WO2012016184A2 - Methods and compositions for delivery of active agents - Google Patents
Methods and compositions for delivery of active agents Download PDFInfo
- Publication number
- WO2012016184A2 WO2012016184A2 PCT/US2011/045963 US2011045963W WO2012016184A2 WO 2012016184 A2 WO2012016184 A2 WO 2012016184A2 US 2011045963 W US2011045963 W US 2011045963W WO 2012016184 A2 WO2012016184 A2 WO 2012016184A2
- Authority
- WO
- WIPO (PCT)
- Prior art keywords
- gene
- lipid
- halo
- hydroxy
- optionally substituted
- Prior art date
- Legal status (The legal status is an assumption and is not a legal conclusion. Google has not performed a legal analysis and makes no representation as to the accuracy of the status listed.)
- Ceased
Links
Classifications
-
- C—CHEMISTRY; METALLURGY
- C07—ORGANIC CHEMISTRY
- C07C—ACYCLIC OR CARBOCYCLIC COMPOUNDS
- C07C229/00—Compounds containing amino and carboxyl groups bound to the same carbon skeleton
- C07C229/02—Compounds containing amino and carboxyl groups bound to the same carbon skeleton having amino and carboxyl groups bound to acyclic carbon atoms of the same carbon skeleton
- C07C229/04—Compounds containing amino and carboxyl groups bound to the same carbon skeleton having amino and carboxyl groups bound to acyclic carbon atoms of the same carbon skeleton the carbon skeleton being acyclic and saturated
- C07C229/06—Compounds containing amino and carboxyl groups bound to the same carbon skeleton having amino and carboxyl groups bound to acyclic carbon atoms of the same carbon skeleton the carbon skeleton being acyclic and saturated having only one amino and one carboxyl group bound to the carbon skeleton
- C07C229/10—Compounds containing amino and carboxyl groups bound to the same carbon skeleton having amino and carboxyl groups bound to acyclic carbon atoms of the same carbon skeleton the carbon skeleton being acyclic and saturated having only one amino and one carboxyl group bound to the carbon skeleton the nitrogen atom of the amino group being further bound to acyclic carbon atoms or to carbon atoms of rings other than six-membered aromatic rings
- C07C229/12—Compounds containing amino and carboxyl groups bound to the same carbon skeleton having amino and carboxyl groups bound to acyclic carbon atoms of the same carbon skeleton the carbon skeleton being acyclic and saturated having only one amino and one carboxyl group bound to the carbon skeleton the nitrogen atom of the amino group being further bound to acyclic carbon atoms or to carbon atoms of rings other than six-membered aromatic rings to carbon atoms of acyclic carbon skeletons
-
- A—HUMAN NECESSITIES
- A61—MEDICAL OR VETERINARY SCIENCE; HYGIENE
- A61K—PREPARATIONS FOR MEDICAL, DENTAL OR TOILETRY PURPOSES
- A61K48/00—Medicinal preparations containing genetic material which is inserted into cells of the living body to treat genetic diseases; Gene therapy
- A61K48/0008—Medicinal preparations containing genetic material which is inserted into cells of the living body to treat genetic diseases; Gene therapy characterised by an aspect of the 'non-active' part of the composition delivered, e.g. wherein such 'non-active' part is not delivered simultaneously with the 'active' part of the composition
- A61K48/0025—Medicinal preparations containing genetic material which is inserted into cells of the living body to treat genetic diseases; Gene therapy characterised by an aspect of the 'non-active' part of the composition delivered, e.g. wherein such 'non-active' part is not delivered simultaneously with the 'active' part of the composition wherein the non-active part clearly interacts with the delivered nucleic acid
- A61K48/0033—Medicinal preparations containing genetic material which is inserted into cells of the living body to treat genetic diseases; Gene therapy characterised by an aspect of the 'non-active' part of the composition delivered, e.g. wherein such 'non-active' part is not delivered simultaneously with the 'active' part of the composition wherein the non-active part clearly interacts with the delivered nucleic acid the non-active part being non-polymeric
-
- A—HUMAN NECESSITIES
- A61—MEDICAL OR VETERINARY SCIENCE; HYGIENE
- A61K—PREPARATIONS FOR MEDICAL, DENTAL OR TOILETRY PURPOSES
- A61K31/00—Medicinal preparations containing organic active ingredients
- A61K31/70—Carbohydrates; Sugars; Derivatives thereof
- A61K31/7088—Compounds having three or more nucleosides or nucleotides
-
- A—HUMAN NECESSITIES
- A61—MEDICAL OR VETERINARY SCIENCE; HYGIENE
- A61K—PREPARATIONS FOR MEDICAL, DENTAL OR TOILETRY PURPOSES
- A61K31/00—Medicinal preparations containing organic active ingredients
- A61K31/70—Carbohydrates; Sugars; Derivatives thereof
- A61K31/7088—Compounds having three or more nucleosides or nucleotides
- A61K31/713—Double-stranded nucleic acids or oligonucleotides
-
- A—HUMAN NECESSITIES
- A61—MEDICAL OR VETERINARY SCIENCE; HYGIENE
- A61K—PREPARATIONS FOR MEDICAL, DENTAL OR TOILETRY PURPOSES
- A61K47/00—Medicinal preparations characterised by the non-active ingredients used, e.g. carriers or inert additives; Targeting or modifying agents chemically bound to the active ingredient
- A61K47/06—Organic compounds, e.g. natural or synthetic hydrocarbons, polyolefins, mineral oil, petrolatum or ozokerite
- A61K47/08—Organic compounds, e.g. natural or synthetic hydrocarbons, polyolefins, mineral oil, petrolatum or ozokerite containing oxygen, e.g. ethers, acetals, ketones, quinones, aldehydes, peroxides
- A61K47/14—Esters of carboxylic acids, e.g. fatty acid monoglycerides, medium-chain triglycerides, parabens or PEG fatty acid esters
-
- A—HUMAN NECESSITIES
- A61—MEDICAL OR VETERINARY SCIENCE; HYGIENE
- A61K—PREPARATIONS FOR MEDICAL, DENTAL OR TOILETRY PURPOSES
- A61K47/00—Medicinal preparations characterised by the non-active ingredients used, e.g. carriers or inert additives; Targeting or modifying agents chemically bound to the active ingredient
- A61K47/06—Organic compounds, e.g. natural or synthetic hydrocarbons, polyolefins, mineral oil, petrolatum or ozokerite
- A61K47/16—Organic compounds, e.g. natural or synthetic hydrocarbons, polyolefins, mineral oil, petrolatum or ozokerite containing nitrogen, e.g. nitro-, nitroso-, azo-compounds, nitriles, cyanates
- A61K47/18—Amines; Amides; Ureas; Quaternary ammonium compounds; Amino acids; Oligopeptides having up to five amino acids
-
- C—CHEMISTRY; METALLURGY
- C07—ORGANIC CHEMISTRY
- C07C—ACYCLIC OR CARBOCYCLIC COMPOUNDS
- C07C251/00—Compounds containing nitrogen atoms doubly-bound to a carbon skeleton
- C07C251/32—Oximes
- C07C251/34—Oximes with oxygen atoms of oxyimino groups bound to hydrogen atoms or to carbon atoms of unsubstituted hydrocarbon radicals
- C07C251/36—Oximes with oxygen atoms of oxyimino groups bound to hydrogen atoms or to carbon atoms of unsubstituted hydrocarbon radicals with the carbon atoms of the oxyimino groups bound to hydrogen atoms or to acyclic carbon atoms
- C07C251/38—Oximes with oxygen atoms of oxyimino groups bound to hydrogen atoms or to carbon atoms of unsubstituted hydrocarbon radicals with the carbon atoms of the oxyimino groups bound to hydrogen atoms or to acyclic carbon atoms to carbon atoms of a saturated carbon skeleton
-
- C—CHEMISTRY; METALLURGY
- C07—ORGANIC CHEMISTRY
- C07C—ACYCLIC OR CARBOCYCLIC COMPOUNDS
- C07C323/00—Thiols, sulfides, hydropolysulfides or polysulfides substituted by halogen, oxygen or nitrogen atoms, or by sulfur atoms not being part of thio groups
- C07C323/23—Thiols, sulfides, hydropolysulfides or polysulfides substituted by halogen, oxygen or nitrogen atoms, or by sulfur atoms not being part of thio groups containing thio groups and nitrogen atoms, not being part of nitro or nitroso groups, bound to the same carbon skeleton
- C07C323/24—Thiols, sulfides, hydropolysulfides or polysulfides substituted by halogen, oxygen or nitrogen atoms, or by sulfur atoms not being part of thio groups containing thio groups and nitrogen atoms, not being part of nitro or nitroso groups, bound to the same carbon skeleton having the sulfur atoms of the thio groups bound to acyclic carbon atoms of the carbon skeleton
- C07C323/25—Thiols, sulfides, hydropolysulfides or polysulfides substituted by halogen, oxygen or nitrogen atoms, or by sulfur atoms not being part of thio groups containing thio groups and nitrogen atoms, not being part of nitro or nitroso groups, bound to the same carbon skeleton having the sulfur atoms of the thio groups bound to acyclic carbon atoms of the carbon skeleton the carbon skeleton being acyclic and saturated
-
- C—CHEMISTRY; METALLURGY
- C07—ORGANIC CHEMISTRY
- C07D—HETEROCYCLIC COMPOUNDS
- C07D491/00—Heterocyclic compounds containing in the condensed ring system both one or more rings having oxygen atoms as the only ring hetero atoms and one or more rings having nitrogen atoms as the only ring hetero atoms, not provided for by groups C07D451/00 - C07D459/00, C07D463/00, C07D477/00 or C07D489/00
- C07D491/02—Heterocyclic compounds containing in the condensed ring system both one or more rings having oxygen atoms as the only ring hetero atoms and one or more rings having nitrogen atoms as the only ring hetero atoms, not provided for by groups C07D451/00 - C07D459/00, C07D463/00, C07D477/00 or C07D489/00 in which the condensed system contains two hetero rings
- C07D491/10—Spiro-condensed systems
- C07D491/113—Spiro-condensed systems with two or more oxygen atoms as ring hetero atoms in the oxygen-containing ring
-
- C—CHEMISTRY; METALLURGY
- C07—ORGANIC CHEMISTRY
- C07C—ACYCLIC OR CARBOCYCLIC COMPOUNDS
- C07C2601/00—Systems containing only non-condensed rings
- C07C2601/02—Systems containing only non-condensed rings with a three-membered ring
Definitions
- the present invention relates to methods and compositions for delivery of nucleic acids.
- Therapeutic nucleic acids include, e.g., small interfering RNA (siRNA), micro RNA (miRNA), antisense oligonucleotides, ribozymes, plasmids, immune stimulating nucleic acids, antisense, antagomir, antimir, microRNA mimic, supermir, Ul adaptor, and aptamer. These nucleic acids act via a variety of mechanisms. In the case of siRNA or miRNA, these nucleic acids can down-regulate intracellular levels of specific proteins through a process termed RNA interference (RNAi). Following introduction of siRNA or miRNA into the cell cytoplasm, these double- stranded RNA constructs can bind to a protein termed RISC.
- siRNA small interfering RNA
- miRNA micro RNA
- antisense oligonucleotides e.g., antisense oligonucleotides
- ribozymes e.g., antisense oligonucleot
- the sense strand of the siRNA or miRNA is displaced from the RISC complex providing a template within RISC that can recognize and bind mRNA with a complementary sequence to that of the bound siRNA or miRNA. Having bound the complementary mRNA the RISC complex cleaves the mRNA and releases the cleaved strands.
- RNAi can provide down-regulation of specific proteins by targeting specific destruction of the corresponding mRNA that encodes for protein synthesis.
- RNAi The therapeutic applications of RNAi are extremely broad, since siRNA and miRNA constructs can be synthesized with any nucleotide sequence directed against a target protein. To date, siRNA constructs have shown the ability to specifically down-regulate target proteins in both in vitro and in vivo models. In addition, siRNA constructs are currently being evaluated in clinical studies.
- siRNA or miRNA constructs Two problems currently faced by siRNA or miRNA constructs are, first, their susceptibility to nuclease digestion in plasma and, second, their limited ability to gain access to the intracellular compartment where they can bind RISC when administered systemically as the free siRNA or miRNA.
- These double- stranded constructs can be stabilized by incorporation of chemically modified nucleotide linkers within the molecule, for example, phosphothioate groups.
- these chemical modifications provide only limited protection from nuclease digestion and may decrease the activity of the construct.
- Intracellular delivery of siRNA or miRNA can be facilitated by use of carrier systems such as polymers, cationic liposomes or by chemical modification of the construct, for example by the covalent attachment of cholesterol molecules.
- carrier systems such as polymers, cationic liposomes or by chemical modification of the construct, for example by the covalent attachment of cholesterol molecules.
- improved delivery systems are required to increase the potency of siRNA and miRNA molecules and reduce or eliminate the requirement for
- Antisense oligonucleotides and ribozymes can also inhibit mRNA translation into protein.
- these single stranded deoxynucleic acids have a complementary sequence to that of the target protein mRNA and can bind to the mRNA by Watson-Crick base pairing. This binding either prevents translation of the target mRNA and/or triggers RNase H degradation of the mRNA transcripts. Consequently, antisense
- oligonucleotides have tremendous potential for specificity of action (i.e., down-regulation of a specific disease-related protein). To date, these compounds have shown promise in several in vitro and in vivo models, including models of inflammatory disease, cancer, and HIV (reviewed in Agrawal, Trends in Biotech. 14:376-387 (1996)). Antisense can also affect cellular activity by hybridizing specifically with chromosomal DNA. Advanced human clinical assessments of several antisense drugs are currently underway. Targets for these drugs include the bcl2 and apolipoprotein B genes and mRNA products.
- Immune- stimulating nucleic acids include deoxyribonucleic acids and ribonucleic acids.
- deoxyribonucleic acids certain sequences or motifs have been shown to illicit immune stimulation in mammals. These sequences or motifs include the CpG motif, pyrimidine-rich sequences and palindromic sequences. It is believed that the CpG motif in deoxyribonucleic acids is specifically recognized by an endosomal receptor, toll-like receptor 9 (TLR-9), which then triggers both the innate and acquired immune stimulation pathway.
- TLR-9 endosomal receptor
- Certain immune stimulating ribonucleic acid sequences have also been reported. It is believed that these RNA sequences trigger immune activation by binding to toll-like receptors 6 and 7 (TLR-6 and TLR-7). In addition, double- stranded RNA is also reported to be immune stimulating and is believe to activate via binding to TLR-3.
- siRNA has been administered systemically in cationic liposomes, and these nucleic acid-lipid particles have been reported to provide improved down-regulation of target proteins in mammals including non-human primates (Zimmermann et al, Nature 441: 111-114 (2006)).
- compositions that are suitable for general therapeutic use.
- these compositions would encapsulate nucleic acids with high-efficiency, have high drug:lipid ratios, protect the encapsulated nucleic acid from degradation and clearance in serum, be suitable for systemic delivery, and provide intracellular delivery of the encapsulated nucleic acid.
- these lipid-nucleic acid particles should be well-tolerated and provide an adequate therapeutic index, such that patient treatment at an effective dose of the nucleic acid is not associated with significant toxicity and/or risk to the patient.
- Compositions, methods of making the compositions, and methods of using the compositions to introduce nucleic acids into cells, including for the treatment of diseases are provided.
- One embodiment of the present invention is a cationic lipid having one or more cycloalkyl groups (e.g., a cyclopropyl group) in at least one lipidic moiety.
- the cycloalkyl group interrupts the lipidic moiety.
- the cycloalkyl group is spirocyclic about a carbon atom in the lipidic moiety.
- the cationic lipid has the formula:
- R 1 is a Cio to C 30 group having the formula
- L la is a bond, -CR la R lb -, -0-, -CO-, -NR ld -, -S-, or a combination thereof;
- each R la and each R lb independently, is H; halo; hydroxy; cyano; CrC 6 alkyl optionally substituted by halo, hydroxy, or alkoxy; C 3 -C8 cycloalkyl optionally substituted by halo, hydroxy, or alkoxy; -OR lc ; -NR lc R ld ; aryl; heteroaryl; or heterocyclyl;
- l b independently, can be a bond, -(CR la R lb ) 1-2 -, -0-, -CO-, -NR ld -, -S-, , or a combination thereof; or can have the formula
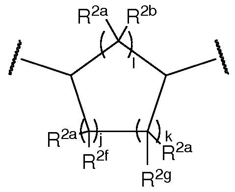
- j, k, and 1 are each independently 0, 1, 2, or 3, provided that the sum of j, k and 1 is at least 1 and no greater than 8; and R and R g are each independently R , or adjacent R and R g , taken together, are optionally a bond;
- j and k are each independently 0, 1, 2, 3, or 4 provided that the sum of j and k is at least 1 ;
- R and R g are each independently R , or adjacent R and R g , taken together, are optionally a bond;
- -Ar- is a 6 to 14 membered arylene group optionally substituted by zero to six R la groups; or can have the formula:
- Het- is a 3 to 14 membered heterocyclylene or heteroarylene group optionally substituted by zero to six R la groups.
- L lc can be -(CR la R lb ) 1-2 -, -0-, -CO-, -NR ld -, -S-, , , I I , or a combination thereof.
- each R lc is independently H; halo; hydroxy; cyano; C]_-C alkyl optionally substituted by halo, hydroxy, or alkoxy; C3-C8 cycloalkyl optionally substituted by halo, hydroxy, or alkoxy; aryl; heteroaryl; or heterocyclyl; or R lc can have the formula:
- each R ld is independently H; halo; hydroxy; cyano; CrC 6 alkyl optionally substituted by halo, hydroxy, or alkoxy; C 3 -C 8 cycloalkyl optionally substituted by halo, hydroxy, or alkoxy; aryl; heteroaryl; or heterocyclyl;
- a is 0-6; each ⁇ , independently, is 0-6; and ⁇ is 0-6;
- R is a Cio to C 30 group having the formula
- L 2a is a bond, -CR 2a R 2b -, -0-, -CO-, -NR 2d -, -S-, or a combination thereof;
- each R 2a and each R 2b independently, is H; halo; hydroxy; cyano; C]_-C alkyl optionally substituted by halo, hydroxy, or alkoxy; C 3 -C 8 cycloalkyl optionally substituted by halo, hydroxy, or alkoxy; -OR lc ; -NR lc R ld ; aryl; heteroaryl; or heterocyclyl;
- 2 b independently, can be a bond, -(CR la R lb )i_ 2 -, -0-, -CO-, -NR ld -, -S-, , or a combination thereof; or can have the formula
- R 2f and R 2g are each independently R 2b , or adjacent R 2f and R 2g , taken together, are optionally a bond;
- R 2f and R 2g are each independently R 2b , or adjacent R 2f and R 2g , taken together, are optionally a bond;
- -Ar- is a 6 to 14 membered arylene group optionally substituted by zero to six R a groups; or can have the formula:
- Het- is a 3 to 14 membered heterocyclylene or heteroarylene group optionally substituted by zero to six R 2a groups;
- each R 2c is independently H; halo; hydroxy; cyano; Ci-C 6 alkyl optionally substituted by halo, hydroxy, or alkoxy; C 3 -C 8 cycloalkyl optionally substituted by halo, hydroxy, or alkoxy; aryl; heteroaryl; or heterocyclyl; or R
- each R is independently H; halo; hydroxy; cyano; Ci-C 6 alkyl optionally substituted by halo, hydroxy, or alkoxy; C 3 -C 8 cycloalkyl optionally substituted by halo, hydroxy, or alkoxy; aryl; heteroaryl; or heterocyclyl;
- ⁇ is 0-6; each ⁇ , independently, is 0-6; and ⁇ is 0-6;
- Hd 1 can be -X-(CR 3 R 4 ) n -N(R 5 )(R 6 )(R 7 ) and Hd 2 is H, halo, hydroxy, alkyl, or alkoxy; or Hd 1 and Hd 2 , taken together, can have the formula:
- X and Y are each independently -0-, -S-, -NR -, -S-S-, -0C(0)-, -C(0)0-, -NR 8 C(0)-, -C(0)NR 8 -, -NR 8 C(0)0-, -OC(0)NR 8 -, -NR 8 C(0)NR 8 -, -NR 8 C(S)0-, -OC(S)NR 8 -,
- each R 3 and each R 4 can be H; halo; hydroxy; cyano; Ci-Ce alkyl optionally substituted by halo, hydroxy, or alkoxy; C 3 -C 8 cycloalkyl optionally substituted by halo, hydroxy, or alkoxy; aryl; heteroaryl; or heterocyclyl;
- R 5 and R 6 are each independently H, alkyl, alkenyl, alkynyl, cycloalkyl, aryl, heteroaryl, or heterocyclyl, wherein each of alkyl, alkenyl, alkynyl, cycloalkyl, aryl, heteroaryl, and heterocyclyl is optionally substituted by H; halo; hydroxy; cyano; oxo, nitro; CrC 6 alkyl optionally substituted by halo, hydroxy, or alkoxy; C 3 -C 8 cycloalkyl optionally substituted by halo, hydroxy, or alkoxy; aryl; heteroaryl; or heterocyclyl; or R 5 and R 6 are taken together with the N atom to which they are both attached to form a 3-8 membered heteroaryl or heterocyclyl; wherein each of heteroaryl and heterocyclyl is optionally substituted by H; halo; hydroxy; cyano; oxo, nitro
- R can be absent, H, alkyl, alkyl, alkenyl, alkynyl, cycloalkyl, aryl, heteroaryl, or heterocyclyl, wherein each of alkyl, alkenyl, alkynyl, cycloalkyl, aryl, heteroaryl, and
- heterocyclyl is optionally substituted by H; halo; hydroxy; cyano; oxo, nitro; CrC 6 alkyl optionally substituted by halo, hydroxy, or alkoxy; C 3 -C 8 cycloalkyl optionally substituted by halo, hydroxy, or alkoxy; aryl; heteroaryl; or heterocyclyl;
- R can be H, alkyl, alkenyl, alkynyl, cycloalkyl, aryl, heteroaryl, or heterocyclyl, wherein each of alkyl, alkenyl, alkynyl, cycloalkyl, aryl, heteroaryl, and heterocyclyl is optionally substituted by H; halo; hydroxy; cyano; oxo, nitro; CrC 6 alkyl optionally substituted by halo, hydroxy, or alkoxy; C3-C 8 cycloalkyl optionally substituted by halo, hydroxy, or alkoxy; aryl; heteroaryl; or heterocyclyl; and
- R 1 and R 2 includes a substituted or unsubstituted cycloalkyl group (e.g., an unsubstituted cyclopropyl group). In another embodiment, at least one of R 1 and R 2 includes a spirocyclic substituted or unsubstituted cycloalkyl group (e.g., a spirocyclic unsubstituted cyclopropyl group).
- R 1 is a C 12 to C 2 o group having the formula -L la -(CR la R lb ) a -[L lb - (CR la R lb ) p ] y -L lc -R lc , wherein at least one L lb has the formula or has the formula
- j, k, and 1 are each independently 0, 1, 2, or 3, provided that the sum of j, k and 1 is at least 1 and no greater than 8; and R and R g are each independently R , or adjacent R and R g , taken together, are optionally a bond.
- l b can have the formula: ⁇ / .
- R 2c can have the formula:
- -L la -(CR la R lb ) folk- can be -(CH 2 ) st one -[L lb -(CR la R lb ) p ]- can be .
- -[L 1D -(CR ia R 1D ) p ] y - can be or 3 .
- -L lc -R lc can be -(CH 2 ) 3 -CH 3 or -CH 3 .
- R 1 can be free of carbon-carbon double-bonds.
- R 2 can be free of carbon-carbon double- bonds.
- Hd 1 can have the formula -X-(CR 3 R 4 ) n -N(R 5 )(R 6 )(R 7 ).
- Hd 2 can be H, X is O, and R 7 is absent.
- R 5 and R 6 can each be independently alkyl optionally substituted by halo; hydroxy; cyano; oxo, nitro; C 3 -C8 cycloalkyl optionally substituted by halo, hydroxy, or alkoxy; aryl; heteroaryl; or heterocyclyl.
- Hd 1 and Hd 2 taken together, can have the formula:
- X and Y can be each independently O, and m can be 0, 1, or 2. n can be 1, 2, 3, 4, or 5.
- R 7 can be absent; and R 5 and R 6 can each independently be alkyl optionally substituted by halo; hydroxy; cyano; oxo, nitro; C3-C8 cycloalkyl optionally substituted by halo, hydroxy, or alkoxy; aryl; heteroaryl; or heterocyclyl.
- lipid particle comprising a neutral lipid, a lipid capable of reducing aggregation, and a cationic lipid of the present invention.
- the neutral lipid can be selected from DSPC, DPPC, POPC, DOPE, or SM; the lipid capable of reducing aggregation is a PEG lipid; and the lipid particle further comprises a sterol.
- the cationic lipid can be present in a molar ratio of about 20% and about 60%; the neutral lipid can be present in a molar ratio of about 5% to about 25%; the sterol can be present in a molar ratio of about 25% to about 55%; and the PEG lipid can be PEG-DMA, PEG-DMG, or a combination thereof, and can be present in a molar ratio of about 0.5% to about 15%.
- the lipid particle can further include an active agent.
- the active agent can be a nucleic acid selected from the group consisting of a plasmid, an immuno stimulatory oligonucleotide, an siRNA, an antisense oligonucleotide, a microRNA, an antagomir, an aptamer, and a ribozyme.
- a pharmaceutical composition can include a lipid particle and a pharmaceutically acceptable carrier.
- a method of modulating the expression of a target gene in a cell includes providing to the cell a lipid particle.
- the active agent can be a nucleic acid selected from the group consisting of a plasmid, an immuno stimulatory oligonucleotide, an siRNA, an antisense oligonucleotide, a microRNA, an antagomir, an aptamer, and a ribozyme.
- a method of treating a disease or disorder characterized by the overexpression of a polypeptide in a subject includes providing to the subject the pharmaceutical composition wherein the active agent is a nucleic acid selected from the group consisting of an siRNA, a microRNA, and an antisense oligonucleotide, and wherein the siRNA, microRNA, or antisense oligonucleotide includes a polynucleotide that specifically binds to a polynucleotide that encodes the polypeptide, or a complement thereof.
- the active agent is a nucleic acid selected from the group consisting of an siRNA, a microRNA, and an antisense oligonucleotide
- the siRNA, microRNA, or antisense oligonucleotide includes a polynucleotide that specifically binds to a polynucleotide that encodes the polypeptide, or a complement thereof.
- underexpression of a polypeptide in a subject includes providing to the subject the
- composition wherein the active agent is a plasmid that encodes the polypeptide or a functional variant or fragment thereof.
- a method of inducing an immune response in a subject includes providing to the subject the pharmaceutical composition wherein the active agent is an immuno stimulatory oligonucleotide .
- the target gene can be selected from the group consisting of Factor VII, Eg5, PCSK9, TPX2, apoB, SAA, TTR, RSV, PDGF beta gene, Erb-B gene, Src gene, CRK gene, GRB2 gene, RAS gene, MEKK gene, JNK gene, RAF gene, Erkl/2 gene, PCNA(p21) gene, MYB gene, JUN gene, FOS gene, BCL-2 gene, Cyclin D gene, VEGF gene, EGFR gene, Cyclin A gene, Cyclin E gene, WNT-1 gene, beta-catenin gene, c-MET gene, PKC gene, NFKB gene, STAT3 gene, survivin gene, Her2/Neu gene, SORTl gene, XBPl gene, topoisomerase I gene, topoisomerase II alpha gene, p73 gene, p21(WAFl/CIPl) gene, p27 (KIP 1) gene, PPMlD gene, RAS gene, caveolin I gene,
- the active agent can be a nucleic acid.
- the nucleic acid can be an oligonucleotide of between 10 and 50 nucleotides in length.
- the nucleic acid agent can be double stranded or single stranded.
- the nucleic acid can be a deoxyribonucleic acid. In another embodiment, the nucleic acid can be a ribonucleic acid.
- the nucleic acid can be a double stranded siRNA, or can be a single stranded siRNA.
- the nucleic acid can be an antisense nucleic acid, a microRNA, an antimicroRNA, an antagomir, a microRNA inhibitor, or an immune stimulatory nucleic acid.
- a transfection agent in another aspect, includes the composition described above.
- the agent when contacted with cells, can efficiently deliver nucleic acids to the cells.
- a method of delivering a nucleic acid to the interior of a cell includes forming a composition described above, and contacting the composition with a cell.
- the cells can be mammalian cells.
- the mammalian cells can be selected from the group consisting of CHO, CHO GFP, CHO DG44, NIH3T3, HEK293-MSR, HeLa, A549, PC12, HepG2, Jurkat, U937, COS-7, Vero, BHK and ME- 180 cell lines, and corresponding non- adhereent suspension cells.
- FIG. 1 is a graph depicting efficacy of lipid particle formulations using an in vivo rodent Factor VII silencing model.
- FIG. 2 is a graph depicting efficacy of lipid particle formulations using an in vivo rodent Factor VII silencing model
- Nucleic acid-lipid particle compositions can include a compound of formula (I).
- a composition described herein provides increased activity of the nucleic acid and/or improved tolerability of the compositions in vivo, which can result in a significant increase in therapeutic index as compared to lipid-nucleic acid particle compositions previously described.
- compositions for the delivery of siRNA molecules are described. These compositions are effective in down-regulating the protein levels and/or mRNA levels of target proteins.
- the activity of these compositions can be influenced by the presence of cationic lipids and the molar ratio of cationic lipid in the formulation.
- the lipid particles and compositions may be used for a variety of purposes, including the delivery of associated or encapsulated therapeutic agents to cells, both in vitro and in vivo.
- methods of treating diseases or disorders in a subject in need thereof can include contacting the subject with a lipid particle associated with a suitable therapeutic agent.
- the lipid particles are particularly useful for the delivery of nucleic acids, including, e.g., siRNA molecules and plasmids. Therefore, the lipid particles and compositions may be used to modulate the expression of target genes and proteins both in vitro and in vivo by contacting cells with a lipid particle associated with a nucleic acid that reduces target gene expression (e.g., an siRNA) or a nucleic acid that may be used to increase expression of a desired protein (e.g., a plasmid encoding the desired protein).
- a lipid particle associated with a nucleic acid that reduces target gene expression e.g., an siRNA
- a nucleic acid that may be used to increase expression of a desired protein e.g., a plasmid encoding the desired protein.
- a desired protein e.g., a plasmid encoding the desired protein.
- the compound also contains a negatively charged counter ion.
- the counterion can be any anion, such as an organic or inorganic anion. Suitable examples of anions include, but are not limited to, tosylate, methanesulfonate, acetate, citrate, malonate, tartarate, succinate, benzoate, ascorbate, a-ketoglutarate, a- glycerophosphate, halide (e.g., chloride), sulfate, nitrate, bicarbonate, and carbonate.
- the counterion is a halide (e.g., CI).
- a suitable cholesterol moiety for the cationic lipids of the present invention has the formula:
- Cationic lipids can have certain design features including a head group, one or more hydrophobic tails, and a linker between the head group and the one or more tails.
- the head group can include an amine; for example an amine having a desired pK a .
- the pK a can be influenced by the structure of the lipid, particularly the nature of head group; e.g., the presence, absence, and location of functional groups such as anionic functional groups, hydrogen bond donor functional groups, hydrogen bond acceptor groups, hydrophobic groups (e.g., aliphatic groups), hydrophilic groups (e.g., hydroxyl or methoxy), or aryl groups.
- the head group amine can be a cationic amine; a primary, secondary, or tertiary amine; the head group can include one amine group (monoamine), two amine groups (diamine), three amine groups (triamine), or a larger number of amine groups, as in an oligoamine or polyamine.
- the head group can include a functional group that is less strongly basic than an amine, such as, for example, an imidazole, a pyridine, or a guanidinium group.
- the head group can be zwitterionic. Other head groups are suitable as well.
- the one or more hydrophobic tails can include two hydrophobic chains, which may be the same or different.
- the tails can be aliphatic; for example, they can be composed of carbon and hydrogen, either saturated or unsaturated but without aromatic rings.
- the tails can be fatty acid tails; some such groups include octanyl, nonanyl, decyl, lauryl, myristyl, palmityl, stearyl, a-linoleyl, stearidonyl, linoleyl, ⁇ -linolenyl, arachadonyl, oleyl, and others.
- Other hydrophobic tails are suitable as well.
- the linker can include, for example, a glyceride linker, an acyclic glyceride analog linker, or a cyclic linker (including a spiro linker, a bicyclic linker, and a polycyclic linker).
- the linker can include functional groups such as an ether, an ester, a phosphate, a phosphonate, a phosphorothioate, a sulfonate, a disulfide, an acetal, a ketal, an imine, a hydrazone, or an oxime.
- Other linkers and functional groups are suitable as well.
- the present invention comprises of synthesis of lipids described herein in racemic as well as in optically pure form.
- the lipid is a racemic mixture.
- the lipid is enriched in one diastereomer, e.g. the lipid has at least 95%, at least 90%, at least 80% or at least 70% diastereomeric excess.
- the lipid is enriched in one enantiomer, e.g. the lipid has at least 95%, at least 90%, at least 80% or at least 70% enantiomer excess.
- the lipid is chirally pure, e.g. is a single optical isomer.
- the lipid is enriched for one optical isomer.
- a double bond e.g., a carbon-carbon double bond or carbon-nitrogen double bond
- isomerism in the configuration about the double bond (i.e. cis/trans or E/Z isomerism).
- the configuration of a double bond is illustrated in a chemical structure, it is understood that the corresponding isomer can also be present.
- the amount of isomer present can vary, depending on the relative stabilities of the isomers and the energy required to convert between the isomers. Accordingly, some double bonds are, for practical purposes, present in only a single configuration, whereas others (e.g., where the relative stabilities are similar and the energy of conversion low) may be present as inseparable equilibrium mixture of configurations.
- R can be a C 10 to C30 group having the formula
- L la is a bond, -CR la R lb -, -0-, -CO-, -NR ld -, -S-, or a combination thereof;
- each R la and each R lb independently, is H; halo; hydroxy; cyano; CrC 6 alkyl optionally substituted by halo, hydroxy, or alkoxy; C3-C8 cycloalkyl optionally substituted by halo, hydroxy, or alkoxy; -OR lc ; -NR lc R ld ; aryl; heteroaryl; or heterocyclyl;
- L lb independently, is a bond, -(CR la R lb ) 1-2 -, -0-, -CO-, -NR ld -, -S-, , ; I 3 ⁇ 4 , or a combination thereof; or has the formula
- j, k, and 1 are each independently 0, 1, 2, or 3, provided that the sum of j, k and 1 is at least 1 and no greater than 8; and R and R g are each independently R , or adjacent R and R g , taken together, are optionally a bond;
- j and k are each independently 0, 1, 2, 3, or 4 provided that the sum of j and k is at least l; and R lf and Rl g are each independently R lb , or adjacent R lf and Rl g , taken together, are optionally a bond;
- -Ar- is a 6 to 14 membered arylene group optionally substituted by zero to six R la groups; or has the formula:
- each R lc is independently H; halo; hydroxy; cyano; CrC 6 alkyl optionally substituted by halo, hydroxy, or alkoxy; C 3 -C 8 cycloalkyl optionally substituted by halo, hydroxy, or alkoxy; aryl; heteroaryl; or heterocycl lc has the formula:
- each R is independently H; halo; hydroxy; cyano; CrC 6 alkyl optionally substituted by halo, hydroxy, or alkoxy; C 3 -C 8 cycloalkyl optionally substituted by halo, hydroxy, or alkoxy; aryl; heteroaryl; or heterocyclyl;
- a 0-6;
- each ⁇ independently, is 0-6;
- ⁇ 0-6.
- At least L lb can include an unsaturation, such as a double bond, triple bond, or ring. In some cases, at least L lb can include more than one unsaturation, or more than one L lb can include an unsaturation.
- the unsaturation can introduce a degree of structural rigidity compared to a similar but saturated structure. For example, a double bond can be more rigid than a single bond. However, in some cases, an unsaturation can be a site of reactivity. In particular, carbon-carbon double bonds can be more reactive, e.g., to oxidation, than carbon-carbon single bonds. It can therefore, in some cases, be preferable to have single-bonded unsaturations, for example, cyclic structures.
- a double-bonded unsaturation can be satisfactorily replaced by a cyclic unsaturation.
- the cyclic unsaturation can be a cycloaliphatic unsaturation; e.g., a cyclopropyl, cyclobutyl, cyclopentyl, cyclohexyl, cycloheptyl, or cyclooctyl group.
- the cyclic group can be a polycyclic group, e.g., a bicyclic group or tricyclic group. A bicyclic group can be bridged, fused, or have a spiro structure.
- the cyclic unsaturation can provide rigidity. Smaller rings, e.g. 3, 4 or 5 membered rings; can be more rigid than larger ones, e.g., 6, 7 or 8 membered rings.
- a double bond moiety can be replaced by a cyclopropyl moiety, e.g., * ' can be replaced by .
- a lineolyl moiety has two carbon-carbon double bonds, each of which can independently be replaced by a cyclic moiety, e.g., a cyclopropyl moiety.
- lineolyl can include:
- R in the cationic lipid, R can be a C 10 to C 30 group having the formula
- L 2a is a bond, -CR 2a R 2b -, -0-, -CO-, -NR 2d -, -S-, or a combination thereof;
- j, k, and 1 are each independently 0, 1, 2, or 3, provided that the sum of j, k and 1 is at least 1 and no greater than 8; and R 2f and R 2g are each independently R 2b , or adjacent R 2f and R 2g , taken together, are optionally a bond;
- j and k are each independently 0, 1, 2, 3, or 4 provided that the sum of j and k is at least 1; and R 2f and R 2g are each independently R 2b , or adjacent R 2f and R 2g , taken together, are optionally a bond;
- -Ar- is a 6 to 14 membered arylene group optionally substituted by zero to six R 2 a groups
- -Het- is a 3 to 14 membered heterocyclylene or heteroarylene group optionally substituted by zero to six R 2a groups
- L 2c is -(CR 2a R 2b ) ! _ 2 -, -0-, -CO-, -NR ld -, -S-, , , or a combination thereof;
- R 2c is H; halo; hydroxy; cyano; CrC 6 alkyl optionally substituted by halo, hydroxy, or alkoxy; C 3 -C 8 cycloalkyl optionally substituted by halo, hydroxy, or alkoxy; aryl; heteroaryl; or heterocyclyl; or R 2c has the formula:
- R is H; halo; hydroxy; cyano; C -C alkyl optionally substituted by halo, hydroxy, or alkoxy; C 3 -C 8 cycloalkyl optionally substituted by halo, hydroxy, or alkoxy; aryl; heteroaryl; or heterocyclyl;
- ⁇ is 0-6;
- each ⁇ independently, is 0-6;
- ⁇ 0-6.
- the lipids are cationic lipids.
- the term cationic lipids As used herein, the term
- cationic lipid is meant to include those lipids having one or two fatty acid or fatty aliphatic chains and an amino head group (including an alkylamino or dialkylamino group) that may be protonated to form a cationic lipid at physiological pH.
- a cationic lipid is referred to as an "amino lipid.”
- cationic lipids would include those having alternative fatty acid groups and other dialkylamino groups, including those in which the alkyl substituents are different (e.g.,
- Ri and R 2 are both long chain alkyl, alkenyl, alkynyl, or acyl groups, they can be the same or different.
- lipids e.g., a cationic lipid
- Cationic lipids containing unsaturated fatty acids with carbon chain lengths in the range of C 10 to C 20 are typical.
- Other scaffolds can also be used to separate the amino group (e.g., the amino group of the cationic lipid) and the fatty acid or fatty alkyl portion of the cationic lipid. Suitable scaffolds are known to those of skill in the art.
- cationic lipids have at least one protonatable or deprotonatable group, such that the lipid is positively charged at a pH at or below physiological pH (e.g. pH 7.4), and neutral at a second pH, preferably at or above physiological pH.
- a pH at or below physiological pH e.g. pH 7.4
- a second pH preferably at or above physiological pH.
- Such lipids are also referred to as cationic lipids.
- the lipids can have more than one protonatable or deprotonatable group, or can be zwiterrionic.
- protonatable lipids i.e., cationic lipids
- lipids will have a pK a of the protonatable group in the range of about 4 to about 11.
- lipids will have a pK a of about 4 to about 7, e.g., between about 5 and 7, such as between about 5.5 and 6.8, when incorporated into lipid particles.
- Such lipids will be cationic at a lower pH formulation stage, while particles will be largely (though not completely) surface neutralized at physiological pH around pH 7.4.
- pK a measurements of lipids within lipid particles can be performed, for example, by using the fluorescent probe 2-(p-toluidino)-6-napthalene sulfonic acid (TNS), using methods described in Cullis et al., (1986) Chem Phys Lipids 40, 127-144, which is incorporated by reference in its entirety.
- TMS 2-(p-toluidino)-6-napthalene sulfonic acid
- the lipids are charged lipids.
- charged lipid is meant to include those lipids having one or two fatty acyl or fatty alkyl chains and a quaternary amino head group.
- the quaternary amine carries a permanent positive charge.
- the head group can optionally include a ionizable group, such as a primary, secondary, or tertiary amine that may be protonated at physiological pH.
- a charged lipid is referred to as an "amino lipid.” See, for example, provisional U.S. patent application 61/267,419, filed December 7, 2009, which is incorporated by reference in its entirety.
- the formulations can further comprise an apolipoprotein.
- apolipoprotein or “lipoprotein” refers to apolipoproteins known to those of skill in the art and variants and fragments thereof and to apolipoprotein agonists, analogues or fragments thereof described below.
- Suitable apolipoproteins include, but are not limited to, ApoA-I, ApoA-II, ApoA-IV, ApoA-V and ApoE, and active polymorphic forms, isoforms, variants and mutants as well as fragments or truncated forms thereof.
- the apolipoprotein is a thiol containing apolipoprotein.
- Thiol containing apolipoprotein refers to an apolipoprotein, variant, fragment or isoform that contains at least one cysteine residue.
- thiol containing apolipoproteins are ApoA-I Milano (APOA-I M ) and ApoA-I Paris (ApoA-Ip) which contain one cysteine residue (Jia et al., 2002, Biochem. Biophys. Res. Comm. 297: 206-13; Bielicki and Oda, 2002, Biochemistry 41: 2089-96).
- ApoA-II, ApoE2 and ApoE3 are also thiol containing apolipoproteins. Isolated ApoE and/or active fragments and polypeptide analogues thereof, including recombinantly produced forms thereof, are described in U.S. Pat. Nos.
- the apolipoprotein can be in its mature form, in its
- the apolipoprotein can be a fragment, variant or isoform of the apolipoprotein.
- fragment refers to any apolipoprotein having an amino acid sequence shorter than that of a native apolipoprotein and which fragment retains the activity of native apolipoprotein, including lipid binding properties.
- variant is meant substitutions or alterations in the amino acid sequences of the apolipoprotein, which substitutions or alterations, e.g., additions and deletions of amino acid residues, do not abolish the activity of native apolipoprotein, including lipid binding properties.
- a variant can comprise a protein or peptide having a substantially identical amino acid sequence to a native apolipoprotein provided herein in which one or more amino acid residues have been conservatively substituted with chemically similar amino acids.
- conservative substitutions include the substitution of at least one hydrophobic residue such as isoleucine, valine, leucine or methionine for another.
- the substitution of at least one hydrophilic residue such as, for example, between arginine and lysine, between glutamine and asparagine, and between glycine and serine (see U.S. Pat. Nos. 6,004,925, 6,037,323 and 6,046,166) are conservative substitutions.
- isoform refers to a protein having the same, greater or partial function and similar, identical or partial sequence, and may or may not be the product of the same gene and usually tissue specific (see Weisgraber 1990, J. Lipid Res. 31(8): 1503-11 ; Hixson and Powers 1991, J. Lipid Res. 32(9): 1529-35; Lackner et al., 1985, J. Biol. Chem. 260(2):703-6; Hoeg et al., 1986, J. Biol. Chem. 261(9):3911-4; Gordon et al., 1984, J. Biol. Chem. 259(l):468-74; Powell et al., 1987, Cell 50(6):831-40; Aviram et al., 1998, Arterioscler. Thromb. Vase. Biol. 18(10): 1617-24;
- the methods and compositions include the use of a chimeric construction of an apolipoprotein.
- a chimeric construction of an apolipoprotein can be comprised of an apolipoprotein domain with high lipid binding capacity associated with an apolipoprotein domain containing ischemia reperfusion protective properties.
- a chimeric construction of an apolipoprotein can be a construction that includes separate regions within an apolipoprotein (i.e., homologous construction) or a chimeric construction can be a construction that includes separate regions between different apolipoproteins (i.e., heterologous
- Compositions comprising a chimeric construction can also include segments that are apolipoprotein variants or segments designed to have a specific character (e.g., lipid binding, receptor binding, enzymatic, enzyme activating, antioxidant or reduction-oxidation property) (see Weisgraber 1990, J. Lipid Res. 31(8): 1503-11 ; Hixson and Powers 1991, J. Lipid Res. 32(9): 1529-35; Lackner et al., 1985, J. Biol. Chem. 260(2):703-6; Hoeg et al, 1986, J. Biol. Chem. 261(9):3911-4; Gordon et al., 1984, J. Biol. Chem. 259(l):468-74; Powell et al., 1987, Cell 50(6):831-40; Aviram et al., 1998, Arterioscler. Thromb. Vase. Biol. 18(10): 1617-24;
- a specific character e.g., lipid
- Apolipoproteins utilized also include recombinant, synthetic, semi-synthetic or purified apolipoproteins. Methods for obtaining apolipoproteins or equivalents thereof are well-known in the art. For example, apolipoproteins can be separated from plasma or natural products by, for example, density gradient centrifugation or immunoaffinity chromatography, or produced synthetically, semi- synthetically or using recombinant DNA techniques known to those of the art (see, e.g., Mulugeta et al., 1998, J. Chromatogr. 798(1-2): 83-90; Chung et al., 1980, J. Lipid Res.
- Apolipoproteins further include apolipoprotein agonists such as peptides and peptide analogues that mimic the activity of ApoA-I, ApoA-I Milano (ApoA-I M ), ApoA-I Paris
- apolipoprotein can be any of those described in U.S. Pat. Nos. 6,004,925, 6,037,323, 6,046,166, and 5,840,688, the contents of which are incorporated herein by reference in their entireties.
- Apolipoprotein agonist peptides or peptide analogues can be synthesized or manufactured using any technique for peptide synthesis known in the art including, e.g., the techniques described in U.S. Pat. Nos. 6,004,925, 6,037,323 and 6,046,166.
- the peptides may be prepared using the solid-phase synthetic technique initially described by Merrifield (1963, J. Am. Chem. Soc. 85:2149-2154).
- Other peptide synthesis techniques may be found in Bodanszky et al., Peptide Synthesis, John Wiley & Sons, 2d Ed., (1976) and other references readily available to those skilled in the art.
- peptides for use in different peptide syntheses are described in the above-mentioned texts as well as in McOmie, Protective Groups in Organic Chemistry, Plenum Press, New York, N.Y. (1973).
- the peptides might also be prepared by chemical or enzymatic cleavage from larger portions of, for example, apolipoprotein A-I.
- the apolipoprotein can be a mixture of apolipoproteins.
- the apolipoprotein can be a homogeneous mixture, that is, a single type of apolipoprotein.
- the apolipoprotein can be a heterogeneous mixture of apolipoproteins, that is, a mixture of two or more different apolipoproteins.
- Embodiments of heterogenous mixtures of apolipoproteins can comprise, for example, a mixture of an
- a heterogenous mixture can comprise, for example, a mixture of ApoA-I and ApoA-I Milano.
- a heterogeneous mixture can comprise, for example, a mixture of ApoA-I Milano and ApoA-I Paris. Suitable mixtures for use in the methods and compositions descreibed herein will be apparent to one of skill in the art.
- the apolipoprotein is obtained from natural sources, it can be obtained from a plant or animal source. If the apolipoprotein is obtained from an animal source, the apolipoprotein can be from any species. In certain embodiments, the apolipoprotien can be obtained from an animal source. In certain embodiments, the apolipoprotein can be obtained from a human source. In preferred embodiments, the apolipoprotein is derived from the same species as the individual to which the apolipoprotein is administered.
- Lipid particles can include one or more of the cationic lipids described above. Lipid particles include, but are not limited to, liposomes. As used herein, a liposome is a structure having lipid-containing membranes enclosing an aqueous interior. Liposomes may have one or more lipid membranes. Liposomes can be single-layered, referred to as unilamellar, or multi-layered, referred to as multilamellar. When complexed with nucleic acids, lipid particles may also be lipoplexes, which are composed of cationic lipid bilayers sandwiched between DNA layers, as described, e.g., in Feigner, Scientific American.
- the lipid particles may further comprise one or more additional lipids and/or other components such as cholesterol.
- Other lipids may be included in the liposome compositions for a variety of purposes, such as to prevent lipid oxidation or to attach ligands onto the liposome surface. Any of a number of lipids may be present in liposomes, including amphipathic, neutral, cationic, and anionic lipids. Such lipids can be used alone or in combination. Specific examples of additional lipid components that may be present are described below. Additional components that may be present in a lipid particle include bilayer stabilizing components such as polyamide oligomers (see, e.g. , U.S. Patent No.
- the lipid particles include one or more of a second amino lipid or cationic lipid, a neutral lipid, a sterol, and a lipid selected to reduce aggregation of lipid particles during formation, which may result from steric stabilization of particles which prevents charge-induced aggregation during formation.
- Lipid particles can include two or more cationic lipids.
- the lipids can be selected to contribute different advantageous properties.
- cationic lipids that differ in properties such as amine pK a , chemical stability, half-life in circulation, half-life in tissue, net accumulation in tissue, or toxicity can be used in a lipid particle.
- the cationic lipids can be chosen so that the properties of the mixed- lipid particle are more desireable than the properties of a single-lipid particle of individual lipids.
- Net tissue accumulation and long term toxicity (if any) from the cationic lipids can be modulated in a favorable way by choosing mixtures of cationic lipids instead of selecting a single cationic lipid in a given formulation. Such mixtures can also provide better encapsulation and/or release of the drug. A combination of cationic lipids also can affect the systemic stability when compared to single entity in a formulation.
- a series of structurally similar compounds can have varying pK a values that span a range, e.g. of less than 1 pK a unit, from 1 to 2 pK a units, or a range of more than 2 pK a units.
- a pK a in the middle of the range is associated with an enhancement of advantageous properties (greater effectiveness) or a decrease in disadvantageous properties (e.g., reduced toxicity), compared to compounds having pK a values toward the ends of the range.
- two (or more) different compounds having pK a values toward opposing ends of the range can be selected for use together in a lipid particle.
- the net properties of the lipid particle can be closer to that of a particle including a single lipid from the middle of the range.
- Cationic lipids that are structurally dissimilar can also be used in a mixed-lipid particle.
- two or more different cationic lipids may have widely differing pK a values, e.g., differing by 3 or more pK a units.
- the net behavior of a mixed lipid particle will not necessarily mimic that of a single-lipid particle having an intermediate pK a .
- the net behavior may be that of a particle having two distinct protonatable (or deprotonatable, as the case may be) site with different pK a values.
- the fraction of protonatable sites that are in fact protonated varies sharply as the pH moves from below the pK a to above the pK a (when the pH is equal to the pK a value, 50% of the sites are protonated).
- lipid particle When two or more different cationic lipids may have widely differing pK a values (e.g., differing by 3 or more pK a units) are combined in a lipid particle, the lipid particle can show a more gradual transition from non-protonated to protonated as the pH is varied.
- two or more lipids may be selected based on other considerations. For example, if one lipid by itself is highly effective but moderately toxic, it might be combined with a lipid that is less effective but non-toxic. In some cases, the combination can remain highly effective but have a greatly reduced toxicity, even where it might be predicted that the combination would be only moderately effective and only slightly less toxic.
- the selection may be guided by a measured value of an experimentally determinable characteristic, e.g., a characteristic tha can be assigned a numerical value from the results of an experiment.
- Experimentally determinable characteristics can include a measure of safety, a measure of efficacy, a measure of interaction with a predetermined biomolecule, or pK a .
- a measure of safety might include a survival rate, an LD 50 , or a level of a biomarker (such as a serum biomarker) associated with tissue damage (e.g., liver enzymes for liver; CPK for muscle; ionic balance for kidney).
- a measure of efficacy can be any measurement that indicates whether a therapeutic agent is producing an effect; particularly, whether and/or to what degree it is producing a desired effect, such as treating, preventing, ameliorating, or otherwise improving a disease, disorder, or other clinical condition.
- the measure of efficacy can be an indirect measure; for example, if a therapeutic agent is intended to produce a particular effect at a cellular level, measurements of that effect on cell cultures can be a measure of efficacy.
- a measure of interaction with predetermined biomolecules can include a K d for binding to a particular protein or a measure of the character, degree or extent of interaction with other lipids, including cellular substructures such as cell membranes, endosomal membranes, nuclear membranes, and the like.
- the cationic lipids can be selected on the basis of mechanism of action, e.g., whether, under what conditions, or to what extent the lipids interact with predetermined biomolecules. For example, a first cationic lipid can be chosen, in part, because it is associated with an ApoE- dependent mechanism; a second cationic lipid can be chosen, in part, because it is associated with an ApoE-independent mechanism.
- a lipid particle can contain a mixture of the cationic lipids described in, e.g., WO 2009/086558, and provisional U.S. Application No. 61/104,219, filed October 9, 2008 (each of which is incorporated by reference in its entirety), and ester analogs thereof.
- a lipid particle can contain a mixture of a lipid, for example, Lipid A, described in PCT/US 10/22614, filed January 29, 2010 and a lipid, for example, the lipid of formula V or formula VI, described in US Provisional Application 61/175,770, filed May 5, 2009..
- lipids that reduce aggregation of particles during formation include polyethylene glycol (PEG) -modified lipids, monosialoganglioside Gml, and polyamide oligomers ("PAO") such as (described in U.S. Pat. No. 6,320,017, which is incorporated by reference in its entirety).
- PEG polyethylene glycol
- PAO polyamide oligomers
- ATTA-lipids are described, e.g. , in U.S. Patent No. 6,320,017
- PEG-lipid conjugates are described, e.g. , in U.S. Patent Nos. 5,820,873, 5,534,499 and 5,885,613, each of which is incorporated by reference in its entirety.
- PEG-modified lipids or lipid-polyoxyethylene conjugates
- anchoring lipid portions to secure the PEG portion to the surface of the lipid vesicle
- PEG-modified phosphatidylethanolamine and phosphatidic acid PEG-ceramide conjugates (e.g., PEG-CerC14 or PEG-CerC20) which are described in U.S. Patent No.
- PEG-modified dialkylamines and PEG-modified l,2-diacyloxypropan-3-amines. Particularly preferred are PEG-modified diacylglycerols and dialkylglycerols.
- lipid anchor In embodiments where a sterically-large moiety such as PEG or ATTA are conjugated to a lipid anchor, the selection of the lipid anchor depends on what type of association the conjugate is to have with the lipid particle. It is well known that mPEG
- the PEG-modified lipid may be rapidly lost from the nucleic acid-lipid particle in vivo and hence the PEG-modified lipid will possess relatively short lipid anchors. In other therapeutic applications it may be preferable for the nucleic acid-lipid particle to exhibit a longer plasma circulation lifetime and hence the PEG-modified lipid will possess relatively longer lipid anchors.
- aggregation preventing compounds do not necessarily require lipid conjugation to function properly. Free PEG or free ATTA in solution may be sufficient to prevent aggregation. If the particles are stable after formulation, the PEG or ATTA can be dialyzed away before administration to a subject.
- Neutral lipids when present in the lipid particle, can be any of a number of lipid species which exist either in an uncharged or neutral zwitterionic form at physiological pH.
- Such lipids include, for example diacylphosphatidylcholine, diacylphosphatidylethanolamine, ceramide, sphingomyelin, dihydrosphingomyelin, cephalin, and cerebrosides.
- the selection of neutral lipids for use in the particles described herein is generally guided by consideration of, e.g., liposome size and stability of the liposomes in the bloodstream.
- the neutral lipid component is a lipid having two acyl groups, (i.e., diacylphosphatidylcholine and
- diacylphosphatidylethanolamine diacylphosphatidylethanolamine.
- Lipids having a variety of acyl chain groups of varying chain length and degree of saturation are available or may be isolated or synthesized by well-known techniques. In one group of embodiments, lipids containing saturated fatty acids with carbon chain lengths in the range of C 10 to C 2 o are preferred. In another group of embodiments, lipids with mono or diunsaturated fatty acids with carbon chain lengths in the range of C 10 to C 20 are used. Additionally, lipids having mixtures of saturated and unsaturated fatty acid chains can be used.
- the neutral lipids used are DOPE, DSPC, POPC, DPPC or any related phosphatidylcholine.
- the neutral lipids may also be composed of sphingomyelin,
- the sterol component of the lipid mixture when present, can be any of those sterols conventionally used in the field of liposome, lipid vesicle or lipid particle preparation.
- a preferred sterol is cholesterol.
- cationic lipids which carry a net positive charge at about physiological pH, in addition to those specifically described above, may also be included in lipid particles.
- cationic lipids include, but are not limited to, N,N-dioleyl-N,N-dimethylammonium chloride (“DODAC”); N-(2,3-dioleyloxy)propyl-N,N-N-triethylammonium chloride (“DOTMA”);
- DDAB N,N-distearyl-N,N-dimethylammonium bromide
- DOTAP N-(2,3-dioleoyloxy)propyl)-N,N,N-trimethylammonium chloride
- DOPE l,2-dileoyl-sn-3-phosphoethanolamine
- DODAP l,2-dioleoyl-3-dimethylammonium propane
- DODMA N, N-dimethyl-2,3-dioleyloxy)propylamine
- DMRIE N-(l,2-dimyristyloxyprop-3-yl)-N,N-dimethyl-N-hydroxyethyl ammonium bromide
- LIPOFECTIN including DOTMA and DOPE, available from GIBCO/BRL
- DOPE GIBCO/BRL
- LIPOFECT AMINE comprising DOSPA and DOPE, available from GIBCO/BRL.
- a cationic lipid is an amino lipid.
- Anionic lipids suitable for use in lipid particles include, but are not limited to,
- N-dodecanoyl phosphatidylethanoloamine N-succinyl phosphatidylethanolamine, N-glutaryl phosphatidylethanolamine, lysylphosphatidylglycerol, and other anionic modifying groups joined to neutral lipids.
- amphipathic lipids are included in lipid particles.
- Amphipathic lipids refer to any suitable material, wherein the hydrophobic portion of the lipid material orients into a hydrophobic phase, while the hydrophilic portion orients toward the aqueous phase.
- Such compounds include, but are not limited to, phospholipids, aminolipids, and sphingolipids.
- Representative phospholipids include sphingomyelin, phosphatidylcholine, phosphatidylethanolamine, phosphatidylserine, phosphatidylinositol, phosphatidic acid, palmitoyloleoyl phosphatdylcholine, lysophosphatidylcholine, lysophosphatidylethanolamine, dipalmitoylphosphatidylcholine, dioleoylphosphatidylcholine, distearoylphosphatidylcholine, or dilinoleoylphosphatidylcholine.
- phosphorus-lacking compounds such as sphingolipids, glycosphingolipid families, diacylglycerols, and ⁇ -acyloxyacids, can also be used. Additionally, such amphipathic lipids can be readily mixed with other lipids, such as triglycerides and sterols.
- lipid particles are programmable fusion lipids or fusion- promoting lipid.
- Such lipid particles have little tendency to fuse with cell membranes and deliver their payload until a given signal event occurs. This allows the lipid particle to distribute more evenly after injection into an organism or disease site before it starts fusing with cells.
- the signal event can be, for example, a change in pH, temperature, ionic environment, or time.
- the fusion promoting-lipids can be, for example, compounds of formula (I) as described above.
- the signal event can be a change in pH, for example, such as the difference in pH between an extracelluar environment and an intracellular environment, or between an
- a fusion delaying or "cloaking" component such as an ATTA-lipid conjugate or a PEG-lipid conjugate, can simply exchange out of the lipid particle membrane over time.
- a fusion delaying or "cloaking” component such as an ATTA-lipid conjugate or a PEG-lipid conjugate
- cloaking agent such as an ATTA-lipid conjugate or a PEG-lipid conjugate
- targeting moieties that are specific to a cell type or tissue.
- Targeting of lipid particles using a variety of targeting moieties such as ligands, cell surface receptors, glycoproteins, vitamins (e.g., riboflavin) and monoclonal antibodies, has been previously described (see, e.g., U.S. Patent Nos. 4,957,773 and 4,603,044, each of which is incorporated by reference in its entirety).
- the targeting moieties can comprise the entire protein or fragments thereof.
- Targeting mechanisms generally require that the targeting agents be positioned on the surface of the lipid particle in such a manner that the target moiety is available for interaction with the target, for example, a cell surface receptor.
- lipid particles i.e., liposomes
- hydrophilic polymer chains such as polyethylene glycol (PEG) chains
- a ligand such as an antibody, for targeting the lipid particle is linked to the polar head group of lipids forming the lipid particle.
- the targeting ligand is attached to the distal ends of the PEG chains forming the hydrophilic polymer coating (Klibanov, et al., Journal of Liposome Research 2: 321-334 (1992); Kirpotin et al., FEBS Letters 388: 115-118 (1996)).
- Standard methods for coupling the target agents can be used. For example,
- Antibody-targeted liposomes can be constructed using, for instance, liposomes that incorporate protein A (see, Renneisen, et al., J. Bio. Chem., 265: 16337-16342 (1990) and Leonetti, et al., Proc. Natl. Acad. Sci. (USA), 87:2448-2451 (1990).
- protein A see, Renneisen, et al., J. Bio. Chem., 265: 16337-16342 (1990) and Leonetti, et al., Proc. Natl. Acad. Sci. (USA), 87:2448-2451 (1990).
- Other examples of antibody conjugation are disclosed in U.S. Patent No. 6,027,726, the teachings of which are incorporated herein by reference.
- targeting moieties can also include other proteins, specific to cellular components, including antigens associated with neoplasms or tumors. Proteins used as targeting moieties can be attached to the liposomes via covalent bonds (see, Heath, Covalent Attachment of Proteins to Liposomes, 149 Methods in Enzymology 111-119 (Academic Press, Inc. 1987)). Other targeting methods include the biotin-avidin system.
- the lipid particle includes a mixture of a cationic lipid and a fusion-promoting lipid.
- the lipid particle can further include a neutral lipid, a sterol, a PEG- modified lipid, or a combination of these.
- the lipid particle can include a cationic lipid, a fusion-promoting lipid, and a neutral lipid, but no sterol or PEG-modified lipid.
- the lipid particle can include a cationic lipid, a fusion-promoting lipid, and a neutral lipid, but no sterol or PEG-modified lipid.
- the lipid particle can include a cationic lipid, a fusion-promoting lipid, and a PEG-modified lipid, but no sterol or neutral lipid.
- the lipid particle can include a cationic lipid, a fusion-promoting lipid, a sterol, and a neutral lipid, but no PEG-modified lipid.
- the lipid particle can include a cationic lipid, a fusion-promoting lipid, a sterol, and a PEG-modified lipid, but no neutral lipid.
- the lipid particle can include a cationic lipid, a fusion-promoting lipid, a neutral lipid, and a PEG-modified lipid, but no sterol.
- the lipid particle can include a cationic lipid, a fusion-promoting lipid, a sterol, neutral lipid, and a PEG-modified lipid.
- the lipid particle can include a cationic lipid, a fusion
- the lipid particle comprises a mixture of a cationic lipid, a fusion-promoting lipid, neutral lipids (other than a cationic lipid), a sterol (e.g., cholesterol) and a PEG-modified lipid (e.g., a PEG-DMG or PEG-DMA).
- the lipid mixture consists of or consists essentially of a cationic lipid, a fusion-promoting lipid, a neutral lipid, cholesterol, and a PEG-modified lipid.
- the lipid particle includes the above lipid mixture in molar ratios of about 20-70% cationic lipid: 0.1-50% fusion promoting lipid: 5-45% neutral lipid: 20-55% cholesterol: 0.5-15% PEG-modified lipid.
- the fusion-promoting lipid can be present in a molar ratio of 0.1-50%, 0.5-50%, 1- 50%, 5%-45%, 10%-40%, or 15%-35%.
- the fusion-promoting lipid can be present in a molar ratio of 0.1-50%, 0.5-50%, 1-50%, 5%-45%, 10%-40%, or 15%-35%.
- the fusion-promoting lipid can be present in a molar ratio of 0.1-50%, 10- 50%, 20-50%, or 30-50%. In some embodiments, the fusion-promoting lipid can be present in a molar ratio of 0.1-50%, 0.5-45%, 1-40%, l %-35%, l%-30%, or l %-20%.
- the lipid particle consists of or consists essentially of the above lipid mixture in molar ratios of about 20-70% cationic lipid: 0.1-50% fusion promoting lipid: 5-45% neutral lipid: 20-55% cholesterol: 0.5- 15% PEG-modified lipid.
- the lipid particle comprises, consists of, or consists essentially of a mixture of cationic lipids chosen from, for example, those described in application nos. PCT/US09/63933, PCT/US09/63927, PCT/US09/63931, and PCT/US09/63897, each filed November 10, 2009, and applications referred to therein, including nos. 61/104,219, filed October 9, 2008; no. 61/113,179, filed November 10, 2008; no. 61/154,350, filed February 20, 2009; no. 61/171,439, filed April 21, 2009; no. 61/175,770, filed May 5, 2009; no. 61/185,438, filed June 9, 2009; no.
- the molar lipid ratio with regard to mol% cationic lipid/DSPC/Chol/PEG-DMG or PEG-DMA) is approximately 40/10/40/10, 35/15/40/10 or 52/13/30/5; this mixture is further combined with a fusion-promoting lipid in a molar ratio of 0.1-50%, 0.1-50%, 0.5-50%, 1-50%, 5%-45%, 10%-40%, or 15%-35%; in other words, when a 40/10/40/10 mixture of
- lipid/DSPC/Chol/PEG-DMG or PEG-DMA is combined with a fusion-promoting peptide in a molar ratio of 50%, the resulting lipid particles can have a total molar ratio of (mol% cationic lipid/DSPC/Chol/PEG-DMG or PEG-DMA/fusion-promoting peptide) 20/5/20/5/50.
- the neutral lipid, DSPC, in these compositions is replaced with POPC, DPPC, DOPE or SM.
- compositions that include a lipid particle and an active agent, where the active agent is associated with the lipid particle, are provided.
- the active agent is a therapeutic agent.
- the active agent is encapsulated within an aqueous interior of the lipid particle.
- the active agent is present within one or more lipid layers of the lipid particle.
- the active agent is bound to the exterior or interior lipid surface of a lipid particle.
- “Fully encapsulated” as used herein indicates that the nucleic acid in the particles is not significantly degraded after exposure to serum or a nuclease assay that would significantly degrade free nucleic acids. In a fully encapsulated system, preferably less than 25% of particle nucleic acid is degraded in a treatment that would normally degrade 100% of free nucleic acid, more preferably less than 10% and most preferably less than 5% of the particle nucleic acid is degraded. Alternatively, full encapsulation may be determined by an Oligreen ® assay.
- Oligreen ® is an ultra-sensitive fluorescent nucleic acid stain for quantitating oligonucleotides and single- stranded DNA in solution (available from Invitrogen Corporation, Carlsbad, CA). Fully encapsulated also suggests that the particles are serum stable, that is, that they do not rapidly decompose into their component parts upon in vivo administration.
- Active agents include any molecule or compound capable of exerting a desired effect on a cell, tissue, organ, or subject. Such effects may be biological, physiological, or cosmetic, for example. Active agents may be any type of molecule or compound, including e.g. , nucleic acids, peptides and polypeptides, including, e.g. , antibodies, such as, e.g.
- polyclonal antibodies polyclonal antibodies, monoclonal antibodies, antibody fragments; humanized antibodies, recombinant antibodies, recombinant human antibodies, and PrimatizedTM antibodies, cytokines, growth factors, apoptotic factors, differentiation-inducing factors, cell surface receptors and their ligands; hormones; and small molecules, including small organic molecules or compounds.
- the active agent is a therapeutic agent, or a salt or derivative thereof.
- Therapeutic agent derivatives may be therapeutically active themselves or they may be prodrugs, which become active upon further modification.
- a therapeutic agent derivative retains some or all of the therapeutic activity as compared to the unmodified agent, while in another embodiment, a therapeutic agent derivative lacks therapeutic activity.
- therapeutic agents include any therapeutically effective agent or drug, such as anti-inflammatory compounds, anti-depressants, stimulants, analgesics, antibiotics, birth control medication, antipyretics, vasodilators, anti-angiogenics, cytovascular agents, signal transduction inhibitors, cardiovascular drugs, e.g. , anti- arrhythmic agents, vasoconstrictors, hormones, and steroids.
- therapeutically effective agent or drug such as anti-inflammatory compounds, anti-depressants, stimulants, analgesics, antibiotics, birth control medication, antipyretics, vasodilators, anti-angiogenics, cytovascular agents, signal transduction inhibitors, cardiovascular drugs, e.g. , anti- arrhythmic agents, vasoconstrictors, hormones, and steroids.
- the therapeutic agent is an oncology drug, which may also be referred to as an anti-tumor drug, an anti-cancer drug, a tumor drug, an antineoplastic agent, or the like.
- oncology drugs include, but are not limited to, adriamycin, alkeran, allopurinol, altretamine, amifostine, anastrozole, araC, arsenic trioxide, azathioprine, bexarotene, biCNU, bleomycin, busulfan intravenous, busulfan oral, capecitabine (Xeloda), carboplatin, carmustine, CCNU, celecoxib, chlorambucil, cisplatin, cladribine, cyclosporin A, cytarabine, cytosine arabinoside, daunorubicin, Cytoxan, daunorubicin, dexamethasone, dexrazox
- lipid particles are associated with a nucleic acid, resulting in a nucleic acid-lipid particle.
- the nucleic acid is fully encapsulated in the lipid particle.
- nucleic acid is meant to include any oligonucleotide or polynucleotide. Fragments containing up to 50 nucleotides are generally termed
- oligonucleotides and longer fragments are called polynucleotides.
- oligonucletoides are 15-50 nucleotides in length.
- polynucleotide and oligonucleotide refer to a polymer or oligomer of nucleotide or nucleoside monomers consisting of naturally occurring bases, sugars and intersugar (backbone) linkages.
- polynucleotide and oligonucleotide also includes polymers or oligomers comprising non-naturally occurring monomers, or portions thereof, which function similarly. Such modified or substituted oligonucleotides are often preferred over native forms because of properties such as, for example, enhanced cellular uptake and increased stability in the presence of nucleases.
- the nucleic acid that is present in a lipid-nucleic acid particle includes any form of nucleic acid that is known.
- the nucleic acids used herein can be single- stranded DNA or RNA, or double- stranded DNA or RNA, or DNA-RNA hybrids.
- double- stranded DNA include structural genes, genes including control and termination regions, and self-replicating systems such as viral or plasmid DNA.
- double- stranded RNA include siRNA and other RNA interference reagents.
- Single-stranded nucleic acids include, e.g. , antisense oligonucleotides, ribozymes, microRNA, and triplex-forming oligonucleotides.
- nucleic acid that is present in a lipid-nucleic acid particle may include one or more of the oligonucleotide modifications described below.
- Nucleic acids may be of various lengths, generally dependent upon the particular form of nucleic acid.
- plasmids or genes may be from about 1,000 to 100,000 nucleotide residues in length.
- oligonucleotides may range from about 10 to 100 nucleotides in length.
- oligonucleotides single- stranded, double- stranded, and triple- stranded, may range in length from about 10 to about 50 nucleotides, from about 20 o about 50 nucleotides, from about 15 to about 30 nucleotides, from about 20 to about 30 nucleotides in length.
- the oligonucleotide (or a strand thereof) specifically hybridizes to or is complementary to a target polynucleotide.
- “Specifically hybridizable” and “complementary” are terms which are used to indicate a sufficient degree of complementarity such that stable and specific binding occurs between the DNA or RNA target and the
- an oligonucleotide need not be 100% complementary to its target nucleic acid sequence to be specifically hybridizable.
- An oligonucleotide is specifically hybridizable when binding of the oligonucleotide to the target interferes with the normal function of the target molecule to cause a loss of utility or expression therefrom, and there is a sufficient degree of complementarity to avoid non-specific binding of the oligonucleotide to non-target sequences under conditions in which specific binding is desired, i.e., under physiological conditions in the case of in vivo assays or therapeutic treatment, or, in the case of in vitro assays, under conditions in which the assays are conducted.
