WO2012144649A1 - Method for modulating cytokine activity - Google Patents
Method for modulating cytokine activity Download PDFInfo
- Publication number
- WO2012144649A1 WO2012144649A1 PCT/JP2012/061004 JP2012061004W WO2012144649A1 WO 2012144649 A1 WO2012144649 A1 WO 2012144649A1 JP 2012061004 W JP2012061004 W JP 2012061004W WO 2012144649 A1 WO2012144649 A1 WO 2012144649A1
- Authority
- WO
- WIPO (PCT)
- Prior art keywords
- hydroxy
- hydrogen
- substituted
- mono
- oxo
- Prior art date
- Legal status (The legal status is an assumption and is not a legal conclusion. Google has not performed a legal analysis and makes no representation as to the accuracy of the status listed.)
- Ceased
Links
Classifications
-
- A—HUMAN NECESSITIES
- A61—MEDICAL OR VETERINARY SCIENCE; HYGIENE
- A61K—PREPARATIONS FOR MEDICAL, DENTAL OR TOILETRY PURPOSES
- A61K31/00—Medicinal preparations containing organic active ingredients
- A61K31/557—Eicosanoids, e.g. leukotrienes or prostaglandins
- A61K31/5575—Eicosanoids, e.g. leukotrienes or prostaglandins having a cyclopentane, e.g. prostaglandin E2, prostaglandin F2-alpha
-
- A—HUMAN NECESSITIES
- A61—MEDICAL OR VETERINARY SCIENCE; HYGIENE
- A61K—PREPARATIONS FOR MEDICAL, DENTAL OR TOILETRY PURPOSES
- A61K31/00—Medicinal preparations containing organic active ingredients
- A61K31/557—Eicosanoids, e.g. leukotrienes or prostaglandins
- A61K31/558—Eicosanoids, e.g. leukotrienes or prostaglandins having heterocyclic rings containing oxygen as the only ring hetero atom, e.g. thromboxanes
-
- A—HUMAN NECESSITIES
- A61—MEDICAL OR VETERINARY SCIENCE; HYGIENE
- A61P—SPECIFIC THERAPEUTIC ACTIVITY OF CHEMICAL COMPOUNDS OR MEDICINAL PREPARATIONS
- A61P1/00—Drugs for disorders of the alimentary tract or the digestive system
-
- A—HUMAN NECESSITIES
- A61—MEDICAL OR VETERINARY SCIENCE; HYGIENE
- A61P—SPECIFIC THERAPEUTIC ACTIVITY OF CHEMICAL COMPOUNDS OR MEDICINAL PREPARATIONS
- A61P1/00—Drugs for disorders of the alimentary tract or the digestive system
- A61P1/04—Drugs for disorders of the alimentary tract or the digestive system for ulcers, gastritis or reflux esophagitis, e.g. antacids, inhibitors of acid secretion, mucosal protectants
-
- A—HUMAN NECESSITIES
- A61—MEDICAL OR VETERINARY SCIENCE; HYGIENE
- A61P—SPECIFIC THERAPEUTIC ACTIVITY OF CHEMICAL COMPOUNDS OR MEDICINAL PREPARATIONS
- A61P25/00—Drugs for disorders of the nervous system
-
- A—HUMAN NECESSITIES
- A61—MEDICAL OR VETERINARY SCIENCE; HYGIENE
- A61P—SPECIFIC THERAPEUTIC ACTIVITY OF CHEMICAL COMPOUNDS OR MEDICINAL PREPARATIONS
- A61P29/00—Non-central analgesic, antipyretic or antiinflammatory agents, e.g. antirheumatic agents; Non-steroidal antiinflammatory drugs [NSAID]
-
- A—HUMAN NECESSITIES
- A61—MEDICAL OR VETERINARY SCIENCE; HYGIENE
- A61P—SPECIFIC THERAPEUTIC ACTIVITY OF CHEMICAL COMPOUNDS OR MEDICINAL PREPARATIONS
- A61P35/00—Antineoplastic agents
-
- A—HUMAN NECESSITIES
- A61—MEDICAL OR VETERINARY SCIENCE; HYGIENE
- A61P—SPECIFIC THERAPEUTIC ACTIVITY OF CHEMICAL COMPOUNDS OR MEDICINAL PREPARATIONS
- A61P37/00—Drugs for immunological or allergic disorders
- A61P37/02—Immunomodulators
-
- A—HUMAN NECESSITIES
- A61—MEDICAL OR VETERINARY SCIENCE; HYGIENE
- A61P—SPECIFIC THERAPEUTIC ACTIVITY OF CHEMICAL COMPOUNDS OR MEDICINAL PREPARATIONS
- A61P37/00—Drugs for immunological or allergic disorders
- A61P37/02—Immunomodulators
- A61P37/06—Immunosuppressants, e.g. drugs for graft rejection
-
- A—HUMAN NECESSITIES
- A61—MEDICAL OR VETERINARY SCIENCE; HYGIENE
- A61P—SPECIFIC THERAPEUTIC ACTIVITY OF CHEMICAL COMPOUNDS OR MEDICINAL PREPARATIONS
- A61P43/00—Drugs for specific purposes, not provided for in groups A61P1/00-A61P41/00
-
- Y—GENERAL TAGGING OF NEW TECHNOLOGICAL DEVELOPMENTS; GENERAL TAGGING OF CROSS-SECTIONAL TECHNOLOGIES SPANNING OVER SEVERAL SECTIONS OF THE IPC; TECHNICAL SUBJECTS COVERED BY FORMER USPC CROSS-REFERENCE ART COLLECTIONS [XRACs] AND DIGESTS
- Y02—TECHNOLOGIES OR APPLICATIONS FOR MITIGATION OR ADAPTATION AGAINST CLIMATE CHANGE
- Y02A—TECHNOLOGIES FOR ADAPTATION TO CLIMATE CHANGE
- Y02A50/00—TECHNOLOGIES FOR ADAPTATION TO CLIMATE CHANGE in human health protection, e.g. against extreme weather
- Y02A50/30—Against vector-borne diseases, e.g. mosquito-borne, fly-borne, tick-borne or waterborne diseases whose impact is exacerbated by climate change
Definitions
- the present invention relates to a method for modulating cytokine activity.
- the present invention also relates to a method for immunomodulation.
- Cytokines and chemokines are proteins secreted from cells upon activation, which regulate the survival, proliferation, differentiation and function of a variety of cells within the living body. They are important in cellular communication, and in regulating responses to homeostasis or biophylaxis. Cytokines are the general category of signaling molecules produced by various types of cells such as T cells that direct the immune response, while chemokines are a special type of cytokine that direct the migration of white blood cells to infected or damaged tissues. A cytokine and a chemokine both use chemical signals to induce changes in other cells, but the latter are specialized to cause cell movement.
- Cytokines include, for example, interleukin (IL) including over 30 type such as IL-la, IL- ⁇ , IL-2, -3, -4, -5, -6, -7, -8, -9, -10, -11 to -37; interferon (IFN) such as IFN- ⁇ , IFN- ⁇ and IFN- ⁇ ; tumor necrosis factor (TNF) such as TNF-a and TNF- ⁇ ; transforming growth factor (TGF) such as TGF-a and TGF- ⁇ ; colony stimulating factor (CSF) such as granulocyte-colony-stimulating factor (G-CSF) , granulocyte- macrophage-colony-stimulating factor (GM-CSF) , macrophage- colony Stimulating factor (M-CSF) , erythropoietin (EPO) , stem cell factor (SCF) and monocyte chemotactic and activating factor (MCAF) ; growth factor .
- GF such as epidermal growth factor (EGF) , fibroblast growth factor (FGF) , insulin like growth factor (IGF), nerve growth factor (NGF) , Brain-derived neurotrophic factor (BDNF) , platelet derived growth factor (PDGF) , vascular endothelial growth factor (VEGF) , hepatocyte growth factor (HGF) , keratinocyte growth factor (KGF) , thrombopbietin (TPO) , and bone morphogenic protein (BMP) ; and other . polypeptide factors including LIF, kit ligand (KL) , .
