WO2011031599A1 - A laundry detergent composition comprising a highly water-soluble carboxymethyl cellulose particle - Google Patents
A laundry detergent composition comprising a highly water-soluble carboxymethyl cellulose particle Download PDFInfo
- Publication number
- WO2011031599A1 WO2011031599A1 PCT/US2010/047460 US2010047460W WO2011031599A1 WO 2011031599 A1 WO2011031599 A1 WO 2011031599A1 US 2010047460 W US2010047460 W US 2010047460W WO 2011031599 A1 WO2011031599 A1 WO 2011031599A1
- Authority
- WO
- WIPO (PCT)
- Prior art keywords
- carboxymethyl cellulose
- composition according
- composition
- particle
- alkyl
- Prior art date
- Legal status (The legal status is an assumption and is not a legal conclusion. Google has not performed a legal analysis and makes no representation as to the accuracy of the status listed.)
- Ceased
Links
Classifications
-
- C—CHEMISTRY; METALLURGY
- C11—ANIMAL OR VEGETABLE OILS, FATS, FATTY SUBSTANCES OR WAXES; FATTY ACIDS THEREFROM; DETERGENTS; CANDLES
- C11D—DETERGENT COMPOSITIONS; USE OF SINGLE SUBSTANCES AS DETERGENTS; SOAP OR SOAP-MAKING; RESIN SOAPS; RECOVERY OF GLYCEROL
- C11D3/00—Other compounding ingredients of detergent compositions covered in group C11D1/00
- C11D3/16—Organic compounds
- C11D3/20—Organic compounds containing oxygen
- C11D3/22—Carbohydrates or derivatives thereof
- C11D3/222—Natural or synthetic polysaccharides, e.g. cellulose, starch, gum, alginic acid or cyclodextrin
- C11D3/225—Natural or synthetic polysaccharides, e.g. cellulose, starch, gum, alginic acid or cyclodextrin etherified, e.g. CMC
-
- C—CHEMISTRY; METALLURGY
- C11—ANIMAL OR VEGETABLE OILS, FATS, FATTY SUBSTANCES OR WAXES; FATTY ACIDS THEREFROM; DETERGENTS; CANDLES
- C11D—DETERGENT COMPOSITIONS; USE OF SINGLE SUBSTANCES AS DETERGENTS; SOAP OR SOAP-MAKING; RESIN SOAPS; RECOVERY OF GLYCEROL
- C11D3/00—Other compounding ingredients of detergent compositions covered in group C11D1/00
- C11D3/16—Organic compounds
- C11D3/20—Organic compounds containing oxygen
- C11D3/22—Carbohydrates or derivatives thereof
- C11D3/222—Natural or synthetic polysaccharides, e.g. cellulose, starch, gum, alginic acid or cyclodextrin
- C11D3/226—Natural or synthetic polysaccharides, e.g. cellulose, starch, gum, alginic acid or cyclodextrin esterified
Definitions
- the present invention relates to laundry detergent compositions that comprise carboxymethyl cellulose particles.
- the carboxymethyl cellulose particle exhibit good solubility in water and do not readily gel.
- the present invention provides a composition as defined by the claims.
- the solid laundry detergent composition comprises detersive surfactant and carboxymethyl cellulose particle.
- the solid laundry detergent composition typically comprises other detergent ingredients.
- the detersive surfactant, carboxymethyl cellulose particle and other detergent ingredients are described in more detail below.
- the solid laundry detergent composition typically comprises from 0.05wt% to 20wt% carboxymethyl cellulose particle, preferably from 0.1 wt%, or from 0.2wt%, or from 0.5wt%, or from lwt%, or from 2wt% , and preferably to 15wt%, or to 12wt%, or to 10wt%, or to 8wt%, or even to 5wt% carboxymethyl cellulose particle.
- the composition can be any solid form, for example a solid powder or tablet form, or even a detergent sheet. However, it is extremely highly preferred for the composition to be in a free- flowing particulate form, for example such that the composition is in the form of separate discrete particles. Typically, if the composition is in free-flowing particulate form, the composition comprises a plurality of chemically different particles populations.
- the composition is a fully formulated laundry detergent composition.
- the composition is not just a component of a laundry detergent composition that can be incorporated into a laundry detergent composition (such as an enzyme prill, or a surfactant particle, or a bleach particle), it is a fully formulated laundry detergent composition. That said, it is within the scope of the present invention for an additional rinse additive composition (e.g. fabric conditioner or enhancer), or a main wash additive composition (e.g. bleach additive) to also be used in combination with the laundry detergent composition during a laundering process. Although, it may be preferred for no bleach additive composition to be used in combination with the laundry detergent composition during a laundering process.
- an additional rinse additive composition e.g. fabric conditioner or enhancer
- a main wash additive composition e.g. bleach additive
- the composition preferably comprises from 0wt% to 10wt% zeolite builder; and from 0wt% to 10wt% phosphate builder.
- the composition comprises from 0wt%, or from 0.1wt%, or from 0.5wt%, and preferably to 8wt%, or to 6wt%, or to 5wt%, or to 4wt%,or to 3wt%, or even to 2wt% zeolite builder.
- the composition may preferably be essentially free from zeolite builder.
- "essentially free from zeolite builder” it is typically meant that the composition comprises no deliberately added zeolite builder. This is especially preferred if it is desirable for the composition to be very highly soluble, to minimise the amount of water-insoluble residues (for example, which may deposit on fabric surfaces), and also when it is highly desirable to have transparent wash liquor.
- Zeolite builders include zeolite A, zeolite X, zeolite P and zeolite MAP.
- the composition preferably comprises from 0wt% to 8wt%, or from 0wt% to 6wt%, or from 0wt% to 5wt%, or from 0wt% to 4wt%, or from 0wt% to 2wt% phosphate builder. . It may even be preferred for the composition to be essentially free from phosphate builder. By: "essentially free from phosphate builder" it is typically meant that the composition comprises no deliberately added phosphate builder. This is especially preferred if it is desirable for the composition to have a very good environmental profile. Phosphate builders include sodium tripolyphosphate.
- the wash liquor comprises relatively higher levels of free calcium and magnesium cations.
- These free cations can interact with the carboxymethyl cellulose, especially the carboxy moiety, and impede the dissolution of the carboxymethyl cellulose.
- it is essential that the carboxymethyl cellulose has the required degree of substitution and is pre-hydrated in the manner required by the present invention in order to overcome the solubility problems encountered when elevated levels of free calcium and magnesium cations are present in the wash liquor.
- the carboxymethyl cellulose particle comprises: (i) from 70wt% to 98wt% carboxymethyl cellulose having an average degree of carboxymethyl substitution of from 0.6 to 0.9; (ii) from 2wt% to 12wt% water; (iii) optionally from 0wt% to 4wt% sodium glycolate; and (iv) optionally from 0wt% to 4wt% sodium chloride.
- the particle comprises from 75wt%, or from 80wt%, or from 85wt% carboxymethyl cellulose.
- the particle comprises form 3wt%, or from 4wt%,or from 5wt%, or even from 6wt% water, and preferably to 10wt%, or to 8wt% water.
- the carboxymethyl cellulose particle has a particle size distribution such that: (a) at least 90wt% of the particles have a particle size of above 75 micrometers; and (b) less than 15wt% of particles have a particle size of above 1000 micrometers.
- at least 95wt%, or at least 96wt%, or at least 97wt%, or at least 98wt%, or at least 99wt% of the particles have a particle size of above 75 micrometers, preferably essentially all of the particles have a particle size of above 75 micrometers.
- Preferably less than 12wt%, or less than 10wt%, or less than 8wt%, or less than 6wt%, or less than 4wt%, or less than 2wt% of the particles have a particle size of above 1000 micrometers, preferably essentially none of the particles have a particle size of above 1000 micrometers.
- the carboxymethyl cellulose particle is in non-spray dried form, even more preferably, the carboxymethyl cellulose particle is in agglomerate form.
- Suitable carboxymethyl cellulose has a structure according to the formula:
- Cellulose has three groups (R) available for substitution per repeating unit.
- each R group will comprise either R a or R b with the 'degree of substitution' being defined as the average number of R groups per repeating cellulose unit that comprise R b .
