WO2012170546A1 - Methods of inhibiting muscle atrophy - Google Patents

Methods of inhibiting muscle atrophy Download PDF

Info

Publication number
WO2012170546A1
WO2012170546A1 PCT/US2012/041119 US2012041119W WO2012170546A1 WO 2012170546 A1 WO2012170546 A1 WO 2012170546A1 US 2012041119 W US2012041119 W US 2012041119W WO 2012170546 A1 WO2012170546 A1 WO 2012170546A1
Authority
WO
WIPO (PCT)
Prior art keywords
alkyl
alkoxy
cycloalkyl
aryl
heteroaryl
Prior art date
Legal status (The legal status is an assumption and is not a legal conclusion. Google has not performed a legal analysis and makes no representation as to the accuracy of the status listed.)
Ceased
Application number
PCT/US2012/041119
Other languages
French (fr)
Inventor
Christopher M. Adams
Steven D. Kunkel
Michael Welsh
Current Assignee (The listed assignees may be inaccurate. Google has not performed a legal analysis and makes no representation or warranty as to the accuracy of the list.)
University of Iowa Research Foundation UIRF
Original Assignee
University of Iowa Research Foundation UIRF
Priority date (The priority date is an assumption and is not a legal conclusion. Google has not performed a legal analysis and makes no representation as to the accuracy of the date listed.)
Filing date
Publication date
Priority to EP12796615.8A priority Critical patent/EP2717876B1/en
Priority to CN201280038664.6A priority patent/CN104080454B/en
Priority to EP18213232.4A priority patent/EP3520793B1/en
Priority to AU2012268036A priority patent/AU2012268036B2/en
Priority to CA2838275A priority patent/CA2838275C/en
Priority to US14/124,582 priority patent/US9295664B2/en
Priority to JP2014514596A priority patent/JP6001060B2/en
Application filed by University of Iowa Research Foundation UIRF filed Critical University of Iowa Research Foundation UIRF
Publication of WO2012170546A1 publication Critical patent/WO2012170546A1/en
Priority to IL229802A priority patent/IL229802A/en
Anticipated expiration legal-status Critical
Priority to US15/051,246 priority patent/US10137136B2/en
Priority to IL251796A priority patent/IL251796B/en
Priority to AU2017204579A priority patent/AU2017204579B2/en
Priority to US16/157,767 priority patent/US10668087B2/en
Priority to US16/661,660 priority patent/US11090313B2/en
Priority to US17/321,923 priority patent/US20220280535A1/en
Priority to US18/454,012 priority patent/US20240269149A1/en
Ceased legal-status Critical Current

Links

Classifications

    • AHUMAN NECESSITIES
    • A61MEDICAL OR VETERINARY SCIENCE; HYGIENE
    • A61KPREPARATIONS FOR MEDICAL, DENTAL OR TOILETRY PURPOSES
    • A61K31/00Medicinal preparations containing organic active ingredients
    • A61K31/56Compounds containing cyclopenta[a]hydrophenanthrene ring systems; Derivatives thereof, e.g. steroids
    • A61K31/58Compounds containing cyclopenta[a]hydrophenanthrene ring systems; Derivatives thereof, e.g. steroids containing heterocyclic rings, e.g. danazol, stanozolol, pancuronium or digitogenin
    • AHUMAN NECESSITIES
    • A23FOODS OR FOODSTUFFS; TREATMENT THEREOF, NOT COVERED BY OTHER CLASSES
    • A23LFOODS, FOODSTUFFS OR NON-ALCOHOLIC BEVERAGES, NOT OTHERWISE PROVIDED FOR; PREPARATION OR TREATMENT THEREOF
    • A23L2/00Non-alcoholic beverages; Dry compositions or concentrates therefor; Preparation or treatment thereof
    • A23L2/38Other non-alcoholic beverages
    • AHUMAN NECESSITIES
    • A61MEDICAL OR VETERINARY SCIENCE; HYGIENE
    • A61KPREPARATIONS FOR MEDICAL, DENTAL OR TOILETRY PURPOSES
    • A61K31/00Medicinal preparations containing organic active ingredients
    • A61K31/21Esters, e.g. nitroglycerine, selenocyanates
    • A61K31/215Esters, e.g. nitroglycerine, selenocyanates of carboxylic acids
    • AHUMAN NECESSITIES
    • A61MEDICAL OR VETERINARY SCIENCE; HYGIENE
    • A61KPREPARATIONS FOR MEDICAL, DENTAL OR TOILETRY PURPOSES
    • A61K31/00Medicinal preparations containing organic active ingredients
    • A61K31/33Heterocyclic compounds
    • A61K31/335Heterocyclic compounds having oxygen as the only ring hetero atom, e.g. fungichromin
    • A61K31/35Heterocyclic compounds having oxygen as the only ring hetero atom, e.g. fungichromin having six-membered rings with one oxygen as the only ring hetero atom
    • A61K31/352Heterocyclic compounds having oxygen as the only ring hetero atom, e.g. fungichromin having six-membered rings with one oxygen as the only ring hetero atom condensed with carbocyclic rings, e.g. methantheline 
    • AHUMAN NECESSITIES
    • A61MEDICAL OR VETERINARY SCIENCE; HYGIENE
    • A61KPREPARATIONS FOR MEDICAL, DENTAL OR TOILETRY PURPOSES
    • A61K31/00Medicinal preparations containing organic active ingredients
    • A61K31/33Heterocyclic compounds
    • A61K31/335Heterocyclic compounds having oxygen as the only ring hetero atom, e.g. fungichromin
    • A61K31/35Heterocyclic compounds having oxygen as the only ring hetero atom, e.g. fungichromin having six-membered rings with one oxygen as the only ring hetero atom
    • A61K31/352Heterocyclic compounds having oxygen as the only ring hetero atom, e.g. fungichromin having six-membered rings with one oxygen as the only ring hetero atom condensed with carbocyclic rings, e.g. methantheline 
    • A61K31/3533,4-Dihydrobenzopyrans, e.g. chroman, catechin
    • AHUMAN NECESSITIES
    • A61MEDICAL OR VETERINARY SCIENCE; HYGIENE
    • A61KPREPARATIONS FOR MEDICAL, DENTAL OR TOILETRY PURPOSES
    • A61K31/00Medicinal preparations containing organic active ingredients
    • A61K31/33Heterocyclic compounds
    • A61K31/335Heterocyclic compounds having oxygen as the only ring hetero atom, e.g. fungichromin
    • A61K31/357Heterocyclic compounds having oxygen as the only ring hetero atom, e.g. fungichromin having two or more oxygen atoms in the same ring, e.g. crown ethers, guanadrel
    • A61K31/36Compounds containing methylenedioxyphenyl groups, e.g. sesamin
    • AHUMAN NECESSITIES
    • A61MEDICAL OR VETERINARY SCIENCE; HYGIENE
    • A61KPREPARATIONS FOR MEDICAL, DENTAL OR TOILETRY PURPOSES
    • A61K31/00Medicinal preparations containing organic active ingredients
    • A61K31/33Heterocyclic compounds
    • A61K31/38Heterocyclic compounds having sulfur as a ring hetero atom
    • A61K31/382Heterocyclic compounds having sulfur as a ring hetero atom having six-membered rings, e.g. thioxanthenes
    • AHUMAN NECESSITIES
    • A61MEDICAL OR VETERINARY SCIENCE; HYGIENE
    • A61KPREPARATIONS FOR MEDICAL, DENTAL OR TOILETRY PURPOSES
    • A61K31/00Medicinal preparations containing organic active ingredients
    • A61K31/33Heterocyclic compounds
    • A61K31/395Heterocyclic compounds having nitrogen as a ring hetero atom, e.g. guanethidine or rifamycins
    • A61K31/40Heterocyclic compounds having nitrogen as a ring hetero atom, e.g. guanethidine or rifamycins having five-membered rings with one nitrogen as the only ring hetero atom, e.g. sulpiride, succinimide, tolmetin, buflomedil
    • A61K31/403Heterocyclic compounds having nitrogen as a ring hetero atom, e.g. guanethidine or rifamycins having five-membered rings with one nitrogen as the only ring hetero atom, e.g. sulpiride, succinimide, tolmetin, buflomedil condensed with carbocyclic rings, e.g. carbazole
    • A61K31/404Indoles, e.g. pindolol
    • AHUMAN NECESSITIES
    • A61MEDICAL OR VETERINARY SCIENCE; HYGIENE
    • A61KPREPARATIONS FOR MEDICAL, DENTAL OR TOILETRY PURPOSES
    • A61K31/00Medicinal preparations containing organic active ingredients
    • A61K31/33Heterocyclic compounds
    • A61K31/395Heterocyclic compounds having nitrogen as a ring hetero atom, e.g. guanethidine or rifamycins
    • A61K31/40Heterocyclic compounds having nitrogen as a ring hetero atom, e.g. guanethidine or rifamycins having five-membered rings with one nitrogen as the only ring hetero atom, e.g. sulpiride, succinimide, tolmetin, buflomedil
    • A61K31/407Heterocyclic compounds having nitrogen as a ring hetero atom, e.g. guanethidine or rifamycins having five-membered rings with one nitrogen as the only ring hetero atom, e.g. sulpiride, succinimide, tolmetin, buflomedil condensed with other heterocyclic ring systems, e.g. ketorolac, physostigmine
    • AHUMAN NECESSITIES
    • A61MEDICAL OR VETERINARY SCIENCE; HYGIENE
    • A61KPREPARATIONS FOR MEDICAL, DENTAL OR TOILETRY PURPOSES
    • A61K31/00Medicinal preparations containing organic active ingredients
    • A61K31/33Heterocyclic compounds
    • A61K31/395Heterocyclic compounds having nitrogen as a ring hetero atom, e.g. guanethidine or rifamycins
    • A61K31/41Heterocyclic compounds having nitrogen as a ring hetero atom, e.g. guanethidine or rifamycins having five-membered rings with two or more ring hetero atoms, at least one of which being nitrogen, e.g. tetrazole
    • A61K31/41641,3-Diazoles
    • AHUMAN NECESSITIES
    • A61MEDICAL OR VETERINARY SCIENCE; HYGIENE
    • A61KPREPARATIONS FOR MEDICAL, DENTAL OR TOILETRY PURPOSES
    • A61K31/00Medicinal preparations containing organic active ingredients
    • A61K31/33Heterocyclic compounds
    • A61K31/395Heterocyclic compounds having nitrogen as a ring hetero atom, e.g. guanethidine or rifamycins
    • A61K31/41Heterocyclic compounds having nitrogen as a ring hetero atom, e.g. guanethidine or rifamycins having five-membered rings with two or more ring hetero atoms, at least one of which being nitrogen, e.g. tetrazole
    • A61K31/41641,3-Diazoles
    • A61K31/41661,3-Diazoles having oxo groups directly attached to the heterocyclic ring, e.g. phenytoin
    • AHUMAN NECESSITIES
    • A61MEDICAL OR VETERINARY SCIENCE; HYGIENE
    • A61KPREPARATIONS FOR MEDICAL, DENTAL OR TOILETRY PURPOSES
    • A61K31/00Medicinal preparations containing organic active ingredients
    • A61K31/33Heterocyclic compounds
    • A61K31/395Heterocyclic compounds having nitrogen as a ring hetero atom, e.g. guanethidine or rifamycins
    • A61K31/435Heterocyclic compounds having nitrogen as a ring hetero atom, e.g. guanethidine or rifamycins having six-membered rings with one nitrogen as the only ring hetero atom
    • AHUMAN NECESSITIES
    • A61MEDICAL OR VETERINARY SCIENCE; HYGIENE
    • A61KPREPARATIONS FOR MEDICAL, DENTAL OR TOILETRY PURPOSES
    • A61K31/00Medicinal preparations containing organic active ingredients
    • A61K31/33Heterocyclic compounds
    • A61K31/395Heterocyclic compounds having nitrogen as a ring hetero atom, e.g. guanethidine or rifamycins
    • A61K31/435Heterocyclic compounds having nitrogen as a ring hetero atom, e.g. guanethidine or rifamycins having six-membered rings with one nitrogen as the only ring hetero atom
    • A61K31/4353Heterocyclic compounds having nitrogen as a ring hetero atom, e.g. guanethidine or rifamycins having six-membered rings with one nitrogen as the only ring hetero atom ortho- or peri-condensed with heterocyclic ring systems
    • A61K31/4355Heterocyclic compounds having nitrogen as a ring hetero atom, e.g. guanethidine or rifamycins having six-membered rings with one nitrogen as the only ring hetero atom ortho- or peri-condensed with heterocyclic ring systems the heterocyclic ring system containing a five-membered ring having oxygen as a ring hetero atom
    • AHUMAN NECESSITIES
    • A61MEDICAL OR VETERINARY SCIENCE; HYGIENE
    • A61KPREPARATIONS FOR MEDICAL, DENTAL OR TOILETRY PURPOSES
    • A61K31/00Medicinal preparations containing organic active ingredients
    • A61K31/33Heterocyclic compounds
    • A61K31/395Heterocyclic compounds having nitrogen as a ring hetero atom, e.g. guanethidine or rifamycins
    • A61K31/435Heterocyclic compounds having nitrogen as a ring hetero atom, e.g. guanethidine or rifamycins having six-membered rings with one nitrogen as the only ring hetero atom
    • A61K31/4353Heterocyclic compounds having nitrogen as a ring hetero atom, e.g. guanethidine or rifamycins having six-membered rings with one nitrogen as the only ring hetero atom ortho- or peri-condensed with heterocyclic ring systems
    • A61K31/436Heterocyclic compounds having nitrogen as a ring hetero atom, e.g. guanethidine or rifamycins having six-membered rings with one nitrogen as the only ring hetero atom ortho- or peri-condensed with heterocyclic ring systems the heterocyclic ring system containing a six-membered ring having oxygen as a ring hetero atom, e.g. rapamycin
    • AHUMAN NECESSITIES
    • A61MEDICAL OR VETERINARY SCIENCE; HYGIENE
    • A61KPREPARATIONS FOR MEDICAL, DENTAL OR TOILETRY PURPOSES
    • A61K31/00Medicinal preparations containing organic active ingredients
    • A61K31/33Heterocyclic compounds
    • A61K31/395Heterocyclic compounds having nitrogen as a ring hetero atom, e.g. guanethidine or rifamycins
    • A61K31/435Heterocyclic compounds having nitrogen as a ring hetero atom, e.g. guanethidine or rifamycins having six-membered rings with one nitrogen as the only ring hetero atom
    • A61K31/4353Heterocyclic compounds having nitrogen as a ring hetero atom, e.g. guanethidine or rifamycins having six-membered rings with one nitrogen as the only ring hetero atom ortho- or peri-condensed with heterocyclic ring systems
    • A61K31/4365Heterocyclic compounds having nitrogen as a ring hetero atom, e.g. guanethidine or rifamycins having six-membered rings with one nitrogen as the only ring hetero atom ortho- or peri-condensed with heterocyclic ring systems the heterocyclic ring system having sulfur as a ring hetero atom, e.g. ticlopidine
    • AHUMAN NECESSITIES
    • A61MEDICAL OR VETERINARY SCIENCE; HYGIENE
    • A61KPREPARATIONS FOR MEDICAL, DENTAL OR TOILETRY PURPOSES
    • A61K31/00Medicinal preparations containing organic active ingredients
    • A61K31/33Heterocyclic compounds
    • A61K31/395Heterocyclic compounds having nitrogen as a ring hetero atom, e.g. guanethidine or rifamycins
    • A61K31/435Heterocyclic compounds having nitrogen as a ring hetero atom, e.g. guanethidine or rifamycins having six-membered rings with one nitrogen as the only ring hetero atom
    • A61K31/4353Heterocyclic compounds having nitrogen as a ring hetero atom, e.g. guanethidine or rifamycins having six-membered rings with one nitrogen as the only ring hetero atom ortho- or peri-condensed with heterocyclic ring systems
    • A61K31/437Heterocyclic compounds having nitrogen as a ring hetero atom, e.g. guanethidine or rifamycins having six-membered rings with one nitrogen as the only ring hetero atom ortho- or peri-condensed with heterocyclic ring systems the heterocyclic ring system containing a five-membered ring having nitrogen as a ring hetero atom, e.g. indolizine, beta-carboline
    • AHUMAN NECESSITIES
    • A61MEDICAL OR VETERINARY SCIENCE; HYGIENE
    • A61KPREPARATIONS FOR MEDICAL, DENTAL OR TOILETRY PURPOSES
    • A61K31/00Medicinal preparations containing organic active ingredients
    • A61K31/33Heterocyclic compounds
    • A61K31/395Heterocyclic compounds having nitrogen as a ring hetero atom, e.g. guanethidine or rifamycins
    • A61K31/435Heterocyclic compounds having nitrogen as a ring hetero atom, e.g. guanethidine or rifamycins having six-membered rings with one nitrogen as the only ring hetero atom
    • A61K31/4353Heterocyclic compounds having nitrogen as a ring hetero atom, e.g. guanethidine or rifamycins having six-membered rings with one nitrogen as the only ring hetero atom ortho- or peri-condensed with heterocyclic ring systems
    • A61K31/4375Heterocyclic compounds having nitrogen as a ring hetero atom, e.g. guanethidine or rifamycins having six-membered rings with one nitrogen as the only ring hetero atom ortho- or peri-condensed with heterocyclic ring systems the heterocyclic ring system containing a six-membered ring having nitrogen as a ring heteroatom, e.g. quinolizines, naphthyridines, berberine, vincamine
    • AHUMAN NECESSITIES
    • A61MEDICAL OR VETERINARY SCIENCE; HYGIENE
    • A61KPREPARATIONS FOR MEDICAL, DENTAL OR TOILETRY PURPOSES
    • A61K31/00Medicinal preparations containing organic active ingredients
    • A61K31/33Heterocyclic compounds
    • A61K31/395Heterocyclic compounds having nitrogen as a ring hetero atom, e.g. guanethidine or rifamycins
    • A61K31/435Heterocyclic compounds having nitrogen as a ring hetero atom, e.g. guanethidine or rifamycins having six-membered rings with one nitrogen as the only ring hetero atom
    • A61K31/438The ring being spiro-condensed with carbocyclic or heterocyclic ring systems
    • AHUMAN NECESSITIES
    • A61MEDICAL OR VETERINARY SCIENCE; HYGIENE
    • A61KPREPARATIONS FOR MEDICAL, DENTAL OR TOILETRY PURPOSES
    • A61K31/00Medicinal preparations containing organic active ingredients
    • A61K31/33Heterocyclic compounds
    • A61K31/395Heterocyclic compounds having nitrogen as a ring hetero atom, e.g. guanethidine or rifamycins
    • A61K31/435Heterocyclic compounds having nitrogen as a ring hetero atom, e.g. guanethidine or rifamycins having six-membered rings with one nitrogen as the only ring hetero atom
    • A61K31/47Quinolines; Isoquinolines
    • A61K31/47064-Aminoquinolines; 8-Aminoquinolines, e.g. chloroquine, primaquine
    • AHUMAN NECESSITIES
    • A61MEDICAL OR VETERINARY SCIENCE; HYGIENE
    • A61KPREPARATIONS FOR MEDICAL, DENTAL OR TOILETRY PURPOSES
    • A61K31/00Medicinal preparations containing organic active ingredients
    • A61K31/33Heterocyclic compounds
    • A61K31/395Heterocyclic compounds having nitrogen as a ring hetero atom, e.g. guanethidine or rifamycins
    • A61K31/435Heterocyclic compounds having nitrogen as a ring hetero atom, e.g. guanethidine or rifamycins having six-membered rings with one nitrogen as the only ring hetero atom
    • A61K31/47Quinolines; Isoquinolines
    • A61K31/473Quinolines; Isoquinolines ortho- or peri-condensed with carbocyclic ring systems, e.g. acridines, phenanthridines
    • AHUMAN NECESSITIES
    • A61MEDICAL OR VETERINARY SCIENCE; HYGIENE
    • A61KPREPARATIONS FOR MEDICAL, DENTAL OR TOILETRY PURPOSES
    • A61K31/00Medicinal preparations containing organic active ingredients
    • A61K31/56Compounds containing cyclopenta[a]hydrophenanthrene ring systems; Derivatives thereof, e.g. steroids
    • AHUMAN NECESSITIES
    • A61MEDICAL OR VETERINARY SCIENCE; HYGIENE
    • A61KPREPARATIONS FOR MEDICAL, DENTAL OR TOILETRY PURPOSES
    • A61K31/00Medicinal preparations containing organic active ingredients
    • A61K31/56Compounds containing cyclopenta[a]hydrophenanthrene ring systems; Derivatives thereof, e.g. steroids
    • A61K31/565Compounds containing cyclopenta[a]hydrophenanthrene ring systems; Derivatives thereof, e.g. steroids not substituted in position 17 beta by a carbon atom, e.g. estrane, estradiol
    • AHUMAN NECESSITIES
    • A61MEDICAL OR VETERINARY SCIENCE; HYGIENE
    • A61PSPECIFIC THERAPEUTIC ACTIVITY OF CHEMICAL COMPOUNDS OR MEDICINAL PREPARATIONS
    • A61P21/00Drugs for disorders of the muscular or neuromuscular system
    • AHUMAN NECESSITIES
    • A61MEDICAL OR VETERINARY SCIENCE; HYGIENE
    • A61PSPECIFIC THERAPEUTIC ACTIVITY OF CHEMICAL COMPOUNDS OR MEDICINAL PREPARATIONS
    • A61P21/00Drugs for disorders of the muscular or neuromuscular system
    • A61P21/02Muscle relaxants, e.g. for tetanus or cramps
    • AHUMAN NECESSITIES
    • A61MEDICAL OR VETERINARY SCIENCE; HYGIENE
    • A61PSPECIFIC THERAPEUTIC ACTIVITY OF CHEMICAL COMPOUNDS OR MEDICINAL PREPARATIONS
    • A61P21/00Drugs for disorders of the muscular or neuromuscular system
    • A61P21/06Anabolic agents
    • AHUMAN NECESSITIES
    • A61MEDICAL OR VETERINARY SCIENCE; HYGIENE
    • A61PSPECIFIC THERAPEUTIC ACTIVITY OF CHEMICAL COMPOUNDS OR MEDICINAL PREPARATIONS
    • A61P3/00Drugs for disorders of the metabolism
    • A61P3/08Drugs for disorders of the metabolism for glucose homeostasis
    • AHUMAN NECESSITIES
    • A61MEDICAL OR VETERINARY SCIENCE; HYGIENE
    • A61PSPECIFIC THERAPEUTIC ACTIVITY OF CHEMICAL COMPOUNDS OR MEDICINAL PREPARATIONS
    • A61P3/00Drugs for disorders of the metabolism
    • A61P3/08Drugs for disorders of the metabolism for glucose homeostasis
    • A61P3/10Drugs for disorders of the metabolism for glucose homeostasis for hyperglycaemia, e.g. antidiabetics
    • CCHEMISTRY; METALLURGY
    • C12BIOCHEMISTRY; BEER; SPIRITS; WINE; VINEGAR; MICROBIOLOGY; ENZYMOLOGY; MUTATION OR GENETIC ENGINEERING
    • C12QMEASURING OR TESTING PROCESSES INVOLVING ENZYMES, NUCLEIC ACIDS OR MICROORGANISMS; COMPOSITIONS OR TEST PAPERS THEREFOR; PROCESSES OF PREPARING SUCH COMPOSITIONS; CONDITION-RESPONSIVE CONTROL IN MICROBIOLOGICAL OR ENZYMOLOGICAL PROCESSES
    • C12Q1/00Measuring or testing processes involving enzymes, nucleic acids or microorganisms; Compositions therefor; Processes of preparing such compositions
    • C12Q1/68Measuring or testing processes involving enzymes, nucleic acids or microorganisms; Compositions therefor; Processes of preparing such compositions involving nucleic acids
    • C12Q1/6809Methods for determination or identification of nucleic acids involving differential detection
    • GPHYSICS
    • G01MEASURING; TESTING
    • G01NINVESTIGATING OR ANALYSING MATERIALS BY DETERMINING THEIR CHEMICAL OR PHYSICAL PROPERTIES
    • G01N33/00Investigating or analysing materials by specific methods not covered by groups G01N1/00 - G01N31/00
    • G01N33/48Biological material, e.g. blood, urine; Haemocytometers
    • G01N33/50Chemical analysis of biological material, e.g. blood, urine; Testing involving biospecific ligand binding methods; Immunological testing
    • G01N33/5005Chemical analysis of biological material, e.g. blood, urine; Testing involving biospecific ligand binding methods; Immunological testing involving human or animal cells
    • G01N33/5008Chemical analysis of biological material, e.g. blood, urine; Testing involving biospecific ligand binding methods; Immunological testing involving human or animal cells for testing or evaluating the effect of chemical or biological compounds, e.g. drugs, cosmetics
    • G01N33/502Chemical analysis of biological material, e.g. blood, urine; Testing involving biospecific ligand binding methods; Immunological testing involving human or animal cells for testing or evaluating the effect of chemical or biological compounds, e.g. drugs, cosmetics for testing non-proliferative effects
    • G01N33/5023Chemical analysis of biological material, e.g. blood, urine; Testing involving biospecific ligand binding methods; Immunological testing involving human or animal cells for testing or evaluating the effect of chemical or biological compounds, e.g. drugs, cosmetics for testing non-proliferative effects on expression patterns
    • AHUMAN NECESSITIES
    • A23FOODS OR FOODSTUFFS; TREATMENT THEREOF, NOT COVERED BY OTHER CLASSES
    • A23VINDEXING SCHEME RELATING TO FOODS, FOODSTUFFS OR NON-ALCOHOLIC BEVERAGES AND LACTIC OR PROPIONIC ACID BACTERIA USED IN FOODSTUFFS OR FOOD PREPARATION
    • A23V2002/00Food compositions, function of food ingredients or processes for food or foodstuffs
    • AHUMAN NECESSITIES
    • A61MEDICAL OR VETERINARY SCIENCE; HYGIENE
    • A61KPREPARATIONS FOR MEDICAL, DENTAL OR TOILETRY PURPOSES
    • A61K2300/00Mixtures or combinations of active ingredients, wherein at least one active ingredient is fully defined in groups A61K31/00 - A61K41/00
    • CCHEMISTRY; METALLURGY
    • C12BIOCHEMISTRY; BEER; SPIRITS; WINE; VINEGAR; MICROBIOLOGY; ENZYMOLOGY; MUTATION OR GENETIC ENGINEERING
    • C12QMEASURING OR TESTING PROCESSES INVOLVING ENZYMES, NUCLEIC ACIDS OR MICROORGANISMS; COMPOSITIONS OR TEST PAPERS THEREFOR; PROCESSES OF PREPARING SUCH COMPOSITIONS; CONDITION-RESPONSIVE CONTROL IN MICROBIOLOGICAL OR ENZYMOLOGICAL PROCESSES
    • C12Q2600/00Oligonucleotides characterized by their use
    • C12Q2600/136Screening for pharmacological compounds
    • GPHYSICS
    • G01MEASURING; TESTING
    • G01NINVESTIGATING OR ANALYSING MATERIALS BY DETERMINING THEIR CHEMICAL OR PHYSICAL PROPERTIES
    • G01N2800/00Detection or diagnosis of diseases
    • G01N2800/10Musculoskeletal or connective tissue disorders
    • GPHYSICS
    • G01MEASURING; TESTING
    • G01NINVESTIGATING OR ANALYSING MATERIALS BY DETERMINING THEIR CHEMICAL OR PHYSICAL PROPERTIES
    • G01N2800/00Detection or diagnosis of diseases
    • G01N2800/52Predicting or monitoring the response to treatment, e.g. for selection of therapy based on assay results in personalised medicine; Prognosis