- KL kit ligand
- MPO Myeloperoxidase
- CRP C-reactive protein
- COX Cyclooxygenase
- NOS Nitric oxide synthase
- SOCS suppressor of cytokine signaling
- CXC neutrophil- activating protein-2
- MGSA melanoma growth stimulatory activity protein
- CC chemokines such as RANTES, Macrophage inflammatory Protein (MIP) including MlP-la and ⁇ - ⁇ , keratinocyte-derived chemokine (KC)
- MIP Macrophage inflammatory Protein
- KC keratinocyte-derived chemokine
- MCP-1, MCP-2, MCP-3, MCP-4, and MCP-5 monocyte chemotactic proteins
- eotaxins -1 and -2
- lymphotactin-1 lymphotactin-1
- lympho.tactin-2 both C chemokines
- fractalkine a CX3C chemokine
- Fatty acid derivatives are members of class of organic carboxylic acids, which are contained in tissues or organs of human or other mammals, and exhibit a wide range of physiological activity. Some fatty acid derivatives found in nature generally have a prostanoic acid skeleton as shown in the formula (A) :
- PG prostaglandi
- the primary PGs are classified into PGAs, PGBs, PGCs, PGDs, PGEs, PGFs, PGGs, PGHs, PGIs and PGJs according to the structure of the five-membered ring moiety, and further classified into the following three types by the number and position of the unsaturated bond at the carbon chain moiety:
- Subscript 3 5,6-, 13, 14-, and 17 , 18-triunsaturated-15- OH. - .
- the PGFs are classified, according to the configuration of the hydroxyl group at the 9-position, into a type (the hydroxyl group is of an -configuration) and ⁇ type (the hydroxyl group is of a -configuration) .
- PGs are known to have various pharmacological and physiological activities, for example, vasodilatation, inducing of inflammation, platelet aggregation, stimulating uterine muscle, stimulating intestinal muscle, anti-ulcer effect and the like.
- Prostones having an oxo group at position 15 of prostanoic acid skeleton (15-keto type) and having a single bond between positions 13 and 14 and an oxo group at position 15 ( 13 , 14-dihydro-15-keto type) , are fatty acid derivatives known as substances naturally produced by enzymatic actions during metabolism of the primary PGs and have some therapeutic effect. Prostones have been disclosed in USP Nos.
- the present invention relates to a method for modulating cytokine activity in a mammalian subject, which comprises administering to the subject in need thereof an effective amount of a fatty acid derivative represented by the formula .( I ) : ( i:
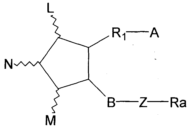
- L, M and N are hydrogen, hydroxy, halogen, lower alkyl, hydroxy (lower) alkyl, lower alkanoyloxy or oxo, wherein at least one of L and M is a group other than hydrogen, and the five-membered ring may have at least one double bond;
- A is -CH 3 , or -CH 2 OH, ⁇ -COCH 2 OH, -COOH or a functional derivative thereof;
- R 4 and R 5 are hydrogen, hydroxy, halogen, lower alkyl, lower alkoxy or hydroxy ( lower) alkyl , wherein R 4 and R 5 are not hydroxy and lower alkoxy at the same time;
- Ri is a saturated or unsaturated bivalent lower or medium aliphatic hydrocarbon residue, which is unsubstituted or substituted with halogen, lower alkyl, hydroxy, oxo, aryl or heterocyclic group, and at least one of carbon atom in the aliphatic hydrocarbon is optionally substituted by oxygen, nitrogen or sulfur; and
- Ra is a saturated or unsaturated lower or medium aliphatic hydrocarbon residue, which is unsubstituted or substituted with halogen, oxo, hydroxy, lower alkyl, lower alkoxy, lower alkanoyloxy, cyclo (lower) alkyl, cyclo (lower) alkyloxy, aryl, aryloxy, heterocyclic group or hetrocyclic-oxy group; lower, alkoxy; lower alkanoyloxy; cyclo (lower) alkyl ; cyclo (lower) alkyloxy; aryl; aryloxy; heterocyclic group; heterocyclic-oxy group, and at least one of carbon atom in the aliphatic hydrocarbon is optionally substituted by oxygen, nitrogen or sulfur.
- the present invention also relates to a method for immunomodulation in a mammalian subject, which comprises administering . to the subject in need thereof an effective amount of the fatty acid derivative ⁇ represented by the formula ( I ) .
- the present invention further relates to a method for treating esophagitis in a mammalian subject, .which comprises administering to the subject in need thereof an effective amount of the fatty acid derivative represented by the formula (I) .
- the present invention further relates to a pharmaceutical composition or a composition for modulating cytokine activity, immunomodulation or treating esophagitis comprising an effective amount of the fatty acid derivative represented by the formula (I) .
- the present invention further relates to use of the fatty acid, derivative represented by the formula (I) for the manufacture of a medicament for modulating cytokine activity, immunomodulation or treating esophagitis.
- the present invention further relates to use of the fatty acid derivative represented by the formula (I) in modulating cytokine activity, immunomodulation or treating esophagitis.
- the modulation of cytokine activity or the immunomodulation provided by the present invention is useful for treating cytokine-mediated disease or conditions with benefit from immunomodulation.
- Fig.l shows effects of Compound B on expression of SOCS-1 gene.
- the formula (A) shows a basic skeleton of the C-20 fatty acid derivative, but the present invention is not limited to those having the same number of carbon atoms.
- the numbering of the carbon atoms which constitute the basic skeleton of the fatty acid derivatives starts at the carboxylic acid (numbered 1) , and carbon atoms in the a-chain are numbered 2 to 7 towards the five- membered ring, those in the ring are 8 to 12, and those in the ⁇ co-chain are 13 to 20.
- each of PGD, PGE and PGF represents a fatty acid derivative having hydroxy groups at positions 9 and/or 11, but in the present specification they also include those having substituents other than the hydroxy groups at positions 9 and/or 11.
- Such compounds are referred to as 9-deoxy-9-substituted-fatty acid derivatives or 11-deoxy-ll-substituted-fatty acid derivatives.
- a fatty acid derivative having hydrogen in place of the hydroxy group is simply named as 9- or 11-deoxy-fatty acid derivative .
- a fatty acid derivative is based on the prostanoic acid skeleton.
- the compound has similar partial structure as the primary PG, ' the abbreviation of "PG" may be used.
- a fatty acid derivative whose -chain is extended by two carbon, atoms,, that is, having 9 carbon atoms in the a-chain is named as 2-decarboxy-2- ( 2-carboxyethyl ) -PG compound.
- a fatty acid derivative having 11 carbon atoms in the a-cha.in is named as 2-decar.boxy-2- (4-carboxybutyl) - PG compound.
- a fatty acid derivative whose co- chain is extended by two carbon atoms, that is, having 10 carbon atoms in the ⁇ -chain is named as 20-ethyl-PG compound.
- Examples of the analogues including substitution compounds or derivatives of the above described fatty acid derivative include a fatty acid derivative whose carboxy group at the end of the alpha chain is esterified; a fatty acid derivative whose a chain is extended, a physiologically acceptable salt thereof, a fatty acid derivative having a double bond between . positions 2 and 3 or a triple bond between positions 5 and 6; a fatty acid derivative having substituent ( s ) on carbon atom(s) at position(s) 3, 5, 6, 16, 17, 18, 19 and/or 20; and a fatty acid derivative having a lower alkyl or a hydroxy (lower) alkyl group at position 9 and/or 11 in place of the hydroxy group.
- preferred substituents on the carbon atom at position (s) 3, 17, 18 and/or 19 include alkyl having 1-4 carbon atoms, especially methyl and ethyl.
- Preferred substituents on the carbon atom at position 16 include lower alkyls such as methyl and ethyl, hydroxy, halogen atom such as chlorine and fluorine, and aryloxy such as trifluoromethylphenoxy.
- Preferred substituents on the carbon atom at position 17 include lower alkyl such as methyl and ethyl, hydroxy, halogen atom such as chlorine and fluorine, and aryloxy such as trifluoromethylphenoxy.