- this oligonucleotide includes 1, 2, or 3 base substitutions, e.g. mismatches, as compared to the region of a gene or mRNA sequence that it is targeting or to which it specifically hybridizes.
- nucleic acid-lipid particles are associated with RNA interference (RNAi) molecules.
- RNA interference methods using RNAi molecules may be used to disrupt the expression of a gene or polynucleotide of interest.
- Small interfering RNA siRNA has essentially replaced antisense ODN and ribozymes as the next generation of targeted oligonucleotide drugs under development.
- SiRNAs are RNA duplexes normally 16-30 nucleotides long that can associate with a cytoplasmic multi-protein complex known as RNAi-induced silencing complex (RISC).
- RISC RNAi-induced silencing complex
- siRNA can be designed to knock down protein expression with high specificity.
- siRNA function through a natural mechanism evolved to control gene expression through non-coding RNA. This is generally considered to be the reason why their activity is more potent in vitro and in vivo than either antisense ODN or ribozymes.
- RNAi reagents including siRNAs targeting clinically relevant targets, are currently under
- RNAi molecules were RNA:RNA hybrids comprising both an RNA sense and an RNA antisense strand
- DNA sense:RNA antisense hybrids RNA sense:DNA antisense hybrids
- DNA:DNA hybrids are capable of mediating RNAi (Lamberton, J.S. and Christian, A.T., (2003) Molecular Biotechnology
- RNAi molecules comprising any of these different types of double- stranded molecules is contemplated.
- RNAi molecules may be used and introduced to cells in a variety of forms. Accordingly, as used herein, RNAi molecules encompasses any and all molecules capable of inducing an RNAi response in cells, including, but not limited to, double- stranded oligonucleotides comprising two separate strands, i.e.
- a sense strand and an antisense strand e.g., small interfering RNA (siRNA); double- stranded oligonucleotide comprising two separate strands that are linked together by non-nucleotidyl linker; oligonucleotides comprising a hairpin loop of complementary sequences, which forms a double- stranded region, e.g., shRNAi molecules, and expression vectors that express one or more polynucleotides capable of forming a double- stranded polynucleotide alone or in combination with another polynucleotide.
- siRNA small interfering RNA
- shRNAi molecules expression vectors that express one or more polynucleotides capable of forming a double- stranded polynucleotide alone or in combination with another polynucleotide.
- a "single strand siRNA compound” as used herein, is an siRNA compound which is made up of a single molecule. It may include a duplexed region, formed by intra-strand pairing, e.g., it may be, or include, a hairpin or pan-handle structure. Single strand siRNA compounds may be antisense with regard to the target molecule
- a single strand siRNA compound may be sufficiently long that it can enter the RISC and participate in RISC mediated cleavage of a target mRNA.
- a single strand siRNA compound is at least 14, and in other embodiments at least 15, 20, 25, 29, 35, 40, or 50 nucleotides in length. In certain embodiments, it is less than 200, 100, or 60 nucleotides in length.
- Hairpin siRNA compounds will have a duplex region equal to or at least 17, 18, 19, 29, 21, 22, 23, 24, or 25 nucleotide pairs. The duplex region will may be equal to or less than 200, 100, or 50, in length. In certain embodiments, ranges for the duplex region are 15-30, 17 to 23, 19 to 23, and 19 to 21 nucleotides pairs in length.
- the hairpin may have a single strand overhang or terminal unpaired region.
- the overhangs are 2-3 nucleotides in length.
- the overhang is at the sense side of the hairpin and in some embodiments on the antisense side of the hairpin.
- a "double stranded siRNA compound” as used herein, is an siRNA compound which includes more than one, and in some cases two, strands in which interchain hybridization can form a region of duplex structure.
- the antisense strand of a double stranded siRNA compound may be equal to or at least,
- antisense strand means the strand of an siRNA compound that is sufficiently complementary to a target molecule, e.g. a target RNA.
- the sense strand of a double stranded siRNA compound may be equal to or at least 14,
- the double strand portion of a double stranded siRNA compound may be equal to or at least, 14, 15, 16 17, 18, 19, 20, 21, 22, 23, 24, 25, 29, 40, or 60 nucleotide pairs in length. It may be equal to or less than 200, 100, or 50, nucleotides pairs in length. Ranges may be 15-30, 17 to 23, 19 to 23, and 19 to 21 nucleotides pairs in length.
- the siRNA compound is sufficiently large that it can be cleaved by an endogenous molecule, e.g., by Dicer, to produce smaller siRNA compounds, e.g., siRNAs agents
- the sense and antisense strands may be chosen such that the double- stranded siRNA compound includes a single strand or unpaired region at one or both ends of the molecule.
- a double- stranded siRNA compound may contain sense and antisense strands, paired to contain an overhang, e.g., one or two 5' or 3' overhangs, or a 3' overhang of 1 - 3 nucleotides.
- the overhangs can be the result of one strand being longer than the other, or the result of two strands of the same length being staggered.
- Some embodiments will have at least one 3' overhang.
- both ends of an siRNA molecule will have a 3' overhang. In some embodiment
- the overhang is 2 nucleotides.
- the length for the duplexed region is between 15 and 30, or 18, 19, 20, 21, 22, and 23 nucleotides in length, e.g., in the ssiRNA compound range discussed above.
- ssiRNA compounds can resemble in length and structure the natural Dicer processed products from long dsiRNAs.
- Embodiments in which the two strands of the ssiRNA compound are linked, e.g., covalently linked are also included. Hairpin, or other single strand structures which provide the required double stranded region, and a 3' overhang are also contemplated.
- the siRNA compounds described herein, including double- stranded siRNA compounds and single-stranded siRNA compounds can mediate silencing of a target RNA, e.g., mRNA, e.g., a transcript of a gene that encodes a protein.
- mRNA e.g., a transcript of a gene that encodes a protein.
- mRNA to be silenced e.g., a transcript of a gene that encodes a protein.
- mRNA to be silenced e.g., a transcript of a gene that encodes a protein.
- mRNA to be silenced e.g., a transcript of a gene that encodes a protein.
- mRNA to be silenced e.g., a transcript of a gene that encodes a protein.
- a gene e.g., a gene that encodes a protein.
- the RNA to be silenced is an endogenous gene or a pathogen gene
- RNAi refers to the ability to silence, in a sequence specific manner, a target RNA. While not wishing to be bound by theory, it is believed that silencing uses the RNAi machinery or process and a guide RNA, e.g., an ssiRNA compound of 21 to 23 nucleotides.
- an siRNA compound is "sufficiently complementary" to a target RNA, e.g., a target mRNA, such that the siRNA compound silences production of protein encoded by the target mRNA.
- the siRNA compound is "exactly complementary" to a target RNA, e.g., the target RNA and the siRNA compound anneal, for example to form a hybrid made exclusively of Watson-Crick base pairs in the region of exact complementarity.
- a "sufficiently complementary" target RNA can include an internal region (e.g., of at least 10 nucleotides) that is exactly complementary to a target RNA.
- the siRNA compound specifically discriminates a single-nucleotide difference. In this case, the siRNA compound only mediates RNAi if exact complementary is found in the region (e.g., within 7 nucleotides of) the single-nucleotide difference.
- miRNAs are a highly conserved class of small RNA molecules that are transcribed from DNA in the genomes of plants and animals, but are not translated into protein.
- Processed miRNAs are single stranded -17-25 nucleotide (nt) RNA molecules that become incorporated into the RNA-induced silencing complex (RISC) and have been identified as key regulators of development, cell proliferation, apoptosis and differentiation. They are believed to play a role in regulation of gene expression by binding to the 3'-untranslated region of specific mRNAs.
- RISC mediates down-regulation of gene expression through translational inhibition, transcript cleavage, or both. RISC is also implicated in transcriptional silencing in the nucleus of a wide range of eukaryotes.
- miRNA sequences identified to date is large and growing, illustrative examples of which can be found, for example, in: "miRBase: micwRNA sequences, targets and gene nomenclature” Griffiths-Jones S, Grocock RJ, van Dongen S, Bateman A, Enright AJ. NAR, 2006, 34, Database Issue, D140-D144; "The micwRNA Registry” Griffiths-Jones S. NAR, 2004, 32, Database Issue, D109-D111; and also at http://microrna.sanger.ac.uk/sequences/.
- a nucleic acid is an antisense oligonucleotide directed to a target polynucleotide.
- antisense oligonucleotide or simply “antisense” is meant to include oligonucleotides that are complementary to a targeted polynucleotide sequence.
- Antisense oligonucleotides are single strands of DNA or RNA that are complementary to a chosen sequence, e.g. a target gene mRNA. Antisense oligonucleotides are thought to inhibit gene expression by binding to a complementary mRNA.
- Antisense DNA can be used to target a specific, complementary (coding or non-coding) RNA. If binding takes places this DNA/RNA hybrid can be degraded by the enzyme RNase H.
- antisense oligonucleotides contain from about 10 to about 50 nucleotides, more preferably about 15 to about 30 nucleotides. The term also encompasses antisense oligonucleotides that may not be exactly complementary to the desired target gene. Thus, instances where non-target specific-activities are found with antisense, or where an antisense sequence containing one or more mismatches with the target sequence is the most preferred for a particular use, are contemplated.
- Antisense oligonucleotides have been demonstrated to be effective and targeted inhibitors of protein synthesis, and, consequently, can be used to specifically inhibit protein synthesis by a targeted gene.
- the efficacy of antisense oligonucleotides for inhibiting protein synthesis is well established. For example, the synthesis of polygalactauronase and the muscarine type 2 acetylcholine receptor are inhibited by antisense oligonucleotides directed to their respective mRNA sequences (U. S. Patent 5,739,119 and U. S. Patent 5,759,829 each of which is incorporated by reference).
- Antisense oligonucleotide sequences specific for a given target sequence is based upon analysis of the chosen target sequence and determination of secondary structure, T m , binding energy, and relative stability.
- Antisense oligonucleotides may be selected based upon their relative inability to form dimers, hairpins, or other secondary structures that would reduce or prohibit specific binding to the target mRNA in a host cell.
- Highly preferred target regions of the mRNA include those regions at or near the AUG translation initiation codon and those sequences that are substantially complementary to 5' regions of the mRNA.
- Antagomirs are RNA-like oligonucleotides that harbor various modifications for RNAse protection and pharmacologic properties, such as enhanced tissue and cellular uptake. They differ from normal RNA by, for example, complete 2'-0-methylation of sugar, phosphorothioate backbone and, for example, a cholesterol-moiety at 3'-end. Antagomirs may be used to efficiently silence endogenous miRNAs by forming duplexes comprising the antagomir and endogenous miRNA, thereby preventing miRNA-induced gene silencing.
- antagomir- mediated miRNA silencing is the silencing of miR-122, described in Krutzfeldt et al, Nature, 2005, 438: 685-689, which is expressly incorporated by reference herein in its entirety.
- Antagomir RNAs may be synthesized using standard solid phase oligonucleotide synthesis protocols. See U.S. Patent Application Publication Nos. 2007/0123482 and 2007/0213292 (each of which is incorporated herein by reference).
- An antagomir can include ligand-conjugated monomer subunits and monomers for oligonucleotide synthesis. Exemplary monomers are described in U.S. Patent Application Publication No. 2005/0107325, which is incorporated by reference in its entirety.
- An antagomir can have a ZXY structure, such as is described in WO 2004/080406, which is incorporated by reference in its entirety.
- An antagomir can be complexed with an amphipathic moiety.
- amphipathic moieties for use with oligonucleotide agents are described in WO 2004/080406, which is incorporated by reference in its entirety.
- Aptamers are nucleic acid or peptide molecules that bind to a particular molecule of interest with high affinity and specificity (Tuerk and Gold, Science 249:505 (1990); Ellington and Szostak, Nature 346:818 (1990), each of which is incorporated by reference in its entirety).
- DNA or RNA aptamers have been successfully produced which bind many different entities from large proteins to small organic molecules. See Eaton, Curr. Opin. Chem. Biol. 1:10-16 (1997), Famulok, Curr. Opin. Struct. Biol. 9:324-9(1999), and Hermann and Patel, Science
- Aptamers may be RNA or DNA based, and may include a riboswitch.
- a riboswitch is a part of an mRNA molecule that can directly bind a small target molecule, and whose binding of the target affects the gene's activity.
- an mRNA that contains a riboswitch is directly involved in regulating its own activity, depending on the presence or absence of its target molecule.
- aptamers are engineered through repeated rounds of in vitro selection or equivalently, SELEX (systematic evolution of ligands by exponential enrichment) to bind to various molecular targets such as small molecules, proteins, nucleic acids, and even cells, tissues and organisms.
- the aptamer may be prepared by any known method, including synthetic, recombinant, and purification methods, and may be used alone or in combination with other aptamers specific for the same target.
- the term "aptamer” specifically includes "secondary aptamers” containing a consensus sequence derived from comparing two or more known aptamers to a given target.
- nucleic acid-lipid particles are associated with ribozymes.
- Ribozymes are RNA molecules complexes having specific catalytic domains that possess endonuclease activity (Kim and Cech, Proc Natl Acad Sci USA. 1987
- enzymatic nucleic acids act by first binding to a target RNA. Such binding occurs through the target binding portion of a enzymatic nucleic acid which is held in close proximity to an enzymatic portion of the molecule that acts to cleave the target RNA. Thus, the enzymatic nucleic acid first recognizes and then binds a target RNA through complementary base-pairing, and once bound to the correct site, acts enzymatically to cut the target RNA.
- RNA RNA binds to a target RNA
- the enzymatic nucleic acid molecule may be formed in a hammerhead, hairpin, a hepatitis ⁇ virus, group I intron or RNaseP RNA (in association with an RNA guide sequence) or Neurospora VS RNA motif, for example.
- hammerhead motifs are described by Rossi et al. Nucleic Acids Res. 1992 Sep l l ;20(17):4559-65.
- hairpin motifs are described by Hampel et al. (Eur. Pat. Appl. Publ. No. EP 0360257), Hampel and Tritz, Biochemistry 1989 Jun 13;28(12):4929-33; Hampel et al, Nucleic Acids Res. 1990 Jan
- Neurospora VS RNA ribozyme motif is described by Collins (Saville and Collins, Cell. 1990 May 18;61(4):685-96; Saville and Collins, Proc Natl Acad Sci USA. 1991 Oct l ;88(19):8826-30; Collins and Olive, Biochemistry. 1993 Mar 23;32(l l):2795-9); and an example of the Group I intron is described in U. S. Patent 4,987,071.
- Important characteristics of enzymatic nucleic acid molecules used are that they have a specific substrate binding site which is complementary to one or more of the target gene DNA or RNA regions, and that they have nucleotide sequences within or surrounding that substrate binding site which impart an RNA cleaving activity to the molecule.
- the ribozyme constructs need not be limited to specific motifs mentioned herein.
- Ribozymes may be designed as described in Int. Pat. Appl. Publ. Nos. WO 93/23569 and WO 94/02595, each specifically incorporated herein by reference, and synthesized to be tested in vitro and in vivo, as described therein.
- Ribozyme activity can be optimized by altering the length of the ribozyme binding arms or chemically synthesizing ribozymes with modifications that prevent their degradation by serum ribonucleases (see e.g. , Int. Pat. Appl. Publ. Nos. WO 92/07065, WO 93/15187, and WO
- Nucleic acids associated with lipid particles may be immuno stimulatory, including immuno stimulatory oligonucleotides (ISS; single-or double- stranded) capable of inducing an immune response when administered to a subject, which may be a mammal or other patient.
- ISS immuno stimulatory oligonucleotides
- ISS include, e.g. , certain palindromes leading to hairpin secondary structures (see Yamamoto S., et al. (1992) J. Immunol. 148: 4072-4076, which is incorporated by reference in its entirety), or CpG motifs, as well as other known ISS features (such as multi-G domains, see WO 96/11266, which is incorporated by reference in its entirety).
- the immune response may be an innate or an adaptive immune response.
- the immune system is divided into a more innate immune system, and acquired adaptive immune system of vertebrates, the latter of which is further divided into humoral cellular components.
- the immune response may be mucosal.
- an immuno stimulatory nucleic acid is only one immuno stimulatory nucleic acid.
- immuno stimulatory when administered in combination with a lipid particle and is not immuno stimulatory when administered in its "free form."
- Such an oligonucleotide is considered to be immunostimulatory.
- Immuno stimulatory nucleic acids are considered to be non-sequence specific when it is not required that they specifically bind to and reduce the expression of a target polynucleotide in order to provoke an immune response.
- certain immunostimulatory nucleic acids may comprise a seuqence correspondign to a region of a naturally occurring gene or mRNA, but they may still be considered non-sequence specific immunostimulatory nucleic acids.
- the immunostimulatory nucleic acid or oligonucleotide comprises at least one CpG dinucleotide.
- the oligonucleotide or CpG dinucleotide may be unmethylated or methylated.
- the immunostimulatory nucleic acid comprises at least one CpG dinucleotide having a methylated cytosine.
- the nucleic acid comprises a single CpG dinucleotide, wherein the cytosine in said CpG dinucleotide is methylated.
- the nucleic acid comprises the sequence 5' TAACGTTGAGGGGCAT 3'.
- the nucleic acid comprises at least two CpG dinucleotides, wherein at least one cytosine in the CpG dinucleotides is methylated. In a further embodiment, each cytosine in the CpG dinucleotides present in the sequence is methylated. In another embodiment, the nucleic acid comprises a plurality of CpG dinucleotides, wherein at least one of said CpG dinucleotides comprises a methylated cytosine. In one specific embodiment, the nucleic acid comprises the sequence 5'
- the nucleic acid sequence comprises the sequence 5' TCCATGACGTTCCTGACGT 3', wherein the two cytosines indicated in bold are methylated.
- the ODN is selected from a group of ODNs consisting of ODN #1, ODN #2, ODN #3, ODN #4, ODN #5, ODN #6, ODN #7, ODN #8, and ODN #9, as shown below.
- ODN 14 is a 15-mer oligonucleotide and ODN 1 is the same oligonucleotide having a thymidine added onto the 5' end making ODN 1 into a 16-mer. No difference in biological activity between ODN
- ODNs oligonucleotides
- ODNs used in the compositions and methods of the present invention have a phosphodiester ("PO") backbone or a phosphorothioate (“PS”) backbone, and/or at least one methylated cytosine residue in a CpG motif.
- PO phosphodiester
- PS phosphorothioate
- oligonucleotides bearing the consensus binding sequence of a specific transcription factor can be used as tools for manipulating gene expression in living cells.
- This strategy involves the intracellular delivery of such "decoy oligonucleotides", which are then recognized and bound by the target factor. Occupation of the transcription factor's DNA-binding site by the decoy renders the transcription factor incapable of subsequently binding to the promoter regions of target genes. Decoys can be used as therapeutic agents, either to inhibit the expression of genes that are activated by a transcription factor, or to upregulate genes that are suppressed by the binding of a transcription factor. Examples of the utilization of decoy oligonucleotides may be found in Mann et al., J. Clin. Invest., 2000, 106: 1071-1075, which is expressly incorporated by reference herein, in its entirety.
- a supermir refers to a single stranded, double stranded or partially double stranded oligomer or polymer of ribonucleic acid (RNA) or deoxyribonucleic acid (DNA) or both or modifications thereof, which has a nucleotide sequence that is substantially identical to an miRNA and that is antisense with respect to its target.
- This term includes oligonucleotides composed of naturally- occurring nucleobases, sugars and covalent internucleoside (backbone) linkages and which contain at least one non-naturally-occurring portion which functions similarly.
- Such modified or substituted oligonucleotides are preferred over native forms because of desirable properties such as, for example, enhanced cellular uptake, enhanced affinity for nucleic acid target and increased stability in the presence of nucleases.
- RNA ribonucleic acid
- DNA deoxyribonucleic acid
- the supermir does not include a sense strand, and in another preferred embodiment, the supermir does not self-hybridize to a significant extent.
- a supermir can have secondary structure, but it is substantially single-stranded under physiological conditions.
- An supermir that is substantially single- stranded is single-stranded to the extent that less than about 50% (e.g., less than about 40%, 30%, 20%, 10%, or 5%) of the supermir is duplexed with itself.
- the supermir can include a hairpin segment, e.g., sequence, preferably at the 3' end can self hybridize and form a duplex region, e.g., a duplex region of at least 1, 2, 3, or 4 and preferably less than 8, 7, 6, or n nucleotides, e.g., 5 nuclotides.
- the duplexed region can be connected by a linker, e.g., a nucleotide linker, e.g., 3, 4, 5, or 6 dTs, e.g., modified dTs.
- the supermir is duplexed with a shorter oligo, e.g., of 5, 6, 7, 8, 9, or 10 nucleotides in length, e.g., at one or both of the 3' and 5' end or at one end and in the non-terminal or middle of the supermir. miRNA mimics
- miRNA mimics represent a class of molecules that can be used to imitate the gene silencing ability of one or more miRNAs.
- miRNA mimic refers to synthetic non-coding RNAs (i.e. the miRNA is not obtained by purification from a source of the endogenous miRNA) that are capable of entering the RNAi pathway and regulating gene expression.
- miRNA mimics can be designed as mature molecules (e.g. single stranded) or mimic precursors (e.g., pri- or pre-miRNAs). miRNA mimics can be comprised of nucleic acid
- miRNA mimics can comprise conjugates that can affect delivery, intracellular compartmentalization, stability, specificity, functionality, strand usage, and/or potency.
- miRNA mimics are double stranded molecules (e.g., with a duplex region of between about 16 and about 31 nucleotides in length) and contain one or more sequences that have identity with the mature strand of a given miRNA.
- Modifications can comprise 2' modifications (including 2'-0 methyl modifications and 2' F modifications) on one or both strands of the molecule and internucleotide modifications (e.g. phorphorthioate modifications) that enhance nucleic acid stability and/or specificity.
- miRNA mimics can include overhangs. The overhangs can consist of 1-6 nucleotides on either the 3' or 5' end of either strand and can be modified to enhance stability or functionality.
- a miRNA mimic comprises a duplex region of between 16 and 31 nucleotides and one or more of the following chemical modification patterns: the sense strand contains 2'-0-methyl modifications of nucleotides 1 and 2 (counting from the 5' end of the sense oligonucleotide), and all of the Cs and Us; the antisense strand modifications can comprise 2' F modification of all of the Cs and Us, phosphorylation of the 5' end of the oligonucleotide, and stabilized internucleotide linkages associated with a 2 nucleotide 3' overhang.
- inhibitors are synonymous and refer to oligonucleotides or modified oligonucleotides that interfere with the ability of specific miRNAs.
- the inhibitors are nucleic acid or modified nucleic acids in nature including oligonucleotides comprising RNA, modified RNA, DNA, modified DNA, locked nucleic acids (LNAs), or any combination of the above.
- Modifications include 2' modifications (including 2'-0 alkyl modifications and 2' F modifications) and internucleotide modifications (e.g. phosphorothioate modifications) that can affect delivery, stability, specificity, intracellular compartmentalization, or potency.
- miRNA inhibitors can comprise conjugates that can affect delivery, intracellular compartmentalization, stability, and/or potency.
- Inhibitors can adopt a variety of configurations including single stranded, double stranded (RNA/RNA or RNA/DNA duplexes), and hairpin designs, in general, microRNA inhibitors comprise contain one or more sequences or portions of sequences that are complementary or partially complementary with the mature strand (or strands) of the miRNA to be targeted, in addition, the miRNA inhibitor may also comprise additional sequences located 5' and 3' to the sequence that is the reverse complement of the mature miRNA.
- the additional sequences may be the reverse complements of the sequences that are adjacent to the mature miRNA in the pri-miRNA from which the mature miRNA is derived, or the additional sequences may be arbitrary sequences (having a mixture of A, G, C, or U). In some embodiments, one or both of the additional sequences are arbitrary sequences capable of forming hairpins. Thus, in some embodiments, the sequence that is the reverse complement of the miRNA is flanked on the 5' side and on the 3' side by hairpin structures.
- Micro-RNA inhibitors when double stranded, may include mismatches between nucleotides on opposite strands.
- micro-RNA inhibitors may be linked to conjugate moieties in order to facilitate uptake of the inhibitor into a cell. For example, a micro-RNA inhibitor may be linked to cholesteryl
- Micro-RNA inhibitors including hairpin miRNA inhibitors, are described in detail in Vermeulen et al., "Double-Stranded Regions Are Essential Design Components Of Potent Inhibitors of RISC Function," RNA 13: 723-730 (2007) and in WO2007/095387 and WO 2008/036825 each of which is incorporated herein by reference in its entirety.
- a person of ordinary skill in the art can select a sequence from the database for a desired miRNA and design an inhibitor useful for the methods disclosed herein.
- Ul adaptor Ul adaptor inhibit polyA sites and are bifunctional oligonucleotides with a target domain complementary to a site in the target gene's terminal exon and a 'Ul domain' that binds to the Ul smaller nuclear RNA component of the Ul snRNP (Goraczniak, et al., 2008, Nature
- Ul snRNP is a ribonucleoprotein complex that functions primarily to direct early steps in spliceosome formation by binding to the pre-mRNA exon- intron boundary (Brown and Simpson, 1998, Annu Rev Plant Physiol Plant Mol Biol 49:77-95). Nucleotides 2- 11 of the 5'end of Ul snRNA base pair bind with the 5'ss of the pre mRNA. In one embodiment,
- oligonucleotides are Ul adaptors.
- the Ul adaptor can be administered in combination with at least one other iRNA agent.
- Unmodified oligonucleotides may be less than optimal in some applications, e.g., unmodified oligonucleotides can be prone to degradation by e.g., cellular nucleases. Nucleases can hydrolyze nucleic acid phosphodiester bonds. However, chemical modifications of oligonucleotides can confer improved properties, and, e.g., can render oligonucleotides more stable to nucleases.
- oligonucleotides are polymers of subunits or monomers, many of the modifications described below occur at a position which is repeated within an oligonucleotide, e.g., a modification of a base, a sugar, a phosphate moiety, or the non-bridging oxygen of a phosphate moiety. It is not necessary for all positions in a given oligonucleotide to be uniformly modified, and in fact more than one of the aforementioned modifications may be incorporated in a single oligonucleotide or even at a single nucleoside within an oligonucleotide.
- a modification may only occur at a 3' or 5' terminal position, may only occur in the internal region, may only occur in a terminal regions, e.g. at a position on a terminal nucleotide or in the last 2, 3, 4, 5, or 10 nucleotides of an oligonucleotide.
- a modification may occur in a double strand region, a single strand region, or in both.
- a modification may occur only in the double strand region of a double-stranded oligonucleotide or may only occur in a single strand region of a double- stranded oligonucleotide.
- a phosphorothioate modification at a non-bridging oxygen position may only occur at one or both termini, may only occur in a terminal regions, e.g., at a position on a terminal nucleotide or in the last 2, 3, 4, 5, or 10 nucleotides of a strand, or may occur in double strand and single strand regions, particularly at termini.
- the 5' end or ends can be phosphorylated.
- a modification described herein may be the sole modification, or the sole type of modification included on multiple nucleotides, or a modification can be combined with one or more other modifications described herein.
- the modifications described herein can also be combined onto an oligonucleotide, e.g. different nucleotides of an oligonucleotide have different modifications described herein.
- nucleobases in overhangs, or to include modified nucleotides or nucleotide surrogates, in single strand overhangs, e.g., in a 5' or 3' overhang, or in both.
- all or some of the bases in a 3' or 5' overhang will be modified, e.g., with a modification described herein.
- Modifications can include, e.g., the use of modifications at the 2' OH group of the ribose sugar, e.g., the use of deoxyribonucleotides, e.g., deoxythymidine, instead of ribonucleotides, and modifications in the phosphate group, e.g., phosphothioate modifications. Overhangs need not be homologous with the target sequence.
- the phosphate group is a negatively charged species. The charge is distributed equally over the two non-bridging oxygen atoms. However, the phosphate group can be modified by replacing one of the oxygens with a different substituent. One result of this modification to RNA phosphate backbones can be increased resistance of the oligoribonucleotide to nucleolytic breakdown. Thus while not wishing to be bound by theory, it can be desirable in some embodiments to introduce alterations which result in either an uncharged linker or a charged linker with unsymmetrical charge distribution.
- modified phosphate groups include phosphorothioate, phosphoroselenates, borano phosphates, borano phosphate esters, hydrogen phosphonates, phosphoroamidates, alkyl or aryl phosphonates and phosphotriesters.
- one of the non-bridging phosphate oxygen atoms in the phosphate backbone moiety can be replaced by any of the following: S, Se, BR 3 (R is hydrogen, alkyl, aryl), C (i.e. an alkyl group, an aryl group, etc .), H, NR 2 (R is hydrogen, alkyl, aryl), or OR (R is alkyl or aryl).
- the phosphorous atom in an unmodified phosphate group is achiral. However, replacement of one of the non-bridging oxygens with one of the above atoms or groups of atoms renders the phosphorous atom chiral; in other words a phosphorous atom in a phosphate group modified in this way is a stereogenic center.
- the stereogenic phosphorous atom can possess either the "R" configuration (herein Rp) or the "S" configuration (herein Sp).
- Phosphorodithioates have both non-bridging oxygens replaced by sulfur.
- the phosphorus center in the phosphorodithioates is achiral which precludes the formation of oligoribonucleotides diastereomers.
- the non-bridging oxygens can be independently any one of S, Se, B, C, H, N, or OR (R is alkyl or aryl).
- the phosphate linker can also be modified by replacement of bridging oxygen, (i.e. oxgen that links the phosphate to the nucleoside), with nitrogen (bridged phosphoroamidates), sulfur (bridged phosphorothioates) and carbon (bridged methylenephosphonates).
- bridging oxygen i.e. oxgen that links the phosphate to the nucleoside
- nitrogen bridged phosphoroamidates
- sulfur bridged phosphorothioates
- carbon bridged methylenephosphonates
- the phosphate group can be replaced by non-phosphorus containing connectors. While not wishing to be bound by theory, it is believed that since the charged phosphodiester group is the reaction center in nucleolytic degradation, its replacement with neutral structural mimics should impart enhanced nuclease stability. Again, while not wishing to be bound by theory, it can be desirable, in some embodiment, to introduce alterations in which the charged phosphate group is replaced by a neutral moiety.
- moieties which can replace the phosphate group include methyl
- Preferred replacements include the methylenecarbonylamino and methylenemethylimino groups.
- Modified phosphate linkages where at least one of the oxygens linked to the phosphate has been replaced or the phosphate group has been replaced by a non-phosphorous group are also referred to as "non phosphodiester backbone linkage.”
- Oligonucleotide- mimicking scaffolds can also be constructed wherein the phosphate linker and ribose sugar are replaced by nuclease resistant nucleoside or nucleotide surrogates. While not wishing to be bound by theory, it is believed that the absence of a repetitively charged backbone diminishes binding to proteins that recognize polyanions (e.g. nucleases). Again, while not wishing to be bound by theory, it can be desirable in some embodiment, to introduce alterations in which the bases are tethered by a neutral surrogate backbone. Examples include the mophilino, cyclobutyl, pyrrolidine and peptide nucleic acid (PNA) nucleoside surrogates. A preferred surrogate is a PNA surrogate.
- a modified RNA can include modification of all or some of the sugar groups of the ribonucleic acid.
- the 2' hydroxyl group (OH) can be modified or replaced with a number of different "oxy" or "deoxy” substituents. While not being bound by theory, enhanced stability is expected since the hydroxyl can no longer be deprotonated to form a 2'-alkoxide ion.
- the 2'-alkoxide can catalyze degradation by intramolecular nucleophilic attack on the linker phosphorus atom.
- LNA locked nucleic acids
- O- AMINE NH 2 ; alkylamino, dialkylamino, heterocyclyl, arylamino, diaryl amino, heteroaryl amino, or diheteroaryl amino, ethylene diamine, polyamino
- AMINE NH 2 ; alkylamino, dialkylamino, heterocyclyl, arylamino, diaryl amino, heteroaryl amino, or diheteroaryl amino, ethylene diamine, polyamino
- AMINE NH 2 ; alkylamino, dialkylamino, heterocyclyl, arylamino, diaryl amino, heteroaryl amino, or diheteroaryl amino, ethylene diamine, polyamino
- alkyl-thio-alkyl thioalkoxy
- alkyl, cycloalkyl, aryl, alkenyl and alkynyl which may be optionally substituted with e.g., an amino functionality.
- Preferred substitutents are
- the sugar group can also contain one or more carbons that possess the opposite stereochemical configuration than that of the corresponding carbon in ribose.
- an oligonucleotide can include nucleotides containing e.g., arabinose, as the sugar.
- the monomer can have an alpha linkage at the ⁇ position on the sugar, e.g., alpha-nucleo sides.
- Oligonucleotides can also include "abasic" sugars, which lack a nucleobase at C-1'. These abasic sugars can also be further containing modifications at one or more of the constituent sugar atoms. Oligonucleotides can also contain one or more sugars that are in the L form, e.g. L-nucleosides.
- the 3' and 5' ends of an oligonucleotide can be modified. Such modifications can be at the 3' end, 5' end or both ends of the molecule. They can include modification or replacement of an entire terminal phosphate or of one or more of the atoms of the phosphate group.
- the 3' and 5' ends of an oligonucleotide can be conjugated to other functional molecular entities such as labeling moieties, e.g., fluorophores (e.g., pyrene, TAMRA, fluorescein, Cy3 or Cy5 dyes) or protecting groups (based e.g., on sulfur, silicon, boron or ester).
- labeling moieties e.g., fluorophores (e.g., pyrene, TAMRA, fluorescein, Cy3 or Cy5 dyes) or protecting groups (based e.g., on sulfur, silicon, boron or ester).
- the functional molecular entities can be attached to the sugar through a phosphate group and/or a linker.
- the terminal atom of the linker can connect to or replace the linking atom of the phosphate group or the C-3' or C-5' O, N, S or C group of the sugar.
- the linker can connect to or replace the terminal atom of a nucleotide surrogate (e.g., PNAs).
- this array can substitute for a hairpin RNA loop in a hairpin-type RNA agent.
- Terminal modifications useful for modulating activity include modification of the 5' end with phosphate or phosphate analogs.
- antisense strands of dsRNAs are 5' phosphorylated or include a phosphoryl analog at the 5' prime terminus.
- 5'-phosphate modifications include those which are compatible with RISC mediated gene silencing. Suitable modifications include: 5'-monophosphate ((HO)2(0)P-0-5'); 5'-diphosphate
- 5'-phosphorothiolate (HO)2(0)P-S-5'); any additional combination of oxgen/sulfur replaced monophosphate, diphosphate and triphosphates (e.g. 5'-alpha-thiotriphosphate,
- Terminal modifications can also be useful for monitoring distribution, and in such cases the preferred groups to be added include fluorophores, e.g., fluorscein or an Alexa dye, e.g., Alexa 488. Terminal modifications can also be useful for enhancing uptake, useful
- modifications for this include cholesterol. Terminal modifications can also be useful for cross-linking an RNA agent to another moiety; modifications useful for this include mitomycin C.
- Adenine, guanine, cytosine and uracil are the most common bases found in RNA. These bases can be modified or replaced to provide RNA's having improved properties.
- nuclease resistant oligoribonucleotides can be prepared with these bases or with synthetic and natural nucleobases (e.g., inosine, thymine, xanthine, hypoxanthine, nubularine, isoguanisine, or tubercidine) and any one of the above modifications.
- substituted or modified analogs of any of the above bases e.g., "unusual bases", “modified bases”, “non-natual bases” and “universal bases” described herein, can be employed.
- Examples include without limitation 2-aminoadenine, 6-methyl and other alkyl derivatives of adenine and guanine, 2-propyl and other alkyl derivatives of adenine and guanine, 5-halouracil and cytosine, 5-propynyl uracil and cytosine, 6-azo uracil, cytosine and thymine, 5-uracil (pseudouracil), 4-thiouracil, 5-halouracil, 5-(2-aminopropyl)uracil, 5-amino allyl uracil, 8-halo, amino, thiol, thioalkyl, hydroxyl and other 8-substituted adenines and guanines, 5-trifluoromethyl and other 5-substituted uracils and cytosines, 7-methylguanine, 5-substituted pyrimidines, 6-azapyrimidines and N-2, N-6 and 0-6 substituted purines
- Modifications to oligonucleotides can also include attachment of one or more cationic groups to the sugar, base, and/or the phosphorus atom of a phosphate or modified phosphate backbone moiety.
- a cationic group can be attached to any atom capable of substitution on a natural, unusual or universal base.
- a preferred position is one that does not interfere with hybridization, i.e., does not interfere with the hydrogen bonding interactions needed for base pairing.
- a cationic group can be attached e.g., through the C2' position of a sugar or analogous position in a cyclic or acyclic sugar surrogate.
- AMINE NH 2 ; alkylamino, dialkylamino, heterocyclyl, arylamino, diaryl amino, heteroaryl amino,or diheteroaryl amino).
- modifications may preferably be included on an oligonucleotide at a particular location, e.g., at an internal position of a strand, or on the 5' or 3' end of an oligonucleotide.
- a preferred location of a modification on an oligonucleotide may confer preferred properties on the agent.
- preferred locations of particular modifications may confer optimum gene silencing properties, or increased resistance to endonuclease or exonuclease activity.
- One or more nucleotides of an oligonucleotide may have a 2'-5' linkage.
- One or more nucleotides of an oligonucleotide may have inverted linkages, e.g. 3'-3', 5'-5', 2'-2' or 2'-3' linkages.
- a double- stranded oligonucleotide may include at least one 5'-uridine-adenine-3' (5'-UA-3') dinucleotide wherein the uridine is a 2'-modified nucleotide, or a terminal
- 5'-uridine-guanine-3' (5'-UG-3') dinucleotide, wherein the 5'-uridine is a 2'-modified nucleotide, or a terminal 5'-cytidine-adenine-3' (5'-CA-3') dinucleotide, wherein the 5'-cytidine is a
- 5'-cytidine-uridine-3' (5'-CU-3') dinucleotide, wherein the 5'-cytidine is a 2'-modified nucleotide, or a terminal 5'-uridine-cytidine-3' (5'-UC-3') dinucleotide, wherein the 5'-uridine is a
- Double-stranded oligonucleotides including these modifications are particularly stabilized against endonuclease activity.
- oligoribonucleotides and oligoribonucleosides may be synthesized with solid phase synthesis, see for example "Oligonucleotide synthesis, a practical approach”, Ed. M. J. Gait, IRL Press, 1984; “Oligonucleotides and Analogues, A Practical Approach”, Ed. F.
- oligoribonucleotides is described in U.S. Pat. No. 5,023,243.
- the preparation of borano phosphate oligoribonucleotide is described in U.S. Pat. Nos. 5,130,302 and 5,177,198.
- the preparation of 3'-Deoxy-3'-amino phosphoramidate oligoribonucleotides is described in U.S. Pat. No. 5,476,925.
- 3'-Deoxy-3'-methylenephosphonate oligoribonucleotides is described in An, H, et al. J. Org. Chem. 2001, 66, 2789-2801.
- Preparation of sulfur bridged nucleotides is described in Sproat et al. Nucleosides Nucleotides 1988, 7,651 and Crosstick et al. Tetrahedron Lett. 1989, 30, 4693.
- MMI linked oligoribonucleosides also identified herein as MMI linked oligoribonucleosides
- methylenedimethylhydrazo linked oligoribonucleosides also identified herein as MDH linked oligoribonucleosides
- methylenecarbonylamino linked oligoribonucleosides also identified herein as MMI linked oligoribonucleosides
- MDH linked oligoribonucleosides also identified herein as MDH linked oligoribonucleosides
- oligonucleosides also identified herein as amide-3 linked oligoribonucleosides
- methyleneaminocarbonyl linked oligonucleosides also identified herein as amide-4 linked oligoribonucleosides as well as mixed backbone compounds having, as for instance, alternating MMI and PO or PS linkages can be prepared as is described in U.S. Pat. Nos. 5,378,825, 5,386,023, 5,489,677 and in published PCT applications PCT/US 92/04294 and
- Cyclobutyl sugar surrogate compounds can be prepared as is described in U.S. Pat. No. 5,359,044. Pyrrolidine sugar surrogate can be prepared as is described in U.S. Pat. No.
- Morpholino sugar surrogates can be prepared as is described in U.S. Pat. Nos.
- PNAs Peptide Nucleic Acids
- PNA Peptide Nucleic Acids
- N-2 substitued purine nucleoside amidites can be prepared as is described in U.S. Pat. No. 5,459,255.
- 3-Deaza purine nucleoside amidites can be prepared as is described in U.S. Pat. No. 5,457,191.
- 5,6-Substituted pyrimidine nucleoside amidites can be prepared as is described in U.S. Pat. No. 5,614,617.
- 5-Propynyl pyrimidine nucleoside amidites can be prepared as is described in U.S. Pat. No. 5,484,908.
- linker means an organic moiety that connects two parts of a compound.
- Linkers typically comprise a direct bond or an atom such as oxygen or sulfur, a unit such as NR 1 , C(O), C(0)NH, SO, S0 2 , SO 2 NH or a chain of atoms, such as substituted or unsubstituted alkyl, substituted or unsubstituted alkenyl, substituted or unsubstituted alkynyl, arylalkyl, arylalkenyl, arylalkynyl, heteroarylalkyl, heteroarylalkenyl, heteroarylalkynyl, heterocyclylalkyl,
- alkylheteroarylalkyl alkylheteroarylalkenyl, alkylheteroarylalkynyl, alkenylheteroarylalkyl, alkenylheteroarylalkenyl, alkenylheteroarylalkynyl, alkynylheteroarylalkyl, alkynylheteroarylalkenyl, alkynylheteroarylalkynyl, alkylheterocyclylalkyl,
- alkylheterocyclylalkenyl alkylhererocyclylalkynyl, alkenylheterocyclylalkyl,
- alkenylheterocyclylalkenyl alkenylheterocyclylalkynyl, alkynylheterocyclylalkyl,
- the linker is -[(P-Q-R) q -X-(P'-Q'-R') q ] q -T-, wherein:
- P, R, T, P', R' and T are each independently for each occurrence absent, CO, NH, O, S, OC(O), NHC(O), CH 2 , CH 2 NH, CH 2 0; NHCH(R a )C(0), -C(0)-CH(R a )-NH-, ,
- Q and Q' are each independently for each occurrence absent, -(CH 2 ) n -, -C(R )(R )(CH 2 ) n -, -(CH 2 ) n C(R 1 )(R 2 )-, -(CH 2 CH 2 0) m CH 2 CH 2 -, or -(CH 2 CH 2 0) m CH 2 CH 2 NH-;
- X is absent or a cleavable linking group
- R a is H or an amino acid side chain
- R 1 and R 2 are each independently for each occurrence H, CH 3 , OH, SH or N(R N ) 2 ;
- R N is independently for each occurrence H, methyl, ethyl, propyl, isopropyl, butyl or benzyl;
- q, q' and q" are each independently for each occurrence 0-20 and wherein the repeating unit can be the same or different;
- n is independently for each occurrence 1-20;
- n is independently for each occurrence 0-50.
- the linker comprises at least one cleavable linking group.
- the linker is a branched linker.
- the branchpoint of the branched linker may be at least trivalent, but may be a tetravalent, pentavalent or hexavalent atom, or a group presenting such multiple valencies.
- the branchpoint is , -N, -N(Q)-C, -O-C, -S-C, -SS-C, -C(0)N(Q)-C, -OC(0)N(Q)-C, -N(Q)C(0)-C, or -N(Q)C(0)0-C; wherein Q is independently for each occurrence H or optionally substituted alkyl.
- the branchpoint is glycerol or glycerol derivative.
- a cleavable linking group is one which is sufficiently stable outside the cell, but which upon entry into a target cell is cleaved to release the two parts the linker is holding together.
- the cleavable linking group is cleaved at least 10 times or more, preferably at least 100 times faster in the target cell or under a first reference condition (which can, e.g., be selected to mimic or represent intracellular conditions) than in the blood of a subject, or under a second reference condition (which can, e.g., be selected to mimic or represent conditions found in the blood or serum).
- Cleavable linking groups are susceptible to cleavage agents, e.g., pH, redox potential or the presence of degradative molecules. Generally, cleavage agents are more prevalent or found at higher levels or activities inside cells than in serum or blood. Examples of such degradative agents include: redox agents which are selected for particular substrates or which have no substrate specificity, including, e.g., oxidative or reductive enzymes or reductive agents such as mercaptans, present in cells, that can degrade a redox cleavable linking group by reduction; esterases; endosomes or agents that can create an acidic environment, e.g., those that result in a pH of five or lower; enzymes that can hydrolyze or degrade an acid cleavable linking group by acting as a general acid, peptidases (which can be substrate specific), and phosphatases.
- redox agents which are selected for particular substrates or which have no substrate specificity, including, e.g.,
- a cleavable linkage group such as a disulfide bond can be susceptible to pH.
- the pH of human serum is 7.4, while the average intracellular pH is slightly lower, ranging from about 7.1-7.3.
- Endosomes have a more acidic pH, in the range of 5.5-6.0, and lysosomes have an even more acidic pH at around 5.0.
- Some linkers will have a cleavable linking group that is cleaved at a preferred pH, thereby releasing the cationic lipid from the ligand inside the cell, or into the desired compartment of the cell.
- a linker can include a cleavable linking group that is cleavable by a particular enzyme.
- the type of cleavable linking group incorporated into a linker can depend on the cell to be targeted. For example, liver targeting ligands can be linked to the cationic lipids through a linker that includes an ester group. Liver cells are rich in esterases, and therefore the linker will be cleaved more efficiently in liver cells than in cell types that are not esterase-rich. Other cell-types rich in esterases include cells of the lung, renal cortex, and testis.
- Linkers that contain peptide bonds can be used when targeting cell types rich in peptidases, such as liver cells and synoviocytes.
- the suitability of a candidate cleavable linking group can be evaluated by testing the ability of a degradative agent (or condition) to cleave the candidate linking group. It will also be desirable to also test the candidate cleavable linking group for the ability to resist cleavage in the blood or when in contact with other non-target tissue.
- a degradative agent or condition
- the candidate cleavable linking group for the ability to resist cleavage in the blood or when in contact with other non-target tissue.
- the evaluations can be carried out in cell free systems, in cells, in cell culture, in organ or tissue culture, or in whole animals.
- useful candidate compounds are cleaved at least 2, 4, 10 or 100 times faster in the cell (or under in vitro conditions selected to mimic intracellular conditions) as compared to blood or serum (or under in vitro conditions selected to mimic extracellular conditions).
- cleavable linking groups are redox cleavable linking groups that are cleaved upon reduction or oxidation.
- An example of reductively cleavable linking group is a disulphide linking group (-S-S-).
- reductively cleavable linking group or for example is suitable for use with a particular iRNA moiety and particular targeting agent one can look to methods described herein.
- a candidate can be evaluated by incubation with dithiothreitol (DTT), or other reducing agent using reagents know in the art, which mimic the rate of cleavage which would be observed in a cell, e.g., a target cell.
- DTT dithiothreitol
- the candidates can also be evaluated under conditions which are selected to mimic blood or serum conditions.
- candidate compounds are cleaved by at most 10% in the blood.
- useful candidate compounds are degraded at least 2, 4, 10 or 100 times faster in the cell (or under in vitro conditions selected to mimic intracellular conditions) as compared to blood (or under in vitro conditions selected to mimic extracellular conditions).
- the rate of cleavage of candidate compounds can be determined using standard enzyme kinetics assays under conditions chosen to mimic intracellular media and compared to conditions chosen to mimic extracellular media.
- Phosphate-based cleavable linking groups are cleaved by agents that degrade or hydrolyze the phosphate group.
- An example of an agent that cleaves phosphate groups in cells are enzymes such as phosphatases in cells.
- Examples of phosphate-based linking groups are -0-P(0)(ORk)-0-, -0-P(S)(ORk)-0-, -0-P(S)(SRk)-0-, -S-P(0)(ORk)-0-, -0-P(0)(ORk)-S-, -S-P(0)(ORk)-S-, -0-P(S)(ORk)-S-, -S-P(S)(ORk)-0-, -0-P(0)(Rk)-0-, -0-P(S)(Rk)-0-, -S-P(0)(Rk)-0-, -S-P(0)(Rk)(Rk)-0-, -S-P(0)(Rk)-0-
- Preferred embodiments are -0-P(0)(OH)-0-, -0-P(S)(OH)-0-, -0-P(S)(SH)-0-, -S-P(0)(OH)-0-, -0-P(0)(OH)-S-, -S-P(0)(OH)-S-, -0-P(S)(OH)-S-, -S-P(S)(OH)-0-, -0- ⁇ (0)( ⁇ )-0-, -0-P(S)(H)-0-,
- Acid cleavable linking groups are linking groups that are cleaved under acidic conditions.
- acid cleavable linking groups are cleaved in an acidic environment with a pH of about 6.5 or lower (e.g., about 6.0, 5.5, 5.0, or lower), or by agents such as enzymes that can act as a general acid.
- specific low pH organelles such as endosomes and lysosomes can provide a cleaving environment for acid cleavable linking groups.
- acid cleavable linking groups include but are not limited to hydrazones, esters, and esters of amino acids.
- a preferred embodiment is when the carbon attached to the oxygen of the ester (the alkoxy group) is an aryl group, substituted alkyl group, or tertiary alkyl group such as dimethyl pentyl or t-butyl.
- Ester-based linking groups are cleaved by enzymes such as esterases and amidases in cells. Examples of ester-based cleavable linking groups include but are not limited to esters of alkylene, alkenylene and alkynylene groups. Ester cleavable linking groups have the general formula -C(0)0-, or -OC(O)-. These candidates can be evaluated using methods analogous to those described above.
- Peptide-based cleavable linking groups are cleaved by enzymes such as peptidases and proteases in cells.
- Peptide-based cleavable linking groups are peptide bonds formed between amino acids to yield oligopeptides (e.g., dipeptides, tripeptides etc.) and polypeptides.
- Peptide-based cleavable groups do not include the amide group (-C(O)NH-).
- the amide group can be formed between any alkylene, alkenylene or alkynelene.
- a peptide bond is a special type of amide bond formed between amino acids to yield peptides and proteins.
- the peptide based cleavage group is generally limited to the peptide bond (i.e., the amide bond) formed between amino acids yielding peptides and proteins and does not include the entire amide functional group.
- Peptide-based cleavable linking groups have the general formula
- moieties are ligands, which are coupled, preferably covalently, either directly or indirectly via an intervening tether.
- a ligand alters the distribution, targeting or lifetime of the molecule into which it is incorporated.
- a ligand provides an enhanced affinity for a selected target, e.g. , molecule, cell or cell type, compartment, e.g. , a cellular or organ compartment, tissue, organ or region of the body, as, e.g., compared to a species absent such a ligand.
- Ligands providing enhanced affinity for a selected target are also termed targeting ligands.
- Preferred ligands for conjugation to the lipids are targeting ligands.
- Some ligands can have endosomolytic properties.
- the endosomolytic ligands promote the lysis of the endosome and/or transport of the composition, or its components, from the endosome to the cytoplasm of the cell.
- the endosomolytic ligand may be a polyanionic peptide or peptidomimetic which shows pH-dependent membrane activity and fusogenicity.
- the endosomolytic ligand assumes its active conformation at endosomal pH.
- the "active" conformation is that conformation in which the endosomolytic ligand promotes lysis of the endosome and/or transport of the composition, or its components, from the endosome to the cytoplasm of the cell.
- Exemplary endosomolytic ligands include the GALA peptide (Subbarao et al., Biochemistry, 1987, 26: 2964-2972), the EALA peptide (Vogel et al., J. Am. Chem. Soc, 1996, 118: 1581-1586), and their derivatives (Turk et al., Biochem. Biophys. Acta, 2002, 1559: 56-68).
- the endosomolytic component may contain a chemical group (e.g., an amino acid) which will undergo a change in charge or protonation in response to a change in pH.
- the endosomolytic component may be linear or branched. Exemplary primary sequences of peptide based endosomolytic ligands are shown in Table 7.
- Table 7 List of peptides with endosomolytic activity.
- pH-sensitive peptide that enhances drug release from folate-targeted liposomes at endosomal pHs. Biochim. Biophys. Acta 1559, 56-68.
- Preferred ligands can improve transport, hybridization, and specificity properties and may also improve nuclease resistance of the resultant natural or modified oligoribonucleotide, or a polymeric molecule comprising any combination of monomers described herein and/or natural or modified ribonucleotides.
- Ligands in general can include therapeutic modifiers, e.g., for enhancing uptake;
- diagnostic compounds or reporter groups e.g., for monitoring distribution; cross-linking agents; and nuclease-resistance conferring moieties.
- General examples include lipids, steroids, vitamins, sugars, proteins, peptides, polyamines, and peptide mimics.
- Ligands can include a naturally occurring substance, such as a protein (e.g., human serum albumin (HSA), low-density lipoprotein (LDL), high-density lipoprotein (HDL), or globulin); an carbohydrate (e.g., a dextran, pullulan, chitin, chitosan, inulin, cyclodextrin or hyaluronic acid); or a lipid.
- the ligand may also be a recombinant or synthetic molecule, such as a synthetic polymer, e.g., a synthetic polyamino acid, an oligonucleotide (e.g. an aptamer).
- polyamino acids examples include polyamino acid is a polylysine (PLL), poly L-aspartic acid, poly L-glutamic acid, styrene-maleic acid anhydride copolymer, poly(L-lactide-co-glycolied) copolymer, di vinyl ether- maleic anhydride copolymer, N-(2-hydroxypropyl)methacrylamide copolymer (HMPA), polyethylene glycol (PEG), polyvinyl alcohol (PVA), polyurethane, poly(2-ethylacryllic acid), N-isopropylacrylamide polymers, or polyphosphazine.
- PLL polylysine
- poly L-aspartic acid poly L-glutamic acid
- styrene-maleic acid anhydride copolymer poly(L-lactide-co-glycolied) copolymer
- di vinyl ether- maleic anhydride copolymer di vinyl ether- maleic an
- polyamines include: polyethylenimine, polylysine (PLL), spermine, spermidine, polyamine, pseudopeptide-polyamine, peptidomimetic polyamine, dendrimer polyamine, arginine, amidine, protamine, cationic lipid, cationic porphyrin, quaternary salt of a polyamine, or an alpha helical peptide.
- Ligands can also include targeting groups, e.g., a cell or tissue targeting agent, e.g., a lectin, glycoprotein, lipid or protein, e.g., an antibody, that binds to a specified cell type such as a kidney cell.
- a targeting group can be a thyrotropin, melanotropin, lectin, glycoprotein, surfactant protein A, Mucin carbohydrate, multivalent lactose, multivalent galactose,
- Table 8 shows some examples of targeting ligands and their associated receptors.
- hepatocytes (Asiologlycoprotein receptor)
- Mannose-albumin conjugates include dyes, intercalating agents (e.g. acridines), cross-linkers (e.g. psoralene, mitomycin C), porphyrins (TPPC4, texaphyrin, Sapphyrin), polycyclic aromatic hydrocarbons (e.g., phenazine, dihydrophenazine), artificial endonucleases (e.g.
- intercalating agents e.g. acridines
- cross-linkers e.g. psoralene, mitomycin C
- porphyrins TPPC4, texaphyrin, Sapphyrin
- polycyclic aromatic hydrocarbons e.g., phenazine, dihydrophenazine
- artificial endonucleases e.g.
- EDTA lipophilic molecules, e.g, cholesterol, cholic acid, adamantane acetic acid, 1-pyrene butyric acid, dihydrotestosterone, l,3-Bis-0(hexadecyl)glycerol, geranyloxyhexyl group, hexadecylglycerol, borneol, menthol, 1,3-propanediol, heptadecyl group, palmitic acid, myristic
- peptide conjugates e.g., antennapedia peptide, Tat peptide
- alkylating agents phosphate, amino, mercapto, PEG (e.g., PEG-40K), MPEG, [MPEG] 2 , polyamino, alkyl, substituted alkyl, radiolabeled markers, enzymes, haptens (e.g.
- biotin e.g., aspirin, vitamin E, folic acid
- transport/absorption facilitators e.g., aspirin, vitamin E, folic acid
- synthetic ribonucleases e.g., imidazole, bisimidazole, histamine, imidazole clusters, acridine-imidazole conjugates, Eu3+ complexes of tetraazamacrocycles), dinitrophenyl, HRP, or AP.
- Ligands can be proteins, e.g., glycoproteins, or peptides, e.g., molecules having a specific affinity for a co-ligand, or antibodies e.g., an antibody, that binds to a specified cell type such as a cancer cell, endothelial cell, or bone cell.
- Ligands may also include hormones and hormone receptors. They can also include non-peptidic species, such as lipids, lectins, carbohydrates, vitamins, cofactors, multivalent lactose, multivalent galactose, N-acetyl-galactosamine,
- the ligand can be, for example, a lipopolysaccharide, an activator of p38 MAP kinase, or an activator of NF-KB.
- the ligand can be a substance, e.g, a drug, which can increase the uptake of the iRNA agent into the cell, for example, by disrupting the cell's cytoskeleton, e.g., by disrupting the cell's microtubules, microfilaments, and/or intermediate filaments.
- the drug can be, for example, taxon, vincristine, vinblastine, cytochalasin, nocodazole, japlakinolide, latrunculin A, phalloidin, swinholide A, indanocine, or myoservin.
- the ligand can increase the uptake of the iRNA agent into the cell by activating an inflammatory response, for example.
- exemplary ligands that would have such an effect include tumor necrosis factor alpha (TNFalpha), interleukin-1 beta, or gamma interferon.
- the ligand is a lipid or lipid-based molecule.
- a lipid or lipid-based molecule preferably binds a serum protein, e.g., human serum albumin (HSA).
- HSA binding ligand allows for distribution of the conjugate to a target tissue, e.g., a non-kidney target tissue of the body.
- the target tissue can be the liver, including parenchymal cells of the liver.
- Other molecules that can bind HSA can also be used as ligands. For example, neproxin or aspirin can be used.
- a lipid or lipid-based ligand can (a) increase resistance to degradation of the conjugate, (b) increase targeting or transport into a target cell or cell membrane, and/or (c) can be used to adjust binding to a serum protein, e.g., HSA.
- a serum protein e.g., HSA.
- a lipid based ligand can be used to modulate, e.g., control the binding of the conjugate to a target tissue.
- a lipid or lipid-based ligand that binds to HSA more strongly will be less likely to be targeted to the kidney and therefore less likely to be cleared from the body.
- a lipid or lipid-based ligand that binds to HSA less strongly can be used to target the conjugate to the kidney.
- the lipid based ligand binds HSA.
- it binds HSA with a sufficient affinity such that the conjugate will be preferably distributed to a non-kidney tissue.
- the affinity it is preferred that the affinity not be so strong that the HSA-ligand binding cannot be reversed.
- the lipid based ligand binds HSA weakly or not at all, such that the conjugate will be preferably distributed to the kidney.
- Other moieties that target to kidney cells can also be used in place of or in addition to the lipid based ligand.
- the ligand is a moiety, e.g., a vitamin, which is taken up by a target cell, e.g., a proliferating cell.
- a target cell e.g., a proliferating cell.
- vitamins include vitamin A, E, and K.
- B vitamin e.g., folic acid, B12, riboflavin, biotin, pyridoxal or other vitamins or nutrients taken up by cancer cells.
- HAS low density lipoprotein
- HDL high-density lipoprotein
- the ligand is a cell-permeation agent, preferably a helical
- the agent is amphipathic.
- An exemplary agent is a peptide such as tat or antennopedia. If the agent is a peptide, it can be modified, including a
- the helical agent is preferably an alpha-helical agent, which preferably has a lipophilic and a lipophobic phase.
- the ligand can be a peptide or peptidomimetic.
- a peptidomimetic also referred to herein as an oligopeptidomimetic is a molecule capable of folding into a defined three-dimensional structure similar to a natural peptide.
- the peptide or peptidomimetic moiety can be about 5-50 amino acids long, e.g., about 5, 10, 15, 20, 25, 30, 35, 40, 45, or 50 amino acids long (see Table 9, for example).
- a peptide or peptidomimetic can be, for example, a cell permeation peptide, cationic peptide, amphipathic peptide, or hydrophobic peptide (e.g., consisting primarily of Tyr, Trp or Phe).
- the peptide moiety can be a dendrimer peptide, constrained peptide or crosslinked peptide.
- the peptide moiety can include a hydrophobic membrane translocation sequence (MTS).
- An exemplary hydrophobic MTS -containing peptide is RFGF having the amino acid sequence AAVALLPAVLLALLAP.
- An RFGF analogue e.g., amino acid sequence AALLPVLLAAP
- a hydrophobic MTS can also be a targeting moiety.
- the peptide moiety can be a "delivery" peptide, which can carry large polar molecules including peptides, oligonucleotides, and protein across cell membranes.
- a peptide or peptidomimetic can be encoded by a random sequence of DNA, such as a peptide identified from a phage-display library, or one-bead-one-compound (OBOC) combinatorial library (Lam et al., Nature, 354:82-84, 1991).
- OBOC one-bead-one-compound
- the peptide or peptidomimetic tethered to an iRNA agent via an incorporated monomer unit is a cell targeting peptide such as an arginine-glycine-aspartic acid (RGD)-peptide, or RGD mimic.
- a peptide moiety can range in length from about 5 amino acids to about 40 amino acids.
- the peptide moieties can have a structural modification, such as to increase stability or direct conformational properties. Any of the structural modifications described below can be utilized.
- An RGD peptide moiety can be used to target a tumor cell, such as an endothelial tumor cell or a breast cancer tumor cell (Zitzmann et al., Cancer Res., 62:5139-43, 2002).
- An RGD peptide can facilitate targeting of an iRNA agent to tumors of a variety of other tissues, including the lung, kidney, spleen, or liver (Aoki et al., Cancer Gene Therapy 8:783-787, 2001).
- the RGD peptide will facilitate targeting of an iRNA agent to the kidney.
- the RGD peptide can be linear or cyclic, and can be modified, e.g., glycosylated or methylated to facilitate targeting to specific tissues.
- a glycosylated RGD peptide can deliver an iRNA agent to a tumor cell expressing civB 3 (Haubner et al., Jour. Nucl. Med., 42:326-336, 2001).
- RGD containing peptides and peptidomimetics can target cancer cells, in particular cells that exhibit an ⁇ 3 integrin.
- RGD one can use other moieties that target the ⁇ 3 integrin ligand. Generally, such ligands can be used to control proliferating cells and angiogeneis.
- a "cell permeation peptide” is capable of permeating a cell, e.g., a microbial cell, such as a bacterial or fungal cell, or a mammalian cell, such as a human cell.
- a microbial cell such as a bacterial or fungal cell
- a mammalian cell such as a human cell.
- cell-permeating peptide can be, for example, an a-helical linear peptide (e.g., LL-37 or Ceropin PI), a disulfide bond-containing peptide (e.g., a -defensin, ⁇ -defensin or bactenecin), or a peptide containing only one or two dominating amino acids (e.g., PR-39 or indolicidin).
- a cell permeation peptide can also include a nuclear localization signal (NLS).
- a cell permeation peptide can be a bipartite amphipathic peptide, such as MPG, which is derived from the fusion peptide domain of HIV-1 gp41 and the NLS of SV40 large T antigen (Simeoni et al., Nucl. Acids Res. 31 :2717-2724, 2003).
- MPG bipartite amphipathic peptide
- a targeting peptide tethered to an iRNA agent and/or the carrier oligomer can be an amphipathic a-helical peptide.
- exemplary amphipathic a-helical peptides include, but are not limited to, cecropins, lycotoxins, paradaxins, buforin, CPF, bombinin-like peptide (BLP), cathelicidins, ceratotoxins, S.
- clava peptides hagfish intestinal antimicrobial peptides (HFIAPs), magainines, brevinins-2, dermaseptins, melittins, pleurocidin, H 2 A peptides, Xenopus peptides, esculentinis- 1, and caerins.
- HFIAPs hagfish intestinal antimicrobial peptides
- magainines magainines
- brevinins-2 dermaseptins
- melittins melittins
- pleurocidin H 2 A peptides
- Xenopus peptides Xenopus peptides
- esculentinis- 1, and caerins esculentinis- 1, and caerins.
- a number of factors will preferably be considered to maintain the integrity of helix stability. For example, a maximum number of helix
- stabilization residues will be utilized (e.g., leu, ala, or lys), and a minimum number helix destabilization residues will be utilized (e.g., proline, or cyclic monomeric units.
- the capping residue will be considered (for example Gly is an exemplary N-capping residue and/or
- C-terminal amidation can be used to provide an extra H-bond to stabilize the helix.
- Formation of salt bridges between residues with opposite charges, separated by i + 3, or i + 4 positions can provide stability.
- cationic residues such as lysine, arginine, homo-arginine, ornithine or histidine can form salt bridges with the anionic residues glutamate or aspartate.
- Peptide and peptidomimetic ligands include those having naturally occurring or modified peptides, e.g., D or L peptides; ⁇ , ⁇ , or ⁇ peptides; N-methyl peptides; azapeptides; peptides having one or more amide, i.e., peptide, linkages replaced with one or more urea, thiourea, carbamate, or sulfonyl urea linkages; or cyclic peptides.
- D or L peptides e.g., D or L peptides
- ⁇ , ⁇ , or ⁇ peptides N-methyl peptides
- azapeptides peptides having one or more amide, i.e., peptide, linkages replaced with one or more urea, thiourea, carbamate, or sulfonyl urea linkages
- cyclic peptides include those having naturally occurring or
- the targeting ligand can be any ligand that is capable of targeting a specific receptor. Examples are: folate, GalNAc, galactose, mannose, mannose-6P, clusters of sugars such as GalNAc cluster, mannose cluster, galactose cluster, or an apatamer. A cluster is a combination of two or more sugar units.
- the targeting ligands also include integrin receptor ligands, Chemokine receptor ligands, transferrin, biotin, serotonin receptor ligands, PSMA, endothelin, GCPII, somatostatin, LDL and HDL ligands.
- the ligands can also be based on nucleic acid, e.g., an aptamer.
- the aptamer can be unmodified or have any combination of modifications disclosed herein.
- Endosomal release agents include imidazoles, poly or oligoimidazoles, PEIs, peptides, fusogenic peptides, polycaboxylates, polyacations, masked oligo or poly cations or anions, acetals, polyacetals, ketals/polyketyals, orthoesters, polymers with masked or unmasked cationic or anionic charges, dendrimers with masked or unmasked cationic or anionic charges.
- PK modulator stands for pharmacokinetic modulator.
- PK modulator include lipophiles, bile acids, steroids, phospholipid analogues, peptides, protein binding agents, PEG, vitamins etc.
- Examplary PK modulator include, but are not limited to, cholesterol, fatty acids, cholic acid, lithocholic acid, dialkylglycerides, diacylglyceride, phospholipids, sphingolipids, naproxen, ibuprofen, vitamin E, biotin etc.
- Oligonucleotides that comprise a number of phosphorothioate linkages are also known to bind to serum protein, thus short oligonucleotides, e.g.
- oligonucleotides of about 5 bases, 10 bases, 15 bases or 20 bases, comprising multiple of phosphorothioate linkages in the backbaone are also amenable as ligands (e.g. as PK modulating ligands).
- aptamers that bind serum components are also amenable as PK modulating ligands.
- the ligands can all have same properties, all have different properties or some ligands have the same properties while others have different properties.
- a ligand can have targeting properties, have endosomolytic activity or have PK modulating properties.
- all the ligands have different properties.
- Ligands can be coupled to the oligonucleotides various places, for example, 3'-end, 5'-end, and/or at an internal position.
- the ligand is attached to the oligonucleotides via an intervening tether.
- the ligand or tethered ligand may be present on a monomer when said monomer is incorporated into the growing strand.
- the ligand may be incorporated via coupling to a "precursor" monomer after said "precursor" monomer has been incorporated into the growing strand.
- a monomer having, e.g., an amino-terminated tether (i.e., having no associated ligand), e.g., TAP-(CH 2 ) n NH 2 may be incorporated into a growing sense or antisense strand.
- a ligand having an electrophilic group e.g., a pentafluorophenyl ester or aldehyde group, can subsequently be attached to the precursor monomer by coupling the electrophilic group of the ligand with the terminal nucleophilic group of the precursor monomer's tether.
- ligands can be attached to one or both strands.
- a double- stranded iRNA agent contains a ligand conjugated to the sense strand.
- a double- stranded iRNA agent contains a ligand conjugated to the antisense strand.
- lignad can be conjugated to nucleobases, sugar moieties, or internucleosidic linkages of nucleic acid molecules. Conjugation to purine nucleobases or derivatives thereof can occur at any position including, endocyclic and exocyclic atoms. In some embodiments, the 2-, 6-, 7-, or 8-positions of a purine nucleobase are attached to a conjugate moiety. Conjugation to pyrimidine nucleobases or derivatives thereof can also occur at any position. In some embodiments, the 2-, 5-, and 6-positions of a pyrimidine nucleobase can be substituted with a conjugate moiety.
- Conjugation to sugar moieties of nucleosides can occur at any carbon atom.
- Example carbon atoms of a sugar moiety that can be attached to a conjugate moiety include the 2', 3', and 5' carbon atoms.
- the ⁇ position can also be attached to a conjugate moiety, such as in an abasic residue.
- Internucleosidic linkages can also bear conjugate moieties.
- phosphorus-containing linkages e.g., phosphodiester, phosphorothioate
- the conjugate moiety can be attached directly to the phosphorus atom or to an O, N, or S atom bound to the phosphorus atom.
- the conjugate moiety can be attached to the nitrogen atom of the amine or amide or to an adjacent carbon atom.
- an oligomeric compound is attached to a conjugate moiety by contacting a reactive group (e.g., OH, SH, amine, carboxyl, aldehyde, and the like) on the oligomeric compound with a reactive group on the conjugate moiety.
- a reactive group e.g., OH, SH, amine, carboxyl, aldehyde, and the like
- one reactive group is electrophilic and the other is nucleophilic.
- an electrophilic group can be a carbonyl-containing functionality and a nucleophilic group can be an amine or thiol.
- Methods for conjugation of nucleic acids and related oligomeric compounds with and without linking groups are well described in the literature such as, for example, in Manoharan in Antisense Research and Applications, Crooke and LeBleu, eds., CRC Press, Boca Raton, Fla., 1993, Chapter 17, which is incorporated herein by reference in its entirety.
- oligonucleotide conjugates include, but are not limited to, U.S. Pat. Nos. 4,828,979; 4,948,882; 5,218, 105;
- nucleic acid-lipid particles in which nucleic acids are encapsulated within a lipid layer are provided.
- Such nucleic acid-lipid particles are characterized using a variety of biophysical parameters including: (1) drug to lipid ratio; (2) encapsulation efficiency; and (3) particle size.
- High drug to lipid rations, high encapsulation efficiency, good nuclease resistance and serum stability and controllable particle size, generally less than 200 nm in diameter are desirable.
- the nature of the nucleic acid polymer is of significance, since the modification of nucleic acids in an effort to impart nuclease resistance adds to the cost of therapeutics while in many cases providing only limited resistance.
- Nucleic acid to lipid ratio is the amount of nucleic acid in a defined volume of preparation divided by the amount of lipid in the same volume. This may be on a mole per mole basis or on a weight per weight basis, or on a weight per mole basis.
- the nucleic acid:lipid ratio is calculated after dialysis, chromatography and/or enzyme (e.g. , nuclease) digestion has been employed to remove as much of the external nucleic acid as possible.
- enzyme e.g. , nuclease
- Encapsulation efficiency refers to the drug to lipid ratio of the starting mixture divided by the drug to lipid ratio of the final, administration competent formulation. This is a measure of relative efficiency.
- Encapsulation efficiency refers to the drug to lipid ratio of the starting mixture divided by the drug to lipid ratio of the final, administration competent formulation. This is a measure of relative efficiency.
- absolute efficiency the total amount of nucleic acid added to the starting mixture that ends up in the administration competent formulation, can also be calculated. The amount of lipid lost during the formulation process may also be calculated. Efficiency is a measure of the wastage and expense of the formulation; and
- Size indicates the size (diameter) of the particles formed. Size distribution may be determined using quasi-elastic light scattering (QELS) on a Nicomp Model 370 sub-micron particle sizer. Particles under 200 nm are preferred for distribution to neo-vascularized (leaky) tissues, such as neoplasms and sites of inflammation.
