WO2011131697A1 - Lysine specific demethylase-1 inhibitors and their use - Google Patents
Lysine specific demethylase-1 inhibitors and their use Download PDFInfo
- Publication number
- WO2011131697A1 WO2011131697A1 PCT/EP2011/056279 EP2011056279W WO2011131697A1 WO 2011131697 A1 WO2011131697 A1 WO 2011131697A1 EP 2011056279 W EP2011056279 W EP 2011056279W WO 2011131697 A1 WO2011131697 A1 WO 2011131697A1
- Authority
- WO
- WIPO (PCT)
- Prior art keywords
- compound
- alkyl
- trans
- group
- aryl
- Prior art date
- Legal status (The legal status is an assumption and is not a legal conclusion. Google has not performed a legal analysis and makes no representation as to the accuracy of the status listed.)
- Ceased
Links
- DHHLHVVXWAENFE-QOCHGBHMSA-N CC(C)(C)OC(/N=C(/C1)\C1c(cc1)ccc1OCc1ccccc1)=O Chemical compound CC(C)(C)OC(/N=C(/C1)\C1c(cc1)ccc1OCc1ccccc1)=O DHHLHVVXWAENFE-QOCHGBHMSA-N 0.000 description 1
- LFKDJXLFVYVEFG-UHFFFAOYSA-N CC(C)(C)OC(N)=O Chemical compound CC(C)(C)OC(N)=O LFKDJXLFVYVEFG-UHFFFAOYSA-N 0.000 description 1
- 0 C[C@@](C[C@@](*1)NC(CCc2c3OC)c2ccc3OC)C1(CC1)CCC1OCC1=CCCC=C1 Chemical compound C[C@@](C[C@@](*1)NC(CCc2c3OC)c2ccc3OC)C1(CC1)CCC1OCC1=CCCC=C1 0.000 description 1
Classifications
-
- C—CHEMISTRY; METALLURGY
- C07—ORGANIC CHEMISTRY
- C07C—ACYCLIC OR CARBOCYCLIC COMPOUNDS
- C07C217/00—Compounds containing amino and etherified hydroxy groups bound to the same carbon skeleton
- C07C217/54—Compounds containing amino and etherified hydroxy groups bound to the same carbon skeleton having etherified hydroxy groups bound to carbon atoms of at least one six-membered aromatic ring and amino groups bound to acyclic carbon atoms or to carbon atoms of rings other than six-membered aromatic rings of the same carbon skeleton
- C07C217/74—Compounds containing amino and etherified hydroxy groups bound to the same carbon skeleton having etherified hydroxy groups bound to carbon atoms of at least one six-membered aromatic ring and amino groups bound to acyclic carbon atoms or to carbon atoms of rings other than six-membered aromatic rings of the same carbon skeleton with rings other than six-membered aromatic rings being part of the carbon skeleton
-
- C—CHEMISTRY; METALLURGY
- C07—ORGANIC CHEMISTRY
- C07C—ACYCLIC OR CARBOCYCLIC COMPOUNDS
- C07C211/00—Compounds containing amino groups bound to a carbon skeleton
- C07C211/33—Compounds containing amino groups bound to a carbon skeleton having amino groups bound to carbon atoms of rings other than six-membered aromatic rings
- C07C211/34—Compounds containing amino groups bound to a carbon skeleton having amino groups bound to carbon atoms of rings other than six-membered aromatic rings of a saturated carbon skeleton
- C07C211/35—Compounds containing amino groups bound to a carbon skeleton having amino groups bound to carbon atoms of rings other than six-membered aromatic rings of a saturated carbon skeleton containing only non-condensed rings
-
- A—HUMAN NECESSITIES
- A61—MEDICAL OR VETERINARY SCIENCE; HYGIENE
- A61K—PREPARATIONS FOR MEDICAL, DENTAL OR TOILETRY PURPOSES
- A61K31/00—Medicinal preparations containing organic active ingredients
- A61K31/13—Amines
- A61K31/135—Amines having aromatic rings, e.g. ketamine, nortriptyline
-
- A—HUMAN NECESSITIES
- A61—MEDICAL OR VETERINARY SCIENCE; HYGIENE
- A61K—PREPARATIONS FOR MEDICAL, DENTAL OR TOILETRY PURPOSES
- A61K31/00—Medicinal preparations containing organic active ingredients
- A61K31/16—Amides, e.g. hydroxamic acids
-
- A—HUMAN NECESSITIES
- A61—MEDICAL OR VETERINARY SCIENCE; HYGIENE
- A61K—PREPARATIONS FOR MEDICAL, DENTAL OR TOILETRY PURPOSES
- A61K31/00—Medicinal preparations containing organic active ingredients
- A61K31/16—Amides, e.g. hydroxamic acids
- A61K31/165—Amides, e.g. hydroxamic acids having aromatic rings, e.g. colchicine, atenolol, progabide
-
- A—HUMAN NECESSITIES
- A61—MEDICAL OR VETERINARY SCIENCE; HYGIENE
- A61K—PREPARATIONS FOR MEDICAL, DENTAL OR TOILETRY PURPOSES
- A61K45/00—Medicinal preparations containing active ingredients not provided for in groups A61K31/00 - A61K41/00
- A61K45/06—Mixtures of active ingredients without chemical characterisation, e.g. antiphlogistics and cardiaca
-
- A—HUMAN NECESSITIES
- A61—MEDICAL OR VETERINARY SCIENCE; HYGIENE
- A61N—ELECTROTHERAPY; MAGNETOTHERAPY; RADIATION THERAPY; ULTRASOUND THERAPY
- A61N5/00—Radiation therapy
- A61N5/10—X-ray therapy; Gamma-ray therapy; Particle-irradiation therapy
-
- A—HUMAN NECESSITIES
- A61—MEDICAL OR VETERINARY SCIENCE; HYGIENE
- A61P—SPECIFIC THERAPEUTIC ACTIVITY OF CHEMICAL COMPOUNDS OR MEDICINAL PREPARATIONS
- A61P31/00—Antiinfectives, i.e. antibiotics, antiseptics, chemotherapeutics
-
- A—HUMAN NECESSITIES
- A61—MEDICAL OR VETERINARY SCIENCE; HYGIENE
- A61P—SPECIFIC THERAPEUTIC ACTIVITY OF CHEMICAL COMPOUNDS OR MEDICINAL PREPARATIONS
- A61P31/00—Antiinfectives, i.e. antibiotics, antiseptics, chemotherapeutics
- A61P31/12—Antivirals
-
- A—HUMAN NECESSITIES
- A61—MEDICAL OR VETERINARY SCIENCE; HYGIENE
- A61P—SPECIFIC THERAPEUTIC ACTIVITY OF CHEMICAL COMPOUNDS OR MEDICINAL PREPARATIONS
- A61P31/00—Antiinfectives, i.e. antibiotics, antiseptics, chemotherapeutics
- A61P31/12—Antivirals
- A61P31/14—Antivirals for RNA viruses
- A61P31/16—Antivirals for RNA viruses for influenza or rhinoviruses
-
- A—HUMAN NECESSITIES
- A61—MEDICAL OR VETERINARY SCIENCE; HYGIENE
- A61P—SPECIFIC THERAPEUTIC ACTIVITY OF CHEMICAL COMPOUNDS OR MEDICINAL PREPARATIONS
- A61P31/00—Antiinfectives, i.e. antibiotics, antiseptics, chemotherapeutics
- A61P31/12—Antivirals
- A61P31/14—Antivirals for RNA viruses
- A61P31/18—Antivirals for RNA viruses for HIV
-
- A—HUMAN NECESSITIES
- A61—MEDICAL OR VETERINARY SCIENCE; HYGIENE
- A61P—SPECIFIC THERAPEUTIC ACTIVITY OF CHEMICAL COMPOUNDS OR MEDICINAL PREPARATIONS
- A61P31/00—Antiinfectives, i.e. antibiotics, antiseptics, chemotherapeutics
- A61P31/12—Antivirals
- A61P31/20—Antivirals for DNA viruses
- A61P31/22—Antivirals for DNA viruses for herpes viruses
-
- A—HUMAN NECESSITIES
- A61—MEDICAL OR VETERINARY SCIENCE; HYGIENE
- A61P—SPECIFIC THERAPEUTIC ACTIVITY OF CHEMICAL COMPOUNDS OR MEDICINAL PREPARATIONS
- A61P35/00—Antineoplastic agents
-
- A—HUMAN NECESSITIES
- A61—MEDICAL OR VETERINARY SCIENCE; HYGIENE
- A61P—SPECIFIC THERAPEUTIC ACTIVITY OF CHEMICAL COMPOUNDS OR MEDICINAL PREPARATIONS
- A61P35/00—Antineoplastic agents
- A61P35/04—Antineoplastic agents specific for metastasis
-
- A—HUMAN NECESSITIES
- A61—MEDICAL OR VETERINARY SCIENCE; HYGIENE
- A61P—SPECIFIC THERAPEUTIC ACTIVITY OF CHEMICAL COMPOUNDS OR MEDICINAL PREPARATIONS
- A61P43/00—Drugs for specific purposes, not provided for in groups A61P1/00-A61P41/00
-
- C—CHEMISTRY; METALLURGY
- C07—ORGANIC CHEMISTRY
- C07C—ACYCLIC OR CARBOCYCLIC COMPOUNDS
- C07C211/00—Compounds containing amino groups bound to a carbon skeleton
- C07C211/33—Compounds containing amino groups bound to a carbon skeleton having amino groups bound to carbon atoms of rings other than six-membered aromatic rings
- C07C211/39—Compounds containing amino groups bound to a carbon skeleton having amino groups bound to carbon atoms of rings other than six-membered aromatic rings of an unsaturated carbon skeleton
- C07C211/40—Compounds containing amino groups bound to a carbon skeleton having amino groups bound to carbon atoms of rings other than six-membered aromatic rings of an unsaturated carbon skeleton containing only non-condensed rings
-
- C—CHEMISTRY; METALLURGY
- C07—ORGANIC CHEMISTRY
- C07C—ACYCLIC OR CARBOCYCLIC COMPOUNDS
- C07C211/00—Compounds containing amino groups bound to a carbon skeleton
- C07C211/33—Compounds containing amino groups bound to a carbon skeleton having amino groups bound to carbon atoms of rings other than six-membered aromatic rings
- C07C211/39—Compounds containing amino groups bound to a carbon skeleton having amino groups bound to carbon atoms of rings other than six-membered aromatic rings of an unsaturated carbon skeleton
- C07C211/41—Compounds containing amino groups bound to a carbon skeleton having amino groups bound to carbon atoms of rings other than six-membered aromatic rings of an unsaturated carbon skeleton containing condensed ring systems
- C07C211/42—Compounds containing amino groups bound to a carbon skeleton having amino groups bound to carbon atoms of rings other than six-membered aromatic rings of an unsaturated carbon skeleton containing condensed ring systems with six-membered aromatic rings being part of the condensed ring systems
-
- C—CHEMISTRY; METALLURGY
- C07—ORGANIC CHEMISTRY
- C07C—ACYCLIC OR CARBOCYCLIC COMPOUNDS
- C07C217/00—Compounds containing amino and etherified hydroxy groups bound to the same carbon skeleton
- C07C217/52—Compounds containing amino and etherified hydroxy groups bound to the same carbon skeleton having etherified hydroxy groups or amino groups bound to carbon atoms of rings other than six-membered aromatic rings of the same carbon skeleton
-
- C—CHEMISTRY; METALLURGY
- C07—ORGANIC CHEMISTRY
- C07C—ACYCLIC OR CARBOCYCLIC COMPOUNDS
- C07C237/00—Carboxylic acid amides, the carbon skeleton of the acid part being further substituted by amino groups
- C07C237/24—Carboxylic acid amides, the carbon skeleton of the acid part being further substituted by amino groups having the carbon atom of at least one of the carboxamide groups bound to a carbon atom of a ring other than a six-membered aromatic ring of the carbon skeleton
-
- C—CHEMISTRY; METALLURGY
- C07—ORGANIC CHEMISTRY
- C07C—ACYCLIC OR CARBOCYCLIC COMPOUNDS
- C07C2601/00—Systems containing only non-condensed rings
- C07C2601/02—Systems containing only non-condensed rings with a three-membered ring
-
- C—CHEMISTRY; METALLURGY
- C07—ORGANIC CHEMISTRY
- C07C—ACYCLIC OR CARBOCYCLIC COMPOUNDS
- C07C2601/00—Systems containing only non-condensed rings
- C07C2601/12—Systems containing only non-condensed rings with a six-membered ring
- C07C2601/14—The ring being saturated
-
- C—CHEMISTRY; METALLURGY
- C07—ORGANIC CHEMISTRY
- C07C—ACYCLIC OR CARBOCYCLIC COMPOUNDS
- C07C2601/00—Systems containing only non-condensed rings
- C07C2601/18—Systems containing only non-condensed rings with a ring being at least seven-membered
-
- C—CHEMISTRY; METALLURGY
- C07—ORGANIC CHEMISTRY
- C07C—ACYCLIC OR CARBOCYCLIC COMPOUNDS
- C07C2602/00—Systems containing two condensed rings
- C07C2602/02—Systems containing two condensed rings the rings having only two atoms in common
- C07C2602/04—One of the condensed rings being a six-membered aromatic ring
- C07C2602/08—One of the condensed rings being a six-membered aromatic ring the other ring being five-membered, e.g. indane
-
- C—CHEMISTRY; METALLURGY
- C07—ORGANIC CHEMISTRY
- C07C—ACYCLIC OR CARBOCYCLIC COMPOUNDS
- C07C2602/00—Systems containing two condensed rings
- C07C2602/02—Systems containing two condensed rings the rings having only two atoms in common
- C07C2602/04—One of the condensed rings being a six-membered aromatic ring
- C07C2602/10—One of the condensed rings being a six-membered aromatic ring the other ring being six-membered, e.g. tetraline
Definitions
- the invention relates to compounds and their use in therapy.
- Cancer is prevalent: there were about 3.2 million cancer cases diagnosed (53% men, 47% women) and 1.7 million deaths from cancer (56% men, 44% women) in Europe (Ferlay et al. (2007) Ann. Oncol. 18(3) : 581 -92). In the United States, the probability of developing invasive cancer is 38% for females and 46% for males that live to be 70 years old and older. In the US about 1.4 million new cases of cancer are expected for 2006. Although the five year survival rate for cancer is now 65%, up from about 50% in the mid- nineteen seventies, cancer is deadly. It was estimated that 565,000 people in the United States would die from cancer in 2006 (American Cancer Society, Surveillance Research, 2006). Despite tremendous advances in cancer treatment and diagnosis, cancer remains a major public health concern.
- Alzheimer' s disease is the largest neurodegenerative disease; disease modifying drugs have long been sought, but to-date, none have been identified.
- Other neurodegenerative conditions include Parkinson's disease, Huntington's disease, Lewy Body dementia, and which are all characterized by disease progression which robs the patients of their ability to perform normal daily activities, eventually leading to death.
- One similar characteristic amongst many cancers and neurodegenerative diseases is aberrant gene expression.
- Histone deacetylase inhibitors which alter the histone acetylation profile of chromatin.
- Histone deacetylase inhibitors like SAHA, TSA, and many others have been shown to alter gene expression in various in vitro and in vivo animal models.
- Another modification that is involved in regulating gene expression is histone methylation.
- Histones can be subject to numerous modifications including lysine and arginine methylation. The methylation status of histone lysines has recently been shown to be important in dynamically regulating gene expression.
- LSD 1 Lysine Specific Demethylase- 1
- dLSD l Drosophila
- LSD 1 inactivation resulted in elevated expression of a subset of genes, including neuronal genes in non-neuronal cells analogous to the functions of LSD 1 in human cells.
- dLSD l is not an essential gene, but animal viability is strongly reduced in mutant animals in a gender specific manner (Destefano et al. (2007) Curr. Biol. 17(9) : 808- 12).
- Mouse homozygous LSD 1 knock-outs were embryonic lethal.
- LSD 1 has a fair degree of structural similarity, and amino acid identity/homology to polyamine oxidases and monoamine oxidases, all of which ⁇ i. e., MAO- A , MAO-B and LSD 1 ) are flavin dependent amine oxidases which catalyze the oxidation of nitrogen-hydrogen bonds and/or nitrogen carbon bonds. Recent experiments with LSD 1 have shown that it is involved in diverse process such as carcinogenesis (Kahl et al. (2006) Cancer Res. 66: 1341-1 1347) and vascular inflammation ( eddy et al. (2008) Circ. Res. 103 :615).
- IC50 values for irreversible inhibitors of LSD l like parnate can greatly depend on assay conditions. Additionally, derivatives of Parnate also can inhibit LSD l (Gooden et al. (2008) Bioorg. Med. Chem. Let. 18 :3047- 3051 ). Another class of compounds was recently disclosed to inhibit LS D l activity: polyamines (Huang et al. (2007) PNAS 104:8023-8028). These polyamines inhibit LSD l modestly and were shown to cause the re-expression of genes aberrantly silenced in cancer cells.
- LSD l is also involved in regulating the methylation of lysines of some proteins which are not histones, like P53 and DNMT l which both have critical roles in cancer.
- LSD 1 expression is correlated with prostate cancer aggressiveness.
- Metzger et al. ((2005) Nature 15;437(7057):436-9) reported that LSD 1 modulation by siRNA and pargyline regulates androgen receptor (AR) and may have therapeutic potential in cancers where AR plays a role, like prostate, testis, and brain cancers.
- AR androgen receptor
- the phenylcyclopropylamines have been the subject of many studies designed to elucidate a SAR for MAO inhibition.
- Kaiser et al. ((1962) J. Med. Chem. 5 : 1243- 1265);
- Zirkle et al. ((1962) J. Med. Chem. 1265- 1284; US patent nos. 3,365,458; 3,471 ,522; 3,532,749) have disclosed the synthesis and activity of a number of phenylcyclopropylamme related compounds.
- Zirkle et al. ((1962) J. Med. Chem.
- the present invention relates to the identification of compounds and their use in treating or preventing diseases.
- the present invention provides a compound of Formula 1 or a pharmaceutically acceptable salt or solvate thereof, a pharmaceutical composition comprising a compound of Formula 1 or a pharmaceutically acceptable salt or solvate thereof, and a pharmaceutically acceptable carrier, and their use for treating or preventing disease.
- One use of a compound of Formula 1 is for treating or preventing cancer.
- Another use of a compound of Formula 1 is to inhibit LSD 1 .
- the present invention thus relates to a compound of Formula 1 or an enantiomer, a diastereomer, or a mixture thereof, or a pharmaceutically acceptable salt or solvate thereof for use in treating or preventing cancer.
- the invention also relates to screening methods for identifying substituted heteroaryl and aryl cyclopropylamines that are selective LSD 1 inhibitors and their use in treating or preventing disease.
- the invention provides a compound of Formula 1 or an enantiomer, a diastereomer, or a mixture thereof, or a pharmaceutically acceptable salt or solvate thereof:
- X is 0, 1 , 2, or 3;
- (B) is a cyclopropyl ring which is covalently bonded to (A) and to (Z), wherein (A) and (Z) are covalently bonded to different carbon atoms of (B); (Z) is -NH-; accordingly, (Z) is a nitrogen atom covalently bonded to (B), to (L) or to (D) when (L) is a single bond, and to a hydrogen atom;
- (L) is a linker which links (Z) and (D), wherein said linker is chosen from a single bond, -CH 2 -, -CH 2 CH 2 -, -CH 2 CH 2 CH 2 -, and -CH 2 CH 2 CH 2 CH 2 -;
- (D) is an aliphatic carbocyclic group or benzocycloalkyl, wherein said aliphatic carbocyclic group or said benzocycloalkyl is covalently bonded to (L) or to (Z) when (L) is a single bond, and wherein (D) has 0, 1 , 2, or 3 substituents independently chosen from -NH 2 , -NH(Ci-C 6 alkyl), -N(C i -C 6 alkyl)(Ci-C 6 alkyl), amido, alkyl, halo, cyano, alkoxy, haloalkyl, and haloalkoxy; with the proviso that the following compounds are excluded: N-(2-phenylcyclopropyl)-cyclopentanamine;
- the invention provides a pharmaceutical composition
- a pharmaceutical composition comprising a compound of Formula 1 or an enantiomer, a diastereomer, or a mixture thereof, or a pharmaceutically acceptable salt or solvate thereof as defined above and a pharmaceutically acceptable carrier.
- Preferred embodiments of the compound of Formula 1 for use in the composition of this first aspect are defined herein below in this first aspect of the invention and as described in the Detailed Description of the Invention.
- the invention provides a compound of Formula 1 or an enantiomer, a diastereomer, or a mixture thereof, or a pharmaceutically acceptable salt or solvate thereof:
- (A) is a heteroaryl or aryl group covalently bonded to (B) and to ( ⁇ ') if present;
- X is 0, 1 , 2, or 3 ;
- (B) is a cyclopropyl ring which is covalently bonded to (A) and to (Z), wherein (A) and (Z) are covalently bonded to different carbon atoms of (B);
- (Z) is -NH-; accordingly, (Z) is a nitrogen atom covalently bonded to (B), to (L) or to (D) when (L) is a single bond, and to a hydrogen atom;
- (L) is a linker which links (Z) and (D), wherein said linker is chosen from a single bond, -CH 2 -, -CH 2 C3 ⁇ 4-, -CH 2 CH 2 CH 2 -, and -CH 2 CH 2 CH 2 CH 2 -;
- (D) is cycloalkyl covalently bonded to (L) or to (Z) when (L) is a single bond, and (D) has 0, 1 , 2, or 3 substituents independently chosen from -NH 2 , -NH(Ci-C 6 alkyl), -N(Ci-C 6 alkyl)(Ci-C 6 alkyl), alkyl, halo, amido, cyano, alkoxy, haloalkyl, and haloalkoxy; with the proviso that the following compounds are excluded:
- the invention provides a compound of Formula 1 or an enantiomer, a diastereomer, or a mixture thereof, or a pharmaceutically acceptable salt or solvate thereof:
- (A) is a heteroaryl or aryl group covalently bonded to (B) and to ( ⁇ ') if present;
- X is 0, 1 , 2, or 3;
- (B) is a cyclopropyl ring which is covalently bonded to (A) and to (Z), wherein (A) and (Z) are covalently bonded to different carbon atoms of (B); (Z) is -NH-; accordingly, (Z) is a nitrogen atom covalently bonded to (B), to (D), and to a hydrogen atom;
- (L) is a linker which is a single covalent bond that links (Z) to (D);
- (D) is benzocycloalkyl covalently bonded to (Z), and (D) has 0, 1 , 2, or 3 substituents independently chosen from -NH 2 , -NH(Ci -C 6 alkyl), -N(C ] -C 6 alkyl)(Ci-C6 alkyl), alkyl, halo, amido, cyano, alkoxy, haloalkyl, and haloalkoxy;
- the invention provides a pharmaceutical composition
- a pharmaceutical composition comprising a compound of Formula 1 or an enantiomer, a diastereomer, or a mixture thereof, or a pharmaceutically acceptable salt or solvate thereof as defined above in the first aspect of the invention or an embodiment thereof and a pharmaceutically acceptable carrier.
- the invention provides a method of treating or preventing a disease or condition comprising administering, to a patient (preferably a human) in need of treatment or prevention, a therapeutically effective amount of a pharmaceutical composition comprising a compound of Formula 1 as defined above in the first aspect of the invention or an embodiment thereof as described above or an enantiomer, a diastereomer, or a mixture thereof, or a pharmaceutically acceptable salt or solvate thereof and a pharmaceutically acceptable carrier.
- a pharmaceutical composition comprising a compound of Formula 1 as defined above in the first aspect of the invention or an embodiment thereof as described above or an enantiomer, a diastereomer, or a mixture thereof, or a pharmaceutically acceptable salt or solvate thereof and a pharmaceutically acceptable carrier.
- This aspect of the invention also relates to a compound of Formula 1 for use as a medicament.
- the invention provides a method of inhibiting LSD 1 activity comprising administering, to a patient (preferably a human) in need of treatment, a therapeutically effective amount of a composition comprising a compound of Formula 1 or an enantiomer, a diastereomer, or a mixture thereof, or a pharmaceutically acceptable salt or solvate thereof:
- (A) is a heteroaryl or aryl covalently bonded to (B) and to ( ⁇ ') if present; each ( ⁇ '), if present, is covalently bonded to (A) and is independently chosen from aryl, arylalkoxy, arylalkyl, heterocyclyl, aryloxy, halo, alkoxy, haloalkyl, cycloalkyl, haloalkoxy, and cyano, wherein each ( ⁇ ') is substituted with 0, 1 , 2, or 3 substituents independently chosen from halo, haloalkyl, haloalkoxy, aryl, arylalkoxy, alkyl, alkoxy, amido,
- heteroaryl cyano, sulfonyl, and sulfinyl
- X is 0, 1 , 2, or 3 ;
- (B) is a cyclopropyl ring which is covalently bonded to (A) and to (Z), wherein (A) and (Z) are covalently bonded to different carbon atoms of (B); (Z) is -NH-; accordingly, (Z) is a nitrogen atom covalently bonded to (B), to (L) or to (D) when (L) is a single bond, and to a hydrogen atom;
- (L) is a linker which links (Z) and (D), wherein said linker is chosen from a single bond, -CH 2 -, -CH 2 CH 2 -, -CH 2 CH 2 CH 2 -, and -CH 2 CH 2 CH 2 CH 2 -;
- (D) is an aliphatic carbocyclic group or benzocycloalkyl, wherein said aliphatic carbocyclic group or said benzocycloalkyl is covalently bonded to (L) or to (Z) when (L) is a single bond, and wherein (D) has 0, 1 , 2, or 3 substituents independently chosen from -NH 2 , -NH( d -C 6 alkyl), -N(Ci-C 6 alkyl)(Ci-C 6 alkyl), alkyl, halo, amido, cyano, alkoxy, haloalkyl, and haloalkoxy, and a pharmaceutically acceptable carrier in an amount sufficient to inhibit LSD 1 activity.
- This aspect can be reformulated as a compound of Formula 1 as herein defined for use as a LSD 1 inhibitor.
- This aspect can also be reformulated as a compound of Formula 1 for use in the treatment of a disease associated to LSD 1.
- a method for treating an individual preferably a human
- the method comprising identifying an individual in need of treatment and administering to said individual a therapeutically effective amount of a compound of Formula 1.