- Preferred substituents on the carbon atom at position 20 include saturated or unsaturated lower alkyl such as Ci- 4 alkyl, lower alkoxy such as C1-4 alkoxy, and lower alkoxy alkyl such as C1-4 alkoxy-Ci_ 4 alkyl,.
- Preferred substituents on the carbon atom at position 5 include halogen atoms such as chlorine and fluorine.
- Preferred substituents on the carbon atom at position 6 include an oxo group forming a carbonyl group.
- Stereochemistry of PGs having hydroxy, lower alkyl or hydroxy (lower) alkyl substituent on the carbon atom at positions 9 and 11 may be , ⁇ or a mixture thereof.
- analogues or derivatives may have a ⁇ chain shorter than that of the primary PGs and a substituent such as alkoxy, cycloalkyl, cycloalkyloxy, phenoxy and phenyl at the end of the truncated ⁇ -chain.
- a fatty acid derivative used in the present invention is represented by the formula (I):
- L, M and N are hydrogen, hydroxy, halogen, lower alkyl, hydroxy (lower) alkyl, lower alkanoyloxy or oxo, wherein at least one of L and M is a group other than hydrogen, and the five-membered ring may have at least one double bond;
- A is -CH 3 , or -CH 2 OH, -COCH 2 OH, -COOH or a functional derivative thereof;
- R 4 and R 5 are hydrogen, hydroxy, halogen, lower alkyl, lower alkoxy or hydroxy ( lower) lkyl, wherein R.4 and R5 are not hydroxy and lower alkoxy at the same time;
- Ri is a saturated or unsaturated bivalent lower or medium aliphatic hydrocarbon residue, which is unsubstituted or substituted with halogen, lower alkyl, hydroxy, oxo, aryl or heterocyclic group, and at least one of carbon atom in the aliphatic hydrocarbon is optionally substituted by oxygen, nitrogen or sulfur; and
- Ra is a saturated or unsaturated lower or medium aliphatic hydrocarbon residue, which is unsubstituted or substituted with halogen, oxo, hydroxy, lower alkyl, lower alkoxy, lower alkanoyloxy, cyclo ( lower) alkyl, cyclo (lower) alkyloxy, aryl, aryloxy, heterocyclic group or hetrocyclic-oxy group; lower alkoxy; lower alkanoyloxy; cyclo (lower) alkyl; cyclo (lower) alkyloxy; aryl; aryloxy; heterocyclic group; heterocyclic-oxy group, and at least one of carbon atom in the aliphatic hydrocarbon is optionally substituted by oxygen, nitrogen or sulfur.
- a preferred compound used in the present invention is represented by the formula (II) : wherein L and M are hydrogen atom, hydroxy, halogen, lower alkyl, hydroxy (lower) alkyl, lower alkanoyloxy or oxo, wherein at least one of L and M is a group other than hydrogen, and the five-membered ring may have one or more double bonds;
- A is -CH 3 , or -CH 2 OH, -COCH 2 OH, -COOH or a functional derivative thereof;
- R 4 and R5 are hydrogen, hydroxy, halogen, lower alkyl, lower alkoxy or hydroxy (lower) alkyl, wherein R 4 and R 5 are not hydroxy and lower alkoxy at the same time ;
- Xi and X 2 are hydrogen, lower alkyl, or halogen
- Ri is a saturated or unsaturated bivalent lower or medium aliphatic hydrocarbon residue, which is Unsubstituted or substituted with halogen, lower alkyl, hydroxy, oxo, aryl or heterocyclic group, and at least one of carbon atom in the aliphatic hydrocarbon is optionally substituted by oxygen, nitrogen or sulfur;
- R2 is a single bond or lower alkylene
- R3 is lower alkyl, lower alkoxy, lower alkanoyloxy, cyclo (lower) alkyl, cyclo (lower) alkyloxy, aryl, aryloxy, heterocyclic group or heterocyclic-oxy group, and at least one of carbon atom in the aliphatic hydrocarbon is optionally substituted by oxygen, nitrogen or sulfur.
- the term "unsaturated" in the definitions for Ri and Ra is intended to include at least one or more double bonds and/or triple bonds that are isolatedly, separately or serially present between carbon atoms of the main and/or side chains. According to the usual nomenclature, an unsaturated bond between two serial positions is represented by denoting the lower number of the two positions, and an unsaturated bond between two distal positions is represented by denoting both of the positions.
- lower or medium aliphatic hydrocarbon refers to a straight or branched chain hydrocarbon group having 1 to 14 carbon atoms (for a side chain, 1 to 3 carbon atoms are preferable) and preferably 1 to 10 , , especially 1 to 8 carbon atoms.
- halogen atom covers fluorine, chlorine, bromine and iodine.
- lower alkyl refers to a straight or branched chain saturated hydrocarbon group containing 1 to 6 carbon atoms and includes, for example, methyl, ethyl, propyl, isopropyl, butyl, isobutyl, t-butyl, pentyl and hexyl .
- lower alkylene refers to a straight or branched chain bivalent saturated hydrocarbon group containing 1 to 6 carbon atoms and includes, for example, methylene, ethylene, propylene, isopropylene, butylene, isobutylene, t-butylene, pentylene and hexylene.
- lower alkoxy refers to a group of lower alkyl-O-, wherein lower alkyl is as defined above.
- hydroxy ( lower) alkyl refers to a lower alkyl as defined above which is substituted with at least one hydroxy group such as hydroxymethyl, 1-hydroxyethyl , 2- hydroxyethyl and 1-methyl-l-hydroxyethyl.
- lower alkanoyloxy refers to a group represented by the formula RCO-0-, wherein RCO- is an acyl group formed by oxidation of a lower alkyl group as defined above, such as acetyl.
- cyclo ( lower) alkyl refers to a cyclic group formed by cyclization of a lower alkyl group as defined above but contains three or more carbon atoms, and includes, for example, cyclopropyl, cyclobutyl, cyclopentyl and cyclohexyl.
- cyclo ( lower) alkyloxy refers to the group of cyclo (lower) alkyl-O-, wherein cyclo (lower) alkyl is as defined above.
- aryl may include unsubstituted or substituted aromatic hydrocarbon rings (preferably monocyclic groups), for example, phenyl, tolyl, xylyl .
- substituents are halogen atom and halo ( lower) alkyl, wherein halogen atom and lower alkyl are as defined above.
- aryloxy refers to a group represented by the formula ArO-, wherein Ar is aryl as defined above.
- heterocyclic group may include mono- to tri-cyclic, preferably monocyclic heterocyclic group which is 5 to 14, preferably 5 to 10 membered ring having optionally substituted carbon atom and 1 to 4, preferably 1 to 3 of 1 or 2 type of hetero atoms selected from nitrogen atom, oxygen atom and sulfur atom.
- heterocyclic group examples include furyl, thienyl, pyrrolyl, oxazolyl, isoxazolyl, thiazolyl, isothiazolyl , imidazolyl, pyrazolyl, furazanyl, pyranyl, pyridyl, pyridazinyl, pyrimidyl, pyrazinyl, 2-pyrrolinyl, pyrrolidinyl , 2- imidazolinyl , imidazolidinyl , 2-pyrazolinyl , pyrazolidinyl , piperidino, piperazinyl, morpholino, indolyl, benzothienyl , quinolyl, isoquinolyl, purinyl, quinazolinyl , carbazolyl, acridinyl, phenanthridinyl , .
- benzimidazolyl benzimidazolinyl , benzothiazolyl , phenothiazinyl .
- substituents in this case include halogen, and halogen substituted lower alkyl group, wherein halogen atom and lower alkyl group are as described above.
- heterocyclic-oxy group means a group represented by the formula HcO-, wherein He is a heterocyclic group as described above.
- the term "functional derivative" of A includes salts (preferably pharmaceutically acceptable salts), ethers, esters and amides.
