WO2012107533A1 - Isoxazoline derivatives for controlling invertebrate pests - Google Patents
Isoxazoline derivatives for controlling invertebrate pests Download PDFInfo
- Publication number
- WO2012107533A1 WO2012107533A1 PCT/EP2012/052241 EP2012052241W WO2012107533A1 WO 2012107533 A1 WO2012107533 A1 WO 2012107533A1 EP 2012052241 W EP2012052241 W EP 2012052241W WO 2012107533 A1 WO2012107533 A1 WO 2012107533A1
- Authority
- WO
- WIPO (PCT)
- Prior art keywords
- alkyl
- mono
- halogen
- cyano
- alkoxy
- Prior art date
- Legal status (The legal status is an assumption and is not a legal conclusion. Google has not performed a legal analysis and makes no representation as to the accuracy of the status listed.)
- Ceased
Links
Classifications
-
- C—CHEMISTRY; METALLURGY
- C07—ORGANIC CHEMISTRY
- C07D—HETEROCYCLIC COMPOUNDS
- C07D413/00—Heterocyclic compounds containing two or more hetero rings, at least one ring having nitrogen and oxygen atoms as the only ring hetero atoms
- C07D413/02—Heterocyclic compounds containing two or more hetero rings, at least one ring having nitrogen and oxygen atoms as the only ring hetero atoms containing two hetero rings
- C07D413/04—Heterocyclic compounds containing two or more hetero rings, at least one ring having nitrogen and oxygen atoms as the only ring hetero atoms containing two hetero rings directly linked by a ring-member-to-ring-member bond
-
- A—HUMAN NECESSITIES
- A01—AGRICULTURE; FORESTRY; ANIMAL HUSBANDRY; HUNTING; TRAPPING; FISHING
- A01N—PRESERVATION OF BODIES OF HUMANS OR ANIMALS OR PLANTS OR PARTS THEREOF; BIOCIDES, e.g. AS DISINFECTANTS, AS PESTICIDES OR AS HERBICIDES; PEST REPELLANTS OR ATTRACTANTS; PLANT GROWTH REGULATORS
- A01N43/00—Biocides, pest repellants or attractants, or plant growth regulators containing heterocyclic compounds
- A01N43/72—Biocides, pest repellants or attractants, or plant growth regulators containing heterocyclic compounds having rings with nitrogen atoms and oxygen or sulfur atoms as ring hetero atoms
- A01N43/80—Biocides, pest repellants or attractants, or plant growth regulators containing heterocyclic compounds having rings with nitrogen atoms and oxygen or sulfur atoms as ring hetero atoms five-membered rings with one nitrogen atom and either one oxygen atom or one sulfur atom in positions 1,2
-
- A—HUMAN NECESSITIES
- A01—AGRICULTURE; FORESTRY; ANIMAL HUSBANDRY; HUNTING; TRAPPING; FISHING
- A01N—PRESERVATION OF BODIES OF HUMANS OR ANIMALS OR PLANTS OR PARTS THEREOF; BIOCIDES, e.g. AS DISINFECTANTS, AS PESTICIDES OR AS HERBICIDES; PEST REPELLANTS OR ATTRACTANTS; PLANT GROWTH REGULATORS
- A01N43/00—Biocides, pest repellants or attractants, or plant growth regulators containing heterocyclic compounds
- A01N43/72—Biocides, pest repellants or attractants, or plant growth regulators containing heterocyclic compounds having rings with nitrogen atoms and oxygen or sulfur atoms as ring hetero atoms
- A01N43/84—Biocides, pest repellants or attractants, or plant growth regulators containing heterocyclic compounds having rings with nitrogen atoms and oxygen or sulfur atoms as ring hetero atoms six-membered rings with one nitrogen atom and either one oxygen atom or one sulfur atom in positions 1,4
-
- A—HUMAN NECESSITIES
- A01—AGRICULTURE; FORESTRY; ANIMAL HUSBANDRY; HUNTING; TRAPPING; FISHING
- A01N—PRESERVATION OF BODIES OF HUMANS OR ANIMALS OR PLANTS OR PARTS THEREOF; BIOCIDES, e.g. AS DISINFECTANTS, AS PESTICIDES OR AS HERBICIDES; PEST REPELLANTS OR ATTRACTANTS; PLANT GROWTH REGULATORS
- A01N47/00—Biocides, pest repellants or attractants, or plant growth regulators containing organic compounds containing a carbon atom not being member of a ring and having no bond to a carbon or hydrogen atom, e.g. derivatives of carbonic acid
- A01N47/08—Biocides, pest repellants or attractants, or plant growth regulators containing organic compounds containing a carbon atom not being member of a ring and having no bond to a carbon or hydrogen atom, e.g. derivatives of carbonic acid the carbon atom having one or more single bonds to nitrogen atoms
- A01N47/10—Carbamic acid derivatives, i.e. containing the group —O—CO—N<; Thio analogues thereof
- A01N47/24—Carbamic acid derivatives, i.e. containing the group —O—CO—N<; Thio analogues thereof containing the groups, or; Thio analogues thereof
-
- A—HUMAN NECESSITIES
- A61—MEDICAL OR VETERINARY SCIENCE; HYGIENE
- A61P—SPECIFIC THERAPEUTIC ACTIVITY OF CHEMICAL COMPOUNDS OR MEDICINAL PREPARATIONS
- A61P33/00—Antiparasitic agents
-
- A—HUMAN NECESSITIES
- A61—MEDICAL OR VETERINARY SCIENCE; HYGIENE
- A61P—SPECIFIC THERAPEUTIC ACTIVITY OF CHEMICAL COMPOUNDS OR MEDICINAL PREPARATIONS
- A61P33/00—Antiparasitic agents
- A61P33/14—Ectoparasiticides, e.g. scabicides
-
- C—CHEMISTRY; METALLURGY
- C07—ORGANIC CHEMISTRY
- C07D—HETEROCYCLIC COMPOUNDS
- C07D413/00—Heterocyclic compounds containing two or more hetero rings, at least one ring having nitrogen and oxygen atoms as the only ring hetero atoms
- C07D413/14—Heterocyclic compounds containing two or more hetero rings, at least one ring having nitrogen and oxygen atoms as the only ring hetero atoms containing three or more hetero rings
-
- C—CHEMISTRY; METALLURGY
- C07—ORGANIC CHEMISTRY
- C07D—HETEROCYCLIC COMPOUNDS
- C07D417/00—Heterocyclic compounds containing two or more hetero rings, at least one ring having nitrogen and sulfur atoms as the only ring hetero atoms, not provided for by group C07D415/00
- C07D417/02—Heterocyclic compounds containing two or more hetero rings, at least one ring having nitrogen and sulfur atoms as the only ring hetero atoms, not provided for by group C07D415/00 containing two hetero rings
- C07D417/04—Heterocyclic compounds containing two or more hetero rings, at least one ring having nitrogen and sulfur atoms as the only ring hetero atoms, not provided for by group C07D415/00 containing two hetero rings directly linked by a ring-member-to-ring-member bond
-
- C—CHEMISTRY; METALLURGY
- C07—ORGANIC CHEMISTRY
- C07D—HETEROCYCLIC COMPOUNDS
- C07D417/00—Heterocyclic compounds containing two or more hetero rings, at least one ring having nitrogen and sulfur atoms as the only ring hetero atoms, not provided for by group C07D415/00
- C07D417/14—Heterocyclic compounds containing two or more hetero rings, at least one ring having nitrogen and sulfur atoms as the only ring hetero atoms, not provided for by group C07D415/00 containing three or more hetero rings
Definitions
- This invention relates to novel isoxazolines, their N -oxides and salts, processes for their manufacture, their use in the control of ectoparasites, especially insects and acari, on non- human animals, especially productive livestock and domestic animals, and furthermore pesticidal compositions which contain one or more of these compounds,
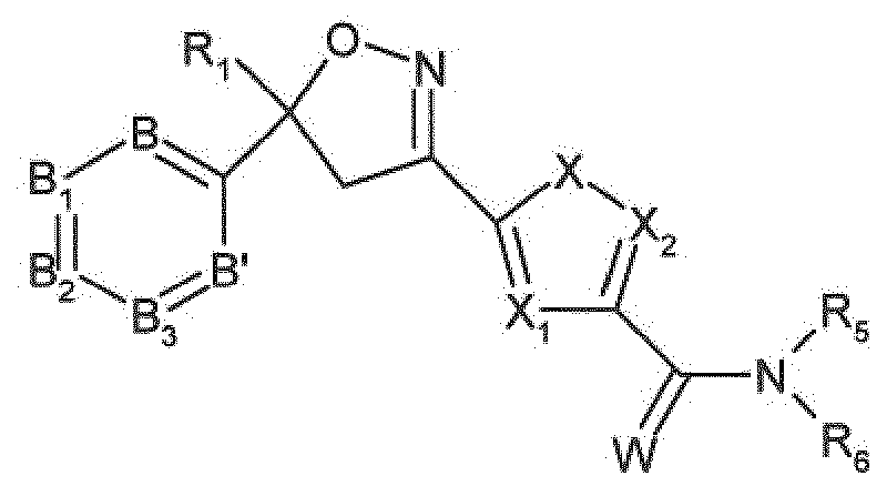
- each of A 1 t A 2 and B,-B 3 are C(R 3 ), A 3 is N, is haloalkyl and Q is a heterocyclic radical.
- the compounds are mainly used in the control of invertebrate pests in agronomic environments. Many products are commercially available for these purposes, but the need continues for new compounds that are more effective, less costly, less toxic, environmentally safer or have different modes of action, it now has been surprisingly found that novel derivatives with a modified heterocyclic side chain have superior properties in the control of pests,
- This present invention is directed to a compound of formula
- X is S(0) m , O or NR 4 and i and X 2 are each independently of the other CR 3 or N, m is an integer from 0 to 2;
- B and B' are each independently a group CR 2 ';
- B 1 f B 2 and B 3 are each independently selected from the group consisting of CR ? ' and N; R 2 ' is H or R 2
- each R 2 is independently of the other halogen, d-Ce-alkyl, d-C 6 -haloalkyl, Ci-C 6 -alkoxy, d- C B -haloalkoxy, C,-C 6 -alkylthio, C C e -haloalkylthio, C,-C e -alkylsutfinyl, C C 6 -haloalkylsuifinyl ( d-Ce-alkylsulfonyl, d-C 6 -haloalkylsulfonyI, N-mono- or N,N-di-C C e -alkylamino, d-C 6 alkoxycarbonyl, cyano (-CN) or nitro (-N0 2 );
- R is halogen, cyano, d-C e -alkyl, d-C e -haloalkyl or d-C 6 -haloalkoxy:
- each R 3 is independently H, halogen, C C 6 -alkyl, d-Ce-haloalkyl, C 3 -C e -cycloalkyl, C 3 -C 6 - halocycloalkyl, hydroxy, d-C 6 -alkoxy, d-C 6 -haloalkoxy, Ci-C 6 -alkylthio, d-C 6 -haloalkylthio, d-C 6 -alkyl-sutfinyl, Ci-C e -haloalkylsulfinyl, C,-C 6 -alkylsutfonyl, d-Ce-haloalkylsuifonyl, amino, N-mono- or N,N-di-Ci-C e -alkylamino, d-C 6 -alkoxycarbonyl, cyano, nitro or unsubstituted or halogen-,
- R 4 is H, d-Ce-alkyl, C 2 -C 6 -alkenyl, C 2 -C 6 -alkynyl, C 3 -C 6 -cycloalkyl, C 4 -C 7 -alkylcycIoalkyl, C 4 -
- R 5 and R e together with the N-atom to which they are attached, form a 3- to 7-membered ring which optionally contains a further heteroatom selected from the group consisting of N, S and O, and which ring is further unsubstrtuted or mono- or polysubstituted by C 1 -C 2 -alkyl, Ci-C 2 -haloalkyi, Ci-G 2 -alkoxy, hydroxy, halogen, cyano or nrtro;
- Q and Q' are each independently a 4-, 5- or 6-membered heterocyclic ring, or a C 6 -C 10 - carbocyclic ring system or a 8-, 9- or 10-membered fused hetero-bicyclic ring system, each of them being aromatic or not, and each of them being unsubstituted or mono- or
- Q" is a 4-, 5- or 6-membered heterocyclic ring or a C 6 -d 0 -carbocyciic ring system, each of them being aromatic or not, and each of them being unsubstituted or mono- or
- This invention also provides a composition comprising a compound of formula (I), an N-oxide or a salt thereof, and at least one additional component selected from the group consisting of a surfactant, a solid diluent and a liquid diluent.
- this invention also provides a composition for controlling parasites, in particular ectoparasites, comprising a biologically effective amount of a compound of formula (1), an N-oxide or a salt thereof, and at least one additional component selected from the group consisting of a surfactant, a solid diluent and a liquid diluent, said composition optionally further comprising a biologically effective amount of at least one additional biologically active compound or agent.
- This invention further provides the composition described above in the form of a bait composition wherein the solid diluent and/or the liquid diluent comprises one or more food materials, said composition optionally comprising an attractant and/or a humectant.
