WO2012156897A1 - METHOD FOR GENERATING HUMAN MILK OLIGOSACCHARIDES (HMOs) OR PRECURSORS THEREOF - Google Patents
METHOD FOR GENERATING HUMAN MILK OLIGOSACCHARIDES (HMOs) OR PRECURSORS THEREOF Download PDFInfo
- Publication number
- WO2012156897A1 WO2012156897A1 PCT/IB2012/052400 IB2012052400W WO2012156897A1 WO 2012156897 A1 WO2012156897 A1 WO 2012156897A1 IB 2012052400 W IB2012052400 W IB 2012052400W WO 2012156897 A1 WO2012156897 A1 WO 2012156897A1
- Authority
- WO
- WIPO (PCT)
- Prior art keywords
- lacto
- group
- acetyl
- lactosaminyl
- compounds
- Prior art date
- Legal status (The legal status is an assumption and is not a legal conclusion. Google has not performed a legal analysis and makes no representation as to the accuracy of the status listed.)
- Ceased
Links
- 0 CC(NC(C1O[C@](C(C2O)O)OC(CO)[C@@]2O)[C@](OC(C([C@](O[C@](C(CO)O[C@@](*O*)C2O)C2O)OC2CO)O)[C@]2O)OC(CO)[C@@]1O)=O Chemical compound CC(NC(C1O[C@](C(C2O)O)OC(CO)[C@@]2O)[C@](OC(C([C@](O[C@](C(CO)O[C@@](*O*)C2O)C2O)OC2CO)O)[C@]2O)OC(CO)[C@@]1O)=O 0.000 description 2
Classifications
-
- C—CHEMISTRY; METALLURGY
- C12—BIOCHEMISTRY; BEER; SPIRITS; WINE; VINEGAR; MICROBIOLOGY; ENZYMOLOGY; MUTATION OR GENETIC ENGINEERING
- C12P—FERMENTATION OR ENZYME-USING PROCESSES TO SYNTHESISE A DESIRED CHEMICAL COMPOUND OR COMPOSITION OR TO SEPARATE OPTICAL ISOMERS FROM A RACEMIC MIXTURE
- C12P19/00—Preparation of compounds containing saccharide radicals
- C12P19/14—Preparation of compounds containing saccharide radicals produced by the action of a carbohydrase (EC 3.2.x), e.g. by alpha-amylase, e.g. by cellulase, hemicellulase
-
- A—HUMAN NECESSITIES
- A23—FOODS OR FOODSTUFFS; TREATMENT THEREOF, NOT COVERED BY OTHER CLASSES
- A23L—FOODS, FOODSTUFFS OR NON-ALCOHOLIC BEVERAGES, NOT OTHERWISE PROVIDED FOR; PREPARATION OR TREATMENT THEREOF
- A23L33/00—Modifying nutritive qualities of foods; Dietetic products; Preparation or treatment thereof
- A23L33/40—Complete food formulations for specific consumer groups or specific purposes, e.g. infant formula
-
- C—CHEMISTRY; METALLURGY
- C07—ORGANIC CHEMISTRY
- C07H—SUGARS; DERIVATIVES THEREOF; NUCLEOSIDES; NUCLEOTIDES; NUCLEIC ACIDS
- C07H17/00—Compounds containing heterocyclic radicals directly attached to hetero atoms of saccharide radicals
- C07H17/02—Heterocyclic radicals containing only nitrogen as ring hetero atoms
-
- C—CHEMISTRY; METALLURGY
- C07—ORGANIC CHEMISTRY
- C07H—SUGARS; DERIVATIVES THEREOF; NUCLEOSIDES; NUCLEOTIDES; NUCLEIC ACIDS
- C07H17/00—Compounds containing heterocyclic radicals directly attached to hetero atoms of saccharide radicals
- C07H17/04—Heterocyclic radicals containing only oxygen as ring hetero atoms
-
- C—CHEMISTRY; METALLURGY
- C07—ORGANIC CHEMISTRY
- C07H—SUGARS; DERIVATIVES THEREOF; NUCLEOSIDES; NUCLEOTIDES; NUCLEIC ACIDS
- C07H17/00—Compounds containing heterocyclic radicals directly attached to hetero atoms of saccharide radicals
- C07H17/04—Heterocyclic radicals containing only oxygen as ring hetero atoms
- C07H17/06—Benzopyran radicals
- C07H17/065—Benzo[b]pyrans
- C07H17/075—Benzo[b]pyran-2-ones
-
- C—CHEMISTRY; METALLURGY
- C07—ORGANIC CHEMISTRY
- C07H—SUGARS; DERIVATIVES THEREOF; NUCLEOSIDES; NUCLEOTIDES; NUCLEIC ACIDS
- C07H19/00—Compounds containing a hetero ring sharing one ring hetero atom with a saccharide radical; Nucleosides; Mononucleotides; Anhydro-derivatives thereof
- C07H19/01—Compounds containing a hetero ring sharing one ring hetero atom with a saccharide radical; Nucleosides; Mononucleotides; Anhydro-derivatives thereof sharing oxygen
-
- C—CHEMISTRY; METALLURGY
- C07—ORGANIC CHEMISTRY
- C07H—SUGARS; DERIVATIVES THEREOF; NUCLEOSIDES; NUCLEOTIDES; NUCLEIC ACIDS
- C07H5/00—Compounds containing saccharide radicals in which the hetero bonds to oxygen have been replaced by the same number of hetero bonds to halogen, nitrogen, sulfur, selenium, or tellurium
- C07H5/04—Compounds containing saccharide radicals in which the hetero bonds to oxygen have been replaced by the same number of hetero bonds to halogen, nitrogen, sulfur, selenium, or tellurium to nitrogen
-
- C—CHEMISTRY; METALLURGY
- C07—ORGANIC CHEMISTRY
- C07H—SUGARS; DERIVATIVES THEREOF; NUCLEOSIDES; NUCLEOTIDES; NUCLEIC ACIDS
- C07H9/00—Compounds containing a hetero ring sharing at least two hetero atoms with a saccharide radical
- C07H9/06—Compounds containing a hetero ring sharing at least two hetero atoms with a saccharide radical the hetero ring containing nitrogen as ring hetero atoms
-
- C—CHEMISTRY; METALLURGY
- C08—ORGANIC MACROMOLECULAR COMPOUNDS; THEIR PREPARATION OR CHEMICAL WORKING-UP; COMPOSITIONS BASED THEREON
- C08B—POLYSACCHARIDES; DERIVATIVES THEREOF
- C08B37/00—Preparation of polysaccharides not provided for in groups C08B1/00 - C08B35/00; Derivatives thereof
- C08B37/006—Heteroglycans, i.e. polysaccharides having more than one sugar residue in the main chain in either alternating or less regular sequence; Gellans; Succinoglycans; Arabinogalactans; Tragacanth or gum tragacanth or traganth from Astragalus; Gum Karaya from Sterculia urens; Gum Ghatti from Anogeissus latifolia; Derivatives thereof
-
- C—CHEMISTRY; METALLURGY
- C12—BIOCHEMISTRY; BEER; SPIRITS; WINE; VINEGAR; MICROBIOLOGY; ENZYMOLOGY; MUTATION OR GENETIC ENGINEERING
- C12P—FERMENTATION OR ENZYME-USING PROCESSES TO SYNTHESISE A DESIRED CHEMICAL COMPOUND OR COMPOSITION OR TO SEPARATE OPTICAL ISOMERS FROM A RACEMIC MIXTURE
- C12P19/00—Preparation of compounds containing saccharide radicals
- C12P19/04—Polysaccharides, i.e. compounds containing more than five saccharide radicals attached to each other by glycosidic bonds
-
- C—CHEMISTRY; METALLURGY
- C12—BIOCHEMISTRY; BEER; SPIRITS; WINE; VINEGAR; MICROBIOLOGY; ENZYMOLOGY; MUTATION OR GENETIC ENGINEERING
- C12P—FERMENTATION OR ENZYME-USING PROCESSES TO SYNTHESISE A DESIRED CHEMICAL COMPOUND OR COMPOSITION OR TO SEPARATE OPTICAL ISOMERS FROM A RACEMIC MIXTURE
- C12P19/00—Preparation of compounds containing saccharide radicals
- C12P19/12—Disaccharides
-
- C—CHEMISTRY; METALLURGY
- C12—BIOCHEMISTRY; BEER; SPIRITS; WINE; VINEGAR; MICROBIOLOGY; ENZYMOLOGY; MUTATION OR GENETIC ENGINEERING
- C12P—FERMENTATION OR ENZYME-USING PROCESSES TO SYNTHESISE A DESIRED CHEMICAL COMPOUND OR COMPOSITION OR TO SEPARATE OPTICAL ISOMERS FROM A RACEMIC MIXTURE
- C12P19/00—Preparation of compounds containing saccharide radicals
- C12P19/18—Preparation of compounds containing saccharide radicals produced by the action of a glycosyl transferase, e.g. alpha-, beta- or gamma-cyclodextrins
-
- C—CHEMISTRY; METALLURGY
- C12—BIOCHEMISTRY; BEER; SPIRITS; WINE; VINEGAR; MICROBIOLOGY; ENZYMOLOGY; MUTATION OR GENETIC ENGINEERING
- C12Y—ENZYMES
- C12Y302/00—Hydrolases acting on glycosyl compounds, i.e. glycosylases (3.2)
- C12Y302/01—Glycosidases, i.e. enzymes hydrolysing O- and S-glycosyl compounds (3.2.1)
- C12Y302/0114—Lacto-N-biosidase (3.2.1.140)
Definitions
- the present invention relates to a method for generating human milk oligosaccharides (HMOs) or precursors thereof and to compounds suitable for use in or obtainable by the method of the present invention.
- HMOs human milk oligosaccharides
- the invention furthermore describes uses of and products involving such compounds.
- HMOs Human milk oligosaccharides
- Mammalian milk contains up to 10% carbohydrate, of which the disaccharide, lactose (Gal(pi-4)Glc), is usually a prominent component.
- Milk and colostrum also contain lesser amounts of other saccharides, referred to as milk oligosaccharides, nearly all of which have a lactose unit at their reducing end to which GlcNAc, Gal, Fuc and/or Neu5Ac or Neu5Gc residues can be attached (Messer and Urashima, 2002, Trends Glycosci. Glycotech, 14, 153-176; and
- MALDI-TOFMS matrix-assisted laser desorption/ ionization time-of- flight mass spectrometry
- the 115 human milk oligosaccharides of which the structures have been determined to date, can be grouped into 13 series based on their core structures.
- Such 13 core structures are exemplarily shown in Table 1 below:
- HMOs human milk oligosaccharides
- the many variations ofthe oligosaccharides are constructed by the addition of a Neu5Ac 2-3/2-6 residue to Gal or GlcNAc, and of Fucal-2/1-3/1-4 to Gal, GlcNAc or a reducing Glc of the core units.
- the main structural features of human milk oligosaccharides are the presence of oligosaccharides containing the type I unit (Gal(j81- 3)GlcNAc), as well as those containing the type II unit (Gal(j81-4)GlcNAc), and
- Leloir-type glycosyltransferases (GTs, EC 2.4.1.-) and glycosidases (also called glycoside hydrolases: GHs, EC 3.2.1.-) constitute the two major classes of carbohydrate-processing enzymes, which may be utilized in the production of HMOs. Both classes of enzymes act to transfer a glycosyl group from a donor to an acceptor resulting in oligosaccharide production.
- the use of glycosyltransferases for synthesis in industrial processes is limited both by the availability of the desired enzymes due to problems with expression and solubility and the high costs of the activated donor sugars.
- glycosidases have a wide range of donor substrates employing usually monosaccharides, oligosaccharides or/and engineered substrates (i.e. substrates carrying various functional groups). They often display activity towards a large variety of carbohydrate and non-carbohydrats acceptors. Another advantage of the use of glycosidases compared to glycosyltransferases is their robustness and accessibility.
- glycosidases In vivo, glycosidases usually catalyze the hydrolysis of glycosidic linkages with either retention or inversion of stereochemical configuration in the product. In vitro, they can catalyse the formation of a new glycosidic bond either by transglycosylation or by reverse hydrolysis (ie condensation). Under kinetically controlled reactions these enzymes (typically, retaining glycosidases) can be used to form glycosidic linkages using a glycosyl donor activated by a good anomeric leaving group (e.g. nitrophenyl glycoside). In contrast, the thermodynamically controlled reverse hydrolysis uses high concentrations of free sugars. However, even though the appropriate application of glycosidases in the synthetic direction is of considerable interest, it remains challenging as optimal conditions and suitable substrates have to be found to drive the reaction in the desired direction and to avoid hydrolysis of the products.
- Aureobacterium sp. L-101 has been reported in Murata et al. Glycoconj. J. 16, 189 (1999).
- organo-chemical syntheses or enzyme based syntheses for basic human milk oligosaccharide structures or their precursors have been published meanwhile, such synthesis methods still do not allow the preparation of complex mixtures of naturally occurring oligosaccharides or derivatives thereof.
- Preparing such mixtures on the basis of individually designed syntheses of single HMOs is furthermore costly and may not resemble the large variety of naturally occurring HMOs.
- Figure 1 depicts the presently known 13 core structures of human milk oligosaccharides
- Figure 2 depicts an exemplary synthesis of HMOs using lactose, N-acetyllactosaminyl donor and lacto-N-biosyl donor with the enzymes ⁇ - 1,3 -trans- lacto-N- biosidase, P-l,3-trans-N-acetyllactosaminidase, and ⁇ - ⁇ , ⁇ -trans-N- acetyllactosaminidase.
- Figure 3 shows the NMR spectrum of benzyl 3 ' ' '-O-sialyl-P-LNnT.
- the present invention provides a method for generating one or more human milk oligosaccharides (HMOs) or derivatives or precursors thereof, that is making one or more human milk oligosaccharides (HMOs) or derivatives or precursors thereof, the method comprising the steps of
- X is selected from the group consisting of azide, fluoro, optionally substituted phenoxy, optionally substituted pyridinyloxy, group A, group B, group C and group D
- R is a group removable by hydrogenolysis
- R is a group removable by hydrogenolysis, or salts thereof
- R is a group removable by hydrogenolysis, or salts thereof
- step d) providing at least one enzyme comprising a transglycosidase activity and/or a glycosynthase activity ; preparing a mixture of the donor(s), acceptor(s) and enzyme(s), provided in steps a), b) and c) e) incubating the mixture prepared according to step d);
- step f) optionally: repeating any of steps a) to e), with the mixture obtained according to step e);
- step e) optionally subjecting the mixture obtained as a result of step e) or f) to a
- the present invention provides a method for generating one or more human milk oligosaccharides (HMOs) or derivatives or precursors thereof, that is making one or more human milk oligosaccharides (HMOs) or derivatives or precursors thereof, the method comprising the steps of
- R is a group removable by hydrogeno
- R is a group removable by hydrogeno lysis, or salts thereof
- R is a group removable by hydrogeno lysis, c) providing at least one enzyme comprising a transglycosidase activity and/or a
- step d) preparing a mixture of the donor(s), acceptor(s) and enzyme(s), provided in steps a), b) and c); e) incubating the mixture prepared according to step d); f) repeating at least one of the steps a) to c), then repeating step d) and step e) in the case where:
- a single compound of formula 5 is provided as the universal donor in step a), a single acceptor is provided according to step b), the enzyme comprising a transglycosidase activity and/or a glycosynthase activity added in step c) is an enzyme having a trans-fucosidase and/or fucosynthase activity, and a single HMO or derivative or precursor thereof is made as a result of step e); or
- a single compound of formula 6 is provided as the universal donor in step a), a single acceptor is provided according to step b), the enzyme comprising a transglycosidase activity and/or a glycosynthase activity added in step c) is an enzyme having a trans-sialidase activity, and a single HMO or derivative or precursor thereof is made as a result of step e); or
- a single compound of formula 8 is provided as the universal donor in step a), a single acceptor is provided according to step b), the enzyme comprising a transglycosidase activity and/or a glycosynthase activity added in step c) is an enzyme having a trans-lacto-N-biosidase activity, and a single HMO or derivative or precursor thereof is made as a result of step e);
- step g) optionally: repeating at least one of the steps a) to c), then repeating step d) and step e) with the mixture obtained according to step e) or f);
- step e) optionally subjecting the mixture obtained as a result of step e), f) or g) to a
- the step f) is conducted where a single donor is provided in step a), a single acceptor is provided in step b), the enzyme provided in step c) is a single enzyme comprising a transglycosidase activity and/or a glycosynthase activity, and a single HMO or derivative or precursor thereof is made as a result of step e).