- the R moiety is the carboxymethyl substituent.
- the carboxymethyl cellulose has an average degree of carboxymethyl substitution of from 0.6 to 0.9, preferably from 0.7 and preferably to 0.8.
- carboxymethyl cellulose may be further substituted with a hydrophobic moiety according to the following structure to give a hydrophobically modified carboxymethyl cellulose: -H
- each R group will comprise either R a , R ⁇ , R c, or R d in which R 1 and R 2 are independently selected from alkyl or alkenyl chains having from 5 to 22 carbon atoms.
- the R moiety is the carboxymethyl substituent.
- the R c and R d moieties are the hydrophobic substituents.
- the 'degree of carboxymethyl substitution' is defined as the average number of R groups per repeating cellulose unit that comprise R .
- the carboxymethyl cellulose has an average degree of carboxymethyl substitution of from 0.6 to 0.9, preferably from 0.7 and preferably to 0.8.
- the 'degree of hydrophobic moiety substitution' is defined as the average total number of R groups per repeating cellulose unit that comprise R c , and/or R d .
- the average degree of hydrophobic moiety substitution is in the range of from 0.001 to 0.2.
- the carboxymethyl cellulose has a bimodal molecular weight distribution, wherein the first molecular weight modal has a peak in the range of from 10,000 Da to below 100,000 Da, and wherein the second molecular weight modal has a peak in the range of from 100,000 Da to 300,000 Da.
- the first molecular weight modal has a peak in the range of from 20,000 Da or from 30,000 Da, and preferably to 90,000 Da, or to 80,000 Da, or to 70,000 Da.
- the second second molecular weight modal has a peak in the range of from 120,000 Da, or from 150,000 Da, and preferably to 250,000 Da, or to 200,000 Da.
- carboxymethyl cellulose may also be preferred for the carboxymethyl cellulose to have a degree of substitution (DS) in the range of from 0.01 to 0.99 and a degree of blockiness (DB) such that the sum of DS+DB is at least 1.00, preferably at least 1.05, or at least 1.10, or at least 1.15, or at least 1.20, or at least 1.25, or at least 1.30, or at least 1.35, or at least 1.40, or at least 1.45, or at least 1.50.
- DS degree of substitution
- DB degree of blockiness
- the carboxymethyl cellulose has a degree of substitution (DS) in the range of from 0.01 to 0.99 and a degree of blockiness (DB) such that the sum of DB+2DS-DS 2 is at least 1.20, or at least 1.25, or at least 1.30, or at least 1.35, or at least 1.40, or at least 1.45, or at least 1.50.
- DS degree of substitution
- DB degree of blockiness
- a typical method to determine the degree of substitution (DS) of carboxymethyl cellulose (CMC) is described in more detail below.
- a typical method to determine the degree of blockiness (DB) of carboxymethyl cellulose (CMC) is described in more detail below.
- the composition comprises detersive surfactant, preferably greater than lwt% detersive surfactant, preferably from 10wt% to 40wt%, preferably from 12wt%, or from 15wt%, or even from 18wt% detersive surfactant.
- the detersive surfactant comprises alkyl benzene sulphonate and one or more detersive co-surfactants.
- the detersive surfactant preferably comprises C1 0 -C1 3 alkyl benzene sulphonate and one or more detersive co-surfactants.
- the detersive co- surfactants preferably are selected from the group consisting of Ci 2 -Ci 8 alkyl ethoxylated alcohols, preferably having an average degree of ethoxylation of from 1 to 7; Ci 2 -Ci 8 alkyl ethoxylated sulphates, preferably having an average degree of ethoxylation of from 1 to 5; and mixtures thereof.
- other detersive surfactant systems may be suitable for use in the present invention.
- Suitable detersive surfactants include anionic detersive surfactants, nonionic detersive surfactants, cationic detersive surfactants, zwitterionic detersive surfactants, amphoteric detersive surfactants and mixtures thereof.
- Suitable anionic detersive surfactants include: alkyl sulphates; alkyl sulphonates; alkyl phosphates; alkyl phosphonates; alkyl carboxylates; and mixtures thereof.
- the anionic detersive surfactant can be selected from the group consisting of: Cio-Ci 8 alkyl benzene sulphonates (LAS) preferably C1 0 -C1 3 alkyl benzene sulphonates; C1 0 -C2 0 primary, branched chain, linear-chain and random-chain alkyl sulphates (AS), typically having the following formula:
- MLAS modified alkylbenzene sulphonate
- MES methyl ester sulphonate
- AOS alpha-olefin sulphonate
- Preferred anionic detersive surfactants include: linear or branched, substituted or unsubstituted alkyl benzene sulphonate detersive surfactants, preferably linear C$-Ci$ alkyl benzene sulphonate detersive surfactants; linear or branched, substituted or unsubstituted alkyl benzene sulphate detersive surfactants; linear or branched, substituted or unsubstituted alkyl sulphate detersive surfactants, including linear C$-Ci$ alkyl sulphate detersive surfactants, C1-C3 alkyl branched C$-Ci$ alkyl sulphate detersive surfactants, linear or branched alkoxylated C$-Ci$ alkyl sulphate detersive surfactants and mixtures thereof; linear or branched, substituted or unsubstituted alkyl sulphonate detersive surfactants; and
- alkoxylated alkyl sulphate detersive surfactants are linear or branched, substituted or unsubstituted C 8 -i 8 alkyl alkoxylated sulphate detersive surfactants having an average degree of alkoxylation of from 1 to 30, preferably from 1 to 10.
- the alkoxylated alkyl sulphate detersive surfactant is a linear or branched, substituted or
- alkoxylated alkyl sulphate detersive surfactant is a linear
- the laundry detergent composition comprises an alkyl ethoxylated sulphate having an average degree of ethoxylation of from 0.5 to 3.5, preferably from 1.0 to 3.0, and preferably 1.0 or 3.0.
- Preferred anionic detersive surfactants are selected from the group consisting of: linear or branched, substituted or unsubstituted, C12-18 alkyl sulphates; linear or branched, substituted or unsubstituted, Cio-13 alkylbenzene sulphonates, preferably linear Cio-13 alkylbenzene sulphonates; and mixtures thereof. Highly preferred are linear Cio-13 alkylbenzene sulphonates.
- linear Cio-13 alkylbenzene sulphonates that are obtainable, preferably obtained, by sulphonating commercially available linear alkyl benzenes (LAB); suitable LAB include low 2- phenyl LAB, such as those supplied by Sasol under the tradename Isochem® or those supplied by Petresa under the tradename Petrelab®, other suitable LAB include high 2-phenyl LAB, such as those supplied by Sasol under the tradename Hyblene®.
- a suitable anionic detersive surfactant is alkyl benzene sulphonate that is obtained by DETAL catalyzed process, although other synthesis routes, such as HF, may also be suitable.
- the laundry detergent composition comprises a predominantly Ci 2 alkyl sulphate.
- Suitable cationic detersive surfactants include: alkyl pyridinium compounds; alkyl quaternary ammonium compounds; alkyl quaternary phosphonium compounds; alkyl ternary sulphonium compounds; and mixtures thereof.
- the cationic detersive surfactant can be selected from the group consisting of: alkoxylate quaternary ammonium (AQA) surfactants as described in more detail in US 6,136,769; dimethyl hydroxyethyl quaternary ammonium as described in more detail in US 6,004,922; polyamine cationic surfactants as described in more detail in WO 98/35002, WO 98/35003, WO 98/35004, WO 98/35005, and WO 98/35006; cationic ester surfactants as described in more detail in US 4,228,042, US 4,239,660, US 4,260,529 and US 6,022,844; amino surfactants as described in more detail in US 6,221,825 and WO 00/47708, specifically amido propyldimethyl amine; and mixtures thereof.
- Preferred cationic detersive surfactants are quaternary ammonium compounds having the general formula:
- R is a linear or branched, substituted or unsubstituted C 6 -i8 alkyl or alkenyl moiety
- Ri and R2 are independently selected from methyl or ethyl moieties
- R3 is a hydroxyl, hydroxymethyl or a hydroxyethyl moiety
- X is an anion which provides charge neutrality
- preferred anions include halides (such as chloride), sulphate and sulphonate.
