WO2012102985A1 - Isoquinoline compounds and methods for treating hiv - Google Patents

Isoquinoline compounds and methods for treating hiv Download PDF

Info

Publication number
WO2012102985A1
WO2012102985A1 PCT/US2012/022161 US2012022161W WO2012102985A1 WO 2012102985 A1 WO2012102985 A1 WO 2012102985A1 US 2012022161 W US2012022161 W US 2012022161W WO 2012102985 A1 WO2012102985 A1 WO 2012102985A1
Authority
WO
WIPO (PCT)
Prior art keywords
methyl
oxo
tert
butoxy
acetic acid
Prior art date
Legal status (The legal status is an assumption and is not a legal conclusion. Google has not performed a legal analysis and makes no representation as to the accuracy of the status listed.)
Ceased
Application number
PCT/US2012/022161
Other languages
French (fr)
Inventor
Martha Alicia De La Rosa
Simon N. Haydar
Brian Alvin Johns
Emile Johann Velthuisen
Current Assignee (The listed assignees may be inaccurate. Google has not performed a legal analysis and makes no representation or warranty as to the accuracy of the list.)
GlaxoSmithKline LLC
Original Assignee
GlaxoSmithKline LLC
Priority date (The priority date is an assumption and is not a legal conclusion. Google has not performed a legal analysis and makes no representation as to the accuracy of the date listed.)
Filing date
Publication date
Application filed by GlaxoSmithKline LLC filed Critical GlaxoSmithKline LLC
Priority to US13/980,085 priority Critical patent/US9029391B2/en
Priority to AU2012209373A priority patent/AU2012209373A1/en
Publication of WO2012102985A1 publication Critical patent/WO2012102985A1/en
Anticipated expiration legal-status Critical
Ceased legal-status Critical Current

Links

Classifications

    • CCHEMISTRY; METALLURGY
    • C07ORGANIC CHEMISTRY
    • C07DHETEROCYCLIC COMPOUNDS
    • C07D217/00Heterocyclic compounds containing isoquinoline or hydrogenated isoquinoline ring systems
    • C07D217/22Heterocyclic compounds containing isoquinoline or hydrogenated isoquinoline ring systems with hetero atoms or with carbon atoms having three bonds to hetero atoms with at the most one bond to halogen, e.g. ester or nitrile radicals, directly attached to carbon atoms of the nitrogen-containing ring
    • C07D217/24Oxygen atoms
    • AHUMAN NECESSITIES
    • A61MEDICAL OR VETERINARY SCIENCE; HYGIENE
    • A61KPREPARATIONS FOR MEDICAL, DENTAL OR TOILETRY PURPOSES
    • A61K31/00Medicinal preparations containing organic active ingredients
    • A61K31/33Heterocyclic compounds
    • A61K31/395Heterocyclic compounds having nitrogen as a ring hetero atom, e.g. guanethidine or rifamycins
    • A61K31/435Heterocyclic compounds having nitrogen as a ring hetero atom, e.g. guanethidine or rifamycins having six-membered rings with one nitrogen as the only ring hetero atom
    • A61K31/47Quinolines; Isoquinolines
    • A61K31/472Non-condensed isoquinolines, e.g. papaverine
    • AHUMAN NECESSITIES
    • A61MEDICAL OR VETERINARY SCIENCE; HYGIENE
    • A61KPREPARATIONS FOR MEDICAL, DENTAL OR TOILETRY PURPOSES
    • A61K31/00Medicinal preparations containing organic active ingredients
    • A61K31/33Heterocyclic compounds
    • A61K31/395Heterocyclic compounds having nitrogen as a ring hetero atom, e.g. guanethidine or rifamycins
    • A61K31/435Heterocyclic compounds having nitrogen as a ring hetero atom, e.g. guanethidine or rifamycins having six-membered rings with one nitrogen as the only ring hetero atom
    • A61K31/47Quinolines; Isoquinolines
    • A61K31/472Non-condensed isoquinolines, e.g. papaverine
    • A61K31/4725Non-condensed isoquinolines, e.g. papaverine containing further heterocyclic rings
    • AHUMAN NECESSITIES
    • A61MEDICAL OR VETERINARY SCIENCE; HYGIENE
    • A61KPREPARATIONS FOR MEDICAL, DENTAL OR TOILETRY PURPOSES
    • A61K31/00Medicinal preparations containing organic active ingredients
    • A61K31/33Heterocyclic compounds
    • A61K31/395Heterocyclic compounds having nitrogen as a ring hetero atom, e.g. guanethidine or rifamycins
    • A61K31/535Heterocyclic compounds having nitrogen as a ring hetero atom, e.g. guanethidine or rifamycins having six-membered rings with at least one nitrogen and one oxygen as the ring hetero atoms, e.g. 1,2-oxazines
    • A61K31/53751,4-Oxazines, e.g. morpholine
    • A61K31/53771,4-Oxazines, e.g. morpholine not condensed and containing further heterocyclic rings, e.g. timolol
    • AHUMAN NECESSITIES
    • A61MEDICAL OR VETERINARY SCIENCE; HYGIENE
    • A61KPREPARATIONS FOR MEDICAL, DENTAL OR TOILETRY PURPOSES
    • A61K31/00Medicinal preparations containing organic active ingredients
    • A61K31/33Heterocyclic compounds
    • A61K31/395Heterocyclic compounds having nitrogen as a ring hetero atom, e.g. guanethidine or rifamycins
    • A61K31/54Heterocyclic compounds having nitrogen as a ring hetero atom, e.g. guanethidine or rifamycins having six-membered rings with at least one nitrogen and one sulfur as the ring hetero atoms, e.g. sulthiame
    • A61K31/541Non-condensed thiazines containing further heterocyclic rings
    • AHUMAN NECESSITIES
    • A61MEDICAL OR VETERINARY SCIENCE; HYGIENE
    • A61KPREPARATIONS FOR MEDICAL, DENTAL OR TOILETRY PURPOSES
    • A61K45/00Medicinal preparations containing active ingredients not provided for in groups A61K31/00 - A61K41/00
    • A61K45/06Mixtures of active ingredients without chemical characterisation, e.g. antiphlogistics and cardiaca
    • CCHEMISTRY; METALLURGY
    • C07ORGANIC CHEMISTRY
    • C07DHETEROCYCLIC COMPOUNDS
    • C07D401/00Heterocyclic compounds containing two or more hetero rings, having nitrogen atoms as the only ring hetero atoms, at least one ring being a six-membered ring with only one nitrogen atom
    • C07D401/02Heterocyclic compounds containing two or more hetero rings, having nitrogen atoms as the only ring hetero atoms, at least one ring being a six-membered ring with only one nitrogen atom containing two hetero rings
    • C07D401/04Heterocyclic compounds containing two or more hetero rings, having nitrogen atoms as the only ring hetero atoms, at least one ring being a six-membered ring with only one nitrogen atom containing two hetero rings directly linked by a ring-member-to-ring-member bond
    • CCHEMISTRY; METALLURGY
    • C07ORGANIC CHEMISTRY
    • C07DHETEROCYCLIC COMPOUNDS
    • C07D401/00Heterocyclic compounds containing two or more hetero rings, having nitrogen atoms as the only ring hetero atoms, at least one ring being a six-membered ring with only one nitrogen atom
    • C07D401/02Heterocyclic compounds containing two or more hetero rings, having nitrogen atoms as the only ring hetero atoms, at least one ring being a six-membered ring with only one nitrogen atom containing two hetero rings
    • C07D401/12Heterocyclic compounds containing two or more hetero rings, having nitrogen atoms as the only ring hetero atoms, at least one ring being a six-membered ring with only one nitrogen atom containing two hetero rings linked by a chain containing hetero atoms as chain links
    • CCHEMISTRY; METALLURGY
    • C07ORGANIC CHEMISTRY
    • C07DHETEROCYCLIC COMPOUNDS
    • C07D401/00Heterocyclic compounds containing two or more hetero rings, having nitrogen atoms as the only ring hetero atoms, at least one ring being a six-membered ring with only one nitrogen atom
    • C07D401/14Heterocyclic compounds containing two or more hetero rings, having nitrogen atoms as the only ring hetero atoms, at least one ring being a six-membered ring with only one nitrogen atom containing three or more hetero rings
    • CCHEMISTRY; METALLURGY
    • C07ORGANIC CHEMISTRY
    • C07DHETEROCYCLIC COMPOUNDS
    • C07D405/00Heterocyclic compounds containing both one or more hetero rings having oxygen atoms as the only ring hetero atoms, and one or more rings having nitrogen as the only ring hetero atom
    • C07D405/02Heterocyclic compounds containing both one or more hetero rings having oxygen atoms as the only ring hetero atoms, and one or more rings having nitrogen as the only ring hetero atom containing two hetero rings
    • C07D405/04Heterocyclic compounds containing both one or more hetero rings having oxygen atoms as the only ring hetero atoms, and one or more rings having nitrogen as the only ring hetero atom containing two hetero rings directly linked by a ring-member-to-ring-member bond
    • CCHEMISTRY; METALLURGY
    • C07ORGANIC CHEMISTRY
    • C07DHETEROCYCLIC COMPOUNDS
    • C07D405/00Heterocyclic compounds containing both one or more hetero rings having oxygen atoms as the only ring hetero atoms, and one or more rings having nitrogen as the only ring hetero atom
    • C07D405/14Heterocyclic compounds containing both one or more hetero rings having oxygen atoms as the only ring hetero atoms, and one or more rings having nitrogen as the only ring hetero atom containing three or more hetero rings
    • CCHEMISTRY; METALLURGY
    • C07ORGANIC CHEMISTRY
    • C07DHETEROCYCLIC COMPOUNDS
    • C07D413/00Heterocyclic compounds containing two or more hetero rings, at least one ring having nitrogen and oxygen atoms as the only ring hetero atoms
    • C07D413/14Heterocyclic compounds containing two or more hetero rings, at least one ring having nitrogen and oxygen atoms as the only ring hetero atoms containing three or more hetero rings

Definitions

  • the present invention relates to substituted isoquinoline compounds
  • compositions, and methods of use thereof for (i) inhibiting HIV replication in a subject infected with HIV, or (ii) treating a subject infected with HIV, by administering such compounds.
  • HAART highly active antiretroviral therapy
  • salvage therapy includes at least two, and preferably three, fully active drugs.
  • first-line therapies combine three to four drugs targeting the viral enzymes RT and protease (PR).
  • PR protease
  • One option for salvage therapy is to administer different combinations of drugs from the same mechanistic class that remain active against the resistant isolates.
  • the options for this approach are often limited, as resistant mutations frequently confer broad cross-resistance to different drugs in the same class.
  • Alternative therapeutic strategies have recently become available with the development of fusion, entry, and integrase (IN) inhibitors.
  • resistance to all three new drug classes has already been reported both in vitro and in vivo. Sustained successful treatment of HIV-1 -infected patients with antiretroviral drugs will therefore require the continued development of new and improved drugs with new targets and mechanisms of action.
  • L is linker that is selected from the group consisting of a direct bond, a branched or straight chain (C C 6 )alkylene, -S0 2 - and -C(0)NH-;
  • R 1 is selected from (d-C 6 )alkyl or (C 3 -C 7 )cycloalkyl;
  • R 2 is selected from the group consi 2 R 9 , -C(0)R 15 ,
  • R 3 is selected from the group consisting of (CrC 6 )alkyl, -OR 10 , and -(C 3 - C 7 )cycloalkyl(R 10 );
  • R 4 is selected from the group consisting of (C 5 -Ci 4 )aryl, (C 3 -C 7 )cycloalkyl, (C 2 - C 9 )heterocycle, and (C 2 -C 9 )heteroaryl, wherein the heterocyde and heteroaryl each comprise one to three heteroatoms selected from S, N and O;
  • R 5 , R 6 , R 7 , and R 8 are independently selected from -H, (d-C 6 )alkyl, (CrC 6 )alkoxy, halo, nitrile, (C 3 -C 7 )cycloalkyl, -OR 10 (C 5 -Ci 4 )aryl, -OR 10 R 14 , -OR 10 (C 5 -Ci 4 )aryl(R 11 ) m ,
  • R 9 is independently selected from -H or (CrC 6 )alkyl
  • R 10 is (CrC 6 )alkyl
  • R 11 , R 12 , and R 13 are independently selected from the group consisting of -H, (d- C 6 )alkyl, (C C 6 )alkoxy, oxo, halo, -R 10 (R 14 ) q , -OR 10 (R 14 ) q , -S0 2 R 10 ; -C(0)R 10 , -C(0)R 15 , and
  • R 14 is halo
  • R 15 is -N(R 16 ) 2 ;
  • R 16 is independently selected from the group consisting of -H, (C 1 -C 6 )alkyl, hydroxyl, -S0 2 R 10 , -SO 2 N(R 10 ) 2 , -C(0)NHR 10 , -C(0)R 18 , and -(C 5 -Ci 4 )aryl(R 11 );
  • R 17 is -OR 9 ;
  • R 18 is -C0 2 R 9 ;
  • Y is independently selected from (C 2 -C 9 )heterocycle or (C 2 -C 9 )heteroaryl, each having one to four heteroatoms selected from S, N and O, wherein X and Y are optionally substituted by one to four R 11 groups;
  • n is zero or an integer selected from 1 , 2, 3, or 4;
  • n is zero or an integer selected from 1 , 2, or 3;
  • p is zero or an integer selected from 1 , 2, or 3;
  • q is an integer selected from 1 , 2, or 3.
  • L is linker that is selected from the group consisting of a direct bond, a branched or straight chain (C C 6 )alkylene, -S0 2 - and -C(0)NH-;
  • R 1 is selected from (d-C 6 )alkyl or (C 3 -C 7 )cycloalkyl;
  • R J is selected from the group consisting of (CrC 6 )alkyl, -OR' u , and -(Z)R 10 ;
  • R 4 is selected from the roup consisting of -NR 9 (X), tetrahydropyridoquinolinyl,
  • X, Y, Z, XY, XZ, and ZZ rings indicated by a dashed circle are as defined below and wherein the XY, XZ, ZZ rings each together form a bicyclic fused ring system comprised of the indicated rings and wherein the X, Y, and Z individual rings each form a monocyclic ring comprised of the indicated rings;
  • R 5 , R 6 , and R 7 are independently selected from the group consisting of -H, -OH, (Ci- C 6 )alkyl, (C C 6 )alkoxy, halo, nitrile, (C 3 -C 7 )cycloalkyl, -OR 10 (X), -OR 10 R 14 , -OR 10 (X)(R 11 ) m , -R 10 (Y)(R 12 ) n , -OR 10 R 17 , -R 10 R 17 , -R 17 R 15 , -OR 10 (R 14 ) q , -OR 10 (Y), -OR 10 R 18 , -OS0 2 R 15 , -R 15 , -(X), -(Y), -(Y)(R 12 ) n , -C(0)(Y), -C(0)R 15 , -R 10 (X), -R 10 R 15 , and -(X)R 15 ;
  • R 9 is independently selected from the group consisting of H and (C 1 -C 6 )alkyl;
  • R 10 is (CrC 6 )alkyl;
  • R 11 , R 12 , and R 13 are independently selected from the group consisting of -H, (d- C 6 )alkyl, (CrC 6 )alkoxy, oxo, halo, -R 10 (R 14 ) q , -OR 10 (R 14 ) q , -S0 2 R 1 °; -C(0)R 10 , -C(0)R 15 , and -R 10 R 17 ;
  • R 14 is halo
  • R 15 is -N(R 16 ) 2 ;
  • R 16 is independently selected from the group consisting of -H, (CrC 6 )alkyl, hydroxyl, -S0 2 R 10 , -SO 2 N(R 10 ) 2 , -C(0)NHR 10 , -C(0)R 18 , and -(X)(R 11 );
  • R 17 is -OR 9 ;
  • R 18 is -C0 2 R 9 ;
  • X is (C 5 -C 14 )aryl
  • Y is independently selected from (C 2 -C 9 )heterocycle or (C 2 -C 9 )heteroaryl, each having one to three heteroatoms selected from S, N and O;
  • Z is (C 3 -C 7 )cycloalkyl
  • n is zero or an integer selected from 1 , 2, 3, or 4;
  • n is zero or an integer selected from 1 , 2, or 3;
  • p is zero or an integer selected from 1 , 2, or 3;
  • q is an integer selected from 1 , 2, or 3.
  • L is linker that is selected from the group consisting of a direct bond, a branched or straight chain (C C 6 )alkylene, -S0 2 - and -C(0)NH-;
  • R 1 is selected from the group consisting of -H, (CrC 6 )alkyl and (C 3 -C 7 )cycloalkyl; 2 is selected from the group consisting of -C0 2 R 9 , -C(0)R
  • R 3 is selected from the group consisting of (C 1 -C 6 )alkyl, -OR 10 , and -(C 3 - C 7 )cycloalkylR 10 ;
  • R 4 is selected from the group consisting of:
  • R 5 , R 6 , R 7 , and R 8 are independently selected from -H, -OH, (C C 6 )alkyl, (C C 6 )alkoxy, halo, nitrile, (C 3 -C 7 )cycloalkyl, -OR 10 (X), -OR 10 R 14 , -OR 10 (X)(R 11 ) m ,
  • R 9 is independently selected from the group consisting of -H and (Ci-C 6 )alkyl
  • R 10 is (CrC 6 )alkyl
  • R 11 , R 12 , and R 13 are independently selected from the group consisting of -H, (d-C 6 )alkyl, (C C 6 )alkoxy, oxo, halo, -R 10 (R 14 ) q , -OR 10 (R 14 ) q , -S0 2 R 10 ; -C(0)R 10 , -C(0)R 15 , and -R 10 R 17 ;
  • R 14 is halo
  • R 15 is -N(R 16 ) 2 ;
  • R 16 is independently selected from the group consisting of -H, (C 1 -C 6 )alkyl, hydroxyl, -S0 2 R 1 °, -SO 2 N(R 10 ) 2 , -C(0)NHR 10 , -C(0)R 18 , and -(X)(R 11 );
  • R 17 is -OR 9 ;
  • R 18 is -C0 2 R 9 ;
  • Y is independently selected from (C 2 -C 9 )heterocycle or (C 2 -C 9 )heteroaryl, each having one to three heteroatoms selected from S, N and O;
  • n is zero or an integer selected from 1 , 2, 3, or 4;
  • n is zero or an integer selected from 1 , 2, or 3;
  • q is an integer selected from 1 , 2, or 3.
  • L is linker that is selected from the group consisting of a direct bond, methylene, -S0 2 - and -C(0)NH-;
  • X is phenyl
  • R 4 is selected from the group consisting of phenyl, dihydrobenzopyranyl, naphthalenyl, pyridinyl, benzodioxolyl, benzodioxinyl, dihydrobenzodioxepinyl, quinolinyl, dihydrobenzofuranyl, tetrahydroisoquinolinyl, dihydrobenzoxazinyl, dihydroindenyl, benzothiazolyl, furanyl, pyrazolyl, and tetrahydropyridoquinolinyl;
  • R 5 , R 6 , and R 7 are independently selected from H, methyl, ethyl, propyl, butyl, hydroxyl, fluoro, chloro, bromo, methoxy, ethoxy, propoxy, methoxyethoxy, fluorophenylmethoxy, difluorophenylmethoxy, pyridinylmethoxy, trifluorophenylmethoxy, fluoropyridinylmethoxy, methylpyridinylmethoxy, phenyl, dimethyloxazolylmethoxy, thiophenylmethoxy, fluoroethoxy, chlorothiophenylmethoxy, methylthiophenylmethoxy, hydroxyethoxy, dimethylaminoethoxy, difluoromethoxy, pyrrolidinylethoxy, morpholinylethoxy, carboxylmethoxy, dimethylsulfamoyloxy, trifluoromethyl, methyl
  • R 9 is independently selected from the group consisting of -H, methyl, ethyl, propyl, isopropyl, butyl, isobutyl, tert-butyl, pentyl, and septyl;
  • R 10 is selected from the group consisting of -H, methyl, ethyl, propyl, isopropyl, butyl, isobutyl, tert-butyl, penty, and septyl;
  • R 11 , R 12 , and R 13 are independently selected from the group consisting of -H, methyl, ethyl, methoxy, ethoxy, oxo, chloro, fluoro, bromo, trifluoromethyl, trifluoromethoxy,
  • R 14 is selected from the group consisting of chloro, fluoro, and bromo.
  • R 15 is -N(R 16 ) 2 ;
  • R 16 is independently selected from the group consisting of -H, methyl, ethyl, hydroxyl, methylsulfonyl, -S0 2 N(methyl) 2 , -C(0)NHmethyl, -C(0)R 18 , and -(X)(R 11 );
  • R 17 is -OR 9 ;
  • R 18 is -C0 2 R 9 .
  • composition comprising a pharmaceutically acceptable carrier or excipient and a therapeutically effective amount of a compound of Formula I, or a pharmaceutically acceptable salt thereof.
  • a method for treating a viral infection in a patient mediated at least in part by a virus in the retrovirus family of viruses comprising administering to said patient a composition comprising a compound of any of Formula I, or a pharmaceutically acceptable salt thereof.
  • the viral infection is mediated by the HIV virus.
  • a particular embodiment of the present invention provides a method of treating a subject infected with HIV comprising administering to the subject a therapeutically effective amount of the compound of Formula I, or a pharmaceutically acceptable salt thereof.
  • a particular embodiment of the present invention provides a method of inhibiting progression of HIV infection in a subject at risk for infection with HIV comprising administering to the subject a therapeutically effective amount of the compound of Formula I, or a pharmaceutically acceptable salt thereof.
  • alkyl refers to to a monovalent saturated aliphatic hydrocarbyl group having from 1 to 14 carbon atoms and, in some embodiments, from 1 to 6 carbon atoms.
  • (C x- C y )alkyl refers to alkyl groups having from x to y carbon atoms.
  • alkyl includes, by way of example, linear and branched hydrocarbyl groups such as methyl (CH 3 -), ethyl (CH 3 CH 2 -), n-propyl (CH 3 CH2CH2-), isopropyl ((CH 3 ) 2 CH-), n-butyl (CH 3 CH 2 CH 2 CH 2 -), isobutyl ((CH 3 ) 2 CHCH 2 -), sec-butyl ((CH 3 )(CH 3 CH 2 )CH-), f-butyl ((CH 3 ) 3 C-), n-pentyl (CH 3 CH 2 CH 2 CH 2 CH 2 -), and neopentyl ((CH 3 ) 3 CCH 2 -).
  • Alkylidene or “alkylene” refers to divalent saturated aliphatic hydrocarbyl groups having from 1 to 10 carbon atoms and, in some embodiments, from 1 to 6 carbon atoms.
  • (C u-V )alkylene refers to alkylene groups having from u to v carbon atoms.
  • the alkylidene and alkylene groups include branched and straight chain hydrocarbyl groups.
  • (Ci_ 6 )alkylene is meant to include methylene, ethylene, propylene, 2-methypropylene, pentylene, and so forth.
  • (C x -C y )alkenyl refers to alkenyl groups having from x to y carbon atoms and is meant to include for example, ethenyl, propenyl, isopropylene, 1 ,3-butadienyl, and the like.
  • Alkynyl refers to a linear monovalent hydrocarbon radical or a branched monovalent hydrocarbon radical containing at least one triple bond.
  • alkynyl is also meant to include those hydrocarbyl groups having one triple bond and one double bond.
  • (C 2 -C 6 )alkynyl is meant to include ethynyl, propynyl, and the like.
  • Alkoxy refers to the group -O-alkyl wherein alkyl is defined herein. Alkoxy includes, by way of example, methoxy, ethoxy, n-propoxy, isopropoxy, n-butoxy, f-butoxy, sec-butoxy, and n-pentoxy.
  • Acyl refers to the groups H-C(O)-, alkyl-C(O)-, alkenyl-C(O)-, alkynyl-C(O)-, cycloalkyl-C(O)-, aryl-C(O)-, heteroaryl-C(O)-, and heterocyclic-C(O)-.
  • Acyl includes the "acetyl” group CH 3 C(0)-.
  • Acylamino refers to the groups -NR 20 C(O)alkyl, -NR 20 C(O)cycloalkyl,
  • Acyloxy refers to the groups alkyl-C(0)0- alkenyl-C(0)0-, alkynyl-C(0)0-, aryl-C(0)0-, cycloalkyl-C(0)0-, heteroaryl-C(0)0-, and heterocyclic-C(0)0-.
  • Amino refers to the group -NR 21 R 22 where R 21 and R 22 are independently selected from hydrogen, alkyl, alkenyl, alkynyl, aryl, cycloalkyl, heteroaryl, heterocyclic, -S0 2 -alkyl, -S0 2 -alkenyl, -S0 2 -cycloalkyl, -S0 2 -aryl, -S0 2 -heteroaryl, and -S0 2 -heterocyclic, and wherein R 21 and R 22 are optionally joined together with the nitrogen bound thereto to form a heterocyclic group.
  • R 21 is hydrogen and R 22 is alkyl
  • the amino group is sometimes referred to herein as alkylamino.
  • R 21 and R 22 are alkyl, the amino group is sometimes referred to herein as dialkylamino.
  • a monosubstituted amino it is meant that either R 21 or R 22 is hydrogen but not both.
  • a disubstituted amino it is meant that neither R 21 nor R 22 are hydrogen.
  • Hydroxyamino refers to the group -NHOH.
  • Alkoxyamino refers to the group -NHO-alkyl wherein alkyl is defined herein.
  • Aminocarbonyl refers to the group -C(0)NR 26 R 27 where R 26 and R 27 are independently selected from hydrogen, alkyl, alkenyl, alkynyl, aryl, cycloalkyl, heteroaryl, heterocyclic, hydroxy, alkoxy, amino, and acylamino, and where R 26 and R 27 are optionally joined together with the nitrogen bound thereto to form a heterocyclic group.
  • Aryl refers to an aromatic group of from 6 to 14 carbon atoms and no ring heteroatoms and having a single ring (e.g., phenyl) or multiple condensed (fused) rings (e.g., naphthyl or anthryl).
  • a single ring e.g., phenyl
  • multiple condensed (fused) rings e.g., naphthyl or anthryl.
  • Aryl or “Ar” applies when the point of attachment is at an aromatic carbon atom (e.g., 5,6,7,8
  • tetrahydronaphthalene-2-yl is an aryl group as its point of attachment is at the 2-position of the aromatic phenyl ring).
  • Cycloalkyl refers to a saturated or partially saturated cyclic group of from 3 to
  • cycloalkyl 14 carbon atoms and no ring heteroatoms and having a single ring or multiple rings including fused, bridged, and spiro ring systems.
  • cycloalkyl applies when the point of attachment is at a non-aromatic carbon atom (e.g. 5,6,7,8,-tetrahydronaphthalene-5-yl).
  • Cycloalkyl includes cycloalkenyl groups, such as cyclohexenyl.
  • cycloalkyl groups include, for instance, adamantyl, cyclopropyl, cyclobutyl, cyclohexyl, cyclopentyl, cyclooctyl, cyclopentenyl, and cyclohexenyl.
  • Examples of cycloalkyl groups that include multiple bicycloalkyl ring systems are bicyclohexyl, bicyclopentyl, bicyclooctyl, and the like. Two such bic cloalkyl multiple ring structures are exemplified and named below:
  • (C u -C v )cycloalkyl refers to cycloalkyi groups having u to v carbon atoms.
  • Spiro cycloalkyi refers to a 3 to 10 member cyclic substituent formed by replacement of two hydrogen atoms at a common carbon atom in a cyclic ring structure or in an alkylene group having 2 to 9 carbon atoms, as exemplified by the following structure wherein the group shown here attached to bonds marked with wavy lines is substituted with a spiro cycloalkyi group:
  • Fused cycloalkyi refers to a 3 to 10 member cyclic substituent formed by the replacement of two hydrogen atoms at different carbon atoms in a cycloalkyi ring structure, as exemplified by the following structure wherein the cycloalkyi group shown here contains bonds marked with wavy lines which are bonded to carbon atoms that are substituted with a fused cycloalkyi group:
  • Halo or "halogen” refers to fluoro, chloro, bromo, and iodo.
  • Haloalkoxy refers to substitution of alkoxy groups with 1 to 5 (e.g. when the alkoxy group has at least 2 carbon atoms) or in some embodiments 1 to 3 halo groups (e.g. trifluoromethoxy).
  • Heteroaryl refers to an aromatic group of from 1 to 14 carbon atoms and 1 to 6 heteroatoms selected from oxygen, nitrogen, and sulfur and includes single ring (e.g. imidazolyl) and multiple ring systems (e.g. benzimidazol-2-yl and benzimidazol-6-yl).
  • single ring e.g. imidazolyl
  • multiple ring systems e.g. benzimidazol-2-yl and benzimidazol-6-yl.
  • the term “heteroaryl” applies if there is at least one ring heteroatom and the point of attachment is at an atom of an aromatic ring (e.g.
  • the nitrogen and/or the sulfur ring atom(s) of the heteroaryl group are optionally oxidized to provide for the N-oxide (N ⁇ 0), sulfinyl, or sulfonyl moieties.
  • heteroaryl includes, but is not limited to, pyridyl, furanyl, thienyl, thiazolyl, isothiazolyl, triazolyl, imidazolyl, imidazolinyl, isoxazolyl, pyrrolyl, pyrazolyl, pyridazinyl, pyrimidinyl, purinyl, phthalazyl, naphthylpryidyl, benzofuranyl,
  • Heterocyclic or “heterocycle” or “heterocycloalkyl” or “heterocyclyl” refers to a saturated or partially saturated cyclic group having from 1 to 14 carbon atoms and from 1 to 6 heteroatoms selected from nitrogen, sulfur, phosphorus or oxygen and includes single ring and multiple ring systems including fused, bridged, and spiro ring systems.
  • heterocyclic For multiple ring systems having aromatic and/or non-aromatic rings, the terms “heterocyclic”, “heterocycle”, “heterocycloalkyl”, or “heterocyclyl” apply when there is at least one ring heteroatom and the point of attachment is at an atom of a non-aromatic ring (e.g.
  • the nitrogen, phosphorus and/or sulfur atom(s) of the heterocyclic group are optionally oxidized to provide for the N-oxide, phosphinane oxide, sulfinyl, sulfonyl moieties.
  • the heterocyclyl includes, but is not limited to, tetrahydropyranyl, piperidinyl, piperazinyl, 3-pyrrolidinyl, 2- pyrrolidon-1 -yl, morpholinyl, and pyrrolidinyl.
  • a prefix indicating the number of carbon atoms (e.g., C3-C10) refers to the total number of carbon atoms in the portion of the heterocyclyl group exclusive of the number of heteroatoms.
  • heterocycle and heteroaryl groups include, but are not limited to, azetidine, pyrrole, imidazole, pyrazole, pyridine, pyrazine, pyrimidine, pyridazine, pyridone, indolizine, isoindole, indole, dihydroindole, indazole, purine, quinolizine, isoquinoline, quinoline, phthalazine, naphthylpyridine, quinoxaline, quinazoline, cinnoline, pteridine, carbazole, carboline, phenanthridine, acridine, phenanthroline, isothiazole, phenazine, isoxazole, phenoxazine, phenothiazine, imidazolidine, imidazoline, piperidine, piperazine, indoline, phthalimide, 1 ,2,3,4-tetra
  • fused heterocyclic refers to a 3 to 10 member cyclic substituent formed by the replacement of two hydrogen atoms at different carbon atoms in a cycloalkyi ring structure, as exemplified by the following structure wherein the cycloalkyi group shown here contains bonds marked with wavy lines which are bonded to carbon atoms that are substituted with a fused heterocyclic group:
  • Compound refers to a compound encompassed by the generic formulae disclosed herein, any subgenus of those generic formulae, and any forms of the compounds within the generic and subgeneric formulae, including the racemates, stereoisomers, and tautomers of the compound or compounds.
  • heteroatom means nitrogen, oxygen, or sulfur and includes any oxidized form of nitrogen, such as N(O) ⁇ N + — O ⁇ ⁇ and sulfur such as S(O) and S(O) 2 , and the quaternized form of any basic nitrogen.
  • Oxazolidinone refers to a 5-membered heterocyclic ring containing one nitrogen and one oxygen as heteroatoms and also contains two carbons and is substituted at one of the two carbons by a carbonyl group as exemplified by any of the following structures, wherein the oxazolidinone groups shown here are bonded to a parent molecule, which is indicated by a wavy line in the bond to the parent molecule:
  • Racemates refers to a mixture of enantiomers.
  • the compounds of Formulas I or II, or pharmaceutically acceptable salts thereof are enantiomerically enriched with one enantiomer wherein all of the chiral carbons referred to are in one configuration.
  • reference to an enantiomerically enriched compound or salt is meant to indicate that the specified enantiomer will comprise more than 50% by weight of the total weight of all enantiomers of the compound or salt.
  • Solvate or “solvates” of a compound refer to those compounds, as defined above, which are bound to a stoichiometric or non-stoichiometric amount of a solvent.
  • Solvates of a compound includes solvates of all forms of the compound.
  • solvents are volatile, non-toxic, and/or acceptable for administration to humans in trace amounts. Suitable solvates include water.
  • Stereoisomer or “stereoisomers” refer to compounds that differ in the chirality of one or more stereocenters. Stereoisomers include enantiomers and diastereomers.
  • the term 'atropisomer' refers to a stereoisomer resulting from an axis of asymmetry. This can result from restricted rotation about a single bond where the rotational barrier is high enough to allow differentiation of the isomeric species up to and including complete isolation of stable non-interconverting diastereomer or enantiomeric species (Eliel, E. and Wilen, S. (1994) Stereochemistry of Organic Compounds, John Wiley & Sons, Inc.).
  • One skilled in the art will recognize that upon installing a nonsymmetrical R 4 , the formation of atropisomers is possible.
  • the two chiral elements taken together can create diastereomeric and enantiomeric stereochemical species.
  • interconversion between the atropisomers may or may not be possible and may depend on temperature.
  • the atropisomers may interconvert rapidly at room temperature and not resolve under ambient conditions.
  • Other situations may allow for resolution and isolation but interconversion can occur over a period of seconds to hours or even days or months such that optical purity is degraded measurably over time.
  • Yet other species may be completely restricted from interconversion under ambient and/or elevated temperatures such that resolution and isolation is possible and yields stable species.
  • the resolved atropisomers were named using the helical nomenclature. For this designation, only the two ligands of highest priority in front and behind the axis are considered. When the turn priority from the front ligand 1 to the rear ligand 1 is clockwise, the configuration is P, if
  • “Pharmaceutically acceptable salt” refers to pharmaceutically acceptable salts derived from a variety of organic and inorganic counter ions well known in the art and include, by way of example only, sodium, potassium, calcium, magnesium, ammonium, and
  • salts of organic or inorganic acids such as hydrochloride, hydrobromide, tartrate, mesylate, acetate, maleate, and oxalate.
  • Suitable salts include those described in P. Heinrich Stahl, Camille G. Wermuth (Eds.), Handbook of Pharmaceutical Salts Properties, Selection, and Use; 2002.
  • Patient refers to mammals and includes humans and non-human mammals.
  • Treating" or “treatment” of a disease in a patient refers to 1 ) preventing the disease from occurring in a patient that is predisposed or does not yet display symptoms of the disease; 2) inhibiting the disease or arresting its development; or 3) ameliorating or causing regression of the disease.
  • substituents that are not explicitly defined herein are arrived at by naming the terminal portion of the functionality followed by the adjacent functionality toward the point of attachment.
  • substituent "arylalkyloxycarbonyl” refers to the group (aryl)-(alkyl)-0-C(0)-.
  • -C(R X ) 2 it should be understood that the two R x groups can be the same, or they can be different if R x is defined as having more than one possible identity.
  • certain substituents are drawn as -R x R y , where the "-" indicates a bond adjacent to the parent molecule and R y being the terminal portion of the functionality.
  • impermissible substitution patterns ⁇ e.g., methyl substituted with 5 fluoro groups). Such impermissible substitution patterns are well known to the skilled artisan.
  • L is linker that is selected from the group consisting of a direct bond, a branched or straight chain (C C 6 )alkylene, -S0 2 - and -C(0)NH-;
  • R 1 is selected from (d-C 6 )alkyl or (C 3 -C 7 )cycloalkyl;
  • R 2 is selected from the group consisting of -C0 2 R 9 , -C(0)R 15 ,
  • R 3 is selected from the group consisting of (CrC 6 )alkyl, -OR 10 , and -(C 3 - C 7 )cycloalkyl(R 10 );
  • R 4 is selected from the group consisting of (C 5 -Ci 4 )aryl, (C 3 -C 7 )cycloalkyl, (C 2 - C 9 )heterocycle, and (C 2 -C 9 )heteroaryl, wherein the heterocycle and heteroaryl each comprise one to three heteroatoms selected from S, N and O;
  • R 5 , R 6 , R 7 , and R 8 are independently selected from -H, (CrC 6 )alkyl, (CrC 6 )alkoxy, halo, nitrile, (C 3 -C 7 )cycloalkyl, -OR 10 (C 5 -Ci 4 )aryl, -OR 10 R 14 , -OR 10 (C 5 -Ci 4 )aryl(R 11 ) m ,
  • R 9 is independently selected from -H or (C 1 -C 6 )alkyl
  • R 10 is (C C 6 )alkyl
  • R 11 , R 12 , and R 13 are independently selected from the group consisting of -H, (C C 6 )alkyl, (C C 6 )alkoxy, oxo, halo, -R 10 (R 14 ) q , -OR 10 (R 14 ) q , -S0 2 R 10 ; -C(0)R 10 , -C(0)R 15 , and
  • R 14 is halo
  • R 15 is -N(R 16 ) 2 ;
  • R 16 is independently selected from the group consisting of -H, (CrC 6 )alkyl, hydroxyl, -S0 2 R 10 , -SO 2 N(R 10 ) 2 , -C(0)NHR 10 , -C(0)R 18 , and -(C 5 -Ci 4 )aryl(R 11 );
  • R 17 is -OR 9 ;
  • R 18 is -C0 2 R 9 ;
  • Y is independently selected from (C 2 -C 9 )heterocycle or (C 2 -C 9 )heteroaryl, each having one to four heteroatoms selected from S, N and O, wherein X and Y are optionally substituted by one to four R 11 groups;
  • n is zero or an integer selected from 1 , 2, or 3;
  • p is zero or an integer selected from 1 , 2, or 3;
  • q is an integer selected from 1 , 2, or 3.
  • L is selected from the group consisting of a bond, -C(0)NH-, -S0 2 -, methylene, and ethylene.
  • R 1 is selected from the group consisting of methyl, ethyl, and cyclopropyl.
  • R 2 is selected from the group consisting of carboxyl, hydroxyamide, hydroxymethylamide, methylsulfonylamide,
  • R 3 is selected from the group consisting of methyl, ethyl, propyl, butyl, methoxy, ethoxy, propoxy, butoxy, pentoxy, and methylcyclobutoxy.
  • R 3 is tert-butoxy.
  • R 4 is selected from the group consisting of (C 5 -Ci 4 )aryl, (C 3 -C 7 )cycloalkyl, (C2-C 9 )heterocycle, and (C2-C 9 )heteroaryl, wherein the heterocycle and heteroaryl each comprise one to four heteroatoms selected from S, N and O.
  • R 4 is selected from the group consisting of phenyl, dihydrobenzopyranyl, naphthalenyl, pyridinyl, benzodioxolyl, benzodioxinyl, dihydrobenzodioxepinyl, quinolinyl, dihydrobenzofuranyl, tetrahydroisoquinolinyl, dihydrobenzoxazinyl, dihydroindenyl,
  • R 4 is selected from phenyl or dihydrobenzopyranyl.
  • R 4 is optionally substituted by one to three groups selected from methyl, ethyl, oxo, methoxy, ethoxy, propoxy, methoxymethyl, flouro, chloro, bromo, trifluoromethoxy, trifluoromethyl, methylsulfonyl, dimethylamide, cyclohexyloxy, acetyl, and fluoromethyl.
  • R 4 is optionally substituted by one to three groups selected from methyl, methoxy, flouro, chloro, trifluoromethoxy, trifluoromethyl, acetyl.
  • R 4 is substituted by one to two groups selected from methyl, flouro, chloro.
  • R 4 is substituted by one to two groups selected from methyl and fluoro.
  • R 5 , R 6 , R 7 , and R 8 are independently selected from the group consisting of - H, methyl, ethyl, propyl, butyl, hydroxyl, fluoro, chloro, bromo, methoxy, ethoxy, propoxy, methoxyethoxy, cyclopropyl, cyclohexyl, fluorophenylmethoxy, difluorophenylmethoxy, pyridinylmethoxy, trifluorophenylmethoxy, fluoropyridinylmethoxy, methylpyridinylmethoxy, phenyl, dimethyloxazolylmethoxy, thiophenylmethoxy, fluoroethoxy, chlorothiophenylmethoxy, methylthiophenylmethoxy, hydroxyethoxy, dimethylaminoethoxy, difluoromethoxy,
  • pyrrolidinylethoxy morpholinylethoxy, carboxylmethoxy, dimethylsulfamoyloxy, trifluoromethyl, methylsulfonylphenylmethoxy, chlorophenylmethoxy, pyrimidinylmethoxy,
  • R 9 is independently selected from the group consisting of -H, methyl, ethyl, propyl, isopropyl, butyl, isobutyl, tert-butyl, pentyl and septyl.
  • R 9 is independently selected from the group consisting of methyl, ethyl, propyl, isopropyl, butyl, isobutyl, tert-butyl, pentyl and septyl.
  • R 10 is independently selected from the group consisting of methyl, ethyl, propyl, isopropyl, butyl, isobutyl, tert-butyl, pentyl and septyl.
  • R 11 , R 12 , and R 13 are independently selected from the group consisting of - H, methyl, ethyl, methoxy, ethoxy, oxo, chloro, fluoro, bromo, trifluoromethyl, trifluoromethoxy, methylsulfonyl, -C(0)methyl, -C(0)R 15 , and methylmethoxy.
  • R 16 is independently selected from the group consisting of -H, methyl, ethyl, hydroxyl, methylsulfonyl, -S0 2 N(methyl) 2 , -C(0)NHmethyl, -C(0)R 18 , and -(X)(R 11 ).
  • L is linker that is selected from the group consisting of a direct bond, a branched or straight chain (C C 6 )alkylene, -S0 2 - and -C(0)NH-;
  • R 1 is selected from (d-C 6 )alkyl or (C 3 -C 7 )cycloalkyl;
  • R 3 is selected from the group consisting of (CrC 6 )alkyl, -OR 10 , and -(Z)R 10 ;
  • R 4 is selected from the group consisting of -NR 9 (X), tetrahydropyridoquinolinyl, , wherein the X, Y, Z, XY, XZ, and ZZ rings indicated by a dashed circle are as defined below and wherein the XY, XZ, ZZ rings each together form a bicyclic fused ring system comprised of the indicated rings and wherein the X, Y, and Z individual rings each form a monocyclic ring comprised of the indicated rings;
  • R 5 , R 6 , and R 7 are independently selected from the group consisting of -H, -OH, (C-r C 6 )alkyl, (C C 6 )alkoxy, halo, nitrile, (C 3 -C 7 )cycloalkyl, -OR 10 (X), -OR 10 R 14 , -OR 10 (X)(R 11 ) m , -R 10 (Y)(R 12 )n, -OR 10 R 17 , -R 10 R 17 , -R 17 R 15 , -OR 10 (R 14 ) q , -OR 10 (Y), -OR 10 R 18 , -OS0 2 R 15 , -R 15 , -(X),
  • R 9 is independently selected from the group consisting of H and (CrC 6 )alkyl
  • R 10 is (CrC 6 )alkyl
  • R 11 , R 12 , and R 13 are independently selected from the group consisting of -H, (d-
  • R 14 is halo
  • R 15 is -N(R 16 ) 2 ;
  • R 16 is independently selected from the group consisting of -H, (CrC 6 )alkyl, hydroxyl, -S0 2 R 10 , -SO 2 N(R 10 ) 2 , -C(0)NHR 10 , -C(0)R 18 , and -(X)(R 11 );
  • R 17 is -OR 9 ;
  • R 18 is -C0 2 R 9 ;
  • X is (C 5 -C 14 )aryl
  • Y is independently selected from (C 2 -C 9 )heterocycle or (C 2 -C 9 )heteroaryl, each having one to three heteroatoms selected from S, N and O;
  • Z is (C 3 -C 7 )cycloalkyl; m is zero or an integer selected from 1 , 2, 3, or 4;
  • n is zero or an integer selected from 1 , 2, or 3;
  • p is zero or an integer selected from 1 , 2, or 3;
  • q is an integer selected from 1 , 2, or 3.
  • L is linker that is selected from the group consisting of a direct bond, a branched or straight chain (C C 6 )alkylene, -S0 2 - and -C(0)NH-;
  • R 1 is selected from the group consisting of -H, (d-C 6 )alkyl and (C 3 -C 7 )cycloalkyl;
  • R 3 is selected from the group consisting of (CrC 6 )alkyl, -OR 10 , and -(C 3 - C 7 )cycloalkylR 10 ;
  • R 4 is selected from the group consisting of:
  • R b , R b , R ⁇ and R B are independently selected from -H, -OH, (C C 6 )alkyl, (C
  • R 9 is independently selected from the group consisting of -H and (Ci-C 6 )alkyl
  • R 10 is (CrC 6 )alkyl
  • R 11 , R 12 , and R 13 are independently selected from the group consisting of -H,
  • R 14 is halo
  • R 15 is -N(R 16 ) 2 ;
  • R 16 is independently selected from the group consisting of -H, (CrC 6 )alkyl, hydroxyl, -S0 2 R 1 °, -SO 2 N(R 10 ) 2 , -C(0)NHR 10 , -C(0)R 18 , and -(X)(R 11 );
  • R 17 is -OR 9 ;
  • R 18 is -C0 2 R 9 ;
  • Y is independently selected from (C 2 -C 9 )heterocycle or (C 2 -C 9 )heteroaryl, each having one to three heteroatoms selected from S, N and O;
  • n is zero or an integer selected from 1 , 2, 3, or 4;
  • n is zero or an integer selected from 1 , 2, or 3;
  • q is an integer selected from 1 , 2, or 3.
  • L is linker that is selected from the group consisting of a direct bond, methylene, -S0 2 -, and -C(0)NH-;
  • X is phenyl
  • R 4 is selected from the group consisting of phenyl, dihydrobenzopyranyl, naphthalenyl, pyridinyl, benzodioxolyl, benzodioxinyl, dihydrobenzodioxepinyl, quinolinyl, dihydrobenzofuranyl, tetrahydroisoquinolinyl, dihydrobenzoxazinyl, dihydroindenyl, benzothiazolyl, furanyl, pyrazolyl, and tetrahydropyridoquinolinyl;
  • R 5 , R 6 , and R 7 are independently selected from H, methyl, ethyl, propyl, butyl, hydroxyl, fluoro, chloro, bromo, methoxy, ethoxy, propoxy, methoxyethoxy, fluorophenylmethoxy, difluorophenylmethoxy, pyridinylmethoxy, trifluorophenylmethoxy, fluoropyridinylmethoxy, methylpyridinylmethoxy, phenyl, dimethyloxazolylmethoxy, thiophenylmethoxy, fluoroethoxy, chlorothiophenylmethoxy, methylthiophenylmethoxy, hydroxyethoxy, dimethylaminoethoxy, difluoromethoxy, pyrrolidinylethoxy, morpholinylethoxy, carboxylmethoxy, dimethylsulfamoyloxy, trifluoromethyl, methyl
  • R 9 is independently selected from the group consisting of -H, methyl, ethyl, propyl, isopropyl, butyl, isobutyl, tert-butyl, pentyl, and septyl;
  • R 10 is selected from the group consisting of -H, methyl, ethyl, propyl, isopropyl, butyl, isobutyl, tert-butyl, penty, and septyl;
  • R 11 , R 12 , and R 13 are independently selected from the group consisting of -H, methyl, ethyl, methoxy, ethoxy, oxo, chloro, fluoro, bromo, trifluoromethyl, trifluoromethoxy,
  • R 14 is selected from the group consisting of chloro, fluoro, and bromo.
  • R 15 is -N(R 16 ) 2 ;
  • R 16 is independently selected from the group consisting of -H, methyl, ethyl, hydroxyl, methylsulfonyl, -S0 2 N(methyl) 2 , -C(0)NHmethyl, -C(0)R 18 , and -(X)(R 11 );
  • R 17 is -OR 9 ;
  • R 18 is -C0 2 R 9 .
  • Formula I or II wherein a compound suitable for use with the present invention is selected from the group consisting of those compounds described in Table 1 and/or Table 2.
  • Such compounds of the invention can exist in particular geometric or
  • the invention contemplates all such compounds, including cis- and trans-isomers, (-)- and (+)-enantiomers, (R)- and (S)-enantiomers, diastereomers, (D)-isomers, (L)-isomers, the racemic mixtures thereof, and other mixtures thereof, such as enantiomerically or diastereomerically enriched mixtures, as falling within the scope of the invention.
  • Additional asymmetric carbon atoms can be present in a substituent such as an alkyl group. All such isomers, as well as mixtures thereof, are intended to be included in this invention.
  • Optically active (R)- and (S)-isomers and d and I isomers can be prepared using chiral synthons or chiral reagents, or resolved using conventional techniques. If, for instance, a particular enantiomer of a compound of the present invention is desired, it can be prepared by asymmetric synthesis, or by derivatization with a chiral auxiliary, where the resulting
  • diastereomeric mixture is separated and the auxiliary group cleaved to provide the pure desired enantiomers.
  • diastereomeric salts can be formed with an appropriate optically active acid or base, followed by resolution of the diastereomers thus formed by fractional crystallization or chromatographic means known in the art, and subsequent recovery of the pure enantiomers.
  • separation of enantiomers and diastereomers is frequently accomplished using chromatography employing chiral, stationary phases, optionally in combination with chemical derivatization (e.g., formation of carbamates from amines).
  • Formulas I or II wherein the compound or salt of the compound is used in the manufacture of a medicament for use in the treatment of a viral infection in a human.
  • a pharmaceutical composition comprising a pharmaceutically acceptable diluent and a therapeutically effective amount of a compound as defined in Formulas I or II.
  • Formulas I or II, or a salt thereof is a formulation adapted for parenteral administration.
  • the formulation is a long-acting parenteral formulation.
  • the formulation is a nano-particle formulation.
  • pharmaceutically active agent(s) may be administered together or separately and, when administered separately, administration may occur simultaneously or sequentially, in any order.
  • the amounts of the compounds of the present invention and the other pharmaceutically active agent(s) and the relative timings of administration will be selected in order to achieve the desired combined therapeutic effect.
  • the administration in combination of a compound of the present invention and salts, solvates, or other pharmaceutically acceptable derivatives thereof with other treatment agents may be in combination by administration concomitantly in: (1 ) a unitary pharmaceutical composition including both compounds; or (2) separate pharmaceutical compositions each including one of the compounds.
  • the combination may be administered separately in a sequential manner wherein one treatment agent is administered first and the other second or vice versa. Such sequential administration may be close in time or remote in time.
  • the amounts of the compound(s) of Formulas I or II, or salts thereof and the other pharmaceutically active agent(s) and the relative timings of administration will be selected in order to achieve the desired combined therapeutic effect.
  • the compounds of the present invention may be used in combination with one or more agents useful in the prevention or treatment of HIV.
  • Nucleotide reverse transcriptase inhibitors such as zidovudine, didanosine, lamivudine, zalcitabine, abacavir, stavudine, adefovir, adefovir dipivoxil, fozivudine, todoxil, emtricitabine, alovudine, amdoxovir, elvucitabine, and similar agents;
  • Non-nucleotide reverse transcriptase inhibitors including an agent having anti- oxidation activity such as immunocal, oltipraz, etc.
  • an agent having anti- oxidation activity such as immunocal, oltipraz, etc.
  • nevirapine delavirdine, efavirenz, loviride
  • immunocal immunocal
  • oltipraz immunocal
  • capravirine capravirine
  • lersivirine GSK2248761
  • TMC-278 TMC-125
  • etravirine and similar agents
  • Protease inhibitors such as saquinavir, ritonavir, indinavir, nelfinavir, amprenavir, fosamprenavir, brecanavir, darunavir, atazanavir, tipranavir, palinavir, lasinavir, and similar agents;
  • Entry, attachment and fusion inhibitors such as enfuvirtide (T-20), T-1249, PRO- 542, PRO-140, TNX-355, BMS-806, BMS-663068 and BMS-626529, 5-Helix and similar agents;
  • Intearase inhibitors such as raltegravir, elvitegravir, GSK1349572, GSK1265744 and similar agents;
  • Maturation inhibitors such as PA-344 and PA-457, and similar agents.
  • CXCR4 and/or CCR5 inhibitors such as vicriviroc (Sch-C), Sch-D, TAK779, maraviroc (UK 427,857), TAK449, as well as those disclosed in WO 02/74769,
  • PCT/US03/39644 PCT/US03/39975, PCT/US03/39619, PCT/US03/39618, PCT/US03/39740, and PCT/US03/39732, and similar agents.
  • compositions useful for the treatment of HIV may be administered separately or in conjunction.
  • one agent may be prior to, concurrent to, or subsequent to the administration of other agent(s).
  • the present invention may be used in combination with one or more agents useful as pharmacological enhancers as well as with or without additional compounds for the prevention or treatment of HIV.
  • agents useful as pharmacological enhancers include, but are not limited to, ritonavir, GS-9350, and SPI-452.
  • Ritonavir is 10-hydroxy-2-methyl-5-(1-methyethyl)-1 -1 [2-(1 -methylethyl)-4- thiazolyl]-3,6-dioxo-8,1 1-bis(phenylmethyl)-2,4,7, 12-tetraazatridecan-13-oic acid, 5- thiazolylmethyl ester, [5S-(5S * ,8R * , 10R * , 1 1 R * )] and is available from Abbott Laboratories of Abbott park, Illinois, as Norvir.
  • Ritonavir is an HIV protease inhibitor indicated with other antiretroviral agents for the treatment of HIV infection.
  • Ritonavir also inhibits P450 mediated drug metabolism as well as the P-gycoprotein (Pgp) cell transport system, thereby resulting in increased concentrations of active compound within the organism.
  • Pgp P-gycoprotein
  • GS-9350 is a compound being developed by Gilead Sciences of Foster City California as a pharmacological enhancer.
  • SPI-452 is a compound being developed by Sequoia Pharmaceuticals of Gaithersburg, Maryland, as a pharmacological enhancer.
  • a compound of Formulas I or II is used in combination with ritonavir.
  • the combination is an oral fixed dose combination.
  • the compound of Formulas I or II is formulated as a long acting parenteral injection and ritonavir is formulated as an oral composition.
  • kits containing the compound of Formulas I or II is formulated as a long acting parenteral injection and ritonavir formulated as an oral composition.
  • the compound of Formulas I or II is formulated as a long acting parenteral injection and ritonavir is formulated as an injectable composition.
  • a kit containing the compound of Formulas I or II is formulated as a long acting parenteral injection and ritonavir formulated as an injectable composition.
  • a compound of Formulas I or II is used in combination with GS-9350.
  • the combination is an oral fixed dose combination.
  • the compound of Formulas I or II is formulated as a long acting parenteral injection and GS-9350 is formulated as an oral composition.
  • kits containing the compound of Formulas I or II is formulated as a long acting parenteral injection and GS-9350 formulated as an oral composition.
  • the compound of Formulas I or II is formulated as a long acting parenteral injection and GS- 9350 is formulated as an injectable composition.
  • a kit containing the compound of Formulas I or II is formulated as a long acting parenteral injection and GS-9350 formulated as an injectable composition.
  • a compound of Formulas I or II is used in combination with SPI-452.
  • the combination is an oral fixed dose combination.
  • the compound of Formulas I or II is formulated as a long acting parenteral injection and SPI-452 is formulated as an oral composition.
  • kits containing the compound of Formulas I or II is formulated as a long acting parenteral injection and SPI-452 formulated as an oral composition.
  • the compound of Formulas I or II is formulated as a long acting parenteral injection and SPI-452 is formulated as an injectable composition.
  • a kit containing the compound of Formulas I or II is formulated as a long acting parenteral injection and SPI-452 formulated as an injectable composition.
  • a method for treating a viral infection in a mammal mediated at least in part by a virus in the retrovirus family of viruses which method comprises administering to a mammal, that has been diagnosed with said viral infection or is at risk of developing said viral infection, a compound of Formulas I or II.
  • a method for treating a viral infection in a mammal mediated at least in part by a virus in the retrovirus family of viruses which method comprises administering to a mammal, that has been diagnosed with said viral infection or is at risk of developing said viral infection, a compound of Formulas I or II, wherein said virus is an HIV virus.
  • a method for treating a viral infection in a mammal mediated at least in part by a virus in the retrovirus family of viruses which method comprises administering to a mammal, that has been diagnosed with said viral infection or is at risk of developing said viral infection, a compound of Formulas I, II, or III, further comprising administration of a therapeutically effective amount of one or more agents active against an HIV virus.
  • a method for treating a viral infection in a mammal mediated at least in part by a virus in the retrovirus family of viruses comprises administering to a mammal, that has been diagnosed with said viral infection or is at risk of developing said viral infection, a compound of Formulas I or II, further comprising administration of a therapeutically effective amount of one or more agents active against the HIV virus, wherein said agent active against HIV virus is selected from Nucleotide reverse transcriptase inhibitors; Non-nucleotide reverse transcriptase inhibitors; Protease inhibitors; Entry, attachment and fusion inhibitors; Integrase inhibitors; Maturation inhibitors; CXCR4 inhibitors; and CCR5 inhibitors.
  • the compound of the present invention is chosen from the compounds set forth in Table 1 .
  • the compound(s) of the present invention is chosen from the compounds set forth in Table 1 .
  • the methods of this invention may employ protecting groups which prevent certain functional groups from undergoing undesired reactions.
  • the provided chemical entities may contain one or more chiral centers and such compounds can be prepared or isolated as pure stereoisomers, i.e., as individual enantiomers or diastereomers, or as stereoisomer-enriched mixtures. All such stereoisomers (and enriched mixtures) are included within the scope of this specification, unless otherwise indicated. Pure stereoisomers (or enriched mixtures) may be prepared using, for example, optically active starting materials or stereoselective reagents well-known in the art. Alternatively, racemic mixtures of such compounds can be separated using, for example, chiral column chromatography, chiral resolving agents and the like.
  • the starting materials for the following reactions are generally known compounds or can be prepared by known procedures or obvious modifications thereof.
  • many of the starting materials are available from commercial suppliers such as Aldrich Chemical Co. (Milwaukee, Wisconsin, USA), Bachem (Torrance, California, USA), Ernka-Chemce or Sigma (St. Louis, Missouri, USA).
  • Others may be prepared by procedures, or obvious modifications thereof, described in standard reference texts such as Fieser and Fieser's Reagents for Organic Synthesis, Volumes 1 -15 (John Wiley and Sons, 1991 ), Rodd's Chemistry of Carbon
  • reaction times and conditions are intended to be approximate, e.g., taking place at about atmospheric pressure within a temperature range of about -78 °C to about 1 10 °C over a period of about 1 to about 24 hours; reactions left to run overnight average a period of about 16 hours.
  • solvent each mean a solvent inert under the conditions of the reaction being described in conjunction therewith, including, for example, benzene, toluene, acetonitrile, tetrahydrofuranyl (“THF”), dimethylformamide (“DMF”), chloroform, methylene chloride (or dichloromethane), diethyl ether, methanol, N- methylpyrrolidone (“NMP”), pyridine and the like.
  • solvent solvent inert under the conditions of the reaction being described in conjunction therewith, including, for example, benzene, toluene, acetonitrile, tetrahydrofuranyl (“THF”), dimethylformamide (“DMF”), chloroform, methylene chloride (or dichloromethane), diethyl ether, methanol, N- methylpyrrolidone (“NMP”), pyridine and the like.
  • THF tetrahydrofuranyl
  • DMF dimethylformamide
  • Isolation and purification of the chemical entities and intermediates described herein can be effected, if desired, by any suitable separation or purification procedure such as, for example, filtration, extraction, crystallization, column chromatography, thin-layer
  • the (R)- and (S)-isomers may be resolved by methods known to those skilled in the art, for example by formation of diastereoisomeric salts or complexes which may be separated, for example, by crystallization; via formation of diastereoisomeric derivatives which may be separated, for example, by crystallization, gas-liquid or liquid chromatography; selective reaction of one enantiomer with an enantiomer-specific reagent, for example enzymatic oxidation or reduction, followed by separation of the modified and unmodified enantiomers; or gas-liquid or liquid chromatography in a chiral environment, for example on a chiral support, such as silica with a bound chiral ligand or in the presence of a chiral solvent.
  • a specific enantiomer may be synthesized by asymmetric synthesis using optically active reagents, substrates, catalysts or solvents, or by converting one enantiomer to the other
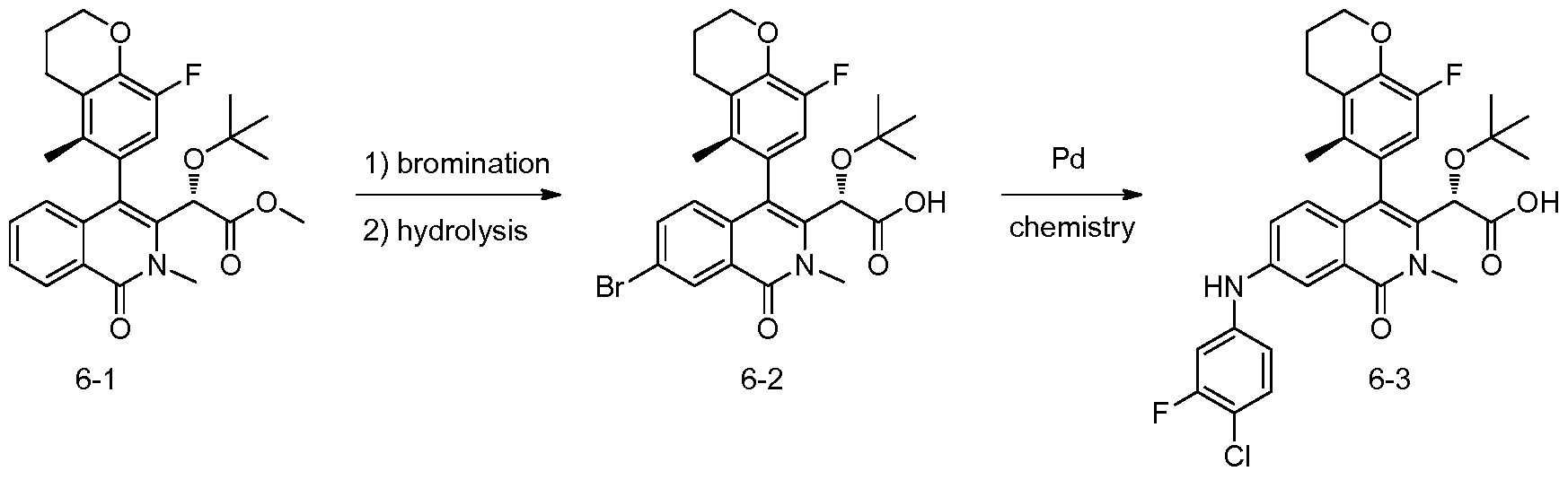
  • the reaction mixture was treated with 2M Na 2 C0 3 (149 ⁇ , 0.298 mmol) and Pd(PPh 3 ) 4 (16 mg, 0.014 mmol) and irradiated in the microwave for 20 min at 120 °C.
  • the reaction mixture was diluted with EtOAc, and washed with saturated aqueous NH 4 CI, brine, dried (Na 2 S0 4 ), filtered and concentrated. The residue was purified by silica gel
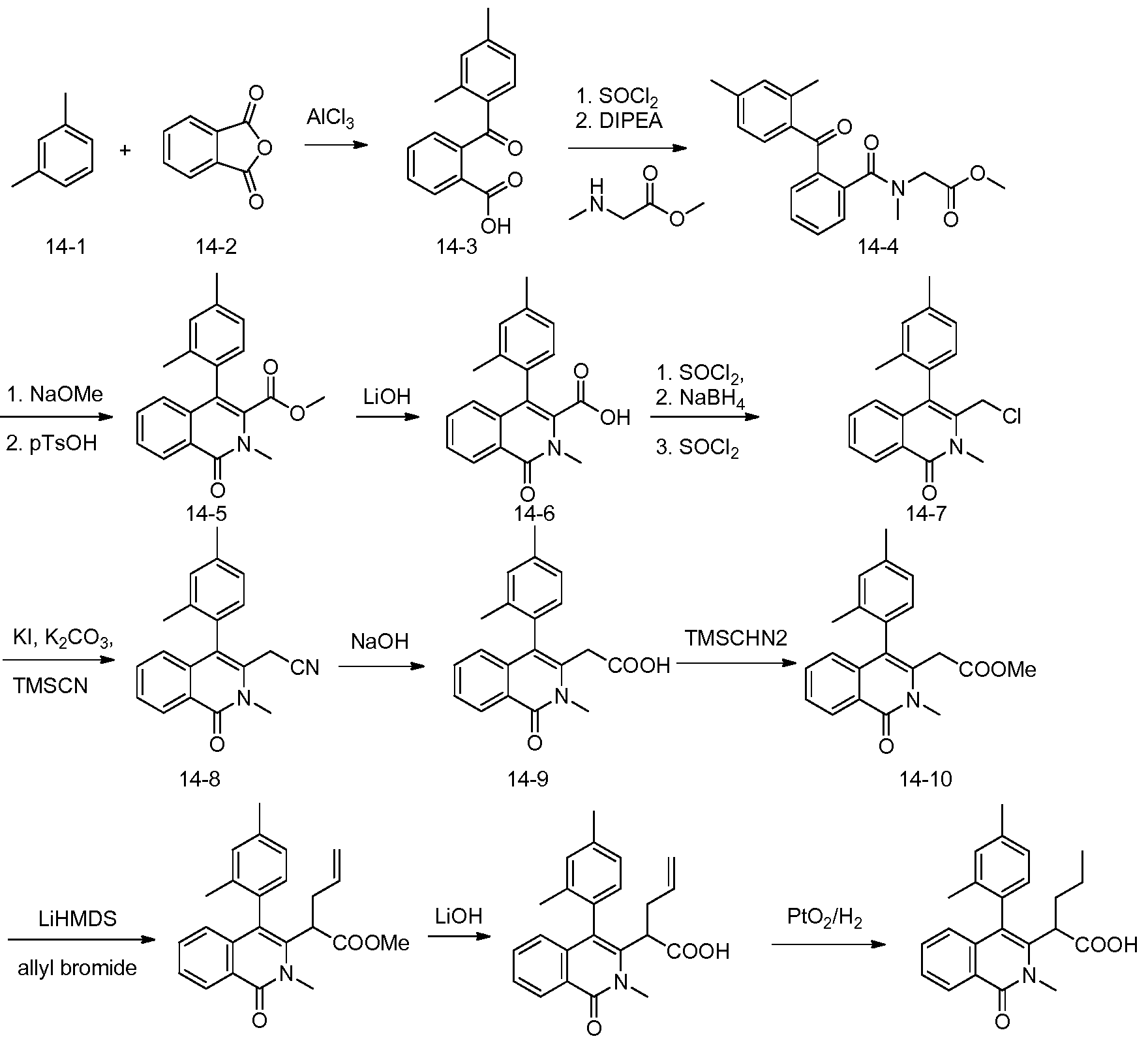
  • the P or M isomer may be prepared for any compounds of the invention using the specific chemistry shown below for the single isomer ⁇ -(tert-butoxy ⁇ - ⁇ -iS-fluoro-S-methyl-S ⁇ -dihydro ⁇ H-l-benzopyran-e-yl ⁇ -methyl-l - oxo-1 ,2-dihydroisoquinolin-3-yl]acetic acid.