- QELS quasi-elastic light scattering
- the lipid particles may beformulated as a pharmaceutical composition, e.g., which further comprises a pharmaceutically acceptable diluent, excipient, or carrier, such as physiological saline or phosphate buffer, selected in accordance with the route of administration and standard pharmaceutical practice.
- a pharmaceutically acceptable diluent, excipient, or carrier such as physiological saline or phosphate buffer, selected in accordance with the route of administration and standard pharmaceutical practice.
- compositions comprising the lipid-nucleic acid particles are prepared according to standard techniques and further comprise a
- compositions comprising saline or other salt containing carriers the carrier is preferably added following lipid particle formation.
- the compositions can be diluted into
- compositions may contain pharmaceutically acceptable auxiliary substances as required to approximate physiological conditions, such as pH adjusting and buffering agents, tonicity adjusting agents and the like, for example, sodium acetate, sodium lactate, sodium chloride, potassium chloride, calcium chloride, etc.
- the lipidic suspension may include lipid-protective agents which protect lipids against free-radical and lipid-peroxidative damages on storage.
- Lipophilic free -radical quenchers such as a-tocopherol and water-soluble iron-specific chelators, such as ferrioxamine, are suitable.
- the concentration of lipid particle or lipid-nucleic acid particle in the pharmaceutical formulations can vary widely, i.e., from less than about 0.01%, usually at or at least about 0.05-5% to as much as 10 to 30% by weight and will be selected primarily by fluid volumes, viscosities, etc., in accordance with the particular mode of administration selected.
- the concentration may be increased to lower the fluid load associated with treatment. This may be particularly desirable in patients having atherosclerosis-associated congestive heart failure or severe hypertension.
- complexes composed of irritating lipids may be diluted to low concentrations to lessen inflammation at the site of administration.
- the nucleic acid will have an attached label and will be used for diagnosis (by indicating the presence of complementary nucleic acid).
- the amount of complexes administered will depend upon the particular label used, the disease state being diagnosed and the judgement of the clinician but will generally be between about 0.01 and about 50 mg per kilogram of body weight, preferably between about 0.1 and about 5 mg/kg of body weight.
- the lipid-therapeutic agent ⁇ e.g., nucleic acid particles may include polyethylene glycol (PEG) -modified phospholipids, PEG-ceramide, or ganglioside GMi-modified lipids or other lipids effective to prevent or limit aggregation. Addition of such components does not merely prevent complex aggregation. Rather, it may also provide a means for increasing circulation lifetime and increasing the delivery of the lipid-nucleic acid composition to the target tissues.
- Lipid-therapeutic agent compositions can also be provided in kit form.
- the kit will typically be comprised of a container that is compartmentalized for holding the various elements of the kit.
- the kit will contain the particles or pharmaceutical compositions, preferably in dehydrated or concentrated form, with instructions for their rehydration or dilution and administration.
- the particles comprise the active agent, while in other embodiments, they do not.
- a mixture of lipids is combined with a buffered aqueous solution of nucleic acid to produce an intermediate mixture containing nucleic acid encapsulated in lipid particles wherein the encapsulated nucleic acids are present in a nucleic acid/lipid ratio of about 3 wt to about 25 wt , preferably 5 to 15 wt .
- the intermediate mixture may optionally be sized to obtain lipid-encapsulated nucleic acid particles wherein the lipid portions are unilamellar vesicles, preferably having a diameter of 30 to 150 nm, more preferably about 40 to 90 nm.
- the pH is then raised to neutralize at least a portion of the surface charges on the lipid-nucleic acid particles, thus providing an at least partially surface-neutralized lipid-encapsulated nucleic acid composition.
- lipid vesicles can be formed at the lower pH with titratable cationic lipids and other vesicle components in the presence of nucleic acids. In this manner, the vesicles will encapsulate and entrap the nucleic acids.
- the surface charge of the newly formed vesicles can be neutralized by increasing the pH of the medium to a level above the pK a of the titratable cationic lipids present, i.e., to physiological pH or higher.
- Particularly advantageous aspects of this process include both the facile removal of any surface adsorbed nucleic acid and a resultant nucleic acid delivery vehicle which has a neutral surface. Liposomes or lipid particles having a neutral surface are expected to avoid rapid clearance from circulation and to avoid certain toxicities which are associated with cationic liposome preparations. Additional details concerning these uses of such titratable cationic lipids in the formulation of nucleic acid-lipid particles are provided in U.S. Patent 6,287,591 and U.S. Patent 6,858,225, incorporated herein by reference.
- the vesicles formed in this manner provide formulations of uniform vesicle size with high content of nucleic acids. Additionally, the vesicles have a size range of from about 30 to about 150 nm, more preferably about 30 to about 90 nm.
- nucleic acid encapsulation is a result of electrostatic interaction at low pH.
- acidic pH e.g. pH 4.0
- the vesicle surface is charged and binds a portion of the nucleic acids through electrostatic interactions.
- a more neutral buffer e.g. pH 7.5
- the surface of the lipid particle or liposome is neutralized, allowing any external nucleic acid to be removed.
- a mixture of lipids is combined with a buffered aqueous solution of nucleic acid to produce an intermediate mixture containing nucleic acid encapsulated in lipid particles, e.g., wherein the encapsulated nucleic acids are present in a nucleic acid/lipid ratio of about 10 wt to about 20 wt .
- the intermediate mixture may optionally be sized to obtain lipid-encapsulated nucleic acid particles wherein the lipid portions are unilamellar vesicles, preferably having a diameter of 30 to 150 nm, more preferably about 40 to 90 nm.
- the pH is then raised to neutralize at least a portion of the surface charges on the lipid-nucleic acid particles, thus providing an at least partially surface-neutralized lipid-encapsulated nucleic acid composition.
- the mixture of lipids includes at least two lipid components: a first lipid component that is selected from among lipids which have a pK a such that the lipid is cationic at pH below the pK a and neutral at pH above the pK a , and a second lipid component that is selected from among lipids that prevent particle aggregation during lipid-nucleic acid particle formation.
- the amino lipid is a cationic lipid.
- the mixture of lipids is typically a solution of lipids in an organic solvent. This mixture of lipids can then be dried to form a thin film or lyophilized to form a powder before being hydrated with an aqueous buffer to form liposomes.
- the lipid mixture can be solubilized in a water miscible alcohol, such as ethanol, and this ethanolic solution added to an aqueous buffer resulting in spontaneous liposome formation.
- the alcohol is used in the form in which it is commercially available.
- ethanol can be used as absolute ethanol (100%), or as 95% ethanol, the remainder being water. This method is described in more detail in U.S. Patent 5,976,567).
- the mixture of lipids is a mixture of cationic lipids, neutral lipids (other than a cationic lipid), a sterol (e.g., cholesterol) and a PEG-modified lipid (e.g., a PEG-DMG or PEG-DMA) in an alcohol solvent.
- the lipid mixture consists essentially of a cationic lipid, a neutral lipid, cholesterol and a PEG-modified lipid in alcohol, more preferably ethanol.
- the first solution consists of the above lipid mixture in molar ratios of about 20-70% cationic lipid: 5-45% neutral lipid:20-55% cholesterol:0.5-15% PEG-modified lipid.
- the first solution consists essentially of a mixture of cationic lipids chosen from lipids described in Tables 1-5, DSPC, Choi and PEG-DMG or PEG-DMA, more preferably in a molar ratio of about 20-60% cationic lipid: 5-25% DSPC:25-55% Chol:0.5- 15% PEG-DMG or PEG-DMA.
- the molar lipid ratio is approximately 40/10/40/10 (mol% cationic lipid/DSPC/Chol/PEG-DMG or PEG-DMA), 35/15/40/10 (mol% cationic
- the neutral lipid in these compositions is replaced with POPC, DPPC, DOPE or SM.
- the lipid mixture is combined with a buffered aqueous solution that may contain the nucleic acids.
- the buffered aqueous solution of is typically a solution in which the buffer has a pH of less than the pK a of the protonatable lipid in the lipid mixture.
- suitable buffers include citrate, phosphate, acetate, and MES.
- a particularly preferred buffer is citrate buffer.
- Preferred buffers will be in the range of 1- 1000 mM of the anion, depending on the chemistry of the nucleic acid being encapsulated, and optimization of buffer concentration may be significant to achieving high loading levels (see, e.g., U.S. Patent 6,287,591 and U.S.
- Patent 6,858,225 each of which is incorporated by reference in its entirety).
- pure water acidified to pH 5-6 with chloride, sulfate or the like may be useful.
- the amount of nucleic acid in buffer can vary, but will typically be from about 0.01 mg/mL to about 200 mg/mL, more preferably from about 0.5 mg/mL to about 50 mg/mL.
- the mixture of lipids and the buffered aqueous solution of therapeutic nucleic acids is combined to provide an intermediate mixture.
- the intermediate mixture is typically a mixture of lipid particles having encapsulated nucleic acids. Additionally, the intermediate mixture may also contain some portion of nucleic acids which are attached to the surface of the lipid particles (liposomes or lipid vesicles) due to the ionic attraction of the negatively-charged nucleic acids and positively-charged lipids on the lipid particle surface (the amino lipids or other lipid making up the protonatable first lipid component are positively charged in a buffer having a pH of less than the pK a of the protonatable group on the lipid).
- the mixture of lipids is an alcohol solution of lipids and the volumes of each of the solutions is adjusted so that upon combination, the resulting alcohol content is from about 20% by volume to about 45% by volume.
- the method of combining the mixtures can include any of a variety of processes, often depending upon the scale of formulation produced. For example, when the total volume is about 10-20 mL or less, the solutions can be combined in a test tube and stirred together using a vortex mixer. Large-scale processes can be carried out in suitable production scale glassware.
- the lipid-encapsulated therapeutic agent e.g. , nucleic acid
- the compositions provided herein will be sized to a mean diameter of from about 70 to about 200 nm, more preferably about 90 to about 130 nm.
- Several techniques are available for sizing liposomes to a desired size. One sizing method is described in U.S. Pat. No. 4,737,323, incorporated herein by reference.
- Sonicating a liposome suspension either by bath or probe sonication produces a progressive size reduction down to small unilamellar vesicles (SUVs) less than about 0.05 microns in size.
- Homogenization is another method which relies on shearing energy to fragment large liposomes into smaller ones.
- multilamellar vesicles are recirculated through a standard emulsion homogenizer until selected liposome sizes, typically between about 0.1 and 0.5 microns, are observed.
- the particle size distribution can be monitored by conventional laser-beam particle size determination.
- extrusion is used to obtain a uniform vesicle size.
- Extrusion of liposome compositions through a small-pore polycarbonate membrane or an asymmetric ceramic membrane results in a relatively well-defined size distribution.
- the suspension is cycled through the membrane one or more times until the desired liposome complex size distribution is achieved.
- the liposomes may be extruded through successively smaller-pore membranes, to achieve a gradual reduction in liposome size.
- the lipid-nucleic acid compositions which are formed can be used without any sizing.
- methods further comprise a step of neutralizing at least some of the surface charges on the lipid portions of the lipid-nucleic acid compositions.
- a step of neutralizing at least some of the surface charges on the lipid portions of the lipid-nucleic acid compositions By at least partially neutralizing the surface charges, unencapsulated nucleic acid is freed from the lipid particle surface and can be removed from the composition using conventional techniques.
- unencapsulated and surface adsorbed nucleic acids are removed from the resulting compositions through exchange of buffer solutions.
- buffer solutions For example, replacement of a citrate buffer (pH about 4.0, used for forming the compositions) with a HEPES -buffered saline (HBS pH about 7.5) solution, results in the neutralization of liposome surface and nucleic acid release from the surface.
- HBS pH about 7.5 HEPES -buffered saline
- the released nucleic acid can then be removed via chromatography using standard methods, and then switched into a buffer with a pH above the pK a of the lipid used.
- the lipid vesicles can be formed by hydration in an aqueous buffer and sized using any of the methods described above prior to addition of the nucleic acid.
- the aqueous buffer should be of a pH below the pK a of the amino lipid.
- a solution of the nucleic acids can then be added to these sized, preformed vesicles.
- the mixture should contain an alcohol, such as ethanol. In the case of ethanol, it should be present at a concentration of about 20% (w/w) to about 45% (w/w).
- nucleic acid encapsulation process it may be necessary to warm the mixture of pre-formed vesicles and nucleic acid in the aqueous buffer-ethanol mixture to a temperature of about 25° C to about 50° C depending on the composition of the lipid vesicles and the nature of the nucleic acid. It will be apparent to one of ordinary skill in the art that optimization of the encapsulation process to achieve a desired level of nucleic acid in the lipid vesicles will require manipulation of variable such as ethanol concentration and temperature. Examples of suitable conditions for nucleic acid encapsulation are provided in the Examples. Once the nucleic acids are encapsulated within the prefromed vesicles, the external pH can be increased to at least partially neutralize the surface charge. Unencapsulated and surface adsorbed nucleic acids can then be removed as described above.
- the lipid particles may be used to deliver a therapeutic agent to a cell, in vitro or in vivo.
- the therapeutic agent is a nucleic acid, which is delivered to a cell using nucleic acid-lipid particles. While the following description of various methods of using the lipid particles and related pharmaceutical compositions are exemplified by description related to nucleic acid-lipid particles, it is understood that these methods and compositions may be readily adapted for the delivery of any therapeutic agent for the treatment of any disease or disorder that would benefit from such treatment.
- nucleic acids for introduction into cells are siRNA, immune- stimulating
- oligonucleotides oligonucleotides, plasmids, antisense and ribozymes. These methods may be carried out by contacting the particles or compositions with the cells for a period of time sufficient for intracellular delivery to occur.
- compositions can be adsorbed to almost any cell type.
- the nucleic acid-lipid particles can either be endocytosed by a portion of the cells, exchange lipids with cell membranes, or fuse with the cells. Transfer or incorporation of the nucleic acid portion of the complex can take place via any one of these pathways. Without intending to be limited, it is believed that in the case of particles taken up into the cell by endocytosis the particles then interact with the endosomal membrane, resulting in destabilization of the endosomal membrane, possibly by the formation of non-bilayer phases, resulting in introduction of the encapsulated nucleic acid into the cell cytoplasm.
- the liposome membrane is integrated into the cell membrane and the contents of the liposome combine with the intracellular fluid.
- Contact between the cells and the lipid-nucleic acid compositions when carried out in vitro, will take place in a biologically compatible medium.
- concentration of compositions can vary widely depending on the particular application, but is generally between about 1 ⁇ and about 10 mmol.
- treatment of the cells with the lipid-nucleic acid compositions will generally be carried out at physiological temperatures (about 37 °C) for periods of time from about 1 to 24 hours, preferably from about 2 to 8 hours.
- the delivery of nucleic acids can be to any cell grown in culture, whether of plant or animal origin, vertebrate or invertebrate, and of any tissue or type.
- the cells will be animal cells, more preferably mammalian cells, and most preferably human cells.
- a lipid-nucleic acid particle suspension is added to 60-80% confluent plated cells having a cell density of from about 10 3 to about 105 cells/mL, more preferably about 2 x 10 4 cells/mL.
- the concentration of the suspension added to the cells is preferably of from about 0.01 to 20 ⁇ g/mL, more preferably about 1 ⁇ g/mL.
- the lipid particles can be may be used to deliver a nucleic acid to a cell or cell line (for example, a tumor cell line).
- a cell or cell line for example, a tumor cell line.
- cell lines include: HELA (ATCC Cat N: CCL-2), KB (ATCC Cat N: CCL-17), HEP3B (ATCC Cat N: HB-8064), SKOV-3 (ATCC Cat N: HTB-77), HCT-116 (ATCC Cat N: CCL-247), HT-29 (ATCC Cat N: HTB-38), PC-3 (ATCC Cat N: CRL-1435), A549 (ATCC Cat N: CCL-185), MDA-MB-231 (ATCC Cat N: HTB-26).
- Typical applications include using well known procedures to provide intracellular delivery of siRNA to knock down or silence specific cellular targets.
- Alternatively applications include delivery of DNA or mRNA sequences that code for therapeutically useful polypeptides.
- therapy is provided for genetic diseases by supplying deficient or absent gene products (i.e., for Duchenne's dystrophy, see Kunkel, et ah, Brit. Med. Bull. 45(3):630-643 (1989), and for cystic fibrosis, see Goodfellow, Nature 341 : 102- 103 (1989)).
- Other uses for the compositions include introduction of antisense oligonucleotides in cells (see, Bennett, et ah, Mol. Pharm. 41 : 1023-1033 (1992)).
- compositions can also be used for deliver of nucleic acids to cells in vivo, using methods which are known to those of skill in the art.
- delivery of DNA or mRNA sequences Zhu, et ah, Science 261 :209-211 (1993), incorporated herein by reference, describes the intravenous delivery of cytomegalovirus (CM V) -chloramphenicol acetyltransferase (CAT) expression plasmid using DOTMA-DOPE complexes.
- CM V cytomegalovirus
- CAT chloramphenicol acetyltransferase
- Hyde et ah, Nature 362:250-256 (1993), incorporated herein by reference, describes the delivery of the cystic fibrosis transmembrane conductance regulator (CFTR) gene to epithelia of the airway and to alveoli in the lung of mice, using liposomes.
- CTR cystic fibrosis transmembrane conductance regulator
- compositions can be used in the treatment of infectious diseases.
- compositions are preferably administered parenterally, i.e. , intraarticularly, intravenously, intraperitoneally, subcutaneously, or
- the pharmaceutical compositions are administered intravenously or intraperitoneally by a bolus injection.
- a bolus injection see Stadler, et ah , U.S. Patent No. 5,286,634, which is incorporated herein by reference.
- Intracellular nucleic acid delivery has also been discussed in Straubringer, et ah, Methods in Enzymology, Academic Press, New York. 101 :512-527 (1983); Mannino, et al, Biotechniques 6:682-690 (1988);
- the pharmaceutical preparations may be contacted with the target tissue by direct application of the preparation to the tissue.
- the application may be made by topical, "open” or “closed” procedures.
- topical it is meant the direct application of the
- Open procedures are those procedures which include incising the skin of a patient and directly visualizing the underlying tissue to which the pharmaceutical preparations are applied. This is generally accomplished by a surgical procedure, such as a thoracotomy to access the lungs, abdominal laparotomy to access abdominal viscera, or other direct surgical approach to the target tissue.
- “Closed” procedures are invasive procedures in which the internal target tissues are not directly visualized, but accessed via inserting instruments through small wounds in the skin.
- the preparations may be
- the preparations may be administered to the peritoneum by needle lavage.
- the pharmaceutical preparations may be administered to the meninges or spinal cord by infusion during a lumbar puncture followed by appropriate positioning of the patient as commonly practiced for spinal anesthesia or metrazamide imaging of the spinal cord.
- the preparations may be administered through endoscopic devices.
- lipid-nucleic acid compositions can also be administered in an aerosol inhaled into the lungs (see, Brigham, et ah, Am. J. Sci. 298(4):278-281 (1989)) or by direct injection at the site of disease (Culver, Human Gene Therapy, Mary Ann Liebert, Inc., Publishers, New York. pp.70-71 (1994)).
- the methods may be practiced in a variety of hosts.
- Preferred hosts include mammalian species, such as humans, non-human primates, dogs, cats, cattle, horses, sheep, and the like.
- Dosages for the lipid-therapeutic agent particles will depend on the ratio of therapeutic agent to lipid and the administrating physician's opinion based on age, weight, and condition of the patient.
- a method of modulating the expression of a target polynucleotide or polypeptide generally comprise contacting a cell with a lipid particle that is associated with a nucleic acid capable of modulating the expression of a target polynucleotide or polypeptide.
- modulating refers to altering the expression of a target polynucleotide or polypeptide. In different embodiments, modulating can mean increasing or enhancing, or it can mean decreasing or reducing.
- Methods of measuring the level of expression of a target polynucleotide or polypeptide include, e.g., methods employing reverse transcription-polymerase chain reaction (RT-PCR) and immunohistochemical techniques.
- RT-PCR reverse transcription-polymerase chain reaction
- the level of expression of a target polynucleotide or polypeptide is increased or reduced by at least 10%, 20%, 30%, 40%, 50%, or greater than 50% as compared to an appropriate control value.
- the nucleic acid may be an expression vector that includes a polynucleotide that encodes the desired polypeptide.
- the nucleic acid may be, e.g. , an antisense oligonucleotide, siRNA, or microRNA that comprises a polynucleotide sequence that specifically hybridizes to a polnucleotide that encodes the target polypeptide, thereby disrupting expression of the target polynucleotide or polypeptide.
- the nucleic acid may be a plasmid that expresses such an antisense
- oligonucletoide siRNA, or microRNA.
- a method of modulating the expression of a polypeptide by a cell includes providing to a cell a lipid particle that consists of or consists essentially of a mixture of cationic lipids chosen from lipids described in application nos. PCT/US09/63933, PCT/US09/63927, PCT/US09/63931, and PCT/US09/63897, each filed November 10, 2009, and applications referred to therein, including nos. 61/104,219, filed October 9, 2008; no.
- the lipid particle is assocated with a nucleic acid capable of modulating the expression of the polypeptide.
- the molar lipid ratio is 0.1-50% fusion promoting lipid, with the remaining components present in a relative molar lipid ratio (mol% cationic lipid/DSPC/Chol/PEG-DMG or PEG-DMA) of approximately 40/10/40/10, 35/15/40/10, or 52/13/30/5.
- the neutral lipid in these compositions is replaced with POPC, DPPC, DOPE or SM.
- the therapeutic agent is selected from an siRNA, a microRNA, an antisense oligonucleotide, and a plasmid capable of expressing an siRNA, a microRNA, or an antisense oligonucleotide, and wherein the siRNA, microRNA, or antisense RNA comprises a polynucleotide that specifically binds to a polynucleotide that encodes the polypeptide, or a complement thereof, such that the expression of the polypeptide is reduced.
- the nucleic acid is a plasmid that encodes the polypeptide or a functional variant or fragment thereof, such that expression of the polypeptide or the functional variant or fragment thereof is increased.
- a method of treating a disease or disorder characterized by overexpression of a polypeptide in a subject includes providing to the subject a pharmaceutical composition, wherein the therapeutic agent is selected from an siRNA, a microRNA, an antisense oligonucleotide, and a plasmid capable of expressing an siRNA, a microRNA, or an antisense oligonucleotide, and wherein the siRNA, microRNA, or antisense RNA comprises a polynucleotide that specifically binds to a polynucleotide that encodes the polypeptide, or a complement thereof.
- the therapeutic agent is selected from an siRNA, a microRNA, an antisense oligonucleotide, and a plasmid capable of expressing an siRNA, a microRNA, or an antisense oligonucleotide
- the siRNA, microRNA, or antisense RNA comprises a polynucleotide that specifically binds to a polynucle
- the pharmaceutical composition comprises a lipid particle that consists of or consists essentially of a mixture of cationic lipids chosen from lipids described in Tables 1-5, DSPC, Choi and PEG-DMG or PEG-DMA, e.g. , in a molar ratio of about 20-60% cationic lipid: 5-25% DSPC:25-55% Chol:0.5- 15% PEG-DMG or PEG-DMA, wherein the lipid particle is assocated with the therapeutic nucleic acid.
- the molar lipid ratio is approximately 40/10/40/10 (mol% cationic lipid/DSPC/Chol/PEG-DMG or PEG-DMA), 35/15/40/10 (mol% cationic lipid/DSPC/Chol/PEG-DMG or PEG-DMA) or 52/13/30/5 (mol% cationic lipid/DSPC/Chol/PEG-DMG or PEG-DMA).
- the neutral lipid in these compositions is replaced with POPC, DPPC, DOPE or SM.
- a method of treating a disease or disorder characterized by underexpression of a polypeptide in a subject includes providing to the subject a
- composition wherein the therapeutic agent is a plasmid that encodes the polypeptide or a functional variant or fragment thereof.
- the pharmaceutical composition comprises a lipid particle that consists of or consists essentially of a mixture of cationic lipids chosen from lipids described in application nos. PCT/US09/63933, PCT/US09/63927, PCT/US09/63931, and PCT/US09/63897, each filed November 10, 2009, and applications referred to therein, including nos. 61/104,219, filed October 9, 2008; no. 61/113,179, filed November 10, 2008; no. 61/154,350, filed February 20, 2009; no. 61/171,439, filed April 21, 2009; no. 61/175,770, filed May 5, 2009; no.
- PEG-DMA e.g. , in a molar ratio of about 20-60% cationic lipid: 0.1-50% fusion-promoting lipid:5-25% DSPC:25-55% Chol:0.5-15% PEG-DMG or PEG-DMA, wherein the lipid particle is assocated with the therapeutic nucleic acid.
- the molar lipid ratio is 0.1-50% fusion promoting lipid, with the remaining components present in a relative molar lipid ratio (mol% cationic lipid/DSPC/Chol/PEG-DMG or PEG-DMA) of approximately 40/10/40/10, 35/15/40/10, or 52/13/30/5.
- the neutral lipid in these compositions is replaced with POPC, DPPC, DOPE or SM.
- a method of inducing an immune response in a subject can include providing to the subject the pharmaceutical composition, wherein the therapeutic agent is an immuno stimulatory oligonucleotide.
- the immune response is a humoral or mucosal immune response.
- the pharmaceutical composition comprises a lipid particle that consists of or consists essentially of mixture of cationic lipids chosen from lipids described in application nos. PCT/US09/63933, PCT/US09/63927, PCT/US09/63931, and PCT/US09/63897, each filed November 10, 2009, and applications referred to therein, including nos. 61/104,219, filed October 9, 2008; no. 61/113,179, filed November 10, 2008; no. 61/154,350, filed February 20, 2009; no. 61/171,439, filed April 21, 2009; no. 61/175,770, filed May 5, 2009; no.
- PEG-DMA e.g. , in a molar ratio of about 20-60% cationic lipid: 0.1-50% fusion-promoting lipid:5-25% DSPC:25-55% Chol:0.5-15% PEG-DMG or PEG-DMA, wherein the lipid particle is assocated with the therapeutic nucleic acid.
- the molar lipid ratio is 0.1-50% fusion promoting lipid, with the remaining components present in a relative molar lipid ratio (mol% cationic lipid/DSPC/Chol/PEG-DMG or PEG-DMA) of approximately 40/10/40/10, 35/15/40/10, or 52/13/30/5.
- the neutral lipid in these compositions is replaced with POPC, DPPC, DOPE or SM.
- the pharmaceutical composition is provided to the subject in combination with a vaccine or antigen.
- vaccines can include a lipid particle, which comprises an immuno stimulatory oligonucleotide, and is also associated with an antigen to which an immune response is desired.
- the antigen is a tumor antigen or is associated with an infective agent, such as, e.g. , a virus, bacteria, or parasiste.
- antigens include, but are not limited to, polypeptide antigens and DNA antigens.
- suitable antigens include, but are not limited to, polypeptide antigens and DNA antigens.
- Specific examples of antigens are Hepatitis A, Hepatitis B, small pox, polio, anthrax, influenza, typhus, tetanus, measles, rotavirus, diphtheria, pertussis, tuberculosis, and rubella antigens.
- the antigen is a Hepatitis B recombinant antigen.
- the antigen is a Hepatitis A recombinant antigen.
- the antigen is a tumor antigen. Examples of such tumor-associated antigens are MUC-1, EBV antigen and antigens associated with Burkitt's lymphoma.
- the antigen is a
- Tumor-associated antigens suitable for use include both mutated and non-mutated molecules that may be indicative of single tumor type, shared among several types of tumors, and/or exclusively expressed or overexpressed in tumor cells in comparison with normal cells.
- tumor-specific patterns of expression of carbohydrates, gangliosides, glycolipids and mucins have also been documented.
- Exemplary tumor- associated antigens for use in the subject cancer vaccines include protein products of oncogenes, tumor suppressor genes and other genes with mutations or rearrangements unique to tumor cells, reactivated embryonic gene products, oncofetal antigens, tissue-specific (but not tumor-specific) differentiation antigens, growth factor receptors, cell surface carbohydrate residues, foreign viral proteins and a number of other self proteins.
- tumor-associated antigens include, e.g. , mutated antigens such as the protein products of the Ras p21 protooncogenes, tumor suppressor p53 and BCR-abl oncogenes, as well as CDK4, MUMl, Caspase 8, and Beta catenin; overexpressed antigens such as galectin 4, galectin 9, carbonic anhydrase, Aldolase A, PRAME, Her2/neu, ErbB-2 and KSA, oncofetal antigens such as alpha fetoprotein (AFP), human chorionic gonadotropin (hCG); self antigens such as carcinoembryonic antigen (CEA) and melanocyte differentiation antigens such as Mart 1/Melan A, gplOO, gp75, Tyrosinase, TRPl and TRP2; prostate associated antigens such as PSA, PAP, PSMA, PSM-P1 and PSM-P2; reactivated embryonic gene
- Pathogens include, but are not limited to, infectious agents, e.g. , viruses, that infect mammals, and more particularly humans.
- infectious virus include, but are not limited to: Retroviridae (e.g. , human immunodeficiency viruses, such as HIV-1 (also referred to as HTLV-III, LAV or HTLV-III/LAV, or HIV-III; and other isolates, such as HIV-LP;
- Picornaviridae e.g., polio viruses, hepatitis A virus; enteroviruses, human Coxsackie viruses, rhinoviruses, echoviruses); Calciviridae (e.g., strains that cause gastroenteritis); Togaviridae (e.g., equine encephalitis viruses, rubella viruses); Flaviridae (e.g., dengue viruses, encephalitis viruses, yellow fever viruses); Coronoviridae (e.g., coronaviruses); Rhabdoviradae (e.g., vesicular stomatitis viruses, rabies viruses); Coronaviridae (e.g. , coronaviruses); Rhabdoviridae (e.g., vesicular stomatitis viruses, rabies viruses); Filoviridae (e.g., ebola viruses);
- Paramyxoviridae e.g., parainfluenza viruses, mumps virus, measles virus, respiratory syncytial virus
- Orthomyxoviridae e.g., influenza viruses
- Bungaviridae e.g., Hantaan viruses, bunga viruses, phleboviruses and Nairo viruses
- Arena viridae hemorrhagic fever viruses
- Reoviridae e.g., reoviruses, orbiviurses and rotaviruses
- Birnaviridae Hepadnaviridae (Hepatitis B virus); Parvovirida (parvoviruses)
- Papovaviridae papilloma viruses, polyoma viruses
- Adenoviridae most adenoviruses
- Herpesviridae herpes simplex virus (HSV) 1 and 2, varicella zoster virus, cytomegalovirus (CMV
- gram negative and gram positive bacteria serve as antigens in vertebrate animals.
- Such gram positive bacteria include, but are not limited to Pasteurella species, Staphylococci species, and Streptococcus species.
- Gram negative bacteria include, but are not limited to, Escherichia coli, Pseudomonas species, and Salmonella species.
- infectious bacteria include but are not limited to: Helicobacterpyloris, Borelia burgdorferi, Legionella pneumophilia, Mycobacteria sps (e.g., M. tuberculosis, M. avium, M. intracellulare, M. kansaii, M.
- Streptococcus pyogenes Group A Streptococcus
- Streptococcus agalactiae Group B Streptococcus
- Streptococcus viridans group
- Streptococcusfaecalis Streptococcus bovis
- Streptococcus anaerobic sps.
- Streptococcus pneumoniae pathogenic Campylobacter sp., Enterococcus sp., Haemophilus infuenzae, Bacillus antracis, corynebacterium diphtheriae, corynebacterium sp., Erysipelothrix rhusiopathiae, Clostridium perfringers, Clostridium tet
- pathogens include, but are not limited to, infectious fungi that infect mammals, and more particularly humans.
- infectious fingi include, but are not limited to: Cryptococcus neoformans, Histoplasma capsulatum, Coccidioides immitis,
- infectious parasites include Plasmodium such as Plasmodium falciparum, Plasmodium malariae,
- Plasmodium ovale, and Plasmodium vivax Other infectious organisms (i.e. , protists) include Toxoplasma gondii.
- the formulations can be used to silence or modulate a target gene such as but not limited to FVII, Eg5, PCSK9, TPX2, apoB, SAA, TTR, RSV, PDGF beta gene, Erb-B gene, Src gene, CRK gene, GRB2 gene, RAS gene, MEKK gene, JNK gene, RAF gene, Erkl/2 gene, PCNA(p21) gene, MYB gene, JUN gene, FOS gene, BCL-2 gene, Cyclin D gene, VEGF gene, EGFR gene, Cyclin A gene, Cyclin E gene, WNT- 1 gene, beta-catenin gene, c-MET gene, PKC gene, NFKB gene, STAT3 gene, survivin gene, Her2/Neu gene, SORTl gene, XBP1 gene, topoisomerase I gene, topoisomerase II alpha gene, p73 gene, p21(WAFl/CIPl) gene, p27 (KIP 1) gene, PPM
- encephalitis virus replication Murray Valley encephalitis virus gene, a gene that is required for Murray Valley encephalitis virus replication, dengue virus gene, a gene that is required for dengue virus gene replication, Simian Virus 40 gene, a gene that is required for Simian Virus 40 replication, Human T Cell Lymphotropic Virus gene, a gene that is required for Human T Cell Lymphotropic Virus replication, Moloney-Murine Leukemia Virus gene, a gene that is required for Moloney-Murine Leukemia Virus replication, encephalomyocarditis virus gene, a gene that is required for encephalomyocarditis virus replication, measles virus gene, a gene that is required for measles virus replication, Vericella zoster virus gene, a gene that is required for Vericella zoster virus replication, adenovirus gene, a gene that is required for adenovirus replication, yellow fever virus gene, a gene that is required for yellow fever virus replication,
- cationic lipid inlcudes those lipids having one or two fatty acid or fatty aliphatic chains and an amino acid containing head group that may be protonated to form a cationic lipid at physiological pH.
- a cationic lipid is referred to as an "amino acid conjugate cationic lipid.”
- a subject or patient in whom administration of the complex is an effective therapeutic regimen for a disease or disorder is preferably a human, but can be any animal, including a laboratory animal in the context of a clinical trial or screening or activity experiment.
- the methods, compounds and compositions of the present invention are particularly suited to administration to any animal, particularly a mammal, and including, but by no means limited to, humans, domestic animals, such as feline or canine subjects, farm animals, such as but not limited to bovine, equine, caprine, ovine, and porcine subjects, wild animals (whether in the wild or in a zoological garden), research animals, such as mice, rats, rabbits, goats, sheep, pigs, dogs, and cats, avian species, such as chickens, turkeys, and songbirds, i.e., for veterinary medical use.
- biodegradable group referes to a group that include one or more bonds that may undergo bond breaking reactions in a biological environment, e.g., in an organism, organ, tissue, cell, or organelle.
- the biodegradable group may be metabolizable by the body of a mammal, such as a human (e.g., by hydrolysis).
- Some groups that contain a biodegradable bond include, for example, but are not limited to esters, dithiols, and oximes.
- an "aliphatic” group is a non-aromatic group in which carbon atoms are linked into chains, and is either saturated or unsaturated.
- alkyl and alkylene refer to a straight or branched chain saturated hydrocarbon moiety.
- the alkyl group is a straight chain saturated hydrocarbon.
- the "alkyl” or “alkylene” group contains from 1 to 24 carbon atoms.
- Representative saturated straight chain alkyl groups include methyl, ethyl, n-propyl, n-butyl, n-pentyl, and n-hexyl.
- Representative saturated branched alkyl groups include isopropyl, sec-butyl, isobutyl, ie/t-butyl, and isopentyl.
- alkenyl refers to a straight or branched chain hydrocarbon moiety having one or more carbon-carbon double bonds. In one embodiment, the alkenyl group contains 1, 2, or 3 double bonds and is otherwise saturated. Unless otherwise specified, the "alkenyl” group contains from 2 to 24 carbon atoms. Alkenyl groups include both cis and trans isomers.
- Representative straight chain and branched alkenyl groups include ethylenyl, propylenyl,
- alkynyl refers to a straight or branched chain hydrocarbon moiety having one or more carbon-carbon triple bonds. Unless otherwise specified, the "alkynyl” group contains from 2 to 24 carbon atoms. Representative straight chain and branched alkynyl groups include acetylenyl, propynyl, 1-butynyl, 2-butynyl, 1-pentynyl, 2-pentynyl, and 3-methyl-l-butynyl.
- acyl refers to a carbonyl group substituted with hydrogen, alkyl, partially saturated or fully saturated cycloalkyl, partially saturated or fully saturated heterocycle, aryl, or heteroaryl.
- acyl groups include groups such as (C 1 -C2o)alkanoyl (e.g., formyl, acetyl, propionyl, butyryl, valeryl, caproyl, and t-butylacetyl), (C3-C2o)cycloalkylcarbonyl (e.g., cyclopropylcarbonyl, cyclobutylcarbonyl, cyclopentylcarbonyl, and cyclohexylcarbonyl), heterocyclic carbonyl (e.g., pyrrolidinylcarbonyl, pyrrolid-2-one-5-carbonyl,
- C 1 -C2o)alkanoyl e.g., formyl, acetyl, propionyl
- aryl refers to an aromatic monocyclic, bicyclic, or tricyclic hydrocarbon ring system. Unless otherwise specified, the "aryl” group contains from 6 to 14 carbon atoms.
- aryl moieties include, but are not limited to, phenyl, naphthyl, anthracenyl, and pyrenyl.
- cycloalkyl and cycloalkylene refer to a saturated monocyclic or bicyclic hydrocarbon moiety such as cyclopropyl, cyclobutyl, cyclopentyl, and cyclohexyl. Unless otherwise specified, the "cycloalkyl” or “cycloalkylene” group contains from 3 to 10 carbon atoms.
- cycloalkylalkyl refers to a cycloalkyl group bound to an alkyl group, where the alkyl group is bound to the rest of the molecule.
- heterocycle refers to a non-aromatic 5- to 8-membered monocyclic, or 7- to 12-membered bicyclic, or 11- to 14-membered tricyclic ring system which is either saturated or unsaturated, and which contains from 1 to 3 heteroatoms if monocyclic, 1-6 heteroatoms if bicyclic, or 1-9 heteroatoms if tricyclic, independently selected from nitrogen, oxygen and sulfur, and wherein the nitrogen and sulfur heteroatoms may be optionally oxidized, and the nitrogen heteroatom may be optionally quaternized.
- the heterocycle may be a cycloalkoxy group.
- heterocycle may be attached to the rest of the molecule via any heteroatom or carbon atom in the heterocycle.
- Heterocycles include, but are not limited to, morpholinyl, pyrrolidinonyl, pyrrolidinyl, piperidinyl, piperizynyl, hydantoinyl, valerolactamyl, oxiranyl, oxetanyl, tetrahydrofuranyl, tetrahydropyranyl, tetrahydropyridinyl,
- heteroaryl refers to an aromatic 5-8 membered monocyclic, 7-12 membered bicyclic, or 11-14 membered tricyclic ring system having 1-3 heteroatoms if monocyclic, 1-6 heteroatoms if bicyclic, or 1-9 heteroatoms if tricyclic, where the heteroatoms are selected from O, N, or S (e.g., carbon atoms and 1-3, 1-6, or 1-9 heteroatoms of N, O, or S if monocyclic, bicyclic, or tricyclic, respectively).
- the heteroaryl groups herein described may also contain fused rings that share a common carbon-carbon bond.
- substituted refers to the replacement of one or more hydrogen radicals in a given structure with the radical of a specified substituent including, but not limited to: halo, alkyl, alkenyl, alkynyl, aryl, heterocyclyl, thiol, alkylthio, oxo, thioxy, arylthio, alkylthioalkyl, arylthioalkyl, alkylsulfonyl, alkylsulfonylalkyl, arylsulfonylalkyl, alkoxy, aryloxy, aralkoxy, aminocarbonyl, alkylaminocarbonyl, arylaminocarbonyl,
- halogen refers to fluoro, chloro, bromo and iodo.
- alkylamine and “dialkylamine” refer to -NH(alkyl) and -N(alkyl) 2 radicals respectively.
- alkylphosphate refers to -0-P(Q')(Q")-0-R, wherein Q' and Q" are each independently O, S, N(R) 2 , optionally substituted alkyl or alkoxy; and R is optionally substituted alkyl, ⁇ -aminoalkyl or ro-(substituted)aminoalkyl.
- alkylphosphorothioate refers to an alkylphosphate wherein at least one of Q' or Q" is S.
- alkylphosphonate refers to an alkylphosphate wherein at least one of Q' or Q" is alkyl.
- hydroxyalkyl refers to -O-alkyl radical.
- alkylheterocycle refers to an alkyl where at least one methylene has been replaced by a heterocycle.
- ⁇ -aminoalkyl refers to -alkyl-NH 2 radical.
- ro-(substituted)aminoalkyl refers to an ⁇ -aminoalkyl wherein at least one of the H on N has been replaced with alkyl.
- ⁇ -phosphoalkyl refers to -alkyl-0-P(Q')(Q")-0-R, wherein Q' and Q" are each independently O or S and R optionally substituted alkyl.
- co-thiophosphoalkyl refers to ⁇ -phosphoalkyl wherein at least one of Q' or Q" is S.
- DSPC distearoylphosphatidylcholine
- DPPC l,2-Dipalmitoyl-sn-glycero-3-phosphocholine
- POPC 1- palmitoyl-2-oleoyl-sn-phosphatidylcholine
- DOPE l,2-dileoyl-sn-3- phosphoethanolamine
- PEG-DMG generally refers to 1,2-dimyristoyl-sn-glycerol-methoxy polyethylene glycol (e.g., PEG 2000)
- TBDPSC1 tert-Butylchlorodiphenylsilane
- DMAP DMAP:
- HMPA hexamethylphosphoramide
- EDC l-ethyl-3-(3- dimethylaminopropyl) carbodiimide
- DIPEA diisopropylethylamine
- DCM dichloromethane
- TEA triethylamine
- TBAF tetrabutylammonium fluoride
- the methods may require the use of protecting groups.
- protecting group methodology is well known to those skilled in the art (see, for example, Protective Groups in Organic Synthesis, Green, T.W. et. al., Wiley-Interscience, New York City, 1999). Briefly, protecting groups are any group that reduces or eliminates unwanted reactivity of a functional group. A protecting group can be added to a functional group to mask its reactivity during certain reactions and then removed to reveal the original functional group. In some embodiments an "alcohol protecting group" is used. An “alcohol protecting group” is any group which decreases or eliminates unwanted reactivity of an alcohol functional group. Protecting groups can be added and removed using techniques well known in the art.
- the compounds may be prepared by at least one of the techniques described herein or known organic synthesis techniques. Examples
- Example 1 FVII in vivo evaluation using the cationic lipid derived liposomes
- C57BL/6 mice (Charles River Labs, MA) receive either saline or siRNA in desired formulations via tail vein injection at a volume of 0.01 mL/g.
- animals are anesthesized by isofluorane inhalation and blood is collected into serum separator tubes by retro orbital bleed.
- Serum levels of Factor VII protein are determined in samples using a chromogenic assay (Coaset Factor VII, DiaPharma Group, OH or Biophen FVII, Aniara Corporation, OH) according to manufacturer protocols.
- a standard curve is generated using serum collected from saline treated animals.
- liver mRNA levels were assessed, at various time points post-administration, animals are sacrificed and livers are harvested and snap frozen in liquid nitrogen. Frozen liver tissue is ground into powder. Tissue lysates were prepared and liver mRNA levels of Factor VII and apoB are determined using a branched DNA assay (QuantiGene Assay, Panomics, CA).
- Example 2 Determination of efficacy of lipid particle formulations containing various cationic lipids using an in vivo rodent Factor VII silencing model.
- FVII Factor VII
- hepatocytes a prominent protein in the coagulation cascade
- FVII levels in plasma can be determined by a simple, plate-based colorimetric assay.
- FVII represents a convenient model for determining sirna-mediated downregulation of hepatocyte-derived proteins, as well as monitoring plasma concentrations and tissue distribution of the nucleic acid lipid particles and siRNA.
- Nf is a 2'F modified nucleobase
- dT is deoxythymidine
- s is phosphothioate
- the cationic lipids shown above are used to formulate liposomes containing the
- Lipid particles are formulated using the following molar ratio: 50% Cationic lipid/ 10%
- C57BL/6 mice (Charles River Labs, MA) receive either saline or formulated siRNA via tail vein injection.
- serum samples are collected by retroorbital bleed.
- Serum levels of Factor VII protein are determined in samples using a chromogenic assay (Biophen FVII, Aniara Corporation, OH).
- a chromogenic assay Biophen FVII, Aniara Corporation, OH.
- liver mRNA levels of Factor VII animals are sacrificed and livers were harvested and snap frozen in liquid nitrogen. Tissue lysates are prepared from the frozen tissues and liver mRNA levels of Factor VII are quantified using a branched DNA assay (QuantiGene Assay, Panomics, CA).
- FVII activity is evaluated in FVII siRNA-treated animals at 48 hours after intravenous (bolus) injection in C57BL/6 mice.
- FVII is measured using a commercially available kit for determining protein levels in serum or tissue, following the manufacturer's instructions at a microplate scale.
- FVII reduction is determined against untreated control mice, and the results are expressed as % Residual FVII.
- Two dose levels (0.05 and 0.005 mg/kg FVII siRNA) are used in the screen of each novel liposome composition.
- Example 3 siRNA formulation using preformed vesicles
- Cationic lipid containing particles are made using the preformed vesicle method.
- Cationic lipid, DSPC, cholesterol and PEG-lipid were solubilized in ethanol at a molar ratio of 40/10/40/10, respectively.
- the lipid mixture is added to an aqueous buffer (50 mM citrate, pH 4) with mixing to a final ethanol and lipid concentration of 30% (vol/vol) and 6.1 mg/mL respectively and allowed to equilibrate at room temperature for 2 min before extrusion.
- the hydrated lipids are extruded through two stacked 80 nm pore-sized filters (Nuclepore) at 22°C using a Lipex Extruder (Northern Lipids, Vancouver, BC) until a vesicle diameter of 70-90 nm, as determined by Nicomp analysis, is obtained.
- the mixture is incubated for a further 30 min at 35°C to allow vesicle re-organization and encapsulation of the FVII siRNA.
- the ethanol is then removed and the external buffer replaced with PBS (155mM NaCl, 3mM Na2HP04, ImM KH2P04, pH 7.5) by either dialysis or tangential flow diafiltration.
- PBS 155mM NaCl, 3mM Na2HP04, ImM KH2P04, pH 7.5
- Example 4 In vivo determination of efficacy of lipid formulations
- Test formulations are initially assessed for their FVII knockdown in female 7-9 week old, 15-25g, female C57B1/6 mice at 0.1, 0.3, 1.0 and 5.0 mg/kg with 3 mice per treatment group. All studies included animals receiving either phosphate-buffered saline (PBS, Control group) or a benchmark formulation. Formulations are diluted to the appropriate concentration in PBS immediately prior to testing. Mice are weighed and the appropriate dosing volumes calculated (10 ⁇ /g body weight). Test and benchmark formulations as well as PBS (for Control animals) are administered intravenously via the lateral tail vein.
- PBS phosphate-buffered saline
- Plasma FVII levels are quantified and ED 50 S (dose resulting in a 50% reduction in plasma FVII levels compared to control animals) calculated using a standard curve generated from a pooled sample of serum from Control animals.
- ED 50 S dose resulting in a 50% reduction in plasma FVII levels compared to control animals
- Those formulations of interest showing high levels of FVII knockdown (ED 50 « 0.1 mg/kg) are re-tested in independent studies at a lower dose range to confirm potency and establish ED 50 .
- Example 5 Determination of efficacy of lipid particle formulations containing l,17-bis(2- ((2-pentylcyclopropyl)methyl)cyclopropyl)heptadecan-9-yl 4-(dimethylamino)butanoate (Compound 1) using an in vivo rodent Factor VII silencing model.
- the cationic lipid l,17-bis(2-((2-pentylcyclopropyl)methyl)cyclopropyl)heptadecan-9-yl 4-(dimethylamino)butanoate (compound 1), shown below, was used to formulate liposomes using an in-line mixing method, as described in U.S. provisional patent application 61/228,373, which is incorporated by reference in its entirety.
- the formulation consisted of compound l/DSPC/Chol/(C14)PEG-DMG at the following ratio 50/10/38.5/1.5.
- the ED 50 equaled 0.01 mg/kg.
- In vivo efficacy results are shown in FIG. 1.
- a second pre-formed vesicle (PFV, as described in Example 3 above) formulation consisting of compound l/DSPC/Chol/(C14)PEG- DMG at a ratio of 40/10/40/10 was tested.
- the ED 50 was 0.12 mg/kg.
- In vivo efficacy results using the PFV formulation are shown in FIG. 2.
Landscapes
- Chemical & Material Sciences (AREA)
- Health & Medical Sciences (AREA)
- Organic Chemistry (AREA)
- Life Sciences & Earth Sciences (AREA)
- Animal Behavior & Ethology (AREA)
- Medicinal Chemistry (AREA)
- Pharmacology & Pharmacy (AREA)
- Epidemiology (AREA)
- General Health & Medical Sciences (AREA)
- Public Health (AREA)
- Veterinary Medicine (AREA)
- Molecular Biology (AREA)
- Engineering & Computer Science (AREA)
- Biochemistry (AREA)
- General Chemical & Material Sciences (AREA)
- Chemical Kinetics & Catalysis (AREA)
- Oil, Petroleum & Natural Gas (AREA)
- Proteomics, Peptides & Aminoacids (AREA)
- Biotechnology (AREA)
- Genetics & Genomics (AREA)
- Pharmaceuticals Containing Other Organic And Inorganic Compounds (AREA)
- Medicinal Preparation (AREA)
Abstract
A lipid particle can include a cationic lipid. The cationic lipid can include one or more hydrophobic tails, which can include one or more sites of unsaturation. The sites of unstaturation can include cycloalkyl groups, e.g., cyclopropyl, cyclobutyl, cyclopentyl, or cyclohexyl groups. The lipid particle is suitable for delivering an active agent.
Description
METHODS AND COMPOSITIONS FOR DELIVERY OF ACTIVE AGENTS
This application claims the benefit of U.S. Provisional Application No. 61/359,530, filed on July 30, 2010, which is hereby incorporated by reference.
Technical Field
The present invention relates to methods and compositions for delivery of nucleic acids.
Background
Therapeutic nucleic acids include, e.g., small interfering RNA (siRNA), micro RNA (miRNA), antisense oligonucleotides, ribozymes, plasmids, immune stimulating nucleic acids, antisense, antagomir, antimir, microRNA mimic, supermir, Ul adaptor, and aptamer. These nucleic acids act via a variety of mechanisms. In the case of siRNA or miRNA, these nucleic acids can down-regulate intracellular levels of specific proteins through a process termed RNA interference (RNAi). Following introduction of siRNA or miRNA into the cell cytoplasm, these double- stranded RNA constructs can bind to a protein termed RISC. The sense strand of the siRNA or miRNA is displaced from the RISC complex providing a template within RISC that can recognize and bind mRNA with a complementary sequence to that of the bound siRNA or miRNA. Having bound the complementary mRNA the RISC complex cleaves the mRNA and releases the cleaved strands. RNAi can provide down-regulation of specific proteins by targeting specific destruction of the corresponding mRNA that encodes for protein synthesis.
The therapeutic applications of RNAi are extremely broad, since siRNA and miRNA constructs can be synthesized with any nucleotide sequence directed against a target protein. To date, siRNA constructs have shown the ability to specifically down-regulate target proteins in both in vitro and in vivo models. In addition, siRNA constructs are currently being evaluated in clinical studies.
However, two problems currently faced by siRNA or miRNA constructs are, first, their susceptibility to nuclease digestion in plasma and, second, their limited ability to gain access to the intracellular compartment where they can bind RISC when administered systemically as the free siRNA or miRNA. These double- stranded constructs can be stabilized by incorporation of chemically modified nucleotide linkers within the molecule, for example, phosphothioate groups.
However, these chemical modifications provide only limited protection from nuclease digestion and may decrease the activity of the construct. Intracellular delivery of siRNA or miRNA can be facilitated by use of carrier systems such as polymers, cationic liposomes or by chemical modification of the construct, for example by the covalent attachment of cholesterol molecules. However, improved delivery systems are required to increase the potency of siRNA and miRNA molecules and reduce or eliminate the requirement for chemical modification.
Antisense oligonucleotides and ribozymes can also inhibit mRNA translation into protein. In the case of antisense constructs, these single stranded deoxynucleic acids have a complementary sequence to that of the target protein mRNA and can bind to the mRNA by Watson-Crick base pairing. This binding either prevents translation of the target mRNA and/or triggers RNase H degradation of the mRNA transcripts. Consequently, antisense
oligonucleotides have tremendous potential for specificity of action (i.e., down-regulation of a specific disease-related protein). To date, these compounds have shown promise in several in vitro and in vivo models, including models of inflammatory disease, cancer, and HIV (reviewed in Agrawal, Trends in Biotech. 14:376-387 (1996)). Antisense can also affect cellular activity by hybridizing specifically with chromosomal DNA. Advanced human clinical assessments of several antisense drugs are currently underway. Targets for these drugs include the bcl2 and apolipoprotein B genes and mRNA products.
Immune- stimulating nucleic acids include deoxyribonucleic acids and ribonucleic acids. In the case of deoxyribonucleic acids, certain sequences or motifs have been shown to illicit immune stimulation in mammals. These sequences or motifs include the CpG motif, pyrimidine-rich sequences and palindromic sequences. It is believed that the CpG motif in deoxyribonucleic acids is specifically recognized by an endosomal receptor, toll-like receptor 9 (TLR-9), which then triggers both the innate and acquired immune stimulation pathway. Certain immune stimulating ribonucleic acid sequences have also been reported. It is believed that these RNA sequences trigger immune activation by binding to toll-like receptors 6 and 7 (TLR-6 and TLR-7). In addition, double- stranded RNA is also reported to be immune stimulating and is believe to activate via binding to TLR-3.
One well known problem with the use of therapeutic nucleic acids relates to the stability of the phosphodiester internucleotide linkage and the susceptibility of this linker to nucleases. The presence of exonucleases and endonucleases in serum results in the rapid digestion of
nucleic acids possessing phosphodiester linkers and, hence, therapeutic nucleic acids can have very short half-lives in the presence of serum or within cells. (Zelphati, O., et al., Antisense. Res. Dev. 3:323-338 (1993); and Thierry, A.R., et al, ppl47-161 in Gene Regulation: Biology of Antisense RNA and DNA (Eds. Erickson, RP and Izant, JG; Raven Press, NY (1992)).
Therapeutic nucleic acid being currently being developed do not employ the basic
phosphodiester chemistry found in natural nucleic acids, because of these and other known problems.
This problem has been partially overcome by chemical modifications that reduce serum or intracellular degradation. Modifications have been tested at the intemucleotide phosphodiester bridge {e.g., using phosphorothioate, methylphosphonate or phosphoramidate linkages), at the nucleotide base {e.g., 5-propynyl-pyrimidines), or at the sugar {e.g., 2'-modified sugars)
(Uhlmann E., et al. Antisense: Chemical Modifications. Encyclopedia of Cancer, Vol. X., pp 64-81 Academic Press Inc. (1997)). Others have attempted to improve stability using 2'-5' sugar linkages {see, e.g., U.S. Pat. No. 5,532,130). Other changes have been attempted. However, none of these solutions have proven entirely satisfactory, and in vivo free therapeutic nucleic acids still have only limited efficacy.
In addition, as noted above relating to siRNA and miRNA, problems remain with the limited ability of therapeutic nucleic acids to cross cellular membranes (see, Vlassov, et al., Biochim. Biophys. Acta 1197:95-1082 (1994)) and in the problems associated with systemic toxicity, such as complement-mediated anaphylaxis, altered coagulatory properties, and cytopenia (Galbraith, et al., Antisense Nucl. Acid Drug Des. 4:201-206 (1994)).
To attempt to improve efficacy, investigators have also employed lipid-based carrier systems to deliver chemically modified or unmodified therapeutic nucleic acids. In Zelphati, O and Szoka, F.C., J. Contr. Rel. 41:99-119 (1996), the authors refer to the use of anionic
(conventional) liposomes, pH sensitive liposomes, immunoliposomes, fusogenic liposomes, and cationic lipid/antisense aggregates. Similarly siRNA has been administered systemically in cationic liposomes, and these nucleic acid-lipid particles have been reported to provide improved down-regulation of target proteins in mammals including non-human primates (Zimmermann et al, Nature 441: 111-114 (2006)).
In spite of this progress, there remains a need in the art for improved lipid-therapeutic nucleic acid compositions that are suitable for general therapeutic use. Preferably, these
compositions would encapsulate nucleic acids with high-efficiency, have high drug:lipid ratios, protect the encapsulated nucleic acid from degradation and clearance in serum, be suitable for systemic delivery, and provide intracellular delivery of the encapsulated nucleic acid. In addition, these lipid-nucleic acid particles should be well-tolerated and provide an adequate therapeutic index, such that patient treatment at an effective dose of the nucleic acid is not associated with significant toxicity and/or risk to the patient. Compositions, methods of making the compositions, and methods of using the compositions to introduce nucleic acids into cells, including for the treatment of diseases are provided.
Summary
One embodiment of the present invention is a cationic lipid having one or more cycloalkyl groups (e.g., a cyclopropyl group) in at least one lipidic moiety. In one preferred embodiment, the cycloalkyl group interrupts the lipidic moiety. In another embodiment, the cycloalkyl group is spirocyclic about a carbon atom in the lipidic moiety. In one embodiment, the cationic lipid has the formula:
or a pharmaceutically acceptable salt thereof, wherein
R1 is a Cio to C30 group having the formula
-Lla-(CRlaRlb)„-[Llb-(CRlaRlb)p]rLlc-Rlc,
where Lla is a bond, -CRlaRlb-, -0-, -CO-, -NRld-, -S-, or a combination thereof;
each Rla and each Rlb, independently, is H; halo; hydroxy; cyano; CrC6 alkyl optionally substituted by halo, hydroxy, or alkoxy; C3-C8 cycloalkyl optionally substituted by halo, hydroxy, or alkoxy; -ORlc; -NRlcRld; aryl; heteroaryl; or heterocyclyl;
lb, independently, can be a bond, -(CRlaRlb)1-2-, -0-, -CO-, -NRld-, -S-,
, or a combination thereof; or can have the formula
where j, k, and 1 are each independently 0, 1, 2, or 3, provided that the sum of j, k and 1 is at least 1 and no greater than 8; and R and R g are each independently R , or adjacent R and R g, taken together, are optionally a bond;
or can have the formula
where j and k are each independently 0, 1, 2, 3, or 4 provided that the sum of j and k is at least 1 ; lf l lb lf l
and R and R g are each independently R , or adjacent R and R g, taken together, are optionally a bond;
or can have the formula:
|-®-|
where -Ar- is a 6 to 14 membered arylene group optionally substituted by zero to six Rla groups; or can have the formula:
where -Het- is a 3 to 14 membered heterocyclylene or heteroarylene group optionally substituted by zero to six Rla groups.
each Rlc is independently H; halo; hydroxy; cyano; C]_-C alkyl optionally substituted by halo, hydroxy, or alkoxy; C3-C8 cycloalkyl optionally substituted by halo, hydroxy, or alkoxy; aryl; heteroaryl; or heterocyclyl; or Rlc can have the formula:
each Rld is independently H; halo; hydroxy; cyano; CrC6 alkyl optionally substituted by halo, hydroxy, or alkoxy; C3-C8 cycloalkyl optionally substituted by halo, hydroxy, or alkoxy; aryl; heteroaryl; or heterocyclyl;
a is 0-6; each β, independently, is 0-6; and γ is 0-6;
R is a Cio to C30 group having the formula
-L2a-(CR2aR2b)8-[L2b-(CR2aR2b)E]c-L2c-R2c,
where L2a is a bond, -CR2aR2b-, -0-, -CO-, -NR2d-, -S-, or a combination thereof;
each R2a and each R2b, independently, is H; halo; hydroxy; cyano; C]_-C alkyl optionally substituted by halo, hydroxy, or alkoxy; C3-C8 cycloalkyl optionally substituted by halo, hydroxy, or alkoxy; -ORlc; -NRlcRld; aryl; heteroaryl; or heterocyclyl;
2b, independently, can be a bond, -(CRlaRlb)i_2-, -0-, -CO-, -NRld-, -S-,
, or a combination thereof; or can have the formula
where j, k, and 1 are each independently 0, 1, 2, or 3, provided that the sum of j, k and 1 is at least 1 and no greater than 8; and R2f and R2g are each independently R2b, or adjacent R2f and R2g, taken together, are optionally a bond;
or can have the formula
where j and k are each independently 0, 1, 2, 3, or 4 provided that the sum of j and k is at least 1; and R2f and R2g are each independently R2b, or adjacent R2f and R2g, taken together, are optionally a bond;
where -Ar- is a 6 to 14 membered arylene group optionally substituted by zero to six R a groups; or can have the formula:
where -Het- is a 3 to 14 membered heterocyclylene or heteroarylene group optionally substituted by zero to six R2a groups;
combination thereof;
each R2c is independently H; halo; hydroxy; cyano; Ci-C6 alkyl optionally substituted by halo, hydroxy, or alkoxy; C3-C8 cycloalkyl optionally substituted by halo, hydroxy, or alkoxy; aryl; heteroaryl; or heterocyclyl; or R
each R is independently H; halo; hydroxy; cyano; Ci-C6 alkyl optionally substituted by halo, hydroxy, or alkoxy; C3-C8 cycloalkyl optionally substituted by halo, hydroxy, or alkoxy; aryl; heteroaryl; or heterocyclyl;
δ is 0-6; each ε, independently, is 0-6; and ζ is 0-6;
Hd1 can be -X-(CR3R4)n-N(R5)(R6)(R7) and Hd2 is H, halo, hydroxy, alkyl, or alkoxy; or Hd 1 and Hd 2 , taken together, can have the formula:
where X and Y are each independently -0-, -S-, -NR -, -S-S-, -0C(0)-, -C(0)0-, -NR8C(0)-, -C(0)NR8-, -NR8C(0)0-, -OC(0)NR8-, -NR8C(0)NR8-, -NR8C(S)0-, -OC(S)NR8-,
-NR8C(S)NR8-, or -CR3R4-;
each R3 and each R4, independently, can be H; halo; hydroxy; cyano; Ci-Ce alkyl optionally substituted by halo, hydroxy, or alkoxy; C3-C8 cycloalkyl optionally substituted by halo, hydroxy, or alkoxy; aryl; heteroaryl; or heterocyclyl;
R5 and R6 are each independently H, alkyl, alkenyl, alkynyl, cycloalkyl, aryl, heteroaryl, or heterocyclyl, wherein each of alkyl, alkenyl, alkynyl, cycloalkyl, aryl, heteroaryl, and heterocyclyl is optionally substituted by H; halo; hydroxy; cyano; oxo, nitro; CrC6 alkyl optionally substituted by halo, hydroxy, or alkoxy; C3-C8 cycloalkyl optionally substituted by halo, hydroxy, or alkoxy; aryl; heteroaryl; or heterocyclyl; or R5 and R6 are taken together with the N atom to which they are both attached to form a 3-8 membered heteroaryl or heterocyclyl; wherein each of heteroaryl and heterocyclyl is optionally substituted by H; halo; hydroxy; cyano; oxo, nitro; CrC6 alkyl optionally substituted by halo, hydroxy, or alkoxy; C3-C8 cycloalkyl optionally substituted by halo, hydroxy, or alkoxy; aryl; heteroaryl; or heterocyclyl;
R can be absent, H, alkyl, alkyl, alkenyl, alkynyl, cycloalkyl, aryl, heteroaryl, or heterocyclyl, wherein each of alkyl, alkenyl, alkynyl, cycloalkyl, aryl, heteroaryl, and
heterocyclyl is optionally substituted by H; halo; hydroxy; cyano; oxo, nitro; CrC6 alkyl optionally substituted by halo, hydroxy, or alkoxy; C3-C8 cycloalkyl optionally substituted by halo, hydroxy, or alkoxy; aryl; heteroaryl; or heterocyclyl;
R can be H, alkyl, alkenyl, alkynyl, cycloalkyl, aryl, heteroaryl, or heterocyclyl, wherein each of alkyl, alkenyl, alkynyl, cycloalkyl, aryl, heteroaryl, and heterocyclyl is optionally substituted by H; halo; hydroxy; cyano; oxo, nitro; CrC6 alkyl optionally substituted by halo, hydroxy, or alkoxy; C3-C8 cycloalkyl optionally substituted by halo, hydroxy, or alkoxy; aryl; heteroaryl; or heterocyclyl; and
m can be 0 to 6; and n can be 0 to 5
In one embodiment, at least one of R 1 and R 2 includes a substituted or unsubstituted cycloalkyl group (e.g., an unsubstituted cyclopropyl group). In another embodiment, at least one of R 1 and R 2 includes a spirocyclic substituted or unsubstituted cycloalkyl group (e.g., a spirocyclic unsubstituted cyclopropyl group).
In some embodiments, R1 is a C12 to C2o group having the formula -Lla-(CRlaRlb)a-[Llb- (CRlaRlb)p]y-Llc-Rlc, wherein at least one Llb has the formula or has the formula
where j, k, and 1 are each independently 0, 1, 2, or 3, provided that the sum of j, k and 1 is at least 1 and no greater than 8; and R and R g are each independently R , or adjacent R and R g, taken together, are optionally a bond. lb can have the formula: \ / . R2c can have the formula:
can be -NHC(O)-. -Lla-(CRlaRlb)„- can be -(CH2) st one -[Llb-(CRlaRlb)p]- can be
. -[L1D-(CRiaR1D)p]y- can be
or 3 . -Llc-Rlc can be -(CH2)3-CH3 or -CH3.
R 1 can be free of carbon-carbon double-bonds. R 2 can be free of carbon-carbon double- bonds.
Hd1 can have the formula -X-(CR3R4)n-N(R5)(R6)(R7). Hd2 can be H, X is O, and R7 is absent. R5 and R6 can each be independently alkyl optionally substituted by halo; hydroxy; cyano; oxo, nitro; C3-C8 cycloalkyl optionally substituted by halo, hydroxy, or alkoxy; aryl; heteroaryl; or heterocyclyl.
Hd 1 and Hd 2 , taken together, can have the formula:
X and Y can be each independently O, and m can be 0, 1, or 2. n can be 1, 2, 3, 4, or 5. R7 can be absent; and R5 and R6 can each independently be alkyl optionally substituted by halo; hydroxy; cyano; oxo, nitro; C3-C8 cycloalkyl optionally substituted by halo, hydroxy, or alkoxy; aryl; heteroaryl; or heterocyclyl.
Another embodimet is a lipid particle comprising a neutral lipid, a lipid capable of reducing aggregation, and a cationic lipid of the present invention. The neutral lipid can be selected from DSPC, DPPC, POPC, DOPE, or SM; the lipid capable of reducing aggregation is a PEG lipid; and the lipid particle further comprises a sterol.
The cationic lipid can be present in a molar ratio of about 20% and about 60%; the neutral lipid can be present in a molar ratio of about 5% to about 25%; the sterol can be present in a molar ratio of about 25% to about 55%; and the PEG lipid can be PEG-DMA, PEG-DMG, or a combination thereof, and can be present in a molar ratio of about 0.5% to about 15%.
The lipid particle can further include an active agent. The active agent can be a nucleic acid selected from the group consisting of a plasmid, an immuno stimulatory oligonucleotide, an siRNA, an antisense oligonucleotide, a microRNA, an antagomir, an aptamer, and a ribozyme.
In another aspect, a pharmaceutical composition can include a lipid particle and a pharmaceutically acceptable carrier.
In another aspect, a method of modulating the expression of a target gene in a cell includes providing to the cell a lipid particle. The active agent can be a nucleic acid selected from the group consisting of a plasmid, an immuno stimulatory oligonucleotide, an siRNA, an antisense oligonucleotide, a microRNA, an antagomir, an aptamer, and a ribozyme.
In another aspect a method of treating a disease or disorder characterized by the overexpression of a polypeptide in a subject includes providing to the subject the pharmaceutical composition wherein the active agent is a nucleic acid selected from the group consisting of an siRNA, a microRNA, and an antisense oligonucleotide, and wherein the siRNA, microRNA, or antisense oligonucleotide includes a polynucleotide that specifically binds to a polynucleotide
that encodes the polypeptide, or a complement thereof.
In another aspect, a method of treating a disease or disorder characterized by
underexpression of a polypeptide in a subject includes providing to the subject the
pharmaceutical composition wherein the active agent is a plasmid that encodes the polypeptide or a functional variant or fragment thereof.
In another aspect, a method of inducing an immune response in a subject includes providing to the subject the pharmaceutical composition wherein the active agent is an immuno stimulatory oligonucleotide .
The target gene can be selected from the group consisting of Factor VII, Eg5, PCSK9, TPX2, apoB, SAA, TTR, RSV, PDGF beta gene, Erb-B gene, Src gene, CRK gene, GRB2 gene, RAS gene, MEKK gene, JNK gene, RAF gene, Erkl/2 gene, PCNA(p21) gene, MYB gene, JUN gene, FOS gene, BCL-2 gene, Cyclin D gene, VEGF gene, EGFR gene, Cyclin A gene, Cyclin E gene, WNT-1 gene, beta-catenin gene, c-MET gene, PKC gene, NFKB gene, STAT3 gene, survivin gene, Her2/Neu gene, SORTl gene, XBPl gene, topoisomerase I gene, topoisomerase II alpha gene, p73 gene, p21(WAFl/CIPl) gene, p27 (KIP 1) gene, PPMlD gene, RAS gene, caveolin I gene, MIB I gene, MTAI gene, M68 gene, tumor suppressor genes, and p53 tumor suppressor gene. The target gene can contain one or more mutations.
The active agent can be a nucleic acid. The nucleic acid can be an oligonucleotide of between 10 and 50 nucleotides in length.The nucleic acid agent can be double stranded or single stranded. The nucleic acid can be a deoxyribonucleic acid. In another embodiment, the nucleic acid can be a ribonucleic acid. The nucleic acid can be a double stranded siRNA, or can be a single stranded siRNA.
The nucleic acid can be an antisense nucleic acid, a microRNA, an antimicroRNA, an antagomir, a microRNA inhibitor, or an immune stimulatory nucleic acid.
In another aspect, a transfection agent includes the composition described above. The agent, when contacted with cells, can efficiently deliver nucleic acids to the cells. In another aspect, a method of delivering a nucleic acid to the interior of a cell, includes forming a composition described above, and contacting the composition with a cell.
The cells can be mammalian cells. The mammalian cells can be selected from the group consisting of CHO, CHO GFP, CHO DG44, NIH3T3, HEK293-MSR, HeLa, A549, PC12, HepG2, Jurkat, U937, COS-7, Vero, BHK and ME- 180 cell lines, and corresponding non-
adhereent suspension cells.
Other features and aspects will be apparent from the description and the claims.
Brief Description of the Drawings
FIG. 1 is a graph depicting efficacy of lipid particle formulations using an in vivo rodent Factor VII silencing model.
FIG. 2 is a graph depicting efficacy of lipid particle formulations using an in vivo rodent Factor VII silencing model
Detailed Description
Nucleic acid-lipid particle compositions can include a compound of formula (I). In some embodiments, a composition described herein provides increased activity of the nucleic acid and/or improved tolerability of the compositions in vivo, which can result in a significant increase in therapeutic index as compared to lipid-nucleic acid particle compositions previously described.
In certain embodiments, compositions for the delivery of siRNA molecules are described. These compositions are effective in down-regulating the protein levels and/or mRNA levels of target proteins. The activity of these compositions can be influenced by the presence of cationic lipids and the molar ratio of cationic lipid in the formulation.
The lipid particles and compositions may be used for a variety of purposes, including the delivery of associated or encapsulated therapeutic agents to cells, both in vitro and in vivo.
Accordingly, methods of treating diseases or disorders in a subject in need thereof can include contacting the subject with a lipid particle associated with a suitable therapeutic agent.
As described herein, the lipid particles are particularly useful for the delivery of nucleic acids, including, e.g., siRNA molecules and plasmids. Therefore, the lipid particles and compositions may be used to modulate the expression of target genes and proteins both in vitro and in vivo by contacting cells with a lipid particle associated with a nucleic acid that reduces target gene expression (e.g., an siRNA) or a nucleic acid that may be used to increase expression of a desired protein (e.g., a plasmid encoding the desired protein).
Various exemplary embodiments of lipids, lipid particles and compositions comprising the same, and their use to deliver therapeutic agents and modulate gene and protein expression are described in further detail below.