- the therapeutically effective amount of a compound of Formula 1 is an amount sufficient to inhibit LSD 1.
- Preferred embodiments of the compounds of Formula 1 for use in the composition and method of this third aspect of the invention are as defined herein above in the first aspect of the invention.
- the invention provides a method of treating or preventing cancer comprising administering, to a patient (preferably a human) in need of treatment or prevention, a therapeutically effective amount of a pharmaceutical composition comprising a compound of Formula 1 as defined above in the first aspect of the invention or an enantiomer, a diastereomer, or a mixture thereof, or a pharmaceutically acceptable salt or solvate thereof, and a pharmaceutically acceptable carrier.
- a pharmaceutical composition comprising a compound of Formula 1 as defined above in the first aspect of the invention or an enantiomer, a diastereomer, or a mixture thereof, or a pharmaceutically acceptable salt or solvate thereof for use in treating or preventing cancer.
- the cancer is chosen from breast cancer, colorectal cancer, lung cancer, prostate cancer, testicular cancer, brain cancer, skin cancer, and blood cancer.
- the therapeutically effective amount of a compound of Formula 1 is an amount sufficient to inhibit LSD l .
- the invention provides a method for identifying a compound which is a selective inhibitor of LSD l , the method comprising selecting or providing a compound which is a substituted heteroarylcyclopropylamine or a substituted ary 1 c yc 1 op rop yl amine, and determining the ability of the compound to inhibit LSD l and MAO-A and/or MAO-B, wherein a compound that inhibits LSD l to a greater extent than MAO-A and/or MAO-B is identified as a LSD l selective inhibitor.
- the method of this aspect is useful for identifying dual inhibitors of LSD l and MAO-B which are compounds that inhibit LSD l and MAO-B to a greater extent than MAO-A.
- a substituted heteroarylcyclopropylamine or a substituted arylcyclopropylamine is defined as follows in Formula 2:
- (R3) is present or not present, when present (R3) is chosen from arylalkyl, arylalkoxy, heterocyclylalkyl, and heterocycylalkoxy, wherein said (R3) group has 0, 1 , 2, or 3 substituents independently chosen from halo, alkyl, alkoxy, carbocyclyl, cycloalkyl, cycloalkoxy, haloalkyl, haloalkoxy, acylamino, acyloxy, alkylthio, cycloalkylthio, alkynyl, amino, alkylamino, aryl, arylalkyl, arylalkenyl, arylalkynyl, arylalkoxy, aryloxy, arylthio, heteroarylthio, cyano, cyanato, haloaryl, hydroxyl, heterocyclyl, heteroaryloxy, heteroarylalkoxy, isocyanato, isothi
- (W) is an aryl or heteroaryl group covalently bonded to (R3) and to (cyclopropyl), wherein said (W) has 0, 1 , or 2 substituents, not: incl uding (R3) and (cyclopropyl), wherein said substituents on (W) are independently chosen from halo, alkyl, alkoxy, carbocyclyl, cycloalkyl, cycloalkoxy, haloalkyl, haloalkoxy, acylamino. acyloxy, alkyl thio, cycloalkylthio.
- alkynyl amino, alkylamino, aryl, arylalkyl, arylalkenyl, arylalkynyl, arylalkoxy, aryloxy, arylthio, heteroarylthio, cyano, cyanato, haloaryl, hydroxyl, heterocyclyl, heteroaryloxy, heteroarylalkoxy, isocyanato. isothiocyanato, nitro, sulfinyl, sulfonyl , sulfonamido, thiocarbonyl, thiocyanato, trihalomethanesulfonamido, O-carbamyl . N-carbamyl . O-thiocarbamyl , N -thiocarbamyl, and C-amido;
- (cyclopropyl) is a cyclopropyl group covalently bonded to (W) and to the nitrogen atom of (NH);
- (L' ) is a linker of formula -(CH 2 ) n - where n is chosen from 0, 1 , 2, 3 , 4, 5 , or 6, wherein (L') is covalently bonded to the nitrogen of (NH) and to (R4) or (L' ) is a single bond which covalently links (NH) and (R4) when n is 0; and
- (R4) is an aliphatic carbocyclic group or benzocycloalkyl, wherein said aliphatic carbocyclic group or said benzocycloalkyl is covalently bonded to (L' ) or to the nitrogen of (NH) when (L' ) is a single bond, wherein said (R4) group has 0, 1 , 2, or 3 substituents independently chosen from halo, alkyl, alkoxy, carbocyclyl, cycloalkyl, cycloalkoxy, haloalkyl, haloalkoxy, acylamino, acyloxy, alkylthio, cycloalkylthio, alkynyl, amino, alkylamino, aryl, arylalkyl, arylalkenyl.
- a compound of Formula 2 which is a selective LSD l inhibitor.
- the selective LS D l inhibitor as identified by the method of this embodiment can be used to prepare a pharmaceutical composition comprising a therapeutically effective amount of said selective LSD l inhibitor of Formula 2, or a pharmaceutically acceptable salt or solvate thereof, and a pharmaceutically acceptable carrier.
- the pharmaceutical composition can be administered to an individual in need of such treatment.
- the invention also relates to a method of treating or preventing a disease or condition, the method comprising administering, to a patient (preferably a human) in need of treatment or prevention, a therapeutically effective amount of a pharmaceutical composition comprising said selective LSD l inhibitor of Formula 2 and a pharmaceutically acceptable carrier.
- the therapeutically effective amount is an amount sufficient to inhibit LSD l selectively.
- the invention provides a pharmaceutical composition
- a pharmaceutical composition comprising a pharmaceutically acceptable carrier and a compound of Formula 1 or 2 which is a selective inhibitor of LSD l .
- LSD l selective inhibitors have Ki values for LSD l which are at least 2-fold lower than the Ki value for MAO-A and/or MAO-B.
- the LSDl Ki value is at least 5- fold lower than the Ki value for MAO-A and/or MAO-B.
- the LSD l Ki value is at least 10-fold lower than the Ki value for MAO-A and/or MAO-B.
- the pharmaceutical composition comprising a LSD l selective inhibitor of Formula 1 or 2, or a pharmaceutically acceptable salt or solvate thereof is useful for treating and/or preventing a disease in an individual.
- a therapeutically effective amount of the composition is administered to individual in an amount sufficient to prevent or treat a disease.
- the disease is cancer.
- the disease is a cancer chosen from prostate, testicular, brain, colorectal, lung, breast, skin, and blood cancer.
- the cancer is prostate cancer.
- the cancer is lung cancer.
- the cancer is brain cancer.
- the cancer is blood cancer (e.g., leukemia).
- the cancer is breast cancer.
- the cancer is colorectal cancer.
- a compound of Formula 2 which is a dual inhibitor of LS D l and M AO-B.
- the dual LSD l /MAO-B inhibitor as identi fied by the method of this embodiment can be used to prepare a pharmaceutical composition comprising a therapeutically effective amount of said dual LSD l /MAO-B inhibitor of Formula 2, or a pharmaceutical l y acceptable salt or solvate thereof, and a pharmaceutical l y acceptable carri er.
- the pharmaceutical compositi on can be admini stered to an individual in need of such treatment.
- the therapeutical l y effective amount is an amount sufficient to inhibit M AO- B and LSD l .
- the invention provides a pharmaceutical composition compri sing a pharmaceutically acceptabl e carrier and a compound of Formula 1 or 2 that is a dual inhibitor of LSD l and M AO-B.
- Preferabl y. LS D l /M AO-B dual inhibitors have Ki values for LSD l and M AO- B that are at least 2-fold lower than the Ki value for MAO-A.
- the LSD l and MAO-B Ki values are at least 5-fold lower than the Ki value for MAO-A.
- the LSD l and M AO-B Ki values are at least 10-fold lower than the Ki value for MAO-A.
- Compounds of Formula 1 or 2 that have MAO-B inhibitory activity are contemplated to be useful for diseases where MAO-B is therapeutically desirable like depression and neurodegenerative diseases including Alzheimer' s disease, Parkinson's disease and Huntington's disease.
- LSD 1 in viral infection and reactivation.
- pharmacological inhibitors of LSD 1 like parnate and siRNA knock down of LSD1 caused reduced viral infectivity and reduced reactivation after latency (Liang et al. (2009) Nat. Med. 15 : 1 312-1317). Therefore it is believed that the compounds of the invention, including the compounds of Formula 1 as defined and described herein, can be used for treating or preventing viral infection. Furthermore, it is believed that the compounds of the invention can be used for treating or preventing viral reactivation after latency.
- the invention provides a method for treating or preventing a viral infection, the method comprising administering, to a patient/individual (preferably a human) in need of treatment or prevention, a therapeutically effective amount of a compound of Formula 1 as defined above in any of the aspects and embodiments of the invention or a pharmaceutically acceptable salt or solvate thereof, or a pharmaceutical composition comprising any of the aforementioned compounds and a pharmaceutically acceptable carrier.
- a patient/individual preferably a human
- a pharmaceutically acceptable salt or solvate thereof or a pharmaceutical composition comprising any of the aforementioned compounds and a pharmaceutically acceptable carrier.
- the viral infection is a herpesvirus infection.
- the herpesvirus infection is caused by and/or associated with a herpesvirus chosen from HSV- 1 , HSV-2, and Epstein-Barr virus.
- the viral infection is caused by and/or associated with HIV.
- the invention provides a method for treating or preventing viral reactivation after latency, the method comprising administering, to a patient/individual (preferably a human) in need of treatment or prevention, a therapeutically effective amount of a compound of Formula 1 as defined above in any of the aspects and embodiments of the invention or a pharmaceutically acceptable salt or solvate thereof, or a pharmaceutical composition comprising any of the aforementioned compounds and a pharmaceutically acceptable carrier.
- a patient/individual preferably a human
- a therapeutically effective amount of a compound of Formula 1 as defined above in any of the aspects and embodiments of the invention or a pharmaceutically acceptable salt or solvate thereof, or a pharmaceutical composition comprising any of the aforementioned compounds and a pharmaceutically acceptable carrier for use in treating or preventing viral reactivation after latency.
- the virus that is reactivating is a herpesvirus.
- the herpesvirus that is reactivating is chosen from HSV-1 , HSV-2, and Epstein-Barr virus.
- the virus that is reactivating is HIV.
- the present invention relates to the identification of compounds and their use in treating and preventing diseases.
- the present invention provides compounds of Formula 1 , pharmaceutical compositions comprising a compound of Formula 1 or a pharmaceutically acceptable salt or solvate thereof and a pharmaceutically acceptable carrier, and their use for treating diseases.
- One use of the compounds of Formula 1 is for treating cancer.
- the compounds of Formula 1 can be used as LSD l selective inhibitors that inhibit LSD l to a greater extent than MAO- A and MAO-B.
- Some compounds of the invention inhibit LSD l and MAO-B to a greater extent than MAO- A.
- phenylcyclopropylamine derivatives of Formula 1 yield compounds with unexpectedly potent LSD l inhibition.
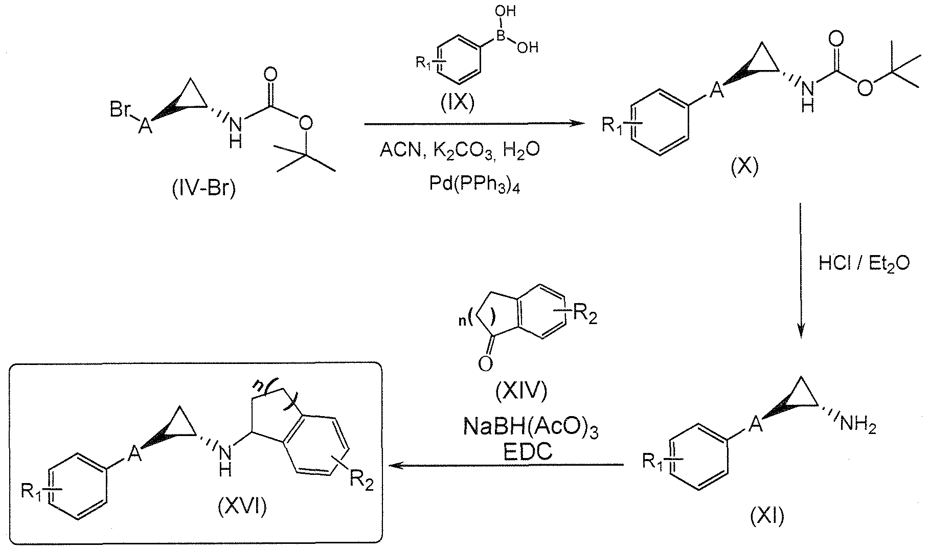
- Example compounds of Formula 1 e.g., Examples 1 - 16
- Ki (1C50) values for LSD l inhibition under 1000 nanomolar (see Table 1 ) and many have Ki (IC50) values under 500 nanomolar, which makes them about at least 40 to 50-fold or more potent than tranylcypromine for LSD l inhibition.
- These compounds are LSD l selective in that they inhibit LSD l to an extent greater than they inhibit MAO-A and MAO-B.
- the invention provides a compound of Formula 1 or an enantiomer, a diastereomer, or a mixture thereof, or a pharmaceutically acceptable salt or solvate thereof:
- X is 0, 1 , 2, or 3 ;
- (B) is a cyclopropyl ring which is covalently bonded to (A) and to (Z), wherein (A) and (Z) are covalently bonded to different carbon atoms of (B);
- (Z) is a nitrogen atom covalently bonded to (B), to (L), and to a hydrogen atom;
- (L) is a linker which links (Z) and (D), wherein said linker is chosen from a single bond, -C H : -. -CH 2 CH 2 -, -CH 2 CH 2 CH 2 -, and -CH 2 CH 2 CH 2 CH 2 -;
- (D) is an aliphatic carbocyclic group or benzocycloalkyl, wherein said aliphatic carbocyclic group or said benzocycloalkyl is covalently bonded to (L) or to (Z) when (L) is a single bond, and wherein (D) has from 0, 1 , 2, or 3 substituents independently chosen from -NH 2 , -NH(Ci-C 6 alkyl), -N(Ci-C 6 alkyl)(Ci-C 6 alkyl), alkyl, halo, amido, cyano, alkoxy, haloalkyl. and haloalkoxy; with the proviso that the following compounds are excluded:
- the invention provides a pharmaceutical composition comprising a compound of Formula 1 or a pharmaceutically acceptable salt or solvate thereof as defined above and a pharmaceutically acceptable carrier.
- Preferred embodiments of the compound of Formula 1 for use in the composition of this first aspect are defined herein below in this first aspect of the invention.
- the invention provides a compound of Formula 1 or a pharmaceutically acceptable salt or solvate thereof, wherein (A) is an aryl group and the other variables are as defined above in the broadest definition of the first aspect of the invention.
- (A) is phenyl.
- (A) is naphthyl.
- the invention provides a compound of Formula 1 or a pharmaceutically acceptable salt or solvate thereof, wherein (A) is a phenyl group and the other variables are as defined above in the broadest definition of the first aspect of the invention or as defined in one of the other embodiments of the first aspect of the invention.
- the invention provides a compound of Formula 1 or a pharmaceutically acceptable salt or solvate thereof, wherein X is 1 or 2 and the other variables are as defined above in the broadest definition of the first aspect of the invention or as defined in one of the other embodiments of the first aspect of the invention.
- the invention provides a compound of Formula 1 or a pharmaceutically acceptable salt or solvate thereof, wherein X is 1 ; and ( ⁇ ') is chosen from aryl and arylalkoxy wherein said aryl or arylalkoxy group has 0 or 1 substituent chosen from halo and haloalkyl and the other variables are as defined above in the broadest definition of the first aspect of the invention or as defined in one of the other embodiments of the first aspect of the invention.
- said ( ⁇ ') group has 1 substituent chosen from halo and haloalkyl.
- said ( ⁇ ') group is not substituted.
- the invention provides a compound of Formula 1 or a pharmaceutically acceptable salt or solvate thereof, wherein (A) is a heteroaryl and the other variables are as defined above in the broadest definition of the first aspect of the invention or as defined in one of the other embodiments of the first aspect of the invention.
- (A) is a heteroaryl chosen from pyridyl, pyrimidinyl, and thiophenyl.
- the invention provides a compound of Formula 1 or a pharmaceutically acceptable salt or solvate thereof, wherein (A) is a heteroaryl chosen from pyridyl, pyrimidinyl, and thiophenyl and the other variables are as defined above in the broadest definition of the first aspect of the invention chosen from pyridyl, pyrimidinyl, and thiophenyl.
- X is 0 or 1.
- the invention provides a compound of Formula 1 or a pharmaceutically acceptable salt or solvate thereof, wherein (L) is a linker chosen from a single bond, -C3 ⁇ 4-, -CH 2 CH 2 - and -CH2CH2CH2-.
- the invention provides a compound of Formula 1 or a pharmaceutically acceptable salt or solvate thereof, wherein (L) is a single bond or -CH 2 -.
- the invention provides a compound of Formula 1 or a pharmaceutically acceptable salt or solvate thereof, wherein (L) is -CH 2 CH 2 -.
- the invention provides a compound of Formula 1 or a pharmaceutically acceptable salt or solvate thereof, wherein (L) is a single bond.
- the invention provides a compound of Formula 1 or a pharmaceutically acceptable salt or solvate thereof, wherein (D) is an aliphatic carbocyclic group or benzocycloalkyl.
- the invention provides a compound of Formula 1 or a pharmaceutically acceptable salt thereof, wherein (D) is an aliphatic carbocyclic group or benzocycloalkyl. wherein said aliphatic carbocyclic group or said benzocycloalkyl has 1 , 2, or 3 substituents independently chosen from -NH 2 , -NH(Ci-C 6 alkyl), -N(d-C 6 alkyl)(C C 6 alkyl), alkyl, halo, amido, cyano, alkoxy, haloalkyl, and haloalkoxy.
- the invention provides a compound of Formula 1 or a pharmaceutically acceptable salt or solvate thereof, wherein (D) is a cycloalkyl group substituted with an amido group.
- the cycloalkyl group is cyclopropyl, cyclobutyl, cyclopentyl, or cyclohexyl. Even more preferably, the cycloalkyl is a cyclopropyl group.
- the amido group is attached to the carbon of the cycloalkyl group that is bonded to (L).
- X is 1 or 2;
- (B) is a cyclopropyl ring which is covalently bonded to (A) and to (Z), wherein (A) and (Z) are covalently bonded to different carbon atoms of (B); (Z) is -NH-; accordingly, (Z) is a nitrogen atom covalently bonded to (B), to (L), and to a hydrogen atom;
- (L) is a linker which links (Z) and (D), wherein said linker is chosen from a single bond.
- the amido group covalently bonded to the cycloalkyl group (D) is bonded through the same carbon atom of the cycloalkyl group as the (L) group.
- the invention provides a compound of Formula 1 or a pharmaceutically acceptable salt or solvate thereof, wherein (B) is a cyclopropyl ring which is covalently bonded to (A) and to (Z), wherein (A) and (Z) are covalently bonded to different carbon atoms of (B), and wherein (A) and (Z) are in the trans orientation with respect to the cyclopropyl ring (B).
- the 0, 1 , or 2 substituents on ( ⁇ ') are independently chosen from halo and haloalkyl.
- Compounds of Formula 1 when (D) is an aliphatic carbocyclic group or benzocycloalkyl (denoted as "(carbocyclic)" below) have a general structure of:
- the invention provides a compound of Formula 1 or an enantiomer. a diastereomer, or a mixture thereof, or a pharmaceutically acceptable salt or solvate thereof:
- (A) is a heteroaryl or aryl group covalently bonded to (B) and to ( ⁇ ') if present;
- X is 0, 1 , 2, or 3;
- (B) is a cyclopropyl ring which is covalently bonded to (A) and to (Z), wherein (A) and (Z) are covalently bonded to di fferent ca bon atoms of ( B ) ; (Z) is -NH-; accordingly, (Z) is a nitrogen atom covalently bonded to (B), to (L), and to a hydrogen atom;
- (L) is a linker which links (Z) and (D), wherein said linker is chosen from a single bond.
- -CH : -. -CH 2 CH 2 -, -CH 2 CH 2 CH 2 -, and -CH 2 CH 2 CH 2 CH 2 -;
- (D) is a cycloalkyl covalently bonded to (L) or to (Z) when (L) is a single bond, and (D) has 0, 1 , 2, or 3 substituents independently chosen from -NH 2 , -NH(Ci-C 6 alkyl), -N(C C 6 alkyl)(C C 6 alkyl), alkyl, halo, amido, cyano, alkoxy, haloalkyl, and haloalkoxy; with the proviso that the following compounds are excluded:
- the invention provides a compound of Formula 1 or an enantiomer, a diastereomer, or a mixture thereof, or a pharmaceutically acceptable salt or solvate thereof:
- (A) is a heteroaryl or aryl group covalently bonded to (B) and to ( ⁇ ') if present;
- X is 0, 1 , 2, or 3 ;
- (B) is a cyclopropyl ring which is covalently bonded to (A) and to (Z), wherein (A) and (Z) are covalently bonded to different carbon atoms of (B); (Z) is a nitrogen atom covalently bonded to (B), to (D), and to a hydrogen atom;
- (L) is a linker which links (Z) and (D), wherein said linker is a single bond;
- (D) is benzocycloalkyl covalently bonded to (Z), and (D) has 0, 1 , 2, or 3 substituents independently chosen from -NH 2 , -NH(Ci-C6 alkyl), -N(Ci-C 6 alkyl)(C i-C 6 alkyl), alkyl, halo, amido, cyano, alkoxy, haloalkyl, and haloalkoxy;
- the invention provides a pharmaceutical composition
- a pharmaceutical composition comprising a pharmaceutically acceptable carrier and a compound of Formula 1 or a pharmaceutically acceptable salt or solvate thereof as defined above in the first aspect and related embodiments.
- Preferred embodiments of the compound of Formula 1 for use in the composition of this second aspect are defined herein below in this second aspect of the invention.
- the invention provides a compound of Formula 1 or a pharmaceutically acceptable salt or solvate thereof, wherein (A) is an aryl group.
- the invention provides a compound of Formula 1 or a pharmaceutically acceptable salt or solvate thereof, wherein (A) is a phenyl group.
- the invention provides a compound of Formula 1 or a pharmaceutically acceptable salt or solvate thereof, wherein X is 1 or 2.
- the invention provides a compound of Formula 1 or a pharmaceutically acceptable salt or solvate thereof, wherein X is 1 ; and ( ⁇ ') is chosen from aryl and arylalkoxy wherein said aryl or arylalkoxy group has 0 or 1 substituent chosen from halo and haloalkyl.
- the invention provides a compound of Formula 1 or a pharmaceutically acceptable salt or solvate thereof, wherein (A) is a heteroaryl. In one embodiment of the first aspect embodiment, the invention provides a compound of Formula 1 or a pharmaceutically acceptable salt or solvate thereof, wherein (A) is a heteroaryl chosen from pyridyl, pyrimidinyl, and thiophenyl.
- the invention provides a compound of Formula 1 or a pharmaceutically acceptable salt or solvate thereof, wherein (L) is a linker chosen from -CH 2 CH 2 - and -CH 2 CH 2 CH?-.
- the invention provides a compound of Formula 1 or a pharmaceutically acceptable salt or solvate thereof, wherein (L) is -CH 2 CH 2 -.
- the invention provides a compound of Formula 1 or a pharmaceutically acceptable salt or solvate thereof, wherein (B) is a cyclopropyl ring which is covalently bonded to (A) and to (Z), wherein (A) and (Z) are covalently bonded to different carbon atoms of (B), and wherein (A) and (Z) are in the trans orientation with respect to the cyclopropyl ring (B).
- the 0, 1 , or 2 substituents on ( ⁇ ') are chosen from halo and haloalkyl.
- the invention provides a compound of Formula 1 chosen from:
- the invention provides a compound of Formula 1 or an enantiomer, a diastereomer, or a mixture thereof, or a pharmaceutically acceptable salt or solvate thereof:
- (A) is a heteroaryl or aryl group covalently bonded to (B) and to ( ⁇ ') if present;
- X is 0, 1 , 2, or 3 ;
- (B) is a cyclopropyl ring which is covalently bonded to (A) and to (Z), wherein (A) and (Z) are covalently bonded to different carbon atoms of (B); (Z) is -NH-; accordingly, (Z) is a nitrogen atom covalently bonded to (B), to (L), and to a hydrogen atom;
- (L) is a linker which links (Z) and (D), wherein said linker is chosen from -CH2CH2-, - C H 2 C H 2 H - , and -CH2CH2CH2CH2-;
- (D) is a cycloalkyl group covalently bonded to (L), and (D) has 0, 1 , 2, or 3 substituents independently chosen from -NH 2 , -NH(C i -C 6 alkyl), -N(C i -C 6 alkyl)(C i -C 6 alkyl), alkyl, halo, ami do, cyano, aikoxy, haloalkyl . and haloalkoxy.
- the invention provides a pharmaceutical composition comprising a compound of Formula 1 as defined above and a pharmaceuti call y acceptabl e carrier.
- the invention provides a compound of Formula 1 or an enantiomer, a diastereomer, or a mi xture thereof, or a pharmaceutically acceptable salt or solvate thereof:
- (A) is a heteroaryl or aryl group covalently bonded to (B) and to ( ⁇ ' ) if present;
- X is 0, 1 , 2, or 3 ;
- (B) is a cyclopropyl ring which is covalently bonded to (A) and to (Z), wherein (A) and (Z) are covalently bonded to different carbon atoms of (B); (Z) is -NH-; accordingly, (Z) is a nitrogen atom covalently bonded to (B), to (L), and to a hydrogen atom;
- (L) is a linker which links (Z) and (D), wherein said linker is chosen from -CH2CH2-, -CH2CH2CH2-, and -CH2CH2CH2CH2-; (D) is covalently bonded to (L), wherein (D) is a cycloalkyl group chosen from cyclopentyl, cyclohexyl, and cycloheptyl and (D) has 0, 1 , 2, or 3 substituents independently chosen from -NH , -NH(C] -C 6 alkyl), -N(CrC 6 alkyl)(C i-C6 alkyl), alkyl, halo, amido.
- the invention provides a pharmaceutical composition comprising a compound of Formula 1 or a pharmaceutically acceptable salt or solvate thereof as defined above and a pharmaceutically acceptable carrier.
