WO2011105628A1 - Pyrazolopyrimidine compounds and their use as pde10 inhibitors - Google Patents
Pyrazolopyrimidine compounds and their use as pde10 inhibitors Download PDFInfo
- Publication number
- WO2011105628A1 WO2011105628A1 PCT/JP2011/054997 JP2011054997W WO2011105628A1 WO 2011105628 A1 WO2011105628 A1 WO 2011105628A1 JP 2011054997 W JP2011054997 W JP 2011054997W WO 2011105628 A1 WO2011105628 A1 WO 2011105628A1
- Authority
- WO
- WIPO (PCT)
- Prior art keywords
- pyrimidin
- optionally substituted
- compound
- pyrazolo
- mmol
- Prior art date
- Legal status (The legal status is an assumption and is not a legal conclusion. Google has not performed a legal analysis and makes no representation as to the accuracy of the status listed.)
- Ceased
Links
Classifications
-
- C—CHEMISTRY; METALLURGY
- C07—ORGANIC CHEMISTRY
- C07D—HETEROCYCLIC COMPOUNDS
- C07D487/00—Heterocyclic compounds containing nitrogen atoms as the only ring hetero atoms in the condensed system, not provided for by groups C07D451/00 - C07D477/00
- C07D487/02—Heterocyclic compounds containing nitrogen atoms as the only ring hetero atoms in the condensed system, not provided for by groups C07D451/00 - C07D477/00 in which the condensed system contains two hetero rings
- C07D487/04—Ortho-condensed systems
-
- A—HUMAN NECESSITIES
- A61—MEDICAL OR VETERINARY SCIENCE; HYGIENE
- A61K—PREPARATIONS FOR MEDICAL, DENTAL OR TOILETRY PURPOSES
- A61K31/00—Medicinal preparations containing organic active ingredients
- A61K31/33—Heterocyclic compounds
- A61K31/395—Heterocyclic compounds having nitrogen as a ring hetero atom, e.g. guanethidine or rifamycins
- A61K31/495—Heterocyclic compounds having nitrogen as a ring hetero atom, e.g. guanethidine or rifamycins having six-membered rings with two or more nitrogen atoms as the only ring heteroatoms, e.g. piperazine or tetrazines
- A61K31/505—Pyrimidines; Hydrogenated pyrimidines, e.g. trimethoprim
- A61K31/519—Pyrimidines; Hydrogenated pyrimidines, e.g. trimethoprim ortho- or peri-condensed with heterocyclic rings
-
- A—HUMAN NECESSITIES
- A61—MEDICAL OR VETERINARY SCIENCE; HYGIENE
- A61K—PREPARATIONS FOR MEDICAL, DENTAL OR TOILETRY PURPOSES
- A61K31/00—Medicinal preparations containing organic active ingredients
- A61K31/33—Heterocyclic compounds
- A61K31/395—Heterocyclic compounds having nitrogen as a ring hetero atom, e.g. guanethidine or rifamycins
- A61K31/535—Heterocyclic compounds having nitrogen as a ring hetero atom, e.g. guanethidine or rifamycins having six-membered rings with at least one nitrogen and one oxygen as the ring hetero atoms, e.g. 1,2-oxazines
- A61K31/5375—1,4-Oxazines, e.g. morpholine
- A61K31/5377—1,4-Oxazines, e.g. morpholine not condensed and containing further heterocyclic rings, e.g. timolol
-
- A—HUMAN NECESSITIES
- A61—MEDICAL OR VETERINARY SCIENCE; HYGIENE
- A61P—SPECIFIC THERAPEUTIC ACTIVITY OF CHEMICAL COMPOUNDS OR MEDICINAL PREPARATIONS
- A61P25/00—Drugs for disorders of the nervous system
-
- A—HUMAN NECESSITIES
- A61—MEDICAL OR VETERINARY SCIENCE; HYGIENE
- A61P—SPECIFIC THERAPEUTIC ACTIVITY OF CHEMICAL COMPOUNDS OR MEDICINAL PREPARATIONS
- A61P25/00—Drugs for disorders of the nervous system
- A61P25/18—Antipsychotics, i.e. neuroleptics; Drugs for mania or schizophrenia
-
- A—HUMAN NECESSITIES
- A61—MEDICAL OR VETERINARY SCIENCE; HYGIENE
- A61P—SPECIFIC THERAPEUTIC ACTIVITY OF CHEMICAL COMPOUNDS OR MEDICINAL PREPARATIONS
- A61P25/00—Drugs for disorders of the nervous system
- A61P25/22—Anxiolytics
-
- A—HUMAN NECESSITIES
- A61—MEDICAL OR VETERINARY SCIENCE; HYGIENE
- A61P—SPECIFIC THERAPEUTIC ACTIVITY OF CHEMICAL COMPOUNDS OR MEDICINAL PREPARATIONS
- A61P25/00—Drugs for disorders of the nervous system
- A61P25/28—Drugs for disorders of the nervous system for treating neurodegenerative disorders of the central nervous system, e.g. nootropic agents, cognition enhancers, drugs for treating Alzheimer's disease or other forms of dementia
-
- A—HUMAN NECESSITIES
- A61—MEDICAL OR VETERINARY SCIENCE; HYGIENE
- A61P—SPECIFIC THERAPEUTIC ACTIVITY OF CHEMICAL COMPOUNDS OR MEDICINAL PREPARATIONS
- A61P25/00—Drugs for disorders of the nervous system
- A61P25/30—Drugs for disorders of the nervous system for treating abuse or dependence
-
- A—HUMAN NECESSITIES
- A61—MEDICAL OR VETERINARY SCIENCE; HYGIENE
- A61P—SPECIFIC THERAPEUTIC ACTIVITY OF CHEMICAL COMPOUNDS OR MEDICINAL PREPARATIONS
- A61P43/00—Drugs for specific purposes, not provided for in groups A61P1/00-A61P41/00
Definitions
- the present invention relates to novel pyrazolopyrimidine compounds having an excellent phosphodiesterase 10 (PDE10) inhibitory activity and useful as pharmaceuticals, and to processes for preparing such compounds and to their use.
- PDE10 phosphodiesterase 10
- Cyclic nucleotide phosphodiesterase (hereinafter referred to as phosphodiesterase or PDE) is an enzyme that hydrolyses a phosphodiester bond in cyclic nucleotides such as cAMP (adenosine 3',5'-cyclic monophosphate) or cGMP (guanosine 3 ',5 '-cyclic monophosphate), etc. as a substrate, to provide nucleotides such as 5 'AMP (adenosine 5 '-monophosphate) or 5'GMP (guanosine 5'- monophosphate), etc.
- cAMP adenosine 3',5'-cyclic monophosphate
- cGMP guanosine 3 ',5 '-cyclic monophosphate
- Cyclic nucleotides such as cAMP and cGMP are involved in the regulation of many functions within a living body as second messengers of intracellular signaling. Intracellular concentrations of cAMP and cGMP, which vary in response to extracellular signals, are regulated by a balance between enzymes involved in synthesis of cAMP and cGMP (adenylate cyclase and guanylate cyclase) and PDE involved in hydrolysis of such enzymes.
- PDE of ' mammals many kinds of PDEs have been isolated and identified in mammals so far, and they have been classified into plural families in accordance with amino-acid sequence homology, biochemical properties, characterization by inhibitors and the like (Francis et al., Prog. Nucleic Acid Res., vol.65, pp.1-52, 2001).
- PDE10 phosphodiesterase 10
- PDE 1 OA phosphodiesterase 10A
- PDE10 inhibitory compounds that is, compounds having inhibitory action on the enzyme activity of PDE10, the following have been reported:
- PDE10 inhibitors For example, in EP 1250923 (Pfizer) and WO2005/082883 (Pfizer), papaverine and various aromatic heterocyclic compounds such as quinazoline and isoquinazoline compounds are disclosed as PDE10 inhibitors.
- PDE10 inhibitors are useful for the treatment or prophylaxis of diseases or conditions such as:
- delusional disorder schizoaffective disorder, substance-induced psychotic disorder, paranoid or schizoid personality disorder, etc;
- panic disorder for example, panic disorder, agoraphobia, specific phobia, social phobia, obsessive- compulsive disorder, post-traumatic stress disorder, acute stress disorder, generalized anxiety disorder, etc;
- Huntington's disease for example, Huntington's disease, dyskinesia associated with dopamine agonist therapy, Parkinson's disease, restless leg syndrome, etc;
- addiction to alcohol for example, addiction to alcohol, amphetamine, cocaine, or opiate, etc;
- dementia including Alzheimer's disease, multi-infarct dementia, etc
- delirium amnestic disorder, post-traumatic stress disorder, mental retardation, a learning disorder, attention deficit hyperactivity disorder (ADHD), age-related cognitive decline, etc
- ADHD attention deficit hyperactivity disorder
- major depressive disorder for example, major depressive disorder, dysthymic disorder, minor depressive disorder, bipolar disorder (including bipolar I disorder, bipolar II disorder), cyclothymic disorder, etc; or
- PDE10 inhibitors are useful for the treatment or prophylaxis of neurodegenerative disorders, for example, Parkinson's disease, and Hungtington's disease, etc.
- WO2003/000693 (Bayer) discloses imidazotriazine compounds as PDEI O inhibitors. It also discloses that PDEIO inhibitors are useful for the treatment or prophylaxis of neurodegenerative disorders, especially for Parkinson's disease.
- WO2003/0141 17 (Bayer) discloses various pyrroloisoquinoline compounds as PDEIO inhibitors. It also discloses that these compounds having inhibitory action on PDE10 activity show antiproliferative activity and are useful for treating cancer. Further, it discloses that those compounds are useful for treating conditions of pain and/or for lowering the temperature of the body in fever condition. ⁇
- WO2005/12485 discloses that PDEIO inhibitors are useful for stimulating insulin release from pancreatic cells. Further, it is disclosed that PDE10 inhibitors are useful for the treatment or prophylaxis of diabetes and diseases related thereof:
- type 1 or type 2 diabetes for example, type 1 or type 2 diabetes, maturity-onset diabetes of the young (MODY), latent autoimmune diabetes adult (LAD A), impaired glucose tolerance (IGT), impaired fasting glucose (IGF), gestational diabetes, metabolic syndrome X, etc.
- MODY maturity-onset diabetes of the young
- LAD A latent autoimmune diabetes adult
- IGF impaired fasting glucose
- gestational diabetes metabolic syndrome X, etc.
- PDE10 inhibitors that are said to be useful to decrease body weight and/or body fat in the treatment of obese patients. Further, it is disclosed therein that those PDE10 inhibitors are useful for treatment of non-insulin dependent diabetes (NIDDM), metabolic syndrome and glucose intolerance etc.
- NIDDM non-insulin dependent diabetes
- WO2007/076055 discloses pyrazolopyrimidine compounds having an action as a proteinase activated receptor antagonist. However, they are clearly different from the compounds of the present invention in terms of their pharmacological action and structure.
- the present invention provides novel compounds having an excellent PDE10 inhibitory activity, processes for preparing such compounds, use of the compounds, and pharmaceutical compositions comprising the compounds, and the like.
- the inventors of the present invention have found novel pyrazolopyrimidine compounds having an excellent PDE10 inhibitory activity, thereby leading to completion of the invention.
- the present invention relates to a compound represented by formula
- R 1 is hydrogen, halogen, lower alkyl or cyano
- Ring A is an optionally substituted heterocyclic group
- Ring B is an optionally substituted 3 to 6-membered monocyclic group
- Y is optionally substituted amino
- the present invention relates to a method for treating or preventing a disease comprising administering to a patient in need thereof an effective amount of the compound of formula [I] or a pharmaceutically acceptable salt thereof.
- the present invention relates to a pharmaceutical composition
- a pharmaceutical composition comprising the compound of formula [I] or a pharmaceutically acceptable salt thereof as an active ingredient, as well as to the use of said compound for the manufacture of a medicament.
- the present invention relates to a process for preparing the compound of formula [I] or a pharmaceutically acceptable salt thereof.
- the compounds of formula [I] or a pharmaceutically acceptable salt thereof according to the present invention has an excellent PDE10 inhibitory activity (that is, inhibitory activity on the enzyme activity of phosphodiesterase 10).
- the compounds of the present invention and a pharmaceutical composition containing thereof as an active ingredient are useful for the treatment or prophylaxis of a disease or condition which is expected to be ameliorated by inhibition of PDE10 activity (that is, inhibition on the enzyme activity of phosphodiesterase 10) [for example, schizophrenia, anxiety disorder, drug addiction, a disease comprising as a symptom a deficiency in cognition, mood disorder and mood episode, etc].
- PDE10 activity that is, inhibition on the enzyme activity of phosphodiesterase 10
- Lower alkyl includes a straight or branched group having 1 to 6 carbon atoms (Ci -6 ), preferably 1 to 4 carbon atom(s) (Ci -4 ). Specifically included in the lower alkyl are methyl, ethyl, propyl, isopropyl, butyl, isobutyl, t-butyl, sec-butyl and the like.
- Lower cycloalkyl includes a cyclic group having 3 to 8 carbon atoms (C 3-8 ), preferably 3 to 6 carbon atoms (C 3- ). Also included are ones having 1 to 2 lower alkyl substituent(s) on their cyclic moiety. Specifically included in the lower cycloalkyl are cyclopropyl, cyclobutyl, cyclopentyl, cyclohexyl, cycloheptyl, cyclooctyl and the like.
- Lower cycloalkane includes a ring having 3 to 8 carbon atoms (C 3-8 ), preferably 3 to 6 carbon atoms (C 3 - 6 ). Also included are ones having 1 to 2 lower alkyl substituent(s) on their cyclic moiety. Specifically included in the lower cycloalkane are cyclopropane, cyclobutane, cyclopentane, cyclohexane, cycloheptane, cyclooctane and the like.
- Lower alkoxy includes ones having 1 to 6 carbon atoms (Ci -6 ), preferably 1 to 4 carbon atom(s) (C1 ). Also included are any of lower alkyl-O- or lower cycloalkyl-O-. Specifically included in the lower alkoxy are methoxy, ethoxy, propoxy, isopropoxy, butoxy, isobutoxy, t-butoxy, sec-butoxy and the like.
