| DK2539451T3 (en) * | 2010-02-24 | 2016-04-04 | Arrowhead Res Corp | Compositions for targeted delivery of siRNA |
| WO2011115641A1 (en) | 2010-03-19 | 2011-09-22 | Wisconsin Alumni Research Foundation | Poly(vinyl alcohol) -poly(vinyl ester) block copolymers |
| WO2011163121A1 (en) | 2010-06-21 | 2011-12-29 | Alnylam Pharmaceuticals, Inc. | Multifunctional copolymers for nucleic acid delivery |
| WO2013032829A1 (en) * | 2011-08-26 | 2013-03-07 | Arrowhead Research Corporation | Poly(vinyl ester) polymers for in vivo nucleic acid delivery |
-
2012
- 2012-08-23 WO PCT/US2012/051968 patent/WO2013032829A1/en not_active Ceased
- 2012-08-23 PH PH1/2014/500214A patent/PH12014500214A1/en unknown
- 2012-08-23 HK HK15100132.2A patent/HK1199736A1/en unknown
- 2012-08-23 JP JP2014527280A patent/JP2014531476A/en active Pending
- 2012-08-23 CA CA 2842039 patent/CA2842039A1/en not_active Abandoned
- 2012-08-23 KR KR20147004852A patent/KR20140051357A/en not_active Withdrawn
- 2012-08-23 BR BR112014004585A patent/BR112014004585A2/en unknown
- 2012-08-23 MX MX2014001971A patent/MX2014001971A/en unknown
- 2012-08-23 US US13/592,393 patent/US8932572B2/en active Active
- 2012-08-23 CN CN201280041442.XA patent/CN104024328A/en active Pending
- 2012-08-23 AU AU2012300476A patent/AU2012300476B2/en not_active Ceased
-
2014
- 2014-02-25 IL IL231146A patent/IL231146A0/en unknown
- 2014-12-05 US US14/561,339 patent/US9089611B2/en not_active Expired - Fee Related
-
2015
- 2015-06-22 US US14/746,070 patent/US9474804B2/en not_active Expired - Fee Related
Patent Citations (3)
| Publication number | Priority date | Publication date | Assignee | Title |
|---|---|---|---|---|
| US20090048410A1 (en) * | 2002-03-11 | 2009-02-19 | Wakefield Darren H | Membrane Active Heteropolymers |
| US20110009571A1 (en) * | 2006-12-05 | 2011-01-13 | David Taft | Systems and methods for delivery of materials |
| US20110224377A1 (en) * | 2010-03-11 | 2011-09-15 | Mahesh Kalyana Mahanthappa | Poly(vinyl ester) block copolymers |
Non-Patent Citations (1)
| Title |
|---|
| LIPSCOMB, C.E. ET AL: "Poly(vinyl ester) Block Copolymers Synthesized by Reversible Addition-Fragmentation Chain Transfer Polymerizations", MACROMOLECULES, vol. 42, 2009, pages 4571 - 4579, XP055146365 * |
Cited By (140)
| Publication number | Priority date | Publication date | Assignee | Title |
|---|---|---|---|---|
| US9937233B2 (en) | 2010-08-06 | 2018-04-10 | Modernatx, Inc. | Engineered nucleic acids and methods of use thereof |
| US9181319B2 (en) | 2010-08-06 | 2015-11-10 | Moderna Therapeutics, Inc. | Engineered nucleic acids and methods of use thereof |
| US8822663B2 (en) | 2010-08-06 | 2014-09-02 | Moderna Therapeutics, Inc. | Engineered nucleic acids and methods of use thereof |
| US9447164B2 (en) | 2010-08-06 | 2016-09-20 | Moderna Therapeutics, Inc. | Engineered nucleic acids and methods of use thereof |
| US9334328B2 (en) | 2010-10-01 | 2016-05-10 | Moderna Therapeutics, Inc. | Modified nucleosides, nucleotides, and nucleic acids, and uses thereof |
| US10064959B2 (en) | 2010-10-01 | 2018-09-04 | Modernatx, Inc. | Modified nucleosides, nucleotides, and nucleic acids, and uses thereof |
| US9657295B2 (en) | 2010-10-01 | 2017-05-23 | Modernatx, Inc. | Modified nucleosides, nucleotides, and nucleic acids, and uses thereof |
