WO2012168944A1 - Therapeutic compounds for immunomodulation - Google Patents
Therapeutic compounds for immunomodulation Download PDFInfo
- Publication number
- WO2012168944A1 WO2012168944A1 PCT/IN2011/000881 IN2011000881W WO2012168944A1 WO 2012168944 A1 WO2012168944 A1 WO 2012168944A1 IN 2011000881 W IN2011000881 W IN 2011000881W WO 2012168944 A1 WO2012168944 A1 WO 2012168944A1
- Authority
- WO
- WIPO (PCT)
- Prior art keywords
- cancer
- compound according
- terminal
- ser
- virus
- Prior art date
- Legal status (The legal status is an assumption and is not a legal conclusion. Google has not performed a legal analysis and makes no representation as to the accuracy of the status listed.)
- Ceased
Links
- 0 C*(C)C*(C)C(OC[C@@](C(O)=O)NC(OC(C)(C)C)=O)=O Chemical compound C*(C)C*(C)C(OC[C@@](C(O)=O)NC(OC(C)(C)C)=O)=O 0.000 description 1
- OZQKVBOTYVMSFG-UHBYFKDRSA-N CC(C)(C)OCC(CN[C@@H](CC(NC(c1ccccc1)(c1ccccc1)c1ccccc1)=O)C(OCc1ccccc1)=O)NC(OC(C)(C)C)=O Chemical compound CC(C)(C)OCC(CN[C@@H](CC(NC(c1ccccc1)(c1ccccc1)c1ccccc1)=O)C(OCc1ccccc1)=O)NC(OC(C)(C)C)=O OZQKVBOTYVMSFG-UHBYFKDRSA-N 0.000 description 1
- NRADPBSNPKALLD-SECBINFHSA-N CC(C)(C)OC[C@@H](C=O)NC(OC(C)(C)C)=O Chemical compound CC(C)(C)OC[C@@H](C=O)NC(OC(C)(C)C)=O NRADPBSNPKALLD-SECBINFHSA-N 0.000 description 1
- ZTAXRWLYJIUFFR-MHZLTWQESA-N N[C@@H](CC(NC(c1ccccc1)(c1ccccc1)c1ccccc1)=O)C(OCc1ccccc1)=O Chemical compound N[C@@H](CC(NC(c1ccccc1)(c1ccccc1)c1ccccc1)=O)C(OCc1ccccc1)=O ZTAXRWLYJIUFFR-MHZLTWQESA-N 0.000 description 1
Classifications
-
- C—CHEMISTRY; METALLURGY
- C07—ORGANIC CHEMISTRY
- C07K—PEPTIDES
- C07K7/00—Peptides having 5 to 20 amino acids in a fully defined sequence; Derivatives thereof
- C07K7/02—Linear peptides containing at least one abnormal peptide link
-
- A—HUMAN NECESSITIES
- A61—MEDICAL OR VETERINARY SCIENCE; HYGIENE
- A61K—PREPARATIONS FOR MEDICAL, DENTAL OR TOILETRY PURPOSES
- A61K38/00—Medicinal preparations containing peptides
- A61K38/04—Peptides having up to 20 amino acids in a fully defined sequence; Derivatives thereof
- A61K38/08—Peptides having 5 to 11 amino acids
-
- C—CHEMISTRY; METALLURGY
- C07—ORGANIC CHEMISTRY
- C07K—PEPTIDES
- C07K5/00—Peptides containing up to four amino acids in a fully defined sequence; Derivatives thereof
- C07K5/02—Peptides containing up to four amino acids in a fully defined sequence; Derivatives thereof containing at least one abnormal peptide link
- C07K5/0227—Peptides containing up to four amino acids in a fully defined sequence; Derivatives thereof containing at least one abnormal peptide link containing the (partial) peptide sequence -Phe-His-NH-(X)2-C(=0)-, e.g. Renin-inhibitors with n = 2 - 6; for n > 6 see C07K5/06 - C07K5/10
-
- A—HUMAN NECESSITIES
- A61—MEDICAL OR VETERINARY SCIENCE; HYGIENE
- A61K—PREPARATIONS FOR MEDICAL, DENTAL OR TOILETRY PURPOSES
- A61K38/00—Medicinal preparations containing peptides
-
- Y—GENERAL TAGGING OF NEW TECHNOLOGICAL DEVELOPMENTS; GENERAL TAGGING OF CROSS-SECTIONAL TECHNOLOGIES SPANNING OVER SEVERAL SECTIONS OF THE IPC; TECHNICAL SUBJECTS COVERED BY FORMER USPC CROSS-REFERENCE ART COLLECTIONS [XRACs] AND DIGESTS
- Y02—TECHNOLOGIES OR APPLICATIONS FOR MITIGATION OR ADAPTATION AGAINST CLIMATE CHANGE
- Y02A—TECHNOLOGIES FOR ADAPTATION TO CLIMATE CHANGE
- Y02A50/00—TECHNOLOGIES FOR ADAPTATION TO CLIMATE CHANGE in human health protection, e.g. against extreme weather
- Y02A50/30—Against vector-borne diseases, e.g. mosquito-borne, fly-borne, tick-borne or waterborne diseases whose impact is exacerbated by climate change
Definitions
- the present invention relates to novel peptides as therapeutic agents capable of inhibiting the programmed cell death 1 (PD1) signalling pathway.
- PD1 programmed cell death 1
- the invention also relates to modifications and derivatives of the therapeutic agents.
- the invention further relates to pharmaceutical compositions comprising the said novel peptides and their derivatives as therapeutic agents.
- the invention also encompasses the use of the said therapeutic agents, modifications and derivatives for treatment of disorders via immunopotentiation comprising inhibition of immunosuppressive signal induced due to PD-1, PD-L1, or PD- L2 and therapies using them.
- PD-1 Programmed Cell Death 1 or PD-1 (also referred to as PDCD1) is a ⁇ 55kD type I membrane glycoprotein (Shinohara T et al, Genomics, 1994, Vol. 23, No. 3, 704-706). PD-1 is a receptor of the CD28 superfamily that negatively regulates T cell antigen receptor signalling by interacting with the specific ligands and is suggested to play a role in the maintenance of self tolerance.
- PD-1 peptide relates to almost every aspect of immune responses including autoimmunity, tumour immunity, infectious immunity, transplantation immunity, allergy and immunological privilege.
- the PD-1 protein's structure comprise of-
- intracellular tail contains two phosphorylation sites located in an immunoreceptor tyrosine-based inhibitory motif and an immunoreceptor tyrosine-based switch motif, which suggests that PD-1 negatively regulates TCR signals.
- PD-1 is expressed on the surface of activated T cells, B cells, and macrophages, (Y. Agata et al., Int Immunol, May 1996, 8, 765.) suggesting that compared to CTLA-4 [(Cytotoxic T-Lymphocyte Antigen 4), also known as CD152 (Cluster of differentiation 152) is a protein that also plays an important regulatory role in the immune system], PD-1 more broadly negatively regulates immune responses.
- PD-1 has two ligands, PD-Ll (Programmed Death Ligand' 1 or PDCD1L1 or B7- HI) (Freeman GJ et al, Journal of Experimental Medicine, 2000, Vol. 19, No. 7, 1027- 1034.) and PD-L2 (Programmed Death Ligand 2 or PDCD1 L2 or B7-DC) (Latchman Y et al, Nature Immunology, 2001 , Vol. 2, No. 3, 261-267.), which are members of the B7 family.
- PD-Ll Programmed Death Ligand' 1 or PDCD1L1 or B7- HI
- PD-L2 Programmed Death Ligand 2 or PDCD1 L2 or B7-DC
- PD-Ll is known to be expressed not only in immune cells, but also in certain kinds of tumour cell lines (such as monocytic leukaemia-derived cell lines, mast cell tumour-derived cell lines, hematoma-derived cell lines, neuroblastoma-derived cell lines, and various mammary tumour-derived cell lines) and in cancer cells derived from diverse human cancer tissues (Latchman Y et al, Nature Immunology, 2001, Vol. 2, No. 3, 261 -267.) and on almost all murine tumour cell lines, including PA 1 myeloma, P815 mastocytoma, and B 16 melanoma upon treatment with IFN- ⁇ (Y.
- tumour cell lines such as monocytic leukaemia-derived cell lines, mast cell tumour-derived cell lines, hematoma-derived cell lines, neuroblastoma-derived cell lines, and various mammary tumour-derived cell lines
- cancer cells derived from diverse human cancer tissues Latchman Y et al, Nature Immunology, 2001, Vol. 2,
- Tumour cells and virus (including HCV and HIV) infected cells are known to express the ligand for PD-1 (to create Immunosuppression) in order to escape immune surveillance by host T cells.
- PD-1 the ligand for PD-1
- the PD-1 gene is one of genes responsible for autoimmune diseases like systemic lupus erythematosus (Prokunina et al, Nature Genetics, 2002, Vol. 32, No. 4, 666-669.).
- PD-1 serves as a regulatory factor for the onset of autoimmune diseases, particularly for peripheral self-tolerance, on the ground that PD-1 -deficient mice develop lupus autoimmune diseases, such as glomerulonephritis and arthritis (Nishimura H et al,
- blocking the interaction of PD-1 with its ligand may provide an effective way for specific tumour and viral immunotherapy.
- Wood et al in US6808710 discloses method for downmodulating an immune response comprising contacting an immune cell expressing PD-1 with an antibody that binds to PD-1, in multivalent form, such that a negative signal is transduced via PD-1 to thereby down modulate the immune response.
- an antibody may be a cross-linked antibody to PD-1 or an immobilized antibody to PD-1.
- B7-4 nucleic acid molecules which encode novel B7-4 polypeptides, isolated B7-4 proteins, fusion proteins, antigenic peptides and anti-B7-4 antibodies, which co-stimulates T cell proliferation in vitro when the polypeptide is present on a first surface and an antigen or a polyclonal activator that transmits an activating signal via the T-cell receptor is present on a second, different surface.
- PD-1, PD-Ll or PD-L2 inhibitory antibody, nucleic acid molecules or polypeptides are reported in WO2001 14557, WO2004004771, WO2004056875, WO2002079499, WO2003042402, WO2002086083, WO2001039722, WO2003042402 and WO200200730.
- WO2007005874 describes isolated human monoclonal antibodies that specifically bind to PD-Ll with high affinity.
- the disclosure provides methods for treating various diseases including cancer using anti-PD-Ll antibodies.
- US20090305950 describes multimers, particularly tetramers of an extracellular domain of PD-1 or PD-Ll .
- US7432059 and US7709214 disclose isolated nucleic acids molecules, designated PD L2 nucleic acid molecules which encode novel B7 related molecules which are ligands for PD 1.
- the present invention therefore may provide the solution for this unmet medical need by offering novel synthetic peptide and its derivatives which are based on the PD1 ectodomain.
- Figure 1 shows the effect of compounds on mouse splenocyte proliferation inhibited by PD1 -PDL1 interaction in the presence of human breast carcinoma cell line, MDA-MB- 231 over expressing PDL 1.
- SEQ ID NO: 1 shows amino acid sequence of extracellular domain of human PD-1.
- SEQ ID NO: 2 shows amino acid sequence of BC Loop.
- novel modified peptides are provided which are capable of suppressing and/or inhibiting the programmed cell death 1 (PD1) signalling pathway.
- PD1 programmed cell death 1
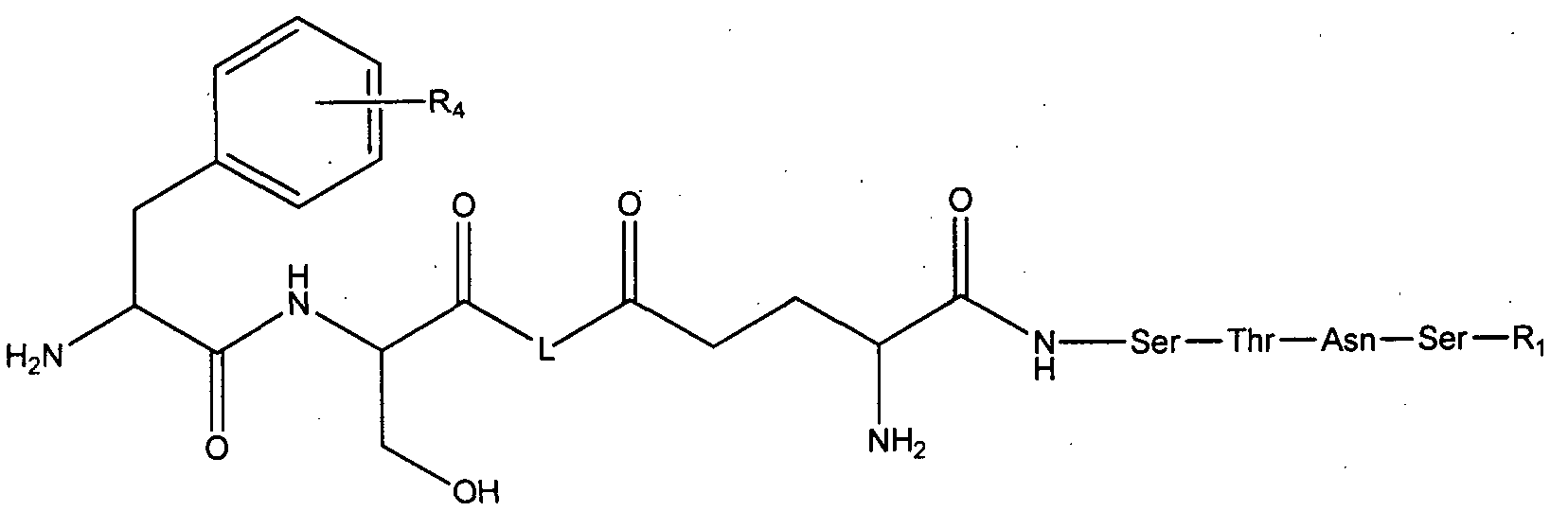
- the invention provides a modified peptide of formula (I):
- Ami represents 1 to 4 amino acid residues which may be same or different and each independently selected from Ser, Asn and Thr; wherein one of the peptide bond (-CONH-) between any two amino acid residues may be replaced with a modified peptide bond of
- Q is hydrogen, -CO(C , -C 20 )alkyl or -COO(C 1 -C 20 )alky 1 ;
- Am 2 is comprising of dipeptide selected from Ser-Phe or Phe-Ser, wherein Phe may be optionally substituted with amino(Ci-C 20 )alkyl, -NHCOCH 3 or -NHCONH 2 ;
- X is Glu which may optionally form amide bonds with its alpha carboxylic acid group, delta carboxylic acid group or amino group;
- L is a linker selected from -NH(CH 2 ) n NH-, -NH(CH 2 ) n CH(NH 2 )CO-, -OOC(CH 2 ) m COO-, -NH(CH 2 ) intuitionCO-, -NH(CH 2 CH 2 0) n NH-, -NH(CH 2 CH 2 0) n CO- or - CO(CH 2 CH 2 0) n CO-;
- Ri is free C-terminal, amidated C-terminal or N-terminal of Ami ; or is (Ci- C 20 )acyl substitution;
- R 2 is free C-terminal, amidated C-terminal or N-terminal of Am 2 ; or Y-R5;
- Y is an optional linker selected from -OOC(CH 2 ) m COO-, -CO(CH 2 ) n NH-, - CO(CH 2 CH 2 0) n NH- or -COCH 2 (OCH 2 CH 2 ) n NH-;
- Rs is an albumin binding moiety such as maleimido propionic acid
- R3 is free alpha C-terminal, amidated alpha C-terminal or N-terminal of Glu; 'n' is an integer selected from 2 to 10, both inclusive;
- 'm' is an integer selected from 0 to 8, both inclusive;
- the invention provides a modified peptide of formula (la):
- Ri is N-terminal of Ser; or (Ci-C 2 o)acyl substituted with either hydroxyl group or amino group of Ser
- L is a linker selected from -NH(CH 2 ) n NH-, -NH(CH 2 ) n CH(NH 2 )CO-, - OOC(CH 2 ) m COO-, -NH(CH 2 ) n CO-, -NH(CH 2 CH 2 0) n NH-, -NH(CH 2 CH 2 0) n CO- or - CO(CH 2 CH 2 0) n CO-;
- R 2 is free C-terminal, amidated C-terminal or N-terminal of Am 2 ; or Y-R5;
- Y is an optional linker selected from -OOC(CH 2 ) m COO-, -CO(CH 2 ) n NH-, - CO(CH 2 CH 2 0) n NH- or -COCH 2 (OCH 2 CH 2 ) crampNH-;
- R5 is an albumin binding moiety such as maleimido propionic acid
- R 3 is OH or NH 2 ;
- R4 is a substituent on phenyl group of Phe and is selected from hydrogen, amino(CrC2o)alkyl, -NHCOCH3 or -NHCONH 2 ;
- 'n' is an integer having values selected from 2 to 10, both inclusive;
- 'm' is an integer having values selected from 0 to 8, both inclusive; and one of the peptide bond (-CONH-) of Ser-Asn, Asn-Thr or Thr-Ser may be replaced with a modified peptide bond of
- Q is hydrogen, -CO(Ci-C 2 o)alkyl or -COO(Ci-C 2 o)alkyl group;
- the invention provides a modified peptide of formula (lb): H 2 N -Ser— Thr— Asn— Sen— R.,
- Ri is free C-terminal or amidated C-terminal of Ser
- L is a linker selected from -NH(CH 2 ) consultNH- or -NH(CH 2 CH 2 0) n NH-;
- R4 IS selected from hydrogen, amino(Ci-C 20 )alkyl, -NHCOCH 3 or -NHCONH 2 ; or retro analogue or a pharmaceutically acceptable stereoisomer or a pharmaceutically acceptable salt thereof.
- 'peptide' is used herein to designate a sequence of natural or unnatural amino acids bonded in said sequence by peptide bonds.
- Leu (or L) leucine He (or I)— isoleucine Orn-ornithine
- Pro proline Phe (or F)— phenylalanine Tip (or W)— tryptophan
- Gin (or Q) glutamine Asp (or D)— aspartic acid
- Glu (or E) glutamic acid
- (Ci-C 20 )alkyl refers to straight or branched chain hydrocarbon having 1 to 20 carbon atoms including, but not limited to, methyl, ethyl, propyl, butyl, isobutyl and the like.
- amino(Ci-C 2 o)alkyl refers to straight or branched chain hydrocarbon having 1 to 20 carbon atoms with an amino group including, but not limited to, aminomethyl, aminoethyl and the like.
- (Ci-C 2 o)acyl refers to RC(O)-, wherein R is (Ci- C 20 )alkyl as defined above. For example, acetyl, -C(0)(CH 2 ) 4 CH 3, -C(0)(CH 2 ) 14 CH 3 and the like.
- peptide bond refers to the chemical bond between carbon and nitrogen in the bivalent group CONH that unites amino acid residues in a peptide.
- retro analogue refers to a sequence of amino acids that has been altered with respect to a native amino acid sequence by the reversal of the direction of the native amino acid sequence. For example, for a native sequence "Ser- Asn-Thr-Ser”; the retro sequence would be "Ser-Thr-Asn-Ser”.
- the retro analogue may be partial retro sequence.
- partial retro sequence refers to a sequence of amino acids that has been partially altered with respect to a native amino acid sequence by the reversal of the direction of the native amino acid sequence. For example, for a native sequence "Ser-Asn-Thr-Ser-Glu-Phe-Ser"; the partial retro sequence would be "Phe-Ser- Glu-Ser-Thr-Asn-Ser”.
- albumin binding moiety refers to the moiety capable of binding to a serum albumin of a mammal which may alternatively, be an organic, non- proteinaceous compound with affinity for the mammalian serum albumin.
- the moiety is preferably a radical of such an organic compound, which is covalently bound to the biologically active protein moiety.
- EMCH maleimido propionic acid
- EMCH maleimidocaproic acid hydrazide
- the present invention provides immunosuppression modulating peptides capable of suppressing and/or inhibiting the programmed cell death 1 (PD1 ) signalling pathway.
- the present invention further provides modifications, derivatives of the peptides and pharmaceutical compositions comprising the peptides for treatment of cancer or infection via immunopotentiation caused by inhibition of immunosuppressive signal induced by PD-1, PD-L1, or PD-L2 and therapies using them, immunopotentiative substrates included as the active ingredients.
- compounds capable of inhibiting ability to inhibit the programmed cell death 1 (PD1 ) signalling pathway and being capable of reducing PD-L1 or PD-L2 binding to PD- 1 and resulting immunosuppressive signalling by PD-1 , wherein the compound comprises a peptide moiety or a modified peptide moiety.
- PD1 programmed cell death 1
- PD-1 possesses an ectodomain having multiple loop structures and strands between the loops.
- the amino acid sequence of the human PD-1 ectodomain is as set forth in SEQ ID NO: 1.
- loop and strand assignments of amino acids are based on the 1.8-A- resolution structure of the murine PD-1 PD-L2 complex reported in Lazar-Molnar et al, (PNAS, 2008, 105, 30, 10483-10488.).
- the present invention provides compounds comprising of modified BC loop of extracellular domain of human PD-1.
- SNTSESF Modifications of the peptides discussed herein where relevant include replacements of some or all of the L-amino acids by D-amino acids, bonding of amino acids at other than alpha amino groups, including at side chain amino or carboxylic groups, inclusion of non-peptide linkers between peptide sequences, deletion of one or more amino acids, cross-linking, lipidation, stapling, and PEGylation.
- the compounds of the invention may comprise linear or branched peptides.
- the invention provides a modified peptide of formula (I):
- Ami represents 1 to 4 amino acid residues which may be same or different and each independently selected from Ser, Asn and Thr; wherein one of the peptide bond (-CONH-) between any two amino acid residues may be replaced with a modified peptide bond of
- Q is hydrogen, -CO(Ci-C 20 )alkyl or -COO(Ci-C 20 )alkyl;
- Am 2 is comprising of dipeptide selected from Ser-Phe or Phe-Ser, wherein Phe may be optionally substituted with amino(Ci-C 20 )alkyl, -NHCOCH 3 or -NHCONH 2 ;
- X is Glu which may optionally form amide bonds with its alpha carboxylic acid group, delta carboxylic acid group or amino group;
- L is a linker selected from -NH(CH 2 ) n NH-, -NH(CH 2 ) n CH(NH 2 )CO-, -OOC(CH 2 ) m COO-, -NH(CH 2 ) n CO-, -NH(CH 2 CH 2 0) n NH-, -NH(CH 2 CH 2 0) n CO- or - CO(CH 2 CH 2 0) n CO-;
- Ri is free C-terminal, amidated C-terminal or N-terminal of Ami ; or is (Ci- C 20 )acyl substitution;
- R 2 is free C-terminal, amidated C-terminal or N-terminal of Am ; or Y-R5;
- Y is an optional linker selected from -OOC(CH 2 ) m COO-, -CO(CH 2 ) n NH-, - CO(CH 2 CH 2 0) n NH- or -COCH 2 (OCH 2 CH 2 ) n NH-;
- R5 is an albumin binding moiety such as maleimido propionic acid
- R3 is free alpha C-terminal, amidated alpha C-terminal or N-terminal of Glu; 'n' is an integer selected from 2 to 10, both inclusive;
- 'm' is an integer selected from 0 to 8, both inclusive;
- the invention provides a modified peptide of formula (la):
- Ri is N-terminal of Ser; or (Ci-C o)acyl substituted with either hydroxyl group or amino group of Ser
- L is a linker selected from -NH(CH 2 ) n NH-, -NH(CH 2 ) n CH(NH 2 )CO-, - OOC(CH 2 ) m COO-, -NH(CH 2 ) n CO-, -NH(CH 2 CH 2 0) n NH-, -NH(CH 2 CH 2 0) n CO- or - CO(CH 2 CH 2 0) n CO-;
- R 2 is free C-terminal, amidated C-terminal or N-terminal of Am 2 ; or Y-R5;
- Y is an optional linker selected from -OOC(CH 2 ) m COO-, -CO(CH 2 ) n NH-, -
- R5 is an albumin binding moiety such as maleimido propionic acid
- R 3 is OH or NH 2 ;
- R4 is a substituent on phenyl group of Phe and is selected from hydrogen, amino(Ci-C 20 )alkyl, -NHCOCH3 or -NHCONH 2 ;
- 'n' is an integer having values selected from 2 to 10, both inclusive;
- 'm' is an integer having values selected from 0 to 8, both inclusive; and one of the peptide bond (-CONH-) of Ser-Asn, Asn-Thr or Thr-Ser may be replaced with a modified peptide bond of
- Q wherein Q is hydrogen, -CO(Ci-C 2 o)alkyl or -COO(C]-C 20 )alkyl group;
- the invention provides a modified peptide of formula (lb):
- Ri is free C-terminal or amidated C-terminal of Ser
- L is a linker selected from -NH(CH 2 ) n NH- or -NH(CH 2 CH 2 0) n NH-;
- R* is selected from hydrogen, amino(Ci-C 20 )alkyl, -NHCOCH 3 or -NHCONH 2 ; or retro analogue or a pharmaceutically acceptable stereoisomer or a pharmaceutically acceptable salt thereof.
- R 2 is Y-R 5 wherein Y is -COCH 2 (OCH 2 CH 2 ) n NH-, 'n' is 2 and R 5 is maleimido propionic acid.
- Q is hydrogen, -CO(Ci-C2o)alkyl or -COO(Ci-C 2 o)alkyl group and the alkyl group may be linear or branched.
- Q is hydrogen, -CO(Ci-C 20 )alkyI or -COO(Ci-C 2 o)aIkyI group and the alkyl group may be linear or branched.
- Q is hydrogen, -CO(Ci-C 20 )alkyI or -COO(Ci-C 2 o)aIkyI group and the alkyl group may be linear or branched.
- R] is amidated C-terminal of Ser.
- PD1 programmed cell death 1
- Compounds of the invention may comprise peptide moieties that are lipidated and/or are glycosylated.
- One or more of the amino acids of the peptide may be a D- amino acid with a view to increasing stability in vivo.
- the invention includes compounds as described above, formulated for pharmaceutical administration, typically by combination with a pharmaceutically acceptable carrier or diluent.
- the invention includes compounds as described above for use in a method of medical treatment, e.g. in the treatment of cancer, treatment of bacterial and viral infections
- the invention further includes a method of screening compounds for ability to block interaction between PD-1 and a PD-1 ligand, comprising contacting candidate compounds of the kind described above with PD-1 or a PD-1 ligand binding portion of PD-1 and with a PD-1 ligand or a PD-1 binding portion of a PD-1 ligand, and measuring the extent of PD- 1/PD-l 1 igand binding.