- Preferred cationic detersive surfactants are mono-C6-i8 alkyl mono-hydroxyethyl di-methyl quaternary ammonium chlorides.
- Highly preferred cationic detersive surfactants are mono-Cs-io alkyl mono- hydroxyethyl di-methyl quaternary ammonium chloride, mono-Cio-12 alkyl mono-hydroxyethyl di-methyl quaternary ammonium chloride and mono-Cio alkyl mono-hydroxyethyl di-methyl quaternary ammonium chloride.
- the non-ionic detersive surfactant could be an alkyl polyglucoside and/or an alkyl alkoxylated alcohol.
- the non-ionic detersive surfactant is a linear or branched, substituted or unsubstituted C 8- i 8 alkyl ethoxylated alcohol having an average degree of ethoxylation of from 1 to 10, more preferably from 3 to 7.
- the fabric hueing dye is cotton-substantive.
- Suitable fabric hueing dyes include small molecule dyes and polymeric dyes.
- Suitable small molecule dyes include small molecule dyes selected from the group consisting of dyes falling into the Colour Index (C.I.) classifications of Direct Blue, Direct Red, Direct Violet, Acid Blue, Acid Red, Acid Violet, Basic Blue, Basic Violet and Basic Red, or mixtures thereof, for example:
- the C ring may be substituted at the 5 position by an NH 2 or NHPh group
- X is a benzyl or naphthyl ring substituted with up to 2 sulfonate groups and may be substituted at the 2 position with an OH group and may also be substituted with an N3 ⁇ 4 or NHPh group.
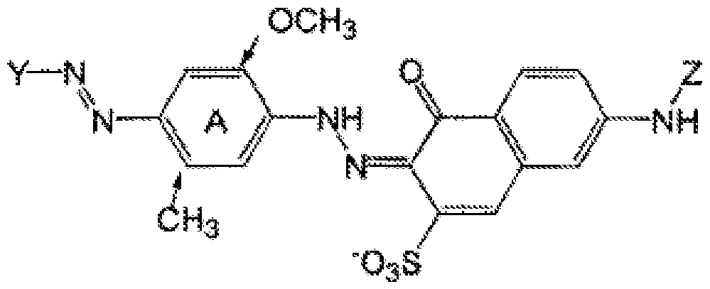
- the A ring is preferably substituted by a methyl and methoxy group at the positions indicated by arrows, the A ring may also be a naphthyl ring, the Y group is a benzyl or naphthyl ring, which is substituted by sulfate group and may be mono or disubstituted by methyl groups.
- both the aromatic groups may be a substituted benzyl or naphthyl group, which may be substituted with non water- solubilising groups such as alkyl or alkyloxy or aryloxy groups, X and Y may not be substituted with water solubilising groups such as sulfonates or carboxylates.
- X is a nitro substituted benzyl group and Y is a benzyl group
- B is a naphthyl or benzyl group that may be substituted with non water solubilising groups such as alkyl or alkyloxy or aryloxy groups, B may not be substituted with water solubilising groups such as sulfonates or carboxylates.
- X and Y independently of one another, are each hydrogen, Ci-C 4 alkyl or Ci-C 4 -alkoxy, Ra is hydrogen or aryl, Z is Ci-C 4 alkyl; Ci-C 4 -alkoxy; halogen; hydroxyl or carboxyl, n is 1 or 2 and m is 0, 1 or 2, as well as corresponding salts thereof and mixtures thereof
- suitable small molecule dyes include small molecule dyes selected from the group consisting of Colour Index (Society of Dyers and Colourists, Bradford, UK) numbers Direct Violet 9, Direct Violet 35, Direct Violet 48, Direct Violet 51, Direct Violet 66, Direct Blue 1, Direct Blue 71, Direct Blue 80, Direct Blue 279, Acid Red 17, Acid Red 73, Acid Red 88, Acid Red 150, Acid Violet 15, Acid Violet 17, Acid Violet 24, Acid Violet 43, Acid Red 52, Acid Violet 49, Acid Blue 15, Acid Blue 17, Acid Blue 25, Acid Blue 29, Acid Blue 40, Acid Blue 45, Acid Blue 75, Acid Blue 80, Acid Blue 83, Acid Blue 90 and Acid Blue 113, Acid Black 1, Basic Violet 1, Basic Violet 3, Basic Violet 4, Basic Violet 10, Basic Violet 35, Basic Blue 3, Basic Blue 16, Basic Blue 22, Basic Blue 47, Basic Blue 66, Basic Blue 75, Basic Blue 159 and mixtures thereof.
- Colour Index Society of Dyers and Colourists, Bradford, UK
- suitable small molecule dyes include small molecule dyes selected from the group consisting of Colour Index (Society of Dyers and Colourists, Bradford, UK) numbers Acid Violet 17, Acid Violet 43, Acid Red 52, Acid Red 73, Acid Red 88, Acid Red 150, Acid Blue 25, Acid Blue 29, Acid Blue 45, Acid Blue 113, Acid Black 1, Direct Blue 1, Direct Blue 71, Direct Violet 51 and mixtures thereof.
- suitable small molecule dyes include small molecule dyes selected from the group consisting of Colour Index (Society of Dyers and Colourists, Bradford, UK) numbers Acid Violet 17, Direct Blue 71, Direct Violet 51, Direct Blue 1, Acid Red 88, Acid Red 150, Acid Blue 29, Acid Blue 113 or mixtures thereof.
- Suitable polymeric dyes include polymeric dyes selected from the group consisting of polymers containing conjugated chromogens (dye-polymer conjugates) and polymers with chromogens co-polymerized into the backbone of the polymer and mixtures thereof.
- suitable polymeric dyes include polymeric dyes selected from the group consisting of fabric-substantive colorants sold under the name of Liquitint® (Milliken, Spartanburg, South Carolina, USA), dye-polymer conjugates formed from at least one reactive dye and a polymer selected from the group consisting of polymers comprising a moiety selected from the group consisting of a hydroxyl moiety, a primary amine moiety, a secondary amine moiety, a thiol moiety and mixtures thereof.
- suitable polymeric dyes include polymeric dyes selected from the group consisting of Liquitint® (Milliken, Spartanburg, South Carolina, USA) Violet CT, carboxymethyl cellulose (CMC) conjugated with a reactive blue, reactive violet or reactive red dye such as CMC conjugated with C.I. Reactive Blue 19, sold by Megazyme, Wicklow, Ireland under the product name AZO-CM-CELLULOSE, product code S-ACMC, alkoxylated triphenyl-methane polymeric colourants, alkoxylated thiophene polymeric colourants, and mixtures thereof.
- Liquitint® Moquitint®
- CMC carboxymethyl cellulose
- a reactive blue, reactive violet or reactive red dye such as CMC conjugated with C.I. Reactive Blue 19, sold by Megazyme, Wicklow, Ireland under the product name AZO-CM-CELLULOSE
- product code S-ACMC alkoxylated triphenyl-methane polymeric colourants, alkoxylated
- Suitable dye clay conjugates include dye clay conjugates selected from the group comprising at least one cationic/basic dye and a smectite clay, and mixtures thereof.
- suitable dye clay conjugates include dye clay conjugates selected from the group consisting of one cationic/basic dye selected from the group consisting of C.I. Basic Yellow 1 through 108, C.I. Basic Orange 1 through 69, C.I. Basic Red 1 through 118, C.I. Basic Violet 1 through 51, C.I. Basic Blue 1 through 164, C.I. Basic Green 1 through 14, C.I. Basic Brown 1 through 23, CI Basic Black 1 through 11, and a clay selected from the group consisting of Montmorillonite clay, Hectorite clay, Saponite clay and mixtures thereof.
- suitable dye clay conjugates include dye clay conjugates selected from the group consisting of: Montmorillonite Basic Blue B7 C.I. 42595 conjugate, Montmorillonite Basic Blue B9 C.I. 52015 conjugate, Montmorillonite Basic Violet V3 C.I. 42555 conjugate, Montmorillonite Basic Green Gl C.I. 42040 conjugate, Montmorillonite Basic Red Rl C.I. 45160 conjugate, Montmorillonite C.I. Basic Black 2 conjugate, Hectorite Basic Blue B7 C.I. 42595 conjugate, Hectorite Basic Blue B9 C.I. 52015 conjugate, Hectorite Basic Violet V3 C.I.