| US8710200B2 (en) | 2011-03-31 | 2014-04-29 | Moderna Therapeutics, Inc. | Engineered nucleic acids encoding a modified erythropoietin and their expression |
| US9533047B2 (en) | 2011-03-31 | 2017-01-03 | Modernatx, Inc. | Delivery and formulation of engineered nucleic acids |
| US9950068B2 (en) | 2011-03-31 | 2018-04-24 | Modernatx, Inc. | Delivery and formulation of engineered nucleic acids |
| US10751386B2 (en) | 2011-09-12 | 2020-08-25 | Modernatx, Inc. | Engineered nucleic acids and methods of use thereof |
| US10022425B2 (en) | 2011-09-12 | 2018-07-17 | Modernatx, Inc. | Engineered nucleic acids and methods of use thereof |
| US9464124B2 (en) | 2011-09-12 | 2016-10-11 | Moderna Therapeutics, Inc. | Engineered nucleic acids and methods of use thereof |
| US9428535B2 (en) | 2011-10-03 | 2016-08-30 | Moderna Therapeutics, Inc. | Modified nucleosides, nucleotides, and nucleic acids, and uses thereof |
| US8664194B2 (en) | 2011-12-16 | 2014-03-04 | Moderna Therapeutics, Inc. | Method for producing a protein of interest in a primate |
| US9271996B2 (en) | 2011-12-16 | 2016-03-01 | Moderna Therapeutics, Inc. | Formulation and delivery of PLGA microspheres |
| US8754062B2 (en) | 2011-12-16 | 2014-06-17 | Moderna Therapeutics, Inc. | DLIN-KC2-DMA lipid nanoparticle delivery of modified polynucleotides |
| US8680069B2 (en) | 2011-12-16 | 2014-03-25 | Moderna Therapeutics, Inc. | Modified polynucleotides for the production of G-CSF |
| US9186372B2 (en) | 2011-12-16 | 2015-11-17 | Moderna Therapeutics, Inc. | Split dose administration |
| US9295689B2 (en) | 2011-12-16 | 2016-03-29 | Moderna Therapeutics, Inc. | Formulation and delivery of PLGA microspheres |
| US9675668B2 (en) | 2012-04-02 | 2017-06-13 | Moderna Therapeutics, Inc. | Modified polynucleotides encoding hepatitis A virus cellular receptor 2 |
| US9572897B2 (en) | 2012-04-02 | 2017-02-21 | Modernatx, Inc. | Modified polynucleotides for the production of cytoplasmic and cytoskeletal proteins |
| US9220755B2 (en) | 2012-04-02 | 2015-12-29 | Moderna Therapeutics, Inc. | Modified polynucleotides for the production of proteins associated with blood and lymphatic disorders |
| US9221891B2 (en) | 2012-04-02 | 2015-12-29 | Moderna Therapeutics, Inc. | In vivo production of proteins |
| US9233141B2 (en) | 2012-04-02 | 2016-01-12 | Moderna Therapeutics, Inc. | Modified polynucleotides for the production of proteins associated with blood and lymphatic disorders |
| US9050297B2 (en) | 2012-04-02 | 2015-06-09 | Moderna Therapeutics, Inc. | Modified polynucleotides encoding aryl hydrocarbon receptor nuclear translocator |
| US9254311B2 (en) | 2012-04-02 | 2016-02-09 | Moderna Therapeutics, Inc. | Modified polynucleotides for the production of proteins |
| US9255129B2 (en) | 2012-04-02 | 2016-02-09 | Moderna Therapeutics, Inc. | Modified polynucleotides encoding SIAH E3 ubiquitin protein ligase 1 |
| US9216205B2 (en) | 2012-04-02 | 2015-12-22 | Moderna Therapeutics, Inc. | Modified polynucleotides encoding granulysin |
| US9283287B2 (en) | 2012-04-02 | 2016-03-15 | Moderna Therapeutics, Inc. | Modified polynucleotides for the production of nuclear proteins |
| US9192651B2 (en) | 2012-04-02 | 2015-11-24 | Moderna Therapeutics, Inc. | Modified polynucleotides for the production of secreted proteins |