- the present invention provides a method for generating more human milk oligosaccharides (HMOs) or derivatives or precursors thereof, that is making one or more human milk oligosaccharides (HMOs) or derivatives or precursors thereof, the method comprising the steps of
- R is a group removable by hydrogenolysis
- R is a group removable by hydrogenolysis, or salts thereof
- R is a group removable by hydrogenolysis
- step f) repeating at least one of the steps a) to c), then repeating step d) and step e) when only one HMO or derivative or precursor thereof is made as a result of step e) above;
- step g) optionally repeating at least one of the steps a) to c), then repeating step d) and step e), with the mixture obtained as a result of step e) or f);
- step e) optionally subjecting the mixture obtained as a result of step e), f) or g) to a
- At least one more additional incubation cycle is needed when only one product (HMO or HMO derivative or HMO precursor) is formed after the first incubation cycle.
- Lactose is not herein considered to be an HMO. This case may occur in some donor-acceptor pairs provided in steps a) and b). This situation includes cases where starting materials, that is compounds provided in steps a) and b) of the method, remain in the reaction mixture after the incubation step along with a single product formed during the incubation step.
- the at least one compound provided according to step a) is preferably different from that/those provided in the first cycle; the at least one compound provided according to step b) is preferably different from that/those provided in the first cycle, and the at least one enzyme provided according to step c) is preferably different from that provided in the first cycle, but at least one of the steps a) to c) must be different from that carried out in the first cycle.
- group removable by hydrogenolysis refers to groups whereby a carbon-heteroatom single bond is cleaved or undergoes "lysis" by hydrogen.
- the heteroatom may vary, but it usually is oxygen, nitrogen, or sulfur.
- Hydrogenolysis represents an exception among protecting group chemistries, in which water can be used as a solvent. Hydrogenolysis itself is a powerful deprotection process suitable to remove O-benzyl/substituted O-benzyl moieties from an oligosaccharide scaffold in almost a quantitative manner under extremely gentle conditions preventing by-product formations. It is also an advantage of hydrogenolysis as a final deblocking procedure within a complex synthetic pathway that only a catalytic amount of the reagents are required for the completion of the reaction, and that the reaction provides exclusively toluene or substituted toluene derivatives as by-products.
- Suitable groups for hydrogenolysis may include benzyl, diphenylmethyl (benzhydryl), 1-naphthylmethyl, 2-naphthylmethyl or triphenylmethyl (trityl) groups, each of which may be optionally substituted by one or more groups selected from: alkyl, alkoxy, phenyl, amino, acylamino, alkylamino, dialkylamino, nitro, carboxyl, alkoxycarbonyl, carbamoyl, N-alkylcarbamoyl, N,N-dialkylcarbamoyl, azido, halogenalkyl or halogen.
- a particularly preferred protecting group is benzyl optionally substituted with one or more groups selected from alkyl or halogen. More preferably, the protecting group is selected from unsubstituted benzyl, 4-chlorobenzyl and 4-methylbenzyl.
- These particularly preferred and more preferable protecting groups have the advantage that the by-products of the hydrogenolysis are exclusively toluene or substituted toluene. Such by-products can easily be removed even in multi ton scales from water soluble oligosaccharide products via evaporation and/or extraction processes. Hydrogenolysis may be carried out by adding catalytic amounts of palladium, Raney nickel or another appropriate metal catalyst known for use in
- HMO precursor means an R-glycoside of an HMO which has been modified with a residue R to form a glycoside via a glycosidic bond.
- HMO derivative means an oligosaccharide structurally similar to a HMO and R-glycosides thereof, preferably derivatives according to general formula 1, 2, 3 and 4.
- phrases “fulnesssialyl” within the context of the present invention means the glycosyl residue of sialic acid (N-acetyl-neuraminic acid, Neu5Ac) linked with a-linkage:
- the term “appendix glycosyl residue comprising one or more N-acetyl-lactosaminyl and/or one or more lacto-N-biosyl units" within the context of the present invention means a linear or branched structure comprising the said units that are linked to each other by interglycosidic linkages.
- optionally substituted phenoxy means a phenoxy group optionally substituted with 1 or 2 groups selected from nitro, halogen, alkyl, hydroxyalkyl, amino, formyl, carboxyl and alkoxycarbonyl, or two substituents in ortho position may form a methylenedioxy-group.
- Preferred substituents are nitro (preferably in 2- and/or 4-position), halogen (preferably fluoro and chloro).
- Especially preferred substituted phenoxy groups are selected from 4- nitrophenoxy, 2,4-dinitrophenoxy, 2-chloro-4-nitrophenoxy, 2-fluoro-4-nitrophenoxy, 3- fluoro-4-nitrophenoxy, 2-hydroxymethyl-4-nitrophenoxy, 3-hydroxymethyl-4-nitrophenoxy, 2-formyl-4-nitrophenoxy, 2-carboxy-4-nitrophenoxy, 2-methoxycarbonyl-4-nitrophenoxy, 5- fluoro-2-nitrophenoxy, 4-methoxycarbonyl-2-nitrophenoxy, 4-carboxy-2-nitrophenoxy, 2- aminophenoxy and 3,4-methylenedioxy-phenoxy.
- pyridinyloxy means a pyridinyloxy, more preferably 2- or 4-pyridyloxy group, optionally substituted with 1 or 2 groups selected from nitro, halogen, alkyl and alkoxy.
- pyridinyloxy groups are selected from 4-pyridinyloxy, 2-pyridinyloxy, 3-nitro-2-pyridinyloxy and 3-methoxy-2-pyridinyloxy.
- step a) of the first aspect including the preferred and more preferred embodiments, at least one universal donor is provided, and according to step b) of the first aspect, including the preferred and more preferred embodiments, at least one acceptor is provided.
- the term "donor” is understood as a compound, which provides or transfers a specific moiety in a chemical reaction, e.g. a nucleophilic or electrophilic substitution reaction, to a further compound, preferably an acceptor.
- a "universal donor” is understood as a compound, which provides or transfers a specific moiety in a chemical reaction, e.g.
- nucleophilic or electrophilic substitution reaction to a further compound, preferably an acceptor, wherein the donor is not restricted to naturally occuring donors for the preparation of HMOs and may also lead to naturally occuring HMOs and/or to non-naturally occuring HMOs as a product.
- a universal donor is preferably as defined above.
- acceptor is understood as a compound, which receives a specific moiety in a chemical reaction, e.g. nucleophilic or electrophilic substitution reaction, from a further compound, preferably a universal donor as defined herein. Such an acceptor is preferably as defined above.
- HMOs human milk oligosaccharides
- compounds according to formulae 5 to 8 wherein the substituents are preferably selected depending on the enzymes used during the method of the present invention.
- the donors are selected depending on their a
- transglycosidase activity from compounds according to formulae 5 to 8, wherein X is optionally substituted 4-nitrophenoxy, group A, group B, group C, or from compounds 9 and 10.
- the donors are selected depending on their glycosynthase activity from compounds according to formulae 5 to 8, wherein X is azide or fluoro. Both selections may be carried out independently of each other or together.
- HMOs oligosaccharides
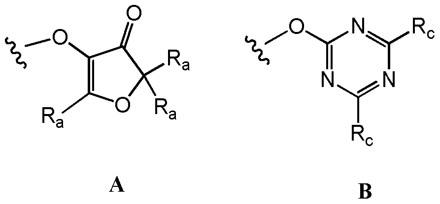
- HMOs may preferably be selected from compounds according to formulae 5 to 8, wherein X is 4-nitrophenoxy, 2,4-dinitrophenoxy, 2-chloro-4-nitrophenoxy, 2,5- dimethyl-3-oxo-(2H)-furan-4-yloxy, 2-ethyl-5-methyl-3-oxo-(2H)-furan-4-yloxy, 5-ethyl-2- methyl-3-oxo-(2H)-furan-4-yloxy, 4,6-dimethoxy-l ,3,5-triazin-2-yloxy, 4,6-diethoxy-l,3,5- triazin-2-yloxy, 4-methylumbelliferyloxy.
- step c) of the method of the present invention for generating human milk oligosaccharides at least one enzyme comprising a transglycosidase activity and/or a glycosynthase activity is provided.
- Enzymes suitable in step c) of the first aspect typically comprise at least one enzyme comprising a transglycosidase activity and/or a glycosynthase activity, preferably selected from enzymes having, e.g.
- a fucosidase, trans-fucosidase or fucosynthase activity a sialidase (neuraminidase) or trans-sialidase (transneuraminidase) activity, a lacto- N-biosidase or trans-lacto-N-biosidase activity and/or a N-acetyllactoaminidase or trans-N- acetyllactoaminidase activity, or any further enzyme having such an activity.
- enzymes suitable in step d) of the first aspect may be selected from the group comprising wild type or mutated glycosidases or transglycosidases, preferably wild type or mutated glycosidases or transglycosidases having a fucosidase, trans- fucosidase or fucosynthase activity, a sialidase (neuraminidase) or trans-sialidase
- transneuraminidase activity a lacto-N-biosidase or trans- lacto-N-biosidase activity and/or a N-acetyllactoaminidase or trans-N-acetyllactoaminidase activity, or preferably having a-trans- fucosidase, a-trans-sialidase, ⁇ -trans-lacto-N-biosidase and/or ⁇ -trans-N- acetyllactosaminidase activity.
- Enzymes suitable in step c) of the first aspect including the preferred and more preferred embodiments, for the generation of human milk oligosaccharides (HMOs) furthermore may be selected from any genus known to a skilled person, to express or secrete at least one enzyme as defined above, e.g.
- an enzyme having a transglycosidase activity and/or a glycosynthase activity preferably an enzyme having a fucosidase, trans-fucosidase or fucosynthase activity, a sialidase (neuraminidase) or trans-sialidase (transneuraminidase) activity, a lacto-N-biosidase or trans-lacto-N-biosidase activity and/or a N- acetyllactoaminidase or trans-N-acetyllactoaminidase activity, or preferably having a-trans- fucosidase, a-trans-sialidase, ⁇ -trans-lacto-N-biosidase and/or ⁇ -trans-N- acetyllactosaminidase activity, or any further enzyme having such an activity.
- such enzymes suitable in step c) of the first aspect may be selected from non-pathogenic bacteria selected from Bacillus, Bifidobacterium, Lactobacillus, Leuconostoc, Lactococcus, Streptococcus, Streptomyces, Sulfolobus,
- Thermotoga or Trypanosoma.
- oligosaccharides are selected from the group comprising the non-pathogenic bacteria Bacillus circulans, lactic acid bacteria, such as Bifidobacterium bifidum JCM 1254,
- Bifidobacterium bifidum NCIMB 41171 Bifidobacterium bifidum NCIMB 41171
- Bifidobacterium bifidum JCM 1254 Bifidobacterium bifidum JCM1254, Bifidobacterium bifidum PRL2010, Bifidobacterium bifidum PRL2010, Bifidobacterium bifidum SI 7, Bifidobacterium bifidum SI 7, Bifidobacterium dentium Bdl, Bifidobacterium longum subsp. infantis ATCC 15697, Bifidobacterium longum subsp longum JDM 301, Bifidobacterium longum subsp. infantis JCM 1222, Lactobacillus casei BL23, Streptomyces sp., Sulfolobus solfataricus P2, Thermotoga maritima MSB8, and Trypanosoma cruzi.
- Particularly preferred microorganisms in the above context comprise lactic acid bacteria.
- Lactic acid bacteria, and more particularly non-pathogenic bacteria from the genus Bifidobacterium contain a series of glycosidases including a-2,3/6 sialidases (GH33), a- 1,2/3/4 fucosidases (GH29 and GH95), lacto-N-biosidases (GH20), ⁇ -galactosidases (GH2) and ⁇ - ⁇ - acetylhexosaminidases (GH20) that are able to recognize human milk oligosaccharides.
- these glycosidases are intra- or extracellular enzymes.
- glycosidase and/or glycosynthases displaying a trans-fucosidase, trans-sialidase, trans-lacto- N-biosidase and/or trans-N-acetyllactosaminidase activity, preferably a a-trans-fucosidase, a- trans-sialidase, ⁇ -trans-lacto-N-biosidase and/or ⁇ -trans-N-acetyllactosaminidase activity, is a wild type or an engineered glycosidase, most preferably the wild type glycosidase is taken from the group consisting of lactic acid bacteria, wherein the glycosidase is converted to a transglycosidase by rational engineering
- a glycosidase and/or glycosynthase selected from the group consisting of lactic acid bacteria is most preferably a glycosidase from Bifidobacterium, Lactobacillus, Lactococcus, Streptococcus or
- a glycosidase selected from the genus Bifidobacterium is most preferably a glycosidase from Bifidobacterium longum subsp. Infantis, Bifidobacterium longum subsp. Longum, Bifidobacterium breve, Bifidobacterium bifidum and Bifidobacterium catenulatum.
- thermophilic organisms such as Sulfolobus solfataricus and Thermotoga maritima
- thermostable glycosidases have considerable potential for industrial applications since they can be used in biotechno logical processes at elevated temperatures, and so facilitating the process, preventing risk of contamination, and increasing the solubility of the compounds used in the reaction.
- the glycosidase and/or glycosynthase enzyme displaying a trans-fucosidase, trans-sialidase, trans-lacto-N-biosidase and/or trans-N- acetyllactosaminidase activity preferably an a-trans-fucosidase, a-trans-sialidase, ⁇ -trans- lacto-N-biosidase and/or ⁇ -trans-N-acetyllactosaminidase activity, is a wild type or an engineered glycosidase.
- the wild type glycosidase is taken from the group consisting of thermophilic organisms, which glycosidase is converted to a transglycosidase by rational engineering or/and directed evolution.
- An a-L-fucosidase selected from thermophilic organisms is most preferably an a-L-fucosidase from Thermotoga maritima and Sulfolobus solfataricus.
- the at least one enzyme comprising a transglycosidase activity and/or a glycosynthase activity may be selected from an enzyme exhibiting a fucosidase, trans- fucosidase or fucosynthase activity, preferably as described in the following.
- enzymes having a fucosidase, trans-fucosidase or fucosynthase activity, more preferably an a- trans-fucosidase activity are preferably selected from fucosidases in general, and more preferably from a-L-fucosidases, e.g.
- a-L-fucosidases as classified according to EC 3.2.1.38 and 3.2.1.51.
- a-L-Fucosidases are widely spread in living organisms such as mammals, plants, fungi and bacteria. These enzymes belong to the families 29 and 95 of the glycoside hydrolases (GH29 and GH95) as defined by the CAZY nomenclature (http://www.cazy.org). Fucosidases from GH 29 are retaining enzymes (3D structure: ( ⁇ / ⁇ ) 8 ) whereas fucosidases from GH 95 are inverting enzymes (3D structure: (a /a) 6 ).
- the substrate specificity of the GH29 family is broad whereas that of the GH95 family is strict to al,2-linked fucosyl residues.
- the GH29 family seems to be divided into two subfamilies. One subfamily typically has strict specificity towards al,3- and al,4-fucosidic linkages. The members of a further subfamily have broader specificity, covering all a-fucosyl linkages.
- ⁇ -L-fucosidases generally hydrolyse the terminal fucosyl residue from glycans. These enzymes are also capable of acting as catalysts for fucosylation reactions due to their transfucosylation activity and thus may be used in the context of the method of the present invention, preferably under kinetically controlled conditions.
- Fucosidases which may be employed in the context of the present invention, may also comprise engineered fucosidases.
- Such engineered fucosidases preferably comprise engineered a-L-fucosidases, preferably engineered fucosidases derived from fucosidases as described above, e.g. an engineered a-l,2-L-fucosynthase from Bifidobacterium bifidum, a-L- fucosynthases from Sulfiolobus solfiataricus and Thermotoga maritime, etc.
- Such engineered fucosidases show an acceptor dependent regioselectivity and are devoid of product hydrolysis activity.
- engineered fucosidases preferably comprise a-L-fucosidase from Thermotoga maritima, which has also been recently converted into an efficient a-L-trans- fucosidase by directed evolution (see Osanjo, G., et al, Directed evolution of the alpha-L- fiucosidase from Thermotoga maritima into an alpha-L-trans-fucosidase. Biochemistry, 2007, 46(4): p. 1022-33).
- the at least one enzyme having a fucosidase and/or trans-fucosidase and/or fucosynthase activity may be selected from a-L-fucosidases derived from Thermotoga maritima MSB8, Sulfiolobus solfiataricus P2, Bifidobacterium bifidum JCM 1254,
- Bifidobacterium bifidum JCM 1254 Bifidobacterium longum subsp. infiantis ATCC 15697, Bifidobacterium longum subsp. infiantis ATCC 15697, Bifidobacterium longum subsp. Infiantis JCM 1222, Bifidobacterium bifidum PRL2010, Bifidobacterium bifidum SI 7, Bifidobacterium longum subsp longum JDM 301, Bifidobacterium dentium Bdl, or Lactobacillus casei BL23, etc.
- the at least one enzyme having a fucosidase and/or trans-fucosidase and/or fucosynthase activity may be selected from following a-L-fucosidases as defined according to the following deposit numbers gi
- infiantis ATCC 15697 gi
- the at least one enzyme comprising a transglycosidase activity and/or a glycosynthase activity may be selected from an enzyme exhibiting a sialidase or trans- sialidase activity, preferably as described in the following.
