WO2012145112A2 - Novel maytansinoid derivatives with sulfoxide linker - Google Patents
Novel maytansinoid derivatives with sulfoxide linker Download PDFInfo
- Publication number
- WO2012145112A2 WO2012145112A2 PCT/US2012/029791 US2012029791W WO2012145112A2 WO 2012145112 A2 WO2012145112 A2 WO 2012145112A2 US 2012029791 W US2012029791 W US 2012029791W WO 2012145112 A2 WO2012145112 A2 WO 2012145112A2
- Authority
- WO
- WIPO (PCT)
- Prior art keywords
- alkyl
- conjugate
- compound
- independently
- cell
- Prior art date
- Legal status (The legal status is an assumption and is not a legal conclusion. Google has not performed a legal analysis and makes no representation as to the accuracy of the status listed.)
- Ceased
Links
- 0 CC(CC(C(*)(*)C(N1*(N)=C)=O)*(*)=*)C1=O Chemical compound CC(CC(C(*)(*)C(N1*(N)=C)=O)*(*)=*)C1=O 0.000 description 3
- NFJWAGOKMMRHHY-UHFFFAOYSA-N O=C(CCCN(C(C=C1)=O)C1=O)NCC(NCC(NCC(NCCC(ON(C(CC1)=O)C1=O)=O)=O)=O)=O Chemical compound O=C(CCCN(C(C=C1)=O)C1=O)NCC(NCC(NCC(NCCC(ON(C(CC1)=O)C1=O)=O)=O)=O)=O NFJWAGOKMMRHHY-UHFFFAOYSA-N 0.000 description 1
Classifications
-
- C—CHEMISTRY; METALLURGY
- C07—ORGANIC CHEMISTRY
- C07D—HETEROCYCLIC COMPOUNDS
- C07D498/00—Heterocyclic compounds containing in the condensed system at least one hetero ring having nitrogen and oxygen atoms as the only ring hetero atoms
- C07D498/02—Heterocyclic compounds containing in the condensed system at least one hetero ring having nitrogen and oxygen atoms as the only ring hetero atoms in which the condensed system contains two hetero rings
- C07D498/04—Ortho-condensed systems
-
- A—HUMAN NECESSITIES
- A61—MEDICAL OR VETERINARY SCIENCE; HYGIENE
- A61K—PREPARATIONS FOR MEDICAL, DENTAL OR TOILETRY PURPOSES
- A61K31/00—Medicinal preparations containing organic active ingredients
- A61K31/33—Heterocyclic compounds
- A61K31/395—Heterocyclic compounds having nitrogen as a ring hetero atom, e.g. guanethidine or rifamycins
- A61K31/535—Heterocyclic compounds having nitrogen as a ring hetero atom, e.g. guanethidine or rifamycins having six-membered rings with at least one nitrogen and one oxygen as the ring hetero atoms, e.g. 1,2-oxazines
- A61K31/5365—Heterocyclic compounds having nitrogen as a ring hetero atom, e.g. guanethidine or rifamycins having six-membered rings with at least one nitrogen and one oxygen as the ring hetero atoms, e.g. 1,2-oxazines ortho- or peri-condensed with heterocyclic ring systems
-
- A—HUMAN NECESSITIES
- A61—MEDICAL OR VETERINARY SCIENCE; HYGIENE
- A61K—PREPARATIONS FOR MEDICAL, DENTAL OR TOILETRY PURPOSES
- A61K31/00—Medicinal preparations containing organic active ingredients
- A61K31/33—Heterocyclic compounds
- A61K31/395—Heterocyclic compounds having nitrogen as a ring hetero atom, e.g. guanethidine or rifamycins
- A61K31/535—Heterocyclic compounds having nitrogen as a ring hetero atom, e.g. guanethidine or rifamycins having six-membered rings with at least one nitrogen and one oxygen as the ring hetero atoms, e.g. 1,2-oxazines
- A61K31/537—Heterocyclic compounds having nitrogen as a ring hetero atom, e.g. guanethidine or rifamycins having six-membered rings with at least one nitrogen and one oxygen as the ring hetero atoms, e.g. 1,2-oxazines spiro-condensed or forming part of bridged ring systems
-
- A—HUMAN NECESSITIES
- A61—MEDICAL OR VETERINARY SCIENCE; HYGIENE
- A61K—PREPARATIONS FOR MEDICAL, DENTAL OR TOILETRY PURPOSES
- A61K45/00—Medicinal preparations containing active ingredients not provided for in groups A61K31/00 - A61K41/00
- A61K45/06—Mixtures of active ingredients without chemical characterisation, e.g. antiphlogistics and cardiaca
-
- A—HUMAN NECESSITIES
- A61—MEDICAL OR VETERINARY SCIENCE; HYGIENE
- A61K—PREPARATIONS FOR MEDICAL, DENTAL OR TOILETRY PURPOSES
- A61K47/00—Medicinal preparations characterised by the non-active ingredients used, e.g. carriers or inert additives; Targeting or modifying agents chemically bound to the active ingredient
- A61K47/50—Medicinal preparations characterised by the non-active ingredients used, e.g. carriers or inert additives; Targeting or modifying agents chemically bound to the active ingredient the non-active ingredient being chemically bound to the active ingredient, e.g. polymer-drug conjugates
- A61K47/51—Medicinal preparations characterised by the non-active ingredients used, e.g. carriers or inert additives; Targeting or modifying agents chemically bound to the active ingredient the non-active ingredient being chemically bound to the active ingredient, e.g. polymer-drug conjugates the non-active ingredient being a modifying agent
- A61K47/68—Medicinal preparations characterised by the non-active ingredients used, e.g. carriers or inert additives; Targeting or modifying agents chemically bound to the active ingredient the non-active ingredient being chemically bound to the active ingredient, e.g. polymer-drug conjugates the non-active ingredient being a modifying agent the modifying agent being an antibody, an immunoglobulin or a fragment thereof, e.g. an Fc-fragment
- A61K47/6801—Drug-antibody or immunoglobulin conjugates defined by the pharmacologically or therapeutically active agent
- A61K47/6803—Drugs conjugated to an antibody or immunoglobulin, e.g. cisplatin-antibody conjugates
- A61K47/68033—Drugs conjugated to an antibody or immunoglobulin, e.g. cisplatin-antibody conjugates the drug being a maytansine
-
- A—HUMAN NECESSITIES
- A61—MEDICAL OR VETERINARY SCIENCE; HYGIENE
- A61K—PREPARATIONS FOR MEDICAL, DENTAL OR TOILETRY PURPOSES
- A61K47/00—Medicinal preparations characterised by the non-active ingredients used, e.g. carriers or inert additives; Targeting or modifying agents chemically bound to the active ingredient
- A61K47/50—Medicinal preparations characterised by the non-active ingredients used, e.g. carriers or inert additives; Targeting or modifying agents chemically bound to the active ingredient the non-active ingredient being chemically bound to the active ingredient, e.g. polymer-drug conjugates
- A61K47/51—Medicinal preparations characterised by the non-active ingredients used, e.g. carriers or inert additives; Targeting or modifying agents chemically bound to the active ingredient the non-active ingredient being chemically bound to the active ingredient, e.g. polymer-drug conjugates the non-active ingredient being a modifying agent
- A61K47/68—Medicinal preparations characterised by the non-active ingredients used, e.g. carriers or inert additives; Targeting or modifying agents chemically bound to the active ingredient the non-active ingredient being chemically bound to the active ingredient, e.g. polymer-drug conjugates the non-active ingredient being a modifying agent the modifying agent being an antibody, an immunoglobulin or a fragment thereof, e.g. an Fc-fragment
- A61K47/6835—Medicinal preparations characterised by the non-active ingredients used, e.g. carriers or inert additives; Targeting or modifying agents chemically bound to the active ingredient the non-active ingredient being chemically bound to the active ingredient, e.g. polymer-drug conjugates the non-active ingredient being a modifying agent the modifying agent being an antibody, an immunoglobulin or a fragment thereof, e.g. an Fc-fragment the modifying agent being an antibody or an immunoglobulin bearing at least one antigen-binding site
- A61K47/6849—Medicinal preparations characterised by the non-active ingredients used, e.g. carriers or inert additives; Targeting or modifying agents chemically bound to the active ingredient the non-active ingredient being chemically bound to the active ingredient, e.g. polymer-drug conjugates the non-active ingredient being a modifying agent the modifying agent being an antibody, an immunoglobulin or a fragment thereof, e.g. an Fc-fragment the modifying agent being an antibody or an immunoglobulin bearing at least one antigen-binding site the antibody targeting a receptor, a cell surface antigen or a cell surface determinant
-
- C—CHEMISTRY; METALLURGY
- C07—ORGANIC CHEMISTRY
- C07D—HETEROCYCLIC COMPOUNDS
- C07D498/00—Heterocyclic compounds containing in the condensed system at least one hetero ring having nitrogen and oxygen atoms as the only ring hetero atoms
- C07D498/12—Heterocyclic compounds containing in the condensed system at least one hetero ring having nitrogen and oxygen atoms as the only ring hetero atoms in which the condensed system contains three hetero rings
- C07D498/18—Bridged systems
-
- Y—GENERAL TAGGING OF NEW TECHNOLOGICAL DEVELOPMENTS; GENERAL TAGGING OF CROSS-SECTIONAL TECHNOLOGIES SPANNING OVER SEVERAL SECTIONS OF THE IPC; TECHNICAL SUBJECTS COVERED BY FORMER USPC CROSS-REFERENCE ART COLLECTIONS [XRACs] AND DIGESTS
- Y02—TECHNOLOGIES OR APPLICATIONS FOR MITIGATION OR ADAPTATION AGAINST CLIMATE CHANGE
- Y02A—TECHNOLOGIES FOR ADAPTATION TO CLIMATE CHANGE
- Y02A50/00—TECHNOLOGIES FOR ADAPTATION TO CLIMATE CHANGE in human health protection, e.g. against extreme weather
- Y02A50/30—Against vector-borne diseases, e.g. mosquito-borne, fly-borne, tick-borne or waterborne diseases whose impact is exacerbated by climate change
Definitions
- the present invention relates to novel cytotoxic compounds and cytotoxic conjugates comprising these cytotoxic compounds and cell-binding agents. More specifically, this invention relates to novel maytansinoid compounds, derivatives thereof, intermediates thereof, conjugates thereof, and pharmaceutically acceptable salts thereof, which are useful as medicaments, in particular as anti-proliferative agents.
- ADC Antibody-drug conjugates
- ADCs are emerging as a powerful class of anti-tumor agents with efficacy across a range of cancers.
- ADCs are commonly composed of three distinct elements: a cell-binding agent; a linker; and a cytotoxic agent.
- the linker component of ADC is an important element in developing targeted anti-cancer agents that possess an optimal therapeutic window: high activity at a low, non-toxic dose.
- One embodiment of the present invention is directed to a compound represented by structural formula ( ⁇ ):
- D is a cytotoxic agent
- X is S or Se
- R and R' are each independently selected from the group consisting of -H, an alkyl, a cycloalkyl, -OR a , and -NR b R°;
- R a , R D and R c are each independently H or an alkyl; p is 0, 1 or 2
- Y" is a spacer
- M is a linking group that can react with a cell-binding agent to form a covalent bond.
- One embodiment of the present invention is directed to a compound represented by structural formula (I):
- D is a cytotoxic agent
- X is S or Se
- R and R' are each independently selected from the group consisting of -H, an alkyl, a cycloalkyl, -OR a , and -NR b R°;
- R a , R b and R c are each independently H or an alkyl
- p 0, 1 or 2
- Y is an alkylene, a polyethylene glycol unit represented by -(CH 2 -CH 2 -0) réelle-R d -, -R d -E- or -R d -W-R e -,
- n is an integer from 1 to 24;
- E is a cycloalkyl, a heterocyclyl, an aryl or a heteroaryl,
- R d is absent or an alkyl
- R e is an alkyl
- M is a linking group that can react with a cell-binding agent to form a covalent bond.
- the present invention is directed to a compound of structural formula (II): wherein:
- D is a cytotoxic agent
- X is S or Se
- Z is an alkyl, a cycloalkyl, a heterocyclyl, an aryl, a heteroaryl, or -N(R b ')-R d '-;
- R b ' is H or a Ci-4 alkyl
- R d ' is a C 1-4 alkyl
- M is a linking group that can react with a cell-binding agent to form a covalent bond.
- the present invention is also directed to conjugates comprising a cell-binding agent chemically linked to a compound of structural formula ( ⁇ ), (I) or (II).
- the conjugate is represented by the following structural formula:
- CBA represents a cell-binding agent
- D is a cytotoxic agent
- X is S or Se
- R and R' are each independently selected from the group consisting of -H, an alkyl, a cycloalkyl, -OR a , and -NR b R°;
- R a , R b and R c are each independently H or an alkyl
- p 0, 1 or 2;
- Y" is a spacer; q is an integer from 1 to 20; and
- M' is a linking moiety
- conjugate is represented by the following structural formula:
- CBA represents a cell-binding agent
- D is a cytotoxic agent
- X is S or Se
- R and R' are each independently selected from the group consisting of -H, an alkyl, a cycloalkyl, -OR a , and -NR b R°;
- R a , R D and R c are each independently H or an alkyl
- p 0, 1 or 2
- Y is an alkylene, a polyethylene glycol unit represented by -(CH 2 -CH 2 -0) réelle-R d -, -R d -E- or -R d -W-R e -,
- n is an integer from 1 to 24;
- E is a cycloalkyl, a heterocyclyl, an aryl or a heteroaryl,
- R d is absent or an alkyl
- R e is an alkyl
- q is an integer from 1 to 20;
- M' is a linking moiety
- conjugate is represented by the following structural formula: wherein:
- D is a cytotoxic agent
- X is S or Se
- Z is an alkyl, a cycloalkyl, a heterocyclyl, an aryl, a heteroaryl, or
- R b ' is H or a Ci_ 4 alkyl
- R d ' is a C i_4 alkyl
- q is an integer from 1 to 20;
- M' is a linking moiety
- the present invention is also directed to a pharmaceutical composition
- a pharmaceutical composition comprising the conjugates described herein and a pharmaceutically acceptable carrier.
- the present invention is directed to a method of inhibiting abnormal cell growth or treating a proliferative disorder, an autoimmune disorder, a destructive bone disorder, an infectious disease, a viral disease, a fibrotic disease, a neurodegenerative disorder, a pancreatitis or kidney disease in a mammal comprising administering to the mammal a therapeutically effective amount of the conjugate described herein and optionally in combination with another chemotherapeutic agent.
- the present invention is directed to a cytotoxic compound or a conjugate described herein for use in inhibiting abnormal cell growth or in treating a proliferative disorder, an autoimmune disorder, a destructive bone disorder, an infectious disease, a viral disease, a fibrotic disease, a neurodegenerative disorder, a pancreatitis or kidney disease in a mammal.
- FIGURES Figure 1 shows in vitro cytotoxicity of IgGl-SMCC-sulfoxide-DMl conjugate (2a) having a sulfoxide linker as compared to IgGl-SMCC-DMl conjugate (la) having a thioether linker in squamous cell carcinoma cell line A431.
- Figure 2 shows in vitro cytotoxicity of anti-EpCAM-SMCC-sulfoxide-DMl conjugate (2b) having a sulfoxide linker as compared to anti-EpCAM-SMCC-DMl conjugate (lb) having a thioether linker in lung carcinoma cell line PC9.
- Figure 3 depicts a hypothetical scheme for explaining the observed higher antigen-specific activity of conjugate (2) as compared to conjugate (1).
- Figure 4 shows HPLC and MS data indicating the formation of DMl-dimedone (DM1-NME) upon free maytansinoid release from the oxidized Ab-SMCC-DMl conjugate 2 after 12 h at 37 °C.
- DM1-NME DMl-dimedone
- Figure 5 shows rate comparison of model thioether oxidation (A), model sulfoxide elimination (B) and free maytansinoid formation for Ab-PEG 4 -mal-DM x conjugate (C) for unhindered DM1 and hindered DM4 maytansinoid thioethers.
- Figure 5D shows a reaction scheme for oxidation promoted maytansinoid release from Ab- PEG 4 -mal-DM x .
- Alkyl refers to a saturated aliphatic linear or branched-chain monovalent hydrocarbon radical having one to twenty carbon atoms.
- the alkyl has one to ten carbon atoms, also referred to as "Ci_io alkyl". More preferably, the alkyl has one to six carbon atoms, also referred to as “Ci_ 6 alkyl”. Even more preferably, the alkyl has one to four carbon atoms, also referred to as "Ci_4 alkyl”.
- the alkenyl has two to ten carbon atoms, also referred to as "C 2 _io alkenyl”. More preferably, the alkyl has two to four carbon atoms, also referred to as "C 2 -4 alkenyl”.
- Alkynyl refers to aliphatic linear or branched-chain monovalent hydrocarbon radical of two to twenty carbon atoms with at least one carbon-carbon triple bond. Examples include, but are not limited to ethynyl, propynyl, 1-butynyl, 2-butynyl, 1-pentynyl, 2-pentynyl, 3-pentynyl, hexynyl, and the like.
- the alkynyl has two to ten carbon atoms, also referred to as "C 2 -io alkynyl”. More preferably, the alkynyl has two to four carbon atoms, also referred to as "C 2 -4 alkynyl”.
- alkylene refers to a saturated aliphatic linear or branched-chain divalent hydrocarbon radical having one to twenty carbon atoms. Preferably, the alkylene has one to ten carbon atoms. More preferably, the alkylene has one to four carbon atoms.
- carrier refers to a monovalent non-aromatic, saturated or partially unsaturated ring having 3 to 12 carbon atoms as a monocyclic ring or 7 to 12 carbon atoms as a bicyclic ring.
- Bicyclic carbocycles having 7 to 12 atoms can be arranged, for example, as a bicyclo [4,5], [5,5], [5,6] or [6,6] system, and bicyclic carbocycles having 9 or 10 ring atoms can be arranged as a bicyclo [5,6] or [6,6] system, or as bridged systems such as bicyclo[2.2.1]heptane, bicyclo[2.2.2]octane and bicyclo[3.2.2]nonane.
- monocyclic carbocycles include, but are not limited to, cyclopropyl, cyclobutyl, cyclopentyl, 1-cyclopent-I-enyl, l-cyclopent-2-enyl, l-cyclopent-3-enyl, cyclohexyl, 1-cyclohex-I-enyl, l-cyclohex-2- enyl, l-cyclohex-3-enyl, cyclohexadienyl, cycloheptyl, cyclooctyl, cyclononyl, cyclodecyl, cycloundecyl, cyclododecyl, and the like.
- cyclic alkyl and “cycloalkyl” can be used interchangeably. They refer to a monovalent saturated carbocyclic ring radical. Preferably, the cycloalkyl is 3 to 7 membered monocyclic ring radical. More preferably, the cycloalkyl is cyclohexyl.
- Aryl as used herein means a monovalent monocyclic or polycyclic (e.g.
- Aryl includes bicyclic radicals comprising an aromatic ring fused to a saturated, partially unsaturated ring, or aromatic carbocyclic or heterocyclic ring.
- Typical aryl groups include, but are not limited to, radicals derived from benzene (phenyl), substituted benzenes, naphthalene, anthracene, indenyl, indanyl, 1,2-dihydronapthalene, 1,2,3,4- tetrahydronapthyl, and the like.
- aryl is phenyl group.
- heterocycle refers to a saturated or a partially unsaturated (i.e., having one or more double and/or triple bonds within the ring) carbocyclic radical of 3 to 18 ring atoms in which at least one ring atom is a heteroatom selected from nitrogen, oxygen, phosphorus, and sulfur, the remaining ring atoms being C, where one or more ring atoms is optionally substituted independently with one or more substituents described below.
- a heterocycle may be a monocycle having 3 to 7 ring members (2 to 6 carbon atoms and 1 to 4 heteroatoms selected from N, O, P, and S) or a bicycle having 7 to 10 ring members (4 to 9 carbon atoms and 1 to 6 heteroatoms selected from N, O, P,_and S), for example: a bicyclo [4,5], [5,5], [5,6], or [6,6] system.
- Heterocycles are described in Paquette, Leo A.; "Principles of Modern Heterocyclic Chemistry" (W. A.
- Heterocyclyl also includes radicals where heterocycle radicals are fused with a saturated, partially unsaturated ring, or aromatic carbocyclic or heterocyclic ring.
- heterocyclic rings include, but are not limited to, pyrrolidinyl, tetrahydrofuranyl, dihydrofuranyl, tetrahydrothienyl, tetrahydropyranyl, dihydropyranyl, tetrahydrothiopyranyl, piperidino, morpholino, thiomorpholino, thioxanyl, piperazinyl, homopiperazinyl, azetidinyl, oxetanyl, thietanyl, homopiperidinyl, oxepanyl, thiepanyl, oxazepinyl, diazepinyl, thiazepinyl, 2-pyrrolinyl, 3-pyrrolinyl, indolinyl, 2H-pyranyl, 4H-pyranyl, dioxanyl, 1,3- dioxolanyl, pyrazolinyl, dithianyl, dithiolany
- Spiro moieties are also included within the scope of this definition.
- heteroaryl refers to a monovalent aromatic radical of 5- or 6- membered rings, and includes fused ring systems (at least one of which is aromatic) of 5- 18 atoms, containing one or more heteroatoms independently selected from nitrogen, oxygen, and sulfur.
- heteroaryl groups are pyridinyl (including, for example, 2-hydroxypyridinyl), imidazolyl, imidazopyridinyl, pyrimidinyl (including, for example, 4-hydroxypyrimidinyl), pyrazolyl, triazolyl, pyrazinyl, tetrazolyl, furyl, thienyl, isoxazolyl, thiazolyl, oxazolyl, isothiazolyl, pyrrolyl, quinolinyl, isoquinolinyl, indolyl, benzimidazolyl, benzofuranyl, cinnolinyl, indazolyl, indolizinyl, phthalazinyl, pyridazinyl, triazinyl, isoindolyl, pteridinyl, purinyl, oxadiazolyl, triazolyl, thiadiazolyl, furazanyl,
- the heterocycle or heteroaryl groups may be carbon (carbon-linked) or nitrogen (nitrogen-linked) attached where such is possible.
- carbon bonded heterocycles or heteroaryls are bonded at position 2, 3, 4, 5, or 6 of a pyridine, position 3, 4, 5, or 6 of a pyridazine, position 2, 4, 5, or 6 of a pyrimidine, position 2, 3, 5, or 6 of a pyrazine, position 2, 3, 4, or 5 of a furan, tetrahydrofuran, thiofuran, thiophene, pyrrole or tetrahydropyrrole, position 2, 4, or 5 of an oxazole, imidazole or thiazole, position 3, 4, or 5 of an isoxazole, pyrazole, or isothiazole, position 2 or 3 of an aziridine, position 2, 3, or 4 of an azetidine, position 2, 3, 4, 5, 6, 7, or 8 of a quinoline or position 1, 3, 4,
- nitrogen bonded heterocycles or heteroaryls are bonded at position 1 of an aziridine, azetidine, pyrrole, pyrrolidine, 2- pyrroline, 3-pyrroline, imidazole, imidazolidine, 2-imidazoline, 3 -imidazoline, pyrazole, pyrazoline, 2-pyrazoline, 3-pyrazoline, piperidine, piperazine, indole, indoline, 1H- indazole, position 2 of a isoindole, or isoindoline, position 4 of a morpholine, and position 9 of a carbazole, or O-carboline.
- heteroatoms present in heteroaryl or heterocyclcyl can include the oxidized forms such as NO, SO, and S0 2 .
- halo or halogen refers to F, CI, Br or I.
- alkyl, alkenyl, cycloalkyl, carbocyclyl, aryl, heterocyclyl and heteroaryl described above can be optionally substituted with one more (e.g., 2, 3, 4, 5, 6 or more) suitable substituents.
- the alkyl, alkenyl, cycloalkyl, carbocyclyl, aryl, heterocyclyl and heteroaryl described above is unsubstituted.
- another substituents e.g., 2, 3, 4, 5, 6 or more
- the alkyl, alkenyl, cycloalkyl, carbocyclyl, aryl, heterocyclyl and heteroaryl described above are substituted with one more (e.g., 2, 3, 4, 5, 6 or more) suitable substituents.
- R 100 , R 101 , R 102 and R 103 are each independently selected from H, alkyl, alkenyl or alkynyl having from 1 to 10 carbon atoms, a polyethylene glycol unit (-OCH 2 CH 2 ) n -R 104 , wherein n is an integer from 1 to 24, an aryl having from 6 to 10 carbon atoms, a heterocyclic ring having from 3 to 10 carbon atoms and a heteroaryl having 5 to 10 carbon atoms; and R 104 is H or a linear or branched alkyl having 1 to 4 carbon atoms, wherein the alkyl, alkenyl, alkynyl, aryl, heteroaryl and heterocyclcyl in the groups represented by R 100 , R 101 , R 102 , R 103 and R 104 are optionally substituted with one
- the substituents for the optionally substituted alkyl, alkenyl, alkynyl, cyclic alkyl, cyclic alkenyl, cyclic alkynyl, carbocyclyl, aryl, heterocyclyl and heteroaryl described above include halogen, CN, NR 102 R 103 , CF 3 , OR 101 , aryl, heteroaryl, heterocycycl, SR 101 , SOR 101 , S0 2 R 101 and -S0 3 M.
- the suitable substituent is selected from the group consisting of -halogen, -OH, -N0 2 , -CN, Ci_ 4 alkyl, -OR 100 , NR 101 R 102 ,
- R 100 , R 101 , and R 102 are each independently -H or Ci_4 alkyl.
- the term "compound” and "cytotoxic compound” are used interchangeably. They are intended to include compounds for which a structure or formula or any derivative thereof has been disclosed in the present invention or a structure or formula or any derivative thereof that has been incorporated by reference.
- the term also includes, stereoisomers, geometric isomers, tautomers, solvates, metabolites, salts (e.g., pharmaceutically acceptable salts) and prodrugs, and prodrug salts of a compound of all the formulae disclosed in the present invention.
- the term also includes any solvates, hydrates, and polymorphs of any of the foregoing.
- conjugate refers to a compound described herein or a derivative thereof that is linked to a cell binding agent.
- linkable to a cell binding agent refers to the compounds described herein or derivates thereof comprising at least one linking group or a precursor thereof suitable to bond these compounds or derivatives thereof to a cell binding agent.
- precursor of a given group refers to any group which may lead to that group by any deprotection, a chemical modification, or a coupling reaction.
- linked to a cell binding agent refers to a conjugate molecule comprising at least one of the compounds described herein (e.g., compounds of formula (I) or (II)), or derivative thereof bound to a cell binding agent via a suitable linking group or a precursor thereof.
- stereoisomer refers to compounds which have identical chemical constitution and connectivity, but different orientations of their atoms in space that cannot be interconverted by rotation about single bonds.
- Diastereomer refers to a stereoisomer with two or more centers of chirality and whose molecules are not mirror images of one another. Diastereomers have different physical properties, e.g. melting points, boiling points, spectral properties, and reactivities. Mixtures of diastereomers may separate under high resolution analytical procedures such as crystallization, electrophoresis and chromatography.
- Enantiomers refer to two stereoisomers of a compound which are non- superimposable mirror images of one another.
- the compounds of the invention may contain asymmetric or chiral centers, and therefore exist in different stereoisomenc forms. It is intended that all stereoisomenc forms of the compounds of the invention, including but not limited to, diastereomers, enantiomers and atropisomers, as well as mixtures thereof such as racemic mixtures, form part of the present invention.
- Many organic compounds exist in optically active forms, i.e., they have the ability to rotate the plane of plane-polarized light. In describing an optically active compound, the prefixes D and L, or R and S, are used to denote the absolute configuration of the molecule about its chiral center(s).
- d and I or (+) and (-) are employed to designate the sign of rotation of plane -polarized light by the compound, with (-) or 1 meaning that the compound is levorotatory.
- a compound prefixed with (+) or d is dextrorotatory.
- these stereoisomers are identical except that they are mirror images of one another.
- a specific stereoisomer may also be referred to as an enantiomer, and a mixture of such isomers is often called an enantiomeric mixture.
- a 50:50 mixture of enantiomers is referred to as a racemic mixture or a racemate, which may occur where there has been no stereoselection or stereospecificity in a chemical reaction or process.
- racemic mixture and racemate refer to an equimolar mixture of two enantiomeric species, devoid of optical activity.
- tautomer or "tautomeric form” refers to structural isomers of different energies which are interconvertible via a low energy barrier.
- proton tautomers also known as prototropic tautomers
- Valence tautomers include interconversions by reorganization of some of the bonding electrons.
- prodrug refers to a precursor or derivative form of a compound of the invention that is capable of being enzymatically or hydrolytically activated or converted into the more active parent form. See, e.g., Wilman, "Prodrugs in Cancer Chemotherapy” Biochemical Society Transactions, 14, pp. 375-382, 615th Meeting Harbor (1986) and Stella et al., “Prodrugs: A Chemical Approach to Targeted Drug Delivery,” Directed Drug Delivery, Borchardt et al., (ed.), pp. 247-267, Humana Press (1985).
- the prodrugs of this invention include, but are not limited to, ester-containing prodrugs, phosphate-containing prodrugs, thiophosphate-containing prodrugs, sulfate-containing prodrugs, peptide-containing prodrugs, D-amino acid- modified prodrugs, glycosylated prodrugs, .beta.-lactam-containing prodrugs, optionally substituted phenoxyacetamide-containing prodrugs, optionally substituted
- prodrug is also meant to include a derivative of a compound that can hydrolyze, oxidize, or otherwise react under biological conditions (in vitro or in vivo) to provide a compound of this invention. Prodrugs may only become active upon such reaction under biological conditions, or they may have activity in their unreacted forms.
- prodrugs contemplated in this invention include, but are not limited to, analogs or derivatives of compounds of any one of the formulae disclosed herein that comprise biohydrolyzable moieties such as biohydrolyzable amides, biohydrolyzable esters, biohydrolyzable carbamates, biohydrolyzable carbonates, biohydrolyzable ureides, and biohydrolyzable phosphate analogues.
- biohydrolyzable moieties such as biohydrolyzable amides, biohydrolyzable esters, biohydrolyzable carbamates, biohydrolyzable carbonates, biohydrolyzable ureides, and biohydrolyzable phosphate analogues.
- Other examples of prodrugs include derivatives of compounds of any one of the formulae disclosed herein that comprise ⁇ NO, --NO 2 , --ONO, or -ONO 2 moieties.
- Prodrugs can typically be prepared using well-known methods, such as those described by Burger's Medicinal Chemistry and Drug Discovery (1995) 172-178, 949-982 (Manfred E. Wolff ed., 5th ed); see also Goodman and Gilman's, The Pharmacological basis of Therapeutics, 8th ed., McGraw-Hill, Int. Ed. 1992, "Biotransformation of Drugs”.
- biohydrolyzable amide means an amide, ester, carbamate, carbonate, ureide, or phosphate analogue, respectively, that either: 1) does not destroy the biological activity of the compound and confers upon that compound advantageous properties in vivo, such as uptake, duration of action, or onset of action; or 2) is itself biologically inactive but is converted in vivo to a biologically active compound.
- biohydrolyzable amides include, but are not limited to, lower alkyl amides, .alpha.-amino acid amides, alkoxyacyl amides, and alkylaminoalkylcarbonyl amides.
- biohydrolyzable esters include, but are not limited to, lower alkyl esters, alkoxyacyloxy esters, alkyl acylamino alkyl esters, and choline esters.
- biohydrolyzable carbamates include, but are not limited to, lower alkylamines, substituted ethylenediamines, amino acids, hydroxy alkyl amines, heterocyclic and heteroaromatic amines, and polyether amines.
- prodrugs and prodrug salts are those that increase the bioavailability of the compounds of this invention when such compounds are administered to a mammal.