Landscapes

  • Chemical & Material Sciences (AREA)
  • Organic Chemistry (AREA)
  • Health & Medical Sciences (AREA)
  • Medicinal Chemistry (AREA)
  • Pharmacology & Pharmacy (AREA)
  • Epidemiology (AREA)
  • Life Sciences & Earth Sciences (AREA)
  • Animal Behavior & Ethology (AREA)
  • General Health & Medical Sciences (AREA)
  • Public Health (AREA)
  • Veterinary Medicine (AREA)
  • Pharmaceuticals Containing Other Organic And Inorganic Compounds (AREA)
  • Plural Heterocyclic Compounds (AREA)

Abstract

Provided are compounds and pharmaceutically acceptable salts thereof, their pharmaceutical compositions, their methods of preparation, and their use for treating viral infections mediated by a member of the retrovirus family of viruses such as the Human Immunodeficiency Virus (HIV).

Description

ISOQUINOLINE COMPOUNDS AND METHODS FOR TREATING HIV
CROSS-REFERENCE TO RELATED PATENTS AND PATENT APPLICATIONS
[0001] This is a Patent Cooperation Treaty application and claims the benefit of US
Provisional Application No. 61/435,783, filed January 24, 201 1 and US Provisional Application No. 61/510,534, filed July 22, 201 1 , both of which are hereby incorporated by reference in their entireties.
FIELD OF THE INVENTION
[0002] The present invention relates to substituted isoquinoline compounds,
pharmaceutical compositions, and methods of use thereof for (i) inhibiting HIV replication in a subject infected with HIV, or (ii) treating a subject infected with HIV, by administering such compounds.
BACKGROUND OF THE INVENTION
[0003] Presently, long-term suppression of viral replication with antiretroviral drugs is the only option for treating HIV-1 infection. To date, a number of approved drugs have been shown to greatly increase patient survival. However, therapeutic regimens known as highly active antiretroviral therapy (HAART) are often complex because a combination of different drugs must be administered to the patient to avoid the rapid emergence of drug-resistant HIV-1 variants. Despite the positive impact of HAART on patient survival, drug resistance can still occur.
[0004] The emergence of multidrug-resistant (MDR) HIV-1 isolates has serious clinical consequences and must be suppressed with a new drug regimen, known as salvage therapy. Current guidelines recommend that salvage therapy includes at least two, and preferably three, fully active drugs. Typically, first-line therapies combine three to four drugs targeting the viral enzymes RT and protease (PR). One option for salvage therapy is to administer different combinations of drugs from the same mechanistic class that remain active against the resistant isolates. However, the options for this approach are often limited, as resistant mutations frequently confer broad cross-resistance to different drugs in the same class. Alternative therapeutic strategies have recently become available with the development of fusion, entry, and integrase (IN) inhibitors. However, resistance to all three new drug classes has already been reported both in vitro and in vivo. Sustained successful treatment of HIV-1 -infected patients with antiretroviral drugs will therefore require the continued development of new and improved drugs with new targets and mechanisms of action.
SUMMARY OF THE INVENTION
[0005] In accordance with one embodiment of the present invention, there is provided a compound of Formula I:
Figure imgf000003_0001
Formula I
or a pharmaceutically acceptable salt thereof, wherein:
L is linker that is selected from the group consisting of a direct bond, a branched or straight chain (C C6)alkylene, -S02- and -C(0)NH-;
R1 is selected from (d-C6)alkyl or (C3-C7)cycloalkyl;
R2 is selected from the group consi 2R9, -C(0)R15,
Figure imgf000003_0002
and wherein the X and Y rings indicated by a dashed circle are as defined below and wherein the X and Y individual rings each form a monocyclic ring comprised of the indicated rings;
R3 is selected from the group consisting of (CrC6)alkyl, -OR10, and -(C3- C7)cycloalkyl(R10);
R4 is selected from the group consisting of (C5-Ci4)aryl, (C3-C7)cycloalkyl, (C2- C9)heterocycle, and (C2-C9)heteroaryl, wherein the heterocyde and heteroaryl each comprise one to three heteroatoms selected from S, N and O; R5, R6, R7, and R8 are independently selected from -H, (d-C6)alkyl, (CrC6)alkoxy, halo, nitrile, (C3-C7)cycloalkyl, -OR10(C5-Ci4)aryl, -OR10R14, -OR10(C5-Ci4)aryl(R11)m,
-R10(Y)(R12)n, -OR10R17, -R10R17, -R17R15, -OR10(R14)q, -OR10(Y), -OR10R18, -OS02R15, -R15, -(C5- C14)aryl, -(Y), -(Y)(R12)n, -C(0)(Y), -C(0)R15, -R10(C5-C14)aryl, -R10R15, and -(C5-C14)arylR15;
R9 is independently selected from -H or (CrC6)alkyl;
R10 is (CrC6)alkyl;
R11, R12, and R13 are independently selected from the group consisting of -H, (d- C6)alkyl, (C C6)alkoxy, oxo, halo, -R10(R14)q, -OR10(R14)q, -S02R10; -C(0)R10, -C(0)R15, and
_R10R17.
R14 is halo;
R15 is -N(R16)2;
R16 is independently selected from the group consisting of -H, (C1-C6)alkyl, hydroxyl, -S02R10, -SO2N(R10)2, -C(0)NHR10, -C(0)R18, and -(C5-Ci4)aryl(R11);
R17 is -OR9;
R18 is -C02R9;
Figure imgf000004_0001
Y is independently selected from (C2-C9)heterocycle or (C2-C9)heteroaryl, each having one to four heteroatoms selected from S, N and O, wherein X and Y are optionally substituted by one to four R11 groups;
m is zero or an integer selected from 1 , 2, 3, or 4;
n is zero or an integer selected from 1 , 2, or 3;
p is zero or an integer selected from 1 , 2, or 3; and
q is an integer selected from 1 , 2, or 3.
[0006] In another embodiment of the present invention, there is provided a compound of
Formula I:
Figure imgf000004_0002
Formula I
or a pharmaceutically acceptable salt thereof, wherein:
L is linker that is selected from the group consisting of a direct bond, a branched or straight chain (C C6)alkylene, -S02- and -C(0)NH-;
R1 is selected from (d-C6)alkyl or (C3-C7)cycloalkyl;
2 is selected from the group consistin 9, -C(0)R15,
Figure imgf000005_0001
RJ is selected from the group consisting of (CrC6)alkyl, -OR'u, and -(Z)R10;
R4 is selected from the roup consisting of -NR9(X), tetrahydropyridoquinolinyl,
Figure imgf000005_0002
, wherein the X, Y, Z, XY, XZ, and ZZ rings indicated by a dashed circle are as defined below and wherein the XY, XZ, ZZ rings each together form a bicyclic fused ring system comprised of the indicated rings and wherein the X, Y, and Z individual rings each form a monocyclic ring comprised of the indicated rings;
R5, R6, and R7 are independently selected from the group consisting of -H, -OH, (Ci- C6)alkyl, (C C6)alkoxy, halo, nitrile, (C3-C7)cycloalkyl, -OR10(X), -OR10R14, -OR10(X)(R11)m, -R10(Y)(R12)n, -OR10R17, -R10R17, -R17R15, -OR10(R14)q, -OR10(Y), -OR10R18, -OS02R15, -R15, -(X), -(Y), -(Y)(R12)n, -C(0)(Y), -C(0)R15, -R10(X), -R10R15, and -(X)R15;
R9 is independently selected from the group consisting of H and (C1-C6)alkyl; R10 is (CrC6)alkyl;
R11, R12, and R13 are independently selected from the group consisting of -H, (d- C6)alkyl, (CrC6)alkoxy, oxo, halo, -R10(R14)q, -OR10(R14)q, -S02R1°; -C(0)R10, -C(0)R15, and -R10R17;
R14 is halo;
R15 is -N(R16)2;
R16 is independently selected from the group consisting of -H, (CrC6)alkyl, hydroxyl, -S02R10, -SO2N(R10)2, -C(0)NHR10, -C(0)R18, and -(X)(R11);
R17 is -OR9;
R18 is -C02R9;
X is (C5-C14)aryl;
Y is independently selected from (C2-C9)heterocycle or (C2-C9)heteroaryl, each having one to three heteroatoms selected from S, N and O;
Z is (C3-C7)cycloalkyl;
m is zero or an integer selected from 1 , 2, 3, or 4;
n is zero or an integer selected from 1 , 2, or 3;
p is zero or an integer selected from 1 , 2, or 3; and
q is an integer selected from 1 , 2, or 3.
[0007] In another embodiment of the present invention, there is provided a compound of
Formula I:
Figure imgf000006_0001
Formula I
or a pharmaceutically acceptable salt thereof, wherein:
L is linker that is selected from the group consisting of a direct bond, a branched or straight chain (C C6)alkylene, -S02- and -C(0)NH-;
R1 is selected from the group consisting of -H, (CrC6)alkyl and (C3-C7)cycloalkyl; 2 is selected from the group consisting of -C02R9, -C(0)R
Figure imgf000007_0001
R3 is selected from the group consisting of (C1-C6)alkyl, -OR10, and -(C3- C7)cycloalkylR10;
R4 is selected from the group consisting of:
Figure imgf000007_0002
R5, R6, R7, and R8 are independently selected from -H, -OH, (C C6)alkyl, (C C6)alkoxy, halo, nitrile, (C3-C7)cycloalkyl, -OR10(X), -OR10R14, -OR10(X)(R11)m,
-R10(Y)(R12)n, -OR10R17, -R10R17, -R17R15, -OR10(R14)q, -OR10(Y), -OR10R18, -OS02R15, -R15, -(X), -(Y), -(Y)(R12)n, -C(0)(Y), -C(0)R15, -R10(X), -R10R15, and -(X)R15;
R9 is independently selected from the group consisting of -H and (Ci-C6)alkyl;
R10 is (CrC6)alkyl;
R11, R12, and R13 are independently selected from the group consisting of -H, (d-C6)alkyl, (C C6)alkoxy, oxo, halo, -R10(R14)q, -OR10(R14)q, -S02R10; -C(0)R10, -C(0)R15, and -R10R17;
R14 is halo;
R15 is -N(R16)2;
R16 is independently selected from the group consisting of -H, (C1-C6)alkyl, hydroxyl, -S02R1°, -SO2N(R10)2, -C(0)NHR10, -C(0)R18, and -(X)(R11);
R17 is -OR9;
R18 is -C02R9;
Figure imgf000008_0001
Y is independently selected from (C2-C9)heterocycle or (C2-C9)heteroaryl, each having one to three heteroatoms selected from S, N and O;
m is zero or an integer selected from 1 , 2, 3, or 4;
n is zero or an integer selected from 1 , 2, or 3; and
q is an integer selected from 1 , 2, or 3.
[0008] In another embodiment of the present invention, there is provided a compound of
Formula (II):
(II)
Figure imgf000008_0002
Formula II
or a pharmaceutically acceptable salt thereof, wherein:
L is linker that is selected from the group consisting of a direct bond, methylene, -S02- and -C(0)NH-;
X is phenyl;
R4 is selected from the group consisting of phenyl, dihydrobenzopyranyl, naphthalenyl, pyridinyl, benzodioxolyl, benzodioxinyl, dihydrobenzodioxepinyl, quinolinyl, dihydrobenzofuranyl, tetrahydroisoquinolinyl, dihydrobenzoxazinyl, dihydroindenyl, benzothiazolyl, furanyl, pyrazolyl, and tetrahydropyridoquinolinyl;
R5, R6, and R7 are independently selected from H, methyl, ethyl, propyl, butyl, hydroxyl, fluoro, chloro, bromo, methoxy, ethoxy, propoxy, methoxyethoxy, fluorophenylmethoxy, difluorophenylmethoxy, pyridinylmethoxy, trifluorophenylmethoxy, fluoropyridinylmethoxy, methylpyridinylmethoxy, phenyl, dimethyloxazolylmethoxy, thiophenylmethoxy, fluoroethoxy, chlorothiophenylmethoxy, methylthiophenylmethoxy, hydroxyethoxy, dimethylaminoethoxy, difluoromethoxy, pyrrolidinylethoxy, morpholinylethoxy, carboxylmethoxy, dimethylsulfamoyloxy, trifluoromethyl, methylsulfonylphenylmethoxy, chlorophenylmethoxy, pyrimidinylmethoxy, trifluoromethoxyphenylmethoxy, chlorobromophenylamino, piperidinyl, piperidinylmethyl, dioxothiomorpholinyl, morpholinyl, morpholinylcarbonyl, ethylamide, fluorophenyl,
methoxyphenylmethyl, methylpyridinyl, phenylmethyl, phenylethyl, nitrile, aminocarbonyl, aminomethyl, morpholinylmethyl, bis(pyridinylmethyl)aminomethyl, pentylpyrazolyl,
pyridinylmethylaminomethyl, acetamidomethyl, ethylureidomethyl, pyridinyl,
carboxyformamidomethyl, methylsulfonamidomethyl, dimethylaminophenyl,
dimethylaminosulfonylaminomethyl, methylpyrrolyl, methylpyrazolyl, methylfuranyl, furanyl, dimethylpyrazolyl, pyrazolyl, methoxypyridinyl, and dimethylisoxazolyl;
R9 is independently selected from the group consisting of -H, methyl, ethyl, propyl, isopropyl, butyl, isobutyl, tert-butyl, pentyl, and septyl;
R10 is selected from the group consisting of -H, methyl, ethyl, propyl, isopropyl, butyl, isobutyl, tert-butyl, penty, and septyl;
R11, R12, and R13 are independently selected from the group consisting of -H, methyl, ethyl, methoxy, ethoxy, oxo, chloro, fluoro, bromo, trifluoromethyl, trifluoromethoxy,
methylsulfonyl, -C(0)methyl, -C(0)R15, and methylmethoxy;
R14 is selected from the group consisting of chloro, fluoro, and bromo.
R15 is -N(R16)2; R16 is independently selected from the group consisting of -H, methyl, ethyl, hydroxyl, methylsulfonyl, -S02N(methyl)2, -C(0)NHmethyl, -C(0)R18, and -(X)(R11);
R17 is -OR9; and
R18 is -C02R9.
[0009] Also provided is a pharmaceutical composition comprising a pharmaceutically acceptable carrier or excipient and a therapeutically effective amount of a compound of Formula I, or a pharmaceutically acceptable salt thereof.
[0010] Also provided are synthetic intermediates, methods for preparing the compounds of Formula I, or a pharmaceutically acceptable salt or solvate thereof, and compositions thereof and for their therapeutic uses.
[0011] In some embodiments, provided is a method for treating a viral infection in a patient mediated at least in part by a virus in the retrovirus family of viruses, comprising administering to said patient a composition comprising a compound of any of Formula I, or a pharmaceutically acceptable salt thereof. In some embodiments, the viral infection is mediated by the HIV virus. Those and other embodiments are further described in the text that follows.
[0012] In another aspect, a particular embodiment of the present invention provides a method of treating a subject infected with HIV comprising administering to the subject a therapeutically effective amount of the compound of Formula I, or a pharmaceutically acceptable salt thereof.
[0013] In yet another aspect, a particular embodiment of the present invention provides a method of inhibiting progression of HIV infection in a subject at risk for infection with HIV comprising administering to the subject a therapeutically effective amount of the compound of Formula I, or a pharmaceutically acceptable salt thereof.
DETAILED DESCRIPTION OF REPRESENTATIVE EMBODIMENTS
[0014] Throughout this application, references are made to various embodiments relating to compounds, compositions, and methods. The various embodiments described are meant to provide a variety of illustrative examples and should not be construed as descriptions of alternative species. Rather it should be noted that the descriptions of various embodiments provided herein may be of overlapping scope. The embodiments discussed herein are merely illustrative and are not meant to limit the scope of the present invention.
[0015] It is to be understood that the terminology used herein is for the purpose of describing particular embodiments only and is not intended to limit the scope of the present invention. In this specification and in the claims that follow, reference will be made to a number of terms that shall be defined to have the following meanings.
[0016] As used herein unless otherwise specified, "alkyl" refers to to a monovalent saturated aliphatic hydrocarbyl group having from 1 to 14 carbon atoms and, in some embodiments, from 1 to 6 carbon atoms. "(Cx-Cy)alkyl" refers to alkyl groups having from x to y carbon atoms. The term "alkyl"includes, by way of example, linear and branched hydrocarbyl groups such as methyl (CH3-), ethyl (CH3CH2-), n-propyl (CH3CH2CH2-), isopropyl ((CH3)2CH-), n-butyl (CH3CH2CH2CH2-), isobutyl ((CH3)2CHCH2-), sec-butyl ((CH3)(CH3CH2)CH-), f-butyl ((CH3)3C-), n-pentyl (CH3CH2CH2CH2CH2-), and neopentyl ((CH3)3CCH2-).
[0017] "Alkylidene" or "alkylene" refers to divalent saturated aliphatic hydrocarbyl groups having from 1 to 10 carbon atoms and, in some embodiments, from 1 to 6 carbon atoms.
"(Cu-V)alkylene" refers to alkylene groups having from u to v carbon atoms. The alkylidene and alkylene groups include branched and straight chain hydrocarbyl groups. For example "(Ci_ 6)alkylene" is meant to include methylene, ethylene, propylene, 2-methypropylene, pentylene, and so forth.
[0018] "Alkenyl" refers to a linear or branched hydrocarbyl group having from 2 to 10 carbon atoms and in some embodiments from 2 to 6 carbon atoms or 2 to 4 carbon atoms and having at least 1 site of vinyl unsaturation (>C=C<). For example, (Cx-Cy)alkenyl refers to alkenyl groups having from x to y carbon atoms and is meant to include for example, ethenyl, propenyl, isopropylene, 1 ,3-butadienyl, and the like.
[0019] "Alkynyl" refers to a linear monovalent hydrocarbon radical or a branched monovalent hydrocarbon radical containing at least one triple bond. The term "alkynyl" is also meant to include those hydrocarbyl groups having one triple bond and one double bond. For example, (C2-C6)alkynyl is meant to include ethynyl, propynyl, and the like.
[0020] "Alkoxy" refers to the group -O-alkyl wherein alkyl is defined herein. Alkoxy includes, by way of example, methoxy, ethoxy, n-propoxy, isopropoxy, n-butoxy, f-butoxy, sec-butoxy, and n-pentoxy.
[0021] "Acyl" refers to the groups H-C(O)-, alkyl-C(O)-, alkenyl-C(O)-, alkynyl-C(O)-, cycloalkyl-C(O)-, aryl-C(O)-, heteroaryl-C(O)-, and heterocyclic-C(O)-. Acyl includes the "acetyl" group CH3C(0)-.
[0022] "Acylamino" refers to the groups -NR20C(O)alkyl, -NR20C(O)cycloalkyl,
-NR20C(O)alkenyl, -NR20C(O)alkynyl, -NR20C(O)aryl, -NR20C(O)heteroaryl, and
-NR20C(O)heterocyclic, wherein R20 is hydrogen or alkyl. [0023] "Acyloxy" refers to the groups alkyl-C(0)0- alkenyl-C(0)0-, alkynyl-C(0)0-, aryl-C(0)0-, cycloalkyl-C(0)0-, heteroaryl-C(0)0-, and heterocyclic-C(0)0-.
[0024] "Amino" refers to the group -NR21 R22 where R21 and R22 are independently selected from hydrogen, alkyl, alkenyl, alkynyl, aryl, cycloalkyl, heteroaryl, heterocyclic, -S02-alkyl, -S02-alkenyl, -S02-cycloalkyl, -S02-aryl, -S02-heteroaryl, and -S02-heterocyclic, and wherein R21 and R22 are optionally joined together with the nitrogen bound thereto to form a heterocyclic group. When R21 is hydrogen and R22 is alkyl, the amino group is sometimes referred to herein as alkylamino. When R21 and R22 are alkyl, the amino group is sometimes referred to herein as dialkylamino. When referring to a monosubstituted amino, it is meant that either R21 or R22 is hydrogen but not both. When referring to a disubstituted amino, it is meant that neither R21 nor R22 are hydrogen.
[0025] "Hydroxyamino" refers to the group -NHOH.
[0026] "Alkoxyamino" refers to the group -NHO-alkyl wherein alkyl is defined herein.
[0027] "Aminocarbonyl" refers to the group -C(0)NR26R27 where R26 and R27 are independently selected from hydrogen, alkyl, alkenyl, alkynyl, aryl, cycloalkyl, heteroaryl, heterocyclic, hydroxy, alkoxy, amino, and acylamino, and where R26 and R27 are optionally joined together with the nitrogen bound thereto to form a heterocyclic group.
[0028] "Aryl" refers to an aromatic group of from 6 to 14 carbon atoms and no ring heteroatoms and having a single ring (e.g., phenyl) or multiple condensed (fused) rings (e.g., naphthyl or anthryl). For multiple ring systems, including fused, bridged, and spiro ring systems having aromatic and non-aromatic rings that have no ring heteroatoms, the term "Aryl" or "Ar" applies when the point of attachment is at an aromatic carbon atom (e.g., 5,6,7,8
tetrahydronaphthalene-2-yl is an aryl group as its point of attachment is at the 2-position of the aromatic phenyl ring).
[0029] "Cyano" or "nitrile" refers to the group -CN.
[0030] "Cycloalkyl" refers to a saturated or partially saturated cyclic group of from 3 to
14 carbon atoms and no ring heteroatoms and having a single ring or multiple rings including fused, bridged, and spiro ring systems. For multiple ring systems having aromatic and non- aromatic rings that have no ring heteroatoms, the term "cycloalkyl" applies when the point of attachment is at a non-aromatic carbon atom (e.g. 5,6,7,8,-tetrahydronaphthalene-5-yl). The term "Cycloalkyl" includes cycloalkenyl groups, such as cyclohexenyl. Examples of cycloalkyl groups include, for instance, adamantyl, cyclopropyl, cyclobutyl, cyclohexyl, cyclopentyl, cyclooctyl, cyclopentenyl, and cyclohexenyl. Examples of cycloalkyl groups that include multiple bicycloalkyl ring systems are bicyclohexyl, bicyclopentyl, bicyclooctyl, and the like. Two such bic cloalkyl multiple ring structures are exemplified and named below:
Figure imgf000013_0001
bicyclohexyl, and bicyclohexyl.
[0031] "(Cu-Cv)cycloalkyl" refers to cycloalkyi groups having u to v carbon atoms.
[0032] "Spiro cycloalkyi" refers to a 3 to 10 member cyclic substituent formed by replacement of two hydrogen atoms at a common carbon atom in a cyclic ring structure or in an alkylene group having 2 to 9 carbon atoms, as exemplified by the following structure wherein the group shown here attached to bonds marked with wavy lines is substituted with a spiro cycloalkyi group:
Figure imgf000013_0002
[0033] "Fused cycloalkyi" refers to a 3 to 10 member cyclic substituent formed by the replacement of two hydrogen atoms at different carbon atoms in a cycloalkyi ring structure, as exemplified by the following structure wherein the cycloalkyi group shown here contains bonds marked with wavy lines which are bonded to carbon atoms that are substituted with a fused cycloalkyi group:
Figure imgf000013_0003
[0034] "Halo" or "halogen" refers to fluoro, chloro, bromo, and iodo.
[0035] "Haloalkoxy" refers to substitution of alkoxy groups with 1 to 5 (e.g. when the alkoxy group has at least 2 carbon atoms) or in some embodiments 1 to 3 halo groups (e.g. trifluoromethoxy).
[0036] "Hydroxy" or "hydroxyl" refers to the group -OH .
[0037] "Heteroaryl" refers to an aromatic group of from 1 to 14 carbon atoms and 1 to 6 heteroatoms selected from oxygen, nitrogen, and sulfur and includes single ring (e.g. imidazolyl) and multiple ring systems (e.g. benzimidazol-2-yl and benzimidazol-6-yl). For multiple ring systems, including fused, bridged, and spiro ring systems having aromatic and non-aromatic rings, the term "heteroaryl" applies if there is at least one ring heteroatom and the point of attachment is at an atom of an aromatic ring (e.g. 1 ,2,3,4-tetrahydroquinolin-6-yl and 5,6,7,8- tetrahydroquinolin-3-yl). In some embodiments, the nitrogen and/or the sulfur ring atom(s) of the heteroaryl group are optionally oxidized to provide for the N-oxide (N→0), sulfinyl, or sulfonyl moieties. More specifically the term heteroaryl includes, but is not limited to, pyridyl, furanyl, thienyl, thiazolyl, isothiazolyl, triazolyl, imidazolyl, imidazolinyl, isoxazolyl, pyrrolyl, pyrazolyl, pyridazinyl, pyrimidinyl, purinyl, phthalazyl, naphthylpryidyl, benzofuranyl,
tetrahydrobenzofuranyl, isobenzofuranyl, benzothiazolyl, benzoisothiazolyl, benzotriazolyl, indolyl, isoindolyl, indolizinyl, dihydroindolyl, indazolyl, indolinyl, benzoxazolyl, quinolyl, isoquinolyl, quinolizyl, quianazolyl, quinoxalyl, tetrahydroquinolinyl, isoquinolyl, quinazolinonyl, benzimidazolyl, benzisoxazolyl, benzothienyl, benzopyridazinyl, pteridinyl, carbazolyl, carbolinyl, phenanthridinyl, acridinyl, phenanthrolinyl, phenazinyl, phenoxazinyl, phenothiazinyl, and phthalimidyl.
[0038] "Heterocyclic" or "heterocycle" or "heterocycloalkyl" or "heterocyclyl" refers to a saturated or partially saturated cyclic group having from 1 to 14 carbon atoms and from 1 to 6 heteroatoms selected from nitrogen, sulfur, phosphorus or oxygen and includes single ring and multiple ring systems including fused, bridged, and spiro ring systems. For multiple ring systems having aromatic and/or non-aromatic rings, the terms "heterocyclic", "heterocycle", "heterocycloalkyl", or "heterocyclyl" apply when there is at least one ring heteroatom and the point of attachment is at an atom of a non-aromatic ring (e.g. 1 ,2,3,4-tetrahydroquinoline-3-yl, 5,6,7,8-tetrahydroquinoline-6-yl, and decahydroquinolin-6-yl). In one embodiment, the nitrogen, phosphorus and/or sulfur atom(s) of the heterocyclic group are optionally oxidized to provide for the N-oxide, phosphinane oxide, sulfinyl, sulfonyl moieties. More specifically the heterocyclyl includes, but is not limited to, tetrahydropyranyl, piperidinyl, piperazinyl, 3-pyrrolidinyl, 2- pyrrolidon-1 -yl, morpholinyl, and pyrrolidinyl. A prefix indicating the number of carbon atoms (e.g., C3-C10) refers to the total number of carbon atoms in the portion of the heterocyclyl group exclusive of the number of heteroatoms.
[0039] Examples of heterocycle and heteroaryl groups include, but are not limited to, azetidine, pyrrole, imidazole, pyrazole, pyridine, pyrazine, pyrimidine, pyridazine, pyridone, indolizine, isoindole, indole, dihydroindole, indazole, purine, quinolizine, isoquinoline, quinoline, phthalazine, naphthylpyridine, quinoxaline, quinazoline, cinnoline, pteridine, carbazole, carboline, phenanthridine, acridine, phenanthroline, isothiazole, phenazine, isoxazole, phenoxazine, phenothiazine, imidazolidine, imidazoline, piperidine, piperazine, indoline, phthalimide, 1 ,2,3,4-tetrahydroisoquinoline, 4,5,6,7-tetrahydrobenzo[b]thiophene, thiazole, thiazolidine, thiophene, benzo[b]thiophene, morpholine, thiomorpholine (also referred to as thiamorpholine), piperidine, pyrrolidine, and tetrahydrofuranyl. [0040] "Fused heterocyclic" refers to a 3 to 10 member cyclic substituent formed by the replacement of two hydrogen atoms at different carbon atoms in a cycloalkyi ring structure, as exemplified by the following structure wherein the cycloalkyi group shown here contains bonds marked with wavy lines which are bonded to carbon atoms that are substituted with a fused heterocyclic group:
Figure imgf000015_0001
[0041] "Compound", "compounds", "chemical entity", and "chemical entities" as used herein refers to a compound encompassed by the generic formulae disclosed herein, any subgenus of those generic formulae, and any forms of the compounds within the generic and subgeneric formulae, including the racemates, stereoisomers, and tautomers of the compound or compounds.
[0042] The term "heteroatom" means nitrogen, oxygen, or sulfur and includes any oxidized form of nitrogen, such as N(O) {N +— O ~ } and sulfur such as S(O) and S(O) 2 , and the quaternized form of any basic nitrogen.
[0043] "Oxazolidinone" refers to a 5-membered heterocyclic ring containing one nitrogen and one oxygen as heteroatoms and also contains two carbons and is substituted at one of the two carbons by a carbonyl group as exemplified by any of the following structures, wherein the oxazolidinone groups shown here are bonded to a parent molecule, which is indicated by a wavy line in the bond to the parent molecule:
Figure imgf000015_0002
[0044] "Racemates" refers to a mixture of enantiomers. In an embodiment of the invention, the compounds of Formulas I or II, or pharmaceutically acceptable salts thereof, are enantiomerically enriched with one enantiomer wherein all of the chiral carbons referred to are in one configuration. In general, reference to an enantiomerically enriched compound or salt, is meant to indicate that the specified enantiomer will comprise more than 50% by weight of the total weight of all enantiomers of the compound or salt.
[0045] "Solvate" or "solvates" of a compound refer to those compounds, as defined above, which are bound to a stoichiometric or non-stoichiometric amount of a solvent. Solvates of a compound includes solvates of all forms of the compound. In certain embodiments, solvents are volatile, non-toxic, and/or acceptable for administration to humans in trace amounts. Suitable solvates include water.
[0046] "Stereoisomer" or "stereoisomers" refer to compounds that differ in the chirality of one or more stereocenters. Stereoisomers include enantiomers and diastereomers.
[0047] "Tautomer" refer to alternate forms of a compound that differ in the position of a proton, such as enol-keto and imine-enamine tautomers, or the tautomeric forms of heteroaryl groups containing a ring atom attached to both a ring -NH- moiety and a ring =N- moiety such as pyrazoles, imidazoles, benzimidazoles, triazoles, and tetrazoles.
[0048] The term 'atropisomer' refers to a stereoisomer resulting from an axis of asymmetry. This can result from restricted rotation about a single bond where the rotational barrier is high enough to allow differentiation of the isomeric species up to and including complete isolation of stable non-interconverting diastereomer or enantiomeric species (Eliel, E. and Wilen, S. (1994) Stereochemistry of Organic Compounds, John Wiley & Sons, Inc.). One skilled in the art will recognize that upon installing a nonsymmetrical R4, the formation of atropisomers is possible. In addition, once a second chiral center is installed in a given molecule containing an atropisomer, the two chiral elements taken together can create diastereomeric and enantiomeric stereochemical species. Depending upon the substitution about the R4 axis, interconversion between the atropisomers may or may not be possible and may depend on temperature. In some instances, the atropisomers may interconvert rapidly at room temperature and not resolve under ambient conditions. Other situations may allow for resolution and isolation but interconversion can occur over a period of seconds to hours or even days or months such that optical purity is degraded measurably over time. Yet other species may be completely restricted from interconversion under ambient and/or elevated temperatures such that resolution and isolation is possible and yields stable species. When known, the resolved atropisomers were named using the helical nomenclature. For this designation, only the two ligands of highest priority in front and behind the axis are considered. When the turn priority from the front ligand 1 to the rear ligand 1 is clockwise, the configuration is P, if
counterclockwise it is M.
[0049] "Pharmaceutically acceptable salt" refers to pharmaceutically acceptable salts derived from a variety of organic and inorganic counter ions well known in the art and include, by way of example only, sodium, potassium, calcium, magnesium, ammonium, and
tetraalkylammonium, and when the molecule contains a basic functionality, salts of organic or inorganic acids, such as hydrochloride, hydrobromide, tartrate, mesylate, acetate, maleate, and oxalate. Suitable salts include those described in P. Heinrich Stahl, Camille G. Wermuth (Eds.), Handbook of Pharmaceutical Salts Properties, Selection, and Use; 2002.
[0050] "Patient" refers to mammals and includes humans and non-human mammals.
[0051] "Treating" or "treatment" of a disease in a patient refers to 1 ) preventing the disease from occurring in a patient that is predisposed or does not yet display symptoms of the disease; 2) inhibiting the disease or arresting its development; or 3) ameliorating or causing regression of the disease.
[0052] Unless indicated otherwise, the nomenclature of substituents that are not explicitly defined herein are arrived at by naming the terminal portion of the functionality followed by the adjacent functionality toward the point of attachment. For example, the substituent "arylalkyloxycarbonyl" refers to the group (aryl)-(alkyl)-0-C(0)-. In a term such as "-C(RX)2", it should be understood that the two Rx groups can be the same, or they can be different if Rx is defined as having more than one possible identity. In addition, certain substituents are drawn as -RxRy, where the "-" indicates a bond adjacent to the parent molecule and Ry being the terminal portion of the functionality. Similarly, it is understood that the above definitions are not intended to include impermissible substitution patterns {e.g., methyl substituted with 5 fluoro groups). Such impermissible substitution patterns are well known to the skilled artisan.
[0053] In accordance with one preferred embodiment of the present invention, there is provided a compound of Formula I:
Figure imgf000017_0001
Formula I
or a pharmaceutically acceptable salt thereof, wherein:
L is linker that is selected from the group consisting of a direct bond, a branched or straight chain (C C6)alkylene, -S02- and -C(0)NH-; R1 is selected from (d-C6)alkyl or (C3-C7)cycloalkyl;
R2 is selected from the group consisting of -C02R9, -C(0)R15,
Figure imgf000018_0001
and wherein the X and Y rings indicated by a dashed circle are as defined below and wherein the X and Y individual rings each form a monocyclic ring comprised of the indicated rings;
R3 is selected from the group consisting of (CrC6)alkyl, -OR10, and -(C3- C7)cycloalkyl(R10);
R4 is selected from the group consisting of (C5-Ci4)aryl, (C3-C7)cycloalkyl, (C2- C9)heterocycle, and (C2-C9)heteroaryl, wherein the heterocycle and heteroaryl each comprise one to three heteroatoms selected from S, N and O;
R5, R6, R7, and R8 are independently selected from -H, (CrC6)alkyl, (CrC6)alkoxy, halo, nitrile, (C3-C7)cycloalkyl, -OR10(C5-Ci4)aryl, -OR10R14, -OR10(C5-Ci4)aryl(R11)m,
-R10(Y)(R12)n, -OR10R17, -R10R17, -R17R15, -OR10(R14)q, -OR10(Y), -OR10R18, -OS02R15, -R15, -(C5- C14)aryl, -(Y), -(Y)(R12)n, -C(0)(Y), -C(0)R15, -R10(C5-C14)aryl, -R10R15, and -(C5-C14)arylR15;
R9 is independently selected from -H or (C1-C6)alkyl;
R10 is (C C6)alkyl;
R11, R12, and R13 are independently selected from the group consisting of -H, (C C6)alkyl, (C C6)alkoxy, oxo, halo, -R10(R14)q, -OR10(R14)q, -S02R10; -C(0)R10, -C(0)R15, and
_R10R17.
R14 is halo;
R15 is -N(R16)2;
R16 is independently selected from the group consisting of -H, (CrC6)alkyl, hydroxyl, -S02R10, -SO2N(R10)2, -C(0)NHR10, -C(0)R18, and -(C5-Ci4)aryl(R11);
R17 is -OR9;
R18 is -C02R9;
Figure imgf000018_0002
Y is independently selected from (C2-C9)heterocycle or (C2-C9)heteroaryl, each having one to four heteroatoms selected from S, N and O, wherein X and Y are optionally substituted by one to four R11 groups;
m is zero or an integer selected from 1 , 2, 3, or 4; n is zero or an integer selected from 1 , 2, or 3;
p is zero or an integer selected from 1 , 2, or 3; and
q is an integer selected from 1 , 2, or 3.
[0054] In another embodiment of the present invention, there is provided a compound of
Formula I, wherein L is selected from the group consisting of a bond, -C(0)NH-, -S02-, methylene, and ethylene.
[0055] In another embodiment of the present invention, there is provided a compound of
Formula I, wherein L is selected from a bond or methylene.
[0056] In another embodiment of the present invention, there is provided a compound of
Formula I, wherein L is a bond.
[0057] In another embodiment of the present invention, there is provided a compound of
Formula I, wherein L is methylene.
[0058] In another embodiment of the present invention, there is provided a compound of
Formula I, wherein R1 is selected from the group consisting of methyl, ethyl, and cyclopropyl.
[0059] In another embodiment of the present invention, there is provided a compound of
Formula I, wherein R1 is methyl.
[0060] In another embodiment of the present invention, there is provided a compound of
Formula I, wherein R2 is selected from the group consisting of carboxyl, hydroxyamide, hydroxymethylamide, methylsulfonylamide,
Figure imgf000019_0001
[0061] In another embodiment of the present invention, there is provided a compound of
Formula I, wherein R2 is carboxyl.
[0062] In another embodiment of the present invention, there is provided a compound of
Formula I, wherein R3 is selected from the group consisting of methyl, ethyl, propyl, butyl, methoxy, ethoxy, propoxy, butoxy, pentoxy, and methylcyclobutoxy.
[0063] In another embodiment of the present invention, there is provided a compound of
Formula I, wherein R3 is butoxy. [0064] In another embodiment of the present invention, there is provided a compound of
Formula I, R3 is tert-butoxy.
[0065] In another embodiment of the present invention, there is provided a compound of
Formula I, wherein R4 is selected from the group consisting of (C5-Ci4)aryl, (C3-C7)cycloalkyl, (C2-C9)heterocycle, and (C2-C9)heteroaryl, wherein the heterocycle and heteroaryl each comprise one to four heteroatoms selected from S, N and O.
[0066] In another embodiment of the present invention, there is provided a compound of
Formula I, wherein R4 is selected from the group consisting of phenyl, dihydrobenzopyranyl, naphthalenyl, pyridinyl, benzodioxolyl, benzodioxinyl, dihydrobenzodioxepinyl, quinolinyl, dihydrobenzofuranyl, tetrahydroisoquinolinyl, dihydrobenzoxazinyl, dihydroindenyl,
benzothiazolyl, furanyl, pyrazolyl, and tetrahydropyridoquinolinyl.
[0067] In another embodiment of the present invention, there is provided a compound of
Formula I, wherein R4 is selected from phenyl or dihydrobenzopyranyl.
[0068] In another embodiment of the present invention, there is provided a compound of
Formula I, wherein R4 is dihydrobenzopyranyl.
[0069] In another embodiment of the present invention, there is provided a compound of
Formula I, wherein R4 is phenyl.
[0070] In another embodiment of the present invention, there is provided a compound of
Formula I, wherein R4 is optionally substituted by one to three groups selected from methyl, ethyl, oxo, methoxy, ethoxy, propoxy, methoxymethyl, flouro, chloro, bromo, trifluoromethoxy, trifluoromethyl, methylsulfonyl, dimethylamide, cyclohexyloxy, acetyl, and fluoromethyl.
[0071] In another embodiment of the present invention, there is provided a compound of
Formula I, wherein R4 is optionally substituted by one to three groups selected from methyl, methoxy, flouro, chloro, trifluoromethoxy, trifluoromethyl, acetyl.
[0072] In another embodiment of the present invention, there is provided a compound of
Formula I, wherein R4 is substituted by one to two groups selected from methyl, flouro, chloro.
[0073] In another embodiment of the present invention, there is provided a compound of
Formula I, wherein R4 is substituted by one to two groups selected from methyl and fluoro.
[0074] In another embodiment of the present invention, there is provided a compound of
Formula I, wherein R4 is substituted by one to two methyl groups.
[0075] In another embodiment of the present invention, there is provided a compound of
Formula I, wherein R4 is substituted by one or two fluoro groups.
[0076] In another embodiment of the present invention, there is provided a compound of
Formula I, wherein R4 is substituted by one to two chloro groups. [0077] In another embodiment of the present invention, there is provided a compound of
Formula I, wherein R4 is substituted by one to two methoxy groups.
[0078] In another embodiment of the present invention, there is provided a compound of
Formula I, wherein R5, R6, R7, and R8 are independently selected from the group consisting of - H, methyl, ethyl, propyl, butyl, hydroxyl, fluoro, chloro, bromo, methoxy, ethoxy, propoxy, methoxyethoxy, cyclopropyl, cyclohexyl, fluorophenylmethoxy, difluorophenylmethoxy, pyridinylmethoxy, trifluorophenylmethoxy, fluoropyridinylmethoxy, methylpyridinylmethoxy, phenyl, dimethyloxazolylmethoxy, thiophenylmethoxy, fluoroethoxy, chlorothiophenylmethoxy, methylthiophenylmethoxy, hydroxyethoxy, dimethylaminoethoxy, difluoromethoxy,
pyrrolidinylethoxy, morpholinylethoxy, carboxylmethoxy, dimethylsulfamoyloxy, trifluoromethyl, methylsulfonylphenylmethoxy, chlorophenylmethoxy, pyrimidinylmethoxy,
trifluoromethoxyphenylmethoxy, chlorobromophenylamino, piperidinyl, piperidinylmethyl, dioxothiomorpholinyl, morpholinyl, morpholinylcarbonyl, ethylamide, fluorophenyl,
methoxyphenylmethyl, methylpyridinyl, phenylmethyl, phenylethyl, nitrile, aminocarbonyl, aminomethyl, morpholinylmethyl, bis(pyridinylmethyl)aminomethyl, pentylpyrazolyl,
pyridinylmethylaminomethyl, acetamidomethyl, ethylureidomethyl, pyridinyl,
carboxyformamidomethyl, methylsulfonamidomethyl, dimethylaminophenyl,
dimethylaminosulfonylaminomethyl, methylpyrrolyl, methylpyrazolyl, methylfuranyl, furanyl, dimethylpyrazolyl, pyrazolyl, methoxypyridinyl, and dimethylisoxazolyl.
[0079] In another embodiment of the present invention, there is provided a compound of
Formula I, wherein R9 is independently selected from the group consisting of -H, methyl, ethyl, propyl, isopropyl, butyl, isobutyl, tert-butyl, pentyl and septyl.
[0080] In another embodiment of the present invention, there is provided a compound of
Formula I, wherein R9 is -H.
[0081] In another embodiment of the present invention, there is provided a compound of
Formula I, wherein R9 is independently selected from the group consisting of methyl, ethyl, propyl, isopropyl, butyl, isobutyl, tert-butyl, pentyl and septyl.
[0082] In another embodiment of the present invention, there is provided a compound of
Formula I, wherein R10 is independently selected from the group consisting of methyl, ethyl, propyl, isopropyl, butyl, isobutyl, tert-butyl, pentyl and septyl.
[0083] In another embodiment of the present invention, there is provided a compound of
Formula I, wherein R11, R12, and R13 are independently selected from the group consisting of - H, methyl, ethyl, methoxy, ethoxy, oxo, chloro, fluoro, bromo, trifluoromethyl, trifluoromethoxy, methylsulfonyl, -C(0)methyl, -C(0)R15, and methylmethoxy. [0084] In another embodiment of the present invention, there is provided a compound of
Formula I, wherein R16 is independently selected from the group consisting of -H, methyl, ethyl, hydroxyl, methylsulfonyl, -S02N(methyl)2, -C(0)NHmethyl, -C(0)R18, and -(X)(R11).
[0085] In another embodiment of the present invention, there is provided a compound of
Formula I:
Figure imgf000022_0001
Formula I
or a pharmaceutically acceptable salt thereof, wherein:
L is linker that is selected from the group consisting of a direct bond, a branched or straight chain (C C6)alkylene, -S02- and -C(0)NH-;
R1 is selected from (d-C6)alkyl or (C3-C7)cycloalkyl;
2 is selected from the group consisting of -C02R9, -C(0)R15,
Figure imgf000022_0002
R3 is selected from the group consisting of (CrC6)alkyl, -OR10, and -(Z)R10;
R4 is selected from the group consisting of -NR9(X), tetrahydropyridoquinolinyl,
Figure imgf000023_0001
, wherein the X, Y, Z, XY, XZ, and ZZ rings indicated by a dashed circle are as defined below and wherein the XY, XZ, ZZ rings each together form a bicyclic fused ring system comprised of the indicated rings and wherein the X, Y, and Z individual rings each form a monocyclic ring comprised of the indicated rings;
R5, R6, and R7 are independently selected from the group consisting of -H, -OH, (C-r C6)alkyl, (C C6)alkoxy, halo, nitrile, (C3-C7)cycloalkyl, -OR10(X), -OR10R14, -OR10(X)(R11)m, -R10(Y)(R12)n, -OR10R17, -R10R17, -R17R15, -OR10(R14)q, -OR10(Y), -OR10R18, -OS02R15, -R15, -(X),
-(Y), -(Y)(R' -C(0)(Y), -C(0)R'3, -RIU(X), -RIUR'3, and -(X)R >15.
R9 is independently selected from the group consisting of H and (CrC6)alkyl;
R10 is (CrC6)alkyl;
R11, R12, and R13 are independently selected from the group consisting of -H, (d-
C6)alkyl, (C C6)alkoxy, oxo, halo, -Rlu(Rl4)q, -0R lu(Rl4)q, -S02R'U; -C(0)RIU, -C(0)R'3, and -R10R17;
R14 is halo;
R15 is -N(R16)2;
R16 is independently selected from the group consisting of -H, (CrC6)alkyl, hydroxyl, -S02R10, -SO2N(R10)2, -C(0)NHR10, -C(0)R18, and -(X)(R11);
R17 is -OR9;
R18 is -C02R9;
X is (C5-C14)aryl;
Y is independently selected from (C2-C9)heterocycle or (C2-C9)heteroaryl, each having one to three heteroatoms selected from S, N and O;
Z is (C3-C7)cycloalkyl; m is zero or an integer selected from 1 , 2, 3, or 4;
n is zero or an integer selected from 1 , 2, or 3;
p is zero or an integer selected from 1 , 2, or 3; and
q is an integer selected from 1 , 2, or 3.
[0086] In another embodiment of the present invention, there is provided a compound of
Formula I:
Figure imgf000024_0001
Formula I
or a pharmaceutically acceptable salt thereof, wherein:
L is linker that is selected from the group consisting of a direct bond, a branched or straight chain (C C6)alkylene, -S02- and -C(0)NH-;
R1 is selected from the group consisting of -H, (d-C6)alkyl and (C3-C7)cycloalkyl;
2 is selected from the group consisting of -C02R9, -C(0)R15,
Figure imgf000024_0002
R3 is selected from the group consisting of (CrC6)alkyl, -OR10, and -(C3- C7)cycloalkylR10;
R4 is selected from the group consisting of:
Figure imgf000025_0001
Rb, Rb, R\ and RB are independently selected from -H, -OH, (C C6)alkyl, (C
C6)alkoxy, halo, nitrile, (C3-C7)cycloalkyl, -ORlu(X), -0R1UR14, -ORlu(X)(R11),
-R10(Y)(R12)n, -OR10R17, -R10R17, -R17R15, -OR10(R14)q, -OR10(Y), -OR10R18, -OS02R15, -R15, -(X), -(Y), -(Y)(R12)n, -C(0)(Y), -C(0)R15, -R10(X), -R10R15, and -(X)R15;
R9 is independently selected from the group consisting of -H and (Ci-C6)alkyl;
R10 is (CrC6)alkyl;
R11, R12, and R13 are independently selected from the group consisting of -H,
,10 (Ci-C6)alkyl, (C C6)alkoxy, oxo, halo, -R10(R14)q, -OR10(R14)q, -S02R1°; -C(0)R -C(0)R15, and -R10R17;
R14 is halo;
R15 is -N(R16)2; R16 is independently selected from the group consisting of -H, (CrC6)alkyl, hydroxyl, -S02R1°, -SO2N(R10)2, -C(0)NHR10, -C(0)R18, and -(X)(R11);
R17 is -OR9;
R18 is -C02R9;
Figure imgf000026_0001
Y is independently selected from (C2-C9)heterocycle or (C2-C9)heteroaryl, each having one to three heteroatoms selected from S, N and O;
m is zero or an integer selected from 1 , 2, 3, or 4;
n is zero or an integer selected from 1 , 2, or 3; and
q is an integer selected from 1 , 2, or 3.
[0087] In another embodiment of the present invention, there is provided a compound of