- compounds of the invention may be combined with carrier molecules such as dendrimers, e.g. PAMAM dendrimers, liposomes, micro-particles and nanoparticles such as polycyanoacrylate nanoparticles, and these also may be PEGylated, below are the representative compounds, which are illustrative in nature only and are not intended to limit the scope of the invention.
- carrier molecules such as dendrimers, e.g. PAMAM dendrimers, liposomes, micro-particles and nanoparticles such as polycyanoacrylate nanoparticles, and these also may be PEGylated
- a compound having the ability to inhibit the programmed cell death 1 (PDl ) signalling pathway and being capable of reducing PD-L1 or PD-L2 binding to PD-1 and resulting immunosuppressive signalling by PD-1.
- PDl programmed cell death 1
- the compounds as disclosed in the present invention are formulated for pharmaceutical administration.
- Another embodiment of the present invention provided a pharmaceutical composition
- a pharmaceutical composition comprising the compound as disclosed, and a pharmaceutically acceptable carrier or diluent.
- Yet another embodiment of the present invention provides use of the compounds as disclosed in the present invention for the preparation of a medicament for the treatment of cancer.
- Yet another embodiment of the present invention provides use of the compounds as disclosed in the present invention for the preparation of a medicament for the treatment of bacterial, fungal and viral infection.
- tumour cells include cancer such as but not limited to melanoma, renal cancer, prostate cancer, breast cancer, colon cancer, lung cancer, bone cancer, pancreatic cancer, skin cancer, cancer of the head or neck, cutaneous or intraocular malignant melanoma, uterine cancer, ovarian cancer, rectal cancer, cancer of the anal region, stomach cancer, testicular cancer, carcinoma of the fallopian tubes, carcinoma of the endometrium, carcinoma of the cervix, carcinoma of the vagina, carcinoma of the vulva, Hodgkin's Disease, non-Hodgkin's lymphoma, cancer of the esophagus, cancer of the small intestine, cancer of the endocrine system, cancer of the thyroid gland, cancer of the parathyroid gland, cancer of the adrenal gland, sarcoma of soft tissue, cancer of the urethra, cancer of the penis, chronic or acute leukemias including acute myeloid leukemia, chronic myeloid leukemia, acute lymphoblastic leukemia
- Yet another embodiment of the present invention provides a method of treatment of infection via immunopotentiation caused by inhibition of immunosuppressive signal induced by PD-1 , PD-L1 , or PD-L2, wherein the method comprises administration of an effective amount of the compound and/or peptides of the present invention to the subject in need thereof.
- the infectious disease includes but not limited to HIV, Influenza, Herpes, Giardia, Malaria, Leishmania, the pathogenic infection by the virus Hepatitis (A, B, & C), herpes virus (e.g., VZV, HSV-I, HAV-6, HSV-II, CMV and Epstein Barr virus), adenovirus, influenza virus, flaviviruses, echovirus, rhinovirus, coxsackie virus, cornovirus, respiratory syncytial virus, mumps virus, rotavirus, measles virus, rubella virus, parvovirus, vaccinia virus, HTLV virus, dengue virus, papillomavirus, molluscum virus, poliovirus, rabies virus, JC virus and arboviral encephalitis virus, pathogenic infection by the bacteria chlamydia, rickettsial bacteria, mycobacteria, staphylococci, streptococci, pneumonococci, meningococci
- coli legionella, diphtheria, salmonella, bacilli, cholera, tetanus, botulism, anthrax, plague, leptospirosis, and Lyme's disease bacteria, pathogenic infection by the fungi Candida (albicans, krusei, glabrata, tropicalis, etc.), Cryptococcus neoformans, Aspergillus (fumigatus, niger, etc.), Genus Mucorales (mucor, absidia, rhizophus), Sporothrix schenkii, Blastomyces dermatitidis, Paracoccidioides brasiliensis, Coccidioides immitis and Histoplasma capsulatum and pathogenic infection by the parasites Entamoeba histolytica, Balantidium coli, Naegleriafowleri, Acanthamoeba sp., Giardia lambia, Cryptosporidium sp., Pneumo
- Still yet another embodiment of the present invention provides a method for treating sepsis in a subject comprising administering to the subject a therapeutically effective amount of compound of the present invention, capable of inhibiting the programmed cell death 1 (PD1 ) signaling pathway such that the subject is treated for the bacterial, fungal and viral infections.
- PD1 programmed cell death 1
- the compounds of the present invention may be used as single drug or as a pharmaceutical composition in which the compound is mixed with various pharmacologically acceptable materials.
- the pharmaceutical composition is usually administered by a parenteral administration route, but can be administered by oral or inhalation routes.
- parenteral administration include administration by injection, and percutaneous, transmucosal, transnasal and transpulmonary administrations.
- the injectable materials include a solution, a suspension, and a solid injection that is dissolved or suspended in a solvent before use.
- the injection is used after one or more active ingredients are dissolved, suspended or emulsified in a solvent.
- the solvent include water-soluble solvents (e.g., distilled water, physiological saline and Ringer's solution), oil solvents (e.g., vegetable oils such as olive oil, sesame oil, cotton oil and corn oil, and . alcohols such as propylene glycol, polyethylene glycol and ethanol), and combinations thereof.
- the injection may contain a stabilizer (e.g., human serum albumin), solubilizing agent (e.g., polyethylene glycol, propylene glycol, D-mannitol, trehalose, benzyl benzoate, ethanol, trisaminomethane, cholesterol, triethanolamine, sodium carbonate, sodium citrate, sodium salicylate and sodium acetate), suspending agent (e.g., surfactants such as stearyl triethanolamine, sodium lauryl sulfate, lauryl aminopropionic acid, lecithin, benzalkonium chloride, benzethonium chloride and glyceryl monostearate; hydrophilic polymers such as polyvinyl alcohol, polyvinyl pyrrolidone, sodium carboxymethyl cellulose, methyl cellulose, hydroxymethyl cellulose, hydroxyethyl cellulose and hydroxypropyl cellulose; polysorbates; and polyoxyethylene hardened castor oil), emulsifier, soothing agent (e.
- injections may be prepared by known methods in the formulation technology field, such as by a method described in various Pharmacopoeia. They are prepared, for example, through a sterilization process at the final stage, or by aseptic manipulation. It is also possible to use an aseptic solid formulation, such as a freeze dried product, wherein the aseptic solid formulation is prepared and dissolved in aseptic or sterilized distilled water for injection or other solvents before use.
- an aseptic solid formulation such as a freeze dried product, wherein the aseptic solid formulation is prepared and dissolved in aseptic or sterilized distilled water for injection or other solvents before use.
- parenteral solutions may be supplied in a vessel with a standard capacity, such as a plastic or glass vial, ampoule, syringe and injector, or in a vessel with a large capacity, such as a bottle.
- a standard capacity such as a plastic or glass vial, ampoule, syringe and injector
- a vessel with a large capacity such as a bottle.
- the dosage of the compounds of the present invention varies depending on age, ⁇ weight, symptom, therapeutic efficacy, dosing regimen and/or treatment time. Generally, they may be administered by a parenteral route (preferably intravenous administration) in an amount of 1 mg to 100 mg per time, from once a couple of days, once 3 days, once 2 days, once a day to a couple of times a day, in the case of an adult, or continuously administered by intravenous administration from 1 to 24 hours a day. Since the dosage is affected by various conditions, an amount less than the above dosage may sometimes work well enough, or higher dosage may be required in some cases.
- Parenteral administration by injection includes all forms of injections, and also includes intravenous fluids.
- intramuscular injections includes intramuscular injections, subcutaneous injections, intradermal injections, intraarterial injections, intravenous injections, intraperitoneal injections, injections to spinal cavity, and intravenous drops.
- the compounds of the present invention may be administered in combination with other drugs for (1) complementation and/or enhancement of prevention and/or therapeutic efficacy of the preventive and/or therapeutic drug of the present invention, (2) dynamics, absorption improvement, dosage reduction of the preventive and/or therapeutic drug of the present invention, and/or (3) reduction of the side effects of the preventive and/or therapeutic drug of the present invention.
- a concomitant medicine comprising the peptide of the present invention and other drug may be administered as a combination preparation in which both components are contained in a single formulation, or administered as separate formulations.
- the administration by separate formulations includes simultaneous administration and administration with some time intervals.
- the compound of the present invention can be administered first, followed by another drug or another drug can be administered first, followed by the compound of the present invention.
- the administration method of the respective drugs may be the same or different.
- the dosage of the other drug can be properly selected, based on a dosage that has been clinically used.
- the compounding ratio of the compound of the present invention and the other drug can be properly selected according to age and weight of a subject to be administered, administration method, administration time, disorder to be treated, symptom and combination thereof.
- the other drug may be used in an amount of 0.01 to 100 parts by mass, based on 1 part by mass of the compound of the present invention.
- the other drug may be a combination of two or more kind of arbitrary drugs in a proper proportion.
- the other drug that complements and/or enhances the preventive and/or therapeutic efficacy of the compound of the present invention includes not only those that have already been discovered, but those that will be discovered in future, based on the above mechanism.
- the concomitant medicine can be used for any diseases, as long as it complements and/or enhances the preventive and/or therapeutic efficacy of the compound of the present invention.
- the concomitant use is able to reduce a dosage of chemotherapeutics commonly used or an irradiation dosage in radio therapy. This results in suppression of side effects that accompany with chemotherapy and radio therapy.
- the compound of the present invention can be used with an existing chemotherapeutic concomitantly or in a mixture form.
- the chemotherapeutic include an alkylation agent, nitrosourea agent, antimetabolite, anticancer antibiotics, vegetable-origin alkaloid, topoisomerase inhibitor, hormone drug, hormone antagonist, aromatase inhibitor, P-glycoprotein inhibitor, platinum complex derivative, other immunotherapeutic drugs and other anticancer drugs.
- a cancer treatment adjunct such as a leucopenia (neutrophenia) treatment drug, thrombocytopenia treatment drug, antiemetic and cancer pain intervention drug, concomitantly or in a mixture form.
- the compound of the present invention can be used with other immunomodulators concomitantly or in a mixture form.
- the immunomodulator include various cytokines.
- the cytokines that stimulates immune responses include GM-CSF, M-CSF, G-CSF, interferon-a, ⁇ , or ⁇ , IL-1, IL-2, IL-3 and IL-12.
- the concomitant use of the compound of the present invention and a cancer antigen is able to give an additive or synergetic enhancement effect.
- the cancer antigen include HLA-A1 and HLA-A2 derived peptides derived from MAGE-1 or MAGE-3 of malignant melanoma, MART-1 and gplOO, HER2/neu peptide of breast cancer and ovarian cancer, MUC-1 peptide of adenocarcinoma and NY-ESO-1 of metastatic cancer.
- the Reverse phase analytical HPLC was performed using on Zorbax Eclipse XDB-C 18 silica column (4.6 mm X 250mm, 5 ⁇ ). Buffer A: 0.1% TF A/Water, Buffer B: 0.1% TFA in 9: 1 acetonitrile /water. Equilibration of the column with 2 % buffer B and elution by a gradient of 2% to 25% buffer B in 5 min and from 25% to 40% buffer B in total run time of 20 min.
- LCMS was performed on API 2000 LC/MS/MS triple quad (Applied biosystems) with Agilent 1 100 series HPLC with G1315 B DAD diode array detector, using Mercury MS column.
- Desiccated CLEAR Amide resin (0.46 mmol/g, 1 g) was placed in a polyethylene vessel equipped with a polypropylene filter. Resin was swelled in DCM (15 mL) for 1 h and DMF (15 mL) for 1 h. The Fmoc group of the CLEAR Amide was deprotected by treating it twice with 20% (v/v) piperdine/DMF solution for 5 and 15 min (10 m L). The resin was washed with DMF (6 X 10 m L), DCM (6 X 10 m L) and DMF (6 X 10 m L). Kaiser test on peptide resin aliquot upon completion of Fmoc-deprotection was positive.
- the un-reacted amino group, if any, in the resin is capped, used acetic anhydride/pyridine/DCM (1 :8:8) for 20 minutes to avoid any deletion of the sequence.
- resin was washed with DCM (6 X 10 m L), DMF (6 X 10 m L), DCM (6 X 10 m L) and DMF (6 X 10 m L).
- the Fmoc group on the C-terminal amino acid attached peptidyl resin was deprotected by treating it twice with 20% (v/v) piperdine/DMF solution for 5 and 15 min (10 m L).
- the Fmoc group on the peptidyl resin was deprotected by treating it twice with 20% (v/v) piperdine/DMF solution for 5 and 15 min (10 mL). The resin was washed with DMF (6 X 10 m L), DCM (6 X 10 m L) and DMF (6 X 10 m L). Kaiser test on peptide resin aliquot upon completion of Fmoc-deprotection was positive. Boc-Ser (OtBu)-OH (0.62 g; 5 equiv.
- the Allyl protecting group from the carboxyl moiety of Glu was removed from the peptidyl resin by treating with tetrakistriphenylphosphine palladium (0) (10 Equiv; 5.3 g) and Phenylsilane (20 eqv; 1.2 m L) in a solution of chloroform/N-methylpyrrolidine (95/5 v/v) for 4 h under argon.
- the resin was washed with a solution of 10% NMP in chloroform (6 X 10 m L), 1% DIEPA in DMF (6 X 10 m L), DCM (6 X 10 m L), DMF (6 X 10 m L).
- the Fmoc group of the linker attached to peptidyl resin was deprotected by treating it twice with 20% (v/v) piperdine/DMF solution for 5 and 15 min (10 m L). The resin was washed with DMF (6 X 10 m L), DCM (6 X 10 m L) and DMF (6 X 10 m L). Kaiser test on peptide resin aliquot upon completion of Fmoc-deprotection was positive. Next amino acid Fmoc-Phe-OH (0.89 g; 5 equiv.
- the Fmoc group of the peptidyl resin was deprotected by treating it twice with 20% (v/v) piperdine/DMF solution for 5 and 15 min (10 m L). The resin was washed with DMF (6 X 10 mL), DCM (6 X 10 mL) and DMF (6 X 10 mL). Kaiser test on peptide resin aliquot upon completion of Fmoc-deprotection was positive. The last amino acid of the complete sequence Boc-Ser (OtBu)-OH (0.62 g; 5 equiv.
- the peptidyl resin was washed with, DCM (6 X 10m L), MeOH (6 X 10 m L) and ether (6 x 10 m L) and dried in vacuum desiccators overnight.
- the cleavage of the peptide from the solid support was achieved by treating the peptide-resin with reagent cocktail (90.0% TFA / 5% TIPS/5% H 2 0) at room temperature for 2.5 h. Cleavage mixture was collected by filtration and the resin was washed with TFA (2 m L) and DCM (2 x 5 m L). The excess TFA and DCM was concentrated to small volume under nitrogen and a small amount of DCM (5-10 m L) was added to the residue and evaporated under nitrogen.
- the process was repeated 3-4 times to remove most of the volatile impurities.
- the residue was cooled to 0°C and anhydrous ether was added to precipitate the peptide.
- the precipitated peptide was centrifuged and the supernatant ether was removed and fresh ether was added to the peptide and re-centrifuged (270 mg, 70 % yield).
- the residue was dissolved in Millipore water and lyophilized to obtain the crude peptide.
- the crude sample was preparative HPLC purified on Zorbax Eclipse XDB-C18 column (9.4 mm X 250mm, 5 ⁇ ⁇ ⁇ ) with buffer A: 0.1% TF A/Water, buffer B: Acetonitrile.
- the synthesis was carried out manually using the same method as in example 1 using desiccated Rink Amide MBHA-Amide resin (100-200 mesh, 0.66 mmol/g, 0. 75 g).
- the N-terminal amino acid serine was coupled as Fmoc-Ser-(OtBu)-OH as detailed in example 1.
- the Fmoc group of the linker attached to peptidyl resin was deprotected by treating it twice with 20% (v/v) piperdine/DMF solution for 5 and 15 min (10 m L). The resin was washed with DMF (6 X 10 m L), DCM (6 X 10 m L) and DMF (6 X 10 m L).
- the linear chain of the sequence is completed and further chain elongation is achieved by removing the orthogonal allyl ester protecting group on the Glutamic acid as mentioned in example 1 to yield 300 mg , 70 % crude peptide (300 mg, 70 % yield).
- the crude sample was preparative HPLC purified on Zorbax Eclipse XDB-C 18 column (9.4 mm X 250mm, 5 ⁇ ) with buffer A: 0.1% TF A/Water, buffer B: Acetonitrile.
- reaction mixture was diluted with diethylether (100 mL) and triturated at 0-5 0 °C to get white precipitate, which was centrifuged and dried under vacuum to furnish desired compound as white solid [yield: 3.1 g, 88.6%; ELSD-HPLC: 99%, Mass: Cal. 259.18, Obs- 260.2]
- Acid-amine hydrochloride A (2.5 g, 8.4 mmol) was dissloved in DCM (25 mL) togather with catalytic amount of hydroquinone (10 mg), and poured in to a solution of di-tert- butyl dicarbonate (1.84 g, 8.4 mmol) and triethyl amine (3.5 mL, 25.4 mmol) in DCM (20 mL). The solution was then refluxed for 30 min to give a clear solution and cooled in an ice bath. A solution of NaHS0 4 (4g in 40 mL water) was added, the reaction mixture was then partitioned between water and DCM, and the aqueous phase was extracted once again with DCM (25 mL). The combined organic phases were washed with brine, dried over Na 2 S0 4 and evaporated in vacuuo to give desired compound as colourless oil.
- the crude sample was preparative HPLC purified on Zorbax Eclipse XDB-C 18 column (9.4 mm X 250mm, 5 ⁇ ) with buffer A: 0.1% TF A/Water, buffer B: Acetonitrile.
- the identity of peptide was confirmed by LCMS. Calculated Mass: 990.3, Observed Mass: 991.4[M+H] + .
- N-Boc amino acid (10.0 g, 38.28 mmol) in THF (100 mL) at -20 °C, was added N-methyl morpholine (NMM, 4.25 g, 42.1 1 mmol) and ethylchloroformate (4.57 g, 42.1 1 mmol) and the resultant mixture was stirred at same temperature for 20 min.
- the inorganic salts were filtered off and the filtrate was treated with moist NaBH 4 (2.9 g, 76.56 mmol) for 10-15 min.
- the reaction mixture was then partitioned between water and EtOAc.
- Asn(Trt)-OBn (4.5 g, 9.7 mmol), DIPEA (2.5 g, 19.4 mmol) and Boc-Ser(OtBu)-CHO (2.4 g, 9.7 mmol) were mixed in DCM (45 mL) at 0 °C and then allowed to stir at room temperature for 1 h. Again the reaction mixture was cooled to 0 °C and treated with sodium triacetoxyborohydride (4.1 g, 19.4 mmol) and then mixture was allowed to stir at room temperature under N 2 atmosphere for 6 h until the reactants were consumed as determined by TLC analysis. The reaction mixture was quenched by adding water, and the product was extracted with DCM.
- Desiccated Rink Amide MBHA-Amide resin (100-200 mesh, 0.66 mmol/g, 0.5 g) was placed in a polyethylene vessel equipped with a polypropylene filter. Resin was swelled in DCM (15 m L) for 1 h and DMF (15 m L) for 1 h. The Fmoc group of the Rink Amide MBHA-Amide was deprotected by treating it twice with 20% (v/v) piperidine/DMF solution for 5 and 15 min (10 m L). The resin was washed with DMF (6 X 10 m L), DCM (6 X 10 m L) and DMF (6 X 10 m L).
- Resin was filtered and washed with DMF (6 X 10 m L), DCM (6 X 10 m L) and DMF (6 X 10 m L).
- Kaiser test on peptide resin aliquot upon completion of coupling was negative
- the unreacted amino group, if any, in the resin is capped used acetic anhydride/pyridine/DCM (1 :8:8) for 20 minutes to avoid any deletion of the sequence.
- resin is washed with DCM (6 X 10 m L), DMF (6 X 10 m L), DCM (6 X 15 m L) and DMF (6 X 15 m L).
- the Fmoc group on the C- terminal amino acid attached peptidyl resin was deprotected by treating it twice with 20% (v/v) piperdine DMF solution for 5 and 15 min (15 m L). The resin was washed with DMF (6 X 10 m L), DCM (6 X 10 m L) and DMF (6 X 10 m L). Kaiser test on peptide resin aliquot upon completion of Fmoc-deprotection was positive. The remaining amino acids were attached to the solid support as mentioned in example 1. The following amino acids were added sequentially to the peptidyl resin; Fmoc-Phe-OH (0.64 g; 5 equiv.
- the remaining compounds of the Table 1 can be prepared by following similar approach as described above.
- MDA-MB-231 cells were found to express PD-Ll by RT-PCR and therefore used as a source of PD-Ll in the assays.
- Example 9 The effect of peptides on mouse spienocyte proliferation inhibited by PDL1/PDL2 or tumor cells expressing PDL
- Splenocytes harvested in a 50ml falcon tube by mashing spleen in a 40 ⁇ cell strainer were further treated with 1ml ACK [Ammonium-Chloride-Potassium (K) (chloride)] lysis buffer for 5mins at RT. After washing with 9ml of RPMI complete media, cells re- suspended in 3ml of lxPBS in a 15ml tube. 3ml of histopaque was added very carefully to the bottom of the tube without disturbing overlaying splenocyte suspension. Spin the tube at 800xg for 20mins at RT. Opaque layer of lymphocytes is collected carefully without disturbing/mixing any of the layers. Cells washed twice with cold lxPBS followed by total cell counting using trypan blue exclusion method and used further for cell based assays.
- ACK Ammonium-Chloride-Potassium (K) (chloride)
- CFSE is dye abbreviated as Carboxyfluorescein Diacetate Succinimidyl Ester that passively diffuses into cells and binds to intracellular proteins.
- Tumor cells (MDMBA231) are cultured and maintained in high glucose complete DMEM media, lxl 0 5 tumor cells were plated in 96 well plates along with required cone, of PDl derived peptide and allowed to adhere at 37°C for 4 hrs. lxlO 6 cells / ml of harvested splenocytes are treated with 5 ⁇ of CFSE in pre warmed lxPBS/0.1%BSA solution for lOmins at 37°C. Excess CFSE was quenched using 5 volumes of ice-cold culture media to the cells and incubated on ice for 5mins. CFSE labeled splenocytes were further given three washes with ice cold complete DMEM media.
- CFSE labeled lxl O 5 splenocytes added to above wells containing tumors cells and PD1 peptides.
- Splenocytes were stimulated with anti-CD3 and anti-CD28 antibody ( ⁇ g/ml each) and the co-culture was further incubated for 72hrs at 37°C with 5% C0 2 .
- Cells were harvested and washed thrice with ice cold FACS buffer and % proliferation was analyzed using a FACS caliber with 488nm excitation and 521nm emission filters. Each experimental condition was carried out in triplicates and each experiment at least carried out three times.
- % splenocyte proliferation was analyzed using cell quest FACS program and fold induction was calculated by normalizing individual values to % background proliferation (Figure 1).
- Stimulated splenocytes Splenocytes + anti-CD3/CD28 stimulation
- mice C57/bl6J female mice (Aurigene, Bangalore, India) aged 6 to 8 weeks were used for the experiment. Animals were acclimatized for a week in the experimental room before conducting the experiment.
Landscapes
- Chemical & Material Sciences (AREA)
- Health & Medical Sciences (AREA)
- Organic Chemistry (AREA)
- Life Sciences & Earth Sciences (AREA)
- General Health & Medical Sciences (AREA)
- Medicinal Chemistry (AREA)
- Proteomics, Peptides & Aminoacids (AREA)
- Molecular Biology (AREA)
- Genetics & Genomics (AREA)
- Biophysics (AREA)
- Biochemistry (AREA)
- Bioinformatics & Cheminformatics (AREA)
- Animal Behavior & Ethology (AREA)
- Public Health (AREA)
- Veterinary Medicine (AREA)
- Epidemiology (AREA)
- Pharmacology & Pharmacy (AREA)
- Immunology (AREA)
- Engineering & Computer Science (AREA)
- Gastroenterology & Hepatology (AREA)
- Medicines That Contain Protein Lipid Enzymes And Other Medicines (AREA)
- Peptides Or Proteins (AREA)
Abstract
The present invention provides Immunosuppressive compounds capable of inhibiting the programmed cell death 1 (PD1) signalling pathway. The present invention further provides peptide based compositions for treatment of cancer or treatment of infections via immunopotentiation caused by inhibition of immunosuppressive signalling induced by PD-1, PD-L1, or PD-L2 and therapies using them, immunopotentiative substrates included as the active ingredient. Further, the invention provides pharmaceutical compositions comprising the Immunosuppressive peptide compounds or modified peptide moieties for preventive and/or therapeutic agents for cancer, cancer metastasis, immunodeficiency, an infectious disease or the like and an application of PD-1 or PD-L1 as a testing or diagnostic agent or a research agent for such a disease.
Description
"THERAPEUTIC COMPOUNDS FOR IMMUNOMODULATION"
Related application
This application claims the benefit of Indian provisional application number 1943/CHE/201 1 filed on June 08, 201 1 and US provisional application number 61/515007 filed on August 04, 201 1 all of which hereby incorporated by reference.
FIELD OF INVENTION
The present invention relates to novel peptides as therapeutic agents capable of inhibiting the programmed cell death 1 (PD1) signalling pathway.
The invention also relates to modifications and derivatives of the therapeutic agents.
The invention further relates to pharmaceutical compositions comprising the said novel peptides and their derivatives as therapeutic agents.
The invention also encompasses the use of the said therapeutic agents, modifications and derivatives for treatment of disorders via immunopotentiation comprising inhibition of immunosuppressive signal induced due to PD-1, PD-L1, or PD- L2 and therapies using them.
BACKGROUND OF THE INVENTION
Programmed Cell Death 1 or PD-1 (also referred to as PDCD1) is a ~55kD type I membrane glycoprotein (Shinohara T et al, Genomics, 1994, Vol. 23, No. 3, 704-706). PD-1 is a receptor of the CD28 superfamily that negatively regulates T cell antigen receptor signalling by interacting with the specific ligands and is suggested to play a role in the maintenance of self tolerance.
PD-1 peptide relates to almost every aspect of immune responses including autoimmunity, tumour immunity, infectious immunity, transplantation immunity, allergy and immunological privilege.
The PD-1 protein's structure comprise of-
• an extracellular IgV domain followed by
• a transmembrane region and
• an intracellular tail
The intracellular tail contains two phosphorylation sites located in an immunoreceptor tyrosine-based inhibitory motif and an immunoreceptor tyrosine-based switch motif, which suggests that PD-1 negatively regulates TCR signals. Also, PD-1 is expressed on the surface of activated T cells, B cells, and macrophages, (Y. Agata et al., Int Immunol, May 1996, 8, 765.) suggesting that compared to CTLA-4 [(Cytotoxic T-Lymphocyte Antigen 4), also known as CD152 (Cluster of differentiation 152) is a protein that also plays an important regulatory role in the immune system], PD-1 more broadly negatively regulates immune responses.
