WO2012109544A1 - Novel 1-(1-oxo-1,2,3,4-tetrahydroisoquinolin-7-yl)urea derivatives as n-formyl peptide receptor like-1 (fprl-1) receptor modulators - Google Patents
Novel 1-(1-oxo-1,2,3,4-tetrahydroisoquinolin-7-yl)urea derivatives as n-formyl peptide receptor like-1 (fprl-1) receptor modulators Download PDFInfo
- Publication number
- WO2012109544A1 WO2012109544A1 PCT/US2012/024659 US2012024659W WO2012109544A1 WO 2012109544 A1 WO2012109544 A1 WO 2012109544A1 US 2012024659 W US2012024659 W US 2012024659W WO 2012109544 A1 WO2012109544 A1 WO 2012109544A1
- Authority
- WO
- WIPO (PCT)
- Prior art keywords
- alkyl
- oxo
- urea
- tetrahydroisoquinolin
- phenyl
- Prior art date
- Legal status (The legal status is an assumption and is not a legal conclusion. Google has not performed a legal analysis and makes no representation as to the accuracy of the status listed.)
- Ceased
Links
- 0 *c1ccc(*I)c(*)c1* Chemical compound *c1ccc(*I)c(*)c1* 0.000 description 2
- MEJRVRAMHUSPMQ-UHFFFAOYSA-N CC(c(cc1)ccc1NC(Nc1cc(C(N(CCCN)C(C2)c(cc3)ccc3C#N)=O)c2cc1)=O)=O Chemical compound CC(c(cc1)ccc1NC(Nc1cc(C(N(CCCN)C(C2)c(cc3)ccc3C#N)=O)c2cc1)=O)=O MEJRVRAMHUSPMQ-UHFFFAOYSA-N 0.000 description 1
Classifications
-
- C—CHEMISTRY; METALLURGY
- C07—ORGANIC CHEMISTRY
- C07D—HETEROCYCLIC COMPOUNDS
- C07D217/00—Heterocyclic compounds containing isoquinoline or hydrogenated isoquinoline ring systems
- C07D217/22—Heterocyclic compounds containing isoquinoline or hydrogenated isoquinoline ring systems with hetero atoms or with carbon atoms having three bonds to hetero atoms with at the most one bond to halogen, e.g. ester or nitrile radicals, directly attached to carbon atoms of the nitrogen-containing ring
- C07D217/24—Oxygen atoms
-
- A—HUMAN NECESSITIES
- A61—MEDICAL OR VETERINARY SCIENCE; HYGIENE
- A61P—SPECIFIC THERAPEUTIC ACTIVITY OF CHEMICAL COMPOUNDS OR MEDICINAL PREPARATIONS
- A61P27/00—Drugs for disorders of the senses
- A61P27/02—Ophthalmic agents
-
- A—HUMAN NECESSITIES
- A61—MEDICAL OR VETERINARY SCIENCE; HYGIENE
- A61P—SPECIFIC THERAPEUTIC ACTIVITY OF CHEMICAL COMPOUNDS OR MEDICINAL PREPARATIONS
- A61P29/00—Non-central analgesic, antipyretic or antiinflammatory agents, e.g. antirheumatic agents; Non-steroidal antiinflammatory drugs [NSAID]
-
- C—CHEMISTRY; METALLURGY
- C07—ORGANIC CHEMISTRY
- C07D—HETEROCYCLIC COMPOUNDS
- C07D401/00—Heterocyclic compounds containing two or more hetero rings, having nitrogen atoms as the only ring hetero atoms, at least one ring being a six-membered ring with only one nitrogen atom
- C07D401/02—Heterocyclic compounds containing two or more hetero rings, having nitrogen atoms as the only ring hetero atoms, at least one ring being a six-membered ring with only one nitrogen atom containing two hetero rings
- C07D401/06—Heterocyclic compounds containing two or more hetero rings, having nitrogen atoms as the only ring hetero atoms, at least one ring being a six-membered ring with only one nitrogen atom containing two hetero rings linked by a carbon chain containing only aliphatic carbon atoms
-
- C—CHEMISTRY; METALLURGY
- C07—ORGANIC CHEMISTRY
- C07D—HETEROCYCLIC COMPOUNDS
- C07D401/00—Heterocyclic compounds containing two or more hetero rings, having nitrogen atoms as the only ring hetero atoms, at least one ring being a six-membered ring with only one nitrogen atom
- C07D401/14—Heterocyclic compounds containing two or more hetero rings, having nitrogen atoms as the only ring hetero atoms, at least one ring being a six-membered ring with only one nitrogen atom containing three or more hetero rings
-
- C—CHEMISTRY; METALLURGY
- C07—ORGANIC CHEMISTRY
- C07D—HETEROCYCLIC COMPOUNDS
- C07D405/00—Heterocyclic compounds containing both one or more hetero rings having oxygen atoms as the only ring hetero atoms, and one or more rings having nitrogen as the only ring hetero atom
- C07D405/14—Heterocyclic compounds containing both one or more hetero rings having oxygen atoms as the only ring hetero atoms, and one or more rings having nitrogen as the only ring hetero atom containing three or more hetero rings
Definitions
- the present invention relates to novel 1 -(1 -Oxo-1 ,2,3,4-tetrahydroisoquinolin- 7-yl)urea derivatives, processes for preparing them, pharmaceutical compositions containing them and their use as pharmaceuticals as modulators of the N-formyl peptide receptor like-1 (FPRL-1 ) receptor.
- the invention relates specifically to the use of these compounds and their pharmaceutical compositions to treat disorders associated with the N-formyl peptide receptor like-1 (FPRL-1 ) receptor modulation.
- the N-formyl peptide receptor like-1 (FPRL-1 ) receptor is a G protein-coupled receptor that is expressed on inflammatory cells such as monocytes and neutrophils, as well as T cells and has been shown to play a critical role in leukocyte trafficking during inflammation and human pathology.
- FPRL-1 is an exceptionally promiscuous receptor that responds to a large array of exogenous and endogenous ligands, including Serum amyloid A (SAA), chemokine variant sCK 8-1 , the neuroprotective peptide humanin, anti-inflammatory eicosanoid lipoxin A4 (LXA4) and glucocotricoid- modulated protein annexin A1 .
- SAA Serum amyloid A
- LXA4 anti-inflammatory eicosanoid lipoxin A4
- glucocotricoid- modulated protein annexin A1 glucocotricoid- modulated protein annexin A1 .
- FPRL-1 transduces anti-inflammatory effects of LXA4 in many systems, but it also can mediate the pro-inflammatory signaling cascade of peptides such as SAA.
- the ability of the receptor to mediate two opposite effects is proposed to be a result of different receptor domains used by different agonists.
- FPRL-1 Activation of FPRL-1 by lipoxin A4 or its analogs and by Annexin I protein has been shown to result in anti-inflammatory activity by promoting active resolution of inflammation which involves inhibition of polymorphonuclear neutrophils (PMNs) and eosinophils migration and also stimulate monocyte migration enabling clearance of apoptotic cells from the site of inflammation in a nonphlogistic manner.
- PMNs polymorphonuclear neutrophils
- eosinophils eosinophils migration
- monocyte migration enabling clearance of apoptotic cells from the site of inflammation in a nonphlogistic manner.
- FPRL-1 has been shown to inhibit NK cytotoxicity and promote activation of T cells which further contributes to down regulation of tissue damaging inflammatory signals.
- FPRL-1/ LXA4 interaction has been shown to be beneficial in experimental models of ischemia reperfusion, angiogenesis, dermal inflammation, chemotherapy- induced alopecia, ocular inflammation such as endotoxin-induced uveitis, corneal wound healing, re-epithelialization etc.
- FPRL-1 thus represents an important novel pro-resolutionary molecular target for the development of new therapeutic agents in diseases with excessive inflammatory responses.
- modulator includes but is not limited to:
- receptor agonist receptor agonist, antagonist, inverse agonist, inverse antagonist, partial agonist, partial antagonist.
- This invention describes compounds of Formula I, which have FPRL-1 receptor biological activity.
- the compounds in accordance with the present invention are thus of use in medicine, for example in the treatment of humans with diseases and conditions that are alleviated by FPRL-1 modulation.