Definitions

  • Skeletal muscle atrophy is characteristic of starvation and a common effect of aging. It is also a nearly universal consequence of severe human illnesses, including cancer, chronic renal failure, congestive heart failure, chronic respiratory disease, insulin deficiency, acute critical illness, chronic infections such as HIV/AIDS, muscle denervation, and many other medical and surgical conditions that limit muscle use.
  • medical therapies to prevent or reverse skeletal muscle atrophy in human patients do not exist. As a result, millions of individuals suffer sequelae of muscle atrophy, including weakness, falls, fractures, opportunistic respiratory infections, and loss of independence. The burden that skeletal muscle atrophy places on individuals, their families, and society in general, is tremendous.
  • insulin/IGF 1 signaling promotes muscle hypertrophy and inhibits muscle atrophy, but is reduced by atrophy- inducing stresses such as fasting or muscle denervation
  • Bodine SC et al. (2001) Nat Cell Biol 3(11): 1014-1019
  • Sandri M et al. (2004) Cell 117(3):399-4121
  • Stitt TN et al. (2004) Mol Cell 14(3):395-403
  • Hu Z et al. (2009) The Journal of clinical investigation 119(10):3059-3069; Dobrowolny G, et al. (2005) The Journal of cell biology 168(2): 193- 199; Kandarian SC & Jackman RW (2006) Muscle & nerve 33(2): 155-165; Hirose M, et al. (2001) Metabolism: clinical and experimental
  • the hypertrophic and anti- atrophic effects of insulin/IGF 1 signaling are mediated at least in part through increased activity of phosphoinositide 3-kinase (PI3K) and its downstream effectors, including Akt and mammalian target of rapamycin complex 1 (mTORCl) Sandri M (2008) Physiology
  • Atrophy-associated changes promote muscle atrophy in mice; these include induction of the mRNAs encoding atroginl/MAFbx and MuRFl (two E3 ubiquitin ligases that catalyze proteolytic events), and repression of the mRNA encoding PGC-1 (a transcriptional co-activator that inhibits muscle atrophy) (Sandri M, et al. (2006) Proceedings of the National Academy of Sciences of the United States of America 103(44): 16260- 16265; Wenz T, et al. Proceedings of the National Academy of Sciences of the United States of America 106(48):20405-20410; Bodine SC, et al. (2001) Science (New York, NY
  • the invention in one aspect, relates to compounds useful in methods to treat muscle atrophy.
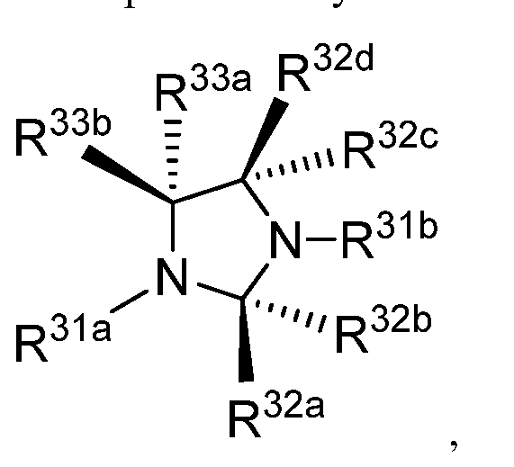
  • the compounds can be selected from a tacrine and analogs, naringenin and analogs, allantoin and analogs, conessine and analogs, tomatidine and analogs,
  • Tacrine and analogs can have the structure:
  • Naringenin and analogs can have the structure:
  • Conessine and analogs can have the structure:
  • Ungerine/hippeastrine and analogs can have the structure:
  • the disclosed compounds can treat muscle atrophy when administered in an effective amount to an animal, such as a mammal, fish or bird.
  • an animal such as a mammal, fish or bird.
  • human For example, human.
  • ursolic acid or ursolic acid analogs such as betulininc acid analogs, and narigenin analogs, such as naringenin, in an effective amount to an animal.
  • the disclosed compounds can also promote muscle health, promote normal muscle function, and/or promote healthy aging muscles by providing to a subject in need thereof an effective amount of a disclosed compound.
  • compositions comprising compounds used in the methods.
  • kits comprising compounds used in the methods.
  • the invention relates to compounds identified using muscle atrophy signature- 1, muscle atrophy signature-2 or both muscle atrophy signatures.
  • the purpose(s) of the invention as embodied and broadly described herein, relates to compounds useful in methods to modulate muscle health promote normal muscle function, and/or promote healthy aging muscles, methods to inhibit muscle atrophy, methods to increase insulin/IGF-I signaling, methods to reduce body fat; methods to reduce blood glucose, methods to reduce blood triglycerides, methods to reduce blood cholesterol, methods to reduce obesity, methods to reduce fatty liver disease, and methods to reduce diabetes, and pharmaceutical
  • compositions comprising compounds used in the methods.
  • Disclosed are methods for treating muscle atrophy in a mammal comprising administering to the mammal an effective amount of a compound, wherein the compound: (a) down regulates multiple induced mRNAs of a Muscle Atrophy Signature, compared to expression levels of the induced mRNAs of the Muscle Atrophy Signature in the same type of the muscle cell in the absence of the compound, and/or (b) up regulates multiple repressed mRNAs of the Muscle Atrophy Signature, compared to expression levels of the repressed mRNAs of the Muscle Atrophy Signature in the same type of the muscle cell in the absence of the compound, thereby inhibiting muscle atrophy in the mammal.
  • the method further comprises
  • the candidate compound can be tacrine and analogs, naringenin and analogs, allantoin and analogs, conessine and analogs, tomatidine and analogs, ungerine/hippeastrine and analogs, and betulinic acid and analogs, or a mixture thereof.
  • Also disclosed are methods for manufacturing a medicament associated with muscle atrophy or the need to promote muscle health, promote normal muscle function, and/or promote healthy aging muscles comprising combining at least one disclosed compound or at least one disclosed product with a pharmaceutically acceptable carrier or diluent.
  • Figure 1 shows a schematic overview of the discovery process leading to a pharmacological compound that promotes skeletal muscle growth and inhibits skeletal muscle atrophy.
  • Figure 2 shows human muscle atrophy signature- 1.
  • Figure 3 shows human muscle atrophy signature-2.
  • Figure 4 shows representative data on the effect of fasting on skeletal muscle mRNA expression in healthy human adults.
  • Figure 5 shows qPCR analysis of representative fasting-responsive mRNAs from human skeletal muscle.
  • Figure 6 shows representative data on the identification of ursolic acid as an inhibitor of fasting-induced skeletal muscle atrophy.
  • Figure 7 shows representative data on the identification of ursolic acid as an inhibitor of denervation-induced muscle atrophy.
  • Figure 8 shows representative data on ursolic acid-mediated induction of muscle hypertrophy.
  • Figure 9 shows representative data on the effect of ursolic acid on mouse skeletal muscle specific tetanic force.
  • Figure 10 shows representative data on the effect of ursolic acid on muscle growth, atrophic gene expression, trophic gene expression, and skeletal muscle IGF-I signaling.
  • Figure 11 shows representative data on the effect of ursolic acid on skeletal muscle expression of IGFl gene exons, adipose IGFl mRNA expression, and skeletal muscle insulin signaling.
  • Figure 12 shows representative data on the effect of ursolic acid on adiposity and plasma lipids.
  • Figure 13 shows representative data on the effect of ursolic acid on food consumption, liver weight, kidney weight, and plasma ALT, bilirubin, and creatinine concentrations.
  • Figure 14 shows representative data on the effect of ursolic acid on weight gain, white adipose tissue weight, skeletal muscle weight, brown adipose tissue weight and energy expenditure in a mouse model of obesity and metabolic syndrome.
  • Figure 15 shows representative data on the effect of ursolic acid on obesity- related pre-diabetes, diabetes, fatty liver disease and hyperlipidemia in a mouse model of obesity and metabolic syndrome.
  • Figure 16 shows representative data that oleanolic acid and metformin do not reduce skeletal muscle atrophy.
  • Figure 17 shows representative data that targeted inhibition of PTP1B does not inhibit skeletal muscle atrophy.
  • Figure 18 shows representative data on the effect of ursolic acid serum concentration on muscle mass and adiposity.
  • FIG 19 shows that betulinic acid, like ursolic acid, reduces immobilization- induced skeletal muscle atrophy.
  • Mice were administered vehicle (corn oil) or the indicated concentration of ursolic acid (A) or betulinic acid (B) via intraperitoneal injection twice a day for two days.
  • One tibialis anterior (TA) muscle was immobilized with a surgical staple, leaving the contralateral mobile TA as an intrasubject control.
  • Vehicle, or the same dose of ursolic acid or betulinic acid was administered via i.p. injection twice daily for six days before comparing weights of the immobile and mobile TAs.
  • Data are means + SEM from 9- 10 mice per condition.
  • A ursolic acid dose-response relationship.
  • B betulinic acid dose- response relationship.
  • FIG. 20 shows that naringenin reduces immobilization-induced skeletal muscle atrophy.
  • Mice were administered vehicle (corn oil), ursolic acid (200 mg/kg), naringenin (200 mg/kg) or ursolic acid plus naringenin (both at 200 mg/kg) via intraperitoneal injection twice a day for two days.
  • One tibialis anterior (TA) muscle was immobilized with a surgical staple, leaving the contralateral mobile TA as an intrasubject control.
  • Vehicle, or the same dose of ursolic acid and/or naringenin was administered via i.p. injection twice daily for six days before comparing weights of the immobile and mobile TAs.
  • Data are means + SEM from 9-10 mice per condition.
  • FIG. 21 shows that the combination of ursolic acid and naringenin normalizes fasting blood glucose levels in a mouse model of glucose intolerance, obesity and fatty liver disease.
  • Mice were fed standard chow, high fat diet (HFD) plus the indicated concentrations of naringenin, or HFD containing 0.15% ursolic acid (UA) plus the indicated concentrations of naringenin for 5 weeks before measurement of fasting blood glucose (A), total body weight (B), fat mass by NMR (C), liver weight (D), grip strength (E) and skeletal muscle weight (bilateral tibialis anterior, gastrcocnemius, soleus, quadriceps and triceps muscle; F). Dashed line indicates levels in control mice that were fed standard chow. Open symbols indicate levels in mice fed HFD containing the indicated concentrations of naringenin.
  • FIG 22 shows that tomatidine reduces immobilization-induced muscle atrophy.
  • Mice were administered vehicle (corn oil) or the indicated concentration of tomatidine via intraperitoneal injection twice a day for two days.
  • One tibialis anterior (TA) muscle was immobilized with a surgical staple, leaving the contralateral mobile TA as an intrasubject control.
  • Vehicle, or the same dose of tomatidine was administered via i.p. injection twice daily for six days before comparing weights of the immobile and mobile TAs.
  • Data are means + SEM from 9-10 mice per condition.
  • A effects of 50, 100 and 200 mg/kg tomatidine.
  • B effects of 5, 15 and 50 mg/kg tomatidine.
  • Figure 23 shows that tomatidine reduces fasting-induced muscle atrophy.
  • Data are means + SEM from 9-12 mice per condition. Food was withdrawn from mice, and then vehicle (corn oil), or the indicated concentrations of ursolic acid or tomatidine, were administered by i.p. injection. Twelve hours later, mice received another i.p. injection of vehicle or the same dose of ursolic acid or tomatidine. Twelve hours later, skeletal muscles (bilateral tibialis anterior, gastrcocnemius, soleus, quadriceps muscles) were harvested and weighed. A, comparison of 200 mg/kg ursolic acid and 50 mg/kg tomatidine. B, effects of 5, 15 and 50 mg/kg tomatidine.
  • Figure 24 shows that allantoin, tacrine, ungerine, hippeastrine and conessine reduce fasting-induced muscle atrophy.
  • Food was withdrawn from mice, and then vehicle or the indicated dose of ursolic acid, tomatidine, allantoin, tacrine, ungerine, hippeastrine or conessine was administered by i.p. injection. Twelve hours later, mice received another i.p. injection of vehicle or the same dose of ursolic acid, tomatidine, allantoin, tacrine, ungerine, hippeastrine or conessine. Twelve hours later, skeletal muscles (bilateral tibialis anterior, gastrcocnemius and soleus muscles) were harvested and weighed.
  • Data are means + SEM from > 9 mice per condition and show the percent change in skeletal muscle weight relative to vehicle-treated animals in the same experiment.
  • the vehicle for ursolic acid, tomatidine, ungerine, hippeastrine and conessine was corn oil.
  • the vehicle for tacrine and allantoin was saline.
  • Figure 25 shows that hippeastrine and conessine reduce fasting blood glucose.
  • Food was withdrawn from mice, and then vehicle or the indicated dose of hippeastrine or conessine was administered by i.p. injection. Twelve hours later, mice received another i.p. injection of vehicle or the same dose of hippeastrine or conessine. Twelve hours later, blood glucose was measured via tail vein. Data are means + SEM from > 9 mice per condition.
  • Ranges can be expressed herein as from “about” one particular value, and/or to "about” another particular value. When such a range is expressed, a further aspect includes from the one particular value and/or to the other particular value. Similarly, when values are expressed as approximations, by use of the antecedent "about,” it will be understood that the particular value forms a further aspect. It will be further understood that the endpoints of each of the ranges are significant both in relation to the other endpoint, and independently of the other endpoint. It is also understood that there are a number of values disclosed herein, and that each value is also herein disclosed as "about” that particular value in addition to the value itself. For example, if the value "10” is disclosed, then “about 10" is also disclosed. It is also understood that each unit between two particular units are also disclosed. For example, if 10 and 15 are disclosed, then 11, 12, 13, and 14 are also disclosed.
  • references in the specification and concluding claims to parts by weight of a particular element or component in a composition denotes the weight relationship between the element or component and any other elements or components in the composition or article for which a part by weight is expressed.
  • X and Y are present at a weight ratio of 2:5, and are present in such ratio regardless of whether additional components are contained in the compound.
  • a weight percent (wt. %) of a component is based on the total weight of the formulation or composition in which the component is included.
  • muscle atrophy signature- 1 refers to the set of mRNAs with an altered expression pattern associated with muscle atrophy.
  • the mRNAs comprise mRNAs that are either induced or repressed during the pathophysiology of muscle atrophy and which were identified using the methods described herein.
  • muscle atrophy signature- 1 comprise the induced and repressed mRNAs described in Figure 2.
  • muscle atrophy signature-2 refers to the set of mRNAs with an altered expression pattern associated with muscle atrophy.
  • the mRNAs comprise mRNAs that are either induced or repressed during the pathophysiology of muscle atrophy and which were identified using the methods described herein.
  • muscle atrophy signature-2 comprise the induced and repressed mRNAs described in Figure 3.
  • muscle atrophy signature-3 refers to the set of mRNAs with an altered expression pattern associated with muscle atrophy.
  • the mRNAs comprise mRNAs that are either induced or repressed during the pathophysiology of muscle atrophy and which were identified using the methods described herein.
  • muscle atrophy signature-3 comprise the induced and repressed mRNAs described in Example 23.
  • muscle atrophy signature-4 refers to the set of mRNAs with an altered expression pattern associated with muscle atrophy.
  • the mRNAs comprise mRNAs that are either induced or repressed during the pathophysiology of muscle atrophy and which were identified using the methods described herein.
  • muscle atrophy signature-4 comprise the induced and repressed mRNAs described in Example 24.
  • the term "subject" refers to the target of administration, e.g. an animal.
  • the subject of the herein disclosed methods can be a vertebrate, such as a mammal, a fish, a bird, a reptile, or an amphibian.
  • the subject of the herein disclosed methods can be a human, non-human primate, horse, pig, rabbit, dog, sheep, goat, cow, cat, guinea pig, fish, bird, or rodent.
  • the term does not denote a particular age or sex. Thus, adult and newborn subjects, as well as fetuses, whether male or female, are intended to be covered.
  • the subject is a mammal.
  • a patient refers to a subject afflicted with a disease or disorder.
  • the term "patient” includes human and veterinary subjects.
  • the subject has been diagnosed with a need for treatment of one or more muscle disorders prior to the administering step.
  • the subject has been diagnosed with a need for promoting muscle health prior to the administering step.
  • the subject has been diagnosed with a need for promoting muscle health prior, promote normal muscle function, and/or promote healthy aging muscles to the administering step.
  • treatment refers to the medical management of a patient with the intent to cure, ameliorate, stabilize, or prevent a disease, pathological condition, or disorder.
  • This term includes the use for astetic and self improvement purposes, for example, such uses include, but are not limited to, the administration of the disclosed compound in nutraceuticals, medicinal food, energy bar, energy drink, supplements (such as multivitamins).
  • This term includes active treatment, that is, treatment directed specifically toward the improvement of a disease, pathological condition, or disorder, and also includes causal treatment, that is, treatment directed toward removal of the cause of the associated disease, pathological condition, or disorder.
  • this term includes palliative treatment, that is, treatment designed for the relief of symptoms rather than the curing of the disease, pathological condition, or disorder; preventative treatment, that is, treatment directed to minimizing or partially or completely inhibiting the development of the associated disease, pathological condition, or disorder; and supportive treatment, that is, treatment employed to supplement another specific therapy directed toward the improvement of the associated disease, pathological condition, or disorder.
  • the term covers any treatment of a subject, including a mammal (e.g., a human), and includes: (i) preventing the disease from occurring in a subject that can be predisposed to the disease but has not yet been diagnosed as having it; (ii) inhibiting the disease, i.e., arresting its development; or (iii) relieving the disease, i.e., causing regression of the disease.
  • the subject is a mammal such as a primate, and, in a further aspect, the subject is a human.
  • subject also includes domesticated animals (e.g., cats, dogs, etc.), livestock (e.g., cattle, horses, pigs, sheep, goats, fish, bird, etc.), and laboratory animals (e.g., mouse, rabbit, rat, guinea pig, fruit fly, etc.).
  • domesticated animals e.g., cats, dogs, etc.
  • livestock e.g., cattle, horses, pigs, sheep, goats, fish, bird, etc.
  • laboratory animals e.g., mouse, rabbit, rat, guinea pig, fruit fly, etc.
  • prevent refers to precluding, averting, obviating, forestalling, stopping, or hindering something from happening, especially by advance action. It is understood that where reduce, inhibit or prevent are used herein, unless specifically indicated otherwise, the use of the other two words is also expressly disclosed.
  • diagnosisd means having been subjected to a physical examination by a person of skill, for example, a physician, and found to have a condition that can be diagnosed or treated by the compounds, compositions, or methods disclosed herein.
  • diagnosis with a muscle atrophy disorder means having been subjected to a physical examination by a person of skill, for example, a physician, and found to have a condition that can be diagnosed or treated by a compound or composition that can promote muscle health, promote normal muscle function, and/or promote healthy aging muscles.
  • diagnosis with a need for promoting muscle health refers to having been subjected to a physical examination by a person of skill, for example, a physician, and found to have a condition characterized by muscle atrophy or other disease wherein promoting muscle health, promoting normal muscle function, and/or promoting healthy aging muscles would be beneficial to the subject.
  • a diagnosis can be in reference to a disorder, such as muscle atrophy, and the like, as discussed herein.
  • the phrase "identified to be in need of treatment for a disorder," or the like, refers to selection of a subject based upon need for treatment of the disorder.
  • a subject can be identified as having a need for treatment of a disorder (e.g., a disorder related to muscle atrophy) based upon an earlier diagnosis by a person of skill and thereafter subjected to treatment for the disorder.
  • the identification can, in one aspect, be performed by a person different from the person making the diagnosis.
  • the administration can be performed by one who subsequently performed the administration.
  • administering refers to any method of providing a pharmaceutical preparation to a subject.
  • Such methods are well known to those skilled in the art and include, but are not limited to, oral administration, transdermal administration, administration by inhalation, nasal administration, topical administration, intravaginal administration, ophthalmic administration, intraaural administration, intracerebral administration, rectal administration, sublingual administration, buccal administration, and parenteral administration, including injectable such as intravenous administration, intra- arterial administration, intramuscular administration, and subcutaneous administration.
  • Administration can be continuous or intermittent.
  • a preparation can be administered therapeutically; that is, administered to treat an existing disease or condition.
  • a preparation can be administered
  • prophylactically that is, administered for prevention of a disease or condition.
  • contacting refers to bringing a disclosed compound and a cell, target receptor, or other biological entity together in such a manner that the compound can affect the activity of the target (e.g., receptor, transcription factor, cell, etc.), either directly; i.e., by interacting with the target itself, or indirectly; i.e., by interacting with another molecule, co-factor, factor, or protein on which the activity of the target is dependent.
  • target e.g., receptor, transcription factor, cell, etc.
  • the terms “effective amount” and “amount effective” refer to an amount that is sufficient to achieve the desired result or to have an effect on an undesired condition.
  • a “therapeutically effective amount” refers to an amount that is sufficient to achieve the desired therapeutic result or to have an effect on undesired symptoms, but is generally insufficient to cause adverse side affects.
  • therapeutically effective dose level for any particular patient will depend upon a variety of factors including the disorder being treated and the severity of the disorder; the specific composition employed; the age, body weight, general health, sex and diet of the patient; the time of administration; the route of administration; the rate of excretion of the specific compound employed; the duration of the treatment; drugs used in combination or
  • a preparation can be administered in a "prophylactically effective amount"; that is, an amount effective for prevention of a disease or condition.
  • EC 50 is intended to refer to the concentration or dose of a substance (e.g., a compound or a drug) that is required for 50% enhancement or activation of a biological process, or component of a process, including a protein, subunit, organelle, ribonucleoprotein, etc.
  • EC 50 also refers to the concentration or dose of a substance that is required for 50% enhancement or activation in vivo, as further defined elsewhere herein.
  • EC 50 can refer to the concentration or dose of compound that provokes a response halfway between the baseline and maximum response. The response can be measured in a in vitro or in vivo system as is convenient and appropriate for the biological response of interest.
  • the response can be measured in vitro using cultured muscle cells or in an ex vivo organ culture system with isolated muscle fibers.
  • the response can be measured in vivo using an appropriate research model such as rodent, including mice and rats.
  • the mouse or rat can be an inbred strain with phenotypic characteristics of interest such as obesity or diabetes.
  • the response can be measured in a transgenic or knockout mouse or rat wherein the a gene or genes has been introduced or knocked-out, as appropriate, to replicate a disease process.
  • IC 50 is intended to refer to the concentration or dose of a substance (e.g., a compound or a drug) that is required for 50% inhibition or diminuation of a biological process, or component of a process, including a protein, subunit, organelle, ribonucleoprotein, etc.
  • IC 50 also refers to the concentration or dose of a substance that is required for 50% inhibition or diminuation in vivo, as further defined elsewhere herein.
  • IC 50 also refers to the half maximal (50%) inhibitory concentration (IC) or inhibitory dose of a substance.
  • the response can be measured in a in vitro or in vivo system as is convenient and appropriate for the biological response of interest.
  • the response can be measured in vitro using cultured muscle cells or in an ex vivo organ culture system with isolated muscle fibers.
  • the response can be measured in vivo using an appropriate research model such as rodent, including mice and rats.
  • the mouse or rat can be an inbred strain with phenotypic characteristics of interest such as obesity or diabetes.
  • the response can be measured in a transgenic or knockout mouse or rat wherein the a gene or genes has been introduced or knocked-out, as appropriate, to replicate a disease process.
  • the term "pharmaceutically acceptable” describes a material that is not biologically or otherwise undesirable, i.e., without causing an unacceptable level of undesirable biological effects or interacting in a deleterious manner.
  • the term “derivative” refers to a compound having a structure derived from the structure of a parent compound (e.g., a compound disclosed herein) and whose structure is sufficiently similar to those disclosed herein and based upon that similarity, would be expected by one skilled in the art to exhibit the same or similar activities and utilities as the claimed compounds, or to induce, as a precursor, the same or similar activities and utilities as the claimed compounds.
  • Exemplary derivatives include salts, esters, amides, salts of esters or amides, and N-oxides of a parent compound.
  • the term "pharmaceutically acceptable carrier” refers to sterile aqueous or nonaqueous solutions, dispersions, suspensions or emulsions, as well as sterile powders for reconstitution into sterile injectable solutions or dispersions just prior to use.
  • suitable aqueous and nonaqueous carriers, diluents, solvents or vehicles include water, ethanol, polyols (such as glycerol, propylene glycol, polyethylene glycol and the like), carboxymethylcellulose and suitable mixtures thereof, vegetable oils (such as olive oil) and injectable organic esters such as ethyl oleate.
  • Proper fluidity can be maintained, for example, by the use of coating materials such as lecithin, by the maintenance of the required particle size in the case of dispersions and by the use of surfactants.
  • These compositions can also contain adjuvants such as preservatives, wetting agents, emulsifying agents and dispersing agents.
  • Prevention of the action of microorganisms can be ensured by the inclusion of various antibacterial and antifungal agents such as paraben, chlorobutanol, phenol, sorbic acid and the like. It can also be desirable to include isotonic agents such as sugars, sodium chloride and the like.
  • Prolonged absorption of the injectable pharmaceutical form can be brought about by the inclusion of agents, such as aluminum monostearate and gelatin, which delay absorption.
  • Injectable depot forms are made by forming microencapsule matrices of the drug in biodegradable polymers such as polylactide-polyglycolide, poly(orthoesters) and poly(anhydrides). Depending upon the ratio of drug to polymer and the nature of the particular polymer employed, the rate of drug release can be controlled. Depot injectable formulations are also prepared by entrapping the drug in liposomes or microemulsions which are compatible with body tissues.
  • the injectable formulations can be sterilized, for example, by filtration through a bacterial-retaining filter or by incorporating sterilizing agents in the form of sterile solid compositions which can be dissolved or dispersed in sterile water or other sterile injectable media just prior to use.
  • Suitable inert carriers can include sugars such as lactose. Desirably, at least 95% by weight of the particles of the active ingredient have an effective particle size in the range of 0.01 to 10 micrometers.
  • a residue of a chemical species refers to the moiety that is the resulting product of the chemical species in a particular reaction scheme or subsequent formulation or chemical product, regardless of whether the moiety is actually obtained from the chemical species.
  • an ethylene glycol residue in a polyester refers to one or more -OCH 2 CH 2 O- units in the polyester, regardless of whether ethylene glycol was used to prepare the polyester.
  • a sebacic acid residue in a polyester refers to one or more -CO(CH 2 ) 8 CO- moieties in the polyester, regardless of whether the residue is obtained by reacting sebacic acid or an ester thereof to obtain the polyester.
  • the term "substituted" is contemplated to include all permissible substituents of organic compounds.
  • the permissible substituents include acyclic and cyclic, branched and unbranched, carbocyclic and heterocyclic, and aromatic and nonaromatic substituents of organic compounds.
  • Illustrative substituents include, for example, those described below.
  • the permissible substituents can be one or more and the same or different for appropriate organic compounds.
  • the heteroatoms, such as nitrogen can have hydrogen substituents and/or any permissible substituents of organic compounds described herein which satisfy the valences of the heteroatoms.
  • substitution or “substituted with” include the implicit proviso that such substitution is in accordance with permitted valence of the substituted atom and the substituent, and that the substitution results in a stable compound, e.g., a compound that does not spontaneously undergo transformation such as by rearrangement, cyclization, elimination, etc. It is also contemplated that, in certain aspects, unless expressly indicated to the contrary, individual substituents can be further optionally substituted (i.e., further substituted or unsubstituted).
  • a 1 ,” “A 2 ,” “A 3 ,” and “A 4 " are used herein as generic symbols to represent various specific substituents. These symbols can be any substituent, not limited to those disclosed herein, and when they are defined to be certain substituents in one instance, they can, in another instance, be defined as some other substituents.
  • alkyl as used herein is a branched or unbranched saturated
  • hydrocarbon group of 1 to 24 carbon atoms such as methyl, ethyl, w-propyl, isopropyl, n- butyl, isobutyl, s-butyl, i-butyl, w-pentyl, isopentyl, s-pentyl, neopentyl, hexyl, heptyl, octyl, nonyl, decyl, dode cyl, tetradecyl, hexadecyl, eicosyl, tetracosyl, and the like.
  • the alkyl group can be cyclic or acyclic.
  • the alkyl group can be branched or unbranched.
  • the alkyl group can also be substituted or unsubstituted.
  • the alkyl group can be substituted with one or more groups including, but not limited to, alkyl, cycloalkyl, alkoxy, amino, ether, halide, hydroxy, nitro, silyl, sulfo-oxo, or thiol, as described herein.
  • a "lower alkyl” group is an alkyl group containing from one to six (e.g., from one to four) carbon atoms.
  • alkyl is generally used to refer to both
  • substituted alkyl groups are also specifically referred to herein by identifying the specific substituent(s) on the alkyl group.
  • halogenated alkyl or “haloalkyl” specifically refers to an alkyl group that is substituted with one or more halide, e.g. , fluorine, chlorine, bromine, or iodine.
  • alkoxyalkyl specifically refers to an alkyl group that is substituted with one or more alkoxy groups, as described below.
  • alkylamino specifically refers to an alkyl group that is substituted with one or more amino groups, as described below, and the like.
  • alkyl is used in one instance and a specific term such as “alkylalcohol” is used in another, it is not meant to imply that the term “alkyl” does not also refer to specific terms such as “alkylalcohol” and the like.
  • cycloalkyl as used herein is a non-aromatic carbon-based ring composed of at least three carbon atoms.
  • cycloalkyl groups include, but are not limited to, cyclopropyl, cyclobutyl, cyclopentyl, cyclohexyl, norbornyl, and the like.
  • heterocycloalkyl is a type of cycloalkyl group as defined above, and is included within the meaning of the term “cycloalkyl,” where at least one of the carbon atoms of the ring is replaced with a heteroatom such as, but not limited to, nitrogen, oxygen, sulfur, or phosphorus.
  • the cycloalkyl group and heterocycloalkyl group can be substituted or unsubstituted.
  • the cycloalkyl group and heterocycloalkyl group can be substituted with one or more groups including, but not limited to, alkyl, cycloalkyl, alkoxy, amino, ether, halide, hydroxy, nitro, silyl, sulfo-oxo, or thiol as described herein.
  • polyalkylene group as used herein is a group having two or more CH 2 groups linked to one another.
  • the polyalkylene group can be represented by the formula— (CH 2 ) a — , where "a" is an integer of from 2 to 500.
  • Alkoxy also includes polymers of alkoxy groups as just described; that is, an alkoxy can be a polyether such as— OA 1— OA 2 or— OA 1 — (OA 2 ) a — OA 3 , where "a” is an integer of from 1 to 200 and A 1 , A 2 , and A 3 are alkyl and/or cycloalkyl groups.
  • alkenyl as used herein is a hydrocarbon group of from 2 to 24 carbon atoms with a structural formula containing at least one carbon-carbon double bond.
  • the alkenyl group can be substituted with one or more groups including, but not limited to, alkyl, cycloalkyl, alkoxy, alkenyl, cycloalkenyl, alkynyl, cycloalkynyl, aryl, heteroaryl, aldehyde, amino, carboxylic acid, ester, ether, halide, hydroxy, ketone, azide, nitro, silyl, sulfo-oxo, or thiol, as described herein.
  • groups including, but not limited to, alkyl, cycloalkyl, alkoxy, alkenyl, cycloalkenyl, alkynyl, cycloalkynyl, aryl, heteroaryl, aldehyde, amino, carboxylic acid, ester, ether, halide, hydroxy, ketone, azide, nitro, silyl, sulfo-oxo, or thiol, as described here
  • cycloalkenyl groups include, but are not limited to, cyclopropenyl, cyclobutenyl, cyclopentenyl, cyclopentadienyl, cyclohexenyl,
  • heterocycloalkenyl is a type of cycloalkenyl group as defined above, and is included within the meaning of the term
  • cycloalkenyl where at least one of the carbon atoms of the ring is replaced with a heteroatom such as, but not limited to, nitrogen, oxygen, sulfur, or phosphorus.
  • the cycloalkenyl group and heterocycloalkenyl group can be substituted or unsubstituted.
  • the cycloalkenyl group and heterocycloalkenyl group can be substituted with one or more groups including, but not limited to, alkyl, cycloalkyl, alkoxy, alkenyl, cycloalkenyl, alkynyl, cycloalkynyl, aryl, heteroaryl, aldehyde, amino, carboxylic acid, ester, ether, halide, hydroxy, ketone, azide, nitro, silyl, sulfo-oxo, or thiol as described herein.
  • alkynyl is a hydrocarbon group of 2 to 24 carbon atoms with a structural formula containing at least one carbon-carbon triple bond.
  • the alkynyl group can be unsubstituted or substituted with one or more groups including, but not limited to, alkyl, cycloalkyl, alkoxy, alkenyl, cycloalkenyl, alkynyl, cycloalkynyl, aryl, heteroaryl, aldehyde, amino, carboxylic acid, ester, ether, halide, hydroxy, ketone, azide, nitro, silyl, sulfo-oxo, or thiol, as described herein.
  • cycloalkynyl as used herein is a non-aromatic carbon-based ring composed of at least seven carbon atoms and containing at least one carbon-carbon triple bound.
  • cycloalkynyl groups include, but are not limited to, cycloheptynyl, cyclooctynyl, cyclononynyl, and the like.
  • heterocycloalkynyl is a type of cycloalkenyl group as defined above, and is included within the meaning of the term
  • cycloalkynyl where at least one of the carbon atoms of the ring is replaced with a heteroatom such as, but not limited to, nitrogen, oxygen, sulfur, or phosphorus.
  • the cycloalkynyl group and heterocycloalkynyl group can be substituted or unsubstituted.
  • the cycloalkynyl group and heterocycloalkynyl group can be substituted with one or more groups including, but not limited to, alkyl, cycloalkyl, alkoxy, alkenyl, cycloalkenyl, alkynyl, cycloalkynyl, aryl, heteroaryl, aldehyde, amino, carboxylic acid, ester, ether, halide, hydroxy, ketone, azide, nitro, silyl, sulfo-oxo, or thiol as described herein.
  • aryl as used herein is a group that contains any carbon-based aromatic group including, but not limited to, benzene, naphthalene, phenyl, biphenyl, phenoxybenzene, and the like.
  • aryl also includes “heteroaryl,” which is defined as a group that contains an aromatic group that has at least one heteroatom incorporated within the ring of the aromatic group. Examples of heteroatoms include, but are not limited to, nitrogen, oxygen, sulfur, and phosphorus.
  • non-heteroaryl which is also included in the term “aryl,” defines a group that contains an aromatic group that does not contain a heteroatom.
  • the aryl group can be substituted or unsubstituted.
  • the aryl group can be substituted with one or more groups including, but not limited to, alkyl, cycloalkyl, alkoxy, alkenyl, cycloalkenyl, alkynyl, cycloalkynyl, aryl, heteroaryl, aldehyde, amino, carboxylic acid, ester, ether, halide, hydroxy, ketone, azide, nitro, silyl, sulfo-oxo, or thiol as described herein.
  • biasing is a specific type of aryl group and is included in the definition of "aryl.”
  • Biaryl refers to two aryl groups that are bound together via a fused ring structure, as in naphthalene, or are attached via one or more carbon-carbon bonds, as in biphenyl.
  • aldehyde as used herein is represented by the formula— C(0)H.
  • NA 1 A2 where A 1 and A 2 can be, independently, hydrogen or alkyl, cycloalkyl, alkenyl, cycloalkenyl, alkynyl, cycloalkynyl, aryl, or heteroaryl group as described herein.
  • alkylamino as used herein is represented by the formula— NH(-alkyl) where alkyl is a described herein.
  • Representative examples include, but are not limited to, methylamino group, ethylamino group, propylamino group, isopropylamino group, butylamino group, isobutylamino group, (sec-butyl)amino group, (tert-butyl) amino group, pentylamino group, isopentylamino group, (tert-pentyl)amino group, hexylamino group, and the like.
  • dialkylamino as used herein is represented by the formula— N(- alkyl) 2 where alkyl is a described herein. Representative examples include, but are not limited to, dimethylamino group, diethylamino group, dipropylamino group,
  • diisopropylamino group dibutylamino group, diisobutylamino group, di(sec-butyl)amino group, di(tert-butyl)amino group, dipentylamino group, diisopentylamino group, di(tert- pentyl)amino group, dihexylamino group, N-ethyl-N-methylamino group, N-methyl-N- propylamino group, N-ethyl-N-propylamino group and the like.
  • esters as used herein is represented by the formula— OC(0)A 1 or— where A 1 can be alkyl, cycloalkyl, alkenyl, cycloalkenyl, alkynyl, cycloalkynyl, aryl, or heteroaryl group as described herein.
  • polymers as used herein is represented by the formula— (A 1 0(0)C-A 2 -C(0)0) a — or— (A 1 0(0)C-A 2 -OC(0)) a — ,
  • a and A can be, independently, an alkyl, cycloalkyl, alkenyl, cycloalkenyl, alkynyl, cycloalkynyl, aryl, or heteroaryl group described herein and "a” is an interger from 1 to 500.
  • Polyethylene is as the term used to describe a group that is produced by the reaction between a compound having at least two carboxylic acid groups with a compound having at least two hydroxyl groups.
  • ether as used herein is represented by the formula A OA , where A and A can be, independently, an alkyl, cycloalkyl, alkenyl, cycloalkenyl, alkynyl, cycloalkynyl, aryl, or heteroaryl group described herein.
  • polyether as used herein
  • a and A can be, independently, an alkyl, cycloalkyl, alkenyl, cycloalkenyl, alkynyl, cycloalkynyl, aryl, or heteroaryl group described herein and "a" is an integer of from 1 to 500.
  • polyether groups include polyethylene oxide, polypropylene oxide, and polybutylene oxide.
  • halide refers to the halogens fluorine, chlorine, bromine, and iodine.
  • heterocycle refers to single and multi-cyclic aromatic or non-aromatic ring systems in which at least one of the ring members is other than carbon.
  • Heterocycle includes azetidine, dioxane, furan, imidazole, isothiazole, isoxazole, morpholine, oxazole, oxazole, including, 1,2,3-oxadiazole, 1,2,5-oxadiazole and 1,3,4-oxadiazole, piperazine, piperidine, pyrazine, pyrazole, pyridazine, pyridine, pyrimidine, pyrrole, pyrrolidine, tetrahydrofuran, tetrahydropyran, tetrazine, including 1,2,4,5-tetrazine, tetrazole, including 1,2,3,4-tetrazole and 1,2,4,5-tetrazole, thiadiazole, including,
  • hydroxyl as used herein is represented by the formula— OH.
  • ketone as used herein is represented by the formula A 1 C(0)A 2 , where
  • a 1 and A 2" can be, independently, an alkyl, cycloalkyl, alkenyl, cycloalkenyl, alkynyl, cycloalkynyl, aryl, or heteroaryl group as described herein.
  • nitro as used herein is represented by the formula— N0 2 .
  • nitrile as used herein is represented by the formula— CN.
  • sil as used herein is represented by the formula— SiA 1 A 2 A 3 , where
  • a 1 , A2 , and A 3 J can be, independently, hydrogen or an alkyl, cycloalkyl, alkoxy, alkenyl, cycloalkenyl, alkynyl, cycloalkynyl, aryl, or heteroaryl group as described herein.
  • sulfo-oxo as used herein is represented by the formulas— S(0)A 1 ,— or— OS(0) 2 OA 1 , where A 1 can be hydrogen or an alkyl, cycloalkyl, alkenyl, cycloalkenyl, alkynyl, cycloalkynyl, aryl, or heteroaryl group as described herein.
  • a 1 can be hydrogen or an alkyl, cycloalkyl, alkenyl, cycloalkenyl, alkynyl, cycloalkynyl, aryl, or heteroaryl group as described herein.
  • sulfonyl is used herein to refer to the sulfo-oxo group represented by the formula— S(0) 2 A 1 , where A 1 can be hydrogen or an alkyl, cycloalkyl, alkenyl, cycloalkenyl, alkynyl, cycloalkynyl, aryl, or heteroaryl group as described herein.
  • sulfone as used herein is represented by the formula A 1 S(0) 2 A2 , where A 1 and A2 can be, independently, an alkyl, cycloalkyl, alkenyl, cycloalkenyl, alkynyl, cycloalkynyl, aryl, or heteroaryl group as described herein.
  • sulfoxide as used herein is represented by the formula
  • a 1 1 S(0)A2 where A 1 and A2" can be, independently, an alkyl, cycloalkyl, alkenyl,
  • cycloalkenyl alkynyl, cycloalkynyl, aryl, or heteroaryl group as described herein.
  • R 1 ,” “R 2 ,” “R 3 ,” “R n ,” where n is an integer, as used herein can, independently, possess one or more of the groups listed above.
  • R 1 is a straight chain alkyl group
  • one of the hydrogen atoms of the alkyl group can optionally be substituted with a hydroxyl group, an alkoxy group, an alkyl group, a halide, and the like.
  • a first group can be incorporated within second group or,
  • the first group can be pendant (i.e., attached) to the second group.
  • the amino group can be incorporated within the backbone of the alkyl group.
  • the amino group can be attached to the backbone of the alkyl group. The nature of the group(s) that is (are) selected will determine if the first group is embedded or attached to the second group.
  • compounds of the invention may contain "optionally substituted” moieties.
  • substituted whether preceded by the term “optionally” or not, means that one or more hydrogens of the designated moiety are replaced with a suitable substituent.
  • an "optionally substituted” group may have a suitable substituent at each substitutable position of the group, and when more than one position in any given structure may be substituted with more than one substituent selected from a specified group, the substituent may be either the same or different at every position.
  • Combinations of substituents envisioned by this invention are preferably those that result in the formation of stable or chemically feasible compounds.
  • individual substituents can be further optionally substituted (i.e., further substituted or unsubstituted).
  • stable refers to compounds that are not substantially altered when subjected to conditions to allow for their production, detection, and, in certain aspects, their recovery, purification, and use for one or more of the purposes disclosed herein.
  • Suitable monovalent substituents on R° are independently halogen, -(CH 2 )o_ 2 R*, -(haloR*), -(CH 2 )o_ 2 OH, -(CH 2 )o_ 2 OR*, -(CH 2 )o_ 2 CH(OR*) 2 ;
  • Suitable divalent substituents that are bound to vicinal substitutable carbons of an "optionally substituted” group include: -0(CR 2 ) 2 - 3 0-, wherein each independent occurrence of R is selected from hydrogen, Ci_6 aliphatic which may be substituted as defined below, or an unsubstituted 5-6-membered saturated, partially unsaturated, or aryl ring having 0-4 heteroatoms independently selected from nitrogen, oxygen, or sulfur.
  • Suitable substituents on the aliphatic group of R * include halogen, -R*, -(haloR*), -OH, -OR*, -O(haloR'), -CN, -C(0)OH, -C(0)OR*, -NH 2 , -NHR*, -NR* 2 , or -N0 2 , wherein each R* is unsubstituted or where preceded by "halo" is substituted only with one or more halogens, and is independently C ⁇ aliphatic, -CH 2 Ph, -0(CH 2 )o-iPh, or a 5-6- membered saturated, partially unsaturated, or aryl ring having 0-4 heteroatoms independently selected from nitrogen, oxygen, or sulfur.
  • Suitable substituents on a substitutable nitrogen of an "optionally substituted" group include -R ⁇ , -NR ⁇ 2 , -C(0)R ⁇ , -C(0)OR ⁇ , -C(0)C(0)R ⁇ , -C(0)CH 2 C(0)R ⁇ , - S(0) 2 R ⁇ , -S(0) 2 NR ⁇ 2 , -C(S)NR ⁇ 2 , -C(NH)NR ⁇ 2 , or -N(R ⁇ )S(0) 2 R ⁇ ; wherein each R ⁇ is independently hydrogen, C ⁇ aliphatic which may be substituted as defined below, unsubstituted -OPh, or an unsubstituted 5-6-membered saturated, partially unsaturated, or aryl ring having 0-4 heteroatoms independently selected from nitrogen, oxygen, or sulfur, or, notwithstanding the definition above, two independent occurrences of R ⁇ , taken together with their intervening atom(
  • Suitable substituents on the aliphatic group of R ⁇ are independently halogen, -R*, -(haloR*), -OH, -OR*, -O(haloR'), -CN, -C(0)OH, -C(0)OR*, -NH 2 , -NHR*, -NR* 2 , or
  • each R* is unsubstituted or where preceded by "halo" is substituted only with one or more halogens, and is independently Cn aliphatic, -CH 2 Ph, -0(CH 2 )o-iPh, or a 5-6- membered saturated, partially unsaturated, or aryl ring having 0-4 heteroatoms independently selected from nitrogen, oxygen, or sulfur.
  • leaving group refers to an atom (or a group of atoms) with electron withdrawing ability that can be displaced as a stable species, taking with it the bonding electrons.
  • suitable leaving groups include halides and sulfonate esters, including, but not limited to, triflate, mesylate, tosylate, and brosylate.
  • hydrolysable group and “hydrolysable moiety” refer to a functional group capable of undergoing hydrolysis, e.g., under basic or acidic conditions.
  • hydrolysable residues include, without limitatation, acid halides, activated carboxylic acids, and various protecting groups known in the art (see, for example, "Protective Groups in Organic Synthesis,” T. W. Greene, P. G. M. Wuts, Wiley-Interscience, 1999).
  • organic residue defines a carbon containing residue, i.e., a residue comprising at least one carbon atom, and includes but is not limited to the carbon-containing groups, residues, or radicals defined hereinabove.
  • Organic residues can contain various heteroatoms, or be bonded to another molecule through a heteroatom, including oxygen, nitrogen, sulfur, phosphorus, or the like. Examples of organic residues include but are not limited alkyl or substituted alkyls, alkoxy or substituted alkoxy, mono or di-substituted amino, amide groups, etc.
  • Organic residues can preferably comprise 1 to 18 carbon atoms, 1 to 15, carbon atoms, 1 to 12 carbon atoms, 1 to 8 carbon atoms, 1 to 6 carbon atoms, or 1 to 4 carbon atoms.
  • an organic residue can comprise 2 to 18 carbon atoms, 2 to 15, carbon atoms, 2 to 12 carbon atoms, 2 to 8 carbon atoms, 2 to 4 carbon atoms, or 2 to 4 carbon atoms.
  • a very close synonym of the term "residue” is the term "radical,” which as used in the specification and concluding claims, refers to a fragment, group, or substructure of a molecule described herein, regardless of how the molecule is prepared.
  • radical refers to a fragment, group, or substructure of a molecule described herein, regardless of how the molecule is prepared.
  • a 2,4- thiazolidinedione radical in a particular compound has the structure
  • radical for example an alkyl
  • substituted alkyl can be further modified (i.e., substituted alkyl) by having bonded thereto one or more "substituent radicals.”
  • the number of atoms in a given radical is not critical to the present invention unless it is indicated to the contrary elsewhere herein.
  • Organic radicals contain one or more carbon atoms.
  • An organic radical can have, for example, 1-26 carbon atoms, 1-18 carbon atoms, 1-12 carbon atoms, 1-8 carbon atoms, 1-6 carbon atoms, or 1-4 carbon atoms.
  • an organic radical can have 2-26 carbon atoms, 2-18 carbon atoms, 2-12 carbon atoms, 2-8 carbon atoms, 2-6 carbon atoms, or 2-4 carbon atoms.
  • Organic radicals often have hydrogen bound to at least some of the carbon atoms of the organic radical.
  • an organic radical that comprises no inorganic atoms is a 5, 6, 7, 8-tetrahydro-2- naphthyl radical.
  • an organic radical can contain 1-10 inorganic heteroatoms bound thereto or therein, including halogens, oxygen, sulfur, nitrogen, phosphorus, and the like.
  • organic radicals include but are not limited to an alkyl, substituted alkyl, cycloalkyl, substituted cycloalkyl, mono-substituted amino, di- substituted amino, acyloxy, cyano, carboxy, carboalkoxy, alkylcarboxamide, substituted alkylcarboxamide, dialkylcarboxamide, substituted dialkylcarboxamide, alkylsulfonyl, alkylsulfinyl, thioalkyl, thiohaloalkyl, alkoxy, substituted alkoxy, haloalkyl, haloalkoxy, aryl, substituted aryl, heteroaryl, heterocyclic, or substituted heterocyclic radicals, wherein the terms are defined elsewhere herein.
  • organic radicals that include heteroatoms include alkoxy radicals, trifluoromethoxy radicals, acetoxy radicals, dimethylamino radicals and the like.
  • Inorganic radicals contain no carbon atoms and therefore comprise only atoms other than carbon. Inorganic radicals comprise bonded combinations of atoms selected from hydrogen, nitrogen, oxygen, silicon,
  • Inorganic radicals have 10 or fewer, or preferably one to six or one to four inorganic atoms as listed above bonded together. Examples of inorganic radicals include, but not limited to, amino, hydroxy, halogens, nitro, thiol, sulfate, phosphate, and like commonly known inorganic radicals.
  • the inorganic radicals do not have bonded therein the metallic elements of the periodic table (such as the alkali metals, alkaline earth metals, transition metals, lanthanide metals, or actinide metals), although such metal ions can sometimes serve as a pharmaceutically acceptable cation for anionic inorganic radicals such as a sulfate, phosphate, or like anionic inorganic radical.
  • Inorganic radicals do not comprise metalloids elements such as boron, aluminum, gallium, germanium, arsenic, tin, lead, or tellurium, or the noble gas elements, unless otherwise specifically indicated elsewhere herein.
  • the invention includes all such possible isomers, as well as mixtures of such isomers.
  • a formula with chemical bonds shown only as solid lines and not as wedges or dashed lines contemplates each possible isomer, e.g., each enantiomer and diastereomer, and a mixture of isomers, such as a racemic or scalemic mixture.
  • Compounds described herein can contain one or more asymmetric centers and, thus, potentially give rise to diastereomers and optical isomers.
  • the present invention includes all such possible diastereomers as well as their racemic mixtures, their substantially pure resolved enantiomers, all possible geometric isomers, and
  • a specific stereoisomer can also be referred to as an enantiomer, and a mixture of such isomers is often called an enantiomeric mixture.
  • a 50:50 mixture of enantiomers is referred to as a racemic mixture.
  • Many of the compounds described herein can have one or more chiral centers and therefore can exist in different enantiomeric forms. If desired, a chiral carbon can be designated with an asterisk (*). When bonds to the chiral carbon are depicted as straight lines in the disclosed formulas, it is understood that both the (R) and (S) configurations of the chiral carbon, and hence both enantiomers and mixtures thereof, are embraced within the formula.
  • one of the bonds to the chiral carbon can be depicted as a wedge (bonds to atoms above the plane) and the other can be depicted as a series or wedge of short parallel lines is (bonds to atoms below the plane).
  • the Cahn-Inglod-Prelog system can be used to assign the (R) or (S) configuration to a chiral carbon.
  • Compounds described herein comprise atoms in both their natural isotopic abundance and in non-natural abundance.
  • the disclosed compounds can be isotopically- labelled or isotopically-substituted compounds identical to those described, but for the fact that one or more atoms are replaced by an atom having an atomic mass or mass number different from the atomic mass or mass number typically found in nature.
  • isotopes that can be incorporated into compounds of the invention include isotopes of hydrogen, carbon, nitrogen, oxygen, phosphorous, fluorine and chlorine, such as 2 H, 3 H, 13 C, 14 C, 15 N, 18 0, 17 0, 35 S, 18 F and 36 CI, respectively.
  • Compounds further comprise prodrugs thereof, and pharmaceutically acceptable salts of said compounds or of said prodrugs which contain the aforementioned isotopes and/or other isotopes of other atoms are within the scope of this invention.
  • Certain isotopically-labelled compounds of the present invention for example those into which radioactive isotopes such as 3 H and 14 C are incorporated, are useful in drug and/or substrate tissue distribution assays. Tritiated, i.e., H, and carbon- 14, i.e., C, isotopes are particularly preferred for their ease of preparation and detectability.
  • Isotopically labelled compounds of the present invention and prodrugs thereof can generally be prepared by carrying out the procedures below, by substituting a readily available isotopically labelled reagent for a non- isotopically labelled reagent.
  • the compounds described in the invention can be present as a solvate.
  • the solvent used to prepare the solvate is an aqueous solution, and the solvate is then often referred to as a hydrate.
  • the compounds can be present as a hydrate, which can be obtained, for example, by crystallization from a solvent or from aqueous solution.
  • one, two, three or any arbitrary number of solvate or water molecules can combine with the compounds according to the invention to form solvates and hydrates.
  • co-crystal means a physical association of two or more molecules which owe their stability through non-covalent interaction.
  • One or more components of this molecular complex provide a stable framework in the crystalline lattice.
  • the guest molecules are incorporated in the crystalline lattice as anhydrates or solvates, see e.g. "Crystal Engineering of the Composition of Pharmaceutical Phases. Do Pharmaceutical Co-crystals Represent a New Path to Improved Medicines?" Almarasson, O., et. al., The Royal Society of Chemistry, 1889-1896, 2004.
  • Examples of co-crystals include p- toluenesulfonic acid and benzenesulfonic acid.
  • ketones with an a-hydrogen can exist in an equilibrium of the keto form and the enol form.
  • amides with an N-hydrogen can exist in an equilibrium of the amide form and the imidic acid form. Unless stated to the contrary, the invention includes all such possible tautomers.
  • polymorphic forms or modifications It is known that chemical substances form solids which are present in different states of order which are termed polymorphic forms or modifications.
  • the different modifications of a polymorphic substance can differ greatly in their physical properties.
  • the compounds according to the invention can be present in different polymorphic forms, with it being possible for particular modifications to be metastable. Unless stated to the contrary, the invention includes all such possible polymorphic forms.
  • a structure of a compound can be represented by a formula:
  • n is typically an integer. That is, R" is understood to represent five independent substituents, R" (a) , R" (b) , R" (c) , R" (d) , R" (e) .
  • independent substituents it is meant that each R substituent can be independently defined. For example, if in one instance R" (a) is halogen, then R" (b) is not necessarily halogen in that instance.
  • compositions of the invention Disclosed are the components to be used to prepare the compositions of the invention as well as the compositions themselves to be used within the methods disclosed herein. These and other materials are disclosed herein, and it is understood that when combinations, subsets, interactions, groups, etc. of these materials are disclosed that while specific reference of each various individual and collective combinations and permutation of these compounds can not be explicitly disclosed, each is specifically contemplated and described herein. For example, if a particular compound is disclosed and discussed and a number of modifications that can be made to a number of molecules including the
  • compositions disclosed herein have certain functions. Disclosed herein are certain structural requirements for performing the disclosed functions, and it is understood that there are a variety of structures that can perform the same function that are related to the disclosed structures, and that these structures will typically achieve the same result.
  • the invention relates to compounds useful in methods to inhibit muscle atrophy by providing to a subject in need thereof an effective amount of a compound or an analog thereof selected from among the compounds described herein, and
  • the invention relates to compounds identified using muscle atrophy signature- 1 , muscle atrophy signature-2, or both muscle atrophy signatures.
  • the invention relates to compounds useful in methods to modulate muscle health, methods to inhibit muscle atrophy, methods to increase insulin/IGF-I signaling, methods to reduce body fat; methods to reduce blood glucose, methods to reduce blood triglycerides, methods to reduce blood cholesterol, methods to reduce obesity, methods to reduce fatty liver disease, and methods to reduce diabetes, and pharmaceutical compositions comprising compounds used in the methods.
  • the compounds of the invention are useful in the treatment of muscle disorders.
  • the muscle disorder can be skeletal muscle atrophy secondary to malnutrition, muscle disuse (secondary to voluntary or involuntary bedrest), neurologic disease (including multiple sclerosis, amyotrophic lateral sclerosis, spinal muscular atrophy, critical illness neuropathy, spinal cord injury or peripheral nerve injury), orthopedic injury, casting, and other post-surgical forms of limb immobilization, chronic disease (including cancer, congestive heart failure, chronic pulmonary disease, chronic renal failure, chronic liver disease, diabetes mellitus, Cushing syndrome, growth hormone deficiency, IGF-I deficiency, androgen deficiency, estrogen deficiency, and chronic infections such as HIV/AIDS or tuberculosis), burns, sepsis, other illnesses requiring mechanical ventiliation, drug-induced muscle disease (such as glucorticoid-induced myopathy and statin-induced myopathy), genetic diseases that primarily affect skeletal muscle (such as
  • each disclosed derivative can be optionally further substituted. It is also contemplated that any one or more derivative can be optionally omitted from the invention. It is understood that a disclosed compound can be provided by the disclosed methods. It is also understood that the disclosed compounds can be employed in the disclosed methods of using.
  • the compound can be a tacrine analogs.
  • the tacrine analogs has a structure represented by a formula:
  • R a and R together comprise a cycle selected from:
  • Q 11 is selected from N and CR 13c ;
  • Q 12 is selected from N and CR 13d ;
  • Q 13 and Q 14 are independently selected from CR 13c R 13d , O, S, and NR 14c ; wherein Q 15 is selected from CR 13c R 13d , O, S, and NR 14c ;
  • Q 16 is selected from N and CR 13c ;
  • Q 17 and Q 18 are independently selected from CR 13c R 13d , O, S, and NR 14c ; wherein R 11 and R 12 are independently selected from H and C1-C6 alkyl;
  • R 13c , R 13d , R 13e , and R 13f are independently selected from H, C1-C6 alkyl, Cl- C6 alkoxy, halo, hydroxyl, nitro, amino, cyano, NHCOR 15 , C1-C6 monohaloalkyl, C1-C6 polyhaloalkyl, C1-C6 alkylamino, C1-C6 dialkylamino, C6-C10 aryl, C3-C10 cycloalkyl, C5-C9 heteroaryl, and C2-C9 heterocyclyl, wherein C6-C10 aryl, C3-C10 cycloalkyl, C5-C9 heteroaryl, and C2-C9 heterocyclyl are independently are substituted with 0, 1, 2, or 3 substituents selected from halogen, hydroxyl, cyano, amino, C1-C6 alkyl, C1-C6 alkoxy, Cl- C6 monohaloalkyl, C1
  • each R 14c is independently selected from H and C1-C6 alkyl
  • R 14a and R 14b together comprise a cycle selected from:
  • each of Q , Q , Q , Q , Q , Q , and Q /3 are independently selected from
  • R 16a and R 16a are independently selected from H, C1-C6 alkyl, C1-C6 alkoxy, halo, hydroxyl, nitro, amino, cyano, NHCOR 15 , C1-C6 monohaloalkyl, C1-C6 polyhaloalkyl, C1-C6 alkylamino, C1-C6 dialkylamino, C6-C10 aryl, C3-C10 cycloalkyl, C5-C9 heteroaryl, and C2-C9 heterocyclyl, wherein C6-C10 aryl, C3-C10 cycloalkyl, C5-C9 heteroaryl, and C2-C9 heterocyclyl are independently are substituted with 0, 1, 2, or 3 substituents selected from halogen, hydroxyl, cyano, amino, C1-C6 alkyl, C1-C6 alkoxy, C1-C6 monohaloalkyl, C1-C6 polyhaloalkyl,
  • R 17a and R 17b are independently selected from H, C1-C6 alkyl, C1-C6 alkoxy, halo, hydroxyl, nitro, amino, cyano, NHCOR 15 , C1-C6 monohaloalkyl, C1-C6 polyhaloalkyl, C1-C6 alkylamino, C1-C6 dialkylamino, C6-C10 aryl, C3-C10 cycloalkyl, C5-C9 heteroaryl, and C2-C9 heterocyclyl, wherein C6-C10 aryl, C3-C10 cycloalkyl, C5-C9 heteroaryl, and C2-C9 heterocyclyl are independently are substituted with 0, 1, 2, or 3 substituents selected from halogen, hydroxyl, cyano, amino, C1-C6 alkyl, C1-C6 alkoxy, C1-C6 monohaloalkyl, C1-C6 polyhaloalkyl,
  • each R 18 is independently selected from H and C1-C6 alkyl
  • each R 15 is independently selected from H and C1-C6 alkyl
  • n is independently selected from 0, 1, and 2;
  • m is selected from 1 and 2;
  • p is selected from 1, 2 and 3; or
  • compound (A) has the structure re resented by the formula:
  • R is selected from H and C1-C6 alkyl
  • R 13c , R 13d , R 13e , and R 13f are independently selected from H, C1-C6 alkyl, Cl- C6 alkoxy, halo, hydroxyl, nitro, amino, cyano, NHCOR 15 , C1-C6 monohaloalkyl, C1-C6 polyhaloalkyl, C1-C6 alkylamino, C1-C6 dialkylamino, C6-C10 aryl, C3-C10 cycloalkyl, C5-C9 heteroaryl, and C2-C9 heterocyclyl, wherein C6-C10 aryl, C3-C10 cycloalkyl, C5-C9 heteroaryl, and C2-C9 heterocyclyl are independently are substituted with 0, 1, 2, or 3 substituents selected from halogen, hydroxyl, cyano, amino, C1-C6 alkyl, C1-C6 alkoxy, Cl- C6 monohaloalkyl, C1
  • Q 19 and Q 20 are independently selected from CR 17a R 17b , O, S, and NR 18 ; wherein R a and R are independently selected from H, C1-C6 alkyl, C1-C6 alkoxy, halo, hydroxyl, nitro, amino, cyano, NHCOR 15 , C1-C6 monohaloalkyl, C1-C6 polyhaloalkyl, C1-C6 alkylamino, C1-C6 dialkylamino, C6-C10 aryl, C3-C10 cycloalkyl, C5-C9 heteroaryl, C2-C9 heterocyclyl, wherein C6-C10 aryl, C3-C10 cycloalkyl, C5-C9 heteroaryl, and C2-C9 heterocyclyl are independently are substituted with 0, 1, 2, or 3 substituents selected from halogen, hydroxyl, cyano, amino, C1-C6 alkyl, C1-C6 alk
  • each R 18 is independently selected from H and C1-C6 alkyl
  • n is selected from 0, 1, and 2.
  • R 12 is H;
  • R 13c , R 13d , R 13e , and R 13f are independently selected from H, C1-C6 alkyl, C1-C6 alkoxy, halo, hydroxyl, nitro, and amino;
  • Q 19 and Q 20 are independently selected from C R 17a R 17b , O, S, and NR 18 ; wherein R 17a and R 17b are
  • each R 18 is independently H; and n is selected from 0, 1, and 2.
  • R 12 is H; R 13c , R 13d , R 13e , and R 13f are independently selected from H, C1-C6 alkyl, C1-C6 alkoxy, halo, hydroxyl, nitro, and amino; Q 19 and Q 20 are independently selected from C R IV 3 ⁇ 4 lVfo ; wherein R IV a and R lVfo are independently selected from H, C1-C6 alkyl, C1-C6 alkoxy, halo, hydroxyl, nitro, and amino; and n is 1.
  • R 12 is H;
  • R 13c , R 13d , R 13e , and R 13f are independently selected from H, C1-C6 alkyl, C1-C6 alkoxy, halo, and hydroxyl;
  • Q 19 and Q 20 are independently selected from CR 17a R 17b ; wherein R 17a and R 17b are independently H; and n is 1.
  • R 12 is H; R 12 is H; R 13c , R 13d , R 13e , and R 13f are independently selected from H, C1-C6 alkyl, and halo; Q 19 and Q 20 are independently CR 17a R 17b ; wherein R 17a and R 17b are independently H; and wherein n is 1.
  • the compound can be a naringenin analog.
  • the naringenin analog has a structure represented by a formula:
  • each represents a covalent bond selected from a single or double bond; wherein R 21a , R 2 , R 21c , R 21d , and R 21e are independently selected from H, OH, O- Glucosyl, halo, cyano, amino, nitro, nitroso, NHCOR 15 , C1-C6 alkyl, C1-C6 alkoxy, C1-C6 monohaloalkyl, C1-C6 polyhaloalkyl, C1-C6 alkylamino, acyl, phenyl- C1-C6 alkoxy, benzyl- C1-C6 alkoxy, and C1-C6 dialkylamino;
  • R 22 is selected from H, OH, O- Glucosyl, halo, cyano, amino, nitro, nitroso, NHCOR 15 , C1-C6 alkyl, C1-C6 alkoxy, C1-C6 monohaloalkyl, C1-C6 polyhaloalkyl, C1-C6 alkylamino, acyl phenyl- C1-C6 alkoxy, benzyl- C1-C6 alkoxy, and C1-C6 dialkylamino; wherein R 23a , R 23b , R 23c , and R 23d are independently selected from H, OH, O- Glucosyl halo, cyano, amino, nitro, nitroso, NHCOR 15 , C1-C20 alkyl, C1-C20 alkenyl, Cl- C20 alkynyl, C1-C20 alkenynyl, C1-C20 alkoxy, C1-C6 mono
  • R 15 is selected from H and C1-C6 alkyl
  • Z is selected from O and S;
  • Y is selected from O and S;
  • Z is O
  • Y is O
  • R 21a , R 21b , R 21c , R 21d , and R 21e are independently selected from H and OH; wherein R 22 is selected from H and OH; and wherein R 23a , R 23b , R 23c , R 23d , and R 23e are independently selected from H and OH.
  • R 21a , R 2 , R 21c , R 21d , and R 21e are independently selected from H, OH, O-Glucosyl, halo, cyano, amino, nitro, and nitroso.
  • R 22 is H.
  • R 21a , R 21b , R 21d , and R 21e are H, and R 21c is OH.
  • R 23a and R 23c are H, and R 23b and R 23d are OH.
  • R 21a , R 21b , R 21d , and R 21e are H
  • R 21c is OH
  • R 23a and R 23c are H
  • R 23b and R 23d are OH.
  • R 21a , R 21d , and R 21e are H
  • R 21b and R 21c are OH
  • R 23a and R 23c are H
  • R 23b and R 23d are OH.
  • the compound has the structure:
  • the compound can be a allantoin analog.
  • the allantoin analog has a structure represented by a formula
  • R 31a and R 31b are independently selected from H, C1-C6 alkyl, C6-C10 aryl, C3-C10 cycloalkyl, C5-C9 heteroaryl, and C2-C9 heterocyclyl, wherein C6-C10 aryl, C3- C10 cycloalkyl, C5-C9 heteroaryl, and C2-C9 heterocyclyl are independently are substituted with 0, 1, 2, or 3 substituents selected from halogen, hydroxyl, cyano, amino, C1-C6 alkyl, C1-C6 alkoxy, C1-C6 monohaloalkyl, C1-C6 polyhaloalkyl, C1-C6 alkylamino, and C1-C6 dialkylamino;
  • R 32a and R 32b are independently selected from H, C1-C6 alkyl, 0C1(0H) 4 A1 2 , OAl(OH) 2 , C1-C6 alkoxy, halo, hydroxyl, nitro, amino, cyano, NHCOR 15 , C1-C6
  • R 32c and R 32d are independently selected from H, C1-C6 alkyl, 0C1(0H) 4 A1 2 , OAl(OH) 2 , C1-C6 alkoxy, halo, hydroxyl, nitro, amino, cyano, NHCOR 15 , C1-C6
  • R 33a and R 33b are independently selected from H, NR 34a CONR 34b R 34c , C1-C6 alkyl, C1-C6 alkoxy, halo, hydroxyl, nitro, amino, cyano, NHCOR 15 , C1-C6 monohaloalkyl, C1-C6 polyhaloalkyl, C1-C6 alkylamino, C1-C6 dialkylamino, C6-C10 aryl, C3-C10 cycloalkyl, C5-C9 heteroaryl, and C2-C9 heterocyclyl, wherein C6-C10 aryl, C3-C10 cycloalkyl, C5-C9 heteroaryl, and C2-C9 heterocyclyl are independently are substituted with 0, 1, 2, or 3 substituents selected from halogen, hydroxyl, cyano, amino, C1-C6 alkyl, C1-C6 alkoxy, C1-C6 monohaloalkyl
  • R 34a R 34b and R 34c are independently selected from H, C1-C6 alkyl, C6-C10 aryl, C3-C10 cycloalkyl, C5-C9 heteroaryl, and C2-C9 heterocyclyl, wherein C6-C10 aryl, C3-C10 cycloalkyl, C5-C9 heteroaryl, and C2-C9 heterocyclyl are independently are substituted with 0, 1, 2, or 3 substituents selected from halogen, hydroxyl, cyano, amino, Cl- C6 alkyl, C1-C6 alkoxy, C1-C6 monohaloalkyl, C1-C6 polyhaloalkyl, C1-C6 alkylamino, and C1-C6 dialkylamino; or
  • R 31a and R 31b are H.
  • R 31a is H
  • R 31b is H
  • R 31a is H
  • R 31b is H
  • one of R JJa and R JJB is NR J4a C0NR J4B R J4c and the other one of R 33a and R 33b is H.
  • one of R 33a and R 33b is NR 34a CONR 34b R 34c and the other one of R 33a and R 33b is H.
  • one of R 32a and R 32b is 0C1(0H) 4 A1 2 and the other one of R 32a and R 32b is H.
  • one of R 32c and R 32d is 0C1(0H) 4 A1 2 and the other one of R 32c and R 32d is H.
  • one of R 32a and R 32b is OAl(OH) 2 and the other one of R 32a and R 32b is H.
  • one of R 32c and R 32d is OAl(OH) 2 and the other one of R 32c and R 32d is H.
  • the compound can be a conessine analog.
  • the conessine analog has a structure represented by a formula:
  • each represents a covalent bond independently selected from a single or double bond, wherein valency is satisfied;
  • R 48a and R 48b are independently selected from H, C1-C6 alkyl, C1-C6 heteroalkyl, C6-C10 aryl, C3-C10 cycloalkyl, C5-C9 heteroaryl, and C2-C9 heterocyclyl, wherein C6-C10 aryl, C3-C10 cycloalkyl, C5-C9 heteroaryl, and C2-C9 heterocyclyl are independently substituted with 0, 1, 2, or 3 substituents selected from halogen, hydroxyl, cyano, amino, C1-C6 alkyl, C1-C6 alkoxy, C1-C6 monohaloalkyl, C1-C6 polyhaloalkyl, Cl- C6 alkylamino, and C1-C6 dialkylamino; wherein R 42 is selected from H, C1-C6 alkoxy and hydroxyl;
  • R 43 is selected from H and C1-C6 alkyl
  • R 44a and R Mh are independently selected from are independently selected from H, hydroxyl, and C1-C6 alkoxy;
  • R 47a and R 47b are independently selected from are independently selected from H, hydroxyl, and C1-C6 alkoxy;
  • R 45a and R 45b together comprise a cycle selected from:
  • R a is selected from H and C1-C6 alkyl
  • R 47a and R 47b are independently selected from H, hydroxyl, and Cl-
  • R 44a and R Mh are independently selected from H, hydroxyl, and
  • R 42 is H.
  • R 47a and R 47b are selected from H, hydroxyl, and C1-C6 alkoxy; R ⁇ and R ⁇ are H.
  • R 43 is CI alkyl.
  • the formula has the structure:
  • the formula has the structure:
  • the formula has the structure:
  • the formula has the structure:
  • the compound can be a tomatidine analog.
  • the tomatidine analog has a structure represented by a formula:
  • R is selected from H, C1-C6 alkyl, COR , C1-C6 alkylamino, C1-C6 dialkylamino, C6-C10 aryl, C3-C10 cycloalkyl, C5-C9 heteroaryl, and C2-C9 heterocyclyl, wherein C6-C10 aryl, C3-C10 cycloalkyl, C5-C9 heteroaryl, and C2-C9 heterocyclyl are independently substituted with 0, 1, 2, or 3 substituents selected from halogen, hydroxyl, cyano, amino, C1-C6 alkyl, C1-C6 alkoxy, C1-C6 monohaloalkyl, C1-C6 polyhaloalkyl, Cl- C6 alkylamino, and C1-C6 dialkylamino;
  • R 53 is selected from C1-C6 alkyl, C1-C6 monohaloalkyl, C1-C6
  • C6-C10 aryl, C3-C10 cycloalkyl, C5-C9 heteroaryl, and C2-C9 heterocyclyl wherein C6-C10 aryl, C3-C10 cycloalkyl, C5-C9 heteroaryl, and C2-C9 heterocyclyl are independently substituted with 0, 1, 2, or 3 substituents selected from halogen, hydroxyl, cyano, amino, C1-C6 alkyl, C1-C6 alkoxy, C1-C6 monohaloalkyl, C1-C6 polyhaloalkyl, Cl- C6 alkylamino, and C1-C6 dialkylamino;
  • Z 51 is selected from O, S, and NR 54 ;
  • R 54 is selected from H, C1-C6 alkyl, COR 55 , C1-C6 alkylamino, C1-C6 dialkylamino, C6-C10 aryl, C3-C10 cycloalkyl, C5-C9 heteroaryl, and C2-C9 heterocyclyl, wherein C6-C10 aryl, C3-C10 cycloalkyl, C5-C9 heteroaryl, and C2-C9 heterocyclyl are independently substituted with 0, 1, 2, or 3 substituents selected from halogen, hydroxyl, cyano, amino, C1-C6 alkyl, C1-C6 alkoxy, C1-C6 monohaloalkyl, C1-C6 polyhaloalkyl, Cl- C6 alkylamino, and C1-C6 dialkylamino;
  • R 55 is selected from C1-C6 alkyl, C1-C6 monohaloalkyl, C1-C6
  • C6-C10 aryl, C3-C10 cycloalkyl, C5-C9 heteroaryl, and C2-C9 heterocyclyl wherein C6-C10 aryl, C3-C10 cycloalkyl, C5-C9 heteroaryl, and C2-C9 heterocyclyl are independently substituted with 0, 1, 2, or 3 substituents selected from halogen, hydroxyl, cyano, amino, C1-C6 alkyl, C1-C6 alkoxy, C1-C6 monohaloalkyl, C1-C6 polyhaloalkyl, Cl- C6 alkylamino, and C1-C6 dialkylamino; or
  • R 51 is selected from H, C1-C6 alkyl and COR 53 , wherein R 53 is Cl- C6 alkyl.
  • R 51 is H.
  • Z 51 is NR 54 .
  • Z 51 is NR 54 , wherein R 54 is selected from H, C1-C6 alkyl, and COR 55 , wherein R 55 is C1-C6 alkyl.
  • R 51 is selected from H, C1-C6 alkyl and COR 53 , wherein R 53 is C1-C6 alkyl; and Z 51 is NR 54 , wherein R 54 is selected from H, C1-C6 alkyl, and COR 55 , wherein R 55 is C1-C6 alkyl.
  • R and R are identical.
  • the compound can be a ungerine/hippeastrine analog.
  • the ungerine/hippeastrine has a structure represented by a formula:
  • R 61a and R 61b are independently selected from H, C1-C6 alkyl, C1-C6 alkoxy, halo, hydroxyl, nitro, amino, cyano, NHCOR 15 , C1-C6 monohaloalkyl, C1-C6 polyhaloalkyl, C1-C6 alkylamino, C1-C6 dialkylamino, C6-C10 aryl, C3-C10 cycloalkyl, C5-C9 heteroaryl, and C2-C9 heterocyclyl, wherein C6-C10 aryl, C3-C10 cycloalkyl, C5-C9 heteroaryl, and C2-C9 heterocyclyl are independently substituted with 0, 1, 2, or 3 substituents selected from halogen, hydroxyl, cyano, amino, C1-C6 alkyl, C1-C6 alkoxy, C1-C6 monohaloalkyl, C1-C6 polyhaloalkyl
  • R 62a and R 62b are independently selected from H, C1-C6 alkyl, C1-C6 alkoxy, halo, hydroxyl, nitro, amino, cyano, NHCOR 15 , C1-C6 monohaloalkyl, C1-C6 polyhaloalkyl, C1-C6 alkylamino, C1-C6 dialkylamino, C6-C10 aryl, C3-C10 cycloalkyl, C5-C9 heteroaryl, and C2-C9 heterocyclyl, wherein C6-C10 aryl, C3-C10 cycloalkyl, C5-C9 heteroaryl, and C2-C9 heterocyclyl are independently substituted with 0, 1, 2, or 3 substituents selected from halogen, hydroxyl, cyano, amino, C1-C6 alkyl, C1-C6 alkoxy, C1-C6 monohaloalkyl, C1-C6 polyhaloalkyl
  • R 64a and R Mb are independently selected from H, OR 67 , C1-C6 alkyl, C1-C6 alkoxy, halo, hydroxyl, nitro, amino, cyano, NHCOR 15 , C1-C6 monohaloalkyl, C1-C6 polyhaloalkyl, C1-C6 alkylamino, C1-C6 dialkylamino, C6-C10 aryl, C3-C10 cycloalkyl, C5-C9 heteroaryl, and C2-C9 heterocyclyl, wherein C6-C10 aryl, C3-C10 cycloalkyl, C5-C9 heteroaryl, and C2-C9 heterocyclyl are independently ubstituted with 0, 1, 2, or 3 substituents selected from halogen, hydroxyl, cyano, amino, C1-C6 alkyl, C1-C6 alkoxy, C1-C6 monohaloalkyl, C1-
  • R 65 is selected from H, C1-C6 alkyl, C1-C6 alkoxy, C1-C6 monohaloalkyl, C1-C6 polyhaloalkyl, C1-C6 alkylamino, C1-C6 dialkylamino, COR 66 , C6-C10 aryl, C3-C10 cycloalkyl, C5-C9 heteroaryl, and C2-C9 heterocyclyl, wherein C6-C10 aryl, C3-C10 cycloalkyl, C5-C9 heteroaryl, and C2-C9 heterocyclyl are independently substituted with 0, 1, 2, or 3 substituents selected from halogen, hydroxyl, cyano, amino, C1-C6 alkyl, C1-C6 alkoxy, C1-C6 monohaloalkyl, C1-C6 polyhaloalkyl, C1-C6 alkylamino, and C1-C6 dialkylamino; wherein
  • R 67 is selected from C1-C6 alkyl, C1-C6 monohaloalkyl, C1-C6
  • C6-C10 aryl, C3-C10 cycloalkyl, C5-C9 heteroaryl, and C2-C9 heterocyclyl wherein C6-C10 aryl, C3-C10 cycloalkyl, C5-C9 heteroaryl, and C2-C9 heterocyclyl are independently substituted with 0, 1, 2, or 3 substituents selected from halogen, hydroxyl, cyano, amino, C1-C6 alkyl, C1-C6 alkoxy, C1-C6 monohaloalkyl, C1-C6 polyhaloalkyl, Cl- C6 alkylamino, and C1-C6 dialkylamino;
  • each R 15 is independently selected from H and C1-C6 alkyl
  • the s a [00201] In one aspect, the s a:
  • R b , R b , R , and R b b are H.
  • one of R 63 and R 63 b is hydroxyl and the other one of R 63 a and R 63b is H.
  • one of R 64a and R 6 * is hydroxyl or OR 67 and the other one of [00207] In another aspect, one of R a and R is hydroxyl or OR and the other one of
  • R 64a and R 64b is H, wherein R 67 is C1-C6 alkyl.
  • R 65 is C 1 -C6 alkyl.
  • the structure is represented by a formula:
  • the compound can be a betulinic acid derivative.
  • the formula has the structure:
  • n is 0. In another aspect, n is 1.
  • R 71a is C1-C6 alkyl; R 71b is selected from C1-C6 alkyl; one of R 72a is -Z 72 , and R 72b is hydrogen; R 74 , R 75 are independently selected from C1-C6 alkyl; wherein R 79b is selected from C1-C6 alkyl, C2-C6 alkenyl, and C2-C6 alkynyl; Z 71 is -0-; and 72 is selected from -OR 8° and -NR 83 -; R 8 0 1 1 and R 8 0 3 J are independently selected from hydrogen and C1-C4 alkyl.
  • R 71a is CI alkyl; R 71b is CI alkyl; R 72a is -Z 72 , and R 72b is hydrogen; R 74 , R 75 are independently selected from CI alkyl; wherein R 79b is selected from C1-C6 alkyl, C2-C6 alkenyl, and C2-C6 alkynyl; Z 71 is -0-; and Z 72 is selected from -OR 81 and -NR 83 -; wherein R 81 and R 83 are hydrogen.
  • R 71a is CI alkyl
  • R 71b is CI alkyl
  • R 72a is -Z 72
  • R 72b is hydrogen
  • R 74 , R 75 are independently selected from CI alkyl
  • R 79b is C2-C6 alkenyl
  • Z 71 is - and Z 7"2 is selected from -OR 8 0 1 1 and -NR 83 -; wherein R 81
  • the invention relates to uses of one or more compounds selected from tacrine analogs, naringenin analogs, allantoin analogs, conessine analogs, tomatidine analogs, hippeastrine/ungerine analogs and betulinic acid analogs.
  • the disclosed compounds comprise compounds identified using muscle atrophy signature-1.
  • Such compounds include, but are not limited to, allantoin;
  • the compound is an analog of one the preceding compounds as defined above.
  • the disclosed compounds comprise compounds identified using muscle atrophy signature-2.
  • Such compounds include, but are not limited to, allantoin;
  • the compound is an analog of one the preceding compounds as defined above.
  • the disclosed compounds comprise compounds identified using either muscle atrophy signature-1 or muscle atrophy signature-2.
  • Such compounds include, but are not limited to, allantoin; betulinic acid; conessine; naringenin; tacrine; tomatidine or a pharmaceutically acceptable salt, tautomer, stereoisomer, hydrate, solvate, or polymorph thereof.
  • the compound is an analog of one the preceding compounds as defined above.
  • the disclosed compounds comprise compounds identified using both muscle atrophy signature- 1 and muscle atrophy signature-2, and is a compound associated with both muscle atrophy signatures.
  • Such compounds include, but are not limited to, allantoin; conessine; naringenin; tacrine; tomatidine or a pharmaceutically acceptable salt, tautomer, stereoisomer, hydrate, solvate, or polymorph thereof.
  • the compound is an analog of one the preceding compounds as defined above.
  • the disclosed compounds inhibit muscle atrophy.
  • the disclosed compounds promoting muscle health, promoting normal muscle function, and/or promoting healthy aging muscles.
  • the disclosed compounds inhibit of muscle atrophy and promote muscle health, promote normal muscle function, and/or promote healthy aging muscles.
  • the inhibition of muscle atrophy is in an animal.
  • the promoting muscle health, promoting normal muscle function, and/or promoting healthy aging muscles is in an animal.
  • the animal is a mammal,
  • the mammal is a human.
  • the mammal is a mouse.
  • the mammal is a rodent.
  • the disclosed compounds inhibit muscle atrophy when administered at an oral dose of greater than about 5 mg per day in a human. In a further aspect, the disclosed compounds inhibit muscle atrophy when administered at an oral dose of greater than about 10 mg per day in a human. In a further aspect, the disclosed compounds inhibit muscle atrophy when administered at an oral dose of greater than about 25 mg per day in a human. In a further aspect, the disclosed compounds inhibit muscle atrophy when administered at an oral dose of greater than about 50 mg per day in a human. In a further aspect, the disclosed compounds inhibit muscle atrophy when administered at an oral dose of greater than about 75 mg per day in a human.
  • the disclosed compounds inhibit muscle atrophy when administered at an oral dose of greater than about 100 mg per day in a human. In a further aspect, the disclosed compounds inhibit muscle atrophy when administered at an oral dose of greater than about 150 mg per day in a human. In a further aspect, the disclosed compounds inhibit muscle atrophy when administered at an oral dose of greater than about 200 mg per day in a human. In a further aspect, the disclosed compounds inhibit muscle atrophy when administered at an oral dose of greater than about 250 mg per day in a human. In a yet further aspect, the disclosed compounds inhibit muscle atrophy when administered at an oral dose of greater than about 300 mg per day in a human.
  • the disclosed compounds inhibit muscle atrophy when administered at an oral dose of greater than about 400 mg per day in a human. In an even further aspect, the disclosed compounds inhibit muscle atrophy when administered at an oral dose of greater than about 500 mg per day in a human. In a further aspect, the disclosed compounds inhibit muscle atrophy when administered at an oral dose of greater than about 750 mg per day in a human. In a yet further aspect, the disclosed compounds inhibit muscle atrophy when administered at an oral dose of greater than about 1000 mg per day in a human. In a still further aspect, the disclosed compounds inhibit muscle atrophy when administered at an oral dose of greater than about 1500 mg per day in a human. In an even further aspect, the disclosed compounds inhibit muscle atrophy when administered at an oral dose of greater than about 2000 mg per day in a human.
  • the invention relates to pharmaceutical compositions comprising the disclosed compounds. That is, a pharmaceutical composition can be provided comprising a therapeutically effective amount of at least one disclosed compound. In another example, a pharmaceutical composition can be provided comprising a prophylactically effective amount of at least one disclosed compound
  • the invention relates to pharmaceutical compositions comprising a pharmaceutically acceptable carrier and a compound, wherein the compound is present in an effective amount.
  • the compound can be selected from a tacrine analog, allantoin analog, naringenin analog, conessine analog, tomatidine analog, ungerine/hippeastrine analog and betulinic acid analog.
  • the compound can be a tacrine analog.
  • the compound can be a naringenin analog.
  • the compound can be a conessine analog.
  • the compound can be a tomatidine analog.
  • the compound can be an ungerine/hippeastrine analog.
  • the compound can be a betulinic acid analog.
  • the compound is present in an amount greater than about an amount selected from 5 mg, 10 mg, 25 mg, 50 mg, 100 mg, 150 mg, 200 mg, 250 mg, 300 mg, 400, mg, 500 mg, 750 mg, 1000 mg, 1,500 mg, or 2,000 mg.
  • a pharmaceutical composition comprising a pharmaceutically acceptable carrier and an effective amount of one or more of: (a) a compound selected from a tacrine analog, allantoin analog, naringenin analog, conessine analog, tomatidine analog,
  • ungerine/hippeastrine analog and betulinic acid analog (b) a compound that down regulates multiple induced mRNAs of Muscle Atrophy Signature 1, compared to expression levels in the same type of the muscle cell in the absence of the compound; (c) a compound that up regulates multiple repressed mRNAs of Muscle Atrophy Signature 1, compared to expression levels in the same type of the muscle cell in the absence of the compound; (d) a compound that down regulates multiple induced mRNAs of Muscle Atrophy Signature 2, compared to expression levels in the same type of the muscle cell in the absence of the compound; and/or (e) a compound that up regulates multiple mRNAs of Muscle Atrophy Signature 2, compared to expression levels in the same type of the muscle cell in the absence of the compound.
  • the amount is a therapeutically effective amount. In a still further aspect, the amount is a prophylactically effective amount.
  • composition is administered to an animal.
  • the animal is a mammal, fish or bird.
  • the mammal is a primate.
  • the mammal is a human.
  • the human is a patient.
  • the pharmaceutical composition comprises a compound identified using muscle atrophy signature- 1.
  • the pharmaceutical composition comprises a compound identified using muscle atrophy signature-2.
  • the pharmaceutical composition comprises a compound identified using both muscle atrophy signature- 1 and muscle atrophy signature-2.
  • the animal is a domesticated animal.
  • the domesticated animal is a domesticated fish, domesticated crustacean, or domesticated mollusk.
  • the domesticated animal is poultry.
  • the poultry is selected from chicken, turkey, duck, and goose.
  • the domesticated animal is livestock.
  • the livestock animal is selected from pig, cow, horse, goat, bison, and sheep.
  • the effective amount is a therapeutically effective amount. In a still further aspect, the effective amount is a prophylactically effective amount. In a yet further aspect, the muscle disorder is muscle atrophy . In an even further aspect, the muscle disorder is a condition in need of promoting muscle health, promoting normal muscle function, and/or promoting healthy aging muscles.
  • the pharmaceutical composition is administered following identification of the mammal in need of treatment of muscle atrophy.
  • the pharmaceutical composition is administered following identification of the mammal in need of prevention of muscle atrophy.
  • the mammal has been diagnosed with a need for treatment of muscle atrophy prior to the administering step.
  • the disclosed pharmaceutical compositions comprise the disclosed compounds (including pharmaceutically acceptable salt(s) thereof) as an active ingredient, a pharmaceutically acceptable carrier, and, optionally, other therapeutic ingredients or adjuvants.
  • the instant compositions include those suitable for oral, rectal, topical, and parenteral (including subcutaneous, intramuscular, and intravenous)
  • compositions can be conveniently presented in unit dosage form and prepared by any of the methods well known in the art of pharmacy.
  • salts refers to salts prepared from pharmaceutically acceptable non-toxic bases or acids.
  • the compound of the present invention is acidic, its corresponding salt can be conveniently prepared from pharmaceutically acceptable non-toxic bases, including inorganic bases and organic bases.
  • Salts derived from such inorganic bases include aluminum, ammonium, calcium, copper (-ic and -ous), ferric, ferrous, lithium, magnesium, manganese (-ic and -ous), potassium, sodium, zinc and the like salts. Particularly preferred are the ammonium, calcium, magnesium, potassium and sodium salts.
  • Salts derived from pharmaceutically acceptable organic nontoxic bases include salts of primary, secondary, and tertiary amines, as well as cyclic amines and substituted amines such as naturally occurring and synthesized substituted amines.
  • Other pharmaceutically acceptable organic non-toxic bases from which salts can be formed include ion exchange resins such as, for example, arginine, betaine, caffeine, choline, N,N - dibenzylethylenediamine, diethylamine, 2-diethylaminoethanol, 2-dimethylaminoethanol, ethanolamine, ethylenediamine, N-ethylmorpholine, N-ethylpiperidine, glucamine, glucosamine, histidine, hydrabamine, isopropylamine, lysine, methylglucamine, morpholine, piperazine, piperidine, polyamine resins, procaine, purines, theobromine, triethylamine, trimethylamine, triprop
  • the term "pharmaceutically acceptable non-toxic acids” includes inorganic acids, organic acids, and salts prepared thereof, for example, acetic,
  • benzenesulfonic benzoic, camphorsulfonic, citric, ethanesulfonic, fumaric, gluconic, glutamic, hydrobromic, hydrochloric, isethionic, lactic, maleic, malic, mandelic,
  • the compounds of the invention, or pharmaceutically acceptable salts thereof, of this invention can be combined as the active ingredient in intimate admixture with a pharmaceutical carrier according to conventional pharmaceutical compounding techniques.
  • the carrier can take a wide variety of forms depending on the form of preparation desired for administration, e.g., oral or parenteral (including intravenous).
  • the pharmaceutical compositions of the present invention can be presented as discrete units suitable for oral administration such as capsules, cachets or tablets each containing a predetermined amount of the active ingredient.
  • compositions can be presented as a powder, as granules, as a solution, as a suspension in an aqueous liquid, as a non-aqueous liquid, as an oil-in- water emulsion or as a water-in-oil liquid emulsion.
  • the compounds of the invention, and/or pharmaceutically acceptable salt(s) thereof can also be administered by controlled release means and/or delivery devices.
  • the compositions can be prepared by any of the methods of pharmacy. In general, such methods include a step of bringing into association the active ingredient with the carrier that constitutes one or more necessary ingredients. In general, the compositions are prepared by uniformly and intimately admixing the active ingredient with liquid carriers or finely divided solid carriers or both. The product can then be conveniently shaped into the desired presentation.
  • compositions of this invention can include a
  • compositions in combination with one or more other therapeutically active compounds.
  • the pharmaceutical carrier employed can be, for example, a solid, liquid, or gas.
  • solid carriers include lactose, terra alba, sucrose, talc, gelatin, agar, pectin, acacia, magnesium stearate, and stearic acid.
  • liquid carriers are sugar syrup, peanut oil, olive oil, and water.
  • gaseous carriers include carbon dioxide and nitrogen.
  • oral liquid preparations such as suspensions, elixirs and solutions
  • carriers such as starches, sugars, microcrystalline cellulose, diluents, granulating agents, lubricants, binders, disintegrating agents, and the like can be used to form oral solid preparations such as powders, capsules and tablets. Because of their ease of administration, tablets and capsules are the preferred oral dosage units whereby solid pharmaceutical carriers are employed.
  • tablets can be coated by standard aqueous or nonaqueous techniques
  • a tablet containing the composition of this invention can be prepared by compression or molding, optionally with one or more accessory ingredients or adjuvants.
  • Compressed tablets can be prepared by compressing, in a suitable machine, the active ingredient in a free-flowing form such as powder or granules, optionally mixed with a binder, lubricant, inert diluent, surface active or dispersing agent. Molded tablets can be made by molding in a suitable machine, a mixture of the powdered compound moistened with an inert liquid diluent.
  • compositions of the present invention comprise a compound of the invention (or pharmaceutically acceptable salts thereof) as an active ingredient, a pharmaceutically acceptable carrier, and optionally one or more additional therapeutic agents or adjuvants.
  • the instant compositions include compositions suitable for oral, rectal, topical, and parenteral (including subcutaneous, intramuscular, and intravenous) administration, although the most suitable route in any given case will depend on the particular host, and nature and severity of the conditions for which the active ingredient is being administered.
  • the pharmaceutical compositions can be conveniently presented in unit dosage form and prepared by any of the methods well known in the art of pharmacy.
  • compositions of the present invention suitable for parenteral administration can be prepared as solutions or suspensions of the active compounds in water.
  • a suitable surfactant can be included such as, for example, hydroxypropylcellulose.
  • Dispersions can also be prepared in glycerol, liquid polyethylene glycols, and mixtures thereof in oils. Further, a preservative can be included to prevent the detrimental growth of microorganisms.
  • compositions of the present invention suitable for injectable use include sterile aqueous solutions or dispersions.
  • the compositions can be in the form of sterile powders for the extemporaneous preparation of such sterile injectable solutions or dispersions.
  • the final injectable form must be sterile and must be effectively fluid for easy syringability.
  • the pharmaceutical compositions must be stable under the conditions of manufacture and storage; thus, preferably should be preserved against the contaminating action of microorganisms such as bacteria and fungi.
  • the carrier can be a solvent or dispersion medium containing, for example, water, ethanol, polyol (e.g., glycerol, propylene glycol and liquid polyethylene glycol), vegetable oils, and suitable mixtures thereof.
  • compositions of the present invention can be in a form suitable for topical use such as, for example, an aerosol, cream, ointment, lotion, dusting powder, mouth washes, gargles, and the like. Further, the compositions can be in a form suitable for use in transdermal devices. These formulations can be prepared, utilizing a compound of the invention, or pharmaceutically acceptable salts thereof, via conventional processing methods. As an example, a cream or ointment is prepared by mixing hydrophilic material and water, together with about 5 wt to about 10 wt of the compound, to produce a cream or ointment having a desired consistency.
  • compositions of this invention can be in a form suitable for rectal administration wherein the carrier is a solid. It is preferable that the mixture forms unit dose suppositories. Suitable carriers include cocoa butter and other materials commonly used in the art. The suppositories can be conveniently formed by first admixing the composition with the softened or melted carrier(s) followed by chilling and shaping in moulds.
  • the pharmaceutical formulations described above can include, as appropriate, one or more additional carrier ingredients such as diluents, buffers, flavoring agents, binders, surface-active agents, thickeners, lubricants, preservatives (including anti-oxidants) and the like.
  • additional carrier ingredients such as diluents, buffers, flavoring agents, binders, surface-active agents, thickeners, lubricants, preservatives (including anti-oxidants) and the like.
  • additional carrier ingredients such as diluents, buffers, flavoring agents, binders, surface-active agents, thickeners, lubricants, preservatives (including anti-oxidants) and the like.
  • additional carrier ingredients such as diluents, buffers, flavoring agents, binders, surface-active agents, thickeners, lubricants, preservatives (including anti-oxidants) and the like.
  • other adjuvants can be included to render the formulation isotonic with the blood of the intended recipient
  • pharmaceutically acceptable salts thereof can also be prepared in powder or liquid concentrate form.
  • an appropriate dosage level will generally be about 0.01 to 500 mg per kg patient body weight per day and can be administered in single or multiple doses.
  • the dosage level will be about 0.1 to about 250 mg/kg per day; more preferably 0.5 to 100 mg/kg per day.
  • a suitable dosage level can be about 0.01 to 250 mg/kg per day, about 0.05 to 100 mg/kg per day, or about 0.1 to 50 mg/kg per day. Within this range the dosage can be 0.05 to 0.5, 0.5 to 5.0 or 5.0 to 50 mg/kg per day.
  • compositions are preferably provided in the from of tablets containing 1.0 to 1000 milligrams of the active ingredient, particularly 1.0, 5.0, 10, 15, 20, 25, 50, 75, 100, 150, 200, 250, 300, 400, 500, 600, 750, 800, 900 and 1000 milligrams of the active ingredient for the symptomatic adjustment of the dosage of the patient to be treated.
  • the compound can be administered on a regimen of 1 to 4 times per day, preferably once or twice per day. This dosing regimen can be adjusted to provide the optimal therapeutic response.
  • the specific dose level for any particular patient will depend upon a variety of factors. Such factors include the age, body weight, general health, sex, and diet of the patient. Other factors include the time and route of administration, rate of excretion, drug combination, and the type and severity of the particular disease undergoing therapy.
  • the present invention is further directed to a method for the manufacture of a medicament for modulating cellular activity related to muscle health, muscle function, and/or healthy aging muscles (e.g., treatment of one or more disorders associated with muscle dysfunction or atrophy) in mammals (e.g., humans) comprising combining one or more disclosed compounds, products, or compositions with a pharmaceutically acceptable carrier or diluent.
  • the invention relates to a method for manufacturing a medicament comprising combining at least one disclosed compound or at least one disclosed product with a pharmaceutically acceptable carrier or diluent.
  • compositions can further comprise other therapeutically active compounds, which are usually applied in the treatment of the above mentioned pathological conditions.
  • compositions can be prepared from the disclosed compounds. It is also understood that the disclosed compositions can be employed in the disclosed methods of using.
  • Muscle atrophy is defined as a decrease in the mass of the muscle; it can be a partial or complete wasting away of muscle. When a muscle atrophies, this leads to muscle weakness, since the ability to exert force is related to mass. Muscle atrophy is a co-morbidity of several common diseases, and patients who have "cachexia" in these disease settings have a poor prognosis.
  • Muscle atrophy can also be skeletal muscle loss or weakness caused by malnutrition, aging, muscle disuse (such as voluntary and involuntary bed rest, neurologic disease (such as multiple sclerosis, amyotrophic lateral sclerosis, spinal muscular atrophy, critical illness neuropathy, spinal cord injury, peripheral neuropathy, or peripheral nerve injury), injury to the limbs or joints, casting, other post-surgical forms of limb
  • chronic disease such as cancer, congestive heart failure, chronic pulmonary disease, chronic renal failure, chronic liver disease, diabetes mellitus, glucocorticoid excess, growth hormone deficiency, IGF-I deficiency, estrogen deficiency, and chronic infections such as HIV/AIDS or tuberculosis
  • burn injuries sepsis, other illnesses requiring mechanical ventiliation
  • drug-induced muscle disease such as glucocorticoid-induced myopathy and statin-induced myopathy
  • genetic diseases that primarily affect skeletal muscle such as muscular dystrophy, myotonic dystrophy and inclusion body myositis
  • autoimmune diseases that affect skeletal muscle (such as polymyositis and dermatomyositis).
  • muscle atrophy There are many diseases and conditions which cause muscle atrophy, including malnutrition, muscle disuse (secondary to voluntary or involuntary bed rest, neurologic disease (including multiple sclerosis, amyotrophic lateral sclerosis, spinal muscular atrophy, critical illness neuropathy, spinal cord injury or peripheral nerve injury), orthopedic injury, casting, and other post-surgical forms of limb immobilization), chronic disease (including cancer, congestive heart failure, chronic pulmonary disease, chronic renal failure, chronic liver disease, diabetes mellitus, Cushing syndrome, growth hormone deficiency, IGF-I deficiency, estrogen deficiency, and chronic infections such as HIV/ AIDS or tuberculosis), burns, sepsis, other illnesses requiring mechanical ventilation, drug-induced muscle disease (such as glucorticoid-induced myopathy and statin-induced myopathy), genetic diseases that primarily affect skeletal muscle (such as muscular dystrophy and myotonic dystrophy), autoimmune diseases that affect skeletal muscle (such as polymyositis and der
  • Muscle atrophy occurs by a change in the normal balance between protein synthesis and protein degradation. During atrophy, there is a down-regulation of protein synthesis pathways, and an activation of protein breakdown pathways. The particular protein degradation pathway which seems to be responsible for much of the muscle loss seen in a muscle undergoing atrophy is the ATP-dependent, ubiquitin/proteasome pathway. In this system, particular proteins are targeted for destruction by the ligation of at least four copies of a small peptide called ubiquitin onto a substrate protein. When a substrate is thus “poly- ubiquitinated,” it is targeted for destruction by the proteasome.
  • E3 ubiquitin ligase binds to a particular set of substrates, causing their ubiquitination.
  • E3 ubiquitin ligases atrogin-1 and MuRFl are known to play essential roles protein degradation and muscle atrophy.
  • Muscle atrophy can be opposed by the signaling pathways which induce muscle hypertrophy, or an increase in muscle size. Therefore one way in which exercise induces an promote muscle health, promote normal muscle function, and/or promote healthy aging muscles is to downregulate the pathways which have the opposite effect.
  • One important rehabilitation tool for muscle atrophy includes the use of functional electrical stimulation to stimulate the muscles which has had limited success in the rehabilitation of paraplegic patients.
  • the disclosed compounds can be used as a therapy for illness- and age-related muscle atrophy. It can be useful as a monotherapy or in combination with other strategies that have been considered, such as myostatin inhibition (Zhou, X., et al. (2010) Cell 142(4): 531-543). Given its capacity to reduce adiposity, fasting blood glucose and plasma lipid levels, a disclosed compound derivatives can also be used as a therapy for obesity, metabolic syndrome and type 2 diabetes.
  • the disclosed compounds can be used as single agents or in combination with one or more other drugs in the treatment, prevention, control, amelioration or reduction of risk of the aforementioned diseases, disorders and conditions for which compounds of formula I or the other drugs have utility, where the combination of drugs together are safer or more effective than either drug alone.
  • the other drug(s) can be administered by a route and in an amount commonly used therefore, contemporaneously or sequentially with a disclosed compound.
  • a pharmaceutical composition in unit dosage form containing such drugs and the disclosed compound is preferred.
  • the combination therapy can also be
  • Systemic administration of one or more disclosed compounds can be used to promote muscle health, promote normal muscle function, and/or promote healthy aging muscles, and reduce muscle atrophy in all muscles, including those of the limbs and the diaphragm.
  • Local administration of a disclosed compound can be used to promote local muscle health, as can be required following a localized injury or surgery.
  • the subject compounds can be coadministered with agents that stimulate insulin signaling, IGF1 signaling and/or muscle health including ursolic acid, insulin, insulin analogs, insulin-like growth factor 1, metformin, thiazoladinediones, sulfonylureas, meglitinides, leptin, dipeptidyl peptidase-4 inhibitors, glucagon-like peptide-1 agonists, tyro sine-protein phosphatase non-receptor type inhibitors, myostatin signaling inhibitors, beta-2 adrenergic agents including clenbuterol, androgens, selective androgen receptor modulator (such as GTx-024, BMS-564,929, LGD-4033, AC-262,356, JNJ- 28330835, LGD-2226, LGD-3303, S-40503, or S-23), aromatase inhibitors (such as anastrozole, letrozole), aromatase inhibitors
  • the subject compounds can be administered in combination with agents that stimulate ursolic acid, insulin, insulin analogs, insulin-like growth factor 1, metformin, thiazoladinediones, sulfonylureas, meglitinides, leptin, dipeptidyl peptidase-4 inhibitors, glucagon-like peptide-1 agonists, tyro sine-protein phosphatase non-receptor type inhibitors, myostatin signaling inhibitors, beta-2 adrenergic agents including clenbuterol, androgens, selective androgen receptor modulator (such as GTx-024, BMS-564,929, LGD- 4033, AC-262,356, JNJ-28330835, LGD-2226, LGD-3303, S-40503, or S-23), aromatase inhibitors (such as anastrozole, letrozole, exemestane, vorozole, formestane, fa), aromatase inhibitor
  • compositions and methods of the present invention can further comprise other therapeutically active compounds as noted herein which are usually applied in the treatment of the above mentioned pathological conditions.
  • the compounds disclosed herein are useful for treating, preventing, ameliorating, controlling or reducing the risk of a variety of muscle disorders.
  • muscle disorders include, but are not limited to, skeletal muscle atrophy secondary to malnutrition, muscle disuse (secondary to voluntary or involuntary bedrest), neurologic disease (including multiple sclerosis, amyotrophic lateral sclerosis, spinal muscular atrophy, critical illness neuropathy, spinal cord injury or peripheral nerve injury), orthopedic injury, casting, and other post-surgical forms of limb immobilization, chronic disease (including cancer, congestive heart failure, chronic pulmonary disease, chronic renal failure, chronic liver disease, diabetes mellitus, Cushing syndrome and chronic infections such as HIV/AIDS or tuberculosis), burns, sepsis, other illnesses requiring mechanical ventiliation, drug-induced muscle disease (such as glucorticoid-induced myopathy and statin-induced myopathy), genetic diseases that primarily affect skeletal muscle (such as muscular dystrophy and myotonic dystrophy), autoimmune diseases
  • a method for treating or preventing muscle atrophy comprising: administering to a subject at least one disclosed compound; at least one disclosed
  • composition and/or at least one disclosed product in a dosage and amount effective to treat the disorder in the subject.
  • Also provided is a method for promoting muscle health, promote normal muscle function, and/or promote healthy aging muscles comprising: administering to a subject at least one disclosed compound; at least one disclosed pharmaceutical composition; and/or at least one disclosed product in a dosage and amount effective to treat the disorder in the subject.
  • the compounds disclosed herein are useful for treating, preventing, ameliorating, controlling or reducing the risk of a variety of metabolic disorders.
  • the disclosed compounds in treating disorders associated with a dysfunction of insulin/IGF-I signaling.
  • methods to increase insulin/IGF-I signaling methods to reduce body fat; methods to reduce blood glucose, methods to reduce blood triglycerides, methods to reduce blood cholesterol, methods to reduce obesity, methods to reduce fatty liver disease, and methods to reduce diabetes, and pharmaceutical compositions comprising compounds used in the methods.
  • the compound can be selected from a tacrine and analogs, naringenin and analogs, allantoin and analogs, conessine and analogs, tomatidine and analogs, ungerine/hippeastrine and analogs, and betulinic acid and analogs, or a mixture thereof.
  • the compound can be a tacrine analog.
  • the compound can be a naringenin analog.
  • the compound can be an allantoin analog.
  • the compound can be a conessine analog.
  • the compound can be a tomatidine analog.
  • the compound can be a ungerine/hippeastrine analog.
  • the compound can be a betulinic acid analog.
  • the compound is administered in an amount between about 0.01 to 500 mg per kg patient body weight per day and can be administered in single or multiple doses.
  • the dosage level will be about 0.1 to about 250 mg/kg per day; more preferably 0.5 to 100 mg/kg per day.
  • a suitable dosage level can be about 0.01 to 250 mg/kg per day, about 0.05 to 100 mg/kg per day, or about 0.1 to 50 mg/kg per day. Within this range the dosage can be 0.05 to 0.5, 0.5 to 5.0 or 5.0 to 50 mg/kg per day.
  • compositions are preferably provided in the from of tablets containing 1.0 to 1000 milligrams of the active ingredient, particularly 1.0, 5.0, 10, 15, 20, 25, 50, 75, 100, 150, 200, 250, 300, 400, 500, 600, 750, 800, 900 and 1000 milligrams of the active ingredient for the symptomatic adjustment of the dosage of the patient to be treated.
  • the compound can be administered on a regimen of 1 to 4 times per day, preferably once or twice per day. This dosing regimen can be adjusted to provide the optimal therapeutic response
  • the disclosed compounds inhibit muscle atrophy.
  • the disclosed compounds promote muscle health, promote normal muscle function, and/or promote healthy aging muscles.
  • the disclosed compounds inhibit of muscle atrophy and promoting muscle health, promoting normal muscle function, and/or promoting healthy aging muscles.
  • the disclosed compounds inhibit of muscle atrophy.
  • the compound administered is a disclosed compound or a product of a disclosed method of making a compound.
  • the invention relates to a pharmaceutical composition comprising at least one compound as disclosed herein.
  • the compound is co-administered with an anabolic agent. In a further aspect, wherein the compound is co-administered with ursolic acid or a ursolic acid derivative.
  • the animal is a mammal, fish or bird.
  • the mammal is a primate.
  • the mammal is a human.
  • the human is a patient.
  • the Muscle Atrophy Signature is Muscle Atrophy Signature 1.
  • the Muscle Atrophy Signature is Muscle Atrophy Signature 2.
  • the mammal prior to the administering step the mammal has been diagnosed with a need for treatment of a disorder selected muscle atrophy, diabetes, obesity, and fatty liver disease. In a yet further aspect, the disorder is muscle atrophy. [00284] In a further aspect, prior to the administering step the mammal has been diagnosed with a need for treatment of a disorder associated with a dysfunction in insulin/IGF-I signaling.
  • the treatment of the disorder increases muscle IGF-I signaling. In a still further aspect, the treatment of the disorder increases muscle IGF-I production.
  • the mammal prior to the administering step the mammal has been diagnosed with a need for treatment of a disorder associated with circulating levels of leptin.
  • the treatment decreases the circulating levels of leptin.
  • administration the methods are promoting muscle health, , promoting normal muscle function, and/or promoting healthy aging muscles in the mammal.
  • administration increases energy expenditure.
  • administration increases the ratio of brown fat to white fat.
  • administration increases the ratio of skeletal muscle to fat.
  • the compound is co-administered with a disclosed compound or a derivative thereof.
  • the animal is a domesticated animal.
  • the domesticated animal is a domesticated fish, domesticated crustacean, or domesticated mollusk.
  • the domesticated animal is poultry.
  • the poultry is selected from chicken, turkey, duck, and goose.
  • the domesticated animal is livestock.
  • the livestock animal is selected from pig, cow, horse, goat, bison, and sheep.
  • the effective amount is a therapeutically effective amount. In a still further aspect, the effective amount is a prophylactically effective amount. In a yet further aspect, muscle atrophy is prevented by administration of the compound. In an even further aspect, muscle atrophy is treated by administration of the compound. In a still further aspect, the method further comprises the step of identifying the mammal in need of treatment of muscle atrophy. In a yet further aspect, the method further comprises the step of identifying the mammal in a need of prevention of muscle atrophy. In an even further aspect, the mammal has been diagnosed with a need for treatment of muscle atrophy prior to the administering step.
  • the invention relates to a method for promoting muscle health, promoting normal muscle function, and/or promoting healthy aging muscles in an animal, the method comprising administering to the animal an effective amount of a compound selected from a tacrine and analogs, naringenin and analogs, allantoin and analogs, conessine and analogs, tomatidine and analogs, ungerine/hippeastrine and analogs, and betulinic acid and analogs, or a mixture thereof, , thereby promoting muscle health in the animal.
  • the compound can be a tacrine analog.
  • the compound can be a naringenin analog.
  • the compound can be an allantoin analog.
  • the compound can be a conessine analog.
  • the compound can be a tomatidine analog.
  • the compound can be a ungerine/hippeastrine analog.
  • the compound can be a betulinic acid analog.
  • the invention relates to a method for promoting muscle health.
  • the invention relates to a method for promoting normal muscle function.
  • the invention relates to a method for promoting healthy aging muscles.
  • the invention relates to a method for promoting muscle health, promoting normal muscle function, and/or promoting healthy aging muscles in an animal, the method comprising administering to the animal an effective amount of a compound, wherein the compound down regulates at least one of the induced mRNAs of Muscle Atrophy
  • the animal is a mammal, fish or bird.
  • the mammal is a primate.
  • the mammal is a human.
  • the human is a patient.
  • the Muscle Atrophy Signature is Muscle Atrophy Signature 1.
  • the Muscle Atrophy Signature is Muscle Atrophy Signature 2.
  • the mammal prior to the administering step the mammal has been diagnosed with a need for treatment of a disorder selected muscle atrophy, diabetes, obesity, and fatty liver disease.
  • a disorder selected muscle atrophy, diabetes, obesity, and fatty liver disease.
  • the disorder is muscle atrophy.
  • the mammal prior to the administering step the mammal has been diagnosed with a need for treatment of a disorder associated with a dysfunction in insulin/IGF-I signaling.
  • the treatment of the disorder increases muscle IGF-I signaling. In a still further aspect, the treatment of the disorder increases muscle IGF-I production. [00297] In a further aspect, prior to the administering step the mammal has been diagnosed with a need for treatment of a disorder associated with circulating levels of leptin. In a still further aspect, the treatment decreases the circulating levels of leptin.
  • administration promoting muscle health, promoting normal muscle function, and/or promoting healthy aging muscles in the mammal increases energy expenditure.
  • administration increases the ratio of brown fat to white fat.
  • administration increases the ratio of skeletal muscle to fat.
  • the compound is co-administered with a disclosed compound or a derivative thereof.
  • the animal is a domesticated animal.
  • the domesticated animal is a domesticated fish, domesticated crustacean, or domesticated mollusk.
  • the domesticated animal is poultry.
  • the poultry is selected from chicken, turkey, duck, and goose.
  • the domesticated animal is livestock.
  • the livestock animal is selected from pig, cow, horse, goat, bison, and sheep.
  • the effective amount is a therapeutically effective amount. In a still further aspect, the effective amount is a prophylactically effective amount. In a yet further aspect, muscle atrophy is prevented by administration of the compound. In an even further aspect, muscle atrophy is treated by administration of the compound. In a still further aspect, the method further comprises the step of identifying the mammal in need of treatment of muscle atrophy. In a yet further aspect, the method further comprises the step of identifying the mammal in a need of prevention of muscle atrophy. In an even further aspect, the mammal has been diagnosed with a need for treatment of muscle atrophy prior to the administering step.
  • the invention relates to a method of enhancing muscle formation in a mammal, the method comprising administering to the animal an effective amount of a compound selected from a tacrine and analogs, naringenin and analogs, allantoin and analogs, conessine and analogs, tomatidine and analogs, ungerine/hippeastrine and analogs, and betulinic acid and analogs, or a mixture thereof, thereby promoting muscle health, promoting normal muscle function, and/or promoting healthy aging muscles in the animal.
  • the compound can be a tacrine analog.
  • the compound can be a naringenin analog.
  • the compound can be an allantoin analog.
  • the compound can be a conessine analog.
  • the compound can be a tomatidine analog.
  • the compound can be a ungerine/hippeastrine analog.
  • the compound can be a betulinic acid analog.
  • the invention relates to a method of enhancing muscle formation in a mammal, the method comprising administering to the animal an effective amount of a compound, wherein the compound down regulates at least one of the induced mRNAs of Muscle Atrophy Signature 1 or Muscle Atrophy Signature 2, compared to expression levels in the same type of the muscle cell in the absence of the compound, and/or wherein the compound up regulates at least one of the repressed mRNAs of Muscle Atrophy Signature 1 or Muscle Atrophy Signature 2, compared to expression levels in the same type of the muscle cell in the absence of the compound, thereby promoting muscle health, promoting normal muscle function, and/or promoting healthy aging muscles in the animal.
  • the mammal is a human.
  • the human is a patient.
  • administration of the compound prevents muscle atrophy in the mammal.
  • administration of the compound treats muscle atrophy in the mammal.
  • administration of the compound promote muscle health, promote normal muscle function, and/or promote healthy aging muscles in the mammal.
  • the compound is administered in an effective amount.
  • the effective amount is a therapeutically effective amount.
  • the effective amount is a prophylactically effective amount.
  • the method further comprises the step of identifying the mammal in need of treatment of muscle atrophy.
  • the method further comprises the step of identifying the mammal in need of prevention of muscle atrophy.
  • the mammal has been diagnosed with a need for treatment of muscle atrophy prior to the administering step.
  • the mammal is a domesticated animal.
  • domesticated animal is livestock.
  • livestock animal is selected from pig, cow, horse, goat, bison, and sheep.
  • the invention relates to a method of enhancing tissue health in vitro, the method comprising administering to the tissue an effective amount of a compound wherein the compound down regulates at least one of the induced mRNAs of Muscle Atrophy Signature 1 or Muscle Atrophy Signature 2, compared to expression levels in the same type of the muscle cell in the absence of the compound, and/or wherein the compound up regulates at least one of the repressed mRNAs of Muscle Atrophy Signature 1 or Muscle Atrophy Signature 2, compared to expression levels in the same type of the muscle cell in the absence of the compound, thereby promoting muscle health, promoting normal muscle function, and/or promoting healthy aging muscles.
  • the compound administered is a disclosed compound.
  • the compound is selected from a tacrine and analogs, naringenin and analogs, allantoin and analogs, conessine and analogs, tomatidine and analogs, ungerine/hippeastrine and analogs, and betulinic acid and analogs, or a mixture thereof, thereby facilitating tissue formation in vitro.
  • the compound can be a tacrine analog.
  • the compound can be a naringenin analog.
  • the compound can be an allantoin analog.
  • the compound can be a conessine analog.
  • the compound can be a tomatidine analog.
  • the compound can be a ungerine/hippeastrine analog.
  • the compound can be a betulinic acid analog.
  • the tissue comprises animal cells.
  • the animal cells are muscle cells.
  • the muscle cells are skeletal muscle stem or progenitor cells.
  • the skeletal muscle stem or progenitor cells are grown on a scaffold.
  • the invention relates to a method for the manufacture of a medicament for inhibiting muscle atrophy and for promoting muscle health, promoting normal muscle function, and/or promoting healthy aging muscles in a mammal comprising combining a therapeutically effective amount of a disclosed compound or product of a disclosed method with a pharmaceutically acceptable carrier or diluent.
  • the invention relates to a method for manufacturing a medicament associated with muscle atrophy or the need to promote muscle health, promote normal muscle function, and/or promote healthy aging muscles, the method comprising the step of combining an effective amount of one or more of: (a) a compound selected from tacrine analog, naringenin analog, allantoin analog, conessine analog, tomatidine analog,
  • the medicament comprises a disclosed compound.
  • the compound is selected from a tacrine and analogs, naringenin and analogs, allantoin and analogs, conessine and analogs, tomatidine and analogs, ungerine/hippeastrine and analogs, and betulinic acid and analogs, or a mixture thereof.
  • the compound can be a tacrine analog.
  • the compound can be a naringenin analog.
  • the compound can be an allantoin analog.
  • the compound can be a conessine analog.
  • the compound can be a tomatidine analog.
  • the compound can be a ungerine/hippeastrine analog.
  • the compound can be a betulinic acid analog.
  • the medicament is modulates muscle health.
  • the medicament inhibits muscle atrophy.
  • the medicament promote muscle health, promote normal muscle function, and/or promote healthy aging muscles.
  • kit comprising a tacrine analog, naringenin analog, allantoin analog, conessine analog, tomatidine analog, ungerine/hippeastrine analog and betulinic acid analog, or a mixture thereof, and one or more of: a) at least one agent known to treat muscle atrophy in an animal; b) at least one agent known to decrease the risk of obtaining muscle atrophy in an animal; c) at least one agent known to have a side effect of muscle atrophy; d) instructions for treating muscle atrophy; or e) at least one anabolic agent.
  • the compound can be a tacrine analog.
  • the compound can be a naringenin analog.
  • the compound can be a allantoin analog.
  • the compound can be a conessine analog.
  • the compound can be a tomatidine analog.
  • the compound can be a ungerine/hippeastrine analog.
  • the compound can be a betulinic acid analog.
  • the kit further comprises at least one agent, wherein the compound and the agent are co-formulated.
  • the compound and the agent are co-packaged.
  • the agent can be any agent as disclosed herein, such as anabolic agent, agent known to have a side effect of muscle atrophy, agent known to decrease the risk of obtaining muscle atrophy in an animal, or agent known to treat muscle atrophy in an animal.
  • the invention relates to a kit comprising an effective amount of one or more of: (a) a compound selected from a tacrine analog, naringenin analog, allantoin analog, conessine analog, tomatidine analog, ungerine/hippeastrine analog and betulinic acid analog; (b) a compound that down regulates multiple induced mRNAs of Muscle Atrophy Signature 1, compared to expression levels in the same type of the muscle cell in the absence of the compound; (c) a compound that up regulates multiple repressed mRNAs of Muscle Atrophy Signature 1, compared to expression levels in the same type of the muscle cell in the absence of the compound; (d) a compound that down regulates multiple induced mRNAs of Muscle Atrophy Signature 2, compared to expression levels in the same type of the muscle cell in the absence of the compound; and/or (e) a compound that up regulates multiple repressed mRNAs of Muscle Atrophy Signature 2, compared to expression levels in the same type of the muscle muscle
  • kits can also comprise compounds and/or products co-packaged, co- formulated, and/or co-delivered with other components.
  • a drug manufacturer, a drug reseller, a physician, a compounding shop, or a pharmacist can provide a kit comprising a disclosed compound and/or product and another component for delivery to a patient.
  • kits can be used in connection with the disclosed methods of making, the disclosed methods of using, and/or the disclosed compositions.
  • the invention relates to a method of lowering blood glucose in an animal comprising administering to the animal an effective amount of a composition comprising ursolic acid and a naringenin analog, thereby lowering the blood glucose in the animal.
  • the naringenin analog can be naringenin.
  • the ursolic acid can be a ursolic acid derivative.
  • invention relates to a method of lowering blood glucose in an animal comprising administering to the animal an effective amount of a hippeastrine analog, thereby lowering the blood glucose in the animal.
  • the hippeastrine analog can be hippeastrine.
  • invention in another aspect, relates to a method of lowering blood glucose in an animal comprising administering to the animal an effective amount of a conessine analog, thereby lowering the blood glucose in the animal.
  • the conessine analog can be conessine.
  • the animal is a mammal, fish or bird.
  • the mammal is a primate.
  • the mammal is a human.
  • the human is a patient.
  • the mammal prior to the administering step the mammal has been diagnosed with a need for treatment of a disorder associated with the need of lowering blood glucose. .
  • the mammal prior to the administering step the mammal has been diagnosed with a need for treatment of a disorder associated with a dysfunction in insulin/IGF-I signaling.
  • the treatment of the disorder increases muscle IGF-I signaling. In a still further aspect, the treatment of the disorder increases muscle IGF-I production.
  • the mammal prior to the administering step the mammal has been diagnosed with a need for treatment of a disorder associated with circulating levels of leptin.
  • the treatment decreases the circulating levels of leptin.
  • the animal is a domesticated animal.
  • the domesticated animal is a domesticated fish, domesticated crustacean, or domesticated mollusk.
  • the domesticated animal is poultry.
  • the poultry is selected from chicken, turkey, duck, and goose.
  • the domesticated animal is livestock.
  • the livestock animal is selected from pig, cow, horse, goat, bison, and sheep.
  • the effective amount is a therapeutically effective amount. In a still further aspect, the effective amount is a prophylactically effective amount. In a yet further aspect, high blood glucose is prevented by administration of the compound. In a still further aspect, the method further comprises the step of identifying the mammal in need of treatment of lowering of blood glucose. In a yet further aspect, the method further comprises the step of identifying the mammal in a need of prevention the need of lowering blood glucose. In an even further aspect, the mammal has been diagnosed with a need for lowering of blood glucose prior to the administering step.
  • the method further comprises
  • the method further comprises writing a report. In yet another aspect, the method further comprises reporting the results. In yet another aspect, the method further comprises performing further tests on the candidate compound, such as confirmatory tests. In yet another aspect, the method further comprises performing toxicity studies on the candidate compound.
  • the candidate compound comprises a disclosed compound.
  • the compound is selected from a tacrine analog, naringenin analog, allantoin analog, conessine analog, tomatidine analog, ungerine/hippeastrine analog and betulinic acid analog, as defined elsewhere herein.
  • the compound can be a tacrine analog.
  • the compound can be a naringenin analog.
  • the compound can be an allantoin analog.
  • the compound can be a conessine analog.
  • the compound can be a tomatidine analog.
  • the compound can be a ungerine/hippeastrine analog.
  • the compound can be a betulinic acid analog.
  • the animal is a mammal, fish or bird.
  • the mammal is a primate.
  • the mammal is a human.
  • the human is a patient.
  • the Muscle Atrophy Signature is Muscle Atrophy Signature 1.
  • the Muscle Atrophy Signature is Muscle Atrophy Signature 2.
  • the Muscle Atrophy Signature is determined according to steps comprising: a) determining mRNA expression levels in a muscle cell undergoing muscle atrophy, b) determining mRNA expression levels in a muscle cell not undergoing muscle atrophy, wherein an mRNA is determined to be part of the Muscle Atrophy Signature if: (aO the mRNA is up regulated in the muscle cell undergoing muscle atrophy compared to the muscle cell not undergoing muscle atrophy, or (b) the mRNA is down regulated in the muscle cell undergoing muscle atrophy compared to the muscle cell not undergoing muscle atrophy.
  • the muscle cell undergoing atrophy and the muscle cell not undergoing atrophy are harvested from an animal.
  • the muscle cell undergoing atrophy is harvested while the animal is in a state of fasting and the muscle cell not undergoing atrophy is harvested prior to the state of fasting.
  • the muscle cell undergoing atrophy is harvested from an immobilized muscle and the muscle cell not undergoing atrophy is harvested from a mobile muscle.
  • the muscle cell undergoing atrophy is harvested from an animal with spinal cord injury and the muscle cell not undergoing atrophy is harvested from a muscle that has received electrical stimulation.
  • the Muscle Atrophy Signature is determined by selecting mRNAs commonly up regulated or commonly down regulated between two or more of the Muscle Atrophy Signatures of the methods described herein.
  • the invention relates to a method for inhibiting muscle atrophy in a mammal, the method comprising administering to the mammal a therapeutically effective amount of a compound of identified using the method described above.
  • RNAlater (Ambion) and stored at -80 °C until further use.
  • Total RNA was extracted using TRIzol solution (Invitrogen), and microarray hybridizations were performed at the University of Iowa DNA Facility, as described previously (Lamb J, et al. (2006) Science (New York, NY 313(5795): 1929-1935).
  • the log 2 hybridization signals as shown herein reflect the mean signal intensity of all exon probes specific for an individual mRNA.
  • P ⁇ 0.02 paired t-tests were used to compare fasted and fed log 2 signals.
  • TRIzol-extracted mRNA was treated with DNase I using the Turbo DNA-free kit (Ambion).
  • qPCR analysis of human mRNA and mouse IGF-I mRNA was performed using TaqMan Gene Expression Assays (Applied Biosystems).
  • First strand cDNA was synthesized from 2 ⁇ g of RNA using the High Capacity cDNA Reverse Transcription Kit (Applied Biosystems, Part No. 4368814).
  • the real time PCR contained, in a final volume of 20 ⁇ , 20 ng of reverse transcribed RNA, 1 ⁇ of 20X TaqMan Gene Expression Assay, and 10 ⁇ of TaqMan Fast Universal PCR Master Mix (Applied Biosystems; Part No. 4352042).
  • qPCR was carried out using a 7500 Fast Real-Time PCR System (Applied Biosystems) in 9600 emulation mode. qPCR analysis of mouse atrogin-1 and MuRFl mRNA levels was performed as previously described (Ebert SM, et al. (2010) Molecular Endocrinology 24(4):790-799). All qPCR reactions were performed in triplicate and the cycle threshold (Ct) values were averaged to give the final results. To analyze the data, the ACt method was used, with the level of 36B4 mRNA serving as the invariant control.
  • mice Male C57BL/6 mice, ages 6-8 weeks, were obtained from NCI, housed in colony cages with 12h light/12h dark cycles, and used for experiments within 3 weeks of their arrival. Unless otherwise indicated, mice were maintained on standard chow (Harlan; Teklad Diet, Formula 7013, NIH-31 Modified Open Formula Mouse/Rat Sterilizable Diet).
  • Metformin (Sigma) was dissolved in 0.9% NaCl at a concentration of 250 mg / ml.
  • Ursolic acid (Enzo Life Sciences) was dissolved in corn oil at a concentration of 200 mg / ml (for i.p. injections); alternatively, the ursolic acid was added directly to standard chow (Harlan;
  • Teklad Diet, Formula 7013 or standard high fat diet (Harlan; Teklad Diet, Formula 7013) or standard high fat diet (Harlan; Teklad Diet, Formula 7013) or standard high fat diet (Harlan; Teklad Diet, Formula 7013) or standard high fat diet (Harlan; Teklad Diet, Formula 7013) or standard high fat diet (Harlan; Teklad Diet, Formula 7013) or standard high fat diet (Harlan; Teklad Diet, Formula 7013) or standard high fat diet (Harlan; Teklad Diet, Formula 7013) or standard high fat diet (Harlan; Teklad Diet, Formula 7013) or standard high fat diet (Harlan; Teklad Diet, Formula 7013) or standard high fat diet (Harlan; Teklad Diet, Formula 7013) or standard high fat diet (Harlan; Teklad Diet, Formula 7013) or standard high fat diet (Harlan; Teklad Diet, Formula 7013) or standard high fat diet (Harlan; Teklad Diet, Formula
  • TD.93075 as a customized chow.
  • Oleanolic acid Sigma was dissolved in corn oil at a concentration of 200 mg / ml. Mice were fasted by removing food, but not water, for 24 hours. Fasting blood glucose levels were obtained from the tail vein with an ACCU-CHEK® Aviva glucose meter (Roche Diagnostics). Unilateral hindlimb muscle denervation was performed by trans secting the sciatic nerve under anesthesia, and was followed by
  • ursolic acid 200 mg / kg
  • vehicle alone corn oil
  • Forelimb grip strength was determined using a grip strength meter equipped with a triangular pull bar (Columbus Inst). Each mouse was subjected to 5 consecutive tests to obtain the peak value.
  • Plasma IGF-I and leptin levels were measured by RIA at the Vanderbilt University Hormone Assay Core Facility. Plasma cholesterol, triglyceride, creatinine, bilirubin and ALT were measured using the VITROS® 350 Chemistry System (Ortho). All animal procedures were approved by the Institutional Animal Care and Use Committee of the University of Iowa.
  • tissues were immediately placed in isopentane that had been chilled to -160 °C with liquid N 2 .
  • Muscles were embedded in tissue freezing medium, and 10 ⁇ sections from the mid-belly were prepared using a Microm HM 505 E cryostat equipped with a CryoJane sectioning system (Instrumedics).
  • Adipose tissue was fixed in 10% neutral buffered formalin, embedded in paraffin, and then 4 ⁇ sections were prepared using a Microm HM355 S motorized microtome (Microm).
  • Hematoxylin and eosin stains were performed using a DRS-601 automatic slide stainer (Sakura), and examined on an Olympus ⁇ -71 microscope equipped with a DP-70 camera. Image analysis was performed using ImageJ software (public domain, available from the National Institutes of Health, USA). Muscle fiber diameter was measured using the lesser diameter method, as described elsewhere (Dubowitz V, et al. (2007) Muscle biopsy : a practical approach (Saunders Elsevier, Philadelphia) 3rd Ed pp XIII, 611 s).
  • Mouse quadriceps muscles were snap frozen in liquid N 2 , and Triton-X 100 soluble protein extracts were prepared as described previously (Ebert SM, et al. (2010) Molecular endocrinology 24(4):790-799).
  • Mouse C2C12 myoblasts were obtained from American Type Culture Collection ("ATCC"), and maintained in Dulbecco's modified Eagle's medium (DMEM; ATCC #30-2002) containing antibiotics (100 units/ml penicillin, 100 g/ml streptomycin sulfate) and 10% (v/v) fetal bovine serum (FBS). On day 0, myotubes were set-up in 6- well plates at a density of 2.5 X 10 5 cells / well.
  • ATCC American Type Culture Collection
  • DMEM Dulbecco's modified Eagle's medium
  • FBS fetal bovine serum
  • myotubes were incubated in the presence or absence of ursolic acid, IGF-I and/or insulin for 20 min, and then harvested into SDS lysis buffer (10 mM Tris-HCl, pH 7.6, 100 mM NaCl, 1% (w/v) SDS, 1 ⁇ g/ml pepstatin A, 2 ⁇ g/ml aprotonin, 10 ⁇ g/ml leupeptin, 200 ⁇ phenylmethylsulfonyl fluoride and a 1: 100 dilution of phosphatase inhibitor cocktail 3 (Sigma).
  • SDS lysis buffer 10 mM Tris-HCl, pH 7.6, 100 mM NaCl, 1% (w/v) SDS, 1 ⁇ g/ml pepstatin A, 2 ⁇ g/ml aprotonin, 10 ⁇ g/ml leupeptin, 200 ⁇ phenylmethylsulfonyl fluoride and a 1: 100 dil
  • sample buffer 250 mM Tris-HCl, pH 6.8, 10% SDS, 25% glycerol, 0.2% (w/v) bromophenol blue, and 5% (w/v) 2-mercaptoethanol
  • sample buffer 250 mM Tris-HCl, pH 6.8, 10% SDS, 25% glycerol, 0.2% (w/v) bromophenol blue, and 5% (w/v) 2-mercaptoethanol
  • Immunoblots were performed at 4 °C for 16 h using a 1 :2000 dilution of antibodies detecting total Akt, phospho-Akt(Ser473), total S6K, phospho-S6K(T421/S424), total ERK1/2, phospho-ERK(T202/Y204), Fox03a, or phospho-Fox01(T24)/Fox03a(T32) (Cell Signaling).
  • myotubes were incubated in the presence or absence of ursolic acid, IGF-I and/or insulin for 2 min, and then harvested into RIPA buffer (10 mM Tris-HCL, pH 7.4, 150 mM NaCl, 0.1% (w/v) SDS, 1% (w/v) Triton X-100, 1% Na deoxycholate, 5 mM EDTA, ImM NaF, ImM Na orthovanadate, 1 ⁇ g/ml pepstatin A, 2 ⁇ g/ml aprotonin, 10 ⁇ 3 ⁇ 4/ ⁇ 1 leupeptin, 200 ⁇ phenylmethylsulfonyl fluoride, 1: 100 dilution of phosphatase inhibitor cocktail 2 (Sigma) and a 1: 100 dilution of phosphatase inhibitor cocktail 3 (Sigma).
  • RIPA buffer 10 mM Tris-HCL, pH 7.4, 150 mM NaCl, 0.1% (w/v) SDS, 1%
  • the protein concentration was measured using the BCA kit, after which the extract was diluted to a concentration of 1 mg/ml in RIPA buffer (final volume 500 ⁇ ). Then 2 ⁇ g anti-IGF-1 receptor ⁇ antibody (Cell Signaling) or 2 ⁇ g anti-insulin receptor ⁇ antibody (Santa Cruz) was added with 50 ⁇ protein G plus Sepharose beads (Santa Cruz), and then the samples were rotated at 4 °C for 16 h.
  • Immunoprecipitates were washed three times for 20 min with 1 ml RIPA buffer and then mixed with 100 ⁇ sample buffer (50 mM Tris-HCl (pH 6.8), 2% SDS, 5% glycerol, 0.04% (w/v) bromophenol blue and 5% (w/v) 2-mercaptoethanol), then boiled for 5 min.
  • sample buffer 50 mM Tris-HCl (pH 6.8), 2% SDS, 5% glycerol, 0.04% (w/v) bromophenol blue and 5% (w/v) 2-mercaptoethanol
  • Immunoprecipitates were subjected to 8% SDS-PAGE.
  • proteins were transferred to Hybond-C extra nitrocellulose filters (Millipore).
  • proteins were transferred to PVDF membranes (Bio-Rad). Immunoblots were performed at room temperature using a 1:2000 dilution of anti-IGF-1 receptor ⁇ antibody, 1:5000 dilution of mouse anti-phospho-tyrosine 4G10 monoclonal antibody (Millipore), a 1:2000 dilution of anti-insulin receptor ⁇ , or 1:2000 dilution of anti-phospho-insulin receptor ⁇ (Yl 162/1163) (Santa Cruz).
  • the plasmids pCMV-miR-PTPlB #1 and pCMV-miR-PTPlB #2 were generated by ligating PTPN1- specific oligonucleotide duplexes (Invitrogen) into the
  • pcDNA6.2GW/EmGFP miR plasmid (Invitrogen), which contains a CMV promoter driving co-cistronic expression of engineered pre-miRNAs and EmGFP.
  • pCMV-miR-control encodes a non-targeting pre-miRNA hairpin sequence (miR-neg control; Invitrogen) in
  • pcDNA6.2GW/EmGFP miR plasmid Male C57BL/6 mice were obtained from NCI at ages 6- 8 weeks, and used for experiments within 3 weeks of their arrival. Electroporation of mouse tibialis anterior muscles and isolation of skeletal muscle RNA was performed as described previously (Ebert SM, et al. (2010) Molecular endocrinology 24(4):790-799). First strand cDNA was synthesized in a 20 ⁇ reaction that contained 2 ⁇ g of RNA, random hexamer primers and components of the High Capacity cDNA reverse transcription kit (Applied Biosystems).
  • qPCR analysis of PTPN1 mRNA levels was performed using a Taqman expression assay as described previously (Ebert SM, et al. (2010) Molecular endocrinology 24(4):790-799). qPCR was carried out using a 7500 Fast Real-Time PCR System (Applied Biosystems). All qPCR reactions were performed in triplicate and the cycle threshold (Ct) values were averaged to give the final results. Fold changes were determined by the ACt method, with level of 36B4 mRNA serving as the invariant control. Skeletal muscle sections were prepared and transfected (EmGFP-positive) muscle fibers were identified and measured as described previously (Ebert SM, et al. (2010) Molecular endocrinology 24(4):790-799).
  • Ursolic acid is extracted from serum using a 10: 1 mixture of hexane:propanol (recovery > 90%), and then conjugated via its carboxylic acid group to 2-(2,3- naphthalimino)ethyl trifluoromethanesulfonate (Invitrogen; Ne-OTf), a moiety that enhances TUV and fluorescence detection.
  • Derivatized samples are then analyzed on a Waters Acquity UPLC equipped with a 100 X 2.1 mm C18 HSS column with 1.8 ⁇ beads (Waters Part No. 186003533) and a TUV detector.
  • Skeletal muscle atrophy is common and debilitating condition that lacks a pharmacologic therapy.
  • Figure 1 an approach using gene expression signatures to connect small molecules, genes, and disease was used. Briefly, 63 mRNAs were identified that were regulated by fasting in both human and mouse muscle, and 29 mRNAs that were regulated by both fasting and spinal cord injury in human muscle. These two unbiased mRNA expression signatures of muscle atrophy were used to query the Connectivity Map, an algorithm that allows gene signature datasets to be used to find relationships between small molecules, genes, and disease.
  • muscle atrophy signature-2 This second group of mRNAs was termed "muscle atrophy signature-2" (see Figure 3). Almost all of the mRNAs in muscle atrophy signatures- 1 and -2 have previously uncharacterized roles in normal or atrophied skeletal muscle. It was next hypothesized that pharmacologic compounds whose effects on cellular mRNA levels were opposite to muscle atrophy signatures- 1 and -2 might inhibit skeletal muscle atrophy. To identify candidate compounds, the Connectivity Map (Lamb J, et al.
  • Table 3 Compounds with negative connectivity to human muscle atrophy signature-2.
  • P ⁇ 0.02 by paired t-test
  • a complete list of these fasting-responsive mRNAs is shown below in Table XI ("Change” is the mean log 2 change or difference between fasting and fed states). The data in Table XI is for all mRNAs in this study whose levels were increased or decreased by fasting (P ⁇ 0.02 by paired t-test).
  • FIG. 4B Representative fasting-responsive human skeletal muscle mRNAs, and the effect of fasting on their log2 hybridization signals, as assessed by Affymetrix Human Exon 1.0 ST arrays are shown in Figure 4B.
  • the fasting signal was normalized to the nonfasting signal from the same subject. Data are means + SEM from 7 subjects. P ⁇ 0.02 by paired t-test for all mRNAs shown.
  • the complete set of 458 fasting-responsive mRNAs is shown in Table XL Most of the differentially expressed mRNAs identified as altered by fasting surprisingly did not have previously known roles in muscle atrophy.
  • PGC-1 amRNA encodes a protein that inhibits atrophy- associated gene expression and skeletal muscle atrophy in mice ( Sandri M, et al. (2006) Proceedings of the National Academy of Sciences of the United States of America 103(44): 16260-16265).
  • the Connectivity Map describes the effects of > 1300 bioactive small molecules on global mRNA expression in several cultured cell lines, and contains search algorithms that permit comparisons between compound-specific mRNA expression signatures and mRNA expression signatures of interest (Lamb J, et al. (2006) Science (New York, N.Y
  • the data shown in Table X2 includes all mRNAs whose levels were increased by fasting in human muscle (P ⁇ 0.02) and in mouse muscle (P ⁇ 0.05), and all mRNAs whose levels were decreased by fasting in human muscle (P ⁇ 0.02) and in mouse muscle (P ⁇ 0.05).
  • 63 mRNAs were represented on the HG-U133A arrays used in the Connectivity Map ( Figure 6A). These mRNAs (31 increased by fasting and 32 decreased by fasting) were used to query the Connectivity Map for candidate small molecule inhibitors of muscle atrophy.
  • Table X2 Fasting-regulated mRNAs common to human and mouse skeletal muscle.
  • RORA RAR-related orphan 0.21 0.006 0.39 0.006 receptor A
  • MY05A myosin VA (heavy chain 0.14 0.006 0.36 0.012
  • ADPGK ADP-dependent 0.13 0.007 0.16 0.009 glucokinase
  • AXIN2 axin 2 (conductin, axil) -0.15 0.013 -0.12 0.046
  • DNMT3A DNA (cytosine-5-)- -0.20 0.007 -0.48 0.000 methyltransferase 3 alpha
  • CNNM4 cyclin M4 -0.26 0.016 -0.27 0.005
  • PBX1 pre-B-cell leukemia -0.34 0.001 -0.22 0.000 homeobox 1
  • FIG. 6B The left side of Figure 6B shows the 10 Connectivity Map instances (or data sets) with the most significant positive correlations (P ⁇ 0.004) to the effect of fasting in skeletal muscle.
  • the connectivity score represented on the y-axis, is a measure of the strength of the correlation (Lamb J, et al. (2006) Science (New York, N Y 313(5795): 1929-1935); the compound and cell-line is shown below the bar representing the Connectivity Score.
  • 6 involved wortmannin or LY-294002 (inhibitors of phosphoinositide 3-kinase (PI3K)) or rapamycin (an inhibitor of the mammalian target of rapamycin complex 1 (mTORCl)).
  • the Connectivity Map was queried with a second mRNA expression signature, muscle atrophy signature-2 (described above), to determine if this muscle atrophy signature would also correlate with ursolic acid, among other compounds.
  • muscle atrophy signature-2 was an mRNA expression signature identified as described herein for human skeletal muscle mRNAs that were induced or repressed by fasting and also by spinal cord injury ("SCI"). The studies of the effects of SCI on human skeletal muscle gene expression were described previously (Adams CM, et al. (2011) Muscle Nerve. 43(l):65-75).
  • Table X3 The data in Table X3 include all mRNAs whose levels were increased by fasting (P ⁇ 0.02) and by SCI (P ⁇ 0.05), and all mRNAs whose levels were decreased by fasting (P ⁇ 0.02) and by SCI (P ⁇ 0.05). P-values in Table X3 were determined with paired t- tests.
  • VLDLR very low density lipoprotein -0.28 0.007 -0.16 0.015 receptor
  • mRNAs listed in Table X3 29 were represented on the HG-U133A arrays used in the Connectivity Map ( Figure 7A), but only 10 were common to the 63 mRNAs used in the first Connectivity Map query described above for muscle atrophy signature- 1 (IGF-IR, NOX4, SUPT6H, MRPSI5, PDE7B, PGC-la, TSPAN13, TTLL1, VEGFA and ZNF280B).
  • the mRNAs listed in Figure 7A represent human muscle atrophy signature-2: mRNAs altered by both fasting and SCI in human muscle. These mRNAs, as described above, were used to query the Connectivity Map.
  • Inclusion criteria were: P ⁇ 0.02 in fasted human muscle (by t-test), P ⁇ 0.05 in untrained, paralyzed muscle (by t-test), and the existence of complimentary probes on HG-U133A arrays. Connectivity Map instances with the most significant positive and negative correlations to the effect of fasting and SCI in human muscle. P ⁇ 0.005 for all compounds are shown in Figure 7B.
  • the results partially overlapped with the results of the first search: both search strategies identified LY-294002, wortmannin and rapamycin as predicted mimics of atrophy-inducing stress, and ursolic acid (but not metformin) as a predicted inhibitor (Figure 7B).
  • ursolic acid might reduce denervation-induced muscle atrophy.
  • the left hindlimb muscles a denervation-induced skeletal muscle atrophy model in mouse was used. Briefly, on day 0, the left hindlimbs of C57BL/6 mice were denervated by transsecting the left sciatic nerve. This approach allowed the right hindlimb to serve as an intra-subject control. Mice were then administered ursolic acid (200 mg/kg) or an equivalent volume of vehicle alone (corn oil) via i.p. injection twice daily for seven days. During this time, mice continued to have ad libitum access to food.
  • FIG. 6A-6C Each data point in Figures 6A-6C represents one mouse, and horizontal bars denote the means.
  • the effect of ursolic acid in this study on skeletal muscle fiber size distribution is shown in Figure 8D. Each distribution represents measurements of > 800 triceps muscle fibers from 7 animals (> 100 measurements / animal); P ⁇ 0.0001.
  • the effect of ursolic acid on peak grip strength is shown in Figure 8E. Each data point represents one mouse, and horizontal bars denote the means.
  • dietary ursolic acid increased the specific force generated by muscles ex vivo (Figure 9). Briefly, six-week old male C57BL/6 mice were provided either standard diet or diet containing 0.27% ursolic acid for 16 weeks before being euthanized. The lower hindlimb was removed (by transsecting the upper hindlimb mid-way through the femur), and placed in Krebs solution aerated with 95% 02 and 5% C02. The gastrocnemius, soleus and tibialis anterior muscles, as well as the distal half of the tibia and fibula were then removed and discarded, leaving the extensor digitorum longus and peroneus muscles with their origins and insertions intact.
  • a suture was placed through the proximal tendon and secured to the distal femur fragment.
  • This ex vivo preparation was then mounted vertically in a water jacket bath (Aurora Scientific 1200A Intact Muscle Test System, filled with aerated Krebs solution) by attaching the suture to a servo-controlled lever (superiorly) and clamping the metatarsals (inferiorly).
  • Passive muscle force was adjusted to a baseline of 1 g, and then muscles were stimulated with supramaximal voltage (80 V) at 100 Hz.
  • the mean time from euthanasia to maximal force measurements was 10 min. After force measurements, muscles were removed and weighed in order to calculate specific titanic force.
  • Table X Mouse skeletal muscle mRNAs induced or repressed by ursolic acid.
  • Psmdl proteasome (prosome, macropain) subunit 0.15 0.005 alpha type 2
  • Eeflel eukaryotic translation elongation factor 1 0.15 0.002 epsilon 1
  • Krrl KRR1 small subunit (SSU) processome 0.15 0.005 component, homolog
  • Ndufaf4 NADH dehydrogenase (ubiquinone) 1 alpha 0.14 0.005 subcomplex, assembly factor 4
  • Prdx5 peroxiredoxin 5 0.10 0.005
  • BC004004 cDNA sequence BC004004 0.06 0.001
  • Fbxo32 F-box protein 32 (Atrogin-1) -0.35 0.001
  • Figure 10A represent a subset of the mRNAs from Table X4 which had the greatest increase or decrease in expression level in response to ursolic acid.
  • MuRFl mRNA was not measured by the arrays used in these experiments, qPCR analysis confirmed that dietary ursolic acid repressed both atrogin-1 and MuRFl mRNAs (Figure 10B; data are means + SEM).
  • IGFl insulin-like growth factor-I
  • IGFl mRNA is known to be transcriptionally induced in hypertrophic muscle (Hameed M, et al. (2004) The Journal of physiology 555(Pt 1):231-240; Adams GR & Haddad F (1996) JAppl Physiol 81(6):2509-2516; Gentile MA, et al. (2010) Journal of molecular endocrinology 44(l):55-73).
  • increased skeletal muscle IGFl expression reduces denervation-induced muscle atrophy (Shavlakadze T, et al. (2005) Neuromuscul Disord 15(2): 139-146), and stimulates muscle hypertrophy (Barton-Davis ER, et al.
  • mice were provided ad lib access to either standard chow (control diet) or standard chow supplemented with the indicated concentration of ursolic acid for 7 weeks before plasma IGF-I levels were measured. Each data point represents one mouse, and horizontal bars denote the means. P- values were determined by one-way ANOVA with Dunnett's post-test.
  • exon expression arrays indicated that ursolic acid increased levels of all measured IGF1 exons (exons 2-6; Figure 11A).
  • the data in Figure 11A are mean exon- specific log 2 hybridization signals from the arrays described in Table X2.
  • ursolic acid did not alter levels of mRNAs encoding myostatin (which reduces muscle mass, for example see Lee SJ (2004) Annu Rev Cell Dev Biol 20:61-86), or twist or myogenin (which are induced by IGF-I during development, for example see Dupont J, et al. (2001) The Journal of biological chemistry 276(28):26699-26707; Tureckova J, et al.
  • ursolic acid did not alter the amount of IGF1 mRNA in adipose tissue ( Figure 1 IB).
  • Figure 1 IB the data shown in Figure 1 IB were obtained as follows: mice were provided ad lib access to either standard chow (control diet) or standard chow supplemented with 0.27% ursolic acid (ursolic acid diet) for 7 weeks before retroperitoneal adipose tissue was harvested for qPCR quantification of IGF1 mRNA.
  • the data shown are means + SEM from 5 mice per group.
  • ursolic acid-mediated IGF1 induction may be localized to skeletal muscle.
  • muscle-specific IGF1 induction is characteristic of, and contributes to, muscle hypertrophy, it may be a relatively late event that promotes hypertrophy after it has been initiated by other stimuli (Adams GR, et al. (1999) JAppl Physiol 87(5): 1705-1712).
  • ursolic acid might have a more proximal effect on insulin/IGF-I signaling.
  • ursolic acid enhanced insulin-mediated Akt activation (Jung SH, et al. (2007) The Biochemical journal 403(2):243-250).
  • ursolic acid enhanced muscle Akt activity in vivo and in vitro was consistent with the finding that ursolic acid's mRNA expression signature negatively correlated with the mRNA expression signatures of LY-294002 and wortmannin ( Figures 4B and 5B), which inhibit insulin/IGF-I signaling upstream of Akt.
  • ursolic acid's signature also negatively correlated with the signature of rapamycin, which inhibits insulin/IGF-I signaling
  • ursolic acid did not increase S6K phosphorylation ( Figure 1 ID), it enhanced IGF-I-mediated and insulin-mediated S6K phosphorylation ( Figures 8G, 81 and 9D).
  • Ursolic acid increased IGF-I receptor phsophorylation in the presence but not the absence of IGF-I ( Figures 8H and 81).
  • ursolic acid increased insulin receptor phosphorylation in the presence but not the absence of insulin ( Figure 1 IE). Both of these effects were rapid, occurring within 2 minutes after the addition of ursolic acid and either IGF-I or insulin. Consistent with enhanced signaling at the level of the IGF-I and insulin receptors, ursolic acid also enhanced IGF-I-mediated and insulin-mediated ERK
  • ursolic acid enhanced IGF-I-mediated phosphorylation (inhibition) of FoxO transcription factors, which activate transcription of atrogin-1 and MuRFl mRNAs (Figure 10K; Sandri M, et al. (2004) Cell 117(3):399-412; Stitt TN, et al. (2004) Mol Cell 14(3):395-403.).
  • ursolic acid represses atrophy- associated gene expression and promotes muscle hypertrophy by increasing activity of the IGF-I and insulin receptors.
  • mice were provided ad lib access to standard chow supplemented with the indicated concentration (weight percent in chow, either 0.14% or 0.28% as indicated in Figure 12) of ursolic acid for 7 weeks before tissues were harvested for analysis.
  • Data are means + SEM from 10 mice per diet.
  • Data for the effects of ursolic acid on weights of skeletal muscle (quadriceps + triceps), epididymal fat, retroperitoneal fat and heart are shown in Figure 12A.
  • the P-values determined by one-way ANOVA with post-test for linear trend, were ⁇ 0.001 for muscle; 0.01 and 0.04 for epididymal and retroperitoneal fat, respectively; and 0.46 for heart.
  • Each data point in Figure 12C represents one mouse; P ⁇ 0.001 for both muscle and adipose by unpaired t-test.
  • the data show that 5 weeks of ursolic acid administration (0.14%) also reduced adipose weight.
  • muscle and fat weights were inversely related.
  • ursolic acid-treated mice contain less fat because, in part, ursolic acid increases Akt activity (see Figures 8 and 9), and muscle- specific increases in Akt activity reduce adiposity as a secondary consequence of muscle hypertrophy (Lai KM, et al. (2004) Molecular and cellular biology 24(21):9295-9304; Izumiya Y, et al. (2008) Cell metabolism 7(2): 159-172).
  • Ursolic acid reduced adipose weight by reducing adipocyte size as shown by data in Figures 10D - 10F.
  • Figure 12D shows a representative H&E stain of retroperitoneal fat for animals feed a control data or a chow with 0.27% ursolic acid as indicated.
  • the data in Figure 12D are shown quantitatively in Figure 12E in terms of adipocyte diameter, where data point represents the average diameter of > 125 retroperitoneal adipocytes from one mouse.
  • the retroperitoneal adipocyte size distribution Each distribution represents combined adipocyte measurements (> 1000 per diet) from Figure 12E.
  • mice were provided ad lib access to either standard chow (control diet) or standard chow supplemented with 0.27% ursolic acid (ursolic acid diet) for 4 weeks. Mice were then moved to a comprehensive animal metabolic monitoring system (CLAMS; Columbus Instruments, Columbus, OH) and provided with ad lib access to the same diets. Food consumption was measured for 48 hours. Data are means + SEM from 6 mice per group.
  • CLAMS animal metabolic monitoring system
  • ursolic acid did not alter weights of heart ( Figure 12A), liver or kidney ( Figures 1 IB and 11C), nor did it elevate plasma markers of hepatotoxicity or nephrotoxicity (alanine aminotransferase, bilirubin and creatinine; see Figures 1 ID - 1 IF).
  • the data in Figures 1 IB - 1 IF were obtained as follows: mice were provided ad lib access to either standard chow (control diet) or standard chow supplemented with 0.27% ursolic acid (ursolic acid diet) for 5 weeks before tissues and plasma were harvested for the indicated measurements; each data point represents one mouse, and horizontal bars denote the means.
  • P- values were determined with unpaired t-tests.
  • dietary ursolic acid had two major effects: skeletal muscle hypertrophy and reduced adiposity.
  • ursolic acid In high fat-fed mice, ursolic acid dramatically reduced weight gain, and this effect was apparent within one week (Figure 14A). As previously observed in mice fed ursolic acid and standard chow (Figure 8), ursolic acid increased grip strength and muscle mass ( Figures 12B and 12C). Moreover, ursolic acid reduced retroperitoneal and epididymal fat ( Figures 12D and 12E). Interestingly, in the scapular fat pad, which contains a mixture of white and thermogenic brown fat, ursolic acid reduced white fat (Figure 14F), but increased brown fat (Figure 14G). Importantly, increased skeletal muscle and brown adipose tissue would be predicted to increase energy expenditure.
  • mice fed HFD without ursolic acid developed fatty liver disease, as evidenced by increased liver weight (>30% increase above normal mouse liver weight of 1500 mg; Figure 15B), hepatocellular lipid accumulation (Figure 15C, H&E stain at 20X magnification; Figure 15D, lipid-staining osmium at 10X magnification), and elevated plasma liver function tests (Figure 15E, AST; 13F, ALT; 13G, alkaline phosphatase (labeled as "Alk. Phos. in figure); and, 13H, cholesterol).
  • ursolic acid prevented all of these hepatic changes ( Figure 15B - 13G).
  • ursolic acid reduced obesity-related hypercholesterolemia (Figure 15H).
  • each data point represents one mouse and horizontal bars denote the means.
  • ursolic acid The effect of ursolic acid on skeletal muscle weight and liver weight was compared to the effects by oleanolic acid and metformin.
  • Metformin was a compound identified from muscle atrophy signature- 1, but not muscle atrophy signature-2.
  • Oleanolic acid, like ursolic acid is a pentacyclic acid triterpane. This is a structurally similar compound to ursolic acid. However, the two compounds are distinct: oleanolic acid has two methyl groups at position 20, whereas ursolic acid has a single methyl group at each of positions 19 and 20 (compare Figures 14A and 14D).
  • PTPs protein tyrosine phosphatases
  • PTP inhibition represented a potential mechanism to explain ursolic acid-mediated enhancement of insulin signaling.
  • PTP inhibition represented a potential mechanism to explain ursolic acid-mediated enhancement of insulin signaling.
  • oleanolic acid and ursolic acid inhibit PTP1B and other PTPs with similar efficacy and potency in vitro (Qian S, et al. (2010) J Nat Prod 73(11): 1743-1750; Zhang YN, et al. (2008) Bioorg Med Chem 16(18):8697-8705)
  • testing oleanolic acid's effects on skeletal mass tests the potential role of PTP inhibition.
  • ursolic acid nor oleanolic acid is known to inhibit PTPs in vivo, and neither of these compounds are known to enhance IGF-I signaling.
  • ursolic acid's capacity to inhibit PTPs has been disputed based on ursolic acid's failure to delay insulin receptor de -phosphorylation in cultured cells (Jung SH, et al. (2007) The Biochemical journal 403(2):243-250), and ursolic acid's capacity to act as an insulin mimetic (Jung SH, et al. (2007) The Biochemical journal 403(2):243-250).
  • ursolic acid increases pancreatic beta cell mass and serum insulin levels in vivo, perhaps via its anti-inflammatory effects (Wang ZH, et al. (2010) European journal of pharmacology 628(l-3):255-260; Jayaprakasam B, et al. (2006) JAgric Food Chem 54(l):243-248; de Melo CL, et al. (2010) Chem Biol Interact 185(l):59-65).
  • inflammation is now recognized as a central pathogenic mechanism in muscle atrophy, metabolic syndrome, obesity, fatty liver disease and type 2 diabetes.
  • mice were administered ursolic acid (200 mg / kg), oleanolic acid (200 mg / kg), or vehicle alone (corn oil) via i.p. injection. Mice were then fasted, and after 12 hours of fasting, mice received a second dose of ursolic acid, oleanolic acid, or vehicle. After 24 hours of fasting, lower hindlimb skeletal muscles and liver were harvested and weighed. As shown previously, ursolic acid increased skeletal muscle weight ( Figure 16B), but not liver weight ( Figure 16C). In contrast, oleanolic acid increased liver weight (FIG.
  • ursolic acid increases skeletal muscle and inhibit muscle atrophy by a pathway that does not involve PTP inhibition.
  • RNA interference constructs were specifically reduced in mouse skeletal muscle by transfecting plasmid DNA constructed to express RNA interference constructs. Briefly, C57BL/6 mouse tibialis anterior muscles were transfected with 20 ⁇ g pCMV-miR- control (control plasmid transfected in the left TA) or either 20 ⁇ g pCMV-miR-PTPlB #1 (encoding miR-PTPlB #1; transfected in the right TA) or 20 ⁇ g pCMV-miR-PTPlB #2 (encoding miR- PTP1B #2; transfected in the right TA). miR-PTPlB #1 and miR-PTPlB #2 encode two distinct RNA interference (RNAi) constructs targeting distinct regions of PTPIB mRNA. Tissue was harvested 10 days following transfection.
  • RNAi RNA interference
  • mice were fed standard chow containing varying amounts of ursolic acid for 7 weeks. Serum ursolic acid levels from mice were determined as described above. As shown previously in Figure 12A, ursolic acid increased skeletal muscle weight and decreased weight of retroperitoneal and epididymal fat pads in a dose-dependent manner, but did not alter heart weight (Figure 18 A; data are means + SEM). These effects of ursolic acid were discernable at 0.035% ursolic acid and were maximal at doses > 0.14% ursolic acid.
  • Serum was collected from these same mice at the time of necropsy, and then measured random serum ursolic acid levels via ultra high performance liquid chromatography (UPLC).
  • UPLC ultra high performance liquid chromatography
  • the data indicate that ursolic acid serum levels in the range of 0.25 - 0.5 ⁇ g / ml are sufficient to increase muscle mass and decrease adiposity ( Figure 18B; data are means + SEM).
  • 0.5 ⁇ g / ml equals 1.1 ⁇ ursolic acid, close to the dose used in the
  • ursolic acid reduced muscle atrophy and stimulated muscle hypertrophy in mice.
  • ursolic acid's effects on muscle were accompanied by reductions in adiposity, fasting blood glucose and plasma leptin, cholesterol and triglycerides, as well as increases in the ratio of skeletal muscle to fat, the amount of brown fat, the ratio of brown fat to white fat, and increased energy expenditure.
  • ursolic acid reduced muscle atrophy and stimulated muscle hypertrophy by enhancing skeletal muscle IGF-I expression and IGF-I signaling, and inhibiting atrophy- associated skeletal muscle mRNA expression.