PD-1 has two ligands, PD-Ll (Programmed Death Ligand' 1 or PDCD1L1 or B7- HI) (Freeman GJ et al, Journal of Experimental Medicine, 2000, Vol. 19, No. 7, 1027- 1034.) and PD-L2 (Programmed Death Ligand 2 or PDCD1 L2 or B7-DC) (Latchman Y et al, Nature Immunology, 2001 , Vol. 2, No. 3, 261-267.), which are members of the B7 family. PD-Ll is known to be expressed not only in immune cells, but also in certain kinds of tumour cell lines (such as monocytic leukaemia-derived cell lines, mast cell tumour-derived cell lines, hematoma-derived cell lines, neuroblastoma-derived cell lines, and various mammary tumour-derived cell lines) and in cancer cells derived from diverse human cancer tissues (Latchman Y et al, Nature Immunology, 2001, Vol. 2, No. 3, 261 -267.) and on almost all murine tumour cell lines, including PA 1 myeloma, P815 mastocytoma, and B 16 melanoma upon treatment with IFN-γ (Y. Iwai et al., Proc Natl Acad Sci U S A, Sep 17, 2002, 99, 12293. and C. Blank et al., Cancer Res, Feb 2004, 64, 1 140.). Similarly PD-L2 expression is more restricted and is expressed mainly by dendritic cells and a few tumour cell lines. PD-L2 expression has been verified in Hodgkin's lymphoma cell lines and others. There is a hypothesis that some of the cancer or tumour cells take advantage from interaction between PD-1 and PD-Ll or PD-L2, for suppressing or intercepting T-cell immune responses to their own (Iwai Y et al, Proceedings of the National Academy of Science of the United States of America, 2002, Vol. 99, No. ί9, 12293-12297.).
Tumour cells and virus (including HCV and HIV) infected cells are known to express the ligand for PD-1 (to create Immunosuppression) in order to escape immune surveillance by host T cells. It has been reported that the PD-1 gene is one of genes responsible for autoimmune diseases like systemic lupus erythematosus (Prokunina et al, Nature Genetics, 2002, Vol. 32, No. 4, 666-669.). It has also been indicated that PD-1 serves as a regulatory factor for the onset of autoimmune diseases, particularly for
peripheral self-tolerance, on the ground that PD-1 -deficient mice develop lupus autoimmune diseases, such as glomerulonephritis and arthritis (Nishimura H et al,
International Immunology, 1998, Vol. 10, No. 10, 1563-1572; Nishimura H et al, Immunity, 1999, Vol. 1 1 , No. 2, 141-151.), and dilated cardiomyopathy-like disease (Nishimura H et al, Science, 2001 , Vol. 291, No. 5502, 319-332.).
Hence, in one approach, blocking the interaction of PD-1 with its ligand (PD-Ll, PD-L2 or both) may provide an effective way for specific tumour and viral immunotherapy.
Wood et al in US6808710 discloses method for downmodulating an immune response comprising contacting an immune cell expressing PD-1 with an antibody that binds to PD-1, in multivalent form, such that a negative signal is transduced via PD-1 to thereby down modulate the immune response. Such an antibody may be a cross-linked antibody to PD-1 or an immobilized antibody to PD-1.
Freeman et al in US6936704 and its divisional patent US7038013 discloses isolated nucleic acids molecules, designated B7-4 nucleic acid molecules, which encode novel B7-4 polypeptides, isolated B7-4 proteins, fusion proteins, antigenic peptides and anti-B7-4 antibodies, which co-stimulates T cell proliferation in vitro when the polypeptide is present on a first surface and an antigen or a polyclonal activator that transmits an activating signal via the T-cell receptor is present on a second, different surface.
There are some reports regarding substances inhibiting immunosuppressive activity of PD-1 , promoting or inhibiting the interaction between PD-1 and PD-Ll or PD-L2, as well as the uses thereof. PD-1, PD-Ll or PD-L2 inhibitory antibody, nucleic acid molecules or polypeptides are reported in WO2001 14557, WO2004004771, WO2004056875, WO2002079499, WO2003042402, WO2002086083, WO2001039722, WO2003042402 and WO200200730.
WO2007005874 describes isolated human monoclonal antibodies that specifically bind to PD-Ll with high affinity. The disclosure provides methods for treating various diseases including cancer using anti-PD-Ll antibodies.
US20090305950 describes multimers, particularly tetramers of an extracellular domain of PD-1 or PD-Ll . US7432059 and US7709214 disclose isolated nucleic acids
molecules, designated PD L2 nucleic acid molecules which encode novel B7 related molecules which are ligands for PD 1.
Despite existence of many disclosures as discussed above, however, a significant unmet medical need still exists due to the lack of effective peptides or modified peptides as therapeutic agents as alternatives in the therapeutic area. It is known that synthetic peptides offer certain advantages over antibodies such as ease of production with newer technologies, better purity and lack of contamination by cellular materials, low immunogenicity, improved potency and specificity. Peptides may be more stable and offer better storage properties than antibodies. Moreover, often peptides possess better tissue penetration in comparison with antibodies, which could result in better efficacy. Peptides can also offer definite advantages over small molecule therapeutics counterparts such as lesser degree of toxicity and lower probability of drug-drug interaction.
The present invention therefore may provide the solution for this unmet medical need by offering novel synthetic peptide and its derivatives which are based on the PD1 ectodomain.
BRIEF DESCRIPTION OF ACCOMPANYING DRAWINGS
Figure 1 shows the effect of compounds on mouse splenocyte proliferation inhibited by PD1 -PDL1 interaction in the presence of human breast carcinoma cell line, MDA-MB- 231 over expressing PDL 1.
AMINO ACID SEQUENCE INFORMATION
SEQ ID NO: 1 shows amino acid sequence of extracellular domain of human PD-1.
SEQ ID NO: 2 shows amino acid sequence of BC Loop.
SUMMARY OF INVENTION
In accordance with the present invention, novel modified peptides are provided which are capable of suppressing and/or inhibiting the programmed cell death 1 (PD1) signalling pathway.
(I)
wherein, Ami represents 1 to 4 amino acid residues which may be same or different and each independently selected from Ser, Asn and Thr; wherein one of the peptide bond (-CONH-) between any two amino acid residues may be replaced with a modified peptide bond of
CH2N
Q
wherein Q is hydrogen, -CO(C , -C20)alkyl or -COO(C 1 -C20)alky 1 ;
Am2 is comprising of dipeptide selected from Ser-Phe or Phe-Ser, wherein Phe may be optionally substituted with amino(Ci-C20)alkyl, -NHCOCH3 or -NHCONH2;
X is Glu which may optionally form amide bonds with its alpha carboxylic acid group, delta carboxylic acid group or amino group;
L is a linker selected from -NH(CH2)nNH-, -NH(CH2)nCH(NH2)CO-, -OOC(CH2)mCOO-, -NH(CH2)„CO-, -NH(CH2CH20)nNH-, -NH(CH2CH20)nCO- or - CO(CH2CH20)nCO-;
Ri is free C-terminal, amidated C-terminal or N-terminal of Ami ; or is (Ci- C20)acyl substitution;
R2 is free C-terminal, amidated C-terminal or N-terminal of Am2; or Y-R5;
Y is an optional linker selected from -OOC(CH2)mCOO-, -CO(CH2)nNH-, - CO(CH2CH20)nNH- or -COCH2(OCH2CH2)nNH-;
Rs is an albumin binding moiety such as maleimido propionic acid;
R3 is free alpha C-terminal, amidated alpha C-terminal or N-terminal of Glu; 'n' is an integer selected from 2 to 10, both inclusive;
'm' is an integer selected from 0 to 8, both inclusive;
or its retro analogue or a pharmaceutically acceptable stereoisomer or a pharmaceutically acceptable salt thereof.
(la)
wherein,
Ri is N-terminal of Ser; or (Ci-C2o)acyl substituted with either hydroxyl group or amino group of Ser
L is a linker selected from -NH(CH2)nNH-, -NH(CH2)nCH(NH2)CO-, - OOC(CH2)mCOO-, -NH(CH2)nCO-, -NH(CH2CH20)nNH-, -NH(CH2CH20)nCO- or - CO(CH2CH20)nCO-;
R2 is free C-terminal, amidated C-terminal or N-terminal of Am2; or Y-R5;
Y is an optional linker selected from -OOC(CH2)mCOO-, -CO(CH2)nNH-, - CO(CH2CH20)nNH- or -COCH2(OCH2CH2)„NH-;
R5 is an albumin binding moiety such as maleimido propionic acid;
R3 is OH or NH2;
R4 is a substituent on phenyl group of Phe and is selected from hydrogen, amino(CrC2o)alkyl, -NHCOCH3 or -NHCONH2;
'n' is an integer having values selected from 2 to 10, both inclusive;
'm' is an integer having values selected from 0 to 8, both inclusive; and one of the peptide bond (-CONH-) of Ser-Asn, Asn-Thr or Thr-Ser may be replaced with a modified peptide bond of
CH2N
Q
wherein Q is hydrogen, -CO(Ci-C2o)alkyl or -COO(Ci-C2o)alkyl group;
or retro analogue or a pharmaceutically acceptable stereoisomer or a pharmaceutically acceptable salt thereof.
In yet another aspect, the invention provides a modified peptide of formula (lb):
H2N -Ser— Thr— Asn— Sen— R.,
(Ib)
wherein,
Ri is free C-terminal or amidated C-terminal of Ser;
L is a linker selected from -NH(CH2)„NH- or -NH(CH2CH20)nNH-;
R4 IS selected from hydrogen, amino(Ci-C20)alkyl, -NHCOCH3 or -NHCONH2; or retro analogue or a pharmaceutically acceptable stereoisomer or a pharmaceutically acceptable salt thereof.
DETAILED DESCRIPTION OF THE INVENTION
The term 'peptide' is used herein to designate a sequence of natural or unnatural amino acids bonded in said sequence by peptide bonds.
The term 'compound(s)' as used herein comprises peptides and modified peptides as disclosed in the present invention.
The following common abbreviations of the amino acids are used throughout this specification:
Gly (or G)— glycine Ala (or A)— alanine Val (or V)— valine
Leu (or L)— leucine He (or I)— isoleucine Orn-ornithine
Pro (or P)— proline Phe (or F)— phenylalanine Tip (or W)— tryptophan
Met (or M)— methionine Ser (or S)— serine Thr (or T)— threonine
Cys (or C)— cysteine Tyr (or Y)— tyrosine Asn (or N)— asparagine
Gin (or Q)— glutamine Asp (or D)— aspartic acid Glu (or E)— glutamic acid
Lys (or K)— lysine Arg (or R)— arginine His (or H)— histidine
The term "(Ci-C20)alkyl" as used herein refers to straight or branched chain hydrocarbon having 1 to 20 carbon atoms including, but not limited to, methyl, ethyl, propyl, butyl, isobutyl and the like.
The term "amino(Ci-C2o)alkyl" as used herein refers to straight or branched chain hydrocarbon having 1 to 20 carbon atoms with an amino group including, but not limited to, aminomethyl, aminoethyl and the like.
The term "(Ci-C2o)acyl" as used herein refers to RC(O)-, wherein R is (Ci- C20)alkyl as defined above. For example, acetyl, -C(0)(CH2)4CH3, -C(0)(CH2)14CH3 and the like.
The term "peptide bond" as used herein refers to the chemical bond between carbon and nitrogen in the bivalent group CONH that unites amino acid residues in a peptide.
The term "retro analogue" as used herein refers to a sequence of amino acids that has been altered with respect to a native amino acid sequence by the reversal of the direction of the native amino acid sequence. For example, for a native sequence "Ser- Asn-Thr-Ser"; the retro sequence would be "Ser-Thr-Asn-Ser". The retro analogue may be partial retro sequence.
The term "partial retro sequence" as used herein refers to a sequence of amino acids that has been partially altered with respect to a native amino acid sequence by the reversal of the direction of the native amino acid sequence. For example, for a native sequence "Ser-Asn-Thr-Ser-Glu-Phe-Ser"; the partial retro sequence would be "Phe-Ser- Glu-Ser-Thr-Asn-Ser".
The term "albumin binding moiety" as used herein refers to the moiety capable of binding to a serum albumin of a mammal which may alternatively, be an organic, non- proteinaceous compound with affinity for the mammalian serum albumin. The moiety is preferably a radical of such an organic compound, which is covalently bound to the biologically active protein moiety. For example, maleimido propionic acid, maleimidocaproic acid hydrazide (commonly referred to as EMCH) and the like.
The present invention provides immunosuppression modulating peptides capable of suppressing and/or inhibiting the programmed cell death 1 (PD1 ) signalling pathway.
The present invention further provides modifications, derivatives of the peptides and pharmaceutical compositions comprising the peptides for treatment of cancer or infection via immunopotentiation caused by inhibition of immunosuppressive signal induced by PD-1, PD-L1, or PD-L2 and therapies using them, immunopotentiative substrates included as the active ingredients.
In accordance with the present invention, in one of the embodiment there are provided compounds capable of inhibiting ability to inhibit the programmed cell death 1 (PD1 ) signalling pathway and being capable of reducing PD-L1 or PD-L2 binding to PD- 1 and resulting immunosuppressive signalling by PD-1 , wherein the compound comprises a peptide moiety or a modified peptide moiety.
The complete amino acid sequence of human PD-1 is disclosed in US5629204 (Honjo et. al.) and Finger et al., (Gene, 1997, 197, 177-187.). Human and mouse PD-1 share around 60% amino acid identity, whereas the extracellular IgV domain shows only 21% and 16% sequence identity with CD28 and CTLA4, respectively.
PD-1 possesses an ectodomain having multiple loop structures and strands between the loops. The amino acid sequence of the human PD-1 ectodomain is as set forth in SEQ ID NO: 1.
SEQ ID NO: 1 Extracellular domain of human PD-1
PPTFSPALLVVTEGDNATFTCSFSNTSESFVLNWYRMSPSNQTDKLAAFPEDRSQ PGQDCRFRVTQLPNGRDFHMSVVRAPvRNDSGTYLCGAISLAPKAQIKESLRAEL RVTERRAEVPTAHPSPSPRSAGQFQTLV
These loop and strand assignments of amino acids are based on the 1.8-A- resolution structure of the murine PD-1 PD-L2 complex reported in Lazar-Molnar et al, (PNAS, 2008, 105, 30, 10483-10488.).
Out of the various loops and strands of the PD-1 ectodomain, BC loop (i.e. 24th to
30,h amino acid of SEQ ID NO: 1) was taken up for further modification. The present invention provides compounds comprising of modified BC loop of extracellular domain of human PD-1.
SEQ ID NO: 2 BC Loop
SNTSESF
Modifications of the peptides discussed herein where relevant include replacements of some or all of the L-amino acids by D-amino acids, bonding of amino acids at other than alpha amino groups, including at side chain amino or carboxylic groups, inclusion of non-peptide linkers between peptide sequences, deletion of one or more amino acids, cross-linking, lipidation, stapling, and PEGylation.
The compounds of the invention may comprise linear or branched peptides.
(I)
wherein, Ami represents 1 to 4 amino acid residues which may be same or different and each independently selected from Ser, Asn and Thr; wherein one of the peptide bond (-CONH-) between any two amino acid residues may be replaced with a modified peptide bond of
CH2N
Q
wherein Q is hydrogen, -CO(Ci-C20)alkyl or -COO(Ci-C20)alkyl;
Am2 is comprising of dipeptide selected from Ser-Phe or Phe-Ser, wherein Phe may be optionally substituted with amino(Ci-C20)alkyl, -NHCOCH3 or -NHCONH2;
X is Glu which may optionally form amide bonds with its alpha carboxylic acid group, delta carboxylic acid group or amino group;
L is a linker selected from -NH(CH2)nNH-, -NH(CH2)nCH(NH2)CO-, -OOC(CH2)mCOO-, -NH(CH2)nCO-, -NH(CH2CH20)nNH-, -NH(CH2CH20)nCO- or - CO(CH2CH20)nCO-;
Ri is free C-terminal, amidated C-terminal or N-terminal of Ami ; or is (Ci- C20)acyl substitution;
R2 is free C-terminal, amidated C-terminal or N-terminal of Am ; or Y-R5;
Y is an optional linker selected from -OOC(CH2)mCOO-, -CO(CH2)nNH-, - CO(CH2CH20)nNH- or -COCH2(OCH2CH2)nNH-;
R5 is an albumin binding moiety such as maleimido propionic acid;
R3 is free alpha C-terminal, amidated alpha C-terminal or N-terminal of Glu;
'n' is an integer selected from 2 to 10, both inclusive;
'm' is an integer selected from 0 to 8, both inclusive;
or its retro analogue or a pharmaceutically acceptable stereoisomer or a pharmaceutically acceptable salt thereof.
In another aspect, the invention provides a modified peptide of formula (la):
(la)
wherein,
Ri is N-terminal of Ser; or (Ci-C o)acyl substituted with either hydroxyl group or amino group of Ser
L is a linker selected from -NH(CH2)nNH-, -NH(CH2)nCH(NH2)CO-, - OOC(CH2)mCOO-, -NH(CH2)nCO-, -NH(CH2CH20)nNH-, -NH(CH2CH20)nCO- or - CO(CH2CH20)nCO-;
R2 is free C-terminal, amidated C-terminal or N-terminal of Am2; or Y-R5;
Y is an optional linker selected from -OOC(CH2)mCOO-, -CO(CH2)nNH-, -
CO(CH2CH20)nNH- or -COCH2(OCH2CH2)nNH-;
R5 is an albumin binding moiety such as maleimido propionic acid;
R3 is OH or NH2;
R4 is a substituent on phenyl group of Phe and is selected from hydrogen, amino(Ci-C20)alkyl, -NHCOCH3 or -NHCONH2;
'n' is an integer having values selected from 2 to 10, both inclusive;
'm' is an integer having values selected from 0 to 8, both inclusive; and one of the peptide bond (-CONH-) of Ser-Asn, Asn-Thr or Thr-Ser may be replaced with a modified peptide bond of
CH2N
Q
wherein Q is hydrogen, -CO(Ci-C2o)alkyl or -COO(C]-C20)alkyl group;
or retro analogue or a pharmaceutically acceptable stereoisomer or a pharmaceutically acceptable salt thereof.
In yet another aspect, the invention provides a modified peptide of formula (lb):
(lb)
wherein,
Ri is free C-terminal or amidated C-terminal of Ser;
L is a linker selected from -NH(CH2)nNH- or -NH(CH2CH20)nNH-;
R* is selected from hydrogen, amino(Ci-C20)alkyl, -NHCOCH3 or -NHCONH2; or retro analogue or a pharmaceutically acceptable stereoisomer or a pharmaceutically acceptable salt thereof.
The embodiment below are illustrative of the present invention and are not intended to limit the claims to the specific embodiments exemplified.
According to one embodiment, specifically provided are compounds of the formula (la) in which Ri is N-terminal of Ami .
According to another embodiment, specifically provided are compounds of the formula (la) in which Ri is (Ci-C2o)acyl.
According to yet another embodiment, specifically provided are compounds of the formula (la) in which L is -NH(CH2)nNH- and 'n' is 4.
According to yet another embodiment, specifically provided are compounds of the formula (la) in which L is -NH(CH2)nCH(NH2)CO- and 'n' is 4.
According to yet another embodiment, specifically provided are compounds of the formula (la) in which R2 is N-terminal of Am2.
According to yet another embodiment, specifically provided are compounds of the formula (la) in which R2 is Y-R5 wherein Y is absent and R5 is maleimido propionic acid.
According to yet another embodiment, specifically provided are compounds of the formula (la) in which R2 is Y-R5 wherein Y is -COCH2(OCH2CH2)nNH-, 'n' is 2 and R5 is maleimido propionic acid.
According to yet another embodiment, specifically provided are compounds of the formula (la) in which R4 is hydrogen.
According to yet another embodiment, specifically provided are compounds of the formula (la) in which R4 is aminoalkyl.
According to yet another embodiment, specifically provided are compounds of the formula (la) in which R4 is -NHCOCH3.
According to yet another embodiment, specifically provided are compounds of the formula (la) in which R4 is -NHCONH2.
According to yet another embodiment, specifically provided are compounds of the formula (la) in which the peptide bond (-CONH-) of Ser-Asn is replaced with a modified peptide bond of CH2N
Q
wherein Q is hydrogen, -CO(Ci-C2o)alkyl or -COO(Ci-C2o)alkyl group and the alkyl group may be linear or branched.
According to yet another embodiment, specifically provided are compounds of the formula (la) in which the peptide bond (-CONH-) of Asn-Thr is replaced with a modified peptide bond of CH2N
Q
wherein Q is hydrogen, -CO(Ci-C20)alkyI or -COO(Ci-C2o)aIkyI group and the alkyl group may be linear or branched.
According to yet another embodiment, specifically provided are compounds of the formula (lb) in which R] is amidated C-terminal of Ser.
According to yet another embodiment, specifically provided are compounds of the formula (lb) in which L is -NH-(CH2)n-NH- and 'n' is 4.
According to yet another embodiment, specifically provided are compounds of the formula (lb) in which R4 is hydrogen.
According to yet another embodiment, specifically provided are compounds capable of suppressing and/or inhibiting the programmed cell death 1 (PD1) signalling pathway, wherein the structures of the compounds are provided in Table 1.
It should be understood that the formulas (I), (la) and (lb) structurally encompasses all stereoisomers, enantiomers and diastereomers, and pharmaceutically acceptable salts that may be contemplated from the chemical structure of the genera described herein.
Compounds of the invention may comprise peptide moieties that are lipidated and/or are glycosylated. One or more of the amino acids of the peptide may be a D- amino acid with a view to increasing stability in vivo.
The invention includes compounds as described above, formulated for pharmaceutical administration, typically by combination with a pharmaceutically acceptable carrier or diluent.
The invention includes compounds as described above for use in a method of medical treatment, e.g. in the treatment of cancer, treatment of bacterial and viral infections
The invention further includes a method of screening compounds for ability to block interaction between PD-1 and a PD-1 ligand, comprising contacting candidate compounds of the kind described above with PD-1 or a PD-1 ligand binding portion of PD-1 and with a PD-1 ligand or a PD-1 binding portion of a PD-1 ligand, and measuring the extent of PD- 1/PD-l 1 igand binding.
In addition, compounds of the invention may be combined with carrier molecules such as dendrimers, e.g. PAMAM dendrimers, liposomes, micro-particles and nanoparticles such as polycyanoacrylate nanoparticles, and these also may be PEGylated,
Below are the representative compounds, which are illustrative in nature only and are not intended to limit the scope of the invention.
Table 1
(SEQ ID NO: 25)
(SEQ ID NO: 28)
(SEQ ID NO: 32)
In one of the embodiment of the present invention there is provided a compound having the ability to inhibit the programmed cell death 1 (PDl ) signalling pathway and being capable of reducing PD-L1 or PD-L2 binding to PD-1 and resulting immunosuppressive signalling by PD-1.
Further embodiment of the present invention relates to the compounds as disclosed in the present invention, wherein one or more of the amino acids are substituted with D-amino acid.
The compounds as disclosed in the present invention are formulated for pharmaceutical administration.
Another embodiment of the present invention provided a pharmaceutical composition comprising the compound as disclosed, and a pharmaceutically acceptable carrier or diluent.
Yet another embodiment of the present invention provides use of the compounds as disclosed in the present invention for the preparation of a medicament for the treatment of cancer.
Yet another embodiment of the present invention provides use of the compounds as disclosed in the present invention for the preparation of a medicament for the treatment of bacterial, fungal and viral infection.
Yet another embodiment of the present invention provides a method of treatment of cancer, wherein the method comprises administration of an effective amount of the compound and/or peptides of the present invention to the subject in need thereof. Yet another embodiment of the present invention provides a method for inhibiting growth of tumour cells and/or metastasis by administering an effective amount of the compound of the present invention to the subject in need thereof.
The said tumour cells include cancer such as but not limited to melanoma, renal cancer, prostate cancer, breast cancer, colon cancer, lung cancer, bone cancer, pancreatic cancer, skin cancer, cancer of the head or neck, cutaneous or intraocular malignant melanoma, uterine cancer, ovarian cancer, rectal cancer, cancer of the anal region, stomach cancer, testicular cancer, carcinoma of the fallopian tubes, carcinoma of the endometrium, carcinoma of the cervix, carcinoma of the vagina, carcinoma of the vulva, Hodgkin's Disease, non-Hodgkin's lymphoma, cancer of the esophagus, cancer of the small intestine, cancer of the endocrine system, cancer of the thyroid gland, cancer of the parathyroid gland, cancer of the adrenal gland, sarcoma of soft tissue, cancer of the urethra, cancer of the penis, chronic or acute leukemias including acute myeloid leukemia, chronic myeloid leukemia, acute lymphoblastic leukemia, chronic lymphocytic leukemia, solid tumours of childhood, lymphocytic lymphoma, cancer of the bladder, cancer of the kidney or ureter, carcinoma of the renal pelvis, neoplasm of the central nervous system (CNS), primary CNS lymphoma, tumour angiogenesis, spinal axis tumour, brain stem glioma, pituitary adenoma, Kaposi's sarcoma, epidermoid cancer, squamous cell cancer, T-cell lymphoma, environmentally induced cancers including those induced by asbestos, and combinations of said cancers.
Yet another embodiment of the present invention provides a method of treatment of infection via immunopotentiation caused by inhibition of immunosuppressive signal induced by PD-1 , PD-L1 , or PD-L2, wherein the method comprises administration of an effective amount of the compound and/or peptides of the present invention to the subject in need thereof.
The infectious disease includes but not limited to HIV, Influenza, Herpes, Giardia, Malaria, Leishmania, the pathogenic infection by the virus Hepatitis (A, B, & C), herpes virus (e.g., VZV, HSV-I, HAV-6, HSV-II, CMV and Epstein Barr virus), adenovirus, influenza virus, flaviviruses, echovirus, rhinovirus, coxsackie virus, cornovirus, respiratory syncytial virus, mumps virus, rotavirus, measles virus, rubella virus, parvovirus, vaccinia virus, HTLV virus, dengue virus, papillomavirus, molluscum virus, poliovirus, rabies virus, JC virus and arboviral encephalitis virus, pathogenic infection by the bacteria chlamydia, rickettsial bacteria, mycobacteria, staphylococci, streptococci, pneumonococci, meningococci, conococci, klebsiella, proteus, serratia, pseudomonas, E. coli, legionella, diphtheria, salmonella, bacilli, cholera, tetanus, botulism, anthrax, plague, leptospirosis, and Lyme's disease bacteria, pathogenic
infection by the fungi Candida (albicans, krusei, glabrata, tropicalis, etc.), Cryptococcus neoformans, Aspergillus (fumigatus, niger, etc.), Genus Mucorales (mucor, absidia, rhizophus), Sporothrix schenkii, Blastomyces dermatitidis, Paracoccidioides brasiliensis, Coccidioides immitis and Histoplasma capsulatum and pathogenic infection by the parasites Entamoeba histolytica, Balantidium coli, Naegleriafowleri, Acanthamoeba sp., Giardia lambia, Cryptosporidium sp., Pneumocystis carinii, Plasmodium vivax, Babesia microti, Trypanosoma brucei, Trypanosoma cruzi, Leishmania donovani, Toxoplasma gondi, Nippostrongylus brasiliensis.