The Cationic Lipid
For cationic lipid compounds which contain an atom (e.g., a nitrogen atom) that carries a positive charge, the compound also contains a negatively charged counter ion. The counterion can be any anion, such as an organic or inorganic anion. Suitable examples of anions include, but are not limited to, tosylate, methanesulfonate, acetate, citrate, malonate, tartarate, succinate, benzoate, ascorbate, a-ketoglutarate, a- glycerophosphate, halide (e.g., chloride), sulfate, nitrate, bicarbonate, and carbonate. In one embodiment, the counterion is a halide (e.g., CI).
A suitable cholesterol moiety for the cationic lipids of the present invention has the formula:
Cationic lipids can have certain design features including a head group, one or more hydrophobic tails, and a linker between the head group and the one or more tails. The head group can include an amine; for example an amine having a desired pKa. The pKa can be influenced by the structure of the lipid, particularly the nature of head group; e.g., the presence, absence, and location of functional groups such as anionic functional groups, hydrogen bond donor functional groups, hydrogen bond acceptor groups, hydrophobic groups (e.g., aliphatic groups), hydrophilic groups (e.g., hydroxyl or methoxy), or aryl groups. The head group amine can be a cationic amine; a primary, secondary, or tertiary amine; the head group can include one amine group (monoamine), two amine groups (diamine), three amine groups (triamine), or a larger number of amine groups, as in an oligoamine or polyamine. The head group can include a functional group
that is less strongly basic than an amine, such as, for example, an imidazole, a pyridine, or a guanidinium group. The head group can be zwitterionic. Other head groups are suitable as well.
The one or more hydrophobic tails can include two hydrophobic chains, which may be the same or different. The tails can be aliphatic; for example, they can be composed of carbon and hydrogen, either saturated or unsaturated but without aromatic rings. The tails can be fatty acid tails; some such groups include octanyl, nonanyl, decyl, lauryl, myristyl, palmityl, stearyl, a-linoleyl, stearidonyl, linoleyl, γ-linolenyl, arachadonyl, oleyl, and others. Other hydrophobic tails are suitable as well.
The linker can include, for example, a glyceride linker, an acyclic glyceride analog linker, or a cyclic linker (including a spiro linker, a bicyclic linker, and a polycyclic linker). The linker can include functional groups such as an ether, an ester, a phosphate, a phosphonate, a phosphorothioate, a sulfonate, a disulfide, an acetal, a ketal, an imine, a hydrazone, or an oxime. Other linkers and functional groups are suitable as well.
The present invention comprises of synthesis of lipids described herein in racemic as well as in optically pure form.
In one embodiment, the lipid is a racemic mixture.
In one embodiment, the lipid is enriched in one diastereomer, e.g. the lipid has at least 95%, at least 90%, at least 80% or at least 70% diastereomeric excess.
In one embodiment, the lipid is enriched in one enantiomer, e.g. the lipid has at least 95%, at least 90%, at least 80% or at least 70% enantiomer excess.
In one embodiment, the lipid is chirally pure, e.g. is a single optical isomer.
In one embodiment, the lipid is enriched for one optical isomer.
Where a double bond is present (e.g., a carbon-carbon double bond or carbon-nitrogen double bond), there can be isomerism in the configuration about the double bond (i.e. cis/trans or E/Z isomerism). Where the configuration of a double bond is illustrated in a chemical structure, it is understood that the corresponding isomer can also be present. The amount of isomer present can vary, depending on the relative stabilities of the isomers and the energy required to convert between the isomers. Accordingly, some double bonds are, for practical purposes, present in only a single configuration, whereas others (e.g., where the relative stabilities are similar and the energy of conversion low) may be present as inseparable equilibrium mixture of configurations.
In the cationic lipid, R can be a C10 to C30 group having the formula
-Lla-(CRlaRlb)„-[Llb-(CRlaRlb)p]y-Llc-Rlc,
where Lla is a bond, -CRlaRlb-, -0-, -CO-, -NRld-, -S-, or a combination thereof;
each Rla and each Rlb, independently, is H; halo; hydroxy; cyano; CrC6 alkyl optionally substituted by halo, hydroxy, or alkoxy; C3-C8 cycloalkyl optionally substituted by halo, hydroxy, or alkoxy; -ORlc; -NRlcRld; aryl; heteroaryl; or heterocyclyl;
Llb, independently, is a bond, -(CRlaRlb)1-2-, -0-, -CO-, -NRld-, -S-,
,
; I ¾ , or a combination thereof; or has the formula
wherein j, k, and 1 are each independently 0, 1, 2, or 3, provided that the sum of j, k and 1 is at least 1 and no greater than 8; and R and R g are each independently R , or adjacent R and R g, taken together, are optionally a bond;
or has the formula
wherein j and k are each independently 0, 1, 2, 3, or 4 provided that the sum of j and k is at least l; and R lf and Rl g are each independently R lb , or adjacent R lf and Rl g, taken together, are optionally a bond;
or has the formula:
|-®-|
wherein -Ar- is a 6 to 14 membered arylene group optionally substituted by zero to six Rla groups;
or has the formula:
combination thereof;
each Rlc is independently H; halo; hydroxy; cyano; CrC6 alkyl optionally substituted by halo, hydroxy, or alkoxy; C3-C8 cycloalkyl optionally substituted by halo, hydroxy, or alkoxy; aryl; heteroaryl; or heterocycl lc has the formula:
each R is independently H; halo; hydroxy; cyano; CrC6 alkyl optionally substituted by halo, hydroxy, or alkoxy; C3-C8 cycloalkyl optionally substituted by halo, hydroxy, or alkoxy; aryl; heteroaryl; or heterocyclyl;
a is 0-6;
each β, independently, is 0-6; and
γ is 0-6.
At least Llb can include an unsaturation, such as a double bond, triple bond, or ring. In some cases, at least Llb can include more than one unsaturation, or more than one Llb can include an unsaturation. Without wishing to be bound by any particular theory, the unsaturation can introduce a degree of structural rigidity compared to a similar but saturated structure. For example, a double bond can be more rigid than a single bond. However, in some cases, an unsaturation can be a site of reactivity. In particular, carbon-carbon double bonds can be more reactive, e.g., to oxidation, than carbon-carbon single bonds. It can therefore, in some cases, be preferable to have single-bonded unsaturations, for example, cyclic structures.
In some cases, a double-bonded unsaturation can be satisfactorily replaced by a cyclic unsaturation. The cyclic unsaturation can be a cycloaliphatic unsaturation; e.g., a cyclopropyl, cyclobutyl, cyclopentyl, cyclohexyl, cycloheptyl, or cyclooctyl group. In some cases, the cyclic group can be a polycyclic group, e.g., a bicyclic group or tricyclic group. A bicyclic group can be bridged, fused, or have a spiro structure.
Without wishing to be bound by any particular theory, the cyclic unsaturation can provide rigidity. Smaller rings, e.g. 3, 4 or 5 membered rings; can be more rigid than larger ones, e.g., 6, 7 or 8 membered rings. In some cases, a double bond moiety can be replaced by a cyclopropyl moiety, e.g., * ' can be replaced by
. For example, a lineolyl moiety has two carbon-carbon double bonds, each of which can independently be replaced by a cyclic moiety, e.g., a cyclopropyl moiety. Thus, suitable substitutes for lineolyl:
Λ
lineolyl can include:
In the cationic lipid, R can be a C10 to C30 group having the formula
-L2a-(CR2aR2b)8-[L2b-(CR2aR2b)E]c-L2c-R2c,
wherein L2a is a bond, -CR2aR2b-, -0-, -CO-, -NR2d-, -S-, or a combination thereof;
each R2a and each R2b, independently, is H; halo; hydroxy; cyano; Ci-C6 alkyl optionally substituted by halo, hydroxy, or alkoxy; C3-C8 cycloalkyl optionally substituted by halo, hydroxy, or alkoxy; -ORlc; -NRlcRld; aryl; heteroaryl; or heterocyclyl;
each L2b, independently, is a bond, -(CRlaRlb)i_2-, -0-, -CO-, -NRld-, -S-,
.
I = , or a combination thereof; or has the formula
wherein j, k, and 1 are each independently 0, 1, 2, or 3, provided that the sum of j, k and 1 is at least 1 and no greater than 8; and R2f and R2g are each independently R2b, or adjacent R2f and R2g, taken together, are optionally a bond;
or has the formula
wherein j and k are each independently 0, 1, 2, 3, or 4 provided that the sum of j and k is at least 1; and R2f and R2g are each independently R2b, or adjacent R2f and R2g, taken together, are optionally a bond;
wherein -Ar- is a 6 to 14 membered arylene group optionally substituted by zero to six R 2a groups
wherein -Het- is a 3 to 14 membered heterocyclylene or heteroarylene group optionally substituted by zero to six R2a groups;
L2c is -(CR2aR2b)!_2-, -0-, -CO-, -NRld-, -S-,
, , or a combination thereof;
R2c is H; halo; hydroxy; cyano; CrC6 alkyl optionally substituted by halo, hydroxy, or alkoxy; C3-C8 cycloalkyl optionally substituted by halo, hydroxy, or alkoxy; aryl; heteroaryl; or heterocyclyl; or R2c has the formula:
R is H; halo; hydroxy; cyano; C -C alkyl optionally substituted by halo, hydroxy, or alkoxy; C3-C8 cycloalkyl optionally substituted by halo, hydroxy, or alkoxy; aryl; heteroaryl; or heterocyclyl;
δ is 0-6;
each ε, independently, is 0-6; and
ζ is 0-6.
Table 1. Exemplary cationic lipids
A number of cationic lipids, and methods for making them, are described in, for example, in application nos. PCT/US09/63933, PCT/US09/63927, PCT/US09/63931, and
PCT/US09/63897, each filed November 10, 2009, and applications referred to therein, including nos. 61/104,219, filed October 9, 2008; no. 61/113,179, filed November 10, 2008; no.
61/154,350, filed February 20, 2009; no. 61/171,439, filed April 21, 2009; no. 61/175,770, filed May 5, 2009; no. 61/185,438, filed June 9, 2009; no. 61/225,898, filed July 15, 2009; and no. 61/234,098, filed August 14, 2009; WO 2009/086558; and WO 2008/042973. Each of these
documents is incorporated by reference in its entirety. See, for example, Tables 1 and 2 of application no. PCT/US09/63933, filed November 10, 2009, at pages 33-51.
In particular embodiments, the lipids are cationic lipids. As used herein, the term
"cationic lipid" is meant to include those lipids having one or two fatty acid or fatty aliphatic chains and an amino head group (including an alkylamino or dialkylamino group) that may be protonated to form a cationic lipid at physiological pH. In some embodiments, a cationic lipid is referred to as an "amino lipid."
Other cationic lipids would include those having alternative fatty acid groups and other dialkylamino groups, including those in which the alkyl substituents are different (e.g.,
N-ethyl-N-methylamino-, N-propyl-N-ethylamino- and the like). For those embodiments in which Ri and R2 are both long chain alkyl, alkenyl, alkynyl, or acyl groups, they can be the same or different. In general, lipids (e.g., a cationic lipid) having less-saturated acyl chains are more easily sized, particularly when the complexes are sized below about 0.3 microns, for purposes of filter sterilization. Cationic lipids containing unsaturated fatty acids with carbon chain lengths in the range of C10 to C20 are typical. Other scaffolds can also be used to separate the amino group (e.g., the amino group of the cationic lipid) and the fatty acid or fatty alkyl portion of the cationic lipid. Suitable scaffolds are known to those of skill in the art.
In certain embodiments, cationic lipids have at least one protonatable or deprotonatable group, such that the lipid is positively charged at a pH at or below physiological pH (e.g. pH 7.4), and neutral at a second pH, preferably at or above physiological pH. Such lipids are also referred to as cationic lipids. It will, of course, be understood that the addition or removal of protons as a function of pH is an equilibrium process, and that the reference to a charged or a neutral lipid refers to the nature of the predominant species and does not require that all of the lipid be present in the charged or neutral form. The lipids can have more than one protonatable or deprotonatable group, or can be zwiterrionic.
In certain embodiments, protonatable lipids (i.e., cationic lipids) have a pKa of the protonatable group in the range of about 4 to about 11. Typically, lipids will have a pKa of about 4 to about 7, e.g., between about 5 and 7, such as between about 5.5 and 6.8, when incorporated into lipid particles. Such lipids will be cationic at a lower pH formulation stage, while particles will be largely (though not completely) surface neutralized at physiological pH around pH 7.4. One of the benefits of a pKa in the range of between about 4 and 7 is that at least some nucleic
acid associated with the outside surface of the particle will lose its electrostatic interaction at physiological pH and be removed by simple dialysis; thus greatly reducing the particle's susceptibility to clearance. pKa measurements of lipids within lipid particles can be performed, for example, by using the fluorescent probe 2-(p-toluidino)-6-napthalene sulfonic acid (TNS), using methods described in Cullis et al., (1986) Chem Phys Lipids 40, 127-144, which is incorporated by reference in its entirety.
In particular embodiments, the lipids are charged lipids. As used herein, the term
"charged lipid" is meant to include those lipids having one or two fatty acyl or fatty alkyl chains and a quaternary amino head group. The quaternary amine carries a permanent positive charge. The head group can optionally include a ionizable group, such as a primary, secondary, or tertiary amine that may be protonated at physiological pH. The presence of the quaternary amine can alter the pKa of the ionizable group relative to the pKa of the group in a structurally similar compound that lacks the quaternary amine (e.g., the quaternary amine is replaced by a tertiary amine) In some embodiments, a charged lipid is referred to as an "amino lipid." See, for example, provisional U.S. patent application 61/267,419, filed December 7, 2009, which is incorporated by reference in its entirety.
Apolipoproteins
The formulations can further comprise an apolipoprotein. As used herein, the term "apolipoprotein" or "lipoprotein" refers to apolipoproteins known to those of skill in the art and variants and fragments thereof and to apolipoprotein agonists, analogues or fragments thereof described below.
Suitable apolipoproteins include, but are not limited to, ApoA-I, ApoA-II, ApoA-IV, ApoA-V and ApoE, and active polymorphic forms, isoforms, variants and mutants as well as fragments or truncated forms thereof. In certain embodiments, the apolipoprotein is a thiol containing apolipoprotein. "Thiol containing apolipoprotein" refers to an apolipoprotein, variant, fragment or isoform that contains at least one cysteine residue. The most common thiol containing apolipoproteins are ApoA-I Milano (APOA-IM) and ApoA-I Paris (ApoA-Ip) which contain one cysteine residue (Jia et al., 2002, Biochem. Biophys. Res. Comm. 297: 206-13; Bielicki and Oda, 2002, Biochemistry 41: 2089-96). ApoA-II, ApoE2 and ApoE3 are also thiol containing apolipoproteins. Isolated ApoE and/or active fragments and polypeptide analogues
thereof, including recombinantly produced forms thereof, are described in U.S. Pat. Nos.
5,672,685; 5,525,472; 5,473,039; 5,182,364; 5,177,189; 5,168,045; 5,116,739; the disclosures of which are herein incorporated by reference. ApoE3 is disclosed in Weisgraber, et al., "Human E apoprotein heterogeneity: cysteine- arginine interchanges in the amino acid sequence of the apo-E isoforms," J. Biol. Chem. (1981) 256: 9077-9083; and Rail, et al., "Structural basis for receptor binding heterogeneity of apolipoprotein E from type III hyperlipoproteinemic subjects," Proc. Nat. Acad. Sci. (1982) 79: 4696-4700. See also GenBank accession number K00396.
In certain embodiments, the apolipoprotein can be in its mature form, in its
preproapolipoprotein form or in its proapolipoprotein form. Homo- and heterodimers (where feasible) of pro- and mature ApoA-I (Duverger et al., 1996, Arterioscler. Thromb. Vase. Biol. 16(12): 1424-29), ApoA-I Milano (Klon et al., 2000, Biophys. J. 79:(3) 1679-87; Franceschini et al., 1985, J. Biol. Chem. 260: 1632-35), ApoA-I Paris (Daum et al., 1999, J. Mol. Med.
77:614-22), ApoA-II (Shelness et al., 1985, J. Biol. Chem. 260(14):8637-46; Shelness et al., 1984, J. Biol. Chem. 259(15):9929-35), ApoA-IV (Duverger et al., 1991, Euro. J. Biochem. 201(2):373-83), and ApoE (McLean et al., 1983, J. Biol. Chem. 258(14):8993-9000) can also be utilized.
In certain embodiments, the apolipoprotein can be a fragment, variant or isoform of the apolipoprotein. The term "fragment" refers to any apolipoprotein having an amino acid sequence shorter than that of a native apolipoprotein and which fragment retains the activity of native apolipoprotein, including lipid binding properties. By "variant" is meant substitutions or alterations in the amino acid sequences of the apolipoprotein, which substitutions or alterations, e.g., additions and deletions of amino acid residues, do not abolish the activity of native apolipoprotein, including lipid binding properties. Thus, a variant can comprise a protein or peptide having a substantially identical amino acid sequence to a native apolipoprotein provided herein in which one or more amino acid residues have been conservatively substituted with chemically similar amino acids. Examples of conservative substitutions include the substitution of at least one hydrophobic residue such as isoleucine, valine, leucine or methionine for another. Likewise, for example, the substitution of at least one hydrophilic residue such as, for example, between arginine and lysine, between glutamine and asparagine, and between glycine and serine (see U.S. Pat. Nos. 6,004,925, 6,037,323 and 6,046,166) are conservative substitutions. The term "isoform" refers to a protein having the same, greater or partial function and similar, identical or
partial sequence, and may or may not be the product of the same gene and usually tissue specific (see Weisgraber 1990, J. Lipid Res. 31(8): 1503-11 ; Hixson and Powers 1991, J. Lipid Res. 32(9): 1529-35; Lackner et al., 1985, J. Biol. Chem. 260(2):703-6; Hoeg et al., 1986, J. Biol. Chem. 261(9):3911-4; Gordon et al., 1984, J. Biol. Chem. 259(l):468-74; Powell et al., 1987, Cell 50(6):831-40; Aviram et al., 1998, Arterioscler. Thromb. Vase. Biol. 18(10): 1617-24;
Aviram et al., 1998, J. Clin. Invest. 101 (8): 1581-90; Billecke et al., 2000, Drug Metab. Dispos. 28(11): 1335-42; Draganov et al., 2000, J. Biol. Chem. 275(43):33435-42; Steinmetz and
Utermann 1985, J. Biol. Chem. 260(4):2258-64; Widler et al., 1980, J. Biol. Chem.
255(21): 10464-71; Dyer et al., 1995, J. Lipid Res. 36(l):80-8; Sacre et al., 2003, FEBS Lett. 540(l-3): 181-7; Weers, et al., 2003, Biophys. Chem. 100(l-3):481-92; Gong et al., 2002, J. Biol. Chem. 277(33):29919-26; Ohta et al., 1984, J. Biol. Chem. 259(23): 14888-93 and U.S. Pat. No. 6,372,886).
In certain embodiments, the methods and compositions include the use of a chimeric construction of an apolipoprotein. For example, a chimeric construction of an apolipoprotein can be comprised of an apolipoprotein domain with high lipid binding capacity associated with an apolipoprotein domain containing ischemia reperfusion protective properties. A chimeric construction of an apolipoprotein can be a construction that includes separate regions within an apolipoprotein (i.e., homologous construction) or a chimeric construction can be a construction that includes separate regions between different apolipoproteins (i.e., heterologous
constructions). Compositions comprising a chimeric construction can also include segments that are apolipoprotein variants or segments designed to have a specific character (e.g., lipid binding, receptor binding, enzymatic, enzyme activating, antioxidant or reduction-oxidation property) (see Weisgraber 1990, J. Lipid Res. 31(8): 1503-11 ; Hixson and Powers 1991, J. Lipid Res. 32(9): 1529-35; Lackner et al., 1985, J. Biol. Chem. 260(2):703-6; Hoeg et al, 1986, J. Biol. Chem. 261(9):3911-4; Gordon et al., 1984, J. Biol. Chem. 259(l):468-74; Powell et al., 1987, Cell 50(6):831-40; Aviram et al., 1998, Arterioscler. Thromb. Vase. Biol. 18(10): 1617-24;
Aviram et al., 1998, J. Clin. Invest. 101 (8): 1581-90; Billecke et al., 2000, Drug Metab. Dispos. 28(11): 1335-42; Draganov et al., 2000, J. Biol. Chem. 275(43):33435-42; Steinmetz and
Utermann 1985, J. Biol. Chem. 260(4):2258-64; Widler et al., 1980, J. Biol. Chem.
255(21): 10464-71; Dyer et al., 1995, J. Lipid Res. 36(l):80-8; Sorenson et al., 1999,
Arterioscler. Thromb. Vase. Biol. 19(9):2214-25; Palgunachari 1996, Arterioscler. Throb. Vase.
Biol. 16(2):328-38: Thurberg et al., J. Biol. Chem. 271(11):6062-70; Dyer 1991, J. Biol. Chem. 266(23): 150009-15; Hill 1998, J. Biol. Chem. 273(47):30979-84).
Apolipoproteins utilized also include recombinant, synthetic, semi-synthetic or purified apolipoproteins. Methods for obtaining apolipoproteins or equivalents thereof are well-known in the art. For example, apolipoproteins can be separated from plasma or natural products by, for example, density gradient centrifugation or immunoaffinity chromatography, or produced synthetically, semi- synthetically or using recombinant DNA techniques known to those of the art (see, e.g., Mulugeta et al., 1998, J. Chromatogr. 798(1-2): 83-90; Chung et al., 1980, J. Lipid Res. 21(3):284-91; Cheung et al., 1987, J. Lipid Res. 28(8):913-29; Persson, et al., 1998, J. Chromatogr. 711:97-109; U.S. Pat. Nos. 5,059,528, 5,834,596, 5,876,968 and 5,721,114; and PCT Publications WO 86/04920 and WO 87/02062).
Apolipoproteins further include apolipoprotein agonists such as peptides and peptide analogues that mimic the activity of ApoA-I, ApoA-I Milano (ApoA-IM), ApoA-I Paris
(ApoA-Ip), ApoA-II, ApoA-IV, and ApoE. For example, the apolipoprotein can be any of those described in U.S. Pat. Nos. 6,004,925, 6,037,323, 6,046,166, and 5,840,688, the contents of which are incorporated herein by reference in their entireties.
Apolipoprotein agonist peptides or peptide analogues can be synthesized or manufactured using any technique for peptide synthesis known in the art including, e.g., the techniques described in U.S. Pat. Nos. 6,004,925, 6,037,323 and 6,046,166. For example, the peptides may be prepared using the solid-phase synthetic technique initially described by Merrifield (1963, J. Am. Chem. Soc. 85:2149-2154). Other peptide synthesis techniques may be found in Bodanszky et al., Peptide Synthesis, John Wiley & Sons, 2d Ed., (1976) and other references readily available to those skilled in the art. A summary of polypeptide synthesis techniques can be found in Stuart and Young, Solid Phase Peptide. Synthesis, Pierce Chemical Company, Rockford, 111., (1984). Peptides may also be synthesized by solution methods as described in The Proteins, Vol. II, 3d Ed., Neurath et. al., Eds., p. 105-237, Academic Press, New York, N.Y. (1976).
Appropriate protective groups for use in different peptide syntheses are described in the above-mentioned texts as well as in McOmie, Protective Groups in Organic Chemistry, Plenum Press, New York, N.Y. (1973). The peptides might also be prepared by chemical or enzymatic cleavage from larger portions of, for example, apolipoprotein A-I.
In certain embodiments, the apolipoprotein can be a mixture of apolipoproteins. In one
embodiment, the apolipoprotein can be a homogeneous mixture, that is, a single type of apolipoprotein. In another embodiment, the apolipoprotein can be a heterogeneous mixture of apolipoproteins, that is, a mixture of two or more different apolipoproteins. Embodiments of heterogenous mixtures of apolipoproteins can comprise, for example, a mixture of an
apolipoprotein from an animal source and an apolipoprotein from a semi- synthetic source. In certain embodiments, a heterogenous mixture can comprise, for example, a mixture of ApoA-I and ApoA-I Milano. In certain embodiments, a heterogeneous mixture can comprise, for example, a mixture of ApoA-I Milano and ApoA-I Paris. Suitable mixtures for use in the methods and compositions descreibed herein will be apparent to one of skill in the art.
If the apolipoprotein is obtained from natural sources, it can be obtained from a plant or animal source. If the apolipoprotein is obtained from an animal source, the apolipoprotein can be from any species. In certain embodiments, the apolipoprotien can be obtained from an animal source. In certain embodiments, the apolipoprotein can be obtained from a human source. In preferred embodiments, the apolipoprotein is derived from the same species as the individual to which the apolipoprotein is administered.
Lipid particles
Lipid particles can include one or more of the cationic lipids described above. Lipid particles include, but are not limited to, liposomes. As used herein, a liposome is a structure having lipid-containing membranes enclosing an aqueous interior. Liposomes may have one or more lipid membranes. Liposomes can be single-layered, referred to as unilamellar, or multi-layered, referred to as multilamellar. When complexed with nucleic acids, lipid particles may also be lipoplexes, which are composed of cationic lipid bilayers sandwiched between DNA layers, as described, e.g., in Feigner, Scientific American.
The lipid particles may further comprise one or more additional lipids and/or other components such as cholesterol. Other lipids may be included in the liposome compositions for a variety of purposes, such as to prevent lipid oxidation or to attach ligands onto the liposome surface. Any of a number of lipids may be present in liposomes, including amphipathic, neutral, cationic, and anionic lipids. Such lipids can be used alone or in combination. Specific examples of additional lipid components that may be present are described below.
Additional components that may be present in a lipid particle include bilayer stabilizing components such as polyamide oligomers (see, e.g. , U.S. Patent No. 6,320,017, which is incorporated by reference in its entirety), peptides, proteins, detergents, lipid-derivatives, such as PEG coupled to phosphatidylethanolamine and PEG conjugated to ceramides (see, U.S. Patent No. 5,885,613, which is incorporated by reference in its entirety).
In particular embodiments, the lipid particles include one or more of a second amino lipid or cationic lipid, a neutral lipid, a sterol, and a lipid selected to reduce aggregation of lipid particles during formation, which may result from steric stabilization of particles which prevents charge-induced aggregation during formation.
Lipid particles can include two or more cationic lipids. The lipids can be selected to contribute different advantageous properties. For example, cationic lipids that differ in properties such as amine pKa, chemical stability, half-life in circulation, half-life in tissue, net accumulation in tissue, or toxicity can be used in a lipid particle. In particular, the cationic lipids can be chosen so that the properties of the mixed- lipid particle are more desireable than the properties of a single-lipid particle of individual lipids.
Net tissue accumulation and long term toxicity (if any) from the cationic lipids can be modulated in a favorable way by choosing mixtures of cationic lipids instead of selecting a single cationic lipid in a given formulation. Such mixtures can also provide better encapsulation and/or release of the drug. A combination of cationic lipids also can affect the systemic stability when compared to single entity in a formulation.
In one example, a series of structurally similar compounds can have varying pKa values that span a range, e.g. of less than 1 pKa unit, from 1 to 2 pKa units, or a range of more than 2 pKa units. Within the series, it may be found that a pKa in the middle of the range is associated with an enhancement of advantageous properties (greater effectiveness) or a decrease in disadvantageous properties (e.g., reduced toxicity), compared to compounds having pKa values toward the ends of the range. In such a case, two (or more) different compounds having pKa values toward opposing ends of the range can be selected for use together in a lipid particle. In this way, the net properties of the lipid particle (for instance, charge as a function of local pH) can be closer to that of a particle including a single lipid from the middle of the range. Cationic lipids that are structurally dissimilar (for example, not part of the series of structurally similar compounds mentioned above) can also be used in a mixed-lipid particle.
In some cases, two or more different cationic lipids may have widely differing pKa values, e.g., differing by 3 or more pKa units. In this case, the net behavior of a mixed lipid particle will not necessarily mimic that of a single-lipid particle having an intermediate pKa. Rather, the net behavior may be that of a particle having two distinct protonatable (or deprotonatable, as the case may be) site with different pKa values. In the case of a single lipid, the fraction of protonatable sites that are in fact protonated varies sharply as the pH moves from below the pKa to above the pKa (when the pH is equal to the pKa value, 50% of the sites are protonated). When two or more different cationic lipids may have widely differing pKa values (e.g., differing by 3 or more pKa units) are combined in a lipid particle, the lipid particle can show a more gradual transition from non-protonated to protonated as the pH is varied.
In other examples, two or more lipids may be selected based on other considerations. For example, if one lipid by itself is highly effective but moderately toxic, it might be combined with a lipid that is less effective but non-toxic. In some cases, the combination can remain highly effective but have a greatly reduced toxicity, even where it might be predicted that the combination would be only moderately effective and only slightly less toxic.
The selection may be guided by a measured value of an experimentally determinable characteristic, e.g., a characteristic tha can be assigned a numerical value from the results of an experiment. Experimentally determinable characteristics can include a measure of safety, a measure of efficacy, a measure of interaction with a predetermined biomolecule, or pKa.
A measure of safety might include a survival rate, an LD50, or a level of a biomarker (such as a serum biomarker) associated with tissue damage (e.g., liver enzymes for liver; CPK for muscle; ionic balance for kidney). A measure of efficacy can be any measurement that indicates whether a therapeutic agent is producing an effect; particularly, whether and/or to what degree it is producing a desired effect, such as treating, preventing, ameliorating, or otherwise improving a disease, disorder, or other clinical condition. The measure of efficacy can be an indirect measure; for example, if a therapeutic agent is intended to produce a particular effect at a cellular level, measurements of that effect on cell cultures can be a measure of efficacy. A measure of interaction with predetermined biomolecules can include a Kd for binding to a particular protein or a measure of the character, degree or extent of interaction with other lipids, including cellular substructures such as cell membranes, endosomal membranes, nuclear membranes, and the like.
The cationic lipids can be selected on the basis of mechanism of action, e.g., whether, under what conditions, or to what extent the lipids interact with predetermined biomolecules. For example, a first cationic lipid can be chosen, in part, because it is associated with an ApoE- dependent mechanism; a second cationic lipid can be chosen, in part, because it is associated with an ApoE-independent mechanism.
For example, a lipid particle can contain a mixture of the cationic lipids described in, e.g., WO 2009/086558, and provisional U.S. Application No. 61/104,219, filed October 9, 2008 (each of which is incorporated by reference in its entirety), and ester analogs thereof. In another example, a lipid particle can contain a mixture of a lipid, for example, Lipid A, described in PCT/US 10/22614, filed January 29, 2010 and a lipid, for example, the lipid of formula V or formula VI, described in US Provisional Application 61/175,770, filed May 5, 2009..
Examples of lipids that reduce aggregation of particles during formation include polyethylene glycol (PEG) -modified lipids, monosialoganglioside Gml, and polyamide oligomers ("PAO") such as (described in U.S. Pat. No. 6,320,017, which is incorporated by reference in its entirety). Other compounds with uncharged, hydrophilic, steric-barrier moieties, which prevent aggregation during formulation, like PEG, Gml or ATTA, can also be coupled to lipids. ATTA-lipids are described, e.g. , in U.S. Patent No. 6,320,017, and PEG-lipid conjugates are described, e.g. , in U.S. Patent Nos. 5,820,873, 5,534,499 and 5,885,613, each of which is incorporated by reference in its entirety. Typically, the concentration of the lipid component selected to reduce aggregation is about 1 to 15% (by mole percent of lipids).
Specific examples of PEG-modified lipids (or lipid-polyoxyethylene conjugates) that can have a variety of "anchoring" lipid portions to secure the PEG portion to the surface of the lipid vesicle include PEG-modified phosphatidylethanolamine and phosphatidic acid, PEG-ceramide conjugates (e.g., PEG-CerC14 or PEG-CerC20) which are described in U.S. Patent No.
5,820,873, incorporated herein by reference, PEG-modified dialkylamines and PEG-modified l,2-diacyloxypropan-3-amines. Particularly preferred are PEG-modified diacylglycerols and dialkylglycerols.
In embodiments where a sterically-large moiety such as PEG or ATTA are conjugated to a lipid anchor, the selection of the lipid anchor depends on what type of association the conjugate is to have with the lipid particle. It is well known that mPEG
(mw2000)-diastearoylphosphatidylethanolamine (PEG-DSPE) will remain associated with a
liposome until the particle is cleared from the circulation, possibly a matter of days. Other conjugates, such as PEG-CerC20 have similar staying capacity. PEG-CerC14, however, rapidly exchanges out of the formulation upon exposure to serum, with a T less than 60 min in some assays. As illustrated in U.S. Patent No. 5,820,873, at least three characteristics influence the rate of exchange: length of acyl chain, saturation of acyl chain, and size of the steric-barrier head group. Compounds having suitable variations of these features may be useful. For some therapeutic applications it may be preferable for the PEG-modified lipid to be rapidly lost from the nucleic acid-lipid particle in vivo and hence the PEG-modified lipid will possess relatively short lipid anchors. In other therapeutic applications it may be preferable for the nucleic acid-lipid particle to exhibit a longer plasma circulation lifetime and hence the PEG-modified lipid will possess relatively longer lipid anchors.
It should be noted that aggregation preventing compounds do not necessarily require lipid conjugation to function properly. Free PEG or free ATTA in solution may be sufficient to prevent aggregation. If the particles are stable after formulation, the PEG or ATTA can be dialyzed away before administration to a subject.
Neutral lipids, when present in the lipid particle, can be any of a number of lipid species which exist either in an uncharged or neutral zwitterionic form at physiological pH. Such lipids include, for example diacylphosphatidylcholine, diacylphosphatidylethanolamine, ceramide, sphingomyelin, dihydrosphingomyelin, cephalin, and cerebrosides. The selection of neutral lipids for use in the particles described herein is generally guided by consideration of, e.g., liposome size and stability of the liposomes in the bloodstream. Preferably, the neutral lipid component is a lipid having two acyl groups, (i.e., diacylphosphatidylcholine and
diacylphosphatidylethanolamine). Lipids having a variety of acyl chain groups of varying chain length and degree of saturation are available or may be isolated or synthesized by well-known techniques. In one group of embodiments, lipids containing saturated fatty acids with carbon chain lengths in the range of C10 to C2o are preferred. In another group of embodiments, lipids with mono or diunsaturated fatty acids with carbon chain lengths in the range of C10 to C20 are used. Additionally, lipids having mixtures of saturated and unsaturated fatty acid chains can be used. Preferably, the neutral lipids used are DOPE, DSPC, POPC, DPPC or any related phosphatidylcholine. The neutral lipids may also be composed of sphingomyelin,
dihydrosphingomyeline, or phospholipids with other head groups, such as serine and inositol.
The sterol component of the lipid mixture, when present, can be any of those sterols conventionally used in the field of liposome, lipid vesicle or lipid particle preparation. A preferred sterol is cholesterol.
Other cationic lipids, which carry a net positive charge at about physiological pH, in addition to those specifically described above, may also be included in lipid particles. Such cationic lipids include, but are not limited to, N,N-dioleyl-N,N-dimethylammonium chloride ("DODAC"); N-(2,3-dioleyloxy)propyl-N,N-N-triethylammonium chloride ("DOTMA");
N,N-distearyl-N,N-dimethylammonium bromide ("DDAB");
N-(2,3-dioleoyloxy)propyl)-N,N,N-trimethylammonium chloride ("DOTAP");
l,2-Dioleyloxy-3-trimethylaminopropane chloride salt ("DOTAP. CI");
3P-(N-(N',N'-dimethylaminoethane)-carbamoyl)cholesterol ("DC-Choi"),
N-(l-(2,3-dioleyloxy)propyl)-N-2-(sperminecarboxamido)ethyl)-N,N-dimethylammonium trifluoracetate ("DOSPA"), dioctadecylamidoglycyl carboxyspermine ("DOGS"),
l,2-dileoyl-sn-3-phosphoethanolamine ("DOPE"), l,2-dioleoyl-3-dimethylammonium propane ("DODAP"), N, N-dimethyl-2,3-dioleyloxy)propylamine ("DODMA"), and
N-(l,2-dimyristyloxyprop-3-yl)-N,N-dimethyl-N-hydroxyethyl ammonium bromide ("DMRIE"). Additionally, a number of commercial preparations of cationic lipids can be used, such as, e.g. , LIPOFECTIN (including DOTMA and DOPE, available from GIBCO/BRL), and
LIPOFECT AMINE (comprising DOSPA and DOPE, available from GIBCO/BRL). In particular embodiments, a cationic lipid is an amino lipid.
Anionic lipids suitable for use in lipid particles include, but are not limited to,
phosphatidylglycerol, cardiolipin, diacylphosphatidylserine, diacylphosphatidic acid,
N-dodecanoyl phosphatidylethanoloamine, N-succinyl phosphatidylethanolamine, N-glutaryl phosphatidylethanolamine, lysylphosphatidylglycerol, and other anionic modifying groups joined to neutral lipids.
In numerous embodiments, amphipathic lipids are included in lipid particles.
"Amphipathic lipids" refer to any suitable material, wherein the hydrophobic portion of the lipid material orients into a hydrophobic phase, while the hydrophilic portion orients toward the aqueous phase. Such compounds include, but are not limited to, phospholipids, aminolipids, and sphingolipids. Representative phospholipids include sphingomyelin, phosphatidylcholine, phosphatidylethanolamine, phosphatidylserine, phosphatidylinositol, phosphatidic acid,
palmitoyloleoyl phosphatdylcholine, lysophosphatidylcholine, lysophosphatidylethanolamine, dipalmitoylphosphatidylcholine, dioleoylphosphatidylcholine, distearoylphosphatidylcholine, or dilinoleoylphosphatidylcholine. Other phosphorus-lacking compounds, such as sphingolipids, glycosphingolipid families, diacylglycerols, and β-acyloxyacids, can also be used. Additionally, such amphipathic lipids can be readily mixed with other lipids, such as triglycerides and sterols.
Also suitable for inclusion in the lipid particles are programmable fusion lipids or fusion- promoting lipid. Such lipid particles have little tendency to fuse with cell membranes and deliver their payload until a given signal event occurs. This allows the lipid particle to distribute more evenly after injection into an organism or disease site before it starts fusing with cells. The signal event can be, for example, a change in pH, temperature, ionic environment, or time. The fusion promoting-lipids can be, for example, compounds of formula (I) as described above. In some cases, the signal event can be a change in pH, for example, such as the difference in pH between an extracelluar environment and an intracellular environment, or between an
intracellular environment and an endosomal environment.
When time is the signal event, a fusion delaying or "cloaking" component, such as an ATTA-lipid conjugate or a PEG-lipid conjugate, can simply exchange out of the lipid particle membrane over time. By the time the lipid particle is suitably distributed in the body, it has lost sufficient cloaking agent so as to be fusogenic. With other signal events, it can be desirable to choose a signal that is associated with the disease site or target cell, such as increased
temperature at a site of inflammation.
In certain embodiments, it is desirable to target the lipid particles using targeting moieties that are specific to a cell type or tissue. Targeting of lipid particles using a variety of targeting moieties, such as ligands, cell surface receptors, glycoproteins, vitamins (e.g., riboflavin) and monoclonal antibodies, has been previously described (see, e.g., U.S. Patent Nos. 4,957,773 and 4,603,044, each of which is incorporated by reference in its entirety). The targeting moieties can comprise the entire protein or fragments thereof. Targeting mechanisms generally require that the targeting agents be positioned on the surface of the lipid particle in such a manner that the target moiety is available for interaction with the target, for example, a cell surface receptor. A variety of different targeting agents and methods are known and available in the art, including those described, e.g., in Sapra, P. and Allen, TM, Prog. Lipid Res. 42(5):439-62 (2003); and Abra, RM et al, J. Liposome Res. 12: 1-3, (2002).
The use of lipid particles, i.e., liposomes, with a surface coating of hydrophilic polymer chains, such as polyethylene glycol (PEG) chains, for targeting has been proposed (Allen, et ah, Biochimica et Biophysica Acta 1237: 99-108 (1995); DeFrees, et al, Journal of the American Chemistry Society 118: 6101-6104 (1996); Blume, et al, Biochimica et Biophysica Acta 1149: 180-184 (1993); Klibanov, et al, Journal of Liposome Research 2: 321-334 (1992); U.S. Patent No. 5,013556; Zalipsky, Bioconjugate Chemistry 4: 296-299 (1993); Zalipsky, FEBS Letters 353: 71-74 (1994); Zalipsky, in Stealth Liposomes Chapter 9 (Lasic and Martin, Eds) CRC Press, Boca Raton Fl (1995). In one approach, a ligand, such as an antibody, for targeting the lipid particle is linked to the polar head group of lipids forming the lipid particle. In another approach, the targeting ligand is attached to the distal ends of the PEG chains forming the hydrophilic polymer coating (Klibanov, et al., Journal of Liposome Research 2: 321-334 (1992); Kirpotin et al., FEBS Letters 388: 115-118 (1996)).
Standard methods for coupling the target agents can be used. For example,
phosphatidylethanolamine, which can be activated for attachment of target agents, or derivatized lipophilic compounds, such as lipid-derivatized bleomycin, can be used. Antibody-targeted liposomes can be constructed using, for instance, liposomes that incorporate protein A (see, Renneisen, et al., J. Bio. Chem., 265: 16337-16342 (1990) and Leonetti, et al., Proc. Natl. Acad. Sci. (USA), 87:2448-2451 (1990). Other examples of antibody conjugation are disclosed in U.S. Patent No. 6,027,726, the teachings of which are incorporated herein by reference. Examples of targeting moieties can also include other proteins, specific to cellular components, including antigens associated with neoplasms or tumors. Proteins used as targeting moieties can be attached to the liposomes via covalent bonds (see, Heath, Covalent Attachment of Proteins to Liposomes, 149 Methods in Enzymology 111-119 (Academic Press, Inc. 1987)). Other targeting methods include the biotin-avidin system.
In some embodiments, the lipid particle includes a mixture of a cationic lipid and a fusion-promoting lipid. The lipid particle can further include a neutral lipid, a sterol, a PEG- modified lipid, or a combination of these. For example, the lipid particle can include a cationic lipid, a fusion-promoting lipid, and a neutral lipid, but no sterol or PEG-modified lipid. The lipid particle can include a cationic lipid, a fusion-promoting lipid, and a neutral lipid, but no sterol or PEG-modified lipid. The lipid particle can include a cationic lipid, a fusion-promoting lipid, and a PEG-modified lipid, but no sterol or neutral lipid. The lipid particle can include a cationic lipid,
a fusion-promoting lipid, a sterol, and a neutral lipid, but no PEG-modified lipid. The lipid particle can include a cationic lipid, a fusion-promoting lipid, a sterol, and a PEG-modified lipid, but no neutral lipid. The lipid particle can include a cationic lipid, a fusion-promoting lipid, a neutral lipid, and a PEG-modified lipid, but no sterol. The lipid particle can include a cationic lipid, a fusion-promoting lipid, a sterol, neutral lipid, and a PEG-modified lipid.
In one exemplary embodiment, the lipid particle comprises a mixture of a cationic lipid, a fusion-promoting lipid, neutral lipids (other than a cationic lipid), a sterol (e.g., cholesterol) and a PEG-modified lipid (e.g., a PEG-DMG or PEG-DMA). In certain embodiments, the lipid mixture consists of or consists essentially of a cationic lipid, a fusion-promoting lipid, a neutral lipid, cholesterol, and a PEG-modified lipid. In further preferred embodiments, the lipid particle includes the above lipid mixture in molar ratios of about 20-70% cationic lipid: 0.1-50% fusion promoting lipid: 5-45% neutral lipid: 20-55% cholesterol: 0.5-15% PEG-modified lipid. In some embodiments, the fusion-promoting lipid can be present in a molar ratio of 0.1-50%, 0.5-50%, 1- 50%, 5%-45%, 10%-40%, or 15%-35%. In some embodiments, the fusion-promoting lipid can be present in a molar ratio of 0.1-50%, 0.5-50%, 1-50%, 5%-45%, 10%-40%, or 15%-35%. In some embodiments, the fusion-promoting lipid can be present in a molar ratio of 0.1-50%, 10- 50%, 20-50%, or 30-50%. In some embodiments, the fusion-promoting lipid can be present in a molar ratio of 0.1-50%, 0.5-45%, 1-40%, l %-35%, l%-30%, or l %-20%.
In further preferred embodiments, the lipid particle consists of or consists essentially of the above lipid mixture in molar ratios of about 20-70% cationic lipid: 0.1-50% fusion promoting lipid: 5-45% neutral lipid: 20-55% cholesterol: 0.5- 15% PEG-modified lipid.
In particular embodiments, the lipid particle comprises, consists of, or consists essentially of a mixture of cationic lipids chosen from, for example, those described in application nos. PCT/US09/63933, PCT/US09/63927, PCT/US09/63931, and PCT/US09/63897, each filed November 10, 2009, and applications referred to therein, including nos. 61/104,219, filed October 9, 2008; no. 61/113,179, filed November 10, 2008; no. 61/154,350, filed February 20, 2009; no. 61/171,439, filed April 21, 2009; no. 61/175,770, filed May 5, 2009; no. 61/185,438, filed June 9, 2009; no. 61/225,898, filed July 15, 2009; no. 61/234,098, filed August 14, 2009; and 61/287,995, filed December 18, 2009; WO 2009/086558; and WO 2008/042973 (each of these documents is incorporated by reference in its entirety. See, for example, Tables 1 and 2 of application no. PCT/US09/63933, filed November 10, 2009, at pages 33-51 , and Tables 1-4 and
9 of 61/287,995, at pages 28-53 and 135-141), DSPC, Choi, and either PEG-DMG or PEG-DMA, e.g., in a molar ratio of about 20-60% cationic lipid: 0.1-50% fusion-promoting lipid: 5-25% DSPC :25-55% Chol:0.5-15% PEG-DMG or PEG-DMA. In particular
embodiments, the molar lipid ratio, with regard to mol% cationic lipid/DSPC/Chol/PEG-DMG or PEG-DMA) is approximately 40/10/40/10, 35/15/40/10 or 52/13/30/5; this mixture is further combined with a fusion-promoting lipid in a molar ratio of 0.1-50%, 0.1-50%, 0.5-50%, 1-50%, 5%-45%, 10%-40%, or 15%-35%; in other words, when a 40/10/40/10 mixture of
lipid/DSPC/Chol/PEG-DMG or PEG-DMA is combined with a fusion-promoting peptide in a molar ratio of 50%, the resulting lipid particles can have a total molar ratio of (mol% cationic lipid/DSPC/Chol/PEG-DMG or PEG-DMA/fusion-promoting peptide) 20/5/20/5/50. In another group of embodiments, the neutral lipid, DSPC, in these compositions is replaced with POPC, DPPC, DOPE or SM.
Therapeutic Agent-Lipid Particle Compositions and Formulations
Compositions that include a lipid particle and an active agent, where the active agent is associated with the lipid particle, are provided. In particular embodiments, the active agent is a therapeutic agent. In particular embodiments, the active agent is encapsulated within an aqueous interior of the lipid particle. In other embodiments, the active agent is present within one or more lipid layers of the lipid particle. In other embodiments, the active agent is bound to the exterior or interior lipid surface of a lipid particle.
"Fully encapsulated" as used herein indicates that the nucleic acid in the particles is not significantly degraded after exposure to serum or a nuclease assay that would significantly degrade free nucleic acids. In a fully encapsulated system, preferably less than 25% of particle nucleic acid is degraded in a treatment that would normally degrade 100% of free nucleic acid, more preferably less than 10% and most preferably less than 5% of the particle nucleic acid is degraded. Alternatively, full encapsulation may be determined by an Oligreen® assay. Oligreen® is an ultra-sensitive fluorescent nucleic acid stain for quantitating oligonucleotides and single- stranded DNA in solution (available from Invitrogen Corporation, Carlsbad, CA). Fully encapsulated also suggests that the particles are serum stable, that is, that they do not rapidly decompose into their component parts upon in vivo administration.
Active agents, as used herein, include any molecule or compound capable of exerting a desired effect on a cell, tissue, organ, or subject. Such effects may be biological, physiological, or cosmetic, for example. Active agents may be any type of molecule or compound, including e.g. , nucleic acids, peptides and polypeptides, including, e.g. , antibodies, such as, e.g. , polyclonal antibodies, monoclonal antibodies, antibody fragments; humanized antibodies, recombinant antibodies, recombinant human antibodies, and Primatized™ antibodies, cytokines, growth factors, apoptotic factors, differentiation-inducing factors, cell surface receptors and their ligands; hormones; and small molecules, including small organic molecules or compounds.
In one embodiment, the active agent is a therapeutic agent, or a salt or derivative thereof. Therapeutic agent derivatives may be therapeutically active themselves or they may be prodrugs, which become active upon further modification. Thus, in one embodiment, a therapeutic agent derivative retains some or all of the therapeutic activity as compared to the unmodified agent, while in another embodiment, a therapeutic agent derivative lacks therapeutic activity.
In various embodiments, therapeutic agents include any therapeutically effective agent or drug, such as anti-inflammatory compounds, anti-depressants, stimulants, analgesics, antibiotics, birth control medication, antipyretics, vasodilators, anti-angiogenics, cytovascular agents, signal transduction inhibitors, cardiovascular drugs, e.g. , anti- arrhythmic agents, vasoconstrictors, hormones, and steroids.
In certain embodiments, the therapeutic agent is an oncology drug, which may also be referred to as an anti-tumor drug, an anti-cancer drug, a tumor drug, an antineoplastic agent, or the like. Examples of oncology drugs that may be used include, but are not limited to, adriamycin, alkeran, allopurinol, altretamine, amifostine, anastrozole, araC, arsenic trioxide, azathioprine, bexarotene, biCNU, bleomycin, busulfan intravenous, busulfan oral, capecitabine (Xeloda), carboplatin, carmustine, CCNU, celecoxib, chlorambucil, cisplatin, cladribine, cyclosporin A, cytarabine, cytosine arabinoside, daunorubicin, Cytoxan, daunorubicin, dexamethasone, dexrazoxane, dodetaxel, doxorubicin, doxorubicin, DTIC, epirubicin, estramustine, etoposide phosphate, etoposide and VP- 16, exemestane, FK506, fludarabine, fluorouracil, 5-FU, gemcitabine (Gemzar), gemtuzumab-ozogamicin, goserelin acetate, hydrea, hydroxyurea, idarubicin, ifosfamide, imatinib mesylate, interferon, irinotecan (Camptostar, CPT-111), letrozole, leucovorin, leustatin, leuprolide, levamisole, litretinoin, megastrol, melphalan, L-PAM, mesna, methotrexate, methoxsalen, mithramycin, mitomycin, mitoxantrone,
nitrogen mustard, paclitaxel, pamidronate, Pegademase, pentostatin, porfimer sodium, prednisone, rituxan, streptozocin, STI-571, tamoxifen, taxotere, temozolamide, teniposide, VM-26, topotecan (Hycamtin), toremifene, tretinoin, ATRA, valrubicin, velban, vinblastine, vincristine, VP 16, and vinorelbine. Other examples of oncology drugs that may be used are ellipticin and ellipticin analogs or derivatives, epothilones, intracellular kinase inhibitors and camptothecins.
Nucleic Acid-Lipid Particles
In certain embodiments, lipid particles are associated with a nucleic acid, resulting in a nucleic acid-lipid particle. In particular embodiments, the nucleic acid is fully encapsulated in the lipid particle. As used herein, the term "nucleic acid" is meant to include any oligonucleotide or polynucleotide. Fragments containing up to 50 nucleotides are generally termed
oligonucleotides, and longer fragments are called polynucleotides. In particular embodiments, oligonucletoides are 15-50 nucleotides in length.
The terms "polynucleotide" and "oligonucleotide" refer to a polymer or oligomer of nucleotide or nucleoside monomers consisting of naturally occurring bases, sugars and intersugar (backbone) linkages. The terms "polynucleotide" and "oligonucleotide" also includes polymers or oligomers comprising non-naturally occurring monomers, or portions thereof, which function similarly. Such modified or substituted oligonucleotides are often preferred over native forms because of properties such as, for example, enhanced cellular uptake and increased stability in the presence of nucleases.
The nucleic acid that is present in a lipid-nucleic acid particle includes any form of nucleic acid that is known. The nucleic acids used herein can be single- stranded DNA or RNA, or double- stranded DNA or RNA, or DNA-RNA hybrids. Examples of double- stranded DNA include structural genes, genes including control and termination regions, and self-replicating systems such as viral or plasmid DNA. Examples of double- stranded RNA include siRNA and other RNA interference reagents. Single-stranded nucleic acids include, e.g. , antisense oligonucleotides, ribozymes, microRNA, and triplex-forming oligonucleotides. The nucleic acid that is present in a lipid-nucleic acid particle may include one or more of the oligonucleotide modifications described below.
Nucleic acids may be of various lengths, generally dependent upon the particular form of nucleic acid. For example, in particular embodiments, plasmids or genes may be from about 1,000 to 100,000 nucleotide residues in length. In particular embodiments, oligonucleotides may range from about 10 to 100 nucleotides in length. In various related embodiments,
oligonucleotides, single- stranded, double- stranded, and triple- stranded, may range in length from about 10 to about 50 nucleotides, from about 20 o about 50 nucleotides, from about 15 to about 30 nucleotides, from about 20 to about 30 nucleotides in length.
In particular embodiments, the oligonucleotide (or a strand thereof) specifically hybridizes to or is complementary to a target polynucleotide. "Specifically hybridizable" and "complementary" are terms which are used to indicate a sufficient degree of complementarity such that stable and specific binding occurs between the DNA or RNA target and the
oligonucleotide. It is understood that an oligonucleotide need not be 100% complementary to its target nucleic acid sequence to be specifically hybridizable. An oligonucleotide is specifically hybridizable when binding of the oligonucleotide to the target interferes with the normal function of the target molecule to cause a loss of utility or expression therefrom, and there is a sufficient degree of complementarity to avoid non-specific binding of the oligonucleotide to non-target sequences under conditions in which specific binding is desired, i.e., under physiological conditions in the case of in vivo assays or therapeutic treatment, or, in the case of in vitro assays, under conditions in which the assays are conducted. Thus, in other embodiments, this oligonucleotide includes 1, 2, or 3 base substitutions, e.g. mismatches, as compared to the region of a gene or mRNA sequence that it is targeting or to which it specifically hybridizes.
RNA Interference Nucleic Acids
In particular embodiments, nucleic acid-lipid particles are associated with RNA interference (RNAi) molecules. RNA interference methods using RNAi molecules may be used to disrupt the expression of a gene or polynucleotide of interest. Small interfering RNA (siRNA) has essentially replaced antisense ODN and ribozymes as the next generation of targeted oligonucleotide drugs under development.
SiRNAs are RNA duplexes normally 16-30 nucleotides long that can associate with a cytoplasmic multi-protein complex known as RNAi-induced silencing complex (RISC). RISC loaded with siRNA mediates the degradation of homologous mRNA transcripts, therefore siRNA
can be designed to knock down protein expression with high specificity. Unlike other antisense technologies, siRNA function through a natural mechanism evolved to control gene expression through non-coding RNA. This is generally considered to be the reason why their activity is more potent in vitro and in vivo than either antisense ODN or ribozymes. A variety of RNAi reagents, including siRNAs targeting clinically relevant targets, are currently under
pharmaceutical development, as described, e.g., in de Fougerolles, A. et al., Nature Reviews 6:443-453 (2007), which is incorporated by reference in its entirety.
While the first described RNAi molecules were RNA:RNA hybrids comprising both an RNA sense and an RNA antisense strand, it has now been demonstrated that DNA sense:RNA antisense hybrids, RNA sense:DNA antisense hybrids, and DNA:DNA hybrids are capable of mediating RNAi (Lamberton, J.S. and Christian, A.T., (2003) Molecular Biotechnology
24: 111-119). Thus, the use of RNAi molecules comprising any of these different types of double- stranded molecules is contemplated. In addition, it is understood that RNAi molecules may be used and introduced to cells in a variety of forms. Accordingly, as used herein, RNAi molecules encompasses any and all molecules capable of inducing an RNAi response in cells, including, but not limited to, double- stranded oligonucleotides comprising two separate strands, i.e. a sense strand and an antisense strand, e.g., small interfering RNA (siRNA); double- stranded oligonucleotide comprising two separate strands that are linked together by non-nucleotidyl linker; oligonucleotides comprising a hairpin loop of complementary sequences, which forms a double- stranded region, e.g., shRNAi molecules, and expression vectors that express one or more polynucleotides capable of forming a double- stranded polynucleotide alone or in combination with another polynucleotide.
A "single strand siRNA compound" as used herein, is an siRNA compound which is made up of a single molecule. It may include a duplexed region, formed by intra-strand pairing, e.g., it may be, or include, a hairpin or pan-handle structure. Single strand siRNA compounds may be antisense with regard to the target molecule
A single strand siRNA compound may be sufficiently long that it can enter the RISC and participate in RISC mediated cleavage of a target mRNA. A single strand siRNA compound is at least 14, and in other embodiments at least 15, 20, 25, 29, 35, 40, or 50 nucleotides in length. In certain embodiments, it is less than 200, 100, or 60 nucleotides in length.
Hairpin siRNA compounds will have a duplex region equal to or at least 17, 18, 19, 29, 21, 22, 23, 24, or 25 nucleotide pairs. The duplex region will may be equal to or less than 200, 100, or 50, in length. In certain embodiments, ranges for the duplex region are 15-30, 17 to 23, 19 to 23, and 19 to 21 nucleotides pairs in length. The hairpin may have a single strand overhang or terminal unpaired region. In certain embodiments, the overhangs are 2-3 nucleotides in length. In some embodiments, the overhang is at the sense side of the hairpin and in some embodiments on the antisense side of the hairpin.
A "double stranded siRNA compound" as used herein, is an siRNA compound which includes more than one, and in some cases two, strands in which interchain hybridization can form a region of duplex structure.
The antisense strand of a double stranded siRNA compound may be equal to or at least,
14, 15, 16 17, 18, 19, 25, 29, 40, or 60 nucleotides in length. It may be equal to or less than 200, 100, or 50, nucleotides in length. Ranges may be 17 to 25, 19 to 23, and 19 to21 nucleotides in length. As used herein, term "antisense strand" means the strand of an siRNA compound that is sufficiently complementary to a target molecule, e.g. a target RNA.
The sense strand of a double stranded siRNA compound may be equal to or at least 14,
15, 16 17, 18, 19, 25, 29, 40, or 60 nucleotides in length. It may be equal to or less than 200, 100, or 50, nucleotides in length. Ranges may be 17 to 25, 19 to 23, and 19 to 21 nucleotides in length.
The double strand portion of a double stranded siRNA compound may be equal to or at least, 14, 15, 16 17, 18, 19, 20, 21, 22, 23, 24, 25, 29, 40, or 60 nucleotide pairs in length. It may be equal to or less than 200, 100, or 50, nucleotides pairs in length. Ranges may be 15-30, 17 to 23, 19 to 23, and 19 to 21 nucleotides pairs in length.
In many embodiments, the siRNA compound is sufficiently large that it can be cleaved by an endogenous molecule, e.g., by Dicer, to produce smaller siRNA compounds, e.g., siRNAs agents
The sense and antisense strands may be chosen such that the double- stranded siRNA compound includes a single strand or unpaired region at one or both ends of the molecule. Thus, a double- stranded siRNA compound may contain sense and antisense strands, paired to contain an overhang, e.g., one or two 5' or 3' overhangs, or a 3' overhang of 1 - 3 nucleotides. The overhangs can be the result of one strand being longer than the other, or the result of two strands
of the same length being staggered. Some embodiments will have at least one 3' overhang. In one embodiment, both ends of an siRNA molecule will have a 3' overhang. In some
embodiments, the overhang is 2 nucleotides.
In certain embodiments, the length for the duplexed region is between 15 and 30, or 18, 19, 20, 21, 22, and 23 nucleotides in length, e.g., in the ssiRNA compound range discussed above. ssiRNA compounds can resemble in length and structure the natural Dicer processed products from long dsiRNAs. Embodiments in which the two strands of the ssiRNA compound are linked, e.g., covalently linked are also included. Hairpin, or other single strand structures which provide the required double stranded region, and a 3' overhang are also contemplated.
The siRNA compounds described herein, including double- stranded siRNA compounds and single-stranded siRNA compounds can mediate silencing of a target RNA, e.g., mRNA, e.g., a transcript of a gene that encodes a protein. For convenience, such mRNA is also referred to herein as mRNA to be silenced. Such a gene is also referred to as a target gene. In general, the RNA to be silenced is an endogenous gene or a pathogen gene. In addition, RNAs other than mRNA, e.g., tRNAs, and viral RNAs, can also be targeted.
As used herein, the phrase "mediates RNAi" refers to the ability to silence, in a sequence specific manner, a target RNA. While not wishing to be bound by theory, it is believed that silencing uses the RNAi machinery or process and a guide RNA, e.g., an ssiRNA compound of 21 to 23 nucleotides.
In one embodiment, an siRNA compound is "sufficiently complementary" to a target RNA, e.g., a target mRNA, such that the siRNA compound silences production of protein encoded by the target mRNA. In another embodiment, the siRNA compound is "exactly complementary" to a target RNA, e.g., the target RNA and the siRNA compound anneal, for example to form a hybrid made exclusively of Watson-Crick base pairs in the region of exact complementarity. A "sufficiently complementary" target RNA can include an internal region (e.g., of at least 10 nucleotides) that is exactly complementary to a target RNA. Moreover, in certain embodiments, the siRNA compound specifically discriminates a single-nucleotide difference. In this case, the siRNA compound only mediates RNAi if exact complementary is found in the region (e.g., within 7 nucleotides of) the single-nucleotide difference.
MicroRNAs
Micro RNAs (miRNAs) are a highly conserved class of small RNA molecules that are transcribed from DNA in the genomes of plants and animals, but are not translated into protein. Processed miRNAs are single stranded -17-25 nucleotide (nt) RNA molecules that become incorporated into the RNA-induced silencing complex (RISC) and have been identified as key regulators of development, cell proliferation, apoptosis and differentiation. They are believed to play a role in regulation of gene expression by binding to the 3'-untranslated region of specific mRNAs. RISC mediates down-regulation of gene expression through translational inhibition, transcript cleavage, or both. RISC is also implicated in transcriptional silencing in the nucleus of a wide range of eukaryotes.
The number of miRNA sequences identified to date is large and growing, illustrative examples of which can be found, for example, in: "miRBase: micwRNA sequences, targets and gene nomenclature" Griffiths-Jones S, Grocock RJ, van Dongen S, Bateman A, Enright AJ. NAR, 2006, 34, Database Issue, D140-D144; "The micwRNA Registry" Griffiths-Jones S. NAR, 2004, 32, Database Issue, D109-D111; and also at http://microrna.sanger.ac.uk/sequences/.
Antisense Oligonucleotides
In one embodiment, a nucleic acid is an antisense oligonucleotide directed to a target polynucleotide. The term "antisense oligonucleotide" or simply "antisense" is meant to include oligonucleotides that are complementary to a targeted polynucleotide sequence. Antisense oligonucleotides are single strands of DNA or RNA that are complementary to a chosen sequence, e.g. a target gene mRNA. Antisense oligonucleotides are thought to inhibit gene expression by binding to a complementary mRNA. Binding to the target mRNA can lead to inhibition of gene expression either by preventing translation of complementary mRNA strands by binding to it, or by leading to degradation of the target mRNA. Antisense DNA can be used to target a specific, complementary (coding or non-coding) RNA. If binding takes places this DNA/RNA hybrid can be degraded by the enzyme RNase H. In particular embodiments, antisense oligonucleotides contain from about 10 to about 50 nucleotides, more preferably about 15 to about 30 nucleotides. The term also encompasses antisense oligonucleotides that may not be exactly complementary to the desired target gene. Thus, instances where non-target specific-activities are found with antisense, or where an antisense sequence containing one or
more mismatches with the target sequence is the most preferred for a particular use, are contemplated.
Antisense oligonucleotides have been demonstrated to be effective and targeted inhibitors of protein synthesis, and, consequently, can be used to specifically inhibit protein synthesis by a targeted gene. The efficacy of antisense oligonucleotides for inhibiting protein synthesis is well established. For example, the synthesis of polygalactauronase and the muscarine type 2 acetylcholine receptor are inhibited by antisense oligonucleotides directed to their respective mRNA sequences (U. S. Patent 5,739,119 and U. S. Patent 5,759,829 each of which is incorporated by reference). Further, examples of antisense inhibition have been demonstrated with the nuclear protein cyclin, the multiple drug resistance gene (MDGl), ICAM-1, E-selectin, STK-1, striatal GABAA receptor and human EGF (Jaskulski et al., Science. 1988 Jun
10;240(4858): 1544-6; Vasanthakumar and Ahmed, Cancer Commun. 1989;l(4):225-32; Peris et al, Brain Res Mol Brain Res. 1998 Jun 15;57(2):310-20; U. S. Patent 5,801,154; U.S. Patent 5,789,573; U. S. Patent 5,718,709 and U.S. Patent 5,610,288, each of which is incorporated by reference). Furthermore, antisense constructs have also been described that inhibit and can be used to treat a variety of abnormal cellular proliferations, e.g. cancer (U. S. Patent 5,747,470; U. S. Patent 5,591,317 and U. S. Patent 5,783,683, each of which is incorporated by reference).
Methods of producing antisense oligonucleotides are known in the art and can be readily adapted to produce an antisense oligonucleotide that targets any polynucleotide sequence.
Selection of antisense oligonucleotide sequences specific for a given target sequence is based upon analysis of the chosen target sequence and determination of secondary structure, Tm, binding energy, and relative stability. Antisense oligonucleotides may be selected based upon their relative inability to form dimers, hairpins, or other secondary structures that would reduce or prohibit specific binding to the target mRNA in a host cell. Highly preferred target regions of the mRNA include those regions at or near the AUG translation initiation codon and those sequences that are substantially complementary to 5' regions of the mRNA. These secondary structure analyses and target site selection considerations can be performed, for example, using v.4 of the OLIGO primer analysis software (Molecular Biology Insights) and/or the BLASTN 2.0.5 algorithm software (Altschul et al, Nucleic Acids Res. 1997, 25(17):3389-402).
Antagomirs
Antagomirs are RNA-like oligonucleotides that harbor various modifications for RNAse protection and pharmacologic properties, such as enhanced tissue and cellular uptake. They differ from normal RNA by, for example, complete 2'-0-methylation of sugar, phosphorothioate backbone and, for example, a cholesterol-moiety at 3'-end. Antagomirs may be used to efficiently silence endogenous miRNAs by forming duplexes comprising the antagomir and endogenous miRNA, thereby preventing miRNA-induced gene silencing. An example of
antagomir- mediated miRNA silencing is the silencing of miR-122, described in Krutzfeldt et al, Nature, 2005, 438: 685-689, which is expressly incorporated by reference herein in its entirety. Antagomir RNAs may be synthesized using standard solid phase oligonucleotide synthesis protocols. See U.S. Patent Application Publication Nos. 2007/0123482 and 2007/0213292 (each of which is incorporated herein by reference).
An antagomir can include ligand-conjugated monomer subunits and monomers for oligonucleotide synthesis. Exemplary monomers are described in U.S. Patent Application Publication No. 2005/0107325, which is incorporated by reference in its entirety. An antagomir can have a ZXY structure, such as is described in WO 2004/080406, which is incorporated by reference in its entirety. An antagomir can be complexed with an amphipathic moiety.
Exemplary amphipathic moieties for use with oligonucleotide agents are described in WO 2004/080406, which is incorporated by reference in its entirety.
Aptamers
Aptamers are nucleic acid or peptide molecules that bind to a particular molecule of interest with high affinity and specificity (Tuerk and Gold, Science 249:505 (1990); Ellington and Szostak, Nature 346:818 (1990), each of which is incorporated by reference in its entirety). DNA or RNA aptamers have been successfully produced which bind many different entities from large proteins to small organic molecules. See Eaton, Curr. Opin. Chem. Biol. 1:10-16 (1997), Famulok, Curr. Opin. Struct. Biol. 9:324-9(1999), and Hermann and Patel, Science
287:820-5 (2000), each of which is incorporated by reference in its entirety. Aptamers may be RNA or DNA based, and may include a riboswitch. A riboswitch is a part of an mRNA molecule that can directly bind a small target molecule, and whose binding of the target affects the gene's activity. Thus, an mRNA that contains a riboswitch is directly involved in regulating its own activity, depending on the presence or absence of its target molecule. Generally,
aptamers are engineered through repeated rounds of in vitro selection or equivalently, SELEX (systematic evolution of ligands by exponential enrichment) to bind to various molecular targets such as small molecules, proteins, nucleic acids, and even cells, tissues and organisms. The aptamer may be prepared by any known method, including synthetic, recombinant, and purification methods, and may be used alone or in combination with other aptamers specific for the same target. Further, as described more fully herein, the term "aptamer" specifically includes "secondary aptamers" containing a consensus sequence derived from comparing two or more known aptamers to a given target.
Ribozymes
According to another embodiment, nucleic acid-lipid particles are associated with ribozymes. Ribozymes are RNA molecules complexes having specific catalytic domains that possess endonuclease activity (Kim and Cech, Proc Natl Acad Sci USA. 1987
Dec;84(24):8788-92; Forster and Symons, Cell. 1987 Apr 24;49(2):211-20). For example, a large number of ribozymes accelerate phosphoester transfer reactions with a high degree of specificity, often cleaving only one of several phosphoesters in an oligonucleotide substrate (Cech et al, Cell. 1981 Dec;27(3 Pt 2):487-96; Michel and Westhof, J Mol Biol. 1990 Dec 5;216(3):585-610; Reinhold-Hurek and Shub, Nature. 1992 May 14;357(6374): 173-6). This specificity has been attributed to the requirement that the substrate bind via specific base-pairing interactions to the internal guide sequence ("IGS") of the ribozyme prior to chemical reaction.
At least six basic varieties of naturally-occurring enzymatic RNAs are known presently. Each can catalyze the hydrolysis of RNA phosphodiester bonds in trans (and thus can cleave other RNA molecules) under physiological conditions. In general, enzymatic nucleic acids act by first binding to a target RNA. Such binding occurs through the target binding portion of a enzymatic nucleic acid which is held in close proximity to an enzymatic portion of the molecule that acts to cleave the target RNA. Thus, the enzymatic nucleic acid first recognizes and then binds a target RNA through complementary base-pairing, and once bound to the correct site, acts enzymatically to cut the target RNA. Strategic cleavage of such a target RNA will destroy its ability to direct synthesis of an encoded protein. After an enzymatic nucleic acid has bound and cleaved its RNA target, it is released from that RNA to search for another target and can repeatedly bind and cleave new targets.
The enzymatic nucleic acid molecule may be formed in a hammerhead, hairpin, a hepatitis δ virus, group I intron or RNaseP RNA (in association with an RNA guide sequence) or Neurospora VS RNA motif, for example. Specific examples of hammerhead motifs are described by Rossi et al. Nucleic Acids Res. 1992 Sep l l ;20(17):4559-65. Examples of hairpin motifs are described by Hampel et al. (Eur. Pat. Appl. Publ. No. EP 0360257), Hampel and Tritz, Biochemistry 1989 Jun 13;28(12):4929-33; Hampel et al, Nucleic Acids Res. 1990 Jan
25; 18(2):299-304 and U. S. Patent 5,631,359. An example of the hepatitis δ virus motif is described by Perrotta and Been, Biochemistry. 1992 Dec 1 ;31(47): 11843-52; an example of the RNaseP motif is described by Guerrier-Takada et al , Cell. 1983 Dec;35(3 Pt 2):849-57;
Neurospora VS RNA ribozyme motif is described by Collins (Saville and Collins, Cell. 1990 May 18;61(4):685-96; Saville and Collins, Proc Natl Acad Sci USA. 1991 Oct l ;88(19):8826-30; Collins and Olive, Biochemistry. 1993 Mar 23;32(l l):2795-9); and an example of the Group I intron is described in U. S. Patent 4,987,071. Important characteristics of enzymatic nucleic acid molecules used are that they have a specific substrate binding site which is complementary to one or more of the target gene DNA or RNA regions, and that they have nucleotide sequences within or surrounding that substrate binding site which impart an RNA cleaving activity to the molecule. Thus the ribozyme constructs need not be limited to specific motifs mentioned herein.
Methods of producing a ribozyme targeted to any polynucleotide sequence are known in the art. Ribozymes may be designed as described in Int. Pat. Appl. Publ. Nos. WO 93/23569 and WO 94/02595, each specifically incorporated herein by reference, and synthesized to be tested in vitro and in vivo, as described therein.