- Lower alkanoyl includes a straight or branched group having 2 to 7 carbon atoms (C 2-7 ), preferably 2 to 5 carbon atoms (C 2-5 ). Also included are any of lower alkyl-CO- or lower cycloalkyl-CO-. Specifically included in the lower alkanoyl are formyl, acetyl, propanoyl, butanoyl, isobutanoyl, pivaloyl and the like.
- Lower alkylene includes a straight or branched group having 1 to 6 carbon atom(s) (C 1-6 ), preferably 1 to 4 carbon atoms (C 1-4 ).
- Lower alkenyl and lower alkenylene include ones having 2 to 7 carbon atoms (C2-7), preferably 2 to 5 carbon atoms (C 2-5 ), and at least one double bond.
- Lower cycloalkenyl includes a cyclic group having 3 to 8 carbon atoms (C 3- 8 ), preferably 3 to 6 carbon atoms (C 3-6 ). Also included in the lower cycloalkenyl are ones having 1 to 2 lower alkyl substituent(s) on their cyclic moiety.
- Halogen includes fluorine, chlorine, bromine or iodine.
- Halo includes fluoro, chloro, bromo or iodo.
- Halo-lower alkyl includes lower alkyl substituted by halogen (usually 1 to 5, preferably 1 to 3). Specifically included in the halo-lower alkyl are fluoroalkyl, difluoroalkyl, trifluoroalkyl, per fluoro alkyl and the like. More specifically included are fluoro methyl, difluoro methyl, trifluoro methyl and the like.
- Halo-lower alkoxy includes lower alkoxy substituted with halogen (usually 1 to 5, preferably 1 to 3). Specifically included in the halo-lower alkoxy are fluoroalkoxy, difluoroalkoxy, trifluoroalkoxy, perfluoroalkoxy and the like. More specifically included are difluoromethoxy, trifluoromethoxy and the like.
- Aryl includes a C 6 .i 4 monocyclic, bicyclic or tricyclic aromatic hydrocarbon group, preferably C 6-1 o monocyclic or bicyclic ones. Specifically included in the aryl are phenyl, naphthyl, phenanthryl, anthryl and the like.
- Substituted amino includes mono-or di- substituted acyclic amino.
- Cyclic amino includes 1-pyrrolidinyl, 1-piperidyl, 1-piperazinyl, morpholin- 4-yl and the like.
- Secondary hydroxy is hydroxy which connects with a carbon atom connecting with one hydrogen and two carbon atoms.
- Tertiary hydroxy is hydroxy which connects with a carbon atom connecting with three carbon atoms.
- R 1 includes hydrogen, halogen, lower alkyl or cyano, and hydrogen is preferable.
- Heterocycle moiety of the "optionally substituted heterocylic group" represented by Ring A preferably includes "monocyclic or bicylic heteroaryl containing 1 to 3 nitrogen atoms as a hetero atom or a group having an aliphatic 5 to 6-membered ring fused thereon".
- the "aliphatic 5 to 6-membered ring" which becomes fused includes 5 to 6-membered cycloalkane and aliphatic 5 to 6-membered heterocyclic ring (the preferable aliphatic 5 to 6-membered heterocyclic ring has a hetero atom selected from oxygen atom, nitrogen atom and sulfer atom, in particular oxygen atom), for example, specifically cyclohexane, tetrahydropyran and the like.
- heterocycle moiety examples include pyridyl, pyrazinyl, quinolyl, quinoxalinyl, 5,6,7,8-tetrahydroquinoxalinyl, 7,8-dihydro-6H-pyrano[2,3- bjpyrazinyl, pyrido[3,4-b]pyrazinyl, pyrazolo[l,5-a]pyrimidinyl and the like.
- pyrazinyl, quinolyl, quinoxalinyl, 5,6,7,8-tetrahydroquinoxalinyl, 7,8- dihydro-6H-pyrano[2,3-b]pyrazinyl, pyrido[3,4-b]pyrazinyl, and pyrazolo[l,5- a]pyrimidinyl are preferable, and pyrazinyl and quinoxalinyl are especially preferable.
- the heterocycle moiety preferably has a structure represented by formula
- X a is N or CH
- Ring X b is a benzene ring, pyridine ring or an aliphatic 5 to 6-membered ring, or absent.
- Specific examples of the heterocycle moiety include pyridin-2-yl, pyrazin-2- yl, quinolin-2-yl, quinoxalin-2-yl, 5,6,7,8-tetrahydroquinoxalin-2-yl, 7,8-dihydro-6H- pyrano[2,3-b]pyrazin-2-yl, 7,8-dihydro-6H-pyrano[2,3-b]pyrazin-3-yl, pyrido[3,4- b]pyrazin-2-yl, pyrido[3,4-b]pyrazin-3-yl and the like.
- pyrazin-2-yl, quinolin-2-yl, quinoxalin-2-yl, 5,6,7,8-tetrahydroquinoxalin-2-yl, 7,8-dihydro-6H- pyrano[2,3-b]pyrazin-2-yl, 7,8-dihydro-6H-pyrano[2,3-b]pyrazin-3-yl, pyrido[3,4- b]pyrazin-2-yl, and pyrido[3,4-b]pyrazin-3-yl and the like are preferred, and pyrazin- 2-yl and quinoxalin-2-yl are especially preferable.
- the "optionally substituted heterocyclic group" represented by Ring A may be unsubstituted, or may have 1 or more (for example, 1 to 6, preferably 1 to 3) substituent(s) which are the same or different. Examples of such substituent include lower alkyl;
- optionally substituted amino for example, it may have 1 to 2 substituent(s) which are the same or different and selected from lower alkyl, halogen and the like
- optionally substituted cyclic amino for example, it may have 1 to 3 substituent(s) which are the same or different and selected from lower alkyl, halogen, and the like.
- lower alkyl, cycloalkyl, halogen, halo-lower alkyl, optionally substituted amino and optionally substituted cyclic amino are preferable.
- lower alkyl, and halogen are preferable.
- Preferable Rin A includes a group of formula [VI] or [VII]:
- X c is a benzene ring, pyridine ring or an aliphatic 5 to 6-membered ring, each of which is optionally substituted by 1 to 2 substituents selected from lower alkyl; cycloalkyl; halogen; halo-lower alkyl; amino optionally substituted by 1 to 2 substituent(s) which are the same or different and selected from lower alkyl and halogen; and cyclic amino optionally substituted by 1 to 3 substituent(s) which are the same or different and selected from lower alkyl and halogen;
- R 4a is hydrogen or lower alkyl in particular, methyl
- R 4b is hydrogen or lower alkyl in particular, methyl
- R 4c and R 4d are independently selected from lower alkyl; cycloalkyl; halogen; halo- lower alkyl; amino optionally substituted by 1 to 2 substituent(s) which are the same or different and selected from lower alkyl and halogen; and cyclic amino optionally substituted by 1 to 3 substituent(s) which are the same or different and selected from lower alkyl and halogen.
- the "aliphatic 5 to 6-membered ring" in X b or X c includes 5 to 6-membered cycloalkane and aliphatic 5 to 6-membered heterocyclic ring (the preferable aliphatic 5 to 6-membered heterocyclic ring has a hetero atom selected from oxygen atom, nitrogen atom and sulfer atom, in particular oxygen atom).
- Ring A includes
- Monocycle moiety of the "optionally substituted 3 to 6-membered monocyclic group" represented by Ring B includes a "4 to 6-membered monocyclic nitrogen-containing heterocyclic group” and a “3 to 6-membered monocyclic hydrocarbon group”.
- “4 to 5-membered monocyclic nitrogen- containing aliphatic heterocyclic ring” and a “3 to 5-membered monocyclic aliphatic hydrocarbon group” are preferable.
- a "4 to 5-membered monocyclic nitrogen- containing aliphatic heterocyclic group having a bonding on the nitrogen atom of the cyclic group” is more preferable.
- the "4 to 6-membered monocyclic nitrogen-containing heterocyclic group” include pyrrolidinyl, azetidinyl, imidazolidinyl, pyrazolidinyl, piperidinyl, piperazinyl, morpholinyl, thiomorpholinyl and unsaturated monocyclic group thereof in which a part or all is unsaturated.
- pyrrolidinyl, azetidinyl, pyrazolidinyl and unsaturated monocyclic group thereof in which a part or all is unsaturated are preferable.
- Examples of the "3 to 6-membered monocyclic hydrocarbon group” include C 3- 6 cycloalkyl in which a part is optionally unsaturated. Specific examples include cyclopropyl, eye lo butyl, cyclopentyl, cyclohexyl, cyclopropenyl, cyclobutenyl, cyclopentenyl, cyclohexenyl and the like. Among these, cyclopentyl, cyclopentenyl (1-cyclopentenyl and the like) and the like are preferable.
- Examples of the "3 to 6-membered monocyclic group” include 1- pyrrolidinyl, 1-azetidinyl, 1-pyrazolyl, cyclopropyl, cyclopentyl, cyclopenten-l-yl and the like.
- the "optionally substituted 3 to 6-membered monocyclic group" represented by Ring B may be unsubstituted or may have 1 or more (for example, 1 to 3) substituent(s) which are the same or different. Examples of such substituent(s) include
- optionally substituted lower alkyl for example, it may have 1 to 2 substituent(s) which are the same or different and selected from hydroxy, lower alkoxy and the like); lower alkoxy;
- optionally substituted amino for example, it may have 1 to 2 substituent(s) which are the same or different and selected from lower alkyl and the like) and the like.
- halogen hydroxy; optionally substituted lower alkyl (for example, it may have 1 to 2 substituent(s) which are the same or different and selected from hydroxy, lower alkoxy and the like) and the like are preferable, and halogen is especially preferable, in particular fluorine.
- Y include a group represented by the following formula [III] :
- R is hydrogen; lower alkyl optionally substituted by 1 to 2 substituent(s) which are the same or different and selected from hydroxy and lower alkoxy; or lower eye lo alkyl; and
- lower alkyl optionally substituted by 1 to 3 substituent(s) which are the same or different and selected from the group consisting of hydroxy, halogen, cyano, lower alkoxy, lower cycloalkyl, hydroxy-substituted lower cycloalkyl, halo-lower alkyl and mono- or di- lower alkyl amino; or
- Z is preferably -N(R 3 )- or -0-, more preferably -N(R 3 )-.
- R 3 is preferably hydrogen or lower alkyl (for example, methyl), more preferably hydrogen.
- lower alkyl optionally substituted by 1 to 3 substituent(s) which are the same or different and selected from the group consisting of hydroxy, halogen, cyano, lower alkoxy, lower cycloalkyl, hydroxy-substituted lower cycloalkyl, halo- lower alkyl and mono- or di- lower alkyl amino of R is preferably hydroxy- substituted lower alkyl optionally substituted by halo-lower alkyl.
- Hydroxy of "hydroxy-substituted lower alkyl" of R is preferably secondary or tertiary hydroxy, in particular tertiary hydroxy.
- lower alkyl optionally substituted by 1 to 3 substituent(s) which are the same or different and selected from the group consisting of hydroxy, halogen, cyano, lower alkoxy, lower cycloalkyl, hydroxy-substituted lower cycloalkyl, halo-lower alkyl and mono- or di-lower alkyl amino
- substituent(s) which are the same or different and selected from the group consisting of hydroxy, halogen, cyano, lower alkoxy, lower cycloalkyl, hydroxy-substituted lower cycloalkyl, halo-lower alkyl and mono- or di-lower alkyl amino
- Monocycle moiety of the "optionally substituted aliphatic 3 to 6-membered monocyclic group" represented by R 2 preferably include a 4 to 6-membered
- aliphatic monocylic heterocyclic group containing 1 to 2 hetero atom(s) selected from oxygen atom, nitrogen atom and sulfur atom; C 3-6 (preferably C 5-6 ) cycloalkyl; and the like.
- Specific examples of the monocycle moiety include tetrahydropyranyl, tetrahydrofuranyl, oxetanyl, tetrahydrothiopyranyl, tetrahydrothienyl, thietanyl, piperidyl, C 3-6 cycloalkyl (cyclohexyl, cyclopentyl, cyclobutyl, and cyclopropyl) and the like.
- tetrahydropyranyl tetrahydrofuranyl, oxetanyl, C 3- 6 cycloalkyl and the like are preferable.
- tetrahydropyranyl, cyclohexyl and the like are especially preferable.
- monocycle moiety examples include 3- or
- 3- or 4-tetrahydropyranyl, 3-tetrahydrofuranyl, 3-oxetanyl, 3-tetrahydrothienyl, 4- piperidyl, C 3-6 cycloalkyl and the like are preferable.
- 3- or 4- tetrahydropyranyl, 3-tetrahydrofuranyl, cyclohexyl and the like are further preferable.
- the "optionally substituted aliphatic 3 to 6-membered monocyclic group" represented by R 2 may be unsubstituted, or may have 1 or more (for example, 1 to 3) substitutent(s) which are the same or different.
- substituent(s) include halogen, oxo, hydroxy, lower alkanoyl, lower alkoxy and optionally substituted lower alkyl and the like (for example, it may have 1 to 2 substituent(s) which are the same or different and selected from hydroxy, lower alkoxy and the like).
- Halogen, oxo, hydroxyl, lower alkanoyl, lower alkoxy, lower alkyl optionally substituted by 1 to 2 substituent(s) which are the same or different and selected from hydroxy and lower alkoxy are further preferable.
- R 2 is preferably a group represented by the following formula [IV] :
- X 3 is -0-, -S-, -C(R 2c )(R 2d )- or -S0 2 -;
- s and t are each independently 1, 2, 3 or 4;
- s + 1 is 2, 3, 4 or 5;
- R 2a , R 2b , R 2c , R 2d are the same or different, and each independently are hydrogen, halogen, oxo, hydroxy, lower alkanoyl, lower alkoxy, or lower alkyl optionally substituted by 1 to 2 substituent(s) which are the same or different and selected from hydroxy and lower alkoxy.
- X 3 is preferably -O- or -C(R 2c )(R 2d )-.
- s and t are preferably 1 or 2, more preferably 2.
- s + 1 is preferably 2, 3 or 4, more preferably 3 or 4.
- the "optionally substituted aliphatic 3 to 6-membered monocyclic group' represented by R 2 is more preferably a group represented by the following formula V]:
- Examples of the "optionally substituted amino" represented by Y include unsubstituted amino and substituted amino. Among these, substituted amino is preferable.