Still yet another embodiment of the present invention provides a method for treating sepsis in a subject comprising administering to the subject a therapeutically effective amount of compound of the present invention, capable of inhibiting the programmed cell death 1 (PD1 ) signaling pathway such that the subject is treated for the bacterial, fungal and viral infections.
The compounds of the present invention may be used as single drug or as a pharmaceutical composition in which the compound is mixed with various pharmacologically acceptable materials.
The pharmaceutical composition is usually administered by a parenteral administration route, but can be administered by oral or inhalation routes. Examples of the parenteral administration include administration by injection, and percutaneous, transmucosal, transnasal and transpulmonary administrations.
The injectable materials include a solution, a suspension, and a solid injection that is dissolved or suspended in a solvent before use.
The injection is used after one or more active ingredients are dissolved, suspended or emulsified in a solvent. Examples of the solvent include water-soluble solvents (e.g., distilled water, physiological saline and Ringer's solution), oil solvents (e.g., vegetable oils such as olive oil, sesame oil, cotton oil and corn oil, and . alcohols such as propylene glycol, polyethylene glycol and ethanol), and combinations thereof.
Further, the injection may contain a stabilizer (e.g., human serum albumin), solubilizing agent (e.g., polyethylene glycol, propylene glycol, D-mannitol, trehalose, benzyl benzoate, ethanol, trisaminomethane, cholesterol, triethanolamine, sodium carbonate, sodium citrate, sodium salicylate and sodium acetate), suspending agent (e.g., surfactants such as stearyl triethanolamine, sodium lauryl sulfate, lauryl aminopropionic
acid, lecithin, benzalkonium chloride, benzethonium chloride and glyceryl monostearate; hydrophilic polymers such as polyvinyl alcohol, polyvinyl pyrrolidone, sodium carboxymethyl cellulose, methyl cellulose, hydroxymethyl cellulose, hydroxyethyl cellulose and hydroxypropyl cellulose; polysorbates; and polyoxyethylene hardened castor oil), emulsifier, soothing agent (e.g., benzyl alcohol), tonicity agent (e.g., sodium chloride, glycerin, D-mannitol, D-sorbitol and glucose), buffer, preservative (e.g., methylparaben, propylparaben, benzyl alcohol, chlorobutanol and phenol), antiseptic (e.g., paraoxy benzoic esters, chlorobutanol, benzyl alcohol, phenethyl alcohol, dehydroacetic acid and sorbic acid), antioxidant (e.g., sulfite and ascorbate) and dispersant (e.g., Polysorbate 80, Polyoxyethylene hardened castor oil 60, ethylene glycol, carboxymethyl cellulose and sodium alginate).
These injections may be prepared by known methods in the formulation technology field, such as by a method described in various Pharmacopoeia. They are prepared, for example, through a sterilization process at the final stage, or by aseptic manipulation. It is also possible to use an aseptic solid formulation, such as a freeze dried product, wherein the aseptic solid formulation is prepared and dissolved in aseptic or sterilized distilled water for injection or other solvents before use.
These parenteral solutions may be supplied in a vessel with a standard capacity, such as a plastic or glass vial, ampoule, syringe and injector, or in a vessel with a large capacity, such as a bottle.
The dosage of the compounds of the present invention varies depending on age, ^weight, symptom, therapeutic efficacy, dosing regimen and/or treatment time. Generally, they may be administered by a parenteral route (preferably intravenous administration) in an amount of 1 mg to 100 mg per time, from once a couple of days, once 3 days, once 2 days, once a day to a couple of times a day, in the case of an adult, or continuously administered by intravenous administration from 1 to 24 hours a day. Since the dosage is affected by various conditions, an amount less than the above dosage may sometimes work well enough, or higher dosage may be required in some cases.
Parenteral administration by injection includes all forms of injections, and also includes intravenous fluids. For example, it includes intramuscular injections, subcutaneous injections, intradermal injections, intraarterial injections, intravenous injections, intraperitoneal injections, injections to spinal cavity, and intravenous drops.
The compounds of the present invention may be administered in combination with other drugs for (1) complementation and/or enhancement of prevention and/or therapeutic efficacy of the preventive and/or therapeutic drug of the present invention, (2) dynamics, absorption improvement, dosage reduction of the preventive and/or therapeutic drug of the present invention, and/or (3) reduction of the side effects of the preventive and/or therapeutic drug of the present invention.
A concomitant medicine comprising the peptide of the present invention and other drug may be administered as a combination preparation in which both components are contained in a single formulation, or administered as separate formulations. The administration by separate formulations includes simultaneous administration and administration with some time intervals. In the case of the administration with some time intervals, the compound of the present invention can be administered first, followed by another drug or another drug can be administered first, followed by the compound of the present invention. The administration method of the respective drugs may be the same or different.
The dosage of the other drug can be properly selected, based on a dosage that has been clinically used. The compounding ratio of the compound of the present invention and the other drug can be properly selected according to age and weight of a subject to be administered, administration method, administration time, disorder to be treated, symptom and combination thereof. For example, the other drug may be used in an amount of 0.01 to 100 parts by mass, based on 1 part by mass of the compound of the present invention. The other drug may be a combination of two or more kind of arbitrary drugs in a proper proportion. The other drug that complements and/or enhances the preventive and/or therapeutic efficacy of the compound of the present invention includes not only those that have already been discovered, but those that will be discovered in future, based on the above mechanism.
Diseases on which this concomitant use exerts a preventive and/or therapeutic effect are not particularly limited. The concomitant medicine can be used for any diseases, as long as it complements and/or enhances the preventive and/or therapeutic efficacy of the compound of the present invention.
Particularly, since the compound of the present invention exhibits an effect of stimulating or proliferating lymphoid cells, the concomitant use is able to reduce a
dosage of chemotherapeutics commonly used or an irradiation dosage in radio therapy. This results in suppression of side effects that accompany with chemotherapy and radio therapy.
The compound of the present invention can be used with an existing chemotherapeutic concomitantly or in a mixture form. Examples of the chemotherapeutic include an alkylation agent, nitrosourea agent, antimetabolite, anticancer antibiotics, vegetable-origin alkaloid, topoisomerase inhibitor, hormone drug, hormone antagonist, aromatase inhibitor, P-glycoprotein inhibitor, platinum complex derivative, other immunotherapeutic drugs and other anticancer drugs. Further, it can be used with a cancer treatment adjunct, such as a leucopenia (neutrophenia) treatment drug, thrombocytopenia treatment drug, antiemetic and cancer pain intervention drug, concomitantly or in a mixture form.
The compound of the present invention can be used with other immunomodulators concomitantly or in a mixture form. Examples of the immunomodulator include various cytokines. Examples of the cytokines that stimulates immune responses include GM-CSF, M-CSF, G-CSF, interferon-a, β, or γ, IL-1, IL-2, IL-3 and IL-12.
The concomitant use of the compound of the present invention and a cancer antigen is able to give an additive or synergetic enhancement effect. Examples of the cancer antigen include HLA-A1 and HLA-A2 derived peptides derived from MAGE-1 or MAGE-3 of malignant melanoma, MART-1 and gplOO, HER2/neu peptide of breast cancer and ovarian cancer, MUC-1 peptide of adenocarcinoma and NY-ESO-1 of metastatic cancer.
EXPERIMENTAL
Purification and characterization of peptide
The Reverse phase analytical HPLC was performed using on Zorbax Eclipse XDB-C 18 silica column (4.6 mm X 250mm, 5μπι). Buffer A: 0.1% TF A/Water, Buffer B: 0.1% TFA in 9: 1 acetonitrile /water. Equilibration of the column with 2 % buffer B and elution by a gradient of 2% to 25% buffer B in 5 min and from 25% to 40% buffer B in total run time of 20 min.
LCMS was performed on API 2000 LC/MS/MS triple quad (Applied biosystems) with Agilent 1 100 series HPLC with G1315 B DAD diode array detector, using Mercury MS column.
For further illustration of methods of preparing the compounds of the present invention, the following examples are disclosed below.
Example 1: Synthesis of Compound 1
(SEQ ID NO: 3)
Resin: 1 g CLEAR Amide Resin (RCY 1250-PI, Lot No. 224481), 0.46 mmol/g
Desiccated CLEAR Amide resin (0.46 mmol/g, 1 g) was placed in a polyethylene vessel equipped with a polypropylene filter. Resin was swelled in DCM (15 mL) for 1 h and DMF (15 mL) for 1 h. The Fmoc group of the CLEAR Amide was deprotected by treating it twice with 20% (v/v) piperdine/DMF solution for 5 and 15 min (10 m L). The resin was washed with DMF (6 X 10 m L), DCM (6 X 10 m L) and DMF (6 X 10 m L). Kaiser test on peptide resin aliquot upon completion of Fmoc-deprotection was positive. The C-terminal amino acid, Fmoc-Glu(OAllyl)-OH (0.98 g; 5 equiv. 2.3 mmol) in dry DMF was added to the deprotected resin and coupling was initiated with DIC (0.36 m L; 5 equiv) and HOBT (0.32 g; 5 equiv) in DMF. The concentration of each reactant in the reaction mixture was approximately 0.4 M. . The mixture was rotated on a rotor at room temperature for 2 h. Resin was filtered and washed with DMF (6 X 10 m L), DCM (6 X 10 m L) and DMF (6 X 10 m L). Kaiser test on peptide resin aliquot upon completion of coupling was negative. After the first amino acid attachment, the un-reacted amino group, if any, in the resin is capped, used acetic anhydride/pyridine/DCM (1 :8:8) for 20 minutes to avoid any deletion of the sequence. After capping, resin was washed with DCM (6 X 10 m L), DMF (6 X 10 m L), DCM (6 X 10 m L) and DMF (6 X 10 m L).
The Fmoc group on the C-terminal amino acid attached peptidyl resin was deprotected by treating it twice with 20% (v/v) piperdine/DMF solution for 5 and 15 min (10 m L). The resin was washed with DMF (6 X 10 m L), DCM (6 X 10 m L) and DMF (6 X 10 m L). Kaiser test on peptide resin aliquot upon completion of Fmoc-deprotection was positive. Fmoc-Ser (OtBu)-OH (0.9 g; 5 equiv. 2.3 m mol) in dry DMF was added to the deprotected resin and coupling was initiated with DIC (0.36 m L; 5 equiv) and HOBT (0.32 g; 5 equiv) in DMF. The concentration of each reactant in the reaction mixture was approximately 0.4 M. The mixture was rotated on a rotor at room temperature for 2 h. Resin was filtered and washed with DMF (6 X 10 m L), DCM (6 X 10 m L) and DMF (6 X 10 m L). Kaiser test on peptide resin aliquot upon completion of coupling was negative. The Fmoc group of the peptidyl resin was deprotected by treating it twice with 20% (v/v) piperdine/DMF solution for 5 and 15 min (10 m L). The resin was washed with DMF (6 X 10 m L), DCM (6 X 10 m L) and DMF (6 X 10 m L). Kaiser test on peptide resin aliquot upon completion of Fmoc-deprotection was positive. Next amino acid in the peptide sequence Fmoc-Thr (OtBu)-OH (0.92 g; 5 equiv. 2.3 m mol) in dry DMF was added to the deprotected resin and coupling was initiated with DIC (0.36 m L; 5 equiv) and HOBT (0.32 g; 5 equiv) in DMF. The concentration of each reactant in the reaction mixture was approximately 0.4 M. The mixture was rotated on a rotor at room temperature for 2 h. Resin was filtered and washed with DMF (6 X 10 m L), DCM (6 X 10 m L) and DMF (6 X 10 m L). Kaiser test on peptide resin aliquot upon completion of coupling was negative. On completion of threonine coupling Fmoc group on the threonine was deprotected by treating it twice with 20% (v/v) piperdine/DMF solution for 5 and 15 min (10 m L). The resin was washed with DMF (6 X 10 m L), DCM (6 X 10 m L) and DMF (6 X 10 m L). Kaiser test on peptide resin aliquot upon completion of Fmoc-deprotection was positive. Next amino acid Fmoc-Asn (Trt)-OH
(1.4 g; 5 equiv. 2.3 mmol) in dry DMF was added to the deprotected resin and coupling was initiated with DIC (0.36 m L; 5 equiv) and HOBT (0.32 g; 5 equiv) in DMF. The concentration of each reactant in the reaction mixture was approximately 0.4 M. The mixture was rotated on a rotor at room temperature for 2 h. Resin was filtered and washed with DMF (6 X 10 m L), DCM (6 X 10 m L) and DMF (6 X 10 m L). Kaiser test on peptide resin aliquot upon completion of coupling was negative. The Fmoc group on the peptidyl resin was deprotected by treating it twice with 20% (v/v) piperdine/DMF solution for 5 and 15 min (10 mL). The resin was washed with DMF (6 X 10 m L), DCM
(6 X 10 m L) and DMF (6 X 10 m L). Kaiser test on peptide resin aliquot upon completion of Fmoc-deprotection was positive. Boc-Ser (OtBu)-OH (0.62 g; 5 equiv. 2.3 m mol) in Dry DMF was added to the deprotected resin and coupling was initiated with DIC (0.36 m L; 5 equiv) and HOBT (0.32 g; 5 equiv) in DMF. The concentration of each reactant in the reaction mixture was approximately 0.4 M. The mixture was rotated on a rotor at room temperature for 2 h. Resin was filtered and washed with DMF (6 X 10 mL), DCM (6 X 10 mL) and DMF (6 X 10 mL). Kaiser test on peptide resin aliquot upon completion of coupling was negative. The linear chain of the sequence is completed and further chain elongation is achieved by removing the orthogonal ally ester protecting group on the Glutamic acid.
Removal of allyl ester (OAll) protecting group on the side chain carboxyl acid of Glutamic acid
After the completion of the linear protected peptide sequence, the Allyl protecting group from the carboxyl moiety of Glu was removed from the peptidyl resin by treating with tetrakistriphenylphosphine palladium (0) (10 Equiv; 5.3 g) and Phenylsilane (20 eqv; 1.2 m L) in a solution of chloroform/N-methylpyrrolidine (95/5 v/v) for 4 h under argon. The resin was washed with a solution of 10% NMP in chloroform (6 X 10 m L), 1% DIEPA in DMF (6 X 10 m L), DCM (6 X 10 m L), DMF (6 X 10 m L).
Attachment of linker Fmoc-l,4-diamino Butane hydrochloride to the carboxyl end of Glutamic acid
Fmoc 1,4- diamine butane HCL (0.24 g; 1.5 equiv. 0.69 mmol) in Dry DMF was added to the deprotected resin and coupling was initiated with DIC (0.18 m L; 1.2 m mol equiv) and HOBT (0.08 g; 0.69 m mol) in DMF. The concentration of each reactant in the reaction mixture was approximately 0.4 M. The mixture was rotated on a rotor at room temperature for overnight. Resin was filtered and washed with DMF (6 X 10 m L), DCM (6 X 15 m L) and DMF (6 X 10 m L). The Fmoc group of the linker attached to peptidyl resin was deprotected by treating it twice with 20% (v/v) piperdine/DMF solution for 5 and 15 min (10 m L). The resin was washed with DMF (6 X 10 m L), DCM (6 X 10 m L) and DMF (6 X 10 m L). Kaiser test on peptide resin aliquot upon completion of Fmoc-deprotection was positive. Next amino acid Fmoc-Phe-OH (0.89 g; 5 equiv. 2.3 mmol) in dry DMF was added to the deprotected resin and coupling was initiated with DIC (0.43 m L; 6 equiv) and HOBT (0.32 g; 5 equiv) in DMF. The concentration of each
reactant in the reaction mixture was approximately 0.4 M. The mixture was rotated on a rotor at room temperature for 2 h. Resin was filtered and washed with DMF (6 X 10 m L), DCM (6 X 10 m L) and DMF (6 X 10 m L). Kaiser test on peptide resin aliquot upon completion of coupling was negative. The Fmoc group of the peptidyl resin was deprotected by treating it twice with 20% (v/v) piperdine/DMF solution for 5 and 15 min (10 m L). The resin was washed with DMF (6 X 10 mL), DCM (6 X 10 mL) and DMF (6 X 10 mL). Kaiser test on peptide resin aliquot upon completion of Fmoc-deprotection was positive. The last amino acid of the complete sequence Boc-Ser (OtBu)-OH (0.62 g; 5 equiv. 2.3 mmol) in dry DMF was added to the deprotected resin and coupling was initiated with DIC (0.43 m L; 6 equiv) and HOBT (0.32 g ;5 equiv) in DMF. The concentration of each reactant in the reaction mixture was approximately 0.4 M. The mixture was rotated on a rotor at room temperature for 2 h. Resin was filtered and washed with DMF DMF (6 X 10 m L), DCM (6 X 10 m L) and DMF (6 X 10 m L). Kaiser test on peptide resin aliquot upon completion of coupling was negative.
Final cleavage of peptide from the resin
The peptidyl resin was washed with, DCM (6 X 10m L), MeOH (6 X 10 m L) and ether (6 x 10 m L) and dried in vacuum desiccators overnight. The cleavage of the peptide from the solid support was achieved by treating the peptide-resin with reagent cocktail (90.0% TFA / 5% TIPS/5% H20) at room temperature for 2.5 h. Cleavage mixture was collected by filtration and the resin was washed with TFA (2 m L) and DCM (2 x 5 m L). The excess TFA and DCM was concentrated to small volume under nitrogen and a small amount of DCM (5-10 m L) was added to the residue and evaporated under nitrogen. The process was repeated 3-4 times to remove most of the volatile impurities. The residue was cooled to 0°C and anhydrous ether was added to precipitate the peptide. The precipitated peptide was centrifuged and the supernatant ether was removed and fresh ether was added to the peptide and re-centrifuged (270 mg, 70 % yield). The residue was dissolved in Millipore water and lyophilized to obtain the crude peptide. The crude sample was preparative HPLC purified on Zorbax Eclipse XDB-C18 column (9.4 mm X 250mm, 5μηι) with buffer A: 0.1% TF A/Water, buffer B: Acetonitrile. The peptide was eluted by gradient elution 0-5 min = 5 % buffer B, 5-25 min = 5-60 % buffer B with a flow rate of 7 mL/min. The identity of peptide was confirmed by LCMS. Calculated Mass: 840, Observed Mass: 840.4[M]+.
Example 2: Synthesis of Compound 2
(SEQ ID NO: 4) .
The synthesis was carried out manually using the same method as in example 1 using desiccated Rink Amide MBHA-Amide resin (100-200 mesh, 0.66 mmol/g, 0. 75 g). The N-terminal amino acid serine was coupled as Fmoc-Ser-(OtBu)-OH as detailed in example 1. The Fmoc group of the linker attached to peptidyl resin was deprotected by treating it twice with 20% (v/v) piperdine/DMF solution for 5 and 15 min (10 m L). The resin was washed with DMF (6 X 10 m L), DCM (6 X 10 m L) and DMF (6 X 10 m L). Kaiser test on peptide resin aliquot upon completion of Fmoc-deprotection was positive. The free amine was acetylated using acetic anhydride/pyridine/DCM (1 :8:8) for 20 minutes. After acetylation, resin is washed With DCM (6 X 10 m L); DMF (6 X 10 m L), DCM (6 X 10 m L), and DMF (6 X 10 m L). Kaiser test on peptide resin aliquot upon completion of coupling was negative. The linear chain of the sequence is completed and further chain elongation is achieved by removing the orthogonal allyl ester protecting group on the Glutamic acid as mentioned in example 1 to yield 300 mg , 70 % crude peptide (300 mg, 70 % yield). The crude sample was preparative HPLC purified on Zorbax Eclipse XDB-C 18 column (9.4 mm X 250mm, 5μιη) with buffer A: 0.1% TF A/Water, buffer B: Acetonitrile. The peptide was eluted by gradient elution 0-8 min = 5-15 % buffer B, 8-10 min = 15-20 % buffer B with a flow rate of 7 mL/m in The identity of peptide was confirmed by LCMS. Calculated Mass: 882.3, Observed Mass: 882.6 [M]+.
Synthesis of building block
To a solution of L-Serine (1.25 g, 1 1.8 mmol) in 8.5 mL of TFA, Hydroquonone (catalytic- 100 mg) was added at 0 °C. The resulting mixture was stirred at room temperature for 10 min, to this solution at room temperaute decanoyl chloride (3.4 g, 17.8 mmol) was added slowly and the reaction was allowed to continue for 2 h. After the completion of 2 h, the reaction mixture was diluted with diethylether (100 mL) and triturated at 0-5 0 °C to get white precipitate, which was centrifuged and dried under vacuum to furnish desired compound as white solid [yield: 3.1 g, 88.6%; ELSD-HPLC: 99%, Mass: Cal. 259.18, Obs- 260.2]
Acid-amine hydrochloride A (2.5 g, 8.4 mmol) was dissloved in DCM (25 mL) togather with catalytic amount of hydroquinone (10 mg), and poured in to a solution of di-tert- butyl dicarbonate (1.84 g, 8.4 mmol) and triethyl amine (3.5 mL, 25.4 mmol) in DCM (20 mL). The solution was then refluxed for 30 min to give a clear solution and cooled in an ice bath. A solution of NaHS04 (4g in 40 mL water) was added, the reaction mixture was then partitioned between water and DCM, and the aqueous phase was extracted once again with DCM (25 mL). The combined organic phases were washed with brine, dried over Na2S04 and evaporated in vacuuo to give desired compound as colourless oil.
(Yield: 3.0 g, 98.0%; ELSD-HPLC: 99%, Mass: Cal. 359.2, Obs- 382 (M+Na)].
Example 3: Synthesis of Compound 4
(SEQ ID NO: 6)
The synthesis was carried out as explained in example 1 using Rink Amide MBHA Resin (RFR-1063-PI Lot No 2401691), 0.66 mmol/g, 0.75 g. After the completion of linear synthesis, orthogonal deportection, coupling of phenyl alanine and serine was carried out as in example 1. The N-terminus serine in the branch was coupled as Fmoc- Ser(OtBu)-OH and on completion of serine coupling as evidenced by Kaiser test, Fmoc- deprotection was carried out. The next residue 3-malemidopropanoic acid(0.17g; 2 equiv. 0.99 mmol) in dry DMF was added to the deprotected resin and coupling was initiated with DIC (0.23 m L; 3 equiv) and HOBT (0.13 g; 2 equiv) in DMF. The concentration of each reactant in the reaction mixture was approximately 0.4 M. The mixture was rotated on a rotor at room temperature for overnight. Resin was filtered and washed with DMF DMF (6 X 10 m L), DCM (6 X 10 m L) and DMF (6 X 10 m L). Kaiser test on peptide resin aliquot upon completion of coupling was negative. The final cleavage of peptidyl resin was carried out as in example.1 to yield 300 mg, 70 % yield of crude peptide. The crude sample was preparative HPLC purified on Zorbax Eclipse XDB-C 18 column (9.4 mm X 250mm, 5μιη) with buffer A: 0.1% TF A/Water, buffer B: Acetonitrile. The peptide was eluted by gradient elution 0-5 min = 5-10 % buffer B, 5-9 min = 10-25 % buffer B with a flow rate of 7 mL/min. The identity of peptide was confirmed by LCMS. Calculated Mass: 990.3, Observed Mass: 991.4[M+H]+.
Example 4: Synthesis of Compound 16
(SEQ ID NO: 18)
The synthesis was carried out as explained in example 1 using Rink Amide MBHA Resin (RFR-1063-PI Lot No 2401691), 0.66 mmol/g, and 0.75 g. In this example Fmoc- D-Ser(OtBu) was coupled as the C-terminal amino acid. The synthesis was continued using D-amino acids. D-Boc-Glu(OAllyl)-OH was used as the building block to incorporate Glutamic acid. Coupling of amino acids and cleaveage of peptidyl resin was
carried out as mentioned in example 1 to yield 300 mg, 70 % yield of crude peptide The crude sample was preparative HPLC purified on Zorbax Eclipse XDB-C18 column (9.4 mm X 250mm, 5μιη) with buffer A: 0.1% TF A/Water, buffer B: Acetonitrile. The peptide was eluted by gradient elution 0-9 min = 5-20 % buffer B, with a flow rate of 7 mL/min. The identity of peptide was confirmed by LCMS. Calculated Mass: 840, Observed Mass: 841 [M+H]+.
Synthesis of building block
Compound E (1.0 g, 1.44 mmol) was dissolved in 20 mL of DCM containing triethyl amine (0.218 g, 2.16 mmol) at -20 °C. At same temperature, isobutyl chloroformate (0.216 g, 1.5 mmol) was added slowly, and the mixture was stirred for 1 h at -20 °C under N2 atmosphere. A further quantity of isobutyl chloroformate (0.216 g, 1.5 mmol) and triethyl amine (0.218 g, 2.16 mmol) was added and stirring was continued at 0 °C until the reactants were consumed as determined by TLC analysis. The reaction mixture concentrated under reduced pressure and diluted with EtOAc, the organic extract was washed with water (50 mL x 2), brine (50 mL) and dried (Na2S04). The solvent was evaporated to give the crude product which was further purified by silica gel column chromatography (eluent: 0-40 % EtOAc in Hexane) to furnish the product I (yield: 0.92 g,: 80.7%; Mass: Cal.793.43, Obs-794.3(M+l), 817.3 (M+Na).
To a solution of compound I (0.68 g) in methanol (10 mL) under inert atmosphere was added 10% Pd-C (0.25 g), and the mixture was stirred for 4 h under H2 atmosphere. The completion of the reaction was confirmed by TLC analysis. After the completion of reaction, the catalyst was removed by filtration through a celite pad, which was then washed with 30 mL of methanol. The combined organic filtrate, on evaporation under reduced pressure resulted in the isolation of pure product J (yield: 0.58 g, 96%, Mass: Cal.703.38, Obs-704.3 (M+l), 726.3 (M+Na).