Ribozyme activity can be optimized by altering the length of the ribozyme binding arms or chemically synthesizing ribozymes with modifications that prevent their degradation by serum ribonucleases (see e.g. , Int. Pat. Appl. Publ. Nos. WO 92/07065, WO 93/15187, and WO
91/03162; Eur. Pat. Appl. Publ. No. 92110298.4; U.S. Patent 5,334,711 ; and Int. Pat. Appl. Publ. No. WO 94/13688, which describe various chemical modifications that can be made to the sugar moieties of enzymatic RNA molecules), modifications which enhance their efficacy in cells, and removal of stem II bases to shorten RNA synthesis times and reduce chemical requirements.
Immunostimulatory Oligonucleotides
Nucleic acids associated with lipid particles may be immuno stimulatory, including immuno stimulatory oligonucleotides (ISS; single-or double- stranded) capable of inducing an immune response when administered to a subject, which may be a mammal or other patient. ISS include, e.g. , certain palindromes leading to hairpin secondary structures (see Yamamoto S., et al. (1992) J. Immunol. 148: 4072-4076, which is incorporated by reference in its entirety), or CpG motifs, as well as other known ISS features (such as multi-G domains, see WO 96/11266, which is incorporated by reference in its entirety).
The immune response may be an innate or an adaptive immune response. The immune system is divided into a more innate immune system, and acquired adaptive immune system of vertebrates, the latter of which is further divided into humoral cellular components. In particular embodiments, the immune response may be mucosal.
In particular embodiments, an immuno stimulatory nucleic acid is only
immuno stimulatory when administered in combination with a lipid particle, and is not immuno stimulatory when administered in its "free form." Such an oligonucleotide is considered to be immunostimulatory.
Immuno stimulatory nucleic acids are considered to be non-sequence specific when it is not required that they specifically bind to and reduce the expression of a target polynucleotide in order to provoke an immune response. Thus, certain immunostimulatory nucleic acids may comprise a seuqence correspondign to a region of a naturally occurring gene or mRNA, but they may still be considered non-sequence specific immunostimulatory nucleic acids.
In one embodiment, the immunostimulatory nucleic acid or oligonucleotide comprises at least one CpG dinucleotide. The oligonucleotide or CpG dinucleotide may be unmethylated or methylated. In another embodiment, the immunostimulatory nucleic acid comprises at least one CpG dinucleotide having a methylated cytosine. In one embodiment, the nucleic acid comprises a single CpG dinucleotide, wherein the cytosine in said CpG dinucleotide is methylated. In a specific embodiment, the nucleic acid comprises the sequence 5' TAACGTTGAGGGGCAT 3'. In an alternative embodiment, the nucleic acid comprises at least two CpG dinucleotides, wherein at least one cytosine in the CpG dinucleotides is methylated. In a further embodiment, each cytosine in the CpG dinucleotides present in the sequence is methylated. In another embodiment, the nucleic acid comprises a plurality of CpG dinucleotides, wherein at least one of said CpG dinucleotides comprises a methylated cytosine.
In one specific embodiment, the nucleic acid comprises the sequence 5'
TTCCATGACGTTCCTGACGT 3'. In another specific embodiment, the nucleic acid sequence comprises the sequence 5' TCCATGACGTTCCTGACGT 3', wherein the two cytosines indicated in bold are methylated. In particular embodiments, the ODN is selected from a group of ODNs consisting of ODN #1, ODN #2, ODN #3, ODN #4, ODN #5, ODN #6, ODN #7, ODN #8, and ODN #9, as shown below.
Table 6. Exemplary Immunostimulatory Oligonucleotides (ODNs)
"Z" represents a methylated cytosine residue. ODN 14 is a 15-mer oligonucleotide and ODN 1 is the same oligonucleotide having a thymidine added onto the 5' end making ODN 1 into a 16-mer. No difference in biological activity between ODN
14 and ODN 1 has been detected and both exhibit similar immuno stimulatory
activity (Mui et al, 2001)
Additional specific nucleic acid sequences of suitable oligonucleotides (ODNs) are described in Raney et ah, Journal of Pharmacology and Experimental Therapeutics,
298: 1185-1192 (2001), incorporated by reference in its entirety. In certain embodiments, ODNs used in the compositions and methods of the present invention have a phosphodiester ("PO") backbone or a phosphorothioate ("PS") backbone, and/or at least one methylated cytosine residue in a CpG motif.
Decoy Oligonucleotides
Because transcription factors recognize their relatively short binding sequences, even in the absence of surrounding genomic DNA, short oligonucleotides bearing the consensus binding sequence of a specific transcription factor can be used as tools for manipulating gene expression
in living cells. This strategy involves the intracellular delivery of such "decoy oligonucleotides", which are then recognized and bound by the target factor. Occupation of the transcription factor's DNA-binding site by the decoy renders the transcription factor incapable of subsequently binding to the promoter regions of target genes. Decoys can be used as therapeutic agents, either to inhibit the expression of genes that are activated by a transcription factor, or to upregulate genes that are suppressed by the binding of a transcription factor. Examples of the utilization of decoy oligonucleotides may be found in Mann et al., J. Clin. Invest., 2000, 106: 1071-1075, which is expressly incorporated by reference herein, in its entirety.
Supermir
A supermir refers to a single stranded, double stranded or partially double stranded oligomer or polymer of ribonucleic acid (RNA) or deoxyribonucleic acid (DNA) or both or modifications thereof, which has a nucleotide sequence that is substantially identical to an miRNA and that is antisense with respect to its target. This term includes oligonucleotides composed of naturally- occurring nucleobases, sugars and covalent internucleoside (backbone) linkages and which contain at least one non-naturally-occurring portion which functions similarly. Such modified or substituted oligonucleotides are preferred over native forms because of desirable properties such as, for example, enhanced cellular uptake, enhanced affinity for nucleic acid target and increased stability in the presence of nucleases. In a preferred
embodiment, the supermir does not include a sense strand, and in another preferred embodiment, the supermir does not self-hybridize to a significant extent. A supermir can have secondary structure, but it is substantially single-stranded under physiological conditions. An supermir that is substantially single- stranded is single-stranded to the extent that less than about 50% (e.g., less than about 40%, 30%, 20%, 10%, or 5%) of the supermir is duplexed with itself. The supermir can include a hairpin segment, e.g., sequence, preferably at the 3' end can self hybridize and form a duplex region, e.g., a duplex region of at least 1, 2, 3, or 4 and preferably less than 8, 7, 6, or n nucleotides, e.g., 5 nuclotides. The duplexed region can be connected by a linker, e.g., a nucleotide linker, e.g., 3, 4, 5, or 6 dTs, e.g., modified dTs. In another embodiment the supermir is duplexed with a shorter oligo, e.g., of 5, 6, 7, 8, 9, or 10 nucleotides in length, e.g., at one or both of the 3' and 5' end or at one end and in the non-terminal or middle of the supermir.
miRNA mimics
miRNA mimics represent a class of molecules that can be used to imitate the gene silencing ability of one or more miRNAs. Thus, the term "microRNA mimic" refers to synthetic non-coding RNAs (i.e. the miRNA is not obtained by purification from a source of the endogenous miRNA) that are capable of entering the RNAi pathway and regulating gene expression. miRNA mimics can be designed as mature molecules (e.g. single stranded) or mimic precursors (e.g., pri- or pre-miRNAs). miRNA mimics can be comprised of nucleic acid
(modified or modified nucleic acids) including oligonucleotides comprising, without limitation, RNA, modified RNA, DNA, modified DNA, locked nucleic acids, or 2'-0,4'-C-ethylene-bridged nucleic acids (ENA), or any combination of the above (including DNA-RNA hybrids). In addition, miRNA mimics can comprise conjugates that can affect delivery, intracellular compartmentalization, stability, specificity, functionality, strand usage, and/or potency. In one design, miRNA mimics are double stranded molecules (e.g., with a duplex region of between about 16 and about 31 nucleotides in length) and contain one or more sequences that have identity with the mature strand of a given miRNA. Modifications can comprise 2' modifications (including 2'-0 methyl modifications and 2' F modifications) on one or both strands of the molecule and internucleotide modifications (e.g. phorphorthioate modifications) that enhance nucleic acid stability and/or specificity. In addition, miRNA mimics can include overhangs. The overhangs can consist of 1-6 nucleotides on either the 3' or 5' end of either strand and can be modified to enhance stability or functionality. In one embodiment, a miRNA mimic comprises a duplex region of between 16 and 31 nucleotides and one or more of the following chemical modification patterns: the sense strand contains 2'-0-methyl modifications of nucleotides 1 and 2 (counting from the 5' end of the sense oligonucleotide), and all of the Cs and Us; the antisense strand modifications can comprise 2' F modification of all of the Cs and Us, phosphorylation of the 5' end of the oligonucleotide, and stabilized internucleotide linkages associated with a 2 nucleotide 3' overhang.
Antimir or miRNA inhibitor
The terms "antimir," "microRNA inhibitor," "miR inhibitor," or "inhibitor," are synonymous and refer to oligonucleotides or modified oligonucleotides that interfere with the ability of specific miRNAs. In general, the inhibitors are nucleic acid or modified nucleic acids
in nature including oligonucleotides comprising RNA, modified RNA, DNA, modified DNA, locked nucleic acids (LNAs), or any combination of the above. Modifications include 2' modifications (including 2'-0 alkyl modifications and 2' F modifications) and internucleotide modifications (e.g. phosphorothioate modifications) that can affect delivery, stability, specificity, intracellular compartmentalization, or potency. In addition, miRNA inhibitors can comprise conjugates that can affect delivery, intracellular compartmentalization, stability, and/or potency. Inhibitors can adopt a variety of configurations including single stranded, double stranded (RNA/RNA or RNA/DNA duplexes), and hairpin designs, in general, microRNA inhibitors comprise contain one or more sequences or portions of sequences that are complementary or partially complementary with the mature strand (or strands) of the miRNA to be targeted, in addition, the miRNA inhibitor may also comprise additional sequences located 5' and 3' to the sequence that is the reverse complement of the mature miRNA. The additional sequences may be the reverse complements of the sequences that are adjacent to the mature miRNA in the pri-miRNA from which the mature miRNA is derived, or the additional sequences may be arbitrary sequences (having a mixture of A, G, C, or U). In some embodiments, one or both of the additional sequences are arbitrary sequences capable of forming hairpins. Thus, in some embodiments, the sequence that is the reverse complement of the miRNA is flanked on the 5' side and on the 3' side by hairpin structures. Micro-RNA inhibitors, when double stranded, may include mismatches between nucleotides on opposite strands. Furthermore, micro-RNA inhibitors may be linked to conjugate moieties in order to facilitate uptake of the inhibitor into a cell. For example, a micro-RNA inhibitor may be linked to cholesteryl
5-(bis(4-methoxyphenyl)(phenyl)methoxy)-3 hydroxypentylcarbamate) which allows passive uptake of a micro-RNA inhibitor into a cell. Micro-RNA inhibitors, including hairpin miRNA inhibitors, are described in detail in Vermeulen et al., "Double-Stranded Regions Are Essential Design Components Of Potent Inhibitors of RISC Function," RNA 13: 723-730 (2007) and in WO2007/095387 and WO 2008/036825 each of which is incorporated herein by reference in its entirety. A person of ordinary skill in the art can select a sequence from the database for a desired miRNA and design an inhibitor useful for the methods disclosed herein.
Ul adaptor
Ul adaptor inhibit polyA sites and are bifunctional oligonucleotides with a target domain complementary to a site in the target gene's terminal exon and a 'Ul domain' that binds to the Ul smaller nuclear RNA component of the Ul snRNP (Goraczniak, et al., 2008, Nature
Biotechnology, 27(3), 257-263, which is expressly incorporated by reference herein, in its entirety). Ul snRNP is a ribonucleoprotein complex that functions primarily to direct early steps in spliceosome formation by binding to the pre-mRNA exon- intron boundary (Brown and Simpson, 1998, Annu Rev Plant Physiol Plant Mol Biol 49:77-95). Nucleotides 2- 11 of the 5'end of Ul snRNA base pair bind with the 5'ss of the pre mRNA. In one embodiment,
oligonucleotides are Ul adaptors. In one embodiment, the Ul adaptor can be administered in combination with at least one other iRNA agent.
Oligonucleotide modifications
Unmodified oligonucleotides may be less than optimal in some applications, e.g., unmodified oligonucleotides can be prone to degradation by e.g., cellular nucleases. Nucleases can hydrolyze nucleic acid phosphodiester bonds. However, chemical modifications of oligonucleotides can confer improved properties, and, e.g., can render oligonucleotides more stable to nucleases.
As oligonucleotides are polymers of subunits or monomers, many of the modifications described below occur at a position which is repeated within an oligonucleotide, e.g., a modification of a base, a sugar, a phosphate moiety, or the non-bridging oxygen of a phosphate moiety. It is not necessary for all positions in a given oligonucleotide to be uniformly modified, and in fact more than one of the aforementioned modifications may be incorporated in a single oligonucleotide or even at a single nucleoside within an oligonucleotide.
In some cases the modification will occur at all of the subject positions in the
oligonucleotide but in many, and in fact in most cases it will not. By way of example, a modification may only occur at a 3' or 5' terminal position, may only occur in the internal region, may only occur in a terminal regions, e.g. at a position on a terminal nucleotide or in the last 2, 3, 4, 5, or 10 nucleotides of an oligonucleotide. A modification may occur in a double strand region, a single strand region, or in both. A modification may occur only in the double strand region of a double-stranded oligonucleotide or may only occur in a single strand region of a double- stranded oligonucleotide. E.g., a phosphorothioate modification at a non-bridging
oxygen position may only occur at one or both termini, may only occur in a terminal regions, e.g., at a position on a terminal nucleotide or in the last 2, 3, 4, 5, or 10 nucleotides of a strand, or may occur in double strand and single strand regions, particularly at termini. The 5' end or ends can be phosphorylated.
A modification described herein may be the sole modification, or the sole type of modification included on multiple nucleotides, or a modification can be combined with one or more other modifications described herein. The modifications described herein can also be combined onto an oligonucleotide, e.g. different nucleotides of an oligonucleotide have different modifications described herein.
In some embodiments it is particularly preferred, e.g., to enhance stability, to include particular nucleobases in overhangs, or to include modified nucleotides or nucleotide surrogates, in single strand overhangs, e.g., in a 5' or 3' overhang, or in both. E.g., it can be desirable to include purine nucleotides in overhangs. In some embodiments all or some of the bases in a 3' or 5' overhang will be modified, e.g., with a modification described herein. Modifications can include, e.g., the use of modifications at the 2' OH group of the ribose sugar, e.g., the use of deoxyribonucleotides, e.g., deoxythymidine, instead of ribonucleotides, and modifications in the phosphate group, e.g., phosphothioate modifications. Overhangs need not be homologous with the target sequence.
Specific modifications are discussed in more detail below.
The Phosphate Group
The phosphate group is a negatively charged species. The charge is distributed equally over the two non-bridging oxygen atoms. However, the phosphate group can be modified by replacing one of the oxygens with a different substituent. One result of this modification to RNA phosphate backbones can be increased resistance of the oligoribonucleotide to nucleolytic breakdown. Thus while not wishing to be bound by theory, it can be desirable in some embodiments to introduce alterations which result in either an uncharged linker or a charged linker with unsymmetrical charge distribution.
Examples of modified phosphate groups include phosphorothioate, phosphoroselenates, borano phosphates, borano phosphate esters, hydrogen phosphonates, phosphoroamidates, alkyl or aryl phosphonates and phosphotriesters. In certain embodiments, one of the non-bridging
phosphate oxygen atoms in the phosphate backbone moiety can be replaced by any of the following: S, Se, BR3 (R is hydrogen, alkyl, aryl), C (i.e. an alkyl group, an aryl group, etc .), H, NR2 (R is hydrogen, alkyl, aryl), or OR (R is alkyl or aryl). The phosphorous atom in an unmodified phosphate group is achiral. However, replacement of one of the non-bridging oxygens with one of the above atoms or groups of atoms renders the phosphorous atom chiral; in other words a phosphorous atom in a phosphate group modified in this way is a stereogenic center. The stereogenic phosphorous atom can possess either the "R" configuration (herein Rp) or the "S" configuration (herein Sp).
Phosphorodithioates have both non-bridging oxygens replaced by sulfur. The phosphorus center in the phosphorodithioates is achiral which precludes the formation of oligoribonucleotides diastereomers. Thus, while not wishing to be bound by theory,
modifications to both non-bridging oxygens, which eliminate the chiral center, e.g.
phosphorodithioate formation, may be desirable in that they cannot produce diastereomer mixtures. Thus, the non-bridging oxygens can be independently any one of S, Se, B, C, H, N, or OR (R is alkyl or aryl).
The phosphate linker can also be modified by replacement of bridging oxygen, (i.e. oxgen that links the phosphate to the nucleoside), with nitrogen (bridged phosphoroamidates), sulfur (bridged phosphorothioates) and carbon (bridged methylenephosphonates). The replacement can occur at the either linking oxygen or at both the linking oxygens. When the bridging oxygen is the 3'-oxygen of a nucleoside, replcament with carbobn is preferred. When the bridging oxygen is the 5'-oxygen of a nucleoside, replcament with nitrogen is preferred.
Replacement of the Phosphate Group
The phosphate group can be replaced by non-phosphorus containing connectors. While not wishing to be bound by theory, it is believed that since the charged phosphodiester group is the reaction center in nucleolytic degradation, its replacement with neutral structural mimics should impart enhanced nuclease stability. Again, while not wishing to be bound by theory, it can be desirable, in some embodiment, to introduce alterations in which the charged phosphate group is replaced by a neutral moiety.
Examples of moieties which can replace the phosphate group include methyl
phosphonate, hydroxylamino, siloxane, carbonate, carboxymethyl, carbamate, amide, thioether,
ethylene oxide linker, sulfonate, sulfonamide, thioformacetal, formacetal, oxime, methyleneimino, methylenemethylimino, methylenehydrazo, methylenedimethylhydrazo and methyleneoxymethylimino. Preferred replacements include the methylenecarbonylamino and methylenemethylimino groups.
Modified phosphate linkages where at least one of the oxygens linked to the phosphate has been replaced or the phosphate group has been replaced by a non-phosphorous group, are also referred to as "non phosphodiester backbone linkage."
Replacement of Ribophosphate Backbone
Oligonucleotide- mimicking scaffolds can also be constructed wherein the phosphate linker and ribose sugar are replaced by nuclease resistant nucleoside or nucleotide surrogates. While not wishing to be bound by theory, it is believed that the absence of a repetitively charged backbone diminishes binding to proteins that recognize polyanions (e.g. nucleases). Again, while not wishing to be bound by theory, it can be desirable in some embodiment, to introduce alterations in which the bases are tethered by a neutral surrogate backbone. Examples include the mophilino, cyclobutyl, pyrrolidine and peptide nucleic acid (PNA) nucleoside surrogates. A preferred surrogate is a PNA surrogate.
Sugar modifications
A modified RNA can include modification of all or some of the sugar groups of the ribonucleic acid. E.g., the 2' hydroxyl group (OH) can be modified or replaced with a number of different "oxy" or "deoxy" substituents. While not being bound by theory, enhanced stability is expected since the hydroxyl can no longer be deprotonated to form a 2'-alkoxide ion. The 2'-alkoxide can catalyze degradation by intramolecular nucleophilic attack on the linker phosphorus atom. Again, while not wishing to be bound by theory, it can be desirable to some embodiments to introduce alterations in which alkoxide formation at the 2' position is not possible.
Examples of "oxy"-2' hydroxyl group modifications include alkoxy or aryloxy (OR, e.g., R = H, alkyl, cycloalkyl, aryl, aralkyl, heteroaryl or sugar); polyethyleneglycols (PEG),
0(CH2CH20)nCH2CH2OR; "locked" nucleic acids (LNA) in which the 2' hydroxyl is connected,
e.g., by a methylene bridge, to the 4' carbon of the same ribose sugar; O- AMINE (AMINE = NH2; alkylamino, dialkylamino, heterocyclyl, arylamino, diaryl amino, heteroaryl amino, or diheteroaryl amino, ethylene diamine, polyamino) and aminoalkoxy, 0(CH2)nAMINE, (e.g., AMINE = NH2; alkylamino, dialkylamino, heterocyclyl, arylamino, diaryl amino, heteroaryl amino, or diheteroaryl amino, ethylene diamine, polyamino). It is noteworthy that
oligonucleotides containing only the methoxyethyl group (MOE), (OCH2CH2OCH3, a PEG derivative), exhibit nuclease stabilities comparable to those modified with the robust
phosphorothioate modification.
"Deoxy" modifications include hydrogen (i.e. deoxyribose sugars, which are of particular relevance to the overhang portions of partially ds RNA); halo (e.g., fluoro); amino (e.g. NH2; alkylamino, dialkylamino, heterocyclyl, arylamino, diaryl amino, heteroaryl amino, diheteroaryl amino, or amino acid); NH(CH2CH2NH)nCH2CH2- AMINE (AMINE = NH2; alkylamino, dialkylamino, heterocyclyl, arylamino, diaryl amino, heteroaryl amino, or diheteroaryl amino), -NHC(0)R (R = alkyl, cycloalkyl, aryl, aralkyl, heteroaryl or sugar), cyano; mercapto;
alkyl-thio-alkyl; thioalkoxy; and alkyl, cycloalkyl, aryl, alkenyl and alkynyl, which may be optionally substituted with e.g., an amino functionality. Preferred substitutents are
2'-methoxyethyl, 2'-OCH3, 2'-0-allyl, 2'-C- allyl, and 2'-fluoro.
The sugar group can also contain one or more carbons that possess the opposite stereochemical configuration than that of the corresponding carbon in ribose. Thus, an oligonucleotide can include nucleotides containing e.g., arabinose, as the sugar. The monomer can have an alpha linkage at the Γ position on the sugar, e.g., alpha-nucleo sides.
Oligonucleotides can also include "abasic" sugars, which lack a nucleobase at C-1'. These abasic sugars can also be further containing modifications at one or more of the constituent sugar atoms. Oligonucleotides can also contain one or more sugars that are in the L form, e.g. L-nucleosides.
Terminal Modifications
The 3' and 5' ends of an oligonucleotide can be modified. Such modifications can be at the 3' end, 5' end or both ends of the molecule. They can include modification or replacement of an entire terminal phosphate or of one or more of the atoms of the phosphate group. E.g., the 3' and 5' ends of an oligonucleotide can be conjugated to other functional molecular entities such as
labeling moieties, e.g., fluorophores (e.g., pyrene, TAMRA, fluorescein, Cy3 or Cy5 dyes) or protecting groups (based e.g., on sulfur, silicon, boron or ester). The functional molecular entities can be attached to the sugar through a phosphate group and/or a linker. The terminal atom of the linker can connect to or replace the linking atom of the phosphate group or the C-3' or C-5' O, N, S or C group of the sugar. Alternatively, the linker can connect to or replace the terminal atom of a nucleotide surrogate (e.g., PNAs).
When a linker/phosphate-functional molecular entity-linker/phosphate array is interposed between two strands of a dsRNA, this array can substitute for a hairpin RNA loop in a hairpin-type RNA agent.
Terminal modifications useful for modulating activity include modification of the 5' end with phosphate or phosphate analogs. E.g., in preferred embodiments antisense strands of dsRNAs, are 5' phosphorylated or include a phosphoryl analog at the 5' prime terminus.
5'-phosphate modifications include those which are compatible with RISC mediated gene silencing. Suitable modifications include: 5'-monophosphate ((HO)2(0)P-0-5'); 5'-diphosphate
((HO)2(0)P-0-P(HO)(0)-0-5'); 5'-triphosphate ((HO)2(0)P-0-(HO)(0)P-0-P(HO)(0)-0-5'); 5'-guanosine cap (7-methylated or non-methylated)
(7m-G-0-5'-(HO)(0)P-0-(HO)(0)P-0-P(HO)(0)-0-5'); 5'-adenosine cap (Appp), and any modified or unmodified nucleotide cap structure
(N-0-5'-(HO)(0)P-0-(HO)(0)P-0-P(HO)(0)-0-5'); 5'-monothiophosphate (phosphorothioate; (HO)2(S)P-0-5'); 5'-monodithiophosphate (phosphorodithioate; (HO)(HS)(S)P-0-5'),
5'-phosphorothiolate ((HO)2(0)P-S-5'); any additional combination of oxgen/sulfur replaced monophosphate, diphosphate and triphosphates (e.g. 5'-alpha-thiotriphosphate,
5'-gamma-thiotriphosphate, etc.), 5'-phosphoramidates ((ΗΟ)2(0)Ρ-ΝΗ-5',
(ΗΟ)(ΝΗ2)(0)Ρ-0-5'), 5'-alkylphosphonates (R=alkyl=methyl, ethyl, isopropyl, propyl, etc., e.g. RP(OH)(0)-0-5'-, (OH)2(0)P-5'-CH2-), 5'-alkyletherphosphonates
(R=alkylether=methoxymethyl (MeOCH2-), ethoxymethyl, etc., e.g. RP(OH)(0)-0-5'-).
Terminal modifications can also be useful for monitoring distribution, and in such cases the preferred groups to be added include fluorophores, e.g., fluorscein or an Alexa dye, e.g., Alexa 488. Terminal modifications can also be useful for enhancing uptake, useful
modifications for this include cholesterol. Terminal modifications can also be useful for
cross-linking an RNA agent to another moiety; modifications useful for this include mitomycin C.
Nucleobases
Adenine, guanine, cytosine and uracil are the most common bases found in RNA. These bases can be modified or replaced to provide RNA's having improved properties. E.g., nuclease resistant oligoribonucleotides can be prepared with these bases or with synthetic and natural nucleobases (e.g., inosine, thymine, xanthine, hypoxanthine, nubularine, isoguanisine, or tubercidine) and any one of the above modifications. Alternatively, substituted or modified analogs of any of the above bases, e.g., "unusual bases", "modified bases", "non-natual bases" and "universal bases" described herein, can be employed. Examples include without limitation 2-aminoadenine, 6-methyl and other alkyl derivatives of adenine and guanine, 2-propyl and other alkyl derivatives of adenine and guanine, 5-halouracil and cytosine, 5-propynyl uracil and cytosine, 6-azo uracil, cytosine and thymine, 5-uracil (pseudouracil), 4-thiouracil, 5-halouracil, 5-(2-aminopropyl)uracil, 5-amino allyl uracil, 8-halo, amino, thiol, thioalkyl, hydroxyl and other 8-substituted adenines and guanines, 5-trifluoromethyl and other 5-substituted uracils and cytosines, 7-methylguanine, 5-substituted pyrimidines, 6-azapyrimidines and N-2, N-6 and 0-6 substituted purines, including 2-aminopropyladenine, 5-propynyluracil and 5-propynylcytosine, dihydrouracil, 3-deaza-5-azacytosine, 2-aminopurine, 5-alkyluracil, 7-alkylguanine, 5-alkyl cytosine,7-deazaadenine, N6, N6-dimethyladenine, 2,6-diaminopurine, 5-amino-allyl-uracil, N3-methyluracil, substituted 1,2,4-triazoles, 2-pyridinone, 5-nitroindole, 3-nitropyrrole,
5-methoxyuracil, uracil-5-oxyacetic acid, 5-methoxycarbonylmethyluracil,
5-methyl-2-thiouracil, 5-methoxycarbonylmethyl-2-thiouracil,
5-methylaminomethyl-2-thiouracil, 3-(3-amino-3carboxypropyl)uracil, 3-methylcytosine, 5-methylcytosine, N4-acetyl cytosine, 2-thiocytosine, N6-methyladenine, N6-isopentyladenine, 2-methylthio-N6-isopentenyladenine, N-methylguanines, or O-alkylated bases. Further purines and pyrimidines include those disclosed in U.S. Pat. No. 3,687,808, those disclosed in the Concise Encyclopedia Of Polymer Science And Engineering, pages 858-859, Kroschwitz, J. I., ed. John Wiley & Sons, 1990, and those disclosed by Englisch et al., Angewandte Chemie, International Edition, 1991, 30, 613.
Cationic Groups
Modifications to oligonucleotides can also include attachment of one or more cationic groups to the sugar, base, and/or the phosphorus atom of a phosphate or modified phosphate backbone moiety. A cationic group can be attached to any atom capable of substitution on a natural, unusual or universal base. A preferred position is one that does not interfere with hybridization, i.e., does not interfere with the hydrogen bonding interactions needed for base pairing. A cationic group can be attached e.g., through the C2' position of a sugar or analogous position in a cyclic or acyclic sugar surrogate. Cationic groups can include e.g., protonated amino groups, derived from e.g., O-AMINE (AMINE = NH2; alkylamino, dialkylamino, heterocyclyl, arylamino, diaryl amino, heteroaryl amino, or diheteroaryl amino, ethylene diamine, polyamino); aminoalkoxy, e.g., 0(CH2)nAMINE, (e.g., AMINE = NH2; alkylamino, dialkylamino, heterocyclyl, arylamino, diaryl amino, heteroaryl amino, or diheteroaryl amino, ethylene diamine, polyamino); amino (e.g. NH2; alkylamino, dialkylamino, heterocyclyl, arylamino, diaryl amino, heteroaryl amino, diheteroaryl amino, or amino acid); or
NH(CH2CH2NH)nCH2CH2- AMINE (AMINE = NH2; alkylamino, dialkylamino, heterocyclyl, arylamino, diaryl amino, heteroaryl amino,or diheteroaryl amino).
Placement within an oligonucleotide
Some modifications may preferably be included on an oligonucleotide at a particular location, e.g., at an internal position of a strand, or on the 5' or 3' end of an oligonucleotide. A preferred location of a modification on an oligonucleotide, may confer preferred properties on the agent. For example, preferred locations of particular modifications may confer optimum gene silencing properties, or increased resistance to endonuclease or exonuclease activity.
One or more nucleotides of an oligonucleotide may have a 2'-5' linkage. One or more nucleotides of an oligonucleotide may have inverted linkages, e.g. 3'-3', 5'-5', 2'-2' or 2'-3' linkages.
A double- stranded oligonucleotide may include at least one 5'-uridine-adenine-3' (5'-UA-3') dinucleotide wherein the uridine is a 2'-modified nucleotide, or a terminal
5'-uridine-guanine-3' (5'-UG-3') dinucleotide, wherein the 5'-uridine is a 2'-modified nucleotide, or a terminal 5'-cytidine-adenine-3' (5'-CA-3') dinucleotide, wherein the 5'-cytidine is a
2'-modified nucleotide, or a terminal 5 '-uridine-uridine- 3' (5'-UU-3') dinucleotide, wherein the
5'-uridine is a 2'-modified nucleotide, or a terminal 5'-cytidine-cytidine-3' (5'-CC-3') dinucleotide, wherein the 5'-cytidine is a 2'-modified nucleotide, or a terminal
5'-cytidine-uridine-3' (5'-CU-3') dinucleotide, wherein the 5'-cytidine is a 2'-modified nucleotide, or a terminal 5'-uridine-cytidine-3' (5'-UC-3') dinucleotide, wherein the 5'-uridine is a
2'-modified nucleotide. Double-stranded oligonucleotides including these modifications are particularly stabilized against endonuclease activity.
General References
The oligoribonucleotides and oligoribonucleosides may be synthesized with solid phase synthesis, see for example "Oligonucleotide synthesis, a practical approach", Ed. M. J. Gait, IRL Press, 1984; "Oligonucleotides and Analogues, A Practical Approach", Ed. F. Eckstein, IRL Press, 1991 (especially Chapter 1, Modern machine-aided methods of oligodeoxyribonucleotide synthesis, Chapter 2, Oligoribonucleotide synthesis, Chapter 3, 2'-0— Methyloligoribonucleotide- s: synthesis and applications, Chapter 4, Phosphorothioate oligonucleotides, Chapter 5, Synthesis of oligonucleotide phosphorodithioates, Chapter 6, Synthesis of oligo-2'-deoxyribonucleoside methylphosphonates, and. Chapter 7, Oligodeoxynucleotides containing modified bases. Other particularly useful synthetic procedures, reagents, blocking groups and reaction conditions are described in Martin, P., Helv. Chim. Acta, 1995, 78, 486-504; Beaucage, S. L. and Iyer, R. P., Tetrahedron, 1992, 48, 2223-2311 and Beaucage, S. L. and Iyer, R. P., Tetrahedron, 1993, 49, 6123-6194, or references referred to therein. Modification described in WO 00/44895,
WOO 1/75164, or WO02/44321 can be used herein. The disclosure of all publications, patents, and published patent applications listed herein are hereby incorporated by reference.
Phosphate Group References
The preparation of phosphinate oligoribonucleotides is described in U.S. Pat. No.
5,508,270. The preparation of alkyl phosphonate oligoribonucleotides is described in U.S. Pat. No. 4,469,863. The preparation of phosphoramidite oligoribonucleotides is described in U.S. Pat. No. 5,256,775 or U.S. Pat. No. 5,366,878. The preparation of phosphotriester
oligoribonucleotides is described in U.S. Pat. No. 5,023,243. The preparation of borano phosphate oligoribonucleotide is described in U.S. Pat. Nos. 5,130,302 and 5,177,198. The preparation of 3'-Deoxy-3'-amino phosphoramidate oligoribonucleotides is described in U.S. Pat.
No. 5,476,925. 3'-Deoxy-3'-methylenephosphonate oligoribonucleotides is described in An, H, et al. J. Org. Chem. 2001, 66, 2789-2801. Preparation of sulfur bridged nucleotides is described in Sproat et al. Nucleosides Nucleotides 1988, 7,651 and Crosstick et al. Tetrahedron Lett. 1989, 30, 4693.
Sugar Group References
Modifications to the 2' modifications can be found in Verma, S. et al. Annu. Rev.
Biochem. 1998, 67, 99-134 and all references therein. Specific modifications to the ribose can be found in the following references: 2'-fluoro (Kawasaki et. al., J. Med. Chem., 1993, 36,
831-841), 2'-MOE (Martin, P. Helv. Chim. Acta 1996, 79, 1930-1938), "LNA" (Wengel, J. Acc. Chem. Res. 1999, 52, 301-310).
Replacement of the Phosphate Group References
Methylenemethylimino linked oligoribonucleosides, also identified herein as MMI linked oligoribonucleosides, methylenedimethylhydrazo linked oligoribonucleosides, also identified herein as MDH linked oligoribonucleosides, and methylenecarbonylamino linked
oligonucleosides, also identified herein as amide-3 linked oligoribonucleosides, and
methyleneaminocarbonyl linked oligonucleosides, also identified herein as amide-4 linked oligoribonucleosides as well as mixed backbone compounds having, as for instance, alternating MMI and PO or PS linkages can be prepared as is described in U.S. Pat. Nos. 5,378,825, 5,386,023, 5,489,677 and in published PCT applications PCT/US 92/04294 and
PCT/US92/04305 (published as WO 92/20822 WO and 92/20823, respectively). Formacetal and thioformacetal linked oligoribonucleosides can be prepared as is described in U.S. Pat. Nos. 5,264,562 and 5,264,564. Ethylene oxide linked oligoribonucleosides can be prepared as is described in U.S. Pat. No. 5,223,618. Siloxane replacements are described in CormierJ.F. et al. Nucleic Acids Res. 1988, 16, 4583. Carbonate replacements are described in Tittensor, J.R. /. Chem. Soc. C 1971, 1933. Carboxymethyl replacements are described in Edge, M.D. et al. J. Chem. Soc. Perkin Trans. 1 1972, 1991. Carbamate replacements are described in Stirchak, E.P. Nucleic Acids Res. 1989, 17, 6129.
Replacement of the Phosphate-Ribose Backbone References
Cyclobutyl sugar surrogate compounds can be prepared as is described in U.S. Pat. No. 5,359,044. Pyrrolidine sugar surrogate can be prepared as is described in U.S. Pat. No.
5,519,134. Morpholino sugar surrogates can be prepared as is described in U.S. Pat. Nos.
5,142,047 and 5,235,033, and other related patent disclosures. Peptide Nucleic Acids (PNAs) are known per se and can be prepared in accordance with any of the various procedures referred to in Peptide Nucleic Acids (PNA): Synthesis, Properties and Potential Applications, Bioorganic & Medicinal Chemistry, 1996, 4, 5-23. They may also be prepared in accordance with U.S. Pat. No. 5,539,083.
Terminal Modification References
Terminal modifications are described in Manoharan, M. et al. Antisense and Nucleic Acid Drug Development 12, 103-128 (2002) and references therein.
Nucleobases References
N-2 substitued purine nucleoside amidites can be prepared as is described in U.S. Pat. No. 5,459,255. 3-Deaza purine nucleoside amidites can be prepared as is described in U.S. Pat. No. 5,457,191. 5,6-Substituted pyrimidine nucleoside amidites can be prepared as is described in U.S. Pat. No. 5,614,617. 5-Propynyl pyrimidine nucleoside amidites can be prepared as is described in U.S. Pat. No. 5,484,908.
Linkers
The term "linker" means an organic moiety that connects two parts of a compound.
Linkers typically comprise a direct bond or an atom such as oxygen or sulfur, a unit such as NR1, C(O), C(0)NH, SO, S02, SO2NH or a chain of atoms, such as substituted or unsubstituted alkyl, substituted or unsubstituted alkenyl, substituted or unsubstituted alkynyl, arylalkyl, arylalkenyl, arylalkynyl, heteroarylalkyl, heteroarylalkenyl, heteroarylalkynyl, heterocyclylalkyl,
heterocyclylalkenyl, heterocyclylalkynyl, aryl, heteroaryl, heterocyclyl, cycloalkyl, cycloalkenyl, alkylarylalkyl, alkylarylalkenyl, alkylarylalkynyl, alkenylarylalkyl, alkenylarylalkenyl, alkenylarylalkynyl, alkynylarylalkyl, alkynylarylalkenyl, alkynylarylalkynyl,
alkylheteroarylalkyl, alkylheteroarylalkenyl, alkylheteroarylalkynyl, alkenylheteroarylalkyl, alkenylheteroarylalkenyl, alkenylheteroarylalkynyl, alkynylheteroarylalkyl,
alkynylheteroarylalkenyl, alkynylheteroarylalkynyl, alkylheterocyclylalkyl,
alkylheterocyclylalkenyl, alkylhererocyclylalkynyl, alkenylheterocyclylalkyl,
alkenylheterocyclylalkenyl, alkenylheterocyclylalkynyl, alkynylheterocyclylalkyl,
alkynylheterocyclylalkenyl, alkynylheterocyclylalkynyl, alkylaryl, alkenylaryl, alkynylaryl, alkylheteroaryl, alkenylheteroaryl, alkynylhereroaryl, where one or more methylenes can be interrupted or terminated by O, S, S(O), S02, N(R1)2, C(O), cleavable linking group, substituted or unsubstituted aryl, substituted or unsubstituted heteroaryl, substituted or unsubstituted heterocyclic; where R1 is hydrogen, acyl, aliphatic or substituted aliphatic.
In one embodiment, the linker is -[(P-Q-R)q-X-(P'-Q'-R')q]q-T-, wherein:
P, R, T, P', R' and T are each independently for each occurrence absent, CO, NH, O, S, OC(O), NHC(O), CH2, CH2NH, CH20; NHCH(Ra)C(0), -C(0)-CH(Ra)-NH-, ,
heterocyclyl;
1 2
Q and Q' are each independently for each occurrence absent, -(CH2)n-, -C(R )(R )(CH2)n-, -(CH2)nC(R1)(R2)-, -(CH2CH20)mCH2CH2-, or -(CH2CH20)mCH2CH2NH-;
X is absent or a cleavable linking group;
Ra is H or an amino acid side chain;
R1 and R2 are each independently for each occurrence H, CH3, OH, SH or N(RN)2;
RN is independently for each occurrence H, methyl, ethyl, propyl, isopropyl, butyl or benzyl;
q, q' and q" are each independently for each occurrence 0-20 and wherein the repeating unit can be the same or different;
n is independently for each occurrence 1-20; and
m is independently for each occurrence 0-50.
In one embodiment, the linker comprises at least one cleavable linking group.
In certain embodiments, the linker is a branched linker. The branchpoint of the branched linker may be at least trivalent, but may be a tetravalent, pentavalent or hexavalent atom, or a group presenting such multiple valencies. In certain embodiments, the branchpoint is , -N, -N(Q)-C, -O-C, -S-C, -SS-C, -C(0)N(Q)-C, -OC(0)N(Q)-C, -N(Q)C(0)-C, or -N(Q)C(0)0-C;
wherein Q is independently for each occurrence H or optionally substituted alkyl. In other embodiment, the branchpoint is glycerol or glycerol derivative.
Cleavable Linking Groups
A cleavable linking group is one which is sufficiently stable outside the cell, but which upon entry into a target cell is cleaved to release the two parts the linker is holding together. In a preferred embodiment, the cleavable linking group is cleaved at least 10 times or more, preferably at least 100 times faster in the target cell or under a first reference condition (which can, e.g., be selected to mimic or represent intracellular conditions) than in the blood of a subject, or under a second reference condition (which can, e.g., be selected to mimic or represent conditions found in the blood or serum).
Cleavable linking groups are susceptible to cleavage agents, e.g., pH, redox potential or the presence of degradative molecules. Generally, cleavage agents are more prevalent or found at higher levels or activities inside cells than in serum or blood. Examples of such degradative agents include: redox agents which are selected for particular substrates or which have no substrate specificity, including, e.g., oxidative or reductive enzymes or reductive agents such as mercaptans, present in cells, that can degrade a redox cleavable linking group by reduction; esterases; endosomes or agents that can create an acidic environment, e.g., those that result in a pH of five or lower; enzymes that can hydrolyze or degrade an acid cleavable linking group by acting as a general acid, peptidases (which can be substrate specific), and phosphatases.
A cleavable linkage group, such as a disulfide bond can be susceptible to pH. The pH of human serum is 7.4, while the average intracellular pH is slightly lower, ranging from about 7.1-7.3. Endosomes have a more acidic pH, in the range of 5.5-6.0, and lysosomes have an even more acidic pH at around 5.0. Some linkers will have a cleavable linking group that is cleaved at a preferred pH, thereby releasing the cationic lipid from the ligand inside the cell, or into the desired compartment of the cell.
A linker can include a cleavable linking group that is cleavable by a particular enzyme. The type of cleavable linking group incorporated into a linker can depend on the cell to be targeted. For example, liver targeting ligands can be linked to the cationic lipids through a linker that includes an ester group. Liver cells are rich in esterases, and therefore the linker will be
cleaved more efficiently in liver cells than in cell types that are not esterase-rich. Other cell-types rich in esterases include cells of the lung, renal cortex, and testis.
Linkers that contain peptide bonds can be used when targeting cell types rich in peptidases, such as liver cells and synoviocytes.
In general, the suitability of a candidate cleavable linking group can be evaluated by testing the ability of a degradative agent (or condition) to cleave the candidate linking group. It will also be desirable to also test the candidate cleavable linking group for the ability to resist cleavage in the blood or when in contact with other non-target tissue. Thus one can determine the relative susceptibility to cleavage between a first and a second condition, where the first is selected to be indicative of cleavage in a target cell and the second is selected to be indicative of cleavage in other tissues or biological fluids, e.g., blood or serum. The evaluations can be carried out in cell free systems, in cells, in cell culture, in organ or tissue culture, or in whole animals. It may be useful to make initial evaluations in cell-free or culture conditions and to confirm by further evaluations in whole animals. In preferred embodiments, useful candidate compounds are cleaved at least 2, 4, 10 or 100 times faster in the cell (or under in vitro conditions selected to mimic intracellular conditions) as compared to blood or serum (or under in vitro conditions selected to mimic extracellular conditions).
Redox cleavable linking groups
One class of cleavable linking groups are redox cleavable linking groups that are cleaved upon reduction or oxidation. An example of reductively cleavable linking group is a disulphide linking group (-S-S-). To determine if a candidate cleavable linking group is a suitable
"reductively cleavable linking group," or for example is suitable for use with a particular iRNA moiety and particular targeting agent one can look to methods described herein. For example, a candidate can be evaluated by incubation with dithiothreitol (DTT), or other reducing agent using reagents know in the art, which mimic the rate of cleavage which would be observed in a cell, e.g., a target cell. The candidates can also be evaluated under conditions which are selected to mimic blood or serum conditions. In a preferred embodiment, candidate compounds are cleaved by at most 10% in the blood. In preferred embodiments, useful candidate compounds are degraded at least 2, 4, 10 or 100 times faster in the cell (or under in vitro conditions selected to mimic intracellular conditions) as compared to blood (or under in vitro conditions selected to
mimic extracellular conditions). The rate of cleavage of candidate compounds can be determined using standard enzyme kinetics assays under conditions chosen to mimic intracellular media and compared to conditions chosen to mimic extracellular media.
Phosphate-based cleavable linking groups
Phosphate-based cleavable linking groups are cleaved by agents that degrade or hydrolyze the phosphate group. An example of an agent that cleaves phosphate groups in cells are enzymes such as phosphatases in cells. Examples of phosphate-based linking groups are -0-P(0)(ORk)-0-, -0-P(S)(ORk)-0-, -0-P(S)(SRk)-0-, -S-P(0)(ORk)-0-, -0-P(0)(ORk)-S-, -S-P(0)(ORk)-S-, -0-P(S)(ORk)-S-, -S-P(S)(ORk)-0-, -0-P(0)(Rk)-0-, -0-P(S)(Rk)-0-, -S-P(0)(Rk)-0-, -S-P(S)(Rk)-0-, -S-P(0)(Rk)-S-, -0-P(S)( Rk)-S-. Preferred embodiments are -0-P(0)(OH)-0-, -0-P(S)(OH)-0-, -0-P(S)(SH)-0-, -S-P(0)(OH)-0-, -0-P(0)(OH)-S-, -S-P(0)(OH)-S-, -0-P(S)(OH)-S-, -S-P(S)(OH)-0-, -0-Ρ(0)(Η)-0-, -0-P(S)(H)-0-,
-S-P(0)(H)-0-, -S-P(S)(H)-0-, -S-P(0)(H)-S-, -0-P(S)(H)-S-. A preferred embodiment is -0-P(0)(OH)-0-. These candidates can be evaluated using methods analogous to those described above.
Acid cleavable linking groups
Acid cleavable linking groups are linking groups that are cleaved under acidic conditions. In preferred embodiments acid cleavable linking groups are cleaved in an acidic environment with a pH of about 6.5 or lower (e.g., about 6.0, 5.5, 5.0, or lower), or by agents such as enzymes that can act as a general acid. In a cell, specific low pH organelles, such as endosomes and lysosomes can provide a cleaving environment for acid cleavable linking groups. Examples of acid cleavable linking groups include but are not limited to hydrazones, esters, and esters of amino acids. Acid cleavable groups can have the general formula -C=NN-> C(0)0, or -OC(O). A preferred embodiment is when the carbon attached to the oxygen of the ester (the alkoxy group) is an aryl group, substituted alkyl group, or tertiary alkyl group such as dimethyl pentyl or t-butyl. These candidates can be evaluated using methods analogous to those described above.
Ester-based linking groups
Ester-based cleavable linking groups are cleaved by enzymes such as esterases and amidases in cells. Examples of ester-based cleavable linking groups include but are not limited to esters of alkylene, alkenylene and alkynylene groups. Ester cleavable linking groups have the general formula -C(0)0-, or -OC(O)-. These candidates can be evaluated using methods analogous to those described above.
Peptide-based cleaving groups
Peptide-based cleavable linking groups are cleaved by enzymes such as peptidases and proteases in cells. Peptide-based cleavable linking groups are peptide bonds formed between amino acids to yield oligopeptides (e.g., dipeptides, tripeptides etc.) and polypeptides.
Peptide-based cleavable groups do not include the amide group (-C(O)NH-). The amide group can be formed between any alkylene, alkenylene or alkynelene. A peptide bond is a special type of amide bond formed between amino acids to yield peptides and proteins. The peptide based cleavage group is generally limited to the peptide bond (i.e., the amide bond) formed between amino acids yielding peptides and proteins and does not include the entire amide functional group. Peptide-based cleavable linking groups have the general formula
-NHCHRAC(0)NHCHRBC(0)-, where RA and RB are the R groups of the two adjacent amino acids. These candidates can be evaluated using methods analogous to those described above.
Ligands
A wide variety of entities can be coupled to the oligonucleotides and lipids. Preferred moieties are ligands, which are coupled, preferably covalently, either directly or indirectly via an intervening tether.
In preferred embodiments, a ligand alters the distribution, targeting or lifetime of the molecule into which it is incorporated. In preferred embodiments a ligand provides an enhanced affinity for a selected target, e.g. , molecule, cell or cell type, compartment, e.g. , a cellular or organ compartment, tissue, organ or region of the body, as, e.g., compared to a species absent such a ligand. Ligands providing enhanced affinity for a selected target are also termed targeting ligands. Preferred ligands for conjugation to the lipids are targeting ligands.
Some ligands can have endosomolytic properties. The endosomolytic ligands promote the lysis of the endosome and/or transport of the composition, or its components, from the
endosome to the cytoplasm of the cell. The endosomolytic ligand may be a polyanionic peptide or peptidomimetic which shows pH-dependent membrane activity and fusogenicity. In certain embodiments, the endosomolytic ligand assumes its active conformation at endosomal pH. The "active" conformation is that conformation in which the endosomolytic ligand promotes lysis of the endosome and/or transport of the composition, or its components, from the endosome to the cytoplasm of the cell. Exemplary endosomolytic ligands include the GALA peptide (Subbarao et al., Biochemistry, 1987, 26: 2964-2972), the EALA peptide (Vogel et al., J. Am. Chem. Soc, 1996, 118: 1581-1586), and their derivatives (Turk et al., Biochem. Biophys. Acta, 2002, 1559: 56-68). In certain embodiments, the endosomolytic component may contain a chemical group (e.g., an amino acid) which will undergo a change in charge or protonation in response to a change in pH. The endosomolytic component may be linear or branched. Exemplary primary sequences of peptide based endosomolytic ligands are shown in Table 7.
Table 7: List of peptides with endosomolytic activity.
Name Sequence (N to C) Ref.
GALA AALEALAEALEALAEALEALAEAAAAGGC 1
EALA AALAEALAEALAEALAEALAEALAAAAGGC 2
ALEALAEALEALAEA 3
INF-7 GLFEAIEGFIENGWEGMIWDYG 4
Inf HA-2 GLFGAIAGFIENGWEGMIDGWYG 5
diINF-7 GLF EAI EGFI ENGW EGMI DGWYGC 5
GLF EAI EGFI ENGW EGMI DGWYGC
diINF3 GLF EAI EGFI ENGW EGMI DGGC 6
GLF EAI EGFI ENGW EGMI DGGC
GLF GLFGALAEALAEALAEHLAEALAEALEALA 6
AGGSC
GALA-INF3 GLFEAIEGFIENGWEGLAEALAEALEALAAG 6
GSC
INF-5 GLF EAI EGFI ENGW EGnl DG K 4
GLF EAI EGFI ENGW EGnl DG
n, norleucine
References
1. Subbarao et al., Biochemistry, 1987, 26: 2964-2972.
2. Vogel et al., J. Am. Chem. Soc, 1996, 118: 1581-1586
3. Turk, M. J., Reddy, J. A. et al. (2002). Characterization of a novel
pH-sensitive peptide that enhances drug release from folate-targeted liposomes at endosomal pHs. Biochim. Biophys. Acta 1559, 56-68.
4. Plank, C. Oberhauser, B. Mechtler, K. Koch, C. Wagner, E. (1994). The influence of endosome-disruptive peptides on gene transfer using synthetic
virus-like gene transfer systems, J. Biol. Chem. 269 12918-12924.
5. Mastrobattista, E., Koning, G. A. et al. (2002). Functional characterization of an endosome-disruptive peptide and its application in cytosolic delivery of
immunoliposome-entrapped proteins. /. Biol. Chem. 277, 27135-43.
6. Oberhauser, B., Plank, C. et al. (1995). Enhancing endosomal exit of
nucleic acids using pH-sensitive viral fusion peptides. Deliv. Strategies Antisense Oligonucleotide Ther. 247-66.
Preferred ligands can improve transport, hybridization, and specificity properties and may also improve nuclease resistance of the resultant natural or modified oligoribonucleotide, or a polymeric molecule comprising any combination of monomers described herein and/or natural or modified ribonucleotides.
Ligands in general can include therapeutic modifiers, e.g., for enhancing uptake;
diagnostic compounds or reporter groups e.g., for monitoring distribution; cross-linking agents; and nuclease-resistance conferring moieties. General examples include lipids, steroids, vitamins, sugars, proteins, peptides, polyamines, and peptide mimics.
Ligands can include a naturally occurring substance, such as a protein (e.g., human serum albumin (HSA), low-density lipoprotein (LDL), high-density lipoprotein (HDL), or globulin); an carbohydrate (e.g., a dextran, pullulan, chitin, chitosan, inulin, cyclodextrin or hyaluronic acid); or a lipid. The ligand may also be a recombinant or synthetic molecule, such as a synthetic polymer, e.g., a synthetic polyamino acid, an oligonucleotide (e.g. an aptamer). Examples of polyamino acids include polyamino acid is a polylysine (PLL), poly L-aspartic acid, poly L-glutamic acid, styrene-maleic acid anhydride copolymer, poly(L-lactide-co-glycolied) copolymer, di vinyl ether- maleic anhydride copolymer, N-(2-hydroxypropyl)methacrylamide copolymer (HMPA), polyethylene glycol (PEG), polyvinyl alcohol (PVA), polyurethane, poly(2-ethylacryllic acid), N-isopropylacrylamide polymers, or polyphosphazine. Example of polyamines include: polyethylenimine, polylysine (PLL), spermine, spermidine, polyamine, pseudopeptide-polyamine, peptidomimetic polyamine, dendrimer polyamine, arginine, amidine, protamine, cationic lipid, cationic porphyrin, quaternary salt of a polyamine, or an alpha helical peptide.
Ligands can also include targeting groups, e.g., a cell or tissue targeting agent, e.g., a lectin, glycoprotein, lipid or protein, e.g., an antibody, that binds to a specified cell type such as a kidney cell. A targeting group can be a thyrotropin, melanotropin, lectin, glycoprotein, surfactant protein A, Mucin carbohydrate, multivalent lactose, multivalent galactose,
N-acetyl-galactosamine, N-acetyl-gulucosamine multivalent mannose, multivalent fucose, glycosylated polyaminoacids, multivalent galactose, transferrin, bisphosphonate, polyglutamate, polyaspartate, a lipid, cholesterol, a steroid, bile acid, folate, vitamin B12, biotin, an RGD peptide, an RGD peptide mimetic or an aptamer. Table 8 shows some examples of targeting ligands and their associated receptors.
Table 8: Targeting Ligands and their associated receptors
Liver cells Ligand Receptor
Parenchymal Cell (PC) Galactose ASGP-R
hepatocytes (Asiologlycoprotein receptor)
Gal NAc (N-acetyl ASPG-R
galactosamine) Gal NAc Receptor
Lactose
Asialofetuin ASPG-r
Sinusoidal Endothelial Cell Hyaluronan Hyaluronan receptor
(SEC)
Procollagen Procollagen receptor
Negatively charged molecules Scavenger receptors
Mannose Mannose receptors
N-acetyl Glucosamine Scavenger receptors
Immunoglobulins Fc Receptor
LPS CD 14 Receptor
Insulin Receptor mediated
transcytosis
Transferrin Receptor mediated
transcytosis
Albumins Non-specific
Mannose-6-phosphate Mannose-6-phosphate
receptor
Kupffer Cell (KC) Mannose Mannose receptors
Fucose Fucose receptors
Albumins Non-specific
Mannose-albumin conjugates
Other examples of ligands include dyes, intercalating agents (e.g. acridines), cross-linkers (e.g. psoralene, mitomycin C), porphyrins (TPPC4, texaphyrin, Sapphyrin), polycyclic aromatic hydrocarbons (e.g., phenazine, dihydrophenazine), artificial endonucleases (e.g. EDTA), lipophilic molecules, e.g, cholesterol, cholic acid, adamantane acetic acid, 1-pyrene butyric acid, dihydrotestosterone, l,3-Bis-0(hexadecyl)glycerol, geranyloxyhexyl group, hexadecylglycerol, borneol, menthol, 1,3-propanediol, heptadecyl group, palmitic acid, myristic
acid,03-(oleoyl)lithocholic acid, 03-(oleoyl)cholenic acid, dimethoxytrityl, or phenoxazine)and peptide conjugates (e.g., antennapedia peptide, Tat peptide), alkylating agents, phosphate, amino, mercapto, PEG (e.g., PEG-40K), MPEG, [MPEG]2, polyamino, alkyl, substituted alkyl, radiolabeled markers, enzymes, haptens (e.g. biotin), transport/absorption facilitators (e.g., aspirin, vitamin E, folic acid), synthetic ribonucleases (e.g., imidazole, bisimidazole, histamine, imidazole clusters, acridine-imidazole conjugates, Eu3+ complexes of tetraazamacrocycles), dinitrophenyl, HRP, or AP.
Ligands can be proteins, e.g., glycoproteins, or peptides, e.g., molecules having a specific affinity for a co-ligand, or antibodies e.g., an antibody, that binds to a specified cell type such as a cancer cell, endothelial cell, or bone cell. Ligands may also include hormones and hormone receptors. They can also include non-peptidic species, such as lipids, lectins, carbohydrates, vitamins, cofactors, multivalent lactose, multivalent galactose, N-acetyl-galactosamine,
N-acetyl-gulucosamine multivalent mannose, multivalent fucose, or aptamers. The ligand can be, for example, a lipopolysaccharide, an activator of p38 MAP kinase, or an activator of NF-KB.
The ligand can be a substance, e.g, a drug, which can increase the uptake of the iRNA agent into the cell, for example, by disrupting the cell's cytoskeleton, e.g., by disrupting the cell's microtubules, microfilaments, and/or intermediate filaments. The drug can be, for example, taxon, vincristine, vinblastine, cytochalasin, nocodazole, japlakinolide, latrunculin A, phalloidin, swinholide A, indanocine, or myoservin.
The ligand can increase the uptake of the iRNA agent into the cell by activating an inflammatory response, for example. Exemplary ligands that would have such an effect include tumor necrosis factor alpha (TNFalpha), interleukin-1 beta, or gamma interferon.
In one aspect, the ligand is a lipid or lipid-based molecule. Such a lipid or lipid-based molecule preferably binds a serum protein, e.g., human serum albumin (HSA). An HSA binding ligand allows for distribution of the conjugate to a target tissue, e.g., a non-kidney target tissue of
the body. For example, the target tissue can be the liver, including parenchymal cells of the liver. Other molecules that can bind HSA can also be used as ligands. For example, neproxin or aspirin can be used. A lipid or lipid-based ligand can (a) increase resistance to degradation of the conjugate, (b) increase targeting or transport into a target cell or cell membrane, and/or (c) can be used to adjust binding to a serum protein, e.g., HSA.
A lipid based ligand can be used to modulate, e.g., control the binding of the conjugate to a target tissue. For example, a lipid or lipid-based ligand that binds to HSA more strongly will be less likely to be targeted to the kidney and therefore less likely to be cleared from the body. A lipid or lipid-based ligand that binds to HSA less strongly can be used to target the conjugate to the kidney.
In a preferred embodiment, the lipid based ligand binds HSA. Preferably, it binds HSA with a sufficient affinity such that the conjugate will be preferably distributed to a non-kidney tissue. However, it is preferred that the affinity not be so strong that the HSA-ligand binding cannot be reversed.
In another preferred embodiment, the lipid based ligand binds HSA weakly or not at all, such that the conjugate will be preferably distributed to the kidney. Other moieties that target to kidney cells can also be used in place of or in addition to the lipid based ligand.
In another aspect, the ligand is a moiety, e.g., a vitamin, which is taken up by a target cell, e.g., a proliferating cell. These are particularly useful for treating disorders characterized by unwanted cell proliferation, e.g., of the malignant or non-malignant type, e.g., cancer cells. Exemplary vitamins include vitamin A, E, and K. Other exemplary vitamins include are B vitamin, e.g., folic acid, B12, riboflavin, biotin, pyridoxal or other vitamins or nutrients taken up by cancer cells. Also included are HAS, low density lipoprotein (LDL) and high-density lipoprotein (HDL).
In another aspect, the ligand is a cell-permeation agent, preferably a helical
cell-permeation agent. Preferably, the agent is amphipathic. An exemplary agent is a peptide such as tat or antennopedia. If the agent is a peptide, it can be modified, including a
peptidylmimetic, invertomers, non-peptide or pseudo-peptide linkages, and use of D-amino acids. The helical agent is preferably an alpha-helical agent, which preferably has a lipophilic and a lipophobic phase.
The ligand can be a peptide or peptidomimetic. A peptidomimetic (also referred to
herein as an oligopeptidomimetic) is a molecule capable of folding into a defined three-dimensional structure similar to a natural peptide. The peptide or peptidomimetic moiety can be about 5-50 amino acids long, e.g., about 5, 10, 15, 20, 25, 30, 35, 40, 45, or 50 amino acids long (see Table 9, for example).
Table 9. Exemplary Cell Permeation Peptides.
A peptide or peptidomimetic can be, for example, a cell permeation peptide, cationic peptide, amphipathic peptide, or hydrophobic peptide (e.g., consisting primarily of Tyr, Trp or Phe). The peptide moiety can be a dendrimer peptide, constrained peptide or crosslinked
peptide. In another alternative, the peptide moiety can include a hydrophobic membrane translocation sequence (MTS). An exemplary hydrophobic MTS -containing peptide is RFGF having the amino acid sequence AAVALLPAVLLALLAP. An RFGF analogue (e.g., amino acid sequence AALLPVLLAAP) containing a hydrophobic MTS can also be a targeting moiety. The peptide moiety can be a "delivery" peptide, which can carry large polar molecules including peptides, oligonucleotides, and protein across cell membranes. For example, sequences from the HIV Tat protein (GRKKRRQRRRPPQ) and the Drosophila Antennapedia protein
(RQIKIWFQNRRMKWKK) have been found to be capable of functioning as delivery peptides. A peptide or peptidomimetic can be encoded by a random sequence of DNA, such as a peptide identified from a phage-display library, or one-bead-one-compound (OBOC) combinatorial library (Lam et al., Nature, 354:82-84, 1991). Preferably the peptide or peptidomimetic tethered to an iRNA agent via an incorporated monomer unit is a cell targeting peptide such as an arginine-glycine-aspartic acid (RGD)-peptide, or RGD mimic. A peptide moiety can range in length from about 5 amino acids to about 40 amino acids. The peptide moieties can have a structural modification, such as to increase stability or direct conformational properties. Any of the structural modifications described below can be utilized.
An RGD peptide moiety can be used to target a tumor cell, such as an endothelial tumor cell or a breast cancer tumor cell (Zitzmann et al., Cancer Res., 62:5139-43, 2002). An RGD peptide can facilitate targeting of an iRNA agent to tumors of a variety of other tissues, including the lung, kidney, spleen, or liver (Aoki et al., Cancer Gene Therapy 8:783-787, 2001).
Preferably, the RGD peptide will facilitate targeting of an iRNA agent to the kidney. The RGD peptide can be linear or cyclic, and can be modified, e.g., glycosylated or methylated to facilitate targeting to specific tissues. For example, a glycosylated RGD peptide can deliver an iRNA agent to a tumor cell expressing civB3 (Haubner et al., Jour. Nucl. Med., 42:326-336, 2001).
Peptides that target markers enriched in proliferating cells can be used. E.g., RGD containing peptides and peptidomimetics can target cancer cells, in particular cells that exhibit an ανβ3 integrin. Thus, one could use RGD peptides, cyclic peptides containing RGD, RGD peptides that include D-amino acids, as well as synthetic RGD mimics. In addition to RGD, one can use other moieties that target the ανβ3 integrin ligand. Generally, such ligands can be used to control proliferating cells and angiogeneis. Preferred conjugates of this type lignads that targets PECAM-1, VEGF, or other cancer gene, e.g., a cancer gene described herein.
A "cell permeation peptide" is capable of permeating a cell, e.g., a microbial cell, such as a bacterial or fungal cell, or a mammalian cell, such as a human cell. A microbial
cell-permeating peptide can be, for example, an a-helical linear peptide (e.g., LL-37 or Ceropin PI), a disulfide bond-containing peptide (e.g., a -defensin, β-defensin or bactenecin), or a peptide containing only one or two dominating amino acids (e.g., PR-39 or indolicidin). A cell permeation peptide can also include a nuclear localization signal (NLS). For example, a cell permeation peptide can be a bipartite amphipathic peptide, such as MPG, which is derived from the fusion peptide domain of HIV-1 gp41 and the NLS of SV40 large T antigen (Simeoni et al., Nucl. Acids Res. 31 :2717-2724, 2003).
In one embodiment, a targeting peptide tethered to an iRNA agent and/or the carrier oligomer can be an amphipathic a-helical peptide. Exemplary amphipathic a-helical peptides include, but are not limited to, cecropins, lycotoxins, paradaxins, buforin, CPF, bombinin-like peptide (BLP), cathelicidins, ceratotoxins, S. clava peptides, hagfish intestinal antimicrobial peptides (HFIAPs), magainines, brevinins-2, dermaseptins, melittins, pleurocidin, H2A peptides, Xenopus peptides, esculentinis- 1, and caerins. A number of factors will preferably be considered to maintain the integrity of helix stability. For example, a maximum number of helix
stabilization residues will be utilized (e.g., leu, ala, or lys), and a minimum number helix destabilization residues will be utilized (e.g., proline, or cyclic monomeric units. The capping residue will be considered (for example Gly is an exemplary N-capping residue and/or
C-terminal amidation can be used to provide an extra H-bond to stabilize the helix. Formation of salt bridges between residues with opposite charges, separated by i + 3, or i + 4 positions can provide stability. For example, cationic residues such as lysine, arginine, homo-arginine, ornithine or histidine can form salt bridges with the anionic residues glutamate or aspartate.
Peptide and peptidomimetic ligands include those having naturally occurring or modified peptides, e.g., D or L peptides; α, β, or γ peptides; N-methyl peptides; azapeptides; peptides having one or more amide, i.e., peptide, linkages replaced with one or more urea, thiourea, carbamate, or sulfonyl urea linkages; or cyclic peptides.
The targeting ligand can be any ligand that is capable of targeting a specific receptor. Examples are: folate, GalNAc, galactose, mannose, mannose-6P, clusters of sugars such as GalNAc cluster, mannose cluster, galactose cluster, or an apatamer. A cluster is a combination of two or more sugar units. The targeting ligands also include integrin receptor ligands,
Chemokine receptor ligands, transferrin, biotin, serotonin receptor ligands, PSMA, endothelin, GCPII, somatostatin, LDL and HDL ligands. The ligands can also be based on nucleic acid, e.g., an aptamer. The aptamer can be unmodified or have any combination of modifications disclosed herein.
Endosomal release agents include imidazoles, poly or oligoimidazoles, PEIs, peptides, fusogenic peptides, polycaboxylates, polyacations, masked oligo or poly cations or anions, acetals, polyacetals, ketals/polyketyals, orthoesters, polymers with masked or unmasked cationic or anionic charges, dendrimers with masked or unmasked cationic or anionic charges.
PK modulator stands for pharmacokinetic modulator. PK modulator include lipophiles, bile acids, steroids, phospholipid analogues, peptides, protein binding agents, PEG, vitamins etc. Examplary PK modulator include, but are not limited to, cholesterol, fatty acids, cholic acid, lithocholic acid, dialkylglycerides, diacylglyceride, phospholipids, sphingolipids, naproxen, ibuprofen, vitamin E, biotin etc. Oligonucleotides that comprise a number of phosphorothioate linkages are also known to bind to serum protein, thus short oligonucleotides, e.g.
oligonucleotides of about 5 bases, 10 bases, 15 bases or 20 bases, comprising multiple of phosphorothioate linkages in the backbaone are also amenable as ligands (e.g. as PK modulating ligands).
In addition, aptamers that bind serum components (e.g. serum proteins) are also amenable as PK modulating ligands.
Other amenable ligands are described in U.S. Patent Application Nos. 2005/0107325, 2005/0164235, and 2008-0255345, and U.S. Patent Nos. 7,021,394, and 7,626,014, which are incorporated by reference in their entireties for all purposes.
When two or more ligands are present, the ligands can all have same properties, all have different properties or some ligands have the same properties while others have different properties. For example, a ligand can have targeting properties, have endosomolytic activity or have PK modulating properties. In a preferred embodiment, all the ligands have different properties.
Ligands can be coupled to the oligonucleotides various places, for example, 3'-end, 5'-end, and/or at an internal position. In preferred embodiments, the ligand is attached to the oligonucleotides via an intervening tether. The ligand or tethered ligand may be present on a monomer when said monomer is incorporated into the growing strand. In some embodiments,
the ligand may be incorporated via coupling to a "precursor" monomer after said "precursor" monomer has been incorporated into the growing strand. For example, a monomer having, e.g., an amino-terminated tether (i.e., having no associated ligand), e.g., TAP-(CH2)nNH2 may be incorporated into a growing sense or antisense strand. In a subsequent operation, i.e., after incorporation of the precursor monomer into the strand, a ligand having an electrophilic group, e.g., a pentafluorophenyl ester or aldehyde group, can subsequently be attached to the precursor monomer by coupling the electrophilic group of the ligand with the terminal nucleophilic group of the precursor monomer's tether.
For double- stranded oligonucleotides, ligands can be attached to one or both strands. In some embodiments, a double- stranded iRNA agent contains a ligand conjugated to the sense strand. In other embodiments, a double- stranded iRNA agent contains a ligand conjugated to the antisense strand.
In some embodiments, lignad can be conjugated to nucleobases, sugar moieties, or internucleosidic linkages of nucleic acid molecules. Conjugation to purine nucleobases or derivatives thereof can occur at any position including, endocyclic and exocyclic atoms. In some embodiments, the 2-, 6-, 7-, or 8-positions of a purine nucleobase are attached to a conjugate moiety. Conjugation to pyrimidine nucleobases or derivatives thereof can also occur at any position. In some embodiments, the 2-, 5-, and 6-positions of a pyrimidine nucleobase can be substituted with a conjugate moiety. Conjugation to sugar moieties of nucleosides can occur at any carbon atom. Example carbon atoms of a sugar moiety that can be attached to a conjugate moiety include the 2', 3', and 5' carbon atoms. The Γ position can also be attached to a conjugate moiety, such as in an abasic residue. Internucleosidic linkages can also bear conjugate moieties. For phosphorus-containing linkages (e.g., phosphodiester, phosphorothioate,
phosphorodithiotate, phosphoroamidate, and the like), the conjugate moiety can be attached directly to the phosphorus atom or to an O, N, or S atom bound to the phosphorus atom. For amine- or amide-containing internucleosidic linkages (e.g., PNA), the conjugate moiety can be attached to the nitrogen atom of the amine or amide or to an adjacent carbon atom.
There are numerous methods for preparing conjugates of oligomeric compounds. In general, an oligomeric compound is attached to a conjugate moiety by contacting a reactive group (e.g., OH, SH, amine, carboxyl, aldehyde, and the like) on the oligomeric compound with a reactive group on the conjugate moiety. In some embodiments, one reactive group is
electrophilic and the other is nucleophilic.
For example, an electrophilic group can be a carbonyl-containing functionality and a nucleophilic group can be an amine or thiol. Methods for conjugation of nucleic acids and related oligomeric compounds with and without linking groups are well described in the literature such as, for example, in Manoharan in Antisense Research and Applications, Crooke and LeBleu, eds., CRC Press, Boca Raton, Fla., 1993, Chapter 17, which is incorporated herein by reference in its entirety.
Representative United States patents that teach the preparation of oligonucleotide conjugates include, but are not limited to, U.S. Pat. Nos. 4,828,979; 4,948,882; 5,218, 105;
5,525,465; 5,541,313; 5,545,730; 5,552,538; 5,578, 717, 5,580,731; 5,580,731; 5,591,584;
5,109,124; 5,118, 802; 5,138,045; 5,414,077; 5,486,603; 5,512,439; 5,578, 718; 5,608,046;
4,587,044; 4,605,735; 4,667,025; 4,762, 779; 4,789,737; 4,824,941; 4,835,263; 4,876,335; 4,904, 582; 4,958,013; 5,082,830; 5,112,963; 5,214,136; 5,082, 830; 5,112,963; 5,149,782; 5,214,136; 5,245,022; 5,254, 469; 5,258,506; 5,262,536; 5,272,250; 5,292,873; 5,317, 098; 5,371,241, 5,391,723; 5,416,203, 5,451,463; 5,510, 475; 5,512,667; 5,514,785; 5,565,552; 5,567,810; 5,574, 142; 5,585,481; 5,587,371; 5,595,726; 5,597,696; 5,599, 923; 5,599,928; 5,672,662; 5,688,941; 5,714,166; 6,153, 737; 6,172,208; 6,300,319; 6,335,434; 6,335,437; 6,395, 437; 6,444,806;
6,486,308; 6,525,031; 6,528,631; and 6,559, 279; each of which is herein incorporated by reference.