Formula (II):
(II)
Figure imgf000026_0002
Formula II
or a pharmaceutically acceptable salt thereof, wherein:
L is linker that is selected from the group consisting of a direct bond, methylene, -S02-, and -C(0)NH-;
X is phenyl;
R4 is selected from the group consisting of phenyl, dihydrobenzopyranyl, naphthalenyl, pyridinyl, benzodioxolyl, benzodioxinyl, dihydrobenzodioxepinyl, quinolinyl, dihydrobenzofuranyl, tetrahydroisoquinolinyl, dihydrobenzoxazinyl, dihydroindenyl, benzothiazolyl, furanyl, pyrazolyl, and tetrahydropyridoquinolinyl;
R5, R6, and R7 are independently selected from H, methyl, ethyl, propyl, butyl, hydroxyl, fluoro, chloro, bromo, methoxy, ethoxy, propoxy, methoxyethoxy, fluorophenylmethoxy, difluorophenylmethoxy, pyridinylmethoxy, trifluorophenylmethoxy, fluoropyridinylmethoxy, methylpyridinylmethoxy, phenyl, dimethyloxazolylmethoxy, thiophenylmethoxy, fluoroethoxy, chlorothiophenylmethoxy, methylthiophenylmethoxy, hydroxyethoxy, dimethylaminoethoxy, difluoromethoxy, pyrrolidinylethoxy, morpholinylethoxy, carboxylmethoxy, dimethylsulfamoyloxy, trifluoromethyl, methylsulfonylphenylmethoxy, chlorophenylmethoxy, pyrimidinylmethoxy, trifluoromethoxyphenylmethoxy, chlorobromophenylamino, piperidinyl, piperidinylmethyl, dioxothiomorpholinyl, morpholinyl, morpholinylcarbonyl, ethylamide, fluorophenyl,
methoxyphenylmethyl, methylpyridinyl, phenylmethyl, phenylethyl, nitrile, aminocarbonyl, aminomethyl, morpholinylmethyl, bis(pyridinylmethyl)aminomethyl, pentylpyrazolyl,
pyridinylmethylaminomethyl, acetamidomethyl, ethylureidomethyl, pyridinyl,
carboxyformamidomethyl, methylsulfonamidomethyl, dimethylaminophenyl,
dimethylaminosulfonylaminomethyl, methylpyrrolyl, methylpyrazolyl, methylfuranyl, furanyl, dimethylpyrazolyl, pyrazolyl, methoxypyridinyl, and dimethylisoxazolyl;
R9 is independently selected from the group consisting of -H, methyl, ethyl, propyl, isopropyl, butyl, isobutyl, tert-butyl, pentyl, and septyl;
R10 is selected from the group consisting of -H, methyl, ethyl, propyl, isopropyl, butyl, isobutyl, tert-butyl, penty, and septyl;
R11, R12, and R13 are independently selected from the group consisting of -H, methyl, ethyl, methoxy, ethoxy, oxo, chloro, fluoro, bromo, trifluoromethyl, trifluoromethoxy,
methylsulfonyl, -C(0)methyl, -C(0)R15, and methylmethoxy;
R14 is selected from the group consisting of chloro, fluoro, and bromo.
R15 is -N(R16)2;
R16 is independently selected from the group consisting of -H, methyl, ethyl, hydroxyl, methylsulfonyl, -S02N(methyl)2, -C(0)NHmethyl, -C(0)R18, and -(X)(R11);
R17 is -OR9; and
R18 is -C02R9.
[0088] In another embodiment of the present invention, there is provided a compound that is selected from the group consisting of:
2-(tert-butoxy)-2-{2-methyl-1-oxo-4-[4-(trifluoromethoxy)phenyl]-1 ,2-dihydroisoquinolin-3- yl}acetic acid,
2-(tert-butoxy)-2-[4-(3,5-difluorophenyl)-2-methyl-1 -oxo-1 ,2-dihydroisoquinolin-3-yl]acetic acid, 2-(tert-butoxy)-2-[2-methyl-4-(4-methylphenyl)-1 -oxo-1 ,2-dihydroisoquinolin-3-yl]acetic acid, 2-(tert-butoxy)-2-[4-(4-methoxyphenyl)-2-methyl-1 -oxo-1 , 2-dihydroisoquinolin-3-yl]acetic acid, 2-(tert-butoxy)-2-[4-(4-fluorophenyl)-2-methyl-1 -oxo-1 ,2-dihydroisoquinolin-3-yl]acetic acid, 2-(tert-butoxy)-2-[4-(3,5-dimethylphenyl)-2-methyl-1-oxo acid, 2-(tert-butoxy)-2-[4-(3,4-dichlorophenyl)-2-methyl-1-oxo-1 ,2-dihydroisoquinolin-3-yl]acetic acid, 2-(tert-butoxy)-2-[4-(3,5-dichlorophenyl)-2-methyl-1-oxo-1 ,2-dihydroisoquinolin-3-yl]acetic acid, 2-(tert-butoxy)-2-[4-(2,3-difluorophenyl)-2-methyl-1 -oxo-1 ,2-dihydroisoquinolin-3-yl]acetic acid, 2-(tert-butoxy)-2-{2-methyl-1 -oxo-4-[3-(triflu^^
acid,
2-(tert-butoxy)-2-[4-(2,5-dichlorophenyl)-2-methyl-1-oxo-1 ,2-dihydroisoquinolin-3-yl]acetic acid, 2-(tert-butoxy)-2-[4-(3-methoxyphenyl)-2-methyl-1 -oxo-1 ,2-dihydroisoquinolin-3-yl]acetic acid, 2-(tert-butoxy)-2-{2-methyl-1-oxo-4-[3-(trifluoromethoxy)phenyl]-1 ,2-dihydroisoquinolin-3- yl}acetic acid,
2-(tert-butoxy)-2-{2-methyl-1 -oxo-4-[4-(triflu^^
acid,
2-(tert-butoxy)-2-[2-methyl-4-(3-methylphenyl)-1 -oxo-1 ,2-dihydroisoquinolin-3-yl]acetic acid, 2-(tert-butoxy)-2-[2-methyl-4-(5-methyl-3,4-dihydro-2H-1-benzopyran-6-yl)-1 -oxo-1 ,2- dihydroisoquinolin-3-yl]acetic acid,
2-(tert-butoxy)-2-[2-methyl-4-(7-methyl-3,4-dihydro-2H-1-benzopyran-6-yl)-1 -oxo-1 ,2- dihydroisoquinolin-3-yl]acetic acid,
2-(tert-butoxy)-2-[4-(5-chloro-3,4-dihydro-2H-1-benzopyran-6-yl)-2-methyl-1 -oxo-1 ,2- dihydroisoquinolin-3-yl]acetic acid,
2-(tert-butoxy)-2-[4-(4-methanesulfonylphenyl)-2-methyl-1 -oxo-1 , 2-dihydroisoquinolin-3-yl]acetic acid,
2-(tert-butoxy)-2-{4-[4-(dimethylcarbamoyl)phenyl]-2-methyl-1 -oxo-1 ,2-dihydroisoquinolin-3- yl}acetic acid,
2-(tert-butoxy)-2-{4-[4-(cyclohexyloxy)phenyl]-2-methyl-1 -oxo-1 , 2-dihydroisoquinolin-3-yl}acetic acid,
2-(tert-butoxy)-2-[4-(3,4-dihydro-2H-1-benzopyran-6-yl)-6-fluoro-2-methyl-1 -oxo-1 ,2- dihydroisoquinolin-3-yl]acetic acid,
2-(tert-butoxy)-2-[6-chloro-4-(3,4-dihydro-2H-1 -benzopyran-6-yl)-2-methyl-1 -oxo-1 ,2- dihydroisoquinolin-3-yl]acetic acid,
2-(tert-butoxy)-2-[2-methyl-1-oxo-4-(3,4,5-trimethoxyphenyl)-1 ,2-dihydroisoquinolin-3-yl]acetic acid,
2-(tert-butoxy)-2-[4-(3,4-dimethylphenyl)-2-ethyl-1 -oxo-1 ,2-dihydroisoquinolin-3-yl]acetic acid, 2-(tert-butoxy)-2-[4-(4-methoxy-3,5-dimethylphenyl)-2-methyl-1 -oxo-1 , 2-dihydroisoquinolin-3- yl]acetic acid, 2-(tert-butoxy)-2-[2-methyl-4-(naphthalen-1 -yl)-1 -oxo-1 ,2-dihydroisoquinolin-3-yl]acetic acid, 2-(tert-butoxy)-2-[2-cyclopropyl-4-(3,4-dihydro-2H-1-benzopyran-6-yl)-1 -oxo-1 ,2- dihydroisoquinolin-3-yl]acetic acid,
2-(tert-butoxy)-2-[4-(4-methoxy-2-methylphenyl)-2-methyl-1 -oxo-1 , 2-dihydroisoquinolin-3- yl]acetic acid,
2-(tert-butoxy)-2-[4-(2-methoxyphenyl)-2-methyl-1 -oxo-1 , 2-dihydroisoquinolin-3-yl]acetic acid, 2-(tert-butoxy)-2-[4-(2,4-dimethylphenyl)-2-methyl-1 -oxo-1 , 2-dihydroisoquinolin-3-yl]acetic acid, 2-(tert-butoxy)-2-[4-(3,4-dihydro-2H-1-benzopyran-6-yl)-8-fluoro-2-methyl-1 -oxo-1 ,2- dihydroisoquinolin-3-yl]acetic acid,
2- (tert-butoxy)-2-[4-(3,4-dihydro-2H-1-benzopyran-7-yl)-2-methyl-1 -oxo-1 , 2-dihydroisoquinolin-
3- yl]acetic acid,
2-(tert-butoxy)-2-[4-(8-chloro-3,4-dihydro-2H-1-benzopyran-7-yl)-2-methyl-1 -oxo-1 ,2- dihydroisoquinolin-3-yl]acetic acid,
2-[7-(benzyloxy)-2-methyl-4-(5-methyl-3,4-dihydro-2H-1 -benzopyran-6-yl)-1-oxo-1 ,2- dihydroisoquinolin-3-yl]-2-(tert-butoxy)acetic acid,
2-(tert-butoxy)-2-[7-(2-fluoroethoxy)-2-methyl-4-(5-methyl-3,4-dihydro-2H-1 -benzopyran-6-yl)-1 - oxo-1 ,2-dihydroisoquinolin-3-yl]acetic acid,
2-(tert-butoxy)-2-[8-fluoro-4-(8-fluoro-5-methyl-3,4-dihydro-2H-1-benzopyran-6-yl)-2-methyl-1 - oxo-1 ,2-dihydroisoquinolin-3-yl]acetic acid,
2-(tert-butoxy)-2-[6-fluoro-4-(8-fluoro-5-methyl-3,4-dihydro-2H-1-benzopyran-6-yl)-2-methyl-1 - oxo-1 ,2-dihydroisoquinolin-3-yl]acetic acid,
2-(tert-butoxy)-2-[7-fluoro-4-(8-fluoro-5-methyl-3,4-dihydro-2H-1-benzopyran-6-yl)-2-methyl-1 - oxo-1 ,2-dihydroisoquinolin-3-yl]acetic acid,
2-(tert-butoxy)-2-{7-[(4-fluorophenyl)methoxy]-2-methyl-4-(5-methyl-3,4-dihydro-2H-1- benzopyran-6-yl)-1 -oxo-1 ,2-dihydroisoquinolin-3-yl}acetic acid,
(2S)-2-(tert-butoxy)-2-[7-methoxy-2-methyl-4-(5-methyl-3,4-dihydro-2H-1-benzopyran-6-yl)-1 - oxo-1 ,2-dihydroisoquinolin-3-yl]acetic acid,
2-(tert-butoxy)-2-{7-[(2,5-difluorophenyl)methoxy]-2-methyl-4-(5-methyl-3,4-dihydro-2H-1 - benzopyran-6-yl)-1 -oxo-1 ,2-dihydroisoquinolin-3-yl}acetic acid,
2-(tert-butoxy)-2-{7-[(2,3-difluorophenyl)methoxy]-2-methyl-4-(5-methyl-3,4-dihydro-2H-1 - benzopyran-6-yl)-1 -oxo-1 ,2-dihydroisoquinolin-3-yl}acetic acid,
2-(tert-butoxy)-2-[2-methyl-4-(5-methyl-3,4-dihydro-2H-1-benzopyran-6-yl)-1 -oxo-7-(pyridin-3- ylmethoxy)-1 ,2-dihydroisoquinolin-3-yl]acetic acid,
2-(tert-butoxy)-2-{7-[(2,6-difluorophenyl)methoxy]-2-methyl-4-(5-methyl-3,4-dihydro-2H-1 - benzopyran-6-yl)-1 -oxo-1 ,2-dihydroisoquinolin-3-yl}acetic acid,
2-(tert-butoxy)-2-[2-methyl-4-(5-methyl-3,4-dihydro-2H-1-benzopyran-6-yl)-1 -oxo-7-[(2,4,6- trifluorophenyl)methoxy]-1 ,2-dihydroisoquinolin-3-yl]acetic acid,
2-(tert-butoxy)-2-{7-[(5-fluoropyridin-2-yl)methoxy]-2-methyl-4-(5-methyl-3,4-dihydro-2H-1 - benzopyran-6-yl)-1 -oxo-1 ,2-dihydroisoquinolin-3-yl}acetic acid,
2-(tert-butoxy)-2-[4-(8-fluoro-5-methyl-3,4-dihydro-2H-1 -benzopyran-6-yl)-7-[(5-fluoropyridin-2- yl)methoxy]-2-methyl-1 -oxo-1 ,2-dihydroisoquinolin-3-yl]acetic acid,
2-(tert-butoxy)-2-[2-methyl-4-(5-methyl-3,4-dihydro-2H-1-benzopyran-6-yl)-7-[(3-methylpyridin-2- yl)methoxy]-1 -oxo-1 , 2-dihydroisoquinolin-3-yl]acetic acid,
2-(tert-butoxy)-2-{7-[(2-fluorophenyl)methoxy]-2-methyl-4-(5-methyl-3,4-dihydro-2H-1- benzopyran-6-yl)-1 -oxo-1 ,2-dihydroisoquinolin-3-yl}acetic acid,
2-(tert-butoxy)-2-{7-[(3-fluorophenyl)methoxy]-2-methyl-4-(5-methyl-3,4-dihydro-2H-1- benzopyran-6-yl)-1 -oxo-1 ,2-dihydroisoquinolin-3-yl}acetic acid,
(2S)-2-(tert-butoxy)-2-{7-[(dimethyl-1 ,3-oxazol-4-yl)methoxy]-4-(8-fluoro-5-methyl-3,4-dihydro- 2H-1-benzopyran-6-yl)-2-methyl-1 -oxo-1 ,2-dihydroisoquinolin-3-yl}acetic acid,
(2S)-2-(tert-butoxy)-2-[4-(8-fluoro-5-methyl-3,4-dihydro-2H-1 -benzopyran-6-yl)-7-methoxy-2- methyl-1 -oxo-1 ,2-dihydroisoquinolin-3-yl]acetic acid,
(2S)-2-(tert-butoxy)-2-{7-[(2,4-difluorophenyl)methoxy]-4-(8-fluoro-5-methyl-3,4-dihydro-2H-1 - benzopyran-6-yl)-2-methyl-1 -oxo-1 , 2-dihydroisoquinolin-3-yl}acetic acid,
(2S)-2-(tert-butoxy)-2-{7-[(3,4-difluorophenyl)methoxy]-2-methyl-4-(5-methyl-3,4-dihydro-2H-1- benzopyran-6-yl)-1 -oxo-1 ,2-dihydroisoquinolin-3-yl}acetic acid,
(2S)-2-(tert-butoxy)-2-[4-(8-fluoro-5-methyl-3,4-dihydro-2H-1 -benzopyran-6-yl)-2-methyl-1-oxo- 7-(thiophen-2-ylmethoxy)-1 ,2-dihydroisoquinolin-3-yl]acetic acid,
(2S)-2-(tert-butoxy)-2-[4-(8-fluoro-5-methyl-3,4-dihydro-2H-1 -benzopyran-6-yl)-7-(2- fluoroethoxy)-2-methyl-1 -oxo-1 ,2-dihydroisoquinolin-3-yl]acetic acid,
(2S)-2-(tert-butoxy)-2-{7-[(5-chlorothiophen-2-yl)methoxy]-4-(8-fluoro-5-methyl-3,4-dihydro-2H- 1 -benzopyran-6-yl)-2-methyl-1 -oxo-1 ,2-dihydroisoquinolin-3-yl}acetic acid,
(2S)-2-(tert-butoxy)-2-[2-methyl-4-(5-methyl-3,4-dihydro-2H-1 -benzopyran-6-yl)-1 -oxo-7- (thiophen-2-ylmethoxy)-1 ,2-dihydroisoquinolin-3-yl]acetic acid,
(2S)-2-(tert-butoxy)-2-{7-[(5-chlorothiophen-2-yl)methoxy]-2-methyl-4-(5-methyl-3,4-dihydro-2H-
1- benzopyran-6-yl)-1 -oxo-1 , 2-dihydroisoquinolin-3-yl}acetic acid,
(2S)-2-(tert-butoxy)-2-[4-(8-fluoro-5-methyl-3,4-dihydro-2H-1 -benzopyran-6-yl)-2-methyl-7-[(5- methylthiophen-2-yl)methoxy]-1 -oxo-1 , 2-dihydroisoquinolin-3-yl]acetic acid,
2- (tert-butoxy)-2-[4-(3,4-difluorophenyl)-2-methyl-1 -oxo-1 ,2-dihydroisoquinolin-3-yl]acetic acid, 2- (tert-butoxy)-2-[4-(3,4-dihydro-2H-1-benzopyran-6-yl)-2-methyl-1-oxo-1 ,2-dihydroisoquin
3- yl]acetic acid,
2-(tert-butoxy)-2-[4-(3-fluorophenyl)-2-methyl-1-oxo-1 ,2-dihydroisoquinolin-3-yl]acetic acid, 2-(tert-butoxy)-2-[2-methyl-1 -oxo-4-(pyridin-3-yl)-1 ,2-dihydroisoquinolin-3-yl]acetic acid, 2-(tert-butoxy)-2-[4-(4-ethoxyphenyl)-2-methyl-1 -oxo-1 ,2-dihydroisoquinolin-3-yl]acetic acid, 2-(tert-butoxy)-2-[2-methyl-1-oxo-4-(2,4,5-trimethylphenyl)-1 ,2-dihydroisoquinolin-3-yl]acetic acid,
2-(tert-butoxy)-2-[2-methyl-1 -oxo-4-(4-propoxyphenyl)-1 ,2-dihydroisoquinolin-3-yl]acetic acid,
2-(tert-butoxy)-2-{2-methyl-1 -oxo-4-[4-(propan-2-yloxy)phenyl]-1 ,2-dihydroisoquinolin-3-yl}acetic acid,
2-(tert-butoxy)-2-[4-(2,4-difluorophenyl)-2-methyl-1 -oxo-1 ,2-dihydroisoquinolin-3-yl]acetic acid, 2-(tert-butoxy)-2-[4-(4-ethylphenyl)-2-methyl-1 -oxo-1 ,2-dihydroisoquinolin-3-yl]acetic acid, 2-(tert-butoxy)-2-[2-methyl-1 -oxo-4-(pyridin-4-yl)-1 ,2-dihydroisoquinolin-3-yl]acetic acid, 2-(tert-butoxy)-2-{4-[4-(methoxymethyl)phenyl]-2-methyl-1 -oxo-1 , 2-dihydroisoquinolin-3-yl}acetic acid,
2-(tert-butoxy)-2-[4-(3,4-dimethoxyphenyl)-2-methyl-1 -oxo-1 , 2-dihydroisoquinolin-3-yl]acetic acid,
2-[4-(2H-1 ,3-benzodioxol-5-yl)-2-methyl-1 -oxo-1 ,2-dihydroisoquinolin-3-yl]-2-(tert-butoxy)acetic acid,
2-(tert-butoxy)-2-[4-(3-methoxy-4-methylphenyl)-2-methyl-1 -oxo-1 , 2-dihydroisoquinolin-3- yl]acetic acid,
2-(tert-butoxy)-2-[4-(2, 3-dihydro-1 ,4-benzodioxin-6-yl)-2-methyl-1 -oxo-1 ,2-dihydroisoquinolin-3- yl]acetic acid,
2-(tert-butoxy)-2-[4-(4-methoxy-3-methylphenyl)-2-methyl-1 -oxo-1 , 2-dihydroisoquinolin-3- yl]acetic acid,
2-(tert-butoxy)-2-[4-(3,4-dimethylphenyl)-2,6-dimethyl-1 -oxo-1 , 2-dihydroisoquinolin-3-yl]acetic acid,
2-(tert-butoxy)-2-[4-(3,4-dimethylphenyl)-6-fluoro-2-methyl-1 -oxo-1 ,2-dihydroisoquinolin-3- yl]acetic acid,
2-(tert-butoxy)-2-[4-(3,4-dihydro-2H-1-benzopyran-6-yl)-7-fluoro-2-methyl-1 -oxo-1 ,2- dihydroisoquinolin-3-yl]acetic acid,
2-(tert-butoxy)-2-[4-(3,4-dihydro-2H-1-benzopyran-6-yl)-2,7-dimethyl-1 -oxo-1 ,2- dihydroisoquinolin-3-yl]acetic acid,
2-(tert-butoxy)-2-[4-(3,4-dimethylphenyl)-8-fluoro-2-methyl-1 -oxo-1 ,2-dihydroisoquinolin-3- yl]acetic acid,
2-(tert-butoxy)-2-[4-(3,4-dimethylphenyl)-2J-dimethyl-1-oxo-1 ,2-dihydroisoquinolin-3-yl]aceti acid,
2-(tert-butoxy)-2-[4-(3,4-dihydro-2H-1 ,5-benzodioxepin-7-yl)-2-methyl-1-oxo-1 ,2- dihydroisoquinolin-3-yl]acetic acid,
2-(tert-butoxy)-2-[2-methyl-1-oxo-4-(quinolin-6-yl)-1 ,2-dihydroisoquinolin-3-yl]acetic acid, 2-(tert-butoxy)-2-[4-(2,3-dihydro-1-benzofuran-5-yl)-2-methyl-1-oxo-1 ,2-dihydroisoquinolin-3- yl]acetic acid,
2-(tert-butoxy)-2-[2-methyl-4-(naphthalen-2-yl)-1 -oxo-1 ,2-dihydroisoquinolin-3-yl]acetic acid, I 2-(tert-butoxy)-2-[4-(3,4-dihydro-2H-1-benzopyran-6-yl)-2-ethyl-1-oxo-1 ,2-dihydroisoquinolin-3- yl]acetic acid,
2-(tert-butoxy)-2-[4-(4-chloro-3,5-dimethylphenyl)-2-methyl-1 -oxo-1 ,2-dihydroisoquinolin-3- yl]acetic acid,
2-(tert-butoxy)-2-[2,7-dimethyl-4-(5-methyl-3,4-dihydro-2H-1-benzopyran-6-yl)-1 -oxo-1 ,2- dihydroisoquinolin-3-yl]acetic acid,
2-(tert-butoxy)-2-[7-chloro-4-(3,4-dihydro-2H-1 -benzopyran-6-yl)-2-methyl-1 -oxo-1 ,2- dihydroisoquinolin-3-yl]acetic acid,
2-(tert-butoxy)-2-[6-fluoro-2-methyl-4-(5-methyl-3,4-dihydro-2H-1 -benzopyran-6-yl)-1-oxo-1 ,2- dihydroisoquinolin-3-yl]acetic acid,
2-(tert-butoxy)-2-[4-(8-chloro-5-methyl-3,4-dihydro-2H-1 -benzopyran-6-yl)-2-methyl-1-oxo-1 ,2- dihydroisoquinolin-3-yl]acetic acid,
2-(tert-butoxy)-2-[2-methyl-4-(2-methylphenyl)-1 -oxo-1 ,2-dihydroisoquinolin-3-yl]acetic acid 2-(tert-butoxy)-2-[4-(3,4-dihydro-2H-1-benzopyran-6-yl)-7-methoxy-2-methyl-1-oxo-1 ,2- dihydroisoquinolin-3-yl]acetic acid,
2-(tert-butoxy)-2-[4-(2,2-dimethyl-4-oxo-3,4-dihydro-2H-1-benzopyran-6-yl)-2-methyl-1 -oxo-1 ,2- dihydroisoquinolin-3-yl]acetic acid,
2-(tert-butoxy)-2-[4-(3,4-dihydro-2H-1-benzopyran-6-yl)-2,5-dimethyl-1 -oxo-1 ,2- dihydroisoquinolin-3-yl]acetic acid,
2-(tert-butoxy)-2-[7-fluoro-2-methyl-4-(5-methyl-3,4-dihydro-2H-1 -benzopyran-6-yl)-1-oxo-1 ,2- dihydroisoquinolin-3-yl]acetic acid,
2-(tert-butoxy)-2-[7-methoxy-2-methyl-4-(5-methyl-3,4-dihydro-2H-1-benzopyran-6-yl)-1-oxo- 1 ,2-dihydroisoquinolin-3-yl]acetic acid,
2-(tert-butoxy)-2-[2-ethyl-4-(5-methyl-3,4-dihydro-2H-1-benzopyran-6-yl)-1 -oxo-1 ,2- dihydroisoquinolin-3-yl]acetic acid, 2-(tert-butoxy)-2-[4-(2,2-dimethyl-3,4-dihydro-2H-1-benzopyran-6-yl)-2-methyl-1-oxo-1 ,2- dihydroisoquinolin-3-yl]acetic acid,
2-(tert-butoxy)-2-[7-chloro-2-methyl-4-(5-methyl-3,4-dihydro-2H-1 -benzopyran-6-yl)-1 -oxo-1 ,2- dihydroisoquinolin-3-yl]acetic acid,
2-[4-(2-acetyl-1 ,2,3,4-tetrahydroisoquinolin-7-yl)-2-methyl-1 -oxo-1 ,2-dihydroisoquinolin-3-yl]-2- (tert-butoxy)acetic acid,
2-(tert-butoxy)-2-[7-(2-methoxyethoxy)-2-methyl-4-(5-methyl-3,4-dihydro-2H-1-benzopyran-6-yl)-
1- OXO-1 , 2-dihydroisoquinolin-3-yl]acetic acid,
2- (tert-butoxy)-2-[4-(3,4-dihydro-2H-1 ,4-benzoxazin-6-yl)-2-methyl-1 -oxo-1 ,2-dihydroisoquinolin-
3- yl]acetic acid,
2-(tert-butoxy)-2-[8-fluoro-2-methyl-4-(5-methyl-3,4-dihydro-2H-1 -benzopyran-6-yl)-1-oxo-1 ,2- dihydroisoquinolin-3-yl]acetic acid,
2-(tert-butoxy)-2-[7-hydroxy-2-methyl-4-(5-methyl-3,4-dihydro-2H-1 -benzopyran-6-yl)-1-oxo-1 ,2- dihydroisoquinolin-3-yl]acetic acid,
2-(tert-butoxy)-2-[7-(2-hydroxyethoxy)-2-methyl-4-(5-methyl-3,4-dihydro-2H-1 -benzopyran-6-yl)-
1- 0X0-1 , 2-dihydroisoquinolin-3-yl]acetic acid,
2- (tert-butoxy)-2-{7-[2-(dimethylamino)ethoxy]-2-methyl-4-(5-methyl-3,4-dihydro-2H-1 - benzopyran-6-yl)-1 -oxo-1 ,2-dihydroisoquinolin-3-yl}acetic acid,
2-(tert-butoxy)-2-[4-(5-chloro-3,4-dihydro-2H-1 ,4-benzoxazin-6-yl)-2-methyl-1-oxo-1 ,2- dihydroisoquinolin-3-yl]acetic acid,
2-(tert-butoxy)-2-[7-(difluoromethoxy)-2-methyl-4-(5-methyl-3,4-dihydro-2H-1-benzopyran-6-yl)-
1 - oxo-1 , 2-dihydroisoquinolin-3-yl]acetic acid,
(2S)-2-(tert-butoxy)-2-[2,7-dimethyl-4-(5-methyl-3,4-dihydro-2H-1 -benzopyran-6-yl)-1 -oxo-1 ,2- dihydroisoquinolin-3-yl]acetic acid,
2- [4-(4-acetyl-5-chloro-3,4-dihydro-2H-1 ,4-benzoxazin-6-yl)-2-methyl-1 -oxo-1 ,2- dihydroisoquinolin-3-yl]-2-(tert-butoxy)acetic acid,
2-(tert-butoxy)-2-[2-methyl-4-(5-methyl-3,4-dihydro-2H-1-benzopyran-6-yl)-1 -oxo-7-[2- (pyrrolidin-1 -yl)ethoxy]-1 ,2-dihydroisoquinolin-3-yl]acetic acid,
2- (tert-butoxy)-2-(2-methyl-1-oxo-4-{2H,3H,4H-pyrano[2,3-b]pyridin-6-yl}-1 ,2-dihydroisoquinoli^
3- yl)acetic acid,
2-(tert-butoxy)-2-[2-methyl-4-(5-methyl-3,4-dihydro-2H-1-benzopyran-6-yl)-7-[2-(morpholin-4- yl)ethoxy]-1 -oxo-1 ,2-dihydroisoquinolin-3-yl]acetic acid,
2-(tert-butoxy)-2-[7-methoxy-2,6-dimethyl-4-(5-methyl-3,4-dihydro-2H-1-benzopyran-6-yl)-1 -oxo- 1 ,2-dihydroisoquinolin-3-yl]acetic acid, 2-(tert-butoxy)-2-[4-(5-ethyl-3,4-dihydro-2H-1-benzopyran-6-yl)-2-methyl-1 -oxo-1 ,2- dihydroisoquinolin-3-yl]acetic acid,
2-({3-[(tert-butoxy)(carboxy)methyl]-2-methyl-4-(5-methyl-3,4-dihydro-2H-1-benzopyran-6-yl)-1- oxo-1 ,2-dihydroisoquinolin-7-yl}oxy)acetic acid,
2-(tert-butoxy)-2-{7-[(dimethylsulfamoyl)oxy]-2-methyl-4-(5-methyl-3,4-dihydro-2H-1 - benzopyran-6-yl)-1 -oxo-1 ,2-dihydroisoquinolin-3-yl}acetic acid,
2-(tert-butoxy)-2-[4-(8-fluoro-5-methyl-3,4-dihydro-2H-1 -benzopyran-6-yl)-2,7-dimethyl-1-oxo- 1 ,2-dihydroisoquinolin-3-yl]acetic acid,
2-(tert-butoxy)-2-[4-(8-fluoro-5-methyl-3,4-dihydro-2H-1 -benzopyran-6-yl)-7-methoxy-2-methyl-
1 - oxo-1 , 2-dihydroisoquinolin-3-yl]acetic acid,
2- (tert-butoxy)-2-[8-fluoro-7-methoxy-2-methyl-4-(5-methyl-3,4-dihydro-2H-1 -benzopyran-6-yl)-
1 - oxo-1 , 2-dihydroisoquinolin-3-yl]acetic acid,
2- (tert-butoxy)-2-[2-methyl-4-(5-methyl-3,4-dihydro-2H-1-benzopyran-6-yl)-1 -oxo-7- (trifluoromethyl)-l ,2-dihydroisoquinolin-3-yl]acetic acid,
2-(tert-butoxy)-2-{7-[(4-methanesulfonylphenyl)methoxy]-2-methyl-4-(5-methyl-3,4-dihydro-2H-
1- benzopyran-6-yl)-1 -oxo-1 , 2-dihydroisoquinolin-3-yl}acetic acid,
2- (tert-butoxy)-2-[2-methyl-4-(5-methyl-3,4-dihydro-2H-1-benzopyran-6-yl)-1 -oxo-7-(pyridin-2- ylmethoxy)-1 ,2-dihydroisoquinolin-3-yl]acetic acid,
2-(tert-butoxy)-2-[6-chloro-7-methoxy-2-methyl-4-(5-methyl-3,4-dihydro-2H-1 -benzopyran-6-yl)-
1 - oxo-1 , 2-dihydroisoquinolin-3-yl]acetic acid,
(2S)-2-(tert-butoxy)-2-[4-(8-fluoro-5-methyl-3,4-dihydro-2H-1 -benzopyran-6-yl)-2,7-dimethyl-1- oxo-1 ,2-dihydroisoquinolin-3-yl]acetic acid,
2- (tert-butoxy)-2-[2-methyl-4-(5-methyl-3,4-dihydro-2H-1-benzopyran-6-yl)-1 -oxo-7-{[4- (trifluoromethyl)phenyl]methoxy}-1 ,2-dihydroisoquinolin-3-yl]acetic acid,
2-(tert-butoxy)-2-{7-[(dimethyl-1 ,3-oxazol-4-yl)methoxy]-4-(8-fluoro-5-methyl-3,4-dihydro-2H-1 - benzopyran-6-yl)-2-methyl-1 -oxo-1 , 2-dihydroisoquinolin-3-yl}acetic acid,
2-(tert-butoxy)-2-{7-[(2,4-difluorophenyl)methoxy]-2-methyl-4-(5-methyl-3,4-dihydro-2H-1 - benzopyran-6-yl)-1 -oxo-1 ,2-dihydroisoquinolin-3-yl}acetic acid,
2-(tert-butoxy)-2-[2-methyl-4-(5-methyl-3,4-dihydro-2H-1-benzopyran-6-yl)-1-oxo-7-(propan-2- yloxy)-1 ,2-dihydroisoquinolin-3-yl]acetic acid,
2-(tert-butoxy)-2-{7-[(4-chlorophenyl)methoxy]-2-methyl-4-(5-methyl-3,4-dihydro-2H-1 - benzopyran-6-yl)-1 -oxo-1 ,2-dihydroisoquinolin-3-yl}acetic acid,
2-(tert-butoxy)-2-[2-methyl-4-(5-methyl-3,4-dihydro-2H-1-benzopyran-6-yl)-1 -oxo-7-(pyrimidin-5- ylmethoxy)-1 ,2-dihydroisoquinolin-3-yl]acetic acid, 2-(tert-butoxy)-2-{7-[(3,4-difluorophenyl)methoxy]-2-methyl-4-(5-methyl-3,4-dihydro-2H benzopyran-6-yl)-1 -oxo-1 ,2-dihydroisoquinolin-3-yl}acetic acid,
(2S)-2-(tert-butoxy)-2-[7-fluoro-4-(8-fluoro-5-methyl-3,4-dihydro-2H-1-benzopyran-6-yl)-2- methyl-1 -oxo-1 ,2-dihydroisoquinolin-3-yl]acetic acid,
(2S)-2-(tert-butoxy)-2-[7-(2-fluoroethoxy)-2-methyl-4-(5-methyl-3,4-dihydro-2H-1-benzopyran-6- yl)-1 -oxo-1 ,2-dihydroisoquinolin-3-yl]acetic acid,
2-(tert-butoxy)-2-[2-methyl-4-(5-methyl-3,4-dihydro-2H-1-benzopyran-6-yl)-1-oxo-7-(thiophen-2- ylmethoxy)-1 ,2-dihydroisoquinolin-3-yl]acetic acid,
(2S)-2-(tert-butoxy)-2-[4-(8-fluoro-5-methyl-3,4-dihydro-2H-1 -benzopyran-6-yl)-2-methyl-1-oxo- 7-(pyridin-2-ylmethoxy)-1 ,2-dihydroisoquinolin-3-yl]acetic acid,
(2S)-2-(tert-butoxy)-2-[2-methyl-4-(5-methyl-3,4-dihydro-2H-1 -benzopyran-6-yl)-1 -oxo-7- (pyridin-2-ylmethoxy)-1 ,2-dihydroisoquinolin-3-yl]acetic acid,
2-(tert-butoxy)-2-[4-(8-fluoro-5-methyl-3,4-dihydro-2H-1 -benzopyran-6-yl)-7-[(4- fluorophenyl)methoxy]-2-methyl-1 -oxo-1 ,2-dihydroisoquinolin-3-yl]acetic acid,
2-(tert-butoxy)-2-[2-methyl-4-(5-methyl-3,4-dihydro-2H-1-benzopyran-6-yl)-1 -oxo-7-{[4- (trifluoromethoxy)phenyl]methoxy}-1 ,2-dihydroisoquinolin-3-yl]acetic acid,
(2S)-2-(tert-butoxy)-2-{7-[(4-fluorophenyl)methoxy]-2-methyl-4-(5-methyl-3,4-dihydro-2H-1- benzopyran-6-yl)-1 -oxo-1 ,2-dihydroisoquinolin-3-yl}acetic acid,
(2S)-2-(tert-butoxy)-2-{7-[(2,4-difluorophenyl)methoxy]-2-methyl-4-(5-methyl-3,4-dihydro-2H-1- benzopyran-6-yl)-1 -oxo-1 ,2-dihydroisoquinolin-3-yl}acetic acid,
2- (tert-butoxy)-2-[4-(3,4-dimethylphenyl)-7-fluoro-2-methyl-1 -oxo-1 ,2-dihydroisoquinolin-3- yl]acetic acid,
(2S)-2-(tert-butoxy)-2-[2-methyl-4-(5-methyl-3,4-dihydro-2H-1 -benzopyran-6-yl)-1 -oxo-1 ,2- dihydroisoquinolin-3-yl]acetic acid,
[(1 , 1 -dimethylethyl)oxy][2-methyl-4-(4-methyl-3,4-dihydro-2H-chromen-6-yl)-1 -oxo-1 ,2-dihydro-
3- isoquinolinyl]acetic acid,
[(1 , 1 -dimethylethyl)oxy][4-(8-fluoro-5-methyl-3,4-dihydro-2H-chromen-6-yl)-2-methyl-1 -oxo-1 ,2- dihydro-3-isoquinolinyl]acetic acid,
[(1 , 1 -dimethylethyl)oxy]{4-[2-fluoro-4-(fluoromethyl)phenyl]-2-methyl-1 -oxo-1 ,2-dihydro-3- isoquinolinyl}acetic acid,
2-(tert-butoxy)-2-(4-(2,3-dihydro-1 H-inden-5-yl)-2-methyl-1 -oxo-1 ,2-dihydroisoquinolin-3- yl)acetic acid,
2-(4-(benzo[d]thiazol-6-yl)-2-methyl-1 -oxo-1 , 2-dihydroisoquinolin-3-yl)-2-(tert-butoxy)acetic acid, [4-(4-chlorophenyl)-2-methyl-1 -oxo-1 ,2-dihydro-3-isoquinolinyl][(1 ,1 -dimethylethyl)oxy]acetic acid,
[(1 , 1 -dimethylethyl)oxy][2-methyl-4-(2-methyl-3-furanyl)-1 -oxo-1 ,2-dihydro-3-isoquinolinyl]acetic acid,
[(1 , 1 -dimethylethyl)oxy](2-methyl-1-oxo-4-phenyl-1 ,2-dihydro-3-isoquinolinyl)acetic acid,
[(1 , 1 -dimethylethyl)oxy][2-methyl-4-(1 -methyl-1 H-pyrazol-4-yl)-1 -oxo-1 ,2-dihydro-3- isoquinolinyl]acetic acid,
[(1 , 1 -dimethylethyl)oxy][2-methyl-1 -oxo-4-(2,3,6,7-tetrahydro-1 H,5H-pyrido[3,2, 1 -ij]quinolin-9- yl)-1 ,2-dihydro-3-isoquinolinyl]acetic acid,
(2R)-2-(tert-butoxy)-2-[4-(8-fluoro-5-methyl-3,4-dihydro-2H-1-benzopyran-6-yl)-2-methyl-1 -oxo- 1 ,2-dihydroisoquinolin-3-yl]acetic acid,
(2S)-2-(tert-butoxy)-2-[4-(8-fluoro-5-methyl-3,4-dihydro-2H-1 -benzopyran-6-yl)-2-methyl-1-oxo- 1 ,2-dihydroisoquinolin-3-yl]acetic acid,
(2R)-2-(tert-butoxy)-2-[4-(8-fluoro-5-methyl-3,4-dihydro-2H-1-benzopyran-6-yl)-2-methyl-1 -oxo- 1 ,2-dihydroisoquinolin-3-yl]acetic acid,
(2S)-2-(tert-butoxy)-2-[4-(8-fluoro-5-methyl-3,4-dihydro-2H-1 -benzopyran-6-yl)-2-methyl-1-oxo- 1 ,2-dihydroisoquinolin-3-yl]acetic acid,
(2S)-2-[4-(8-fluoro-5-methyl-3,4-dihydro-2H-1 -benzopyran-6-yl)-2-methyl-1 -oxo-1 ,2- dihydroisoquinolin-3-yl]-2-(1-methylcyclobutoxy)acetic acid,
(2S)(M)-[7-bromo-4-(8-fluoro-5-methyl-3,4-dihydro-2H-chromen-6-yl)-2-methyl-1 -oxo-1 ,2- dihydro-3-isoquinolinyl][(1 , 1-dimethylethyl)oxy]ethanoic acid,
(2S)(M)-[7-[(4-chloro-3-fluorophenyl)amino]-4-(8-fluoro-5-methyl-3,4-dihydro-2H-chromen-6-yl)- 2-methyl-1 -oxo-1 , 2-dihydro-3-isoquinolinyl][(1 , 1-dimethylethyl)oxy]ethanoic acid,
(2S)(M)-[(1 , 1-dimethylethyl)oxy][4-(8-fluoro-5-methyl-3,4-dihydro-2H-chromen-6-yl)-2-methyl-1- oxo-7-(1 -piperidinyl)-1 ,2-dihydro-3-isoquinolinyl]ethanoic acid,
(2S)(M)-[(1 , 1-dimethylethyl)oxy][7-(1 , 1-dioxido-4-thiomorpholinyl)-4-(8-fluoro-5-methyl-3,4- dihydro-2H-chromen-6-yl)-2-methyl-1 -oxo-1 , 2-dihydro-3-isoquinolinyl]ethanoic acid,
(S)(M)-2-(tert-butoxy)-2-(4-(8-fluoro-5-methylchroman-6-yl)-2-methyl-7-morpholino-1 -oxo-1 ,2- dihydroisoquinolin-3-yl)acetic acid,
(S)(M)-2-(tert-butoxy)-2-(4-(8-fluoro-5-methylchroman-6-yl)-2-methyl-7-(morpholine-4-carbonyl)- 1 -oxo-1 , 2-dihydroisoquinolin-3-yl)acetic acid,
[(1 , 1 -dimethylethyl)oxy]{4-(3,4-dimethylphenyl)-7-[(ethylamino)carbonyl]-2-methyl-1 -oxo-1 ,2- dihydro-3-isoquinolinyl}acetic acid,
[(1 , 1 -dimethylethyl)oxy](4-(3,4-dimethylphenyl)-2-methyl-7-{[4-(methyloxy)phenyl]methyl}-1-oxo- 1 ,2-dihydro-3-isoquinolinyl)acetic acid, [(1 -dimethylethyl)oxy][4-(3,4-dimethylphenyl)-2-methyl-7-(2-methylpropyl)-1-oxo-1 ,2-d 3-isoquinolinyl]acetic acid,
(2S)(M)-[(1 , 1-dimethylethyl)oxy][4-(8-fluoro-5-m^
(6-methyl-2-pyridinyl)-1-oxo-1 ,2-dihydro-3-isoquinolinyl]ethanoic acid,
(2S)(M)-[(1 , 1-dimethylethyl)oxy][4-(8-fluoro-5-methyl-3,4-dihydro-2H-chromen-6-yl)-2-methyl-7- (2-methylpropyl)-1 -oxo-1 ,2-dihydro-3-isoquinolinyl]ethanoic acid,
(2S)(M)-[(1 , 1-dimethylethyl)oxy][4-(8-fluoro-5-methyl-3,4-dihydro-2H-chromen-6-yl)-2-methyl-1- oxo-7-(phenylmethyl)-1 ,2-dihydro-3-isoquinolinyl]ethanoic acid,
(2S)(M)-[(1 , 1-dimethylethyl)oxy][4-(8-fluoro-5-methyl-3,4-dihydro-2H-chromen-6-yl)-2-methyl-1- oxo-7-(2-phenylethyl)-1 ,2-dihydro-3-isoquinolinyl]ethanoic acid,
7-cyano-4-(3, 4-dimethylphenyl)-2-methyl-1 -oxo-1 ,2-dihydro-3-isoquinolinyl][(1 , 1- dimethylethyl)oxy]acetic acid,
[7-(aminoca rbonyl)-4-(3,4-dimethylphenyl)-2-methyl-1 -oxo-1 ,2-dihydro-3-isoquinolinyl][(1 , 1 - dimethylethyl)oxy]acetic acid,
[7-(aminomethyl)-4-(3, 4-dimethylphenyl)-2-methyl-1 -oxo-1 ,2-dihydro-3-isoquinolinyl][(1 , 1- dimethylethyl)oxy]acetic acid-TFA salt,
2,2'-(iminobis{methanediyl[4-(3,4-dimethylphenyl)-2-methyl-1-oxo-1 ,2-dihydroisoquinolin diyl]})bis{[(1 , 1 -dimethylethyl)oxy]acetic acid},
2-(tert-butoxy)-2-(4-(3,4-dimethylphenyl)-2-methyl-7-(methylsulfonamidomethyl)-1-oxo-1 ,2- dihydroisoquinolin-3-yl)acetic acid,
2-(7-((bis(pyridin-2-ylmethyl)amino)methyl)-4-(3,4-dimethylphenyl)-2-methyl-1-oxo-1 ,2- dihydroisoquinolin-3-yl)-2-(tert-butoxy)acetic acid,
2-(tert-butoxy)-2-(4-(3,4-dimethylphenyl)-2-methyl-1 -oxo-7-(((pyridin-2-ylmethyl)amino)methyl 1 ,2-dihydroisoquinolin-3-yl)acetic acid,
2-(7-(acetamidomethyl)-4-(3,4-dimethylphenyl)-2-methyl-1 -oxo-1 , 2-dihydroisoquinolin-3-yl)-2- (tert-butoxy)acetic acid,
2-(tert-butoxy)-2-(4-(3,4-dimethylphenyl)-7-((3-ethylureido)methyl)-2-methyl-1 -oxo-1 ,2- dihydroisoquinolin-3-yl)acetic acid,
2-(tert-butoxy)-2-(7-((carboxyformamido)methyl)-4-(3,4-dimethylphenyl)-2-methyl-1-oxo-1 ,2- dihydroisoquinolin-3-yl)acetic acid,
2-(tert-butoxy)-2-(4-(3,4-dimethylphenyl)-2-methyl-7-(methylsulfonamidomethyl)-1-oxo-1 ,2- dihydroisoquinolin-3-yl)acetic acid,
2-(tert-butoxy)-2-(4-(3,4-dimethylphenyl)-7-(((N,N-dimethylsulfamoyl)amino)methyl)-2-methy oxo-1 ,2-dihydroisoquinolin-3-yl)acetic acid, (S)(M)-2-(tert-butoxy)-2-(4-(8-fluoro-5-methylchroman-6-yl)-2-methyl-7-(morpholinometh oxo-1 ,2-dihydroisoquinolin-3-yl)acetic acid,
(S)(M)-2-(tert-butoxy)-2-(4-(8-fluoro-5-methylchroman-6-yl)-2-methyl-1 -oxo-7-(piperidin-1- ylmethyl)-1 ,2-dihydroisoquinolin-3-yl)acetic acid,
[(1 , 1 -dimethylethyl)oxy][4-(3,4-dimethylphenyl)-2-methyl-7-(1 -methyl-1 H-pyrrol-2-yl)-1-oxo-1 ,2- dihydro-3-isoquinolinyl]acetic acid,
[(1 , 1 -dimethylethyl)oxy][4-(3,4-dimethylphenyl)-2-methyl-7-(1 -methyl-1 H-pyrazol-4-yl)-1 -oxo-1 ,2- dihydro-3-isoquinolinyl]acetic acid,
[(1 , 1 -dimethylethyl)oxy][4-(3,4-dimethylphenyl)-2-methyl-7-(2-methyl-3-furanyl)-1 -oxo-1 ,2- dihydro-3-isoquinolinyl]acetic acid,
(2S)(M)-[(1 , 1-dimethylethyl)oxy][4-(8-fluoro-5-methyl-3,4-dihydro-2H-chromen-6-yl)-7-(3- furanyl)-2-methyl-1 -oxo-1 ,2-dihydro-3-isoquinolinyl]ethanoic acid,
(2S)(M)-[(1 , 1-dimethylethyl)oxy][4-(8-fluoro-5-methyl-3,4-dihydro-2H-chromen-6-yl)-2-methyl-7- (1 -methyl-1 H-pyrazol-5-yl)-1 -oxo-1 ,2-dihydro-3-isoquinolinyl]ethanoic acid,
2S)(M)-[(1 ,1 -dimethylethyl)oxy][7-(3,5-dimethyl-1 H-pyrazol-4-yl)-4-(8-fluoro-5-methyl-3,4- dihydro-2H-chromen-6-yl)-2-methyl-1 -oxo-1 , 2-dihydro-3-isoquinolinyl]ethanoic acid,
(2S)(M)-[(1 , 1-dimethylethyl)oxy][4-(8-fluoro-5-methyl-3,4-dihydro-2H-chromen-6-yl)-2-methyl-1- oxo-7-(1 H-pyrazol-4-yl)-1 ,2-dihydro-3-isoquinolinyl]ethanoic acid
(2S)(M)-[(1 , 1-dimethylethyl)oxy]{4-(8-fluoro-5-methyl-3,4-dihydro-2H-chromen-6-yl)-2-methyl-7- [6-(methyloxy)-3-pyridinyl]-1 -oxo-1 ,2-dihydro-3-isoquinolinyl}ethanoic acid,
(2S)(M)-[7-[4-(dimethylamino)phenyl]-4-(8-fluoro-5-methyl-3,4-dihydro-2H-chromen-6-yl)-2- methyl-1 -oxo-1 ,2-dihydro-3-isoquinolinyl][(1 , 1 -dimethylethyl)oxy]ethanoic acid,
(2S)(M)-[(1 , 1-dimethylethyl)oxy][4-(8-fluoro-5-methyl-3,4-dihydro-2H-chromen-6-yl)-2-methyl-7- (1 -methyl-1 H-pyrazol-4-yl)-1 -oxo-1 ,2-dihydro-3-isoquinolinyl]ethanoic acid,
(2S)(M)-[(1 , 1-dimethylethyl)oxy]{4-(8-fluoro-5-methyl-3,4-dihydro-2H-chromen-6-yl)-2-methyl-7- [1-(3-methylbutyl)-1 H-pyrazol-4-yl]-1 -oxo-1 , 2-dihydro-3-isoquinolinyl}ethanoic acid,
(S)(M)-[(1 , 1 -dimethylethyl)oxy][4-(8-fluoro-5-methyl-3,4-dihydro-2H-chromen-6-yl)-2-methyl-7- (1 -methyl-1 H-pyrrol-2-yl)-1 -oxo-1 ,2-dihydro-3-isoquinolinyl]ethanoic acid,
(2S)(M)-[(1 , 1-dimethylethyl)oxy][4-(8-fluoro-5-methyl-3,4-dihydro-2H-chromen-6-yl)-2-methyl-7- (2-methyl-3-furanyl)-1 -oxo-1 ,2-dihydro-3-isoquinolinyl]ethanoic acid,
(2S)(M)-[(1 , 1-dimethylethyl)oxy][4-(8-fluoro-5-methyl-3,4-dihydro-2H-chromen-6-yl)-2-methyl-1- oxo-7-phenyl-1 ,2-dihydro-3-isoquinolinyl]ethanoic acid,
(2S)(M)-[(1 , 1-dimethylethyl)oxy][4-(8-fluoro-5-methyl-3,4-dihydro-2H-chromen-6-yl)-2-methyl-1- oxo-7-(4-pyridinyl)-1 ,2-dihydro-3-isoquinolinyl]ethanoic acid, (2S)(M)-[(1 , 1-dimethylethyl)oxy][4-(8-fluoro-5-methyl-3,4-dihydro-2H-chromen
oxo-7-(3-pyridinyl)-1 ,2-dihydro-3-isoquinolinyl]ethanoic acid,
(2S)(M)-[(1 , 1-dimethylethyl)oxy][7-(3,5-dimethyl-4-isoxazolyl)-4-(8-fluoro-5-methyl-3,4-di 2H-chromen-6-yl)-2-methyl-1-oxo-1 ,2-dihydro-3-isoquinolinyl]ethanoic acid,
(2S)(M)-[(1 , 1 -dimethylethyl)oxy]{4-(8-flu^
[6-(methyloxy)-2-pyridinyl]-1 -oxo-1 ,2-dihydro-3-isoquinolinyl}ethanoic acid,
(S)(M)-2-(tert-butoxy)-2-(4-(8-fluoro-5-methylchroman-6-yl)-7-(4-fluorophenyl)-2-meth
1 ,2-dihydroisoquinolin-3-yl)acetic acid,
(S)(M)-2-(tert-butoxy)-2-(4-(8-fluoro-5-methylchroman-6-yl)-7-(3-fluorophenyl)-2-meth
1 ,2-dihydroisoquinolin-3-yl)acetic acid,
(S)(M)-2-(tert-butoxy)-2-(4-(8-fluoro-5-methylchroman-6-yl)-7-(2-fluorophenyl)-2-meth
1 ,2-dihydroisoquinolin-3-yl)acetic acid,
2- (tert-Butoxy)-2-(4-((3,4-dimethylphenyl)(methyl)amino)-2-methyl-1 -oxo-1 ,2-dihydroisoquinolin-
3- yl)acetic acid ,
(S)(M)-2-(tert-butoxy)-2-(4-(8-fluoro-5-methylchroman-6-yl)-2-methyl-1 -oxo-1 ,2- dihydroisoquinolin-3-yl)-N-hydroxyacetamide,
(S)(M)-2-(tert-butoxy)-2-(4-(8-fluoro-5-methylchroman-6-yl)-2-methyl-1 -oxo-1 ,2- dihydroisoquinolin-3-yl)-N-hydroxy-N-methylacetamide,
(2S)(M)-2-[(1 , 1-dimethylethyl)oxy]-2-[4-(8-fluoro-5-^^
methyl-1 -oxo-1 ,2-dihydro-3-isoquinolinyl]-N-(methylsulfonyl)ethanamide,
2-[4-(2,4-dimethylphenyl)-2-methyl-1 -oxo-1 , 2-dihydro-3-isoquinolinyl]pentanoic acid,
2-[4-(2, 4-dimethylphenyl)-2-methyl-1 -oxo-1 ,2-dihydro-3-isoquinolinyl]-4-methylpentanoic acid,
Methyl [4-(2,4-dimethylphenyl)-2-methyl-1 -oxo-1 ,2-dihydro-3-isoquinolinyl](ethyloxy)acetate,
[(1 , 1 -dimethylethyl)oxy]{4-(2,4-dimethylphenyl)-7-[1-(2-hydroxyethyl)-1 H-1 ,2,3-triazol-4-yl]-2- methyl-1 -oxo-1 ,2-dihydro-3-isoquinolinyl}acetic acid, and
2-(tert-butoxy)-2-(1-(4-fluorobenzyl)-6-methyl-4-(p-tolyl)-1 H-pyrrolo[2,3-b]pyridin-5-yl)acetic acid, and pharmaceutically acceptable salts thereof.
[0089] In another embodiment of the present invention, there is provided a compound of
Formula I or II, wherein a compound suitable for use with the present invention is selected from the group consisting of those compounds described in Table 1 and/or Table 2.
[0090] Such compounds of the invention can exist in particular geometric or
stereoisomeric forms. The invention contemplates all such compounds, including cis- and trans-isomers, (-)- and (+)-enantiomers, (R)- and (S)-enantiomers, diastereomers, (D)-isomers, (L)-isomers, the racemic mixtures thereof, and other mixtures thereof, such as enantiomerically or diastereomerically enriched mixtures, as falling within the scope of the invention. Additional asymmetric carbon atoms can be present in a substituent such as an alkyl group. All such isomers, as well as mixtures thereof, are intended to be included in this invention.
[0091] Optically active (R)- and (S)-isomers and d and I isomers can be prepared using chiral synthons or chiral reagents, or resolved using conventional techniques. If, for instance, a particular enantiomer of a compound of the present invention is desired, it can be prepared by asymmetric synthesis, or by derivatization with a chiral auxiliary, where the resulting
diastereomeric mixture is separated and the auxiliary group cleaved to provide the pure desired enantiomers. Alternatively, where the molecule contains a basic functional group, such as an amino group, or an acidic functional group, such as a carboxyl group, diastereomeric salts can be formed with an appropriate optically active acid or base, followed by resolution of the diastereomers thus formed by fractional crystallization or chromatographic means known in the art, and subsequent recovery of the pure enantiomers. In addition, separation of enantiomers and diastereomers is frequently accomplished using chromatography employing chiral, stationary phases, optionally in combination with chemical derivatization (e.g., formation of carbamates from amines).
[0092] In another embodiment of the invention, there is provided a compound of
Formulas I or II, wherein the compound or salt of the compound is used in the manufacture of a medicament for use in the treatment of a viral infection in a human.
[0093] In another embodiment of the invention, there is provided a pharmaceutical composition comprising a pharmaceutically acceptable diluent and a therapeutically effective amount of a compound as defined in Formulas I or II.
[0094] In one embodiment, the pharmaceutical formulation containing a compound of
Formulas I or II, or a salt thereof is a formulation adapted for parenteral administration. In another embodiment, the formulation is a long-acting parenteral formulation. In a further embodiment, the formulation is a nano-particle formulation.
[0095] The compounds of the present invention and their salts, solvates, or other pharmaceutically acceptable derivatives thereof, may be employed alone or in combination with other therapeutic agents. The compounds of the present invention and any other
pharmaceutically active agent(s) may be administered together or separately and, when administered separately, administration may occur simultaneously or sequentially, in any order. The amounts of the compounds of the present invention and the other pharmaceutically active agent(s) and the relative timings of administration will be selected in order to achieve the desired combined therapeutic effect. The administration in combination of a compound of the present invention and salts, solvates, or other pharmaceutically acceptable derivatives thereof with other treatment agents may be in combination by administration concomitantly in: (1 ) a unitary pharmaceutical composition including both compounds; or (2) separate pharmaceutical compositions each including one of the compounds. Alternatively, the combination may be administered separately in a sequential manner wherein one treatment agent is administered first and the other second or vice versa. Such sequential administration may be close in time or remote in time. The amounts of the compound(s) of Formulas I or II, or salts thereof and the other pharmaceutically active agent(s) and the relative timings of administration will be selected in order to achieve the desired combined therapeutic effect.
[0096] As such, the compounds of the present invention may be used in combination with one or more agents useful in the prevention or treatment of HIV.
[0097] Examples of such agents include:
[0098] Nucleotide reverse transcriptase inhibitors such as zidovudine, didanosine, lamivudine, zalcitabine, abacavir, stavudine, adefovir, adefovir dipivoxil, fozivudine, todoxil, emtricitabine, alovudine, amdoxovir, elvucitabine, and similar agents;
[0099] Non-nucleotide reverse transcriptase inhibitors (including an agent having anti- oxidation activity such as immunocal, oltipraz, etc.) such as nevirapine, delavirdine, efavirenz, loviride, immunocal, oltipraz, capravirine, lersivirine, GSK2248761 , TMC-278, TMC-125, etravirine, and similar agents;
[00100] Protease inhibitors such as saquinavir, ritonavir, indinavir, nelfinavir, amprenavir, fosamprenavir, brecanavir, darunavir, atazanavir, tipranavir, palinavir, lasinavir, and similar agents;
[00101] Entry, attachment and fusion inhibitors such as enfuvirtide (T-20), T-1249, PRO- 542, PRO-140, TNX-355, BMS-806, BMS-663068 and BMS-626529, 5-Helix and similar agents;
[00102] Intearase inhibitors such as raltegravir, elvitegravir, GSK1349572, GSK1265744 and similar agents;
[00103] Maturation inhibitors such as PA-344 and PA-457, and similar agents; and
[00104] CXCR4 and/or CCR5 inhibitors such as vicriviroc (Sch-C), Sch-D, TAK779, maraviroc (UK 427,857), TAK449, as well as those disclosed in WO 02/74769,
PCT/US03/39644, PCT/US03/39975, PCT/US03/39619, PCT/US03/39618, PCT/US03/39740, and PCT/US03/39732, and similar agents.
[00105] The scope of combinations of compounds of this invention with HIV agents is not limited to those mentioned above, but includes in principle any combination with any
pharmaceutical composition useful for the treatment of HIV. As noted, in such combinations the compounds of the present invention and other HIV agents may be administered separately or in conjunction. In addition, one agent may be prior to, concurrent to, or subsequent to the administration of other agent(s).
[00106] The present invention may be used in combination with one or more agents useful as pharmacological enhancers as well as with or without additional compounds for the prevention or treatment of HIV. Examples of such pharmacological enhancers (or pharmakinetic boosters) include, but are not limited to, ritonavir, GS-9350, and SPI-452.
[00107] Ritonavir is 10-hydroxy-2-methyl-5-(1-methyethyl)-1 -1 [2-(1 -methylethyl)-4- thiazolyl]-3,6-dioxo-8,1 1-bis(phenylmethyl)-2,4,7, 12-tetraazatridecan-13-oic acid, 5- thiazolylmethyl ester, [5S-(5S*,8R*, 10R*, 1 1 R*)] and is available from Abbott Laboratories of Abbott park, Illinois, as Norvir. Ritonavir is an HIV protease inhibitor indicated with other antiretroviral agents for the treatment of HIV infection. Ritonavir also inhibits P450 mediated drug metabolism as well as the P-gycoprotein (Pgp) cell transport system, thereby resulting in increased concentrations of active compound within the organism.
[00108] GS-9350 is a compound being developed by Gilead Sciences of Foster City California as a pharmacological enhancer.
[00109] SPI-452 is a compound being developed by Sequoia Pharmaceuticals of Gaithersburg, Maryland, as a pharmacological enhancer.
[00110] In one embodiment of the present invention, a compound of Formulas I or II is used in combination with ritonavir. In one embodiment, the combination is an oral fixed dose combination. In another embodiment, the compound of Formulas I or II is formulated as a long acting parenteral injection and ritonavir is formulated as an oral composition. In one
embodiment, is a kit containing the compound of Formulas I or II is formulated as a long acting parenteral injection and ritonavir formulated as an oral composition. In another embodiment, the compound of Formulas I or II is formulated as a long acting parenteral injection and ritonavir is formulated as an injectable composition. In one embodiment, is a kit containing the compound of Formulas I or II is formulated as a long acting parenteral injection and ritonavir formulated as an injectable composition.
[00111] In another embodiment of the present invention, a compound of Formulas I or II is used in combination with GS-9350. In one embodiment, the combination is an oral fixed dose combination. In another embodiment, the compound of Formulas I or II is formulated as a long acting parenteral injection and GS-9350 is formulated as an oral composition. In one
embodiment, is a kit containing the compound of Formulas I or II is formulated as a long acting parenteral injection and GS-9350 formulated as an oral composition. In another embodiment, the compound of Formulas I or II is formulated as a long acting parenteral injection and GS- 9350 is formulated as an injectable composition. In one embodiment, is a kit containing the compound of Formulas I or II is formulated as a long acting parenteral injection and GS-9350 formulated as an injectable composition.
[00112] In one embodiment of the present invention, a compound of Formulas I or II is used in combination with SPI-452. In one embodiment, the combination is an oral fixed dose combination. In another embodiment, the compound of Formulas I or II is formulated as a long acting parenteral injection and SPI-452 is formulated as an oral composition. In one
embodiment, is a kit containing the compound of Formulas I or II is formulated as a long acting parenteral injection and SPI-452 formulated as an oral composition. In another embodiment, the compound of Formulas I or II is formulated as a long acting parenteral injection and SPI-452 is formulated as an injectable composition. In one embodiment, is a kit containing the compound of Formulas I or II is formulated as a long acting parenteral injection and SPI-452 formulated as an injectable composition.
[00113] The above other therapeutic agents, when employed in combination with the chemical entities described herein, may be used, for example, in those amounts indicated in the Physicians' Desk Reference (PDR) or as otherwise determined by one of ordinary skill in the art.
[00114] In another embodiment of the invention, there is provided a method for treating a viral infection in a mammal mediated at least in part by a virus in the retrovirus family of viruses which method comprises administering to a mammal, that has been diagnosed with said viral infection or is at risk of developing said viral infection, a compound of Formulas I or II.
[00115] In another embodiment of the invention, there is provided a method for treating a viral infection in a mammal mediated at least in part by a virus in the retrovirus family of viruses which method comprises administering to a mammal, that has been diagnosed with said viral infection or is at risk of developing said viral infection, a compound of Formulas I or II, wherein said virus is an HIV virus.
[00116] In another embodiment of the invention, there is provided a method for treating a viral infection in a mammal mediated at least in part by a virus in the retrovirus family of viruses which method comprises administering to a mammal, that has been diagnosed with said viral infection or is at risk of developing said viral infection, a compound of Formulas I, II, or III, further comprising administration of a therapeutically effective amount of one or more agents active against an HIV virus.
[00117] In another embodiment of the invention, there is provided a method for treating a viral infection in a mammal mediated at least in part by a virus in the retrovirus family of viruses which method comprises administering to a mammal, that has been diagnosed with said viral infection or is at risk of developing said viral infection, a compound of Formulas I or II, further comprising administration of a therapeutically effective amount of one or more agents active against the HIV virus, wherein said agent active against HIV virus is selected from Nucleotide reverse transcriptase inhibitors; Non-nucleotide reverse transcriptase inhibitors; Protease inhibitors; Entry, attachment and fusion inhibitors; Integrase inhibitors; Maturation inhibitors; CXCR4 inhibitors; and CCR5 inhibitors.
[00118] In further embodiments, the compound of the present invention, or a pharmaceutically acceptable salt thereof, is chosen from the compounds set forth in Table 1 .
Table 1
Figure imgf000044_0001
-
Figure imgf000045_0001
Figure imgf000046_0001
Figure imgf000047_0001
Figure imgf000048_0001
Figure imgf000049_0001
-
Figure imgf000050_0001
Figure imgf000051_0001
Figure imgf000052_0001
Figure imgf000053_0001
Figure imgf000054_0001
Figure imgf000055_0001
2-(tert-butoxy)-2-[4-(3,4- dihydro-2H-1 -benzopyran-
58 6-yl )-2, 7-di methyl- 1 -oxo- 1 ,2-dihydroisoquinolin-3- yl]acetic acid
2-(tert-butoxy)-2-[4-(3,4- dimethylphenyl)-8-fluoro-2-
59 methyl-1-oxo-1 ,2- dihydroisoquinolin-3- yl]acetic acid
2-(tert-butoxy)-2-[4-(3,4- dimethylphenyl)-2,7-
60 dimethyl-1 -oxo-1 ,2- dihydroisoquinolin-3- yl]acetic acid