- the invention provides a compound having Formula I or a pharmaceutically acceptable salt thereof or stereoisomeric forms thereof, or the geometrical isomers, enantiomers, diastereoisomers, tautomers, zwitterions and pharmaceutically acceptable salts thereof:
- R 17 is C1-6 alkyl or
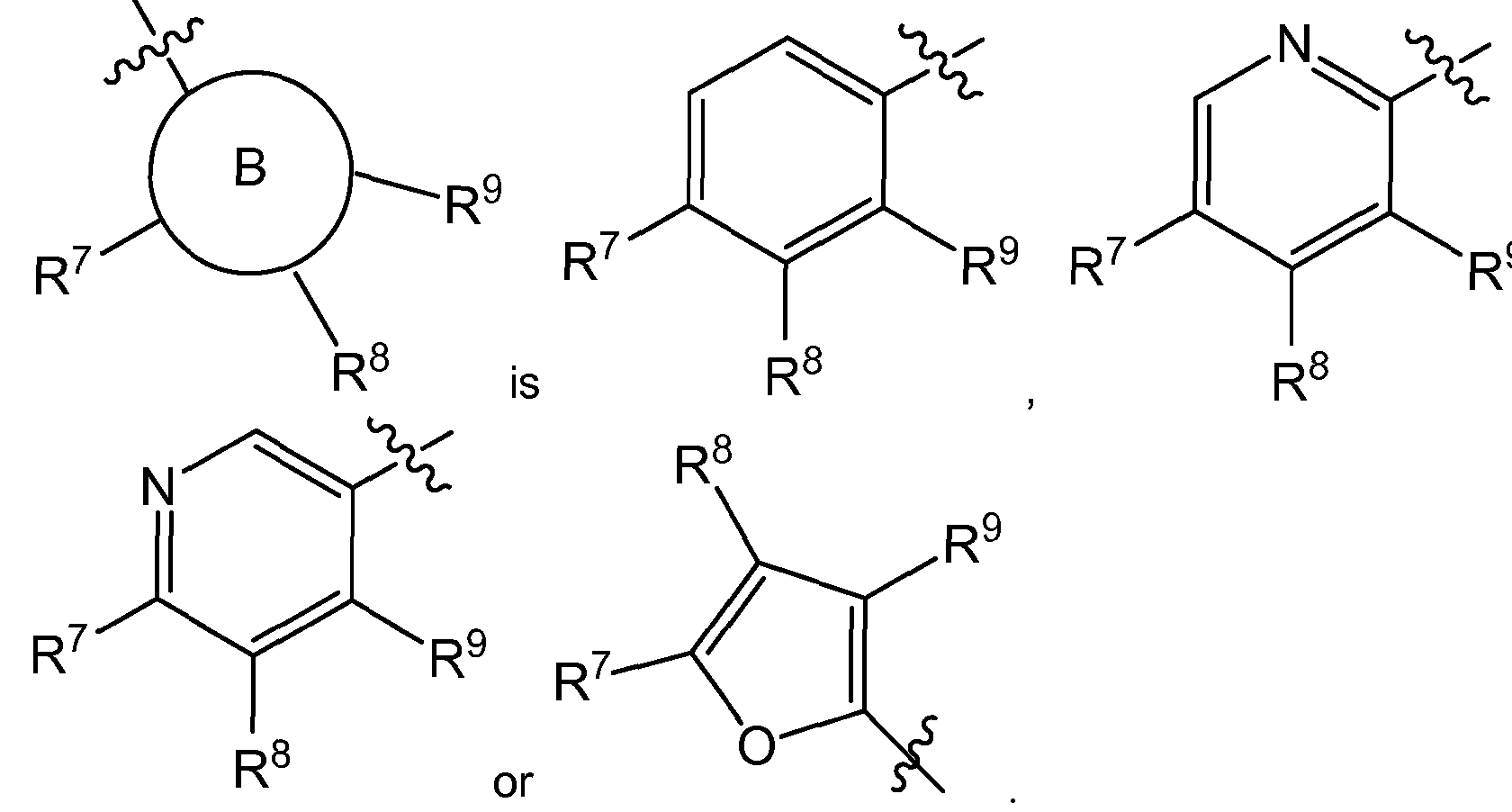
- B is C 6- io aryl, heterocyle, C 3- 8 cycloalkyl or C 3- 8 cycloalkenyl;
- R 1 is H, halogen, -S(O)R 15 , -S(O) 2 R 1 1 , nitro, cyano, -OCi -6 alkyl, -SCi -6 alkyl, -Ci -6 alkyl, -C 2-6 alkenyl, - C 2-6 alkynyl, C(O)R 12 , NR 13 R 14 , C 3-8 cycloalkyl or hydroxyl;
- R 2 is H, halogen, -S(O)R 15 , -S(O) 2 R 1 1 , nitro, cyano, -OCi -6 alkyl, -SCi -6 alkyl, -Ci -6 alkyl, -C 2-6 alkenyl, - C 2-6 alkynyl, C(O)R 12 , NR 13 R 14 , C 3-8 cycloalkyl or hydroxyl;
- R 3 is H, C1-6 alkyl or C 3- 8
- R 4 is H, C1-6 alkyl or C 3- 8 cycloalkyl
- R 5a is H, halogen, -S(O)R 15 , -S(O) 2 R 1 1 , nitro, cyano, -OCi -6 alkyl, -SCi -6 alkyl, -Ci -6 alkyl, -C 2-6 alkenyl, - C 2-6 alkynyl, C(O)R 12 , NR 13 R 14 , C 3-8 cycloalkyl or hydroxyl;
- R 5b is H, halogen, -S(O)R 15 , -S(O) 2 R 1 1 , nitro, cyano, -OCi -6 alkyl, -SCi -6 alkyl, -Ci -6 alkyl, -C 2-6 alkenyl, - C 2-6 alkynyl, C(O)R 12 , NR 13 R 14 , C 3-8 cycloalkyl or hydroxyl;
- R 5c is H, halogen, -
- R 6 is H, -S(O) 2 R 1 1 , -C1-6 alkyl, -(CH 2 ) n NR 13 R 14 , -(CH 2 ) m heterocycle , C(O)R 12 , NR 13 R 14 , C 3- 8 cycloalkyl, Ce- ⁇ aryl, or heterocycle;
- R 7 is H, halogen, -S(O)R 15 , -S(O) 2 R 1 1 , nitro, cyano, -OCi -6 alkyl, -SCi -6 alkyl, -Ci -6 alkyl, -C 2-6 alkenyl, - C 2-6 alkynyl, C(O)R 12 , NR 13 R 14 , C 3-8 cycloalkyl or hydroxyl;
- R 8 is H, halogen, -S(O)R 15 , -S(O) 2 R 1 1 , nitro, cyano, -OCi -6 alkyl, -SCi -6 alkyl, -Ci -6 alkyl, -C 2-6 alkenyl, - C 2-6 alkynyl, C(O)R 12 , NR 13 R 14 , C 3-8 cycloalkyl or hydroxyl;
- R 9 is H, halogen, -S(O
- Y is O or S
- R 1 1 is H, hydroxyl, -Ci -6 alkyl, C 3-8 cycloalkyl or NR 13 R 14 ;
- R 12 is H, hydroxyl, -Ci -6 alkyl, hydroxyl, C 3-8 cycloalkyl, NR 13 R 14 or -OCi -6 alkyl;
- R 13 is H, -C1-6 alkyl, C 3-8 cycloalkyl, SO 2 R 1 1 or C(O)R 16 ;
- R 14 is H, -C1-6 alkyl or C 3-8 cycloalkyl
- R 15 is -C1-6 alkyl, or C 3-8 cycloalkyl
- R 16 is H, -C1-6 alkyl or C 3-8 cycloalkyl
- n 1 -4;
- n 1 -4.
- the invention provides a compound having Formula I wherein:
- the invention provides a compound having Formula I wherein:
- the invention provides a compound having Formula I wherein:
- the invention provides a compound having Formula I wherein:
- the invention provides a compound having Formula I wherein:
- A is Ce-10 aryl
- B is C 6- io aryl, Heterocyle
- R 1 is H
- R 2 is H
- R 3 is H
- R 4 is H
- R 5a is H
- R 5b is H
- R 5c is H
- R 5d is H
- R 6 is H , -(CH 2 ) n NR 13 R 14 , -(CH 2 ) m heterocycle or -Ci -6 alkyl;
- R 7 is H, halogen or cyano
- R 8 is H or halogen
- R 9 is H
- R 10 is halogen, -S(0)R 15 , -S(O) 2 R 11 , -SCi -6 alkyl, -Ci -6 alkyl or C(O)R XisO;
- Y is O
- R 11 is -Ci -6 alkyl
- R 12 is -Ci -6 alkyl
- R 3 is H or -C1-6 alkyl
- R 14 is H or -Ci-6 alkyl
- R 15 is -C 1-6 alkyl
- n 1-4;
- n 1-4.