- This invention further provides a trap device for controlling parasites, in particular ectoparasites, comprising said bait composition and a housing adapted to receive said bait composition, wherein the housing has at least one opening sized to permit the parasites to pass through the opening, so the invertebrate pest can gain access to said bait composition from a location outside the housing, and wherein the housing is further adapted to be placed in or near a locus of potential or known activity for the parasites pest,
- This invention also provides a method for controlling parasites comprising contacting the parasites or their environment with a biologically effective amount of a compound of formula (1), an N-oxide or a salt thereof, (e.g., as a composition described herein).
- This invention also relates to such method wherein the parasites or their environment are contacted with a composition comprising a biologically effective amount of a compound of formula (I), an N- oxide or a salt thereof, and at least one additional component selected from the group consisting of a surfactant, a solid diluent and a liquid diluent, said composition optionally further comprising a biologically effective amount of at least one additional biologically active compound or agent
- This invention also provides a composition for protecting an animal from an parasitic pest comprising a parastticidally effective amount of a compound of formula (I) an N-oxide or a salt thereof, and at least one carrier.
- the present invention further provides the composition described above in a form for oral administration.
- This invention also provides a method for protecting an animal from a parasitic pest comprising administering to the animal a parastticidally effective amount of a compound of formula (I), an N-oxide or a salt thereof,
- alkyl used either alone or in compound words such as “alkylthio” or “haloalkyl” includes straight-chain or branched alkyl, such as, methyl, ethyl, n- propyl, i-propyl, or the different butyl, pentyl or hexyl isomers.
- the radical (alk) denotes, for example, straight-chain or branched Cj-Cg-alkylene, for example methylene, 1 , 1 - or 1 ,2-ethylene or straight-chain or branched propylene, butylene, pentylene or hexylene.
- (alk) is preferably straight-chain or branched C r C 4 -alkylene, more preferably C,-C 2 -alkylene, most preferably methylene, or 1 ,2-ethylene and in particular methylene.
- Alkenyl includes straight-chain or branched alkenes such as ethenyl, 1 -propenyl, 2- propenyl, and the different butenyl, pentenyl and hexenyl isomers. "Alkenyl” also includes polyenes such as 1 ,2-propadienyl and 2,4-hexadienyl.
- Alkynyl includes straight-chain or branched alkynes such as ethynyl, 1 -propynyl, 2-propynyl and the different butynyl, pentynyl and hexynyl isomers. "Alkynyl” can also include moieties comprised of multiple triple bonds such as 2,5-hexadiynyl.
- Alkoxy includes, for example, methoxy, ethoxy, n-propyloxy, isopropyloxy and the different butoxy, pentoxy and hexyloxy isomers.
- Alkylthio includes branched or straight-chain alkylthio moieties such as methylthio, ethylthio, and the different propylthio, butytthio, pentylthio and hexylthio isomers.
- Alkylsulfinyl includes both enantiomers of an alkylsulfinyl group.
- alkylsulfinyl include CH 3 S(0)-, CH 3 CH 2 S(0)-, CH 3 CH 2 CH 2 S(0)-, (CH 3 ) 2 CHS(0)- and the different butylsulfinyl, pentylsulfinyl and hexylsulfinyl isomers.
- alkylsulfonyl examples include CH 3 S ⁇ 0) 2 -, CH 3 CH 2 S(0) 2 -, CH 3 CH 2 CH 2 S(0)2-,
- CycloalkyI includes, for example, cyclopropyl, cyclobutyl, cyciopentyl and cyclohexyl.
- alkylcycloalkyl denotes alky! substitution on a cycloalkyl moiety and includes, for example, ethylcyclopropyl, i-propylcyciobutyl, 3-methylcyclopentyl and 4-methy]cyclohexyl.
- cycloalkylalkyl denotes cycloalkyl substitution on an alkyl moiety. Examples of “cycloalkylalkyl” include cyclopropylmethyl, cyclopentylethyl, and other cycloalkyl moieties bonded to straight-chain or branched alkyl groups.
- halogen either alone or in compound words such as “haloalkyl” includes fluorine, chlorine, bromine or iodine. Further, when used in compound words such as “haloalkyl”, said alkyl may be partially or fully substituted with halogen atoms which may be the same or different. Examples of “haloalkyl” include F 3 C-, CICH 2 -, CF 3 CH 2 - and CF 3 CCI 2 -.
- halocycloalkyl “haloalkoxy", “haloalkylthio", and the like, are defined analogously to the term “haloalkyl”.
- haloalkoxy examples include CF 3 0-, CCI 3 CH 2 0-, HCF 2 CH 2 CH 2 0- and CF 3 CH 2 0-.
- haloalkylthio examples include CCI 3 S-, CF 3 S-, CCI 3 CH 2 S- and CICH 2 CH 2 CH 2 S-.
- haloalkylsulfinyl examples include CF 3 S(0)-,
- haloalkylsulfonyl examples include
- CpC The total number of carbon atoms in a substituent group is indicated by the "CpC,” prefix where i and j are integers.
- C r C 4 alkylsulfonyl designates methylsulfonyl through butylsulfonyl
- C 2 -alkoxyalkyl designates CH 3 OCH 2
- C 3 -alkoxyalkyl designates, for example, CH 3 CH(OCH 3 ), CH 3 OCH 2 CH 2 or CH 3 CH 2 OCH 2
- C 4 -alkoxyalkyl designates the various isomers of an alkyl group substituted with an alkoxy group containing a total of four carbon atoms, examples including CH 3 CH 2 CH 2 OCH 2 and CH 3 CH 2 OCH 2 CH 2 -.
- substituents When a compound is substituted with a substrtuent bearing a subscript that indicates the number of said substituents can exceed 1, said substituents (when they exceed 1 ) are independently selected from the group of defined substituents, e.g., (R 2 ) n , n is 1 or 2.
- Aromatic indicates that each of the ring atoms is essentially in the same plane and has ap ⁇ orbital perpendicular to the ring plane, and in which (4n + 2) ir electrons, where n is a positive integer, are associated with the ring to comply with Buekefs rule.
- heterocyclic ring or “heterocycle” denote a ring in which at least one atom forming the ring backbone is not carbon, e.g., nitrogen, oxygen or sulfur. Typically a heterocyclic ring contains no more than 4 nitrogens, no more than 2 oxygens and no more than 2 sulfurs. Unless otherwise indicated, a heterocyclic ring can be a saturated, partially unsaturated, or fully unsaturated ring. When a fully unsaturated heterocyclic ring satisfies Huckel's rule, then said ring is also called a “heteroaromatic ring", “aromatic heterocyclic ring”. Unless otherwise indicated, heterocyclic rings and ring systems can be attached through any available carbon or nitrogen by replacement of a hydrogen on said carbon or nitrogen.
- R is preferably C C -haloalkyl or G C 4 -ha!oalkoxy, more preferably C-Cs-haloalkyl, even more preferably Ci-C 2 -a[kyl substituted with F, and in particular CF 3 .
- Each R 2 is independently of the other preferably halogen, Ci-C 6 -haloalkyl, C,-C 6 haloalkoxy or cyano, more preferably halogen, CF 3 , OCF 3 or cyano, especially halogen, for example chlorine or fluorine, and in particular chlorine.
- B and B' are each independently preferably a radical CH or Ci3 ⁇ 4, wherein R 2 is halogen, in particular each a radical CH.
- B B 2 and B 3 are each independently of the other preferably a group CR 2 ', wherein 2 " is H or R 2 , and for R 2 the above-given meanings and preferences apply.
- One preferred embodiment relates to a compound of formula (I), wherein one of the radicals B t , B 2 and B 3 is CH and the two other ones are each independently a radical CR 2 , wherein R 2 is halogen, for example chlorine or fluorine, and in particular chlorine; within this embodiment it is particularly preferred, that B 2 is CH and B, and B 3 are each independently CCI or CF.
- Another preferred embodiment relates to a compound of formula (I), wherein all three radicals B 1 ( B 2 and B 3 are independently a radical CR 2 , wherein R 2 is halogen, for example chlorine or fluorine, and in particular chlorine.
- Each R 3 is independently of the other preferably H, halogen, hydroxy, C,-C 4 -alkyl, Ci-C - haloalkyl, C 3 -C 6 -cycloalkyl, C C -alkoxy, Ci-C 4 -haloalkoxy, N-mono- or ⁇ , ⁇ -di-d-Ce- alkylamino, cyano or nitro, more preferably H, halogen, hydroxy, Ci-C 2 -alkyl, CrC 2 -haloalkyl, cyclopropyl or Ci-C 2 -alkoxy, even more preferably H, hydroxy, C C 2 -alkyl or C C 2 -alkoxy, most preferably H or C -C 2 -alkyl, for example H or methyl, and especially methyl,
- R is preferably H, Ci-C 4 -alkyl, C 2 -C 4 -alkenyl, C 2 -C -alkynyl, C 3 -C 6 -cycloalkyl, C,-C 4 -alkoxy- C C 4 -alkyl or C r C 4 -alkylcarbonyl, more preferably H, C C 2 -alkyl, C 2 -C 3 -alkenyl, C 2 -C 4 - alkynyl, C 3 -C 6 -cycloalkyl, C C r alkoxy-C C 2 -alkyl or C 1 -C 2 -aikyicarbonyl, and in particular H, Ci-C 2 -alkyl, ethenyl, ethynyl, cyclopropyl, d -C 2 -alkoxy-C ,-C 2 -alkyl, acetyl or propionyl.
- variable m is, for example 0, 1 or 2, in particular 0.
- variable X is preferably S or O, for example S, and in particular O.
- X) or X 2 are each independently of the other preferably a group CR 3 , wherein for R 3 the above-given meanings and preferences apply.
- X t is most preferably the group CH.
- X 2 is most preferably the group C(CH 3 ).
- X is S or O
- Xi and X 2 are each independently a radical CR 3 , wherein for R 3 the above given meanings and preferences apply, More preferably, X is S or O, X, is CH, and X 2 is CR 3 , wherein for R 3 the above given meanings and preferences apply, !rt particular, X is O, Xi is CH and X 2 is C(CH 3 ).
- W and W are each independently of the other preferably O,
- R 5 is preferably, H, Ci-C 6 -alkyl, C 2 -C e -alkanoylcarbonyl or C 2 -C 6 -a!koxycarbonyl , more preferably, H, Ci-C 2 -alkyl, C 2 -C 4 -alkanoylcarbonyl or C 2 -C 4 -alkoxycarbonyl, and in particular H.
- R 7 and R 8 are each independently of the other preferably H; C 2 -C -alkenyl; C 2 -C 4 -alkynyl; C 3 -C 6 -cycloalkyl; or Ci-C 6 -alkyl which is unsubstituted or substituted by halogen, d-C - alkoxy, C C 2 -aikyIthio, cyano, nitro, amino, N-mono- or N,N-di-Ci-C alkylamino, pyridyl, p rim idyl thiazolyl, or pyridyl, pyrimidyl or thiazolyl which is each mono- or disubstituted by halogen, cyano, d-C 2 -alkyl or d-C 2 -haloalkyl.
- R 7 and R 8 are each independently of the other especially preferably H; d-C 6 -alkyl which is unsubstituted or substituted by halogen C C 2 -alkoxy, cyano, nitro, amino, N-mono- or N,N-di-C 1 -C 2 -alkylamino, pyridyl, pyrimidyl or thiazolyl; C 2 -C 4 -alkenyl; C 2 -C 4 -alkynyl; or C 3 -C 6 -cycloalkyl.
- R 7 is most preferably H or d-d-alky I, in particular H, methyl or ethyl.
- R 8 is most preferably C C 4 -alkyl which is unsubstituted or substituted by halogen, cyano or pyridyl, or is C 2 -C 4 -alkynyl or C 3 -C 4 -cycloalkyl. Particularly preferred meanings of R 8 are cyclopropyl, C 2 -C 4 -alkynyl or d-d-alky I which is unsubstituted or substituted by halogen or cyano, especially cyclopropyl, C 1 -C 2 -alkyl, C 1 -C 2 -haloalkyl, Ci-C 2 -cyanoalkyl or propynyl ,
- Q and Q' each may be a C e -C 1 ⁇ r carbocyclic ring system, for example phenyl, naphthyl, tetrahydronaphthyl, indanyl, indenyl, hydrindanyl or octahydro-pentalen, in particular phenyl, which is each unsubstituted or substituted by one or more same or different substituents selected from the group of substituents as mentioned above.
- Q and Q' as carbocyclic ring radical are each preferably phenyl which is substituted by 1 to 4, preferably 1 to 3 and in particular 1 or 2 same or different substituents selected from the group consisting of halogen, d-d-a!kyl, d-d-haloalkyl, d-d-alkoxy, C C 4 - haloalkoxy, C C 4 -aIkyithio, d-d-haloalkylthio, C r C -alkylsulfinyl, CrC 4 -haloalkylsulfinyl, Ci-C 4 -alkylsulfonyl, Ci-C -haloalkylsulfonyl, cyano, nitro, d-d-alkoxycarbonyl, sulfonamido, C 2 -C 3 -alkanoyl and unsubstituted or halogen-, Ci-C 4 -alkyl-,
- Q and Q * as carbocyclic ring radical are each more preferably phenyl, which is substituted by 1 to 3, in particular 1 or 2, same or different substituents selected from the group consisting of halogen, d-C alkyl, d-C 2 -haloalkyl, C 1 -C 2 -alkoxy !