2-(tert-butoxy)-2-[4-(3,4- dihydro-2H-1 ,5- benzodioxepin-7-yl)-2-
61
methyl-1-oxo-1 ,2- dihydroisoquinolin-3- yl]acetic acid
2-(tert-butoxy)-2-[2-methyl- 1-oxo-4-(quinolin-6-yl)-1 ,2-
62
dihydroisoquinolin-3- yl]acetic acid
2-(tert-butoxy)-2-[4-(2,3- dihydro-1 -benzofuran-5-
63 yl)-2-methyl-1-oxo-1 ,2- dihydroisoquinolin-3- yl]acetic acid
Figure imgf000056_0001
Figure imgf000057_0001
Figure imgf000058_0001
Figure imgf000059_0001
-
Figure imgf000060_0001
Figure imgf000061_0001
Figure imgf000062_0001
Figure imgf000063_0001
yl]acetic acid
Figure imgf000064_0001
yl}acetic acid
Figure imgf000065_0001
Figure imgf000066_0001
Figure imgf000067_0001
Figure imgf000068_0001
Figure imgf000069_0001
-
Figure imgf000070_0001
Figure imgf000071_0001
Figure imgf000072_0001
Figure imgf000073_0001
Figure imgf000074_0001
Figure imgf000075_0001
Figure imgf000076_0001
Figure imgf000077_0001
Figure imgf000078_0001
Figure imgf000080_0001
Figure imgf000081_0001
Figure imgf000082_0001
Figure imgf000083_0001
Figure imgf000084_0001
Figure imgf000085_0001
Figure imgf000086_0001
Figure imgf000087_0001
Figure imgf000088_0001
Figure imgf000089_0001
[00119] The compounds of Table 1 can be synthesized according to the Synthetic Methods, General Schemes, and the Examples described below.
[00120] In certain embodiments, the compound(s) of the present invention, or a pharmaceutically acceptable salt thereof, is chosen from the compounds set forth in Table 1 .
Synthetic Methods
[00121] The methods of synthesis for the provided chemical entities employ readily available starting materials using the following general methods and procedures. It will be appreciated that where typical or preferred process conditions {i.e., reaction temperatures, times, mole ratios of reactants, solvents, pressures, etc.) are given; other process conditions can also be used unless otherwise stated. Optimum reaction conditions may vary with the particular reactants or solvent used, but such conditions can be determined by one skilled in the art by routine optimization procedures.
[00122] Additionally, the methods of this invention may employ protecting groups which prevent certain functional groups from undergoing undesired reactions. Suitable protecting groups for various functional groups as well as suitable conditions for protecting and
deprotecting particular functional groups are well known in the art. For example, numerous protecting groups are described in T. W. Greene and G. M. Wuts, Protecting Groups in Organic Synthesis, Third Edition, Wiley, New York, 1999, and references cited therein.
[00123] Furthermore, the provided chemical entities may contain one or more chiral centers and such compounds can be prepared or isolated as pure stereoisomers, i.e., as individual enantiomers or diastereomers, or as stereoisomer-enriched mixtures. All such stereoisomers (and enriched mixtures) are included within the scope of this specification, unless otherwise indicated. Pure stereoisomers (or enriched mixtures) may be prepared using, for example, optically active starting materials or stereoselective reagents well-known in the art. Alternatively, racemic mixtures of such compounds can be separated using, for example, chiral column chromatography, chiral resolving agents and the like.
[00124] The starting materials for the following reactions are generally known compounds or can be prepared by known procedures or obvious modifications thereof. For example, many of the starting materials are available from commercial suppliers such as Aldrich Chemical Co. (Milwaukee, Wisconsin, USA), Bachem (Torrance, California, USA), Ernka-Chemce or Sigma (St. Louis, Missouri, USA). Others may be prepared by procedures, or obvious modifications thereof, described in standard reference texts such as Fieser and Fieser's Reagents for Organic Synthesis, Volumes 1 -15 (John Wiley and Sons, 1991 ), Rodd's Chemistry of Carbon
Compounds, Volumes 1-5 and Supplemental (Elsevier Science Publishers, 1989), Organic Reactions, Volumes 1-40 (John Wiley and Sons, 1991 ), March's Advanced Organic Chemistry, (John Wiley and Sons, 4th Edition), and Larock's Comprehensive Organic Transformations (VCH Publishers Inc., 1989).
[00125] Unless specified to the contrary, the reactions described herein take place at atmospheric pressure, generally within a temperature range from -78 °C to 200 °C. Further, except as employed in the Examples or as otherwise specified, reaction times and conditions are intended to be approximate, e.g., taking place at about atmospheric pressure within a temperature range of about -78 °C to about 1 10 °C over a period of about 1 to about 24 hours; reactions left to run overnight average a period of about 16 hours.
[00126] The terms "solvent," "organic solvent," and "inert solvent" each mean a solvent inert under the conditions of the reaction being described in conjunction therewith, including, for example, benzene, toluene, acetonitrile, tetrahydrofuranyl ("THF"), dimethylformamide ("DMF"), chloroform, methylene chloride (or dichloromethane), diethyl ether, methanol, N- methylpyrrolidone ("NMP"), pyridine and the like.
[00127] Isolation and purification of the chemical entities and intermediates described herein can be effected, if desired, by any suitable separation or purification procedure such as, for example, filtration, extraction, crystallization, column chromatography, thin-layer
chromatography or thick-layer chromatography, or a combination of these procedures. Specific illustrations of suitable separation and isolation procedures can be had by reference to the examples herein below. However, other equivalent separation or isolation procedures can also be used.
[00128] When desired, the (R)- and (S)-isomers may be resolved by methods known to those skilled in the art, for example by formation of diastereoisomeric salts or complexes which may be separated, for example, by crystallization; via formation of diastereoisomeric derivatives which may be separated, for example, by crystallization, gas-liquid or liquid chromatography; selective reaction of one enantiomer with an enantiomer-specific reagent, for example enzymatic oxidation or reduction, followed by separation of the modified and unmodified enantiomers; or gas-liquid or liquid chromatography in a chiral environment, for example on a chiral support, such as silica with a bound chiral ligand or in the presence of a chiral solvent. Alternatively, a specific enantiomer may be synthesized by asymmetric synthesis using optically active reagents, substrates, catalysts or solvents, or by converting one enantiomer to the other by asymmetric transformation.
EXAMPLES
[00129] The following examples serve to more fully describe the manner of making and using the above-described invention. It is understood that these examples in no way serve to limit the true scope of the invention, but rather are presented for illustrative purposes. In the examples below and the synthetic schemes above, the following abbreviations have the following meanings. If an abbreviation is not defined, it has its generally accepted meaning. aqueous
microliters
micromolar
nuclear magnetic resonance
tert-butoxycarbonyl
broad
benzyloxycarbonyl
doublet
chemical shift
degrees celcius
dichloromethane
doublet of doublets
Dulbeco's Modified Eagle's Medium
N,N-dimethylformamide
dimethylsulfoxide
ethyl acetate
gram
hours
hepatitus C virus
high performance liquid chromatography
hertz
International Units
inhibitory concentration at 50% inhibition coupling constant (given in Hz unless otherwise indicated)
multiplet
molar
parent mass spectrum peak plus H+
milligram
minutes
milliliter
millimolar
millimole
mass spectrum
nanomolar
parts per million
sufficient amount
singlet
room temperature
saturated
triplet
trifluoroacetic acid
Schemes and Experimental procedures
[00130] The following schemes and procedures illustrate how compounds of the present invention can be prepared. The specific solvents and reaction conditions referred to are also illustrative and are not intended to be limiting. Compounds not described are either commercially available or are readily prepared by one skilled in the art using available starting materials. The Examples disclosed herein are for illustrative purposes only and are not intended to limit the scope of the invention.
Scheme 1 : General Route 1
Figure imgf000094_0001
1-13
Example 1
Figure imgf000094_0002
Tert-Butoxy-[4-(4-methoxy-3, 5-dimethyl -phenyl)-2-methyl-1-oxo-1,2-dihydro-isoquinolin-
3-yl]-acetic acid
Step A Preparation of 2-(3-Hydroxy-prop-1-ynyl)-benzoic acid methyl ester:
Figure imgf000095_0001
[00131] To a suspension of compound 1 (88.0 g, 335.9 mmol), compound 2 (28.3 g, 503.8 mmol), copper iodide (1 .2 g, 6.7 mmol), Pd(PPh3) CI2 (7.0 g, 10.0 mmol) and Et3N (triethylamine) (68.0 g, 671 .8 mmol) in acetonitrile (1 L) was bubbled N2 for 20 min. The resultant mixture was stirred at reflux under N2 for 3 hr. The reaction mixture was filtered and the filtrate was concentrated to dryness. The residue was purified by chromatography to afford title product. (m=58.8 g, yield=92.0%). 1 HNMR: (400MHz, d6-DMSO) δ 2.48 (t, J=6.2 Hz, 1 H), 3.88 (s, 3 H), 4.52 (d, J=5.6 Hz, 2 H), 7.32 (t, J=7.6Hz, 1 H), 7.41 (t, J=7.6Hz, 1 H), 7.51 (d, J=7.6Hz, 1 H), 7.90 (d, J=7.2Hz, 1 H).
Step B
4-Bromo-3-hydroxymethyl-isochromen-1-one
Figure imgf000095_0002
[00132] To a suspension of compound 3 (78.0 g, 410.1 mmol) and copper bromide (137.4 g, 615.1 mmol) in 1 ,2-dichloro-ethane (1 L), was added dicyclohexyl-amine hydrochloride (10.7 g, 41.0 mmol). The resultant mixture was stirred at reflux under N2 for 2 hours. The reaction mixture was filtered, and the cake was washed with dichloromethane (3*200 ml). The combined organic phases were concentrated to dryness and the residue was purified by chromatography column on silica gel to afford title product as a pale yellow solid, (m = 31.5 g, yield = 30%). LCMS (10-80 AB_2MIN-E.M): Rt=0.802, purity= 56%, M+1 =254.9.
Step C
4-Bromo-3-(tert-butyl-dimethyl-silanyloxymethyl)-isochromen -
Figure imgf000096_0001
[00133] Compound 4 (5.0 g, 0.2 mmol), TBSCI (15.0 g, 1 .0 mmol) and imidazole (6.8 g, 1.0 mol) were suspended in DCM (50 ml). The mixture was stirred at room temperature for 2 hours. The reaction mixture was washed with water, brine, dried over sodium sulfate and concentrated to dryness. The residue was purified by chromatography column on silica gel to afford title product, (m = 7.4 g, yield = 100%).
Step D
4-Bromo-3-(teii-butyl-dimethyl-silanyloxymethyl)-2Hisoquinolin -1-one
Figure imgf000096_0002
[00134] Compound 5 (7.4 g, 20.0 mmol) was dissolved in 4N NH3/EtOH (50 ml). The mixture was stirred at room temperature for 30 min. The reaction mixture was concentrated and the residue was dissolved in 4N HCI/EA (20 ml). The solution was stirred at room temperature for 10 min, quenched by adding sodium bicarbonate and washed by water, brine, dried over sodium sulfate and concentrated to dryness. The residue was purified by chromatography column on silica gel to afford title product, (m = 5.0 g, yield = 67.8%). 1HNMR: (400MHz, d6- DMSO) δ 0.00 (s, 6 H), 0.77 (s, 9 H), 4.60 (s, 2H), 7.45 (t, J=8.4Hz, 1 H), 7.70 (m, 2H), 7.09 (t, J=8.4Hz, 1 H), 1 1.25 (br, 1 H).
Step E
4-Bromo-3-(tert-butyl-dimethy-silanyloxymethyl)-2 -methyl-2H -isoquinolin-1-one
Figure imgf000096_0003
[00135] To a suspension of compound 6 (3.8 g, 10.3 mmol) and potassium carbonate (2.1 g, 15.6 mmol) in methanol (50 ml) was added sulfuric acid dimethyl ester (6.3 g, 50.0 mmol). The resultant mixture was stirred at 60°C for 4 hrs. The reaction mixture was filtered, the filtrate was concentrated and the residue was treated with acetic acid ethyl ester (200 ml_), washed by water (3*200 ml_), brine, dried over sodium sulfate and concentrated. The residue was purified by chromatography column on silica gel to afford title product, (m = 2.5 g, yield = 65%). 1 HNMR: (400MHz, d6-DMSO) δ 0.12 (s, 6 H), 0.86 (s, 9 H), 3.69 (s, 3H), 5.05 (s, 2 H), 7.59 (t, J=7.6Hz, 1 H), 7.81 (t, J=7.2Hz, 1 H), 7.91 (d, J=8.0Hz, 1 H), 8.25 (d, J=8.0Hz, 1 H).
Step F
4-Bromo-3-hydroxymethyl-2-methyl-2H-isoquinolin -1-one
Figure imgf000097_0001
[00136] Compound 7 (2.5 g, 6.5 mmol) was dissolved in 4N HCI/EA (15 ml) and the resultant mixture was stirred at room temperature for 0.5 hour. The reaction mixture was adjusted pH to 8.0 by adding 2N aq sodium bicarbonate. The organic phase was separated, washed by water, brine, dried over sodium sulfate and concentrated to dryness. The residue was used for the next step directly, (m = 1 .5 g, yield = 88.2%).
Step G
4-Bromo-2-methyl- 1 -oxo- 1, 2-dihydro-isoquinoline-3-carbaldehyde
Figure imgf000097_0002
[00137] To a solution of compound 8 (800.0 mg, 3.0 mmol) in dichloromethane (10 ml), was added manganese dioxide (2.6 g, 30.0 mmol). The resultant mixture was stirred at 70 °C under N2 for 2 h. The reaction mixture was filtered, and the filtrate was concentrated to dryness to afford title product which was used for the next step directly, (m = 600.0 mg, yield = 75%). Step H
(4-Bromo-2-methyl-1 -oxo-1 ,2-dihydro-isoquinolin-3-yl)-trimethyl silanyloxy-acetonitrile
Figure imgf000098_0001
[00138] To a suspension of compound 9 (600.0 mg, 2.25 mmol) and zinc diiodide (1.4 g, 4.5 mmol) in dichloromethane (10 ml), was added trimethylsilanyl cyanide (2.2 g, 22.5 mmol). The resultant mixture was stirred at room temperature overnight. The reaction mixture was filtered, and the filtrate was washed with water (3*50 ml), brine, dried over sodium sulfate and concentrated to dryness. The residue was used for the next step directly without other purification, (m = 500.0 mg, yield = 68.2%).
Step I
(4-Bromo-2-methyl-1 -oxo-1 ,2-dihydro-isoquinolin-3-yl)-hydroxy -acetic acid methyl ester
Figure imgf000098_0002
[00139] To a mixture of concentrated sulfuric acid (0.2 ml) and methanol (0.6 ml) was added compound 10 (40.0 mg, 0.1 mmol). The resultant mixture was stirred at reflux under N2 for 2 h. The reaction mixture was diluted with acetic acid ethyl ester (5 ml) washed by water (3*5 ml), sat'd NaHC03 (3*10 ml), brine, dried over sodium sulfate and concentrated to dryness to afford crude product, (m = 28.0 g, yield = 78.3%).
Step J
(4-Bromo-2-methyl-1 -oxo-1, 2-dih rt-but oxy-acetic acid methyl ester
Figure imgf000098_0003
[00140] To a solution of compound 1 1 (28.0 mg, 0.08 mmol) in acetic acid tert-butyl ester (0.2 ml) was added perchloric acid (25.8 mg, 0.26 mmol). The resultant mixture was stirred at room temperature for 10 minute. The reaction mixture was diluted with acetic acid ethyl ester (5 ml) and was adjusted pH to 6 by adding 1N aq NaHC03. The organic phase was separated and washed by brined, dried over sodium sulfate and concentrated to dryness. The residue was purified by pre-TLC to afford title product, (m = 18.0 mg, yield = 55.4%). 1 HNMR: (400MHz, d6- DMSO) δ 1.28 (s, 9 H), 3.66 (s, 3 H), 3.75 (s, 3H), 6.12 (s, 1 H), 7.53 (t, J=8.4Hz, 1 H), 7.71 (t, J=8.4Hz, 1 H), 7.99 (d, J=8.4Hz, 1 H), 8.44 (d, J=8.0Hz, 1 H).
Step K
tert-Butoxy-[4-(4-methoxy-3, 5-dimethyl-phenyl)-2-methyl- 1-oxo-1, 2-dihydro-isoquinolin-3-yl]- acetic acid methyl ester
Figure imgf000099_0001
[00141] To a solution of (4-Bromo-2-methyl-1 -oxo-1 ,2-dihydro-isoquinolin-3-yl)-tert- butoxy-acetic acid methyl ester (120mg, 0.3mmol) in 5ml of dioxane/H20 (5:1 ) was added 4- methoxy-3,5-trimethylphenylboronic acid (66mg, 0.36mmol), PPh3(48mg, 0.18mmol) and Na2C03(96mg, 0.9mmol), then Pd(dppf)CI2 (48g, 0.06mmol). Then the resultant mixture was stirred at 90°C under N2 overnight. LCMS showed SM was consumed, the reaction mixture was cooled to RT, removed the solvent, the residue was purified by column chromatography on silica gel eluted with (PE: EA=10:1 )to afford title product, (m = 130 mg, yield = 81 %).
LCMS: (10-80 AB_2MIN-E.M): Rt =1 .352, purity=98%, M+1 =438.
Step L
tert-Butoxy-[4-(4-methoxy-3, 5-dimethyl -phenyl)-2-methyl-1-oxo- 1, 2-dihydro-isoquinolin-3-yl]- acetic acid
Figure imgf000100_0001
[00142] To a solution of tert-Butoxy-[4-(4-methoxy-3,5-dimethyl-phenyl)-2-methyl-1-oxo- 1 ,2-dihydro-isoquinolin-3-yl]-acetic acid methyl ester (130mg, 0.3mmol) in THF (3.0ml) was added an aqueous LiOH (1 N, 1.22ml). The mixture was stirred at 60°C overnight. LCMS showed SM was consumed, cooled to RT, removed the solvent, added water, extracted with EA to remove impurity, the aqueous layer was adjusted to pH= 6 with 1 N HCI, extracted with EA, the organic layer was washed with water and brine, dried over Na2S04, filtered, concentrated to dryness, gave the desired product. (m= 73mg, Yield: 58%): 1HNMR: (400MHz, d6-DMSO) δ 1.03(s, 9H), 2.31 (s, 6H), 3.64(s, 3H), 3.79 (s, 3H), 5.29 (s, 3H), 6.94 (s, 1 H), 7.13(d, J=8.0Hz, 1 H), 7.24(s, 1 H), 7.49(m, 2H ), 8.46(d, J=8.0Hz, 1 H). LCMS: (10-80 AB_2MIN-E.M): Rt =1.258, purity= 96.0%, M+1 =424.
Scheme 2: General Route 2
Figure imgf000101_0001
Example 2
Figure imgf000101_0002
tert-Butoxy-[4-(3,4- Difluoro -phenyl)-2-methyl-1-oxo-1,2-dihydro-isoquinolin-3-yl]-acetic acid
Step A
3-(tert-Butyl-dimethyl-silanyloxymethyl)-4-(2,3-difluoro-phenyl)
Figure imgf000101_0003
[00143] To a solution of 4-Bromo-3-(tert-butyl-dimethyl-silanyloxymethyl)-isochromen-1 - one (1 .3 g, 3.53 mmol) in 15ml of dioxane/H20 (5:1 ) was added 3,4-Difluorophenylboronic acid (0.83 g, 5.3 mmol) and Na2CO3(0.75 g, 7.06 mmol), then Pd(dppf)CI2 (0.26g, 0.35mmol). Then the resultant mixture was stirred for 2 hours at 90°C under N2. TLC showed SM was consumed, the reaction mixture was cooled to RT, removed the solvent, the residue was purified by column chromatography on silica gel eluted with (PE:EA=50:1 ) to afford title product, (m = 1 .3 g, yield = 85%). 1 HNMR: (400MHz, CDCI3) δ 0.00 (s, 6 H), 0.83 (s, 9 H), 4.30 (tt, J=12Hz, 2H), 7.00 (d, J=8.4Hz, 1 H), 7.1 1 (t, J=6.0Hz, 1 H), 7.20 (m, 1 H), 7.31 (tt, J=6.8Hz, 1 H), 7.54(t, J=6.8Hz, 1 H), 7.64(t, J=6.8Hz, 1 H), 8.36(d, J=8.0Hz, 1 H).
Step B
4-(2,3-Difluoro-phenyl)-3-hydroxymethyl-2-methyl-2H-isoquinolin-1-one
Figure imgf000102_0001
[00144] 3-(tert-Butyl-dimethyl-silanyloxymethyl)-4-(3,4-Difluoro-phenyl)-isochromen-1- one(720mg, 1 .79mmol) was dissolved in 4N NH3/EtOH (10 ml). The mixture was stirred at 60°C for 1 h. TLC showed SM was consumed, the reaction mixture was cooled to RT, then concentrated to dryness and the residue was dissolved in THF(10 ml), added a aqueous solution of HF(50%, 10ml),the solution was stirred at RT for 2h, TLC showed the reaction was completed, quenched by adding 2N NaOH to pH=7~8, extracted with EA, and washed with water and brine, dried over sodium sulfate and concentrated to dryness and gave the desired product, (m = 0.5g, yield = 92.7%). 1HNMR: (400MHz, CDCI3) δ 3.79 (s, 3H), 4.44 (m, 2H), 6.93 (d, J=8.0Hz, 1 H), 6.98 (m, 1 H), 7.16(m, 1 H), 7.25 (dd, J^e^Hz, J2=12.0Hz, 1 H), 7.45(m, 2H), 8.44(d, J=6.8Hz, 1 H).
Step C
4-(3,4- Difluoro -phenyl)-2-methyl-1-oxo-1,2-dihydro-isoquinoline-3-carbaldehyde
Figure imgf000103_0001
[00145] To a solution of 4-(3,4- Difluoro-phenyl)-3-hydroxymethyl-2-methyl-2H-isoquinolin -1 -one (500mg, 1.66mmol) in CHCI3 (10 ml) was added Mn02 (1.87g, 21 .6mmol). The reaction mixture was stirred at 70°C overnight under N2. TLC showed SM was consumed, cooled to RT, the reaction mixture was filtered, and the filtrate was concentrated to dryness to afford title product which was used for the next step directly, (m = 460.0 mg, yield = 92.6%.) 1HNMR: (400MHz, d6-DMSO) δ 3.89 (s, 3H), 7.09 (t, J=6.0Hz, 1 H), 7.15 (d, J=6.8Hz, 1 H), 7.24 (m, 1 H), 7.36(dd, J2=15.6Hz, 1 H), 7.55 (m, 2H), 8.55 (d, J=8.0Hz, 1 H), 9.61 (s, 1 H).
Step D
[4-(3,4- Difluoro -phenyl)-2-methyl-1 -oxo-1 , 2-dihydro-isoquinolin-3-y]-trimethylsilanyloxy- acetonitrile
Figure imgf000103_0002
[00146] To a suspension of 4-(3,4- Difluoro -phenyl)-2-methyl-1 -oxo-1 , -dihydro- isoquinoline-3-carbaldehyde (460 mg, 1.53 mmol) and zinc iodide(0.98g, 3.06mmol) in CH2CI2 (10 ml) was added TMSCN (1 .52 g, 15.3 mmol). The reaction mixture was stirred at room temperature overnight. TLC showed SM was consumed, the reaction mixture was filtered, and the filtrate was washed with water (3*50 ml), then brine, dried over Na2S04 and concentrated to dryness. The residue was used for the next step directly without other purification, (m = 0.6g, yield = 98%). LCMS: (10-80 AB_2MIN-E.M): Rt =1.338-1 .351 , purity= 86%, M+1 =399.
Step E
[4-(3,4- Difluoro -phenyl)-2-methyl-1 -oxo-1, 2-dihydro-isoquinolin-3-yl]-hydroxy-acetic acid methyl ester
Figure imgf000104_0001
[00147] To a mixture of cone. H2S04 (2.5ml) and methanol (7.5ml) was added [4-(3,4- Difluoro -phenyl)-2-methyl-1 -oxo-1 , 2-dihydro-isoquinolin-3-y]-trimethylsilanyloxy-acetonitrile (580mg, 1.45mmol), after addition, the resultant mixture was stirred at reflux overnight under N2. TLC showed SM was consumed, diluted with EA, adjusted with saturated NaHC03 to pH=8~9, extracted with EA, the organic layers was dried over Na2S04 and concentrated to dryness to afford crude product, (m = 430mg, yield = 79%). LCMS: (10-80 AB_2MIN-E.M): Rt =1.021 , purity= 64%, M+1 =360.
Step F
tert-Butoxy-[4-(3,4- Difluoro -phenyl)-2-methyl-1 -oxo-1 ,2-dihydro-isoquinolin-3-yl]-acetic acid methyl ester
Figure imgf000104_0002
[00148] To a solution of [4-(3,4- Difluoro-phenyl)-2-methyl-1 -oxo-1 ,2-dihydro-isoquinolin- 3-yl]-hydroxy-acetic acid methyl ester (1 14mg, 0.31 mmol) in t-BuOAc(I Oml) was added HCI04 (0.17 ml, 1.1 1 mmol). The reaction mixture was stirred at RT overnight. TLC showed most SM consumed, ended the reaction, added ice-water, adjusted to pH=6 by adding 1N aq NaHC03, extracted with EA, washed with water and brine, dried over Na2S04 and concentrated to dryness. The residue was purified by pre-TLC to afford title product, (m = 57 mg, yield = 43.2%) LCMS: (10-80 AB_2MIN-E.M): Rt =1 .271 -1.298-1.314, purity- 93.0%, M+1 =416.
Step G
tert-Butoxy-[4-(3,4- Difluoro -phenyl)-2-methyl-1 -oxo-1 ,2-dihydro-isoquinolin-3-yl]-acetic acid
Figure imgf000105_0001
[00149] To a solution of tert-Butoxy-[4-(3,4- Difluoro -phenyl)-2-methyl-1-oxo-1 ,2-dihydro- isoquinolin-3-yl]-acetic acid methyl ester (72 mg, 0.15 mmol) in THF (2.0 ml) was added an aqueous LiOH (1 N, 0.69 ml). The mixture was stirred at 60°C overnight. LCMS showed SM was consumed, cooled to RT, removed the solvent, added water, extracted with EA to remove impurity, the aqueous layer was adjusted to pH=6 with 1 N HCI, extracted with EA, the organic layer was washed with water and brine, dried over Na2S04, filtered, concentrated to dryness, gave the desired product.(m=46mg, Yield:66%). 1HNMR: (400MHz, d6-DMSO) δ 0.91 (s, 5H), 1.00(s, 4H), 3.56 (s, 1.67H), 3.63(s, 1.33H), 4.93 (s, 1 H), 6.84 (d, J=8.0Hz, 0.5H), 6.99 (d, J=8.0Hz, 0.5H), 7.15(s, 0.5H), 7.30 (m, 1 H), 7.44 (m, 0.5H), 7.60(m, 3H), 8.28(d, J=8.0Hz, 1 H). LCMS: (10-80 AB_2MIN-E.M): Rt =1 .177-1.201 , purity= 99.0%, M+1 =402.
Scheme 3: General Route Synthesis of Chiral Groups within R4 Substituent
Figure imgf000106_0001
3-10 3-1 1 3-12
Example 3
Figure imgf000106_0002
(S)-2-(tert-butoxy)-2-(4-(3,4-dimethylphenyl)-2-methyl-1 -oxo-1 ,2-dihydroisoquinolin-3-yl)acetic acid
Step A (S)-methyl 2-( 3, 4-dihydroxybut- 1-yn-1-yl)benzoate
Figure imgf000107_0001
[00150] A solution of methyl 2-iodobenzoate (2.312 ml, 15.26 mmol), (2S)-3-butyne-1 ,2- diol (1 .380 g, 16.03 mmol), and Et3N (10.64 ml, 76 mmol) in Acetonitrile (25.2 ml) was degassed with N2 for 10 min and treated with Cul (0.581 g, 3.05 mmol) and Pd(PPh3)4 (0.264 g, 0.229 mmol) and the reaction mixture was heated to 80 °C. After 20 min, the reaction mixture was cooled to ambient temperature. The reaction mixture was diluted with EtOAc and washed with saturated aqueous NH4CI, water and brine. The organic phase was dried (Na2S04), filtered and concentrated in vacuo. The residue was purified by silica gel chromatography (ethyl acetate- hexanes 0-100%) to afford the title compound (2.88 g, 13.08 mmol, 86 % yield) as a beige solid: Rt = 0.54 min, ES+ MS: 221 (M + 1 ).
Step B
(R)-4-bromo-3-( 1, 2-dihydroxyethyl)-1H-isochromen- 1-one
Figure imgf000107_0002
[00151] A suspension of methyl 2-[(3S)-3,4-dihydroxy-1 -butyn-1 -yl]benzoate (500 mg, 2.270 mmol) in 1 ,2-Dichloroethane (DCE) (22 ml.) was treated with dicyclohexylamine HBr (59.5 mg, 0.227 mmol) and then copper (II) bromide (1014 mg, 4.54 mmol) and stirred at 80 °C. After 1.5h, the reaction mixture was diluted with EtOAc, filtered through Celite and concentrated in vacuo. The residue was purified by silica gel chromatography (ethyl acetate-hexanes 0-70%) to afford the title compound (200 mg, 0.702 mmol, 31 % yield) as brown solid: Rt = 0.46 min, ES+ MS: 286 (M + 1 ).
Step C
(R)-4-bromo-3-(2-((tert-butyldiphenylsilyl)oxy)-1 -hydroxyethyl)-1 H-isochromen-1 -one
Figure imgf000108_0001
[00152] A solution of 4-bromo-3-[(1 R)-1 ,2-dihydroxyethyl]-1 H-2-benzopyran-1 -one (145 mg, 0.509 mmol) and imidazole (51.9 mg, 0.763 mmol) in Ν,Ν-Dimethylformamide (DMF) (2.4 mL) was treated with tert-butyldiphenylchlorosilane (159 μΙ, 0.610 mmol). After 20 min, the reaction mixture was poured into water and extracted with EtOAc. The organic phase was dried with Na2S04, filtered and concentrated. The residue was purified by silica gel chromatography (ethyl acetate-hexanes 0-50%) to afford the title compound (169 mg, 0.323 mmol, 64 % yield) as a white foam: Rt = 1 .24 min, ES+ MS: 546 (M + 23).
Step D
(R)-3-(2-((tert-butyldiphenylsilyl)oxy)-1-hydroxyethyl)-4-(3,4-dimethylph
one
Figure imgf000108_0002
[00153] A solution of 4-bromo-3-((1 R)-2-{[(1 , 1 -dimethylethyl)(diphenyl)silyl]oxy}-1- hydroxyethyl)-1 H-2-benzopyran-1-one (142 mg, 0.271 mmol) and 3,4-dimethylphenylboronic acid (61.0 mg, 0.407 mmol) in Ν,Ν-Dimethylformamide (DMF) (2.5 mL) was degassed with N2 for 10 min. The reaction mixture was treated with 2M Na2C03 (149 μΙ, 0.298 mmol) and Pd(PPh3)4 (16 mg, 0.014 mmol) and irradiated in the microwave for 20 min at 120 °C. The reaction mixture was diluted with EtOAc, and washed with saturated aqueous NH4CI, brine, dried (Na2S04), filtered and concentrated. The residue was purified by silica gel
chromatography (ethyl acetate-hexanes 0-30%) to afford the title compound (92 mg, 0.168 mmol, 62 % yield) as a white solid: Rt = 1.31 , 1 .33 (atropisomers), ES+ MS: 571 (M + 23).
Step E
(S)-3-(2-((tert-butyldiphenylsilyl)oxy)-1-hydroxyethyl)-4-(3 -^
methylisoquinolin- 1 ( 2H)-one
Figure imgf000109_0001
[00154] A solution of 3-((1 R)-2-{[(1 , 1-dimethylethyl)(diphenyl)silyl]oxy}-1 -hydroxyethyl)-4- (3,4-dimethylphenyl)-1 H-2-benzopyran-1-one (92 mg, 0.168 mmol) was dissolved in 2M methyl amine in THF (1 .3 ml_, 2.51 mmol) was heated to 80 °C. After 18 h, the reaction mixture was concentrated in vacuo and treated with 4M HCI in dixoane (2 ml_). The reaction stirred for 20 min and poured into 1 M aqueous NaOH and extracted with EtOAc. The organic layer was dried (Na2S04), filtered and concentrated. The residue was purified by silica gel chromatography (ethyl acetate-hexanes 0-50%) to afford the title compound (13 mg, 0.023 mmol, 14 % yield) as a colorless film: Rt = 1 .28, ES+ MS: 562 (M + 1 ).
Step F
(S)-3-(1-(tert-butoxy)-2-hydroxyethy -4-(3,4-dimethylphenyl)-2-methyli
Figure imgf000109_0002
[00155] A -78 °C suspension of 3-((1 S)-2-{[(1 , 1 -dimethylethyl)(diphenyl)silyl]oxy}-1- hydroxyethyl)-4-(3,4-dimethylphenyl)-2-methyl-1 (2H)-isoquinolinone (12 mg, 0.021 mmol) and amberlyst 15 resin (6 mg, 0.036 mmol) in Dichloromethane (DCM) (290 μΙ) was treated with isobutylene until the volume approximately doubled. The reaction mixture was sealed and allowed to warm to ambient temperature. After 48h, the reaction mixture was cooled to -78 °C and then opened to the atmosphere. The reaction mixture was filtered through a short pad of silica and rinsed with EtOAc. The filtrate was concentrated in vacuo. The residue was dissolved in Tetrahydrofuran (THF) (290 μΙ) and treated with 1 .0 M TBAF in THF (145 μΙ, 0.145 mmol). After 2h, the reaction mixture was filtered through a short pad of silica gel and washed with EtOAc. The filtrate was concentrated in vacuo and purified by reverse phase hplc to afford the title compound (6 mg, 0.016 mmol, 43.6 % yield) as a white solid: Rt = 1.02, ES+ MS: 380 (M +
1 )- Step G
(S)-2-(tert-butoxy)-2-(4-(3,4-dimethylphenyl)-2-methyl-1 -oxo-1, 2-dihydroisoquinolin-3-yl)acetic acid
Figure imgf000110_0001
[00156] A solution of 3-{(1 S)-1-[(1 , 1-dimethylethyl)oxy]-2-hydroxyethyl}-4-(3,4- dimethylphenyl)-2-methyl-1 (2H)-isoquinolinone (4 mg, 10.54 μηιοΙ) in DMSO is treated with DMP (13 mg, 0.032 mmol). After 18h, the reaction mixture was filtered through a pad of silica gel and washed with 1 :1 EtOAc-hexanes. The filtrate was concentrated, dissolved in EtOAc and washed with H20 (3x), brine, dried (Na2S04), filtered and concentrated. The residue was then dissolved in tert-Butanol (51 .5 μΙ) and Tetrahydrofuran (THF) (51 μΙ) and treated with 2,3- dimethyl-2-butene (3 μΙ, 0.02 mmol) and a solution of NaCI02 (1 .787 mg, 0.016 mmol) and NaH2P04 (1.2 mg, 10.5 μηηοΙ) in water (100 uL). The crude reaction mixture was diluted with water and extracted with EtOAc (3x). The combined organics were washed with brine, dried (Na2S04), filtered and concentrated. The residue was dissolved in DMF (250 uL) and purified by Gilson to afford the title compound: Rt = 0.95, 0.97 (atropisomers), ES+ MS: 394 (M + 1 ). The chirality of the above compound was established by comparison to authentic material of (R)- and (S)-(tert-butoxy)-2-(4-(3,4-dimethylphenyl)-2-methyl-1 -oxo-1 , 2-dihydroisoquinolin-3-yl)acetic acid using a Chiral SFC 20%MeOH/80%CO2; 4.6x250mm IC column; Rt (R) = 1 min; (S) = 7.22 min.
Scheme 4: General Experimental Procedure of R7 Alkoxyl Analogs
Figure imgf000111_0001
Figure imgf000111_0002
4-13
Example 4
Figure imgf000112_0001
tert-Butoxy-[7-(2-hydroxy-ethoxy)-2-methyl-4-(5-methyl-chroman-6-yl)-1-oxo-1,2-dihydro- isoquinolin-3-yl]-acetic acid
Step A
Preparation of methyl 2-bromo-5-methoxybenzoate
Figure imgf000112_0002
[00157] To a solution of 2-bromo-5-methoxybenzoic acid (150g, 649 mmol) in Methanol (1500 mL) stirred under nitrogen at 0°C was added sulfurous dichloride (69.4 mL, 974 mmol) dropwise during 30 min. The reaction mixture was stirred at 65 °C for 12 hr. The solvents were evaporated off, then water (750mL) and EtOAc (750mL) was poured into the residue. The mixture was partitiononed. The aqueous layer was extracted with EtOAc (250mL*3). Combined organic phase was washed with water (200mL*2), dried over anhydrous Na2S04 and concentrated to give 150g (90%) of the title compound.
Step B
2-Bromo-5-hydroxy-benzoic acid methyl ester
Figure imgf000112_0003
[00158] To a solution of compound methyl 2-bromo-5-methoxybenzoate (100 g, 410 mmol) in DCM (2000 mL) was added and BBr3 (1 N, 150 mL) at -78°C under N2.The mixture was stirred at 0°C under N2 for 24 hr. The reaction was quenched with MeOH (500 mL), concentrated to dryness, diluted with H20 (50 mL), and extracted with ethyl acetate (800ml_*3), The organic phase was washed with saturated sodium bicarbonate solution 50ml_, dried over Na2S04, After concentration, the crude product was purified by silica gel chromatography eluted with PE: EA =1 :1 to give title product (80g, 85% yield) as yellow oil. LCMS (10-80 AB_2MIN.M): Rt=0.820, purity= 85%, M+1 =231 .
Step C
5-Benzyloxy-2-bromo-benzoic acid methyl ester
Figure imgf000113_0001
[00159] To a solution of 2-Bromo-5-hydroxy-benzoic acid methyl ester (80 g, 347 mmol) and K2C03 (71 .9 g, 520 mmol) in DMF (800 mL) was added BnBr (500 g, 416.2 mmol) at RT. The mixture was stirred at RT under N2 for 5 hr. The reaction mixture was diluted with H20 (500 mL) and extracted with ethyl acetate (100 mL *3). The organic phase was washed with saturated sodium bicarbonate solution 500 mL, dried over Na2S04, After concentration, the crude product was purified by silica gel chromatography eluted with PE: EA =4:1 to give title product (100 g, 90% yield) as an off-white solid.
Step D
5-Benzyloxy-2-(3-hydroxy-prop-1-ynyl)-benzoic acid methyl ester
Figure imgf000113_0002
[00160] To a solution of 5-Benzyloxy-2-bromo-benzoic acid methyl ester (120g, 374 mmol) and prop-2-yn-1-ol (41.9 g, 747 mmol) in triethylamine (1 L), copper(l) iodide (0.712 g, 3.74 mmol) and bis(triphenylphosphine)palladium(ll) chloride (26.2 g, 37.4 mmol) at RT under N2. The mixture was heated at 50°C reflux under N2 for 12 hr. The reaction was cooled to room temperature, concentrated to dryness, diluted with H20 (50 mL) and extracted with ethyl acetate (500mL *3), The organic phase was washed with saturated sodium bicarbonate solution 500mL, dried over Na2S04. After concentration, the crude product was purified by silica gel
chromatography eluted with PE: EA=10:1 ~4:1 to give title product (80 g, 72%) as yellow oil. LCMS (10-80 AB_2MIN.M): Rt =1 .124, purity= 53%, M+1 =279. Step E
5-Benzyloxy-2-[3-(tert-butyl-dimethyl-silanyloxy)-prop-1-ynyl]-benzoic acid methyl ester
Figure imgf000114_0001
[00161] To a solution of 5-Benzyloxy-2-(3-hydroxy-prop-1 -ynyl)-benzoic acid methyl ester (80 g, 270 mmol) in DCM (1.5 L) was added imidazole (36.8 g, 540 mmol) and TBSCI (61 g, 405 mmol). The mixture was stirred at room temperature for 3 hours. The reaction mixture was washed with water, brine, dried over Na2S04 and concentrated to dryness. The residue was purified by chromatography column on silica gel to afford title product (90 g, 81 %).
LCMS (10-80 AB_2MIN.M): Rt=1 .499, purity= 73%, M+1 =41 1.
Step F
7-Benzyloxy-4-bromo-3-(tert-butyl-dimethyl-silanyloxymethyl)-isochrom
Figure imgf000114_0002
[00162] To a suspension of 5-Benzyloxy-2-[3-(tert-butyl-dimethyl-silanyloxy)-prop-1 -ynyl]- benzoic acid methyl ester (90 g, 219 mmol) and copper bromide (58.8 g, 263 mmol) in 1 ,2- dichloro-ethane (1 L), was added dicyclohexylamine hydrobromide (5.75 g, 21.92 mmol). The resultant mixture was stirred at reflux under N2. After 2h, the reaction mixture was cooled to ambient temperature, and partitioned between dichloromethane and water. The organic layer was dried (MgS04), filtered and concentrated in vacuo. The residue was purified by
chromatography column on silica gel to afford title product (40 g, 38.4%) as a pale yellow solid. LCMS (10-80 AB_2MIN.M): Rt=1 .617, purity= 80%, M+1 =475. Step G
7-Benzyloxy-3-(tert-butyl-dimethyl-silanyloxymethyl)-4-(5-methyl-chrom
one
Figure imgf000115_0001
[00163] To a solution of 7-Benzyloxy-4-bromo-3-(tert-butyl-dimethyl-silanyloxymethyl)- isochromen-1 -one (30 g, 63.1 mmol) and 4,4,5,5-tetramethyl-2-(5-methylchroman-6-yl)-1 ,3,2- dioxaborolane (51 .9 g, 89 mmol) in 1 ,4-dioxane/H20 (400/100 mL) was added Pd(dppf)CI2 (4.62 g, 6.31 mmol), Na2C03 (20 g, 189 mmol), and PPh3 (4.96 g, 18.93 mmol). The resultant mixture was stirred at refluxing under N2. After 12 h, the reaction mixture was cooled to ambient temperature and partitioned between dichloromethane and water. The organic layer was washed with brine, dried (MgS04), filtered and concentrated in vacuo. The residue was purified by chromatography column on silica gel to afford title product as a pale solid (5.0 g). LCMS (10- 80 AB_2MIN.M): Rt =1.541 , purity= 93.3%, M+1 =542.
Step H
7-Benzyloxy-3-hydroxymethyl-2-methyl-4-(5-methyl-chroman-6-yl)-2H-isoquin
Figure imgf000115_0002
[00164] The mixture of 7-Benzyloxy-3-(tert-butyl-dimethyl-silanyloxymethyl)-4-(5-methyl- chroman-6-yl)-isochromen-1-one (5.0 g, 9.21 mmol) and CH3NH2/EtOH (10 mL) was stirred at 80°C for 1 hour. The solvent was removed in vacuo and the resulting mixture was acidified by HCI-EA solution to pH 1 -2. The mixture was diluted with water and extracted with EA (3*100mL) and dried over sodium sulfate and concentrated to dryness. The residue was purified by chromatography column on silica gel to afford title product (3.5 g, 86%).
LCMS (10-80 AB_2MIN.M): Rt =1 .278, purity= 77%, M+1 =442.
Step I
7-Benzyloxy-2-methyl-4-(5-methyl-ch dihydro-isoquinoline-3-carbaldehyde
Figure imgf000116_0001
[00165] To a solution of 7-Benzyloxy-3-hydroxymethyl-2-methyl-4-(5-methyl-chroman-6- yl)-2H-isoquinolin-1 -one (3.5 g, 7.93 mmol) in dichloromethane (100 ml) was added manganese dioxide (6.89 g, 79.3 mmol). The resultant mixture was stirred at 70 °C under N2 for 2 h. The reaction mixture was filtered and concentrated to dryness to afford the title product (3.0 g, 86%). LCMS (10-80 AB_2MIN.M): Rt =1 .338 purity= 89%, M+1 =440.
Step J
[7-Benzyloxy-2-methyl-4-( 5-methyl-chroman-6-yl)-1 -oxo-1 ,2-dihydro-isoquinolin
trimethylsilanyloxy-acetonitrile
Figure imgf000116_0002
[00166] To a suspension of 7-Benzyloxy-2-methyl-4-(5-methyl-chroman-6-yl)-1 -oxo-1 ,2- dihydro-isoquinoline-3-carbaldehyde (3.0 g, 6.83 mmol) and zinc diiodide (4.36 g, 13.65 mmol) in dichloromethane (60 ml), was added trimethylsilanyl cyanide (6.77 g, 68.3 mmol). The resultant mixture was stirred at room temperature for 45 min. The reaction mixture was diluted with water (50 ml) and extracted with DCM, dried over sodium sulfate and concentrated to dryness. The residue was used for the next step directly without other purification (2.5 g, 68%). LCMS (10-80 AB_2MIN.M): Rt =1 .465, purity= 93.5%, M+1 =539.
Step K
Hydroxyl-[7-hydroxy-2-methyl-4-(5-methyl-chroman-6-yl)-1 -oxo-1, 2-dihydro-isoquinolin-3-yl]- acetic acid methyl ester
Figure imgf000117_0001
[00167] To a solution of [7-Benzyloxy-2-methyl-4-(5-methyl-chroman-6-yl)-1-oxo-1 ,2- dihydro-isoquinolin-3-yl]-trimethylsilanyloxy-acetonitrile (2.5 g, 4.64 mmol) in H2SO4/CH3OH (30 mL, V/V=1 :3). The resulting mixture was heated to 80 °C under N2 for 12 h. The reaction mixture was poured into ice water and extracted with DCM (50 ml_*3), dried over sodium sulfate and concentrated to dryness. The mixture was purified by chromatography column on silica gel to afford the title product (0.6 g, 32%). LCMS (10-80 AB_2MIN.M): Rt =0.993, purity= 75%, M+1 =410.
Step L
tert-Butoxy-[7-hydroxy-2-methyl-4-(5-methyl-chroman-6-yl)-1 -oxo-1, 2-dihydro-isoquinolin-3-yl]- acetic acid methyl ester; compound with methane
Figure imgf000117_0002
[00168] To a solution of Hydroxyl-[7-hydroxy-2-methyl-4-(5-methyl-chroman-6-yl)-1-oxo- 1 ,2-dihydro-isoquinolin-3-yl]-acetic acid methyl ester (600 mg, 1.465 mmol) in t-BuOAc (10 ml) was added HCI04 (512 mg, 5.12 mmol). The resultant mixture was stirred at RT under N2 for 2 h. The reaction mixture was diluted with water and extracted with EA (50ml_*3), dried over sodium sulfate and concentrated to dryness. The mixture was purified by chromatography column on silica gel to afford the title product (300mg, 44%). LCMS (10-80 AB_2MIN.M): Rt =1.308, purity= 96%, M+1 =466.
Step M
tert-Butoxy-[7-(2-hydroxy-ethoxy)-2-methyl-4-(5-methyl-chrom
isoquin ester
Figure imgf000118_0001
[00169] To a solution of tert-Butoxy-[7-hydroxy-2-methyl-4-(5-methyl-chroman-6-yl)-1- oxo-1 ,2-dihydro-isoquinolin-3-yl]-acetic acid methyl ester (50 mg, 0.17 mmol) in DMF (1 ml) was added K2C03 (44.5 mg, 0.322 mmol) and 3-bromopropan-1-ol (40.3 mg, 0.322 mmol) at RT. The resultant mixture was stirred at 70 °C for 3 hr. The reaction mixture was diluted with water and extracted with EA (10 ml_*3), dried over sodium sulfate and concentrated to dryness. The mixture was purified by Pre-TLC to afford the title product (30 mg, 55%). LCMS (10-80
AB_2MIN.M): Rt =1 .223, purity= 93.7%, M+1 =510.
Step N
teii-Butoxy-[7-(2-hydroxy-ethoxy)-2-methyl-4-(5-methyl-chroman-6-yl)-1-ox
isoquinolin-3-yl]-acetic acid
Figure imgf000119_0001
[00170] To a solution of tert-Butoxy-[7-(2-hydroxy-ethoxy)-2-methyl-4-(5-methyl-chroman- 6-yl)-1 -oxo-1 ,2-dihydro-isoquinolin-3-yl]-acetic acid methyl ester (30 mg, 0.059 mmol) in THF (3 ml), was added 1 N LiOH (3 mL). The resultant mixture was stirred at 70 °C overnight. The solvent was removed in vacuo; the reaction mixture was acidified by 1 N HCI solution to pH 5-6. The white solid was filtered to afford the title product (9 mg, 30.8%). LCMS (10-80
AB_2MIN.M): Rt =1 .190, purity= 97.3%, M+1 =496.
[00171] The compounds in Table 2 were prepared in a manner similar to the examples shown above.
Table 2
Figure imgf000119_0002
14 120-1.22 434.32
15 1.17, 1.20 395.46
16 1.21,1.23 449.43
17 1.21 433.43
18 1.23 379.46
19 1.23, 1.25 435.52
20 1.25 435.52
21 1.23 455.94
22 1.17 443.52
23 1.02 436.51
24 1.37 463.58
25 1.25,1.26 439.49
26 1.22 455.94
27 1.15 455.51
28 1.31 407.51
29 1.28 415.49
30 1.2 447.54
31 1.14 409.49
32 1.28 457.53
33 1.13, 1.17 395.46
34 1.3 393.49
35 1.13 439.49
36 1.2 421.5
37 1.25 455.94
38 1.19 401.41 39 1.22 421.5
40 1.19 383.42
41 1.04 366.42
42 1.23 409.49
43 1.25 407.51
44 1.27,1.29 423.51
45 1.27 423.51
46 1.18,1.19 401.41
47 1.29 393.49
48 1.04 366.42
49 1.15 409.49
50 1.10,1.14 425.49
51 1.14,1.16 409.44
52 1.22,1.26 409.49
53 1.13,1.16 423.47
54 1.21,1.24 409.49
55 1.21 407.51
56 1.29 411.48
57 1.17 439.49
58 1.18 435.52
59 1.24 411.48
60 1.3 407.51
61 1.15,1.18 437.5
62 0.89 416.48
63 1.15,1.17 407.47 64 1.23 415.49
65 1.23 435.52
66 1.39 427.93
67 1.2 449.55
68 1.3 455.94
69 1.17,1.19 453.52
70 1.27,1.31 469.97
71 1.21 379.46
72 1.21 451.52
73 1.17,1.22 463.54
74 1.15 435.52
75 1.26 453.52
76 1.26 465.55
77 1.28 449.55
78 1.3 449.55
79 1.3 469.97
80 1.02,1.11 462.55
81 1.23 509.6
82 1.03,1.13 422.49
83 1.2 453.52
84 1.22 451.52
85 0.14 522.65
86 1.09,1.12,1.15 457.15
87 1.29 412.18
88 5.89 542.23 89 5.14,5.16 498.29
90 1.23 472.19
91 5.13, 5.15 472.29
92 1.19, 1.23 472.29
93 1.39,1.42 560.24
94 1.21 466.34
95 5.95, 5.98 578.39
96 5.95, 5.97 579.39
97 4.36, 4.43 543.38
98 5.81, 5.86 578.37
99 5.93,5.98 596.39
100 5.32,5.37 561.39
101 1.24 579.38
102 4.45, 4.59 557.41
103 5.86, 5.91 560.38
104 5.92,5.97 560.4
105 1.2 579.39
106 1.19 484.36
107 1.4 596.37
108 1.45 578.38
109 1.35 566.36
110 1.46 600.32
111 1.39 548.36
112 1.51 582.33
113 1.42 580.39 114 1.34,1.36 502.31
115 1.29 450.34
116 1.01 499.28
117 0.91 549.39
118 0.91, 0.98 423.3
119 0.89 565.39
120 1.35,1.37 480.34
121 5.42,5.44 450.34
122 1.11 510.3
123 5.38, 5.44 559.33
124 1.37 468.32
125 1.32 484.33
126 4.95,4.99 484.29
127 1.38,1.41 504.29
128 1.24 620.29
129 1.14,1.15 543.32
130 5.40,5.47 500.25
131 1.23 468.35
132 6.20,6.25 610.31
133 1.2 579.4
134 5.90, 5.95 578.31
135 5.58,5.64 494.4
136 6.15,6.20 576.27
137 4.74,4.78 544.32
138 5.98 578.3 139
140
141
142
143 1 .1 1 561.31
144 1 .14 543.33
145 1 .38 578.32
146 6.27, 6.32 626.35
147 1 .43 560.38
148 1 .43 578.37
149 1 .24 436.35
150 1.2 454.31
151 4.65, 4.70 416.28
152 1 .32 406.3
153 1 .00 423.23
154 1.2 400.18
155 1.1 370.27
156 1 .13 366.25
157 0.88 370.28
158 1 .42 461.36
Scheme 5: General Route B for Synthesis of Chiral Groups within R4 Substituent
[00172] As a general synthetic approach, the P or M isomer may be prepared for any compounds of the invention using the specific chemistry shown below for the single isomer ^^^-(tert-butoxy^-^-iS-fluoro-S-methyl-S^-dihydro^H-l-benzopyran-e-yl^-methyl-l - oxo-1 ,2-dihydroisoquinolin-3-yl]acetic acid.
Figure imgf000126_0001
5-12 5-13 5-14
Example 159
(2S)(M)-2-(tert-butoxy)-2-(4-(8-fluoro-5-methylchroman-6-yl)-2-m
dihydroisoquinolin-3-yl)acetic acid
Figure imgf000127_0001
Step A
2-(8-fluoro-5-meth rbonyl)benzoic acid
Figure imgf000127_0002
[00173] An ice cold mixture of 8-fluoro-5-methylchroman (0.955 g, 5.75 mmol) in 1 ,2-
Dichloroethane (DCE) (10 ml.) was treated with aluminum chloride (1.532 g, 1 1.49 mmol) followed by isobenzofuran-1 ,3-dione (0.809 g, 5.46 mmol). The mixture was allowed to warm to ambient temperature and stirred for 90 minutes. Water was then added and thee mixture was extracted with ethyl acetate. The extracts were washed with brine, dried over sodium sulfate, filtered and concentrated to give the title compound as an off-white solid: 1H NMR (400 MHz, DMSO-d6) δ ppm 1 .92 - 2.05 (m, 2 H), 2.34 (s, 3 H), 2.62 - 2.79 (m, 2 H), 4.15 - 4.30 (m, 2 H), 6.68 (d, J=1 1 .73 Hz, 1 H), 7.40 (d, J=7.43 Hz, 1 H), 7.51 - 7.76 (m, 2 H), 7.88 (d, J=7.43 Hz, 1 H), 13.15 (br. s., 1 H); LC/MS (m/z) ES+ = 315 (M+1 ).
Step B
2-((8-fluoro-5-me methyl)benzoic acid
Figure imgf000127_0003
[00174] A mixture of 2-(8-fluoro-5-methylchroman-6-carbonyl)benzoic acid (673 mg, 2.141 mmol) in acetic Acid (15 mL) was treated with Pd/C (60.0 mg) and the mixture was stirred under 50 psi of hydrogen at 65° C until the reaction was judged complete by LCMS. The mixture was filtered over Celite and the filtrate was concentrated to give the title compound as a white solid: 1H NMR (400 MHz, DMSO-d6) δ ppm 1 .80 - 2.05 (m, 5 H), 2.63 (t, J=6.44 Hz, 2 H), 3.95 - 4.15 (m, 2 H), 4.24 (s, 2 H), 6.57 (d, J=12.29 Hz, 1 H), 6.95 (d, J=7.61 Hz, 1 H), 7.21 - 7.34 (m, 1 H), 7.42 (td, J=7.56, 1 .27 Hz, 1 H), 7.81 (dd, J=7.71 , 1 .07 Hz, 1 H), 12.92 (br. s., 1 H); LC/MS (m/z) ES+ = 301 (M+1 ).
Step C
2-( ( 8-fluoro-5-methylch -N-methylbenzamide
Figure imgf000128_0001
[00175] A solution of 2-((8-fluoro-5-methylchroman-6-yl)methyl)benzoic was dissolved in DMF (2.5 mL) and treated with Methyl amine in ethanol (237 μΙ, 1 .906 mmol) and T3P (295 μΙ, 0.496 mmol). After 2 h, the solids were filtered off and washed with EtOAc to afford title compound (43 mg) as a white solid: 1H NMR (400MHz ,DMSO-d6) δ = 8.22 (d, 1 H), 7.34 - 7.17 (m, 3 H), 6.85 (d, J = 7.6 Hz, 1 H), 6.79 (d, J = 8.2 Hz, 1 H), 6.52 (d, J = 8.2 Hz, 1 H), 4.07 - 3.97 (m, 4 H), 2.73 (d, J = 4.5 Hz, 3 H), 2.59 (t, J = 6.5 Hz, 2 H), 2.00 - 1.87 (m, 5 H); LC/MS (m/z) ES+ = 296 (M+1 ).