- the invention provides a compound having Formula I wherein:
- R 17 is Ci -6 alkyl
- R 1 is H
- R 2 is H
- R 3 is H
- R 4 is H
- R 5a isH
- R 5b is H
- R 5c is H
- R 5d is H
- R 6 is H , -(CH 2 ) n NR 13 R 14 , -(CH 2 ) m heterocycle or -d -6 alkyl;
- R 10 is halogen, -S(O)R 15 , -S(0) 2 R 11 , -SCi -6 alkyl, -Ci -6 alkyl orC(O)R
- R 11 is -C 1-6 alkyl
- R 12 is -Ci -6 alkyl
- R 13 is H or -Ci -6 alkyl; R is H or -Ci -6 alkyl;
- R 15 is -C1-6 alkyl
- n 1 -4;
- n 1 -4.
- the invention provides a compound having Formula I wherein:
- R 1 is H
- R 2 is H
- R 3 is H
- R 4 is H
- R 5a is H
- R 5b is H W
- R 5d is H
- R 6 is H , -(CH 2 ) n NR 13 R 14 , -(CH 2 ) m heterocycle or -C 1-6 alkyl;
- R 7 is H, halogen or cyano
- R 8 is H or halogen
- R 9 is H
- R 10 is halogen, -S(O)R 15 , -S(O) 2 R 11 , -SCi -6 alkyl, -Ci -6 alkyl or C(O)R
- R 11 is -Ci-6 alkyl
- R 2 is -Ci -6 alkyl
- R 13 is H or -Ci-6 alkyl
- R 14 is H or -Ci-6 alkyl
- R 15 is -Ci-6 alkyl
- n 1-4;
- n 1-4.
- the invention provides a compound having Formula I wherein:
- R 1 is H
- R 2 is H
- R 3 is H
- R 4 is H
- R 5a is H
- R 5b is H
- R 5c is H
- R 5d is H .
- R 6 isH ,-(CH 2 ) n NR 13 R ' -(CH 2 ) m heterocycle or -Ci -6 alkyl;
- R 7 is halogen or cyano
- R 8 is H or halogen
- R 9 is H
- R 10 is halogen, -S(0)R 15 , -S(0) 2 R 11 , -SCi -6 alkyl, -Ci -6 alkyl or C(0)R XisO;
- R 11 is -Ci-6 alkyl
- R 12 is -Ci-6 alkyl
- R 3 is H or -Ci-6 alkyl
- R 14 is H or -C 1-6 alkyl
- R 15 is -Ci-6 alkyl
- n 1-4;
- R 1 is H
- R 2 is H
- R 3 is H
- R 4 is H
- R 5a is H
- R 5b isH
- R 5c is H
- R 5d is H
- R 6 is H , -(CH 2 ) n NR 13 R 14 , -(CH 2 )m heterocycle or -Ci_ 6 alkyl;
- R 7 is halogen;
- R 8 is H
- R 9 is H
- R 10 is -S(O)R 15 , -S(O) 2 R 11 , -SC1-6 alkyl, or C(O)R 12 ;
- Y is O
- R 11 is -C1-6 alkyl
- R 12 is -C1-6 alkyl
- R 13 is H or -C1-6 alkyl
- R 14 is H or -C1-6 alkyl
- R 15 is -C1-6 alkyl
- n 1-4;
- R is H
- R 2 is H
- R 3 is H
- R 4 is H
- R 5a is H
- R 5b isH
- R 5c is H
- R 5d isH
- R 6 is H , -(CH 2 ) n NR 13 R 14 , -(CH 2 ) m heterocycle or -Ci -6 alkyl;
- R 7 is halogen
- R 8 is H
- R 9 is H
- R 10 is -Sd.6 alkyl or C(O)R 12 ;
- X is O
- R 12 is -Ci-6 alkyl
- R 13 is H or -C1-6 alkyl
- R 14 is H or -C1-6 alkyl
- n 1 -4;
- n 1 -4.
- the invention provides a compound having Formula I wherein:
- R 1 is H
- R 2 is H
- R 3 is H
- R 4 is H
- R 5a is H
- R 5b is H
- R 5c is H
- R 5d is H
- R 6 is H , -(CH 2 ) n NR 13 R 14 , -(CH 2 ) m heterocycle or -Ci -6 alkyl;
- R 7 is H or halogen
- R 8 is H
- R 9 is H; R 10 is -SC1.6 alkyl;
- X is O
- R 13 is H or -C1-6 alkyl
- R 14 is H or -C1-6 alkyl
- n 1 -4;
- n 1 -4.
- alkyl refers to saturated, monovalent or divalent hydrocarbon moieties having linear or branched moieties or combinations thereof and containing 1 to 6 carbon atoms.
- One methylene (-CH 2 -) group, of the alkyl can be replaced by oxygen, sulfur, sulfoxide, nitrogen, carbonyl, carboxyl, sulfonyl, - C(O)NH-, -S(O)2NH-, by a divalent C 3-6 cycloalkyi, by a divalent heterocyle, or by a divalent aryl group.
- Alkyl groups can be independently substituted by halogen atoms, hydroxyl groups, cycloalkyi groups, amine groups, heterocyclic groups, carboxylic acid groups, phosphonic acid groups, sulphonic acid groups, phosphoric acid groups, nitro groups, amide groups, sulfonamides groups.
- cycloalkyi refers to a monovalent or divalent group of 3 to 8 carbon atoms derived from a saturated cyclic hydrocarbon. Cycloalkyi groups can be monocyclic or polycyclic. Cycloalkyi can be independently substituted by halogen, nitro groups, cyano groups, -OCi -6 alkyl groups, -SCi -6 alkyl groups, -Ci_ 6 alkyl groups, -C2-6 alkenyl groups, - C2-6 alkynyl groups , C3-8 cycloalkyi groups, carboxylic acid groups, ester groups, ketone groups, aldehyde groups, amide groups, amine groups, sulfonamide groups or hydroxyl groups.
- cycloalkenyl refers to a monovalent or divalent group of 3 to 8 carbon atoms derived from a saturated cycloalkyi having at least one double bond. Cycloalkenyl groups can be monocyclic or polycyclic.
- Cycloalkenyl groups can be independently substituted by halogen atoms, nitro groups, cyano groups, -OCi -6 alkyl groups, -SCi -6 alkyl groups, -Ci -6 alkyl groups, -C 2- 6 alkenyl groups, - C2-6 alkynyl groups, carboxylic acid groups, ester groups, ketone groups, aldehyde groups, amide groups, amine groups, sulfonamide groups, C3-8 cycloalkyi groups or hydroxyl groups.
- halogen refers to an atom of chlorine, bromine, fluorine, iodine.
- alkenyl refers to a monovalent or divalent hydrocarbon moiety having 2 to 6 carbon atoms, derived from a saturated alkyl, having at least one double bond. C 2 -e alkenyl can be in the E or Z configuration. Alkenyl groups can be substituted by Ci-3 alkyl, as defined above, or by halogen.
- alkynyl refers to a monovalent or divalent hydrocarbon radical having 2 to 6 carbon atoms, derived from a saturated alkyl, having at least one triple bond. Alkynyl groups can be substituted by Ci -3 alkyl, as defined above, or by halogen.
- heterocyclic ring refers to a 3 to 10 membered ring, which can be aromatic or non-aromatic, saturated or unsaturated, containing at least one heteroatom selected from O or N or S or combinations of at least two thereof, interrupting the carbocyclic ring structure.
- the heterocyclic ring can be saturated or non-saturated.
- Heterocyles can be monocyclic or polycyclic.
- Heterocyclic ring moieties can be substituted by halogen, nitro groups, cyano groups, -OCi-6 alkyl groups, -SCi-6 alkyl groups, -Ci-6 alkyl groups, -C2-6 alkenyl groups, - C2-6 alkynyl groups, carboxylic acid groups, ester groups, ketone groups, aldehyde groups, amide groups, amine groups, sulfonamide groups, C3-8 cycloalkyl groups or hydroxyl groups.