Example 5: Synthesis of Compound 18
(SEQ ID NO: 20)
The synthesis was carried out as explained in example 1 using Rink Amide MBHA Resin (RFR-1063-PI Lot No 2401691), 0.66 mmol/g, 0.75 g. The N-terminal amino acid in the linear chain was coupled as Boc-Ser-(OCO(CH2)sCH3)-OH (compound B, 0.27 g; 1.5 equiv. 0.745 mmol) in dry DMF was added to the deprotected resin and coupling was initiated with DIC (0.2 m L; 2.5equiv) and HOBT (0.1 g; 1.5 equiv) in DMF. The concentration of each reactant in the reaction mixture was approximately 0.4 M. The mixture was rotated on a rotor at room temperature for overnight. Resin was filtered and washed with DMF (6 X 10 m L), DCM (6 X 10 m L) and DMF (6 X 10 m L). After the completion of the linear protected peptide sequence, the Ally! protecting group from carboxyl moiety of Glutamic acid was removed from the peptidyl resin and synthesis continued in the branch as mentioned in example 1 to yield 363 mg, 75 % yield of crude peptide. The crude sample was preparative HPLC purified on Zorbax Eclipse XDB-C 18 column (9.4 mm X 250mm, 5μηι) with buffer A: 0.1% TF A/Water, buffer B: Acetonitrile. The peptide was eluted by gradient elution 0-5 min = 5-15 % buffer B, 5-10 min = 15-25 % buffer B with a flow rate of 7 mL/min. The identity of peptide was confirmed by LCMS. Calculated Mass: 980, observed mass 980.4 [M]+
Synthesis of building block
NHTrt
BuuHN
To a solution of N-Boc amino acid (10.0 g, 38.28 mmol) in THF (100 mL) at -20 °C, was added N-methyl morpholine (NMM, 4.25 g, 42.1 1 mmol) and ethylchloroformate (4.57 g, 42.1 1 mmol) and the resultant mixture was stirred at same temperature for 20 min. The inorganic salts were filtered off and the filtrate was treated with moist NaBH4 (2.9 g, 76.56 mmol) for 10-15 min. The reaction mixture was then partitioned between water and EtOAc. Organic layer was washed with water, 10% NaHC03 solution (100 mL x 2) and brine, dried over Na2S04 and evaporated under reduced pressure to yield N-Boc aminol, which was further purified by silica gel column chromatography (eluent: 0-50% EtOAc in Hexane) to yield 8.2 g of product [yield: 85.4%, Mass: Cal.247.3, Obs:248.2 (M+l), 270.2 (M+Na)].
C To the solution of N-Boc-aminol (3.0 g, 12.13 mmol) in distilled DCM (30.0 mL) was added Dess-Martin periodinane (10.3 g, 24.27 mmol) in a portion wise manner at 0 °C and stirred at rt under N2 atmosphere for 30 min until the reactants were consumed as determined by TLC analysis. The reaction mixture was quenched by adding 1.0M Na2S203 solution, and the product was extracted with DCM. The organic extract was
washed with (5%, 1 : 1) Na2S203/NaHC03 solution (20 mL x 2), brine (20 mL) and dried over Na2S04. The solvent was removed under reduced pressure to give the crude product, which was further purified by silica gel column chromatography (eluent: 0-20% EtOAc in Hexane) to yield 2.4 g pure product C (yield-82%, Mass-Cal.245.32, Obs- 247.9 (M+l), 265.1 (M+Na)).
To a solution of Fmoc-Asn(trt)-OH (4.0 g, 6.7 mmol) in 30.0 mL of DMF was added CS2CO3 (2.62 g, 8.0 mmol). The mixture was then cooled to 0 °C and benzyl bromide (1.37 g, 8.0 mmol) was added and the resultant solution was stirred for 30 min at 0 °C and then at rt for 12 h. The reaction mixture was concentrated under reduced pressure and diluted with EtOAc (50 mL), the organic layer was washed with NaHC03 (2 x 50 m L) and brine (1 x 50 m L), dried over Na2S04, filtered and concentrated in vacuuo and purified by silica gel column chromatogrophy (eluent: 0-30% EtOAc in Hexane) to furnish Fmoc-Asn(trt)-OBn as white solid [yield: 4.5 g, 98.0%;, Mass: Cal.686.28, Obs- 687.3 (M+l), 709.1 (M+Na].
To a solution of Fmoc-Asn(Trt)-OBn (3.5 g, 5.1 mmol) in DCM (14.0 mL), diethylamine (14.0 m L) was added and stirred for 1 h at rt. The resulting solution was concentrated in vacuuo and the thick-residue was purified by neutral alumina column chromatography (eluent: 0-50% EtOAc in Hexane then 0-5% MeOH in CHC13) to yield NH2-Asn(Trt)- OBn D (yield: 1.75 g, 73.0% Mass: Cal. 464.21, Obs-465.3 (M+l), 487.2 (M+Na] ).
Asn(Trt)-OBn (4.5 g, 9.7 mmol), DIPEA (2.5 g, 19.4 mmol) and Boc-Ser(OtBu)-CHO (2.4 g, 9.7 mmol) were mixed in DCM (45 mL) at 0 °C and then allowed to stir at room
temperature for 1 h. Again the reaction mixture was cooled to 0 °C and treated with sodium triacetoxyborohydride (4.1 g, 19.4 mmol) and then mixture was allowed to stir at room temperature under N2 atmosphere for 6 h until the reactants were consumed as determined by TLC analysis. The reaction mixture was quenched by adding water, and the product was extracted with DCM. The organic extract was washed with 5% NaHCC solution (50 mL x 2), 5% citric acid solution (50 mL x 2), brine (50 mL) and dried over Na2S04. The solvent was evaporated to give the crude product which was further purified by silica gel column chromatography (eluent: 5-40 % EtOAc in Hexane) to furnish the desired product E (yield: 4.2 g, 62.0%; Mass: Cal.693.27, Obs-694.4 (M+l), 716.0 (M+Na)).
To a solution of compound E (4.0 g) in methanol (70.0 m L) under inert atmosphere, was added 10% Pd-C (1.0 g) and the mixture was stirred for 4 h under H2 atmosphere. The completion of the reaction was confirmed by TLC analysis. The catalyst was then removed by filtration through a celite pad, which was then washed with 50 mL of methanol. The combined organic filtrate, on evaporation under reduced pressure resulted in the isolation of the product F, (Yield: 3.3 g, 96.0 %; Mass: Cal.603.25, Obs-604.4 +l), 626.4 (M+Na).
Compound E (0.96 g, 1.38 mmol) was dissolved in 20 mL of DCM containing triethyl amine (0.384 g, 2.7 mmol) at 0 °C. At same temperature, decanoyl chloride (0.263 g, 1.38 mmol) was added slowly, and the mixture was stirred for 5 min at 0 °C, and at rt for
1 h under N2 atmosphere. A further quantity of decanoyl chloride (0.263 g, 1.38 mmol) and triethyl amine (0.384 g, 2.7 mmol) was added and stirring was continued until the reactants were consumed as determined by TLC analysis. The reaction mixture was quenched by adding water, and the product was extracted with DCM. The organic extract was washed with water (50 mL x 2), brine (50 mL) and dried (Na2S04). The solvent was evaporated to give the crude product which was further purified by silica gel column chromatography (eluent: 0-40 % EtOAc in Hexane) to furnish the product G (yield: 0.87 g,: 81.9%; Mass: Cal.847.2, Obs-848.3 (M+l), 870.4 (M+Na).
To a solution of compound G (0.72 g, 0.85 mmol) in methanol (10 mL) under inert atmosphere was added 10% Pd-C (0.25 g), and the mixture was stirred for 4 h under H2 atmosphere. The completion of the reaction was confirmed by TLC analysis. After the completion of reaction, the catalyst was removed by filtration through a celite pad, which was then washed with 30 m L of methanol. The combined organic filtrate, on evaporation under reduced pressure resulted in the isolation of pure product H (yield: 0.58 g, 90.6%, Mass: Cal.757.3, Obs-758.2 (M+l), 780.3 (M+Na).
Example 6: Synthesis of Compo'
(SEQ ID NO: 22)
The synthesis was carried out as explained in example 1 using Rink Amide MBHA Resin (RFR-1063-PI Lot No 2401691), 0.66 mmol/g, 0.75 g. The N-terminal amino acid in the linear chain was coupled as (compound H, 0.56 g; 1.5 equiv. 0.74 m mol) in Dry DMF was added to the deprotected resin and coupling was initiated with DIC (0.2 m L; 2.5equiv) and HOBT (O. lg; 1.5 equiv) in DMF. The concentration of each reactant in the reaction mixture was approximately 0.4 M. The mixture was rotated on a rotor at room temperature for overnight. Resin was filtered and washed with DMF (6 10 mL), DCM (6 X 10 mL) and DMF (6 X 10 mL). After the completion of the linear protected peptide sequence, the orthogonal deprotection, attachment of linker and coupling of phenyl alanine and serine was carried out as in example 1. The peptide was cleaved from the polymeric support to yield 300 mg, 66 % yield of crude peptide. . The crude sample was preparative HPLC purified on Zorbax Eclipse XDB-C18 column (9.4 mm X 250mm, 5μηι) with buffer A: 0.1% TF A/Water, buffer B: Acetonitrile. The peptide was eluted by gradient elution 0-5 min = 5-15 % buffer B, 5-10 min = 15-25 % buffer B with a flow rate of 7 mL/min. The identity of peptide was confirmed by LCMS. Calculated Mass: 925.5 Observed Mass: 926.7 [M+H]+
Example 7: Synthesis of Compound 26
(SEQ ID NO: 28)
The synthesis was carried out as explained in example 1 using Rink Amide MBHA Resin (RFR-1063-PI Lot No 2401691), 0.66 mmol/g, and 0.75 g. The N-terminal amino acid in the linear fragment was coupled as (compound J, 0.52 g; 1.5 equiv. 0.745 mmol) in dry DMF was added to the deprotected resin and coupling was initiated with DIC (0.2 m L; 2.5equiv) and HOBT (0.1 g; 1.5 equiv) in DMF. The concentration of each reactant in the reaction mixture was approximately 0.4 M. The mixture was rotated on a rotor at
room temperature for overnight. Resin was filtered and washed with DMF (6 X 10 m L), DCM (6 X 10 m L) and DMF (6 X 10 m L). The synthesis was continued further after OA11 deprotection and coupling of branch amino acids as explained in the example 1 to yield 363 mg, 75 % yield of crude peptide. The crude sample was preparative HPLC purified on Zorbax Eclipse XDB-C18 column (9.4 mm X 250mm, 5μιη) with buffer A: 0.1% TFA/Water, buffer B: Acetonitrile. The peptide was eluted by gradient elution 0-5 min = 5-10 % buffer B, 5-20 min = 10-25 % buffer B with a flow rate of 7 mL/min. The identity of peptide was confirmed by LCMS. Calculated Mass: 925.5, observed mass 926.7 [M+H]+.
Example 8 Synthesis of Compound 28
Desiccated Rink Amide MBHA-Amide resin (100-200 mesh, 0.66 mmol/g, 0.5 g) was placed in a polyethylene vessel equipped with a polypropylene filter. Resin was swelled in DCM (15 m L) for 1 h and DMF (15 m L) for 1 h. The Fmoc group of the Rink Amide MBHA-Amide was deprotected by treating it twice with 20% (v/v) piperidine/DMF solution for 5 and 15 min (10 m L). The resin was washed with DMF (6 X 10 m L), DCM (6 X 10 m L) and DMF (6 X 10 m L). Kaiser test on peptide resin aliquot upon completion of Fmoc-deportation was positive. The C-terminal amino acid, Fmoc- Ser(tBu)-OH (0.64 g; 5 equiv. 1.65 mmol) in dry DMF was added to the deprotected resin and coupling was initiated with DIC (0.26 m L ;5 equiv) and HOBT (0.23 g ;5 equiv) in DMF. The concentration of each reactant in the reaction mixture was approximately 0.4 M. The mixture was rotated on a rotor at room temperature for 2 h. Resin was filtered and washed with DMF (6 X 10 m L), DCM (6 X 10 m L) and DMF (6 X 10 m L). Kaiser test on peptide resin aliquot upon completion of coupling was negative After the first amino acid attachment, the unreacted amino group, if any, in the resin is capped used acetic anhydride/pyridine/DCM (1 :8:8) for 20 minutes to avoid any deletion of the sequence. After capping, resin is washed with DCM (6 X 10 m L), DMF
(6 X 10 m L), DCM (6 X 15 m L) and DMF (6 X 15 m L). The Fmoc group on the C- terminal amino acid attached peptidyl resin was deprotected by treating it twice with 20% (v/v) piperdine DMF solution for 5 and 15 min (15 m L). The resin was washed with DMF (6 X 10 m L), DCM (6 X 10 m L) and DMF (6 X 10 m L). Kaiser test on peptide resin aliquot upon completion of Fmoc-deprotection was positive. The remaining amino acids were attached to the solid support as mentioned in example 1. The following amino acids were added sequentially to the peptidyl resin; Fmoc-Phe-OH (0.64 g; 5 equiv. 1.65 mmol), Boc-Lys(Fmoc)-OH (0.78 g; 5 equiv. 1.65 mmol),Fmoc- Glu(OtBu)-OH (0.7 g;; 5 equiv. 1.65 mmol), Fmoc-Ser(tBu)-OH (0.64 g; 5 equiv. 1.65 mmol), Fmoc-Thr(OtBu)-OH (0.66 g ; 5 equiv. 1.65 mmol), Fmoc-Asn(Trt)-OH (0.98 g; 5 equiv. 1.65 mmol), Fmoc-Ser (OtBu)-OH (0.64 g; 5 equiv. 1.65 mmol). The coupling was carried out in dry DMF using DIC (0.26 m L ;5 equiv) and HOBT (0.23 g ;5 equiv) in DMF. The cleavage of the peptidyl resin was carried out as mentioned in example 1. The precipitated peptide was centrifuged and the supernatant ether was removed and fresh ether was added to the peptide and re-centrifuged. The residue was dissolved in Millipore water and lyophilized to obtain the crude peptide (222 mg, 75 % yield). The crude sample was preparative HPLC purified and Lyophilised. The identity of peptide was confirmed by LCMS. Calculated Mass: 897.4, Observed Mass: 898.4 [M+l]+.
The following compounds were prepared by following similar procedure as described above with similar modification known to the one ordinary skilled in the art. The identity of peptide was confirmed by LCMS (Table 2).
Table 2
The remaining compounds of the Table 1 can be prepared by following similar approach as described above.
Use of MDA-MB-231 cells as a source of PD-Ll :
MDA-MB-231 cells were found to express PD-Ll by RT-PCR and therefore used as a source of PD-Ll in the assays.
Example 9: The effect of peptides on mouse spienocyte proliferation inhibited by PDL1/PDL2 or tumor cells expressing PDL
Requirement:
Mouse splenocytes harvested from 6-8 weeks old C57 BL6 mice.; RPMI 1640 (GIBCO, Cat # 1 1875); DMEM with high glucose (GIBCO, Cat # D6429); Fetal Bovine Serum [Hyclone, Cat # SH30071.03]; Pencilin (10000unit/ml)-Streptomycin (10,000μg/ml) Liquid (GIBCO, Cat # 15140-122); MEM Sodium Pyruvate solution lOOmM (lOOx), Liquid (GIBCO, Cat # 1 1360); Nonessential amino acid (GIBCO, Cat # 1 1 140); L-
Glutamine (GIBCO, Cat # 25030); Anti-CD3 antibody (eBiosciences - 16-0032); Anti- CD28 antibody (eBiosciences - 16-0281); ACK lysis buffer (lmL) (GIBCO, Cat # - A10492); Histopaque (density-1.083 gm/ml) (SIGMA 10831); Trypan blue solution (SIGMA-T8154);Hemacytometer (Bright line-SIGMA Z359629); FACS Buffer (PBS/0.1% BSA): Phosphate Buffered Saline (PBS) pH 7.2 (HiMedia TS1006) with 0.1% Bovine Serum Albumin (BSA) (SIGMA A7050) and sodium azide (SIGMA 08591 ); 5 mM stock solution of CFSE: CFSE stock solution was prepared by diluting lyophilized CFSE with Ι δθμί of Di methyl Sulfoxide (DMSO C2H6SO, SIGMA-D- 5879) and aliquoted in to tubes for further use. Working concentrations were titrated from 10μΜ to 1 μΜ. (eBioscience-650850-85); 96-well format ELISA plates (Corning CLS3390); BD FACS caliber (E6016).
Protocol
Splenocyte preparation:
Splenocytes harvested in a 50ml falcon tube by mashing spleen in a 40μπι cell strainer were further treated with 1ml ACK [Ammonium-Chloride-Potassium (K) (chloride)] lysis buffer for 5mins at RT. After washing with 9ml of RPMI complete media, cells re- suspended in 3ml of lxPBS in a 15ml tube. 3ml of histopaque was added very carefully to the bottom of the tube without disturbing overlaying splenocyte suspension. Spin the tube at 800xg for 20mins at RT. Opaque layer of lymphocytes is collected carefully without disturbing/mixing any of the layers. Cells washed twice with cold lxPBS followed by total cell counting using trypan blue exclusion method and used further for cell based assays.
CFSE Proliferation assay:
CFSE is dye abbreviated as Carboxyfluorescein Diacetate Succinimidyl Ester that passively diffuses into cells and binds to intracellular proteins.
Tumor cells (MDMBA231) are cultured and maintained in high glucose complete DMEM media, lxl 05 tumor cells were plated in 96 well plates along with required cone, of PDl derived peptide and allowed to adhere at 37°C for 4 hrs. lxlO6 cells / ml of harvested splenocytes are treated with 5μΜ of CFSE in pre warmed lxPBS/0.1%BSA solution for lOmins at 37°C. Excess CFSE was quenched using 5 volumes of ice-cold culture media to the cells and incubated on ice for 5mins. CFSE labeled splenocytes were further given three washes with ice cold complete DMEM media. CFSE labeled lxl O5
splenocytes added to above wells containing tumors cells and PD1 peptides. Splenocytes were stimulated with anti-CD3 and anti-CD28 antibody (^g/ml each) and the co-culture was further incubated for 72hrs at 37°C with 5% C02. Cells were harvested and washed thrice with ice cold FACS buffer and % proliferation was analyzed using a FACS caliber with 488nm excitation and 521nm emission filters. Each experimental condition was carried out in triplicates and each experiment at least carried out three times. % splenocyte proliferation was analyzed using cell quest FACS program and fold induction was calculated by normalizing individual values to % background proliferation (Figure 1).
Fold Induction = % splenocyte proliferation / % background proliferation
Stimulated splenocytes: Splenocytes + anti-CD3/CD28 stimulation
Background proliferation: Splenocytes + anti-CD3/CD28 + PDL or Tumor
Peptide effect: Splenocytes + anti-CD3/CD28 + PDL or Tumor + Peptide (ΙΟΟηΜ) Example 10
In vivo efficacy of Compound 1 on metastasis of B16F10 melanoma.
Animals:
C57/bl6J female mice (Aurigene, Bangalore, India) aged 6 to 8 weeks were used for the experiment. Animals were acclimatized for a week in the experimental room before conducting the experiment.
Effect of Compound 001 in B16F10 metastasis model
In the case of metastasis model, 0.1X106 B 16F10 cells were injected to C57/bl6J mice through i.v. Compound 001 dissolved in PBS, pH 7.4 was dosed subcutaneously at 5 mg/kg once daily. Vehicle control group of mice received only saline. Each group consisted of ten animals. Body weight and clinical signs were recorded daily. After 14 days of treatment, lung metastasis was quantitated by counting number of nodules under dissection microscope. Compound 001 treated at 5 mg/kg showed 64 percent reduction in metastasis.
Claims
Claims
1. A peptide derivative of formula (I),
(I)
wherein, Ami represents 1 to 4 amino acid residues which may be same or different and each independently selected from Ser, Asn and Thr; wherein one of the peptide bond (-CONH-) between any two amino acid residues may be replaced with a modified peptide bond of
CH2N
Q
wherein Q is hydrogen, -CO(C,-C2o)alkyl or -€OO(Ci-C20)alkyl;
Am2 is comprising of dipeptide selected from Ser-Phe or Phe-Ser, wherein Phe may be optionally substituted with amino(Ci-C20)alkyl, -NHCOCH3 or -NHCONH2;
X is Glu which may optionally form amide bonds with its alpha carboxylic acid group, delta carboxylic acid group or amino group;
L is a linker selected from -NH(CH2)nNH-, -NH(CH2)nCH(NH2)CO-, -OOC(CH2)mCOO-, -NH(CH2)nCO-, -NH(CH2CH20)nNH-, .NH(CH2CH20)nCO- or - CO(CH2CH20)„CO-;
Ri is free C-terminal, amidated C-terminal or N-terminal of Ami ; or is (Ci- C20)acyl substitution;
R2 is free C-terminal, amidated C-terminal or N-terminal of Am2; or Y-R5;
Y is an optional linker selected from -OOC(CH2)mCOO-, -CO(CH2)nNH-, - CO(CH2CH20)nNH- or -COCH2(OCH2CH2)nNH-;
R5 is an albumin binding moiety such as maleimido propionic acid;
R3 is free alpha C-terminal, amidated alpha C-terminal or N-terminal of Glu;
'n' is an integer selected from 2 to 10, both inclusive;
'm' is an integer selected from 0 to 8, both inclusive;
or its retro analogue or a pharmaceutically acceptable stereoisomer or a pharmaceutically acceptable salt thereof.
2. The compound according to Claim-1 , wherein one or more or all amino acids may be in D-configuration.
3. The compound according to Claim-1, wherein Ami is Ser-Asn-Thr-Ser.
4. The compound according to Claim-1, wherein Ami is Ser-Thr-Asn-Ser.
5. The compound according to Claim-1 , wherein Ri is N-terminal of Ami .
6. The compound according to Claim-1, wherein Ri is (Ci-C2o)acyl.
7. The compound according to Claim-1 , wherein 'L' is -NH(CH2)nNH-.
8. The compound according to Claim-1 , wherein R2 is N-terminal of Am2.
9. The compound according to Claim-1 , wherein R2 is amidated C-terminal of Am2.
10. The compound according to Claim-1 , wherein R2 is Y-R5.
11. The compound according to Claim- 10, wherein Y is absent and R5 is maleimido propionic acid.
12. The compound according to Claim- 10, wherein Y is -COCH2(OCH2CH2)2NH- and R5 is maleimido propionic acid.
13. A peptide derivative of Claim 1 having the formula (la):
(la)
wherein,
Ri is N-terminal of Ser; or (Ci-C20)acyl substituted with either hydroxyl group or amino group of Ser
L is a linker selected from -NH(CH2)nNH-, -NH(CH2)nCH(NH2)CO-, - OOC(CH2)mCOO-, -NH(CH2)nCO-, -NH(CH2CH20)nNH-, -NH(CH2CH20)nCO- or - CO(CH2CH20)nCO-;
R2 is free C-terminal, amidated C-terminal or N-terminal of Am2; or Y-R5;
Y is an optional linker selected from -OOC(CH2)mCOO, -CO(CH2)nNH-, - CO(CH2CH20)nNH- or -COCH2(OCH2CH2)nNH-;
R5 is an albumin binding moiety such as maleimido propionic acid;
R3 is OH or NH2;
R4 is a substituent on phenyl group of Phe and is selected from hydrogen, amino(C,-C2o)alkyl, -NHCOCH3 or -NHCONH2;
'n' is an integer having values selected from 2 to 10, both inclusive;
'm' is an integer having values selected from 0 to 8, both inclusive; and one of the peptide bond (-CONH-) of Ser-Asn, Asn-Thr or Thr-Ser may be replaced with a modified peptide bond of
CH2N——
Q
wherein Q is hydrogen, -CO(Ci-C2o)alkyl or -COO(Ci-C20)alkyl group;
or retro analogue or a pharmaceutically acceptable stereoisomer or a pharmaceutically acceptable salt thereof.
14. The compound according to Claim-13, wherein one or more or all amino acids may be in D-configuration.
15. The compound according to Claim-13, wherein L is -NH(CH2)4NH-.
16. The compound according to Claim-13, wherein L is -NH(CH2)4CH(NH2)CO-.
17. The compound according to Claim-13, wherein R2 is N-terminal of Ser.
18. The compound according to Claim-13, wherein the peptide bond (-CONH-) of Ser-Asn is replaced with a modified peptide bond of CH2N
Q
wherein Q is hydrogen, -CO(C 1 -C20)alkyl or -COO(C 1 -C20)alkyl group .
19. The compound according to Claim-13, wherein the peptide bond (-GONH-) of Asn-Thr is replaced with a modified peptide bond of CH2N-
Q I
wherein Q is hydrogen, -CO(Ci-C2o)alkyl or -COO(Ci-C2o)alkyl group.
20. A peptide derivative of Claim 1 having the formula (lb):
(lb)
wherein,
Ri is free C-terminal or amidated C-terminal of Ser;
L is a linker selected from -NH(CH2)nNH- or -NH(CH2CH20)nNH-;
R4 is selected from hydrogen, amino(Ci-C20)alkyl, -NHCOCH3 or -NHCONH2; or retro analogue or a pharmaceutically acceptable stereoisomer or a pharmaceutically acceptable salt thereof. 21. The compound according to Claim 20, wherein one or more or all amino acids may be in D-configuration.
22. The compound according to Claim-20, wherein L is -NH(CH2)4NH-.
23. The compound according to Claim-20, wherein Ri is amidated C-terminal of Ser.
24. A com ound selected from
(SEQ ID NO: 23)
A compound according to any one of the Claims 1 to 24, for use as a medicament for the treatment of cancer or infectious disease.
A pharmaceutical composition comprising a compound according to any one of the Claims 1 to 24, and a pharmaceutically acceptable diluent or carrier.
A method of modulating an immune response mediated by PD-1 signaling pathway in a subject, comprising administering to the subject therapeutically effective amount of compound according to any one of the Claims from 1 to 24, such that the immune response in the subject is modulated.
A method of inhibiting growth of tumour cells and/or metastasis in a subject, comprising administering to the subject a therapeutically effective amount of
compound according to any one of the Claims 1 to 24, capable of inhibiting the programmed cell death 1 (PD1) signaling pathway.
29. The method of Claim 28, wherein the tumour cells are of a cancer selected from the group consisting of melanoma, renal cancer, prostate cancer, breast cancer, colon cancer and lung cancer.