- pharmaceutically acceptable salt refers to pharmaceutically acceptable organic or inorganic salts of a compound of the invention.
- Exemplary salts include, but are not limited, to sulfate, citrate, acetate, oxalate, chloride, bromide, iodide, nitrate, bisulfate, phosphate, acid phosphate, isonicotinate, lactate, salicylate, acid citrate, tartrate, oleate, tannate, pantothenate, bitartrate, ascorbate, succinate, maleate, gentisinate, fumarate, gluconate, glucuronate, saccharate, formate, benzoate, glutamate, methanesulfonate "mesylate", ethanesulfonate, benzenesulfonate, p- toluenesulfonate, pamoate (i.e., 1 , l'-methylene-bis-(2 -hydro xy-3-naphthoate)) salts, alkali metal (e.g., sodium and
- a pharmaceutically acceptable salt may involve the inclusion of another molecule such as an acetate ion, a succinate ion or other counter ion.
- the counter ion may be any organic or inorganic moiety that stabilizes the charge on the parent compound.
- a pharmaceutically acceptable salt may have more than one charged atom in its structure. Instances where multiple charged atoms are part of the pharmaceutically acceptable salt can have multiple counter ions. Hence, a
- pharmaceutically acceptable salt can have one or more charged atoms and/ or one or more counter ion.
- the desired pharmaceutically acceptable salt may be prepared by any suitable method available in the art, for example, treatment of the free base with an inorganic acid, such as hydrochloric acid, hydrobromic acid, sulfuric acid, nitric acid, methanesulfonic acid, phosphoric acid and the like, or with an organic acid, such as acetic acid, maleic acid, succinic acid, mandelic acid, fumaric acid, malonic acid, pyruvic acid, oxalic acid, glycolic acid, salicylic acid, a pyranosidyl acid, such as glucuronic acid or galacturonic acid, an alpha hydroxy acid, such as citric acid or tartaric acid, an amino acid, such as aspartic acid or glutamic acid, an aromatic acid, such as benzoic acid or cinnamic acid, a sulfonic acid, such as p-toluenesulfonic acid or ethanesul
- an inorganic acid such as hydrochloric
- the desired pharmaceutically acceptable salt may be prepared by any suitable method, for example, treatment of the free acid with an inorganic or organic base, such as an amine (primary, secondary or tertiary), an alkali metal hydroxide or alkaline earth metal hydroxide, or the like.
- an inorganic or organic base such as an amine (primary, secondary or tertiary), an alkali metal hydroxide or alkaline earth metal hydroxide, or the like.
- suitable salts include, but are not limited to, organic salts derived from amino acids, such as glycine and arginine, ammonia, primary, secondary, and tertiary amines, and cyclic amines, such as piperidine, morpholine and piperazine, and inorganic salts derived from sodium, calcium, potassium, magnesium, manganese, iron, copper, zinc, aluminum and lithium.
- amino acids such as glycine and arginine
- ammonia such as glycine and arginine
- primary, secondary, and tertiary amines such as piperidine, morpholine and piperazine
- inorganic salts derived from sodium, calcium, potassium, magnesium, manganese, iron, copper, zinc, aluminum and lithium.
- solvate means a compound which further includes a stoichiometric or non-stoichiometric amount of solvent such as water, isopropanol, acetone, ethanol, methanol, DMSO, ethyl acetate, acetic acid, and ethanolamine dichloromethane, 2-propanol, or the like, bound by non-covalent intermolecular forces.
- Solvates or hydrates of the compounds are readily prepared by addition of at least one molar equivalent of a hydro xylic solvent such as methanol, ethanol, 1-propanol, 2- propanol or water to the compound to result in solvation or hydration of the imine moiety.
- cytotoxic agent refers to any compound that results in the death of a cell, induces cell death, or decreases cell viability.
- Suitable cytotoxic agents include, for example, maytansinoids and maytansinoid analogs, taxoids, CC-1065 and CC-1065 analogs, and dolastatin and dolastatin analogs.
- the cytotoxic agent is a maytansinoid, including maytansinol, maytansinol analogs, ansamitocin and ansamitocin analogs.
- Maytansinoids are compounds that inhibit microtubule formation and are highly toxic to mammalian cells.
- Suitable maytansinol analogues include those having a modified aromatic ring and those having modifications at other positions.
- Such maytansinoids are described in, for example, U.S. Patents 4,256,746, 4,294,757, 4,307,016, 4,313,946, 4,315,929, 4,322,348, 4,331 ,598, 4,361,650, 4,362,663, 4,364,866, 4,424,219, 4,371,533, 4,450,254, 5,475,092, 5,585,499, 5,846,545, and 6,333,410.
- Examples of maytansinol analogs having a modified aromatic ring include:
- C-19-dechloro (U.S. Patent 4,256,746) (prepared by LAH reduction of ansamytocin P2), (2) C-20-hydroxy (or C-20-demethyl) +/-C-19-dechloro (U.S. Patents 4,361 ,650 and 4,307,016) (prepared by demethylation using Streptomyces or Actinomyces or dechlorination using LAH), and (3) C-20-demethoxy, C-20-acyloxy (-OCOR), +/- dechloro (U.S. Patent 4,294,757) (prepared by acylation using acyl chlorides).
- Examples of maytansinol analogs having modifications of positions other than an aromatic ring include: (1) C-9-SH (U.S. Patent 4,424,219) (prepared by the reaction of maytansinol with H 2 S or P 2 S 5 ), (2) C- 14-alkoxymethyl (demethoxy/CH 2 OR) (U.S. Patent 4,331,598), (3) C-14-hydroxymethyl or acyloxymethyl (CH 2 OH or CH 2 OAc) (U.S.
- Patent 4,450,254 (prepared from Nocardia), (4) C-15-hydroxy/acyloxy (U.S. Patent 4,364,866) (prepared by the conversion of maytansinol by Streptomyces), (5) C-15- methoxy (U.S. Patents 4,313,946 and 4,315,929) (isolated from Trewia nudiflora), (6) C- 18-N-demethyl (U.S. Patents 4,362,663 and 4,322,348) (prepared by the demethylation of maytansinol by Streptomyces), and (7) 4,5-deoxy (U.S. Patent 4,371 ,533) (prepared by the titanium trichloride/LAH reduction of maytansinol).
- abnormal cell growth and “proliferative disorder” are used interchangeably in this application.
- abnormal cell growth refers to cell growth that is independent of normal regulatory mechanisms (e.g., loss of contact inhibition).
- tumor cells tumor cells
- tumors tumor cells
- any tumors that proliferate by receptor tyrosine kinases any tumors that proliferate by aberrant serine/threonine kinase activation
- benign and malignant cells of other proliferative diseases in which aberrant serine/threonine kinase activation benign and malignant cells of other proliferative diseases in which aberrant serine/threonine kinase activation occurs.
- cancer and “cancerous” refer to or describe the physiological condition in mammals that is typically characterized by unregulated cell growth.
- a “tumor” comprises one or more cancerous cells. Examples of cancer include, but are not limited to, carcinoma, lymphoma, blastoma, sarcoma, and leukemia or lymphoid malignancies.
- squamous cell cancer e.g., epithelial squamous cell cancer
- lung cancer including small-cell lung cancer, non- small cell lung cancer ("NSCLC"), adenocarcinoma of the lung and squamous carcinoma of the lung, cancer of the peritoneum, hepatocellular cancer, gastric or stomach cancer including gastrointestinal cancer, pancreatic cancer, glioblastoma, cervical cancer, ovarian cancer, liver cancer, bladder cancer, hepatoma, breast cancer, colon cancer, rectal cancer, colorectal cancer, endometrial or uterine carcinoma, salivary gland carcinoma, kidney or renal cancer, prostate cancer, vulval cancer, thyroid cancer, hepatic carcinoma, anal carcinoma, penile carcinoma, acute leukemia, as well as head/brain and neck cancer.
- NSCLC non- small cell lung cancer
- adenocarcinoma of the lung and squamous carcinoma of the lung cancer of the peritoneum, hepatocellular cancer, gas
- a “therapeutic agent” encompasses both a biological agent such as an antibody, a peptide, a protein, an enzyme or a chemotherapeutic agent.
- a "chemotherapeutic agent” is a chemical compound useful in the treatment of cancer.
- chemotherapeutic agents include Erlotinib (TARCEVA®,
- triethylenemelamine triethylenephosphoramide, triethylenethiophosphoramide and trimethylomelamine
- acetogenins especially bullatacin and bullatacinone
- camptothecin including the synthetic analog topotecan
- bryostatin including the synthetic analog topotecan
- callystatin including its adozelesin, carzelesin and bizelesin synthetic analogs
- cryptophycins particularly cryptophycin 1 and cryptophycin 8
- dolastatin duocarmycin (including the synthetic analogs, KW-2189 and CB1-TM1); eleutherobin; pancratistatin; a sarcodictyin; spongistatin; nitrogen mustards such as chlorambucil, chlornaphazine,
- chlorophosphamide estramustine, ifosfamide, mechlorethamine, mechlorethamine oxide hydrochloride, melphalan, novembichin, phenesterine, prednimustine, trofosfamide, uracil mustard; nitrosureas such as carmustine, chlorozotocin, fotemustine, lomustine, nimustine, and ranimnustine; antibiotics such as the enediyne antibiotics (e.g., calicheamicin, especially calicheamicin gammall and calicheamicin omegall (Angew Chem. Intl. Ed. Engl. (1994) 33: 183-186); dynemicin, including dynemicin A;
- bisphosphonates such as clodronate; an esperamicin; as well as neocarzino statin chromophore and related chromoprotein enediyne antibiotic chromophores), aclacinomysins, actinomycin, authramycin, azaserine, bleomycins, cactinomycin, carabicin, caminomycin, carzinophilin, chromomycinis, dactinomycin, daunorubicin, detorubicin, 6-diazo-5-oxo-L-norleucine, ADRIAMYCIN® (doxorabicin), morpholino- doxorubicin, cyanomorpholino-doxorabicin, 2-pyrrolino-doxorabicin and
- deoxydoxorabicin deoxydoxorabicin
- epirubicin esorabicin
- idarabicin marcellomycin
- mitomycins such as mitomycin C, mycophenolic acid, nogalamycin, olivomycins, peplomycin
- TAXOL® paclitaxel; Bristol-Myers Squibb Oncology, Princeton, N.J.
- ABRAXANE® Cremophor-free
- albumin-engineered nanoparticle formulations of paclitaxel American Pharmaceutical Partners, Schaumberg, 111.
- TAXOTERE® doxetaxel; Rhone-Poulenc Rorer, Antony, France
- ifosfamide mitoxantrone; vincristine; NAVELBINE® (vinorelbine); novantrone; teniposide; edatrexate; daunomycin; aminopterin; capecitabine (XELODA®);
- ibandronate CPT-11; topoisomerase inhibitor RFS 2000; difluoromethylornithine (DMFO); retinoids such as retinoic acid; and pharmaceutically acceptable salts, acids and derivatives of any of the above.
- DMFO difluoromethylornithine
- retinoids such as retinoic acid
- chemotherapeutic agent also included in the definition of "chemotherapeutic agent” are: (i) anti- hormonal agents that act to regulate or inhibit hormone action on tumors such as anti- estrogens and selective estrogen receptor modulators (SERMs), including, for example, tamoxifen (including NOLVADEX®; tamoxifen citrate), raloxifene, droloxifene, 4- hydroxytamoxifen, trioxifene, keoxifene, LY117018, onapristone, and FARESTON® (toremifine citrate); (ii) aromatase inhibitors that inhibit the enzyme aromatase, which regulates estrogen production in the adrenal glands, such as, for example, 4(5)- imidazoles, aminoglutethimide, MEGASE® (megestrol acetate), AROMASIN®
- SERMs selective estrogen receptor modulators
- VEGF expression inhibitors e.g., ANGIOZYME®
- HER2 vascular endothelial growth factor receptor 2
- anti-androgens such as flutamide, nilutamide, bicalutamide, leuprolide, and goserelin; as well as troxacitabine (a 1,3-dioxolane nucleoside cytosine analog)
- protein kinase inhibitors e.
- lipid kinase inhibitors lipid kinase inhibitors
- antisense oligonucleotides particularly those which inhibit expression of genes in signaling pathways implicated in aberrant cell proliferation, such as, for example, PKC-alpha, Ralf and H-Ras
- ribozymes such as VEGF expression inhibitors (e.g., ANGIOZYME®) and HER2
- anti-angiogenic agents such as bevacizumab (AVASTIN®, Genentech); and (x) pharmaceutically acceptable salts, acids and derivatives of any of the above.
- Other anti-angiogenic agents include MMP-2 (matrix-metalloproteinase 2) inhibitors, MMP-9 (matrix-metalloproteinase 9) inhibitors, COX-II (cyclooxygenase II) inhibitors, and VEGF receptor tyrosine kinase inhibitors. Examples of such useful matrix metalloproteinase inhibitors that can be used in combination with the present
- VEGF receptor tyrosine kinase inhibitors include 4-(4-bromo-2- fluoroanilino)-6-methoxy-7-(l-methylpiperidin-4-ylmethoxy)qu- inazoline (ZD6474; Example 2 within WO 01/32651), 4-(4-fluoro-2-methylindol-5-yloxy)-6-methoxy-7-(3- pyrrolidin-l-ylpropoxy)- -quinazoline (AZD2171; Example 240 within WO 00/47212), vatalanib (PTK787; WO 98/35985) and SU11248 (sunitinib; WO 01/60814), and compounds such as those disclosed in PCT Publication Nos. WO 97/22596, WO
- chemotherapeutic agents that can be used in combination with the present compounds include inhibitors of PI3K (phosphoinositide-3 kinase), such as those reported in Yaguchi et al (2006) Jour, of the Nat. Cancer Inst. 98(8):545-556; U.S. Pat. No. 7,173,029; U.S. Pat. No. 7,037,915; U.S. Pat. No. 6,608,056; U.S. Pat. No. 6,608,053; U.S. Pat. No. 6,838,457; U.S. Pat. No. 6,770,641; U.S. Pat. No. 6,653,320; U.S. Pat. No. 6,403,588; WO 2006/046031; WO 2006/046035; WO 2006/046040; WO 2007/042806; WO 2007/042810; WO 2004/017950; US 2004/092561; WO
- PI3K inhibitors include SF-1 126 (PI3K inhibitor, Semafore Pharmaceuticals), BEZ- 235 (PI3K inhibitor, Novartis), XL-147 (PI3K inhibitor, Exelixis, Inc.).
- a “metabolite” is a product produced through metabolism in the body of a specified compound, a derivative thereof, or a conjugate thereof, or salt thereof.
- Metabolites of a compound, a derivative thereof, or a conjugate thereof may be identified using routine techniques known in the art and their activities determined using tests such as those described herein. Such products may result for example from the oxidation, hydroxylation, reduction, hydrolysis, amidation, deamidation, esterification,
- the invention includes metabolites of compounds, a derivative thereof, or a conjugate thereof, of the invention, including compounds, a derivative thereof, or a conjugate thereof, produced by a process comprising contacting a compound, a derivative thereof, or a conjugate thereof, of this invention with a mammal for a period of time sufficient to yield a metabolic product thereof.
- composition indicates that the substance or composition must be compatible chemically and/or toxicologically, with the other ingredients comprising a formulation, and/or the mammal being treated therewith.
- protecting group refers to a substituent that is commonly employed to block or protect a particular functionality while reacting other functional groups on the compound, a derivative thereof, or a conjugate thereof.
- an "amine -protecting group” or an “amino-protecting moiety” is a substituent attached to an amino group that blocks or protects the amino functionality in the compound.
- Such groups are well known in the art (see for example P. Wuts and T.
- carbamates such as methyl and ethyl carbamate, FMOC, , substituted ethyl carbamates, carbamates cleaved by l,6- -elimination (also termed "self
- Suitable amino- protecting groups include acetyl, trifluoroacetyl, t-butoxycarbonyl (BOC),
- leaving group refers to an group of charged or uncharged moiety that departs during a substitution or displacement.
- leaving groups include, but not limited to, halogens, esters, alkoxy, hydroxyl, tosylates, inflates, mesylates, nitriles, azide, carbamate, disulfides, thioesters, thioethers and diazonium compounds.
- a "linking group” as defined herein refers to a functional group that can form a chemical bond with a cell-binding agent. Suitable chemical bonds are well known in the art and include disulfide bonds, thioether bonds, acid labile bonds, photolabile bonds, peptidase labile bonds and esterase labile bonds (see for example US Patents 5,208,020; 5,475,092; 6,441,163; 6,716,821; 6,913,748; 7,276,497; 7,276,499; 7,368,565; 7,388,026 and 7,414,073). Preferred are disulfide bonds, thioether and peptidase labile bonds.
- the linking group is selected from the group consisting of a maleimide, a haloacetamido, -SH, -SSR f , -CH 2 SH, -CH(Me)SH, -C(Me) 2 SH, -NHR g , -CH 2 NHR g , -NR g NH 2 , -COOH, a reactive ester, an amino acid, or a peptide having 2 to 10 amino acids, wherein R is selected from phenyl, nitrophenyl (e.g., 2 or 4-nitrophenyl), dinitrophenyl (e.g., 2 or 4-nitrophenyl), carboxynitrophenyl (e.g. , 3-carboxy-4- nitrophenyl), pyridyl or nitropyridyl (e.g., 4-nitropyridyl) and R g is -H or a Ci_4 alkyl.
- R is selected from phenyl,
- linking moiety refers to the remaining chemical moiety of the linking group after the linking group is covalently linked to a cell-binding agent.
- the linking group maleimide group is chemically
- linking moiety is
- reactive ester refers to an ester group having a leaving group that is readily displaced by an amine or a hydroxyl group.
- examples of a reactive ester include, but are not limited to, N-hydroxysuccinimde ester, N-hydroxy
- sulfosuccinimide ester nitrophenyl (e.g., 2 or 4-nitrophenyl) ester, dinitrophenyl (e.g., 2,4-dinitrophenyl) ester, sulfo-tetraflurophenyl (e.g., 4-sulfo-2,3,5,6-tetrafluorophenyl) ester and pentafluorophenyl ester.
- nitrophenyl e.g., 2 or 4-nitrophenyl
- dinitrophenyl e.g., 2,4-dinitrophenyl
- sulfo-tetraflurophenyl e.g., 4-sulfo-2,3,5,6-tetrafluorophenyl
- a "bifunctional crosslinking reagent” refers to a reagent that possesses two reactive groups; one of which is capable of reacting with a cell-binding agent while the other one reacts with the cytotoxic compound D-XH to link the two moieties together.
- bifunctional crosslinkers are well known in the art (see, for example, Isalm and Dent in Bioconjugation chapter 5, p218-363, Groves Dictionaries Inc. New York, 1999).
- bifunctional crosslinking agents that enable linkage via a thioether bond include N-succinimidyl-4-(N-maleimidomethyl)-cyclohexane-l- carboxylate (SMCC) to introduce maleimido groups.
- SMCC N-succinimidyl-4-(N-maleimidomethyl)-cyclohexane-l- carboxylate
- Other bifunctional crosslinking agents that introduce maleimido groups on to a cell binding agent are well known in the art (see US Patent Applications 2008/0050310, 20050169933, available from Pierce Biotechnology Inc. P.O.
- SMCC N-succinimidyl 4-(maleimidomethyl)cyclo
- Cross-linking reagents comprising a haloacetyl-based moiety include N-succinimidyl-4-(iodoacetyl)- aminobenzoate (SIAB), N-succinimidyl iodoacetate (SIA), N-succinimidyl bromoacetate (SBA), and N-succinimidyl 3-(bromoacetamido)propionate (SBAP), succinimidyl-(4- vinylsulfonyl)benzoate (SBSV), bis-maleimidopolyethyleneglycol (BMPEO),
- BM(PEO) 2 , BM(PEO) 3 5-maleimidovaleric acid NHS, HBVS, 4-(4-N- maleimidophenyl)-butyric acid hydrazide » HCl (MPBH), Succinimidyl-(4- vinylsulfonyl)benzoate (SVSB), dithiobis-maleimidoethane (DTME), 1 ,4-bis- maleimidobutane (BMB), 1,4 bismaleimidyl-2,3-dihydroxybutane (BMDB), bis- maleimidohexane (BMH), bis-maleimidoethane (BMOE), sulfosuccinimidyl 4-(N- maleimido-methyl)cyclohexane- 1 -carboxylate (sulfo-SMCC), sulfosuccinimidyl(4-iodo- acetyl)aminobenzoate (sulf
- n is 2 to 10. More preferably, n is 2, 4, 6 or 8.
- the term "therapeutically effective amount” means that amount of active compound or conjugate that elicits the desired biological response in a subject. Such response includes alleviation of the symptoms of the disease or disorder being treated, prevention, inhibition or a delay in the recurrence of symptom of the disease or of the disease itself, an increase in the longevity of the subject compared with the absence of the treatment, or prevention, inhibition or delay in the progression of symptom of the disease or of the disease itself. Determination of the effective amount is well within the capability of those skilled in the art, especially in light of the detailed disclosure provided herein. Toxicity and therapeutic efficacy of compound I can be determined by standard pharmaceutical procedures in cell cultures and in experimental animals.
- the effective amount of compound or conjugate of the present invention or other therapeutic agent to be administered to a subject will depend on the stage, category and status of the multiple myeloma and characteristics of the subject, such as general health, age, sex, body weight and drug tolerance.
- the effective amount of compound or conjugate of the present invention or other therapeutic agent to be administered will also depend on administration route and dosage form. Dosage amount and interval can be adjusted individually to provide plasma levels of the active compound that are sufficient to maintain desired therapeutic effects.
- CYTOTOXIC COMPOUNDS [65] The present invention is directed to cytotoxic compounds (e.g., compounds of structural formulas(I'), (I) and (II)) and conjugates (e.g., conjugates represented by structural formula ( ⁇ ), (III) or (IV)) described herein.
- cytotoxic compounds e.g., compounds of structural formulas(I'), (I) and (II)
- conjugates e.g., conjugates represented by structural formula ( ⁇ ), (III) or (IV) described herein.
- D in structural formulas ( ⁇ ), (I), ( ⁇ ), ( ⁇ ), (III) or (IV) is a cytotoxic agent.
- D is a maytansinoid.
- D is a more preferred
- D is re resented by the following structural formula:
- Ri, R 2 , R 3 , R 4 , R 5 , R0, R7 and Rs are each independently H, an alkyl, an alkenyl, a cycloalkyl, a heteroaryl, a heterocyclyl, or an aryl;
- D is represented by structural formula (Al), wherein Ri and R 2 are each independently H, Ci_4 alkyl or Ci_4 alkyl substituted with one to six halogens. More preferably, Ri and R 2 are each independently H, methyl, -CF 3 or -CC1 3 . Even more preferably, Ri and R 2 are both H or methyl.
- D is represented by structural formula (Al), wherein 1 and m are 0, n is 1 , Ri, R 2 , R 3 and R4 are all H.
- D is represented by structural formula (Al), wherein n is 0, 1 and m are both 1 , R5, R ⁇ , R 7 and Rs are all H, Ri and R 2 are both methyl.
- D is represented by structural formula (Al), wherein n is 0, 1 and m are both 1, Ri, R 5 , R6, R 7 and Rs are all H, and R 2 is methyl
- X in structural formulas (I), (II), (III) and (IV) is S or Se. In one embodiment, X is S. In another embodiment, X is Se.
- R and R' in structural formulas (I) and (III) are each independently selected from the group consisting of -H, an alkyl, a cycloalkyl, -OR a , and -NR b R°, wherein R a , R b and R° are each independently H or an alkyl.
- one of R and R' is H, and the other is H, a Ci_ 4 alkyl, -OR a or -NR b R°, wherein R a , R b and R c are each independently H or Ci_4 alkyl. More preferably, R and R' are both H.
- Y" in structural formulas ( ⁇ ) and ( ⁇ ) is a spacer.
- -Y"M is the non-maleimide moiety of a maleimide-containing bifunctional crosslinking reagent.
- Y" is an alkylene, a polyethylene glycol unit represented by -(CH 2 -CH 2 -0) n -R d -, -R d -E- or -R d -W-R e '-, wherein:
- n is an integer from 1 to 24;
- E is a cycloalkyl, a heterocyclyl, an aryl or a heteroaryl,
- R d is absent or an alkyl
- R e ' is an alkyl or a polyethylene glycol unit represented by -(CH 2 -CH 2 -0) n -R d -.
- Y in structural formulas (I) and (III) is an alkylene, a polyethylene glycol unit represented by -(CH 2 -CH 2 -0) n -R d -, -R d -E- or -R d -W-R e -, wherein:
- n is an integer from 1 to 24;
- E is a cycloalkyl, a heterocyclyl, an aryl or a heteroaryl,
- R d is absent or an alkyl
- R e is an alkyl
- Y is >
- M in structural formula ( ⁇ ), (I) and (II) is a linking group that can react with a cell-binding agent to form a covalent bond.
- M is a maleimide, a haloacetamido, -SH, -SSR f , -CH 2 SH, -CH(Me)SH, -C(Me) 2 SH, -NHR g , -CH 2 NHR g , -NR g NH 2 , -COOH, a reactive ester, an amino acid or a peptide comprising 2 to 10 amino acids, wherein R is selected from phenyl, nitrophenyl (e.g., 2 or 4-nitrophenyl), dinitrophenyl (e.g., 2 or 4-nitrophenyl), carboxynitrophenyl (e.g., 3-carboxy-4- nitrophenyl), pyridyl or nitropyridyl (e.g., 4-nitro
- M is a maleimide, haloacetamido, N- hydroxysuccinimde ester, N-hydroxy sulfosuccinimide ester, nitrophenyl (e.g., 2 or 4- nitrophenyl) ester, dinitrophenyl (e.g., 2,4-dinitrophenyl) ester, sulfo-tetraflurophenyl (e.g., 4-sulfo-2,3,5,6-tetrafluorophenyl) ester or pentafluorophenyl ester. More preferably, M is N-hydroxysuccinimide ester.
- M' in structural formulas ( ⁇ ), (III) and (IV) is a linking moiet that
- Z is an alkyl, a cycloalkyl, a heterocyclyl, an aryl, a heteroaryl, or -N(R b )-R d -; wherein R b is H or a Ci_4 alkyl; and R d is a Ci_4 alkyl.
- Y' is -S0 2 -; and Z is optionally substituted phenyl. More preferably, Z is unsubstituted phenyl.
- Y' is phenyl or pyridyl, more preferably, Y' is pyridyl and Y' is linked with Z through the pyridyl nitrogen atom.
- Z is an alkyl.
- Z is a Ci_4 alkyl.
- Z is -N(R b )-R d -, wherein R b is H and R d is -CH 2 -CH 2 -.
- Ri, R 2 , R 3 , R4, R 5 , R 6 , R 7 and Rs are each independently H, an alkyl, an alkenyl, a cycloalkyl, a heteroaryl, a heterocyclyl, or an aryl; and
- n are each independently 0 or an integer from 1 to 5;
- X is S; and the remainder of the variables are as described above for structural formula (I).
- X is S; and the remainder of the variables are as described above for structural formula (I).
- X is S; and the remainder of the variables are as described above for structural formula (I).
- Y"M is the non-maleimide moiety of a maleimide-containing bifunctional crosslinking reagent.
- Y" is an alkylene, a polyethylene glycol unit represented by -(CH 2 -CH 2 -0) n -R d -, -R d -E- or -R d -W-R e '-, wherein:
- n is an integer from 1 to 24;
- R d is absent or an alkyl
- R e ' is an alkyl or -(CH 2 -CH 2 -0) prison-R d -.
- Y is a Ci_6 alkylene, a polyethylene glycol unit represented by
- R d is absent or a Ci_ 4 alkyl
- R e is a Ci_ 4 alkyl
- E is cyclohexyl and n is an integer from 2 to 8;
- M is a maleimide, a haloacetamido, -SH, -SSR f , -CH 2 SH, -CH(Me)SH,
- -C(Me) 2 SH -NHR g , -CH 2 NHR g , -NR g NH 2 , -COOH, a reactive ester, an amino acid, a peptide comprising 2 to 10 amino acids, wherein R is selected from phenyl, nitrophenyl (e.g., 2 or 4-nitrophenyl), dinitrophenyl (e.g., 2 or 4-nitrophenyl), carboxynitrophenyl (e.g., 3-carboxy-4-nitrophenyl), pyridyl or nitropyridyl (e.g., 4-nitropyridyl) and R g is -H or a Ci_4 alkyl. is . Even more preferably, Y is and M is N-hydroxysuccinimide ester.
- the present invention is directed to a compound represented by structural formula (II):
- Ri, R 2 , R 3 , R4, R5, R 6 , R7 and Rs are each independently H, an alkyl, an alkenyl, a cycloalkyl, a heteroaryl, a heterocyclyl, or an aryl;
- n are each independently 0 or an integer from 1 to 5;
- X is S; and the remainder of the variables are as described in structural formula
- Y' is S0 2 and Z is an optionally substituted phenyl.
- the remainder of the variables is as described above in the seventh embodiment. More preferably, Z is an unsubstituted phenyl.
- Y' is pyridyl or phenyl; Z is an alkyl; more preferably, Y' is pyridyl and Y' is linked with Z through the pyridyl nitrogen.
- the remainder of the variables is as described above in the seventh embodiment. More preferably, Z is a Ci_4 alkyl.
- R b is H or an alkyl
- R d is an alkyl.
- the remainder of the variables is as described above in the seventh embodiment. More preferably, R b is H and R d is a Ci_4 alkyl. Even more preferably, R b is H and R d is -CH 2 -CH 2 -.
- X is S; and the remainder of the variables are as described in structural formula
- Y' is S0 2 and Z is an optionally substituted phenyl.
- Z is an optionally substituted phenyl.
- the remainder of the variables is as described above in the eighth embodiment. More preferably, Z is an unsubstituted phenyl.
- Y' is phenyl or pyridyl; Z is an alkyl; more preferably, Y' is pyridyl and Y' is linked with Z through the pyridyl nitrogen.
- Z is a Ci_4 alkyl.
- R b is H or an alkyl
- R d is an alkyl.
- the remainder of the variables is as described above in the eighth embodiment. More preferably, R b is H and R d is a Ci_4 alkyl. Even more preferably, R b is H and R d is -CH 2 -CH 2 -.
- X is S; and the remainder of the variables are as described in structural formula
- Y' is S0 2 and Z is an optionally substituted phenyl.
- Z is an optionally substituted phenyl.
- the remainder of the variables is as described above in the ninth embodiment. More preferably, Z is an unsubstituted phenyl.
- Y' is phenyl or pyridyl; Z is an alkyl; and more preferably, Y' is pyridyl and Y' is linked with Z through the pyridyl nitrogen.
- Z is a Ci_4 alkyl.
- R b is H or an alkyl
- R d is an alkyl.
- the remainder of the variables is as described above in the ninth embodiment. More preferably, R b is H and R d is a Ci_4 alkyl. Even more preferably, R b is H and R d is -CH 2 -CH 2 -.
- Cell-binding agents may be of any kind presently known, or that become known and includes peptides and non- peptides. Generally, these can be antibodies (especially monoclonal antibodies), lymphokines, hormones, growth factors, vitamins, nutrient-transport molecules (such as transferrin), or any other cell-binding molecule or substance.
- cell-binding agents that can be used include:
- interferons e.g. .alpha., .beta., .gamma.
- lymphokines such as IL-2, IL-3, IL-4, IL-6;
- hormones such as insulin, TRH (thyrotropin releasing hormone), MSH
- melanocyte-stimulating hormone steroid hormones, such as androgens and estrogens
- growth factors and colony-stimulating factors such as EGF, TGF-alpha, FGF, VEGF, G-CSF, M-CSF and GM-CSF (Burgess, Immunology Today 5: 155-158 (1984)); transferrin (O'Keefe et al. J. Biol. Chem. 260:932-937 (1985)); and
- vitamins such as folate.