- heterocyclic groups are 5 or 6 membered rings such as but not limited to: furan, 2-furyl and 3-furyl derivatives; thiophene, 2-thienyl and 3-thienyl derivatives; pyrrole, oxazole, thiazole, pyrrolidine, pyrroline, imidazole, pyrazole, pyrazoline, isoxazole, isothiazole, pyrazolidine, imidazoline, thiazoline, oxazoline, dihydrothiophene, 2-pyridyl, 3-pyridyl, 4-pyridyl, dihydrofuran, tetrazole, triazole, oxadiazole, 1 ,2,5-oxadiazole, thiadiazole, 1 ,2,3- triazole, 1 ,2,4-triazole, pyrrolidinone, pyrrol-2(3H)-one, imidazolidin-2-one,
- aryl refers to an organic moiety derived from an aromatic hydrocarbon consisting of a ring containing 6 to 10 carbon atoms by removal of one hydrogen, which can be substituted by halogen atoms, nitro groups, cyano groups, -OCi-6 alkyl groups, -SCi-6 alkyl groups, -Ci-6 alkyl groups, -C2-6 alkenyl groups, - C2-6 alkynyl groups , carboxylic acid groups, ester groups, ketone groups, aldehyde groups, amide groups, amine groups, sulfonamide groups, C 3- 8 cycloalkyl groups or hydroxyl groups.
- aryl is phenyl.
- Preferred substitution site on aryl are the meta and the para positions. Most preferred substitution sites on aryl are the para positions.
- hydroxyl as used herein, represents a group of formula "-OH”.
- carbonyl as used herein, represents a group of formula "-C(O)-".
- carboxyl as used herein, represents a group of formula "-C(O)O-”.
- sulfonyl as used herein, represents a group of formula "-SO 2 ⁇ ".
- carboxylic acid as used herein, represents a group of formula "- C(O)OH”.
- nitro as used herein, represents a group of formula "-NO 2 ".
- cyano as used herein, represents a group of formula "-CN”.
- amide as used herein, represents a group of formula "-C(O)NR x R y " wherein R x and R y can be the same or independently H, alkyl, aryl, cycloalkyi, cycloalkenyl, heterocyle as defined above.
- amine as used herein, represents a group of formula "-NR x R y
- R x and R y can be the same or independently H, alkyl, aryl, cycloalkyi, cycloalkenyl, heterocyle as defined above.
- ketone represents an organic compound having a carbonyl group linked to a carbon atom such as -(CO)R x wherein R x can be alkyl, aryl, cycloalkyi, cycloalkenyl, heterocyle as defined above.
- aldehyde as used herein, represents a group of formula "-C(O)H".
- esters as used herein, represents a group of formula "-C(O)OR x ", wherein R x can be alkyl, aryl, cycloalkyi, cycloalkenyl, heterocyle as defined above.
- sulfonamide represents a group of formula "- S(O) 2 NR x R y " wherein R x and R y can be the same or independently H, alkyl, aryl, cycloalkyi, cycloalkenyl, heterocyle as defined above.
- sulfoxide as used herein, represents a group of formula "-S(O)-”.
- phosphonic acid as used herein, represents a group of formula "- P(O)(OH) 2 ".
- sulphonic acid as used herein, represents a group of formula "- S(O) 2 OH”.
- N represents a nitrogen atom
- Some compounds of Formula I and some of their intermediates have at least one asymmetric center in their structure.
- This asymmetric center may be present in an R or S configuration, said R and S notation is used in correspondence with the rules described in Pure Appli. Chem. (1976), 45, 1 1 -13.
- pharmaceutically acceptable salts refers to salts or complexes that retain the desired biological activity of the above identified compounds and exhibit minimal or no undesired toxicological effects.
- pharmaceutically acceptable salts according to the invention include therapeutically active, non-toxic base or acid salt forms, which the compounds of Formula I are able to form.
- the acid addition salt form of a compound of Formula I that occurs in its free form as a base can be obtained by treating the free base with an appropriate acid such as an inorganic acid, for example, hydrochloric acid, hydrobromic acid, sulfuric acid, phosphoric acid, nitric acid and the like; or an organic acid such as for example, acetic acid, hydroxyacetic acid, propanoic acid, lactic acid, pyruvic acid, malonic acid, fumaric acid, maleic acid, oxalic acid, tartaric acid, succinic acid, malic acid, ascorbic acid, benzoic acid, tannic acid, pamoic acid, citric acid, methylsulfonic acid, ethanesulfonic acid, benzenesulfonic acid, formic and the like (Handbook of an inorganic acid, for example, hydrochloric acid, hydrobromic acid, sulfuric acid, phosphoric acid, nitric acid and the like; or an organic acid such as for example,
- the base addition salt form of a compound of Formula I that occurs in its acid form can be obtained by treating the acid with an appropriate base such as an inorganic base, for example, sodium hydroxide, magnesium hydroxide, potassium hydroxide, Calcium hydroxide, ammonia and the like; or an organic base such as for example, L-Arginine, ethanolamine, betaine, benzathine, morpholine and the like.
- an appropriate base such as an inorganic base, for example, sodium hydroxide, magnesium hydroxide, potassium hydroxide, Calcium hydroxide, ammonia and the like
- an organic base such as for example, L-Arginine, ethanolamine, betaine, benzathine, morpholine and the like.
- solvates include for example hydrates, alcoholates and the like.
- reference to a compound or compounds is intended to encompass that compound in each of its possible isomeric forms and mixtures thereof unless the particular isomeric form is referred to specifically.
- the compounds of the invention are indicated for use in treating or preventing conditions in which there is likely to be a component involving the N-formyl peptide receptor like-1 receptor.
- compositions including at least one compound of the invention in a pharmaceutically acceptable carrier.
- Such methods can be performed, for example, by administering to a subject in need thereof a pharmaceutical composition containing a therapeutically effective amount of at least one compound of the invention.
- modulators are ocular inflammatory diseases including, but not limited to, wet and dry age-related macular degeneration (ARMD), uveitis, dry eye, Keratitis, allergic eye disease and conditions affecting the posterior part of the eye, such as maculopathies and retinal degeneration including non-exudative age related macular degeneration, exudative age related macular degeneration, choroidal neovascularization, diabetic retinopathy (proliferative), retinopathy of prematurity (ROP), acute macular neuroretinopathy, central serous chorioretinopathy, cystoid macular edema, and diabetic macular edema; infectious keratitis, uveitis, herpetic keratitis, corneal angiogenesis, lymphangiogenesis, uveitis, retinitis, and choroiditis such as acute multifocal placoid pigment epitheliopathy, Behcet's disease, birdshot
- AMD wet and dry
- retinochoroidopathy infectious (syphilis, lyme, tuberculosis, toxoplasmosis), intermediate uveitis (pars planitis), multifocal choroiditis, multiple evanescent white dot syndrome (mewds), ocular sarcoidosis, posterior scleritis, serpiginous choroiditis, subretinal fibrosis and uveitis syndrome, Vogt-Koyanagi-and Harada syndrome; vasuclar diseases/ exudative diseases such as retinal arterial occlusive disease, central retinal vein occlusion, cystoids macular edema, disseminated intravascular coagulopathy, branch retinal vein occlusion, hypertensive fundus changes, ocular ischemic syndrome, retinal arterial microaneurysms, Coat's disease, parafoveal telangiectasis, hemi-retinal vein occlusion, papillophle
- proliferative disorders such as proliferative vitreal retinopathy and epiretinal membranes, and proliferative diabetic retinopathy; infectious disorders such as ocular histoplasmosis, ocular toxocariasis, presumed ocular histoplasmosis syndrome (POHS), endophthalmitis, toxoplasmosis, retinal diseases associated with HIV infection, choroidal disease associate with HIV infection, uveitic disease associate with HIV infection, viral retinitis, acute retinal necrosis, progressive outer retinal necrosis, fungal retinal diseases, ocular syphilis, ocular tuberculosis, diffuse unilateral subacute neuroretinitis, and myiasis; genetic disorders such as retinitis pigmentosa, systemic disorders with accosiated retinal dystrophies, congenital stationary night blindness, cone dystrophies, Stargardt's disease and fundus flavimaculatus, Best's disease, pattern dystrophy of
- choroidopathy acute posterior multifocal placoid pigment epitheliopathy, myopic retinal degeneration, and acute retinal pigement epitheliitis
- systemic inflammatory diseases such as stroke, coronary artery disease, obstructive airway diseases, HIV- mediated retroviral infections, cardiovascular disorders including coronary artery disease, neuroinflammation, neurological disorders, pain and immunological disorders, asthma, allergic disorders, inflammation, systemic lupus erythematosus, eczema, psoriasis, CNS disorders such as Alzheimer's disease, arthritis, sepsis, inflammatory bowel disease, cachexia, angina pectoris, post-surgical corneal inflammation, blepharitis, MGD, dermal wound healing, burns, rosacea, atopic dermatitis, acne, psoriasis, seborrheic dermatitis, actinic keratoses, viral warts, photoaging rheumatoid arthritis and related inflammatory disorders,
- N-formyl peptide receptor like-1 receptor modulation including, but not limited to the treatment of wet and dry age-related macular degeneration (ARMD), diabetic retinopathy (proliferative), retinopathy of prematurity (ROP), diabetic macular edema, uveitis, retinal vein occlusion, cystoids macular edema, glaucoma, branch vein occlusion, Best's vitelliform macular degenartion, retinitis pigmentosa, proliferative
- AMD age-related macular degeneration
- ROP retinopathy of prematurity
- diabetic macular edema uveitis
- retinal vein occlusion cystoids macular edema
- glaucoma glaucoma
- branch vein occlusion Best's vitelliform macular degenartion
- retinitis pigmentosa proliferative
- PVR vitreoretinopathy
- methods for treating disorders associated with modulation of the FPRL-1 receptor can be performed, for example, by administering to a subject in need thereof a therapeutically effective amount of at least one compound of the invention, or any combination thereof, or pharmaceutically acceptable salts, hydrates, solvates, crystal forms and individual isomers, enantiomers, and diastereomers thereof.