- enzymes having a sialidase or trans-sialidase activity are preferably selected from a sialidase or trans-sialidase as described in the following, e.g. sialidases (EC 3.2.1.18) and trans-sialidases (EC 2.4.1.-) as classified according to the the GH33 family. They are retaining enzymes. Sialidases and trans-sialidases are widely distributed in nature.
- Trans-sialidases differ from sialidases since they can transfer sialic acids, preferably a-2,3-bonded sialic acids, from a donor molecule to an acceptor derivative, which is preferably a terminal galactose moiety with a ⁇ -interglycosidic linkage. As a result of this transfer, an a-glycosidic bond is be formed between the sialic acid and the acceptor. However, if there is no suitable acceptor, the trans-sialidase hydrolyses the sialic acid.
- TcTS trans-sialidase
- Trypanosoma brucei gambiense Trypanosoma brucei rhodesiense
- Trypanosoma brucei brucei Trypanosoma congolense.
- the existence of trans-sialidases has been shown in Endotrypanum types, in Cory neb acterium diphtheriae and even in human plasma.
- Sialidases can be classified into two different subgroups, endo- and exo-sialidases.
- the endo- sialidases hydrolyze sialic acid linkages internal to macromolecules, while the exo-sialidases attack terminal sialic acid linkages, and desialylate glycoproteins, glycopeptides,
- sialidases from Bifidobacterium bifidum and Bifidobacterium longum subsp. infantis have been identified, cloned and characterized. These sialidases can cleave and so recognize both a-2,3- and a-2,6- linked sialosides.
- Sialidases from Bifidobacterium longum subsp. infantis have a consistent preference for a-2,6-linkage whereas sialidases from Bifidobacterium bifidum have a consistent preference for a-2,3-linkage.
- These enzymes are also capable of acting as catalysts for sialylation reactions due to their trans-sialidase activity and thus may be used in the context of the method of the present invention, preferably under kinetically controlled conditions.
- Sialidases which may be employed in the context of the present invention, may also comprise engineered sialidases. Based on sequence and structure comparisons, sialidase from
- Trypanosoma rangeli may be mutated at six positions, wherein the resulting mutant is able to display a significant level of trans-sialidase activity (see Paris, G., et al, A sialidase mutant displaying trans-sialidase activity. J Mol Biol, 2005. 345(4): p. 923-34).
- the at least one enzyme having a sialidase and/or trans-sialidase activity may be selected from sialidases or trans-sialidases derived from Bifidobacterium longum subsp. infantis ATCC 15697, Bifidobacterium bifidum JCM1254, Bifidobacterium bifidum S17, Bifidobacterium bifidum PRL2010, Bifidobacterium bifidum NCIMB 41171, Trypanosoma cruzi, etc.
- the at least one enzyme having a sialidase and/or trans-sialidase activity may be selected from sialidases or trans-sialidases as defined according to the following deposit numbers: gi
- Trypanosoma congolense SEQ ID NO:20
- 343958004 Trypanosoma congolense, SEQ ID NO:21
- sialidases with sialidase/trans-sialidase activity are listed in the following Table 3:
- the at least one enzyme comprising a transglycosidase activity and/or a glycosynthase activity may be preferably selected from an enzyme exhibiting a lacto-N- biosidase or trans-lacto-N-biosidase activity, preferably as described in the following.
- enzymes having a lacto-N-biosidase or trans-lacto-N-biosidase activity are preferably selected from a lacto-N-biosidase or trans-lacto-N-biosidase as described in the following, e.g. lacto-N-biosidases (EC 3.2.1.140) as classified according to the GH20 family.
- Lacto-N- biosidases typically proceed through a retaining mechanism. Only two lacto-N-biosidases from Streptomyces and Bifidobacterium bifidum have been described and characterized up to now, which may be utilized in the present invention as a lacto-N-biosidase or trans-lacto-N- biosidase (see Sano, M., K. Hayakawa, and I. Kato, Proc Natl Acad Sci U S A, 1992. 89(18): p. 8512-6; Sano, M., K. Hayakawa, and I. Kato, J Biol Chem, 1993. 268(25): p.
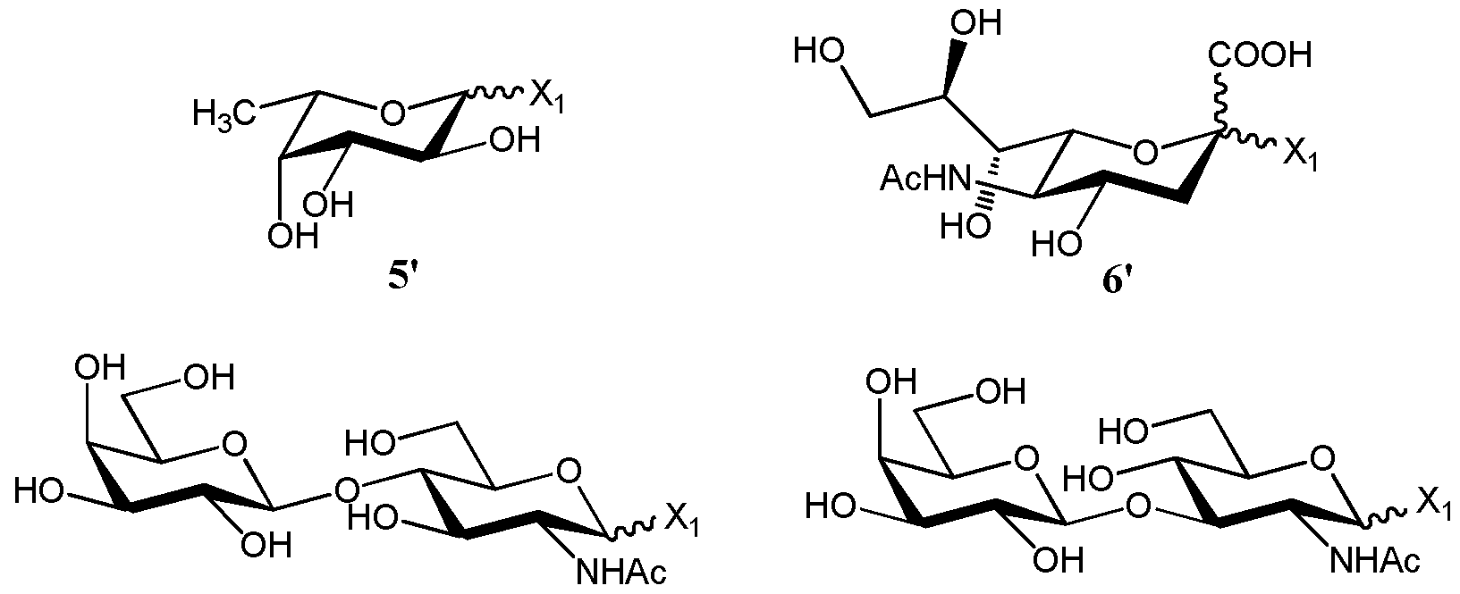
- Lacto-N-biosidases specifically hydro lyse the terminal lacto-N-biosyl residue (P-D-Gal-(l ⁇ 3)-D-GlcNAc) from the non-reducing end of oligosaccharides with the structure P-D-Gal-(l ⁇ 3)-P-D-GlcNAc- (1 ⁇ 3)-P-D-Gal-(1 ⁇ R).
- P-D-Gal-(l ⁇ 3)-P-D-GlcNAc 1- ⁇ 3)-P-D-Gal-(1 ⁇ R.
- lacto-N-biosidase from Bifidobacterium bifidum and Aureobacterium sp. L-101, respectively, to catalyze the transglycosylation by incubating donor substrates (such as lacto-N-tetraose and / ⁇ - ⁇ - ⁇ , ⁇ ) with acceptors (such as various 1- alkanols and lactose).
- donor substrates such as lacto-N-tetraose and / ⁇ - ⁇ - ⁇ , ⁇
- acceptors such as various 1- alkanols and lactose
- the at least one enzyme having a lacto-N-biosidase or trans-lacto-N- biosidase activity may be selected from lacto-N-biosidases or trans- lacto-N-biosidases derived from Bifidobacterium bifidum JCM1254, Bifidobacterium bifidum PRL2010,
- the at least one enzyme having a lacto-N-biosidase or trans-lacto-N- biosidase activity may be selected from lacto-N-biosidases or trans- lacto-N-biosidases as defined according to the following deposit numbers: gi
- lacto-N-biosidases with lacto-N-biosidase or trans-lacto-N-biosidase activity are listed in the following Table 4:
- the at least one enzyme comprising a transglycosidase activity and/or a glycosynthase activity may be preferably selected from an enzyme exhibiting a N- acetyllactosamimdase or trans-N-acetyllactosaminidase activity, preferably as described in the following.
- enzymes having a N-acetyllactosaminidase or trans-N- acetyllactosaminidase activity are preferably selected from a N-acetyllactosaminidase or trans-N-acetyllactosaminidase as described in the following, e.g.
- lacto-N-biosidases (EC 3.2.1.140) as classified according to the GH20 family.
- chitinase from bacillus circulans more preferably chitinase Al from Bacillus Circulans WL-12 as deposited under gi
- N-acetyllactosaminidases or trans-N-acetyllactosaminidases are listed in the following Table 5:
- proteins comprising a transglycosidase and/or a glycosynthase activity as defined above may also comprise engineered proteins comprising a transglycosidase and/or a glycosynthase activity.
- wild type or mutated glycosidases displaying a transfucosidase, transsialidase, trans- lacto-N-biosidase and/or trans-N- acetyllactosaminidase activity, preferably a a-transfucosidase, a-transsialidase, ⁇ -trans- lacto- N-biosidase and/or ⁇ -trans-N-acetyllactosaminidase activity, can be used in the present invention to produce such oligosaccharides. Preparation of such enzymes is preferably carried out via site directed mutagenesis approaches or directed evolution.
- mutants are created via site directed mutagenesis approaches, preferably by introduction of point mutations. This technique generally requires reliance on the static 3D protein structure.
- the mutations generally affect the active site of the enzymes such that they lose their ability to degrade their transglycosylation products but remain capable of synthesis.
- a preferred strategy consists of the replacement of the catalytic nucleophile by a non-nucleophilic residue. This modification results in the formation of an inactive mutant or an altered enzyme with reduced
- glycosynthase a mutant glycosynthase and their development represents one of the major advances in the use of glycosidases for synthetic purposes.
- the glycosynthase concept can be applied to all GH specificities and offer a large panel of enzymes potentially able to synthesize various oligosaccharides with very high yields, up to 95%.
- the second preferred technique is called directed evolution.
- This strategy comprises random mutagenesis applied to the gene of the selected glycosidase and generates thus a library of genetically diverse genes expressing glycosidase. Generation of sequence diversity can be performed using well-known methodologies, the most preferable being the error prone polymerase chain reaction (epCR) method.
- epCR error prone polymerase chain reaction
- This gene library may be inserted into suitable microorganisms such as E. coli or S. cerevisiae for producing recombinant variants with slightly altered properties. Clones expressing improved enzymes are then identified with a fast and reliable screening method, selected and brought into a next round of mutation process.
- Proteins comprising a transglycosidase and/or a glycosynthase activity as defined above may also comprise fragments or variants of those protein sequences. Such fragments or variants may typically comprise a sequence having a sequence identity with one of the above mentioned proteins sequences of at least 70%, more preferably at least 80%, equally more preferably at least 85%, even more preferably at least 90% and most preferably at least 95% or even 97%, 98% or 99% as compared to the entire wild type sequence on amino acid level.
- “Fragments” of proteins or peptides in the context of the present invention may also comprise a sequence of a protein or peptide as defined herein, which is, with regard to its amino acid sequence N-terminally, C-terminally and/or intrasequentially truncated compared to the amino acid sequence of the original (native) protein. Such truncation may thus occur either on the amino acid level or correspondingly on the nucleic acid level.
- a sequence identity with respect to such a fragment as defined herein may therefore preferably refer to the entire protein or peptide as defined herein or to the entire (coding) nucleic acid molecule of such a protein or peptide.
- fragments of nucleic acids in the context of the present invention may comprise a sequence of a nucleic acid as defined herein, which is, with regard to its nucleic acid molecule 5'-, 3 '- and/or intrasequentially truncated compared to the nucleic acid molecule of the original (native) nucleic acid molecule.
- a sequence identity with respect to such a fragment as defined herein may therefore preferably refer to the entire nucleic acid as defined herein.
- “Variants” of proteins or peptides as defined in the context of the present invention may be encoded by the nucleic acid molecule of apolymeric carrier cargo complex.
- a protein or peptide may be generated, having an amino acid sequence which differs from the original sequence in one or more mutation(s), such as one or more substituted, inserted and/or deleted amino acid(s).
- these fragments and/or variants have the same biological function or specific activity compared to the full-length native protein, e.g. its specific antigenic property.
- “Variants” of proteins or peptides as defined in the context of the present invention may also comprise conservative amino acid substitution(s) compared to their native, i.e. non-mutated physiological, sequence. Those amino acid sequences as well as their encoding nucleotide sequences in particular fall under the term variants as defined herein. Substitutions in which amino acids, which originate from the same class, are exchanged for one another are called conservative substitutions. In particular, these are amino acids having aliphatic side chains, positively or negatively charged side chains, aromatic groups in the side chains or amino acids, the side chains of which can enter into hydrogen bridges, e.g. side chains which have a hydroxyl function.
- an amino acid having a polar side chain is replaced by another amino acid having a likewise polar side chain, or, for example, an amino acid characterized by a hydrophobic side chain is substituted by another amino acid having a likewise hydrophobic side chain (e.g. serine (threonine) by threonine (serine) or leucine (iso leucine) by iso leucine (leucine)).
- an amino acid having a polar side chain is replaced by another amino acid having a likewise polar side chain
- an amino acid characterized by a hydrophobic side chain is substituted by another amino acid having a likewise hydrophobic side chain (e.g. serine (threonine) by threonine (serine) or leucine (iso leucine) by iso leucine (leucine)).
- Insertions and substitutions are possible, in particular, at those sequence positions which cause no modification to the three-dimensional structure or do not affect the binding region. Modifications to a three-dimensional structure by insertion(s) or deletion(s) can easily be determined e.g. using CD spectra (circular dichroism spectra) (Urry, 1985, Absorption, Circular Dichroism and ORD of Polypeptides, in: Modern Physical Methods in Biochemistry, Neuberger et al. (ed.), Elsevier, Amsterdam).
- variants of proteins or peptides as defined herein may also comprise those sequences, wherein nucleotides of the nucleic acid are exchanged according to the
- the amino acid sequence or at least part thereof may not differ from the original sequence in one or more mutation(s) within the above meaning.
- nucleic acid sequences or amino acid sequences as defined herein preferably the amino acid sequences encoded by a nucleic acid sequence of the polymeric carrier as defined herein or the amino acid sequences themselves
- the sequences can be aligned in order to be subsequently compared to one another. Therefore, e.g. a position of a first sequence may be compared with the corresponding position of the second sequence. If a position in the first sequence is occupied by the same component as is the case at a position in the second sequence, the two sequences are identical at this position. If this is not the case, the sequences differ at this position.
- the percentage to which two sequences are identical is then a function of the number of identical positions divided by the total number of positions including those positions which are only occupied in one sequence.
- the percentage to which two sequences are identical can be determined using a mathematical algorithm.
- a preferred, but not limiting, example of a mathematical algorithm which can be used is the algorithm of Karlin et al. (1993), PNAS USA, 90:5873-5877 or Altschul et al. (1997), Nucleic Acids Res., 25:3389-3402.
- step c) of the first aspect may be provided in a free form or alternatively be bound to or are immobilized onto a surface.
- the order of steps a), b) and c) is preferably inverted. Binding to or immobilization onto a surface may be carried out e.g. via electrostatic bonds, van der Waals-bonds, covalent bonds, etc.
- Binding to or immobilization onto a surface may be furthermore carried out, using a covalent linker or a crosslinker, or a Tag, as known to a skilled person for purification of proteins.
- tags comprise, inter alia, e.g. affinity tags or chromatography tags.
- Affinity tags may include e.g. chitin binding protein (CBP), maltose binding protein (MBP), glutathione-S-transferase (GST), or the Strep-Tag.
- the poly(His) tag is a widely-used protein tag, that binds to metal matrices.
- Chromatography tags are used to alter chromatographic properties of the protein to afford different resolution across a particular separation technique, and include e.g. polyanionic amino acids based tags, such as the FLAG-tag.
- the surface may be the surface of a bioreactor, or any suitable reaction chamber.
- a mixture is prepared from substances provided by steps a), b) and c).