- Monoclonal antibody techniques allow for the production of extremely specific cell-binding agents in the form of specific monoclonal antibodies.
- Particularly well known in the art are techniques for creating monoclonal antibodies produced by immunizing mice, rats, hamsters or any other mammal with the antigen of interest such as the intact target cell, antigens isolated from the target cell, whole virus, attenuated whole virus, and viral proteins such as viral coat proteins.
- Sensitized human cells can also be used.
- Another method of creating monoclonal antibodies is the use of phage libraries of scFv (single chain variable region), specifically human scFv (see e.g., Griffiths et al., U.S. Patent Nos.
- 5,639,641 may also be used, as may chimeric antiobodies and humanized antibodies. Selection of the appropriate cell-binding agent is a matter of choice that depends upon the particular cell population that is to be targeted, but in general human monoclonal antibodies are preferred if an appropriate one is available.
- the monoclonal antibody MY9 is a murine IgGi antibody that binds specifically to the CD33 Antigen ⁇ J.D. Griffin et al 8 Leukemia Res., 521 (1984) ⁇ and can be used if the target cells express CD33 as in the disease of acute myelogenous leukemia (AML).
- the cell-binding agent may be any compound that can bind a cell, either in a specific or non-specific manner. Generally, these can be antibodies (especially monoclonal antibodies and antibody fragments), interferons, lymphokines, hormones, growth factors, vitamins, nutrient-transport molecules (such as transferrin), or any other cell- binding molecule or substance.
- the cell-binding agent binds to an antigen that is a polypeptide and may be a transmembrane molecule (e.g. receptor) or a ligand such as a growth factor.
- antigens include molecules such as renin; a growth hormone, including human growth hormone and bovine growth hormone; growth hormone releasing factor; parathyroid hormone; thyroid stimulating hormone; lipoproteins; alpha- 1 -antitrypsin; insulin A-chain; insulin B-chain; proinsulin; follicle stimulating hormone; calcitonin; luteinizing hormone; glucagon; clotting factors such as factor vmc, factor IX, tissue factor (TF), and von Willebrands factor; anti-clotting factors such as Protein C; atrial natriuretic factor; lung surfactant; a plasminogen activator, such as urokinase or human urine or tissue-type plasminogen activator (t-PA); bombesin;
- GM-CSF which binds to myeloid cells can be used as a cell- binding agent to diseased cells from acute myelogenous leukemia.
- IL-2 which binds to activated T-cells can be used for prevention of transplant graft rejection, for therapy and prevention of graft-versus-host disease, and for treatment of acute T-cell leukemia.
- MSH which binds to melanocytes, can be used for the treatment of melanoma, as can antibodies directed towards melanomas.
- Folic acid can be used to target the folate receptor expressed on ovarian and other tumors.
- Epidermal growth factor can be used to target squamous cancers such as lung and head and neck.
- Somatostatin can be used to target neuroblastomas and other tumor types.
- Cancers of the breast and testes can be successfully targeted with estrogen (or estrogen analogues) or androgen (or androgen analogues) respectively as cell-binding agents.
- the antibody is selected from the group consisting of huN901, huMy9-6, huB4, huC242, trastuzumab, bivatuzumab, sibrotuzumab, rituximab, huDS6, anti-mesothelin antibodies described in WO 2010/124797 (such as MF-T), anti- cripto antibodies described in US Patent Application Publication 2010/0093980 (such as huB3F6), anti-CD138 antibodies described in US Patent Application Publication
- 2007/0183971 (such as huB-B4), anti-EGFRvIII antibodies described US Patent Nos. 7,736,644 and 7,628,986 and US Application Publication Nos. 2010/01 11979,
- antibodies are humanized monoclonal antibodies described herein. Examples include, but are not limited to, huN901, huMy9-6, huB4, huC242, trastuzumab, bivatuzumab, sibrotuzumab, CNT095, huDS6, and rituximab (see, e.g., U.S. Patents 5,639,641 and 5,665,357, U.S. Provisional Patent Application No.
- the anti-folate antibody is a humanized antibody or antigen binding fragment thereof that specifically binds a human folate receptor 1 , wherein the antibody comprises: (a) a heavy chain CDRl comprising GYFMN; a heavy chain CDR2 comprising RIHPYDGDTFY QXaaiFXaa 2 Xaa 3 ; and a heavy chain CDR3 comprising YDGSRAMDY; and (b) a light chain CDRl comprising KASQSVSFAGTSLMH; a light chain CDR2 comprising RASNLEA; and a light chain CDR3 comprising QQSREYPYT; wherein Xaai is selected from K, Q, H, and R; Xaa 2 is selected from Q, H, N, and R; and Xaa 3 is selected from G, E, T, S, A, and V.
- the heavy chain CDR2 sequence comprises RIHPYDGDTFY QKFQG.
- the anti-folate receptor antibody is a humanized antibody or antigen binding fragment thereof that specifically binds the human folate receptor 1 comprising the heavy chain having the amino acid sequence of
- the anti-folate receptor antibody is a humanized antibody or antigen binding fragment thereof encoded by the plasmid DNA deposited with the ATCC on April 7, 2010 and having ATCC deposit nos. PTA-10772 and PTA-10773 or 10774.
- the anti-folate receptor antibody is a humanized antibody or antigen binding fragment thereof comprising a heavy chain variable domain at least about 90%, 95%, 99% or 100% identical to QVQLVQSGAEVVKPGASVKISCKASGYTFTGYFMNWVKQSPGQSLEWIGRIHPY DGDTFY QKFQGKATLTVDKSSNTAHMELLSLTSEDFAVYYCTRYDGSRAMDY WGQGTTVTVSS, and a light chain variable domain at least about 90%, 95%, 99% or 100% identical to
- the present invention also provides cell-binding agent-cytotoxic compound conjugates comprising a cell-binding agent linked to one or more cytotoxic compounds of the present invention via a variety of linkers, including, but not limited to, disulfide linkers, thioether linkers, amide bonded linkers, peptidase -labile linkers, acid-labile linkers, esterase-labile linkers.
- Representative conjugates of the invention are antibody/cytotoxic compound, antibody fragment/cytotoxic compound, epidermal growth factor (EGF)/ cytotoxic compound, melanocyte stimulating hormone (MSH)/ cytotoxic compound, thyroid stimulating hormone (TSH)/ cytotoxic compound,
- somatostatin/cytotoxic compound folate/cyto toxic compound, estrogen/cytotoxic compound, estrogen analogue/cytotoxic compound, androgen/cytotoxic compound, and androgen analogue/cytotoxic compound.
- the present invention provides conjugates comprising a cell- binding agent chemically linked to a compound of the present invention (e.g., compounds of formula ( ⁇ ), (I) or (II)).
- the cell-binding agent can linked to the compound through an amine group, a thio group or a carboxy group.
- the present invention is directed to a conjugate
- Ri, R 2 , R 3 , R4, R5, R 6 , R 7 and Rs are each independently H, an alkyl, an alkenyl, a cycloalkyl, a heteroaryl, a heterocyclyl, or an aryl; and
- n are each independently 0 or an integer from 1 to 5;
- X is S; and the remainder of the variables are as described above for structural formula (III).
- X is S; and values and preferred values for the remainder of the variables is as described above for structural formula (III).
- X is S; and values and preferred values for the remainder of the variables are as described above for structural formula (III).
- Y is the non-maleimide and non- linking group moiety of a maleimide-containing bifunctional crosslinking reagent.
- Y is an alkylene, a polyethylene glycol unit represented by -(CH 2 -CH 2 -0) admir-R d -, -R d -E- or -R d -W-R e '-, wherein: n is an integer from 1 to 24;
- E is a cycloalkyl, a heterocyclyl, an aryl or a heteroaryl,
- R d is absent or an alkyl
- R e ' is an alkyl or -(CH 2 -CH 2 -0) prison-R d -.
- n is an integer from 2 to 10. Even more preferably, n is 2, 4 or 8.
- Y is a Ci_6 alkylene, a polyethylene glycol unit represented by
- the CBA is linked to M through an amine (e.g. CBA-NH 2 ) group.
- the present invention is directed to a conjugate represented by structural formula (IV): wherein the values and preferred values for the variables are as described above for structural formula (IV).
- Ri, R 2 , R 3 , R4, R 5 , R 6 , R 7 and Rs are each independently H, an alkyl, an alkenyl, a cycloalkyl, a heteroaryl, a heterocyclyl, or an aryl;
- n are each independently 0 or an integer from 1 to 5;
- X is S; and values and preferred values for the remainder of the variables is as described in structural formula (IV).
- Y' is S0 2 and Z is an optionally substituted phenyl.
- Z is an optionally substituted phenyl.
- the remainder of the variables is as described above in the sixteenth embodiment. More preferably, Z is an unsubstituted phenyl.
- Y' is pheny or pyridyl; Z is an alkyl; and preferably, Y' is pyridyl and Y' is linked with Z through the pyridyl nitrogen.
- Z is a Ci_4 alkyl.
- R b is H and R d is a Ci_4 alkyl. Even more preferably, R b is H and R d is -CH2-CH2-.
- X is S; and values and preferred values for the remainder of the variables are as described in structural formula (II).
- Y' is S0 2 and Z is an optionally substituted phenyl.
- Z is an optionally substituted phenyl.
- the remainder of the variables is as described above in the seventeenth embodiment. More preferably, Z is an unsubstituted phenyl.
- Y' is phenyl or pyridyl; Z is an alkyl; and more preferably, Y' is pyridyl and Y' is linked with Z through the pyridyl nitrogen.
- Z is a Ci_4 alkyl.
- R b is H or an alkyl
- R d is an alkyl.
- the remainder of the variables is as described above in the seventeenth embodiment. More preferably, R b is H and R d is a Ci_4 alkyl. Even more preferably, R b is H and R d is -CH 2 -CH 2 -.
- X is S; and values and preferred values for the remainder of the variables is as described in structural formula (II).
- Y' is S0 2 and Z is an optionally substituted phenyl.
- Z is an optionally substituted phenyl.
- the remainder of the variables is as described above in the eighteenth embodiment. More preferably, Z is an unsubstituted phenyl.
- Y' is phenyl or pyridyl; Z is an alkyl; and more preferably, Y' is pyridyl and Y' is linked with Z through the pyridyl nitrogen.
- the remainder of the variables is as described above in the eighteenth embodiment. More preferably, Z is a Ci_4 alkyl.
- R b is H and R d is a Ci_4 alkyl.
- R is H and R a is -CH 2 -CH 2 -.
- q is an integer from 1 to 20;
- n is an integer from 2 to 24;
- Ri and R 2 are H; and n' is 1; or
- Ri and R 2 are methyl; and n' is 2.
- the present invention is directed to a cell-bnding agent- cytotoxic agent conjugate comprising a cell-binding agent covalently linked to a cytotoxic agent through a sulfoxide linker, wherein the sulfoxide linker is derived from oxidation of a -SH group on the cell-binding agent.
- -SH is from a cysteine residue of the cell-binding agent.
- conjugate is represented by the following structural formula:
- CBA is a cell-binding agent
- D is a cytotoxic agent
- L is a linker group that covalent links the cytotoxic agent with the cell-binding agent. More specifically, the sulfoxide group ⁇ S in structural formula (X) is derived from oxidation of a -SH group of a cysteine residue on the cell-binding agent.
- L is a suitable linker group known in the art.
- L is a linker group comprising a disulfide group, a thioether group, an acid labile group, a photolabile group, a peptidase labile group, an esterase labile group, or a combination thereof.
- L is derived from a bifunctional crosslinking reagent comprising a maleimide at one end of the bifunctional crosslinking reagent, wherein L represents the remaining portion of the bifunctional crosslinking reagent without the terminal maleimide group.
- the bifunctional crosslinking reagent is a reagent that possesses two reactive groups, one of which is a maleimide group that reacts with -SH group on the cell-binding agent; while the other one reacts with the cytotoxic agent D.
- the bifunctional crosslinking reagent can be a bifunctional crosslinking reagent described herein. For example, when the bifunctional crosslinking reagent is 1 ,4- bis-maleimidobutane (BMB) and D is a thiol-containing cytotoxic agent, then L is represented by the following structural formula:
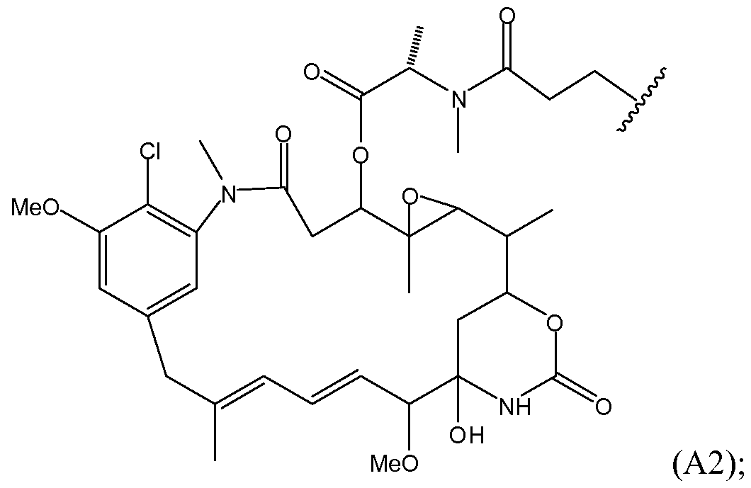
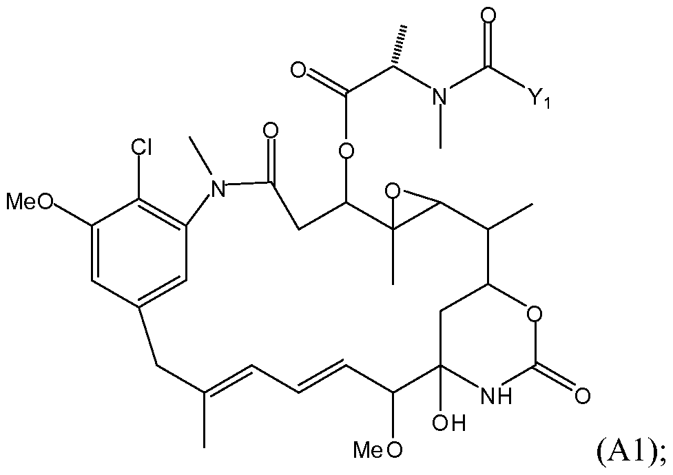
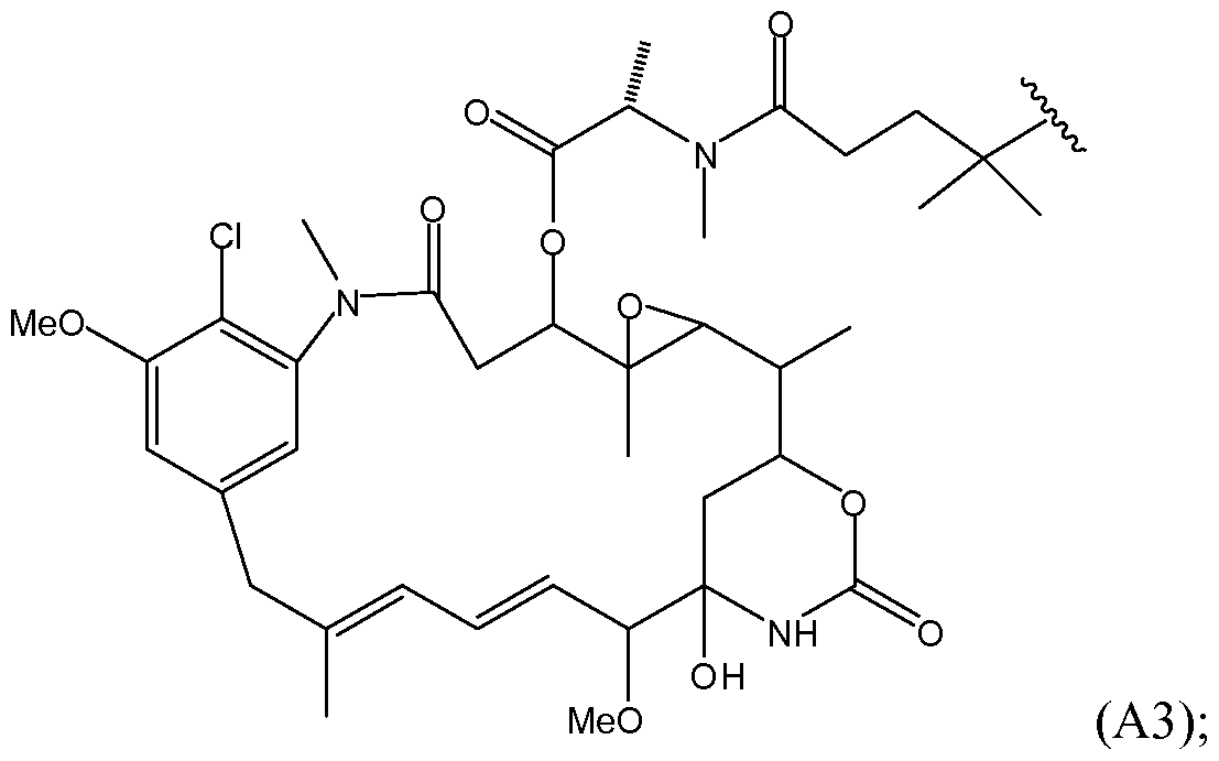
- D is a maytansinoid. More preferably, D is a maytansinoid represented by structural formula (Al), (A2) or (A3) described above.
- D is auristatin
- the cytototoxic compounds of the present invention can be prepared by any suitable methods.
- the compounds of structural formula ( ⁇ ) or (I) can be prepared by reacting a compound of structural formula (V) or (V) with an oxidant.
- the compounds of structural formula (II) can be prepared by reacting a compound of structural formula (VI) with an oxidant.
- Any suitable oxidant capable of oxidizing a thiol ether group (-S-) to a sulfoxide group (-S(O)-) can be used.
- oxidants include, but are not limited to, dimethyldioxirane, NalO/t, i-BuOCl, dioxiranes, calcium hypochlorite Ca(OCl) 2 , sodium chlorite NaC10 2 , HNO 3 (optionally in the presence of a catalyst, such as a AuCLf catalyst), 0 2 (in the presence of a catalyst, such as a eerie ammonium nitrate catalyst), acyl nitrites, sodium perborate, organic peroxides (e.g., ROOH, wherein R is a Ci_ 6 alkyl), and H 2 0 2 (optionally in the presence of a catalyst, such as a
- the oxidation reaction can be carried out in a solvent.
- the solvent can be an organic solvent or mixture of one or more organic solvents, or a mixture of one or more organic solvents with water or an aqueous buffer.
- organic solvents can be used include, but are not limited, to dimethylacetimide (DMA), methanol, ethanol, methylene chloride, acetone, DMF, DMSO, ethyl acetate, dioxane, and acetonitrile.
- the oxidation reaction can be carried out in a mixture of dimethylacetimide (DMA) and a succinate buffer.
- DMA dimethylacetimide
- succinate buffer has a pH of about 5. More preferably, the reaction can be carried out in a 60:40 (v:v) mixture of DMA and succinate buffer having a pH about 5.
- the oxidation reaction can be carried out at a suitable temperature. In one embodiment, the reaction is carried out at room temperature (about 20- 25 °C).
- the oxidation reaction can be carried out at a low temperature, for example, at about -20 °C to about 15 °C. In a preferred embodiment, the oxidation reaction is carried out at about 4 °C. In another alternative, the reaction can be carried out at an elevated temperature, for example, higher than about 30 °C.
- Compounds of formula (V), (V) and (VI) can be prepared by any suitable methods.
- compounds of formula (V), (V) or (VI) can be prepared by reacting compound D-XH with a bifunctional crosslinking reagent.
- the bifunctional crosslinking reagent comprises a maleimide group (e.g., SMCC, AMAS, BMPS, GMBS, EMCS, SVSB and PEG n -Mal, etc.) and the compound of structural formula (V) or (V) can be prepared according to scheme 2.
- a maleimide group e.g., SMCC, AMAS, BMPS, GMBS, EMCS, SVSB and PEG n -Mal, etc.
- the reaction of D-XH and the bifunctional crosslinking reagent can be carried out in a suitable solvent.
- the solvent can be an organic solvent or mixture of one or more organic solvents, or a mixture of one or more organic solvents with water or an aqueous buffer.
- organic solvents can be used include, but are not limited, to dimethylacetimide (DMA), methanol, ethanol, methylene chloride, acetone, DMF, DMSO, ethyl acetate, dioxane, and acetonitrile.
- reaction can be carried out in a mixture of
- the succinate buffer has a pH of about 5. More preferably, the reaction can be carried out in a 60:40 (v:v) mixture of DMA and succinate buffer having a pH about 5.
- the reaction can be carried out at a suitable temperature. In one embodiment, the reaction is carried out at room temperature (about 20- 25 °C). Alternatively, the oxidation reaction can be carried out at a low temperature, for example, at about -20 °C to about 15 °C. In another alternative, the reaction can be carried out at an elevated temperature, for example, higher than about 30 °C.
- the conjugates of the present invention can be prepared by reacting a cell-binding agent with a compound of the present invention (e.g., compounds of structural formula (I) and (II)) to provide a mixture comprising a cell-binding agent-cytotoxic compound conjugate; the unreacted compound; and reaction side -products.
- a compound of the present invention e.g., compounds of structural formula (I) and (II)
- the mixture is optionally purified to provide a purified conjugate.
- the conjugates of the present invention can be prepared through a conjugate oxidation reaction by treating a conjugates of structural formula (VIF), (VII) or (VIII) with an oxidant (see Scheme 3).
- a conjugates of structural formula (VIF), (VII) or (VIII) with an oxidant (see Scheme 3).
- the values and preferred values for variables depicted in structural formulas (VIF), (VII) and (VIII) are as described above for structural formulas (IIF), (III) and (IV), respectively.
- the conjugate of structural formula (X) can be prepared by reacting conjugate comprising a thioether linking group represented by structural formula (XI) with an oxidant.
- any suitable oxidant capable of converting a thiol group to a sulfoxide group can be used.
- oxidant include, but are not limited to, NalO/t, i-BuOCl, dioxiranes, calcium hypochlorite Ca(OCl) 2 , sodium chlorite NaC10 2 , HNO 3 (optionally in the presence of a AuCLf catalyst), 0 2 (in the presence of a eerie ammonium nitrate catalyst), acyl nitrites, sodium perborate, organic peroxides (e.g., ROOH, wherein R is a Ci_ 6 alkyl), and H 2 0 2 (optionally in the presence of a bis(acetylacetonato)oxo vanadium catalyst).
- the oxidant is H 2 0 2 with a bis(acetylacetonato)oxo vanadium catalyst.
- the conjugate oxidation reaction can be carried out at a suitable temperature.
- the reaction can be carried out at room temperature (about 20- 25 °C).
- the oxidation reaction can be carried out at a low temperature, for example, at about -20 °C to about 15 °C.
- the reaction can be carried out at an elevated temperature, for example, higher than about 30 °C.
- the oxidation reaction is carried out at about 4 °C. More preferably, the oxidation reaction is carried out at about 4 °C for about 1-12 hours.
- the mixture of the conjugate oxidation reaction is purified immediately after the reaction (e.g., for about 1 -12 hours) to remove excess oxidant.
- Any suitable purification method can be used.
- the purification method is as described herein.
- the purification method is non-absorptive chromatography and/or dialysis.
- the purification method is non-absorptive chromatography with G25 desalting resin and/or dialysis at 4 °C.
- any suitable purification methods can be used for purifying the mixture comprising the conjugates of the present invention.
- the mixture can be purified using tangential flow filtration (TFF), e.g., a membrane -based tangential flow filtration process, non-adsorptive chromatography, adsorptive chromatography, adsorptive filtration, or selective precipitation, or any other suitable purification process, as well as combinations thereof.
- TMF tangential flow filtration
- purification after the conjugation step enables the isolation of a stable conjugate comprising the cell-binding agent chemically coupled to the cytotoxic agent.
- TFF systems Any suitable TFF systems may be utilized for purification, including a Pellicon type system (Millipore, Billerica, MA), a Sartocon Cassette system (Sartorius AG, Edgewood, NY), and a Centrasette type system (Pall Corp., East Hills, NY).
- Pellicon type system Millipore, Billerica, MA
- Sartocon Cassette system Sartorius AG, Edgewood, NY
- Centrasette type system Pall Corp., East Hills, NY.
- any suitable adsorptive chromatography resin may be utilized for purification.
- Preferred adsorptive chromatography resins include hydroxyapatite chromatography, hydrophobic charge induction chromatography (HCIC), hydrophobic interaction chromatography (HIC), ion exchange chromatography, mixed mode ion exchange chromatography, immobilized metal affinity chromatography (IMAC), dye ligand chromatography, affinity chromatography, reversed phase chromatography, and combinations thereof.
- Suitable hydroxyapatite resins include ceramic hydroxyapatite (CHT Type I and Type II, Bio-Rad Laboratories, Hercules, CA), HA Ultrogel hydroxyapatite (Pall Corp., East Hills, NY), and ceramic fluoroapatite (CFT Type I and Type II, Bio-Rad Laboratories, Hercules, CA).
- CHT Type I and Type II Ceramic hydroxyapatite
- HA Ultrogel hydroxyapatite Pall Corp., East Hills, NY
- CFT Type I and Type II Bio-Rad Laboratories, Hercules, CA
- An example of a suitable HCIC resin is MEP Hypercel resin (Pall Corp., East Hills, NY).
- HIC resins examples include Butyl-Sepharose, Hexyl-Sepaharose, Phenyl-Sepharose, and Octyl Sepharose resins (all from GE Healthcare, Piscataway, NJ), as well as Macro-prep Methyl and Macro-Prep t-Butyl resins (Biorad Laboratories, Hercules, CA).
- suitable ion exchange resins include SP-Sepharose, CM-Sepharose, and Q-Sepharose resins (all from GE Healthcare, Piscataway, NJ), and Unosphere S resin (Bio-Rad Laboratories, Hercules, CA).
- suitable mixed mode ion exchangers include Bakerbond ABx resin (JT Baker, Phillipsburg NJ).
- suitable IMAC resins include Chelating Sepharose resin (GE Healthcare, Piscataway, NJ) and Profinity IMAC resin (Bio-Rad Laboratories, Hercules, CA).
- suitable dye ligand resins include Blue Sepharose resin (GE Healthcare, Piscataway, NJ) and Affi-gel Blue resin (Bio-Rad Laboratories, Hercules, CA).
- suitable affinity resins include Protein A Sepharose resin (e.g., MabSelect, GE Healthcare, Piscataway, NJ), where the cell-binding agent is an antibody, and lectin affinity resins, e.g.
- Lentil Lectin Sepharose resin (GE Healthcare, Piscataway, NJ), where the cell-binding agent bears appropriate lectin binding sites.
- an antibody specific to the cell-binding agent may be used.
- Such an antibody can be immobilized to, for instance, Sepharose 4 Fast Flow resin (GE Healthcare, Piscataway, NJ).
- suitable reversed phase resins include C4, C8, and CI 8 resins (Grace Vydac, Hesperia, CA).
- any suitable non-adsorptive chromatography resin may be utilized for purification.
- suitable non-adsorptive chromatography resins include, but are not limited to, SEPHADEXTM G-25, G-50, G-100, SEPHACRYLTM resins (e.g., S-200 and S-300), SUPERDEXTM resins (e.g., SUPERDEXTM 75 and SUPERDEXTM 200), BIO-GEL® resins (e.g., P-6, P-10, P-30, P-60, and P-100), and others known to those of ordinary skill in the art.
- the cytotoxic compounds and cell-binding agent-cytotoxic agent conjugates of the invention can be evaluated for their ability to suppress proliferation of various cancer cell lines in vitro.
- cell lines such as the squamous cell carcinomal line A431, the lung carcinoma line PC9, the human colon carcinoma line COLO 205, the rhabdomyosarcoma cell line RH-30, and the multiple myeloma cell line MOLP-8 can be used for the assessment of cytotoxicity of these compounds and conjugates.
- Cells to be evaluated can be exposed to the compounds or conjugates for 1 -5 days and the surviving fractions of cells measured in direct assays by known methods. IC 50 values can then be calculated from the results of the assays. Examples of in vitro potency and target specificity of antibody-cytotoxic agent conjugates of the present invention are shown in Figures 1 and 2.
- compositions and methods of use are provided.
- the present invention includes a composition (e.g., a pharmaceutical
- composition comprising novel cytotoxic compounds described herein (e.g., compounds of structural formula ( ⁇ ), (I) and (II)), derivatives thereof, or conjugates thereof, (and/or solvates, hydrates and/or salts thereof) and a carrier (a pharmaceutically acceptable carrier).
- the present invention also includes a composition (e.g., a pharmaceutical composition) comprising novel cytotoxic compounds described herein (e.g., compounds of structural formula ( ⁇ ), (I) and (II)), derivatives thereof, or conjugates thereof, (and/or solvates, hydrates and/or salts thereof) and a carrier (a pharmaceutically acceptable carrier), further comprising a second therapeutic agent.
- the present compositions are useful for inhibiting abnormal cell growth or treating a proliferative disorder in a mammal (e.g., human).
- the present compositions are also useful for treating depression, anxiety, stress, phobias, panic, dysphoria, psychiatric disorders, pain, and inflammatory diseases in a mammal (e.g., human).
- the present invention includes a composition or a
- composition comprising the conjugates described herein (e.g., conjugates of structural formula ( ⁇ ), (III) or (IV), wherein the average molar ratio of the cytotoxic agent to the cell-binding agent of the conjugates in the composition is about 1 to about 10, about 2 to about 7, about 3 to about 5, about 2.5 to about 4.5 (e.g., about 2.5, about 2.6, about 2.7, about 2.8, about 2.9, about 3.0, about 3.1 , about 3.3, about 3.4, about 3.5, about 3.6, about 3.7, about 3.8, about 3.9, about 4.0, about 4.1 , about 4.2, about 4.3, about
- the present invention also includes a method of inhibiting abnormal cell growth or treating a proliferative disorder in a mammal (e.g., human) comprising administering to said mammal a therapeutically effective amount of cytotoxic compounds described herein (e.g., compounds of structural formula ( ⁇ ), (I) and (II)), derivatives thereof, or conjugates thereof (e.g., conjugates of structural formula ( ⁇ ), (HI) or (IV)), (and/or solvates and salts thereof) or a composition thereof, alone or in combination with a second therapeutic agent.
- cytotoxic compounds described herein e.g., compounds of structural formula ( ⁇ ), (I) and (II)
- derivatives thereof e.g., conjugates of structural formula ( ⁇ ), (HI) or (IV)
- conjugates thereof e.g., conjugates of structural formula ( ⁇ ), (HI) or (IV)
- a composition thereof alone or in combination with a second therapeutic agent.
- the present invention also provides methods of treatment comprising
- the present invention provides a method for inducing cell death in selected cell populations comprising contacting target cells or tissue containing target cells with an effective amount of a cell-binding agent- cytotoxic compound conjugate of the present invention, a salt (e.g. , pharmaceutically acceptable salt) or solvate thereof.
- the target cells are cells to which the cell-binding agent can bind.
- other active agents such as other anti-tumor agents, may be administered along with the conjugate.
- Suitable pharmaceutically acceptable carriers, diluents, and excipients are well known and can be determined by those of ordinary skill in the art as the clinical situation warrants.
- suitable carriers, diluents and/or excipients include: (1) Dulbecco's phosphate buffered saline, pH about 7.4, containing or not containing about 1 mg/ml to 25 mg/ml human serum albumin, (2) 0.9% saline (0.9% w/v NaCl), and (3) 5% (w/v) dextrose; and may also contain an antioxidant such as tryptamine and a stabilizing agent such as Tween 20.
- the method for inducing cell death in selected cell populations can be practiced in vitro, in vivo, or ex vivo.