- d-drhaloalkoxy CrC 2 -haloa.lkylthio, cyano, nitro, and unsubstituted or halogen-, d-C 2 -alkyl-, d-C 2 -haloalkyl-, d-C 2 -alkoxy-, d- C 2 -haloalkoxy-, cyano- or nitro-substituted phenyl and phenoxy.
- Q and Q' are each a 4-, 5- or 6- membered heterocyclic ring, which may be saturated or preferably unsaturated, and which is unsubstituted or substituted with one or more substituents selected from, the group of substituents as defined before.
- Preferred substituents of the heterocyclic ring Q and Q' are, for example, C C 4 -alkyl, C C 4 - haloalkyl, d-C -alkoxy, Ci-C 4 -haloalkoxy, d-d-alkylthio, C r C 4 -alkylsulfinyl, C,-C 4 -alkyl- sulfonyl, cyano, nitro, CrC -alkoxycarbonyl, sutfonamido, N-mono- or N,N-di-Ci-C - alkylamino, C 2 -C 3 -alkanoyl and unsubstituted
- Even more preferred substituents of the heterocyclic ring Q and Q' are each selected from the group consisting of halogen, C,-C alkyl, Ci-C 2 -haloalkyl, C C 2 -alkoxy, C C 2 -haloalkoxy,
- a suitable heterocyclic ring Q and Q * is, for example, a 5- or 6-membered heteroaromatic ring having from 1 to 4, preferably from 1 to 3 same or different heteroatoms selected from the group consisting of N, O and S, which is further unsubstituted or substituted by one or more substituents as defined before for Q and Q' including the preferences given therefore.
- the heterocyclic radical Q and Q' is each independently preferably substituted by 0 to 3, in particular 0, 1 or 2 substituents from the group as defined before for Q and Q'.
- Examples of a 5- or 6-membered unsaturated aromatic heterocyclic ring radical Q and Q' are thienyl, furanyl, pyrrolyl, oxazo!yl, isoxazolyl, thiazolyl, isothiazolyl, pyrazolyl, imidazolyl, triazolyl, thiadiazolyl, oxadiazolyl, pyridyl, pyridazinyl, pyrimidinyl, pyrazinyl and triazinyl, which are each unsubstituted or substituted as mentioned before including the preferences.
- Preferred unsaturated aromatic heterocyclic ring radicals Q. and Q' are 1 -, 2- or 3-pyrrolyl, 1 -, 2-, 4- or 5-imidazolyl, 1 - or 4-pyrazolyl, 2-, 4- or 5-thiazolyl, 1 ,2,4-triazol-3- or -4-yl, 1 ,2,3- triazin-1 - or 2-yl, 2- 3- or 4-pyridyl or 4- or 5-pyrimidinyl, each unsubstituted or substituted by halogen, C C 2 -alkyI, C 1 -C 2 -haloaIkyl, C C 2 -alkoxy, d-C 2 -haloalkoxy, cyano, nitro, and d- C 4 -alkoxycarbonyl.
- aromatic heterocyclic ring radicals Q and Q' are 2-thiazoyl, 2- 3- or 4- pyridyl or 4- or 5-pyrimidinyl, each unsubstituted or substituted by C C 2 -alkyl, C r C 2 - haloalky! and C ! -C 4 -al koxycarbonyl .
- a further group of suitable heterocyclic radicals Q and Q' comprises, for example, a 4-, 5- or 6-mem ered heteroaliphatic having from 1 to 4, preferably from 1 to 3 same or different heteroatoms selected from the group consisting of N, O and S, which is further unsubstituted or substituted by one or more substituents as defined before for Q and Q' including the preferences given therefore.
- heteroaliphatic rings Q and Q' examples include thietanyl, tetrahydrofuranyl, tetrahydro- thiophenyl, pyrrolidinyl, 1 ,3-dioxolanyl, 1 ,2- or 1 ,3-oxazolidinyi, tetrahydropyranyl, piperidinyl, tetrahydrothiopyranyl, morpholinyl, 1 ,3- or 1 ,4-dioxanyl, which may be substituted as mentioned before for Q and Q' including the preferences.
- a preferred heteroaliphatic ring radical Q and Q' is thietanyl, or tetrahydrofuranyl, which is unsubstituted or substituted by halogen, d-Ca-alkyl, C -C 2 -haloalkyl, Ci-C alkoxy, C C 2 - haloalkoxy, cyano, nitro, or CrCt-alkoxycarbonyl.
- heteroaliphatic ring radicals Q and Q' are thietan-3-yl, tetrahydrofuran- 2-yl and tetrahydrofuran-3-yl.
- Q and Q' are each 1-, 2- or 3-pyrrolyl, 1-, 2-, 4- or 5-imidazolyl, 1- or 4-pyrazolyl, 2-, 4- or 5-thiazolyl, 1 ,2,4-triazol-3- or -4-yl, 1 ,2,3- triazin-1- or 2-yl, 2- 3- or 4-pyridyl, 4- or 5-pyrimidinyl, thietanyl, or tetrahydrofuranyl, which is each unsubstituted or substituted by halogen, C C 2 -alkyl, Ci-C 2 -haIoalkyl, Ci-C 2 -alkoxy, C C 2 -haloalkoxy, cyano, nitro, or Ci-C 4 -alkoxycarbonyl.
- a particularly preferred radical Q and Q' is 2-thiazoyl, 2- 3- or 4-pyridyl, 4- or 5-pyrimidinyl, thietan-3-yl, tetrahydrofuran-2-yi or tetrahydrofuran-3-yl, which is each unsubstituted or substituted by d-Ca-alkyl, C 1 -C 2 -haloalkyl and d-C-alkoxycarbonyl.
- a suitable fused hetero-bicyclic ring system comprises, for example a 5- or 6-membered heterocyclic ring having from 1 to 4, preferably from 1 to 3 same or different heteroatoms selected from the group consisting of N, O and S, to which is attached an annulated ring; in addition said fused bicyclic system is further unsubstituted or substituted by one or more substituents as defined before for Q including the preferences given. Those rings can be saturated ring or unsaturated rings. Examples of fused hetero-bicyclic ring systems Q and Q' are illustrated in Exhibit 3 below. Exhibit 3
- R is any substituent as defined before for Q. and Q' including the preferences given, and r is an integer from 0 to 4, limited by the number of available positions on each Q group.
- (R)r can be attached to any available carbon atom or nitrogen atom of the Q group.
- Q" independently has the meaning of Q' as heterocyclic ring or G 6 -C 10 -carbocycIic ring system, with the exception that Q" is not substituted by another radical Q", including the above-given preferences.
- R e is preferably d-C 6 ⁇ aikyI, C 2 -C e -alkenyl, C 2 -C 6 -alkynyl, C 3 -C e -cycloalkyl, C 4 -C 7 -alkylcyclo- alkyl or d-d-cycloalkylalkyl, which is each unsubstituted or are substituted in the alkyl, alkenyl or alkynyl moiety by halogen, hydroxy, d-d-alkoxy, d-d-haloalkoxy, C T -C 4 - alkylthio, d-d-haloalkylthio, cyano, amino, N-mono- or ⁇ , ⁇ -di-d-d-alkylamino, COOH, C r C 4 -alkoxycarbonyl, N-CrC ⁇ aikylcarbonylamino, sulfonamide, N-mono-
- R 7 is H or d-Cz-alkyi
- R 8 is Cj-d-alkenyi; C 2 -C 4 -alkynyl; C 3 -C 6 -cycloalkyl; or Ci-C 4 -alkyl which is unsubstituted or substituted by halogen, cyano or pyridyl
- Q and Q' are each 1-, 2- or 3-pyrrolyl, 1-, 2-, 4- or 5-imidazolyl, 1- or 4-pyrazolyl, 2-, 4- or 5-thiazolyl, 1 ,2,4-triazol-3- or -4-yl, 1 ,2,3-triazin-1 - or 2-yl, 2- 3- or 4-pyridyl, 4- or 5-pyrimidinyl, thietanyl, or tetrahydrofuranyl, which is each unsubstituted or substituted by halogen, C C 2 -aIkyl, C C 2 - haloalkyl, C
- R 6 is most preferably Ci-C 4 -alkyl, which is unsubstituted or are substituted in the alkyi moiety by halogen, C C 2 -alkQxy, CrC ⁇ alkylthio, cyano, COOH, C 1 -C 2 -aikoxycarbonyl, a group -C(0)NR 7 R 8 or a radical Q'; or is a radical Q; or R@ together with R 5 is a group
- R 8 is C 2 -C 4 -alkynyI, C 3 -C 4 - cycloalkyl or C r C -aIkyl which is unsubstituted or substituted by halogen or cyano, and Q and Q' are each 2-thiazolyl, 2- 3- or 4-pyridyl, 4- or 5-pyrimidinyl, 3-thietanyl, or 2- or 3- tetrahydrofuranyl, which is each unsubstituted or substituted by C C 2 -alkyl or C,-C 2 - haloalkyl.
- a preferred embodiment of the present invention relates to a compound of formula (!) above, wherein B and B' are each CH, B-t and B 3 are each independently CCI or CF, B 2 is CH, CCI or CF, Ri is CF 3 , X is O or S, in particular O, Xi is CH, X 2 is C(CH 3 ), and for R 5 and R 6 each the above-given meanings and preferences apply.
- Ri, R 2 , R 3 , R 5 , Rs and X each the above-given meanings and preferences apply and n is an integer from 0 to 4, preferably from 1 to 3, and in particular of 2 or 3.
- Still a further preferred embodiment of the invention relates to a compound of formula (la) above, wherein n is an integer of 2 or 3; Ri is CF 3 ; each R 2 is independently halogen; X is O; R 3 is methyl; and for R 5 and R e each the above-given meanings and preferences apply.
- Compounds of this invention can exist as one or more stereoisomers.
- the various stereoisomers include enantiomers, diastereomers, atropisomers and geometric isomers.
- one stereoisomer may be more active and/or may exhibit beneficial effects when enriched relative to the other stereoisomer(s) or when separated from the other stereoisomer(s). Additionally, the skilled artisan knows how to separate, enrich, and/or to selectively prepare said stereoisomers.
- the compounds of the invention may be present as a mixture of stereoisomers, individual stereoisomers, or as an optically active form.
- nitrogen containing heterocyclic rings can form N-oxides since the nitrogen requires an available lone pair for oxidation to the oxide; one skilled in the art will recognize those nitrogen containing heterocyclic rings which can form N ⁇ oxides.
- tertiary amines can form N- oxides.
- N-oxides of heterocyclic rings and tertiary amines are very well known by one skilled in the art including the oxidation of heterocyclic rings and tertiary amines with peroxy acids such as peracetic and m-chloroperbenzoic acid (MCPBA), hydrogen peroxide, alkyl hydroperoxides such as t-butyl hydroperoxide, sodium perborate, and dioxiranes such as dimethyl dioxirane
- MCPBA peroxy acids
- alkyl hydroperoxides such as t-butyl hydroperoxide
- sodium perborate sodium perborate
- dioxiranes such as dimethyl dioxirane
- salts of chemical compounds are in equilibrium with their corresponding nonsatt forms, salts share the biological utility of the nonsalt forms.
- salts of the compounds of formula (I) are useful for control of invertebrate pests (i.e. are veterinarily or agriculturally suitable).
- the salts of the compounds of formula (I) include acid-addrtion salts with inorganic or organic acids such as hydrobromic, hydrochloric, nitric, phosphoric, sulfuric, acetic, butyric, fumaric, lactic, maleic, malonic, oxalic, propionic, salicylic, tartaric, 4- toluenesulfonic or valeric acids.
- salts also include those formed with organic or inorganic bases such as pyridine, triethyiamine or ammonia, or amides, hydrides, hydroxides or carbonates of sodium, potassium, lithium, calcium, magnesium or barium. Accordingly, the present invention comprises compounds selected from formula (I), N-oxides and veterinary acceptable and agriculturally suitable salts thereof.
- the compounds of the present invention made be prepared, for example, in analogy to the processes as outined in WO 2007/75459 on pages 29-31 , Accordingly, the compounds of formula (I) or (la) may be prepared, for example, by cycloaddition of a compound of formula with a nitrite oxide derived from an oxime of formula
- B, B', B B 3 , R 1 t X, i and X 2 each have the above-given meaning
- Z is Br, l » COOH, COOCi-C alkyl or -C(W)- NR 5 R 6
- W, R 5 and R e each have the above-given meaning
- Z is Br, i, COOH or COOC,-C 6 -alkyl, converting said radical to a radical -C(W)- NRsRe-
- the reaction typically proceeds through the intermedia.cy of an in situ generated hydroxamyl chloride.