- Suitable pigments include pigments selected from the group consisting of flavanthrone, indanthrone, chlorinated indanthrone containing from 1 to 4 chlorine atoms, pyranthrone, dichloropyranthrone, monobromodichloropyranthrone, dibromodichloropyranthrone, tetrabromopyranthrone, perylene-3,4,9,10-tetracarboxylic acid diimide, wherein the imide groups may be unsubstituted or substituted by C1-C3 -alkyl or a phenyl or heterocyclic radical, and wherein the phenyl and heterocyclic radicals may additionally carry substituents which do not confer solubility in water, anthrapyrimidinecarboxylic acid amides, violanthrone,
- phthalocyanine containing up to 14 bromine atoms per molecule and mixtures thereof.
- suitable pigments include pigments selected from the group consisting of Ultramarine Blue (C.I. Pigment Blue 29), Ultramarine Violet (C.I. Pigment Violet 15) and mixtures thereof.
- the aforementioned fabric hueing dyes can be used in combination (any mixture of fabric hueing dyes can be used).
- Suitable fabric hueing dyes can be purchased from Aldrich,
- the composition typically comprises other detergent ingredients.
- Suitable detergent ingredients include: sources of hydrogen peroxide, including percarbonate and perborate salts, especially coated hydrogen peroxide sources; bleach boosters including isoquinolinium and oxaziridinium based bleach boosters; transition metal bleach catalysts including manganese, iron and cobalt bases transition metal bleach catalysts; photobleach; brighteners; alkalinity sources including salts, especially sodium salts, of carbonate, bicarbonate; citric acid or salt thereof; enzymes such as amylases, carbohydrases, cellulases, laccases, lipases, bleaching enzymes such as oxidases and peroxidases, proteases, pectate lyases and mannanases; soil dispersants and soil anti-redeposition aids such as alkoxylated polyamines and ethoxylated ethyleneimine polymers; anti-redeposition components such as polyesters including co-polyesters of di-carboxylic acids and diols;
- the DS was determined by igniting CMC to ash at high temperature (650°C) for 45 minutes in order to remove all the organic material. The remaining inorganic ashes were dissolved in distilled water and methyl red added. The sample was titrated with 0.1M hydrochloric acid until the solution turned pink. The DS was calculated from the amount of titrated acid (b ml) and the amount of CMC (G g) using the formula below.
- the DS of a substituted cellulose may be measured by conductimetry or 13 C NMR. Experimental protocols for both approaches are given in D. Capitani et al, Carbohydrate Polymers, 2000, v42, pp283-286. Method to determine degree of blockiness (DB) of a carboxymethyl cellulose (CMC)
- the DB may correspond to the amount (A) of non- substituted glucose units released after a specific enzymatic hydrolysis with the commercial endoglucanase enzyme (Econase CE, AB Enzymes, Darmstadt, Germany) divided by the total amount of non-substituted glucose units released after acid hydrolysis (A+B).
- the enzymatic activity is specific to non-substituted glucose units in the polymer chain that are directly bounded to another non-substituted glucose unit. Further explanation of substituted cellulose blockiness and measurement is provided in detail in V. Stigsson et al., Cellulose, 2006, 13, pp705-712.
- the enzymatic degradation is performed using the enzyme (Econase CE) in a buffer at pH 4.8 at 50°C for 3 days. To 25 ml of substituted cellulose sample, 250 ⁇ of enzyme is used. The degradation is stopped by heating the samples to 90°C and keeping them hot for 15 minutes. The acid hydrolysis for both substitution pattern and blockiness is carried out in perchloric acid (15 min in 70% HC104 at room temperature and 3 hours in 6.4% HC104 at 120°C). The samples are analysed using Anion Exchange Chromatography with Pulsed Amperiometric Detection (PAD detector: BioLC50 (Dionex, Sunnyvale, California, USA)). The HPAEC/PAD system is calibrated with 13 C NMR.
- PID detector Pulsed Amperiometric Detection
- the degree of hydrophobically moiety substitution is determined using FT-IR spectroscopy as described in I. Srokova, V. Tomanova, A. Ebringerova, A.Malovikova, and T. Heinze, Macromolecular Materials and Engineering, 2004, 289 (1), pp. 63-69; and I. Srokova, P. Talaba, P. Hodul, and A. Balazova, Tenside, Surfactants, Detergents, 1998, 35 (5), pp. 342-344.
- a protocol to define whether a dye or pigment material is a cotton-substantive for the purpose of the invention is given here: 1.) Fill two tergotometer pots with 800ml of water having a hardness of 61.9 mg/L Ca 2+ and 12.5 mg/L Mg 2+ (-12 grains per US gallon total hardness), e.g. use Newcastle upon Tyne, UK, City Water supplied by Northumbrian Water, Pity Me, Durham, Co. Durham, UK, or add 338.4mg/L CaC12.6H 2 0 and 104.6mg/L MgC12.6H 2 0 to de-ionized water
- IEC-B detergent IEC 60456 Washing Machine Reference Base Detergent Type B, supplied by wfk, Briiggen-Bracht, Germany, to each pot.
- compositions 1-12 the concentrations of the components are in weight percentage and the abbreviated component identifications have the following meanings.
- LAS Linear alkylbenzenesulfonate having an average aliphatic carbon chain length Cn-Cn, Highly soluble carboxymethyl cellulose particle 1 : Carboxymethyl cellulose granulate with 95 wt% of particles having a size of >75 ⁇ and 4% of particles having a particle size of >1000 ⁇ and comprising the following:
- Cellulase 2 Celluclean® (15.6mg active/g) supplied by Novozymes, Bagsvaerd, Denmark.