- Suitable "pharmaceutically acceptable salts” include conventionally used non-toxic salts, for example a salt with an inorganic base such as -an alkali metal salt (such as sodium salt and potassium salt) , an alkaline earth metal salt (such as calcium salt and magnesium salt), an ammonium salt; or a salt with an organic base, for example, an amine salt (such as methylamine salt, dimethylamine salt, cyclohexylamine salt, benzylamine salt, piperidine salt, ethylenediamine salt, ethanolamine salt, diethanolamine salt, triethanolamine salt, tris (hydroxymethylamino) ethane salt, monomethyl- monoethanolamine salt, procaine salt and caffeine salt), a basic amino acid salt (such as arginine salt and lysine salt), tetraalkyl ammonium salt and the like. These salts may be prepared by a conventional process, for example from the corresponding acid and base or by salt interchange.
- an inorganic base such as -an al
- ethers examples include alkyl ethers, for example, lower alkyl ethers such as methyl ether, ethyl ether, propyl ether, isopropyl ether, butyl ether, isobutyl ether, t-butyl ether, . pentyl ether and 1-cyclopropyl ethyl ether; and medium or higher alkyl ethers such as octyl ether, diethylhexyl ether, lauryl ether and cetyl ether; unsaturated ethers such as oleyl ether and linolenyl ether; lower alkenyl ethers such as vinyl ether, ally!
- lower alkyl ethers such as methyl ether, ethyl ether, propyl ether, isopropyl ether, butyl ether, isobutyl ether, t-butyl ether, . pentyl ether and
- ether lower alkynyl ethers such as ethynyl ether and propynyl ether; hydroxy (lower) alkyl ethers such as hydroxyethyl ether and hydroxyisopropyl ether; lower alkoxy (lower) alkyl ethers such as methoxymethyl ether and 1-methoxyethyl ether; optionally substituted aryl ethers such as phenyl ether, tosyl ether, t-butylphenyl ether, salicyl ether, 3 , 4-di-methoxyphenyl ether and benzamidophenyl ether; and aryl (lower) alkyl ethers such as benzyl ether, trityl ether and benzhydryl ether.
- esters examples include aliphatic esters, for example, lower alkyl esters such as methyl ester, ethyl ester, propyl ester, isopropyl ester, butyl ester, isobutyl ester, t-butyl ester, pentyl ester and 1-cyclopropylethyl ester; lower alkenyl esters such as vinyl ester and allyl ester; lower alkynyl esters such as ethynyl ester and propynyl ester; hydroxy (lower) alkyl ester such as hydroxyethyl ester; lower alkoxy (lower) alkyl esters such as methoxymethyl ester and 1-methoxyethyl ester; and optionally substituted aryl esters such as, for example, phenyl ester, tolyl ester, t-butylphenyl ester, salicyl ester, 3, 4-di-methoxyphenyl ester,
- the amide of A mean a group represented by the formula -CONR'R", wherein each of R 1 and R" is hydrogen, lower alkyl, aryl, alkyl- or aryl-sulfonyl , lower alkenyl and lower alkynyl, and include for example lower alkyl amides such as methylamide, ethylamide, dimethylamide and diethylamide; arylamides such as anilide and toluidide; and alkyl- or aryl-sulfonylamides such as methylsulfonylamide, ethylsulfonyl-amide and tolylsulfonylamide .
- L and M include hydrogen, hydroxy and oxo, and especially, L and M are both hydroxy, or L is oxo and M is hydrogen or hydroxy.
- A is -COOH, its pharmaceutically acceptable salt, ester or amide thereof.
- ⁇ and X2 are both being halogen atoms, and more preferably, fluorine atoms, so called 16, 16-difluoro type.
- Preferred Ri is a hydrocarbon residue containing 1-
- At least one carbon, atom in the aliphatic hydrocarbon is optionally substituted by oxygen, nitrogen or sulfur.
- Ri examples include, for example, the following groups:
- Ra is a hydrocarbon containing 1-10 carbon atoms, more preferably, 1-8 carbon atoms. Ra may have one or two side chains having one carbon atom. Further, at least one carbon atom in the aliphatic hydrocarbon is optionally substituted by oxygen, nitrogen or sulfur.
- Ri is a saturated or unsaturated bivalent straight C 6 aliphatic hydrocarbon residue
- R 2 is a single bond
- R 3 is -CH 2 -CH 2 -CH 2 -CH 3 or -CH 2 -CH (CH 3 ) -CH 2 - CH 3 .
- the tautomeric isomers of the above-described examples of the compounds of the formula (I) or (II) are also used for the present invention.
- Example of the preferred embodiment is a (-)-7- [ (2R, 4aR, 5R, 7aR) -2- (1, 1-difluoropentyl ) -2-hydroxy-6- oxooctahydrocyclopenta[b]pyran-5-yl]heptanoic acid (lubiprostone) , (-) -7- ⁇ (2R, aR, 5R, 7aR) -2-[ ( 3S ) -1 , 1- difluoro-3-methylpentyl]-2-hydroxy-6- oxooctahydrocyclopenta[b]pyran-5-yl ⁇ heptanoic acid (cobiprostone) , (+) -isopropyl ( Z ) -7- [ ( 1R, 2R, 3R, 5S ) -3 , 5- dihydroxy-2- (3-oxodecyl) cyclopentyl] hept-5-enoate
- the configuration of the ring and the a- and/or ⁇ chains in the above formula (I) and (II) may be the same as or different from that of the primary PGs .
- the present invention also includes a mixture of a compound having a primary type configuration and a compound of a non-primary type configuration.
- fatty acid derivatives used in the invention include the bicyclic compound and analogs or derivatives thereof.
- the bicyclic compound is represented by the formula
- A is -C3 ⁇ 4, or -CH 2 OH, -COCH 2 OH, -COOH functional derivative thereof;
- Xi ' and X 2 ' are hydrogen, _ower alkyl, or halogen
- R 4 1 and R 5 ' are hydrogen, hydroxy, halogen, lower alkyl, lower alkoxy or hydroxy (lower) alkyl, wherein R 4 ' and R 5 1 are not hydroxy and lower alkoxy at the same time.
- Ri is a saturated or unsaturated divalent lower, or medium .
- aliphatic hydrocarbon residue which is unsubstituted or substituted with halogen, alkyl, hydroxy, oxo, aryl or heterocyclic group, and at least one of carbon atom in the aliphatic hydrocarbon is optionally substituted by oxygen, nitrogen or sulfur; and
- R 2 ' is a saturated or unsaturated lower or medium aliphatic hydrocarbon residue, which is unsubstituted or substituted with halogen, oxo, hydroxy, lower alkyl, lower alkoxy, lower alkanoyloxy, cyclo (lower) alkyl, cyclo (lower) alkyloxy, aryl, aryloxy, heterocyclic group or hetrocyclic-oxy group; lower alkoxy; lower alkanoyloxy; cyclo (lower) alkyl; cyclo (lower) alkyloxy; aryl; aryloxy; heterocyclic group; heterocyclic-oxy group, and at least one of carbon atom in the aliphatic hydrocarbon is optionally substituted by oxygen, nitrogen or sulfur.
- R 3 ' is hydrogen, lower alkyl, cyclo (lower) alkyl, aryl or heterocyclic group.
- the compounds used in the invention may be represented by a formula or name based on keto-type regardless of the presence or absence of the isomers, it is to be noted that such structure or name does not intend to exclude the hemiacetal type compound.
- any of isomers such as the individual tautomeric isomers, the mixture thereof, or optical isomers, the mixture thereof, a racemic mixture, and other steric isomers may be used in the same purpose.
- the mammalian subject may be any mammalian subject including a human.
- the compound may be applied systemically or topically.
- the compound may be administered by oral administration, intranasal administration, inhalational administration, intravenous injection (including infusion), subcutaneous injection, ocular topical administration, intra rectal administration, intra vaginal administration, transdermal administration and the like.
- the dose may vary depending on the strain of the animal, age, body weight, symptom to be treated, desired therapeutic effect, administration route, term of treatment and the like.
- a satisfactory effect can be obtained by systemic administration 1-4 times per day or continuous administration at the amount of 0.00001-500mg/kg per day, more preferably 0.0001-lOOmg/kg .
- the compound may preferably be formulated in a pharmaceutical composition suitable for administration in a conventional manner.