- the invention provides a compound of Formula 1 or an enantiomer, a diastereomer, or a mixture thereof, or a pharmaceutically acceptable salt or solvate thereof:
- (A) is a heteroaryl or aryl group covalently bonded to (B) and to (A');
- ( ⁇ ') is chosen from an aryl or arylalkoxy group, wherein ( ⁇ ') is substituted with 0, 1 , or 2 substituents independently chosen from halo and haloalkyl;
- X is l ;
- (B) is a cyclopropyl ring which is covalently bonded to (A) and to (Z), wherein (A) and (Z) are covalently bonded to different carbon atoms of (B); (Z) is -NH-; accordingly, (Z) is a nitrogen atom covalently bonded to (B), to (L) or to (D) when (L) is a single bond, and to a hydrogen atom;
- (L) is a linker which links (Z) and (D), wherein said linker is chosen from a single bond, CH : -, -C3 ⁇ 4CH 2 -, -CH 2 CH 2 CH 2 -, and -CH 2 CH 2 CH 2 CH 2 -;
- (D) is an aliphatic carbocyclic group or benzocycloalkyl, wherein said aliphatic carbocyclic group or said benzocycloalkyl is covalently bonded to (L) or to (Z) when (L) is a single bond, and wherein (D) has 0, 1 , 2, or 3 substituents independently chosen from -NH 2 , -NH(Ci-C6 alkyl), -N(Ci-C6 alkyl)(Ci-C6 alkyl), alkyl, halo, amido, cyano, alkoxy, haloalkyl, and haloalkoxy.
- the invention provides a pharmaceutical composition comprising a compound of Formula 1 as defined above and a pharmaceutically acceptable carrier.
- the invention provides a compound of Formula 1 or an enantiomer, a diastereomer, or a mixture thereof, or a pharmaceutically salt or solvate thereof:
- (A) is a phenyl group covalently bonded to (B) and to (A');
- ( ⁇ ') is chosen from aryl and arylalkoxy, wherein said aryl or arylalkoxy is substituted with 0, 1 , 2, or 3 substituents chosen from halo and haloalkyl;
- X is 1 ;
- (B) is a cyclopropyl ring which is covalently bonded to (A) and to (Z), wherein (A) and (Z) are covalently bonded to different carbon atoms of (B), wherein the groups (A) and (Z) are in trans orientation in respect of the cyclopropyl ring (B);
- (Z) is -NH-; accordingly, (Z) is a nitrogen atom covalently bonded to (B), to (D) and to a hydrogen atom;
- (L) is a linker which is a single covalent bond linking (Z) and (D);
- (D) is benzocycloalkyl covalently bonded to (Z), and (D) has 0, 1 , 2, or 3 substituents independently chosen from -N3 ⁇ 4, -NH(Ci-C 6 alkyl), -N(C!-C 6 alkyl)(Ci-C6 alkyl), alkyl, halo, amido, cyano, alkoxy, haloalkyl, and haloalkoxy.
- the invention provides a pharmaceutical composition comprising a compound of Formula 1 or a pharmaceutically acceptable salt or solvate thereof as defined above and a pharmaceutically acceptable carrier.
- the invention provides a compound of Formula 1 or an enantiomer, a diastereomer, or a mixture thereof, or a pharmaceutically acceptable salt or solvate thereof:
- (A) is a heteroaryl covalently bonded to (B) and to ( ⁇ ') if present;
- X is 0, 1 , 2, or 3 ;
- (B) is a cyclopropyl ring which is covalently bonded to (A) and to (Z), wherein (A) and (Z) are covalently bonded to different carbon atoms of (B); (Z) is -NH-; accordingly, (Z) is a nitrogen atom covalently bonded to (B), to (L) or to (D) when (L) is a single bond, and to a hydrogen atom;
- (L) is a linker which links (Z) and (D), wherein said linker is chosen from a single bond.
- (D) is an aliphatic carbocyclic group or bcnzocycloalkyl , wherein said aliphatic carbocyclic group or said benzocycloalkyl is covalently bonded to (L) or to (Z) when (L) is a single bond, and wherein (D) has 0, 1 , 2, or 3 substituents independently chosen from -NH 2 , -NH(Ci-Cg alkyl), -N(Ci-C 6 alkyl)(Ci-C 6 alkyl), alkyl, halo, amido. cyano, alkoxy, haloalkyl, and haloalkoxy.
- the invention provides a pharmaceutical composition comprising a compound of Formula 1 or a pharmaceutically acceptable salt or solvate thereof as defined above and a pharmaceutically acceptable carrier.
- the invention provides a method of treating and/or preventing a disease or condition, the method comprising administering, to a patient (preferably a human) in need of treatment or prevention, a therapeutically effective amount of a composition comprising a compound of Formula 1 as defined above or an enantiomer, a diastereomer, or a mixture thereof, or a pharmaceutically acceptable salt or solvate thereof and a pharmaceutically acceptable carrier.
- a composition comprising a compound of Formula 1 as defined above or an enantiomer, a diastereomer, or a mixture thereof, or a pharmaceutically acceptable salt or solvate thereof and a pharmaceutically acceptable carrier.
- the invention provides a method of inhibiting LSD l activity comprising administering, to a patient (preferably a human) in need of treatment, a therapeutically effective amount of a composition comprising a compound of Formula 1 or an enantiomer, a diastereomer, or a mixture thereof, or a pharmaceutically acceptable salt or solvate thereof:
- X is 0, 1 , 2, or 3 ;
- (B) is a cyclopropyl ring which is covalently bonded to (A) and to (Z), wherein (A) and (Z) are covalently bonded to different carbon atoms of (B); (Z) is -NH-; accordingly, (Z) is a nitrogen atom covalently bonded to (B), to (L) or to (D) when (L) is a single bond, and to a hydrogen atom;
- (L) is a linker covalently linking (Z) and (D), wherein said linker is chosen from a single bond, -C3 ⁇ 4-, ⁇ CH;CH : -. -CH 2 CH 2 CH 2 -, and -CH 2 CH 2 CH 2 CH 2 -;
- (D) is an aliphatic carbocyclic group or benzocycloalkyl, wherein said aliphatic carbocyclic group or said benzocycloalkyl is covalently bonded to (L) or to (Z) when (L) is a single bond, and wherein (D) has 0, 1 , 2, or 3 substituents chosen from -NH 2 , -NH(C C 6 alkyl), -N(C C 6 alkyl)(Ci-C 6 alkyl), alkyl, halo, amido, cyano, alkoxy, haloalkyl, and haloalkoxy; and a pharmaceutically acceptable carrier in an amount sufficient to inhibit LSD 1 activity
- This aspect can be reformulated as a compound of Formula 1 as herein defined for use as a LSD 1 inhibitor.
- This aspect can also be reformulated as a compound of Formula 1 for use in the treatment of a disease associated to LSD 1.
- a method for treating an individual preferably a human
- the method comprising identifying an individual in need of treatment and administering to said individual a therapeutically effective amount of a compound of Formula 1.
- the therapeutically effective amount of a compound of Formula 1 is an amount sufficient to inhibit LSD l .
- Preferred embodiments of the compounds of Formula 1 for use in the composition and method of this fourth aspect of the invention are as defined herein above in the first aspect of the invention.
- the invention provides a method of treating or preventing cancer, the method comprising administering, to a patient (preferably a human) in need of treatment or prevention, a therapeutically effective amount of a composition comprising a compound of Formula 1 as defined above in the first or second aspect of the invention or an enantiomer, a diastereomer, or a mixture thereof, or a pharmaceutically acceptable salt or solvate thereof, and a pharmaceutically acceptable carrier.
- a composition comprising a compound of Formula 1 as defined above in the first or second aspect of the invention or an enantiomer, a diastereomer, or a mixture thereof, or a pharmaceutically acceptable salt or solvate thereof for use in treating and/or preventing cancer.
- the cancer is chosen from breast cancer, colorectal cancer, lung cancer, prostate cancer, testicular cancer, and brain cancer, skin cancer, and blood cancer.
- the therapeutically effective amount of a compound of Formula 1 is an amount sufficient to inhibit LS D l .
- the invention provides a compound of Formula 1 or an enantiomer, a diastereomer, or a mixture thereof, or a pharmaceutically acceptable salt or solvate thereof for use in treating or preventing cancer:
- (A) is a phenyl group covalently bonded to (B) and to (A' );
- ( ⁇ ') is chosen from aryl and arylalkoxy, wherein said aryl or arylalkoxy has
- X is 1 ;
- (B) is a cyclopropyl ring which is covalently bonded to (A) and to (Z), wherein (A) and (Z) are covalently bonded to different carbon atoms of (B) and wherein the groups (A) and (Z) are in trans orientation in respect of the cyclopropyl ring (B);
- (Z) is -NH-; accordingly, (Z) is a nitrogen atom covalently bonded to (B), to (L) and to a hydrogen atom;
- (L) is a linker which links (Z) and (D), wherein said linker is chosen from -CH2CH2- and -CH 2 CH 2 CH 2 -;
- (D) is a cycloalkyl group covalently bonded to (L), and (D) has 0, 1 , 2, or 3 substituents independently chosen from -N3 ⁇ 4, -NH(Ci -C 6 alkyl), -N(C i -C6 alkyl)(C i -C 6 alkyl), alkyl, halo, ami do, cyano, alkoxy, haloalkyl, and haloalkoxy.
- the invention provides a pharmaceutical composition for use in treating or preventing cancer comprising a compound of Formula 1 or a pharmaceutically acceptable salt or solvate thereof as defined above and a pharmaceutically acceptable carrier.
- the cancer is chosen from prostate, testicular, brain, colorectal, lung, breast, skin, and blood.
- the cancer is prostate cancer.
- the cancer is lung cancer.
- the cancer is brain cancer.
- the cancer is blood cancer (e.g., leukemia) .
- the cancer is breast cancer.
- the cancer is colorectal cancer.
- the invention provides a method for identifying a compound which is a selective inhibitor of LSD l , the method comprising selecting or providing a compound which is a substituted heteroarylcyclopropylamine or a substituted arylcyclopropylamine, and determining the ability of the compound to inhibit LSD l and MAO-A and/or MAO-B, wherein a compound that inhibits LSD l to a greater extent than MAO-A and/or MAO-B is identified as a LSD l selective inhibitor.
- a substituted heteroarylcyclopropylamine or a substituted arylcyclopropylamine is defined as follows in Formula 2:
- (R3) is present or not present, when present (R3) is chosen from arylalkyl, arylalkoxy, arylalkyl, heterocyclylalkyl, and heterocycylalkoxy, wherein said (R3) group has 0, 1 , 2, or 3 substituents independently chosen from halo, alkyl, alkoxy, carbocyclyl, cycloalkyl, cycloalkoxy, haloalkyl, haloalkoxy, acyl amino, acyloxy, alkylthio, cycloalkylthio, alkynyl, amino, alkylamino, aryl, arylalkyl, arylalkenyl, arylalkynyl, arylalkoxy, aryloxy, arylthio, heteroarylthio, cyano, cyanato, halo aryl, hydroxyl, heterocyclyl, heteroaryloxy, heteroarylalkoxy, iso
- (W) is an aryl or heteroaryl group covalently bonded to (R3) and to (cyclopropyl), wherein said (W) has 0, 1 , or 2 substituents, not including (R3) and (cyclopropyl), which substituents are independently chosen from halo, alkyl, alkoxy, carbocyclyl, cycloalkyl, cycloalkoxy, haloalkyl, haloalkoxy.
- (cyclopropyl) is a cyclopropyl group covalently bonded to (W) and to the nitrogen of (NH);
- (NH) is a -NH- group (i.e., nitrogen covalently bonded to a hydrogen atom), wherein the nitrogen is covalently bonded to (cyclopropyl) and to (L') or to (R4) when (L') is a single bond;
- (L') is a linker of formula -(CH 2 ) n - where n is 0, 1 , 2, 3, 4, 5, or 6, and further wherein (L') is covalently bonded to the nitrogen of (NH) and to (R4); and
- (R4) is an aliphatic carbocyclic group or bcnzocycloalkyl, wherein said aliphatic carbocyclic group or said benzocycloalkyl is covalently bonded to (L') or to (Z) when (L') is a single bond, wherein said (R4) group has 0, 1 , 2, or 3 substituents independently chosen from halo, alkyl, alkoxy, carbocyclyl, cycloalkyl, cycloalkoxy, haloalkyl, haloalkoxy, acylamino, acyloxy, alkylthio, cycloalkylthio, alkynyl, amino, alkylamino, aryl, aryl alkyl, arylalkenyl, arylalkynyl, arylalkoxy, aryloxy, arylthio, heteroarylthio, cyano, cyanato, haloaryl, hydroxyl, heterocycly
- a compound of Formula 2 which is a selective LSD 1 inhibitor.
- the selective LSD 1 inhibitor as identified by the method of this embodiment is used to prepare a pharmaceutical composition comprising a therapeutically effective amount of said selective LSD l inhibitor of Formula 2, or a pharmaceutically acceptable salt or solvate thereof, and a pharmaceutically acceptable carrier.
- the pharmaceutical composition can be administered to an individual in need of such treatment.
- the therapeutically effective amount is an amount sufficient to inhibit LSD l selectively.
- the invention provides a pharmaceutical composition
- a pharmaceutical composition comprising a pharmaceutically acceptable carrier and a compound of Formula 1 or 2 which is a selective inhibitor of LSD l .
- LSD l selective inhibitors have i values for LS D l which are at least 2- fold lower than the Ki value for M AO- A and/or MAO-B.
- the LSD l Ki value is at least 5- fold lower than the Ki value for M AO- A and/or MAO-B.
- the LS D l Ki value is at least 10-fold lower than the Ki value for M AO- A and/or MA O- B.
- the pharmaceutical composition comprising a LS D l selective inhibitor of Formula 1 or 2, or a pharmaceutically acceptable salt or solvate thereof is useful for treating and/or preventing a disease in an individual.
- a therapeutically effective amount of the composition is administered to an individual in an amount sufficient to prevent or treat a disease.
- the di sease is cancer.
- the disease is a cancer chosen from prostate, testicular, brain, colorectal, lung, breast, skin, and blood cancer.
- the cancer is prostate cancer.
- the cancer is lung cancer.
- the cancer is brain cancer.
- the cancer is blood cancer (e.g., leukemia).
- the cancer is breast cancer.
- the cancer is colorectal cancer.
- a compound of Formula 2 which is a dual inhibitor of LS D 1 and MAO- B.
- the dual LS D l MAO-B inhibitor as identified by the method of this embodiment can be used to prepare a pharmaceutical composition comprising a therapeutically effective amount of said dual LS D l M AO-B i nhi bitor of Formula 2, or a pharmaceutically acceptable salt or solvate thereof, and a pharmaceutically acceptable carrier.
- the pharmaceutical composition can be administered to an individual in need of such treatment.
- the therapeutically effective amount is an amount sufficient to inhibit MAO-B and LSD 1.
- the invention provides a pharmaceutical composition
- a pharmaceutical composition comprising a pharmaceutically acceptable carrier and a compound of Formula 1 or 2 that is a dual inhibitor of LSD l and MAO-B.
- LS D l MAO-B dual inhibitors have Ki values for LS D l and MAO-B that are at least 2-fold lower than the Ki value for MAO- A.
- the LSD l and MAO-B Ki values are at least 5-fold lower than the Ki value for MAO-A.
- the LS D l and MAO-B Ki values are least 10-fold lower than the Ki value for MAO-A.
- the invention provides a method for treating or preventing a viral infection, the method comprising administering to an individual (preferably a human) a compound of Formula 1 as defined above in any of the aspects and embodiments of the invention or a pharmaceutically acceptable salt or solvate thereof. Accordingly, the invention also provides a compound of Formula 1 as defined above in any of the aspects and embodiments of the invention or a pharmaceutically acceptable salt or solvate thereof for use in treating or preventing a viral infection.
- the viral infection is a herpesvirus infection.
- the herpesvirus infection is caused by and/or associated with a herpesvirus chosen from HSV-1 , HSV-2, and Epstein-Barr virus.
- the viral infection is caused by and/or associated with HIV.
- the invention provides a method for treating or preventing viral reactivation after latency, the method comprising administering to an individual (preferably a human) a compound of Formula 1 as defined above in any of the aspects and embodiments of the invention or a pharmaceutically acceptable salt or solvate thereof. Accordingly, the invention also provides a compound of Formula 1 as defined above in any of the aspects and embodiments of the invention or a pharmaceutically acceptable salt or solvate thereof for use in treating or preventing viral reactivation after latency.
- the virus that is reactivating is a herpesvirus.
- the herpesvirus that is reactivating is chosen from HSV- 1 , HSV-2, and Epstein-Barr virus.
- the virus that is reactivating is HIV.
- the compounds of the invention of Formula 1 or 2 do not include any of:
- N-(2-phenylcyclopropyl)-cyclopentanamine (corresponding to CAS Reg. No. 802594-05-4);
- the present invention provides a compound of Formula 1 :
- a pharmaceutical composition comprising any of the aforementioned entities and a pharmaceutically acceptable carrier.
- the invention further relates to the compound of Formula 1 or a pharmaceutically acceptable salt or solvate thereof for use in treating or preventing cancer.
- the invention relates to a method of treating or preventing cancer, the method comprising administering, to a patient (preferably a human) in need of such treatment or prevention, a therapeutically effective amount of the compound of Formula 1 or a pharmaceutically acceptable salt or solvate thereof, or a pharmaceutical composition comprising any of the aforementioned entities and a pharmaceutically acceptable carrier.
- the cancer may be, for example, prostate cancer, testicular cancer, brain cancer, colorectal cancer, lung cancer, breast cancer, skin cancer, or blood cancer.
- heteroaryl and “aryl” do not necessarily refer to monovalent groups. Accordingly, if X is different from 0, then moiety (A) is covalently bonded to moiety (B) and to X moieties ( ⁇ '), as indicated in Formula 1 .
- (A) is aryl (such as, e.g., phenyl, naphthyl, or anthracenyl) or, more preferably, (A) is phenyl or naphthyl or, even more preferably, (A) is phenyl.
- (A) is heteroaryl (such as, e.g., thiophenyl (i.e., thienyl), benzo[b]thienyl, naphtho[2,3- b]thienyl, thianthrenyl, furyl, isobenzofuranyl, chromenyl, xanthenyl, phenoxanthiinyl , pyrrol yl, imidazolyl, pyrazolyl, pyridyl, pyrazinyl, pyrimidinyl, pyridazinyl, indolizinyl, isoindolyl, 3H-indolyl, indolyl, indazolyl, purinyl, 4H-quinolizinyl, isoquinolyl, quinolyl, phthalzinyl, naphthyridinyl, quinozalinyl, cinnolinyl,
- each ( ⁇ '), if present, is independently chosen from aryl, arylalkyl, aryloxy and arylalkoxy, more preferably from aryl and arylalkoxy, wherein said aryl, said arylalkyl, said aryloxy or said arylalkoxy is substituted with 0, 1 , 2 or 3 (preferably, 0, 1 , or 2; more preferably, 0 or 1 ) substituents.
- said substituents are each independently chosen from halo, haloalkyl, alkyl, alkoxy, cyano, sulfonyl, and sulfinyl. More preferably, said substituents are each independently chosen from halo and haloalkyl.
- each ( ⁇ '), if present, is independently chosen from phenyl, benzyloxy, and phenethyloxy, wherein said phenyl, said benzyloxy or said phenethyloxy is substituted with 0, 1 , 2 or 3 (preferably, 0, 1 , or 2; more preferably, 0 or 1 ) substituents.
- said substituents are each independently chosen from halo, haloalkyl, alkyl, alkoxy, cyano, sulfonyl, and sulfinyl. More preferably, said substituents are each independently chosen from halo and haloalkyl.
- X is 0, 1 , 2, or 3. It is to be understood that, if X is 0, the group (A) is not bonded to any group ( ⁇ ') but instead to hydrogen.
- X is 1 , 2, or 3 or, more preferably, X is 1 or 2 or, even more preferably, X is 1 .
- X is 0 or 1 or, more preferably, X is 0. If X is 1 and (A) is phenyl, then ( ⁇ ') is preferably in the meta position or in the para position (more preferably, in the para position) with respect to the cyclopropyl ring (B).
- (B) is a cyclopropyl ring.
- the moieties (A) and (Z) are covalently bonded to different carbon atoms of the cyclopropyl ring (B).
- (A) and (Z) are in the trans orientation with respect to the cyclopropyl ring (B).
- (Z) is -NH-, i.e. a group -N(-H)- (L) is chosen from a single bond, -CH 2 -, -CH 2 CH 2 -, -CH 2 CH 2 CH 2 -, and -CH 2 CH 2 CH 2 CH 2 -.
- (L) is chosen from a single bond, -CH 2 -, -CH 2 CH 2 -, and -CH 2 CH 2 CH2-. More preferably, (L) is a single bond or -CH 2 -. Even more preferably, (L) is a single bond. In a further preferred embodiment, (L) is
- (D) is an aliphatic carbocyclic group or benzocycloalkyl; preferably, (D) is cycloalkyl (which is preferably chosen from cyclopentyl, cyclohexyl, and cycloheptyl) or benzocycloalkyl (which is preferably chosen from indyl, 1 ,2,3,4-tetrahydronaphthyl, and benzocycloheptyl, and more preferably chosen from indyl and 1 ,2,3,4-tetrahydronaphthyl).
- cycloalkyl which is preferably chosen from cyclopentyl, cyclohexyl, and cycloheptyl
- benzocycloalkyl which is preferably chosen from indyl, 1 ,2,3,4-tetrahydronaphthyl, and benzocycloheptyl, and more preferably chosen from indyl and 1 ,2,3,4-tetrahydr
- Said aliphatic carbocyclic group or said benzocycloalkyl has 0, 1 , 2, or 3 substituents independently chosen from -NH 2 , -NH(C i -C6 alkyl), -N(C i-C 6 alkyl)(C i -C6 alkyl), alkyl, halo, amido, cyano, alkoxy, haloalkyl, and haloalkoxy, preferably from -N3 ⁇ 4, -NH(d-C 6 alkyl), and -N(d-C 6 alkyl)(C C 6 alkyl).
- said aliphatic carbocyclic group or said benzocycloalkyl (or, accordingly, said cycloalkyl) is unsubstituted.
- said aliphatic carbocyclic group or said benzocycloalkyl (or, accordingly, said cycloalkyl) has 1 , 2, or 3 substituents, more preferably 1 or 2 substituents, and even more preferably 1 substituent, wherein said substituents are independently chosen from -NH 2 , -NH(C i-C 6 alkyl), -N(d-C 6 alkyl)(C i-C 6 alkyl), alkyl, halo, amido, cyano, alkoxy, haloalkyl, and haloalkoxy, preferably from -NH 2 , -NH(C i -C 6 alkyl), and -N(C C 6 alkyl)(C i -C 6 alkyl)(C i -C 6 al
- (A) is aryl or, more preferably, (A) is phenyl or naphthyl or, even more preferably, (A) is phenyl; X is 1 , 2, or 3 or, more preferably, X is 1 or 2 or, even more preferably, X is 1 ; and (D) is an aliphatic carbocyclic group or benzocycloalkyl, wherein said aliphatic carbocyclic group or said benzocycloalkyl is unsubstituted.
- (A) is aryl or, more preferably, (A) is phenyl or naphthyl or, even more preferably, (A) is phenyl; X is 1 , 2, or 3 or. more preferably, X is 1 or 2 or, even more preferably, X is 1 ; and (D) is an aliphatic carbocyclic group or benzocycloalkyl, wherein said aliphatic carbocyclic group or said benzocycloalkyl has 1 , 2, or 3 substituents, more preferably 1 or 2 substituents, and even more preferably 1 substituent, wherein said substituents are independently chosen from -NH , -NH(Ci-C 6 alkyl), -N(Ci-C 6 alkyl)(Ci- C 6 alkyl), alkyl, halo, amido, cyano, alkoxy, haloalkyl, and haloalkoxy, preferably from -NH 2 , -NH(d
- (A) is aryl or, more preferably, (A) is phenyl or naphthyl or, even more preferably, (A) is phenyl; X is 0 or 1 or, more preferably, X is 0; and (D) is an aliphatic carbocyclic group or benzocycloalkyl, wherein said aliphatic carbocyclic group or said benzocycloalkyl is unsubstituted.
- (A) is aryl or, more preferably, (A) is phenyl or naphthyl or, even more preferably, (A) is phenyl; X is 0 or 1 or, more preferably, X is 0; and (D) is an aliphatic carbocyclic group or benzocycloalkyl, wherein said aliphatic carbocyclic group or said benzocycloalkyl has 1 , 2, or 3 substituents, more preferably 1 or 2 substituents, and even more preferably 1 substituent, wherein said substituents are independently chosen from -NH 2 , -NH(Ci-Cg alkyl), -N(Ci-C 6 alkyl)(C] -C6 alkyl), alkyl, halo, amido, cyano, alkoxy, haloalkyl, and haloalkoxy, preferably from -NH 2 , -NH(Ci-C 6 alkyl), and -N(
- (A) is heteroaryl or, more preferably, (A) is chosen from pyridyl, pyrimidinyl, and thiophenyl; X is 1 , 2, or 3 or, more preferably, X is 1 or 2 or, even more preferably, X is 1 ; and (D) is an aliphatic carbocyclic group or benzocycloalkyl, wherein said aliphatic carbocyclic group or said benzocycloalkyl is unsubstituted.
- (A) is heteroaryl or, more preferably, (A) is chosen from pyridyl, pyrimidinyl, and thiophenyl; X is 1 , 2, or 3 or, more preferably, X is 1 or 2 or, even more preferably, X is 1 ; and (D) is an aliphatic carbocyclic group or benzocycloalkyl, wherein said aliphatic carbocyclic group or said benzocycloalkyl has 1 , 2, or 3 substituents, more preferably 1 or 2 substituents, and even more preferably 1 substituent, wherein said substituents are independently chosen from -NH 2 , -NH(C C 6 alkyl), -N(Ci-C 6 alkyl)(C C 6 alkyl), alkyl, halo, amido, cyano, alkoxy, haloalkyl.
- (A) is heteroaryl or, more preferably, (A) is chosen from pyridyl, pyrimidinyl, and thiophenyl; X is 0 or 1 or, more preferably, X is 0; and (D) is an aliphatic carbocyclic group or benzocycloalkyl, wherein said aliphatic carbocyclic group or said benzocycloalkyl is unsubstituted.