Landscapes
- Health & Medical Sciences (AREA)
- Life Sciences & Earth Sciences (AREA)
- Chemical & Material Sciences (AREA)
- Molecular Biology (AREA)
- Emergency Medicine (AREA)
- Engineering & Computer Science (AREA)
- Chemical Kinetics & Catalysis (AREA)
- Oil, Petroleum & Natural Gas (AREA)
- Wood Science & Technology (AREA)
- Organic Chemistry (AREA)
- Detergent Compositions (AREA)
Abstract
Description
Claims
Priority Applications (3)
| Application Number | Priority Date | Filing Date | Title |
|---|---|---|---|
| CN201080040666.XA CN102575198B (en) | 2009-09-08 | 2010-09-01 | A laundry detergent composition comprising a highly water-soluble carboxymethyl cellulose particle |
| BR112012005245A BR112012005245A2 (en) | 2009-09-08 | 2010-09-01 | laundry detergent composition comprising a highly water-soluble carboxy methyl cellulose particle |
| MX2012002835A MX2012002835A (en) | 2009-09-08 | 2010-09-01 | A laundry detergent composition comprising a highly water-soluble carboxymethyl cellulose particle. |
Applications Claiming Priority (2)
| Application Number | Priority Date | Filing Date | Title |
|---|---|---|---|
| EP09169740.9 | 2009-08-09 | ||
| EP09169740.9A EP2302025B1 (en) | 2009-09-08 | 2009-09-08 | A laundry detergent composition comprising a highly water-soluble carboxmethyl cellulose particle |
Publications (1)
| Publication Number | Publication Date |
|---|---|
| WO2011031599A1 true WO2011031599A1 (en) | 2011-03-17 |
Family
ID=41615766
Family Applications (1)
| Application Number | Title | Priority Date | Filing Date |
|---|---|---|---|
| PCT/US2010/047460 Ceased WO2011031599A1 (en) | 2009-09-08 | 2010-09-01 | A laundry detergent composition comprising a highly water-soluble carboxymethyl cellulose particle |
Country Status (6)
| Country | Link |
|---|---|
| US (1) | US8193143B2 (en) |
| EP (1) | EP2302025B1 (en) |
| CN (1) | CN102575198B (en) |
| BR (1) | BR112012005245A2 (en) |
| MX (1) | MX2012002835A (en) |
| WO (1) | WO2011031599A1 (en) |
Cited By (23)
| Publication number | Priority date | Publication date | Assignee | Title |
|---|---|---|---|---|
| CN108048236A (en) * | 2017-12-01 | 2018-05-18 | 纳爱斯浙江科技有限公司 | A kind of liquid detergent containing carboxymethyl cellulose and preparation method thereof |
| EP4321604A1 (en) | 2022-08-08 | 2024-02-14 | The Procter & Gamble Company | A fabric and home care composition comprising surfactant and a polyester |
| WO2024094803A1 (en) | 2022-11-04 | 2024-05-10 | The Procter & Gamble Company | Fabric and home care composition |
| WO2024094802A1 (en) | 2022-11-04 | 2024-05-10 | The Procter & Gamble Company | Fabric and home care composition |
| WO2024094800A1 (en) | 2022-11-04 | 2024-05-10 | The Procter & Gamble Company | Fabric and home care composition |
| WO2024119298A1 (en) | 2022-12-05 | 2024-06-13 | The Procter & Gamble Company | Fabric and home care composition comprising a polyalkylenecarbonate compound |
| EP4386074A1 (en) | 2022-12-16 | 2024-06-19 | The Procter & Gamble Company | Fabric and home care composition |
| WO2024129520A1 (en) | 2022-12-12 | 2024-06-20 | The Procter & Gamble Company | Fabric and home care composition |
| EP4458933A1 (en) | 2023-05-05 | 2024-11-06 | The Procter & Gamble Company | A fabric and home care composition comprising a propoxylated polyol |
| EP4458932A1 (en) | 2023-05-04 | 2024-11-06 | The Procter & Gamble Company | A fabric and home care composition |
| EP4484536A1 (en) | 2023-06-26 | 2025-01-01 | The Procter & Gamble Company | Fabric and home care composition |
| EP4549541A1 (en) | 2023-11-02 | 2025-05-07 | The Procter & Gamble Company | Fabric and home care composition |
| EP4549540A1 (en) | 2023-11-02 | 2025-05-07 | The Procter & Gamble Company | Fabric and home care composition |
| EP4553137A1 (en) | 2023-11-08 | 2025-05-14 | The Procter & Gamble Company | A fabric and home care composition comprising a polyester |
| EP4570893A1 (en) | 2023-12-15 | 2025-06-18 | The Procter & Gamble Company | Fabric and home care composition |
| EP4570892A1 (en) | 2023-12-15 | 2025-06-18 | The Procter & Gamble Company | A laundry detergent composition |
| EP4610340A1 (en) | 2024-03-01 | 2025-09-03 | The Procter & Gamble Company | A laundry detergent composition comprising a polyester |
| EP4624555A1 (en) | 2024-03-26 | 2025-10-01 | The Procter & Gamble Company | Fabric and home care compositions |
| EP4624554A1 (en) | 2024-03-26 | 2025-10-01 | The Procter & Gamble Company | Fabric care compositions |
| EP4636063A1 (en) | 2024-04-19 | 2025-10-22 | The Procter & Gamble Company | A unit dose laundry detergent product |
| EP4660287A1 (en) | 2024-06-06 | 2025-12-10 | The Procter & Gamble Company | Use of a polysaccharide ester in a laundry detergent composition |
| EP4663733A1 (en) | 2024-06-10 | 2025-12-17 | The Procter & Gamble Company | Use of a graft polymer in a laundering process |
| EP4663732A1 (en) | 2024-06-10 | 2025-12-17 | The Procter & Gamble Company | Use of graft polymer in a laundry detergent composition |
Families Citing this family (10)
| Publication number | Priority date | Publication date | Assignee | Title |
|---|---|---|---|---|
| PL2135932T3 (en) * | 2008-06-20 | 2012-08-31 | Procter & Gamble | Laundry composition |
| US20120231990A1 (en) | 2011-03-10 | 2012-09-13 | Ecolab Usa Inc. | Solidification matrix using a carboxymethyl carbohydrate polymer binding agent |
| BR112015015206B1 (en) | 2013-05-29 | 2021-12-07 | Huntsman Petrochemical Llc | SURFACTANT FORMULATION, METHOD FOR PREPARING A SURFACTANT FORMULATION, PROCESS FOR FOSSIL FLUIDS RECOVERY, AND, SURFACTANT PACKAGE |
| EP3039110B1 (en) * | 2013-08-26 | 2017-09-13 | The Procter and Gamble Company | Compositions comprising alkoxylated polyalkyleneimines having low melting points |
| EP3293251A1 (en) * | 2016-09-07 | 2018-03-14 | The Procter & Gamble Company | Use of cationically modified polysaccharide polymer for improved brightener deposition |
| DE17784205T1 (en) * | 2016-09-28 | 2019-11-28 | Cp Kelco Oy | DETERGENT COMPOSITIONS WITH POLYSACCHARIDES WITH EXTREMELY LOW MOLECULAR WEIGHT |
| CN113574157A (en) * | 2019-01-25 | 2021-10-29 | Isp投资有限公司 | Method for providing oil and grease resistant textile materials |
| MX2021013306A (en) * | 2019-05-06 | 2021-12-10 | Colgate Palmolive Co | Solid fabric care compositions and methods for the same. |
| EP3798290B1 (en) * | 2019-09-30 | 2022-08-17 | The Procter & Gamble Company | Use of an anionically-modified cellulosic polymer as a dye transfer inhibitor during a textile laundering process |
| EP4269548A1 (en) | 2022-04-27 | 2023-11-01 | Dalli-Werke GmbH & Co. KG | Detergent composition with antiscalants |
Citations (40)
| Publication number | Priority date | Publication date | Assignee | Title |
|---|---|---|---|---|
| US4228042A (en) | 1978-06-26 | 1980-10-14 | The Procter & Gamble Company | Biodegradable cationic surface-active agents containing ester or amide and polyalkoxy group |
| US4239660A (en) | 1978-12-13 | 1980-12-16 | The Procter & Gamble Company | Detergent composition comprising a hydrolyzable cationic surfactant and specific alkalinity source |
| US4260529A (en) | 1978-06-26 | 1981-04-07 | The Procter & Gamble Company | Detergent composition consisting essentially of biodegradable nonionic surfactant and cationic surfactant containing ester or amide |
| US4483779A (en) | 1982-04-26 | 1984-11-20 | The Procter & Gamble Company | Detergent compositions comprising polyglycoside and polyethoxylate surfactants and anionic fluorescer |