- a chlorinating reagent such as sodium hypochlorite, N- chlorosuccinimide, or chloramine-T is combined with the oxime in the presence of the styrene.
- amine bases such as pyridine or triethylamine may be necessary.
- the reaction can be run in a wide variety of solvents including tetrahydrofuran, diethyl ether, methylene chloride, dioxane, and toluene with optimum temperatures ranging from room temperature to the reflux temperature of the solvent.
- the compounds of formula (I) or (la) may also be prepared by a process in analogy of WO2009/025983, wherein a. compound of formula (VI) is contacted with hydroxylamine and a base to form an isoxazole of formula (I)
- B, B ⁇ ⁇ ,- ⁇ 3 , R,, X, X t and X 2 each have the above-given meaning
- Z is Br, I, COOH, COOCrCe-alkyl or -C(W NR 5 R 6 , wherein W, R 5 and R 6 each have the above-given meaning, and, if Z is Br, I, COOH or COOC C 6 -alkyl, converting said radical to a radical -C(W)- NR s R e .
- reaction may be performed as described in WO2009/025983 on pages 29-31 .
- synthetic routes to prepare the intermediate of formula (IV) are likewise disclosed in WO2009/025983 on pages 31-34.
- Another process for the preparation of a compound of formula (lb) above, wherein Z is COOH or COOd-Ce-alkyl includes a functional group transformations from a corresponding compound of the formula (lb), wherein Z is Br or I, which is known in the art; a suitable method comprises halogen-metal exchange (the metal being, for example, Li or Mg) followed by a quench with C0 2 or (CN)C0 2 (C 1 -C e -alkyl) respectively.
- the reaction is typically carried out at low temperature, for example at a temperature of from -80°C to 0°C in a solvent such as diethylether or THF.
- Another process for the preparation of a compound of formula (lb), wherein Z is a group COOH is the hydrolysis or saponification of a corresponding compound of the formula (lb), wherein Z is COOd-Ce-alkyl or CN; the latter compound is obtainable from a corresponding compound of the formula (lb), where Z is Br or I, for example, with zinc cyanide or copper cyanide with or without palladium catalyst.
- Another process for the preparation of a compound of the formula (1) or (la), wherein Z is a group -C(W)-NR 5 R 6 includes well known functional group transformations from a corresponding compound of the formula (lb), wherein Z is Br or I, such as aminocarbony- lation with an amino compound HNR 5 R 6 and CO.
- the reaction is typically carried out in the presence of a palladium catalyst under CO atmosphere.
- Many catalysts are useful for this type of transformation, a typical catalyst being tetrakis(triphenylphosphine)palladiurn(0).
- Solvents such as 1 ,2.dimethoxyethane, N,N-dimethylacetamide or toluene are suitable.
- Another process for the preparation of a compound of the formula (1) or (la), wherein Z is a group -C(W)-NR 5 R e includes well known functional group transformations from a corresponding compound of the formula (lb), wherein Z is COOH like amide coupling with well known reagents (for example EDCI, HOBT, PyBOP, PyBrOP) with an amino compound HNR 5 Re or activation of COOH to an acyl halide ⁇ CI for example with oxalyl chloride or thionyl chloride) and subsequent coupling with an amino compound HNR 5 R e
- the compounds of formula (II) are known, for example, from WO 2006/49459 or may be prepared in analogy to the methods disclosed therein.
- the compounds of formula (III) may be prepared, for example, by first of all protecting the aldehyde group of a compound of formula
- X, X t and X 2 are each as described above and Y is a leaving group, such as halogen, tos late, triflate or nitro, for example, by converting it to a cyclic acetal, then introducing a suitable radical Z replacing Y by methods known from textbooks of organic chemistry, afterwards deprotecting the aldehyde and converting it to a hydroxyimino compound of formula III in a manner as known from WO 2007/75459,
- the compounds of the formula (I) according to the invention are notable for their broad activity spectrum and are valuable active ingredients for use in pest control. They are particularly suitable in the control of ectoparasites and to a certain extent also for controlling endoparasites on and in animals and in the hygiene field, whilst being well tolerated by warm-blooded animals.
- Animals in the context of the invention are understood to include warm-blooded animals including farm animals, such as cattle, horses, pigs, sheep and goats, poultry such as chickens, turkeys, guinea fowls and geese, fur-bearing animals such as mink, foxes, chinchillas, rabbits and the like, as well as companion animals such as ferrets, guinea pigs, rats, hamster, cats and dogs, and also humans.
- farm animals such as cattle, horses, pigs, sheep and goats
- poultry such as chickens, turkeys, guinea fowls and geese
- fur-bearing animals such as mink, foxes, chinchillas, rabbits and the like
- companion animals such as ferrets, guinea pigs, rats, hamster, cats and dogs, and also humans.
- ectoparasites are understood to be in particular insects, acari (mites and tick
- insects of the following orders Lepidoptera, Coleoptera, Homoptera, Hemiptera, Heteroptera, Diptera, Dictyoptera, Thysanoptera, Orthoptera, Anoplura, Siphonaptera, Mallophaga, Thysanura, Isoptera, Psocoptera and Hymenoptera.
- the ectoparasites which may be mentioned in particular are those which trouble humans or animals and carry pathogens, for example flies such as Musca domestica, Musca vetustissima, Musca autumnalis, Fannia canicularis, Sarcophaga carnaria, Lucilia cuprina, Lucilia sericata, Hypoderma bovis,
- Chrysops caecutiens Hippoboscids such as Melophagus ovinus (sheep ked); tsetse flies, such as Glossinia spp,; other biting insects like midges, such as Ceratopogonidae (biting midges), Simuliidae (Blackflies), Psychodidae (Sandflies); but also blood-sucking insects, for example mosquitoes, such as Anopheles spp, Aedes spp and Culex spp, fleas, such as Ctenocephalides felis and Ctenocephalides canis (cat and dog fleas), Xenopsylla cheopis, Pulex irritans, Ceratophyllus gallinae, Dermatophilus penetrans, blood-sucking lice
- Ectoparasites also include members of the order Acarina, such as mites (e.g.
- Chorioptes bovis Cheyletiella spp., Dermanyssus gallinae, Ortnithonyssus spp., Demodex canis, Sarcoptes scabiei, Psoroptes ovis and Psorergates spp. and ticks.
- ticks are, for example, Boophilus, Amblyomma, Anocentor, Dermacentor, Haemaphysalis, Hyalomma, Ixodes, Rhipicentor, Margaropus, Rhipicephalus, Argas, Otobius and Ornithodoros and the like, which preferably infest warmblooded animals including farm animals, such as cattle, horses, pigs, sheep and goats, poultry such as chickens, turkeys, guineafowls and geese, fur-bearing animals such as mink, foxes, chinchillas, rabbits and the like, as well as companion animals such as ferrets, guinea pigs, rats, hamster, cats and dogs, but also humans.
- farm animals such as cattle, horses, pigs, sheep and goats
- poultry such as chickens, turkeys, guineafowls and geese
- fur-bearing animals such as mink,
- the compounds of the formula (I) according to the invention are also active against all or individual development stages of animal pests showing normal sensitivity, as well as those showing resistance to widely used parasiticides. This is especially true for resistant insects and members of the order Acarina.
- the insecticidal, ovicidal and/or acahcidal effect of the active substances of the invention can manifest itself directly, i.e. killing the pests either immediately or after some time has elapsed, for example when moulting occurs, or by destroying their eggs, or indirectly, e.g. reducing the number of eggs laid and/or the hatching rate, good efficacy corresponding to a pesticidal rate ⁇ mortality) of at least 50 to 60%.
- Compounds of the formula (I) can also be used against hygiene pests, especially of the order Diptera of the families Muscidae, Sarcophagidae, Anophilidae and Culicidae; the orders Orthoptera, Dictyoptera (e.g. the family Blattidae (cockroaches), such as Blatella germanica, Blatta orientalis, Periplaneta americana) and Hymenoptera (e.g. the families Formicidae (ants) and Vespidae (wasps).
- Dictyoptera e.g. the family Blattidae (cockroaches), such as Blatella germanica, Blatta orientalis, Periplaneta americana
- Hymenoptera e.g. the families Formicidae (ants) and Vespidae (wasps).
- the compounds of formula (I) are also effective against ectoparasites of fishes, especially the sub-class of Copepoda (e.g. order of Siphonostomatoida (sea lice), whilst being well tolerated by fish.
- Copepoda e.g. order of Siphonostomatoida (sea lice)
- the compounds of formula (I) can also be used against hygiene pests, especially of the order Diptera of the families Sarcophagidae, Anophilidae and Culicidae, the orders
- Orthoptera e.g. the family Blattidae
- Hymenoptera e.g. the family
- Compounds of the formula (I) also have sustainable efficacy on parasitic mites and insects of plants.
- spider mites of the order Acarina they are effective against eggs, nymphs and adults of Tetranychidae (Tetranychus spp. and Panonychus spp.).
- the compounds of formula (I) are therefore effective against all stages of development of sucking insects and eating insects on crops such as cereals, cotton, rice, maize, soya, potatoes, vegetables, fruit, tobacco, hops, citrus, avocados and other crops.
- the compounds of formula I are also effective against plant nematodes of the species Meloidogyne, Heterodera, Pratylenchus, Ditylenchus, Radopholus, Rizogtyphus etc.
- Certain compounds of the formula (I) seem to be also effective against certain species of helminths.
- Helminths are commercially important because they cause serious diseases in mammals and poultry, e.g. in sheep, pigs, goats, cattle, horses, donkeys, camels, dogs, cats, rabbits, guinea-pigs, hamsters, chicken, turkeys, guinea fowls and other farmed birds, as well as exotic birds.
- Typical nematodes are: Haemonchus, Trichostrongylus, Ostertagia,
- the trematodes include, in particular, the family of Fasciolideae, especially Fasciola hepatica.
- the good pesticidal activity of the compounds of formula (I) according to the invention corresponds to a mortality rate of at least 50-60% of the pests mentioned, more preferably to a mortality rate over 90%, most preferably to 95-100%.
- the compounds of formula (I) are preferably employed internally and externally in unmodified form or preferably together with the adjuvants conventionally used in the art of formulation and may therefore be processed in a known manner to give, for example, liquid formulations (e.g. spot-on, pour-on, spray-on, emulsions, suspensions, solutions, emulsifiabie concentrates, solution concentrates), semisolid formulations (e.g.
- creams, ointments, pastes, gels, liposomal preparations and solid preparations (e.g. food additives tablets including e. g. capsules, powders including soluble powders, granules, or embeddings of the active ingredient in polymeric substances, like implants and microparticles).
- solid preparations e.g. food additives tablets including e. g. capsules, powders including soluble powders, granules, or embeddings of the active ingredient in polymeric substances, like implants and microparticles.
- the formulation i.e. preparations containing the active ingredient of formula (I), or combinations of these active ingredients with other active ingredients, and optionally a solid, semi-solid or liquid adjuvant, are produced in a manner known per se, for example by intimately mixing, kneading or dispersing the active ingredients with compositions of excipients, whereby the physiological compatibility of the formulation excipients must be taken into consideration.
- the solvents in question may be: alcohols (aliphatic and aromatic), such as benzylalcohol, ethanol, propanol, isopropanol or butanol, fatty alcohols, such as oleyl alcohol and glycols and their ethers and esters, such as glycerin, propylene glycol, dipropylene glycol ether, ethylene glycol, ethylene glycol monomethyl or -ethyl ether and butyl dioxytol, carbonates, such as propylene carbonate, ketones, such as cyclohexanone.
- alcohols aliphatic and aromatic
- benzylalcohol such as benzylalcohol
- ethanol propanol
- fatty alcohols such as oleyl alcohol and glycols and their ethers and esters
- glycerin propylene glycol
- dipropylene glycol ether ethylene glycol
- compositions may comprise strong polar solvents, such as N-methyl-2-pyrrolidone, dimethyl sulfoxide or dimethylformamide, or water, fatty acid esters, such as ethyl oleate or isopropylpalmitate, vegetable oils, such as rape, castor, coconut, or soybean oil, synthetic mono-, di-, triglycerides like e.g. glyceryl monostearate and medium chain triglycerides and also, if appropriate, silicone oils.
- the mentioned ingredients may also serve as carrier for particulate application froms.
- ointment base resp. structure building ingredients the following exciptents may be used: Petroleum based substances, such as Vaseline or paraffines, bases made from wool fat, like e.g. lanolin or lanolin alcohols, polyethylene glycols like e.g. macrogols and lipid bases like e.g. phospholipids or triglyceride, such as hydrogenated vegetable oils.
- Petroleum based substances such as Vaseline or paraffines
- emulsifiers like soy lecithin
- salts of fatty acids with alkaline earth a d alkali metals alkyl sulfates like sodium cetylstearyl sulphate, cholates, fatty alcohols like cety! alcohol, sterols like cholestesterol, polyoxyethylene sorbitan fatty acid esters like polysorbate 20, sorbitan fatty acid esters like sorbitan mono laureate, fatty acid esters and fatty alcohol ethers of polyoxyethylene like poloxyl oleyl ether, polyoxypropylene polyoxyethylene block copolymers as e.g.