- a mixture according to step d) represents a mixture of one, two, three, four, five, one to five, three to ten, five to ten or even more different donors as defined according to step a), one, two, three, four, five, one to five, three to ten, five to ten or even more different acceptors as defined according to step b), and one, two, three, four, five, two to five, two to ten, two to twenty, five to ten or even more different enzymes comprising transglycosidase activity and/or glycosynthase activity.
- the mixture containing at least one compound as defined according to step a), at least one compound as defined according to step b), and at least one enzyme as added according to step c), together forming a mixture according to step d), are incubated to allow generation of human milk oligosaccharides (HMOs) or derivatives thereof via enzymatic means using the at least one enzyme comprising a transglycosidase activity and/or a glycosynthase activity as defined herein.
- Such an incubation advantageously allows the generation of a multiplicity of different HMOs.
- step d Generation of such a multiplicity of different HMOs is based on the use of enzymes with different activities provided in step c), but also on the use of diverse universal donors and acceptors according to steps a) and b), preferably as a mixture as already outlined in step d).
- the method of the present invention advantageously allows variation of the possible number and type of oligosaccharides obtainable by the method in a simple and cost efficient manner.
- the use of enzymes furthermore allows the preparation of various HMOs to be carried out in a stereoselective manner.
- HMOs preferably occurs by transferring glycosyl moieties (eg, a sialyl moiety, fucosyl moiety, N- acetyllactosaminyl moiety, or lacto-N-biosyl moiety) by forming new bonds at desired positions of the molecule, etc., in a well defined manner to obtain a mixture of various human milk oligosaccharides or derivatives thereof.
- glycosyl moieties eg, a sialyl moiety, fucosyl moiety, N- acetyllactosaminyl moiety, or lacto-N-biosyl moiety
- Incubation according to step e) of the first aspest preferably occurs with a concentration of (each of the) enzymes in a concentration of 1 mU/1 to 1,000 U/l, preferably 10 mU/1 to 100 U/l, when the activity capable of forming 1 ⁇ of specific product for a defined protein starting from a defined educt is defined as 1 unit (U), e.g. for a glycotransferase the production of a glycose- containing complex carbohydrate at 37°C in 1 minute.
- the activity of each enzyme as defined herein may be assessed with repect to its naturally occurring or engineered substrate.
- the incubation according to step e) of the first aspect may be carried out in a reaction medium, preferably an aqueous medium, comprising the mixture obtained according to step d) of the method of the present invention and optionally water; a buffer such as a phosphate buffer, a carbonate buffer, an acetate buffer, a borate buffer, a citrate buffer and a tris buffer, or combinations thereof; alcohol, such as methanol and ethanol; ester such as ethyl acetate; ketone such as acetone; amide such as acetamide; and the like.
- a buffer such as a phosphate buffer, a carbonate buffer, an acetate buffer, a borate buffer, a citrate buffer and a tris buffer, or combinations thereof
- alcohol such as methanol and ethanol
- ester such as ethyl acetate
- ketone such as acetone
- amide such as acetamide
- step e) of the first aspect may be carried out in a reaction medium as defined above, wherein optionally a surfactant or an organic solvent may be added, if necessary.
- a surfactant or an organic solvent may be added, if necessary.
- Any surfactant capable of accelerating the formation of a complex carbohydrate as defined according to the present invention as a possible product of the invention can be used as the surfactant.
- nonionic surfactants such as polyoxyethylene octadecylamine (e.g., Nymeen S-215, manufactured by Nippon Oil & Fats); cationic surfactants, such as cetyltrimethylammonium bromide and alkyldimethyl benzylammoniumchloride (e.g., Cation F2-40E, manufactured by Nippon Oil & Fats); anionic surfactants such as lauroyl sarcosinate; tertiary amines such as alkyldimethylamine (e.g., Tertiary Amine FB, manufactured by Nippon Oil & Fats); and the like, which are used alone or as a mixture of two or more.
- nonionic surfactants such as polyoxyethylene octadecylamine (e.g., Nymeen S-215, manufactured by Nippon Oil & Fats); cationic surfactants, such as cetyltrimethylammonium bromide and alkyl
- the surfactant may be used generally in a concentration of 0.1 to 50 g/1.
- the organic solvent may include xylene, toluene, fatty acid alcohol, acetone, ethyl acetate, and the like, which may be used in a concentration of generally 0.1 to 50 ml/1.
- the incubation according to step e) of the first aspect may be furthermore carried out in a reaction medium as defined above, preferably having a pH 3 to 10, pH 5 to 10, preferably pH 6 to 8.
- the incubation according to step e) of the first aspect may be furthermore carried out at a temperature of about 0°C to about 100°C, preferably at a temperature of about 10 to about 50°C, e.g. at a temperature of about 20°C to about 50°C.
- inorganic salts such as MnCl 2 and MgCl 2 , may be added, if necessary.
- the incubation according to step e) of the method of the present invention may be carried out in a bioreactor.
- the bioreactor is preferably suitable for either a continuous mode or a discontinuous mode.
- the incubation according to step e) of the first aspect may be carried out in a continuous or discontinuous mode.
- the method preferably provides for a continuous flow of compounds and/or enzymes as necessary, preferably by continuously providing educts of the reaction to the reaction mixture and continuously removing products from the reaction mixture, while maintaining the concentration of all components, including enzymes at a predetermined level.
- the enzymes used in a continuous mode may be added either in free form or as bound or immobilized to a surface.
- the addition of donors and/or acceptors and/or enzymes may be repeated according to an optional step f).
- any of steps a) to d) may be repeated, preferably with the mixture obtained according to step e).
- Such a mixture is preferably a mixture of at least one compound as defined herein for step a) and at least one compound as defined herein for step b) and at least one enzyme as defined herein according to step c).
- Such a stepwise proceeding may allow within multiple rounds the rational generation of a defined set of compounds in a controllable manner. It may also provide for a rational exclusion of specific components.
- the compounds and/or enzymes may be added simultaneously or sequentially, more preferably compounds and/or enzymes may be added simultaneously in one step and/or sequentially in different steps.
- a mixture with at least one compound as defined herein for step a) and at least one compound as defined herein for step b) and at least one enzyme as defined herein according to step c) may be incubated in one step without repetition of one or more steps. Such a proceeding may be preferable in certain circumstances, as it may lead to the largest variety of possible products.
- At least one more additional incubation cycle f) is needed when only one HMO or HMO derivative or precursor thereof is made after step e), as specified above.
- at least one of steps a) to c) shall be repeated, preferably with the mixture obtained according to step e).
- the at least one compound added according to step a) is preferably different to that/those provided in the first cycle
- the at least one compound added according to step b) is preferably different to that/those provided in the first cycle
- the at least one enzyme added according to step c) is preferably different to that provided in the first cycle.
- a person skilled in the art is able to explore and decide whether only one HMO or HMO derivative or precursor thereof is made after the first incubation step and whether at least one more incubation cycle is needed to achieve the goal.
- the selection of a particular donor, a particular acceptor and a particular enzyme leads to only one product, for example incubation of the system containing a sialic acid donor according to formula 6 (e.g.
- pNP sialic acid an acceptor such as lactose or benzyl lactoside
- an acceptor such as lactose or benzyl lactoside
- a 2-3-a-selective trans- sialidase enzyme results with high probability in the formation of one product, namely 3- sialyllactose (from lactose) or 3-sialyllactose benzyl glycoside (from benzyl lactoside).
- more than one donor and/or more than one acceptor and/or more than enzyme are used for generating an HMO, HMO derivative or HMO precursor in one incubation cycle, more than one product is expected to be formed.
- glycosidase and/or glycosynthase enzyme used has lesser (regio)selectivity, more than one product can be expected, even if only one acceptor is provided, as the enzyme is able to transfer the glycosyl moiety to various parts of the acceptor.
- the proportion of the donor and acceptor can have a huge impact on the product diversity: the higher the donor-acceptor ratio, the higher the chance of obtaining more than one product in a one donor-one acceptor system.
- the skilled person has the repertoire of detection and monitoring methods, both qualitative and quantitative (e.g. TLC, HPLC, GC, GC-MS, electrophoresis, etc.) to find out whether one or more products have been formed.
- the addition acceptors and/or donors and/or enzymes may be repeated according to an optional step g).
- a mixture is preferably a mixture of at least one compound as defined herein for step a), at least one compound as defined herein for step b) and at least one enzyme as defined herein according to step c).
- the at least one compound provided according to step a) is preferably different from that/those provided in the previous cycle; the at least one compound provided according to step b) is preferably different from that/those provided in the previous cycle, and the at least one enzyme provided according to step c) is preferably different from that/those provided in the previous cycle,
- a stepwise proceeding may allow within multiple rounds the rational generation of a defined set of compounds in a controllable manner. It may also provide for a rational exclusion of specific components.
- the compounds and/or enzymes may be added simultaneously or sequentially, and preferably compounds and/or enzymes may be added simultaneously in one step and/or sequentially in different steps.
- a mixture with at least one compound as defined herein for step a) and at least one compound as defined herein for step b) and at least one enzyme as defined herein according to step c) may be incubated in one step without repetition of one or more steps.
- the method of the present invention as defined above preferably leads to generation of compounds on the basis of universal donors as provided in step a) and acceptors as provided in step b) upon adding enzymes according to step c) and incubating the mixture (step e)).
- An optional or compulsory repetition of these steps and optionally a hydrogeno lysis reaction may be carried out as defined above.
- the method of the present invention as described herein results in either single human milk oligosaccharides (HMOs) or derivatives or precursors thereof, or a diversified mixture comprising two or more human milk
- HMOs oligosaccharides
- R is a group removable by hydrogenolysis
- Pvi is fucosyl or H
- P 2 is selected from N-acetyl-lactosaminyl and lacto-N-biosyl groups, wherein the N- acetyl lactosaminyl group may carry a glycosyl residue comprising one or more N- acetyl-lactosaminyl and/or one or more lacto-N-biosyl groups; any N-acetyl- lactosaminyl and lacto-N-biosyl group can be substituted with one or more sialyl and/or fucosyl residue,
- P 3 is H or N-acetyl-lactosaminyl group optionally substituted with a glycosyl residue comprising one or more N-acetyl-lactosaminyl and/or one or more lacto-N-biosyl groups; any N-acetyl-lactosaminyl and lacto-N-biosyl group can be substituted with one or more sialyl and/or fucosyl residue;
- R is a group removable by hydrogenolysis
- R4 independently of each other is sialyl or H
- Ri is fucosyl or H
- R 2 is selected from N-acetyl-lactosaminyl and lacto-N-biosyl groups, wherein the N- acetyl lactosaminyl group may carry a glycosyl residue comprising one or more N- acetyl-lactosaminyl and/or one or more lacto-N-biosyl groups; any N-acetyl- lactosaminyl and lacto-N-biosyl group can be substituted with one or more sialyl and/or fucosyl residue,
- R 3 is H or N-acetyl-lactosaminyl group optionally substituted with a glycosyl residue comprising one or more N-acetyl-lactosaminyl and/or one or more lacto-N-biosyl groups; any N-acetyl-lactosaminyl and lacto-N-biosyl group can be substituted with one or more sialyl and/or fucosyl residue; and/or
- R 4 independently of each other is sialyl or H, with the proviso that at least one Ri or R 4 is not H.
- the method of the present invention for generation of human milk oligosaccharides results in either single human milk oligosaccharide derivatives, or a mixture comprising two or more human milk oligosaccharide (HMO) derivatives as defined above, preferably after incubation step e) and/or a repetition of steps according to step f) or g), wherein compounds of formulae 1 and 2 are further characterized by general formulae la, lb or 2 and salts thereof
- R, Ri and R 4 are as defined above,
- R 2a is N-acetyl-lactosaminyl group optionally substituted with a glycosyl residue comprising one N-acetyl-lactosaminyl and/or one lacto-N-biosyl group; any N-acetyl-lactosaminyl and lacto-N-biosyl group can be substituted with one or more sialyl and/or fucosyl residue,
- R 3a is H or N-acetyl-lactosaminyl group optionally substituted with a lacto-N-biosyl group; any N-acetyl-lactosaminyl and lacto-N-biosyl group can be substituted with one or more sialyl and/or fucosyl residue,
- R 2 b is lacto-N-biosyl group optionally substituted with sialyl and/or fucosyl residue
- R 3 b is H or N-acetyl-lactosaminyl group optionally substituted with one or two N-acetyl- lactosaminyl and/or one lacto-N-biosyl group; any N-acetyl-lactosaminyl and lacto-N-biosyl group can be substituted with one or more sialyl and/or fucosyl residue.
- compounds obtained according to the method of the present invention for generation as defined above are characterized by their linkages and modifications.
- the compounds obtained by the method of the present invention after incubation step e) and/or a repetition of steps according to step f) or g), preferably as defined according to general formulae la and lb, are characterized in that:
- the N-acetyl-lactosaminyl group in the glycosyl residue of R 2a in general formula la is attached to the another N-acetyl-lactosaminyl group with 1-3 interglycosidic linkage
- the lacto-N-biosyl group in the glycosyl residue of R 2a in general formula la is attached to the N-acetyl-lactosaminyl group with 1-3 interglycosidic linkage
- N-acetyl-lactosaminyl group in the glycosyl residue of R3 ⁇ 4 in general formula lb is attached to the another N-acetyl-lactosaminyl group with 1-3 or 1-6 interglycosidic linkage,
- the lacto-N-biosyl group in the glycosyl residue of R3 ⁇ 4 in general formula lb is attached to the N-acetyl-lactosaminyl group with 1-3 interglycosidic linkage.
- the compounds obtained by the method of the present invention are characterized in that general formula la represents the R-glycosides of lacto-N-neotetraose, para-lacto-N-hexaose, para- lacto-N-neohexaose, lacto-N-neohexaose, para-lacto-N-octaose and lacto-N-neooctaose optionally substituted with one or more sialyl and/or fucosyl residue, and general formula lb represents the R-glycosides of lacto-N-tetraose, lacto-N-hexaose, lacto-N-octaose, iso-lacto- N-octaose, lacto-N-decaose and lacto-N-
- the compounds obtained by the method of the present invention are characterized in that:
- compounds as obtained according to the method of the present invention preferably compounds according to formulae 1 or 2 or of general subformulae la, lb or 2 may be selected from the group of: R-glycosides of 2'- fucosyllactose, 3-fucosyllactose, 2',3-difucosyllactose, 3'-sialyllactose, 6'-sialyllactose, 3'- sialyl-3-fucosyllactose, lacto-N-tetraose, lacto-N-neotetraose, LNFP-I, LNFP-II, LNFP-III, LNFP-V, LST-a, LST-b, LST-c, FLST-a, FLST-b, FLST-c, LNDFH-I, LNDFH-II, LNDFH- III, DS-LNT, FDS-L
- Table 6 Core structures of R-glycosides of naturally occuring HMOs having a lactose, LNT or LNnT core
- compounds as obtained according to the method of the present invention of generation of HMOs preferably compounds according to formulae 1 or 2 or of general subformulae la, lb or 2, may be selected from compounds wherein R is benzyl, or salts thereof.
- the compounds obtained according to the method of the present invention are optionally subjected to a hydrogenolysis reaction subsequent to incubation according to step e) and/or a further repetition according to step f), resulting in the formation of HMOs characterized by general formulae 3 and 4.
- the method of the present invention for generation of human milk oligosaccharides results in human milk oligosaccharides as defined above, preferably after incubation step e) and/or a repetition of steps according to step f) or g), wherein compounds of formulae 3 and 4 are further characterized by general formulae 3a, 3b or 4 and salts thereof
- R 2a is N-acetyl-lactosaminyl group optionally substituted with a glycosyl residue comprising one N-acetyl-lactosaminyl and/or one lacto-N-biosyl group; any N-acetyl-lactosaminyl and lacto-N-biosyl group can be substituted with one or more sialyl and/or fucosyl residue,
- R 3a is H or N-acetyl-lactosaminyl group optionally substituted with a lacto-N-biosyl group; any N-acetyl-lactosaminyl and lacto-N-biosyl group can be substituted with one or more sialyl and/or fucosyl residue,
- R 2b is lacto-N-biosyl group optionally substituted with sialyl and/or fucosyl residue
- P 3b is H or N-acetyl-lactosaminyl group optionally substituted with one or two N-acetyl- lactosaminyl and/or one lacto-N-biosyl group; any N-acetyl-lactosaminyl and lacto-N-biosyl group can be substituted with one or more sialyl and/or fucosyl residue.
- the compounds obtained by the method of the present invention after incubation step e) and/or a repetition of steps according to step f) or g), and as preferably defined according to general formulae 3a or 3b, are characterized in that:
- N-acetyl-lactosaminyl group in the glycosyl residue of R 2a in general formula 3a is attached to another N-acetyl-lactosaminyl group with 1-3 interglycosidic linkage
- N-acetyl-lactosaminyl group in the glycosyl residue of P 3b in general formula 3b is attached to another N-acetyl-lactosaminyl group with 1-3 or 1-6 interglycosidic linkage
- the lacto-N-biosyl group in the glycosyl residue of P3b in general formula 3b is attached to the N-acetyl-lactosaminyl group with 1-3 interglycosidic linkage.