Landscapes

  • Health & Medical Sciences (AREA)
  • Life Sciences & Earth Sciences (AREA)
  • Chemical & Material Sciences (AREA)
  • General Health & Medical Sciences (AREA)
  • Medicinal Chemistry (AREA)
  • Veterinary Medicine (AREA)
  • Pharmacology & Pharmacy (AREA)
  • Public Health (AREA)
  • Animal Behavior & Ethology (AREA)
  • Epidemiology (AREA)
  • Engineering & Computer Science (AREA)
  • Immunology (AREA)
  • Organic Chemistry (AREA)
  • Bioinformatics & Cheminformatics (AREA)
  • Biomedical Technology (AREA)
  • Molecular Biology (AREA)
  • Hematology (AREA)
  • Analytical Chemistry (AREA)
  • Urology & Nephrology (AREA)
  • Physics & Mathematics (AREA)
  • Biochemistry (AREA)
  • Biotechnology (AREA)
  • Microbiology (AREA)
  • Emergency Medicine (AREA)
  • Chemical Kinetics & Catalysis (AREA)
  • General Chemical & Material Sciences (AREA)
  • Nuclear Medicine, Radiotherapy & Molecular Imaging (AREA)
  • Diabetes (AREA)
  • Wood Science & Technology (AREA)
  • Proteomics, Peptides & Aminoacids (AREA)
  • Zoology (AREA)
  • Food Science & Technology (AREA)
  • Tropical Medicine & Parasitology (AREA)
  • Cell Biology (AREA)
  • Toxicology (AREA)
  • General Physics & Mathematics (AREA)
  • Pathology (AREA)
  • Endocrinology (AREA)
  • Orthopedic Medicine & Surgery (AREA)
  • Physical Education & Sports Medicine (AREA)

Abstract

In one aspect, the invention relates to methods for treating muscle atrophy by providing to an animal in need thereof an effective amount of a compound. The compound can modulate the expression levels of multiple mRNA of a muscle atrophy signature. This abstract is intended as a scanning tool for purposes of searching in the particular art and is not intended to be limiting of the present invention. The disclosed compounds can treat muscle atrophy when administered in an effective amount to an animal, such as a mammal, fish or bird. For example, human. Also disclosed in a method of lowering blood glucose in an animal by administering ursolic acid or ursolic acid analogs, such as betulininc acid analogs, and narigenin analogs, such as naringenin, in an effective amount to an animal. Also disclosed in a method of lowering blood glucose in an animal by administering ungerine/hippeastrine analogs, such as hippeastrine, in an effective amount to an animal. The disclosed compounds can also promote muscle health, promote normal muscle function, and/or promote healthy aging muscles by providing to a subject in need thereof an effective amount of a disclosed compound.