| US9303079B2 (en) | 2012-04-02 | 2016-04-05 | Moderna Therapeutics, Inc. | Modified polynucleotides for the production of cytoplasmic and cytoskeletal proteins |
| US9301993B2 (en) | 2012-04-02 | 2016-04-05 | Moderna Therapeutics, Inc. | Modified polynucleotides encoding apoptosis inducing factor 1 |
| US9149506B2 (en) | 2012-04-02 | 2015-10-06 | Moderna Therapeutics, Inc. | Modified polynucleotides encoding septin-4 |
| US9878056B2 (en) | 2012-04-02 | 2018-01-30 | Modernatx, Inc. | Modified polynucleotides for the production of cosmetic proteins and peptides |
| US9114113B2 (en) | 2012-04-02 | 2015-08-25 | Moderna Therapeutics, Inc. | Modified polynucleotides encoding citeD4 |
| US9107886B2 (en) | 2012-04-02 | 2015-08-18 | Moderna Therapeutics, Inc. | Modified polynucleotides encoding basic helix-loop-helix family member E41 |
| US9095552B2 (en) | 2012-04-02 | 2015-08-04 | Moderna Therapeutics, Inc. | Modified polynucleotides encoding copper metabolism (MURR1) domain containing 1 |
| US9089604B2 (en) | 2012-04-02 | 2015-07-28 | Moderna Therapeutics, Inc. | Modified polynucleotides for treating galactosylceramidase protein deficiency |
| US8999380B2 (en) | 2012-04-02 | 2015-04-07 | Moderna Therapeutics, Inc. | Modified polynucleotides for the production of biologics and proteins associated with human disease |
| US9587003B2 (en) | 2012-04-02 | 2017-03-07 | Modernatx, Inc. | Modified polynucleotides for the production of oncology-related proteins and peptides |
| US9828416B2 (en) | 2012-04-02 | 2017-11-28 | Modernatx, Inc. | Modified polynucleotides for the production of secreted proteins |
| US9827332B2 (en) | 2012-04-02 | 2017-11-28 | Modernatx, Inc. | Modified polynucleotides for the production of proteins |
| US9814760B2 (en) | 2012-04-02 | 2017-11-14 | Modernatx, Inc. | Modified polynucleotides for the production of biologics and proteins associated with human disease |
| US9782462B2 (en) | 2012-04-02 | 2017-10-10 | Modernatx, Inc. | Modified polynucleotides for the production of proteins associated with human disease |
| US10501512B2 (en) | 2012-04-02 | 2019-12-10 | Modernatx, Inc. | Modified polynucleotides |
| US9220792B2 (en) | 2012-04-02 | 2015-12-29 | Moderna Therapeutics, Inc. | Modified polynucleotides encoding aquaporin-5 |
| US9061059B2 (en) | 2012-04-02 | 2015-06-23 | Moderna Therapeutics, Inc. | Modified polynucleotides for treating protein deficiency |
| US9597380B2 (en) | 2012-11-26 | 2017-03-21 | Modernatx, Inc. | Terminally modified RNA |
| US11261444B2 (en) | 2013-02-28 | 2022-03-01 | Arrowhead Pharmaceuticals, Inc. | Organic compositions to treat EPAS1-related diseases |
| JP2024129012A (en) * | 2013-03-13 | 2024-09-26 | クール ファーマシューティカルズ ディベロップメント カンパニー インコーポレイテッド | Immunomodulating particles for the treatment of inflammation - Patents.com |
| KR102717053B1 (en) * | 2013-03-13 | 2024-10-15 | 코어 파마슈티칼스 디벨롭먼트 컴퍼니 인크. | Immune-modifying particles for the treatment of inflammation |
| JP2020172501A (en) * | 2013-03-13 | 2020-10-22 | クール ファーマシューティカルズ ディベロップメント カンパニー インコーポレイテッド | Immunomodifying particles for the treatment of inflammation |
| JP2019073550A (en) * | 2013-03-13 | 2019-05-16 | クール ファーマシューティカルズ ディベロップメント カンパニー インコーポレイテッド | Immune-modifying particles for treatment of inflammation |