| US4483780A (en) | 1982-04-26 | 1984-11-20 | The Procter & Gamble Company | Detergent compositions containing polyglycoside and polyethoxylate detergent surfactants |
| US4565647A (en) | 1982-04-26 | 1986-01-21 | The Procter & Gamble Company | Foaming surfactant compositions |
| WO1992006162A1 (en) | 1990-09-28 | 1992-04-16 | The Procter & Gamble Company | Detergent containing alkyl sulfate and polyhydroxy fatty acid amide surfactants |
| WO1993019146A1 (en) | 1992-03-16 | 1993-09-30 | The Procter & Gamble Company | Fluid compositions containing polyhydroxy fatty acid amides |
| WO1993019038A1 (en) | 1992-03-26 | 1993-09-30 | The Procter & Gamble Company | Process for reducing the levels of fatty acid contaminants in polyhydroxy fatty acid amide surfactants |
| WO1994009099A1 (en) | 1992-10-13 | 1994-04-28 | The Procter & Gamble Company | Fluid compositions containing polyhydroxy fatty acid amides |
| US5332528A (en) | 1990-09-28 | 1994-07-26 | The Procter & Gamble Company | Polyhydroxy fatty acid amides in soil release agent-containing detergent compositions |
| WO1998035004A1 (en) | 1997-02-11 | 1998-08-13 | The Procter & Gamble Company | Solid detergent compositions |
| WO1998035006A1 (en) | 1997-02-11 | 1998-08-13 | The Procter & Gamble Company | Liquid cleaning composition |
| WO1998035002A1 (en) | 1997-02-11 | 1998-08-13 | The Procter & Gamble Company | Cleaning compositions |
| WO1998035005A1 (en) | 1997-02-11 | 1998-08-13 | The Procter & Gamble Company | A cleaning composition |
| WO1998035003A1 (en) | 1997-02-11 | 1998-08-13 | The Procter & Gamble Company | Detergent compound |
| WO1999005241A1 (en) | 1997-07-21 | 1999-02-04 | The Procter & Gamble Company | Cleaning products comprising improved alkylarylsulfonate surfactants prepared via vinylidene olefins and processes for preparation thereof |
| WO1999005084A1 (en) | 1997-07-21 | 1999-02-04 | The Procter & Gamble Company | Process for making alkylbenzenesulfonate surfactants from alcohols and products thereof |
| WO1999005243A1 (en) | 1997-07-21 | 1999-02-04 | The Procter & Gamble Company | Detergent compositions containing mixtures of crystallinity-disrupted surfactants |
| WO1999005082A1 (en) | 1997-07-21 | 1999-02-04 | The Procter & Gamble Company | Improved processes for making alkylbenzenesulfonate surfactants and products thereof |
| WO1999005244A1 (en) | 1997-07-21 | 1999-02-04 | The Procter & Gamble Company | Improved alkyl aryl sulfonate surfactants |
| WO1999005242A1 (en) | 1997-07-21 | 1999-02-04 | The Procter & Gamble Company | Improved alkylbenzenesulfonate surfactants |
| WO1999007656A2 (en) | 1997-08-08 | 1999-02-18 | The Procter & Gamble Company | Improved processes for making surfactants via adsorptive separation and products thereof |
| US6004922A (en) | 1996-05-03 | 1999-12-21 | The Procter & Gamble Company | Laundry detergent compositions comprising cationic surfactants and modified polyamine soil dispersents |
| US6020303A (en) | 1996-04-16 | 2000-02-01 | The Procter & Gamble Company | Mid-chain branched surfactants |
| US6022844A (en) | 1996-03-05 | 2000-02-08 | The Procter & Gamble Company | Cationic detergent compounds |
| WO2000023548A1 (en) | 1998-10-20 | 2000-04-27 | The Procter & Gamble Company | Laundry detergents comprising modified alkylbenzene sulfonates |
| WO2000023549A1 (en) | 1998-10-20 | 2000-04-27 | The Procter & Gamble Company | Laundry detergents comprising modified alkylbenzene sulfonates |
| US6060443A (en) | 1996-04-16 | 2000-05-09 | The Procter & Gamble Company | Mid-chain branched alkyl sulfate surfactants |
| EP0998498A1 (en) | 1998-05-25 | 2000-05-10 | Metsa Specialty Chemicals Oy | Modified cellulose ethers |
| US6093856A (en) | 1996-11-26 | 2000-07-25 | The Procter & Gamble Company | Polyoxyalkylene surfactants |
| WO2000047708A1 (en) | 1999-02-10 | 2000-08-17 | The Procter & Gamble Company | Low density particulate solids useful in laundry detergents |
| US6136769A (en) | 1996-05-17 | 2000-10-24 | The Procter & Gamble Company | Alkoxylated cationic detergency ingredients |
| US6150322A (en) | 1998-08-12 | 2000-11-21 | Shell Oil Company | Highly branched primary alcohol compositions and biodegradable detergents made therefrom |
| US6221825B1 (en) | 1996-12-31 | 2001-04-24 | The Procter & Gamble Company | Thickened, highly aqueous liquid detergent compositions |
| WO2001042408A2 (en) | 1999-12-08 | 2001-06-14 | The Procter & Gamble Company | Ether-capped poly(oxyalkylated) alcohol surfactants |
| US6482994B2 (en) | 1997-08-02 | 2002-11-19 | The Procter & Gamble Company | Ether-capped poly(oxyalkylated) alcohol surfactants |
| WO2006087664A1 (en) * | 2005-02-21 | 2006-08-24 | The Procter & Gamble Company | A particulate laundry detergent composition comprising a detersive surfactant, carbonate and a cellulosic polymer |
| US7208459B2 (en) | 2004-06-29 | 2007-04-24 | The Procter & Gamble Company | Laundry detergent compositions with efficient hueing dye |
| US20080287339A1 (en) * | 2007-05-17 | 2008-11-20 | Paul Anthony Gould | Detergent additive extrudates containing alkyl benzene sulphonate |
Family Cites Families (16)
| Publication number | Priority date | Publication date | Assignee | Title |
|---|---|---|---|---|
| US3242091A (en) | 1961-12-19 | 1966-03-22 | Colgate Palmolive Co | Spray dried detergent concentrate |
| US4865755A (en) * | 1988-05-03 | 1989-09-12 | Kimberly-Clark Corporation | Method for incorporating powdered detergent ingredients into a meltblown laundry detergent sheet |
| DE4310506A1 (en) | 1993-03-31 | 1994-10-06 | Cognis Bio Umwelt | Enzyme preparation for detergents and cleaning agents |
| DE19839212C2 (en) * | 1998-08-28 | 2002-05-23 | Celanese Ventures Gmbh | Process for the production of spherical nanoparticles which consist wholly or partly of at least one water-insoluble linear polysaccharide |
| US6818606B1 (en) * | 1999-06-16 | 2004-11-16 | Kao Corporation | Article for use in washing in sheet form |
| EP1218482B1 (en) * | 1999-10-04 | 2004-07-21 | Unilever N.V. | Detergent composition comprising fragance particle |
| GB0314210D0 (en) * | 2003-06-18 | 2003-07-23 | Unilever Plc | Laundry treatment compositions |
| AR049538A1 (en) * | 2004-06-29 | 2006-08-09 | Procter & Gamble | DETERGENT COMPOSITIONS FOR LAUNDRY WITH EFFICIENT DYING COLOR |
| WO2007087243A2 (en) | 2006-01-23 | 2007-08-02 | The Procter & Gamble Company | Detergent compositions |
| EP1867708B1 (en) | 2006-06-16 | 2017-05-03 | The Procter and Gamble Company | Detergent compositions |
| WO2008056324A1 (en) * | 2006-11-10 | 2008-05-15 | The Procter & Gamble Company | Fabric treatment composition with a fabric substantive dye |
| US20080274182A1 (en) * | 2007-05-03 | 2008-11-06 | Regina Helena Alida Boekema | Tablet coatings made from modified carboxymethylcellulose materials |
| CA2692860C (en) * | 2007-08-02 | 2015-05-26 | Monosol, Llc | Carboxymethyl cellulose-based films, edible food casings made therefrom, and method of using same |
| PL2135932T3 (en) * | 2008-06-20 | 2012-08-31 | Procter & Gamble | Laundry composition |
| EP2166077A1 (en) * | 2008-09-12 | 2010-03-24 | The Procter and Gamble Company | Particles comprising a hueing dye |
| EP2346975B1 (en) * | 2008-11-14 | 2018-12-26 | The Procter and Gamble Company | Composition comprising polymer and enzyme |
-
2009
- 2009-09-08 EP EP09169740.9A patent/EP2302025B1/en active Active
-
2010
- 2010-09-01 US US12/873,673 patent/US8193143B2/en active Active