Description

METHODS FOR INHIBITING MUSCLE ATROPHY
CROSS-REFERENCE TO RELATED APPLICATIONS
[0001] This Application claims the benefit of U.S. Provisional Application No.
61/493,969, filed on June 6, 2011; which is incorporated herein by reference in its entirety.
STATEMENT REGARDING FEDERALLY SPONSORED RESEARCH
[0002] This invention was made with government support under grant VA Career Development Award-2 to Christopher M. Adams; support from a VA Research Enhancement Award Program to Steven D. Kunkel; and grant IBX000976A awarded by the Department of Veterans Affairs Biomedical Laboratory Research & Development Service and grant 1R01AR059115-01 awarded by the National Institutes of Health and National Institute of Arthritis and Musculoskeletal and Skin Diseases (NIH/NIAMS). The United States government has certain rights in the invention.
BACKGROUND
[0003] Skeletal muscle atrophy is characteristic of starvation and a common effect of aging. It is also a nearly universal consequence of severe human illnesses, including cancer, chronic renal failure, congestive heart failure, chronic respiratory disease, insulin deficiency, acute critical illness, chronic infections such as HIV/AIDS, muscle denervation, and many other medical and surgical conditions that limit muscle use. However, medical therapies to prevent or reverse skeletal muscle atrophy in human patients do not exist. As a result, millions of individuals suffer sequelae of muscle atrophy, including weakness, falls, fractures, opportunistic respiratory infections, and loss of independence. The burden that skeletal muscle atrophy places on individuals, their families, and society in general, is tremendous.
[0004] The pathogenesis of skeletal muscle atrophy is not well understood.
Nevertheless, important advances have been made. For example, it has been described previously that insulin/IGF 1 signaling promotes muscle hypertrophy and inhibits muscle atrophy, but is reduced by atrophy- inducing stresses such as fasting or muscle denervation (Bodine SC, et al. (2001) Nat Cell Biol 3(11): 1014-1019; Sandri M, et al. (2004) Cell 117(3):399-4121; Stitt TN, et al. (2004) Mol Cell 14(3):395-403; Hu Z, et al. (2009) The Journal of clinical investigation 119(10):3059-3069; Dobrowolny G, et al. (2005) The Journal of cell biology 168(2): 193- 199; Kandarian SC & Jackman RW (2006) Muscle & nerve 33(2): 155-165; Hirose M, et al. (2001) Metabolism: clinical and experimental
50(2) :216-222; Pallafacchina G, et al. (2002) Proceedings of the National Academy of Sciences of the United States of America 99(14):9213-9218). The hypertrophic and anti- atrophic effects of insulin/IGF 1 signaling are mediated at least in part through increased activity of phosphoinositide 3-kinase (PI3K) and its downstream effectors, including Akt and mammalian target of rapamycin complex 1 (mTORCl) Sandri M (2008) Physiology
(Bethesda) 23: 160-170; Glass DJ (2005) The international journal of biochemistry & cell biology 31 (10): 1914- 4).
[0005] Another important advance came from microarray studies of atrophying rodent muscle (Lecker SH, et al. (2004) Faseb J 18(1):39-51; Sacheck JM, et al. (2007) Faseb J 21(1): 140-155; Jagoe RT, et al. Faseb J 16(13): 1697-1712). Those studies showed that several seemingly disparate atrophy-inducing stresses (including fasting, muscle denervation and severe systemic illness) generated many common changes in skeletal muscle mRNA expression. Some of those atrophy- associated changes promote muscle atrophy in mice; these include induction of the mRNAs encoding atroginl/MAFbx and MuRFl (two E3 ubiquitin ligases that catalyze proteolytic events), and repression of the mRNA encoding PGC-1 (a transcriptional co-activator that inhibits muscle atrophy) (Sandri M, et al. (2006) Proceedings of the National Academy of Sciences of the United States of America 103(44): 16260- 16265; Wenz T, et al. Proceedings of the National Academy of Sciences of the United States of America 106(48):20405-20410; Bodine SC, et al. (2001) Science (New York, NY
294(5547): 1704-1708; Lagirand-Cantaloube J, et al. (2008) The EMBO journal 27 '(8): 1266- 1276; Cohen S, et al. (2009) The Journal of cell biology 185(6): 1083-1095; Adams V, et al. (2008) Journal of molecular biology 384(l):48-59). However, the roles of many other mRNAs that are increased or decreased in atrophying rodent muscle are not yet defined. Data on the mechanisms of human muscle atrophy are even more limited, although atrogin-1 and MuRFl are likely to be involved (Leger B, et al. (2006) Faseb J 20(3):583-585; Doucet M, et al. (2007) American journal of respiratory and critical care medicine 176(3):261-269;
Levine S, et al. (2008) The New England journal of medicine 358(13): 1327-1335).
[0006] Despite advances in understanding the physiology and pathophysiology of muscle atrophy, there is still a scarcity of compounds that are both potent, efficacious, and selective modulators of muscle growth and also effective in the treatment of muscle atrophy associated and diseases in which the muscle atrophy or the need to increase muscle mass is involved. These needs and other needs are satisfied by the present invention.
SUMMARY
[0007] In accordance with the purpose(s) of the invention, as embodied and broadly described herein, the invention, in one aspect, relates to compounds useful in methods to treat muscle atrophy. The compounds can be selected from a tacrine and analogs, naringenin and analogs, allantoin and analogs, conessine and analogs, tomatidine and analogs,
ungerine/hippeastrine and analogs, and betulinic acid and analogs, or a mixture thereof.
[0008] Tacrine and analogs can have the structure:
Figure imgf000004_0001
[0009] Naringenin and analogs can have the structure:
Figure imgf000004_0002
[0010] Allantoin and analogs can have the structure:
Figure imgf000004_0003
[0011] Conessine and analogs can have the structure:
Figure imgf000004_0004
[0012] Tomatidine and analogs can have the structure:
Figure imgf000005_0001
[0013] Ungerine/hippeastrine and analogs can have the structure:
Figure imgf000005_0002
[0015] The disclosed compounds can treat muscle atrophy when administered in an effective amount to an animal, such as a mammal, fish or bird. For example, human.
[0016] Also disclosed in a method of lowering blood glucose in an animal by administering ursolic acid or ursolic acid analogs, such as betulininc acid analogs, and narigenin analogs, such as naringenin, in an effective amount to an animal.
[0017] Also disclosed in a method of lowering blood glucose in an animal by administering ungerine/hippeastrine analogs, such as hippeastrine, in an effective amount to an animal.
[0018] The disclosed compounds can also promote muscle health, promote normal muscle function, and/or promote healthy aging muscles by providing to a subject in need thereof an effective amount of a disclosed compound.
[0019] Also disclosed herein are pharmaceutical compositions comprising compounds used in the methods. Also disclosed herein are kits comprising compounds used in the methods.
[0020] In further aspects, In a further aspect, the invention relates to compounds identified using muscle atrophy signature- 1, muscle atrophy signature-2 or both muscle atrophy signatures. In still further aspects, the purpose(s) of the invention, as embodied and broadly described herein, the invention, in one aspect, relates to compounds useful in methods to modulate muscle health promote normal muscle function, and/or promote healthy aging muscles, methods to inhibit muscle atrophy, methods to increase insulin/IGF-I signaling, methods to reduce body fat; methods to reduce blood glucose, methods to reduce blood triglycerides, methods to reduce blood cholesterol, methods to reduce obesity, methods to reduce fatty liver disease, and methods to reduce diabetes, and pharmaceutical
compositions comprising compounds used in the methods.
[0021] Disclosed are methods for treating muscle atrophy in a mammal, the method comprising administering to the mammal an effective amount of a compound, wherein the compound: (a) down regulates multiple induced mRNAs of a Muscle Atrophy Signature, compared to expression levels of the induced mRNAs of the Muscle Atrophy Signature in the same type of the muscle cell in the absence of the compound, and/or (b) up regulates multiple repressed mRNAs of the Muscle Atrophy Signature, compared to expression levels of the repressed mRNAs of the Muscle Atrophy Signature in the same type of the muscle cell in the absence of the compound, thereby inhibiting muscle atrophy in the mammal.
[0022] Also disclosed are methods for identifying a compound that inhibits muscle atrophy when administered in a effective amount to a animal in need of treatment thereof, the method comprising the steps of:(i) selecting a candidate compound; (ii) determining the effect of the candidate compound on a cell's expression levels of a plurality of induced mRNAs and/or repressed mRNAs of a Muscle Atrophy Signature, wherein the candidate compound is identified as suitable for muscle atrophy inhibition if: (a) more than one of the induced mRNAs of the Muscle Atrophy Signature are down regulated, compared to expression levels of the induced mRNAs of the Muscle Atrophy Signature in the same type of cell in the absence of the candidate compound; and/or (b) more than one of the repressed mRNAs of the Muscle Atrophy Signature are up regulated, compared to expression levels of the repressed mRNAs of the Muscle Atrophy Signature in the same type of cell in the absence of the candidate compound. In one aspect, the method further comprises
administering the candidate compound to an animal. The candidate compound can be tacrine and analogs, naringenin and analogs, allantoin and analogs, conessine and analogs, tomatidine and analogs, ungerine/hippeastrine and analogs, and betulinic acid and analogs, or a mixture thereof.
[0023] Also disclosed are methods for manufacturing a medicament associated with muscle atrophy or the need to promote muscle health, promote normal muscle function, and/or promote healthy aging muscles comprising combining at least one disclosed compound or at least one disclosed product with a pharmaceutically acceptable carrier or diluent.
[0024] Also disclosed are uses of a disclosed compound or a disclosed product in the manufacture of a medicament for the treatment of a disorder associated with muscle atrophy or the need to promote muscle health, promote normal muscle function, and/or promote healthy aging muscles.
[0025] While aspects of the present invention can be described and claimed in a particular statutory class, such as the system statutory class, this is for convenience only and one of skill in the art will understand that each aspect of the present invention can be described and claimed in any statutory class. Unless otherwise expressly stated, it is in no way intended that any method or aspect set forth herein be construed as requiring that its steps be performed in a specific order. Accordingly, where a method claim does not specifically state in the claims or descriptions that the steps are to be limited to a specific order, it is no way intended that an order be inferred, in any respect. This holds for any possible non-express basis for interpretation, including matters of logic with respect to arrangement of steps or operational flow, plain meaning derived from grammatical organization or punctuation, or the number or type of aspects described in the specification.
BRIEF DESCRIPTION OF THE FIGURES
[0026] The accompanying figures, which are incorporated in and constitute a part of this specification, illustrate several aspects and together with the description serve to explain the principles of the invention.
[0027] Figure 1 shows a schematic overview of the discovery process leading to a pharmacological compound that promotes skeletal muscle growth and inhibits skeletal muscle atrophy.
[0028] Figure 2 shows human muscle atrophy signature- 1.
[0029] Figure 3 shows human muscle atrophy signature-2.
[0030] Figure 4 shows representative data on the effect of fasting on skeletal muscle mRNA expression in healthy human adults.
[0031] Figure 5 shows qPCR analysis of representative fasting-responsive mRNAs from human skeletal muscle. [0032] Figure 6 shows representative data on the identification of ursolic acid as an inhibitor of fasting-induced skeletal muscle atrophy.
[0033] Figure 7 shows representative data on the identification of ursolic acid as an inhibitor of denervation-induced muscle atrophy.
[0034] Figure 8 shows representative data on ursolic acid-mediated induction of muscle hypertrophy.
[0035] Figure 9 shows representative data on the effect of ursolic acid on mouse skeletal muscle specific tetanic force.
[0036] Figure 10 shows representative data on the effect of ursolic acid on muscle growth, atrophic gene expression, trophic gene expression, and skeletal muscle IGF-I signaling.
[0037] Figure 11 shows representative data on the effect of ursolic acid on skeletal muscle expression of IGFl gene exons, adipose IGFl mRNA expression, and skeletal muscle insulin signaling.
[0038] Figure 12 shows representative data on the effect of ursolic acid on adiposity and plasma lipids.
[0039] Figure 13 shows representative data on the effect of ursolic acid on food consumption, liver weight, kidney weight, and plasma ALT, bilirubin, and creatinine concentrations.
[0040] Figure 14 shows representative data on the effect of ursolic acid on weight gain, white adipose tissue weight, skeletal muscle weight, brown adipose tissue weight and energy expenditure in a mouse model of obesity and metabolic syndrome.
[0041] Figure 15 shows representative data on the effect of ursolic acid on obesity- related pre-diabetes, diabetes, fatty liver disease and hyperlipidemia in a mouse model of obesity and metabolic syndrome.
[0042] Figure 16 shows representative data that oleanolic acid and metformin do not reduce skeletal muscle atrophy.
[0043] Figure 17 shows representative data that targeted inhibition of PTP1B does not inhibit skeletal muscle atrophy.
[0044] Figure 18 shows representative data on the effect of ursolic acid serum concentration on muscle mass and adiposity.
[0045] Figure 19 shows that betulinic acid, like ursolic acid, reduces immobilization- induced skeletal muscle atrophy. Mice were administered vehicle (corn oil) or the indicated concentration of ursolic acid (A) or betulinic acid (B) via intraperitoneal injection twice a day for two days. One tibialis anterior (TA) muscle was immobilized with a surgical staple, leaving the contralateral mobile TA as an intrasubject control. Vehicle, or the same dose of ursolic acid or betulinic acid was administered via i.p. injection twice daily for six days before comparing weights of the immobile and mobile TAs. Data are means + SEM from 9- 10 mice per condition. A, ursolic acid dose-response relationship. B, betulinic acid dose- response relationship.
[0046] Figure 20 shows that naringenin reduces immobilization-induced skeletal muscle atrophy. Mice were administered vehicle (corn oil), ursolic acid (200 mg/kg), naringenin (200 mg/kg) or ursolic acid plus naringenin (both at 200 mg/kg) via intraperitoneal injection twice a day for two days. One tibialis anterior (TA) muscle was immobilized with a surgical staple, leaving the contralateral mobile TA as an intrasubject control. Vehicle, or the same dose of ursolic acid and/or naringenin was administered via i.p. injection twice daily for six days before comparing weights of the immobile and mobile TAs. Data are means + SEM from 9-10 mice per condition.
[0047] Figure 21 shows that the combination of ursolic acid and naringenin normalizes fasting blood glucose levels in a mouse model of glucose intolerance, obesity and fatty liver disease. Mice were fed standard chow, high fat diet (HFD) plus the indicated concentrations of naringenin, or HFD containing 0.15% ursolic acid (UA) plus the indicated concentrations of naringenin for 5 weeks before measurement of fasting blood glucose (A), total body weight (B), fat mass by NMR (C), liver weight (D), grip strength (E) and skeletal muscle weight (bilateral tibialis anterior, gastrcocnemius, soleus, quadriceps and triceps muscle; F). Dashed line indicates levels in control mice that were fed standard chow. Open symbols indicate levels in mice fed HFD containing the indicated concentrations of naringenin.
Closed symbols indicate levels in mice fed HFD containing 0.15% UA plus the indicated concentrations of naringenin. Data are means + SEM from > 12 mice per condition.
[0048] Figure 22 shows that tomatidine reduces immobilization-induced muscle atrophy. Mice were administered vehicle (corn oil) or the indicated concentration of tomatidine via intraperitoneal injection twice a day for two days. One tibialis anterior (TA) muscle was immobilized with a surgical staple, leaving the contralateral mobile TA as an intrasubject control. Vehicle, or the same dose of tomatidine was administered via i.p. injection twice daily for six days before comparing weights of the immobile and mobile TAs. Data are means + SEM from 9-10 mice per condition. A, effects of 50, 100 and 200 mg/kg tomatidine. B, effects of 5, 15 and 50 mg/kg tomatidine.
[0049] Figure 23 shows that tomatidine reduces fasting-induced muscle atrophy. Data are means + SEM from 9-12 mice per condition. Food was withdrawn from mice, and then vehicle (corn oil), or the indicated concentrations of ursolic acid or tomatidine, were administered by i.p. injection. Twelve hours later, mice received another i.p. injection of vehicle or the same dose of ursolic acid or tomatidine. Twelve hours later, skeletal muscles (bilateral tibialis anterior, gastrcocnemius, soleus, quadriceps muscles) were harvested and weighed. A, comparison of 200 mg/kg ursolic acid and 50 mg/kg tomatidine. B, effects of 5, 15 and 50 mg/kg tomatidine.
[0050] Figure 24 shows that allantoin, tacrine, ungerine, hippeastrine and conessine reduce fasting-induced muscle atrophy. Food was withdrawn from mice, and then vehicle or the indicated dose of ursolic acid, tomatidine, allantoin, tacrine, ungerine, hippeastrine or conessine was administered by i.p. injection. Twelve hours later, mice received another i.p. injection of vehicle or the same dose of ursolic acid, tomatidine, allantoin, tacrine, ungerine, hippeastrine or conessine. Twelve hours later, skeletal muscles (bilateral tibialis anterior, gastrcocnemius and soleus muscles) were harvested and weighed. Data are means + SEM from > 9 mice per condition and show the percent change in skeletal muscle weight relative to vehicle-treated animals in the same experiment. The vehicle for ursolic acid, tomatidine, ungerine, hippeastrine and conessine was corn oil. The vehicle for tacrine and allantoin was saline.
[0051] Figure 25 shows that hippeastrine and conessine reduce fasting blood glucose. Food was withdrawn from mice, and then vehicle or the indicated dose of hippeastrine or conessine was administered by i.p. injection. Twelve hours later, mice received another i.p. injection of vehicle or the same dose of hippeastrine or conessine. Twelve hours later, blood glucose was measured via tail vein. Data are means + SEM from > 9 mice per condition.
[0052] Additional advantages of the invention will be set forth in part in the description which follows, and in part will be obvious from the description, or can be learned by practice of the invention. The advantages of the invention will be realized and attained by means of the elements and combinations particularly pointed out in the appended claims. It is to be understood that both the foregoing general description and the following detailed description are exemplary and explanatory only and are not restrictive of the invention, as claimed.
DESCRIPTION
[0053] The present invention can be understood more readily by reference to the following detailed description of the invention and the Examples included therein.
[0054] Before the present compounds, compositions, articles, systems, devices, and/or methods are disclosed and described, it is to be understood that they are not limited to specific synthetic methods unless otherwise specified, or to particular reagents unless otherwise specified, as such may, of course, vary. It is also to be understood that the terminology used herein is for the purpose of describing particular aspects only and is not intended to be limiting. Although any methods and materials similar or equivalent to those described herein can be used in the practice or testing of the present invention, example methods and materials are now described.
[0055] All publications mentioned herein are incorporated herein by reference to disclose and describe the methods and/or materials in connection with which the publications are cited. The publications discussed herein are provided solely for their disclosure prior to the filing date of the present application. Nothing herein is to be construed as an admission that the present invention is not entitled to antedate such publication by virtue of prior invention. Further, the dates of publication provided herein can be different from the actual publication dates, which can require independent confirmation.
A. DEFINITIONS
[0056] As used herein, nomenclature for compounds, including organic compounds, can be given using common names, IUPAC, IUBMB, or CAS recommendations for
nomenclature. When one or more stereochemical features are present, Cahn-Ingold-Prelog rules for stereochemistry can be employed to designate stereochemical priority, EIZ specification, and the like. One of skill in the art can readily ascertain the structure of a compound if given a name, either by systemic reduction of the compound structure using naming conventions, or by commercially available software, such as CHEMDRAW™ (Cambridgesoft Corporation, U.S.A.).
[0057] As used in the specification and the appended claims, the singular forms "a," "an" and "the" include plural referents unless the context clearly dictates otherwise. Thus, for example, reference to "a functional group," "an alkyl," or "a residue" includes mixtures of two or more such functional groups, alkyls, or residues, and the like.
[0058] Ranges can be expressed herein as from "about" one particular value, and/or to "about" another particular value. When such a range is expressed, a further aspect includes from the one particular value and/or to the other particular value. Similarly, when values are expressed as approximations, by use of the antecedent "about," it will be understood that the particular value forms a further aspect. It will be further understood that the endpoints of each of the ranges are significant both in relation to the other endpoint, and independently of the other endpoint. It is also understood that there are a number of values disclosed herein, and that each value is also herein disclosed as "about" that particular value in addition to the value itself. For example, if the value "10" is disclosed, then "about 10" is also disclosed. It is also understood that each unit between two particular units are also disclosed. For example, if 10 and 15 are disclosed, then 11, 12, 13, and 14 are also disclosed.
[0059] References in the specification and concluding claims to parts by weight of a particular element or component in a composition denotes the weight relationship between the element or component and any other elements or components in the composition or article for which a part by weight is expressed. Thus, in a compound containing 2 parts by weight of component X and 5 parts by weight component Y, X and Y are present at a weight ratio of 2:5, and are present in such ratio regardless of whether additional components are contained in the compound.
[0060] A weight percent (wt. %) of a component, unless specifically stated to the contrary, is based on the total weight of the formulation or composition in which the component is included.
[0061] As used herein, the terms "optional" or "optionally" means that the subsequently described event or circumstance can or can not occur, and that the description includes instances where said event or circumstance occurs and instances where it does not.
[0062] As used herein, the term "muscle atrophy signature- 1" refers to the set of mRNAs with an altered expression pattern associated with muscle atrophy. The mRNAs comprise mRNAs that are either induced or repressed during the pathophysiology of muscle atrophy and which were identified using the methods described herein. For clarity, muscle atrophy signature- 1 comprise the induced and repressed mRNAs described in Figure 2.
[0063] As used herein, the term "muscle atrophy signature-2" refers to the set of mRNAs with an altered expression pattern associated with muscle atrophy. The mRNAs comprise mRNAs that are either induced or repressed during the pathophysiology of muscle atrophy and which were identified using the methods described herein. For clarity, muscle atrophy signature-2 comprise the induced and repressed mRNAs described in Figure 3.
[0064] As used herein, the term "muscle atrophy signature-3" refers to the set of mRNAs with an altered expression pattern associated with muscle atrophy. The mRNAs comprise mRNAs that are either induced or repressed during the pathophysiology of muscle atrophy and which were identified using the methods described herein. For clarity, muscle atrophy signature-3 comprise the induced and repressed mRNAs described in Example 23.
[0065] As used herein, the term "muscle atrophy signature-4" refers to the set of mRNAs with an altered expression pattern associated with muscle atrophy. The mRNAs comprise mRNAs that are either induced or repressed during the pathophysiology of muscle atrophy and which were identified using the methods described herein. For clarity, muscle atrophy signature-4 comprise the induced and repressed mRNAs described in Example 24.
[0066] As used herein, the term "subject" refers to the target of administration, e.g. an animal. Thus the subject of the herein disclosed methods can be a vertebrate, such as a mammal, a fish, a bird, a reptile, or an amphibian. Alternatively, the subject of the herein disclosed methods can be a human, non-human primate, horse, pig, rabbit, dog, sheep, goat, cow, cat, guinea pig, fish, bird, or rodent. The term does not denote a particular age or sex. Thus, adult and newborn subjects, as well as fetuses, whether male or female, are intended to be covered. In one aspect, the subject is a mammal. A patient refers to a subject afflicted with a disease or disorder. The term "patient" includes human and veterinary subjects. In some aspects of the disclosed methods, the subject has been diagnosed with a need for treatment of one or more muscle disorders prior to the administering step. In some aspects of the disclosed method, the subject has been diagnosed with a need for promoting muscle health prior to the administering step. In some aspects of the disclosed method, the subject has been diagnosed with a need for promoting muscle health prior, promote normal muscle function, and/or promote healthy aging muscles to the administering step.
[0067] As used herein, the term "treatment" refers to the medical management of a patient with the intent to cure, ameliorate, stabilize, or prevent a disease, pathological condition, or disorder. This term includes the use for astetic and self improvement purposes, for example, such uses include, but are not limited to, the administration of the disclosed compound in nutraceuticals, medicinal food, energy bar, energy drink, supplements (such as multivitamins). This term includes active treatment, that is, treatment directed specifically toward the improvement of a disease, pathological condition, or disorder, and also includes causal treatment, that is, treatment directed toward removal of the cause of the associated disease, pathological condition, or disorder. In addition, this term includes palliative treatment, that is, treatment designed for the relief of symptoms rather than the curing of the disease, pathological condition, or disorder; preventative treatment, that is, treatment directed to minimizing or partially or completely inhibiting the development of the associated disease, pathological condition, or disorder; and supportive treatment, that is, treatment employed to supplement another specific therapy directed toward the improvement of the associated disease, pathological condition, or disorder. In various aspects, the term covers any treatment of a subject, including a mammal (e.g., a human), and includes: (i) preventing the disease from occurring in a subject that can be predisposed to the disease but has not yet been diagnosed as having it; (ii) inhibiting the disease, i.e., arresting its development; or (iii) relieving the disease, i.e., causing regression of the disease. In one aspect, the subject is a mammal such as a primate, and, in a further aspect, the subject is a human. The term
"subject" also includes domesticated animals (e.g., cats, dogs, etc.), livestock (e.g., cattle, horses, pigs, sheep, goats, fish, bird, etc.), and laboratory animals (e.g., mouse, rabbit, rat, guinea pig, fruit fly, etc.).
[0068] As used herein, the term "prevent" or "preventing" refers to precluding, averting, obviating, forestalling, stopping, or hindering something from happening, especially by advance action. It is understood that where reduce, inhibit or prevent are used herein, unless specifically indicated otherwise, the use of the other two words is also expressly disclosed.
[0069] As used herein, the term "diagnosed" means having been subjected to a physical examination by a person of skill, for example, a physician, and found to have a condition that can be diagnosed or treated by the compounds, compositions, or methods disclosed herein. For example, "diagnosed with a muscle atrophy disorder" means having been subjected to a physical examination by a person of skill, for example, a physician, and found to have a condition that can be diagnosed or treated by a compound or composition that can promote muscle health, promote normal muscle function, and/or promote healthy aging muscles. As a further example, "diagnosed with a need for promoting muscle health" refers to having been subjected to a physical examination by a person of skill, for example, a physician, and found to have a condition characterized by muscle atrophy or other disease wherein promoting muscle health, promoting normal muscle function, and/or promoting healthy aging muscles would be beneficial to the subject. Such a diagnosis can be in reference to a disorder, such as muscle atrophy, and the like, as discussed herein.
[0070] As used herein, the phrase "identified to be in need of treatment for a disorder," or the like, refers to selection of a subject based upon need for treatment of the disorder. For example, a subject can be identified as having a need for treatment of a disorder (e.g., a disorder related to muscle atrophy) based upon an earlier diagnosis by a person of skill and thereafter subjected to treatment for the disorder. It is contemplated that the identification can, in one aspect, be performed by a person different from the person making the diagnosis. It is also contemplated, in a further aspect, that the administration can be performed by one who subsequently performed the administration.
[0071] As used herein, the terms "administering" and "administration" refer to any method of providing a pharmaceutical preparation to a subject. Such methods are well known to those skilled in the art and include, but are not limited to, oral administration, transdermal administration, administration by inhalation, nasal administration, topical administration, intravaginal administration, ophthalmic administration, intraaural administration, intracerebral administration, rectal administration, sublingual administration, buccal administration, and parenteral administration, including injectable such as intravenous administration, intra- arterial administration, intramuscular administration, and subcutaneous administration. Administration can be continuous or intermittent. In various aspects, a preparation can be administered therapeutically; that is, administered to treat an existing disease or condition. In further various aspects, a preparation can be administered
prophylactically; that is, administered for prevention of a disease or condition.
[0072] The term "contacting" as used herein refers to bringing a disclosed compound and a cell, target receptor, or other biological entity together in such a manner that the compound can affect the activity of the target (e.g., receptor, transcription factor, cell, etc.), either directly; i.e., by interacting with the target itself, or indirectly; i.e., by interacting with another molecule, co-factor, factor, or protein on which the activity of the target is dependent.
[0073] As used herein, the terms "effective amount" and "amount effective" refer to an amount that is sufficient to achieve the desired result or to have an effect on an undesired condition. For example, a "therapeutically effective amount" refers to an amount that is sufficient to achieve the desired therapeutic result or to have an effect on undesired symptoms, but is generally insufficient to cause adverse side affects. The specific
therapeutically effective dose level for any particular patient will depend upon a variety of factors including the disorder being treated and the severity of the disorder; the specific composition employed; the age, body weight, general health, sex and diet of the patient; the time of administration; the route of administration; the rate of excretion of the specific compound employed; the duration of the treatment; drugs used in combination or
coincidental with the specific compound employed and like factors well known in the medical arts. For example, it is well within the skill of the art to start doses of a compound at levels lower than those required to achieve the desired therapeutic effect and to gradually increase the dosage until the desired effect is achieved. If desired, the effective daily dose can be divided into multiple doses for purposes of administration. Consequently, single dose compositions can contain such amounts or submultiples thereof to make up the daily dose. The dosage can be adjusted by the individual physician in the event of any contraindications. Dosage can vary, and can be administered in one or more dose administrations daily, for one or several days. Guidance can be found in the literature for appropriate dosages for given classes of pharmaceutical products. In further various aspects, a preparation can be administered in a "prophylactically effective amount"; that is, an amount effective for prevention of a disease or condition.
[0074] As used herein, "EC50," is intended to refer to the concentration or dose of a substance (e.g., a compound or a drug) that is required for 50% enhancement or activation of a biological process, or component of a process, including a protein, subunit, organelle, ribonucleoprotein, etc. EC50 also refers to the concentration or dose of a substance that is required for 50% enhancement or activation in vivo, as further defined elsewhere herein. Alternatively, EC50 can refer to the concentration or dose of compound that provokes a response halfway between the baseline and maximum response. The response can be measured in a in vitro or in vivo system as is convenient and appropriate for the biological response of interest. For example, the response can be measured in vitro using cultured muscle cells or in an ex vivo organ culture system with isolated muscle fibers. Alternatively, the response can be measured in vivo using an appropriate research model such as rodent, including mice and rats. The mouse or rat can be an inbred strain with phenotypic characteristics of interest such as obesity or diabetes. As appropriate, the response can be measured in a transgenic or knockout mouse or rat wherein the a gene or genes has been introduced or knocked-out, as appropriate, to replicate a disease process.
[0075] As used herein, "IC50," is intended to refer to the concentration or dose of a substance (e.g., a compound or a drug) that is required for 50% inhibition or diminuation of a biological process, or component of a process, including a protein, subunit, organelle, ribonucleoprotein, etc. IC50 also refers to the concentration or dose of a substance that is required for 50% inhibition or diminuation in vivo, as further defined elsewhere herein. Alternatively, IC50 also refers to the half maximal (50%) inhibitory concentration (IC) or inhibitory dose of a substance. The response can be measured in a in vitro or in vivo system as is convenient and appropriate for the biological response of interest. For example, the response can be measured in vitro using cultured muscle cells or in an ex vivo organ culture system with isolated muscle fibers. Alternatively, the response can be measured in vivo using an appropriate research model such as rodent, including mice and rats. The mouse or rat can be an inbred strain with phenotypic characteristics of interest such as obesity or diabetes. As appropriate, the response can be measured in a transgenic or knockout mouse or rat wherein the a gene or genes has been introduced or knocked-out, as appropriate, to replicate a disease process.
[0076] The term "pharmaceutically acceptable" describes a material that is not biologically or otherwise undesirable, i.e., without causing an unacceptable level of undesirable biological effects or interacting in a deleterious manner. [0077] As used herein, the term "derivative" refers to a compound having a structure derived from the structure of a parent compound (e.g., a compound disclosed herein) and whose structure is sufficiently similar to those disclosed herein and based upon that similarity, would be expected by one skilled in the art to exhibit the same or similar activities and utilities as the claimed compounds, or to induce, as a precursor, the same or similar activities and utilities as the claimed compounds. Exemplary derivatives include salts, esters, amides, salts of esters or amides, and N-oxides of a parent compound.
[0078] As used herein, the term "pharmaceutically acceptable carrier" refers to sterile aqueous or nonaqueous solutions, dispersions, suspensions or emulsions, as well as sterile powders for reconstitution into sterile injectable solutions or dispersions just prior to use. Examples of suitable aqueous and nonaqueous carriers, diluents, solvents or vehicles include water, ethanol, polyols (such as glycerol, propylene glycol, polyethylene glycol and the like), carboxymethylcellulose and suitable mixtures thereof, vegetable oils (such as olive oil) and injectable organic esters such as ethyl oleate. Proper fluidity can be maintained, for example, by the use of coating materials such as lecithin, by the maintenance of the required particle size in the case of dispersions and by the use of surfactants. These compositions can also contain adjuvants such as preservatives, wetting agents, emulsifying agents and dispersing agents. Prevention of the action of microorganisms can be ensured by the inclusion of various antibacterial and antifungal agents such as paraben, chlorobutanol, phenol, sorbic acid and the like. It can also be desirable to include isotonic agents such as sugars, sodium chloride and the like. Prolonged absorption of the injectable pharmaceutical form can be brought about by the inclusion of agents, such as aluminum monostearate and gelatin, which delay absorption. Injectable depot forms are made by forming microencapsule matrices of the drug in biodegradable polymers such as polylactide-polyglycolide, poly(orthoesters) and poly(anhydrides). Depending upon the ratio of drug to polymer and the nature of the particular polymer employed, the rate of drug release can be controlled. Depot injectable formulations are also prepared by entrapping the drug in liposomes or microemulsions which are compatible with body tissues. The injectable formulations can be sterilized, for example, by filtration through a bacterial-retaining filter or by incorporating sterilizing agents in the form of sterile solid compositions which can be dissolved or dispersed in sterile water or other sterile injectable media just prior to use. Suitable inert carriers can include sugars such as lactose. Desirably, at least 95% by weight of the particles of the active ingredient have an effective particle size in the range of 0.01 to 10 micrometers.
[0079] A residue of a chemical species, as used in the specification and concluding claims, refers to the moiety that is the resulting product of the chemical species in a particular reaction scheme or subsequent formulation or chemical product, regardless of whether the moiety is actually obtained from the chemical species. Thus, an ethylene glycol residue in a polyester refers to one or more -OCH2CH2O- units in the polyester, regardless of whether ethylene glycol was used to prepare the polyester. Similarly, a sebacic acid residue in a polyester refers to one or more -CO(CH2)8CO- moieties in the polyester, regardless of whether the residue is obtained by reacting sebacic acid or an ester thereof to obtain the polyester.
[0080] As used herein, the term "substituted" is contemplated to include all permissible substituents of organic compounds. In a broad aspect, the permissible substituents include acyclic and cyclic, branched and unbranched, carbocyclic and heterocyclic, and aromatic and nonaromatic substituents of organic compounds. Illustrative substituents include, for example, those described below. The permissible substituents can be one or more and the same or different for appropriate organic compounds. For purposes of this disclosure, the heteroatoms, such as nitrogen, can have hydrogen substituents and/or any permissible substituents of organic compounds described herein which satisfy the valences of the heteroatoms. This disclosure is not intended to be limited in any manner by the permissible substituents of organic compounds. Also, the terms "substitution" or "substituted with" include the implicit proviso that such substitution is in accordance with permitted valence of the substituted atom and the substituent, and that the substitution results in a stable compound, e.g., a compound that does not spontaneously undergo transformation such as by rearrangement, cyclization, elimination, etc. It is also contemplated that, in certain aspects, unless expressly indicated to the contrary, individual substituents can be further optionally substituted (i.e., further substituted or unsubstituted).
[0081] In defining various terms, "A1," "A2," "A3," and "A4" are used herein as generic symbols to represent various specific substituents. These symbols can be any substituent, not limited to those disclosed herein, and when they are defined to be certain substituents in one instance, they can, in another instance, be defined as some other substituents.
[0082] The term "alkyl" as used herein is a branched or unbranched saturated
hydrocarbon group of 1 to 24 carbon atoms, such as methyl, ethyl, w-propyl, isopropyl, n- butyl, isobutyl, s-butyl, i-butyl, w-pentyl, isopentyl, s-pentyl, neopentyl, hexyl, heptyl, octyl, nonyl, decyl, dode cyl, tetradecyl, hexadecyl, eicosyl, tetracosyl, and the like. The alkyl group can be cyclic or acyclic. The alkyl group can be branched or unbranched. The alkyl group can also be substituted or unsubstituted. For example, the alkyl group can be substituted with one or more groups including, but not limited to, alkyl, cycloalkyl, alkoxy, amino, ether, halide, hydroxy, nitro, silyl, sulfo-oxo, or thiol, as described herein. A "lower alkyl" group is an alkyl group containing from one to six (e.g., from one to four) carbon atoms.
[0083] Throughout the specification "alkyl" is generally used to refer to both
unsubstituted alkyl groups and substituted alkyl groups; however, substituted alkyl groups are also specifically referred to herein by identifying the specific substituent(s) on the alkyl group. For example, the term "halogenated alkyl" or "haloalkyl" specifically refers to an alkyl group that is substituted with one or more halide, e.g. , fluorine, chlorine, bromine, or iodine. The term "alkoxyalkyl" specifically refers to an alkyl group that is substituted with one or more alkoxy groups, as described below. The term "alkylamino" specifically refers to an alkyl group that is substituted with one or more amino groups, as described below, and the like. When "alkyl" is used in one instance and a specific term such as "alkylalcohol" is used in another, it is not meant to imply that the term "alkyl" does not also refer to specific terms such as "alkylalcohol" and the like.
[0084] This practice is also used for other groups described herein. That is, while a term such as "cycloalkyl" refers to both unsubstituted and substituted cycloalkyl moieties, the substituted moieties can, in addition, be specifically identified herein; for example, a particular substituted cycloalkyl can be referred to as, e.g. , an "alkylcycloalkyl." Similarly, a substituted alkoxy can be specifically referred to as, e.g. , a "halogenated alkoxy," a particular substituted alkenyl can be, e.g. , an "alkenylalcohol," and the like. Again, the practice of using a general term, such as "cycloalkyl," and a specific term, such as "alkylcycloalkyl," is not meant to imply that the general term does not also include the specific term.
[0085] The term "cycloalkyl" as used herein is a non-aromatic carbon-based ring composed of at least three carbon atoms. Examples of cycloalkyl groups include, but are not limited to, cyclopropyl, cyclobutyl, cyclopentyl, cyclohexyl, norbornyl, and the like. The term "heterocycloalkyl" is a type of cycloalkyl group as defined above, and is included within the meaning of the term "cycloalkyl," where at least one of the carbon atoms of the ring is replaced with a heteroatom such as, but not limited to, nitrogen, oxygen, sulfur, or phosphorus. The cycloalkyl group and heterocycloalkyl group can be substituted or unsubstituted. The cycloalkyl group and heterocycloalkyl group can be substituted with one or more groups including, but not limited to, alkyl, cycloalkyl, alkoxy, amino, ether, halide, hydroxy, nitro, silyl, sulfo-oxo, or thiol as described herein.
[0086] The term "polyalkylene group" as used herein is a group having two or more CH2 groups linked to one another. The polyalkylene group can be represented by the formula— (CH2)a— , where "a" is an integer of from 2 to 500.
[0087] The terms "alkoxy" and "alkoxyl" as used herein to refer to an alkyl or cycloalkyl group bonded through an ether linkage; that is, an "alkoxy" group can be defined as— OA1 where A1 is alkyl or cycloalkyl as defined above. "Alkoxy" also includes polymers of alkoxy groups as just described; that is, an alkoxy can be a polyether such as— OA 1— OA 2 or— OA1— (OA2)a— OA3, where "a" is an integer of from 1 to 200 and A1, A2, and A3 are alkyl and/or cycloalkyl groups.
[0088] The term "alkenyl" as used herein is a hydrocarbon group of from 2 to 24 carbon atoms with a structural formula containing at least one carbon-carbon double bond.
Asymmetric structures such as (A1A2)C=C(A3A4) are intended to include both the E and Z isomers. This can be presumed in structural formulae herein wherein an asymmetric alkene is present, or it can be explicitly indicated by the bond symbol C=C. The alkenyl group can be substituted with one or more groups including, but not limited to, alkyl, cycloalkyl, alkoxy, alkenyl, cycloalkenyl, alkynyl, cycloalkynyl, aryl, heteroaryl, aldehyde, amino, carboxylic acid, ester, ether, halide, hydroxy, ketone, azide, nitro, silyl, sulfo-oxo, or thiol, as described herein.
[0089] The term "cycloalkenyl" as used herein is a non-aromatic carbon-based ring composed of at least three carbon atoms and containing at least one carbon-carbon double bound, i.e., C=C. Examples of cycloalkenyl groups include, but are not limited to, cyclopropenyl, cyclobutenyl, cyclopentenyl, cyclopentadienyl, cyclohexenyl,
cyclohexadienyl, norbornenyl, and the like. The term "heterocycloalkenyl" is a type of cycloalkenyl group as defined above, and is included within the meaning of the term
"cycloalkenyl," where at least one of the carbon atoms of the ring is replaced with a heteroatom such as, but not limited to, nitrogen, oxygen, sulfur, or phosphorus. The cycloalkenyl group and heterocycloalkenyl group can be substituted or unsubstituted. The cycloalkenyl group and heterocycloalkenyl group can be substituted with one or more groups including, but not limited to, alkyl, cycloalkyl, alkoxy, alkenyl, cycloalkenyl, alkynyl, cycloalkynyl, aryl, heteroaryl, aldehyde, amino, carboxylic acid, ester, ether, halide, hydroxy, ketone, azide, nitro, silyl, sulfo-oxo, or thiol as described herein.
[0090] The term "alkynyl" as used herein is a hydrocarbon group of 2 to 24 carbon atoms with a structural formula containing at least one carbon-carbon triple bond. The alkynyl group can be unsubstituted or substituted with one or more groups including, but not limited to, alkyl, cycloalkyl, alkoxy, alkenyl, cycloalkenyl, alkynyl, cycloalkynyl, aryl, heteroaryl, aldehyde, amino, carboxylic acid, ester, ether, halide, hydroxy, ketone, azide, nitro, silyl, sulfo-oxo, or thiol, as described herein.
[0091] The term "cycloalkynyl" as used herein is a non-aromatic carbon-based ring composed of at least seven carbon atoms and containing at least one carbon-carbon triple bound. Examples of cycloalkynyl groups include, but are not limited to, cycloheptynyl, cyclooctynyl, cyclononynyl, and the like. The term "heterocycloalkynyl" is a type of cycloalkenyl group as defined above, and is included within the meaning of the term
"cycloalkynyl," where at least one of the carbon atoms of the ring is replaced with a heteroatom such as, but not limited to, nitrogen, oxygen, sulfur, or phosphorus. The cycloalkynyl group and heterocycloalkynyl group can be substituted or unsubstituted. The cycloalkynyl group and heterocycloalkynyl group can be substituted with one or more groups including, but not limited to, alkyl, cycloalkyl, alkoxy, alkenyl, cycloalkenyl, alkynyl, cycloalkynyl, aryl, heteroaryl, aldehyde, amino, carboxylic acid, ester, ether, halide, hydroxy, ketone, azide, nitro, silyl, sulfo-oxo, or thiol as described herein.
[0092] The term "aryl" as used herein is a group that contains any carbon-based aromatic group including, but not limited to, benzene, naphthalene, phenyl, biphenyl, phenoxybenzene, and the like. The term "aryl" also includes "heteroaryl," which is defined as a group that contains an aromatic group that has at least one heteroatom incorporated within the ring of the aromatic group. Examples of heteroatoms include, but are not limited to, nitrogen, oxygen, sulfur, and phosphorus. Likewise, the term "non-heteroaryl," which is also included in the term "aryl," defines a group that contains an aromatic group that does not contain a heteroatom. The aryl group can be substituted or unsubstituted. The aryl group can be substituted with one or more groups including, but not limited to, alkyl, cycloalkyl, alkoxy, alkenyl, cycloalkenyl, alkynyl, cycloalkynyl, aryl, heteroaryl, aldehyde, amino, carboxylic acid, ester, ether, halide, hydroxy, ketone, azide, nitro, silyl, sulfo-oxo, or thiol as described herein. The term "biaryl" is a specific type of aryl group and is included in the definition of "aryl." Biaryl refers to two aryl groups that are bound together via a fused ring structure, as in naphthalene, or are attached via one or more carbon-carbon bonds, as in biphenyl.
[0093] The term "aldehyde" as used herein is represented by the formula— C(0)H.
Throughout this specification "C(O)" is a short hand notation for a carbonyl group, i.e., C=0.
[0094] The terms "amine" or "amino" as used herein are represented by the formula—
NA 1 A2 , where A 1 and A 2 can be, independently, hydrogen or alkyl, cycloalkyl, alkenyl, cycloalkenyl, alkynyl, cycloalkynyl, aryl, or heteroaryl group as described herein.
[0095] The term "alkylamino" as used herein is represented by the formula— NH(-alkyl) where alkyl is a described herein. Representative examples include, but are not limited to, methylamino group, ethylamino group, propylamino group, isopropylamino group, butylamino group, isobutylamino group, (sec-butyl)amino group, (tert-butyl) amino group, pentylamino group, isopentylamino group, (tert-pentyl)amino group, hexylamino group, and the like.
[0096] The term "dialkylamino" as used herein is represented by the formula— N(- alkyl)2 where alkyl is a described herein. Representative examples include, but are not limited to, dimethylamino group, diethylamino group, dipropylamino group,
diisopropylamino group, dibutylamino group, diisobutylamino group, di(sec-butyl)amino group, di(tert-butyl)amino group, dipentylamino group, diisopentylamino group, di(tert- pentyl)amino group, dihexylamino group, N-ethyl-N-methylamino group, N-methyl-N- propylamino group, N-ethyl-N-propylamino group and the like.
[0097] The term "carboxylic acid" as used herein is represented by the formula— C(0)OH.
[0098] The term "ester" as used herein is represented by the formula— OC(0)A1 or—
Figure imgf000022_0001
where A1 can be alkyl, cycloalkyl, alkenyl, cycloalkenyl, alkynyl, cycloalkynyl, aryl, or heteroaryl group as described herein. The term "polyester" as used herein is represented by the formula— (A10(0)C-A2-C(0)0)a— or— (A10(0)C-A2-OC(0))a— ,
1 2
where A and A can be, independently, an alkyl, cycloalkyl, alkenyl, cycloalkenyl, alkynyl, cycloalkynyl, aryl, or heteroaryl group described herein and "a" is an interger from 1 to 500. "Polyester" is as the term used to describe a group that is produced by the reaction between a compound having at least two carboxylic acid groups with a compound having at least two hydroxyl groups.
1 2 1
[0099] The term "ether" as used herein is represented by the formula A OA , where A and A can be, independently, an alkyl, cycloalkyl, alkenyl, cycloalkenyl, alkynyl, cycloalkynyl, aryl, or heteroaryl group described herein. The term "polyether" as used herein
1 2 1 2
is represented by the formula— (A O-A 0)a— , where A and A can be, independently, an alkyl, cycloalkyl, alkenyl, cycloalkenyl, alkynyl, cycloalkynyl, aryl, or heteroaryl group described herein and "a" is an integer of from 1 to 500. Examples of polyether groups include polyethylene oxide, polypropylene oxide, and polybutylene oxide.
[00100] The term "halide" as used herein refers to the halogens fluorine, chlorine, bromine, and iodine.
[00101] The term "heterocycle," as used herein refers to single and multi-cyclic aromatic or non-aromatic ring systems in which at least one of the ring members is other than carbon. Heterocycle includes azetidine, dioxane, furan, imidazole, isothiazole, isoxazole, morpholine, oxazole, oxazole, including, 1,2,3-oxadiazole, 1,2,5-oxadiazole and 1,3,4-oxadiazole, piperazine, piperidine, pyrazine, pyrazole, pyridazine, pyridine, pyrimidine, pyrrole, pyrrolidine, tetrahydrofuran, tetrahydropyran, tetrazine, including 1,2,4,5-tetrazine, tetrazole, including 1,2,3,4-tetrazole and 1,2,4,5-tetrazole, thiadiazole, including, 1,2,3-thiadiazole, 1,2,5-thiadiazole, and 1,3,4-thiadiazole, thiazole, thiophene, triazine, including 1,3,5-triazine and 1,2,4-triazine, triazole, including, 1,2,3-triazole, 1,3,4-triazole, and the like.
[00102] The term "hydroxyl" as used herein is represented by the formula— OH.
[00103] The term "ketone" as used herein is represented by the formula A 1 C(0)A 2 , where
A 1 and A 2" can be, independently, an alkyl, cycloalkyl, alkenyl, cycloalkenyl, alkynyl, cycloalkynyl, aryl, or heteroaryl group as described herein.
[00104] The term "azide" as used herein is represented by the formula— N3.
[00105] The term "nitro" as used herein is represented by the formula— N02.
[00106] The term "nitrile" as used herein is represented by the formula— CN.
[00107] The term "silyl" as used herein is represented by the formula— SiA1A2A3, where
A 1 , A2 , and A 3J can be, independently, hydrogen or an alkyl, cycloalkyl, alkoxy, alkenyl, cycloalkenyl, alkynyl, cycloalkynyl, aryl, or heteroaryl group as described herein.
[00108] The term "sulfo-oxo" as used herein is represented by the formulas— S(0)A1,—
Figure imgf000023_0001
or— OS(0)2OA1, where A1 can be hydrogen or an alkyl, cycloalkyl, alkenyl, cycloalkenyl, alkynyl, cycloalkynyl, aryl, or heteroaryl group as described herein. Throughout this specification "S(O)" is a short hand notation for S=0. The term "sulfonyl" is used herein to refer to the sulfo-oxo group represented by the formula— S(0)2A1, where A1 can be hydrogen or an alkyl, cycloalkyl, alkenyl, cycloalkenyl, alkynyl, cycloalkynyl, aryl, or heteroaryl group as described herein. The term "sulfone" as used herein is represented by the formula A 1 S(0)2A2 , where A 1 and A2 can be, independently, an alkyl, cycloalkyl, alkenyl, cycloalkenyl, alkynyl, cycloalkynyl, aryl, or heteroaryl group as described herein. The term "sulfoxide" as used herein is represented by the formula
A 11S(0)A2", where A 1 and A2" can be, independently, an alkyl, cycloalkyl, alkenyl,
cycloalkenyl, alkynyl, cycloalkynyl, aryl, or heteroaryl group as described herein.
[00109] The term "thiol" as used herein is represented by the formula— SH.
[00110] "R1," "R2," "R3," "Rn," where n is an integer, as used herein can, independently, possess one or more of the groups listed above. For example, if R1 is a straight chain alkyl group, one of the hydrogen atoms of the alkyl group can optionally be substituted with a hydroxyl group, an alkoxy group, an alkyl group, a halide, and the like. Depending upon the groups that are selected, a first group can be incorporated within second group or,
alternatively, the first group can be pendant (i.e., attached) to the second group. For example, with the phrase "an alkyl group comprising an amino group," the amino group can be incorporated within the backbone of the alkyl group. Alternatively, the amino group can be attached to the backbone of the alkyl group. The nature of the group(s) that is (are) selected will determine if the first group is embedded or attached to the second group.
[00111] As described herein, compounds of the invention may contain "optionally substituted" moieties. In general, the term "substituted," whether preceded by the term "optionally" or not, means that one or more hydrogens of the designated moiety are replaced with a suitable substituent. Unless otherwise indicated, an "optionally substituted" group may have a suitable substituent at each substitutable position of the group, and when more than one position in any given structure may be substituted with more than one substituent selected from a specified group, the substituent may be either the same or different at every position. Combinations of substituents envisioned by this invention are preferably those that result in the formation of stable or chemically feasible compounds. In is also contemplated that, in certain aspects, unless expressly indicated to the contrary, individual substituents can be further optionally substituted (i.e., further substituted or unsubstituted).
[00112] The term "stable," as used herein, refers to compounds that are not substantially altered when subjected to conditions to allow for their production, detection, and, in certain aspects, their recovery, purification, and use for one or more of the purposes disclosed herein.
[00113] Suitable monovalent substituents on a substitutable carbon atom of an "optionally substituted" group are independently halogen; -(CH2)o-4R°; -(CH2)0^OR°; -O(CH2)0-4R°, - 0-(CH2)o^C(0)OR°; -(CH2)o^CH(OR°)2; -(CH2)o^SR°; -(CH2)o^Ph, which may be substituted with R°; -(CH2)0^0(CH2)o-iPh which may be substituted with R°; -CH=CHPh, which may be substituted with R°; -(CH2)o-40(CH2)o-i-pyridyl which may be substituted with R°; -N02; -CN; -N3; -(CH2)o^N(R°)2; -(CH2)o^N(R0)C(0)R°; -N(R°)C(S)R°; - (CH2)o^N(R°)C(0)NR°2; -N(R°)C(S)NR°2; -(CH2)o^N(R°)C(0)OR°; -N(R°)N(R°)C(0)R°; -N(R°)N(R°)C(0)NR°2; -N(R°)N(R°)C(0)OR°; -(CH2)0^C(O)R°; -C(S)R°; -(CH2)o- 4C(0)OR°; -(CH2)o^C(0)SR°; -(CH2)o^C(0)OSiR°3; -(CH2)o^OC(0)R°; -OC(0)(CH2)o^ 4SR- SC(S)SR°; -(CH2)0^SC(O)R°; -(CH2)o^C(0)NR°2; -C(S)NR°2; -C(S)SR°; - SC(S)SR°, -(CH2)o^OC(0)NR°2; -C(0)N(OR°)R°; -C(0)C(0)R°; -C(0)CH2C(0)R°; - C(NOR°)R°; -(CH2)o^SSR°; -(CH2)0^S(O)2R°; -(CH2)0^S(O)2OR°; -(CH2)0^OS(O)2R°; - S(0)2NR°2; -(CH2)o^S(0)R°; -N(R°)S(0)2NR°2; -N(R°)S(0)2R°; -N(OR°)R°; - C(NH)NR°2; -P(0)2R°; -P(0)R°2; -OP(0)R°2; -OP(0)(OR°)2; SiR°3; -(Ci^ straight or branched alkylene)0-N(R°)2; or -(C^ straight or branched alkylene)C(0)0-N(R°)2, wherein each R° may be substituted as defined below and is independently hydrogen, Q_ 6 aliphatic, -CH2Ph, -0(CH2)o-iPh, -CH2-(5-6 membered heteroaryl ring), or a 5-6- membered saturated, partially unsaturated, or aryl ring having 0-4 heteroatoms independently selected from nitrogen, oxygen, or sulfur, or, notwithstanding the definition above, two independent occurrences of R°, taken together with their intervening atom(s), form a 3-12- membered saturated, partially unsaturated, or aryl mono- or bicyclic ring having 0-4 heteroatoms independently selected from nitrogen, oxygen, or sulfur, which may be substituted as defined below.
[00114] Suitable monovalent substituents on R° (or the ring formed by taking two independent occurrences of R° together with their intervening atoms), are independently halogen, -(CH2)o_2R*, -(haloR*), -(CH2)o_2OH, -(CH2)o_2OR*, -(CH2)o_2CH(OR*)2;
-O(haloR'), -CN, -N3, -(CH2)0 2C(0)R*, -(CH2)<«C(0)OH, -(CH2)0 2C(0)OR*, -(CH2)0 2SR*, -(CH2)o 2SH, -(CH2)o_2NH2, -(CH2)^2NHR*, -(CH2)^2NR*2, -N02, -SiR*3, -OSiR*3, -C(0)SR* -(Ci-4 straight or branched alkylene)C(0)OR*, or -SSR* wherein each R* is unsubstituted or where preceded by "halo" is substituted only with one or more halogens, and is independently selected from C^ aliphatic, -CH2Ph, -O(CH2)0-iPh, or a 5-6-membered saturated, partially unsaturated, or aryl ring having 0-4 heteroatoms independently selected from nitrogen, oxygen, or sulfur. Suitable divalent substituents on a saturated carbon atom of R° include =0 and =S.
[00115] Suitable divalent substituents on a saturated carbon atom of an "optionally substituted" group include the following: =0, =S, =NNR* 2, =NNHC(0)R*, =NNHC(0)OR*, =NNHS(0)2R*, =NR*, =NOR*, -0(C(R* 2))2 30- or -S(C(R* 2))2_3S- wherein each independent occurrence of R is selected from hydrogen, Ci_6 aliphatic which may be substituted as defined below, or an unsubstituted 5-6-membered saturated, partially unsaturated, or aryl ring having 0-4 heteroatoms independently selected from nitrogen, oxygen, or sulfur. Suitable divalent substituents that are bound to vicinal substitutable carbons of an "optionally substituted" group include: -0(CR 2)2-30-, wherein each independent occurrence of R is selected from hydrogen, Ci_6 aliphatic which may be substituted as defined below, or an unsubstituted 5-6-membered saturated, partially unsaturated, or aryl ring having 0-4 heteroatoms independently selected from nitrogen, oxygen, or sulfur. [00116] Suitable substituents on the aliphatic group of R* include halogen, -R*, -(haloR*), -OH, -OR*, -O(haloR'), -CN, -C(0)OH, -C(0)OR*, -NH2, -NHR*, -NR*2, or -N02, wherein each R* is unsubstituted or where preceded by "halo" is substituted only with one or more halogens, and is independently C^ aliphatic, -CH2Ph, -0(CH2)o-iPh, or a 5-6- membered saturated, partially unsaturated, or aryl ring having 0-4 heteroatoms independently selected from nitrogen, oxygen, or sulfur.
[00117] Suitable substituents on a substitutable nitrogen of an "optionally substituted" group include -R, -NR 2, -C(0)R, -C(0)OR, -C(0)C(0)R, -C(0)CH2C(0)R, - S(0)2R, -S(0)2NR 2, -C(S)NR 2, -C(NH)NR 2, or -N(R)S(0)2R; wherein each R is independently hydrogen, C^ aliphatic which may be substituted as defined below, unsubstituted -OPh, or an unsubstituted 5-6-membered saturated, partially unsaturated, or aryl ring having 0-4 heteroatoms independently selected from nitrogen, oxygen, or sulfur, or, notwithstanding the definition above, two independent occurrences of R, taken together with their intervening atom(s) form an unsubstituted 3-12-membered saturated, partially unsaturated, or aryl mono- or bicyclic ring having 0-4 heteroatoms independently selected from nitrogen, oxygen, or sulfur.
[00118] Suitable substituents on the aliphatic group of R are independently halogen, -R*, -(haloR*), -OH, -OR*, -O(haloR'), -CN, -C(0)OH, -C(0)OR*, -NH2, -NHR*, -NR*2, or
-N02, wherein each R* is unsubstituted or where preceded by "halo" is substituted only with one or more halogens, and is independently Cn aliphatic, -CH2Ph, -0(CH2)o-iPh, or a 5-6- membered saturated, partially unsaturated, or aryl ring having 0-4 heteroatoms independently selected from nitrogen, oxygen, or sulfur.
[00119] The term "leaving group" refers to an atom (or a group of atoms) with electron withdrawing ability that can be displaced as a stable species, taking with it the bonding electrons. Examples of suitable leaving groups include halides and sulfonate esters, including, but not limited to, triflate, mesylate, tosylate, and brosylate.
[00120] The terms "hydrolysable group" and "hydrolysable moiety" refer to a functional group capable of undergoing hydrolysis, e.g., under basic or acidic conditions. Examples of hydrolysable residues include, without limitatation, acid halides, activated carboxylic acids, and various protecting groups known in the art (see, for example, "Protective Groups in Organic Synthesis," T. W. Greene, P. G. M. Wuts, Wiley-Interscience, 1999).
[00121] The term "organic residue" defines a carbon containing residue, i.e., a residue comprising at least one carbon atom, and includes but is not limited to the carbon-containing groups, residues, or radicals defined hereinabove. Organic residues can contain various heteroatoms, or be bonded to another molecule through a heteroatom, including oxygen, nitrogen, sulfur, phosphorus, or the like. Examples of organic residues include but are not limited alkyl or substituted alkyls, alkoxy or substituted alkoxy, mono or di-substituted amino, amide groups, etc. Organic residues can preferably comprise 1 to 18 carbon atoms, 1 to 15, carbon atoms, 1 to 12 carbon atoms, 1 to 8 carbon atoms, 1 to 6 carbon atoms, or 1 to 4 carbon atoms. In a further aspect, an organic residue can comprise 2 to 18 carbon atoms, 2 to 15, carbon atoms, 2 to 12 carbon atoms, 2 to 8 carbon atoms, 2 to 4 carbon atoms, or 2 to 4 carbon atoms.
[00122] A very close synonym of the term "residue" is the term "radical," which as used in the specification and concluding claims, refers to a fragment, group, or substructure of a molecule described herein, regardless of how the molecule is prepared. For example, a 2,4- thiazolidinedione radical in a particular compound has the structure
Figure imgf000027_0001
regardless of whether thiazolidinedione is used to prepare the compound. In some embodiments the radical (for example an alkyl) can be further modified (i.e., substituted alkyl) by having bonded thereto one or more "substituent radicals." The number of atoms in a given radical is not critical to the present invention unless it is indicated to the contrary elsewhere herein.
[00123] "Organic radicals," as the term is defined and used herein, contain one or more carbon atoms. An organic radical can have, for example, 1-26 carbon atoms, 1-18 carbon atoms, 1-12 carbon atoms, 1-8 carbon atoms, 1-6 carbon atoms, or 1-4 carbon atoms. In a further aspect, an organic radical can have 2-26 carbon atoms, 2-18 carbon atoms, 2-12 carbon atoms, 2-8 carbon atoms, 2-6 carbon atoms, or 2-4 carbon atoms. Organic radicals often have hydrogen bound to at least some of the carbon atoms of the organic radical. One example, of an organic radical that comprises no inorganic atoms is a 5, 6, 7, 8-tetrahydro-2- naphthyl radical. In some embodiments, an organic radical can contain 1-10 inorganic heteroatoms bound thereto or therein, including halogens, oxygen, sulfur, nitrogen, phosphorus, and the like. Examples of organic radicals include but are not limited to an alkyl, substituted alkyl, cycloalkyl, substituted cycloalkyl, mono-substituted amino, di- substituted amino, acyloxy, cyano, carboxy, carboalkoxy, alkylcarboxamide, substituted alkylcarboxamide, dialkylcarboxamide, substituted dialkylcarboxamide, alkylsulfonyl, alkylsulfinyl, thioalkyl, thiohaloalkyl, alkoxy, substituted alkoxy, haloalkyl, haloalkoxy, aryl, substituted aryl, heteroaryl, heterocyclic, or substituted heterocyclic radicals, wherein the terms are defined elsewhere herein. A few non-limiting examples of organic radicals that include heteroatoms include alkoxy radicals, trifluoromethoxy radicals, acetoxy radicals, dimethylamino radicals and the like.
[00124] "Inorganic radicals," as the term is defined and used herein, contain no carbon atoms and therefore comprise only atoms other than carbon. Inorganic radicals comprise bonded combinations of atoms selected from hydrogen, nitrogen, oxygen, silicon,
phosphorus, sulfur, selenium, and halogens such as fluorine, chlorine, bromine, and iodine, which can be present individually or bonded together in their chemically stable combinations. Inorganic radicals have 10 or fewer, or preferably one to six or one to four inorganic atoms as listed above bonded together. Examples of inorganic radicals include, but not limited to, amino, hydroxy, halogens, nitro, thiol, sulfate, phosphate, and like commonly known inorganic radicals. The inorganic radicals do not have bonded therein the metallic elements of the periodic table (such as the alkali metals, alkaline earth metals, transition metals, lanthanide metals, or actinide metals), although such metal ions can sometimes serve as a pharmaceutically acceptable cation for anionic inorganic radicals such as a sulfate, phosphate, or like anionic inorganic radical. Inorganic radicals do not comprise metalloids elements such as boron, aluminum, gallium, germanium, arsenic, tin, lead, or tellurium, or the noble gas elements, unless otherwise specifically indicated elsewhere herein.
[00125] Compounds described herein can contain one or more double bonds and, thus, potentially give rise to cis/trans (E/Z) isomers, as well as other conformational isomers.
Unless stated to the contrary, the invention includes all such possible isomers, as well as mixtures of such isomers.
[00126] Unless stated to the contrary, a formula with chemical bonds shown only as solid lines and not as wedges or dashed lines contemplates each possible isomer, e.g., each enantiomer and diastereomer, and a mixture of isomers, such as a racemic or scalemic mixture. Compounds described herein can contain one or more asymmetric centers and, thus, potentially give rise to diastereomers and optical isomers. Unless stated to the contrary, the present invention includes all such possible diastereomers as well as their racemic mixtures, their substantially pure resolved enantiomers, all possible geometric isomers, and
pharmaceutically acceptable salts thereof. Mixtures of stereoisomers, as well as isolated specific stereoisomers, are also included. During the course of the synthetic procedures used to prepare such compounds, or in using racemization or epimerization procedures known to those skilled in the art, the products of such procedures can be a mixture of stereoisomers.
[00127] Many organic compounds exist in optically active forms having the ability to rotate the plane of plane-polarized light. In describing an optically active compound, the prefixes D and L or R and S are used to denote the absolute configuration of the molecule about its chiral center(s). The prefixes d and 1 or (+) and (-) are employed to designate the sign of rotation of plane-polarized light by the compound, with (-) or meaning that the compound is levorotatory. A compound prefixed with (+) or d is dextrorotatory. For a given chemical structure, these compounds, called stereoisomers, are identical except that they are non-superimposable mirror images of one another. A specific stereoisomer can also be referred to as an enantiomer, and a mixture of such isomers is often called an enantiomeric mixture. A 50:50 mixture of enantiomers is referred to as a racemic mixture. Many of the compounds described herein can have one or more chiral centers and therefore can exist in different enantiomeric forms. If desired, a chiral carbon can be designated with an asterisk (*). When bonds to the chiral carbon are depicted as straight lines in the disclosed formulas, it is understood that both the (R) and (S) configurations of the chiral carbon, and hence both enantiomers and mixtures thereof, are embraced within the formula. As is used in the art, when it is desired to specify the absolute configuration about a chiral carbon, one of the bonds to the chiral carbon can be depicted as a wedge (bonds to atoms above the plane) and the other can be depicted as a series or wedge of short parallel lines is (bonds to atoms below the plane). The Cahn-Inglod-Prelog system can be used to assign the (R) or (S) configuration to a chiral carbon.
[00128] Compounds described herein comprise atoms in both their natural isotopic abundance and in non-natural abundance. The disclosed compounds can be isotopically- labelled or isotopically-substituted compounds identical to those described, but for the fact that one or more atoms are replaced by an atom having an atomic mass or mass number different from the atomic mass or mass number typically found in nature. Examples of isotopes that can be incorporated into compounds of the invention include isotopes of hydrogen, carbon, nitrogen, oxygen, phosphorous, fluorine and chlorine, such as 2 H, 3 H, 13 C, 14 C, 15 N, 18 0, 170, 35 S, 18 F and 36 CI, respectively. Compounds further comprise prodrugs thereof, and pharmaceutically acceptable salts of said compounds or of said prodrugs which contain the aforementioned isotopes and/or other isotopes of other atoms are within the scope of this invention. Certain isotopically-labelled compounds of the present invention, for example those into which radioactive isotopes such as 3 H and 14 C are incorporated, are useful in drug and/or substrate tissue distribution assays. Tritiated, i.e., H, and carbon- 14, i.e., C, isotopes are particularly preferred for their ease of preparation and detectability. Further, substitution with heavier isotopes such as deuterium, i.e., H, can afford certain therapeutic advantages resulting from greater metabolic stability, for example increased in vivo half-life or reduced dosage requirements and, hence, may be preferred in some circumstances. Isotopically labelled compounds of the present invention and prodrugs thereof can generally be prepared by carrying out the procedures below, by substituting a readily available isotopically labelled reagent for a non- isotopically labelled reagent.
[00129] The compounds described in the invention can be present as a solvate. In some cases, the solvent used to prepare the solvate is an aqueous solution, and the solvate is then often referred to as a hydrate. The compounds can be present as a hydrate, which can be obtained, for example, by crystallization from a solvent or from aqueous solution. In this connection, one, two, three or any arbitrary number of solvate or water molecules can combine with the compounds according to the invention to form solvates and hydrates.
Unless stated to the contrary, the invention includes all such possible solvates.
[00130] The term "co-crystal" means a physical association of two or more molecules which owe their stability through non-covalent interaction. One or more components of this molecular complex provide a stable framework in the crystalline lattice. In certain instances, the guest molecules are incorporated in the crystalline lattice as anhydrates or solvates, see e.g. "Crystal Engineering of the Composition of Pharmaceutical Phases. Do Pharmaceutical Co-crystals Represent a New Path to Improved Medicines?" Almarasson, O., et. al., The Royal Society of Chemistry, 1889-1896, 2004. Examples of co-crystals include p- toluenesulfonic acid and benzenesulfonic acid.
[00131] It is also appreciated that certain compounds described herein can be present as an equilibrium of tautomers. For example, ketones with an a-hydrogen can exist in an equilibrium of the keto form and the enol form.
Figure imgf000030_0001
keto form enol form amide form imidic acid form
[00132] Likewise, amides with an N-hydrogen can exist in an equilibrium of the amide form and the imidic acid form. Unless stated to the contrary, the invention includes all such possible tautomers.
[00133] It is known that chemical substances form solids which are present in different states of order which are termed polymorphic forms or modifications. The different modifications of a polymorphic substance can differ greatly in their physical properties. The compounds according to the invention can be present in different polymorphic forms, with it being possible for particular modifications to be metastable. Unless stated to the contrary, the invention includes all such possible polymorphic forms.
[00134] In some aspects, a structure of a compound can be represented by a formula:
Figure imgf000031_0001
which is understood to be equivalent to a formula:
Figure imgf000031_0002
wherein n is typically an integer. That is, R" is understood to represent five independent substituents, R"(a), R"(b), R"(c), R"(d), R"(e). By "independent substituents," it is meant that each R substituent can be independently defined. For example, if in one instance R"(a) is halogen, then R"(b) is not necessarily halogen in that instance.
[00135] Certain materials, compounds, compositions, and components disclosed herein can be obtained commercially or readily synthesized using techniques generally known to those of skill in the art. For example, the starting materials and reagents used in preparing the disclosed compounds and compositions are either available from commercial suppliers such as Aldrich Chemical Co., (Milwaukee, Wis.), Acros Organics (Morris Plains, N.J.), Fisher Scientific (Pittsburgh, Pa.), or Sigma (St. Louis, Mo.) or are prepared by methods known to those skilled in the art following procedures set forth in references such as Fieser and Fieser' s Reagents for Organic Synthesis, Volumes 1-17 (John Wiley and Sons, 1991); Rodd's Chemistry of Carbon Compounds, Volumes 1-5 and Supplemental (Elsevier Science Publishers, 1989); Organic Reactions, Volumes 1-40 (John Wiley and Sons, 1991); March's Advanced Organic Chemistry, (John Wiley and Sons, 4th Edition); and Larock's
Comprehensive Organic Transformations (VCH Publishers Inc., 1989).
[00136] Unless otherwise expressly stated, it is in no way intended that any method set forth herein be construed as requiring that its steps be performed in a specific order.
Accordingly, where a method claim does not actually recite an order to be followed by its steps or it is not otherwise specifically stated in the claims or descriptions that the steps are to be limited to a specific order, it is no way intended that an order be inferred, in any respect. This holds for any possible non-express basis for interpretation, including: matters of logic with respect to arrangement of steps or operational flow; plain meaning derived from grammatical organization or punctuation; and the number or type of embodiments described in the specification.
[00137] Disclosed are the components to be used to prepare the compositions of the invention as well as the compositions themselves to be used within the methods disclosed herein. These and other materials are disclosed herein, and it is understood that when combinations, subsets, interactions, groups, etc. of these materials are disclosed that while specific reference of each various individual and collective combinations and permutation of these compounds can not be explicitly disclosed, each is specifically contemplated and described herein. For example, if a particular compound is disclosed and discussed and a number of modifications that can be made to a number of molecules including the
compounds are discussed, specifically contemplated is each and every combination and permutation of the compound and the modifications that are possible unless specifically indicated to the contrary. Thus, if a class of molecules A, B, and C are disclosed as well as a class of molecules D, E, and F and an example of a combination molecule, A-D is disclosed, then even if each is not individually recited each is individually and collectively
contemplated meaning combinations, A-E, A-F, B-D, B-E, B-F, C-D, C-E, and C-F are considered disclosed. Likewise, any subset or combination of these is also disclosed. Thus, for example, the sub-group of A-E, B-F, and C-E would be considered disclosed. This concept applies to all aspects of this application including, but not limited to, steps in methods of making and using the compositions of the invention. Thus, if there are a variety of additional steps that can be performed it is understood that each of these additional steps can be performed with any specific embodiment or combination of embodiments of the methods of the invention.
[00138] It is understood that the compositions disclosed herein have certain functions. Disclosed herein are certain structural requirements for performing the disclosed functions, and it is understood that there are a variety of structures that can perform the same function that are related to the disclosed structures, and that these structures will typically achieve the same result.
B. COMPOUNDS
[00139] In one aspect, the invention relates to compounds useful in methods to inhibit muscle atrophy by providing to a subject in need thereof an effective amount of a compound or an analog thereof selected from among the compounds described herein, and
pharmaceutical compositions comprising compounds used in the methods. In a further aspect, the invention relates to compounds identified using muscle atrophy signature- 1 , muscle atrophy signature-2, or both muscle atrophy signatures. In a further aspect, the invention relates to compounds useful in methods to modulate muscle health, methods to inhibit muscle atrophy, methods to increase insulin/IGF-I signaling, methods to reduce body fat; methods to reduce blood glucose, methods to reduce blood triglycerides, methods to reduce blood cholesterol, methods to reduce obesity, methods to reduce fatty liver disease, and methods to reduce diabetes, and pharmaceutical compositions comprising compounds used in the methods.
[00140] In one aspect, the compounds of the invention are useful in the treatment of muscle disorders. In a further aspect, the muscle disorder can be skeletal muscle atrophy secondary to malnutrition, muscle disuse (secondary to voluntary or involuntary bedrest), neurologic disease (including multiple sclerosis, amyotrophic lateral sclerosis, spinal muscular atrophy, critical illness neuropathy, spinal cord injury or peripheral nerve injury), orthopedic injury, casting, and other post-surgical forms of limb immobilization, chronic disease (including cancer, congestive heart failure, chronic pulmonary disease, chronic renal failure, chronic liver disease, diabetes mellitus, Cushing syndrome, growth hormone deficiency, IGF-I deficiency, androgen deficiency, estrogen deficiency, and chronic infections such as HIV/AIDS or tuberculosis), burns, sepsis, other illnesses requiring mechanical ventiliation, drug-induced muscle disease (such as glucorticoid-induced myopathy and statin-induced myopathy), genetic diseases that primarily affect skeletal muscle (such as muscular dystrophy and myotonic dystrophy), autoimmune diseases that affect skeletal muscle (such as polymyositis and deraiatomyositis), spaceflight, or age-related sarcopenia.
[00141] It is contemplated that each disclosed derivative can be optionally further substituted. It is also contemplated that any one or more derivative can be optionally omitted from the invention. It is understood that a disclosed compound can be provided by the disclosed methods. It is also understood that the disclosed compounds can be employed in the disclosed methods of using.
1. TACRINE AND ANALOGS
[00142] In one aspect, the compound can be a tacrine analogs.
[00143] In one aspect, the tacrine analogs has a structure represented by a formula:
Figure imgf000034_0001
wherein R a and R together comprise a cycle selected from:
R1
Figure imgf000034_0002
wherein Q11 is selected from N and CR13c;
wherein Q12 is selected from N and CR13d;
wherein Q13 and Q14 are independently selected from CR13cR13d, O, S, and NR14c; wherein Q15 is selected from CR13cR13d, O, S, and NR14c;
wherein Q16 is selected from N and CR13c;
wherein Q17 and Q18 are independently selected from CR13cR13d, O, S, and NR14c; wherein R 11 and R 12 are independently selected from H and C1-C6 alkyl;
wherein R13c, R13d, R13e, and R13f are independently selected from H, C1-C6 alkyl, Cl- C6 alkoxy, halo, hydroxyl, nitro, amino, cyano, NHCOR15, C1-C6 monohaloalkyl, C1-C6 polyhaloalkyl, C1-C6 alkylamino, C1-C6 dialkylamino, C6-C10 aryl, C3-C10 cycloalkyl, C5-C9 heteroaryl, and C2-C9 heterocyclyl, wherein C6-C10 aryl, C3-C10 cycloalkyl, C5-C9 heteroaryl, and C2-C9 heterocyclyl are independently are substituted with 0, 1, 2, or 3 substituents selected from halogen, hydroxyl, cyano, amino, C1-C6 alkyl, C1-C6 alkoxy, Cl- C6 monohaloalkyl, C1-C6 polyhaloalkyl, C1-C6 alkylamino, and C1-C6 dialkylamino;
wherein each R14c is independently selected from H and C1-C6 alkyl;
wherein R14a and R14b together comprise a cycle selected from:
Figure imgf000034_0003
wherein each of Q , Q , Q , Q , Q , Q , and Q/3 are independently selected from
CR17aR17b 0 s NR18.
wherein R16a and R16a are independently selected from H, C1-C6 alkyl, C1-C6 alkoxy, halo, hydroxyl, nitro, amino, cyano, NHCOR15, C1-C6 monohaloalkyl, C1-C6 polyhaloalkyl, C1-C6 alkylamino, C1-C6 dialkylamino, C6-C10 aryl, C3-C10 cycloalkyl, C5-C9 heteroaryl, and C2-C9 heterocyclyl, wherein C6-C10 aryl, C3-C10 cycloalkyl, C5-C9 heteroaryl, and C2-C9 heterocyclyl are independently are substituted with 0, 1, 2, or 3 substituents selected from halogen, hydroxyl, cyano, amino, C1-C6 alkyl, C1-C6 alkoxy, C1-C6 monohaloalkyl, C1-C6 polyhaloalkyl, C1-C6 alkylamino, and C1-C6 dialkylamino;
wherein R17a and R17b are independently selected from H, C1-C6 alkyl, C1-C6 alkoxy, halo, hydroxyl, nitro, amino, cyano, NHCOR15, C1-C6 monohaloalkyl, C1-C6 polyhaloalkyl, C1-C6 alkylamino, C1-C6 dialkylamino, C6-C10 aryl, C3-C10 cycloalkyl, C5-C9 heteroaryl, and C2-C9 heterocyclyl, wherein C6-C10 aryl, C3-C10 cycloalkyl, C5-C9 heteroaryl, and C2-C9 heterocyclyl are independently are substituted with 0, 1, 2, or 3 substituents selected from halogen, hydroxyl, cyano, amino, C1-C6 alkyl, C1-C6 alkoxy, C1-C6 monohaloalkyl, C1-C6 polyhaloalkyl, C1-C6 alkylamino, and C1-C6 dialkylamino;
wherein each R 18 is independently selected from H and C1-C6 alkyl;
wherein each R15 is independently selected from H and C1-C6 alkyl;
wherein each n is independently selected from 0, 1, and 2;
wherein m is selected from 1 and 2; and
wherein p is selected from 1, 2 and 3; or
a stereoisomer, tautomer, solvate, or pharmaceutically acceptable salt thereof.
[00144] In one aspect, compound (A) has the structure re resented by the formula:
Figure imgf000035_0001
wherein R is selected from H and C1-C6 alkyl;
wherein R13c, R13d, R13e, and R13f are independently selected from H, C1-C6 alkyl, Cl- C6 alkoxy, halo, hydroxyl, nitro, amino, cyano, NHCOR15, C1-C6 monohaloalkyl, C1-C6 polyhaloalkyl, C1-C6 alkylamino, C1-C6 dialkylamino, C6-C10 aryl, C3-C10 cycloalkyl, C5-C9 heteroaryl, and C2-C9 heterocyclyl, wherein C6-C10 aryl, C3-C10 cycloalkyl, C5-C9 heteroaryl, and C2-C9 heterocyclyl are independently are substituted with 0, 1, 2, or 3 substituents selected from halogen, hydroxyl, cyano, amino, C1-C6 alkyl, C1-C6 alkoxy, Cl- C6 monohaloalkyl, C1-C6 polyhaloalkyl, C1-C6 alkylamino, and C1-C6 dialkylamino;
wherein Q19 and Q20 are independently selected from CR17aR17b, O, S, and NR18; wherein R a and R are independently selected from H, C1-C6 alkyl, C1-C6 alkoxy, halo, hydroxyl, nitro, amino, cyano, NHCOR15, C1-C6 monohaloalkyl, C1-C6 polyhaloalkyl, C1-C6 alkylamino, C1-C6 dialkylamino, C6-C10 aryl, C3-C10 cycloalkyl, C5-C9 heteroaryl, C2-C9 heterocyclyl, wherein C6-C10 aryl, C3-C10 cycloalkyl, C5-C9 heteroaryl, and C2-C9 heterocyclyl are independently are substituted with 0, 1, 2, or 3 substituents selected from halogen, hydroxyl, cyano, amino, C1-C6 alkyl, C1-C6 alkoxy, C1-C6 monohaloalkyl, C1-C6 polyhaloalkyl, C1-C6 alkylamino, and C1-C6 dialkylamino;
wherein each R 18 is independently selected from H and C1-C6 alkyl; and
wherein n is selected from 0, 1, and 2.
[00145] In another aspect, R12 is H; R13c, R13d, R13e, and R13f are independently selected from H, C1-C6 alkyl, C1-C6 alkoxy, halo, hydroxyl, nitro, and amino; Q19 and Q20 are independently selected from C R17aR17b, O, S, and NR18; wherein R17a and R17b are
independently selected from H, C1-C6 alkyl, C1-C6 alkoxy, halo, hydroxyl, nitro, and amino; wherein each R 18 is independently H; and n is selected from 0, 1, and 2.
[00146] In another aspect, R12 is H; R13c, R13d, R13e, and R13f are independently selected from H, C1-C6 alkyl, C1-C6 alkoxy, halo, hydroxyl, nitro, and amino; Q19 and Q20 are independently selected from C R IV ¾ lVfo ; wherein R IV a and R lVfo are independently selected from H, C1-C6 alkyl, C1-C6 alkoxy, halo, hydroxyl, nitro, and amino; and n is 1.
[00147] In another aspect, R12 is H; R13c, R13d, R13e, and R13f are independently selected from H, C1-C6 alkyl, C1-C6 alkoxy, halo, and hydroxyl; Q19 and Q20 are independently selected from CR17aR17b; wherein R17a and R17b are independently H; and n is 1.
[00148] In another aspect, R12 is H; R12 is H; R13c, R13d, R13e, and R13f are independently selected from H, C1-C6 alkyl, and halo; Q19 and Q20 are independently CR17aR17b; wherein R17a and R17b are independently H; and wherein n is 1.
[00149] In another aspect, the formula is:]
Figure imgf000036_0001
2. NA INGENIN AND ANALOG
[00150] In one aspect, the compound can be a naringenin analog.
[00151] In one aspect, the naringenin analog has a structure represented by a formula:
Figure imgf000037_0001
wherein each represents a covalent bond selected from a single or double bond; wherein R21a, R2 , R21c, R21d, and R21e are independently selected from H, OH, O- Glucosyl, halo, cyano, amino, nitro, nitroso, NHCOR15, C1-C6 alkyl, C1-C6 alkoxy, C1-C6 monohaloalkyl, C1-C6 polyhaloalkyl, C1-C6 alkylamino, acyl, phenyl- C1-C6 alkoxy, benzyl- C1-C6 alkoxy, and C1-C6 dialkylamino;
wherein R 22 is selected from H, OH, O- Glucosyl, halo, cyano, amino, nitro, nitroso, NHCOR15, C1-C6 alkyl, C1-C6 alkoxy, C1-C6 monohaloalkyl, C1-C6 polyhaloalkyl, C1-C6 alkylamino, acyl phenyl- C1-C6 alkoxy, benzyl- C1-C6 alkoxy, and C1-C6 dialkylamino; wherein R23a, R23b, R23c, and R23d are independently selected from H, OH, O- Glucosyl halo, cyano, amino, nitro, nitroso, NHCOR15, C1-C20 alkyl, C1-C20 alkenyl, Cl- C20 alkynyl, C1-C20 alkenynyl, C1-C20 alkoxy, C1-C6 monohaloalkyl, C1-C6
polyhaloalkyl, C1-C6 alkylamino, acyl, phenyl- C1-C6 alkoxy, benzyl- C1-C6 alkoxy, and C1-C6 dialkylamino;
wherein R15 is selected from H and C1-C6 alkyl;
wherein Z is selected from O and S; and
wherein Y is selected from O and S; or
a stereoisomer, tautomer, solvate, or pharmaceutically acceptable salt thereof;
wherein the compound does not have the structure:
Figure imgf000037_0002
[00152] In one aspect, indicates a covalent single bond. In another aspect, indicates a covalent double bond.
[00153] In another aspect, Z is O, and Y is O.
[00154] In another aspect, R21a, R21b, R21c, R21d, and R21e are independently selected from H and OH; wherein R22 is selected from H and OH; and wherein R23a, R23b, R23c, R23d, and R23e are independently selected from H and OH. [00155] In another aspect, R21a, R2 , R21c, R21d, and R21e are independently selected from H, OH, O-Glucosyl, halo, cyano, amino, nitro, and nitroso.
[00156] In another aspect, R22 is H.
[00157] In another aspect, R21a, R21b, R21d, and R21e are H, and R21c is OH.
[00158] In another aspect, R23a and R23c are H, and R23b and R23d are OH.
[00159] In another aspect, R21a, R21b, R21d, and R21e are H, R21c is OH, R23a and R23c are H, and R23b and R23d are OH.
[00160] In another aspect, R21a, R21d, and R21e are H, R21b and R21c are OH, R23a and R23c are H, and R23b and R23d are OH.
[00161] In another aspect, the compound has the structure:
Figure imgf000038_0001
3. ALLANTOIN AND ANALOGS
[00162] In one aspect, the compound can be a allantoin analog.
[00163] In one aspect, the allantoin analog has a structure represented by a formula
Figure imgf000038_0002
wherein R31a and R31b are independently selected from H, C1-C6 alkyl, C6-C10 aryl, C3-C10 cycloalkyl, C5-C9 heteroaryl, and C2-C9 heterocyclyl, wherein C6-C10 aryl, C3- C10 cycloalkyl, C5-C9 heteroaryl, and C2-C9 heterocyclyl are independently are substituted with 0, 1, 2, or 3 substituents selected from halogen, hydroxyl, cyano, amino, C1-C6 alkyl, C1-C6 alkoxy, C1-C6 monohaloalkyl, C1-C6 polyhaloalkyl, C1-C6 alkylamino, and C1-C6 dialkylamino;
wherein R32a and R32b are independently selected from H, C1-C6 alkyl, 0C1(0H)4A12, OAl(OH)2, C1-C6 alkoxy, halo, hydroxyl, nitro, amino, cyano, NHCOR15, C1-C6
monohaloalkyl, C1-C6 polyhaloalkyl, C1-C6 alkylamino, C1-C6 dialkylamino, C6-C10 aryl, C3-C10 cycloalkyl, C5-C9 heteroaryl, and C2-C9 heterocyclyl or taken together to form a double bond selected from =0 and =S, wherein C6-C10 aryl, C3-C10 cycloalkyl, C5-C9 heteroaryl, and C2-C9 heterocyclyl are independently are substituted with 0, 1, 2, or 3 substituents selected from halogen, hydroxyl, cyano, amino, C1-C6 alkyl, C1-C6 alkoxy, Cl- C6 monohaloalkyl, C1-C6 polyhaloalkyl, C1-C6 alkylamino, and C1-C6 dialkylamino;
wherein R32c and R32d are independently selected from H, C1-C6 alkyl, 0C1(0H)4A12, OAl(OH)2, C1-C6 alkoxy, halo, hydroxyl, nitro, amino, cyano, NHCOR15, C1-C6
monohaloalkyl, C1-C6 polyhaloalkyl, C1-C6 alkylamino, C1-C6 dialkylamino, C6-C10 aryl, C3-C10 cycloalkyl, C5-C9 heteroaryl, and C2-C9 heterocyclyl or taken together to form a double bond selected from =0 and =S, wherein C6-C10 aryl, C3-C10 cycloalkyl, C5-C9 heteroaryl, and C2-C9 heterocyclyl are independently are substituted with 0, 1, 2, or 3 substituents selected from halogen, hydroxyl, cyano, amino, C1-C6 alkyl, C1-C6 alkoxy, Cl- C6 monohaloalkyl, C1-C6 polyhaloalkyl, C1-C6 alkylamino, and C1-C6 dialkylamino;
wherein R33a and R33b are independently selected from H, NR34aCONR34bR34c, C1-C6 alkyl, C1-C6 alkoxy, halo, hydroxyl, nitro, amino, cyano, NHCOR15, C1-C6 monohaloalkyl, C1-C6 polyhaloalkyl, C1-C6 alkylamino, C1-C6 dialkylamino, C6-C10 aryl, C3-C10 cycloalkyl, C5-C9 heteroaryl, and C2-C9 heterocyclyl, wherein C6-C10 aryl, C3-C10 cycloalkyl, C5-C9 heteroaryl, and C2-C9 heterocyclyl are independently are substituted with 0, 1, 2, or 3 substituents selected from halogen, hydroxyl, cyano, amino, C1-C6 alkyl, C1-C6 alkoxy, C1-C6 monohaloalkyl, C1-C6 polyhaloalkyl, C1-C6 alkylamino, and C1-C6 dialkylamino; and
wherein R34a R34b and R34c are independently selected from H, C1-C6 alkyl, C6-C10 aryl, C3-C10 cycloalkyl, C5-C9 heteroaryl, and C2-C9 heterocyclyl, wherein C6-C10 aryl, C3-C10 cycloalkyl, C5-C9 heteroaryl, and C2-C9 heterocyclyl are independently are substituted with 0, 1, 2, or 3 substituents selected from halogen, hydroxyl, cyano, amino, Cl- C6 alkyl, C1-C6 alkoxy, C1-C6 monohaloalkyl, C1-C6 polyhaloalkyl, C1-C6 alkylamino, and C1-C6 dialkylamino; or
a stereoisomer, tautomer, solvate, or pharmaceutically acceptable salt thereof.
[00164] In one aspect, R31a and R31b are H.
[00165] In another aspect, R32a and R32b are taken together to form =0.
[00166] In another aspect, R32c and R32d are taken together to form =0.
[00167] In another aspect, R32a and R32b are taken together to form =0, and R32c and R32d are taken together to form =0.
[00168] In another aspect, R31a is H, R31b is H, R32a, and R32b are taken together to form =0, and R32c and R32d are taken together to form =0.
[00169] In another aspect, R31a is H, R31b is H, R32a and R32b are taken together to form =0, RJ/C and RJ/a are taken together to form =0, and one of RJJa and RJJB is NRJ4aC0NRJ4BRJ4c and the other one of R33a and R33b is H.
[00170] In another aspect, one of R33a and R33b is NR34aCONR34bR34c and the other one of R33a and R33b is H.
[00171] In another aspect, one of R32a and R32b is 0C1(0H)4A12 and the other one of R32a and R32b is H.
[00172] In another aspect, one of R32c and R32d is 0C1(0H)4A12 and the other one of R32c and R32d is H.
[00173] In another aspect, one of R32a and R32b is OAl(OH)2 and the other one of R32a and R32b is H.
[00174] In another aspect, one of R32c and R32d is OAl(OH)2 and the other one of R32c and R32d is H.
[00175] In another aspect, the co :
Figure imgf000040_0001
4. CONESSINE AND ANALOGS
[00176] In one aspect, the compound can be a conessine analog.
[00177] In one aspect, the conessine analog has a structure represented by a formula:
Figure imgf000040_0002
wherein each represents a covalent bond independently selected from a single or double bond, wherein valency is satisfied;