| US11045492B2 (en) | 2013-03-13 | 2021-06-29 | Oncour Pharma, Inc. | Immune-modifying nanoparticles for the treatment of inflammatory diseases |
| KR20230025948A (en) * | 2013-03-13 | 2023-02-23 | 코어 파마슈티칼스 디벨롭먼트 컴퍼니 인크. | Immune-modifying particles for the treatment of inflammation |
| US9919005B2 (en) | 2013-03-13 | 2018-03-20 | Cour Pharmaceuticals Development Company, Inc. | Immune-modifying nanoparticles for the treatment of inflammatory diseases |
| JP2016515122A (en) * | 2013-03-13 | 2016-05-26 | クール ファーマシューティカルズ ディベロップメント カンパニー | Immuno-modifying particles for the treatment of inflammation |
| JP2022184935A (en) * | 2013-03-13 | 2022-12-13 | クール ファーマシューティカルズ ディベロップメント カンパニー インコーポレイテッド | Immunomodulatory particles for the treatment of inflammation |
| US9913883B2 (en) | 2013-03-13 | 2018-03-13 | Cour Pharmaceuticals Development Company | Immune-modifying nanoparticles for the treatment of inflammatory diseases |
| WO2014152211A1 (en) | 2013-03-14 | 2014-09-25 | Moderna Therapeutics, Inc. | Formulation and delivery of modified nucleoside, nucleotide, and nucleic acid compositions |
| US8980864B2 (en) | 2013-03-15 | 2015-03-17 | Moderna Therapeutics, Inc. | Compositions and methods of altering cholesterol levels |
| WO2015034925A1 (en) | 2013-09-03 | 2015-03-12 | Moderna Therapeutics, Inc. | Circular polynucleotides |
| WO2015034928A1 (en) | 2013-09-03 | 2015-03-12 | Moderna Therapeutics, Inc. | Chimeric polynucleotides |
| US10815291B2 (en) | 2013-09-30 | 2020-10-27 | Modernatx, Inc. | Polynucleotides encoding immune modulating polypeptides |
| US10323076B2 (en) | 2013-10-03 | 2019-06-18 | Modernatx, Inc. | Polynucleotides encoding low density lipoprotein receptor |
| US12188017B2 (en) | 2014-06-17 | 2025-01-07 | Arrowhead Pharmaceuticals, Inc. | Compositions and methods for inhibiting gene expression of alpha-1 antitrypsin |
| EP4159741A1 (en) | 2014-07-16 | 2023-04-05 | ModernaTX, Inc. | Method for producing a chimeric polynucleotide encoding a polypeptide having a triazole-containing internucleotide linkage |
| WO2016014846A1 (en) | 2014-07-23 | 2016-01-28 | Moderna Therapeutics, Inc. | Modified polynucleotides for the production of intrabodies |
| US9976141B2 (en) | 2015-05-29 | 2018-05-22 | Arrowhead Pharmaceuticals, Inc. | Compositions and methods for inhibiting gene expression of Hif2alpha |
| US11840688B2 (en) | 2015-05-29 | 2023-12-12 | Arrowhead Pharmaceuticals, Inc. | Compositions and methods for inhibiting gene expression of Hif2alpha |
| US10927373B2 (en) | 2015-05-29 | 2021-02-23 | Arrowhead Pharmaceuticals, Inc. | Compositions and methods for inhibiting gene expression of Hif2alpha |
| US11534453B2 (en) | 2015-08-07 | 2022-12-27 | Arrowhead Pharmaceuticals, Inc. | RNAi therapy for hepatitis B virus infection |
| US9932586B2 (en) | 2015-10-01 | 2018-04-03 | Arrowhead Pharmaceuticals, Inc. | Compositions and methods for inhibiting gene expression of LPA |
| EP4029941A1 (en) | 2015-10-01 | 2022-07-20 | Arrowhead Pharmaceuticals, Inc. | Compositions and methods for inhibiting gene expression of lpa |
| US10662427B2 (en) | 2015-10-01 | 2020-05-26 | Arrowhead Pharmaceuticals, Inc. | Compositions and methods for inhibiting gene expression of LPA |