- Examples of in vitro uses include treatments of autologous bone marrow prior to their transplant into the same patient in order to kill diseased or malignant cells:
- GVHD graft-versus-host-disease
- Examples of clinical ex vivo use are to remove tumor cells or lymphoid cells from bone marrow prior to autologous transplantation in cancer treatment or in treatment of autoimmune disease, or to remove T cells and other lymphoid cells from autologous or allogenic bone marrow or tissue prior to transplant in order to prevent GVHD.
- Treatment can be carried out as follows. Bone marrow is harvested from the patient or other individual and then incubated in medium containing serum to which is added the cytotoxic agent of the invention, concentrations range from about 10 ⁇ to 1 pM, for about 30 minutes to about 48 hours at about 37°C. The exact conditions of concentration and time of incubation, i.e., the dose, are readily determined by one of ordinary skill in the art.
- the bone marrow cells After incubation the bone marrow cells are washed with medium containing serum and returned to the patient intravenously according to known methods. In circumstances where the patient receives other treatment such as a course of ablative chemotherapy or total-body irradiation between the time of harvest of the marrow and reinfusion of the treated cells, the treated marrow cells are stored frozen in liquid nitrogen using standard medical equipment.
- the cytotoxic conjugate of the invention will be supplied as a solution or a lyophilized powder that are tested for sterility and for endotoxin levels.
- suitable protocols of conjugate administration are as follows. Conjugates are given weekly for 4 weeks as an intravenous bolus each week. Bolus doses are given in 50 to 1000 ml of normal saline to which 5 to 10 ml of human serum albumin can be added. Dosages will be 10 ⁇ g to 2000 mg per administration, intravenously (range of 100 ng to 20 mg/kg per day). After four weeks of treatment, the patient can continue to receive treatment on a weekly basis. Specific clinical protocols with regard to route of administration, excipients, diluents, dosages, times, etc., can be determined by one of ordinary skill in the art as the clinical situation warrants.
- Examples of medical conditions that can be treated according to the in vivo or ex vivo methods of inducing cell death in selected cell populations include malignancy of any type including, for example, cancer of the lung (small cell and non-small cell), breast, colon, brain, prostate, kidney, pancreas, ovary, head and neck, skin (melanoma), Merkel cell carcinoma, glioblastoma, neuroblastoma, and cancers of lymphatic organs;
- autoimmune diseases such as systemic lupus, rheumatoid arthritis, and multiple sclerosis
- graft rejections such as renal transplant rejection, liver transplant rejection, lung transplant rejection, cardiac transplant rejection, and bone marrow transplant rejection
- graft versus host disease viral infections, such as CMV infection, HIV infection, AIDS, etc.
- parasite infections such as giardiasis, amoebiasis
- PDR Physician's Desk Reference
- the PDR discloses dosages of the agents that have been used in treatment of various cancers.
- the dosing regimen and dosages of these aforementioned chemotherapeutic drugs that are therapeutically effective will depend on the particular cancer being treated, the extent of the disease and other factors familiar to the physician of skill in the art and can be determined by the physician.
- the contents of the PDR are expressly incorporated herein in its entirety by reference.
- One of skill in the art can review the PDR, using one or more of the following parameters, to determine dosing regimen and dosages of the chemotherapeutic agents and conjugates that can be used in accordance with the teachings of this invention. These parameters include:
- cytotoxic compounds will readily understand that each of the cytotoxic compound described herein can be modified in such a manner that the resulting compound still retains the specificity and/or activity of the starting compound. The skilled artisan will also understand that many of these compounds can be used in place of the cytotoxic agents described herein. Thus, the cytotoxic agents of the present invention include analogues and derivatives of the compounds described herein.
- a thiol-containing cytotoxic agent e.g., D-SH
- a maleimide containing heterobifunctional linker e.g., AMAS, BMPS, GMBS, EMCS, SBSV, PEG favor- Mal
- DMA dimethylacetimide
- 50 mM succinate buffer pH 5 60:40 DMA:buffer by volume
- the mixture is then treated with mild oxidant (e.g., hydrogen peroxide, dimethyldioxirane) at 4 °C, which selectively converts thioether into sulfoxide and not the sulfone.
- the mixture is then added to an antibody solution buffered at pH about 6-9 in a 3-7 fold molar excess (based on linker concentration) and the reaction was allowed to proceed overnight to generate the sulfoxide linker conjugate.
- An antibody-cyto toxic agent conjugate comprising a thioether group (preferably a succinimidyl thioether group) is treated at pH 7.4 with 3-100 mole % of an oxidant (e.g., NalO/t, i-BuOCl, dioxiranes, calcium hypochlorite Ca(OCl) 2 , sodium chlorite NaC10 2 , HN03 and a AuCU " catalyst, 0 2 and eerie ammonium nitrate catalyst, acyl nitrites, sodium perborate, and organic peroxides ROOH and H 2 0 2 with a
- an oxidant e.g., NalO/t, i-BuOCl, dioxiranes, calcium hypochlorite Ca(OCl) 2 , sodium chlorite NaC10 2 , HN03 and a AuCU " catalyst, 0 2 and eerie ammonium nitrate catalyst, acyl nitrites, sodium perborate, and
- Conjugate oxidation is done at 4 °C for 1 -12 hours followed by immediate removal of excess oxidant using G25 desalting resin and/or dialysis.
- Conjugates made by method 1 or 2 can be assayed for extent of thioether oxidation to sulfoxide by kinetic trapping of the released sulfenic acid intermediate.
- An exemplary procedure for kinetic trapping is described below in Example 2.
- Solvent A water (0.025% formic acid)
- Solvent B acetonitrile (0.025% formic acid)
- Ionization method Electrospray; Nebulizer gas flow: 25 psi;
- Drying temperature 350 °C; Heating gas flow: 8.0 L/min;
- MS detection in alternating positive and negative ion modes or in MS 2 mode MS detection in alternating positive and negative ion modes or in MS 2 mode.
- chB38.1-SMCC-DMl (9 ⁇ in PBS, pH 7.4) was treated with 1 ⁇ hydrogen peroxide and 5 mole % bis(acetylacetonato)oxovanadium catalyst at 4 °C for 4 h.
- gel fitration of the conjugate into a G25 Sephadex (GE healthcare) column equilibrated in 10 mM sodium citrate pH 5.5 followed by dialysis (2 exchanges in a slide-a-lyzer cassette) was carried out.
- the oxidized conjugate was assayed for maytansine per antibody ratio (MAR), % monomer, and % unconjugated free maytansinoid and the sample was identical to the parent conjugate (3.7 MAR, 0.1% free maytansinoid, 95% monomer).
- MAR maytansine per antibody ratio
- A431 cells (for anti-EGFR-SMCC-DMl) grown in growth medium (DMEM (Invitrogen) containing 10% fetal bovine serum (ATCC), 2 mM L-glutamine (Invitrogen), and penicillin-streptomycin (Invitrogen) were detached with 0.25% tryspin-EDTA
- DMEM Invitrogen
- ATCC fetal bovine serum
- 2 mM L-glutamine Invitrogen
- penicillin-streptomycin Invitrogen
- Figure 1 shows that anti-EGFR antibody conjugate IgGl-sulfoxide-DMl conjugate 2 is ⁇ 2-fold more potent than the parent IgGl- SMCC-DM1 conjugate 1.
- Figure 2 shows that anti-EpCAM-SMCC-sulfoxide-DMl conjugate 2 is ⁇ 3-fold more potent than the parent anti-EpCAM-SMCC-DMl conjugate 1.
- Preincubation of PC9 cells with 1 ⁇ unconjugated anti-EpCAM antibody leads to significant reduction in cell killing activity for conjugates 1 and 2. Therefore, the data suggest that the additional activity observed for conjugate 2 is antigen-dependent.
- Conjugates made by method 1 or 2 were assayed for extent of thioether oxidation to sulfoxide by kinetic trapping of the released sulfenic acid intermediate.
- Sulfoxide linker conjugate 2 (36 ⁇ ) was incubated with 10 mM dimedone (12 h, 37 °C, PBS, pH 7.4). Free maytansinoid species were then acetone extracted and identified by LC-MS and quantified (by integrated area at 252 nm and comparison to a standard curve).
- Maytansinoid products were quantified by measuring integrated area under the curve at 252 nm and comparison to a calibration curve with known standards. Kinetic data shown in Figure 5A.
Landscapes
- Health & Medical Sciences (AREA)
- Chemical & Material Sciences (AREA)
- Organic Chemistry (AREA)
- Life Sciences & Earth Sciences (AREA)
- Public Health (AREA)
- Epidemiology (AREA)
- Animal Behavior & Ethology (AREA)
- General Health & Medical Sciences (AREA)
- Pharmacology & Pharmacy (AREA)
- Veterinary Medicine (AREA)
- Medicinal Chemistry (AREA)
- Engineering & Computer Science (AREA)
- Bioinformatics & Cheminformatics (AREA)
- Immunology (AREA)
- Cell Biology (AREA)
- Pharmaceuticals Containing Other Organic And Inorganic Compounds (AREA)
- Nitrogen And Oxygen Or Sulfur-Condensed Heterocyclic Ring Systems (AREA)
Abstract
The invention relates to novel maytansinoid compounds having sulfoxide linkers and more specifically to novel maytansinoid compounds of structural formula (I) and (II). The invention also provides conjugates of the maytansinoid compounds linked to a cell-binding agent. The invention further provides compositions and methods useful for inhibiting abnormal cell growth or treating a proliferative disorder in a mammal using the compounds or conjugates of the invention.
Description
NOVEL MAYTANSINOID DERIVATIVES WITH SULFOXIDE LINKER
FIELD OF THE INVENTION
[01] The present invention relates to novel cytotoxic compounds and cytotoxic conjugates comprising these cytotoxic compounds and cell-binding agents. More specifically, this invention relates to novel maytansinoid compounds, derivatives thereof, intermediates thereof, conjugates thereof, and pharmaceutically acceptable salts thereof, which are useful as medicaments, in particular as anti-proliferative agents.
BACKGROUND OF THE INVENTION
[02] Antibody-drug conjugates (ADC) are emerging as a powerful class of anti-tumor agents with efficacy across a range of cancers. ADCs are commonly composed of three distinct elements: a cell-binding agent; a linker; and a cytotoxic agent. The linker component of ADC is an important element in developing targeted anti-cancer agents that possess an optimal therapeutic window: high activity at a low, non-toxic dose.
[03] Therefore, there is a need for ADCs having new class of linker component.
SUMMARY OF THE INVENTION
[04] One embodiment of the present invention is directed to a compound represented by structural formula (Γ):
D is a cytotoxic agent;
X is S or Se;
R and R' are each independently selected from the group consisting of -H, an alkyl, a cycloalkyl, -ORa, and -NRbR°;
Ra, RD and Rc are each independently H or an alkyl;
p is 0, 1 or 2
Y" is a spacer;
M is a linking group that can react with a cell-binding agent to form a covalent bond.
[05] One embodiment of the present invention is directed to a compound represented by structural formula (I):
D is a cytotoxic agent;
X is S or Se;
R and R' are each independently selected from the group consisting of -H, an alkyl, a cycloalkyl, -ORa, and -NRbR°;
Ra, Rb and Rc are each independently H or an alkyl;
p is 0, 1 or 2
Y is an alkylene, a polyethylene glycol unit represented by -(CH2-CH2-0)„-Rd-, -Rd-E- or -Rd-W-Re-,
n is an integer from 1 to 24;
E is a cycloalkyl, a heterocyclyl, an aryl or a heteroaryl,
W is -C(=0)NH-, -NHC(=0)-, -(C=0)0- or -0(C=0)-,
Rd is absent or an alkyl;
Re is an alkyl;
M is a linking group that can react with a cell-binding agent to form a covalent bond.
[06] In another embodiment, the present invention is directed to a compound of structural formula (II):
wherein:
D is a cytotoxic agent;
X is S or Se;
Y* is -SO2-, aryl, pyridyl or -C(=0)-;
Z is an alkyl, a cycloalkyl, a heterocyclyl, an aryl, a heteroaryl, or -N(Rb')-Rd'-;
Rb' is H or a Ci-4 alkyl;
Rd' is a C 1-4 alkyl; and
M is a linking group that can react with a cell-binding agent to form a covalent bond.
[07] The present invention is also directed to conjugates comprising a cell-binding agent chemically linked to a compound of structural formula (Γ), (I) or (II). In one embodiment, the conjugate is represented by the following structural formula:
CBA represents a cell-binding agent;
D is a cytotoxic agent;
X is S or Se;
R and R' are each independently selected from the group consisting of -H, an alkyl, a cycloalkyl, -ORa, and -NRbR°;
Ra, Rb and Rc are each independently H or an alkyl;
p is 0, 1 or 2;
Y" is a spacer;
q is an integer from 1 to 20; and
M' is a linking moiety.
[08] In another embodiment, the conjugate is represented by the following structural formula:
CBA represents a cell-binding agent;
D is a cytotoxic agent;
X is S or Se;
R and R' are each independently selected from the group consisting of -H, an alkyl, a cycloalkyl, -ORa, and -NRbR°;
Ra, RD and Rc are each independently H or an alkyl;
p is 0, 1 or 2
Y is an alkylene, a polyethylene glycol unit represented by -(CH2-CH2-0)„-Rd-, -Rd-E- or -Rd-W-Re-,
n is an integer from 1 to 24;
E is a cycloalkyl, a heterocyclyl, an aryl or a heteroaryl,
W is -C(=0)NH-, -NHC(=0)-, -(C=0)0- or -0(C=0)-,
Rd is absent or an alkyl;
Re is an alkyl;
q is an integer from 1 to 20; and
M' is a linking moiety.
[09] In another embodiment, the conjugate is represented by the following structural formula:
wherein:
D is a cytotoxic agent;
X is S or Se;
Y' is -SO2-, aryl, pyridyl or -C(=0)-;
Z is an alkyl, a cycloalkyl, a heterocyclyl, an aryl, a heteroaryl, or
-N(Rb')-Rd'-;
Rb' is H or a Ci_4 alkyl;
Rd' is a C i_4 alkyl;
q is an integer from 1 to 20; and
M' is a linking moiety.
[10] The present invention is also directed to a pharmaceutical composition comprising the conjugates described herein and a pharmaceutically acceptable carrier.
[1 1 ] In another embodiment, the present invention is directed to a method of inhibiting abnormal cell growth or treating a proliferative disorder, an autoimmune disorder, a destructive bone disorder, an infectious disease, a viral disease, a fibrotic disease, a neurodegenerative disorder, a pancreatitis or kidney disease in a mammal comprising administering to the mammal a therapeutically effective amount of the conjugate described herein and optionally in combination with another chemotherapeutic agent.
[12] In another embodiment, the present invention is directed to a cytotoxic compound or a conjugate described herein for use in inhibiting abnormal cell growth or in treating a proliferative disorder, an autoimmune disorder, a destructive bone disorder, an infectious disease, a viral disease, a fibrotic disease, a neurodegenerative disorder, a pancreatitis or kidney disease in a mammal.
BRIEF DESCRIPTION OF THE FIGURES
Figure 1 shows in vitro cytotoxicity of IgGl-SMCC-sulfoxide-DMl conjugate (2a) having a sulfoxide linker as compared to IgGl-SMCC-DMl conjugate (la) having a thioether linker in squamous cell carcinoma cell line A431.
Figure 2 shows in vitro cytotoxicity of anti-EpCAM-SMCC-sulfoxide-DMl conjugate (2b) having a sulfoxide linker as compared to anti-EpCAM-SMCC-DMl conjugate (lb) having a thioether linker in lung carcinoma cell line PC9.
Figure 3 depicts a hypothetical scheme for explaining the observed higher antigen-specific activity of conjugate (2) as compared to conjugate (1).
Figure 4 shows HPLC and MS data indicating the formation of DMl-dimedone (DM1-NME) upon free maytansinoid release from the oxidized Ab-SMCC-DMl conjugate 2 after 12 h at 37 °C.
Figure 5 shows rate comparison of model thioether oxidation (A), model sulfoxide elimination (B) and free maytansinoid formation for Ab-PEG4-mal-DMx conjugate (C) for unhindered DM1 and hindered DM4 maytansinoid thioethers. Figure 5D shows a reaction scheme for oxidation promoted maytansinoid release from Ab- PEG4-mal-DMx.
DETAILED DESCRIPTION OF THE INVENTION
[13] Reference will now be made in detail to certain embodiments of the invention, examples of which are illustrated in the accompanying structures and formulas. While the invention will be described in conjunction with the enumerated embodiments, it will be understood that they are not intended to limit the invention to those embodiments. On the contrary, the invention is intended to cover all alternatives, modifications, and equivalents which may be included within the scope of the present invention as defined by the claims. One skilled in the art will recognize many methods and materials similar or equivalent to those described herein, which could be used in the practice of the present invention.
DEFINITIONS
[14] "Alkyl" as used herein refers to a saturated aliphatic linear or branched-chain monovalent hydrocarbon radical having one to twenty carbon atoms. Examples of alkyl
include, but are not limited to, methyl , ethyl, 1 -propyl, 2-propyl, 1 -butyl, 2-methyl-l - propyl, -CH2CH(CH3)2, 2-butyl, 2-methyl-2-propyl, 1-pentyl, 2-pentyl 3-pentyl, 2- methyl-2 -butyl, 3-methyl-2-butyl , 3-methyl-l -butyl, 2-methyl-l -butyl, 1-hexyl, 2-hexyl, 3-hexyl, 2-methyl-2-pentyl„ 3-methyl-2-pentyl, 4-methyl-2-pentyl, 3-methyl-3-pentyl„ 2- methyl-3-pentyl, 2,3-dimethyl-2-butyl„ 3,3-dimethyl-2-butyl, 1-heptyl, 1 -octyl, and the like. Preferably, the alkyl has one to ten carbon atoms, also referred to as "Ci_io alkyl". More preferably, the alkyl has one to six carbon atoms, also referred to as "Ci_6 alkyl". Even more preferably, the alkyl has one to four carbon atoms, also referred to as "Ci_4 alkyl".
[15] "Alkenyl" as used herein refers to aliphatic linear or branched-chain monovalent hydrocarbon radical of two to twenty carbon atoms with at least one site of unsaturation, i.e., a carbon-carbon, double bond, wherein the alkenyl radical includes radicals having "cis" and "trans" orientations, or alternatively, "E" and "Z" orientations. Examples include, but are not limited to, ethylenyl or vinyl (~CH=CH2), allyl (~CH2CH=CH2), and the like. Preferably, the alkenyl has two to ten carbon atoms, also referred to as "C2_io alkenyl". More preferably, the alkyl has two to four carbon atoms, also referred to as "C2-4 alkenyl".
[16] "Alkynyl" as used herein refers to aliphatic linear or branched-chain monovalent hydrocarbon radical of two to twenty carbon atoms with at least one carbon-carbon triple bond. Examples include, but are not limited to ethynyl, propynyl, 1-butynyl, 2-butynyl, 1-pentynyl, 2-pentynyl, 3-pentynyl, hexynyl, and the like. Preferably, the alkynyl has two to ten carbon atoms, also referred to as "C2-io alkynyl". More preferably, the alkynyl has two to four carbon atoms, also referred to as "C2-4 alkynyl".
[17] The term "alkylene" refers to a saturated aliphatic linear or branched-chain divalent hydrocarbon radical having one to twenty carbon atoms. Preferably, the alkylene has one to ten carbon atoms. More preferably, the alkylene has one to four carbon atoms.
[18] The term "carbocycle", "carbocyclyl" and "carbocyclic ring" refer to a monovalent non-aromatic, saturated or partially unsaturated ring having 3 to 12 carbon atoms as a monocyclic ring or 7 to 12 carbon atoms as a bicyclic ring. Bicyclic carbocycles having 7 to 12 atoms can be arranged, for example, as a bicyclo [4,5], [5,5],
[5,6] or [6,6] system, and bicyclic carbocycles having 9 or 10 ring atoms can be arranged as a bicyclo [5,6] or [6,6] system, or as bridged systems such as bicyclo[2.2.1]heptane, bicyclo[2.2.2]octane and bicyclo[3.2.2]nonane. Examples of monocyclic carbocycles include, but are not limited to, cyclopropyl, cyclobutyl, cyclopentyl, 1-cyclopent-I-enyl, l-cyclopent-2-enyl, l-cyclopent-3-enyl, cyclohexyl, 1-cyclohex-I-enyl, l-cyclohex-2- enyl, l-cyclohex-3-enyl, cyclohexadienyl, cycloheptyl, cyclooctyl, cyclononyl, cyclodecyl, cycloundecyl, cyclododecyl, and the like.
[19] The terms "cyclic alkyl" and "cycloalkyl" can be used interchangeably. They refer to a monovalent saturated carbocyclic ring radical. Preferably, the cycloalkyl is 3 to 7 membered monocyclic ring radical. More preferably, the cycloalkyl is cyclohexyl.
[20] "Aryl" as used herein means a monovalent monocyclic or polycyclic (e.g.
bicyclic or tricyclic) aromatic hydrocarbon radical of 6-18 carbon atoms derived by the removal of one hydrogen atom from a single carbon atom of a parent aromatic ring system. Some aryl groups are represented in the exemplary structures as "Ar". Aryl includes bicyclic radicals comprising an aromatic ring fused to a saturated, partially unsaturated ring, or aromatic carbocyclic or heterocyclic ring. Typical aryl groups include, but are not limited to, radicals derived from benzene (phenyl), substituted benzenes, naphthalene, anthracene, indenyl, indanyl, 1,2-dihydronapthalene, 1,2,3,4- tetrahydronapthyl, and the like. Preferably, aryl is phenyl group.
[21] The terms "heterocycle," "heterocyclyl" and "heterocyclic ring" are used interchangeably herein and refer to a saturated or a partially unsaturated (i.e., having one or more double and/or triple bonds within the ring) carbocyclic radical of 3 to 18 ring atoms in which at least one ring atom is a heteroatom selected from nitrogen, oxygen, phosphorus, and sulfur, the remaining ring atoms being C, where one or more ring atoms is optionally substituted independently with one or more substituents described below. A heterocycle may be a monocycle having 3 to 7 ring members (2 to 6 carbon atoms and 1 to 4 heteroatoms selected from N, O, P, and S) or a bicycle having 7 to 10 ring members (4 to 9 carbon atoms and 1 to 6 heteroatoms selected from N, O, P,_and S), for example: a bicyclo [4,5], [5,5], [5,6], or [6,6] system. Heterocycles are described in Paquette, Leo A.; "Principles of Modern Heterocyclic Chemistry" (W. A. Benjamin, New York, 1968), particularly Chapters 1, 3, 4, 6, 7, and 9; "The Chemistry of Heterocyclic Compounds, A
series of Monographs" (John Wiley & Sons, New York, 1950 to present), in particular Volumes 13, 14, 16, 19, and 28; and J. Am. Chem. Soc. (1960) 82:5566. "Heterocyclyl" also includes radicals where heterocycle radicals are fused with a saturated, partially unsaturated ring, or aromatic carbocyclic or heterocyclic ring. Examples of heterocyclic rings include, but are not limited to, pyrrolidinyl, tetrahydrofuranyl, dihydrofuranyl, tetrahydrothienyl, tetrahydropyranyl, dihydropyranyl, tetrahydrothiopyranyl, piperidino, morpholino, thiomorpholino, thioxanyl, piperazinyl, homopiperazinyl, azetidinyl, oxetanyl, thietanyl, homopiperidinyl, oxepanyl, thiepanyl, oxazepinyl, diazepinyl, thiazepinyl, 2-pyrrolinyl, 3-pyrrolinyl, indolinyl, 2H-pyranyl, 4H-pyranyl, dioxanyl, 1,3- dioxolanyl, pyrazolinyl, dithianyl, dithiolanyl, dihydropyranyl, dihydrothienyl, dihydrofuranyl, pyrazolidinylimidazolinyl, imidazolidinyl, 3-azabicyco[3.1.0]hexanyl, 3- azabicyclo[4.1.0]heptanyl, and azabicyclo[2.2.2]hexanyl. Spiro moieties are also included within the scope of this definition. Examples of a heterocyclic group wherein ring atoms are substituted with oxo (=0) moieties are pyrimidinonyl and 1 , 1 -dioxo- thiomorpholinyl.
[22] The term "heteroaryl" refers to a monovalent aromatic radical of 5- or 6- membered rings, and includes fused ring systems (at least one of which is aromatic) of 5- 18 atoms, containing one or more heteroatoms independently selected from nitrogen, oxygen, and sulfur. Examples of heteroaryl groups are pyridinyl (including, for example, 2-hydroxypyridinyl), imidazolyl, imidazopyridinyl, pyrimidinyl (including, for example, 4-hydroxypyrimidinyl), pyrazolyl, triazolyl, pyrazinyl, tetrazolyl, furyl, thienyl, isoxazolyl, thiazolyl, oxazolyl, isothiazolyl, pyrrolyl, quinolinyl, isoquinolinyl, indolyl, benzimidazolyl, benzofuranyl, cinnolinyl, indazolyl, indolizinyl, phthalazinyl, pyridazinyl, triazinyl, isoindolyl, pteridinyl, purinyl, oxadiazolyl, triazolyl, thiadiazolyl, furazanyl, benzofurazanyl, benzothiophenyl, benzothiazolyl, benzoxazolyl, quinazolinyl, quinoxalinyl, naphthyridinyl, and furopyridinyl.
[23] The heterocycle or heteroaryl groups may be carbon (carbon-linked) or nitrogen (nitrogen-linked) attached where such is possible. By way of example and not limitation, carbon bonded heterocycles or heteroaryls are bonded at position 2, 3, 4, 5, or 6 of a pyridine, position 3, 4, 5, or 6 of a pyridazine, position 2, 4, 5, or 6 of a pyrimidine, position 2, 3, 5, or 6 of a pyrazine, position 2, 3, 4, or 5 of a furan, tetrahydrofuran,
thiofuran, thiophene, pyrrole or tetrahydropyrrole, position 2, 4, or 5 of an oxazole, imidazole or thiazole, position 3, 4, or 5 of an isoxazole, pyrazole, or isothiazole, position 2 or 3 of an aziridine, position 2, 3, or 4 of an azetidine, position 2, 3, 4, 5, 6, 7, or 8 of a quinoline or position 1, 3, 4, 5, 6, 7, or 8 of an isoquinoline.
[24] By way of example and not limitation, nitrogen bonded heterocycles or heteroaryls are bonded at position 1 of an aziridine, azetidine, pyrrole, pyrrolidine, 2- pyrroline, 3-pyrroline, imidazole, imidazolidine, 2-imidazoline, 3 -imidazoline, pyrazole, pyrazoline, 2-pyrazoline, 3-pyrazoline, piperidine, piperazine, indole, indoline, 1H- indazole, position 2 of a isoindole, or isoindoline, position 4 of a morpholine, and position 9 of a carbazole, or O-carboline.
[25] The heteroatoms present in heteroaryl or heterocyclcyl can include the oxidized forms such as NO, SO, and S02.
[26] The term "halo" or "halogen" refers to F, CI, Br or I.
[27] The alkyl, alkenyl, cycloalkyl, carbocyclyl, aryl, heterocyclyl and heteroaryl described above can be optionally substituted with one more (e.g., 2, 3, 4, 5, 6 or more) suitable substituents. In one embodiment, the alkyl, alkenyl, cycloalkyl, carbocyclyl, aryl, heterocyclyl and heteroaryl described above is unsubstituted. In another
embodiment, the alkyl, alkenyl, cycloalkyl, carbocyclyl, aryl, heterocyclyl and heteroaryl described above are substituted with one more (e.g., 2, 3, 4, 5, 6 or more) suitable substituents.
[28] Such suitable substituents, in non-limiting examples, can be selected from an alkyl, alkenyl or alkynyl having from 1 to 10 carbon atoms, cycloalkyl, aryl, heteroaryl, heterocycyclyl, halogen, guanidinium [-NH(C=NH)NH2], -OR100, NR101R102, -N02, -NR101COR102, -SR100, a sulfoxide represented by -SOR101, a sulfone represented by -S02R101, a sulfonate -SO3M, a sulfate -OSO3M, a sulfonamide represented by
-SO2NR101R102, cyano, an azido, -COR101, -OCOR101 , -OCONR101R102 and a
polyethylene glycol unit (-OCH2CH2)nR101 wherein M is H or a cation (such as Na+ or K+); R100, R101, R102 and R103 are each independently selected from H, alkyl, alkenyl or alkynyl having from 1 to 10 carbon atoms, a polyethylene glycol unit (-OCH2CH2)n-R104, wherein n is an integer from 1 to 24, an aryl having from 6 to 10 carbon atoms, a heterocyclic ring having from 3 to 10 carbon atoms and a heteroaryl having 5 to 10
carbon atoms; and R104 is H or a linear or branched alkyl having 1 to 4 carbon atoms, wherein the alkyl, alkenyl, alkynyl, aryl, heteroaryl and heterocyclcyl in the groups represented by R100, R101, R102, R103 and R104 are optionally substituted with one or more (e.g., 2, 3, 4, 5, 6 or more) substituents independently selected from halogen, -OH, CN, N02 and unsubstituted linear or branched alkyl having 1 to 4 carbon atoms. Preferably, the substituents for the optionally substituted alkyl, alkenyl, alkynyl, cyclic alkyl, cyclic alkenyl, cyclic alkynyl, carbocyclyl, aryl, heterocyclyl and heteroaryl described above include halogen, CN, NR102R103, CF3, OR101, aryl, heteroaryl, heterocycycl, SR101, SOR101, S02R101 and -S03M. Preferably, the suitable substituent is selected from the group consisting of -halogen, -OH, -N02, -CN, Ci_4 alkyl, -OR100, NR101R102,
-NR101COR102, -SR100, -S02R101, -SO2NR101R102, -COR101, -OCOR101 and
-OCONR101R102 wherein R100, R101, and R102 are each independently -H or Ci_4 alkyl.
[29] The term "compound" and "cytotoxic compound" are used interchangeably. They are intended to include compounds for which a structure or formula or any derivative thereof has been disclosed in the present invention or a structure or formula or any derivative thereof that has been incorporated by reference. The term also includes, stereoisomers, geometric isomers, tautomers, solvates, metabolites, salts (e.g., pharmaceutically acceptable salts) and prodrugs, and prodrug salts of a compound of all the formulae disclosed in the present invention. The term also includes any solvates, hydrates, and polymorphs of any of the foregoing. The specific recitation of
"stereoisomers", "geometric isomers", "tautomers", "solvates", "metabolites", "salt" "prodrug," "prodrug salt," "conjugates," "conjugates salt," "solvate," "hydrate," or "polymorph" in certain aspects of the invention described in this application shall not be interpreted as an intended omission of these forms in other aspects of the invention where the term "compound" is used without recitation of these other forms.
[30] The term "conjugate" as used herein refers to a compound described herein or a derivative thereof that is linked to a cell binding agent.
[31 ] The term "linkable to a cell binding agent" as used herein refers to the compounds described herein or derivates thereof comprising at least one linking group or a precursor thereof suitable to bond these compounds or derivatives thereof to a cell binding agent.
[32] The term "precursor" of a given group refers to any group which may lead to that group by any deprotection, a chemical modification, or a coupling reaction.
[33] The term "linked to a cell binding agent" refers to a conjugate molecule comprising at least one of the compounds described herein (e.g., compounds of formula (I) or (II)), or derivative thereof bound to a cell binding agent via a suitable linking group or a precursor thereof.
[34] The term "chiral" refers to molecules which have the property of non- superimposability of the mirror image partner, while the term "achiral" refers to molecules which are superimposable on their mirror image partner.
[35] The term "stereoisomer" refers to compounds which have identical chemical constitution and connectivity, but different orientations of their atoms in space that cannot be interconverted by rotation about single bonds.