wherein R41 is selected from NR48aR48b, =0, =S, C1-C6 alkoxy and hydroxyl;
wherein R48a and R48b are independently selected from H, C1-C6 alkyl, C1-C6 heteroalkyl, C6-C10 aryl, C3-C10 cycloalkyl, C5-C9 heteroaryl, and C2-C9 heterocyclyl, wherein C6-C10 aryl, C3-C10 cycloalkyl, C5-C9 heteroaryl, and C2-C9 heterocyclyl are independently substituted with 0, 1, 2, or 3 substituents selected from halogen, hydroxyl, cyano, amino, C1-C6 alkyl, C1-C6 alkoxy, C1-C6 monohaloalkyl, C1-C6 polyhaloalkyl, Cl- C6 alkylamino, and C1-C6 dialkylamino; wherein R 42 is selected from H, C1-C6 alkoxy and hydroxyl;
wherein R43 is selected from H and C1-C6 alkyl;
wherein R44a and RMh are independently selected from are independently selected from H, hydroxyl, and C1-C6 alkoxy;
wherein R47a and R47b are independently selected from are independently selected from H, hydroxyl, and C1-C6 alkoxy;
wherein R45a and R45b together comprise a cycle selected from:
Figure imgf000041_0001
wherein R a is selected from H and C1-C6 alkyl; and
wherein R49b and R49c are independently selected from H and C1-C6 alkyl, or taken together to form =0; or
a stereoisomer, tautomer, solvate, or pharmaceutically acceptable salt thereof.
[00178] In one aspect, R47a and R47b are independently selected from H, hydroxyl, and Cl-
C6 alkoxy.
[[0000117799]] I ] n another aspect, R44a and RMh are independently selected from H, hydroxyl, and
C1-C6 alkoxy.
[00180] In another aspect, R42 is H.
[00181] In another aspect, R47a and R47b are selected from H, hydroxyl, and C1-C6 alkoxy; R^ and R^ are H.
[00182] In another aspect, R41 is selected from NR48aR48b and =0, wherein R48a and R48b are independently selected from H and C1-C6 alkyl.
[00183] In another aspect, R43 is CI alkyl.
[00184] In another aspect, the formula has the structure:
Figure imgf000041_0002
[00185] In another aspect, the formula has the structure:
Figure imgf000042_0001
[00186] In another aspect, the formula has the structure:
Figure imgf000042_0002
[00187] In another aspect, the formula has the structure:
Figure imgf000042_0003
TOMATIDINE AND ANALOGS
In one aspect, the compound can be a tomatidine analog.
In one aspect, the tomatidine analog has a structure represented by a formula:
Figure imgf000042_0004
wherein R is selected from H, C1-C6 alkyl, COR , C1-C6 alkylamino, C1-C6 dialkylamino, C6-C10 aryl, C3-C10 cycloalkyl, C5-C9 heteroaryl, and C2-C9 heterocyclyl, wherein C6-C10 aryl, C3-C10 cycloalkyl, C5-C9 heteroaryl, and C2-C9 heterocyclyl are independently substituted with 0, 1, 2, or 3 substituents selected from halogen, hydroxyl, cyano, amino, C1-C6 alkyl, C1-C6 alkoxy, C1-C6 monohaloalkyl, C1-C6 polyhaloalkyl, Cl- C6 alkylamino, and C1-C6 dialkylamino;
wherein R 53 is selected from C1-C6 alkyl, C1-C6 monohaloalkyl, C1-C6
polyhaloalkyl, C6-C10 aryl, C3-C10 cycloalkyl, C5-C9 heteroaryl, and C2-C9 heterocyclyl, wherein C6-C10 aryl, C3-C10 cycloalkyl, C5-C9 heteroaryl, and C2-C9 heterocyclyl are independently substituted with 0, 1, 2, or 3 substituents selected from halogen, hydroxyl, cyano, amino, C1-C6 alkyl, C1-C6 alkoxy, C1-C6 monohaloalkyl, C1-C6 polyhaloalkyl, Cl- C6 alkylamino, and C1-C6 dialkylamino;
wherein Z51 is selected from O, S, and NR54;
wherein R54 is selected from H, C1-C6 alkyl, COR55, C1-C6 alkylamino, C1-C6 dialkylamino, C6-C10 aryl, C3-C10 cycloalkyl, C5-C9 heteroaryl, and C2-C9 heterocyclyl, wherein C6-C10 aryl, C3-C10 cycloalkyl, C5-C9 heteroaryl, and C2-C9 heterocyclyl are independently substituted with 0, 1, 2, or 3 substituents selected from halogen, hydroxyl, cyano, amino, C1-C6 alkyl, C1-C6 alkoxy, C1-C6 monohaloalkyl, C1-C6 polyhaloalkyl, Cl- C6 alkylamino, and C1-C6 dialkylamino;
wherein R55 is selected from C1-C6 alkyl, C1-C6 monohaloalkyl, C1-C6
polyhaloalkyl, C6-C10 aryl, C3-C10 cycloalkyl, C5-C9 heteroaryl, and C2-C9 heterocyclyl, wherein C6-C10 aryl, C3-C10 cycloalkyl, C5-C9 heteroaryl, and C2-C9 heterocyclyl are independently substituted with 0, 1, 2, or 3 substituents selected from halogen, hydroxyl, cyano, amino, C1-C6 alkyl, C1-C6 alkoxy, C1-C6 monohaloalkyl, C1-C6 polyhaloalkyl, Cl- C6 alkylamino, and C1-C6 dialkylamino; or
a stereoisomer, tautomer, solvate, or pharmaceutically acceptable salt thereof.
[00191] In one aspect, R51 is selected from H, C1-C6 alkyl and COR53, wherein R53 is Cl- C6 alkyl.
[00192] In another aspect, R51 is H.
[00193] In another aspect, Z51 is NR54. In another aspect, Z51 is NR54, wherein R54 is selected from H, C1-C6 alkyl, and COR55, wherein R55 is C1-C6 alkyl.
[00194] In another aspect, R51 is selected from H, C1-C6 alkyl and COR53, wherein R53 is C1-C6 alkyl; and Z51 is NR54, wherein R54 is selected from H, C1-C6 alkyl, and COR55, wherein R55 is C1-C6 alkyl. [00195] In another aspect, R and R are identical.
[00196] In another aspect, the structure is represented by the formula:
Figure imgf000044_0001
[00197] In another aspect, the structure is represented by the formula:
[00198] In another as
Figure imgf000044_0002
6. UNGERINE/HIPPEASTRINE AND ANALOGS
[00199] In one aspect, the compound can be a ungerine/hippeastrine analog.
[00200] In one aspect, the ungerine/hippeastrine has a structure represented by a formula:
Figure imgf000044_0003
wherein R61a and R61b are independently selected from H, C1-C6 alkyl, C1-C6 alkoxy, halo, hydroxyl, nitro, amino, cyano, NHCOR15, C1-C6 monohaloalkyl, C1-C6 polyhaloalkyl, C1-C6 alkylamino, C1-C6 dialkylamino, C6-C10 aryl, C3-C10 cycloalkyl, C5-C9 heteroaryl, and C2-C9 heterocyclyl, wherein C6-C10 aryl, C3-C10 cycloalkyl, C5-C9 heteroaryl, and C2-C9 heterocyclyl are independently substituted with 0, 1, 2, or 3 substituents selected from halogen, hydroxyl, cyano, amino, C1-C6 alkyl, C1-C6 alkoxy, C1-C6 monohaloalkyl, C1-C6 polyhaloalkyl, C1-C6 alkylamino, and C1-C6 dialkylamino;
wherein R62a and R62b are independently selected from H, C1-C6 alkyl, C1-C6 alkoxy, halo, hydroxyl, nitro, amino, cyano, NHCOR15, C1-C6 monohaloalkyl, C1-C6 polyhaloalkyl, C1-C6 alkylamino, C1-C6 dialkylamino, C6-C10 aryl, C3-C10 cycloalkyl, C5-C9 heteroaryl, and C2-C9 heterocyclyl, wherein C6-C10 aryl, C3-C10 cycloalkyl, C5-C9 heteroaryl, and C2-C9 heterocyclyl are independently substituted with 0, 1, 2, or 3 substituents selected from halogen, hydroxyl, cyano, amino, C1-C6 alkyl, C1-C6 alkoxy, C1-C6 monohaloalkyl, C1-C6 polyhaloalkyl, C1-C6 alkylamino, and C1-C6 dialkylamino;
wherein R63a and R63b are independently selected from H, C1-C6 alkyl, C1-C6 alkoxy, halo, hydroxyl, nitro, amino, cyano, NHCOR15, C1-C6 monohaloalkyl, C1-C6 polyhaloalkyl, C1-C6 alkylamino, C1-C6 dialkylamino, C6-C10 aryl, C3-C10 cycloalkyl, C5-C9 heteroaryl, and C2-C9 heterocyclyl, or taken together to form a group selected from =0 and =S, wherein C6-C10 aryl, C3-C10 cycloalkyl, C5-C9 heteroaryl, and C2-C9 heterocyclyl are
independently substituted with 0, 1, 2, or 3 substituents selected from halogen, hydroxyl, cyano, amino, C1-C6 alkyl, C1-C6 alkoxy, C1-C6 monohaloalkyl, C1-C6 polyhaloalkyl, Cl- C6 alkylamino, and C1-C6 dialkylamino;
wherein R64a and RMb are independently selected from H, OR67, C1-C6 alkyl, C1-C6 alkoxy, halo, hydroxyl, nitro, amino, cyano, NHCOR15, C1-C6 monohaloalkyl, C1-C6 polyhaloalkyl, C1-C6 alkylamino, C1-C6 dialkylamino, C6-C10 aryl, C3-C10 cycloalkyl, C5-C9 heteroaryl, and C2-C9 heterocyclyl, wherein C6-C10 aryl, C3-C10 cycloalkyl, C5-C9 heteroaryl, and C2-C9 heterocyclyl are independently ubstituted with 0, 1, 2, or 3 substituents selected from halogen, hydroxyl, cyano, amino, C1-C6 alkyl, C1-C6 alkoxy, C1-C6 monohaloalkyl, C1-C6 polyhaloalkyl, C1-C6 alkylamino, and C1-C6 dialkylamino;
wherein R65 is selected from H, C1-C6 alkyl, C1-C6 alkoxy, C1-C6 monohaloalkyl, C1-C6 polyhaloalkyl, C1-C6 alkylamino, C1-C6 dialkylamino, COR66, C6-C10 aryl, C3-C10 cycloalkyl, C5-C9 heteroaryl, and C2-C9 heterocyclyl, wherein C6-C10 aryl, C3-C10 cycloalkyl, C5-C9 heteroaryl, and C2-C9 heterocyclyl are independently substituted with 0, 1, 2, or 3 substituents selected from halogen, hydroxyl, cyano, amino, C1-C6 alkyl, C1-C6 alkoxy, C1-C6 monohaloalkyl, C1-C6 polyhaloalkyl, C1-C6 alkylamino, and C1-C6 dialkylamino; wherein R is selected from C1-C6 alkyl, C1-C6 monohaloalkyl, C1-C6 polyhaloalkyl, C6-C10 aryl, C3-C10 cycloalkyl, C5-C9 heteroaryl, and C2-C9 heterocyclyl, wherein C6-C10 aryl, C3-C10 cycloalkyl, C5-C9 heteroaryl, and C2-C9 heterocyclyl are independently substituted with 0, 1, 2, or 3 substituents selected from halogen, hydroxyl, cyano, amino, C1-C6 alkyl, C1-C6 alkoxy, C1-C6 monohaloalkyl, C1-C6 polyhaloalkyl, Cl- C6 alkylamino, and C1-C6 dialkylamino;
wherein R67 is selected from C1-C6 alkyl, C1-C6 monohaloalkyl, C1-C6
polyhaloalkyl, C6-C10 aryl, C3-C10 cycloalkyl, C5-C9 heteroaryl, and C2-C9 heterocyclyl, wherein C6-C10 aryl, C3-C10 cycloalkyl, C5-C9 heteroaryl, and C2-C9 heterocyclyl are independently substituted with 0, 1, 2, or 3 substituents selected from halogen, hydroxyl, cyano, amino, C1-C6 alkyl, C1-C6 alkoxy, C1-C6 monohaloalkyl, C1-C6 polyhaloalkyl, Cl- C6 alkylamino, and C1-C6 dialkylamino;
wherein each R15 is independently selected from H and C1-C6 alkyl; or
a stereoisomer, tautomer, solvate, or pharmaceutically acceptable salt thereof, wherein the compound is present in an effective amount.
[00201] In one aspect, the s a:
Figure imgf000046_0001
[00202] In another aspect, the structure is represented by a formula:
Figure imgf000046_0002
[00203] In another aspect, Rb , Rb , R , and Rb b are H.
[00204] In another aspect, one of R 63 and R 63 b is hydroxyl and the other one of R 63 a and R63b is H.
[00205] In another aspect, R63a and R63b are taken together and form =0.
[00206] In another aspect, one of R64a and R6* is hydroxyl or OR67 and the other one of [00207] In another aspect, one of R a and R is hydroxyl or OR and the other one of
R64a and R64b is H, wherein R67 is C1-C6 alkyl.
[00208] In another aspect, R65 is C 1 -C6 alkyl.
[00209] In another aspect, the structure is represented by a formula:
Figure imgf000047_0001
[00210] In another aspect, the structure is represented by a formula:
Figure imgf000047_0002
[00211] In another aspect, the structure is represented by a formula:
Figure imgf000047_0003
[00212] In another aspect, the structure is represented by a formula:
Figure imgf000047_0004
[00213] In another aspect, the structure is represented by a formula:
Figure imgf000047_0005
7. BETULINIC ACID AND ANALOGS
[00214] In one aspect, the compound can be a betulinic acid derivative.
[00215] In one aspect, has a structure represented by a formula:
Figure imgf000048_0001
wherein is an covalent bond selected from a single bond and a double bond, wherein valency is satisfied, and R 70 is optionally present; wherein n is 0 or 1; wherein R 70 , when present, is hydrogen; wherein R71a is selected from C1-C6 alkyl and -C(0)ZR82; wherein R71b is selected from C1-C6 alkyl, or wherein R71a and R71b are optionally covalently bonded and, together with the intermediate carbon, comprise an optionally substituted C3-C5 cycloalkyl or C2-C5 heterocycloalkyl; wherein one of R72a and R72b is -Z72, and the other is hydrogen, or R72a and R72b together comprise =0; wherein each of R73a and R73b is independently selected from hydrogen, hydroxyl, C1-C6 alkyl, and C1-C6 alkoxyl, provided that R73a and R73b are not simultaneously hydroxyl, wherein R73a and R73b are optionally covalently bonded and, together with the intermediate carbon, comprise an optionally substituted C3-C5 cycloalkyl or C2-C5 heterocycloalkyl; wherein each of R74, R75, and R76 is independently selected from C1-C6 alkyl; wherein R77 is selected from C1-C6 alkyl, and -C(0)Z71R80; wherein R80 is selected from hydrogen and C1-C6 alkyl; wherein R78a and R78b are independently selected from hydrogen and C1-C6 alkyl; wherein each of R79a and R79b is independently selected from hydrogen and C1-C6 alkyl, C2-C6 alkenyl, and C2-C6 alkynyl, provided that R79a and R79b are not simultaneously hydrogen; or wherein R79a and R79b are covalently bonded and, along with the intermediate carbon, together comprise C3-C5 cycloalkyl or C2-C5 heterocycloalkyl; wherein R 82 is selected from hydrogen and C1-C6 alkyl; wherein Z 71 and Z 72 are independently selected from -OR 81 - and -NR 83 -; wherein R 83 and R 83 are independently selected from hydrogen and C1-C4 alkyl; or, wherein Z 71 and Z 72 are independently N, R 84 and R 85 are covalently bonded and -NR 84 R 85 comprises a moiety of the formula:
Figure imgf000048_0002
wherein Y is selected from -0-, -S-, -SO-, -S02- -NH-, -NCH3- or a stereoisomer, tautomer, solvate, or pharmaceutically acceptable salt thereof.
[00216] In another aspect, the formula has the structure:
Figure imgf000049_0001
[00219] In one aspect, is a single bond. In another aspect, is a double bond.
[00220] In one aspect, n is 0. In another aspect, n is 1.
[00221] In another aspect, R71a is C1-C6 alkyl; R71b is selected from C1-C6 alkyl; one of R72a is -Z72, and R72b is hydrogen; R74, R75 are independently selected from C1-C6 alkyl; wherein R79b is selected from C1-C6 alkyl, C2-C6 alkenyl, and C2-C6 alkynyl; Z71 is -0-; and 72 is selected from -OR 8° and -NR 83 -; R 8011and R 803J are independently selected from hydrogen and C1-C4 alkyl.
[00222] In another aspect, R71a is CI alkyl; R71b is CI alkyl; R72a is -Z72, and R72b is hydrogen; R74, R75 are independently selected from CI alkyl; wherein R79b is selected from C1-C6 alkyl, C2-C6 alkenyl, and C2-C6 alkynyl; Z71 is -0-; and Z72 is selected from -OR81 and -NR 83 -; wherein R 81 and R 83 are hydrogen.
[00223] In another aspect, R71a is CI alkyl; R71b is CI alkyl; R72a is -Z72, and R72b is hydrogen; R74, R75 are independently selected from CI alkyl; R79b is C2-C6 alkenyl; Z71 is - and Z 7"2 is selected from -OR 8011 and -NR 83 -; wherein R 81
; 01and R 803
0- J are hydrogen.
8. COMPOUNDS IDENTIFIED BY MUSCLE ATROPHY SIGNATURE-1 AND MUSCLE
ATROPHY SIGNATURE-2.
[00224] In various aspects, the invention relates to uses of one or more compounds selected from tacrine analogs, naringenin analogs, allantoin analogs, conessine analogs, tomatidine analogs, hippeastrine/ungerine analogs and betulinic acid analogs..
a. MUSCLE ATROPHY SIGNATURE-1
[00225] In one aspect, the disclosed compounds comprise compounds identified using muscle atrophy signature-1. Such compounds include, but are not limited to, allantoin;
conessine; naringenin; tacrine; tomatidine or a pharmaceutically acceptable salt, tautomer, stereoisomer, hydrate, solvate, or polymorph thereof. In a yet further aspect, the compound is an analog of one the preceding compounds as defined above.
b. MUSCLE ATROPHY SIGNATURE-2
[00226] In a further aspect, the disclosed compounds comprise compounds identified using muscle atrophy signature-2. Such compounds include, but are not limited to, allantoin;
betulinic acid; conessine; naringenin; tacrine; tomatidine or a pharmaceutically acceptable salt, tautomer, stereoisomer, hydrate, solvate, or polymorph thereof. In a yet further aspect, the compound is an analog of one the preceding compounds as defined above.
C. MUSCLE ATROPHY SIGNATURE-1 OR MUSCLE ATROPHY SIGNATURE-2
[00227] In a further aspect, the disclosed compounds comprise compounds identified using either muscle atrophy signature-1 or muscle atrophy signature-2. Such compounds include, but are not limited to, allantoin; betulinic acid; conessine; naringenin; tacrine; tomatidine or a pharmaceutically acceptable salt, tautomer, stereoisomer, hydrate, solvate, or polymorph thereof. In a yet further aspect, the compound is an analog of one the preceding compounds as defined above.
d. MUSCLE ATROPHY SIGNATURE-1 AND MUSCLE ATROPHY SIGNATURE-2
[00228] In a further aspect, the disclosed compounds comprise compounds identified using both muscle atrophy signature- 1 and muscle atrophy signature-2, and is a compound associated with both muscle atrophy signatures. Such compounds include, but are not limited to, allantoin; conessine; naringenin; tacrine; tomatidine or a pharmaceutically acceptable salt, tautomer, stereoisomer, hydrate, solvate, or polymorph thereof. In a yet further aspect, the compound is an analog of one the preceding compounds as defined above.
9. INHIBITION OF MUSCLE ATROPHY
[00229] In one aspect, the disclosed compounds inhibit muscle atrophy. In a further aspect, the disclosed compounds promoting muscle health, promoting normal muscle function, and/or promoting healthy aging muscles. In a yet further aspect, the disclosed compounds inhibit of muscle atrophy and promote muscle health, promote normal muscle function, and/or promote healthy aging muscles. In a further aspect, the inhibition of muscle atrophy is in an animal. In an even further aspect, the promoting muscle health, promoting normal muscle function, and/or promoting healthy aging muscles is in an animal. In a still further aspect, the animal is a mammal, In a yet further aspect, the mammal is a human. In a further aspect, the mammal is a mouse. In a yet further aspect, the mammal is a rodent.
[00230] In a further aspect, the disclosed compounds inhibit muscle atrophy when administered at an oral dose of greater than about 5 mg per day in a human. In a further aspect, the disclosed compounds inhibit muscle atrophy when administered at an oral dose of greater than about 10 mg per day in a human. In a further aspect, the disclosed compounds inhibit muscle atrophy when administered at an oral dose of greater than about 25 mg per day in a human. In a further aspect, the disclosed compounds inhibit muscle atrophy when administered at an oral dose of greater than about 50 mg per day in a human. In a further aspect, the disclosed compounds inhibit muscle atrophy when administered at an oral dose of greater than about 75 mg per day in a human. In a further aspect, the disclosed compounds inhibit muscle atrophy when administered at an oral dose of greater than about 100 mg per day in a human. In a further aspect, the disclosed compounds inhibit muscle atrophy when administered at an oral dose of greater than about 150 mg per day in a human. In a further aspect, the disclosed compounds inhibit muscle atrophy when administered at an oral dose of greater than about 200 mg per day in a human. In a further aspect, the disclosed compounds inhibit muscle atrophy when administered at an oral dose of greater than about 250 mg per day in a human. In a yet further aspect, the disclosed compounds inhibit muscle atrophy when administered at an oral dose of greater than about 300 mg per day in a human. In a still further aspect, the disclosed compounds inhibit muscle atrophy when administered at an oral dose of greater than about 400 mg per day in a human. In an even further aspect, the disclosed compounds inhibit muscle atrophy when administered at an oral dose of greater than about 500 mg per day in a human. In a further aspect, the disclosed compounds inhibit muscle atrophy when administered at an oral dose of greater than about 750 mg per day in a human. In a yet further aspect, the disclosed compounds inhibit muscle atrophy when administered at an oral dose of greater than about 1000 mg per day in a human. In a still further aspect, the disclosed compounds inhibit muscle atrophy when administered at an oral dose of greater than about 1500 mg per day in a human. In an even further aspect, the disclosed compounds inhibit muscle atrophy when administered at an oral dose of greater than about 2000 mg per day in a human.
[00231] It is contemplated that one or more compounds can optionally be omitted from the disclosed invention.
C. PHARMACEUTICAL COMPOSITIONS
[00232] In one aspect, the invention relates to pharmaceutical compositions comprising the disclosed compounds. That is, a pharmaceutical composition can be provided comprising a therapeutically effective amount of at least one disclosed compound. In another example, a pharmaceutical composition can be provided comprising a prophylactically effective amount of at least one disclosed compound
[00233] In one aspect, the invention relates to pharmaceutical compositions comprising a pharmaceutically acceptable carrier and a compound, wherein the compound is present in an effective amount. The compound can be selected from a tacrine analog, allantoin analog, naringenin analog, conessine analog, tomatidine analog, ungerine/hippeastrine analog and betulinic acid analog. For example, the compound can be a tacrine analog. In another example, the compound can be a naringenin analog. In another example, the compound can be a conessine analog. In another example, the compound can be a tomatidine analog. In another example, the compound can be an ungerine/hippeastrine analog. In another example, the compound can be a betulinic acid analog.
[00234] In one aspect, the compound is present in an amount greater than about an amount selected from 5 mg, 10 mg, 25 mg, 50 mg, 100 mg, 150 mg, 200 mg, 250 mg, 300 mg, 400, mg, 500 mg, 750 mg, 1000 mg, 1,500 mg, or 2,000 mg.
[00235] A pharmaceutical composition comprising a pharmaceutically acceptable carrier and an effective amount of one or more of: (a) a compound selected from a tacrine analog, allantoin analog, naringenin analog, conessine analog, tomatidine analog,
ungerine/hippeastrine analog and betulinic acid analog; (b) a compound that down regulates multiple induced mRNAs of Muscle Atrophy Signature 1, compared to expression levels in the same type of the muscle cell in the absence of the compound; (c) a compound that up regulates multiple repressed mRNAs of Muscle Atrophy Signature 1, compared to expression levels in the same type of the muscle cell in the absence of the compound; (d) a compound that down regulates multiple induced mRNAs of Muscle Atrophy Signature 2, compared to expression levels in the same type of the muscle cell in the absence of the compound; and/or (e) a compound that up regulates multiple mRNAs of Muscle Atrophy Signature 2, compared to expression levels in the same type of the muscle cell in the absence of the compound.
[00236] In a further aspect, the amount is a therapeutically effective amount. In a still further aspect, the amount is a prophylactically effective amount.
[00237] In a further aspect, pharmaceutical composition is administered to an animal. In a still further aspect, the animal is a mammal, fish or bird. In a yet further aspect, the mammal is a primate. In a still further aspect, the mammal is a human. In an even further aspect, the human is a patient.
[00238] In a further aspect, the pharmaceutical composition comprises a compound identified using muscle atrophy signature- 1. In a yet further aspect, the pharmaceutical composition comprises a compound identified using muscle atrophy signature-2. In a yet further aspect, the pharmaceutical composition comprises a compound identified using both muscle atrophy signature- 1 and muscle atrophy signature-2.
[00239] In a further aspect, the animal is a domesticated animal. In a still further aspect, the domesticated animal is a domesticated fish, domesticated crustacean, or domesticated mollusk. In a yet further aspect, the domesticated animal is poultry. In an even further aspect, the poultry is selected from chicken, turkey, duck, and goose. In a still further aspect, the domesticated animal is livestock. In a yet further aspect, the livestock animal is selected from pig, cow, horse, goat, bison, and sheep.
[00240] In a further aspect, the effective amount is a therapeutically effective amount. In a still further aspect, the effective amount is a prophylactically effective amount. In a yet further aspect, the muscle disorder is muscle atrophy . In an even further aspect, the muscle disorder is a condition in need of promoting muscle health, promoting normal muscle function, and/or promoting healthy aging muscles.
[00241] In a further aspect, the pharmaceutical composition is administered following identification of the mammal in need of treatment of muscle atrophy. In a still further aspect, the pharmaceutical composition is administered following identification of the mammal in need of prevention of muscle atrophy. In an even further aspect, the mammal has been diagnosed with a need for treatment of muscle atrophy prior to the administering step.
[00242] In certain aspects, the disclosed pharmaceutical compositions comprise the disclosed compounds (including pharmaceutically acceptable salt(s) thereof) as an active ingredient, a pharmaceutically acceptable carrier, and, optionally, other therapeutic ingredients or adjuvants. The instant compositions include those suitable for oral, rectal, topical, and parenteral (including subcutaneous, intramuscular, and intravenous)
administration, although the most suitable route in any given case will depend on the particular host, and nature and severity of the conditions for which the active ingredient is being administered. The pharmaceutical compositions can be conveniently presented in unit dosage form and prepared by any of the methods well known in the art of pharmacy.
[00243] As used herein, the term "pharmaceutically acceptable salts" refers to salts prepared from pharmaceutically acceptable non-toxic bases or acids. When the compound of the present invention is acidic, its corresponding salt can be conveniently prepared from pharmaceutically acceptable non-toxic bases, including inorganic bases and organic bases. Salts derived from such inorganic bases include aluminum, ammonium, calcium, copper (-ic and -ous), ferric, ferrous, lithium, magnesium, manganese (-ic and -ous), potassium, sodium, zinc and the like salts. Particularly preferred are the ammonium, calcium, magnesium, potassium and sodium salts. Salts derived from pharmaceutically acceptable organic nontoxic bases include salts of primary, secondary, and tertiary amines, as well as cyclic amines and substituted amines such as naturally occurring and synthesized substituted amines. Other pharmaceutically acceptable organic non-toxic bases from which salts can be formed include ion exchange resins such as, for example, arginine, betaine, caffeine, choline, N,N - dibenzylethylenediamine, diethylamine, 2-diethylaminoethanol, 2-dimethylaminoethanol, ethanolamine, ethylenediamine, N-ethylmorpholine, N-ethylpiperidine, glucamine, glucosamine, histidine, hydrabamine, isopropylamine, lysine, methylglucamine, morpholine, piperazine, piperidine, polyamine resins, procaine, purines, theobromine, triethylamine, trimethylamine, tripropylamine, tromethamine and the like.
[00244] As used herein, the term "pharmaceutically acceptable non-toxic acids", includes inorganic acids, organic acids, and salts prepared thereof, for example, acetic,
benzenesulfonic, benzoic, camphorsulfonic, citric, ethanesulfonic, fumaric, gluconic, glutamic, hydrobromic, hydrochloric, isethionic, lactic, maleic, malic, mandelic,
methanesulfonic, mucic, nitric, pamoic, pantothenic, phosphoric, succinic, sulfuric, tartaric, p-toluenesulfonic acid and the like. Preferred are citric, hydrobromic, hydrochloric, maleic, phosphoric, sulfuric, and tartaric acids.
[00245] In practice, the compounds of the invention, or pharmaceutically acceptable salts thereof, of this invention can be combined as the active ingredient in intimate admixture with a pharmaceutical carrier according to conventional pharmaceutical compounding techniques. The carrier can take a wide variety of forms depending on the form of preparation desired for administration, e.g., oral or parenteral (including intravenous). Thus, the pharmaceutical compositions of the present invention can be presented as discrete units suitable for oral administration such as capsules, cachets or tablets each containing a predetermined amount of the active ingredient. Further, the compositions can be presented as a powder, as granules, as a solution, as a suspension in an aqueous liquid, as a non-aqueous liquid, as an oil-in- water emulsion or as a water-in-oil liquid emulsion. In addition to the common dosage forms set out above, the compounds of the invention, and/or pharmaceutically acceptable salt(s) thereof, can also be administered by controlled release means and/or delivery devices. The compositions can be prepared by any of the methods of pharmacy. In general, such methods include a step of bringing into association the active ingredient with the carrier that constitutes one or more necessary ingredients. In general, the compositions are prepared by uniformly and intimately admixing the active ingredient with liquid carriers or finely divided solid carriers or both. The product can then be conveniently shaped into the desired presentation.
[00246] Thus, the pharmaceutical compositions of this invention can include a
pharmaceutically acceptable carrier and a compound or a pharmaceutically acceptable salt of the compounds of the invention. The compounds of the invention, or pharmaceutically acceptable salts thereof, can also be included in pharmaceutical compositions in combination with one or more other therapeutically active compounds.
[00247] The pharmaceutical carrier employed can be, for example, a solid, liquid, or gas. Examples of solid carriers include lactose, terra alba, sucrose, talc, gelatin, agar, pectin, acacia, magnesium stearate, and stearic acid. Examples of liquid carriers are sugar syrup, peanut oil, olive oil, and water. Examples of gaseous carriers include carbon dioxide and nitrogen.
[00248] In preparing the compositions for oral dosage form, any convenient
pharmaceutical media can be employed. For example, water, glycols, oils, alcohols, flavoring agents, preservatives, coloring agents and the like can be used to form oral liquid preparations such as suspensions, elixirs and solutions; while carriers such as starches, sugars, microcrystalline cellulose, diluents, granulating agents, lubricants, binders, disintegrating agents, and the like can be used to form oral solid preparations such as powders, capsules and tablets. Because of their ease of administration, tablets and capsules are the preferred oral dosage units whereby solid pharmaceutical carriers are employed. Optionally, tablets can be coated by standard aqueous or nonaqueous techniques [00249] A tablet containing the composition of this invention can be prepared by compression or molding, optionally with one or more accessory ingredients or adjuvants. Compressed tablets can be prepared by compressing, in a suitable machine, the active ingredient in a free-flowing form such as powder or granules, optionally mixed with a binder, lubricant, inert diluent, surface active or dispersing agent. Molded tablets can be made by molding in a suitable machine, a mixture of the powdered compound moistened with an inert liquid diluent.
[00250] The pharmaceutical compositions of the present invention comprise a compound of the invention (or pharmaceutically acceptable salts thereof) as an active ingredient, a pharmaceutically acceptable carrier, and optionally one or more additional therapeutic agents or adjuvants. The instant compositions include compositions suitable for oral, rectal, topical, and parenteral (including subcutaneous, intramuscular, and intravenous) administration, although the most suitable route in any given case will depend on the particular host, and nature and severity of the conditions for which the active ingredient is being administered. The pharmaceutical compositions can be conveniently presented in unit dosage form and prepared by any of the methods well known in the art of pharmacy.
[00251] Pharmaceutical compositions of the present invention suitable for parenteral administration can be prepared as solutions or suspensions of the active compounds in water. A suitable surfactant can be included such as, for example, hydroxypropylcellulose.
Dispersions can also be prepared in glycerol, liquid polyethylene glycols, and mixtures thereof in oils. Further, a preservative can be included to prevent the detrimental growth of microorganisms.
[00252] Pharmaceutical compositions of the present invention suitable for injectable use include sterile aqueous solutions or dispersions. Furthermore, the compositions can be in the form of sterile powders for the extemporaneous preparation of such sterile injectable solutions or dispersions. In all cases, the final injectable form must be sterile and must be effectively fluid for easy syringability. The pharmaceutical compositions must be stable under the conditions of manufacture and storage; thus, preferably should be preserved against the contaminating action of microorganisms such as bacteria and fungi. The carrier can be a solvent or dispersion medium containing, for example, water, ethanol, polyol (e.g., glycerol, propylene glycol and liquid polyethylene glycol), vegetable oils, and suitable mixtures thereof.
[00253] Pharmaceutical compositions of the present invention can be in a form suitable for topical use such as, for example, an aerosol, cream, ointment, lotion, dusting powder, mouth washes, gargles, and the like. Further, the compositions can be in a form suitable for use in transdermal devices. These formulations can be prepared, utilizing a compound of the invention, or pharmaceutically acceptable salts thereof, via conventional processing methods. As an example, a cream or ointment is prepared by mixing hydrophilic material and water, together with about 5 wt to about 10 wt of the compound, to produce a cream or ointment having a desired consistency.
[00254] Pharmaceutical compositions of this invention can be in a form suitable for rectal administration wherein the carrier is a solid. It is preferable that the mixture forms unit dose suppositories. Suitable carriers include cocoa butter and other materials commonly used in the art. The suppositories can be conveniently formed by first admixing the composition with the softened or melted carrier(s) followed by chilling and shaping in moulds.
[00255] In addition to the aforementioned carrier ingredients, the pharmaceutical formulations described above can include, as appropriate, one or more additional carrier ingredients such as diluents, buffers, flavoring agents, binders, surface-active agents, thickeners, lubricants, preservatives (including anti-oxidants) and the like. Furthermore, other adjuvants can be included to render the formulation isotonic with the blood of the intended recipient. Compositions containing a compound of the invention, and/or
pharmaceutically acceptable salts thereof, can also be prepared in powder or liquid concentrate form.
[00256] In the treatment conditions which require modulation of cellular function related to muscle health, muscle function and/or healthy muscle aging an appropriate dosage level will generally be about 0.01 to 500 mg per kg patient body weight per day and can be administered in single or multiple doses. Preferably, the dosage level will be about 0.1 to about 250 mg/kg per day; more preferably 0.5 to 100 mg/kg per day. A suitable dosage level can be about 0.01 to 250 mg/kg per day, about 0.05 to 100 mg/kg per day, or about 0.1 to 50 mg/kg per day. Within this range the dosage can be 0.05 to 0.5, 0.5 to 5.0 or 5.0 to 50 mg/kg per day. For oral administration, the compositions are preferably provided in the from of tablets containing 1.0 to 1000 milligrams of the active ingredient, particularly 1.0, 5.0, 10, 15, 20, 25, 50, 75, 100, 150, 200, 250, 300, 400, 500, 600, 750, 800, 900 and 1000 milligrams of the active ingredient for the symptomatic adjustment of the dosage of the patient to be treated. The compound can be administered on a regimen of 1 to 4 times per day, preferably once or twice per day. This dosing regimen can be adjusted to provide the optimal therapeutic response.
[00257] It is understood, however, that the specific dose level for any particular patient will depend upon a variety of factors. Such factors include the age, body weight, general health, sex, and diet of the patient. Other factors include the time and route of administration, rate of excretion, drug combination, and the type and severity of the particular disease undergoing therapy.
[00258] The present invention is further directed to a method for the manufacture of a medicament for modulating cellular activity related to muscle health, muscle function, and/or healthy aging muscles (e.g., treatment of one or more disorders associated with muscle dysfunction or atrophy) in mammals (e.g., humans) comprising combining one or more disclosed compounds, products, or compositions with a pharmaceutically acceptable carrier or diluent. Thus, in one aspect, the invention relates to a method for manufacturing a medicament comprising combining at least one disclosed compound or at least one disclosed product with a pharmaceutically acceptable carrier or diluent.
[00259] The disclosed pharmaceutical compositions can further comprise other therapeutically active compounds, which are usually applied in the treatment of the above mentioned pathological conditions.
[00260] It is understood that the disclosed compositions can be prepared from the disclosed compounds. It is also understood that the disclosed compositions can be employed in the disclosed methods of using.
D. METHODS OF USING THE COMPOUNDS AND COMPOSITIONS
1. MUSCLE ATROPHY
[00261] Muscle atrophy is defined as a decrease in the mass of the muscle; it can be a partial or complete wasting away of muscle. When a muscle atrophies, this leads to muscle weakness, since the ability to exert force is related to mass. Muscle atrophy is a co-morbidity of several common diseases, and patients who have "cachexia" in these disease settings have a poor prognosis.
[00262] Muscle atrophy can also be skeletal muscle loss or weakness caused by malnutrition, aging, muscle disuse (such as voluntary and involuntary bed rest, neurologic disease (such as multiple sclerosis, amyotrophic lateral sclerosis, spinal muscular atrophy, critical illness neuropathy, spinal cord injury, peripheral neuropathy, or peripheral nerve injury), injury to the limbs or joints, casting, other post-surgical forms of limb
immobilization, or spaceflight), chronic disease (such as cancer, congestive heart failure, chronic pulmonary disease, chronic renal failure, chronic liver disease, diabetes mellitus, glucocorticoid excess, growth hormone deficiency, IGF-I deficiency, estrogen deficiency, and chronic infections such as HIV/AIDS or tuberculosis), burn injuries, sepsis, other illnesses requiring mechanical ventiliation, drug-induced muscle disease (such as glucocorticoid-induced myopathy and statin-induced myopathy), genetic diseases that primarily affect skeletal muscle (such as muscular dystrophy, myotonic dystrophy and inclusion body myositis), or autoimmune diseases that affect skeletal muscle (such as polymyositis and dermatomyositis).
[00263] There are many diseases and conditions which cause muscle atrophy, including malnutrition, muscle disuse (secondary to voluntary or involuntary bed rest, neurologic disease (including multiple sclerosis, amyotrophic lateral sclerosis, spinal muscular atrophy, critical illness neuropathy, spinal cord injury or peripheral nerve injury), orthopedic injury, casting, and other post-surgical forms of limb immobilization), chronic disease (including cancer, congestive heart failure, chronic pulmonary disease, chronic renal failure, chronic liver disease, diabetes mellitus, Cushing syndrome, growth hormone deficiency, IGF-I deficiency, estrogen deficiency, and chronic infections such as HIV/ AIDS or tuberculosis), burns, sepsis, other illnesses requiring mechanical ventilation, drug-induced muscle disease (such as glucorticoid-induced myopathy and statin-induced myopathy), genetic diseases that primarily affect skeletal muscle (such as muscular dystrophy and myotonic dystrophy), autoimmune diseases that affect skeletal muscle (such as polymyositis and dermatomyositis), spaceflight, and aging.
[00264] Muscle atrophy occurs by a change in the normal balance between protein synthesis and protein degradation. During atrophy, there is a down-regulation of protein synthesis pathways, and an activation of protein breakdown pathways. The particular protein degradation pathway which seems to be responsible for much of the muscle loss seen in a muscle undergoing atrophy is the ATP-dependent, ubiquitin/proteasome pathway. In this system, particular proteins are targeted for destruction by the ligation of at least four copies of a small peptide called ubiquitin onto a substrate protein. When a substrate is thus "poly- ubiquitinated," it is targeted for destruction by the proteasome. Particular enzymes in the ubiquitin/proteasome pathway allow ubiquitination to be directed to some proteins but not others - specificity is gained by coupling targeted proteins to an "E3 ubiquitin ligase." Each E3 ubiquitin ligase binds to a particular set of substrates, causing their ubiquitination. For example, in skeletal muscle, the E3 ubiquitin ligases atrogin-1 and MuRFl are known to play essential roles protein degradation and muscle atrophy.
[00265] Muscle atrophy can be opposed by the signaling pathways which induce muscle hypertrophy, or an increase in muscle size. Therefore one way in which exercise induces an promote muscle health, promote normal muscle function, and/or promote healthy aging muscles is to downregulate the pathways which have the opposite effect. One important rehabilitation tool for muscle atrophy includes the use of functional electrical stimulation to stimulate the muscles which has had limited success in the rehabilitation of paraplegic patients.
[00266] In certain aspects, the disclosed compounds can be used as a therapy for illness- and age-related muscle atrophy. It can be useful as a monotherapy or in combination with other strategies that have been considered, such as myostatin inhibition (Zhou, X., et al. (2010) Cell 142(4): 531-543). Given its capacity to reduce adiposity, fasting blood glucose and plasma lipid levels, a disclosed compound derivatives can also be used as a therapy for obesity, metabolic syndrome and type 2 diabetes.
[00267] The disclosed compounds can be used as single agents or in combination with one or more other drugs in the treatment, prevention, control, amelioration or reduction of risk of the aforementioned diseases, disorders and conditions for which compounds of formula I or the other drugs have utility, where the combination of drugs together are safer or more effective than either drug alone. The other drug(s) can be administered by a route and in an amount commonly used therefore, contemporaneously or sequentially with a disclosed compound. When a disclosed compound is used contemporaneously with one or more other drugs, a pharmaceutical composition in unit dosage form containing such drugs and the disclosed compound is preferred. However, the combination therapy can also be
administered on overlapping schedules. It is also envisioned that the combination of one or more active ingredients and a disclosed compound will be more efficacious than either as a single agent.
[00268] Systemic administration of one or more disclosed compounds (e.g., by parenteral injection or by oral consumption) can be used to promote muscle health, promote normal muscle function, and/or promote healthy aging muscles, and reduce muscle atrophy in all muscles, including those of the limbs and the diaphragm. Local administration of a disclosed compound (by a topical route or localized injection) can be used to promote local muscle health, as can be required following a localized injury or surgery.
[00269] In one aspect, the subject compounds can be coadministered with agents that stimulate insulin signaling, IGF1 signaling and/or muscle health including ursolic acid, insulin, insulin analogs, insulin-like growth factor 1, metformin, thiazoladinediones, sulfonylureas, meglitinides, leptin, dipeptidyl peptidase-4 inhibitors, glucagon-like peptide-1 agonists, tyro sine-protein phosphatase non-receptor type inhibitors, myostatin signaling inhibitors, beta-2 adrenergic agents including clenbuterol, androgens, selective androgen receptor modulator (such as GTx-024, BMS-564,929, LGD-4033, AC-262,356, JNJ- 28330835, LGD-2226, LGD-3303, S-40503, or S-23), aromatase inhibitors (such as anastrozole, letrozole, exemestane, vorozole, formestane, fadrozole, 4- hydroxyandrostenedione, l,4,6-androstatrien-3,17-dione, and 4-androstene-3,6,17-trione), growth hormone, a growth hormone analog, ghrelin, a ghrelin analog. A disclosed compound or salt thereof can be administered orally, intramuscularly, intravenously or intraarterially. A disclosed compound or salt thereof can be substantially pure. A disclosed compound or salt thereof can be administered at about 10 mg/day to 10 g/day.
[00270] In another aspect, the subject compounds can be administered in combination with agents that stimulate ursolic acid, insulin, insulin analogs, insulin-like growth factor 1, metformin, thiazoladinediones, sulfonylureas, meglitinides, leptin, dipeptidyl peptidase-4 inhibitors, glucagon-like peptide-1 agonists, tyro sine-protein phosphatase non-receptor type inhibitors, myostatin signaling inhibitors, beta-2 adrenergic agents including clenbuterol, androgens, selective androgen receptor modulator (such as GTx-024, BMS-564,929, LGD- 4033, AC-262,356, JNJ-28330835, LGD-2226, LGD-3303, S-40503, or S-23), aromatase inhibitors (such as anastrozole, letrozole, exemestane, vorozole, formestane, fadrozole, 4- hydroxyandrostenedione, l,4,6-androstatrien-3,17-dione, and 4-androstene-3,6,17-trione), growth hormone, a growth hormone analog, ghrelin, or a ghrelin analog. A disclosed compound or salt thereof can be administered orally, intramuscularly, intravenously or intraarterially. A disclosed compound or salt thereof can be substantially pure. A disclosed compound or salt thereof can be administered at about 10 mg/day to 10 g/day.
[00271] The pharmaceutical compositions and methods of the present invention can further comprise other therapeutically active compounds as noted herein which are usually applied in the treatment of the above mentioned pathological conditions.
2. TREATMENT METHODS
[00272] The compounds disclosed herein are useful for treating, preventing, ameliorating, controlling or reducing the risk of a variety of muscle disorders. Examples of such muscle disorders include, but are not limited to, skeletal muscle atrophy secondary to malnutrition, muscle disuse (secondary to voluntary or involuntary bedrest), neurologic disease (including multiple sclerosis, amyotrophic lateral sclerosis, spinal muscular atrophy, critical illness neuropathy, spinal cord injury or peripheral nerve injury), orthopedic injury, casting, and other post-surgical forms of limb immobilization, chronic disease (including cancer, congestive heart failure, chronic pulmonary disease, chronic renal failure, chronic liver disease, diabetes mellitus, Cushing syndrome and chronic infections such as HIV/AIDS or tuberculosis), burns, sepsis, other illnesses requiring mechanical ventiliation, drug-induced muscle disease (such as glucorticoid-induced myopathy and statin-induced myopathy), genetic diseases that primarily affect skeletal muscle (such as muscular dystrophy and myotonic dystrophy), autoimmune diseases that affect skeletal muscle (such as polymyositis and dermatomyositis), spaceflight, or age-related sarcopenia. In still further aspects, the invention is related to methods to modulate muscle health, methods to inhibit muscle atrophy.
[00273] Thus, provided is a method for treating or preventing muscle atrophy, comprising: administering to a subject at least one disclosed compound; at least one disclosed
pharmaceutical composition; and/or at least one disclosed product in a dosage and amount effective to treat the disorder in the subject.
[00274] Also provided is a method for promoting muscle health, promote normal muscle function, and/or promote healthy aging muscles comprising: administering to a subject at least one disclosed compound; at least one disclosed pharmaceutical composition; and/or at least one disclosed product in a dosage and amount effective to treat the disorder in the subject.
[00275] The compounds disclosed herein are useful for treating, preventing, ameliorating, controlling or reducing the risk of a variety of metabolic disorders. In a further aspect, the disclosed compounds in treating disorders associated with a dysfunction of insulin/IGF-I signaling. Thus, are provided methods to increase insulin/IGF-I signaling, methods to reduce body fat; methods to reduce blood glucose, methods to reduce blood triglycerides, methods to reduce blood cholesterol, methods to reduce obesity, methods to reduce fatty liver disease, and methods to reduce diabetes, and pharmaceutical compositions comprising compounds used in the methods.
a. TREATING MUSCLE ATROPHY
[00276] Disclosed herein is a method of treating muscle atrophy in an animal comprising administering to the animal an effective amount of a compound. The compound can be selected from a tacrine and analogs, naringenin and analogs, allantoin and analogs, conessine and analogs, tomatidine and analogs, ungerine/hippeastrine and analogs, and betulinic acid and analogs, or a mixture thereof. For example, the compound can be a tacrine analog. In another example, the compound can be a naringenin analog. In another example, the compound can be an allantoin analog. In another example, the compound can be a conessine analog. In another example, the compound can be a tomatidine analog. In another example, the compound can be a ungerine/hippeastrine analog. In another example, the compound can be a betulinic acid analog.
[00277] In one aspect, the compound is administered in an amount between about 0.01 to 500 mg per kg patient body weight per day and can be administered in single or multiple doses. Preferably, the dosage level will be about 0.1 to about 250 mg/kg per day; more preferably 0.5 to 100 mg/kg per day. A suitable dosage level can be about 0.01 to 250 mg/kg per day, about 0.05 to 100 mg/kg per day, or about 0.1 to 50 mg/kg per day. Within this range the dosage can be 0.05 to 0.5, 0.5 to 5.0 or 5.0 to 50 mg/kg per day. For oral administration, the compositions are preferably provided in the from of tablets containing 1.0 to 1000 milligrams of the active ingredient, particularly 1.0, 5.0, 10, 15, 20, 25, 50, 75, 100, 150, 200, 250, 300, 400, 500, 600, 750, 800, 900 and 1000 milligrams of the active ingredient for the symptomatic adjustment of the dosage of the patient to be treated. The compound can be administered on a regimen of 1 to 4 times per day, preferably once or twice per day. This dosing regimen can be adjusted to provide the optimal therapeutic response
[00278] In one aspect, the disclosed compounds inhibit muscle atrophy. In a further aspect, the disclosed compounds promote muscle health, promote normal muscle function, and/or promote healthy aging muscles. In a yet further aspect, the disclosed compounds inhibit of muscle atrophy and promoting muscle health, promoting normal muscle function, and/or promoting healthy aging muscles. In an even further aspect, the disclosed compounds inhibit of muscle atrophy.
[00279] In a further aspect, the compound administered is a disclosed compound or a product of a disclosed method of making a compound. In a yet further aspect, the invention relates to a pharmaceutical composition comprising at least one compound as disclosed herein.
[00280] In a further aspect, the compound is co-administered with an anabolic agent. In a further aspect, wherein the compound is co-administered with ursolic acid or a ursolic acid derivative.
[00281] In a further aspect, the animal is a mammal, fish or bird. In a yet further aspect, the mammal is a primate. In a still further aspect, the mammal is a human. In an even further aspect, the human is a patient.
[00282] In a further aspect, the Muscle Atrophy Signature is Muscle Atrophy Signature 1. In a still further aspect, the Muscle Atrophy Signature is Muscle Atrophy Signature 2.
[00283] In a further aspect, prior to the administering step the mammal has been diagnosed with a need for treatment of a disorder selected muscle atrophy, diabetes, obesity, and fatty liver disease. In a yet further aspect, the disorder is muscle atrophy. [00284] In a further aspect, prior to the administering step the mammal has been diagnosed with a need for treatment of a disorder associated with a dysfunction in insulin/IGF-I signaling.
[00285] In a further aspect, the treatment of the disorder increases muscle IGF-I signaling. In a still further aspect, the treatment of the disorder increases muscle IGF-I production.
[00286] In a further aspect, prior to the administering step the mammal has been diagnosed with a need for treatment of a disorder associated with circulating levels of leptin. In a still further aspect, the treatment decreases the circulating levels of leptin.
[00287] In a further aspect, administration the methods are promoting muscle health, , promoting normal muscle function, and/or promoting healthy aging muscles in the mammal. In a yet further aspect, administration increases energy expenditure. In a still further aspect, increases brown fat. In an even further aspect, administration increases the ratio of brown fat to white fat. In a still further aspect, administration increases the ratio of skeletal muscle to fat. In a yet further aspect, the compound is co-administered with a disclosed compound or a derivative thereof.
[00288] In a further aspect, the animal is a domesticated animal. In a still further aspect, the domesticated animal is a domesticated fish, domesticated crustacean, or domesticated mollusk. In a yet further aspect, the domesticated animal is poultry. In an even further aspect, the poultry is selected from chicken, turkey, duck, and goose. In a still further aspect, the domesticated animal is livestock. In a yet further aspect, the livestock animal is selected from pig, cow, horse, goat, bison, and sheep.
[00289] In a further aspect, the effective amount is a therapeutically effective amount. In a still further aspect, the effective amount is a prophylactically effective amount. In a yet further aspect, muscle atrophy is prevented by administration of the compound. In an even further aspect, muscle atrophy is treated by administration of the compound. In a still further aspect, the method further comprises the step of identifying the mammal in need of treatment of muscle atrophy. In a yet further aspect, the method further comprises the step of identifying the mammal in a need of prevention of muscle atrophy. In an even further aspect, the mammal has been diagnosed with a need for treatment of muscle atrophy prior to the administering step.
b. PROMOTING MUSCLE HEALTH
[00290] In one aspect, the invention relates to a method for promoting muscle health, promoting normal muscle function, and/or promoting healthy aging muscles in an animal, the method comprising administering to the animal an effective amount of a compound selected from a tacrine and analogs, naringenin and analogs, allantoin and analogs, conessine and analogs, tomatidine and analogs, ungerine/hippeastrine and analogs, and betulinic acid and analogs, or a mixture thereof, , thereby promoting muscle health in the animal. For example, the compound can be a tacrine analog. In another example, the compound can be a naringenin analog. In another example, the compound can be an allantoin analog. In another example, the compound can be a conessine analog. In another example, the compound can be a tomatidine analog. In another example, the compound can be a ungerine/hippeastrine analog. In another example, the compound can be a betulinic acid analog. In one aspect, the invention relates to a method for promoting muscle health. In another aspect, the invention relates to a method for promoting normal muscle function. In another aspect, the invention relates to a method for promoting healthy aging muscles.
[00291] In one aspect, the invention relates to a method for promoting muscle health, promoting normal muscle function, and/or promoting healthy aging muscles in an animal, the method comprising administering to the animal an effective amount of a compound, wherein the compound down regulates at least one of the induced mRNAs of Muscle Atrophy
Signature 1 or Muscle Atrophy Signature 2, compared to expression levels in the same type of the muscle cell in the absence of the compound, and/or wherein the compound up regulates at least one of the repressed mRNAs of Muscle Atrophy Signature 1 or Muscle Atrophy Signature 2, compared to expression levels in the same type of the muscle cell in the absence of the compound, thereby promoting muscle health, promoting normal muscle function, and/or promoting healthy aging muscles in the animal.
[00292] In a further aspect, the animal is a mammal, fish or bird. In a yet further aspect, the mammal is a primate. In a still further aspect, the mammal is a human. In an even further aspect, the human is a patient.
[00293] In a further aspect, the Muscle Atrophy Signature is Muscle Atrophy Signature 1. In a still further aspect, the Muscle Atrophy Signature is Muscle Atrophy Signature 2.
[00294] In a further aspect, prior to the administering step the mammal has been diagnosed with a need for treatment of a disorder selected muscle atrophy, diabetes, obesity, and fatty liver disease. In a yet further aspect, the disorder is muscle atrophy.
[00295] In a further aspect, prior to the administering step the mammal has been diagnosed with a need for treatment of a disorder associated with a dysfunction in insulin/IGF-I signaling.
[00296] In a further aspect, the treatment of the disorder increases muscle IGF-I signaling. In a still further aspect, the treatment of the disorder increases muscle IGF-I production. [00297] In a further aspect, prior to the administering step the mammal has been diagnosed with a need for treatment of a disorder associated with circulating levels of leptin. In a still further aspect, the treatment decreases the circulating levels of leptin.
[00298] In a further aspect, administration promoting muscle health, promoting normal muscle function, and/or promoting healthy aging muscles in the mammal. In a yet further aspect, administration increases energy expenditure. In a still further aspect, increases brown fat. In an even further aspect, administration increases the ratio of brown fat to white fat. In a still further aspect, administration increases the ratio of skeletal muscle to fat. In a yet further aspect, the compound is co-administered with a disclosed compound or a derivative thereof.
[00299] In a further aspect, the animal is a domesticated animal. In a still further aspect, the domesticated animal is a domesticated fish, domesticated crustacean, or domesticated mollusk. In a yet further aspect, the domesticated animal is poultry. In an even further aspect, the poultry is selected from chicken, turkey, duck, and goose. In a still further aspect, the domesticated animal is livestock. In a yet further aspect, the livestock animal is selected from pig, cow, horse, goat, bison, and sheep.
[00300] In a further aspect, the effective amount is a therapeutically effective amount. In a still further aspect, the effective amount is a prophylactically effective amount. In a yet further aspect, muscle atrophy is prevented by administration of the compound. In an even further aspect, muscle atrophy is treated by administration of the compound. In a still further aspect, the method further comprises the step of identifying the mammal in need of treatment of muscle atrophy. In a yet further aspect, the method further comprises the step of identifying the mammal in a need of prevention of muscle atrophy. In an even further aspect, the mammal has been diagnosed with a need for treatment of muscle atrophy prior to the administering step.
c. ENHANCING MUSCLE FORMATION
[00301] In one aspect, the invention relates to a method of enhancing muscle formation in a mammal, the method comprising administering to the animal an effective amount of a compound selected from a tacrine and analogs, naringenin and analogs, allantoin and analogs, conessine and analogs, tomatidine and analogs, ungerine/hippeastrine and analogs, and betulinic acid and analogs, or a mixture thereof, thereby promoting muscle health, promoting normal muscle function, and/or promoting healthy aging muscles in the animal. For example, the compound can be a tacrine analog. In another example, the compound can be a naringenin analog. In another example, the compound can be an allantoin analog. In another example, the compound can be a conessine analog. In another example, the compound can be a tomatidine analog. In another example, the compound can be a ungerine/hippeastrine analog. In another example, the compound can be a betulinic acid analog.
[00302] In a further aspect, the invention relates to a method of enhancing muscle formation in a mammal, the method comprising administering to the animal an effective amount of a compound, wherein the compound down regulates at least one of the induced mRNAs of Muscle Atrophy Signature 1 or Muscle Atrophy Signature 2, compared to expression levels in the same type of the muscle cell in the absence of the compound, and/or wherein the compound up regulates at least one of the repressed mRNAs of Muscle Atrophy Signature 1 or Muscle Atrophy Signature 2, compared to expression levels in the same type of the muscle cell in the absence of the compound, thereby promoting muscle health, promoting normal muscle function, and/or promoting healthy aging muscles in the animal.
[00303] In a further aspect, the mammal is a human. In a still further aspect, the human is a patient. In a yet further aspect, administration of the compound prevents muscle atrophy in the mammal. In an even further aspect, administration of the compound treats muscle atrophy in the mammal. In a still further aspect, administration of the compound promote muscle health, promote normal muscle function, and/or promote healthy aging muscles in the mammal.
[00304] In a further aspect, the compound is administered in an effective amount. In a yet further aspect, the effective amount is a therapeutically effective amount. In a still further aspect, the effective amount is a prophylactically effective amount. In a still further aspect, the method further comprises the step of identifying the mammal in need of treatment of muscle atrophy. In a yet further aspect, the method further comprises the step of identifying the mammal in need of prevention of muscle atrophy. In an even further aspect, the mammal has been diagnosed with a need for treatment of muscle atrophy prior to the administering step.
[00305] In a further aspect, the mammal is a domesticated animal. In a yet further aspect, domesticated animal is livestock. In a yet further aspect, the livestock animal is selected from pig, cow, horse, goat, bison, and sheep.
3. FACILITATING TISSUE FORMATION IN VITRO
[00306] In one aspect, the invention relates to a method of enhancing tissue health in vitro, the method comprising administering to the tissue an effective amount of a compound wherein the compound down regulates at least one of the induced mRNAs of Muscle Atrophy Signature 1 or Muscle Atrophy Signature 2, compared to expression levels in the same type of the muscle cell in the absence of the compound, and/or wherein the compound up regulates at least one of the repressed mRNAs of Muscle Atrophy Signature 1 or Muscle Atrophy Signature 2, compared to expression levels in the same type of the muscle cell in the absence of the compound, thereby promoting muscle health, promoting normal muscle function, and/or promoting healthy aging muscles.
[00307] In a further aspect, the compound administered is a disclosed compound. In a further aspect, the compound is selected from a tacrine and analogs, naringenin and analogs, allantoin and analogs, conessine and analogs, tomatidine and analogs, ungerine/hippeastrine and analogs, and betulinic acid and analogs, or a mixture thereof, thereby facilitating tissue formation in vitro. For example, the compound can be a tacrine analog. In another example, the compound can be a naringenin analog. In another example, the compound can be an allantoin analog. In another example, the compound can be a conessine analog. In another example, the compound can be a tomatidine analog. In another example, the compound can be a ungerine/hippeastrine analog. In another example, the compound can be a betulinic acid analog.
[00308] In a further aspect, the tissue comprises animal cells. In a still further aspect, the animal cells are muscle cells. In a yet further aspect, the muscle cells are skeletal muscle stem or progenitor cells. In an even further aspect, the skeletal muscle stem or progenitor cells are grown on a scaffold.
4. MANUFACTURE OF A MEDICAMENT
[00309] In one aspect, the invention relates to a method for the manufacture of a medicament for inhibiting muscle atrophy and for promoting muscle health, promoting normal muscle function, and/or promoting healthy aging muscles in a mammal comprising combining a therapeutically effective amount of a disclosed compound or product of a disclosed method with a pharmaceutically acceptable carrier or diluent.
[00310] In one aspect, the invention relates to a method for manufacturing a medicament associated with muscle atrophy or the need to promote muscle health, promote normal muscle function, and/or promote healthy aging muscles, the method comprising the step of combining an effective amount of one or more of: (a) a compound selected from tacrine analog, naringenin analog, allantoin analog, conessine analog, tomatidine analog,
ungerine/hippeastrine analog and betulinic acid analog, or a mixture thereof; (b) a compound that down regulates multiple induced mRNAs of Muscle Atrophy Signature 1, compared to expression levels in the same type of the muscle cell in the absence of the compound; (c) a compound that up multiple repressed mRNAs of Muscle Atrophy Signature 1, compared to expression levels in the same type of the muscle cell in the absence of the compound; (d) a compound that down regulates multiple induced mRNAs of Muscle Atrophy Signature 2, compared to expression levels in the same type of the muscle cell in the absence of the compound; and/or (e) a compound that up regulates at least one of the repressed mRNAs of Muscle Atrophy Signature 2, compared to expression levels in the same type of the muscle cell in the absence of the compound, with a pharmaceutically acceptable carrier or diluent.
[00311] In a further aspect, the medicament comprises a disclosed compound. In a still further aspect, the compound is selected from a tacrine and analogs, naringenin and analogs, allantoin and analogs, conessine and analogs, tomatidine and analogs, ungerine/hippeastrine and analogs, and betulinic acid and analogs, or a mixture thereof. For example, the compound can be a tacrine analog. In another example, the compound can be a naringenin analog. In another example, the compound can be an allantoin analog. In another example, the compound can be a conessine analog. In another example, the compound can be a tomatidine analog. In another example, the compound can be a ungerine/hippeastrine analog. In another example, the compound can be a betulinic acid analog.
[00312] In a further aspect, the medicament is modulates muscle health. In a still further aspect, the medicament inhibits muscle atrophy. In a yet further aspect, the medicament promote muscle health, promote normal muscle function, and/or promote healthy aging muscles.
5. KITS
[00313] Also disclosed herein are kit comprising a tacrine analog, naringenin analog, allantoin analog, conessine analog, tomatidine analog, ungerine/hippeastrine analog and betulinic acid analog, or a mixture thereof, and one or more of: a) at least one agent known to treat muscle atrophy in an animal; b) at least one agent known to decrease the risk of obtaining muscle atrophy in an animal; c) at least one agent known to have a side effect of muscle atrophy; d) instructions for treating muscle atrophy; or e) at least one anabolic agent.. For example, the compound can be a tacrine analog. In another example, the compound can be a naringenin analog. In another example, the compound can be a allantoin analog. In another example, the compound can be a conessine analog. In another example, the compound can be a tomatidine analog. In another example, the compound can be a ungerine/hippeastrine analog. In another example, the compound can be a betulinic acid analog.
[00314] In one aspect, the kit further comprises at least one agent, wherein the compound and the agent are co-formulated. [00315] In another aspect, the compound and the agent are co-packaged. The agent can be any agent as disclosed herein, such as anabolic agent, agent known to have a side effect of muscle atrophy, agent known to decrease the risk of obtaining muscle atrophy in an animal, or agent known to treat muscle atrophy in an animal.
[00316] In one aspect, the invention relates to a kit comprising an effective amount of one or more of: (a) a compound selected from a tacrine analog, naringenin analog, allantoin analog, conessine analog, tomatidine analog, ungerine/hippeastrine analog and betulinic acid analog; (b) a compound that down regulates multiple induced mRNAs of Muscle Atrophy Signature 1, compared to expression levels in the same type of the muscle cell in the absence of the compound; (c) a compound that up regulates multiple repressed mRNAs of Muscle Atrophy Signature 1, compared to expression levels in the same type of the muscle cell in the absence of the compound; (d) a compound that down regulates multiple induced mRNAs of Muscle Atrophy Signature 2, compared to expression levels in the same type of the muscle cell in the absence of the compound; and/or (e) a compound that up regulates multiple repressed mRNAs of Muscle Atrophy Signature 2, compared to expression levels in the same type of the muscle cell in the absence of the compound, (f) and one or more of: (i) a protein supplement; (ii) an anabolic agent; (iii) a catabolic agent; (iv) a dietary supplement; (v) at least one agent known to treat a disorder associated with muscle wasting; (vi) instructions for treating a disorder associated with cholinergic activity; or (vii) instructions for using the compound to promote muscle health, promote normal muscle function, and/or promote healthy aging muscles.
[00317] The kits can also comprise compounds and/or products co-packaged, co- formulated, and/or co-delivered with other components. For example, a drug manufacturer, a drug reseller, a physician, a compounding shop, or a pharmacist can provide a kit comprising a disclosed compound and/or product and another component for delivery to a patient.
[00318] It is contemplated that the disclosed kits can be used in connection with the disclosed methods of making, the disclosed methods of using, and/or the disclosed compositions.
6. METHOD OF LOWERING BLOOD GLUCOSE
[00319] In one aspect, the invention relates to a method of lowering blood glucose in an animal comprising administering to the animal an effective amount of a composition comprising ursolic acid and a naringenin analog, thereby lowering the blood glucose in the animal. In one aspect, the naringenin analog can be naringenin. In one aspect, the ursolic acid can be a ursolic acid derivative. [00320] In another aspect, invention relates to a method of lowering blood glucose in an animal comprising administering to the animal an effective amount of a hippeastrine analog, thereby lowering the blood glucose in the animal. In one aspect, the hippeastrine analog can be hippeastrine.
[00321] In another aspect, invention relates to a method of lowering blood glucose in an animal comprising administering to the animal an effective amount of a conessine analog, thereby lowering the blood glucose in the animal. In one aspect, the conessine analog can be conessine.
[00322] In a further aspect, the animal is a mammal, fish or bird. In a yet further aspect, the mammal is a primate. In a still further aspect, the mammal is a human. In an even further aspect, the human is a patient.
[00323] In a further aspect, prior to the administering step the mammal has been diagnosed with a need for treatment of a disorder associated with the need of lowering blood glucose. .
[00324] In a further aspect, prior to the administering step the mammal has been diagnosed with a need for treatment of a disorder associated with a dysfunction in insulin/IGF-I signaling.
[00325] In a further aspect, the treatment of the disorder increases muscle IGF-I signaling. In a still further aspect, the treatment of the disorder increases muscle IGF-I production.
[00326] In a further aspect, prior to the administering step the mammal has been diagnosed with a need for treatment of a disorder associated with circulating levels of leptin. In a still further aspect, the treatment decreases the circulating levels of leptin.
[00327] In a further aspect, the animal is a domesticated animal. In a still further aspect, the domesticated animal is a domesticated fish, domesticated crustacean, or domesticated mollusk. In a yet further aspect, the domesticated animal is poultry. In an even further aspect, the poultry is selected from chicken, turkey, duck, and goose. In a still further aspect, the domesticated animal is livestock. In a yet further aspect, the livestock animal is selected from pig, cow, horse, goat, bison, and sheep.
[00328] In a further aspect, the effective amount is a therapeutically effective amount. In a still further aspect, the effective amount is a prophylactically effective amount. In a yet further aspect, high blood glucose is prevented by administration of the compound. In a still further aspect, the method further comprises the step of identifying the mammal in need of treatment of lowering of blood glucose. In a yet further aspect, the method further comprises the step of identifying the mammal in a need of prevention the need of lowering blood glucose. In an even further aspect, the mammal has been diagnosed with a need for lowering of blood glucose prior to the administering step.
7. IDENTIFICATION OF COMPOUNDS THAT INHIBIT MUSCLE ATROPHY
[00329] Also disclosed are methods for identifying a compound that inhibits muscle atrophy when administered in a effective amount to a animal in need of treatment thereof, the method comprising the steps of:(i) selecting a candidate compound; (ii) determining the effect of the candidate compound on a cell's expression levels of a plurality of induced mRNAs and/or repressed mRNAs of a Muscle Atrophy Signature, wherein the candidate compound is identified as suitable for muscle atrophy inhibition if: (a) more than one of the induced mRNAs of the Muscle Atrophy Signature are down regulated, compared to expression levels of the induced mRNAs of the Muscle Atrophy Signature in the same type of cell in the absence of the candidate compound; and/or (b) more than one of the repressed mRNAs of the Muscle Atrophy Signature are up regulated, compared to expression levels of the repressed mRNAs of the Muscle Atrophy Signature in the same type of cell in the absence of the candidate compound. In one aspect, the method further comprises
administering the candidate compound to an animal. In yet another aspect, the method further comprises writing a report. In yet another aspect, the method further comprises reporting the results. In yet another aspect, the method further comprises performing further tests on the candidate compound, such as confirmatory tests. In yet another aspect, the method further comprises performing toxicity studies on the candidate compound.
[00330] In a further aspect, the candidate compound comprises a disclosed compound. In a still further aspect, the compound is selected from a tacrine analog, naringenin analog, allantoin analog, conessine analog, tomatidine analog, ungerine/hippeastrine analog and betulinic acid analog, as defined elsewhere herein. For example, the compound can be a tacrine analog. In another example, the compound can be a naringenin analog. In another example, the compound can be an allantoin analog. In another example, the compound can be a conessine analog. In another example, the compound can be a tomatidine analog. In another example, the compound can be a ungerine/hippeastrine analog. In another example, the compound can be a betulinic acid analog.
[00331] In a further aspect, the animal is a mammal, fish or bird. In a yet further aspect, the mammal is a primate. In a still further aspect, the mammal is a human. In an even further aspect, the human is a patient.
[00332] In a further aspect, the Muscle Atrophy Signature is Muscle Atrophy Signature 1. In a still further aspect, the Muscle Atrophy Signature is Muscle Atrophy Signature 2.
[00333] In a further aspect, the Muscle Atrophy Signature is determined according to steps comprising: a) determining mRNA expression levels in a muscle cell undergoing muscle atrophy, b) determining mRNA expression levels in a muscle cell not undergoing muscle atrophy, wherein an mRNA is determined to be part of the Muscle Atrophy Signature if: (aO the mRNA is up regulated in the muscle cell undergoing muscle atrophy compared to the muscle cell not undergoing muscle atrophy, or (b) the mRNA is down regulated in the muscle cell undergoing muscle atrophy compared to the muscle cell not undergoing muscle atrophy.
[00334] In one aspect, the muscle cell undergoing atrophy and the muscle cell not undergoing atrophy are harvested from an animal. In another aspect, the muscle cell undergoing atrophy is harvested while the animal is in a state of fasting and the muscle cell not undergoing atrophy is harvested prior to the state of fasting. In yet another aspect, the muscle cell undergoing atrophy is harvested from an immobilized muscle and the muscle cell not undergoing atrophy is harvested from a mobile muscle. In yet another aspect, the muscle cell undergoing atrophy is harvested from an animal with spinal cord injury and the muscle cell not undergoing atrophy is harvested from a muscle that has received electrical stimulation. In yet another aspect, the Muscle Atrophy Signature is determined by selecting mRNAs commonly up regulated or commonly down regulated between two or more of the Muscle Atrophy Signatures of the methods described herein.
[00335] In a further aspect, the invention relates to a method for inhibiting muscle atrophy in a mammal, the method comprising administering to the mammal a therapeutically effective amount of a compound of identified using the method described above.
8. NON-MEDICAL USES
[00336] Also provided are the uses of the disclosed compounds and products as pharmacological tools in the development and standardization of in vitro and in vivo test systems for the evaluation of the effects of inhibitors of muscle atrophy related activity in laboratory animals such as cats, dogs, rabbits, monkeys, rats, fish, birds, and mice, as part of the search for new therapeutic agents of promoting muscle health, promoting normal muscle function, and/or promoting healthy aging muscles.
E. EXPERIMENTAL
[00337] The following examples are put forth so as to provide those of ordinary skill in the art with a complete disclosure and description of how the compounds, compositions, articles, devices and/or methods claimed herein are made and evaluated, and are intended to be purely exemplary of the invention and are not intended to limit the scope of what the inventors regard as their invention. However, those of skill in the art should, in light of the present disclosure, appreciate that many changes can be made in the specific embodiments which are disclosed and still obtain a like or similar result without departing from the spirit and scope of the invention.
[00338] Efforts have been made to ensure accuracy with respect to numbers (e.g., amounts, temperature, etc.), but some errors and deviations should be accounted for. Unless indicated otherwise, parts are parts by weight, temperature is in °C or is at ambient temperature, and pressure is at or near atmospheric.
[00339] Certain materials, reagents and kits were obtained from specific vendors as indicated below, and as appropriate the vendor catalog, part or other number specifying the item are indicated. Vendors indicated below are as follows: "Ambion" is Ambion, a division of Life Technologies Corporation, Austin, Texas, USA; "Applied Biosystems" is Applied Biosystems, a division of Life Technologies Corporation, Carlsbad, California, USA;
"Boehringer Mannheim" is Boehringer Mannheim Corporatin, Indiapolis, Indiana, USA; "CardinalHealth" is Cardinal Health, Inc., Dublin, Ohio, USA; "Cell Signaling" is Cell Signaling Technology, Inc., Beverly, Massachussetts, USA; "Columbus Inst" is Columbus Instruments International, Columbus, Ohio, USA; "Harlan" is Harlan Laboratories,
Indianapolis, Indiana, USA; "Instrumedics" is Instrumedics, Inc., Richmond, Illinois, USA; "Invitrogen" is Invitrogen Corporation, Carlsbad, California, USA; "Microm" is the Microm division (Walldorf, Germany) of Thermo Fisher Scientific Inc., Rockford, Illinois, USA; "Millipore" is Millipore Corporation, Billerica, Massachussetts, USA; a division of Merck KGaA, Darmstadt, Germany; "Ortho" is Ortho Clinical Diagnostics, Rochester, New York, USA; "Pierce" is Pierce Biotechnology, Inc., Milwaukee, Wisconsin, USA, a division of Thermo Fisher Scientific, Inc.; "R&D Systems" is R&D Systems Inc., Minneapolis,
Minnesota, USA; "Roche Diagnostics" is Roche Diagnostics Corporation, Indianapolis, Indiana, USA; "Sakura" is Sakura Finetek USA, Inc., Torrance, California, USA; "Santa Cruz" is Santa Cruz Biotechnology, Inc., Santa Cruz, California, USA; and, "Sigma" is Sigma- Aldrich Corporation, Saint Louis, Missouri, USA.
1. GENERAL METHODS
a. HUMAN SUBJECT PROTOCOL.
[00340] The study referred to herein was approved by the Institutional Review Board at the University of Iowa, and involved seven healthy adults who gave their informed consent before participating. One week prior to the fasting study, subjects made one visit to the Clinical Research Unit ("CRU") for anthropometric measurements, a dietary interview that established each subject' s routine food intake and food preferences, and baseline determinations of blood hemoglobin ("Hb") Ale turbidimetric immunoinhibition using the BM/Hitachi 911 analyzer (Boehringer Mannheim); plasma triglycerides and plasma free T4 and TSH by electrochemiluminescence immunoassay using the Elecsys® System (Roche Diagnostics); plasma CRP by immuno-turbidimetric assay using the Roche Cobas Integra® high- sensitivity assay (Roche Diagnostics); and, plasma TNF-a levels using the Quantikine® Kit (R&D Systems). To ensure that subjects were eating their routine diet prior to the fasting study, subjects ate only meals prepared by the CRU dietician (based on the dietary interview) for 48 hours before the fasting study. The fasting study began at t = 0 hours, when subjects were admitted to the CRU and began fasting. While fasting, subjects remained in the CRU and were encouraged to maintain their routine physical activities. Water was allowed ad libitum, but caloric intake was not permitted. At about 40 hours, a percutaneous biopsy was taken from the vastus lateralis muscle using a Temno® Biopsy Needle (CardinalHealth; Cat # T1420) under ultrasound guidance. Subjects then ate a CRU-prepared mixed meal, and at t = 46 hours, a muscle biopsy was taken from the contralateral vastus lateralis muscle. Plasma glucose and insulin levels were measured at t = 36, 40, 42 and 46 hours; the Elecsys® system was used to quantitate plasma insulin. Our study protocol of humans with spinal cord injury was described previously (Adams CM, et al. (2011) Muscle Nerve. 43(l):65-75).
B. MLC OA AY ANALYSIS OF HUMAN SKELETAL MUSCLE MRNA
LEVELS.
[00341] Following harvest, skeletal muscle samples were immediately placed in RNAlater (Ambion) and stored at -80 °C until further use. Total RNA was extracted using TRIzol solution (Invitrogen), and microarray hybridizations were performed at the University of Iowa DNA Facility, as described previously (Lamb J, et al. (2006) Science (New York, NY 313(5795): 1929-1935). The log2 hybridization signals as shown herein reflect the mean signal intensity of all exon probes specific for an individual mRNA. To determine which human skeletal muscle mRNAs were significantly altered by fasting (P < 0.02), paired t-tests were used to compare fasted and fed log2 signals. To determine which mouse skeletal muscle mRNAs were significantly altered by ursolic acid (P < 0.005), unpaired t-tests were used to compare log2 signals in mice fed control diet or diet supplemented with ursolic acid. Highly expressed mRNAs were defined as those significantly altered mRNAs that were repressed from or induced to a log2 signal > 8. These raw microarray data from humans and mice have been deposited in NCBI's Gene Expression Omnibus ("GEO") and are accessible through GEO Series accession numbers GSE28016 and GSE28017, respectively. Exon array studies of the effects of fasting on mouse skeletal muscle, and the effects of spinal cord injury on human skeletal muscle were described previously (Adams CM, et al. (2011) Muscle & nerve 43(l):65-75; Ebert SM, et al. (2010) Molecular Endocrinology 24(4):790-799).
c. QUANTITATIVE REAL-TIME RT-PCR (QPCR).
[00342] TRIzol-extracted mRNA was treated with DNase I using the Turbo DNA-free kit (Ambion). qPCR analysis of human mRNA and mouse IGF-I mRNA was performed using TaqMan Gene Expression Assays (Applied Biosystems). First strand cDNA was synthesized from 2 μg of RNA using the High Capacity cDNA Reverse Transcription Kit (Applied Biosystems, Part No. 4368814). The real time PCR contained, in a final volume of 20 μΐ, 20 ng of reverse transcribed RNA, 1 μΐ of 20X TaqMan Gene Expression Assay, and 10 μΐ of TaqMan Fast Universal PCR Master Mix (Applied Biosystems; Part No. 4352042). qPCR was carried out using a 7500 Fast Real-Time PCR System (Applied Biosystems) in 9600 emulation mode. qPCR analysis of mouse atrogin-1 and MuRFl mRNA levels was performed as previously described (Ebert SM, et al. (2010) Molecular Endocrinology 24(4):790-799). All qPCR reactions were performed in triplicate and the cycle threshold (Ct) values were averaged to give the final results. To analyze the data, the ACt method was used, with the level of 36B4 mRNA serving as the invariant control.
d. MOUSE PROTOCOLS.
[00343] Male C57BL/6 mice, ages 6-8 weeks, were obtained from NCI, housed in colony cages with 12h light/12h dark cycles, and used for experiments within 3 weeks of their arrival. Unless otherwise indicated, mice were maintained on standard chow (Harlan; Teklad Diet, Formula 7013, NIH-31 Modified Open Formula Mouse/Rat Sterilizable Diet).
Metformin (Sigma) was dissolved in 0.9% NaCl at a concentration of 250 mg / ml. Ursolic acid (Enzo Life Sciences) was dissolved in corn oil at a concentration of 200 mg / ml (for i.p. injections); alternatively, the ursolic acid was added directly to standard chow (Harlan;
Teklad Diet, Formula 7013) or standard high fat diet (Harlan; Teklad Diet, Formula
TD.93075) as a customized chow. Oleanolic acid (Sigma) was dissolved in corn oil at a concentration of 200 mg / ml. Mice were fasted by removing food, but not water, for 24 hours. Fasting blood glucose levels were obtained from the tail vein with an ACCU-CHEK® Aviva glucose meter (Roche Diagnostics). Unilateral hindlimb muscle denervation was performed by trans secting the sciatic nerve under anesthesia, and was followed by
administration of ursolic acid (200 mg / kg) or vehicle alone (corn oil) via i.p injection twice daily for 7 days. Forelimb grip strength was determined using a grip strength meter equipped with a triangular pull bar (Columbus Inst). Each mouse was subjected to 5 consecutive tests to obtain the peak value. Plasma IGF-I and leptin levels were measured by RIA at the Vanderbilt University Hormone Assay Core Facility. Plasma cholesterol, triglyceride, creatinine, bilirubin and ALT were measured using the VITROS® 350 Chemistry System (Ortho). All animal procedures were approved by the Institutional Animal Care and Use Committee of the University of Iowa.
e. HISTOLOGICAL ANALYSIS.
[00344] Following harvest, tissues were immediately placed in isopentane that had been chilled to -160 °C with liquid N2. Muscles were embedded in tissue freezing medium, and 10 μιη sections from the mid-belly were prepared using a Microm HM 505 E cryostat equipped with a CryoJane sectioning system (Instrumedics). Adipose tissue was fixed in 10% neutral buffered formalin, embedded in paraffin, and then 4 μιη sections were prepared using a Microm HM355 S motorized microtome (Microm). Hematoxylin and eosin stains were performed using a DRS-601 automatic slide stainer (Sakura), and examined on an Olympus ΓΧ-71 microscope equipped with a DP-70 camera. Image analysis was performed using ImageJ software (public domain, available from the National Institutes of Health, USA). Muscle fiber diameter was measured using the lesser diameter method, as described elsewhere (Dubowitz V, et al. (2007) Muscle biopsy : a practical approach (Saunders Elsevier, Philadelphia) 3rd Ed pp XIII, 611 s).
f. ANALYSIS OF IGF-I AND INSULIN-MEDIATED PROTEIN
PHOSPHORYLATION.
[00345] Mouse quadriceps muscles were snap frozen in liquid N2, and Triton-X 100 soluble protein extracts were prepared as described previously (Ebert SM, et al. (2010) Molecular endocrinology 24(4):790-799). Mouse C2C12 myoblasts were obtained from American Type Culture Collection ("ATCC"), and maintained in Dulbecco's modified Eagle's medium (DMEM; ATCC #30-2002) containing antibiotics (100 units/ml penicillin, 100 g/ml streptomycin sulfate) and 10% (v/v) fetal bovine serum (FBS). On day 0, myotubes were set-up in 6- well plates at a density of 2.5 X 105 cells / well. On day 2, differentiation into myotubes was induced by replacing 10% FBS with 2% horse serum. On day 7, myotubes were serum-starved by washing 2 times with phosphate buffered saline, and then adding fresh serum-free media. After 16 hours of serum- starvation, 10 μΜ ursolic acid (from a 10 mM stock prepared in DMSO), or an equal volume of DMSO, with or without 10 nM mouse IGF-I (Sigma; Cat. No. 18779) or 10 nM bovine insulin (Sigma; Cat. No. 16634) was directly added to the media. For analysis of Akt, S6K, ERK and FoxO phosphorylation, myotubes were incubated in the presence or absence of ursolic acid, IGF-I and/or insulin for 20 min, and then harvested into SDS lysis buffer (10 mM Tris-HCl, pH 7.6, 100 mM NaCl, 1% (w/v) SDS, 1 μg/ml pepstatin A, 2 μg/ml aprotonin, 10 μg/ml leupeptin, 200 μΜ phenylmethylsulfonyl fluoride and a 1: 100 dilution of phosphatase inhibitor cocktail 3 (Sigma). An aliquot of each muscle extract or cell lysate was mixed with 0.25 volume of sample buffer (250 mM Tris-HCl, pH 6.8, 10% SDS, 25% glycerol, 0.2% (w/v) bromophenol blue, and 5% (w/v) 2-mercaptoethanol) and heated for 5 min at 95 °C, whereas a separate aliquot was used to determine protein concentration by the BCA kit (Pierce). Samples (25 μg) were subjected to 8% SDS-PAGE, then transferred to Hybond-C extra nitrocellulose filters (Millipore). Immunoblots were performed at 4 °C for 16 h using a 1 :2000 dilution of antibodies detecting total Akt, phospho-Akt(Ser473), total S6K, phospho-S6K(T421/S424), total ERK1/2, phospho-ERK(T202/Y204), Fox03a, or phospho-Fox01(T24)/Fox03a(T32) (Cell Signaling). For analysis of IGF-1 receptor or insulin receptor phosphorylation, myotubes were incubated in the presence or absence of ursolic acid, IGF-I and/or insulin for 2 min, and then harvested into RIPA buffer (10 mM Tris-HCL, pH 7.4, 150 mM NaCl, 0.1% (w/v) SDS, 1% (w/v) Triton X-100, 1% Na deoxycholate, 5 mM EDTA, ImM NaF, ImM Na orthovanadate, 1 μg/ml pepstatin A, 2 μg/ml aprotonin, 10 μ¾/ι 1 leupeptin, 200 μΜ phenylmethylsulfonyl fluoride, 1: 100 dilution of phosphatase inhibitor cocktail 2 (Sigma) and a 1: 100 dilution of phosphatase inhibitor cocktail 3 (Sigma). The protein concentration was measured using the BCA kit, after which the extract was diluted to a concentration of 1 mg/ml in RIPA buffer (final volume 500 μΐ). Then 2 μg anti-IGF-1 receptor β antibody (Cell Signaling) or 2 μg anti-insulin receptor β antibody (Santa Cruz) was added with 50 μΐ protein G plus Sepharose beads (Santa Cruz), and then the samples were rotated at 4 °C for 16 h. Immunoprecipitates were washed three times for 20 min with 1 ml RIPA buffer and then mixed with 100 μΐ sample buffer (50 mM Tris-HCl (pH 6.8), 2% SDS, 5% glycerol, 0.04% (w/v) bromophenol blue and 5% (w/v) 2-mercaptoethanol), then boiled for 5 min.
Immunoprecipitates were subjected to 8% SDS-PAGE. For analysis of total IGF-1 receptor, phospho-insulin receptor and total insulin receptor, proteins were transferred to Hybond-C extra nitrocellulose filters (Millipore). For analysis of phospho-IGF-1 receptor, proteins were transferred to PVDF membranes (Bio-Rad). Immunoblots were performed at room temperature using a 1:2000 dilution of anti-IGF-1 receptor β antibody, 1:5000 dilution of mouse anti-phospho-tyrosine 4G10 monoclonal antibody (Millipore), a 1:2000 dilution of anti-insulin receptor β, or 1:2000 dilution of anti-phospho-insulin receptor β (Yl 162/1163) (Santa Cruz).
g. PTP1B INHIBITION VIA RNA INTERFERENCE.
[00346] The plasmids pCMV-miR-PTPlB #1 and pCMV-miR-PTPlB #2 were generated by ligating PTPN1- specific oligonucleotide duplexes (Invitrogen) into the
pcDNA6.2GW/EmGFP miR plasmid (Invitrogen), which contains a CMV promoter driving co-cistronic expression of engineered pre-miRNAs and EmGFP. pCMV-miR-control encodes a non-targeting pre-miRNA hairpin sequence (miR-neg control; Invitrogen) in
pcDNA6.2GW/EmGFP miR plasmid. Male C57BL/6 mice were obtained from NCI at ages 6- 8 weeks, and used for experiments within 3 weeks of their arrival. Electroporation of mouse tibialis anterior muscles and isolation of skeletal muscle RNA was performed as described previously (Ebert SM, et al. (2010) Molecular endocrinology 24(4):790-799). First strand cDNA was synthesized in a 20 μΐ reaction that contained 2 μg of RNA, random hexamer primers and components of the High Capacity cDNA reverse transcription kit (Applied Biosystems). qPCR analysis of PTPN1 mRNA levels was performed using a Taqman expression assay as described previously (Ebert SM, et al. (2010) Molecular endocrinology 24(4):790-799). qPCR was carried out using a 7500 Fast Real-Time PCR System (Applied Biosystems). All qPCR reactions were performed in triplicate and the cycle threshold (Ct) values were averaged to give the final results. Fold changes were determined by the ACt method, with level of 36B4 mRNA serving as the invariant control. Skeletal muscle sections were prepared and transfected (EmGFP-positive) muscle fibers were identified and measured as described previously (Ebert SM, et al. (2010) Molecular endocrinology 24(4):790-799).
h. MEASUREMENT OF SERUM URSOLIC ACID LEVELS.
[00347] Ursolic acid is extracted from serum using a 10: 1 mixture of hexane:propanol (recovery > 90%), and then conjugated via its carboxylic acid group to 2-(2,3- naphthalimino)ethyl trifluoromethanesulfonate (Invitrogen; Ne-OTf), a moiety that enhances TUV and fluorescence detection. Derivatized samples are then analyzed on a Waters Acquity UPLC equipped with a 100 X 2.1 mm C18 HSS column with 1.8 μιη beads (Waters Part No. 186003533) and a TUV detector.
[00348]
2. IDENTIFICATION OF THERAPEUTICS TO TREAT MUSCLE ATROPHY
[00349] Skeletal muscle atrophy is common and debilitating condition that lacks a pharmacologic therapy. To identify and develop new therapeutic approaches to this pathophysiological condition (Figure 1), an approach using gene expression signatures to connect small molecules, genes, and disease was used. Briefly, 63 mRNAs were identified that were regulated by fasting in both human and mouse muscle, and 29 mRNAs that were regulated by both fasting and spinal cord injury in human muscle. These two unbiased mRNA expression signatures of muscle atrophy were used to query the Connectivity Map, an algorithm that allows gene signature datasets to be used to find relationships between small molecules, genes, and disease.