- the composition may be those suitable for oral administration, intranasal administration, ocular topical administration, inhalational administration, injection or perfusion as well as it may be an external agent, suppository or pessary.
- composition of the present invention may further contain physiologically acceptable additives.
- Said additives may include the ingredients used with the present compounds such as excipient, diluent, filler, resolvent, lubricant, adjuvant, binder, disintegrator, coating agent, cupsulating agent, ointment base, suppository base, aerozoling agent, emulsifier, dispersing agent, suspending agent, thickener, tonicity agent, buffering agent, soothing agent, preservative, antioxidant, corrigent, flavor, colorant, a functional material, such as cyclodextrin and biodegradable polymer, stabilizer.
- the additives are well known to the art and may be selected from those described in general reference books of pharmaceutics.
- the amount of the above-defined compound in the composition of the invention may vary depending -on the formulation of the composition, and may generally be 0.000001-10.0%, more preferably 0.00001-5.0%, most preferably 0.0001-1%.
- solid compositions for oral administration include tablets, troches, sublingual tablets., capsules, pills, powders, granules and the like.
- the solid composition may be prepared by mixing one or more active ingredients with at least one inactive diluent.
- the composition may further contain additives other than the inactive diluents, for example, a lubricant, a disintegrator and a stabilizer.
- Tablets and pills may be coated with an enteric or gastroenteric film, if necessary. They may be covered with two or more layers. They may also be adsorbed to a sustained release material, or microcapsulated .
- the compositions may be capsulated by means of an easily degradable material * such gelatin. They may be further dissolved in an appropriate solvent such as fatty acid or its mono, di or triglyceride to be a soft capsule.
- Sublingual tablet may be used in need of fast-acting property.
- liquid compositions for ⁇ oral administration include emulsions, solutions, suspensions, syrups and elixirs and the like.
- Said composition may further contain a conventionally used inactive diluents e.g. purified water or ethyl alcohol.
- the composition may contain additives other than the inactive diluents such as adjuvant. e.g. wetting agents and suspending agents, sweeteners, flavors, fragrance and preservatives.
- composition of the present invention may be in the form of spraying composition, which contains one or more active ingredients and may be prepared according to a known method.
- Example of the intranasal preparations may be aqueous or oily solutions, suspensions or emulsions comprising one or more active ingredient.
- the composition of the present invention may be in the form of suspension, solution or emulsion which can provide aerosol or in the form of powder suitable for dry powder inhalation.
- the composition for inhalational administration may further comprise a conventionally used propellant.
- Examples of the injectable compositions of the, present invention for parenteral administration include sterile aqueous or non-aqueous solutions, suspensions and emulsions.
- Diluents for the aqueous solution or suspension may include, for example, distilled water for injection, physiological saline and Ringer's solution.
- Non-aqueous diluents for solution and suspension may include, for example, propylene glycol, polyethylene glycol, vegetable oils such as olive oil, alcohols such as ethanol and polysorbate.
- the composition may further comprise additives such. as preservatives, wetting agents, emulsifying agents, dispersing agents and the like. They may be sterilized by filtration through, e.g. a bacteria- retaining filter, compounding with a sterilizer, or by means of gas or radioisotope irradiation sterilization.
- the injectable composition may also be provided as a sterilized powder composition to be dissolved in a sterilized solvent for injection before use.
- the present external agent includes all the external preparations used in the fields of dermatology and otolaryngology, which includes ointment, cream, lotion and spray.
- suppository or pessary which may be prepared by mixing active ingredients into a conventional base such as cacao butter that softens at body temperature, and nonionic surfactants having suitable softening temperatures may be used to improve absorbability.
- the fatty acid derivative may be formulated into an ophthalmic composition and is topically administered to the eyes of the patient.
- the ophthalmic composition of the present invention includes any dosage form for ocular topical administration used in the field of ophthalmology, such as an ophthalmic solution, an eye drop and an eye ointment.
- the ophthalmic composition can be prepared in accordance with conventional means known in the relevant technical field.
- the fatty acid derivatives of the present invention are useful for modulating cytokine activity.
- modulate are intended to include stimulation (e.g., increasing or upregulating a particular response or activity) and inhibition (e.g., decreasing or downregulating a particular response or activity) .
- cytokine refers to any polypeptide or protein that affects the functions of cells and is a molecule which modulates interactions between cells in the immune, inflammatory, hematopoietic, neural, stress or wound healing response.
- cytokines include, but I not limited to, interleukin (IL) including over 30 type such as IL-la, IL- ⁇ , IL-2, -3, -4, -5, -6, -7, -8, -9, -10, -11 to -37; interferon (IFN) such as IFN- , IFN- ⁇ and IFN- ⁇ ; tumor necrosis factor (TNF) such as TNF- and TNF- ⁇ ; transforming growth factor (TGF) such as TGF-a and TGF- ⁇ ; colony stimulating.
- IL interleukin
- IFN interferon
- TNF tumor necrosis factor
- TGF transforming growth factor
- CSF granulocyte-colony-stimulating factor
- G-CSF granulocyte-colony-stimulating factor
- GM-CSF granulocyte- macrophage-colony-stimulating factor
- M-CSF macrophage- colony Stimulating factor
- EPO erythropoietin
- SCF stem cell factor
- MCAF monocyte chemotactic and activating factor
- growth factor (GF) such_as epidermal growth factor (EGF) , fibroblast growth factor (FGF) , insulin like growth factor (IGF), nerve growth factor (NGF) , Brain-derived neurotrophic factor (BDNF) , platelet derived growth factor (PDGF), vascular endothelial growth factor (VEGF) , hepatocyte growth factor (HGF) , keratinocyte growth factor (KGF) , thrombopoietin (TPO) , and bone morphogenic protein (BMP) ; and other poly
- COX Cyclooxygenase
- NOS Nitric oxide synthase
- SOCS suppressor of cytokine signaling
- Cytokines also includes chemokines which are cytokines that induce chemotaxis .
- chemokines which are cytokines that induce chemotaxis .
- CXC neutrophil-activating protein-2
- MGSA melanoma growth stimulatory activity protein
- RANTES neutrophil-activating protein-2
- MIP Macrophage inflammatory protein
- KC keratinocyte-derived chemokine
- MCP-1, MCP-2, MCP-3, MCP-4, and MCP-5 the monocyte chemotactic proteins
- eotaxins -1 and -2
- lymphotactin-1 lymphotactin-1
- lymphotactin-2 both C chemokines
- fractalkine a CX3C chemokine
- the fatty acid derivative of the present invention is especially useful for the modulation of IL- ⁇ , IL-6, IL- 12, TNF-a, IFN- ⁇ , COX2 , MPO, KC and SOCS-1.
- cytokine activity includes cytokine-mediated signaling and expression of cytokine.
- Activity of a molecule may describe or refer to the binding of the molecule to a ligand or to a receptor, to catalytic activity; to the ability to stimulate gene expression or cell signaling, differentiation, or maturation; to antigenic activity, to the modulation of activities of other molecules, and the like.
- Activity of a molecule may also refer to activity in modulating or maintaining cell-to-cell interactions, e.g., adhesion, or activity in maintaining a structure of a cell, e.g., cell membranes or cytoskeleton .
- Activity can also mean specific activity, e.g., [catalytic activity] / [mg protein], or [immunological activity] / [mg protein], concentration in a biological compartment, or the like.
- Proliferative activity encompasses an activity that promotes, that is necessary for, or that is specifically associated with, e.g., normal cell division, as well as cancer, tumors, dysplasia, cell transformation, metastasis, and angiogenesis .
- the fatty acid derivatives of the present invention is useful for inhibiting expression of cytokines (e.g. gene or protein expression of IL-12, IL- ⁇ , IL-6, TNF-oc) in intestine or colon.
- cytokines e.g. gene or protein expression of IL-12, IL- ⁇ , IL-6, TNF-oc
- the fatty acid derivatives of the present invention is useful for modulating expression of suppressor of cytokine's signaling (e.g. gene or protein expression of SOCS) in intestine or colon.