- Examples of the "substituted amino" represented by Y include ones having 1 to 2 substituent(s) which are the same or different.
- Examples of such substituent(s) of the "substituted amino” include ones that are similar to the aforementioned groups represented by R 3 and R 2 in formula [III],
- the "substituted amino" represented by Y is preferably mono-substituted amino.
- the substituent in such case is preferably ones that are similar to the aforementioned groups represented by R 2 in formula [III], and more preferably ones that are similar to "optionally substituted aliphatic 3 to 6-membered monocyclic group" or "optionally substituted lower alkyl” represented by R 2 .
- Specific examples of "substituted amino" represented by Y of formula [I] include
- Examples of the "cyclic amino" represented by Y preferably include 1- pyrrolidinyl, morpholin-4-yl, 1-piperidyl, 1-piperazinyl and the like. Among these,
- Examples of the "optionally substituted aliphatic 3 to 6-membered monocycle" moiety in the "optionally substituted aliphatic 3 to 6-membered monocyclyloxy" represented by Y include ones that are similar to the aforementioned "optionally substituted aliphatic 3 to 6-membered monocyclic group" represented by R 2 in formula [III].
- the "optionally substituted lower alkyl" represented by Y may be unsubstituted ones, or may be ones having 1 or more (for example, 1 to 3)
- substitutent(s) which are the same or different.
- substituent(s) include an optionally substituted aliphatic 3 to 6-membered monocyclic group, hydroxy, halogen, cyano, lower alkoxy, mono- or di-lower alkylamino, cycloalkyl and the like.
- optionally substituted aliphatic 3 to 6-membered monocylic group include ones that are similar to the aforementioned "optionally substituted aliphatic 3 to 6-membered monocylic group" represented by R 2 in formula [III].
- the "optionally substituted lower alkyl-O-" represented by Y may be unsubstituted ones or may be ones having 1 or more (for example, 1 to 3)
- substituent(s) which are the same or different.
- substituent(s) include halogen, hydroxy, lower alkoxy and the like.
- One aspect of the present invention includes those compound of formula [I] wherein R 1 is hydrogen.
- Ring A is optionally substituted monocyclic or bicylic heteroaryl containing 1 to 3 nitrogen atoms as a hetero atom or a group having an aliphatic 5 to 6-membered ring fused thereon
- Ring A is a group of formula [II], which is optionally substituted.
- Ring A is pyridyl, pyrazinyl, quinolyl, quinoxalinyl, 5,6,7,8-tetrahydroquinoxalinyl, 7,8-dihydro-6H-pyrano[2,3-b]pyrazinyl, pyrido[3,4- b]pyrazinyl, pyrazolo[l,5-a]pyrimidinyl, each of which is optionally substituted.
- Ring A is pyridyl, pyrazinyl, quinolyl, quinoxalinyl,
- Ring A is pyrazinyl, quinolyl, quinoxalinyl, 5,6,7,8- tetrahydroquinoxalinyl, 7,8-dihydro-6H-pyrano[2,3-b]pyrazinyl, pyrido[3,4- b]pyrazinyl and pyrazolo[l,5-a]pyrimidinyl.
- Ring A is pyrazinyl and quinoxalinyl, each of which is optionally substituted.
- Ring A is pyrazin-2-yl, quinolin-2-yl, quinoxalin-2- yl, 5,6,7,8-tetrahydroquinoxalin-2-yl, 7,8-dihydro-6H-pyrano[2,3-b]pyrazin-2-yl, 7,8- dihydro-6H-pyrano[2,3-b]pyrazin-3-yl, pyrido[3,4-b]pyrazin-2-yl, and pyrido[3,4- b]pyrazin-3-yl, each of which is optionally substituted.
- Ring A is pyrazin-2-yl and quinoxalin-2-yl, each of which is optionally substituted.
- Another aspects of the invention includes the aforementioned compound wherein Ring A may have 1 or more (for example, 1 to 6, preferably 1 to 3) substituent(s) which are the same or different substituent selected from lower alkyl; lower cycloalkyl, halogen; halo-lower alkyl; hydroxy; lower alkoxy; halo-lower alkoxy; optionally substituted amino (for example, it may have 1 to 2 substituent(s) which are the same or different and selected from lower alkyl, halogen and the like); and optionally substituted cyclic amino (for example, it may have 1 to 3 substituent(s) which are the same or different and selected from lower alkyl, halogen, and the like).
- the substituents in the "optionally substituted heterocyclic group" represented by Ring A are 1 to 6 substituent(s) which are the same or different and selected from the group consisting of lower alkyl; halogen; halo- lower alkyl; hydroxy; lower-alkoxy; halo-lower alkoxy; amino optionally substituted by 1 to 2 substituent(s) which are the same or different and selected from lower-alkyl and halogen; and cyclic amino optionally substituted by 1 to 3 substituent(s) which are the same or different and selected from lower-alkyl and halogen.
- the substituents in the "optionally substituted heterocyclic group" represented by Ring A are 1 to 3 substituent(s) which are the same or different and selected from the group consisting of lower alkyl; halogen; halo- lower alkyl; amino optionally substituted by 1 to 2 substituent(s) which are the same or different and selected from lower-alkyl and halogen; and cyclic amino optionally substituted by 1 to 3 substituent(s) which are the same or different and selected from lower-alkyl and halogen.
- the substituents in the "optionally substituted heterocyclic group" represented by Ring A are 1 to 3 substituent(s) which are the same or different and selected from the group consisting of lower alkyl, and halogen.
- Another aspect of the invention includes those compound of formula [I] wherein Ring A is a group of formula [VI] or [VII].
- Ring A is a group of formula [VI].
- Ring A is a group of formula [VII].
- Another aspect of the invention includes the aforementioned compound wherein the monocycle moiety in the "optionally substituted 3 to 6-membered monocyclic group" represented by Ring B is a 4 to 6-membered monocyclic nitrogen- containing heterocyclic group.
- monocycle moiety in the "optionally substituted 3 to 6-membered monocyclic group" represented by Ring B is a 4 to 6-membered monocyclic nitrogen-containing heterocyclic group or 3 to 6-membered monocyclic hydrocarbon group.
- monocyclic moiety in “optionally substituted 3 to 6- membered monocyclic group" represented by Ring B is selected from the group consisiting of pyrrolidinyl, azetidinyl, imidazolidinyl, pyrazolidinyl, piperidinyl, piperazinyl, morpholinyl, thiomorpholinyl and C 3 . 6 cycloalkyl, or unsaturated monocyclic group thereof;
- monocyclic moiety in “optionally substituted 3 to 6- membered monocyclic group" represented by Ring B is selected from the group consisting of pyrrolidinyl, azetidinyl, imidazolidinyl, pyrazolidinyl, piperidinyl, piperazinyl, morpholinyl, thio morpholinyl and unsaturated monocyclic group thereof, in which a part or all is unsaturated.
- monocyclic moiety in “optionally substituted 3 to 6- membered monocyclic group" represented by Ring B is pyrrolidinyl, azetidinyl, pyrazolidinyl and unsaturated monocyclic group thereof, in which a part or all is unsaturated are preferable.
- monocyclic moiety in “optionally substituted 3 to 6- membered monocyclic group" represented by Ring B is 1 -pyrrolidinyl, 1 -azetidinyl, 1 -pyrazolidinyl and unsaturated monocylic group thereof in which a part or all is unsaturated.
- monocyclic moiety in “optionally substituted 3 to 6- membered monocyclic group" represented by Ring B is 1 -pyrrolidinyl, 1 -azetidinyl, 1-pyrazolyl, cyclopropyl, cyclopentyl, or cyclopenten-l-yl.
- monocyclic moiety in “optionally substituted 3 to 6- membered monocyclic group" represented by Ring B is 1 -pyrrolidinyl.
- Ring B is a 3 to 6-membered monocyclic group optionally substituted by 1 to 3 substituent(s) which are same or different and selected from the group consisting of halogen; oxo; hydroxy; lower alkyl optionally substituted by 1 to 2 substituent(s) which are the same or different and selected from hydroxy and lower alkoxy; lower alkoxy; lower alkylsulfonyloxy; and amino optionally substituted by 1 to 2
- "optionally substituted 3 to 6-membered monocyclic group" represented by Ring B is a 3 to 6-membered monocyclic group optionally substituted by 1 to 3 substituent(s) which are same or different and selected from halogen; hydroxy; lower alkyl optionally substituted by 1 to 2 substituent(s) which are the same or different and selected from hydroxy and lower alkoxy.
- Another aspect of the invention includes the aforementioned compound, wherein Y is represented by formula [III]. In one of these aspects, Y is represented by formula [III] wherein Z is - N(R 3 )- or -0-.
- Y is represented by formula [III] wherein Z is -
- Another aspect of the invention includes the aforementioned compound, wherein Y is represented by formula [III] : wherein R 3 is hydrogen.
- Y is represented by formula [III] wherein "optionally substituted aliphatic 3 to 6-membered monocyclic group" represented by R 2 is an aliphatic 3 to 6-membered monocyclic group optionally substituted byl to 3 substituent(s) which are the same or different and selected from the group consisting of halogen; oxo; hydroxy; lower alkanoyl; lower alkoxy; and lower alkyl optionally substituted by 1 to 2 substituent(s) which are the same or different and selected from hydroxy and lower alkoxy.
- the monocycle moiety in the "optionally substituted aliphatic 3 to 6-membered monocyclic group” is represented by formula [IV].
- the monocycle moiety in the "optionally substituted aliphatic 3 to 6-membered monocyclic group” is represented by formula [V].
- the monocycle moiety in the "optionally substituted aliphatic 3 to 6-membered monocyclic group" represented by R 2 is selected from the group consisting of tetrahydropyranyl, tetrahydrofuranyl, oxetanyl,
- the monocycle moiety in the "optionally substituted aliphatic 3 to 6-membered monocyclic group" represented by R 2 is selected from the group consisting of 3- or 4-tetrahydropyranyl, 3 -tetrahydrofuranyl, 3-oxetanyl, 3- or 4-tetrahydrothiopyranyl, 3 -tetrahydrothienyl, 3-thietanyl, 4-piperidyl, and C 3- 6 cycloalkyl.
- Y is represented by formula [III] wherein R is a lower alkyl optionally substituted by 1 to 3 substituent(s) which are the same or different and selected from the group consisting of hydroxy, halogen, cyano, lower alkoxy, lower cycloalkyl, hydroxy-substituted lower cycloalkyl, halo-lower alkyl and mono- or di-lower alkyl amino.
- Y is represented by formula [III] wherein R 2 is an optionally substituted aliphatic 3 to 6-membered monocyclic group. In one of these aspects, Y is represented by formula [III] wherein R 2 is
- lower alkyl optionally substituted by 1 to 3 substituent(s) which are the same or different and selected from the group consisting of hydroxy, halogen, cyano, lower alkoxy, hydroxy-substituted lower cycloalkyl, halo-lower alkyl and mono- or di-lower alkyl amino; or
- Y is represented by formula [III] wherein R 2 is selected from the group consisting of 4-tetrahydropyranyl; 4-hydroxy-4- methylcyclohexyl; 2-hydroxypropan-l-yl; 2-hydroxy-2-methylpropan-l-yl; 1, 1,1- trifluoro-2-hydroxypropan-3-yl; and 3-hydroxy-3-methylbutan-l-yl.
- Another aspect of the invention includes the aforementioned compound wherein Y is optionally substituted amino.
- Another aspect of the invention includes the aforementioned compound wherein Y is Optionally substituted cyclic amino.
- Another aspect of the invention includes the aforementioned compound wherein Y is optionally substituted aliphatic 3 to 6-membered monocyclyloxy.
- Another aspect of the invention includes the aforementioned compound wherein Y is optionally substituted lower alkyl.
- Another aspect of the invention includes the aforementioned compound wherein Y is optionally substituted lower alkyl-O-.
- examples of the compound of formula [I] include the free form of each compounds described in the Examples (Examples 1.001 to 1.200, 2.001, 3.001, 4.001 to 4.005, 5.001 and 5.002) or pharmaceutically acceptable salts thereof.
- examples of the compound include ones selected from the group consisting of
- the compounds of formula [I] of the present invention may be in a free form (free base or free acid) or in the form of a pharmaceutically acceptable salt thereof.
- pharmaceutically acceptable salts include inorganic acid salts such as hydrochloride, sulfate, nitrate, phosphate or hydrobromate salts, and organic acid salts such as acetate, fumarate, oxalate, citrate, methanesulfonate, benzenesulfonate, p-toluenesulfonate or maleate salts, and the like.
- the pharmaceutically acceptable salts thereof include salts with bases (for example, alkali metal salts such as sodium salt, potassium salts and the like, or alkaline earth metal salts such as calcium salt).
- bases for example, alkali metal salts such as sodium salt, potassium salts and the like, or alkaline earth metal salts such as calcium salt.
- the compounds of formula [I] or salts thereof of the present invention encompass any of intramolecular salts, adducts, solvates or hydrates thereof.