- the present invention concerns the use of a compound of Formula I or a pharmaceutically acceptable salt thereof, for the manufacture of a medicament for the treatment of ocular inflammatory diseases including, but not limited to, wet and dry age-related macular degeneration (ARMD), uveitis, dry eye, Keratitis, allergic eye disease and conditions affecting the posterior part of the eye, such as maculopathies and retinal degeneration including non-exudative age related macular degeneration, exudative age related macular degeneration, choroidal neovascularization, diabetic retinopathy (proliferative), retinopathy of prematurity (ROP), acute macular neuroretinopathy, central serous chorioretinopathy, cystoid macular edema, and diabetic macular edema; infectious keratitis, uveitis, herpetic keratitis, corneal angiogenesis, lymphangiogenesis, uveitis, retinitis, and choroiditis such as acute
- retinochoroidopathy infectious (syphilis, lyme, tuberculosis, toxoplasmosis), intermediate uveitis (pars planitis), multifocal choroiditis, multiple evanescent white dot syndrome (mewds), ocular sarcoidosis, posterior sderitis, serpiginous choroiditis, subretinal fibrosis and uveitis syndrome, Vogt-Koyanagi-and Harada syndrome; vasuclar diseases/ exudative diseases such as retinal arterial occlusive disease, central retinal vein occlusion, cystoids macular edema, disseminated intravascular coagulopathy, branch retinal vein occlusion, hypertensive fundus changes, ocular ischemic syndrome, retinal arterial microaneurysms, Coat's disease, parafoveal telangiectasis, hemi-retinal vein occlusion, papillophle
- proliferative disorders such as proliferative vitreal retinopathy and epiretinal membranes, and proliferative diabetic retinopathy; infectious disorders such as ocular histoplasmosis, ocular toxocariasis, presumed ocular histoplasmosis syndrome (POHS), endophthalmitis, toxoplasmosis, retinal diseases associated with HIV infection, choroidal disease associate with HIV infection, uveitic disease associate with HIV infection, viral retinitis, acute retinal necrosis, progressive outer retinal necrosis, fungal retinal diseases, ocular syphilis, ocular tuberculosis, diffuse unilateral subacute neuroretinitis, and myiasis; genetic disorders such as retinitis pigmentosa, systemic disorders with accosiated retinal dystrophies, congenital stationary night blindness, cone dystrophies, Stargardt's disease and fundus flavimaculatus, Best's disease, pattern dystrophy of
- choroidopathy acute posterior multifocal placoid pigment epitheliopathy, myopic retinal degeneration, and acute retinal pigement epitheliitis
- systemic inflammatory diseases such as stroke, coronary artery disease, obstructive airway diseases, HIV- mediated retroviral infections, cardiovascular disorders including coronary artery disease, neuroinflammation, neurological disorders, pain and immunological disorders, asthma, allergic disorders, inflammation, systemic lupus erythematosus, eczema, psoriasis, CNS disorders such as Alzheimer's disease, arthritis, sepsis, inflammatory bowel disease, cachexia, angina pectoris, post-surgical corneal inflammation, blepharitis, MGD, dermal wound healing, burns, rosacea, atopic dermatitis, acne, psoriasis, seborrheic dermatitis, actinic keratoses, viral warts, photoaging rheumatoid arthritis and related inflammatory disorders,
- the actual amount of the compound to be administered in any given case will be determined by a physician taking into account the relevant circumstances, such as the severity of the condition, the age and weight of the patient, the patient's general physical condition, the cause of the condition, and the route of
- the patient will be administered the compound orally in any acceptable form, such as a tablet, liquid, capsule, powder and the like, or other routes may be desirable or necessary, particularly if the patient suffers from nausea.
- Such other routes may include, without exception, transdermal, parenteral, subcutaneous, intranasal, via an implant stent, intrathecal, intravitreal, topical to the eye, direct injection, application at the back of the eye or formulations that may further enhance the long duration of actions such as a slow releasing pellet, suspension, gel, or sustained delivery devices such as any suitable drug delivery system (DDS) known in the art.
- DDS drug delivery system
- topical administration is preferred, this compound may also be used in an intraocular implant as described in U.S. U.S.
- Patent 7,931 ,909 intramuscular, intravenous, and intrarectal modes of delivery. Additionally, the formulations may be designed to delay release of the active compound over a given period of time, or to carefully control the amount of drug released at a given time during the course of therapy.
- compositions including at least one compound of the invention in a pharmaceutically acceptable carrier thereof.
- pharmaceutically acceptable means the carrier, diluent or excipient must be compatible with the other ingredients of the formulation and not deleterious to the recipient thereof.
- compositions of the present invention can be used in the form of a solid, a solution, an emulsion, a dispersion, a patch, a micelle, a liposome, and the like, wherein the resulting composition contains one or more compounds of the present invention, as an active ingredient, in admixture with an organic or inorganic carrier or excipient suitable for enteral or parenteral applications.
- Invention compounds may be combined, for example, with the usual non-toxic,
- compositions for tablets, pellets, capsules, suppositories, solutions, emulsions, suspensions, and any other form suitable for use.
- the carriers which can be used include glucose, lactose, gum acacia, gelatin, mannitol, starch paste, magnesium trisilicate, talc, corn starch, keratin, colloidal silica, potato starch, urea, medium chain length triglycerides, dextrans, and other carriers suitable for use in manufacturing preparations, in solid, semisolid, or liquid form.
- auxiliary, stabilizing, thickening and coloring agents and perfumes may be used.
- Invention compounds are included in the pharmaceutical composition in an amount sufficient to produce the desired effect upon the process or disease condition.
- compositions containing invention compounds may be in a form suitable for oral use, for example, as tablets, troches, lozenges, aqueous or oily suspensions, dispersible powders or granules, emulsions, hard or soft capsules, or syrups or elixirs.
- Compositions intended for oral use may be prepared according to any method known in the art for the manufacture of pharmaceutical compositions and such compositions may contain one or more agents selected from the group consisting of a sweetening agent such as sucrose, lactose, or saccharin, flavoring agents such as peppermint, oil of wintergreen or cherry, coloring agents and preserving agents in order to provide pharmaceutically elegant and palatable preparations.
- Tablets containing invention compounds in admixture with non-toxic pharmaceutically acceptable excipients may also be manufactured by known methods.
- the excipients used may be, for example, (1 ) inert diluents such as calcium carbonate, lactose, calcium phosphate or sodium phosphate; (2) granulating and disintegrating agents such as corn starch, potato starch or alginic acid; (3) binding agents such as gum tragacanth, corn starch, gelatin or acacia, and (4) lubricating agents such as magnesium stearate, stearic acid or talc.
- the tablets may be uncoated or they may be coated by known techniques to delay disintegration and absorption in the gastrointestinal tract and thereby provide a sustained action over a longer period.
- a time delay material such as glyceryl monostearate or glyceryl distearate may be employed.