- (A) is heteroaryl or, more preferably, (A) is chosen from pyridyl, pyrimidinyl, and thiophenyl; X is 0 or 1 or, more preferably, X is 0; and (D) is an aliphatic carbocyclic group or benzocycloalkyl, wherein said aliphatic carbocyclic group or said benzocycloalkyl has 1 , 2, or 3 substituents, more preferably 1 or 2 substituents, and even more preferably 1 substituent, wherein said substituents are independently chosen from -NH 2 , -NH(Cj -C 6 alkyl), -N(C !
- -C 6 alkyl (C 1 -C 6 alkyl), alkyl, halo, amido, cyano, alkoxy, haloalkyl, and haloalkoxy, preferably from -NH 2 , -NH(Ci-C 6 alkyl), and -N(C C 6 alkyl)(Ci-C 6 alkyl).
- N-(2- phenylcyclopropyl)-cyclopentanamine 10, 1 l -dihydro-N-(2- phenylcyclopropyl)-5H-dibenzo[a,d]cyclohepten-5 -amine; and trans-N-(2- phenylcyclopropyl)-cyclohexanamine.
- alkyl refers to a saturated aliphatic (i.e., non-aromatic) acyclic hydrocarbon (i.e., a group consisting of carbon atoms and hydrogen atoms), including straight chain and/or branched chain groups, having from 1 to 20 carbon atoms (whenever it appears herein, a numerical range such as “ 1 to 20” refers to each integer in the given range; e.g. , " 1 to 20 carbon atoms” means that the alkyl group may consist of 1 carbon atom, 2 carbon atoms, 3 carbon atoms, etc. up to and including 20 carbon atoms), and comprising neither carbon-to-carbon double bonds nor carbon-to-carbon triple bonds.
- the "alkyl” has from 1 to 10 carbon atoms. More preferably, the “alkyl” has from 1 to 6 carbon atoms, and even more preferably 1 to 4 carbon atoms.
- alkenyl refers to an unsaturated aliphatic acyclic hydrocarbon including straight chain and/or branched chain groups, comprising at least one carbon-to-carbon double bond, and comprising no carbon-to-carbon triple bonds. In a more specific definition, the alkenyl group is further defined as having 2 to 20 carbon atoms. In another more specific definition, it is an alkenyl having 2 to 10 carbon atoms.
- alkenyl having 2 to 6 carbon atoms In yet another more specific definition, it is an alkenyl having 2 to 4 carbon atoms.
- alkynyl refers to an unsaturated aliphatic acyclic hydrocarbon including straight chain and/or branched chain groups, comprising at least one carbon-to-carbon triple bond and optionally comprising one or more carbon-to-carbon double bonds.
- the alkynyl group is further defined as having 2 to 20 carbon atoms. In another more specific definition, it is an alkynyl having 2 to 10 carbon atoms.
- halo refers to chloro, fluoro, bromo, and iodo.
- haloalkyl refers to an alkyl group substituted with 1 to 6 halo groups. In a specific embodiment, haloalkyl is a -CX 3 group wherein X is a halo group. The halo groups can be independently selected. In a more specific embodiment, haloalkyl is a -CF 3 group.
- haloalkoxy refers to an alkoxy group substituted with 1 to 6 halo groups.
- haloalkyl is a -OCX 3 group wherein X is a halo group.
- the halo groups can be independently selected.
- the halo is fluoro.
- cycloalkoxy refers to an -O-cycIoalkyl group, wherein the cycloalkyl group is as defined herein below.
- aryloxy refers to an -O-aryl group, wherein the aryl group is as defined herein below.
- heteroaryloxy refers to an -O-heteroaryl group, wherein the heteroaryl group is as defined herein below.
- mercapto refers to a -SH group.
- alkylthio refers to a -S-alkyl group, wherein the alkyl group is as defined herein above.
- cycloalkylthio refers to a -S-cycloalkyl group, wherein the cycloalkyl group is as defined herein below.
- arylthio refers to a -S-aryl group, wherein the aryl group is as defined herein below.
- heteroarylthio refers to a -S-heteroaryl group, wherein the heteroaryl group is as defined herein below.
- aldehyde refers to a carbonyl group as defined herein above, wherein R" is hydro.
- esteer refers to a C-carboxy group as defined herein above or a molecule comprising such group, wherein R" is as defined herein above and R" is not hydro.
- M + is selected from the group consisting of lithium, sodium, potassium, calcium, magnesium, barium, iron, zinc and quaternary ammonium, and further wherein the " + " in M + does not reflect the actual number of positive charges which depends on the respective ion.
- carboxylic acid refers to a C-carboxy group as defined herein above, wherein R " is hydro.
- cyano refers to a -C ⁇ N group.
- cyanato refers to an -OCN group.
- isocyanato refers to an -NCO group.
- thiocyanato refers to an -SCN group.
- isothiocyanato refers to an -NCS group.
- R 17 and Rig are independently chosen from hydro, alkyl, aryl, carbocyclyi, heterocyclyl, -(CH 2 )aryl, -(CH 2 )carbocyclyl, and -(CH 2 )heterocyclyl, wherein hydro, alkyl, aryl, carbocyclyi and heterocyclyl are as defined herein, and further wherein said alkyl, aryl, carbocyclyi, heterocyclyl, -(CH 2 )aryl, -(CH 2 )carbocyclyl, and -(CH 2 )heterocyclyl can be optionally substituted.
- said groups that R 17 and Rig are chosen from are unsubstituted.
- O-carbamyl refers to an group, wherein R 17 and Ri are as defined herein above.
- O-thiocarbamyl refers to an 7 Ri 8 group, wherein R 17 and R 18 are as defined herein above.
- amino refers to a -NH 2 group.
- alkylamino refers to a -NR 23 R 24 group, wherein R 23 and R;4 are independently chosen from -H, Ci_ 8 alkyl (i.e., an alkyl having 1 to 8 carbon atoms), and phenyl.
- nitro refers to a -N0 2 group.
- quaternary ammonium refers to a -NR 2 oR 2 i R22 group, wherein R 20 , R 21 , and R 22 are independently selected from the group consisting of hydro and C 1 -6 alkyl.
- methylenedioxy refers to an -OCH 0- group, wherein the two oxygen atoms are bonded to adjacent ring carbon atoms.
- ethylenedioxy refers to an -OCH 2 CH 2 0- group, wherein the two oxygen atoms are bonded to adjacent ring carbon atoms.
- aliphatic carbocyclic group refers to a radical of an aliphatic (i.e., non- aromatic) hydrocarbon ring (i.e., a monocyclic hydrocarbon ring) or of an aliphatic (i.e., non-aromatic) hydrocarbon ring system having from 2 to 4 fused rings (i.e., rings which share an adjacent pair of ring carbon atoms), wherein said monocyclic hydrocarbon ring has 3 to 8 carbon atoms and preferably is saturated, and further wherein each one of the rings forming said hydrocarbon ring system independently has 3 to 8 carbon atoms and preferably is saturated.
- aliphatic carbocyclic groups do not encompass aryls as defined herein below.
- examples, without limitation, of aliphatic carbocyclic groups are cycloalkyls (such as cyclopropyl, cyclobutyl, cyclopentyl, cyclohexyl, or cycloheptyl) and cycloalkenyls (such as cycloheptatrienyl, cyclopentenyl, or cyclohexadienyl) as well as groups like indane.
- cycloalkyl refers to a cyclic saturated al iphatic hydrocarbon group which does not comprise any carbon-to- carbon double bond or any carbon-to-carbon triple bond.
- the cycloalkyl has 3 to 7 carbon atoms.
- Non-limiting examples of cycloalkyl groups are cyclopropyl, cyclobutyl, cyclopentyl, cyclohexyl or cycloheptyl.
- Particularly preferred cycloalkyl groups are cyclopentyl or cyclohexyl.
- cycloalkenyl refers to a cyclic unsaturated aliphatic hydrocarbon group which comprises at least one carbon-to-carbon double bond and does not comprise any carbon-to-carbon triple bond.
- the cycloalkenyl has 3 to 7 carbon atoms.
- Non-limiting examples of cycloalkenyl groups are cyclopropenyl, cyclobutenyl, cyclopentenyl, cyclohexenyl, cyclohexadienyl, or cycloheptenyl.
- benzocycloalkyl refers to a cycloalkyl as defined herein above, which cycloalkyl is fused to a phenyl ring (i.e., shares two adjacent ring carbon atoms with a phenyl ring).
- benzocycloalkyls are indyl (i.e., 2,3-dihydro- lH-indenyl or benzocyclopentyl), 1 ,2,3,4-tetrahydronaphthyl (i.e., tetralinyl or benzocyclohexyl), or benzocycloheptyl.
- benzocycloalkyls are indyl or 1 ,2,3,4-tetrahydronaphthyl. It is preferred that the benzocycloalkyl is attached to the remainder of the molecule via its cycloalkyl moiety (and not via its phenyl ring moiety).
- heterocyclyl refers to ring or ring system having from 1 ring or 2 to 4 fused rings (preferably a known saturated or partially saturated 3-7 membered monocyclic ring, or known 7- 10 membered bicyclic ring system) which consists of carbon atoms and from one to four heteroatoms independently selected from the group consisting of O, N, and S, wherein the nitrogen and sulfur heteroatoms can be optionally oxidized, and the nitrogen can be optionally quaternized (including e.g., any bicyclic group in which any of the above-defined heterocyclic rings is fused to a benzene ring).
- Non-limiting examples of saturated or partially saturated heterocyclic groups include tetrahydrofuranyl, pyranyl, piperidinyl, piperazinyl, pyrrolidinyl, imidazolidinyl, imidazolinyl, indolinyl, isoindolinyl, quinuclidinyl, morpholinyl, isochromanyl, chromanyl, pyrazolidinyl, pyrazolinyl, tetronoyl and tetramoyl groups.
- heterocyclyls or “heterocyclic” rings also include, but are not limited to, morpholino, piperidyl, piperazinyl, pyrrolidinyl, thiomorpholino, homopiperazinyl, imidazolyl, imidazolidinyl, pyrazolidinyl, dioxanyl and dioxolanyl.
- Heterocyclyl can include heteroaryls when the pi-electron system of a heterocyclyl is completely conjugated.
- aryl refers to a radical of a hydrocarbon ring (i.e., a monocyclic hydrocarbon ring) or of a hydrocarbon ring system having from 2 to 4 fused rings, wherein said monocyclic hydrocarbon ring has 5 or 6 carbon atoms and is aromatic, and further wherein each one of the rings forming said hydrocarbon ring system is aromatic and independently has 5 or 6 carbon atoms.
- aryl groups are phenyl, naphthalenyl (i.e., naphthyl) and anthracenyl.
- a particularly preferred aryl is phenyl .
- aryloxy refers to an -O-aryl.
- aryl is as defined above.
- heteroaryl refers to a radical of a ring (i.e., a monocyclic ring) or of a ring system having from 2 to 4 fused rings, wherein said monocyclic ring has 5 or 6 members and is aromatic, and further wherein each one of the rings forming said ring system independently has 5 or 6 members and at least one of said rings forming said ring system is aromatic, wherein each of said members (i.e., ring atoms) is independently selected from C, CH, N, O, S, and at least one of the members of each ring is N, O, or S.
- heteroaryl groups include thienyl (thiophenyl), benzo[b]thienyl, naphtho[2.3-b] thienyl, thianthrenyl. furyl (furanyl), isobenzofuranyl, chromenyl, xanthenyl, phenoxanthiinyl, pyrrolyl, including without limitation 2 H -pyrrolyl, imidazolyl. pyrazolyl.
- pyridyl (pyridinyl), including without limitation 2 -pyridyl , 3-pyridyl, and 4-pyridyl , pyrazinyl, pyrimidinyl, pyridazinyl, indol izinyl, isoindolyl, 3H-indolyl, indolyl, indazolyl, purinyl, 4H-quinolizinyl, isoquinolyl, quinolyl, phthalzinyl, naphthyridinyl, quinozalinyl, cinnolinyl, pteridinyl, carbazolyl . beta- carbolinyl, phenanthridinyl.
- acrindinyl perimidinyl, phenanthrolinyl.
- heteroaryl group contains a nitrogen ring atom
- such nitrogen ring atom may be in the form of an N-oxide, e.g., a pyridyl N-oxide, pyrazinyl N-oxide and pyrimidinyl N-oxide.
- Preferred heteroaryl groups are fully aromatic and include, but not limited to pyridyl, thienyl, and pyrimidinyl.
- arylalkyl refers to any of the Cj. 10 alkyl groups substituted by any of the above-mentioned aryl groups as defined above.
- Non-limiting examples of arylalkyl group include benzyl, phenethyl, and naphthylmethyl.
- arylalkenyl refers to a C 2 - 1 0 alkenyl group substituted by a C 6 - i 4 aryl group (an aryl group having 6 to 14 carbon atoms), as defined herein above.
- arylalkynyl refers to a C 2 -io alkynyl group substituted by a C 6- i 4 aryl group (an aryl group having 6 to 14 carbon atoms), as defined herein above.
- arylalkoxy refers to any of the CM O alkoxy groups substituted by any of the aryl groups as defined herein .
- arylalkoxy groups include benzyloxy and phenethyloxy.
- aryloxy refers to oxygen substituted by any of the aryl groups defined above.
- arylthio refers to a -S-aryl group, wherein the aryl group is as defined herein above.
- heteroarylthio refers to a -S-heteroaryl group, wherein the heteroaryl group is as defined herein above.
- haloaryl refers to an aryl group which is substituted with 1 to 6 halo groups, wherein the aryl group and the halo groups are as defined herein above, and further wherein the halo groups are independently selected.
- heteroaryloxy refers to an -O-heteroaryl group, wherein the heteroaryl group is as defined herein above.
- heteroarylalkoxy refers to a C O alkoxy group, as defined herein above, substituted by a heteroaryl group, as defined herein above.
- preventing an increase in a symptom refers to both not allowing a symptom to increase or worsen, as well as reducing the rate of increase in the symptom.
- a symptom can be measured as the amount of particular disease marker, i.e. , a protein (e.g., cancer biomarker).
- the symptom can be cognitive decline.
- Preventing an increase means that the amount of symptom (e.g., protein or cognitive decline) does not increase or that the rate at which it increases is reduced.
- treating a disease or disorder refers to a slowing of or a reversal of the progress of the disease. Treating a disease or disorder includes treating a symptom and/or reducing the symptoms of the disease.
- Treatment of a disorder or disease implies that a disorder or disease is suspected or has been diagnosed in a patient/subject.
- a patient/subject suspected of suffering from a disorder or disease typically shows specific clinical and/or pathological symptoms which a skilled person can easily attribute to a specific pathological condition (i.e., diagnose a disorder or disease).
- Treatment of a disorder or disease may, for example, lead to a halt in the progression of the disorder or disease (e.g., no deterioration of symptoms) or a delay in the progression of the disorder or disease (in case the halt in progression is of a transient nature only).
- Treatment of a disorder or disease may also lead to a partial response (e.g., amelioration of symptoms) or complete response (e.g., disappearance of symptoms) of the subject/patient suffering from the disorder or disease.
- “Amelioration" of a disorder or disease may, for example, lead to a halt in the progression of the disorder or disease or a delay in the progression of the disorder or disease. Such a partial or complete response may be followed by a relapse. It is to be understood that a subject/patient may experience a broad range of responses to a treatment (e.g., the exemplary responses as described herein above).
- Treatment of a disorder or disease may, inter alia, comprise curative treatment (preferably leading to a complete response and eventually to healing of the disorder or disease) and palliative treatment (including symptomatic relief).
- preventing a disease or disorder refers to a slowing of the disease or of the onset of the disease or the symptoms thereof. Preventing a disease or disorder can include stopping the onset of the disease or symptoms thereof.
- a patient/subject suspected of being prone to suffer from a disorder or disease as defined herein may, in particular, benefit from a prevention of the disorder or disease.
- the subject/patient may have a susceptibility or predisposition for a disorder or disease, including but not limited to hereditary predisposition.
- a predisposition can be determined by standard assays, using, for example, genetic markers or phenotypic indicators.
- a disorder or disease to be prevented in accordance with the present invention has not been diagnosed or cannot be diagnosed in the patient/subject (for example, the patient/subject does not show any clinical or pathological symptoms).
- the term "prevention" comprises the use of compounds of the present invention before any clinical and/or pathological symptoms are diagnosed or determined or can be diagnosed or determined by the attending physician.
- unit dosage form refers to a physically discrete unit, such as a capsule or tablet suitable as a unitary dosage for a human patient.
- Each unit contains a predetermined quantity of a compound of Formula 1 or 2, which was discovered or believed to produce the desired pharmacokinetic profile which yields the desired therapeutic effect.
- the dosage unit is composed of a compound of Formula 1 in association with at least one pharmaceutically acceptable carrier, salt, excipient, or combination thereof.
- a 40 mg dose of a compound of Formula 1 or 2 refers to, in the case of a twice-daily dosage regimen, a situation where the individual takes 40 mg of a compound of Formula 1 or 2 twice a day, e.g., 40 mg in the morning and 40 mg in the evening.
- the 40 mg of a compound of Formula 1 or 2 dose can be divided into two or more dosage units, e.g., two 20 mg dosage units of a compound of Formula 1 or 2 in tablet form or two 20 mg dosage units of a compound of Formula 1 or 2 in capsule form.
- a "pharmaceutically acceptable prodrug” is a compound that may be converted under physiological conditions or by solvolysis to the specified compound or to a pharmaceutically acceptable salt of such compound.
- the present invention also encompasses pharmaceutically acceptable prodrugs of the compounds described and defined herein, in particular prodrugs of the compounds of Formula 1 or 2.
- Prodrugs of the compounds of Formula 1 or 2 are derivatives which have chemically or metabolically cleavable groups and become, by solvolysis or under physiological conditions, the compounds of the present invention which are pharmaceutically active in vivo.
- Prodrugs of compounds of Formula 1 or 2 according to the present invention may be formed in a conventional manner with a functional group of the compounds such as with an amino, hydroxy or carboxy group.
- the prodrug derivative form often offers advantages of solubility, tissue compatibility or delayed release in a mammalian organism (see, Bundgaard, H., Design of Prodrugs, pp.
- Prodrugs include acid derivatives well known to the person skilled in the art, such as, for example, esters prepared by reaction of the parent acidic compound with a suitable alcohol, or amides prepared by reaction of the parent acid compound with a suitable amine.
- an ester derivative prepared by reacting the carboxyl group with a suitable alcohol or an amide derivative prepared by reacting the carboxyl group with a suitable amine is exemplified as a prodrug.
- An especially preferred ester derivative as a prodrug is methylester, ethylester, n- propylester, isopropylester, n-butylester, isobutylester, tert-butylester, morpholinoethylester, ⁇ , ⁇ -diethylglycolamidoester or a-acetoxyethylester.
- a compound employed in the present invention has a hydroxy group
- an acyloxy derivative prepared by reacting the hydroxyl group with a suitable acylhalide or a suitable acid anhydride is exemplified as a prodrug.
- an amide derivative prepared by reacting the amino group with a suitable acid halide or a suitable mixed anhydride is exemplified as a prodrug.
- a "pharmaceutically active metabolite" is intended to mean a pharmacologically active product produced through metabolism in the body of a specified compound or salt thereof. Metabolites of a compound may be identified using routine techniques known in the art and their activities determined using tests such as those described herein.
- a "pharmaceutically acceptable salt” is intended to mean a salt that retains the biological effectiveness of the free acids and bases of the specified compound and that is not biologically or otherwise undesirable.
- a compound for use in the invention may possess a sufficiently acidic, a sufficiently basic, or both functional groups, and accordingly react with an of a number of inorganic or organic bases, and inorganic and organic acids, to form a pharmaceutically acceptable salt.
- Exemplary pharmaceutically acceptable salts include those salts prepared by reaction of the compounds of the present invention with a mineral or organic acid or an inorganic base, such as salts including sulfates, pyrosulfates. bisulfates.
- sulfites bisulfites, phosphates, monohydrophosphates, dihydrophosphates, metaphosphates, pyrophosphates, chlorides, bromides, iodides, acetates, propionates, decanoates, caprylates, acrylates, formates, isobutyrates, caproates, heptanoates.
- chlorobenzoates methylbenzoates, dinitrobenzoates, hydroxybenzoates, methoxybenzoates.
- n a p h t h a 1 e n e - 1 - s u 1 f o nates, naphthalene-2-sulfonates, and mandelates.
- a "pharmaceutically acceptable carrier” refers to a non-API (API refers to Active Pharmaceutical Ingredient) substances such as disintegrators, binders, fillers, and lubricants used in formulating pharmaceutical products. They are generally safe for administering to humans according to established governmental standards, including those promulgated by the United States Food and Dru Administration and the European Medical Agency.
- the present invention also embraces solid forms of the compounds of Formula 1 or 2 in any solvated form, including e.g. solvates with water, for example hydrates, or with organic solvents such as, e.g., methanol, ethanol or acetonitrile, i.e. as a methanolate, ethanolate or acetonitrilate, respectively; or in the form of any polymorph.
- substituents may be attached to the remainder of the molecule via a number of positions and the preferred positions are as illustrated in the Examples.
- the compounds of Formula 1 or 2 can contain asymmetric carbon atoms and can therefore exist in racemic and optically active forms.
- optical isomers or enantiomers, racemates, tautomers, and diastereomers of the compounds of Formula 1 or 2 are also encompassed in the present invention.
- the methods of the present invention include the use of all such isomers and mixtures thereof.
- racemic forms can be resolved by physical methods, such as, e.g., fractional crystallization, separation or crystallization of diastereomeric derivatives or separation by chiral column chromatography.
- the individual optical isomers can be obtained from the racemates using conventional methods, such as, e.g., salt formation with an optically active acid followed by crystallization.
- the present invention encompasses any isolated racemic or optically active form of compounds described in Formula 1 or 2, or any mixture thereof.
- the compounds of the invention have a trans configuration around the cyclopropyl ring as in trans- phenylcyclopropylamine.
- the compounds of the invention have a cis configuration around the cyclopropyl ring as in cis- phenylcyclopropylamine.
- the compounds of Formula 1 or 2 have the trans configuration.
- compounds according to Formula 1 or 2 can be effective at an amount of from about 0.01 ⁇ g/kg to about 100 mg/kg per day based on total body weight.
- the active ingredient may be administered at once, or may be divided into a number of smaller doses to be administered at predetermined intervals of time.
- the suitable dosage unit for each admini stration can be, e.g., from about 1 ⁇ g to about 2000 mg, preferably from about 5 ⁇ g to about 1000 mg.
- the therapeutically effective amount for each active compound can vary with factors including but not limited to the activity of the compound used, stability of the active compound in the patient's body, the severity of the conditions to be alleviated, the total weight of the patient treated, the route of administration, the ease of absorption, distribution, and excretion of the active compound by the body, the age and sensitivity of the patient to be treated, and the like, as will be apparent to a skilled artisan.
- the amount of administration can be adjusted as the various factors change over time.
- the active compounds can be incorporated into a formulation that includes pharmaceutical ly acceptable carriers such as binders (e.g., gelatin, cellulose, gum tragacanth), excipients (e.g., starch, lactose), lubricants (e.g., magnesium stearate, silicon dioxide), disintegratin agents (e.g., alginate, Primogel, and corn starch), and sweetening or flavoring agents (e.g., glucose, sucrose, saccharin, methyl salicylate, and peppermint ).
- the formulation can be orally delivered in the form of enclosed gelatin capsules or compressed tablets.
- Capsules and tablets can be prepared in any conventional techniques.
- the capsules and tablets can also be coated with various coatings known in the art to modify the flavors, tastes, colors, and shapes of the capsules and tablets.
- liquid carriers such as fatty oil can also be included in capsules.
- Suitable oral formulations can also be in the form of suspension, syrup, chewing gum, wafer, elixir, and the like. If desired, conventional agents for modifying flavors, tastes, colors, and shapes of the special forms can also be included.
- the active compounds can be dissolved in an acceptable lipophilic vegetable oil vehicle such as olive oil, corn oil and safflower oil.
- the active compounds can also be administered parenterally in the form of solution or suspension, or in lyophilized form capable of conversion into a solution or suspension form before use.
- diluents or pharmaceutically acceptable carriers such as sterile water and physiological saline buffer can be used.
- Other conventional solvents, pH buffers, stabilizers, anti-bacteria agents, surfactants, and antioxidants can all be included.
- useful components include sodium chloride, acetates, citrates or phosphates buffers, glycerin, dextrose, fixed oils, methyl parabens, polyethylene glycol, propylene glycol, sodium bisulfate, benzyl alcohol, ascorbic acid, and the like.
- the parenteral formulations can be stored in any conventional containers such as vials and ampoules.
- Topical administration examples include nasal, bucal, mucosal, rectal, or vaginal applications.
- the active compounds can be formulated into lotions, creams, ointments, gels, powders, pastes, sprays, suspensions, drops and aerosols.
- one or more thickening agents, humectants, and stabilizing agents can be included in the formulations. Examples of such agents include, but are not limited to, polyethylene glycol, sorbitol, xanthan gum, petrolatum, beeswax, or mineral oil, lanolin, squalene, and the like.
- a special form of topical administration is delivery by a transdermal patch. Methods for preparing transdermal patches are disclosed, e.g., in Brown, et al. (1988) Ann. Rev. Med. 39:221 -229 which is incorporated herein by reference.
- Subcutaneous implantation for sustained release of the active compounds may also be a suitable route of administration. This entails surgical procedures for implanting an active compound in any suitable formulation into a subcutaneous space, e.g., beneath the anterior abdominal wall. See, e.g., Wilson et al. (1984) J. Clin. Psych. 45 :242-247.
- Hydrogels can be used as a carrier for the sustained release of the active compounds. Hydrogels are generally known in the art. They are typically made by crosslinking high molecular weight biocompatible polymers into a network, which swells in water to form a gel like material. Preferably, hydrogels are biodegradable or biosorbable.
- hydrogels made of polyethylene glycols, collagen, or poly(glycolic-co-L-lactic acid) may be useful. See, e.g., Phill ips et al. (1984) J. Pharmaceut. Sci. , 73 : 1718-1720.