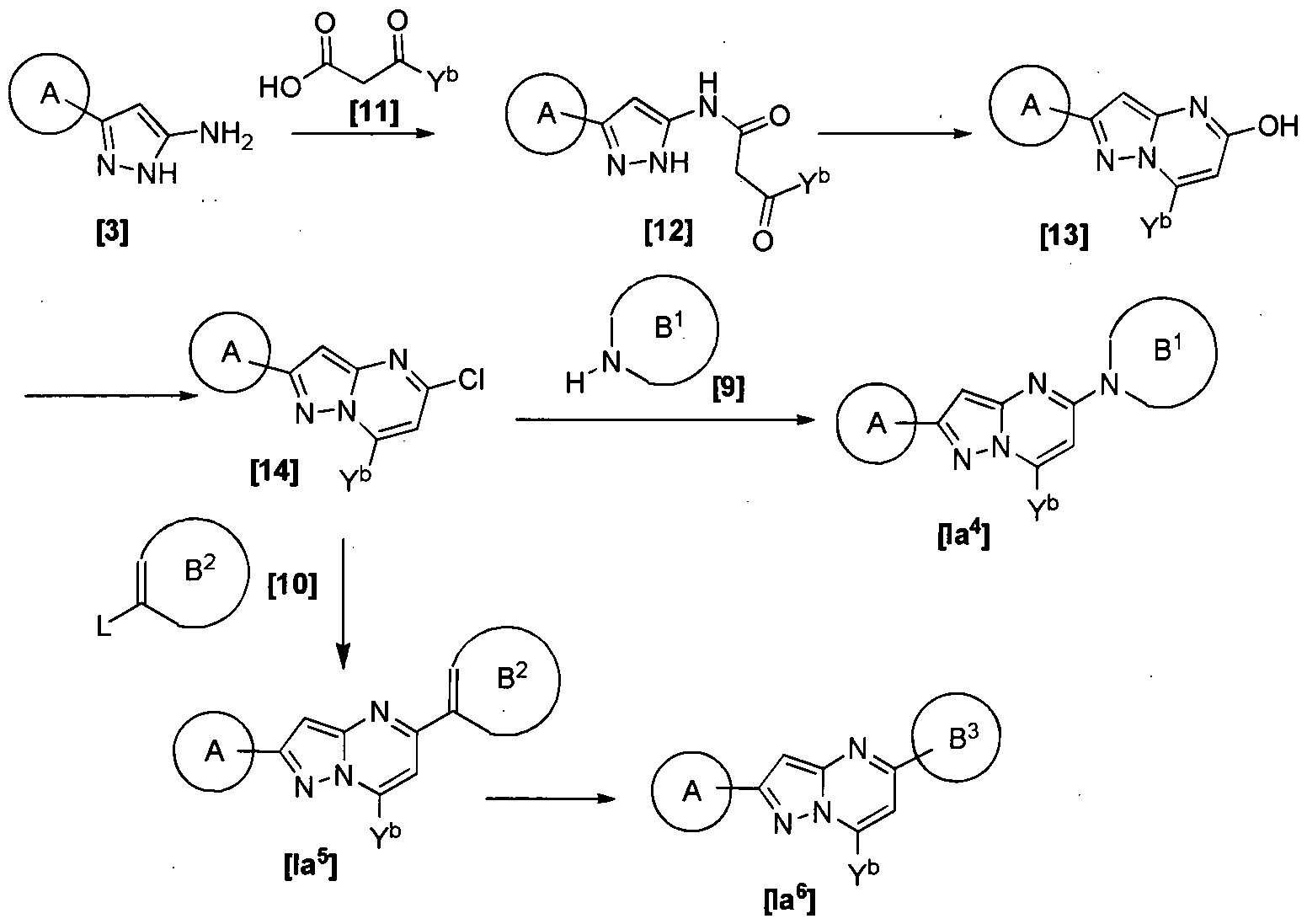
- the compound of formula [3] is reacted with ethyl malonyl chloride, followed by addition of a nucleophilic agent to provide the compound of formula [4] [wherein, each symbol has the same meanings as defined above].
- the compound of formula [3] is reacted with ethyl hydrogen malonate to provide the compound of formula [4].
- L is -B(OR) 2, -B(OH) 2 or -SnR 3 , R is lower alkyl , and the other symbols have the same meanings as defined above] to provide the compound of formula [la 2 ], which is optionally converted to a pharmacuetically acceptable salt.
- the compound of formula [la 2 ] is reduced to provide the compound of formula [la 3 ], which is optionally converted to a pharmaceutically acceptable salt.
- the reaction of the compound of formula [1] and acetonitrile suitably proceeds in the presence of a base.
- a base alkali metal alkoxides such as potassium tert-butoxide, alkali metal hydrides such as sodium hydride, alkali metal hydroxides such as sodium hydroxide, can suitably be used for example.
- the reaction can be carried out in a suitable solvent.
- any solvent which does not have a negative impact on the reaction can be used, and for example, toluene and the like can suitably be used.
- the reaction suitably proceeds at -78 °C to 100 °C, particularly at 0 °C to room temperature.
- the reaction of the compound of formula [2] and hydrazine suitably proceeds in the presence of an acid.
- an acid organic acids such as acetic acid, and inorganic acids such as hydrochloric acid, can suitably be used for example.
- the reaction can be carried out in a suitable solvent.
- any solvent which does not have a negative impact on the reaction can be used, and for example, alcohol solvents such as methanol and ethanol, organic solvents such as acetic acid, or a combination thereof can suitably be used.
- the reaction suitably proceeds at 0 °C to 150 °C, particularly at 80 °C to 120 °C.
- the nucleophilic agent include alcohols such as ethanol.
- the reaction suitably proceeds in the presence of a base.
- organic bases such as triethylamine and pyridine can suitably be used for example.
- the reaction can be carried out in a suitable solvent.
- any solvent which does not have a negative impact on the reaction can be used, and for example, methylene chloride, chloroform, pyridine and the like, or a combination thereof can suitably be used.
- the reaction suitably proceeds at -78 °C to 100 °C, particularly at 0 °C to room temperature.
- the reaction suitably proceeds in the presence of a condensation agent.
- a condensation agent N-ethyl-N '-(3- dimethylaminopropyl)carbodiimide hydrochloride, dicyclohexylcarbodiimide, and diisopropylcarbodiimide can suitably be used for example.
- the reaction can be carried out in a suitable solvent.
- any solvent which does not have a negative impact on the reaction can be used, and for example, methylene chloride, chloroform, pyridine, dimethylformamide, and N-methylpyrrolidinone and the like, or a combination thereof can suitably be used.
- the reaction suitably proceeds at -20 °C to 60 °C, particularly at 0 °C to room temperature.
- the cyclization reaction of the compound of formula [4] suitably proceeds in the presence of a base.
- a base organic bases such as
- dimethylaminopyridine and diisopropylethylamine metal bases such as sodium hydride, or aqueous ammonia solution can suitably be used for example.
- the reaction can be carried out in a suitable solvent.
- any solvent which does not have a negative impact on the reaction can be used, and for example, alcohol solvents such as methanol and ethanol, water, dimethylformamide, dimethylacetamide, or N-methyl pyrrolidone and the like, or a combination thereof can suitably be used.
- the reaction suitably proceeds at -78 °C to 100 °C, particularly at 0 °C to room temperature.
- the halogenation reaction of the compound of formula [5] can be carried out by allowing the compound to react with a halogenating agent.
- a halogenating agent include phosphorous oxychloride and the like.
- the reaction can be carried out in a suitable solvent or without a solvent.
- any solvent which does not have a negative impact on the reaction can be used, and for example, toluene, xylene and the like can preferably be used.
- the reaction suitably proceeds at 0 °C to 150 °C, particularly at 80 °C to 120 °C.
- the reaction of the compound of formula [6] with the compound of formula [8] suitably proceeds in the presence of a base.
- organic bases such as
- metal bases such as sodium hydrogen carbonate and potassium carbonate, and the like can suitably be used as such base for example.
- metal bases such as sodium hydrogen carbonate and potassium carbonate, and the like can suitably be used as such base for example.
- metal bases such as sodium hydride, and the like can suitably be used as such base for example.
- metal bases such as sodium hydride and cesium carbonate, and the like can suitably be used as such base for example.
- the reaction can be carried out in a suitable solvent.
- any solvent which does not have a negative impact on the reaction can be used, and for example, dimethylformamide, dimethylacetamide, N-methylpyrrolidone and the like, or a combination thereof can suitably be used.
- the reaction suitably proceeds at -78 °C to 100 °C, particularly at 0 °C to room temperature.
- the reaction of the compound of formula [7] with the compound of formula [9] suitably proceeds in the presence of a base.
- a base organic bases such as dimethylaminopyridine and diisopropylethylamine, metal bases such as sodium hydrogen carbonate and potassium carbonate, and the like can suitably be used as such base for example.
- the reaction can be carried out in a suitable solvent.
- any solvent which does not have a negative impact on the reaction can be used, and for example, dimethylformamide, dimethylacetamide, N-methylpyrrolidone and the like, or a combination thereof can suitably be used.
- the reaction suitably proceeds at -78 °C to 100 °C, particularly at 0 °C to 100 °C.
- the reaction of the compound of formula [7] with the compound of formula [10] suitably proceeds in the presence of a palladium catalyst.
- a palladium catalyst palladium catalyst of 0 valent or 2 valent, such as
- the reaction suitably proceeds in the presence of a base.
- metal bases such as alkali metal carbonates, alkali metal hydroxides, alkali metal phosphates and alkali metal fluorides, organic bases such as triethylamine, and the like can suitably be used for example.
- the reaction can be carried out in a suitable solvent or without a solvent.
- any solvent which does not have a negative impact on the reaction can be used, and for example, dimethoxyethane, tetrahydroiuran, dimethylformamide, methanol, ethanol, toluene, benzene, chloroform, water or a combination thereof can suitably be used.
- the reaction suitably proceeds at 60 °C to 150 °C, particularly at 80 °C to 120 °C.
- Reduction of the compound of formula [la 2 ] proceeds well by a catalytic hydrogenation reaction which performs the reaction in the presence of a catalyst such as palladium, under hydrogen atmosphere.
- the reaction can be carried out in a suitable solvent.
- any solvent which does not have a negative impact on the reaction can be used, and for example, ester solvents such as ethyl acetate, alcohol solvents such as ethanol, ether solvents such as tetrahydroiuran, halogen solvents such as methylene chloride, or a combination thereof can be used.
- the reaction suitably proceeds in such solvent, under hydrogen atmosphere of 1 to 3 atm, at 0 °C to room temperature.
- the compound of formula [14] is reacted with the compound of formula [10] to provide the compound of formula [la 5 ], which is optionally converted to a pharmacuetically acceptable salt.
- the compound of formula [la 5 ] is reduced to provide the compound of formula [la 6 ], which is optionally converted to a pharmacuetically acceptable salt.
- the reaction of the compound of formula [1 1] with the compound of formula [3] can be conducted by reacting the compound of formula [1 1] with a halogenating agent such as oxalyl chloride to form an acid chloride, followed by a reaction similar to the reaction of the compound of formula [3] with ethyl malonyl chloride as described in preparation method 1.
- a halogenating agent such as oxalyl chloride
- the compound of formula [1 1] can be prepared by a usual synthetic method for a ⁇ -keto ester.
- Cyclization of the compound of formula [12] suitably proceeds in the presence of a base.
- a base organic bases such as dimethylaminopyridine and diisopropylethylamine, metal bases such as sodium hydride, or an aqueous ammonia solution can suitably be used for example.
- the reaction can be carried out in a suitable solvent.
- any solvent which does not have a negative impact on the reaction can be used, and for example, alcohol solvents such as methanol and ethanol, water, dimethylformamide, diemthylacetamide, N-methylpyrrolidone and the like, or a combination thereof can suitably be used.
- the reaction suitably proceeds at -78 °C to 100 °C, particularly at 0 °C to room temperature.
- Halogenation of the compound of formula [ 13] can be conducted in a similar manner as the halogenation reaction of the compound of formula [5] described in preparation method 1.
- reaction of the compound of formula [14] with the compound of formula [9] can be conducted in a similar manner as the reaction of the compound of formula [7] with the compound of formula [9] described in preparation method 1.
- reaction of the compound of formula [14] with the compound of formula [ 10] can be conducted in a similar manner as the reaction of the compound of formula [7] with the compound of formula [10] described in preparation method 1.
- Reduction of the compound of formula [la 5 ] can be conducted in a similar manner as the reduction of the compound of formula [la 2 ] described in preparation method 1.
- the compound of formula [17] is reacted with the compound of formula [8] to provide the compound of formula [la 3 ], which is optionally converted to a pharmacuetically acceptable salt.
- the reaction of the compound of formula [3] with the compound of formula [15] suitably proceeds in the presence of a base.
- a base sodium alkoxide and the like can suitably be used for example.
- the reaction can be carried out in a suitable solvent.
- any solvent which does not have a negative impact on the reaction can be used, and for example, alcohol solvents such as methanol, ethanol and methoxyethanol, or a combination thereof can suitably be used.
- the reaction suitably proceeds at 60 °C to 160 °C, particularly at 80 °C to 130 °C.
- the halogenation of the compound of formula [16] can be conducted in a similar manner as the halogenation reaction of the compound of formula [5] described in preparation method 1.
- reaction of the compound of formula [17] with the compound of formula [8] can be conducted in a similar manner as the reaction of the compound of formula [6] with the compound of formula [8] described in preparation method 1.
- the compound of formula [la] is reacted with a halogenating agent to provide the compound of formula [lb 1 ], which is optionally converted to a
- the compound of formula [lb 1 ] is reacted with an alkylating agent or a cyanizing agent to provide the compound of formula [lb ], which is optionally converted to a pharmaceutically acceptable salt.
- the halogenating agent used in the above process to obtain the compound of formula [lb 1 ] include N-halosuccinimide for example.
- the process can be carried out in a suitable solvent.
- any solvent which does not have a negative impact on the reaction can be used, and for example, halogen solvents such as chloroform and methylene chloride can suitably be used.
- the process suitably proceeds at 0 °C to room temperature.
- the above process to obtain the compound of formula [lb 2 ] suitably proceeds in the presence of a palladium catalyst.
- a palladium catalyst palladium catalyst of 0 valent or 2 valent, such as
- tetrakis(triphenylphosphine)palladium (0), bis(triphenylphosphine)palladium (II) chloride, diphenylphosphino(dppf)palladium (II) chloride , palladium (II) acetate and the like can suitably be used.
- alkylating agent used in the process boron agents such as trimethylboroxine, and zinc agents such as dialkylzinc and alkylzinc halide can suitably be used.
- cyanizing agent used in the process zinc cyanide and the like can suitably be used.
- the reaction suitably proceeds in the presence of a base.
- metal bases such as alkali metal carbonates, alkali metal hydroxides, alkali metal phosphates and alkali metal fluorides, organic bases such as triethylamine, and the like can suitably be used for example.
- the process can be carried out in a suitable solvent.
- any solvent which does not have a negative impact on the reaction can be used, and for example, dimethoxyethane, tetrahydrofuran, dimethylformamide, methanol, ethanol, toluene, benzene, chloroform, water or a combination thereof can suitably be used.
- the process suitably proceeds at 60 °C to 150 °C, particularly at 80 °C to 120 °C.
- the hydrolysis of the compound of formula [19] suitably proceeds in the presence of a base.
- a base include alkali metal hydroxide, and for example sodium hydroxide, potassium hydroxide, and the like.