Characteristics of Nucleic Acid-Lipid Particles
Methods and compositions for producing lipid-encapsulated nucleic acid particles in which nucleic acids are encapsulated within a lipid layer are provided. Such nucleic acid-lipid particles, incorporating siRNA oligonucleotides, are characterized using a variety of biophysical parameters including: (1) drug to lipid ratio; (2) encapsulation efficiency; and (3) particle size. High drug to lipid rations, high encapsulation efficiency, good nuclease resistance and serum stability and controllable particle size, generally less than 200 nm in diameter are desirable. In addition, the nature of the nucleic acid polymer is of significance, since the modification of nucleic acids in an effort to impart nuclease resistance adds to the cost of therapeutics while in many cases providing only limited resistance. Unless stated otherwise, these criteria are calculated in this specification as follows:
Nucleic acid to lipid ratio is the amount of nucleic acid in a defined volume of preparation divided by the amount of lipid in the same volume. This may be on a mole per mole basis or on a weight per weight basis, or on a weight per mole basis. For final,
administration-ready formulations, the nucleic acid:lipid ratio is calculated after dialysis, chromatography and/or enzyme (e.g. , nuclease) digestion has been employed to remove as much of the external nucleic acid as possible.
Encapsulation efficiency refers to the drug to lipid ratio of the starting mixture divided by the drug to lipid ratio of the final, administration competent formulation. This is a measure of relative efficiency. For a measure of absolute efficiency, the total amount of nucleic acid added to the starting mixture that ends up in the administration competent formulation, can also be calculated. The amount of lipid lost during the formulation process may also be calculated. Efficiency is a measure of the wastage and expense of the formulation; and
Size indicates the size (diameter) of the particles formed. Size distribution may be determined using quasi-elastic light scattering (QELS) on a Nicomp Model 370 sub-micron particle sizer. Particles under 200 nm are preferred for distribution to neo-vascularized (leaky) tissues, such as neoplasms and sites of inflammation.
Pharmaceutical Compositions
The lipid particles, particularly when associated with a therapeutic agent, may beformulated as a pharmaceutical composition, e.g., which further comprises a pharmaceutically acceptable diluent, excipient, or carrier, such as physiological saline or phosphate buffer, selected in accordance with the route of administration and standard pharmaceutical practice.
In particular embodiments, pharmaceutical compositions comprising the lipid-nucleic acid particles are prepared according to standard techniques and further comprise a
pharmaceutically acceptable carrier. Generally, normal saline will be employed as the pharmaceutically acceptable carrier. Other suitable carriers include, e.g. , water, buffered water, 0.9% saline, 0.3% glycine, and the like, including glycoproteins for enhanced stability, such as albumin, lipoprotein, globulin, etc. In compositions comprising saline or other salt containing carriers, the carrier is preferably added following lipid particle formation. Thus, after the lipid-nucleic acid compositions are formed, the compositions can be diluted into
pharmaceutically acceptable carriers such as normal saline.
The resulting pharmaceutical preparations may be sterilized by conventional, well known sterilization techniques. The aqueous solutions can then be packaged for use or filtered under aseptic conditions and lyophilized, the lyophilized preparation being combined with a sterile aqueous solution prior to administration. The compositions may contain pharmaceutically acceptable auxiliary substances as required to approximate physiological conditions, such as pH adjusting and buffering agents, tonicity adjusting agents and the like, for example, sodium acetate, sodium lactate, sodium chloride, potassium chloride, calcium chloride, etc.
Additionally, the lipidic suspension may include lipid-protective agents which protect lipids against free-radical and lipid-peroxidative damages on storage. Lipophilic free -radical quenchers, such as a-tocopherol and water-soluble iron-specific chelators, such as ferrioxamine, are suitable.
The concentration of lipid particle or lipid-nucleic acid particle in the pharmaceutical formulations can vary widely, i.e., from less than about 0.01%, usually at or at least about 0.05-5% to as much as 10 to 30% by weight and will be selected primarily by fluid volumes, viscosities, etc., in accordance with the particular mode of administration selected. For example, the concentration may be increased to lower the fluid load associated with treatment. This may be particularly desirable in patients having atherosclerosis-associated congestive heart failure or severe hypertension. Alternatively, complexes composed of irritating lipids may be diluted to low concentrations to lessen inflammation at the site of administration. In one group of embodiments, the nucleic acid will have an attached label and will be used for diagnosis (by indicating the presence of complementary nucleic acid). In this instance, the amount of complexes administered will depend upon the particular label used, the disease state being diagnosed and the judgement of the clinician but will generally be between about 0.01 and about 50 mg per kilogram of body weight, preferably between about 0.1 and about 5 mg/kg of body weight.
As noted above, the lipid-therapeutic agent {e.g., nucleic acid) particles may include polyethylene glycol (PEG) -modified phospholipids, PEG-ceramide, or ganglioside GMi-modified lipids or other lipids effective to prevent or limit aggregation. Addition of such components does not merely prevent complex aggregation. Rather, it may also provide a means for increasing circulation lifetime and increasing the delivery of the lipid-nucleic acid composition to the target tissues.
Lipid-therapeutic agent compositions can also be provided in kit form. The kit will typically be comprised of a container that is compartmentalized for holding the various elements of the kit. The kit will contain the particles or pharmaceutical compositions, preferably in dehydrated or concentrated form, with instructions for their rehydration or dilution and administration. In certain embodiments, the particles comprise the active agent, while in other embodiments, they do not.
Methods of Manufacture
The methods and compositions described make use of certain cationic lipids, the synthesis, preparation and characterization of which is described in, for example, in application nos. PCT/US09/63933, PCT/US09/63927, PCT/US09/63931, and PCT/US09/63897, each filed November 10, 2009, and applications referred to therein, including nos. 61/104,219, filed October 9, 2008; no. 61/113,179, filed November 10, 2008; no. 61/154,350, filed February 20, 2009; no. 61/171,439, filed April 21, 2009; no. 61/175,770, filed May 5, 2009; no. 61/185,438, filed June 9, 2009; no. 61/225,898, filed July 15, 2009; no. 61/234,098, filed August 14, 2009; and 61/287,995, filed December 18, 2009; WO 2009/086558; and WO 2008/042973. Each of these documents is incorporated by reference in its entirety. See, for example, Tables 1 and 2 of application no. PCT/US09/63933, filed November 10, 2009, at pages 33-51 , and Tables 1-4 and 9 of 61/287,995, at pages 28-53 and 135- 141. In addition, methods of preparing lipid particles, including those associated with a therapeutic agent, e.g. , a nucleic acid are described. In the methods described herein, a mixture of lipids is combined with a buffered aqueous solution of nucleic acid to produce an intermediate mixture containing nucleic acid encapsulated in lipid particles wherein the encapsulated nucleic acids are present in a nucleic acid/lipid ratio of about 3 wt to about 25 wt , preferably 5 to 15 wt . The intermediate mixture may optionally be sized to obtain lipid-encapsulated nucleic acid particles wherein the lipid portions are unilamellar vesicles, preferably having a diameter of 30 to 150 nm, more preferably about 40 to 90 nm. The pH is then raised to neutralize at least a portion of the surface charges on the lipid-nucleic acid particles, thus providing an at least partially surface-neutralized lipid-encapsulated nucleic acid composition.
As described above, several of these cationic lipids are amino lipids that are charged at a pH below the pKa of the amino group and substantially neutral at a pH above the pKa. These
cationic lipids are termed titratable cationic lipids and can be used in the formulations using a two-step process. First, lipid vesicles can be formed at the lower pH with titratable cationic lipids and other vesicle components in the presence of nucleic acids. In this manner, the vesicles will encapsulate and entrap the nucleic acids. Second, the surface charge of the newly formed vesicles can be neutralized by increasing the pH of the medium to a level above the pKa of the titratable cationic lipids present, i.e., to physiological pH or higher. Particularly advantageous aspects of this process include both the facile removal of any surface adsorbed nucleic acid and a resultant nucleic acid delivery vehicle which has a neutral surface. Liposomes or lipid particles having a neutral surface are expected to avoid rapid clearance from circulation and to avoid certain toxicities which are associated with cationic liposome preparations. Additional details concerning these uses of such titratable cationic lipids in the formulation of nucleic acid-lipid particles are provided in U.S. Patent 6,287,591 and U.S. Patent 6,858,225, incorporated herein by reference.
It is further noted that the vesicles formed in this manner provide formulations of uniform vesicle size with high content of nucleic acids. Additionally, the vesicles have a size range of from about 30 to about 150 nm, more preferably about 30 to about 90 nm.
Without intending to be bound by any particular theory, it is believed that the very high efficiency of nucleic acid encapsulation is a result of electrostatic interaction at low pH. At acidic pH (e.g. pH 4.0) the vesicle surface is charged and binds a portion of the nucleic acids through electrostatic interactions. When the external acidic buffer is exchanged for a more neutral buffer {e.g., pH 7.5) the surface of the lipid particle or liposome is neutralized, allowing any external nucleic acid to be removed. More detailed information on the formulation process is provided in various publications {e.g., U.S. Patent 6,287,591 and U.S. Patent 6,858,225).
In view of the above, methods of preparing lipid/nucleic acid formulations are described. In the methods described herein, a mixture of lipids is combined with a buffered aqueous solution of nucleic acid to produce an intermediate mixture containing nucleic acid encapsulated in lipid particles, e.g., wherein the encapsulated nucleic acids are present in a nucleic acid/lipid ratio of about 10 wt to about 20 wt . The intermediate mixture may optionally be sized to obtain lipid-encapsulated nucleic acid particles wherein the lipid portions are unilamellar vesicles, preferably having a diameter of 30 to 150 nm, more preferably about 40 to 90 nm. The pH is then raised to neutralize at least a portion of the surface charges on the lipid-nucleic acid
particles, thus providing an at least partially surface-neutralized lipid-encapsulated nucleic acid composition.
In certain embodiments, the mixture of lipids includes at least two lipid components: a first lipid component that is selected from among lipids which have a pKa such that the lipid is cationic at pH below the pKa and neutral at pH above the pKa, and a second lipid component that is selected from among lipids that prevent particle aggregation during lipid-nucleic acid particle formation. In particular embodiments, the amino lipid is a cationic lipid.
In preparing the nucleic acid-lipid particles, the mixture of lipids is typically a solution of lipids in an organic solvent. This mixture of lipids can then be dried to form a thin film or lyophilized to form a powder before being hydrated with an aqueous buffer to form liposomes. Alternatively, in a preferred method, the lipid mixture can be solubilized in a water miscible alcohol, such as ethanol, and this ethanolic solution added to an aqueous buffer resulting in spontaneous liposome formation. In most embodiments, the alcohol is used in the form in which it is commercially available. For example, ethanol can be used as absolute ethanol (100%), or as 95% ethanol, the remainder being water. This method is described in more detail in U.S. Patent 5,976,567).
In one exemplary embodiment, the mixture of lipids is a mixture of cationic lipids, neutral lipids (other than a cationic lipid), a sterol (e.g., cholesterol) and a PEG-modified lipid (e.g., a PEG-DMG or PEG-DMA) in an alcohol solvent. In preferred embodiments, the lipid mixture consists essentially of a cationic lipid, a neutral lipid, cholesterol and a PEG-modified lipid in alcohol, more preferably ethanol. In further preferred embodiments, the first solution consists of the above lipid mixture in molar ratios of about 20-70% cationic lipid: 5-45% neutral lipid:20-55% cholesterol:0.5-15% PEG-modified lipid. In still further preferred embodiments, the first solution consists essentially of a mixture of cationic lipids chosen from lipids described in Tables 1-5, DSPC, Choi and PEG-DMG or PEG-DMA, more preferably in a molar ratio of about 20-60% cationic lipid: 5-25% DSPC:25-55% Chol:0.5- 15% PEG-DMG or PEG-DMA. In particular embodiments, the molar lipid ratio is approximately 40/10/40/10 (mol% cationic lipid/DSPC/Chol/PEG-DMG or PEG-DMA), 35/15/40/10 (mol% cationic
lipid/DSPC/Chol/PEG-DMG or PEG-DMA) or 52/13/30/5 (mol% cationic
lipid/DSPC/Chol/PEG-DMG or PEG-DMA). In another group of preferred embodiments, the neutral lipid in these compositions is replaced with POPC, DPPC, DOPE or SM.
The lipid mixture is combined with a buffered aqueous solution that may contain the nucleic acids. The buffered aqueous solution of is typically a solution in which the buffer has a pH of less than the pKa of the protonatable lipid in the lipid mixture. Examples of suitable buffers include citrate, phosphate, acetate, and MES. A particularly preferred buffer is citrate buffer. Preferred buffers will be in the range of 1- 1000 mM of the anion, depending on the chemistry of the nucleic acid being encapsulated, and optimization of buffer concentration may be significant to achieving high loading levels (see, e.g., U.S. Patent 6,287,591 and U.S.
Patent 6,858,225, each of which is incorporated by reference in its entirety). Alternatively, pure water acidified to pH 5-6 with chloride, sulfate or the like may be useful. In this case, it may be suitable to add 5% glucose, or another non-ionic solute which will balance the osmotic potential across the particle membrane when the particles are dialyzed to remove ethanol, increase the pH, or mixed with a pharmaceutically acceptable carrier such as normal saline. The amount of nucleic acid in buffer can vary, but will typically be from about 0.01 mg/mL to about 200 mg/mL, more preferably from about 0.5 mg/mL to about 50 mg/mL.
The mixture of lipids and the buffered aqueous solution of therapeutic nucleic acids is combined to provide an intermediate mixture. The intermediate mixture is typically a mixture of lipid particles having encapsulated nucleic acids. Additionally, the intermediate mixture may also contain some portion of nucleic acids which are attached to the surface of the lipid particles (liposomes or lipid vesicles) due to the ionic attraction of the negatively-charged nucleic acids and positively-charged lipids on the lipid particle surface (the amino lipids or other lipid making up the protonatable first lipid component are positively charged in a buffer having a pH of less than the pKa of the protonatable group on the lipid). In one group of preferred embodiments, the mixture of lipids is an alcohol solution of lipids and the volumes of each of the solutions is adjusted so that upon combination, the resulting alcohol content is from about 20% by volume to about 45% by volume. The method of combining the mixtures can include any of a variety of processes, often depending upon the scale of formulation produced. For example, when the total volume is about 10-20 mL or less, the solutions can be combined in a test tube and stirred together using a vortex mixer. Large-scale processes can be carried out in suitable production scale glassware.
Optionally, the lipid-encapsulated therapeutic agent (e.g. , nucleic acid) complexes which are produced by combining the lipid mixture and the buffered aqueous solution of therapeutic
agents (nucleic acids) can be sized to achieve a desired size range and relatively narrow distribution of lipid particle sizes. Preferably, the compositions provided herein will be sized to a mean diameter of from about 70 to about 200 nm, more preferably about 90 to about 130 nm. Several techniques are available for sizing liposomes to a desired size. One sizing method is described in U.S. Pat. No. 4,737,323, incorporated herein by reference. Sonicating a liposome suspension either by bath or probe sonication produces a progressive size reduction down to small unilamellar vesicles (SUVs) less than about 0.05 microns in size. Homogenization is another method which relies on shearing energy to fragment large liposomes into smaller ones. In a typical homogenization procedure, multilamellar vesicles are recirculated through a standard emulsion homogenizer until selected liposome sizes, typically between about 0.1 and 0.5 microns, are observed. In both methods, the particle size distribution can be monitored by conventional laser-beam particle size determination. For certain methods herein, extrusion is used to obtain a uniform vesicle size.
Extrusion of liposome compositions through a small-pore polycarbonate membrane or an asymmetric ceramic membrane results in a relatively well-defined size distribution. Typically, the suspension is cycled through the membrane one or more times until the desired liposome complex size distribution is achieved. The liposomes may be extruded through successively smaller-pore membranes, to achieve a gradual reduction in liposome size. In some instances, the lipid-nucleic acid compositions which are formed can be used without any sizing.
In particular embodiments, methods further comprise a step of neutralizing at least some of the surface charges on the lipid portions of the lipid-nucleic acid compositions. By at least partially neutralizing the surface charges, unencapsulated nucleic acid is freed from the lipid particle surface and can be removed from the composition using conventional techniques.
Preferably, unencapsulated and surface adsorbed nucleic acids are removed from the resulting compositions through exchange of buffer solutions. For example, replacement of a citrate buffer (pH about 4.0, used for forming the compositions) with a HEPES -buffered saline (HBS pH about 7.5) solution, results in the neutralization of liposome surface and nucleic acid release from the surface. The released nucleic acid can then be removed via chromatography using standard methods, and then switched into a buffer with a pH above the pKa of the lipid used.
Optionally the lipid vesicles (i.e., lipid particles) can be formed by hydration in an aqueous buffer and sized using any of the methods described above prior to addition of the
nucleic acid. As described above, the aqueous buffer should be of a pH below the pKa of the amino lipid. A solution of the nucleic acids can then be added to these sized, preformed vesicles. To allow encapsulation of nucleic acids into such "pre-formed" vesicles the mixture should contain an alcohol, such as ethanol. In the case of ethanol, it should be present at a concentration of about 20% (w/w) to about 45% (w/w). In addition, it may be necessary to warm the mixture of pre-formed vesicles and nucleic acid in the aqueous buffer-ethanol mixture to a temperature of about 25° C to about 50° C depending on the composition of the lipid vesicles and the nature of the nucleic acid. It will be apparent to one of ordinary skill in the art that optimization of the encapsulation process to achieve a desired level of nucleic acid in the lipid vesicles will require manipulation of variable such as ethanol concentration and temperature. Examples of suitable conditions for nucleic acid encapsulation are provided in the Examples. Once the nucleic acids are encapsulated within the prefromed vesicles, the external pH can be increased to at least partially neutralize the surface charge. Unencapsulated and surface adsorbed nucleic acids can then be removed as described above.
Method of Use
The lipid particles may be used to deliver a therapeutic agent to a cell, in vitro or in vivo. In particular embodiments, the therapeutic agent is a nucleic acid, which is delivered to a cell using nucleic acid-lipid particles. While the following description of various methods of using the lipid particles and related pharmaceutical compositions are exemplified by description related to nucleic acid-lipid particles, it is understood that these methods and compositions may be readily adapted for the delivery of any therapeutic agent for the treatment of any disease or disorder that would benefit from such treatment.
In certain embodiments, methods for introducing a nucleic acid into a cell are described. Preferred nucleic acids for introduction into cells are siRNA, immune- stimulating
oligonucleotides, plasmids, antisense and ribozymes. These methods may be carried out by contacting the particles or compositions with the cells for a period of time sufficient for intracellular delivery to occur.
The compositions can be adsorbed to almost any cell type. Once adsorbed, the nucleic acid-lipid particles can either be endocytosed by a portion of the cells, exchange lipids with cell membranes, or fuse with the cells. Transfer or incorporation of the nucleic acid portion of the
complex can take place via any one of these pathways. Without intending to be limited, it is believed that in the case of particles taken up into the cell by endocytosis the particles then interact with the endosomal membrane, resulting in destabilization of the endosomal membrane, possibly by the formation of non-bilayer phases, resulting in introduction of the encapsulated nucleic acid into the cell cytoplasm. Similarly in the case of direct fusion of the particles with the cell plasma membrane, when fusion takes place, the liposome membrane is integrated into the cell membrane and the contents of the liposome combine with the intracellular fluid. Contact between the cells and the lipid-nucleic acid compositions, when carried out in vitro, will take place in a biologically compatible medium. The concentration of compositions can vary widely depending on the particular application, but is generally between about 1 μιηοΐ and about 10 mmol. In certain embodiments, treatment of the cells with the lipid-nucleic acid compositions will generally be carried out at physiological temperatures (about 37 °C) for periods of time from about 1 to 24 hours, preferably from about 2 to 8 hours. For in vitro applications, the delivery of nucleic acids can be to any cell grown in culture, whether of plant or animal origin, vertebrate or invertebrate, and of any tissue or type. In preferred embodiments, the cells will be animal cells, more preferably mammalian cells, and most preferably human cells.
In one group of embodiments, a lipid-nucleic acid particle suspension is added to 60-80% confluent plated cells having a cell density of from about 10 3 to about 105 cells/mL, more preferably about 2 x 104 cells/mL. The concentration of the suspension added to the cells is preferably of from about 0.01 to 20 μg/mL, more preferably about 1 μg/mL.
In another embodiment, the lipid particles can be may be used to deliver a nucleic acid to a cell or cell line (for example, a tumor cell line). Non-limiting examples of such cell lines include: HELA (ATCC Cat N: CCL-2), KB (ATCC Cat N: CCL-17), HEP3B (ATCC Cat N: HB-8064), SKOV-3 (ATCC Cat N: HTB-77), HCT-116 (ATCC Cat N: CCL-247), HT-29 (ATCC Cat N: HTB-38), PC-3 (ATCC Cat N: CRL-1435), A549 (ATCC Cat N: CCL-185), MDA-MB-231 (ATCC Cat N: HTB-26).
Typical applications include using well known procedures to provide intracellular delivery of siRNA to knock down or silence specific cellular targets. Alternatively applications include delivery of DNA or mRNA sequences that code for therapeutically useful polypeptides. In this manner, therapy is provided for genetic diseases by supplying deficient or absent gene products (i.e., for Duchenne's dystrophy, see Kunkel, et ah, Brit. Med. Bull. 45(3):630-643
(1989), and for cystic fibrosis, see Goodfellow, Nature 341 : 102- 103 (1989)). Other uses for the compositions include introduction of antisense oligonucleotides in cells (see, Bennett, et ah, Mol. Pharm. 41 : 1023-1033 (1992)).
Alternatively, the compositions can also be used for deliver of nucleic acids to cells in vivo, using methods which are known to those of skill in the art. With respect to delivery of DNA or mRNA sequences, Zhu, et ah, Science 261 :209-211 (1993), incorporated herein by reference, describes the intravenous delivery of cytomegalovirus (CM V) -chloramphenicol acetyltransferase (CAT) expression plasmid using DOTMA-DOPE complexes. Hyde, et ah, Nature 362:250-256 (1993), incorporated herein by reference, describes the delivery of the cystic fibrosis transmembrane conductance regulator (CFTR) gene to epithelia of the airway and to alveoli in the lung of mice, using liposomes. Brigham, et ah, Am. J. Med. Sci. 298:278-281 (1989), incorporated herein by reference, describes the in vivo transfection of lungs of mice with a functioning prokaryotic gene encoding the intracellular enzyme, chloramphenicol
acetyltransferase (CAT). Thus, the compositions can be used in the treatment of infectious diseases.
For in vivo administration, the pharmaceutical compositions are preferably administered parenterally, i.e. , intraarticularly, intravenously, intraperitoneally, subcutaneously, or
intramuscularly. In particular embodiments, the pharmaceutical compositions are administered intravenously or intraperitoneally by a bolus injection. For one example, see Stadler, et ah , U.S. Patent No. 5,286,634, which is incorporated herein by reference. Intracellular nucleic acid delivery has also been discussed in Straubringer, et ah, Methods in Enzymology, Academic Press, New York. 101 :512-527 (1983); Mannino, et al, Biotechniques 6:682-690 (1988);
Nicolau, et al., Crit. Rev. Ther. Drug Carrier Syst. 6:239-271 (1989), and Behr, Acc. Chem. Res. 26:274-278 (1993). Still other methods of administering lipid-based therapeutics are described in, for example, Rahman et al., U.S. Patent No. 3,993,754; Sears, U.S. Patent No. 4, 145,410; Papahadjopoulos et al., U.S. Patent No. 4,235,871 ; Schneider, U.S. Patent No. 4,224, 179; Lenk et al, U.S. Patent No. 4,522,803; and Fountain et al, U.S. Patent No. 4,588,578.
In other methods, the pharmaceutical preparations may be contacted with the target tissue by direct application of the preparation to the tissue. The application may be made by topical, "open" or "closed" procedures. By "topical," it is meant the direct application of the
pharmaceutical preparation to a tissue exposed to the environment, such as the skin, oropharynx,
external auditory canal, and the like. "Open" procedures are those procedures which include incising the skin of a patient and directly visualizing the underlying tissue to which the pharmaceutical preparations are applied. This is generally accomplished by a surgical procedure, such as a thoracotomy to access the lungs, abdominal laparotomy to access abdominal viscera, or other direct surgical approach to the target tissue. "Closed" procedures are invasive procedures in which the internal target tissues are not directly visualized, but accessed via inserting instruments through small wounds in the skin. For example, the preparations may be
administered to the peritoneum by needle lavage. Likewise, the pharmaceutical preparations may be administered to the meninges or spinal cord by infusion during a lumbar puncture followed by appropriate positioning of the patient as commonly practiced for spinal anesthesia or metrazamide imaging of the spinal cord. Alternatively, the preparations may be administered through endoscopic devices.
The lipid-nucleic acid compositions can also be administered in an aerosol inhaled into the lungs (see, Brigham, et ah, Am. J. Sci. 298(4):278-281 (1989)) or by direct injection at the site of disease (Culver, Human Gene Therapy, Mary Ann Liebert, Inc., Publishers, New York. pp.70-71 (1994)).
The methods may be practiced in a variety of hosts. Preferred hosts include mammalian species, such as humans, non-human primates, dogs, cats, cattle, horses, sheep, and the like.
Dosages for the lipid-therapeutic agent particles will depend on the ratio of therapeutic agent to lipid and the administrating physician's opinion based on age, weight, and condition of the patient.
In one embodiment, a method of modulating the expression of a target polynucleotide or polypeptide is described. These methods generally comprise contacting a cell with a lipid particle that is associated with a nucleic acid capable of modulating the expression of a target polynucleotide or polypeptide. As used herein, the term "modulating" refers to altering the expression of a target polynucleotide or polypeptide. In different embodiments, modulating can mean increasing or enhancing, or it can mean decreasing or reducing. Methods of measuring the level of expression of a target polynucleotide or polypeptide are known and available in the arts and include, e.g., methods employing reverse transcription-polymerase chain reaction (RT-PCR) and immunohistochemical techniques. In particular embodiments, the level of expression of a target polynucleotide or polypeptide is increased or reduced by at least 10%, 20%, 30%, 40%,
50%, or greater than 50% as compared to an appropriate control value.
For example, if increased expression of a polypeptide desired, the nucleic acid may be an expression vector that includes a polynucleotide that encodes the desired polypeptide. On the other hand, if reduced expression of a polynucleotide or polypeptide is desired, then the nucleic acid may be, e.g. , an antisense oligonucleotide, siRNA, or microRNA that comprises a polynucleotide sequence that specifically hybridizes to a polnucleotide that encodes the target polypeptide, thereby disrupting expression of the target polynucleotide or polypeptide.
Alternatively, the nucleic acid may be a plasmid that expresses such an antisense
oligonucletoide, siRNA, or microRNA.
In one particular embodiment, a method of modulating the expression of a polypeptide by a cell, includes providing to a cell a lipid particle that consists of or consists essentially of a mixture of cationic lipids chosen from lipids described in application nos. PCT/US09/63933, PCT/US09/63927, PCT/US09/63931, and PCT/US09/63897, each filed November 10, 2009, and applications referred to therein, including nos. 61/104,219, filed October 9, 2008; no.
61/113,179, filed November 10, 2008; no. 61/154,350, filed February 20, 2009; no. 61/171,439, filed April 21, 2009; no. 61/175,770, filed May 5, 2009; no. 61/185,438, filed June 9, 2009; no. 61/225,898, filed July 15, 2009; no. 61/234,098, filed August 14, 2009; and 61/287,995, filed December 18, 2009; WO 2009/086558; and WO 2008/042973 (each of these documents is incorporated by reference in its entirety. See, for example, Tables 1 and 2 of application no. PCT/US09/63933, filed November 10, 2009, at pages 33-51, and Tables 1-4 and 9 of
61/287,995, at pages 28-53 and 135-141), DSPC, Choi and PEG-DMG or PEG-DMA, e.g. , in a molar ratio of about 20-60% cationic lipid: 0.1-50% fusion-promoting lipid:5-25%
DSPC:25-55% Chol:0.5-15% PEG-DMG or PEG-DMA, wherein the lipid particle is assocated with a nucleic acid capable of modulating the expression of the polypeptide. In particular embodiments, the molar lipid ratio is 0.1-50% fusion promoting lipid, with the remaining components present in a relative molar lipid ratio (mol% cationic lipid/DSPC/Chol/PEG-DMG or PEG-DMA) of approximately 40/10/40/10, 35/15/40/10, or 52/13/30/5. In another group of embodiments, the neutral lipid in these compositions is replaced with POPC, DPPC, DOPE or SM.
In particular embodiments, the therapeutic agent is selected from an siRNA, a microRNA, an antisense oligonucleotide, and a plasmid capable of expressing an siRNA, a
microRNA, or an antisense oligonucleotide, and wherein the siRNA, microRNA, or antisense RNA comprises a polynucleotide that specifically binds to a polynucleotide that encodes the polypeptide, or a complement thereof, such that the expression of the polypeptide is reduced.
In other embodiments, the nucleic acid is a plasmid that encodes the polypeptide or a functional variant or fragment thereof, such that expression of the polypeptide or the functional variant or fragment thereof is increased.
In related embodiments, a method of treating a disease or disorder characterized by overexpression of a polypeptide in a subject, includes providing to the subject a pharmaceutical composition, wherein the therapeutic agent is selected from an siRNA, a microRNA, an antisense oligonucleotide, and a plasmid capable of expressing an siRNA, a microRNA, or an antisense oligonucleotide, and wherein the siRNA, microRNA, or antisense RNA comprises a polynucleotide that specifically binds to a polynucleotide that encodes the polypeptide, or a complement thereof.
In one embodiment, the pharmaceutical composition comprises a lipid particle that consists of or consists essentially of a mixture of cationic lipids chosen from lipids described in Tables 1-5, DSPC, Choi and PEG-DMG or PEG-DMA, e.g. , in a molar ratio of about 20-60% cationic lipid: 5-25% DSPC:25-55% Chol:0.5- 15% PEG-DMG or PEG-DMA, wherein the lipid particle is assocated with the therapeutic nucleic acid. In particular embodiments, the molar lipid ratio is approximately 40/10/40/10 (mol% cationic lipid/DSPC/Chol/PEG-DMG or PEG-DMA), 35/15/40/10 (mol% cationic lipid/DSPC/Chol/PEG-DMG or PEG-DMA) or 52/13/30/5 (mol% cationic lipid/DSPC/Chol/PEG-DMG or PEG-DMA). In another group of embodiments, the neutral lipid in these compositions is replaced with POPC, DPPC, DOPE or SM.
In another related embodiment, a method of treating a disease or disorder characterized by underexpression of a polypeptide in a subject, includes providing to the subject a
pharmaceutical composition, wherein the therapeutic agent is a plasmid that encodes the polypeptide or a functional variant or fragment thereof.
In one embodiment, the pharmaceutical composition comprises a lipid particle that consists of or consists essentially of a mixture of cationic lipids chosen from lipids described in application nos. PCT/US09/63933, PCT/US09/63927, PCT/US09/63931, and PCT/US09/63897, each filed November 10, 2009, and applications referred to therein, including nos. 61/104,219, filed October 9, 2008; no. 61/113,179, filed November 10, 2008; no. 61/154,350, filed February
20, 2009; no. 61/171,439, filed April 21, 2009; no. 61/175,770, filed May 5, 2009; no.
61/185,438, filed June 9, 2009; no. 61/225,898, filed July 15, 2009; no. 61/234,098, filed August 14, 2009; and 61/287,995, filed December 18, 2009; WO 2009/086558; and WO 2008/042973 (each of these documents is incorporated by reference in its entirety. See, for example, Tables 1 and 2 of application no. PCT/US09/63933, filed November 10, 2009, at pages 33-51, and Tables 1-4 and 9 of 61/287,995, at pages 28-53 and 135- 141), DSPC, Choi and PEG-DMG or
PEG-DMA, e.g. , in a molar ratio of about 20-60% cationic lipid: 0.1-50% fusion-promoting lipid:5-25% DSPC:25-55% Chol:0.5-15% PEG-DMG or PEG-DMA, wherein the lipid particle is assocated with the therapeutic nucleic acid. In particular embodiments, the molar lipid ratio is 0.1-50% fusion promoting lipid, with the remaining components present in a relative molar lipid ratio (mol% cationic lipid/DSPC/Chol/PEG-DMG or PEG-DMA) of approximately 40/10/40/10, 35/15/40/10, or 52/13/30/5. In another group of embodiments, the neutral lipid in these compositions is replaced with POPC, DPPC, DOPE or SM.
A method of inducing an immune response in a subject, can include providing to the subject the pharmaceutical composition, wherein the therapeutic agent is an immuno stimulatory oligonucleotide. In certain embodiments, the immune response is a humoral or mucosal immune response. In one embodiment, the pharmaceutical composition comprises a lipid particle that consists of or consists essentially of mixture of cationic lipids chosen from lipids described in application nos. PCT/US09/63933, PCT/US09/63927, PCT/US09/63931, and PCT/US09/63897, each filed November 10, 2009, and applications referred to therein, including nos. 61/104,219, filed October 9, 2008; no. 61/113,179, filed November 10, 2008; no. 61/154,350, filed February 20, 2009; no. 61/171,439, filed April 21, 2009; no. 61/175,770, filed May 5, 2009; no.
61/185,438, filed June 9, 2009; no. 61/225,898, filed July 15, 2009; no. 61/234,098, filed August 14, 2009; and 61/287,995, filed December 18, 2009; WO 2009/086558; and WO 2008/042973 (each of these documents is incorporated by reference in its entirety. See, for example, Tables 1 and 2 of application no. PCT/US09/63933, filed November 10, 2009, at pages 33-51, and Tables 1-4 and 9 of 61/287,995, at pages 28-53 and 135- 141), DSPC, Choi and PEG-DMG or
PEG-DMA, e.g. , in a molar ratio of about 20-60% cationic lipid: 0.1-50% fusion-promoting lipid:5-25% DSPC:25-55% Chol:0.5-15% PEG-DMG or PEG-DMA, wherein the lipid particle is assocated with the therapeutic nucleic acid. In particular embodiments, the molar lipid ratio is 0.1-50% fusion promoting lipid, with the remaining components present in a relative molar lipid
ratio (mol% cationic lipid/DSPC/Chol/PEG-DMG or PEG-DMA) of approximately 40/10/40/10, 35/15/40/10, or 52/13/30/5. In another group of embodiments, the neutral lipid in these compositions is replaced with POPC, DPPC, DOPE or SM.
In further embodiments, the pharmaceutical composition is provided to the subject in combination with a vaccine or antigen. Thus, vaccines can include a lipid particle, which comprises an immuno stimulatory oligonucleotide, and is also associated with an antigen to which an immune response is desired. In particular embodiments, the antigen is a tumor antigen or is associated with an infective agent, such as, e.g. , a virus, bacteria, or parasiste.
A variety of tumor antigens, infections agent antigens, and antigens associated with other disease are well known in the art and examples of these are described in references cited herein. Examples of suitable antigens include, but are not limited to, polypeptide antigens and DNA antigens. Specific examples of antigens are Hepatitis A, Hepatitis B, small pox, polio, anthrax, influenza, typhus, tetanus, measles, rotavirus, diphtheria, pertussis, tuberculosis, and rubella antigens. In a preferred embodiment, the antigen is a Hepatitis B recombinant antigen. In other aspects, the antigen is a Hepatitis A recombinant antigen. In another aspect, the antigen is a tumor antigen. Examples of such tumor-associated antigens are MUC-1, EBV antigen and antigens associated with Burkitt's lymphoma. In a further aspect, the antigen is a
tyrosinase-related protein tumor antigen recombinant antigen. Those of skill in the art will know of other antigens suitable for use.
Tumor-associated antigens suitable for use include both mutated and non-mutated molecules that may be indicative of single tumor type, shared among several types of tumors, and/or exclusively expressed or overexpressed in tumor cells in comparison with normal cells. In addition to proteins and glycoproteins, tumor- specific patterns of expression of carbohydrates, gangliosides, glycolipids and mucins have also been documented. Exemplary tumor- associated antigens for use in the subject cancer vaccines include protein products of oncogenes, tumor suppressor genes and other genes with mutations or rearrangements unique to tumor cells, reactivated embryonic gene products, oncofetal antigens, tissue-specific (but not tumor- specific) differentiation antigens, growth factor receptors, cell surface carbohydrate residues, foreign viral proteins and a number of other self proteins.
Specific embodiments of tumor-associated antigens include, e.g. , mutated antigens such as the protein products of the Ras p21 protooncogenes, tumor suppressor p53 and BCR-abl
oncogenes, as well as CDK4, MUMl, Caspase 8, and Beta catenin; overexpressed antigens such as galectin 4, galectin 9, carbonic anhydrase, Aldolase A, PRAME, Her2/neu, ErbB-2 and KSA, oncofetal antigens such as alpha fetoprotein (AFP), human chorionic gonadotropin (hCG); self antigens such as carcinoembryonic antigen (CEA) and melanocyte differentiation antigens such as Mart 1/Melan A, gplOO, gp75, Tyrosinase, TRPl and TRP2; prostate associated antigens such as PSA, PAP, PSMA, PSM-P1 and PSM-P2; reactivated embryonic gene products such as MAGE 1, MAGE 3, MAGE 4, GAGE 1, GAGE 2, BAGE, RAGE, and other cancer testis antigens such as NY-ESOl, SSX2 and SCP1 ; mucins such as Muc- 1 and Muc-2; gangliosides such as GM2, GD2 and GD3, neutral glycolipids and glycoproteins such as Lewis (y) and globo-H; and glycoproteins such as Tn, Thompson-Freidenreich antigen (TF) and sTn. Also included as tumor-associated antigens herein are whole cell and tumor cell lysates as well as immunogenic portions thereof, as well as immunoglobulin idiotypes expressed on monoclonal proliferations of B lymphocytes for use against B cell lymphomas.
Pathogens include, but are not limited to, infectious agents, e.g. , viruses, that infect mammals, and more particularly humans. Examples of infectious virus include, but are not limited to: Retroviridae (e.g. , human immunodeficiency viruses, such as HIV-1 (also referred to as HTLV-III, LAV or HTLV-III/LAV, or HIV-III; and other isolates, such as HIV-LP;
Picornaviridae (e.g., polio viruses, hepatitis A virus; enteroviruses, human Coxsackie viruses, rhinoviruses, echoviruses); Calciviridae (e.g., strains that cause gastroenteritis); Togaviridae (e.g., equine encephalitis viruses, rubella viruses); Flaviridae (e.g., dengue viruses, encephalitis viruses, yellow fever viruses); Coronoviridae (e.g., coronaviruses); Rhabdoviradae (e.g., vesicular stomatitis viruses, rabies viruses); Coronaviridae (e.g. , coronaviruses); Rhabdoviridae (e.g., vesicular stomatitis viruses, rabies viruses); Filoviridae (e.g., ebola viruses);
Paramyxoviridae (e.g., parainfluenza viruses, mumps virus, measles virus, respiratory syncytial virus); Orthomyxoviridae (e.g., influenza viruses); Bungaviridae (e.g., Hantaan viruses, bunga viruses, phleboviruses and Nairo viruses); Arena viridae (hemorrhagic fever viruses); Reoviridae (e.g., reoviruses, orbiviurses and rotaviruses); Birnaviridae; Hepadnaviridae (Hepatitis B virus); Parvovirida (parvoviruses); Papovaviridae (papilloma viruses, polyoma viruses); Adenoviridae (most adenoviruses); Herpesviridae herpes simplex virus (HSV) 1 and 2, varicella zoster virus, cytomegalovirus (CMV), herpes virus; Poxviridae (variola viruses, vaccinia viruses, pox viruses); and Iridoviridae (e.g., African swine fever virus); and unclassified viruses (e.g., the
etiological agents of Spongiform encephalopathies, the agent of delta hepatitis (thought to be a defective satellite of hepatitis B virus), the agents of non-A, non-B hepatitis (class l=internally transmitted; class 2=parenterally transmitted (i.e. , Hepatitis C); Norwalk and related viruses, and astro viruses).
Also, gram negative and gram positive bacteria serve as antigens in vertebrate animals. Such gram positive bacteria include, but are not limited to Pasteurella species, Staphylococci species, and Streptococcus species. Gram negative bacteria include, but are not limited to, Escherichia coli, Pseudomonas species, and Salmonella species. Specific examples of infectious bacteria include but are not limited to: Helicobacterpyloris, Borelia burgdorferi, Legionella pneumophilia, Mycobacteria sps (e.g., M. tuberculosis, M. avium, M. intracellulare, M. kansaii, M. gordonae), Staphylococcus aureus, Neisseria gonorrhoeae, Neisseria meningitidis, Listeria monocytogenes, Streptococcus pyogenes (Group A Streptococcus), Streptococcus agalactiae (Group B Streptococcus), Streptococcus (viridans group), Streptococcusfaecalis, Streptococcus bovis, Streptococcus (anaerobic sps.), Streptococcus pneumoniae, pathogenic Campylobacter sp., Enterococcus sp., Haemophilus infuenzae, Bacillus antracis, corynebacterium diphtheriae, corynebacterium sp., Erysipelothrix rhusiopathiae, Clostridium perfringers, Clostridium tetani, Enterobacter aerogenes, Klebsiella pneumoniae, Pasturella multocida, Bacteroides sp.,
Fusobacterium nucleatum, Streptobacillus moniliformis, Treponema pallidium, Treponema pertenue, Leptospira, Rickettsia, and Actinomyces israelii.
Additional examples of pathogens include, but are not limited to, infectious fungi that infect mammals, and more particularly humans. Examples of infectious fingi include, but are not limited to: Cryptococcus neoformans, Histoplasma capsulatum, Coccidioides immitis,
Blastomyces dermatitidis, Chlamydia trachomatis, Candida albicans. Examples of infectious parasites include Plasmodium such as Plasmodium falciparum, Plasmodium malariae,
Plasmodium ovale, and Plasmodium vivax. Other infectious organisms (i.e. , protists) include Toxoplasma gondii.
In one embodiment, the formulations can be used to silence or modulate a target gene such as but not limited to FVII, Eg5, PCSK9, TPX2, apoB, SAA, TTR, RSV, PDGF beta gene, Erb-B gene, Src gene, CRK gene, GRB2 gene, RAS gene, MEKK gene, JNK gene, RAF gene, Erkl/2 gene, PCNA(p21) gene, MYB gene, JUN gene, FOS gene, BCL-2 gene, Cyclin D gene, VEGF gene, EGFR gene, Cyclin A gene, Cyclin E gene, WNT- 1 gene, beta-catenin gene,
c-MET gene, PKC gene, NFKB gene, STAT3 gene, survivin gene, Her2/Neu gene, SORTl gene, XBP1 gene, topoisomerase I gene, topoisomerase II alpha gene, p73 gene, p21(WAFl/CIPl) gene, p27 (KIP 1) gene, PPM ID gene, RAS gene, caveolin I gene, MIB I gene, MTAI gene, M68 gene, tumor suppressor genes, p53 tumor suppressor gene, p53 family member DN-p63, pRb tumor suppressor gene, APC1 tumor suppressor gene, BRCA1 tumor suppressor gene, PTEN tumor suppressor gene, mLL fusion gene, BCR/ABL fusion gene, TEL/AML1 fusion gene, EWS/FLI1 fusion gene, TLS/FUS1 fusion gene, PAX3/FKHR fusion gene, AML1/ETO fusion gene, alpha v-integrin gene, Fit- 1 receptor gene, tubulin gene, Human Papilloma Virus gene, a gene required for Human Papilloma Virus replication, Human Immunodeficiency Virus gene, a gene required for Human Immunodeficiency Virus replication, Hepatitis A Virus gene, a gene required for Hepatitis A Virus replication, Hepatitis B Virus gene, a gene required for Hepatitis B Virus replication, Hepatitis C Virus gene, a gene required for Hepatitis C Virus replication, Hepatitis D Virus gene, a gene required for Hepatitis D Virus replication, Hepatitis E Virus gene, a gene required for Hepatitis E Virus replication, Hepatitis F Virus gene, a gene required for Hepatitis F Virus replication, Hepatitis G Virus gene, a gene required for Hepatitis G Virus replication, Hepatitis H Virus gene, a gene required for Hepatitis H Virus replication, Respiratory Syncytial Virus gene, a gene that is required for Respiratory Syncytial Virus replication, Herpes Simplex Virus gene, a gene that is required for Herpes Simplex Virus replication, herpes Cytomegalovirus gene, a gene that is required for herpes Cytomegalovirus replication, herpes Epstein Barr Virus gene, a gene that is required for herpes Epstein Barr Virus replication, Kaposi's Sarcoma-associated Herpes Virus gene, a gene that is required for Kaposi's Sarcoma- associated Herpes Virus replication, JC Virus gene, human gene that is required for JC Virus replication, myxovirus gene, a gene that is required for myxovirus gene replication, rhinovirus gene, a gene that is required for rhinovirus replication, coronavirus gene, a gene that is required for coronavirus replication, West Nile Virus gene, a gene that is required for West Nile Virus replication, St. Louis Encephalitis gene, a gene that is required for St. Louis Encephalitis replication, Tick-borne encephalitis virus gene, a gene that is required for Tick-borne
encephalitis virus replication, Murray Valley encephalitis virus gene, a gene that is required for Murray Valley encephalitis virus replication, dengue virus gene, a gene that is required for dengue virus gene replication, Simian Virus 40 gene, a gene that is required for Simian Virus 40 replication, Human T Cell Lymphotropic Virus gene, a gene that is required for Human T Cell
Lymphotropic Virus replication, Moloney-Murine Leukemia Virus gene, a gene that is required for Moloney-Murine Leukemia Virus replication, encephalomyocarditis virus gene, a gene that is required for encephalomyocarditis virus replication, measles virus gene, a gene that is required for measles virus replication, Vericella zoster virus gene, a gene that is required for Vericella zoster virus replication, adenovirus gene, a gene that is required for adenovirus replication, yellow fever virus gene, a gene that is required for yellow fever virus replication, poliovirus gene, a gene that is required for poliovirus replication, poxvirus gene, a gene that is required for poxvirus replication, Plasmodium gene, a gene that is required for Plasmodium gene replication, Mycobacterium ulcerans gene, a gene that is required for Mycobacterium ulcerans replication, Mycobacterium tuberculosis gene, a gene that is required for Mycobacterium tuberculosis replication, Mycobacterium leprae gene, a gene that is required for Mycobacterium leprae replication, Staphylococcus aureus gene, a gene that is required for Staphylococcus aureus replication, Streptococcus pneumoniae gene, a gene that is required for Streptococcus pneumoniae replication, Streptococcus pyogenes gene, a gene that is required for Streptococcus pyogenes replication, Chlamydia pneumoniae gene, a gene that is required for Chlamydia pneumoniae replication, Mycoplasma pneumoniae gene, a gene that is required for Mycoplasma pneumoniae replication, an integrin gene, a selectin gene, complement system gene, chemokine gene, chemokine receptor gene, GCSF gene, Grol gene, Gro2 gene, Gro3 gene, PF4 gene, MIG gene, Pro-Platelet Basic Protein gene, MIP-1I gene, MIP-1J gene, RANTES gene, MCP-1 gene, MCP-2 gene, MCP-3 gene, CMBKRl gene, CMBKR2 gene, CMBKR3 gene, CMBKR5v, AIF-1 gene, 1-309 gene, a gene to a component of an ion channel, a gene to a neurotransmitter receptor, a gene to a neurotransmitter ligand, amyloid-family gene, presenilin gene, HD gene, DRPLA gene, SCA1 gene, SCA2 gene, MJD1 gene, CACNL1A4 gene, SCA7 gene, SCA8 gene, allele gene found in LOH cells, or one allele gene of a polymorphic gene.
Definitions
As used herein, the term "cationic lipid" inlcudes those lipids having one or two fatty acid or fatty aliphatic chains and an amino acid containing head group that may be protonated to form a cationic lipid at physiological pH. In some embodiments, a cationic lipid is referred to as an "amino acid conjugate cationic lipid."
A subject or patient in whom administration of the complex is an effective therapeutic regimen for a disease or disorder is preferably a human, but can be any animal, including a laboratory animal in the context of a clinical trial or screening or activity experiment. Thus, as can be readily appreciated by one of ordinary skill in the art, the methods, compounds and compositions of the present invention are particularly suited to administration to any animal, particularly a mammal, and including, but by no means limited to, humans, domestic animals, such as feline or canine subjects, farm animals, such as but not limited to bovine, equine, caprine, ovine, and porcine subjects, wild animals (whether in the wild or in a zoological garden), research animals, such as mice, rats, rabbits, goats, sheep, pigs, dogs, and cats, avian species, such as chickens, turkeys, and songbirds, i.e., for veterinary medical use.
Many of the chemical groups recited in the generic formulas above are written in a particular order (for example, -OC(O)-). It is intended that the chemical group is to be incorporated into the generic formula in the order presented unless indicated otherwise. For example, a generic formula of the form -(R^-iM^-iR)^ where M1 is -C(0)0- and k is 1 refers to -(R)i-C(0)0-(R)m- unless specified otherwise. It is to be understood that when a chemical group is written in a particular order, the reverse order is also contemplated unless otherwise specified. For example, in a generic formula -(R)i-(M1)j£-(R)m- where M1 is defined as - C(0)NH- (i.e., -(R)i-C(0)-NH-(R)m-), the compound where M1 is -NHC(O)- (i.e., -(R)r NHC(0)-(R)m-) is also contemplated unless otherwise specified.
As used herein, the term "biodegradable group" referes to a group that include one or more bonds that may undergo bond breaking reactions in a biological environment, e.g., in an organism, organ, tissue, cell, or organelle. For example, the biodegradable group may be metabolizable by the body of a mammal, such as a human (e.g., by hydrolysis). Some groups that contain a biodegradable bond include, for example, but are not limited to esters, dithiols, and oximes. Non-limiting examples of biodegradable groups are -OC(O)-, -C(0)0-, -SC(O)-, - C(0)S-, -OC(S)-, -C(S)0-, -S-S-, -C(R5)=N-, -N=C(R5)-, -C(R5)=N-0-, -0-N=C(R5)-, - C(0)(NR5)-, -N(R5)C(0)-, -C(S)(NR5)-, -N(R5)C(0)-, -N(R5)C(0)N(R5)-, -OC(0)0-, - OSi(R5)20-, -C(0)(CR3R4)C(0)0-, or -OC(0)(CR3R4)C(0)-.
As used herein, an "aliphatic" group is a non-aromatic group in which carbon atoms are
linked into chains, and is either saturated or unsaturated.
The terms "alkyl" and "alkylene" refer to a straight or branched chain saturated hydrocarbon moiety. In one embodiment, the alkyl group is a straight chain saturated hydrocarbon. Unless otherwise specified, the "alkyl" or "alkylene" group contains from 1 to 24 carbon atoms. Representative saturated straight chain alkyl groups include methyl, ethyl, n-propyl, n-butyl, n-pentyl, and n-hexyl. Representative saturated branched alkyl groups include isopropyl, sec-butyl, isobutyl, ie/t-butyl, and isopentyl.
The term "alkenyl" refers to a straight or branched chain hydrocarbon moiety having one or more carbon-carbon double bonds. In one embodiment, the alkenyl group contains 1, 2, or 3 double bonds and is otherwise saturated. Unless otherwise specified, the "alkenyl" group contains from 2 to 24 carbon atoms. Alkenyl groups include both cis and trans isomers.
Representative straight chain and branched alkenyl groups include ethylenyl, propylenyl,
1- butenyl, 2-butenyl, isobutylenyl, 1-pentenyl, 2-pentenyl, 3 -methyl- 1-butenyl,
2- methyl-2-butenyl, and 2,3-dimethyl-2-butenyl.
The term "alkynyl" refers to a straight or branched chain hydrocarbon moiety having one or more carbon-carbon triple bonds. Unless otherwise specified, the "alkynyl" group contains from 2 to 24 carbon atoms. Representative straight chain and branched alkynyl groups include acetylenyl, propynyl, 1-butynyl, 2-butynyl, 1-pentynyl, 2-pentynyl, and 3-methyl-l-butynyl.
The term "acyl" refers to a carbonyl group substituted with hydrogen, alkyl, partially saturated or fully saturated cycloalkyl, partially saturated or fully saturated heterocycle, aryl, or heteroaryl. For example, acyl groups include groups such as (C1-C2o)alkanoyl (e.g., formyl, acetyl, propionyl, butyryl, valeryl, caproyl, and t-butylacetyl), (C3-C2o)cycloalkylcarbonyl (e.g., cyclopropylcarbonyl, cyclobutylcarbonyl, cyclopentylcarbonyl, and cyclohexylcarbonyl), heterocyclic carbonyl (e.g., pyrrolidinylcarbonyl, pyrrolid-2-one-5-carbonyl,
piperidinylcarbonyl, piperazinylcarbonyl, and tetrahydrofuranylcarbonyl), aroyl (e.g., benzoyl) and heteroaroyl (e.g., thiophenyl-2-carbonyl, thiophenyl-3 -carbonyl, furanyl-2-carbonyl, furanyl-3-carbonyl, lH-pyrroyl-2-carbonyl, lH-pyrroyl-3-carbonyl, and
benzo[b]thiophenyl-2-carbonyl).
The term "aryl" refers to an aromatic monocyclic, bicyclic, or tricyclic hydrocarbon ring system. Unless otherwise specified, the "aryl" group contains from 6 to 14 carbon atoms.
Examples of aryl moieties include, but are not limited to, phenyl, naphthyl, anthracenyl, and pyrenyl.
The terms "cycloalkyl" and "cycloalkylene" refer to a saturated monocyclic or bicyclic hydrocarbon moiety such as cyclopropyl, cyclobutyl, cyclopentyl, and cyclohexyl. Unless otherwise specified, the "cycloalkyl" or "cycloalkylene" group contains from 3 to 10 carbon atoms.
The term "cycloalkylalkyl" refers to a cycloalkyl group bound to an alkyl group, where the alkyl group is bound to the rest of the molecule.
The term "heterocycle" (or "heterocyclyl") refers to a non-aromatic 5- to 8-membered monocyclic, or 7- to 12-membered bicyclic, or 11- to 14-membered tricyclic ring system which is either saturated or unsaturated, and which contains from 1 to 3 heteroatoms if monocyclic, 1-6 heteroatoms if bicyclic, or 1-9 heteroatoms if tricyclic, independently selected from nitrogen, oxygen and sulfur, and wherein the nitrogen and sulfur heteroatoms may be optionally oxidized, and the nitrogen heteroatom may be optionally quaternized. For instance, the heterocycle may be a cycloalkoxy group. The heterocycle may be attached to the rest of the molecule via any heteroatom or carbon atom in the heterocycle. Heterocycles include, but are not limited to, morpholinyl, pyrrolidinonyl, pyrrolidinyl, piperidinyl, piperizynyl, hydantoinyl, valerolactamyl, oxiranyl, oxetanyl, tetrahydrofuranyl, tetrahydropyranyl, tetrahydropyridinyl,
tetrahydroprimidinyl, tetrahydrothiophenyl, tetrahydrothiopyranyl, tetrahydropyrimidinyl, tetrahydrothiophenyl, and tetrahydrothiopyranyl.
The term "heteroaryl" refers to an aromatic 5-8 membered monocyclic, 7-12 membered bicyclic, or 11-14 membered tricyclic ring system having 1-3 heteroatoms if monocyclic, 1-6 heteroatoms if bicyclic, or 1-9 heteroatoms if tricyclic, where the heteroatoms are selected from O, N, or S (e.g., carbon atoms and 1-3, 1-6, or 1-9 heteroatoms of N, O, or S if monocyclic, bicyclic, or tricyclic, respectively). The heteroaryl groups herein described may also contain fused rings that share a common carbon-carbon bond.
The term "substituted", unless otherwise indicated, refers to the replacement of one or more hydrogen radicals in a given structure with the radical of a specified substituent including, but not limited to: halo, alkyl, alkenyl, alkynyl, aryl, heterocyclyl, thiol, alkylthio, oxo, thioxy, arylthio, alkylthioalkyl, arylthioalkyl, alkylsulfonyl, alkylsulfonylalkyl, arylsulfonylalkyl, alkoxy, aryloxy, aralkoxy, aminocarbonyl, alkylaminocarbonyl, arylaminocarbonyl,
alkoxycarbonyl, aryloxycarbonyl, haloalkyl, amino, trifluoromethyl, cyano, nitro, alkylamino, arylamino, alkylaminoalkyl, arylaminoalkyl, aminoalkylamino, hydroxy, alkoxyalkyl, carboxyalkyl, alkoxycarbonylalkyl, aminocarbonylalkyl, acyl, aralkoxycarbonyl, carboxylic acid, sulfonic acid, sulfonyl, phosphonic acid, aryl, heteroaryl, heterocyclic, and an aliphatic group. It is understood that the substituent may be further substituted. Exemplary substituents include amino, alkylamino, dialkylamino, and cyclic amino compounds.
The term "halogen" or "halo" refers to fluoro, chloro, bromo and iodo.
The terms "alkylamine" and "dialkylamine" refer to -NH(alkyl) and -N(alkyl)2 radicals respectively.
The term "alkylphosphate" refers to -0-P(Q')(Q")-0-R, wherein Q' and Q" are each independently O, S, N(R)2, optionally substituted alkyl or alkoxy; and R is optionally substituted alkyl, ω-aminoalkyl or ro-(substituted)aminoalkyl.
The term "alkylphosphorothioate" refers to an alkylphosphate wherein at least one of Q' or Q" is S.
The term "alkylphosphonate" refers to an alkylphosphate wherein at least one of Q' or Q" is alkyl.
The terem "hydroxyalkyl" refers to -O-alkyl radical.
The term "alkylheterocycle" refers to an alkyl where at least one methylene has been replaced by a heterocycle.
The term "ω-aminoalkyl" refers to -alkyl-NH2 radical. And the term
"ro-(substituted)aminoalkyl refers to an ω-aminoalkyl wherein at least one of the H on N has
been replaced with alkyl.
The term "ω-phosphoalkyl" refers to -alkyl-0-P(Q')(Q")-0-R, wherein Q' and Q" are each independently O or S and R optionally substituted alkyl.
The term "co-thiophosphoalkyl refers to ω-phosphoalkyl wherein at least one of Q' or Q" is S.
The following abbreviations may be used in this application:
DSPC: distearoylphosphatidylcholine; DPPC: l,2-Dipalmitoyl-sn-glycero-3-phosphocholine; POPC: 1- palmitoyl-2-oleoyl-sn-phosphatidylcholine; DOPE: l,2-dileoyl-sn-3- phosphoethanolamine; PEG-DMG generally refers to 1,2-dimyristoyl-sn-glycerol-methoxy polyethylene glycol (e.g., PEG 2000); TBDPSC1: tert-Butylchlorodiphenylsilane; DMAP:
dimethylaminopyridine; NMO: N-methylmorpholin-N- oxide; LiHDMS: lithium
bis(trimethylsilyl)amide; HMPA: hexamethylphosphoramide; EDC: l-ethyl-3-(3- dimethylaminopropyl) carbodiimide; DIPEA: diisopropylethylamine; DCM: dichloromethane; TEA: triethylamine; TBAF: tetrabutylammonium fluoride
In some embodiments, the methods may require the use of protecting groups. Protecting group methodology is well known to those skilled in the art (see, for example, Protective Groups in Organic Synthesis, Green, T.W. et. al., Wiley-Interscience, New York City, 1999). Briefly, protecting groups are any group that reduces or eliminates unwanted reactivity of a functional group. A protecting group can be added to a functional group to mask its reactivity during certain reactions and then removed to reveal the original functional group. In some embodiments an "alcohol protecting group" is used. An "alcohol protecting group" is any group which decreases or eliminates unwanted reactivity of an alcohol functional group. Protecting groups can be added and removed using techniques well known in the art.
The compounds may be prepared by at least one of the techniques described herein or known organic synthesis techniques.
Examples
Example 1: FVII in vivo evaluation using the cationic lipid derived liposomes
C57BL/6 mice (Charles River Labs, MA) receive either saline or siRNA in desired formulations via tail vein injection at a volume of 0.01 mL/g. At various time points post-administration, animals are anesthesized by isofluorane inhalation and blood is collected into serum separator tubes by retro orbital bleed. Serum levels of Factor VII protein are determined in samples using a chromogenic assay (Coaset Factor VII, DiaPharma Group, OH or Biophen FVII, Aniara Corporation, OH) according to manufacturer protocols. A standard curve is generated using serum collected from saline treated animals. In experiments where liver mRNA levels were assessed, at various time points post-administration, animals are sacrificed and livers are harvested and snap frozen in liquid nitrogen. Frozen liver tissue is ground into powder. Tissue lysates were prepared and liver mRNA levels of Factor VII and apoB are determined using a branched DNA assay (QuantiGene Assay, Panomics, CA).
Example 2: Determination of efficacy of lipid particle formulations containing various cationic lipids using an in vivo rodent Factor VII silencing model.
Factor VII (FVII), a prominent protein in the coagulation cascade, is synthesized in the liver (hepatocytes) and secreted into the plasma. FVII levels in plasma can be determined by a simple, plate-based colorimetric assay. As such, FVII represents a convenient model for determining sirna-mediated downregulation of hepatocyte-derived proteins, as well as monitoring plasma concentrations and tissue distribution of the nucleic acid lipid particles and siRNA.
Lower case is 2'OMe modification and Nf is a 2'F modified nucleobase, dT is deoxythymidine, s is phosphothioate
The cationic lipids shown above are used to formulate liposomes containing the
AD-1661duplex using an in-line mixing method, as described in U.S. provisional patent application 61/228,373, which is incorporated by reference in its entirety. Lipid particles are
formulated using the following molar ratio: 50% Cationic lipid/ 10%
distearoylphosphatidylcholine (DSPC) / 38.5% Cholesterol/ 1.5% PEG-DMG
(l-(monomethoxy-polyethyleneglycol)-2,3-dimyristoylglycerol, with an average PEG molecular weight of 2000).
C57BL/6 mice (Charles River Labs, MA) receive either saline or formulated siRNA via tail vein injection. At various time points after administration, serum samples are collected by retroorbital bleed. Serum levels of Factor VII protein are determined in samples using a chromogenic assay (Biophen FVII, Aniara Corporation, OH). To determine liver mRNA levels of Factor VII, animals are sacrificed and livers were harvested and snap frozen in liquid nitrogen. Tissue lysates are prepared from the frozen tissues and liver mRNA levels of Factor VII are quantified using a branched DNA assay (QuantiGene Assay, Panomics, CA).
FVII activity is evaluated in FVII siRNA-treated animals at 48 hours after intravenous (bolus) injection in C57BL/6 mice. FVII is measured using a commercially available kit for determining protein levels in serum or tissue, following the manufacturer's instructions at a microplate scale. FVII reduction is determined against untreated control mice, and the results are expressed as % Residual FVII. Two dose levels (0.05 and 0.005 mg/kg FVII siRNA) are used in the screen of each novel liposome composition.
Example 3: siRNA formulation using preformed vesicles
Cationic lipid containing particles are made using the preformed vesicle method.
Cationic lipid, DSPC, cholesterol and PEG-lipid were solubilized in ethanol at a molar ratio of 40/10/40/10, respectively. The lipid mixture is added to an aqueous buffer (50 mM citrate, pH 4) with mixing to a final ethanol and lipid concentration of 30% (vol/vol) and 6.1 mg/mL respectively and allowed to equilibrate at room temperature for 2 min before extrusion. The hydrated lipids are extruded through two stacked 80 nm pore-sized filters (Nuclepore) at 22°C using a Lipex Extruder (Northern Lipids, Vancouver, BC) until a vesicle diameter of 70-90 nm, as determined by Nicomp analysis, is obtained. This generally required 1-3 passes. For some cationic lipid mixtures which did not form small vesicles hydrating the lipid mixture with a lower pH buffer (50mM citrate, pH 3) to protonate the phosphate group on the DSPC headgroup helps form stable 70-90 nm vesicles.
The FVII siRNA (solubilised in a 50mM citrate, pH 4 aqueous solution containing 30% ethanol) is added to the vesicles, pre-equilibrated to 35°C, at a rate of ~5mL/min with mixing. After a final target siRNA/lipid ratio of 0.06 (wt/wt) is achieved, the mixture is incubated for a further 30 min at 35°C to allow vesicle re-organization and encapsulation of the FVII siRNA. The ethanol is then removed and the external buffer replaced with PBS (155mM NaCl, 3mM Na2HP04, ImM KH2P04, pH 7.5) by either dialysis or tangential flow diafiltration. The final encapsulated siRNA-to-lipid ratio is determined after removal of unencapsulated siRNA using size-exclusion spin columns or ion exchange spin columns.
Example 4: In vivo determination of efficacy of lipid formulations
Test formulations are initially assessed for their FVII knockdown in female 7-9 week old, 15-25g, female C57B1/6 mice at 0.1, 0.3, 1.0 and 5.0 mg/kg with 3 mice per treatment group. All studies included animals receiving either phosphate-buffered saline (PBS, Control group) or a benchmark formulation. Formulations are diluted to the appropriate concentration in PBS immediately prior to testing. Mice are weighed and the appropriate dosing volumes calculated (10 μΐ/g body weight). Test and benchmark formulations as well as PBS (for Control animals) are administered intravenously via the lateral tail vein. Animals are anesthetised 24 h later with an intraperitoneal injection of Ketamine/Xylazine and 500-700 μΐ of blood is collected by cardiac puncture into serum separator tubes (BD Micro tainer). Blood is centrifuged at 2,000 x g for 10 min at 15°C and serum is collected and stored at -70 °C until analysis. Serum samples are thawed at 37°C for 30 min, diluted in PBS and aliquoted into 96-well assay plates. Factor VII levels are assessed using a chromogenic assay (Biophen FVII kit, Hyphen BioMed) according to manufacturer's instructions and absorbance measured in microplate reader equipped with a 405 nm wavelength filter. Plasma FVII levels are quantified and ED50S (dose resulting in a 50% reduction in plasma FVII levels compared to control animals) calculated using a standard curve generated from a pooled sample of serum from Control animals. Those formulations of interest showing high levels of FVII knockdown (ED50 « 0.1 mg/kg) are re-tested in independent studies at a lower dose range to confirm potency and establish ED50.
These and other changes can be made to the embodiments in light of the above-detailed description. In general, in the following claims, the terms used should not be construed to limit the claims to the specific embodiments disclosed in the specification and the claims, but should
be construed to include all possible embodiments along with the full scope of equivalents to which such claims are entitled. Accordingly, the claims are not limited by the disclosure.
Table 10: Cationic Lipid Compounds
Example 5: Determination of efficacy of lipid particle formulations containing l,17-bis(2- ((2-pentylcyclopropyl)methyl)cyclopropyl)heptadecan-9-yl 4-(dimethylamino)butanoate (Compound 1) using an in vivo rodent Factor VII silencing model.
The cationic lipid l,17-bis(2-((2-pentylcyclopropyl)methyl)cyclopropyl)heptadecan-9-yl 4-(dimethylamino)butanoate (compound 1), shown below, was used to formulate liposomes using an in-line mixing method, as described in U.S. provisional patent application 61/228,373, which is incorporated by reference in its entirety. The formulation consisted of compound l/DSPC/Chol/(C14)PEG-DMG at the following ratio 50/10/38.5/1.5. The ED50 equaled 0.01
mg/kg. In vivo efficacy results are shown in FIG. 1. A second pre-formed vesicle (PFV, as described in Example 3 above) formulation consisting of compound l/DSPC/Chol/(C14)PEG- DMG at a ratio of 40/10/40/10 was tested. The ED50 was 0.12 mg/kg. In vivo efficacy results using the PFV formulation are shown in FIG. 2.
Claims
WHAT IS CLAIMED IS:
or a pharmaceutically acceptable salt thereof, wherein
R1 is a Cio to C30 group having the formula -Lla-(CRlaRlb)„-[Llb-(CRlaRlb)p]y-Llc-Rlc, wherein:
Lla is a bond, -CRlaRlb-, -0-, -CO-, -NRld-, -S-, or a combination thereof;
each Rla and each Rlb, independently, is H; halo; hydroxy; cyano; C]_-C alkyl optionally substituted by halo, hydroxy, or alkoxy; C3-Cg cycloalkyl optionally ssuubbssttiittuutteedd bbyy halo, hydroxy, or alkoxy; -ORlc; -NRlcRld; aryl; heteroaryl; or
heterocyclyl;
or has the formula
wherein j, k, and 1 are each independently 0, 1, 2, or 3, provided that the sum of j, k and 1 is at least 1 and no greater than 8; and Rlf and Rlg are each independently Rlb, or adjacent Rlf and Rlg, taken together, are optionally a bond;
or has the formula
wherein j and k are each independently 0, 1, 2, 3, or 4 provided that the sum of j and k is at least 1 ; and R and R g are each independently R , or adjacent R and R g, taken together, are optionally a bond;
or has the formula:
|-®-|
wherein -Ar- is a 6 to 14 membered arylene group optionally substituted by zero to six Rla groups;
or has the formula:
I-®- 1
wherein -Het- is a 3 to 14 membered heterocyclylene or heteroarylene group optionally substituted by zero to six R a groups;
• ' , or a combination thereof;
each Rlc is independently H; halo; hydroxy; cyano; C]_-C alkyl optionally substituted by halo, hydroxy, or alkoxy; C3-C8 cycloalkyl optionally substituted by halo, hydroxy, or alkoxy; aryl; formula:
each R is independently H; halo; hydroxy; cyano; Ci-Ce alkyl optionally substituted by halo, hydroxy, or alkoxy; C3-C8 cycloalkyl optionally substituted by halo, hydroxy, or alkoxy; aryl; heteroaryl; or heterocyclyl;
a is 0-6;
each β, independently, is 0-6;
γ is 0-6;
R2 is a Cio to C30 group having the formula -L2a-(CR2aR2b)8-[L2b-(CR2aR2b)e]c-L2c-R2c, wherein:
L/a is a bond, -CR/aR -, -0-, -CO-, -NR -, -S-, or a combination thereof;
each R2a and each R2b, independently, is H; halo; hydroxy; cyano; CrC6 alkyl optionally substituted by halo, hydroxy, or alkoxy; C3-Cg cycloalkyl optionally ssuubbssttiittuutteedd bbyy halo, hydroxy, or alkoxy; -ORlc; -NRlcRld; aryl; heteroaryl; or
heterocyclyl;
each L2b, independently, is a bond, -(CRlaRlb)1-2-, -0-, -CO-, -NRld-, -S-,
or a combination thereof; or has the formula
wherein j, k, and 1 are each independently 0, 1, 2, or 3, provided that the sum of j, k and 1 is at least 1 and no greater than 8; and R2f and R2g are each independently R2b, or adjacent R2f and R2g, taken together, are optionally a bond;
or has the formula
wherein j and k are each independently 0, 1, 2, 3, or 4 provided that the sum of j and k is at least 1; and R2f and R2g are each independently R2b, or adjacent R2f and R2g, taken together, are optionally a bond;
or has the formula:
|-@-|
wherein -Ar- is a 6 to 14 membered arylene group optionally substituted by zero to six R2a groups
or has the formula:
wherein -Het- is a 3 to 14 membered heterocyclylene or heteroarylene group optionally substituted by zero to six R a groups;
' ' , or a combination thereof;
R2c is H; halo; hydroxy; cyano; CrC6 alkyl optionally substituted by halo, hydroxy, or alkoxy; C3-C8 cycloalkyl optionally substituted by halo, hydroxy, or alkoxy; aryl; heteroaryl; or heterocycl 2c has the formula:
R is H; halo; hydroxy; cyano; CrC6 alkyl optionally substituted by halo, hydroxy, or alkoxy; C3-C8 cycloalkyl optionally substituted by halo, hydroxy, or alkoxy; aryl; heteroaryl; or heterocyclyl;
δ is 0-6;
each ε, independently, is 0-6;
ζ is 0-6;
Hd1 is -X-(CR3R4)n-N(R5)(R6)(R7) and Hd2 is H, halo, hydroxy, alkyl, or alkoxy;
or Hd 1 and Hd 2 , taken together, have the formula:
wherein:
- I l l -
X and Y are each independently -0-, -S-, -NR -, -S-S-, -0C(0)-, -C(0)0-, -NR8C(0)-, -C(0)NR8-, -NR8C(0)0-, -OC(0)NR8-, -NR8C(0)NR8-, -NR8C(S)0-, -OC(S)NR8-, -NR8C(S)NR8-, or -CR3R4-;
each R3 and each R4, independently, is H; halo; hydroxy; cyano; CrC6 alkyl optionally substituted by halo, hydroxy, or alkoxy; C3-C8 cycloalkyl optionally substituted by halo, hydroxy, or alkoxy; aryl; heteroaryl; or heterocyclyl;
R5 and R6 are each independently H, alkyl, alkenyl, alkynyl, cycloalkyl, aryl, heteroaryl, or heterocyclyl,
wherein each of alkyl, alkenyl, alkynyl, cycloalkyl, aryl, heteroaryl, and heterocyclyl is optionally substituted by H; halo; hydroxy; cyano; oxo, nitro; C -
Ce alkyl optionally substituted by halo, hydroxy, or alkoxy; C3-C8 cycloalkyl optionally substituted by halo, hydroxy, or alkoxy; aryl; heteroaryl; or
heterocyclyl;
or R5 and R6 are taken together with the N atom to which they are both attached to form a 3-8 membered heteroaryl or heterocyclyl;
wherein each of heteroaryl and heterocyclyl is optionally substituted by H; halo; hydroxy; cyano; oxo, nitro; C -C alkyl optionally substituted by halo, hydroxy, or alkoxy; C3-C8 cycloalkyl optionally substituted by halo, hydroxy, or alkoxy; aryl; heteroaryl; or heterocyclyl;
R is absent, H, alkyl, alkyl, alkenyl, alkynyl, cycloalkyl, aryl, heteroaryl, or heterocyclyl,
wherein each of alkyl, alkenyl, alkynyl, cycloalkyl, aryl, heteroaryl, and heterocyclyl is optionally substituted by H; halo; hydroxy; cyano; oxo, nitro; Cr C6 alkyl optionally substituted by halo, hydroxy, or alkoxy; C3-C8 cycloalkyl optionally substituted by halo, hydroxy, or alkoxy; aryl; heteroaryl; or
heterocyclyl;
R is H, alkyl, alkenyl, alkynyl, cycloalkyl, aryl, heteroaryl, or heterocyclyl,
wherein each of alkyl, alkenyl, alkynyl, cycloalkyl, aryl, heteroaryl, and heterocyclyl is optionally substituted by H; halo; hydroxy; cyano; oxo, nitro; C - C alkyl optionally substituted by halo, hydroxy, or alkoxy; C3-C8 cycloalkyl
optionally substituted by halo, hydroxy, or alkoxy; aryl; heteroaryl; or heterocyclyl;
m is 0 to 6; and
n is 0 to 5.