[36] "Diastereomer" refers to a stereoisomer with two or more centers of chirality and whose molecules are not mirror images of one another. Diastereomers have different physical properties, e.g. melting points, boiling points, spectral properties, and reactivities. Mixtures of diastereomers may separate under high resolution analytical procedures such as crystallization, electrophoresis and chromatography.
[37] "Enantiomers" refer to two stereoisomers of a compound which are non- superimposable mirror images of one another.
[38] Stereochemical definitions and conventions used herein generally follow S. P. Parker, Ed., McGraw-Hill Dictionary of Chemical Terms (1984) McGraw-Hill Book Company, New York; and Eliel, E. and Wilen, S., "Stereochemistry of Organic
Compounds", John Wiley & Sons, Inc., New York, 1994. The compounds of the invention may contain asymmetric or chiral centers, and therefore exist in different stereoisomenc forms. It is intended that all stereoisomenc forms of the compounds of the invention, including but not limited to, diastereomers, enantiomers and atropisomers, as well as mixtures thereof such as racemic mixtures, form part of the present invention. Many organic compounds exist in optically active forms, i.e., they have the ability to rotate the plane of plane-polarized light. In describing an optically active compound, the prefixes D and L, or R and S, are used to denote the absolute configuration of the molecule about its chiral center(s). The prefixes d and I or (+) and (-) are employed to
designate the sign of rotation of plane -polarized light by the compound, with (-) or 1 meaning that the compound is levorotatory. A compound prefixed with (+) or d is dextrorotatory. For a given chemical structure, these stereoisomers are identical except that they are mirror images of one another. A specific stereoisomer may also be referred to as an enantiomer, and a mixture of such isomers is often called an enantiomeric mixture. A 50:50 mixture of enantiomers is referred to as a racemic mixture or a racemate, which may occur where there has been no stereoselection or stereospecificity in a chemical reaction or process. The terms "racemic mixture" and "racemate" refer to an equimolar mixture of two enantiomeric species, devoid of optical activity.
[39] The term "tautomer" or "tautomeric form" refers to structural isomers of different energies which are interconvertible via a low energy barrier. For example, proton tautomers (also known as prototropic tautomers) include interconversions via migration of a proton, such as keto-enol and imine-enamine isomerizations. Valence tautomers include interconversions by reorganization of some of the bonding electrons.
[40] The term "prodrug" as used in this application refers to a precursor or derivative form of a compound of the invention that is capable of being enzymatically or hydrolytically activated or converted into the more active parent form. See, e.g., Wilman, "Prodrugs in Cancer Chemotherapy" Biochemical Society Transactions, 14, pp. 375-382, 615th Meeting Belfast (1986) and Stella et al., "Prodrugs: A Chemical Approach to Targeted Drug Delivery," Directed Drug Delivery, Borchardt et al., (ed.), pp. 247-267, Humana Press (1985). The prodrugs of this invention include, but are not limited to, ester-containing prodrugs, phosphate-containing prodrugs, thiophosphate-containing prodrugs, sulfate-containing prodrugs, peptide-containing prodrugs, D-amino acid- modified prodrugs, glycosylated prodrugs, .beta.-lactam-containing prodrugs, optionally substituted phenoxyacetamide-containing prodrugs, optionally substituted
phenylacetamide-containing prodrugs, 5-fluorocytosine and other 5-fluorouridine prodrugs which can be converted into the more active cytotoxic free drug. Examples of cytotoxic drugs that can be derivatized into a prodrug form for use in this invention include, but are not limited to, compounds of the invention and chemotherapeutic agents such as described above.
[41] The term "prodrug" is also meant to include a derivative of a compound that can hydrolyze, oxidize, or otherwise react under biological conditions (in vitro or in vivo) to provide a compound of this invention. Prodrugs may only become active upon such reaction under biological conditions, or they may have activity in their unreacted forms. Examples of prodrugs contemplated in this invention include, but are not limited to, analogs or derivatives of compounds of any one of the formulae disclosed herein that comprise biohydrolyzable moieties such as biohydrolyzable amides, biohydrolyzable esters, biohydrolyzable carbamates, biohydrolyzable carbonates, biohydrolyzable ureides, and biohydrolyzable phosphate analogues. Other examples of prodrugs include derivatives of compounds of any one of the formulae disclosed herein that comprise ~ NO, --NO2, --ONO, or -ONO2 moieties. Prodrugs can typically be prepared using well- known methods, such as those described by Burger's Medicinal Chemistry and Drug Discovery (1995) 172-178, 949-982 (Manfred E. Wolff ed., 5th ed); see also Goodman and Gilman's, The Pharmacological basis of Therapeutics, 8th ed., McGraw-Hill, Int. Ed. 1992, "Biotransformation of Drugs".
[42] As used herein and unless otherwise indicated, the terms "biohydrolyzable amide", "biohydrolyzable ester", "biohydrolyzable carbamate", "biohydrolyzable carbonate", "biohydrolyzable ureide" and "biohydrolyzable phosphate analogue" mean an amide, ester, carbamate, carbonate, ureide, or phosphate analogue, respectively, that either: 1) does not destroy the biological activity of the compound and confers upon that compound advantageous properties in vivo, such as uptake, duration of action, or onset of action; or 2) is itself biologically inactive but is converted in vivo to a biologically active compound. Examples of biohydrolyzable amides include, but are not limited to, lower alkyl amides, .alpha.-amino acid amides, alkoxyacyl amides, and alkylaminoalkylcarbonyl amides. Examples of biohydrolyzable esters include, but are not limited to, lower alkyl esters, alkoxyacyloxy esters, alkyl acylamino alkyl esters, and choline esters. Examples of biohydrolyzable carbamates include, but are not limited to, lower alkylamines, substituted ethylenediamines, amino acids, hydroxy alkyl amines, heterocyclic and heteroaromatic amines, and polyether amines. Particularly favored prodrugs and prodrug salts are those that increase the bioavailability of the compounds of this invention when such compounds are administered to a mammal.
[43] The phrase "pharmaceutically acceptable salt" as used herein, refers to pharmaceutically acceptable organic or inorganic salts of a compound of the invention. Exemplary salts include, but are not limited, to sulfate, citrate, acetate, oxalate, chloride, bromide, iodide, nitrate, bisulfate, phosphate, acid phosphate, isonicotinate, lactate, salicylate, acid citrate, tartrate, oleate, tannate, pantothenate, bitartrate, ascorbate, succinate, maleate, gentisinate, fumarate, gluconate, glucuronate, saccharate, formate, benzoate, glutamate, methanesulfonate "mesylate", ethanesulfonate, benzenesulfonate, p- toluenesulfonate, pamoate (i.e., 1 , l'-methylene-bis-(2 -hydro xy-3-naphthoate)) salts, alkali metal (e.g., sodium and potassium) salts, alkaline earth metal (e.g., magnesium) salts, and ammonium salts. A pharmaceutically acceptable salt may involve the inclusion of another molecule such as an acetate ion, a succinate ion or other counter ion. The counter ion may be any organic or inorganic moiety that stabilizes the charge on the parent compound. Furthermore, a pharmaceutically acceptable salt may have more than one charged atom in its structure. Instances where multiple charged atoms are part of the pharmaceutically acceptable salt can have multiple counter ions. Hence, a
pharmaceutically acceptable salt can have one or more charged atoms and/ or one or more counter ion.
[44] If the compound of the invention is a base, the desired pharmaceutically acceptable salt may be prepared by any suitable method available in the art, for example, treatment of the free base with an inorganic acid, such as hydrochloric acid, hydrobromic acid, sulfuric acid, nitric acid, methanesulfonic acid, phosphoric acid and the like, or with an organic acid, such as acetic acid, maleic acid, succinic acid, mandelic acid, fumaric acid, malonic acid, pyruvic acid, oxalic acid, glycolic acid, salicylic acid, a pyranosidyl acid, such as glucuronic acid or galacturonic acid, an alpha hydroxy acid, such as citric acid or tartaric acid, an amino acid, such as aspartic acid or glutamic acid, an aromatic acid, such as benzoic acid or cinnamic acid, a sulfonic acid, such as p-toluenesulfonic acid or ethanesulfonic acid, or the like.
[45] If the compound of the invention is an acid, the desired pharmaceutically acceptable salt may be prepared by any suitable method, for example, treatment of the free acid with an inorganic or organic base, such as an amine (primary, secondary or tertiary), an alkali metal hydroxide or alkaline earth metal hydroxide, or the like.
Illustrative examples of suitable salts include, but are not limited to, organic salts derived from amino acids, such as glycine and arginine, ammonia, primary, secondary, and tertiary amines, and cyclic amines, such as piperidine, morpholine and piperazine, and inorganic salts derived from sodium, calcium, potassium, magnesium, manganese, iron, copper, zinc, aluminum and lithium.
[46] As used herein, the term "solvate" means a compound which further includes a stoichiometric or non-stoichiometric amount of solvent such as water, isopropanol, acetone, ethanol, methanol, DMSO, ethyl acetate, acetic acid, and ethanolamine dichloromethane, 2-propanol, or the like, bound by non-covalent intermolecular forces. Solvates or hydrates of the compounds are readily prepared by addition of at least one molar equivalent of a hydro xylic solvent such as methanol, ethanol, 1-propanol, 2- propanol or water to the compound to result in solvation or hydration of the imine moiety.
[47] The term "cytotoxic agent" as used herein refers to any compound that results in the death of a cell, induces cell death, or decreases cell viability. Suitable cytotoxic agents include, for example, maytansinoids and maytansinoid analogs, taxoids, CC-1065 and CC-1065 analogs, and dolastatin and dolastatin analogs. In a preferred embodiment of the invention, the cytotoxic agent is a maytansinoid, including maytansinol, maytansinol analogs, ansamitocin and ansamitocin analogs. Maytansinoids are compounds that inhibit microtubule formation and are highly toxic to mammalian cells. Examples of suitable maytansinol analogues include those having a modified aromatic ring and those having modifications at other positions. Such maytansinoids are described in, for example, U.S. Patents 4,256,746, 4,294,757, 4,307,016, 4,313,946, 4,315,929, 4,322,348, 4,331 ,598, 4,361,650, 4,362,663, 4,364,866, 4,424,219, 4,371,533, 4,450,254, 5,475,092, 5,585,499, 5,846,545, and 6,333,410.
[48] Examples of maytansinol analogs having a modified aromatic ring include:
(1) C-19-dechloro (U.S. Patent 4,256,746) (prepared by LAH reduction of ansamytocin P2), (2) C-20-hydroxy (or C-20-demethyl) +/-C-19-dechloro (U.S. Patents 4,361 ,650 and 4,307,016) (prepared by demethylation using Streptomyces or Actinomyces or dechlorination using LAH), and (3) C-20-demethoxy, C-20-acyloxy (-OCOR), +/- dechloro (U.S. Patent 4,294,757) (prepared by acylation using acyl chlorides).
[49] Examples of maytansinol analogs having modifications of positions other than an aromatic ring include: (1) C-9-SH (U.S. Patent 4,424,219) (prepared by the reaction of maytansinol with H2S or P2S5), (2) C- 14-alkoxymethyl (demethoxy/CH2OR) (U.S. Patent 4,331,598), (3) C-14-hydroxymethyl or acyloxymethyl (CH2OH or CH2OAc) (U.S.
Patent 4,450,254) (prepared from Nocardia), (4) C-15-hydroxy/acyloxy (U.S. Patent 4,364,866) (prepared by the conversion of maytansinol by Streptomyces), (5) C-15- methoxy (U.S. Patents 4,313,946 and 4,315,929) (isolated from Trewia nudiflora), (6) C- 18-N-demethyl (U.S. Patents 4,362,663 and 4,322,348) (prepared by the demethylation of maytansinol by Streptomyces), and (7) 4,5-deoxy (U.S. Patent 4,371 ,533) (prepared by the titanium trichloride/LAH reduction of maytansinol).
[50] The terms "abnormal cell growth" and "proliferative disorder" are used interchangeably in this application. "Abnormal cell growth", as used herein, unless otherwise indicated, refers to cell growth that is independent of normal regulatory mechanisms (e.g., loss of contact inhibition). This includes, for example, the abnormal growth of: (1) tumor cells (tumors) that proliferate by expressing a mutated tyrosine kinase or overexpression of a receptor tyrosine kinase; (2) benign and malignant cells of other proliferative diseases in which aberrant tyrosine kinase activation occurs; (3) any tumors that proliferate by receptor tyrosine kinases; (4) any tumors that proliferate by aberrant serine/threonine kinase activation; and (5) benign and malignant cells of other proliferative diseases in which aberrant serine/threonine kinase activation occurs.
[51] The terms "cancer" and "cancerous" refer to or describe the physiological condition in mammals that is typically characterized by unregulated cell growth. A "tumor" comprises one or more cancerous cells. Examples of cancer include, but are not limited to, carcinoma, lymphoma, blastoma, sarcoma, and leukemia or lymphoid malignancies. More particular examples of such cancers include squamous cell cancer (e.g., epithelial squamous cell cancer), lung cancer including small-cell lung cancer, non- small cell lung cancer ("NSCLC"), adenocarcinoma of the lung and squamous carcinoma of the lung, cancer of the peritoneum, hepatocellular cancer, gastric or stomach cancer including gastrointestinal cancer, pancreatic cancer, glioblastoma, cervical cancer, ovarian cancer, liver cancer, bladder cancer, hepatoma, breast cancer, colon cancer, rectal cancer, colorectal cancer, endometrial or uterine carcinoma, salivary gland carcinoma,
kidney or renal cancer, prostate cancer, vulval cancer, thyroid cancer, hepatic carcinoma, anal carcinoma, penile carcinoma, acute leukemia, as well as head/brain and neck cancer.
[52] A "therapeutic agent" encompasses both a biological agent such as an antibody, a peptide, a protein, an enzyme or a chemotherapeutic agent.
[53] A "chemotherapeutic agent" is a chemical compound useful in the treatment of cancer. Examples of chemotherapeutic agents include Erlotinib (TARCEVA®,
Genentech/OSI Pharm.), Bortezomib (VELCADE®, Millennium Pharm.), Fulvestrant (FASLODEX®, AstraZeneca), Sutent (SU11248, Pfizer), Letrozole (FEMARA®, Novartis), Imatinib mesylate (GLEEVEC®, Novartis), PTK787/ZK 222584 ( ovartis), Oxaliplatin (Eloxatin®, Sanofi), 5-FU (5-fluorouracil), Leucovorin, Rapamycin
(Sirolimus, RAPAMU E®, Wyeth), Lapatinib (TYKERB®, GSK572016, Glaxo Smith Kline), Lonafarnib (SCH 66336), Sorafenib (BAY43-9006, Bayer Labs), and Gefitinib (IRESSA®, AstraZeneca), AG 1478, AG 1571 (SU 5271; Sugen), alkylating agents such as thiotepa and CYTOXAN® cyclosphosphamide; alkyl sulfonates such as busulfan, improsulfan and piposulfan; aziridines such as benzodopa, carboquone, meturedopa, and uredopa; ethylenimines and methylamelamines including altretamine,
triethylenemelamine, triethylenephosphoramide, triethylenethiophosphoramide and trimethylomelamine; acetogenins (especially bullatacin and bullatacinone); a
camptothecin (including the synthetic analog topotecan); bryostatin; callystatin; CC-1065 (including its adozelesin, carzelesin and bizelesin synthetic analogs); cryptophycins (particularly cryptophycin 1 and cryptophycin 8); dolastatin; duocarmycin (including the synthetic analogs, KW-2189 and CB1-TM1); eleutherobin; pancratistatin; a sarcodictyin; spongistatin; nitrogen mustards such as chlorambucil, chlornaphazine,
chlorophosphamide, estramustine, ifosfamide, mechlorethamine, mechlorethamine oxide hydrochloride, melphalan, novembichin, phenesterine, prednimustine, trofosfamide, uracil mustard; nitrosureas such as carmustine, chlorozotocin, fotemustine, lomustine, nimustine, and ranimnustine; antibiotics such as the enediyne antibiotics (e.g., calicheamicin, especially calicheamicin gammall and calicheamicin omegall (Angew Chem. Intl. Ed. Engl. (1994) 33: 183-186); dynemicin, including dynemicin A;
bisphosphonates, such as clodronate; an esperamicin; as well as neocarzino statin chromophore and related chromoprotein enediyne antibiotic chromophores),
aclacinomysins, actinomycin, authramycin, azaserine, bleomycins, cactinomycin, carabicin, caminomycin, carzinophilin, chromomycinis, dactinomycin, daunorubicin, detorubicin, 6-diazo-5-oxo-L-norleucine, ADRIAMYCIN® (doxorabicin), morpholino- doxorubicin, cyanomorpholino-doxorabicin, 2-pyrrolino-doxorabicin and
deoxydoxorabicin), epirubicin, esorabicin, idarabicin, marcellomycin, mitomycins such as mitomycin C, mycophenolic acid, nogalamycin, olivomycins, peplomycin,
porfiromycin, puromycin, quelamycin, rodorabicin, streptonigrin, streptozocin, tubercidin, ubenimex, zinostatin, zorabicin; anti-metabolites such as methotrexate and 5- fluorouracil (5-FU); folic acid analogs such as denopterin, methotrexate, pteropterin, trimetrexate; purine analogs such as fludarabine, 6-mercaptopurine, thiamniprine, thioguanine; pyrimidine analogs such as ancitabine, azacitidine, 6-azauridine, carmofur, cytarabine, dideoxyuridine, doxifluridine, enocitabine, floxuridine; androgens such as calusterone, dromostanolone propionate, epitiostanol, mepitiostane, testolactone; anti- adrenals such as aminoglutethimide, mitotane, trilostane; folic acid replenisher such as frolinic acid; aceglatone; aldophosphamide glycoside; aminolevulinic acid; eniluracil; amsacrine; bestrabucil; bisantrene; edatraxate; defofamine; demecolcine; diaziquone; elformithine; elliptinium acetate; an epothilone; etoglucid; gallium nitrate; hydroxyurea; lentinan; lonidainine; maytansinoids such as maytansine and ansamitocins; mitoguazone; mitoxantrone; mopidanmol; nitraerine; pentostatin; phenamet; pirarubicin; losoxantrone; podophyllinic acid; 2-ethylhydrazide; procarbazine; PSK® polysaccharide complex (JHS Natural Products, Eugene, Oreg.); razoxane; rhizoxin; sizofuran; spirogermanium;
tenuazonic acid; triaziquone; 2,2',2"-trichlorotriethylamine; trichothecenes (especially T- 2 toxin, verracurin A, roridin A and anguidine); urethan; vindesine; dacarbazine;
mannomustine; mitobronitol; mitolactol; pipobroman; gacytosine; arabinoside ("Ara-C"); cyclophosphamide; thiotepa; taxoids, e.g., TAXOL® (paclitaxel; Bristol-Myers Squibb Oncology, Princeton, N.J.), ABRAXANE® (Cremophor-free), albumin-engineered nanoparticle formulations of paclitaxel (American Pharmaceutical Partners, Schaumberg, 111.), and TAXOTERE® (doxetaxel; Rhone-Poulenc Rorer, Antony, France);
chloranmbucil; GEMZAR® (gemcitabine); 6-thioguanine; mercaptopurine; methotrexate; platinum analogs such as cisplatin and carboplatin; vinblastine; etoposide (VP- 16);
ifosfamide; mitoxantrone; vincristine; NAVELBINE® (vinorelbine); novantrone;
teniposide; edatrexate; daunomycin; aminopterin; capecitabine (XELODA®);
ibandronate; CPT-11; topoisomerase inhibitor RFS 2000; difluoromethylornithine (DMFO); retinoids such as retinoic acid; and pharmaceutically acceptable salts, acids and derivatives of any of the above.
[54] Also included in the definition of "chemotherapeutic agent" are: (i) anti- hormonal agents that act to regulate or inhibit hormone action on tumors such as anti- estrogens and selective estrogen receptor modulators (SERMs), including, for example, tamoxifen (including NOLVADEX®; tamoxifen citrate), raloxifene, droloxifene, 4- hydroxytamoxifen, trioxifene, keoxifene, LY117018, onapristone, and FARESTON® (toremifine citrate); (ii) aromatase inhibitors that inhibit the enzyme aromatase, which regulates estrogen production in the adrenal glands, such as, for example, 4(5)- imidazoles, aminoglutethimide, MEGASE® (megestrol acetate), AROMASIN®
(exemestane; Pfizer), formestanie, fadrozole, RIVISOR® (vorozole), FEMARA® (letrozole; Novartis), and ARIMIDEX® (anastrozole; AstraZeneca); (iii) anti-androgens such as flutamide, nilutamide, bicalutamide, leuprolide, and goserelin; as well as troxacitabine (a 1,3-dioxolane nucleoside cytosine analog); (iv) protein kinase inhibitors; (v) lipid kinase inhibitors; (vi) antisense oligonucleotides, particularly those which inhibit expression of genes in signaling pathways implicated in aberrant cell proliferation, such as, for example, PKC-alpha, Ralf and H-Ras; (vii) ribozymes such as VEGF expression inhibitors (e.g., ANGIOZYME®) and HER2 expression inhibitors; (viii) vaccines such as gene therapy vaccines, for example, ALLOVECTIN®, LEUVECTIN®., and VAXID®.; PROLEUKIN® rIL-2; a topoisomerase 1 inhibitor such as LURTOTECAN®;
ABARELIX® rmRH; (ix) anti-angiogenic agents such as bevacizumab (AVASTIN®, Genentech); and (x) pharmaceutically acceptable salts, acids and derivatives of any of the above. Other anti-angiogenic agents include MMP-2 (matrix-metalloproteinase 2) inhibitors, MMP-9 (matrix-metalloproteinase 9) inhibitors, COX-II (cyclooxygenase II) inhibitors, and VEGF receptor tyrosine kinase inhibitors. Examples of such useful matrix metalloproteinase inhibitors that can be used in combination with the present
compounds/compositions are described in WO 96/33172, WO 96/27583, EP 818442, EP 1004578, WO 98/07697, WO 98/03516, WO 98/34918, WO 98/34915, WO 98/33768, WO 98/30566, EP 606,046, EP 931 ,788, WO 90/05719, WO 99/52910, WO 99/52889,
WO 99/29667, WO 99/07675, EP 945864, U.S. Pat. No. 5,863,949, U.S. Pat. No.
5,861,510, and EP 780,386, all of which are incorporated herein in their entireties by reference. Examples of VEGF receptor tyrosine kinase inhibitors include 4-(4-bromo-2- fluoroanilino)-6-methoxy-7-(l-methylpiperidin-4-ylmethoxy)qu- inazoline (ZD6474; Example 2 within WO 01/32651), 4-(4-fluoro-2-methylindol-5-yloxy)-6-methoxy-7-(3- pyrrolidin-l-ylpropoxy)- -quinazoline (AZD2171; Example 240 within WO 00/47212), vatalanib (PTK787; WO 98/35985) and SU11248 (sunitinib; WO 01/60814), and compounds such as those disclosed in PCT Publication Nos. WO 97/22596, WO
97/30035, WO 97/32856, and WO 98/13354).
[55] Other examples of chemotherapeutic agents that can be used in combination with the present compounds include inhibitors of PI3K (phosphoinositide-3 kinase), such as those reported in Yaguchi et al (2006) Jour, of the Nat. Cancer Inst. 98(8):545-556; U.S. Pat. No. 7,173,029; U.S. Pat. No. 7,037,915; U.S. Pat. No. 6,608,056; U.S. Pat. No. 6,608,053; U.S. Pat. No. 6,838,457; U.S. Pat. No. 6,770,641; U.S. Pat. No. 6,653,320; U.S. Pat. No. 6,403,588; WO 2006/046031; WO 2006/046035; WO 2006/046040; WO 2007/042806; WO 2007/042810; WO 2004/017950; US 2004/092561; WO
2004/007491; WO 2004/006916; WO 2003/037886; US 2003/149074; WO
2003/035618; WO 2003/034997; US 2003/158212; EP 1417976; US 2004/053946; JP 2001247477; JP 08175990; JP 08176070; U.S. Pat. No. 6,703,414; and WO 97/15658, all of which are incorporated herein in their entireties by reference. Specific examples of such PI3K inhibitors include SF-1 126 (PI3K inhibitor, Semafore Pharmaceuticals), BEZ- 235 (PI3K inhibitor, Novartis), XL-147 (PI3K inhibitor, Exelixis, Inc.).
[56] A "metabolite" is a product produced through metabolism in the body of a specified compound, a derivative thereof, or a conjugate thereof, or salt thereof.
Metabolites of a compound, a derivative thereof, or a conjugate thereof, may be identified using routine techniques known in the art and their activities determined using tests such as those described herein. Such products may result for example from the oxidation, hydroxylation, reduction, hydrolysis, amidation, deamidation, esterification,
deesterification, enzymatic cleavage, and the like, of the administered compound.
Accordingly, the invention includes metabolites of compounds, a derivative thereof, or a conjugate thereof, of the invention, including compounds, a derivative thereof, or a
conjugate thereof, produced by a process comprising contacting a compound, a derivative thereof, or a conjugate thereof, of this invention with a mammal for a period of time sufficient to yield a metabolic product thereof.
[57] The phrase "pharmaceutically acceptable" indicates that the substance or composition must be compatible chemically and/or toxicologically, with the other ingredients comprising a formulation, and/or the mammal being treated therewith.
[58] The term "protecting group" or "protecting moiety" refers to a substituent that is commonly employed to block or protect a particular functionality while reacting other functional groups on the compound, a derivative thereof, or a conjugate thereof. For example, an "amine -protecting group" or an "amino-protecting moiety" is a substituent attached to an amino group that blocks or protects the amino functionality in the compound. Such groups are well known in the art (see for example P. Wuts and T.
Greene, 2007, Protective Groups in Organic Synthesis, Chapter 7, J. Wiley & Sons, NJ) and exemplified by carbamates such as methyl and ethyl carbamate, FMOC, , substituted ethyl carbamates, carbamates cleaved by l,6- -elimination (also termed "self
immolative"), ureas, amides, peptides, alkyl and aryl derivatives. Suitable amino- protecting groups include acetyl, trifluoroacetyl, t-butoxycarbonyl (BOC),
benzyloxycarbonyl (CBZ) and 9-fluorenylmethylenoxycarbonyl (Fmoc).
For a general description of protecting groups and their use, see P. G.M. Wuts & T. W. Greene, Protective Groups in Organic Synthesis, John Wiley & Sons, New York, 2007.
[59] The term "leaving group" refers to an group of charged or uncharged moiety that departs during a substitution or displacement. Such leaving groups are well known in the art and include, but not limited to, halogens, esters, alkoxy, hydroxyl, tosylates, inflates, mesylates, nitriles, azide, carbamate, disulfides, thioesters, thioethers and diazonium compounds.
[60] A "linking group" as defined herein refers to a functional group that can form a chemical bond with a cell-binding agent. Suitable chemical bonds are well known in the art and include disulfide bonds, thioether bonds, acid labile bonds, photolabile bonds, peptidase labile bonds and esterase labile bonds (see for example US Patents 5,208,020; 5,475,092; 6,441,163; 6,716,821; 6,913,748; 7,276,497; 7,276,499; 7,368,565; 7,388,026 and 7,414,073). Preferred are disulfide bonds, thioether and peptidase labile bonds.
In one embodiment, the linking group is selected from the group consisting of a maleimide, a haloacetamido, -SH, -SSRf, -CH2SH, -CH(Me)SH, -C(Me)2SH, -NHRg, -CH2NHRg, -NRgNH2, -COOH, a reactive ester, an amino acid, or a peptide having 2 to 10 amino acids, wherein R is selected from phenyl, nitrophenyl (e.g., 2 or 4-nitrophenyl), dinitrophenyl (e.g., 2 or 4-nitrophenyl), carboxynitrophenyl (e.g. , 3-carboxy-4- nitrophenyl), pyridyl or nitropyridyl (e.g., 4-nitropyridyl) and Rg is -H or a Ci_4 alkyl.
[61 ] The term "linking moiety" as used herein refers to the remaining chemical moiety of the linking group after the linking group is covalently linked to a cell-binding agent. For example, when the linking group N-hydroxysuccinimide ester is chemically linked with an amine group of the cell-binding agent, the corresponding linking moiety is -C(=0)-. In another example, when the linking group maleimide group is chemically
[62] The "reactive ester" as used herein refers to an ester group having a leaving group that is readily displaced by an amine or a hydroxyl group. Examples of a reactive ester, include, but are not limited to, N-hydroxysuccinimde ester, N-hydroxy
sulfosuccinimide ester, nitrophenyl (e.g., 2 or 4-nitrophenyl) ester, dinitrophenyl (e.g., 2,4-dinitrophenyl) ester, sulfo-tetraflurophenyl (e.g., 4-sulfo-2,3,5,6-tetrafluorophenyl) ester and pentafluorophenyl ester.
[63] As used herein, a "bifunctional crosslinking reagent" refers to a reagent that possesses two reactive groups; one of which is capable of reacting with a cell-binding agent while the other one reacts with the cytotoxic compound D-XH to link the two moieties together. Such bifunctional crosslinkers are well known in the art (see, for example, Isalm and Dent in Bioconjugation chapter 5, p218-363, Groves Dictionaries Inc. New York, 1999). For example, bifunctional crosslinking agents that enable linkage via a thioether bond include N-succinimidyl-4-(N-maleimidomethyl)-cyclohexane-l- carboxylate (SMCC) to introduce maleimido groups. Other bifunctional crosslinking agents that introduce maleimido groups on to a cell binding agent are well known in the art (see US Patent Applications 2008/0050310, 20050169933, available from Pierce Biotechnology Inc. P.O. Box 1 17, Rockland, IL 61 105, USA) and include, but not limited
to, N-succinimidyl 4-(maleimidomethyl)cyclohexanecarboxylate (SMCC), N- succinimidyl-4-( -maleimidomethyl)-cyclohexane- 1 -carboxy-(6-amidocaproate), which is a "long chain" analog of SMCC (LC-SMCC), N-(a-maleimidoacetoxy)-succinimide ester (AMAS), κ-maleimidoundecanoic acid N-succinimidyl ester (KMUA), Ν-(β- maleimidopropyloxy)succinimide ester (BMPS), γ-maleimidobutyric acid N- succinimidyl ester (GMBS), ε-maleimidocaproic acid -hydroxysuccinimide ester (EMCS), m-maleimidobenzoyl-N-hydroxysuccinimide ester (MBS), N-(a- maleimidoacetoxy)-succinimide ester (AMAS), succinimidyl-6-(P- maleimidopropionamido)hexanoate (SMPH), N-succinimidyl 4-(p-maleimidophenyl)- butyrate (SMPB), and N-(p-maleimidophenyl)isocyanate (PMPI). Cross-linking reagents comprising a haloacetyl-based moiety include N-succinimidyl-4-(iodoacetyl)- aminobenzoate (SIAB), N-succinimidyl iodoacetate (SIA), N-succinimidyl bromoacetate (SBA), and N-succinimidyl 3-(bromoacetamido)propionate (SBAP), succinimidyl-(4- vinylsulfonyl)benzoate (SBSV), bis-maleimidopolyethyleneglycol (BMPEO),
BM(PEO)2, BM(PEO)3, 5-maleimidovaleric acid NHS, HBVS, 4-(4-N- maleimidophenyl)-butyric acid hydrazide»HCl (MPBH), Succinimidyl-(4- vinylsulfonyl)benzoate (SVSB), dithiobis-maleimidoethane (DTME), 1 ,4-bis- maleimidobutane (BMB), 1,4 bismaleimidyl-2,3-dihydroxybutane (BMDB), bis- maleimidohexane (BMH), bis-maleimidoethane (BMOE), sulfosuccinimidyl 4-(N- maleimido-methyl)cyclohexane- 1 -carboxylate (sulfo-SMCC), sulfosuccinimidyl(4-iodo- acetyl)aminobenzoate (sulfo-SIAB), m-Maleimidobenzoyl-N-hydroxysulfosuccinimide ester (sulfo-MBS), N-(y-maleimidobutryloxy)sulfosuccinimde ester (sulfo-GMBS), Ν-(ε- maleimidocaproyloxy)sulfosuccimido ester (sulfo-EMCS), Ν-(κ- maleimidoundecanoyloxy)sulfosuccinimide ester (sulfo-KMUS), sulfosuccinimidyl 4-(p- maleimidophenyl)butyrate (sulfo-SMPB), CXl-1 , sulfo-Mal and PEG„-Mal. Preferably, the bifunctional crosslinking reagent is SMCC.