- the process can be carried out in a suitable solvent.
- any solvent which does not have a negative impact on the reaction can be used, and for example, water; alcohol such as methanol, ethanol and the like; ether such as tetrahydroiuran, dioxane, and the like or the mixture thereof can suitably be used.
- the process suitably proceeds at 0 °C to room temperature.
- reaction of compound of formula [20] with N,0- dimethylhydroxylamine hydrochloride suitably proceeds in presence of condensation agent such as carbodiimide reagent (as such the carbodiimide reagent includes dicyclohexylcarbodiimide, l-ethyl-3-(3-dimethylaminopropyl)carbodiimide and the like), phosphoric reagent (as such the phosphoric reagent includes diethyl
- the process can be carried out in presense of base such as triethylamine.
- the process can be carried out in a suitable solvent.
- any solvent which does not have a negative impact on the reaction can be used, and for example, halogen solvents such as chloroform and methylene chloride can suitably be used.
- the process suitably proceeds at 0 °C to room temperature.
- the reaction of compound of formula [21] with compound of formula [23] suitably proceeds in a suitable solvent.
- a suitable solvent any solvent which does not have a negative impact on the reaction can be used, and for example, ether such as tetrahydroiuran, dioxane and the like can suitably be used.
- the process suitably proceeds at -78 °C to room temperature.
- the process can be carried out in a suitable solvent.
- any solvent which does not have a negative impact on the reaction can be used, and for example, tetrahydrofuran, dioxane and the like can suitably be used, can suitably be used.
- the process suitably proceeds at 0 °C to room temperature.
- the oxidation of compound of formula [22] suitably proceeds in presense of oxidizing reagent.
- oxidizing reagent sodium nitrite can suitably be used.
- the process can be carried out in presens of acid such as cone hydrochloric acid.
- the process can be carried out in a suitable solvent.
- any solvent which does not have a negative impact on the reaction can be used, and for example, tetrahydrofuran, dioxane and the like can suitably be used.
- the process suitably proceeds at 0 °C to room temperature.
- reaction of compound of formula [24] with compound of formula [25] suitably proceeds in a suitable solvent.
- solvent any solvent which does not have a negative impact on the reaction can be used, and for example, water; alcohol such as methanol, ethanol and the like or the mixture thereof can suitably be used.
- the process suitably proceeds at 0 °C to room temperature.
- the compound of formula [la 7 ] can be obtained by the oxidation reaction in a convention manner after the aforementioned reaction of compound of formula [24] with compound of formula [25].
- Methods 1 to 4) can be prepared by procedures known in the art and/or recited in
- the reaction can be carried out by protecting the functional group with a protecting group usually used in organic synthetic chemistry, such as those described in Greene's Protecting Group in Organic Synthesis, and then the protecting group can be removed to give the target compound.
- a protecting group usually used in organic synthetic chemistry such as those described in Greene's Protecting Group in Organic Synthesis
- the compounds of the present invention or raw material compounds thereof can be isolated and purified as the free form (free base or free acid) or as the salt thereof.
- the salt can be prepared by salt formation treatments usually employed.
- the salt formation treatment can be carried out by adding an acid or a base or the solution thereof to the solution or suspension of the compound of the present invention.
- Preferable acid is a pharmaceutically acceptable salt, which includes hydrochloric acid, sulfuric acid, nitric acid, phosphoric acid, hydrobromic acid, acetic acid, fumaric acid, oxalic acid, citric acid, methanesulfonic acid, benzenesulfonic acid, />-toluenesulfonic acid and maleic acid.
- Preferable base is a pharmaceutically acceptable salt, which includes alkali metal salts such as sodium salts and potassium salts; and alkaline earth metal salts such as calcium salts.
- a solvent of the solution or suspension of the compound of the present invention may be any solvent which does not have a negative impact on the salt formation treatment.
- examples include water; alcohol such as methanol, ethanol, and propanol; ester such as ethyl acetate; ether such as diethyl ether, dioxane, and tetrahydrofuran;
- the isolation and purification can be carried out by usual chemical procedures such as extraction, concentration, crystallization, filtration,
- the compounds of formula [I] or a pharmaceutically acceptable salt thereof according to the present invention possess excellent PDE10 inhibitory activity, that is, inhibitory activity on the enzyme activity of phosphodiesterase 10 (PDE10, more specifically PDE10A), in mammals.
- PDE10 phosphodiesterase 10
- pharmaceutically acceptable salt thereof according to the present invention are also highly selective for PDE10.
- the compounds of formula [I] or a pharmaceutically acceptable salt thereof in the present invention exhibit various pharmacological efficacies through their PDE10 inhibitory activity. Accordingly, a pharmaceutical composition comprising the compounds of formula [I] or a pharmaceutically acceptable salt thereof as an active ingredient can be used to inhibit PDE10 activity. Further, said pharmaceutical composition can be used for the treatment or prophylaxis of diseases or conditions which are expected to be ameliorated by inhibition of PDE10 activity.
- Anxiety disorder for example, schizophrenia, schizophreniform disorder, delusional disorder, schizoaffective disorder, substance-induced psychotic disorder, paranoid or schizoid personality disorder, etc ;
- panic disorder for example, panic disorder, agoraphobia, specific phobia, social phobia, obsessive- compulsive disorder, post-traumatic stress disorder, acute stress disorder, generalized anxiety disorder, etc ;
- addiction to alcohol for example, addiction to alcohol, amphetamine, cocaine, or opiate, etc ;
- dementia including Alzheimer's disease, multi-infarct dementia, etc.
- delirium amnestic disorder, post-traumatic stress disorder, mental retardation, a learning disorder, attention deficit hyperactivity disorder (ADHD), age-related cognitive decline, etc ;
- ADHD attention deficit hyperactivity disorder
- major depressive disorder for example major depressive disorder, dysthymic disorder, minor depressive disorder, bipolar disorder (including bipolar I disorder, bipolar II disorder), cyclothymic disorder, etc ; or
- panic disorder for example, panic disorder, social phobia, obsessive-compulsive disorder, posttraumatic stress disorder, generalized anxiety disorder;
- dementia including Alzheimer's disease, etc.
- learning disorder including Alzheimer's disease, etc.
- ADHD attention deficit hyperactivity disorder
- age-related cognitive decline for example, dementia (including Alzheimer's disease, etc.), learning disorder, attention deficit hyperactivity disorder (ADHD) and age-related cognitive decline; and
- major depressive disorder for example, major depressive disorder, dysthymic disorder, minor depressive disorder, bipolar disorder.
- Anxiety disorder for example, panic disorder, social phobia, obsessive-compulsive disorder, posttraumatic stress disorder, generalized anxiety disorder; and
- major depressive disorder for example, major depressive disorder, dysthymic disorder, minor depressive disorder, bipolar disorder.
- the compounds of the invention may be used to treat a disease or condition which is expected to be ameliorated by inhibition of PDE10 activity, including for example;
- dyskinesia associated with dopamine agonist therapy including dyskinesia associated with dopamine agonist therapy
- the compounds of the invention may be used to treat a disease or condition which is expected to be ameliorated by inhibition of PDE10 activity, including for example, cancer.
- the compounds of the invention may be used to treat a disease or condition which is expected to be ameliorated by inhibition of PDE10 activity, including for example;
- type 1 or type 2 diabetes or non- insulin dependent diabetes (NIDDM)
- NIDDM non- insulin dependent diabetes
- ITT impaired glucose tolerance
- IGF impaired fasting glucose
- metabolism related disorders including excess of body weight or excess of body fat in obese patient.
- Also within the scope of this invention is a method for treating or preventing a disease or condition by administering to a patient (or a subject) in need thereof an effective amount of a compound of formula [I] or a pharmaceutically acceptable salt thereof.
- Inhibitory action on PDE10 and pharmacological effects of the compounds of the present invention can be confirmed by known methods and equivalent methods thereto.
- measurements of PDE10 inhibitory activities can be carried out by the method described below in Experimental Example 1 or by methods disclosed in literature. See for example, Fujishige et al., Eur. J. Biochem., vol.266, pp.1 118-1 127, 1999, and Mukai et al., Br. J. Pharmacol., vol.1 11, pp.389-390, 1994.
- selectivity of the compounds described herein for PDE10 may be evaluated by using the methods disclosed in the literature. See for example, Kotera et al., Biochem. Pharmacol., vol.60, pp.1333-1341, 2000; Sasaki et al., Biochem. Biophys. Res. Commun., vol.271, pp.575-583, 2000; Yuasa et al., Journal of
- schizophrenia etc can be detected by the following in vivo test systems using mouse . or rat.
- the compounds of formula [I] or a pharmaceutically acceptable salt thereof can be formulated into a conventional pharmaceutical preparation such as a tablet, granule, capsule, powder, solution, suspension, emulsion, inhalent, injectibles and drops, etc, by mixing the compound(s) with an inert pharmaceutically acceptable carrier suitable for each administration route.
- a conventional pharmaceutical preparation such as a tablet, granule, capsule, powder, solution, suspension, emulsion, inhalent, injectibles and drops, etc.
- Such carriers include any conventional pharmaceutically acceptable materials, such as binders (gum Alabicum, gelatin, sorbitol,
- polyvinylpyrrolidone, etc. polyvinylpyrrolidone, etc.
- excipients lactose, sucrose, corn starch, sorbitol, etc.
- lubricants magnesium stearate, talc, polyethyleneglycol, etc.
- disintegrators potato starch, etc.
- the compounds of the present invention can be mixed with distilled water for injection, physiological saline, aqueous glucose solution and the like.
- pharmaceutically acceptable salt thereof is not limited to particular route. They can be administered orally or parenterally (for example, through intravenous, intramuscular, subcutaneous, transdermal, transnasal, transmucosal or enteral route).
- the drug in case of treating a central nervous system (CNS) disease, can be directly or indirectly introduced into the brain, by bypassing the blood-brain barrier (BBB).
- BBB blood-brain barrier
- examples of those methods include intracerebro ventricular (i .v.) administration, and an administration method accompanying intravenous injection of hypertonic solution which enables temporary opening of the BBB (osmotic opening).
- the dosage of the compound may be determined in accordance with the potency or property of that compound, to establish a dosage range which is effective enough for achieving the desired pharmacological efficacy.
- the dosage may vary depending on the administration route, age, bodyweight, and condition of the patient.
- a usual dosage range will be, for example, a range of 0.001 to 300 mg/kg per day, preferably a range of 0.001 to 30mg/kg per day.
- the method of treatment or prophylaxis using a compound of the present invention is applied to a human. However, it may also be applied to mammals other than a human.
- Bovine PDE10A (bPDElOA) was isolated and prepared from bovine corpus striatum, according to the methods described in the reference Fujishige et al., Eur. J. Biochem., vol.266, pp.1 118-1 127, 1999.
- Human PDE10A (hPDElOA) was isolated from COS-7 cells transfected with plasmids coding for human PDE10A2, according to the methods described in the reference Kotera et al., Biochem. Biophys. Res. Commun., vol.261, pp.551-557, 1999. The enzyme solutions obtained were used for a PDE assay.
- the PDE assay was performed according to a modified method refered to a report of Kotera et al. (Kotera et al., Biochem. Pharmacol., vol.60, pp.1333-1341, 2000), by the radiolabeled nucleotide method.
- the measurements of the inhibitory activities were carried out in the following method.
- the final concentration of cAMP in the reaction mixtures was 7 nM.
- the reaction mixtures were incubated at room temperature for 90 min. After incubation, the reaction was stopped by adding 100 ⁇ , of methanol and resultant solutions were applied to filter plate containing Dowex (1 > ⁇ 8 200-400) and centrifuged. 50 ⁇ _, of the eluate together with wash eluate with additional 100 ⁇ ⁇ methanol was collected in another plate and the radioactivity was measured.
- Example No 1C 50 Example No ICso
- Method B A suspension of 3-chloroquinoxaline-2-carboxylate (86.0 g, 363 mmol), trimethylboroxine (22.8 g, 0.182 mmol), [1,1 '- bis(diphenylphosphino) ferrocene] dichloropalladium(II) (8.90 g, 11.0 mmol), and potassium carbonate (100 g, 727 mmol) in 1,4-dioxane (726 mL) was heated at 115 °C for 4 h. And then trimethylboroxine (22.8 g, 0.182 mmol) was added again and heated at same temperature for 2 h.
- Method B To a suspension of 3-(3-methylquinoxalin-2-yl)-lH-pyrazol-5-amine (5.00 g, 22.2 mmol) and ethyl hydrogen malonate (2.88 mL, 24.4 mmol) in pyridine (89 mL) was added N-ethyl-N'-(3-dimethylaminopropyl)carbodiimide hydrochloride (6.38 g, 33.3 mmol) at 0 °C and stirred for 30 min. The reaction mixture was stirred for 1 h at room temperature and then concentrated in vacuo.
- Method A (free form): A suspension of ethyl 3- ⁇ [3-(3-methylquinoxalin-2-yl)-lH- pyrazol-5-yl]amino ⁇ -3-oxopropanoate (20.0 g, 58.9 mmol) in 28% aqueous ammonia (295 mL) and methanol (1 176 mL) was stirred overnight at room temperature, and then concentrated in vacuo. The residue was diluted with water (1500 mL) and ethyl acetate (1000 mL). The aqueous layer was concentrated in vacuo, and water (40 mL) was added.
- Method B (DMAP salt): A suspension of ethyl 3- ⁇ [3-(3-methylquinoxalin-2-yl)-lH- pyrazol-5-yl] amino ⁇ -3-oxopropanoate (1.00 g, 2.95 mmol) and 4- dimethylaminopyridine (DMAP) (1.08 g, 8.84 mmol) in water (7 mL), tetrahydrofuan (7 mL), and methanol (7 mL) was heated at 65 °C for 4 h. After being cooled to ambient temperature, the reaction mixture was diluted with water and ethyl acetate. The aqueous layer was collected and concentrated in vacuo.
- DMAP salt A suspension of ethyl 3- ⁇ [3-(3-methylquinoxalin-2-yl)-lH- pyrazol-5-yl] amino ⁇ -3-oxopropanoate (1.00 g, 2.95 mmol) and 4- dimethylaminopyridine (
- the preparation of the dihydrochloride salt was also performed in the similar manner by using excess amount of aqueous hydrochloric acid solution.