- the compounds of Formula 1 or 2 or the pharmaceutical compositions comprising a compound of Formula 1 or 2 and a pharmaceutically acceptable carrier may be administered to a subject by any convenient route of administration, whether systemically/peripherally or at the site of desired action, including but not limited to one or more of: oral (e.g. as a tablet, capsule, or as an ingestible solution), topical (e.g., transdermal, intranasal, ocular, buccal, and sublingual), parenteral (e. g., using injection techniques or infusion techniques, and including, for example, by injection, e.g.
- oral e.g. as a tablet, capsule, or as an ingestible solution
- topical e.g., transdermal, intranasal, ocular, buccal, and sublingual
- parenteral e. g., using injection techniques or infusion techniques, and including, for example, by injection, e.g.
- implant of a depot for example, subcutaneously or intramuscularly
- pulmonary e.g., by inhalation or insufflation therapy using, e.g., an aerosol, e.g. through mouth or nose
- the active compounds can also be conjugated, to a water soluble non- immunogenic non-peptidic high molecular weight polymer to form a polymer conjugate.
- an active compound is covalently linked to polyethylene glycol to form a conjugate.
- a conjugate exhibits improved solubility, stability, and reduced toxicity and immunogenicity.
- the active compound in the conjugate can have a longer half-life in the body, and exhibit better efficacy. See generally, Burnham (1994) Am. J. Hosp. Pharm. 15 :210-218. PEGylated proteins are currently being used in protein replacement therapies and for other therapeutic uses.
- PEGylated interferon PEG-INT ON A®
- PEGylated adenosine deaminase ADAGEN®
- SCIDS severe combined immunodeficiency disease
- PEGylated L-asparaginase ONCAPSPAPv®
- ALL acute lymphoblastic leukemia
- Controlled release of an active compound can also be achieved by incorporating the active ingredient into microcapsules, nanocapsules, or hydrogels generally known in the art.
- Other pharmaceutically acceptable prodrugs of the compounds of this invention include, but are not limited to, esters, carbonates, thiocarbonates, N-acyl derivatives, N-acyloxyalkyl derivatives, quaternary derivatives of tertiary amines, N-Mannich bases, Schiff bases, amino acid conjugates, phosphate esters, metal salts and sulfonate esters.
- Liposomes can also be used as carriers for the active compounds of the present invention.
- Liposomes are micelles made of various lipids such as cholesterol, phospholipids, fatty acids, and derivatives thereof. Various modified lipids can also be used. Liposomes can reduce the toxicity of the active compounds, and increase their stability. Methods for preparing liposomal suspensions containing active ingredients therein are generally known in the art. See, e.g., U.S. Patent No. 4,522,81 1 ; Prescott, Ed., Methods in Cell Biology, Volume XIV, Academic Press, New York, N. Y. (1976).
- the active compounds can also be administered in combination with another active agent that synergistically treats or prevents the same symptoms or is effective for another disease or symptom in the patient treated so long as the other active agent does not interfere with or adversely affect the effects of the active compounds of this invention.
- Such other active agents include but are not limited to anti-inflammation agents, antiviral agents, antibiotics, antifungal agents, antithrombotic agents, cardiovascular drugs, cholesterol lowering agents, anti-cancer drugs, hypertension drugs, and the l ike.
- antineoplastic agents that can be used in combination with the compounds and methods of the present invention include, in general, and as appropriate, alkylating agents, anti-metabolites.
- epidophyllotoxins antineoplastic enzymes, topoisomerase inhibitors, procarbazines, mitoxantrones. platinum coordination complexes, biological response modifiers and growth inhibitors, hormonal/anti-hormonal therapeutic agents and haematopoietic growth factors.
- antineoplastic include the anthracycl ines, vinca drugs, mitomycins, bleomycins, cytotoxic nucleosides, epothilones, discodermolides, pteridines, diynenes and podophyllotoxins .
- Particularly useful members of those classes include, for example, carminomycin, daunorubicin, aminopterin, methotrexate, methopterin, dichloromethotre ate. mitomycin C, porfiromycin, 5- fluorouracil, 6-mercaptopurine. gemcitabine, cytosine arabinoside. podophyllotoxin or podo-phyllotoxin derivatives such as etoposide, etoposide phosphate or teniposide, melphalan, vinblastine, vincristine, leurosidine, vindesine, leurosine, paclitaxel and the like.
- antineoplastic agents include estramustine, carboplatin, cyclophosphamide, bleomycin, gemcitibine, ifosamide, melphalan, hexamethyl melamine, thiotepa, cytarabin, idatrexate, trimetrexate, dacarbazine, L-asparaginase, camptothecin, CPT-1 1 , topotecan, ara-C, bicalutamide, flutamide, leuprolide, pyridobenzoindole derivatives, interferons and interleukins.
- the compound of the present invention in particular the compound of Formula 1 or 2 can be used in combination with other therapeutic agents.
- the dose of each compound may differ from that when the compound is used alone.
- the combination of a compound of this invention with (an) other drug(s) may comprise the administration of the drug(s) with the compound of the invention.
- Such an administration may comprise simultaneous/concomitant administration.
- sequential/separate administration is also envisaged.
- the second therapeutic agent to be administered in combination with the compound of the present invention is an anticancer drug.
- the anticancer drug to be administered in combination with the compound of the invention may be: a tumor angiogenesis inhibitor (for example, a protease inhibitor, an epidermal growth factor receptor kinase inhibitor, or a vascular endothelial growth factor receptor kinase inhibitor); a cytotoxic drug (for example, an antimetabolite, such as purine and pyrimidine analogue antimetabolites); an antimitotic agent (for example, a microtubule stabilizing drug or an antimitotic alkaloid); a platinum coordination complex; an antitumor antibiotic; an alkylating agent (for example, a nitrogen mustard or a nitrosourea); an endocrine agent (for example, an adrenocorticosteroid, an androgen, an anti-androgen, an estrogen, an anti-estrogen, an aromatase inhibitor, a gonadotropin-releasing hormone agonist, or a somatostatin analogue); or a compound that targets an enzyme or receptor
- An alkylating agent which can be used as an anticancer drug in combination with a compound of the present invention may be, for example, a nitrogen mustard (such as cyclophosphamide, mechlorethamine (chlormethine), uramustine, melphalan, chlorambucil, ifosfamide, bendamustine, or trofosfamide). a nitrosourea (such as carmustine.
- a nitrogen mustard such as cyclophosphamide, mechlorethamine (chlormethine), uramustine, melphalan, chlorambucil, ifosfamide, bendamustine, or trofosfamide.
- a nitrosourea such as carmustine.
- streptozocin fotemustine, lomustine, nimustine, prednimustine, ranimustine, or semustine
- an alkyl sulfonate such as busulfan, mannosulfan, or treosulfan
- an aziridine such as hexamethylmelamine (altretamine), triethylenemelamine, ThioTEPA ( ⁇ , ⁇ ' ⁇ '- triethylenethiophosphoramide), carboquone, or triaziquone
- a hydrazine such as procarbazine
- a triazene such as dacarbazine
- an imidazotetrazines such as temozolomide
- a platinum coordination complex which can be used as an anticancer drug in combination with a compound of the present invention may be, for example, cisplatin, carboplatin, nedaplatin, oxaliplatin, satraplatin, or triplatin tetranitrate.
- a cytotoxic drug which can be used as an anticancer drug in combination with a compound of the present invention may be, for example, an antimetabolite, including folic acid analogue antimetabolites (such as aminopterin, methotrexate, pemetrexed, or raltitrexed), purine analogue antimetabolites (such as cladribine, clofarabine, fludarabine, 6-mercaptopurine (including its prodrug form azathioprine), pentostatin, or 6-thioguanine), and pyrimidine analogue antimetabolites (such as cytarabine, decitabine, 5-fluorouracil (including its prodrug forms capecitabine and tegafur), floxuridine, gemcitabine, enocitabine, or sapacitabine).
- folic acid analogue antimetabolites such as aminopterin, methotrexate, pemetrexed, or raltitrexed
- An antimitotic agent which can be used as an anticancer drug in combination with a compound of the present invention may be, for example, a taxane (such as docetaxel, larotaxel, ortataxel, paclitaxel/taxol, or tesetaxel), a Vinca alkaloid (such as vinblastine, vincristine, vinflunine, vindesine, or vinorelbine).
- a taxane such as docetaxel, larotaxel, ortataxel, paclitaxel/taxol, or tesetaxel
- a Vinca alkaloid such as vinblastine, vincristine, vinflunine, vindesine, or vinorelbine
- an epothilone such as epothilone A, epothilone B.
- epothilone C epothilone C, epothilone D, epothilone E, or epothilone F
- epothilone B analogue such as ixabepilone/azaepothilone B
- An anti-tumor antibiotic which can be used as an anticancer drug in combination with a compound of the present invention may be, for example, an anthracycline (such as aclarubicin, daunorubicin, doxorubicin, epirubicin, idarubicin, amrubicin, pirarubicin, valrubicin, or zorubicin), an anthracenedione (such as mitoxantrone, or pixantrone) or an anti-tumor antibiotic i solated from Streptomyces (such as actinomycin (including actinomycin D ). bleomycin, mitomycin (including mitomycin C), or plicamycin).
- an anthracycline such as aclarubicin, daunorubicin, doxorubicin, epirubicin, idarubicin, amrubicin, pirarubicin, valrubicin, or zorubicin
- a tyrosine kinase inhibitor which can be used as an anticancer drug in combination with a compound of the present invention may be, for example, axitinib, bosutinib, cediranib, dasatinib, erlotinib, gefitinib, imatinib, lapatinib, lestaurtinib, nilotinib, semaxanib, sorafenib, sunitinib, or vandetanib.
- a topoisomerase-inhibitor which can be used as an anticancer drug in combination with a compound of the present invention may be, for example, a topoisomerase 1 inhibitor (such as irinotecan, topotecan, camptothecin, beiotecan, rubitecan, or lamellarin D) or a topoisomerase II inhibitor (such as amsacrine, etoposide, etoposide phosphate, teniposide, or doxorubicin).
- a topoisomerase 1 inhibitor such as irinotecan, topotecan, camptothecin, beiotecan, rubitecan, or lamellarin D
- a topoisomerase II inhibitor such as amsacrine, etoposide, etoposide phosphate, teniposide, or doxorubicin.
- anticancer drugs may be used in combination with a compound of the present invention.
- the anticancer drugs may comprise biological or chemical molecules, like TNF-related apoptosis-inducing ligand (TRAIL), tamoxifen, amsacrine, bexarotene, estramustine, irofulven, trabectedin, cetuximab, panitumumab, tositumomab, alemtuzumab, bevacizumab, edrecolomab, gemtuzumab, alvocidib, seliciclib, aminolevulinic acid, methyl aminolevulinate, efaproxiral, porfimer sodium, talaporfin, temoporfin, verteporfin, alitretinoin, tretinoin, anagrelide, arsenic trioxide, atrasentan, bortezomib, carmofur, cele
- biological drugs like antibodies, antibody fragments, antibody constructs (for example, single-chain constructs), and/or modified antibodies (like CDR-grafted antibodies, humanized antibodies, "full humanized” antibodies, etc.) directed against cancer or tumor markers/factors/cytokines involved in proliferative diseases can be employed in co-therapy approaches with the compounds of the invention.
- biological molecules are anti-HER2 antibodies (e.g. trastuzumab, Herceptin®), anti-CD20 antibodies (e.g.
- the combinations referred to above may conveniently be presented for use in the form of a pharmaceutical formulation.
- the individual components of such combinations may be administered either sequentially or simultaneously/concomitantly in separate or combined pharmaceutical formulations by any convenient route.
- administration is sequential, either the present compound or the second therapeutic agent may be administered first.
- administration is simultaneous, the combination may be administered either in the same or different pharmaceutical composition.
- the two compounds When combined in the same formulation it will be appreciated that the two compounds must be stable and compatible with each other and the other components of the formulation.
- the compounds of the present invention in particular the compounds of Formula 1 or 2 are administered in combination with physical thera y, such as radiotherapy.
- Radiotherapy may commence before, after, or simultaneously with administration of the compounds.
- radiotherapy may commence 1 to 10 minutes, 1 to 10 hours or 24 to 72 hours after administration of the compounds. Yet. these time frames are not to be construed as limiting.
- the subject is exposed to radiation, preferably gamma radiation, whereby the radiation may be provided in a single dose or in multiple doses that are administered over several hours, days and/or weeks.
- Gamma radiation may be delivered according to standard radiotherapeutic protocols using standard dosages and regimens.
- the compounds of the present invention may be used to render cells, in particular undesired proliferative/hyperproliferative cells like cancer or tumor cells, more susceptible to such a physical therapy, e.g. radiotherapy.
- the present invention relates to a compound of Formula 1 or a pharmaceutically acceptable salt or solvate thereof, or a pharmaceutical composition comprising any of the aforementioned entities in combination with a pharmaceutically acceptable carrier, for use in the treatment or prevention of cancer, whereby the compound or the pharmaceutical composition is to be administered in combination with an anti-proliferative drug, an anticancer drug, a cytostatic drug, a cytotoxic drug and/or radiotherapy.
- the "subject", “patient” or “individual”, such as the subject in need of treatment or prevention may be an animal, a vertebrate animal, a mammal, a rodent (e.g.
- a guinea pig, a hamster, a rat, a mouse a murine
- a murine e.g. a mouse
- a canine e.g. a dog
- a feline e.g. a cat
- an equine e.g. a horse
- a primate e.g. a simian (e.g. a monkey or ape), a monkey (e.g. a marmoset, a baboon), an ape (e. g. gorilla, chimpanzee, orangutan, gibbon), or a human.
- the subj ect/patient/ individual is a mammal. More preferably, the subject/patient/individual is a human.
- the compounds of the invention can be synthesized by the general route described in Schemes 1 , 2, 3 , 4 and 5. Note that the compounds formula (I) and formula (II) as described below in the synthetic description and schemes are intended to be different than the compounds of Formula 1 and compounds of Formula 2 as described above in the embodiments/aspects of the invention (or in the claims).
- nitro derivatives of formula (I) are subjected to a cyclopropanation reaction using trimethylsulfoxonium iodide and potassium tert-butylate.
- the nitro group of the resulting nitrocyclopropyl derivatives of formula (II) are then reduced using zinc in hydrochloric acid to afford the cyclopropylamino derivatives of formula (III).
- These compounds of formula (III) can react with t-butyl dicarbonate at room temperature using triethylamine as a base and tetrahydrofuran as a solvent leading intermediate of formula (IV).
- nitro derivatives of formula (I) are subjected to a cyclopropanation reaction using trimethylsulfoxonium iodide and potassium tert-butylate.
- the nitro group of the resulting nitrocyclopropyl derivatives of formula (II) are then reduced using zinc in hydrochloric acid to afford the cyclopropylamino derivatives of formula (III).
- These compounds of formula (III) can react with commercially available ketones of formula (XIV), using sodium triacetoxyborohydride as reductive agent and dichloroethane as solvent to get derivatives of formula (XV), which are also subject of the present invention.
- the A-group can be an aryl group, which is exemplified in the Examples as a phenyl group and the A-group can also be for example a heteroaryl group (e.g., pyridyl or other heteroaryl).
- a heteroaryl group e.g., pyridyl or other heteroaryl.
- the skilled artisan can readily modify the synthetic schemes described herein to make compounds which have heteroaryl groups in the A-position.
- the program used to generate the names corresponding to the structures in the Example compounds below was ChemBioDraw Ultra version 1 1.0.1 by CambridgeSoft. In the case of conflict between a name and a drawn structure, the drawing controls the definition.
- This program named the molecules as the (I S, 2R) configuration due to the configuration of the input structure and the "trans" term has been substituted in the place of the (I S, 2R) term specified by the program.
- the structures depicted below for the Example compounds below are shown as having one particular stereochemical configuration around the cyclopropyl carbon atoms of the phenylcyclopropylamine core (I S, 2R).
- the invention relates to compounds that have specific stereochemical configurations around the cyclopropyl ring e.g., trans (( 1 R, 2S) and ( I S, 2R)) and cis ((1 R, 2R) and (I S, 2S)) or the individual diastereomers thereof.
- a preferred stereochemical configuration around the cyclopropyl ring of phenylcyclopropylamine is trans.
- the compounds of the examples can also be synthesized or provided in a salt form.
- the skilled artisan is aware and capable of making salt forms and/or converting salt forms of the compounds of the invention including those of the Examples.
- the compounds of the invention, including those of the Examples can be more stable as salt forms as compared to free base.
- Trimethylsulfoxonium iodide (0.62 g, 2.82 mmol) was added in portions to a solution of i-BuOH (0.32 g, 2.82 mmol) in dry DMSO (5 mL). After 10 min a solution of l -(benzyloxy)-4-[(E)-2-nitrovinyl]benzene (0.60 g, 2.35 mmol) in DMSO (5 mL) was transferred via canula and the mixture was stirred at room temperature for 6 h. The reaction was poured over water (10 mL) and extracted with Et;0 (3x 10 mL); the organic layers were washed with brine (2x15 mL), dried over anhydrous Na 2 S0 and filtered.
- Boc 2 0 (1.65 equiv) was added to a solution of (Trans)-2-[4- (benzyloxy)phenyl]cyclopropanamine (Intermediate D; 1 equiv.) and Et 3 N (1.65 equiv) in THF and stirred for 3 h. After removal of the solvent, the crude residue was dissolved in EtOAc and consecutively washed with water and HCl ( 10% aqueous solution) and brine. The organic layer was dried over anhydrous Na 2 S0 4 and filtered; after removal of the solvent, the residue was purified by column chromatography on silica gel (10-20% EtOAc/Hexanes), affording the target compound (Yield 78%).
- Boc 2 0 (1 .65 equiv) was added to a solution of (trans)-2-(4- bromophenyl)cyclopropanamine ( Intermediate G; 1 equiv. ) and Et 3 N (1.65 equiv) in THF and stirred for 3 h. After removal of the solvent, the crude residue was dissolved in EtOAc and consecutively washed with water and HCl (10% aqueous solution) and brine.
- Trimethylsulfoxonium iodide (0.76 g, 3.44 mmol) was added in small portions to a suspension of NaH 0.14 g (60%> in mineral oil), 3.44 mmol] in dry DMSO (5 mL). The mixture was stirred until gas evolution ceased and a clear solution was formed (45 min). Then, a solution of (E)- l -((2- methoxyethoxy)methoxy)-4-(2-nitrovinyl)benzene (Intermediate J, 0.73 g, 2.86 mmol) in DMSO (5 mL) was transferred via cannula and the reaction was stirred for additional 20 h.
- Boc 2 0 (94 mg, 0.43 mmol) was added to a solution of 4-((trans)-2- aminocyclopropyl)phenol (Intermediate M, 0.26 mmol) and Et 3 N (59 iL, 0.43 mmol) in THF (4 mL) and stirred for 3 h. After removal of the solvent, the crude residue was dissolved in EtOAc ( 1 0 mL) and consecutively washed with [water (5 mL) and HC1 ( 10% aqueous solution, 1 mL)] and brine (5 mL).
- ⁇ - M R (CDCI 3 , 250 MHz, ⁇ ): 1.10- 1 .02 (m, 2H), 1 .46 (s, 9H), 1.99- 1 .94 (m, 1H), 2.66 (br, 1H), 4.90 (br, 1 H), 6.46 (br, 1H), 6.69 (d, 2H), 6.93 (d, 2H).
- Example 8 7-methoxy-N-((trans)-2-phenylcyclopropyl)-l,2,3,4- tetrahydronaphthalen- 1 -amine
- Step 1
- Step 3
- Step 1
- Step 3
- Example 17 (Trans)-2-(3'-chlorobiphenyl-4-yl)-N-(2- cyclohexylethyl)cyclopropanamine.
- Example 18 (Trans)-2-(4'-chlorobiphenyl-4-yl)-N-(2- cyclohexylethyOcyclopropanaminc.
- Example 20 N-((trans)-2-(4-(benzyloxy)phenyl)cyclopropyl)-7-methoxy- 1 ,2,3,4-tetrahydronaphthalen- 1 -amine.
- the compounds of the invention can be tested for their ability to inhibit LSD l .
- the ability of the compounds of the invention to inhibit LSD l can be tested as follows. Human recombinant LSD l protein was purchased from BPS Bioscience Inc. In order to monitor LSD l enzymatic activity and/or its inhibition rate by our inhibitor(s) of interest, di-methylated H3-K4 peptide (Millipore) was chosen as a substrate. The demethylase activity was estimated, under aerobic conditions, by measuring the release of H 2 O 2 produced during the catalytic process, using the Amplex® Red peroxide/peroxidase-coupled assay kit (Invitrogen).
- Amplex® Red reagent and horseradish peroxidase (HPR) solution were added to the reaction according to the recommendations provided by the supplier (Invitrogen), and left to incubate for 30 extra minutes at room temperature in the dark.
- a 1 ⁇ H 0 2 solution was used as a control of the kit efficiency.
- the maximum demethylase activity of LSD l was obtained in the absence of inhibitor and corrected for background fluorescence in the absence of LSDl .
- the Ki (IC50) of each inhibitor was estimated at half of the maximum activity.
- Example 23 Biological Assays - Monoamine Oxidase Assays for determining the selectivity of the compounds of the invention for LSD l
- MAO-A and MAO-B Human recombinant monoamine oxidase proteins MAO-A and MAO-B were purchased from Sigma Aldrich. MAOs catalyze the oxidative deamination of primary, secondary and tertiary amines. In order to monitor MAO enzymatic activities and/or their inhibition rate by inhibitor(s) of interest, a fluorescent-based (inhibitor)-screening assay was set up. 3-(2-Aminophenyl)-3-oxopropanamine (kynuramine dihydrobromide, Sigma Aldrich), a non fluorescent compound was chosen as a substrate. ynuramine is a non-specific substrate for both MAOs activities.
- kynuramine While undergoing oxidative deamination by MAO activities, kynuramine is converted into 4-hydroxyquinoline (4-HQ), a resulting fluorescent product.
- the monoamine oxidase activity was estimated by measuring the conversion of kynuramine into 4-hydroxyquinoline. Assays were conducted in 96-well black plates with clear bottom (Corning) in a final volume of 100 ⁇ ,.
- the assay buffer was 100 mM HEPES, pH 7.5. Each experiment was performed in triplicate within the same experiment.
- kynuramine was added to each reaction for MAO-B and MAO-A assay respectively, and the reaction was left for 1 hour at 37°C in the dark.
- the oxidative deamination of the substrate was stopped by adding 50 ⁇ , (v/v) of NaOH 2N.
- the conversion of kynuramine to 4-hydroxyquinoline was monitored by fluorescence (excitation at 320 nm, emission at 360 nm) using a microplate reader (Infinite 200, Tecan). Arbitrary units were used to measure levels of fluorescence produced in the absence and/or in the presence of inhibitor.
- the maximum of oxidative deamination activity was obtained by measuring the amount of 4-hydroxyquinoline formed from kynuramine deamination in the absence of inhibitor and corrected for background fluorescence in the absence of MAO enzymes.
- the Ki (IC50) of each inhibitor was determined at Vmax/2.
- Table 1 Summary of Data from MAO-A, MAO-B, and LSD 1 Inhibition Studies Example No. MAO-A (Ki) MAO-B (Ki) LSD 1 (Ki)
- Ki IC50
- MAO-A IC50
- MAO-B IC50
- LSD l Ki values were in the nanomolar and low nanomolar range.
- Trans-2-phenylcyclopropylamine tranylcypromine
- LSD l selective inhibitors have Ki values for LSD l which are at least 2-fold lower than the Ki value for MAO-A and/or MAO-B.
- the compounds of the invention are unexpectedly potent LSD l inhibitors and unexpectedly selective for LSD l as compared to MAO-A and MAO-B.
- Some compounds of the invention have MAO-B activity and may be useful for treating or preventing diseases treatable by MAO-B inhibition like depression and neurodegenerative diseases like Parkinson's disease, Alzheimer's disease, and Huntington' s disease.
- the human colon cancer cell line HCT1 16 was obtained from the American Type Culture Collection (ATCC; CCL-247).
- the HCT1 16 cell line was maintained in DMEM GlutaMAX (Invitrogen) supplemented with 10% fetal calf serum.
- AlamarBlue Assay Cells were plated in 96-well plates at a density of 6000 cells/well in 100 ⁇ medium 24 h before addition of drugs. They were then added in concentrations from 100 ⁇ to 0.45 nM (each concentration in triplicate). To do so, a drugs -dilution plate at twice the screening concentrations was prepared. 72 hours later, alamarBlue (Biosource, Invitrogen) viability assay was performed following manufacturer's protocol. In brief, alamarBlue diluted in media was added to cells to have a 5% solution. Cells were incubated at 37 °C, 3 hours and at room temperature, 30 min. Cells with no drug and, cells with no drug and lysed with triton X-100 were used as controls.
- Example compound no. 1 Fluorescence was monitored at 530 nm excitation and 590 nm emission wavelengths. Results were quantified using Infinite F200 Microplate Reader (Tecan Group, Ltd.). EC50 were calculated as the dose of drugs required to inhibit cell growth by 50%, with Origin 7.0 computer program. The EC 50 value ( ⁇ ) obtained for Example compound no. 1 was about 37.7 ⁇ , for Example compound no. 2 about 50 ⁇ , for Example compound no. 3 about 37 ⁇ , for Example no. 9 about 35.1 ⁇ , for Example 1 1 about 22.3 ⁇ , Example 12 about 63.8 ⁇ , and for Example 15 about 13.3 ⁇ .
- phenylcyclopropylamine derivatives with alkyl groups substituting the amine wherein the alkyl groups are substituted with carbocycles and cycloalkyls are unexpectedly good inhibitors of LSD 1 .
- the compounds of the invention have good activity in cell viability assays in cancer cell lines.
- Previous reports of LSD l have found that it is involved in cell proliferation and growth. Some studies have implicated LSD l as a therapeutic target for cancer. Huang et al. (2007) PNAS 104:8023-8028 found that polyamine inhibitors of LSD l modestly cause the reexpression of genes aberrantly silenced in cancer cells and particularly colorectal cancer (Huang et al. Clin Cancer Res.
- LSD l is a therapeutic target for cancer.
- the instant inventors have discovered a class of LSD 1 inhibitors that can be used to treat diseases where LSD 1 is implicated as a therapeutic target like cancer. Accordingly, the phenylcyclopropylamine compounds of the invention can be used to treat such diseases.
- LSD 1 in viral infection and reactivation.