- the compounds obtained by the method of the present invention after incubation step e) and/or a repetition of steps according to step f) or g) are characterized in that general formula 3a represents lacto-N-neotetraose, para-lacto-N-hexaose, para-lacto-N-neohexaose, lacto-N-neohexaose, para-lacto-N-octaose and lacto-N-neooctaose optionally substituted with one or more sialyl and/or fucosyl residue, and general formula 3b represents lacto-N-tetraose, lacto-N-hexaose, lacto-N-octaose, iso-lacto-N-octaose, lacto-N-decaose and lacto-N- neodecaose optionally substituted with one or more sia
- the compounds obtained by the method of the present invention are characterized in that: the fucosyl residue attached to the N-acetyl-lactosaminyl and/or the lacto-N-biosyl group is linked to
- sialyl residue attached to the N-acetyl-lactosaminyl and/or the lacto-N-biosyl group is linked to
- compounds as obtained according to the method of the present invention of generation of HMOs preferably compounds according to general subformulae 3a, 3b or 4 may be selected from the group of: 2'-fucosyllactose, 3- fucosyllactose, 2',3-difucosyllactose, 3'-sialyllactose, 6'-sialyllactose, 3'-sialyl-3- fucosyllactose, lacto-N-tetraose, lacto-N-neotetraose, LNFP-I, LNFP-II, LNFP-III, LNFP-V, LST-a, LST-b, LST-c, FLST-a, FLST-b, FLST-c, LNDFH-I, LNDFH-II, LNDFH-III, DS- LNT, FDS-LNT I and FDS-LNT II
- the compounds obtained by the method of the present invention are obtained depending on the activity of theat least one enzyme comprising a transglycosidase activity and/or a glycosynthase activity as described above.
- Such an enzyme may be selected depending on the desired linkage or modification to be carried out during generation of HMOs using the method of the present invention.
- Wild type or engineered fucosidases as defined above may be utilized herein, displaying transfucosidase activity and showing a a, 1-2, a, 1-3 and/or a, 1-4 regioselectivity are targeted in the present invention.
- Such wild type or engineered fucosidases preferably display trans fucosidase activity and catalyze the transfer of the fucosyl residue to:
- wild type or engineered sialidases as defined above may be utilized herein, which display trans-sialidase activity and show a a,2-3 and/or a,2-6 regioselectivity. Such linkages are preferably targeted in the present invention.
- Such wild type or engineered sialidases preferably display trans-sialidase activity and catalyze the transfer of the sialyl residue to:
- wild type or engineered lacto-N-biosidases as defined above may be utilized herein, which display trans-lacto-N-biosidase activity and show a ⁇ ,1-3 regioselectivity. Such linkages are preferably targeted in the present invention.
- Such wild type or engineered lacto- N-biosidases preferably display trans-lacto-N-biosidase activity and catalyze the transfer of the lacto-N-biosyl residue to an N-acetyl-lactosaminyl group with 1-3 interglycosidic linkage are targeted in the present invention.
- linkages are highly preferred in the context of the present method of the present invention and the compounds claimed herein, when using wild type or engineered lacto-N-biosidases.
- wild type or engineered glycosidases as defined above may be utilized herein, which display trans-N-acetyllactosaminidase activity and show a ⁇ , 1-3 and/or ⁇ , 1-6 regioselectivity are targeted in the present invention.
- Such wild type or engineered glycosidases preferably display trans-N-acetyllactosaminidase activity and catalysize the transfer of the N-acetyl- lactosaminyl residue to another N-acetyl-lactosaminyl group with 1-3 or 1-6 interglycosidic linkage.
- Such linkages are highly preferred in the context of the present method of the present invention and the compounds claimed herein, when using wild type or engineered N- acetyllactosaminidases .
- the compounds obtained according to the method of the present invention preferably compounds according to any of formulae 1, 2, 3 or 4 or of general subformulae la, lb or 2 or of general
- subformulae 3a, 3b or 4 are optionally subjected to a purification reaction preferably via crystallization or precipitation.
- the compounds obtained according to the method of the present invention preferably compounds according to any of formulae 1, 2, 3 or 4 or of general subformulae la, lb or 2 or of general subformulae 3a, 3b or 4 are optionally spray-dried.
- the compounds obtained according to the present method of the present invention may be one or more naturally occurring HMO R-glycosides, preferably compounds according to formulae 1 or 2 or of general subformulae la, lb or 2, or one or more naturally occurring HMOs, preferably compounds according to formulae 3 or 4 or of general subformulae 3a, 3b or 4.
- Naturally occuring HMOs are listed in TADASU URASHIMA et al, MILK OLIGOSACCHARIDES, Nova Biomedical Books, New York, 201 1 , ISBN : 978- 1 -61 122-831 - 1 , Table 4 in pp. 14-25.
- the compounds obtained according to the present method of the present invention may be an HMO, wherein the HMO is derivatized with benzyl.
- the compounds obtained according to the method of the present invention preferably single compounds or mixture of two or more compounds according to any of formulae 1 or 2 or of general subformulae la, lb or 2 are optionally subjected to a hydrogenolysis reaction resulting in the formation of single HMOs or mixture of two or more HMOs characterized by general formulae 3 and 4.
- an optional hydrogeno lysis step single compounds or mixture of two or more compounds according to any of formulae 1 or 2 or of general subformulae la, lb or 2 after step e), f) or g) may be subjected to a hydrogenolysis reaction, e.g. as defined herein.
- a hydrogenolysis reaction e.g. as defined herein.
- such an optional hydrogenolysis step is preferably carried out to obtain the naturally occurring naked HMOs, e.g. as defined according to any of formulae as defined above, and to preferably remove possible protecting groups, such as benzyl groups.
- Catalytic hydrogenolysis typically takes place in a protic solvent or in a mixture of protic solvents.
- a protic solvent may be selected from the group consisting of water, acetic acid or Ci-C 6 alcohols.
- a mixture of one or more protic solvents with one or more suitable aprotic organic solvents partially or fully miscible with the protic solvent(s) may also be used.
- Water, one or more Ci-C 6 alcohols or a mixture of water and one or more Ci-C 6 alcohols are preferably used as the solvent system. Solutions containing the carbohydrate derivatives in any concentration or suspensions of the
- the reaction mixture is stirred at a temperature in the range of 10-100 °C, preferably between 20-50 °C, in a hydrogen atmosphere of 1-50 bar absolute (100 to 5000 kPa) in the presence of a catalyst such as palladium, Raney nickel or any other appropriate metal catalyst, preferably palladium on charcoal or palladium black, until reaching the completion of the reaction.
- a catalyst such as palladium, Raney nickel or any other appropriate metal catalyst, preferably palladium on charcoal or palladium black, until reaching the completion of the reaction.
- Transfer hydrogenolysis may also be performed, when the hydrogen is generated in situ from cyclohexene, cyclohexadiene, formic acid or ammonium formate.
- organic or inorganic bases or acids and/or basic and/or acidic ion exchange resins can also be used to improve the kinetics of the hydrogenolysis.
- the use of basic substances is especially preferred when halogen substituents are present on the substituted benzyl moieties of the precursors and/or the formation of mannosamine base is desirable.
- Preferred organic bases include, but are not limited to, triethylamine, diisopropyl ethylamine, ammonia, ammonium carbamate and diethylamine.
- An organic or an inorganic acid is favourably used as a co-solvent or additive in cases when mannosamine salts are the intended products.
- Preferred acids include, but are not limited to, formic acid, acetic acid, propionic acid, chloroacetic acid, dichloroacetic acid, trifluoroacetic acid, HC1 and HBr.
- the conditions proposed above allow simple, convenient and delicate removal of the solvent(s) giving rise to a mixture or blend of pure HMOs. Accordingly, a further aspect of the present invention relates to providing single compounds or a mixture of two or more compounds, which compounds are characterized by
- R is a group removable by hydrogenolysis
- Ri is fucosyl or H
- R 2 is selected from N-acetyl-lactosaminyl and lacto-N-biosyl groups, wherein the N- acetyl lactosaminyl group may carry a glycosyl residue comprising one or more N- acetyl-lactosaminyl and/or one or more lacto-N-biosyl groups; any N-acetyl- lactosaminyl and lacto-N-biosyl group can be substituted with one or more sialyl and/or fucosyl residue,
- R 3 is H or N-acetyl-lactosaminyl group optionally substituted with a glycosyl residue comprising one or more N-acetyl-lactosaminyl and/or one or more lacto-N-biosyl groups; any N-acetyl-lactosaminyl and lacto-N-biosyl group can be substituted with one or more sialyl and/or fucosyl residue,
- the compound is not LNnT R-glycoside or LNT benzyl glycoside;
- R is a group removable by hydrogenolysis
- Ri independently of each other is fucosyl or H P independently of each other is sialyl or H,
- the invention relates to either single human milk oligosaccharide derivatives, or a diversified mixture comprising two or more human milk oligosaccharide (HMOs) derivatives, wherein compounds of formulae 1 and 2 defined above are further characterized by general formulae la, lb or 2 and salts thereof
- R, Ri and R4 are as defined above,
- R 2a is N-acetyl-lactosaminyl group optionally substituted with a glycosyl residue comprising one N-acetyl-lactosaminyl and/or one lacto-N-biosyl group; any N-acetyl-lactosaminyl and lacto-N-biosyl group can be substituted with one or more sialyl and/or fucosyl residue,
- R 3a is H or N-acetyl-lactosaminyl group optionally substituted with a lacto-N-biosyl group; any N-acetyl-lactosaminyl and lacto-N-biosyl group can be substituted with one or more sialyl and/or fucosyl residue,
- R 2 b is lacto-N-biosyl group optionally substituted with sialyl and/or fucosyl residue
- R 3 b is H or N-acetyl-lactosaminyl group optionally substituted with one or two N-acetyl- lactosaminyl and/or one lacto-N-biosyl group; any N-acetyl-lactosaminyl and lacto-N-biosyl group can be substituted with one or more sialyl and/or fucosyl residue.
- compounds defined above are characterized by their linkages and modifications.
- the compounds defined according to general formulae la and lb are characterized in that:
- the N-acetyl-lactosaminyl group in the glycosyl residue of R 2a in general formula la is attached to another N-acetyl-lactosaminyl group with 1-3 interglycosidic linkage
- the lacto-N-biosyl group in the glycosyl residue of R 2a in general formula la is attached to the N-acetyl-lactosaminyl group with 1-3 interglycosidic linkage
- lacto-N-biosyl group in the glycosyl residue of R 3a in general formula la is attached to the N-acetyl-lactosaminyl group with 1-3 interglycosidic linkage
- N-acetyl-lactosaminyl group in the glycosyl residue of R3 ⁇ 4 in general formula lb is attached to another N-acetyl-lactosaminyl group with 1-3 or 1-6 interglycosidic linkage
- the lacto-N-biosyl group in the glycosyl residue of R3 ⁇ 4 in general formula lb is attached to the N-acetyl-lactosaminyl group with 1-3 interglycosidic linkage.
- the compounds characterized by general formula la represent the R-glycosides of lacto-N-tetraose, para-lacto-N-hexaose, para-lacto-N-neohexaose, lacto-N-neohexaose, para- lacto-N-octaose and lacto-N-neooctaose optionally substituted with one or more sialyl and/or fucosyl residue
- general formula lb represent the R-glycosides of lacto-N-tetraose, lacto- N-hexaose, lacto-N-octaose, iso-lacto-N-octaose, lacto-N-decaose and lacto-N-neodecaose optionally substituted with one or more sialyl and/or fucosyl residue.
- compounds as defined above may be selected from the group of: R-glycosides of 2'-fucosyllactose, 3-fucosyllactose, 2',3-difucosyllactose, 3'- sialyllactose, 6'-sialyllactose, 3 '-sialyl-3-fucosyllactose, lacto-N-tetraose, lacto-N- neotetraose, LNFP-I, LNFP-II, LNFP-III, LNFP-V, LST-a, LST-b, LST-c, FLST-a, FLST-b, FLST-c, LNDFH-I, LNDFH-II, LNDFH-III, DS-LNT, FDS-LNT I and FDS-LNT II, or salts thereof.
- the R-glycosides may be alpha or beta-
- the method of the present invention further comprises addition of the compounds obtained in the incubation step or after the hydrogenolysis step to a consumable product, preferably as defined herein.
- the consumable product is preferably at least one of a pharmaceutical or nutritional formulation and preferably a liquid or a solid.
- the method may further comprise the addition of pharmaceutically acceptable carriers and/or the addition of prebiotics to the compounds obtained in the incubation step.
- the present invention also provides a compound, particularly a mixture of HMOs, characterized and specified above, obtained or obtainable by the method of the present invention as described herein.
- the present invention provides a compound, preferably a mixture of compounds, more preferably a mixture of HMOs, obtained or obtainable by the method of the present invention as described herein.
- a mixture of compounds obtained or obtainable by the method of the present invention as described herein is preferably to be understood as a mixture of at least 2 to 10, 2 to 10, 2 to 20, 2 to 20, 2 to 100, 2 to 200, or even more different compounds as generally defined above.
- Such compounds may be preferably selected without restriction from any of the compounds as defined according to any of formulae 1, 2, 3 or 4 or of any subformulae or selection as defined above.
- the present invention also provides compounds which may be utilized in the present invention, e.g. as acceptor, and compounds which may be obtained during the method of the present invention of generation of HMOs.
- the present invention also provides or utilizes salts of herein defined compounds.
- Such salts may be preferably selected from salts of the compounds according to general formulae 1-4 or subformulae thereof, which contain at least one sialyl residue, in salt form: an associated ion pair consisting of the negatively charged acid residue of sialylated oligosaccharides falling under general formulae 1-4 or subformulae thereof and one or more cations in any
- Cations are atoms or molecules with positive charge.
- the cation may be inorganic or organic.
- Preferred inorganic cations are ammonium ion, alkali metal, alkali earth metal and transition metal ions, more preferably Na + , K + , Ca 2+ , Mg 2+ , Ba 2+ , Fe 2+ , Zn 2+ , Mn 2+ and Cu 2+ , most preferably K + , Ca 2+ , Mg 2+ , Ba 2+ , Fe 2+ and Zn 2+ .
- Basic organic compounds in positively charged form may be relevant organic cations.
- Such preferred positively charged counterparts are diethyl amine, triethyl amine, diisopropyl ethyl amine, ethanolamine, diethanolamine, triethanolamine, imidazole, piperidine, piperazine, morpholine, benzyl amine, ethylene diamine, meglumin, pyrrolidine, choline, tris-(hydroxymethyl)-methyl amine, N-(2-hydroxyethyl)-pyrrolidine, N-(2- hydroxyethyl)-piperidine, N-(2-hydroxyethyl)-piperazine, N-(2-hydroxyethyl)-morpholine, L- arginine, L-lysine, oligopeptides having L-arginine or L-lysine unit or oligopeptides having a free amino group on the N-terminal, etc., all in protonated form.
- Such salt formations can be used to modify characteristics of the complex molecule as a whole, such as stability, compatibility
- the compounds as defined herein may be subjected to a hydrogenolysis reaction, e.g. as defined herein, preferably, if R is not H, even more preferably, if R is benzyl.
- a hydrogenolysis reaction is preferably carried out as described above.
- R may be as defined herein to be cleavable in a hydrogenolysis reaction, preferably as described above.
- compounds or a mixture of compounds, more preferably a mixture of HMOs, obtained or obtainable by the method of the present invention as described herein or any further compound as defined herein may be used for the preparation of a consumable product, preferably for the preparation of a pharmaceutical composition, a nutritional formulation or a food supplement.
- a compound or mixture of compounds, more preferably a mixture of HMOs, obtained or obtainable by the method of the present invention as described herein is particularly effective in the improvement and maturation of the immune system of neonatal infants, and has preventive effect against secondary infections following viral infections such as influenza.
- prebiotic enhances the beneficial effects and efficiency of probiotics, such as Lactobacillus and Bifidobacterium species, in promoting the development of an early bifidogenic intestinal microbiota in infants, in reducing the risk of development or allergy and/or asthma in infants, and in preventing and treating pathogenic infections in such as diarrhoea in infants.
- probiotics such as Lactobacillus and Bifidobacterium species
- the present invention provides a pharmaceutical composition, comprising compounds or a mixture of compounds, more preferably a mixture of HMOs, obtained or obtainable by the method of the present invention as described herein, and preferably a pharmaceutically acceptable carrier.
- pharmaceutically acceptable carriers include but are not limited to additives, adjuvants, excipients and diluents (water, gelatine, talc, sugars, starch, gum arabic, vegetable gums, vegetable oils, polyalkylene glycols, flavouring agents, preservatives, stabilizers, emulsifying agents, lubricants, colorants, fillers, wetting agents, etc.).