- Example 1.001 The preparation was performed in a similar manner as Example 1.001 (g) from 3-(5,7- dichloropyrazolo[l,5-a]pyrimidin-2-yl)-2-methylquinoxaline (200 mg, 0.606 mmol) and N-methyl-4-aminotetrahydropyran (84 mg, 0.729 mmol) to give 5-chloro-N- methyl-2-(3-rnethylquinoxalin-2-yl)-N-(tetrahydro-2H-pyran-4-yl)pyrazolo[l,5- ]pyrimidin-7-amine.
- Example 1.001 (i) from N- methyl-2-(3-methylquinoxalin-2-yl)-5-pyrrolidin- l-yl-7V-(tetrahydro-2H-pyran-4- yl)pyrazolo[l,5-a]pyrimidin-7-amine (692 mg, 1.53 mmol) to give N-methyl-2-(3- methylquinoxalin-2-yl)-5-pyrrolidin- 1 -yl-N-(tetrahydro-2H-pyran-4-yl)pyrazolo[ 1 ,5- a]pyrimidin-7-amine hydrochloride (the compound of Example 1.002 listed in the Table of Examples as described hereinafter).
- the preparation of the 3/2 hydrochloride salt was also performed in the similar manner by using excess amount of aqueous hydrochloric acid solution.
- Example 1.001 (i) from 5- [(3/?)-3-fluoropyn-olidin-l-yl]-2-(3-methylquinoxalin-2-yl)-iV-(tetrahydro-2H-pyran- 4-yl)pyrazolo[l,5-fl]pyrimidin-7-amine (4.15 g, 9.27 mmol) to give 5-[(3R)-3- fluoropyrrolidin-l-yl]-2-(3-methylquinoxalin-2-yl)-iV-(tetrahydro-2H-pyran-4- yl)pyrazolo[l,5-a]pyrimidin-7-amine hydrochloride (the compound of Example 1.003 listed in the Table of Examples as described hereinafter).
- ⁇ -NM 500 MHz, DMSO-d 6 : ⁇ 1.83-1.94 (4H, m), 2.21-2.45 (2H, m), 3.08 (3H, s), 3.47-3.52 (1H, m), 3.66-3.72 (1H, m), 3.80-4.14 (4H, m), 5.58 (1H, m), 5.66 (1H, s), 6.88 (1H, s), 7.83- 7.90 (2H, m), 8.07 (1H, m), 8.14 (1H, m), 8.19 (1H, br).
- Example 1.001 The preparation was performed in a similar manner as Example 1.001 (g) from 3-(5,7- dichloropyrazolo[ l,5-a]pyrimidin-2-yl)-2-trifluoromethylquinoxaline (300 mg, 0.781 mmol) to give 5-chloro-N-(tetrahydro-2H-pyran-4-yl)-2-(3-trifluoromethylquinoxalin- 2-yl)pyrazolo[l,5-a]pyrimidin-7-amine.
- Example 1.001 (i) from 5- pyrTolidin- l-yl-N-(tetrahydro-2H-pyran-4-yl)-2-[3-(trifluoromethyl)quinoxalin-2- yl]pyrazolo[ l ,5-a]pyrimidin-7-amine (177 mg, 0.367 mmol) to give 5-pyrrolidin-l-yl- N-(tetrahydro-2H-pyran-4-yl)-2-[3-(trifluoromethyl)quinoxalin-2-yl]pyrazolo[ l,5- a]pyrimidin-7-amine hydrochloride (the compound of Example 1.005 listed in the Table of Examples as described hereinafter).
- Example 1.001 The preparation was performed in a similar manner as Example 1.001 (i) to give 2- methyl- 3 - [5 -pyrro lid in- 1 - yl-7- (tetrahydro -2H-pyr an-4-ylo xy)pyrazo lo [ 1 , 5 - a]pyrimidin-2-yl]quinoxaline hydrochloride (the compound of Example 1.010 listed in the Table of Examples as described hereinafter).
- Example 1.006 The preparation was performed in a similar manner as Example 1.006 (g) from tran ⁇ - 4- ⁇ [5-chloro-2-(7-fluoro-3-methylquinoxalin-2-yl)pyrazolo[l ,5-fl]pyrimidin-7- yj]amino ⁇ - 1-methylcyclohexanol (1.32 g, 3.00 mmol) to give tran5-4-( ⁇ 2-(7-Fluoro-3- methylquinoxalin-2-yl)-5-[(3/?)-3-fluoropyrrolidin- l-yl]pyrazolo[l ,5-a]pyrimidin-7- yl ⁇ amino)- 1-methylcyclohexanol).
- Example 1.006 (h) The preparation was performed in a similar manner as Example 1.006 (h) from tra «5- 4-( ⁇ 2-(7-fluoro-3-methylquinoxalin-2-yl)-5-[(3i?)-3-fluoropyrrolidin- l- yl]pyrazolo[ l,5-a]pyrimidin-7-yl ⁇ amino)- 1-methylcyclohexanol (1.18 g, 2.39 mmol) to give tm «5-4-( ⁇ 2-(7-Fluoro-3-methylquinoxalin-2-yl)-5-[(3i?)-3-fluoropyrrolidin- l- yljpyrazolo [ 1 ,5-a]pyrimidin-7-yl ⁇ amino)- 1 -methylcyclohexanol hydrochloride (the compound of Example 1.013 listed in the Table of Examples as described hereinafter).
- Example 1.004 The preparation was performed in a similar manner as Example 1.004 (i) from trans- 1 - Methyl-4- ⁇ [2-(2-methyl-7,8-dmydro-6H-pyrano[2,3-b]pyrazin-3-yl)-5-pyrrolidin-l- ylpyrazolo[l,5-a]pyrimidin-7-yl]amino ⁇ cyclohexanol (140 mg, 0.302 mmol) to give trans- l-Methyl-4- ⁇ [2-(2-methyl-7,8-dihydro-6H-pyrano[2,3-b]pyrazin-3-yl)-5- pyrrolidin-l-ylpyrazolo[l,5-a]pyrimidin-7-yl]amino ⁇ cyclohexanol hydrochloride (the compound of Example 1.172 listed in the Table of Examples as described hereinafter).
- Example 1.001 (g) from 2-(5,7- dichloropyrazolo[l,5-a]pyrimidin-2-yl)-3-methyl-7,8-dihydro-6H-pyrano[2,3- bjpyrazine (98 mg, 0.241 mmol) to give trans-4- ⁇ [5-chloro-2-(3-methyl-7,8-dihydro- 6H-pyrano[2,3-b]pyrazin-2-yl)pyrazolo[l,5-a]pyrimidin-7-yl]amino ⁇ -l- methylcyclohexanol.
- Example 1.004 The preparation was performed in a similar manner as Example 1.004 (i) from trans- 1- methyl-4- ⁇ [2-(3-methyl-7,8-dihydro-6H-pyrano[2,3-b]pyrazin-2-yl)-5-pyrrolidin-l- ylpyrazolo[l,5-a]pyrimidin-7-yl]amino ⁇ cyclohexanol (44 mg, 0.0949 mmol) to give trans- l-Methyl-4- ⁇ [2-(3-methyl-7,8-dihydro-6H-pyrano[2,3-b]pyrazin-2-yl)-5- pyrrolidin- 1 -ylpyrazolo[ 1 ,5-a]pyrimidin-7-yl] amino ⁇ cyclohexanol hydrochloride (the compound of Example 1.173 listed in the Table of Examples as described hereinafter).
- Example 1.001 The preparation was performed in a similar manner as Example 1.001 (h) from 2-[5- chloro-7-(tetrahydro-2H-pyran-4-ylmethyl)pyrazolo[l ,5-fl]pyrimidin-2-yl]-3- methylquinoxaline (16 mg, 0.041 mmol) to give 2-methyl-3-[5-pyrrolidin- l-yl-7- (tetrahydro-2H-pyran-4-ylmethyl)pyrazolo[ 1 ,5-a]pyrimidin-2-yl]quinoxaline (the compound of Example 2.001 listed in the Table of Examples as described hereinafter).
- Example 1.001 The preparation was performed in a similar manner as Example 1.001 (g) from 2-(7- chloro-5-cyclopropylpyrazolo[ l ,5-fl]pyrimidin-2-yl)-3-methylquinoxaline (140 mg, 0.418 mmol) to give 5-cyclopropyl-2-(3-methylquinoxalin-2-yl)-N-(tetrahydro-2H- pyran-4-yl)pyrazolo[l ,5-a]pyrimidin-7-amine (the compound of Example 3.001 listed in the Table of Examples as described hereinafter).
- Example 1.001 (a) Method A from 3-bromo-5-pyrrolidin-l-yl-N-(tetrahydro-2H-pyran-4-yl)-2-[3- (trifluoromethyl)quinoxalin-2-yl]pyrazolo[l,5-a]pyrimidin-7-amine (30 mg, 0.0533 mmol) to give 3-methyl-5-pyrrolidin-l-yl-iV-(tetrahydro-2H-pyran-4-yl)-2-[3- (trifluoromethyl)quinoxalin-2-yl]pyrazolo[l,5-a]pyrimidin-7-amine (the compound of Example 4.002 listed in the Table of Examples as described hereinafter).
- the absolute configuration was determined by X-ray analysis of 2-(2-methylpyrido[3,4-b]pyrazin- 2-yl)-5-pyrrolidin- 1 -yl-N-(tetrahydro-2H-pyran-4-yl)pyrazolo[ 1 ,5-a]pyrimidin-7- amine.
- Example 1.001 The preparation was performed in a similar manner as Example 1.001 (f) from 2-(3,5- dimethylquinoxalin-2-yl)pyrazolo[l,5-a]pyrimidine-5,7-diol (997 mg, 3.24 mmol) to give 2-(5,7-dichloropyrazolo[l,5-a]pyrimidin-2-yl)-3,5-dimethylquinoxaline (the compound of Reference Example 1.01 listed in the Table of Reference Examples as described hereinafter).
- Example 1.001 The preparation was performed in a similar manner as Example 1.001 (f) from 2-(3,7- dimethylquinoxalin-2-yl)pyrazolo[l,5- ]pyrimidine-5,7-diol (1.39 g, 4.52 mmol) to give 3-(5,7-dichloropyrazolo[l,5-a]pyrimidin-2-yl)-2,6-dimethylquinoxaline (the compound of Reference Example 1.03 listed in the Table of Reference Examples as described hereinafter).
- Example 1.001 The preparation was performed in a similar manner as Example 1.001 (f) from 2-[3- methyl-7-(trifluoromethyl)qumoxalin-2-yl]pyrazolo[l,5-a]pyrimidine-5,7-diol (2.00 g, 5.54 mmol) to give 3-(5,7-dichloropyrazolo[l,5-a]pyrimidin-2-yl)-2-methyl-6- (trifluoromethyl)quinoxaline (the compound of Reference Example 1.05 listed in the Table of Reference Examples as described hereinafter).
- Example 1.001 The preparation was performed in a similar manner as Example 1.001 (f) from 2-(5- fluoro-3,7-dimethylquinoxalin-2-yl)pyrazolo[l,5-fl]pyrimidine-5,7-diol (198 mg, 0.605 mmol) to give 2-(5,7-dichloropyrazolo[l,5-a]pyrimidin-2-yl)-5-fluoro-3,7- dimethylquinoxaline (the compound of Reference Example 1.06 listed in the Table of Reference Examples as described hereinafter).
- Example 1.001 (f) from 2-(3- methyl-5,6,7,8-tetrahydroquinoxalin-2-yl)pyrazolo[l,5-fl]pyrimidine-5,7-diol (2.16 g, 6.93 mmol) to give 2-(5,7-dichloropyrazolo[l,5-a]pyrimidin-2-yl)-3-methyl-5, 6,7,8- tetrahydroquinoxaline (the compound of Reference Example 1.07 listed in the Table of Reference Examples as described hereinafter).
- Example 1.001 The preparation was performed in a similar manner as Example 1.001 (f) from 2- (3,5,6-trimethylpyrazin-2-yl)pyrazolo[l,5-a]pyrimidine-5,7-diol (1.16 g, 4.28 mmol) to give 2-(5,7-dichloropyrazolo[l,5- «]pyrimidin-2-yl)-3-methyl-5, 6,7,8- tetrahydroquinoxaline (the compound of Reference Example 1.08 listed in the Table of Reference Examples as described hereinafter).
- Example 1.001 The preparation was performed in a similar manner as Example 1.001 (f) from 2-(3,6- dimethylpyrazin-2-yl)pyrazolo[l,5-a]pyrimidine-5,7-diol (750 mg, 2.92 mmol) to give 5,7-dichloro-2-(3,6-dimethylpyrazin-2-yl)pyrazolo[l,5-a]pyrimidine (the compound of Reference Example 1.1 1 listed in the Table of Reference Examples as described hereinafter).
- Reference Example 1.12 The preparation was performed in a similar manner as Example 1.001 (f) from 2-(3,6- dimethylpyrazin-2-yl)pyrazolo[l,5-a]pyrimidine-5,7-diol (750 mg, 2.92 mmol) to give 5,7-dichloro-2-(3,6-dimethylpyrazin-2-yl)pyrazolo[l,5-a]pyrimidine (the compound of Reference Example 1.1 1 listed in the Table of Reference
- Example 1.001 The preparation was performed in a similar manner as Example 1.001 (f) from 2- (3,6,7-trimethylquinoxalin-2-yl)pyrazolo[l,5-a]pyrimidine-5,7-diol (1.44 g, 2.89 mmol) to give 2-(5,7-dichloropyrazolo[l,5-a]pyrimidin-2-yl)-3,6,7- trimethylquinoxaline (the compound of Reference Example 1.12 listed in the Table of Reference Examples as described hereinafter).
- Example 1.001 The preparation was performed in a similar manner as Example 1.001 (f) from 2-(6- isobutyl-3-methylpyrazin-2-yl)pyrazolo[l,5-a]pyrimidine-5,7-diol (663 mg, 2.22 mmol) to give 5,7-dichloro-2-(6-isobutyl-3-methylpyrazin-2-yl)pyrazolo[l,5- a]pyrimidine (the compound of Reference Example 1.13 listed in the Table of Reference Examples as described hereinafter).