[00350] Three complimentary studies to characterize global atrophy-associated changes in skeletal muscle mRNA levels in humans and mice were carried out. These three studies determined the effects of: A) fasting on human skeletal muscle mRNA levels as described herein, B) spinal cord injury ("SCI") on human skeletal mRNA levels (Adams CM, et al. (2011) Muscle & nerve 43(l):65-75) and C) fasting on mouse skeletal muscle mRNA levels (Ebert SM, et al. (2010) Molecular endocrinology 24(4):790-799). In each study, exon expression arrays were used to quantitate levels of more than 16,000 mRNAs. Although there were many significant changes in each study, analysis focused on mRNAs whose levels were similarly altered in at least two atrophy models. Thus, by comparing the effects of fasting on human and mouse skeletal muscle, there were two sets of mRNAs identified: a) 31 mRNAs that were increased by fasting in both species, and b) 32 mRNAs that were decreased by fasting in both species. These evolutionarily conserved, fasting-regulated skeletal muscle mRNAs were termed "muscle atrophy signature- 1" (see Figure 2). Next, the effects of fasting and SCI on human skeletal muscle were determined and two sets of mRNAs were identified: a) 18 mRNAs that were increased by fasting and SCI, and b) 17 mRNAs that were decreased by fasting and SCI. This second group of mRNAs was termed "muscle atrophy signature-2" (see Figure 3). Almost all of the mRNAs in muscle atrophy signatures- 1 and -2 have previously uncharacterized roles in normal or atrophied skeletal muscle. It was next hypothesized that pharmacologic compounds whose effects on cellular mRNA levels were opposite to muscle atrophy signatures- 1 and -2 might inhibit skeletal muscle atrophy. To identify candidate compounds, the Connectivity Map (Lamb J, et al. (2006) Science (New York, N.F 313(5795): 1929-1935) was used to compare muscle atrophy signatures-1 and -2 to mRNA expression signatures of > 1300 bioactive small molecules. These results identified several predicted inhibitors of human skeletal muscle atrophy, including ursolic acid. The predicted inhibitors of human skeletal muscle atrophy, i.e. compounds with negative connectivity with the muscle atrophy signatures, are shown in Tables 2 and 3 below. Table 2 shows compounds with negative connectivity to human muscle atrophy signature- 1 (see Figure 2 for mRNAs in the signature), whereas Table 3 shows compounds with negative connectivity to human muscle atrophy signature-2 (see Figure 3 for mRNAs in the signature).
[00351] As a proof-of-concept of the utility of muscle atrophy signatures- 1 and -2 described herein, the effects of ursolic acid were assessed in mice, and surprisingly it was discovered ursolic acid inhibited muscle atrophy and promoted muscle hypertrophy.
[00352] Table 2. Compounds with negative connectivity to human muscle atrophy signature- 1.
Cmap name / cell Connectivity n Enrichment P Specificity % line score Non- null cones sine - HL60 -0.752 1 -0.991 — — 100 allantoin - HL60 -0.622 1 -0.954 — — 100 cones sine - PC3 -0.598 1 -0.941 — — 100 tacrine - HL60 -0.551 1 -0.91 — — 100 tomatidine - HL60 -0.497 1 -0.873 — — 100 tomatidine - PC3 -0.483 1 -0.861 — — 100 naringenin - PC3 -0.462 1 -0.846 — — 100 allantoin - MCF7 -0.347 2 -0.735 0.13873 0.1118 50 tomatidine - MCF7 -0.343 2 -0.78 0.09489 0.2263 50 naringenin - MCF7 -0.219 2 -0.546 0.4127 0.6589 50 allantoin - PC3 -0.077 2 -0.414 0.78446 0.7654 50
[00353] Table 3. Compounds with negative connectivity to human muscle atrophy signature-2.
Cmap name / cell line Connectivity n Enrichment P Specificity % score Non- null tacrine - HL60 -0.870 1 -0.998 — — 100 tomatidine - PC3 -0.861 1 -0.998 — — 100 naringenin - PC3 -0.754 1 -0.990 — — 100 betulinic acid - HL60 -0.569 1 -0.929 — — 100 cones sine - HL60 -0.543 1 -0.915 — — 100 allantoin - MCF7 -0.486 2 -0.840 0.0511 0.04710 100 naringenin - MCF7 -0.314 2 -0.460 0.6487 0.84500 50
1
tomatidine - MCF7 -0.281 2 -0.611 0.3058 0.65260 50
6
3. EFFECTS OF FASTING ON SKELETAL MUSCLE MRNA EXPRESSION IN HUMANS.
[00354] Prolonged fasting induces muscle atrophy, but its effects on global mRNA expression in human skeletal muscle were not known heretofore. In order to determine the relationship between global mRNA expression and human skeletal muscle status, seven healthy adult human volunteers (3 male and 4 female) with ages ranging from 25 to 69 years (mean = 46 years) were studied. The overall study design is shown in Figure 4A. The mean body mass index of these subjects (+ SEM) was 25 + 1. Their mean weight was 69.4 + 4.8 kg. Baseline circulating levels of hemoglobin Ale (HbAlc), triglycerides (TG), thyroid- stimulating hormone (TSH), free thyroxine (free T4), C-reactive protein (CRP) and tumor necrosis factor-cc (TNF-cc) were within normal limits (Figure 4A). The table (Figure 4A, insert) shows baseline circulating metabolic and inflammatory markers. The graph shows plasma glucose and insulin levels (Figure 4A). Data are means + SEM from the seven study subjects. In some cases, the error bars are too small to see. While staying in the University of Iowa Clinical Research Unit, the subjects fasted for 40 h by forgoing food but not water. The mean weight loss during the fast was 1.7 + 0.1 kg (3 ± 0 % of the initial body weight).
[00355] After the 40 h fast, a muscle biopsy was obtained from the subjects' vastus lateralis (VL) muscle. Immediately after the muscle biopsy, the subjects ate a mixed meal. Five hours later (six hours after the first biopsy), a second muscle biopsy from their contralateral VL muscle. Thus, each subject had a muscle biopsy under fasting and nonfasting conditions. As expected, plasma glucose and insulin levels were low at the end of the 40 h fast, rose after the meal, and returned to baseline by the time of the second biopsy (Figure 4A). These data indicate comparable levels of plasma glucose and insulin at the times of the first (fasting) and second (nonfasting) muscle biopsies.
[00356] To determine the effect of fasting on skeletal muscle mRNA expression, RNA was isolated from the paired muscle biopsies and then analyzed it with exon expression arrays. Using P < 0.02 (by paired t-test) as criteria for statistical significance, it was found that 281 mRNAs were higher in the fasting state and 277 were lower (out of > 17,000 mRNAs measured; see Figure 4B). A complete list of these fasting-responsive mRNAs is shown below in Table XI ("Change" is the mean log2 change or difference between fasting and fed states). The data in Table XI is for all mRNAs in this study whose levels were increased or decreased by fasting (P < 0.02 by paired t-test).
[00357] Representative fasting-responsive human skeletal muscle mRNAs, and the effect of fasting on their log2 hybridization signals, as assessed by Affymetrix Human Exon 1.0 ST arrays are shown in Figure 4B. In each subject, the fasting signal was normalized to the nonfasting signal from the same subject. Data are means + SEM from 7 subjects. P < 0.02 by paired t-test for all mRNAs shown. The complete set of 458 fasting-responsive mRNAs is shown in Table XL Most of the differentially expressed mRNAs identified as altered by fasting surprisingly did not have previously known roles in muscle atrophy. However, fasting increased several mRNAs that encode proteins with known roles in catabolic processes such as fat oxidation, reverse cholesterol transport, thermogenesis, inhibition of protein synthesis, autophagy, ubiquitin-mediated proteolysis, glutamine transport and heme catabolism (Figure 4B). Of these, atwgin-1, MuRFl and ZFAND5 mRNAs encode proteins known to be required for skeletal muscle atrophy in mice ( Bodine SC, et al. (2001) Science (New York, N.F 294(5547): 1704-1708; Hishiya A, et al. (2006) The EMBO journal
25(3):554-564). Conversely, fasting significantly decreased several mRNAs encoding proteins with known roles in anabolic processes such as glycogen synthesis, lipid synthesis and uptake, polyamine synthesis, iron uptake, angiogenesis, and mitochondrial biogenesis (Figure 4B). Of these, PGC-1 amRNA encodes a protein that inhibits atrophy- associated gene expression and skeletal muscle atrophy in mice ( Sandri M, et al. (2006) Proceedings of the National Academy of Sciences of the United States of America 103(44): 16260-16265).
[00358] The results were further validated using qPCR to analyze RNA from paired fed and fasted skeletal muscle biopsy samples obtained from seven healthy human subjects (see Figure 5; data are means + SEM; * P < 0.01 by paired t-test). In each subject, the fasting mRNA level was normalized to the nonfasting level, which was set at 1. The mRNA encoding myostatin (MSTN) is a control transcript whose level was not altered by fasting, as assessed by exon expression arrays. Taken together, these data established an mRNA expression signature of fasting in human skeletal muscle.
[00359] Table XL Fasting-responsive human mRNAs.
Affymetri mRNA Gene Assignment Accession Change
Figure imgf000083_0001
Affymetri mRNA Gene Assignment Accession Change x ID No. (Fasting- SEM
Fed)
Figure imgf000084_0001
Affymetri mRNA Gene Assignment Accession Change x ID No. (Fasting- SEM
Fed)
Figure imgf000085_0001
Affymetri mRNA Gene Assignment Accession Change x ID No. (Fasting- SEM
Fed)
Figure imgf000086_0001
Affymetri mRNA Gene Assignment Accession Change x ID No. (Fasting- SEM
Fed)
Figure imgf000087_0001
Affymetri mRNA Gene Assignment Accession Change x ID No. (Fasting- SEM
Fed)
Figure imgf000088_0001
Affymetri mRNA Gene Assignment Accession Change x ID No. (Fasting- SEM
Fed)
Figure imgf000089_0001
Affymetri mRNA Gene Assignment Accession Change x ID No. (Fasting- SEM
Fed)
Figure imgf000090_0001
Affymetri mRNA Gene Assignment Accession Change x ID No. (Fasting- SEM
Fed)
Figure imgf000091_0001
Affymetri mRNA Gene Assignment Accession Change x ID No. (Fasting- SEM
Fed)
Figure imgf000092_0001
Affymetri mRNA Gene Assignment Accession Change x ID No. (Fasting- SEM
Fed)
Figure imgf000093_0001
Affymetri mRNA Gene Assignment Accession Change x ID No. (Fasting- SEM
Fed)
Figure imgf000094_0001
Affymetri mRNA Gene Assignment Accession Change x ID No. (Fasting- SEM
Fed)
Figure imgf000095_0001
Affymetri mRNA Gene Assignment Accession Change x ID No. (Fasting- SEM
Fed)
Figure imgf000096_0001
Affymetri mRNA Gene Assignment Accession Change x ID No. (Fasting- SEM
Fed)
Figure imgf000097_0001
Affymetri mRNA Gene Assignment Accession Change x ID No. (Fasting- SEM
Fed)
Figure imgf000098_0001
Affymetri mRNA Gene Assignment Accession Change x ID No. (Fasting- SEM
Fed)
Figure imgf000099_0001
Affymetri mRNA Gene Assignment Accession Change x ID No. (Fasting- SEM
Fed)
Figure imgf000100_0001
Affymetri mRNA Gene Assignment Accession Change x ID No. (Fasting- SEM
Fed)
Figure imgf000101_0001
Affymetri mRNA Gene Assignment Accession Change x ID No. (Fasting- SEM
Fed)
Figure imgf000102_0001
Affymetri mRNA Gene Assignment Accession Change x ID No. (Fasting- SEM
Fed)
Figure imgf000103_0001
Affymetri mRNA Gene Assignment Accession Change x ID No. (Fasting- SEM
Fed)
Figure imgf000104_0001
Affymetri mRNA Gene Assignment Accession Change x ID No. (Fasting- SEM
Fed)
Figure imgf000105_0001
Affymetri mRNA Gene Assignment Accession Change x ID No. (Fasting- SEM
Fed)
Figure imgf000106_0001
Affymetri mRNA Gene Assignment Accession Change x ID No. (Fasting- SEM
Fed)
Figure imgf000107_0001
Affymetri mRNA Gene Assignment Accession Change x ID No. (Fasting- SEM
Fed)
Figure imgf000108_0001
Affymetri mRNA Gene Assignment Accession Change x ID No. (Fasting- SEM
Fed)
Figure imgf000109_0001
Affymetri mRNA Gene Assignment Accession Change x ID No. (Fasting- SEM
Fed)
Figure imgf000110_0001
Affymetri mRNA Gene Assignment Accession Change x ID No. (Fasting- SEM
Fed)
Figure imgf000111_0001
Affymetri mRNA Gene Assignment Accession Change x ID No. (Fasting- SEM
Fed)
Figure imgf000112_0001
Affymetri mRNA Gene Assignment Accession Change x ID No. (Fasting- SEM
Fed)
Figure imgf000113_0001
Affymetri mRNA Gene Assignment Accession Change x ID No. (Fasting- SEM
Fed)
Figure imgf000114_0001
Affymetri mRNA Gene Assignment Accession Change x ID No. (Fasting- SEM
Fed)
Figure imgf000115_0001
Affymetri mRNA Gene Assignment Accession Change x ID No. (Fasting- SEM
Fed)
Figure imgf000116_0001
Affymetri mRNA Gene Assignment Accession Change x ID No. (Fasting- SEM
Fed)
Figure imgf000117_0001
Affymetri mRNA Gene Assignment Accession Change x ID No. (Fasting- SEM
Fed)
Figure imgf000118_0001
Affymetri mRNA Gene Assignment Accession Change x ID No. (Fasting- SEM
Fed)
Figure imgf000119_0001
Affymetri mRNA Gene Assignment Accession Change x ID No. (Fasting- SEM
Fed)
Figure imgf000120_0001
Affymetri mRNA Gene Assignment Accession Change x ID No. (Fasting- SEM
Fed)
Figure imgf000121_0001
Affymetri mRNA Gene Assignment Accession Change x ID No. (Fasting- SEM
Fed)
Figure imgf000122_0001
Affymetri mRNA Gene Assignment Accession Change x ID No. (Fasting- SEM
Fed)
Figure imgf000123_0001
Affymetri mRNA Gene Assignment Accession Change x ID No. (Fasting- SEM
Fed)
Figure imgf000124_0001
Affymetri mRNA Gene Assignment Accession Change x ID No. (Fasting- SEM
Fed)
Figure imgf000125_0001
Affymetri mRNA Gene Assignment Accession Change x ID No. (Fasting- SEM
Fed)
Figure imgf000126_0001
Affymetri mRNA Gene Assignment Accession Change x ID No. (Fasting- SEM
Fed)
Figure imgf000127_0001
Affymetri mRNA Gene Assignment Accession Change x ID No. (Fasting- SEM
Fed)
Figure imgf000128_0001
Affymetri mRNA Gene Assignment Accession Change x ID No. (Fasting- SEM
Fed)
Figure imgf000129_0001
Affymetri mRNA Gene Assignment Accession Change x ID No. (Fasting- SEM
Fed)
Figure imgf000130_0001
Affymetri mRNA Gene Assignment Accession Change x ID No. (Fasting- SEM
Fed)
Figure imgf000131_0001
Affymetri mRNA Gene Assignment Accession Change x ID No. (Fasting- SEM
Fed)
Figure imgf000132_0001
Affymetri mRNA Gene Assignment Accession Change x ID No. (Fasting- SEM
Fed)
Figure imgf000133_0001
Affymetri mRNA Gene Assignment Accession Change x ID No. (Fasting- SEM
Fed)
Figure imgf000134_0001
Affymetri mRNA Gene Assignment Accession Change x ID No. (Fasting- SEM
Fed)
Figure imgf000135_0001
Affymetri mRNA Gene Assignment Accession Change x ID No. (Fasting- SEM
Fed)
Figure imgf000136_0001
Affymetri mRNA Gene Assignment Accession Change x ID No. (Fasting- SEM
Fed)
Figure imgf000137_0001
Affymetri mRNA Gene Assignment Accession Change x ID No. (Fasting- SEM
Fed)
Figure imgf000138_0001
Affymetri mRNA Gene Assignment Accession Change x ID No. (Fasting- SEM
Fed)
Figure imgf000139_0001
Affymetri mRNA Gene Assignment Accession Change x ID No. (Fasting- SEM
Fed)
Figure imgf000140_0001
Affymetri mRNA Gene Assignment Accession Change x ID No. (Fasting- SEM
Fed)
Figure imgf000141_0001
Affymetri mRNA Gene Assignment Accession Change x ID No. (Fasting- SEM
Fed)
Figure imgf000142_0001
Affymetri mRNA Gene Assignment Accession Change x ID No. (Fasting- SEM
Fed)
Figure imgf000143_0001
Affymetri mRNA Gene Assignment Accession Change x ID No. (Fasting- SEM
Fed)
Figure imgf000144_0001
Affymetri mRNA Gene Assignment Accession Change x ID No. (Fasting- SEM
Fed)
Figure imgf000145_0001
Affymetri mRNA Gene Assignment Accession Change x ID No. (Fasting- SEM
Fed)
Figure imgf000146_0001
Affymetri mRNA Gene Assignment Accession Change x ID No. (Fasting- SEM
Fed)
Figure imgf000147_0001
Affymetri mRNA Gene Assignment Accession Change x ID No. (Fasting- SEM
Fed)
Figure imgf000148_0001
Affymetri mRNA Gene Assignment Accession Change x ID No. (Fasting- SEM
Fed)
Figure imgf000149_0001
Affymetri mRNA Gene Assignment Accession Change x ID No. (Fasting- SEM
Fed)
Figure imgf000150_0001
Affymetri mRNA Gene Assignment Accession Change x ID No. (Fasting- SEM
Fed)
Figure imgf000151_0001
Affymetri mRNA Gene Assignment Accession Change x ID No. (Fasting- SEM
Fed)
Figure imgf000152_0001
Affymetri mRNA Gene Assignment Accession Change x ID No. (Fasting- SEM P
Fed)
3862873 CYP2A6 NM_000762 // NM_00076 -1.12 0.34 0.009
CYP2A6 // 2
cytochrome P450,
family 2, subfamily
A, polypeptide 6 //
[00360]
4. IDENTIFICATION OF URSOLIC ACID AS AN INHIBITOR OF FASTING-INDUCED MUSCLE ATROPHY.
[00361] The Connectivity Map describes the effects of > 1300 bioactive small molecules on global mRNA expression in several cultured cell lines, and contains search algorithms that permit comparisons between compound-specific mRNA expression signatures and mRNA expression signatures of interest (Lamb J, et al. (2006) Science (New York, N.Y
313(5795): 1929-1935). It was hypothesized herein that querying the Connectivity Map with the mRNA expression signature of fasting (muscle atrophy signature- 1) would identify inhibitors of atrophy- associated gene expression and thus, potential inhibitors of muscle atrophy. It was also reasoned herein that increasing the specificity of the query would enhance the output. To this end, as described herein, an evolutionarily conserved mRNA expression signature of fasting was discovered by comparing the effect of fasting on human skeletal muscle to the effect of a 24 h fast on mouse skeletal muscle. The mouse studies were described previously (Ebert SM, et al. (2010) Molecular endocrinology 24(4):790-799). Altogether, 35 mRNAs that were increased by fasting and 40 mRNAs that were decreased by fasting were identified in both human and mouse skeletal muscle (Table X2; the data in column labeled "Change" show mean changes in log2 hybridization signals between fasting and fed states for the species indicated, [Mean log2 mRNA levels for fasted] minus [Mean log2 mRNA levels in unfasted]; P-values were determined with paired t-tests). The data shown in Table X2 includes all mRNAs whose levels were increased by fasting in human muscle (P < 0.02) and in mouse muscle (P < 0.05), and all mRNAs whose levels were decreased by fasting in human muscle (P < 0.02) and in mouse muscle (P < 0.05). Of the mRNAs shown in Table X2, 63 mRNAs were represented on the HG-U133A arrays used in the Connectivity Map (Figure 6A). These mRNAs (31 increased by fasting and 32 decreased by fasting) were used to query the Connectivity Map for candidate small molecule inhibitors of muscle atrophy.
[00362] Table X2. Fasting-regulated mRNAs common to human and mouse skeletal muscle.
Figure imgf000154_0001
Human Mouse mRNA Protein Mean Log2 Change Mean Log2 Change
(Fasting - P (Fasting - P Fed) Fed)
RORA RAR-related orphan 0.21 0.006 0.39 0.006 receptor A
TMEM71 transmembrane protein 0.21 0.009 0.40 0.008
71
CPT1A carnitine 0.21 0.001 0.21 0.020 palmitoyltransferase 1A
(liver)
UCP2 uncoupling protein 2 0.20 0.005 0.33 0.024
(mitochondrial, proton
carrier)
TULP3 tubby like protein 3 0.19 0.008 0.22 0.008
MED13L mediator complex 0.18 0.000 0.23 0.011 subunit 13-like
CALCOC calcium binding and 0.16 0.010 0.31 0.028 01 coiled coil domain 1
MY05A myosin VA (heavy chain 0.14 0.006 0.36 0.012
12, myoxin)
PPAP2B phosphatidic acid 0.13 0.007 0.09 0.029 phosphatase type 2B
SRRM2 serine/arginine repetitive 0.13 0.007 0.24 0.040 matrix 2
ADPGK ADP-dependent 0.13 0.007 0.16 0.009 glucokinase
SUPT6H suppressor of Ty 6 0.11 0.005 0.26 0.036 homolog (S. cerevisiae)
SFRS8 splicing factor, 0.08 0.016 0.13 0.011 arginine/serine-rich 8
NFYA nuclear transcription -0.07 0.011 -0.31 0.045 factor Y, alpha
MRPS15 mitochondrial ribosomal -0.11 0.003 -0.25 0.001 protein S 15
PDE7B phosphodiesterase 7B -0.12 0.013 -0.51 0.011
WDR1 WD repeat domain 1 -0.14 0.019 -0.21 0.047
ACACA acetyl-Coenzyme A -0.15 0.010 -0.22 0.041 carboxylase alpha
AXIN2 axin 2 (conductin, axil) -0.15 0.013 -0.12 0.046
CASQ1 calsequestrin 1 (fast- -0.16 0.015 -0.26 0.015 twitch, skeletal muscle)
ZNF280B zinc finger protein 280B -0.16 0.005 -0.34 0.046
JTB jumping translocation -0.16 0.014 -0.42 0.030 breakpoint
CACNB1 calcium channel, voltage- -0.17 0.013 -0.43 0.003 dependent, beta 1 subunit Human Mouse mRNA Protein Mean Log2 Change Mean Log2 Change
(Fasting - P (Fasting - P Fed) Fed)
ALG2 asparagine-linked -0.17 0.011 -0.39 0.019 glycosylation 2 homolog
TSPAN13 tetraspanin 13 -0.18 0.006 -0.30 0.028
P4HA2 procollagen-proline, 2- -0.18 0.007 -0.12 0.012 oxoglutarate 4- dioxygenase, alpha II
polypeptide
TTLLl tubulin tyrosine ligase- -0.18 0.001 -0.29 0.043 like family, member 1
SUV39H2 suppressor of variegation -0.20 0.011 -0.26 0.014
3-9 homolog 2
(Drosophila)
SLC4A4 solute carrier family 4, -0.20 0.007 -0.69 0.003 sodium bicarbonate
cotransporter, member 4
DNMT3A DNA (cytosine-5-)- -0.20 0.007 -0.48 0.000 methyltransferase 3 alpha
FEZ2 fasciculation and -0.21 0.000 -0.50 0.019 elongation protein zeta 2
(zygin II)
MTSS1 metastasis suppressor 1 -0.21 0.009 -0.22 0.033
TMTC4 transmembrane and -0.22 0.010 -0.17 0.035 tetratricopeptide repeat
containing 4
PPM1J protein phosphatase 1J -0.23 0.003 -0.30 0.012
(PP2C domain
containing)
ARHGAP2 Rho GTPase activating -0.23 0.003 -0.22 0.013 0 protein 20
ABTB2 ankyrin repeat and BTB -0.25 0.010 -0.18 0.005
(POZ) domain containing
2
CNNM4 cyclin M4 -0.26 0.016 -0.27 0.005
GRTP1 growth hormone -0.26 0.015 -0.54 0.002 regulated TBC protein 1
RNF148 ring finger protein 148 -0.27 0.017 -0.35 0.014
SPINT2 serine peptidase inhibitor, -0.27 0.017 -0.23 0.026
Kunitz type, 2
PBX1 pre-B-cell leukemia -0.34 0.001 -0.22 0.000 homeobox 1
HSPH1 heat shock -0.34 0.019 -0.20 0.043
105kDa/l lOkDa protein
1 Human Mouse mRNA Protein Mean Log2 Change Mean Log2 Change
(Fasting - P (Fasting - P Fed) Fed)
VEGFA vascular endothelial -0.35 0.016 -0.26 0.002 growth factor A
PMP22 peripheral myelin protein -0.36 0.004 -0.13 0.012
22
PPARGC1 peroxisome proliferative -0.38 0.012 -0.39 0.030 A activated receptor,
gamma, coactivator 1
alpha
ST8SIA5 ST8 alpha-N-acetyl- -0.38 0.004 -0.48 0.011 neuraminide alpha-2,8- sialyltransferase 5
PPIL1 peptidylprolyl isomerase -0.39 0.005 -0.52 0.016
(cyclophilin)-like 1
PPM1L protein phosphatase 1 -0.42 0.006 -0.46 0.000
(formerly 2C)-like
NEOl neogenin homolog 1 -0.43 0.002 -0.31 0.037
(chicken)
TGFB2 transforming growth -0.44 0.017 -0.30 0.003 factor, beta 2
PTX3 pentraxin-related gene, -0.47 0.002 -0.48 0.000 rapidly induced by IL- 1
beta
GAS2 growth arrest- specific 2 -0.49 0.011 -0.23 0.044
TFRC transferrin receptor (p90, -0.51 0.003 - 1.37 0.011
CD71)
[00363] The left side of Figure 6B shows the 10 Connectivity Map instances (or data sets) with the most significant positive correlations (P < 0.004) to the effect of fasting in skeletal muscle. The connectivity score, represented on the y-axis, is a measure of the strength of the correlation (Lamb J, et al. (2006) Science (New York, N Y 313(5795): 1929-1935); the compound and cell-line is shown below the bar representing the Connectivity Score. Of these, 6 involved wortmannin or LY-294002 (inhibitors of phosphoinositide 3-kinase (PI3K)) or rapamycin (an inhibitor of the mammalian target of rapamycin complex 1 (mTORCl)). Since PI3K and mTORCl mediate effects of insulin and IGF-I, and since insulin/IGF-I signaling inhibits muscle atrophy and atrophy- associated changes in skeletal muscle mRNA expression (Bodine SC, et al. (2001) Nat Cell Biol 3(11): 1014-1019; Sandri M, et al. (2004) Cell 117(3):399-412), these results lent confidence that the Connectivity Map might be used to identify potential inhibitors of muscle atrophy. The right side of Figure 6B shows the 10 Connectivity Map instances with the most significant negative correlations (P < 0.004) to the effect of fasting in skeletal muscle. These compounds, whose effects on cultured cell lines were opposite to the effect of fasting on muscle, included metformin (an insulin-sensitizing agent widely used to treat type 2 diabetes), as well as ursolic acid. Further experiments focused on metformin and ursolic acid. To test the hypothesis that metformin and ursolic acid might reduce fasting-induced muscle atrophy, each compound was administered, or vehicle alone, via i.p. injection to C57BL/6 mice. The mice were then fasted, and after 12 hours of fasting, the mice received a second dose of the compound or vehicle. After 24 hours of fasting, the blood glucose was measured and muscles were harvested. The data shown in Figures 4C-4H are means + SEM from 16 mice. Both metformin (250 mg / kg) and ursolic acid (200 mg / kg) significantly reduced fasting blood glucose (Figures 4C and 4D). The effects of metformin and ursolic acid on fasting-induced muscle atrophy were also examined, i.e. the effect of 24 h fast (relative to ad lib feeding) on wet weight of lower hindlimb skeletal muscle (bilateral tibialis anterior ("TA" muscle), gastrocnemius, and soleus; see Figures 4E- 4G). In the absence of metformin and ursolic acid, fasting reduced muscle weight by 9 % (Figure 6E). Although metformin did not alter muscle weight in fasted mice (Figure 6F), ursolic acid increased it by 7 + 2 % (Figure 6G). Moreover, consistent with the predicted inhibitory effect on fasting-induced gene expression described herein, ursolic acid reduced fasting levels of atrogin-1 and MuRFl mRNA levels in the TA muscles of fasted mice (Figure 6H; the data shown are normalized to the levels in vehicle-treated mice, which were set at 1). In Figures 4E-4H, each data point represents one mouse and the horizontal bars denote the means. In Figures 4C-4H, P-values were determined using unpaired t- tests. Thus, ursolic acid, but not metformin, decreased fasting-induced muscle atrophy.
5. URSOLIC ACID REDUCES DENERVATION-INDUCED MUSCLE ATROPHY.
[00364] The Connectivity Map was queried with a second mRNA expression signature, muscle atrophy signature-2 (described above), to determine if this muscle atrophy signature would also correlate with ursolic acid, among other compounds. As described above, muscle atrophy signature-2 was an mRNA expression signature identified as described herein for human skeletal muscle mRNAs that were induced or repressed by fasting and also by spinal cord injury ("SCI"). The studies of the effects of SCI on human skeletal muscle gene expression were described previously (Adams CM, et al. (2011) Muscle Nerve. 43(l):65-75). Using this approach with the muscle atrophy expression signatures described herein, there were 18 human mRNAs that were increased by fasting and SCI, and 17 human mRNAs that were decreased by fasting and SCI, and are shown in Table X3 ("Change" represents mean changes in log2 hybridization signals for pairs as indicated, e.g. fasting and fed states for column labeled "(Fasting - Fed)" or untrained and trained for the column labeled "(Untrained - Trained)"). The data in Table X3 include all mRNAs whose levels were increased by fasting (P < 0.02) and by SCI (P < 0.05), and all mRNAs whose levels were decreased by fasting (P < 0.02) and by SCI (P < 0.05). P-values in Table X3 were determined with paired t- tests.
[00365] Table X3. Human skeletal muscle mRNAs induced or repressed by fasting and
SCI.
Figure imgf000159_0001
EFFECT OF EFFECT OF SCI
FASTEN G
mRNA Protein Change P Change P
(Fasting - (Untrained
Fed) - Trained)
ZNF280B zinc finger protein 280B -0.16 0.005 -0.30 0.028
TSPAN13 tetraspanin 13 -0.18 0.006 -0.56 0.023
TTLL1 tubulin tyrosine ligase-like -0.18 0.001 -0.37 0.020 family, member 1
CMAS cytidine monophosphate N- -0.21 0.000 -0.22 0.025 acetylneuraminic acid
synthetase
C8orf32 chromosome 8 open reading -0.23 0.016 -0.11 0.049 frame 32
GUCY1B guanylate cyclase 1, soluble, -0.24 0.007 -0.24 0.008 3 beta 3
ZNF32 zinc finger protein 32 -0.24 0.010 -0.21 0.030
VLDLR very low density lipoprotein -0.28 0.007 -0.16 0.015 receptor
HSPB7 heat shock 27kDa protein -0.33 0.015 -0.77 0.032 family, member 7
(cardiovascular)
VEGFA vascular endothelial growth -0.35 0.016 -0.43 0.020 factor A
SLC16A1 solute carrier family 16, -0.37 0.018 -0.94 0.015 member 1
PPARGC peroxisome proliferative -0.38 0.012 -0.74 0.001 1A activated receptor, gamma,
coactivator 1 alpha
C6orfl92 chromosome 6 open reading -0.41 0.018 -0.39 0.042 frame 192
[00366] Of the mRNAs listed in Table X3, 29 were represented on the HG-U133A arrays used in the Connectivity Map (Figure 7A), but only 10 were common to the 63 mRNAs used in the first Connectivity Map query described above for muscle atrophy signature- 1 (IGF-IR, NOX4, SUPT6H, MRPSI5, PDE7B, PGC-la, TSPAN13, TTLL1, VEGFA and ZNF280B). The mRNAs listed in Figure 7A represent human muscle atrophy signature-2: mRNAs altered by both fasting and SCI in human muscle. These mRNAs, as described above, were used to query the Connectivity Map. Inclusion criteria were: P < 0.02 in fasted human muscle (by t-test), P < 0.05 in untrained, paralyzed muscle (by t-test), and the existence of complimentary probes on HG-U133A arrays. Connectivity Map instances with the most significant positive and negative correlations to the effect of fasting and SCI in human muscle. P < 0.005 for all compounds are shown in Figure 7B. The results partially overlapped with the results of the first search: both search strategies identified LY-294002, wortmannin and rapamycin as predicted mimics of atrophy-inducing stress, and ursolic acid (but not metformin) as a predicted inhibitor (Figure 7B).
[00367] Because muscle atrophy signature-2 utilized data from SCI subjects, it was hypothesized that ursolic acid might reduce denervation-induced muscle atrophy. To test this, the left hindlimb muscles a denervation-induced skeletal muscle atrophy model in mouse was used. Briefly, on day 0, the left hindlimbs of C57BL/6 mice were denervated by transsecting the left sciatic nerve. This approach allowed the right hindlimb to serve as an intra-subject control. Mice were then administered ursolic acid (200 mg/kg) or an equivalent volume of vehicle alone (corn oil) via i.p. injection twice daily for seven days. During this time, mice continued to have ad libitum access to food. On day 7, muscle tissues were harvested for analysis, and the left (denervated) and right (innervated) hindlimb muscles in both groups (ursolic acid vs. vehicle administration) were compared. Ursolic acid significantly decreased denervation-induced muscle loss (Figure 7C). In Figure 7C, weights of the left (denervated) lower hindlimb muscles were normalized to weights of the right (innervated) lower hindlimb muscles from the same mouse. Each data point represents one mouse, and horizontal bars denote the means and the P-value was determined using an unpaired t-test. Histologically, this effect of ursolic acid was reflected as an increase in the size of denervated skeletal muscle fiber diameter in denervated gastrocnemius (D) and TA (E) muscles (Figures 5D and 5E, respectivel). The data shown in Figures 5D and 5E are from > 2500 muscle fibers per condition; P < 0.0001 by unpaired t-test. Thus, ursolic acid reduced denervation-induced muscle atrophy.
6. URSOLIC ACID INDUCES SKELETAL MUSCLE HYPERTROPHY.
[00368] The results from the denervation-induced muscle atrophy model suggested that ursolic acid reduced muscle atrophy, thus the hypothesis that ursolic acid might promote muscle hypertrophy in the absence of an atrophy-inducing stress was reasonable. Mice were provided ad lib access to either standard chow (control diet) or standard chow supplemented with 0.27% ursolic acid (ursolic acid diet) for 5 weeks before grip strength was measured and tissues were harvested. After five weeks, mice administered ursolic had increased lower hindlimb muscle weight (Figure 8A), quadriceps weight (Figure 8B), and upper forelimb muscle (triceps and biceps) weight (Figure 8C). Each data point in Figures 6A-6C represents one mouse, and horizontal bars denote the means. The effect of ursolic acid in this study on skeletal muscle fiber size distribution is shown in Figure 8D. Each distribution represents measurements of > 800 triceps muscle fibers from 7 animals (> 100 measurements / animal); P < 0.0001. The effect of ursolic acid on peak grip strength (normalized to body weight) is shown in Figure 8E. Each data point represents one mouse, and horizontal bars denote the means. Non-normalized grip strength data were 157 + 9 g (control diet) and 181 ± 6 g (ursolic acid diet) (P = 0.04).
[00369] Moreover, dietary ursolic acid increased the specific force generated by muscles ex vivo (Figure 9). Briefly, six-week old male C57BL/6 mice were provided either standard diet or diet containing 0.27% ursolic acid for 16 weeks before being euthanized. The lower hindlimb was removed (by transsecting the upper hindlimb mid-way through the femur), and placed in Krebs solution aerated with 95% 02 and 5% C02. The gastrocnemius, soleus and tibialis anterior muscles, as well as the distal half of the tibia and fibula were then removed and discarded, leaving the extensor digitorum longus and peroneus muscles with their origins and insertions intact. A suture was placed through the proximal tendon and secured to the distal femur fragment. This ex vivo preparation was then mounted vertically in a water jacket bath (Aurora Scientific 1200A Intact Muscle Test System, filled with aerated Krebs solution) by attaching the suture to a servo-controlled lever (superiorly) and clamping the metatarsals (inferiorly). Passive muscle force was adjusted to a baseline of 1 g, and then muscles were stimulated with supramaximal voltage (80 V) at 100 Hz. The mean time from euthanasia to maximal force measurements was 10 min. After force measurements, muscles were removed and weighed in order to calculate specific titanic force. Maximal tetanic force and muscle weight did not differ between the two groups (P = 0.20 and 0.26, respectively). Data are means + SEM from 5-6 mice per diet. P-values were determined with a t-test. Together, the data in Figures 6 and 7 provide morphological and functional evidence that ursolic acid induced skeletal muscle hypertrophy.
7. URSOLIC ACID INDUCES TROPHIC CHANGES IN SKELETAL MUSCLE GENE
EXPRESSION.
[00370] The foregoing results suggested that ursolic acid might alter skeletal muscle gene expression. To test this hypothesis, an unbiased approach was used, specifically exon expression arrays were used to analyze gastrocnemius muscle mRNA expression in mice that had been fed diets lacking or containing ursolic acid for 5 weeks. Mice were provided ad lib access to either standard chow (control diet) or standard chow supplemented with 0.27% ursolic acid (ursolic acid diet) for 5 weeks before gastrocnemius muscle RNA was harvested and analyzed by Affymetrix Mouse Exon 1.0 ST arrays (n = 4 arrays per diet). Each array assessed pooled gastrocnemius RNA from two mice. Stringent criteria were used for ursolic acid-induced effects on mRNA levels (P < 0.005), and mRNAs with low levels of expression were disregarded (i.e. only transcripts that were increased to a mean log2 hybridization signal > 8, or repressed from a mean log2 hybridization signal > 8 were included). The results were that ursolic acid decreased 18 mRNAs and increased 51 mRNAs (out of > 16,000 mRNAs analyzed. The results are shown in Table X4 ("Change" is the meang log2 change or difference between mice on ursolic acid diet and control diet, i.e. [Mean log2 mRNA levels in ursolic acid diet] minus [Mean log2 mRNA levels in control diet]).
[00371] Table X4. Mouse skeletal muscle mRNAs induced or repressed by ursolic acid.
Figure imgf000163_0001
mRNA Protein Change P
D0H4S114 DNA segment, human D4S114 0.15 0.004
Psmdl proteasome (prosome, macropain) subunit, 0.15 0.005 alpha type 2
Mrpl46 mitochondrial ribosomal protein L46 0.15 0.001
Eeflel eukaryotic translation elongation factor 1 0.15 0.002 epsilon 1
Krrl KRR1, small subunit (SSU) processome 0.15 0.005 component, homolog
Ndufaf4 NADH dehydrogenase (ubiquinone) 1 alpha 0.14 0.005 subcomplex, assembly factor 4
Ndufs2 NADH dehydrogenase (ubiquinone) Fe-S 0.14 0.002 protein 2
2610507B RIKEN cDNA 2610507B11 gene 0.14 0.000 URik
Ssr4 signal sequence receptor, delta 0.14 0.000
Ndufs4 NADH dehydrogenase (ubiquinone) Fe-S 0.14 0.003 protein 4
Sqstml sequestosome 1 0.12 0.001
Gfinl G elongation factor, mitochondrial 1 0.12 0.003
2310016M RIKEN cDNA 2310016M24 gene 0.12 0.004 24Rik
Sod2 superoxide dismutase 2, mitochondrial 0.12 0.001
Prdx5 peroxiredoxin 5 0.10 0.005
BC004004 cDNA sequence BC004004 0.06 0.001
Ghitm growth hormone inducible transmembrane 0.05 0.005 protein
Foxn3 forkhead box N3 -0.09 0.000
KIM31 kelch-like 31 (Drosophila) -0.09 0.001
Acadm acyl-Coenzyme A dehydrogenase, medium -0.11 0.001 chain
Eif4g3 eukaryotic translation initiation factor 4 -0.12 0.005 gamma, 3
Nrap nebulin-related anchoring protein -0.14 0.003
Golga4 golgi autoantigen, golgin subfamily a, 4 -0.14 0.003
Paip2b poly(A) binding protein interacting protein 2B -0.16 0.000
Pde4dip phosphodiesterase 4D interacting protein -0.18 0.001
(myomegalin)
Sfpq splicing factor proline/glutamine rich -0.18 0.005
Pnn pinin -0.18 0.002
D4Wsu53e DNA segment, Chr 4, Wayne State University -0.18 0.003
53, expressed
Mlec malectin -0.19 0.003
Cacnals calcium channel, voltage-dependent, L type, -0.22 0.001 alpha IS
Sfrs5 splicing factor, arginine/serine-rich 5 (SRp40, -0.22 0.005
HRS)
Nnt nicotinamide nucleotide transhydrogenase -0.24 0.002 mRNA Protein Change P
Adprhll ADP-ribosylhydrolase like 1 -0.26 0.002
Ddit4l DNA-damage-inducible transcript 4-like -0.32 0.000
Fbxo32 F-box protein 32 (Atrogin-1) -0.35 0.001
[00372] As discussed above, atwgin-1 and MuRFl are transcriptionally up-regulated by atrophy-inducing stresses (see Figure 4B and Sacheck JM, et al. (2007) Faseb J 21(1): 140- 155), and they are required for muscle atrophy (Bodine SC, et al. (2001) Science (New York, N.7294(5547): 1704- 1708). Moreover, in the studies of fasted mice as described herein above, ursolic acid reduced atrogin-1 and MuRFl mRNAs (Figure 6H). Consistent with that finding, the arrays indicated that dietary ursolic acid reduced atrogin-1 mRNA, which was the most highly repressed mRNA (Figure 10A). The results shown in Figure 10A represent a subset of the mRNAs from Table X4 which had the greatest increase or decrease in expression level in response to ursolic acid. Although MuRFl mRNA was not measured by the arrays used in these experiments, qPCR analysis confirmed that dietary ursolic acid repressed both atrogin-1 and MuRFl mRNAs (Figure 10B; data are means + SEM).
Interestingly, one of the most highly up-regulated muscle mRNAs was IGFl (Figures 8A and 8B), which encodes insulin-like growth factor-I (IGF-I), a locally generated
autocrine/paracrine hormone. IGFl mRNA is known to be transcriptionally induced in hypertrophic muscle (Hameed M, et al. (2004) The Journal of physiology 555(Pt 1):231-240; Adams GR & Haddad F (1996) JAppl Physiol 81(6):2509-2516; Gentile MA, et al. (2010) Journal of molecular endocrinology 44(l):55-73). In addition, increased skeletal muscle IGFl expression reduces denervation-induced muscle atrophy (Shavlakadze T, et al. (2005) Neuromuscul Disord 15(2): 139-146), and stimulates muscle hypertrophy (Barton-Davis ER, et al. (1998) Proceedings of the National Academy of Sciences of the United States of America 95(26): 15603-15607; Musaro A, et al. (2001) Nature Genetics 27(2): 195-200). Moreover, by stimulating skeletal muscle insulin/IGF-I signaling, IGF-I represses atrogin-1 and MuRF mRNAs (Sacheck JM, et al. (2004) Am J Physiol Endocrinol Metab 287(4):E591- 601; Frost RA, et al. (2009) / Cell Biochem 108(5): 1192-1202.), as well as DDIT4L mRNA (ibid), which, after atrogin-1 mRNA, was the second most highly repressed mRNA in muscle from ursolic acid- treated mice (Figure 10A). Thus, 5 weeks of dietary ursolic acid altered skeletal muscle gene expression in a manner known to reduce atrophy and promote hypertrophy, and muscle- specific IGFl induction emerged as a likely contributing mechanism in ursolic acid-induced muscle hypertrophy. The effect of ursolic acid on plasma IGF-I levels was also determined, which primarily reflect growth hormone-mediated hepatic IGF-I production (Yakar S, et al. (1999) Proceedings of the National Academy of Sciences of the United States of America 96(13):7324-7329). Although diets containing 0.14% or 0.27% ursolic acid increased muscle mass (described in greater detail below; Figure 12A), neither increased plasma IGF-I (Figure IOC). For the data in Figure IOC, mice were provided ad lib access to either standard chow (control diet) or standard chow supplemented with the indicated concentration of ursolic acid for 7 weeks before plasma IGF-I levels were measured. Each data point represents one mouse, and horizontal bars denote the means. P- values were determined by one-way ANOVA with Dunnett's post-test. Of note, exon expression arrays indicated that ursolic acid increased levels of all measured IGF1 exons (exons 2-6; Figure 11A). The data in Figure 11A are mean exon- specific log2 hybridization signals from the arrays described in Table X2. However, ursolic acid did not alter levels of mRNAs encoding myostatin (which reduces muscle mass, for example see Lee SJ (2004) Annu Rev Cell Dev Biol 20:61-86), or twist or myogenin (which are induced by IGF-I during development, for example see Dupont J, et al. (2001) The Journal of biological chemistry 276(28):26699-26707; Tureckova J, et al. (2001) The Journal of biological chemistry 276(42):39264-39270). Moreover, ursolic acid did not alter the amount of IGF1 mRNA in adipose tissue (Figure 1 IB). Briefly, the data shown in Figure 1 IB were obtained as follows: mice were provided ad lib access to either standard chow (control diet) or standard chow supplemented with 0.27% ursolic acid (ursolic acid diet) for 7 weeks before retroperitoneal adipose tissue was harvested for qPCR quantification of IGF1 mRNA. The data shown are means + SEM from 5 mice per group. Without wishing to be bound by a particular theory, ursolic acid-mediated IGF1 induction may be localized to skeletal muscle.
8. URSOLIC ACID ENHANCES SKELETAL MUSCLE IGF-I SIGNALING.
[00373] Although muscle- specific IGF1 induction is characteristic of, and contributes to, muscle hypertrophy, it may be a relatively late event that promotes hypertrophy after it has been initiated by other stimuli (Adams GR, et al. (1999) JAppl Physiol 87(5): 1705-1712). Without wishing to be bound by a particular theory, it is possible that ursolic acid might have a more proximal effect on insulin/IGF-I signaling. In a previous study of non-muscle cell lines (CHO/IR and 3T3-L1 cells), ursolic acid enhanced insulin-mediated Akt activation (Jung SH, et al. (2007) The Biochemical journal 403(2):243-250). To determine whether ursolic acid might have a similar effect in skeletal muscle, the level of phosphorylated Akt was assessed in quadriceps muscles of mice fed diets lacking or containing ursolic acid. Briefly, mice were provided ad lib access to either standard chow (control diet) or standard chow supplemented with 0.27% ursolic acid for 16 weeks. Total protein extracts from quadriceps muscles were subjected to SDS-PAGE, followed by immunoblot analysis for phosphorylated and total Akt, as indicated. A representative immunoblot is shown in Figure 10D. Immunoblot data were quantitated as follows: in each mouse, the level of phospho-Akt was normalized to the level of total Akt; these ratios were then normalized to the average phospho-Akt/total Akt ratio from control mice and the results are shown in Figure 10E (data are means + SEM from 9 mice per diet. P-value was determined by unpaired t-test). The data show that in quadriceps, ursolic acid increased Akt phosphorylation by 1.8-fold.
[00374] The effect of ursolic acid on Akt activation was examined in C2C12 skeletal myotubes, a well-established in vitro model of skeletal muscle (Sandri M, et al. (2004) Cell 117(3):399-412; Stitt TN, et al. (2004) Mol Cell 14(3):395-403). Use of an in vitro system, such as C2C12 skeletal myotubes, circumvented potentially confounding effects from non- muscle tissues, and enabled a determination of whether IGF-I or insulin was required for ursolic acid's effect. The latter consideration was important because circulating IGF-I and insulin are always present in healthy animals. Use of an in vitro system also allowed testing of a clearly defined concentration of ursolic acid (10 μΜ, similar what was used in the Connectivity Map (8.8 μΜ)) for a clearly defined time of incubation (20 min). These considerations were important because the in vivo pharmacokinetic properties of ursolic acid are not yet known.
[00375] For the data shown in Figures 8F-8K, serum-starved C2C12 myotubes were treated in the absence or presence of ursolic acid (10 μΜ) and/or IGF-I (10 nM), as indicated. For studies of the IGF-I receptor, cells were harvested 2 min later, and protein extracts were subjected to immunoprecipitation with anti-IGF-I receptor β antibody, followed by immunoblot analysis with anti-phospho-tyrosine or anti-IGF-I receptor β antibodies to assess phospho- and total IGF-I receptor, respectively. For other studies, cells were harvested 20 min after addition of ursolic acid and/or IGF-I, and immunoblot analyses were performed using total cellular protein extracts and antibodies specific for the phosphorylated or total proteins indicated. Representative immunoblots showing effect of ursolic acid on IGF-I- mediated phosphorylation of Akt (Figure 10F), S6K (Figure 10G) and IGF-I receptor (Figure 10H). Data from immunoblots was quantitated as follows: levels in the presence of ursolic acid and IGF-I were normalized to levels in the presence of IGF-I alone, which were set at 1 and are indicated by the dashed line. The data shown in Figure 101 are means + SEM from > 3 experiments. [00376] For the data shown in Figures 9C - 9F, serum- starved C2C12 myo tubes were treated in the absence or presence of ursolic acid (10 μΜ), insulin (10 nM) and/or IGF-I (10 nM), as indicated. For studies of the insulin receptor, cells were harvested 2 min later, and protein extracts were subjected to immunoprecipitation with anti-insulin receptor β antibody, followed by immunoblot analysis with anti-phospho-insulin receptor β (Yl 162/1163) or anti- insulin receptor β antibodies to assess phospho- and total insulin receptor, respectively. For other studies, cells were harvested 20 min after addition of ursolic acid, insulin and/or IGF-I, and immunoblot analyses were performed using total cellular protein extracts and antibodies specific for the phosphorylated or total proteins indicated.
[00377] When serum-starved myotubes were treated with ursolic acid alone, Akt phosphorylation did not increase (Figure 10F). However, in the presence of IGF-I, ursolic acid increased Akt phosphorylation by 1.9-fold (Figures 8F and 81). Ursolic acid also increased Akt phosphorylation in the presence of insulin (Figure 11C). Thus, ursolic acid enhanced IGF-I-mediated and insulin-mediated Akt phosphorylation. The finding that ursolic acid enhanced muscle Akt activity in vivo and in vitro was consistent with the finding that ursolic acid's mRNA expression signature negatively correlated with the mRNA expression signatures of LY-294002 and wortmannin (Figures 4B and 5B), which inhibit insulin/IGF-I signaling upstream of Akt. However, ursolic acid's signature also negatively correlated with the signature of rapamycin, which inhibits insulin/IGF-I signaling
downstream of Akt.
[00378] Although ursolic acid alone did not increase S6K phosphorylation (Figure 1 ID), it enhanced IGF-I-mediated and insulin-mediated S6K phosphorylation (Figures 8G, 81 and 9D). To further investigate the mechanism, the effect of ursolic acid on the IGF-I receptor was examined. Ursolic acid increased IGF-I receptor phsophorylation in the presence but not the absence of IGF-I (Figures 8H and 81). Similarly, ursolic acid increased insulin receptor phosphorylation in the presence but not the absence of insulin (Figure 1 IE). Both of these effects were rapid, occurring within 2 minutes after the addition of ursolic acid and either IGF-I or insulin. Consistent with enhanced signaling at the level of the IGF-I and insulin receptors, ursolic acid also enhanced IGF-I-mediated and insulin-mediated ERK
phosphorylation (Figures 8J and 9F). Moreover, ursolic acid enhanced IGF-I-mediated phosphorylation (inhibition) of FoxO transcription factors, which activate transcription of atrogin-1 and MuRFl mRNAs (Figure 10K; Sandri M, et al. (2004) Cell 117(3):399-412; Stitt TN, et al. (2004) Mol Cell 14(3):395-403.). Without wishing to be bound by a particular theory, ursolic acid represses atrophy- associated gene expression and promotes muscle hypertrophy by increasing activity of the IGF-I and insulin receptors.
9. URSOLIC ACID REDUCES ADIPOSITY.
[00379] Mice were provided ad lib access to standard chow supplemented with the indicated concentration (weight percent in chow, either 0.14% or 0.28% as indicated in Figure 12) of ursolic acid for 7 weeks before tissues were harvested for analysis. Data are means + SEM from 10 mice per diet. Data for the effects of ursolic acid on weights of skeletal muscle (quadriceps + triceps), epididymal fat, retroperitoneal fat and heart are shown in Figure 12A. The P-values, determined by one-way ANOVA with post-test for linear trend, were < 0.001 for muscle; 0.01 and 0.04 for epididymal and retroperitoneal fat, respectively; and 0.46 for heart. The data show that 7 weeks of dietary ursolic acid increased skeletal muscle weight in a dose-dependent manner, with a peak effect at 0.14% ursolic acid. Interestingly, although ursolic acid increased muscle weight, it did not increase total body weight (Figure 12B; P-values were 0.71 and 0.80 for initial and final weights, respectively).
[00380] The data in Figure 12A also show that 7 weeks of dietary ursolic acid reduced the weight of epididymal and retroperitoneal fat depots, with a peak effect at 0.14%. In another study, mice were provided ad lib access to either standard chow (control diet) or standard chow supplemented with 0.27% ursolic acid (ursolic acid diet) for 5 weeks. The relationship between skeletal muscle weight (quadriceps, triceps, biceps, TA, gastrocnemius and soleus) and retroperitoneal adipose weight is shown in Figure 12C. Each data point in Figure 12C represents one mouse; P < 0.001 for both muscle and adipose by unpaired t-test. The data show that 5 weeks of ursolic acid administration (0.14%) also reduced adipose weight. Thus, muscle and fat weights were inversely related. Without wishing to be bound by a particular theory, ursolic acid-treated mice contain less fat because, in part, ursolic acid increases Akt activity (see Figures 8 and 9), and muscle- specific increases in Akt activity reduce adiposity as a secondary consequence of muscle hypertrophy (Lai KM, et al. (2004) Molecular and cellular biology 24(21):9295-9304; Izumiya Y, et al. (2008) Cell metabolism 7(2): 159-172).
[00381] Ursolic acid reduced adipose weight by reducing adipocyte size as shown by data in Figures 10D - 10F. Figure 12D shows a representative H&E stain of retroperitoneal fat for animals feed a control data or a chow with 0.27% ursolic acid as indicated. The data in Figure 12D are shown quantitatively in Figure 12E in terms of adipocyte diameter, where data point represents the average diameter of > 125 retroperitoneal adipocytes from one mouse. The retroperitoneal adipocyte size distribution. Each distribution represents combined adipocyte measurements (> 1000 per diet) from Figure 12E. [00382] The changes in adipocyte size were accompanied by a significant reduction in plasma leptin levels, which correlated closely with adipose weight (see Figures 10G and 10H). In Figure 12G, each data point represents one mouse, and horizontal bars denote the means. P- values were determined by t-test. In Figure 12H, each data point represents one mouse. Importantly, ursolic acid also significantly reduced plasma triglyceride (Figure 121) and cholesterol (Figure 12J). In Figures 101 and 10J, each data point represents one mouse, and horizontal bars denote the means. P- values were determined by unpaired t-test. Although ursolic acid reduced leptin, it did not alter food intake (Figure 13A). In this study, mice were provided ad lib access to either standard chow (control diet) or standard chow supplemented with 0.27% ursolic acid (ursolic acid diet) for 4 weeks. Mice were then moved to a comprehensive animal metabolic monitoring system (CLAMS; Columbus Instruments, Columbus, OH) and provided with ad lib access to the same diets. Food consumption was measured for 48 hours. Data are means + SEM from 6 mice per group. However, ursolic acid did not alter weights of heart (Figure 12A), liver or kidney (Figures 1 IB and 11C), nor did it elevate plasma markers of hepatotoxicity or nephrotoxicity (alanine aminotransferase, bilirubin and creatinine; see Figures 1 ID - 1 IF). The data in Figures 1 IB - 1 IF were obtained as follows: mice were provided ad lib access to either standard chow (control diet) or standard chow supplemented with 0.27% ursolic acid (ursolic acid diet) for 5 weeks before tissues and plasma were harvested for the indicated measurements; each data point represents one mouse, and horizontal bars denote the means. For Figure 13, P- values were determined with unpaired t-tests. Thus, dietary ursolic acid had two major effects: skeletal muscle hypertrophy and reduced adiposity.
10. URSOLIC ACID REDUCES WEIGHT GAIN AND WHITE ADIPOSE TISSUE.
[00383] The findings that ursolic acid increased skeletal muscle and decreased adiposity suggested that ursolic acid might increase energy expenditure, which would lead to obesity resistance. To test this, C57BL/6 mice were given ad libitum access to a high fat diet (HFD; Teklad TD.93075; 55% calories from fat) lacking or containing 0.27% ursolic acid. After 7 weeks, mice from each group were studied for three days in comprehensive lab animal monitoring systems ("CLAMS"; Columbus Instruments). In the CLAMS, mice were maintained on the same diet they had been eating since the beginning of the experiment. Following CLAMS, tissues were harvested for analysis. In high fat-fed mice, ursolic acid dramatically reduced weight gain, and this effect was apparent within one week (Figure 14A). As previously observed in mice fed ursolic acid and standard chow (Figure 8), ursolic acid increased grip strength and muscle mass (Figures 12B and 12C). Moreover, ursolic acid reduced retroperitoneal and epididymal fat (Figures 12D and 12E). Interestingly, in the scapular fat pad, which contains a mixture of white and thermogenic brown fat, ursolic acid reduced white fat (Figure 14F), but increased brown fat (Figure 14G). Importantly, increased skeletal muscle and brown adipose tissue would be predicted to increase energy expenditure. Indeed, CLAMS revealed that ursolic acid increased energy expenditure (Figure 14H), providing an explanation for how ursolic acid reduces adiposity and obesity. Remarkably, CLAMS analysis revealed that ursolic acid-treated mice consumed more food (Figure 141), even though they gained less weight (Figure 14A). For the data shown in Figure 14 A, data are means + SEM from 12 control mice and 15 treated mice, but it should be noted that some error bars are too small to see; P < 0.01 at 1 wk and each subsequent time point. In Figures 12B - 121, each data point represents one mouse and horizontal bars denote the means. P- values were determined with unpaired t- tests.
11. URSOLIC ACID REDUCES OBESITY-RELATED PRE-DIABETES, DIABETES, FATTY LIVER DISEASE AND HYPERCHOLESTEROLEMIA.
[00384] The study was carried out as follows: C57BL/6 mice were given ad libitum access to a high fat diet ("HFD"; Teklad TD.93075; 55% calories from fat) lacking or containing 0.27% ursolic acid. After 5 weeks, mice were fasted for 16 h before blood glucose was measured via the tail vein (Figure 15A). Normal fasting blood glucose: < 100 mg/dl. (B-I) After 7 weeks, liver and plasma were harvested for analysis (Figures 13B - 131). The data shown in Figure 15A suggest that most mice fed HFD without ursolic acid for 6 weeks developed impaired fasting glucose (pre-diabetes) or diabetes. Importantly, this was prevented by ursolic acid (Figure 15A). In addition, mice fed HFD without ursolic acid developed fatty liver disease, as evidenced by increased liver weight (>30% increase above normal mouse liver weight of 1500 mg; Figure 15B), hepatocellular lipid accumulation (Figure 15C, H&E stain at 20X magnification; Figure 15D, lipid-staining osmium at 10X magnification), and elevated plasma liver function tests (Figure 15E, AST; 13F, ALT; 13G, alkaline phosphatase (labeled as "Alk. Phos. in figure); and, 13H, cholesterol). However, ursolic acid prevented all of these hepatic changes (Figure 15B - 13G). In addition, ursolic acid reduced obesity-related hypercholesterolemia (Figure 15H). In Figures 13A, 13B, and 13E-13H, each data point represents one mouse and horizontal bars denote the means.
12. OLEANOLIC ACID DOES NOT INCREASE SKELETAL MUSCLE MASS.
[00385] The effect of ursolic acid on skeletal muscle weight and liver weight was compared to the effects by oleanolic acid and metformin. Metformin was a compound identified from muscle atrophy signature- 1, but not muscle atrophy signature-2. Oleanolic acid, like ursolic acid is a pentacyclic acid triterpane. This is a structurally similar compound to ursolic acid. However, the two compounds are distinct: oleanolic acid has two methyl groups at position 20, whereas ursolic acid has a single methyl group at each of positions 19 and 20 (compare Figures 14A and 14D). Both ursolic acid and oleanolic acid reduce blood glucose, adiposity and hepatic steatosis (Wang ZH, et al. (2010) European journal of pharmacology 628(l-3):255-260; Jayaprakasam B, et al. (2006) JAgric Food Chem
54(l):243-248; de Melo CL, et al. (2010) Chem Biol Interact 185(l):59-65). In addition, both ursolic acid and oleanolic acid possess a large number of cellular effects and
biochemical targets, including nearly equivalent inhibition of protein tyrosine phosphatases ("PTPs"; see Zhang W, et al. (2006) Biochimica et biophysica acta 1760(10): 1505-1512; Qian S, et al. (2010) J Nat Prod 73(11): 1743-1750; Zhang YN, et al. (2008) Bioorg Med Chem 16(18): 8697-8705). However, the effects of these compounds on skeletal muscle mass were not known.
[00386] Because some PTPs (particularly PTP1B) dephosphorylate (inactivate) the insulin receptor, PTP inhibition represented a potential mechanism to explain ursolic acid-mediated enhancement of insulin signaling. Thus, because oleanolic acid and ursolic acid inhibit PTP1B and other PTPs with similar efficacy and potency in vitro (Qian S, et al. (2010) J Nat Prod 73(11): 1743-1750; Zhang YN, et al. (2008) Bioorg Med Chem 16(18):8697-8705), testing oleanolic acid's effects on skeletal mass tests the potential role of PTP inhibition. It should be noted that neither ursolic acid nor oleanolic acid is known to inhibit PTPs in vivo, and neither of these compounds are known to enhance IGF-I signaling. Moreover, ursolic acid's capacity to inhibit PTPs has been disputed based on ursolic acid's failure to delay insulin receptor de -phosphorylation in cultured cells (Jung SH, et al. (2007) The Biochemical journal 403(2):243-250), and ursolic acid's capacity to act as an insulin mimetic (Jung SH, et al. (2007) The Biochemical journal 403(2):243-250). In addition, global and muscle-specific PTP1B knockout mice do not possess increased muscle mass, although they are resistant to obesity and obesity-related disorders (Delibegovic M, et al. (2007) Molecular and cellular biology 27(21):7727-7734; Klaman LD, et al. (2000) Molecular and cellular biology
20(15):5479-5489). Furthermore, ursolic acid increases pancreatic beta cell mass and serum insulin levels in vivo, perhaps via its anti-inflammatory effects (Wang ZH, et al. (2010) European journal of pharmacology 628(l-3):255-260; Jayaprakasam B, et al. (2006) JAgric Food Chem 54(l):243-248; de Melo CL, et al. (2010) Chem Biol Interact 185(l):59-65).. Importantly, inflammation is now recognized as a central pathogenic mechanism in muscle atrophy, metabolic syndrome, obesity, fatty liver disease and type 2 diabetes. Thus, the existing data suggest at least four mechanisms to explain ursolic acid's capacity to increase insulin signaling in vivo: PTP inhibition, direct stimulation of the insulin receptor, increased insulin production, and reduced inflammation. Of these four potential mechanisms, only the latter three have been demonstrated in vivo.
[00387] To compare the effects of ursolic acid and oleanolic acid on skeletal muscle and liver weight, C57BL/6 mice were administered ursolic acid (200 mg / kg), oleanolic acid (200 mg / kg), or vehicle alone (corn oil) via i.p. injection. Mice were then fasted, and after 12 hours of fasting, mice received a second dose of ursolic acid, oleanolic acid, or vehicle. After 24 hours of fasting, lower hindlimb skeletal muscles and liver were harvested and weighed. As shown previously, ursolic acid increased skeletal muscle weight (Figure 16B), but not liver weight (Figure 16C). In contrast, oleanolic acid increased liver weight (FIG. 14F), but not skeletal muscle weight (Figure 16E). Interestingly, metformin (250 mg / kg) resembled oleanolic acid in biological effect: it increased liver weight (Figure 161), but not muscle weight (Figure 16H). Without wishing to be bound by a particular theory, ursolic acid increases skeletal muscle and inhibit muscle atrophy by a pathway that does not involve PTP inhibition.
13. TARGETED INHIBITION OF PTPIB DOES NOT INDUCE SKELETAL MUSCLE
HYPERTROPHY.
[00388] To further rule out the potential role of PTPIB inhibition in skeletal muscle hypertrophy, PTPIB expression was specifically reduced in mouse skeletal muscle by transfecting plasmid DNA constructed to express RNA interference constructs. Briefly, C57BL/6 mouse tibialis anterior muscles were transfected with 20 μg pCMV-miR- control (control plasmid transfected in the left TA) or either 20 μg pCMV-miR-PTPlB #1 (encoding miR-PTPlB #1; transfected in the right TA) or 20 μg pCMV-miR-PTPlB #2 (encoding miR- PTP1B #2; transfected in the right TA). miR-PTPlB #1 and miR-PTPlB #2 encode two distinct RNA interference (RNAi) constructs targeting distinct regions of PTPIB mRNA. Tissue was harvested 10 days following transfection.
[00389] Of note with regard to Figure 17 A, mRNA measurements were taken from the entire TA muscle. Because electroporation transfects only a portion of muscle fibers, the data underestimate PTPIB knockdown in transfected muscle fibers. In Figure 17A, mRNA levels in the right TA were normalized to levels in the left TA, which were set at 1 ; data are means + SEM from 3 mice. In Figure 17B, in each TA muscle, the mean diameter of > 300 transfected fibers was determined; data are means + SEM from 3 TA muscles per condition. For both Figures 15A and 15B, P-values were determined with one-tailed paired t- tests.
[00390] Although both miR-PTPlB constructs reduced PTP1B mRNA (Figure 17A), neither increased skeletal muscle fiber diameter (Figure 17B). These data demonstrate that targeted PTP1B inhibition does not cause muscle fiber hypertrophy. Without wishing to be bound by a particular theory, ursolic acid does not increase skeletal muscle by inhibiting PTP1B.
14. URSOLIC ACID SERUM LEVELS ASSOCIATED WITH INCREASED MUSCLE MASS AND
DECREASED ADIPOSITY.
[00391] To determine the dose-response relationship between dietary ursolic acid and muscle and adipose weight, C57BL/6 mice were fed standard chow containing varying amounts of ursolic acid for 7 weeks. Serum ursolic acid levels from mice were determined as described above. As shown previously in Figure 12A, ursolic acid increased skeletal muscle weight and decreased weight of retroperitoneal and epididymal fat pads in a dose-dependent manner, but did not alter heart weight (Figure 18 A; data are means + SEM). These effects of ursolic acid were discernable at 0.035% ursolic acid and were maximal at doses > 0.14% ursolic acid. Serum was collected from these same mice at the time of necropsy, and then measured random serum ursolic acid levels via ultra high performance liquid chromatography (UPLC). The data indicate that ursolic acid serum levels in the range of 0.25 - 0.5 μg / ml are sufficient to increase muscle mass and decrease adiposity (Figure 18B; data are means + SEM). Of note, 0.5 μg / ml equals 1.1 μΜ ursolic acid, close to the dose used in the
Connectivity Map (8.8 μΜ) and in the C2C12 experiments (10 μΜ) described above.
[00392] The data described herein indicate that ursolic acid reduced muscle atrophy and stimulated muscle hypertrophy in mice. Importantly, ursolic acid's effects on muscle were accompanied by reductions in adiposity, fasting blood glucose and plasma leptin, cholesterol and triglycerides, as well as increases in the ratio of skeletal muscle to fat, the amount of brown fat, the ratio of brown fat to white fat, and increased energy expenditure. Without wishing to be bound by a particular theory, ursolic acid reduced muscle atrophy and stimulated muscle hypertrophy by enhancing skeletal muscle IGF-I expression and IGF-I signaling, and inhibiting atrophy- associated skeletal muscle mRNA expression.
[00393] All of the compositions and/or methods disclosed and claimed herein can be made and executed without undue experimentation in light of the present disclosure. It will be apparent to those skilled in the art that various modifications and variations can be made in the present invention without departing from the scope or spirit of the invention. More specifically, certain agents which are both chemically and physiologically related can be substituted for the agents described herein while the same or similar results can be achieved. All such similar substitutes and modifications apparent to those skilled in the art are deemed to be within the spirit, scope and concept of the invention as defined by the appended claims. Other embodiments of the invention will be apparent to those skilled in the art from consideration of the specification and practice of the invention disclosed herein. It is intended that the specification and examples be considered as exemplary only, with a true scope and spirit of the invention being indicated by the following claims.
15. TREATMENT OF MUSCLE ATROPHY
[00394] Several compounds have been shown to treat muscle atrophy as shown below.
a. BETULINIC ACID
[00395] Betulinic acid has
Figure imgf000175_0001
[00396] The mRNA expression signature of betulinic acid negatively correlated to human muscle atrophy signature-2. Therefore betulinic acid, like ursolic acid, could inhibit skeletal muscle atrophy. To test this, a mouse model of immobilization-induced skeletal muscle atrophy was used: mice were administered vehicle (corn oil) or varying doses of ursolic acid (positive control) or betulinic acid via intraperitoneal injection twice a day for two days. One tibialis anterior (TA) muscle was immobilized with a surgical staple, leaving the contralateral mobile TA as an intra-subject control. The vehicle or the same dose of ursolic acid or betulinic acid was continuously administered via i.p. injection twice daily for six days before comparing weights of the immobile and mobile TAs. As expected, immobilization caused muscle atrophy, and ursolic acid reduced muscle atrophy in a dose-dependent manner, with maximal inhibition at 200 mg/kg (Figure 19A). Betulinic acid also reduced muscle atrophy in a dose-dependent manner, with maximal inhibition at < 50 mg/kg (Figure 19B). These data indicate that betulinic acid reduces immobilization-induced muscle atrophy, and it is more potent than ursolic acid.
b. NARINGENIN
[00397] Naringenin has the following structure:
Figure imgf000176_0001
[00398] The mRNA expression signature of naringenin negatively correlated to human muscle atrophy signatures- 1 and -2. Therefore naringenin could inhibit skeletal muscle atrophy. To test this, mice were administered vehicle (corn oil), ursolic acid (200 mg/kg), naringenin (200 mg/kg), or the combination of ursolic acid and naringenin (each at 200 mg/kg) via i.p injection twice a day for two days. One tibialis anterior (TA) muscle was immobilized with a surgical staple, leaving the contralateral mobile TA as an intrasubject control. Vehicle or the same doses of ursolic acid and/or naringenin was continuously administered via i.p. injection twice daily for six days before comparing weights of the immobile and mobile TAs. Like ursolic acid, naringenin reduced muscle atrophy (Figure 20). The combination of ursolic acid and naringenin also reduced muscle atrophy, but not more than either compound alone (Figure 20). These data indicate that naringenin reduces skeletal muscle atrophy.
[00399] Like ursolic acid, naringenin reduces blood glucose, as well as obesity and fatty liver disease. Therefore ursolic acid and naringenin could have additive effects. To determine this, weight-matched mice were provided ad libitum access to standard (Harlan Teklad formula 7013), high fat diet (HFD; Harlan Teklad formula TD93075), or HFD containing varying concentrations of ursolic acid (0.15%) and/or naringenin (0.5% or 1.5%). After the mice consumed these diets for 5 weeks, fasting blood glucose, total body weight, fat mass, liver weight, grip strength, and skeletal muscle weight was measured. As expected, HFD increased blood glucose, and this increase in blood glucose was partially prevented by ursolic acid and naringenin (Figure 21A). The combination of ursolic acid plus either dose of naringenin reduced blood glucose more than either compound alone, and it restored blood glucose to normal levels (Figure 21A). Importantly, ursolic acid and naringenin did not have additive effects on total body weight (Figure 21B), fat mass (Figure 21C), liver weight (Figure 21D), grip strength (Figure 21E), or skeletal muscle weight (Figure 21F). In addition, ursolic acid increased strength to a greater extent than naringenin (Figure 2 IE), and ursolic acid, but not naringenin, increased muscle weight (Figure 2 IF). These differences between ursolic acid and naringenin in high fat fed mice indicates that ursolic acid and naringenin have differences in their mechanisms of action, which could explain their additive effects on fasting blood glucose.
c. TOMATIDINE
[00400] Tomatidine has the following structure:
Figure imgf000177_0001
[00401] The mRNA expression signature of tomatidine negatively correlated to human muscle atrophy signatures- 1 and -2. Therefore tomatidine could inhibit skeletal muscle atrophy. To test this, mice were administered vehicle (corn oil) or tomatidine (50, 100 or 200 mg/kg) via i.p injection twice a day for two days. One tibialis anterior (TA) muscle was immobilized with a surgical staple, leaving the contralateral mobile TA as an intrasubject control. Vehicle or the same doses of tomatidine was administered via i.p. injection twice daily for six days before comparing weights of the immobile and mobile TAs. All 3 doses of tomatidine reduced muscle atrophy, and the effect was maximal at 50 mg/kg (Figure 22A). The same protocol was used to compare the effects of vehicle (corn oil) and tomatidine (5, 15 or 50 mg/kg) on immobilization-induced muscle atrophy. Tomatidine reduced muscle atrophy in dose-dependent manner, with maximal effect at 50 mg/kg and EC50 < 5 mg/kg (Figure 22B). These data indicate that tomatidine reduces immobilization-induced muscle atrophy, and it is more potent than ursolic acid.
[00402] Tomatidine could also inhibit skeletal muscle atrophy induced by fasting. To test this, food was withdrawn from mice, and then vehicle, ursolic acid (200 mg/kg) or tomatidine (50 mg/kg) were administered by i.p. injection. Twelve hours later, mice received another i.p. injection of vehicle or the same dose of ursolic acid or tomatidine. Twelve hours later, skeletal muscles were harvested and weighed. Both ursolic acid and tomatidine increased skeletal muscle, indicating decreased fasting-induced skeletal muscle atrophy (Figure 23 A). We next used the same protocol to compare the effects of vehicle (corn oil) and tomatidine (5, 15 and 50 mg/kg). Tomatidine reduced muscle atrophy in dose-dependent manner, with maximal effect at 50 mg/kg and EC50 between 5 and 15 mg/kg (Figure 23B).
d. ALLANTOIN, TACRINE, UNGERINE, HIPPEASTRINE AND CONESSINE
[00403] Allantoin has the following structure: [00404] Tacrine has the followin
Figure imgf000178_0001
[00405] Ungerine has the following structure
Figure imgf000178_0002
[00406] Hippeastrine has the following structure:
Figure imgf000178_0003
[00407] Conessine has the following structure:
Figure imgf000178_0004
[00408] The mRNA expression signatures of allantoin, tacrine, ungerine (Prestwick-689), hippeastrine (Prestwick-675) and conessine also negatively correlated to human muscle atrophy signatures- 1 and -2. Therefore these compounds could inhibit skeletal muscle atrophy. To test this, the fasting-induced muscle atrophy model described above was used to compare the effects of ursolic acid (200 mg/kg), tomatidine (50 mg/kg), allantoin (2 mg/kg), tacrine (4 mg/kg), ungerine (2 mg/kg), hippeastrine (2 mg/kg) and conessine (2 mg/kg). Like ursolic acid and tomatidine, allantoin, tacrine, ungerine, hippeastrine and conessine increased muscle weight in fasted mice (Figure 24), indicating that these compounds decrease skeletal muscle atrophy.
[00409] Since ursolic acid and naringenin reduced fasting blood glucose, hippeastrine (2 mg/kg) and conessine (2 mg/kg) could have a similar effect. Hippeastrine and conessine reduced fasting blood glucose (Figure 25).
16. PROPHETIC SYNTHESIS OF TACRINE AND ANALOGS
[00410] The formulas disclosed herein could be synthesized by reacting an
anthranilonitrile derivative with a cyclohexanone derivative in the presence of zinc chloride (Proctor et al., Curr Medici. Chem., 2000, 7, 295-302). Such reaction is shown in Scheme 1A.
Figure imgf000179_0001
[00411] Thus, tacrine can be synthesized as shown in scheme IB.
Figure imgf000179_0002
[00412] The formulas disclosed herein could also be synthesized by reacting an a- cyanocyclonones with a vide variety of anilines using either TiCl4 or A1C13 as reagents (Proctor et al., Curr Medici. Chem., 2000, 7, 295-302). An example of such reaction is shown in Scheme 1C.
Figure imgf000179_0003
[00413] Thus, tacrine could be synthesized as shown in scheme ID. SCHEME ID
Figure imgf000180_0001
17. PROPHETIC SYNTHESIS OF NARINGENIN AND ANALOGS
[00414] The disclosed formulas could be synthesized as described in PCT application WO 2007/053915 by De Keukkeleire et al. which is hereby incorporated in its entirety by reference. In another example, Glucoyl substituted naringenin could be extracted as described in U.S. Patent 6,770,630 by Kashiwaba et al. which is hereby incorporated in its entirety by reference. As described by De Keukkeleire et al. the disclosed formulas could be synthesized as shown in Scheme 2A:
Figure imgf000181_0001
KOH,
H20-EtOH, benzaldehyde*
Figure imgf000181_0002
PSCI3,
H20,
NEt3,
Figure imgf000181_0003
[00415] The formation of the thioketone was described by Pathak, et al. (J. Org. Chem., 2008, 73, 2890-2893). The * in the scheme denotes moieties that is or can be converted, using known chemistry, into the disclosed R moieties. For example, the synthesis of naringenin is shown in Scheme 2B. SCHEME 2B
Figure imgf000182_0001
K2C03, MOMCI
Figure imgf000182_0002
18. PROPHETIC SYNTHESIS OF ALLANTOIN AND ANALOGS
[00416] The disclosed formulas could be made using a variety of chemistry known in the art. For example, one set of the disclosed formulas could be made as shown in Scheme 3A and as described in U.S. Patent 4,647,574 by Ineaga et al, which is hereby incorporated herein by reference in its entirety.
SCHEME 3A
Figure imgf000183_0001
[00417] Allantoin could be prepared as described in U.S. Patent 5,196,545 by Schermanz, which is hereby incorporated herein by reference in its entirety, and as shown in Scheme 3B.
SCHEME 3B
Figure imgf000183_0002
[00418] A comprehensive guide for how to make the disclosed formulas can be found in Kirk-Othmer Encyclopedia of Chemical Technology under the chapter Hydantoin and Its Derivatives by Avendano et al (2000), which is hereby incorporated herein by reference in its entirety.
19. PROPHETIC SYNTHESIS OF CONESSINE AND ANALOGS
[00419] Conessine is a steroid alkaloid found in plant species from the Apocynaceae family, for example in Holarrhena floribunda. Conessine derivatives could be prepared as described in U.S. patents 3,539,449, 3,466,279, and 3,485,825 by Marx, which are hereby incorporated by reference in their entirety. As described in U.S. patents 3,539,449,
3,466,279, and 3,485,825 by Marx, conessine derivatives could be prepared using microorganisms such as the fungus Stachybotrys parvispora and enzymes from Gloeosporium, Colletotrichum, and Myrothecium. For example, see Scheme 4A.
Figure imgf000184_0001
[00420] The conessine oxo derivatives could be further modified via a reduction and subsequent chemistry known to one skilled in the art, as shown in Scheme 4B. SCHEME 4B
Figure imgf000185_0001
[00421] The hydroxyl functionality could undergo a number of chemical reactions known in the art. One example, as shown in Scheme 4B, is a Williamson ether synthesis.
[00422] Conessine derivatives could be prepared synthetically as described in U.S. patent 2,910,470, which is hereby incorporated by reference in its entirety. Conessine derivatives are also described in WO 2011/046978 by Orlow, which is hereby incorporated by reference in its entirety. Synthesis of the disclosed formulas is also described in U.S. Patent 3,625,941 by Pappo, which is hereby incorporated in its entirety by reference.
20. PROPHETIC SYNTHESIS OF TOMATIDINE AND ANALOGS
[00423] The formulas disclosed herein could be synthesized by the method disclosed by Uhle, and Moore, J. Am. Chem. Soc. 76, 6412 (1954); Uhle, J. Am. Chem. Soc. 83, 1460 (1961); and Kessar et al., Tetrahedron 27, 2869 (1971), which are all hereby incorporated by reference in their entirety. The disclosed compounds can also be made as shown in Scheme
5A.
Figure imgf000186_0001
21. PROPHETIC SYNTHESIS OF HIPPEASTRINE/UNGERINE AND ANALOGS
[00424] The disclosed formulas can be synthesized by method disclosed by Manas et al. (J. Am. Chem. Soc. 2010, 132, 5176-78), which is hereby incoiporated by reference in its entirety. Thus, disclosed formulas can be synthesized as shown in Scheme 6A. E 6A
Figure imgf000187_0001
1. Hydroxy
functionalization
(i.e. lactone oxidation)
Figure imgf000187_0002
Thus, for example, Hippeastrine can be made as shown in Scheme 6B.
SCHEME 6B
Figure imgf000187_0003
[00425] Another route to make the disclosed formulas is shown in Scheme 6C, as demonstrated by Manas et al..
Figure imgf000188_0001
[00426] The disclosed derivatives can also be made using methods disclosed by Haning et al {Org. Biomolec.Chem. 2011, 9, 2809-2820).
22. PROPHETIC SYNTHESIS OF BETULINIC ACID AND ANALOGS
[00427] Betulininc acid analogs are also described in International Published application WO 2011/153315 by Regueiro-Ren et al. and in International Published application WO 2008/063318 by Safe et al. which are hereby incorporated by reference in its entirety.
Betulinic acid analogs of the present invention of the present invention could be prepared generically as shown below in scheme 7A. The starting materials could be made with methods known in the art.
SCHEME 7A
tion lization
Figure imgf000189_0001
PhSeCI/EtoAc
mCIPBA pyridine
n
Figure imgf000189_0002
[00428] Compounds are represented in generic form, with substituents as noted in compound descriptions elsewhere herein. A more specific example is set forth below in scheme 7B.
Figure imgf000190_0001
23. MUSCLE ATROPHY SIGNATURE - 3
[00429] Induced and repressed mRNA were evaluated for muscle atrophy signature-3. The statisitical significance for the identified mRNAs was defined as P< 0.01.
[00430] For induced mRNAs: mouse tibialis anterior mRNAs significantly induced by 1 week of denervation and significantly induced by 24 h fasting.
[00431] For repressed mRNAs: mouse tibialis anterior mRNAs significantly repressed by 1 week of denervation and significantly repressed by 24 h fasting.
[00432] The identified induced mRNAs included 1200011118Rik, 2310004I24Rik, Akap81, Als2, Anapc7, Apod, Arrdc3, Atp6vlh, BC027231,Bsdcl, Ccdc77, Cd68, Cdknla, Ctps2, Ctsl, D930016D06Rik, Ddx21, Depdc7, Didol, nttip2, Ecel, Eda2r, Egln3, Elk4, Erbb2ip, Errfil, Fbxo30, Fbxo32, Fiplll, Frgl, Gabarapll, Gadd45a, Gnl2, Gnl3, Herpud2, Hpgd, Hspb7, Htatip2, Impact, Kdm3a, Klhl5, Lpin2, Medl2, Mfaplb, Mgea5, Mknk2, Nmd3, Nup93, 0RF19, Pacrgl, Parp4, Pdk4, Phc3, Plaa, Ppfibpl, Psma2, RanbplO, Ranbp9, Rassf4, Riokl, Rlim, Sf3bl, Sikl, Slc20al, Sin, Spag5, Srsf2ip, Syf2, Tbcldl5, Tbkl, Tektl, Tgifl, Tmeml40, Tmem71, Tnks, Trim25, Trmtl, Tspyl2, Tsrl, Tulp3, Txlng, Ubfdl, Ubxn4, Utpl4a, Wdr3, and Xpo4.
[00433] The identified repressed mRNAs included 1600014C10Rik, 1700021F05Rik, 2310003L22Rik, 2310010M20Rik, 231002801 IRik, 2310061C15Rik, 2610528E23Rik, 2810432L12Rik, Abcd2, Acvrl, Aimp2, Ankl, Aqp4, Arl3, AsblO, Aurka, Bhlhe41, Bpntl, Camk2a, Cbyl, Cc2d2a, Cdcl4a, Cdc42ep2, Clcnl, Cntfr, Coll5al, Col6a3, Coxl l, Cox7b, Crhr2, D0H4S114, Ddit3, Debl, Dexi, Dhrs7c, Eif4e, Endog, Epha7, Exd2, Fam69a, Fhod3, Fn3k, Fndc5, Fsd2, Gcoml, Gdapl, Gm4841, Gm5105, Gm9909, Gnb5, Gpd2, Grtpl, Heatr5a, Hlf, Homerl, Ikzf2, Inppll, Irx3, Itgb6, Jarid2, Jph2, Khdrbs3, Klf7, Klhl23, Ky, Lrp2bp, Lrrfipl, Map2k6, Map3k4, Mat2a, Mkks, Mkll, Mrc2, Mreg, Mrpl39, Narf, Ntf5, Nudt3, Osbpl6, Ostc, Parp8, Pkia, Plcd4, Podxl, Polk, Polr3k, Ppmll, Pppde2, Prss23, Psd3, Psph, Ptpmtl, Ptx3, Qrsll, Rasgrp3, Rhobtb3, Ric8b, Rnfl50, Rsphl, Rundcl, Rxrg, SellB, Sema3a, Sgcd, Shisa2, Sirt5, Slc25al9, Slc41a3, Slc4a4, Slco5al, Snrnp35, Stac3, Ston2, Stradb, Stxbp4, Tfrc, Tmc7, Tmem218, Tmtcl, Tnfaip2, Tobl, Trim35, Ttl, Vegfa, and Vgll4.
24. MUSCLE ATROPHY SIGNATURE - 4
[00434] Induced and repressed mRNA were evaluated for muscle atrophy signature-4. The statisitical significance for the identified mRNAs was defined as P< 0.01.
[00435] For induced mRNAs: mouse tibialis anterior mRNAs significantly induced by 1 week of denervation and significantly induced by 1 week of Gadd45a overexpression.
[00436] For repressed mRNAs: mouse tibialis anterior mRNAs significantly repressed by 1 week of denervation and significantly repressed by 1 week of Gadd45a overexpression.
[00437] The identified induced mRNAs included 2410089E03Rik, 6720456H20Rik, Abcal, Abhd2, Abr, Aifll, Akap6, Alg8, Alox5ap, mpd3, Ankrdl, Anxa4, Aoah, App, Araf, Arfgap3, Arhgef2, Arpc3, Arpp21, Atf7ip, Atp6ap2, Atp6vlh, Atp7a, Atp8bl, B4galt5, Bax, Baz2a, Bhlhb9, Bmp2k, C3arl, Canx, Casp3, Ccdcl l l, Ccdcl22, Ccdc93, Ccndbpl, Cct4, Cd68, Cd82, Cdknla, Cepl92, Cgrefl, Chd4, Chrnal, Chrnbl, Chrng, Chuk, Clecl2a, Clec4a3, Coll9al, Copb2, Cpne2, Cstb, Ctnnal, Ctps2, Ctsd, Ctsl, Ctss, Ctsz, Cyb5r3, Cybb, Cyr61, D10Wsu52e, D930016D06Rik, Dcafl3, Dclrelc, Dctn5, Ddbl, Ddhdl, Decr2, Derll, Dhx9, Didol, Dnajcl, Eda2r, Eeflb2, Eef2, Emrl, Epb4.113, Erbb2ipm, Erlinl, Esytl, Faml08c, Faml l5a, Fbxo30, Frrsl, Fst, Fubpl, Fyb, Gab2, Gabarap, Gadd45a, Gale, Galnt7, Ganab, Gigyf2, Gm3435, Gnb211, Gng2, Gnl2, Gnl3, Gpraspl, Gpsm2, Gramdlb, H19, H2- Aa, Hmgn3, Hnl, Hnrnpu, Hprt, Hsp90abl, Hsp90bl, Hspa2, Hspa4, Hspb8, Htatip2, Id2, Ifi30, Igbpl, Igdcc4, Ilf3, Imp4, Impact, Irak4, Itm2b, Ivnslabp, Kcnn3, Kdm3a, Khdrbsl, Kif5b, Klhl5, Krtl8, Lbh, Lgals3, Lgmn, Lpar6, Lpin2, Lyz2, Macfl, Mapllc3a, Map3kl, Map4k4, Marveld2, Matr3, Mcm6, Mdm2, Mdm4, Me2, Medl2, Mgea5, Micalll, Mppl, Mrcl, Mtaplb, Myf6, Myl4, Myo5a, Ncaml, Nip7, Nln, Nop58, Nrcam, Nup93, Nvl, Obfc2a, Osbpl8, Palm2, Parp4, Pcbdl, Pcgf3, Pdlim3, Pfnl, Pgd,Pik3r3, Plaa, Plekha5, Plxdc2, Plxnal, Polr2a, Polr3b, Ppfibpl, Ppib, Prep, Prkdc, Prmtl, Prss48, Prune2, Psmbl, Psmd5, Rad50, Rassf4, Rbl, Rbm45, Reep5, Rgs2, Riok3, Rlim, Rnasel, Rpl31, Rps3, Rps9, Rrad, Rras2, Rspryl, Runxl, Sap30bp, Sema4d, Sema6a, Serfl, Serpinb6a, Sesn3, Sf3bl, Sf3b3, Sgpll, Sh3dl9, Sh3pxd2a, Sh3rfl, Sikl, Sirpa, Slc20al, Slc25a24, Slc9a7, Slc9a9, Sin, Smarcadl, Smcla, Smc5, Sndl, Snx5, Spinl, Srpl4, Ssu72, Stam, Supt5h, Tbcld8, Tbcd, Tbxasl, Tec, Tgfbrl, Tgsl, Thoc5, Thumpd3, Tiam2, Tlr4, Tlr6, Tmeffl, Tmeml76b, Tmeml79b, Tmem209, Tmem38b, Tnc, Tnfrsf22, Tnfrsf23, Tnnt2, Trim25, Trp63, Tubb5, Tubb6, Tyrobp, Uchll, Ugcg, Uspl l, Usp5, Wasf2, Wbp5, Wbscr27, Wdr36, Wdr61, Wdr67, Wdr77, Wdyhvl, Wsbl, Ylpml, Ypel2, Ywhab, Zfp280d, Zfp318, Zfp346, Zfp3611, and Zmynd8.
[00438] The identified repressed mRNAs included 0610012G03Rik, 1110001J03Rik, 1110067D22Rik, 2010106G01Rik, 2310002L09Rik, 2310003L22Rik, 2310010M20Rik, 2610507Bl lRik, 2610528E23Rik, 2810407C02Rik, 4931409K22Rik, 4933403F05Rik, 5730437N04Rik, 9630033F20Rik, A21dl, A930018M24Rik, Abcbla, Abcb4, Abcd2, Abi3bp, Acaa2, Acadm, Acadvl, Acatl, Acotl3, Adal, AdcylO, Adk, Adssll, Aes,
AI317395, Aimp2, Akl, Alas2, Aldhlal, Ank, Ankl, Ankrd9, Ano2, Ano5, Aplp2,
Apobec2, Aqp4, Ar, Arhgapl9, Arhgap20, Arhgap31, Arl3, AsblO, Asbl l, Asbl2, Asbl4, Asbl5, Atpl la, Atpl3a5, Atplbl, Atp5al, Atp5e, Atp8al, Atxnl, B4galt4, Bckdk, Bhlhe41, Bpgm, Bpill, Brp44, Btbdl, C2cd2, Camk2a, Camk2g, Capn5, Car8 ,Cast ,Cc2d2a, Ccngl, Ccnk mCd34, Cd36 ,Cdcl4a ,Cdc42ep3, Cdh5, Cdnf, Cesld, ChchdlO, Chchd3, Cib2, Ckm, Clcnl, Clic5, Cmbl, Cntfr, Coll lal ,Coq9, Coxl l, Cox6a2, Cox8b, Cptlb, Csrp2bp, Cuedcl, Cyb5b, Cyyrl, D0H4S114, DlErtd622e, Dab2ip, Dcunld2, Debl, Decrl, Dgkb, Dhrs7c, Dlat, Dlcl, Dlgl, Dlst, Dnajb5, Dusp28, Ecsit, Eefla2, Eepdl, Efcab2, Eif4e, Endog, Eno3, Epasl, Epha7, Etfb, Exd2, Eyal, Faml32a, Fastkd3, Fbp2, Fbxo3, Fdxl, Fez2, Fgfbpl, Fhl, Fitm2, Fltl, Fmo5, Fsd2, Fxydl, Fzd4, G3bp2, Ganc, Gbas, Gcoml, Gdapl, Ghr, Gjc3, Glbll2, Gm4841, Gm4861, Gm4951, Gm5105, Gmpr, Gpcpdl, Gpdl, Gpd2, Gpt2, Grsfl, Gucyla3, Gysl, Hadh, Hfe2, Hivep2, Hk2, Hlf, Homerl, Hsdl2, Idh3a, Idh3g, I115ra, Inpp5a, Irx3, Jak2, Jam2, Jphl, Kcna7, Kcnj2, Kcnn2, Kdr, Khdrbs3, Kiflb, Kiflc, KM, Klfl2, K1M23, Klhl31, Klhl31, Klhl7, Ky, Ldb3, Lifr, Lmbrl, Lphnl, Lpinl, Lpl, Lrigl, Lrrc39, Lynxl, Man2a2, Maob, Map2k6, Map2k7, Map3k4, Mapkapk2, Mbnll, Mcccl, Mdhl, Mdh2, Me3, Mfnl, Mfn2, Mgst3, Mlfl, Mpnd, Mpz, Mrl, Mreg, Mtusl, Mybpc2, Myo5c, Myom2, Myozl, Narf, Ndrg2, Ndufa3, Ndufa5, Ndufa8, Ndufb8, Ndufb9, Ndufsl, Ndufs2, Ndufs6, Ndufs8, Ndufvl, Nf2, Nosl, Nrldl, Nudt3, Oat, Ociad2, Ocrl, Osbpl6, Osgepll, Ostn, Paqr9, Parp3, Pcmtdl, Pent, Pcnx, Pdgfd, Pdhal, Pdpr, Pfkfb3, Pfkm, Pfn2, Pgam2, Phb, Phkal, Phkgl, Phtf2, Phyh, Pitpncl, Pkdcc, Pkia, Pla2gl2a, Pla2g4e, Plcbl, Plcd4, Pin, Pmp22, Ppara, Ppargcla, Ppat, Ppmla, Ppmll, Ppplcb, Ppplrla, Ppp2r2a, Ppp3cb, Prelp, Prkab2, Prkca, Prkgl, Ptp4a3, Ptprb, Pttgl, Pxmp2, Pygm, Rab28, Rasgrp3, Rcan2, Rgs5, Rhot2, Rnfl23, Rpal, Rpl31, Rtn4ipl, Samdl2, Samd5, Satbl, Scn4a, Scn4b, Sdha, Sdhb, Sdr39ul, SellB, Sema6c, Serpine2, Shisa2, Slcl5a5, Slcl6a3, Slcl9a2, Slc24a2, Slc25al l, Slc25al2, Slc25a3, Slc25a4, Slc2al2, Slc2a4, Slc35fl, Slc37a4, Slc43a3, Slc4a4, Slc6al3, Slc6a8, Slc9a3r2, Slco3al, Smarcal, Smox, Smydl, Snrk, Sorbs2, Spop, Sri, St3gal3, St3gal6, St6galnac6, Stk381, Stradb, Strbp, Strbp, Stxbp4, Suclgl, Tab2, Taf3, Tarsl2, Tcea3, Thra, Tiaml, Timp4, Tln2, Tmeml26a, Tmeml26b, Tmem65, Tnfaip2, Tnmd, Tnnc2, Tnni2, Tnxb, Tomm401, Trakl, Trak2, Trim24, Trpc3, Tuba8, Txlnb, Txnip, U05342, Uaca, Ulk2, Uqcrcl, Uqcrfsl, Uqcrq, Vamp5, Vdacl, Vegfa, Vegfb, Xprl, Yipf7, Zfand5, Zfpl91, and Zfp238.
F. REFERENCES
[00439] The following references, to the extent that they provide exemplary procedural or other details supplementary to those set forth herein, are specifically incorporated herein by reference.
[00440] 1. Bodine SC, et al. (2001 ) Akt/mTOR pathway is a crucial regulator of skeletal muscle hypertrophy and can prevent muscle atrophy in vivo. Nat Cell Biol 3(11): 1014-1019.
[00441] 2. Sandri M, et al. (2004) Foxo transcription factors induce the atrophy-related ubiquitin ligase atrogin-1 and cause skeletal muscle atrophy. Cell 117(3):399-412.
[00442] 3. Stitt TN, et al. (2004) The IGF- 1/PI3K/Akt pathway prevents expression of muscle atrophy- induced ubiquitin ligases by inhibiting FOXO transcription factors. Mol Cell 14(3):395-403.
[00443] 4. Hu Z, et al. (2009) Endogenous glucocorticoids and impaired insulin signaling are both required to stimulate muscle wasting under pathophysiological conditions in mice. The Journal of clinical investigation 119(10):3059-3069 . [00444] 5. Dobrowolny G, et al. (2005) Muscle expression of a local Igf-1 isoform protects motor neurons in an ALS mouse model. The Journal of cell biology 168(2): 193-199.
[00445] 6. Kandarian SC & Jackman RW (2006) Intracellular signaling during skeletal muscle atrophy. Muscle & nerve 33(2): 155-165.
[00446] 7. Hirose M, et al. (2001) Long-term denervation impairs insulin receptor substrate- 1 -mediated insulin signaling in skeletal muscle. Metabolism: clinical and experimental 50(2):216-222 .
[00447] 8. Pallafacchina G, et al. (2002) A protein kinase B-dependent and rapamycin- sensitive pathway controls skeletal muscle growth but not fiber type specification.
Proceedings of the National Academy of Sciences of the United States of America
99(14):9213-9218.
[00448] 9. Sandri M (2008) Signaling in muscle atrophy and hypertrophy. Physiology (Bethesda) 23: 160-170.
[00449] 10. Glass DJ (2005) Skeletal muscle hypertrophy and atrophy signaling pathways.
The international journal of biochemistry & cell biology 37(10): 1974- 1984.
[00450] 11. Lecker SH, et al. (2004) Multiple types of skeletal muscle atrophy involve a common program of changes in gene expression. Faseb J 18(1):39-51.
[00451] 12. Sacheck JM, et al. (2007) Rapid disuse and denervation atrophy involve transcriptional changes similar to those of muscle wasting during systemic diseases. Faseb J
21(1): 140-155.
[00452] 13. Jagoe RT, et al. (2002) Patterns of gene expression in atrophying skeletal muscles: response to food deprivation. Faseb J 16(13): 1697- 1712.
[00453] 14. Sandri M, et al. (2006) PGC-lalpha protects skeletal muscle from atrophy by suppressing Fox03 action and atrophy- specific gene transcription. Proceedings of the
National Academy of Sciences of the United States of America 103(44): 16260- 16265.
[00454] 15. Wenz T, et al. (2009) Increased muscle PGC-lalpha expression protects from sarcopenia and metabolic disease during aging. Proceedings of the National Academy of
Sciences of the United States of America 106(48):20405-20410.
[00455] 16. Bodine SC, et al. (2001) Identification of ubiquitin ligases required for skeletal muscle atrophy. Science (New York, N.F 294(5547): 1704-1708.
[00456] 17. Lagirand-Cantaloube J, et al. (2008) The initiation factor eIF3-f is a major target for atroginl/MAFbx function in skeletal muscle atrophy. The EMBO journal
27(8): 1266-1276.
[00457] 18. Cohen S, et al. (2009) During muscle atrophy, thick, but not thin, filament components are degraded by MuRFl -dependent ubiquitylation. The Journal of cell biology 185(6): 1083-1095.
[00458] 19. Adams V, et al. (2008) Induction of MuRFl is essential for TNF-alpha- induced loss of muscle function in mice. Journal of molecular biology 384(l):48-59.
[00459] 20. Leger B, et al. (2006) Human skeletal muscle atrophy in amyotrophic lateral sclerosis reveals a reduction in Akt and an increase in atrogin-1. Faseb J 20(3):583-585.
[00460] 21. Doucet M, et al. (2007) Muscle atrophy and hypertrophy signaling in patients with chronic obstructive pulmonary disease. American journal of respiratory and critical care medicine 176(3):261-269.
[00461] 22. Levine S, et al. (2008) Rapid disuse atrophy of diaphragm fibers in mechanically ventilated humans. The New England journal of medicine 358(13): 1327- 1335.
[00462] 23. Adams CM, et al. (2011) Altered mRNA expression after long-term soleus electrical stimulation training in humans with paralysis. Muscle & nerve 43(l):65-75.
[00463] 24. Ebert SM, et al. (2010) The transcription factor ATF4 promotes skeletal myofiber atrophy during fasting. Molecular endocrinology 24(4):790-799.
[00464] 25. Lamb J, et al. (2006) The Connectivity Map: using gene-expression signatures to connect small molecules, genes, and disease. Science (New York, N.7313(5795): 1929- 1935.
[00465] 26. Frighetto RTS, et al. (2008) Isolation of ursolic acid from apple peels by high speed counter-current chromatography. Food Chemistry 106:767-771.
[00466] 27. Liu J (1995) Pharmacology of oleanolic acid and ursolic acid. Journal of ethnopharmacology 49(2):57-68.
[00467] 28. Liu J (2005) Oleanolic acid and ursolic acid: research perspectives. Journal of ethnopharmacology 100(l-2):92-94.
[00468] 29. Wang ZH, et al. (2010) Anti-glycative effects of oleanolic acid and ursolic acid in kidney of diabetic mice. European journal of pharmacology 628(l-3):255-260.
[00469] 30. Jang SM, et al. (2009) Ursolic acid enhances the cellular immune system and pancreatic beta-cell function in streptozotocin-induced diabetic mice fed a high-fat diet. Int Immunopharmacol 9(1): 113-119.
[00470] 31. Jung SH, et al. (2007) Insulin-mimetic and insulin-sensitizing activities of a pentacyclic triterpenoid insulin receptor activator. The Biochemical journal 403(2):243-250.
[00471] 32. Zhang W, et al. (2006) Ursolic acid and its derivative inhibit protein tyrosine phosphatase IB, enhancing insulin receptor phosphorylation and stimulating glucose uptake. Biochimica et biophysica acta 1760(10): 1505- 1512. [00472] 33. Goldstein BJ, et al. (2000) Tyrosine dephosphorylation and deactivation of insulin receptor substrate- 1 by protein-tyrosine phosphatase IB. Possible facilitation by the formation of a ternary complex with the Grb2 adaptor protein. The Journal of biological chemistry 275(6):4283-4289.
[00473] 34. Delibegovic M, et al. (2007) Improved glucose homeostasis in mice with muscle- specific deletion of protein-tyrosine phosphatase IB. Molecular and cellular biology 27(21):7727-7734.
[00474] 35. Zabolotny JM, et al. (2004) Transgenic overexpression of protein-tyrosine phosphatase IB in muscle causes insulin resistance, but overexpression with leukocyte antigen-related phosphatase does not additively impair insulin action. The Journal of biological chemistry 279(23):24844-24851.
[00475] 36. Sivakumar G, et al. (2009) Plant-based corosolic acid: future anti-diabetic drug? Biotechnol J 4(12): Π04-Π I I.
[00476] 37. Ebert SM, et al. (2010) The transcription factor ATF4 promotes skeletal myofiber atrophy during fasting. Molecular Endocrinology 24(4):790-799.
[00477] 38. Dubowitz V, et al. (2007) Muscle biopsy : a practical approach (Saunders Elsevier, Philadelphia) 3rd Ed pp XIII, 611 s.
[00478] 39. Hishiya A, et al. (2006) A novel ubiquitin-binding protein ZNF216
functioning in muscle atrophy. The EMBO journal 25(3):554-564.
[00479] 40. Adams CM, et al. (2011) Altered mRNA expression after long-term soleus electrical stimulation training in humans with paralysis. Muscle Nerve. 43(l):65-75
[00480] 41. Hameed M, et al. (2004) The effect of recombinant human growth hormone and resistance training on IGF-I mRNA expression in the muscles of elderly men. The Journal of physiology 555(Pt 1):231-240.
[00481] 42. Adams GR & Haddad F (1996) The relationships among IGF-1, DNA content, and protein accumulation during skeletal muscle hypertrophy. J Appl Physiol 81(6):2509- 2516.
[00482] 43. Gentile MA, et al. (2010) Androgen-mediated improvement of body composition and muscle function involves a novel early transcriptional program including IGF1, mechano growth factor, and induction of {betaj-catenin. Journal of molecular endocrinology 44(l):55-73.
[00483] 44. Shavlakadze T, et al. (2005) Insulin-like growth factor I slows the rate of denervation induced skeletal muscle atrophy. Neuromuscul Disord 15(2): 139-146.
[00484] 45. Sacheck JM, et al. (2004) IGF-I stimulates muscle growth by suppressing protein breakdown and expression of atrophy-related ubiquitin ligases, atrogin-1 and MuRFl. Am J Physiol Endocrinol Metab 287(4):E591-601.
[00485] 46. Frost RA, et al. (2009) Regulation of REDD1 by insulin-like growth factor-I in skeletal muscle and myotubes. J Cell Biochem 108(5): 1192- 1202.
[00486] 47. Lee SJ (2004) Regulation of muscle mass by myostatin. Annu Rev Cell Dev Biol 20:61-86.
[00487] 48. Dupont J, et al. (2001) Insulin-like growth factor 1 (IGF- 1) -induced twist expression is involved in the anti-apoptotic effects of the IGF-1 receptor. The Journal of biological chemistry 276(28) :26699-26707.
[00488] 49. Tureckova J, et al. (2001) Insulin-like growth factor-mediated muscle differentiation: collaboration between phosphatidylinositol 3-kinase-Akt-signaling pathways and myogenin. The Journal of biological chemistry 276(42):39264-39270.
[00489] 50. Yakar S, et al. (1999) Normal growth and development in the absence of hepatic insulin-like growth factor I. Proceedings of the National Academy of Sciences of the United States of America 96(13):7324-7329.
[00490] 51. Adams GR, et al. (1999) Time course of changes in markers of myogenesis in overloaded rat skeletal muscles. J Appl Physiol 87(5): 1705-1712.
[00491] 52. Lai KM, et al. (2004) Conditional activation of akt in adult skeletal muscle induces rapid hypertrophy. Molecular and cellular biology 24(21):9295-9304.
[00492] 53. Izumiya Y, et al. (2008) Fast/Glycolytic muscle fiber growth reduces fat mass and improves metabolic parameters in obese mice. Cell metabolism 7(2): 159- 172.
[00493] 54. Jayaprakasam B, et al. (2006) Amelioration of obesity and glucose intolerance in high-fat-fed C57BL/6 mice by anthocyanins and ursolic acid in Cornelian cherry (Cornus mas). JAgric Food Chem 54(l):243-248.
[00494] 55. de Melo CL, et al. (2010) Oleanolic acid, a natural triterpenoid improves blood glucose tolerance in normal mice and ameliorates visceral obesity in mice fed a high- fat diet. Chem Biol Interact 185(l):59-65.
[00495] 56. Qian S, et al. (2010) Synthesis and biological evaluation of oleanolic acid derivatives as inhibitors of protein tyrosine phosphatase IB. J Nat Prod 73(11): 1743- 1750.
[00496] 57. hang YN, et al. (2008) Oleanolic acid and its derivatives: new inhibitor of protein tyrosine phosphatase IB with cellular activities. Bioorg Med Chem 16(18):8697- 8705.
[00497] 58. Klaman LD, et al. (2000) Increased energy expenditure, decreased adiposity, and tissue- specific insulin sensitivity in protein-tyrosine phosphatase IB-deficient mice. Molecular and cellular biology 20(15):5479-5489.
[00498] 59. Reagan-Shaw S, Nihal M, & Ahmad N (2008) Dose translation from animal to human studies revisited. Faseb J 22(3):659-661.
[00499] 60. Barton-Davis ER, et al. (1998) Viral mediated expression of insulin-like growth factor I blocks the aging-related loss of skeletal muscle function. Proceedings of the National Academy of Sciences of the United States of America 95(26): 15603- 15607.
[00500] 61. Musaro A, et al. (2001) Localized Igf-1 transgene expression sustains hypertrophy and regeneration in senescent skeletal muscle. Nature Genetics 27(2): 195-200.
[00501] 62. Zhou X, et al. (2010) Reversal of cancer cachexia and muscle wasting by ActRIIB antagonism leads to prolonged survival. Cell 142(4):531-43.