- PluronicTM saccharose esters like saccharose distearate, polyglyceryl fatty acid esters like polyglycerol oleate and fatty acid esters like e.g. ethyl oleate or isopropylmyristate.
- the formulations may also include gelifying and stiffening agents, like e.g. polyacrylic acid derivatives, cellulose ethers, polyvinyl alcohols, polyvinylpyrrolidons and fine disperse silicium dioxide.
- gelifying and stiffening agents like e.g. polyacrylic acid derivatives, cellulose ethers, polyvinyl alcohols, polyvinylpyrrolidons and fine disperse silicium dioxide.
- polymeric agents with controlled release properties may be applied derivatives made by e.g. polylactic acid, polylactic coglycolic acid, poly orthoester, polyethylene carbonate, poly anhydrids and starch and PVC based matrices.
- penetration enhancers like ketones, sulfoxides, amides, fatty acid esters and fatty alcohols may be necessary.
- preservatives like sorbic acid, benzyl alcohol and parabenes, and antioxidants as e.g. alpha tocopherol may be added.
- the active ingredient or combinations of the active ingredient may also applied in capsules, like hard gelatine capsules or soft capsules.
- the binders for tablets and boli may be chemically modified polymeric natural substances that are soluble in water or in alcohol, such as starch, cellulose or protein derivatives (e.g. methyl cellulose, carboxymethyl cellulose, ethylhydroxyethyl cellulose, proteins such as zein, gelatin and the like), as well as synthetic polymers, such as polyvinyl alcohol, polyvinyl pyrrolidone etc..
- the tablets also contain fillers (e.g. starch, microcrystalline cellulose, sugar, lactose etc.), lubricants (e.g. magnesium stearate), glidants (e.g. colloidal silicon dioxide) and disintegrants (e.g. cellulose derivatives) and acid resistant coatings, like e.g. acrylic acid esters.
- biocides may be combined with pesticides having the same sphere of activity e.g. to increase activity, or with substances having another sphere of activity e.g. to broaden the range of activity. It can also be sensible to add so-called repellents.
- repellents For example, in case of a compound of formula (1) having a particular efficacy as adulticide, i.e. since it is effective in particular against the adult stage of the target parasites, the addition of a pesticide which instead attack the juvenile stages of the parasites may be very advantageous, or vice versa. In this way, the greatest part of those parasites that produce great economic damage will be covered. Moreover, this action will contribute substantially to avoiding the formation of resistance.
- Suitable partners in the mixture may be biocides, e.g. the insecticides and acaricides with a varying mechanism of activity, which are named in the following and have been known to the person skilled in the art for a long time, e.g. chitin synthesis inhibitors, growth regulators; active ingredients which act as juvenile hormones; active ingredients which act as adulticides; broad-band insecticides, broad-band acaricides and nematicides; and also the well known anthelminthics and insect- and/or acarid-deterring substances, said repellents or detachers.
- suitable insecticides and acaricides are mentioned in WO 2009/071500, compounds Nos.
- Non-limitative examples of suitable anthelminthics are mentioned in WO 2009/071500, compounds (A1 ) - (A31 ) on page 21.
- Non-limitative examples of suitable repellents and detachers are mentioned in WO 2009/07 500, compounds (R1) -(R3) on page 21 and 22.
- Non-limitative examples of suitable synergists are mentioned in WO 2009/071500, compounds (S1 ) -(S3) on page 22
- the said partners in the mixture are best known to specialists in this field. Most are described in various editions of the Pesticide Manual, The British Crop Protection Council, London, and others in the various editions of The Merck Index, Merck & Co., Inc., Rahway, New Jersey, USA or in patent literature.
- a further aspect of the present invention relates to a combination preparation for the control of parasites on warm-blooded animals, characterised in that it contains, in addition to a compound of formula (1), at least one further active ingredient having the same or different sphere of activity and at least one physiologically acceptable carrier.
- the present invention is not restricted to two-fold combinations.
- the insecticidal and acaricidal compositions according to the invention contain 0.1 to 99 % by weight, especially 0.1 to 95 % by weight of one or more active ingredients of formula (I), 99.9 to 1 % by weight, especially 99.8 to 5 % by weight of a solid or liquid admixture, including 0 to 25 % by weight, especially 0.1 to 25 % by weight of a surfactant.
- compositions according to the invention to the animals to be treated may take place topically, perorally, parenterally or subcutaneous!y, the composition being present, for example, in the form of solutions, emulsions, suspensions, (drenches), powders, tablets, boli, capsules, chewable treats, collars, eartags and pour-on formulations.
- Preferred topical formulations are understood to refer to a ready-to-use solution in form of a spot-on, pour-on or spray-on formulation often consisting of a dispersion or suspoemulsion or a combination of active ingredient and spreading auxiliaries.
- spot-on or pour-on method is understood to refer to a ready-to-use concentrate intended to be applied topically and locally on the animal.
- This sort, of formulation is intended to be applied directly to a relatively small area of the animal, preferably on the animal's back and breech or at one or several points along the line of the back and breech.
- Pour-on or spot-on formulations suitably contain carriers, which promote rapid dispersement over the skin surface or in the coat of the host animal, and are generally regarded as spreading oils.
- Suitable carriers are e.g. oily solutions; alcoholic and isopropanolic solutions such as solutions of 2-octyldodecanol or oieyl alcohol; solutions in esters of monocarboxylic acids, such as isopropyl myristate, isopropyl palmrtate, lauric acid oxalate, oleic acid oleyl ester, oleic acid decyl ester, hexyl laurate, oleyl oleate, decyl oleate, capric acid esters of saturated fat alcohols of chain length C 2 -C 8 ; solutions of esters of dicarboxylic acids, such as dibutyl phthalate, diisopropyl isophthalate, adipic acid diisopropyl ester,
- glycols may be advantageous for a dispersing agent to be additionally present, such as one known from the pharmaceutical or cosmetic industry.
- a dispersing agent such as one known from the pharmaceutical or cosmetic industry. Examples are 2-pyrrolidone, 2-(N-alkyl)pyrrolidone, acetone, polyethylene glycol and the ethers and esters thereof, propylene glycol or synthetic triglycerides.
- the oily solutions include e.g. vegetable oils such as olive oil, groundnut oil, sesame oil, pine oil, linseed oil or castor oil.
- the vegetable oils may also be present in epoxidised form.
- Paraffins and silicone oils may also be used.
- a pour-on or spot-on formulation generally contains 1 to 98.9 % by weight of a compound of formula (I), 0.1 to 80 % by weight of dispersing agent and 1 to 98.9 % by weight of solvent.
- the pour-on or spot-on method is especially advantageous for use on herd animals such as cattle, horses, sheep or pigs, in which it is difficult or time-consuming to treat all the animals orally or by injection. Because of its simplicity, this method can of course also be used for all other animals, including individual domestic animals or pets, and is greatly favoured by the keepers of the animals, as it can often be carried out without the specialist presence of the veterinarian.
- compositions may also contain further additives, such as stabilisers, anti-foam ing agents, viscosity regulators, binding agents or tackifiers, as well as other active ingredients, in order to achieve special effects.
- the active ingredients of formula (I) can be used in all of their steric configurations or in mixtures thereof.
- the invention also includes a method of prophylactically protecting animals, especially productive livestock, domestic animals and pets, against parasitic helminths, which is characterised in that the active ingredients of formula (I) or the active ingredient formulations prepared therefrom are administered to the animals as an additive to the feed, or to the drinks or also in solid or liquid form, orally or by injection or parenterally.
- the invention also includes the compounds of formula (I) according to the invention for usage in one of the said processes.
- preferred formulations are made up as follows;
- the active ingredient is dissolved in methylene chloride, sprayed onto the carrier and the solvent subsequently concentrated by evaporation under vacuum. Granulates of this kind can be mixed with the animal feed. (ii) active ingredient 3 %
- the finely ground active ingredient is evenly applied in a mixer to the kaolin which has been moistened with polyethylene glycol. In this way, dust-free coated granules are obtained.
- Methyl cellulose Is stirred into water. After the material has swollen, silicic acid is stirred in and the mixture homogeneously suspended. The active ingredient and the corn starch are mixed. The aqueous suspension is worked into this mixture and kneaded to a dough. The resulting mass is granulated through a 12 M sieve and dried.
- Preparation The active ingredient is dissolved in the solvents and the surfactant, and made up with water to the desired volume. Sterile filtration through an appropriate membrane filter of 0.22 ⁇ pore size.
- the aqueous systems may also preferably be used for oral and/or intraruminal application.
- the compositions may also contain further additives, such as stabilisers, e.g. where appropriate epoxidised vegetable oils (epoxidised coconut oil, rapeseed oil, or soybean oil); antifoams, e.g. silicone oil, preservatives, viscosity regulators, binders, tackifiers, as well as fertilisers or other active ingredients to achieve special effects.
- stabilisers e.g. where appropriate epoxidised vegetable oils (epoxidised coconut oil, rapeseed oil, or soybean oil); antifoams, e.g. silicone oil, preservatives, viscosity regulators, binders, tackifiers, as well as fertilisers or other active ingredients to achieve special effects.
- the following examples serve to illustrate the invention.
- the letter 'h' stands for hour.
- the starting materials are known and partially commercially available or may be produced in analogy to methods known per se.
- Analysis of the purified samples is in each case done using a Waters A utopurifi cation (HPLC/ S) system with a reversed phase column (Daisogel SP-120-ODS-AP 5pm,
- Method A column Daisogel SP-120-ODS-AP 5pm, 150X3mm) from Bischoff, Leonberg, Germany, flow rate of 2.00 mlJmin with a time-dependent gradient as given in the Table:
- Method B column Waters XTerra MS C18 5pm, 50X4.6mm (Waters), flow rate of 3.00 mUmin with a time-dependent gradient as given in the Table:
- Step A DIPEA (80 mL) and amino acetonitrile hydrochloride (11.6 g) are added to a solution of A/-(rerf-butoxycarbonyl)glycine (20.0 g) and TBTU (40.3 g) in dichloromethane (350 mL) at 0°C. After 18 hours at room temperature, the reaction is quenched with water and extracted three times with dichloromethane. The combined organic phases are washed with a saturated solution of NaHC0 3 and a saturated aqueous solution of NaCI, dried over MgS0 4 and concentrated in vacuo.
- the crude product is purified by column chromatography on silica gel (ethyl acetate/heptane, 3:2 then 2: 1 ) to yield fert-butyl (2- ⁇ (cyanomethyl)amino)-2- oxoethyl)carbamate (22.2 g).
- Step B Methanesulfonic acid (2.9 mL) is added dropwise to a solution of terf-butyl (2- ((cyanomethyl)amino)-2-oxoethyl)carbamate (8.73 g) in dichloromethane (360 mL) and THF (90 mL). After 4 hours at room temperature, the reaction mixture is concentrated in vacuo. The crude solid is suspended in diethyl ether and filtered to yield 2-amino-N- (cyanomethyl)acetamide methanesulfonate salt (7.9 g) as a white solid.
- Step C Bromine (9.7 mL) is added dropwise to a solution of 1 - ⁇ 5-methylthiophen-2- yl)ethanone (26.6 g) and sodium acetate (17.2 g) in water (100 mL). After 18 hours at room temperature, the reaction mixture is quenched with sodium thiosulfate (1 M) and extracted three times with ethyl acetate. The combined organic phases are washed with a saturated aqueous solution of NaCI, dried over MgS0 4 and concentrated in vacuo to yield 1-(4-bromo- 5-methylthiophen-2-yl)ethanone (41.3 g) as a brownish oil. The crude product is used without further purification.
- Step D LiH (3.20 g) is added to a solution of 3',5'-dichloro-2,2,2-trifluoroacetophenone (56.0 g) and 1-(4-bromo-5-methylthiophen-2-yl)ethanone (41.0 g) in THF (500 mL). After 5 hours at 60°C MTBE is added (500 mL) and the reaction mixture is slowly poured onto water (500 mL) at 0°C. The phases are separated and aqueous phase is extracted twice with MTBE.
- Step E Trifluoroacetic anhydride (38.0 ml_) is added dropwise to a solution of 1 -(4-bromo-5- methylthiophen-2-yl ⁇ -3-(3,5-dichlorophenyl)-4,4,4-trifluoro-3-hydroxybLrtan-1-one (87.0 g) and triethylamine (53.0 mL) in dichloromethane (1000 mL) at 0°C. After 18 hours at room temperature, the reaction is diluted with a saturated aqueous solution of NaHC0 3 and extracted three times with dichloromethane.
- Step F NaOH (18.0 g) and hydroxylamine hydrochloride (13.0 g) are added to a solution of (E/Z)- 1-(4-bromo-5-methylthiophen-2-yl)-3-(3,5-dichlorophenyl)-4,4,4-trifluorobut-2-en-1 -one (84.0 g) in ethanol (1000 mL). After 18 hours at room temperature the reaction mixture is concentrated in vacuo and diethyl ether and water are added. The phases are separated and the aqueous phase is extracted twice with diethyl ether. The combined organic phases are washed with a saturated aqueous solution of NaCI, dried over gS0 4 and concentrated in vacuo. The crude product is purified by column chromatography on silica gel
- Step G Zinc cyanide (1.2 g) is added to Pd(PPh 3 ) (1.2 g) and 3-(4-bromc-5- methylthiophen-2-yl)-5-(3,5-dichlorophenyl)-5-(trifluoromethyl)-4,5-dihydroisoxazole (4.6 g) in DMF (12 mL).