- Example 1.001 The preparation was performed in a similar manner as Example 1.001 (f) from 2-(6- isobutyl-3,5-dimethylpyrazin-2-yl)pyrazolo[l,5-a]pyrimidine-5,7-diol (845 mg, 2.70 mmol) to give 5,7-dichloro-2-(6-isobutyl-3,5-dimethylpyrazin-2-yl)pyrazolo[l,5- a]pyrimidine (the compound of Reference Example 1.14 listed in the Table of Reference Examples as described hereinafter).
- Reference Example 1.15 The preparation was performed in a similar manner as Example 1.001 (f) from 2-(6- isobutyl-3,5-dimethylpyrazin-2-yl)pyrazolo[l,5-a]pyrimidine-5,7-diol (845 mg, 2.70 mmol) to give 5,7-dichloro-2-(6-isobutyl-3,5-dimethylpyrazin
- Example 1.001 (c) from 3- (6-cyclopropyl-3,5-dimethylpyrazin-2-yl)-3-oxopropanenitrile (872 mg, 4.05 mmol) to give crude compound (839 mg, 90%).
- Example 1.006 Method A from crude compound (839 mg) to give ethyl 3- ⁇ [3-(6-cyclopropyl-3,5-dimethylpyrazin-2-yl)-lH-pyrazol-5-yl]amino ⁇ -3- oxopropanoate.
- Example 1.001 The preparation was performed in a similar manner as Example 1.001 (f) from 2-(6- cyclopropyl-3,5-dimethylpyrazin-2-yl)pyrazolo[l,5-a]pyrimidine-5,7-diol (772 mg, 2.60 mmol) to give 5,7-dichloro-2-(6-cyclopropyl-3,5-dimethylpyrazin-2- yl)pyrazolo[l,5-a]pyrimidine (the compound of Reference Example 1.16 listed in the Table of Reference Examples as described hereinafter).
- Example 1.006 Method A from 3-(3-methyl-5-propylpyrazin-2-yl)-lH-pyrazol-5-amine (1.37 g, 6.31 mmol) to crude compound (2.19 g).
- Example 1.001 (c) from 3- (6-methylpyrazolo[l,5-a]pyrimidin-5-yl)-3-oxopropionitrile (2.45 g, 12.2 mmol) to give 3-(6-methylpyrazolo[1.5-a]pyrimidin-5-yl)-lH-pyrazol-5-amine.
- MS means mass spectrometry (Atmospheric Pressure Chemical Ionization mass spectrometry),
- MS (ESI) means mass spectrometry (Electro Spray Ionization mass spectrometry), "Me” means methyl group;
- Boc means tert-butoxycarbonyl group.
Landscapes
- Health & Medical Sciences (AREA)
- Chemical & Material Sciences (AREA)
- Organic Chemistry (AREA)
- General Health & Medical Sciences (AREA)
- Veterinary Medicine (AREA)
- Public Health (AREA)
- Medicinal Chemistry (AREA)
- Engineering & Computer Science (AREA)
- Bioinformatics & Cheminformatics (AREA)
- Pharmacology & Pharmacy (AREA)
- Life Sciences & Earth Sciences (AREA)
- Animal Behavior & Ethology (AREA)
- Neurosurgery (AREA)
- General Chemical & Material Sciences (AREA)
- Chemical Kinetics & Catalysis (AREA)
- Nuclear Medicine, Radiotherapy & Molecular Imaging (AREA)
- Biomedical Technology (AREA)
- Neurology (AREA)
- Psychiatry (AREA)
- Epidemiology (AREA)
- Hospice & Palliative Care (AREA)
- Addiction (AREA)
- Nitrogen Condensed Heterocyclic Rings (AREA)
- Pharmaceuticals Containing Other Organic And Inorganic Compounds (AREA)
- Nitrogen And Oxygen Or Sulfur-Condensed Heterocyclic Ring Systems (AREA)
Abstract
Description
Claims
Priority Applications (12)
| Application Number | Priority Date | Filing Date | Title |
|---|---|---|---|
| RU2012141054/04A RU2543386C2 (en) | 2010-02-26 | 2011-02-25 | Pyrazole pyrimidine derivatives and using them as pde10 inhibitors |
| MX2012009866A MX2012009866A (en) | 2010-02-26 | 2011-02-25 | Pyrazolopyrimidine compounds and their use as pde10 inhibitors. |
| AU2011221075A AU2011221075B2 (en) | 2010-02-26 | 2011-02-25 | Pyrazolopyrimidine compounds and their use as PDE10 inhibitors |
| US13/579,095 US8969376B2 (en) | 2010-02-26 | 2011-02-25 | Pyrazolopyrimidine compounds and their use as PDE10 inhibitors |
| EP11747579.8A EP2539342B1 (en) | 2010-02-26 | 2011-02-25 | Pyrazolopyrimidine compounds and their use as pde10 inhibitors |
| JP2012539107A JP5538555B2 (en) | 2010-02-26 | 2011-02-25 | Pyrazolopyrimidine compounds and their use as PDE10 inhibitors |
| PH1/2012/501643A PH12012501643A1 (en) | 2010-02-26 | 2011-02-25 | Pyrazolopyrimidine compounds and their use as pde 10 inhibitors |
| ES11747579.8T ES2540867T3 (en) | 2010-02-26 | 2011-02-25 | Pyrazolopyrimidine compounds and their use as PDE10 inhibitors |
| KR1020127025194A KR101478889B1 (en) | 2010-02-26 | 2011-02-25 | Pyrazolopyrimidine compounds and their use as pde10 inhibitors |
| CA2791166A CA2791166C (en) | 2010-02-26 | 2011-02-25 | Pyrazolopyrimidine compounds and their use as pde10 inhibitors |
| BR112012021198-6A BR112012021198B1 (en) | 2010-02-26 | 2011-02-25 | PYRAZOLOPYRIMIDINE COMPOUNDS, RELATED COMPOSITIONS AND THEIR USE AS PDE10 INHIBITORS |
| CN201180011300.4A CN102770435B (en) | 2010-02-26 | 2011-02-25 | Pyrazolopyrimidines and the purposes as PDE10 inhibitor thereof |
Applications Claiming Priority (2)
| Application Number | Priority Date | Filing Date | Title |
|---|---|---|---|
| US30870610P | 2010-02-26 | 2010-02-26 | |
| US61/308,706 | 2010-02-26 |
Publications (1)
| Publication Number | Publication Date |
|---|---|
| WO2011105628A1 true WO2011105628A1 (en) | 2011-09-01 |
Family
ID=44507019
Family Applications (1)
| Application Number | Title | Priority Date | Filing Date |
|---|---|---|---|
| PCT/JP2011/054997 Ceased WO2011105628A1 (en) | 2010-02-26 | 2011-02-25 | Pyrazolopyrimidine compounds and their use as pde10 inhibitors |
Country Status (14)
| Country | Link |
|---|---|
| US (1) | US8969376B2 (en) |
| EP (1) | EP2539342B1 (en) |
| JP (1) | JP5538555B2 (en) |
| KR (1) | KR101478889B1 (en) |
| CN (1) | CN102770435B (en) |
| AU (1) | AU2011221075B2 (en) |
| BR (1) | BR112012021198B1 (en) |
| CA (1) | CA2791166C (en) |
| ES (1) | ES2540867T3 (en) |
| MX (1) | MX2012009866A (en) |
| PH (1) | PH12012501643A1 (en) |
| RU (1) | RU2543386C2 (en) |
| TW (1) | TWI476200B (en) |
| WO (1) | WO2011105628A1 (en) |
Cited By (11)
| Publication number | Priority date | Publication date | Assignee | Title |
|---|---|---|---|---|
| WO2012112946A1 (en) | 2011-02-18 | 2012-08-23 | Allergan, Inc. | Substituted 6,7-dialkoxy-3-isoquinolinol derivatives as inhibitors of phosphodiesterase 10 (pde10a) |
| WO2014071044A1 (en) | 2012-11-01 | 2014-05-08 | Allergan, Inc. | Substituted 6,7-dialkoxy-3-isoquinoline derivatives as inhibitors of phosphodiesterase 10 (pde10a) |
| JP2014177449A (en) * | 2013-02-18 | 2014-09-25 | Sumitomo Chemical Co Ltd | Salt, resist composition, and production method of resist pattern |
| US9200016B2 (en) | 2013-12-05 | 2015-12-01 | Allergan, Inc. | Substituted 6, 7-dialkoxy-3-isoquinoline derivatives as inhibitors of phosphodiesterase 10 (PDE 10A) |
| WO2018043461A1 (en) | 2016-08-31 | 2018-03-08 | エーザイ・アール・アンド・ディー・マネジメント株式会社 | PYRAZOLO[1,5-a]PYRIMIDINE COMPOUND |
| RU2689788C2 (en) * | 2014-01-22 | 2019-05-29 | Куровир Аб | Pyrazolo[1,5-a]pyrimidines as antiviral compounds |
| WO2021106864A1 (en) | 2019-11-25 | 2021-06-03 | Eisai R&D Management Co., Ltd. | Process for the preparation of producing pyrazolo[1,5-a] pyrimidine derivatives |
| US11155560B2 (en) | 2018-10-30 | 2021-10-26 | Kronos Bio, Inc. | Substituted pyrazolo[1,5-a]pyrimidines for modulating CDK9 activity |
| US11312720B2 (en) | 2018-02-26 | 2022-04-26 | Eisai R&D Management Co., Ltd. | Hydrochloride salt of 2-((3R,4S)-1-(5-(4-chloro-3,5-difluorophenyl)-7-((2-fluoro-6-methylphenyl)(methyl)amino)pyrazolo[1,5-a]pyrimidine-2-carbonyl)-3-methoxypiperidin-4-yl) acetic acid and crystals thereof |
| EP4229063A4 (en) * | 2020-10-19 | 2024-12-25 | TME Therapeutics LLC | NOVEL PIKFYVE INHIBITORS AND METHODS OF USE THEREOF |
| US12486274B2 (en) | 2020-01-13 | 2025-12-02 | Verge Analytics, Inc. | Substituted pyrazolo-pyrimidines and uses thereof |
Families Citing this family (2)
| Publication number | Priority date | Publication date | Assignee | Title |
|---|---|---|---|---|
| KR102684436B1 (en) | 2015-10-16 | 2024-07-15 | 에자이 알앤드디 매니지먼트 가부시키가이샤 | EP4 Antagonist |
| RU2761341C2 (en) * | 2015-10-16 | 2021-12-07 | Эйсай Ар Энд Ди Менеджмент Ко., Лтд. | Ep4 antagonists |
Citations (9)
| Publication number | Priority date | Publication date | Assignee | Title |
|---|---|---|---|---|
| US4093617A (en) * | 1974-11-12 | 1978-06-06 | Icn Pharmaceuticals, Inc. | 3,5,7-Trisubstituted pyrazolo[1,5-a]pyrimidines |
| EP0531901A2 (en) * | 1991-09-09 | 1993-03-17 | Fujisawa Pharmaceutical Co., Ltd. | Condensed pyrazole derivatives with interleukin-1 and tumour necrosis factor inhibitory activity |
| US5294612A (en) * | 1992-03-30 | 1994-03-15 | Sterling Winthrop Inc. | 6-heterocyclyl pyrazolo [3,4-d]pyrimidin-4-ones and compositions and method of use thereof |
| US5459145A (en) * | 1988-01-19 | 1995-10-17 | Pfizer Inc. | Calcium independent camp phosphodiesterase inhibitor antidepressant |
| WO2003000693A1 (en) * | 2001-06-22 | 2003-01-03 | Bayer Healthcare Ag | Imidazotriazines for use as phosphodiesterase inhibitors |
| WO2003101993A1 (en) * | 2002-06-04 | 2003-12-11 | Neogenesis Pharmaceuticals, Inc. | Pyrazolo` 1,5a! pyrimidine compounds as antiviral agents |
| WO2005054246A2 (en) * | 2003-12-04 | 2005-06-16 | Merck Patent Gmbh | Amine derivatives having a tyrosine-kinase-inhibiting effect |
| WO2006071988A1 (en) * | 2004-12-23 | 2006-07-06 | Memory Pharmaceuticals Corp. | Thienopyrimidine derivatives as phosphodiesterase 10 inhibitors |
| WO2006072828A2 (en) * | 2005-01-07 | 2006-07-13 | Pfizer Products Inc. | Heteroaromatic quinoline compounds and their use as pde10 inhibitors |
Family Cites Families (12)
| Publication number | Priority date | Publication date | Assignee | Title |
|---|---|---|---|---|
| JPH05125079A (en) * | 1991-11-05 | 1993-05-21 | Otsuka Pharmaceut Factory Inc | Pyrazolo [1,5-a pyrimidine derivative |
| IL149106A0 (en) | 2001-04-20 | 2002-11-10 | Pfizer Prod Inc | Therapeutic use of selective pde10 inhibitors |
| WO2003014115A1 (en) | 2001-08-06 | 2003-02-20 | Bayer Aktiengesellschaft | 3-substituted pyrrolo (2.1-a) isoquinoline derivatives |
| AR041136A1 (en) | 2002-09-04 | 2005-05-04 | Pharmacopeia Drug Discovery | PIRAZOLOPIRIMIDINAS AS INHIBITORS OF CINLIN DEPENDENT KINASES |
| US7196078B2 (en) * | 2002-09-04 | 2007-03-27 | Schering Corpoartion | Trisubstituted and tetrasubstituted pyrazolopyrimidines as cyclin dependent kinase inhibitors |
| JP2007508241A (en) | 2003-07-31 | 2007-04-05 | バイエル・フアーマシユーチカルズ・コーポレーシヨン | Method for treating diabetes and related disorders using PDE10A inhibitors |
| WO2005082883A2 (en) | 2004-02-18 | 2005-09-09 | Pfizer Products Inc. | Tetrahydroisoquinolinyl derivatives of quinazoline and isoquinoline |
| CA2568929A1 (en) | 2004-06-07 | 2005-12-22 | Pfizer Products Inc. | Phosphodiesterase 10 inhibition as treatment for obesity-related and metabolic syndrome-related conditions |
| EP1836205B1 (en) * | 2004-12-21 | 2009-06-10 | Schering Corporation | PYRAZOLO[1,5-A]PYRIMIDINE ADENOSINE A2a RECEPTOR ANTAGONISTS |
| WO2007076055A2 (en) | 2005-12-22 | 2007-07-05 | Entremed, Inc. | Compositions and methods comprising proteinase activated receptor antagonists |
| EP1884516A1 (en) * | 2006-08-04 | 2008-02-06 | Ferrer Internacional, S.A. | Pyrazolo[1,5-a]pyrimidines, processes, uses and compositions |