- formulations for oral use may be in the form of hard gelatin capsules wherein the invention compounds are mixed with an inert solid diluent, for example, calcium carbonate, calcium phosphate or kaolin. They may also be in the form of soft gelatin capsules wherein the invention compounds are mixed with water or an oil medium, for example, peanut oil, liquid paraffin or olive oil.
- an inert solid diluent for example, calcium carbonate, calcium phosphate or kaolin.
- water or an oil medium for example, peanut oil, liquid paraffin or olive oil.
- the pharmaceutical compositions may be in the form of a sterile injectable suspension.
- This suspension may be formulated according to known methods using suitable dispersing or wetting agents and suspending agents.
- the sterile injectable preparation may also be a sterile injectable solution or suspension in a non-toxic parenterally-acceptable diluent or solvent, for example, as a solution in 1 ,3- butanediol .
- Sterile, fixed oils are conventionally employed as a solvent or suspending medium.
- any bland fixed oil may be employed including synthetic mono- or diglycerides, fatty acids (including oleic acid), naturally occurring vegetable oils like sesame oil, coconut oil, peanut oil, cottonseed oil, etc., or synthetic fatty vehicles like ethyl oleate or the like. Buffers, preservatives, antioxidants, and the like can be incorporated as required.
- the compounds of the invention may also be administered in the form of suppositories for rectal administration of the drug.
- These compositions may be prepared by mixing the invention compounds with a suitable non-irritating excipient, such as cocoa butter, synthetic glyceride esters of polyethylene glycols, which are solid at ordinary temperatures, but liquefy and/or dissolve in the rectal cavity to release the drug. Since individual subjects may present a wide variation in severity of symptoms and each drug has its unique therapeutic characteristics, the precise mode of administration and dosage employed for each subject is left to the discretion of the practitioner.
- the compounds and pharmaceutical compositions described herein are useful as medicaments in mammals, including humans, for treatment of diseases and/or alleviations of conditions which are responsive to treatment by agonists or functional antagonists of the N-formyl peptide receptor like-1 (FPRL-1 ) receptor.
- FPRL-1 N-formyl peptide receptor like-1
- methods for treating a disorder associated with modulation of the N-formyl peptide receptor like-1 (FPRL-1 ) receptor can be performed, for example, by administering to a subject in need thereof a pharmaceutical composition containing a
- therapeutically effective amount means the amount of the pharmaceutical composition that will elicit the biological or medical response of a subject in need thereof that is being sought by the researcher, veterinarian, medical doctor or other clinician.
- the subject in need thereof is a mammal. In some embodiments, the mammal is human.
- the present invention concerns also processes for preparing the compounds of Formula I.
- the compounds of formula I according to the invention can be prepared analogously to conventional methods as understood by the person skilled in the art of synthetic organic chemistry. Synthetic Scheme 1 set forth below, illustrates how the compounds according to the invention can be made.
- an aldehyde such as 4-cyanobenzaldehyde
- an amine such as A/ 1 -boc-1 ,3-diamino-n-propane
- a suitable solvent eg., THF or chloroform
- the solvent may then be evaporated under reduced pressure, and the residue redissolved in DMF.
- the imine is then reacted with 7-nitro-homopthallic anhydride, (i.e., 7-Nitro-7H-2-benzopyran- 1 ,3(4H)-dione) to produce a 7-nitro-3,4-dihydroisoquinolin-1 (2H)-one, such as tert- butyl (3-(3-(4-cyanophenyl)-7-nitro-1 -oxo-3,4-dihydroisoquinolin-2(1 H)- yl)propyl)carbamate (Intermediate 1 ).
- 7-nitro-homopthallic anhydride i.e., 7-Nitro-7H-2-benzopyran- 1 ,3(4H)-dione
- 7-nitro-3,4-dihydroisoquinolin-1 (2H)-one such as tert- butyl (3-(3-(4-cyanophenyl)-7-nitro-1 -oxo-3
- the nitro group of the 7-nitro-3,4- dihydroisoquinolin-1 (2H)-one can then be treated with a reducing agent, such as hydrogen in the presence of 10% palladium on carbon, in a suitable solvent (MeOH) to give a 7-amino-3,4-dihydroisoquinolin-1 (2H)-one, such as terf-butyl (3-(7-amino-3- (4-cyanophenyl)- 1 -oxo-3,4-dihydroisoquinolin-2(1 H)-yl)propyl)carbamate
- the 7-amino-3,4-dihydroisoquinolin-1 (2H)-one may be dissolved in a suitable solvent (eg., benzene) and then be treated with an organic isocyanates, such as 4-acetylphenyl isocyanates, in the presence of a strong base (eg, DIPEA) to produce a urea, such as terf-butyl ⁇ 3-[7-( ⁇ [(4-acetylphenyl)amino] carbonyl ⁇ amino)-3- (4-cyanophenyl)-1 -oxo-3,4-dihydroisoquinolin-2(1 H)-yl]propyl ⁇ carbamate
- a suitable solvent eg., benzene
- an organic isocyanates such as 4-acetylphenyl isocyanates
- the t-butylcarbamate group may be removed by treatment with a strong acid, such as trifluoroacetic acid, to give an amine product, such as 1 - (4-acetylphenyl)-3-[2-(2-aminoethyl)-3-(4-cyanophenyl)-1 -oxo-1 , 2,3,4- tetrahydroisoquinolin-7-yl]urea (Compound 2). Details of certain specific chemical transformations are provided in the examples.
- compounds of the invention may contain one or more asymmetric centers, such that the compounds may exist in enantiomeric as well as in diastereomeric forms.
- the scope of the present invention includes all enantiomers, diastereomers and racemic mixtures. Some of the compounds of the invention may form salts with pharmaceutically acceptable acids or bases, and such pharmaceutically acceptable salts of the compounds described herein are also within the scope of the invention.
- the present invention includes all pharmaceutically acceptable isotopically enriched compounds.
- Any compound of the invention may contain one or more isotopic atoms enriched or different than the natural ratio such as deuterium 2 H (or D) in place of protium 1 H (or H) or use of 13 C enriched material in place of 12 C and the like. Similar substitutions can be employed for N, O and S.
- the use of isotopes may assist in analytical as well as therapeutic aspects of the invention. For example, use of deuterium may increase the in vivo half-life by altering the metabolism (rate) of the compounds of the invention.
- These compounds can be prepared in accord with the preparations described by use of isotopically enriched reagents.
- characterization of the compounds is performed using NMR spectra, recorded on 300 and/or 600 MHz Varian and acquired at room temperature. Chemical shifts are given in ppm referenced either to internal TMS or to the solvent signal . The optical rotation was recorded on Perkin Elmer Polarimeter 341 , 589 nm at 20 °C, Na/Hal lamp.
- Example 3 for Intermediate 23 The reactants and reagents used and the results are described below in Table 7.
- Biological activity of compounds according to Formula 1 is set forth in Table 9 below.
- CHO-Ga16 cells stably expressing FPRL1 were cultured in (F12, 10% FBS, 1 % PSA, 400 g/ml geneticin and 50 g/ml hygromycin) and HEK- Gqi5 cells stable expressing FPR1 were cultured in (DMEM high glucose, 10% FBS, 1 % PSA, 400 g/ml geneticin and 50 g/ml hygromycin).