Step D
3-((2S)-5,6-dimet oxy-5,6-dimet yl-1 ,4-dioxan-2-yl)-4-(8-fluoro-5-met ylc roman-6- yl)isoquinolin- 1 ( 2H)-one
Figure imgf000129_0001
[00176] An ice cooled suspension of 2-((8-fluoro-5-methylchroman-6-yl)methyl)-N- methylbenzamide (300 mg, 0.957 mmol) in THF (5 ml.) was treated with 2.5M nBuLi in hexanes (804 μΙ, 2.010 mmol). Upon addition of the n-BuLi, the reaction became homogeneous and dark red in color. After 10 min, a solution of (2S)-5,6-dimethoxy-5,6-dimethyl-1 ,4-dioxane-2- carbonitrile (289 mg, 1 .436 mmol) in THF (0.5 ml.) was added and the colorless solution was maintained at 0 °C for 5 min. The reaction was quenched with sat. aq. NH4CI and extracted with EtOAc. The combined organics were washed with brine, dried (Na2S04), filtered and
concentrated. The residue was purified by ISCO (0-10% MeOH-DCM) to afford the title compound (408 mg, 0.844 mmol, 88 % yield) as a 1 :1 mixture of diastereomers as a pale yellow foam. LC/MS (m/z) ES+ = 484 (M+1 ). Rt = 2.17,2.20.
Step E
3-((2S)(M)-5^-dimethoxy-5^-dimethyl-1,4-dioxan-2-yl)-4-(8^
methylisoquinolin- 1 ( 2H)-one
Figure imgf000129_0002
[00177] A solution of 3-((2S)-5,6-dimethoxy-5,6-dimethyl-1 ,4-dioxan-2-yl)-4-(8-fluoro-5- methylchroman-6-yl)isoquinolin-1 (2H)-one (408 mg, 0.844 mmol) in N,N-Dimethylformamide (DMF) (5568 μΙ) was tr eated with Cs2C03 (504 mg, 0.928 mmol). After 5 min, the reaction mixture was quenched with sat. aq. NH4CI and extracted with EtOAc. The combined organics were washed with brine, dried (MgS04), filtered and concentrated. The residue was purified by ISCO (0-50% EtOAc-hexanes) to afford 3-((2S (W -5,6-dimethoxy-5,6-dimethyl-1 ,4-dioxan-2-yl)- 4-(8-fluoro-5-methylchroman-6-yl)-2-methylisoquinolin-1 (2H)-one (240 mg, 0.48 mmol, 57 % yield).
P isomer: 120 mg as a white solid:
1 H NMR (400MHz ,CHLOROFORM-d) δ = 8.49 (d, 1 H), 7.52 - 7.43 (m, 2 H), 6.87 - 6.79 (m, 1 H), 6.64 (d, J = 10.9 Hz, 1 H), 4.94 (dd, J = 4.5, 12.1 Hz, 1 H), 4.31 (dd, J = 3.3, 6.6 Hz, 2 H), 4.10 (t, J = 1 1.8 Hz, 1 H), 4.02 (s, 3 H), 3.43 (dd, J = 4.5, 1 1.5 Hz, 1 H), 3.32 (s, 3 H), 3.06 (s, 3 H), 2.73 (s, 2 H), 2.23 - 2.07 (m, 2 H), 1.89 (s, 3 H), 1 .29 (d, J = 7.4 Hz, 6 H); LC/MS (m/z) ES+ = 498 (M+1 ).
M isomer: 120 mg as a white solid:
1H NMR (400MHz ,CHLOROFORM-d) δ = 8.49 (d, J = 8.0 Hz, 1 H), 7.55 - 7.43 (m, 2 H), 6.83 (d, J = 10.2 Hz, 2 H), 5.14 (dd, J = 4.2, 12.0 Hz, 1 H), 4.32 (d, J = 3.3 Hz, 2 H), 4.21 - 4.1 1 (m, 1 H), 4.04 (s, 3 H), 3.33 (s, 4 H), 3.20 (s, 3 H), 2.70 (t, J = 6.4 Hz, 2 H), 2.18 (br. s., 2 H), 1 .75 (s, 3 H), 1 .32 (d, J = 12.7 Hz, 6 H); LC/MS (m/z) ES+ = 498 (M+1 ).
Step F
(2S)(M)-3-(1,2-dihydroxyethyl)-4-(8-fluoro-5-methylchro
one
Figure imgf000130_0001
[00178] A solution of 3-((2S)-5,6-dimethoxy-5,6-dimethyl-1 ,4-dioxan-2-yl)-4-(8-fluoro-5- methylchroman-6-yl)-2-methylisoquinolin-1 (2H)-one (120 mg, 0.241 mmol) in ethanol (2171 μΙ) was treated with 2N HCI (241 μΙ, 0.965 mmol) and irradiated in the microwave for 20 min at 120 °C. The reaction mixture was poured into sat. aq. NaHC03 (pH of aq was ~8) and extracted with EtOAc. The combined organics were washed with brine, dried (Na2S04), filtered and
concentrated to afford (2S)('W -3-(1 ,2-dihydroxyethyl)-4-(8-fluoro-5-methylchroman-6-yl)-2- methylisoquinolin-1 (2H)-one (90 mg, 0.235 mmol, 97 % yield) as a white solid: Rt = 0.71 , ES+ MS: 384 (M + 1 ).
Step G
(2S)(M)-3-(2-((tert-butyldiphenylsilyl)oxy)-1-hydroxyethyl)-4^
methylisoquinolin- 1 ( 2H)-one
Figure imgf000131_0001
[00179] A solution of (2Sj (7W -3-(1 ,2-dihydroxyethyl)-4-(8-fluoro-5-methylchroman-6-yl)-2- methylisoquinolin-1 (2H)-one (90 mg, 0.235 mmol) in Ν,Ν-Dimethylformamide (DMF) (1 107 μΙ) was treated with imidazole (19.18 mg, 0.282 mmol) and tbdpsci (67.1 μΙ, 0.258 mmol). After 2 h, the reaction mixture was poured into sat. aq. NH4CI and extracted with EtOAc. The combined organics were washed with brine, dried (MgS04), filtered and concentrated. The residue was purified by ISCO (0-50% EtOAc-hexanes) to afford (2Sj(Mj-3-(2-((tert-butyldiphenylsilyl)oxy)-1 - hydroxyethyl)-4-(8-fluoro-5-methylchroman-6-yl)-2-methylisoquinolin-1 (2H)-one (92 mg, 0.148 mmol, 63.0 % yield) as a white foam: 1H NMR (400MHz ,CHLOROFORM-d) δ = 8.49 - 8.40 (m, 1 H), 7.61 - 7.55 (m, 2 H), 7.54 - 7.41 (m, 6 H), 7.38 (dd, J = 7.4, 12.3 Hz, 4 H), 6.85 - 6.76 (m, 2 H), 5.08 - 4.92 (m, 1 H), 4.30 (t, J = 5.2 Hz, 2 H), 4.02 (t, J = 10.2 Hz, 1 H), 3.75 (s, 3 H), 3.60 (dd, J = 4.3, 10.6 Hz, 1 H), 2.72 (d, J = 2.7 Hz, 1 H), 2.57 (s, 2 H), 2.13 (d, J = 4.9 Hz, 2 H), 1.02 (s, 9 H); LC/MS (m/z) ES+ = 622 (M+1 ).
Step H
(2S)(M)-3-(1-(tert-butoxy)-2-((tert-butyldiphenylsilyl)oxy)e^
yl)- -methylisoquinolin- 1 ( 2H)-one
Figure imgf000131_0002
[00180] A solution of (S)-3-(2-((tert-butyldiphenylsilyl)oxy)-1-hydroxyethyl)-4-(8-fluoro-5- methylchroman-6-yl)-2-methylisoquinolin-1 (2H)-one (92 mg, 0.148 mmol) in tert-butyl acetate (1994 μΙ, 14.80 mmol) was treated with 2 drops of 70% perchloric acid. After 18 h, the reaction mixture was poured into sat. aq. NaHC03 and extracted with EtOAc. The combined organics were washed with brine, dried (MgS04), filtered and concentrated. The residue was purified by ISCO (0-30% EtOAc-hexanes) to afford (S)-3-(1 -(tert-butoxy)-2-((tert- butyldiphenylsilyl)oxy)ethyl)-4-(8-fluoro-5-methylchroman-6-yl)-2-methylisoquinolin-1 (2H)-one (49 mg, 0.072 mmol, 48.9 % yield) as a white foam: 1H NMR (400MHz ,CHLOROFORM-d) δ = 8.45 (dd, J = 1.5, 7.7 Hz, 1 H), 7.70 - 7.63 (m, 2 H), 7.63 - 7.56 (m, 2 H), 7.41 (none, 8 H), 6.89 (d, J = 1 1.3 Hz, 1 H), 6.85 - 6.78 (m, 1 H), 4.83 (dd, J = 2.0, 7.4 Hz, 1 H), 4.30 (t, J = 5.2 Hz, 2 H), 3.88 (dd, J = 7.5, 10.6 Hz, 1 H), 3.82 (s, 3 H), 3.58 (dd, J = 2.0, 10.7 Hz, 1 H), 2.73 - 2.52 (m, 2 H), 2.20 - 2.07 (m, 2 H), 1.64 (s, 3 H), 1.16 (s, 9 H), 0.98 (s, 9 H); LC/MS (m/z) ES+ = 678 (M+1 ).
Step I
(2S)(M)-3-(1-(tert-butoxy)-2-hydroxyethyl)-4-(8-fluoro-5-methylchro
methylisoquinolin- 1 ( 2H)-one
Figure imgf000132_0001
[00181] 1.0M TBAF in THF (723 μΙ, 0.723 mmol) was added to (S)-3-(1 -(tert-butoxy)-2- ((tert-butyldiphenylsilyl)oxy)ethyl)-4-(8-fluoro-5-methylchroman-6-yl)-2-methylisoquinolin-1 (2H)- one (49 mg, 0.072 mmol). After 1 h, the reaction mixture was concentrated in vacuo, dissovled in a minimal amount of DCM (-700 uL) and purified by ISCO (0-100% EtOAc-hexanes) to afford
Figure imgf000132_0002
methylisoquinolin-1 (2H)-one (31 mg, 0.071 mmol, 98 % yield) as a white solid: 1H NMR
(400MHz ,CHLOROFORM-d) δ = 8.49 (dd, 1 H), 7.49 (ddd, J = 1.9, 4.8, 7.2 Hz, 2 H), 6.88 (d, J = 1 1.3 Hz, 1 H), 6.78 (dd, J = 1.5, 7.5 Hz, 1 H), 4.78 (dd, J = 4.2, 10.1 Hz, 1 H), 4.33 (t, J = 5.2 Hz, 2 H), 3.92 (s, 3 H), 3.87 - 3.77 (m, 1 H), 3.46 (td, J = 4.3, 1 1.2 Hz, 1 H), 2.73 (q, J 2 H), 2.26 - 2.10 (m, 3 H), 1 .82 (s, 3 H), 1.19 (s, 9 H); LC/MS (m/z) ES+ = 440 (M+1 ).
Step J
(2S)(M)-2-(tert-butoxy)-2-(4-(8-fluoro-5-methylchroman-6-yl)-2-m^
acid:
Figure imgf000133_0001
[00182] An ice cooled suspension of (2Sj(Mj-3-(1-(tert-butoxy)-2-hydroxyethyl)-4-(8- fluoro-5-methylchroman-6-yl)-2-methylisoquinolin-1 (2H)-one (31 mg, 0.071 mmol) and NaHC03 (5.92 mg, 0.071 mmol) in Dichloromethane (DCM) (646 μΙ) was treated with DMP (44.9 mg, 0.106 mmol) and warmed to ambient temperature. After 45 min, the reaction mixture was poured into sat. aq. NaHC03 and extracted with DCM. The combined extracts were washed with brine, dried (Na2S04), filtered and concentrated. The residue (42 mg white foam) was dissolved in t-BuOH (0.7 ml.) and treated with 2-Me-2-Butene (59.8 μΙ, 0.564 mmol) and a solution of NaH2P04 (25.4 mg, 0.212 mmol) and NaCI02 (23.92 mg, 0.212 mmol) in water (120 uL). After 20 min, the reaction mixture was diluted with H20 and extracted with EtOAc. The combined organics were washed with brine, dried (Na2S04), filtered and concentrated. The residue was Gilson to afford (2S)('M -2-(tert-butoxy)-2-(4-(8-fluoro-5-methylchroman-6-yl)-2- methyl-1 -oxo-1 ,2-dihydroisoquinolin-3-yl)acetic acid (12 mg, 0.026 mmol, 37.5 % yield) as a white solid: 1H NMR (400MHz ,DMSO-d6) δ = 13.35 - 13.22 (m, 1 H), 8.33 - 8.26 (m, 1 H), 7.66 - 7.58 (m, 1 H), 7.54 (d, J = 7.0 Hz, 1 H), 6.89 (d, J = 1 1 .5 Hz, 1 H), 6.77 (d, J = 8.0 Hz, 1 H), 4.97 (s, 1 H), 4.23 (t, J = 5.0 Hz, 2 H), 3.62 (s, 3 H), 2.70 (t, J = 5.7 Hz, 2 H), 2.09 - 1 .99 (m, 2 H), 1.81 (s, 3 H), 1.09 (s, 9 H); LC/MS (m/z) ES+ = 454 (M+1 ).
Example 163
(2S)(M)-2-[4-(8-fluoro-5-methyl-3,4-dihydro-2H-1-benzopyran-6-yl)-2^ dihydroisoquinolin- -yl]-2-(1-methylcyclobutoxy)acetic acid
Figure imgf000134_0001
[00183] The title compound was made in a manner similar to Example 159 except using methylenecyclobutane in Step H. 1 H NMR (400MHz ,CHLOROFORM-d) δ = 8.55 - 8.46 (m, 1 H), 7.58 - 7.46 (m, 2 H), 6.92 - 6.84 (m, 1 H), 6.79 (d, J = 1 1.1 Hz, 1 H), 4.31 (t, J = 5.0 Hz, 2 H), 3.74 (s, 3 H), 2.73 (d, J = 3.1 Hz, 2 H), 2.16 (br. s., 4 H), 1.92 (s, 5 H), 1 .78 - 1.65 (m, 1 H), 1.65 - 1.52 (m, 1 H), 1.29 (s, 3 H); LC/MS (m/z) ES+ = 466 (M+1 ).
Scheme 6: General Route for Synthesis of Examples with a R7 = Nitrogen Bearing
Substituent using Palladium Chemistry
Figure imgf000134_0002
Example 165
(2S)(M)-[7-[(4-chloro-3-fluorophenyl)amino]-4-(8-fluoro-5-methyl-3 -di
6-yl)-2-methyl-1-oxo-1,2-dihydro-3-isoquinolinyl][(1,1-dimethylethyl)oxy]ethanoic acid
Figure imgf000135_0001
Step A
Methyl (2S)(M)-[7-bromo-4-(8-fluoro-5-methyl-3 -dihydro-2H-chro^
1 ,2-dihydro-3-isoquinolinyl][( 1, 1-dimethylethyl)oxy]ethanoate
Figure imgf000135_0002
[00184] An ice cold mixture of (S)(M)-methy\ 2-(tert-butoxy)-2-(4-(8-fluoro-5- methylchroman-6-yl)-2-methyl-1-oxo-1 ,2-dihydroisoquinolin-3-yl)acetate (528 mg, 1 .129 mmol) in Ν,Ν-Dimethylformamide (DMF) (8.0 mL) was treated slowly with a solution of bromine (0.1 16 mL, 2.259 mmol) in Dichloromethane (DCM) (0.4 mL) to give an orange solution. The ice bath was removed and the mixture, which was excluded from light by wrapping the reaction vessel with aluminum foil, was allowed to stir at ambient temperature overnight. The mixture was cooled to 0° C, quenched with saturated sodium bicarbonate and then extracted with ethyl acetate. The extracts were washed with water, followed by brine, dried over sodium sulfate, filtered and then concentrated. The residue was purified on silica gel (0-50% ethyl
acetate/hexanes gradient) to afford the title compound as a white foam (480 mg, 78%). 1H NMR (400MHz ,CHLOROFORM-d) δ = 8.63 (d, J = 2.0 Hz, 1 H), 7.57 (dd, J = 2.0, 8.6 Hz, 1 H), 6.81 (d, J = 10.9 Hz, 1 H), 6.70 (d, J = 8.6 Hz, 1 H), 5.1 1 (s, 1 H), 4.32 (t, J = 5.1 Hz, 2 H), 3.74 (s, 3 H), 3.68 (s, 3 H), 2.74 (t, J = 6.4 Hz, 2 H), 2.27 - 2.08 (m, 2 H), 1.83 (s, 3 H), 1 .22 - 1 .09 (s, 9 H); LC/MS (m/z) ES+ = 546 (M+1 ). Step B
(2S)(M)-[7-bromo-4-(8-fluoro-5-methyl-3 -dihydro^^
dihydro-3-isoquinolinyl][( 1, 1-dimethylethyl)oxy]ethanoic acid
Figure imgf000136_0001
[00185] A mixture of fSjf Wj-methyl 2-(7-bromo-4-(8-fluoro-5-methylchroman-6-yl)-2- methyl-1 -oxo-1 ,2-dihydroisoquinolin-3-yl)-2-(tert-butoxy)acetate (15.00 mg, 0.027 mmol) in tetrahydrofuran (THF) (0.5 mL), methanol (0.5 mL) and water (0.2 mL) was treated with lithium hydroxide (25.00 mg, 1 .044 mmol) and heated to 60° C for 2 hours. The mixture was concentrated, partitioned between 1 N hydrochloric acid and ethyl acetate and the layers were separated. The organic phase was washed with brine, dried over sodium sulfate, filtered and concentrated. The residue was purified by reverse phase chromatography to afford the title compound as a white solid (14 mg, 94%). 1 H NMR (400MHz ,CHLOROFORM-d) δ = 8.64 (d, J = 2.0 Hz, 1 H), 7.60 (dd, J = 2.1 , 8.6 Hz, 1 H), 6.83 (d, J = 1 1 .1 Hz, 1 H), 6.74 (d, J = 8.8 Hz, 1 H), 5.20 (s, 1 H), 4.31 (m, 2 H), 3.71 (s, 3 H), 2.82 - 2.65 (m, 2 H), 2.22 - 2.06 (m, 2 H), 1.93 (s, 3 H), 1 .23 (s, 9 H); LC/MS (m/z) ES+ = 532 (M+1 ).
Step C
(2S)(M)-[7-[(4-c loro-3-fluorop enyl)amino]-4-(8-fluoro-5-m
2-methyl-1 -oxo-1 ,2-dihyd -3-isoquinolinyl][( 1, 1-dimethylethyl)oxy]ethanoic acid
Figure imgf000136_0002
[00186] A degassed mixture of (S)(M)-me\ y\ 2-(7-bromo-4-(8-fluoro-5-methylchroman-6- yl)-2-methyl-1-oxo-1 ,2-dihydroisoquinolin-3-yl)-2-(tert-butoxy)acetate (22.00 mg, 0.040 mmol), 4-chloro-3-fluoroaniline (1 1.72 mg, 0.081 mmol) and sodium tert-butoxide (1 1 .61 mg, 0.121 mmol) in 1 ,4-Dioxane (1.0 mL) was treated with Pd2(dba)3 (2.084 mg, 2.013 μηηοΙ) and 2- dicyclohexylphosphino-2'-(N,N-dimethyl-amino)biphenyl (3.17 mg, 8.05 μmol) and then irradiated in the microwave at 100° C for 10 minutes. The mixture was diluted with ethyl acetate and washed with saturated sodium bicarbonate, followed by brine. The organic phase was dried over sodium sulfate, filtered and concentrated. The crude residue in methanol (1 .0 mL), tetrahydrofuran (THF) (1 .0 mL) and water (0.2 mL) was treated with lithium hydroxide (19.28 mg, 0.805 mmol) and then heated at 65° C for 4 hours. The mixture was concentrated, water was added and the mixture was adjusted to pH 3 with 1 N hydrochloric acid. The mixture was extracted with ethyl acetate and the extracts were washed with brine, dried over sodium sulfate, filtered and concentrated. The residue was purified by reverse phase chromatography to afford the title compound as a tan solid (1 1.8 mg, 49%). 1H NMR (400MHz ,CHLOROFORM-d) δ = 8.10 (m, 1 H), 7.32 - 7.17 (m, 2 H), 6.93 (m, 1 H), 6.89 - 6.74 (m, 3 H), 5.18 (s, 1 H), 4.31 (m, 2 H), 3.71 (s, 3 H), 2.78 - 2.67 (m, 2 H), 2.15 (m, 2 H), 1 .96 (s, 3 H), 1.23 (s, 9 H); LC/MS (m/z) ES+ = 598 (M+1 ).
Example 166
(2S)(M)-[(1,1-dimethylethyl)oxy][4-(8-fluoro-5-methyl-3,4-di
methyl- 1 -oxo- 7-( 1 -piperidinyl)-1, 2-dihydro-3-isoquinolinyl]ethanoic acid
Figure imgf000137_0001
[00187] The title compound was prepared in two steps in a manner similar to that described in Example|165 from (S)(M)-met y\ 2-(7-bromo-4-(8-fluoro-5-methylchroman-6-yl)-2- methyl-1 -oxo-1 ,2-dihydroisoquinolin-3-yl)-2-(tert-butoxy)acetate and piperidine and was isolated as a yellow solid (1 1 .0 mg, 42%) after reverse phase chromatography. 1H NMR (400MHz , CHLOROFORM-d) δ = 8.43 (m, 1 H), 7.84 (m, 1 H), 6.97 (m, 1 H), 6.80 (m, 1 H), 5.21 (s, 1 H), 4.31 (t, J = 5.0 Hz, 2 H), 3.73 (s, 3 H), 3.53 (m, 4 H), 2.71 (m, 2 H), 2.23 - 2.1 1 (m, 2 H), 2.05 (m, 4 H), 1.88 (s, 3 H), 1.75 (m, 2 H), 1.21 (s, 9 H); LC/MS (m/z) ES+ = 537 (M+1 ).
Example 167
(2S)(M)-[(1,1-dimethylethyl)oxy][7-(1,1-dioxido-4-thiomorpho
3,4-dihydro-2H-chromen-6-yl -2-methyl-1-oxo-1,2-dihydro-3-isoquinolinyl]ethanoic acid
Figure imgf000138_0001
[00188] The title compound was prepared in two steps in a manner similar to that described in example 165 from (S)(M)-met y\ 2-(7-bromo-4-(8-fluoro-5-methylchroman-6-yl)-2- methyl-1 -oxo-1 ,2-dihydroisoquinolin-3-yl)-2-(tert-butoxy)acetate and thiomorpholine 1 , 1 -dioxide and was isolated as a colorless residue (1.6 mg, 6%) after reverse phase chromatography. 1 H NMR (400MHz, CHLOROFORM-d) δ = 7.91 (m, 1 H), 7.12 (m, 1 H), 6.89 - 6.76 (m, 2 H), 5.17 (s, 1 H), 4.36 - 4.26 (m, 2 H), 4.08 - 3.93 (m, 4 H), 3.71 (s, 3 H), 3.17 - 3.05 (m, 4 H), 2.78 - 2.61 (m, 2 H), 2.15 (m, 2 H), 1 .96 (s, 3 H), 1.22 (s, 9 H); LC/MS (m/z) ES+ = 587 (M+1 ).
Example 168
(S)(M)-2-(tert-butoxy)-2-(4-(8-fluoro-5-methylchroman-6-yl)-2-mefa^
1,2-dihydroisoquinolin-3-yl)acetic acid
Figure imgf000138_0002
[00189] The title compound was prepared in two steps in a manner similar to that described in example 165 from (S)(M)-met y\ 2-(7-bromo-4-(8-fluoro-5-methylchroman-6-yl)-2- methyl-1 -oxo-1 ,2-dihydroisoquinolin-3-yl)-2-(tert-butoxy)acetate and morpholine and was isolated as a tan solid (9.1 mg, 49%) after reverse phase chromatography. 1H NMR (400MHz ,CHLOROFORM-d) d = 7.89 (d, J = 2.7 Hz, 1 H), 7.20 (dd, J = 2.7, 9.0 Hz, 1 H), 6.89 - 6.76 (m, 2 H), 5.18 (s, 1 H), 4.31 (m, 2 H), 3.95 - 3.84 (m, 4 H), 3.73 (s, 3 H), 3.35 - 3.26 (m, 4 H), 2.72 (m, 2 H), 2.15 (m, 2 H), 1 .93 (s, 3 H), 1.21 (s, 9 H); LC/MS (m/z) ES+ = 539 (M+1 ).
Figure imgf000139_0001
Example 169
(S)(M)-2-(tert-butoxy)-2-(4-(8-fluoro-5-methylchroman-6-yl)-2-methy^
carbonyl)-1- acetic acid
Figure imgf000139_0002
Step A
(S)(M)-3-(1-(tert-butoxy)-2-methoxy-2-oxoethyl)-4-(8-fluoro-5-methyfc
oxo-1, 2-dihydroisoquinoline-7-carboxylic acid
Figure imgf000140_0001
[00190] A mixture of fSjf Wj-methyl 2-(7-bromo-4-(8-fluoro-5-methylchroman-6-yl)-2- methyl-1 -oxo-1 ,2-dihydroisoquinolin-3-yl)-2-(tert-butoxy)acetate (38.5 mg, 0.070 mmol), dimethylamine (2M in THF) (176 μΙ, 0.352 mmol), and Hunig's base (24.61 μΙ, 0.141 mmol) in Ν,Ν-Dimethylformamide (DMF) (504 μΙ) and water (500 μΙ) was degassed with CO for 2 min, treated with Pd(OAc)2 (1.5 mg, 7.05 μηηοΙ) and 1 ,3-bis(diphenylphosphino)propane (2.9 mg, 7.05 μηηοΙ). The reaction was degassed with CO for 3 min, placed under vacuum, filled and purged with CO 3x, and then stirred under 50 psi CO at 80°C. After 18 h, the reaction mixture was diluted with ethyl acetate and the organic layer washed with water, brine, dried (Na2S04), filtered and concentrated. The residue was purified by reverse phase chromatography (10-100% MeCN/H2O-0.2% NH40H) to afford fS fAf -3-(1 -(tert-butoxy)-2-methoxy-2-oxoethyl)-4-(8-fluoro- 5-methylchroman-6-yl)-2-methyl-1 -oxo-1 ,2-dihydroisoquinoline-7-carboxylic acid (1 1 .6 mg, 0.023 mmol, 32.2 % yield) as a colorless oil. LCMS (m/z) ES+ = 512(M+1 ).
Step B
(S)(M)-Methyl 2-(tert-butoxy)-2-(4-(8-fluoro-5-methylchroman-6-yl)-2-methyl-7-(m
carbonyl)- -oxo-1,2-dihydroisoquinolin-3-yl)acetate
Figure imgf000140_0002
[00191] A solution of (S (W -3-(1-(tert-butoxy)-2-methoxy-2-oxoethyl)-4-(8-fluoro-5- methylchroman-6-yl)-2-methyl-1-oxo-1 ,2-dihydroisoquinoline-7-carboxylic acid (1 1 mg, 0.022 mmol) in ethyl acetate (398 μΙ) was treated with morpholine (7.49 μΙ, 0.086 mmol), Et3N (8.99 μΙ, 0.065 mmol), and T3P (15.36 μΙ, 0.026 mmol). After stirring for 2.5 hours at rt, the reaction was concentrated and purified by reverse phase HPLC (10-100% MeCN/H2O-0.2% NH40H) to afford (S)(M)-met y\ 2-(tert-butoxy)-2-(4-(8-fluoro-5-methylchroman-6-yl)-2-methyl-7- (morpholine-4-carbonyl)-1 -oxo-1 ,2-dihydroisoquinolin-3-yl)acetate (7 mg, 0.012 mmol, 56.1 % yield) as a white solid. LCMS (m/z) ES+ = 581 (M+1 ).
Step C
('S)('M -2-(tert-butoxy)-2-(4-(8-fluoro-5-methylchroman-6-yl)-2-methyl-7-(morpholine-4-carbonyl)-
1 -oxo- -dihydroisoquinolin-3-yl)acetic acid
Figure imgf000141_0001
[00192] (S)(M)-methyl 2-(tert-butoxy)-2-(4-(8-fluoro-5-methylchroman-6-yl)-2-methyl-7- (morpholine-4-carbonyl)-1 -oxo-1 ,2-dihydroisoquinolin-3-yl)acetate was hydrolyzed in a manner similar to that described in Example 165 step C to afford (S)(M)-2-(tert-butoxy)-2-(4-(8-fluoro-5- methylchroman-6-yl)-2-methyl-7-(morpholine-4-carbonyl)-1 -oxo-1 ,2-dihydroisoquinolin-3- yl)acetic acid (2.8 mg, 4.45 mol, 39.7 % yield) as a white solid. 1H NMR (400MHz,
CHLOROFORM-d) δ ppm 8.41 (d, J = 1.7 Hz, 1 H), 7.59 (dd, J = 1.8, 8.4 Hz, 1 H), 6.95 (d, J = 8.5 Hz, 1 H), 6.79 (d, J = 1 1.4 Hz, 1 H), 4.96 (s, 1 H), 4.25 (dd, J = 4.6, 5.7 Hz, 2 H), 3.84 (s, 3 H), 3.84 - 3.58 (m, 6 H), 3.59 - 3.43 (m, 2 H), 2.85 - 2.65 (m, 2 H), 2.20 - 2.05 (m, 2 H), 1.99 (s, 3 H), 1 .15 (s, 9 H); LCMS (m/z) ES+ = 567 (M+1 ).
Scheme 8: General Route B for Synthesis of Examples with a R7 = Amide Bearing
Substituent using Palladium Chemistry
Figure imgf000141_0002
Example 170
[(1,1-dimethylethyl)oxy]{4-(3,4-dimethylphenyl)-7-[(ethylamino)carbonyQ
1,2-dihydro-3-isoquinolinyl}acetic acid
Figure imgf000142_0001
Step A
methyl [7-bromo-4-( 3, 4-dimethylphenyl)-2-methyl- 1-oxo- 1, 2-dihydro-3-isoquinolinyl][( 1, 1- dimethylethyl)oxy]acetate
Figure imgf000142_0002
[00193] An ice cold mixture of methyl 2-(tert-butoxy)-2-(4-(3,4-dimethylphenyl)-2-methyl- 1-OXO-1 , 2-dihydroisoquinolin-3-yl)acetate (187 mg, 0.459 mmol) in N,N-Dimethylformamide (DMF) (2.0 ml.) was treated with a solution of bromine (0.071 ml_, 1.377 mmol) in
dichloromethane (DCM) (2.0 ml_). The ice bath was removed and the mixture, which was excluded from light by wrapping the reaction vessel with aluminum foil, was allowed to stir at ambient temperature overnight. The mixture was quenched by adding saturated sodium bicarbonate and then extracted with ethyl acetate. The extracts were washed with water, then brine, dried over sodium sulfate, filtered and concentrated. The residue was purified on silica gel to afford the title compound as a thick colorless oil (123 mg, 55%) that solidified upon standing. 1H NMR (400MHz ,CHLOROFORM-d) δ = 8.63 (d, J = 2.1 Hz, 1 H), 7.56 (ddd, J = 2.2, 6.0, 8.6 Hz, 1 H), 7.31 - 7.22 (m, 1 H), 7.20 - 6.88 (m, 3 H), 5.20 (s, 1 H), 3.83 - 3.74 (m, 3 H), 3.69 (m, 3 H), 2.37 (s, 3 H), 2.31 (s, 3 H), 1 .01 (m, 9 H); LC/MS (m/z) ES+ = 486 (M+1 ).
Step B Methyl [(1, 1 -dimethylethyl)oxy]{4-(3,4-dimethylphenyl)-7-[(ethylamino)carbonyl]-2-methyl-1- -dihydro-3-isoquinolinyl}acetate
Figure imgf000143_0001
[00194] A mixture of methyl [7-bromo-4-(3,4-dimethylphenyl)-2-methyl-1 -oxo-1 ,2-dihydro- 3-isoquinolinyl][(1 , 1 -dimethylethyl)oxy]acetate (33 mg, 0.068 mmol), ethylamine HCI (1 1 .06 mg, 0.136 mmol), and Hunig's base (47.4 μΙ, 0.271 mmol) in Ν,Ν-Dimethylformamide (DMF) (631 μΙ) was degassed with N2 for 8 min, and then treated with Pd(OAc)2 (1 .5 mg, 6.78 μηηοΙ) and 1 ,3- bis(diphenylphosphino)propane (2.80 mg, 6.78 μηηοΙ). The reaction was placed under vacuum, filled and purged with N2 3x, followed by CO 3x. The reaction was stirred at 50 psi (CO) at 80°C overnight. Additional DMF (1 ml_), ethylamine HCI (1 1 .06 mg, 0.136 mmol), and Hunig's base (47.4 μΙ, 0.271 mmol) were added, the reaction was degassed with N2 for 5 min, treated with Pd(OAc)2 (1 .523 mg, 6.78 μηιοΙ) and 1 ,3-bis(diphenylphosphino)propane (2.80 mg, 6.78 μηιοΙ), filled and purged with N2 3x, CO 3x, and stirred at 80°C under 50 psi of CO for 5 hours. The mixture was filtered, extracted with EtOAc, washed with water, brine, dried with Na2S04, filtered, and concentrated. The residue was purified by column chromatography (0-100%
EtOAc/Hexane, followed with 0-20% MeOH/DCM) to afford methyl [(1 , 1 -dimethylethyl)oxy]{4- (3,4-dimethylphenyl)-7-[(ethylamino)carbonyl]-2-methyl-1 -oxo-1 ,2-dihydro-3- isoquinolinyl}acetate (9.3 mg, 0.019 mmol, 28.6 % yield); LC/MS (m/z) ES+ = 479 (M+1 ).
Step C
[(1, 1-dimethylethyl)oxy]{4-(3,4-dimethylphenyl)-7-[(ethylamino)carbonyl]-2-m
dihydro-3-isoquinolinyl}acetic acid
[00195] Methyl [(1 , 1-dimethylethyl)oxy]{4-(3,4-dimethylphenyl)-7-[(ethylamino)carbonyl]- 2-methyl-1 -oxo-1 , 2-dihydro-3-isoquinolinyl}acetate was hydrolyzed in a manner similar to that described in Example 165 Step C to give [(1 , 1-dimethylethyl)oxy]{4-(3,4-dimethylphenyl)-7- [(ethylamino)carbonyl]-2-methyl-1 -oxo-1 ,2-dihydro-3-isoquinolinyl}acetic acid (3.8 mg, 8.18 μπΊθΙ, 48.9 % yield) as a white solid: 1NMR (400MHz, CHLOROFORM-d) δ ppm 8.76 (s, 1 H), 8.12 (t, J = 6.9 Hz, 1 H), 7.43 - 7.28 (m, 2 H), 7.25 - 7.14 (m, 1 H), 7.12 - 6.97 (m, 1 H), 6.55 (br. s., 1 H), 5.38 (s, 1 H), 3.71 (s, 3 H), 3.61 - 3.44 (m, 2 H), 2.37 (s, 3 H), 2.32 (s, 3 H), 1 .28 (t, J = 7.3 Hz, 3 H), 1.12 - 1 .01 (m, 9 H); LCMS (m/z) ES+ = 465 (M+1 ).
Scheme 9: General Route for Synthesis of Examples with a R7 = Alkyl, Benzyl and
Aromatic Bearing Substituents using Palladium Chemistry
Figure imgf000144_0001
9-1 9-2
Example 171
[(1,1-dimethylethyl)oxy](4-(3,4-dimethylphenyl)-2-methyl-7-{[4- (methyloxy)phenyl]methyl}-1-oxo-1,2-dihydro-3-isoquinolinyl)acetic acid
Figure imgf000144_0002
[00196] A mixture of methyl [7-bromo-4-(3,4-dimethylphenyl)-2-methyl-1 -oxo-1 ,2-dihydro- 3-isoquinolinyl][(1 , 1 -dimethylethyl)oxy]acetate (34.0 mg, 0.070 mmol) and (4- methoxybenzyl)zinc(ll) bromide (0.280 mL, 0.140 mmol) in Ν,Ν-Dimethylformamide (DMF) (1 .2 mL) was degassed with nitrogen for 5 minutes. Pd(PPh3)4 (8.08 mg, 6.99 μηηοΙ) was added and the mixture was irradiated in the microwave at 120° C for 20 minutes. The mixture was diluted with ethyl acetate, washed with water, followed by brine, dried over sodium sulfate, filtered and then concentrated to give a dark residue. The crude residue was treated with 2M lithium hydroxide (0.140 mL, 0.280 mmol) in Tetrahydrofuran (THF) (0.8 mL) and Methanol (0.8 mL) and then stirred at 70° C for 30 minutes. Additional 2 M lithium hydroxide (0.200 mL, 0.400 mmol) was added and the mixture was stirred at 70° C for 2 additional hours. The mixture was concentrated and the residue was purified by reverse phase chromatography to afford the title compound as a white solid (1 1 mg, 31 %). 1 H NMR (400MHz ,CHLOROFORM-d) δ = 8.39 - 8.30 (m, 1 H), 7.41 - 7.29 (m, 2 H), 7.29 - 7.18 (m, 1 H), 7.17 - 7.09 (m, 2 H), 7.09 - 6.96 (m, 2 H), 6.81 (dd, J = 2.0, 8.6 Hz, 2 H), 5.34 (s, 1 H), 4.04 (s, 2 H), 3.77 (s, 3 H), 3.68 (s, 3 H), 2.35 (m, 3 H), 2.30 (m, 3 H), 1.06 (m, 9 H); LC/MS (m/z) ES+ = 514 (M+1 ).
Example 172
[(1,1-dimethylethyl)oxy][4-(3,4-dimethylphenyl)-2-methyl-7-(2-methylpropyl)-1- dihydro-3-isoquinolinyl]acetic acid
Figure imgf000145_0001
[00197] The title compound was prepared in two steps in a manner similar to that described in Example 171 from methyl 2-(7-bromo-4-(3,4-dimethylphenyl)-2-methyl-1 -oxo-1 ,2- dihydroisoquinolin-3-yl)-2-(tert-butoxy)acetate and isobutylzinc(ll) bromide and was isolated as a white solid (1 1 .7 mg, 37%) after reverse phase chromatography: 1H NMR (400MHz
,CHLOROFORM-d) δ = 8.27 (s, 1 H), 7.42 - 7.22 (m, 3 H), 7.16 - 7.00 (m, 2 H), 5.35 (m, 1 H), 3.70 (s, 3 H), 2.61 (m, 2 H), 2.36 (m, 3 H), 2.32 (m, 3 H), 2.00 - 1.85 (m, 1 H), 1 .07 (m, 9 H), 0.96 - 0.85 (m, 6 H); LC/MS (m/z) ES+ = 450 (M+1 ).
Example 173
(2S)(M)-[(1,1-dimethylethyl)oxy][4-(8-fluoro-5-methyl-3,4-dih
methyl-7-(6-methyl-2-pyridinyl)-1-oxo-1,2-dihydro-3-isoquinolinyl]ethanoic acid
Figure imgf000146_0001
[00198] A mixture of (S)(M)-methyl 2-(7-bromo-4-(8-fluoro-5-methylchroman-6-yl)-2- methyl-1 -oxo-1 ,2-dihydroisoquinolin-3-yl)-2-(tert-butoxy)acetate (22.00 mg, 0.040 mmol) and (3- methylpyridin-2-yl)zinc(ll) bromide in Ν,Ν-Dimethylformamide (DMF) (1 .2 mL) was treated with Pd(PPh3)4 (4.65 mg, 4.03 μηηοΙ) and then irradiated in the microwave at 120° C for 20 minutes. The mixture was diluted with ethyl acetate and washed with saturated sodium bicarbonate, then brine. The organic phase was dried over sodium sulfate, filtered and concentrated. The crude residue, in methanol (0.75 mL), tetrahydrofuran (THF) (0.75 mL) and water (0.2 mL), was treated with lithium hydroxide (9.64 mg, 0.403 mmol) and heated to 60° C for 40 minutes.
Additional lithium hydroxide (9.64 mg, 0.403 mmol) was added and heating was continued at 60° C for 5 additional hours. The mixture was concentrated, partitioned between ethyl acetate and 1 N hydrochloric acid, and then extracted with ethyl acetate. The extracts were washed with brine, dried over sodium sulfate, filtered and concentrated. The residue was purified by reverse phase chromatography to afford the desired product as a slightly impure pale yellow solid (12.4 mg, 47%) as the trifluoroacetate salt. 1H NMR (400MHz ,CHLOROFORM-d) δ = 8.80 (s, 1 H), 8.66 (s, 1 H), 8.21 (m), 7.84 - 7.55 (m, 1 H), 7.55 - 7.40 (m, 2 H), 7.08 (m, 1 H), 6.86 (m, 1 H), 5.22 (s, 1 H), 4.36 - 4.22 (m, 2 H), 3.73 (s, 3 H), 2.72 (s, 2 H), 2.55 (s, 3 H), 2.24 - 2.05 (m, 2 H), 1.88 (s, 3 H), 1.22 (s, 9 H); LC/MS (m/z) ES+ = 545 (M+1 ).
Example 174
(2S)(M)-[(1,1-dimethylethyl)oxy][4-(8-fluoro-5-methyl-3,4-dih
methyl-7-(2-methylpropyl)-1-oxo-1,2-dihydro-3-isoquinolinyl]ethanoic acid
Figure imgf000147_0001
[00199] The title compound was prepared in two steps in a manner similar to that described in Example 173 from (S)(M)-met y\ 2-(7-bromo-4-(8-fluoro-5-methylchroman-6-yl)-2- methyl-1 -oxo-1 ,2-dihydroisoquinolin-3-yl)-2-(tert-butoxy)acetate and isobutylzinc bromide, except that the intermediate Negishi product was purified by reverse phase chromatography before the ester hydrolysis step. Following the hydrolysis step, the title compound was isolated a white solid (1 1 .2 mg, 58%) after reverse phase chromatography. 1H NMR (400MHz,
CHLOROFORM-d) d = 8.27 (d, J = 1.6 Hz, 1 H), 7.31 (dd, J = 1.9, 8.3 Hz, 1 H), 6.85 (m, 1 H), 6.77 (d, J = 8.4 Hz, 1 H), 5.20 (s, 1 H), 4.31 (m, 2 H), 3.72 (s, 3 H), 2.78 - 2.67 (m, 2 H), 2.60 (d, J = 7.2 Hz, 2 H), 2.24 - 2.08 (m, 2 H), 1.99 - 1.84 (m, 4 H), 1 .22 (s, 9 H), 0.91 (d, J = 6.6 Hz, 6 H); LC/MS (m/z) ES+ = 510 (M+1 ).
Example 175
(2S)(M)-[(1,1-dimethylethyl)oxy][4-(8-fluoro-5-methyl-3,4-di
methyl-1-oxo-7-(phenylmethyl)-1,2-dihydro-3-isoquinolinyl]ethanoic acid
Figure imgf000147_0002
[00200] The title compound was prepared in two steps in a manner similar to that described in Example 173 from (S)(M)-met y\ 2-(7-bromo-4-(8-fluoro-5-methylchroman-6-yl)-2- methyl-1 -oxo-1 ,2-dihydroisoquinolin-3-yl)-2-(tert-butoxy)acetate and benzylzinc bromide, except that the intermediate Negishi product was purified by reverse phase chromatography before the ester hydrolysis step. Following the hydrolysis step, the title compound was isolated a white solid (1 1.1 mg, 52%) after reverse phase chromatography. 1H NMR (400MHz, CHLOROFORM- d) 5 = 8.37 (d, J = 1 .4 Hz, 1 H), 7.33 (dd, J = 1 .8, 8.4 Hz, 1 H), 7.30 - 7.24 (m, 2 H), 7.22 - 7.16 (m, 3 H), 6.82 (m, 1 H), 6.77 (d, J = 8.4 Hz, 1 H), 5.20 (s, 1 H), 4.30 (m, 2 H), 4.10 (s, 2 H), 3.71 (s, 3 H), 2.71 (m, 2 H), 2.22 - 2.04 (m, 2 H), 1.93 (s, 3 H), 1.22 (s, 9 H); LC/MS (m/z) ES+ = 544 (M+1 ).
Example 176
(2S)(M)-[(1, 1-dimethylethyl)oxy][4-(8-fluoro-5-methyl-3,4-di
oxo-7-(2-phenylethyl)-1,2-dihydro-3-isoquinolinyl]ethanoic acid
Figure imgf000148_0001
[00201] The title compound was prepared in two steps in a manner similar to that described in Example 173 from (S)-methyl 2-(7-bromo-4-(8-fluoro-5-methylchroman-6-yl)-2- methyl-1 -oxo-1 ,2-dihydroisoquinolin-3-yl)-2-(tert-butoxy)acetate and phenethylzinc bromide, except that the intermediate Negishi product was purified by reverse phase chromatography before the ester hydrolysis step. Following the hydrolysis step, the title compound was isolated a white solid (9.2 mg, 45%) after reverse phase chromatography. 1 H NMR (400MHz,
CHLOROFORM-d) δ = 8.37 (m, 1 H), 7.37 - 7.25 (m, 3 H), 7.21 (m, 3 H), 6.84 (m, 1 H), 6.77 (d, J = 8.4 Hz, 1 H), 5.21 (s, 1 H), 4.35 - 4.24 (m, 2 H), 3.75 - 3.67 (m, 3 H), 3.1 1 - 3.01 (m, 2 H), 3.01 - 2.92 (m, 2 H), 2.82 - 2.62 (m, 2 H), 2.23 - 2.06 (m, 2 H), 1.94 (s, 3 H), 1 .27 - 1 .17 (m, 9 H); LC/MS (m/z) ES+ = 558 (M+1 ).
Scheme 10: General Route for Synthesis of Examples with a R7 = Nitrile, Primary Amide, and Methyl Amine Bearing Substituents using Palladium Chemistry
Figure imgf000149_0001
Figure imgf000149_0002
Figure imgf000149_0003
7-cyano-4-(3 -dimethylphenyl)-2-methyl-1-oxo-1,2-dihydro-3-isoquinolinyl][(1,1- dimethylethyl)oxy]acetic acid
Step A
Methyl [7-cyano-4-(3,4-dimethylphenyl)-2-methyl- 1-oxo- 1, 2-dihydro-3-isoquinolinyl][(1 , 1- dimethylethyl)oxy]acetate
Figure imgf000149_0004
[00202] A mixture of methyl [7-bromo-4-(3,4-dimethylphenyl)-2-methyl-1 -oxo-1 ,2-dihydro- 3-isoquinolinyl][(1 , 1 -dimethylethyl)oxy]acetate (160 mg, 0.329 mmol) and Zn(CN)2 (38.6 mg, 0.329 mmol) in Ν,Ν-Dimethylformamide (DMF) (3289 μΙ) was degassed with N2 for 5 min, treated with Pd(Ph3P)4 (38.0 mg, 0.033 mmol), and irradiated in microwave at 120°C for 30 min. The mixture was diluted with water, extracted with EtOAc, washed with water, brine, dried with Na2S04, filtered, and concentrated, the residue was purified by column chromatography (Si02, 0-60% EtOAc/Hexane) to afford methyl [7-cyano-4-(3,4-dimethylphenyl)-2-methyl-1-oxo-1 ,2- dihydro-3-isoquinolinyl][(1 , 1-dimethylethyl)oxy]acetate (1 16.8 mg, 0.270 mmol, 82 % yield) as colorless oil that slowly became a white solid: 1H NMR (400 MHz, CHLOROFORM-d) δ ppm 8.85 - 8.76 (m, 1 H), 7.65 (ddd, J = 1 .9, 6.1 , 8.3 Hz, 1 H), 7.30 - 7.24 (m, 1 H), 7.23 - 7.09 (m, 2 H), 7.07 - 6.96 (m, 1 H), 5.22 (s, 1 H), 3.80 (s, 1 .5 H), 3.78 (s, 1.5 H), 3.70 (s, 1.5 H), 3.69 (s, 1.5 H), 2.37 (s, 3 H), 2.32 (s, 3 H), 1.02 (s, 4.5 H), 1.01 (s, 4.5 H); LCMS (m/z) ES+ = 433 (M+1 ).
Step B
[7-cyano-4-(3,4-dimethylphenyl)-2-methyl-1 -oxo-1, 2-dihydro-3-isoquinolinyl][(1, 1- dimethylethyl)oxy]acetic acid
Figure imgf000150_0001
[00203] Methyl [7-cyano-4-(3,4-dimethylphenyl)-2-methyl-1 -oxo-1 , 2-dihydro-3- isoquinolinyl][(1 ,1 -dimethylethyl)oxy]acetate was hydrolyzed in a manner similar to that described in Example 165 Step C to afford [7-cyano-4-(3,4-dimethylphenyl)-2-methyl-1-oxo-1 ,2- dihydro-3-isoquinolinyl][(1 , 1-dimethylethyl)oxy]acetic acid (6.2 mg, 0.015 mmol, 37.7 % yield) as white solid: 1H NMR (400 MHz, CHLOROFORM-d) δ ppm 8.80 (s, 1 H), 7.68 (ddd, J = 1 .7, 6.7, 8.4 Hz, 1 H), 7.39 - 7.28 (m, 2 H), 7.23 (dd, J = 8.5, 13.3 Hz, 1 H), 7.07 - 6.97 (m, 1 H), 5.35 (s, 1 H), 3.71 (s, 3 H), 2.37 (s, 3 H), 2.35 - 2.30 (m, 3 H), 1 .08 (s, 4.5 H), 1 .07 (s, 4.5 H); LCMS (m/z) ES+ = 419 (M+1 ).
Example 178
[7-(aminocarbonyl)-4-(3,4-dimethylphenyl)-2-methyl-1 -oxo-1, 2-dihydro-3- isoquinoli -dimethylethyl)oxy]acetic acid
Figure imgf000151_0001
[00204] A solution of methyl [7-cyano-4-(3,4-dimethylphenyl)-2-methyl-1 -oxo-1 ,2-dihydro-
3- isoquinolinyl][(1 , 1 -dimethylethyl)oxy]acetate (17 mg, 0.039 mmol) in tetrahydrofuran (THF) (0.600 mL) and methanol (0.6 mL) was treated with LiOH (0.1 18 mL, 0.236 mmol) and stirred at 50°C for 2 hours. Additional LiOH (300 uL) was added and the reaction was stirred at 50°C for 4 h, and then cooled to rt overnight. The mixture was concentrated and purified with reverse phase chromatography (20-100% MeCN/H2O-0.1 % TFA, 12 min) to afford [7-(aminocarbonyl)-
4- (3,4-dimethylphenyl)-2-methyl-1 -oxo-1 , 2-dihydro-3-isoquinolinyl][(1 , 1-dimethylethyl)oxy]acetic acid (9.6 mg, 0.022 mmol, 56.0 % yield) as white solid: 1 H NMR (400MHz, CHLOROFORM-d) δ ppm 9.02 (s, 1 H), 8.22 - 8.10 (m, 1 H), 7.39 - 7.28 (m, 4 H), 7.25 - 7.15 (m, 1 H), 7.09 - 6.99 (m, 1 H), 5.39 (d, J = 1.2 Hz, 1 H), 3.76 (s, 3 H), 2.38 (s, 3 H), 2.33 (s, 3 H), 1 .08 (s, 4.5 H), 1 .06 (s, 4.5 H); LCMS (m/z) ES+ = 437 (M+1 ).
Example 179
[7-(aminomethyl)-4-(3,4-dimethylphenyl)-2-methyl- 1-oxo-1,2-dihydro-3-isoquinolinyl][( 1,1- dimethylethyl)oxy]acetic acid-TFA salt
Figure imgf000151_0002
[00205] A solution of methyl [7-cyano-4-(3,4-dimethylphenyl)-2-methyl-1 -oxo-1 ,2-dihydro- 3-isoquinolinyl][(1 , 1 -dimethylethyl)oxy]acetate (30 mg, 0.069 mmol) in Ethanol (3.5 mL), saturated with ammonia gas, was treated with Raney 2800 Nickel (0.5 mL, 0.069 mmol), purged and filled with N2 3x, H2 3x, and stirred under H2 at 40 psi overnight. The mixture was filtered through Celite, washed with MeOH, and concentrated. The residue was purified by column chromatography (0-20% MeOH/DCM) to afford methyl [7-(aminomethyl)-4-(3,4-dimethylphenyl)- 2-methyl-1-oxo-1 ,2-dihydro-3-isoquinolinyl][(1 , 1-dimethylethyl)oxy]acetate (23.7 mg, 0.054 mmol, 78 % yield) as a colorless oil. The methyl ester was hydrolyzed in a manner similar to that described in Example 165 Step C and purified by reverse phase HPLC to afford [7- (aminomethyl)-4-(3,4-dimethylphenyl)-2-methyl-1-oxo-1 ,2-dihydro-3-isoquinolinyl][(1 ,1 - dimethylethyl)oxy]acetic acid-TFA salt (18.8 mg, 0.033 mmol, 76 % yield) as off white solid: 1 H NMR (400 MHz, METHANOL-d4) δ ppm 8.42 (s, 1 H), 7.61 (d, J = 8.4 Hz, 1 H), 7.36 - 7.15 (m, 3 H), 7.1 1 - 6.99 (m, 1 H), 5.23 (s, 1 H), 4.23 (s, 2 H), 3.70 (s, 3 H), 2.36 (s, 3 H), 2.31 (s, 3 H), 0.98 (s, 9 H); LCMS (m/z) ES+ = 423 (M+1 ).
Example 180
2,2'-(iminobis{methanediyl[4-(3,4-dimethylphenyl)-2-methyl-1-oxo-1,2- dihydroisoquinoline-7,3- -dimethylethyl)oxy]acetic acid}
Figure imgf000152_0001
[00206] A solution of methyl [7-cyano-4-(3,4-dimethylphenyl)-2-methyl-1 -oxo-1 ,2-dihydro- 3-isoquinolinyl][(1 , 1 -dimethylethyl)oxy]acetate (53 mg, 0.123 mmol) in methanol (817 μΙ) and tetrahydrofuran (THF) (408 μΙ) was treated with 10% Pd/C (13.04 mg, 0.012 mmol), purged and filled with N2 3x, H2 3x, and then stirred at 50 psi at rt overnight. The reaction was filtered through celite, washed with MeOH and EtOAc, and concentrated. The residue was purified by column chromatography (0-100% EtOAc/Hexane, then 0-20% MeOH/DCM) to afford dimethyl 2,2'-(7,7'-(azanediylbis(methylene))bis(4-(3,4-dimethylphenyl)-2-methyl-1 -oxo-1 ,2- dihydroisoquinoline-7,3-diyl))bis(2-(tert-butoxy)acetate) (16.3 mg, 0.019 mmol, 15.54 % yield) as clear oil. The bis-methyl ester was hydrolyzed in a manner similar to that described in Example 165 Step C and purified by reverse phase HPLC to afford 2,2'-(iminobis{methanediyl[4-(3,4- dimethylphenyl)-2-methyl-1 -oxo-1 , 2-dihydroisoquinoline-7,3-diyl]})bis{[(1 , 1- dimethylethyl)oxy]acetic acid} (18.3 mg, 0.018 mmol, 98 % yield) as an off-white solid: 1H NMR (400MHz, METHANOL-d4) δ ppm 8.51 (s, 2 H), 7.73 - 7.64 (m, 2 H), 7.40 - 7.17 (m, 6 H), 7.16 - 7.01 (m, 2 H), 5.27 (s, 2 H), 4.43 (s, 4 H), 3.73 (d, J = 1.7 Hz, 6 H), 2.39 (s, 6 H), 2.34 (s, 6 H), 1.01 (s, 18 H); LCMS (m/z) ES+ = 828 (M+1 ).
Example 181
2-(tert-butoxy)-2-(4-(3,4-dimethylphenyl)-2-methyl-7-(methylsulfonamidome
1,2-dihydroisoquinolin-3-yl)acetic acid
Figure imgf000153_0001
[00207] A solution of methyl 2-(7-(aminomethyl)-4-(3,4-dimethylphenyl)-2-methyl-1-oxo- 1 ,2-dihydroisoquinolin-3-yl)-2-(tert-butoxy)acetate (17 mg, 0.039 mmol) in toluene (750 μΙ) was treated with DIEA (13.60 μΙ, 0.078 mmol) and 1-bromo-2-(2-bromoethoxy)ethane (5.87 μΙ, 0.047 mmol). The mixture was stirred at 90°C for 6 hours. Additional DIEA (13.60 μΙ, 0.078 mmol) and
1- bromo-2-(2-bromoethoxy)ethane (5.87 μΙ, 0.047 mmol) were added, the reaction was stirred at 90°C overnight. The reaction was cooled to rt, diluted with EtOAc, washed with water, brine, dried with Na2S04, filtered, and concentrated. The residue was purified by column
chromatography (0-10% MeOH/DCM) to afford methyl 2-(tert-butoxy)-2-(4-(3,4-dimethylphenyl)-
2- methyl-7-(morpholinomethyl)-1-oxo-1 ,2-dihydroisoquinolin-3-yl)acetate (15.6 mg, 0.031 mmol, 79 % yield). The methyl ester was hydrolyzed in a manner similar to that described in Example 165 Step C and purified by reverse phase HPLC to afford 2-(tert-butoxy)-2-(4-(3,4- dimethylphenyl)-2-methyl-7-(methylsulfonamidomethyl)-1-oxo-1 ,2-dihydroisoquinolin-3-yl)acetic acid (14 mg, 0.027 mmol, 88 % yield) as a white solid.1H NMR (400MHz, CHLOROFORM-d) δ ppm 8.42 (s, 1 H), 7.71 - 7.61 (m, 1 H), 7.24 - 7.33 (m, 1 H), 7.26 - 7.17 (m, 2 H), 7.07 - 6.96 (m, 1 H), 5.35 (s, 1 H), 4.40 - 4.22 (m, 2 H), 4.03 - 3.81 (m, 4 H), 3.71 (s, 3 H), 3.59 - 3.37 (m, 2 H), 2.92 (br. s., 2 H), 2.37 (s, 3 H), 2.32 (s, 1.5 H), 2.29 (s, 1.5 H). 1.06 (s, 4.5 H), 1.05 (s, 4.5 H); LCMS (m/z) ES+ = 493 (M+1 ).
Example 182 2-(7-((bis(pyridin-2-ylmethyl)amino)methyl)-4-(3,4-dimethylphenyl)-2-methyl-1- dihydroisoquinolin-3-yl)-2-(tert-butoxy)acetic acid
Figure imgf000154_0001
Example 183
2-(tert-butoxy)-2-(4-(3 -dimethylphenyl)-2-methyl-1-oxo-7-((
ylmethyl)amino)methyl)-1,2-dihydroisoquinolin-3-yl)acetic acid
Figure imgf000154_0002
[00208] An ice cold solution of methyl 2-(7-(aminomethyl)-4-(3,4-dimethylphenyl)-2- methyl-1 -oxo-1 ,2-dihydroisoquinolin-3-yl)-2-(tert-butoxy)acetate (25 mg, 0.057 mmol) in 1 ,2- Dichloroethane (DCE) (1 ml.) was treated with picolinaldehyde (0.016 ml_, 0.172 mmol) and acetic acid (6.56 μΙ_, 0.1 15 mmol). The mixture was stirred at 0°C for 10 min, warmed to rt for 30 min, treated with sodium triacetoxyborohydride (24.27 mg, 0.1 15 mmol), and stirred overnight. The reaction was quenched with sat. NaHC03, extracted with EtOAc 2x, washed with sat. NaHC03, brine, dried with Na2S04, filtered, and concentrated. Purification with column chromatography (0-20% MeOH/DCM) gave 31 .5 mg clear oil as mixture of 2-(7-((bis(pyridin-2- ylmethyl)amino)methyl)-4-(3,4-dimethylphenyl)-2-methyl-1 -oxo-1 ,2-dihydroisoquinolin-3-yl)-2- (tert-butoxy)acetic acid and 2-(tert-butoxy)-2-(4-(3,4-dimethylphenyl)-2-methyl-1-oxo-7- (((pyridin-2-ylmethyl)amino)methyl)-1 ,2-dihydroisoquinolin-3-yl)acetic acid. The mixture was hydrolyzed in a manner similar to that described in Example 165 Step C and purified by reverse phase HPLC to afford: 2-(7-((bis(pyridin-2-ylmethyl)amino)methyl)-4-(3,4-dimethylphenyl)-2- methyl-1 -oxo-1 ,2-dihydroisoquinolin-3-yl)-2-(tert-butoxy)acetic acid, Trifluoroacetic acid salt (28.8 mg, 0.038 mmol, 66.5 % yield) as white solid. 1H NMR (400MHz, CHLOROFORM-d) δ ppm 8.83 (d, J = 4.9 Hz, 2 H), 8.27 (d, J = 1.4 Hz, 1 H), 8.21 - 8.1 1 (m, 2 H), 7.92 (d, J = 7.9 Hz, 2 H), 7.62 (t, J = 6.7 Hz, 2 H), 7.59 - 7.49 (m, 1 H), 7.32 - 7.23 (m, 2 H), 7.13 - 6.93 (m, 2 H), 5.36 (s, 1 H), 4.27 (s, 4 H), 3.94 (s, 2 H), 3.67 (s, 3 H), 2.37 (s, 3 H), 2.32 (s, 3 H), 1 .06 (s, 4.5 H), 1.05 (s, 4.5 H); LCMS (m/z) ES+ = 605 (M+1 ) and 2-(tert-butoxy)-2-(4-(3,4-dimethylphenyl)- 2-methyl-1-oxo-7-(((pyridin-2-ylmethyl)amino)methyl)-1 ,2-dihydroisoquinolin-3-yl)acetic acid, trifluoroacetic acid salt (5.4 mg, 7.74 μηιοΙ, 13.52 % yield) as white solid. 1H NMR (400MHz, CHLOROFORM-d) δ ppm 8.60 (d, J = 4.8 Hz, 1 H), 8.49 (br. s., 1 H), 7.97 (t, J = 7.7 Hz, 1 H), 7.91 - 8.01 (m, 1 H), 7.73 - 7.65 (m, 1 H), 7.65 - 7.57 (m, 1 H), 7.56 - 7.46 (m, 1 H), 7.33 - 7.23 (m, 2 H), 7.23 - 7.16 (m, 1 H), 7.09 - 6.96 (m, 1 H), 5.35 (s, 1 H), 4.47 (d, J = 2.1 Hz, 2 H), 4.42 (s, 2 H), 3.66 (d, J = 2.8 Hz, 3 H), 2.37 (s, 3 H), 2.31 (d, J = 8.0 Hz, 3 H), 1.05 (d, J=6.1 Hz, 9 H). LCMS (m/z) ES+ = 514 (M+1 ).
Example 184
2-(7-(acetamidomethyl)-4-(3,4-dimethylphenyl)-2-methyl-1-oxo-1,2-dihydroisoqu
yl)-2-(tert-butoxy)acetic acid
Figure imgf000155_0001
[00209] An ice cold solution of methyl 2-(7-(aminomethyl)-4-(3,4-dimethylphenyl)-2- methyl-1 -oxo-1 ,2-dihydroisoquinolin-3-yl)-2-(tert-butoxy)acetate (25 mg, 0.057 mmol) in dichloromethane (DCM) (549 μΙ) was treated with Et3N (15.96 μΙ, 0.1 15 mmol) and acetic anhydride (8.1 1 μΙ, 0.086 mmol), and then stirred for 3 hours. The mixture was quenched with sat. NaHC03, extracted with DCM, washed with brine, dried with Na2S04, filtered, and concentrated. The residue was hydrolyzed in a manner similar to that described in Example 165 Step C and purified by reverse phase HPLC to afford 2-(7-(acetamidomethyl)-4-(3,4- dimethylphenyl)-2-methyl-1-oxo-1 ,2-dihydroisoquinolin-3-yl)-2-(tert-butoxy)acetic acid (21 .6 mg, 0.045 mmol, 85 % yield) as an off-white solid: 1 H NMR (400MHz, CHLOROFORM-d) δ ppm, 8.37 (s, 1 H), 7.47 (t, J = 7.3 Hz, 1 H), 7.39 - 7.29 (m, 1 H), 7.24 (d, J = 7.2 Hz, 1 H), 7.13 (dd, J = 8.4, 12.6 Hz, 1 H), 7.09 - 6.98 (m, 1 H), 6.1 1 (br. s., 1 H), 5.34 (s, 1 H), 4.63 - 4.45 (m, 2 H), 3.69 (s, 3 H), 2.36 (s, 3 H), 2.31 (s, 3H), 2.05 (s, 3 H), 1.10 - 0.96 (m, 9H); LCMS (m/z) ES+ = 465 (M+1 ).
Example 185
2-(ten-butoxy)-2-(4-(3 -di ethylphenyl)-7-((3-ethylureido)m
dihydroisoquinolin-3-yl)acetic acid
Figure imgf000156_0001
[00210] A solution of methyl 2-(7-(aminomethyl)-4-(3,4-dimethylphenyl)-2-methyl-1-oxo- 1 ,2-dihydroisoquinolin-3-yl)-2-(tert-butoxy)acetate (17 mg, 0.039 mmol) in Toluene (750 μΙ) was treated with ethyl isocyanate (9.25 μΙ, 0.1 17 mmol) and stirred at 70°C for 2 hours. The reaction was cooled to rt, concentrated, and purified with column chromatography (0-10% MeOH/DCM) to afford methyl 2-(tert-butoxy)-2-(4-(3,4-dimethylphenyl)-7-((3-ethylureido)methyl)-2-methyl-1- oxo-1 ,2-dihydroisoquinolin-3-yl)acetate (1 1.8 mg, 0.023 mmol, 59.7 % yield). The methyl ester was then hydrolyzed in a manner similar to that described in Example 165 Step C and purified by reverse phase HPLC to afford 2-(tert-butoxy)-2-(4-(3,4-dimethylphenyl)-7-((3- ethylureido)methyl)-2-methyl-1-oxo-1 ,2-dihydroisoquinolin-3-yl)acetic acid (9.1 mg, 0.018 mmol, 86 % yield) as a white solid: 1H NMR (400MHz, CHLOROFORM-d) δ ppm 8.35 (s, 1 H), 7.56 - 7.42 (m, 1 H), 7.37 - 7.28 (m, 1 H), 7.25 - 7.20 (m, 1 H), 7.12 (dd, J = 8.5, 1 1 .0 Hz, 1 H), 7.08 - 6.97 (m, 1 H), 5.32 (d, J = 3.1 Hz, 1 H), 4.46 (s, 2 H), 3.69 (s, 3 H), 3.18 (q, J = 7.1 Hz, 2 H), 2.36 (s, 3 H), 2.30 (d, J = 9.4 Hz, 3 H), 1.13 (t, J = 7.2 Hz, 3 H), 1.04 (d, J=5.1 Hz, 9 H); LCMS (m/z) ES+ = 494 (M+1 ).
Example 186
2-(tert-butoxy)-2-(7-((carboxyformamido)methyl)-4-(3,4-dimethylphenyl)-2-methyl-1-ox
1,2-dihydroisoquinolin-3-yl)acetic acid
Figure imgf000157_0001
[00211] An ice cold solution of methyl 2-(7-(aminomethyl)-4-(3,4-dimethylphenyl)-2- methyl-1 -oxo-1 ,2-dihydroisoquinolin-3-yl)-2-(tert-butoxy)acetate (25 mg, 0.057 mmol) in tetrahydrofuran (THF) (1.000 mL) was treated with DIEA (0.015 mL, 0.086 mmol) and methyl 2- chloro-2-oxoacetate (6.35 μί, 0.069 mmol). After stirring for 40 min, the reaction was quenched with sat. NaHC03, extracted with EtOAc, washed with sat. NaHC03, Brine, dried with Na2S04, filtered, and concentrated. The residue was hydrolyzed in a manner similar to that described in Example 165 Step C and purified by reverse phase HPLC to afford 2-(tert-butoxy)-2-(7- ((carboxyformamido)methyl)-4-(3,4-dimethylphenyl)-2-methyl-1 -oxo-1 ,2-dihydroisoquinolin-3- yl)acetic acid (13.7 mg, 0.026 mmol, 61.2 % yield) as a white solid: 1H NMR (400MHz,