| US8486938B2 (en) * | 2010-06-24 | 2013-07-16 | Gilead Sciences, Inc. | Pyrazolo[1,5-a]pyrimidines for antiviral treatment |
-
2011
- 2011-02-25 RU RU2012141054/04A patent/RU2543386C2/en active
- 2011-02-25 US US13/579,095 patent/US8969376B2/en active Active
- 2011-02-25 TW TW100106420A patent/TWI476200B/en not_active IP Right Cessation
- 2011-02-25 ES ES11747579.8T patent/ES2540867T3/en active Active
- 2011-02-25 AU AU2011221075A patent/AU2011221075B2/en not_active Ceased
- 2011-02-25 EP EP11747579.8A patent/EP2539342B1/en not_active Not-in-force
- 2011-02-25 CA CA2791166A patent/CA2791166C/en active Active
- 2011-02-25 BR BR112012021198-6A patent/BR112012021198B1/en not_active IP Right Cessation
- 2011-02-25 WO PCT/JP2011/054997 patent/WO2011105628A1/en not_active Ceased
- 2011-02-25 MX MX2012009866A patent/MX2012009866A/en active IP Right Grant
- 2011-02-25 KR KR1020127025194A patent/KR101478889B1/en not_active Expired - Fee Related
- 2011-02-25 JP JP2012539107A patent/JP5538555B2/en not_active Expired - Fee Related
- 2011-02-25 PH PH1/2012/501643A patent/PH12012501643A1/en unknown
- 2011-02-25 CN CN201180011300.4A patent/CN102770435B/en not_active Expired - Fee Related
Patent Citations (9)
| Publication number | Priority date | Publication date | Assignee | Title |
|---|---|---|---|---|
| US4093617A (en) * | 1974-11-12 | 1978-06-06 | Icn Pharmaceuticals, Inc. | 3,5,7-Trisubstituted pyrazolo[1,5-a]pyrimidines |
| US5459145A (en) * | 1988-01-19 | 1995-10-17 | Pfizer Inc. | Calcium independent camp phosphodiesterase inhibitor antidepressant |
| EP0531901A2 (en) * | 1991-09-09 | 1993-03-17 | Fujisawa Pharmaceutical Co., Ltd. | Condensed pyrazole derivatives with interleukin-1 and tumour necrosis factor inhibitory activity |
| US5294612A (en) * | 1992-03-30 | 1994-03-15 | Sterling Winthrop Inc. | 6-heterocyclyl pyrazolo [3,4-d]pyrimidin-4-ones and compositions and method of use thereof |
| WO2003000693A1 (en) * | 2001-06-22 | 2003-01-03 | Bayer Healthcare Ag | Imidazotriazines for use as phosphodiesterase inhibitors |
| WO2003101993A1 (en) * | 2002-06-04 | 2003-12-11 | Neogenesis Pharmaceuticals, Inc. | Pyrazolo` 1,5a! pyrimidine compounds as antiviral agents |
| WO2005054246A2 (en) * | 2003-12-04 | 2005-06-16 | Merck Patent Gmbh | Amine derivatives having a tyrosine-kinase-inhibiting effect |
| WO2006071988A1 (en) * | 2004-12-23 | 2006-07-06 | Memory Pharmaceuticals Corp. | Thienopyrimidine derivatives as phosphodiesterase 10 inhibitors |
| WO2006072828A2 (en) * | 2005-01-07 | 2006-07-13 | Pfizer Products Inc. | Heteroaromatic quinoline compounds and their use as pde10 inhibitors |
Non-Patent Citations (7)
| Title |
|---|
| BIOORG. MED. CHEM., vol. 15, 2007, pages 3315 |
| GHOZLAN S.A. ET AL: "beta-Amino-beta-(pyrid-4-yl) acrylonitrile in heterocyclic synthesis: synthesis of some new pyridine, pyridone, pyrazole, thiophene, fused pyrimidine and triazine derivatives", TETRAHEDRON, vol. 58, no. 46, 2002, pages 9423 - 9429, XP004391682 * |
| J. CHEM. SOC. PERKIN TRANS., 1988, pages 2585 - 2593 |
| J. ORG. CHEM., vol. 26, 1961, pages 1907 |
| NOVINSON T. ET AL: "Adenosine cyclic 3',5'- monophosphate phosphodiesterase inhibitors. 2.3-Substituted 5,7-dialkylpyrazolo[1,5-a] pyrimidines", JOURNAL OF MEDICINAL CHEMISTRY, vol. 18, no. 5, 1975, pages 460 - 464, XP055070386 * |
| See also references of EP2539342A4 |
| SPRINGER R.H. ET AL: "Synthesis and enzymic activity of 6-carbethoxy- and 6-ethoxy-3,7-disubstituted pyrazolo[1,5-a]pyrimidines and related derivatives as adenosine cyclic 3',5'-phosphate Phosphodiesterase inhibitors", JOURNAL OF MEDICINAL CHEMISTRY, vol. 25, no. 3, 1982, pages 235 - 242, XP055070385 * |
Cited By (16)
| Publication number | Priority date | Publication date | Assignee | Title |
|---|---|---|---|---|
| WO2012112946A1 (en) | 2011-02-18 | 2012-08-23 | Allergan, Inc. | Substituted 6,7-dialkoxy-3-isoquinolinol derivatives as inhibitors of phosphodiesterase 10 (pde10a) |
| US8772316B2 (en) | 2011-02-18 | 2014-07-08 | Allergan, Inc. | Substituted 6,7-dialkoxy-3-isoquinolinol derivatives as inhibitors of phosphodiesterase 10 (PDE10A) |
| US9670181B2 (en) | 2011-02-18 | 2017-06-06 | Allergan, Inc. | Substituted 6,7-dialkoxy-3-isoquinolinol derivatives as inhibitors of phosphodiesterase 10 (PDE 10A) |
| WO2014071044A1 (en) | 2012-11-01 | 2014-05-08 | Allergan, Inc. | Substituted 6,7-dialkoxy-3-isoquinoline derivatives as inhibitors of phosphodiesterase 10 (pde10a) |
| JP2014177449A (en) * | 2013-02-18 | 2014-09-25 | Sumitomo Chemical Co Ltd | Salt, resist composition, and production method of resist pattern |
| US9200016B2 (en) | 2013-12-05 | 2015-12-01 | Allergan, Inc. | Substituted 6, 7-dialkoxy-3-isoquinoline derivatives as inhibitors of phosphodiesterase 10 (PDE 10A) |
| US9902710B2 (en) | 2013-12-05 | 2018-02-27 | Exonhit Therapeutics, Sa | Substituted 6, 7-dialkoxy-3-isoquinoline derivatives as inhibitors of phosphodiesterase 10 (PDE 10A) |
| RU2689788C2 (en) * | 2014-01-22 | 2019-05-29 | Куровир Аб | Pyrazolo[1,5-a]pyrimidines as antiviral compounds |
| US10227349B2 (en) | 2016-08-31 | 2019-03-12 | Eisai R&D Management Co., Ltd. | Pyrazolo[1,5-a]pyrimidine compound |
| WO2018043461A1 (en) | 2016-08-31 | 2018-03-08 | エーザイ・アール・アンド・ディー・マネジメント株式会社 | PYRAZOLO[1,5-a]PYRIMIDINE COMPOUND |
| US11312720B2 (en) | 2018-02-26 | 2022-04-26 | Eisai R&D Management Co., Ltd. | Hydrochloride salt of 2-((3R,4S)-1-(5-(4-chloro-3,5-difluorophenyl)-7-((2-fluoro-6-methylphenyl)(methyl)amino)pyrazolo[1,5-a]pyrimidine-2-carbonyl)-3-methoxypiperidin-4-yl) acetic acid and crystals thereof |
| US11155560B2 (en) | 2018-10-30 | 2021-10-26 | Kronos Bio, Inc. | Substituted pyrazolo[1,5-a]pyrimidines for modulating CDK9 activity |
| US11845754B2 (en) | 2018-10-30 | 2023-12-19 | Kronos Bio, Inc. | Substituted pyrazolo[1,5-a]pyrimidines for modulating CDK9 activity |
| WO2021106864A1 (en) | 2019-11-25 | 2021-06-03 | Eisai R&D Management Co., Ltd. | Process for the preparation of producing pyrazolo[1,5-a] pyrimidine derivatives |
| US12486274B2 (en) | 2020-01-13 | 2025-12-02 | Verge Analytics, Inc. | Substituted pyrazolo-pyrimidines and uses thereof |
| EP4229063A4 (en) * | 2020-10-19 | 2024-12-25 | TME Therapeutics LLC | NOVEL PIKFYVE INHIBITORS AND METHODS OF USE THEREOF |
Also Published As
| Publication number | Publication date |
|---|---|
| CA2791166A1 (en) | 2011-09-01 |
| TWI476200B (en) | 2015-03-11 |
| US20120309754A1 (en) | 2012-12-06 |
| MX2012009866A (en) | 2012-09-12 |
| JP5538555B2 (en) | 2014-07-02 |
| EP2539342B1 (en) | 2015-04-15 |
| EP2539342A1 (en) | 2013-01-02 |
| EP2539342A4 (en) | 2013-08-14 |
| US8969376B2 (en) | 2015-03-03 |
| KR101478889B1 (en) | 2015-01-02 |
| TW201141869A (en) | 2011-12-01 |
| RU2543386C2 (en) | 2015-02-27 |
| KR20120137383A (en) | 2012-12-20 |
| PH12012501643A1 (en) | 2017-07-19 |
| AU2011221075B2 (en) | 2013-12-19 |
| RU2012141054A (en) | 2014-04-10 |
| CN102770435A (en) | 2012-11-07 |
| BR112012021198A2 (en) | 2018-04-03 |
| BR112012021198B1 (en) | 2021-12-14 |
| AU2011221075A1 (en) | 2012-09-06 |
| CN102770435B (en) | 2015-11-25 |
| ES2540867T3 (en) | 2015-07-14 |
| JP2013520399A (en) | 2013-06-06 |
| CA2791166C (en) | 2014-12-30 |
Similar Documents
| Publication | Publication Date | Title |
|---|---|---|
| EP2539342B1 (en) | Pyrazolopyrimidine compounds and their use as pde10 inhibitors | |
| EP2342191B1 (en) | Aromatic nitrogen-containing 6-membered ring compounds and their use | |
| JP5227032B2 (en) | Pyrrolopyrimidines useful as inhibitors of protein kinases | |
| EP2763672B1 (en) | 1,3-substituted azetidine pde10 inhibitors | |
| US8492392B2 (en) | Alkoxy tetrahydro-pyridopyrimidine PDE10 inhibitors | |
| KR20160040321A (en) | Peptide deformylase inhibitors | |
| WO2017003894A1 (en) | Substituted triazolo bicyclic compounds as pde2 inhibitors | |
| WO2017003895A1 (en) | Bicyclic heterocyclic compounds as pde2 inhibitors | |
| EP3313852B1 (en) | Substituted pyrazolo/imidazolo bicyclic compounds as pde2 inhibitors | |
| JP2014231475A (en) | Novel compound and its use as pde10 inhibitor | |
| EP3302486B1 (en) | Dihydropyrazolopyrimidinone compounds as pde2 inhibitors | |
| JP5531066B2 (en) | Pyrazolopyrimidine compounds and their use as PDE10 inhibitors | |
| EP3285581B1 (en) | Pyrazolyl pyrimidinone compounds as pde2 inhibitors | |
| EP3028703B1 (en) | Piperidine derivatives as wnt signaling inhibitor | |
| JP2011516522A (en) | Pyrrolo [2,3-d] pyrimidin-2-yl-amine derivatives as PKC-theta inhibitors | |
| HK1256795A1 (en) | Bipyrazolyl derivatives useful for the treatment of autoimmune diseases | |
| HK1256795B (en) | Bipyrazolyl derivatives useful for the treatment of autoimmune diseases |
Legal Events
| Date | Code | Title | Description |
|---|---|---|---|
| WWE | Wipo information: entry into national phase |
Ref document number: 201180011300.4 Country of ref document: CN |
|
| 121 | Ep: the epo has been informed by wipo that ep was designated in this application |
Ref document number: 11747579 Country of ref document: EP Kind code of ref document: A1 |
|
| WWE | Wipo information: entry into national phase |
Ref document number: 12012501643 Country of ref document: PH |
|
| WWE | Wipo information: entry into national phase |
Ref document number: 13579095 Country of ref document: US Ref document number: 2011221075 Country of ref document: AU |
|
| ENP | Entry into the national phase |
Ref document number: 2791166 Country of ref document: CA |
|
| WWE | Wipo information: entry into national phase |
Ref document number: 2012539107 Country of ref document: JP Ref document number: MX/A/2012/009866 Country of ref document: MX |
|
| WWE | Wipo information: entry into national phase |
Ref document number: 1201004269 Country of ref document: TH |
|
| NENP | Non-entry into the national phase |
Ref country code: DE |
|
| ENP | Entry into the national phase |
Ref document number: 2011221075 Country of ref document: AU Date of ref document: 20110225 Kind code of ref document: A |
|
| WWE | Wipo information: entry into national phase |
Ref document number: 8161/CHENP/2012 Country of ref document: IN |
|
| ENP | Entry into the national phase |
Ref document number: 20127025194 Country of ref document: KR Kind code of ref document: A |
|
| WWE | Wipo information: entry into national phase |
Ref document number: 2012141054 Country of ref document: RU Ref document number: 2011747579 Country of ref document: EP |
|
| REG | Reference to national code |
Ref country code: BR Ref legal event code: B01A Ref document number: 112012021198 Country of ref document: BR |
|
| ENP | Entry into the national phase |
Ref document number: 112012021198 Country of ref document: BR Kind code of ref document: A2 Effective date: 20120823 |










