- the reaction mixture is heated at 120°C in a sealed tube in a microwave oven for 1 hour and then allowed to cool to room temperature. Water and ethyl acetate are added and the suspension is filtered through a pad of celite. The phases are separated and the aqueous layer is extracted twice with ethyl acetate.
- Step H KOH 8 (4.1 mL) is added to a solution of 5-(5-(3,5-dichlorophenyl)-5- (trifluoromethyl) ⁇ ,5-dihydroisoxazol-3-yl)-2-methylthiophene-3-carbonitrile (2,2 g) in ethylene glycol (14 mL), The reaction mixture is heated at 1 QCTC in a seated tube in a microwave oven for 1 hour. After cooling to room temperature the mixture is diluted with water and HCl 2 M (20 mL) is added carefully. The mixture is extracted three times with ethyl acetate.
- Step 11 Thionyl chloride (0.1 mL) is added to a solution of 5-(5-(3,5-dichlorophenyl)-5- (trifluoromethyl)-4,5-dihydroisoxazol-3-yl)-2-methylthiophene-3-carboxylic acid (170 mg) in toluene (1.7 mL). After 30 minutes at reflux, the reaction mixture is cooled down and concentrated in vacuo. The crude product is dissolved in dichloromethane (3 mL) and 2- amino-A/-(cyanomethyl)acetamide methanesutfonate salt (100 mg) and DIPE (N,N- diisopropylethylamine, 0.2 mL) are added.
- Step A DIPEA (15 ml) is added to a solution of A/-(tert-butoxycarbonyl)glycine (5.0 g), PYBOP (benzotriazol-1 -yl-oxytripyrrolidinophosphonium hexafluorophosphate, 16 3 g) and 2,2,2-trifluorethylamine (2.47 ml) in dichloromethane (48 ml). After 24 hours at room temperature, the reaction is quenched with water and extracted three times with
- Step C Hydroxylamine (50% in H 2 0, 1.82 mL) is added to a solution of methyl 5-formyl-2- methy!furan-3-carboxylate (5.0 g) in methanol (75 mL), After 3 hours at room temperature, the reaction is concentrated in vacuo. The residue is partitioned between ethyl acetate and water. The aqueous phase is extracted three times with ethyl acetate. The combined organic phases are washed with water and with a saturated aqueous solution of NaCI, dried over MgS0 4 and concentrated in vacuo to yield methyl 5-((hydroxyimino)methyl)-2-methylfuran-3- carboxylate. The crude product is used without further purification.
- Step D A solution of methyl 5-((hydroxyimino)methyl)-2-methylfuran-3-carboxylate (3.0 g) in dichloromethane (18 mL) is added to a solution of 1 ,3-dichloro-5-(1-trifluoromethyl-vinyl) ⁇ benzene (3.95 g), chlorox (4%, 44 mL) and triethylamine (0.23 mL) in dichloromethane (70 mL) at OX. After 2 hours, the reaction mixture is filtered and water is added. The phases are separated and the aqueous phase is extracted twice with dichloromethane. The organic phases are combined, dried over MgS0 4 a d concentrated in vacuo.
- Step E LiOH (1.06 g) is added to a solution of methyl 5-(5-(3,5-dichlorophenyl)-5- (trifluoromethyl)-4,5-dihydroisoxazol-3-yl)-2-methylfuran-3-carboxylate (3.1 g) in a mixture of THF and water (75 mL, 1 : 1 ). After 18 hours at room temperature, water and HCI (2N) are added to the reaction mixture until pH 1-2 is obtained. The mixture is then extracted three times with ethyl acetate.
- Step F DiPEA (0.12 ml) is added to a solution of (2,2,2-trifluoro-et ylcarbamoyl)-methyl- ammonium trifluoroacetate (100 mg, from Step B above), PYBOP (150 mg), and 5-(5-(3,5- dichlorophenyl)-5-(trifluoromethy1)-4,5-dihy ⁇ acid (100 mg) in dichloromethane (2 mL) at 0°C. After 18 hours at room temperature the reaction mixture is concentrated in vacuo.
- a mixed adult population of fleas is placed in a suitably formatted 96-well plate allowing fleas to access and feed on treated blood via an artificial feeding system, Fleas are fed on treated blood for 24 hours, after which the compound effect is recorded, Insecticidal activity is determined on the basis of the number of dead fleas recovered from the feeding system.
- Compound 1.1 , 1 ,2, 1.7, 1 .10-1.14, 1.16-1.22, 1.24, 1.25, 1.28, 1.34, 1.37, 2.6-2.9, 2.12, 2.15, 2.16, 2.18 showed more than 80% (EC 30 ) efficacy at lOppm.
- a clean adult tick population is used to seed a suitably formatted 96-well plate containing the test substances to be evaluated for antiparasitic activity. Each compound is tested by serial dilution in order to determine its minimal effective dose (MED). Ticks are left in contact with the test compound for 10 minutes and are then incubated at 28°C and 80% relative humidity for 7 days, during which the test compound effect is monitored. Acaricidal activity is confirmed if adult ticks are dead,
- gerbils are treated with the test compound at a given dose by spray application.
- +1 (+2) the animals are infested with nymphs of R.sanguineus. Ticks are left on the animals until full repletion. Seven days after infestation nymphs dropped off fully engorged are collected and counted, Efficacy in killing is expressed as a tick number reduction in comparison with a placebo treated group, using the Abbot's formula.
- gerbils are treated orally by gavage with the test compound formulated at a given dose. Immediately after treatment, they are infested with a mixed adult population of cat fleas. Evaluation of efficacy is performed 48 h infestation by counting the numbers of live fleas recovered from the gerbils. Efficacy is expressed as comparison with a placebo treated group using the Abbot's formula.
- gerbils are treated with the test compound at a given dose by spray application.
- the animals are infested with a mixed adult population of cat fleas. Evaluation of efficacy is performed 24 h and 48h infestation by counting the numbers of live fleas recovered from the gerbils. Efficacy is expressed as comparison with a placebo treated group using the Abbot's formula.
Landscapes
- Organic Chemistry (AREA)
- Chemical & Material Sciences (AREA)
- Life Sciences & Earth Sciences (AREA)
- Health & Medical Sciences (AREA)
- General Health & Medical Sciences (AREA)
- Environmental Sciences (AREA)
- Plant Pathology (AREA)
- Engineering & Computer Science (AREA)
- Dentistry (AREA)
- Pest Control & Pesticides (AREA)
- Wood Science & Technology (AREA)
- Zoology (AREA)
- Agronomy & Crop Science (AREA)
- Veterinary Medicine (AREA)
- Tropical Medicine & Parasitology (AREA)
- Chemical Kinetics & Catalysis (AREA)
- General Chemical & Material Sciences (AREA)
- Medicinal Chemistry (AREA)
- Nuclear Medicine, Radiotherapy & Molecular Imaging (AREA)
- Pharmacology & Pharmacy (AREA)
- Animal Behavior & Ethology (AREA)
- Public Health (AREA)
- Pharmaceuticals Containing Other Organic And Inorganic Compounds (AREA)
- Agricultural Chemicals And Associated Chemicals (AREA)
- Plural Heterocyclic Compounds (AREA)
Abstract
Description
Claims
Priority Applications (12)
| Application Number | Priority Date | Filing Date | Title |
|---|---|---|---|
| US13/984,701 US20130324538A1 (en) | 2011-02-10 | 2012-02-09 | Isoxazoline derivatives for controlling invertebrate pests |
| AU2012215440A AU2012215440B2 (en) | 2011-02-10 | 2012-02-09 | Isoxazoline derivatives for controlling invertebrate pests |
| RU2013141413/04A RU2013141413A (en) | 2011-02-10 | 2012-02-09 | ISOXASOLINE DERIVATIVES FOR THE FIGHT AGAINST INvertebrate Parasites |
| JP2013552962A JP2014505089A (en) | 2011-02-10 | 2012-02-09 | Isoxazoline derivatives for controlling invertebrate pests |
| EP12704256.2A EP2673273A1 (en) | 2011-02-10 | 2012-02-09 | Isoxazoline derivatives for controlling invertebrate pests |
| NZ613191A NZ613191B2 (en) | 2011-02-10 | 2012-02-09 | Isoxazoline derivatives for controlling invertebrate pests |
| CA2826067A CA2826067A1 (en) | 2011-02-10 | 2012-02-09 | Isoxazoline derivatives for controlling invertebrate pests |
| MX2013009211A MX2013009211A (en) | 2011-02-10 | 2012-02-09 | Isoxazoline derivatives for controlling invertebrate pests. |
| CN201280008309.4A CN103347880B (en) | 2011-02-10 | 2012-02-09 | For controlling invertebrate pests isoxazoline derivative |
| BR112013020520A BR112013020520A2 (en) | 2011-02-10 | 2012-02-09 | isoxazoline derivatives, composition for the control of parasites comprising them and use thereof |
| ZA2013/05226A ZA201305226B (en) | 2011-02-10 | 2013-07-11 | Isoxazoline derivatives for controlling invertebrate pests |
| US14/872,669 US20160024062A1 (en) | 2011-02-10 | 2015-10-01 | Isoxazoline derivatives for controlling invertebrate pests |
Applications Claiming Priority (2)
| Application Number | Priority Date | Filing Date | Title |
|---|---|---|---|
| CH2472011 | 2011-02-10 | ||
| CH00247/2011 | 2011-02-10 |
Related Child Applications (2)
| Application Number | Title | Priority Date | Filing Date |
|---|---|---|---|
| US13/984,701 A-371-Of-International US20130324538A1 (en) | 2011-02-10 | 2012-02-09 | Isoxazoline derivatives for controlling invertebrate pests |
| US14/872,669 Continuation US20160024062A1 (en) | 2011-02-10 | 2015-10-01 | Isoxazoline derivatives for controlling invertebrate pests |
Publications (1)
| Publication Number | Publication Date |
|---|---|
| WO2012107533A1 true WO2012107533A1 (en) | 2012-08-16 |
Family
ID=45607737
Family Applications (1)
| Application Number | Title | Priority Date | Filing Date |
|---|---|---|---|
| PCT/EP2012/052241 Ceased WO2012107533A1 (en) | 2011-02-10 | 2012-02-09 | Isoxazoline derivatives for controlling invertebrate pests |
Country Status (15)
| Country | Link |
|---|---|
| US (2) | US20130324538A1 (en) |
| EP (1) | EP2673273A1 (en) |
| JP (1) | JP2014505089A (en) |
| CN (1) | CN103347880B (en) |
| AR (1) | AR085354A1 (en) |
| AU (1) | AU2012215440B2 (en) |
| BR (1) | BR112013020520A2 (en) |
| CA (1) | CA2826067A1 (en) |
| CL (1) | CL2013002296A1 (en) |
| CO (1) | CO6731114A2 (en) |
| MX (1) | MX2013009211A (en) |
| RU (1) | RU2013141413A (en) |
| TW (1) | TWI511966B (en) |
| WO (1) | WO2012107533A1 (en) |
| ZA (1) | ZA201305226B (en) |
Cited By (33)
| Publication number | Priority date | Publication date | Assignee | Title |
|---|---|---|---|---|
| WO2013119442A1 (en) | 2012-02-06 | 2013-08-15 | Merial Limited | Parasiticidal oral veterinary compositions comprising systemically-acting active agents, methods and uses thereof |
| WO2013126694A1 (en) | 2012-02-23 | 2013-08-29 | Merial Limited | Topical compositions comprising fipronil and permethrin and methods of use |
| WO2014122083A1 (en) | 2013-02-06 | 2014-08-14 | Bayer Cropscience Ag | Halogen-substituted pyrazol derivatives as pest-control agents |
| WO2015066277A1 (en) | 2013-11-01 | 2015-05-07 | Merial Limited | Antiparisitic and pesticidal isoxazoline compounds |
| US9029409B2 (en) | 2011-04-30 | 2015-05-12 | Abbvie Inc. | Isoxazolines as therapeutic agents |
| WO2015091900A1 (en) * | 2013-12-20 | 2015-06-25 | Intervet International B.V. | Use of isoxazoline derivatives for the treatment or prevention of arthropod infestations in poultry |
| WO2015101622A1 (en) | 2014-01-03 | 2015-07-09 | Bayer Cropscience Ag | Novel pyrazolyl-heteroarylamides as pesticides |