30. The method of Claim 28, wherein the tumour cells are of a cancer selected from the list consisting of bone cancer, pancreatic cancer, skin cancer, cancer of the head or neck, cutaneous or intraocular malignant melanoma, uterine cancer, ovarian cancer, rectal cancer, cancer of the anal region, stomach cancer, testicular cancer, carcinoma of the fallopian tubes, carcinoma of the endometrium, carcinoma of the cervix, carcinoma of the vagina, carcinoma of the vulva, Hodgkin's Disease, non-Hodgkin's lymphoma, cancer of the esophagus, cancer of the small intestine, cancer of the endocrine system, cancer of the thyroid gland, cancer of the parathyroid gland, cancer of the adrenal gland, sarcoma of soft tissue, cancer of the urethra, cancer of the penis, chronic or acute leukemias including acute myeloid leukemia, chronic myeloid leukemia, acute lymphoblastic leukemia, chronic lymphocytic leukemia, solid tumours of childhood, lymphocytic lymphoma, cancer of the bladder, cancer of the kidney or ureter, carcinoma of the renal pelvis, neoplasm of the central nervous system (CNS), primary CNS lymphoma, tumour angiogenesis, spinal axis tumour, brain stem glioma, pituitary adenoma, Kaposi's sarcoma, epidermoid cancer, squamous cell cancer, T-cell lymphoma, environmentally induced cancers including those induced by asbestos, and combinations of said cancers.
31. A method of treating an infectious disease in a subject comprising administering to the subject a therapeutically effective amount of compound according to any one of the Claims 1 to 24, capable of inhibiting the programmed cell death 1 (PD1) signaling pathway such that the subject is treated for the infectious disease
32. A method of treating bacterial and viral infections in a subject comprising administering to the subject a therapeutically effective amount of compound according to any one of the Claims 1 to 24, capable of inhibiting the programmed cell death l ' (PDl ) signaling pathway such that the subject is treated for the bacterial, fungal and viral infections.
33. The method of Claim 31 or 32, wherein the infectious disease is selected from the group consisting of HIV, Influenza, Herpes, Giardia, Malaria, Leishmania, the pathogenic infection by the virus Hepatitis (A, B, & C), herpes virus (VZV, HSV-I, HAV-6, HSV-II, CMV and Epstein Barr virus), adenovirus, influenza virus, flaviviruses, echovirus, rhinovirus, coxsackie virus, cornovirus, respiratory syncytial virus, mumps virus, rotavirus, measles virus, rubella virus, parvovirus, vaccinia virus, HTLV virus, dengue virus, papillomavirus, molluscum virus, poliovirus, rabies virus, JC virus and arboviral encephalitis virus, pathogenic infection by the bacteria chlamydia, rickettsial bacteria, mycobacteria, staphylococci, streptococci, pneumonococci, meningococci, conococci, klebsiella, proteus, serratia, pseudomonas, E. coli, legionella, diphtheria, salmonella, bacilli, cholera, tetanus, botulism, anthrax, plague, leptospirosis, and Lyme's disease bacteria, pathogenic infection by the fungi Candida (albicans, krusei, glabrata, tropicalis, etc.), Cryptococcus neoformans, Aspergillus (fumigatus, niger, etc.), Genus Mucorales (mucor, absidia, rhizophus), Sporothrix schenkii, Blastomyces dermatitidis, Paracoccidioides brasiliensis, Coccidioides immitis and Histoplasma capsulatum, and pathogenic infection by the parasites Entamoeba histolytica, Balantidium coli, Naegleriafowleri, Acanthamoeba sp., Giardia lambia, Cryptosporidium sp., Pneumocystis carinii, Plasmodium vivax, Babesia microti, Trypanosoma brucei, Trypanosoma cruzi, Leishmania donovani, Toxoplasma gondi, Nippostrongylus brasiliensis.
34. A method for treating sepsis in a subject comprising administering to the subject a therapeutically effective amount of compound according to any one of the Claims 1 to 24, capable of inhibiting the programmed cell death 1 (PD1 ) signaling pathway such that the subject is treated for the bacterial, fungal and viral infections.
Priority Applications (3)
| Application Number | Priority Date | Filing Date | Title |
|---|---|---|---|
| CN201180072766.5A CN103732238A (en) | 2011-06-08 | 2011-12-21 | Therapeutic compounds for immunomodulation |
| US14/124,370 US9096642B2 (en) | 2011-06-08 | 2011-12-21 | Therapeutic compounds for immunomodulation |
| EP11827774.8A EP2717895A1 (en) | 2011-06-08 | 2011-12-21 | Therapeutic compounds for immunomodulation |
Applications Claiming Priority (4)
| Application Number | Priority Date | Filing Date | Title |
|---|---|---|---|
| IN1943CH2011 | 2011-06-08 | ||
| IN1943/CHE/2011 | 2011-06-08 | ||
| US201161515007P | 2011-08-04 | 2011-08-04 | |
| US61/515,007 | 2011-08-04 |
Publications (1)
| Publication Number | Publication Date |
|---|---|
| WO2012168944A1 true WO2012168944A1 (en) | 2012-12-13 |
Family
ID=47295571
Family Applications (1)
| Application Number | Title | Priority Date | Filing Date |
|---|---|---|---|
| PCT/IN2011/000881 Ceased WO2012168944A1 (en) | 2011-06-08 | 2011-12-21 | Therapeutic compounds for immunomodulation |
Country Status (4)
| Country | Link |
|---|---|
| US (1) | US9096642B2 (en) |
| EP (1) | EP2717895A1 (en) |
| CN (1) | CN103732238A (en) |
| WO (1) | WO2012168944A1 (en) |
Cited By (120)
| Publication number | Priority date | Publication date | Assignee | Title |
|---|---|---|---|---|
| WO2015033299A1 (en) | 2013-09-06 | 2015-03-12 | Aurigene Discovery Technologies Limited | 1,2,4-oxadiazole derivatives as immunomodulators |
| WO2015033301A1 (en) | 2013-09-06 | 2015-03-12 | Aurigene Discovery Technologies Limited | 1,3,4-oxadiazole and 1,3,4-thiadiazole derivatives as immunomodulators |
| WO2015033303A1 (en) | 2013-09-06 | 2015-03-12 | Aurigene Discovery Technologies Limited | Cyclic peptidomimetic compounds as immunomodulators |
| WO2015036927A1 (en) * | 2013-09-10 | 2015-03-19 | Aurigene Discovery Technologies Limited | Immunomodulating peptidomimetic derivatives |
| WO2015044900A1 (en) * | 2013-09-27 | 2015-04-02 | Aurigene Discovery Technologies Limited | Therapeutic immunomodulating compounds |
| US9308236B2 (en) | 2013-03-15 | 2016-04-12 | Bristol-Myers Squibb Company | Macrocyclic inhibitors of the PD-1/PD-L1 and CD80(B7-1)/PD-L1 protein/protein interactions |
| WO2016142852A1 (en) * | 2015-03-10 | 2016-09-15 | Aurigene Discovery Technologies Limited | 1,3,4-oxadiazole and thiadiazole compounds as immunomodulators |
| WO2016142833A1 (en) | 2015-03-10 | 2016-09-15 | Aurigene Discovery Technologies Limited | 1,2,4-oxadiazole and thiadiazole compounds as immunomodulators |
| WO2016142894A1 (en) * | 2015-03-10 | 2016-09-15 | Aurigene Discovery Technologies Limited | 3-substituted 1,3,4-oxadiazole and thiadiazole compounds as immunomodulators |
| US9732119B2 (en) | 2014-10-10 | 2017-08-15 | Bristol-Myers Squibb Company | Immunomodulators |
| WO2017162208A1 (en) * | 2016-03-24 | 2017-09-28 | 华东理工大学 | Pd-1 targeting polypeptide and use thereof |
| US9809625B2 (en) | 2015-03-18 | 2017-11-07 | Bristol-Myers Squibb Company | Immunomodulators |
| US9856292B2 (en) | 2014-11-14 | 2018-01-02 | Bristol-Myers Squibb Company | Immunomodulators |
| US9861680B2 (en) | 2014-12-18 | 2018-01-09 | Bristol-Myers Squibb Company | Immunomodulators |
| WO2018006795A1 (en) | 2016-07-05 | 2018-01-11 | 广州再极医药科技有限公司 | Aromatic acetylene or aromatic ethylene compound, intermediate, preparation method, pharmaceutical composition and use thereof |
| WO2018047143A1 (en) * | 2016-09-12 | 2018-03-15 | Aurigene Discovery Technologies Limited | Vista signaling pathway inhibitory compounds useful as immunomodulators |
| WO2018049027A1 (en) | 2016-09-07 | 2018-03-15 | Trustees Of Tufts College | Combination therapies using immuno-dash inhibitors and pge2 antagonists |
| US9944678B2 (en) | 2014-12-19 | 2018-04-17 | Bristol-Myers Squibb Company | Immunomodulators |
| US10098950B2 (en) | 2016-09-15 | 2018-10-16 | Leidos, Inc. | PD-1 Peptide Inhibitors |
| US10143746B2 (en) | 2016-03-04 | 2018-12-04 | Bristol-Myers Squibb Company | Immunomodulators |
| WO2019087087A1 (en) | 2017-11-03 | 2019-05-09 | Aurigene Discovery Technologies Limited | Dual inhibitors of tim-3 and pd-1 pathways |
| WO2019090263A1 (en) | 2017-11-06 | 2019-05-09 | Genentech, Inc. | Diagnostic and therapeutic methods for cancer |
| WO2019128918A1 (en) | 2017-12-29 | 2019-07-04 | 广州再极医药科技有限公司 | Aromatic vinyl or aromatic ethyl derivative, preparation method therefor, intermediate, pharmaceutical composition, and application |
| US10358463B2 (en) | 2016-04-05 | 2019-07-23 | Bristol-Myers Squibb Company | Immunomodulators |
| WO2019165374A1 (en) | 2018-02-26 | 2019-08-29 | Gilead Sciences, Inc. | Substituted pyrrolizine compounds as hbv replication inhibitors |
| WO2019195181A1 (en) | 2018-04-05 | 2019-10-10 | Gilead Sciences, Inc. | Antibodies and fragments thereof that bind hepatitis b virus protein x |
| WO2019193533A1 (en) | 2018-04-06 | 2019-10-10 | Institute Of Organic Chemistry And Biochemistry Ascr, V.V.I. | 2'2'-cyclic dinucleotides |
| WO2019193543A1 (en) | 2018-04-06 | 2019-10-10 | Institute Of Organic Chemistry And Biochemistry Ascr, V.V.I. | 3'3'-cyclic dinucleotides |
| WO2019193542A1 (en) | 2018-04-06 | 2019-10-10 | Institute Of Organic Chemistry And Biochemistry Ascr, V.V.I. | 2'3'-cyclic dinucleotides |
| WO2019200247A1 (en) | 2018-04-12 | 2019-10-17 | Precision Biosciences, Inc. | Optimized engineered meganucleases having specificity for a recognition sequence in the hepatitis b virus genome |
| US10450347B2 (en) | 2015-02-04 | 2019-10-22 | Bristol-Myers Squibb Company | Immunomodulators |
| WO2019211799A1 (en) | 2018-05-03 | 2019-11-07 | Institute Of Organic Chemistry And Biochemistry Ascr, V.V.I. | 2'3'-cyclic dinucleotide analogue comprising a cyclopentanyl modified nucleotide |
| WO2019246557A1 (en) | 2018-06-23 | 2019-12-26 | Genentech, Inc. | Methods of treating lung cancer with a pd-1 axis binding antagonist, a platinum agent, and a topoisomerase ii inhibitor |
| US10538555B2 (en) | 2014-09-11 | 2020-01-21 | Bristol-Myers Squibb Company | Macrocyclic inhibitors of the PD-1/PD-L1 and CD80(B7-1)/PD-L1 protein/protein interactions |
| WO2020018789A1 (en) | 2018-07-18 | 2020-01-23 | Genentech, Inc. | Methods of treating lung cancer with a pd-1 axis binding antagonist, an antimetabolite, and a platinum agent |
| WO2020028097A1 (en) | 2018-08-01 | 2020-02-06 | Gilead Sciences, Inc. | Solid forms of (r)-11-(methoxymethyl)-12-(3-methoxypropoxy)-3,3-dimethyl-8-0x0-2,3,8,13b-tetrahydro-1h-pyrido[2,1-a]pyrrolo[1,2-c] phthalazine-7-c arboxylic acid |
| US10568870B2 (en) | 2016-04-07 | 2020-02-25 | Chemocentryx, Inc. | Reducing tumor burden by administering CCR1 antagonists in combination with PD-1 inhibitors or PD-L1 inhibitors |
| WO2020051099A1 (en) | 2018-09-03 | 2020-03-12 | Genentech, Inc. | Carboxamide and sulfonamide derivatives useful as tead modulators |
| WO2020092621A1 (en) | 2018-10-31 | 2020-05-07 | Gilead Sciences, Inc. | Substituted 6-azabenzimidazole compounds as hpk1 inhibitors |
| WO2020092528A1 (en) | 2018-10-31 | 2020-05-07 | Gilead Sciences, Inc. | Substituted 6-azabenzimidazole compounds having hpk1 inhibitory activity |
| WO2020088357A1 (en) | 2018-11-02 | 2020-05-07 | 上海再极医药科技有限公司 | Diphenyl-like compound, intermediate thereof, preparation method therefor, pharmaceutical composition thereof and uses thereof |
| US10662416B2 (en) | 2016-10-14 | 2020-05-26 | Precision Biosciences, Inc. | Engineered meganucleases specific for recognition sequences in the hepatitis B virus genome |
| WO2020132560A2 (en) | 2018-12-21 | 2020-06-25 | Aim Immunotech Inc. | Compositions and methods for cancer therapy |
| WO2020150152A1 (en) | 2019-01-14 | 2020-07-23 | Genentech, Inc. | Methods of treating cancer with a pd-1 axis binding antagonist and an rna vaccine |
| US10744118B2 (en) | 2012-12-07 | 2020-08-18 | Chemocentryx, Inc. | Diazole lactams |
| WO2020178769A1 (en) | 2019-03-07 | 2020-09-10 | Institute Of Organic Chemistry And Biochemistry Ascr, V.V.I. | 2'3'-cyclic dinucleotides and prodrugs thereof |
| WO2020178770A1 (en) | 2019-03-07 | 2020-09-10 | Institute Of Organic Chemistry And Biochemistry Ascr, V.V.I. | 3'3'-cyclic dinucleotides and prodrugs thereof |
| WO2020178768A1 (en) | 2019-03-07 | 2020-09-10 | Institute Of Organic Chemistry And Biochemistry Ascr, V.V.I. | 3'3'-cyclic dinucleotide analogue comprising a cyclopentanyl modified nucleotide as sting modulator |
| US10799555B2 (en) | 2016-09-15 | 2020-10-13 | Leidos, Inc. | PD-1 peptide inhibitors |
| WO2020214652A1 (en) | 2019-04-17 | 2020-10-22 | Gilead Sciences, Inc. | Solid forms of a toll-like receptor modulator |
| WO2020214663A1 (en) | 2019-04-17 | 2020-10-22 | Gilead Sciences, Inc. | Solid forms of a toll-like receptor modulator |
| WO2020214995A1 (en) | 2019-04-19 | 2020-10-22 | Genentech, Inc. | Anti-mertk antibodies and their methods of use |
| WO2020237025A1 (en) | 2019-05-23 | 2020-11-26 | Gilead Sciences, Inc. | Substituted exo-methylene-oxindoles which are hpk1/map4k1 inhibitors |
| WO2021030251A1 (en) | 2019-08-12 | 2021-02-18 | Purinomia Biotech, Inc. | Methods and compositions for promoting and potentiating t-cell mediated immune responses through adcc targeting of cd39 expressing cells |
| WO2021034804A1 (en) | 2019-08-19 | 2021-02-25 | Gilead Sciences, Inc. | Pharmaceutical formulations of tenofovir alafenamide |
| US10966999B2 (en) | 2017-12-20 | 2021-04-06 | Institute Of Organic Chemistry And Biochemistry Ascr, V.V.I. | 3′3′ cyclic dinucleotides with phosphonate bond activating the sting adaptor protein |
| WO2021067181A1 (en) | 2019-09-30 | 2021-04-08 | Gilead Sciences, Inc. | Hbv vaccines and methods treating hbv |
| US10988507B2 (en) | 2016-11-07 | 2021-04-27 | Bristol-Myers Squibb Company | Immunomodulators |
| WO2021097110A1 (en) | 2019-11-13 | 2021-05-20 | Genentech, Inc. | Therapeutic compounds and methods of use |
| WO2021113765A1 (en) | 2019-12-06 | 2021-06-10 | Precision Biosciences, Inc. | Optimized engineered meganucleases having specificity for a recognition sequence in the hepatitis b virus genome |
| US11040948B2 (en) | 2017-09-29 | 2021-06-22 | Curis, Inc. | Crystal forms of immunomodulators |
| WO2021136354A1 (en) | 2020-01-03 | 2021-07-08 | 上海翰森生物医药科技有限公司 | Biphenyl derivative inhibitor, preparation method therefor and use thereof |
| US11066445B2 (en) | 2017-06-23 | 2021-07-20 | Bristol-Myers Squibb Company | Immunomodulators acting as antagonists of PD-1 |
| WO2021155149A1 (en) | 2020-01-31 | 2021-08-05 | Genentech, Inc. | Methods of inducing neoepitope-specific t cells with a pd-1 axis binding antagonist and an rna vaccine |
| US11103605B2 (en) | 2016-05-19 | 2021-08-31 | Bristol-Myers Squibb Company | PET-imaging immunomodulators |
| WO2021188959A1 (en) | 2020-03-20 | 2021-09-23 | Gilead Sciences, Inc. | Prodrugs of 4'-c-substituted-2-halo-2'-deoxyadenosine nucleosides and methods of making and using the same |
| US11136300B2 (en) | 2017-10-11 | 2021-10-05 | Aurigene Discovery Technologies Limited | Crystalline forms of 3-substituted 1,2,4-oxadiazole |
| US11203610B2 (en) | 2017-12-20 | 2021-12-21 | Institute Of Organic Chemistry And Biochemistry Ascr, V.V.I. | 2′3′ cyclic dinucleotides with phosphonate bond activating the sting adaptor protein |
| WO2022020716A1 (en) | 2020-07-24 | 2022-01-27 | Genentech, Inc. | Heterocyclic inhibitors of tead for treating cancer |
| WO2022052926A1 (en) | 2020-09-09 | 2022-03-17 | 广州再极医药科技有限公司 | Aromatic ethylene compound and preparation method therefor, and intermediate, pharmaceutical composition, and application thereof |
| WO2022086957A1 (en) | 2020-10-20 | 2022-04-28 | Genentech, Inc. | Peg-conjugated anti-mertk antibodies and methods of use |
| WO2022093981A1 (en) | 2020-10-28 | 2022-05-05 | Genentech, Inc. | Combination therapy comprising ptpn22 inhibitors and pd-l1 binding antagonists |
| US11338040B2 (en) | 2020-06-04 | 2022-05-24 | Leidos, Inc. | Immunomodulatory compounds |
| WO2022119830A1 (en) | 2020-12-02 | 2022-06-09 | Genentech, Inc. | Methods and compositions for neoadjuvant and adjuvant urothelial carcinoma therapy |
| WO2022232503A1 (en) | 2021-04-30 | 2022-11-03 | Genentech, Inc. | Therapeutic and diagnostic methods and compositions for cancer |
| US11492375B2 (en) | 2017-10-03 | 2022-11-08 | Bristol-Myers Squibb Company | Cyclic peptide immunomodulators |
| US11497735B2 (en) | 2017-11-06 | 2022-11-15 | Aurigene Discovery Technologies Limited | Conjoint therapies for immunomodulation |
| WO2022241134A1 (en) | 2021-05-13 | 2022-11-17 | Gilead Sciences, Inc. | COMBINATION OF A TLR8 MODULATING COMPOUND AND ANTI-HBV siRNA THERAPEUTICS |
| WO2022261310A1 (en) | 2021-06-11 | 2022-12-15 | Gilead Sciences, Inc. | Combination mcl-1 inhibitors with anti-body drug conjugates |
| WO2022261301A1 (en) | 2021-06-11 | 2022-12-15 | Gilead Sciences, Inc. | Combination mcl-1 inhibitors with anti-cancer agents |
| WO2022271650A1 (en) | 2021-06-23 | 2022-12-29 | Gilead Sciences, Inc. | Diacylglyercol kinase modulating compounds |
| WO2022271659A1 (en) | 2021-06-23 | 2022-12-29 | Gilead Sciences, Inc. | Diacylglyercol kinase modulating compounds |
| WO2022271677A1 (en) | 2021-06-23 | 2022-12-29 | Gilead Sciences, Inc. | Diacylglyercol kinase modulating compounds |
| WO2022271684A1 (en) | 2021-06-23 | 2022-12-29 | Gilead Sciences, Inc. | Diacylglyercol kinase modulating compounds |
| WO2023279092A2 (en) | 2021-07-02 | 2023-01-05 | Genentech, Inc. | Methods and compositions for treating cancer |
| WO2023010095A1 (en) | 2021-07-28 | 2023-02-02 | F. Hoffmann-La Roche Ag | Methods and compositions for treating cancer |
| WO2023010094A2 (en) | 2021-07-28 | 2023-02-02 | Genentech, Inc. | Methods and compositions for treating cancer |
| WO2023051926A1 (en) | 2021-09-30 | 2023-04-06 | BioNTech SE | Treatment involving non-immunogenic rna for antigen vaccination and pd-1 axis binding antagonists |
| WO2023056403A1 (en) | 2021-09-30 | 2023-04-06 | Genentech, Inc. | Methods for treatment of hematologic cancers using anti-tigit antibodies, anti-cd38 antibodies, and pd-1 axis binding antagonists |
| WO2023080900A1 (en) | 2021-11-05 | 2023-05-11 | Genentech, Inc. | Methods and compositions for classifying and treating kidney cancer |
| WO2023097194A2 (en) | 2021-11-24 | 2023-06-01 | Genentech, Inc. | Therapeutic compounds and methods of use |
| WO2023097195A1 (en) | 2021-11-24 | 2023-06-01 | Genentech, Inc. | Therapeutic indazole compounds and methods of use in the treatment of cancer |
| WO2023191816A1 (en) | 2022-04-01 | 2023-10-05 | Genentech, Inc. | Dosing for treatment with anti-fcrh5/anti-cd3 bispecific antibodies |
| WO2023219613A1 (en) | 2022-05-11 | 2023-11-16 | Genentech, Inc. | Dosing for treatment with anti-fcrh5/anti-cd3 bispecific antibodies |
| WO2023240058A2 (en) | 2022-06-07 | 2023-12-14 | Genentech, Inc. | Prognostic and therapeutic methods for cancer |
| WO2024015897A1 (en) | 2022-07-13 | 2024-01-18 | Genentech, Inc. | Dosing for treatment with anti-fcrh5/anti-cd3 bispecific antibodies |
| WO2024020432A1 (en) | 2022-07-19 | 2024-01-25 | Genentech, Inc. | Dosing for treatment with anti-fcrh5/anti-cd3 bispecific antibodies |
| WO2024049949A1 (en) | 2022-09-01 | 2024-03-07 | Genentech, Inc. | Therapeutic and diagnostic methods for bladder cancer |
| WO2024077095A1 (en) | 2022-10-05 | 2024-04-11 | Genentech, Inc. | Methods and compositions for classifying and treating bladder cancer |
| WO2024077166A1 (en) | 2022-10-05 | 2024-04-11 | Genentech, Inc. | Methods and compositions for classifying and treating lung cancer |
| WO2024091991A1 (en) | 2022-10-25 | 2024-05-02 | Genentech, Inc. | Therapeutic and diagnostic methods for multiple myeloma |
| US11987646B2 (en) | 2020-10-12 | 2024-05-21 | Leidos, Inc. | Immunomodulatory peptides |
| WO2024137589A2 (en) | 2022-12-20 | 2024-06-27 | Genentech, Inc. | Methods of treating pancreatic cancer with a pd-1 axis binding antagonist and an rna vaccine |
| WO2024233341A1 (en) | 2023-05-05 | 2024-11-14 | Genentech, Inc. | Dosing for treatment with anti-fcrh5/anti-cd3 bispecific antibodies |
| WO2024233646A1 (en) | 2023-05-10 | 2024-11-14 | Genentech, Inc. | Methods and compositions for treating cancer |
| WO2024263195A1 (en) | 2023-06-23 | 2024-12-26 | Genentech, Inc. | Methods for treatment of liver cancer |
| WO2024263904A1 (en) | 2023-06-23 | 2024-12-26 | Genentech, Inc. | Methods for treatment of liver cancer |
| WO2025024257A1 (en) | 2023-07-21 | 2025-01-30 | Genentech, Inc. | Diagnostic and therapeutic methods for cancer |
| WO2025049277A1 (en) | 2023-08-25 | 2025-03-06 | Genentech, Inc. | Methods and compositions for treating non-small cell lung cancer comprising an anti-tigit antagonist antibody and a pd-1 axis binding antagonist |
| WO2025056778A1 (en) | 2023-09-15 | 2025-03-20 | BioNTech SE | Methods of treatment using agents binding to epcam and cd137 in combination with pd-1 axis binding antagonists |
| WO2025085404A1 (en) | 2023-10-16 | 2025-04-24 | Genentech, Inc. | Diagnostic and therapeutic methods for treating lung cancer |
| WO2025155607A1 (en) | 2024-01-16 | 2025-07-24 | Genentech, Inc. | Methods of treating urothelial carcinoma with a pd-1 axis binding antagonist and an rna vaccine |
| US12370258B2 (en) | 2017-05-25 | 2025-07-29 | Leidos, Inc. | PD-1 and CTLA-4 dual inhibitor peptides |
| WO2025174933A1 (en) | 2024-02-14 | 2025-08-21 | Genentech, Inc. | Methods for treatment of pancreatic cancer with anti-pd-l1 ab, anti-tigit ab, gemcitabine and nab-placlitaxel |