- suppressor of cytokine's signaling e.g. gene or protein expression of SOCS
- the fatty acid derivatives of the present invention are also useful for immunomodulatio .
- immunomodulation is for the treatment of cytokine-mediated diseases, such as autoimmune disease, neural disease, inflammatory disease, angiogenesis associated diseases including neoplasm.
- conditions with benefit from immunomodulation include, for example, but not limited to, Abortus habitualis, Achlorhydra autoimmune active chronic hepatitis, Acute disseminated encephalomyelitis (ADEM) , Acute necrotizing hemorrhagic leukoencephalitis, Acute and chronic renal failure, Addison's disease, Adrenal insufficiency, Agammaglobulinemia, Allergic rhinitis, Allergic angiitis and granulomatosis, Alopecia areata, Amyloidosis, Alzheimer disease, Amyotrophic lateral sclerosis (ALS, ' Lou Gehrig's Disease), Angiogenesis, Ankylosing spondylitis, Anti-GBM Nephritis or anti-TBM Nephritis, Antiphospholipid syndrome (APS), Aplastic Anemia, Arthritis, Asthma, Atopic allergy, Atopic Dermatitis, Atherosclerosis, Aplastic anemia, Bullous pemphi
- Pemphigus/Pemphigoid Pernicious anemia, Polyarteritis nodosa, Polymyositis, Primary biliary cirrhosis, Retinopathy, Sarcoidosis, Autoimmune thrombocytopenic purpura (ATP), Thyroid disease, Ulcerative colitis, Uveitis, Vitiligo, Axonal & neuronal neuropathies, Balo Disease, Berger's Disease, Behchet's disease, Bullous Pemphigoid, Cardiomyopathy, Castleman disease, Celiac disease (Coeliac disease) , Cerebellar degeneration, Chagas disease, Chronic asthmatic bronchitis, Chronic bronchitis, Chronic fatigue immune dysfunction syndrome (CFIDS) , Chronic fatigue syndrome, Chronic inflammatory demyelinating polyneuropathy (CIDP) , Chronic obstructive pulmonary disease (COPD) , Chronic neuropathy with monoclonal gammopathy, Chronic recurrent multifocal ostomy
- IgA nephropathy IgA nephritis
- IgG4-related sclerosing disease Immunoregulatory lipoproteins
- Inclusion body myositis Inflammatory Demylinating Polyneuropathy
- Interstitial cystitis Irritable Bowel Syndrome
- Isolated vasculitis of the central nervous system Issacs ' syndrome, Juvenile arthritis, Juvenile diabetes, Kawasaki's disease, Lambert-Eaton syndrome, Leukocytoclastic vasculitis, Lichen planus, ichen sclerosus, Ligneous con unctivitis, Linear IgA disease (LAD), Lou Gehrig's disease, Lupoid Hepatitis, Lupus erythematosus, systemic lupus erythematosus (SLE) , Lupus nephritis, Lyme disease, Chronic lyme disease, Membranoproliferative glomerulonephriti, en
- Pernicious anemia POEMS syndrome, Polyarteritis nodosa, Polyglandular Autoimmune Syndromes, Polymyalgia Rheumatica (PMR), Polymyositis, Post infective arthritides, Postmyocardial infarction syndrome,
- Postpericardiotomy syndrome Primary biliary cirrhosis, Primary sclerosing cholangitis, Progesterone dermatitis, Psoriasis, Psoriatic arthritis, Pure red cell aplasia, Pyoderma gangrenosum, Raynauds phenomenon, Reactive arthritides, Reflex sympathetic dystrophy, Reiter' s syndrome, Relapsing polychondritis, Restless legs syndrome, Retinopathy, Retroperitoneal fibrosis, Rheumatic fever, Rheumatoid arthritis, Sarcoidosis, Schmidt syndrome, Sclerosing cholangitis, Scleritis, Scleroderma, Sjogren's syndrome, Sperm & testicular autoimmunity, Sticky Blood Syndrome, Stiff person syndrome, Still's Disease, Subacute thyroiditis, Subacute bacterial endocarditis (SBE) , Susac ' s syndrome, Sydenham Chorea, Sympathetic ophthalmia
- Erythmatosis SLE
- Systemic necrotizing vasculitides SLE
- Systemic sclerosis Takayasu' s arteritis
- Thromboangiitis obliterans Thrombocytopenic purpura (TTP)
- TTP Thrombocytopenic purpura
- Tolosa-Hunt syndrome Transverse myelitis, Type I, II, & III autoimmune polyglandular syndromes, Ulcerative colitis,
- Undifferentiated connective tissue disease Uveitis, Vasculitis, Vesiculobullous dermatosis, Vitiligo, Wegener's granulomatosis, Wilson's disease, esophageal carcinoma, gastric carcinoma, duodenal cancer, small intestinal cancer, appendiceal cancer, large bowel cancer, colon cancer, rectum cancer, anal carcinoma, pancreatic cancer, liver cancer, gallbladder cancer, spleen cancer, renal carcinoma, bladder cancer, prostatic carcinoma, testicular carcinoma, uterine cancer, ovarian cancer, mammary carcinoma, pulmonary carcinoma and thyroid carcinoma.
- UCTD Undifferentiated connective tissue disease
- Another embodiment of the present invention provides a treatment of esophagitis or esophageal damage.
- treating includes prophylactic and therapeutic treatment, and any means of control such as prevention, care, relief of the condition, attenuation of the condition, arrest of progression, etc.
- the pharmaceutical composition of the present invention may contain a single active ingredient or a combination of two or more active ingredients, as far as they are not contrary, to the objects of the present invention.
- cytokines including chemokines, anti-body of cytokines such as anti TNF antibody (e.g. infliximab, adalimumab) , anti-VEGF antibody (e.g. bevacizumab and ranibizumab) , cytokine receptor antagonist such as anti HER2 antibody (e.g. Trastuzumab) , anti EGF receptor antibody (e.g. Cetuximab) , anti VEGF aptamer (e.g. Pegaptanib) and immunomodulator such as cyclosporine, tacrolimus, ubenimex may be used for the combination therapy.
- TNF antibody e.g. infliximab, adalimumab
- anti-VEGF antibody e.g. bevacizumab and ran
- their respective contents may be suitably increased or decreased in consideration of their therapeutic effects and safety.
- combination means two or more active ingredient are administered to a patient simultaneously in the form of a single entity or dosage, or are both administered to a patient as separate entities either simultaneously or sequentially with no specific time limits, wherein such administration provides therapeutically effective levels of the two components in the body, preferably at the same time.
- Each value is relative to the reference gene (GAPDH) level.
- Data are represented as mean (Arbitrary unit) from 3 to 4 animals.
- NSAIDs Patients who take NSAIDs were randomized to one of four treatment groups. All patients received 500 mg of naproxen twice a day. One group received placebo while the other three groups received 18, 36 or 54 meg of Compound A, respectively, for 12 weeks. The incidence of esophagitis was 10.0%, 6.5% or 6.5% for the groups received 18, 36 or 54 meg of Compound A, respectively, while it was 20.0% for the group received placebo.
- the experimental model used C57/B6J mice (7-8 weeks old) . Colitis was induced by administration of 2% dextran sulfate sodium (DSS) in drinking water for 7days.