- 2010-09-01 MX MX2012002835A patent/MX2012002835A/en active IP Right Grant
- 2010-09-01 CN CN201080040666.XA patent/CN102575198B/en active Active
- 2010-09-01 BR BR112012005245A patent/BR112012005245A2/en not_active Application Discontinuation
- 2010-09-01 WO PCT/US2010/047460 patent/WO2011031599A1/en not_active Ceased
Patent Citations (43)
| Publication number | Priority date | Publication date | Assignee | Title |
|---|---|---|---|---|
| US4260529A (en) | 1978-06-26 | 1981-04-07 | The Procter & Gamble Company | Detergent composition consisting essentially of biodegradable nonionic surfactant and cationic surfactant containing ester or amide |
| US4228042A (en) | 1978-06-26 | 1980-10-14 | The Procter & Gamble Company | Biodegradable cationic surface-active agents containing ester or amide and polyalkoxy group |
| US4239660A (en) | 1978-12-13 | 1980-12-16 | The Procter & Gamble Company | Detergent composition comprising a hydrolyzable cationic surfactant and specific alkalinity source |
| US4483779A (en) | 1982-04-26 | 1984-11-20 | The Procter & Gamble Company | Detergent compositions comprising polyglycoside and polyethoxylate surfactants and anionic fluorescer |
| US4483780A (en) | 1982-04-26 | 1984-11-20 | The Procter & Gamble Company | Detergent compositions containing polyglycoside and polyethoxylate detergent surfactants |
| US4565647A (en) | 1982-04-26 | 1986-01-21 | The Procter & Gamble Company | Foaming surfactant compositions |
| US4565647B1 (en) | 1982-04-26 | 1994-04-05 | Procter & Gamble | Foaming surfactant compositions |
| US5332528A (en) | 1990-09-28 | 1994-07-26 | The Procter & Gamble Company | Polyhydroxy fatty acid amides in soil release agent-containing detergent compositions |
| WO1992006162A1 (en) | 1990-09-28 | 1992-04-16 | The Procter & Gamble Company | Detergent containing alkyl sulfate and polyhydroxy fatty acid amide surfactants |
| WO1993019146A1 (en) | 1992-03-16 | 1993-09-30 | The Procter & Gamble Company | Fluid compositions containing polyhydroxy fatty acid amides |
| WO1993019038A1 (en) | 1992-03-26 | 1993-09-30 | The Procter & Gamble Company | Process for reducing the levels of fatty acid contaminants in polyhydroxy fatty acid amide surfactants |
| WO1994009099A1 (en) | 1992-10-13 | 1994-04-28 | The Procter & Gamble Company | Fluid compositions containing polyhydroxy fatty acid amides |
| US6022844A (en) | 1996-03-05 | 2000-02-08 | The Procter & Gamble Company | Cationic detergent compounds |
| US6060443A (en) | 1996-04-16 | 2000-05-09 | The Procter & Gamble Company | Mid-chain branched alkyl sulfate surfactants |
| US6020303A (en) | 1996-04-16 | 2000-02-01 | The Procter & Gamble Company | Mid-chain branched surfactants |
| US6004922A (en) | 1996-05-03 | 1999-12-21 | The Procter & Gamble Company | Laundry detergent compositions comprising cationic surfactants and modified polyamine soil dispersents |
| US6136769A (en) | 1996-05-17 | 2000-10-24 | The Procter & Gamble Company | Alkoxylated cationic detergency ingredients |
| US6153577A (en) | 1996-11-26 | 2000-11-28 | The Procter & Gamble Company | Polyoxyalkylene surfactants |
| US6093856A (en) | 1996-11-26 | 2000-07-25 | The Procter & Gamble Company | Polyoxyalkylene surfactants |
| US6221825B1 (en) | 1996-12-31 | 2001-04-24 | The Procter & Gamble Company | Thickened, highly aqueous liquid detergent compositions |
| WO1998035003A1 (en) | 1997-02-11 | 1998-08-13 | The Procter & Gamble Company | Detergent compound |
| WO1998035005A1 (en) | 1997-02-11 | 1998-08-13 | The Procter & Gamble Company | A cleaning composition |
| WO1998035002A1 (en) | 1997-02-11 | 1998-08-13 | The Procter & Gamble Company | Cleaning compositions |
| WO1998035006A1 (en) | 1997-02-11 | 1998-08-13 | The Procter & Gamble Company | Liquid cleaning composition |
| WO1998035004A1 (en) | 1997-02-11 | 1998-08-13 | The Procter & Gamble Company | Solid detergent compositions |
| WO1999005082A1 (en) | 1997-07-21 | 1999-02-04 | The Procter & Gamble Company | Improved processes for making alkylbenzenesulfonate surfactants and products thereof |
| WO1999005243A1 (en) | 1997-07-21 | 1999-02-04 | The Procter & Gamble Company | Detergent compositions containing mixtures of crystallinity-disrupted surfactants |
| WO1999005241A1 (en) | 1997-07-21 | 1999-02-04 | The Procter & Gamble Company | Cleaning products comprising improved alkylarylsulfonate surfactants prepared via vinylidene olefins and processes for preparation thereof |
| WO1999005242A1 (en) | 1997-07-21 | 1999-02-04 | The Procter & Gamble Company | Improved alkylbenzenesulfonate surfactants |
| WO1999005244A1 (en) | 1997-07-21 | 1999-02-04 | The Procter & Gamble Company | Improved alkyl aryl sulfonate surfactants |
| WO1999005084A1 (en) | 1997-07-21 | 1999-02-04 | The Procter & Gamble Company | Process for making alkylbenzenesulfonate surfactants from alcohols and products thereof |
| US6482994B2 (en) | 1997-08-02 | 2002-11-19 | The Procter & Gamble Company | Ether-capped poly(oxyalkylated) alcohol surfactants |
| WO1999007656A2 (en) | 1997-08-08 | 1999-02-18 | The Procter & Gamble Company | Improved processes for making surfactants via adsorptive separation and products thereof |
| EP0998498A1 (en) | 1998-05-25 | 2000-05-10 | Metsa Specialty Chemicals Oy | Modified cellulose ethers |
| US6600033B1 (en) * | 1998-05-25 | 2003-07-29 | Metsa Specialty Chemicals Oy | Modified cellulose ethers |
| US6150322A (en) | 1998-08-12 | 2000-11-21 | Shell Oil Company | Highly branched primary alcohol compositions and biodegradable detergents made therefrom |
| WO2000023549A1 (en) | 1998-10-20 | 2000-04-27 | The Procter & Gamble Company | Laundry detergents comprising modified alkylbenzene sulfonates |
| WO2000023548A1 (en) | 1998-10-20 | 2000-04-27 | The Procter & Gamble Company | Laundry detergents comprising modified alkylbenzene sulfonates |
| WO2000047708A1 (en) | 1999-02-10 | 2000-08-17 | The Procter & Gamble Company | Low density particulate solids useful in laundry detergents |
| WO2001042408A2 (en) | 1999-12-08 | 2001-06-14 | The Procter & Gamble Company | Ether-capped poly(oxyalkylated) alcohol surfactants |
| US7208459B2 (en) | 2004-06-29 | 2007-04-24 | The Procter & Gamble Company | Laundry detergent compositions with efficient hueing dye |
| WO2006087664A1 (en) * | 2005-02-21 | 2006-08-24 | The Procter & Gamble Company | A particulate laundry detergent composition comprising a detersive surfactant, carbonate and a cellulosic polymer |
| US20080287339A1 (en) * | 2007-05-17 | 2008-11-20 | Paul Anthony Gould | Detergent additive extrudates containing alkyl benzene sulphonate |
Non-Patent Citations (5)
| Title |
|---|
| D. CAPITANI ET AL., CARBOHYDRATE POLYMERS, vol. 42, 2000, pages 283 - 286 |
| I. SROKOVÁ; P. TALÁBA; P. HODUL; A. BALÁZOVÁ, TENSIDE, SURFACTANTS, DETERGENTS, vol. 35, no. 5, 1998, pages 342 - 344 |
| I. SROKOVÁ; V. TOMANOVÁ; A. EBRINGEROVÁ; A.MALOVÍKOVÁ; T. HEINZE, MACROMOLECULAR MATERIALS AND ENGINEERING, vol. 289, no. 1, 2004, pages 63 - 69 |
| T.G.MAJEWICZ; T.J.PODLAS: "Kirk-Othmer's Encyclopedia of Chemical Technology, 4th edition,", vol. 5, article "'Cellulose Ethers',", pages: 445 - 465 |
| V. STIGSSON ET AL., CELLULOSE, vol. 13, 2006, pages 705 - 712 |
Cited By (36)
| Publication number | Priority date | Publication date | Assignee | Title |
|---|---|---|---|---|
| CN108048236A (en) * | 2017-12-01 | 2018-05-18 | 纳爱斯浙江科技有限公司 | A kind of liquid detergent containing carboxymethyl cellulose and preparation method thereof |