2. The cationic lipid of claim 1, wherein R1 is a C12 to C2o group having the formula -Lla-(CRlaRlb)„-[Llb-(CRlaRlb)p]y-Llc-Rlc, wherein
at least one Llb has the formula or has the formula
wherein j, k, and 1 are each independently 0, 1, 2, or 3, provided that the sum of j, k and 1 is at least 1 and no greater than 8; and R and R g are each independently R , or adjacent R and R g, taken together, are optionally a bond. cationic lipid of claim 2, wherein at least one Llb has the formula:
claim 1, wherein R2c has the formula:
5. The cationic lipid of claim 4, wherein L c is -NHC(O)-.
6. The cationic lipid of claim 1, wherein -Lla-(CRlaRlb)„- is -(CH2):
7 The cationic lipid of claim 6, wherein at least one -[Llb-(CRlaRlb)p]- is
9. The cationic lipid of claim 7, wherein Llc-Rlc is -(CH2)3-CH3 or -CH3.
10. The cationic lipid of claim 1, wherein R is free of carbon-carbon double-bonds.
11. The cationic lipid of claim 10, wherein R is free of carbon-carbon double-bonds.
12. The cationic lipid of claim 1, wherein Hd1 has the formula -X- (CR3R4)n-N(R5)(R6)(R7).
13. The cationic lipid of claim 12, wherein Hd 2 is H, X is O, and R 7 is absent.
14. The cationic lipid of claim 13, wherein R5 and R6 are each independently alkyl optionally substituted by halo; hydroxy; cyano; oxo, nitro; C3-Cg cycloalkyl optionally substituted by halo, hydroxy, or alkoxy; aryl; heteroaryl; or heterocyclyl.
16. The cationic lipid of claim 15, wherein X and Y are each independently O, and m is 0, 1, or 2.
17. The cationic lipid of claim 16, wherein n is 1, 2, 3, 4, or 5.
18. The cationic lipid of claim 17, wherein R7 is absent; and R5 and R6 are each independently alkyl optionally substituted by halo; hydroxy; cyano; oxo, nitro; C3-C8 cycloalkyl optionally substituted by halo, hydroxy, or alkoxy; aryl; heteroaryl; or heterocyclyl.
19. The compound of any of the preceding claims, wherein the compound is in the form of a pharmaceutically acceptable salt.
20. The compound of any of the preceding claims, wherein the compound is in the form of a cationic lipid.
21. A lipid particle comprising a neutral lipid, a lipid capable of reducing aggregation, and a cationic lipid of claim 20.
22. The lipid particle of claim 21, wherein the neutral lipid is selected from DSPC, DPPC, POPC, DOPE, and SM; the lipid capable of reducing aggregation is a PEG lipid; and the lipid particle further comprises a sterol.
23. The lipid particle of claim 21 or claim 22, wherein the cationic lipid is present in a molar ratio of about 20% and about 60%; the neutral lipid is present in a molar ratio of about 5% to about 25%; the sterol is present in a molar ratio of about 25% to about 55%; and the PEG lipid is PEG-DMA, PEG-DMG, or a combination thereof, and is present in a molar ratio of about 0.5% to about 15%.
24. The lipid particle of any one of claims 21-23, further comprising an active agent.
25. The lipid particle of claim 24, wherein the active agent is a nucleic acid selected from the group consisting of a plasmid, an immuno stimulatory oligonucleotide, an siRNA, an
antisense oligonucleotide, a microRNA, an antagomir, an aptamer, and a ribozyme.
26. A pharmaceutical composition comprising a lipid particle of any one of claims 21-25 and a pharmaceutically acceptable carrier.
27. A method of modulating the expression of a target gene in a cell, comprising providing to the cell a lipid particle of any one of claims 21-25.
28. The method of claim 27, wherein the active agent is a nucleic acid selected from the group consisting of a plasmid, an immuno stimulatory oligonucleotide, an siRNA, an antisense oligonucleotide, a microRNA, an antagomir, an aptamer, and a ribozyme.
29. A method of treating a disease or disorder characterized by the overexpression of a polypeptide in a subject, comprising providing to the subject the pharmaceutical composition of claim 26 wherein the active agent is a nucleic acid selected from the group consisting of an siRNA, a microRNA, and an antisense oligonucleotide, and wherein the siRNA, microRNA, or antisense oligonucleotide includes a polynucleotide that specifically binds to a polynucleotide that encodes the polypeptide, or a complement thereof.
30. A method of treating a disease or disorder characterized by underexpression of a polypeptide in a subject, comprising providing to the subject the pharmaceutical composition of claim 26, wherein the active agent is a plasmid that encodes the polypeptide or a functional variant or fragment thereof.
31. A method of inducing an immune response in a subject, comprising providing to the subject the pharmaceutical composition of claim 26, wherein the active agent is an immuno stimulatory oligonucleotide .
32. The method of claim 31, wherein the target gene is selected from the group consisting of Factor VII, Eg5, PCSK9, TPX2, apoB, SAA, TTR, RSV, PDGF beta gene, Erb-B gene, Src gene, CRK gene, GRB2 gene, RAS gene, MEKK gene, JNK gene, RAF gene, Erkl/2
gene, PCNA(p21) gene, MYB gene, JUN gene, FOS gene, BCL-2 gene, Cyclin D gene, VEGF gene, EGFR gene, Cyclin A gene, Cyclin E gene, WNT- 1 gene, beta-catenin gene, c-MET gene, PKC gene, NFKB gene, STAT3 gene, survivin gene, Her2/Neu gene, SORTl gene, XBPl gene, topoisomerase I gene, topoisomerase II alpha gene, p73 gene, p21(WAFl/CIPl) gene, p27 (KIP 1) gene, PPM ID gene, RAS gene, caveolin I gene, MIB I gene, MTAI gene, M68 gene, tumor suppressor genes, and p53 tumor suppressor gene.
33. The method of claim 32, wherein the target gene contains one or more mutations.
Priority Applications (3)
| Application Number | Priority Date | Filing Date | Title |
|---|---|---|---|
| US13/813,122 US20130323269A1 (en) | 2010-07-30 | 2011-07-29 | Methods and compositions for delivery of active agents |
| US15/010,747 US20160250354A1 (en) | 2010-07-30 | 2016-01-29 | Methods and compositions for delivery of active agents |
| US15/788,575 US20180221510A1 (en) | 2010-07-30 | 2017-10-19 | Methods and compositions for delivery of active agents |
Applications Claiming Priority (2)
| Application Number | Priority Date | Filing Date | Title |
|---|---|---|---|
| US36953010P | 2010-07-30 | 2010-07-30 | |
| US61/369,530 | 2010-07-30 |
Related Child Applications (2)
| Application Number | Title | Priority Date | Filing Date |
|---|---|---|---|
| US13/813,122 A-371-Of-International US20130323269A1 (en) | 2010-07-30 | 2011-07-29 | Methods and compositions for delivery of active agents |
| US15/010,747 Continuation US20160250354A1 (en) | 2010-07-30 | 2016-01-29 | Methods and compositions for delivery of active agents |
Publications (2)
| Publication Number | Publication Date |
|---|---|
| WO2012016184A2 true WO2012016184A2 (en) | 2012-02-02 |
| WO2012016184A3 WO2012016184A3 (en) | 2012-04-19 |
Family
ID=44654460
Family Applications (1)
| Application Number | Title | Priority Date | Filing Date |
|---|---|---|---|
| PCT/US2011/045963 Ceased WO2012016184A2 (en) | 2010-07-30 | 2011-07-29 | Methods and compositions for delivery of active agents |
Country Status (2)
| Country | Link |
|---|---|
| US (3) | US20130323269A1 (en) |
| WO (1) | WO2012016184A2 (en) |
Cited By (87)
| Publication number | Priority date | Publication date | Assignee | Title |
|---|---|---|---|---|
| WO2015057998A1 (en) | 2013-10-16 | 2015-04-23 | The University Of British Columbia | Device for formulating particles at small volumes |
| WO2015075557A2 (en) | 2013-11-22 | 2015-05-28 | Mina Alpha Limited | C/ebp alpha compositions and methods of use |
| CN105143456A (en) * | 2013-03-15 | 2015-12-09 | 不列颠哥伦比亚大学 | Lipid nanoparticles for transfection and related methods |
| US9758795B2 (en) | 2009-11-04 | 2017-09-12 | The University Of British Columbia | Nucleic acid-containing lipid particles and related methods |
| US9943846B2 (en) | 2011-10-25 | 2018-04-17 | The University Of British Columbia | Limit size lipid nanoparticles and related methods |
| WO2018081480A1 (en) | 2016-10-26 | 2018-05-03 | Acuitas Therapeutics, Inc. | Lipid nanoparticle formulations |
| WO2018078053A1 (en) | 2016-10-26 | 2018-05-03 | Curevac Ag | Lipid nanoparticle mrna vaccines |
| WO2018081638A1 (en) | 2016-10-27 | 2018-05-03 | The Trustees Of The University Of Pennsylvania | Nucleoside-modified rna for inducing an adaptive immune response |
| WO2018191719A1 (en) | 2017-04-13 | 2018-10-18 | Acuitas Therapeutics, Inc. | Lipid delivery of therapeutic agents to adipose tissue |
| WO2019035066A1 (en) | 2017-08-17 | 2019-02-21 | The Trustees Of The University Of Pennsylvania | Modified mrna vaccines encoding herpes simplex virus glycoproteins and uses thereof |
| WO2019048631A1 (en) | 2017-09-08 | 2019-03-14 | Mina Therapeutics Limited | Hnf4a sarna compositions and methods of use |
| WO2019048645A1 (en) | 2017-09-08 | 2019-03-14 | Mina Therapeutics Limited | Stabilized cebpa sarna compositions and methods of use |
| WO2019089828A1 (en) | 2017-10-31 | 2019-05-09 | Acuitas Therapeutics, Inc. | Lamellar lipid nanoparticles |
| WO2019197845A1 (en) | 2018-04-12 | 2019-10-17 | Mina Therapeutics Limited | Sirt1-sarna compositions and methods of use |
| WO2019210394A1 (en) | 2018-04-29 | 2019-11-07 | Precision Nanosystems Inc. | Compositions for transfecting resistant cell types |
| EP3568155A1 (en) | 2017-01-11 | 2019-11-20 | The Trustees Of The University Of Pennsylvania | Nucleoside-modified rna for inducing an immune response against zika virus |
| WO2020061426A2 (en) | 2018-09-21 | 2020-03-26 | Acuitas Therapeutics, Inc. | Systems and methods for manufacturing lipid nanoparticles and liposomes |
| WO2020208361A1 (en) | 2019-04-12 | 2020-10-15 | Mina Therapeutics Limited | Sirt1-sarna compositions and methods of use |
| WO2021030701A1 (en) | 2019-08-14 | 2021-02-18 | Acuitas Therapeutics, Inc. | Improved lipid nanoparticles for delivery of nucleic acids |
| US11040112B2 (en) | 2015-10-28 | 2021-06-22 | Acuitas Therapeutics, Inc. | Lipids and lipid nanoparticle formulations for delivery of nucleic acids |
| WO2021123332A1 (en) | 2019-12-20 | 2021-06-24 | Curevac Ag | Lipid nanoparticles for delivery of nucleic acids |
| WO2021195214A1 (en) | 2020-03-24 | 2021-09-30 | Generation Bio Co. | Non-viral dna vectors and uses thereof for expressing factor ix therapeutics |
| WO2021195218A1 (en) | 2020-03-24 | 2021-09-30 | Generation Bio Co. | Non-viral dna vectors and uses thereof for expressing gaucher therapeutics |
| US11168051B2 (en) | 2015-06-29 | 2021-11-09 | Acuitas Therapeutics, Inc. | Lipids and lipid nanoparticle formulations for delivery of nucleic acids |
| WO2022023284A1 (en) | 2020-07-27 | 2022-02-03 | Anjarium Biosciences Ag | Compositions of dna molecules, methods of making therefor, and methods of use thereof |
| US11357856B2 (en) | 2017-04-13 | 2022-06-14 | Acuitas Therapeutics, Inc. | Lipids for delivery of active agents |
| WO2022122872A1 (en) | 2020-12-09 | 2022-06-16 | Ucl Business Ltd | Therapeutics for the treatment of neurodegenerative disorders |
| US11453639B2 (en) | 2019-01-11 | 2022-09-27 | Acuitas Therapeutics, Inc. | Lipids for lipid nanoparticle delivery of active agents |
| WO2022200810A1 (en) | 2021-03-26 | 2022-09-29 | Mina Therapeutics Limited | Tmem173 sarna compositions and methods of use |
| WO2022223556A1 (en) | 2021-04-20 | 2022-10-27 | Anjarium Biosciences Ag | Compositions of dna molecules encoding amylo-alpha-1, 6-glucosidase, 4-alpha-glucanotransferase, methods of making thereof, and methods of use thereof |
| WO2022232286A1 (en) | 2021-04-27 | 2022-11-03 | Generation Bio Co. | Non-viral dna vectors expressing anti-coronavirus antibodies and uses thereof |
| WO2022232289A1 (en) | 2021-04-27 | 2022-11-03 | Generation Bio Co. | Non-viral dna vectors expressing therapeutic antibodies and uses thereof |
| US11524932B2 (en) | 2017-08-17 | 2022-12-13 | Acuitas Therapeutics, Inc. | Lipids for use in lipid nanoparticle formulations |
| US11542225B2 (en) | 2017-08-17 | 2023-01-03 | Acuitas Therapeutics, Inc. | Lipids for use in lipid nanoparticle formulations |
| US11572575B2 (en) | 2016-10-03 | 2023-02-07 | Precision NanoSystems ULC | Compositions for transfecting resistant cell types |
| WO2023023589A2 (en) | 2021-08-18 | 2023-02-23 | The Trustees Of The University Of Pennsylvania | Mrna vaccines against tick salivary proteins, and methods of using same |
| WO2023041985A2 (en) | 2021-09-15 | 2023-03-23 | New York University In Abu Dhabicorporation | Compositions that block activation of the sars-cov-2 replication and transcription complex (rtc) and methods of use thereof |
| US11634379B2 (en) | 2014-06-25 | 2023-04-25 | Acuitas Therapeutics, Inc. | Lipids and lipid nanoparticle formulations for delivery of nucleic acids |
| US11639329B2 (en) | 2017-08-16 | 2023-05-02 | Acuitas Therapeutics, Inc. | Lipids for use in lipid nanoparticle formulations |
| WO2023081526A1 (en) | 2021-11-08 | 2023-05-11 | Orna Therapeutics, Inc. | Lipid nanoparticle compositions for delivering circular polynucleotides |
| WO2023099884A1 (en) | 2021-12-01 | 2023-06-08 | Mina Therapeutics Limited | Pax6 sarna compositions and methods of use |
| WO2023104964A1 (en) | 2021-12-09 | 2023-06-15 | Ucl Business Ltd | Therapeutics for the treatment of neurodegenerative disorders |
| WO2023135273A2 (en) | 2022-01-14 | 2023-07-20 | Anjarium Biosciences Ag | Compositions of dna molecules encoding factor viii, methods of making thereof, and methods of use thereof |
| WO2023170435A1 (en) | 2022-03-07 | 2023-09-14 | Mina Therapeutics Limited | Il10 sarna compositions and methods of use |
| WO2023177655A1 (en) | 2022-03-14 | 2023-09-21 | Generation Bio Co. | Heterologous prime boost vaccine compositions and methods of use |
| WO2023218431A1 (en) | 2022-05-13 | 2023-11-16 | BioNTech SE | Rna compositions targeting hiv |
| US11820728B2 (en) | 2017-04-28 | 2023-11-21 | Acuitas Therapeutics, Inc. | Carbonyl lipids and lipid nanoparticle formulations for delivery of nucleic acids |
| WO2023230295A1 (en) | 2022-05-25 | 2023-11-30 | BioNTech SE | Rna compositions for delivery of monkeypox antigens and related methods |
| WO2023232747A1 (en) | 2022-05-30 | 2023-12-07 | BioNTech SE | Complexes for delivery of nucleic acids |
| WO2023239756A1 (en) | 2022-06-07 | 2023-12-14 | Generation Bio Co. | Lipid nanoparticle compositions and uses thereof |
| WO2024011033A1 (en) | 2022-07-07 | 2024-01-11 | The United States Of America, As Represented By The Secretary, Department Of Health And Human Services | Immunogens and methods for inducing an immune response |
| WO2024040222A1 (en) | 2022-08-19 | 2024-02-22 | Generation Bio Co. | Cleavable closed-ended dna (cedna) and methods of use thereof |
| US11976019B2 (en) | 2020-07-16 | 2024-05-07 | Acuitas Therapeutics, Inc. | Cationic lipids for use in lipid nanoparticles |
| WO2024102762A1 (en) | 2022-11-08 | 2024-05-16 | Orna Therapeutics, Inc. | Lipids and lipid nanoparticle compositions for delivering polynucleotides |
| WO2024102677A1 (en) | 2022-11-08 | 2024-05-16 | Orna Therapeutics, Inc. | Circular rna compositions |
| WO2024102730A1 (en) | 2022-11-08 | 2024-05-16 | Orna Therapeutics, Inc. | Lipids and nanoparticle compositions for delivering polynucleotides |
| WO2024119039A2 (en) | 2022-12-01 | 2024-06-06 | Generation Bio Co. | Stealth lipid nanoparticles and uses thereof |
| WO2024119103A1 (en) | 2022-12-01 | 2024-06-06 | Generation Bio Co. | Lipid nanoparticles comprising nucleic acids and lipid-anchored polymers |
| WO2024119051A1 (en) | 2022-12-01 | 2024-06-06 | Generation Bio Co. | Novel polyglycerol-conjugated lipids and lipid nanoparticle compositions comprising the same |
| WO2024119074A1 (en) | 2022-12-01 | 2024-06-06 | Generation Bio Co. | Stealth lipid nanoparticle compositions for cell targeting |
| WO2024125597A1 (en) | 2022-12-14 | 2024-06-20 | Providence Therapeutics Holdings Inc. | Compositions and methods for infectious diseases |
| WO2024134199A1 (en) | 2022-12-22 | 2024-06-27 | Mina Therapeutics Limited | Chemically modified sarna compositions and methods of use |
| WO2024141955A1 (en) | 2022-12-28 | 2024-07-04 | BioNTech SE | Rna compositions targeting hiv |
| WO2024163918A1 (en) | 2023-02-02 | 2024-08-08 | University Of Houston System | Mrna vaccine for herpes simplex virus |
| US12065396B2 (en) | 2017-08-17 | 2024-08-20 | Acuitas Therapeutics, Inc. | Lipids for use in lipid nanoparticle formulations |
| WO2024205657A2 (en) | 2023-03-29 | 2024-10-03 | Orna Therapeutics, Inc. | Lipids and lipid nanoparticle compositions for delivering polynucleotides |
| US12129223B2 (en) | 2021-12-16 | 2024-10-29 | Acuitas Therapeutics, Inc. | Lipids for use in lipid nanoparticle formulations |
| US12138305B2 (en) | 2015-04-27 | 2024-11-12 | The Trustees Of The University Of Pennsylvania | Nucleoside-modified RNA for inducing an adaptive immune response |
| WO2024233308A2 (en) | 2023-05-05 | 2024-11-14 | Orna Therapeutics, Inc. | Circular rna compositions and methods |
| WO2025006385A1 (en) | 2023-06-30 | 2025-01-02 | The United States Of America, As Represented By The Secretary, Department Of Health And Human Services | Novel malaria vaccine comprising ama1 and ron2 antigens |
| WO2025027576A2 (en) | 2023-08-03 | 2025-02-06 | BioNTech SE | Rna compositions targeting hiv |
| WO2025027579A2 (en) | 2023-08-03 | 2025-02-06 | BioNTech SE | Rna compositions targeting hiv |
| WO2025030134A1 (en) | 2023-08-03 | 2025-02-06 | The Trustees Of The University Of Pennsylvania | Rna compositions encoding herpes simplex virus glycoprotein e and/or glycoprotein i antigens and uses thereof |
| WO2025030103A1 (en) | 2023-08-03 | 2025-02-06 | The Trustees Of The University Of Pennsylvania | Rna compositions encoding herpes simplex virus glycoprotein b antigens and uses thereof |
| US12226471B2 (en) | 2017-04-27 | 2025-02-18 | The Trustees Of The University Of Pennsylvania | Nucleoside-modified mRNA-lipid nanoparticle lineage vaccine for hepatitis C virus |
| WO2025049690A1 (en) | 2023-08-29 | 2025-03-06 | Orna Therapeutics, Inc. | Circular polyethylene glycol lipids |
| WO2025052180A2 (en) | 2023-09-07 | 2025-03-13 | Axelyf ehf. | Lipids and lipid nanoparticles |
| WO2025064850A1 (en) | 2023-09-22 | 2025-03-27 | BioNTech SE | Rna constructs with n-terminal degrons to enhance an immune response |
| WO2025101501A1 (en) | 2023-11-07 | 2025-05-15 | Orna Therapeutics, Inc. | Circular rna compositions |
| WO2025106738A1 (en) | 2023-11-15 | 2025-05-22 | BioNTech SE | Sars-cov-2 immunogenic compositions |
| WO2025106754A1 (en) | 2023-11-15 | 2025-05-22 | BioNTech SE | Coronavirus vaccine |
| WO2025125385A1 (en) | 2023-12-13 | 2025-06-19 | BioNTech SE | Glycolipid compositions |
| WO2025149492A1 (en) | 2024-01-08 | 2025-07-17 | BioNTech SE | Rna encoding an immune inhibitory il-1 family member |
| US12491261B2 (en) | 2016-10-26 | 2025-12-09 | Acuitas Therapeutics, Inc. | Lipid nanoparticle formulations |
| WO2025255393A1 (en) | 2024-06-06 | 2025-12-11 | The Trustees Of The University Of Pennsylvania | Herpes simplex virus antigen binding agents for mitigation of herpes simplex virus associated disease |
| WO2026003582A2 (en) | 2024-06-27 | 2026-01-02 | Axelyf ehf. | Lipids and lipid nanoparticles |
| WO2026027887A2 (en) | 2024-08-02 | 2026-02-05 | Mina Therapeutics Limited | Hbg1/2-sarna compositions and methods of use |
Families Citing this family (132)
| Publication number | Priority date | Publication date | Assignee | Title |
|---|---|---|---|---|
| HUE038039T2 (en) | 2009-12-01 | 2018-09-28 | Translate Bio Inc | Delivery of mrna for the augmentation of proteins and enzymes in human genetic diseases |
| ME03491B (en) | 2011-06-08 | 2020-01-20 | Translate Bio Inc | Lipid nanoparticle compositions and methods for mrna delivery |
| EP3988537A1 (en) | 2011-12-07 | 2022-04-27 | Alnylam Pharmaceuticals, Inc. | Biodegradable lipids for the delivery of active agents |
| US9255154B2 (en) | 2012-05-08 | 2016-02-09 | Alderbio Holdings, Llc | Anti-PCSK9 antibodies and use thereof |
| BR112014030677A2 (en) | 2012-06-08 | 2022-07-19 | Shire Human Genetic Therapies | pulmonary distribution of mrna to non-pulmonary target cells |
| EP3467108B1 (en) | 2013-03-14 | 2024-05-22 | Translate Bio, Inc. | Methods for purification of messenger rna |
| ES2882110T3 (en) | 2013-03-14 | 2021-12-01 | Translate Bio Inc | Methods and Compositions for Delivering mRNA-Encoded Antibodies |
| EA037922B1 (en) | 2013-03-14 | 2021-06-07 | Шир Хьюман Дженетик Терапис, Инк. | CFTR mRNA AND COMPOSITIONS FOR TREATING CYSTIC FIBROSIS IN A MAMMAL |
| EP3388834B1 (en) | 2013-03-15 | 2020-04-15 | Translate Bio, Inc. | Synergistic enhancement of the delivery of nucleic acids via blended formulations |
| EP3060258A1 (en) | 2013-10-22 | 2016-08-31 | Shire Human Genetic Therapies, Inc. | Mrna therapy for phenylketonuria |
| EP3060671B1 (en) | 2013-10-22 | 2021-12-29 | Translate Bio, Inc. | Cns delivery of mrna and uses thereof |
| AU2014340092B2 (en) | 2013-10-22 | 2019-09-19 | Translate Bio, Inc. | mRNA therapy for Argininosuccinate Synthetase Deficiency |
| EP3636742B1 (en) | 2014-04-25 | 2025-11-05 | Translate Bio, Inc. | Methods for purification of messenger rna |
| KR20170124602A (en) | 2015-03-13 | 2017-11-10 | 포르마 세라퓨틱스 인크. | Alpha-cinnamide compounds and compositions as HDAC8 inhibitors |
| EP3950003A1 (en) * | 2015-09-14 | 2022-02-09 | The Board of Regents of the University of Texas System | Lipocationic dendrimers and uses thereof |
| AU2016338559B2 (en) | 2015-10-14 | 2022-11-24 | Translate Bio, Inc. | Modification of RNA-related enzymes for enhanced production |
| EP3440206B1 (en) | 2016-04-08 | 2020-10-28 | Translate Bio, Inc. | Multimeric coding nucleic acid and uses thereof |
| EP3469074B1 (en) | 2016-06-13 | 2020-12-09 | Translate Bio, Inc. | Messenger rna therapy for the treatment of ornithine transcarbamylase deficiency |
| EP3585417B1 (en) | 2017-02-27 | 2023-02-22 | Translate Bio, Inc. | Method of making a codon-optimized cftr mrna |
| EP3596112A2 (en) | 2017-03-17 | 2020-01-22 | Newcastle University | Adeno-associated virus vector delivery of a fragment of micro-dystrophin to treat muscular dystrophy |
| CA3063531A1 (en) | 2017-05-16 | 2018-11-22 | Translate Bio, Inc. | Treatment of cystic fibrosis by delivery of codon-optimized mrna encoding cftr |
| US11167043B2 (en) | 2017-12-20 | 2021-11-09 | Translate Bio, Inc. | Composition and methods for treatment of ornithine transcarbamylase deficiency |
| JP7646362B2 (en) | 2018-06-18 | 2025-03-17 | リサーチ インスティチュート アット ネイションワイド チルドレンズ ホスピタル | Adeno-associated viral vector delivery of muscle-specific microdystrophin to treat muscular dystrophies |
| JP2021534101A (en) | 2018-08-09 | 2021-12-09 | ヴェルソー セラピューティクス, インコーポレイテッド | Oligonucleotide compositions for targeting CCR2 and CSF1R and their use |
| CN118421617A (en) | 2018-08-24 | 2024-08-02 | 川斯勒佰尔公司 | Method for purifying messenger RNA |
| MX2021005969A (en) | 2018-11-21 | 2021-09-14 | Translate Bio Inc | TREATMENT OF CYSTIC FIBROSIS BY DELIVERY OF NEBULIZED mRNA ENCODING CFTR. |
| WO2021016075A1 (en) | 2019-07-19 | 2021-01-28 | Flagship Pioneering Innovations Vi, Llc | Recombinase compositions and methods of use |
| WO2021198157A1 (en) | 2020-03-30 | 2021-10-07 | BioNTech SE | Rna compositions targeting claudin-18.2 |
| IL298363A (en) | 2020-05-20 | 2023-01-01 | Flagship Pioneering Innovations Vi Llc | Immunogenic compositions and uses thereof |
| CA3179420A1 (en) | 2020-05-20 | 2021-11-25 | Avak Kahvejian | Coronavirus antigen compositions and their uses |
| MX2022015042A (en) | 2020-05-29 | 2023-03-09 | Flagship Pioneering Innovations Vi Llc | Trem compositions and methods relating thereto. |
| WO2021243301A2 (en) | 2020-05-29 | 2021-12-02 | Flagship Pioneering Innovations Vi, Llc. | Trem compositions and methods relating thereto |
| US20210393801A1 (en) | 2020-06-15 | 2021-12-23 | Research Institute At Nationwide Children's Hospital | Adeno-Associated Virus Vector Delivery for Muscular Dystrophies |
| WO2025056938A1 (en) | 2023-09-11 | 2025-03-20 | BioNTech SE | Rna compositions for delivery of incretin agents |
| JP2023542492A (en) | 2020-09-03 | 2023-10-10 | フラッグシップ パイオニアリング イノベーションズ シックス,エルエルシー | Immunogenic compositions and uses thereof |
| CA3206285A1 (en) | 2020-12-23 | 2022-06-30 | Flagship Pioneering, Inc. | Compositions of modified trems and uses thereof |
| US20220325287A1 (en) | 2021-03-31 | 2022-10-13 | Flagship Pioneering Innovations V, Inc. | Thanotransmission polypeptides and their use in treating cancer |
| EP4319803B1 (en) | 2021-04-08 | 2025-11-26 | Vaxthera SAS | Coronavirus vaccine comprising a mosaic protein |
| US20240336945A1 (en) | 2021-07-26 | 2024-10-10 | Flagship Pioneering Innovations Vi, Llc | Trem compositions and uses thereof |
| WO2023023055A1 (en) | 2021-08-16 | 2023-02-23 | Renagade Therapeutics Management Inc. | Compositions and methods for optimizing tropism of delivery systems for rna |
| EP4402123A1 (en) | 2021-09-14 | 2024-07-24 | Renagade Therapeutics Management Inc. | Cyclic lipids and methods of use thereof |
| WO2023044343A1 (en) | 2021-09-14 | 2023-03-23 | Renagade Therapeutics Management Inc. | Acyclic lipids and methods of use thereof |
| WO2023044006A1 (en) | 2021-09-17 | 2023-03-23 | Flagship Pioneering Innovations Vi, Llc | Compositions and methods for producing circular polyribonucleotides |
| KR20240126857A (en) | 2021-10-18 | 2024-08-21 | 플래그쉽 파이어니어링 이노베이션스 브이아이, 엘엘씨 | Compositions and methods for purifying polyribonucleotides |
| WO2023081756A1 (en) | 2021-11-03 | 2023-05-11 | The J. David Gladstone Institutes, A Testamentary Trust Established Under The Will Of J. David Gladstone | Precise genome editing using retrons |
| EP4433450A1 (en) | 2021-11-16 | 2024-09-25 | Sail Biomedicines, Inc. | Novel ionizable lipids and lipid nanoparticles and methods of using the same |
| WO2023091787A1 (en) | 2021-11-22 | 2023-05-25 | Senda Biosciences, Inc. | Novel ionizable lipids and lipid nanoparticles and methods of using the same |
| KR20240117569A (en) | 2021-11-24 | 2024-08-01 | 플래그쉽 파이어니어링 이노베이션스 브이아이, 엘엘씨 | Coronavirus immunogen composition and uses thereof |
| AU2022397300A1 (en) | 2021-11-24 | 2024-06-27 | Flagship Pioneering Innovations Vi, Llc | Immunogenic compositions and their uses |
| JP2024541466A (en) | 2021-11-24 | 2024-11-08 | フラッグシップ パイオニアリング イノベーションズ シックス,エルエルシー | Varicella-zoster virus immunogenic composition and uses thereof |
| US20240401024A1 (en) | 2021-12-17 | 2024-12-05 | Flagship Pioneering Innovations Vi, Llc | Methods for enrichment of circular rna under denaturing conditions |
| MX2024007869A (en) | 2021-12-22 | 2024-08-20 | Flagship Pioneering Innovations Vi Llc | Compositions and methods for purifying polyribonucleotides. |
| CN118922211A (en) | 2021-12-23 | 2024-11-08 | 旗舰创业创新六公司 | Cyclic polyribonucleotides encoding antifusogenic polypeptides |
| EP4452928A1 (en) | 2021-12-23 | 2024-10-30 | Renagade Therapeutics Management Inc. | Constrained lipids and methods of use thereof |
| WO2023141602A2 (en) | 2022-01-21 | 2023-07-27 | Renagade Therapeutics Management Inc. | Engineered retrons and methods of use |
| EP4469063A1 (en) | 2022-01-27 | 2024-12-04 | BioNTech SE | Pharmaceutical compositions for delivery of herpes simplex virus antigens and related methods |
| CN114409554A (en) * | 2022-01-27 | 2022-04-29 | 英维沃生物科技(苏州)有限公司 | Novel cationic lipid compound, composition and application thereof |
| KR102465349B1 (en) | 2022-02-25 | 2022-11-11 | 주식회사 테르나테라퓨틱스 | Novel Ionizable Lipids and Lipid Nanoparticles Comprising Thereof |
| JP2025510229A (en) | 2022-03-25 | 2025-04-14 | セイル バイオメディシンズ インコーポレイテッド | Novel ionized lipids and lipid nanoparticles and methods of using them |
| AU2023251104A1 (en) | 2022-04-07 | 2024-10-17 | Renagade Therapeutics Management Inc. | Cyclic lipids and lipid nanoparticles (lnp) for the delivery of nucleic acids or peptides for use in vaccinating against infectious agents |
| EP4504252A2 (en) | 2022-04-08 | 2025-02-12 | Flagship Pioneering Innovations VII, LLC | Vaccines and related methods |
| EP4522743A1 (en) | 2022-05-09 | 2025-03-19 | Flagship Pioneering Innovations VI, LLC | Trem compositions and methods of use for treating proliferative disorders |
| WO2023220729A2 (en) | 2022-05-13 | 2023-11-16 | Flagship Pioneering Innovations Vii, Llc | Double stranded dna compositions and related methods |
| EP4544043A1 (en) | 2022-06-22 | 2025-04-30 | Flagship Pioneering Innovations VI, LLC | Compositions of modified trems and uses thereof |
| TW202413424A (en) | 2022-08-01 | 2024-04-01 | 美商旗艦先鋒創新有限責任(Vii)公司 | Immunomodulatory proteins and related methods |
| WO2024035952A1 (en) | 2022-08-12 | 2024-02-15 | Remix Therapeutics Inc. | Methods and compositions for modulating splicing at alternative splice sites |
| WO2024049979A2 (en) | 2022-08-31 | 2024-03-07 | Senda Biosciences, Inc. | Novel ionizable lipids and lipid nanoparticles and methods of using the same |
| AU2023347390A1 (en) | 2022-09-23 | 2025-04-10 | BioNTech SE | Compositions for delivery of plasmodium csp antigens and related methods |
| WO2024063789A1 (en) | 2022-09-23 | 2024-03-28 | BioNTech SE | Compositions for delivery of malaria antigens and related methods |
| AU2023347387A1 (en) | 2022-09-23 | 2025-04-10 | BioNTech SE | Compositions for delivery of liver stage antigens and related methods |
| WO2024063788A1 (en) | 2022-09-23 | 2024-03-28 | BioNTech SE | Compositions for delivery of malaria antigens and related methods |
| EP4598946A1 (en) | 2022-10-05 | 2025-08-13 | Flagship Pioneering Innovations V, Inc. | Nucleic acid molecules encoding trif and additionalpolypeptides and their use in treating cancer |
| AU2023357320A1 (en) | 2022-10-06 | 2025-04-17 | BioNTech SE | Rna compositions targeting claudin-18.2 |
| WO2024074211A1 (en) | 2022-10-06 | 2024-04-11 | BioNTech SE | Rna compositions targeting claudin-18.2 |
| CN120513299A (en) | 2022-10-31 | 2025-08-19 | 旗舰创业创新第六有限责任公司 | Compositions and methods for purifying polyribonucleotides |
| EP4615465A1 (en) | 2022-11-08 | 2025-09-17 | Flagship Pioneering Innovations VI, LLC | Compositions and methods for producing circular polyribonucleotides |
| TW202430215A (en) | 2022-12-14 | 2024-08-01 | 美商旗艦先鋒創新有限責任(Vii)公司 | Compositions and methods for delivery of therapeutic agents to bone |
| WO2024151673A2 (en) | 2023-01-09 | 2024-07-18 | President And Fellows Of Harvard College | Recombinant nucleic acid molecules and their use in wound healing |
| WO2024151685A1 (en) | 2023-01-09 | 2024-07-18 | Beth Israel Deaconess Medical Center, Inc. | Recombinant nucleic acid molecules and their use in wound healing |
| US20240269251A1 (en) | 2023-01-09 | 2024-08-15 | Flagship Pioneering Innovations V, Inc. | Genetic switches and their use in treating cancer |
| TW202438673A (en) | 2023-01-09 | 2024-10-01 | 美商旗艦先鋒創新有限責任(Vii)公司 | Vaccines and related methods |
| US20240269263A1 (en) | 2023-02-06 | 2024-08-15 | Flagship Pioneering Innovations Vii, Llc | Immunomodulatory compositions and related methods |
| EP4665736A2 (en) | 2023-02-13 | 2025-12-24 | Flagship Pioneering Innovations VII, LLC | Cleavable linker-containing ionizable lipids and lipid carriers for therapeutic compositions |
| IL322378A (en) | 2023-02-17 | 2025-09-01 | Flagship Pioneering Innovations Vii Llc | Dna compositions comprising modified cytosine |
| CN120857948A (en) | 2023-02-17 | 2025-10-28 | 旗舰创业创新第七有限责任公司 | DNA compositions containing modified uracil |
| EP4680276A1 (en) | 2023-03-15 | 2026-01-21 | Flagship Pioneering Innovations VI, LLC | Immunogenic compositions and uses thereof |
| KR20250162610A (en) | 2023-03-15 | 2025-11-18 | 플래그쉽 파이어니어링 이노베이션스 브이아이, 엘엘씨 | Composition comprising polyribonucleotide and use thereof |
| AU2024255972A1 (en) | 2023-04-12 | 2025-10-23 | Flagship Pioneering Innovations Vi, Llc | Modified trems, compositions, and related methods thereof |
| AU2024252590A1 (en) | 2023-04-12 | 2025-10-23 | Flagship Pioneering Innovations Vi, Llc | Trems for use in correction of missense mutations |
| WO2024220746A2 (en) | 2023-04-21 | 2024-10-24 | Flagship Pioneering Innovations Vii, Llc | Rnai agents targeting fatty acid synthase and related methods |
| AU2024265158A1 (en) | 2023-05-03 | 2025-11-06 | BioNTech SE | Optimized csp variants and related methods |
| AU2024266138A1 (en) | 2023-05-03 | 2025-11-13 | Manifold Biotechnologies, Inc. | Methods and compositions for high-throughput protein delivery, screening, and detection |
| WO2024228044A1 (en) | 2023-05-03 | 2024-11-07 | BioNTech SE | Optimized csp variants and related methods |
| WO2024258829A1 (en) | 2023-06-12 | 2024-12-19 | Flagship Pioneering Innovations Vii, Llc | Sars-cov-2 vaccine compositions and related methods |
| WO2025006684A1 (en) | 2023-06-28 | 2025-01-02 | Flagship Pioneering Innovations Vi, Llc | Circular polyribonucleotides encoding antifusogenic polypeptides |
| AU2024301077A1 (en) | 2023-07-21 | 2026-01-08 | BioNTech SE | Compositions for delivery of plasmodium antigens and related methods |
| WO2025024324A1 (en) | 2023-07-21 | 2025-01-30 | BioNTech SE | Compositions for delivery of plasmodium antigens and related methods |
| AU2024299365A1 (en) | 2023-07-24 | 2026-01-08 | BioNTech SE | Compositions for delivery of plasmodium antigens and related methods |
| US20250092426A1 (en) | 2023-07-25 | 2025-03-20 | Flagship Pioneering Innovations Vii, Llc | Cas endonucleases and related methods |
| AU2024315222A1 (en) | 2023-08-01 | 2026-02-05 | BioNTech SE | Ionizable thiolipids and uses thereof |
| WO2025026545A1 (en) | 2023-08-01 | 2025-02-06 | BioNTech SE | Ionizable thioplipids and uses thereof |
| WO2025030154A1 (en) | 2023-08-03 | 2025-02-06 | The Trustees Of The University Of Pennsylvania | Pharmaceutical compositions for delivery of herpes simplex virus glycoprotein b antigens and related methods |
| WO2025030097A2 (en) | 2023-08-03 | 2025-02-06 | BioNTech SE | Pharmaceutical compositions for delivery of herpes simplex virus antigens and related methods |
| WO2025042786A1 (en) | 2023-08-18 | 2025-02-27 | Flagship Pioneering Innovations Vi, Llc | Compositions comprising circular polyribonucleotides and uses thereof |
| WO2025054236A2 (en) | 2023-09-06 | 2025-03-13 | Flagship Pioneering Innovations Vii, Llc | Sars-cov-2 vaccine compositions and related methods |
| WO2025054556A1 (en) | 2023-09-07 | 2025-03-13 | BioNTech SE | Rna compositions for delivery of mpox antigens and related methods |
| WO2025057088A1 (en) | 2023-09-11 | 2025-03-20 | BioNTech SE | Rna compositions for delivery of incretin agents |
| WO2025064475A2 (en) | 2023-09-18 | 2025-03-27 | Flagship Pioneering Innovations Vii, Llc | Ionizable lipidoid compositions and therapeutic uses thereof |
| WO2025072331A1 (en) | 2023-09-26 | 2025-04-03 | Flagship Pioneering Innovations Vii, Llc | Cas nucleases and related methods |
| WO2025081042A1 (en) | 2023-10-12 | 2025-04-17 | Renagade Therapeutics Management Inc. | Nickase-retron template-based precision editing system and methods of use |
| WO2025096807A2 (en) | 2023-10-31 | 2025-05-08 | Flagship Pioneering Innovations Vii, Llc | Novel therapeutic dna forms |
| WO2025106670A1 (en) | 2023-11-14 | 2025-05-22 | Flagship Pioneering Innovations Vii, Llc | Ionizable lipidoid compositions and therapeutic uses thereof |
| US20250161347A1 (en) | 2023-11-22 | 2025-05-22 | Flagship Pioneering Innovations Vii, Llc | Methods and compositions for treating non-alcoholic fatty liver disease |
| WO2025117877A2 (en) | 2023-12-01 | 2025-06-05 | Flagship Pioneering Innovations Vii, Llc | Cas nucleases and related methods |
| WO2025133105A1 (en) | 2023-12-21 | 2025-06-26 | Biontech Delivery Technologies Gmbh | Compositions and methods |
| WO2025134062A2 (en) | 2023-12-21 | 2025-06-26 | Biontech Delivery Technologies Gmbh | Ionizable lipids |
| WO2025134066A1 (en) | 2023-12-21 | 2025-06-26 | Biontech Delivery Technologies Gmbh | Ionizable lipids |
| WO2025155753A2 (en) | 2024-01-17 | 2025-07-24 | Renagade Therapeutics Management Inc. | Improved gene editing system, guides, and methods |
| WO2025160334A1 (en) | 2024-01-26 | 2025-07-31 | Flagship Pioneering Innovations Vii, Llc | Immunoreceptor inhibitory proteins and related methods |
| WO2025184508A1 (en) | 2024-03-01 | 2025-09-04 | Acuitas Therapeutics, Inc. | Materials and methods for encapsulating therapeutics in lipid nanoparticles |
| WO2025194019A1 (en) | 2024-03-14 | 2025-09-18 | Flagship Pioneering Innovations Vii, Llc | Methods for treating liver fibrosis and non-alcoholic fatty liver disease |
| WO2025202937A1 (en) | 2024-03-26 | 2025-10-02 | BioNTech SE | Cancer vaccines |
| WO2025213131A1 (en) | 2024-04-05 | 2025-10-09 | BioNTech SE | Rna compositions for delivery of orthopox antigens and related methods |
| WO2025217275A2 (en) | 2024-04-10 | 2025-10-16 | Flagship Pioneering Innovations Vii, Llc | Immune cell targeted compositions and related methods |
| WO2025240680A1 (en) | 2024-05-16 | 2025-11-20 | Flagship Pioneering Innovations Vii, Llc | Immunoreceptor inhibitory proteins and related methods |
| WO2025245188A2 (en) | 2024-05-21 | 2025-11-27 | Flagship Pioneering Innovations Vii, Llc | Methods of treating liver steatosis and non-alcoholic fatty liver disease |
| WO2025245111A1 (en) | 2024-05-22 | 2025-11-27 | Flagship Pioneering Innovations Vii, Llc | Immunoreceptor targeting proteins and related methods |
| WO2025262460A1 (en) | 2024-06-21 | 2025-12-26 | BioNTech SE | Lipid compositions for nucleic acid delivery |
| US20260000702A1 (en) | 2024-06-26 | 2026-01-01 | Flagship Pioneering Innovations Vii, Llc | Therapeutic circular dna forms |
| WO2026015882A1 (en) | 2024-07-12 | 2026-01-15 | BioNTech SE | Hsv antigen fragments and related methods |
| WO2026018213A1 (en) | 2024-07-18 | 2026-01-22 | Vaxthera Sas | A broadly protective mosaic vaccine against highly pathogenic avian influenza viruses |
| WO2026020171A2 (en) | 2024-07-19 | 2026-01-22 | Aera Therapeutics, Inc. | Chimeric antigen receptor constructs |
Citations (158)
| Publication number | Priority date | Publication date | Assignee | Title |
|---|---|---|---|---|
| US3687808A (en) | 1969-08-14 | 1972-08-29 | Univ Leland Stanford Junior | Synthetic polynucleotides |
| US3993754A (en) | 1974-10-09 | 1976-11-23 | The United States Of America As Represented By The United States Energy Research And Development Administration | Liposome-encapsulated actinomycin for cancer chemotherapy |
| US4145410A (en) | 1976-10-12 | 1979-03-20 | Sears Barry D | Method of preparing a controlled-release pharmaceutical preparation, and resulting composition |
| US4224179A (en) | 1977-08-05 | 1980-09-23 | Battelle Memorial Institute | Process for the preparation of liposomes in aqueous solution |
| US4235871A (en) | 1978-02-24 | 1980-11-25 | Papahadjopoulos Demetrios P | Method of encapsulating biologically active materials in lipid vesicles |
| US4469863A (en) | 1980-11-12 | 1984-09-04 | Ts O Paul O P | Nonionic nucleic acid alkyl and aryl phosphonates and processes for manufacture and use thereof |
| US4522803A (en) | 1983-02-04 | 1985-06-11 | The Liposome Company, Inc. | Stable plurilamellar vesicles, their preparation and use |
| US4587044A (en) | 1983-09-01 | 1986-05-06 | The Johns Hopkins University | Linkage of proteins to nucleic acids |
| US4588578A (en) | 1983-08-08 | 1986-05-13 | The Liposome Company, Inc. | Lipid vesicles prepared in a monophase |
| US4603044A (en) | 1983-01-06 | 1986-07-29 | Technology Unlimited, Inc. | Hepatocyte Directed Vesicle delivery system |
| US4605735A (en) | 1983-02-14 | 1986-08-12 | Wakunaga Seiyaku Kabushiki Kaisha | Oligonucleotide derivatives |
| WO1986004920A1 (en) | 1985-02-13 | 1986-08-28 | Biotechnology Research Partners, Limited | Human metallothionein-ii promoter in mammalian expression system |
| WO1987002062A1 (en) | 1985-10-04 | 1987-04-09 | Biotechnology Research Partners, Ltd. | Recombinant apolipoproteins and methods |
| US4667025A (en) | 1982-08-09 | 1987-05-19 | Wakunaga Seiyaku Kabushiki Kaisha | Oligonucleotide derivatives |
| US4737323A (en) | 1986-02-13 | 1988-04-12 | Liposome Technology, Inc. | Liposome extrusion method |
| US4762779A (en) | 1985-06-13 | 1988-08-09 | Amgen Inc. | Compositions and methods for functionalizing nucleic acids |
| US4824941A (en) | 1983-03-10 | 1989-04-25 | Julian Gordon | Specific antibody to the native form of 2'5'-oligonucleotides, the method of preparation and the use as reagents in immunoassays or for binding 2'5'-oligonucleotides in biological systems |
| US4828979A (en) | 1984-11-08 | 1989-05-09 | Life Technologies, Inc. | Nucleotide analogs for nucleic acid labeling and detection |
| US4835263A (en) | 1983-01-27 | 1989-05-30 | Centre National De La Recherche Scientifique | Novel compounds containing an oligonucleotide sequence bonded to an intercalating agent, a process for their synthesis and their use |
| US4876335A (en) | 1986-06-30 | 1989-10-24 | Wakunaga Seiyaku Kabushiki Kaisha | Poly-labelled oligonucleotide derivative |
| US4904582A (en) | 1987-06-11 | 1990-02-27 | Synthetic Genetics | Novel amphiphilic nucleic acid conjugates |
| EP0360257A2 (en) | 1988-09-20 | 1990-03-28 | The Board Of Regents For Northern Illinois University | RNA catalyst for cleaving specific RNA sequences |
| US4948882A (en) | 1983-02-22 | 1990-08-14 | Syngene, Inc. | Single-stranded labelled oligonucleotides, reactive monomers and methods of synthesis |
| US4958013A (en) | 1989-06-06 | 1990-09-18 | Northwestern University | Cholesteryl modified oligonucleotides |
| US4957773A (en) | 1989-02-13 | 1990-09-18 | Syracuse University | Deposition of boron-containing films from decaborane |
| US4987071A (en) | 1986-12-03 | 1991-01-22 | University Patents, Inc. | RNA ribozyme polymerases, dephosphorylases, restriction endoribonucleases and methods |
| WO1991003162A1 (en) | 1989-08-31 | 1991-03-21 | City Of Hope | Chimeric dna-rna catalytic sequences |
| US5013556A (en) | 1989-10-20 | 1991-05-07 | Liposome Technology, Inc. | Liposomes with enhanced circulation time |
| US5023243A (en) | 1981-10-23 | 1991-06-11 | Molecular Biosystems, Inc. | Oligonucleotide therapeutic agent and method of making same |
| US5059528A (en) | 1987-05-28 | 1991-10-22 | Ucb, S.A. | Expression of human proapolipoprotein a-i |
| US5082830A (en) | 1988-02-26 | 1992-01-21 | Enzo Biochem, Inc. | End labeled nucleotide probe |
| US5109124A (en) | 1988-06-01 | 1992-04-28 | Biogen, Inc. | Nucleic acid probe linked to a label having a terminal cysteine |
| WO1992007065A1 (en) | 1990-10-12 | 1992-04-30 | MAX-PLANCK-Gesellschaft zur Förderung der Wissenschaften e.V. | Modified ribozymes |
| US5112963A (en) | 1987-11-12 | 1992-05-12 | Max-Planck-Gesellschaft Zur Foerderung Der Wissenschaften E.V. | Modified oligonucleotides |
| US5116739A (en) | 1984-10-16 | 1992-05-26 | Mitsubishi Chemical Industries Limited | Process for the production of human apolipoprotein e, and transformed hosts and products thereof |
| US5118802A (en) | 1983-12-20 | 1992-06-02 | California Institute Of Technology | DNA-reporter conjugates linked via the 2' or 5'-primary amino group of the 5'-terminal nucleoside |
| US5130302A (en) | 1989-12-20 | 1992-07-14 | Boron Bilogicals, Inc. | Boronated nucleoside, nucleotide and oligonucleotide compounds, compositions and methods for using same |
| US5138045A (en) | 1990-07-27 | 1992-08-11 | Isis Pharmaceuticals | Polyamine conjugated oligonucleotides |
| US5142047A (en) | 1985-03-15 | 1992-08-25 | Anti-Gene Development Group | Uncharged polynucleotide-binding polymers |
| US5149782A (en) | 1988-08-19 | 1992-09-22 | Tanox Biosystems, Inc. | Molecular conjugates containing cell membrane-blending agents |
| WO1992020823A1 (en) | 1991-05-21 | 1992-11-26 | Isis Pharmaceuticals, Inc. | Backbone modified oligonucleotide analogs |
| US5168045A (en) | 1989-08-18 | 1992-12-01 | The Scripps Research Institute | Diagnostic systems and methods using polypeptide analogs of apolipoprotein e |
| US5177189A (en) | 1989-08-18 | 1993-01-05 | The Scripps Research Institute | Polypeptide analogs of Apolipoprotein E |
| US5177198A (en) | 1989-11-30 | 1993-01-05 | University Of N.C. At Chapel Hill | Process for preparing oligoribonucleoside and oligodeoxyribonucleoside boranophosphates |
| US5182364A (en) | 1990-02-26 | 1993-01-26 | The Scripps Research Institute | Polypeptide analogs of apolipoprotein E |
| US5214136A (en) | 1990-02-20 | 1993-05-25 | Gilead Sciences, Inc. | Anthraquinone-derivatives oligonucleotides |
| US5218105A (en) | 1990-07-27 | 1993-06-08 | Isis Pharmaceuticals | Polyamine conjugated oligonucleotides |
| US5223618A (en) | 1990-08-13 | 1993-06-29 | Isis Pharmaceuticals, Inc. | 4'-desmethyl nucleoside analog compounds |
| WO1993015187A1 (en) | 1992-01-31 | 1993-08-05 | Massachusetts Institute Of Technology | Nucleozymes |
| US5235033A (en) | 1985-03-15 | 1993-08-10 | Anti-Gene Development Group | Alpha-morpholino ribonucleoside derivatives and polymers thereof |
| US5245022A (en) | 1990-08-03 | 1993-09-14 | Sterling Drug, Inc. | Exonuclease resistant terminally substituted oligonucleotides |
| US5254469A (en) | 1989-09-12 | 1993-10-19 | Eastman Kodak Company | Oligonucleotide-enzyme conjugate that can be used as a probe in hybridization assays and polymerase chain reaction procedures |
| US5256775A (en) | 1989-06-05 | 1993-10-26 | Gilead Sciences, Inc. | Exonuclease-resistant oligonucleotides |
| US5258506A (en) | 1984-10-16 | 1993-11-02 | Chiron Corporation | Photolabile reagents for incorporation into oligonucleotide chains |
| US5262536A (en) | 1988-09-15 | 1993-11-16 | E. I. Du Pont De Nemours And Company | Reagents for the preparation of 5'-tagged oligonucleotides |
| US5264562A (en) | 1989-10-24 | 1993-11-23 | Gilead Sciences, Inc. | Oligonucleotide analogs with novel linkages |
| US5264564A (en) | 1989-10-24 | 1993-11-23 | Gilead Sciences | Oligonucleotide analogs with novel linkages |
| WO1993023569A1 (en) | 1992-05-11 | 1993-11-25 | Ribozyme Pharmaceuticals, Inc. | Method and reagent for inhibiting viral replication |
| US5272250A (en) | 1992-07-10 | 1993-12-21 | Spielvogel Bernard F | Boronated phosphoramidate compounds |
| WO1994002595A1 (en) | 1992-07-17 | 1994-02-03 | Ribozyme Pharmaceuticals, Inc. | Method and reagent for treatment of animal diseases |
| US5286634A (en) | 1989-09-28 | 1994-02-15 | Stadler Joan K | Synergistic method for host cell transformation |
| US5292873A (en) | 1989-11-29 | 1994-03-08 | The Research Foundation Of State University Of New York | Nucleic acids labeled with naphthoquinone probe |
| US5317098A (en) | 1986-03-17 | 1994-05-31 | Hiroaki Shizuya | Non-radioisotope tagging of fragments |
| WO1994013688A1 (en) | 1992-12-08 | 1994-06-23 | Gene Shears Pty. Limited | Dna-armed ribozymes and minizymes |
| US5334711A (en) | 1991-06-20 | 1994-08-02 | Europaisches Laboratorium Fur Molekularbiologie (Embl) | Synthetic catalytic oligonucleotide structures |
| US5359044A (en) | 1991-12-13 | 1994-10-25 | Isis Pharmaceuticals | Cyclobutyl oligonucleotide surrogates |
| US5366878A (en) | 1990-02-15 | 1994-11-22 | The Worcester Foundation For Experimental Biology | Method of site-specific alteration of RNA and production of encoded polypeptides |
| US5371241A (en) | 1991-07-19 | 1994-12-06 | Pharmacia P-L Biochemicals Inc. | Fluorescein labelled phosphoramidites |
| US5386023A (en) | 1990-07-27 | 1995-01-31 | Isis Pharmaceuticals | Backbone modified oligonucleotide analogs and preparation thereof through reductive coupling |
| US5391723A (en) | 1989-05-31 | 1995-02-21 | Neorx Corporation | Oligonucleotide conjugates |
| US5414077A (en) | 1990-02-20 | 1995-05-09 | Gilead Sciences | Non-nucleoside linkers for convenient attachment of labels to oligonucleotides using standard synthetic methods |
| US5451463A (en) | 1989-08-28 | 1995-09-19 | Clontech Laboratories, Inc. | Non-nucleoside 1,3-diol reagents for labeling synthetic oligonucleotides |
| US5457191A (en) | 1990-01-11 | 1995-10-10 | Isis Pharmaceuticals, Inc. | 3-deazapurines |
| US5459255A (en) | 1990-01-11 | 1995-10-17 | Isis Pharmaceuticals, Inc. | N-2 substituted purines |
| US5473039A (en) | 1989-08-18 | 1995-12-05 | The Scripps Research Institute | Polypeptide analogs of apolipoprotein E, diagnostic systems and methods using the analogs |
| US5476925A (en) | 1993-02-01 | 1995-12-19 | Northwestern University | Oligodeoxyribonucleotides including 3'-aminonucleoside-phosphoramidate linkages and terminal 3'-amino groups |
| US5484908A (en) | 1991-11-26 | 1996-01-16 | Gilead Sciences, Inc. | Oligonucleotides containing 5-propynyl pyrimidines |
| US5486603A (en) | 1990-01-08 | 1996-01-23 | Gilead Sciences, Inc. | Oligonucleotide having enhanced binding affinity |
| US5489677A (en) | 1990-07-27 | 1996-02-06 | Isis Pharmaceuticals, Inc. | Oligonucleoside linkages containing adjacent oxygen and nitrogen atoms |
| US5508270A (en) | 1993-03-06 | 1996-04-16 | Ciba-Geigy Corporation | Nucleoside phosphinate compounds and compositions |
| WO1996011266A2 (en) | 1994-10-05 | 1996-04-18 | Amgen Inc. | Method for inhibiting smooth muscle cell proliferation and oligonucleotides for use therein |
| US5510475A (en) | 1990-11-08 | 1996-04-23 | Hybridon, Inc. | Oligonucleotide multiple reporter precursors |
| US5512439A (en) | 1988-11-21 | 1996-04-30 | Dynal As | Oligonucleotide-linked magnetic particles and uses thereof |
| US5512667A (en) | 1990-08-28 | 1996-04-30 | Reed; Michael W. | Trifunctional intermediates for preparing 3'-tailed oligonucleotides |
| US5514785A (en) | 1990-05-11 | 1996-05-07 | Becton Dickinson And Company | Solid supports for nucleic acid hybridization assays |
| US5519134A (en) | 1994-01-11 | 1996-05-21 | Isis Pharmaceuticals, Inc. | Pyrrolidine-containing monomers and oligomers |
| US5525472A (en) | 1991-06-26 | 1996-06-11 | Bio-Technology General Corp. | Method for production and purification or recombinant Apolipoprotein E from bacteria |
| US5525465A (en) | 1987-10-28 | 1996-06-11 | Howard Florey Institute Of Experimental Physiology And Medicine | Oligonucleotide-polyamide conjugates and methods of production and applications of the same |
| US5532130A (en) | 1993-07-20 | 1996-07-02 | Dyad Pharmaceutical Corporation | Methods and compositions for sequence-specific hybridization of RNA by 2'-5' oligonucleotides |
| US5534499A (en) | 1994-05-19 | 1996-07-09 | The University Of British Columbia | Lipophilic drug derivatives for use in liposomes |
| US5539083A (en) | 1994-02-23 | 1996-07-23 | Isis Pharmaceuticals, Inc. | Peptide nucleic acid combinatorial libraries and improved methods of synthesis |
| US5545730A (en) | 1984-10-16 | 1996-08-13 | Chiron Corporation | Multifunctional nucleic acid monomer |
| US5565552A (en) | 1992-01-21 | 1996-10-15 | Pharmacyclics, Inc. | Method of expanded porphyrin-oligonucleotide conjugate synthesis |
| US5574142A (en) | 1992-12-15 | 1996-11-12 | Microprobe Corporation | Peptide linkers for improved oligonucleotide delivery |
| US5578718A (en) | 1990-01-11 | 1996-11-26 | Isis Pharmaceuticals, Inc. | Thiol-derivatized nucleosides |
| US5580731A (en) | 1994-08-25 | 1996-12-03 | Chiron Corporation | N-4 modified pyrimidine deoxynucleotides and oligonucleotide probes synthesized therewith |
| US5585481A (en) | 1987-09-21 | 1996-12-17 | Gen-Probe Incorporated | Linking reagents for nucleotide probes |
| US5587371A (en) | 1992-01-21 | 1996-12-24 | Pharmacyclics, Inc. | Texaphyrin-oligonucleotide conjugates |
| US5591317A (en) | 1994-02-16 | 1997-01-07 | Pitts, Jr.; M. Michael | Electrostatic device for water treatment |
| US5595726A (en) | 1992-01-21 | 1997-01-21 | Pharmacyclics, Inc. | Chromophore probe for detection of nucleic acid |
| US5597696A (en) | 1994-07-18 | 1997-01-28 | Becton Dickinson And Company | Covalent cyanine dye oligonucleotide conjugates |
| US5599923A (en) | 1989-03-06 | 1997-02-04 | Board Of Regents, University Of Tx | Texaphyrin metal complexes having improved functionalization |
| US5608046A (en) | 1990-07-27 | 1997-03-04 | Isis Pharmaceuticals, Inc. | Conjugated 4'-desmethyl nucleoside analog compounds |
| US5610288A (en) | 1993-01-27 | 1997-03-11 | Hekton Institute For Medical Research | Antisense polynucleotide inhibition of epidermal human growth factor receptor expression |
| US5614617A (en) | 1990-07-27 | 1997-03-25 | Isis Pharmaceuticals, Inc. | Nuclease resistant, pyrimidine modified oligonucleotides that detect and modulate gene expression |
| US5631359A (en) | 1994-10-11 | 1997-05-20 | Ribozyme Pharmaceuticals, Inc. | Hairpin ribozymes |
| US5672662A (en) | 1995-07-07 | 1997-09-30 | Shearwater Polymers, Inc. | Poly(ethylene glycol) and related polymers monosubstituted with propionic or butanoic acids and functional derivatives thereof for biotechnical applications |
| US5672685A (en) | 1995-10-04 | 1997-09-30 | Duke University | Source of apolipoprotein E and method of isolating apolipoprotein E |
| US5688941A (en) | 1990-07-27 | 1997-11-18 | Isis Pharmaceuticals, Inc. | Methods of making conjugated 4' desmethyl nucleoside analog compounds |
| US5714166A (en) | 1986-08-18 | 1998-02-03 | The Dow Chemical Company | Bioactive and/or targeted dendrimer conjugates |
| US5718709A (en) | 1988-09-24 | 1998-02-17 | Considine; John | Apparatus for removing tumours from hollow organs of the body |
| US5721114A (en) | 1992-12-11 | 1998-02-24 | Pharmacia & Upjohn Aktiebolag | Expression system for producing apolipoprotein AI-M |
| US5739119A (en) | 1996-11-15 | 1998-04-14 | Galli; Rachel L. | Antisense oligonucleotides specific for the muscarinic type 2 acetylcholine receptor MRNA |
| US5747470A (en) | 1995-06-07 | 1998-05-05 | Gen-Probe Incorporated | Method for inhibiting cellular proliferation using antisense oligonucleotides to gp130 mRNA |
| US5759829A (en) | 1986-03-28 | 1998-06-02 | Calgene, Inc. | Antisense regulation of gene expression in plant cells |
| US5783683A (en) | 1995-01-10 | 1998-07-21 | Genta Inc. | Antisense oligonucleotides which reduce expression of the FGFRI gene |
| US5789573A (en) | 1990-08-14 | 1998-08-04 | Isis Pharmaceuticals, Inc. | Antisense inhibition of ICAM-1, E-selectin, and CMV IE1/IE2 |
| US5801154A (en) | 1993-10-18 | 1998-09-01 | Isis Pharmaceuticals, Inc. | Antisense oligonucleotide modulation of multidrug resistance-associated protein |
| US5820873A (en) | 1994-09-30 | 1998-10-13 | The University Of British Columbia | Polyethylene glycol modified ceramide lipids and liposome uses thereof |
| US5834596A (en) | 1995-03-03 | 1998-11-10 | Pharmacia & Upjohn Ab | Process for purifying ApoA or ApoE |
| US5840688A (en) | 1994-03-22 | 1998-11-24 | Research Corporation Technologies, Inc. | Eating suppressant peptides |
| US5876968A (en) | 1991-12-13 | 1999-03-02 | Pharmacia & Upjohn Aktiebolag | Dimer of molecular variant of apolipoprotein and processes for the production thereof |
| US5885613A (en) | 1994-09-30 | 1999-03-23 | The University Of British Columbia | Bilayer stabilizing components and their use in forming programmable fusogenic liposomes |
| US5976567A (en) | 1995-06-07 | 1999-11-02 | Inex Pharmaceuticals Corp. | Lipid-nucleic acid particles prepared via a hydrophobic lipid-nucleic acid complex intermediate and use for gene transfer |
| US6004925A (en) | 1997-09-29 | 1999-12-21 | J. L. Dasseux | Apolipoprotein A-I agonists and their use to treat dyslipidemic disorders |
| US6027726A (en) | 1994-09-30 | 2000-02-22 | Inex Phamaceuticals Corp. | Glycosylated protein-liposome conjugates and methods for their preparation |
| US6037323A (en) | 1997-09-29 | 2000-03-14 | Jean-Louis Dasseux | Apolipoprotein A-I agonists and their use to treat dyslipidemic disorders |
| US6046166A (en) | 1997-09-29 | 2000-04-04 | Jean-Louis Dasseux | Apolipoprotein A-I agonists and their use to treat dyslipidemic disorders |
| WO2000044895A1 (en) | 1999-01-30 | 2000-08-03 | Roland Kreutzer | Method and medicament for inhibiting the expression of a defined gene |
| US6153737A (en) | 1990-01-11 | 2000-11-28 | Isis Pharmaceuticals, Inc. | Derivatized oligonucleotides having improved uptake and other properties |
| US6172208B1 (en) | 1992-07-06 | 2001-01-09 | Genzyme Corporation | Oligonucleotides modified with conjugate groups |
| US6287591B1 (en) | 1997-05-14 | 2001-09-11 | Inex Pharmaceuticals Corp. | Charged therapeutic agents encapsulated in lipid particles containing four lipid components |
| US6300319B1 (en) | 1998-06-16 | 2001-10-09 | Isis Pharmaceuticals, Inc. | Targeted oligonucleotide conjugates |
| WO2001075164A2 (en) | 2000-03-30 | 2001-10-11 | Whitehead Institute For Biomedical Research | Rna sequence-specific mediators of rna interference |
| US6320017B1 (en) | 1997-12-23 | 2001-11-20 | Inex Pharmaceuticals Corp. | Polyamide oligomers |
| US6335434B1 (en) | 1998-06-16 | 2002-01-01 | Isis Pharmaceuticals, Inc., | Nucleosidic and non-nucleosidic folate conjugates |
| US6335437B1 (en) | 1998-09-07 | 2002-01-01 | Isis Pharmaceuticals, Inc. | Methods for the preparation of conjugated oligomers |
| US6372886B1 (en) | 1992-06-23 | 2002-04-16 | Arch Development Corp. | Expression and purification of kringle domains of human apolipoprotein (a) in E. coli |
| US6395437B1 (en) | 1999-10-29 | 2002-05-28 | Advanced Micro Devices, Inc. | Junction profiling using a scanning voltage micrograph |
| WO2002044321A2 (en) | 2000-12-01 | 2002-06-06 | MAX-PLANCK-Gesellschaft zur Förderung der Wissenschaften e.V. | Rna interference mediating small rna molecules |
| US6444806B1 (en) | 1996-04-30 | 2002-09-03 | Hisamitsu Pharmaceutical Co., Inc. | Conjugates and methods of forming conjugates of oligonucleotides and carbohydrates |
| US6486308B2 (en) | 1995-04-03 | 2002-11-26 | Epoch Biosciences, Inc. | Covalently linked oligonucleotide minor groove binder conjugates |
| US6528631B1 (en) | 1993-09-03 | 2003-03-04 | Isis Pharmaceuticals, Inc. | Oligonucleotide-folate conjugates |
| US6559279B1 (en) | 2000-09-08 | 2003-05-06 | Isis Pharmaceuticals, Inc. | Process for preparing peptide derivatized oligomeric compounds |
| WO2004080406A2 (en) | 2003-03-07 | 2004-09-23 | Alnylam Pharmaceuticals | Therapeutic compositions |
| US20050107325A1 (en) | 2003-04-17 | 2005-05-19 | Muthiah Manoharan | Modified iRNA agents |
| US7021394B2 (en) | 2003-04-28 | 2006-04-04 | Marchesan Implementos E Máquinas Agrícolas Tatú S/A | Articulating and locking mechanism for farm implement chassis |