- DSS dextran sulfate sodium
Landscapes
- Health & Medical Sciences (AREA)
- Pharmacology & Pharmacy (AREA)
- Veterinary Medicine (AREA)
- Public Health (AREA)
- General Health & Medical Sciences (AREA)
- Chemical & Material Sciences (AREA)
- Animal Behavior & Ethology (AREA)
- Medicinal Chemistry (AREA)
- Life Sciences & Earth Sciences (AREA)
- General Chemical & Material Sciences (AREA)
- Epidemiology (AREA)
- Nuclear Medicine, Radiotherapy & Molecular Imaging (AREA)
- Chemical Kinetics & Catalysis (AREA)
- Organic Chemistry (AREA)
- Bioinformatics & Cheminformatics (AREA)
- Engineering & Computer Science (AREA)
- Immunology (AREA)
- Transplantation (AREA)
- Rheumatology (AREA)
- Biomedical Technology (AREA)
- Neurology (AREA)
- Neurosurgery (AREA)
- Pain & Pain Management (AREA)
- Pharmaceuticals Containing Other Organic And Inorganic Compounds (AREA)
- Acyclic And Carbocyclic Compounds In Medicinal Compositions (AREA)
Abstract
Description
Claims
Priority Applications (12)
| Application Number | Priority Date | Filing Date | Title |
|---|---|---|---|
| BR112013026644A BR112013026644A2 (en) | 2011-04-19 | 2012-04-18 | method for modulating cytokine activity |
| MX2013012251A MX2013012251A (en) | 2011-04-19 | 2012-04-18 | Method for modulating cytokine activity. |
| CA2831869A CA2831869A1 (en) | 2011-04-19 | 2012-04-18 | Method for modulating cytokine activity |
| KR1020137030512A KR20140043075A (en) | 2011-04-19 | 2012-04-18 | Method for modulating cytokine activity |
| AU2012246999A AU2012246999A1 (en) | 2011-04-19 | 2012-04-18 | Method for modulating cytokine activity |
| EP12774360.7A EP2699244A4 (en) | 2011-04-19 | 2012-04-18 | Method for modulating cytokine activity |
| NZ616027A NZ616027B2 (en) | 2011-04-19 | 2012-04-18 | Method for modulating cytokine activity |
| JP2013548650A JP2014511825A (en) | 2011-04-19 | 2012-04-18 | Method for modulating cytokine activity |
| CN201280030108.4A CN103781482A (en) | 2011-04-19 | 2012-04-18 | Methods for modulating cytokine activity |
| RU2013151166/15A RU2013151166A (en) | 2011-04-19 | 2012-04-18 | METHOD FOR MODULATION OF CYTOKINE ACTIVITY |
| IL228700A IL228700A0 (en) | 2011-04-19 | 2013-10-03 | Method for modulating cytokine activity |
| AU2017203276A AU2017203276A1 (en) | 2011-04-19 | 2017-05-16 | Method for modulating cytokine activity |
Applications Claiming Priority (8)
| Application Number | Priority Date | Filing Date | Title |
|---|---|---|---|
| US201161476992P | 2011-04-19 | 2011-04-19 | |
| US61/476,992 | 2011-04-19 | ||
| US201161489516P | 2011-05-24 | 2011-05-24 | |
| US61/489,516 | 2011-05-24 | ||
| US201161537305P | 2011-09-21 | 2011-09-21 | |
| US61/537,305 | 2011-09-21 | ||
| US201161548458P | 2011-10-18 | 2011-10-18 | |
| US61/548,458 | 2011-10-18 |
Publications (1)
| Publication Number | Publication Date |
|---|---|
| WO2012144649A1 true WO2012144649A1 (en) | 2012-10-26 |
Family
ID=47021806
Family Applications (1)
| Application Number | Title | Priority Date | Filing Date |
|---|---|---|---|
| PCT/JP2012/061004 Ceased WO2012144649A1 (en) | 2011-04-19 | 2012-04-18 | Method for modulating cytokine activity |
Country Status (13)
| Country | Link |
|---|---|
| US (1) | US20120270945A1 (en) |
| EP (1) | EP2699244A4 (en) |
| JP (1) | JP2014511825A (en) |
| KR (1) | KR20140043075A (en) |
| CN (2) | CN103781482A (en) |
| AU (2) | AU2012246999A1 (en) |
| BR (1) | BR112013026644A2 (en) |
| CA (1) | CA2831869A1 (en) |
| IL (1) | IL228700A0 (en) |
| MX (1) | MX2013012251A (en) |
| RU (1) | RU2013151166A (en) |
| TW (1) | TW201247615A (en) |
| WO (1) | WO2012144649A1 (en) |
Cited By (3)
| Publication number | Priority date | Publication date | Assignee | Title |
|---|---|---|---|---|
| JP2013209429A (en) * | 2006-02-28 | 2013-10-10 | Sucampo Ag | Method and composition for treating chronic obstructive pulmonary disease |
| WO2015049876A1 (en) * | 2013-10-04 | 2015-04-09 | 国立大学法人東北大学 | Agent for preventing or improving renal dysfunction |
| WO2015050277A1 (en) * | 2013-10-03 | 2015-04-09 | Sucampo Ag | Selective tumor treatment |
Families Citing this family (2)
| Publication number | Priority date | Publication date | Assignee | Title |
|---|---|---|---|---|
| WO2014159679A1 (en) | 2013-03-12 | 2014-10-02 | The United States Of America, As Represented By The Secretary, Department Of Health & Human Services | Methods for using lubiprostone to absorb fluid from the subretinal space |
| US20160120840A1 (en) * | 2014-10-30 | 2016-05-05 | Sucampo Ag | Method and composition for treating nonerosive reflux disease |
Citations (7)
| Publication number | Priority date | Publication date | Assignee | Title |
|---|---|---|---|---|
| JPH04330015A (en) * | 1990-04-27 | 1992-11-18 | Ueno Seiyaku Oyo Kenkyusho:Kk | Biochemically antagonistic agent and disease-treating agent |
| JPH0770054A (en) * | 1993-08-30 | 1995-03-14 | R Tec Ueno:Kk | Biological antagonist and disease-treating preparation |
| JPH1029942A (en) * | 1996-04-02 | 1998-02-03 | Yoichi Ichikawa | Therapeutic agent for chronic arthrorheumatism |
| JP2008533195A (en) * | 2005-03-21 | 2008-08-21 | スキャンポ・アーゲー | Methods and compositions for the treatment of mucosal disorders |
| WO2008136519A1 (en) * | 2007-05-08 | 2008-11-13 | National University Corporation, Hamamatsu University School Of Medicine | Cytotoxic t cell activator comprising ep4 agonist |
| WO2009133863A1 (en) * | 2008-04-28 | 2009-11-05 | 国立大学法人浜松医科大学 | Immunopotentiating agent comprising ep1 agonist |
| JP2011032262A (en) * | 2009-06-30 | 2011-02-17 | Sucampo Ag | Pharmaceutical composition for long term use of nsaid |
Family Cites Families (8)
| Publication number | Priority date | Publication date | Assignee | Title |
|---|---|---|---|---|
| US5166174A (en) * | 1987-01-28 | 1992-11-24 | K.K. Ueno Seiyaku Oyo Kenkyujo | Prostaglandins E and anti-ulcers containing same |
| CA2150287C (en) * | 1994-06-03 | 2004-08-10 | Ryuji Ueno | Agent for treating hepato-biliary diseases |
| US8202909B2 (en) * | 2005-01-27 | 2012-06-19 | Sucampo Ag | Method for treating central nervous system disorders |
| EP1853271B1 (en) * | 2005-03-04 | 2010-12-01 | Sucampo AG | Method and composition for treating peripheral vascular diseases |
| CN101180096B (en) * | 2005-03-21 | 2015-04-22 | 苏坎波公司 | Methods and compositions for treating mucosal diseases |
| JP5711442B2 (en) * | 2005-04-12 | 2015-04-30 | スキャンポ・アーゲーSucampo AG | Combination of prostaglandin compounds and proton pump inhibitors for the treatment of gastrointestinal disorders |
| JP5377970B2 (en) * | 2006-02-28 | 2013-12-25 | スキャンポ・アーゲー | Methods and compositions for treating chronic obstructive pulmonary disease |
| JP5755750B2 (en) * | 2010-10-15 | 2015-07-29 | サイノファーム (クンシャン) バイオケミカル テクノロジ カンパニー リミテッド | Method for preparing rubiprostone |
-
2012
- 2012-04-18 EP EP12774360.7A patent/EP2699244A4/en not_active Withdrawn
- 2012-04-18 CA CA2831869A patent/CA2831869A1/en not_active Abandoned
- 2012-04-18 JP JP2013548650A patent/JP2014511825A/en not_active Ceased