- DMEM high glucose, 10% FBS, 1 % PSA, 400 g/ml geneticin and 50 g/ml hygromycin In general, the day before the
Landscapes
- Chemical & Material Sciences (AREA)
- Organic Chemistry (AREA)
- Health & Medical Sciences (AREA)
- Life Sciences & Earth Sciences (AREA)
- General Health & Medical Sciences (AREA)
- Chemical Kinetics & Catalysis (AREA)
- General Chemical & Material Sciences (AREA)
- Medicinal Chemistry (AREA)
- Nuclear Medicine, Radiotherapy & Molecular Imaging (AREA)
- Pharmacology & Pharmacy (AREA)
- Veterinary Medicine (AREA)
- Animal Behavior & Ethology (AREA)
- Public Health (AREA)
- Rheumatology (AREA)
- Pain & Pain Management (AREA)
- Ophthalmology & Optometry (AREA)
- Engineering & Computer Science (AREA)
- Bioinformatics & Cheminformatics (AREA)
- Pharmaceuticals Containing Other Organic And Inorganic Compounds (AREA)
- Plural Heterocyclic Compounds (AREA)
Abstract
Description
Claims
Priority Applications (3)
| Application Number | Priority Date | Filing Date | Title |
|---|---|---|---|
| AU2012214265A AU2012214265A1 (en) | 2011-02-11 | 2012-02-10 | Novel 1-(1-oxo-1,2,3,4-tetrahydroisoquinolin-7-yl)urea derivatives as N-formyl peptide receptor like-1 (FPRL-1) receptor modulators |
| EP12705744.6A EP2673263A1 (en) | 2011-02-11 | 2012-02-10 | Novel 1-(1-oxo-1,2,3,4-tetrahydroisoquinolin-7-yl)urea derivatives as n-formyl peptide receptor like-1 (fprl-1) receptor modulators |
| CA2827005A CA2827005A1 (en) | 2011-02-11 | 2012-02-10 | Novel 1-(1-oxo-1,2,3,4-tetrahydroisoquinolin-7-yl)urea derivatives as n-formyl peptide receptor like-1 (fprl-1) receptor modulators |
Applications Claiming Priority (2)
| Application Number | Priority Date | Filing Date | Title |
|---|---|---|---|
| US201161441824P | 2011-02-11 | 2011-02-11 | |
| US61/441,824 | 2011-02-11 |
Publications (1)
| Publication Number | Publication Date |
|---|---|
| WO2012109544A1 true WO2012109544A1 (en) | 2012-08-16 |
Family
ID=45757207
Family Applications (1)
| Application Number | Title | Priority Date | Filing Date |
|---|---|---|---|
| PCT/US2012/024659 Ceased WO2012109544A1 (en) | 2011-02-11 | 2012-02-10 | Novel 1-(1-oxo-1,2,3,4-tetrahydroisoquinolin-7-yl)urea derivatives as n-formyl peptide receptor like-1 (fprl-1) receptor modulators |
Country Status (5)
| Country | Link |
|---|---|
| US (2) | US8580817B2 (en) |
| EP (1) | EP2673263A1 (en) |
| AU (1) | AU2012214265A1 (en) |
| CA (1) | CA2827005A1 (en) |
| WO (1) | WO2012109544A1 (en) |
Cited By (8)
| Publication number | Priority date | Publication date | Assignee | Title |
|---|---|---|---|---|
| WO2015005305A1 (en) * | 2013-07-09 | 2015-01-15 | 小野薬品工業株式会社 | Alxr agonist compound |
| WO2015079692A1 (en) | 2013-11-28 | 2015-06-04 | 杏林製薬株式会社 | Urea derivative or pharmacologically acceptable salt thereof |
| WO2016189877A1 (en) | 2015-05-27 | 2016-12-01 | Kyorin Pharmaceutical Co., Ltd. | Urea derivative or pharmacologically acceptable salt thereof |
| WO2016189876A1 (en) | 2015-05-27 | 2016-12-01 | Kyorin Pharmaceutical Co., Ltd. | Urea derivative or pharmacologically acceptable salt thereof |
| US9593144B2 (en) | 2013-10-09 | 2017-03-14 | Chang Gung University | FPR1 antagonist derivatives and use thereof |
| US9926264B2 (en) | 2013-11-21 | 2018-03-27 | Allergan, Inc. | Phenylcarbamate derivatives as formyl peptide receptor modulators |
| WO2018092916A1 (en) * | 2016-11-21 | 2018-05-24 | 宇部興産株式会社 | Nitrogen-containing polycyclic heterocyclic derivative |
| US10676431B2 (en) | 2018-03-05 | 2020-06-09 | Bristol-Myers Squibb Company | Phenylpyrrolidinone formyl peptide 2 receptor agonists |
Families Citing this family (5)
| Publication number | Priority date | Publication date | Assignee | Title |
|---|---|---|---|---|
| ES2708997T3 (en) | 2011-10-26 | 2019-04-12 | Allergan Inc | Amide derivatives of N-Urea substituted amino acids as modulators of the receptor analogue to formyl peptide receptor 1 (FPRL-1) |
| KR102227201B1 (en) | 2013-03-06 | 2021-03-12 | 알러간, 인코포레이티드 | Use of agonists of formyl peptide receptor 2 for treating ocular inflammatory diseases |
| BR112015021392B1 (en) | 2013-03-06 | 2021-11-16 | Allergan, Inc | USE OF FORMIL 2 PEPTIDE RECEPTOR AGONISTS TO TREAT DERMATOLOGICAL DISEASES |
| WO2015179707A1 (en) | 2014-05-21 | 2015-11-26 | Allergan, Inc. | Imidazole derivatives as formyl peptide receptor modulators |
| CN120965663A (en) * | 2024-05-17 | 2025-11-18 | 北京理工大学 | sEH inhibitor compounds, pharmaceutical compositions, their preparation methods and applications |
Citations (4)
| Publication number | Priority date | Publication date | Assignee | Title |
|---|---|---|---|---|
| US20020016460A1 (en) * | 1999-10-06 | 2002-02-07 | Snow Roger John | Heterocyclic compounds useful as inhibitors of tyrosine kinases |
| WO2005047899A2 (en) * | 2003-11-07 | 2005-05-26 | Acadia Pharmaceuticals Inc. | Use of the lipoxin receptor, fprl1, as a tool for identifying compounds effective in the treatment of pain and inflammation |
| WO2009051670A2 (en) * | 2007-10-12 | 2009-04-23 | Resolvyx Pharmaceuticals, Inc. | Oxylipin compounds for the treatment of ophthalmic conditions |
| US7931909B2 (en) | 2005-05-10 | 2011-04-26 | Allergan, Inc. | Ocular therapy using alpha-2 adrenergic receptor compounds having enhanced anterior clearance rates |
-
2012
- 2012-02-10 AU AU2012214265A patent/AU2012214265A1/en not_active Abandoned
- 2012-02-10 WO PCT/US2012/024659 patent/WO2012109544A1/en not_active Ceased
- 2012-02-10 EP EP12705744.6A patent/EP2673263A1/en not_active Withdrawn
- 2012-02-10 CA CA2827005A patent/CA2827005A1/en not_active Abandoned
- 2012-02-10 US US13/370,472 patent/US8580817B2/en active Active
-
2013
- 2013-07-16 US US13/943,313 patent/US8809367B2/en active Active
Patent Citations (4)
| Publication number | Priority date | Publication date | Assignee | Title |
|---|---|---|---|---|
| US20020016460A1 (en) * | 1999-10-06 | 2002-02-07 | Snow Roger John | Heterocyclic compounds useful as inhibitors of tyrosine kinases |
| WO2005047899A2 (en) * | 2003-11-07 | 2005-05-26 | Acadia Pharmaceuticals Inc. | Use of the lipoxin receptor, fprl1, as a tool for identifying compounds effective in the treatment of pain and inflammation |
| US7931909B2 (en) | 2005-05-10 | 2011-04-26 | Allergan, Inc. | Ocular therapy using alpha-2 adrenergic receptor compounds having enhanced anterior clearance rates |
| WO2009051670A2 (en) * | 2007-10-12 | 2009-04-23 | Resolvyx Pharmaceuticals, Inc. | Oxylipin compounds for the treatment of ophthalmic conditions |
Non-Patent Citations (5)
| Title |
|---|
| "Handbook of Pharmaceutical Salts", 2002, VERLAG HELVETICA CHEMICA ACTA, pages: 329 - 345 |
| BURLI ET AL.: "Potent hFPRL1 (ALXR) agonists as potential anti-inflammatory agents", BIOORG. MED. CHEM. LETT., vol. 16, no. 14, 15 July 2006 (2006-07-15), pages 3713 - 3718, XP025106261, DOI: 10.1016/J.BMCL.2006.04.068 * |
| MARC ET AL., CYTOKINE & GROWTH FACTOR REVIEWS, vol. 17, 2006, pages 501 - 519 |
| PERRETTI, MAURO ET AL., PHARMACOLOGY & THERAPEUTICS, vol. 127, 2010, pages 175 - 188 |