| WO2017070626A2 (en) | 2015-10-22 | 2017-04-27 | Modernatx, Inc. | Respiratory virus vaccines |
| WO2017070623A1 (en) | 2015-10-22 | 2017-04-27 | Modernatx, Inc. | Herpes simplex virus vaccine |
| WO2017070601A1 (en) | 2015-10-22 | 2017-04-27 | Modernatx, Inc. | Nucleic acid vaccines for varicella zoster virus (vzv) |
| WO2017070622A1 (en) | 2015-10-22 | 2017-04-27 | Modernatx, Inc. | Respiratory syncytial virus vaccine |
| WO2017070620A2 (en) | 2015-10-22 | 2017-04-27 | Modernatx, Inc. | Broad spectrum influenza virus vaccine |
| EP4349405A2 (en) | 2015-10-22 | 2024-04-10 | ModernaTX, Inc. | Respiratory virus vaccines |
| EP4011451A1 (en) | 2015-10-22 | 2022-06-15 | ModernaTX, Inc. | Metapneumovirus mrna vaccines |
| EP4349404A2 (en) | 2015-10-22 | 2024-04-10 | ModernaTX, Inc. | Respiratory virus vaccines |
| WO2017070613A1 (en) | 2015-10-22 | 2017-04-27 | Modernatx, Inc. | Human cytomegalovirus vaccine |
| EP4039699A1 (en) | 2015-12-23 | 2022-08-10 | ModernaTX, Inc. | Methods of using ox40 ligand encoding polynucleotides |
| WO2017112943A1 (en) | 2015-12-23 | 2017-06-29 | Modernatx, Inc. | Methods of using ox40 ligand encoding polynucleotides |
| WO2017120612A1 (en) | 2016-01-10 | 2017-07-13 | Modernatx, Inc. | Therapeutic mrnas encoding anti ctla-4 antibodies |
| US11078227B2 (en) | 2016-06-06 | 2021-08-03 | Arrowhead Pharmaceuticals, Inc. | 5′-cyclo-phosphonate modified nucleotides |
| US12441756B2 (en) | 2016-06-06 | 2025-10-14 | Arrowhead Pharmaceuticals, Inc. | 5′-cyclo-phosphonate modified nucleotides |
| WO2017214112A1 (en) | 2016-06-06 | 2017-12-14 | Arrowhead Pharmaceuticals, Inc. | 5'-cyclo-phosphonate modified nucleotides |
| US11590156B2 (en) | 2016-08-04 | 2023-02-28 | Arrowhead Pharmaceuticals, Inc. | RNAi agents for hepatitis B virus infection |
| EP4364808A2 (en) | 2016-08-04 | 2024-05-08 | Arrowhead Pharmaceuticals, Inc. | Rnai agents for hepatitis b virus infection |
| US10780108B2 (en) | 2016-08-04 | 2020-09-22 | Arrowhead Pharmaceuticals, Inc. | RNAi agents for Hepatitis B virus infection |
| US11517584B2 (en) | 2016-08-04 | 2022-12-06 | Arrowhead Pharmaceuticals, Inc. | RNAi agents for Hepatitis B virus infection |
| WO2018027106A2 (en) | 2016-08-04 | 2018-02-08 | Arrowhead Pharmaceuticals, Inc. | RNAi AGENTS FOR HEPATITIS B VIRUS INFECTION |
| US10450565B2 (en) | 2017-01-10 | 2019-10-22 | Arrowhead Pharmaceuticals, Inc. | Alpha-1 antitrypsin (AAT) RNAi agents, compositions including AAT RNAi agents, and methods of use |
| US11884920B2 (en) | 2017-01-10 | 2024-01-30 | Arrowhead Pharmaceuticals, Inc. | Alpha-1 antitrypsin (AAT) RNAi agents, compositions including AAT RNAi agents, and methods of use |
| US11203756B2 (en) | 2017-01-10 | 2021-12-21 | Arrowhead Pharmaceuticals, Inc. | Alpha-1 antitrypsin (AAT) RNAi agents, compositions including AAT RNAi agents, and methods of use |
| EP3573623A1 (en) | 2017-01-30 | 2019-12-04 | Arrowhead Pharmaceuticals, Inc. | Compositions and methods for inhibition of factor xii gene expression |
| US11786607B2 (en) | 2017-06-15 | 2023-10-17 | Modernatx, Inc. | RNA formulations |
| US11214802B2 (en) | 2017-07-06 | 2022-01-04 | Arrowhead Pharmaceuticals, Inc. | RNAi agents for inhibiting expression of alpha-ENaC and methods of use |