- 2012-04-18 MX MX2013012251A patent/MX2013012251A/en unknown
- 2012-04-18 AU AU2012246999A patent/AU2012246999A1/en not_active Abandoned
- 2012-04-18 BR BR112013026644A patent/BR112013026644A2/en active Search and Examination
- 2012-04-18 KR KR1020137030512A patent/KR20140043075A/en not_active Ceased
- 2012-04-18 CN CN201280030108.4A patent/CN103781482A/en active Pending
- 2012-04-18 US US13/450,071 patent/US20120270945A1/en not_active Abandoned
- 2012-04-18 WO PCT/JP2012/061004 patent/WO2012144649A1/en not_active Ceased
- 2012-04-18 CN CN201710153095.4A patent/CN107028952A/en active Pending
- 2012-04-18 RU RU2013151166/15A patent/RU2013151166A/en not_active Application Discontinuation
- 2012-04-19 TW TW101113907A patent/TW201247615A/en unknown
-
2013
- 2013-10-03 IL IL228700A patent/IL228700A0/en unknown
-
2017
- 2017-05-16 AU AU2017203276A patent/AU2017203276A1/en not_active Abandoned
Patent Citations (7)
| Publication number | Priority date | Publication date | Assignee | Title |
|---|---|---|---|---|
| JPH04330015A (en) * | 1990-04-27 | 1992-11-18 | Ueno Seiyaku Oyo Kenkyusho:Kk | Biochemically antagonistic agent and disease-treating agent |
| JPH0770054A (en) * | 1993-08-30 | 1995-03-14 | R Tec Ueno:Kk | Biological antagonist and disease-treating preparation |
| JPH1029942A (en) * | 1996-04-02 | 1998-02-03 | Yoichi Ichikawa | Therapeutic agent for chronic arthrorheumatism |
| JP2008533195A (en) * | 2005-03-21 | 2008-08-21 | スキャンポ・アーゲー | Methods and compositions for the treatment of mucosal disorders |
| WO2008136519A1 (en) * | 2007-05-08 | 2008-11-13 | National University Corporation, Hamamatsu University School Of Medicine | Cytotoxic t cell activator comprising ep4 agonist |
| WO2009133863A1 (en) * | 2008-04-28 | 2009-11-05 | 国立大学法人浜松医科大学 | Immunopotentiating agent comprising ep1 agonist |
| JP2011032262A (en) * | 2009-06-30 | 2011-02-17 | Sucampo Ag | Pharmaceutical composition for long term use of nsaid |
Non-Patent Citations (6)
| Title |
|---|
| INOUE, S. ET AL.: "Action of PGE1 derivative on experimental esophagitis", GENDAI IRYO, vol. 19, no. 4, 1987, pages 1348 - 1351, XP008170845 * |
| KURATA, N. ET AL.: "Lubiprostone attenuates indomethacin-induced small intestinal lesion in rats via EP4 receptor", J PHARMACOL SCI, vol. 115, no. SUPPLE, February 2011 (2011-02-01), pages 266P, P3J13 - 5, XP008170797 * |
| OANA, S. ET AL.: "Study on Effect of PGE2 for Mucosal Repair in Rat TNBS Induced Colitis Managed by IVH", IWATE IGAKU ZASSHI, vol. 52, no. 4, 2000, pages 297 - 304, XP008170813 * |
| See also references of EP2699244A4 * |
| TOKUMASU, R. ET AL.: "Lubiprostone, a ClC-2 chloride channel activator, down-regulates the DSS-induced inflammation", SEIKAGAKU, September 2011 (2011-09-01), XP008171073 * |
| TOSHINA, K. ET AL.: "Investigation on the pathology reducing effect by PGE EP4 receptor agonist administration in rat DDS-induced colitis", NIHON SYOUKAKIBYOU GAKKAI ZASSHI, vol. 101, 2004, pages A134, W7 - 03, XP008170790 * |
Cited By (5)
| Publication number | Priority date | Publication date | Assignee | Title |
|---|---|---|---|---|
| JP2013209429A (en) * | 2006-02-28 | 2013-10-10 | Sucampo Ag | Method and composition for treating chronic obstructive pulmonary disease |
| WO2015050277A1 (en) * | 2013-10-03 | 2015-04-09 | Sucampo Ag | Selective tumor treatment |
| WO2015049876A1 (en) * | 2013-10-04 | 2015-04-09 | 国立大学法人東北大学 | Agent for preventing or improving renal dysfunction |
| JP6090723B2 (en) * | 2013-10-04 | 2017-03-08 | 国立大学法人東北大学 | Preventive or ameliorating agent for renal dysfunction |
| JPWO2015049876A1 (en) * | 2013-10-04 | 2017-03-09 | 国立大学法人東北大学 | Preventive or ameliorating agent for renal dysfunction |
Also Published As
| Publication number | Publication date |
|---|---|
| RU2013151166A (en) | 2015-05-27 |
| KR20140043075A (en) | 2014-04-08 |
| JP2014511825A (en) | 2014-05-19 |
| EP2699244A1 (en) | 2014-02-26 |
| CA2831869A1 (en) | 2012-10-26 |
| US20120270945A1 (en) | 2012-10-25 |
| AU2012246999A1 (en) | 2013-10-17 |
| CN107028952A (en) | 2017-08-11 |
| BR112013026644A2 (en) | 2016-12-27 |
| AU2017203276A1 (en) | 2017-06-08 |
| MX2013012251A (en) | 2014-01-20 |
| CN103781482A (en) | 2014-05-07 |
| TW201247615A (en) | 2012-12-01 |
| EP2699244A4 (en) | 2014-10-22 |
| IL228700A0 (en) | 2013-12-31 |
| NZ616027A (en) | 2015-09-25 |
Similar Documents
| Publication | Publication Date | Title |
|---|---|---|
| AU2017203276A1 (en) | Method for modulating cytokine activity | |
| AU2008271982B2 (en) | Pharmaceutical combination of NSAID and prostaglandin compound | |
| US5346921A (en) | Treatment of inflammation with 15-keto-prostaglandin compounds | |
| JP2004504350A (en) | Composition for treating ocular hypertension and glaucoma | |
| RU2548762C2 (en) | Method and composition for treating macular degeneration | |
| AU2017203092B2 (en) | Method for treating schizophrenia | |
| AU2010296307B2 (en) | Pharmaceutical combination for treating tumor | |
| US20100305203A1 (en) | Method for modulating claudin mediated functions | |
| TWI594751B (en) | Method for treating intestinal cramps with diarrhea | |
| US20120277299A1 (en) | Method for modulating ion transporter | |
| WO2016067620A1 (en) | Method and composition for treating nonerosive reflux disease | |
| NZ616027B2 (en) | Method for modulating cytokine activity | |
| US20110054016A1 (en) | Method for modulating claudin mediated functions |
Legal Events
| Date | Code | Title | Description |
|---|---|---|---|
| 121 | Ep: the epo has been informed by wipo that ep was designated in this application |
Ref document number: 12774360 Country of ref document: EP Kind code of ref document: A1 |
|
| ENP | Entry into the national phase |
Ref document number: 2831869 Country of ref document: CA |
|
| WWE | Wipo information: entry into national phase |
Ref document number: 2012774360 Country of ref document: EP |
|
| ENP | Entry into the national phase |
Ref document number: 2012246999 Country of ref document: AU Date of ref document: 20120418 Kind code of ref document: A |
|
| ENP | Entry into the national phase |
Ref document number: 2013548650 Country of ref document: JP Kind code of ref document: A |
|
| WWE | Wipo information: entry into national phase |
Ref document number: MX/A/2013/012251 Country of ref document: MX |
|
| NENP | Non-entry into the national phase |
Ref country code: DE |
|
| ENP | Entry into the national phase |
Ref document number: 20137030512 Country of ref document: KR Kind code of ref document: A |
|
| ENP | Entry into the national phase |
Ref document number: 2013151166 Country of ref document: RU Kind code of ref document: A |
|
| REG | Reference to national code |
Ref country code: BR Ref legal event code: B01A Ref document number: 112013026644 Country of ref document: BR |
|
| ENP | Entry into the national phase |
Ref document number: 112013026644 Country of ref document: BR Kind code of ref document: A2 Effective date: 20131016 |