- the dosage form for administration includes, for example, tablets, powders, granules, pills, suspensions, emulsions, infusions, capsules, injections, liquids, elixirs, extracts and tinctures.
- nutritional formulations such as foods or drinks, comprising compounds or a mixture of compounds, more preferably a mixture of HMOs, obtained or obtainable by the method of the present invention as described herein.
- the nutritional formulation may contain edible micronutrients, vitamins and minerals as well. The amounts of such ingredient may vary depending on whether the formulation is intended for use with normal, healthy infants, children, adults or subjects having specialized needs (e.g. suffering from metabolic disorders).
- Micronutrients include for example edible oils, fats or fatty acids (such as coconut oil, soy-bean oil, monoglycerides, diglycerides, palm olein, sunflower oil, fish oil, linoleic acid, linolenic acid etc.), carbohydrates (such as glucose, fructose, sucrose, maltodextrin, starch, hydrolyzed cornstarch, etc.) and proteins from casein, soy-bean, whey or skim milk, or hydrolysates of these proteins, but protein from other source (either intact or hydro lysed) may be used as well.
- edible oils such as coconut oil, soy-bean oil, monoglycerides, diglycerides, palm olein, sunflower oil, fish oil, linoleic acid, linolenic acid etc.
- carbohydrates such as glucose, fructose, sucrose, maltodextrin, starch, hydrolyzed cornstarch, etc.
- Vitamins may be chosen from the group consisting of vitamin A, Bl, B2, B5, B6, B12, C, D, E, H, K, folic acid, inositol and nicotinic acid.
- the nutritional formula may contain the following minerals and trace elements: Ca, P, K, Na, CI, Mg, Mn, Fe, Cu, Zn, Se, Cr or I.
- a nutritional formulation as defined above may further contain one or more probiotics, e.g. lacto bacteriae, Bifidobacterium species, prebiotics such as fructooligosaccharides and galactooligosaccharides, proteins from casein, soy-bean, whey or skim milk, carbohydrates such as lactose, saccharose, maltodextrin, starch or mixtures thereof, lipids (e.g. palm olein, sunflower oil, safflower oil) and vitamins and minerals essential in a daily diet.
- probiotics are preferably also contained in the nutritional formulation in an amount sufficient to achieve the desired effect in an individual, preferably in infants, children and/or adults.
- the nutritional formulation as defined above is an infant formula.
- infant formula preferably means a foodstuff intended for particular nutritional use by infants during the first 4-6 months or even 4 to 12 months of life and satisfying by itself the nutritional requirements of infants. It may contain one or more probiotic Bifidobacterium species, prebiotics such as fructooligosaccharides and galactooligosaccharides, proteins from casein, soy-bean, whey or skim milk, carbohydrates such as lactose, saccharose, maltodextrin, starch or mixtures thereof, lipids (e.g. palm olein, sunflower oil, safflower oil) and vitamins and minerals essential in a daily diet.
- prebiotics such as fructooligosaccharides and galactooligosaccharides, proteins from casein, soy-bean, whey or skim milk
- carbohydrates such as lactose, saccharose, maltodextrin, starch or mixtures thereof
- lipids
- a food supplement may be provided.
- a food supplement contains ingredients as defined for nutritional food above, e.g. compounds or a mixture of compounds, more preferably a mixture of HMOs, obtained or obtainable by the method of the present invention as described herein, vitamins, minerals, trace elements and other micronutritients, etc.
- the food supplement may be for example in the form of tablets, capsules, pastilles or a liquid.
- the supplement may contain conventional additives selected from but not limited to binders, coatings, emulsifiers, solubilising agents, encapsulating agents, film forming agents, adsorbents, carriers, fillers, dispersing agents, wetting agents, gellifying agents, gel forming agents, etc.
- the food supplement is a digestive health functional food as the administration of compounds or a mixture of compounds, more preferably a mixture of HMOs, obtained or obtainable by the method of the present invention as described herein, provides a beneficial effect on digestive health.
- a digestive health functional food is preferably a processed food used with the intention of enhancing and preserving digestive health by utilizing compounds or a mixture of compounds, more preferably a mixture of HMOs, obtained or obtainable by the method of the present invention as described herein, as physiologically functional ingredients or components in forms of tablet, capsule, powder, etc.
- Different terms such as dietary supplement, nutraceutical, designed food, or health product may also be used to refer to a digestive health functional food.
- compounds or a mixture of compounds, more preferably a mixture of HMOs, obtained or obtainable by the method of the present invention as described herein, may be used for the preparation of nutritional formulations including foods, drinks and feeds, preferably infant formulas, food supplements and digestive health functional foods, preferably any of these as described above.
- the nutritional formulation may be prepared in any usual manner.
- glycosyl donors used in the present invention which are characterized by general formulae 5 '-8'
- R e is OH, alkoxy, amino, alkylamino, dialkylamino, hydrazino, alkylhydrazmo, dialkylhydrazino or trialkylhydrazino, or a salt of any of the aforementioned compounds.
- Xi is group A, wherein R a is independently H or Ci_ 6 alkyl, preferably H or methyl.
- glycosylation/transglycosylation reactions because their water solubility is high, the leaving group after glycosylation can be detected easily by UV detection, and Xi leaving group, being a natural aroma of fruits, causes no regulatory obstacles when using in the food industry.
- glycosyl donor(s) such as derivatives of general formula 5 to 10 and glycosyl acceptor(s) (10 mM -1M) was incubated in an incubation buffer at a pH range from 5.0 to 9.0 with recombinant glycosidase, a-transglyccosidase or a-glycosynthase, such as a-fucosidase, a-transfucosidase, a-fucosynthase, a-sialidase, a-transsialidase, ⁇ -lacto-N- biosidase ⁇ -trans-lacto-N-biosidase, ⁇ - ⁇ -acetyllactosaminidase or ⁇ -trans-N- acetyllactosaminidase.
- Transfucosidase P25 from Thermotoga maritima (see seq. ID 1) containing mutations G226S Y237H T264A L322P
- Transfucosidase M3 from Thermotoga maritima (see seq. ID 1) containing mutations Y237H Y267F L322P.
- transglycosidases were produced in E. coli as reported in Osanjo et al. Biochemistry 46, 1022 (2007), Sela et al. Appl. Environ. Microbiol. 78, 795 (2012), Agusti et al. Glycobiology 14, 659 (2004) and Neubacher et al. Org. Biomol. Chem. 3, 1551 (2005). Purified
- transglycosidases were stored at -20°C to +4°C.
- Tris/HCl, pH 7.5, 50 mg BSA, 0.02 % NaN 3 was incubated with recombinant transsialidase from T. cruzi (80 ⁇ , 1.3 mg/ml) at 23°C for 24 h.
- the reaction was monitored by TLC (butanol/acetic acid/water 5:2:2). After completion, the enzyme was denatured and
- H-arom 5.10 (d, IH, CH 2 a-Bn); 4.95 (d, IH, CH 2 b-Bn); 4.60 (d, IH, H-1); 4.53 (d, IH, H- 1 '); 4.12 (dd, IH, H-3'); 2.77 (dd, IH, H-3" eq ); 2.04 (s, 3H, COCH 3 ); 1.81 (dd, IH, H-3" ax ).
- 500 mM 2,5-dimethyl-4-oxo-3-furanyl a-L-fucopyranoside 500 mM LNT, conversion: 20 % fucosylated LNT (position of fucosylation not determined) 200 mM fucosyl fluoride, 200 mM LNT, conversion: 10 % fucosylated LNT (position of fucosylation not determined).
- Protocol In a first cycle, a solution of a-L-fucosyl fluoride as donor (200 mM) with lacto-N- tetraose as acceptor (200 mM) was incubated in incubation buffer KHP0 4 (lOOmM) at pH 7.0 with the recombinant transfucosidase M3 from Thermotoga maritima. The reaction mixture was stirred at a temperature of 30°C for 24 hours.
- the pH of the resulting reaction mixture was adjusted to 7.0 and the solution was incubated at 30 °C for an additional 30 min after adding 200 mM of a-L-fucosyl fluoride and the recombinant fucosidase Blon_2336 from Bifidobacterium longum subsp. infantis ATCC 15697.
- the pH of the resulting reaction mixture was adjusted to 7.0 and the solution was incubated at 30 °C for an additional 24 h after adding 50 mM of /?NP-a-NeuAc and the recombinant transsialidase from Trypanosoma cruzi.
- Ionization mode electrospray in positive mode
- Protocol In a first cycle, a solution of a-L-fucosyl fluoride as donor (200 mM) with lacto-N- tetraose as acceptor (200 mM) was incubated in incubation buffer KHPO 4 (lOOmM) at pH 7.0 with the recombinant transfucosidase M3 from Thermotoga maritima. The reaction mixture was stirred at a temperature of 30°C for 24 hours.
- the pH of the resulting reaction mixture was adjusted to 7.0 and the solution was incubated at 30 °C for an additional 30 min after adding 200 mM of a-L-fucosyl fluoride and the recombinant fucosidase Blon_2336 from Bifidobacterium longum subsp. infantis ATCC 15697.
- the pH of the resulting reaction mixture was adjusted to 7.0 and the solution was incubated at 30 °C for an additional 24 h after adding 50 mM of /?NP-a-NeuAc and the recombinant transsialidase from Trypanosoma cruzi.
- Recombinant enzymes used and tested in this set of transfucosylation reactions P25 from Thermotoga Maritima (see seq. ID 1) containing mutations G226S Y237H T264A L322P;
- transfucosidases were produced in E. coli as reported in G. Osanjo et al. Biochemistry 46, 1022 (2007). Purified transfucosidases P25 and M3 are stored at
- Optimum temperature 60 °C (except for a-L-fucosyl fluoride acceptor, where the temperature is 35 °C).
- Ionization mode electrospray in positive mode
- acceptor GaU31-4Glcpi-O-Bn donor: /?-nitrophenyl a-L-fucopyranoside, ⁇ -L-fucosyl fluoride or 2,5-dimethyl-3-oxo- (2H)-furan-4-yl a-L-fucopyranoside
- Gaipi-3GlcNAcpi-3Gaipi-4Glcpi-0-Bn (l-O-benzyl-P-LNT) can be prepared according to A. Malleron et al. Carbohydr. Res. 341, 29 (2006).
- Gaipi-4GlcNAcpi-3GaU31-4Glcpi-0-Bn (l-O-benzyl-P-LNnT) can be prepared according to WO 2011/100980.
Landscapes
- Chemical & Material Sciences (AREA)
- Organic Chemistry (AREA)
- Life Sciences & Earth Sciences (AREA)
- Engineering & Computer Science (AREA)
- Health & Medical Sciences (AREA)
- Biochemistry (AREA)
- General Health & Medical Sciences (AREA)
- Genetics & Genomics (AREA)
- Biotechnology (AREA)
- Zoology (AREA)
- Wood Science & Technology (AREA)
- Molecular Biology (AREA)
- General Engineering & Computer Science (AREA)
- Bioinformatics & Cheminformatics (AREA)
- Chemical Kinetics & Catalysis (AREA)
- General Chemical & Material Sciences (AREA)
- Microbiology (AREA)
- Polymers & Plastics (AREA)
- Medicinal Chemistry (AREA)
- Materials Engineering (AREA)
- Pediatric Medicine (AREA)
- Mycology (AREA)
- Nutrition Science (AREA)
- Food Science & Technology (AREA)
- Saccharide Compounds (AREA)
- Preparation Of Compounds By Using Micro-Organisms (AREA)
- Pharmaceuticals Containing Other Organic And Inorganic Compounds (AREA)
- Coloring Foods And Improving Nutritive Qualities (AREA)
- Medicines Containing Material From Animals Or Micro-Organisms (AREA)
- Medicinal Preparation (AREA)
- Dairy Products (AREA)
Abstract
Description
Claims
Priority Applications (11)
| Application Number | Priority Date | Filing Date | Title |
|---|---|---|---|
| US14/117,348 US9234225B2 (en) | 2011-05-13 | 2012-05-14 | Method for generating human milk oligosaccharides (HMOs) or precursors thereof |
| JP2014510919A JP2014513985A (en) | 2011-05-13 | 2012-05-14 | Method for forming human milk oligosaccharide (HMO) or a precursor thereof |
| RU2013155452/10A RU2013155452A (en) | 2011-05-13 | 2012-05-14 | METHOD FOR PRODUCING HUMAN MILK OLIGOSACCHARIDES (HMOs) OR THEIR PRECEDENTS |
| CN201280023643.7A CN103562401A (en) | 2011-05-13 | 2012-05-14 | Method for generating human milk oligosaccharides (HMOs) or precursors thereof |
| EP12785846.2A EP2707493A4 (en) | 2011-05-13 | 2012-05-14 | METHOD FOR GENERATING HUMAN MILK OLIGOSACCHARIDES (HMOs) OR PRECURSORS THEREOF |
| BR112013029208A BR112013029208A2 (en) | 2011-05-13 | 2012-05-14 | method for preparing one or more human milk oligosaccharides or derivatives or precursors therefor, use of oligosaccharides, and, compound |
| CA2835986A CA2835986A1 (en) | 2011-05-13 | 2012-05-14 | Method for generating human milk oligosaccharides (hmos) or precursors thereof |
| MX2013013028A MX2013013028A (en) | 2011-05-13 | 2012-05-14 | METHOD FOR GENERATING HUMAN MILK OLIGOSACCHARIDES (HMOs) OR PRECURSORS THEREOF. |
| KR1020137032962A KR20140036227A (en) | 2011-05-13 | 2012-05-14 | Method for generating human milk oligosaccharides(hmos) or precursors thereof |
| AU2012257395A AU2012257395A1 (en) | 2011-05-13 | 2012-05-14 | Method for generating human milk oligosaccharides (HMOs) or precursors thereof |
| IL229048A IL229048A0 (en) | 2011-05-13 | 2013-10-24 | Method for generating human milk oligosaccharides (hmos) or precursors thereof |
Applications Claiming Priority (4)
| Application Number | Priority Date | Filing Date | Title |
|---|---|---|---|
| EP11166135 | 2011-05-13 | ||
| EP11166135.1 | 2011-05-13 | ||
| PCT/IB2012/051314 WO2012127410A1 (en) | 2011-03-18 | 2012-03-19 | Synthesis of new fucose-containing carbohydrate derivatives |
| IBPCT/IB2012/051314 | 2012-03-19 |
Publications (1)
| Publication Number | Publication Date |
|---|---|
| WO2012156897A1 true WO2012156897A1 (en) | 2012-11-22 |
Family
ID=47176363
Family Applications (1)
| Application Number | Title | Priority Date | Filing Date |
|---|---|---|---|
| PCT/IB2012/052400 Ceased WO2012156897A1 (en) | 2011-05-13 | 2012-05-14 | METHOD FOR GENERATING HUMAN MILK OLIGOSACCHARIDES (HMOs) OR PRECURSORS THEREOF |
Country Status (12)
| Country | Link |
|---|---|
| US (1) | US9234225B2 (en) |
| EP (1) | EP2707493A4 (en) |
| JP (1) | JP2014513985A (en) |
| KR (1) | KR20140036227A (en) |
| CN (1) | CN103562401A (en) |
| AU (1) | AU2012257395A1 (en) |
| BR (1) | BR112013029208A2 (en) |
| CA (1) | CA2835986A1 (en) |
| IL (1) | IL229048A0 (en) |
| MX (1) | MX2013013028A (en) |
| RU (1) | RU2013155452A (en) |
| WO (1) | WO2012156897A1 (en) |
Cited By (57)
| Publication number | Priority date | Publication date | Assignee | Title |
|---|---|---|---|---|