METHANOL- d4) δ ppm 8.32 (s, 1 H), 7.61 - 7.49 (m, 1 H), 7.36 - 7.22 (m, 2 H), 7.04 - 7.14 (m, 2 H), 5.26 (s, 1 H), 4.59 (s, 2 H), 3.75 - 3.68 (m, 3 H), 2.39 (s, 3 H), 2.34 (s, 3 H), 1.04 - 0.96 (m, 9 H); LCMS (m/z) ES+ = 495 (M+1 ).
Example 187
2-(tert-butoxy)-2-(4-(3,4-dimethylphenyl)-2-methyl-7-(methylsulfonamidome
1,2-dihydroisoquinolin-3-yl)acetic acid
Figure imgf000157_0002
[00212] An ice cold solution of methyl 2-(7-(aminomethyl)-4-(3,4-dimethylphenyl)-2- methyl-1 -oxo-1 ,2-dihydroisoquinolin-3-yl)-2-(tert-butoxy)acetate (17 mg, 0.039 mmol) in dichloromethane (DCM) (750 μΙ) was treated with Et3N (8.14 μΙ, 0.058 mmol) and MsCI (3.64 μΙ, 0.047 mmol), stirred for 1 hour, and then warmed to rt for 1 hour. Additional Et3N (8 uL) and MsCI (4 uL) were added at 0°C, the reaction was stirred at rt for 1 hour, and then concentrated. The residue was purified by column chromatography (0-10% MeOH/DCM) to afford methyl 2- (tert-butoxy)-2-(4-(3,4-dimethylphenyl)-2-methyl-7-(methylsulfonamidomethyl)-1-oxo-1 ,2- dihydroisoquinolin-3-yl)acetate (17 mg, 0.033 mmol, 85 % yield) as yellow solid. The methyl ester was hydrolyzed in a manner similar to that described in Example 165 Step C and purified by reverse phase HPLC to afford 2-(tert-butoxy)-2-(4-(3,4-dimethylphenyl)-2-methyl-7- (methylsulfonamidomethyl)-1-oxo-1 ,2-dihydroisoquinolin-3-yl)acetic acid (14 mg, 0.027 mmol, 88 % yield) as a white solid. 1 H NMR (400MHz, CHLOROFORM-d) δ ppm 8.44 (s, 1 H), 7.59 - 7.50 (m, 1 H), 7.40 - 7.29 (m, 1 H), 7.29 - 7.24 (m, 1 H), 7.17 (dd, J = 8.4, 12.5 Hz, 1 H), 7.08 - 6.99 (m, 1 H), 5.35 (s, 1 H), 5.15 - 5.03 (m, 1 H), 4.44 (d, J = 5.7 Hz, 2 H), 3.67 (s, 3 H), 2.97 - 2.89 (m, 3 H), 2.37 (s, 3 H), 2.32 (s, 3 H), 1 .09 - 1 .02 (m, 9 H); LCMS (m/z) ES+ = 501 (M+1 ).
Example 188
2-(tert-butoxy)-2-(4-(3,4-dimethylphenyl)-7-(((N,N-dimethylsulfamoyl)amino)m
methyl-1-oxo-1,2-dihydroisoquinolin-3-yl)acetic acid
Figure imgf000158_0001
[00213] An ice cold solution of methyl 2-(7-(aminomethyl)-4-(3,4-dimethylphenyl)-2- methyl-1 -oxo-1 ,2-dihydroisoquinolin-3-yl)-2-(tert-butoxy)acetate (25 mg, 0.057 mmol) in dichloromethane (DCM) (1 ml.) was treated with Et3N (0.012 ml_, 0.086 mmol) and
dimethylsulfamoyi chloride (7.33 μΙ_, 0.069 mmol), stirred for 15 min, and then warmed to rt for 1 hour. Additional Et3N (25 uL) and dimethylsulfamoyi chloride (15 uL) were added, the reaction was stirred at rt overnight. The reaction was concentrated and purified by column
chromatography (0-10% MeOH/DCM) to afford methyl 2-(tert-butoxy)-2-(4-(3,4-dimethylphenyl)- 7-(((N,N-dimethylsulfamoyl)amino)methyl)-2-methyl-1 -oxo-1 ,2-dihydroisoquinolin-3-yl)acetate (22.6 mg, 0.042 mmol, 72.6 % yield) as clear oil. The methyl ester was hydrolyzed in a manner similar to that described in Example 165 Step C and purified by reverse phase HPLC to afford 2-(tert-butoxy)-2-(4-(3,4-dimethylphenyl)-7-(((N,N-dimethylsulfamoyl)amino)methyl)-2-methyl-1- oxo-1 ,2-dihydroisoquinolin-3-yl)acetic acid (18.4 mg, 0.034 mmol, 82 % yield) as white solid: 1 H NMR (400MHz, CHLOROFORM-d) δ ppm 8.42 (s, 1 H), 7.54 (td, J = 1.9, 8.2 Hz, 1 H), 7.41 - 7.30 (m, 1 H), 7.30 - 7.23 (m, 1 H), 7.16 (dd, J = 8.4, 12.9 Hz, 1 H), 7.09 - 6.99 (m, 1 H), 5.35 (s, 1 H), 4.53 (br. s., 1 H), 4.36 (br. s., 2 H), 3.69 (d, J = 1.0 Hz, 3 H), 2.81 (s, 3 H), 2.80 (s, 3 H), 2.36 (s, 3 H), 2.32 (s, 3 H), 1 .07 (s, 4.5 H), 1 .06 (s, 4.5 H); LCMS (m/z) ES+ = 530 (M+1 ).
Example 189
Figure imgf000159_0001
(S)(M)-2-(tert-butoxy)-2-(4-(8-fluoro-5-methylchroman-6-yl)-2-m^
(morpholinomethyl)-1-oxo-1,2-dihydroisoquinolin-3-yl)acetic acid
Step A
(S)(M)-methyl 2-(tert-butoxy)-2-(7-cyano-4-(8-fluoro-5-methylchroman-6-yl)-2-methyl-1- dihydroisoquinolin-3-yl)acetate
Figure imgf000159_0002
[00214] A mixture of (S CMj-methyl 2-(7-bromo-4-(8-fluoro-5-methylchroman-6-yl)-2- methyl-1 -oxo-1 ,2-dihydroisoquinolin-3-yl)-2-(tert-butoxy)acetate (100 mg, 0.183 mmol) and Zn(CN)2 (21.49 mg, 0.183 mmol) in Ν,Ν-dimethylformamide (DMF) (1830 μΙ) was degassed with N2 for 5 min, treated with Pd(Ph3P)4 (21.15 mg, 0.018 mmol), and irradiated in microwave at 120°C for 30 min. The mixture was diluted with water, extracted with EtOAc, washed with water, brine, dried with Na2S04, filtered, and concentrated. Purification with column chromatography (Si02, 0-60% EtOAc/Hexane) afforded (S)(M)-met y\ 2-(tert-butoxy)-2-(7-cyano-4-(8-fluoro-5- methylchroman-6-yl)-2-methyl-1-oxo-1 ,2-dihydroisoquinolin-3-yl)acetate (75.8 mg, 0.154 mmol, 84 % yield) as white solid. 1 H NMR (400MHz ,CHLOROFORM-d) δ = 8.80 (d, J = 1.7 Hz, 1 H), 7.65 (dd, J = 1.9, 8.5 Hz, 1 H), 6.91 (d, J = 8.5 Hz, 1 H), 6.80 (d, J = 1 1.0 Hz, 1 H), 5.14 (s, 1 H), 4.32 (dd, J = 4.6, 5.6 Hz, 2 H), 3.74 (s, 3 H), 3.69 (s, 3 H), 2.73 (t, J = 6.5 Hz, 2 H), 2.23 - 2.1 1 (m, 2 H), 1.82 (s, 3 H), 1.16 (s, 9 H); LCMS (m/z) ES+ = 493 (M+1 ).
Step B
(S)(M)-Methyl 2-(7-(aminomethyl)-4-(8-fluoro-5-methylchroman-6-yl)-2-methyl-1- dihydroisoquin , hydrochloride
Figure imgf000160_0001
[00215] A solution of (S)(M)-meVny\ 2-(tert-butoxy)-2-(7-cyano-4-(8-fluoro-5- methylchroman-6-yl)-2-methyl-1-oxo-1 ,2-dihydroisoquinolin-3-yl)acetate (38 mg, 0.077 mmol) in methanol (990 μΙ) and tetrahydrofuran (THF) (330 μΙ) was treated with HCI (4M in dioxane) (23.15 μΙ, 0.093 mmol) and Pd/C (8.21 mg, 7.72 μηιοΙ), purged and filled with N2 3x, H2 3x, and stirred under 50 psi H2 at rt overnight. The mixture was filtered through Celite, washed with MeOH and EtOAc, and concentrated to afford crude (S)(M)-met y\ 2-(7-(aminomethyl)-4-(8- fluoro-5-methylchroman-6-yl)-2-methyl-1 -oxo-1 ,2-dihydroisoquinolin-3-yl)-2-(tert-butoxy)acetate, hydrochloride (37.8 mg, 0.071 mmol, 92 % yield) as off white solid. 1 H NMR (400 MHz,
METHANOL-^) δ ppm 8.47 (s, 1 H), 7.67 (d, J = 8.3 Hz, 1 H), 6.98 (d, J = 8.4 Hz, 1 H), 6.80 (d, J = 1 1.1 Hz, 1 H), 5.22 (s, 1 H), 4.32 - 4.20 (m, 4 H), 3.75 (s, 3 H), 3.71 (s, 3 H), 2.79 (q, J = 5.6 Hz, 2 H), 2.20 - 2.06 (m, 2 H), 1 .86 (s, 3 H), 1.17 (s, 9 H). LCMS (m/z) ES+ = 497 (M+1 ).
Step C
(S(M) )-methyl 2-(tert-butoxy)-2-(4-(8-fluoro-5-methylchroman-6-yl)-2-methyl- 7- (morpholinomethyl)-l -oxo-1 ,2-dihydroisoquinolin-3-yl)acetate
Figure imgf000161_0001
[00216] A solution of (S)(M)-methy\ 2-(7-(aminomethyl)-4-(8-fluoro-5-methylchroman-6- yl)-2-methyl-1-oxo-1 ,2-dihydroisoquinolin-3-yl)-2-(tert-butoxy)acetate, hydrochloride (18 mg, 0.034 mmol) in Ν,Ν-Dimethylformamide (DMF) (308 μΙ) was treated with DIEA (23.59 μΙ, 0.135 mmol) and 1 -bromo-2-(2-bromoethoxy)ethane (6.37 μΙ, 0.051 mmol). The reaction was stirred at 90 °C for 4 hours. The reaction was cooled to rt, diluted with water, extracted with EtOAc (2x), washed with water, brine, dried with Na2S04, filtered, and concentrated to give 20.6 mg yellow oil. Purified with reverse phase HPLC (10-90% MeCN/H2O-0.1 % TFA) to give (S)(M)-methyl 2- (tert-butoxy)-2-(4-(8-fluoro-5-methylchroman-6-yl)-2-methyl-7-(morpholinomethyl)-1-oxo-1 ,2- dihydroisoquinolin-3-yl)acetate (13.6 mg, 0.024 mmol, 71 .1 % yield). LCMS (m/z) ES+ = 567 (M+1 ).
Step D
(S)(M)-2-(tert-butoxy)-2-(4-(8-fluoro-5-methylchroman-6-yl)-2-methy^
oxo-1, 2-dihydroisoquinolin-3-yl)acetic acid
[00217] (S)(M)-methyl 2-(tert-butoxy)-2-(4-(8-fluoro-5-methylchroman-6-yl)-2-methyl-7- (morpholinomethyl)-l -oxo-1 ,2-dihydroisoquinolin-3-yl)acetate (13 mg, 0.023 mmol) was hydrolyzed in a manner similar to that described in Example 165 Step C to afford the title compound (8.1 mg, 0.013 mmol, 57.5 % yield) as off white solid: 1H NMR (400MHz,
CHLOROFORM-d) δ ppm 8.38 (s, 1 H), 7.50 (dd, J = 1 .7, 8.4 Hz, 1 H), 6.87 - 6.74 (m, 2 H), 5.14 (s, 1 H), 4.35 - 4.23 (m, 2 H), 3.80 - 3.61 (m, 9 H), 2.70 (t, J = 6.3 Hz, 2 H), 2.52 (br. s., 4 H), 2.21 - 2.07 (m, 2 H), 1.90 (s, 3 H), 1.19 (s, 9 H); LCMS (m/z) ES+ = 553 (M+1 ).
Example 190
Figure imgf000162_0001
(S)(M)-2-(tert-butoxy)-2-(4-(8-fluoro-5-methylchroman-6-yl)-2-m
ylmethyl)-1,2-dihydroisoquinolin-3-yl)acetic acid, Trifluoroacetic acid salt
[00218] The title compound was prepared in a manner similar to that described in Example 189 from (S)(M)-met y\ 2-(7-(aminomethyl)-4-(8-fluoro-5-methylchroman-6-yl)-2- methyl-1 -oxo-1 ,2-dihydroisoquinolin-3-yl)-2-(tert-butoxy)acetate, hydrochloride and 1 ,5- dibromopentane. The hydrolysis of the ester and subsequent purification afforded ^('Λί)^- (tert-butoxy)-2-(4-(8-fluoro-5-methylchroman-6-yl)-2-methyl-1-oxo-7-(piperidin-1-ylmethyl)-1 ,2- dihydroisoquinolin-3-yl)acetic acid - TFA salt as white solid. 1H NMR (400MHz, CHLOROFORM- d) δ ppm 1 1.71 (br. s., 1 H), 8.35 (s, 1 H), 7.62 (dd, J = 1.4, 8.4 Hz, 1 H), 6.87 (d, J = 8.5 Hz, 1 H), 6.77 (d, J = 1 1.0 Hz, 1 H), 5.17 (s, 1 H), 4.39 - 4.29 (m, 2 H), 4.29 - 4.14 (m, 2 H), 3.77 (s, 3 H), 3.67 - 3.35 (m, 2 H), 2.83 - 2.50 (m, 4 H), 2.24 - 2.09 (m, 2 H), 2.00 - 1.72 (m, 9 H), 1.19 (s, 9 H LCMS (m/z) ES+ = 551 (M+1 ).
Scheme 11 : General Route for Synthesis of Examples with a R7 = Aromatic Bearing
Substituents using Palladium Chemistry and Boronic Acids
Figure imgf000162_0002
11-1 11-2
Example 191
[(1,1-dimethylethyl)oxy][4-(3,4-dimethylphenyl)-2-methyl-7-(1-methyl-1H^
oxo-1,2-dihydro-3-isoquinolinyl]acetic acid
Figure imgf000163_0001
[00219] A mixture of methyl [7-bromo-4-(3,4-dimethylphenyl)-2-methyl-1 -oxo-1 ,2-dihydro- 3-isoquinolinyl][(1 , 1 -dimethylethyl)oxy]acetate (28.0 mg, 0.058 mmol), 1-methyl-2-(4,4,5,5- tetramethyl-1 ,3,2-dioxaborolan-2-yl)-1 H-pyrrole (35.8 mg, 0.173 mmol) and sodium carbonate (0.086 mL, 0.173 mmol) in Ν,Ν-dimethylformamide (DMF) (1 .2 mL) was degassed with nitrogen for 5 minutes. Pd(PPh3)4 (6.65 mg, 5.76 μηηοΙ) was added and the mixture was irradiated in the microwave at 120° C for 20 minutes. The mixture was diluted with ethyl acetate and then washed consecutively with saturated sodium bicarbonate, water, and brine. The organic phase was dried over sodium sulfate, filtered and concentrated to a dark residue. The crude residue was treated with lithium hydroxide (0.1 15 mL, 0.230 mmol) in tetrahydrofuran (THF) (0.4 mL) and methanol (0.4 mL) and the mixture was stirred for 2 hours at 50° C and then overnight at ambient temperature. The mixture was concentrated and then purified by reverse phase chromatography to afford the title compound as a pale yellow solid (13 mg, 48%): 1H NMR (400MHz ,CHLOROFORM-d) δ = 8.52 (s, 1 H), 7.60 (td, J = 2.0, 7.8 Hz, 1 H), 7.41 (s, 1 H), 7.32 - 7.24 (m, 1 H), 7.24 - 7.03 (m, 2 H), 6.77 (s, 1 H), 6.34 (m, 1 H), 6.26 - 6.12 (m, 1 H), 5.37 (s, 1 H), 3.76 (d, J = 2.1 Hz, 3 H), 3.71 (d, J = 1.4 Hz, 3 H), 2.37 (d, J = 1.0 Hz, 3 H), 2.34 (d, J = 4.1 Hz, 3 H), 1.09 (d, J = 4.7 Hz, 9 H); LC/MS (m/z) ES+ = 473 (M+1 ).
Example 192
[(1,1-dimethylethyl)oxy][4-(3,4-dimethylphenyl)-2-methyl-7-(1-methyl-1H-pyrazol-^^
oxo-1,2-dihydro-3-isoquinolinyl]acetic acid
Figure imgf000163_0002
[00220] The title compound was prepared in two steps in a manner similar to that described in Example 191 from methyl [7-bromo-4-(3,4-dimethylphenyl)-2-methyl-1-oxo-1 ,2- dihydro-3-isoquinolinyl][(1 ,1 -dimethylethyl)oxy]acetate and 1-methyl-4-(4,4,5,5-tetramethyl- 1 ,3,2-dioxaborolan-2-yl)-1 H-pyrazole and was isolated as a pale yellow solid (20 mg, 57%) after reverse phase chromatography as the trifluoroacetate salt: 1H NMR (400 MHz,
CHLOROFORM-d) δ = 8.59 (s, 1 H), 7.91 (s, 1 H), 7.82 (s, 1 H), 7.70 - 7.53 (m, 1 H), 7.45 - 7.31 (m, 1 H), 7.32 - 7.22 (m, 1 H), 7.17 (dd, J = 8.5, 12.4 Hz, 1 H), 7.12 - 7.03 (m, 1 H), 5.36 (d, J = 1.0 Hz, 1 H), 4.00 (s, 3 H), 3.73 (s, 3 H), 2.38 (s, 3 H), 2.33 (d, J = 2.5 Hz, 3 H), 1 .07 (d, 9 H); LC/MS (m/z) ES+ = 474 (M+1 ).
Example 193
[(1,1-dimethylethyl)oxy][4-(3,4-dimethylphenyl)-2-methyl-7-(2-m
dihydro-3-isoquinolinyl]acetic acid
Figure imgf000164_0001
[00221] The title compound was prepared in two steps in a manner similar to that described in Example 191 from methyl [7-bromo-4-(3,4-dimethylphenyl)-2-methyl-1-oxo-1 ,2- dihydro-3-isoquinolinyl][(1 ,1 -dimethylethyl)oxy]acetate and 4,4,5,5-tetramethyl-2-(2-methyl-3- furanyl)-1 ,3,2-dioxaborolane and was isolated as a pale yellow solid (10 mg, 49%) after reverse phase chromatography: 1H NMR (400 MHz, CHLOROFORM-d) δ = 8.58 - 8.46 (m, 1 H), 7.62 - 7.53 (m, 1 H), 7.46 - 7.33 (m, 2 H), 7.32 - 7.24 (m, 1 H), 7.24 - 7.05 (m, 2 H), 6.62 (t, J = 1 .9 Hz, 1 H), 5.37 (s, 1 H), 3.71 (d, J = 1 .2 Hz, 3 H), 2.51 (d, J = 2.3 Hz, 3 H), 2.37 (d, J = 1.2 Hz, 3 H), 2.33 (d, J = 2.0 Hz, 3 H), 1 .09 (d, J = 4.5 Hz, 9 H); LC/MS (m/z) ES+ = 474 (M+1 ).
Example 194
(2S)(M)-[(1,1-dimethylethyl)oxy][4-(8-fluoro-5-methyl-3,4-di
furanyl)-2-methyl- 1-oxo-1,2-dihydro-3-isoquinolinyl]ethanoic acid
Figure imgf000165_0001
[00222] A mixture of fSjf Wj-methyl 2-(7-bromo-4-(8-fluoro-5-methylchroman-6-yl)-2- methyl-1 -oxo-1 ,2-dihydroisoquinolin-3-yl)-2-(tert-butoxy)acetate (19.30 mg, 0.035 mmol), furan- 3-ylboronic acid (17.56 mg, 0.141 mmol) and sodium carbonate (0.053 mL, 0.106 mmol) in N,N- dimethylformamide (DMF) (1 .0 mL) was degassed with nitrogen for 5 minutes. Pd(PPh3)4 (4.08 mg, 3.53 μηηοΙ) was added and the mixture was irradiated in the microwave at 120° C for 20 minutes. The mixture was diluted with ethyl acetate, then washed with water and brine. The organic phase was dried over sodium sulfate, filtered and concentrated to afford a dark residue. The crude residue was treated with 2 M lithium hydroxide (0.088 mL, 0.177 mmol) in methanol (1 .0 mL) and tetrahydrofuran (THF) (1.0 mL) at 70° C for 6 hours monitoring the reaction progress by LCMS. Additional 2 M lithium hydroxide (0.088 mL, 0.177 mmol) was added and heating at 70° C was continued for 2 hours. Additional lithium hydroxide (16.92 mg, 0.706 mmol) and water (0.200 mL) were added and heating at 70° C was continued for one hour. The mixture was concentrated and then purified by reverse phase chromatography to afford the title compound as a yellow solid (8.7 mg, 47%): 1H NMR (400 MHz, CHLOROFORM-d) δ = 8.60 (m, 1 H), 7.85 (s, 1 H), 7.64 (m, 1 H), 7.51 (m, 1 H), 6.90 - 6.81 (m, 3 H), 5.22 (s, 1 H), 4.36 - 4.24 (m, 2 H), 3.74 (s, 3 H), 2.79 - 2.65 (m, 2 H), 2.16 (m, 2 H), 1 .95 (s, 3 H), 1 .24 (s, 9 H); LC/MS (m/z) ES+ = 520 (M+1 ).
Example 195
(2S)(M)-[(1,1-dimethylethyl)oxy][4-(8-fluoro-5-methyl-3,4-dih
methyl-7-( 1 -methyl- 1 H-pyraz -5-yl)-1 -oxo- 1, 2-dihydro-3-isoquinolinyl]ethanoic acid
Figure imgf000165_0002
[00223] The title compound was prepared in two steps in a manner similar to that described in Example 191 from (S)(M)-met y\ 2-(7-bromo-4-(8-fluoro-5-methylchroman-6-yl)-2- methyl-1 -oxo-1 ,2-dihydroisoquinolin-3-yl)-2-(tert-butoxy)acetate and 1 -methyl-5-(4,4,5,5- tetramethyl-1 , 3, 2-dioxaborolan-2-yl)-1 H-pyrazole and was isolated as an off-white solid (13.8 mg, 60%) after reverse phase chromatography: 1H NMR (400 MHz, CHLOROFORM-d) δ = 8.57 (m, 1 H), 7.63 - 7.52 (m, 2 H), 6.97 (m, 1 H), 6.87 (m, 1 H), 6.41 (d, J = 2.0 Hz, 1 H), 5.24 (s, 1 H), 4.32 (m, 2 H), 3.97 (s, 3 H), 3.76 (s, 3 H), 2.80 - 2.68 (m, 2 H), 2.17 (m, 2 H), 1 .97 (s, 3 H), 1.24 (s, 9 H); LC/MS (m/z) ES+ = 534 (M+1 ).
Example 196
(2S)(M)-[(1,1-dimethylethyl)oxy][7-(3,5-dimethyl-1H-pyrazoM^^
dihydro-2H-chromen-6-yl)-2-methyl-1-oxo-1,2-dihydro-3-isoquinolinyl]ethanoic acid
Figure imgf000166_0001
[00224] The title compound was prepared in two steps in a manner similar to that described in Example 191 from (S)(M)-met y\ 2-(7-bromo-4-(8-fluoro-5-methylchroman-6-yl)-2- methyl-1 -oxo-1 ,2-dihydroisoquinolin-3-yl)-2-(tert-butoxy)acetate and 3,5-dimethyl-4-(4,4,5,5- tetramethyl-1 , 3, 2-dioxaborolan-2-yl)-1 H-pyrazole and was isolated as an off-white solid (9.6 mg, 43%) after reverse phase chromatography as the trifluoroacetate salt: 1H NMR (400 MHz, CHLOROFORM-d) δ = 8.41 (m, 1 H), 7.40 (m, 1 H), 6.99 (m, 1 H), 6.87 (m, 1 H), 5.24 (s, 1 H), 4.33 (m, 2 H), 3.77 (s, 3 H), 2.85 - 2.63 (m, 3 H), 2.42 (s, 6 H), 2.17 (d, J = 2.1 Hz, 2 H), 1.97 (s, 3 H), 1 .23 (s, 9 H); LC/MS (m/z) ES+ = 548 (M+1 ).
Example 197
(2S)(M)-[(1,1-dimethylethyl)oxy][4-(8-fluoro-5-methyl-3,4-dih
methyl- 1 -oxo- 7-( 1 H-pyrazol-4-yl)-1 , 2-dihydro-3-isoquinolinyl]ethanoic acid
Figure imgf000167_0001
[00225] The title compound was prepared in two steps in a manner similar to that described in Example 191 from (S)(M)-met y\ 2-(7-bromo-4-(8-fluoro-5-methylchroman-6-yl)-2- methyl-1 -oxo-1 ,2-dihydroisoquinolin-3-yl)-2-(tert-butoxy)acetate and 4-(4,4,5,5-tetramethyl- 1 ,3,2-dioxaborolan-2-yl)-1 H-pyrazole and was isolated as an off-white residue (9 mg, 49%) after reverse phase chromatography. 1H NMR (400 MHz, CHLOROFORM-d) δ = 8.65 (s, 1 H), 8.05 (m, 2 H), 7.67 (m, 1 H), 6.97 - 6.78 (m, 2 H), 5.23 (s, 1 H), 4.33 (t, J = 5.1 Hz, 2 H), 3.77 (s, 3 H), 2.74 (m, 2 H), 2.22 - 2.10 (m, 2 H), 1 .95 (s, 3 H), 1 .24 (s, 9 H); LC/MS (m/z) ES+ = 520 (M+1 ).
Example 198
(2S)(M)-[(1,1-dimethylethyl)oxy]{4-(8-fluoro-5-methyl-3,4-dihy
methyl-7-[6-(methyloxy)-3-pyridinyl]-1 -oxo-1, 2-dihydro-3-isoquinolinyl}ethanoic acid
Figure imgf000167_0002
[00226] The title compound was prepared in two steps in a manner similar to that described in Example 191 from (S)(M)-met y\ 2-(7-bromo-4-(8-fluoro-5-methylchroman-6-yl)-2- methyl-1 -oxo-1 ,2-dihydroisoquinolin-3-yl)-2-(tert-butoxy)acetate and 2-methoxy-5-(4,4,5,5- tetramethyl-1 ,3,2-dioxaborolan-2-yl)pyridine, except that the intermediate Suzuki product was purified by reverse phase chromatography before the ester hydrolysis step. Following hydrolysis, the title compound was isolated as a white solid (1 1.7 mg, 37%) after reverse phase chromatography: 1H NMR (400MHz, CHLOROFORM-d) δ = 8.67 (d, J = 1.8 Hz, 1 H), 8.51 (d, J = 2.1 Hz, 1 H), 7.97 (dd, J = 2.5, 8.6 Hz, 1 H), 7.72 (dd, J = 2.0, 8.4 Hz, 1 H), 6.96 (d, J = 8.6 Hz, 1 H), 6.93 - 6.78 (m, 2 H), 5.24 (s, 1 H), 4.39 - 4.26 (m, 2 H), 4.01 (s, 3 H), 3.76 (s, 3 H), 2.79 - 2.66 (m, 2 H), 2.22 - 2.10 (m, 2 H), 1.94 (s, 3 H), 1 .24 (s, 9 H); LC/MS (m/z) ES+ = 561 (M+1 ).
Example 199
(2S)(M)-[7-[4-(dimethylamino)phenyl]-4-(8-fluoro-5-methyl-3,4-di
2-methyl- 1-oxo-1,2- thyl) oxyjethanoic acid
Figure imgf000168_0001
[00227] The title compound was prepared in two steps in a manner similar to that described in Example 191 from (S)(M)-met y\ 2-(7-bromo-4-(8-fluoro-5-methylchroman-6-yl)-2- methyl-1 -oxo-1 ,2-dihydroisoquinolin-3-yl)-2-(tert-butoxy)acetate and N,N-dimethyl-4-(4,4,5,5- tetramethyl-1 ,3,2-dioxaborolan-2-yl)aniline and was isolated as a yellow-brown solid (3.5 mg, 17%) after reverse phase chromatography: 1H NMR (400MHz, CHLOROFORM-d) δ = 8.69 (m, 1 H), 7.74 (m, 1 H), 7.62 (m, 2 H), 6.88 (m, 2 H), 6.82 (m, 2 H), 5.21 (s, 1 H), 4.31 (m, 2 H), 3.73 (s, 3 H), 3.01 (s, 6 H), 2.73 (br. s., 2 H), 2.29 - 1.64 (m, 5 H), 1.23 (s, 9 H); LC/MS (m/z) ES+ = 573 (M+1 ).
Example 200
(2S)(M)-[(1,1-dimethylethyl)oxy][4-(8-fluoro-5-methyl-3,4-di
methyl-7-( 1 -methyl- 1 H-pyrazol-4-yl)-1 -oxo- 1, 2-dihydro-3-isoquinolinyl]ethanoic acid
Figure imgf000169_0001
[00228] The title compound was prepared in two steps in a manner similar to that described in Example 191 from (S)(M)-met y\ 2-(7-bromo-4-(8-fluoro-5-methylchroman-6-yl)-2- methyl-1 -oxo-1 ,2-dihydroisoquinolin-3-yl)-2-(tert-butoxy)acetate and (1-methyl-1 H-pyrazol-4- yl)boronic acid and was isolated as a white solid (10 mg, 41 %) after reverse phase
chromatography: 1H NMR (400MHz ,CHLOROFORM-d) δ = 8.57 (d, J = 1.6 Hz, 1 H), 7.88 (s, 1 H), 7.78 (s, 1 H), 7.63 (m, 1 H), 6.92 - 6.80 (m, 2 H), 5.21 (s, 1 H), 4.37 - 4.27 (m, 2 H), 3.98 (s, 3 H), 3.74 (s, 3 H), 2.79 - 2.66 (m, 2 H), 2.23 - 2.1 1 (m, 2 H), 1.95 (s, 3 H), 1 .23 (s, 9 H); LC/MS (m/z) ES+ = 534 (M+1 ).
Example 201
(2S)(M)-[(1,1-dimethylethyl)oxy]{4-(8-fluoro-5-methyl-3,4-dih
methyl-7-[1-(3-methylbutyl)-1H-pyrazol-4-yl]-1-oxo-1,2-dihydro-3-isoquino
acid
Figure imgf000169_0002
[00229] The title compound was prepared in two steps in a manner similar to that described in Example 191 from (S)(M)-met y\ 2-(7-bromo-4-(8-fluoro-5-methylchroman-6-yl)-2- methyl-1 -oxo-1 ,2-dihydroisoquinolin-3-yl)-2-(tert-butoxy)acetate and 1 -isopentyl-4-(4,4,5,5- tetramethyl-1 ,3,2-dioxaborolan-2-yl)-1 H-pyrazole and was isolated as a white solid (15.9 mg, 59%) after reverse phase chromatography: 1H NMR (400 MHz, CHLOROFORM-d) δ = 8.59 (m, 1 H), 7.91 (s, 1 H), 7.84 (s, 1 H), 7.65 (m, 1 H), 6.93 - 6.80 (m, 2 H), 5.22 (s, 1 H), 4.38 - 4.29 (m, 2 H), 4.23 (t, J = 7.4 Hz, 2 H), 3.76 (s, 3 H), 2.80 - 2.67 (m, 2 H), 2.23 - 2.1 1 (m, 2 H), 1 .94 (s, 3 H), 1.82 (m, 2 H), 1.61 (m, 1 H), 1 .23 (s, 9 H), 0.97 (d, J = 6.6 Hz, 6 H); LC/MS (m/z) ES+ > 590 (M+1 ).
Example 202
(S)(M)-[(1,1-dimethylethyl)oxy][4-(8-fluoro-5-methyl-3,4-di
methyl-7-( 1 -methyl- 1 H-pyrr -2-yl)-1-oxo-1,2-dihydro-3-isoquinolinyl]ethanoic acid
Figure imgf000170_0001
[00230] The title compound was prepared in two steps in a manner similar to that described in Example 191 from (S)(M)-met y\ 2-(7-bromo-4-(8-fluoro-5-methylchroman-6-yl)-2- methyl-1 -oxo-1 ,2-dihydroisoquinolin-3-yl)-2-(tert-butoxy)acetate and 1 -methyl-2-(4,4,5,5- tetramethyl-1 ,3,2-dioxaborolan-2-yl)-1 H-pyrrole and was isolated as a yellow solid (9.7mg, 48%) after reverse phase chromatography: 1H NMR (400 MHz, CHLOROFORM-d) δ = 8.52 (m, 1 H), 7.60 (m, 1 H), 6.93 - 6.82 (m, 2 H), 6.81 - 6.73 (m, 1 H), 6.34 (m, 1 H), 6.27 - 6.17 (m, 1 H), 5.23 (s, 1 H), 4.32 (t, J = 5.0 Hz, 2 H), 3.75 (m, 6 H), 2.74 (m, 2 H), 2.21 - 2.10 (m, 2 H), 1 .97 (s, 3 H), 1.24 (s, 9 H); LC/MS (m/z) ES+ = 533 (M+1 ).
Example 203
(2S)(M)-[(1,1-dimethylethyl)oxy][4-(8-fluoro-5-methyl-3,4-dih
methyl-7-(2-methyl-3-furanyl)-1-oxo-1,2-dihydro-3-isoquinolinyl]ethanoic acid
Figure imgf000170_0002
[00231] The title compound was prepared in two steps in a manner similar to that described in Example 191 from (S)(M)-met y\ 2-(7-bromo-4-(8-fluoro-5-methylchroman-6-yl)-2- methyl-1 -oxo-1 ,2-dihydroisoquinolin-3-yl)-2-(tert-butoxy)acetate and 4,4,5,5-tetramethyl-2-(2- methylfuran-3-yl)-1 ,3,2-dioxaborolane and was isolated as a white solid (7.5 mg, 39%) after reverse phase chromatography. 1H NMR (400 MHz, CHLOROFORM-d) δ = 8.52 (d, J = 1.8 Hz, 1 H), 7.58 (m, 1 H), 7.36 (d, J = 1.8 Hz, 1 H), 6.97 - 6.80 (m, 2 H), 6.61 (m, 1 H), 5.23 (s, 1 H), 4.32 (m, 2 H), 3.75 (s, 3 H), 2.78 - 2.63 (m, 2 H), 2.51 (s, 3 H), 2.16 (m, 2 H), 1 .96 (s, 3 H), 1.24 (s, 9 H); LC/MS (m/z) ES+ = 534 (M+1 ).
Example 204
(2S)(M)-[(1,1-dimethylethyl)oxy][4-(8-fluoro-5-methyl-3,4-di
methyl-1 -oxo-7-phenyl-1,2-dihydro-3-isoquinolinyl]ethanoic acid
Figure imgf000171_0001
[00232] The title compound was prepared in two steps in a manner similar to that described in Example 191 from (S)(M)-met y\ 2-(7-bromo-4-(8-fluoro-5-methylchroman-6-yl)-2- methyl-1 -oxo-1 ,2-dihydroisoquinolin-3-yl)-2-(tert-butoxy)acetate and phenylboronic acid and was isolated as a white solid (14.3 mg, 76%) after reverse phase chromatography: 1 H NMR (400 MHz, CHLOROFORM-d) δ = 8.74 (d, J = 1.8 Hz, 1 H), 7.77 (dd, J = 2.0, 8.4 Hz, 1 H), 7.73 - 7.64 (m, 2 H), 7.52 - 7.43 (m, 2 H), 7.42 - 7.34 (m, 1 H), 6.94 (m, 1 H), 6.88 (m, 1 H), 5.23 (s, 1 H), 4.36 - 4.27 (m, 2 H), 3.76 (s, 3 H), 2.72 (m, 2 H), 2.21 - 2.10 (m, 2 H), 1.93 (s, 3 H), 1 .23 (s, 9 H); LC/MS (m/z) ES+ = 530 (M+1 ).
Example 205
(2S)(M)-[(1,1-dimethylethyl)oxy][4-(8-fluoro-5-methyl-3,4-di
methyl-1 -oxo-7-(4-pyridinyl)-1,2-dihydro-3-isoquinolinyl]ethanoic acid
Figure imgf000172_0001
[00233] The title compound was prepared in two steps in a manner similar to that described in Example 191 from (S)(M)-met y\ 2-(7-bromo-4-(8-fluoro-5-methylchroman-6-yl)-2- methyl-1 -oxo-1 ,2-dihydroisoquinolin-3-yl)-2-(tert-butoxy)acetate and pyridin-4-ylboronic acid and was isolated as a bright yellow solid (13.6 mg, 59%) after reverse phase chromatography: 1H NMR (400 MHz, CHLOROFORM-d) δ = 8.98 (d, J = 1.6 Hz, 1 H), 8.91 (d, J = 5.5 Hz, 2 H), 8.13 (d, J = 5.9 Hz, 2 H), 7.85 (dd, J = 2.0, 8.6 Hz, 1 H), 7.10 (d, J = 8.6 Hz, 1 H), 6.86 (m, 1 H), 5.25 (s, 1 H), 4.33 (t, J = 5.1 Hz, 2 H), 3.79 (s, 3 H), 2.75 (m, 2 H), 2.18 (m, 2 H), 1.94 (s, 3 H), 1.24 (s, 9 H); LC/MS (m/z) ES+ = 531 (M+1 ).
Example 206
(2S)(M)-[(1,1-dimethylethyl)oxy][4-(8-fluoro-5-methyl-3,4-di
methyl-1-oxo-7-(3-pyridinyl)-1,2-dihydro-3-isoquinolinyl]ethanoic acid
Figure imgf000172_0002
[00234] The title compound was prepared in two steps in a manner similar to that described in Example 191 from (S)(M)-met y\ 2-(7-bromo-4-(8-fluoro-5-methylchroman-6-yl)-2- methyl-1 -oxo-1 ,2-dihydroisoquinolin-3-yl)-2-(tert-butoxy)acetate and pyridin-3-ylboronic acid and was isolated as a white solid (16.1 mg, 70%) after reverse phase chromatography: 1 H NMR (400 MHz, CHLOROFORM-d) δ = 9.18 (m, 1 H), 8.84 (m, 1 H), 8.78 (s, 1 H), 8.62 (m, 1 H), 7.92 (m, 1 H), 7.78 (m, 1 H), 7.06 (m, 1 H), 6.86 (m, 1 H), 5.25 (s, 1 H), 4.38 - 4.25 (m, 2 H), 3.76 (s, 3 H), 2.74 (d, J = 5.3 Hz, 2 H), 2.25 - 2.09 (m, 2 H), 1 .93 (s, 3 H), 1.23 (s, 9 H); LC/MS (m/z) ES+ = 531 (M+1 ).
Example 207
(2S)(M)-[(1,1-dimethylethyl)oxy][7-(3,5-dimethyl-4-iso^
dihydro-2H-chromen-6-yl)-2-methyl-1-oxo-1,2-dihydro-3-isoquinolinyl]ethanoic acid
Figure imgf000173_0001
[00235] The title compound was prepared in two steps in a manner similar to that described in Example 191 from (S)(M)-met y\ 2-(7-bromo-4-(8-fluoro-5-methylchroman-6-yl)-2- methyl-1 -oxo-1 ,2-dihydroisoquinolin-3-yl)-2-(tert-butoxy)acetate and 3,5-dimethyl-4-(4,4,5,5- tetramethyl-1 ,3,2-dioxaborolan-2-yl)isoxazole and was isolated after reverse phase
chromatography (8.1 mg, 43%): 1H NMR (400 MHz, CHLOROFORM-d) δ = 8.40 (d, J = 1.8 Hz, 1 H), 7.41 (dd, J = 2.0, 8.4 Hz, 1 H), 6.95 (d, J = 8.4 Hz, 1 H), 6.87 (m, 1 H), 5.24 (s, 1 H), 4.32 (m, 2 H), 3.75 (s, 3 H), 2.79 - 2.68 (m, 2 H), 2.45 (s, 3 H), 2.31 (s, 3 H), 2.21 - 2.09 (m, 2 H), 1.98 (s, 3 H), 1.24 (s, 9H); LC/MS (m/z) ES+ = 549 (M+1 ).
Example 208
(2S)(M)-[(1,1-dimethylethyl)oxy]{4-(8-fluoro-5-methyl-3,4-di
methyl-7-[6-(methyloxy)-2-pyridinyl]-1 -oxo-1, 2-dihydro-3-isoquinolinyl}ethanoic acid
Figure imgf000173_0002
[00236] The title compound was prepared in two steps in a manner similar to that described in Example 191 from (S)(M)-met y\ 2-(7-bromo-4-(8-fluoro-5-methylchroman-6-yl)-2- methyl-1 -oxo-1 ,2-dihydroisoquinolin-3-yl)-2-(tert-butoxy)acetate and 2-methoxy-6-(4,4,5,5- tetramethyl-1 ,3,2-dioxaborolan-2-yl)pyridine and was isolated as a white solid (12.4 mg, 38%) after reverse phase chromatography: 1H NMR (400 MHz, CHLOROFORM-d) δ = 9.08 (d, J = 1.8 Hz, 1 H), 8.33 (dd, J = 2.0, 8.6 Hz, 1 H), 7.75 - 7.59 (m, 1 H), 7.52 (m, 1 H), 6.96 (d, J = 8.6 Hz, 1 H), 6.87 (m, 1 H), 6.72 (m, 1 H), 5.24 (s, 1 H), 4.37 - 4.24 (m, 2 H), 4.03 (s, 3 H), 3.76 (s, 3 H), 2.76 - 2.66 (m, 2 H), 2.22 - 2.06 (m, 2 H), 1.93 (s, 3 H), 1 .31 - 1 .19 (m, 9 H); LC/MS (m/z) ES+ = 561 (M+1 ).
Example 209
(S)(M)-2-(tert-butoxy)-2-(4-(8-fluoro-5-methylchroman-6-yl)-7-(4-fluoropheny
oxo-1, 2-dihydroisoquinolin-3-yl)acetic acid
Figure imgf000174_0001
[00237] The title compound was prepared in two steps in a manner similar to that described in Example 191 from (S)(M)-met y\ 2-(7-bromo-4-(8-fluoro-5-methylchroman-6-yl)-2- methyl-1 -oxo-1 ,2-dihydroisoquinolin-3-yl)-2-(tert-butoxy)acetate and 4-fluoroboronic acid.
Following hydrolysis and purification by reverse phase HPLC, the title compound was isolated (6 mg, 9.97 μπιοΙ, 18.16 % yield) as a white solid: 1H NMR (400MHz, CHLOROFORM-d) δ = 8.65 (s, 1 H), 7.74 (d, J = 8.4 Hz, 1 H), 7.52 (t, J = 7.8 Hz, 1 H), 7.41 - 7.30 (m, 1 H), 7.26 - 7.20 (m, 1 H), 7.16 (t, J = 9.5 Hz, 1 H), 6.93 (d, J = 8.5 Hz, 1 H), 6.87 (d, J = 1 1 .1 Hz, 1 H), 5.22 (s, 1 H), 4.31 (t, J = 4.6 Hz, 2 H), 3.78 (s, 3 H), 2.70 (br. s., 2 H), 2.20 - 2.09 (m, 2 H), 1.88 (s, 3 H), 1.22 (s, 9 H); ES+ MS: 548 (M + 1 ).
Example 210
(S)(M)-2-(tert-butoxy)-2-(4-(8-fluoro-5-methylchroman-6-yl)-7-(3-fluoroph
oxo-1, 2-dihydroisoquinolin-3-yl)acetic acid
Figure imgf000175_0001
[00238] The title compound was prepared in two steps in a manner similar to that described in Example 191 from (S)(M)-met y\ 2-(7-bromo-4-(8-fluoro-5-methylchroman-6-yl)-2- methyl-1 -oxo-1 ,2-dihydroisoquinolin-3-yl)-2-(tert-butoxy)acetate and 3-fluoroboronic acid.
Following hydrolysis and purification by reverse phase HPLC, the title compound was isolated (6 mg, 10.19 μηιοΙ, 18.56 % yield) as a colorless residue:1 H NMR (400 MHz, CHLOROFORM-d) δ = 8.71 (d, J = 1.6 Hz, 1 H), 7.73 (dd, J = 1.9, 8.5 Hz, 1 H), 7.52 - 7.32 (m, 3 H), 7.07 (t, J = 8.2 Hz, 1 H), 6.94 (d, J = 8.5 Hz, 1 H), 6.86 (d, J = 1 1 .1 Hz, 1 H), 5.22 (s, 1 H), 4.40 - 4.24 (m, 2 H), 3.78 (s, 3 H), 2.81 - 2.58 (m, 2 H), 2.22 - 2.09 (m, 2 H), 1 .88 (s, 2 H), 1.22 (s, 9 H); ES+ MS: 548 (M + 1 ).
Example 211
(S)(M)-2-(tert-butoxy)-2-(4-(8-fluoro-5-methylchroman-6-yl)-7-(2-fluo
oxo-1,2-dihydroisoquinolin-3-yl)acetic acid
Figure imgf000175_0002
[00239] The title compound was prepared in two steps in a manner similar to that described in Example 191from (S)(M)-met y\ 2-(7-bromo-4-(8-fluoro-5-methylchroman-6-yl)-2- methyl-1 -oxo-1 ,2-dihydroisoquinolin-3-yl)-2-(tert-butoxy)acetate and 2-fluoroboronic acid.
Following hydrolysis and purification by reverse phase HPLC, the title compound was isolated (1 1.2 mg, 0.020 mmol, 37.3% yield) as a colorless residue: 1H NMR (400 MHz, CHLOROFORM-d) δ = 8.67 (s, 1 H), 7.70 (dd, J = 1.9, 8.4 Hz, 1 H), 7.67 - 7.58 (m, 2 H), 7.14 (t, J = 8.7 Hz, 2 H), 6.92 (d, J = 8.5 Hz, 1 H), 6.86 (d, J = 1 1 .1 Hz, 1 H), 5.21 (s, 1 H), 4.36 - 4.27 (m, 2 H), 3.76 (s, 3 H), 2.78 - 2.62 (m, 2 H), 2.20 - 2.09 (m, 2 H), 1 .90 (s, 3 H), 1.21 (s, 9 H); ES+ MS: 548 (M + 1 ).
Scheme 12: General Route for Synthesis of Examples with a R4 Nitrogen Linker
Figure imgf000176_0001
1 ) Swern
2) TMSCN
Figure imgf000176_0002
12-5 12
Example 212
2-(tert-Butoxy)-2-(4-((3,4-dimethylphenyl)(methyl)amino)-2-methyl-1^
dihydroisoquinolin-3-yl)acetic acid
Figure imgf000176_0003
Step A
Methyl 4-[(3,4-dimethylphenyl)amino]-2-methyl-1-oxo-1,2-dihydro-3-iso
Figure imgf000177_0001
[00240] To a solution of methyl 2-methyl-1 -oxo-4-{[(trifluoromethyl)sulfonyl]oxy}-1 ,2- dihydro-3-isoquinolinecarboxylate (0.84 g, 2.3 mmol) and (3,4-dimethylphenyl)amine (0.362 g, 2.99 mmol) in 1 ,4-dioxane (25 ml.) under nitrogen was added cesium carbonate (1 .124 g, 3.45 mmol), dimethylbisdiphenylphosphinoxanthene (0.103 g, 0.172 mmol) and Pd(OAc)2 (0.026 g, 0.1 15 mmol) and the mixture was stirred at 100°C for 16 hours. The mixture was diluted with diethyl ether, filtered through Celite and the filter cake was washed with diethyl ether. The crude product was purified on silica using EtOAc/hexanes 10-30% to provide the title compound as a yellow solid (0.59 g, 74%). 1 H NMR (400MHz, CDCI3) δ ppm 8.48 (dd, J = 1 .2, 5.9 Hz, 1 H), 7.69 - 7.52 (m, 3 H), 6.89 (d, J = 8.2 Hz, 1 H), 6.55 - 6.29 (m, 2 H), 5.66 (s, 1 H), 3.86 (s, 3 H), 3.62 - 3.51 (m, 3 H), 3.57 (s, 4 H), 2.14 (s, 9 H), 2.24 - 2.07 (m, 6 H), 1 .56 (s, 3 H); ); ES-LCMS: 337.3 (M+1 ).
Step B
Methyl 4-[(3,4-dimethylphenyl)(methyl)amino]-2-methyl-1-oxo-1,2-dihydro-3- isoquinolinecarboxylate
Figure imgf000177_0002
[00241] To a solution of methyl 4-[(3,4-dimethylphenyl)amino]-2-methyl-1-oxo-1 ,2- dihydro-3-isoquinolinecarboxylate (2.03 g, 6.03 mmol) in DMF (40 ml.) at 0°C was added sodium hydride (0.362 g, 9.05 mmol) followed by methyl iodide (5.66 ml_, 91 mmol). The mixture was stirred at room temperature for 18 hours. 1 M HCI/water was added and the mixture was extracted with EtOAc. The organic phase was washed with brine, dried over sodium sulfate and evaporated in vacuo. The crude product was purified on silica using EtOAc/hexanes 30- 50% to provide the title compound as an off-white solid (2 g, 95%): 1H NMR (400MHz, CDCI3) δ ppm 8.56 - 8.37 (m, 1 H), 8.03 (s, 1 H), 7.62 - 7.47 (m, 2 H), 6.93 (d, J = 8.4 Hz, 1 H), 6.48 (d, J = 2.3 Hz, 1 H), 6.40 (dd, J = 2.5, 8.2 Hz, 1 H), 3.77 (s, 3 H), 3.57 (s, 3 H), 3.24 (s, 3 H), 3.04 - 2.95 (m, 2 H), 2.89 (s, 2 H), 2.17 (d, J = 8.8 Hz, 6 H); ); ES-LCMS: 351.3 (M+1 ).
Step C
4-[( 3, 4-Dimethylphenyl)(methyl)a -2-methyl- 1 ( 2H)-isoquinolinone
Figure imgf000178_0001
[00242] To a stirred solution of methyl 4-[(3,4-dimethylphenyl)(methyl)amino]-2-methyl-1- oxo-1 ,2-dihydro-3-isoquinolinecarboxylate (2.1 1 g, 6.02 mmol) in toluene (12 mL) was added dropwise 2 M lithium borohydride/THF (3.06 mL, 6.1 1 mmol). The mixture was stirred at 70°C for 6 hours, quenched with 1 M HCI/water and partitioned between EtOAc and aq. NaHC03. The organic phase was dried over sodium sulfate, evaporated in vacuo and purified on silica using EtOAc/hexanes 20-50% to provide the title compound as an off- white solid (0.94 g, 48%). 1H NMR (400MHz, CDCI3) δ ppm 8.51 (br. s., 1 H), 7.57 (br. s., 2 H), 6.96 (br. s., 1 H), 6.44 (br. s., 2 H), 4.80 - 4.48 (m, 2 H), 3.80 (br. s., 3 H), 3.27 (br. s., 3 H), 2.16 (d, 1 1 H), 2.29 - 2.06 (m, 6 H); ES-LCMS: 323.4 (M+1 ); ES-LCMS: 323.4 (M+1 ).
Step D
4-[( 3, 4-Dimethylphenyl)(methyl)amino]- -methyl-1 -oxo-1 , 2-dihydro-3-isoquinolinecarbaldehyde
Figure imgf000178_0002
[00243] To a solution of oxalyl chloride (0.015 mL, 0.172 mmol) in DCM (5 mL) at -70°C was added dropwise DMSO (0.024 mL, 0.344 mmol). After 15 min a solution of 4-[(3,4- dimethylphenyl)(methyl)amino]-3-(hydroxymethyl)-2-methyl-1 (2H (25 mg, 0.078 mmol) in DCM (1 ml.) was added slowly, and the mixture was kept at -78°C for 30 min. Then NEt3 (38 uL) was added and the reaction was kept at -78°C for 1 hour. The mixture was quenched with aq. NaHC03 and extracted with dichloromethane. The organic phase was dried over sodium sulfate and evaporated to give the crude title compound as yellow oil (16.9 mg, 61 .4%). 1H NMR (400MHz, CDCI3) δ ppm 9.97 - 9.78 (m, 1 H), 8.64 - 8.46 (m, 1 H), 7.75 - 7.54 (m, 2 H), 7.51 - 7.42 (m, 1 H), 7.07 - 6.92 (m, 1 H), 6.59 - 6.38 (m, 2 H), 3.87 (s, 3 H), 3.40 (s, 3 H), 2.18 (d, J = 6.3 Hz, 6 H); ES-LCMS: 321.1 (M+1 ).
Step 5
Methyl 2-(4-( ( 3, 4-dimethylphenyl)(methyl)amino)-2-methyl- 1-oxo- 1, 2-dihydroisoquinolin-3-yl)-2- hydroxyacetate
Figure imgf000179_0001
[00244] To a solution of 4-[(3,4-dimethylphenyl)(methyl)amino]-2-methyl-1 -oxo-1 ,2- dihydro-3-isoquinolinecarbaldehyde (0.17 g, 0.531 mmol) in DCM (6 ml.) at 0°C was added Znl2 (0.339 g, 1.061 mmol), followed by TMSCN (0.71 1 ml_, 5.31 mmol). The mixture was stirred at room temperature for 1 hour, then quenched with water and extracted with DCM. The organic phase was washed with brine, dried over sodium sulfate, filtered and concentrated to give the crude intermediate used in the next step.
[00245] To a solution of [2-methyl-1-oxo-4-(phenylmethyl)-1 , 2-dihydro-3- isoquinolinyl][(trimethylsilyl)oxy]acetonitrile in MeOH (6 mL) was added H2S04 (1 .69 ml.) dropwise. The mixture was stirred at 80°C for 3 hours, quenched with ice water and extracted with EtOAc. The organic phase was washed with brine, dried over sodium sulfate and evaporated in vacuo. The crude product was purified on silica using EtOAc/hexanes 0-40% to provide the title compound as a clear oil (90 mg, 44.6%). 1H NMR (400MHz, CDCI3) δ ppm 8.57 - 8.44 (m, 1 H), 7.60 - 7.44 (m, 2 H), 7.29 - 7.17 (m, 2 H), 7.05 - 6.90 (m, 1 H), 6.46 (br. s., 2 H), 5.57 (s, 0 H), 3.82 - 3.77 (m, 1 H), 3.72 (s, 1 H), 3.64 - 3.56 (m, 1 H), 3.50 - 3.41 (m, 1 H), 3.39 - 3.28 (m, 2 H), 3.24 (s, 2 H), 2.24 - 2.12 (m, 6 H); ES-LCMS: 381.3 (M+1 ). Step 6
2-(tert-Butoxy)-2-(4-((3,4-dimethylphenyl)(methyl)amino)-2-methyl-1 -oxo-1, 2-dihydroisoquinolin-
3-yl)acetic acid
Figure imgf000180_0001
[00246] To a mixture of methyl 2-(4-((3,4-dimethylphenyl)(methyl)amino)-2-methyl-1-oxo- 1 ,2-dihydroisoquinolin-3-yl)-2-hydroxyacetate (90 mg, 0.237 mmol) and amberlyst 15 resin (45 mg, 0.237 mmol) in DCM (3 mL) at -70°C was bubbled a stream of isobutylene until the volume doubles. The tube was sealed, and the reaction was stirred at room temperature for 10 hours. The mixture was filtered through a short pad of silica gel, washed with DCM and EtOAc, and the filtrate was concentrated. The mixture was purified on silica using EtOAc/hexanes 0-40% to give the intermediate methyl ester as an off-white solid (41.6 mg, 39%). 1H NMR (400MHz, CDCI3) δ ppm 8.56 - 8.44 (m, 1 H), 7.59 - 7.42 (m, 3 H), 7.26 - 7.14 (m, 1 H), 7.05 - 6.93 (m, 1 H), 6.03 - 5.82 (m, 2 H), 3.74 - 3.67 (m, 7 H), 3.33 (s, 4 H), 2.23 - 2.12 (m, 6 H), 1 .38 - 1 .22 (m, 4 H), 1 .12 - 1.00 (m, 9 H); ES-LCMS: 437.4 (M+1 ). To a solution of methyl 2-(tert-butoxy)-2-(4-((3,4- dimethylphenyl)(methyl)amino)-2-methyl-1-oxo-1 ,2-dihydroisoquinolin-3-yl)acetate (41.6 mg) in THF (3.0 mL) and MeOH (1 mL) was added a solution of LiOH/water (1 .183 mL, 1.183 mmol). The mixture was stirred at room temperature for 18 hours. The mixture was cooled to 0°C and 1 N HCI/water was added to pH~ 3 and the mixture was purified by reverse phase HPLC on a Ci8 column using MeCN/water 10-90% containing 0.05% TFA to provide the title compound as an off-white solid (19.5 mg, 19%). 1H NMR (400MHz, CDCI3) δ ppm 8.58 - 8.42 (m, 1 H), 7.62 - 7.45 (m, 2 H), 7.21 - 7.12 (m, 1 H), 7.02 - 6.58 (m, 2 H), 6.02 (s, 1 H), 3.79 - 3.63 (m, 3 H), 3.41 (s, 3 H), 2.30 - 2.07 (m, 6 H), 1.27 - 1.08 (m, 9 H); ES-LCMS: 423.4 (M+1 ).
Scheme 13: General Route for Synthesis of Examples with Carboxylic Acid Isosteres
Figure imgf000181_0001
Figure imgf000181_0002
Example 213
(S)(M)-2-(tert-butoxy)-2-(4-(8-fluoro-5-methylchroman-6-yl)^
dihydroisoquinolin-3-yl)-N-hydroxyacetamide
Figure imgf000181_0003
[00247] A solution of ('S f w -2-(tert-butoxy)-2-(4-(8-fluoro-5-methylchroman-6-yl)-2- methyl-1 -oxo-1 ,2-dihydroisoquinolin-3-yl)acetic acid (22.3 mg, 0.049 mmol), HATU (28.0 mg, 0.074 mmol) and DIPEA (0.030 ml_, 0.172 mmol) in DMF (0.7 ml.) was stirred at room temperature for 30 min and then hydroxylamine hydrochloride (6.83 mg, 0.098 mmol) was added. The mixture was stirred at room temperature for 2 hours, quenched with water and extracted with EtOAc.The organic phase was evaporated in vacuo and purified by reverse phase HPLC on a Ci8 column using MeCN/water 10-90% containing 0.05% trifluoroacetic acid to provide the title compound as off-white solid (7.9 mg, 32.6%). 1H NMR (400MHz,
METHANOL-^) δ ppm 8.56 - 8.14 (m, 1 H), 7.64 - 7.44 (m, 2 H), 6.90 - 6.79 (m, 2 H), 5.25 - 5.16 (m, 1 H), 4.28 - 4.17 (m, 2 H), 3.73 (s, 3 H), 2.78 - 2.63 (m, 2 H), 2.16 - 2.02 (m, 2 H), 1 .96 - 1.87 (m, 3 H), 1.16 (s, 9 H); ES-LCMS: 468.2 (M+1 ).
Example 214
(S)(M)-2-(tert-butoxy)-2-(4-(8-fluoro-5-methylchroman-6-yl)-2-m^
dihydroisoquino methylacetamide
Figure imgf000182_0001
[00248] A solution of (S (W -2-(tert-butoxy)-2-(4-(8-fluoro-5-methylchroman-6-yl)-2- methyl-1 -oxo-1 ,2-dihydroisoquinolin-3-yl)acetic acid (25.2 mg, 0.056 mmol), DIPEA (0.034 mL, 0.194 mmol) and HATU (31.7 mg, 0.083 mmol) in DMF (0.7 mL) was stirred at room
temperature for 30 min and then N-methylhydroxylamine hydrochloride (9.28 mg, 0.1 1 1 mmol) was added. The mixture was stirred at room temperature overnight, quenched with water and extracted with EtOAc.The organic phase was evaporated in vacuo and purified by reverse phase HPLC on a Ci8 column using MeCN/water 10-90% containing 0.05% trifluoroacetic acid to provide the title compound as off-white solid (14.6 mg, 54.4%). 1 H NMR (400MHz,
METHANOL-^) δ ppm 8.35 (s, 1 H), 7.50 (s, 2 H), 6.88 (s, 2 H), 5.75 (br. s., 1 H), 4.24 (br. s., 2 H), 3.88 (s, 3 H), 2.78 - 2.65 (m, 2 H), 2.16 - 2.05 (m, 2 H), 1 .69 (s, 3 H), 1.12 (s, 9 H); ES- LCMS: 483.4 (M+1 ).
Example 215
(2S)(M)-2-[(1,1-dimethylethyl)oxy]-2-[4-(8-fluoro-5-meth
methyl- 1-oxo-1,2-dihydro-3-isoquinolinyl]-N-(methylsulfonyl)ethanamide
Figure imgf000183_0001
[00249] An ice cold mixture of (S)(M)-2-(tert-butoxy)-2-(4-(8-fluoro-5-methylchroman-6- yl)-2-methyl-1-oxo-1 ,2-dihydroisoquinolin-3-yl)acetic acid (20.00 mg, 0.044 mmol) in
dichloromethane (DCM) (1 .0 ml.) was treated with oxalyl chloride (5.68 μΙ_, 0.066 mmol) and DMF (one drop). The mixture was warmed to ambient temperature, stirred for several minutes and then concentrated to dryness. A mixture of the crude acid chloride in dichloromethane (DCM) (1.0 mL) was treated with methanesulfonamide (15.00 mg, 0.158 mmol) and stirred at ambient temperature for 30 minutes. LCMS indicated that no reaction had occurred. 1 ,2- dichloroethane (DCE) (1 .000 mL) was added and the mixture was heated to 80° C for 2 hours. LCMS indicated complete consumption of the desired product and significant conversion to the desired product. The mixture was cooled, concentrated to dryness and then purified by reverse phase chromatography to give a colorless residue. 1 H NMR indicated that the sample contaminated with DMF. The residue was taken up in ethyl acetate, washed twice with water, once with brine, dried over sodium sulfate, filtered and concentrated to afford the title compound as a white solid (8.6 mg, 37%). 1 H NMR (400MHz ,CHLOROFORM-d) δ = 8.97 (m, 1 H), 8.50 (m, 1 H), 7.60 - 7.43 (m, 2 H), 6.91 - 6.76 (m, 2 H), 5.23 (s, 1 H), 4.42 - 4.18 (m, 2 H), 3.80 - 3.55 (m, 3 H), 3.32 (s, 3 H), 2.90 - 2.55 (m, 2 H), 2.30 - 2.04 (m, 2 H), 1 .94 (s, 3 H), 1 .23 (s, 9 H); LC/MS (m/z) ES+ = 531 (M+1 ).
Scheme 14: General Route for Synthesis of Examples with R3 = Alkyl
Figure imgf000184_0001
Example 216
-[4-( 2,4-dimethylphenyl)-2-methyl- 1-oxo-1,2-dihydro-3-isoquinolinyl]pentanoic acid
Figure imgf000184_0002
Step A
2-[(2,4-dimethylphenyl)carbonyl]benzoic acid.
Figure imgf000185_0001
[00250] An ice/salt cold mixture of m-xylene (1 14 g, 1073 mmol) was treated with aluminium chloride (59.4 g, 446 mmol) (in three portions), followed by 2-benzofuran-1 ,3-dione (30 g, 203 mmol) (in three portions). The mixture was warmed to room temperature and stirred for 3 hours after which time the mixture turned to a thick white suspension. The mixture was heated to 55 °C for 2 hours, and cooled to room temperature. The thick mixture was slowly poured into ice cold 20% HCI and collected on filter paper. The filtered material was allowed to dry to give the desired product as a white solid (50 g, 97%). 1H NMR (400 MHz,
CHLOROFORM-d) δ ppm 7.98 - 8.07 (m, 1 H) 7.60 - 7.69 (m, 1 H) 7.51 - 7.59 (m, 1 H) 7.38 - 7.45 (m, 1 H) 7.01 - 7.13 (m, 2 H) 6.86 - 6.94 (m, 1 H) 2.61 (s, 3 H) 2.33 (s, 3 H); LC/MS (m/z) ES+ = 255 (M+1 ).
Step B
Methyl N-({2-[(2,4-dimethylphenyl)carbonyl]phenyl}carbonyl)-N-methylglycinate.
Figure imgf000185_0002
[00251] A mixture of 2-(2,4-dimethylbenzoyl)benzoic acid (50 g, 197 mmol) and thionyl chloride (215 mL, 2949 mmol) was heated at 70 °C for 1 .5 hours. The mixture was
concentrated, dissolved in tetrahydrofuran (THF) (200 mL) and Ν,Ν-dimethylformamide (DMF) (40 mL) and treated with methyl N-methylglycinate (27.4 g, 197 mmol). The mixture was cooled to 0 °C and treated with Hunig's base (103 mL, 590 mmol). The mixture was heated to 70 °C for 1 hour, cooled to ambient temperature and then diluted with ethyl acetate. The organic phase was washed with 1 N HCI, water, then brine, dried over sodium sulfate, filtered and concentrated to a brown thick oil (60 g, 90%) which was used without further purification. LC/MS (m/z) ES+ = 340 (M+1 ).
Step C
methyl 4-( 2, 4-dimethylphenyl)-2-methyl-1-oxo- 1, 2-dihydro-3-isoquinolinecarboxylate.
Figure imgf000186_0001
[00252] An ice cold mixture of methyl 2-(2-(2,4-dimethylbenzoyl)-N- methylbenzamido)acetate (60 g, 177 mmol) in methanol (400 ml.) was treated with sodium methoxide (42.0 g, 194 mmol) and the resultant was allowed to stir at ambient temperature for 1 hour. The mixture was cooled to 0 °C, treated with HCI (21 .78 ml_, 265 mmol) and then concentrated. The residue was dissolved in ethyl acetate, washed with water, brine, dried over Na2S04, filtered and concentrated. The crude intermediate was treated with Toluene (400 ml.) and pTsOH (16.81 g, 88 mmol) and the mixture was heated at 120 °C for 1 hour. Additional pTsOH (16.81 g, 88 mmol) was added and the mixture was stirred at 120 °C overnight. LCMS indicated complete reaction. The mixture was concentrated and the residue was dissolved in ethyl acetate. The organic phase was washed with water, then brine, dried over Na2S04, filtered and concentrated. The residue was purified on silica gel (0-60% EA on hexane) to give the desired product as a white solid (24g, 53%). 1H NMR (400 MHz, CHLOROFORM-d) δ ppm 8.48 - 8.57 (m, 1 H) 7.50 - 7.58 (m, 2 H) 7.10 - 7.14 (m, 1 H) 7.04 (s, 3 H) 3.61 (s, 3 H) 3.54 (s, 3 H) 2.39 (s, 3 H) 2.04 (s, 3 H); LC/MS (m/z) ES+ = 322 (M+1 ).
Step D
4-( 2, 4-dimethylphenyl)-2-methyl-1 -oxo-1 , 2-dihydro-3-isoquinolinecarboxylic acid.
Figure imgf000187_0001
[00253] A mixture of methyl 4-(2,4-dimethylphenyl)-2-methyl-1-oxo-1 ,2- dihydroisoquinoline-3-carboxylate (30 g, 74.7 mmol) in tetrahydrofuran (THF) (400 mL) was treated with lithium hydroxide (8.94 g, 373 mmol) and stirred at reflux overnight. The mixture was concentrated and used crude in the next step (21.6 g, 94%). 1H NMR (400 MHz, DMSO-d 6) δ ppm 13.81 - 14.14 (m, 1 H) 8.28 - 8.37 (m, 1 H) 7.62 - 7.69 (m, 1 H) 7.53 - 7.61 (m, 1 H) 7.13 - 7.19 (m, 1 H) 7.01 - 7.12 (m, 2 H) 6.82 - 6.91 (m, 1 H) 3.52 (s, 3 H) 2.34 (s, 3 H) 1.97 (s, 3 H); LC/MS (m/z) ES+ = 308 (M+1 ).
Step E
3-( chloromethyl)-4-(2, 4-dimethylphenyl)-2-methyl- 1 ( 2H)-isoquinolinone.
Figure imgf000187_0002