Preferably, for PEGn-Mal, n is 2 to 10. More preferably, n is 2, 4, 6 or 8.
[64] The term "therapeutically effective amount" means that amount of active compound or conjugate that elicits the desired biological response in a subject. Such response includes alleviation of the symptoms of the disease or disorder being treated, prevention, inhibition or a delay in the recurrence of symptom of the disease or of the disease itself, an increase in the longevity of the subject compared with the absence of the treatment, or prevention, inhibition or delay in the progression of symptom of the disease or of the disease itself. Determination of the effective amount is well within the capability of those skilled in the art, especially in light of the detailed disclosure provided herein. Toxicity and therapeutic efficacy of compound I can be determined by standard pharmaceutical procedures in cell cultures and in experimental animals. The effective amount of compound or conjugate of the present invention or other therapeutic agent to be administered to a subject will depend on the stage, category and status of the multiple myeloma and characteristics of the subject, such as general health, age, sex, body weight and drug tolerance. The effective amount of compound or conjugate of the present invention or other therapeutic agent to be administered will also depend on administration route and dosage form. Dosage amount and interval can be adjusted individually to provide plasma levels of the active compound that are sufficient to maintain desired therapeutic effects.
CYTOTOXIC COMPOUNDS
[65] The present invention is directed to cytotoxic compounds (e.g., compounds of structural formulas(I'), (I) and (II)) and conjugates (e.g., conjugates represented by structural formula (ΙΙΓ), (III) or (IV)) described herein.
[66] In one embodiment, for structural formulas (Γ), (I), (II), (ΙΙΓ), (HI) or (IV), the definitions for the variables depicted therein are as defined below:
[67] 1. D in structural formulas (Γ), (I), (Π), (ΠΓ), (III) or (IV) is a cytotoxic agent. In a preferred embodiment, D is a maytansinoid. In a more preferred
embodiment, D is re resented by the following structural formula:
Yi represents (CR7R8)i(CR5R6)m(CR3R4)„CRiR2-,
Ri, R2, R3, R4, R5, R0, R7 and Rs are each independently H, an alkyl, an alkenyl, a cycloalkyl, a heteroaryl, a heterocyclyl, or an aryl; and
1, m and n are each independently 0 or an integer from 1 to 5. In another preferred embodiment, D is represented by structural formula (Al), wherein Ri and R2 are each independently H, Ci_4 alkyl or Ci_4 alkyl substituted with one to six halogens. More preferably, Ri and R2 are each independently H, methyl, -CF3 or -CC13. Even more preferably, Ri and R2 are both H or methyl.
In another preferred embodiment, D is represented by structural formula (Al), wherein 1 and m are 0, n is 1 , Ri, R2, R3 and R4 are all H.
In another preferred embodiment, D is represented by structural formula (Al), wherein n is 0, 1 and m are both 1 , R5, R^, R7 and Rs are all H, Ri and R2 are both methyl.
In yet another preferred embodiment, D is represented by structural formula (Al), wherein n is 0, 1 and m are both 1, Ri, R5, R6, R7 and Rs are all H, and R2 is methyl
[68] 2. X in structural formulas (I), (II), (III) and (IV) is S or Se. In one embodiment, X is S. In another embodiment, X is Se.
[69] 3. R and R' in structural formulas (I) and (III) are each independently selected from the group consisting of -H, an alkyl, a cycloalkyl, -ORa, and -NRbR°, wherein Ra, Rb and R° are each independently H or an alkyl. Preferably, one of R and R' is H, and the other is H, a Ci_4 alkyl, -ORa or -NRbR°, wherein Ra, Rb and Rc are each independently H or Ci_4 alkyl. More preferably, R and R' are both H.
[70] 4. p in structural formulas (I) and (III) is 0, 1 or 2. Preferably, p is 0.
[71] 5. Y" in structural formulas (Γ) and (ΙΙΓ) is a spacer. In one embodiment, when p is 0, -Y"M is the non-maleimide moiety of a maleimide-containing bifunctional crosslinking reagent. In another embodiment, Y" is an alkylene, a polyethylene glycol unit represented by -(CH2-CH2-0)n-Rd-, -Rd-E- or -Rd-W-Re'-, wherein:
n is an integer from 1 to 24;
E is a cycloalkyl, a heterocyclyl, an aryl or a heteroaryl,
W is -C(=0)NH-, -NHC(=0)-, -(C=0)0- or -0(C=0)-,
Rd is absent or an alkyl; and
Re' is an alkyl or a polyethylene glycol unit represented by -(CH2-CH2-0)n-Rd-.
[72] In one embodiment, Y in structural formulas (I) and (III) is an alkylene, a polyethylene glycol unit represented by -(CH2-CH2-0)n-Rd-, -Rd-E- or -Rd-W-Re-, wherein:
n is an integer from 1 to 24;
E is a cycloalkyl, a heterocyclyl, an aryl or a heteroaryl,
W is -C(=0)NH-, -NHC(=0)-, -(C=0)0- or -0(C=0)-,
Rd is absent or an alkyl; and
Re is an alkyl.
Preferably, Y is a Ci_6 alkylene, a polyethylene glycol unit represented by -(CH2-CH2-0)n-Rd-, -Rd-E- or -Rd-W-Re-, wherein Rd is absent or a Ci_4 alkyl; Re is a Ci_4 alkyl; W is -C(=0)NH-; E is cyclohexyl and n is an integer from 2 to 8.
_ CH2
In another preferred embodiment, Y is >
[73] 5. M in structural formula (Γ), (I) and (II) is a linking group that can react with a cell-binding agent to form a covalent bond. Preferably, M is a maleimide, a haloacetamido, -SH, -SSRf, -CH2SH, -CH(Me)SH, -C(Me)2SH, -NHRg, -CH2NHRg, -NRgNH2, -COOH, a reactive ester, an amino acid or a peptide comprising 2 to 10 amino acids, wherein R is selected from phenyl, nitrophenyl (e.g., 2 or 4-nitrophenyl), dinitrophenyl (e.g., 2 or 4-nitrophenyl), carboxynitrophenyl (e.g., 3-carboxy-4- nitrophenyl), pyridyl or nitropyridyl (e.g., 4-nitropyridyl) and Rg is -H or a Ci_4 alkyl.
In a preferred embodiment, M is a maleimide, haloacetamido, N- hydroxysuccinimde ester, N-hydroxy sulfosuccinimide ester, nitrophenyl (e.g., 2 or 4- nitrophenyl) ester, dinitrophenyl (e.g., 2,4-dinitrophenyl) ester, sulfo-tetraflurophenyl (e.g., 4-sulfo-2,3,5,6-tetrafluorophenyl) ester or pentafluorophenyl ester. More preferably, M is N-hydroxysuccinimide ester.
[74] 6. M' in structural formulas (ΠΓ), (III) and (IV) is a linking moiet that
covalently linked to the cell-binding agent. Preferably, M' is -C(=0)-,
, -NH-C(=0)-CH2-, -S-, -CH2-S-, -CH(Me)-S-, -C(Me2)-S-, -NRg-, -CH2NRg-, or -NRgN=, wherein Rg is -H or a Ci_4 alkyl. More preferably, M' is -C(=0)-.
[75] 7. For structural formulas (II) and (IV), Y' is -S02-, aryl, pyridyl or -C(=0)-; Z is an alkyl, a cycloalkyl, a heterocyclyl, an aryl, a heteroaryl, or -N(Rb)-Rd-; wherein Rb is H or a Ci_4 alkyl; and Rd is a Ci_4 alkyl.
In a preferred embodiment, Y' is -S02-; and Z is optionally substituted phenyl. More preferably, Z is unsubstituted phenyl.
In another preferred embodiment, Y' is phenyl or pyridyl, more preferably, Y' is pyridyl and Y' is linked with Z through the pyridyl nitrogen atom. Z is an alkyl.
Preferably, Z is a Ci_4 alkyl.
In yet another preferred embodiment, Y' is -C(=0)-, and Z is -N(Rb)-Rd-, wherein Rb is H and Rd is -CH2-CH2-.
[76] In a first embodiment, the present invention is directed to a compound of structural formula (Γ) r (I):
[77] In a second embodiment, for the compound of structural formula (Γ) or (I):
D is re resented by structural formula (Al):
Yi represents (CR7R8)i(CR5R6)m(CR3R4)„CRiR2-,
Ri, R2, R3, R4, R5, R6, R7 and Rs are each independently H, an alkyl, an alkenyl, a cycloalkyl, a heteroaryl, a heterocyclyl, or an aryl; and
1, m and n are each independently 0 or an integer from 1 to 5;
p is 0;
X is S; and the remainder of the variables are as described above for structural formula (I).
[78] In a third embodiment, for compound of structural formula (Γ) or (I):
D is represented by structural formula (A2):
p is 0;
X is S; and the remainder of the variables are as described above for structural formula (I).
[79] In a fourth embodiment, for compound of structural formula (Γ) or (I):
D is repre nted by structural formula (A3):
p is 0;
X is S; and the remainder of the variables are as described above for structural formula (I).
[80] In a fifth embodiment, for compound of structural formula (Γ) described in the second, third or fourth embodiment, when p is 0, -Y"M is the non-maleimide moiety of a maleimide-containing bifunctional crosslinking reagent. In another embodiment, for compound of structural formula (Γ), Y" is an alkylene, a polyethylene glycol unit represented by -(CH2-CH2-0)n-Rd-, -Rd-E- or -Rd-W-Re'-, wherein:
n is an integer from 1 to 24;
E is a cycloalkyl, a heterocyclyl, an aryl or a heteroaryl, W is -C(=0)NH-, -NHC(=0)-, -(C=0)0- or -0(C=0)-,
Rd is absent or an alkyl; and
Re' is an alkyl or -(CH2-CH2-0)„-Rd-.
[81 ] Preferably, Y" is -Rd-W-Re'-, wherein Rd is a Ci_4 alkyl, W is -C(=0)NH- or -NHC(=0)-, and Re' is -(CH2-CH2-0)n-Rd-. Even more preferably, n is an integer from 2 to 10.
[82] In another embodiment, for compound of structural formula (I) described in the second, third or fourth embodiment:
Y is a Ci_6 alkylene, a polyethylene glycol unit represented by
-(CH2-CH2-0)n-Rd-, -Rd-E- or -Rd-W-Re-, wherein Rd is absent or a Ci_4 alkyl; Re is a Ci_4 alkyl; W is -C(=0)NH-; E is cyclohexyl and n is an integer from 2 to 8; and
M is a maleimide, a haloacetamido, -SH, -SSRf, -CH2SH, -CH(Me)SH,
-C(Me)2SH, -NHRg, -CH2NHRg, -NRgNH2, -COOH, a reactive ester, an amino acid, a peptide comprising 2 to 10 amino acids, wherein R is selected from phenyl, nitrophenyl (e.g., 2 or 4-nitrophenyl), dinitrophenyl (e.g., 2 or 4-nitrophenyl), carboxynitrophenyl (e.g., 3-carboxy-4-nitrophenyl), pyridyl or nitropyridyl (e.g., 4-nitropyridyl) and Rg is -H or a Ci_4 alkyl. is
. Even more preferably, Y is
and M is N-hydroxysuccinimide ester.
[84] In a sixth embodiment, the present invention is directed to a compound represented by structural formula (II):
M ,
wherein the variables are as described above for structural formula (II).
[85] In a seventh embodiment, for compound of structural formula (II):
D is represented by structural formula (Al):
Ri, R2, R3, R4, R5, R6, R7 and Rs are each independently H, an alkyl, an alkenyl, a cycloalkyl, a heteroaryl, a heterocyclyl, or an aryl;
1, m and n are each independently 0 or an integer from 1 to 5;
X is S; and the remainder of the variables are as described in structural formula
(II).
[86] In a preferred embodiment, Y' is S02 and Z is an optionally substituted phenyl. The remainder of the variables is as described above in the seventh embodiment. More preferably, Z is an unsubstituted phenyl.
[87] In another preferred embodiment, Y' is pyridyl or phenyl; Z is an alkyl; more preferably, Y' is pyridyl and Y' is linked with Z through the pyridyl nitrogen. The remainder of the variables is as described above in the seventh embodiment. More preferably, Z is a Ci_4 alkyl.
[88] In another preferred embodiment, Y' is -C(=0)-; and Z is -N(Rb)-Rd-, wherein Rb is H or an alkyl; and Rd is an alkyl. The remainder of the variables is as described above in the seventh embodiment. More preferably, Rb is H and Rd is a Ci_4 alkyl. Even more preferably, Rb is H and Rd is -CH2-CH2-.
[89] In a eighth embodiment, for compound of structural formula (II):
X is S; and the remainder of the variables are as described in structural formula
(II).
[90] In a preferred embodiment, Y' is S02 and Z is an optionally substituted phenyl. The remainder of the variables is as described above in the eighth embodiment. More preferably, Z is an unsubstituted phenyl.
[91] In another preferred embodiment, Y' is phenyl or pyridyl; Z is an alkyl; more preferably, Y' is pyridyl and Y' is linked with Z through the pyridyl nitrogen. The remainder of the variables is as described above in the eighth embodiment. More preferably, Z is a Ci_4 alkyl.
[92] In another preferred embodiment, Y' is -C(=0)-; and Z is -N(Rb)-Rd-, wherein Rb is H or an alkyl; and Rd is an alkyl. The remainder of the variables is as described above in the eighth embodiment. More preferably, Rb is H and Rd is a Ci_4 alkyl. Even more preferably, Rb is H and Rd is -CH2-CH2-.
[93] In a ninth embodiment, for compound of structural formula (II):
D is represented by structural formula (A3):
X is S; and the remainder of the variables are as described in structural formula
(II).
[94] In a preferred embodiment, Y' is S02 and Z is an optionally substituted phenyl. The remainder of the variables is as described above in the ninth embodiment. More preferably, Z is an unsubstituted phenyl.
[95] In another preferred embodiment, Y' is phenyl or pyridyl; Z is an alkyl; and more preferably, Y' is pyridyl and Y' is linked with Z through the pyridyl nitrogen. The remainder of the variables is as described above in the ninth embodiment. More preferably, Z is a Ci_4 alkyl.
[96] In another preferred embodiment, Y' is -C(=0)-; and Z is -N(Rb)-Rd-, wherein Rb is H or an alkyl; and Rd is an alkyl. The remainder of the variables is as described above in the ninth embodiment. More preferably, Rb is H and Rd is a Ci_4 alkyl. Even more preferably, Rb is H and Rd is -CH2-CH2-.
Cell-binding Agents
[97] The effectiveness of the conjugates of the invention as therapeutic agents depends on the careful selection of an appropriate cell-binding agent. Cell-binding agents may be of any kind presently known, or that become known and includes peptides and non- peptides. Generally, these can be antibodies (especially monoclonal antibodies), lymphokines, hormones, growth factors, vitamins, nutrient-transport molecules (such as transferrin), or any other cell-binding molecule or substance.
[98] More specific examples of cell-binding agents that can be used include:
polyclonal antibodies;
monoclonal antibodies;
fragments of antibodies such as Fab, Fab', and F(ab')2, Fv, minibodies, diabodies, tribodies, tetrabodies, nanobodies, probodies, domain bodies, unibodies and the like (Parham, J. Immunol. 131 :2895-2902 (1983); Spring et al. J. Immunol. 1 13:470-478 (1974); Nisonoff et al. Arch. Biochem. Biophys. 89:230-244 (1960), Kim et al., Mol, Cancer Ther., 7 : 2486-2497 (2008), Carter, Nature Revs., 6 : 343-357 (2006), R.
Kontermann & S. Dubel, 2001 Antibody Engineering, Springer- Verlag, Heidelberg-New York);
bispecific antibodies (Morrison, SL Nature biotechnology 25 (11): 1233^1 (2007));
ankyrin repeat proteins (DARPins; Zahnd et al., J. Biol. Chem., 281 , 46, 35167- 35175, (2006); Binz, H.K., Amstutz, P. & Pluckthun, A. (2005) Nature Biotechnology, 23, 1257-1268) or ankyrin-like repeats proteins or synthetic peptides described, for example, in U.S. Patent Publication Number 20070238667; U.S. Patent No. 7,101,675; and WO/2007/147213; WO/2007/062466)
interferons (e.g. .alpha., .beta., .gamma.);
lymphokines such as IL-2, IL-3, IL-4, IL-6;
hormones such as insulin, TRH (thyrotropin releasing hormone), MSH
(melanocyte-stimulating hormone), steroid hormones, such as androgens and estrogens; growth factors and colony-stimulating factors such as EGF, TGF-alpha, FGF, VEGF, G-CSF, M-CSF and GM-CSF (Burgess, Immunology Today 5: 155-158 (1984)); transferrin (O'Keefe et al. J. Biol. Chem. 260:932-937 (1985)); and
vitamins, such as folate.
[99] Monoclonal antibody techniques allow for the production of extremely specific cell-binding agents in the form of specific monoclonal antibodies. Particularly well known in the art are techniques for creating monoclonal antibodies produced by immunizing mice, rats, hamsters or any other mammal with the antigen of interest such as the intact target cell, antigens isolated from the target cell, whole virus, attenuated whole virus, and viral proteins such as viral coat proteins. Sensitized human cells can also be used. Another method of creating monoclonal antibodies is the use of phage libraries of scFv (single chain variable region), specifically human scFv (see e.g., Griffiths et al.,
U.S. Patent Nos. 5,885,793 and 5,969,108; McCafferty et al., WO 92/01047; Liming et al., WO 99/06587). In addition, resurfaced antibodies disclosed in U.S. Patent No.
5,639,641 may also be used, as may chimeric antiobodies and humanized antibodies. Selection of the appropriate cell-binding agent is a matter of choice that depends upon the particular cell population that is to be targeted, but in general human monoclonal antibodies are preferred if an appropriate one is available.
[100] For example, the monoclonal antibody MY9 is a murine IgGi antibody that binds specifically to the CD33 Antigen {J.D. Griffin et al 8 Leukemia Res., 521 (1984)} and can be used if the target cells express CD33 as in the disease of acute myelogenous leukemia (AML). The cell-binding agent may be any compound that can bind a cell, either in a specific or non-specific manner. Generally, these can be antibodies (especially monoclonal antibodies and antibody fragments), interferons, lymphokines, hormones, growth factors, vitamins, nutrient-transport molecules (such as transferrin), or any other cell- binding molecule or substance.
[101] Where the cell-binding agent is an antibody, it binds to an antigen that is a polypeptide and may be a transmembrane molecule (e.g. receptor) or a ligand such as a growth factor. Exemplary antigens include molecules such as renin; a growth hormone, including human growth hormone and bovine growth hormone; growth hormone releasing factor; parathyroid hormone; thyroid stimulating hormone; lipoproteins; alpha- 1 -antitrypsin; insulin A-chain; insulin B-chain; proinsulin; follicle stimulating hormone; calcitonin; luteinizing hormone; glucagon; clotting factors such as factor vmc, factor IX, tissue factor (TF), and von Willebrands factor; anti-clotting factors such as Protein C; atrial natriuretic factor; lung surfactant; a plasminogen activator, such as urokinase or human urine or tissue-type plasminogen activator (t-PA); bombesin; thrombin; hemopoietic growth factor; tumor necrosis factor-alpha and -beta; enkephalinase; RANTES (regulated on activation normally T-cell expressed and secreted); human macrophage inflammatory protein (MIP-1 -alpha); a serum albumin, such as human serum albumin; Muellerian-inhibiting substance; relaxin A-chain; relaxin B-chain; prorelaxin; mouse gonadotropin-associated peptide; a microbial protein, such as beta-lactamase; DNase; IgE; a cytotoxic T-lymphocyte associated antigen (CTLA), such as CTLA-4; inhibin; activin; vascular endothelial growth factor (VEGF); receptors for hormones or
growth factors; protein A or D; rheumatoid factors; a neurotrophic factor such as bone- derived neurotrophic factor (BDNF), neurotrophin-3, -4, -5, or -6 (NT-3, NT4, NT-5, or NT-6), or a nerve growth factor such as NGF-β; platelet-derived growth factor (PDGF); fibroblast growth factor such as aFGF and bFGF; epidermal growth factor (EGF); transforming growth factor (TGF) such as TGF-alpha and TGF-beta, including TGF-βΙ, TGF-p2, TGF- β3, TGF-p4, or TGF- β5; insulin-like growth factor-I and -II (IGF-I and IGF-II); des(l-3)-IGF-I (brain IGF-I), insulin-like growth factor binding proteins, EpCAM, GD3, FLT3, PSMA, PSCA, MUC1, MUC16, STEAP, CEA, TENB2, EphA receptors, EphB receptors, folate receptor, FOLR1 , mesothelin, cripto, alphavbeta6, integrins, VEGF, VEGFR, EGFR, tarnsferrin receptor, IRTA1 , IRTA2, IRTA3, IRTA4, IRTA5; CD proteins such as CD2, CD3, CD4, CD5, CD6, CD8, CD11, CD14, CD19, CD20, CD21, CD22, CD25, CD26, CD28, CD30, CD33, CD36, CD37, CD38, CD40, CD44, CD52, CD55, CD56, CD59, CD70, CD79, CD80. CD81, CD103, CD105, CD134, CD137, CD138, CD152 or an antibody which binds to one or more tumor-associated antigens or cell-surface receptors disclosed in US Publication No. 20080171040 or US Publication No. 20080305044 and are incorporated in their entirety by reference; erythropoietin; osteoinductive factors; immunotoxins; a bone morphogenetic protein (BMP); an interferon, such as interferon-alpha, -beta, and -gamma; colony stimulating factors (CSFs), e.g., M-CSF, GM-CSF, and G-CSF; interleukins (ILs), e.g., IL-1 to IL- 10; superoxide dismutase; T-cell receptors; surface membrane proteins; decay accelerating factor; viral antigen such as, for example, a portion of the HIV envelope; transport proteins; homing receptors; addressins; regulatory proteins; integrins, such as CD 11 a, CD l ib, CD 11c, CD 18, an ICAM, VLA-4 and VCAM; a tumor associated antigen such as HER2, HER3 or HER4 receptor; endoglin, c-Met, 1GF1R, PSGR, NGEP, PSMA, PSCA, LGR5, B7H4, TAG72 (tumor-associated glycoprotein 72), and fragments of any of the above-listed polypeptides.
[102] Additionally, GM-CSF, which binds to myeloid cells can be used as a cell- binding agent to diseased cells from acute myelogenous leukemia. IL-2 which binds to activated T-cells can be used for prevention of transplant graft rejection, for therapy and prevention of graft-versus-host disease, and for treatment of acute T-cell leukemia.
MSH, which binds to melanocytes, can be used for the treatment of melanoma, as can
antibodies directed towards melanomas. Folic acid can be used to target the folate receptor expressed on ovarian and other tumors. Epidermal growth factor can be used to target squamous cancers such as lung and head and neck. Somatostatin can be used to target neuroblastomas and other tumor types.
[103] Cancers of the breast and testes can be successfully targeted with estrogen (or estrogen analogues) or androgen (or androgen analogues) respectively as cell-binding agents.
[148] In one embodiment, the antibody is selected from the group consisting of huN901, huMy9-6, huB4, huC242, trastuzumab, bivatuzumab, sibrotuzumab, rituximab, huDS6, anti-mesothelin antibodies described in WO 2010/124797 (such as MF-T), anti- cripto antibodies described in US Patent Application Publication 2010/0093980 (such as huB3F6), anti-CD138 antibodies described in US Patent Application Publication
2007/0183971 (such as huB-B4), anti-EGFRvIII antibodies described US Patent Nos. 7,736,644 and 7,628,986 and US Application Publication Nos. 2010/01 11979,
2009/0240038, 2009/0175887, 2009/0156790 and 2009/0155282, humanized EphA2 antibodies described in PCT/IB2010/054417 and PCT/IB2010/054422 (such as
2H11R35R74); anti-CD38 antibodies described in WO2008/047242 (such as hu38SB19), anti-folate receptor antibodies described in U.S. Provisional Application Nos.
61/307,797, 61/346,595 and 61/413,172, and U.S. Application 13/033,723 (e.g., huMovl9); anti-IGFIR antibodies described in U.S. Patent Nos. 5,958,872 and
6,596,743; anti-CD37 antibodies described in U.S. Appln. No. 13/045,693, filed on March 11 , 2011 (e.g., huCD37-3); anti-integrin ανβ6 antibodies described in U.S.
Application Publication No. 2006/0127407 (e.g., CNT095); and anti-Her3 antibodies described in U.S. Provisional Application Nos. 61/370,701.
[104] Particularly preferred antibodies are humanized monoclonal antibodies described herein. Examples include, but are not limited to, huN901, huMy9-6, huB4, huC242, trastuzumab, bivatuzumab, sibrotuzumab, CNT095, huDS6, and rituximab (see, e.g., U.S. Patents 5,639,641 and 5,665,357, U.S. Provisional Patent Application No.
60/424,332 (which is related to U.S. Patent 7,557,189), International (PCT) Patent Application Publication WO 02/16401, Pedersen et al., supra, Roguska et al., supra, Liu et al., supra, Nadler et al., supra, Colomer et al., Cancer Invest., 19: 49-56 (2001), Heider
et al., Eur. J. Cancer, 31 A: 2385-2391 (1995), Welt et al., J. Clin. Oncol, 12: 1 193-1203 (1994), and Maloney et al., Blood, 90: 2188-2195 (1997)). Other humanized monoclonal antibodies are known in the art and can be used in connection with the invention.
[105] In one embodiment, the anti-folate antibody is a humanized antibody or antigen binding fragment thereof that specifically binds a human folate receptor 1 , wherein the antibody comprises: (a) a heavy chain CDRl comprising GYFMN; a heavy chain CDR2 comprising RIHPYDGDTFY QXaaiFXaa2Xaa3; and a heavy chain CDR3 comprising YDGSRAMDY; and (b) a light chain CDRl comprising KASQSVSFAGTSLMH; a light chain CDR2 comprising RASNLEA; and a light chain CDR3 comprising QQSREYPYT; wherein Xaai is selected from K, Q, H, and R; Xaa2 is selected from Q, H, N, and R; and Xaa3 is selected from G, E, T, S, A, and V. Preferably, the heavy chain CDR2 sequence comprises RIHPYDGDTFY QKFQG.
[106] In another embodiment, the anti-folate receptor antibody is a humanized antibody or antigen binding fragment thereof that specifically binds the human folate receptor 1 comprising the heavy chain having the amino acid sequence of
QVQLVQSGAEVVKPGASVKISCKASGYTFTGYFMNWVKQSPGQSLEWIGRIHPY
DGDTFY QKFQGKATLTVDKSSNTAHMELLSLTSEDFAVYYCTRYDGSRAMDY
WGQGTTVTVSSASTKGPSVFPLAPSSKSTSGGTAALGCLVKDYFPEPVTVSWNS
GALTSGVHTFPAVLQSSGLYSLSSWTVPSSSLGTQTYICNV HKPSNTKVDKKV
EPKSCDKTHTCPPCPAPELLGGPSVFLFPPKPKDTLMISRTPEVTCVVVDVSHEDP
EVKFNWYVDGVEVHNAKTKPREEQY STYRVVSVLTVLHQDWLNGKEYKCKV
SNKALPAPIEKTISKAKGQPREPQVYTLPPSRDELTKNQVSLTCLVKGFYPSDIAV
EWESNGQPE YKTTPPVLDSDGSFFLYSKLTVDKSRWQQGNVFSCSVMHEAL
HNHYTQKSLSLSPGK.
[107] In another embodiment, the anti-folate receptor antibody is a humanized antibody or antigen binding fragment thereof encoded by the plasmid DNA deposited with the ATCC on April 7, 2010 and having ATCC deposit nos. PTA-10772 and PTA-10773 or 10774.
[108] In another embodiment, the anti-folate receptor antibody is a humanized antibody or antigen binding fragment thereof comprising a heavy chain variable domain at least about 90%, 95%, 99% or 100% identical to
QVQLVQSGAEVVKPGASVKISCKASGYTFTGYFMNWVKQSPGQSLEWIGRIHPY DGDTFY QKFQGKATLTVDKSSNTAHMELLSLTSEDFAVYYCTRYDGSRAMDY WGQGTTVTVSS, and a light chain variable domain at least about 90%, 95%, 99% or 100% identical to
DIVLTQSPLSLAVSLGQPAIISCKASQSVSFAGTSLMHWYHQKPGQQPRLLIYRAS NLEAGVPDRFSGSGSKTDFTLNISPVEAEDAATYYCQQSREYPYTFGGGTKLEIK
R; or
DIVLTQSPLSLAVSLGQPAIISCKASQSVSFAGTSLMHWYHQKPGQQPRLLIYRAS
NLEAGVPDRFSGSGSKTDFTLTISPVEAEDAATYYCQQSREYPYTFGGGTKLEIK
R.
Cell-Binding Agent-Cytotoxic Compound Conjugates
[109] The present invention also provides cell-binding agent-cytotoxic compound conjugates comprising a cell-binding agent linked to one or more cytotoxic compounds of the present invention via a variety of linkers, including, but not limited to, disulfide linkers, thioether linkers, amide bonded linkers, peptidase -labile linkers, acid-labile linkers, esterase-labile linkers. Representative conjugates of the invention are antibody/cytotoxic compound, antibody fragment/cytotoxic compound, epidermal growth factor (EGF)/ cytotoxic compound, melanocyte stimulating hormone (MSH)/ cytotoxic compound, thyroid stimulating hormone (TSH)/ cytotoxic compound,
somatostatin/cytotoxic compound, folate/cyto toxic compound, estrogen/cytotoxic compound, estrogen analogue/cytotoxic compound, androgen/cytotoxic compound, and androgen analogue/cytotoxic compound.
[1 10] In one embodiment, the present invention provides conjugates comprising a cell- binding agent chemically linked to a compound of the present invention (e.g., compounds of formula (Γ), (I) or (II)).
[I l l] In one embodiment, the cell-binding agent can linked to the compound through an amine group, a thio group or a carboxy group.
[1 12] In a tenth embodiment, the present invention is directed to a conjugate
represented by structural formula (ΙΙΓ) or (III):
wherein values or preferred values for the variables are as described above for structural formula (ΙΙΓ) or (III).
[1 13] In a eleventh embodiment, for the conjugate of structural formula (III):
D is re resented by structural formula (Al):
Yi represents (CR7R8)i(CR5R6)m(CR3R4)„CRiR2-,
Ri, R2, R3, R4, R5, R6, R7 and Rs are each independently H, an alkyl, an alkenyl, a cycloalkyl, a heteroaryl, a heterocyclyl, or an aryl; and
1, m and n are each independently 0 or an integer from 1 to 5;
p is 0;
X is S; and the remainder of the variables are as described above for structural formula (III).
[1 14] In a twelfth embodiment, for the conjugate of structural formula (III):
D is represented by structural formula (A2):
p is 0;
X is S; and values and preferred values for the remainder of the variables is as described above for structural formula (III).
[115] In a thirteen embodiment, for the conjugate of structural formula (III):
D is repre nted by structural formula (A3):
p is 0;
X is S; and values and preferred values for the remainder of the variables are as described above for structural formula (III).