| US10590416B2 (en) | 2017-07-06 | 2020-03-17 | Arrowhead Pharmaceuticals, Inc. | RNAi agents for inhibiting expression of alpha-ENaC and methods of use |
| US12357575B2 (en) | 2017-08-31 | 2025-07-15 | Modernatx, Inc. | Methods of making lipid nanoparticles |
| US11744801B2 (en) | 2017-08-31 | 2023-09-05 | Modernatx, Inc. | Methods of making lipid nanoparticles |
| US11214801B2 (en) | 2017-09-11 | 2022-01-04 | Arrowhead Pharmaceuticals, Inc. | RNAi agents and compositions for inhibiting expression of apolipoprotein C-III (APOC3) |
| US10597657B2 (en) | 2017-09-11 | 2020-03-24 | Arrowhead Pharmaceuticals, Inc. | RNAi agents and compositions for inhibiting expression of apolipoprotein C-III (APOC3) |
| US10995335B2 (en) | 2017-09-14 | 2021-05-04 | Arrowhead Pharmaceuticals, Inc. | RNAi agents and compositions for inhibiting expression of angiopoietin-like 3 (ANGPTL3), and methods of use |
| US11492624B2 (en) | 2017-10-17 | 2022-11-08 | Arrowheads Pharmaceuticals, Inc. | RNAi agents and compositions for inhibiting expression of Asialoglycoprotein receptor 1 |
| US12534728B2 (en) | 2018-09-19 | 2026-01-27 | Arrowhead Pharmaceuticals, Inc. | RNAi agents for inhibiting expression of 17beta-HSD type 13 (HSD17B13), compositions thereof, and methods of use |
| US12090235B2 (en) | 2018-09-20 | 2024-09-17 | Modernatx, Inc. | Preparation of lipid nanoparticles and methods of administration thereof |
| US12221610B2 (en) | 2019-01-09 | 2025-02-11 | Arrowhead Pharmaceuticals, Inc. | RNAi agents for inhibiting expression of HIF-2 alpha (EPAS1), compositions thereof, and methods of use |
| EP4707394A2 (en) | 2019-02-07 | 2026-03-11 | Arrowhead Pharmaceuticals, Inc. | Rnai agents for hepatitis b virus infection |
| WO2020163747A1 (en) | 2019-02-07 | 2020-08-13 | Arrowhead Pharmaceuticals, Inc. | Rnai agents for hepatitis b virus infection |
| US12582668B2 (en) | 2019-06-06 | 2026-03-24 | Arrowhead Pharmaceuticals, Inc. | Methods for the treatment of alpha-1 antitrypsin deficiency (AATD) |
| WO2020255007A1 (en) | 2019-06-18 | 2020-12-24 | Janssen Sciences Ireland Unlimited Company | Combination of hepatitis b virus (hbv) vaccines and hbv-targeting rnai |
| WO2020255008A1 (en) | 2019-06-18 | 2020-12-24 | Janssen Sciences Ireland Unlimited Company | COMBINATION OF HEPATITIS B VIRUS (HBV) VACCINES AND HBV-TARGETING RNAi |
| US12054718B2 (en) | 2020-03-26 | 2024-08-06 | Arrowhead Pharmaceuticals, Inc. | RNAi agents for inhibiting expression of PNPLA3, pharmaceutical compositions thereof, and methods of use |
| WO2021195467A2 (en) | 2020-03-26 | 2021-09-30 | Arrowhead Pharmaceuticals, Inc. | RNAi AGENTS FOR INHIBITING EXPRESSION OF PNPLA3, PHARMACEUTICAL COMPOSITIONS THEREOF, AND METHODS OF USE |
| WO2022056277A1 (en) | 2020-09-11 | 2022-03-17 | Arrowhead Pharmaceuticals, Inc. | Skeletal muscle delivery platforms and methods of use |
| US11845937B2 (en) | 2020-09-11 | 2023-12-19 | Arrowhead Pharmaceuticals, Inc. | RNAi agents for inhibiting expression of DUX4, compositions thereof, and methods of use |
| WO2022056273A1 (en) | 2020-09-11 | 2022-03-17 | Arrowhead Pharmaceuticals, Inc. | Lipid conjugates for the delivery of therapeutic agents |
| WO2022056266A2 (en) | 2020-09-11 | 2022-03-17 | Arrowhead Pharmaceuticals, Inc. | Rnai agents for inhibiting expression of dux4, compositions thereof, and methods of use |