Claims

What is claimed is:
1. A method of treating muscle atrophy in an animal comprising administering to the
animal an effective amount of a compound selected from (A) a compound having a structure represented by a formula:
Figure imgf000199_0001
wherein Q11 is selected from N and CR13c;
wherein Q12 is selected from N and CR13d
wherein Q13 and Q14 are independently selected from CR13cR13d, O, S, and NR14c; wherein Q15 is selected from CR13cR13d, O, S, and NR14c;
wherein Q16 is selected from N and CR13c;
wherein Q17 and Q18 are independently selected from CR13cR13d, O, S, and NR 14c. wherein R 11 and R 12 are independently selected from H and C1-C6 alkyl;
wherein R13c, R13d, R13e, and R13f are independently selected from H, C1-C6 alkyl, Cl- C6 alkoxy, halo, hydroxyl, nitro, amino, cyano, NHCOR15, C1-C6 monohaloalkyl, C1-C6 polyhaloalkyl, C1-C6 alkylamino, C1-C6 dialkylamino, C6-C10 aryl, C3-C10 cycloalkyl, C5-C9 heteroaryl, and C2-C9 heterocyclyl, wherein C6-C10 aryl, C3-C10 cycloalkyl, C5-C9 heteroaryl, and C2-C9 heterocyclyl are independently are substituted with 0, 1, 2, or 3 substituents selected from halogen, hydroxyl, cyano, amino, C1-C6 alkyl, C1-C6 alkoxy, Cl- C6 monohaloalkyl, C1-C6 polyhaloalkyl, C1-C6 alkylamino, and C1-C6 dialkylamino;
wherein each R14c is independently selected from H and C1-C6 alkyl;
wherein R14a and R14b together comprise a cycle selected from:
Figure imgf000200_0001
wherein each of Q , Q , Q , Q , Q , Q , and Cj are independently selected from
CR17aR17b 0 s NR18.
wherein R16a and R16a are independently selected from H, C1-C6 alkyl, C1-C6 alkoxy, halo, hydroxyl, nitro, amino, cyano, NHCOR15, C1-C6 monohaloalkyl, C1-C6 polyhaloalkyl, C1-C6 alkylamino, C1-C6 dialkylamino, C6-C10 aryl, C3-C10 cycloalkyl, C5-C9 heteroaryl, and C2-C9 heterocyclyl, wherein C6-C10 aryl, C3-C10 cycloalkyl, C5-C9 heteroaryl, and C2-C9 heterocyclyl are independently are substituted with 0, 1, 2, or 3 substituents selected from halogen, hydroxyl, cyano, amino, C1-C6 alkyl, C1-C6 alkoxy, C1-C6 monohaloalkyl, C1-C6 polyhaloalkyl, C1-C6 alkylamino, and C1-C6 dialkylamino;
wherein R17a and R17b are independently selected from H, C1-C6 alkyl, C1-C6 alkoxy, halo, hydroxyl, nitro, amino, cyano, NHCOR15, C1-C6 monohaloalkyl, C1-C6 polyhaloalkyl, C1-C6 alkylamino, C1-C6 dialkylamino, C6-C10 aryl, C3-C10 cycloalkyl, C5-C9 heteroaryl, and C2-C9 heterocyclyl, wherein C6-C10 aryl, C3-C10 cycloalkyl, C5-C9 heteroaryl, and C2-C9 heterocyclyl are independently are substituted with 0, 1, 2, or 3 substituents selected from halogen, hydroxyl, cyano, amino, C1-C6 alkyl, C1-C6 alkoxy, C1-C6 monohaloalkyl, C1-C6 polyhaloalkyl, C1-C6 alkylamino, and C1-C6 dialkylamino;
wherein each R 18 is independently selected from H and C1-C6 alkyl;
wherein each R15 is independently selected from H and C1-C6 alkyl;
wherein each n is independently selected from 0, 1, and 2;
wherein m is selected from 1 and 2; and
wherein p is selected from 1, 2 and 3; or
a stereoisomer, tautomer, solvate, or pharmaceutically acceptable salt thereof; or (B) a compound having a structure represented by a formula:
Figure imgf000200_0002
wherein each represents a covalent bond selected from a single or double bond; wherein R21a, R2 , R21c, R21d, and R21e are independently selected from H, OH, O- Glucosyl, halo, cyano, amino, nitro, nitroso, NHCOR15, C1-C6 alkyl, C1-C6 alkoxy, C1-C6 monohaloalkyl, C1-C6 polyhaloalkyl, C1-C6 alkylamino, acyl, phenyl- C1-C6 alkoxy, benzyl- C1-C6 alkoxy, and C1-C6 dialkylamino;
wherein R 22 is selected from H, OH, O- Glucosyl, halo, cyano, amino, nitro, nitroso, NHCOR15, C1-C6 alkyl, C1-C6 alkoxy, C1-C6 monohaloalkyl, C1-C6 polyhaloalkyl, C1-C6 alkylamino, acyl phenyl- C1-C6 alkoxy, benzyl- C1-C6 alkoxy, and C1-C6 dialkylamino; wherein R23a, R23b, R23c, and R23d are independently selected from H, OH, O- Glucosyl halo, cyano, amino, nitro, nitroso, NHCOR15, C1-C20 alkyl, C1-C20 alkenyl, Cl- C20 alkynyl, C1-C20 alkenynyl, C1-C20 alkoxy, C1-C6 monohaloalkyl, C1-C6
polyhaloalkyl, C1-C6 alkylamino, acyl, phenyl- C1-C6 alkoxy, benzyl- C1-C6 alkoxy, and C1-C6 dialkylamino;
wherein R15 is selected from H and C1-C6 alkyl;
wherein Z is selected from O and S; and
wherein Y is selected from O and S; or
a stereoisomer, tautomer, solvate, or pharmaceutically acceptable salt thereof;
wherein the compound does not have the structure:
Figure imgf000201_0001
(C) a compound having a structure represented by a formula:
Figure imgf000201_0002
wherein R31a and R31b are independently selected from H, C1-C6 alkyl, C6-C10 aryl, C3-C10 cycloalkyl, C5-C9 heteroaryl, and C2-C9 heterocyclyl, wherein C6-C10 aryl, C3- C10 cycloalkyl, C5-C9 heteroaryl, and C2-C9 heterocyclyl are independently are substituted with 0, 1, 2, or 3 substituents selected from halogen, hydroxyl, cyano, amino, C1-C6 alkyl, C1-C6 alkoxy, C1-C6 monohaloalkyl, C1-C6 polyhaloalkyl, C1-C6 alkylamino, and C1-C6 dialkylamino;
wherein R32a and R32b are independently selected from H, C1-C6 alkyl, 0C1(0H)4A12, OAl(OH)2, C1-C6 alkoxy, halo, hydroxyl, nitro, amino, cyano, NHCOR15, C1-C6
monohaloalkyl, C1-C6 polyhaloalkyl, C1-C6 alkylamino, C1-C6 dialkylamino, C6-C10 aryl, C3-C10 cycloalkyl, C5-C9 heteroaryl, and C2-C9 heterocyclyl or taken together to form a double bond selected from =0 and =S, wherein C6-C10 aryl, C3-C10 cycloalkyl, C5-C9 heteroaryl, and C2-C9 heterocyclyl are independently are substituted with 0, 1, 2, or 3 substituents selected from halogen, hydroxyl, cyano, amino, C1-C6 alkyl, C1-C6 alkoxy, Cl- C6 monohaloalkyl, C1-C6 polyhaloalkyl, C1-C6 alkylamino, and C1-C6 dialkylamino;
wherein R32c and R32d are independently selected from H, C1-C6 alkyl, 0C1(0H)4A12, OAl(OH)2, C1-C6 alkoxy, halo, hydroxyl, nitro, amino, cyano, NHCOR15, C1-C6
monohaloalkyl, C1-C6 polyhaloalkyl, C1-C6 alkylamino, C1-C6 dialkylamino, C6-C10 aryl, C3-C10 cycloalkyl, C5-C9 heteroaryl, and C2-C9 heterocyclyl or taken together to form a double bond selected from =0 and =S, wherein C6-C10 aryl, C3-C10 cycloalkyl, C5-C9 heteroaryl, and C2-C9 heterocyclyl are independently are substituted with 0, 1, 2, or 3 substituents selected from halogen, hydroxyl, cyano, amino, C1-C6 alkyl, C1-C6 alkoxy, Cl- C6 monohaloalkyl, C1-C6 polyhaloalkyl, C1-C6 alkylamino, and C1-C6 dialkylamino;
wherein R33a and R33b are independently selected from H, NR34aCONR34bR34c, C1-C6 alkyl, C1-C6 alkoxy, halo, hydroxyl, nitro, amino, cyano, NHCOR15, C1-C6 monohaloalkyl, C1-C6 polyhaloalkyl, C1-C6 alkylamino, C1-C6 dialkylamino, C6-C10 aryl, C3-C10 cycloalkyl, C5-C9 heteroaryl, and C2-C9 heterocyclyl, wherein C6-C10 aryl, C3-C10 cycloalkyl, C5-C9 heteroaryl, and C2-C9 heterocyclyl are independently are substituted with 0, 1, 2, or 3 substituents selected from halogen, hydroxyl, cyano, amino, C1-C6 alkyl, C1-C6 alkoxy, C1-C6 monohaloalkyl, C1-C6 polyhaloalkyl, C1-C6 alkylamino, and C1-C6 dialkylamino; and
wherein R34a R34b and R34c are independently selected from H, C1-C6 alkyl, C6-C10 aryl, C3-C10 cycloalkyl, C5-C9 heteroaryl, and C2-C9 heterocyclyl, wherein C6-C10 aryl, C3-C10 cycloalkyl, C5-C9 heteroaryl, and C2-C9 heterocyclyl are independently are substituted with 0, 1, 2, or 3 substituents selected from halogen, hydroxyl, cyano, amino, Cl- C6 alkyl, C1-C6 alkoxy, C1-C6 monohaloalkyl, C1-C6 polyhaloalkyl, C1-C6 alkylamino, and C1-C6 dialkylamino; or
a stereoisomer, tautomer, solvate, or pharmaceutically acceptable salt thereof, or
(D) a compound having a structure represented by a formula:
Figure imgf000203_0001
wherein each represents a covalent bond independently selected from a single or double bond, wherein valency is satisfied;
wherein R41 is selected from NR48aR48b, =0, =S, C1-C6 alkoxy and hydroxyl;
wherein R48a and R48b are independently selected from H, C1-C6 alkyl, C1-C6 heteroalkyl, C6-C10 aryl, C3-C10 cycloalkyl, C5-C9 heteroaryl, and C2-C9 heterocyclyl, wherein C6-C10 aryl, C3-C10 cycloalkyl, C5-C9 heteroaryl, and C2-C9 heterocyclyl are independently substituted with 0, 1, 2, or 3 substituents selected from halogen, hydroxyl, cyano, amino, C1-C6 alkyl, C1-C6 alkoxy, C1-C6 monohaloalkyl, C1-C6 polyhaloalkyl, Cl- C6 alkylamino, and C1-C6 dialkylamino;
wherein R 42 is selected from H, C1-C6 alkoxy and hydroxyl;
wherein R43 is selected from H and C1-C6 alkyl;
wherein R44a and RMh are independently selected from are independently selected from H, hydroxyl, and C1-C6 alkoxy;
wherein R47a and R47b are independently selected from are independently selected from H, hydroxyl, and C1-C6 alkoxy;
wherein R45a and R45b together comprise a cycle selected from:
Figure imgf000203_0002
wherein R a is selected from H and C1-C6 alkyl; and
wherein R49b and R49c are independently selected from H and C1-C6 alkyl, or taken together to form =0; or
a stereoisomer, tautomer, solvate, or pharmaceutically acceptable salt thereof; or
(E) a compound having a structure represented by a formula:
Figure imgf000204_0001
wherein R is selected from H, C1-C6 alkyl, COR , C1-C6 alkylamino, C1-C6 dialkylamino, C6-C10 aryl, C3-C10 cycloalkyl, C5-C9 heteroaryl, and C2-C9 heterocyclyl, wherein C6-C10 aryl, C3-C10 cycloalkyl, C5-C9 heteroaryl, and C2-C9 heterocyclyl are independently substituted with 0, 1, 2, or 3 substituents selected from halogen, hydroxyl, cyano, amino, C1-C6 alkyl, C1-C6 alkoxy, C1-C6 monohaloalkyl, C1-C6 polyhaloalkyl, Cl- C6 alkylamino, and C1-C6 dialkylamino;
wherein R 53 is selected from C1-C6 alkyl, C1-C6 monohaloalkyl, C1-C6
polyhaloalkyl, C6-C10 aryl, C3-C10 cycloalkyl, C5-C9 heteroaryl, and C2-C9 heterocyclyl, wherein C6-C10 aryl, C3-C10 cycloalkyl, C5-C9 heteroaryl, and C2-C9 heterocyclyl are independently substituted with 0, 1, 2, or 3 substituents selected from halogen, hydroxyl, cyano, amino, C1-C6 alkyl, C1-C6 alkoxy, C1-C6 monohaloalkyl, C1-C6 polyhaloalkyl, Cl- C6 alkylamino, and C1-C6 dialkylamino;
wherein Z51 is selected from O, S, and NR54;
wherein R54 is selected from H, C1-C6 alkyl, COR55, C1-C6 alkylamino, C1-C6 dialkylamino, C6-C10 aryl, C3-C10 cycloalkyl, C5-C9 heteroaryl, and C2-C9 heterocyclyl, wherein C6-C10 aryl, C3-C10 cycloalkyl, C5-C9 heteroaryl, and C2-C9 heterocyclyl are independently substituted with 0, 1, 2, or 3 substituents selected from halogen, hydroxyl, cyano, amino, C1-C6 alkyl, C1-C6 alkoxy, C1-C6 monohaloalkyl, C1-C6 polyhaloalkyl, Cl- C6 alkylamino, and C1-C6 dialkylamino;
wherein R55 is selected from C1-C6 alkyl, C1-C6 monohaloalkyl, C1-C6
polyhaloalkyl, C6-C10 aryl, C3-C10 cycloalkyl, C5-C9 heteroaryl, and C2-C9 heterocyclyl, wherein C6-C10 aryl, C3-C10 cycloalkyl, C5-C9 heteroaryl, and C2-C9 heterocyclyl are independently substituted with 0, 1, 2, or 3 substituents selected from halogen, hydroxyl, cyano, amino, C1-C6 alkyl, C1-C6 alkoxy, C1-C6 monohaloalkyl, C1-C6 polyhaloalkyl, Cl- C6 alkylamino, and C1-C6 dialkylamino; or
a stereoisomer, tautomer, solvate, or pharmaceutically acceptable salt thereof; or
(F) a compound having a structure represented by a formula:
Figure imgf000205_0001
wherein R a and R are independently selected from H, C1-C6 alkyl, C1-C6 alkoxy, halo, hydroxyl, nitro, amino, cyano, NHCOR15, C1-C6 monohaloalkyl, C1-C6 polyhaloalkyl, C1-C6 alkylamino, C1-C6 dialkylamino, C6-C10 aryl, C3-C10 cycloalkyl, C5-C9 heteroaryl, and C2-C9 heterocyclyl, wherein C6-C10 aryl, C3-C10 cycloalkyl, C5-C9 heteroaryl, and C2-C9 heterocyclyl are independently substituted with 0, 1, 2, or 3 substituents selected from halogen, hydroxyl, cyano, amino, C1-C6 alkyl, C1-C6 alkoxy, C1-C6 monohaloalkyl, C1-C6 polyhaloalkyl, C1-C6 alkylamino, and C1-C6 dialkylamino;
wherein R62a and R62b are independently selected from H, C1-C6 alkyl, C1-C6 alkoxy, halo, hydroxyl, nitro, amino, cyano, NHCOR15, C1-C6 monohaloalkyl, C1-C6 polyhaloalkyl, C1-C6 alkylamino, C1-C6 dialkylamino, C6-C10 aryl, C3-C10 cycloalkyl, C5-C9 heteroaryl, and C2-C9 heterocyclyl, wherein C6-C10 aryl, C3-C10 cycloalkyl, C5-C9 heteroaryl, and C2-C9 heterocyclyl are independently substituted with 0, 1, 2, or 3 substituents selected from halogen, hydroxyl, cyano, amino, C1-C6 alkyl, C1-C6 alkoxy, C1-C6 monohaloalkyl, C1-C6 polyhaloalkyl, C1-C6 alkylamino, and C1-C6 dialkylamino;
wherein R63a and R63b are independently selected from H, C1-C6 alkyl, C1-C6 alkoxy, halo, hydroxyl, nitro, amino, cyano, NHCOR15, C1-C6 monohaloalkyl, C1-C6 polyhaloalkyl, C1-C6 alkylamino, C1-C6 dialkylamino, C6-C10 aryl, C3-C10 cycloalkyl, C5-C9 heteroaryl, and C2-C9 heterocyclyl, or taken together to form a group selected from =0 and =S, wherein C6-C10 aryl, C3-C10 cycloalkyl, C5-C9 heteroaryl, and C2-C9 heterocyclyl are
independently substituted with 0, 1, 2, or 3 substituents selected from halogen, hydroxyl, cyano, amino, C1-C6 alkyl, C1-C6 alkoxy, C1-C6 monohaloalkyl, C1-C6 polyhaloalkyl, Cl- C6 alkylamino, and C1-C6 dialkylamino; wherein RMa and R are independently selected from H, OR , C1-C6 alkyl, C1-C6 alkoxy, halo, hydroxyl, nitro, amino, cyano, NHCOR15, C1-C6 monohaloalkyl, C1-C6 polyhaloalkyl, C1-C6 alkylamino, C1-C6 dialkylamino, C6-C10 aryl, C3-C10 cycloalkyl, C5-C9 heteroaryl, and C2-C9 heterocyclyl, wherein C6-C10 aryl, C3-C10 cycloalkyl, C5-C9 heteroaryl, and C2-C9 heterocyclyl are independently ubstituted with 0, 1, 2, or 3 substituents selected from halogen, hydroxyl, cyano, amino, C1-C6 alkyl, C1-C6 alkoxy, C1-C6 monohaloalkyl, C1-C6 polyhaloalkyl, C1-C6 alkylamino, and C1-C6 dialkylamino;
wherein R65 is selected from H, C1-C6 alkyl, C1-C6 alkoxy, C1-C6 monohaloalkyl, C1-C6 polyhaloalkyl, C1-C6 alkylamino, C1-C6 dialkylamino, COR66, C6-C10 aryl, C3-C10 cycloalkyl, C5-C9 heteroaryl, and C2-C9 heterocyclyl, wherein C6-C10 aryl, C3-C10 cycloalkyl, C5-C9 heteroaryl, and C2-C9 heterocyclyl are independently substituted with 0, 1, 2, or 3 substituents selected from halogen, hydroxyl, cyano, amino, C1-C6 alkyl, C1-C6 alkoxy, C1-C6 monohaloalkyl, C1-C6 polyhaloalkyl, C1-C6 alkylamino, and C1-C6 dialkylamino;
wherein R66 is selected from C1-C6 alkyl, C1-C6 monohaloalkyl, C1-C6
polyhaloalkyl, C6-C10 aryl, C3-C10 cycloalkyl, C5-C9 heteroaryl, and C2-C9 heterocyclyl, wherein C6-C10 aryl, C3-C10 cycloalkyl, C5-C9 heteroaryl, and C2-C9 heterocyclyl are independently substituted with 0, 1, 2, or 3 substituents selected from halogen, hydroxyl, cyano, amino, C1-C6 alkyl, C1-C6 alkoxy, C1-C6 monohaloalkyl, C1-C6 polyhaloalkyl, Cl- C6 alkylamino, and C1-C6 dialkylamino;
wherein R67 is selected from C1-C6 alkyl, C1-C6 monohaloalkyl, C1-C6
polyhaloalkyl, C6-C10 aryl, C3-C10 cycloalkyl, C5-C9 heteroaryl, and C2-C9 heterocyclyl, wherein C6-C10 aryl, C3-C10 cycloalkyl, C5-C9 heteroaryl, and C2-C9 heterocyclyl are independently substituted with 0, 1, 2, or 3 substituents selected from halogen, hydroxyl, cyano, amino, C1-C6 alkyl, C1-C6 alkoxy, C1-C6 monohaloalkyl, C1-C6 polyhaloalkyl, Cl- C6 alkylamino, and C1-C6 dialkylamino;
wherein each R15 is independently selected from H and C1-C6 alkyl;
a stereoisomer, tautomer, solvate, or pharmaceutically acceptable salt thereof; and
(G) a compound having a structure represented by a formula:
Figure imgf000207_0001
wherein is an covalent bond selected from a single bond and a double bond, wherein valency is satisfied, and R 70 is optionally present; wherein n is 0 or 1; wherein R 70 , when present, is hydrogen; wherein R71a is selected from C1-C6 alkyl and -C(0)ZR82; wherein R71b is selected from C1-C6 alkyl, or wherein R71a and R71b are optionally covalently bonded and, together with the intermediate carbon, comprise an optionally substituted C3-C5 cycloalkyl or C2-C5 heterocycloalkyl; wherein one of R72a and R72b is -Z72, and the other is hydrogen, or R72a and R72b together comprise =0; wherein each of R73a and R73b is independently selected from hydrogen, hydroxyl, C1-C6 alkyl, and C1-C6 alkoxyl, provided that R73a and R73b are not simultaneously hydroxyl, wherein R73a and R73b are optionally covalently bonded and, together with the intermediate carbon, comprise an optionally substituted C3-C5 cycloalkyl or C2-C5 heterocycloalkyl; wherein each of R74, R75, and R76 is independently selected from C1-C6 alkyl; wherein R77 is selected from C1-C6 alkyl, and -C(0)Z71R80; wherein R80 is selected from hydrogen and C1-C6 alkyl; wherein R78a and R78b are independently selected from hydrogen and C1-C6 alkyl; wherein each of R79a and R79b is independently selected from hydrogen and C1-C6 alkyl, C2-C6 alkenyl, and C2-C6 alkynyl, provided that R79a and R79b are not simultaneously hydrogen; or wherein R79a and R79b are covalently bonded and, along with the intermediate carbon, together comprise C3-C5 cycloalkyl or C2-C5 heterocycloalkyl; wherein R 82 is selected from hydrogen and C1-C6 alkyl; wherein Z 71 and Z 72 are independently selected from -OR 81 - and -NR 83 -; wherein R 83 and R 83 are independently selected from hydrogen and C1-C4 alkyl; or, wherein Z 71 and Z 72 are independently N, R 84 and R 85 are covalently bonded and -NR 84 R 85 comprises a moiety of the formula:
Figure imgf000207_0002
wherein Y is selected from -0-, -S-, -SO-, -S02- -NH-, -NCH3- or a stereoisomer, tautomer, solvate, or pharmaceutically acceptable salt thereof, thereby treating muscle atrophy in the animal.
2. The method of claim 1, wherein the compound has the structure represented by a formula :
Figure imgf000208_0001
The method of claim 1, wherein the compound has the structure represented by a formula:
Figure imgf000208_0002
The method of claim 1, wherein the compound has the structure represented by a formula:
Figure imgf000208_0003
The method of claim 1, wherein the compound has the structure represented by a formula:
Figure imgf000208_0004
The method of claim 1, wherein the compound has the structure represented by a formula:
Figure imgf000209_0001
Figure imgf000209_0002
The method of claim 1, wherein the compound has the structure represented by a formula: the compound has the structure represented by a formula:
Figure imgf000209_0003
A pharmaceutical composition comprising a pharmaceutically acceptable carrier and a compound selected from (A) a compound having a structure represented by a formula:
Figure imgf000209_0004
wherein R a and R together comprise a cycle selected from:
Figure imgf000210_0001
wherein Q11 is selected from N and CR13c;
wherein Q12 is selected from N and CR13d
wherein Q13 and Q14 are independently selected from CR13cR13d, O, S, and NR14c; wherein Q15 is selected from CR13cR13d, O, S, and NR14c;
wherein Q16 is selected from N and CR13c;
wherein Q17 and Q18 are independently selected from CR13cR13d, O, S, and NR14c; wherein R 11 and R 12 are independently selected from H and C1-C6 alkyl;
wherein R13c, R13d, R13e, and R13f are independently selected from H, C1-C6 alkyl, Cl- C6 alkoxy, halo, hydroxyl, nitro, amino, cyano, NHCOR15, C1-C6 monohaloalkyl, C1-C6 polyhaloalkyl, C1-C6 alkylamino, C1-C6 dialkylamino, C6-C10 aryl, C3-C10 cycloalkyl, C5-C9 heteroaryl, and C2-C9 heterocyclyl, wherein C6-C10 aryl, C3-C10 cycloalkyl, C5-C9 heteroaryl, and C2-C9 heterocyclyl are independently are substituted with 0, 1, 2, or 3 substituents selected from halogen, hydroxyl, cyano, amino, C1-C6 alkyl, C1-C6 alkoxy, Cl- C6 monohaloalkyl, C1-C6 polyhaloalkyl, C1-C6 alkylamino, and C1-C6 dialkylamino;
wherein each R14c is independently selected from H and C1-C6 alkyl;
wherein R14a and R14b together comprise a cycle selected from:
Figure imgf000210_0002
wherein each of Q , Q , Q , Q , Q , Q , and Cj are independently selected from
CR17aR17b 0 s NR18.
wherein R16a and R16a are independently selected from H, C1-C6 alkyl, C1-C6 alkoxy, halo, hydroxyl, nitro, amino, cyano, NHCOR15, C1-C6 monohaloalkyl, C1-C6 polyhaloalkyl, C1-C6 alkylamino, C1-C6 dialkylamino, C6-C10 aryl, C3-C10 cycloalkyl, C5-C9 heteroaryl, and C2-C9 heterocyclyl, wherein C6-C10 aryl, C3-C10 cycloalkyl, C5-C9 heteroaryl, and C2-C9 heterocyclyl are independently are substituted with 0, 1, 2, or 3 substituents selected from halogen, hydroxyl, cyano, amino, C1-C6 alkyl, C1-C6 alkoxy, C1-C6 monohaloalkyl, C1-C6 polyhaloalkyl, C1-C6 alkylamino, and C1-C6 dialkylamino; wherein R a and R are independently selected from H, C1-C6 alkyl, C1-C6 alkoxy, halo, hydroxyl, nitro, amino, cyano, NHCOR15, C1-C6 monohaloalkyl, C1-C6 polyhaloalkyl, C1-C6 alkylamino, C1-C6 dialkylamino, C6-C10 aryl, C3-C10 cycloalkyl, C5-C9 heteroaryl, and C2-C9 heterocyclyl, wherein C6-C10 aryl, C3-C10 cycloalkyl, C5-C9 heteroaryl, and C2-C9 heterocyclyl are independently are substituted with 0, 1, 2, or 3 substituents selected from halogen, hydroxyl, cyano, amino, C1-C6 alkyl, C1-C6 alkoxy, C1-C6 monohaloalkyl, C1-C6 polyhaloalkyl, C1-C6 alkylamino, and C1-C6 dialkylamino;
wherein each R 18 is independently selected from H and C1-C6 alkyl;
wherein each R15 is independently selected from H and C1-C6 alkyl;
wherein each n is independently selected from 0, 1, and 2;
wherein m is selected from 1 and 2; and
wherein p is selected from 1, 2 and 3; or
a stereoisomer, tautomer, solvate, or pharmaceutically acceptable salt thereof; or
(B) a compound having a structure represented by a formula:
Figure imgf000211_0001
wherein each represents a covalent bond selected from a single or double bond; wherein R21a, R21b, R21c, R21d, and R21e are independently selected from H, OH, O- Glucosyl, halo, cyano, amino, nitro, nitroso, NHCOR15, C1-C6 alkyl, C1-C6 alkoxy, C1-C6 monohaloalkyl, C1-C6 polyhaloalkyl, C1-C6 alkylamino, acyl, phenyl- C1-C6 alkoxy, benzyl- C1-C6 alkoxy, and C1-C6 dialkylamino;
wherein R 22 is selected from H, OH, O- Glucosyl, halo, cyano, amino, nitro, nitroso, NHCOR15, C1-C6 alkyl, C1-C6 alkoxy, C1-C6 monohaloalkyl, C1-C6 polyhaloalkyl, C1-C6 alkylamino, acyl phenyl- C1-C6 alkoxy, benzyl- C1-C6 alkoxy, and C1-C6 dialkylamino; wherein R23a, R23b, R23c, and R23d are independently selected from H, OH, O- Glucosyl halo, cyano, amino, nitro, nitroso, NHCOR15, C1-C20 alkyl, C1-C20 alkenyl, Cl- C20 alkynyl, C1-C20 alkenynyl, C1-C20 alkoxy, C1-C6 monohaloalkyl, C1-C6
polyhaloalkyl, C1-C6 alkylamino, acyl, phenyl- C1-C6 alkoxy, benzyl- C1-C6 alkoxy, and C1-C6 dialkylamino;
wherein R15 is selected from H and C1-C6 alkyl;
wherein Z is selected from O and S; and wherein Y is selected from O and S; or
a stereoisomer, tautomer, solvate, or pharmaceutically acceptable salt thereof;
wherein the compound does not have the structure:
Figure imgf000212_0001
a compound having a structure represented by a formula:
Figure imgf000212_0002
wherein R31a and R31b are independently selected from H, C1-C6 alkyl, C6-C10 aryl, C3-C10 cycloalkyl, C5-C9 heteroaryl, and C2-C9 heterocyclyl, wherein C6-C10 aryl, C3- C10 cycloalkyl, C5-C9 heteroaryl, and C2-C9 heterocyclyl are independently are substituted with 0, 1, 2, or 3 substituents selected from halogen, hydroxyl, cyano, amino, C1-C6 alkyl, C1-C6 alkoxy, C1-C6 monohaloalkyl, C1-C6 polyhaloalkyl, C1-C6 alkylamino, and C1-C6 dialkylamino;
wherein R32a and R32b are independently selected from H, C1-C6 alkyl, 0C1(0H)4A12, OAl(OH)2, C1-C6 alkoxy, halo, hydroxyl, nitro, amino, cyano, NHCOR15, C1-C6
monohaloalkyl, C1-C6 polyhaloalkyl, C1-C6 alkylamino, C1-C6 dialkylamino, C6-C10 aryl, C3-C10 cycloalkyl, C5-C9 heteroaryl, and C2-C9 heterocyclyl or taken together to form a double bond selected from =0 and =S, wherein C6-C10 aryl, C3-C10 cycloalkyl, C5-C9 heteroaryl, and C2-C9 heterocyclyl are independently are substituted with 0, 1, 2, or 3 substituents selected from halogen, hydroxyl, cyano, amino, C1-C6 alkyl, C1-C6 alkoxy, Cl- C6 monohaloalkyl, C1-C6 polyhaloalkyl, C1-C6 alkylamino, and C1-C6 dialkylamino;
wherein R32c and R32d are independently selected from H, C1-C6 alkyl, 0C1(0H)4A12, OAl(OH)2, C1-C6 alkoxy, halo, hydroxyl, nitro, amino, cyano, NHCOR15, C1-C6
monohaloalkyl, C1-C6 polyhaloalkyl, C1-C6 alkylamino, C1-C6 dialkylamino, C6-C10 aryl, C3-C10 cycloalkyl, C5-C9 heteroaryl, and C2-C9 heterocyclyl or taken together to form a double bond selected from =0 and =S, wherein C6-C10 aryl, C3-C10 cycloalkyl, C5-C9 heteroaryl, and C2-C9 heterocyclyl are independently are substituted with 0, 1, 2, or 3 substituents selected from halogen, hydroxyl, cyano, amino, C1-C6 alkyl, C1-C6 alkoxy, Cl- C6 monohaloalkyl, C1-C6 polyhaloalkyl, C1-C6 alkylamino, and C1-C6 dialkylamino; wherein R33a and R33b are independently selected from H, NR34aCONR34bR34c, C1-C6 alkyl, C1-C6 alkoxy, halo, hydroxyl, nitro, amino, cyano, NHCOR15, C1-C6 monohaloalkyl, C1-C6 polyhaloalkyl, C1-C6 alkylamino, C1-C6 dialkylamino, C6-C10 aryl, C3-C10 cycloalkyl, C5-C9 heteroaryl, and C2-C9 heterocyclyl, wherein C6-C10 aryl, C3-C10 cycloalkyl, C5-C9 heteroaryl, and C2-C9 heterocyclyl are independently are substituted with 0, 1, 2, or 3 substituents selected from halogen, hydroxyl, cyano, amino, C1-C6 alkyl, C1-C6 alkoxy, C1-C6 monohaloalkyl, C1-C6 polyhaloalkyl, C1-C6 alkylamino, and C1-C6 dialkylamino; and
wherein R34a R34b and R34c are independently selected from H, C1-C6 alkyl, C6-C10 aryl, C3-C10 cycloalkyl, C5-C9 heteroaryl, and C2-C9 heterocyclyl, wherein C6-C10 aryl, C3-C10 cycloalkyl, C5-C9 heteroaryl, and C2-C9 heterocyclyl are independently are substituted with 0, 1, 2, or 3 substituents selected from halogen, hydroxyl, cyano, amino, Cl- C6 alkyl, C1-C6 alkoxy, C1-C6 monohaloalkyl, C1-C6 polyhaloalkyl, C1-C6 alkylamino, and C1-C6 dialkylamino; or
a stereoisomer, tautomer, solvate, or pharmaceutically acceptable salt thereof; or
(D) a compound having a structure represented by a formula:
Figure imgf000213_0001
wherein each represents a covalent bond independently selected from a single or double bond, wherein valency is satisfied;
wherein R41 is selected from NR48aR48b, =0, =S, C1-C6 alkoxy and hydroxyl;
wherein R48a and R48b are independently selected from H, C1-C6 alkyl, C1-C6 heteroalkyl, C6-C10 aryl, C3-C10 cycloalkyl, C5-C9 heteroaryl, and C2-C9 heterocyclyl, wherein C6-C10 aryl, C3-C10 cycloalkyl, C5-C9 heteroaryl, and C2-C9 heterocyclyl are independently substituted with 0, 1, 2, or 3 substituents selected from halogen, hydroxyl, cyano, amino, C1-C6 alkyl, C1-C6 alkoxy, C1-C6 monohaloalkyl, C1-C6 polyhaloalkyl, Cl- C6 alkylamino, and C1-C6 dialkylamino;
wherein R 42 is selected from H, C1-C6 alkoxy and hydroxyl; wherein R is selected from H and C1-C6 alkyl;
wherein R44a and RMh are independently selected from are independently selected from H, hydroxyl, and C1-C6 alkoxy;
wherein R47a and R47b are independently selected from are independently selected from H, hydroxyl, and C1-C6 alkoxy;
wherein R45a and R45b together comprise a cycle selected from:
Figure imgf000214_0001
wherein R a is selected from H and C1-C6 alkyl; and
wherein R49b and R49c are independently selected from H and C1-C6 alkyl, or taken together to form =0; or
a stereoisomer, tautomer, solvate, or pharmaceutically acceptable salt thereof; or (E) a compound having a structure represented by a formula:
Figure imgf000214_0002
wherein R is selected from H, C1-C6 alkyl, COR , C1-C6 alkylamino, C1-C6 dialkylamino, C6-C10 aryl, C3-C10 cycloalkyl, C5-C9 heteroaryl, and C2-C9 heterocyclyl, wherein C6-C10 aryl, C3-C10 cycloalkyl, C5-C9 heteroaryl, and C2-C9 heterocyclyl are independently substituted with 0, 1, 2, or 3 substituents selected from halogen, hydroxyl, cyano, amino, C1-C6 alkyl, C1-C6 alkoxy, C1-C6 monohaloalkyl, C1-C6 polyhaloalkyl, Cl- C6 alkylamino, and C1-C6 dialkylamino; wherein R is selected from C1-C6 alkyl, C1-C6 monohaloalkyl, C1-C6 polyhaloalkyl, C6-C10 aryl, C3-C10 cycloalkyl, C5-C9 heteroaryl, and C2-C9 heterocyclyl, wherein C6-C10 aryl, C3-C10 cycloalkyl, C5-C9 heteroaryl, and C2-C9 heterocyclyl are independently substituted with 0, 1, 2, or 3 substituents selected from halogen, hydroxyl, cyano, amino, C1-C6 alkyl, C1-C6 alkoxy, C1-C6 monohaloalkyl, C1-C6 polyhaloalkyl, Cl- C6 alkylamino, and C1-C6 dialkylamino;
wherein Z51 is selected from O, S, and NR54;
wherein R54 is selected from H, C1-C6 alkyl, COR55, C1-C6 alkylamino, C1-C6 dialkylamino, C6-C10 aryl, C3-C10 cycloalkyl, C5-C9 heteroaryl, and C2-C9 heterocyclyl, wherein C6-C10 aryl, C3-C10 cycloalkyl, C5-C9 heteroaryl, and C2-C9 heterocyclyl are independently substituted with 0, 1, 2, or 3 substituents selected from halogen, hydroxyl, cyano, amino, C1-C6 alkyl, C1-C6 alkoxy, C1-C6 monohaloalkyl, C1-C6 polyhaloalkyl, Cl- C6 alkylamino, and C1-C6 dialkylamino;
wherein R55 is selected from C1-C6 alkyl, C1-C6 monohaloalkyl, C1-C6 polyhaloalkyl, C6- C10 aryl, C3-C10 cycloalkyl, C5-C9 heteroaryl, and C2-C9 heterocyclyl, wherein C6-C10 aryl, C3-C10 cycloalkyl, C5-C9 heteroaryl, and C2-C9 heterocyclyl are independently substituted with 0, 1, 2, or 3 substituents selected from halogen, hydroxyl, cyano, amino, Cl- C6 alkyl, C1-C6 alkoxy, C1-C6 monohaloalkyl, C1-C6 polyhaloalkyl, C1-C6 alkylamino, and C1-C6 dialkylamino; or
a stereoisomer, tautomer, solvate, or pharmaceutically acceptable salt thereof; or
(F) a compound having a structure represented by a formula:
Figure imgf000215_0001
wherein R a and R are independently selected from H, C1-C6 alkyl, C1-C6 alkoxy, halo, hydroxyl, nitro, amino, cyano, NHCOR15, C1-C6 monohaloalkyl, C1-C6 polyhaloalkyl, C1-C6 alkylamino, C1-C6 dialkylamino, C6-C10 aryl, C3-C10 cycloalkyl, C5-C9 heteroaryl, and C2-C9 heterocyclyl, wherein C6-C10 aryl, C3-C10 cycloalkyl, C5-C9 heteroaryl, and C2-C9 heterocyclyl are independently substituted with 0, 1, 2, or 3 substituents selected from halogen, hydroxyl, cyano, amino, C1-C6 alkyl, C1-C6 alkoxy, C1-C6 monohaloalkyl, C1-C6 polyhaloalkyl, C1-C6 alkylamino, and C1-C6 dialkylamino; wherein R a and R are independently selected from H, C1-C6 alkyl, C1-C6 alkoxy, halo, hydroxyl, nitro, amino, cyano, NHCOR15, C1-C6 monohaloalkyl, C1-C6 polyhaloalkyl, C1-C6 alkylamino, C1-C6 dialkylamino, C6-C10 aryl, C3-C10 cycloalkyl, C5-C9 heteroaryl, and C2-C9 heterocyclyl, wherein C6-C10 aryl, C3-C10 cycloalkyl, C5-C9 heteroaryl, and C2-C9 heterocyclyl are independently substituted with 0, 1, 2, or 3 substituents selected from halogen, hydroxyl, cyano, amino, C1-C6 alkyl, C1-C6 alkoxy, C1-C6 monohaloalkyl, C1-C6 polyhaloalkyl, C1-C6 alkylamino, and C1-C6 dialkylamino;
wherein R63a and R63b are independently selected from H, C1-C6 alkyl, C1-C6 alkoxy, halo, hydroxyl, nitro, amino, cyano, NHCOR15, C1-C6 monohaloalkyl, C1-C6 polyhaloalkyl, C1-C6 alkylamino, C1-C6 dialkylamino, C6-C10 aryl, C3-C10 cycloalkyl, C5-C9 heteroaryl, and C2-C9 heterocyclyl, or taken together to form a group selected from =0 and =S, wherein C6-C10 aryl, C3-C10 cycloalkyl, C5-C9 heteroaryl, and C2-C9 heterocyclyl are
independently substituted with 0, 1, 2, or 3 substituents selected from halogen, hydroxyl, cyano, amino, C1-C6 alkyl, C1-C6 alkoxy, C1-C6 monohaloalkyl, C1-C6 polyhaloalkyl, Cl- C6 alkylamino, and C1-C6 dialkylamino;
wherein R64a and RMb are independently selected from H, OR67, C1-C6 alkyl, C1-C6 alkoxy, halo, hydroxyl, nitro, amino, cyano, NHCOR15, C1-C6 monohaloalkyl, C1-C6 polyhaloalkyl, C1-C6 alkylamino, C1-C6 dialkylamino, C6-C10 aryl, C3-C10 cycloalkyl, C5-C9 heteroaryl, and C2-C9 heterocyclyl, wherein C6-C10 aryl, C3-C10 cycloalkyl, C5-C9 heteroaryl, and C2-C9 heterocyclyl are independently ubstituted with 0, 1, 2, or 3 substituents selected from halogen, hydroxyl, cyano, amino, C1-C6 alkyl, C1-C6 alkoxy, C1-C6 monohaloalkyl, C1-C6 polyhaloalkyl, C1-C6 alkylamino, and C1-C6 dialkylamino;
wherein R65 is selected from H, C1-C6 alkyl, C1-C6 alkoxy, C1-C6 monohaloalkyl, C1-C6 polyhaloalkyl, C1-C6 alkylamino, C1-C6 dialkylamino, COR66, C6-C10 aryl, C3-C10 cycloalkyl, C5-C9 heteroaryl, and C2-C9 heterocyclyl, wherein C6-C10 aryl, C3-C10 cycloalkyl, C5-C9 heteroaryl, and C2-C9 heterocyclyl are independently substituted with 0, 1, 2, or 3 substituents selected from halogen, hydroxyl, cyano, amino, C1-C6 alkyl, C1-C6 alkoxy, C1-C6 monohaloalkyl, C1-C6 polyhaloalkyl, C1-C6 alkylamino, and C1-C6 dialkylamino;
wherein R66 is selected from C1-C6 alkyl, C1-C6 monohaloalkyl, C1-C6
polyhaloalkyl, C6-C10 aryl, C3-C10 cycloalkyl, C5-C9 heteroaryl, and C2-C9 heterocyclyl, wherein C6-C10 aryl, C3-C10 cycloalkyl, C5-C9 heteroaryl, and C2-C9 heterocyclyl are independently substituted with 0, 1, 2, or 3 substituents selected from halogen, hydroxyl, cyano, amino, C1-C6 alkyl, C1-C6 alkoxy, C1-C6 monohaloalkyl, C1-C6 polyhaloalkyl, Cl- C6 alkylamino, and C1-C6 dialkylamino;
wherein R67 is selected from C1-C6 alkyl, C1-C6 monohaloalkyl, C1-C6
polyhaloalkyl, C6-C10 aryl, C3-C10 cycloalkyl, C5-C9 heteroaryl, and C2-C9 heterocyclyl, wherein C6-C10 aryl, C3-C10 cycloalkyl, C5-C9 heteroaryl, and C2-C9 heterocyclyl are independently substituted with 0, 1, 2, or 3 substituents selected from halogen, hydroxyl, cyano, amino, C1-C6 alkyl, C1-C6 alkoxy, C1-C6 monohaloalkyl, C1-C6 polyhaloalkyl, Cl- C6 alkylamino, and C1-C6 dialkylamino;
wherein each R15 is independently selected from H and C1-C6 alkyl; or
a stereoisomer, tautomer, solvate, or pharmaceutically acceptable salt thereof; or
(G) a compound having a structure represented by a formula:
Figure imgf000217_0001
wherein is an covalent bond selected from a single bond and a double bond, wherein valency is satisfied, and R 70 is optionally present; wherein n is 0 or 1; wherein R 70 , when present, is hydrogen; wherein R71a is selected from C1-C6 alkyl and -C(0)ZR82; wherein R71b is selected from C1-C6 alkyl, or wherein R71a and R71b are optionally covalently bonded and, together with the intermediate carbon, comprise an optionally substituted C3-C5 cycloalkyl or C2-C5 heterocycloalkyl; wherein one of R72a and R72b is -Z72, and the other is hydrogen, or R72a and R72b together comprise =0; wherein each of R73a and R73b is independently selected from hydrogen, hydroxyl, C1-C6 alkyl, and C1-C6 alkoxyl, provided that R73a and R73b are not simultaneously hydroxyl, wherein R73a and R73b are optionally covalently bonded and, together with the intermediate carbon, comprise an optionally substituted C3-C5 cycloalkyl or C2-C5 heterocycloalkyl; wherein each of R74, R75, and R76 is independently selected from C1-C6 alkyl; wherein R77 is selected from C1-C6 alkyl, and -C(0)Z71R80; wherein R80 is selected from hydrogen and C1-C6 alkyl; wherein R78a and R78b are independently selected from hydrogen and C1-C6 alkyl; wherein each of R79a and R79b is independently selected from hydrogen and C1-C6 alkyl, C2-C6 alkenyl, and C2-C6 alkynyl, provided that R79a and R79b are not simultaneously hydrogen; or wherein R79a and R79b are covalently bonded and, along with the intermediate carbon, together comprise C3-C5 cycloalkyl or C2-C5 heterocycloalkyl; wherein R 82 is selected from hydrogen and C1-C6 alkyl; wherein Z 71 and Z 72 are independently selected from -OR 81 - and -NR 83 -; wherein R 83 and R 83 are independently selected from hydrogen and C1-C4 alkyl; or, wherein Z 71 and Z 7' ' are independently N, R 84 and R 85 are covalently bonded and -NR 84 R 85 comprises a moiety of the formula:
Figure imgf000218_0001
wherein Y is selected from -0-, -S-, -SO-, -S02-, -NH-, -NCH3-, or a stereoisomer, tautomer, solvate, or pharmaceutically acceptable salt thereof, wherein the compound is present in an effective amount.
10. A kit comprising a compound selected from (A) a compound having a structure
represented by a formula:
Figure imgf000218_0002
Figure imgf000218_0003
wherein Q11 is selected from N and CR13c;
wherein Q12 is selected from N and CR13d
wherein Q13 and Q14 are independently selected from CR13cR13d, O, S, and NR14c; wherein Q15 is selected from CR13cR13d, O, S, and NR14c;
wherein Q16 is selected from N and CR13c;
wherein Q17 and Q18 are independently selected from CR13cR13d, O, S, and NR14c; wherein R 11 and R 12 are independently selected from H and C1-C6 alkyl;
wherein R13c, R13d, R13e, and R13f are independently selected from H, C1-C6 alkyl, Cl- C6 alkoxy, halo, hydroxyl, nitro, amino, cyano, NHCOR15, C1-C6 monohaloalkyl, C1-C6 polyhaloalkyl, C1-C6 alkylamino, C1-C6 dialkylamino, C6-C10 aryl, C3-C10 cycloalkyl, C5-C9 heteroaryl, and C2-C9 heterocyclyl, wherein C6-C10 aryl, C3-C10 cycloalkyl, C5-C9 heteroaryl, and C2-C9 heterocyclyl are independently are substituted with 0, 1, 2, or 3 substituents selected from halogen, hydroxyl, cyano, amino, C1-C6 alkyl, C1-C6 alkoxy, Cl- C6 monohaloalkyl, C1-C6 polyhaloalkyl, C1-C6 alkylamino, and C1-C6 dialkylamino;
wherein each R14c is independently selected from H and C1-C6 alkyl;
wherein R14a and R14b together comprise a cycle selected from:
Figure imgf000219_0001
wherein each of Q , Q , Q , Q , Q , Q , and Cj are independently selected from
CR17aR17b 0 s NR18.
wherein R16a and R16a are independently selected from H, C1-C6 alkyl, C1-C6 alkoxy, halo, hydroxyl, nitro, amino, cyano, NHCOR15, C1-C6 monohaloalkyl, C1-C6 polyhaloalkyl, C1-C6 alkylamino, C1-C6 dialkylamino, C6-C10 aryl, C3-C10 cycloalkyl, C5-C9 heteroaryl, and C2-C9 heterocyclyl, wherein C6-C10 aryl, C3-C10 cycloalkyl, C5-C9 heteroaryl, and C2-C9 heterocyclyl are independently are substituted with 0, 1, 2, or 3 substituents selected from halogen, hydroxyl, cyano, amino, C1-C6 alkyl, C1-C6 alkoxy, C1-C6 monohaloalkyl, C1-C6 polyhaloalkyl, C1-C6 alkylamino, and C1-C6 dialkylamino;
wherein R17a and R17b are independently selected from H, C1-C6 alkyl, C1-C6 alkoxy, halo, hydroxyl, nitro, amino, cyano, NHCOR15, C1-C6 monohaloalkyl, C1-C6 polyhaloalkyl, C1-C6 alkylamino, C1-C6 dialkylamino, C6-C10 aryl, C3-C10 cycloalkyl, C5-C9 heteroaryl, and C2-C9 heterocyclyl, wherein C6-C10 aryl, C3-C10 cycloalkyl, C5-C9 heteroaryl, and C2-C9 heterocyclyl are independently are substituted with 0, 1, 2, or 3 substituents selected from halogen, hydroxyl, cyano, amino, C1-C6 alkyl, C1-C6 alkoxy, C1-C6 monohaloalkyl, C1-C6 polyhaloalkyl, C1-C6 alkylamino, and C1-C6 dialkylamino;
wherein each R 18 is independently selected from H and C1-C6 alkyl;
wherein each R15 is independently selected from H and C1-C6 alkyl;
wherein each n is independently selected from 0, 1, and 2;
wherein m is selected from 1 and 2; and
wherein p is selected from 1, 2 and 3; or
a stereoisomer, tautomer, solvate, or pharmaceutically acceptable salt thereof; or
(B) a compound having a structure represented by a formula:
Figure imgf000220_0001
wherein each represents a covalent bond selected from a single or double bond; wherein R21a, R2 , R21c, R21d, and R21e are independently selected from H, OH, O- Glucosyl, halo, cyano, amino, nitro, nitroso, NHCOR15, C1-C6 alkyl, C1-C6 alkoxy, C1-C6 monohaloalkyl, C1-C6 polyhaloalkyl, C1-C6 alkylamino, acyl, phenyl- C1-C6 alkoxy, benzyl- C1-C6 alkoxy, and C1-C6 dialkylamino;
wherein R 22 is selected from H, OH, O- Glucosyl, halo, cyano, amino, nitro, nitroso, NHCOR15, C1-C6 alkyl, C1-C6 alkoxy, C1-C6 monohaloalkyl, C1-C6 polyhaloalkyl, C1-C6 alkylamino, acyl phenyl- C1-C6 alkoxy, benzyl- C1-C6 alkoxy, and C1-C6 dialkylamino; wherein R23a, R23b, R23c, and R23d are independently selected from H, OH, O- Glucosyl halo, cyano, amino, nitro, nitroso, NHCOR15, C1-C20 alkyl, C1-C20 alkenyl, Cl- C20 alkynyl, C1-C20 alkenynyl, C1-C20 alkoxy, C1-C6 monohaloalkyl, C1-C6
polyhaloalkyl, C1-C6 alkylamino, acyl, phenyl- C1-C6 alkoxy, benzyl- C1-C6 alkoxy, and C1-C6 dialkylamino;
wherein R15 is selected from H and C1-C6 alkyl;
wherein Z is selected from O and S; and
wherein Y is selected from O and S; or
a stereoisomer, tautomer, solvate, or pharmaceutically acceptable salt thereof;
wherein the compound does not have the structure:
Figure imgf000220_0002
(C) a compound having a structure represented by a formula:
Figure imgf000221_0001
wherein R31a and R31b are independently selected from H, C1-C6 alkyl, C6-C10 aryl, C3-C10 cycloalkyl, C5-C9 heteroaryl, and C2-C9 heterocyclyl, wherein C6-C10 aryl, C3- C10 cycloalkyl, C5-C9 heteroaryl, and C2-C9 heterocyclyl are independently are substituted with 0, 1, 2, or 3 substituents selected from halogen, hydroxyl, cyano, amino, C1-C6 alkyl, C1-C6 alkoxy, C1-C6 monohaloalkyl, C1-C6 polyhaloalkyl, C1-C6 alkylamino, and C1-C6 dialkylamino;
wherein R32a and R32b are independently selected from H, C1-C6 alkyl, 0C1(0H)4A12, OAl(OH)2, C1-C6 alkoxy, halo, hydroxyl, nitro, amino, cyano, NHCOR15, C1-C6
monohaloalkyl, C1-C6 polyhaloalkyl, C1-C6 alkylamino, C1-C6 dialkylamino, C6-C10 aryl, C3-C10 cycloalkyl, C5-C9 heteroaryl, and C2-C9 heterocyclyl or taken together to form a double bond selected from =0 and =S, wherein C6-C10 aryl, C3-C10 cycloalkyl, C5-C9 heteroaryl, and C2-C9 heterocyclyl are independently are substituted with 0, 1, 2, or 3 substituents selected from halogen, hydroxyl, cyano, amino, C1-C6 alkyl, C1-C6 alkoxy, Cl- C6 monohaloalkyl, C1-C6 polyhaloalkyl, C1-C6 alkylamino, and C1-C6 dialkylamino;
wherein R32c and R32d are independently selected from H, C1-C6 alkyl, 0C1(0H)4A12, OAl(OH)2, C1-C6 alkoxy, halo, hydroxyl, nitro, amino, cyano, NHCOR15, C1-C6
monohaloalkyl, C1-C6 polyhaloalkyl, C1-C6 alkylamino, C1-C6 dialkylamino, C6-C10 aryl, C3-C10 cycloalkyl, C5-C9 heteroaryl, and C2-C9 heterocyclyl or taken together to form a double bond selected from =0 and =S, wherein C6-C10 aryl, C3-C10 cycloalkyl, C5-C9 heteroaryl, and C2-C9 heterocyclyl are independently are substituted with 0, 1, 2, or 3 substituents selected from halogen, hydroxyl, cyano, amino, C1-C6 alkyl, C1-C6 alkoxy, Cl- C6 monohaloalkyl, C1-C6 polyhaloalkyl, C1-C6 alkylamino, and C1-C6 dialkylamino;
wherein R33a and R33b are independently selected from H, NR34aCONR34bR34c, C1-C6 alkyl, C1-C6 alkoxy, halo, hydroxyl, nitro, amino, cyano, NHCOR15, C1-C6 monohaloalkyl, C1-C6 polyhaloalkyl, C1-C6 alkylamino, C1-C6 dialkylamino, C6-C10 aryl, C3-C10 cycloalkyl, C5-C9 heteroaryl, and C2-C9 heterocyclyl, wherein C6-C10 aryl, C3-C10 cycloalkyl, C5-C9 heteroaryl, and C2-C9 heterocyclyl are independently are substituted with 0, 1, 2, or 3 substituents selected from halogen, hydroxyl, cyano, amino, C1-C6 alkyl, C1-C6 alkoxy, C1-C6 monohaloalkyl, C1-C6 polyhaloalkyl, C1-C6 alkylamino, and C1-C6 dialkylamino; and
wherein R34a R34b and R34c are independently selected from H, C1-C6 alkyl, C6-C10 aryl, C3-C10 cycloalkyl, C5-C9 heteroaryl, and C2-C9 heterocyclyl, wherein C6-C10 aryl, C3-C10 cycloalkyl, C5-C9 heteroaryl, and C2-C9 heterocyclyl are independently are substituted with 0, 1, 2, or 3 substituents selected from halogen, hydroxyl, cyano, amino, Cl- C6 alkyl, C1-C6 alkoxy, C1-C6 monohaloalkyl, C1-C6 polyhaloalkyl, C1-C6 alkylamino, and C1-C6 dialkylamino; or
a stereoisomer, tautomer, solvate, or pharmaceutically acceptable salt thereof, or
(D) a compound having a structure represented by a formula:
Figure imgf000222_0001
wherein each represents a covalent bond independently selected from a single or double bond, wherein valency is satisfied;
wherein R41 is selected from NR48aR48b, =0, =S, C1-C6 alkoxy and hydroxyl;
wherein R48a and R48b are independently selected from H, C1-C6 alkyl, C1-C6 heteroalkyl, C6-C10 aryl, C3-C10 cycloalkyl, C5-C9 heteroaryl, and C2-C9 heterocyclyl, wherein C6-C10 aryl, C3-C10 cycloalkyl, C5-C9 heteroaryl, and C2-C9 heterocyclyl are independently substituted with 0, 1, 2, or 3 substituents selected from halogen, hydroxyl, cyano, amino, C1-C6 alkyl, C1-C6 alkoxy, C1-C6 monohaloalkyl, C1-C6 polyhaloalkyl, Cl- C6 alkylamino, and C1-C6 dialkylamino;
wherein R 42 is selected from H, C1-C6 alkoxy and hydroxyl;
wherein R43 is selected from H and C1-C6 alkyl;
wherein R44a and RMh are independently selected from are independently selected from H, hydroxyl, and C1-C6 alkoxy;
wherein R47a and R47b are independently selected from are independently selected from H, hydroxyl, and C1-C6 alkoxy;
wherein R45a and R45b together comprise a cycle selected from:
Figure imgf000223_0001
wherein R a is selected from H and C1-C6 alkyl; and
wherein R49b and R49c are independently selected from H and C1-C6 alkyl, or taken together to form =0; or
a stereoisomer, tautomer, solvate, or pharmaceutically acceptable salt thereof; or (E) a compound having a structure represented by a formula:
Figure imgf000223_0002
wherein R is selected from H, C1-C6 alkyl, COR , C1-C6 alkylamino, C1-C6 dialkylamino, C6-C10 aryl, C3-C10 cycloalkyl, C5-C9 heteroaryl, and C2-C9 heterocyclyl, wherein C6-C10 aryl, C3-C10 cycloalkyl, C5-C9 heteroaryl, and C2-C9 heterocyclyl are independently substituted with 0, 1, 2, or 3 substituents selected from halogen, hydroxyl, cyano, amino, C1-C6 alkyl, C1-C6 alkoxy, C1-C6 monohaloalkyl, C1-C6 polyhaloalkyl, Cl- C6 alkylamino, and C1-C6 dialkylamino;
wherein R 53 is selected from C1-C6 alkyl, C1-C6 monohaloalkyl, C1-C6
polyhaloalkyl, C6-C10 aryl, C3-C10 cycloalkyl, C5-C9 heteroaryl, and C2-C9 heterocyclyl, wherein C6-C10 aryl, C3-C10 cycloalkyl, C5-C9 heteroaryl, and C2-C9 heterocyclyl are independently substituted with 0, 1, 2, or 3 substituents selected from halogen, hydroxyl, cyano, amino, C1-C6 alkyl, C1-C6 alkoxy, C1-C6 monohaloalkyl, C1-C6 polyhaloalkyl, Cl- C6 alkylamino, and C1-C6 dialkylamino; wherein Z is selected from O, S, and NR ;
wherein R54 is selected from H, C1-C6 alkyl, COR55, C1-C6 alkylamino, C1-C6 dialkylamino, C6-C10 aryl, C3-C10 cycloalkyl, C5-C9 heteroaryl, and C2-C9 heterocyclyl, wherein C6-C10 aryl, C3-C10 cycloalkyl, C5-C9 heteroaryl, and C2-C9 heterocyclyl are independently substituted with 0, 1, 2, or 3 substituents selected from halogen, hydroxyl, cyano, amino, C1-C6 alkyl, C1-C6 alkoxy, C1-C6 monohaloalkyl, C1-C6 polyhaloalkyl, Cl- C6 alkylamino, and C1-C6 dialkylamino;
wherein R55 is selected from C1-C6 alkyl, C1-C6 monohaloalkyl, C1-C6 polyhaloalkyl, C6- C10 aryl, C3-C10 cycloalkyl, C5-C9 heteroaryl, and C2-C9 heterocyclyl, wherein C6-C10 aryl, C3-C10 cycloalkyl, C5-C9 heteroaryl, and C2-C9 heterocyclyl are independently substituted with 0, 1, 2, or 3 substituents selected from halogen, hydroxyl, cyano, amino, Cl- C6 alkyl, C1-C6 alkoxy, C1-C6 monohaloalkyl, C1-C6 polyhaloalkyl, C1-C6 alkylamino, and C1-C6 dialkylamino; or
a stereoisomer, tautomer, solvate, or pharmaceutically acceptable salt thereof; or
(F) a compound having a structure represented by a formula:
Figure imgf000224_0001
wherein R a and R are independently selected from H, C1-C6 alkyl, C1-C6 alkoxy, halo, hydroxyl, nitro, amino, cyano, NHCOR15, C1-C6 monohaloalkyl, C1-C6 polyhaloalkyl, C1-C6 alkylamino, C1-C6 dialkylamino, C6-C10 aryl, C3-C10 cycloalkyl, C5-C9 heteroaryl, and C2-C9 heterocyclyl, wherein C6-C10 aryl, C3-C10 cycloalkyl, C5-C9 heteroaryl, and C2-C9 heterocyclyl are independently substituted with 0, 1, 2, or 3 substituents selected from halogen, hydroxyl, cyano, amino, C1-C6 alkyl, C1-C6 alkoxy, C1-C6 monohaloalkyl, C1-C6 polyhaloalkyl, C1-C6 alkylamino, and C1-C6 dialkylamino;
wherein R62a and R62b are independently selected from H, C1-C6 alkyl, C1-C6 alkoxy, halo, hydroxyl, nitro, amino, cyano, NHCOR15, C1-C6 monohaloalkyl, C1-C6 polyhaloalkyl, C1-C6 alkylamino, C1-C6 dialkylamino, C6-C10 aryl, C3-C10 cycloalkyl, C5-C9 heteroaryl, and C2-C9 heterocyclyl, wherein C6-C10 aryl, C3-C10 cycloalkyl, C5-C9 heteroaryl, and C2-C9 heterocyclyl are independently substituted with 0, 1, 2, or 3 substituents selected from halogen, hydroxyl, cyano, amino, C1-C6 alkyl, C1-C6 alkoxy, C1-C6 monohaloalkyl, C1-C6 polyhaloalkyl, C1-C6 alkylamino, and C1-C6 dialkylamino;
wherein R63a and R63b are independently selected from H, C1-C6 alkyl, C1-C6 alkoxy, halo, hydroxyl, nitro, amino, cyano, NHCOR15, C1-C6 monohaloalkyl, C1-C6 polyhaloalkyl, C1-C6 alkylamino, C1-C6 dialkylamino, C6-C10 aryl, C3-C10 cycloalkyl, C5-C9 heteroaryl, and C2-C9 heterocyclyl, or taken together to form a group selected from =0 and =S, wherein C6-C10 aryl, C3-C10 cycloalkyl, C5-C9 heteroaryl, and C2-C9 heterocyclyl are
independently substituted with 0, 1, 2, or 3 substituents selected from halogen, hydroxyl, cyano, amino, C1-C6 alkyl, C1-C6 alkoxy, C1-C6 monohaloalkyl, C1-C6 polyhaloalkyl, Cl- C6 alkylamino, and C1-C6 dialkylamino;
wherein R64a and RMb are independently selected from H, OR67, C1-C6 alkyl, C1-C6 alkoxy, halo, hydroxyl, nitro, amino, cyano, NHCOR15, C1-C6 monohaloalkyl, C1-C6 polyhaloalkyl, C1-C6 alkylamino, C1-C6 dialkylamino, C6-C10 aryl, C3-C10 cycloalkyl, C5-C9 heteroaryl, and C2-C9 heterocyclyl, wherein C6-C10 aryl, C3-C10 cycloalkyl, C5-C9 heteroaryl, and C2-C9 heterocyclyl are independently ubstituted with 0, 1, 2, or 3 substituents selected from halogen, hydroxyl, cyano, amino, C1-C6 alkyl, C1-C6 alkoxy, C1-C6 monohaloalkyl, C1-C6 polyhaloalkyl, C1-C6 alkylamino, and C1-C6 dialkylamino;
wherein R65 is selected from H, C1-C6 alkyl, C1-C6 alkoxy, C1-C6 monohaloalkyl, C1-C6 polyhaloalkyl, C1-C6 alkylamino, C1-C6 dialkylamino, COR66, C6-C10 aryl, C3-C10 cycloalkyl, C5-C9 heteroaryl, and C2-C9 heterocyclyl, wherein C6-C10 aryl, C3-C10 cycloalkyl, C5-C9 heteroaryl, and C2-C9 heterocyclyl are independently substituted with 0, 1, 2, or 3 substituents selected from halogen, hydroxyl, cyano, amino, C1-C6 alkyl, C1-C6 alkoxy, C1-C6 monohaloalkyl, C1-C6 polyhaloalkyl, C1-C6 alkylamino, and C1-C6 dialkylamino;
wherein R66 is selected from C1-C6 alkyl, C1-C6 monohaloalkyl, C1-C6
polyhaloalkyl, C6-C10 aryl, C3-C10 cycloalkyl, C5-C9 heteroaryl, and C2-C9 heterocyclyl, wherein C6-C10 aryl, C3-C10 cycloalkyl, C5-C9 heteroaryl, and C2-C9 heterocyclyl are independently substituted with 0, 1, 2, or 3 substituents selected from halogen, hydroxyl, cyano, amino, C1-C6 alkyl, C1-C6 alkoxy, C1-C6 monohaloalkyl, C1-C6 polyhaloalkyl, Cl- C6 alkylamino, and C1-C6 dialkylamino;
wherein R67 is selected from C1-C6 alkyl, C1-C6 monohaloalkyl, C1-C6
polyhaloalkyl, C6-C10 aryl, C3-C10 cycloalkyl, C5-C9 heteroaryl, and C2-C9 heterocyclyl, wherein C6-C10 aryl, C3-C10 cycloalkyl, C5-C9 heteroaryl, and C2-C9 heterocyclyl are independently substituted with 0, 1, 2, or 3 substituents selected from halogen, hydroxyl, cyano, amino, C1-C6 alkyl, C1-C6 alkoxy, C1-C6 monohaloalkyl, C1-C6 polyhaloalkyl, Cl-
C6 alkylamino, and C1-C6 dialkylamino;
wherein each R15 is independently selected from H and C1-C6 alkyl; or
a stereoisomer, tautomer, solvate, or pharmaceutically acceptable salt thereof, or
(G) a compound having a structure represented by a formula:
Figure imgf000226_0001
wherein is an covalent bond selected from a single bond and a double bond, wherein valency is satisfied, and R 70 is optionally present; wherein n is 0 or 1; wherein R 70 , when present, is hydrogen; wherein R71a is selected from C1-C6 alkyl and -C(0)ZR82; wherein R71b is selected from C1-C6 alkyl, or wherein R71a and R71b are optionally covalently bonded and, together with the intermediate carbon, comprise an optionally substituted C3-C5 cycloalkyl or C2-C5 heterocycloalkyl; wherein one of R72a and R72b is -Z72, and the other is hydrogen, or R72a and R72b together comprise =0; wherein each of R73a and R73b is independently selected from hydrogen, hydroxyl, C1-C6 alkyl, and C1-C6 alkoxyl, provided that R73a and R73b are not simultaneously hydroxyl, wherein R73a and R73b are optionally covalently bonded and, together with the intermediate carbon, comprise an optionally substituted C3-C5 cycloalkyl or C2-C5 heterocycloalkyl; wherein each of R74, R75, and R76 is independently selected from C1-C6 alkyl; wherein R77 is selected from C1-C6 alkyl, and -C(0)Z71R80; wherein R80 is selected from hydrogen and C1-C6 alkyl; wherein R78a and R78b are independently selected from hydrogen and C1-C6 alkyl; wherein each of R79a and R79b is independently selected from hydrogen and C1-C6 alkyl, C2-C6 alkenyl, and C2-C6 alkynyl, provided that R79a and R79b are not simultaneously hydrogen; or wherein R79a and R79b are covalently bonded and, along with the intermediate carbon, together comprise C3-C5 cycloalkyl or C2-C5 heterocycloalkyl; wherein R 82 is selected from hydrogen and C1-C6 alkyl; wherein Z 71 and Z 72 are independently selected from -OR 81 - and -NR 83 -; wherein R 83 and R 83 are independently selected from hydrogen and C1-C4 alkyl; or, wherein Z 71 and Z 72 are independently N, R 84 and R 85 are covalently bonded and -NR 84 R 85 comprises a moiety of the formula:
Figure imgf000227_0001
wherein Y is selected from -0-, -S-, -SO-, -S02- -NH-, -NCH3- or a
stereoisomer, tautomer, solvate, or pharmaceutically acceptable salt thereof, and one or more of:
a) at least one agent known to treat muscle atrophy in an animal;
b) at least one agent known to decrease the risk of obtaining muscle atrophy in an animal;
c) at least one agent known to have a side effect of muscle atrophy;
d) instructions for treating muscle atrophy; or
e) at least one anabolic agent.
11. A method for identifying a compound that inhibits muscle atrophy when administered in a therapeutically effective amount to a mammal in need of treatment thereof, the method comprising the steps of:
(i) selecting a candidate compound;
(ii) determining the effect of the candidate compound on a cell's expression levels of a plurality of induced mRNAs and/or repressed mRNAs of a Muscle Atrophy
Signature,
wherein the candidate compound is identified as suitable for muscle atrophy inhibition if:
(a) more than one of the induced mRNAs of the Muscle Atrophy Signature are down regulated, compared to expression levels of the induced mRNAs of the Muscle Atrophy Signature in the same type of cell in the absence of the candidate compound, and/or
(b) more than one of the repressed mRNAs of the Muscle Atrophy Signature are up regulated, compared to expression levels of the repressed mRNAs of the Muscle Atrophy Signature in the same type of cell in the absence of the candidate compound
12. The method of claim 11, wherein the Muscle Atrophy Signature is determined according to steps comprising:
a) determining mRNA expression levels in a muscle cell undergoing muscle atrophy, b) determining mRNA expression levels in a muscle cell not undergoing muscle atrophy,
wherein an mRNA is determined to be part of the Muscle Atrophy Signature if: (a) the mRNA is up regulated in the muscle cell undergoing muscle atrophy compared to the muscle cell not undergoing muscle atrophy, or
(b) the mRNA is down regulated in the muscle cell undergoing muscle atrophy compared to the muscle cell not undergoing muscle atrophy.
A method of lowering blood glucose in an animal comprising administering to the animal an effective amount of a composition comprising ursolic acid, ursolic acid analogs or betulininc acid analogs and a compound having a structure represented by a formula:
Figure imgf000228_0001
wherein each represents a covalent bond selected from a single or double bond; wherein R21a, R21b, R21c, R21d, and R21e are independently selected from H, OH, O- Glucosyl, halo, cyano, amino, nitro, nitroso, NHCOR15, C1-C6 alkyl, C1-C6 alkoxy, C1-C6 monohaloalkyl, C1-C6 polyhaloalkyl, C1-C6 alkylamino, acyl, phenyl- C1-C6 alkoxy, benzyl- C1-C6 alkoxy, and C1-C6 dialkylamino;
wherein R 22 is selected from H, OH, O- Glucosyl, halo, cyano, amino, nitro, nitroso, NHCOR15, C1-C6 alkyl, C1-C6 alkoxy, C1-C6 monohaloalkyl, C1-C6 polyhaloalkyl, C1-C6 alkylamino, acyl phenyl- C1-C6 alkoxy, benzyl- C1-C6 alkoxy, and C1-C6 dialkylamino; wherein R23a, R23b, R23c, and R23d are independently selected from H, OH, O- Glucosyl halo, cyano, amino, nitro, nitroso, NHCOR15, C1-C20 alkyl, C1-C20 alkenyl, Cl- C20 alkynyl, C1-C20 alkenynyl, C1-C20 alkoxy, C1-C6 monohaloalkyl, C1-C6
polyhaloalkyl, C1-C6 alkylamino, acyl, phenyl- C1-C6 alkoxy, benzyl- C1-C6 alkoxy, and C1-C6 dialkylamino;
wherein R15 is selected from H and C1-C6 alkyl;
wherein Z is selected from O and S; and
wherein Y is selected from O and S; or
a stereoisomer, tautomer, solvate, or pharmaceutically acceptable salt thereof;
wherein the compound does not have the structure:
Figure imgf000229_0001
thereby lowering the blood glucose in the animal.
14. A method of lowering blood glucose in an animal comprising administering to the animal an effective amount of a ture represented by a formula:
Figure imgf000229_0002
wherein each represents a covalent bond independently selected from a single or double bond, wherein valency is satisfied;
wherein R41 is selected from NR48aR48b, =0, =S, C1-C6 alkoxy and hydroxyl;
wherein R48a and R48b are independently selected from H, C1-C6 alkyl, C1-C6 heteroalkyl, C6-C10 aryl, C3-C10 cycloalkyl, C5-C9 heteroaryl, and C2-C9 heterocyclyl, wherein C6-C10 aryl, C3-C10 cycloalkyl, C5-C9 heteroaryl, and C2-C9 heterocyclyl are independently substituted with 0, 1, 2, or 3 substituents selected from halogen, hydroxyl, cyano, amino, C1-C6 alkyl, C1-C6 alkoxy, C1-C6 monohaloalkyl, C1-C6 polyhaloalkyl, Cl- C6 alkylamino, and C1-C6 dialkylamino;
wherein R 42 is selected from H, C1-C6 alkoxy and hydroxyl;
wherein R43 is selected from H and C1-C6 alkyl;
wherein R44a and RMh are independently selected from are independently selected from H, hydroxyl, and C1-C6 alkoxy;
wherein R47a and R47b are independently selected from are independently selected from H, hydroxyl, and C1-C6 alkoxy;
wherein R45a and R45b together comprise a cycle selected from:
Figure imgf000229_0003
wherein R a is selected from H and C1-C6 alkyl; and wherein R and R c are independently selected from H and C1-C6 alkyl, or taken together to form =0; or
a stereoisomer, tautomer, solvate, or pharmaceutically acceptable salt thereof
15. A method of lowering blood glucose in an animal comprising administering to the
animal an effective amount of a compound having a structure represented by a formula:
Figure imgf000230_0001
wherein R a and R are independently selected from H, C1-C6 alkyl, C1-C6 alkoxy, halo, hydroxyl, nitro, amino, cyano, NHCOR15, C1-C6 monohaloalkyl, C1-C6 polyhaloalkyl, C1-C6 alkylamino, C1-C6 dialkylamino, C6-C10 aryl, C3-C10 cycloalkyl, C5-C9 heteroaryl, and C2-C9 heterocyclyl, wherein C6-C10 aryl, C3-C10 cycloalkyl, C5-C9 heteroaryl, and C2-C9 heterocyclyl are independently substituted with 0, 1, 2, or 3 substituents selected from halogen, hydroxyl, cyano, amino, C1-C6 alkyl, C1-C6 alkoxy, C1-C6 monohaloalkyl, C1-C6 polyhaloalkyl, C1-C6 alkylamino, and C1-C6 dialkylamino;
wherein R62a and R62b are independently selected from H, C1-C6 alkyl, C1-C6 alkoxy, halo, hydroxyl, nitro, amino, cyano, NHCOR15, C1-C6 monohaloalkyl, C1-C6 polyhaloalkyl, C1-C6 alkylamino, C1-C6 dialkylamino, C6-C10 aryl, C3-C10 cycloalkyl, C5-C9 heteroaryl, and C2-C9 heterocyclyl, wherein C6-C10 aryl, C3-C10 cycloalkyl, C5-C9 heteroaryl, and C2-C9 heterocyclyl are independently substituted with 0, 1, 2, or 3 substituents selected from halogen, hydroxyl, cyano, amino, C1-C6 alkyl, C1-C6 alkoxy, C1-C6 monohaloalkyl, C1-C6 polyhaloalkyl, C1-C6 alkylamino, and C1-C6 dialkylamino;
wherein R63a and R63b are independently selected from H, C1-C6 alkyl, C1-C6 alkoxy, halo, hydroxyl, nitro, amino, cyano, NHCOR15, C1-C6 monohaloalkyl, C1-C6 polyhaloalkyl, C1-C6 alkylamino, C1-C6 dialkylamino, C6-C10 aryl, C3-C10 cycloalkyl, C5-C9 heteroaryl, and C2-C9 heterocyclyl, or taken together to form a group selected from =0 and =S, wherein C6-C10 aryl, C3-C10 cycloalkyl, C5-C9 heteroaryl, and C2-C9 heterocyclyl are
independently substituted with 0, 1, 2, or 3 substituents selected from halogen, hydroxyl, cyano, amino, C1-C6 alkyl, C1-C6 alkoxy, C1-C6 monohaloalkyl, C1-C6 polyhaloalkyl, Cl- C6 alkylamino, and C1-C6 dialkylamino; wherein RMa and R are independently selected from H, OR , C1-C6 alkyl, C1-C6 alkoxy, halo, hydroxyl, nitro, amino, cyano, NHCOR15, C1-C6 monohaloalkyl, C1-C6 polyhaloalkyl, C1-C6 alkylamino, C1-C6 dialkylamino, C6-C10 aryl, C3-C10 cycloalkyl, C5-C9 heteroaryl, and C2-C9 heterocyclyl, wherein C6-C10 aryl, C3-C10 cycloalkyl, C5-C9 heteroaryl, and C2-C9 heterocyclyl are independently ubstituted with 0, 1, 2, or 3 substituents selected from halogen, hydroxyl, cyano, amino, C1-C6 alkyl, C1-C6 alkoxy, C1-C6 monohaloalkyl, C1-C6 polyhaloalkyl, C1-C6 alkylamino, and C1-C6 dialkylamino;
wherein R65 is selected from H, C1-C6 alkyl, C1-C6 alkoxy, C1-C6 monohaloalkyl, C1-C6 polyhaloalkyl, C1-C6 alkylamino, C1-C6 dialkylamino, COR66, C6-C10 aryl, C3-C10 cycloalkyl, C5-C9 heteroaryl, and C2-C9 heterocyclyl, wherein C6-C10 aryl, C3-C10 cycloalkyl, C5-C9 heteroaryl, and C2-C9 heterocyclyl are independently substituted with 0, 1, 2, or 3 substituents selected from halogen, hydroxyl, cyano, amino, C1-C6 alkyl, C1-C6 alkoxy, C1-C6 monohaloalkyl, C1-C6 polyhaloalkyl, C1-C6 alkylamino, and C1-C6 dialkylamino;
wherein R66 is selected from C1-C6 alkyl, C1-C6 monohaloalkyl, C1-C6
polyhaloalkyl, C6-C10 aryl, C3-C10 cycloalkyl, C5-C9 heteroaryl, and C2-C9 heterocyclyl, wherein C6-C10 aryl, C3-C10 cycloalkyl, C5-C9 heteroaryl, and C2-C9 heterocyclyl are independently substituted with 0, 1, 2, or 3 substituents selected from halogen, hydroxyl, cyano, amino, C1-C6 alkyl, C1-C6 alkoxy, C1-C6 monohaloalkyl, C1-C6 polyhaloalkyl, Cl- C6 alkylamino, and C1-C6 dialkylamino;
wherein R67 is selected from C1-C6 alkyl, C1-C6 monohaloalkyl, C1-C6
polyhaloalkyl, C6-C10 aryl, C3-C10 cycloalkyl, C5-C9 heteroaryl, and C2-C9 heterocyclyl, wherein C6-C10 aryl, C3-C10 cycloalkyl, C5-C9 heteroaryl, and C2-C9 heterocyclyl are independently substituted with 0, 1, 2, or 3 substituents selected from halogen, hydroxyl, cyano, amino, C1-C6 alkyl, C1-C6 alkoxy, C1-C6 monohaloalkyl, C1-C6 polyhaloalkyl, Cl- C6 alkylamino, and C1-C6 dialkylamino;
wherein each R15 is independently selected from H and C1-C6 alkyl;
a stereoisomer, tautomer, solvate, or pharmaceutically acceptable salt thereof.
16. A method of facilitating tissue formation in vitro, the method comprising administering to the tissue a compound of the formula:
(A) a compound having a structure represented by a formula:
Figure imgf000232_0001
wherein R a and R together comprise a cycle selected from:
R1
Figure imgf000232_0002
wherein Q11 is selected from N and CR13c;
wherein Q12 is selected from N and CR13d
wherein Q13 and Q14 are independently selected from CR13cR13d, O, S, and NR14c; wherein Q15 is selected from CR13cR13d, O, S, and NR14c;
wherein Q16 is selected from N and CR13c;
wherein Q17 and Q18 are independently selected from CR13cR13d, O, S, and NR14c; wherein R 11 and R 12 are independently selected from H and C1-C6 alkyl;
wherein R13c, R13d, R13e, and R13f are independently selected from H, C1-C6 alkyl, Cl- C6 alkoxy, halo, hydroxyl, nitro, amino, cyano, NHCOR15, C1-C6 monohaloalkyl, C1-C6 polyhaloalkyl, C1-C6 alkylamino, C1-C6 dialkylamino, C6-C10 aryl, C3-C10 cycloalkyl, C5-C9 heteroaryl, and C2-C9 heterocyclyl, wherein C6-C10 aryl, C3-C10 cycloalkyl, C5-C9 heteroaryl, and C2-C9 heterocyclyl are independently are substituted with 0, 1, 2, or 3 substituents selected from halogen, hydroxyl, cyano, amino, C1-C6 alkyl, C1-C6 alkoxy, Cl- C6 monohaloalkyl, C1-C6 polyhaloalkyl, C1-C6 alkylamino, and C1-C6 dialkylamino;
wherein each R14c is independently selected from H and C1-C6 alkyl;
wherein R14a and R14b together comprise a cycle selected from:
Figure imgf000232_0003
wherein each of Q , Q , Q , Q , Q , Q , and Q/3 are independently selected from
CR17aR17b 0 s NR18.
wherein R16a and R16a are independently selected from H, C1-C6 alkyl, C1-C6 alkoxy, halo, hydroxyl, nitro, amino, cyano, NHCOR15, C1-C6 monohaloalkyl, C1-C6 polyhaloalkyl, C1-C6 alkylamino, C1-C6 dialkylamino, C6-C10 aryl, C3-C10 cycloalkyl, C5-C9 heteroaryl, and C2-C9 heterocyclyl, wherein C6-C10 aryl, C3-C10 cycloalkyl, C5-C9 heteroaryl, and C2-C9 heterocyclyl are independently are substituted with 0, 1, 2, or 3 substituents selected from halogen, hydroxyl, cyano, amino, C1-C6 alkyl, C1-C6 alkoxy, C1-C6 monohaloalkyl, C1-C6 polyhaloalkyl, C1-C6 alkylamino, and C1-C6 dialkylamino;
wherein R17a and R17b are independently selected from H, C1-C6 alkyl, C1-C6 alkoxy, halo, hydroxyl, nitro, amino, cyano, NHCOR15, C1-C6 monohaloalkyl, C1-C6 polyhaloalkyl, C1-C6 alkylamino, C1-C6 dialkylamino, C6-C10 aryl, C3-C10 cycloalkyl, C5-C9 heteroaryl, and C2-C9 heterocyclyl, wherein C6-C10 aryl, C3-C10 cycloalkyl, C5-C9 heteroaryl, and C2-C9 heterocyclyl are independently are substituted with 0, 1, 2, or 3 substituents selected from halogen, hydroxyl, cyano, amino, C1-C6 alkyl, C1-C6 alkoxy, C1-C6 monohaloalkyl, C1-C6 polyhaloalkyl, C1-C6 alkylamino, and C1-C6 dialkylamino;
wherein each R 18 is independently selected from H and C1-C6 alkyl;
wherein each R15 is independently selected from H and C1-C6 alkyl;
wherein each n is independently selected from 0, 1, and 2;
wherein m is selected from 1 and 2; and
wherein p is selected from 1, 2 and 3; or
a stereoisomer, tautomer, solvate, or pharmaceutically acceptable salt thereof; or (B) a compound having a structure represented by a formula:
Figure imgf000233_0001
wherein each represents a covalent bond selected from a single or double bond; wherein R21a, R21b, R21c, R21d, and R21e are independently selected from H, OH, O- Glucosyl, halo, cyano, amino, nitro, nitroso, NHCOR15, C1-C6 alkyl, C1-C6 alkoxy, C1-C6 monohaloalkyl, C1-C6 polyhaloalkyl, C1-C6 alkylamino, acyl, phenyl- C1-C6 alkoxy, benzyl- C1-C6 alkoxy, and C1-C6 dialkylamino;
wherein R 22 is selected from H, OH, O- Glucosyl, halo, cyano, amino, nitro, nitroso, NHCOR15, C1-C6 alkyl, C1-C6 alkoxy, C1-C6 monohaloalkyl, C1-C6 polyhaloalkyl, C1-C6 alkylamino, acyl phenyl- C1-C6 alkoxy, benzyl- C1-C6 alkoxy, and C1-C6 dialkylamino; wherein R23a, R23b, R23c, and R23d are independently selected from H, OH, O- Glucosyl halo, cyano, amino, nitro, nitroso, NHCOR15, C1-C20 alkyl, C1-C20 alkenyl, Cl- C20 alkynyl, C1-C20 alkenynyl, C1-C20 alkoxy, C1-C6 monohaloalkyl, C1-C6 polyhaloalkyl, C1-C6 alkylamino, acyl, phenyl- C1-C6 alkoxy, benzyl- C1-C6 alkoxy, and C1-C6 dialkylamino;
wherein R15 is selected from H and C1-C6 alkyl;
wherein Z is selected from O and S; and
wherein Y is selected from O and S; or
a stereoisomer, tautomer, solvate, or pharmaceutically acceptable salt thereof;
wherein the compound does not have the structure:
Figure imgf000234_0001
a compound having a structure re resented by a formula:
Figure imgf000234_0002
wherein R31a and R31b are independently selected from H, C1-C6 alkyl, C6-C10 aryl, C3-C10 cycloalkyl, C5-C9 heteroaryl, and C2-C9 heterocyclyl, wherein C6-C10 aryl, C3- C10 cycloalkyl, C5-C9 heteroaryl, and C2-C9 heterocyclyl are independently are substituted with 0, 1, 2, or 3 substituents selected from halogen, hydroxyl, cyano, amino, C1-C6 alkyl, C1-C6 alkoxy, C1-C6 monohaloalkyl, C1-C6 polyhaloalkyl, C1-C6 alkylamino, and C1-C6 dialkylamino;
wherein R32a and R32b are independently selected from H, C1-C6 alkyl, 0C1(0H)4A12, OAl(OH)2, C1-C6 alkoxy, halo, hydroxyl, nitro, amino, cyano, NHCOR15, C1-C6
monohaloalkyl, C1-C6 polyhaloalkyl, C1-C6 alkylamino, C1-C6 dialkylamino, C6-C10 aryl, C3-C10 cycloalkyl, C5-C9 heteroaryl, and C2-C9 heterocyclyl or taken together to form a double bond selected from =0 and =S, wherein C6-C10 aryl, C3-C10 cycloalkyl, C5-C9 heteroaryl, and C2-C9 heterocyclyl are independently are substituted with 0, 1, 2, or 3 substituents selected from halogen, hydroxyl, cyano, amino, C1-C6 alkyl, C1-C6 alkoxy, Cl- C6 monohaloalkyl, C1-C6 polyhaloalkyl, C1-C6 alkylamino, and C1-C6 dialkylamino; wherein RJ/C and RJ/a are independently selected from H, C1-C6 alkyl, 0C1(0H)4A12, OAl(OH)2, C1-C6 alkoxy, halo, hydroxyl, nitro, amino, cyano, NHCOR15, C1-C6
monohaloalkyl, C1-C6 polyhaloalkyl, C1-C6 alkylamino, C1-C6 dialkylamino, C6-C10 aryl, C3-C10 cycloalkyl, C5-C9 heteroaryl, and C2-C9 heterocyclyl or taken together to form a double bond selected from =0 and =S, wherein C6-C10 aryl, C3-C10 cycloalkyl, C5-C9 heteroaryl, and C2-C9 heterocyclyl are independently are substituted with 0, 1, 2, or 3 substituents selected from halogen, hydroxyl, cyano, amino, C1-C6 alkyl, C1-C6 alkoxy, Cl- C6 monohaloalkyl, C1-C6 polyhaloalkyl, C1-C6 alkylamino, and C1-C6 dialkylamino;
wherein R33a and R33b are independently selected from H, NR34aCONR34bR34c, C1-C6 alkyl, C1-C6 alkoxy, halo, hydroxyl, nitro, amino, cyano, NHCOR15, C1-C6 monohaloalkyl, C1-C6 polyhaloalkyl, C1-C6 alkylamino, C1-C6 dialkylamino, C6-C10 aryl, C3-C10 cycloalkyl, C5-C9 heteroaryl, and C2-C9 heterocyclyl, wherein C6-C10 aryl, C3-C10 cycloalkyl, C5-C9 heteroaryl, and C2-C9 heterocyclyl are independently are substituted with 0, 1, 2, or 3 substituents selected from halogen, hydroxyl, cyano, amino, C1-C6 alkyl, C1-C6 alkoxy, C1-C6 monohaloalkyl, C1-C6 polyhaloalkyl, C1-C6 alkylamino, and C1-C6 dialkylamino; and
wherein R34a R34b and R34c are independently selected from H, C1-C6 alkyl, C6-C10 aryl, C3-C10 cycloalkyl, C5-C9 heteroaryl, and C2-C9 heterocyclyl, wherein C6-C10 aryl, C3-C10 cycloalkyl, C5-C9 heteroaryl, and C2-C9 heterocyclyl are independently are substituted with 0, 1, 2, or 3 substituents selected from halogen, hydroxyl, cyano, amino, Cl- C6 alkyl, C1-C6 alkoxy, C1-C6 monohaloalkyl, C1-C6 polyhaloalkyl, C1-C6 alkylamino, and C1-C6 dialkylamino; or
a stereoisomer, tautomer, solvate, or pharmaceutically acceptable salt thereof, or
(D) a compound having a structure represented by a formula:
Figure imgf000235_0001
wherein each represents a covalent bond independently selected from a single or double bond, wherein valency is satisfied;
wherein R41 is selected from NR48aR48b, =0, =S, C1-C6 alkoxy and hydroxyl;
wherein R48a and R48b are independently selected from H, C1-C6 alkyl, C1-C6 heteroalkyl, C6-C10 aryl, C3-C10 cycloalkyl, C5-C9 heteroaryl, and C2-C9 heterocyclyl, wherein C6-C10 aryl, C3-C10 cycloalkyl, C5-C9 heteroaryl, and C2-C9 heterocyclyl are independently substituted with 0, 1, 2, or 3 substituents selected from halogen, hydroxyl, cyano, amino, C1-C6 alkyl, C1-C6 alkoxy, C1-C6 monohaloalkyl, C1-C6 polyhaloalkyl, Cl- C6 alkylamino, and C1-C6 dialkylamino;
wherein R 42 is selected from H, C1-C6 alkoxy and hydroxyl;
wherein R43 is selected from H and C1-C6 alkyl;
wherein R44a and RMh are independently selected from are independently selected from H, hydroxyl, and C1-C6 alkoxy;
wherein R47a and R47b are independently selected from are independently selected from H, hydroxyl, and C1-C6 alkoxy;
wherein R45a and R45b together comprise a cycle selected from:
Figure imgf000236_0001
wherein R a is selected from H and C1-C6 alkyl; and
wherein R49b and R49c are independently selected from H and C1-C6 alkyl, or taken together to form =0; or
a stereoisomer, tautomer, solvate, or pharmaceutically acceptable salt thereof; or
(E) a compound having a structure represented by a formula:
Figure imgf000236_0002
wherein R is selected from H, C1-C6 alkyl, COR , C1-C6 alkylamino, C1-C6 dialkylamino, C6-C10 aryl, C3-C10 cycloalkyl, C5-C9 heteroaryl, and C2-C9 heterocyclyl, wherein C6-C10 aryl, C3-C10 cycloalkyl, C5-C9 heteroaryl, and C2-C9 heterocyclyl are independently substituted with 0, 1, 2, or 3 substituents selected from halogen, hydroxyl, cyano, amino, C1-C6 alkyl, C1-C6 alkoxy, C1-C6 monohaloalkyl, C1-C6 polyhaloalkyl, Cl- C6 alkylamino, and C1-C6 dialkylamino;
wherein R 53 is selected from C1-C6 alkyl, C1-C6 monohaloalkyl, C1-C6
polyhaloalkyl, C6-C10 aryl, C3-C10 cycloalkyl, C5-C9 heteroaryl, and C2-C9 heterocyclyl, wherein C6-C10 aryl, C3-C10 cycloalkyl, C5-C9 heteroaryl, and C2-C9 heterocyclyl are independently substituted with 0, 1, 2, or 3 substituents selected from halogen, hydroxyl, cyano, amino, C1-C6 alkyl, C1-C6 alkoxy, C1-C6 monohaloalkyl, C1-C6 polyhaloalkyl, Cl- C6 alkylamino, and C1-C6 dialkylamino;
wherein Z51 is selected from O, S, and NR54;
wherein R54 is selected from H, C1-C6 alkyl, COR55, C1-C6 alkylamino, C1-C6 dialkylamino, C6-C10 aryl, C3-C10 cycloalkyl, C5-C9 heteroaryl, and C2-C9 heterocyclyl, wherein C6-C10 aryl, C3-C10 cycloalkyl, C5-C9 heteroaryl, and C2-C9 heterocyclyl are independently substituted with 0, 1, 2, or 3 substituents selected from halogen, hydroxyl, cyano, amino, C1-C6 alkyl, C1-C6 alkoxy, C1-C6 monohaloalkyl, C1-C6 polyhaloalkyl, Cl- C6 alkylamino, and C1-C6 dialkylamino;
wherein R55 is selected from C1-C6 alkyl, C1-C6 monohaloalkyl, C1-C6
polyhaloalkyl, C6-C10 aryl, C3-C10 cycloalkyl, C5-C9 heteroaryl, and C2-C9 heterocyclyl, wherein C6-C10 aryl, C3-C10 cycloalkyl, C5-C9 heteroaryl, and C2-C9 heterocyclyl are independently substituted with 0, 1, 2, or 3 substituents selected from halogen, hydroxyl, cyano, amino, C1-C6 alkyl, C1-C6 alkoxy, C1-C6 monohaloalkyl, C1-C6 polyhaloalkyl, Cl- C6 alkylamino, and C1-C6 dialkylamino; or
a stereoisomer, tautomer, solvate, or pharmaceutically acceptable salt thereof; or
(F) a compound having a structure represented by a formula:
Figure imgf000237_0001
wherein R a and R are independently selected from H, C1-C6 alkyl, C1-C6 alkoxy, halo, hydroxyl, nitro, amino, cyano, NHCOR15, C1-C6 monohaloalkyl, C1-C6 polyhaloalkyl, C1-C6 alkylamino, C1-C6 dialkylamino, C6-C10 aryl, C3-C10 cycloalkyl, C5-C9 heteroaryl, and C2-C9 heterocyclyl, wherein C6-C10 aryl, C3-C10 cycloalkyl, C5-C9 heteroaryl, and C2-C9 heterocyclyl are independently substituted with 0, 1, 2, or 3 substituents selected from halogen, hydroxyl, cyano, amino, C1-C6 alkyl, C1-C6 alkoxy, C1-C6 monohaloalkyl, C1-C6 polyhaloalkyl, C1-C6 alkylamino, and C1-C6 dialkylamino;
wherein R62a and R62b are independently selected from H, C1-C6 alkyl, C1-C6 alkoxy, halo, hydroxyl, nitro, amino, cyano, NHCOR15, C1-C6 monohaloalkyl, C1-C6 polyhaloalkyl, C1-C6 alkylamino, C1-C6 dialkylamino, C6-C10 aryl, C3-C10 cycloalkyl, C5-C9 heteroaryl, and C2-C9 heterocyclyl, wherein C6-C10 aryl, C3-C10 cycloalkyl, C5-C9 heteroaryl, and C2-C9 heterocyclyl are independently substituted with 0, 1, 2, or 3 substituents selected from halogen, hydroxyl, cyano, amino, C1-C6 alkyl, C1-C6 alkoxy, C1-C6 monohaloalkyl, C1-C6 polyhaloalkyl, C1-C6 alkylamino, and C1-C6 dialkylamino;
wherein R63a and R63b are independently selected from H, C1-C6 alkyl, C1-C6 alkoxy, halo, hydroxyl, nitro, amino, cyano, NHCOR15, C1-C6 monohaloalkyl, C1-C6 polyhaloalkyl, C1-C6 alkylamino, C1-C6 dialkylamino, C6-C10 aryl, C3-C10 cycloalkyl, C5-C9 heteroaryl, and C2-C9 heterocyclyl, or taken together to form a group selected from =0 and =S, wherein C6-C10 aryl, C3-C10 cycloalkyl, C5-C9 heteroaryl, and C2-C9 heterocyclyl are
independently substituted with 0, 1, 2, or 3 substituents selected from halogen, hydroxyl, cyano, amino, C1-C6 alkyl, C1-C6 alkoxy, C1-C6 monohaloalkyl, C1-C6 polyhaloalkyl, Cl- C6 alkylamino, and C1-C6 dialkylamino;
wherein R64a and RMb are independently selected from H, OR67, C1-C6 alkyl, C1-C6 alkoxy, halo, hydroxyl, nitro, amino, cyano, NHCOR15, C1-C6 monohaloalkyl, C1-C6 polyhaloalkyl, C1-C6 alkylamino, C1-C6 dialkylamino, C6-C10 aryl, C3-C10 cycloalkyl, C5-C9 heteroaryl, and C2-C9 heterocyclyl, wherein C6-C10 aryl, C3-C10 cycloalkyl, C5-C9 heteroaryl, and C2-C9 heterocyclyl are independently ubstituted with 0, 1, 2, or 3 substituents selected from halogen, hydroxyl, cyano, amino, C1-C6 alkyl, C1-C6 alkoxy, C1-C6 monohaloalkyl, C1-C6 polyhaloalkyl, C1-C6 alkylamino, and C1-C6 dialkylamino;
wherein R65 is selected from H, C1-C6 alkyl, C1-C6 alkoxy, C1-C6 monohaloalkyl, C1-C6 polyhaloalkyl, C1-C6 alkylamino, C1-C6 dialkylamino, COR66, C6-C10 aryl, C3-C10 cycloalkyl, C5-C9 heteroaryl, and C2-C9 heterocyclyl, wherein C6-C10 aryl, C3-C10 cycloalkyl, C5-C9 heteroaryl, and C2-C9 heterocyclyl are independently substituted with 0, 1, 2, or 3 substituents selected from halogen, hydroxyl, cyano, amino, C1-C6 alkyl, C1-C6 alkoxy, C1-C6 monohaloalkyl, C1-C6 polyhaloalkyl, C1-C6 alkylamino, and C1-C6 dialkylamino;
wherein R66 is selected from C1-C6 alkyl, C1-C6 monohaloalkyl, C1-C6
polyhaloalkyl, C6-C10 aryl, C3-C10 cycloalkyl, C5-C9 heteroaryl, and C2-C9 heterocyclyl, wherein C6-C10 aryl, C3-C10 cycloalkyl, C5-C9 heteroaryl, and C2-C9 heterocyclyl are independently substituted with 0, 1, 2, or 3 substituents selected from halogen, hydroxyl, cyano, amino, C1-C6 alkyl, C1-C6 alkoxy, C1-C6 monohaloalkyl, C1-C6 polyhaloalkyl, Cl- C6 alkylamino, and C1-C6 dialkylamino; wherein R is selected from C1-C6 alkyl, C1-C6 monohaloalkyl, C1-C6 polyhaloalkyl, C6-C10 aryl, C3-C10 cycloalkyl, C5-C9 heteroaryl, and C2-C9 heterocyclyl, wherein C6-C10 aryl, C3-C10 cycloalkyl, C5-C9 heteroaryl, and C2-C9 heterocyclyl are independently substituted with 0, 1, 2, or 3 substituents selected from halogen, hydroxyl, cyano, amino, C1-C6 alkyl, C1-C6 alkoxy, C1-C6 monohaloalkyl, C1-C6 polyhaloalkyl, Cl- C6 alkylamino, and C1-C6 dialkylamino;
wherein each R15 is independently selected from H and C1-C6 alkyl;
a stereoisomer, tautomer, solvate, or pharmaceutically acceptable salt thereof; or
(G) a compound having a structure represented by a formula:
Figure imgf000239_0001
wherein is an covalent bond selected from a single bond and a double bond, wherein valency is satisfied, and R 70 is optionally present; wherein n is 0 or 1; wherein R 70 , when present, is hydrogen; wherein R71a is selected from C1-C6 alkyl and -C(0)ZR82; wherein R71b is selected from C1-C6 alkyl, or wherein R71a and R71b are optionally covalently bonded and, together with the intermediate carbon, comprise an optionally substituted C3-C5 cycloalkyl or C2-C5 heterocycloalkyl; wherein one of R72a and R72b is -Z72, and the other is hydrogen, or R72a and R72b together comprise =0; wherein each of R73a and R73b is independently selected from hydrogen, hydroxyl, C1-C6 alkyl, and C1-C6 alkoxyl, provided that R73a and R73b are not simultaneously hydroxyl, wherein R73a and R73b are optionally covalently bonded and, together with the intermediate carbon, comprise an optionally substituted C3-C5 cycloalkyl or C2-C5 heterocycloalkyl; wherein each of R74, R75, and R76 is independently selected from C1-C6 alkyl; wherein R77 is selected from C1-C6 alkyl, and -C(0)Z71R80; wherein R80 is selected from hydrogen and C1-C6 alkyl; wherein R78a and R78b are independently selected from hydrogen and C1-C6 alkyl; wherein each of R79a and R79b is independently selected from hydrogen and C1-C6 alkyl, C2-C6 alkenyl, and C2-C6 alkynyl, provided that R79a and R79b are not simultaneously hydrogen; or wherein R79a and R79b are covalently bonded and, along with the intermediate carbon, together comprise C3-C5 cycloalkyl or C2-C5 heterocycloalkyl; wherein R 82 is selected from hydrogen and C1-C6 alkyl; wherein Z 71 and Z 72 are independently selected from -OR 81 - and -NR 83 -; wherein R 83 and R 83 are independently selected from hydrogen and C1-C4 alkyl; or, wherein Z 71 and Z 72 are independently N, R 84 and R 85 are covalently bonded and -NR 84 R 85 comprises a moiety of the formula:
Figure imgf000240_0001
wherein Y is selected from -0-, -S-, -SO-, -S02-, -NH-, -NCH3-, or a stereoisomer, tautomer, solvate, or pharmaceutically acceptable salt thereof, thereby facilitating tissue formation.
17. A method of testing for performance enhancing use of a tacrine analog, naringenin
analog, allantoin analog, conessine analog, tomatidine analog, hippeastrine/ungerine analog or betulinic acid analog in an animal, the method comprising:
(a) obtaining a biological test sample from the animal; and
(b) measuring the amount of a compound selected from
(A) a compound having a structure represented by a formula:
Figure imgf000240_0002
wherein Q11 is selected from N and CR13c;
wherein Q12 is selected from N and CR13d
wherein Q13 and Q14 are independently selected from CR13cR13d, O, S, and NR14c; wherein Q15 is selected from CR13cR13d, O, S, and NR14c;
wherein Q16 is selected from N and CR13c;
wherein Q17 and Q18 are independently selected from CR13cR13d, O, S, and NR14c; wherein R 11 and R 12 are independently selected from H and C1-C6 alkyl;
wherein R13c, R13d, R13e, and R13f are independently selected from H, C1-C6 alkyl, Cl- C6 alkoxy, halo, hydroxyl, nitro, amino, cyano, NHCOR15, C1-C6 monohaloalkyl, C1-C6 polyhaloalkyl, C1-C6 alkylamino, C1-C6 dialkylamino, C6-C10 aryl, C3-C10 cycloalkyl, C5-C9 heteroaryl, and C2-C9 heterocyclyl, wherein C6-C10 aryl, C3-C10 cycloalkyl, C5-C9 heteroaryl, and C2-C9 heterocyclyl are independently are substituted with 0, 1, 2, or 3 substituents selected from halogen, hydroxyl, cyano, amino, C1-C6 alkyl, C1-C6 alkoxy, Cl- C6 monohaloalkyl, C1-C6 polyhaloalkyl, C1-C6 alkylamino, and C1-C6 dialkylamino;
wherein each R14c is independently selected from H and C1-C6 alkyl;
wherein R14a and R14b together comprise a cycle selected from:
Figure imgf000241_0001
wherein each of Q , Q , Q , Q , Q , Q , and Cj are independently selected from
CR17aR17b 0 s NR18.
wherein R16a and R16a are independently selected from H, C1-C6 alkyl, C1-C6 alkoxy, halo, hydroxyl, nitro, amino, cyano, NHCOR15, C1-C6 monohaloalkyl, C1-C6 polyhaloalkyl, C1-C6 alkylamino, C1-C6 dialkylamino, C6-C10 aryl, C3-C10 cycloalkyl, C5-C9 heteroaryl, and C2-C9 heterocyclyl, wherein C6-C10 aryl, C3-C10 cycloalkyl, C5-C9 heteroaryl, and C2-C9 heterocyclyl are independently are substituted with 0, 1, 2, or 3 substituents selected from halogen, hydroxyl, cyano, amino, C1-C6 alkyl, C1-C6 alkoxy, C1-C6 monohaloalkyl, C1-C6 polyhaloalkyl, C1-C6 alkylamino, and C1-C6 dialkylamino;
wherein R17a and R17b are independently selected from H, C1-C6 alkyl, C1-C6 alkoxy, halo, hydroxyl, nitro, amino, cyano, NHCOR15, C1-C6 monohaloalkyl, C1-C6 polyhaloalkyl, C1-C6 alkylamino, C1-C6 dialkylamino, C6-C10 aryl, C3-C10 cycloalkyl, C5-C9 heteroaryl, and C2-C9 heterocyclyl, wherein C6-C10 aryl, C3-C10 cycloalkyl, C5-C9 heteroaryl, and C2-C9 heterocyclyl are independently are substituted with 0, 1, 2, or 3 substituents selected from halogen, hydroxyl, cyano, amino, C1-C6 alkyl, C1-C6 alkoxy, C1-C6 monohaloalkyl, C1-C6 polyhaloalkyl, C1-C6 alkylamino, and C1-C6 dialkylamino;
wherein each R 18 is independently selected from H and C1-C6 alkyl;
wherein each R15 is independently selected from H and C1-C6 alkyl;
wherein each n is independently selected from 0, 1, and 2;
wherein m is selected from 1 and 2; and
wherein p is selected from 1, 2 and 3; or
a stereoisomer, tautomer, solvate, or pharmaceutically acceptable salt thereof; or (B) a compound having a structure represented by a formula:
Figure imgf000242_0001
wherein each represents a covalent bond selected from a single or double bond; wherein R21a, R2 , R21c, R21d, and R21e are independently selected from H, OH, O- Glucosyl, halo, cyano, amino, nitro, nitroso, NHCOR15, C1-C6 alkyl, C1-C6 alkoxy, C1-C6 monohaloalkyl, C1-C6 polyhaloalkyl, C1-C6 alkylamino, acyl, phenyl- C1-C6 alkoxy, benzyl- C1-C6 alkoxy, and C1-C6 dialkylamino;
wherein R 22 is selected from H, OH, O- Glucosyl, halo, cyano, amino, nitro, nitroso, NHCOR15, C1-C6 alkyl, C1-C6 alkoxy, C1-C6 monohaloalkyl, C1-C6 polyhaloalkyl, C1-C6 alkylamino, acyl phenyl- C1-C6 alkoxy, benzyl- C1-C6 alkoxy, and C1-C6 dialkylamino; wherein R23a, R23b, R23c, and R23d are independently selected from H, OH, O- Glucosyl halo, cyano, amino, nitro, nitroso, NHCOR15, C1-C20 alkyl, C1-C20 alkenyl, Cl- C20 alkynyl, C1-C20 alkenynyl, C1-C20 alkoxy, C1-C6 monohaloalkyl, C1-C6
polyhaloalkyl, C1-C6 alkylamino, acyl, phenyl- C1-C6 alkoxy, benzyl- C1-C6 alkoxy, and C1-C6 dialkylamino;
wherein R15 is selected from H and C1-C6 alkyl;
wherein Z is selected from O and S; and
wherein Y is selected from O and S; or
a stereoisomer, tautomer, solvate, or pharmaceutically acceptable salt thereof;
wherein the compound does not have the structure:
Figure imgf000242_0002
(C) a compound having a structure represented by a formula:
Figure imgf000243_0001
wherein R31a and R31b are independently selected from H, C1-C6 alkyl, C6-C10 aryl, C3-C10 cycloalkyl, C5-C9 heteroaryl, and C2-C9 heterocyclyl, wherein C6-C10 aryl, C3- C10 cycloalkyl, C5-C9 heteroaryl, and C2-C9 heterocyclyl are independently are substituted with 0, 1, 2, or 3 substituents selected from halogen, hydroxyl, cyano, amino, C1-C6 alkyl, C1-C6 alkoxy, C1-C6 monohaloalkyl, C1-C6 polyhaloalkyl, C1-C6 alkylamino, and C1-C6 dialkylamino;
wherein R32a and R32b are independently selected from H, C1-C6 alkyl, 0C1(0H)4A12, OAl(OH)2, C1-C6 alkoxy, halo, hydroxyl, nitro, amino, cyano, NHCOR15, C1-C6
monohaloalkyl, C1-C6 polyhaloalkyl, C1-C6 alkylamino, C1-C6 dialkylamino, C6-C10 aryl, C3-C10 cycloalkyl, C5-C9 heteroaryl, and C2-C9 heterocyclyl or taken together to form a double bond selected from =0 and =S, wherein C6-C10 aryl, C3-C10 cycloalkyl, C5-C9 heteroaryl, and C2-C9 heterocyclyl are independently are substituted with 0, 1, 2, or 3 substituents selected from halogen, hydroxyl, cyano, amino, C1-C6 alkyl, C1-C6 alkoxy, Cl- C6 monohaloalkyl, C1-C6 polyhaloalkyl, C1-C6 alkylamino, and C1-C6 dialkylamino;
wherein R32c and R32d are independently selected from H, C1-C6 alkyl, 0C1(0H)4A12, OAl(OH)2, C1-C6 alkoxy, halo, hydroxyl, nitro, amino, cyano, NHCOR15, C1-C6
monohaloalkyl, C1-C6 polyhaloalkyl, C1-C6 alkylamino, C1-C6 dialkylamino, C6-C10 aryl, C3-C10 cycloalkyl, C5-C9 heteroaryl, and C2-C9 heterocyclyl or taken together to form a double bond selected from =0 and =S, wherein C6-C10 aryl, C3-C10 cycloalkyl, C5-C9 heteroaryl, and C2-C9 heterocyclyl are independently are substituted with 0, 1, 2, or 3 substituents selected from halogen, hydroxyl, cyano, amino, C1-C6 alkyl, C1-C6 alkoxy, Cl- C6 monohaloalkyl, C1-C6 polyhaloalkyl, C1-C6 alkylamino, and C1-C6 dialkylamino;
wherein R33a and R33b are independently selected from H, NR34aCONR34bR34c, C1-C6 alkyl, C1-C6 alkoxy, halo, hydroxyl, nitro, amino, cyano, NHCOR15, C1-C6 monohaloalkyl, C1-C6 polyhaloalkyl, C1-C6 alkylamino, C1-C6 dialkylamino, C6-C10 aryl, C3-C10 cycloalkyl, C5-C9 heteroaryl, and C2-C9 heterocyclyl, wherein C6-C10 aryl, C3-C10 cycloalkyl, C5-C9 heteroaryl, and C2-C9 heterocyclyl are independently are substituted with 0, 1, 2, or 3 substituents selected from halogen, hydroxyl, cyano, amino, C1-C6 alkyl, C1-C6 alkoxy, C1-C6 monohaloalkyl, C1-C6 polyhaloalkyl, C1-C6 alkylamino, and C1-C6 dialkylamino; and
wherein R34a R34b and R34c are independently selected from H, C1-C6 alkyl, C6-C10 aryl, C3-C10 cycloalkyl, C5-C9 heteroaryl, and C2-C9 heterocyclyl, wherein C6-C10 aryl, C3-C10 cycloalkyl, C5-C9 heteroaryl, and C2-C9 heterocyclyl are independently are substituted with 0, 1, 2, or 3 substituents selected from halogen, hydroxyl, cyano, amino, Cl- C6 alkyl, C1-C6 alkoxy, C1-C6 monohaloalkyl, C1-C6 polyhaloalkyl, C1-C6 alkylamino, and C1-C6 dialkylamino; or
a stereoisomer, tautomer, solvate, or pharmaceutically acceptable salt thereof, or
(D) a compound having a structure represented by a formula:
Figure imgf000244_0001
wherein each represents a covalent bond independently selected from a single or double bond, wherein valency is satisfied;
wherein R41 is selected from NR48aR48b, =0, =S, C1-C6 alkoxy and hydroxyl;
wherein R48a and R48b are independently selected from H, C1-C6 alkyl, C1-C6 heteroalkyl, C6-C10 aryl, C3-C10 cycloalkyl, C5-C9 heteroaryl, and C2-C9 heterocyclyl, wherein C6-C10 aryl, C3-C10 cycloalkyl, C5-C9 heteroaryl, and C2-C9 heterocyclyl are independently substituted with 0, 1, 2, or 3 substituents selected from halogen, hydroxyl, cyano, amino, C1-C6 alkyl, C1-C6 alkoxy, C1-C6 monohaloalkyl, C1-C6 polyhaloalkyl, Cl- C6 alkylamino, and C1-C6 dialkylamino;
wherein R 42 is selected from H, C1-C6 alkoxy and hydroxyl;
wherein R43 is selected from H and C1-C6 alkyl;
wherein R44a and RMh are independently selected from are independently selected from H, hydroxyl, and C1-C6 alkoxy;
wherein R47a and R47b are independently selected from are independently selected from H, hydroxyl, and C1-C6 alkoxy;
wherein R45a and R45b together comprise a cycle selected from:
Figure imgf000245_0001
wherein R a is selected from H and C1-C6 alkyl; and
wherein R49b and R49c are independently selected from H and C1-C6 alkyl, or taken together to form =0; or
a stereoisomer, tautomer, solvate, or pharmaceutically acceptable salt thereof; or
(E) a compound having a structure represented by a formula:
Figure imgf000245_0002
wherein R is selected from H, C1-C6 alkyl, COR , C1-C6 alkylamino, C1-C6 dialkylamino, C6-C10 aryl, C3-C10 cycloalkyl, C5-C9 heteroaryl, and C2-C9 heterocyclyl, wherein C6-C10 aryl, C3-C10 cycloalkyl, C5-C9 heteroaryl, and C2-C9 heterocyclyl are independently substituted with 0, 1, 2, or 3 substituents selected from halogen, hydroxyl, cyano, amino, C1-C6 alkyl, C1-C6 alkoxy, C1-C6 monohaloalkyl, C1-C6 polyhaloalkyl, Cl- C6 alkylamino, and C1-C6 dialkylamino;
wherein R 53 is selected from C1-C6 alkyl, C1-C6 monohaloalkyl, C1-C6
polyhaloalkyl, C6-C10 aryl, C3-C10 cycloalkyl, C5-C9 heteroaryl, and C2-C9 heterocyclyl, wherein C6-C10 aryl, C3-C10 cycloalkyl, C5-C9 heteroaryl, and C2-C9 heterocyclyl are independently substituted with 0, 1, 2, or 3 substituents selected from halogen, hydroxyl, cyano, amino, C1-C6 alkyl, C1-C6 alkoxy, C1-C6 monohaloalkyl, C1-C6 polyhaloalkyl, Cl- C6 alkylamino, and C1-C6 dialkylamino;
wherein Z51 is selected from O, S, and NR54;
wherein R54 is selected from H, C1-C6 alkyl, COR55, C1-C6 alkylamino, C1-C6 dialkylamino, C6-C10 aryl, C3-C10 cycloalkyl, C5-C9 heteroaryl, and C2-C9 heterocyclyl, wherein C6-C10 aryl, C3-C10 cycloalkyl, C5-C9 heteroaryl, and C2-C9 heterocyclyl are independently substituted with 0, 1, 2, or 3 substituents selected from halogen, hydroxyl, cyano, amino, C1-C6 alkyl, C1-C6 alkoxy, C1-C6 monohaloalkyl, C1-C6 polyhaloalkyl, Cl- C6 alkylamino, and C1-C6 dialkylamino; wherein R is selected from C1-C6 alkyl, C1-C6 monohaloalkyl, C1-C6 polyhaloalkyl, C6-C10 aryl, C3-C10 cycloalkyl, C5-C9 heteroaryl, and C2-C9 heterocyclyl, wherein C6-C10 aryl, C3-C10 cycloalkyl, C5-C9 heteroaryl, and C2-C9 heterocyclyl are independently substituted with 0, 1, 2, or 3 substituents selected from halogen, hydroxyl, cyano, amino, C1-C6 alkyl, C1-C6 alkoxy, C1-C6 monohaloalkyl, C1-C6 polyhaloalkyl, Cl- C6 alkylamino, and C1-C6 dialkylamino; or
a stereoisomer, tautomer, solvate, or pharmaceutically acceptable salt thereof; or
(F) a compound having a structure represented by a formula:
Figure imgf000246_0001
wherein R a and R are independently selected from H, C1-C6 alkyl, C1-C6 alkoxy, halo, hydroxyl, nitro, amino, cyano, NHCOR15, C1-C6 monohaloalkyl, C1-C6 polyhaloalkyl, C1-C6 alkylamino, C1-C6 dialkylamino, C6-C10 aryl, C3-C10 cycloalkyl, C5-C9 heteroaryl, and C2-C9 heterocyclyl, wherein C6-C10 aryl, C3-C10 cycloalkyl, C5-C9 heteroaryl, and C2-C9 heterocyclyl are independently substituted with 0, 1, 2, or 3 substituents selected from halogen, hydroxyl, cyano, amino, C1-C6 alkyl, C1-C6 alkoxy, C1-C6 monohaloalkyl, C1-C6 polyhaloalkyl, C1-C6 alkylamino, and C1-C6 dialkylamino;
wherein R62a and R62b are independently selected from H, C1-C6 alkyl, C1-C6 alkoxy, halo, hydroxyl, nitro, amino, cyano, NHCOR15, C1-C6 monohaloalkyl, C1-C6 polyhaloalkyl, C1-C6 alkylamino, C1-C6 dialkylamino, C6-C10 aryl, C3-C10 cycloalkyl, C5-C9 heteroaryl, and C2-C9 heterocyclyl, wherein C6-C10 aryl, C3-C10 cycloalkyl, C5-C9 heteroaryl, and C2-C9 heterocyclyl are independently substituted with 0, 1, 2, or 3 substituents selected from halogen, hydroxyl, cyano, amino, C1-C6 alkyl, C1-C6 alkoxy, C1-C6 monohaloalkyl, C1-C6 polyhaloalkyl, C1-C6 alkylamino, and C1-C6 dialkylamino;
wherein R63a and R63b are independently selected from H, C1-C6 alkyl, C1-C6 alkoxy, halo, hydroxyl, nitro, amino, cyano, NHCOR15, C1-C6 monohaloalkyl, C1-C6 polyhaloalkyl, C1-C6 alkylamino, C1-C6 dialkylamino, C6-C10 aryl, C3-C10 cycloalkyl, C5-C9 heteroaryl, and C2-C9 heterocyclyl, or taken together to form a group selected from =0 and =S, wherein C6-C10 aryl, C3-C10 cycloalkyl, C5-C9 heteroaryl, and C2-C9 heterocyclyl are
independently substituted with 0, 1, 2, or 3 substituents selected from halogen, hydroxyl, cyano, amino, C1-C6 alkyl, C1-C6 alkoxy, C1-C6 monohaloalkyl, C1-C6 polyhaloalkyl, Cl- C6 alkylamino, and C1-C6 dialkylamino;
wherein R64a and RMb are independently selected from H, OR67, C1-C6 alkyl, C1-C6 alkoxy, halo, hydroxyl, nitro, amino, cyano, NHCOR15, C1-C6 monohaloalkyl, C1-C6 polyhaloalkyl, C1-C6 alkylamino, C1-C6 dialkylamino, C6-C10 aryl, C3-C10 cycloalkyl, C5-C9 heteroaryl, and C2-C9 heterocyclyl, wherein C6-C10 aryl, C3-C10 cycloalkyl, C5-C9 heteroaryl, and C2-C9 heterocyclyl are independently ubstituted with 0, 1, 2, or 3 substituents selected from halogen, hydroxyl, cyano, amino, C1-C6 alkyl, C1-C6 alkoxy, C1-C6 monohaloalkyl, C1-C6 polyhaloalkyl, C1-C6 alkylamino, and C1-C6 dialkylamino;
wherein R65 is selected from H, C1-C6 alkyl, C1-C6 alkoxy, C1-C6 monohaloalkyl, C1-C6 polyhaloalkyl, C1-C6 alkylamino, C1-C6 dialkylamino, COR66, C6-C10 aryl, C3-C10 cycloalkyl, C5-C9 heteroaryl, and C2-C9 heterocyclyl, wherein C6-C10 aryl, C3-C10 cycloalkyl, C5-C9 heteroaryl, and C2-C9 heterocyclyl are independently substituted with 0, 1, 2, or 3 substituents selected from halogen, hydroxyl, cyano, amino, C1-C6 alkyl, C1-C6 alkoxy, C1-C6 monohaloalkyl, C1-C6 polyhaloalkyl, C1-C6 alkylamino, and C1-C6 dialkylamino;
wherein R66 is selected from C1-C6 alkyl, C1-C6 monohaloalkyl, C1-C6
polyhaloalkyl, C6-C10 aryl, C3-C10 cycloalkyl, C5-C9 heteroaryl, and C2-C9 heterocyclyl, wherein C6-C10 aryl, C3-C10 cycloalkyl, C5-C9 heteroaryl, and C2-C9 heterocyclyl are independently substituted with 0, 1, 2, or 3 substituents selected from halogen, hydroxyl, cyano, amino, C1-C6 alkyl, C1-C6 alkoxy, C1-C6 monohaloalkyl, C1-C6 polyhaloalkyl, Cl- C6 alkylamino, and C1-C6 dialkylamino;
wherein R67 is selected from C1-C6 alkyl, C1-C6 monohaloalkyl, C1-C6
polyhaloalkyl, C6-C10 aryl, C3-C10 cycloalkyl, C5-C9 heteroaryl, and C2-C9 heterocyclyl, wherein C6-C10 aryl, C3-C10 cycloalkyl, C5-C9 heteroaryl, and C2-C9 heterocyclyl are independently substituted with 0, 1, 2, or 3 substituents selected from halogen, hydroxyl, cyano, amino, C1-C6 alkyl, C1-C6 alkoxy, C1-C6 monohaloalkyl, C1-C6 polyhaloalkyl, Cl- C6 alkylamino, and C1-C6 dialkylamino;
wherein each R15 is independently selected from H and C1-C6 alkyl;
a stereoisomer, tautomer, solvate, or pharmaceutically acceptable salt thereof; or
(G) a compound having a structure represented by a formula:
Figure imgf000248_0001
wherein is an covalent bond selected from a single bond and a double bond, wherein valency is satisfied, and R is optionally present; wherein n is 0 or 1; wherein R , when present, is hydrogen; wherein R71a is selected from C1-C6 alkyl and -C(0)ZR82; wherein R71b is selected from C1-C6 alkyl, or wherein R71a and R71b are optionally covalently bonded and, together with the intermediate carbon, comprise an optionally substituted C3-C5 cycloalkyl or C2-C5 heterocycloalkyl; wherein one of R72a and R72b is -Z72, and the other is hydrogen, or R72a and R72b together comprise =0; wherein each of R73a and R73b is independently selected from hydrogen, hydroxyl, C1-C6 alkyl, and C1-C6 alkoxyl, provided that R73a and R73b are not simultaneously hydroxyl, wherein R73a and R73b are optionally covalently bonded and, together with the intermediate carbon, comprise an optionally substituted C3-C5 cycloalkyl or C2-C5 heterocycloalkyl; wherein each of R74, R75, and R76 is independently selected from C1-C6 alkyl; wherein R77 is selected from C1-C6 alkyl, and -C(0)Z71R80; wherein R80 is selected from hydrogen and C1-C6 alkyl; wherein R78a and R78b are independently selected from hydrogen and C1-C6 alkyl; wherein each of R79a and R79b is independently selected from hydrogen and C1-C6 alkyl, C2-C6 alkenyl, and C2-C6 alkynyl, provided that R79a and R79b are not simultaneously hydrogen; or wherein R79a and R79b are covalently bonded and, along with the intermediate carbon, together comprise C3-C5 cycloalkyl or C2-C5 heterocycloalkyl; wherein R 82 is selected from hydrogen and C1-C6 alkyl; wherein Z 71 and Z 72 are independently selected from -OR 81 - and -NR 83 -; wherein R 83 and R 83 are independently selected from hydrogen and C1-C4 alkyl; or, wherein Z 71 and Z 72 are independently N, R 84 and R 85 are covalently bonded and -NR 84 R 85 comprises a moiety of the formula:
Figure imgf000248_0002
wherein Y is selected from -0-, -S-, -SO-, -S02-, -NH-, -NCH3-, or a stereoisomer, tautomer, solvate, or pharmaceutically acceptable salt thereof in the test sample to determine whether a superphysiological amount of the compound is present in the test sample;
wherein the superphysiological amount of the compound in the test sample is indicative of performance enhancing use of the compound.
18. The method of claim 17, wherein the superphysiological amount is greater than 200 mg/kg.
19. The method of claim 17, wherein the animal is a mammal, fish or bird.
20. The method of claim 17, wherein the biological sample is blood, urine, saliva, hair, muscle, skin, fat, or breath.
PCT/US2012/041119 2010-05-20 2012-06-06 Methods of inhibiting muscle atrophy Ceased WO2012170546A1 (en)