[116] In a fourteenth embodiment, for conjugates of structural formula (ΙΙΓ) in the eleventh, twelfth or thirteen embodiment, when p is 0, -Y" is the non-maleimide and non- linking group moiety of a maleimide-containing bifunctional crosslinking reagent. In another embodiment, for compound of structural formula (ΙΙΓ), Y" is an alkylene, a polyethylene glycol unit represented by -(CH2-CH2-0)„-Rd-, -Rd-E- or -Rd-W-Re'-, wherein:
n is an integer from 1 to 24;
E is a cycloalkyl, a heterocyclyl, an aryl or a heteroaryl,
W is -C(=0)NH-, -NHC(=0)-, -(C=0)0- or -0(C=0)-,
Rd is absent or an alkyl; and
Re' is an alkyl or -(CH2-CH2-0)„-Rd-.
[1 17] Preferably, Y is -Rd-W-Re'-, wherein Rd is a Ci_4 alkyl, W is -C(=0)NH- or -NHC(=0)-, and Re' is -(CH2-CH2-0)n-R -. Even more preferably, n is an integer from 2 to 10.
[1 18] Even more preferably, Y" in structural formula (ΙΙΓ) is represented by the following structural formula:
Preferably, n is an integer from 2 to 10. Even more preferably, n is 2, 4 or 8.
[1 19] In another embodiment, for the conjugates of structural formula (III) described in the eleventh, twelfth or thirteen embodiment,
Y is a Ci_6 alkylene, a polyethylene glycol unit represented by
-(CH2-CH2-0)n-Rd-, -Rd-E- or -Rd-W-Re-, wherein Rd is absent or a Ci_4 alkj
alkyl; W is -C(=0)NH- E is cyclohexyl and n is an integer from 2 to 8; and
-C(Me2)-S-, -NRg-, -CH2NRg-, or -NRgN=, wherein Rg is -H or a Ci_4 alkyl. -CH2-(
is * >— V ' s- Even more preferably, Y is
and M is -C(=0)-. Even more preferably, the CBA is linked to M through an amine (e.g. CBA-NH2) group.
[121] In a fifteenth embodiment, the present invention is directed to a conjugate represented by structural formula (IV):
wherein the values and preferred values for the variables are as described above for structural formula (IV).
[122] In a sixteenth embodiment, for the conjugate of structural formula (IV):
D i represented by structural formula (Al):
Ri, R2, R3, R4, R5, R6, R7 and Rs are each independently H, an alkyl, an alkenyl, a cycloalkyl, a heteroaryl, a heterocyclyl, or an aryl;
1, m and n are each independently 0 or an integer from 1 to 5;
X is S; and values and preferred values for the remainder of the variables is as described in structural formula (IV).
[123] In a preferred embodiment, Y' is S02 and Z is an optionally substituted phenyl. The remainder of the variables is as described above in the sixteenth embodiment. More preferably, Z is an unsubstituted phenyl.
[124] In another preferred embodiment, Y' is pheny or pyridyl; Z is an alkyl; and preferably, Y' is pyridyl and Y' is linked with Z through the pyridyl nitrogen. The remainder of the variables is as described above in the sixteenth embodiment. More preferably, Z is a Ci_4 alkyl.
[125] In another preferred embodiment, Y' is -C(=0)-; and Z is -N(Rb)-Rd-, wherein Rb is H or an alkyl; and Rd is an alkyl. The remainder of the variables is as described above in the sixteenth embodiment. More preferably, Rb is H and Rd is a Ci_4 alkyl. Even more preferably, Rb is H and Rd is -CH2-CH2-.
[126] In a seventeenth embodiment, for the conjugates of structural formula (IV):
D is re resented by structural formula (A2):
X is S; and values and preferred values for the remainder of the variables are as described in structural formula (II).
[127] In a preferred embodiment, Y' is S02 and Z is an optionally substituted phenyl. The remainder of the variables is as described above in the seventeenth embodiment. More preferably, Z is an unsubstituted phenyl.
[128] In another preferred embodiment, Y' is phenyl or pyridyl; Z is an alkyl; and more preferably, Y' is pyridyl and Y' is linked with Z through the pyridyl nitrogen. The remainder of the variables is as described above in the seventeenth embodiment. More preferably, Z is a Ci_4 alkyl.
[129] In another preferred embodiment, Y' is -C(=0)-; and Z is -N(Rb)-Rd-, wherein Rb is H or an alkyl; and Rd is an alkyl. The remainder of the variables is as described above in the seventeenth embodiment. More preferably, Rb is H and Rd is a Ci_4 alkyl. Even more preferably, Rb is H and Rd is -CH2-CH2-.
[130] In a eighteenth embodiment, for the conjugates for formula (IV):
D is represented by structural formula (A3):
X is S; and values and preferred values for the remainder of the variables is as described in structural formula (II).
[131] In a preferred embodiment, Y' is S02 and Z is an optionally substituted phenyl. The remainder of the variables is as described above in the eighteenth embodiment. More preferably, Z is an unsubstituted phenyl.
[132] In another preferred embodiment, Y' is phenyl or pyridyl; Z is an alkyl; and more preferably, Y' is pyridyl and Y' is linked with Z through the pyridyl nitrogen. The remainder of the variables is as described above in the eighteenth embodiment. More preferably, Z is a Ci_4 alkyl.
[133] In another preferred embodiment, Y' is -C(=0)-; and Z is -N(Rb)-Rd-, wherein Rb is H or an alkyl; and Rd is an alkyl. The remainder of the variables is as described above in the eighteenth embodiment. More preferably, Rb is H and Rd is a Ci_4 alkyl. Even more preferably, R is H and Ra is -CH2-CH2-.
[134] In a nineteenth embodiment, the conjugate of the present invention is represented by the following structural formula:
wherein:
q is an integer from 1 to 20;
n is an integer from 2 to 24;
Ri and R2 are H; and n' is 1; or
Ri and R2 are methyl; and n' is 2.
[135] In another embodiment, the present invention is directed to a cell-bnding agent- cytotoxic agent conjugate comprising a cell-binding agent covalently linked to a cytotoxic agent through a sulfoxide linker, wherein the sulfoxide linker is derived from oxidation of a -SH group on the cell-binding agent. In one embodiment, -SH is from a cysteine residue of the cell-binding agent.
[136] In another embodiment, the conjugate is represented by the following structural formula:
wherein:
CBA is a cell-binding agent;
D is a cytotoxic agent; and
L is a linker group that covalent links the cytotoxic agent with the cell-binding agent.
More specifically, the sulfoxide group ΑΛ S in structural formula (X) is derived from oxidation of a -SH group of a cysteine residue on the cell-binding agent.
[137] In one embodiment, L is a suitable linker group known in the art. For example, L is a linker group comprising a disulfide group, a thioether group, an acid labile group, a photolabile group, a peptidase labile group, an esterase labile group, or a combination thereof.
[138] In one embodiment, L is derived from a bifunctional crosslinking reagent comprising a maleimide at one end of the bifunctional crosslinking reagent, wherein L represents the remaining portion of the bifunctional crosslinking reagent without the terminal maleimide group. The bifunctional crosslinking reagent is a reagent that possesses two reactive groups, one of which is a maleimide group that reacts with -SH group on the cell-binding agent; while the other one reacts with the cytotoxic agent D. More specifically, the bifunctional crosslinking reagent can be a bifunctional crosslinking reagent described herein. For example, when the bifunctional crosslinking reagent is 1 ,4- bis-maleimidobutane (BMB) and D is a thiol-containing cytotoxic agent, then L is represented by the following structural formula:
[139] In one embodiment, for the conjugate of structural formula (X), D is a maytansinoid. More preferably, D is a maytansinoid represented by structural formula (Al), (A2) or (A3) described above.
[140] In another embodiment, D is auristatin.
Production of the Cytotoxic Compounds and the Cell-Binding Agent-Cytotoxic Compound Conjugates
[141] The cytototoxic compounds of the present invention (e.g., compounds of structural formula (Γ), (I) and (II)) can be prepared by any suitable methods. In one embodiment, the compounds of structural formula (Γ) or (I) can be prepared by reacting a compound of structural formula (V) or (V) with an oxidant. Similarly, the compounds
of structural formula (II) can be prepared by reacting a compound of structural formula (VI) with an oxidant.
Scheme 1
[142] Any suitable oxidant capable of oxidizing a thiol ether group (-S-) to a sulfoxide group (-S(O)-) can be used. Examples of oxidants include, but are not limited to, dimethyldioxirane, NalO/t, i-BuOCl, dioxiranes, calcium hypochlorite Ca(OCl)2, sodium chlorite NaC102, HNO3 (optionally in the presence of a catalyst, such as a AuCLf catalyst), 02 (in the presence of a catalyst, such as a eerie ammonium nitrate catalyst), acyl nitrites, sodium perborate, organic peroxides (e.g., ROOH, wherein R is a Ci_6 alkyl), and H202 (optionally in the presence of a catalyst, such as a
bis(acetylacetonato)oxovanadium catalyst).
[143] The oxidation reaction can be carried out in a solvent. The solvent can be an organic solvent or mixture of one or more organic solvents, or a mixture of one or more organic solvents with water or an aqueous buffer. Examples of organic solvents can be
used include, but are not limited, to dimethylacetimide (DMA), methanol, ethanol, methylene chloride, acetone, DMF, DMSO, ethyl acetate, dioxane, and acetonitrile.
[144] In one embodiment, the oxidation reaction can be carried out in a mixture of dimethylacetimide (DMA) and a succinate buffer. Preferably, the succinate buffer has a pH of about 5. More preferably, the reaction can be carried out in a 60:40 (v:v) mixture of DMA and succinate buffer having a pH about 5.
[145] The oxidation reaction can be carried out at a suitable temperature. In one embodiment, the reaction is carried out at room temperature (about 20- 25 °C).
Alternatively, the oxidation reaction can be carried out at a low temperature, for example, at about -20 °C to about 15 °C. In a preferred embodiment, the oxidation reaction is carried out at about 4 °C. In another alternative, the reaction can be carried out at an elevated temperature, for example, higher than about 30 °C.
[146] Compounds of formula (V), (V) and (VI) can be prepared by any suitable methods. In one embodiment, compounds of formula (V), (V) or (VI) can be prepared by reacting compound D-XH with a bifunctional crosslinking reagent.
[147] In one embodiment, the bifunctional crosslinking reagent comprises a maleimide group (e.g., SMCC, AMAS, BMPS, GMBS, EMCS, SVSB and PEGn-Mal, etc.) and the compound of structural formula (V) or (V) can be prepared according to scheme 2. Scheme 2
[148] The reaction of D-XH and the bifunctional crosslinking reagent can be carried out in a suitable solvent. The solvent can be an organic solvent or mixture of one or more organic solvents, or a mixture of one or more organic solvents with water or an aqueous buffer. Examples of organic solvents can be used include, but are not limited, to
dimethylacetimide (DMA), methanol, ethanol, methylene chloride, acetone, DMF, DMSO, ethyl acetate, dioxane, and acetonitrile.
[149] In one embodiment, the reaction can be carried out in a mixture of
dimethylacetimide (DMA) and a succinate buffer. Preferably, the succinate buffer has a pH of about 5. More preferably, the reaction can be carried out in a 60:40 (v:v) mixture of DMA and succinate buffer having a pH about 5.
[150] The reaction can be carried out at a suitable temperature. In one embodiment, the reaction is carried out at room temperature (about 20- 25 °C). Alternatively, the oxidation reaction can be carried out at a low temperature, for example, at about -20 °C to about 15 °C. In another alternative, the reaction can be carried out at an elevated temperature, for example, higher than about 30 °C.
[151] The conjugates of the present invention can be prepared by reacting a cell-binding agent with a compound of the present invention (e.g., compounds of structural formula (I) and (II)) to provide a mixture comprising a cell-binding agent-cytotoxic compound conjugate; the unreacted compound; and reaction side -products. The mixture is optionally purified to provide a purified conjugate.
[152] In another embodiment, the conjugates of the present invention can be prepared through a conjugate oxidation reaction by treating a conjugates of structural formula (VIF), (VII) or (VIII) with an oxidant (see Scheme 3). The values and preferred values for variables depicted in structural formulas (VIF), (VII) and (VIII) are as described above for structural formulas (IIF), (III) and (IV), respectively.
Scheme 3
(VIII)
(IV)
[153] The conjugate of structural formula (X) can be prepared by reacting conjugate comprising a thioether linking group represented by structural formula (XI) with an oxidant.
(X) (XI)
[154] For the conjugate oxidation described above, any suitable oxidant capable of converting a thiol group to a sulfoxide group can be used. Examples of oxidant include, but are not limited to, NalO/t, i-BuOCl, dioxiranes, calcium hypochlorite Ca(OCl)2, sodium chlorite NaC102, HNO3 (optionally in the presence of a AuCLf catalyst), 02 (in the presence of a eerie ammonium nitrate catalyst), acyl nitrites, sodium perborate, organic peroxides (e.g., ROOH, wherein R is a Ci_6 alkyl), and H202 (optionally in the presence of a bis(acetylacetonato)oxo vanadium catalyst). Preferably, the oxidant is H202 with a bis(acetylacetonato)oxo vanadium catalyst.
[155] The conjugate oxidation reaction can be carried out at a suitable temperature. In one embodiment, the reaction can be carried out at room temperature (about 20- 25 °C). Alternatively, the oxidation reaction can be carried out at a low temperature, for example, at about -20 °C to about 15 °C. In another alternative, the reaction can be carried out at an elevated temperature, for example, higher than about 30 °C. Preferably, the oxidation reaction is carried out at about 4 °C. More preferably, the oxidation reaction is carried out at about 4 °C for about 1-12 hours.
[156] In another embodiment, the mixture of the conjugate oxidation reaction is purified immediately after the reaction (e.g., for about 1 -12 hours) to remove excess oxidant. Any suitable purification method can be used. In one embodiment, the purification method is as described herein. In another embodiment, the purification method is non-absorptive chromatography and/or dialysis. Preferably, the purification method is non-absorptive chromatography with G25 desalting resin and/or dialysis at 4 °C.
[157] Any suitable purification methods can be used for purifying the mixture comprising the conjugates of the present invention. In one embodiment, the mixture can be purified using tangential flow filtration (TFF), e.g., a membrane -based tangential flow filtration process, non-adsorptive chromatography, adsorptive chromatography, adsorptive filtration, or selective precipitation, or any other suitable purification process, as well as combinations thereof. One of ordinary skill in the art will appreciate that purification after the conjugation step enables the isolation of a stable conjugate comprising the cell-binding agent chemically coupled to the cytotoxic agent.
[158] Any suitable TFF systems may be utilized for purification, including a Pellicon type system (Millipore, Billerica, MA), a Sartocon Cassette system (Sartorius AG, Edgewood, NY), and a Centrasette type system (Pall Corp., East Hills, NY).
[159] Any suitable adsorptive chromatography resin may be utilized for purification. Preferred adsorptive chromatography resins include hydroxyapatite chromatography, hydrophobic charge induction chromatography (HCIC), hydrophobic interaction chromatography (HIC), ion exchange chromatography, mixed mode ion exchange chromatography, immobilized metal affinity chromatography (IMAC), dye ligand chromatography, affinity chromatography, reversed phase chromatography, and combinations thereof. Examples of suitable hydroxyapatite resins include ceramic hydroxyapatite (CHT Type I and Type II, Bio-Rad Laboratories, Hercules, CA), HA Ultrogel hydroxyapatite (Pall Corp., East Hills, NY), and ceramic fluoroapatite (CFT Type I and Type II, Bio-Rad Laboratories, Hercules, CA). An example of a suitable HCIC resin is MEP Hypercel resin (Pall Corp., East Hills, NY). Examples of suitable HIC resins include Butyl-Sepharose, Hexyl-Sepaharose, Phenyl-Sepharose, and Octyl Sepharose resins (all from GE Healthcare, Piscataway, NJ), as well as Macro-prep Methyl and Macro-Prep t-Butyl resins (Biorad Laboratories, Hercules, CA). Examples of suitable ion exchange resins include SP-Sepharose, CM-Sepharose, and Q-Sepharose resins (all from GE Healthcare, Piscataway, NJ), and Unosphere S resin (Bio-Rad Laboratories, Hercules, CA). Examples of suitable mixed mode ion exchangers include Bakerbond ABx resin (JT Baker, Phillipsburg NJ). Examples of suitable IMAC resins include Chelating Sepharose resin (GE Healthcare, Piscataway, NJ) and Profinity IMAC resin (Bio-Rad Laboratories, Hercules, CA). Examples of suitable dye ligand resins include Blue Sepharose resin (GE Healthcare, Piscataway, NJ) and Affi-gel Blue resin (Bio-Rad Laboratories, Hercules, CA). Examples of suitable affinity resins include Protein A Sepharose resin (e.g., MabSelect, GE Healthcare, Piscataway, NJ), where the cell-binding agent is an antibody, and lectin affinity resins, e.g. Lentil Lectin Sepharose resin (GE Healthcare, Piscataway, NJ), where the cell-binding agent bears appropriate lectin binding sites. Alternatively an antibody specific to the cell-binding agent may be used. Such an antibody can be immobilized to, for instance, Sepharose 4 Fast Flow resin
(GE Healthcare, Piscataway, NJ). Examples of suitable reversed phase resins include C4, C8, and CI 8 resins (Grace Vydac, Hesperia, CA).
[160] Any suitable non-adsorptive chromatography resin may be utilized for purification. Examples of suitable non-adsorptive chromatography resins include, but are not limited to, SEPHADEX™ G-25, G-50, G-100, SEPHACRYL™ resins (e.g., S-200 and S-300), SUPERDEX™ resins (e.g., SUPERDEX™ 75 and SUPERDEX™ 200), BIO-GEL® resins (e.g., P-6, P-10, P-30, P-60, and P-100), and others known to those of ordinary skill in the art.
In vitro Cytotoxicity
[161] The cytotoxic compounds and cell-binding agent-cytotoxic agent conjugates of the invention can be evaluated for their ability to suppress proliferation of various cancer cell lines in vitro. For example, cell lines such as the squamous cell carcinomal line A431, the lung carcinoma line PC9, the human colon carcinoma line COLO 205, the rhabdomyosarcoma cell line RH-30, and the multiple myeloma cell line MOLP-8 can be used for the assessment of cytotoxicity of these compounds and conjugates. Cells to be evaluated can be exposed to the compounds or conjugates for 1 -5 days and the surviving fractions of cells measured in direct assays by known methods. IC50 values can then be calculated from the results of the assays. Examples of in vitro potency and target specificity of antibody-cytotoxic agent conjugates of the present invention are shown in Figures 1 and 2.
Compositions and methods of use
[162] The present invention includes a composition (e.g., a pharmaceutical
composition) comprising novel cytotoxic compounds described herein (e.g., compounds of structural formula (Γ), (I) and (II)), derivatives thereof, or conjugates thereof, (and/or solvates, hydrates and/or salts thereof) and a carrier (a pharmaceutically acceptable carrier). The present invention also includes a composition (e.g., a pharmaceutical composition) comprising novel cytotoxic compounds described herein (e.g., compounds of structural formula (Γ), (I) and (II)), derivatives thereof, or conjugates thereof, (and/or
solvates, hydrates and/or salts thereof) and a carrier (a pharmaceutically acceptable carrier), further comprising a second therapeutic agent. The present compositions are useful for inhibiting abnormal cell growth or treating a proliferative disorder in a mammal (e.g., human). The present compositions are also useful for treating depression, anxiety, stress, phobias, panic, dysphoria, psychiatric disorders, pain, and inflammatory diseases in a mammal (e.g., human).
[163] In one embodiment, the present invention includes a composition or a
pharmaceutical composition comprising the conjugates described herein (e.g., conjugates of structural formula (ΙΙΓ), (III) or (IV), wherein the average molar ratio of the cytotoxic agent to the cell-binding agent of the conjugates in the composition is about 1 to about 10, about 2 to about 7, about 3 to about 5, about 2.5 to about 4.5 (e.g., about 2.5, about 2.6, about 2.7, about 2.8, about 2.9, about 3.0, about 3.1 , about 3.3, about 3.4, about 3.5, about 3.6, about 3.7, about 3.8, about 3.9, about 4.0, about 4.1 , about 4.2, about 4.3, about
4.4, about 4.5), about 3.0 to about 4.0, about 3.2 to about 4.2, about 4.5 to 5.5 (e.g., about
4.5, about 4.6, about 4.7, about 4.8, about 4.9, about 5.0, about 5.1 , about 5.2, about 5.3, about 5.4, about 5.5).
[164] The present invention also includes a method of inhibiting abnormal cell growth or treating a proliferative disorder in a mammal (e.g., human) comprising administering to said mammal a therapeutically effective amount of cytotoxic compounds described herein (e.g., compounds of structural formula (Γ), (I) and (II)), derivatives thereof, or conjugates thereof (e.g., conjugates of structural formula (ΙΙΓ), (HI) or (IV)), (and/or solvates and salts thereof) or a composition thereof, alone or in combination with a second therapeutic agent.
[165] The present invention also provides methods of treatment comprising
administering to a subject in need of treatment a therapeutically effective amount of any of the conjugates described above.
[166] Similarly, the present invention provides a method for inducing cell death in selected cell populations comprising contacting target cells or tissue containing target cells with an effective amount of a cell-binding agent- cytotoxic compound conjugate of the present invention, a salt (e.g. , pharmaceutically acceptable salt) or solvate thereof. The target cells are cells to which the cell-binding agent can bind.
[167] If desired, other active agents, such as other anti-tumor agents, may be administered along with the conjugate.
[168] Suitable pharmaceutically acceptable carriers, diluents, and excipients are well known and can be determined by those of ordinary skill in the art as the clinical situation warrants.
[169] Examples of suitable carriers, diluents and/or excipients include: (1) Dulbecco's phosphate buffered saline, pH about 7.4, containing or not containing about 1 mg/ml to 25 mg/ml human serum albumin, (2) 0.9% saline (0.9% w/v NaCl), and (3) 5% (w/v) dextrose; and may also contain an antioxidant such as tryptamine and a stabilizing agent such as Tween 20.
[170] The method for inducing cell death in selected cell populations can be practiced in vitro, in vivo, or ex vivo.
[171] Examples of in vitro uses include treatments of autologous bone marrow prior to their transplant into the same patient in order to kill diseased or malignant cells:
treatments of bone marrow prior to their transplantation in order to kill competent T cells and prevent graft-versus-host-disease (GVHD); treatments of cell cultures in order to kill all cells except for desired variants that do not express the target antigen; or to kill variants that express undesired antigen.
[172] The conditions of non-clinical in vitro use are readily determined by one of ordinary skill in the art.
[173] Examples of clinical ex vivo use are to remove tumor cells or lymphoid cells from bone marrow prior to autologous transplantation in cancer treatment or in treatment of autoimmune disease, or to remove T cells and other lymphoid cells from autologous or allogenic bone marrow or tissue prior to transplant in order to prevent GVHD. Treatment can be carried out as follows. Bone marrow is harvested from the patient or other individual and then incubated in medium containing serum to which is added the cytotoxic agent of the invention, concentrations range from about 10 μΜ to 1 pM, for about 30 minutes to about 48 hours at about 37°C. The exact conditions of concentration and time of incubation, i.e., the dose, are readily determined by one of ordinary skill in the art. After incubation the bone marrow cells are washed with medium containing serum and returned to the patient intravenously according to known methods. In
circumstances where the patient receives other treatment such as a course of ablative chemotherapy or total-body irradiation between the time of harvest of the marrow and reinfusion of the treated cells, the treated marrow cells are stored frozen in liquid nitrogen using standard medical equipment.
[174] For clinical in vivo use, the cytotoxic conjugate of the invention will be supplied as a solution or a lyophilized powder that are tested for sterility and for endotoxin levels. Examples of suitable protocols of conjugate administration are as follows. Conjugates are given weekly for 4 weeks as an intravenous bolus each week. Bolus doses are given in 50 to 1000 ml of normal saline to which 5 to 10 ml of human serum albumin can be added. Dosages will be 10 μg to 2000 mg per administration, intravenously (range of 100 ng to 20 mg/kg per day). After four weeks of treatment, the patient can continue to receive treatment on a weekly basis. Specific clinical protocols with regard to route of administration, excipients, diluents, dosages, times, etc., can be determined by one of ordinary skill in the art as the clinical situation warrants.
[175] Examples of medical conditions that can be treated according to the in vivo or ex vivo methods of inducing cell death in selected cell populations include malignancy of any type including, for example, cancer of the lung (small cell and non-small cell), breast, colon, brain, prostate, kidney, pancreas, ovary, head and neck, skin (melanoma), Merkel cell carcinoma, glioblastoma, neuroblastoma, and cancers of lymphatic organs;
autoimmune diseases, such as systemic lupus, rheumatoid arthritis, and multiple sclerosis; graft rejections, such as renal transplant rejection, liver transplant rejection, lung transplant rejection, cardiac transplant rejection, and bone marrow transplant rejection; graft versus host disease; viral infections, such as CMV infection, HIV infection, AIDS, etc.; and parasite infections, such as giardiasis, amoebiasis,
schistosomiasis, and others as determined by one of ordinary skill in the art.
[176] Cancer therapies and their dosages, routes of administration and recommended usage are known in the art and have been described in such literature as the Physician's Desk Reference (PDR). The PDR discloses dosages of the agents that have been used in treatment of various cancers. The dosing regimen and dosages of these aforementioned chemotherapeutic drugs that are therapeutically effective will depend on the particular cancer being treated, the extent of the disease and other factors familiar to the physician
of skill in the art and can be determined by the physician. The contents of the PDR are expressly incorporated herein in its entirety by reference. One of skill in the art can review the PDR, using one or more of the following parameters, to determine dosing regimen and dosages of the chemotherapeutic agents and conjugates that can be used in accordance with the teachings of this invention. These parameters include:
Comprehensive index
By Manufacturer
Products (by company's or trademarked drug name)
Category index
Generic/chemical index (non-trademark common drug names)
Color images of medications
Product information, consistent with FDA labeling
Chemical information
Function/action
Indications & Contraindications
Trial research, side effects, warnings
Analogues and derivatives
[177] One skilled in the art of cytotoxic compounds will readily understand that each of the cytotoxic compound described herein can be modified in such a manner that the resulting compound still retains the specificity and/or activity of the starting compound. The skilled artisan will also understand that many of these compounds can be used in place of the cytotoxic agents described herein. Thus, the cytotoxic agents of the present invention include analogues and derivatives of the compounds described herein.
[178] All references cited herein and in the examples that follow are expressly incorporated by reference in their entireties.
EXEMPLICIATION
[179] Example 1. General methods for preparing conjugates of the present invention
Method 1:
[180] A thiol-containing cytotoxic agent (e.g., D-SH) is reacted with a maleimide containing heterobifunctional linker (e.g., AMAS, BMPS, GMBS, EMCS, SBSV, PEG„- Mal) in a mixture of dimethylacetimide (DMA) and 50 mM succinate buffer pH 5 (60:40 DMA:buffer by volume) for 5 min to generate a succinimidyl thioether. The mixture is then treated with mild oxidant (e.g., hydrogen peroxide, dimethyldioxirane) at 4 °C, which selectively converts thioether into sulfoxide and not the sulfone. The mixture is then added to an antibody solution buffered at pH about 6-9 in a 3-7 fold molar excess (based on linker concentration) and the reaction was allowed to proceed overnight to generate the sulfoxide linker conjugate.
Method 2:
[181] An antibody-cyto toxic agent conjugate comprising a thioether group (preferably a succinimidyl thioether group) is treated at pH 7.4 with 3-100 mole % of an oxidant (e.g., NalO/t, i-BuOCl, dioxiranes, calcium hypochlorite Ca(OCl)2, sodium chlorite NaC102, HN03 and a AuCU" catalyst, 02 and eerie ammonium nitrate catalyst, acyl nitrites, sodium perborate, and organic peroxides ROOH and H202 with a
bis(acetylacetonato)oxovanadium catalyst). Conjugate oxidation is done at 4 °C for 1 -12 hours followed by immediate removal of excess oxidant using G25 desalting resin and/or dialysis.
[182] Conjugates made by method 1 or 2 can be assayed for extent of thioether oxidation to sulfoxide by kinetic trapping of the released sulfenic acid intermediate. An exemplary procedure for kinetic trapping is described below in Example 2.
[183] The invention will now be illustrated by reference to non-limiting examples. Unless otherwise stated, all percents, ratios, parts, etc. are by weight. Hydrogen peroxide (30% w/v in water), N-ethyl maleimide, and 5,5-dimethyl-l ,3,-cyclohexanedione (dimedone) were purchased from Sigma. Antibody drug conjugates (Ab-SMCC-DMl , Ab-PEG/t-mal-DM 1 , Ab-PEG4-mal-DM4) were prepared according to published methods (Kovtun, et al, Cancer Research, 2010, 70, 2528-37). A Bruker ESQUIRE™ 3000 ion trap mass spectrometer was used to obtain mass spectra for all reaction products and was used in line with a Water 2695 series HPLC. Samples were analyzed using the analytical reverse phase HPLC method described below:
Column: Vydac C8 (208TP 104), 250 x 4.6 mm, 5 micron. Temperature: 25 °C
Flow rate: 1.0 mL/ min Injection volume: 50 microliters
Absorbance detection: 252 nm
Linear gradient of 80% A - 80% B over 30 min
Solvent A: water (0.025% formic acid)
Solvent B: acetonitrile (0.025% formic acid)
Mass spectrometer conditions
Ionization method: Electrospray; Nebulizer gas flow: 25 psi;
Drying temperature: 350 °C; Heating gas flow: 8.0 L/min;
Mass range: 50 - 2000
MS detection in alternating positive and negative ion modes or in MS2 mode.
[184] Example 2. Selective oxidation of Ab-SMCC-DMl to sulfoxide linked conjugate 2
[185] chB38.1-SMCC-DMl (9 μΜ in PBS, pH 7.4) was treated with 1 μΜ hydrogen peroxide and 5 mole % bis(acetylacetonato)oxovanadium catalyst at 4 °C for 4 h. To remove excess oxidant, gel fitration of the conjugate into a G25 Sephadex (GE healthcare) column equilibrated in 10 mM sodium citrate pH 5.5 followed by dialysis (2 exchanges in a slide-a-lyzer cassette) was carried out. The oxidized conjugate was assayed for maytansine per antibody ratio (MAR), % monomer, and % unconjugated free maytansinoid and the sample was identical to the parent conjugate (3.7 MAR, 0.1% free maytansinoid, 95% monomer).
[186] In Vitro cytotoxicity assays comparing activity of conjugate 1 (Ab-SMCC-DMl) and selectively oxidized conjugate 2
[187] Confluent T75 flasks of PC9 cells (for anti-EPC AM-SMCC-DM 1 ) and
A431 cells (for anti-EGFR-SMCC-DMl) grown in growth medium (DMEM (Invitrogen) containing 10% fetal bovine serum (ATCC), 2 mM L-glutamine (Invitrogen), and penicillin-streptomycin (Invitrogen) were detached with 0.25% tryspin-EDTA
(Invitrogen), stained with trypan blue (Invitrogen) and the number of live cells was counted on a hemacytometer. Between 1000 and 2000 cells/well were seeded in 96-well flat-bottom tissue culture plates (Falcon) in growth media and allowed to adhere
overnight at 37 °C. All cells were obtained from ATCC. After 1 day, cells were continuously exposed to anti-EpCAM or anti-EGFR antibody conjugates (1 and 2) for 96 hr at 37 °C at concentrations of 2 pM to 30 nM (3-fold serial dilutions). Blocking controls were performed in parallel where cells were treated for 1 hr at 37 °C with 1 μΜ unconjugated antibody in fresh growth media prior to conjugate exposure. Each test condition was performed in triplicate. After conjugate treatment, 20 μΐ WST-8 reagent (Dojindo Molecular) was added to each well and incubated at 37 °C for 1-5 h for color development. The plate absorbance was measured at 450 nm and used to calculate the surviving cell fraction (compared with untreated control cells). The IC50 values were estimated from plots of conjugate concentration (M) versus surviving cell fraction.