- pharmacological inhibitors of LSD 1 like parnate and siRNA knock down of LSD 1 caused reduced viral infectivity and reduced reactivation after latency (Liang et al. (2009) Nat. Med. 15 : 1312- 1317). Therefore it is believed that the compounds of the invention can be used for treating or preventing viral infection. Furthermore, it is believed that the compounds of the invention can treat or prevent viral reactivation after latency.
- the results of the instant invention show that further modifications to the aryl cyclopropylamine core as described herein can result in potent LSD l inhibitors.
- Also contemplated as potent selective LSD l inhibitors of the invention are heteroarylcyclopropyl amine derivatives (compounds of Formula 1 wherein (A) is a heteroaryl or of Formula 2 wherein (W) is a heteroaryl).
- the Examples show compounds which selectively inhibit LSD l compared to MAO-A and MAO-B.
- the inventors have identified a new class of aryl- and heteroaryl eye lopropyl amine containing LSD 1 inhibitors with unexpected potency and selectivity for LSD 1 , a biologically relevant target in oncology.
Landscapes
- Chemical & Material Sciences (AREA)
- Organic Chemistry (AREA)
- Health & Medical Sciences (AREA)
- Life Sciences & Earth Sciences (AREA)
- Animal Behavior & Ethology (AREA)
- General Health & Medical Sciences (AREA)
- Public Health (AREA)
- Veterinary Medicine (AREA)
- Medicinal Chemistry (AREA)
- Pharmacology & Pharmacy (AREA)
- Nuclear Medicine, Radiotherapy & Molecular Imaging (AREA)
- Virology (AREA)
- Epidemiology (AREA)
- Chemical Kinetics & Catalysis (AREA)
- General Chemical & Material Sciences (AREA)
- Oncology (AREA)
- Communicable Diseases (AREA)
- Engineering & Computer Science (AREA)
- Molecular Biology (AREA)
- Biomedical Technology (AREA)
- Pathology (AREA)
- Radiology & Medical Imaging (AREA)
- Tropical Medicine & Parasitology (AREA)
- Bioinformatics & Cheminformatics (AREA)
- Pulmonology (AREA)
- AIDS & HIV (AREA)
- Biotechnology (AREA)
- Acyclic And Carbocyclic Compounds In Medicinal Compositions (AREA)
- Organic Low-Molecular-Weight Compounds And Preparation Thereof (AREA)
- Pharmaceuticals Containing Other Organic And Inorganic Compounds (AREA)
- Pyridine Compounds (AREA)
- Immobilizing And Processing Of Enzymes And Microorganisms (AREA)
- Preparation Of Compounds By Using Micro-Organisms (AREA)
Abstract
Description
Claims
Priority Applications (21)
| Application Number | Priority Date | Filing Date | Title |
|---|---|---|---|
| SI201131034A SI2560947T1 (en) | 2010-04-19 | 2011-04-19 | Lysine specific demethylase-1 inhibitors and their use |
| HRP20161748TT HRP20161748T1 (en) | 2010-04-19 | 2011-04-19 | LYSINSPECIFIC DEMETHYLASE-1 INHIBITORS AND THEIR USE |
| RS20160943A RS55348B1 (en) | 2010-04-19 | 2011-04-19 | LYSINE INHIBITORS SPECIFIC DEMETHYLASE-1 AND THEIR USE |
| BR112012026694A BR112012026694A2 (en) | 2010-04-19 | 2011-04-19 | lysine 1-specific demethylase inhibitors and their use |
| ES11723284.3T ES2607081T3 (en) | 2010-04-19 | 2011-04-19 | Lysine-1 specific demethylase inhibitors and their use |
| BR122019020471-3A BR122019020471B1 (en) | 2010-04-19 | 2011-04-19 | LYSINE 1-SPECIFIC DEMETHYLASE INHIBITORS, THEIR USES AND METHOD FOR THEIR IDENTIFICATION, AND PHARMACEUTICAL COMPOSITIONS |
| JP2013505467A JP5868948B2 (en) | 2010-04-19 | 2011-04-19 | Lysine-specific demethylase 1 inhibitor and use thereof |
| CA2796726A CA2796726C (en) | 2010-04-19 | 2011-04-19 | Lysine specific demethylase-1 inhibitors and their use |
| LTEP11723284.3T LT2560947T (en) | 2010-04-19 | 2011-04-19 | Lysine specific demethylase-1 inhibitors and their use |
| MX2012012111A MX2012012111A (en) | 2010-04-19 | 2011-04-19 | Lysine specific demethylase-1 inhibitors and their use. |
| KR1020127030169A KR101794020B1 (en) | 2010-04-19 | 2011-04-19 | Lysine specific demethylase-1 inhibitors and their use |
| EP11723284.3A EP2560947B1 (en) | 2010-04-19 | 2011-04-19 | Lysine specific demethylase-1 inhibitors and their use |
| AU2011244325A AU2011244325B2 (en) | 2010-04-19 | 2011-04-19 | Lysine specific demethylase-1 inhibitors and their use |
| US13/641,916 US8722743B2 (en) | 2010-04-19 | 2011-04-19 | Lysine specific demethylase-1 inhibitors and their use |
| RU2012148758/04A RU2599248C2 (en) | 2010-04-19 | 2011-04-19 | Lysin-specific demethylase-1 inhibitors and use thereof |
| CN201180030177.0A CN102947265B (en) | 2010-04-19 | 2011-04-19 | Methionin specific demethylase-1 inhibitor and application thereof |
| DK11723284.3T DK2560947T3 (en) | 2010-04-19 | 2011-04-19 | LYSINE-SPECIFIC demethylase-1 INHIBITORS AND THEIR USE |
| IL222361A IL222361A (en) | 2010-04-19 | 2012-10-11 | Lysine specific demethylase-1 inhibitors and their use |
| US14/228,083 US9149447B2 (en) | 2010-04-19 | 2014-03-27 | Lysine specific demethylase-1 inhibitors and their use |
| US14/843,095 US10202330B2 (en) | 2010-04-19 | 2015-09-02 | Lysine specific demethylase-1 inhibitors and their use |
| CY20161101304T CY1118344T1 (en) | 2010-04-19 | 2016-12-16 | SAFETY INHIBITORS-1 SPECIAL FOR SOLUTION AND USE OF THEM |
Applications Claiming Priority (2)
| Application Number | Priority Date | Filing Date | Title |
|---|---|---|---|
| EP10160315 | 2010-04-19 | ||
| EP10160315.7 | 2010-04-19 |
Related Child Applications (2)
| Application Number | Title | Priority Date | Filing Date |
|---|---|---|---|
| US13/641,916 A-371-Of-International US8722743B2 (en) | 2010-04-19 | 2011-04-19 | Lysine specific demethylase-1 inhibitors and their use |
| US14/228,083 Division US9149447B2 (en) | 2010-04-19 | 2014-03-27 | Lysine specific demethylase-1 inhibitors and their use |
Publications (1)
| Publication Number | Publication Date |
|---|---|
| WO2011131697A1 true WO2011131697A1 (en) | 2011-10-27 |
Family
ID=44280905
Family Applications (1)
| Application Number | Title | Priority Date | Filing Date |
|---|---|---|---|
| PCT/EP2011/056279 Ceased WO2011131697A1 (en) | 2010-04-19 | 2011-04-19 | Lysine specific demethylase-1 inhibitors and their use |
Country Status (22)
| Country | Link |
|---|---|
| US (3) | US8722743B2 (en) |
| EP (2) | EP2560947B1 (en) |
| JP (1) | JP5868948B2 (en) |
| KR (1) | KR101794020B1 (en) |
| CN (1) | CN102947265B (en) |
| AU (1) | AU2011244325B2 (en) |
| BR (2) | BR122019020471B1 (en) |
| CA (1) | CA2796726C (en) |
| CY (1) | CY1118344T1 (en) |
| DK (1) | DK2560947T3 (en) |
| ES (1) | ES2607081T3 (en) |
| HR (1) | HRP20161748T1 (en) |
| HU (1) | HUE030938T2 (en) |
| IL (1) | IL222361A (en) |
| LT (1) | LT2560947T (en) |
| MX (1) | MX2012012111A (en) |
| PL (1) | PL2560947T3 (en) |
| PT (1) | PT2560947T (en) |
| RS (1) | RS55348B1 (en) |
| RU (1) | RU2599248C2 (en) |
| SI (1) | SI2560947T1 (en) |
| WO (1) | WO2011131697A1 (en) |
Cited By (60)
| Publication number | Priority date | Publication date | Assignee | Title |
|---|---|---|---|---|
| WO2012042042A1 (en) * | 2010-09-30 | 2012-04-05 | Oryzon Genomics S.A. | Selective lsd1 and dual lsd1/mao-b inhibitors for modulating diseases associated with alterations in protein conformation |
| WO2012072713A2 (en) | 2010-11-30 | 2012-06-07 | Oryzon Genomics, S.A. | Lysine demethylase inhibitors for diseases and disorders associated with flaviviridae |
| WO2012107499A1 (en) | 2011-02-08 | 2012-08-16 | Oryzon Genomics S.A. | Lysine demethylase inhibitors for myeloproliferative or lymphoproliferative diseases or disorders |
| WO2012107498A1 (en) | 2011-02-08 | 2012-08-16 | Oryzon Genomics S.A. | Lysine demethylase inhibitors for myeloproliferative disorders |
| WO2012156531A2 (en) | 2011-05-19 | 2012-11-22 | Oryzon Genomics, S.A. | Lysine demethylase inhibitors for inflammatory diseases or conditions |
| WO2012156537A2 (en) | 2011-05-19 | 2012-11-22 | Oryzon Genomics, S.A. | Lysine demethylase inhibitors for thrombosis and cardiovascular diseases |
| WO2013057320A1 (en) * | 2011-10-20 | 2013-04-25 | Oryzon Genomics, S.A. | (hetero)aryl cyclopropylamine compounds as lsd1 inhibitors |
| WO2013057322A1 (en) * | 2011-10-20 | 2013-04-25 | Oryzon Genomics, S.A. | (hetero)aryl cyclopropylamine compounds as lsd1 inhibitors |
| US8524717B2 (en) | 2008-10-17 | 2013-09-03 | Oryzon Genomics, S.A. | Oxidase inhibitors and their use |
| WO2014058071A1 (en) * | 2012-10-12 | 2014-04-17 | 武田薬品工業株式会社 | Cyclopropanamine compound and use thereof |
| US8722743B2 (en) | 2010-04-19 | 2014-05-13 | Oryzon Genomics S.A. | Lysine specific demethylase-1 inhibitors and their use |
| US8853408B2 (en) | 2011-03-25 | 2014-10-07 | Glaxosmithkline Intellectual Property (No. 2) Limited | Cyclopropylamines as LSD1 inhibitors |
| US8859555B2 (en) | 2009-09-25 | 2014-10-14 | Oryzon Genomics S.A. | Lysine Specific Demethylase-1 inhibitors and their use |
| US8946296B2 (en) | 2009-10-09 | 2015-02-03 | Oryzon Genomics S.A. | Substituted heteroaryl- and aryl-cyclopropylamine acetamides and their use |
| US8993808B2 (en) | 2009-01-21 | 2015-03-31 | Oryzon Genomics, S.A. | Phenylcyclopropylamine derivatives and their medical use |
| US9006449B2 (en) | 2010-07-29 | 2015-04-14 | Oryzon Genomics, S.A. | Cyclopropylamine derivatives useful as LSD1 inhibitors |
| US9061966B2 (en) | 2010-10-08 | 2015-06-23 | Oryzon Genomics S.A. | Cyclopropylamine inhibitors of oxidases |
| US9181198B2 (en) | 2010-07-29 | 2015-11-10 | Oryzon Genomics S.A. | Arylcyclopropylamine based demethylase inhibitors of LSD1 and their medical use |
| US9186337B2 (en) | 2010-02-24 | 2015-11-17 | Oryzon Genomics S.A. | Lysine demethylase inhibitors for diseases and disorders associated with Hepadnaviridae |
| US9487511B2 (en) | 2014-04-11 | 2016-11-08 | Takeda Pharmaceutical Company Limited | Cyclopropanamine compound and use thereof |
| US9493450B2 (en) | 2014-02-13 | 2016-11-15 | Incyte Corporation | Cyclopropylamines as LSD1 inhibitors |
| US9493442B2 (en) | 2014-02-13 | 2016-11-15 | Incyte Corporation | Cyclopropylamines as LSD1 inhibitors |
| WO2016198649A1 (en) | 2015-06-12 | 2016-12-15 | Oryzon Genomics, S.A. | Biomarkers associated with lsd1 inhibitors and uses thereof |
| US9527835B2 (en) | 2014-02-13 | 2016-12-27 | Incyte Corporation | Cyclopropylamines as LSD1 inhibitors |
| WO2017013061A1 (en) | 2015-07-17 | 2017-01-26 | Oryzon Genomics, S.A. | Biomarkers associated with lsd1 inhibitors and uses thereof |
| US9616058B2 (en) | 2010-02-24 | 2017-04-11 | Oryzon Genomics, S.A. | Potent selective LSD1 inhibitors and dual LSD1/MAO-B inhibitors for antiviral use |
| US9670210B2 (en) | 2014-02-13 | 2017-06-06 | Incyte Corporation | Cyclopropylamines as LSD1 inhibitors |
| US9695168B2 (en) | 2014-07-10 | 2017-07-04 | Incyte Corporation | Substituted imidazo[1,5-α]pyridines and imidazo[1,5-α]pyrazines as LSD1 inhibitors |
| US9695180B2 (en) | 2014-07-10 | 2017-07-04 | Incyte Corporation | Substituted imidazo[1,2-a]pyrazines as LSD1 inhibitors |
| US9695167B2 (en) | 2014-07-10 | 2017-07-04 | Incyte Corporation | Substituted triazolo[1,5-a]pyridines and triazolo[1,5-a]pyrazines as LSD1 inhibitors |
| EP3102034A4 (en) * | 2014-02-07 | 2017-07-12 | MUSC Foundation For Research Development | Aminotriazole- and aminotetrazole-based kdm1a inhibitors as epigenetic modulators |
| US9758523B2 (en) | 2014-07-10 | 2017-09-12 | Incyte Corporation | Triazolopyridines and triazolopyrazines as LSD1 inhibitors |
| WO2017157825A1 (en) | 2016-03-15 | 2017-09-21 | F. Hoffmann-La Roche Ag | Combinations of lsd1 inhibitors for use in the treatment of solid tumors |
| WO2017158136A1 (en) | 2016-03-16 | 2017-09-21 | Oryzon Genomics, S.A. | Methods to determine kdm1a target engagement and chemoprobes useful therefor |
| US9790195B2 (en) | 2013-08-06 | 2017-10-17 | Imago Biosciences, Inc. | KDM1A inhibitors for the treatment of disease |
| US9944647B2 (en) | 2015-04-03 | 2018-04-17 | Incyte Corporation | Heterocyclic compounds as LSD1 inhibitors |
| WO2018083138A1 (en) | 2016-11-03 | 2018-05-11 | Oryzon Genomics, S.A. | Pharmacodynamic biomarkers for personalized cancer care using epigenetic modifying agents |
| WO2018083189A1 (en) | 2016-11-03 | 2018-05-11 | Oryzon Genomics, S.A. | Biomarkers for determining responsiveness to lsd1 inhibitors |
| US9981922B2 (en) | 2015-02-12 | 2018-05-29 | Imago Biosciences, Inc. | KDM1A inhibitors for the treatment of disease |
| WO2018106984A1 (en) | 2016-12-09 | 2018-06-14 | Constellation Pharmaceuticals, Inc. | Markers for personalized cancer treatment with lsd1 inhibitors |
| US10166221B2 (en) | 2016-04-22 | 2019-01-01 | Incyte Corporation | Formulations of an LSD1 inhibitor |
| WO2019025588A1 (en) | 2017-08-03 | 2019-02-07 | Oryzon Genomics, S.A. | Methods of treating behavior alterations |
| US10221125B2 (en) | 2015-05-06 | 2019-03-05 | Oryzon Genomics, S.A. | Solid forms |
| WO2019068326A1 (en) | 2017-10-05 | 2019-04-11 | Université D'aix-Marseille | Lsd1 inhibitors for the treatment and prevention of cardiomyopathies |
| US10329255B2 (en) | 2015-08-12 | 2019-06-25 | Incyte Corporation | Salts of an LSD1 inhibitor |
| KR20190112047A (en) * | 2017-01-24 | 2019-10-02 | 메드샤인 디스커버리 아이엔씨. | LSD1 Inhibitor and Method of Use and Use thereof |
| US10780081B2 (en) | 2016-06-10 | 2020-09-22 | Oryzon Genomics, S.A. | Method of treating multiple sclerosis employing a LSD1-inhibitor |
| WO2020188089A1 (en) | 2019-03-20 | 2020-09-24 | Oryzon Genomics, S.A. | Methods of treating attention deficit hyperactivity disorder using kdm1a inhibitors such as the compound vafidemstat |
| WO2020188090A1 (en) | 2019-03-20 | 2020-09-24 | Oryzon Genomics, S.A. | Methods of treating borderline personality disorder |
| WO2021004610A1 (en) | 2019-07-05 | 2021-01-14 | Oryzon Genomics, S.A. | Biomarkers and methods for personalized treatment of small cell lung cancer using kdm1a inhibitors |
| US10968200B2 (en) | 2018-08-31 | 2021-04-06 | Incyte Corporation | Salts of an LSD1 inhibitor and processes for preparing the same |
| US11013698B2 (en) | 2016-03-15 | 2021-05-25 | Oryzon Genomics S.A. | Combinations of LSD1 inhibitors for the treatment of hematological malignancies |
| WO2021209520A1 (en) * | 2020-04-14 | 2021-10-21 | Istituto Europeo Di Oncologia S.R.L. | Molecules for use in the treatment of viral infections |
| EP3964204A1 (en) | 2020-09-08 | 2022-03-09 | Université d'Aix-Marseille | Lsd1 inhibitors for use in the treatment and prevention of fibrosis of tissues |
| US11390590B2 (en) | 2016-08-16 | 2022-07-19 | Imago Biosciences, Inc. | Methods and processes for the preparation of KDM1A inhibitors |
| WO2022214303A1 (en) | 2021-04-08 | 2022-10-13 | Oryzon Genomics, S.A. | Combinations of lsd1 inhibitors for treating myeloid cancers |
| US11578059B2 (en) | 2018-05-11 | 2023-02-14 | Imago Biosciences. Inc. | KDM1A inhibitors for the treatment of disease |
| WO2023217758A1 (en) | 2022-05-09 | 2023-11-16 | Oryzon Genomics, S.A. | Methods of treating malignant peripheral nerve sheath tumor (mpnst) using lsd1 inhibitors |
| WO2023217784A1 (en) | 2022-05-09 | 2023-11-16 | Oryzon Genomics, S.A. | Methods of treating nf1-mutant tumors using lsd1 inhibitors |
| WO2024110649A1 (en) | 2022-11-24 | 2024-05-30 | Oryzon Genomics, S.A. | Combinations of lsd1 inhibitors and menin inhibitors for treating cancer |
Families Citing this family (12)
| Publication number | Priority date | Publication date | Assignee | Title |
|---|---|---|---|---|
| CN103242171A (en) * | 2013-05-09 | 2013-08-14 | 苏州明锐医药科技有限公司 | Method for preparing trans-(1R,2S)-2-(3,4-difluorophenyl) cyclopropylamine |
| WO2016029262A1 (en) | 2014-08-25 | 2016-03-03 | University Of Canberra | Compositions for modulating cancer stem cells and uses therefor |
| US10059668B2 (en) | 2015-11-05 | 2018-08-28 | Mirati Therapeutics, Inc. | LSD1 inhibitors |
| KR102720551B1 (en) | 2015-12-29 | 2024-10-21 | 미라티 테라퓨틱스, 인크. | LSD1 inhibitor |
| CN107200706A (en) * | 2016-03-16 | 2017-09-26 | 中国科学院上海药物研究所 | Cyclopropylamine class compound of one class fluorine substitution and preparation method thereof, pharmaceutical composition and purposes |
| JP2020152641A (en) * | 2017-07-07 | 2020-09-24 | 国立研究開発法人理化学研究所 | A novel compound having lysine-specific demethylase 1 inhibitory activity, its production method and its use |
| US20210129111A1 (en) * | 2017-07-26 | 2021-05-06 | Sabic Global Technologies B.V. | Composite sorbent, devices, and methods |
| CN112424175B (en) * | 2018-07-20 | 2022-10-28 | 石药集团中奇制药技术(石家庄)有限公司 | LSD1 inhibitor salt and crystal form thereof |
| WO2020052649A1 (en) * | 2018-09-13 | 2020-03-19 | 南京明德新药研发有限公司 | Cyclopropylamine compound as lsd1 inhibitor and use thereof |
| WO2021228146A1 (en) * | 2020-05-12 | 2021-11-18 | 石药集团中奇制药技术(石家庄)有限公司 | Use of lsd1 inhibitor |
| CN112451671B (en) * | 2020-12-02 | 2021-11-02 | 武汉大学 | Application of KDM1A in inhibiting the expression of interferon IFNβ under RNA virus stimulation |
| CN113750095B (en) * | 2021-03-10 | 2023-07-04 | 中国医学科学院医药生物技术研究所 | Application of compound containing cyclopropyl skeleton in preparation of medicines for treating and/or preventing coronavirus infection |
Citations (6)
| Publication number | Priority date | Publication date | Assignee | Title |
|---|---|---|---|---|
| US3365458A (en) | 1964-06-23 | 1968-01-23 | Aldrich Chem Co Inc | N-aryl-n'-cyclopropyl-ethylene diamine derivatives |
| US3471522A (en) | 1967-09-29 | 1969-10-07 | Aldrich Chem Co Inc | N-cyclopropyl-n'-furfuryl-n'-methyl ethylene diamines |
| US3532749A (en) | 1965-05-11 | 1970-10-06 | Aldrich Chem Co Inc | N'-propargyl-n**2-cyclopropyl-ethylenediamines and the salts thereof |
| US4522811A (en) | 1982-07-08 | 1985-06-11 | Syntex (U.S.A.) Inc. | Serial injection of muramyldipeptides and liposomes enhances the anti-infective activity of muramyldipeptides |
| EP1071752A1 (en) | 1998-04-21 | 2001-01-31 | Micromet Gesellschaft für biomedizinische Forschung mbH | CD19xCD3 SPECIFIC POLYPEPTIDES AND USES THEREOF |
| WO2010084160A1 (en) * | 2009-01-21 | 2010-07-29 | Oryzon Genomics S.A. | Phenylcyclopropylamine derivatives and their medical use |
Family Cites Families (121)
| Publication number | Priority date | Publication date | Assignee | Title |
|---|---|---|---|---|
| US3106578A (en) * | 1960-09-16 | 1963-10-08 | Smith Kline French Lab | Nu-phenethyl-2-phenylcyclopropylamine derivatives |
| US3532712A (en) | 1967-09-29 | 1970-10-06 | Aldrich Chem Co Inc | N'-cyclopropyl ethylenediamine derivatives |
| US3654306A (en) | 1970-01-26 | 1972-04-04 | Robins Co Inc A H | 5-azaspiro(2.4)heptane-4 6-diones |
| US3758684A (en) | 1971-09-07 | 1973-09-11 | Burroughs Wellcome Co | Treating dna virus infections with amino purine derivatives |
| US4530901A (en) | 1980-01-08 | 1985-07-23 | Biogen N.V. | Recombinant DNA molecules and their use in producing human interferon-like polypeptides |
| US4409243A (en) | 1981-11-09 | 1983-10-11 | Julian Lieb | Treatment of auto-immune and inflammatory diseases |
| GB9311282D0 (en) | 1993-06-01 | 1993-07-21 | Rhone Poulenc Rorer Ltd | New compositions of matter |
| CZ290670B6 (en) | 1994-10-21 | 2002-09-11 | Nps Pharmaceuticals, Inc. | Compounds, which are able to modulate inorganic ion receptors and pharmaceutical preparation containing thereof |
| US5652258A (en) * | 1995-05-30 | 1997-07-29 | Gliatech, Inc. | 2-(4-imidazoyl) cyclopropyl derivatives |
| US20040132820A1 (en) | 1996-02-15 | 2004-07-08 | Jean Gosselin | Agents with leukotriene B4-like antiviral (DNA) and anti-neoplastic activities |
| GB9615730D0 (en) | 1996-07-26 | 1996-09-04 | Medical Res Council | Anti-viral agent 1 |
| US5961987A (en) | 1996-10-31 | 1999-10-05 | University Of Iowa Research Foundation | Ocular protein stimulants |
| DE19647615A1 (en) | 1996-11-18 | 1998-05-20 | Bayer Ag | Process for the preparation of cyclopropylamines |
| AR017014A1 (en) | 1997-07-22 | 2001-08-22 | Astrazeneca Ab | TRIAZOL COMPOUNDS [4,5-D] PYRIMIDINE, PHARMACEUTICAL COMPOSITIONS, USE OF THE SAME TO PREPARE MEDICATIONS AND PROCESSES FOR THE PREPARATION OF SUCH COMPOUNDS |
| SE9702772D0 (en) | 1997-07-22 | 1997-07-22 | Astra Pharma Prod | Novel compounds |
| AU1631699A (en) | 1997-12-18 | 1999-07-05 | E.I. Du Pont De Nemours And Company | Cyclohexylamine arthropodicides and fungicides |
| US6809120B1 (en) | 1998-01-13 | 2004-10-26 | University Of Saskatchewan Technologies Inc. | Composition containing propargylamine for enhancing cancer therapy |
| SE9802206D0 (en) * | 1998-06-22 | 1998-06-22 | Astra Pharma Inc | Novel compounds |
| TWI229674B (en) | 1998-12-04 | 2005-03-21 | Astra Pharma Prod | Novel triazolo[4,5-d]pyrimidine compounds, pharmaceutical composition containing the same, their process for preparation and uses |