[00254] A suspension of 4-(2,4-dimethylphenyl)-2-methyl-1 -oxo-1 ,2-dihydroisoquinoline- 3-carboxylic acid (21.6 g) in thionyl chloride (218 mL, 2987 mmol) was heated at 70 °C for 2 hours. The mixture was concentrated, dissolved in tetrahydrofuran (THF) (15 mL), and treated with sodium borohydride (0.929 g, 24.56 mmol). The resulting mixture was heated to 70 °C for 2 hours until LCMS indicated complete reaction. The mixture was cooled to 0 °C and methanol was added until gas evolution ceased. The mixture was concentrated, diluted with water and then extracted three times with dichloromethane. The combined extracts were washed with brine, dried over Na2S04, filtered and concentrated. The residue was treated with thionyl chloride (20 mL) and heated at 70 °C for 2 hours. The mixture was concentrated and then purified on silica gel (0-70% EA/Hexane) to afford the title compound (1.17g, 76%). 1H NMR (400 MHz, CHLOROFORM-d) δ ppm 8.46 - 8.59 (m, 1 H) 7.47 - 7.57 (m, 2 H) 7.05 - 7.24 (m, 3 H) 6.87 - 6.99 (m, 1 H) 4.43 - 4.55 (m, 1 H) 4.31 - 4.41 (m, 1 H) 3.86 (s, 3 H) 2.43 (s, 3 H) 2.01 (s, 3 H). LC/MS (m/z) ES+ = 312 (M+1 ).
Step F
[4-(2,4-dimethylphenyl)-2-methyl-1 -oxo-1, 2-dihydro-3-isoquinolinyl]acetonitrile.
Figure imgf000188_0001
[00255] A solution of 3-(chloromethyl)-4-(2,4-dimethylphenyl)-2-methylisoquinolin-1 (2H)- one (1 .17 g, 3.75 mmol, 76 % yield) in Acetonitrile (15.00 mL) was treated with potassium carbonate (1.018 g, 7.37 mmol), potassium iodide (1 .223 g, 7.37 mmol) and TMSCN (0.988 mL, 7.37 mmol) and then stirred at room temperature for 3 hours. The mixture was diluted with dichloromethane, washed with saturated NaHC03 solution and brine, dried over Na2S04, filtered and concentrated. The residue was purified on silica gel (0-70% EA/Hexane) to afford the title compound (1.05g, 93%). 1H NMR (400 MHz, CHLOROFORM-d) δ ppm 8.45 - 8.57 (m, 1 H) 7.47 - 7.59 (m, 2 H) 7.20 - 7.24 (m, 1 H) 7.13 - 7.19 (m, 1 H) 7.03 - 7.1 1 (m, 1 H) 6.86 - 6.98 (m, 1 H) 3.86 (s, 3 H) 3.48 - 3.67 (m, 2 H) 2.44 (s, 3 H) 2.02 (s, 3 H). LC/MS (m/z) ES+ = 303 (M+1 ).
Step G
[4-( 2, 4-dimethylphenyl)-2-methyl- 1-oxo- 1, 2-dihydro-3-isoquinolinyl]acetic acid.
Figure imgf000188_0002
[00256] A solution of 2-(4-(2,4-dimethylphenyl)-2-methyl-1 -oxo-1 ,2-dihydroisoquinolin-3- yl)acetonitrile (1.05 g, 3.47 mmol, 70.7 % yield) in ethanol (15.00 mL) was treated with 2 mL
20% NaOH solution and heated in a sealed tube at 1 10 °C overnight. The mixture was cooled to room temperature and then concentrated. The resultant was cooled to 0 °C, acidified to pH 1.0 with HCI (4 M), then filtered to afford the title compound (835mg, 75%). 1H NMR (400 MHz, DMSO-de) δ ppm 12.70 - 12.89 (m, 1 H) 8.24 - 8.35 (m, 1 H) 7.53 - 7.63 (m, 1 H) 7.44 - 7.53 (m, 1 H) 7.19 - 7.26 (m, 1 H) 7.08 - 7.17 (m, 1 H) 6.93 - 7.00 (m, 1 H) 6.71 - 6.82 (m, 1 H) 3.62 - 3.71 (m, 1 H) 3.56 (s, 2 H) 3.41 - 3.49 (m, 1 H) 2.36 (s, 3 H) 1.91 (s, 3 H). LC/MS (m/z) ES+ = 322 (M+1 ).
Step H
Methyl [4-( 2, 4-dimethylphenyl -2-methyl- 1 -oxo-1, 2-dihydro-3-isoquinolinyl]acetate.
Figure imgf000189_0001
[00257] A solution of 2-(4-(2,4-dimethylphenyl)-2-methyl-1 -oxo-1 ,2-dihydroisoquinolin-3- yl)acetic acid (1.1 g, 3.42 mmol, 69.7 % yield) in diethyl ether (15.00 mL) was treated with TMS-diazomethane (3.68 mL, 7.37 mmol) and the resultant was allowed to stir at room temperature for 30 minutes. The mixture was quenched with acetic acid and then extracted with ethyl acetate. The combined extracts were washed with saturated NaHC03 solution and brine, dried over Na2S04, filtered and concentrated. The residue was purified on silica gel (0-70% EA/Hexane) (830mg, 96%) to afford the title compound. 1H NMR (400 MHz, CHLOROFORM-d) δ ppm 8.46 - 8.54 (m, 1 H) 7.42 - 7.54 (m, 2 H) 7.13 - 7.20 (m, 1 H) 7.06 - 7.13 (m, 1 H) 6.99 - 7.05 (m, 1 H) 6.84 - 6.94 (m, 1 H) 3.66 (s, 3H) 3.65 (s, 3 H) 2.41 (s, 3 H) 1.97 (s, 3 H). LC/MS (m/z) ES+ = 336 (M+1 ).
Step I
methyl 2-[4-( 2, 4-dimethylphenyl)-2-methyl- 1 -oxo-1, 2-dihydro-3-isoquinolinyl]-4-pentenoate.
Figure imgf000190_0001
[00258] A solution of methyl 2-(4-(2,4-dimethylphenyl)-2-methyl-1 -oxo-1 ,2- dihydroisoquinolin-3-yl)acetate (60 mg, 0.179 mmol) in tetrahydrofuran (THF) (2 mL) was treated with LiHMDS (0.358 mL, 0.358 mmol) and allyl bromide (0.232 mL, 2.68 mmol) at 0 °C. The mixture was warmed to room temperature and stirred for 1 hour. The mixture was quenched with saturated NH4CI solution and extracted with ethyl acetate. The combined extracts were washed with saturated NaHC03 solution and brine, dried over Na2S04, filtered and concentrated. The material was used crude in the next step (64mg, 95%). ^ H NMR (400 MHz, CHLOROFORM-d) δ ppm 8.44 - 8.54 (m, 1 H) 7.41 - 7.56 (m, 2 H) 7.06 - 7.19 (m, 2 H) 6.97 - 7.05 (m, 1 H) 6.80 - 6.91 (m, 1 H) 5.40 - 5.70 (m, 1 H) 4.85 - 5.06 (m, 2 H) 3.89 - 4.05 (m, 1 H) 3.68 (s, 3 H) 3.53 (s, 3 H) 2.91 - 3.06 (m, 1 H) 2.43 - 2.55 (m, 1 H) 2.41 (s, 3 H) 2.03 (s, 3 H). LC/MS (m/z) ES+ = 376 (M+1 ).
Step J
2-[4-(2,4-dimethylphenyl)-2-meth -1 -oxo-1, 2-dihydro-3-isoquinolinyl]-4-pentenoic acid.
Figure imgf000190_0002
[00259] A solution of methyl 2-(4-(2,4-dimethylphenyl)-2-methyl-1 -oxo-1 ,2- dihydroisoquinolin-3-yl)pent-4-enoate (71 mg, 0.170 mmol, 95 % yield) in tetrahydrofuran (THF) (2 mL) was treated with lithium hydroxide (1 mL, 2.0 mmol) and heated to 70 °C overnight. The mixture was cooled to room temperature, quenched with saturated NH4CI solution and acidified with HCI (1 M) to pH 2.0. The mixture was then extracted with ethyl acetate, washed with saturated NaHC03 solution and brine, dried over Na2S04, filtered and concentrated. The material was used crude in the next step (59mg, 96%). 1H NMR (400 MHz, CHLOROFORM-d) δ ppm 8.40 - 8.57 (m, 1 H) 7.41 - 7.56 (m, 2 H) 6.97 - 7.22 (m, 3 H) 6.82 - 6.92 (m, 1 H) 5.44 - 5.72 (m, 1 H) 4.86 - 5.06 (m, 2 H) 3.95 - 4.12 (m, 1 H) 3.60 (br. s., 3 H) 2.88 - 3.05 (m, 1 H) 2.42 (s, 3 H) 1.93 - 2.10 (m, 3 H). LC/MS (m/z) ES+ = 362 (M+1 ).
Step K
2-[4-( 2, 4-dimethylphenyl)-2-methyl-1 -oxo-1 , 2-dihydro-3-isoquinolinyl]pentanoic acid.
Figure imgf000191_0001
[00260] A solution of 2-(4-(2,4-dimethylphenyl)-2-methyl-1 -oxo-1 ,2-dihydroisoquinolin-3- yl)pent-4-enoic acid (69 mg, 0.162 mmol,) in ethyl acetate (2 mL) was treated with platinum(IV) oxide (8.12 mg, 0.036 mmol) and the mixture was stirred at room temperature under an atmosphere of H2 for 1 hour. The mixture was filtered and the filtrate was purified by reverse phase hplc afford the title compound (31 mg, 52%). 1H NMR (400 MHz, CHLOROFORM-d) δ ppm 8.45 - 8.52 (m, 1 H) 7.43 - 7.54 (m, 2 H) 7.07 - 7.23 (m, 2 H) 6.97 - 7.03 (m, 1 H) 6.81 - 6.92 (m, 1 H) 3.79 - 3.97 (m, 1 H) 3.59 (s, 3 H) 2.42 (s, 3 H) 1 .94 - 2.10 (m, 3 H) 1 .54 - 1.74 (m, 2 H) 1 .19 - 1 .30 (m, 2 H) 0.72 - 0.88 (m, 3 H). LC/MS (m/z) ES+ = 364 (M+1 ).
Example 217
Step A
Methyl 2-[4-(2,4-dimethylphenyl)-2-methyl-1 -oxo-1, 2-dihydro-3-isoquinolinyl]-4-methyl-4-
Figure imgf000191_0002
[00261] A solution of methyl 2-(4-(2,4-dimethylphenyl)-2-methyl-1 -oxo-1 ,2- dihydroisoquinolin-3-yl)acetate (60 mg, 0.179 mmol) in tetrahydrofuran (THF) (2 mL) was treated with LiHMDS (0.447 mL, 0.447 mmol, 1 .0M in THF) and 3-bromo-2-methylpropene (0.271 mL, 2.68 mmol) at 0 °C. The mixture was stirred at room temperature for 1 hour and then quenched with saturated NH4CI solution. The mixture was extracted with ethyl acetate, washed with saturated NaHC03 and brine, dried over Na2S04, filtered and concentrated. The residue was used crude in the next step (65mg, 94%). 1H NMR (400 MHz, CHLOROFORM-d) δ ppm 8.43 - 8.56 (m, 1 H) 7.40 - 7.57 (m, 2 H) 7.09 - 7.20 (m, 1 H) 6.95 - 7.08 (m, 2 H) 6.78 - 6.86 (m, 1 H) 4.68 - 4.75 (m, 1 H) 4.44 - 4.54 (m, 1 H) 3.91 - 4.03 (m, 1 H) 3.68 (s, 3 H) 3.53 (s, 3 H) 2.40 (br. s., 3 H) 2.04 (s, 3 H) 1.59 - 1.68 (m, 2 H) 1.49 (br. s., 3 H). LC/MS (m/z) ES+ = 390 (M+1 ).
Step B
Methyl 2-[4-( 2, 4-dimethylphenyl)-2-methyl-1-oxo- 1, 2-dihydro-3-isoquinolinyl]-4- methylpentanoate.
Figure imgf000192_0001
[00262] A solution of methyl 2-(4-(2,4-dimethylphenyl)-2-methyl-1 -oxo-1 ,2- dihydroisoquinolin-3-yl)-4-methylpent-4-enoate (87 mg, 0.168 mmol, 94 % yield) in ethyl acetate (2 mL) was treated with platinum(IV) oxide (8.12 mg, 0.036 mmol) and stirred for one hour at room temperature under an atmosphere of H2. The mixture was filtered and concentrated. The residue was used crude in the next step (62 mg, 98%). 1H NMR (400 MHz, CHLOROFORM-d) δ ppm 8.43 - 8.57 (m, 1 H) 7.46 (td, J=4.59, 1 .76 Hz, 2 H) 7.14 - 7.22 (m, 1 H) 7.06 - 7.13 (m, 1 H) 6.95 - 7.02 (m, 1 H) 6.78 - 6.91 (m, 1 H) 3.77 - 3.88 (m, 1 H) 3.67 (s, 3 H) 3.52 (s, 3 H) 2.40 (s, 3 H) 2.16 - 2.29 (m, 1 H) 2.05 (s, 3 H) 1 .65 - 1 .77 (m, 1 H) 1 .39 - 1 .52 (m, 1 H) 0.84 - 0.98 (m, 1 H) 0.77 (d, J=6.44 Hz, 3 H) 0.63 (d, J=6.44 Hz, 3 H); LC/MS (m/z) ES+ = 392 (M+1 ).
Step C
2-[4-( 2, 4-dimethylphenyl)-2-methyl-1 -oxo-1 , 2-dihydro-3-isoquinolinyl]-4-methylpentanoic acid
Figure imgf000193_0001
[00263] A solution of methyl methyl 2-(4-(2,4-dimethylphenyl)-2-methyl-1 -oxo-1 ,2- dihydroisoquinolin-3-yl)-4-methylpentanoate (86 mg, 0.165 mmol, 92 % yield) in tetrahydrofuran
(THF) (2 ml.) was treated with lithium hydroxide (1 ml_, 2.000 mmol) and heated to 70 °C for 2 days. The mixture was cooled to room temperature and then quenched with saturated NH4CI solution. The mixture was extracted with ethyl acetate, washed with saturated NaHC03 solution and brine, dried over Na2S04, filtered and concentrated. The residue was purified by reverse phase hplc to afford the title product (42mg, 68%). 1 H NMR (400 MHz, CHLOROFORM-d) δ ppm 8.44 - 8.55 (m, 1 H) 7.42 - 7.53 (m, 2 H) 7.06 - 7.20 (m, 2 H) 6.96 - 7.03 (m, 1 H) 6.80 - 6.94 (m, 1 H) 3.86 - 4.09 (m, 1 H) 3.59 (s, 3 H) 2.41 (s, 3 H) 2.15 - 2.29 (m, 1 H) 1 .92 - 2.12 (m, 3 H) 1 .65 - 1 .83 (m, 1 H) 1 .18 - 1 .25 (m, 1 H) 0.71 - 0.82 (m, 3 H) 0.51 - 0.68 (m, 3 H). LC/MS (m/z) ES+ = 378 (M+1 ).
Scheme 15: General Route for Synthesis of Examples with R3 = Alkoxy besides tert-
Butoxy and Methylcyclobutoxy
Figure imgf000193_0002
15-1 15-2 15-3
Example 218
Step A
Methyl [4-( 2, 4-dimethylphenyl)-2-methyl- 1-oxo- 1, 2-dihydro-3-isoquinolinyl](ethyloxy)acetate
Figure imgf000194_0001
[00264] A solution of methyl 2-(4-(2,4-dimethylphenyl)-2-methyl-1 -oxo-1 ,2- dihydroisoquinolin-3-yl)-2-hydroxyacetate (50 mg, 0.142 mmol) in Tetrahydrofuran (THF) (1 mL) was treated with LiHMDS (0.213 mL, 0.213 mmol) and iodoethane (0.069 mL, 0.854 mmol) at 0 °C. The mixture was stirred at room temperature for 1 hour and then quenched with saturated NH4CI solution. The mixture was extracted with ethyl acetate, washed with saturated NaHC03 solution and brine, dried over Na2S04, filtered and concentrated. The residue was used crude in the next step without further purification (44 mg, 82%). 1H NMR (400 MHz, CHLOROFORM- cQ δ ppm 8.47 - 8.55 (m, 1 H) 7.46 - 7.55 (m, 2 H) 7.06 - 7.21 (m, 3 H) 6.85 - 6.96 (m, 1 H) 4.87 - 4.98 (m, 1 H) 3.65 - 3.68 (m, 2 H) 3.66 (s, 3 H) 2.86 - 3.00 (m, 3 H) 2.42 (s, 3 H) 2.02 (s, 3 H) 1.10 - 1.24 (m, 3 H). LC/MS (m/z) ES+ = 380 (M+1 ).
Step B
[4-(2,4-dimethylphenyl)-2-methyl- -oxo-1, 2-dihydro-3-isoquinolinyl](ethyloxy)acetic acid
Figure imgf000194_0002
[00265] A solution of methyl 2-(4-(2,4-dimethylphenyl)-2-methyl-1 -oxo-1 ,2- dihydroisoquinolin-3-yl)-2-ethoxyacetate (52 mg, 0.1 16 mmol, 82 % yield) in Tetrahydrofuran (THF) (1 mL) was treated with lithium borohydride (2 mL, 4.00 mmol), and heated at 70 °C for 2 days. The mixture was cooled to room temperature and quenched with saturated NH4CI. The mixture was acidified with HCI (1 M) to pH 2.0, then extracted with ethyl acetate. The extracts were washed with saturated NaHC03 solution and brine, dried over Na2S04, filtered and concentrated. The residue was purified by reverse phase HPLC to afford the title compound (33mg, 77%). 1H NMR (400 MHz, CHLOROFORM-d) δ ppm 8.44 - 8.58 (m, 1 H) 7.46 - 7.63 (m, 2 H) 7.15 - 7.25 (m, 1 H) 7.03 - 7.15 (m, 2 H) 6.85 - 7.00 (m, 1 H) 4.94 - 5.13 (m, 1 H) 3.70 (d, J=2.73 Hz, 3 H) 3.41 - 3.55 (m, 2 H) 2.42 (s, 3 H) 1 .95 - 2.13 (m, 3 H) 1 .22 (t, J=6.93 Hz, 6 H). LC/MS (m/z) ES+ = 366 (M+1 ).
Scheme 16: General Route for Synthesis of Examples with R7 = Triazole using Click
Chemistry
Figure imgf000195_0001
Example 219
[(1, 1-dimethylethyl)oxy]{4-(2 -dimethylphenyl)-7- methyl-1-oxo- 1 2-dih dro-3-iso uinolin l acetic acid
Figure imgf000195_0002
Step A
methyl [( 1, 1 -dimethylethyl)oxy][4-(2,4-dimethylphenyl)-2-methyl-1 -oxo-1 ,2-dihydro-3- isoquinolinyljacetate
Figure imgf000196_0001
[00266] A mixture of methyl 2-(4-(2,4-dimethylphenyl)-2-methyl-1-oxo-1 ,2- dihydroisoquinolin-3-yl)-2-hydroxyacetate (858 mg, 2.442 mmol) in t-butyl acetate (20 ml.) was treated with perchloric acid (0.147 ml_, 2.442 mmol) and stirred at ambient temperature overnight. LCMS indicated only 45% conversion to the desired product. The mixture was made basic by adding 3N sodium hydroxide and then extracted with ethyl acetate. The extracts were washed with water, then brine, dried over sodium sulfate, filtered and concentrated. The residue was purified on silica gel (0-50% ethyl acetate/hexanes gradient) to afford the desired product as a colorless residue (383 mg, 39%). LC/MS (m/z) ES+ = 408 (M+1 ).
Step B
[7-bromo-4-(2,4-dimethylphenyl)-2-methyl-1 -oxo-1, 2-dihydro-3-isoquinolinyl][(1, 1- dime thyle thy I) oxy]a ce tic a cid.
Figure imgf000196_0002
[00267] An ice cold mixture of methyl 2-(tert-butoxy)-2-(4-(2,4-dimethylphenyl)-2-methyl- 1 -oxo-1 , 2-dihydroisoquinolin-3-yl)acetate (383 mg, 0.940 mmol) in N,N-dimethylformamide (DMF) (5.0 ml.) was treated slowly with a solution of bromine (0.053 ml_, 1 .034 mmol) in dichloromethane (dichloromethane) (280 μΙ) to give an orange solution. The ice bath was removed and the mixture, which was excluded from light by wrapping the reaction vessel with aluminum foil, was stirred at ambient temperature overnight. The mixture was cooled to 0° C, quenched with saturated sodium bicarbonate and extracted with ethyl acetate. The extracts were washed with water, then brine, dried over sodium sulfate, filtered and concentrated. The residue was purified on silica gel (0-50% ethyl acetate/hexanes gradient) to give the impure desired product as a white solid. The solid was re-purified by reverse phase chromatography to afford the desired product as a white solid (128 mg, 28%). LC/MS (m/z) ES+ = 486 (M+1 ).
Step C
[(1, 1-dimethylethyl)oxy][4-(3,4-dimethylphenyl)-7-ethynyl-2-methyl-1 -oxo-1 ,2-dihydro-3- isoquinolinyl]acetic acid
Figure imgf000197_0001
[00268] A mixture of methyl [7-bromo-4-(2,4-dimethylphenyl)-2-methyl-1 -oxo-1 ,2-dihydro- 3-isoquinolinyl][(1 , 1 -dimethylethyl)oxy]acetic acid (46.0 mg, 0.095 mmol), tnmethylsilylacetylene (0.067 ml_, 0.473 mmol), copper(l) iodide (3.60 mg, 0.019 mmol) and Hunig's base (0.066 ml_, 0.378 mmol) in acetonitrile (1 .5 ml.) was treated with Pd(PPh3)4 (10.93 mg, 9.46 μηηοΙ) and then irradiated in the microwave at 120° C for 20 minutes. LCMS indicated only 20% conversion to the desired product. Ν,Ν-dimethylformamide (DMF) (1 .0 ml_), tnmethylsilylacetylene (0.067 ml_, 0.473 mmol) and Pd(PPh3)4 (10.93 mg, 9.46 μηηοΙ) were added and the mixture was irradiated in the microwave at 120° C for 30 minutes. LCMS indicated near complete conversion to the desired product. The mixture was diluted with ethyl acetate and washed successively with saturated sodium sulfate, water, and then brine. The organic phase was dried over sodium sulfate, filtered and concentrated to give a dark residue. The crude residue in tetrahydrofuran (THF) (1.500 mL) was treated with tetrabutylammoniumfluoride (0.142 ml_, 0.142 mmol, 1 M solution in THF) at 0° C and then stirred at ambient temperature for 5 minutes. The mixture was concentrated and purified by reverse phase chromatography to afford the title compound as a tan solid (26 mg, 64%). LC/MS (m/z) ES+ = 432 (M+1 ).
Step D
2-azidoethyl acetate
N3^0AC [00269] A mixture of 2-bromoethyl acetate (500 μΙ, 4.54 mmol) in N,N-dimethylformamide (DMF) (2.0 mL) was treated with sodium azide (295 mg, 4.54 mmol) and then heated to 70° C for 2 hours. The mixture was diluted with water and then extracted with ether. The extracts were washed with water, then brine, dried over sodium sulfate, filtered and concentrated to afford the title compound as a colorless liquid. 1H NMR (400 MHz, CHLOROFORM-d) d = 4.29 - 4.19 (m, 2 H), 3.53 - 3.44 (m, 2 H), 2.1 1 (s, 3 H).
Step E
l(1, 1-dimethylethyl)oxy]{4-(2 -dimethylphenyl)-7-[1-(2-hy^
methyl-1-oxo- 1 2-dih dro-3-iso uinolin l acetic acid
Figure imgf000198_0001
[00270] A mixture of methyl 2-(tert-butoxy)-2-(4-(2,4-dimethylphenyl)-7-ethynyl-2- methyl-1 -oxo-1 ,2-dihydroisoquinolin-3-yl)acetate (26.0 mg, 0.060 mmol), 2-azidoethyl acetate (10.1 1 mg, 0.078 mmol), ascorbic acid (2.123 mg, 0.012 mmol) and copper sulfate monohydrate (1 .923 mg, 0.012 mmol) in Ethanol (1.2 mL) and Water (0.2 mL) was irradiated in the microwave at 120° C for 10 minutes. The mixture was diluted with ethyl acetate, then washed with saturated sodium bicarbonate and brine. The organic phase was dried over sodium sulfate, filtered and concentrated. The resulting crude residue in methanol (1.0 mL), tetrahydrofuran (THF) (1.0 mL) and water (0.2 mL) was treated with lithium hydroxide (28.8 mg, 1.205 mmol) and then heated to 60° C for 90 minutes. The mixture was concentrated to dryness, water was added and the mixture was adjusted to pH 3-4 with 1 N hydrochloric acid. The mixture was extracted with ethyl acetate; the extracts were washed with brine, dried over sodium sulfate, filtered and concentrated. The residue was purified by reverse phase chromatography to afford the desired product as a white solid. 1H NMR (400MHz, CHLOROFORM-d) (atropisomers) d = 8.75 - 8.54 (m, 1 H), 8.14 (br. s., 2 H), 7.43 (d, J = 7.6 Hz, 1 H), 7.15 (d, J = 14.6 Hz, 2 H), 7.04 - 6.85 (m, 1 H), 5.44 - 5.15 (m, 1 H), 4.56 (m, 2 H), 4.14 (m, 2 H), 3.83 - 3.64 (m, 3 H), 2.43 (s, 3 H), 2.15 - 1.83 (m, 3 H), 1.29 - 0.97 (m, 9H); LC/MS (m/z) ES+ = 505 (M+1 ).
Administration and Formulation
[00271] In another embodiment, there is provided a pharmaceutical composition comprising a pharmaceutically acceptable diluent and a therapeutically effective amount of a compound of Formula (I) or a pharmaceutically acceptable salt thereof.
[00272] The compounds of the present invention can be supplied in the form of a pharmaceutically acceptable salt. The terms "pharmaceutically acceptable salt" refer to salts prepared from pharmaceutically acceptable inorganic and organic acids and bases. Accordingly, the word "or" in the context of "a compound or a pharmaceutically acceptable salt thereof is understood to refer to either a compound or a pharmaceutically acceptable salt thereof
(alternative), or a compound and a pharmaceutically acceptable salt thereof (in combination).
[00273] As used herein, the term "pharmaceutically acceptable" refers to those compounds, materials, compositions, and dosage forms which are, within the scope of sound medical judgment, suitable for use in contact with the tissues of human beings and animals without excessive toxicity, irritation, or other problem or complication. The skilled artisan will appreciate that pharmaceutically acceptable salts of compounds according to Formulas I, II, or III may be prepared. These pharmaceutically acceptable salts may be prepared in situ during the final isolation and purification of the compound, or by separately reacting the purified compound in its free acid or free base form with a suitable base or acid, respectively.
[00274] Illustrative pharmaceutically acceptable acid salts of the compounds of the present invention can be prepared from the following acids, including, without limitation formic, acetic, propionic, benzoic, succinic, glycolic, gluconic, lactic, maleic, malic, tartaric, citric, nitic, ascorbic, glucuronic, maleic, fumaric, pyruvic, aspartic, glutamic, benzoic, hydrochloric, hydrobromic, hydroiodic, isocitric, trifluoroacetic, pamoic, propionic, anthranilic, mesylic, oxalacetic, oleic, stearic, salicylic, p-hydroxybenzoic, nicotinic, phenylacetic, mandelic, embonic (pamoic), methanesulfonic, phosphoric, phosphonic, ethanesulfonic, benzenesulfonic, pantothenic, toluenesulfonic, 2-hydroxyethanesulfonic, sulfanilic, sulfuric, salicylic,
cyclohexylaminosulfonic, algenic, β-hydroxybutyric, galactaric and galacturonic acids. Preferred pharmaceutically acceptable salts include the salts of hydrochloric acid and trifluoroacetic acid.
[00275] Illustrative pharmaceutically acceptable inorganic base salts of the compounds of the present invention include metallic ions. More preferred metallic ions include, but are not limited to, appropriate alkali metal salts, alkaline earth metal salts and other physiological acceptable metal ions. Salts derived from inorganic bases include aluminum, ammonium, calcium, copper, ferric, ferrous, lithium, magnesium, manganic salts, manganous, potassium, sodium, zinc, and the like and in their usual valences. Exemplary base salts include aluminum, calcium, lithium, magnesium, potassium, sodium and zinc. Other exemplary base salts include the ammonium, calcium, magnesium, potassium, and sodium salts. Still other exemplary base salts include, for example, hydroxides, carbonates, hydrides, and alkoxides including NaOH, KOH, Na2C03, K2C03, NaH, and potassium-t-butoxide.
[00276] Salts derived from pharmaceutically acceptable organic non-toxic bases include salts of primary, secondary, and tertiary amines, including in part, trimethylamine, diethylamine, N, N'-dibenzylethylenediamine, chloroprocaine, choline, diethanolamine, ethylenediamine, meglumine (N-methylglucamine) and procaine; substituted amines including naturally occurring substituted amines; cyclic amines; quaternary ammonium cations; and basic ion exchange resins, such as arginine, betaine, caffeine, choline, Ν,Ν-dibenzylethylenediamine, diethylamine, 2-diethylaminoethanol, 2-dimethylaminoethanol, ethanolamine, ethylenediamine, N- ethylmorpholine, N-ethylpiperidine, glucamine, glucosamine, histidine, hydrabamine, isopropylamine, lysine, methylglucamine, morpholine, piperazine, piperidine, polyamine resins, procaine, purines, theobromine, triethylamine, trimethylamine, tripropylamine, tromethamine and the like.
[00277] All of the above salts can be prepared by those skilled in the art by conventional means from the corresponding compound of the present invention. For example, the pharmaceutically acceptable salts of the present invention can be synthesized from the parent compound which contains a basic or acidic moiety by conventional chemical methods.
Generally, such salts can be prepared by reacting the free acid or base forms of these compounds with a stoichiometric amount of the appropriate base or acid in water or in an organic solvent, or in a mixture of the two; generally, nonaqueous media like ether, ethyl acetate, ethanol, isopropanol, or acetonitrile are preferred. The salt may precipitate from solution and be collected by filtration or may be recovered by evaporation of the solvent. The degree of ionisation in the salt may vary from completely ionised to almost non-ionised. Lists of suitable salts are found in Remington's Pharmaceutical Sciences, 17th ed., Mack Publishing Company, Easton, Pa., 1985, p.1418, the disclosure of which is hereby incorporated by reference only with regards to the lists of suitable salts.
[00278] The compounds of the invention may exist in both unsolvated and solvated forms. The term 'solvate' is used herein to describe a molecular complex comprising the compound of the invention and one or more pharmaceutically acceptable solvent molecules, for example, ethanol. The term 'hydrate' is employed when said solvent is water. Pharmaceutically acceptable solvates include hydrates and other solvates wherein the solvent of crystallization may be isotopically substituted, e.g. D20, d6-acetone, d6-DMSO.
[00279] Compounds of Formula (I) containing one or more asymmetric carbon atoms can exist as two or more stereoisomers. Where a compound of Formula (I) contains an alkenyl or alkenylene group or a cycloalkyl group, geometric cis/trans (or Z/E) isomers are possible.
Where the compound contains, for example, a keto or oxime group or an aromatic moiety, tautomeric isomerism ('tautomerism') can occur. It follows that a single compound may exhibit more than one type of isomerism.
[00280] Included within the scope of the claimed compounds present invention are all stereoisomers, geometric isomers and tautomeric forms of the compounds of formula (I), including compounds exhibiting more than one type of isomerism, and mixtures of one or more thereof. Also included are acid addition or base salts wherein the counterion is optically active, for example, D-lactate or L-lysine, or racemic, for example, DL-tartrate or DL-arginine.
[00281] Cis/trans isomers may be separated by conventional techniques well known to those skilled in the art, for example, chromatography and fractional crystallisation.
[00282] Conventional techniques for the preparation/isolation of individual enantiomers include chiral synthesis from a suitable optically pure precursor or resolution of the racemate (or the racemate of a salt or derivative) using, for example, chiral high pressure liquid
chromatography (HPLC).
[00283] Alternatively, the racemate (or a racemic precursor) may be reacted with a suitable optically active compound, for example, an alcohol, or, in the case where the compound of formula (I) contains an acidic or basic moiety, an acid or base such as tartaric acid or 1 - phenylethylamine. The resulting diastereomeric mixture may be separated by chromatography and/or fractional crystallization and one or both of the diastereoisomers converted to the corresponding pure enantiomer(s) by means well known to a skilled person.
[00284] Chiral compounds of the invention (and chiral precursors thereof) may be obtained in enantiomerically-enriched form using chromatography, typically HPLC, on a resin with an asymmetric stationary phase and with a mobile phase consisting of a hydrocarbon, typically heptane or hexane, containing from 0 to 50% isopropanol, typically from 2 to 20%, and from 0 to 5% of an alkylamine, typically 0.1 % diethylamine. Concentration of the eluate affords the enriched mixture. [00285] Mixtures of stereoisomers may be separated by conventional techniques known to those skilled in the art. [see, for example, "Stereochemistry of Organic Compounds" by E L Eliel (Wiley, New York, 1994).]
[00286] The present invention includes all pharmaceutically acceptable isotopically- labelled compounds of formula (I) wherein one or more atoms are replaced by atoms having the same atomic number, but an atomic mass or mass number different from the atomic mass or mass number usually found in nature.
[00287] Examples of isotopes suitable for inclusion in the compounds of the invention include isotopes of hydrogen, such as 2H and 3H, carbon, such as 11C, 13C and 14C, chlorine, such as 36CI, fluorine, such as 18F, iodine, such as 123l and 125l, nitrogen, such as 13N and 15N, oxygen, such as 150, 170 and 180, phosphorus, such as 32P, and sulphur, such as 35S.
[00288] Certain isotopically-labelled compounds of formula (I), for example, those incorporating a radioactive isotope, are useful in drug and/or substrate tissue distribution studies. The radioactive isotopes tritium, i.e. 3H, and carbon-14, i.e. 14C, are particularly useful for this purpose in view of their ease of incorporation and ready means of detection.
[00289] Substitution with heavier isotopes such as deuterium, i.e. 2H, may afford certain therapeutic advantages resulting from greater metabolic stability, for example, increased in vivo half-life or reduced dosage requirements, and hence may be preferred in some circumstances.
[00290] Isotopically-labelled compounds of formula (I) can generally be prepared by conventional techniques known to those skilled in the art or by processes analogous to those described in the accompanying Examples and Preparations using an appropriate isotopically- labelled reagents in place of the non-labelled reagent previously employed.
[00291] The compounds of the present invention may be administered as prodrugs. Thus, certain derivatives of compounds of formula (I) which may have little or no
pharmacological activity themselves can, when administered into or onto the body, be converted into compounds of formula (I) having the desired activity, for example, by hydrolytic cleavage. Such derivatives are referred to as 'prodrugs'.
[00292] Administration of the chemical entities described herein can be via any of the accepted modes of administration for agents that serve similar utilities including, but not limited to, orally, sublingually, subcutaneously, intravenously, intranasally, topically, transdermally, intraperitoneally, intramuscularly, intrapulmonarilly, vaginally, rectally, or intraocularly. In some embodiments, oral or parenteral administration is used.
[00293] Pharmaceutical compositions or formulations include solid, semi-solid, liquid and aerosol dosage forms, such as, e.g., tablets, capsules, powders, liquids, suspensions, suppositories, aerosols or the like. The chemical entities can also be administered in sustained or controlled release dosage forms, including depot injections, osmotic pumps, pills, transdermal (including electrotransport) patches, and the like, for prolonged and/or timed, pulsed
administration at a predetermined rate. In certain embodiments, the compositions are provided in unit dosage forms suitable for single administration of a precise dose.
[00294] The chemical entities described herein can be administered either alone or more typically in combination with a conventional pharmaceutical carrier, excipient or the like (e.g., mannitol, lactose, starch, magnesium stearate, sodium saccharine, talcum, cellulose, sodium crosscarmellose, glucose, gelatin, sucrose, magnesium carbonate, and the like). If desired, the pharmaceutical composition can also contain minor amounts of nontoxic auxiliary substances such as wetting agents, emulsifying agents, solubilizing agents, pH buffering agents and the like (e.g., sodium acetate, sodium citrate, cyclodextrine derivatives, sorbitan monolaurate, triethanolamine acetate, triethanolamine oleate, and the like). Generally, depending on the intended mode of administration, the pharmaceutical composition will contain about 0.005% to 95%; in certain embodiments, about 0.5% to 50% by weight of a chemical entity. Actual methods of preparing such dosage forms are known, or will be apparent, to those skilled in this art; for example, see Remington's Pharmaceutical Sciences, Mack Publishing Company, Easton, Pennsylvania.
[00295] In certain embodiments, the compositions will take the form of a pill or tablet and thus the composition will contain, along with the active ingredient, a diluent such as lactose, sucrose, dicalcium phosphate, or the like; a lubricant such as magnesium stearate or the like; and a binder such as starch, gum acacia, polyvinylpyrrolidine, gelatin, cellulose, cellulose derivatives or the like. In another solid dosage form, a powder, marume, solution or suspension (e.g., in propylene carbonate, vegetable oils or triglycerides) is encapsulated in a gelatin capsule.
[00296] Liquid pharmaceutically administrable compositions can, for example, be prepared by dissolving, dispersing, etc. at least one chemical entity and optional pharmaceutical adjuvants in a carrier (e.g., water, saline, aqueous dextrose, glycerol, glycols, ethanol or the like) to form a solution or suspension. Injectables can be prepared in conventional forms, either as liquid solutions or suspensions, as emulsions, or in solid forms suitable for dissolution or suspension in liquid prior to injection. The percentage of chemical entities contained in such parenteral compositions is highly dependent on the specific nature thereof, as well as the activity of the chemical entities and the needs of the subject. However, percentages of active ingredient of 0.01 % to 10% in solution are employable, and will be higher if the composition is a solid which will be subsequently diluted to the above percentages. In certain embodiments, the composition will comprise from about 0.2 to 2% of the active agent in solution.
[00297] Pharmaceutical compositions of the chemical entities described herein may also be administered to the respiratory tract as an aerosol or solution for a nebulizer, or as a microfine powder for insufflation, alone or in combination with an inert carrier such as lactose. In such a case, the particles of the pharmaceutical composition have diameters of less than 50 microns, in certain embodiments, less than 10 microns.
[00298] In general, the chemical entities provided will be administered in a therapeutically effective amount by any of the accepted modes of administration for agents that serve similar utilities. The actual amount of the chemical entity, i.e., the active ingredient, will depend upon numerous factors such as the severity of the disease to be treated, the age and relative health of the subject, the potency of the chemical entity used, the route and form of administration, and other factors. The drug can be administered more than once a day, such as once or twice a day.
[00299] Therapeutically effective amounts of the chemical entities described herein may range from approximately 0.01 to 200 mg per kilogram body weight of the recipient per day; such as about 0.01-100 mg/kg/day, for example, from about 0.1 to 50 mg/kg/day. Thus, for administration to a 70 kg person, the dosage range may be about 7-3500 mg per day.
[00300] In general, the chemical entities will be administered as pharmaceutical compositions by any one of the following routes: oral, systemic (e.g., transdermal, intranasal or by suppository), or parenteral (e.g., intramuscular, intravenous or subcutaneous) administration. In certain embodiments, oral administration with a convenient daily dosage regimen that can be adjusted according to the degree of affliction may be used. Compositions can take the form of tablets, pills, capsules, semisolids, powders, sustained release formulations, solutions, suspensions, elixirs, aerosols, or any other appropriate compositions. Another manner for administering the provided chemical entities is inhalation.
[00301] The choice of formulation depends on various factors such as the mode of drug administration and bioavailability of the drug substance. For delivery via inhalation the chemical entity can be formulated as liquid solution, suspensions, aerosol propellants or dry powder and loaded into a suitable dispenser for administration. There are several types of pharmaceutical inhalation devices-nebulizer inhalers, metered dose inhalers (MDI) and dry powder inhalers (DPI). Nebulizer devices produce a stream of high velocity air that causes the therapeutic agents (which are formulated in a liquid form) to spray as a mist that is carried into the patient's respiratory tract. MDIs typically are formulation packaged with a compressed gas. Upon actuation, the device discharges a measured amount of therapeutic agent by compressed gas, thus affording a reliable method of administering a set amount of agent. DPI dispenses therapeutic agents in the form of a free flowing powder that can be dispersed in the patient's inspiratory air-stream during breathing by the device. In order to achieve a free flowing powder, the therapeutic agent is formulated with an excipient such as lactose. A measured amount of the therapeutic agent is stored in a capsule form and is dispensed with each actuation.
[00302] Recently, pharmaceutical compositions have been developed for drugs that show poor bioavailability based upon the principle that bioavailability can be increased by increasing the surface area i.e., decreasing particle size. For example, U.S. Patent No. 4, 107,288 describes a pharmaceutical formulation having particles in the size range from 10 to 1 ,000 nm in which the active material is supported on a cross-linked matrix of macromolecules. U.S. Patent No. 5,145,684 describes the production of a pharmaceutical formulation in which the drug substance is pulverized to nanoparticles (average particle size of 400 nm) in the presence of a surface modifier and then dispersed in a liquid medium to give a pharmaceutical formulation that exhibits remarkably high bioavailability.
[00303] The compositions are comprised of, in general, at least one chemical entity described herein in combination with at least one pharmaceutically acceptable excipient.
Acceptable excipients are non-toxic, aid administration, and do not adversely affect the therapeutic benefit of the at least one chemical entity described herein. Such excipient may be any solid, liquid, semi-solid or, in the case of an aerosol composition, gaseous excipient that is generally available to one of skill in the art.
[00304] Solid pharmaceutical excipients include starch, cellulose, talc, glucose, lactose, sucrose, gelatin, malt, rice, flour, chalk, silica gel, magnesium stearate, sodium stearate, glycerol monostearate, sodium chloride, dried skim milk and the like. Liquid and semisolid excipients may be selected from glycerol, propylene glycol, water, ethanol and various oils, including those of petroleum, animal, vegetable or synthetic origin, e.g., peanut oil, soybean oil, mineral oil, sesame oil, etc. Liquid carriers, for injectable solutions, include water, saline, aqueous dextrose, and glycols.
[00305] Compressed gases may be used to disperse a chemical entity described herein in aerosol form. Inert gases suitable for this purpose are nitrogen, carbon dioxide, etc. Other suitable pharmaceutical excipients and their formulations are described in Remington's
Pharmaceutical Sciences, edited by E. W. Martin (Mack Publishing Company, 18th ed., 1990).
[00306] The amount of the chemical entity in a composition can vary within the full range employed by those skilled in the art. Typically, the composition will contain, on a weight percent (wt%) basis, from about 0.01-99.99 wt% of at least one chemical entity described herein based on the total composition, with the balance being one or more suitable pharmaceutical excipients. In certain embodiments, the at least one chemical entity described herein is present at a level of about 1 -80 wt%. Representative pharmaceutical compositions containing at least one chemical entity described herein are described below.
[00307] The following examples serve to more fully describe the manner of making and using the above-described invention. It is understood that these examples in no way serve to limit the true scope of the invention, but rather are presented for illustrative purposes.
BIOLOGICAL EXAMPLES
EXAMPLE 220
ANTI-HIV ACTIVITY
[00308] MT4 Assay
[00309] Antiviral HIV activity and cytotoxicity values for compounds of the invention from Table 1 were measured in parallel in the HTLV-1 transformed cell line MT-4 based on the method previously described (Hazen et al., 2007, In vitro antiviral activity of the novel, tyrosyl- based human immunodeficiency virus (HIV) type 1 protease inhibitor brecanavir (GW640385) in combination with other antiretrovirals and against a panel of protease inhibitor-resistant HIV (Hazen et al., "In vitro antiviral activity of the novel, tyrosyl-based human immunodeficiency virus (HIV) type 1 protease inhibitor brecanavir (GW640385) in combination with other antiretrovirals and against a panel of protease inhibitor-resistant HIV", Antimicrob. Agents Chemother. 2007, 51 : 3147-3154; and Pauwels et al., "Sensitive and rapid assay on MT-4 cells for the detection of antiviral compounds against the AIDS virus", J. of Virological Methods 1987, 16: 171 -185).
[00310] Luciferase activity was measured 96 hours later by adding a cell titer glo
(Promega, Madison, Wis.). Percent inhibition of cell protection data was plotted relative to no compound control. Under the same condition, cytotoxicity of the compounds was determined using cell titer glo (Promega, Madison, Wis). IC50s were determined from a 10 point dose response curve using 3-4-fold serial dilution for each compound, which spans a concentration range > 1000 fold.
[00311] These values are plotted against the molar compound concentrations using the standard four parameter logistic equation: y = ((Vmax * χΛη) / (ΚΛη + χΛη)) + Y2 Where:
Y2 = minimum y n= slope factor
Vmax= maximum y x = compound concentration [M]
[00312] When tested in the MT4 assay, certain compounds of Table 1 were found to have I C50 values listed in Table 3.
Table 3
Figure imgf000207_0001
17 18.45
18 3.58
19 0.41
20 3.79
21 3.50
24 25.00
25 0.67
26 1.90
27 50.00
28 6.13
29 8.30
30 38.33
31 1.72
33 21 .68
34 0.41
35 1.89
36 15.02
37 33.25
38 2.41
39 1.88
40 2.18
41 50.00
42 33.33
43 0.37
44 38.88 45 50.00
46 1.57
47 1.85
48 50.00
49 15.61
50 25.55
51 5.30
52 3.12
53 2.46
54 12.32
55 2.56
56 1.68
57 1.65
58 0.37
59 2.18
60 1.29
61 8.70
62 1 1 .10
63 1.69
64 8.70
65 1.46
66 3.60
67 0.12
68 2.45
69 0.57 70 1.23
71 1.45
72 0.40
75 0.39
76 0.12
77 0.49
78 41 .63
79 0.20
80 50.00
81 0.44
82 7.40
83 0.50
84 25.97
85 7.63
86 4.38
87 0.74
88 0.1 1
89 0.40
90 0.51
91 0.44
92 0.14
93 0.08
94 0.02
95 0.09
96 0.07 97 0.37
98 0.09
99 0.13
100 0.27
101 0.29
102 0.33
103 0.05
104 0.06
105 0.10
106 0.04
107 0.02
108 0.03
109 0.02
110 0.04
111 0.03
112 0.05
113 0.03
114 0.42
115 0.02
116 33.25
117 4.09
118 41.63
119 2.13
120 0.23
121 0.94 122 50.00
123 1.22
124 0.13
125 0.32
126 0.36
127 1.14
128 0.38
129 0.20
130 3.75
131 0.02
132 0.31
133 0.93
134 0.07
135 0.14
136 0.10
137 1.03
138 0.07
139 0.03
140 0.1 1
141 0.03
142 0.03
143 0.03
144 0.04
145 0.1 1
146 0.26 147 0.02
148 0.05
149 1.17
150 0.16
151 1.22
152 0.43
153 3.88
154 2.09
155 13.33
156 0.80
157 41 .63
158 50.00
159 0.03
160 41 .63
161 7.21
162 4.19
163 0.1 1
164 0.46
165 0.10
166 0.02
167 3.71
168 0.26
169 22.50
170 -
171 1.30 172 0.27
173 0.12
174 0.05
175 0.07
176 0.05
178 50.00
179 50.00
180 12.43
181 0.27
182 1.38
183 3.61
184 31 .44
185 37.44
186 50.00
187 22.91
188 3.70
189 0.04
190 0.32
191 0.35
192 0.35
193 1.34
194 0.04
195 0.14
196 1.16
197 1.46 198 0.04
199 0.09
200 0.1 1
201 0.04
202 0.02
203 0.03
204 0.03
205 0.16
206 0.16
207 0.08
208 0.04
209 0.02
210 0.01
21 1 0.02
212 50.00
213 5.25
214 4.84
215 1 1 .10
216 36.63
217 13.05
218 33.25
219 1 1 .10
Formulation Examples
[00313] The following are representative pharmaceutical formulations contai compound of Formula (I) or a pharmaceutically acceptable salt thereof. Formulation Example 1
Tablet formulation
[00314] The following ingredients are mixed intimately and pressed into single tablets.
Ingredient Quantity per tablet (mg)
compound 1-500 mg/tablet
cornstarch 50
croscarmellose sodium 25
lactose 120
magnesium stearate 5
Formulation Example 2
Capsule formulation.
[00315] The following ingredients are mixed intimately and loaded into a hard-shell gelatin capsule.
Ingredient Quantity per capsule compound 1-500 mg/tablet
Lactose, spray-dried 148
magnesium stearate 2
Formulation Example 3
Suspension formulation
[00316] The following ingredients are mixed to form a suspension for oral administration.
Ingredient Amount
compound 0.4 g
fumaric acid 0.5 g
sodium chloride 2.0 g
methyl paraben 0.15 g
propyl paraben 0.05 g
granulated sugar 25.0 g
sorbitol (70% solution) 13.00 g
Veegum K (Vanderbilt Co.) 1.0 g flavoring 0.035 ml_
colorings 0.5 mg
distilled water q.s. (quantity sufficient) to 100
Formulation Example 4
Injectable formulation
[00317] The following ingredients are mixed to form an injectable formulation.
Ingredient Amount
compound 1.0 mg-50 mg sodium acetate buffer solution, 0.4 M 2.0 ml_
HCI (1 N) or NaOH (1 N) q.s. to suitable pH
water (distilled, sterile) q.s. to 20 ml_
Formulation Example 5
Suppository Formulation
[00318] A suppository of total weight 2.5 g is prepared by mixing the compound with Witepsol® H-15 (triglycerides of saturated vegetable fatty acid; Riches-Nelson, Inc., New York), and has the following composition:
Ingredient Amount
compound 500 mg
Witepsol® H-15 balance
[00319] Although the invention has been shown and described above with reference to some embodiments, those skilled in the art will readily appreciate that the specific experiments detailed are only illustrative of the invention. It should be understood that various modifications can be made without departing from the spirit of the invention.
[00320] For example, for claim construction purposes, it is not intended that the claims set forth hereinafter be construed in any way narrower than the literal language thereof, and it is thus not intended that exemplary embodiments from the specification be read into the claims. Accordingly, it is to be understood that the present invention has been described by way of illustration and not limitations on the scope of the claims. Accordingly, the invention is limited only by the following claims. All publications, issued patents, patent applications, books and journal articles, cited in this application are each herein incorporated by reference in their entirety.