| WO2015161224A1 (en) | 2014-04-17 | 2015-10-22 | Merial, Inc. | Use of malononitrile compounds for protecting animals from parasites |
| WO2016008830A1 (en) | 2014-07-15 | 2016-01-21 | Bayer Cropscience Aktiengesellschaft | Aryl-triazolyl pyridines as pest control agents |
| JP2016523871A (en) * | 2013-06-24 | 2016-08-12 | メリアル インコーポレイテッド | Thiophene or furan substituted isothiazoline compounds as pesticides |
| WO2016138339A1 (en) | 2015-02-26 | 2016-09-01 | Merial, Inc. | Long-acting injectable formulations comprising an isoxazoline active agent, methods and uses thereof |
| WO2016187534A1 (en) | 2015-05-20 | 2016-11-24 | Merial, Inc. | Anthelmintic depsipeptide compounds |
| WO2017147352A1 (en) * | 2016-02-24 | 2017-08-31 | Merial, Inc. | Antiparasitic isoxazoline compounds, long-acting injectable formulations comprising them, methods and uses thereof |
| KR20170134700A (en) * | 2015-04-08 | 2017-12-06 | 메리얼 인코포레이티드 | Extended release injectable formulations comprising an isoxazoline active agent, methods and uses thereof |
| WO2018029102A1 (en) * | 2016-08-10 | 2018-02-15 | Bayer Cropscience Aktiengesellschaft | Substituted 2-heterocyclyl imidazolyl-carboxamides as pest control agents |
| WO2018071535A1 (en) | 2016-10-14 | 2018-04-19 | Merial, Inc. | Pesticidal and parasiticidal vinyl isoxazoline compounds |
| WO2018093920A1 (en) | 2016-11-16 | 2018-05-24 | Merial, Inc. | Anthelmintic depsipeptide compounds |
| WO2018166855A1 (en) | 2017-03-16 | 2018-09-20 | Basf Se | Heterobicyclic substituted dihydroisoxazoles |
| WO2019036407A1 (en) | 2017-08-14 | 2019-02-21 | Merial, Inc. | Pesticidal and parasiticidal pyrazole-isoxazoline compounds |
| US10456358B2 (en) | 2013-12-20 | 2019-10-29 | Intervet Inc. | Isoxazoline compositions and use thereof in the prevention or treatment of parasite infestations in animals |
| WO2020014068A1 (en) | 2018-07-09 | 2020-01-16 | Boehringer Ingelheim Animal Health USA Inc. | Anthelminthic heterocyclic compounds |
| WO2020112374A1 (en) | 2018-11-20 | 2020-06-04 | Boehringer Ingelheim Animal Health USA Inc. | Indazolylcyanoethylamino compound, compositions of same, method of making, and methods of using thereof |
| WO2020191091A1 (en) | 2019-03-19 | 2020-09-24 | Boehringer Ingelheim Animal Health USA Inc. | Anthelmintic aza-benzothiophene and aza-benzofuran compounds |
| WO2021242581A1 (en) | 2020-05-29 | 2021-12-02 | Boehringer Ingelheim Animal Health USA Inc. | Anthelmintic heterocyclic compounds |
| WO2022162001A1 (en) | 2021-01-27 | 2022-08-04 | Intervet International B.V. | Cyclopropylamide compounds against parasites in fish |
| WO2022162016A1 (en) | 2021-01-27 | 2022-08-04 | Intervet International B.V. | Cyclopropylamide compounds against parasites in fish |
| WO2023156938A1 (en) | 2022-02-17 | 2023-08-24 | Boehringer Ingelheim Vetmedica Gmbh | Method and system for providing a fluid product mailer |
| US11999742B2 (en) | 2021-11-01 | 2024-06-04 | Boehringer Ingelheim Vetmedica Gmbh | Substituted pyrrolo[1,2-b]pyridazines as anthelmintics |
| US12030875B2 (en) | 2018-09-07 | 2024-07-09 | PIC Therapeutics, Inc. | EIF4E inhibitors and uses thereof |
| US12157732B2 (en) | 2021-08-25 | 2024-12-03 | PIC Therapeutics, Inc. | eIF4E inhibitors and uses thereof |
| US12157731B2 (en) | 2020-03-03 | 2024-12-03 | PIC Therapeutics, Inc. | EIF4E inhibitors and uses thereof |
| US12234231B2 (en) | 2021-08-25 | 2025-02-25 | PIC Therapeutics, Inc. | EIF4E inhibitors and uses thereof |
| EP4523685A1 (en) | 2023-09-15 | 2025-03-19 | EVAH Atlantic Inc. | Dihydroisoxazole compound for use in the treatment of ectoparasite infestations on fish |
Families Citing this family (11)
| Publication number | Priority date | Publication date | Assignee | Title |
|---|---|---|---|---|
| UY33403A (en) * | 2010-06-17 | 2011-12-30 | Novartis Ag | ORGANIC COMPOUNDS WITH NEW ISOXAZOLINES, THEIR N-OXIDES, S-OXIDES AND SALTS |
| WO2012155352A1 (en) * | 2011-05-19 | 2012-11-22 | Eli Lilly And Company | Dihydroisoxazole compounds, parasiticidal uses and formulations thereof |
| US20170232024A1 (en) | 2014-08-04 | 2017-08-17 | Jerry Tan Eye Surgery Pte Ltd | Pharmaceutical compositions for demodex related blepharitis and eyelid crusting |
| EP3018129A1 (en) * | 2014-11-10 | 2016-05-11 | Novartis Tiergesundheit AG | Diaryl isoxazoline compound |
| PT3723739T (en) | 2017-12-15 | 2024-06-21 | Tarsus Pharmaceuticals Inc | ISOXAZOLINE PARASITICIDE FORMULATIONS AND THEIR USE FOR THE TREATMENT OF BLEPHARITIS |
| TWI812673B (en) * | 2018-02-12 | 2023-08-21 | 美商富曼西公司 | Naphthalene isoxazoline compounds for controlling invertebrate pests |
| US12502377B2 (en) | 2019-04-04 | 2025-12-23 | Tarsus Pharmaceuticals, Inc. | Method of eradicating ticks that attach to humans using lotilaner formulations |
| US20220249445A1 (en) * | 2019-06-19 | 2022-08-11 | Tarsus Pharmaceuticals, Inc. | Isoxazoline parasiticide formulations and methods for treating blepharitis |
| EP3986377A4 (en) * | 2019-06-19 | 2023-07-19 | Tarsus Pharmaceuticals, Inc. | ISOXAZOLINE PARASITICIDAL FORMULATIONS AND METHODS OF TREATING BLEPHARITIS |
| CA3169209A1 (en) * | 2020-01-29 | 2021-08-05 | Bayer Animal Health Gmbh | Pharmaceutical composition for controlling parasites on non-human organisms |
| CN114853748A (en) * | 2022-05-06 | 2022-08-05 | 武汉工程大学 | Trifluoromethyl-containing isoxazoline derivative, and preparation method and application thereof |
Citations (5)
| Publication number | Priority date | Publication date | Assignee | Title |
|---|---|---|---|---|
| WO2006049459A1 (en) | 2004-11-04 | 2006-05-11 | Samsung Electronics Co., Ltd. | System and method for assigning a sub-channel in a bwa communication system |
| WO2007075459A2 (en) | 2005-12-16 | 2007-07-05 | E. I. Du Pont De Nemours And Company | 5-aryl isoxazolines for controlling invertebrate pests |
| WO2009025983A2 (en) | 2007-08-17 | 2009-02-26 | E. I. Du Pont De Nemours And Company | Method for preparing 5-haloalkyl-4,5-dihydroisoxazole derivatives |
| WO2009071500A2 (en) | 2007-12-03 | 2009-06-11 | Novartis Ag | Organic compounds |
| WO2010070068A2 (en) * | 2008-12-19 | 2010-06-24 | Novartis Ag | Organic compounds |
Family Cites Families (4)
| Publication number | Priority date | Publication date | Assignee | Title |
|---|---|---|---|---|
| DE4026018A1 (en) * | 1990-08-17 | 1992-02-20 | Hoechst Ag | PLANT-PROTECTIVE AGENTS CONTAINING ISOXAZOLINE OR ISOTHIAZOLINE AND NEW ISOXAZOLINE AND ISOTHIAZOLINE |
| DE4331448A1 (en) * | 1993-09-16 | 1995-03-23 | Hoechst Schering Agrevo Gmbh | Substituted isoxazolines, processes for their preparation, compositions containing them and their use as safeners |
| DE19935218A1 (en) * | 1999-07-27 | 2001-02-01 | Aventis Cropscience Gmbh | Isoxazolyl-substituted benzoylcyclohexanediones, process for their preparation and their use as herbicides and plant growth regulators |
| CA2621228C (en) * | 2005-09-02 | 2014-05-27 | Nissan Chemical Industries, Ltd. | Isoxazoline-substituted benzamide compound and pesticide |
-
2012
- 2012-02-09 AR ARP120100434A patent/AR085354A1/en unknown
- 2012-02-09 CN CN201280008309.4A patent/CN103347880B/en not_active Expired - Fee Related
- 2012-02-09 AU AU2012215440A patent/AU2012215440B2/en not_active Ceased
- 2012-02-09 MX MX2013009211A patent/MX2013009211A/en not_active Application Discontinuation
- 2012-02-09 RU RU2013141413/04A patent/RU2013141413A/en not_active Application Discontinuation
- 2012-02-09 JP JP2013552962A patent/JP2014505089A/en not_active Ceased
- 2012-02-09 EP EP12704256.2A patent/EP2673273A1/en not_active Withdrawn
- 2012-02-09 WO PCT/EP2012/052241 patent/WO2012107533A1/en not_active Ceased
- 2012-02-09 CA CA2826067A patent/CA2826067A1/en not_active Abandoned
- 2012-02-09 US US13/984,701 patent/US20130324538A1/en not_active Abandoned
- 2012-02-09 BR BR112013020520A patent/BR112013020520A2/en not_active IP Right Cessation
- 2012-02-10 TW TW101104306A patent/TWI511966B/en not_active IP Right Cessation
-
2013
- 2013-07-11 ZA ZA2013/05226A patent/ZA201305226B/en unknown
- 2013-07-12 CO CO13165984A patent/CO6731114A2/en unknown
- 2013-08-07 CL CL2013002296A patent/CL2013002296A1/en unknown
-
2015
- 2015-10-01 US US14/872,669 patent/US20160024062A1/en not_active Abandoned
Patent Citations (5)
| Publication number | Priority date | Publication date | Assignee | Title |
|---|---|---|---|---|
| WO2006049459A1 (en) | 2004-11-04 | 2006-05-11 | Samsung Electronics Co., Ltd. | System and method for assigning a sub-channel in a bwa communication system |
| WO2007075459A2 (en) | 2005-12-16 | 2007-07-05 | E. I. Du Pont De Nemours And Company | 5-aryl isoxazolines for controlling invertebrate pests |
| WO2009025983A2 (en) | 2007-08-17 | 2009-02-26 | E. I. Du Pont De Nemours And Company | Method for preparing 5-haloalkyl-4,5-dihydroisoxazole derivatives |
| WO2009071500A2 (en) | 2007-12-03 | 2009-06-11 | Novartis Ag | Organic compounds |
| WO2010070068A2 (en) * | 2008-12-19 | 2010-06-24 | Novartis Ag | Organic compounds |
Non-Patent Citations (2)
| Title |
|---|
| "Pesticide Manual", THE BRITISH CROP PROTECTION COUNCIL |
| "The Merck Index", MERCK & CO., INC. |
Cited By (62)
| Publication number | Priority date | Publication date | Assignee | Title |
|---|---|---|---|---|
| US9029409B2 (en) | 2011-04-30 | 2015-05-12 | Abbvie Inc. | Isoxazolines as therapeutic agents |
| AU2012250979B2 (en) * | 2011-04-30 | 2015-07-30 | Abbvie Inc. | Isoxazolines as therapeutic agents |
| EP3766491A1 (en) | 2012-02-06 | 2021-01-20 | Boehringer Ingelheim Animal Health USA Inc. | Parasiticidal oral veterinary compositions comprising systemically-acting active agents, methods and uses thereof |
| WO2013119442A1 (en) | 2012-02-06 | 2013-08-15 | Merial Limited | Parasiticidal oral veterinary compositions comprising systemically-acting active agents, methods and uses thereof |
| EP3061454A1 (en) | 2012-02-06 | 2016-08-31 | Merial, Inc. | Parasiticidal oral veterinary compositions comprising systemically-acting active agents, methods and uses thereof |
| WO2013126694A1 (en) | 2012-02-23 | 2013-08-29 | Merial Limited | Topical compositions comprising fipronil and permethrin and methods of use |
| EP3659439A1 (en) | 2012-02-23 | 2020-06-03 | Boehringer Ingelheim Animal Health USA Inc. | Topical compositions comprising fipronil and permethrin and methods of use |
| WO2014122083A1 (en) | 2013-02-06 | 2014-08-14 | Bayer Cropscience Ag | Halogen-substituted pyrazol derivatives as pest-control agents |
| JP2016523871A (en) * | 2013-06-24 | 2016-08-12 | メリアル インコーポレイテッド | Thiophene or furan substituted isothiazoline compounds as pesticides |
| US10533002B2 (en) | 2013-06-24 | 2020-01-14 | Boehringer Ingelheim Animal Health USA Inc. | Thiophene- or furan-substituted isothiazoline compounds as pesticides |