| TWI288137B (en) | 2000-05-26 | 2007-10-11 | Schering Corp | Adenosine A2a receptor antagonists |
| JP2001354563A (en) | 2000-06-09 | 2001-12-25 | Sankyo Co Ltd | Medicine comprising substituted benzylamines |
| US8519005B2 (en) | 2000-07-27 | 2013-08-27 | Thomas N. Thomas | Compositions and methods to prevent toxicity of antiinflammatory agents and enhance their efficacy |
| EP1193268A1 (en) | 2000-09-27 | 2002-04-03 | Applied Research Systems ARS Holding N.V. | Pharmaceutically active sulfonamide derivatives bearing both lipophilic and ionisable moieties as inhibitors of protein Junkinases |
| EP1373203A1 (en) | 2001-03-29 | 2004-01-02 | Bristol-Myers Squibb Company | Cyclopropylindole derivatives as selective serotonin reuptake inhibitors |
| DE10123163A1 (en) | 2001-05-09 | 2003-01-16 | Gruenenthal Gmbh | Substituted cyclohexane-1,4-diamine derivatives |
| US20030008844A1 (en) | 2001-05-17 | 2003-01-09 | Keryx Biopharmaceuticals, Inc. | Use of sulodexide for the treatment of inflammatory bowel disease |
| AU2003222786A1 (en) | 2002-04-18 | 2003-10-27 | Ucb, S.A. | Chemical compounds with dual activity, processes for their preparation and pharmaceutical compositions |
| US7704995B2 (en) | 2002-05-03 | 2010-04-27 | Exelixis, Inc. | Protein kinase modulators and methods of use |
| JP4901102B2 (en) | 2002-05-03 | 2012-03-21 | エクセリクシス, インク. | Protein kinase modulator and method of use thereof |
| WO2003099276A1 (en) | 2002-05-10 | 2003-12-04 | Bristol-Myers Squibb Company | 1,1-disubstituted cycloalkyl derivatives as factor xa inhibitors |
| US6951961B2 (en) | 2002-05-17 | 2005-10-04 | Marina Nikolaevna Protopopova | Methods of use and compositions for the diagnosis and treatment of infectious disease |
| US7456222B2 (en) | 2002-05-17 | 2008-11-25 | Sequella, Inc. | Anti tubercular drug: compositions and methods |
| US20040033986A1 (en) | 2002-05-17 | 2004-02-19 | Protopopova Marina Nikolaevna | Anti tubercular drug: compositions and methods |
| AU2003299519A1 (en) | 2002-05-20 | 2004-05-04 | Bristol-Myers Squibb Company | Hepatitis c virus inhibitors |
| US7611704B2 (en) | 2002-07-15 | 2009-11-03 | Board Of Regents, The University Of Texas System | Compositions and methods for treating viral infections using antibodies and immunoconjugates to aminophospholipids |
| SE0202539D0 (en) | 2002-08-27 | 2002-08-27 | Astrazeneca Ab | Compounds |
| WO2004055010A2 (en) | 2002-12-13 | 2004-07-01 | Smithkline Beecham Corporation | Cyclopropyl compounds as ccr5 antagonists |
| CA2512582C (en) | 2003-01-08 | 2014-07-08 | University Of Washington | Antibacterial agents |
| US7223785B2 (en) | 2003-01-22 | 2007-05-29 | Boehringer Ingelheim International Gmbh | Viral polymerase inhibitors |
| GB0303439D0 (en) | 2003-02-14 | 2003-03-19 | Pfizer Ltd | Antiparasitic terpene alkaloids |
| US7186832B2 (en) | 2003-02-20 | 2007-03-06 | Sugen Inc. | Use of 8-amino-aryl-substituted imidazopyrazines as kinase inhibitors |
| US7135575B2 (en) * | 2003-03-03 | 2006-11-14 | Array Biopharma, Inc. | P38 inhibitors and methods of use thereof |
| CA2522435C (en) | 2003-04-24 | 2011-04-12 | Merck & Co., Inc. | Inhibitors of akt activity |
| WO2005009941A1 (en) | 2003-07-03 | 2005-02-03 | Eli Lilly And Company | Indane derivates as muscarinic receptor agonists |
| EP1670787B1 (en) | 2003-09-11 | 2012-05-30 | iTherX Pharma, Inc. | Cytokine inhibitors |
| WO2005025558A1 (en) | 2003-09-12 | 2005-03-24 | Applied Reserach Systems Ars Holding N.V. | Sulfonamide derivatives for the treatment of diabetes |
| CN1897950A (en) | 2003-10-14 | 2007-01-17 | 惠氏公司 | Fused aryl and heteroaryl derivatives and methods of use |
| CA2542536A1 (en) | 2003-10-21 | 2005-05-12 | Merck & Co., Inc. | Triazolo-pyridazine compounds and derivatives thereof useful in the treatment of neuropathic pain |
| US7026339B2 (en) | 2003-11-07 | 2006-04-11 | Fan Yang | Inhibitors of HCV NS5B polymerase |
| WO2005058884A2 (en) | 2003-12-15 | 2005-06-30 | Japan Tobacco Inc. | Cyclopropane compounds and pharmaceutical use thereof |
| RU2006125446A (en) | 2003-12-15 | 2008-01-27 | Джапан Тобакко Инк. (Jp) | DERIVATIVES OF N-SUBSTITUTED N-SULFONILAMINOCYCLOPROPANE AND THEIR PHARMACEUTICAL USE |
| BRPI0417478A (en) | 2003-12-15 | 2007-05-08 | Almirall Prodesfarma Ag | 2,6-bisheteroaryl-4-aminopyrimidines as adenosine receptor antagonists |
| US7399825B2 (en) | 2003-12-24 | 2008-07-15 | Lipps Binie V | Synthetic peptide, inhibitor to DNA viruses |
| CA2564356A1 (en) | 2004-04-26 | 2005-11-03 | Pfizer Inc. | Pyrrolopyridine derivatives and their use as hiv-integrase inhibitors |
| US20090275099A1 (en) | 2004-04-27 | 2009-11-05 | Regents Of The University Of Michigan | Methods and compositions for treating diseases and conditions associated with mitochondrial function |
| DE102004057594A1 (en) | 2004-11-29 | 2006-06-08 | Boehringer Ingelheim Pharma Gmbh & Co. Kg | Substitute pteridine for the treatment of inflammatory diseases |
| EP1833981B1 (en) | 2004-12-16 | 2012-04-18 | President and Fellows of Harvard College | Histone demethylation mediated by the nuclear amine oxidase homolog lsd1 |
| EP1704859B1 (en) | 2005-02-18 | 2010-08-11 | Universitätsklinikum Freiburg | Androgen receptor-dependent gene expression control by inhibiting the amine oxidase activity of lysine-specific demethylase (LSD1) |
| US20060275366A1 (en) | 2005-06-02 | 2006-12-07 | Schering Corporation | Controlled-release formulation |
| WO2007002220A2 (en) | 2005-06-21 | 2007-01-04 | Bristol-Myers Squibb Company | Aminoacetamide acyl guanidines as beta-secretase inhibitors |
| EP1741708A1 (en) | 2005-06-28 | 2007-01-10 | Sanofi-Aventis Deutschland GmbH | Heteroaryl-substituted amides comprising an unsaturated or cyclic linker group, and their use as pharmaceuticals |
| GEP20105124B (en) | 2005-07-25 | 2010-11-25 | Array Biopharma Inc | Novel macrocyclic inhibitors of hepatitis c virus replication |
| BRPI0614805A2 (en) | 2005-08-10 | 2011-04-12 | Univ Johns Hopkins | polyamines useful as antiparasitic and anticancer therapeutic products and as lysine-specific demethylase inhibitors |
| US20090203750A1 (en) * | 2005-08-24 | 2009-08-13 | Alan Kozikowski | 5-HT2C Receptor Agonists as Anorectic Agents |
| GB0517740D0 (en) | 2005-08-31 | 2005-10-12 | Novartis Ag | Organic compounds |
| AU2006305620A1 (en) * | 2005-10-19 | 2007-04-26 | Ranbaxy Laboratories Limited | Compositions of phosphodiesterase type IV inhibitors |
| TW200745067A (en) | 2006-03-14 | 2007-12-16 | Astrazeneca Ab | Novel compounds |
| KR101380139B1 (en) | 2006-05-18 | 2014-04-01 | 신젠타 리미티드 | Novel microbiocides |
| US8198301B2 (en) | 2006-07-05 | 2012-06-12 | Hesheng Zhang | Quinazoline and quinoline derivatives as irreversibe protein tyrosine kinase inhibitors |
| EP2521786B1 (en) | 2006-07-20 | 2015-06-24 | Vical Incorporated | Compositions for vaccinating against hsv-2 |
| US20080161324A1 (en) | 2006-09-14 | 2008-07-03 | Johansen Lisa M | Compositions and methods for treatment of viral diseases |
| WO2008127734A2 (en) | 2007-04-13 | 2008-10-23 | The Johns Hopkins University | Lysine-specific demethylase inhibitors |
| US7906513B2 (en) | 2007-04-26 | 2011-03-15 | Enanta Pharmaceuticals, Inc. | Hydrazide-containing hepatitis C serine protease inhibitors |
| JP5140154B2 (en) | 2007-06-27 | 2013-02-06 | アストラゼネカ・アクチエボラーグ | Pyrazinone derivatives and their use in the treatment of pulmonary diseases |
| CA2695989A1 (en) | 2007-08-10 | 2009-02-19 | Glaxosmithkline Llc | Certain nitrogen containing bicyclic chemical entities for treating viral infections |
| PT2639226T (en) | 2007-09-17 | 2016-12-09 | Abbvie Bahamas Ltd | Anti-infective pyrimidines and uses thereof |
| US20100016262A1 (en) | 2007-10-18 | 2010-01-21 | Yale University | Compositions and methods for reducing hepatotoxicity associated with drug administration and treating non-alcoholic fatty liver disease, non-alcoholic steatohepatitis and associated cirrhosis |
| EP2215065B1 (en) | 2007-10-19 | 2012-07-11 | Boehringer Ingelheim International GmbH | Ccr10 antagonists |
| EP2233495A4 (en) | 2007-12-26 | 2011-03-30 | Shionogi & Co | Glycosylated glycopeptide antibiotic derivative |
| WO2009109991A2 (en) | 2008-01-23 | 2009-09-11 | Sun Pharma Advanced Research Company Ltd., | Novel hydrazide containing tyrosine kinase inhibitors |
| US8076358B2 (en) | 2008-01-28 | 2011-12-13 | Janssen Pharmaceutica Nv | 6-substituted-thio-2-amino-quinoline derivatives useful as inhibitors of β-secretase (BACE) |
| AU2009225647C1 (en) | 2008-03-19 | 2015-11-19 | Aurimmed Pharma, Inc. | Novel compounds advantageous in the treatment of central nervous system diseases and disorders |
| ES2694103T3 (en) | 2008-03-27 | 2018-12-18 | Grünenthal GmbH | Derivatives of substituted 4-aminocyclohexane |
| WO2010014921A2 (en) | 2008-08-01 | 2010-02-04 | The United States Of America, As Represented By The Secretary, Department Of Health And Human Services | A3 adenosine receptor antagonists and partial agonists |
| CN102066340B (en) | 2008-04-16 | 2014-05-14 | 波托拉医药品公司 | 2, 6-diamino-pyrimidin- 5-yl-carboxamides as SRK or JAK kinases inhibitors |
| US8972433B2 (en) | 2008-04-18 | 2015-03-03 | Travelport Operations, Inc. | Systems and methods for programmatic generation of database statements |
| JP2011527667A (en) | 2008-06-18 | 2011-11-04 | 武田薬品工業株式会社 | Halo-substituted pyrimidodiazepine |
| US8916596B2 (en) | 2008-07-24 | 2014-12-23 | The United States Of America, As Represented By The Secretary, Department Of Health And Human Services | Preventing or treating viral infection using an inhibitor of the LSD1 protein, a MAO inhibitor or an inhibitor of LSD1 and a MAO inhibitor |
| US8048887B2 (en) | 2008-09-11 | 2011-11-01 | Bristol-Myers Squibb Company | Compounds for the treatment of hepatitis C |
| EP2361242B1 (en) | 2008-10-17 | 2018-08-01 | Oryzon Genomics, S.A. | Oxidase inhibitors and their use |
| US8299100B2 (en) | 2009-01-23 | 2012-10-30 | Northwestern University | Potent and selective neuronal nitric oxide synthase inhibitors with improved membrane permeability |
| MX2011008982A (en) | 2009-02-27 | 2011-09-15 | Enata Pharmaceuticals Inc | Hepatitis c virus inhibitors. |
| MX2011012198A (en) | 2009-05-15 | 2011-12-08 | Novartis Ag | Aryl pyridine as aldosterone synthase inhibitors. |
| US8389580B2 (en) | 2009-06-02 | 2013-03-05 | Duke University | Arylcyclopropylamines and methods of use |
| EP2258865A1 (en) | 2009-06-05 | 2010-12-08 | Universitätsklinikum Freiburg | Lysine-specific demethylase 1 (LSD1) is a biomarker for breast cancer |
| WO2010143582A1 (en) | 2009-06-11 | 2010-12-16 | 公立大学法人名古屋市立大学 | Phenylcyclopropylamine derivatives and lsd1 inhibitors |
| WO2011022489A2 (en) | 2009-08-18 | 2011-02-24 | The Johns Hopkins University | (bis) urea and (bis) thiourea compounds as epigenic modulators of lysine-specific demethylase 1 and methods of treating disorders |
| WO2011031934A1 (en) | 2009-09-11 | 2011-03-17 | Enanta Pharmaceuticals, Inc. | Hepatitis c virus inhibitors |
| CA2812683C (en) * | 2009-09-25 | 2017-10-10 | Oryzon Genomics S.A. | Lysine specific demethylase-1 inhibitors and their use |
| US8946296B2 (en) | 2009-10-09 | 2015-02-03 | Oryzon Genomics S.A. | Substituted heteroaryl- and aryl-cyclopropylamine acetamides and their use |
| WO2011057262A2 (en) | 2009-11-09 | 2011-05-12 | Evolva Inc. | Treatment of infections with tp receptor antagonists |
| WO2011106573A2 (en) | 2010-02-24 | 2011-09-01 | Oryzon Genomics, S.A. | Lysine demethylase inhibitors for diseases and disorders associated with hepadnaviridae |
| WO2011106105A2 (en) | 2010-02-24 | 2011-09-01 | Oryzon Genomics, S.A. | Inhibitors for antiviral use |
| US20130197088A1 (en) | 2010-03-12 | 2013-08-01 | Robert A. Casero, JR. | Compositions and Methods for Combinations of Oligoamines with 2-Difluoromethylornithine (DFMO) |
| HUE030938T2 (en) | 2010-04-19 | 2017-06-28 | Oryzon Genomics Sa | Lysine specific demethylase-1 inhibitors and their use |
| CA2796504A1 (en) | 2010-04-20 | 2011-10-27 | Actavis Group Ptc Ehf | Novel process for preparing phenylcyclopropylamine derivatives using novel intermediates |
| JP5934184B2 (en) | 2010-04-20 | 2016-06-15 | ウニヴェルシタ・デグリ・ストゥディ・ディ・ローマ・ラ・サピエンツァ | Tranylcypromine derivatives as inhibitors of histone demethylase LSD1 and / or LSD2 |
| EP2588441A2 (en) | 2010-06-30 | 2013-05-08 | Actavis Group Ptc Ehf | Novel processes for the preparation of phenylcyclopropylamine derivatives and use thereof for preparing ticagrelor |
| MX341732B (en) * | 2010-07-29 | 2016-08-30 | Oryzon Genomics S A * | Arylcyclopropylamine based demethylase inhibitors of lsd1 and their medical use. |
| WO2012013727A1 (en) | 2010-07-29 | 2012-02-02 | Oryzon Genomics S.A. | Cyclopropylamine derivatives useful as lsd1 inhibitors |
| US9527805B2 (en) | 2010-09-10 | 2016-12-27 | Robert A. Casero | Small molecules as epigenetic modulators of lysine-specific demethylase 1 and methods of treating disorders |
| US20130303545A1 (en) | 2010-09-30 | 2013-11-14 | Tamara Maes | Cyclopropylamine derivatives useful as lsd1 inhibitors |
| US9061966B2 (en) | 2010-10-08 | 2015-06-23 | Oryzon Genomics S.A. | Cyclopropylamine inhibitors of oxidases |
| WO2012072713A2 (en) | 2010-11-30 | 2012-06-07 | Oryzon Genomics, S.A. | Lysine demethylase inhibitors for diseases and disorders associated with flaviviridae |
| EP2712316A1 (en) | 2011-02-08 | 2014-04-02 | Oryzon Genomics, S.A. | Lysine demethylase inhibitors for myeloproliferative or lymphoproliferative diseases or disorders |
| EP3981395A1 (en) | 2011-02-08 | 2022-04-13 | Oryzon Genomics, S.A. | Lysine demethylase inhibitors for myeloproliferative disorders |
| SG193241A1 (en) | 2011-03-25 | 2013-10-30 | Glaxosmithkline Ip No 2 Ltd | Cyclopropylamines as lsd1 inhibitors |
| EP2750671A2 (en) | 2011-05-19 | 2014-07-09 | Oryzon Genomics, S.A. | Lysine demethylase inhibitors for thrombosis and cardiovascular diseases |
| EP2741741A2 (en) | 2011-05-19 | 2014-06-18 | Oryzon Genomics, S.A. | Lysine demethylase inhibitors for inflammatory diseases or conditions |
| BR112014009306B1 (en) | 2011-10-20 | 2021-07-20 | Oryzon Genomics S.A. | (HETERO)ARIL CYCLOPROPILAMINE COMPOUNDS AS LSD1 INHIBITORS |
| WO2013057322A1 (en) | 2011-10-20 | 2013-04-25 | Oryzon Genomics, S.A. | (hetero)aryl cyclopropylamine compounds as lsd1 inhibitors |
-
2011
- 2011-04-19 HU HUE11723284A patent/HUE030938T2/en unknown
- 2011-04-19 ES ES11723284.3T patent/ES2607081T3/en active Active
- 2011-04-19 HR HRP20161748TT patent/HRP20161748T1/en unknown
- 2011-04-19 PL PL11723284T patent/PL2560947T3/en unknown
- 2011-04-19 KR KR1020127030169A patent/KR101794020B1/en active Active
- 2011-04-19 CN CN201180030177.0A patent/CN102947265B/en active Active
- 2011-04-19 BR BR122019020471-3A patent/BR122019020471B1/en active IP Right Grant
- 2011-04-19 EP EP11723284.3A patent/EP2560947B1/en active Active
- 2011-04-19 SI SI201131034A patent/SI2560947T1/en unknown
- 2011-04-19 DK DK11723284.3T patent/DK2560947T3/en active
- 2011-04-19 WO PCT/EP2011/056279 patent/WO2011131697A1/en not_active Ceased
- 2011-04-19 MX MX2012012111A patent/MX2012012111A/en active IP Right Grant
- 2011-04-19 BR BR112012026694A patent/BR112012026694A2/en not_active Application Discontinuation
- 2011-04-19 PT PT117232843T patent/PT2560947T/en unknown
- 2011-04-19 CA CA2796726A patent/CA2796726C/en active Active
- 2011-04-19 US US13/641,916 patent/US8722743B2/en active Active
- 2011-04-19 AU AU2011244325A patent/AU2011244325B2/en active Active
- 2011-04-19 LT LTEP11723284.3T patent/LT2560947T/en unknown
- 2011-04-19 RS RS20160943A patent/RS55348B1/en unknown
- 2011-04-19 JP JP2013505467A patent/JP5868948B2/en not_active Expired - Fee Related
- 2011-04-19 EP EP16187603.2A patent/EP3133059A1/en not_active Withdrawn
- 2011-04-19 RU RU2012148758/04A patent/RU2599248C2/en active
-
2012
- 2012-10-11 IL IL222361A patent/IL222361A/en active IP Right Grant
-
2014
- 2014-03-27 US US14/228,083 patent/US9149447B2/en active Active
-
2015
- 2015-09-02 US US14/843,095 patent/US10202330B2/en active Active
-
2016
- 2016-12-16 CY CY20161101304T patent/CY1118344T1/en unknown
Patent Citations (6)
| Publication number | Priority date | Publication date | Assignee | Title |
|---|---|---|---|---|
| US3365458A (en) | 1964-06-23 | 1968-01-23 | Aldrich Chem Co Inc | N-aryl-n'-cyclopropyl-ethylene diamine derivatives |
| US3532749A (en) | 1965-05-11 | 1970-10-06 | Aldrich Chem Co Inc | N'-propargyl-n**2-cyclopropyl-ethylenediamines and the salts thereof |
| US3471522A (en) | 1967-09-29 | 1969-10-07 | Aldrich Chem Co Inc | N-cyclopropyl-n'-furfuryl-n'-methyl ethylene diamines |
| US4522811A (en) | 1982-07-08 | 1985-06-11 | Syntex (U.S.A.) Inc. | Serial injection of muramyldipeptides and liposomes enhances the anti-infective activity of muramyldipeptides |
| EP1071752A1 (en) | 1998-04-21 | 2001-01-31 | Micromet Gesellschaft für biomedizinische Forschung mbH | CD19xCD3 SPECIFIC POLYPEPTIDES AND USES THEREOF |
| WO2010084160A1 (en) * | 2009-01-21 | 2010-07-29 | Oryzon Genomics S.A. | Phenylcyclopropylamine derivatives and their medical use |
Non-Patent Citations (39)
| Title |
|---|
| "Methods in Cell Biology", vol. XIV, 1976, ACADEMIC PRESS |
| BOLESOV ET AL., ZHURNAL ORGANICHESKOI KHIMII, vol. 10, no. 8, 1974, pages 1661 - 1669 |
| BOLESOV I G ET AL: "CYCLOPROPANES AND CYCLOBUTANES LXVIII. N-MONO- AND N,N- DISUBSTITUTED 1-AMINO-2-PHENYLCYCLOPROPANES", JOURNAL OF ORGANIC CHEMISTRY OF THE USSR, M A I K NAUKA - INTERPERIODICA, RU, vol. 10, no. 6, PART 01, 1 June 1974 (1974-06-01), pages 1678 - 1684, XP002058907, ISSN: 0022-3271 * |
| BROWN ET AL., ANN. REV. MED., vol. 39, 1988, pages 221 - 229 |
| BUNDGAARD, H.: "Design of Prodrugs", 1985, ELSEVIER, pages: 7 - 9,21-24 |
| BURNHAM, AM. J. HOSP. PHARM., vol. 15, 1994, pages 210 - 218 |
| CALOGERO ET AL., CANCER CELL INTERNATIONAL, vol. 4, 2004, pages 1 |
| DESTEFANO ET AL., CURR. BIOL., vol. 17, no. 9, 2007, pages 808 - 12 |
| FERLAY ET AL., ANN. ONCOL., vol. 18, no. 3, 2007, pages 581 - 92 |
| FERRARO ET AL., J. CLIN. ONCOL., vol. 23, no. 9, 20 March 2005 (2005-03-20), pages 1921 - 6 |
| FOLKS ET AL., J. CLIN. PSYCHOPHARMACOL., vol. 3, 1983, pages 249 |
| GOODEN ET AL., BIOORG. MED. CHEM. LET., vol. 18, 2008, pages 3047 - 3051 |
| GOODEN, D.M. ET AL., BIOORGANIC AND MEDICINAL CHEMISTRY LETTERS, vol. 18, 2008, pages 3047 - 3051, XP002654755 * |
| HRUSCHKA ET AL., BIORG MED CHEM., vol. 16, 2008, pages 7148 - 7166 |
| HUANG ET AL., CLIN CANCER RES., vol. 15, no. 23, 24 November 2009 (2009-11-24), pages 7217 - 28 |
| HUANG ET AL., PNAS, vol. 104, 2007, pages 8023 - 8028 |
| KAHL ET AL., CANCER RES., vol. 66, 2006, pages 1341 - 11347 |
| KAHL ET AL., CANCER RES., vol. 66, no. 23, 2006, pages 11341 - 7 |
| KAISER ET AL., J. MED. CHEM., vol. 5, 1962, pages 1243 - 1265 |
| LEE ET AL., CHEM. BIOL., vol. 13, 2006, pages 563 - 567 |
| LIANG ET AL., NAT. MED., vol. 15, 2009, pages 1312 - 1317 |
| LIMS ET AL., CARCINOGENESIS, 30 December 2009 (2009-12-30) |
| LUCERNA ET AL., CANCER RESEARCH, vol. 66, 2006, pages 6708 - 6713 |
| METZGER ET AL., NATURE, vol. 437, no. 7057, 15 December 2004 (2004-12-15), pages 436 - 9 |
| PHILLIPS ET AL., J. PHARMACEUT. SCI., vol. 73, 1984, pages 1718 - 1720 |
| REDDY ET AL., CIRC. RES., vol. 103, 2008, pages 615 |
| ROXANA A., MAEDICA, vol. 1, no. 1, 2006, pages 63 - 65 |
| SCHMIDT ET AL., BIOCHEMISTRY, vol. 46, no. 14, 2007, pages 4408 - 4416 |
| SCHULTE ET AL., CANCER RES., vol. 69, no. 5, 1 March 2009 (2009-03-01), pages 2065 - 71 |
| SCOUMANNE ET AL., J BIOL CHEM., vol. 282, no. 21, 25 May 2007 (2007-05-25), pages 15471 - 5 |
| SCOUMANNE ET AL., J. BIOL. CHEM., vol. 282, no. 21, 25 May 2007 (2007-05-25), pages 15471 - 5 |
| SHI ET AL., CELL, vol. 119, 2004, pages 941 |
| TAYLOR PC, CURR. OPIN. PHARMACOL., vol. 3, no. 3, 2003, pages 323 - 328 |
| TAYLOR PC: "Antibody therapy for rheumatoid arthritis", CURR OPIN PHARMACOL., vol. 3, no. 3, 2003, pages 323 - 328 |
| WILSON ET AL., J. CLIN. PSYCH., vol. 45, 1984, pages 242 - 247 |
| YOSHIDA ET AL., BIOORG. MED CHEM., vol. 12, no. 10, 2004, pages 2645 - 2652 |
| YOUDIM ET AL., MOD. PROHL. PHARMACOPSYCHIATRY, vol. 19, 1983, pages 63 |
| ZIRKLE C L ET AL: "2-SUBSTITUTED CYCLORPOPYLAMINES. II. EFFECT OF STRUCTURE UPON MONOAMINE OXIDASE-INHIBITORY ACTIVITY AS MEASURED IN VIVO BY POTENTIATION OF TRYPTAMINE CONVULSIONS", JOURNAL OF MEDICINAL AND PHARMACEUTICAL CHEMISTRY, AMERICAN CHEMICAL SOCIETY. EASTON, US, vol. 5, 1 November 1962 (1962-11-01), pages 1265 - 1284, XP009038812, DOI: DOI:10.1021/JM01241A018 * |