| US12486502B2 (en) | 2021-04-08 | 2025-12-02 | Arrowhead Pharmaceuticals, Inc. | RNAi agents for inhibiting expression of receptor for advanced glycation end-products, compositions thereof, and methods of use |
| US12365897B2 (en) | 2021-05-28 | 2025-07-22 | Arrowhead Pharmaceuticals, Inc. | RNAi agents for inhibiting expression of mucin 5AC (MUC5AC), compositions thereof, and methods of use |
| US11629349B2 (en) | 2021-06-21 | 2023-04-18 | Arrowhead Pharmaceuticals, Inc. | RNAi agents for inhibiting expression of xanthine dehydrogenase (XDH), pharmaceutical compositions thereof, and methods of use |
| US11549112B1 (en) | 2021-06-21 | 2023-01-10 | Arrowhead Pharmaceuticals, Inc. | RNAi agents for inhibiting expression of xanthine dehydrogenase (XDH), pharmaceutical compositions thereof, and methods of use |
| WO2023161350A1 (en) | 2022-02-24 | 2023-08-31 | Io Biotech Aps | Nucleotide delivery of cancer therapy |
| WO2023233290A1 (en) | 2022-05-31 | 2023-12-07 | Janssen Sciences Ireland Unlimited Company | Rnai agents targeting pd-l1 |
| US11912997B2 (en) | 2022-06-15 | 2024-02-27 | Arrowhead Pharmaceuticals, Inc. | RNAi agents for inhibiting expression of Superoxide Dismutase 1 (SOD1), compositions thereof, and methods of use |
| US12378558B2 (en) | 2023-03-21 | 2025-08-05 | Arrowhead Pharmaceuticals, Inc. | RNAi agents for inhibiting expression of complement factor B (CFB), pharmaceutical compositions thereof, and methods of use |
| US12503696B2 (en) | 2023-08-30 | 2025-12-23 | Arrowhead Pharmaceuticals, Inc. | RNAi agents for inhibiting expression of inhibin subunit beta E (INHBE), pharmaceutical compositions thereof, and methods of use |
| WO2025051915A1 (en) | 2023-09-06 | 2025-03-13 | Myneo Nv | Product |
| EP4520345A1 (en) | 2023-09-06 | 2025-03-12 | Myneo Nv | Product |
| WO2025072748A2 (en) | 2023-09-29 | 2025-04-03 | Insitro, Inc. | Compositions and methods for treating nonalcoholic fatty liver disease |
| US12442002B2 (en) | 2023-12-20 | 2025-10-14 | Arrowhead Pharmaceuticals, Inc. | RNAi agents for inhibiting expression of activin receptor-like kinase 7 (ALK7), compositions thereof, and methods of use |
| US12551569B2 (en) | 2024-03-31 | 2026-02-17 | Arrowhead Pharmaceuticals, Inc. | RNAi agents for inhibiting expression of microtubule associated protein tau (MAPT), compositions thereof, and methods of use |
| WO2025226980A2 (en) | 2024-04-25 | 2025-10-30 | Insitro, Inc. | Compositions and methods for treating metabolic dysfunction-associated steatotic liver disease |
| WO2025265013A2 (en) | 2024-06-20 | 2025-12-26 | Arrowhead Pharmaceuticals, Inc. | Rnai agents for inhibiting expression of huntingtin (htt), compositions thereof, and methods of use |
| WO2026044017A2 (en) | 2024-08-21 | 2026-02-26 | Insitro, Inc. | Compositions and methods for treating nonalcoholic fatty liver disease |
Also Published As
| Publication number | Publication date |
|---|---|
| PH12014500214A1 (en) | 2019-03-22 |
| US20130121954A1 (en) | 2013-05-16 |
| JP2014531476A (en) | 2014-11-27 |
| KR20140051357A (en) | 2014-04-30 |
| US20150283256A1 (en) | 2015-10-08 |
| IL231146A0 (en) | 2014-04-30 |
| US8932572B2 (en) | 2015-01-13 |
| AU2012300476B2 (en) | 2016-03-24 |
| US9089611B2 (en) | 2015-07-28 |
| AU2012300476A1 (en) | 2014-01-23 |