| WO2015066277A1 (en) | 2013-11-01 | 2015-05-07 | Merial Limited | Antiparisitic and pesticidal isoxazoline compounds |
| EP3733664A1 (en) | 2013-11-01 | 2020-11-04 | Boehringer Ingelheim Animal Health USA Inc. | Antiparisitic and pesticidal isoxazoline compounds |
| EP3878281A1 (en) * | 2013-12-20 | 2021-09-15 | Intervet International B.V. | Use of isoxazoline compounds in poultry |
| CN105979944A (en) * | 2013-12-20 | 2016-09-28 | 英特维特国际股份有限公司 | Use of isoxazoline derivatives for treating or preventing arthropod infestation in poultry |
| WO2015091900A1 (en) * | 2013-12-20 | 2015-06-25 | Intervet International B.V. | Use of isoxazoline derivatives for the treatment or prevention of arthropod infestations in poultry |
| US10653675B2 (en) | 2013-12-20 | 2020-05-19 | Intervet Inc. | Use of isoxazoline derivatives for the treatment or prevention of arthropod infestations in poultry |
| US12128032B2 (en) | 2013-12-20 | 2024-10-29 | Intervet Inc. | Use of isoxazoline derivatives for the treatment or prevention of arthropod infestations in poultry |
| RU2688167C1 (en) * | 2013-12-20 | 2019-05-20 | Интервет Интернэшнл Б.В. | Use of isoxazoline compounds on poultry |
| US11883530B2 (en) | 2013-12-20 | 2024-01-30 | Intervet Inc. | Isoxazoline compositions and use thereof in the prevention or treatment of parasite infestations in animals |
| US10456358B2 (en) | 2013-12-20 | 2019-10-29 | Intervet Inc. | Isoxazoline compositions and use thereof in the prevention or treatment of parasite infestations in animals |
| US11304934B2 (en) | 2013-12-20 | 2022-04-19 | Intervet Inc. | Use of isoxazoline derivatives for the treatment or prevention of arthropod infestations in poultry |
| US10272071B2 (en) | 2013-12-20 | 2019-04-30 | Intervet Inc. | Use of isoxazoline derivatives for the treatment or prevention of arthropod infestations in poultry |
| WO2015101622A1 (en) | 2014-01-03 | 2015-07-09 | Bayer Cropscience Ag | Novel pyrazolyl-heteroarylamides as pesticides |
| WO2015161224A1 (en) | 2014-04-17 | 2015-10-22 | Merial, Inc. | Use of malononitrile compounds for protecting animals from parasites |
| WO2016008830A1 (en) | 2014-07-15 | 2016-01-21 | Bayer Cropscience Aktiengesellschaft | Aryl-triazolyl pyridines as pest control agents |
| WO2016138339A1 (en) | 2015-02-26 | 2016-09-01 | Merial, Inc. | Long-acting injectable formulations comprising an isoxazoline active agent, methods and uses thereof |
| KR102593069B1 (en) * | 2015-04-08 | 2023-10-23 | 뵈링거 잉겔하임 애니멀 헬스 유에스에이 인코포레이티드 | Extended release injectable formulations comprising an isoxazoline active agent, methods and uses thereof |
| KR20170134700A (en) * | 2015-04-08 | 2017-12-06 | 메리얼 인코포레이티드 | Extended release injectable formulations comprising an isoxazoline active agent, methods and uses thereof |
| EP3922639A1 (en) | 2015-05-20 | 2021-12-15 | Boehringer Ingelheim Animal Health USA Inc. | Anthelmintic depsipeptide compounds |
| WO2016187534A1 (en) | 2015-05-20 | 2016-11-24 | Merial, Inc. | Anthelmintic depsipeptide compounds |
| US11497732B2 (en) | 2016-02-24 | 2022-11-15 | Boehringer Ingelheim Animal Health USA Inc. | Antiparasitic isoxazoline compounds, long-acting injectable formulations comprising them, methods and uses thereof |
| US12083100B1 (en) | 2016-02-24 | 2024-09-10 | Boehringer Ingelheim Animal Health USA Inc. | Antiparasitic isoxazoline compounds, long-acting injectable formulations comprising them, methods and uses thereof |
| WO2017147352A1 (en) * | 2016-02-24 | 2017-08-31 | Merial, Inc. | Antiparasitic isoxazoline compounds, long-acting injectable formulations comprising them, methods and uses thereof |
| EP3763211A1 (en) * | 2016-02-24 | 2021-01-13 | Boehringer Ingelheim Animal Health USA Inc. | Antiparasitic isoxazoline compounds, long-acting injectable formulations comprising them, methods and uses thereof |
| EA036716B1 (en) * | 2016-02-24 | 2020-12-11 | БЁРИНГЕР ИНГЕЛЬХАЙМ ЭНИМАЛ ХЕЛТ ЮЭсЭй ИНК. | Antiparasitic isoxazoline compounds, long-acting injectable formulations comprising them, methods and uses thereof |
| US10660333B2 (en) | 2016-08-10 | 2020-05-26 | Bayer Cropscience Aktiengesellschaft | Substituted 2-heterocyclylimidazolylcarboxamides as pesticides |
| US20190166837A1 (en) * | 2016-08-10 | 2019-06-06 | Bayer Cropscience Aktiengesellschaft | Substituted 2-heterocyclylimidazolylcarboxamides as pesticides |
| WO2018029102A1 (en) * | 2016-08-10 | 2018-02-15 | Bayer Cropscience Aktiengesellschaft | Substituted 2-heterocyclyl imidazolyl-carboxamides as pest control agents |
| WO2018071535A1 (en) | 2016-10-14 | 2018-04-19 | Merial, Inc. | Pesticidal and parasiticidal vinyl isoxazoline compounds |
| WO2018093920A1 (en) | 2016-11-16 | 2018-05-24 | Merial, Inc. | Anthelmintic depsipeptide compounds |
| WO2018166855A1 (en) | 2017-03-16 | 2018-09-20 | Basf Se | Heterobicyclic substituted dihydroisoxazoles |
| WO2019036407A1 (en) | 2017-08-14 | 2019-02-21 | Merial, Inc. | Pesticidal and parasiticidal pyrazole-isoxazoline compounds |
| WO2020014068A1 (en) | 2018-07-09 | 2020-01-16 | Boehringer Ingelheim Animal Health USA Inc. | Anthelminthic heterocyclic compounds |
| US12269822B2 (en) | 2018-07-09 | 2025-04-08 | Boehringer Ingelheim Animal Health USA Inc. | Anthelminthic heterocyclic compounds |
| US12030875B2 (en) | 2018-09-07 | 2024-07-09 | PIC Therapeutics, Inc. | EIF4E inhibitors and uses thereof |
| WO2020112374A1 (en) | 2018-11-20 | 2020-06-04 | Boehringer Ingelheim Animal Health USA Inc. | Indazolylcyanoethylamino compound, compositions of same, method of making, and methods of using thereof |
| US11560388B2 (en) | 2019-03-19 | 2023-01-24 | Boehringer Ingelheim Vetmedica Gmbh | Anthelmintic aza-benzothiophene and aza-benzofuran compounds |
| WO2020191091A1 (en) | 2019-03-19 | 2020-09-24 | Boehringer Ingelheim Animal Health USA Inc. | Anthelmintic aza-benzothiophene and aza-benzofuran compounds |
| US12157731B2 (en) | 2020-03-03 | 2024-12-03 | PIC Therapeutics, Inc. | EIF4E inhibitors and uses thereof |
| US11964977B2 (en) | 2020-05-29 | 2024-04-23 | Boehringer Ingelheim Animal Health USA Inc. | Anthelmintic heterocyclic compounds |
| WO2021242581A1 (en) | 2020-05-29 | 2021-12-02 | Boehringer Ingelheim Animal Health USA Inc. | Anthelmintic heterocyclic compounds |
| US12312356B2 (en) | 2020-05-29 | 2025-05-27 | Boehringer Ingelheim Vetmedica Gmbh | Anthelmintic heterocyclic compounds |
| WO2022162016A1 (en) | 2021-01-27 | 2022-08-04 | Intervet International B.V. | Cyclopropylamide compounds against parasites in fish |
| WO2022162001A1 (en) | 2021-01-27 | 2022-08-04 | Intervet International B.V. | Cyclopropylamide compounds against parasites in fish |
| EP4644362A1 (en) | 2021-01-27 | 2025-11-05 | Intervet International B.V. | Cyclopropylamide compounds against parasites in fish |
| EP4656047A2 (en) | 2021-01-27 | 2025-12-03 | Intervet International B.V. | Cyclopropylamide compounds against parasites in fish |
| US12157732B2 (en) | 2021-08-25 | 2024-12-03 | PIC Therapeutics, Inc. | eIF4E inhibitors and uses thereof |
| US12234231B2 (en) | 2021-08-25 | 2025-02-25 | PIC Therapeutics, Inc. | EIF4E inhibitors and uses thereof |
| US11999742B2 (en) | 2021-11-01 | 2024-06-04 | Boehringer Ingelheim Vetmedica Gmbh | Substituted pyrrolo[1,2-b]pyridazines as anthelmintics |
| US12503474B2 (en) | 2021-11-01 | 2025-12-23 | Boehringer Ingelheim Vetmedica Gmbh | Substituted pyrrolo[1,2-b]pyridazines as anthelmintics |
| WO2023156938A1 (en) | 2022-02-17 | 2023-08-24 | Boehringer Ingelheim Vetmedica Gmbh | Method and system for providing a fluid product mailer |
| EP4523685A1 (en) | 2023-09-15 | 2025-03-19 | EVAH Atlantic Inc. | Dihydroisoxazole compound for use in the treatment of ectoparasite infestations on fish |
Also Published As
| Publication number | Publication date |
|---|---|
| CA2826067A1 (en) | 2012-08-16 |
| RU2013141413A (en) | 2015-03-20 |
| TW201309683A (en) | 2013-03-01 |
| EP2673273A1 (en) | 2013-12-18 |
| NZ613191A (en) | 2015-06-26 |
| CO6731114A2 (en) | 2013-08-15 |
| US20130324538A1 (en) | 2013-12-05 |
| CN103347880B (en) | 2015-11-25 |
| CL2013002296A1 (en) | 2014-03-14 |
| CN103347880A (en) | 2013-10-09 |
| ZA201305226B (en) | 2014-03-26 |
| US20160024062A1 (en) | 2016-01-28 |
| AU2012215440B2 (en) | 2015-08-27 |
| AU2012215440A1 (en) | 2013-08-01 |
| TWI511966B (en) | 2015-12-11 |
| MX2013009211A (en) | 2013-08-29 |
| BR112013020520A2 (en) | 2016-07-12 |
| AR085354A1 (en) | 2013-09-25 |
| JP2014505089A (en) | 2014-02-27 |
Similar Documents
| Publication | Publication Date | Title |
|---|---|---|
| EP2683713B1 (en) | Isoxazole derivatives | |
| EP2582696B1 (en) | 5-aryl isoxazolines for controlling pests | |
| EP2379537B9 (en) | Isoxazoline derivatives and their use as pesticide | |
| AU2012215440B2 (en) | Isoxazoline derivatives for controlling invertebrate pests | |
| CA2892883C (en) | (hetero) arylacrylamides for the control of ectoparasites | |
| NZ613191B2 (en) | Isoxazoline derivatives for controlling invertebrate pests |
Legal Events
| Date | Code | Title | Description |
|---|---|---|---|
| 121 | Ep: the epo has been informed by wipo that ep was designated in this application |
Ref document number: 12704256 Country of ref document: EP Kind code of ref document: A1 |
|
| REEP | Request for entry into the european phase |
Ref document number: 2012704256 Country of ref document: EP |
|
| WWE | Wipo information: entry into national phase |
Ref document number: 2012704256 Country of ref document: EP |
|
| WWE | Wipo information: entry into national phase |
Ref document number: 13165984 Country of ref document: CO |
|
| ENP | Entry into the national phase |
Ref document number: 2826067 Country of ref document: CA |
|
| ENP | Entry into the national phase |
Ref document number: 2012215440 Country of ref document: AU Date of ref document: 20120209 Kind code of ref document: A |
|
| WWE | Wipo information: entry into national phase |
Ref document number: 2013002296 Country of ref document: CL |
|
| ENP | Entry into the national phase |
Ref document number: 2013552962 Country of ref document: JP Kind code of ref document: A |
|
| WWE | Wipo information: entry into national phase |
Ref document number: 13984701 Country of ref document: US Ref document number: MX/A/2013/009211 Country of ref document: MX |
|
| NENP | Non-entry into the national phase |
Ref country code: DE |
|
| ENP | Entry into the national phase |
Ref document number: 2013141413 Country of ref document: RU Kind code of ref document: A |
|
| REG | Reference to national code |
Ref country code: BR Ref legal event code: B01A Ref document number: 112013020520 Country of ref document: BR |
|
| ENP | Entry into the national phase |
Ref document number: 112013020520 Country of ref document: BR Kind code of ref document: A2 Effective date: 20130812 |





