| US12403174B2 (en) | 2020-01-06 | 2025-09-02 | Bristol-Myers Squibb Company | Immunomodulators |
| US12421278B2 (en) | 2020-03-30 | 2025-09-23 | Bristol-Myers Squibb Company | Immunomodulators |
| WO2025240242A1 (en) | 2024-05-13 | 2025-11-20 | Gilead Sciences, Inc. | Combination therapies with ribavirin |
| WO2025240246A1 (en) | 2024-05-13 | 2025-11-20 | Gilead Sciences, Inc. | Combination therapies with ribavirin |
| WO2025240243A1 (en) | 2024-05-13 | 2025-11-20 | Gilead Sciences, Inc. | Combination therapies with bulevirtide and an inhibitory nucleic acid targeting hepatitis b virus |
| WO2025240244A1 (en) | 2024-05-13 | 2025-11-20 | Gilead Sciences, Inc. | Combination therapies comprising bulevirtide and lonafarnib for use in the treatment of hepatitis d virus infection |
Families Citing this family (29)
| Publication number | Priority date | Publication date | Assignee | Title |
|---|---|---|---|---|
| US9657082B2 (en) | 2013-01-31 | 2017-05-23 | Thomas Jefferson University | PD-L1 and PD-L2-based fusion proteins and uses thereof |
| US10544225B2 (en) * | 2014-07-03 | 2020-01-28 | Beigene, Ltd. | Anti-PD-L1 antibodies and their use as therapeutics and diagnostics |
| SG11201706902SA (en) * | 2015-03-10 | 2017-09-28 | Aurigene Discovery Tech Ltd | 3-substituted-1,2,4-oxadiazole and thiadiazole compounds as immunomodulators |
| WO2017023803A1 (en) | 2015-07-31 | 2017-02-09 | Regents Of The University Of Minnesota | Modified cells and methods of therapy |
| MA44909A (en) | 2015-09-15 | 2018-07-25 | Acerta Pharma Bv | THERAPEUTIC ASSOCIATION OF A CD19 INHIBITOR AND A BTK INHIBITOR |
| WO2017122203A1 (en) | 2016-01-11 | 2017-07-20 | Technion Research & Development Foundation Limited | Methods of determining prognosis of sepsis and treating same |
| WO2017122175A1 (en) | 2016-01-13 | 2017-07-20 | Acerta Pharma B.V. | Therapeutic combinations of an antifolate and a btk inhibitor |
| US20200016177A1 (en) | 2016-09-22 | 2020-01-16 | Inserm (Institut National De La Sante Et De La Recherche Medicale) | Methods and pharmaceutical compositions for reprograming immune environment in a subject in need thereof |
| CA3041068A1 (en) | 2016-10-18 | 2018-04-26 | Regents Of The University Of Minnesota | Tumor infiltrating lymphocytes and methods of therapy |
| TWI788307B (en) | 2016-10-31 | 2023-01-01 | 美商艾歐凡斯生物治療公司 | Engineered artificial antigen presenting cells for tumor infiltrating lymphocyte expansion |
| WO2018098352A2 (en) | 2016-11-22 | 2018-05-31 | Jun Oishi | Targeting kras induced immune checkpoint expression |
| AU2017384900B2 (en) | 2016-12-28 | 2020-12-10 | GC Cell Corporation | Chimeric antigen receptor and natural killer cells expressing same |
| US11584733B2 (en) | 2017-01-09 | 2023-02-21 | Shuttle Pharmaceuticals, Inc. | Selective histone deacetylase inhibitors for the treatment of human disease |
| ES2914123T3 (en) | 2017-01-09 | 2022-06-07 | Shuttle Pharmaceuticals Inc | Selective histone deacetylase inhibitors for the treatment of a human disease |
| JP2020530307A (en) | 2017-06-30 | 2020-10-22 | インティマ・バイオサイエンス,インコーポレーテッド | Adeno-associated virus vector for gene therapy |
| WO2019020593A1 (en) | 2017-07-25 | 2019-01-31 | INSERM (Institut National de la Santé et de la Recherche Médicale) | Methods and pharmaceutical compositions for modulating monocytopoiesis |
| US11649294B2 (en) | 2017-11-14 | 2023-05-16 | GC Cell Corporation | Anti-HER2 antibody or antigen-binding fragment thereof, and chimeric antigen receptor comprising same |
| CN111655732B (en) | 2017-11-14 | 2023-09-12 | Gc细胞治疗 | Anti-HER2 antibodies or antigen-binding fragments thereof and chimeric antigen receptors comprising the same |
| ES2983284T3 (en) | 2018-01-09 | 2024-10-22 | Shuttle Pharmaceuticals Inc | Selective histone deacetylase inhibitors for the treatment of human diseases |
| EP3810109B1 (en) | 2018-05-31 | 2024-08-07 | Peloton Therapeutics, Inc. | Compounds and compositions for inhibiting cd73 |
| TW202031273A (en) | 2018-08-31 | 2020-09-01 | 美商艾歐凡斯生物治療公司 | Treatment of nsclc patients refractory for anti-pd-1 antibody |
| MX2021002887A (en) | 2018-09-20 | 2021-06-04 | Iovance Biotherapeutics Inc | Expansion of tils from cryopreserved tumor samples. |
| CN109265533B (en) * | 2018-10-30 | 2020-11-17 | 广东赛尔生物科技有限公司 | Improved tumor inhibiting peptide capable of being specifically combined with PD-1 and application thereof |
| US20220073626A1 (en) | 2019-01-03 | 2022-03-10 | Institut National De La Santé Et De La Recheche Médicale (Inserm) | Methods and pharmaceutical compositions for enhancing cd8+ t cell-dependent immune responses in subjects suffering from cancer |
| US12159700B2 (en) | 2020-04-22 | 2024-12-03 | Iovance Biotherapeutics, Inc. | Systems and methods for coordinating manufacturing of cells for patient-specific immunotherapy |
| KR20230098279A (en) | 2020-10-28 | 2023-07-03 | 이케나 온콜로지, 인코포레이티드 | Combinations of PDX inhibitors or doxorubicin with AHR inhibitors |
| EP4507704A1 (en) | 2022-04-15 | 2025-02-19 | Iovance Biotherapeutics, Inc. | Til expansion processes using specific cytokine combinations and/or akti treatment |
| JP2025539816A (en) | 2022-11-21 | 2025-12-09 | アイオバンス バイオセラピューティクス,インコーポレイテッド | Two-dimensional process for the expansion of tumor-infiltrating lymphocytes and therapeutic methods therefrom |
| WO2024151885A1 (en) | 2023-01-13 | 2024-07-18 | Iovance Biotherapeutics, Inc. | Use of til as maintenance therapy for nsclc patients who achieved pr/cr after prior therapy |
Citations (16)
| Publication number | Priority date | Publication date | Assignee | Title |
|---|---|---|---|---|
| US5629204A (en) | 1994-03-01 | 1997-05-13 | Ono Pharmaceutical Co., Ltd. | Peptide related to human programmed cell death and DNA encoding it |
| WO2001014557A1 (en) | 1999-08-23 | 2001-03-01 | Dana-Farber Cancer Institute, Inc. | Pd-1, a receptor for b7-4, and uses therefor |
| WO2001039722A2 (en) | 1999-11-30 | 2001-06-07 | Mayo Foundation For Medical Education And Research | B7-h1, a novel immunoregulatory molecule |
| WO2002000730A2 (en) | 2000-06-28 | 2002-01-03 | Genetics Institute, Llc. | Pd-l2 molecules: novel pd-1 ligands and uses therefor |
| WO2002079499A1 (en) | 2001-04-02 | 2002-10-10 | Wyeth | Pd-1, a receptor for b7-4, and uses therefor |
| WO2002086083A2 (en) | 2001-04-20 | 2002-10-31 | Mayo Foundation For Medical Education And Research | Methods of enhancing cell responsiveness |
| WO2003042402A2 (en) | 2001-11-13 | 2003-05-22 | Dana-Farber Cancer Institute, Inc. | Agents that modulate immune cell activation and methods of use thereof |
| WO2004004771A1 (en) | 2002-07-03 | 2004-01-15 | Ono Pharmaceutical Co., Ltd. | Immunopotentiating compositions |
| WO2004056875A1 (en) | 2002-12-23 | 2004-07-08 | Wyeth | Antibodies against pd-1 and uses therefor |
| US6936704B1 (en) | 1999-08-23 | 2005-08-30 | Dana-Farber Cancer Institute, Inc. | Nucleic acids encoding costimulatory molecule B7-4 |
| WO2007005874A2 (en) | 2005-07-01 | 2007-01-11 | Medarex, Inc. | Human monoclonal antibodies to programmed death ligand 1 (pd-l1) |
| US7432351B1 (en) * | 2002-10-04 | 2008-10-07 | Mayo Foundation For Medical Education And Research | B7-H1 variants |
| US20090305950A1 (en) | 2006-03-03 | 2009-12-10 | Ono Pharmaceutical Co., Ltd. | Multimer of extracellular domain of cell surface functional molecule |
| WO2010027423A2 (en) * | 2008-08-25 | 2010-03-11 | Amplimmune, Inc. | Compositions of pd-1 antagonists and methods of use |
| WO2010063011A2 (en) * | 2008-11-28 | 2010-06-03 | Emory University | Methods for the treatment of infections and tumors |
| WO2011161699A2 (en) * | 2010-06-25 | 2011-12-29 | Aurigene Discovery Technologies Limited | Immunosuppression modulating compounds |
Family Cites Families (4)
| Publication number | Priority date | Publication date | Assignee | Title |
|---|---|---|---|---|
| US4640911A (en) * | 1985-05-29 | 1987-02-03 | Ciba-Geigy Corporation | Acylated sugar derivatives, processes for their manufacture, and their use |
| US20090270312A1 (en) * | 2005-01-24 | 2009-10-29 | Yechiel Shai | Hiv-i gp41 fusion peptides for immunomodulaltion |
| EP2504028A4 (en) * | 2009-11-24 | 2014-04-09 | Amplimmune Inc | Simultaneous inhibition of pd-l1/pd-l2 |
| EP2550529B1 (en) * | 2010-03-23 | 2021-11-17 | Iogenetics, LLC. | Bioinformatic processes for determination of peptide binding |
-
2011
- 2011-12-21 WO PCT/IN2011/000881 patent/WO2012168944A1/en not_active Ceased
- 2011-12-21 CN CN201180072766.5A patent/CN103732238A/en active Pending
- 2011-12-21 EP EP11827774.8A patent/EP2717895A1/en not_active Withdrawn
- 2011-12-21 US US14/124,370 patent/US9096642B2/en not_active Expired - Fee Related
Patent Citations (20)
| Publication number | Priority date | Publication date | Assignee | Title |
|---|---|---|---|---|
| US5629204A (en) | 1994-03-01 | 1997-05-13 | Ono Pharmaceutical Co., Ltd. | Peptide related to human programmed cell death and DNA encoding it |
| US6936704B1 (en) | 1999-08-23 | 2005-08-30 | Dana-Farber Cancer Institute, Inc. | Nucleic acids encoding costimulatory molecule B7-4 |
| WO2001014557A1 (en) | 1999-08-23 | 2001-03-01 | Dana-Farber Cancer Institute, Inc. | Pd-1, a receptor for b7-4, and uses therefor |
| US7038013B2 (en) | 1999-08-23 | 2006-05-02 | Dana-Faber Cancer Institute, Inc. | B7-4 polypeptides and uses therefor |
| US6808710B1 (en) | 1999-08-23 | 2004-10-26 | Genetics Institute, Inc. | Downmodulating an immune response with multivalent antibodies to PD-1 |
| WO2001039722A2 (en) | 1999-11-30 | 2001-06-07 | Mayo Foundation For Medical Education And Research | B7-h1, a novel immunoregulatory molecule |
| WO2002000730A2 (en) | 2000-06-28 | 2002-01-03 | Genetics Institute, Llc. | Pd-l2 molecules: novel pd-1 ligands and uses therefor |
| US7709214B2 (en) | 2000-06-28 | 2010-05-04 | Dana-Farber Cancer Institute, Inc. | Methods for upregulating an immune response with agents that inhibit the intereaction between PD-L2 and PD-1 |
| US7432059B2 (en) | 2000-06-28 | 2008-10-07 | Dana-Farber Cancer Institute, Inc. | Methods of identifying compounds that upmodulate T cell activation in the presence of a PD-1 mediated signal |
| WO2002079499A1 (en) | 2001-04-02 | 2002-10-10 | Wyeth | Pd-1, a receptor for b7-4, and uses therefor |
| WO2002086083A2 (en) | 2001-04-20 | 2002-10-31 | Mayo Foundation For Medical Education And Research | Methods of enhancing cell responsiveness |
| WO2003042402A2 (en) | 2001-11-13 | 2003-05-22 | Dana-Farber Cancer Institute, Inc. | Agents that modulate immune cell activation and methods of use thereof |
| WO2004004771A1 (en) | 2002-07-03 | 2004-01-15 | Ono Pharmaceutical Co., Ltd. | Immunopotentiating compositions |
| US7432351B1 (en) * | 2002-10-04 | 2008-10-07 | Mayo Foundation For Medical Education And Research | B7-H1 variants |
| WO2004056875A1 (en) | 2002-12-23 | 2004-07-08 | Wyeth | Antibodies against pd-1 and uses therefor |
| WO2007005874A2 (en) | 2005-07-01 | 2007-01-11 | Medarex, Inc. | Human monoclonal antibodies to programmed death ligand 1 (pd-l1) |
| US20090305950A1 (en) | 2006-03-03 | 2009-12-10 | Ono Pharmaceutical Co., Ltd. | Multimer of extracellular domain of cell surface functional molecule |
| WO2010027423A2 (en) * | 2008-08-25 | 2010-03-11 | Amplimmune, Inc. | Compositions of pd-1 antagonists and methods of use |
| WO2010063011A2 (en) * | 2008-11-28 | 2010-06-03 | Emory University | Methods for the treatment of infections and tumors |
| WO2011161699A2 (en) * | 2010-06-25 | 2011-12-29 | Aurigene Discovery Technologies Limited | Immunosuppression modulating compounds |
Non-Patent Citations (14)
| Title |
|---|
| C. BLANK ET AL., CANCER RES, vol. 64, February 2004 (2004-02-01), pages 1140 |
| FINGER ET AL., GENE, vol. 197, 1997, pages 177 - 187 |
| FREEMAN GJ ET AL., JOURNAL OF EXPERIMENTAL MEDICINE, vol. 19, no. 7, 2000, pages 1027 - 1034 |
| IWAI Y ET AL., PROCEEDINGS OF THE NATIONAL ACADEMY OF SCIENCE OF THE UNITED STATES OF AMERICA, vol. 99, no. 19, 2002, pages 12293 - 12297 |
| LATCHMAN Y ET AL., NATURE IMMUNOLOGY, vol. 2, no. 3, 2001, pages 261 - 267 |
| LAZAR-MOLNAR ET AL., PNAS, vol. 105, no. 30, 2008, pages 10483 - 10488 |
| LIN DAVID YIN-WEI ET AL: "The PD-1/PD-L1 complex resembles the antigen-binding Fv domains of antibodies and T cell receptors", PROCEEDINGS OF THE NATIONAL ACADEMY OF SCIENCES OF THE UNITED STATES OF AMERICA, vol. 105, no. 8, February 2008 (2008-02-01), pages 3011 - 3016, XP002683218, ISSN: 0027-8424 * |
| NISHIMURA H ET AL., IMMUNITY, vol. 11, no. 2, 1999, pages 141 - 151 |
| NISHIMURA H ET AL., INTERNATIONAL IMMUNOLOGY, vol. 10, no. 10, 1998, pages 1563 - 1572 |
| NISHIMURA H ET AL., SCIENCE, vol. 291, no. 5502, 2001, pages 319 - 332 |
| PROKUNINA ET AL., NATURE GENETICS, vol. 32, no. 4, 2002, pages 666 - 669 |
| SHINOHARA T ET AL., GENOMICS, vol. 23, no. 3, 1994, pages 704 - 706 |
| Y. AGATA ET AL., INT IMMUNOL, vol. 8, May 1996 (1996-05-01), pages 765 |
| Y. IWAI ET AL., PROC NATL ACAD SCI USA, vol. 99, 17 September 2002 (2002-09-17), pages 12293 |
Cited By (198)
| Publication number | Priority date | Publication date | Assignee | Title |
|---|---|---|---|---|
| US11759454B2 (en) | 2012-12-07 | 2023-09-19 | Chemocentryx, Inc. | Diazole lactams |
| US10744118B2 (en) | 2012-12-07 | 2020-08-18 | Chemocentryx, Inc. | Diazole lactams |
| US9308236B2 (en) | 2013-03-15 | 2016-04-12 | Bristol-Myers Squibb Company | Macrocyclic inhibitors of the PD-1/PD-L1 and CD80(B7-1)/PD-L1 protein/protein interactions |
| US9879046B2 (en) | 2013-03-15 | 2018-01-30 | Bristol-Myers Squibb Company | Macrocyclic inhibitors of the PD-1/PD-L1 and CD80(B7-1)/PD-L1 protein/protein interactions |
| US9850283B2 (en) | 2013-03-15 | 2017-12-26 | Bristol-Myers Squibb Company | Macrocyclic inhibitors of the PD-1/PD-L1 and CD80(B7-1)/PD-L1 protein/protein interactions |
| WO2015033299A1 (en) | 2013-09-06 | 2015-03-12 | Aurigene Discovery Technologies Limited | 1,2,4-oxadiazole derivatives as immunomodulators |
| KR102362277B1 (en) | 2013-09-06 | 2022-02-11 | 오리진 디스커버리 테크놀로지스 리미티드 | 1,2,4-oxadiazole derivatives as immunomodulators |
| CN105814028A (en) * | 2013-09-06 | 2016-07-27 | 奥瑞基尼探索技术有限公司 | 1,2,4-oxadiazole derivatives as immunomodulators |
| CN105849092A (en) * | 2013-09-06 | 2016-08-10 | 奥瑞基尼探索技术有限公司 | 1,3,4-oxadiazole and 1,3,4-thiadiazole derivatives as immunomodulators |
| US12037321B2 (en) | 2013-09-06 | 2024-07-16 | Aurigene Oncology Limited | 1,2,4-oxadiazole derivatives as immunomodulators |
| AU2022241543B2 (en) * | 2013-09-06 | 2024-05-23 | Aurigene Oncology Limited | 1,2,4-oxadiazole derivatives as immunomodulators |
| US10106581B2 (en) | 2013-09-06 | 2018-10-23 | Aurigene Discovery Technologies Limited | Cyclic peptidomimetic compounds as immunomodulators |
| JP2016531922A (en) * | 2013-09-06 | 2016-10-13 | オーリジーン ディスカバリー テクノロジーズ リミテッドAurigene Discovery Technologies Limited | Cyclic peptidomimetic compounds as immunomodulators |
| JP2016532711A (en) * | 2013-09-06 | 2016-10-20 | オーリジーン ディスカバリー テクノロジーズ リミテッドAurigene Discovery Technologies Limited | Derivatives of 1,3,4-oxadiazole and 1,3,4-thiadiazole as immunomodulators |
| JP2016532710A (en) * | 2013-09-06 | 2016-10-20 | オーリジーン ディスカバリー テクノロジーズ リミテッドAurigene Discovery Technologies Limited | 1,2,4-oxadiazole derivatives as immunomodulators |
| US10961205B2 (en) | 2013-09-06 | 2021-03-30 | Aurigene Discovery Technologies Limited | 1,2,4-oxadiazole derivatives as immunomodulators |
| US9771338B2 (en) | 2013-09-06 | 2017-09-26 | Auirgene Discovery Technologies Limited | 1,2,4-oxadiazole derivatives as immunomodulators |
| AU2018271231B2 (en) * | 2013-09-06 | 2020-06-25 | Aurigene Discovery Technologies Limited | 1,2,4-oxadiazole derivatives as immunomodulators |
| US9776978B2 (en) | 2013-09-06 | 2017-10-03 | Aurigene Discovery Technologies Limited | 1,3,4-oxadiazole and 1,3,4-thiadiazole derivatives as immunomodulators |
| US10590093B2 (en) | 2013-09-06 | 2020-03-17 | Aurigene Discovery Technologies Limited | 1,2,4-oxadiazole derivatives as immunomodulators |
| AU2014316682B2 (en) * | 2013-09-06 | 2018-11-22 | Aurigene Discovery Technologies Limited | 1,2,4-oxadiazole derivatives as immunomodulators |
| AU2014316686B2 (en) * | 2013-09-06 | 2018-11-22 | Aurigene Discovery Technologies Limited | Cyclic peptidomimetic compounds as immunomodulators |
| KR20160081897A (en) * | 2013-09-06 | 2016-07-08 | 오리진 디스커버리 테크놀로지스 리미티드 | 1,2,4-oxadiazole derivatives as immunomodulators |
| WO2015033303A1 (en) | 2013-09-06 | 2015-03-12 | Aurigene Discovery Technologies Limited | Cyclic peptidomimetic compounds as immunomodulators |
| CN108164474B (en) * | 2013-09-06 | 2022-05-17 | 奥瑞基尼探索技术有限公司 | 1,2,4-Oxadiazole Derivatives as Immunomodulators |
| US11512060B2 (en) | 2013-09-06 | 2022-11-29 | Aurigene Discovery Technologies Limited | 1,2,4-oxadiazole derivatives as immunomodulators |
| AU2020239615B2 (en) * | 2013-09-06 | 2022-07-07 | Aurigene Discovery Technologies Limited | 1,2,4-oxadiazole derivatives as immunomodulators |
| WO2015033301A1 (en) | 2013-09-06 | 2015-03-12 | Aurigene Discovery Technologies Limited | 1,3,4-oxadiazole and 1,3,4-thiadiazole derivatives as immunomodulators |
| CN105814028B (en) * | 2013-09-06 | 2018-02-16 | 奥瑞基尼探索技术有限公司 | 1,2,4‑*oxadiazole derivatives as immunomodulators |
| US10173989B2 (en) | 2013-09-06 | 2019-01-08 | Aurigene Discovery Technologies Limited | 1,2,4-oxadiazole derivatives as immunomodulators |
| EA031325B1 (en) * | 2013-09-06 | 2018-12-28 | Ауриген Дискавери Текнолоджиз Лимитед | CYCLIC PEPTIDOMYMETIC COMPOUNDS AS IMMUNOMODULATORS |
| US10160736B2 (en) | 2013-09-06 | 2018-12-25 | Aurigene Discovery Technologies Limited | 1,3,4-oxadiazole and 1,3,4-thiadiazole derivatives as immunomodulators |
| EA029661B1 (en) * | 2013-09-06 | 2018-04-30 | Ауриген Дискавери Текнолоджиз Лимитед | 1,3,4-oxadiazole and 1,3,4-thiadiazole derivatives as immunomodulators |
| CN108164474A (en) * | 2013-09-06 | 2018-06-15 | 奥瑞基尼探索技术有限公司 | 1,2,4-* oxadiazole derivatives as immunomodulator |
| EA030155B1 (en) * | 2013-09-06 | 2018-06-29 | Ауриген Дискавери Текнолоджиз Лимитед | 1,2,4-oxadiazole derivatives as immunomodulators |
| EP3363790A1 (en) | 2013-09-06 | 2018-08-22 | Aurigene Discovery Technologies Limited | 1,2,4-oxadiazole derivatives as immunomodulators |
| EP3366289A1 (en) | 2013-09-06 | 2018-08-29 | Aurigene Discovery Technologies Limited | Cyclic peptidomimetic compounds as immunomodulators |
| EP3385257A1 (en) | 2013-09-06 | 2018-10-10 | Aurigene Discovery Technologies Limited | 1,3,4-oxadiazole and 1,3,4-thiadiazole derivatives as immunomodulators |
| WO2015036927A1 (en) * | 2013-09-10 | 2015-03-19 | Aurigene Discovery Technologies Limited | Immunomodulating peptidomimetic derivatives |
| WO2015044900A1 (en) * | 2013-09-27 | 2015-04-02 | Aurigene Discovery Technologies Limited | Therapeutic immunomodulating compounds |
| US10538555B2 (en) | 2014-09-11 | 2020-01-21 | Bristol-Myers Squibb Company | Macrocyclic inhibitors of the PD-1/PD-L1 and CD80(B7-1)/PD-L1 protein/protein interactions |
| US9732119B2 (en) | 2014-10-10 | 2017-08-15 | Bristol-Myers Squibb Company | Immunomodulators |
| US11358988B2 (en) | 2014-11-14 | 2022-06-14 | Bristol-Myers Squibb Company | Immunomodulators |
| US10633419B2 (en) | 2014-11-14 | 2020-04-28 | Bristol-Myers Squibb Company | Immunomodulators |
| US11952434B2 (en) | 2014-11-14 | 2024-04-09 | Bristol-Myers Squibb Company | Immunomodulators |
| US9856292B2 (en) | 2014-11-14 | 2018-01-02 | Bristol-Myers Squibb Company | Immunomodulators |
| US9861680B2 (en) | 2014-12-18 | 2018-01-09 | Bristol-Myers Squibb Company | Immunomodulators |
| US9944678B2 (en) | 2014-12-19 | 2018-04-17 | Bristol-Myers Squibb Company | Immunomodulators |
| US10450347B2 (en) | 2015-02-04 | 2019-10-22 | Bristol-Myers Squibb Company | Immunomodulators |
| CN107427497A (en) * | 2015-03-10 | 2017-12-01 | 奥瑞基尼探索技术有限公司 | 1,3,4 oxadiazoles and thiadiazole compound as 3 substitutions of immunomodulator |
| WO2016142852A1 (en) * | 2015-03-10 | 2016-09-15 | Aurigene Discovery Technologies Limited | 1,3,4-oxadiazole and thiadiazole compounds as immunomodulators |
| EP4023645A1 (en) | 2015-03-10 | 2022-07-06 | Aurigene Discovery Technologies Limited | 1,2,4-oxadiazole and thiadiazole compounds as immunomodulators |
| WO2016142833A1 (en) | 2015-03-10 | 2016-09-15 | Aurigene Discovery Technologies Limited | 1,2,4-oxadiazole and thiadiazole compounds as immunomodulators |
| IL254040B2 (en) * | 2015-03-10 | 2024-02-01 | Aurigene Oncology Ltd | 1,2,4-oxadiazole and thiadiazole compounds as immunomodulators |
| US11465976B2 (en) | 2015-03-10 | 2022-10-11 | Aurigene Discovery Technologies Limited | 1,2,4-oxadiazole and thiadiazole compounds as immunomodulators |
| US10781189B2 (en) | 2015-03-10 | 2020-09-22 | Aurigene Discovery Technologies Limited | 1,2,4-Oxadiazole and thiadiazole compounds as immunomodulators |
| EA034708B1 (en) * | 2015-03-10 | 2020-03-10 | Ауриджен Дискавери Текнолоджис Лимитед | 1,2,4-oxadiazole and thiadiazole compounds as immunomodulators |
| IL254040B1 (en) * | 2015-03-10 | 2023-10-01 | Aurigene Oncology Ltd | 1,2,4-oxadiazole and thiadiazole compounds as immunomodulators |
| CN107427477A (en) * | 2015-03-10 | 2017-12-01 | 奥瑞基尼探索技术有限公司 | 1,2,4‑Oxadiazole and thiadiazole compounds as immunomodulators |
| WO2016142894A1 (en) * | 2015-03-10 | 2016-09-15 | Aurigene Discovery Technologies Limited | 3-substituted 1,3,4-oxadiazole and thiadiazole compounds as immunomodulators |
| CN107427477B (en) * | 2015-03-10 | 2021-11-26 | 奥瑞基尼探索技术有限公司 | 1,2, 4-oxadiazole and thiadiazole compounds as immunomodulators |