Priority Applications (15)

Application Number Priority Date Filing Date Title
EP12796615.8A EP2717876B1 (en) 2011-06-06 2012-06-06 Substances and compostions for use in methods of inhibiting muscle atrophy
CN201280038664.6A CN104080454B (en) 2011-06-06 2012-06-06 Method for inhibiting muscle atrophy
EP18213232.4A EP3520793B1 (en) 2011-06-06 2012-06-06 Substances and compostions for use in methods of inhibiting muscle atrophy
AU2012268036A AU2012268036B2 (en) 2011-06-06 2012-06-06 Methods of inhibiting muscle atrophy
CA2838275A CA2838275C (en) 2011-06-06 2012-06-06 Methods for inhibiting muscle atrophy
US14/124,582 US9295664B2 (en) 2011-06-06 2012-06-06 Methods for lowering blood glucose
JP2014514596A JP6001060B2 (en) 2011-06-06 2012-06-06 Methods for inhibiting muscle atrophy
IL229802A IL229802A (en) 2011-06-06 2013-12-05 Tomatidine and its history of inhibiting muscular dystrophy
US15/051,246 US10137136B2 (en) 2011-06-06 2016-02-23 Methods for inhibiting muscle atrophy
IL251796A IL251796B (en) 2011-06-06 2017-04-19 Methods for inhibiting muscle atrophy in non-human animals
AU2017204579A AU2017204579B2 (en) 2011-06-06 2017-07-04 Methods of inhibiting muscle atrophy
US16/157,767 US10668087B2 (en) 2011-06-06 2018-10-11 Methods for inhibiting muscle atrophy
US16/661,660 US11090313B2 (en) 2010-05-20 2019-10-23 Methods for inhibiting muscle atrophy
US17/321,923 US20220280535A1 (en) 2010-05-20 2021-05-17 Methods for inhibiting muscle atrophy
US18/454,012 US20240269149A1 (en) 2010-05-20 2023-08-22 Methods for inhibiting muscle atrophy

Applications Claiming Priority (2)

Application Number Priority Date Filing Date Title
US201161493969P 2011-06-06 2011-06-06
US61/493,969 2011-06-06

Related Parent Applications (1)

Application Number Title Priority Date Filing Date
US15/804,590 Continuation-In-Part US20180118657A1 (en) 2010-05-20 2017-11-06 Methods for inhibiting muscle atrophy

Related Child Applications (2)

Application Number Title Priority Date Filing Date
US14/124,582 A-371-Of-International US9295664B2 (en) 2011-06-06 2012-06-06 Methods for lowering blood glucose
US15/051,246 Division US10137136B2 (en) 2010-05-20 2016-02-23 Methods for inhibiting muscle atrophy

Publications (1)

Publication Number Publication Date
WO2012170546A1 true WO2012170546A1 (en) 2012-12-13

Family

ID=47296415

Family Applications (1)

Application Number Title Priority Date Filing Date
PCT/US2012/041119 Ceased WO2012170546A1 (en) 2010-05-20 2012-06-06 Methods of inhibiting muscle atrophy

Country Status (8)

Country Link
US (3) US9295664B2 (en)
EP (2) EP2717876B1 (en)
JP (3) JP6001060B2 (en)
CN (2) CN106822153B (en)
AU (2) AU2012268036B2 (en)
CA (1) CA2838275C (en)
IL (2) IL229802A (en)
WO (1) WO2012170546A1 (en)

Cited By (10)

* Cited by examiner, † Cited by third party
Publication number Priority date Publication date Assignee Title
US20150164918A1 (en) * 2012-08-03 2015-06-18 University Of Iowa Research Foundation Tomatidine, analogs thereof, compositions comprising same, and uses for same
WO2015095449A1 (en) * 2013-12-19 2015-06-25 Ptc Therapeutics, Inc. Methods for modulating the amount rna transcripts
CN105884852A (en) * 2015-01-07 2016-08-24 中国药科大学 Eutectic crystal of oleanolic acid and choline and preparation method and pharmaceutical composition of eutectic crystal
WO2016207329A1 (en) 2015-06-26 2016-12-29 Vitalnext B.V. Compositions and methods for the treatment of malnutrition
WO2019055280A1 (en) 2017-09-13 2019-03-21 Emmyon, Inc. Ursolic acid morpholine and diethanolamine salts
US10343997B1 (en) 2018-12-04 2019-07-09 King Saud University Ursolic acid derivatives
EP3368043A4 (en) * 2015-10-29 2019-07-10 Emmyon, Inc. FUROSTAN-3-OL DERIVATIVES FOR USE AS AGENTS FOR MUSCULOSKELETAL HYPERTROPHY
US10752594B2 (en) 2013-03-14 2020-08-25 Sumitomo Dainippon Pharma Oncology, Inc. JAK1 and ALK2 inhibitors and methods for their use
US11040038B2 (en) 2018-07-26 2021-06-22 Sumitomo Dainippon Pharma Oncology, Inc. Methods for treating diseases associated with abnormal ACVR1 expression and ACVR1 inhibitors for use in the same
WO2024006287A3 (en) * 2022-06-27 2024-02-15 University Of Kansas Antiviral compounds useful against sars-cov-2

Families Citing this family (42)

* Cited by examiner, † Cited by third party
Publication number Priority date Publication date Assignee Title
US11090313B2 (en) 2010-05-20 2021-08-17 University Of Iowa Research Foundation Methods for inhibiting muscle atrophy
US11844720B2 (en) 2011-02-04 2023-12-19 Seed Health, Inc. Method and system to reduce the likelihood of dental caries and halitosis
US11951139B2 (en) 2015-11-30 2024-04-09 Seed Health, Inc. Method and system for reducing the likelihood of osteoporosis
US11419903B2 (en) 2015-11-30 2022-08-23 Seed Health, Inc. Method and system for reducing the likelihood of osteoporosis
US12257272B2 (en) 2015-12-24 2025-03-25 Seed Health, Inc. Method and system for reducing the likelihood of developing depression in an individual
US11998479B2 (en) 2011-02-04 2024-06-04 Seed Health, Inc. Method and system for addressing adverse effects on the oral microbiome and restoring gingival health caused by sodium lauryl sulphate exposure
US12533312B2 (en) 2011-02-04 2026-01-27 Seed Health, Inc. Method and system for preventing sore throat in humans
US10314865B2 (en) 2011-02-04 2019-06-11 Katherine Rose Kovarik Method and system for treating cancer and other age-related diseases by extending the healthspan of a human
US12279989B2 (en) 2011-02-04 2025-04-22 Seed Health, Inc. Method and system for increasing beneficial bacteria and decreasing pathogenic bacteria in the oral cavity
US11951140B2 (en) 2011-02-04 2024-04-09 Seed Health, Inc. Modulation of an individual's gut microbiome to address osteoporosis and bone disease
US9730967B2 (en) 2011-02-04 2017-08-15 Katherine Rose Kovarik Method and system for treating cancer cachexia
CN106822153B (en) 2011-06-06 2019-12-17 爱荷华大学研究基金会 Method for inhibiting muscle atrophy
US11213552B2 (en) 2015-11-30 2022-01-04 Joseph E. Kovarik Method for treating an individual suffering from a chronic infectious disease and cancer
US11969445B2 (en) 2013-12-20 2024-04-30 Seed Health, Inc. Probiotic composition and method for controlling excess weight, obesity, NAFLD and NASH
US12005085B2 (en) 2013-12-20 2024-06-11 Seed Health, Inc. Probiotic method and composition for maintaining a healthy vaginal microbiome
US11833177B2 (en) 2013-12-20 2023-12-05 Seed Health, Inc. Probiotic to enhance an individual's skin microbiome
US12246043B2 (en) 2013-12-20 2025-03-11 Seed Health, Inc. Topical application to treat acne vulgaris
US12329783B2 (en) 2013-12-20 2025-06-17 Seed Health, Inc. Method and system to improve the health of a person's skin microbiome
US11839632B2 (en) 2013-12-20 2023-12-12 Seed Health, Inc. Topical application of CRISPR-modified bacteria to treat acne vulgaris
US11026982B2 (en) 2015-11-30 2021-06-08 Joseph E. Kovarik Method for reducing the likelihood of developing bladder or colorectal cancer in an individual human being
US11980643B2 (en) 2013-12-20 2024-05-14 Seed Health, Inc. Method and system to modify an individual's gut-brain axis to provide neurocognitive protection
US11672835B2 (en) 2013-12-20 2023-06-13 Seed Health, Inc. Method for treating individuals having cancer and who are receiving cancer immunotherapy
US11826388B2 (en) 2013-12-20 2023-11-28 Seed Health, Inc. Topical application of Lactobacillus crispatus to ameliorate barrier damage and inflammation
US11529379B2 (en) 2013-12-20 2022-12-20 Seed Health, Inc. Method and system for reducing the likelihood of developing colorectal cancer in an individual human being
US11642382B2 (en) 2013-12-20 2023-05-09 Seed Health, Inc. Method for treating an individual suffering from bladder cancer
US11998574B2 (en) 2013-12-20 2024-06-04 Seed Health, Inc. Method and system for modulating an individual's skin microbiome
CN107058557A (en) * 2017-05-12 2017-08-18 安徽省农业科学院畜牧兽医研究所 Influence the function candidate gene and its screening technique of pig flesh characters
TWI793151B (en) 2017-08-23 2023-02-21 瑞士商諾華公司 3-(1-oxoisoindolin-2-yl)piperidine-2,6-dione derivatives and uses thereof
US11192877B2 (en) 2018-07-10 2021-12-07 Novartis Ag 3-(5-hydroxy-1-oxoisoindolin-2-yl)piperidine-2,6-dione derivatives and uses thereof
AR116109A1 (en) 2018-07-10 2021-03-31 Novartis Ag DERIVATIVES OF 3- (5-AMINO-1-OXOISOINDOLIN-2-IL) PIPERIDINE-2,6-DIONA AND USES OF THE SAME
KR20210095162A (en) * 2018-11-20 2021-07-30 뉴트레코 아이피 애셋츠 비.브이. Composition for feeding pregnant animals
CN109632773B (en) * 2019-01-08 2021-11-12 贵州大学 Screening method of dihydrolipoic acid succinyltransferase inhibitor
US20220098252A1 (en) * 2019-01-25 2022-03-31 Ospedale San Raffaele S.R.L. Inhibitor of dux4 and uses thereof
CN111948401B (en) * 2019-06-26 2022-04-15 浙江大学 Application of CHCHHD 10 in promotion of AChR subunit gene expression and maintenance of NMJ stability
MX2022002022A (en) * 2019-08-16 2022-05-11 Volker Adams COMPOUNDS SUITABLE FOR THE TREATMENT AND PROPHYLAXIS OF MUSCLE WASTE AND OTHER CONDITIONS.
CN114650868A (en) * 2019-10-30 2022-06-21 达纳-法伯癌症研究公司 Small molecule degradation agent of HELIOS and use method thereof
WO2021099503A1 (en) * 2019-11-19 2021-05-27 Nutreco Ip Assets B.V. Animal feed and methods for improving animal performance and productivity
JP7648129B2 (en) * 2020-09-24 2025-03-18 国立大学法人金沢大学 Compositions for preventing, treating and/or alleviating depressive symptoms and compositions for increasing physical activity
CN116096379A (en) * 2021-02-26 2023-05-09 伊艾斯健康护理有限公司 Composition exhibiting muscle loss-inhibiting or muscle generation-promoting effect through skin-derived exosomes
CN114622020B (en) * 2022-03-30 2022-09-27 华南农业大学 KLHL31 gene molecular marker related to chicken growth traits and application thereof
KR20240078995A (en) * 2022-11-28 2024-06-04 재단법인 아산사회복지재단 Biomarkers for use in diagnosis of sarcopenia and the method of diagnosing sarcopenia using the same
WO2024243339A2 (en) * 2023-05-23 2024-11-28 Burrell Justin Boldine to reduce muscle atrophy and promote neuromuscular recovery

Citations (7)

* Cited by examiner, † Cited by third party
Publication number Priority date Publication date Assignee Title
US5422350A (en) * 1992-09-10 1995-06-06 Warner-Lambert Company Nitrogen substituted acridine and cytochrome P450 inhibitors and methods of use
US6096364A (en) * 1998-09-15 2000-08-01 Korea Institute Of Science & Technology Method for lowering blood glucose level by the administration of bioflavonoid
US20050153968A1 (en) * 2003-11-13 2005-07-14 Yingzhi Bi Monocyclic N-aryl hydantoin modulators of androgen receptor function
US20070014719A1 (en) * 2004-09-29 2007-01-18 Reading Christopher L Steroid analogs and characterization and treatment methods
US20100204121A1 (en) * 2009-02-10 2010-08-12 Romero Augustin T Dietary supplements containing terpenoid acids of maslinic acid or oleanolic acid and process for enhancing muscle mass in mammals
US20100305068A1 (en) * 2006-11-09 2010-12-02 Foldrx Pharmaceuticals, Inc. Compounds and methods for modulating protein trafficking
US20110097427A1 (en) * 2009-10-27 2011-04-28 Shyam Ramakrishnan Molecular Targets and Dietary Modulators of Exercise-Induced Muscle Damage

Family Cites Families (57)

* Cited by examiner, † Cited by third party
Publication number Priority date Publication date Assignee Title
US2684365A (en) * 1952-02-07 1954-07-20 Mosettig Erich Method of converting tomatidine into delta16-allopregnenolone
US2770618A (en) * 1952-10-07 1956-11-13 American Home Prod Tomatidine derivatives
US2910470A (en) 1958-11-20 1959-10-27 Searle & Co 3-oxocona-1, 4-dienine and intermediates for its preparation
NL124636C (en) 1965-02-26
NL6509936A (en) 1965-07-30 1967-01-31
US3625941A (en) 1968-04-30 1971-12-07 Searle & Co ALPHA-(2-LOWER ALKYL-2-{8 2-(6-LKOXY OR TERTIARY AMINO-1,2,3,4-TETRAHYDRONAPHTH-1-YLIDEN) ethyl{9 -3-OXO CYCLO-PERET-1-YLIDENAMINOXY OR OXO HYDROZINO) ALKONIC ACID AND ASYMMETRIC FORCES FOR THEIR PRODUCTION
GB1414047A (en) 1973-03-15 1975-11-12 Biorex Laboratories Ltd Ursolic acid derivatives
NZ193564A (en) * 1979-05-02 1985-01-31 Aruba Pty Ltd Steroid alkaloids from solanum sodomeum and pharmaceutical compositions
AU578068B2 (en) 1984-03-08 1988-10-13 Nippon Zoki Pharmaceutical Co., Ltd. Hydantoin derivatives and pharmaceutical compositions containing them
AT396589B (en) 1990-06-05 1993-10-25 Chemie Linz Gmbh METHOD FOR PRODUCING ALLANTOIN
BE1008235A5 (en) 1994-03-25 1996-02-20 Univ Gent ANALYSIS METHOD SUITED TO DETECT BETA AGONISTS AND BETA ANAGONISTS.
EP0767177A4 (en) 1994-06-24 1998-09-30 Nippon Shinyaku Co Ltd Triterpene derivative and medicinal composition
JP3041232B2 (en) 1995-11-16 2000-05-15 日本ケミカルリサーチ株式会社 Cancer metastasis inhibitor
JP3069686B2 (en) 1997-12-08 2000-07-24 農林水産省四国農業試験場長 Flavanone-containing composition
EP1067939B1 (en) * 1998-04-09 2015-09-16 The Johns Hopkins University Use of steroidal alkaloid derivatives as inhibitors of hedgehog protein signaling pathways
AUPP968699A0 (en) * 1999-04-09 1999-05-06 Cura Nominees Pty Ltd Therapeutic compositions and method for their preparation
IL133809A0 (en) * 1999-12-30 2001-04-30 Yeda Res & Dev Steroidal alkaloids and pharmaceutical compositions comprising them
WO2002009719A1 (en) 2000-07-31 2002-02-07 The Nisshin Oillio, Ltd. Antitumor agents
US7708998B2 (en) * 2000-10-13 2010-05-04 Curis, Inc. Methods of inhibiting unwanted cell proliferation using hedgehog antagonists
AU9684401A (en) * 2000-10-13 2002-04-22 Curis Inc Hedgehog antagonists, methods and uses related thereto
CN1477962A (en) 2000-11-30 2004-02-25 ������������ʽ���� Skin whitening food and drink and oral skin whitening agent
JP3716975B2 (en) 2001-10-30 2005-11-16 独立行政法人科学技術振興機構 Novel naringenin derivatives and uses thereof
EA007921B1 (en) 2001-12-06 2007-02-27 Джи Ти Икс, ИНК. Treating muscle wasting with selective androgen receptor modulators
US20030198684A1 (en) * 2002-04-23 2003-10-23 A. Braswell Composition and method for increasing testosterone levels
US20050090453A1 (en) * 2003-01-15 2005-04-28 Solbec Pharmaceuticals Co., Ltd. Methods of modulating IL-6
CN100506092C (en) 2004-06-08 2009-07-01 千南成 Chinese herbal hangover drink
EP1618881A1 (en) 2004-07-20 2006-01-25 Santhera Pharmaceuticals (Schweiz) GmbH Use of non-glucocorticoid steroids for the treatment of muscular dystrophy
US7772195B2 (en) 2004-07-29 2010-08-10 Board Of Trustees Of Michigan State University Methods and compositions for the treatment of obesity, insulin related diseases and hypercholesterolemia
WO2006031943A1 (en) 2004-09-14 2006-03-23 Eldridge Gary R Compounds, compositions and methods for controlling biofilms and bacterial infections
US20060062863A1 (en) * 2004-09-22 2006-03-23 Shibnath Ghosal Compositions for anti-obesity, health-restorative and health-promotional benefits
WO2006034586A1 (en) 2004-09-29 2006-04-06 Aplodan Formulations Ltd. Nutritional composition for promoting muscle performance and acting as hydrogen (h+) blocker
US8143425B2 (en) * 2004-10-12 2012-03-27 Bristol-Myers Squibb Company Heterocyclic aromatic compounds useful as growth hormone secretagogues
EP1889850B1 (en) 2005-06-10 2014-03-05 Pola Chemical Industries Inc. Novel triterpenic acid derivative and preparation for external application for skin comprising the same
US20080317885A1 (en) 2005-07-15 2008-12-25 Baker Donald J Compositions and Methods for Treating and Preventing Inflammatory and/or Degenerative Processes in Humans and Other Animals
WO2007053915A2 (en) 2005-11-09 2007-05-18 Universiteit Gent Naringenin derivatives with selectivity on ers
EP1987827A1 (en) 2006-02-20 2008-11-05 Takeda Pharmaceutical Company Limited Novel pharmaceutical
US8097596B2 (en) 2006-06-30 2012-01-17 Lakewood-Amedex, Inc. Compositions and methods for the treatment of muscle wasting
US20090203661A1 (en) 2006-10-12 2009-08-13 Safe Stephen H Betulinic acid, derivatives and analogs thereof and uses therefor
EP2146724A2 (en) 2007-03-16 2010-01-27 The Regent of the University of California Role of hedgehog signaling in atherosclerosis and cardiovascular disease
WO2008122038A1 (en) * 2007-04-02 2008-10-09 President And Fellows Of Harvard College Regulating autophagy
WO2008156654A2 (en) 2007-06-15 2008-12-24 Massachusetts Institute Of Technology Cytoskeleton modulators for treating metabolic disorders
WO2009082459A2 (en) * 2007-12-24 2009-07-02 Natrol, Inc. Anti-aging composition containing resveratrol and method of administration
JP2009209099A (en) * 2008-03-05 2009-09-17 Kumamoto Univ Prophylactic and therapeutic agent of arteriosclerosis
US20100040568A1 (en) 2008-04-30 2010-02-18 Skinmedica, Inc. Steroidal compounds as melanogenesis modifiers and uses thereof
JP2010095459A (en) 2008-10-15 2010-04-30 Kinki Univ Fat accumulation- or metabolism-ameliorating agent, anti-tnf-alpha agent and new triterpene compound
US20100104669A1 (en) 2008-10-28 2010-04-29 Scheffler Armin Method for preparing an aqueous solution containing triterpenic acid, aqueous solution containing triterpenic acid, and use thereof
US20120010176A1 (en) * 2008-11-12 2012-01-12 Khurana Tejvir S Utrophin promoter activity upregulation for the treatment of muscular dystrophy
EP2246050A1 (en) 2009-04-27 2010-11-03 IMR - International Medical Research - Partner GmbH Combination therapy comprising mechanical vibration for the treatment of a disease of the musculoskeletal or nervous system
WO2010132776A1 (en) 2009-05-14 2010-11-18 Rutgers, The State University Of New Jersey Oregano and mint anti-inflammatory compositions and methods
MX2012004118A (en) * 2009-10-09 2012-05-08 Nestec Sa Methods for preventing or treating sarcopenia and muscle atrophy in animals.
EP2571354B1 (en) * 2010-05-20 2020-07-08 University of Iowa Research Foundation Ursolic acid for inhibiting muscle atrophy
WO2014022772A1 (en) 2012-08-03 2014-02-06 University Of Iowa Research Foundation Tomatidine, analogs thereof, compositions comprising same, and uses for same
JP5752789B2 (en) 2010-06-04 2015-07-22 ブリストル−マイヤーズ スクイブ カンパニーBristol−Myers Squibb Company Modified C-3 betulinic acid derivatives as HIV maturation inhibitors
CN101940616B (en) * 2010-08-31 2012-07-25 中国药科大学 Preparation method of effective part of Clinopodium chinense (Benth.) O. Kuntze for preventing and treating diabetes and medicine application thereof
RS20100392A3 (en) 2010-09-06 2012-12-31 Pavlov, Aleksandar PROCEDURE FOR OBTAINING A HERBAL PREPARATION BASED ON AN EXTRACT OF A HERBAL MIXTURE FOR APPLICATION TO THE SKIN AND A HERBAL PREPARATION OBTAINED BY THIS PROCEDURE
RS61153B1 (en) 2011-01-07 2020-12-31 Anji Pharma Us Llc Chemosensory receptor ligand-based therapies
CN106822153B (en) 2011-06-06 2019-12-17 爱荷华大学研究基金会 Method for inhibiting muscle atrophy

Patent Citations (7)

* Cited by examiner, † Cited by third party
Publication number Priority date Publication date Assignee Title
US5422350A (en) * 1992-09-10 1995-06-06 Warner-Lambert Company Nitrogen substituted acridine and cytochrome P450 inhibitors and methods of use
US6096364A (en) * 1998-09-15 2000-08-01 Korea Institute Of Science & Technology Method for lowering blood glucose level by the administration of bioflavonoid
US20050153968A1 (en) * 2003-11-13 2005-07-14 Yingzhi Bi Monocyclic N-aryl hydantoin modulators of androgen receptor function
US20070014719A1 (en) * 2004-09-29 2007-01-18 Reading Christopher L Steroid analogs and characterization and treatment methods
US20100305068A1 (en) * 2006-11-09 2010-12-02 Foldrx Pharmaceuticals, Inc. Compounds and methods for modulating protein trafficking
US20100204121A1 (en) * 2009-02-10 2010-08-12 Romero Augustin T Dietary supplements containing terpenoid acids of maslinic acid or oleanolic acid and process for enhancing muscle mass in mammals
US20110097427A1 (en) * 2009-10-27 2011-04-28 Shyam Ramakrishnan Molecular Targets and Dietary Modulators of Exercise-Induced Muscle Damage

Non-Patent Citations (3)

* Cited by examiner, † Cited by third party
Title
EVIDENTE ET AL.: "Biological Evaluation of Structurally Diverse Amaryllidaceae Alkaloids and their Synthetic Derivatives: Discovery of Novel Leads for Anticancer Drug Design.", PLANTA MED., vol. 75, no. 5, April 2009 (2009-04-01), pages 501 - 507, XP055143553 *
LEINONEN.: "Novel Mass Spectrometric Analysis Methods for Anabolic Androgenic Steroids in Sports Drug Testing.", DEPARTMENT OF PHARMACEUTICAL CHEMISTRY FACULTY OF PHARMACY UNIVERSITY OF HELSINKI FINLAND., 2006, XP055144263 *
See also references of EP2717876A4 *

Cited By (19)

* Cited by examiner, † Cited by third party
Publication number Priority date Publication date Assignee Title
US10576091B2 (en) 2012-08-03 2020-03-03 University Of Iowa Research Foundation Tomatidine, analogs thereof, compositions comprising same, and uses for same
US9254295B2 (en) * 2012-08-03 2016-02-09 University Of Iowa Research Foundation Tomatidine, analogs thereof, compositions comprising same, and uses for same
US20150164918A1 (en) * 2012-08-03 2015-06-18 University Of Iowa Research Foundation Tomatidine, analogs thereof, compositions comprising same, and uses for same
US10022386B2 (en) 2012-08-03 2018-07-17 University Of Iowa Research Foundation Tomatidine, analogs thereof, compositions comprising same, and uses for same
US20180289725A1 (en) * 2012-08-03 2018-10-11 University Of Iowa Research Foundation Tomatidine, analogs thereof, compositions comprising same, and uses for same
US10752594B2 (en) 2013-03-14 2020-08-25 Sumitomo Dainippon Pharma Oncology, Inc. JAK1 and ALK2 inhibitors and methods for their use
WO2015095449A1 (en) * 2013-12-19 2015-06-25 Ptc Therapeutics, Inc. Methods for modulating the amount rna transcripts
CN105884852A (en) * 2015-01-07 2016-08-24 中国药科大学 Eutectic crystal of oleanolic acid and choline and preparation method and pharmaceutical composition of eutectic crystal
US11419915B2 (en) 2015-06-25 2022-08-23 Vitalnext B.V. Compositions and methods for the treatment of malnutrition
WO2016207329A1 (en) 2015-06-26 2016-12-29 Vitalnext B.V. Compositions and methods for the treatment of malnutrition
EP3368043A4 (en) * 2015-10-29 2019-07-10 Emmyon, Inc. FUROSTAN-3-OL DERIVATIVES FOR USE AS AGENTS FOR MUSCULOSKELETAL HYPERTROPHY
US10662219B2 (en) 2015-10-29 2020-05-26 Emmyon, Inc. Furostan-3-ol derivatives as skeletal muscle hypertrophic agents
US11136348B2 (en) 2015-10-29 2021-10-05 Emmyon, Inc. Furostan-3-ol derivatives as skeletal muscle hypertrophic agents
WO2019055280A1 (en) 2017-09-13 2019-03-21 Emmyon, Inc. Ursolic acid morpholine and diethanolamine salts
US12264178B2 (en) 2017-09-13 2025-04-01 Emmyon, Inc. Ursolic acid morpholine and diethanolamine salts
US12391726B2 (en) 2017-09-13 2025-08-19 Emmyon, Inc. Ursolic acid morpholine salt
US11040038B2 (en) 2018-07-26 2021-06-22 Sumitomo Dainippon Pharma Oncology, Inc. Methods for treating diseases associated with abnormal ACVR1 expression and ACVR1 inhibitors for use in the same
US10343997B1 (en) 2018-12-04 2019-07-09 King Saud University Ursolic acid derivatives
WO2024006287A3 (en) * 2022-06-27 2024-02-15 University Of Kansas Antiviral compounds useful against sars-cov-2

Also Published As

Publication number Publication date
EP3520793B1 (en) 2023-03-29
CA2838275A1 (en) 2012-12-13
US20160243132A1 (en) 2016-08-25
IL229802A (en) 2017-05-29
AU2012268036B2 (en) 2017-04-06
JP2017019834A (en) 2017-01-26
US9295664B2 (en) 2016-03-29
US20190105333A1 (en) 2019-04-11
AU2017204579B2 (en) 2018-09-20
CN106822153A (en) 2017-06-13
US10668087B2 (en) 2020-06-02
US10137136B2 (en) 2018-11-27
US20140228333A1 (en) 2014-08-14
EP3520793A3 (en) 2019-09-25
JP2017226670A (en) 2017-12-28
EP3520793A2 (en) 2019-08-07
EP2717876B1 (en) 2018-12-19
CA2838275C (en) 2021-08-10
IL251796B (en) 2019-05-30
JP2014517008A (en) 2014-07-17
JP6001060B2 (en) 2016-10-05
CN104080454A (en) 2014-10-01
IL251796A0 (en) 2017-06-29
CN104080454B (en) 2017-02-15
JP6175172B2 (en) 2017-08-02
CN106822153B (en) 2019-12-17
EP2717876A4 (en) 2015-04-22
AU2017204579A1 (en) 2017-07-27
EP2717876A1 (en) 2014-04-16

Similar Documents

Publication Publication Date Title
AU2012268036B2 (en) Methods of inhibiting muscle atrophy
AU2012268036A1 (en) Methods of inhibiting muscle atrophy
JP5808797B2 (en) Methods for inhibiting muscle atrophy
US20240269149A1 (en) Methods for inhibiting muscle atrophy
HK1238578B (en) Methods of inhibiting muscle atrophy
HK1196775A (en) Substances and compostions for use in methods of inhibiting muscle atrophy
HK1196775B (en) Substances and compostions for use in methods of inhibiting muscle atrophy
HK1238578A1 (en) Methods of inhibiting muscle atrophy
HK1207299B (en) Methods for inhibiting muscle atrophy

Legal Events

Date Code Title Description
121 Ep: the epo has been informed by wipo that ep was designated in this application

Ref document number: 12796615

Country of ref document: EP

Kind code of ref document: A1

ENP Entry into the national phase

Ref document number: 2838275

Country of ref document: CA

ENP Entry into the national phase

Ref document number: 2014514596

Country of ref document: JP

Kind code of ref document: A

NENP Non-entry into the national phase

Ref country code: DE

ENP Entry into the national phase

Ref document number: 2012268036

Country of ref document: AU

Date of ref document: 20120606

Kind code of ref document: A

WWE Wipo information: entry into national phase

Ref document number: 14124582

Country of ref document: US