| WO2013190529A1 (en) * | 2012-06-22 | 2013-12-27 | Glycom A/S | Glycosylated galactosyl disaccharddes, methods for their production and their use in consumable products |
| WO2013190531A1 (en) * | 2012-06-22 | 2013-12-27 | Glycom A/S | Glycosylated galactosyl disaccharides, methods for their production and their use in consumable products |
| WO2014090261A1 (en) * | 2012-12-14 | 2014-06-19 | Glycom A/S | Mixture of fucosylate lactoses |
| WO2014167538A1 (en) | 2013-04-12 | 2014-10-16 | Glycom A/S | Synthesis of sialylated/fucosylated human milk oligosaccharides |
| EP2686330A4 (en) * | 2011-03-18 | 2014-11-12 | Glycom As | Synthesis of new fucose-containing carbohydrate derivatives |
| WO2014187464A1 (en) | 2013-05-22 | 2014-11-27 | Glycom As | Synthetic mixture of oligosaccharides for t treating a microbiota of a mammal |
| US9102966B2 (en) | 2010-07-16 | 2015-08-11 | Glycom A/S | Synthesis of sialooligosaccharide derivatives |
| WO2016063261A1 (en) * | 2014-10-24 | 2016-04-28 | Glycom A/S | Mutated fucosidase |
| WO2016063262A1 (en) | 2014-10-24 | 2016-04-28 | Glycom A/S | MIXTURES OF HMOs |
| WO2016066174A1 (en) | 2014-10-29 | 2016-05-06 | Glycom A/S | Synthetic composition and method for promoting mucosal healing |
| WO2016091265A1 (en) | 2014-12-08 | 2016-06-16 | Glycom A/S | Synthetic composition for treating metabolic disorders |
| CN105722991A (en) * | 2013-09-10 | 2016-06-29 | 詹尼温生物技术有限责任公司 | Production of oligosaccharides |
| CN105814070A (en) * | 2013-10-04 | 2016-07-27 | 詹尼文生物技术有限公司 | Method for purification of neutral human milk oligosaccharides using simulated moving bed chromatography |
| WO2016157108A1 (en) | 2015-03-31 | 2016-10-06 | Glycom A/S | Mixtures of human milk oligosaccharides comprising 3 '-o-sialyllactose |
| WO2016199071A1 (en) * | 2015-06-09 | 2016-12-15 | Glycom A/S | TERNARY MIXTURES OF 6'-SL, LNnT and LST c |
| WO2017071715A1 (en) | 2015-10-28 | 2017-05-04 | Glycom A/S | Synthetic composition and method for modulating brain function and behaviour |
| WO2017071716A1 (en) | 2015-10-28 | 2017-05-04 | Glycom A/S | Synthetic composition and method for modulating emotion and mood disorders |
| WO2017084673A1 (en) | 2015-11-17 | 2017-05-26 | Glycom A/S | Synthetic Composition for Treating Antibiotic Associated Complications |
| WO2017190755A1 (en) | 2016-05-05 | 2017-11-09 | Glycom A/S | Composition comprising hmos for use in the treatment of mast cell mediated visceral hypersensitivity and/or pain |
| WO2017190754A1 (en) | 2016-05-05 | 2017-11-09 | Glycom A/S | Composition comprising hmos for the treatment of non-infectious diarrhoea |
| WO2017198276A1 (en) | 2016-05-19 | 2017-11-23 | Glycom A/S | Synthetic composition |
| WO2017221208A1 (en) * | 2016-06-24 | 2017-12-28 | Glycom A/S | Compositions comprising hmos, their production and use for the prevention and/or treatment of viral and/or bacterial infections |
| WO2019106618A1 (en) | 2017-11-30 | 2019-06-06 | Glycom A/S | Mixture of hmos for treating wheat sensitivity |
| WO2019111115A2 (en) | 2017-12-05 | 2019-06-13 | Glycom A/S | Human milk oligosaccharides for treating migraine |
| US10364449B2 (en) | 2013-09-06 | 2019-07-30 | Glycom A/S | Fermentative production of oligosaccharides |
| WO2020128947A1 (en) | 2018-12-19 | 2020-06-25 | Glycom A/S | Composition and method for treating humans using low-fodmap diets |
| US10751354B2 (en) | 2015-09-14 | 2020-08-25 | Glycom A/S | Synthetic composition for microbiota modulation |
| US10835544B2 (en) | 2014-12-08 | 2020-11-17 | Glycom A/S | Synthetic composition for regulating satiety |
| US10849337B2 (en) | 2015-01-26 | 2020-12-01 | Cadena Bio, Inc. | Oligosaccharide compositions for use as animal feed and methods of producing thereof |
| US10857168B2 (en) | 2016-02-24 | 2020-12-08 | Glycom A/S | Synthetic composition for microbiota modulation |
| US10881674B2 (en) | 2014-12-08 | 2021-01-05 | Glycom A/S | Synthetic composition for treating metabolic disorders |
| US10894057B2 (en) | 2015-04-23 | 2021-01-19 | Kaleido Biosciences, Inc. | Glycan therapeutic compositions and related methods thereof |
| US10987368B2 (en) | 2014-12-08 | 2021-04-27 | Glycom A/S | Synthetic composition for preventing or treating CVD |
| US11026959B2 (en) | 2014-10-29 | 2021-06-08 | Glycom A/S | Synthetic composition and method for treating irritable bowel syndrome |
| US11040050B2 (en) | 2014-10-29 | 2021-06-22 | Glycom A/S | Composition comprising HMSs/HMOs and use thereof |
| US11040049B2 (en) | 2014-10-29 | 2021-06-22 | Glycom A/S | Composition comprising HMSs/HMOs and use thereof |
| US11142541B2 (en) | 2017-06-30 | 2021-10-12 | Glycom A/S | Purification of oligosaccharides |
| EP3954769A1 (en) * | 2020-08-10 | 2022-02-16 | Inbiose N.V. | Production of oligosaccharide mixtures by a cell |
| WO2022034074A1 (en) * | 2020-08-10 | 2022-02-17 | Inbiose N.V. | Production of oligosaccharide mixtures by a cell |
| US11278558B2 (en) | 2017-03-01 | 2022-03-22 | Glycom A/S | Synthetic composition for microbiota modulation |
| US11291677B2 (en) | 2017-05-09 | 2022-04-05 | Glycom A/S | Synthetic composition for microbiota modulation |
| US11304966B2 (en) | 2017-12-22 | 2022-04-19 | Glycom A/S | Composition comprising HMOs for preventing or reducing nociception |
| WO2022118269A1 (en) | 2020-12-04 | 2022-06-09 | Glycom A/S | Human milk oligosaccharides for use in supporting maturation or improvement of sleeping patterns |
| WO2022223430A1 (en) | 2021-04-19 | 2022-10-27 | Dsm Ip Assets B.V. | A composition of enzymes and human milk oligosaccharides |
| US11524019B2 (en) | 2017-08-21 | 2022-12-13 | Glycom A/S | Synthetic composition for reducing allergy symptoms |
| US11541067B2 (en) | 2017-05-24 | 2023-01-03 | Glycom A/S | HMO compositions and methods for reducing detrimental proteolytic metabolites |
| US11541068B2 (en) | 2017-05-24 | 2023-01-03 | Glycom A/S | HMO compositions and methods for reducing autism spectrum disorder symptoms |
| US11541069B2 (en) | 2017-11-02 | 2023-01-03 | Glycom A/S | One or more HMOs for reducing or preventing fatigue and/or improving focus or concentration |
| US11554131B2 (en) | 2018-05-31 | 2023-01-17 | Glycom A/S | Mixture of HMOs for treating autoimmune diseases |
| US11584805B2 (en) | 2014-07-09 | 2023-02-21 | Dsm Nutritional Products, Llc | Oligosaccharide compositions and methods for producing thereof |
| DE202023103382U1 (en) | 2022-06-20 | 2023-11-29 | Dsm Ip Assets B.V. | Mixture of fucosylated HMOs |
| WO2024042235A1 (en) | 2022-08-25 | 2024-02-29 | Dsm Ip Assets B.V. | Hybrid method for producing complex hmos |
| WO2024110667A1 (en) | 2022-11-25 | 2024-05-30 | Dsm Ip Assets B.V. | Two-strain system for producing oligosaccharides |
| WO2024126677A1 (en) | 2022-12-14 | 2024-06-20 | Dsm Ip Assets B.V. | Mutated lacto-n-biosidase |
| DK202430161A1 (en) * | 2024-04-11 | 2025-10-22 | Dsm Ip Assets Bv | Enzymatic synthesis |
| WO2025257400A1 (en) | 2024-06-13 | 2025-12-18 | Dsm Ip Assets B.V. | Synthesis of branched chain oligosaccharides |
| US12533369B2 (en) | 2019-11-29 | 2026-01-27 | Glycom A/S | Mixture of HMOS for improving the microbiota of pregnant women |
Families Citing this family (13)
| Publication number | Priority date | Publication date | Assignee | Title |
|---|---|---|---|---|
| US10500221B2 (en) * | 2014-12-05 | 2019-12-10 | Glycom A/S | Crystalline difucosyllactose |
| AU2016212026A1 (en) * | 2015-01-26 | 2017-08-31 | Cadena Bio, Inc. | Oligosaccharide compositions for use in nutritional compositions, and methods of producing thereof |
| EP3862002A1 (en) | 2015-01-26 | 2021-08-11 | Kaleido Biosciences, Inc. | Glycan therapeutics and related methods thereof |
| KR101731263B1 (en) * | 2016-04-25 | 2017-05-02 | 서울대학교 산학협력단 | Recombinant corynebacterium glutamicum for the production of fucosyllactose and method for the production of 2'-fucosyllactose therefrom |
| EP3497229A1 (en) * | 2016-08-10 | 2019-06-19 | University of Maryland, College Park | Designer alpha 1,6-fucosidase mutants enable direct core fucosylation of intact n-glycopeptides and n-glycoproteins |
| CN113164532A (en) | 2018-05-30 | 2021-07-23 | 进化生物系统股份有限公司 | H5 functional Bifidobacterium longum subspecies infantis compositions and methods of use |
| CN113260635B (en) * | 2018-11-08 | 2023-10-31 | Dsm营养产品有限责任公司 | Oligosaccharide compositions and methods of use |
| EP3670662A1 (en) * | 2018-12-20 | 2020-06-24 | Basf Se | Enzymatic hexosaminidation of lactose |
| CN110483652A (en) * | 2019-06-11 | 2019-11-22 | 中国农业大学 | A kind of human milk oligosaccharides and its purposes in drug of the preparation for treating or preventing NEC by alleviation enteron aisle anoxia-induced apoptosis |
| CN112831510B (en) * | 2019-12-13 | 2022-04-22 | 中国科学院天津工业生物技术研究所 | Construction of recombinant bacterium for efficiently expressing chitinase and screening of high-enzyme-activity mutant |
| CN112795583A (en) * | 2020-11-16 | 2021-05-14 | 上海大学 | Preparation method of recombinant sialic acid exonuclease, expression gene, recombinant expression vector and construction method |
| DK181822B1 (en) * | 2023-06-07 | 2025-01-30 | Dsm Ip Assets Bv | Genetically engineered strains with reduced byproduct formation and methods and uses of same |
| CN118834856B (en) * | 2024-07-25 | 2025-08-08 | 合肥中科健康生物产业技术研究院有限公司 | Alpha-L-fucosidase mutant and application thereof |
Citations (1)
| Publication number | Priority date | Publication date | Assignee | Title |
|---|---|---|---|---|
| WO1996032492A1 (en) * | 1995-04-11 | 1996-10-17 | Cytel Corporation | Improved enzymatic synthesis of oligosaccharides |
Family Cites Families (7)
| Publication number | Priority date | Publication date | Assignee | Title |
|---|---|---|---|---|
| IT1290071B1 (en) * | 1997-03-13 | 1998-10-19 | Cooperativa Centro Ricerche Po | COMPLETELY TRANSGLICOLIC SYNTHESIS OF BRANCHED OLIGOSACCHARIDES |
| US6323008B1 (en) | 1997-08-14 | 2001-11-27 | Neose Technologies, Inc. | Methods for producing sialyloligosaccharides in a dairy source |
| CA2456725A1 (en) | 2001-08-17 | 2003-02-27 | Neose Technologies, Inc. | Chemo-enzymatic synthesis of sialylated oligosaccharides |
| EP1689348B1 (en) | 2003-12-05 | 2013-05-15 | Children's Hospital Medical Center | Oligosaccharide compositions and use thereof in the treatment of infection |
| EP2536737B1 (en) * | 2010-02-19 | 2017-05-31 | Glycom A/S | A method for preparation of the tetrasaccharide lacto-n-neotetraose (lnnt) containing n-acetyllactosamine |
| JP2013532470A (en) | 2010-07-16 | 2013-08-19 | グリコム アー/エス | Synthesis of novel sialo-oligosaccharide derivatives |
| JP2014510098A (en) | 2011-03-18 | 2014-04-24 | グリコム アー/エス | Synthesis of novel fucose-containing carbohydrate derivatives |
-
2012
- 2012-05-14 JP JP2014510919A patent/JP2014513985A/en active Pending
- 2012-05-14 MX MX2013013028A patent/MX2013013028A/en not_active Application Discontinuation
- 2012-05-14 BR BR112013029208A patent/BR112013029208A2/en not_active IP Right Cessation
- 2012-05-14 AU AU2012257395A patent/AU2012257395A1/en not_active Abandoned
- 2012-05-14 CA CA2835986A patent/CA2835986A1/en not_active Abandoned
- 2012-05-14 KR KR1020137032962A patent/KR20140036227A/en not_active Withdrawn
- 2012-05-14 RU RU2013155452/10A patent/RU2013155452A/en not_active Application Discontinuation
- 2012-05-14 WO PCT/IB2012/052400 patent/WO2012156897A1/en not_active Ceased
- 2012-05-14 EP EP12785846.2A patent/EP2707493A4/en not_active Withdrawn
- 2012-05-14 CN CN201280023643.7A patent/CN103562401A/en active Pending
- 2012-05-14 US US14/117,348 patent/US9234225B2/en not_active Expired - Fee Related
-
2013
- 2013-10-24 IL IL229048A patent/IL229048A0/en unknown
Patent Citations (1)
| Publication number | Priority date | Publication date | Assignee | Title |
|---|---|---|---|---|
| WO1996032492A1 (en) * | 1995-04-11 | 1996-10-17 | Cytel Corporation | Improved enzymatic synthesis of oligosaccharides |
Non-Patent Citations (4)
| Title |
|---|
| AKIHIRO IMAMURA ET AL.: "Di-tert-butylsilylene-directed alpha- selective synthesis of 4-methylumbelliferyl T-antigen", ORGANIC LETTERS, vol. 7, no. 20, 2005, pages 4415 - 4418, XP055131969 * |
| BJORN NEUBACHER ET AL.: "Preparation of sialyted oligosaccharides employing recombinant trans-sialidase from Trypanosoma cruzi", ORG. BIOMOL. CHEM., vol. 3, 2005, pages 1551 - 1556, XP002496044 * |
| See also references of EP2707493A4 * |
| WEI LI ET AL.: "Synthesis of oligosaccharides with lactose and N- acetylglucosamine as substrates by using I-d-galactosidase from Bacillus circulans", EUROPEAN FOOD RESEARCH AND TECHNOLOGY, vol. 231, no. 1, 2010, pages 55 - 63, XP019798960 * |
Cited By (103)
| Publication number | Priority date | Publication date | Assignee | Title |
|---|---|---|---|---|
| US9102966B2 (en) | 2010-07-16 | 2015-08-11 | Glycom A/S | Synthesis of sialooligosaccharide derivatives |
| EP2686330A4 (en) * | 2011-03-18 | 2014-11-12 | Glycom As | Synthesis of new fucose-containing carbohydrate derivatives |
| WO2013190529A1 (en) * | 2012-06-22 | 2013-12-27 | Glycom A/S | Glycosylated galactosyl disaccharddes, methods for their production and their use in consumable products |
| WO2013190531A1 (en) * | 2012-06-22 | 2013-12-27 | Glycom A/S | Glycosylated galactosyl disaccharides, methods for their production and their use in consumable products |
| EP2864344A4 (en) * | 2012-06-22 | 2015-12-23 | Glycom As | Method for enzymatic glycosylation of oligosaccharides from mammalian animal milk |
| WO2014090261A1 (en) * | 2012-12-14 | 2014-06-19 | Glycom A/S | Mixture of fucosylate lactoses |
| WO2014167538A1 (en) | 2013-04-12 | 2014-10-16 | Glycom A/S | Synthesis of sialylated/fucosylated human milk oligosaccharides |
| US10005807B2 (en) | 2013-04-12 | 2018-06-26 | Glycom A/S | Synthesis of sialylated/fucosylated human milk oligosaccharides |
| WO2014187464A1 (en) | 2013-05-22 | 2014-11-27 | Glycom As | Synthetic mixture of oligosaccharides for t treating a microbiota of a mammal |
| US10364449B2 (en) | 2013-09-06 | 2019-07-30 | Glycom A/S | Fermentative production of oligosaccharides |
| US12123040B2 (en) | 2013-09-10 | 2024-10-22 | Chr. Hansen HMO GmbH | Production of oligosaccharides |
| CN105722991A (en) * | 2013-09-10 | 2016-06-29 | 詹尼温生物技术有限责任公司 | Production of oligosaccharides |
| US11427845B2 (en) | 2013-09-10 | 2022-08-30 | Chr. Hansen HMO GmbH | Production of oligosaccharides |
| US11981947B2 (en) | 2013-09-10 | 2024-05-14 | Chr. Hansen HMO GmbH | Production of oligosaccharides |