| US20070123482A1 (en) | 2005-08-10 | 2007-05-31 | Markus Stoffel | Chemically modified oligonucleotides for use in modulating micro RNA and uses thereof |
| WO2007095387A2 (en) | 2006-02-17 | 2007-08-23 | Dharmacon, Inc. | Compositions and methods for inhibiting gene silencing by rna interference |
| US20070213292A1 (en) | 2005-08-10 | 2007-09-13 | The Rockefeller University | Chemically modified oligonucleotides for use in modulating micro RNA and uses thereof |
| WO2008036825A2 (en) | 2006-09-22 | 2008-03-27 | Dharmacon, Inc. | Duplex oligonucleotide complexes and methods for gene silencing by rna interference |
| WO2008042973A2 (en) | 2006-10-03 | 2008-04-10 | Alnylam Pharmaceuticals, Inc. | Lipid containing formulations |
| US20080255345A1 (en) | 2006-11-21 | 2008-10-16 | Alnylam Pharmaceuticals, Inc. | IRNA Agents Targeting CCR5 Expressing Cells And Uses Thereof |
| WO2009086558A1 (en) | 2008-01-02 | 2009-07-09 | Tekmira Pharmaceuticals Corporation | Improved compositions and methods for the delivery of nucleic acids |
| US7626014B2 (en) | 2004-04-27 | 2009-12-01 | Alnylam Pharmaceuticals | Single-stranded and double-stranded oligonucleotides comprising a 2-arylpropyl moiety |
| US9204305B2 (en) | 2009-08-27 | 2015-12-01 | Siemens Aktiengesellschaft | Method for transmitting data in a sensor network, sensor node and central processor |
| US9204294B2 (en) | 2010-07-09 | 2015-12-01 | Telecommunication Systems, Inc. | Location privacy selector |
| US10421908B2 (en) | 2016-03-08 | 2019-09-24 | Dic Corporation | Liquid crystal composition and liquid crystal display device including the same |
Family Cites Families (9)
| Publication number | Priority date | Publication date | Assignee | Title |
|---|---|---|---|---|
| US7745651B2 (en) * | 2004-06-07 | 2010-06-29 | Protiva Biotherapeutics, Inc. | Cationic lipids and methods of use |
| US7404969B2 (en) * | 2005-02-14 | 2008-07-29 | Sirna Therapeutics, Inc. | Lipid nanoparticle based compositions and methods for the delivery of biologically active molecules |
| WO2009132131A1 (en) * | 2008-04-22 | 2009-10-29 | Alnylam Pharmaceuticals, Inc. | Amino lipid based improved lipid formulation |
| AU2009303345B2 (en) * | 2008-10-09 | 2015-08-20 | Arbutus Biopharma Corporation | Improved amino lipids and methods for the delivery of nucleic acids |
| CA3033577A1 (en) * | 2008-11-10 | 2010-05-14 | Arbutus Biopharma Corporation | Novel lipids and compositions for the delivery of therapeutics |
| WO2011075656A1 (en) * | 2009-12-18 | 2011-06-23 | The University Of British Columbia | Methods and compositions for delivery of nucleic acids |
| US8865675B2 (en) * | 2010-05-12 | 2014-10-21 | Protiva Biotherapeutics, Inc. | Compositions and methods for silencing apolipoprotein B |
| JP2013527856A (en) * | 2010-05-12 | 2013-07-04 | プロチバ バイオセラピューティクス インコーポレイティッド | Cationic lipids and methods of use |
| WO2011141704A1 (en) * | 2010-05-12 | 2011-11-17 | Protiva Biotherapeutics, Inc | Novel cyclic cationic lipids and methods of use |
-
2011
- 2011-07-29 US US13/813,122 patent/US20130323269A1/en not_active Abandoned
- 2011-07-29 WO PCT/US2011/045963 patent/WO2012016184A2/en not_active Ceased
-
2016
- 2016-01-29 US US15/010,747 patent/US20160250354A1/en not_active Abandoned
-
2017
- 2017-10-19 US US15/788,575 patent/US20180221510A1/en not_active Abandoned
Patent Citations (171)
| Publication number | Priority date | Publication date | Assignee | Title |
|---|---|---|---|---|
| US3687808A (en) | 1969-08-14 | 1972-08-29 | Univ Leland Stanford Junior | Synthetic polynucleotides |
| US3993754A (en) | 1974-10-09 | 1976-11-23 | The United States Of America As Represented By The United States Energy Research And Development Administration | Liposome-encapsulated actinomycin for cancer chemotherapy |
| US4145410A (en) | 1976-10-12 | 1979-03-20 | Sears Barry D | Method of preparing a controlled-release pharmaceutical preparation, and resulting composition |
| US4224179A (en) | 1977-08-05 | 1980-09-23 | Battelle Memorial Institute | Process for the preparation of liposomes in aqueous solution |
| US4235871A (en) | 1978-02-24 | 1980-11-25 | Papahadjopoulos Demetrios P | Method of encapsulating biologically active materials in lipid vesicles |
| US4469863A (en) | 1980-11-12 | 1984-09-04 | Ts O Paul O P | Nonionic nucleic acid alkyl and aryl phosphonates and processes for manufacture and use thereof |
| US5023243A (en) | 1981-10-23 | 1991-06-11 | Molecular Biosystems, Inc. | Oligonucleotide therapeutic agent and method of making same |
| US4667025A (en) | 1982-08-09 | 1987-05-19 | Wakunaga Seiyaku Kabushiki Kaisha | Oligonucleotide derivatives |
| US4789737A (en) | 1982-08-09 | 1988-12-06 | Wakunaga Seiyaku Kabushiki Kaisha | Oligonucleotide derivatives and production thereof |
| US4603044A (en) | 1983-01-06 | 1986-07-29 | Technology Unlimited, Inc. | Hepatocyte Directed Vesicle delivery system |
| US4835263A (en) | 1983-01-27 | 1989-05-30 | Centre National De La Recherche Scientifique | Novel compounds containing an oligonucleotide sequence bonded to an intercalating agent, a process for their synthesis and their use |
| US4522803A (en) | 1983-02-04 | 1985-06-11 | The Liposome Company, Inc. | Stable plurilamellar vesicles, their preparation and use |
| US4605735A (en) | 1983-02-14 | 1986-08-12 | Wakunaga Seiyaku Kabushiki Kaisha | Oligonucleotide derivatives |
| US4948882A (en) | 1983-02-22 | 1990-08-14 | Syngene, Inc. | Single-stranded labelled oligonucleotides, reactive monomers and methods of synthesis |
| US5541313A (en) | 1983-02-22 | 1996-07-30 | Molecular Biosystems, Inc. | Single-stranded labelled oligonucleotides of preselected sequence |
| US4824941A (en) | 1983-03-10 | 1989-04-25 | Julian Gordon | Specific antibody to the native form of 2'5'-oligonucleotides, the method of preparation and the use as reagents in immunoassays or for binding 2'5'-oligonucleotides in biological systems |
| US4588578A (en) | 1983-08-08 | 1986-05-13 | The Liposome Company, Inc. | Lipid vesicles prepared in a monophase |
| US4587044A (en) | 1983-09-01 | 1986-05-06 | The Johns Hopkins University | Linkage of proteins to nucleic acids |
| US5118802A (en) | 1983-12-20 | 1992-06-02 | California Institute Of Technology | DNA-reporter conjugates linked via the 2' or 5'-primary amino group of the 5'-terminal nucleoside |
| US5545730A (en) | 1984-10-16 | 1996-08-13 | Chiron Corporation | Multifunctional nucleic acid monomer |
| US5552538A (en) | 1984-10-16 | 1996-09-03 | Chiron Corporation | Oligonucleotides with cleavable sites |
| US5258506A (en) | 1984-10-16 | 1993-11-02 | Chiron Corporation | Photolabile reagents for incorporation into oligonucleotide chains |
| US5578717A (en) | 1984-10-16 | 1996-11-26 | Chiron Corporation | Nucleotides for introducing selectably cleavable and/or abasic sites into oligonucleotides |
| US5116739A (en) | 1984-10-16 | 1992-05-26 | Mitsubishi Chemical Industries Limited | Process for the production of human apolipoprotein e, and transformed hosts and products thereof |
| US4828979A (en) | 1984-11-08 | 1989-05-09 | Life Technologies, Inc. | Nucleotide analogs for nucleic acid labeling and detection |
| WO1986004920A1 (en) | 1985-02-13 | 1986-08-28 | Biotechnology Research Partners, Limited | Human metallothionein-ii promoter in mammalian expression system |
| US5235033A (en) | 1985-03-15 | 1993-08-10 | Anti-Gene Development Group | Alpha-morpholino ribonucleoside derivatives and polymers thereof |
| US5142047A (en) | 1985-03-15 | 1992-08-25 | Anti-Gene Development Group | Uncharged polynucleotide-binding polymers |
| US4762779A (en) | 1985-06-13 | 1988-08-09 | Amgen Inc. | Compositions and methods for functionalizing nucleic acids |
| WO1987002062A1 (en) | 1985-10-04 | 1987-04-09 | Biotechnology Research Partners, Ltd. | Recombinant apolipoproteins and methods |
| US4737323A (en) | 1986-02-13 | 1988-04-12 | Liposome Technology, Inc. | Liposome extrusion method |
| US5317098A (en) | 1986-03-17 | 1994-05-31 | Hiroaki Shizuya | Non-radioisotope tagging of fragments |
| US5759829A (en) | 1986-03-28 | 1998-06-02 | Calgene, Inc. | Antisense regulation of gene expression in plant cells |
| US4876335A (en) | 1986-06-30 | 1989-10-24 | Wakunaga Seiyaku Kabushiki Kaisha | Poly-labelled oligonucleotide derivative |
| US5714166A (en) | 1986-08-18 | 1998-02-03 | The Dow Chemical Company | Bioactive and/or targeted dendrimer conjugates |
| US4987071A (en) | 1986-12-03 | 1991-01-22 | University Patents, Inc. | RNA ribozyme polymerases, dephosphorylases, restriction endoribonucleases and methods |
| US5059528A (en) | 1987-05-28 | 1991-10-22 | Ucb, S.A. | Expression of human proapolipoprotein a-i |
| US4904582A (en) | 1987-06-11 | 1990-02-27 | Synthetic Genetics | Novel amphiphilic nucleic acid conjugates |
| US5585481A (en) | 1987-09-21 | 1996-12-17 | Gen-Probe Incorporated | Linking reagents for nucleotide probes |
| US5525465A (en) | 1987-10-28 | 1996-06-11 | Howard Florey Institute Of Experimental Physiology And Medicine | Oligonucleotide-polyamide conjugates and methods of production and applications of the same |
| US5112963A (en) | 1987-11-12 | 1992-05-12 | Max-Planck-Gesellschaft Zur Foerderung Der Wissenschaften E.V. | Modified oligonucleotides |
| US5082830A (en) | 1988-02-26 | 1992-01-21 | Enzo Biochem, Inc. | End labeled nucleotide probe |
| US5109124A (en) | 1988-06-01 | 1992-04-28 | Biogen, Inc. | Nucleic acid probe linked to a label having a terminal cysteine |
| US5149782A (en) | 1988-08-19 | 1992-09-22 | Tanox Biosystems, Inc. | Molecular conjugates containing cell membrane-blending agents |
| US5262536A (en) | 1988-09-15 | 1993-11-16 | E. I. Du Pont De Nemours And Company | Reagents for the preparation of 5'-tagged oligonucleotides |
| EP0360257A2 (en) | 1988-09-20 | 1990-03-28 | The Board Of Regents For Northern Illinois University | RNA catalyst for cleaving specific RNA sequences |
| US5718709A (en) | 1988-09-24 | 1998-02-17 | Considine; John | Apparatus for removing tumours from hollow organs of the body |
| US5512439A (en) | 1988-11-21 | 1996-04-30 | Dynal As | Oligonucleotide-linked magnetic particles and uses thereof |
| US4957773A (en) | 1989-02-13 | 1990-09-18 | Syracuse University | Deposition of boron-containing films from decaborane |
| US5599923A (en) | 1989-03-06 | 1997-02-04 | Board Of Regents, University Of Tx | Texaphyrin metal complexes having improved functionalization |
| US5391723A (en) | 1989-05-31 | 1995-02-21 | Neorx Corporation | Oligonucleotide conjugates |
| US5256775A (en) | 1989-06-05 | 1993-10-26 | Gilead Sciences, Inc. | Exonuclease-resistant oligonucleotides |
| US4958013A (en) | 1989-06-06 | 1990-09-18 | Northwestern University | Cholesteryl modified oligonucleotides |
| US5416203A (en) | 1989-06-06 | 1995-05-16 | Northwestern University | Steroid modified oligonucleotides |
| US5168045A (en) | 1989-08-18 | 1992-12-01 | The Scripps Research Institute | Diagnostic systems and methods using polypeptide analogs of apolipoprotein e |
| US5473039A (en) | 1989-08-18 | 1995-12-05 | The Scripps Research Institute | Polypeptide analogs of apolipoprotein E, diagnostic systems and methods using the analogs |
| US5177189A (en) | 1989-08-18 | 1993-01-05 | The Scripps Research Institute | Polypeptide analogs of Apolipoprotein E |
| US5451463A (en) | 1989-08-28 | 1995-09-19 | Clontech Laboratories, Inc. | Non-nucleoside 1,3-diol reagents for labeling synthetic oligonucleotides |
| WO1991003162A1 (en) | 1989-08-31 | 1991-03-21 | City Of Hope | Chimeric dna-rna catalytic sequences |
| US5254469A (en) | 1989-09-12 | 1993-10-19 | Eastman Kodak Company | Oligonucleotide-enzyme conjugate that can be used as a probe in hybridization assays and polymerase chain reaction procedures |
| US5286634A (en) | 1989-09-28 | 1994-02-15 | Stadler Joan K | Synergistic method for host cell transformation |
| US5013556A (en) | 1989-10-20 | 1991-05-07 | Liposome Technology, Inc. | Liposomes with enhanced circulation time |
| US5264564A (en) | 1989-10-24 | 1993-11-23 | Gilead Sciences | Oligonucleotide analogs with novel linkages |
| US5264562A (en) | 1989-10-24 | 1993-11-23 | Gilead Sciences, Inc. | Oligonucleotide analogs with novel linkages |
| US5292873A (en) | 1989-11-29 | 1994-03-08 | The Research Foundation Of State University Of New York | Nucleic acids labeled with naphthoquinone probe |
| US5177198A (en) | 1989-11-30 | 1993-01-05 | University Of N.C. At Chapel Hill | Process for preparing oligoribonucleoside and oligodeoxyribonucleoside boranophosphates |
| US5130302A (en) | 1989-12-20 | 1992-07-14 | Boron Bilogicals, Inc. | Boronated nucleoside, nucleotide and oligonucleotide compounds, compositions and methods for using same |
| US5486603A (en) | 1990-01-08 | 1996-01-23 | Gilead Sciences, Inc. | Oligonucleotide having enhanced binding affinity |
| US5578718A (en) | 1990-01-11 | 1996-11-26 | Isis Pharmaceuticals, Inc. | Thiol-derivatized nucleosides |
| US5459255A (en) | 1990-01-11 | 1995-10-17 | Isis Pharmaceuticals, Inc. | N-2 substituted purines |
| US5457191A (en) | 1990-01-11 | 1995-10-10 | Isis Pharmaceuticals, Inc. | 3-deazapurines |
| US6153737A (en) | 1990-01-11 | 2000-11-28 | Isis Pharmaceuticals, Inc. | Derivatized oligonucleotides having improved uptake and other properties |
| US5366878A (en) | 1990-02-15 | 1994-11-22 | The Worcester Foundation For Experimental Biology | Method of site-specific alteration of RNA and production of encoded polypeptides |
| US5414077A (en) | 1990-02-20 | 1995-05-09 | Gilead Sciences | Non-nucleoside linkers for convenient attachment of labels to oligonucleotides using standard synthetic methods |
| US5214136A (en) | 1990-02-20 | 1993-05-25 | Gilead Sciences, Inc. | Anthraquinone-derivatives oligonucleotides |
| US5182364A (en) | 1990-02-26 | 1993-01-26 | The Scripps Research Institute | Polypeptide analogs of apolipoprotein E |
| US5514785A (en) | 1990-05-11 | 1996-05-07 | Becton Dickinson And Company | Solid supports for nucleic acid hybridization assays |
| US5378825A (en) | 1990-07-27 | 1995-01-03 | Isis Pharmaceuticals, Inc. | Backbone modified oligonucleotide analogs |
| US5138045A (en) | 1990-07-27 | 1992-08-11 | Isis Pharmaceuticals | Polyamine conjugated oligonucleotides |
| US5614617A (en) | 1990-07-27 | 1997-03-25 | Isis Pharmaceuticals, Inc. | Nuclease resistant, pyrimidine modified oligonucleotides that detect and modulate gene expression |
| US5688941A (en) | 1990-07-27 | 1997-11-18 | Isis Pharmaceuticals, Inc. | Methods of making conjugated 4' desmethyl nucleoside analog compounds |
| US5489677A (en) | 1990-07-27 | 1996-02-06 | Isis Pharmaceuticals, Inc. | Oligonucleoside linkages containing adjacent oxygen and nitrogen atoms |
| US5386023A (en) | 1990-07-27 | 1995-01-31 | Isis Pharmaceuticals | Backbone modified oligonucleotide analogs and preparation thereof through reductive coupling |
| US5608046A (en) | 1990-07-27 | 1997-03-04 | Isis Pharmaceuticals, Inc. | Conjugated 4'-desmethyl nucleoside analog compounds |
| US5218105A (en) | 1990-07-27 | 1993-06-08 | Isis Pharmaceuticals | Polyamine conjugated oligonucleotides |
| US5567810A (en) | 1990-08-03 | 1996-10-22 | Sterling Drug, Inc. | Nuclease resistant compounds |
| US5245022A (en) | 1990-08-03 | 1993-09-14 | Sterling Drug, Inc. | Exonuclease resistant terminally substituted oligonucleotides |
| US5223618A (en) | 1990-08-13 | 1993-06-29 | Isis Pharmaceuticals, Inc. | 4'-desmethyl nucleoside analog compounds |
| US5789573A (en) | 1990-08-14 | 1998-08-04 | Isis Pharmaceuticals, Inc. | Antisense inhibition of ICAM-1, E-selectin, and CMV IE1/IE2 |
| US5512667A (en) | 1990-08-28 | 1996-04-30 | Reed; Michael W. | Trifunctional intermediates for preparing 3'-tailed oligonucleotides |
| WO1992007065A1 (en) | 1990-10-12 | 1992-04-30 | MAX-PLANCK-Gesellschaft zur Förderung der Wissenschaften e.V. | Modified ribozymes |
| US5510475A (en) | 1990-11-08 | 1996-04-23 | Hybridon, Inc. | Oligonucleotide multiple reporter precursors |
| WO1992020823A1 (en) | 1991-05-21 | 1992-11-26 | Isis Pharmaceuticals, Inc. | Backbone modified oligonucleotide analogs |
| WO1992020822A1 (en) | 1991-05-21 | 1992-11-26 | Isis Pharmaceuticals, Inc. | Backbone modified oligonucleotide analogues |
| US5334711A (en) | 1991-06-20 | 1994-08-02 | Europaisches Laboratorium Fur Molekularbiologie (Embl) | Synthetic catalytic oligonucleotide structures |
| US5525472A (en) | 1991-06-26 | 1996-06-11 | Bio-Technology General Corp. | Method for production and purification or recombinant Apolipoprotein E from bacteria |
| US5371241A (en) | 1991-07-19 | 1994-12-06 | Pharmacia P-L Biochemicals Inc. | Fluorescein labelled phosphoramidites |
| US5484908A (en) | 1991-11-26 | 1996-01-16 | Gilead Sciences, Inc. | Oligonucleotides containing 5-propynyl pyrimidines |
| US5359044A (en) | 1991-12-13 | 1994-10-25 | Isis Pharmaceuticals | Cyclobutyl oligonucleotide surrogates |
| US5876968A (en) | 1991-12-13 | 1999-03-02 | Pharmacia & Upjohn Aktiebolag | Dimer of molecular variant of apolipoprotein and processes for the production thereof |
| US5595726A (en) | 1992-01-21 | 1997-01-21 | Pharmacyclics, Inc. | Chromophore probe for detection of nucleic acid |
| US5565552A (en) | 1992-01-21 | 1996-10-15 | Pharmacyclics, Inc. | Method of expanded porphyrin-oligonucleotide conjugate synthesis |
| US5587371A (en) | 1992-01-21 | 1996-12-24 | Pharmacyclics, Inc. | Texaphyrin-oligonucleotide conjugates |
| WO1993015187A1 (en) | 1992-01-31 | 1993-08-05 | Massachusetts Institute Of Technology | Nucleozymes |
| WO1993023569A1 (en) | 1992-05-11 | 1993-11-25 | Ribozyme Pharmaceuticals, Inc. | Method and reagent for inhibiting viral replication |
| US6372886B1 (en) | 1992-06-23 | 2002-04-16 | Arch Development Corp. | Expression and purification of kringle domains of human apolipoprotein (a) in E. coli |
| US6172208B1 (en) | 1992-07-06 | 2001-01-09 | Genzyme Corporation | Oligonucleotides modified with conjugate groups |
| US5272250A (en) | 1992-07-10 | 1993-12-21 | Spielvogel Bernard F | Boronated phosphoramidate compounds |
| WO1994002595A1 (en) | 1992-07-17 | 1994-02-03 | Ribozyme Pharmaceuticals, Inc. | Method and reagent for treatment of animal diseases |
| WO1994013688A1 (en) | 1992-12-08 | 1994-06-23 | Gene Shears Pty. Limited | Dna-armed ribozymes and minizymes |
| US5721114A (en) | 1992-12-11 | 1998-02-24 | Pharmacia & Upjohn Aktiebolag | Expression system for producing apolipoprotein AI-M |
| US5574142A (en) | 1992-12-15 | 1996-11-12 | Microprobe Corporation | Peptide linkers for improved oligonucleotide delivery |
| US5610288A (en) | 1993-01-27 | 1997-03-11 | Hekton Institute For Medical Research | Antisense polynucleotide inhibition of epidermal human growth factor receptor expression |
| US5476925A (en) | 1993-02-01 | 1995-12-19 | Northwestern University | Oligodeoxyribonucleotides including 3'-aminonucleoside-phosphoramidate linkages and terminal 3'-amino groups |
| US5508270A (en) | 1993-03-06 | 1996-04-16 | Ciba-Geigy Corporation | Nucleoside phosphinate compounds and compositions |
| US5532130A (en) | 1993-07-20 | 1996-07-02 | Dyad Pharmaceutical Corporation | Methods and compositions for sequence-specific hybridization of RNA by 2'-5' oligonucleotides |
| US6528631B1 (en) | 1993-09-03 | 2003-03-04 | Isis Pharmaceuticals, Inc. | Oligonucleotide-folate conjugates |
| US5801154A (en) | 1993-10-18 | 1998-09-01 | Isis Pharmaceuticals, Inc. | Antisense oligonucleotide modulation of multidrug resistance-associated protein |
| US5519134A (en) | 1994-01-11 | 1996-05-21 | Isis Pharmaceuticals, Inc. | Pyrrolidine-containing monomers and oligomers |
| US5599928A (en) | 1994-02-15 | 1997-02-04 | Pharmacyclics, Inc. | Texaphyrin compounds having improved functionalization |
| US5591317A (en) | 1994-02-16 | 1997-01-07 | Pitts, Jr.; M. Michael | Electrostatic device for water treatment |
| US5539083A (en) | 1994-02-23 | 1996-07-23 | Isis Pharmaceuticals, Inc. | Peptide nucleic acid combinatorial libraries and improved methods of synthesis |
| US5840688A (en) | 1994-03-22 | 1998-11-24 | Research Corporation Technologies, Inc. | Eating suppressant peptides |
| US5534499A (en) | 1994-05-19 | 1996-07-09 | The University Of British Columbia | Lipophilic drug derivatives for use in liposomes |
| US5597696A (en) | 1994-07-18 | 1997-01-28 | Becton Dickinson And Company | Covalent cyanine dye oligonucleotide conjugates |
| US5580731A (en) | 1994-08-25 | 1996-12-03 | Chiron Corporation | N-4 modified pyrimidine deoxynucleotides and oligonucleotide probes synthesized therewith |
| US5591584A (en) | 1994-08-25 | 1997-01-07 | Chiron Corporation | N-4 modified pyrimidine deoxynucleotides and oligonucleotide probes synthesized therewith |
| US6027726A (en) | 1994-09-30 | 2000-02-22 | Inex Phamaceuticals Corp. | Glycosylated protein-liposome conjugates and methods for their preparation |
| US5820873A (en) | 1994-09-30 | 1998-10-13 | The University Of British Columbia | Polyethylene glycol modified ceramide lipids and liposome uses thereof |
| US5885613A (en) | 1994-09-30 | 1999-03-23 | The University Of British Columbia | Bilayer stabilizing components and their use in forming programmable fusogenic liposomes |
| WO1996011266A2 (en) | 1994-10-05 | 1996-04-18 | Amgen Inc. | Method for inhibiting smooth muscle cell proliferation and oligonucleotides for use therein |
| US5631359A (en) | 1994-10-11 | 1997-05-20 | Ribozyme Pharmaceuticals, Inc. | Hairpin ribozymes |
| US5783683A (en) | 1995-01-10 | 1998-07-21 | Genta Inc. | Antisense oligonucleotides which reduce expression of the FGFRI gene |
| US5834596A (en) | 1995-03-03 | 1998-11-10 | Pharmacia & Upjohn Ab | Process for purifying ApoA or ApoE |
| US6486308B2 (en) | 1995-04-03 | 2002-11-26 | Epoch Biosciences, Inc. | Covalently linked oligonucleotide minor groove binder conjugates |
| US5747470A (en) | 1995-06-07 | 1998-05-05 | Gen-Probe Incorporated | Method for inhibiting cellular proliferation using antisense oligonucleotides to gp130 mRNA |
| US5976567A (en) | 1995-06-07 | 1999-11-02 | Inex Pharmaceuticals Corp. | Lipid-nucleic acid particles prepared via a hydrophobic lipid-nucleic acid complex intermediate and use for gene transfer |
| US5672662A (en) | 1995-07-07 | 1997-09-30 | Shearwater Polymers, Inc. | Poly(ethylene glycol) and related polymers monosubstituted with propionic or butanoic acids and functional derivatives thereof for biotechnical applications |
| US5672685A (en) | 1995-10-04 | 1997-09-30 | Duke University | Source of apolipoprotein E and method of isolating apolipoprotein E |
| US6444806B1 (en) | 1996-04-30 | 2002-09-03 | Hisamitsu Pharmaceutical Co., Inc. | Conjugates and methods of forming conjugates of oligonucleotides and carbohydrates |
| US5739119A (en) | 1996-11-15 | 1998-04-14 | Galli; Rachel L. | Antisense oligonucleotides specific for the muscarinic type 2 acetylcholine receptor MRNA |
| US6287591B1 (en) | 1997-05-14 | 2001-09-11 | Inex Pharmaceuticals Corp. | Charged therapeutic agents encapsulated in lipid particles containing four lipid components |
| US6858225B2 (en) | 1997-05-14 | 2005-02-22 | Inex Pharmaceuticals Corporation | Lipid-encapsulated polyanionic nucleic acid |
| US6004925A (en) | 1997-09-29 | 1999-12-21 | J. L. Dasseux | Apolipoprotein A-I agonists and their use to treat dyslipidemic disorders |
| US6046166A (en) | 1997-09-29 | 2000-04-04 | Jean-Louis Dasseux | Apolipoprotein A-I agonists and their use to treat dyslipidemic disorders |
| US6037323A (en) | 1997-09-29 | 2000-03-14 | Jean-Louis Dasseux | Apolipoprotein A-I agonists and their use to treat dyslipidemic disorders |
| US6320017B1 (en) | 1997-12-23 | 2001-11-20 | Inex Pharmaceuticals Corp. | Polyamide oligomers |
| US6300319B1 (en) | 1998-06-16 | 2001-10-09 | Isis Pharmaceuticals, Inc. | Targeted oligonucleotide conjugates |
| US6335434B1 (en) | 1998-06-16 | 2002-01-01 | Isis Pharmaceuticals, Inc., | Nucleosidic and non-nucleosidic folate conjugates |
| US6525031B2 (en) | 1998-06-16 | 2003-02-25 | Isis Pharmaceuticals, Inc. | Targeted Oligonucleotide conjugates |
| US6335437B1 (en) | 1998-09-07 | 2002-01-01 | Isis Pharmaceuticals, Inc. | Methods for the preparation of conjugated oligomers |
| WO2000044895A1 (en) | 1999-01-30 | 2000-08-03 | Roland Kreutzer | Method and medicament for inhibiting the expression of a defined gene |
| US6395437B1 (en) | 1999-10-29 | 2002-05-28 | Advanced Micro Devices, Inc. | Junction profiling using a scanning voltage micrograph |
| WO2001075164A2 (en) | 2000-03-30 | 2001-10-11 | Whitehead Institute For Biomedical Research | Rna sequence-specific mediators of rna interference |
| US6559279B1 (en) | 2000-09-08 | 2003-05-06 | Isis Pharmaceuticals, Inc. | Process for preparing peptide derivatized oligomeric compounds |
| WO2002044321A2 (en) | 2000-12-01 | 2002-06-06 | MAX-PLANCK-Gesellschaft zur Förderung der Wissenschaften e.V. | Rna interference mediating small rna molecules |
| WO2004080406A2 (en) | 2003-03-07 | 2004-09-23 | Alnylam Pharmaceuticals | Therapeutic compositions |
| US20050164235A1 (en) | 2003-04-17 | 2005-07-28 | Muthiah Manoharan | Modified iRNA agents |
| US20050107325A1 (en) | 2003-04-17 | 2005-05-19 | Muthiah Manoharan | Modified iRNA agents |
| US7021394B2 (en) | 2003-04-28 | 2006-04-04 | Marchesan Implementos E Máquinas Agrícolas Tatú S/A | Articulating and locking mechanism for farm implement chassis |
| US7626014B2 (en) | 2004-04-27 | 2009-12-01 | Alnylam Pharmaceuticals | Single-stranded and double-stranded oligonucleotides comprising a 2-arylpropyl moiety |
| US20070123482A1 (en) | 2005-08-10 | 2007-05-31 | Markus Stoffel | Chemically modified oligonucleotides for use in modulating micro RNA and uses thereof |
| US20070213292A1 (en) | 2005-08-10 | 2007-09-13 | The Rockefeller University | Chemically modified oligonucleotides for use in modulating micro RNA and uses thereof |
| WO2007095387A2 (en) | 2006-02-17 | 2007-08-23 | Dharmacon, Inc. | Compositions and methods for inhibiting gene silencing by rna interference |
| WO2008036825A2 (en) | 2006-09-22 | 2008-03-27 | Dharmacon, Inc. | Duplex oligonucleotide complexes and methods for gene silencing by rna interference |
| WO2008042973A2 (en) | 2006-10-03 | 2008-04-10 | Alnylam Pharmaceuticals, Inc. | Lipid containing formulations |
| US20080255345A1 (en) | 2006-11-21 | 2008-10-16 | Alnylam Pharmaceuticals, Inc. | IRNA Agents Targeting CCR5 Expressing Cells And Uses Thereof |
| WO2009086558A1 (en) | 2008-01-02 | 2009-07-09 | Tekmira Pharmaceuticals Corporation | Improved compositions and methods for the delivery of nucleic acids |
| US9204305B2 (en) | 2009-08-27 | 2015-12-01 | Siemens Aktiengesellschaft | Method for transmitting data in a sensor network, sensor node and central processor |
| US9204294B2 (en) | 2010-07-09 | 2015-12-01 | Telecommunication Systems, Inc. | Location privacy selector |
| US10421908B2 (en) | 2016-03-08 | 2019-09-24 | Dic Corporation | Liquid crystal composition and liquid crystal display device including the same |
Non-Patent Citations (143)
| Title |
|---|
| "Concise Encyclopedia Of Polymer Science And Engineering", 1990, JOHN WILEY & SONS, pages: 858 - 859 |
| "Peptide Nucleic Acids (PNA): Synthesis, Properties and Potential Applications", BIOORGANIC & MEDICINAL CHEMISTRY, vol. 4, 1996, pages 5 - 23 |
| "The Proteins", vol. II, 1976, ACADEMIC PRESS, pages: 105 - 237 |
| ABRA, RM ET AL., J. LIPOSOME RES., vol. 12, 2002, pages 1 - 3 |
| AGRAWAL, TRENDS IN BIOTECH., vol. 14, 1996, pages 376 - 387 |
| ALLEN ET AL., BIOCHIMICA ET BIOPHYSICA ACTA, vol. 1237, 1995, pages 99 - 108 |
| ALTSCHUL ET AL., NUCLEIC ACIDS RES., vol. 25, no. 17, 1997, pages 3389 - 402 |
| AN, H ET AL., J. ORG. CHEM., vol. 66, 2001, pages 2789 - 2801 |
| AOKI ET AL., CANCER GENE THERAPY, vol. 8, 2001, pages 783 - 787 |
| AVIRAM ET AL., ARTERIOSCLER. THROMB. VASC. BIOL., vol. 18, no. 10, 1998, pages 1617 - 24 |
| AVIRAM ET AL., ARTERIOSCLER. THROMB. VASE. BIOL., vol. 18, no. 10, 1998, pages 1617 - 24 |
| AVIRAM ET AL., J. CLIN. INVEST., vol. 101, no. 8, 1998, pages 1581 - 90 |
| BEAUCAGE, S. L, IYER, R. P., TETRAHEDRON, vol. 48, 1992, pages 2223 - 2311 |
| BEAUCAGE, S. L., IYER, R. P., TETRAHEDRON, vol. 49, 1993, pages 6123 - 6194 |
| BEHR, ACC. CHEM. RES., vol. 26, 1993, pages 274 - 278 |
| BENNETT ET AL., MOL. PHARM., vol. 41, 1992, pages 1023 - 1033 |
| BIELICKI, ODA, BIOCHEMISTRY, vol. 41, 2002, pages 2089 - 96 |
| BILLECKE ET AL., DRUG METAB. DISPOS., vol. 28, no. 11, 2000, pages 1335 - 42 |
| BLUME ET AL., BIOCHIMICA ET BIOPHYSICA ACTA, vol. 1149, 1993, pages 180 - 184 |
| BODANSZKY ET AL.: "Peptide Synthesis", 1976, JOHN WILEY & SONS |
| BRIGHAM ET AL., AM. J. MED. SCI., vol. 298, 1989, pages 278 - 281 |
| BRIGHAM ET AL., AM. J. SCI., vol. 298, no. 4, 1989, pages 278 - 281 |
| BROWN, SIMPSON, ANNU REV PLANT PHYSIOL PLANT MOL BIOL, vol. 49, 1998, pages 77 - 95 |
| CECH ET AL., CELL, vol. 27, December 1981 (1981-12-01), pages 487 - 96 |
| CHEUNG ET AL., J. LIPID RES., vol. 28, no. 8, 1987, pages 913 - 29 |
| CHUNG ET AL., J. LIPID RES., vol. 21, no. 3, 1980, pages 284 - 91 |
| COLLINS, OLIVE, BIOCHEMISTRY, vol. 32, no. 11, 23 March 1993 (1993-03-23), pages 2795 - 9 |
| CORMIER,J.F. ET AL., NUCLEIC ACIDS RES., vol. 16, 1988, pages 4583 |
| CROSSTICK ET AL., TETRAHEDRON LETT., vol. 30, 1989, pages 4693 |
| CULLIS ET AL., CHEM PHYS LIPIDS, vol. 40, 1986, pages 127 - 144 |
| CULVER: "Human Gene Therapy", 1994, MARYANN LIEBERT, INC., pages: 70 - 71 |
| DAUM ET AL., J. MOL. MED., vol. 77, 1999, pages 614 - 22 |
| DEFREES ET AL., JOURNAL OF THE AMERICAN CHEMISTRY SOCIETY, vol. 118, 1996, pages 6101 - 6104 |
| DRAGANOV ET AL., J. BIOL. CHEM., vol. 275, no. 43, 2000, pages 33435 - 42 |
| DUVERGER ET AL., ARTERIOSCLER. THROMB. VASC. BIOL., vol. 16, no. 12, 1996, pages 1424 - 29 |
| DUVERGER ET AL., EURO. J. BIOCHEM., vol. 201, no. 2, 1991, pages 373 - 83 |
| DYER ET AL., J. LIPID RES., vol. 36, no. 1, 1995, pages 80 - 8 |
| DYER, J. BIOL. CHEM., vol. 266, no. 23, 1991, pages 150009 - 15 |
| EATON, CURR. OPIN. CHEM. BIOL., vol. 1, 1997, pages 10 - 16 |
| EDGE, M.D. ET AL., J. CHEM. SOC. PERKIN TRANS., vol. 1, 1972, pages 1991 |
| ELLINGTON, SZOSTAK, NATURE, vol. 346, 1990, pages 818 |
| ENGLISCH ET AL., ANGEWANDTE CHEMIE, INTERNATIONAL EDITION, vol. 30, 1991, pages 613 |
| FAMULOK, CURR. OPIN. STRUCT. BIOL., vol. 9, 1999, pages 324 - 9 |
| FELGNER, SCIENTIFIC AMERICAN |
| FORSTER, SYMONS, CELL, vol. 49, no. 2, 24 April 1987 (1987-04-24), pages 211 - 20 |
| FOUGEROLLES, A. ET AL., NATURE REVIEWS, vol. 6, 2007, pages 443 - 453 |
| FRANCESCHINI ET AL., J. BIOL. CHEM., vol. 260, 1985, pages 1632 - 35 |
| GALBRAITH ET AL., ANTISENSE NUCL. ACID DRUG DES., vol. 4, 1994, pages 201 - 206 |
| GONG ET AL., J. BIOL. CHEM., vol. 277, no. 33, 2002, pages 29919 - 26 |
| GOODFELLOW, NATURE, vol. 341, 1989, pages 102 - 103 |
| GORACZNIAK ET AL., NATURE BIOTECHNOLOGY, vol. 27, no. 3, 2008, pages 257 - 263 |
| GORDON ET AL., J. BIOL. CHEM., vol. 259, no. 1, 1984, pages 468 - 74 |
| GRIFFITHS-JONES S, GROCOCK RJ, VAN DONGEN S, BATEMAN A, ENRIGHT AJ: "miRBase: microRNA sequences, targets and gene nomenclature", NAR, vol. 34, 2006, pages D 140 - D 144 |
| GRIFFITHS-JONES S.: "The microRNA Registry", NAR, vol. 32, 2004, pages D109 - D111, XP002392427, Retrieved from the Internet <URL:http://microrna.sanger.ac.uk/sequences> DOI: doi:10.1093/nar/gkh023 |
| GUERRIER-TAKADA ET AL., CELL, vol. 35, December 1983 (1983-12-01), pages 849 - 57 |
| HAMPEL ET AL., NUCLEIC ACIDS RES., vol. 18, no. 2, 25 January 1990 (1990-01-25), pages 299 - 304 |
| HAMPEL, TRITZ, BIOCHEMISTRY, vol. 28, no. 12, 13 June 1989 (1989-06-13), pages 4929 - 33 |
| HAUBNER ET AL., JOUR. NUCL. MED., vol. 42, 2001, pages 326 - 336 |
| HEATH: "Methods in Enzymology", vol. 149, 1987, ACADEMIC PRESS, INC., article "Covalent Attachment of Proteins to Liposomes", pages: 111 - 119 |
| HERMANN, PATEL, SCIENCE, vol. 287, 2000, pages 820 - 5 |
| HILL, J. BIOL. CHEM., vol. 273, no. 47, 1998, pages 30979 - 84 |
| HIXSON, POWERS, J. LIPID RES., vol. 32, no. 9, 1991, pages 1529 - 35 |
| HOEG ET AL., J. BIOL. CHEM., vol. 261, no. 9, 1986, pages 3911 - 4 |
| HYDE ET AL., NATURE, vol. 362, 1993, pages 250 - 256 |
| JASKULSKI ET AL., SCIENCE, vol. 240, no. 4858, 10 June 1988 (1988-06-10), pages 1544 - 6 |
| JIA ET AL., BIOCHEM. BIOPHYS. RES. COMM., vol. 297, 2002, pages 206 - 13 |
| KAWASAKI, J. MED. CHEM., vol. 36, 1993, pages 831 - 841 |
| KIM, CECH, PROC NATL ACAD SCI USA., vol. 84, no. 24, December 1987 (1987-12-01), pages 8788 - 92 |
| KIRPOTIN, FEBS LETTERS, vol. 388, 1996, pages 115 - 118 |
| KLIBANOV ET AL., JOURNAL OF LIPOSOME RESEARCH, vol. 2, 1992, pages 321 - 334 |
| KLON ET AL., BIOPHYS. J., vol. 79, no. 3, 2000, pages 1679 - 87 |
| KRUTZFELDT ET AL., NATURE, vol. 438, 2005, pages 685 - 689 |
| KUNKEL ET AL., BRIT. MED. BULL., vol. 45, no. 3, 1989, pages 630 - 643 |
| LACKNER ET AL., J. BIOL. CHEM., vol. 260, no. 2, 1985, pages 703 - 6 |
| LAM ET AL., NATURE, vol. 354, 1991, pages 82 - 84 |
| LAMBERTON, J.S., CHRISTIAN, A.T., MOLECULAR BIOTECHNOLOGY, vol. 24, 2003, pages 111 - 119 |
| LEONETTI ET AL., PROC. NATL. ACAD. SCI. (USA, vol. 87, 1990, pages 2448 - 2451 |
| MANN ET AL., J. CLIN. INVEST., vol. 106, 2000, pages 1071 - 1075 |
| MANNINO ET AL., BIOTECHNIQUES, vol. 6, 1988, pages 682 - 690 |
| MANOHARAN, M. ET AL., ANTISENSE AND NUCLEIC ACID DRUG DEVELOPMENT, vol. 12, 2002, pages 103 - 128 |
| MANOHARAN: "Antisense Research and Applications", 1993, CRC PRESS |
| MARTIN, P., HELV. CHIM. ACTA, vol. 78, 1995, pages 486 - 504 |
| MARTIN, P., HELV. CHIM. ACTA, vol. 79, 1996, pages 1930 - 1938 |
| MASTROBATTISTA, E., KONING, G. A. ET AL.: "Functional characterization of an endosome-disruptive peptide and its application in cytosolic delivery of immunoliposome-entrapped proteins", J. BIOL. CHEM., vol. 277, 2002, pages 27135 - 43, XP001187533, DOI: doi:10.1074/jbc.M200429200 |
| MCLEAN ET AL., J. BIOL. CHEM., vol. 258, no. 14, 1983, pages 8993 - 9000 |
| MCOMIE: "Protective Groups in Organic Chemistry", 1973, PLENUM PRESS |
| MERRIFIELD, J. AM. CHEM. SOC., vol. 85, 1963, pages 2149 - 2154 |
| MICHEL, WESTHOF, J MOL BIOL., vol. 216, no. 3, 5 December 1990 (1990-12-05), pages 585 - 610 |
| MULUGETA ET AL., J. CHROMATOGR., vol. 798, no. 1-2, 1998, pages 83 - 90 |
| NICOLAU ET AL., CRIT. REV. THER. DRUG CARRIER SYST., vol. 6, 1989, pages 239 - 271 |
| OBERHAUSER, B., PLANK, C. ET AL.: "Enhancing endosomal exit of nucleic acids using pH-sensitive viral fusion peptides", DELIV. STRATEGIES ANTISENSE OLIGONUCLEOTIDE THER., 1995, pages 247 - 66 |
| OHTA ET AL., J. BIOL. CHEM., vol. 259, no. 23, 1984, pages 14888 - 93 |
| PALGUNACHARI, ARTERIOSCLER. THROB. VASC. BIOL., vol. 16, no. 2, 1996, pages 328 - 38 |
| PERIS ET AL., BRAIN RES MOL BRAIN RES., vol. 57, no. 2, 15 June 1998 (1998-06-15), pages 310 - 20 |
| PERROTTA, BEEN, BIOCHEMISTRY, vol. 31, no. 47, 1 December 1992 (1992-12-01), pages 11843 - 52 |
| PERSSON ET AL., J. CHROMATOGR., vol. 711, 1998, pages 97 - 109 |
| PLANK, C., OBERHAUSER, B., MECHTLER, K., KOCH, C., WAGNER, E.: "The influence of endosome-disruptive peptides on gene transfer using synthetic virus-like gene transfer systems", J. BIOL. CHEM., vol. 269, 1994, pages 12918 - 12924, XP000615488 |
| POWELL ET AL., CELL, vol. 50, no. 6, 1987, pages 831 - 40 |
| RALL ET AL.: "Structural basis for receptor binding heterogeneity of apolipoprotein E from type III hyperlipoproteinemic subjects", PROC. NAT. ACAD. SCI., vol. 79, 1982, pages 4696 - 4700 |
| RANEY ET AL., JOURNAL OF PHARMACOLOGY AND EXPERIMENTAL THERAPEUTICS, vol. 298, 2001, pages 1185 - 1192 |
| REINHOLD-HUREK, SHUB, NATURE, vol. 357, no. 6374, 14 May 1992 (1992-05-14), pages 173 - 6 |
| RENNEISEN ET AL., J. BIO. CHEM., vol. 265, 1990, pages 16337 - 16342 |
| ROSSI ET AL., NUCLEIC ACIDS RES., vol. 20, no. 17, 11 September 1992 (1992-09-11), pages 4559 - 65 |
| SACRE ET AL., FEBS LETT., vol. 540, no. 1-3, 2003, pages 181 - 7 |
| SAPRA, P., ALLEN, TM, PROG. LIPID RES., vol. 42, no. 5, 2003, pages 439 - 62 |
| SAVILLE, COLLINS, CELL, vol. 61, no. 4, 18 May 1990 (1990-05-18), pages 685 - 96 |
| SAVILLE, COLLINS, PROC NATL ACAD SCI USA., vol. 88, no. 19, 1 October 1991 (1991-10-01), pages 8826 - 30 |
| SHELNESS ET AL., J. BIOL. CHEM., vol. 259, no. 15, 1984, pages 9929 - 35 |
| SHELNESS ET AL., J. BIOL. CHEM., vol. 260, no. 14, 1985, pages 8637 - 46 |
| SIMEONI ET AL., NUCL. ACIDS RES., vol. 31, 2003, pages 2717 - 2724 |
| SORENSON ET AL., ARTERIOSCLER. THROMB. VASC. BIOL., vol. 19, no. 9, 1999, pages 2214 - 25 |
| SPROAT ET AL., NUCLEOSIDES NUCLEOTIDES, vol. 7, 1988, pages 651 |
| STEINMETZ, UTERMANN, J. BIOL. CHEM., vol. 260, no. 4, 1985, pages 2258 - 64 |
| STIRCHAK, E.P., NUCLEIC ACIDS RES., vol. 17, 1989, pages 6129 |
| STRAUBRINGER ET AL.: "Methods in Enzymology", vol. 101, 1983, ACADEMIC PRESS, pages: 512 - 527 |
| STUART, YOUNG: "Solid Phase Peptide. Synthesis", 1984, PIERCE CHEMICAL COMPANY |
| SUBBARAO ET AL., BIOCHEMISTRY, vol. 26, 1987, pages 2964 - 2972 |
| THIERRY, A.R. ET AL.: "Gene Regulation: Biology of Antisense RNA and DNA", 1992, RAVEN PRESS, pages: 147 - 161 |
| THURBERG ET AL., J. BIOL. CHEM., vol. 271, no. 11, pages 6062 - 70 |
| TITTENSOR, J.R., J. CHEM. SOC. C, 1971, pages 1933 |
| TUERK, GOLD, SCIENCE, vol. 249, 1990, pages 505 |
| TURK ET AL., BIOCHEM. BIOPHYS. ACTA, vol. 1559, 2002, pages 56 - 68 |
| TURK, M. J., REDDY, J. A. ET AL.: "Characterization of a novel pH-sensitive peptide that enhances drug release from folate-targeted liposomes at endosomal pHs", BIOCHIM. BIOPHYS. ACTA, vol. 1559, 2002, pages 56 - 68, XP004334733, DOI: doi:10.1016/S0005-2736(01)00441-2 |
| UHLMANN E. ET AL.: "Antisense: Chemical Modifications. Encyclopedia of Cancer", vol. X, 1997, ACADEMIC PRESS INC., pages: 64 - 81 |
| VASANTHAKUMAR, AHMED, CANCER COMMUN., vol. 1, no. 4, 1989, pages 225 - 32 |
| VERMA, S. ET AL., ANNU. REV. BIOCHEM., vol. 67, 1998, pages 99 - 134 |
| VERMEULEN ET AL.: "Double-Stranded Regions Are Essential Design Components Of Potent Inhibitors of RISC Function", RNA, vol. 13, 2007, pages 723 - 730, XP002659375, DOI: doi:10.1261/RNA.448107 |
| VLASSOV ET AL., BIOCHIM. BIOPHYS. ACTA, vol. 1197, 1994, pages 95 - 1082 |
| VOGEL ET AL., J. AM. CHEM. SOC., vol. 118, 1996, pages 1581 - 1586 |
| WEERS ET AL., BIOPHYS. CHEM., vol. 100, no. 1-3, 2003, pages 481 - 92 |
| WEISGRABER ET AL.: "Human E apoprotein heterogeneity: cysteine-arginine interchanges in the amino acid sequence of the apo-E isoforms", J. BIOL. CHEM., vol. 256, 1981, pages 9077 - 9083 |
| WEISGRABER, J. LIPID RES., vol. 31, no. 8, 1990, pages 1503 - 11 |
| WENGEL, J., ACC. CHEM. RES., vol. 32, 1999, pages 301 - 310 |
| WIDLER ET AL., J. BIOL. CHEM., vol. 255, no. 21, 1980, pages 10464 - 71 |
| YAMAMOTO S. ET AL., J. IMMUNOL., vol. 148, 1992, pages 4072 - 4076 |
| ZALIPSKY, BIOCONJUGATE CHEMISTRY, vol. 4, 1993, pages 296 - 299 |
| ZALIPSKY, FEBS LETTERS, vol. 353, 1994, pages 71 - 74 |
| ZALIPSKY: "Stealth Liposomes", 1995, CRC PRESS |
| ZELPHATI, 0, SZOKA, F.C., J. CONTR. REL., vol. 41, 1996, pages 99 - 119 |
| ZELPHATI, O., ANTISENSE. RES. DEV., vol. 3, 1993, pages 323 - 338 |
| ZHU ET AL., SCIENCE, vol. 261, 1993, pages 209 - 211 |
| ZIMMERMANN ET AL., NATURE, vol. 441, 2006, pages 111 - 114 |
| ZITZMANN ET AL., CANCER RES., vol. 62, 2002, pages 5139 - 43 |
Cited By (122)
| Publication number | Priority date | Publication date | Assignee | Title |
|---|---|---|---|---|
| US9758795B2 (en) | 2009-11-04 | 2017-09-12 | The University Of British Columbia | Nucleic acid-containing lipid particles and related methods |
| US10041091B2 (en) | 2009-11-04 | 2018-08-07 | The University Of British Columbia | Nucleic acid-containing lipid particles and related methods |
| US10843194B2 (en) | 2011-10-25 | 2020-11-24 | The University Of British Columbia | Microfluidic mixing devices and systems |
| US12233416B2 (en) | 2011-10-25 | 2025-02-25 | The University Of British Columbia | Limit size lipid nanoparticles and related methods |
| US11648556B2 (en) | 2011-10-25 | 2023-05-16 | The University Of British Columbia | Limit size lipid nanoparticles and related methods |
| US9943846B2 (en) | 2011-10-25 | 2018-04-17 | The University Of British Columbia | Limit size lipid nanoparticles and related methods |
| EP2971013A4 (en) * | 2013-03-15 | 2016-10-19 | Univ British Columbia | LIPID NANOPARTICLES FOR TRANSFECTION AND ASSOCIATED METHODS |
| JP2016515815A (en) * | 2013-03-15 | 2016-06-02 | ザ ユニバーシティ オブ ブリティッシュ コロンビア | Lipid nanoparticles and related methods for transfection |
| US20160022580A1 (en) * | 2013-03-15 | 2016-01-28 | The University Of British Columbia | Lipid nanoparticles for transfection and related methods |
| US10342760B2 (en) | 2013-03-15 | 2019-07-09 | The University Of British Columbia | Lipid nanoparticles for transfection and related methods |
| CN105143456A (en) * | 2013-03-15 | 2015-12-09 | 不列颠哥伦比亚大学 | Lipid nanoparticles for transfection and related methods |
| WO2015057998A1 (en) | 2013-10-16 | 2015-04-23 | The University Of British Columbia | Device for formulating particles at small volumes |
| EP3985118A1 (en) | 2013-11-22 | 2022-04-20 | MiNA Therapeutics Limited | C/ebp alpha short activating rna compositions and methods of use |
| WO2015075557A2 (en) | 2013-11-22 | 2015-05-28 | Mina Alpha Limited | C/ebp alpha compositions and methods of use |
| EP3594348A1 (en) | 2013-11-22 | 2020-01-15 | Mina Therapeutics Limited | C/ebp alpha short activating rna compositions and methods of use |
| US11634379B2 (en) | 2014-06-25 | 2023-04-25 | Acuitas Therapeutics, Inc. | Lipids and lipid nanoparticle formulations for delivery of nucleic acids |
| US12138305B2 (en) | 2015-04-27 | 2024-11-12 | The Trustees Of The University Of Pennsylvania | Nucleoside-modified RNA for inducing an adaptive immune response |
| US11168051B2 (en) | 2015-06-29 | 2021-11-09 | Acuitas Therapeutics, Inc. | Lipids and lipid nanoparticle formulations for delivery of nucleic acids |
| US11648324B2 (en) | 2015-10-28 | 2023-05-16 | Acuitas Therapeutics, Inc. | Lipids and lipid nanoparticle formulations for delivery of nucleic acids |
| US11040112B2 (en) | 2015-10-28 | 2021-06-22 | Acuitas Therapeutics, Inc. | Lipids and lipid nanoparticle formulations for delivery of nucleic acids |
| US11712481B2 (en) | 2015-10-28 | 2023-08-01 | Acuitas Therapeutics, Inc. | Lipid nanoparticle formulations |
| US11572575B2 (en) | 2016-10-03 | 2023-02-07 | Precision NanoSystems ULC | Compositions for transfecting resistant cell types |
| US12491261B2 (en) | 2016-10-26 | 2025-12-09 | Acuitas Therapeutics, Inc. | Lipid nanoparticle formulations |
| WO2018081480A1 (en) | 2016-10-26 | 2018-05-03 | Acuitas Therapeutics, Inc. | Lipid nanoparticle formulations |
| WO2018078053A1 (en) | 2016-10-26 | 2018-05-03 | Curevac Ag | Lipid nanoparticle mrna vaccines |
| WO2018081638A1 (en) | 2016-10-27 | 2018-05-03 | The Trustees Of The University Of Pennsylvania | Nucleoside-modified rna for inducing an adaptive immune response |
| US11241490B2 (en) | 2017-01-11 | 2022-02-08 | The Trustees Of The University Of Pennsylvania | Nucleoside-modified RNA for inducing an immune response against zika virus |
| EP3568155A1 (en) | 2017-01-11 | 2019-11-20 | The Trustees Of The University Of Pennsylvania | Nucleoside-modified rna for inducing an immune response against zika virus |
| US12161709B2 (en) | 2017-01-11 | 2024-12-10 | The Trustees Of The University Of Pennsylvania | Compositions for inducing an immune response against zika virus |
| WO2018191719A1 (en) | 2017-04-13 | 2018-10-18 | Acuitas Therapeutics, Inc. | Lipid delivery of therapeutic agents to adipose tissue |
| US11357856B2 (en) | 2017-04-13 | 2022-06-14 | Acuitas Therapeutics, Inc. | Lipids for delivery of active agents |
| US12226471B2 (en) | 2017-04-27 | 2025-02-18 | The Trustees Of The University Of Pennsylvania | Nucleoside-modified mRNA-lipid nanoparticle lineage vaccine for hepatitis C virus |
| US11820728B2 (en) | 2017-04-28 | 2023-11-21 | Acuitas Therapeutics, Inc. | Carbonyl lipids and lipid nanoparticle formulations for delivery of nucleic acids |
| US11639329B2 (en) | 2017-08-16 | 2023-05-02 | Acuitas Therapeutics, Inc. | Lipids for use in lipid nanoparticle formulations |
| US12065396B2 (en) | 2017-08-17 | 2024-08-20 | Acuitas Therapeutics, Inc. | Lipids for use in lipid nanoparticle formulations |
| US11141478B2 (en) | 2017-08-17 | 2021-10-12 | The Trustees Of The University Of Pennsylvania | Modified mRNA vaccines encoding herpes simplex virus glycoproteins and uses thereof |
| US11793872B2 (en) | 2017-08-17 | 2023-10-24 | The Trustees Of The University Of Pennsylvania | Modified MRNA vaccines encoding herpes simplex virus glycoproteins and uses thereof |
| WO2019035066A1 (en) | 2017-08-17 | 2019-02-21 | The Trustees Of The University Of Pennsylvania | Modified mrna vaccines encoding herpes simplex virus glycoproteins and uses thereof |
| US11542225B2 (en) | 2017-08-17 | 2023-01-03 | Acuitas Therapeutics, Inc. | Lipids for use in lipid nanoparticle formulations |
| US11524932B2 (en) | 2017-08-17 | 2022-12-13 | Acuitas Therapeutics, Inc. | Lipids for use in lipid nanoparticle formulations |
| EP4242223A2 (en) | 2017-08-17 | 2023-09-13 | The Trustees of The University of Pennsylvania | Modified mrna vaccines encoding herpes simplex virus glycoproteins and uses thereof |
| WO2019048645A1 (en) | 2017-09-08 | 2019-03-14 | Mina Therapeutics Limited | Stabilized cebpa sarna compositions and methods of use |
| WO2019048631A1 (en) | 2017-09-08 | 2019-03-14 | Mina Therapeutics Limited | Hnf4a sarna compositions and methods of use |
| EP4219715A2 (en) | 2017-09-08 | 2023-08-02 | MiNA Therapeutics Limited | Stabilized cebpa sarna compositions and methods of use |
| EP4183882A1 (en) | 2017-09-08 | 2023-05-24 | MiNA Therapeutics Limited | Stabilized hnf4a sarna compositions and methods of use |
| EP4233880A2 (en) | 2017-09-08 | 2023-08-30 | MiNA Therapeutics Limited | Hnf4a sarna compositions and methods of use |
| WO2019048632A1 (en) | 2017-09-08 | 2019-03-14 | Mina Therapeutics Limited | Stabilized hnf4a sarna compositions and methods of use |
| WO2019089828A1 (en) | 2017-10-31 | 2019-05-09 | Acuitas Therapeutics, Inc. | Lamellar lipid nanoparticles |
| EP4242307A2 (en) | 2018-04-12 | 2023-09-13 | MiNA Therapeutics Limited | Sirt1-sarna compositions and methods of use |
| WO2019197845A1 (en) | 2018-04-12 | 2019-10-17 | Mina Therapeutics Limited | Sirt1-sarna compositions and methods of use |
| JP7379776B2 (en) | 2018-04-29 | 2023-11-15 | プレシジョン ナノシステムズ ユーエルシー | Compositions for transfecting resistant cell types |
| EP3787688A4 (en) * | 2018-04-29 | 2021-11-17 | Precision Nanosystems Inc | COMPOSITIONS FOR TRANSFECTION OF RESISTANT CELL TYPES |
| JP2021521861A (en) * | 2018-04-29 | 2021-08-30 | プレシジョン ナノシステムズ インコーポレーテッドPrecision Nanosystems Inc | Composition for transfecting resistant cell types |
| WO2019210394A1 (en) | 2018-04-29 | 2019-11-07 | Precision Nanosystems Inc. | Compositions for transfecting resistant cell types |
| US11679159B2 (en) | 2018-04-29 | 2023-06-20 | Precision NanoSystems ULC | Compositions for transfecting resistant cell types |
| WO2020061426A2 (en) | 2018-09-21 | 2020-03-26 | Acuitas Therapeutics, Inc. | Systems and methods for manufacturing lipid nanoparticles and liposomes |
| EP4613367A1 (en) | 2018-09-21 | 2025-09-10 | Acuitas Therapeutics, Inc. | Systems and methods for manufacturing lipid nanoparticles and liposomes |
| US12329857B2 (en) | 2018-09-21 | 2025-06-17 | Acuitas Therapeutics, Inc. | Systems and methods for manufacturing lipid nanoparticles and liposomes |
| US12151996B2 (en) | 2019-01-11 | 2024-11-26 | Acuitas Therapeutics, Inc. | Lipids for lipid nanoparticle delivery of active agents |
| US11453639B2 (en) | 2019-01-11 | 2022-09-27 | Acuitas Therapeutics, Inc. | Lipids for lipid nanoparticle delivery of active agents |
| WO2020208361A1 (en) | 2019-04-12 | 2020-10-15 | Mina Therapeutics Limited | Sirt1-sarna compositions and methods of use |
| DE112020003843T5 (en) | 2019-08-14 | 2022-05-19 | Acuitas Therapeutics, Inc. | Improved lipid nanoparticles for delivery of nucleic acids |
| WO2021030701A1 (en) | 2019-08-14 | 2021-02-18 | Acuitas Therapeutics, Inc. | Improved lipid nanoparticles for delivery of nucleic acids |
| EP4454640A2 (en) | 2019-08-14 | 2024-10-30 | Acuitas Therapeutics Inc. | Improved lipid nanoparticles for delivery of nucleic acids |
| WO2021123332A1 (en) | 2019-12-20 | 2021-06-24 | Curevac Ag | Lipid nanoparticles for delivery of nucleic acids |
| WO2021195214A1 (en) | 2020-03-24 | 2021-09-30 | Generation Bio Co. | Non-viral dna vectors and uses thereof for expressing factor ix therapeutics |
| WO2021195218A1 (en) | 2020-03-24 | 2021-09-30 | Generation Bio Co. | Non-viral dna vectors and uses thereof for expressing gaucher therapeutics |
| US11976019B2 (en) | 2020-07-16 | 2024-05-07 | Acuitas Therapeutics, Inc. | Cationic lipids for use in lipid nanoparticles |
| US12410121B2 (en) | 2020-07-16 | 2025-09-09 | Acuitas Therapeutics, Inc. | Cationic lipids for use in lipid nanoparticles |
| WO2022023284A1 (en) | 2020-07-27 | 2022-02-03 | Anjarium Biosciences Ag | Compositions of dna molecules, methods of making therefor, and methods of use thereof |
| WO2022122872A1 (en) | 2020-12-09 | 2022-06-16 | Ucl Business Ltd | Therapeutics for the treatment of neurodegenerative disorders |
| US12522826B2 (en) | 2020-12-09 | 2026-01-13 | The United States Of America, As Represented By The Secretary, Department Of Health And Human Services | Therapeutics for the treatment of neurodegenerative disorders |
| EP4647124A2 (en) | 2020-12-09 | 2025-11-12 | UCL Business Ltd | Therapeutics for the treatment of neurodegenerative disorders |
| WO2022200810A1 (en) | 2021-03-26 | 2022-09-29 | Mina Therapeutics Limited | Tmem173 sarna compositions and methods of use |
| WO2022223556A1 (en) | 2021-04-20 | 2022-10-27 | Anjarium Biosciences Ag | Compositions of dna molecules encoding amylo-alpha-1, 6-glucosidase, 4-alpha-glucanotransferase, methods of making thereof, and methods of use thereof |
| WO2022232289A1 (en) | 2021-04-27 | 2022-11-03 | Generation Bio Co. | Non-viral dna vectors expressing therapeutic antibodies and uses thereof |
| WO2022232286A1 (en) | 2021-04-27 | 2022-11-03 | Generation Bio Co. | Non-viral dna vectors expressing anti-coronavirus antibodies and uses thereof |
| WO2023023589A2 (en) | 2021-08-18 | 2023-02-23 | The Trustees Of The University Of Pennsylvania | Mrna vaccines against tick salivary proteins, and methods of using same |
| WO2023041985A2 (en) | 2021-09-15 | 2023-03-23 | New York University In Abu Dhabicorporation | Compositions that block activation of the sars-cov-2 replication and transcription complex (rtc) and methods of use thereof |
| WO2023081526A1 (en) | 2021-11-08 | 2023-05-11 | Orna Therapeutics, Inc. | Lipid nanoparticle compositions for delivering circular polynucleotides |
| WO2023099884A1 (en) | 2021-12-01 | 2023-06-08 | Mina Therapeutics Limited | Pax6 sarna compositions and methods of use |
| WO2023104964A1 (en) | 2021-12-09 | 2023-06-15 | Ucl Business Ltd | Therapeutics for the treatment of neurodegenerative disorders |
| US12129223B2 (en) | 2021-12-16 | 2024-10-29 | Acuitas Therapeutics, Inc. | Lipids for use in lipid nanoparticle formulations |
| WO2023135273A2 (en) | 2022-01-14 | 2023-07-20 | Anjarium Biosciences Ag | Compositions of dna molecules encoding factor viii, methods of making thereof, and methods of use thereof |
| WO2023170435A1 (en) | 2022-03-07 | 2023-09-14 | Mina Therapeutics Limited | Il10 sarna compositions and methods of use |
| WO2023177655A1 (en) | 2022-03-14 | 2023-09-21 | Generation Bio Co. | Heterologous prime boost vaccine compositions and methods of use |
| WO2023218431A1 (en) | 2022-05-13 | 2023-11-16 | BioNTech SE | Rna compositions targeting hiv |
| WO2023230295A1 (en) | 2022-05-25 | 2023-11-30 | BioNTech SE | Rna compositions for delivery of monkeypox antigens and related methods |
| WO2023232747A1 (en) | 2022-05-30 | 2023-12-07 | BioNTech SE | Complexes for delivery of nucleic acids |
| WO2023239756A1 (en) | 2022-06-07 | 2023-12-14 | Generation Bio Co. | Lipid nanoparticle compositions and uses thereof |
| WO2024011033A1 (en) | 2022-07-07 | 2024-01-11 | The United States Of America, As Represented By The Secretary, Department Of Health And Human Services | Immunogens and methods for inducing an immune response |
| WO2024040222A1 (en) | 2022-08-19 | 2024-02-22 | Generation Bio Co. | Cleavable closed-ended dna (cedna) and methods of use thereof |
| WO2024102730A1 (en) | 2022-11-08 | 2024-05-16 | Orna Therapeutics, Inc. | Lipids and nanoparticle compositions for delivering polynucleotides |
| WO2024102762A1 (en) | 2022-11-08 | 2024-05-16 | Orna Therapeutics, Inc. | Lipids and lipid nanoparticle compositions for delivering polynucleotides |
| WO2024102677A1 (en) | 2022-11-08 | 2024-05-16 | Orna Therapeutics, Inc. | Circular rna compositions |
| WO2024119039A2 (en) | 2022-12-01 | 2024-06-06 | Generation Bio Co. | Stealth lipid nanoparticles and uses thereof |
| WO2024119051A1 (en) | 2022-12-01 | 2024-06-06 | Generation Bio Co. | Novel polyglycerol-conjugated lipids and lipid nanoparticle compositions comprising the same |
| WO2024119103A1 (en) | 2022-12-01 | 2024-06-06 | Generation Bio Co. | Lipid nanoparticles comprising nucleic acids and lipid-anchored polymers |
| WO2024119074A1 (en) | 2022-12-01 | 2024-06-06 | Generation Bio Co. | Stealth lipid nanoparticle compositions for cell targeting |
| WO2024125597A1 (en) | 2022-12-14 | 2024-06-20 | Providence Therapeutics Holdings Inc. | Compositions and methods for infectious diseases |
| WO2024134199A1 (en) | 2022-12-22 | 2024-06-27 | Mina Therapeutics Limited | Chemically modified sarna compositions and methods of use |
| WO2024141955A1 (en) | 2022-12-28 | 2024-07-04 | BioNTech SE | Rna compositions targeting hiv |
| WO2024163918A1 (en) | 2023-02-02 | 2024-08-08 | University Of Houston System | Mrna vaccine for herpes simplex virus |
| WO2024205657A2 (en) | 2023-03-29 | 2024-10-03 | Orna Therapeutics, Inc. | Lipids and lipid nanoparticle compositions for delivering polynucleotides |
| WO2024233308A2 (en) | 2023-05-05 | 2024-11-14 | Orna Therapeutics, Inc. | Circular rna compositions and methods |
| WO2025006385A1 (en) | 2023-06-30 | 2025-01-02 | The United States Of America, As Represented By The Secretary, Department Of Health And Human Services | Novel malaria vaccine comprising ama1 and ron2 antigens |
| WO2025030134A1 (en) | 2023-08-03 | 2025-02-06 | The Trustees Of The University Of Pennsylvania | Rna compositions encoding herpes simplex virus glycoprotein e and/or glycoprotein i antigens and uses thereof |
| WO2025027576A2 (en) | 2023-08-03 | 2025-02-06 | BioNTech SE | Rna compositions targeting hiv |
| WO2025027579A2 (en) | 2023-08-03 | 2025-02-06 | BioNTech SE | Rna compositions targeting hiv |
| WO2025030103A1 (en) | 2023-08-03 | 2025-02-06 | The Trustees Of The University Of Pennsylvania | Rna compositions encoding herpes simplex virus glycoprotein b antigens and uses thereof |
| WO2025049690A1 (en) | 2023-08-29 | 2025-03-06 | Orna Therapeutics, Inc. | Circular polyethylene glycol lipids |
| WO2025052180A2 (en) | 2023-09-07 | 2025-03-13 | Axelyf ehf. | Lipids and lipid nanoparticles |
| WO2025064850A1 (en) | 2023-09-22 | 2025-03-27 | BioNTech SE | Rna constructs with n-terminal degrons to enhance an immune response |
| WO2025101501A1 (en) | 2023-11-07 | 2025-05-15 | Orna Therapeutics, Inc. | Circular rna compositions |
| WO2025106754A1 (en) | 2023-11-15 | 2025-05-22 | BioNTech SE | Coronavirus vaccine |
| WO2025106738A1 (en) | 2023-11-15 | 2025-05-22 | BioNTech SE | Sars-cov-2 immunogenic compositions |
| WO2025124711A1 (en) | 2023-12-13 | 2025-06-19 | BioNTech SE | Glycolipid compositions |
| WO2025125385A1 (en) | 2023-12-13 | 2025-06-19 | BioNTech SE | Glycolipid compositions |
| WO2025149492A1 (en) | 2024-01-08 | 2025-07-17 | BioNTech SE | Rna encoding an immune inhibitory il-1 family member |
| WO2025255393A1 (en) | 2024-06-06 | 2025-12-11 | The Trustees Of The University Of Pennsylvania | Herpes simplex virus antigen binding agents for mitigation of herpes simplex virus associated disease |
| WO2026003582A2 (en) | 2024-06-27 | 2026-01-02 | Axelyf ehf. | Lipids and lipid nanoparticles |
| WO2026027887A2 (en) | 2024-08-02 | 2026-02-05 | Mina Therapeutics Limited | Hbg1/2-sarna compositions and methods of use |
Also Published As
| Publication number | Publication date |
|---|---|
| US20180221510A1 (en) | 2018-08-09 |
| WO2012016184A3 (en) | 2012-04-19 |
| US20130323269A1 (en) | 2013-12-05 |
| US20160250354A1 (en) | 2016-09-01 |
Similar Documents
| Publication | Publication Date | Title |
|---|---|---|
| US12453776B2 (en) | Lipids and compositions for the delivery of therapeutics | |
| AU2010330814B2 (en) | Methods and compositions for delivery of nucleic acids | |
| US9254327B2 (en) | Methods and compositions for delivery of active agents | |
| US20180221510A1 (en) | Methods and compositions for delivery of active agents | |
| AU2010328336B2 (en) | Compositions for nucleic acid delivery | |
| WO2012016188A2 (en) | Methods and compositions for delivery of active agents | |
| HK1235277B (en) | Novel lipids and compositions for the delivery of therapeutics | |
| HK40023270A (en) | Novel lipids and compositions for the delivery of therapeutics | |
| HK1235277A (en) | Novel lipids and compositions for the delivery of therapeutics | |
| HK1235277A1 (en) | Novel lipids and compositions for the delivery of therapeutics | |
| HK1179506B (en) | Methods and compositions for delivery of nucleic acids | |
| HK1179506A (en) | Methods and compositions for delivery of nucleic acids |
Legal Events
| Date | Code | Title | Description |
|---|---|---|---|
| 121 | Ep: the epo has been informed by wipo that ep was designated in this application |
Ref document number: 11758282 Country of ref document: EP Kind code of ref document: A2 |
|
| NENP | Non-entry into the national phase |
Ref country code: DE |
|
| WWE | Wipo information: entry into national phase |
Ref document number: 13813122 Country of ref document: US |
|
| 122 | Ep: pct application non-entry in european phase |
Ref document number: 11758282 Country of ref document: EP Kind code of ref document: A2 |























