| US9474804B2 (en) | 2016-10-25 |
| BR112014004585A2 (en) | 2017-06-13 |
| CN104024328A (en) | 2014-09-03 |
| MX2014001971A (en) | 2014-03-31 |
| US20150110732A1 (en) | 2015-04-23 |
| HK1199736A1 (en) | 2015-07-17 |
| CA2842039A1 (en) | 2013-03-07 |
Similar Documents
| Publication | Publication Date | Title |
|---|---|---|
| AU2012300476B2 (en) | Poly(vinyl ester) polymers for in vivo nucleic acid delivery | |
| US8933047B2 (en) | Poly(acrylate) polymers for in vivo nucleic acid delivery | |
| AU2016200000B2 (en) | Galactose cluster-pharmacokinetic modulator targeting moiety for sirna | |
| US8426554B2 (en) | In vivo polynucleotide delivery conjugates having enzyme sensitive linkages | |
| CA2816041C (en) | In vivo polynucleotide delivery conjugates having enzyme sensitive linkages | |
| EP2539451A1 (en) | Compositions for targeted delivery of sirna | |
| CN103547272A (en) | Peptide-based in vivo siRNA delivery system | |
| EP2807216A1 (en) | Poly(vinyl ester) polymers for in vivo nucleic acid delivery | |
| EP2838544A1 (en) | Poly(acrylate) polymers for in vivo nucleic acid delivery | |
| HK1194691A (en) | Poly(acrylate) polymers for in vivo nucleic acid delivery | |
| HK1188947B (en) | In vivo polynucleotide delivery conjugates having enzyme sensitive linkages | |
| HK1191566B (en) | Peptide-based in vivo sirna delivery system | |
| OA17017A (en) | Compositions for targeted delivery of SIRNA. | |
| HK1191566A (en) | Peptide-based in vivo sirna delivery system | |
| HK1188947A (en) | In vivo polynucleotide delivery conjugates having enzyme sensitive linkages |
Legal Events
| Date | Code | Title | Description |
|---|---|---|---|
| 121 | Ep: the epo has been informed by wipo that ep was designated in this application |
Ref document number: 12827106 Country of ref document: EP Kind code of ref document: A1 |
|
| ENP | Entry into the national phase |
Ref document number: 2842039 Country of ref document: CA |
|
| ENP | Entry into the national phase |
Ref document number: 2012300476 Country of ref document: AU Date of ref document: 20120823 Kind code of ref document: A |
|
| WWE | Wipo information: entry into national phase |
Ref document number: MX/A/2014/001971 Country of ref document: MX |
|
| ENP | Entry into the national phase |
Ref document number: 20147004852 Country of ref document: KR Kind code of ref document: A Ref document number: 2014527280 Country of ref document: JP Kind code of ref document: A |
|
| WWE | Wipo information: entry into national phase |
Ref document number: 231146 Country of ref document: IL |
|
| NENP | Non-entry into the national phase |
Ref country code: DE |
|
| WWE | Wipo information: entry into national phase |
Ref document number: 2012827106 Country of ref document: EP |
|
| REG | Reference to national code |
Ref country code: BR Ref legal event code: B01A Ref document number: 112014004585 Country of ref document: BR |
|
| REG | Reference to national code |
Ref country code: BR Ref legal event code: B01E Ref document number: 112014004585 Country of ref document: BR |
|
| ENPW | Started to enter national phase and was withdrawn or failed for other reasons |
Ref document number: 112014004585 Country of ref document: BR |





















