| ZIRKLE ET AL., J. MED. CHEM., 1962, pages 1265 - 1284 |
Cited By (133)
| Publication number | Priority date | Publication date | Assignee | Title |
|---|---|---|---|---|
| US8524717B2 (en) | 2008-10-17 | 2013-09-03 | Oryzon Genomics, S.A. | Oxidase inhibitors and their use |
| US8993808B2 (en) | 2009-01-21 | 2015-03-31 | Oryzon Genomics, S.A. | Phenylcyclopropylamine derivatives and their medical use |
| US8859555B2 (en) | 2009-09-25 | 2014-10-14 | Oryzon Genomics S.A. | Lysine Specific Demethylase-1 inhibitors and their use |
| US8946296B2 (en) | 2009-10-09 | 2015-02-03 | Oryzon Genomics S.A. | Substituted heteroaryl- and aryl-cyclopropylamine acetamides and their use |
| US9186337B2 (en) | 2010-02-24 | 2015-11-17 | Oryzon Genomics S.A. | Lysine demethylase inhibitors for diseases and disorders associated with Hepadnaviridae |
| US9616058B2 (en) | 2010-02-24 | 2017-04-11 | Oryzon Genomics, S.A. | Potent selective LSD1 inhibitors and dual LSD1/MAO-B inhibitors for antiviral use |
| US9149447B2 (en) | 2010-04-19 | 2015-10-06 | Oryzon Genomics S.A. | Lysine specific demethylase-1 inhibitors and their use |
| US8722743B2 (en) | 2010-04-19 | 2014-05-13 | Oryzon Genomics S.A. | Lysine specific demethylase-1 inhibitors and their use |
| JP2017039740A (en) * | 2010-07-29 | 2017-02-23 | オリゾン・ジェノミックス・ソシエダッド・アノニマOryzon Genomics S.A. | Arylcyclopropylamine based demethylase inhibitors of lsd1 and their medical use |
| EP2598480B1 (en) * | 2010-07-29 | 2019-04-24 | Oryzon Genomics, S.A. | Cyclopropylamine derivatives useful as lsd1 inhibitors |
| US9676701B2 (en) | 2010-07-29 | 2017-06-13 | Oryzon Genomics, S.A. | Cyclopropylamine derivatives useful as LSD1 inhibitors |
| US10233178B2 (en) | 2010-07-29 | 2019-03-19 | Oryzon Genomics, S.A. | Arylcyclopropylamine based demethylase inhibitors of LSD1 and their medical use |
| US9181198B2 (en) | 2010-07-29 | 2015-11-10 | Oryzon Genomics S.A. | Arylcyclopropylamine based demethylase inhibitors of LSD1 and their medical use |
| US9708309B2 (en) | 2010-07-29 | 2017-07-18 | Oryzon Genomics, S.A. | Arylcyclopropylamine based demethylase inhibitors of LSD1 and their medical use |
| US9006449B2 (en) | 2010-07-29 | 2015-04-14 | Oryzon Genomics, S.A. | Cyclopropylamine derivatives useful as LSD1 inhibitors |
| WO2012042042A1 (en) * | 2010-09-30 | 2012-04-05 | Oryzon Genomics S.A. | Selective lsd1 and dual lsd1/mao-b inhibitors for modulating diseases associated with alterations in protein conformation |
| US9061966B2 (en) | 2010-10-08 | 2015-06-23 | Oryzon Genomics S.A. | Cyclopropylamine inhibitors of oxidases |
| US9790196B2 (en) | 2010-11-30 | 2017-10-17 | Oryzon Genomics S.A. | Lysine demethylase inhibitors for diseases and disorders associated with Flaviviridae |
| WO2012072713A2 (en) | 2010-11-30 | 2012-06-07 | Oryzon Genomics, S.A. | Lysine demethylase inhibitors for diseases and disorders associated with flaviviridae |
| EP3981395A1 (en) | 2011-02-08 | 2022-04-13 | Oryzon Genomics, S.A. | Lysine demethylase inhibitors for myeloproliferative disorders |
| WO2012107499A1 (en) | 2011-02-08 | 2012-08-16 | Oryzon Genomics S.A. | Lysine demethylase inhibitors for myeloproliferative or lymphoproliferative diseases or disorders |
| WO2012107498A1 (en) | 2011-02-08 | 2012-08-16 | Oryzon Genomics S.A. | Lysine demethylase inhibitors for myeloproliferative disorders |
| US9908859B2 (en) | 2011-02-08 | 2018-03-06 | Oryzon Genomics, S.A. | Lysine demethylase inhibitors for myeloproliferative disorders |
| EP2688568A4 (en) * | 2011-03-25 | 2015-05-06 | Glaxosmithkline Ip No 2 Ltd | CYCLOPROPYLAMINES AS INHIBITORS OF LSD1 |
| US10064854B2 (en) | 2011-03-25 | 2018-09-04 | Glaxosmithkline Intellectual Property (No.2) Limited | Cyclopropylamines as LSD1 inhibitors |
| US8853408B2 (en) | 2011-03-25 | 2014-10-07 | Glaxosmithkline Intellectual Property (No. 2) Limited | Cyclopropylamines as LSD1 inhibitors |
| US9346840B2 (en) | 2011-03-25 | 2016-05-24 | Glaxosmithkline Intellectual Property (No. 2) Limited | Cyclopropylamines as LSD1 inhibitors |
| US9795597B2 (en) | 2011-03-25 | 2017-10-24 | Glaxosmithkline Intellectual Property (No.2) Limited | Cyclopropylamines as LSD1 inhibitors |
| WO2012156531A2 (en) | 2011-05-19 | 2012-11-22 | Oryzon Genomics, S.A. | Lysine demethylase inhibitors for inflammatory diseases or conditions |
| WO2012156537A2 (en) | 2011-05-19 | 2012-11-22 | Oryzon Genomics, S.A. | Lysine demethylase inhibitors for thrombosis and cardiovascular diseases |
| CN104203914B (en) * | 2011-10-20 | 2017-07-11 | 奥瑞泽恩基因组学股份有限公司 | (Hetero)arylcyclopropylamine compounds as LSD1 inhibitors |
| EP3495349A1 (en) * | 2011-10-20 | 2019-06-12 | Oryzon Genomics, S.A. | (hetero)aryl cyclopropylamine compounds as lsd1 inhibitors |
| RU2668952C2 (en) * | 2011-10-20 | 2018-10-05 | Оризон Дженомикс, С.А. | (hetero)aryl cyclopropylamine compounds as lsd1 inhibitors |
| JP2015502335A (en) * | 2011-10-20 | 2015-01-22 | オリソン ヘノミクス エセ. アー. | (Hetero) arylcyclopropylamine compounds as LSD1 inhibitors |
| CN103958474A (en) * | 2011-10-20 | 2014-07-30 | 奥莱松基因组股份有限公司 | (Hetero)arylcyclopropylamine compounds as LSD1 inhibitors |
| CN103958474B (en) * | 2011-10-20 | 2017-03-08 | 奥莱松基因组股份有限公司 | (Hetero)arylcyclopropylamine compounds as LSD1 inhibitors |
| CN104203914A (en) * | 2011-10-20 | 2014-12-10 | 奥瑞泽恩基因组学股份有限公司 | (Hetero)arylcyclopropylamine compounds as LSD1 inhibitors |
| JP2017075155A (en) * | 2011-10-20 | 2017-04-20 | オリソン ヘノミクス エセ. アー. | (Hetero) arylcyclopropylamine compounds as LSD1 inhibitors |
| US10214477B2 (en) | 2011-10-20 | 2019-02-26 | Oryzon Genomics S.A. | (Hetero)aryl cyclopropylamine compounds as LSD1 inhibitors |
| US9670136B2 (en) | 2011-10-20 | 2017-06-06 | Oryzon Genomics S.A. | (Hetero)aryl cyclopropylamine compounds as LSD1 inhibitors |
| WO2013057322A1 (en) * | 2011-10-20 | 2013-04-25 | Oryzon Genomics, S.A. | (hetero)aryl cyclopropylamine compounds as lsd1 inhibitors |
| US9469597B2 (en) | 2011-10-20 | 2016-10-18 | Oryzon Genomics S.A. | (Hetero)aryl cyclopropylamine compounds as LSD1 inhibitors |
| US9944601B2 (en) | 2011-10-20 | 2018-04-17 | Oryzon Genomics, S.A. | (Hetero)aryl cyclopropylamine compounds as LSD1 inhibitors |
| EP4074695A1 (en) * | 2011-10-20 | 2022-10-19 | Oryzon Genomics, S.A. | (hetero)aryl cyclopropylamine compounds as lsd1 inhibitors |
| US10329256B2 (en) | 2011-10-20 | 2019-06-25 | Oryzon Genomics, S.A. | (Hetero)aryl cyclopropylamine compounds as LSD1 inhibitors |
| US9487512B2 (en) | 2011-10-20 | 2016-11-08 | Oryzon Genomics S.A. | (Hetero)aryl cyclopropylamine compounds as LSD1 inhibitors |
| WO2013057320A1 (en) * | 2011-10-20 | 2013-04-25 | Oryzon Genomics, S.A. | (hetero)aryl cyclopropylamine compounds as lsd1 inhibitors |
| EP3736265A1 (en) * | 2011-10-20 | 2020-11-11 | Oryzon Genomics, S.A. | (hetero)aryl cyclopropylamine compounds as lsd1 inhibitors |
| US9751885B2 (en) | 2012-10-12 | 2017-09-05 | Takeda Pharmaceutical Company Limited | Cyclopropanamine compound and use thereof |
| WO2014058071A1 (en) * | 2012-10-12 | 2014-04-17 | 武田薬品工業株式会社 | Cyclopropanamine compound and use thereof |
| JPWO2014058071A1 (en) * | 2012-10-12 | 2016-09-05 | 武田薬品工業株式会社 | Cyclopropanamine compounds and uses thereof |
| US10882835B2 (en) | 2013-08-06 | 2021-01-05 | Imago Biosciences, Inc. | KDM1A inhibitors for the treatment of disease |
| US10370346B2 (en) | 2013-08-06 | 2019-08-06 | Imago Biosciences, Inc. | KDM1A inhibitors for the treatment of disease |
| US9790195B2 (en) | 2013-08-06 | 2017-10-17 | Imago Biosciences, Inc. | KDM1A inhibitors for the treatment of disease |
| US11655226B2 (en) | 2013-08-06 | 2023-05-23 | Imago Biosciences, Inc. | KDM1A inhibitors for the treatment of disease |
| US10118903B2 (en) | 2014-02-07 | 2018-11-06 | Musc Foundation For Research Development | Aminotriazole-based KDM1A inhibitors as epigenetic modulators |
| EP3102034A4 (en) * | 2014-02-07 | 2017-07-12 | MUSC Foundation For Research Development | Aminotriazole- and aminotetrazole-based kdm1a inhibitors as epigenetic modulators |
| US9493450B2 (en) | 2014-02-13 | 2016-11-15 | Incyte Corporation | Cyclopropylamines as LSD1 inhibitors |
| US9493442B2 (en) | 2014-02-13 | 2016-11-15 | Incyte Corporation | Cyclopropylamines as LSD1 inhibitors |
| US11155532B2 (en) | 2014-02-13 | 2021-10-26 | Incyte Corporation | Cyclopropylamines as LSD1 inhibitors |
| US10300051B2 (en) | 2014-02-13 | 2019-05-28 | Incyte Corporation | Cyclopropylamines as LSD1 inhibitors |
| US11247992B2 (en) | 2014-02-13 | 2022-02-15 | Incyte Corporation | Cyclopropylamines as LSD1 inhibitors |
| US10717737B2 (en) | 2014-02-13 | 2020-07-21 | Incyte Corporation | Cyclopropylamines as LSD1 inhibitors |
| US9994546B2 (en) | 2014-02-13 | 2018-06-12 | Incyte Corporation | Cyclopropylamines as LSD1 inhibitors |
| US9670210B2 (en) | 2014-02-13 | 2017-06-06 | Incyte Corporation | Cyclopropylamines as LSD1 inhibitors |
| US10174030B2 (en) | 2014-02-13 | 2019-01-08 | Incyte Corporation | Cyclopropylamines as LSD1 inhibitors |
| US10513493B2 (en) | 2014-02-13 | 2019-12-24 | Incyte Corporation | Cyclopropylamines as LSD1 inhibitors |
| US10676457B2 (en) | 2014-02-13 | 2020-06-09 | Incyte Corporation | Cyclopropylamines as LSD1 inhibitors |
| US9527835B2 (en) | 2014-02-13 | 2016-12-27 | Incyte Corporation | Cyclopropylamines as LSD1 inhibitors |
| US10053456B2 (en) | 2014-04-11 | 2018-08-21 | Takeda Pharmaceutical Company Limited | Cyclopropanamine compound and use thereof |
| US9718814B2 (en) | 2014-04-11 | 2017-08-01 | Takeda Pharmaceutical Company Limited | Cyclopropanamine compound and use thereof |
| US9920047B2 (en) | 2014-04-11 | 2018-03-20 | Takeda Pharmaceutical Company Limited | Cyclopropanamine compound and use thereof |
| US10968213B2 (en) | 2014-04-11 | 2021-04-06 | Takeda Pharmaceutical Company Limited | Cyclopropanamine compound and use thereof |
| US9714241B2 (en) | 2014-04-11 | 2017-07-25 | Takeda Pharmaceutical Company Limited | Cyclopropanamine compound and use thereof |
| US10414761B2 (en) | 2014-04-11 | 2019-09-17 | Takeda Pharmaceutical Company Limited | Cyclopropanamine compound and use thereof |
| US9487511B2 (en) | 2014-04-11 | 2016-11-08 | Takeda Pharmaceutical Company Limited | Cyclopropanamine compound and use thereof |
| US10047086B2 (en) | 2014-07-10 | 2018-08-14 | Incyte Corporation | Imidazopyridines and imidazopyrazines as LSD1 inhibitors |
| US9695167B2 (en) | 2014-07-10 | 2017-07-04 | Incyte Corporation | Substituted triazolo[1,5-a]pyridines and triazolo[1,5-a]pyrazines as LSD1 inhibitors |
| US9758523B2 (en) | 2014-07-10 | 2017-09-12 | Incyte Corporation | Triazolopyridines and triazolopyrazines as LSD1 inhibitors |
| US10640503B2 (en) | 2014-07-10 | 2020-05-05 | Incyte Corporation | Imidazopyridines and imidazopyrazines as LSD1 inhibitors |
| US10556908B2 (en) | 2014-07-10 | 2020-02-11 | Incyte Corporation | Substituted imidazo[1,2-a]pyrazines as LSD1 inhibitors |
| US9695168B2 (en) | 2014-07-10 | 2017-07-04 | Incyte Corporation | Substituted imidazo[1,5-α]pyridines and imidazo[1,5-α]pyrazines as LSD1 inhibitors |
| US10138249B2 (en) | 2014-07-10 | 2018-11-27 | Incyte Corporation | Triazolopyridines and triazolopyrazines as LSD1 inhibitors |
| US10968221B2 (en) | 2014-07-10 | 2021-04-06 | Incyte Corporation | Substituted [1,2,4]triazolo[1,5-a]pyrazines as LSD1 inhibitors |
| US10112950B2 (en) | 2014-07-10 | 2018-10-30 | Incyte Corporation | Substituted imidazo[1,2-a]pyrazines as LSD1 inhibitors |
| US10125133B2 (en) | 2014-07-10 | 2018-11-13 | Incyte Corporation | Substituted [1,2,4]triazolo[1,5-a]pyridines and substituted [1,2,4]triazolo[1,5-a]pyrazines as LSD1 inhibitors |
| US9695180B2 (en) | 2014-07-10 | 2017-07-04 | Incyte Corporation | Substituted imidazo[1,2-a]pyrazines as LSD1 inhibitors |
| US11230534B2 (en) | 2015-02-12 | 2022-01-25 | Imago Biosciences, Inc. | KDM1A inhibitors for the treatment of disease |
| US10519118B2 (en) | 2015-02-12 | 2019-12-31 | Imago Biosciences, Inc. | KDM1A inhibitors for the treatment of disease |
| US9981922B2 (en) | 2015-02-12 | 2018-05-29 | Imago Biosciences, Inc. | KDM1A inhibitors for the treatment of disease |
| US11773068B2 (en) | 2015-02-12 | 2023-10-03 | Imago Biosciences, Inc. | KDM1A inhibitors for the treatment of disease |
| US9944647B2 (en) | 2015-04-03 | 2018-04-17 | Incyte Corporation | Heterocyclic compounds as LSD1 inhibitors |
| US10800779B2 (en) | 2015-04-03 | 2020-10-13 | Incyte Corporation | Heterocyclic compounds as LSD1 inhibitors |
| US11401272B2 (en) | 2015-04-03 | 2022-08-02 | Incyte Corporation | Heterocyclic compounds as LSD1 inhibitors |
| US10221125B2 (en) | 2015-05-06 | 2019-03-05 | Oryzon Genomics, S.A. | Solid forms |
| WO2016198649A1 (en) | 2015-06-12 | 2016-12-15 | Oryzon Genomics, S.A. | Biomarkers associated with lsd1 inhibitors and uses thereof |
| WO2017013061A1 (en) | 2015-07-17 | 2017-01-26 | Oryzon Genomics, S.A. | Biomarkers associated with lsd1 inhibitors and uses thereof |
| US10329255B2 (en) | 2015-08-12 | 2019-06-25 | Incyte Corporation | Salts of an LSD1 inhibitor |
| US11498900B2 (en) | 2015-08-12 | 2022-11-15 | Incyte Corporation | Salts of an LSD1 inhibitor |
| US10723700B2 (en) | 2015-08-12 | 2020-07-28 | Incyte Corporation | Salts of an LSD1 inhibitor |
| WO2017157825A1 (en) | 2016-03-15 | 2017-09-21 | F. Hoffmann-La Roche Ag | Combinations of lsd1 inhibitors for use in the treatment of solid tumors |
| US10265279B2 (en) | 2016-03-15 | 2019-04-23 | Oryzon Genomics, S.A. | Combinations of LSD1 inhibitors for use in the treatment of solid tumors |
| US11013698B2 (en) | 2016-03-15 | 2021-05-25 | Oryzon Genomics S.A. | Combinations of LSD1 inhibitors for the treatment of hematological malignancies |
| US11034991B2 (en) | 2016-03-16 | 2021-06-15 | Oryzon Genomics S.A. | Methods to determine KDM1A target engagement and chemoprobes useful therefor |
| US12195783B2 (en) | 2016-03-16 | 2025-01-14 | Oryzon Genomics S.A. | Methods to determine KDM1A target engagement and chemoprobes useful therefor |
| WO2017158136A1 (en) | 2016-03-16 | 2017-09-21 | Oryzon Genomics, S.A. | Methods to determine kdm1a target engagement and chemoprobes useful therefor |
| US10166221B2 (en) | 2016-04-22 | 2019-01-01 | Incyte Corporation | Formulations of an LSD1 inhibitor |
| US10780081B2 (en) | 2016-06-10 | 2020-09-22 | Oryzon Genomics, S.A. | Method of treating multiple sclerosis employing a LSD1-inhibitor |
| US11390590B2 (en) | 2016-08-16 | 2022-07-19 | Imago Biosciences, Inc. | Methods and processes for the preparation of KDM1A inhibitors |
| WO2018083138A1 (en) | 2016-11-03 | 2018-05-11 | Oryzon Genomics, S.A. | Pharmacodynamic biomarkers for personalized cancer care using epigenetic modifying agents |
| WO2018083189A1 (en) | 2016-11-03 | 2018-05-11 | Oryzon Genomics, S.A. | Biomarkers for determining responsiveness to lsd1 inhibitors |
| WO2018106984A1 (en) | 2016-12-09 | 2018-06-14 | Constellation Pharmaceuticals, Inc. | Markers for personalized cancer treatment with lsd1 inhibitors |
| EP3575285A4 (en) * | 2017-01-24 | 2020-08-12 | Medshine Discovery Inc. | LSD1 INHIBITOR AND MANUFACTURING METHOD AND APPLICATION OF IT |
| KR20190112047A (en) * | 2017-01-24 | 2019-10-02 | 메드샤인 디스커버리 아이엔씨. | LSD1 Inhibitor and Method of Use and Use thereof |
| KR102576586B1 (en) * | 2017-01-24 | 2023-09-11 | 씨에스피씨 종콰이 팔마씨우티컬 테크놀로지 (스자좡) 컴퍼니 리미티드 | LSD1 inhibitor and its preparation method and use |
| US11433053B2 (en) | 2017-01-24 | 2022-09-06 | Medshine Discovery Inc. | LSD1 inhibitor and preparation method and application thereof |
| WO2019025588A1 (en) | 2017-08-03 | 2019-02-07 | Oryzon Genomics, S.A. | Methods of treating behavior alterations |
| EP4512473A2 (en) | 2017-08-03 | 2025-02-26 | Oryzon Genomics, S.A. | Methods of treating behavior alterations |
| WO2019068326A1 (en) | 2017-10-05 | 2019-04-11 | Université D'aix-Marseille | Lsd1 inhibitors for the treatment and prevention of cardiomyopathies |
| US11932629B2 (en) | 2018-05-11 | 2024-03-19 | Imago Biosciences, Inc. | KDM1A inhibitors for the treatment of disease |
| US11578059B2 (en) | 2018-05-11 | 2023-02-14 | Imago Biosciences. Inc. | KDM1A inhibitors for the treatment of disease |
| US11512064B2 (en) | 2018-08-31 | 2022-11-29 | Incyte Corporation | Salts of an LSD1 inhibitor and processes for preparing the same |
| US10968200B2 (en) | 2018-08-31 | 2021-04-06 | Incyte Corporation | Salts of an LSD1 inhibitor and processes for preparing the same |
| WO2020188089A1 (en) | 2019-03-20 | 2020-09-24 | Oryzon Genomics, S.A. | Methods of treating attention deficit hyperactivity disorder using kdm1a inhibitors such as the compound vafidemstat |
| WO2020188090A1 (en) | 2019-03-20 | 2020-09-24 | Oryzon Genomics, S.A. | Methods of treating borderline personality disorder |
| WO2021004610A1 (en) | 2019-07-05 | 2021-01-14 | Oryzon Genomics, S.A. | Biomarkers and methods for personalized treatment of small cell lung cancer using kdm1a inhibitors |
| WO2021209520A1 (en) * | 2020-04-14 | 2021-10-21 | Istituto Europeo Di Oncologia S.R.L. | Molecules for use in the treatment of viral infections |
| WO2022053520A1 (en) | 2020-09-08 | 2022-03-17 | Université D'aix Marseille | Lsd1 inhibitors for use in the treatment and prevention of fibrosis of tissues |
| EP3964204A1 (en) | 2020-09-08 | 2022-03-09 | Université d'Aix-Marseille | Lsd1 inhibitors for use in the treatment and prevention of fibrosis of tissues |
| WO2022214303A1 (en) | 2021-04-08 | 2022-10-13 | Oryzon Genomics, S.A. | Combinations of lsd1 inhibitors for treating myeloid cancers |
| WO2023217758A1 (en) | 2022-05-09 | 2023-11-16 | Oryzon Genomics, S.A. | Methods of treating malignant peripheral nerve sheath tumor (mpnst) using lsd1 inhibitors |
| WO2023217784A1 (en) | 2022-05-09 | 2023-11-16 | Oryzon Genomics, S.A. | Methods of treating nf1-mutant tumors using lsd1 inhibitors |
| WO2024110649A1 (en) | 2022-11-24 | 2024-05-30 | Oryzon Genomics, S.A. | Combinations of lsd1 inhibitors and menin inhibitors for treating cancer |
Also Published As
Similar Documents
| Publication | Publication Date | Title |
|---|---|---|
| US10202330B2 (en) | Lysine specific demethylase-1 inhibitors and their use | |
| EP2480528B1 (en) | Lysine specific demethylase-1 inhibitors and their use | |
| EP2486002B1 (en) | Substituted heteroaryl- and aryl- cyclopropylamine acetamides and their use | |
| US8524717B2 (en) | Oxidase inhibitors and their use |
Legal Events
| Date | Code | Title | Description |
|---|---|---|---|
| WWE | Wipo information: entry into national phase |
Ref document number: 201180030177.0 Country of ref document: CN |
|
| 121 | Ep: the epo has been informed by wipo that ep was designated in this application |
Ref document number: 11723284 Country of ref document: EP Kind code of ref document: A1 |
|
| ENP | Entry into the national phase |
Ref document number: 2796726 Country of ref document: CA |
|
| ENP | Entry into the national phase |
Ref document number: 2013505467 Country of ref document: JP Kind code of ref document: A |
|
| WWE | Wipo information: entry into national phase |
Ref document number: MX/A/2012/012111 Country of ref document: MX |
|
| NENP | Non-entry into the national phase |
Ref country code: DE |
|
| ENP | Entry into the national phase |
Ref document number: 20127030169 Country of ref document: KR Kind code of ref document: A |
|
| ENP | Entry into the national phase |
Ref document number: 2012148758 Country of ref document: RU Kind code of ref document: A |
|
| REEP | Request for entry into the european phase |
Ref document number: 2011723284 Country of ref document: EP |
|
| WWE | Wipo information: entry into national phase |
Ref document number: 10022/DELNP/2012 Country of ref document: IN Ref document number: 2011723284 Country of ref document: EP |
|
| ENP | Entry into the national phase |
Ref document number: 2011244325 Country of ref document: AU Date of ref document: 20110419 Kind code of ref document: A |
|
| WWE | Wipo information: entry into national phase |
Ref document number: 13641916 Country of ref document: US |
|
| REG | Reference to national code |
Ref country code: BR Ref legal event code: B01A Ref document number: 112012026694 Country of ref document: BR |
|
| ENP | Entry into the national phase |
Ref document number: 112012026694 Country of ref document: BR Kind code of ref document: A2 Effective date: 20121018 |
|
| WWE | Wipo information: entry into national phase |
Ref document number: P-2016/0943 Country of ref document: RS |












