| PURE APPLI. CHEM., vol. 45, 1976, pages 11 - 13 |
Cited By (32)
| Publication number | Priority date | Publication date | Assignee | Title |
|---|---|---|---|---|
| JPWO2015005305A1 (en) * | 2013-07-09 | 2017-03-02 | 小野薬品工業株式会社 | ALXR agonist compounds |
| WO2015005305A1 (en) * | 2013-07-09 | 2015-01-15 | 小野薬品工業株式会社 | Alxr agonist compound |
| US9771357B2 (en) | 2013-07-09 | 2017-09-26 | Ono Pharmaceutical Co., Ltd. | ALXR agonist compound |
| US9593144B2 (en) | 2013-10-09 | 2017-03-14 | Chang Gung University | FPR1 antagonist derivatives and use thereof |
| US9926264B2 (en) | 2013-11-21 | 2018-03-27 | Allergan, Inc. | Phenylcarbamate derivatives as formyl peptide receptor modulators |
| AU2014355887B2 (en) * | 2013-11-28 | 2019-02-07 | Kyorin Pharmaceutical Co., Ltd. | Urea derivative or pharmacologically acceptable salt thereof |
| JP2019059772A (en) * | 2013-11-28 | 2019-04-18 | 杏林製薬株式会社 | Urea derivatives or pharmacologically acceptable salts thereof |
| US11261155B2 (en) | 2013-11-28 | 2022-03-01 | Kyorin Pharmaceutical Co., Ltd. | Urea derivative or pharmacologically acceptable salt thereof |
| JPWO2015079692A1 (en) * | 2013-11-28 | 2017-03-16 | 杏林製薬株式会社 | Urea derivative or pharmacologically acceptable salt thereof |
| KR20160090304A (en) | 2013-11-28 | 2016-07-29 | 교린 세이야꾸 가부시키 가이샤 | Urea derivative or pharmacologically acceptable salt thereof |
| US9822069B2 (en) | 2013-11-28 | 2017-11-21 | Kyorin Pharmaceutical Co., Ltd. | Urea derivative or pharmacologically acceptable salt thereof |
| CN105814019A (en) * | 2013-11-28 | 2016-07-27 | 杏林制药株式会社 | Urea derivative or pharmacologically acceptable salt thereof |
| EP3305763A1 (en) | 2013-11-28 | 2018-04-11 | Kyorin Pharmaceutical Co., Ltd. | Deuterated or isotopically labeled urea derivatives or pharmacologically acceptable salts thereof useful as fprl-1 agonists |
| KR102252270B1 (en) | 2013-11-28 | 2021-05-13 | 교린 세이야꾸 가부시키 가이샤 | Urea derivative or pharmacologically acceptable salt thereof |
| US10029983B2 (en) | 2013-11-28 | 2018-07-24 | Kyorin Pharmaceutical Co., Ltd. | Urea derivative or pharmacologically acceptable salt thereof |
| EA030474B1 (en) * | 2013-11-28 | 2018-08-31 | Киорин Фармасьютикал Ко., Лтд. | Urea derivatives or pharmacologically acceptable salts thereof |
| WO2015079692A1 (en) | 2013-11-28 | 2015-06-04 | 杏林製薬株式会社 | Urea derivative or pharmacologically acceptable salt thereof |
| US10252992B2 (en) | 2013-11-28 | 2019-04-09 | Kyorin Pharmaceutical Co., Ltd. | Urea derivative or pharmacologically acceptable salt thereof |
| JP2021001181A (en) * | 2013-11-28 | 2021-01-07 | 杏林製薬株式会社 | Urea derivative or pharmacologically acceptable salt thereof |
| US10464891B2 (en) | 2013-11-28 | 2019-11-05 | Kyorin Pharmaceuticals Co., Ltd. | Urea derivative or pharmacologically acceptable salt thereof |
| CN105814019B (en) * | 2013-11-28 | 2019-12-06 | 杏林制药株式会社 | Urea derivative or pharmacologically acceptable salt thereof |
| AU2019203119B2 (en) * | 2013-11-28 | 2020-11-12 | Kyorin Pharmaceutical Co., Ltd. | Urea derivative or pharmacologically acceptable salt thereof |
| US10696630B2 (en) | 2013-11-28 | 2020-06-30 | Kyorin Pharmaceuticals Co., Ltd. | Urea derivative or pharmacologically acceptable salt thereof |
| US10525058B2 (en) | 2015-05-27 | 2020-01-07 | Kyorin Pharmaceutical Co., Ltd | Urea derivative or pharmacologically acceptable salt thereof |
| US10858314B2 (en) | 2015-05-27 | 2020-12-08 | Kyorin Pharmaceutical Co., Ltd. | Urea derivative or pharmacologically acceptable salt thereof |
| WO2016189876A1 (en) | 2015-05-27 | 2016-12-01 | Kyorin Pharmaceutical Co., Ltd. | Urea derivative or pharmacologically acceptable salt thereof |
| CN113185452A (en) * | 2015-05-27 | 2021-07-30 | 杏林制药株式会社 | Urea derivatives or pharmaceutically acceptable salts thereof |
| WO2016189877A1 (en) | 2015-05-27 | 2016-12-01 | Kyorin Pharmaceutical Co., Ltd. | Urea derivative or pharmacologically acceptable salt thereof |
| WO2018092916A1 (en) * | 2016-11-21 | 2018-05-24 | 宇部興産株式会社 | Nitrogen-containing polycyclic heterocyclic derivative |
| US10676431B2 (en) | 2018-03-05 | 2020-06-09 | Bristol-Myers Squibb Company | Phenylpyrrolidinone formyl peptide 2 receptor agonists |
| US11117861B2 (en) | 2018-03-05 | 2021-09-14 | Bristol-Myers Squibb Company | Phenylpyrrolidinone formyl peptide 2 receptor agonists |
| US11708327B2 (en) | 2018-03-05 | 2023-07-25 | Bristol-Myers Squibb Company | Phenylpyrrolidinone formyl peptide 2 receptor agonists |
Also Published As
| Publication number | Publication date |
|---|---|
| CA2827005A1 (en) | 2012-08-16 |
| US8809367B2 (en) | 2014-08-19 |
| US20130338187A1 (en) | 2013-12-19 |
| US20120208842A1 (en) | 2012-08-16 |
| EP2673263A1 (en) | 2013-12-18 |
| AU2012214265A1 (en) | 2013-09-05 |
| US8580817B2 (en) | 2013-11-12 |
Similar Documents
| Publication | Publication Date | Title |
|---|---|---|
| US8809367B2 (en) | 1-1-Oxo-1,2,3,4-tetrahydroisoquinolin-7-yl)urea derivatives as N-formyl peptide receptor like-1 (FPRL-1) receptor modulators | |
| JP5917555B2 (en) | Phosphate derivatives as chemokine receptor modulators | |
| US8440684B2 (en) | Polycyclic pyrrolidine-2,5-dione derivatives as -formyl peptide receptor like-1 (FPRL-1) receptor modulators | |
| US8729096B2 (en) | Imidazolidine-2,4-dione derivatives as N-formyl peptide receptor 2 modulators | |
| EP2776389A1 (en) | Aryl urea derivatives as n-formyl peptide receptor like-1 (fprl-1) receptor modulators | |
| US8653299B2 (en) | Dihydronaphthalene and naphthalene derivatives as N-formyl peptide receptor like-1 (FPRL-1) receptor modulators | |
| CA2891976A1 (en) | Imidazopyridine compounds | |
| EP2776403A1 (en) | 2,5-dioxoimidazolidin-1-yl-3-phenylurea derivatives as formyl peptide receptor like-1 (fprl-1) receptor modulators | |
| WO2015042071A1 (en) | Diphenyl urea derivatives as formyl peptide receptor modulators | |
| AU2018200226B2 (en) | Benzofuran-2-sulfonamide derivatives as chemokine receptor modulators | |
| WO2014181788A1 (en) | Α-substituted glycineamide derivative | |
| ES2708563T3 (en) | Sulfonamide derivatives as modulators of chemokine receptors | |
| JP2016094407A (en) | Novel trpm8 inhibitor |
Legal Events
| Date | Code | Title | Description |
|---|---|---|---|
| 121 | Ep: the epo has been informed by wipo that ep was designated in this application |
Ref document number: 12705744 Country of ref document: EP Kind code of ref document: A1 |
|
| ENP | Entry into the national phase |
Ref document number: 2827005 Country of ref document: CA |
|
| NENP | Non-entry into the national phase |
Ref country code: DE |
|
| ENP | Entry into the national phase |
Ref document number: 2012214265 Country of ref document: AU Date of ref document: 20120210 Kind code of ref document: A |
|
| REEP | Request for entry into the european phase |
Ref document number: 2012705744 Country of ref document: EP |
|
| WWE | Wipo information: entry into national phase |
Ref document number: 2012705744 Country of ref document: EP |


























