| CN108048236B (en) * | 2017-12-01 | 2020-11-06 | 纳爱斯浙江科技有限公司 | Liquid detergent containing carboxymethyl cellulose and preparation method thereof |
| EP4321604A1 (en) | 2022-08-08 | 2024-02-14 | The Procter & Gamble Company | A fabric and home care composition comprising surfactant and a polyester |
| WO2024036126A1 (en) | 2022-08-08 | 2024-02-15 | The Procter & Gamble Company | A fabric and home care composition comprising surfactant and a polyester |
| WO2024094800A1 (en) | 2022-11-04 | 2024-05-10 | The Procter & Gamble Company | Fabric and home care composition |
| WO2024094802A1 (en) | 2022-11-04 | 2024-05-10 | The Procter & Gamble Company | Fabric and home care composition |
| WO2024094803A1 (en) | 2022-11-04 | 2024-05-10 | The Procter & Gamble Company | Fabric and home care composition |
| WO2024119298A1 (en) | 2022-12-05 | 2024-06-13 | The Procter & Gamble Company | Fabric and home care composition comprising a polyalkylenecarbonate compound |
| WO2024129520A1 (en) | 2022-12-12 | 2024-06-20 | The Procter & Gamble Company | Fabric and home care composition |
| EP4386074A1 (en) | 2022-12-16 | 2024-06-19 | The Procter & Gamble Company | Fabric and home care composition |
| EP4458932A1 (en) | 2023-05-04 | 2024-11-06 | The Procter & Gamble Company | A fabric and home care composition |
| EP4458933A1 (en) | 2023-05-05 | 2024-11-06 | The Procter & Gamble Company | A fabric and home care composition comprising a propoxylated polyol |
| WO2024233240A1 (en) | 2023-05-05 | 2024-11-14 | The Procter & Gamble Company | A fabric and home care composition comprising a propoxylated polyol |
| EP4484536A1 (en) | 2023-06-26 | 2025-01-01 | The Procter & Gamble Company | Fabric and home care composition |
| WO2025006207A1 (en) | 2023-06-26 | 2025-01-02 | The Procter & Gamble Company | Fabric and home care composition |
| WO2025096273A1 (en) | 2023-11-02 | 2025-05-08 | The Procter & Gamble Company | Fabric and home care composition |
| EP4549540A1 (en) | 2023-11-02 | 2025-05-07 | The Procter & Gamble Company | Fabric and home care composition |
| WO2025096272A1 (en) | 2023-11-02 | 2025-05-08 | The Procter & Gamble Company | Fabric and home care composition |
| EP4549541A1 (en) | 2023-11-02 | 2025-05-07 | The Procter & Gamble Company | Fabric and home care composition |
| EP4553137A1 (en) | 2023-11-08 | 2025-05-14 | The Procter & Gamble Company | A fabric and home care composition comprising a polyester |
| WO2025101680A1 (en) | 2023-11-08 | 2025-05-15 | The Procter & Gamble Company | A fabric and home care composition comprising a polyester |
| EP4570893A1 (en) | 2023-12-15 | 2025-06-18 | The Procter & Gamble Company | Fabric and home care composition |
| EP4570892A1 (en) | 2023-12-15 | 2025-06-18 | The Procter & Gamble Company | A laundry detergent composition |
| WO2025128416A1 (en) | 2023-12-15 | 2025-06-19 | The Procter & Gamble Company | Fabric and home care composition |
| WO2025128415A1 (en) | 2023-12-15 | 2025-06-19 | The Procter & Gamble Company | A laundry detergent composition |
| EP4610340A1 (en) | 2024-03-01 | 2025-09-03 | The Procter & Gamble Company | A laundry detergent composition comprising a polyester |
| EP4624555A1 (en) | 2024-03-26 | 2025-10-01 | The Procter & Gamble Company | Fabric and home care compositions |
| EP4624554A1 (en) | 2024-03-26 | 2025-10-01 | The Procter & Gamble Company | Fabric care compositions |
| WO2025207301A1 (en) | 2024-03-26 | 2025-10-02 | The Procter & Gamble Company | Fabric and home care compositions |
| WO2025207550A1 (en) | 2024-03-26 | 2025-10-02 | The Procter & Gamble Company | Fabric care compositions |
| EP4636063A1 (en) | 2024-04-19 | 2025-10-22 | The Procter & Gamble Company | A unit dose laundry detergent product |
| WO2025221588A1 (en) | 2024-04-19 | 2025-10-23 | The Procter & Gamble Company | A unit dose laundry detergent product |
| EP4660287A1 (en) | 2024-06-06 | 2025-12-10 | The Procter & Gamble Company | Use of a polysaccharide ester in a laundry detergent composition |
| WO2025255062A1 (en) | 2024-06-06 | 2025-12-11 | The Procter & Gamble Company | Use of a polysaccharide ester in a laundry detergent composition |
| EP4663733A1 (en) | 2024-06-10 | 2025-12-17 | The Procter & Gamble Company | Use of a graft polymer in a laundering process |
| EP4663732A1 (en) | 2024-06-10 | 2025-12-17 | The Procter & Gamble Company | Use of graft polymer in a laundry detergent composition |
Also Published As
| Publication number | Publication date |
|---|---|
| EP2302025A1 (en) | 2011-03-30 |
| CN102575198B (en) | 2015-06-17 |
| MX2012002835A (en) | 2012-04-19 |
| EP2302025B1 (en) | 2016-04-13 |
| US8193143B2 (en) | 2012-06-05 |
| CN102575198A (en) | 2012-07-11 |
| BR112012005245A2 (en) | 2016-03-15 |
| US20110034365A1 (en) | 2011-02-10 |
Similar Documents
| Publication | Publication Date | Title |
|---|---|---|
| EP2302025B1 (en) | A laundry detergent composition comprising a highly water-soluble carboxmethyl cellulose particle | |
| CN102099455B (en) | Laundry composition | |
| EP2264137B2 (en) | A laundry detergent composition comprising glycosyl hydrolase | |
| JP6810258B2 (en) | Leuco colorant as a bluish agent in laundry care compositions | |
| CN103180424B (en) | Comprise bluing agent and clay soil removes the/detergent composition of anti redeposition agent | |
| CN112424328A (en) | Fabric care compositions comprising graft copolymers and related methods | |
| EP2804938B1 (en) | Acidic laundry detergent compositions | |
| JP2022547846A (en) | Fabric care compositions containing copolymers and related methods | |
| JP2022535737A (en) | cleaning composition | |
| US20100125047A1 (en) | Composition comprising polymer and enzyme | |
| EP2297288A1 (en) | Laundry compositions | |
| EP2235154B1 (en) | Use of a cellulase to impart soil release benefits to cotton during a subsequent laundering process | |
| WO2015003362A1 (en) | Laundry detergent composition | |
| WO2022266911A1 (en) | Colour care detergent compositions | |
| CA2595487A1 (en) | A particulate laundry detergent composition comprising a detersive surfactant, carbonate and a cellulosic polymer | |
| US20110241235A1 (en) | Process for preparing spray-dried particles | |
| EP3044299B1 (en) | Laundry detergent composition | |
| EP4469545B1 (en) | Laundry composition | |
| EP4574956A1 (en) | Liquid detergent compositions | |
| CN118647704A (en) | Laundry composition |
Legal Events
| Date | Code | Title | Description |
|---|---|---|---|
| WWE | Wipo information: entry into national phase |
Ref document number: 201080040666.X Country of ref document: CN |
|
| 121 | Ep: the epo has been informed by wipo that ep was designated in this application |
Ref document number: 10752496 Country of ref document: EP Kind code of ref document: A1 |
|
| WWE | Wipo information: entry into national phase |
Ref document number: 1409/DELNP/2012 Country of ref document: IN |
|
| WWE | Wipo information: entry into national phase |
Ref document number: MX/A/2012/002835 Country of ref document: MX |
|
| NENP | Non-entry into the national phase |
Ref country code: DE |
|
| 122 | Ep: pct application non-entry in european phase |
Ref document number: 10752496 Country of ref document: EP Kind code of ref document: A1 |
|
| REG | Reference to national code |
Ref country code: BR Ref legal event code: B01A Ref document number: 112012005245 Country of ref document: BR |
|
| ENP | Entry into the national phase |
Ref document number: 112012005245 Country of ref document: BR Kind code of ref document: A2 Effective date: 20120308 |