Claims

WHAT IS CLAIMED IS:
1. A compound comprising the structure of Formula (I):
(I)
Figure imgf000218_0001
Formula I
or a pharmaceutically acceptable salt thereof, wherein:
L is linker that is selected from the group consisting of a direct bond, a branched or straight chain (C C6)alkylene, -S02- and -C(0)NH-;
R1 is selected from (d-C6)alkyl or (C3-C7)cycloalkyl;
R2 is selected from the roup consisting of -C02R9, -C(0)R15,
Figure imgf000218_0002
wherein the X and Y rings indicated by a dashed circle are as defined below and wherein the X and Y individual rings each form a monocyclic ring comprised of the indicated rings;
R3 is selected from the group consisting of (CrC6)alkyl, -OR10, and -(C3- C7)cycloalkyl(R10);
R4 is selected from the group consisting of (C5-Ci4)aryl, (C3-C7)cycloalkyl, (C2- C9)heterocycle, and (C2-C9)heteroaryl, wherein the heterocyde and heteroaryl each comprise one to three heteroatoms selected from S, N and O;
R5, R6, R7, and R8 are independently selected from -H, (CrC6)alkyl, (CrC6)alkoxy, halo, nitrile, (C3-C7)cycloalkyl, -OR10(C5-Ci4)aryl, -OR10R14, -OR10(C5-Ci4)aryl(R11)m,
-R10(Y)(R12)n, -OR10R17, -R10R17, -R17R15, -OR10(R14)q, -OR10(Y), -OR10R18, -OS02R15, -R15, -(C5- Ci4)aryl, -(Y), -(Y)(R12)n, -C(0)(Y), -C(0)R15, -R10(C5-C14)aryl, -R10R15, and -(C5-C14)arylR15; R9 is independently selected from -H or (d-C6)alkyl;
R10 is (CrC6)alkyl;
R11, R12, and R13 are independently selected from the group consisting of -H, (d- C6)alkyl, (CrC6)alkoxy, oxo, halo, -R10(R14)q, -OR10(R14)q, -S02R1°; -C(0)R10, -C(0)R15, and -R10R17;
R14 is halo;
R15 is -N(R16)2;
R16 is independently selected from the group consisting of -H, (C1-C6)alkyl, hydroxyl, -S02R10, -SO2N(R10)2, -C(0)NHR10, -C(0)R18, and -(C5-C14)aryl(R11);
R17 is -OR9;
R18 is -C02R9;
X is (C5-C14)aryl;
Y is independently selected from (C2-C9)heterocycle or (C2-C9)heteroaryl, each having one to four heteroatoms selected from S, N and O, wherein X and Y are optionally substituted by one to four R11 groups;
m is zero or an integer selected from 1 , 2, 3, or 4;
n is zero or an integer selected from 1 , 2, or 3;
p is zero or an integer selected from 1 , 2, or 3; and
q is an integer selected from 1 , 2, or 3.
2. The compound according to claim 1 , wherein L is selected from the group consisting of a bond, -C(0)NH-, -S02-, methylene, and ethylene.
3. The compound according to claim 1 , wherein L is selected from a bond or methylene.
4. The compound according to claim 1 , wherein L is a bond.
5. The compound according to claim 1 , wherein L is methylene.
6. The compound according to claim 1 , wherein R1 is selected from the group consisting of methyl, ethyl, and cyclopropyl.
7. The compound according to claim 1 , wherein R1 is methyl.
8. The compound according to claim 1 , wherein R2 is selected from the group consisting of carboxyl, hydroxyamide, hydroxymethylamide, methylsulfonylamide,
Figure imgf000220_0001
9. The compound according to claim 1 , wherein R2 is carboxyl.
10. The compound according to claim 1 , wherein R3 is selected from the group consisting of methyl, ethyl, propyl, butyl, methoxy, ethoxy, propoxy, butoxy, pentoxy, and
methylcyclobutoxy.
1 1 . The compound according to claim 1 , wherein R3 is butoxy.
12. The compound according to claim 1 , wherein R3 is tert-butoxy.
13. The compound according to claim 1 , wherein R4 is selected from the group consisting of (C5-Ci4)aryl, (C3-C7)cycloalkyl, (C2-C9)heterocycle, and (C2-C9)heteroaryl, wherein the heterocycle and heteroaryl each comprise one to three heteroatoms selected from S, N and O.
14. The compound according to claim 1 , wherein R4 is selected from the group consisting of phenyl, dihydrobenzopyranyl, naphthalenyl, pyridinyl, benzodioxolyl, benzodioxinyl, dihydrobenzodioxepinyl, quinolinyl, dihydrobenzofuranyl, tetrahydroisoquinolinyl, dihydrobenzoxazinyl, dihydroindenyl, benzothiazolyl, furanyl, pyrazolyl, and
tetrahydropyridoquinolinyl.
15. The compound according to claim 1 , wherein R4 is selected from phenyl or
dihydrobenzopyranyl.
16. The compound according to claim 1 , wherein R4 is dihydrobenzopyranyl.
17. The compound according to claim 1 , wherein R4 is phenyl.
18. The compound according to claim 1 , wherein R4 is optionally substituted by one to three groups selected from methyl, ethyl, oxo, methoxy, ethoxy, propoxy, methoxymethyl, flouro, chloro, bromo, trifluoromethoxy, trifluoromethyl, methylsulfonyl, dimethylamide, cyclohexyloxy, acetyl, and fluoromethyl.
19. The compound according to claim 1 , wherein R4 is optionally substituted by one to three groups selected from methyl, methoxy, flouro, chloro, trifluoromethoxy, trifluoromethyl, acetyl.
20. The compound to according to claim 1 , wherein R4 is substituted by one to two groups selected from methyl, flouro, chloro.
21 . The compound according to claim 1 , wherein R4 is substituted by one to two groups selected from methyl and fluoro.
22. The compound according to claim 1 , wherein R4 is substituted by one to two methyl groups.
23. The compound according to claim 1 wherein R4 is substituted by one or two fluoro
groups.
24. The compound according to claim 1 , wherein R4 is substituted by one to two chloro groups.
25. The compound according to claim 1 , wherein R4 is substituted by one to two methoxy groups.
26. The compound according to claim 1 , wherein R5, R6, R7, and R8 are independently selected from the group consisting of -H, methyl, ethyl, propyl, butyl, hydroxyl, fluoro, chloro, bromo, methoxy, ethoxy, propoxy, methoxyethoxy, cyclopropyl, cyclohexyl, fluorophenylmethoxy, difluorophenylmethoxy, pyridinylmethoxy, trifluorophenylmethoxy, fluoropyridinylmethoxy, methylpyridinylmethoxy, phenyl, dimethyloxazolylmethoxy, thiophenylmethoxy, fluoroethoxy, chlorothiophenylmethoxy, methylthiophenylmethoxy, hydroxyethoxy, dimethylaminoethoxy, difluoromethoxy, pyrrolidinylethoxy, morpholinylethoxy, carboxylmethoxy, dimethylsulfamoyloxy, trifluoromethyl,
methylsulfonylphenylmethoxy, chlorophenylmethoxy, pyrimidinylmethoxy,
trifluoromethoxyphenylmethoxy, chlorobromophenylamino, piperidinyl, piperidinylmethyl, dioxothiomorpholinyl, morpholinyl, morpholinylcarbonyl, ethylamide, fluorophenyl, methoxyphenylmethyl, methylpyridinyl, phenylmethyl, phenylethyl, nitrile, aminocarbonyl, aminomethyl, morpholinylmethyl, bis(pyridinylmethyl)aminomethyl, pentylpyrazolyl, pyridinylmethylaminomethyl, acetamidomethyl, ethylureidomethyl, pyridinyl,
carboxyformamidomethyl, methylsulfonamidomethyl, dimethylaminophenyl,
dimethylaminosulfonylaminomethyl, methylpyrrolyl, methylpyrazolyl, methylfuranyl, furanyl, dimethylpyrazolyl, pyrazolyl, methoxypyridinyl, and dimethylisoxazolyl.
27. The compound according to claim 1 , wherein R9 is independently selected from the
group consisting of -H, methyl, ethyl, propyl, isopropyl, butyl, isobutyl, tert-butyl, pentyl and septyl.
28. The compound according to claim 1 , wherein R9 is -H.
29. The compound according to claim 1 , wherein R9 is independently selected from the
group consisting of methyl, ethyl, propyl, isopropyl, butyl, isobutyl, tert-butyl, penty and septyl.
30. The compound according to claim 1 , wherein R10 is independently selected from the group consisting of methyl, ethyl, propyl, isopropyl, butyl, isobutyl, tert-butyl, penty and septyl.
31 . The compound according to claim 1 , wherein R11, R12, and R13 are independently
selected from the group consisting of -H, methyl, ethyl, methoxy, ethoxy, oxo, chloro, fluoro, bromo, trifluoromethyl, trifluoromethoxy, methylsulfonyl, -C(0)methyl, -C(0)R15, and methylmethoxy.
32. The compound according to claim 1 , wherein R16 is independently selected from the group consisting of -H, methyl, ethyl, hydroxyl, methylsulfonyl, -S02N(methyl)2,
-C(0)NHmethyl, -C(0)R18, and -(X)(R11).
33. A compound comprising the structure of Formula (I):
Figure imgf000223_0001
Formula I
or a pharmaceutically acceptable salt thereof, wherein:
L is linker that is selected from the group consisting of a direct bond, a branched or straight chain (C C6)alkylene, -S02- and -C(0)NH-;
R1 is selected from (d-C6)alkyl or (C3-C7)cycloalkyl;
2 is selected from the group consistin -C02R9, 15,
Figure imgf000223_0002
R3 is selected from the group consisting of (C1-C6)alkyl, -OR10, and -(Z)R10;
R4 is selected from the roup consisting of -NR9(X), tetrahydropyndoquinolinyl,
Figure imgf000223_0003
, wherein the X, Y, Z, XY, XZ, and ZZ rings indicated by a dashed circle are as defined below and wherein the XY, XZ, ZZ rings each together form a bicyclic fused ring system comprised of the indicated rings and wherein the X, Y, and Z individual rings each form a monocyclic ring comprised of the indicated rings;
R5, R6, and R7 are independently selected from the group consisting of -H, -OH, (Ci- C6)alkyl, (C C6)alkoxy, halo, nitrile, (C3-C7)cycloalkyl, -OR10(X), -OR10R14, -OR10(X)(R11)m, -R10(Y)(R12)n, -OR10R17, -R10R17, -R17R15, -OR10(R14)q, -OR10(Y), -OR10R18, -OS02R15, -R15, -(X), -(Y), -(Y)(R12)n, -C(0)(Y), -C(0)R15, -R10(X), -R10R15, and -(X)R15;
R9 is independently selected from the group consisting of H and (C1-C6)alkyl;
R10 is (C C6)alkyl;
R11, R12, and R13 are independently selected from the group consisting of -H, (C
C6)alkyl, (C C6)alkoxy, oxo, halo, -R10(R14)q, -OR10(R14)q, -S02R10; -C(0)R10, -C(0)R15, and -R10R17;
R14 is halo;
R15 is -N(R16)2;
R16 is independently selected from the group consisting of -H, (CrC6)alkyl, hydroxyl, -S02R10, -SO2N(R10)2, -C(0)NHR10, -C(0)R18, and -(X)(R11);
R17 is -OR9;
R18 is -C02R9;
Figure imgf000224_0001
Y is independently selected from (C2-C9)heterocycle or (C2-C9)heteroaryl, each having one to three heteroatoms selected from S, N and O;
Z is (C3-C7)cycloalkyl;
m is zero or an integer selected from 1 , 2, 3, or 4;
n is zero or an integer selected from 1 , 2, or 3;
p is zero or an integer selected from 1 , 2, or 3; and
q is an integer selected from 1 , 2, or 3.
34. A compound comprising the structure of Formula (I):
(I)
Figure imgf000225_0001
Formula I
or a pharmaceutically acceptable salt thereof, wherein:
L is linker that is selected from the group consisting of a direct bond, a branched or straight chain (C C6)alkylene, -S02- and -C(0)NH-;
R1 is selected from the group consisting of -H, (CrC6)alkyl and (C3-C7)cycloalkyl; 2 is selected from the group consisting of -C02R9, -C(0)R15,
Figure imgf000225_0002
R3 is selected from the group consisting of (CrC6)alkyl, -OR10, and -(C3- C7)cycloalkylR10;
R4 is selected from the group consisting of:
Figure imgf000225_0003
Figure imgf000226_0001
R5, R6, R7, and R8 are independently selected from -H, -OH, (C C6)alkyl, (C C6)alkoxy, halo, nitrile, (C3-C7)cycloalkyl, -OR10(X), -OR10R14, -OR10(X)(R11)m, -R10(Y)(R12)n, -OR10R17, -R10R17, -R17R15, -OR10(R14)q, -OR10(Y), -OR10R18, -OS02R15, -R15, -(X), -(Y), -(Y)(R12)n, -C(0)(Y), -C(0)R15, -R10(X), -R10R15, and -(X)R15;
R9 is independently selected from the group consisting of -H and (Ci-C6)alkyl;
R10 is (CrC6)alkyl;
R11, R12, and R13 are independently selected from the group consisting of -H, (Ci-C6)alkyl, (C C6)alkoxy, oxo, halo, -R10(R14)q, -OR10(R14)q, -S02R1°; -C(0)R10, -C(0)R15, and -R10R17;
R14 is halo;
R15 is -N(R16)2;
R16 is independently selected from the group consisting of -H, (CrC6)alkyl, hydroxyl, -S02R1°, -SO2N(R10)2, -C(0)NHR10, -C(0)R18, and -(X)(R11);
R17 is -OR9;
R18 is -C02R9;
Figure imgf000226_0002
Y is independently selected from (C2-C9)heterocycle or (C2-C9)heteroaryl, each having one to three heteroatoms selected from S, N and O;
m is zero or an integer selected from 1 , 2, 3, or 4;
n is zero or an integer selected from 1 , 2, or 3; and q is an integer selected from 1 , 2, or 3.
35. A compound comprising the structure of Formula (II):
Figure imgf000227_0001
Formula II
or a pharmaceutically acceptable salt thereof, wherein:
L is linker that is selected from the group consisting of a direct bond, methylene, -S02- and -C(0)NH-;
X is phenyl;
R4 is selected from the group consisting of phenyl, dihydrobenzopyranyl, naphthalenyl, pyridinyl, benzodioxolyl, benzodioxinyl, dihydrobenzodioxepinyl, quinolinyl, dihydrobenzofuranyl, tetrahydroisoquinolinyl, dihydrobenzoxazinyl, dihydroindenyl, benzothiazolyl, furanyl, pyrazolyl, and tetrahydropyridoquinolinyl;
R5, R6, and R7 are independently selected from H, methyl, ethyl, propyl, butyl, hydroxyl, fluoro, chloro, bromo, methoxy, ethoxy, propoxy, methoxyethoxy, fluorophenylmethoxy, difluorophenylmethoxy, pyridinylmethoxy, trifluorophenylmethoxy, fluoropyridinylmethoxy, methylpyridinylmethoxy, phenyl, dimethyloxazolylmethoxy, thiophenylmethoxy, fluoroethoxy, chlorothiophenylmethoxy, methylthiophenylmethoxy, hydroxyethoxy, dimethylaminoethoxy, difluoromethoxy, pyrrolidinylethoxy, morpholinylethoxy, carboxylmethoxy, dimethylsulfamoyloxy, trifluoromethyl, methylsulfonylphenylmethoxy, chlorophenylmethoxy, pyrimidinylmethoxy, trifluoromethoxyphenylmethoxy, chlorobromophenylamino, piperidinyl, piperidinylmethyl, dioxothiomorpholinyl, morpholinyl, morpholinylcarbonyl, ethylamide, fluorophenyl,
methoxyphenylmethyl, methylpyridinyl, phenylmethyl, phenylethyl, nitrile, aminocarbonyl, aminomethyl, morpholinylmethyl, bis(pyridinylmethyl)aminomethyl, pentylpyrazolyl, pyridinylmethylaminomethyl, acetamidomethyl, ethylureidomethyl, pyridinyl,
carboxyformamidomethyl, methylsulfonamidomethyl, dimethylaminophenyl,
dimethylaminosulfonylaminomethyl, methylpyrrolyl, methylpyrazolyl, methylfuranyl, furanyl, dimethylpyrazolyl, pyrazolyl, methoxypyridinyl, and dimethylisoxazolyl;
R9 is independently selected from the group consisting of -H, methyl, ethyl, propyl, isopropyl, butyl, isobutyl, tert-butyl, pentyl, and septyl;
R10 is selected from the group consisting of -H, methyl, ethyl, propyl, isopropyl, butyl, isobutyl, tert-butyl, penty, and septyl;
R11, R12, and R13 are independently selected from the group consisting of -H, methyl, ethyl, methoxy, ethoxy, oxo, chloro, fluoro, bromo, trifluoromethyl, trifluoromethoxy,
methylsulfonyl, -C(0)methyl, -C(0)R15, and methylmethoxy;
R14 is selected from the group consisting of chloro, fluoro, and bromo.
R15 is -N(R16)2;
R16 is independently selected from the group consisting of -H, methyl, ethyl, hydroxyl, methylsulfonyl, -S02N(methyl)2, -C(0)NHmethyl, -C(0)R18, and -(X)(R11);
R17 is -OR9; and
R18 is -C02R9.
36. A compound selected from the group consisting of those compounds in Table 1 and/or Table 2.
37. A compound selected from the group consisting of:
2-(tert-butoxy)-2-{2-methyl-1-oxo-4-[4-(trifluoromethoxy)phenyl]-1 ,2-dihydroisoquinolin-3- yl}acetic acid,
2-(tert-butoxy)-2-[4-(3,5-difluorophenyl)-2-methyl-1 -oxo-1 ,2-dihydroisoquinolin-3-yl]acetic acid, 2-(tert-butoxy)-2-[2-methyl-4-(4-methylphenyl)-1 -oxo-1 ,2-dihydroisoquinolin-3-yl]acetic acid, 2-(tert-butoxy)-2-[4-(4-methoxyphenyl)-2-methyl-1 -oxo-1 ,2-dihydroisoquinolin-3-yl]acetic acid, 2-(tert-butoxy)-2-[4-(4-fluorophenyl)-2-methyl-1 -oxo-1 ,2-dihydroisoquinolin-3-yl]acetic acid, 2-(tert-butoxy)-2-[4-(3,5-dimethylphenyl)-2-methyl-1 -oxo-1 , 2-dihydroisoquinolin-3-yl]acetic acid, 2-(tert-butoxy)-2-[4-(3,4-dichlorophenyl)-2-methyl-1 -oxo-1 , 2-dihydroisoquinolin-3-yl]acetic acid, 2-(tert-butoxy)-2-[4-(3,5-dichlorophenyl)-2-methyl-1 -oxo-1 , 2-dihydroisoquinolin-3-yl]acetic acid, 2-(tert-butoxy)-2-[4-(2,3-difluorophenyl)-2-methyl-1 -oxo-1 ,2-dihydroisoquinolin-3-yl]acetic acid, 2-(tert-butoxy)-2-{2-methyl-1 -oxo-4-[3-(trifluoromethyl)phenyl]-1 ,2-dihydroisoquinolin-3-yl}acetic acid, 2-(tert-butoxy)-2-[4-(2,5-dichlorophenyl)-2-m acid, 2-(tert-butoxy)-2-[4-(3-methoxyphenyl)-2-methyl-1 -oxo-1 ,2-dihydroisoquinolin-3-yl]acetic acid, 2-(tert-butoxy)-2-{2-methyl-1-oxo-4-[3-(trifluoromethoxy)phenyl]-1 ,2-dihydroisoquinolin-3- yl}acetic acid,
2-(tert-butoxy)-2-{2-methyl-1 -oxo-4-[4-(triflu^^
acid,
2-(tert-butoxy)-2-[2-methyl-4-(3-methylphenyl)-1 -oxo-1 ,2-dihydroisoquinolin-3-yl]acetic acid, 2-(tert-butoxy)-2-[2-methyl-4-(5-methyl-3,4-dihydro-2H-1-benzopyran-6-yl)-1 -oxo-1 ,2- dihydroisoquinolin-3-yl]acetic acid,
2-(tert-butoxy)-2-[2-methyl-4-(7-methyl-3,4-dihydro-2H-1-benzopyran-6-yl)-1 -oxo-1 ,2- dihydroisoquinolin-3-yl]acetic acid,
2-(tert-butoxy)-2-[4-(5-chloro-3,4-dihydro-2H-1-benzopyran-6-yl)-2-methyl-1 -oxo-1 ,2- dihydroisoquinolin-3-yl]acetic acid,
2-(tert-butoxy)-2-[4-(4-methanesulfonylphenyl)-2-methyl-1 -oxo-1 , 2-dihydroisoquinolin-3-yl]acetic acid,
2-(tert-butoxy)-2-{4-[4-(dimethylcarbamoyl)phenyl]-2-methyl-1 -oxo-1 ,2-dihydroisoquinolin-3- yl}acetic acid,
2-(tert-butoxy)-2-{4-[4-(cyclohexyloxy)phenyl]-2-methyl-1 -oxo-1 , 2-dihydroisoquinolin-3-yl}acetic acid,
2-(tert-butoxy)-2-[4-(3,4-dihydro-2H-1-benzopyran-6-yl)-6-fluoro-2-methyl-1 -oxo-1 ,2- dihydroisoquinolin-3-yl]acetic acid,
2-(tert-butoxy)-2-[6-chloro-4-(3,4-dihydro-2H-1 -benzopyran-6-yl)-2-methyl-1 -oxo-1 ,2- dihydroisoquinolin-3-yl]acetic acid,
2-(tert-butoxy)-2-[2-methyl-1-oxo-4-(3,4,5-trimethoxyphenyl)-1 ,2-dihydroisoquinolin-3-yl]acetic acid,
2-(tert-butoxy)-2-[4-(3,4-dimethylphenyl)-2-ethyl-1 -oxo-1 ,2-dihydroisoquinolin-3-yl]acetic acid, 2-(tert-butoxy)-2-[4-(4-methoxy-3,5-dimethylphenyl)-2-methyl-1 -oxo-1 , 2-dihydroisoquinolin-3- yl]acetic acid,
2-(tert-butoxy)-2-[2-methyl-4-(naphthalen-1 -yl)-1 -oxo-1 ,2-dihydroisoquinolin-3-yl]acetic acid, 2-(tert-butoxy)-2-[2-cyclopropyl-4-(3,4-dihydro-2H-1-benzopyran-6-yl)-1 -oxo-1 ,2- dihydroisoquinolin-3-yl]acetic acid,
2-(tert-butoxy)-2-[4-(4-methoxy-2-methylphenyl)-2-methyl-1 -oxo-1 , 2-dihydroisoquinolin-3- yl]acetic acid,
2-(tert-butoxy)-2-[4-(2-methoxyphenyl)-2-methyl-1 -oxo-1 , 2-dihydroisoquinolin-3-yl]acetic acid, 2-(tert-butoxy)-2-[4-(2,4-dimethylphenyl)-2-methyl-1-oxo-1 ,2-dihydroisoquinolin-3-y acid, 2-(tert-butoxy)-2-[4-(3,4-dihydro-2H-1-benzopyran-6-yl)-8-fluoro-2-methyl-1 -oxo-1 ,2- dihydroisoquinolin-3-yl]acetic acid,
2- (tert-butoxy)-2-[4-(3,4-dihydro-2H-1-benzopyran-7-yl)-2-methyl-1-oxo-1 ,2-dihydroisoquinolin-
3- yl]acetic acid,
2-(tert-butoxy)-2-[4-(8-chloro-3,4-dihydro-2H-1-benzopyran-7-yl)-2-methyl-1 -oxo-1 ,2- dihydroisoquinolin-3-yl]acetic acid,
2-[7-(benzyloxy)-2-methyl-4-(5-methyl-3,4-dihydro-2H-1 -benzopyran-6-yl)-1-oxo-1 ,2- dihydroisoquinolin-3-yl]-2-(tert-butoxy)acetic acid,
2-(tert-butoxy)-2-[7-(2-fluoroethoxy)-2-methyl-4-(5-methyl-3,4-dihydro-2H-1 -benzopyran-6-yl)-1 - oxo-1 ,2-dihydroisoquinolin-3-yl]acetic acid,
2-(tert-butoxy)-2-[8-fluoro-4-(8-fluoro-5-methyl-3,4-dihydro-2H-1-benzopyran-6-yl)-2-methyl-1 - oxo-1 ,2-dihydroisoquinolin-3-yl]acetic acid,
2-(tert-butoxy)-2-[6-fluoro-4-(8-fluoro-5-methyl-3,4-dihydro-2H-1-benzopyran-6-yl)-2-methyl-1 - oxo-1 ,2-dihydroisoquinolin-3-yl]acetic acid,
2-(tert-butoxy)-2-[7-fluoro-4-(8-fluoro-5-methyl-3,4-dihydro-2H-1-benzopyran-6-yl)-2-methyl-1 - oxo-1 ,2-dihydroisoquinolin-3-yl]acetic acid,
2-(tert-butoxy)-2-{7-[(4-fluorophenyl)methoxy]-2-methyl-4-(5-methyl-3,4-dihydro-2H-1- benzopyran-6-yl)-1 -oxo-1 ,2-dihydroisoquinolin-3-yl}acetic acid,
(2S)-2-(tert-butoxy)-2-[7-methoxy-2-methyl-4-(5-methyl-3,4-dihydro-2H-1-benzopyran-6-yl)-1 - oxo-1 ,2-dihydroisoquinolin-3-yl]acetic acid,
2-(tert-butoxy)-2-{7-[(2,5-difluorophenyl)methoxy]-2-methyl-4-(5-methyl-3,4-dihydro-2H-1 - benzopyran-6-yl)-1 -oxo-1 ,2-dihydroisoquinolin-3-yl}acetic acid,
2-(tert-butoxy)-2-{7-[(2,3-difluorophenyl)methoxy]-2-methyl-4-(5-methyl-3,4-dihydro-2H-1 - benzopyran-6-yl)-1 -oxo-1 ,2-dihydroisoquinolin-3-yl}acetic acid,
2-(tert-butoxy)-2-[2-methyl-4-(5-methyl-3,4-dihydro-2H-1-benzopyran-6-yl)-1 -oxo-7-(pyridin-3- ylmethoxy)-1 ,2-dihydroisoquinolin-3-yl]acetic acid,
2-(tert-butoxy)-2-{7-[(2,6-difluorophenyl)methoxy]-2-methyl-4-(5-methyl-3,4-dihydro-2H-1 - benzopyran-6-yl)-1 -oxo-1 ,2-dihydroisoquinolin-3-yl}acetic acid,
2-(tert-butoxy)-2-[2-methyl-4-(5-methyl-3,4-dihydro-2H-1-benzopyran-6-yl)-1 -oxo-7-[(2,4,6- trifluorophenyl)methoxy]-1 ,2-dihydroisoquinolin-3-yl]acetic acid,
2-(tert-butoxy)-2-{7-[(5-fluoropyridin-2-yl)methoxy]-2-methyl-4-(5-methyl-3,4-dihydro-2H-1 - benzopyran-6-yl)-1 -oxo-1 ,2-dihydroisoquinolin-3-yl}acetic acid,
2-(tert-butoxy)-2-[4-(8-fluoro-5-methyl-3,4-dihydro-2H-1 -benzopyran-6-yl)-7-[(5-fluoropyridin-2- yl)methoxy]-2-methyl-1-oxo-1 ,2-dihydroisoquinolin-3-yl]acetic acid,
2-(tert-butoxy)-2-[2-methyl-4-(5-methyl-3,4-dihydro-2H-1-benzopyran-6-yl)-7-[(3-methylpyridin-2- yl)methoxy]-1-oxo-1 ,2-dihydroisoquinolin-3-yl]acetic acid,
2-(tert-butoxy)-2-{7-[(2-fluorophenyl)methoxy]-2-methyl-4-(5-methyl-3,4-dihydro-2H-1- benzopyran-6-yl)-1 -oxo-1 ,2-dihydroisoquinolin-3-yl}acetic acid,
2-(tert-butoxy)-2-{7-[(3-fluorophenyl)methoxy]-2-methyl-4-(5-methyl-3,4-dihydro-2H-1- benzopyran-6-yl)-1 -oxo-1 ,2-dihydroisoquinolin-3-yl}acetic acid,
(2S)-2-(tert-butoxy)-2-{7-[(dimethyl-1 ,3-oxazol-4-yl)methoxy]-4-(8-fluoro-5-methyl-3,4-dihydro- 2H-1-benzopyran-6-yl)-2-methyl-1 -oxo-1 ,2-dihydroisoquinolin-3-yl}acetic acid,
(2S)-2-(tert-butoxy)-2-[4-(8-fluoro-5-methyl-3,4-dihydro-2H-1 -benzopyran-6-yl)-7-methoxy-2- methyl-1 -oxo-1 ,2-dihydroisoquinolin-3-yl]acetic acid,
(2S)-2-(tert-butoxy)-2-{7-[(2,4-difluorophenyl)methoxy]-4-(8-fluoro-5-methyl-3,4-dihydro-2H-1 - benzopyran-6-yl)-2-methyl-1 -oxo-1 , 2-dihydroisoquinolin-3-yl}acetic acid,
(2S)-2-(tert-butoxy)-2-{7-[(3,4-difluorophenyl)methoxy]-2-methyl-4-(5-methyl-3,4-dihydro-2H-1- benzopyran-6-yl)-1 -oxo-1 ,2-dihydroisoquinolin-3-yl}acetic acid,
(2S)-2-(tert-butoxy)-2-[4-(8-fluoro-5-methyl-3,4-dihydro-2H-1 -benzopyran-6-yl)-2-methyl-1-oxo- 7-(thiophen-2-ylmethoxy)-1 ,2-dihydroisoquinolin-3-yl]acetic acid,
(2S)-2-(tert-butoxy)-2-[4-(8-fluoro-5-methyl-3,4-dihydro-2H-1 -benzopyran-6-yl)-7-(2- fluoroethoxy)-2-methyl-1 -oxo-1 ,2-dihydroisoquinolin-3-yl]acetic acid,
(2S)-2-(tert-butoxy)-2-{7-[(5-chlorothiophen-2-yl)methoxy]-4-(8-fluoro-5-methyl-3,4-dihydro-2H- 1 -benzopyran-6-yl)-2-methyl-1 -oxo-1 ,2-dihydroisoquinolin-3-yl}acetic acid,
(2S)-2-(tert-butoxy)-2-[2-methyl-4-(5-methyl-3,4-dihydro-2H-1 -benzopyran-6-yl)-1 -oxo-7- (thiophen-2-ylmethoxy)-1 ,2-dihydroisoquinolin-3-yl]acetic acid,
(2S)-2-(tert-butoxy)-2-{7-[(5-chlorothiophen-2-yl)methoxy]-2-methyl-4-(5-methyl-3,4-dihydro-2H-
1- benzopyran-6-yl)-1 -oxo-1 , 2-dihydroisoquinolin-3-yl}acetic acid,
(2S)-2-(tert-butoxy)-2-[4-(8-fluoro-5-methyl-3,4-dihydro-2H-1 -benzopyran-6-yl)-2-methyl-7-[(5- methylthiophen-2-yl)methoxy]-1 -oxo-1 , 2-dihydroisoquinolin-3-yl]acetic acid,
2- (tert-butoxy)-2-[4-(3,4-difluorophenyl)-2-methyl-1 -oxo-1 ,2-dihydroisoquinolin-3-yl]acetic acid,
2- (tert-butoxy)-2-[4-(3,4-dihydro-2H-1-benzopyran-6-yl)-2-methyl-1 -oxo-1 , 2-dihydroisoquinolin-
3- yl]acetic acid,
2-(tert-butoxy)-2-[4-(3-fluorophenyl)-2-methyl-1 -oxo-1 ,2-dihydroisoquinolin-3-yl]acetic acid, 2-(tert-butoxy)-2-[2-methyl-1 -oxo-4-(pyridin-3-yl)-1 ,2-dihydroisoquinolin-3-yl]acetic acid, 2-(tert-butoxy)-2-[4-(4-ethoxyphenyl)-2-methyl-1 -oxo-1 ,2-dihydroisoquinolin-3-yl]acetic acid, 2-(tert-butoxy)-2-[2-methyl-1-oxo-4-(2,4,5-trimethylphenyl)-1 ,2-dihydroisoquinolin-3-yl]acetic acid,
2-(tert-butoxy)-2-[2-methyl-1 -oxo-4-(4-propoxyphenyl)-1 ,2-dihydroisoquinolin-3-yl]acetic acid,
2-(tert-butoxy)-2-{2-methyl-1 -oxo-4-[4-(propan-2-yloxy)phenyl]-1 ,2-dihydroisoquinolin-3-yl}acetic acid,
2-(tert-butoxy)-2-[4-(2,4-difluorophenyl)-2-methyl-1 -oxo-1 ,2-dihydroisoquinolin-3-yl]acetic acid, 2-(tert-butoxy)-2-[4-(4-ethylphenyl)-2-methyl-1 -oxo-1 ,2-dihydroisoquinolin-3-yl]acetic acid, 2-(tert-butoxy)-2-[2-methyl-1 -oxo-4-(pyridin-4-yl)-1 ,2-dihydroisoquinolin-3-yl]acetic acid, 2-(tert-butoxy)-2-{4-[4-(methoxymethyl)phenyl]-2-methyl-1 -oxo-1 , 2-dihydroisoquinolin-3-yl}acetic acid,
2-(tert-butoxy)-2-[4-(3,4-dimethoxyphenyl)-2-methyl-1 -oxo-1 , 2-dihydroisoquinolin-3-yl]acetic acid,
2-[4-(2H-1 ,3-benzodioxol-5-yl)-2-methyl-1 -oxo-1 ,2-dihydroisoquinolin-3-yl]-2-(tert-butoxy)acetic acid,
2-(tert-butoxy)-2-[4-(3-methoxy-4-methylphenyl)-2-methyl-1 -oxo-1 , 2-dihydroisoquinolin-3- yl]acetic acid,
2-(tert-butoxy)-2-[4-(2, 3-dihydro-1 ,4-benzodioxin-6-yl)-2-methyl-1 -oxo-1 ,2-dihydroisoquinolin-3- yl]acetic acid,
2-(tert-butoxy)-2-[4-(4-methoxy-3-methylphenyl)-2-methyl-1 -oxo-1 , 2-dihydroisoquinolin-3- yl]acetic acid,
2-(tert-butoxy)-2-[4-(3,4-dimethylphenyl)-2,6-dimethyl-1 -oxo-1 , 2-dihydroisoquinolin-3-yl]acetic acid,
2-(tert-butoxy)-2-[4-(3,4-dimethylphenyl)-6-fluoro-2-methyl-1 -oxo-1 ,2-dihydroisoquinolin-3- yl]acetic acid,
2-(tert-butoxy)-2-[4-(3,4-dihydro-2H-1-benzopyran-6-yl)-7-fluoro-2-methyl-1 -oxo-1 ,2- dihydroisoquinolin-3-yl]acetic acid,
2-(tert-butoxy)-2-[4-(3,4-dihydro-2H-1-benzopyran-6-yl)-2,7-dimethyl-1 -oxo-1 ,2- dihydroisoquinolin-3-yl]acetic acid,
2-(tert-butoxy)-2-[4-(3,4-dimethylphenyl)-8-fluoro-2-methyl-1 -oxo-1 ,2-dihydroisoquinolin-3- yl]acetic acid,
2-(tert-butoxy)-2-[4-(3,4-dimethylphenyl)-2,7-dimethyl-1 -oxo-1 , 2-dihydroisoquinolin-3-yl]acetic acid,
2-(tert-butoxy)-2-[4-(3,4-dihydro-2H-1 ,5-benzodioxepin-7-yl)-2-methyl-1-oxo-1 ,2- dihydroisoquinolin-3-yl]acetic acid,
2-(tert-butoxy)-2-[2-methyl-1-oxo-4-(quinolin-6-yl)-1 ,2-dihydroisoquinolin-3-yl]acetic acid, 2-(tert-butoxy)-2-[4-(2,3-dihydro-1-benzofuran-5-yl)-2-methyl-1-oxo-1 ,2-dihydroisoquinoli yl]acetic acid,
2-(tert-butoxy)-2-[2-methyl-4-(naphthalen-2-yl)-1 -oxo-1 , 2-dihydroisoquinolin-3-yl]acetic acid, I 2-(tert-butoxy)-2-[4-(3,4-dihydro-2H-1-benzopyran-6-yl)-2-ethyl-1 -oxo-1 ,2-dihydroisoquinolin-3- yl]acetic acid,
2-(tert-butoxy)-2-[4-(4-chloro-3,5-dimethylphenyl)-2-methyl-1 -oxo-1 ,2-dihydroisoquinolin-3- yl]acetic acid,
2-(tert-butoxy)-2-[2,7-dimethyl-4-(5-methyl-3,4-dihydro-2H-1-benzopyran-6-yl)-1 -oxo-1 ,2- dihydroisoquinolin-3-yl]acetic acid,
2-(tert-butoxy)-2-[7-chloro-4-(3,4-dihydro-2H-1 -benzopyran-6-yl)-2-methyl-1 -oxo-1 ,2- dihydroisoquinolin-3-yl]acetic acid,
2-(tert-butoxy)-2-[6-fluoro-2-methyl-4-(5-methyl-3,4-dihydro-2H-1 -benzopyran-6-yl)-1-oxo-1 ,2- dihydroisoquinolin-3-yl]acetic acid,
2-(tert-butoxy)-2-[4-(8-chloro-5-methyl-3,4-dihydro-2H-1 -benzopyran-6-yl)-2-methyl-1-oxo-1 ,2- dihydroisoquinolin-3-yl]acetic acid,
2-(tert-butoxy)-2-[2-methyl-4-(2-methylphenyl)-1 -oxo-1 ,2-dihydroisoquinolin-3-yl]acetic acid 2-(tert-butoxy)-2-[4-(3,4-dihydro-2H-1-benzopyran-6-yl)-7-methoxy-2-methyl-1-oxo-1 ,2- dihydroisoquinolin-3-yl]acetic acid,
2-(tert-butoxy)-2-[4-(2,2-dimethyl-4-oxo-3,4-dihydro-2H-1-benzopyran-6-yl)-2-methyl-1 -oxo-1 ,2- dihydroisoquinolin-3-yl]acetic acid,
2-(tert-butoxy)-2-[4-(3,4-dihydro-2H-1-benzopyran-6-yl)-2,5-dimethyl-1 -oxo-1 ,2- dihydroisoquinolin-3-yl]acetic acid,
2-(tert-butoxy)-2-[7-fluoro-2-methyl-4-(5-methyl-3,4-dihydro-2H-1 -benzopyran-6-yl)-1-oxo-1 ,2- dihydroisoquinolin-3-yl]acetic acid,
2-(tert-butoxy)-2-[7-methoxy-2-methyl-4-(5-methyl-3,4-dihydro-2H-1-benzopyran-6-yl)-1-oxo- 1 ,2-dihydroisoquinolin-3-yl]acetic acid,
2-(tert-butoxy)-2-[2-ethyl-4-(5-methyl-3,4-dihydro-2H-1-benzopyran-6-yl)-1 -oxo-1 ,2- dihydroisoquinolin-3-yl]acetic acid,
2-(tert-butoxy)-2-[4-(2,2-dimethyl-3,4-dihydro-2H-1-benzopyran-6-yl)-2-methyl-1-oxo-1 ,2- dihydroisoquinolin-3-yl]acetic acid,
2-(tert-butoxy)-2-[7-chloro-2-methyl-4-(5-methyl-3,4-dihydro-2H-1 -benzopyran-6-yl)-1 -oxo-1 ,2- dihydroisoquinolin-3-yl]acetic acid,
2-[4-(2-acetyl-1 ,2,3,4-tetrahydroisoquinolin-7-yl)-2-methyl-1 -oxo-1 ,2-dihydroisoquinolin-3-yl]-2- (tert-butoxy)acetic acid, 2-(tert-butoxy)-2-[7-(2-methoxyethoxy)-2-methyl-4-(5-methyl-3,4-dihydro-2H-1-benzopyran
1- OXO-1 , 2-dihydroisoquinolin-3-yl]acetic acid,
2- (tert-butoxy)-2-[4-(3,4-dihydro-2H-1 ,4-benzoxazin-6-yl)-2-methyl-1 -oxo-1 ,2-dihydroisoquinolin-
3- yl]acetic acid,
2-(tert-butoxy)-2-[8-fluoro-2-methyl-4-(5-methyl-3,4-dihydro-2H-1 -benzopyran-6-yl)-1-oxo-1 ,2- dihydroisoquinolin-3-yl]acetic acid,
2-(tert-butoxy)-2-[7-hydroxy-2-methyl-4-(5-methyl-3,4-dihydro-2H-1 -benzopyran-6-yl)-1-oxo-1 ,2- dihydroisoquinolin-3-yl]acetic acid,
2-(tert-butoxy)-2-[7-(2-hydroxyethoxy)-2-methyl-4-(5-methyl-3,4-dihydro-2H-1 -benzopyran-6-yl)-
1- 0X0-1 , 2-dihydroisoquinolin-3-yl]acetic acid,
2- (tert-butoxy)-2-{7-[2-(dimethylamino)ethoxy]-2-methyl-4-(5-methyl-3,4-dihydro-2H-1 - benzopyran-6-yl)-1 -oxo-1 ,2-dihydroisoquinolin-3-yl}acetic acid,
2-(tert-butoxy)-2-[4-(5-chloro-3,4-dihydro-2H-1 ,4-benzoxazin-6-yl)-2-methyl-1-oxo-1 ,2- dihydroisoquinolin-3-yl]acetic acid,
2-(tert-butoxy)-2-[7-(difluoromethoxy)-2-methyl-4-(5-methyl-3,4-dihydro-2H-1-benzopyran-6-yl)-
1 - oxo-1 , 2-dihydroisoquinolin-3-yl]acetic acid,
(2S)-2-(tert-butoxy)-2-[2,7-dimethyl-4-(5-methyl-3,4-dihydro-2H-1 -benzopyran-6-yl)-1 -oxo-1 ,2- dihydroisoquinolin-3-yl]acetic acid,
2- [4-(4-acetyl-5-chloro-3,4-dihydro-2H-1 ,4-benzoxazin-6-yl)-2-methyl-1 -oxo-1 ,2- dihydroisoquinolin-3-yl]-2-(tert-butoxy)acetic acid,
2-(tert-butoxy)-2-[2-methyl-4-(5-methyl-3,4-dihydro-2H-1-benzopyran-6-yl)-1 -oxo-7-[2- (pyrrolidin-1 -yl)ethoxy]-1 ,2-dihydroisoquinolin-3-yl]acetic acid,
2- (tert-butoxy)-2-(2-methyl-1-oxo-4-{2H,3H,4H-pyrano[2,3-b]pyridin-6-yl}-1 ,2-dihydroisoquinoli^
3- yl)acetic acid,
2-(tert-butoxy)-2-[2-methyl-4-(5-methyl-3,4-dihydro-2H-1-benzopyran-6-yl)-7-[2-(morpholin-4- yl)ethoxy]-1 -oxo-1 ,2-dihydroisoquinolin-3-yl]acetic acid,
2-(tert-butoxy)-2-[7-methoxy-2,6-dimethyl-4-(5-methyl-3,4-dihydro-2H-1-benzopyran-6-yl)-1 -oxo- 1 ,2-dihydroisoquinolin-3-yl]acetic acid,
2-(tert-butoxy)-2-[4-(5-ethyl-3,4-dihydro-2H-1-benzopyran-6-yl)-2-methyl-1 -oxo-1 ,2- dihydroisoquinolin-3-yl]acetic acid,
2-({3-[(tert-butoxy)(carboxy)methyl]-2-methyl-4-(5-methyl-3,4-dihydro-2H-1-benzopyran-6-yl)-1- oxo-1 ,2-dihydroisoquinolin-7-yl}oxy)acetic acid,
2-(tert-butoxy)-2-{7-[(dimethylsulfamoyl)oxy]-2-methyl-4-(5-methyl-3,4-dihydro-2H-1 - benzopyran-6-yl)-1 -oxo-1 ,2-dihydroisoquinolin-3-yl}acetic acid, 2-(tert-butoxy)-2-[4-(8-fluoro-5-methyl-3,4-dihydro-2H-1 -benzopyran-6-yl)-2J-dimethyl-1-ox 1 ,2-dihydroisoquinolin-3-yl]acetic acid,
2-(tert-butoxy)-2-[4-(8-fluoro-5-methyl-3,4-dihydro-2H-1 -benzopyran-6-yl)-7-methoxy-2-methyl-
1- 0X0-1 , 2-dihydroisoquinolin-3-yl]acetic acid,
2- (tert-butoxy)-2-[8-fluoro-7-methoxy-2-methyl-4-(5-methyl-3,4-dihydro-2H-1 -benzopyran-6-yl)-
1- 0X0-1 , 2-dihydroisoquinolin-3-yl]acetic acid,
2- (tert-butoxy)-2-[2-methyl-4-(5-methyl-3,4-dihydro-2H-1-benzopyran-6-yl)-1 -oxo-7- (trifluoromethyl)-l ,2-dihydroisoquinolin-3-yl]acetic acid,
2-(tert-butoxy)-2-{7-[(4-methanesulfonylphenyl)methoxy]-2-methyl-4-(5-methyl-3,4-dihydro-2H-
1- benzopyran-6-yl)-1-oxo-1 ,2-dihydroisoquinolin-3-yl}acetic acid,
2- (tert-butoxy)-2-[2-methyl-4-(5-methyl-3,4-dihydro-2H-1-benzopyran-6-yl)-1 -oxo-7-(pyridin-2- ylmethoxy)-1 ,2-dihydroisoquinolin-3-yl]acetic acid,
2-(tert-butoxy)-2-[6-chloro-7-methoxy-2-methyl-4-(5-methyl-3,4-dihydro-2H-1 -benzopyran-6-yl)-
1- 0X0-1 , 2-dihydroisoquinolin-3-yl]acetic acid,
(2S)-2-(tert-butoxy)-2-[4-(8-fluoro-5-methyl-3,4-dihydro-2H-1 -benzopyran-6-yl)-2,7-dimethyl-1- oxo-1 ,2-dihydroisoquinolin-3-yl]acetic acid,
2- (tert-butoxy)-2-[2-methyl-4-(5-methyl-3,4-dihydro-2H-1-benzopyran-6-yl)-1 -oxo-7-{[4- (trifluoromethyl)phenyl]methoxy}-1 ,2-dihydroisoquinolin-3-yl]acetic acid,
2-(tert-butoxy)-2-{7-[(dimethyl-1 ,3-oxazol-4-yl)methoxy]-4-(8-fluoro-5-methyl-3,4-dihydro-2H-1 - benzopyran-6-yl)-2-methyl-1 -oxo-1 , 2-dihydroisoquinolin-3-yl}acetic acid,
2-(tert-butoxy)-2-{7-[(2,4-difluorophenyl)methoxy]-2-methyl-4-(5-methyl-3,4-dihydro-2H-1 - benzopyran-6-yl)-1 -oxo-1 ,2-dihydroisoquinolin-3-yl}acetic acid,
2-(tert-butoxy)-2-[2-methyl-4-(5-methyl-3,4-dihydro-2H-1-benzopyran-6-yl)-1-oxo-7-(propan-2- yloxy)-1 ,2-dihydroisoquinolin-3-yl]acetic acid,
2-(tert-butoxy)-2-{7-[(4-chlorophenyl)methoxy]-2-methyl-4-(5-methyl-3,4-dihydro-2H-1 - benzopyran-6-yl)-1 -oxo-1 ,2-dihydroisoquinolin-3-yl}acetic acid,
2-(tert-butoxy)-2-[2-methyl-4-(5-methyl-3,4-dihydro-2H-1-benzopyran-6-yl)-1 -oxo-7-(pyrimidin-5- ylmethoxy)-1 ,2-dihydroisoquinolin-3-yl]acetic acid,
2-(tert-butoxy)-2-{7-[(3,4-difluorophenyl)methoxy]-2-methyl-4-(5-methyl-3,4-dihydro-2H-1 - benzopyran-6-yl)-1 -oxo-1 ,2-dihydroisoquinolin-3-yl}acetic acid,
(2S)-2-(tert-butoxy)-2-[7-fluoro-4-(8-fluoro-5-methyl-3,4-dihydro-2H-1-benzopyran-6-yl)-2- methyl-1 -oxo-1 ,2-dihydroisoquinolin-3-yl]acetic acid,
(2S)-2-(tert-butoxy)-2-[7-(2-fluoroethoxy)-2-methyl-4-(5-methyl-3,4-dihydro-2H-1-benzopyran-6- yl)-1 -oxo-1 ,2-dihydroisoquinolin-3-yl]acetic acid, 2-(tert-butoxy)-2-[2-methyl-4-(5-methyl-3,4-dihydro-2H-1-benzopyran-6-yl)-1-oxo-7-(thiophen ylmethoxy)-1 ,2-dihydroisoquinolin-3-yl]acetic acid,
(2S)-2-(tert-butoxy)-2-[4-(8-fluoro-5-methyl-3,4-dihydro-2H-1 -benzopyran-6-yl)-2-methyl-1-oxo- 7-(pyridin-2-ylmethoxy)-1 ,2-dihydroisoquinolin-3-yl]acetic acid,
(2S)-2-(tert-butoxy)-2-[2-methyl-4-(5-methyl-3,4-dihydro-2H-1 -benzopyran-6-yl)-1 -oxo-7- (pyridin-2-ylmethoxy)-1 ,2-dihydroisoquinolin-3-yl]acetic acid,
2-(tert-butoxy)-2-[4-(8-fluoro-5-methyl-3,4-dihydro-2H-1 -benzopyran-6-yl)-7-[(4- fluorophenyl)methoxy]-2-methyl-1 -oxo-1 ,2-dihydroisoquinolin-3-yl]acetic acid,
2-(tert-butoxy)-2-[2-methyl-4-(5-methyl-3,4-dihydro-2H-1-benzopyran-6-yl)-1 -oxo-7-{[4- (trifluoromethoxy)phenyl]methoxy}-1 ,2-dihydroisoquinolin-3-yl]acetic acid,
(2S)-2-(tert-butoxy)-2-{7-[(4-fluorophenyl)methoxy]-2-methyl-4-(5-methyl-3,4-dihydro-2H-1- benzopyran-6-yl)-1 -oxo-1 ,2-dihydroisoquinolin-3-yl}acetic acid,
(2S)-2-(tert-butoxy)-2-{7-[(2,4-difluorophenyl)methoxy]-2-methyl-4-(5-methyl-3,4-dihydro-2H-1- benzopyran-6-yl)-1 -oxo-1 ,2-dihydroisoquinolin-3-yl}acetic acid,
2- (tert-butoxy)-2-[4-(3,4-dimethylphenyl)-7-fluoro-2-methyl-1 -oxo-1 ,2-dihydroisoquinolin-3- yl]acetic acid,
(2S)-2-(tert-butoxy)-2-[2-methyl-4-(5-methyl-3,4-dihydro-2H-1 -benzopyran-6-yl)-1 -oxo-1 ,2- dihydroisoquinolin-3-yl]acetic acid,
[(1 , 1 -dimethylethyl)oxy][2-methyl-4-(4-methyl-3,4-dihydro-2H-chromen-6-yl)-1 -oxo-1 ,2-dihydro-
3- isoquinolinyl]acetic acid,
[(1 , 1 -dimethylethyl)oxy][4-(8-fluoro-5-methyl-3,4-dihydro-2H-chromen-6-yl)-2-methyl-1 -oxo-1 ,2- dihydro-3-isoquinolinyl]acetic acid,
[(1 , 1 -dimethylethyl)oxy]{4-[2-fluoro-4-(fluoromethyl)phenyl]-2-methyl-1 -oxo-1 ,2-dihydro-3- isoquinolinyl}acetic acid,
2-(tert-butoxy)-2-(4-(2,3-dihydro-1 H-inden-5-yl)-2-methyl-1 -oxo-1 ,2-dihydroisoquinolin-3- yl)acetic acid,
2-(4-(benzo[d]thiazol-6-yl)-2-methyl-1 -oxo-1 , 2-dihydroisoquinolin-3-yl)-2-(tert-butoxy)acetic acid, [4-(4-chlorophenyl)-2-methyl-1 -oxo-1 ,2-dihydro-3-isoquinolinyl][(1 ,1 -dimethylethyl)oxy]acetic acid,
[(1 , 1 -dimethylethyl)oxy][2-methyl-4-(2-methyl-3-furanyl)-1 -oxo-1 ,2-dihydro-3-isoquinolinyl]acetic acid,
[(1 , 1 -dimethylethyl)oxy](2-methyl-1-oxo-4-phenyl-1 ,2-dihydro-3-isoquinolinyl)acetic acid,
[(1 , 1 -dimethylethyl)oxy][2-methyl-4-(1 -methyl-1 H-pyrazol-4-yl)-1 -oxo-1 ,2-dihydro-3- isoquinolinyl]acetic acid, [(1 , 1 -dimethylethyl)oxy][2-methyl-1 -oxo-4-(2,3,6,7-tetrahydro-1 H,5H-pyrido[3,2, 1 -ij]quinolin-9- yl)-1 ,2-dihydro-3-isoquinolinyl]acetic acid,
(2R)-2-(tert-butoxy)-2-[4-(8-fluoro-5-methyl-3,4-dihydro-2H-1-benzopyran-6-yl)-2-methyl-1 -oxo- 1 ,2-dihydroisoquinolin-3-yl]acetic acid,
(2S)-2-(tert-butoxy)-2-[4-(8-fluoro-5-methyl-3,4-dihydro-2H-1 -benzopyran-6-yl)-2-methyl-1-oxo- 1 ,2-dihydroisoquinolin-3-yl]acetic acid,
(2R)-2-(tert-butoxy)-2-[4-(8-fluoro-5-methyl-3,4-dihydro-2H-1-benzopyran-6-yl)-2-methyl-1 -oxo- 1 ,2-dihydroisoquinolin-3-yl]acetic acid,
(2S)-2-(tert-butoxy)-2-[4-(8-fluoro-5-methyl-3,4-dihydro-2H-1 -benzopyran-6-yl)-2-methyl-1-oxo- 1 ,2-dihydroisoquinolin-3-yl]acetic acid,
(2S)-2-[4-(8-fluoro-5-methyl-3,4-dihydro-2H-1 -benzopyran-6-yl)-2-methyl-1 -oxo-1 ,2- dihydroisoquinolin-3-yl]-2-(1-methylcyclobutoxy)acetic acid,
(2S)(M)-[7-bromo-4-(8-fluoro-5-methyl-3,4-dihydro-2H-chromen-6-yl)-2-methyl-1 -oxo-1 ,2- dihydro-3-isoquinolinyl][(1 , 1-dimethylethyl)oxy]ethanoic acid,
(2S)(M)-[7-[(4-chloro-3-fluorophenyl)amino]-4-(8-fluoro-5-methyl-3,4-dihydro-2H-chromen-6-yl)-
2- methyl-1 -oxo-1 , 2-dihydro-3-isoquinolinyl][(1 , 1-dimethylethyl)oxy]ethanoic acid,
(2S)(M)-[(1 , 1-dimethylethyl)oxy][4-(8-fluoro-5-methyl-3,4-dihydro-2H-chromen-6-yl)-2-methyl-1- oxo-7-(1 -piperidinyl)-1 ,2-dihydro-3-isoquinolinyl]ethanoic acid,
(2S)(M)-[(1 , 1-dimethylethyl)oxy][7-(1 , 1-dioxido-4-thiomorpholinyl)-4-(8-fluoro-5-methyl-3,4- dihydro-2H-chromen-6-yl)-2-methyl-1 -oxo-1 , 2-dihydro-3-isoquinolinyl]ethanoic acid,
(S)(M)-2-(tert-butoxy)-2-(4-(8-fluoro-5-methylchroman-6-yl)-2-methyl-7-morpholino-1 -oxo-1 ,2- dihydroisoquinolin-3-yl)acetic acid,
(S)(M)-2-(tert-butoxy)-2-(4-(8-fluoro-5-methylchroman-6-yl)-2-methyl-7-(morpholine-4-carbonyl)- 1 -oxo-1 , 2-dihydroisoquinolin-3-yl)acetic acid,
[(1 , 1 -dimethylethyl)oxy]{4-(3,4-dimethylphenyl)-7-[(ethylamino)carbonyl]-2-methyl-1 -oxo-1 ,2- dihydro-3-isoquinolinyl}acetic acid,
[(1 , 1 -dimethylethyl)oxy](4-(3,4-dimethylphenyl)-2-methyl-7-{[4-(methyloxy)phenyl]methyl}-1-oxo- 1 ,2-dihydro-3-isoquinolinyl)acetic acid,
[(1 , 1 -dimethylethyl)oxy][4-(3,4-dimethylphenyl)-2-methyl-7-(2-methylpropyl)-1 -oxo-1 ,2-dihydro-
3- isoquinolinyl]acetic acid,
(2S)(M)-[(1 , 1-dimethylethyl)oxy][4-(8-fluoro-5-methyl-3,4-dihydro-2H-chromen-6-yl)-2-methyl-7- (6-methyl-2-pyridinyl)-1 -oxo-1 , 2-dihydro-3-isoquinolinyl]ethanoic acid,
(2S)(M)-[(1 , 1-dimethylethyl)oxy][4-(8-fluoro-5-methyl-3,4-dihydro-2H-chromen-6-yl)-2-methyl-7- (2-methylpropyl)-1 -oxo-1 ,2-dihydro-3-isoquinolinyl]ethanoic acid, (2S)(M)-[(1 , 1-dimethylethyl)oxy][4-(8-fluoro-5-methyl-3,4-dihydro-2H-chromen-6-yl)-2-methyl-1- oxo-7-(phenylmethyl)-1 ,2-dihydro-3-isoquinolinyl]ethanoic acid,
(2S)(M)-[(1 , 1-dimethylethyl)oxy][4-(8-fluoro-5-methyl-3,4-dihydro-2H-chromen-6-yl)-2-m oxo-7-(2-phenylethyl)-1 ,2-dihydro-3-isoquinolinyl]ethanoic acid,
7-cyano-4-(3,4-dimethylphenyl)-2-methyl-1-oxo-1 ,2-dihydro-3-isoquinolinyl][(1 , 1- dimethylethyl)oxy]acetic acid,
[7-(aminocarbonyl)-4-(3,4-dimethylphenyl)-2-methyl-1-oxo-1 ,2-dihydro-3-isoquinolinyl][(1 , 1 - dimethylethyl)oxy]acetic acid,
[7-(aminomethyl)-4-(3,4-dimethylphenyl)-2-methyl-1 -oxo-1 ,2-dihydro-3-isoquinolinyl][(1 , 1- dimethylethyl)oxy]acetic acid-TFA salt,
2,2'-(iminobis{methanediyl[4-(3,4-dimethylphenyl)-2-methyl-1-oxo-1 ,2-dihydroisoquinolin diyl]})bis{[(1 , 1 -dimethylethyl)oxy]acetic acid},
2-(tert-butoxy)-2-(4-(3,4-dimethylphenyl)-2-methyl-7-(methylsulfonamidomethyl)-1-oxo-1 ,2- dihydroisoquinolin-3-yl)acetic acid,
2-(7-((bis(pyridin-2-ylmethyl)amino)methyl)-4-(3,4-dimethylphenyl)-2-methyl-1-oxo-1 ,2- dihydroisoquinolin-3-yl)-2-(tert-butoxy)acetic acid,
2-(tert-butoxy)-2-(4-(3,4-dimethylphenyl)-2-methyl-1 -oxo-7-(((pyridin-2-ylmethyl)amino)methyl 1 ,2-dihydroisoquinolin-3-yl)acetic acid,
2-(7-(acetamidomethyl)-4-(3,4-dimethylphenyl)-2-methyl-1 -oxo-1 ,2-dihydroisoquinolin-3-yl)-2- (tert-butoxy)acetic acid,
2-(tert-butoxy)-2-(4-(3,4-dimethylphenyl)-7-((3-ethylureido)methyl)-2-methyl-1 -oxo-1 ,2- dihydroisoquinolin-3-yl)acetic acid,
2-(tert-butoxy)-2-(7-((carboxyformamido)methyl)-4-(3,4-dimethylphenyl)-2-methyl-1-oxo-1 ,2- dihydroisoquinolin-3-yl)acetic acid,
2-(tert-butoxy)-2-(4-(3,4-dimethylphenyl)-2-methyl-7-(methylsulfonamidomethyl)-1-oxo-1 ,2- dihydroisoquinolin-3-yl)acetic acid,
2-(tert-butoxy)-2-(4-(3,4-dimethylphenyl)-7-(((N,N-dimethylsulfamoyl)amino)methyl)-2-methy oxo-1 ,2-dihydroisoquinolin-3-yl)acetic acid,
(S)(M)-2-(tert-butoxy)-2-(4-(8-fluoro-5-methylchroman-6-yl)-2-methyl-7-(morpholinomethyl)-1- oxo-1 ,2-dihydroisoquinolin-3-yl)acetic acid,
(S)(M)-2-(tert-butoxy)-2-(4-(8-fluoro-5-methylchroman-6-yl)-2-methyl-1 -oxo-7-(piperidin-1- ylmethyl)-1 ,2-dihydroisoquinolin-3-yl)acetic acid,
[(1 , 1 -dimethylethyl)oxy][4-(3,4-dim^
dihydro-3-isoquinolinyl]acetic acid, [(1 , 1 -dimethylethyl)oxy][4-(3,4-dimethylphenyl)-2-methyl-7-(1 -methyl-1 H-pyrazol-4-yl)-1 -oxo-1 ,2- dihydro-3-isoquinolinyl]acetic acid,
[(1 , 1 -dimethylethyl)oxy][4-(3,4-dimethylphenyl)-2-methyl-7-(2-methyl-3-furanyl)-1 -oxo-1 ,2- dihydro-3-isoquinolinyl]acetic acid,
(2S)(M)-[(1 , 1-dimethylethyl)oxy][4-(8-fluoro-5-methyl-3,4-dihydro-2H-chromen-6-yl)-7-(3- furanyl)-2-methyl-1 -oxo-1 ,2-dihydro-3-isoquinolinyl]ethanoic acid,
(2S)(M)-[(1 , 1-dimethylethyl)oxy][4-(8-fluoro-5-methyl-3,4-dihydro-2H-chromen-6-yl)-2-methyl-7- (1 -methyl-1 H-pyrazol-5-yl)-1 -oxo-1 ,2-dihydro-3-isoquinolinyl]ethanoic acid,
2S)(M)-[(1 ,1 -dimethylethyl)oxy][7-(3,5-dimethyl-1 H-pyrazol-4-yl)-4-(8-fluoro-5-methyl-3,4- dihydro-2H-chromen-6-yl)-2-methyl-1 -oxo-1 , 2-dihydro-3-isoquinolinyl]ethanoic acid,
(2S)(M)-[(1 , 1-dimethylethyl)oxy][4-(8-fluoro-5-methyl-3,4-dihydro-2H-chromen-6-yl)-2-methyl-1- oxo-7-(1 H-pyrazol-4-yl)-1 ,2-dihydro-3-isoquinolinyl]ethanoic acid
(2S)(M)-[(1 , 1-dimethylethyl)oxy]{4-(8-fluoro-5-methyl-3,4-dihydro-2H-chromen-6-yl)-2-methyl-7- [6-(methyloxy)-3-pyridinyl]-1 -oxo-1 ,2-dihydro-3-isoquinolinyl}ethanoic acid,
(2S)(M)-[7-[4-(dimethylamino)phenyl]-4-(8-fluoro-5-methyl-3,4-dihydro-2H-chromen-6-yl)-2- methyl-1 -oxo-1 ,2-dihydro-3-isoquinolinyl][(1 , 1 -dimethylethyl)oxy]ethanoic acid,
(2S)(M)-[(1 , 1-dimethylethyl)oxy][4-(8-fluoro-5-methyl-3,4-dihydro-2H-chromen-6-yl)-2-methyl-7- (1 -methyl-1 H-pyrazol-4-yl)-1 -oxo-1 ,2-dihydro-3-isoquinolinyl]ethanoic acid,
(2S)(M)-[(1 , 1-dimethylethyl)oxy]{4-(8-fluoro-5-methyl-3,4-dihydro-2H-chromen-6-yl)-2-methyl-7- [1-(3-methylbutyl)-1 H-pyrazol-4-yl]-1 -oxo-1 , 2-dihydro-3-isoquinolinyl}ethanoic acid,
(S)(M)-[(1 , 1 -dimethylethyl)oxy][4-(8-fluoro-5-methyl-3,4-dihydro-2H-chromen-6-yl)-2-methyl-7- (1 -methyl-1 H-pyrrol-2-yl)-1 -oxo-1 ,2-dihydro-3-isoquinolinyl]ethanoic acid,
(2S)(M)-[(1 , 1-dimethylethyl)oxy][4-(8-fluoro-5-methyl-3,4-dihydro-2H-chromen-6-yl)-2-methyl-7- (2-methyl-3-furanyl)-1 -oxo-1 ,2-dihydro-3-isoquinolinyl]ethanoic acid,
(2S)(M)-[(1 , 1-dimethylethyl)oxy][4-(8-fluoro-5-methyl-3,4-dihydro-2H-chromen-6-yl)-2-methyl-1- oxo-7-phenyl-1 ,2-dihydro-3-isoquinolinyl]ethanoic acid,
(2S)(M)-[(1 , 1-dimethylethyl)oxy][4-(8-fluoro-5-methyl-3,4-dihydro-2H-chromen-6-yl)-2-methyl-1- oxo-7-(4-pyridinyl)-1 ,2-dihydro-3-isoquinolinyl]ethanoic acid,
(2S)(M)-[(1 , 1-dimethylethyl)oxy][4-(8-fluoro-5-methyl-3,4-dihydro-2H-chromen-6-yl)-2-methyl-1- oxo-7-(3-pyridinyl)-1 ,2-dihydro-3-isoquinolinyl]ethanoic acid,
(2S)(M)-[(1 , 1-dimethylethyl)oxy][7-(3,5-dimethyl-4-isoxazolyl)-4-(8-fluoro-5-methyl-3,4-dihydro- 2H-chromen-6-yl)-2-methyl-1 -oxo-1 ,2-dihydro-3-isoquinolinyl]ethanoic acid,
(2S)(M)-[(1 , 1-dimethylethyl)oxy]{4-(8-fluoro-5-methyl-3,4-dihydro-2H-chromen-6-yl)-2-methyl-7- [6-(methyloxy)-2-pyridinyl]-1 -oxo-1 ,2-dihydro-3-isoquinolinyl}ethanoic acid, (S)(M)-2-(tert-butoxy)-2-(4-(8-fluoro-5-methylchroman-6-yl)-7-(4-fluorophenyl)-2-methyl-1 -^^ 1 ,2-dihydroisoquinolin-3-yl)acetic acid,
(S)(M)-2-(tert-butoxy)-2-(4-(8-fluoro-5-methylchroman-6-yl)-7-(3-fluorophenyl)-2-methyl-1 -oxo- 1 ,2-dihydroisoquinolin-3-yl)acetic acid,
(S)(M)-2-(tert-butoxy)-2-(4-(8-fluoro-5-methylchroman-6-yl)-7-(2-fluorophenyl)-2-methyl-1 -oxo- 1 ,2-dihydroisoquinolin-3-yl)acetic acid,
2- (tert-Butoxy)-2-(4-((3,4-dimethylphenyl)(methyl)amino)-2-methyl-1 -oxo-1 ,2-dihydroisoquino
3- yl)acetic acid ,
(S)(M)-2-(tert-butoxy)-2-(4-(8-fluoro-5-methylchroman-6-yl)-2-methyl-1 -oxo-1 ,2- dihydroisoquinolin-3-yl)-N-hydroxyacetamide,
(S)(M)-2-(tert-butoxy)-2-(4-(8-fluoro-5-methylchroman-6-yl)-2-methyl-1 -oxo-1 ,2- dihydroisoquinolin-3-yl)-N-hydroxy-N-methylacetamide,
(2S)(M)-2-[(1 , 1-dimethylethyl)oxy]-2-[4-(8-fluoro-5-methyl-3,4-dihydro-2H-chromen-6-yl)-2- methyl-1 -oxo-1 ,2-dihydro-3-isoquinolinyl]-N-(methylsulfonyl)ethanamide,
2-[4-(2,4-dimethylphenyl)-2-methyl-1-oxo-1 ,2-dihydro-3-isoquinolinyl]pentanoic acid,
2-[4-(2,4-dimethylphenyl)-2-methyl-1-oxo-1 ,2-dihydro-3-isoquinolinyl]-4-methylpentanoic acid, Methyl [4-(2,4-dimethylphenyl)-2-methyl-1-oxo-1 ,2-dihydro-3-isoquinolinyl](ethyloxy)acetate, [(1 , 1 -dimethylethyl)oxy]{4-(2,4-dimethylphenyl)-7-[1-(2-hydroxyethyl)-1 H-1 ,2,3-triazol-4-yl]-2- methyl-1 -oxo-1 ,2-dihydro-3-isoquinolinyl}acetic acid, and
2-(tert-butoxy)-2-(1-(4-fluorobenzyl)-6-methyl-4-(p-tolyl)-1 H-pyrrolo[2,3-b]pyridin-5-yl)acetic acid, and pharmaceutically acceptable salts thereof.
38. The use of a compound or salt as defined in any of the preceding claims in the
manufacture of a medicament for use in the treatment of a viral infection in a human.
39. A pharmaceutical composition comprising a pharmaceutically acceptable diluent and a therapeutically effective amount of a compound as defined in any of the preceding claims.
40. A method for treating a viral infection in a mammal mediated at least in part by a virus in the retrovirus family of viruses which method comprises administering to a mammal, that has been diagnosed with said viral infection or is at risk of developing said viral infection, a compound of any one of claims 1 to 39.
41 . The method of claim 40, wherein said virus is an HIV virus.
42. The method according to claim 40, further comprising administration of a therapeutically effective amount of one or more agents active against an HIV virus.
43. The method according to claim 42, wherein said agent active against HIV virus is
selected from Nucleotide reverse transcriptase inhibitors; Non-nucleotide reverse transcriptase inhibitors; Protease inhibitors; Entry, attachment and fusion inhibitors; Integrase inhibitors; Maturation inhibitors; CXCR4 inhibitors; and CCR5 inhibitors.
PCT/US2012/022161 2011-01-24 2012-01-23 Isoquinoline compounds and methods for treating hiv Ceased WO2012102985A1 (en)

Priority Applications (2)

Application Number Priority Date Filing Date Title
US13/980,085 US9029391B2 (en) 2011-01-24 2012-01-23 Isoquinoline compounds and methods for treating HIV
AU2012209373A AU2012209373A1 (en) 2011-01-24 2012-01-23 Isoquinoline compounds and methods for treating HIV

Applications Claiming Priority (4)

Application Number Priority Date Filing Date Title
US201161435783P 2011-01-24 2011-01-24
US61/435,783 2011-01-24
US201161510534P 2011-07-22 2011-07-22
US61/510,534 2011-07-22

Publications (1)

Publication Number Publication Date
WO2012102985A1 true WO2012102985A1 (en) 2012-08-02

Family

ID=46581125

Family Applications (1)

Application Number Title Priority Date Filing Date
PCT/US2012/022161 Ceased WO2012102985A1 (en) 2011-01-24 2012-01-23 Isoquinoline compounds and methods for treating hiv

Country Status (3)

Country Link
US (1) US9029391B2 (en)
AU (1) AU2012209373A1 (en)
WO (1) WO2012102985A1 (en)

Cited By (24)

* Cited by examiner, † Cited by third party
Publication number Priority date Publication date Assignee Title
WO2013062028A1 (en) 2011-10-25 2013-05-02 塩野義製薬株式会社 Hiv replication inhibitor
US8629276B2 (en) 2012-02-15 2014-01-14 Bristol-Myers Squibb Company Inhibitors of human immunodeficiency virus replication
EP2719685A1 (en) 2012-10-11 2014-04-16 Laboratoire Biodim Inhibitors of viral replication, their process of preparation and their therapeutical uses
US8791108B2 (en) 2011-08-18 2014-07-29 Bristol-Myers Squibb Company Inhibitors of human immunodeficiency virus replication
WO2014119636A1 (en) 2013-01-31 2014-08-07 塩野義製薬株式会社 Hiv replication inhibitor
US8809363B2 (en) 2010-11-15 2014-08-19 Viiv Healthcare Uk Limited Inhibitors of HIV replication
JP2014533298A (en) * 2011-11-15 2014-12-11 コリア リサーチ インスティテュート オブ ケミカル テクノロジー Novel antiviral pyrrolopyridine derivative and process for producing the same
EP2821082A1 (en) 2013-07-05 2015-01-07 Laboratoire Biodim Method of producing an inactivated lentivirus, especially HIV, vaccine, kit and method of use
US8987250B2 (en) 2012-04-20 2015-03-24 Gilead Sciences, Inc. Therapeutic compounds
US9006235B2 (en) 2012-03-06 2015-04-14 Bristol-Myers Squibb Company Inhibitors of human immunodeficiency virus replication
US9006229B2 (en) 2011-04-21 2015-04-14 Gilead Sciences, Inc. Benzothiazole compounds and their pharmaceutical use
US9034882B2 (en) 2012-03-05 2015-05-19 Bristol-Myers Squibb Company Inhibitors of human immunodeficiency virus replication
US9102614B2 (en) 2010-07-02 2015-08-11 Gilead Sciences, Inc. Naphth-2-ylacetic acid derivatives to treat AIDS
KR20150141275A (en) * 2014-06-09 2015-12-18 한국화학연구원 Novel pyrrolopyridine derivatives and its use as HIV inhibitor
US9284323B2 (en) 2012-01-04 2016-03-15 Gilead Sciences, Inc. Naphthalene acetic acid derivatives against HIV infection
US9296758B2 (en) 2010-07-02 2016-03-29 Gilead Sciences, Inc. 2-quinolinyl-acetic acid derivatives as HIV antiviral compounds
US9376392B2 (en) 2012-01-04 2016-06-28 Gilead Sciences, Inc. 2-(tert-butoxy)-2-(7-methylquinolin-6-yl) acetic acid derivatives for treating AIDS
WO2018020357A1 (en) 2016-07-25 2018-02-01 Viiv Healthcare Uk Limited Indoline derivatives
US9944641B2 (en) 2014-09-02 2018-04-17 Pierre Fabre Medicament Isoquinolinone derivatives useful in the treatment of cancer
US9975906B2 (en) 2014-05-16 2018-05-22 Shionogi & Co., Ltd. Tricyclic heterocycle derivatives having HIV replication inhibitory effect
CN108623573A (en) * 2017-03-16 2018-10-09 河北农业大学 Isocoumarin derivative and synthetic method thereof
US10494380B2 (en) 2015-05-29 2019-12-03 Shionogi & Co., Ltd. Nitrogen-containing tricyclic derivatives having HIV replication inhibitory activity
CN115916345A (en) * 2020-08-20 2023-04-04 St制药株式会社 Pyrrolopyridine derivatives and uses thereof
US12612400B2 (en) 2021-01-11 2026-04-28 St Pharm Co., Ltd. Pyrrolopyridine derivative preparation method

Families Citing this family (6)

* Cited by examiner, † Cited by third party
Publication number Priority date Publication date Assignee Title
US10137031B2 (en) 2013-11-14 2018-11-27 International Partnership For Microbicides, Inc. Combination therapy intravaginal rings
SG11201708622UA (en) 2015-02-02 2017-11-29 Forma Therapeutics Inc 3-aryl-4-amido-bicyclic [4,5,0] hydroxamic acids as hdac inhibitors
WO2016126726A1 (en) 2015-02-02 2016-08-11 Forma Therapeutics, Inc. Bicyclic [4,6,0] hydroxamic acids as hdac6 inhibitors
WO2017003723A1 (en) 2015-07-01 2017-01-05 Crinetics Pharmaceuticals, Inc. Somatostatin modulators and uses thereof
EP3472131B1 (en) 2016-06-17 2020-02-19 Forma Therapeutics, Inc. 2-spiro-5- and 6-hydroxamic acid indanes as hdac inhibitors
US11028068B2 (en) 2017-07-25 2021-06-08 Crinetics Pharmaceuticals, Inc. Somatostatin modulators and uses thereof

Citations (2)

* Cited by examiner, † Cited by third party
Publication number Priority date Publication date Assignee Title
US6534520B2 (en) * 1997-12-11 2003-03-18 Biochem Pharma Inc. Antiviral compounds
US6841558B2 (en) * 2000-10-12 2005-01-11 Merck & Co., Inc. Aza-and polyaza-naphthalenyl carboxamides useful as HIV intergrase inhibitors

Patent Citations (2)

* Cited by examiner, † Cited by third party
Publication number Priority date Publication date Assignee Title
US6534520B2 (en) * 1997-12-11 2003-03-18 Biochem Pharma Inc. Antiviral compounds
US6841558B2 (en) * 2000-10-12 2005-01-11 Merck & Co., Inc. Aza-and polyaza-naphthalenyl carboxamides useful as HIV intergrase inhibitors

Non-Patent Citations (1)

* Cited by examiner, † Cited by third party
Title
RYU ET AL.: "Crystal Structure of the HIV-binding Recombinant Fragment of human CD4.", NATURE, vol. 348, 1990, pages 419 - 426, XP001180723, DOI: doi:10.1038/348419a0 *

Cited By (31)

* Cited by examiner, † Cited by third party
Publication number Priority date Publication date Assignee Title
US9102614B2 (en) 2010-07-02 2015-08-11 Gilead Sciences, Inc. Naphth-2-ylacetic acid derivatives to treat AIDS
US9296758B2 (en) 2010-07-02 2016-03-29 Gilead Sciences, Inc. 2-quinolinyl-acetic acid derivatives as HIV antiviral compounds
US9447116B2 (en) 2010-11-15 2016-09-20 Viiv Healthcare Uk Limited Inhibitors of HIV replication
US8809363B2 (en) 2010-11-15 2014-08-19 Viiv Healthcare Uk Limited Inhibitors of HIV replication
US9006229B2 (en) 2011-04-21 2015-04-14 Gilead Sciences, Inc. Benzothiazole compounds and their pharmaceutical use
US8791108B2 (en) 2011-08-18 2014-07-29 Bristol-Myers Squibb Company Inhibitors of human immunodeficiency virus replication
US9199959B2 (en) 2011-10-25 2015-12-01 Shionogi & Co., Ltd. HIV replication inhibitor
WO2013062028A1 (en) 2011-10-25 2013-05-02 塩野義製薬株式会社 Hiv replication inhibitor
JP2014533298A (en) * 2011-11-15 2014-12-11 コリア リサーチ インスティテュート オブ ケミカル テクノロジー Novel antiviral pyrrolopyridine derivative and process for producing the same
US9376392B2 (en) 2012-01-04 2016-06-28 Gilead Sciences, Inc. 2-(tert-butoxy)-2-(7-methylquinolin-6-yl) acetic acid derivatives for treating AIDS
US9284323B2 (en) 2012-01-04 2016-03-15 Gilead Sciences, Inc. Naphthalene acetic acid derivatives against HIV infection
US8629276B2 (en) 2012-02-15 2014-01-14 Bristol-Myers Squibb Company Inhibitors of human immunodeficiency virus replication
US9034882B2 (en) 2012-03-05 2015-05-19 Bristol-Myers Squibb Company Inhibitors of human immunodeficiency virus replication
US9006235B2 (en) 2012-03-06 2015-04-14 Bristol-Myers Squibb Company Inhibitors of human immunodeficiency virus replication
US9096586B2 (en) 2012-04-20 2015-08-04 Gilead Sciences, Inc. Therapeutic compounds
US8987250B2 (en) 2012-04-20 2015-03-24 Gilead Sciences, Inc. Therapeutic compounds
WO2014057103A1 (en) 2012-10-11 2014-04-17 Laboratoire Biodim Inhibitors of viral replication, their process of preparation and their therapeutical uses
EP2719685A1 (en) 2012-10-11 2014-04-16 Laboratoire Biodim Inhibitors of viral replication, their process of preparation and their therapeutical uses
WO2014119636A1 (en) 2013-01-31 2014-08-07 塩野義製薬株式会社 Hiv replication inhibitor
EP2821082A1 (en) 2013-07-05 2015-01-07 Laboratoire Biodim Method of producing an inactivated lentivirus, especially HIV, vaccine, kit and method of use
US9975906B2 (en) 2014-05-16 2018-05-22 Shionogi & Co., Ltd. Tricyclic heterocycle derivatives having HIV replication inhibitory effect
KR20150141275A (en) * 2014-06-09 2015-12-18 한국화학연구원 Novel pyrrolopyridine derivatives and its use as HIV inhibitor
KR101592370B1 (en) 2014-06-09 2016-02-11 한국화학연구원 Novel pyrrolopyridine derivatives and its use as HIV inhibitor
US9944641B2 (en) 2014-09-02 2018-04-17 Pierre Fabre Medicament Isoquinolinone derivatives useful in the treatment of cancer
US10494380B2 (en) 2015-05-29 2019-12-03 Shionogi & Co., Ltd. Nitrogen-containing tricyclic derivatives having HIV replication inhibitory activity
US10870661B2 (en) 2015-05-29 2020-12-22 Shionogi & Co., Ltd. Nitrogen-containing tricyclic derivatives having HIV replication inhibitory activity
WO2018020357A1 (en) 2016-07-25 2018-02-01 Viiv Healthcare Uk Limited Indoline derivatives
CN108623573A (en) * 2017-03-16 2018-10-09 河北农业大学 Isocoumarin derivative and synthetic method thereof
CN115916345A (en) * 2020-08-20 2023-04-04 St制药株式会社 Pyrrolopyridine derivatives and uses thereof
US12540136B2 (en) 2020-08-20 2026-02-03 St Pharm Co., Ltd. Pyrrolopyridine derivative and use thereof
US12612400B2 (en) 2021-01-11 2026-04-28 St Pharm Co., Ltd. Pyrrolopyridine derivative preparation method

Also Published As

Publication number Publication date
US9029391B2 (en) 2015-05-12
US20130289027A1 (en) 2013-10-31
AU2012209373A1 (en) 2013-04-11

Similar Documents

Publication Publication Date Title
US9029391B2 (en) Isoquinoline compounds and methods for treating HIV
JP6055468B2 (en) Azaindole compounds and methods for treating HIV
EP2877468B1 (en) Compounds and methods for treating hiv
US9012642B2 (en) Pyrrolopyridinone compounds and methods for treating HIV
WO2019087016A1 (en) Compounds useful in hiv therapy
TW201720820A (en) Hepatitis B core protein regulator
EP1984376A2 (en) Chemical compounds
WO2007087548A9 (en) Chemical compounds
CA2683758A1 (en) Novel 1,8-naphthyridine compounds
CN113508109A (en) Substituted heterocyclic amide compound, its preparation method and medical use
CN112521386B (en) Polycyclic pyridone compounds having antiviral action, pharmaceutical combinations and uses thereof
WO2013020245A1 (en) Carbonyl derivatives of betulin
EP1904501A2 (en) Chemical compounds
WO2009020457A2 (en) Chemical compounds
CN108368093A (en) The pyridin-3-yl acetogenin of inhibitor as human immunodeficiency virus replication
CA2998828A1 (en) Compounds with hiv maturation inhibitory activity
HK40061360B (en) Substituted heterocyclic amide compound and preparation method therefor and pharmaceutical use thereof
WO2026042788A1 (en) Heterocyclic derivative
JP2018521107A (en) Vetine derivatives for preventing or treating HIV infection

Legal Events

Date Code Title Description
121 Ep: the epo has been informed by wipo that ep was designated in this application

Ref document number: 12739555

Country of ref document: EP

Kind code of ref document: A1

ENP Entry into the national phase

Ref document number: 2012209373

Country of ref document: AU

Date of ref document: 20120123

Kind code of ref document: A

WWE Wipo information: entry into national phase

Ref document number: 13980085

Country of ref document: US

NENP Non-entry into the national phase

Ref country code: DE

122 Ep: pct application non-entry in european phase

Ref document number: 12739555

Country of ref document: EP

Kind code of ref document: A1