| CN105814070A (en) * | 2013-10-04 | 2016-07-27 | 詹尼文生物技术有限公司 | Method for purification of neutral human milk oligosaccharides using simulated moving bed chromatography |
| CN109705175B (en) * | 2013-10-04 | 2022-07-05 | 科汉森Hmo有限责任公司 | Method for purifying neutral human milk oligosaccharides using simulated moving bed chromatography |
| CN109705175A (en) * | 2013-10-04 | 2019-05-03 | 詹尼文生物技术有限公司 | The method for purifying neutral human milk oligosaccharides using Simulated Moving Bed Chromatography |
| US11584805B2 (en) | 2014-07-09 | 2023-02-21 | Dsm Nutritional Products, Llc | Oligosaccharide compositions and methods for producing thereof |
| US10946032B2 (en) | 2014-10-24 | 2021-03-16 | Glycom A/S | Mixtures of HMOs |
| WO2016063262A1 (en) | 2014-10-24 | 2016-04-28 | Glycom A/S | MIXTURES OF HMOs |
| US10415021B2 (en) | 2014-10-24 | 2019-09-17 | Glycom A/S | Mutated fucosidase |
| WO2016063261A1 (en) * | 2014-10-24 | 2016-04-28 | Glycom A/S | Mutated fucosidase |
| US10314852B2 (en) | 2014-10-24 | 2019-06-11 | Glycom A/S | Mixtures of HMOs |
| US11896604B2 (en) | 2014-10-29 | 2024-02-13 | Glycom A/S | Composition comprising HMSs/HMOs and use thereof |
| US11040049B2 (en) | 2014-10-29 | 2021-06-22 | Glycom A/S | Composition comprising HMSs/HMOs and use thereof |
| US11040050B2 (en) | 2014-10-29 | 2021-06-22 | Glycom A/S | Composition comprising HMSs/HMOs and use thereof |
| US11026959B2 (en) | 2014-10-29 | 2021-06-08 | Glycom A/S | Synthetic composition and method for treating irritable bowel syndrome |
| US11833165B2 (en) | 2014-10-29 | 2023-12-05 | Glycom A/S | Synthetic composition and method for treating irritable bowel syndrome |
| WO2016066174A1 (en) | 2014-10-29 | 2016-05-06 | Glycom A/S | Synthetic composition and method for promoting mucosal healing |
| US11896605B2 (en) | 2014-10-29 | 2024-02-13 | Glycom A/S | Composition comprising HMSs/HMOs and use thereof |
| WO2016091265A1 (en) | 2014-12-08 | 2016-06-16 | Glycom A/S | Synthetic composition for treating metabolic disorders |
| US11890293B2 (en) | 2014-12-08 | 2024-02-06 | Glycom A/S | Synthetic composition for treating metabolic disorders |
| US10987368B2 (en) | 2014-12-08 | 2021-04-27 | Glycom A/S | Synthetic composition for preventing or treating CVD |
| US10881674B2 (en) | 2014-12-08 | 2021-01-05 | Glycom A/S | Synthetic composition for treating metabolic disorders |
| US10835544B2 (en) | 2014-12-08 | 2020-11-17 | Glycom A/S | Synthetic composition for regulating satiety |
| US10828313B2 (en) | 2014-12-08 | 2020-11-10 | Glycom A/S | Synthetic composition for treating metabolic disorders |
| US11653676B2 (en) | 2015-01-26 | 2023-05-23 | Dsm Nutritional Products, Llc | Oligosaccharide compositions for use as animal feed and methods of producing thereof |
| US10849337B2 (en) | 2015-01-26 | 2020-12-01 | Cadena Bio, Inc. | Oligosaccharide compositions for use as animal feed and methods of producing thereof |
| US12514267B2 (en) | 2015-01-26 | 2026-01-06 | Dsm Nutritional Products, Llc | Oligosaccharide compositions for use as animal feed and methods of producing thereof |
| WO2016157108A1 (en) | 2015-03-31 | 2016-10-06 | Glycom A/S | Mixtures of human milk oligosaccharides comprising 3 '-o-sialyllactose |
| US11173171B2 (en) | 2015-03-31 | 2021-11-16 | Glycom A/S | Mixtures of human milk oligosaccharides comprising 3′-O-sialyllactose |
| US10588917B2 (en) | 2015-03-31 | 2020-03-17 | Glycom A/S | Mixtures of human milk oligosaccharides comprising 3 ′-O-sialyllactose |
| US10894057B2 (en) | 2015-04-23 | 2021-01-19 | Kaleido Biosciences, Inc. | Glycan therapeutic compositions and related methods thereof |
| US12377113B2 (en) | 2015-04-23 | 2025-08-05 | Dsm Nutritional Products, Llc | Glycan therapeutic compositions and related methods thereof |
| US11883422B2 (en) | 2015-04-23 | 2024-01-30 | Dsm Nutritional Products, Llc | Glycan therapeutic compositions and related methods thereof |
| US10695359B2 (en) | 2015-06-09 | 2020-06-30 | Glycom A/S | Ternary mixtures of 6′-SL, LNnT and LST c |
| WO2016199071A1 (en) * | 2015-06-09 | 2016-12-15 | Glycom A/S | TERNARY MIXTURES OF 6'-SL, LNnT and LST c |
| US10751354B2 (en) | 2015-09-14 | 2020-08-25 | Glycom A/S | Synthetic composition for microbiota modulation |
| US11696921B2 (en) | 2015-09-14 | 2023-07-11 | Glycom A/S | Synthetic composition for microbiota modulation |
| US11684630B2 (en) | 2015-10-28 | 2023-06-27 | Glycom A/S | Synthetic composition and method for modulating brain function and behaviour |
| US10780103B2 (en) | 2015-10-28 | 2020-09-22 | Glycom A/S | Synthetic composition and method for modulating emotion and mood disorders |
| WO2017071715A1 (en) | 2015-10-28 | 2017-05-04 | Glycom A/S | Synthetic composition and method for modulating brain function and behaviour |
| US11491171B2 (en) | 2015-10-28 | 2022-11-08 | Glycom A/S | Synthetic composition and method for modulating emotion and mood disorders |
| WO2017071716A1 (en) | 2015-10-28 | 2017-05-04 | Glycom A/S | Synthetic composition and method for modulating emotion and mood disorders |
| US10835545B2 (en) | 2015-10-28 | 2020-11-17 | Glycom A/S | Synthetic composition and method for modulating brain function and behaviour |
| WO2017084673A1 (en) | 2015-11-17 | 2017-05-26 | Glycom A/S | Synthetic Composition for Treating Antibiotic Associated Complications |
| US11529365B2 (en) | 2016-02-24 | 2022-12-20 | Glycom A/S | Synthetic composition for microbiota modulation |
| US10857168B2 (en) | 2016-02-24 | 2020-12-08 | Glycom A/S | Synthetic composition for microbiota modulation |
| WO2017190754A1 (en) | 2016-05-05 | 2017-11-09 | Glycom A/S | Composition comprising hmos for the treatment of non-infectious diarrhoea |
| WO2017190755A1 (en) | 2016-05-05 | 2017-11-09 | Glycom A/S | Composition comprising hmos for use in the treatment of mast cell mediated visceral hypersensitivity and/or pain |
| US11224605B2 (en) | 2016-05-19 | 2022-01-18 | Glycom A/S | Synthetic composition |
| WO2017198276A1 (en) | 2016-05-19 | 2017-11-23 | Glycom A/S | Synthetic composition |
| US11419884B2 (en) | 2016-06-24 | 2022-08-23 | Glycom A/S | Compositions comprising HMOS, their production and use for the prevention and/or treatment of viral and/or bacterial infections |
| WO2017221208A1 (en) * | 2016-06-24 | 2017-12-28 | Glycom A/S | Compositions comprising hmos, their production and use for the prevention and/or treatment of viral and/or bacterial infections |
| US11278558B2 (en) | 2017-03-01 | 2022-03-22 | Glycom A/S | Synthetic composition for microbiota modulation |
| US11291677B2 (en) | 2017-05-09 | 2022-04-05 | Glycom A/S | Synthetic composition for microbiota modulation |
| US11541067B2 (en) | 2017-05-24 | 2023-01-03 | Glycom A/S | HMO compositions and methods for reducing detrimental proteolytic metabolites |
| US11541068B2 (en) | 2017-05-24 | 2023-01-03 | Glycom A/S | HMO compositions and methods for reducing autism spectrum disorder symptoms |
| US11214588B2 (en) | 2017-06-30 | 2022-01-04 | Glycom A/S | Synthesis of oligosaccharides |
| US11142541B2 (en) | 2017-06-30 | 2021-10-12 | Glycom A/S | Purification of oligosaccharides |
| US11919919B2 (en) | 2017-06-30 | 2024-03-05 | Glycom A/S | Synthesis of oligosaccharides |
| US12065462B2 (en) | 2017-06-30 | 2024-08-20 | Glycom A/S | Purification of oligosaccharides |
| US11524019B2 (en) | 2017-08-21 | 2022-12-13 | Glycom A/S | Synthetic composition for reducing allergy symptoms |
| US11541069B2 (en) | 2017-11-02 | 2023-01-03 | Glycom A/S | One or more HMOs for reducing or preventing fatigue and/or improving focus or concentration |
| US11986487B2 (en) | 2017-11-30 | 2024-05-21 | Glycom A/S | Mixture of HMOS for treating wheat sensitivity |
| US11452736B2 (en) | 2017-11-30 | 2022-09-27 | Glycom A/S | Mixture of HMOs for treating wheat sensitivity |
| WO2019106618A1 (en) | 2017-11-30 | 2019-06-06 | Glycom A/S | Mixture of hmos for treating wheat sensitivity |
| WO2019111115A2 (en) | 2017-12-05 | 2019-06-13 | Glycom A/S | Human milk oligosaccharides for treating migraine |
| US11304966B2 (en) | 2017-12-22 | 2022-04-19 | Glycom A/S | Composition comprising HMOs for preventing or reducing nociception |
| US11554131B2 (en) | 2018-05-31 | 2023-01-17 | Glycom A/S | Mixture of HMOs for treating autoimmune diseases |
| WO2020128947A1 (en) | 2018-12-19 | 2020-06-25 | Glycom A/S | Composition and method for treating humans using low-fodmap diets |
| US12233079B2 (en) | 2018-12-19 | 2025-02-25 | Glycom A/S | Composition and method for treating humans using low-fodmap diets |
| US12533369B2 (en) | 2019-11-29 | 2026-01-27 | Glycom A/S | Mixture of HMOS for improving the microbiota of pregnant women |
| WO2022034074A1 (en) * | 2020-08-10 | 2022-02-17 | Inbiose N.V. | Production of oligosaccharide mixtures by a cell |
| EP3954769A1 (en) * | 2020-08-10 | 2022-02-16 | Inbiose N.V. | Production of oligosaccharide mixtures by a cell |
| US12077788B2 (en) | 2020-08-10 | 2024-09-03 | Inbiose N.V. | Production of a mixture of neutral non-fucosylated oligosaccharides by a cell |
| US20230287470A1 (en) * | 2020-08-10 | 2023-09-14 | Inbiose N.V. | Production of oligosaccharide mixtures by a cell |
| WO2022118269A1 (en) | 2020-12-04 | 2022-06-09 | Glycom A/S | Human milk oligosaccharides for use in supporting maturation or improvement of sleeping patterns |
| WO2022223430A1 (en) | 2021-04-19 | 2022-10-27 | Dsm Ip Assets B.V. | A composition of enzymes and human milk oligosaccharides |
| WO2023247578A1 (en) | 2022-06-20 | 2023-12-28 | Dsm Ip Assets B.V. | Use of human milk oligosaccharides for improving the viability of bifidobacteria |
| WO2023247579A1 (en) | 2022-06-20 | 2023-12-28 | Dsm Ip Assets B.V. | Use of human milk oligosaccharides for improving the viability of lactobacillus rhamnosus |
| DE202023103382U1 (en) | 2022-06-20 | 2023-11-29 | Dsm Ip Assets B.V. | Mixture of fucosylated HMOs |
| WO2023247577A1 (en) | 2022-06-20 | 2023-12-28 | Dsm Ip Assets B.V. | Use of human milk oligosaccharides for improving the viability of lactobacilli |
| WO2023247483A1 (en) | 2022-06-20 | 2023-12-28 | Dsm Ip Assets B.V. | Mixture of fucosylated hmos |
| DK202200588A1 (en) * | 2022-06-20 | 2024-02-23 | Dsm Ip Assets Bv | Mixture of fucosylated HMOs |
| WO2024042235A1 (en) | 2022-08-25 | 2024-02-29 | Dsm Ip Assets B.V. | Hybrid method for producing complex hmos |
| WO2024110667A1 (en) | 2022-11-25 | 2024-05-30 | Dsm Ip Assets B.V. | Two-strain system for producing oligosaccharides |
| WO2024126677A1 (en) | 2022-12-14 | 2024-06-20 | Dsm Ip Assets B.V. | Mutated lacto-n-biosidase |
| DK182185B1 (en) * | 2022-12-14 | 2025-10-29 | Dsm Ip Assets Bv | Mutated lacto-n-biosidase,method for making the same and method for synthesizing lacto-n-biose containing carbohydrates |
| DK202201151A1 (en) * | 2022-12-14 | 2024-07-02 | Dsm Ip Assets Bv | Mutated lacto-n-biosidase |
| DK202430161A1 (en) * | 2024-04-11 | 2025-10-22 | Dsm Ip Assets Bv | Enzymatic synthesis |
| DK182217B1 (en) * | 2024-04-11 | 2025-12-12 | Dsm Ip Assets Bv | Enzymatic n-acetyllactosaminylation of a terminal galactose in its 6-position |
| WO2025257400A1 (en) | 2024-06-13 | 2025-12-18 | Dsm Ip Assets B.V. | Synthesis of branched chain oligosaccharides |
Also Published As
| Publication number | Publication date |
|---|---|
| US20140234912A1 (en) | 2014-08-21 |
| EP2707493A1 (en) | 2014-03-19 |
| AU2012257395A1 (en) | 2013-12-12 |
| KR20140036227A (en) | 2014-03-25 |
| JP2014513985A (en) | 2014-06-19 |
| US9234225B2 (en) | 2016-01-12 |
| CN103562401A (en) | 2014-02-05 |
| MX2013013028A (en) | 2013-12-02 |
| IL229048A0 (en) | 2013-12-31 |
| EP2707493A4 (en) | 2014-10-08 |
| BR112013029208A2 (en) | 2017-02-14 |
| RU2013155452A (en) | 2015-06-20 |
| CA2835986A1 (en) | 2012-11-22 |
Similar Documents
| Publication | Publication Date | Title |
|---|---|---|
| US9234225B2 (en) | Method for generating human milk oligosaccharides (HMOs) or precursors thereof | |
| US9963729B2 (en) | Diversification of human milk oligosaccharides (HMOs) or precursors thereof | |
| AU2011278239B2 (en) | Synthesis of new sialooligosaccharide derivatives | |
| CA2830025A1 (en) | Synthesis of new fucose-containing carbohydrate derivatives | |
| US20150183816A1 (en) | Modified galactooligosaccharides | |
| US20150182549A1 (en) | Method for enzymatic glycosylation of oligosaccharides from mammalian animal milk | |
| JP2015532832A (en) | Monosaccharide production method | |
| AU2012257396A1 (en) | Diversification of human milk oligosaccharides (HMOs) or precursors thereof | |
| WO2013190529A1 (en) | Glycosylated galactosyl disaccharddes, methods for their production and their use in consumable products |
Legal Events
| Date | Code | Title | Description |
|---|---|---|---|
| 121 | Ep: the epo has been informed by wipo that ep was designated in this application |
Ref document number: 12785846 Country of ref document: EP Kind code of ref document: A1 |
|
| WWE | Wipo information: entry into national phase |
Ref document number: MX/A/2013/013028 Country of ref document: MX |
|
| ENP | Entry into the national phase |
Ref document number: 2835986 Country of ref document: CA |
|
| ENP | Entry into the national phase |
Ref document number: 2014510919 Country of ref document: JP Kind code of ref document: A |
|
| NENP | Non-entry into the national phase |
Ref country code: DE |
|
| REEP | Request for entry into the european phase |
Ref document number: 2012785846 Country of ref document: EP |
|
| WWE | Wipo information: entry into national phase |
Ref document number: 2012785846 Country of ref document: EP |
|
| ENP | Entry into the national phase |
Ref document number: 20137032962 Country of ref document: KR Kind code of ref document: A |
|
| ENP | Entry into the national phase |
Ref document number: 2012257395 Country of ref document: AU Date of ref document: 20120514 Kind code of ref document: A |
|
| ENP | Entry into the national phase |
Ref document number: 2013155452 Country of ref document: RU Kind code of ref document: A |
|
| WWE | Wipo information: entry into national phase |
Ref document number: 14117348 Country of ref document: US |
|
| REG | Reference to national code |
Ref country code: BR Ref legal event code: B01A Ref document number: 112013029208 Country of ref document: BR |
|
| ENP | Entry into the national phase |
Ref document number: 112013029208 Country of ref document: BR Kind code of ref document: A2 Effective date: 20131112 |



























