Cytotoxicity data shown in Figure 1 and 2. Figure 1 shows that anti-EGFR antibody conjugate IgGl-sulfoxide-DMl conjugate 2 is ~ 2-fold more potent than the parent IgGl- SMCC-DM1 conjugate 1. Figure 2 shows that anti-EpCAM-SMCC-sulfoxide-DMl conjugate 2 is ~ 3-fold more potent than the parent anti-EpCAM-SMCC-DMl conjugate 1. Preincubation of PC9 cells with 1 μΜ unconjugated anti-EpCAM antibody (to fully block antigen binding sites) leads to significant reduction in cell killing activity for conjugates 1 and 2. Therefore, the data suggest that the additional activity observed for conjugate 2 is antigen-dependent.
[188] Characterization of oxidized thioether in conjugate 2
[189] Conjugates made by method 1 or 2 were assayed for extent of thioether oxidation to sulfoxide by kinetic trapping of the released sulfenic acid intermediate. Sulfoxide linker conjugate 2 (36 μΜ) was incubated with 10 mM dimedone (12 h, 37 °C, PBS, pH 7.4). Free maytansinoid species were then acetone extracted and identified by LC-MS and quantified (by integrated area at 252 nm and comparison to a standard curve).
Presence of maytansinoid-dimedone adduct (i.e. DM1 -dimedone) was evidence of oxidation of the thioether ether linkage selectively to the sulfoxide. Data shown in Figure 4.
[191] Ab-PEG4-mal-DMl and Ab-PEG4-mal-DM4 (36 μΜ, average of 4 maytansinoids per antibody) with no detectable unconjugated maytansinoid was treated with hydrogen peroxide (0.1 μΜ - 50 μΜ final concentration) at pH 7.4 (PBS) for 12 h at 37 °C.
Increase in free maytansinoids was quantified using a mixed-mode chromatography method (Fleming, et al, Analytical Biochemistry, 2005, 340, 272). Briefly, a HISEP shielded hydrophobic phase column (5 μπι particle size, 4.6 x 250 mm length, Supelco, Bellefonte, PA, USA) was used for analyzing Ab-DMl conjugates. Detection was at 252 and 280 nm (extracted from PDA spectra). The flow rate was 0.7 ml/min. Mobile phase A consisted of 100 mM ammonium acetate (pH 7.0). Mobile phase B was 100% acetonitrile. The column was equilibrated at 25% B followed by a linear gradient over 25 min to 40% B after sample injection. Intact conjugate elutes between 2-5 min while released maytansinoid is detected between 10-25 min. Data shown in Figure 5C.
[192] Example 4. Rate of oxidation of DM1-NEM and DM4-NEM
[193] 10 μΜ DM1 -NEM or DM4-NEM (95% PBS pH 7.4, 5% dimethylacetamide) were treated at room temperature with 1 mM hydrogen peroxide and reaction aliquots (30 μΐ) were injected directly onto RP-HPLC at various time points from 0-400 min.
Maytansinoid products were quantified by measuring integrated area under the curve at
252 nm and comparison to a calibration curve with known standards. Kinetic data shown in Figure 5A.
[194] Example 5. Rate of sulfoxide elimination of DM1-SO-NEM and DM4-SO-NEM
[195] 8 μΜ DM1-SO-NEM or DM4-SO-NEM (95% PBS pH 7.4, 5%
dimethylacetamide) were incubated at 37 °C and reaction aliquots (50 μΐ) were injected directly onto RP-HPLC at various time points from 0-12 h. Maytansinoid products were quantified by measuring integrated area under the curve at 252 nm and comparison to a calibration curve with known standards. Kinetic data shown in Figure 5B.
[196] Thioether formed with hindered thiol DM4 oxidizes 2-fold slower (Figure 5 A) and undergoes sulfoxide elimination 2-fold slower than corresponding thioether formed from unhindered DM1 thiol (Figure 5B). The observation that Ab-PEG4-mal-DM4 is ~5- fold more resistant to oxidation promoted free maytansinoid release than Ab-PEG4-mal- DM1 (Figure 5C) is consistent with the observed rates of sulfoxide formation and beta- elimination.
Claims
We claim:
1. A compound represented b the following structural formula:
D is a cytotoxic agent;
X is S or Se;
R and R' are each independently selected from the group consisting of -H, an alkyl, a cycloalkyl, -ORa, and -NRbR°;
Ra, Rb and R° are each independently H or an alkyl;
p is 0, 1 or 2
Y is an alkylene, a polyethylene glycol unit represented by
-(CH2-CH2-0)n-Rd-, -Rd-E- or -Rd-W-Re-,
n is an integer from 1 to 24;
E is a cycloalkyl, a heterocyclyl, an aryl or a heteroaryl,
W is -C(=0)NH-, -NHC(=0)-, -(C=0)0- or -0(C=0)-,
absent or an alkyl;
Re is an alkyl;
M is a linking group that can react with a cell-binding agent to form a covalent bond.
2. The compound of claim 1 , wherein D is a maytansinoid.
3. The compound of claim 2, wherein D is represented by the following structural formula:
Ri, R2, R3, R4, R5, R6, R7 and Rs are each independently H, an alkyl, an alkenyl, a cycloalkyl, a heteroaryl, a heterocyclyl, or an aryl; and
1, m and n are each independently 0 or an integer from 1 to 5.
The compound of claim 3, wherein Ri and R2 are each independently H, Ci_4 alkyl or Ci_4 alkyl substituted with one to six halogens.
The compound of claim 4, wherein Ri and R2 are each independently H, methyl, -CF3 or -CCl3.
The compound of claim 4, wherein Ri and R2 are both H or methyl.
The compound of claim 3, wherein 1 and m are 0, n is 1, Ri, R2, R3 and R4 are all H.
The compound of claim 3, wherein n is 0, 1 and m are both 1, R5, R^, R7 and Rs are all H, Ri and R2 are both methyl.
The compound of claim 3, wherein n is 0, 1 and m are both 1, Ri, R5, R^, R7 and Rs are all H, and R2 is methyl.
The compound of any one of claims 1-9, wherein X is S.
11. The compound of any one of claims 1-10, wherein p is 0.
12. The compound of any one of claims 1-1 1, wherein one of R and R' is H, and the other is H, a Ci_4 alkyl, -ORa, or -NR R°, wherein Ra, R and Rc are each independently H or a C1.4 alkyl.
13. The compound of claim 12, wherein R and R' are both H.
14. The compound of any one of claims 1-13, wherein Y is a Ci_6 alkylene, a
polyethylene glycol unit represented by -(CH2-CH2-0)n-Rd-, -Rd-E- or -Rd-W-Re-, wherein Rd is absent or a Ci_4 alkyl; Re is a Ci_4 alkyl; W is -C(=0)NH-; E is cyclohexyl and n is an integer from 2 to 8.
The compound of any one of claims 1-15, wherein M represents a maleimide, a haloacetamido, -SH, -SSRf, -CH2SH, -CH(Me)SH, -C(Me)2SH, -NHRg,
-CH2NHRg, -NRgNH2, -COOH, a reactive ester, an amino acid or a peptide comprising 2 to 10 amino acids, wherein R is selected from phenyl, nitrophenyl, dinitrophenyl, carboxynitrophenyl, pyridyl or nitropyridyl and Rg is -H or a Ci_4 alkyl.
The compound of claim 16, M represents a maleimide, haloacetamido, N- hydroxysuccinimde ester, N-hydroxy sulfosuccinimide ester, nitrophenyl ester, dinitrophenyl ester, sulfo-tetraflurophenyl ester or pentafluorophenyl ester.
The compound of claim 17, wherein M represents a N-hydroxysuccinimide ester.
"M (II),
wherein:
D is a cytotoxic agent;
X is S or Se;
Y' is -SO2-, aryl, aryl, pyridyl or -C(=0)-;
Z is an alkyl, a cycloalkyl, a heterocyclyl, an aryl, a heteroaryl, or -N(Rb)-Rd-;
Rb is H or a Ci_4 alkyl;
Rd is a Ci_4 alkyl; and
M is a linking group that can react with a cell-binding agent to form a covalent bond.
20. The compound of claim 19, wherein D is a maytansinoid.
21. The compound of claim 20, wherein D is represented by the following structural formula:
Ri, R2, R3, R4, R5, R0, R7 and Rs are each independently H, an alkyl, an alkenyl, a cycloalkyl, a heteroaryl, a heterocyclyl, or an aryl; and
1, m and n are each independently 0 or an integer of from 1 to 5.
The compound of claim 21, wherein Ri and R2 are each independently H, Ci_4 alkyl or Ci_4 alkyl substituted with one to six halogens.
23. The compound of claim 22, wherein Ri and R2 are each independently H, methyl, -CF3 or -CCl3.
24. The compound of claim 22, wherein Ri and R2 are both H or methyl.
25. The compound of claim 21, wherein 1 and m are 0, n is 1, Ri, R2, R3 and R4 are all H.
26. The compound of claim 21 , wherein n is 0, 1 and m are both 1 , R5, R6, R7 and Rs are all H, Ri and R2 are both methyl.
27. The compound of claim 21 , wherein n is 0, 1 and m are both 1 , R5, R6, R7 and Rs are all H, Ri is H and R2 is methyl.
28. The compound of any one of claims 19-27, wherein X is S.
29. The compound of any one of claims 19-28, wherein Y' is S02.
30. The compound of claim 29, wherein Z is phenyl.
31. The compound of any one of claims 19-28, wherein Y' is pyridyl and Y' is linked with Z through the pyridyl nitrogen atom.
32. The compound of claim 31 , wherein Z is an alkyl.
33. The compound of any one of claims 19-28, wherein Y' is -C(=0)-.
34. The compound of claim 33, wherein Z is -N(Rb)-Rd-.
35. The compound of claim 34, wherein Rb is H and Rd is -CH2-CH2-.
36. The compound of any one of claims 19-35, wherein M represents a maleimide, a haloacetamido, -SH, -SSRf, -CH2SH, -CH(Me)SH, -C(Me)2SH, -NHRg,
-CH2NHRg, -NRgNH2, -COOH or a reactive ester, wherein Rf is selected from phenyl, nitrophenyl, dinitrophenyl, carboxynitrophenyl, pyridyl or nitropyridyl and Rg is -H or a Ci_4 alkyl.
37. The compound of claim 36, M represents a maleimide, a haloacetamido, N- hydroxysuccinimde ester, N-hydroxy sulfosuccinimide ester, nitrophenyl ester, dinitrophenyl ester, sulfo-tetraflurophenyl ester or pentafluorophenyl ester.
38. The compound of claim 36, wherein M represents a N-hydroxysuccinimide ester.
39. A conjugate represented by the following structural formula:
wherein:
CBA represents a cell-binding agent,
w is an integer from 1 to 10;
D is a cytotoxic agent;
X is S or Se;
R and R' are each independently selected from the group consisting of -H, an alkyl, a cycloalkyl, -ORa, and -NRbR°;
Ra, Rb and Rc are each independently H or an alkyl;
p is 0, 1 or 2;
Y is an alkylene, a polyethylene glycol unit represented by
-(CH2-CH2-0)n-Rd-, -Rd-E- or -Rd-W-Re-,
n is an integer from 1 to 24;
E is a cycloalkyl, a heterocyclyl, an aryl or a heteroaryl,
W is -C(=0)NH-, -NHC(=0)-, -(C=0)0- or -0(C=0)-,
Rd is absent or an alkyl;
Re is an alkyl;
q is an integer from 1 to 20; and
M' is a linking moiety that covalently linked to the cell-binding agent.
40. The conjugate of claim 39, wherein D is a maytansinoid.
41. The conjugate of claim 40, wherein D is represented by the following structural formula:
Yi represents (CR7R8)i(CR5R6)m(CR3R4)„CRiR2-,
Ri, R2, R3, R4, R5, R6, R7 and Rs are each independently H, an alkyl, an alkenyl, a cycloalkyl, a heteroaryl, a heterocyclyl, or an aryl; and
1, m and n are each independently 0 or an integer of from 1 to 5.
42. The conjugate of claim 41, wherein Ri and R2 are each independently H, Ci_4 alkyl or Ci_4 alkyl substituted with one to six halogens.
43. The conjugate of claim 42, wherein Ri and R2 are each independently H, methyl, -CF3 or -CCl3.
44. The conjugate of claim 42, wherein Ri and R2 are both H or methyl.
45. The conjugate of claim 41, wherein 1 and m are 0, n is 1, Ri, R2, R3 and R4 are all H.
46. The conjugate of claim 41, wherein n is 0, 1 and m are both 1 , R5, R6, R7 and Rs are all H, Ri and R2 are both methyl.
47. The conjugate of claim 41, wherein n is 0, 1 and m are both 1 , R5, R6, R7 and Rs are all H, Ri is H and R2 is methyl.
48. The conjugate of any one of claims 39-47, wherein X is S.
49. The conjugate of any one of claims 39-48, wherein p is 0.
50. The conjugate of any one of claims 39-49, wherein one of R and R' is H, and the other is H, a Ci_4 alkyl, -ORa, or -NRbR°, wherein Ra, Rb and Rc are each independently H or a C1.4 alkyl.
51. The conjugate of claim 50, wherein R and R' are both H. 52. The conjugate of any one of claims 39-51, wherein Y is a Ci_4 alkyl, a
polyethylene glycol unit represented by -(CH2-CH2-0)„-Rd-, -Rd-C- or -Rd-W-Re-, wherein Rd is absent or a Ci_4 alkyl; and Re is a Ci_4 alkyl; W is -C(=0)NH-; C is cyclohexyl and n is an integer from 2 to 8.
53. The conjugate of claim 52, wherein Y is
54. A conjugate represented by the following structural formula:
wherein:
CBA represents a cell-binding agent,
D is a cytotoxic agent;
X is S or Se;
Y' is -SO2-, aryl, pyridyl or -C(=0)-;
Z is an alkyl, a cycloalkyl, a heterocyclyl, an aryl, a heteroaryl, or -N(R )-
Rd-;
Rb is H or a Ci_4 alkyl;
q is an integer from 1 to 20; and
Rd is a Ci_4 alkyl.
55. The conjugate of claim 54, wherein D is a maytansinoid.
56. The conjugate of claim 55, wherein D is represented by the following structural formula:
Yi represents (CR7R8)1(CR5R6)m(CR3R4)„CR1R2-,
Ri, R2, R3, R4, R5, R6, R7 and Rs are each independently H, an alkyl, an alkenyl, a cycloalkyl, a heteroaryl, a heterocyclyl, or an aryl; and
1, m and n are each independently 0 or an integer of from 1 to 5.
57. The conjugate of claim 56, wherein Ri and R2 are each independently H, Ci_4 alkyl or Ci_4 alkyl substituted with one to six halogens.
58. The conjugate of claim 57, wherein Ri and R2 are each independently H, methyl, -CF3 or -CCl3.
59. The conjugate of claim 57, wherein Ri and R2 are both H or methyl.
The conjugate of claim 56, wherein 1 and m are 0, n is 1, Ri, R2, R3 and R4 are all H.
61. The conjugate of claim 56, wherein n is 0, 1 and m are both 1 , R5, R6, R7 and Rs are all H, Ri and R2 are both methyl.
62. The conjugate of claim 56, wherein n is 0, 1 and m are both 1, R5, R6, R7 and Rs are all H, Ri is H and R2 is methyl.
63. The conjugate of any one of claims 54-62, wherein X is S.
64. The conjugate of any one of claims 54-63, wherein Y' is S02.
65. The conjugate of claim 64, wherein Z is phenyl.
66. The conjugate of any one of claims 54-63, wherein Y' is pyridyl and Y' is linked with Z through the pyridyl nitrogen atom.
67. The conjugate of claim 66, wherein Z is an alkyl.
68. The conjugate of any one of claims 54-63, wherein Y' is -C(=0)-.
69. The conjugate of claim 68, wherein Z is -N(Rb)-Rd-.
70. The conjugate of claim 69, wherein Rb is H and Rd is -CH2-CH2-.
71. The con ugate of any one of claims 39-70, wherein M' is -C(=0)-,
, -NH-C(=0)-CH2-, -S-, -CH2-S-, -CH(Me)-S-, -C(Me2)-S-, -NRg-,
-CH2NRg-, or -NRgN=, wherein Rg is -H or a Ci_4 alkyl.
72. The conjugate of any one claims 39-70, wherein M' is -C(=0)-.
73. The conjugate of any one of claims 39-72, wherein the cell-binding agent binds to target cells selected from tumor cells, virus infected cells, microorganism infected cells, parasite infected cells, autoimmune cells, activated cells, myeloid cells, activated T-cells, B cells, or melanocytes; cells expressing the CD4, CD6, CD 19, CD20, CD22, CD30, CD33, CD37, CD38, CD40, CD44, CD56, EpCAM, CanAg,
CALLA, or Her-2 antigens; Her-3 antigens or cells expressing insulin growth factor receptor, epidermal growth factor receptor, and folate receptor.
74. The conjugate of any one of claims 39-73, wherein the cell-binding agent is an antibody, a single chain antibody, an antibody fragment that specifically binds to the target cell, a monoclonal antibody, a single chain monoclonal antibody, or a monoclonal antibody fragment that specifically binds the a target cell, a chimeric antibody, a chimeric antibody fragment that specifically binds to the target cell, a domain antibody, a domain antibody fragment that specifically binds to the target cell, a lymphokine, a hormone, a vitamin, a growth factor, a colony stimulating factor, or a nutrient-transport molecule.
75. The conjugate of claim 74, wherein the antibody is a resurfaced antibody, a
resurfaced single chain antibody, or a resurfaced antibody fragment.
76. The conjugate of claim 74, wherein the antibody is a monoclonal antibody, a single chain monoclonal antibody, or a monoclonal antibody fragment thereof.
77. The conjugate of claim 74, wherein the antibody is a humanized antibody, a humanized single chain antibody, or a humanized antibody fragment.
78. A pharmaceutical composition comprising the conjugate of any one of claims 39- 77 and a pharmaceutically acceptable carrier.
79. A method of inhibiting abnormal cell growth or treating a proliferative disorder, an autoimmune disorder, destructive bone disorder, infectious disease, viral disease, flbrotic disease, neurodegenerative disorder, pancreatitis or kidney disease in a mammal comprising administering to said mammal a therapeutically effective amount of the conjugate of any one of claims 39-77 and, optionally, a chemotherapeutic agent.
80. The method of claim 79, wherein said second chemotherapeutic agent is
administered to said mammal sequentially or consecutively.
81. The method of claim 79, wherein the method is for treating a condition selected from cancer, rheumatoid arthritis, multiple sclerosis, graft versus host disease (GVHD), transplant rejection, lupus, myositis, infection, and immune deficiency.
82. The method of claim 81 , wherein the method is for treating a cancer.
83. The method of claim 82, wherein the cancer is selected from breast cancer, colon cancer, brain cancer, prostate cancer, kidney cancer, pancreatic cancer, ovarian cancer, head and neck cancer, melanoma, colorectal cancer, gastric cancer, squamous cancer, small-cell lung cancer, non small-cell lung cancer, testicular cancer, Merkel cell carcinoma, glioblastoma, neuroblastoma, and cancers of lymphatic organs.
Priority Applications (2)
| Application Number | Priority Date | Filing Date | Title |
|---|---|---|---|
| US14/009,957 US9156854B2 (en) | 2011-04-18 | 2012-03-20 | Maytansinoid derivatives with sulfoxide linker |
| US14/718,350 US9624240B2 (en) | 2011-04-18 | 2015-05-21 | Maytansinoid derivatives with sulfoxide linker |
Applications Claiming Priority (4)
| Application Number | Priority Date | Filing Date | Title |
|---|---|---|---|
| US201161476529P | 2011-04-18 | 2011-04-18 | |
| US61/476,529 | 2011-04-18 | ||
| US201161504953P | 2011-07-06 | 2011-07-06 | |
| US61/504,953 | 2011-07-06 |
Related Child Applications (2)
| Application Number | Title | Priority Date | Filing Date |
|---|---|---|---|
| US14/009,957 A-371-Of-International US9156854B2 (en) | 2011-04-18 | 2012-03-20 | Maytansinoid derivatives with sulfoxide linker |
| US14/718,350 Division US9624240B2 (en) | 2011-04-18 | 2015-05-21 | Maytansinoid derivatives with sulfoxide linker |
Publications (2)
| Publication Number | Publication Date |
|---|---|
| WO2012145112A2 true WO2012145112A2 (en) | 2012-10-26 |
| WO2012145112A3 WO2012145112A3 (en) | 2014-05-01 |
Family
ID=47042101
Family Applications (1)
| Application Number | Title | Priority Date | Filing Date |
|---|---|---|---|
| PCT/US2012/029791 Ceased WO2012145112A2 (en) | 2011-04-18 | 2012-03-20 | Novel maytansinoid derivatives with sulfoxide linker |
Country Status (2)
| Country | Link |
|---|---|
| US (2) | US9156854B2 (en) |
| WO (1) | WO2012145112A2 (en) |
Cited By (10)
| Publication number | Priority date | Publication date | Assignee | Title |
|---|---|---|---|---|
| WO2014134457A3 (en) * | 2013-02-28 | 2014-12-04 | Immunogen, Inc. | Conjugates comprising cell-binding agents and cytotoxic agents |
| WO2014134486A3 (en) * | 2013-02-28 | 2015-03-26 | Immunogen, Inc. | Conjugates comprising cell-binding agents and cytotoxic agents |
| JP2016501859A (en) * | 2012-11-24 | 2016-01-21 | ハンジョウ ディーエーシー バイオテック シーオー.,エルティディ.Hangzhou Dac Biotech Co.,Ltd. | Use of hydrophilic conjugates and conjugation reactions between drug molecules and cell binding molecules |
| US10640508B2 (en) | 2017-10-13 | 2020-05-05 | Massachusetts Institute Of Technology | Diazene directed modular synthesis of compounds with quaternary carbon centers |
| EP3699200A1 (en) | 2013-07-15 | 2020-08-26 | Cell Signaling Technology, Inc. | Anti-mucin 1 binding agents and uses thereof |
| US10918627B2 (en) | 2016-05-11 | 2021-02-16 | Massachusetts Institute Of Technology | Convergent and enantioselective total synthesis of Communesin analogs |
| US10918735B2 (en) | 2012-12-04 | 2021-02-16 | Massachusetts Institute Of Technology | Substituted pyrazino[1′,2′:1,5]pyrrolo[2,3-b]indole-1,4-diones for cancer treatment |
| US11535634B2 (en) | 2019-06-05 | 2022-12-27 | Massachusetts Institute Of Technology | Compounds, conjugates, and compositions of epipolythiodiketopiperazines and polythiodiketopiperazines and uses thereof |
| US11932650B2 (en) | 2017-05-11 | 2024-03-19 | Massachusetts Institute Of Technology | Potent agelastatin derivatives as modulators for cancer invasion and metastasis |
| US12030888B2 (en) | 2021-02-24 | 2024-07-09 | Massachusetts Institute Of Technology | Himastatin derivatives, and processes of preparation thereof, and uses thereof |
Families Citing this family (11)
| Publication number | Priority date | Publication date | Assignee | Title |
|---|---|---|---|---|
| MX346555B (en) | 2011-04-01 | 2017-03-24 | Immunogen Inc | METHODS TO INCREASE THE EFFECTIVENESS OF THERAPY AGAINST CANCER WITH FOLATE RECEIVER 1 (FOLR1). |
| MX371496B (en) | 2013-08-30 | 2020-01-31 | Immunogen Inc | ANTIBODIES AND ASSAYS FOR THE DETECTION OF FOLATE RECEPTOR 1. |
| CN106573077B (en) | 2014-06-30 | 2019-07-30 | 塔弗达治疗有限公司 | Targeted conjugates and their particles and formulations |
| BR112017011773A2 (en) | 2014-12-04 | 2018-02-20 | Celgene Corporation | isolated compound, isolated conjugates, pharmaceutical compositions, and methods of treating a disorder in a mammal |
| US10748654B2 (en) * | 2015-07-02 | 2020-08-18 | PRA Health Sciences, Inc. | Normalizing data sets for predicting an attribute of the data sets |
| CN108601828B (en) * | 2015-09-17 | 2023-04-28 | 伊缪诺金公司 | Therapeutic Combinations Comprising Anti-FOLR1 Immunoconjugates |
| CN108473538B (en) | 2015-10-28 | 2022-01-28 | 塔弗达治疗有限公司 | SSTR targeting conjugates and particles and formulations thereof |
| EP4644899A2 (en) | 2016-08-12 | 2025-11-05 | Immunowork, LLC | Diagnosis, prevention, and/or treatment of autoimmune diseases |
| KR20240161216A (en) * | 2017-01-20 | 2024-11-12 | 하이델베르크 파마 리서치 게엠베하 | Compositions and methods for the depletion of cd137+ cells |
| JP7442821B2 (en) * | 2017-11-30 | 2024-03-05 | センチュリオン バイオファーマ コーポレイション | Maytansinoid drug delivery system |
| CN113461708A (en) * | 2021-07-22 | 2021-10-01 | 深圳市泰尔康生物医药科技有限公司 | Ansamitocin P-3 derivative and application thereof in preparation of drugs for treating gastric cancer |
Family Cites Families (5)
| Publication number | Priority date | Publication date | Assignee | Title |
|---|---|---|---|---|
| US5985837A (en) * | 1998-07-08 | 1999-11-16 | Basf Aktiengesellschaft | Dolastatin 15 derivatives |
| US6670358B2 (en) * | 2000-05-16 | 2003-12-30 | Cephalon, Inc. | Substituted thioacetamides |
| US20050276812A1 (en) * | 2004-06-01 | 2005-12-15 | Genentech, Inc. | Antibody-drug conjugates and methods |
| EP1813614B1 (en) * | 2006-01-25 | 2011-10-05 | Sanofi | Cytotoxic agents comprising new tomaymycin derivatives |
| PT2019104E (en) | 2007-07-19 | 2013-12-03 | Sanofi Sa | Cytotoxic agents comprising new tomaymycin derivatives and their therapeutic use |
-
2012
- 2012-03-20 WO PCT/US2012/029791 patent/WO2012145112A2/en not_active Ceased
- 2012-03-20 US US14/009,957 patent/US9156854B2/en active Active
-
2015
- 2015-05-21 US US14/718,350 patent/US9624240B2/en not_active Expired - Fee Related
Cited By (18)
| Publication number | Priority date | Publication date | Assignee | Title |
|---|---|---|---|---|
| EP2922818B1 (en) | 2012-11-24 | 2018-09-05 | Hangzhou Dac Biotech Co., Ltd | Hydrophilic linkers and their uses for conjugation of drugs to cell binding molecules |
| CN105849086B (en) * | 2012-11-24 | 2018-07-31 | 杭州多禧生物科技有限公司 | Hydrophily chain junctor and its application on drug molecule and cell-binding molecules conjugation reaction |
| JP2016501859A (en) * | 2012-11-24 | 2016-01-21 | ハンジョウ ディーエーシー バイオテック シーオー.,エルティディ.Hangzhou Dac Biotech Co.,Ltd. | Use of hydrophilic conjugates and conjugation reactions between drug molecules and cell binding molecules |
| US10131682B2 (en) | 2012-11-24 | 2018-11-20 | Hangzhou Dac Biotech Co., Ltd. | Hydrophilic linkers and their uses for conjugation of drugs to a cell binding molecules |
| CN105849086A (en) * | 2012-11-24 | 2016-08-10 | 杭州多禧生物科技有限公司 | Hydrophilic linkers and their uses for conjugation of drugs to cell binding molecules |
| EP2922818A4 (en) * | 2012-11-24 | 2016-11-09 | Hangzhou Dac Biotech Co Ltd | HYDROPHILIC LINKS AND THEIR USES FOR CONJUGATION OF MEDICAMENTS TO CELL-BINDING MOLECULES |
| US10918735B2 (en) | 2012-12-04 | 2021-02-16 | Massachusetts Institute Of Technology | Substituted pyrazino[1′,2′:1,5]pyrrolo[2,3-b]indole-1,4-diones for cancer treatment |
| US9901647B2 (en) | 2013-02-28 | 2018-02-27 | Immunogen, Inc. | Conjugates comprising cell-binding agents and cytotoxic agents |
| WO2014134486A3 (en) * | 2013-02-28 | 2015-03-26 | Immunogen, Inc. | Conjugates comprising cell-binding agents and cytotoxic agents |
| JP2016510730A (en) * | 2013-02-28 | 2016-04-11 | イミュノジェン・インコーポレーテッド | Complex containing cell binding agent and cytotoxic agent |
| WO2014134457A3 (en) * | 2013-02-28 | 2014-12-04 | Immunogen, Inc. | Conjugates comprising cell-binding agents and cytotoxic agents |
| EP3699200A1 (en) | 2013-07-15 | 2020-08-26 | Cell Signaling Technology, Inc. | Anti-mucin 1 binding agents and uses thereof |
| US10918627B2 (en) | 2016-05-11 | 2021-02-16 | Massachusetts Institute Of Technology | Convergent and enantioselective total synthesis of Communesin analogs |
| US11932650B2 (en) | 2017-05-11 | 2024-03-19 | Massachusetts Institute Of Technology | Potent agelastatin derivatives as modulators for cancer invasion and metastasis |
| US10640508B2 (en) | 2017-10-13 | 2020-05-05 | Massachusetts Institute Of Technology | Diazene directed modular synthesis of compounds with quaternary carbon centers |
| US11535634B2 (en) | 2019-06-05 | 2022-12-27 | Massachusetts Institute Of Technology | Compounds, conjugates, and compositions of epipolythiodiketopiperazines and polythiodiketopiperazines and uses thereof |
| US12180228B2 (en) | 2019-06-05 | 2024-12-31 | Massachusetts Institute Of Technology | Compounds, conjugates, and compositions of epipolythiodiketopiperazines and polythiodiketopiperazines and uses thereof |
| US12030888B2 (en) | 2021-02-24 | 2024-07-09 | Massachusetts Institute Of Technology | Himastatin derivatives, and processes of preparation thereof, and uses thereof |
Also Published As
| Publication number | Publication date |
|---|---|
| US9156854B2 (en) | 2015-10-13 |
| US20160031902A1 (en) | 2016-02-04 |
| US9624240B2 (en) | 2017-04-18 |
| US20140023665A1 (en) | 2014-01-23 |
| WO2012145112A3 (en) | 2014-05-01 |
Similar Documents
| Publication | Publication Date | Title |
|---|---|---|
| US9624240B2 (en) | Maytansinoid derivatives with sulfoxide linker | |
| USRE49918E1 (en) | Cytotoxic benzodiazepine derivatives | |
| WO2014031566A1 (en) | Cytotoxic benzodiazepine derivatives | |
| AU2019206132B2 (en) | Cytotoxic benzodiazepine derivatives | |
| HK1226944A (en) | Cytotoxic benzodiazepine derivatives | |
| HK40030962A (en) | Cytotoxic benzodiazepine derivatives | |
| HK1226944A1 (en) | Cytotoxic benzodiazepine derivatives | |
| HK1186686B (en) | Cytotoxic benzodiazepine derivatives | |
| NZ613121B2 (en) | Cytotoxic benzodiazepine derivatives |
Legal Events
| Date | Code | Title | Description |
|---|---|---|---|
| 121 | Ep: the epo has been informed by wipo that ep was designated in this application |
Ref document number: 12774817 Country of ref document: EP Kind code of ref document: A2 |
|
| WWE | Wipo information: entry into national phase |
Ref document number: 14009957 Country of ref document: US |
|
| 122 | Ep: pct application non-entry in european phase |
Ref document number: 12774817 Country of ref document: EP Kind code of ref document: A2 |

















