| US9809625B2 (en) | 2015-03-18 | 2017-11-07 | Bristol-Myers Squibb Company | Immunomodulators |
| US10143746B2 (en) | 2016-03-04 | 2018-12-04 | Bristol-Myers Squibb Company | Immunomodulators |
| WO2017162208A1 (en) * | 2016-03-24 | 2017-09-28 | 华东理工大学 | Pd-1 targeting polypeptide and use thereof |
| CN107226842A (en) * | 2016-03-24 | 2017-10-03 | 华东理工大学 | Target pd-1 polypeptide and its application |
| CN107226842B (en) * | 2016-03-24 | 2022-01-28 | 华东理工大学 | PD-1 targeted polypeptide and application thereof |
| US10358463B2 (en) | 2016-04-05 | 2019-07-23 | Bristol-Myers Squibb Company | Immunomodulators |
| US10568870B2 (en) | 2016-04-07 | 2020-02-25 | Chemocentryx, Inc. | Reducing tumor burden by administering CCR1 antagonists in combination with PD-1 inhibitors or PD-L1 inhibitors |
| US11744822B2 (en) | 2016-04-07 | 2023-09-05 | Chemocentryx, Inc. | Reducing tumor burden by administering CCR1 antagonists in combination with PD-1 inhibitors or PD-L1 inhibitors |
| US11103605B2 (en) | 2016-05-19 | 2021-08-31 | Bristol-Myers Squibb Company | PET-imaging immunomodulators |
| US11078192B2 (en) | 2016-07-05 | 2021-08-03 | Guangzhou Maxinovel Pharmaceuticals Co., Ltd. | Aromatic acetylene or aromatic ethylene compound, intermediate, preparation method, pharmaceutical composition and use thereof |
| WO2018006795A1 (en) | 2016-07-05 | 2018-01-11 | 广州再极医药科技有限公司 | Aromatic acetylene or aromatic ethylene compound, intermediate, preparation method, pharmaceutical composition and use thereof |
| WO2018049027A1 (en) | 2016-09-07 | 2018-03-15 | Trustees Of Tufts College | Combination therapies using immuno-dash inhibitors and pge2 antagonists |
| WO2018047143A1 (en) * | 2016-09-12 | 2018-03-15 | Aurigene Discovery Technologies Limited | Vista signaling pathway inhibitory compounds useful as immunomodulators |
| US11793856B2 (en) | 2016-09-15 | 2023-10-24 | Leidos, Inc. | PD-1 peptide inhibitors |
| US10098950B2 (en) | 2016-09-15 | 2018-10-16 | Leidos, Inc. | PD-1 Peptide Inhibitors |
| US10799581B2 (en) | 2016-09-15 | 2020-10-13 | Leidos, Inc. | PD-1 peptide inhibitors |
| US10799555B2 (en) | 2016-09-15 | 2020-10-13 | Leidos, Inc. | PD-1 peptide inhibitors |
| US10662416B2 (en) | 2016-10-14 | 2020-05-26 | Precision Biosciences, Inc. | Engineered meganucleases specific for recognition sequences in the hepatitis B virus genome |
| US11274285B2 (en) | 2016-10-14 | 2022-03-15 | Precision Biosciences, Inc. | Engineered meganucleases specific for recognition sequences in the Hepatitis B virus genome |
| US10988507B2 (en) | 2016-11-07 | 2021-04-27 | Bristol-Myers Squibb Company | Immunomodulators |
| US12370258B2 (en) | 2017-05-25 | 2025-07-29 | Leidos, Inc. | PD-1 and CTLA-4 dual inhibitor peptides |
| US11066445B2 (en) | 2017-06-23 | 2021-07-20 | Bristol-Myers Squibb Company | Immunomodulators acting as antagonists of PD-1 |
| US11040948B2 (en) | 2017-09-29 | 2021-06-22 | Curis, Inc. | Crystal forms of immunomodulators |
| US11643401B2 (en) | 2017-09-29 | 2023-05-09 | Curis, Inc. | Crystal forms of immunomodulators |
| US12252475B2 (en) | 2017-09-29 | 2025-03-18 | Curis, Inc. | Crystal forms of immunomodulators |
| US11939306B2 (en) | 2017-09-29 | 2024-03-26 | Curis, Inc. | Crystal forms of immunomodulators |
| US11492375B2 (en) | 2017-10-03 | 2022-11-08 | Bristol-Myers Squibb Company | Cyclic peptide immunomodulators |
| US11680051B2 (en) | 2017-10-11 | 2023-06-20 | Aurigene Discovery Technologies Limited | Crystalline forms of 3-substituted 1,2,4-oxadiazole |
| US12187689B2 (en) | 2017-10-11 | 2025-01-07 | Aurigene Oncology Limited | Crystalline forms of 3-substituted 1,2,4-oxadiazole |
| US11136300B2 (en) | 2017-10-11 | 2021-10-05 | Aurigene Discovery Technologies Limited | Crystalline forms of 3-substituted 1,2,4-oxadiazole |
| WO2019087087A1 (en) | 2017-11-03 | 2019-05-09 | Aurigene Discovery Technologies Limited | Dual inhibitors of tim-3 and pd-1 pathways |
| US11497734B2 (en) | 2017-11-03 | 2022-11-15 | Aurigene Discovery Technologies Limited | Dual inhibitors of TIM-3 and PD-1 pathways |
| US12226402B2 (en) | 2017-11-03 | 2025-02-18 | Aurigene Oncology Limited | Dual inhibitors of TIM-3 and PD-1 pathways |
| WO2019090263A1 (en) | 2017-11-06 | 2019-05-09 | Genentech, Inc. | Diagnostic and therapeutic methods for cancer |
| US11497735B2 (en) | 2017-11-06 | 2022-11-15 | Aurigene Discovery Technologies Limited | Conjoint therapies for immunomodulation |
| US12064418B2 (en) | 2017-11-06 | 2024-08-20 | Curis, Inc. | Conjoint therapies for immunomodulation |
| US10966999B2 (en) | 2017-12-20 | 2021-04-06 | Institute Of Organic Chemistry And Biochemistry Ascr, V.V.I. | 3′3′ cyclic dinucleotides with phosphonate bond activating the sting adaptor protein |
| US11203610B2 (en) | 2017-12-20 | 2021-12-21 | Institute Of Organic Chemistry And Biochemistry Ascr, V.V.I. | 2′3′ cyclic dinucleotides with phosphonate bond activating the sting adaptor protein |
| US11384048B2 (en) | 2017-12-29 | 2022-07-12 | Guangzhou Maxinovel Pharmaceuticals Co., Ltd. | Aromatic vinyl or aromatic ethyl derivative, preparation method therefor, intermediate, pharmaceutical composition, and application |
| WO2019128918A1 (en) | 2017-12-29 | 2019-07-04 | 广州再极医药科技有限公司 | Aromatic vinyl or aromatic ethyl derivative, preparation method therefor, intermediate, pharmaceutical composition, and application |
| WO2019165374A1 (en) | 2018-02-26 | 2019-08-29 | Gilead Sciences, Inc. | Substituted pyrrolizine compounds as hbv replication inhibitors |
| WO2019195181A1 (en) | 2018-04-05 | 2019-10-10 | Gilead Sciences, Inc. | Antibodies and fragments thereof that bind hepatitis b virus protein x |
| US11149052B2 (en) | 2018-04-06 | 2021-10-19 | Institute Of Organic Chemistry And Biochemistry Ascr, V.V.I. | 2′3′-cyclic dinucleotides |
| WO2019193542A1 (en) | 2018-04-06 | 2019-10-10 | Institute Of Organic Chemistry And Biochemistry Ascr, V.V.I. | 2'3'-cyclic dinucleotides |
| WO2019193533A1 (en) | 2018-04-06 | 2019-10-10 | Institute Of Organic Chemistry And Biochemistry Ascr, V.V.I. | 2'2'-cyclic dinucleotides |
| US11292812B2 (en) | 2018-04-06 | 2022-04-05 | Institute Of Organic Chemistry And Biochemistry Ascr, V.V.I. | 3′3′-cyclic dinucleotides |
| WO2019193543A1 (en) | 2018-04-06 | 2019-10-10 | Institute Of Organic Chemistry And Biochemistry Ascr, V.V.I. | 3'3'-cyclic dinucleotides |
| US11142750B2 (en) | 2018-04-12 | 2021-10-12 | Precision Biosciences, Inc. | Optimized engineered meganucleases having specificity for a recognition sequence in the Hepatitis B virus genome |
| US11788077B2 (en) | 2018-04-12 | 2023-10-17 | Precision Biosciences, Inc. | Polynucleotides encoding optimized engineered meganucleases having specificity for a recognition sequence in the Hepatitis B virus genome |
| WO2019200247A1 (en) | 2018-04-12 | 2019-10-17 | Precision Biosciences, Inc. | Optimized engineered meganucleases having specificity for a recognition sequence in the hepatitis b virus genome |
| WO2019211799A1 (en) | 2018-05-03 | 2019-11-07 | Institute Of Organic Chemistry And Biochemistry Ascr, V.V.I. | 2'3'-cyclic dinucleotide analogue comprising a cyclopentanyl modified nucleotide |
| WO2019246557A1 (en) | 2018-06-23 | 2019-12-26 | Genentech, Inc. | Methods of treating lung cancer with a pd-1 axis binding antagonist, a platinum agent, and a topoisomerase ii inhibitor |
| WO2020018789A1 (en) | 2018-07-18 | 2020-01-23 | Genentech, Inc. | Methods of treating lung cancer with a pd-1 axis binding antagonist, an antimetabolite, and a platinum agent |
| WO2020028097A1 (en) | 2018-08-01 | 2020-02-06 | Gilead Sciences, Inc. | Solid forms of (r)-11-(methoxymethyl)-12-(3-methoxypropoxy)-3,3-dimethyl-8-0x0-2,3,8,13b-tetrahydro-1h-pyrido[2,1-a]pyrrolo[1,2-c] phthalazine-7-c arboxylic acid |
| WO2020051099A1 (en) | 2018-09-03 | 2020-03-12 | Genentech, Inc. | Carboxamide and sulfonamide derivatives useful as tead modulators |
| WO2020092621A1 (en) | 2018-10-31 | 2020-05-07 | Gilead Sciences, Inc. | Substituted 6-azabenzimidazole compounds as hpk1 inhibitors |
| WO2020092528A1 (en) | 2018-10-31 | 2020-05-07 | Gilead Sciences, Inc. | Substituted 6-azabenzimidazole compounds having hpk1 inhibitory activity |
| EP4371987A1 (en) | 2018-10-31 | 2024-05-22 | Gilead Sciences, Inc. | Substituted 6-azabenzimidazole compounds as hpk1 inhibitors |
| WO2020088357A1 (en) | 2018-11-02 | 2020-05-07 | 上海再极医药科技有限公司 | Diphenyl-like compound, intermediate thereof, preparation method therefor, pharmaceutical composition thereof and uses thereof |
| WO2020132560A2 (en) | 2018-12-21 | 2020-06-25 | Aim Immunotech Inc. | Compositions and methods for cancer therapy |
| WO2020150152A1 (en) | 2019-01-14 | 2020-07-23 | Genentech, Inc. | Methods of treating cancer with a pd-1 axis binding antagonist and an rna vaccine |
| US11766447B2 (en) | 2019-03-07 | 2023-09-26 | Institute Of Organic Chemistry And Biochemistry Ascr, V.V.I. | 3′3′-cyclic dinucleotide analogue comprising a cyclopentanyl modified nucleotide as sting modulator |
| WO2020178770A1 (en) | 2019-03-07 | 2020-09-10 | Institute Of Organic Chemistry And Biochemistry Ascr, V.V.I. | 3'3'-cyclic dinucleotides and prodrugs thereof |
| WO2020178769A1 (en) | 2019-03-07 | 2020-09-10 | Institute Of Organic Chemistry And Biochemistry Ascr, V.V.I. | 2'3'-cyclic dinucleotides and prodrugs thereof |
| US12318403B2 (en) | 2019-03-07 | 2025-06-03 | Institute Of Organic Chemistry And Biochemistry Ascr, V.V.I. | 2′3′-cyclic dinucleotides and prodrugs thereof |
| WO2020178768A1 (en) | 2019-03-07 | 2020-09-10 | Institute Of Organic Chemistry And Biochemistry Ascr, V.V.I. | 3'3'-cyclic dinucleotide analogue comprising a cyclopentanyl modified nucleotide as sting modulator |
| WO2020214663A1 (en) | 2019-04-17 | 2020-10-22 | Gilead Sciences, Inc. | Solid forms of a toll-like receptor modulator |
| EP4458416A2 (en) | 2019-04-17 | 2024-11-06 | Gilead Sciences, Inc. | Solid forms of a toll-like receptor modulator |
| WO2020214652A1 (en) | 2019-04-17 | 2020-10-22 | Gilead Sciences, Inc. | Solid forms of a toll-like receptor modulator |
| WO2020214995A1 (en) | 2019-04-19 | 2020-10-22 | Genentech, Inc. | Anti-mertk antibodies and their methods of use |
| WO2020237025A1 (en) | 2019-05-23 | 2020-11-26 | Gilead Sciences, Inc. | Substituted exo-methylene-oxindoles which are hpk1/map4k1 inhibitors |
| WO2021030251A1 (en) | 2019-08-12 | 2021-02-18 | Purinomia Biotech, Inc. | Methods and compositions for promoting and potentiating t-cell mediated immune responses through adcc targeting of cd39 expressing cells |
| WO2021034804A1 (en) | 2019-08-19 | 2021-02-25 | Gilead Sciences, Inc. | Pharmaceutical formulations of tenofovir alafenamide |
| WO2021067181A1 (en) | 2019-09-30 | 2021-04-08 | Gilead Sciences, Inc. | Hbv vaccines and methods treating hbv |
| EP4458975A2 (en) | 2019-09-30 | 2024-11-06 | Gilead Sciences, Inc. | Hbv vaccines and methods treating hbv |
| WO2021097110A1 (en) | 2019-11-13 | 2021-05-20 | Genentech, Inc. | Therapeutic compounds and methods of use |
| US12410418B2 (en) | 2019-12-06 | 2025-09-09 | Precision Biosciences, Inc. | Optimized engineered meganucleases having specificity for a recognition sequence in the Hepatitis B virus genome |
| EP4567109A2 (en) | 2019-12-06 | 2025-06-11 | Precision Biosciences, Inc. | Optimized engineered meganucleases having specificity for a recognition sequence in the hepatitis b virus genome |
| WO2021113765A1 (en) | 2019-12-06 | 2021-06-10 | Precision Biosciences, Inc. | Optimized engineered meganucleases having specificity for a recognition sequence in the hepatitis b virus genome |
| WO2021136354A1 (en) | 2020-01-03 | 2021-07-08 | 上海翰森生物医药科技有限公司 | Biphenyl derivative inhibitor, preparation method therefor and use thereof |
| US12403174B2 (en) | 2020-01-06 | 2025-09-02 | Bristol-Myers Squibb Company | Immunomodulators |
| WO2021155149A1 (en) | 2020-01-31 | 2021-08-05 | Genentech, Inc. | Methods of inducing neoepitope-specific t cells with a pd-1 axis binding antagonist and an rna vaccine |
| WO2021188959A1 (en) | 2020-03-20 | 2021-09-23 | Gilead Sciences, Inc. | Prodrugs of 4'-c-substituted-2-halo-2'-deoxyadenosine nucleosides and methods of making and using the same |
| US12421278B2 (en) | 2020-03-30 | 2025-09-23 | Bristol-Myers Squibb Company | Immunomodulators |
| US11338040B2 (en) | 2020-06-04 | 2022-05-24 | Leidos, Inc. | Immunomodulatory compounds |
| WO2022020716A1 (en) | 2020-07-24 | 2022-01-27 | Genentech, Inc. | Heterocyclic inhibitors of tead for treating cancer |
| WO2022052926A1 (en) | 2020-09-09 | 2022-03-17 | 广州再极医药科技有限公司 | Aromatic ethylene compound and preparation method therefor, and intermediate, pharmaceutical composition, and application thereof |
| US11987646B2 (en) | 2020-10-12 | 2024-05-21 | Leidos, Inc. | Immunomodulatory peptides |
| WO2022086957A1 (en) | 2020-10-20 | 2022-04-28 | Genentech, Inc. | Peg-conjugated anti-mertk antibodies and methods of use |
| WO2022093981A1 (en) | 2020-10-28 | 2022-05-05 | Genentech, Inc. | Combination therapy comprising ptpn22 inhibitors and pd-l1 binding antagonists |
| WO2022119830A1 (en) | 2020-12-02 | 2022-06-09 | Genentech, Inc. | Methods and compositions for neoadjuvant and adjuvant urothelial carcinoma therapy |
| WO2022232503A1 (en) | 2021-04-30 | 2022-11-03 | Genentech, Inc. | Therapeutic and diagnostic methods and compositions for cancer |
| WO2022241134A1 (en) | 2021-05-13 | 2022-11-17 | Gilead Sciences, Inc. | COMBINATION OF A TLR8 MODULATING COMPOUND AND ANTI-HBV siRNA THERAPEUTICS |
| US11957693B2 (en) | 2021-06-11 | 2024-04-16 | Gilead Sciences, Inc. | Combination MCL-1 inhibitors with anti-cancer agents |
| WO2022261310A1 (en) | 2021-06-11 | 2022-12-15 | Gilead Sciences, Inc. | Combination mcl-1 inhibitors with anti-body drug conjugates |
| US11931424B2 (en) | 2021-06-11 | 2024-03-19 | Gilead Sciences, Inc. | Combination MCL-1 inhibitors with anti-body drug conjugates |
| WO2022261301A1 (en) | 2021-06-11 | 2022-12-15 | Gilead Sciences, Inc. | Combination mcl-1 inhibitors with anti-cancer agents |
| WO2022271650A1 (en) | 2021-06-23 | 2022-12-29 | Gilead Sciences, Inc. | Diacylglyercol kinase modulating compounds |
| WO2022271684A1 (en) | 2021-06-23 | 2022-12-29 | Gilead Sciences, Inc. | Diacylglyercol kinase modulating compounds |
| WO2022271677A1 (en) | 2021-06-23 | 2022-12-29 | Gilead Sciences, Inc. | Diacylglyercol kinase modulating compounds |
| WO2022271659A1 (en) | 2021-06-23 | 2022-12-29 | Gilead Sciences, Inc. | Diacylglyercol kinase modulating compounds |
| WO2023279092A2 (en) | 2021-07-02 | 2023-01-05 | Genentech, Inc. | Methods and compositions for treating cancer |
| WO2023010094A2 (en) | 2021-07-28 | 2023-02-02 | Genentech, Inc. | Methods and compositions for treating cancer |
| WO2023010095A1 (en) | 2021-07-28 | 2023-02-02 | F. Hoffmann-La Roche Ag | Methods and compositions for treating cancer |
| WO2023051926A1 (en) | 2021-09-30 | 2023-04-06 | BioNTech SE | Treatment involving non-immunogenic rna for antigen vaccination and pd-1 axis binding antagonists |
| WO2023056403A1 (en) | 2021-09-30 | 2023-04-06 | Genentech, Inc. | Methods for treatment of hematologic cancers using anti-tigit antibodies, anti-cd38 antibodies, and pd-1 axis binding antagonists |
| WO2023052531A1 (en) | 2021-09-30 | 2023-04-06 | BioNTech SE | Treatment involving non-immunogenic rna for antigen vaccination and pd-1 axis binding antagonists |
| WO2023080900A1 (en) | 2021-11-05 | 2023-05-11 | Genentech, Inc. | Methods and compositions for classifying and treating kidney cancer |
| WO2023097194A2 (en) | 2021-11-24 | 2023-06-01 | Genentech, Inc. | Therapeutic compounds and methods of use |
| US12275745B2 (en) | 2021-11-24 | 2025-04-15 | Genentech, Inc. | Therapeutic compounds and methods of use |
| WO2023097195A1 (en) | 2021-11-24 | 2023-06-01 | Genentech, Inc. | Therapeutic indazole compounds and methods of use in the treatment of cancer |
| US12110276B2 (en) | 2021-11-24 | 2024-10-08 | Genentech, Inc. | Pyrazolo compounds and methods of use thereof |
| WO2023191816A1 (en) | 2022-04-01 | 2023-10-05 | Genentech, Inc. | Dosing for treatment with anti-fcrh5/anti-cd3 bispecific antibodies |
| WO2023219613A1 (en) | 2022-05-11 | 2023-11-16 | Genentech, Inc. | Dosing for treatment with anti-fcrh5/anti-cd3 bispecific antibodies |
| WO2023240058A2 (en) | 2022-06-07 | 2023-12-14 | Genentech, Inc. | Prognostic and therapeutic methods for cancer |
| WO2024015897A1 (en) | 2022-07-13 | 2024-01-18 | Genentech, Inc. | Dosing for treatment with anti-fcrh5/anti-cd3 bispecific antibodies |
| WO2024020432A1 (en) | 2022-07-19 | 2024-01-25 | Genentech, Inc. | Dosing for treatment with anti-fcrh5/anti-cd3 bispecific antibodies |
| WO2024049949A1 (en) | 2022-09-01 | 2024-03-07 | Genentech, Inc. | Therapeutic and diagnostic methods for bladder cancer |
| WO2024077095A1 (en) | 2022-10-05 | 2024-04-11 | Genentech, Inc. | Methods and compositions for classifying and treating bladder cancer |
| WO2024077166A1 (en) | 2022-10-05 | 2024-04-11 | Genentech, Inc. | Methods and compositions for classifying and treating lung cancer |
| WO2024091991A1 (en) | 2022-10-25 | 2024-05-02 | Genentech, Inc. | Therapeutic and diagnostic methods for multiple myeloma |
| WO2024137589A2 (en) | 2022-12-20 | 2024-06-27 | Genentech, Inc. | Methods of treating pancreatic cancer with a pd-1 axis binding antagonist and an rna vaccine |
| WO2024233341A1 (en) | 2023-05-05 | 2024-11-14 | Genentech, Inc. | Dosing for treatment with anti-fcrh5/anti-cd3 bispecific antibodies |
| WO2024233646A1 (en) | 2023-05-10 | 2024-11-14 | Genentech, Inc. | Methods and compositions for treating cancer |
| WO2024263195A1 (en) | 2023-06-23 | 2024-12-26 | Genentech, Inc. | Methods for treatment of liver cancer |
| WO2024263904A1 (en) | 2023-06-23 | 2024-12-26 | Genentech, Inc. | Methods for treatment of liver cancer |
| WO2025024257A1 (en) | 2023-07-21 | 2025-01-30 | Genentech, Inc. | Diagnostic and therapeutic methods for cancer |
| WO2025049277A1 (en) | 2023-08-25 | 2025-03-06 | Genentech, Inc. | Methods and compositions for treating non-small cell lung cancer comprising an anti-tigit antagonist antibody and a pd-1 axis binding antagonist |
| WO2025056778A1 (en) | 2023-09-15 | 2025-03-20 | BioNTech SE | Methods of treatment using agents binding to epcam and cd137 in combination with pd-1 axis binding antagonists |
| WO2025056180A1 (en) | 2023-09-15 | 2025-03-20 | BioNTech SE | Methods of treatment using agents binding to epcam and cd137 in combination with pd-1 axis binding antagonists |
| WO2025085404A1 (en) | 2023-10-16 | 2025-04-24 | Genentech, Inc. | Diagnostic and therapeutic methods for treating lung cancer |
| WO2025155607A1 (en) | 2024-01-16 | 2025-07-24 | Genentech, Inc. | Methods of treating urothelial carcinoma with a pd-1 axis binding antagonist and an rna vaccine |
| WO2025174933A1 (en) | 2024-02-14 | 2025-08-21 | Genentech, Inc. | Methods for treatment of pancreatic cancer with anti-pd-l1 ab, anti-tigit ab, gemcitabine and nab-placlitaxel |
| WO2025240242A1 (en) | 2024-05-13 | 2025-11-20 | Gilead Sciences, Inc. | Combination therapies with ribavirin |
| WO2025240246A1 (en) | 2024-05-13 | 2025-11-20 | Gilead Sciences, Inc. | Combination therapies with ribavirin |
| WO2025240243A1 (en) | 2024-05-13 | 2025-11-20 | Gilead Sciences, Inc. | Combination therapies with bulevirtide and an inhibitory nucleic acid targeting hepatitis b virus |
| WO2025240244A1 (en) | 2024-05-13 | 2025-11-20 | Gilead Sciences, Inc. | Combination therapies comprising bulevirtide and lonafarnib for use in the treatment of hepatitis d virus infection |
Also Published As
| Publication number | Publication date |
|---|---|
| US20140199334A1 (en) | 2014-07-17 |
| EP2717895A1 (en) | 2014-04-16 |
| CN103732238A (en) | 2014-04-16 |
| US9096642B2 (en) | 2015-08-04 |
Similar Documents
| Publication | Publication Date | Title |
|---|---|---|
| US9096642B2 (en) | Therapeutic compounds for immunomodulation | |
| US9422339B2 (en) | Immunomodulating cyclic compounds | |
| JP6937090B2 (en) | 1,2,4-oxadiazole and thiadiazole compounds as immunomodulators | |
| AU2011268484B2 (en) | Immunosuppression modulating compounds | |
| US9783578B2 (en) | Immunosuppression modulating compounds | |
| KR102362277B1 (en) | 1,2,4-oxadiazole derivatives as immunomodulators | |
| JP6474412B2 (en) | Cyclic peptidomimetic compounds as immunomodulators | |
| EP3041828B1 (en) | 1,3,4-oxadiazole and 1,3,4-thiadiazole derivatives as immunomodulators | |
| WO2015044900A1 (en) | Therapeutic immunomodulating compounds | |
| WO2015036927A1 (en) | Immunomodulating peptidomimetic derivatives | |
| JP2018507885A (en) | 1,3,4-oxadiazole and thiadiazole compounds as immunomodulators | |
| HK1227019B (en) | 1,3,4-oxadiazole and 1,3,4-thiadiazole derivatives as immunomodulators |
Legal Events
| Date | Code | Title | Description |
|---|---|---|---|
| 121 | Ep: the epo has been informed by wipo that ep was designated in this application |
Ref document number: 11827774 Country of ref document: EP Kind code of ref document: A1 |
|
| WWE | Wipo information: entry into national phase |
Ref document number: 14124370 Country of ref document: US |
|
| NENP | Non-entry into the national phase |
Ref country code: DE |
|
| REEP | Request for entry into the european phase |
Ref document number: 2011827774 Country of ref document: EP |
|
| WWE | Wipo information: entry into national phase |
Ref document number: 2011827774 Country of ref document: EP |










































